WO2006028290A1 - 2-morpholino-4-pyrimidone compound - Google Patents
2-morpholino-4-pyrimidone compound Download PDFInfo
- Publication number
- WO2006028290A1 WO2006028290A1 PCT/JP2005/017080 JP2005017080W WO2006028290A1 WO 2006028290 A1 WO2006028290 A1 WO 2006028290A1 JP 2005017080 W JP2005017080 W JP 2005017080W WO 2006028290 A1 WO2006028290 A1 WO 2006028290A1
- Authority
- WO
- WIPO (PCT)
- Prior art keywords
- substituted
- alkyl
- cio
- heterocycle
- crc
- Prior art date
- Legal status (The legal status is an assumption and is not a legal conclusion. Google has not performed a legal analysis and makes no representation as to the accuracy of the status listed.)
- Ceased
Links
Classifications
-
- C—CHEMISTRY; METALLURGY
- C07—ORGANIC CHEMISTRY
- C07D—HETEROCYCLIC COMPOUNDS
- C07D413/00—Heterocyclic compounds containing two or more hetero rings, at least one ring having nitrogen and oxygen atoms as the only ring hetero atoms
- C07D413/14—Heterocyclic compounds containing two or more hetero rings, at least one ring having nitrogen and oxygen atoms as the only ring hetero atoms containing three or more hetero rings
-
- A—HUMAN NECESSITIES
- A61—MEDICAL OR VETERINARY SCIENCE; HYGIENE
- A61K—PREPARATIONS FOR MEDICAL, DENTAL OR TOILETRY PURPOSES
- A61K31/00—Medicinal preparations containing organic active ingredients
- A61K31/33—Heterocyclic compounds
- A61K31/395—Heterocyclic compounds having nitrogen as a ring hetero atom, e.g. guanethidine or rifamycins
- A61K31/535—Heterocyclic compounds having nitrogen as a ring hetero atom, e.g. guanethidine or rifamycins having six-membered rings with at least one nitrogen and one oxygen as the ring hetero atoms, e.g. 1,2-oxazines
- A61K31/5375—1,4-Oxazines, e.g. morpholine
- A61K31/5377—1,4-Oxazines, e.g. morpholine not condensed and containing further heterocyclic rings, e.g. timolol
-
- A—HUMAN NECESSITIES
- A61—MEDICAL OR VETERINARY SCIENCE; HYGIENE
- A61P—SPECIFIC THERAPEUTIC ACTIVITY OF CHEMICAL COMPOUNDS OR MEDICINAL PREPARATIONS
- A61P17/00—Drugs for dermatological disorders
- A61P17/14—Drugs for dermatological disorders for baldness or alopecia
-
- A—HUMAN NECESSITIES
- A61—MEDICAL OR VETERINARY SCIENCE; HYGIENE
- A61P—SPECIFIC THERAPEUTIC ACTIVITY OF CHEMICAL COMPOUNDS OR MEDICINAL PREPARATIONS
- A61P25/00—Drugs for disorders of the nervous system
-
- A—HUMAN NECESSITIES
- A61—MEDICAL OR VETERINARY SCIENCE; HYGIENE
- A61P—SPECIFIC THERAPEUTIC ACTIVITY OF CHEMICAL COMPOUNDS OR MEDICINAL PREPARATIONS
- A61P25/00—Drugs for disorders of the nervous system
- A61P25/02—Drugs for disorders of the nervous system for peripheral neuropathies
-
- A—HUMAN NECESSITIES
- A61—MEDICAL OR VETERINARY SCIENCE; HYGIENE
- A61P—SPECIFIC THERAPEUTIC ACTIVITY OF CHEMICAL COMPOUNDS OR MEDICINAL PREPARATIONS
- A61P25/00—Drugs for disorders of the nervous system
- A61P25/14—Drugs for disorders of the nervous system for treating abnormal movements, e.g. chorea, dyskinesia
- A61P25/16—Anti-Parkinson drugs
-
- A—HUMAN NECESSITIES
- A61—MEDICAL OR VETERINARY SCIENCE; HYGIENE
- A61P—SPECIFIC THERAPEUTIC ACTIVITY OF CHEMICAL COMPOUNDS OR MEDICINAL PREPARATIONS
- A61P25/00—Drugs for disorders of the nervous system
- A61P25/18—Antipsychotics, i.e. neuroleptics; Drugs for mania or schizophrenia
-
- A—HUMAN NECESSITIES
- A61—MEDICAL OR VETERINARY SCIENCE; HYGIENE
- A61P—SPECIFIC THERAPEUTIC ACTIVITY OF CHEMICAL COMPOUNDS OR MEDICINAL PREPARATIONS
- A61P25/00—Drugs for disorders of the nervous system
- A61P25/24—Antidepressants
-
- A—HUMAN NECESSITIES
- A61—MEDICAL OR VETERINARY SCIENCE; HYGIENE
- A61P—SPECIFIC THERAPEUTIC ACTIVITY OF CHEMICAL COMPOUNDS OR MEDICINAL PREPARATIONS
- A61P25/00—Drugs for disorders of the nervous system
- A61P25/28—Drugs for disorders of the nervous system for treating neurodegenerative disorders of the central nervous system, e.g. nootropic agents, cognition enhancers, drugs for treating Alzheimer's disease or other forms of dementia
-
- A—HUMAN NECESSITIES
- A61—MEDICAL OR VETERINARY SCIENCE; HYGIENE
- A61P—SPECIFIC THERAPEUTIC ACTIVITY OF CHEMICAL COMPOUNDS OR MEDICINAL PREPARATIONS
- A61P27/00—Drugs for disorders of the senses
- A61P27/02—Ophthalmic agents
-
- A—HUMAN NECESSITIES
- A61—MEDICAL OR VETERINARY SCIENCE; HYGIENE
- A61P—SPECIFIC THERAPEUTIC ACTIVITY OF CHEMICAL COMPOUNDS OR MEDICINAL PREPARATIONS
- A61P27/00—Drugs for disorders of the senses
- A61P27/02—Ophthalmic agents
- A61P27/06—Antiglaucoma agents or miotics
-
- A—HUMAN NECESSITIES
- A61—MEDICAL OR VETERINARY SCIENCE; HYGIENE
- A61P—SPECIFIC THERAPEUTIC ACTIVITY OF CHEMICAL COMPOUNDS OR MEDICINAL PREPARATIONS
- A61P3/00—Drugs for disorders of the metabolism
- A61P3/04—Anorexiants; Antiobesity agents
-
- A—HUMAN NECESSITIES
- A61—MEDICAL OR VETERINARY SCIENCE; HYGIENE
- A61P—SPECIFIC THERAPEUTIC ACTIVITY OF CHEMICAL COMPOUNDS OR MEDICINAL PREPARATIONS
- A61P3/00—Drugs for disorders of the metabolism
- A61P3/08—Drugs for disorders of the metabolism for glucose homeostasis
- A61P3/10—Drugs for disorders of the metabolism for glucose homeostasis for hyperglycaemia, e.g. antidiabetics
-
- A—HUMAN NECESSITIES
- A61—MEDICAL OR VETERINARY SCIENCE; HYGIENE
- A61P—SPECIFIC THERAPEUTIC ACTIVITY OF CHEMICAL COMPOUNDS OR MEDICINAL PREPARATIONS
- A61P35/00—Antineoplastic agents
-
- A—HUMAN NECESSITIES
- A61—MEDICAL OR VETERINARY SCIENCE; HYGIENE
- A61P—SPECIFIC THERAPEUTIC ACTIVITY OF CHEMICAL COMPOUNDS OR MEDICINAL PREPARATIONS
- A61P35/00—Antineoplastic agents
- A61P35/02—Antineoplastic agents specific for leukemia
-
- A—HUMAN NECESSITIES
- A61—MEDICAL OR VETERINARY SCIENCE; HYGIENE
- A61P—SPECIFIC THERAPEUTIC ACTIVITY OF CHEMICAL COMPOUNDS OR MEDICINAL PREPARATIONS
- A61P43/00—Drugs for specific purposes, not provided for in groups A61P1/00-A61P41/00
-
- A—HUMAN NECESSITIES
- A61—MEDICAL OR VETERINARY SCIENCE; HYGIENE
- A61P—SPECIFIC THERAPEUTIC ACTIVITY OF CHEMICAL COMPOUNDS OR MEDICINAL PREPARATIONS
- A61P5/00—Drugs for disorders of the endocrine system
- A61P5/48—Drugs for disorders of the endocrine system of the pancreatic hormones
-
- A—HUMAN NECESSITIES
- A61—MEDICAL OR VETERINARY SCIENCE; HYGIENE
- A61P—SPECIFIC THERAPEUTIC ACTIVITY OF CHEMICAL COMPOUNDS OR MEDICINAL PREPARATIONS
- A61P9/00—Drugs for disorders of the cardiovascular system
-
- A—HUMAN NECESSITIES
- A61—MEDICAL OR VETERINARY SCIENCE; HYGIENE
- A61P—SPECIFIC THERAPEUTIC ACTIVITY OF CHEMICAL COMPOUNDS OR MEDICINAL PREPARATIONS
- A61P9/00—Drugs for disorders of the cardiovascular system
- A61P9/10—Drugs for disorders of the cardiovascular system for treating ischaemic or atherosclerotic diseases, e.g. antianginal drugs, coronary vasodilators, drugs for myocardial infarction, retinopathy, cerebrovascula insufficiency, renal arteriosclerosis
Definitions
- the present invention relates to compounds that are useful as an active ingredient of a medicament for preventive and/or therapeutic treatment of diseases mainly caused by abnormal activity of tau protein kinase 1, such as neurodegenerative diseases (e.g. Alzheimer disease).
- diseases mainly caused by abnormal activity of tau protein kinase 1 such as neurodegenerative diseases (e.g. Alzheimer disease).
- Alzheimer disease is progressive senile dementia, in which marked cerebral cortical atrophy is observed due to degeneration of nerve cells and decrease of nerve cell number.
- Pathologically numerous senile plaques and neurofibrillary tangles are observed in brain. The number of patients has been increased with the increment of aged population, and the disease arises a serious social problem.
- various theories have been proposed, a cause of the disease has not yet been elucidated. Early resolution of the cause has been desired.
- PHF paired helical filament
- presenilins 1 and 2 were found as causative genes of familial Alzheimer disease (Nature, 375, 754 (1995); Science, 269, 973 (1995); Nature. 376, 775 (1995)), and it has been revealed that presence of mutants of presenilins 1 and 2 promotes the secretion of A ⁇ (Neuron, 17, 1005 (1996); Proc. Natl. Acad. Sci. USA, 94, 2025 (1997)). From these results, it is considered that, in Alzheimer disease, Aj3 abnormally accumulates and agglomerates due to a certain reason, which engages with the formation of PHF to cause death of nerve cells. It is also expected that extracellular outflow of glutamic acid and activation of glutamate receptor responding to the outflow may possibly be important factors in an early process of the nerve cell death caused by ischemic cerebrovascular accidents.
- examples include progressive supranuclear palsy, subacute sclerosing panencephalitic parkinsonism, postencephalitic parkinsonism, pugilistic encephalitis, Guam parkinsonisnrdementia complex, Lewy body disease and the like.
- the tau protein is generally composed of a group of related proteins that forms several bands at molecular weights of 48-65 kDa in SDS-polyacrylamide gel electrophoresis, and it promotes the formation of microtubules. It has been verified that tau protein incorporated in the PHF in the brain suffering from Alzheimer disease is abnormally phosphorylated compared with usual tau protein (J. Biochem., 99, 1807 (1986); Proc. Natl. Acad. Sci. USA, 83, 4913 (1986)). An enzyme catalyzing the abnormal phosphorylation has been isolated.
- TPKl tau protein kinase 1
- cDNA of rat TPKl was cloned from a rat cerebral cortex cDNA library based on a partial amino acid sequence of TPKl, and its nucleotide sequence was determined and an amino acid sequence was deduced.
- rat TPKl corresponds to that of the enzyme known as rat GSK-3 ⁇ (glycogen synthase kinase 3 ⁇ , FEBS Lett., 325, 167 (1993)).
- compounds which inhibit the TPKl activity may possibly suppress the neurotoxicity of A ⁇ and the formation of PHF and inhibit the nerve cell death in the Alzheimer disease, thereby cease or defer the progress of the disease.
- the compounds may also be possibly used as a medicament for therapeutic treatment of ischemic cerebrovascular disorder, Down syndrome, cerebral amyloid angiopathy, cerebral bleeding due to Lewy body disease and the like by suppressing the cytotoxicity of A ⁇ .
- the compounds may possibly be used as a medicament for therapeutic treatment of neurodegenerative diseases such as progressive supranuclear palsy, subacute sclerosing panencephalitic parkinsonism, postencephalitic parkinsonism, pugilistic encephalitis, Guam parkinsonisnrdementia complex, Lewy body disease, Pick's disease, corticobasal degeneration and frontotemporal dementia, vascular dementia, traumatic injuries, brain and spinal cord trauma, peripheral neuropathies, retinopathies and glaucoma, as well as other diseases such as non-insulin dependent diabetes, obesity, manic depressive illness, schizophrenia, alopecia, breast cancer, non-small cell lung carcinoma, thyroid cancer, T or B-cell leukemia, and several virus-induced tumors.
- neurodegenerative diseases such as progressive supranuclear palsy, subacute sclerosing panencephalitic parkinsonism, postencephalitic parkinsonism, pugilistic encephalitis, Guam park
- An object of the present invention is to provide compounds useful as an active ingredient of a medicament for preventive and/or therapeutic treatment of diseases such as Alzheimer disease. More specifically, the object is to provide novel compounds useful as an active ingredient of a medicament that enables radical prevention and/or treatment of the neurodegenerative diseases such as Alzheimer disease by inhibiting the TPKl activity to suppress the neurotoxicity of A ⁇ and the formation of the PHF and by inhibiting the death of nerve cells.
- the inventors of the present invention conducted screenings of various compounds having inhibitory activity against the phosphorylation of TPKl. As a result, they found that compounds represented by the following formula (I) had the desired activity and were useful as an active ingredient of a medicament for preventive and/or therapeutic treatment of the aforementioned diseases.
- the present invention was achieved on the basis of these findings.
- the present invention thus provides!
- X represents CH or N
- R, 1 represents a CrCi2 alkyl which may be substituted
- R 2 represents a hydrogen atom, a halogen or a Ci-Ce alkyl which may be substituted
- R' represents a Ci-Ce alkyl which may be substituted, a C2-C 6 alkenyl which may be substituted, a C2"C6 alkynyl which may be substituted, a C 3 "C7 cycloalkyl which may be substituted, a C 3 -C ⁇ cycloalkenyl which may be substituted, a heterocyclic group which may be substituted, a Ci-Ce alkoxy which may be substituted, a C 3 'C6 alkenyloxy which may be substituted, a C 3 -C6 alkynyloxy which may be substituted, a C 3 -C7 cycloalkyloxy which may be substituted, a C 3 -C7 cycloalkenyloxy which may be substituted, a hydroxyl, an 0x0 group, a halogen, a nitro, or a cyano," q represents 0 or an integer of 1 to 3;
- Y represents a CrC 6 alkyl which may be substituted, a C2-C6 alkenyl which may be substituted, a C2-C6 alkynyl which may be substituted, a U3-C7 cycloalkyl which may be substituted, a C 3 "C7 cycloalkenyl which may be substituted, a Ci-Ce alkoxy which may be substituted, a C 3 -C6 alkenyloxy which may be substituted, a C 3 -C6 alkynyloxy which may be substituted, a C 3 -C ⁇ cycloalkyloxy which may be substituted, a C 3 -C ⁇ cycloalkenyloxy which may be substituted, a halogen, a nitro, a cyano, an amino, a CrC 6 alkylamino which may be substituted, a C 3 -C6 alkenylamino which may be substituted, a C 3 -C6 alkyny
- R represents a carboxyl group, a 2,3-dihydroindolyl, a perhydroindolyl, a perhydroisoindolyl, a perhydroquinolinyl, a perhydroisoquinolinyl, or a formula (l) or (2))'
- R 3 represents a hydrogen atom, a CrC 6 alkyl which may be substituted, a C 3 -C6 alkenyl which may be substituted, a C 3 -C6 alkynyl which may be substituted, a C 3 "C7 cycloalkyl which may be substituted, a C 3 O7 cycloalkenyl which may be substituted, a C 6 -Cio aryl which may be substituted, or a heterocyclic group which may be substituted;
- R 4 represents an adamantly, a C 3 O7 cycloalkyl which may be substituted, a G3"C7 cycloalkenyl which may be substituted, a C ⁇ -Cio aryl which may be substituted, a heterocyclic group which may be substituted, or a formula (3)
- n 0 or an integer of 1 to4,
- Z 1 represents a carbonyl group, a thiocarbonyl group, or a sulfonyl group
- R 20 and R 21 are the same or different and each represents a hydrogen atom or a CrC 6 alkyl
- R 7 represents a CrC 6 alkyl which may be substituted, a C 3 -C6 alkenyl which may be substituted, a C 3 -C 6 alkynyl which may be substituted, a C 3 -C7 cycloalkyl which may be substituted, a C 3 O7 cycloalkenyl which may be substituted, a C 6 'Cio aryl which may be substituted, a heterocyclic group which may be substituted, a CrC 6 alkoxy which may be substituted, a C 6 'C 6 alkenyloxy which may be substituted, a C 6 -C 6 alkynyloxy which may be substituted, a C 3 -C7 cycloalkyloxy which may be substituted, a C 3 -C7 cycloalkenyloxy which may be substituted, a C 6 'Cio aryloxy which may be substituted, a heterocycle-oxy which may be substituted, or a group
- Z represents a carbonyl group , a sulfonyl group, or a group represented by -O-W- wherein W represents a CrCe alkylene group which may be substituted!
- R 5 and R 6 are the same or different and each represents a hydrogen atom, a CrC 6 alkyl which may be substituted, a C 3 -C6 alkenyl which may be substituted, a C 3 -C6 alkynyl which may be substituted, a C 3 -C7 cycloalkyl which may be substituted, a C 3 -C7 cycloalkenyl which may be substituted, a C 6 -CiQ aryl which may be substituted, or a heterocyclic group which may be substituted; or R 3 and R 4 , or R 5 and R 6 may combine with the adjacent nitrogen atom to form a cyclic amino group represented by the formula (4):
- R 10 represents a CrC 6 alkyl which may be substituted, a C 3 "C 6 alkenyl which may be substituted, a C 3 "C 6 alkynyl which may be substituted, a C 3 O7 cycloalkyl which may be substituted, a G3-C7 cycloalkenyl which may be substituted, a C 6 -Cio aryl which may be substituted, a heterocyclic group which may be substituted, a CrC 6 alkoxy which may be substituted, a C 3 "C 6 alkenyloxy which may be substituted, a U3-C6 alkynyloxy which may be substituted, a U3-C7 cycloalkyloxy which may be substituted, a C 3 "C7 cycloalkenyloxy which may be substituted, a C 6 -Cio aryloxy which may be substituted, a hydroxyl, an 0x0 group, a halogen, a a
- Q represents a bond, an oxygen atom, sulfur atom or a formula:
- R 24 represents a hydrogen atom, a CrC 6 alkyl which may be substituted, a U3-C6 alkenyl which may be substituted, a C 3 "C 6 alkynyl which may be substituted, a C 3 -U7 cycloalkyl which may be substituted, a C 3 -C7 cycloalkenyl which may be substituted, an C 6 'Cio aryl which may be substituted, a heterocyclic group which may be substituted, a CrC6 alkylcarbonyl which may be substituted, a C2-C 6 alkenylcarbonyl which may be substituted, a C2O6 alkynylcarbonyl which may be substituted, a C 3 -C7 cycloalkylcarbonyl which may be substituted, a C 3 O7 cycloalkenylcarbonyl which may be substituted, a C 6 -Cio arylcarbonyl which may be substituted, a heterocycl
- R 30 and R 31 are the same or different and each represents a hydrogen atom, a CrC 6 alkyl which may be substituted, a C 3 -C6 alkenyl which may be substituted, a C 3 "C6 alkynyl which may be substituted, a C 3 -C7 cycloalkyl which may be substituted, a C 3 "C7 cycloalkenyl which may be substituted, a C 6 'Cio aryl which may be substituted, a heterocyclic group which may be substituted, a CrC 6 alkyloxycarbonyl which may be substituted, a C 3 -C 6 alkenyloxycarbonyl which may be substituted, a C 3 "C ⁇ alkynyloxycarbonyl which may be substituted, a C 3 -C7 cycloalkyloxycarbonyl which may be substituted, a C 3 O7 cycloalkenyloxycarbonyl which may be substituted, a C ⁇ -
- cycloalkenylaminocarbonyl which may be substituted, a N-CrC 6 alkyl-N-C 6 -Cio arylaminocarbonyl which may be substituted, a N-Ci-Ce alkyl-N-heterocycle-aminocarbonyl which may be substituted, a N,N-di"C 3 -C6 alkenylaminocarbonyl which may be substituted, a N-C 6 -C 6 alkenyl-N-C 3 "C6 alkynylaminocarbonyl which may be substituted, a N-C 3 -C6 alkenyl-N"C 6 "C7 cycloalkylaminocarbonyl which may be substituted, a N-C 3 -C6 alkenyl-N-C 3 -C7 cycloalkenylaminocarbonyl which may be substituted, a N-C 3 -C6 alkenyl-N-C 3 -
- Y is a CrC 6 alkyl which may be substituted, a CrC 6 alkoxy which may be substituted, a halogen, a nitro, a cyano, an amino, a C 1 -C 6 alkylamino which may be substituted or a N.N-di-CrC 6 alkylamino which may be substituted.
- a compound according to claim 1 selected from the group consisting of: 2-(2-(4-((4-Pyrrolidin-l-yl)piperidin-l-yl)phenyl)m.orpliolin-4-yl)"3-methyl-6- pyrinaidin-4-yl"3H-pyrimidin-4-one,
- a medicament comprising as an active ingredient a substance selected from the group consisting of the compound represented by the formula (I) and an optically active isomer thereof, or a pharmaceutically acceptable salt thereof according to the above 1.
- a tau protein kinase 1 inhibitor selected from the group consisting of the compound represented by the formula (I) and an optically active isomer thereof, or a pharmaceutically acceptable salt thereof according to the above 1.
- the medicament according to the above 12 which is used for preventive and/or therapeutic treatment of a disease caused by tau protein kinase 1 hyperactivity.
- the medicament according to the above 12 which is used for preventive and/or therapeutic treatment of a neurodegenerative disease.
- the disease is selected from the group consisting of Alzheimer disease, ischemic cerebrovascular accidents, Down syndrome, cerebral bleeding due to cerebral amyloid angiopathy, progressive supranuclear palsy, subacute sclerosing panencephalitic parkinsonism, postencephalitic parkinsonism, pugilistic encephalitis, Guam parkinsonism-dementia complex, Lewy body disease, Pick's disease, corticobasal degeneration, frontotemporal dementia, vascular dementia, traumatic injuries, brain and spinal cord trauma, peripheral neuropathies, retinopathies and glaucoma.
- Alzheimer disease ischemic cerebrovascular accidents, Down syndrome, cerebral bleeding due to cerebral amyloid angiopathy, progressive supranuclear palsy, subacute sclerosing panencephalitic parkinsonism, postencephalitic parkinsonism, pugilistic encephalitis, Guam parkinsonism-dementia complex, Lewy body disease, Pick's disease, cortic
- a disease selected from the group consisting of non-insulin dependent diabetes, obesity, manic depressive illness, schizophrenia, alopecia, breast cancer, non-small cell lung carcinoma, thyroid cancer, T or B-cell leukemia, and a virus-induced tumor.
- Ci-Ce alkyl means alkyl group having 1 to 6 carbon atoms which may be either linear or branched, for example, methyl, ethyl, n-propyl, isopropyl, n-butyl, isobutyl, sec w butyl, tert-butyl, n-pentyl, isopentyl, neopentyl, 1,1-dimethylpropyl, n-hexyl, isohexyl.
- CrCi2 alkyl means alkyl group having 1 to 12 carbon atoms which may be either linear or branched, for example, methyl, ethyl, n-propyl, isopropyl, n-butyl, isobutyl, sec-butyl, tert-butyl, n-pentyl, isopentyl, neopentyl, 1,1-dimethylpropyl, n-hexyl, isohexyl, heptyl, octyl, nonyl, decyl, undecyl or dodecyl.
- Cs-C 7 cycloalkyl means cycloalkyl having 3 to 7 atoms, for example, cyclopropyl, cyclobutyl, cyclopentyl, cyclohexyl, cycloheptyl.
- Ce-CiQ aryl means a group having 6 to 10 carbon atoms derived from, for example, benzene, naphthalene, indane, indene, tetrahydronaphthalene.
- the bond position in the cycle is not limited.
- heterocyclic group and "heterocycle” mean cyclic group derived from, for example, furan, dihydrofuran, tetrahydrofuran, pyran, dihydropyran, tetrahydropyran, benzofuran, dihydrobenzofuran, isobenzofuran, chromene, chroman, isochroman, thiophene, benzothiophene, pyrrole, pyrroline, pyrrolidine, imidazole, imidazoline, imidazolidine, pyrazole, pyrazoline, pyrazolidine, triazole, tetrazole, pyridine, pyridine oxide, piperidine, pyrazine, piperazine, pyrimidine, pyridazine, indole, indoline, isoindole, isoindoline, indazole, benzimidazole, benzotriazole, tetrahydrois
- CrC 6 alkoxy means alkoxy group having 1 to 6 carbon atoms which may be either linear or branched, for example, methoxy, ethoxy, n-propoxy, isopropoxy, n-butoxy, isobutoxy, sec-butoxy, tert-butoxy, n-pentyloxy isopentyloxy, neopentyloxy, 1,1-dimethylpropoxy, n-hexyloxy, isohexyloxy.
- 02-Ce alkenyl means alkenyl group having 2 to 6 carbon atoms, for example, vinyl, propenyl, buteny,l, pentenyl, hexenyl.
- C2-C6 alkynyl means alkynyl group having 2 to 6 carbon atoms, for example, ethynyl, propynl, butynyl, pentynyl, hexynyl.
- C 3 -C ⁇ cycloalkenyl means cycloalkenyl group having 3 to 7 carbon atoms, for example, cyclopropenyl cyclobutenyl, cyclop entenyl, cyclohexenyl, cycloheptenyl.
- nitrogen containing heterocycle formed by Ra and Rb together with the adjacent nitrogen atom means, for example, pyrrolidinyl which may be substituted, piperidinyl which may be substituted, morpholino which may be substituted, thiomorpholino which may be substituted, piperazinyl which may be substituted, homopiperazinyl which may be substituted.
- which may be substituted means a group which may have one or more substituents.
- the substituent in the present specification means, for example, C 1 -C 6 alkyl, C 2 -C 6 alkenyl, C 2 -C 6 alkynyl, C 3 -C 7 cycloalkyl, C 3 -C7 cycloalkenyl, C 6 -C 10 aryl, heterocycles, C 1 -C 6 alkoxy, C 3 -C 6 alkenyloxy, C 3 -C 6 alkynyloxy, C 3 -C 7 cycloalkyloxy, C 3 -C 7 cycloalkenyloxy, C 6 -C 10 aryloxy, heterocycleoxy, halogen (chlorine, bromine, fluorine, iodine), nitro, amino, cyano, hydroxyl, oxo, C 1 -C 6 alkylcarbonyl, C 2 -C 6 alkenylcarbonyl, C 2 -C 6 alkynylcarbonyl, C 3 -C 7 cycl
- substituents as well as their types and substituting positions are not particularly limited, and when two or more substituents are present, they may be the same or different.
- every term expressed by " C 1 -C 6 alkyl, C 2 -C 6 alkenyl, C 2 -C 6 alkynyl, C 3 -C 7 cycloalkyl, C 3 -C 7 cycloalkenyl, C 6 -C 10 aryl, heterocycle or C 1 -C 6 alkoxy" represents the same meaning as defined in the above.
- substituents may be also substituted by the substituents described above.
- R 1 may preferably be a C 1 -C 3 alkyl group, more preferably be a methyl group.
- R 2 may preferably be a hydrogen atom.
- p may preferably be 0.
- R may preferably be the group of formula (l).
- the pharmaceutically acceptable salt of the compound represented by the aforementioned formula (I) may include the salt with inorganic acid such as hydrochloric acid, hydrobromic acid and the like and the salt with organic acid such as acetic acid, propionic acid, tartaric acid, fumaric acid, maleic acid, malic acid, oxalic acid, succinic acid, citric acid, benzoic acid and the like.
- an optically active isomer thereof, or a pharmaceutically acceptable salt thereof may have one or more asymmetric carbon atoms.
- the stereochemistry of such asymmetric carbon atoms they may independently be in either (R) and (S) configuration, and the pyrimidone derivative may exist as stereoisomers such as optical isomers, or diastereoisomers. Any stereoisomers of pure form, any mixtures of stereoisomers, racemates and the like fall within the scope of the present invention
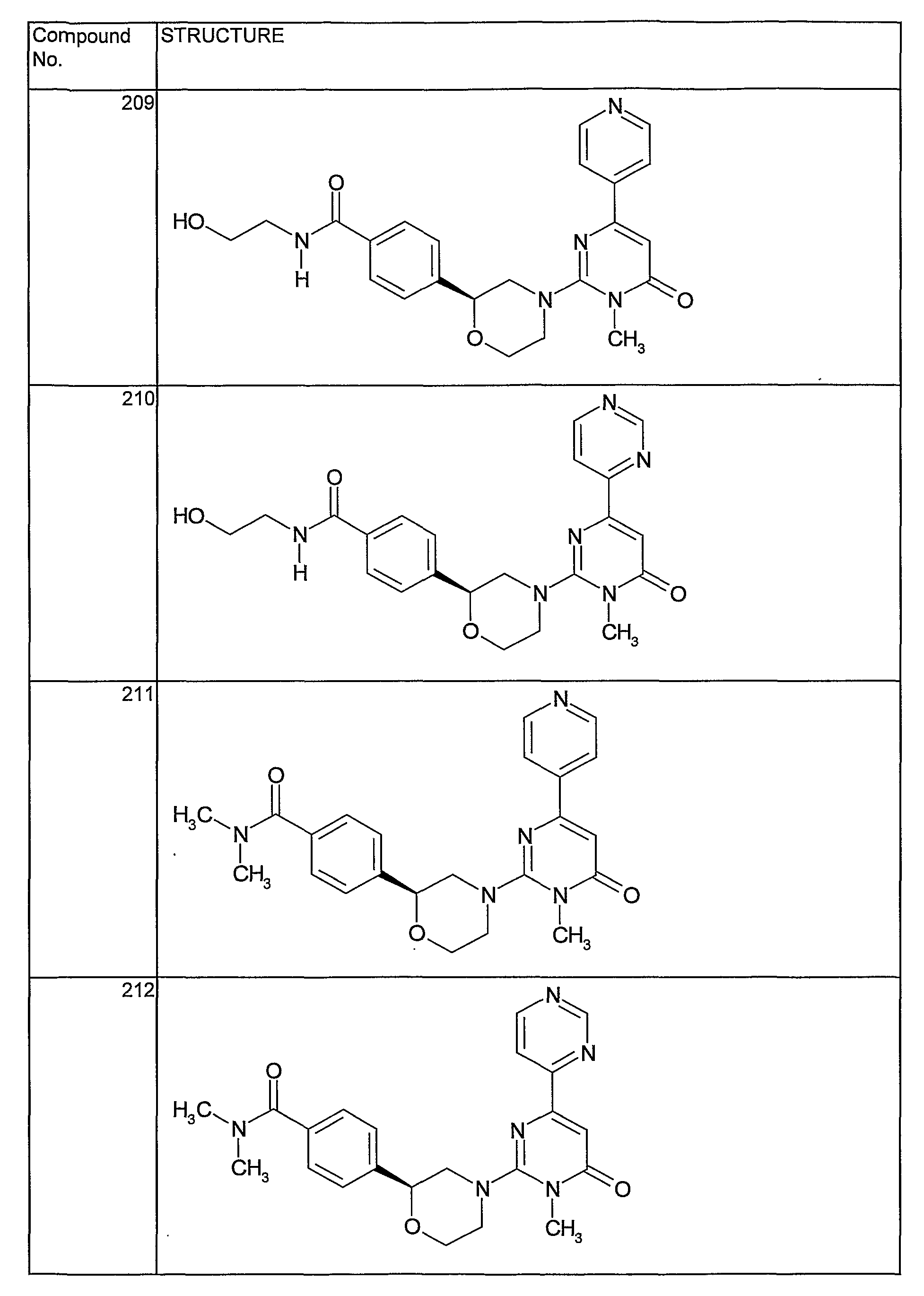
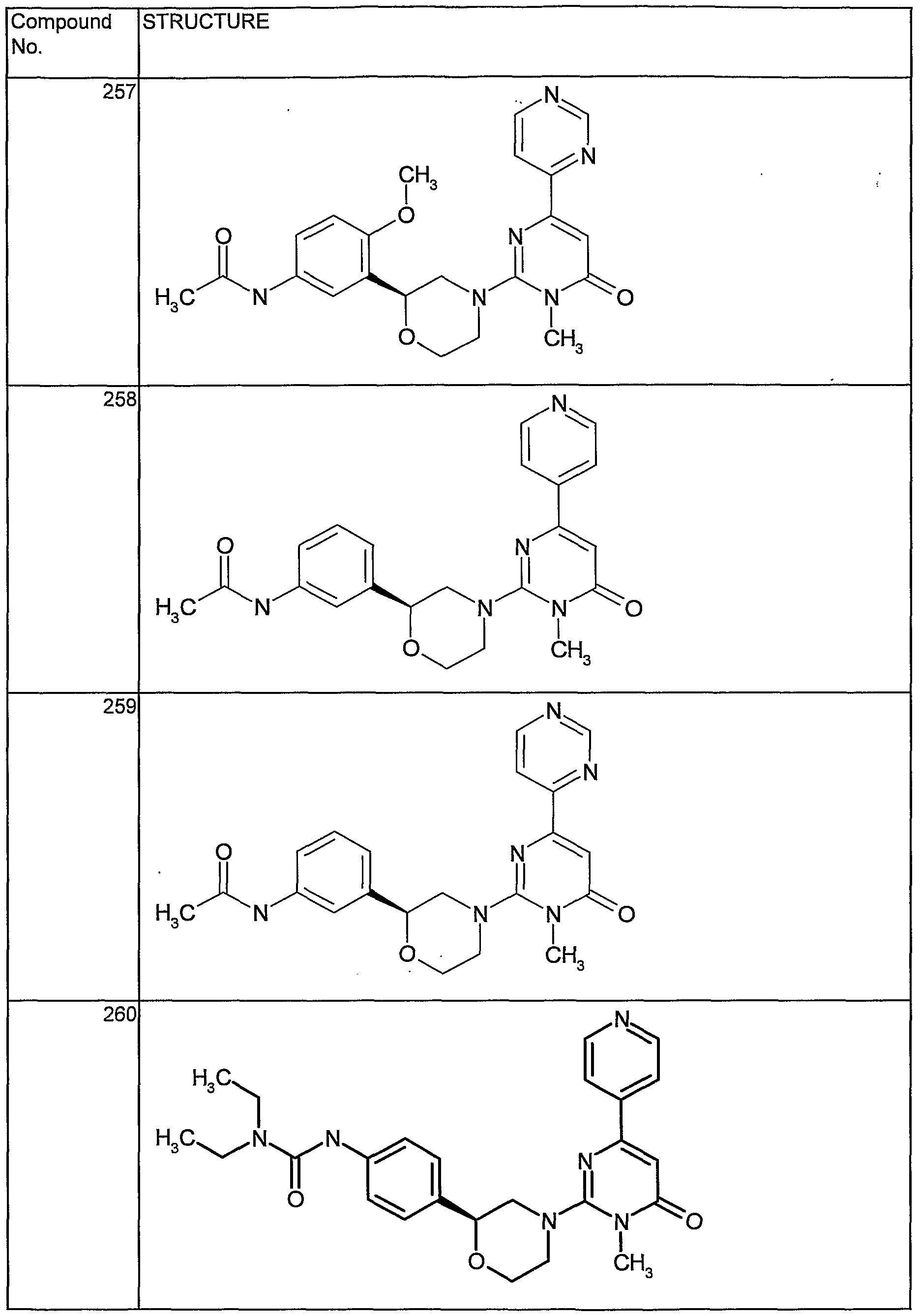
- Particularly preferred compounds of the present invention represented by formula (I) include :
- Salts of the aforementioned preferred compound, and solvates or hydrates of the aforementioned compounds and salts thereof are also preferred.
- the 2-chloropyrimidone represented by the above formula (II) is prepared easily by the method described in the specification of WO2003/027080 and WO2003/037888.
- the chloride derivative (II) is allowed to react with the amine (III) or salts thereof in the presence of a base such as sodium hydroxide, potassium hydroxide, sodium methoxide, sodium ethoxide, sodium carbonate, sodium hydrogencarbonate, potassium carbonate, triethylamine, diisopropylethylamine, and l,8-diazabicyclo[5,4,0]undec-7-en for 1 to 100 hours at a suitable temperature ranging from 0 °C to '200 0 C under nitrogen or argon atmosphere or under ordinary air to afford the desired compound ( I ).
- a base such as sodium hydroxide, potassium hydroxide, sodium methoxide, sodium ethoxide, sodium carbonate, sodium hydrogencarbonate, potassium carbonate, triethylamine, diisopropylethylamine, and l,8-diazabicyclo[5,4,0]undec-7-en for 1 to 100 hours at a suitable temperature ranging from 0
- a solvent for the reactions examples include, for example, alcoholic solvent such as methanol, ethanol, 1-propanol, isopropanol, tert-butanol, ethylene glycol, propylene glycol; etheric solvents such as diethyl ether, tert-butyl methyl ether, tetrahydrofuran, isopropyl ether>" hydrocarbonic solvents such as benzene, toluene, xylene!
- alcoholic solvent such as methanol, ethanol, 1-propanol, isopropanol, tert-butanol, ethylene glycol, propylene glycol
- etheric solvents such as diethyl ether, tert-butyl methyl ether, tetrahydrofuran, isopropyl ether>" hydrocarbonic solvents such as benzene, toluene, xylene!
- halogenated hydrocarbonic solvents such as dichloromethane, chloroform, dichloroethane; aprotic polar solvents such as formamide, N,N-dimethylformamide, N,N-dim.ethylacetamide, N-methylpyrrolidone, dimethyl sulfoxide, sulfolane, hexamethylphosphoric triamide, water and the like.
- a single solvent or a mixture of two or more solvents may be used so as to be suitable to a base used.
- the compounds of the present invention have inhibitory activity against TPKl, and they inhibit TPKl activity in neurodegenerative diseases such as Alzheimer disease, thereby suppress the neurotoxicity of Aj3 and the formation of PHF and inhibit the nerve cell death. Accordingly, the compounds of the present invention are useful as an active ingredient of a medicament which radically enables preventive and/or therapeutic treatment of Alzheimer disease.
- the compounds of the present invention are also useful as an active ingredient of a medicament for preventive and/or therapeutic treatment of ischemic cerebrovascular accidents, Down syndrome, cerebral bleeding due to solitary cerebral amyloid angiopathy, progressive supranuclear palsy, subacute sclerosing panencephalitis, postencephalitic parkinsonism, pugilistic encephalosis, Guam parkinsonism-dementia complex, Lewy body disease, Pick's disease, corticobasal degeneration frontotemporal dementia, vascular dementia, traumatic injuries, brain and spinal cord trauma, peripheral neuropathies, retinopathies and glaucoma, non-insulin dependent diabetes, obesity, manic depressive illness, schizophrenia, alopecia, breast cancer, non-small cell lung carcinoma, thyroid cancer, T or B-cell leukemia, and several virus-induced tumors.
- the compound of the present invention has good safety and good pharmacokinetics, the compound has preferable characteristics as a medicament.
- a substance may be used which is selected from the group consisting of the compound represented by the aforementioned formula (I) and pharmacologically acceptable salts thereof, and solvates thereof and hydrates thereof.
- the substance, per se, may be administered as the medicament of the present invention, however, it is desirable to administer the medicament in a form of a pharmaceutical composition which comprises the aforementioned substance as an active ingredient and one or more of pharmaceutical additives.
- a pharmaceutical composition which comprises the aforementioned substance as an active ingredient and one or more of pharmaceutical additives.
- two or more of the aforementioned substance may be used in combination.
- a type of the pharmaceutical composition is not particularly limited, and the composition may be provided as any formulation for oral or parenteral administration.
- the pharmaceutical composition may be formulated, for example, in the form of pharmaceutical compositions for oral administration such as granules, fine granules, powders, hard capsules, soft capsules, syrups, emulsions, suspensions, solutions and the like, or in the form of pharmaceutical compositions for parenteral administrations such as injections for intravenous, intramuscular, or subcutaneous administration, drip infusions, transdermal preparations, transmucosal preparations, nasal drops, inhalants, suppositories and the like.
- Dose and frequency of administration of the medicament of the pres.ent invention are not particularly limited, and they may be appropriately chosen depending on conditions such as a purpose of preventive and/or therapeutic treatment, a type of a disease, the body weight or age of a patient, severity of a disease and the like.
- a daily dose for oral administration to an adult may be 0.01 to 1,000 mg (the weight of an active ingredient), and the dose may be administered once a day or several times a day as divided portions, or once in several days.
- administrations may preferably be performed continuously or intermittently in a daily dose of 0.001 to 3000 mg (the weight of an active ingredient) to an adult.
- N-Methyl-N-(4-((2S)-4-((lR)-l-phenylethyl)morpholin-2-yl)phenyl)pyridin-2-amine To a solution of N-(4-((2S)-4-((1R)-1-phenylethyl)morpholin-2-yDphenyl) pyridin-2-amine (0.57 g, 1.5 mmol) and iodomethane (1.6 g, 11.2 mmol) in tetrahydrofuran (50 ml) was added potassium tert-butoxide (1.6 g, 9.45 mmol). After stirring at room temperature for 4 hours, water was added and the mixture was extracted with ethyl acetate.
- Phenyltrimethylammonium tribromide (276 g, 734 mmol) was added to a suspension of 4-hydroxyacetophenone (100 g, 734 mmol) in tetrahydrofuran (1000 ml) at room temperature. After stirring for 3 hours, the resulting suspension was filtered, and the filtrate was concentrated under reduced pressure. The residue was washed with diisopropyl ether to afford 2-bromo-l-(4-hydroxyphenyl)-ethan-l-one (85 g, 54%) as white crystals.
- Methane sulfonyl chloride 50 g, 436 mmol was added to a solution of 2-bromo-l-(4-hydroxyphenyl)-ethan-l-one (85 g, 395 mmol) and triethylamine (48g, 474 mmol in tetrahydrofuran (1000 ml) at 0 °C and the mixture was stirred for 30 minutes at room temperature. The mixture was partitioned between water and ethyl acetate, and the organic layer was washed with brine, dried over magnesium sulfate. The solvent was evaporated under reduced pressure and the residue was washed with diisopropyl ether to afford 4-(2-bromoacetyl)phenyl methanesulfonate (96 g, 83%) as white crystals.
- Chlorotrimethylsilane (96 g, 884 mmol) was added to a solution of lithium borohydride (9.6 g, 441 mmol) in tetrahydrofuran (500 ml) and stirred for one hour at room temperature.
- a solution of 4-((2S)-4-benzyl-5-oxo-morpholin-2-yl)phenyl methanesulfonate (79.8 g, 221 mmol) in tetrahydrofuran (200 ml) was added to the solution and stirred at room temperature for one hour. After careful addition of methanol (60 ml) under ice-cooling, the solvent was removed under reduced pressure.
- Diisopropyl azodicarboxylate (40% in toluene, 13.6 g, 26.9 mmol) was added to a solution of tert-butyl (2S)-2-(4-hydroxyphenyl)morpholine-4-carboxylate (5.0 g, 17.9 mmol), triphenylphosphine (7.1 g, 27.1 mmol) and 3-bromopropanol (3.75 g, 27.0 mmol) in tetrahydrofuran (100 ml) and the solution was stirred for 10 hours at room temperature. The mixture was partitioned between water and ethyl acetate. The organic layer was washed with brine, dried over magnesium sulfate and concentrated in vacuo. The residue was purified by silica gel chromatography eluting 5-10% methanol in chloroform to furnish tert-butyl
- 1,1'-Carbonyldiimidazole (540 mg, 3.30 mmol) was added to a solution of 4-[(2S)-4-((lR)-l-phenyl-ethy)-morpholin-2-yl]-benzoic acid (944 mg, 3.03 mmol) in dichloromethane at 0°C. After stirring for 2 hours, ethanolamine (0.36 ml, 6.0 mmol) was added to the reaction mixture and the mixture was stirred over night.
- N 2 ,N 2 -Dimethyl-N 1 - ⁇ 4-[(2S)-morpholin-2-yl1phenyl ⁇ glvcinamide To a solution of N 2 ,N 2 -dimethyl-N 1 - ⁇ 4-[(2S)-4-((lR)-l- phenylethyl)morpholin-2-yl] phenyl ⁇ glycinamide (0.91 g, 2.5 mmol) and ammonium formate (0.79 g, 12.5 mmol) in tetrahydrofuran (20 ml), methanol (40 ml) and water (7 ml) was added 10% palladium on carbon (wet, 300 mg) and the mixture was stirred at 95 °C for 3 hours.
- Methyl chloroformate (0.13 g, 1.38 mmol) was added to a solution of 2-((2S)-2-(4-aminophenyl)morpholine-4-yl)-3-methyl-6-(pyridin-4-yl)-3H-pyrimidin-4- one (0.45 g, 1.24 mmol) and triethylamine (0.25 g, 2.47 mmol) in tetrahydrofuran (20 ml) and stirred for one hour at room temperature. The mixture was partitioned between water and chloroform. The organic layer was washed with brine, dried over magnesium sulfate and concentrated in vacuo.
- N,N-Dimethylcarbamoyl chloride (0.24 g, 2.23 mmol) was added to a solution of 2-[(2S)-2-(4-aminophenyl)morpholin-4-yl]-3-methyl-6-(pyridin-4-yl)- pyrimidin-4(3.H)-one (0.40 g, 1.10 mmol) and triethylamine (l.l g, 10.9 mmol) in tetrahydrofuran (20 ml) and the solution was stirred at 50 °C for 48 hours. The mixture was partitioned between water and chloroform. The organic layer was washed with brine, dried over magnesium sulfate and concentrated in vacuo.
- the phosphorylation was started by adding ATP, and the reaction was conducted at 25°C for 2 hours, and then stopped by adding 21% perchloric acid on ice cooling.
- the reaction mixture was centrifuged at 12,000 rpm for 5 minutes and adsorbed on P81 paper (Whatmann), and then the paper was washed four times with 75 mM phosphoric acid, three times with water and once with acetone.
- the paper was dried, and the residual radioactivity was measured using a liquid scintillation counter. The results are shown in the table below.
- the test compound markedly inhibited the P-GSl phosphorylation by TPKl.
- the medicaments of the present invention inhibit the TPKl activity, thereby suppress the A ⁇ neurotoxicity and the PHF formation, and that the medicaments of the present invention are effective for. preventive and/or therapeutic treatment of Alzheimer disease and the above-mentioned diseases.
- Experiment 2 Inhibitory activity on tau phosphorylation in vivo Test compound was administrated to male CD-I mice of 5-6 weeks weighing 25-35 g (Charles River Japan, inc.) at 1, 3, 10, 30 mg/kg p.o. (0.5% Tween/EbO suspension) and after Ih, mice were decapitated and cortex was promptly removed, followed by being frozen in liquid N2.
- Cortex was directly homogenized with 2.3% SDS homogenization buffer (62.5 mM Tris-HCl, 2.3% SDS, 1 mM each of EDTA, EGTA and DTT, protease inhibitor cocktail (sigma P2714) containing 0.2 ⁇ M 4-(2-Aminoethyl)benzenesulfonyl fluoride (AEBSF), 13 ⁇ M bestatin, 1.4 ⁇ M E-64, 0.1 mM leupeptin, 30 nM aprotinin, pH 6.8) and centrifuged at 15000 x g for 15 min at 4°C. Protein concentrations were determined using DC protein assay kit (BIO-RAD).
- SDS homogenization buffer 62.5 mM Tris-HCl, 2.3% SDS, 1 mM each of EDTA, EGTA and DTT, protease inhibitor cocktail (sigma P2714) containing 0.2 ⁇ M 4-(2-Aminoethyl)benzenesulfon
- the compounds of the present invention have TPKl inhibitory activity and are useful as an active ingredient of a medicament for preventive and/or therapeutic treatment of diseases caused by abnormal advance of TPKl such as neurodegenerative diseases (e.g. Alzheimer disease) and the above-mentioned diseases.
Landscapes
- Health & Medical Sciences (AREA)
- Chemical & Material Sciences (AREA)
- Organic Chemistry (AREA)
- Engineering & Computer Science (AREA)
- Bioinformatics & Cheminformatics (AREA)
- Medicinal Chemistry (AREA)
- Pharmacology & Pharmacy (AREA)
- Life Sciences & Earth Sciences (AREA)
- Animal Behavior & Ethology (AREA)
- General Health & Medical Sciences (AREA)
- Public Health (AREA)
- Veterinary Medicine (AREA)
- General Chemical & Material Sciences (AREA)
- Nuclear Medicine, Radiotherapy & Molecular Imaging (AREA)
- Chemical Kinetics & Catalysis (AREA)
- Neurology (AREA)
- Biomedical Technology (AREA)
- Neurosurgery (AREA)
- Diabetes (AREA)
- Psychiatry (AREA)
- Hematology (AREA)
- Ophthalmology & Optometry (AREA)
- Endocrinology (AREA)
- Heart & Thoracic Surgery (AREA)
- Obesity (AREA)
- Cardiology (AREA)
- Emergency Medicine (AREA)
- Child & Adolescent Psychology (AREA)
- Vascular Medicine (AREA)
- Urology & Nephrology (AREA)
- Psychology (AREA)
- Pain & Pain Management (AREA)
- Oncology (AREA)
- Hospice & Palliative Care (AREA)
- Dermatology (AREA)
- Epidemiology (AREA)
- Pharmaceuticals Containing Other Organic And Inorganic Compounds (AREA)
- Plural Heterocyclic Compounds (AREA)
Abstract
Description
Claims
Priority Applications (11)
| Application Number | Priority Date | Filing Date | Title |
|---|---|---|---|
| EP05783586A EP1789414A1 (en) | 2004-09-09 | 2005-09-09 | 2-morpholino-4-pyrimidone compound |
| CA002578434A CA2578434A1 (en) | 2004-09-09 | 2005-09-09 | 2-morpholino-4-pyrimidone compound |
| US11/573,476 US8106045B2 (en) | 2004-09-09 | 2005-09-09 | 2-morpholino-4-pyrimidone compound |
| EA200700572A EA013839B1 (en) | 2004-09-09 | 2005-09-09 | 2-morpholino-4-pyrimidine compound |
| BRPI0515628-9A BRPI0515628A (en) | 2004-09-09 | 2005-09-09 | 2-morpholine-4-pyrimidone compound |
| MX2007002807A MX2007002807A (en) | 2004-09-09 | 2005-09-09 | 2-morpholino-4-pyrimidone compound. |
| JP2007511563A JP5060287B2 (en) | 2004-09-09 | 2005-09-09 | 2-morpholino-4-pyrimidone compounds |
| AU2005280885A AU2005280885B2 (en) | 2004-09-09 | 2005-09-09 | 2-morpholino-4-pyrimidone compound |
| NZ554300A NZ554300A (en) | 2004-09-09 | 2005-09-09 | 2-morpholino-4-pyrimidone compound |
| IL181732A IL181732A0 (en) | 2004-09-09 | 2007-03-06 | 2-morpholino-4-pyrimidone compound |
| NO20071787A NO20071787L (en) | 2004-09-09 | 2007-04-04 | 2-morpholin-4-pyrimidone |
Applications Claiming Priority (2)
| Application Number | Priority Date | Filing Date | Title |
|---|---|---|---|
| JP2004296926 | 2004-09-09 | ||
| JP2004-296926 | 2004-09-09 |
Publications (1)
| Publication Number | Publication Date |
|---|---|
| WO2006028290A1 true WO2006028290A1 (en) | 2006-03-16 |
Family
ID=35385631
Family Applications (1)
| Application Number | Title | Priority Date | Filing Date |
|---|---|---|---|
| PCT/JP2005/017080 Ceased WO2006028290A1 (en) | 2004-09-09 | 2005-09-09 | 2-morpholino-4-pyrimidone compound |
Country Status (17)
| Country | Link |
|---|---|
| US (1) | US8106045B2 (en) |
| EP (3) | EP2266979A1 (en) |
| JP (1) | JP5060287B2 (en) |
| KR (1) | KR20070058586A (en) |
| CN (1) | CN101035781A (en) |
| AR (1) | AR050865A1 (en) |
| AU (1) | AU2005280885B2 (en) |
| BR (1) | BRPI0515628A (en) |
| CA (1) | CA2578434A1 (en) |
| EA (1) | EA013839B1 (en) |
| IL (1) | IL181732A0 (en) |
| MX (1) | MX2007002807A (en) |
| NO (1) | NO20071787L (en) |
| NZ (1) | NZ554300A (en) |
| TW (1) | TW200621760A (en) |
| WO (1) | WO2006028290A1 (en) |
| ZA (1) | ZA200702266B (en) |
Cited By (15)
| Publication number | Priority date | Publication date | Assignee | Title |
|---|---|---|---|---|
| WO2008023239A1 (en) * | 2006-08-23 | 2008-02-28 | Pfizer Products Inc. | Pyrimidone compounds as gsk-3 inhibitors |
| WO2008026046A1 (en) * | 2006-08-30 | 2008-03-06 | Pfizer Products Inc. | Morpholine d3 dopamine antagonists |
| WO2008078837A1 (en) * | 2006-12-26 | 2008-07-03 | Mitsubishi Tanabe Pharma Corporation | 2-substituted-6-heterocyclic pyrimidone derivatives as tau protein kinase 1 inhbitors |
| DE102008010363A1 (en) * | 2008-02-18 | 2009-08-20 | Lang, Florian, Prof. Dr.med. | Sgk1 as a therapeutic and diagnostic target for carcinomatous diseases |
| WO2011019089A1 (en) * | 2009-08-13 | 2011-02-17 | Mitsubishi Tanabe Pharma Corporation | Pyrimidone derivatives used as tau protein kinase 1 inhibitors |
| WO2011019090A1 (en) * | 2009-08-13 | 2011-02-17 | Mitsubishi Tanabe Pharma Corporation | Pyrimidone derivatives used as tau protein kinase 1 inhibitors |
| WO2011029046A1 (en) | 2009-09-04 | 2011-03-10 | Biogen Idec Ma Inc. | Bruton's tyrosine kinase inhibitors |
| US20110257392A1 (en) * | 2005-07-22 | 2011-10-20 | Sanofi-Aventis | Intermediate compound for synthesizing pharmaceutical agent and production method thereof |
| EP2423207A3 (en) * | 2006-03-15 | 2012-06-13 | Mitsubishi Tanabe Pharma Corporation | 2-(cyclic amino)-pyrimidone derivatives as TPK1 inhibitors |
| WO2012126922A1 (en) * | 2011-03-24 | 2012-09-27 | F. Hoffmann-La Roche Ag | Heterocyclic amine derivatives |
| US8993577B2 (en) | 2009-02-20 | 2015-03-31 | Astrazeneca Ab | Cyclopropyl amide derivatives |
| US9012452B2 (en) | 2010-02-18 | 2015-04-21 | Astrazeneca Ab | Processes for making cyclopropyl amide derivatives and intermediates associated therewith |
| US9029381B2 (en) | 2007-08-22 | 2015-05-12 | Astrazeneca Ab | Cyclopropyl amide derivatives |
| US10618887B2 (en) | 2012-06-08 | 2020-04-14 | Sunesis Pharmaceuticals, Inc. | Pyrimidinyl tyrosine kinase inhibitors |
| US11174243B2 (en) | 2016-07-21 | 2021-11-16 | Sunesis Pharmaceuticals, Inc. | Succinate forms and compositions of Bruton's tyrosine kinase inhibitors |
Families Citing this family (6)
| Publication number | Priority date | Publication date | Assignee | Title |
|---|---|---|---|---|
| EP2193129B1 (en) | 2007-09-14 | 2012-10-24 | Mitsubishi Tanabe Pharma Corporation | 6-pyrimidinyl-pyrimid-2-one derivative |
| JP5784110B2 (en) * | 2010-05-11 | 2015-09-24 | サノフイ | Substituted N-heteroaryltetrahydro-isoquinoline derivatives, their preparation and therapeutic use |
| US9029370B2 (en) * | 2011-06-10 | 2015-05-12 | Hoffmann-La Roche Inc. | Substituted benzamide derivatives |
| CU20130027A7 (en) | 2013-02-28 | 2014-10-30 | Ct De Neurociencias De Cuba | CHEMICAL CHAPERONINS AS NEW MOLECULAR MODULATORS OF THE BETA PROTEIC AGGREGATION PRESENT IN THE CONFORMATIONAL DISEASES |
| CN104974017B (en) * | 2014-04-09 | 2017-11-17 | 上海医药工业研究院 | The preparation method of (1R, 2S) 2 (3,4 difluorophenyl) cyclopropylamine D mandelates |
| CN108299252A (en) * | 2018-04-04 | 2018-07-20 | 梯尔希(南京)药物研发有限公司 | A kind of synthetic method of Norepinephrine Salonc Acid metabolite |
Citations (2)
| Publication number | Priority date | Publication date | Assignee | Title |
|---|---|---|---|---|
| WO2003027080A1 (en) * | 2001-09-21 | 2003-04-03 | Mitsubishi Pharma Corporation | 3-substituted-4-pyrimidone derivatives |
| WO2003037888A1 (en) * | 2001-09-21 | 2003-05-08 | Mitsubishi Pharma Corporation | 3-substituted-4-pyrimidone derivatives |
Family Cites Families (7)
| Publication number | Priority date | Publication date | Assignee | Title |
|---|---|---|---|---|
| CA2116460A1 (en) | 1993-03-02 | 1994-09-03 | Mitsubishi Chemical Corporation | Preventive or therapeutic agents for alzheimer's disease, a screening method of alzheimer's disease and tau-protein kinase i originated from human being |
| TWI241298B (en) | 1998-09-25 | 2005-10-11 | Mitsubishi Chem Corp | Pyrimidone derivatives |
| EP1136482A1 (en) | 2000-03-23 | 2001-09-26 | Sanofi-Synthelabo | 2-Amino-3-(alkyl)-pyrimidone derivatives as GSK3beta inhibitors |
| AU2001262150A1 (en) * | 2000-03-23 | 2001-10-03 | Mitsubishi Pharma Corporation | 2-(nitrogen-heterocyclic)pyrimidone derivatives |
| EA009027B1 (en) | 2002-12-16 | 2007-10-26 | Мицубиси Фарма Корпорейшн | 3-substituted-4-pirimidone derivatives |
| TWI357408B (en) * | 2003-03-26 | 2012-02-01 | Mitsubishi Tanabe Pharma Corp | 3-substituted-4-pyrimidone derivatives |
| EP1805164B9 (en) * | 2004-09-29 | 2011-09-07 | Mitsubishi Tanabe Pharma Corporation | 6-(pyridinyl)-4-pyrimidone derivates as tau protein kinase 1 inhibitors |
-
2005
- 2005-09-08 TW TW094130958A patent/TW200621760A/en unknown
- 2005-09-08 AR ARP050103749A patent/AR050865A1/en not_active Application Discontinuation
- 2005-09-09 ZA ZA200702266A patent/ZA200702266B/en unknown
- 2005-09-09 JP JP2007511563A patent/JP5060287B2/en not_active Expired - Fee Related
- 2005-09-09 WO PCT/JP2005/017080 patent/WO2006028290A1/en not_active Ceased
- 2005-09-09 EA EA200700572A patent/EA013839B1/en not_active IP Right Cessation
- 2005-09-09 CN CNA2005800303535A patent/CN101035781A/en active Pending
- 2005-09-09 AU AU2005280885A patent/AU2005280885B2/en not_active Ceased
- 2005-09-09 EP EP10179893A patent/EP2266979A1/en not_active Withdrawn
- 2005-09-09 NZ NZ554300A patent/NZ554300A/en not_active IP Right Cessation
- 2005-09-09 CA CA002578434A patent/CA2578434A1/en not_active Abandoned
- 2005-09-09 MX MX2007002807A patent/MX2007002807A/en not_active Application Discontinuation
- 2005-09-09 KR KR1020077007681A patent/KR20070058586A/en not_active Abandoned
- 2005-09-09 BR BRPI0515628-9A patent/BRPI0515628A/en not_active IP Right Cessation
- 2005-09-09 US US11/573,476 patent/US8106045B2/en not_active Expired - Fee Related
- 2005-09-09 EP EP05783586A patent/EP1789414A1/en not_active Withdrawn
- 2005-09-09 EP EP10179860A patent/EP2258701A1/en not_active Withdrawn
-
2007
- 2007-03-06 IL IL181732A patent/IL181732A0/en unknown
- 2007-04-04 NO NO20071787A patent/NO20071787L/en not_active Application Discontinuation
Patent Citations (2)
| Publication number | Priority date | Publication date | Assignee | Title |
|---|---|---|---|---|
| WO2003027080A1 (en) * | 2001-09-21 | 2003-04-03 | Mitsubishi Pharma Corporation | 3-substituted-4-pyrimidone derivatives |
| WO2003037888A1 (en) * | 2001-09-21 | 2003-05-08 | Mitsubishi Pharma Corporation | 3-substituted-4-pyrimidone derivatives |
Cited By (29)
| Publication number | Priority date | Publication date | Assignee | Title |
|---|---|---|---|---|
| US20110257392A1 (en) * | 2005-07-22 | 2011-10-20 | Sanofi-Aventis | Intermediate compound for synthesizing pharmaceutical agent and production method thereof |
| US8569294B2 (en) | 2006-03-15 | 2013-10-29 | Mitsubishi Tanabe Pharma Corporation | 2-(cyclic amino)-pyrimidone derivatives |
| EP2423207A3 (en) * | 2006-03-15 | 2012-06-13 | Mitsubishi Tanabe Pharma Corporation | 2-(cyclic amino)-pyrimidone derivatives as TPK1 inhibitors |
| WO2008023239A1 (en) * | 2006-08-23 | 2008-02-28 | Pfizer Products Inc. | Pyrimidone compounds as gsk-3 inhibitors |
| WO2008026046A1 (en) * | 2006-08-30 | 2008-03-06 | Pfizer Products Inc. | Morpholine d3 dopamine antagonists |
| JP2010514670A (en) * | 2006-12-26 | 2010-05-06 | 田辺三菱製薬株式会社 | 2-Substituted-6-heterocyclic pyrimidone derivatives |
| WO2008078837A1 (en) * | 2006-12-26 | 2008-07-03 | Mitsubishi Tanabe Pharma Corporation | 2-substituted-6-heterocyclic pyrimidone derivatives as tau protein kinase 1 inhbitors |
| US8592417B2 (en) | 2006-12-26 | 2013-11-26 | Mitsubishi Tanabe Pharma Corporation | 2-substituted-6-heterocyclic pyrimidone derivatives as tau protein kinase 1 inhibitors |
| US9029381B2 (en) | 2007-08-22 | 2015-05-12 | Astrazeneca Ab | Cyclopropyl amide derivatives |
| DE102008010363A1 (en) * | 2008-02-18 | 2009-08-20 | Lang, Florian, Prof. Dr.med. | Sgk1 as a therapeutic and diagnostic target for carcinomatous diseases |
| US8993577B2 (en) | 2009-02-20 | 2015-03-31 | Astrazeneca Ab | Cyclopropyl amide derivatives |
| WO2011019089A1 (en) * | 2009-08-13 | 2011-02-17 | Mitsubishi Tanabe Pharma Corporation | Pyrimidone derivatives used as tau protein kinase 1 inhibitors |
| US8940738B2 (en) | 2009-08-13 | 2015-01-27 | Mitsubishi Tanabe Pharma Corporation | Pyrimidone compounds |
| JP2013501707A (en) * | 2009-08-13 | 2013-01-17 | 田辺三菱製薬株式会社 | Pyrimidone derivatives as tau protein kinase 1 inhibitors |
| US9006232B2 (en) | 2009-08-13 | 2015-04-14 | Mitsubishi Tanabe Pharma Corporation | Pyrimidone derivatives |
| WO2011019090A1 (en) * | 2009-08-13 | 2011-02-17 | Mitsubishi Tanabe Pharma Corporation | Pyrimidone derivatives used as tau protein kinase 1 inhibitors |
| WO2011029046A1 (en) | 2009-09-04 | 2011-03-10 | Biogen Idec Ma Inc. | Bruton's tyrosine kinase inhibitors |
| US8785440B2 (en) | 2009-09-04 | 2014-07-22 | Biogen Idec Ma, Inc. | Bruton's tyrosine kinase inhibitors |
| US9249146B2 (en) | 2009-09-04 | 2016-02-02 | Biogen Ma Inc. | Bruton'S tyrosine kinase inhibitors |
| US9790229B2 (en) | 2009-09-04 | 2017-10-17 | Sunesis Pharmaceuticals, Inc. | Bruton's tyrosine kinase inhibitors |
| EP3461824A1 (en) | 2009-09-04 | 2019-04-03 | Biogen MA Inc. | Bruton's tyrosine kinase inhibitors |
| US10577374B2 (en) | 2009-09-04 | 2020-03-03 | Sunesis Pharmaceuticals, Inc. | Bruton's tyrosine kinase inhibitors |
| US9012452B2 (en) | 2010-02-18 | 2015-04-21 | Astrazeneca Ab | Processes for making cyclopropyl amide derivatives and intermediates associated therewith |
| US8802673B2 (en) | 2011-03-24 | 2014-08-12 | Hoffmann-La Roche Inc | Heterocyclic amine derivatives |
| KR101518660B1 (en) | 2011-03-24 | 2015-05-07 | 에프. 호프만-라 로슈 아게 | Heterocyclic amine derivatives |
| WO2012126922A1 (en) * | 2011-03-24 | 2012-09-27 | F. Hoffmann-La Roche Ag | Heterocyclic amine derivatives |
| EA023237B1 (en) * | 2011-03-24 | 2016-05-31 | Ф.Хоффманн-Ля Рош Аг | Derivatives of Heterocyclic Amines |
| US10618887B2 (en) | 2012-06-08 | 2020-04-14 | Sunesis Pharmaceuticals, Inc. | Pyrimidinyl tyrosine kinase inhibitors |
| US11174243B2 (en) | 2016-07-21 | 2021-11-16 | Sunesis Pharmaceuticals, Inc. | Succinate forms and compositions of Bruton's tyrosine kinase inhibitors |
Also Published As
| Publication number | Publication date |
|---|---|
| EA013839B1 (en) | 2010-08-30 |
| IL181732A0 (en) | 2007-07-04 |
| JP5060287B2 (en) | 2012-10-31 |
| US20090124618A1 (en) | 2009-05-14 |
| KR20070058586A (en) | 2007-06-08 |
| US8106045B2 (en) | 2012-01-31 |
| EP1789414A1 (en) | 2007-05-30 |
| EP2258701A1 (en) | 2010-12-08 |
| EP2266979A1 (en) | 2010-12-29 |
| AU2005280885A1 (en) | 2006-03-16 |
| AU2005280885B2 (en) | 2011-09-22 |
| MX2007002807A (en) | 2007-05-16 |
| ZA200702266B (en) | 2008-09-25 |
| AR050865A1 (en) | 2006-11-29 |
| JP2008512347A (en) | 2008-04-24 |
| NO20071787L (en) | 2007-05-09 |
| CN101035781A (en) | 2007-09-12 |
| EA200700572A1 (en) | 2007-10-26 |
| BRPI0515628A (en) | 2008-03-04 |
| TW200621760A (en) | 2006-07-01 |
| CA2578434A1 (en) | 2006-03-16 |
| NZ554300A (en) | 2009-12-24 |
Similar Documents
| Publication | Publication Date | Title |
|---|---|---|
| JP5060287B2 (en) | 2-morpholino-4-pyrimidone compounds | |
| JP5186213B2 (en) | 6-pyridinyl-4-pyrimidone derivatives as tau protein kinase 1 inhibitors | |
| WO2003027080A1 (en) | 3-substituted-4-pyrimidone derivatives | |
| AU2002337498A1 (en) | 3-substituted-4-pyrimidone derivatives | |
| WO2003037888A1 (en) | 3-substituted-4-pyrimidone derivatives | |
| AU2002337499A1 (en) | 3-substituted-4-pyrimidone derivatives | |
| NZ577803A (en) | 2-Morpholino-4-bipyrimidinyl-6-one derivatives | |
| US7683069B2 (en) | 3-substituted-4-pyrimidone derivatives | |
| AU2003285777B2 (en) | 3-substituted-4-pyrimidone derivatives |
Legal Events
| Date | Code | Title | Description |
|---|---|---|---|
| AK | Designated states |
Kind code of ref document: A1 Designated state(s): AE AG AL AM AT AU AZ BA BB BG BR BW BY BZ CA CH CN CO CR CU CZ DE DK DM DZ EC EE EG ES FI GB GD GE GH GM HR HU ID IL IN IS JP KE KG KM KP KR KZ LC LK LR LS LT LU LV MA MD MG MK MN MW MX MZ NA NG NI NO NZ OM PG PH PL PT RO RU SC SD SE SG SK SL SM SY TJ TM TN TR TT TZ UA UG US UZ VC VN YU ZA ZM ZW |
|
| AL | Designated countries for regional patents |
Kind code of ref document: A1 Designated state(s): BW GH GM KE LS MW MZ NA SD SL SZ TZ UG ZM ZW AM AZ BY KG KZ MD RU TJ TM AT BE BG CH CY CZ DE DK EE ES FI FR GB GR HU IE IS IT LT LU LV MC NL PL PT RO SE SI SK TR BF BJ CF CG CI CM GA GN GQ GW ML MR NE SN TD TG |
|
| DPEN | Request for preliminary examination filed prior to expiration of 19th month from priority date (pct application filed from 20040101) | ||
| 121 | Ep: the epo has been informed by wipo that ep was designated in this application | ||
| WWE | Wipo information: entry into national phase |
Ref document number: 2578434 Country of ref document: CA |
|
| WWE | Wipo information: entry into national phase |
Ref document number: 181732 Country of ref document: IL |
|
| WWE | Wipo information: entry into national phase |
Ref document number: MX/a/2007/002807 Country of ref document: MX |
|
| WWE | Wipo information: entry into national phase |
Ref document number: 200580030353.5 Country of ref document: CN Ref document number: 2007511563 Country of ref document: JP |
|
| NENP | Non-entry into the national phase |
Ref country code: DE |
|
| WWE | Wipo information: entry into national phase |
Ref document number: 2005783586 Country of ref document: EP |
|
| WWE | Wipo information: entry into national phase |
Ref document number: 2005280885 Country of ref document: AU |
|
| WWE | Wipo information: entry into national phase |
Ref document number: 554300 Country of ref document: NZ |
|
| WWE | Wipo information: entry into national phase |
Ref document number: 1020077007681 Country of ref document: KR |
|
| WWE | Wipo information: entry into national phase |
Ref document number: 1433/CHENP/2007 Country of ref document: IN |
|
| WWE | Wipo information: entry into national phase |
Ref document number: 200700572 Country of ref document: EA |
|
| ENP | Entry into the national phase |
Ref document number: 2005280885 Country of ref document: AU Date of ref document: 20050909 Kind code of ref document: A |
|
| WWP | Wipo information: published in national office |
Ref document number: 2005280885 Country of ref document: AU |
|
| WWP | Wipo information: published in national office |
Ref document number: 2005783586 Country of ref document: EP |
|
| WWE | Wipo information: entry into national phase |
Ref document number: 11573476 Country of ref document: US |
|
| ENP | Entry into the national phase |
Ref document number: PI0515628 Country of ref document: BR |





















































































