USRE48097E1 - Cephem compounds, their production and use - Google Patents

Cephem compounds, their production and use Download PDF

Info

Publication number
USRE48097E1
USRE48097E1 US16/225,892 US201816225892A USRE48097E US RE48097 E1 USRE48097 E1 US RE48097E1 US 201816225892 A US201816225892 A US 201816225892A US RE48097 E USRE48097 E US RE48097E
Authority
US
United States
Prior art keywords
amino
methyl
pyridin
pyrrolo
acetyl
Prior art date
Legal status (The legal status is an assumption and is not a legal conclusion. Google has not performed a legal analysis and makes no representation as to the accuracy of the status listed.)
Active
Application number
US16/225,892
Inventor
Samarendra Nath Maiti
Dai Quoc Nguyen
Andhe V. N. Reddy
Judy Yip
Chan Minh HA
Rong Ling
Rudong Shan
Madhava Reddy MADALA
Current Assignee (The listed assignees may be inaccurate. Google has not performed a legal analysis and makes no representation or warranty as to the accuracy of the list.)
Naeja-Rgm Pharmaceuticals Ulc
Original Assignee
Naeja-Rgm Pharmaceuticals Ulc
Priority date (The priority date is an assumption and is not a legal conclusion. Google has not performed a legal analysis and makes no representation as to the accuracy of the date listed.)
Filing date
Publication date
Application filed by Naeja-Rgm Pharmaceuticals Ulc filed Critical Naeja-Rgm Pharmaceuticals Ulc
Priority to US16/225,892 priority Critical patent/USRE48097E1/en
Assigned to NAEJA-RGM PHARMACEUTICALS INC. reassignment NAEJA-RGM PHARMACEUTICALS INC. ASSIGNMENT OF ASSIGNORS INTEREST (SEE DOCUMENT FOR DETAILS). Assignors: HA, CHAN MINH, LING, RONG, MADALA, Madhava Reddy, MAITI, SAMARENDRA NATH, NGUYEN, DAI QUOC, REDDY, ANDHE V.N., SHAN, RUDONG, YIP, JUDY
Assigned to NAEJA-RGM PHARMACEUTICALS ULC reassignment NAEJA-RGM PHARMACEUTICALS ULC CHANGE OF NAME (SEE DOCUMENT FOR DETAILS). Assignors: NAEJA-RGM PHARMACEUTICALS INC.
Application granted granted Critical
Publication of USRE48097E1 publication Critical patent/USRE48097E1/en
Active legal-status Critical Current
Anticipated expiration legal-status Critical

Links

Classifications

    • CCHEMISTRY; METALLURGY
    • C07ORGANIC CHEMISTRY
    • C07DHETEROCYCLIC COMPOUNDS
    • C07D501/00Heterocyclic compounds containing 5-thia-1-azabicyclo [4.2.0] octane ring systems, i.e. compounds containing a ring system of the formula:, e.g. cephalosporins; Such ring systems being further condensed, e.g. 2,3-condensed with an oxygen-, nitrogen- or sulfur-containing hetero ring
    • C07D501/14Compounds having a nitrogen atom directly attached in position 7
    • C07D501/16Compounds having a nitrogen atom directly attached in position 7 with a double bond between positions 2 and 3
    • C07D501/207-Acylaminocephalosporanic or substituted 7-acylaminocephalosporanic acids in which the acyl radicals are derived from carboxylic acids
    • C07D501/247-Acylaminocephalosporanic or substituted 7-acylaminocephalosporanic acids in which the acyl radicals are derived from carboxylic acids with hydrocarbon radicals, substituted by hetero atoms or hetero rings, attached in position 3
    • C07D501/48Methylene radicals, substituted by hetero rings
    • C07D501/56Methylene radicals, substituted by hetero rings with the 7-amino radical acylated by carboxylic acids containing hetero rings
    • AHUMAN NECESSITIES
    • A61MEDICAL OR VETERINARY SCIENCE; HYGIENE
    • A61KPREPARATIONS FOR MEDICAL, DENTAL OR TOILETRY PURPOSES
    • A61K2300/00Mixtures or combinations of active ingredients, wherein at least one active ingredient is fully defined in groups A61K31/00 - A61K41/00
    • AHUMAN NECESSITIES
    • A61MEDICAL OR VETERINARY SCIENCE; HYGIENE
    • A61KPREPARATIONS FOR MEDICAL, DENTAL OR TOILETRY PURPOSES
    • A61K31/00Medicinal preparations containing organic active ingredients
    • A61K31/33Heterocyclic compounds
    • A61K31/335Heterocyclic compounds having oxygen as the only ring hetero atom, e.g. fungichromin
    • A61K31/35Heterocyclic compounds having oxygen as the only ring hetero atom, e.g. fungichromin having six-membered rings with one oxygen as the only ring hetero atom
    • A61K31/352Heterocyclic compounds having oxygen as the only ring hetero atom, e.g. fungichromin having six-membered rings with one oxygen as the only ring hetero atom condensed with carbocyclic rings, e.g. methantheline 
    • AHUMAN NECESSITIES
    • A61MEDICAL OR VETERINARY SCIENCE; HYGIENE
    • A61KPREPARATIONS FOR MEDICAL, DENTAL OR TOILETRY PURPOSES
    • A61K31/00Medicinal preparations containing organic active ingredients
    • A61K31/33Heterocyclic compounds
    • A61K31/395Heterocyclic compounds having nitrogen as a ring hetero atom, e.g. guanethidine or rifamycins
    • A61K31/41Heterocyclic compounds having nitrogen as a ring hetero atom, e.g. guanethidine or rifamycins having five-membered rings with two or more ring hetero atoms, at least one of which being nitrogen, e.g. tetrazole
    • A61K31/42Oxazoles
    • A61K31/423Oxazoles condensed with carbocyclic rings
    • AHUMAN NECESSITIES
    • A61MEDICAL OR VETERINARY SCIENCE; HYGIENE
    • A61KPREPARATIONS FOR MEDICAL, DENTAL OR TOILETRY PURPOSES
    • A61K31/00Medicinal preparations containing organic active ingredients
    • A61K31/33Heterocyclic compounds
    • A61K31/395Heterocyclic compounds having nitrogen as a ring hetero atom, e.g. guanethidine or rifamycins
    • A61K31/41Heterocyclic compounds having nitrogen as a ring hetero atom, e.g. guanethidine or rifamycins having five-membered rings with two or more ring hetero atoms, at least one of which being nitrogen, e.g. tetrazole
    • A61K31/425Thiazoles
    • A61K31/428Thiazoles condensed with carbocyclic rings
    • AHUMAN NECESSITIES
    • A61MEDICAL OR VETERINARY SCIENCE; HYGIENE
    • A61KPREPARATIONS FOR MEDICAL, DENTAL OR TOILETRY PURPOSES
    • A61K31/00Medicinal preparations containing organic active ingredients
    • A61K31/33Heterocyclic compounds
    • A61K31/395Heterocyclic compounds having nitrogen as a ring hetero atom, e.g. guanethidine or rifamycins
    • A61K31/54Heterocyclic compounds having nitrogen as a ring hetero atom, e.g. guanethidine or rifamycins having six-membered rings with at least one nitrogen and one sulfur as the ring hetero atoms, e.g. sulthiame
    • A61K31/542Heterocyclic compounds having nitrogen as a ring hetero atom, e.g. guanethidine or rifamycins having six-membered rings with at least one nitrogen and one sulfur as the ring hetero atoms, e.g. sulthiame ortho- or peri-condensed with heterocyclic ring systems
    • A61K31/545Compounds containing 5-thia-1-azabicyclo [4.2.0] octane ring systems, i.e. compounds containing a ring system of the formula:, e.g. cephalosporins, cefaclor, or cephalexine
    • A61K31/546Compounds containing 5-thia-1-azabicyclo [4.2.0] octane ring systems, i.e. compounds containing a ring system of the formula:, e.g. cephalosporins, cefaclor, or cephalexine containing further heterocyclic rings, e.g. cephalothin
    • AHUMAN NECESSITIES
    • A61MEDICAL OR VETERINARY SCIENCE; HYGIENE
    • A61KPREPARATIONS FOR MEDICAL, DENTAL OR TOILETRY PURPOSES
    • A61K31/00Medicinal preparations containing organic active ingredients
    • A61K31/69Boron compounds
    • AHUMAN NECESSITIES
    • A61MEDICAL OR VETERINARY SCIENCE; HYGIENE
    • A61PSPECIFIC THERAPEUTIC ACTIVITY OF CHEMICAL COMPOUNDS OR MEDICINAL PREPARATIONS
    • A61P31/00Antiinfectives, i.e. antibiotics, antiseptics, chemotherapeutics
    • A61P31/04Antibacterial agents
    • AHUMAN NECESSITIES
    • A61MEDICAL OR VETERINARY SCIENCE; HYGIENE
    • A61PSPECIFIC THERAPEUTIC ACTIVITY OF CHEMICAL COMPOUNDS OR MEDICINAL PREPARATIONS
    • A61P43/00Drugs for specific purposes, not provided for in groups A61P1/00-A61P41/00
    • CCHEMISTRY; METALLURGY
    • C07ORGANIC CHEMISTRY
    • C07DHETEROCYCLIC COMPOUNDS
    • C07D501/00Heterocyclic compounds containing 5-thia-1-azabicyclo [4.2.0] octane ring systems, i.e. compounds containing a ring system of the formula:, e.g. cephalosporins; Such ring systems being further condensed, e.g. 2,3-condensed with an oxygen-, nitrogen- or sulfur-containing hetero ring
    • C07D501/02Preparation
    • C07D501/04Preparation from compounds already containing the ring or condensed ring systems, e.g. by dehydrogenation of the ring, by introduction, elimination or modification of substituents

Definitions

  • cephem compounds their pharmaceutically acceptable salts, their use, and the methods for preparation of these new compounds are provided. More particularly, cephem compounds having improved antibacterial activity, and combinations of the present cephem antibiotics with ⁇ -lactamase inhibitors that are active against a number of resistant pathogenic microorganisms are provided.
  • Cephem antibiotics have been widely used for the treatment of bacterial infections both in hospitals and in the general public. As such, it is highly desirable to use cephem antibiotics showing activity against both gram-positive and gram-negative bacteria.
  • many bacteria have become highly resistant to a number of ⁇ -lactam drugs, including the bacteria that constitute the ESKAPE organisms, generally encompassed by the following six pathogens: Enterococcus faecium, Staphylococcus aureus, Klebsiella pneumonia, Acinetobacter baumanii, Pseudomonas aeruginosa and Enterobacter species.
  • cephem compounds having a quaternary ammonium group at the 3-side chain and 2-(2-aminothiazol-4-yl)-2-hydroxy-(or substituted hydroxyl)aminoacetamido group at 7-position have been published such as, for example, U.S. Pat. Nos. 4,864,022, 5,173,485 ,5,215,982, 5,071,979, 4,406,899, 4,910,301, 4,748,171, 5,010,188, International Patent Application Nos. PCT/JP2003/013684, PCT/JP2007/056136, PCT/IB2013/002423, European Patent Application No. 2 703 406, European Patent Application No. 2 557 082; European Patent No. 2 341 053; European Patent Application No. 2 70606, United States Patent Application No. 2013/0079319 (Shionogi), United States Patent Application No. 2012/0264727, and European Patent Application No. 2706062.
  • cephem compounds whose quaternary ammoniomethyl group at the 3-position has a monocyclic or bicyclic nitrogen-containing heterocyclic or aromatic heterocyclic ring which is optionally substituted with an organic group other than benzamidine, heteroaryl amidine, arylguanidine and heteroaryl guanidine as the terminal residues.
  • cephem compounds and pharmaceutically acceptable salts thereof having a bicyclic nitrogen containing aromatic heterocyclic ring as the quaternary ammoniomethyl group at the 3-position and the free N-atom of the said bicyclic aromatic heterocyclic ring further attached through one or two carbon spacers to a residue like benzamidine, heteroarylamidine, arylguanidine and heteroaryl guanidine or similar basic functionality bearing terminal residues.
  • the present compounds, and pharmaceutically acceptable salts thereof comprise different structural characteristics to known cephem compounds, providing improved antibacterial activity, particularly when used in combination with one or more ⁇ -lactamase inhibitors. It may be an advantage of the present compounds, and pharmaceutically acceptable salts thereof, to provide antibacterial activity against “third-generation” and “fourth-generation” cephalosporin-resistant bacteria including gram-negative and gram-positive strains.
  • the present cephem compounds, and pharmaceutically acceptable salts thereof may comprise the following structural features:
  • a terminal amidine residue (substituted or unsubstituted) attached to an aryl or a 5- or 6-membered heteroaryl group (substituted or unsubstituted) which is further attached through a spacer to the free N-atom of the quaternary nitrogen containing bicyclic aromatic heterocyclic ring at the 3-side chain, or
  • the present cephem compound may be represented by the general formula (I) or a pharmaceutically acceptable salt thereof:
  • cephem compounds and pharmaceutically acceptable salts thereof i.e., compounds of formula (I) and pharmaceutically acceptable salts thereof are provided.
  • these compounds may exhibit activity against pathogenic microorganisms, therefore useful in the treatment of bacterial infections in humans or animals either alone or in combination with other ⁇ -lactam and/or non ⁇ -lactam ⁇ -lactamase inhibitors.
  • compositions comprising one or more compounds of formula (I), or pharmaceutically acceptable salts thereof, and a pharmaceutically acceptable carrier or diluent are provided.
  • these compositions may exhibit activity against pathogenic organisms.
  • compositions comprising (i) one or more compounds of formula (I), or pharmaceutically acceptable salts thereof, (ii) one or more ⁇ -lactamase inhibitors, and (iii) a pharmaceutically acceptable carrier or diluent are provided.
  • these compounds may exhibit activity against pathogenic microorganisms.
  • methods for treating bacterial infections in a subject comprising providing or administering to a subject in need thereof:
  • the use of a compound comprising formula (I) for bacterial infections in a subject is provided.
  • the compound may further comprise a ⁇ -lactamase inihibitor, and may involve the preparation of a therapeutically effective medicament.
  • the present subject may be a human being or an animal, or any other organism in which the present compounds and compositions may provide a beneficial antibacterial effect.
  • cephem compounds of general formula (I) and pharmaceutically acceptable salts of the compounds of formula (I) are provided, wherein the compounds comprise antibiotics suitable for use either alone or in combination with 3-lactamase inhibitors for the treatment of bacterial infections.
  • antibiotic refers to a compound or composition which decreases the viability of a microorganism, or which inhibits the growth or proliferation of a microorganism and is further intended to include an antimicrobial, bacteriostatic or bactericidal agent.
  • A is defined by the formula (Ia):
  • X is N, C(H), C(F) or C(Cl);
  • B is defined as hydrogen, methyl, ethyl or represented by the formula (Ib)
  • R 1 and R 2 is independently hydrogen or lower alkyl, or R 1 and R 2 together may form a 3 to 6-membered spiro ring system; and m is 0 or 1.
  • C is defined as a quaternized bicyclic nitrogen containing aromatic heterocyclic ring.
  • object (1a) it is understood that said objects include syn isomer (Z form), anti isomer (E form) and a mixture thereof.
  • the quaternized bicyclic nitrogen containing aromatic heterocyclic rings representing C may comprise (Ic-Iz):
  • D is represented by CH 2 , CH 2 CH 2 or CH 2 CO;
  • E signifies an optionally substituted benzene ring or an optionally substituted 5- or 6-membered aromatic heterocyclic ring having at least one heteroatom selected from O, S and N.
  • heteroaromatic rings include pyrrolyl, imidazolyl, pyrazolyl, pyridazinyl, pyrimidinyl, pyrazinyl, triazolyl, isoxazolyl, oxazolyl, oxadiazolyl, isothiazolyl, thiazolyl, thiadiazolyl, furyl, thienyl and the like.
  • E may even more preferably selected from aryl or 5- and 6-membered aromatic heterocyclic rings as indicated below:
  • optional substituents include chloro, fluoro, cyano, hydroxy, carboxy, acetyl, methoxy, ethoxy, trifluoromethyl, pyrrolidinyloxy, piperidinyloxy and the like.
  • the substituent is selected from chloro, fluoro, hydroxy, methoxy, trifluoromethyl, pyrrolidinyloxy.
  • the aryl or aromatic heterocyclic ring can accommodate up to 3 substituents selected from: F, Cl, CH 3 , C 2 H 5 , CF 3 , NH 2 , NHCH 3 , CONH 2 , CONHCH 3 , OCH 3 .
  • F is optionally substituted amidine or optionally substituted guanidine
  • the compounds of general formula (I) include syn-isomer, anti-isomer and a mixture thereof All tautomeric isomers are contemplated, however, for the purposes of example, the object compound (I).
  • the term ‘isomers’ refers to different compounds that have the same molecular formula but differ in arrangement and configuration of the atoms, such as geometrical isomers and optical isomers.
  • a substituent may be attached at a chiral center of a carbon atom. Therefore, enantiomers, diastereoisomers or racemates of the compound are contemplated.
  • isotopically labeled compounds which are identical to those recited in Formula (I), so but for the fact one or more atoms are replaced by an atom having an atomic mass or mass number different from the atomic mass or mass number predominantly found in nature are also contemplated.
  • isotopes that can be incorporated into the present compounds may include isotopes of hydrogen, carbon, nitrogen, oxygen, phosphorous, fluorine and chlorine, such as, but not limited to, 2 H, 3 H, 13 C, 14 C, 15 N, 18 O, 17 O, 31 P, 32 P, 35 S and 18 F respectively.
  • Isotopically labeled compounds and prodrugs thereof can generally be prepared by carrying out the procedures disclosed in the Schemes and/or in the examples below, by substituting a readily available isotopically labeled reagent.
  • ⁇ -lactamase inhibitor refers to a compound which is capable of inhibiting ⁇ -lactamase activity, where inhibiting ⁇ -lactamase activity means inhibiting the activity of a class A, C or D ⁇ -lactamase.
  • ⁇ -lactamase denotes an enzyme capable of inactivating a ⁇ -lactam antibiotic like a cephem antibiotic.
  • the ⁇ -lactamase inhibitor may be, but is not limited to, the following groups:
  • R 5 signifies hydrogen or halogen
  • R 6 signifies CH 2 R 7 ; CH ⁇ CHR 7 wherein R 7 is hydrogen, halogen, cyano, carboxylic acid, acyl such as acetyl, carboxamide which may be substituted, alkoxycarbonyl or a 5-6 membered heteroaromatic ring which is optionally substituted with 1 to 5 substituents selected from alkyl, hydroxyl, alkoxy, amino, alkylamino, dialkylamino and halogen; or which is optionally fused with a 5-6 membered heteroaromatic ring; CH ⁇ NR 8 where R 8 is amino, alkylamino, dialkylamino, aminocarbonyl, acylamino such as acetylamino, hydroxyl, alkoxy, or a pharmaceutical acceptable salt thereof.
  • Examples of two specific compounds from Group 2 are sulbactam (IIIa) and tazobactam (IIIb):
  • R 9 signifies a 5-6 membered heteroaromatic ring which may be substituted with 1 to 5 substituents selected from alkyl, hydroxyl, alkoxy, amino, alkylamino, dialkylamino and halogen; or which is optionally fused with a 5-6 membered heteroaromatic ring; or a pharmaceutical acceptable salt thereof.
  • Example of a specific compound from Group 3 is BRL-42,715 (IVa):
  • R 10 signifies a substituted or unsubstituted aryl, substituted or unsubstituted heteroaryl, substituted or unsubstituted carbocyclyl and substituted or unsubstituted heterocyclyl.
  • the substituent is selected from alkyl, hydroxyl, alkoxy, amino, alkylamino, dialkylamino and halogen; or a pharmaceutical acceptable salt thereof.
  • Example of a specific compound from Group 4 is RPX-7009 (Va):
  • R 11 signifies alkoxy, substituted or unsubstituted thioheteroaryl or substituted carboxamide; or a pharmaceutically acceptable salt thereof.
  • R 11 signifies alkoxy, substituted or unsubstituted thioheteroaryl or substituted carboxamide; or a pharmaceutically acceptable salt thereof.
  • Examples of specific compounds from Group 5 are RPX 7262 (VIa), RPX 7282 (VIb), RPX 7381 (VIc), and RPX 7400 (VId):
  • R 12 signifies carboxylic acid, alkoxycarbonyl, heteroaryl, nitrile, or carboxamide which may be substituted; or a pharmaceutical acceptable salt thereof.
  • Examples of several specific compounds from Group 6 are (VIIa-VIIg):
  • cephem compounds of the formula (I) herein against gram-negative bacteria can be potentiated by co-using a ⁇ -lactamase inhibitor selected from any one of the formula (II) to (VII).
  • a “pharmaceutically acceptable salt” of formula (I) refers to a salt which possesses the desired pharmacological activity of the parent compound.
  • the groups for forming a pharmaceutically acceptable salt include: inorganic base salts, ammonium salts, organic base salts, basic amino acid salts, inorganic acid addition salts, and organic acid addition salts.
  • Inorganic bases that can form the inorganic base salts include alkali metals (e.g., sodium, potassium, and lithium) and alkaline earth metals (e.g., calcium and magnesium).
  • Organic bases that can form the organic base salts include n-propylamine, n-butylamine, cyclohexylamine, benzylamine, octylamine, ethanolamine, diethanolamine, diethylamine, triethylamine, dicyclohexylamine, procaine, choline, picoline, N,N-dibenzylethylenediamine, N-methylglucamine, morpholine, pyrrolidine, pyridine, piperidine, N-ethylpiperidine and N-methylmorpholine.
  • Basic amino acids that can form the basic amino acid salts include lysine, arginine, ornithine and histidine.
  • the compounds of formula (I) containing a basic nitrogen atom are capable of forming acid addition salts.
  • Such salts with pharmaceutically acceptable acids are included herein.
  • acids are hydrochloric, hydrobromic, phosphoric, sulfuric, citric, oxalic, maleic, fumaric, glycolic, mandelic, tartaric, aspartic, succinic, malic, formic, acetic, trifluoroacetic, methanesulfonic, ethanesulfonic, trifluoromethanesulfonic, benzenesulfonic, p-toluenesulfonic and the like.
  • some compounds of formula (I) when they contain a basic group such as NH, NH 2 or pyridine and the like may form an inner zwitterionic salt with COOH group.
  • Such inner salts are also contemplated herein.
  • solvates of the compounds of formula (I) are contemplated herein.
  • ‘Pharmaceutically acceptable solvate’ refers to a molecular complex of a compound with one or more solvent molecules in a stoichiometric or non-stoichiometric amount.
  • solvent molecules are those commonly used in the pharmaceutical art, which are known to be innocuous to recipient, e.g., water, ethanol, and the like.
  • a molecular complex of a compound or moiety of a compound and a solvent can be stabilized by non-covalent intra-molecular forces such as, for example, electrostatic forces, Van der Waals forces or hydrogen bonds.
  • the term hydrate refers to a complex where the one or more solvent molecules are water.
  • a combination of one or more of the compounds of formula (I) and one or more ⁇ -lactamase inhibitors are provided, where the ⁇ -lactamase inhibitors may be selected from formula (II) to (VII). Such combinations may exhibit a synergistic effect when used in the treatment of bacterial infections.
  • compositions comprising one or more compounds of formula (I), or pharmaceutically acceptable salts thereof, and one or more pharmaceutically acceptable carriers or diluents are provided.
  • pharmaceutical compositions comprising (i) one or more compounds of formula (I), or pharmaceutically acceptable salts thereof, (ii) one or more ⁇ -lactamase inhibitors, and (iii) one or more pharmaceutically acceptable carriers or diluents are also provided.
  • the ⁇ -lactamase inhibitors may be selected from formula (II) to (VII).
  • compositions and combinations herein may be administered to a subject such as, for example, by parenteral, in particular intramuscular route, oral, sublingual, rectal, aerosol or by local route in a topical application on the skin and the mucous membranes.
  • Suitable pharmaceutically acceptable carriers and diluents include excipients such as starch, glucose, lactose, sucrose, gelatin, gum Arabic, malt, rice, flour, chalk, silica gel, sodium stearate, glycerol monostearate, talc, sodium chloride, dried skim milk, glycerol, propylene glycol, water, ethanol, and the like.
  • compositions of the present disclosure can also contain minor amounts of wetting, dispersing or emulsifying agents, or pH buffering agents, and preservatives.
  • auxiliary, stabilizing, thickening, lubricating, and coloring agents can be included.
  • Pharmaceutical compositions can be formulated in a conventional manner. Proper formulation is dependent upon the route of administration chosen.
  • the present pharmaceutical compositions can take the form of injectable preparations, suspensions, emulsions, sugar-coated tablets, pellets, gelatin-capsules, capsules containing liquids, powders, granules, sustained-release formulations, suppositories, aerosols, sprays, ointments, creams or any other form suitable for use.
  • the weight ratio of active ingredient to carrier will normally be in the range of 1:20 to 20:1.
  • methods for treating bacterial infections in a subject comprising administering to a subject in need thereof:
  • the present methods for preventing bacterial infections in a subject comprise providing a subject in need thereof:
  • the present methods for treating or preventing a bacterial infection in a subject may comprise administering to a subject in need thereof (i) a therapeutically effective amount of one or more compounds formula (I), or pharmaceutically acceptable salts thereof, and (ii) a therapeutically effective amount of one or more ⁇ -lactamase inhibitors.
  • compounds of formula (I) and ⁇ -lactamase inhibitors may be administered to the subject in the same pharmaceutical formulation (e.g., a pharmaceutical composition comprising compounds of formula (I), ⁇ -lactamase inhibitors, and a carrier or diluent) or different pharmaceutical formulations (e.g., a first pharmaceutical composition—comprising compounds of formula (I) and a carrier or diluent; and a second pharmaceutical composition—comprising ⁇ -lactamase inhibitors and a carrier or diluent).
  • the first and second pharmaceutical compositions may be administered simultaneously, sequentially, or separated in time.
  • the use, in the manufacture of a medicament, of a compound of formula (I) as an active ingredient is provided, wherein the active ingredient may be provided in an antibacterial composition in admixture with a carrier.
  • the use, in the manufacture of a medicament may further comprise the compound of formula (I) in combination with one or more ⁇ -lactamase inhibitors as active ingredients, in an antibacterial composition in admixture with a carrier.
  • the use, in the manufacture of a medicament may further comprise the compound of formula (I) in combination with one or more antibiotics ⁇ -lactamase inhibitors as active ingredients, or in combination with one or more antibiotics (e.g., a ⁇ -lactam antibiotic or some other antibiotic) as active ingredients, in an antibacterial composition in admixture with a carrier.
  • antibiotics e.g., a ⁇ -lactam antibiotic or some other antibiotic
  • compositions for oral delivery can be, for example, in the form of tablets, lozenges, aqueous or oily suspensions, granules, powders, emulsions, capsules, syrups, or elixirs.
  • Orally administered compositions can contain one or more optional agents, for example, sweetening agents such as fructose, aspartame, or saccharin, flavoring agents such as peppermint, oil of wintergreen, cherry, coloring agents, and preserving agents to provide a pharmaceutically palatable preparation.
  • sweetening agents such as fructose, aspartame, or saccharin
  • flavoring agents such as peppermint, oil of wintergreen, cherry, coloring agents
  • preserving agents to provide a pharmaceutically palatable preparation.
  • the compositions when in tablet form, can be coated to delay disintegration and absorption in the gastrointestinal tract, thereby providing a sustained action over an extended period of time.
  • Oral compositions can include standard vehicles such as mannitol, lactose, starch, magnesium stearate, sodium saccharin, cellulose, magnesium carbonate, and the like.
  • suitable carriers, excipients, or diluents include water, saline, alkyleneglycols (e.g. propylene glycol), polyalkylene glycols (e.g., polyethylene glycol), oils, alcohols, slightly acidic buffers ranging from about pH 4 to about pH 6 (e.g., acetate, citrate, ascorbate ranging from about 5 mM to about 50 mM), and the like.
  • slightly acidic buffers ranging from about pH 4 to about pH 6 (e.g., acetate, citrate, ascorbate ranging from about 5 mM to about 50 mM), and the like.
  • flavoring agents, preservatives, coloring agents, bile salts, acylcarnitines, and the like can be added.
  • Topical delivery systems also include transdermal patches containing at least one compound of formula (I) to be administered. Delivery through the skin can be achieved by diffusion or by more active energy sources such as iontophoresis or electrotransport.
  • Formulations of a compound herein, for topical use, such as in creams, ointments, and gels, can include an oleaginous or water soluble ointment base, for example, topical compositions can include vegetable oils, animal fats, and in certain embodiments, semisolid hydrocarbons obtained from petroleum.
  • Topical compositions can further include white ointment, yellow ointment, cetyl esters wax, oleic acid, olive oil, paraffin, petrolatum, white petrolatum, spermaceti, starch glycerite, white wax, yellow wax, lanolin, and glyceryl monostearate.
  • Various water-soluble ointment bases can also be used, including glycol ethers and derivatives, polyethylene glycols, polyoxyl 40 stearate, and polysorbates.
  • the weight ratio of active ingredient to carrier will normally be in the range of 1:20 to 20:1.
  • the therapeutically effective amount of the compounds of formula (I) and pharmaceutically acceptable salts thereof and the amounts sufficient to achieve the stated goals of the methods disclosed herein vary depending upon the physical characteristics of the subject, the severity of the subject's symptoms, the formulation and the means used to administer the drug, and the method being practiced.
  • the specific dose for a given subject is usually set by the judgment of the attending physician.
  • a therapeutically effective and/or sufficient amount of the compounds and salts of the present compositions is typically between about 1 mg/kg body weight to 500 mg/kg body weight, including from 1 to 100 mg/kg, from 1 to 75 mg/kg, from 1 to 50 mg/kg, from 1 to 25 mg/kg, from 25 to 150 mg/kg, from 25 to 125 mg/kg, from 25 to 100 mg/kg, from 25 to 75 mg/kg, from 25 to 50 mg/kg, from 50 to 150 mg/kg, from 50 to 125 mg/kg, and from 50 to 100 mg/kg, regardless of the formulation.
  • a therapeutically effective amount is about 1, 2, 3, 4, 5, 6, 7, 8, 9, 10, 11, 12, 13, 14, 15, 16, 17, 18, 19, 20, 21, 22, 23, 24, 25, 26, 27, 28, 29, 30, 31, 32, 33, 34 or 35 mg/kg body weight, regardless of the formulation. In some situations, a dose less than 1 mg/kg body weight or greater than 500 mg/kg body weight may be effective.
  • the compound of formula (I) or a pharmaceutically acceptable salt thereof may be in the form of a capsule containing the compound or salt.
  • Suitable amounts of the compound or salt may range from about 10 to about 3000 mg, with preferred amounts including about 100, 125, 150, 175, 200, 225, 250, 275, 300, 350, 400, 450, 500, 550, 600, 650, 700, 750, 800, 850, 900, 950, 1000, 1050, 1100, 1150, 1200, 1250, 1300, 1350, 1400, 1450 and 1500 mg.
  • the compound of formula (I) or a pharmaceutically acceptable salt thereof is administered in a dosage of between about 100 mg and 2000 mg, preferably about 100, 125, 150, 175, 200, 225, 250, 275, 300, 325, 350, 375, 400, 450, 500, 600, 700, 800, 900, 1000, 1100, 1200, 1300, 1400, 1500 or more mg, by IV infusion over approximately 60, 90, 120 or more minutes, every 6, 12, 18 or 24 hours for 1, 2, 3, 4, 5, 6, 7, 8, 9, 10 or more days.
  • the compound of formula (I) or a pharmaceutically acceptable salt thereof may be reconstituted in sterile water for injection (WFI) or be diluted in 5% dextrose in water, for example.
  • dose refers to physically discrete units that contain a predetermined quantity of active ingredient calculated to produce a desired therapeutic effect. These terms are synonymous with the therapeutically effective amounts and amounts sufficient to achieve the stated goals of the methods disclosed herein.
  • Therapeutically effective amount refers to the amount of a compound that, when administered to a subject for treating a disease, or at least one of the clinical symptoms of a disease, is sufficient to affect such treatment of the disease, disorder, or symptom.
  • the therapeutically effective amount can vary depending, for example, on the compound, the disease, disorder, and/or symptoms of the disease, severity of the disease, disorder, and/or symptoms of the disease, the age, weight, and/or health of the patient to be treated, and the judgement of the prescribing physician.
  • Administration frequencies of doses for the treatment of a bacterial infection include 4, 3, 2 or once daily, every other day, every third day, every fourth day, every fifth day, every sixth day, once weekly, every eight days, every nine days, every ten days, bi-weekly, monthly and bi-monthly.
  • the dosage may be administered all at once, such as with an oral formulation in a capsule, or slowly over a period of time, such as with an intravenous administration.
  • the administering period can be a matter of minutes, such as about 5, 10, 15, 20, 25, 30, 35, 40, 45, 50, 55, 60, 65, 70, 75, 80, 85, 90, 95, 100, 105, 110, 115, 120 or more minutes, or a period of hours, such as about 0.5, 1, 1.5, 2, 2.5, 3, 3.5, 4, 4.5, 5 or more hours.
  • the weight ratio of (i) the present compounds and (ii) a ⁇ -lactamase inhibitor or an antibiotic will normally be in the range from about 1:20 to about 20:1.
  • the compounds may increase the antibacterial effectiveness of ⁇ -lactamase susceptible ⁇ -lactam antibiotics, that is, they may increase the effectiveness of the antibiotic against infections caused by ⁇ -lactamase producing micro-organisms in mammalian subjects, particularly in humans.
  • the present compounds of formula (I) and pharmaceutically acceptable salts thereof may valuable for co-administration with ⁇ -lactamase inhibitors.
  • the present compounds of formula (I) or a pharmaceutically salt thereof can be mixed with the ⁇ -lactamase inhibitors, and the two agents thereby administered simultaneously.
  • the two agents can be administered sequentially, either one immediately after the other or separated in time by 1, 5, 10, 15, 30, 45 or 60 minutes, or 1, 2, 3, 4, 5, 6, 7, 8, 9, 10, 11, 12, 13, 14, 15, 16, 17, 18 or more hours, or 1, 2, 3, 4, 5 or more days.
  • the present compounds and the ⁇ -lactamase inhibitor may, in combination, provide a synergistic effect.
  • the term ‘synergystic effect’ refers to the effect produced when two or more agents are co-administered is greater than the effect produced when the agents are administered individually.
  • the compound of formula (I) or a salt thereof can be administered as a separate agent during a course of treatment with the ⁇ -lactamase inhibitor.
  • it is an aim to provide an improved method for the treatment of bacterial infections caused by ⁇ -lactamase producing bacteria in a patient in need of such treatment comprising administering to the patient a therapeutically effective amount of at least one compound chosen from formula (I) or a pharmaceutically acceptable salt thereof, either alone or in combination with one or more antibiotics, including ⁇ -lactam antibiotics and non ⁇ -lactam antibiotics.
  • the compounds may increase the antibacterial effectiveness of ⁇ -lactamase susceptible ⁇ -lactam antibiotics, that is, they may increase the effectiveness of the antibiotic against infections caused by ⁇ -lactamase producing microorganisms in mammalian subjects, particularly in human.
  • the compounds of formula (I) and pharmaceutically acceptable salts thereof may be valuable for co-administration with ⁇ -lactam antibiotics.
  • the present so compounds of formula (I) or a pharmaceutically salt thereof can be mixed with the ⁇ -lactam antibiotic, and the two agents thereby administered simultaneously.
  • the two agents can be administered sequentially, either one immediately after the other or separated in time by 1, 5, 10, 15, 30, 45 or 60 minutes, or 1, 2, 3, 4, 5, 6, 7, 8, 9, 10, 11, 12, 13, 14, 15, 16, 17, 18 or more hours, or 1, 2, 3, 4, 5 or more days.
  • the combination of the present compound and the antibiotic can provide a synergistic effect.
  • the term ‘synergystic effect’ refers to the effect produced when two or more agents are co-administered is greater than the effect produced when the agents are administered individually.
  • the compound of formula (I) or a salt thereof can be administered as a separate agent during a course of treatment with the antibiotic. Examples of compounds of the formula (I), without limiting to the specified compounds, are provided in the following Table 1.
  • a conventional solvent such as water, alcohol (e.g., methanol, ethanol etc.), acetone, dioxane, acetonitrile, chloroform, methylene chloride, ethylene chloride, tetrahydrofuran, ethylacetate, N,N-dimethylformamide, pyridine or any other organic solvent which does not adversely influence the reaction.
  • alcohol e.g., methanol, ethanol etc.
  • acetone dio
  • a conventional alkali metal halide such as potassium iodide
  • N,N-dimethylformamide or dimethylacetamide The reaction is usually carried out ranging from ⁇ 20° C. to 40° C.
  • Suitable base may include an inorganic base such as an alkali metal (e.g., sodium, potassium etc.); an alkali earth metal (e.g., magnesium, calcium etc.), the hydroxide or carbonate or bicarbonate thereof, and an organic base trialkylamine (e.g., trimethylamine, triethylamine, etc.), picoline or the like.
  • Suitable acid may include an organic acid (e.g., formic acid, acetic acid, propionic acid, trichloroacetic acid, trifluoroacetic acid) and an inorganic acid (e.g., hydrochloric acid, hydrobromic acid, sulfuric acid).
  • the hydrolysis using Lewis acid such as trihaloacetic acid (e.g., trichloroacetic acid, trifluoroacetic acid) or the like and the reaction is preferably carried out in the presence of cation trapping agents (e.g., anisole, phenol etc.).
  • the hydrolysis using Lewis acid such as aluminum trichloride is carried out in a solvent like nitromethane.
  • the hydrolysis reaction is usually carried out in a non-aqueous solvent such as methylene chloride, tetrahydrofuran, a mixture of solvents thereof, or any other solvent that does not adversely influence the reaction.
  • the reaction temperature may be room temperature, or any other temperature as may be appropriate.
  • a conventional solvent such as water, alcohol (e.g., methanol, ethanol etc.), acetone, dioxane, acetonitrile, chloroform, methylene chloride, ethylene chloride, tetrahydrofuran, ethyl acetate, N,N-dimethylformamide, pyridine or any other organic solvent which does not adversely influence the reaction.
  • solvents may also be used as a co-solvent in a mixture with
  • a conventional alkali metal halide such as potassium iodide
  • the reaction temperature is not critical, and usually carried out under cooling to room temperature, even more preferably ranging from ⁇ 20° C. to 40° C.
  • Suitable reducing agents to be used in chemical reduction are a combination of a metal (e.g., tin, zinc, iron etc.) and an organic or inorganic acid (e.g formic acid, acetic acid, propionic acid, trifluoroacetic acid, p-toluenesulfonic acid, hydrochloric acid, hydrobromic acid, etc.).
  • Reduction can also be carried out using a combination of alkali metal halide (e.g., potassium iodide) and acetyl chloride.
  • the reduction is usually carried out in a conventional solvent which does not adversely influence the reaction such as N,N-dimethylformamide, diethyl ether, dioxane, tetrahydrofuran, etc. or a mixture of solvents thereof.
  • the reduction is carried out under cooling to warming, more specifically in the range from ⁇ 40° C. to 0° C.
  • Suitable base may include an inorganic base such as an alkali metal (e.g., sodium, potassium etc.); an alkali earth metal (e.g., magnesium, calcium etc.), the hydroxide or carbonate or bicarbonate thereof, and an organic base, trialkylamine (e.g., trimethylamine, triethylamine, etc.), picoline or the like.
  • Suitable acid may include an organic acid (e.g., formic acid, acetic acid, propionic acid, trichloroacetic acid, trifluoroacetic acid) and an inorganic acid (e.g., hydrochloric acid, hydrobromic acid, sulfuric acid).
  • the hydrolysis using Lewis acid such as trihaloacetic acid (e.g., trichloroacetic acid, trifluoroacetic acid) or the like and the reaction is preferably carried out in the presence of cation trapping agents (e.g., anisole, phenol etc.).
  • the hydrolysis using Lewis acid such as aluminum trichloride is carried out in a solvent like nitromethane.
  • the hydrolysis reaction is usually carried out in a non-aqueous solvent such as methylene chloride, tetrahydrofuran, a mixture of solvents thereof or any other solvent that does not adversely influence the reaction.
  • the reaction temperature is not critical, but is usually carried out at room temperature.
  • Object (1a) includes syn isomer (Z form) anti isomer (E form) and a mixture thereof.
  • X is N, C(H), C(F) or C(Cl);
  • B is defined as hydrogen, methyl, ethyl or represented by the formula (Ib)
  • R 1 and R 2 is independently hydrogen or lower alkyl, or R 1 and R 2 together may form a 3 to 6-membered spiro ring system;
  • m 0 or 1.
  • R 1 and R 2 together may form a 3- to 6-membered spiro ring system
  • Y is halogen, even more preferably chloro or iodo
  • q is 0 or 1
  • D represents CH 2 , CH 2 CH 2 or CH 2 CO;
  • F is optionally substituted amidine or an optionally substituted guanidine
  • G is hydrogen, methyl, ethyl, C 3-6 alkyl, C 3-6 cycloalkyl or an optionally substituted 5- or 6-membered aliphatic or an optionally substituted 5- or 6-membered aromatic heterocyclic ring, in which the heterocyclic ring is substituted with at least 1-2 hetero atoms selected from N, O, and S ( ⁇ or ⁇ ).
  • P 1 is a suitable carboxy protecting group frequently used in (3-lactam chemistry.
  • Suitable examples may be the ones such as lower alkyl ester (e.g., methyl, ethyl, propyl, isopropyl, butyl, isobutyl, t-butyl, pentyl, t-pentyl, hexyl, 1-cyclopropylethyl etc.); lower alkenyl ester (e.g., vinyl, allyl); lower alkynyl ester (e.g., ethynyl, propynyl); lower alkoxyalkyl ester (e.g., methoxymethyl, ethoxymethyl, isopropoxymethyl, 1-methoxyethyl, 1-ethoxyethyl etc.); lower alkylthioalkyl ester (e.g., methylthiomethyl, ethylthiomethyl, ethylthioe
  • Step 4 tert-Butyl ⁇ [4-(1H-pyrrolo[3,2-c]pyridinylmethyl)phenyl]carbonoimidoyl ⁇ carbamate
  • the crude product was purified by silica gel column chromatography using ethyl acetate:methanol:ammonium hydroxide (60:39:1) as eluent to afford tert-butyl ⁇ [4-(1H-pyrrolo[3,2-c]pyridin-1-ylmethyl)phenyl]carbonoimidoyl ⁇ carbamate (0.12 g, 34%).
  • Step 5 5- ⁇ [(6R,7R)-7- ⁇ [(2Z)-2- ⁇ 2-[(tert-Butoxycarbonyl)amino]-1,3-thiazol-4-yl ⁇ -2- ⁇ [(1-tert-butoxy-2-methyl-1-oxopropan-2-yl)oxy]imino ⁇ acetyl]amino ⁇ -2- ⁇ [(4-methoxybenzyl)oxy]carbonyl ⁇ -8-oxo-5-thia-1-azabicyclo[4.2.0]oct-2-en-3-yl methyl ⁇ -1- ⁇ 4-[N-(tert-butoxycarbonyl)carbamimidoyl]benzyl ⁇ -1H-pyrrolo[3,2-c]pyridin-5-ium iodide
  • reaction mixture was then degassed under reduced pressure for 0.5 h and was added sodium iodide (0.06 g, 0.40 mmol). After stirring at 15° C. for 16 h, the reaction mixture was slowly added to 5% aqueous sodium chloride and sodium thiosulfate solution cooled under ice. The suspension was then filtered, washed with water and the solid was vacuum dried to get a yellow solid (0.22 g) which was used in the next step without further purification.
  • Step 6 (6R,7R)-7- ⁇ [(2Z)-2-(2-Amino-1,3-thiazol-4-yl)-2- ⁇ [(2-carboxypropan-2-yl)oxy]imino ⁇ acetyl]amino ⁇ -3- ⁇ [1-(4-carbamimidoylbenzyl)-1H-pyrrolo[3,2-c]pyridin-5-ium-5-yl]methyl ⁇ -8-oxo-5-thia-1-azabicyclo[4.2.0]oct-2-ene-2-carboxylate
  • Step 4 tert-Butyl ⁇ [4-(2,3-dihydro-1H-imidazo[1,2-b]pyrazol-1-ylmethyl)phenyl]carbonoimidoyl ⁇ carbamate
  • the reaction mixture was concentrated under reduced pressure to remove the volatiles and the remaining solution was dissolved in ethyl acetate (80 mL), washed with water (80 mL), brine solution (80 mL), dried and concentrated.
  • the crude product was purified by silica gel column chromatography using ethyl acetate as eluent to afford tert-butyl ⁇ [4-(2,3-dihydro-1H-imidazo[1,2-b]pyrazol-1-ylmethyl)phenyl]carbonoimidoyl) ⁇ carbamate (0.45 g, 33.5%).
  • Step 5 5- ⁇ [(6R,7R)-7- ⁇ [(2Z)-2- ⁇ 2-[(tert-Butoxycarbonyl)amino]-1,3-thiazol-4-yl ⁇ -2- ⁇ [(1-tert-butoxy-2-methyl-1-oxopropan-2-yl)oxy]imino ⁇ acetyl]amino ⁇ -2- ⁇ [(4-methoxybenzyl)oxy]carbonyl ⁇ -8-oxo-5-thia-1-azabicyclo[4.2.0]oct-2-en-3-yl]methyl ⁇ -1- ⁇ 4-[N-(tert-butoxycarbonyl)carbamimidoyl]benzyl ⁇ -2,3-dihydro-1H-imidazo[1,2-b]pyrazol-5-ium iodide
  • reaction mixture was then stirred under nitrogen at room temperature for 16 h and diluted with a 1:1 mixture of sodium thio sulfate and brine (15 mL) solution.
  • the suspension was then filtered, washed with water and the solid was vacuum dried to get a yellow solid (0.448 g), which was used in the next step without further purification.
  • Step 6 (6R,7R)-7- ⁇ [(2Z)-2-(2-Amino-1,3-thiazol-4-yl)-2- ⁇ [(2-carboxypropan-2-yl)oxy]imino ⁇ acetyl]amino ⁇ -3- ⁇ [1-(4-carbamimidoylbenzyl)-2,3-dihydro-1H-imidazo[1,2-b]pyrazol-5-ium-5-yl]methyl ⁇ -8-oxo-5-thia-1-azabicyclo[4.2.0]oct-2-ene-2-carboxylate
  • Step 3 tert-Butyl (3R)-3-( ⁇ [4-(1H-pyrazolo[4,3-c]pyridin-1-ylmethyl)phenyl]carbonoimidoyl ⁇ amino)piperidine-1-carboxylate
  • Step 4 tert-Butyl (3R)-3-[(tert-butoxycarbonyl) ⁇ [4-(1H-pyrazolo[4,3-c]pyridin-1-ylmethyl)phenyl]carbonoimidoyl ⁇ amino]piperidine-1-carboxylate
  • the reaction mixture was concentrated under reduced pressure to remove the volatiles and the remaining solution was dissolved in ethyl acetate (100 mL) and washed with water (100 mL), brine solution (100 mL), dried, and concentrated.
  • the crude product was purified by silica gel column chromatography using ethyl acetate: methanol: ammonium hydroxide (60:39:1) as eluent to afford tert-butyl (3R)-3-[(tert-butoxycarbonyl) ⁇ [4-(1H-pyrazolo[4,3-c]pyridin-1-ylmethyl)phenyl]carbonoimidoyl ⁇ amino]piperidine-1-carboxylate (0.48 g, 78%).
  • Step 5 5- ⁇ [(6R,7R)-7- ⁇ [(2Z)-2- ⁇ 2-[(tert-Butoxycarbonyl)amino]-1,3-thiazol-4-yl ⁇ -2- ⁇ [(1-tert-butoxy-2-methyl-1-oxopropan-2-yl)oxy]imino ⁇ acetyl]amino ⁇ -2- ⁇ [(4-methoxybenzyl)oxy]carbonyl ⁇ -8-oxo-5-thia-1-azabicyclo[4.2.0]oct-2-en-3-yl]methyl ⁇ -1-(4- ⁇ N-(tert-butoxycarbonyl)-N-[(3R)-1-(tert-butoxycarbonyl)piperidin-3-yl]carbamimidoyl ⁇ benzyl)-1H-pyrazolo[4,3-c]pyridin-5-ium iodide
  • reaction mixture was then degassed under reduced pressure for 0.5 h, and thereto was added sodium iodide (0.09 g, 0.60 mmol). After stirring at 15° C. for 16 h, the reaction mixture was slowly added to 5% aqueous sodium chloride and sodium thiosulfate solution cooled under ice. The suspension was then filtered, washed with water and the solid was vacuum dried to get a yellow solid (0.33 g) which was used in the next step without further purification.
  • Step 6 (6R,7R)-7- ⁇ [(2Z)-2-(2-Amino-1,3-thiazol-4-yl)-2- ⁇ [(2-carboxypropan-2-yl)oxy]imino ⁇ acetyl]amino ⁇ -8-oxo-3- ⁇ [1-(4- ⁇ N-[(3R)-piperidin-3-yl]carbamimidoyl ⁇ benzyl)-1H-pyrazolo[4,3-c]pyridin-5-ium-5-yl]methyl ⁇ -5-thia-1-azabicyclo[4.2.1]oct-2-ene-2-carboxylate
  • Step 4 tert-Butyl ⁇ [4-(1H-imidazo[1,2-b]pyrazol-1-ylmethyl)phenyl]carbonoimidoyl ⁇ carbamate
  • Step 5 5- ⁇ [(6R,7R)-7- ⁇ [(2Z)-2- ⁇ 2-[(tert-Butoxycarbonyl)amino]-1,3-thiazol-4-yl ⁇ -2- ⁇ [(1-tert-butoxy-2-methyl-1-oxopropan-2-yl)oxy]imino ⁇ acetyl]amino ⁇ -2- ⁇ [(4-methoxybenzyl)oxy]carbonyl ⁇ -8-oxo-5-thia-1-azabicyclo[4.2.0]oct-2-en-3-yl]methyl ⁇ -1- ⁇ 4-[N-(tert-butoxycarbonyl)carbamimidoyl]benzyl ⁇ -1H-imidazo[1,2-b]pyrazol-5-ium iodide
  • reaction mixture was then stirred under nitrogen at room temperature for 16 h and diluted with a 1:1 mixture of sodium thio sulfate and brine solution (15 mL). The suspension was then filtered, washed with water and the solid was vacuum dried to get a yellow solid (0.650 g), which was used in the next step without further purification.
  • Step 6 (6R,7R)-7- ⁇ [(2Z)-2-(2-Amino-1,3-thiazol-4-yl)-2- ⁇ [(2-carboxypropan-2-yl)oxy]imino ⁇ acetyl]amino ⁇ -3- ⁇ [1-(4-carbamimidoylbenzyl)-1H-imidazo[1,2-b]pyrazol-5-ium-5-yl]methyl ⁇ -8-oxo-5-thia-1-azabicyclo[4.2.0]oct-2-ene-2-carboxylate
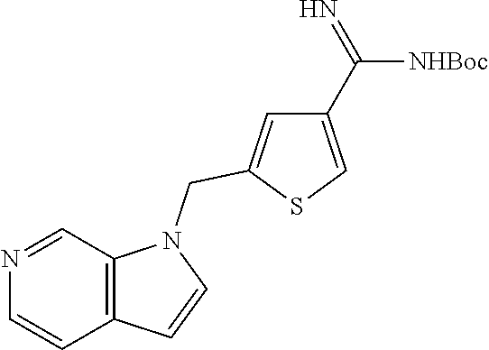
  • Step 7 tert-Butyl ⁇ [5-(1H-pyrrolo[3,2-c]pyridin-1-ylmethyl)thiophen-3-yl]carbonoimidoyl ⁇ carbamate
  • Step 8 5- ⁇ [(6R,7R)-7- ⁇ [(2Z)-2-(2-Amino-1,3-thiazol-4-yl)-2- ⁇ [((1-tert-butoxy-2-methyl-1-oxopropan-2-yl)oxy]imino ⁇ acetyl]amino ⁇ -2- ⁇ [(4-methoxybenzyl)oxy]carbonyl ⁇ -8-oxo-5-thia-1-azabicyclo[4.2.0]oct-2-en-3-yl]methyl ⁇ -1-( ⁇ 4-[N-(tert-butoxycarbonyl)carbamimidoyl]thiophen-2-yl ⁇ methyl)-1H-pyrrolo[3,2-c]pyridin-5-ium iodide
  • Step 9 (6R,7R)-7- ⁇ [(2Z)-2-(2-Amino-1,3-thiazol-4-yl)-2- ⁇ [(2-carboxypropan-2-yl)oxy]imino ⁇ acetyl]amino ⁇ -3-( ⁇ 1-[(4-carbamimidoylthiophen-2-yl)methyl]-1H-pyrrolo [3,2-c]pyridin-5-ium-5-yl ⁇ methyl)-8-oxo-5-thia-1-azabicyclo[4.2.0]oct-2-ene-2-carboxylate
  • the compound was used in the next step without further purification.
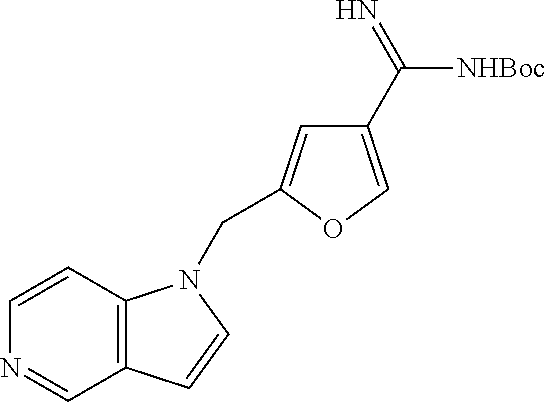
  • Step 7 tert-Butyl ⁇ [5-(1H-pyrrolo[3,2-c]pyridin-1-ylmethyl)furan-3-yl]carbonoimidoyl ⁇ carbamate
  • Step 8 5- ⁇ [(6R,7R)-7- ⁇ [(2Z)-2-(2-Amino-1,3-thiazol-4-yl)-2- ⁇ [(1-tert-butoxy-2-methyl-1-oxopropan-2-yl)oxy]imino ⁇ acetyl]amino ⁇ -2- ⁇ [(4-methoxybenzyl)oxy]carbonyl ⁇ -8-oxo-5-thia-1-azabicyclo[4.2.0]oct-2-en-3-yl]methyl ⁇ -1-( ⁇ 4-[N-(tert-butoxycarbonyl)carbamimidoyl]furan-2-yl ⁇ methyl)-1H-pyrrolo[3,2-c]pyridin-5-ium iodide
  • Step 9 (6R,7R)-7- ⁇ [(2Z)-2-(2-Amino-1,3-thiazol-4-yl)-2- ⁇ [(2-carboxypropan-2-yl)oxy]imino ⁇ acetyl]amino ⁇ -3-( ⁇ 1-[(4-carbamimidoylfuran-2-yl)methyl]-1H-pyrrolo[3,2-c]pyridin-5-ium-5-yl ⁇ methyl)-8-oxo-5-thia-1-azabicyclo[4.2.0]oct-2-ene-2-carboxylate
  • reaction mixture was stirred at room temperature for 3 h and the solvent was evaporated. To the residue was added diisopropyl ether (30 mL) and the solid separated was filtered off, washed with diisopropyl ether and dried under vacuum to get greenish yellow color solid (315 mg), which was dissolved in water (30 mL) and filtered.
  • the reaction was quenched using aqueous saturated ammonium chloride solution (2 mL) and the resulting mixture was partitioned between ethyl acetate (80 mL) and water (10 mL). The organic phase was separated, washed with water (10 mL), brine (10 mL), dried over sodium sulfate, filtered and concentrated under reduced pressure.
  • the crude mixture was purified by flash column chromatography (silica gel, 230-400 mesh) using a 50 to 100% gradient of ethyl acetate in hexane to afford 5-(1H-imidazo[1,2-b]pyrazol-1-ylmethyl)thiophene-3-carbonitrile (0.28 g, 53%) as an off-white solid.
  • Step 4 tert-Butyl ⁇ [5-(1H-imidazo[1,2-b]pyrazol-1-ylmethyl)thiophen-3-yl](imino)methyl ⁇ carbamate
  • Step 5 5- ⁇ [(6R,7R)-7- ⁇ [(2Z)-2- ⁇ 2-[(tert-Butoxycarbonyl)amino]-1,3-thiazol-4-yl ⁇ -2- ⁇ [(1-tert-butoxy-2-methyl-1-oxopropan-2-yl)oxy]imino ⁇ acetyl]amino ⁇ -2- ⁇ [(4-methoxybenzyl)oxy]carbonyl ⁇ -8-oxo-5-thia-1-azabicyclo[4.2.0]oct-2-en-3-yl]methyl ⁇ -1-( ⁇ 4-[N-(tert-butoxycarbonyl)carbamimidoyl]thiophen-2-yl ⁇ methyl)-1H-imidazo[1,2-b]pyrazol-5-ium iodide
  • reaction mixture was stirred at room temperature for 18 h.
  • Anhydrous dimethylformamide (1 mL) was added and the reaction mixture was cooled to ⁇ 40° C.
  • Potassium iodide (0.317 g, 2.39 mmol) followed by acetyl chloride (0.107 g, 1.37 mmol) was then added at ⁇ 40° C. and the reaction mixture was stirred at 0° C. for 1 h.
  • Aqueous 5% sodium bisulphite solution (containing sodium metabisulphite, 10 mL) was added and the resulting mixture was stirred for 15 min at room temperature. The precipitated solid was collected by filtration, washed with water (3 ⁇ 10 mL) and air-dried.
  • Step 6 (6R,7R)-7- ⁇ [(2Z)-2-(2-Amino-1,3-thiazol-4-yl)-2- ⁇ [(2-carboxypropan-2-yl)oxy]imino ⁇ acetyl]amino ⁇ -3-( ⁇ 1-[(4-carbamimidoylthiophen-2-yl)methyl]-1H-imidazo[1,2-b]pyrazol-5-ium-5-yl ⁇ methyl)-8-oxo-5-thia-1-azabicyclo[4.2.0]oct-2-ene-2-carboxylate
  • the reaction mixture was allowed to warm to room temperature and stirred for 3 h. The volatiles were then removed under reduced pressure and the residue was triturated using diisopropyl ether (15 mL). The precipitate was collected by filtration, washed with diisopropyl ether (5 mL) and dried under high vacuum to afford a yellow solid (0.33 g). The crude material was then taken in distilled water (20 mL) and the resulting suspension was stirred vigorously for 30 min at room temperature. The insoluble material was filtered off, the filtrate was collected and lyophilized.
  • Step 1 5- ⁇ [(6R,7R)-7- ⁇ [(2Z)-2- ⁇ 2-[(tert-Butoxycarbonyl)amino]-1,3-thiazol-4-yl ⁇ -2-(methoxyimino)acetyl]amino ⁇ -2- ⁇ [(4-methoxybenzyl)oxy]carbonyl ⁇ -8-oxo-5-thia-1-azabicyclo[4.2.0]oct-2-en-3-yl]methyl ⁇ -1-( ⁇ 4-[N-(tert-butoxycarbonyl)carbamimidoyl]thiophen-2-yl ⁇ methyl)-1H-pyrrolo[3,2-c]pyridin-5-ium iodide
  • reaction mixture was then degassed under reduced pressure for 0.5 h, followed by adding Nal (0.09 g, 0.6 mmol) and stirred at room temperature overnight.
  • Sodium bisulphite (0.6 g) in sodium chloride solution (75 mL) was added at 15° C. and stirred for 10 minutes.
  • the solid was filtered, washed with water and dried under vacuum to a yellow solid (0.29 g), which was used in the next step without further purification.
  • Step 2 (6R,7R)-7- ⁇ [(2Z)-2-(2-Amino-1,3-thiazol-4-yl)-2-(methoxyimino)acetyl]amino ⁇ -3-( ⁇ 1-[(4-carbamimidoylthiophen-2-yl)methyl]-1H-pyrrolo[3,2-c]pyridin-5-ium-5-yl ⁇ methyl)-8-oxo-5-thia-1-azabicyclo[4.2.0]oct-2-ene-2-carboxylate
  • Step 2 5- ⁇ [(6R,7R)-7- ⁇ [(2Z)-2- ⁇ 2-[(tert-Butoxycarbonyl)amino]-5-chloro-1,3-thiazol-4-yl ⁇ -2-(methoxyimino)acetyl]amino ⁇ -2- ⁇ [(4-methoxybenzyl)oxy]carbonyl ⁇ -8-oxo-5-thia-1-azabicyclo[4.2.0]oct-2-en-3-yl]methyl ⁇ -1- ⁇ [4-(N-phenylcarbamimidoyl)thiophen-2-yl]methyl ⁇ -1H-pyrrolo[3,2-c]pyridin-5-ium iodide
  • N-phenyl-5-(1H-pyrrolo[3,2-c]pyridin-1-ylmethyl)thiophene-3-carboximidamide (0.10 g, 0.30 mmol) in dimethylformamide (2 mL) was added 4-methoxybenzyl (6R,7R)-7- ⁇ [(2Z)-2- ⁇ 2-[(tert-butoxycarbonyl)amino]-5-chloro-1,3-thiazol-4-yl ⁇ -2-(methoxyimino)acetyl]amino ⁇ -3-(chloromethyl)-8-oxo-5-thia-1-azabicyclo[4.2.0]oct-2-ene-2-carboxylate (0.21 g, 0.30 mmol) at 0° C.
  • reaction mixture was then degassed under reduced pressure for 0.5 h, followed by adding Nal (0.09 g, 0.6 mmol) and stirred at room temperature overnight.
  • Sodium bisulphite (0.6 g) in sodium chloride solution (75 mL) was added at 15° C. and stirred for 10 minutes.
  • the solid was filtered off, washed with water and dried under vacuum to a yellow solid (0.28 g), which was used in the next step without further purification.
  • Step 3 (6R,7R)-7- ⁇ [(2Z)-2-(2-Amino-5-chloro-1,3-thiazol-4-yl)-2-(methoxyimino)acetyl]amino ⁇ -8-oxo-3-[(1- ⁇ [4-(N-phenylcarbamimidoyl)thiophen-2-yl]methyl ⁇ -1H-pyrrolo[3,2-c]pyridin-5-ium-5-yl)methyl]-5-thia-1-azabicyclo[4.2.0]oct-2-ene-2-carboxylate
  • Step 1 1-(Pyrrolidin-1-yl)-1-[5-(1H-pyrrolo[3,2-c]pyridin-1-ylmethyl)thiophen-3-yl]methanimine
  • Step 2 5- ⁇ [(6R,7R)-7- ⁇ [(2Z)-2- ⁇ 2-[(tert-Butoxycarbonyl)amino]-5-chloro-1,3-thiazol-4-yl ⁇ -2-(methoxyimino)acetyl]amino ⁇ -2- ⁇ [(4-methoxybenzyl)oxy]carbonyl ⁇ -8-oxo-5-thia-1-azabicyclo[4.2.0]oct-2-en-3-yl]methyl ⁇ -1- ⁇ [4-(pyrrolidin-1-ylcarbonoimidoyl)thiophen-2-yl]methyl ⁇ -1H-pyrrolo[3,2-c]pyridin-5-ium iodide
  • reaction mixture was then degassed under reduced pressure for 0.5 h, followed by adding NaI (0.09 g, 0.6 mmol) and stirred at room temperature overnight.
  • NaI 0.09 g, 0.6 mmol
  • Sodium bisulphite 0.25 g
  • sodium chloride solution 75 mL
  • the solid separated was filtered, washed with water and dried under vacuum to a yellow solid (0.28 g), which was used in the next step without further purification.
  • Step 3 (6R,7R)-7- ⁇ [(2Z)-2-(2-Amino-5-chloro-1,3-thiazol-4-yl)-2-(methoxyimino)acetyl]amino ⁇ -8-oxo-3-[(1- ⁇ [4-(pyrrolidin-1-ylcarbonoimidoyl)thiophen-2-yl]methyl ⁇ -1H-pyrrolo[3,2-c]pyridin-5-ium-5-yl)methyl]-5-thia-1-azabicyclo[4.2.0]oct-2-ene-2-carboxylate
  • Step 2 5- ⁇ [(6R,7R)-7- ⁇ [(2Z)-2- ⁇ 2-[(tert-Butoxycarbonyl)amino]-5-chloro-1,3-thiazol-4-yl ⁇ -2-(methoxyimino)acetyl]amino ⁇ -2- ⁇ [(4-methoxybenzyl)oxy]carbonyl ⁇ -8-oxo-5-thia-1-azabicyclo[4.2.0]oct-2-en-3-yl]methyl ⁇ -1-( ⁇ 4-[N-(1,3-thiazol-2-yl)carbamimidoyl]thiophen-2-yl ⁇ methyl)-1H-pyrrolo[3,2-c]pyridin-5-ium iodide
  • Step 3 (6R,7R)-7- ⁇ [(2Z)-2-(2-Amino-5-chloro-1,3-thiazol-4-yl)-2-(methoxyimino)acetyl]amino ⁇ -8-oxo-3- ⁇ [1-( ⁇ 4-[N-(1,3-thiazol-2-yl)carbamimidoyl]thiophen-2-yl ⁇ methyl)-1H-pyrrolo[3,2-c]pyridin-5-ium-5-yl]methyl ⁇ -5-thia-1-azabicyclo[4.2.0]oct-2-ene-2-carboxylate
  • Step 4 tert-Butyl ⁇ [5-(1H-pyrrolo[3,2-b]pyridin-1-ylmethyl)thiophen-3-yl]carbonoimidoyl ⁇ carbamate
  • Step 5 4- ⁇ [(6R,7R)-7- ⁇ [(2Z)-2- ⁇ 2-[(tert-Butoxycarbonyl)amino]-5-chloro-1,3-thiazol-4-yl ⁇ -2-(methoxyimino)acetyl]amino ⁇ -2- ⁇ [(4-methoxybenzyl)oxy]carbonyl ⁇ -8-oxo-5-thia-1-azabicyclo[4.2.0]oct-2-en-3-yl]methyl ⁇ -1-( ⁇ 4-[N-(tert-butoxycarbonyl)carbamimidoyl]thiophen-2-yl ⁇ methyl)-1H-pyrrolo[3,2-b]pyridin-4-ium iodide
  • reaction mixture was then degassed under reduced pressure for 0.5 h, followed by adding NaI (0.09 g, 0.6 mmol) and stirred at room temperature overnight.
  • NaI 0.09 g, 0.6 mmol
  • Sodium bisulphite 0.03 g
  • sodium chloride solution 75 mL
  • the solid was filtered, washed with water and dried under vacuum to a yellow solid (0.3 g), which was used in the next step without further purification.
  • Step 6 (6R,7R)-7- ⁇ [(2Z)-2-(2-Amino-5-chloro-1,3-thiazol-4-yl)-2-(methoxyimino)acetyl]amino ⁇ -3-( ⁇ 1-[(4-carbamimidoylthiophen-2-yl)methyl]-1H-pyrrolo[3,2-b]pyridin-4-ium-4-yl ⁇ methyl)-8-oxo-5-thia-1-azabicyclo[4.2.0]oct-2-ene-2-carboxylate
  • Step 4 tert-Butyl ⁇ [5-(1H-pyrrolo[2,3-c]pyridin-1-ylmethyl)thiophen-3-yl]carbonoimidoyl ⁇ carbamate
  • Step 5 6- ⁇ [(6R,7R)-7- ⁇ [(2Z)-2- ⁇ 2-[(tert-Butoxycarbonyl)amino]-5-chloro-1,3-thiazol-4-yl ⁇ -2-(methoxyimino)acetyl]amino ⁇ -2- ⁇ [(4-methoxybenzyl)oxy]carbonyl ⁇ -8-oxo-5-thia-1-azabicyclo[4.2.0]oct-2-en-3-yl]methyl ⁇ -1-( ⁇ 4-[N-(tert-butoxycarbonyl)carbamimidoyl]thiophen-2-yl ⁇ methyl)-1H-pyrrolo[2,3-c]pyridin-6-ium iodide
  • Step 6 (6R,7R)-7- ⁇ [(2Z)-2-(2-Amino-5-chloro-1,3-thiazol-4-yl)-2-(methoxyimino)acetyl]amino ⁇ -3-( ⁇ 1-[(4-carbamimidoylthiophen-2-yl)methyl]-1H-pyrrolo[2,3-c]pyridin-6-ium-6-yl ⁇ methyl)-8-oxo-5-thia-1-azabicyclo[4.2.0]oct-2-ene-2-carboxylate formic acid salt
  • Step 7 tert-Butyl ⁇ [3-chloro-5-fluoro-4-(1H-pyrrolo[3,2-c]pyridin-1-ylmethyl)phenyl]carbonoimidoyl ⁇ carbamate
  • the crude product was purified by silica gel column chromatography using ethyl acetate: methanol:ammonium hydroxide (60:39:1) as eluent to afford tert-butyl ⁇ [3-chloro-5-fluoro-4-(1H-pyrrolo[3,2-c]pyridin-1-ylmethyl)phenyl]carbonoimidoyl ⁇ carbamate (0.3 g, 33%).
  • Step 8 5- ⁇ [(6R,7R)-7- ⁇ [(2Z)-2- ⁇ 2-[(tert-Butoxycarbonyl)amino]-5-chloro-1,3-thiazol-4-yl ⁇ -2-(methoxyimino)acetyl]amino ⁇ -2- ⁇ [(4-methoxybenzyl)oxy]carbonyl ⁇ -8-oxo-5-thia-1-azabicyclo[4.2.0]oct-2-en-3-yl]methyl ⁇ -1- ⁇ 4-[N-(tert-butoxycarbonyl)carbamimidoyl]-2-chloro-6-fluorobenzyl ⁇ -1H-pyrrolo[3,2-c]pyridin-5-ium iodide
  • Step 9 (6R,7R)-7- ⁇ [(2Z)-2-(2-Amino-5-chloro-1,3-thiazol-4-yl)-2-(methoxyimino)acetyl]amino ⁇ -3- ⁇ [1-(4-carbamimidoyl-2-chloro-6-fluorobenzyl)-1H-pyrrolo[3,2-c]pyridin-5-ium-5-yl]methyl ⁇ -8-oxo -5-thia-1-azabicyclo[4.2.0]oct-2-ene-2-carboxylate
  • Step 4 tert-Butyl ⁇ [3-chloro-5-fluoro-4-(1H-pyrrolo[3,2-b]pyridin-1-ylmethyl)phenyl]carbonoimidoyl ⁇ carbamate
  • Step 5 4- ⁇ [(6R,7R)-7- ⁇ [(2Z)-2- ⁇ 2-[(tert-Butoxycarbonyl)amino]-5-chloro-1,3-thiazol-4-yl ⁇ -2-(methoxyimino)acetyl]amino ⁇ -2- ⁇ [(4-methoxybenzyl)oxy]carbonyl ⁇ -8-oxo-5-thia-1-azabicyclo[4.2.0]oct-2-en-3-yl]methyl ⁇ -1- ⁇ 4-[N-(tert-butoxycarbonyl)carbamimidoyl]-2-chloro-6-fluorobenzyl ⁇ -1H-pyrrolo[3,2-b]pyridin-4-ium iodide
  • the resulting mixture was degassed for 30 minutes, and treated with sodium iodide (0.15 g, 1.00 mmol). The mixture was stirred at room temperature overnight, cooled to 0° C. and quenched with a 5% aqueous solution of sodium chloride and sodium thiosulfate to give an orange suspension.
  • Step 6 (6R,7R)-7- ⁇ [(2Z)-2-(2-Amino-5-chloro-1,3-thiazol-4-yl)-2-(methoxyimino)acetyl]amino ⁇ -3- ⁇ [1-(4-carbamimidoyl-2-chloro-6-fluorobenzyl)-1H-pyrrolo[3,2-b]pyridin-4-ium-4-yl]methyl ⁇ -8-oxo -5-thia-1-azabicyclo[4.2.0]oct-2-ene-2-carboxylate
  • Step 4 tert-Butyl ⁇ [3-chloro-5-fluoro-4-(1H-pyrrolo[2,3-c]pyridin-1-ylmethyl)phenyl]carbonoimidoyl ⁇ carbamate
  • Step 5 6- ⁇ [(6R,7R)-7- ⁇ [(2Z)-2- ⁇ 2-[(tert-Butoxycarbonyl)amino]-5-chloro-1,3-thiazol-4-yl ⁇ -2-(methoxyimino)acetyl]amino ⁇ -2- ⁇ [(4-methoxybenzyl)oxy]carbonyl ⁇ -8-oxo-5-thia-1-azabicyclo[4.2.0]oct-2-en-3-yl]methyl ⁇ -1- ⁇ 4-[N-(tert-butoxycarbonyl)carbamimidoyl]-2-chloro-6-fluorobenzyl ⁇ -1H-pyrrolo[2,3-c]pyridin-6-ium iodide
  • the resulting mixture was degassed for 30 minutes, then treated with sodium iodide (0.15 g, 1.00 mmol). The mixture was stirred at room temperature overnight, then cooled to 0° C. and quenched with a 5% aqueous solution of sodium chloride and sodium thiosulfate to give an orange suspension.
  • Step 6 (6R,7R)-7- ⁇ [(2Z)-2-(2-Amino-5-chloro-1,3-thiazol-4-yl)-2-(methoxyimino)acetyl]amino ⁇ -3- ⁇ [1-(4-carbamimidoyl-2-chloro-6-fluorobenzyl)-1H-pyrrolo[2,3-c]pyridin-6-ium-6-yl]methyl ⁇ -8-oxo-5-thia-1-azabicyclo[4.2.0]oct-2-ene-2-carboxylate
  • the present cephem compounds alone, or in combination with one or more ⁇ -lactamase inhibitors, may provide improved antibacterial efficacy, particularly in antibiotic-resistant bacterial strains. It is believed that the present compounds may be structurally different from known compounds and, as a result, may be more basic in nature. It is an advantage that the present compounds may extend the spectrum of effective bacterial compounds, particularly against previously-resistant bacteria (e.g. ESKAPE organisms), and/or gram negative bacteria, without significant side effects.
  • the present cephem compound may comprise reference compound ceftazidime, which may be used alone, or in combination with one or more ⁇ -lactamase inhibitors, such as NXL-104. As shown, the foregoing composition was tested for minimum inhibitory concentration (MIC, ⁇ g/mL) against bacteria listed in Tables 2-3.
  • cloacae 566 Caz R IMP S >32 2.00 4.00 0.50 0.50 0.25 2.00 0.50 4.00 0.50
  • E. cloacae596 Caz R IMP S 4.00 1.00 4.00 0.50 0.50 0.25 8.00 0.25 8.00 0.50
  • E. cloacae 2044 Caz S IMP S 1.00 0.25 0.25 0.12 0.25 0.12 0.50 0.12 0.12 ⁇ 0.06 C. freundii 15 Caz R, IMP S 8.00 2.00 16.00 0.50 4.00 0.50 16.00 0.50 8.00 0.50 C. freundii 579 Caz R, IMP S 4.00 2.00 4.00 0.25 2.00 0.50 4.00 0.25 2.00 0.25 C.
  • freundii 580 Caz R IMP S 8.00 2.00 16.00 0.50 4.00 0.50 8.00 0.25 4.00 0.25 C. freundii 2003 Caz R, IMP S 4.00 1.00 8.00 0.25 2.00 0.50 8.00 0.25 4.00 0.50 C. freundii 2487 Caz R, IMP S 16.00 8.00 32.00 1.00 8.00 1.00 32.00 1.00 8.00 1.00 K. pneumoniae 4104 KPC-3, TEM-1 32.00 8.00 16.00 16.00 2.00 8.00 2.00 32.00 2.00 2.00 2.00 K. pneumoniae 4105 KPC-3, TEM-1, 32.00 4.00 16.00 2.00 32.00 2.00 32.00 1.00 32.00 1.00 SHV-11 K.
  • aeruginosa KPC-2 >32 16 >32 8 32 32 32 8 2686 Ex-14: Ex-2: Ex-5: Ex-6: Isolate Ex-14 NXL104 Ex-2 NXL104 Ex-5 NXL104 Ex-6 NXL104 E. cloacae 16 0.5 8 0.5 16 0.5 16 1 2689 E. cloacae >32 >32 >32 >32 >32 >32 >32 >32 2705 E. cloacae >32 32 >32 32 >32 32 >32 32 >32 2706 E. cloacae 32 4 16 4 32 4 32 4 2709 E. cloacae >32 >32 >32 >32 >32 >32 >32 >32 >32 2710 E. coli 2666 32 1 32 2 16 1 16 1 E.

Landscapes

  • Health & Medical Sciences (AREA)
  • Chemical & Material Sciences (AREA)
  • Organic Chemistry (AREA)
  • Life Sciences & Earth Sciences (AREA)
  • Veterinary Medicine (AREA)
  • Public Health (AREA)
  • General Health & Medical Sciences (AREA)
  • Animal Behavior & Ethology (AREA)
  • Medicinal Chemistry (AREA)
  • Pharmacology & Pharmacy (AREA)
  • Epidemiology (AREA)
  • Nuclear Medicine, Radiotherapy & Molecular Imaging (AREA)
  • General Chemical & Material Sciences (AREA)
  • Chemical Kinetics & Catalysis (AREA)
  • Communicable Diseases (AREA)
  • Oncology (AREA)
  • Bioinformatics & Cheminformatics (AREA)
  • Engineering & Computer Science (AREA)
  • Pharmaceuticals Containing Other Organic And Inorganic Compounds (AREA)
  • Nitrogen And Oxygen Or Sulfur-Condensed Heterocyclic Ring Systems (AREA)
  • Cephalosporin Compounds (AREA)
  • Medicines That Contain Protein Lipid Enzymes And Other Medicines (AREA)

Abstract

Cephem compounds, pharmaceutically acceptable salts thereof, and methods of using same, wherein the compound has a bicyclic nitrogen-containing aromatic heterocyclic ring as the quaternary ammoniomethyl group at the 3-position and one or both of a terminal amidine residue (substituted or unsubstituted) attached to an aryl or a 5- or 6-membered heteroaryl group (substituted or unsubstituted) which is further attached through a spacer to the free N-atom of the quaternary nitrogen-containing bicyclic ring at the 3-side chain, or a terminal guanidine residue attached to an aryl or a 5- or 6-membered heteroaryl group (substituted or unsubstituted) which is further attached through a spacer to the free N-atom of the quaternary nitrogen-containing bicyclic ring at the 3-side chain.

Description

CROSS-REFERENCE TO RELATED APPLICATIONS
This Application is a Reissue of U.S. application Ser. No. 15/369,181, filed Dec. 5, 2016, now U.S. Pat. No. 9,751,894, which claims priority to U.S. Provisional Patent Application No. 62/265,625, filed Dec. 10, 2015, entitled “Cephem Derivatives As Broad-Spectrum Antibacterial Agents”, both of which is are hereby incorporated by reference in its their entirety.
TECHNICAL FIELD
New cephem compounds, their pharmaceutically acceptable salts, their use, and the methods for preparation of these new compounds are provided. More particularly, cephem compounds having improved antibacterial activity, and combinations of the present cephem antibiotics with β-lactamase inhibitors that are active against a number of resistant pathogenic microorganisms are provided.
BACKGROUND
Cephem antibiotics have been widely used for the treatment of bacterial infections both in hospitals and in the general public. As such, it is highly desirable to use cephem antibiotics showing activity against both gram-positive and gram-negative bacteria. Unfortunately, due to the existence of multiple-drug resistant gram-negative and gram-positive organisms, many bacteria have become highly resistant to a number of β-lactam drugs, including the bacteria that constitute the ESKAPE organisms, generally encompassed by the following six pathogens: Enterococcus faecium, Staphylococcus aureus, Klebsiella pneumonia, Acinetobacter baumanii, Pseudomonas aeruginosa and Enterobacter species. This includes a resistance to known cephems whereby the bacteria are producing β-lactamases, including Class A (ESBL) and Class D (serine β-lactamases) types, which have an extended substrate spectrum. As a result, the morbidity and mortality caused by bacterial infections in both hospital and community settings continues to rise, and has become a significant public health concern.
There is a demand for development of new cephem compounds which exhibit more potent antimicrobial activity in particular more effective against a variety of β-lactamase producing gram-positive and gram-negative bacteria.
A variety of cephem compounds having a quaternary ammonium group at the 3-side chain and 2-(2-aminothiazol-4-yl)-2-hydroxy-(or substituted hydroxyl)aminoacetamido group at 7-position have been published such as, for example, U.S. Pat. Nos. 4,864,022, 5,173,485 ,5,215,982, 5,071,979, 4,406,899, 4,910,301, 4,748,171, 5,010,188, International Patent Application Nos. PCT/JP2003/013684, PCT/JP2007/056136, PCT/IB2013/002423, European Patent Application No. 2 703 406, European Patent Application No. 2 557 082; European Patent No. 2 341 053; European Patent Application No. 2 70606, United States Patent Application No. 2013/0079319 (Shionogi), United States Patent Application No. 2012/0264727, and European Patent Application No. 2706062.
The above mentioned patents and patent applications disclose cephem compounds whose quaternary ammoniomethyl group at the 3-position has a monocyclic or bicyclic nitrogen-containing heterocyclic or aromatic heterocyclic ring which is optionally substituted with an organic group other than benzamidine, heteroaryl amidine, arylguanidine and heteroaryl guanidine as the terminal residues.
There remains a need for new cephem compounds having increased antibiotic efficacy, particularly in highly resistant gram-positive and gram-negative bacteria, the compounds having structural features are significantly different from the compounds described in the patent references cited above
SUMMARY
According to embodiments herein, cephem compounds and pharmaceutically acceptable salts thereof are provided having a bicyclic nitrogen containing aromatic heterocyclic ring as the quaternary ammoniomethyl group at the 3-position and the free N-atom of the said bicyclic aromatic heterocyclic ring further attached through one or two carbon spacers to a residue like benzamidine, heteroarylamidine, arylguanidine and heteroaryl guanidine or similar basic functionality bearing terminal residues. The present compounds, and pharmaceutically acceptable salts thereof, comprise different structural characteristics to known cephem compounds, providing improved antibacterial activity, particularly when used in combination with one or more β-lactamase inhibitors. It may be an advantage of the present compounds, and pharmaceutically acceptable salts thereof, to provide antibacterial activity against “third-generation” and “fourth-generation” cephalosporin-resistant bacteria including gram-negative and gram-positive strains.
In some embodiments, the present cephem compounds, and pharmaceutically acceptable salts thereof, may comprise the following structural features:
(1) A bicyclic nitrogen containing aromatic heterocyclic ring as the quaternary ammoniomethyl group at the 3-position, and
(2) A terminal amidine residue (substituted or unsubstituted) attached to an aryl or a 5- or 6-membered heteroaryl group (substituted or unsubstituted) which is further attached through a spacer to the free N-atom of the quaternary nitrogen containing bicyclic aromatic heterocyclic ring at the 3-side chain, or
(3) A terminal guanidine residue attached to an aryl or a 5- or 6-membered heteroaryl group (substituted or unsubstituted) which is further attached through a spacer to the free N-atom of the quaternary nitrogen containing bicyclic aromatic heterocyclic ring at the 3-side chain.
In some embodiments, the present cephem compound may be represented by the general formula (I) or a pharmaceutically acceptable salt thereof:
Figure USRE048097-20200714-C00001
Accordingly, in some embodiments, cephem compounds and pharmaceutically acceptable salts thereof, i.e., compounds of formula (I) and pharmaceutically acceptable salts thereof are provided. In some aspects, these compounds may exhibit activity against pathogenic microorganisms, therefore useful in the treatment of bacterial infections in humans or animals either alone or in combination with other β-lactam and/or non β-lactam β-lactamase inhibitors.
In other embodiments, pharmaceutical compositions comprising one or more compounds of formula (I), or pharmaceutically acceptable salts thereof, and a pharmaceutically acceptable carrier or diluent are provided. In some aspects, these compositions may exhibit activity against pathogenic organisms.
In other embodiments, processes for the preparation of the new cephem compounds and salts thereof, i.e., the compounds of formula (I) and pharmaceutically acceptable salts thereof are provided.
In other embodiments, pharmaceutical compositions comprising (i) one or more compounds of formula (I), or pharmaceutically acceptable salts thereof, (ii) one or more β-lactamase inhibitors, and (iii) a pharmaceutically acceptable carrier or diluent are provided. In some aspects, these compounds may exhibit activity against pathogenic microorganisms.
In other embodiments, methods for treating bacterial infections in a subject, comprising providing or administering to a subject in need thereof:
    • (i) a therapeutically effective amount of one or more compounds of formula (I), or pharmaceutically acceptable salts thereof;
    • (ii) a therapeutically effective amount of a pharmaceutical composition comprising one or more compounds of formula (I), or pharmaceutically acceptable salts thereof, and a pharmaceutically acceptable carrier or diluent;
    • (iii) a therapeutically effective amount of a combination comprising (a) one or more compounds of formula (I), or pharmaceutically acceptable salts thereof, and (b) one or more β-lactamase inhibitors; or
    • (iv) a therapeutically effective amount of a pharmaceutical composition comprising (a) one or more compounds of formula (I), or pharmaceutically acceptable salts thereof, (b) one or more β-lactamase inhibitors, and (c) a pharmaceutically acceptable carrier or diluent.
In other embodiments, the use of a compound comprising formula (I) for bacterial infections in a subject is provided. In some aspects, the compound may further comprise a β-lactamase inihibitor, and may involve the preparation of a therapeutically effective medicament.
According to embodiments herein, the present subject may be a human being or an animal, or any other organism in which the present compounds and compositions may provide a beneficial antibacterial effect.
DETAILED DESCRIPTION OF THE EMBODIMENTS
According to embodiments herein, cephem compounds of general formula (I) and pharmaceutically acceptable salts of the compounds of formula (I) are provided, wherein the compounds comprise antibiotics suitable for use either alone or in combination with 3-lactamase inhibitors for the treatment of bacterial infections. The term “antibiotic” refers to a compound or composition which decreases the viability of a microorganism, or which inhibits the growth or proliferation of a microorganism and is further intended to include an antimicrobial, bacteriostatic or bactericidal agent.
More specifically, the present cephem compounds, and pharmaceutically acceptable salts thereof, may be represented by the following general formula (I):
Figure USRE048097-20200714-C00002
In the formula (I), A is defined by the formula (Ia):
Figure USRE048097-20200714-C00003
20
where X is N, C(H), C(F) or C(Cl);
B is defined as hydrogen, methyl, ethyl or represented by the formula (Ib)
Figure USRE048097-20200714-C00004

wherein, R1 and R2 is independently hydrogen or lower alkyl, or R1 and R2 together may form a 3 to 6-membered spiro ring system; and
m is 0 or 1.
C is defined as a quaternized bicyclic nitrogen containing aromatic heterocyclic ring.
Further, regarding object (1a), it is understood that said objects include syn isomer (Z form), anti isomer (E form) and a mixture thereof.
In some preferred embodiments, the quaternized bicyclic nitrogen containing aromatic heterocyclic rings representing C, may comprise (Ic-Iz):
Figure USRE048097-20200714-C00005
Figure USRE048097-20200714-C00006
Figure USRE048097-20200714-C00007

where D is represented by CH2, CH2CH2 or CH2CO; and
E signifies an optionally substituted benzene ring or an optionally substituted 5- or 6-membered aromatic heterocyclic ring having at least one heteroatom selected from O, S and N. Such heteroaromatic rings include pyrrolyl, imidazolyl, pyrazolyl, pyridazinyl, pyrimidinyl, pyrazinyl, triazolyl, isoxazolyl, oxazolyl, oxadiazolyl, isothiazolyl, thiazolyl, thiadiazolyl, furyl, thienyl and the like.
In the above formula (I), E may even more preferably selected from aryl or 5- and 6-membered aromatic heterocyclic rings as indicated below:
Figure USRE048097-20200714-C00008
In the above definition, optional substituents include chloro, fluoro, cyano, hydroxy, carboxy, acetyl, methoxy, ethoxy, trifluoromethyl, pyrrolidinyloxy, piperidinyloxy and the like.
Preferably, the substituent is selected from chloro, fluoro, hydroxy, methoxy, trifluoromethyl, pyrrolidinyloxy.
Having further regard to the formula (I), in the definition of E the aryl or aromatic heterocyclic ring can accommodate up to 3 substituents selected from: F, Cl, CH3, C2H5, CF3, NH2, NHCH3, CONH2, CONHCH3, OCH3.
In the formula (I), F is optionally substituted amidine or optionally substituted guanidine, and
    • G is hydrogen, methyl, ethyl, C3-6 alkyl, C3-6 cycloalkyl or an optionally substituted 5- or 6-membered aliphatic or an optionally substituted 5- or 6-membered aromatic heterocyclic ring, in which the heterocyclic ring is substituted with at least 1-2 hetero atoms selected from N, O, and S (α or β).
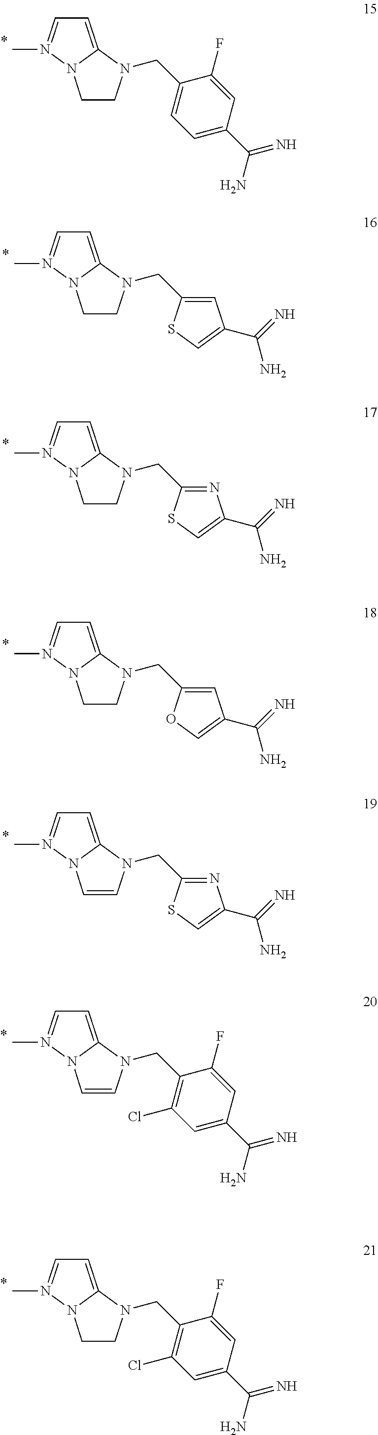
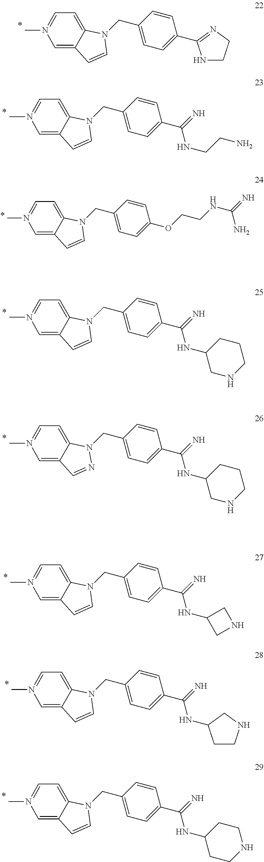
In the formula (I), some preferred examples of “-C-D-E-F” include the fragments (1 to 277) as shown below:
Figure USRE048097-20200714-C00009
Figure USRE048097-20200714-C00010
Figure USRE048097-20200714-C00011
Figure USRE048097-20200714-C00012
Figure USRE048097-20200714-C00013
Figure USRE048097-20200714-C00014
Figure USRE048097-20200714-C00015
Figure USRE048097-20200714-C00016
Figure USRE048097-20200714-C00017
Figure USRE048097-20200714-C00018
Figure USRE048097-20200714-C00019
Figure USRE048097-20200714-C00020
Figure USRE048097-20200714-C00021
Figure USRE048097-20200714-C00022
Figure USRE048097-20200714-C00023
Figure USRE048097-20200714-C00024
Figure USRE048097-20200714-C00025
Figure USRE048097-20200714-C00026
Figure USRE048097-20200714-C00027
Figure USRE048097-20200714-C00028
Figure USRE048097-20200714-C00029
Figure USRE048097-20200714-C00030
Figure USRE048097-20200714-C00031
Figure USRE048097-20200714-C00032
Figure USRE048097-20200714-C00033
Figure USRE048097-20200714-C00034
Figure USRE048097-20200714-C00035
Figure USRE048097-20200714-C00036
Figure USRE048097-20200714-C00037
Figure USRE048097-20200714-C00038
Figure USRE048097-20200714-C00039
Figure USRE048097-20200714-C00040
Figure USRE048097-20200714-C00041
Figure USRE048097-20200714-C00042
Figure USRE048097-20200714-C00043
Figure USRE048097-20200714-C00044
Figure USRE048097-20200714-C00045
Figure USRE048097-20200714-C00046
Figure USRE048097-20200714-C00047
Figure USRE048097-20200714-C00048
Figure USRE048097-20200714-C00049
Figure USRE048097-20200714-C00050
Figure USRE048097-20200714-C00051
Regarding the compounds of general formula (I), it is to be understood that said compounds include syn-isomer, anti-isomer and a mixture thereof All tautomeric isomers are contemplated, however, for the purposes of example, the object compound (I). As used herein the term ‘isomers’ refers to different compounds that have the same molecular formula but differ in arrangement and configuration of the atoms, such as geometrical isomers and optical isomers. For a given compound herein, it is to be understood that a substituent may be attached at a chiral center of a carbon atom. Therefore, enantiomers, diastereoisomers or racemates of the compound are contemplated.
It is further understood that isotopically labeled compounds, which are identical to those recited in Formula (I), so but for the fact one or more atoms are replaced by an atom having an atomic mass or mass number different from the atomic mass or mass number predominantly found in nature are also contemplated. Examples of isotopes that can be incorporated into the present compounds may include isotopes of hydrogen, carbon, nitrogen, oxygen, phosphorous, fluorine and chlorine, such as, but not limited to, 2H, 3H, 13C, 14C, 15N, 18O, 17O, 31P, 32P, 35S and 18F respectively. The present compounds, prodrugs thereof, and pharmaceutically acceptable salts of said compounds which contain the above mentioned isotopes and and/or other isotopes of other atoms are contemplated. Isotopically labeled compounds and prodrugs thereof can generally be prepared by carrying out the procedures disclosed in the Schemes and/or in the examples below, by substituting a readily available isotopically labeled reagent.
The term “β-lactamase inhibitor” refers to a compound which is capable of inhibiting β-lactamase activity, where inhibiting β-lactamase activity means inhibiting the activity of a class A, C or D β-lactamase. The term “β-lactamase” denotes an enzyme capable of inactivating a β-lactam antibiotic like a cephem antibiotic. The β-lactamase inhibitor may be, but is not limited to, the following groups:
Group 1: An oxapenam derivative of the general formula (II):
Figure USRE048097-20200714-C00052
in which R3 signifies OR4, S(O)nR4 or a 5-6 membered heteroaromatic ring which may be substituted with 1 to 5 substituents selected from alkyl, hydroxyl, alkoxy, amino, alkylamino, dialkylamino and halogen; whereby n=0, 1, or 2 and R4 is hydrogen, alkyl, (C2-C7)alkene, (C2-C7)alkyne or a 5-6 membered heteroaromatic ring which may be substituted with 1 to 5 substituents selected from alkyl, hydroxyl, alkoxy, amino, alkylamino, dialkylamino and halogen, or a pharmaceutically acceptable salt thereof.
Example of a specific compound from Group 1 is clavulanic acid (IIa):
Figure USRE048097-20200714-C00053
Group 2: A penam sulfone derivative of the general formula (III):
Figure USRE048097-20200714-C00054
In which R5 signifies hydrogen or halogen; R6 signifies CH2R7; CH═CHR7 wherein R7 is hydrogen, halogen, cyano, carboxylic acid, acyl such as acetyl, carboxamide which may be substituted, alkoxycarbonyl or a 5-6 membered heteroaromatic ring which is optionally substituted with 1 to 5 substituents selected from alkyl, hydroxyl, alkoxy, amino, alkylamino, dialkylamino and halogen; or which is optionally fused with a 5-6 membered heteroaromatic ring; CH═NR8 where R8 is amino, alkylamino, dialkylamino, aminocarbonyl, acylamino such as acetylamino, hydroxyl, alkoxy, or a pharmaceutical acceptable salt thereof. Examples of two specific compounds from Group 2 are sulbactam (IIIa) and tazobactam (IIIb):
Figure USRE048097-20200714-C00055
Group 3: A penem derivative of the general formula (IV):
Figure USRE048097-20200714-C00056
In which R9 signifies a 5-6 membered heteroaromatic ring which may be substituted with 1 to 5 substituents selected from alkyl, hydroxyl, alkoxy, amino, alkylamino, dialkylamino and halogen; or which is optionally fused with a 5-6 membered heteroaromatic ring; or a pharmaceutical acceptable salt thereof. Example of a specific compound from Group 3 is BRL-42,715 (IVa):
Figure USRE048097-20200714-C00057
Group 4: A cyclic boronic acid derivative of the general formula (V):
Figure USRE048097-20200714-C00058
Wherein, R10 signifies a substituted or unsubstituted aryl, substituted or unsubstituted heteroaryl, substituted or unsubstituted carbocyclyl and substituted or unsubstituted heterocyclyl. The substituent is selected from alkyl, hydroxyl, alkoxy, amino, alkylamino, dialkylamino and halogen; or a pharmaceutical acceptable salt thereof. Example of a specific compound from Group 4 is RPX-7009 (Va):
Figure USRE048097-20200714-C00059
Group 5: A cyclic boronic acid of the general formula (VI):
Figure USRE048097-20200714-C00060
Wherein R11 signifies alkoxy, substituted or unsubstituted thioheteroaryl or substituted carboxamide; or a pharmaceutically acceptable salt thereof. Examples of specific compounds from Group 5 are RPX 7262 (VIa), RPX 7282 (VIb), RPX 7381 (VIc), and RPX 7400 (VId):
Figure USRE048097-20200714-C00061
Group 6: A diazabicyclooctane derivative of the general formula (VII):
Figure USRE048097-20200714-C00062
Wherein, R12 signifies carboxylic acid, alkoxycarbonyl, heteroaryl, nitrile, or carboxamide which may be substituted; or a pharmaceutical acceptable salt thereof. Examples of several specific compounds from Group 6 are (VIIa-VIIg):
Figure USRE048097-20200714-C00063
It has been found that the efficacy of cephem compounds of the formula (I) herein against gram-negative bacteria can be potentiated by co-using a β-lactamase inhibitor selected from any one of the formula (II) to (VII).
A “pharmaceutically acceptable salt” of formula (I) refers to a salt which possesses the desired pharmacological activity of the parent compound. Examples of the groups for forming a pharmaceutically acceptable salt include: inorganic base salts, ammonium salts, organic base salts, basic amino acid salts, inorganic acid addition salts, and organic acid addition salts. Inorganic bases that can form the inorganic base salts include alkali metals (e.g., sodium, potassium, and lithium) and alkaline earth metals (e.g., calcium and magnesium). Organic bases that can form the organic base salts include n-propylamine, n-butylamine, cyclohexylamine, benzylamine, octylamine, ethanolamine, diethanolamine, diethylamine, triethylamine, dicyclohexylamine, procaine, choline, picoline, N,N-dibenzylethylenediamine, N-methylglucamine, morpholine, pyrrolidine, pyridine, piperidine, N-ethylpiperidine and N-methylmorpholine. Basic amino acids that can form the basic amino acid salts include lysine, arginine, ornithine and histidine. As will be appreciated by one skilled in the art, the compounds of formula (I) containing a basic nitrogen atom are capable of forming acid addition salts. Such salts with pharmaceutically acceptable acids are included herein. Examples of such acids are hydrochloric, hydrobromic, phosphoric, sulfuric, citric, oxalic, maleic, fumaric, glycolic, mandelic, tartaric, aspartic, succinic, malic, formic, acetic, trifluoroacetic, methanesulfonic, ethanesulfonic, trifluoromethanesulfonic, benzenesulfonic, p-toluenesulfonic and the like.
Moreover, some compounds of formula (I) when they contain a basic group such as NH, NH2 or pyridine and the like may form an inner zwitterionic salt with COOH group. Such inner salts are also contemplated herein.
Pharmaceutically acceptable solvates of the compounds of formula (I) are contemplated herein. ‘Pharmaceutically acceptable solvate’ refers to a molecular complex of a compound with one or more solvent molecules in a stoichiometric or non-stoichiometric amount. Such solvent molecules are those commonly used in the pharmaceutical art, which are known to be innocuous to recipient, e.g., water, ethanol, and the like. A molecular complex of a compound or moiety of a compound and a solvent can be stabilized by non-covalent intra-molecular forces such as, for example, electrostatic forces, Van der Waals forces or hydrogen bonds. The term hydrate refers to a complex where the one or more solvent molecules are water.
A combination of one or more of the compounds of formula (I) and one or more β-lactamase inhibitors are provided, where the β-lactamase inhibitors may be selected from formula (II) to (VII). Such combinations may exhibit a synergistic effect when used in the treatment of bacterial infections.
A combination of pharmaceutical compositions comprising one or more compounds of formula (I), or pharmaceutically acceptable salts thereof, and one or more pharmaceutically acceptable carriers or diluents are provided. Further, pharmaceutical compositions comprising (i) one or more compounds of formula (I), or pharmaceutically acceptable salts thereof, (ii) one or more β-lactamase inhibitors, and (iii) one or more pharmaceutically acceptable carriers or diluents are also provided. Preferably, the β-lactamase inhibitors may be selected from formula (II) to (VII). It is understood that any of the compositions and combinations herein may be administered to a subject such as, for example, by parenteral, in particular intramuscular route, oral, sublingual, rectal, aerosol or by local route in a topical application on the skin and the mucous membranes. Suitable pharmaceutically acceptable carriers and diluents include excipients such as starch, glucose, lactose, sucrose, gelatin, gum Arabic, malt, rice, flour, chalk, silica gel, sodium stearate, glycerol monostearate, talc, sodium chloride, dried skim milk, glycerol, propylene glycol, water, ethanol, and the like. Compositions of the present disclosure, if desired, can also contain minor amounts of wetting, dispersing or emulsifying agents, or pH buffering agents, and preservatives. In addition, auxiliary, stabilizing, thickening, lubricating, and coloring agents can be included. Pharmaceutical compositions can be formulated in a conventional manner. Proper formulation is dependent upon the route of administration chosen. The present pharmaceutical compositions can take the form of injectable preparations, suspensions, emulsions, sugar-coated tablets, pellets, gelatin-capsules, capsules containing liquids, powders, granules, sustained-release formulations, suppositories, aerosols, sprays, ointments, creams or any other form suitable for use.
In a pharmaceutical composition containing the present compounds, the weight ratio of active ingredient to carrier will normally be in the range of 1:20 to 20:1.
As above, methods for treating bacterial infections in a subject are also provided, said methods comprising administering to a subject in need thereof:
    • (i) a therapeutically effective amount of one or more compounds formula (I), or pharmaceutically acceptable salts thereof;
    • (ii) a therapeutically effective amount of a pharmaceutical composition comprising one or more compounds of formula (I), or pharmaceutically acceptable salts thereof, and a pharmaceutically acceptable carrier or diluent;
    • (iii) a therapeutically effective amount of a combination comprising (a) one or more compounds of formula (I), or pharmaceutically acceptable salts thereof, and (b) one or more β-lactamase inhibitors; or
    • (iv) a therapeutically effective amount of a pharmaceutical composition comprising (a) one or more compounds of formula (I), or pharmaceutically acceptable salts thereof, (b) one or more β-lactamase inhibitors, and (c) a pharmaceutically acceptable carrier or diluent.
In some embodiments, the present methods for preventing bacterial infections in a subject comprise providing a subject in need thereof:
    • (i) a therapeutically effective amount of one or more compounds formula (I), or pharmaceutically acceptable salts thereof;
    • (ii) a therapeutically effective amount of a pharmaceutical composition comprising one or more compounds of formula (I), or pharmaceutically acceptable salts thereof, and a pharmaceutically acceptable carrier or diluent;
    • (iii) a therapeutically effective amount of a combination comprising (a) one or more compounds of formula (I), or pharmaceutically acceptable salts thereof, and (b) one or more β-lactamase inhibitors; or
    • (iv) a therapeutically effective amount of a pharmaceutical composition comprising (a) one or more compounds of formula (I), or pharmaceutically acceptable salts thereof, (b) one or more β-lactamase inhibitors, and (c) a pharmaceutically acceptable carrier or diluent.
The present methods for treating or preventing a bacterial infection in a subject may comprise administering to a subject in need thereof (i) a therapeutically effective amount of one or more compounds formula (I), or pharmaceutically acceptable salts thereof, and (ii) a therapeutically effective amount of one or more β-lactamase inhibitors. It will thus be apparent that in the treating or preventing of bacterial infections, compounds of formula (I) and β-lactamase inhibitors may be administered to the subject in the same pharmaceutical formulation (e.g., a pharmaceutical composition comprising compounds of formula (I), β-lactamase inhibitors, and a carrier or diluent) or different pharmaceutical formulations (e.g., a first pharmaceutical composition—comprising compounds of formula (I) and a carrier or diluent; and a second pharmaceutical composition—comprising β-lactamase inhibitors and a carrier or diluent). When administered in different formulations, the first and second pharmaceutical compositions may be administered simultaneously, sequentially, or separated in time.
In other embodiments, the use, in the manufacture of a medicament, of a compound of formula (I) as an active ingredient is provided, wherein the active ingredient may be provided in an antibacterial composition in admixture with a carrier. In some embodiments, the use, in the manufacture of a medicament, may further comprise the compound of formula (I) in combination with one or more β-lactamase inhibitors as active ingredients, in an antibacterial composition in admixture with a carrier. In other embodiments, the use, in the manufacture of a medicament, may further comprise the compound of formula (I) in combination with one or more antibiotics β-lactamase inhibitors as active ingredients, or in combination with one or more antibiotics (e.g., a β-lactam antibiotic or some other antibiotic) as active ingredients, in an antibacterial composition in admixture with a carrier.
The parenteral administration which includes intramuscular, intraperitonial, subcutaneous and intravenous use, sterile solutions of the active ingredients are usually prepared and the pH of the solutions are suitably adjusted and buffered. For intravenous use, the total concentration of solutes should be controlled to render the preparation isotonic. Suitable solvents include saline solution (e.g., 0.9% NaCl solution) and a pyrogenic sterile water. Pharmaceutical compositions for oral delivery can be, for example, in the form of tablets, lozenges, aqueous or oily suspensions, granules, powders, emulsions, capsules, syrups, or elixirs. Orally administered compositions can contain one or more optional agents, for example, sweetening agents such as fructose, aspartame, or saccharin, flavoring agents such as peppermint, oil of wintergreen, cherry, coloring agents, and preserving agents to provide a pharmaceutically palatable preparation. Moreover, when in tablet form, the compositions can be coated to delay disintegration and absorption in the gastrointestinal tract, thereby providing a sustained action over an extended period of time. Oral compositions can include standard vehicles such as mannitol, lactose, starch, magnesium stearate, sodium saccharin, cellulose, magnesium carbonate, and the like. For oral liquid preparations, for example, suspensions, elixirs, and solutions, suitable carriers, excipients, or diluents include water, saline, alkyleneglycols (e.g. propylene glycol), polyalkylene glycols (e.g., polyethylene glycol), oils, alcohols, slightly acidic buffers ranging from about pH 4 to about pH 6 (e.g., acetate, citrate, ascorbate ranging from about 5 mM to about 50 mM), and the like. Additionally, flavoring agents, preservatives, coloring agents, bile salts, acylcarnitines, and the like can be added.
For topical formulations of the present compounds, creams, gels, ointments or viscous lotions can be used as appropriate delivery forms. Topical delivery systems also include transdermal patches containing at least one compound of formula (I) to be administered. Delivery through the skin can be achieved by diffusion or by more active energy sources such as iontophoresis or electrotransport. Formulations of a compound herein, for topical use, such as in creams, ointments, and gels, can include an oleaginous or water soluble ointment base, for example, topical compositions can include vegetable oils, animal fats, and in certain embodiments, semisolid hydrocarbons obtained from petroleum. Topical compositions can further include white ointment, yellow ointment, cetyl esters wax, oleic acid, olive oil, paraffin, petrolatum, white petrolatum, spermaceti, starch glycerite, white wax, yellow wax, lanolin, and glyceryl monostearate. Various water-soluble ointment bases can also be used, including glycol ethers and derivatives, polyethylene glycols, polyoxyl 40 stearate, and polysorbates.
In a pharmaceutical composition containing the present cephem compounds, the weight ratio of active ingredient to carrier will normally be in the range of 1:20 to 20:1.
The therapeutically effective amount of the compounds of formula (I) and pharmaceutically acceptable salts thereof and the amounts sufficient to achieve the stated goals of the methods disclosed herein vary depending upon the physical characteristics of the subject, the severity of the subject's symptoms, the formulation and the means used to administer the drug, and the method being practiced. The specific dose for a given subject is usually set by the judgment of the attending physician. However, a therapeutically effective and/or sufficient amount of the compounds and salts of the present compositions is typically between about 1 mg/kg body weight to 500 mg/kg body weight, including from 1 to 100 mg/kg, from 1 to 75 mg/kg, from 1 to 50 mg/kg, from 1 to 25 mg/kg, from 25 to 150 mg/kg, from 25 to 125 mg/kg, from 25 to 100 mg/kg, from 25 to 75 mg/kg, from 25 to 50 mg/kg, from 50 to 150 mg/kg, from 50 to 125 mg/kg, and from 50 to 100 mg/kg, regardless of the formulation. In equally preferred aspects, a therapeutically effective amount is about 1, 2, 3, 4, 5, 6, 7, 8, 9, 10, 11, 12, 13, 14, 15, 16, 17, 18, 19, 20, 21, 22, 23, 24, 25, 26, 27, 28, 29, 30, 31, 32, 33, 34 or 35 mg/kg body weight, regardless of the formulation. In some situations, a dose less than 1 mg/kg body weight or greater than 500 mg/kg body weight may be effective.
In a particular oral formulation for use in the present methods, the compound of formula (I) or a pharmaceutically acceptable salt thereof may be in the form of a capsule containing the compound or salt. Suitable amounts of the compound or salt may range from about 10 to about 3000 mg, with preferred amounts including about 100, 125, 150, 175, 200, 225, 250, 275, 300, 350, 400, 450, 500, 550, 600, 650, 700, 750, 800, 850, 900, 950, 1000, 1050, 1100, 1150, 1200, 1250, 1300, 1350, 1400, 1450 and 1500 mg.
In a particular intravenous (IV) formulation for use in the present methods, the compound of formula (I) or a pharmaceutically acceptable salt thereof is administered in a dosage of between about 100 mg and 2000 mg, preferably about 100, 125, 150, 175, 200, 225, 250, 275, 300, 325, 350, 375, 400, 450, 500, 600, 700, 800, 900, 1000, 1100, 1200, 1300, 1400, 1500 or more mg, by IV infusion over approximately 60, 90, 120 or more minutes, every 6, 12, 18 or 24 hours for 1, 2, 3, 4, 5, 6, 7, 8, 9, 10 or more days. The compound of formula (I) or a pharmaceutically acceptable salt thereof may be reconstituted in sterile water for injection (WFI) or be diluted in 5% dextrose in water, for example.
The terms “dose”, “unit dose”, “unit dosage”, or “effective dose” refer to physically discrete units that contain a predetermined quantity of active ingredient calculated to produce a desired therapeutic effect. These terms are synonymous with the therapeutically effective amounts and amounts sufficient to achieve the stated goals of the methods disclosed herein.
‘Therapeutically effective amount’ refers to the amount of a compound that, when administered to a subject for treating a disease, or at least one of the clinical symptoms of a disease, is sufficient to affect such treatment of the disease, disorder, or symptom. The therapeutically effective amount can vary depending, for example, on the compound, the disease, disorder, and/or symptoms of the disease, severity of the disease, disorder, and/or symptoms of the disease, the age, weight, and/or health of the patient to be treated, and the judgement of the prescribing physician.
Administration frequencies of doses for the treatment of a bacterial infection include 4, 3, 2 or once daily, every other day, every third day, every fourth day, every fifth day, every sixth day, once weekly, every eight days, every nine days, every ten days, bi-weekly, monthly and bi-monthly. Depending on the means of administration, the dosage may be administered all at once, such as with an oral formulation in a capsule, or slowly over a period of time, such as with an intravenous administration. For slower means of administration, the administering period can be a matter of minutes, such as about 5, 10, 15, 20, 25, 30, 35, 40, 45, 50, 55, 60, 65, 70, 75, 80, 85, 90, 95, 100, 105, 110, 115, 120 or more minutes, or a period of hours, such as about 0.5, 1, 1.5, 2, 2.5, 3, 3.5, 4, 4.5, 5 or more hours.
The weight ratio of (i) the present compounds and (ii) a β-lactamase inhibitor or an antibiotic (if it is being administered with a β-lactamase inhibitor or an antibiotic, e.g., a β-lactam antibiotic or some other antibiotic) will normally be in the range from about 1:20 to about 20:1.
In some embodiments, it is an aim to provide an improved method for the treatment of bacterial infections caused by β-lactamase producing bacteria in a patient in need of such treatment comprising administering to the patient a therapeutically effective amount of at least one compound chosen from formula (I) or a pharmaceutically acceptable salt thereof, either alone or in combination with one or more β-lactamase inhibitors, including the β-lactamase inhibitor of formula (II) to (VII) provided above. In such an embodiment, the compounds may increase the antibacterial effectiveness of β-lactamase susceptible β-lactam antibiotics, that is, they may increase the effectiveness of the antibiotic against infections caused by β-lactamase producing micro-organisms in mammalian subjects, particularly in humans. As such, the present compounds of formula (I) and pharmaceutically acceptable salts thereof may valuable for co-administration with β-lactamase inhibitors. In this regard, the present compounds of formula (I) or a pharmaceutically salt thereof can be mixed with the β-lactamase inhibitors, and the two agents thereby administered simultaneously. Alternatively, the two agents can be administered sequentially, either one immediately after the other or separated in time by 1, 5, 10, 15, 30, 45 or 60 minutes, or 1, 2, 3, 4, 5, 6, 7, 8, 9, 10, 11, 12, 13, 14, 15, 16, 17, 18 or more hours, or 1, 2, 3, 4, 5 or more days. When co-administered with a β-lactamase inhibitor, the present compounds and the β-lactamase inhibitor may, in combination, provide a synergistic effect. The term ‘synergystic effect’ refers to the effect produced when two or more agents are co-administered is greater than the effect produced when the agents are administered individually. Alternatively, the compound of formula (I) or a salt thereof can be administered as a separate agent during a course of treatment with the β-lactamase inhibitor.
In other embodiments, it is an aim to provide an improved method for the treatment of bacterial infections caused by β-lactamase producing bacteria in a patient in need of such treatment comprising administering to the patient a therapeutically effective amount of at least one compound chosen from formula (I) or a pharmaceutically acceptable salt thereof, either alone or in combination with one or more antibiotics, including β-lactam antibiotics and non β-lactam antibiotics. In such an embodiment, the compounds may increase the antibacterial effectiveness of β-lactamase susceptible β-lactam antibiotics, that is, they may increase the effectiveness of the antibiotic against infections caused by β-lactamase producing microorganisms in mammalian subjects, particularly in human. In that regard, the compounds of formula (I) and pharmaceutically acceptable salts thereof may be valuable for co-administration with β-lactam antibiotics. In the treatment of a bacterial infection, the present so compounds of formula (I) or a pharmaceutically salt thereof can be mixed with the β-lactam antibiotic, and the two agents thereby administered simultaneously. Alternatively, the two agents can be administered sequentially, either one immediately after the other or separated in time by 1, 5, 10, 15, 30, 45 or 60 minutes, or 1, 2, 3, 4, 5, 6, 7, 8, 9, 10, 11, 12, 13, 14, 15, 16, 17, 18 or more hours, or 1, 2, 3, 4, 5 or more days. When co-administered with a β-lactam antibiotic, the combination of the present compound and the antibiotic can provide a synergistic effect. The term ‘synergystic effect’ refers to the effect produced when two or more agents are co-administered is greater than the effect produced when the agents are administered individually. Alternatively, the compound of formula (I) or a salt thereof can be administered as a separate agent during a course of treatment with the antibiotic. Examples of compounds of the formula (I), without limiting to the specified compounds, are provided in the following Table 1.
TABLE 1
Com-
pound
No. Structure Chemical Name
1
Figure USRE048097-20200714-C00064
(6R,7R)-7-{[(2Z)-2-(2-amino- 1,3-thiazol-4- yl)-2-{[(2-carboxypropan-2- yl)oxy]imino}acetyl]amino}- 3-{[1-(4-carbamimidoylbenzyl)- 1H-pyrrolo[3,2-c]pyridin- 5-ium-5-yl]methyl}-8-oxo-5- thia-1-azabicyclo[4.2.0]oct-2- ene-2-carboxylate
2
Figure USRE048097-20200714-C00065
(6R,7R)-7-{[(2Z)-2-(2-amino- 1,3-thiazol-4-yl)-2-{[(2- carboxypropan-2- yl)oxy]imino}acetyl]- amino}-8-oxo-3-[(1- {4-[N-(piperidin-3- yl)carbamimidoyl]- benzyl}-1H-pyrazolo[4,3- c]pyridin-5-ium-5-yl)methyl]- 5-thia-1-azabicyclo[4.2.0]oct- 2-ene-2-carboxylate
3
Figure USRE048097-20200714-C00066
(6R,7R)-7-{[(2Z)-2-(2-amino- 1,3-thiazol-4-yl)-2-{[(2-car- boxypropan-2-yl)oxy]imino}- acetyl]amino}-8-oxo-3-[(1- {4-[N-(piperidin-3- yl)carbamimidoyl]benzyl}- 1H-pyrrolo[3,2-c]pyridin- 5-ium-5-yl)methyl]-5-thia-1- azabicyclo[4.2.0]oct-2- ene-2-carboxylate
4
Figure USRE048097-20200714-C00067
(6R,7R)-7-{[(2Z)-2-(2-amino- 1,3-thiazol-4-yl)-2-{[(2- carboxypropan-2-yl)oxy]- imino}acetyl]amino}-3-{[1-(4- carbamimidamidobenzyl)-1H- pyrrolo[3,2-c]pyridin-5-ium- 5-yl]methyl}-8-oxo-5-thia- 1-azabicyclo[4.2.0]oct-2- ene-2-carboxylate
5
Figure USRE048097-20200714-C00068
(6R,7R)-7-{[(2Z)-2-(2-amino- 1,3-thiazol-4- yl)-2-{[(2-carboxypropan-2- yl)oxy]imino}acetyl]amino}- 3-{[1-(4- carbamimidoylbenzyl)-1H- imidazo[1,2- b]pyrazol-5-ium-5-yl]methyl}- 8-oxo-5-thia- 1-azabicyclo[4.2.0]oct-2-ene- 2-carboxylate
6
Figure USRE048097-20200714-C00069
(6R,7S)-7-{[(2Z)-2-(2-amino- 1,3-thiazol-4- yl)-2-{[(2-carboxypropan-2- yl)oxy]imino}acetyl]amino}- 3-({1-[4-(2- carbamimidamidoethoxy)- benzyl]-1H- pyrrolo[3,2-c]pyridin-5- ium-5-yl}methyl)- 8-oxo-5-thia-1-azabicyclo- [4.2.0]oct-2-ene-2-carboxylate
7
Figure USRE048097-20200714-C00070
(6R,7R)-3-[(1-{4-[N-(2- aminoethyl)carbamimidoyl]- benzyl}-1H- pyrrolo[3,2-c]pyridin-5-ium- 5-yl)methyl]-7- {[(2Z)-2-(2-amino-1,3-thiazol- 4-yl)-2-{[(2- carboxypropan-2- yl)oxy]imino}acetyl]amino}- 8-oxo-5-thia- 1-azabicyclo[4.2.0]oct-2-ene- 2-carboxylate
8
Figure USRE048097-20200714-C00071
(6R,7R)-7-{[(2Z)-2-(2-amino- 1,3-thiazol-4- yl)-2-{[(2-carboxypropan-2- yl)oxy]imino}acetyl]amino}- 3-({1-[4-(4,5- dihydro-1H-imidazol-2- yl)benzyl]-1H- pyrrolo[3,2-c]pyridin-5- ium-5-yl}methyl)- 8-oxo-5-thia-1-azabicyclo- [4.2.0]oct-2-ene-2-carboxylate
9
Figure USRE048097-20200714-C00072
(6R,7R)-7-{[(2Z)-2-(2-amino- 1,3-thiazol-4- yl)-2-{[(2-carboxypropan-2- yl)oxy]imino}acetyl]amino}- 3-{[1-(4- carbamimidoylbenzyl)-2,3- dihydro-1H- imidazo[1,2-b]pyrazol-5-ium- 5-yl]methyl}- 8-oxo-5-thia-1-azabicyclo- [4.2.0]oct-2-ene-2-carboxylate
10
Figure USRE048097-20200714-C00073
(6R,7R)-7-{[(2Z)-2-(2-amino- 1,3-thiazol-4- yl)-2-{[(2-carboxypropan-2- yl)oxy]imino}acetyl]amino}- 3-({1-[4-(2- carbamimidamidoethoxy)- benzyl]-2,3- dihydro-1H-imidazo[1,2- b]pyrazol-5-ium-5- yl}methyl)-8-oxo-5-thia-1- azabicyclo[4.2.0]oct-2-ene- 2-carboxylate
11
Figure USRE048097-20200714-C00074
(6R,7R)-7-{[(2Z)-2-(2-amino- 1,3-thiazol-4- yl)-2-{[(2-carboxypropan-2- yl)oxy]imino}acetyl]amino}- 3-({1-[(4- carbamimidoylthiophen-2- yl)methyl]-1H- pyrrolo[3,2-c]pyridin-5-ium- 5-yl}methyl)-8-oxo- 5-thia-1-azabicyclo[4.2.0]- oct-2-ene-2-carboxylate
12
Figure USRE048097-20200714-C00075
(6R,7R)-7-{[(2Z)-2-(2-amino- 1,3-thiazol-4- yl)-2-{[(2-carboxypropan-2- yl)oxy]imino}acetyl]amino}-3- ({1-[2-(4- carbamimidamidophenyl)ethyl]- 1H-pyrrolo[3,2-c]pyridin-5- ium-5-yl}methyl)-8-oxo- 5-thia-1-azabicyclo[4.2.0]- oct-2-ene-2-carboxylate
13
Figure USRE048097-20200714-C00076
(6R,7R)-7-{[(2Z)-2-(2-amino- 1,3-thiazol-4- yl)-2-{[(2-carboxypropan-2- yl)oxy]imino}acetyl]amino}- 3-({1-[(4- carbamimidoylfuran-2- yl)methyl]-1H- pyrrolo[3,2-c]pyridin-5-ium- 5-yl}methyl)-8-oxo- 5-thia-1-azabicyclo[4.2.0]- oct-2-ene-2-carboxylate
14
Figure USRE048097-20200714-C00077
(6R,7R)-7-{[(2Z)-2-(2-amino- 1,3-thiazol-4- yl)-2-{[(2-carboxypropan-2- yl)oxy]imino}acetyl]amino}- 3-{[1-(4- carbamimidoyl-2-fluorobenzyl)- 1H-pyrrolo[3,2-c]pyridin-5- ium-5-yl]methyl}- 8-oxo-5-thia-1-azabicyclo- [4.2.0]oct-2-ene-2-carboxylate
15
Figure USRE048097-20200714-C00078
(6R,7R)-7-{[(2Z)-2-(2-amino- 1,3-thiazol-4- yl)-2-{[(2-carboxypropan-2- yl)oxy]imino}acetyl]amino}- 3-{[1-(4- carbamimidoyl-2-fluorobenzyl)- 1H-imidazo[1,2-b]pyrazol-5- ium-5-yl]methyl}-8-oxo- 5-thia-1-azabicyclo[4.2.0]- oct-2-ene-2-carboxylate
16
Figure USRE048097-20200714-C00079
(6R,7R)-7-{[(2Z)-2-(2-amino- 1,3-thiazol-4- yl)-2-{[(2-carboxypropan-2- yl)oxy]imino}acetyl]amino}- 3-([1-[(4- carbamimidoyl-1,3-thiazol-2- yl)methyl]-1H- pyrrolo[3,2-c]pyridin-5-ium- 5-yl}methyl)-8-oxo-5-thia-1- azabicyclo[4.2.0]oct-2- ene-2-carboxylate
17
Figure USRE048097-20200714-C00080
(6R,7R)-7-{[(2Z)-2-(2-amino- 1,3-thiazol-4- yl)-2-{[(2-carboxypropan-2- yl)oxy]imino}acetyl]amino}- 3-{[1-({3- [(diaminomethylidene)amino]- 1,2-oxazol-5- yl}methyl)-1H-pyrrolo[3,2- c]pyridin-5-ium- 5-yl]methyl}-8-oxo-5-thia-1- azabicyclo[4.2.0]oct-2-ene-2- carboxylate
18
Figure USRE048097-20200714-C00081
(6R,7R)-7-{[(2Z)-2-(2-amino- 1,3-thiazol-4- yl)-2-{[(2-carboxypropan-2- yl)oxy]imino}acetyl]amino}- 3-({1-[(4- carbamimidoylthiophen-2- yl)methyl]-1H- imidazo[1,2-b]pyrazol-5-ium- 5-yl}methyl)-8-oxo- 5-thia-1-azabicyclo[4.2.0]- oct-2-ene-2-carboxylate
19
Figure USRE048097-20200714-C00082
(6R,7R)-7-{[(2Z)-2-(2-amino- 1,3-thiazol-4- yl)-2-{[(2-carboxypropan-2- yl)oxy]imino}acetyl]amino}- 3-({1-[4-(N′- methoxycarbamimidoyl)benzyl]- 1H-pyrrolo[3,2-c]pyridin-5- ium-5-yl}methyl)- 8-oxo-5-thia-1-azabicyclo- [4.2.0]oct-2-ene-2-carboxylate
20
Figure USRE048097-20200714-C00083
(6R,7R)-7-{[(2Z)-2-(5-amino- 1,2,4-thiadiazol-3-yl)-2-{[(2- carboxypropan-2- yl)oxy]imino}acetyl]amino}- 3-{[1-(4- carbamimidoyl-2-fluorobenzyl)- 1H-pyrrolo[3,2-c]pyridin-5- ium-5-yl]methyl}- 8-oxo-5-thia-1-azabicyclo- [4.2.0]oct-2-ene- 2-carboxylate
21
Figure USRE048097-20200714-C00084
(6R,7R)-7-{[(2Z)-2-(2-amino- 5-chloro-1,3-thiazol- 4-yl)-2-{[(2-carboxypropan-2- yl)oxy]imino}acetyl]amino}- 3-{[1-(4-carbamimidoyl-2- fluorobenzyl)-1H-pyrrolo[3,2- c]pyridin-5-ium-5-yl]methyl}- 8-oxo-5-thia-1-azabicyclo- [4.2.0]oct-2-ene- 2-carboxylate
22
Figure USRE048097-20200714-C00085
(6R,7R)-7-({(2Z)-2-(2-amino- 1,3-thiazol-4- yl)-2-[(carboxymethoxy)- imino]acetyl}amino)- 3-{[1-(4-carbamimidoyl-2- fluorobenzyl)-1H-imidazo[1,2- b]pyrazol-5-ium-5-yl]methyl}- 8-oxo-5-thia-1- azabicyclo[4.2.0]oct-2-ene- 2-carboxylate
23
Figure USRE048097-20200714-C00086
(6R,7R)-7-{[(2Z)-2-(2-amino-5- chloro-1,3-thiazol-4-yl)- 2-{[(2-carboxypropan-2- yl)oxy]imino}acetyl]amino}- 3-{[1-(4-carbamimidoyl-2- fluorobenzyl)-1H-imidazo[1,2- b]pyrazol-5-ium-5-yl]methyl}- 8-oxo-5-thia-1-azabicyclo- [4.2.0]oct-2-ene- 2-carboxylate
24
Figure USRE048097-20200714-C00087
(6R,7R)-7-{[(2Z)-2-(5-amino- 1,2,4-thiadiazol-3-yl)-2-{[(2- carboxypropan-2- yl)oxy]imino}acetyl]amino}- 3-{[1-(4-carbamimidoyl-2- fluorobenzyl)-1H- imidazo[1,2-b]pyrazol-5-ium- 5-yl]methyl}- 8-oxo-5-thia-1-azabicyclo- [4.2.0]oct-2-ene- 2-carboxylate
25
Figure USRE048097-20200714-C00088
(6R,7R)-7-{[(2Z)-2-(2-amino- 1,3-thiazol-4- yl)-2-{[(2-carboxypropan-2- yl)oxy]imino}acetyl]amino}- 3-({1-[(4- carbamimidoylfuran-2- yl)methyl]-1H- imidazo[1,2-b]pyrazol-5-ium- 5-yl}methyl)- 8-oxo-5-thia-1-azabicyclo- [4.2.0]oct-2-ene- 2-carboxylate
26
Figure USRE048097-20200714-C00089
(6R,7R)-7-{[(2Z)-2-(2-amino- 1,3-thiazol-4- yl)-2-{[(2-carboxypropan-2- yl)oxy]imino}acetyl]amino}- 3-({1-[(4- carbamimidoyl-1,3-thiazol- 2-yl)methyl]- 1H-imidazo[1,2-b]pyrazol-5- ium-5-yl}methyl)-8-oxo-5- thia-1-azabicyclo[4.2.0]oct- 2-ene-2-carboxylate
27
Figure USRE048097-20200714-C00090
(6R,7R)-7-{[(2Z)-2-(5-amino- 1,2,4-thiadiazol-3-yl)-2-{[(2- carboxypropan-2- yl)oxy]imino}acetyl]amino}- 3-({1-[(4- carbamimidoylthiophen-2- yl)methyl]-1H- imidazo[1,2-b]pyrazol-5- ium-5-yl}methyl)- 8-oxo-5-thia-1-azabicyclo- [4.2.0]oct-2-ene- 2-carboxylate
28
Figure USRE048097-20200714-C00091
(6R,7R)-7-{[(2Z)-2-(2-amino 5-chloro-1,3-thiazol-4-yl)-2- {([(2-carboxypropan-2-yl)oxy]- imino}acetyl]amino}-3-({1-[(4- carbamimidoylthiophen-2- yl)methyl]-1H-imidazo[1,2- b]pyrazol-5-ium-5-yl}methyl)- 8-oxo-5-thia-1-azabicyclo- [4.2.0]oct-2-ene- 2-carboxylate
29
Figure USRE048097-20200714-C00092
(6R,7R)-7-{[(2Z)-2-(2-amino- 1,3-thiazol-4-yl)-2-{[(2-car- boxypropan-2-yl)oxy]imino} acetyl]-amino}-3-[(1-{[3-(4,5- dihydro-1H-imidazol-2-yl)- 1,2-oxazol-5-yl]methyl}-1H- pyrrolo[3,2-c]pyridin-5-ium- 5-yl)methyl]-8-oxo-5-thia-1- azabicyclo[4.2.0]oct-2-ene- 2-carboxylate
30
Figure USRE048097-20200714-C00093
(6R,7R)-7-{[(2Z)-2-(2-amino- 1,3-thiazol-4-yl)-2-{[(2-car- boxypropan-2-yl)oxy]imino}- acetyl]amino}-3-({1-[(4- carbamimidoyl-1,3-oxazol- 2-yl)methyl]-1H-pyrrolo[3,2- c]pyridin-5-ium-5-yl}methyl)- 8-oxo-5-thia-1-azabicyclo- [4.2.0]oct-2-ene-2-carboxylate
31
Figure USRE048097-20200714-C00094
(6R,7R)-7-{[(2Z)-2-(2-amino- 1,3-thiazol-4-yl)-2-{[(2- carboxypropan-2- yl)oxy]imino}acetyl]amino}-3- ({1-[(4-{N-[(E)- (dimethylamino)methylidene] carbamimidoyl}-1,3-oxazol- 2-yl)methyl]-1H-pyrrolo[3,2- c]pyridin-5-ium-5-yl} methyl)-8-oxo-5-thia-1- azabicyclo[4.2.0] oct-2-ene-2-carboxylate
32
Figure USRE048097-20200714-C00095
(6R,7R)-7-{[(2Z)-2-(2-amino- 1,3-thiazol-4-yl)-2-{[(2- carboxypropan-2- yl)oxy]imino}acetyl]aminol- 3-{[1-({2-[(diamino- methylidene)amino]-1,3-thiazol- 4-yl}methyl)-1H-pyrrolo[3,2- c]pyridin-5-ium-5-yl]methyl}- 8-oxo-5-thia-1-azabicyclo- [4.2.0]oct-2-ene-2-carboxylate
33
Figure USRE048097-20200714-C00096
(6R,7R)-7-{[(2Z)-2-(2-amino-5- chloro-1,3-thiazol-4-yl)-2- (hydroxyimino)acetyl]amino)- 3-({1-[(4-carbamimidamidothio- phen-2-yl)methyl]-1H- imidazo[1,2-b]pyrazol-5-ium- 5-yl}methyl)-8-oxo-5-thia-1- azabicyclo[4.2.0]oct-2-ene- 2-carboxylate
34
Figure USRE048097-20200714-C00097
(6R,7R)-7-{[(2Z)-2-(2-amino-5- chloro-1,3-thiazol-4-yl)-2- (methoxyimino)acetyl]amino}- 3-({1-[(4-carbamimidamidothio- phen-2-yl)methyl]-1H- imidazo[1,2-b]pyrazol-5-ium-5- yl}methyl)-8-oxo-5-thia-1- azabicyclo[4.2.0]oct-2-ene- 2-carboxylate
35
Figure USRE048097-20200714-C00098
(6R,7R)-7-{[(2Z)-2-(2-amino-5- chloro-1,3-thiazol-4-yl)-2- (hydroxyimino)acetyl]amino}- 3-({1-[(4-carbamimidamido- 1,3-thiazol-2-yl)methyl]-1H- imidazo[1,2-b]pyrazol-5-ium-5- yl}methyl)-8-oxo-5-thia-1- azabicyclo[4.2.0]oct-2-ene- 2-carboxylate
36
Figure USRE048097-20200714-C00099
(6R,7R)-7-{[(2Z)-2-(2-amino-5- chloro-1,3-thiazol-4-yl)-2- (methoxyimino)acetyl]amino}- 3-({1-[(4-carbamimidamido- 1,3-thiazol-2-yl)methyl]- 1H-imidazo[1,2-b]pyrazol- 5-ium-5-yl}methyl)-8-oxo-5- thia-1-azabicyclo[4.2.0]oct-2- ene-2-carboxylate
37
Figure USRE048097-20200714-C00100
(6R,7R)-7-{[(2Z)-2-(2-amino- 5-chloro-1,3-thiazol-4-yl)-2- (hydroxyimino)acetyl]amino}- 3-{[1-(4-carbamimidamido- benzyl)-1H-imidazo[1,2- b]pyrazol-5-ium-5-yl]methyl}- 8-oxo-5-thia-1-azabicyclo- [4.2.0]oct-2-ene-2-carboxylate
38
Figure USRE048097-20200714-C00101
(6R,7R)-7-{[(2Z)-2-(2-amino-5- chloro-1,3-thiazol-4-yl)-2- (methoxyimino)acetyl]amino}- 3-([1-(4-carbamimidamido- benzyl)-1H-imidazo[1,2- b]pyrazol-5-ium-5-yl]methyl}-8- oxo-5-thia-1-azabicyclo[4.2.0]- oct-2-ene-2-carboxylate
39
Figure USRE048097-20200714-C00102
(6R,7R)-1-{[(2Z)-2-(2-amino-5- chloro-1,3-thiazol-4-yl)-2- (hydroxyimino)acetyl]amino)- 3-({1-[(4-carbamimidamido- furan-2-yl)methyl]-1H- imidazo[1,2-b]pyrazol-5- ium-5-yl}methyl)-8-oxo-5- thia-1-azabicyclo[4.2.0]oct- 2-ene-2-carboxylate
40
Figure USRE048097-20200714-C00103
(6R,7R)-7-{[(2Z)-2-(2-amino- 5-chloro-1,3-thiazol-4-yl)-2- (methoxyimino)acetyl]amino}- 3-({1-[(4-carbamimidamido- furan-2-yl)methyl]-1H-imi- dazo[1,2-b]pyrazol-5-ium-5- yl}methyl)-8-oxo-5-thia-1- azabicyclo-[4.2.0]oct-2-ene- 2-carboxylate
41
Figure USRE048097-20200714-C00104
(6R,7R)-7-{[(2Z)-2-(2-amino- 1,3-thiazol-4- yl)-2-{[(2-carboxypropan-2- yl)oxy]imino}acetyl]amino}- 3-({1-[(4- carbamimidamidothiophen-2- yl)methyl]- 1H-imidazo[1,2-b]pyrazol- 5-ium-5-yl}methyl)-8-oxo- 5-thia-1-azabicyclo[4.2.0]oct- 2-ene-2-carboxylate
42
Figure USRE048097-20200714-C00105
(6R,7R)-7-{[(2Z)-2-(2-amino- 1,3-thiazol-4- yl)-2-{[(2-carboxypropan-2- yl)oxy]imino}acetyl]amino}- 3-({1-[(4-carbamimidamido- 1,3-thiazol-2-yl)methyl]- 1H-imidazo[1,2-b]pyrazol- 5-ium-5-yl}methyl)-8-oxo- 5-thia-1-azabicyclo[4.2.0]oct- 2-ene-2-carboxylate
43
Figure USRE048097-20200714-C00106
(6R,7R)-7-{[(2Z)-2-(2-amino- 1,3-thiazol-4-yl)-2-{[(2- carboxypropan-2- yl)oxy]imino]acetyl]amino}- 3-{[1-(4-carbamimidamido- benzyl)-1H-imidazo[1,2- b]pyrazol-5-ium-5-yl]methyl}- 8-oxo-5-thia-1-azabicyclo[4.2.0]- oct-2-ene-2-carboxylate
44
Figure USRE048097-20200714-C00107
(6R,7R)-7-{[(2Z)-2-(2-amino- 1,3-thiazol-4- yl)-2-{[(2-carboxypropan-2- yl)oxy]imino)acetyl]amino}- 3-({1-[(4- carbamimidamidofuran-2- yl)methyl]-1H- imidazo[1,2-b]pyrazol-5-ium- 5-yl}methyl)-8-oxo-5-thia- 1-azabicyclo[4.2.0]oct-2-ene- 2-carboxylate
45
Figure USRE048097-20200714-C00108
(6R,7R)-7-{[(2Z)-2-(2-amino- 1,3-thiazol-4- yl)-2-{[(2-carboxypropan-2- yl)oxy]imino}acetyl]amino}- 3-({1-[4- (hydrazinylcarbonoimidoyl)- benzyl]-1H- pyrrolo[3,2-c]pyridin-5-ium-5- yl}methyl)-8-oxo-5-thia- 1-azabicyclo-[4.2.0]oct-2- ene-2-carboxylate
46
Figure USRE048097-20200714-C00109
(6R,7R)-7-{[(2Z)-2-(2-amino- 1,3-thiazol-4-yl)-2-{[(2- carboxypropan-2-yl)oxy]- imino}acetyl]amino}-3- {[1-(3-carbamimidamido- propyl)-1H-imidazo[1,2- b]pyrazol-5-ium-5-yl]methyl}- 8-oxo-5-thia-1-azabicyclo- [4.2.0]oct-2-ene-2-carboxylate
47
Figure USRE048097-20200714-C00110
(6R,7R)-7-{[(2Z)-2-(2-amino- 5-chloro-1,3-thiazol-4-yl)-2- (methoxyimino)acetyl]amino}- 3-{[1-(3-carbamimidamido- propyl)-1H-imidazo[1,2- b]pyrazol-5-ium-5-yl]methyl}- 8-oxo-5-thia- 1-azabicyclo[4.2.0]oct-2-ene- 2-carboxylate
48
Figure USRE048097-20200714-C00111
(6R,7R)-7-{[(2Z)-2-(2-amino-5- chloro-1,3-thiazol-4-yl)-2- (hydroxyimino)acetyl]amino}- 3-{[1-(3- carbamimidamidopropyl)- 1H-imidazo[1,2- b]pyrazol-5-ium-5-yl]methyl}- 8-oxo-5-thia- 1-azabicyclo[4.2.0]oct-2-ene- 2-carboxylate
49
Figure USRE048097-20200714-C00112
(6R,7R)-7-{[(2Z)-2-(2-amino- 1,3-thiazol-4- yl)-2-{[(2-carboxypropan-2- yl)oxy]imino}acetyl]amino}- 3-{[1-(4- carbamimidoyl-2-chloro-6- fluorobenzyl)-1H-pyrrolo[3,2- c]pyridin-5-ium-5- yl]methyl}-8-oxo-5-thia-1- azabicyclo[4.2.0]oct-2-ene-2- carboxylate
50
Figure USRE048097-20200714-C00113
(6R,7R)-7-{[(2Z)-2-(2-amino- 5-chloro-1,3- thiazol-4-yl)-2- (methoxyimino)acetyl]amino}- 3-({1-[(4- carbamimidoylthiophen-2- yl)methyl]-1H- pyrrolo[3,2-c]pyridin-5-ium- 5-yl}methyl)-8-oxo-5-thia- 1-azabicyclo[4.2.0]oct-2-ene- 2-carboxylate
51
Figure USRE048097-20200714-C00114
(6R,7R)-7-{[(2Z)-2-(2-amino- 5-chloro-1,3- thiazol-4-yl)-2- (methoxyimino)acetyl]amino)- 3-({1-[(4- carbamimidoylthioplien-2- yl)methyl]-1H- imidazo[1,2-b]pyrazol-5-ium- 5-yl}methyl)-8-oxo-5-thia- 1-azabicyclo[4.2.0]oct-2-ene- 2-carboxylate
52
Figure USRE048097-20200714-C00115
(6R,7R)-7-{[(2Z)-2-(2-amino- 5-chloro-1,3- thiazol-4-yl)-2- (methoxyimino)acetyl]amino}- 3-{[1-(4- carbamimidoyl-2-fluorobenzyl)- 1H-pyrrolo[3,2-c]pyridin-5- ium-5-yl]methyl}-8-oxo-5-thia- 1-azabicyclo[4.2.0]oct-2-ene- 2-carboxylate
53
Figure USRE048097-20200714-C00116
(6R,7R)-7-{[(2Z)-2-(2-amino-5- chloro-1,3-thiazol-4-yl)-2- (methoxyimino)acetyl]- amino}-3-({1-[(4- carbamimidoyl-1,3-thiazol- 2-yl)methyl]- 1H-imidazo[1,2-b]pyrazol- 5-ium-5-yl}methyl)-8-oxo- 5-thia-1-azabicyclo[4.2.0]oct- 2-ene-2-carboxylate
54
Figure USRE048097-20200714-C00117
(6R,7R)-7-{[(2Z)-2-(2-amino- 5-chloro-1,3- thiazol-4-yl)-2- (methoxyimino)acetyl]amino}- 8-oxo-3-{[1- (4-{N-[(3R)-piperidin-3- yl]carbamimidoyl}benzyl)-1H- pyrrolo[3,2- c]pyridin-5-ium-5-yl]methyl}- 5-thia-1-azabicyclo[4.2.0]oct- 2-ene-2-carboxylate
55
Figure USRE048097-20200714-C00118
(6R,7R)-7-{[(2Z)-2-(2-amino- 1,3-thiazol-4-yl)-2- (methoxyimino)acetyl]amino}- 3-{[1-(4-carbamimidoyl-2- fluorobenzyl)-1H- pyrrolo[3,2-c]pyridin-5-ium- 5-yl]methyl}-8-oxo-5-thia- 1-azabicyclo[4.2.0]oct-2-ene- 2-carboxylate
56
Figure USRE048097-20200714-C00119
(6R,7R)-7-{[(2Z)-2-(2-amino- 5-chloro-1,3- thiazol-4-yl)-2-(methoxy- imino)acetyl]amino}- 3-({1-[(4-carbamimidoyl- furan-2-yl)methyl]-1H- pyrrolo[3,2-c]pyridin-5-ium- 5-yl}methyl)-8-oxo-5-thia-1- azabicyclo[4.2.0]oct-2-ene- 2-carboxylate
57
Figure USRE048097-20200714-C00120
(6R,7R)-7-{[(2Z)-2-(2-amino- 1,3-thiazol-4- yl)-2-{[(2-carboxypropan-2- yl)oxy]imino)acetyl]amino}- 3-{[1-({3-[(diaminomethyli- dene)amino]-1,2-oxazol-5- yl}methyl)-1H-pyrrolo[3,2- c]pyridin-5-ium-5-yl]methyl}- 8-oxo-5-thia-1- azabicyclo[4.2.0]oct-2-ene- 2-carboxylate
58
Figure USRE048097-20200714-C00121
(6R,7R)-7-{[(2Z)-2-(2-amino- 5-chloro-1,3- thiazol-4-yl)-2- (methoxyimino)acetyl]amino}- 3-{[1-(4- carbamimidoyl-2-chloro-6- fluorobenzyl)- 1H-pyrrolo[3,2-c]pyridin- 5-ium-5- yl]methyl}-8-oxo-5-thia-1- azabicyclo[4.2.0]oct-2-ene- 2-carboxylate
59
Figure USRE048097-20200714-C00122
(6R,7R)-7-{[(2Z)-2-(2-amino- 1,3-thiazol-4- yl)-2-(methoxyimino)acetyl]- amino}-3-({1- [(4-carbamimidoylthiophen- 2-yl)methyl]- 1H-pyrrolo[3,2-c]pyridin-5- ium-5-yl}methyl)-8-oxo-5- thia-1-azabicyclo[4.2.0]oct-2- ene-2-carboxylate
60
Figure USRE048097-20200714-C00123
(6R,7R)-7-{[(2Z)-2-(2-amino- 5-chloro-1,3- thiazol-4-yl)-2- (methoxyimino)acetyl]amino}- 3-({1-[(4-carbamimidoylthio- phen-2-yl)methyl]-1H- pyrrolo[3,2-b]pyridin-4-ium-4- yl}methyl)- 8-oxo-5-thia-1-azabicyclo- [4.2.0]oct-2-ene- 2-carboxylate
61
Figure USRE048097-20200714-C00124
(6R,7R)-7-{[(2Z)-2-(2-amino-5- chloro-1,3-thiazol-4-yl)-2- (methoxyimino)acetyl]amino}- 3-({1-[(4-carbamimidoylthio- phen-2-yl)methyl]-1H- pyrrolo[2,3-c]pyridin-6- ium-6-yl}methyl)-8-oxo-5- thia-1-azabicyclo[4.2.0]oct-2- ene-2-carboxylate
62
Figure USRE048097-20200714-C00125
Preparation of (6R,7R)-7- {[(2Z)-2-(2-amino-5-chloro- 1,3-thiazol-4-yl)-2- (methoxyimino)acetyl]amino}- 8-oxo-3-[(1-{[4-(N-phenylcar- bamimidoyl)thiophen-2- yl]methyl}-1H-pyrrolo[3,2- c]pyridin-5-ium- 5-yl)methyl]-5-thia-1- azabicyclo[4.2.0]oct- 2-ene-2-carboxylate
63
Figure USRE048097-20200714-C00126
(6R,7R)-7-{[(2Z)-2-(2-amino- 5-chloro-1,3-thiazol-4-yl)-2- (methoxyimino)acetyl]amino}- 8-oxo-3-[(1-([4-(pyrrolidin-1- ylcarbonoimidoyl)thiophen- 2-yl]methyl}-1H-pyrrolo[3,2- c]pyridin-5-ium-5- yl)methyl]-5-thia-1- azabicyclo[4.2.0]oct-2- ene-2-carboxylate
64
Figure USRE048097-20200714-C00127
(6R,7R)-7-{[(2Z)-2-(2-amino- 5-chloro-1,3-thiazol-4-yl)-2- (methoxyimino)acetyl]amino}- 8-oxo-3-{[1-({4-[N-(1,3- triazol-2-yl)carbamimidoyl]- thiophen-2-yl}methyl)-1H- pyrrolo[3,2- c]pyridin-5-ium-5-yl]methyl}- 5-thia-1-azabicyclo[4.2.0]cot- 2-ene-2-carboxylate
65
Figure USRE048097-20200714-C00128
(6R,7R)-7-{[(2Z)-2-(2-amino- 5-chloro-1,3-thiazol-4-yl)-2- {[(2-carboxypropan-2- yl)oxy]imino}acetyl]amino}- 3-({1-[(4- carbamimidoylthiophen-2- yl)methyl]-1H-pyrrolo[2,3- c]pyridin-6-ium-6-yl}methyl)- 8-oxo-5-thia-1-azabicyclo- [4.2.0]oct-2-ene- 2-carboxylate
66
Figure USRE048097-20200714-C00129
(6R,7R)-7-{[(2Z)-2-(5-amino- 1,2,4-thiadiazol-3-yl)-2-{[(2- carboxypropan-2-yl)oxy] imino}acetyl]amino}-3-({1- [(4-carbamimidoylthiophen- 2-yl)methyl]-1H-pyrrolo[2,3- c]pyridin-6-ium-6-yl}methyl)- 8-oxo-5-thia-1-azabicyclo- [4.2.0]oct-2-ene- 2-carboxylate
67
Figure USRE048097-20200714-C00130
(6R,7R)-7-{[(2Z)-2-(5-amino- 1,2,4-thiadiazol-3-yl)-2- (methoxyimino)acetyl]amino}- 3-({1-[(4-carbamimidoylthio- phen-2-yl)methyl]-1H- pyrrolo[2,3-c]pyridin-6-ium- 6-yl}methyl)-8-oxo-5-thia-1- azabicyclo[4.2.0]oct-2-ene- 2-carboxylate
68
Figure USRE048097-20200714-C00131
(6R,7R)-7-{[(2Z)-2-(5-amino- 1,2,4-thiadiazol-3-yl)-2-{[(2- carboxypropan-2- yl)oxy]imino}acetyl]amino}- 3-({1-[(4-carbamimidoylthio- phen-2-yl)methyl]-1H- pyrrolo[3,2-b]pyridin-4-ium- 4-yl}methyl)-8-oxo-5-thia-1- azabicyclo[4.2.0]oct-2-ene- 2-carboxylate
69
Figure USRE048097-20200714-C00132
(6R,7R)-7-{[(2Z)-2-(2-amino- 1,3-thiazo]-4-yl)-2-(methoxy- imino)acetyl]amino}-3-{[1- (4-carbamimidoyl-2-chloro-6- fluorobenzyl)-1H-pyrrolo[3,2- c]pyridin-5-ium-5-yl]methyl}- 8-oxo-5-thia-1-azabicyclo- [4.2.0]oct-2-ene-2-carboxylate
70
Figure USRE048097-20200714-C00133
(6R,7R)-7-{[(2Z)-2-(2-amino- 5-chloro-1,3-thiazol-4-yl)-2- (methoxyimino)acetyl]amino)- 3-{[1-(4-carbamimidoyl-2- chloro-6-fluorobenzyl)- 1H-pyrrolo[2,3-c]pyridin-6- ium-6-yl]methyl}-8-oxo-5-thia- 1-azabicyclo[4.2.0]oct-2-ene- 2-carboxylate
71
Figure USRE048097-20200714-C00134
(6R,7R)-7-{[(2Z)-2-(2-amino- 5-chloro-1,3-thiazol-4-yl)-2- (methoxyimino)acetyl]amino}- 3-{[1-(4-carbamimidoyl-2- chloro-6-fluorobenzyl)- 1H-pyrrolo[3,2-b]pyridin-4- ium-4-yl]methyl}-8-oxo-5- thia-1- azabicyclo[4.2.0]oct-2-ene- 2-carboxylate
72
Figure USRE048097-20200714-C00135
(6R,7R)-7-{[(2Z)-2-(2-amino- 5-chloro-1,3-thiazol-4-yl)-2- {[(2-carboxypropan-2- yl)oxy]imino}acetyl]amino}- 3-{[1-(4-carbamimidoyl-2- chloro-6-fluorobenzyl)- 1H-pyrrolo[2,3-c]pyridin- 6-ium-6-yl]methyl}-8-oxo- 5-thia-1-azabicyclo[4.2.0]oct- 2-ene-2-carboxylate
73
Figure USRE048097-20200714-C00136
(6R,7R)-7-{[(2Z)-2-(2-amino- 1,3-thiazol-4-yl)-2-(methoxy- imino)acetyl]amino}-3-{[1- (4-carbamimidoyl-2-chloro-6- fluorobenzyl)-1H-pyrrolo[2,3- c]pyridin-6-ium-6-yl]methyl}- 8-oxo-5-thia-1- azabicyclo[4.2.0]oct-2-ene- 2-carboxylate
74
Figure USRE048097-20200714-C00137
(6R,7R)-7-{[(2Z)-2-(5-amino- 1,2,4-thiadiazol-3-yl)-2-{[(2- carboxypropan-2-yl)oxy]- imino}acetyl]amino}-3-{[1-(4- carbamimidoyl-2-chloro-6- fluorobenzyl)-1H-pyrrolo[2,3- c]pyridin-6-ium-6-yl]methyl}- 8-oxo-5-thia-1- azabicyclo[4.2.0]oct- 2-ene-2-carboxylate

Methods of Preparation:
The compounds of general formula (I) can be prepared as described in the following schemes (Scheme 1 and Scheme 2) which illustrate the general method of preparation only and are not intended to be limiting to any specific compound described herein.
Figure USRE048097-20200714-C00138
Process I (Scheme 1):
(a) Coupling Step:
Reaction of (VIII, q=0, Y=chloride) with the intermediate (IX) is carried out in a conventional solvent such as water, alcohol (e.g., methanol, ethanol etc.), acetone, dioxane, acetonitrile, chloroform, methylene chloride, ethylene chloride, tetrahydrofuran, ethylacetate, N,N-dimethylformamide, pyridine or any other organic solvent which does not adversely influence the reaction. These conventional solvents may also be used as a co-solvent in a mixture with water. In this reaction, when Y=Cl, the reaction is preferably carried out in the presence of a conventional alkali metal halide such as potassium iodide and in the presence of N,N-dimethylformamide or dimethylacetamide. The reaction is usually carried out ranging from −20° C. to 40° C.
(b) Hydrolysis Step:
The hydrolysis is preferably carried out in the presence of a base or an acid including Lewis acid. Suitable base may include an inorganic base such as an alkali metal (e.g., sodium, potassium etc.); an alkali earth metal (e.g., magnesium, calcium etc.), the hydroxide or carbonate or bicarbonate thereof, and an organic base trialkylamine (e.g., trimethylamine, triethylamine, etc.), picoline or the like. Suitable acid may include an organic acid (e.g., formic acid, acetic acid, propionic acid, trichloroacetic acid, trifluoroacetic acid) and an inorganic acid (e.g., hydrochloric acid, hydrobromic acid, sulfuric acid). The hydrolysis using Lewis acid such as trihaloacetic acid (e.g., trichloroacetic acid, trifluoroacetic acid) or the like and the reaction is preferably carried out in the presence of cation trapping agents (e.g., anisole, phenol etc.). The hydrolysis using Lewis acid such as aluminum trichloride is carried out in a solvent like nitromethane. The hydrolysis reaction is usually carried out in a non-aqueous solvent such as methylene chloride, tetrahydrofuran, a mixture of solvents thereof, or any other solvent that does not adversely influence the reaction. The reaction temperature may be room temperature, or any other temperature as may be appropriate.
Figure USRE048097-20200714-C00139
Process II (Scheme 2):
(a) Coupling Step:
Reaction of (VIII, q=1, Y=iodide) with the intermediate (IX) is carried out in a conventional solvent such as water, alcohol (e.g., methanol, ethanol etc.), acetone, dioxane, acetonitrile, chloroform, methylene chloride, ethylene chloride, tetrahydrofuran, ethyl acetate, N,N-dimethylformamide, pyridine or any other organic solvent which does not adversely influence the reaction. These conventional solvents may also be used as a co-solvent in a mixture with water. In this reaction, when Y=Cl, the reaction is preferably carried out in the presence of a conventional alkali metal halide such as potassium iodide and in the presence of N,N-dimethylformamide or dimethylacetamide. The reaction temperature is not critical, and usually carried out under cooling to room temperature, even more preferably ranging from −20° C. to 40° C.
(b) Reduction Step:
Reduction is carried out in a conventional manner. Suitable reducing agents to be used in chemical reduction are a combination of a metal (e.g., tin, zinc, iron etc.) and an organic or inorganic acid (e.g formic acid, acetic acid, propionic acid, trifluoroacetic acid, p-toluenesulfonic acid, hydrochloric acid, hydrobromic acid, etc.). Reduction can also be carried out using a combination of alkali metal halide (e.g., potassium iodide) and acetyl chloride. The reduction is usually carried out in a conventional solvent which does not adversely influence the reaction such as N,N-dimethylformamide, diethyl ether, dioxane, tetrahydrofuran, etc. or a mixture of solvents thereof. The reduction is carried out under cooling to warming, more specifically in the range from −40° C. to 0° C.
(c) Hydrolysis Step:
The hydrolysis is preferably carried out in the presence of a base or an acid including Lewis acid. Suitable base may include an inorganic base such as an alkali metal (e.g., sodium, potassium etc.); an alkali earth metal (e.g., magnesium, calcium etc.), the hydroxide or carbonate or bicarbonate thereof, and an organic base, trialkylamine (e.g., trimethylamine, triethylamine, etc.), picoline or the like. Suitable acid may include an organic acid (e.g., formic acid, acetic acid, propionic acid, trichloroacetic acid, trifluoroacetic acid) and an inorganic acid (e.g., hydrochloric acid, hydrobromic acid, sulfuric acid). The hydrolysis using Lewis acid such as trihaloacetic acid (e.g., trichloroacetic acid, trifluoroacetic acid) or the like and the reaction is preferably carried out in the presence of cation trapping agents (e.g., anisole, phenol etc.). The hydrolysis using Lewis acid such as aluminum trichloride is carried out in a solvent like nitromethane. The hydrolysis reaction is usually carried out in a non-aqueous solvent such as methylene chloride, tetrahydrofuran, a mixture of solvents thereof or any other solvent that does not adversely influence the reaction. The reaction temperature is not critical, but is usually carried out at room temperature.
In the formula (VIII), A and B have the same definitions as described before.
Thus, in formula (VIII), A is defined by the formula (Ia);
Figure USRE048097-20200714-C00140
Object (1a) includes syn isomer (Z form) anti isomer (E form) and a mixture thereof.
Wherein X is N, C(H), C(F) or C(Cl);
B is defined as hydrogen, methyl, ethyl or represented by the formula (Ib)
Figure USRE048097-20200714-C00141
Wherein, R1 and R2 is independently hydrogen or lower alkyl, or R1 and R2 together may form a 3 to 6-membered spiro ring system; and
m is 0 or 1.
Furthermore, in the formula (Ib), R1 and R2 together may form a 3- to 6-membered spiro ring system;
Y is halogen, even more preferably chloro or iodo;
q is 0 or 1;
In the organic residue as designated by (IX), objects C, D, E and F have the same definitions as described before, thus C is selected from the following quaternized bicyclic aromatic heterocyclic rings represented by the formulae (Ic) to (Iz);
Figure USRE048097-20200714-C00142
Figure USRE048097-20200714-C00143
Figure USRE048097-20200714-C00144

D represents CH2, CH2CH2 or CH2CO;
  • E is selected from aryl or a 5- to 6-membered aromatic heterocyclic ring as shown below;
Figure USRE048097-20200714-C00145

F is optionally substituted amidine or an optionally substituted guanidine; and
G is hydrogen, methyl, ethyl, C3-6 alkyl, C3-6 cycloalkyl or an optionally substituted 5- or 6-membered aliphatic or an optionally substituted 5- or 6-membered aromatic heterocyclic ring, in which the heterocyclic ring is substituted with at least 1-2 hetero atoms selected from N, O, and S (α or β).
In the formula (VIII), P1 is a suitable carboxy protecting group frequently used in (3-lactam chemistry. Suitable examples may be the ones such as lower alkyl ester (e.g., methyl, ethyl, propyl, isopropyl, butyl, isobutyl, t-butyl, pentyl, t-pentyl, hexyl, 1-cyclopropylethyl etc.); lower alkenyl ester (e.g., vinyl, allyl); lower alkynyl ester (e.g., ethynyl, propynyl); lower alkoxyalkyl ester (e.g., methoxymethyl, ethoxymethyl, isopropoxymethyl, 1-methoxyethyl, 1-ethoxyethyl etc.); lower alkylthioalkyl ester (e.g., methylthiomethyl, ethylthiomethyl, ethylthioethyl, isopropylthiomethyl); mono (or di or tri-) halo(lower) alkyl ester (e.g., 2-iodoethyl, 2,2,2-trichloroethyl etc.); lower alkanoyloxy(lower)alkyl ester (e.g., acetoxymethyl, propionyloxymethyl, butyryloxymethyl, valeryloxymethyl, pivaloyloxymethyl, hexanoyloxymethyl, 2-acetoxyethyl, 2-propionyloxyethyl etc.); lower alkanesulfonyl(lower)alkyl ester (e.g., mesylmethyl ester, 2-mesylethyl ester etc.); ar(lower)alkyl ester, for example, phenyl(lower)alkyl ester which may have one or more suitable substituent(s) (e.g., benzyl, 4-methoxybenzyl, 4-nitrobenzyl, phenethyl, trityl, benzhydryl, bis(methoxyphenyl)methyl, 3,4-dimethoxybenzyl, 4-hydroxy-3,5-di-t-butylbenzyl, etc.); aryl ester which may have one or more suitable substituent(s) such as substituted or unsubstituted phenyl ester (e.g., phenyl, tolyl, t-butyl phenyl, xylyl, mesityl, 4-chlorophenyl, 4-methoxyphenyl, etc.); tri(lower)alkyl silyl ester; lower alkylthioester (e.g., methylthioester, ethylthioester, etc.) and the like.
It is understood that in the formula (VIII), when an amino group is present in the molecule, it is to be protected with a suitable protecting group commonly used in the β-lactam chemistry such as benzyl, trityl, t-butoxycarbonyl or the like. Similarly, it is to be understood that in the formula (VIII), when a carboxyl group is present in the molecule, it is to be protected with a suitable protecting group selected from the group as described for PI- above.
The following are provided for illustrative purposes only, and are not intended to be limiting of the present compositions and methods in any way.
EXAMPLES
In the examples the following abbreviations have been used.
Boc: N-tert-butoxycarbonyl
Br s: broad singlet
CDCl3: deuterated chloroform
CD3OD: deuterated methanol
CH3NO2: nitromethane
D2O: deuterium oxide
d: doublet
DCM: dichloromethane
DMAP: 4-dimethylaminopyridine
DMF: N, N′-dimethylformamide
DMSO-d6: deuterated dimethylsulfoxide
ES: electron spray
g: gram(s)
h: hour(s)
HPLC: high-performance liquid chromatography
Hz: Hertz
J: coupling constant
m: multiplet
mmol: millimole(s)
MHz: megahertz
MS: mass spectrometry
Example 1 (Table 1, Compound 1) (6R,7R)-7-{[(2Z)-2-(2-Amino-1,3-thiazol-4-yl)-2-{[(2-carboxypropan-2-yl)oxy]imino}acetyl]-amino}-3-{[1-(4-carbamimidoylbenzyl)-1H-pyrrolo[3,2-c]pyridin-5-ium-5-yl]methyl}-8-oxo-5-thia-1-azabicyclo[4.2.0]oct-2-ene-2-carboxylate
Figure USRE048097-20200714-C00146
Step 1: 4-(1H-Pyrrolo[3,2-c]pyridin-1-ylmethyl)benzonitrile
Figure USRE048097-20200714-C00147
To a solution of 1H-pyrrolo[3,2-c]pyridine (1.0 g, 8.5 mmol) in DMF (40 mL) under nitrogen at 0° C. was added NaH (60% in mineral oil, 0.51 g, 12.8 mmol) in portions and after stirring for 15 min was added 4-(bromomethyl)benzonitrile (2.5 g, 12.8 mmol) in portions. The reaction mixture was stirred at 0° C. for 2 h then at room temperature for 1 h and quenched with saturated ammonium chloride solution then diluted with ethyl acetate (100 mL) and water (100 mL). The organic layer was separated, washed with brine (3×100 mL), dried (Na2SO4) and concentrated.
The crude product was purified by silica gel column chromatography using methylene chloride: ethyl acetate: methanol (5:3:2) to afford 4-(1H-pyrrolo[3,2-c]pyridin-1-ylmethyl)benzonitrile (1.2 g, 60%) as a solid.
1H NMR (400 MHz, CDCl3): δ 5.38 (s, 2H), 6.68 (d, 1H, J=3.2 Hz), 7.11-7.17 (m, 4H), 7.54 (d, 2H, J=8.0 Hz), 8.27 (d, 1H, J=5.6 Hz), 8.94 (s, 1H).
Step 2: Methyl 4-(1H-pyrrolo[3,2-c]pyridin-1-ylmethyl)benzenecarboximidate hydrochloride
Figure USRE048097-20200714-C00148
Through a solution of 4-(1H-pyrrolo[3,2-c]pyridin-1-ylmethyl)benzonitrile (from step 1, 0.7 g, 3.0 mmol) in anhydrous methanol (25 mL) in a pressure vessel at 0° C. was bubbled a stream of anhydrous hydrogen chloride gas for 10 min. The reaction vessel was stoppered and stirred at room temperature for 18 h and the contents were transferred into a flask and evaporated under reduced pressure. The crude product was triturated with ether, then dried under vacuum to provide methyl 4-(1H-pyrrolo[3,2-c]pyridin-1-ylmethyl)benzenecarboximidate hydrochloride (0.85 g, 94%) as a solid.
1H NMR (400 MHz, CD3OD): δ 4.34 (s, 3H), 5.50 (s, 2H), 7.20 (s, 1H), 7.50 (d, 2H, J=8.0 Hz), 7.96-8.11 (m, 4H), 8.39 (d, 1H, J=6.8 Hz), 9.22 (s, 1H). One proton was not observed in CD3OD.
Step 3: 4-(1H-Pyrrolo[3,2-c]pyridin-1-ylmethyl)benzenecarboximidamide
Figure USRE048097-20200714-C00149
A pressure vessel containing a suspension of methyl 4-(1H-pyrrolo[3,2-c]pyridin-1-ylmethyl)benzenecarboximidate hydrochloride (from step 2, 0.9 g, 2.85 mol) in methanol (25 mL) was saturated with ammonia gas and stoppered. The reaction mixture was stirred at room temperature for 24 h, then excess ammonia was vented out and the contents were concentrated under reduced pressure. The residue was triturated with hexanes and dried under vacuum to give 4-(1H-pyrrolo[3,2-c]pyridin-1-ylmethyl)benzenecarboximidamide (1.0 g) as a solid.
1H NMR (400 MHz, CD3OD): δ 5.76 (s, 2H), 7.05 (d, 1H, J=3.2 Hz), 7.45 (d, 2H, J=8.0 Hz), 7.79-7.89 (m, 4H), 8.30 (s, 1H), 9.08 (s, 1H). Three protons were not observed in CD3OD.
Step 4: tert-Butyl {[4-(1H-pyrrolo[3,2-c]pyridinylmethyl)phenyl]carbonoimidoyl}carbamate
Figure USRE048097-20200714-C00150
A solution of 4-(1H-Pyrrolo[3,2-c]pyridin-1-ylmethyl)benzenecarboximidamide (from step 3, 0.25 g. 1.0 mmol) in 1,4-dioxane (30 mL) was treated with a saturated sodium carbonate solution (20 mL) followed by di-tert-butyl dicarbonate (1.1 g, 5.0 mmol) and stirred at room temperature for 40 h. The reaction mixture was concentrated under reduced pressure to remove the volatiles and the remaining solution was dissolved in ethyl acetate (60 mL), then washed with water (60 mL), brine solution (60 mL), dried and concentrated. The crude product was purified by silica gel column chromatography using ethyl acetate:methanol:ammonium hydroxide (60:39:1) as eluent to afford tert-butyl {[4-(1H-pyrrolo[3,2-c]pyridin-1-ylmethyl)phenyl]carbonoimidoyl}carbamate (0.12 g, 34%).
1H NMR (400 MHz, CDCl3): δ 1.54 (s, 9H), 5.36 (s, 2H), 6.60 (br s, 1H), 6.66 (d, 1H, J=3.6 Hz), 7.11-7.14 (m, 5H), 7.79 (d, 2H, J=8.4 Hz), 8.23 (d, 1H, J=6.0 Hz), 8.93 (s, 1H).
Step 5: 5-{[(6R,7R)-7-{[(2Z)-2-{2-[(tert-Butoxycarbonyl)amino]-1,3-thiazol-4-yl}-2-{[(1-tert-butoxy-2-methyl-1-oxopropan-2-yl)oxy]imino}acetyl]amino}-2-{[(4-methoxybenzyl)oxy]carbonyl}-8-oxo-5-thia-1-azabicyclo[4.2.0]oct-2-en-3-yl methyl}-1-{4-[N-(tert-butoxycarbonyl)carbamimidoyl]benzyl}-1H-pyrrolo[3,2-c]pyridin-5-ium iodide
Figure USRE048097-20200714-C00151
To a solution of tert-butyl {[4-(1H-pyrrolo[3,2-c]pyridin-1-ylmethyl)phenyl]carbonoimidoyl}carbamate (from step 4, 0.07 g, 0.20 mmol) in dimethylacetamide (1.3 mL) was added 4-methoxybenzyl (6R,7R)-7-{[(2Z)-2-{2-[(tert-butoxycarbonyl)amino]-1,3-thiazol-4-yl}-2-{[(1-tert-butoxy-2-methyl-1-oxopropan-2-yl)oxy]imino}acetyl]amino}-3-(chloromethyl)-8-oxo-5-thia-1-azabicyclo[4.2.0]oct-2-ene-2-carboxylate (0.156 g, 0.20 mmol) at 0° C. The reaction mixture was then degassed under reduced pressure for 0.5 h and was added sodium iodide (0.06 g, 0.40 mmol). After stirring at 15° C. for 16 h, the reaction mixture was slowly added to 5% aqueous sodium chloride and sodium thiosulfate solution cooled under ice. The suspension was then filtered, washed with water and the solid was vacuum dried to get a yellow solid (0.22 g) which was used in the next step without further purification.
Step 6: (6R,7R)-7-{[(2Z)-2-(2-Amino-1,3-thiazol-4-yl)-2-{[(2-carboxypropan-2-yl)oxy]imino}acetyl]amino}-3-{[1-(4-carbamimidoylbenzyl)-1H-pyrrolo[3,2-c]pyridin-5-ium-5-yl]methyl}-8-oxo-5-thia-1-azabicyclo[4.2.0]oct-2-ene-2-carboxylate
Figure USRE048097-20200714-C00152
To a solution of 5-{[(6R,7R)-7-{[(2Z)-2-{5-[(tert-butoxycarbonyl)amino]-1,2,4-thiadiazol-3-yl}-2-{[(1-tert-butoxy-2-methyl-1-oxopropan-2-yl)oxy]imino}acetyl]amino}-2-{[(4-methoxybenzyl)oxy]carbonyl}-8-oxo-5-thia-1-azabicyclo[4.2.0]oct-2-en-3-yl]methyl}-1-{4-[N-(tert-butoxycarbonyl)carbamimidoyl]benzyl}-1H-pyrrolo[3,2-c]pyridin-5-ium iodide (from step 5, 0.22 g) in dry dichloromethane (4.5 mL) at −40° C. was added anisole (0.36 mL, 3.34 mmol) followed by 2M AlCl3 in CH3NO2 (1.7 mL, 3.52 mmol). The liquid was stirred at 0° C. for 30 min. To the reaction mixture were added di-isopropyl ether (5 mL) and water (0.5 mL), and the resultant mixture was stirred to generate a precipitate. The supernatant was removed by decantation. To the insoluble matter adhering to the vessel were added dilute aqueous hydrochloric acid solution (2 mL) and acetonitrile (5 mL) and was stirred to dissolve the matter completely. Thereto was added HP20 resin (0.5 g), stirred for 30 min. and then filtered. The filtrate was concentrated and freeze-dried to give a crude product, which was purified by HPLC to obtain (6R,7R)-7-{[(2Z)-2-(5-amino-1,2,4-thiadiazol-3-yl)-2-{[(2-carboxypropan-2-yl)oxy]imino}acetyl]amino}-3-{[1-(4-carbamimidoylbenzyl)-1H-pyrrolo[3,2-c]pyridin-5-ium-5-yl]methyl}-8-oxo-5-thia-1-azabicyclo[4.2.0]oct-2-ene-2-carboxylate as formic acid salt (0.02 g, 15.5%).
1H NMR (D2O): δ 1.25 (s, 6H), 2.94 (d, 1H, J=17.6 Hz), 3.38 (d, 1H, J=18.0 Hz), 5.08-5.13 (m, 2H), 5.33 (d, 1H, J=14.4 Hz), 5.53 (s, 2H), 5.63 (d, 1H, J=4.8 Hz), 6.76 (s, 1H), 6.94 (s, 1H), 7.22 (d, 2H, J=7.2 Hz), 7.55 (d, 2H, J=7.6 Hz), 7.68 (m, 2H), 8.23 (d, 1H, J=7.2 Hz), 9.06 (s, 1H). Seven protons were not observed in D2O.
Example 2 (Table 1, Compound 9) (6R,7R)-7-{[(2Z)-2-(2-Amino-1,3-thiazol-4-yl)-2-{[(2-carboxypropan-2-yl)oxy]imino}acetyl]amino}-3-{[1-(4-carbamimidoylbenzyl)-2,3-dihydro-1H-imidazo[1,2-b]pyrazol-5-ium-5-yl]methyl}-8-oxo-5-thia-1-azabicyclo[4.2.0]oct-2-ene-2-carboxylate
Figure USRE048097-20200714-C00153
Step 1: 4-((2,3-Dihydro-1H-imidazo[1,2-b]pyrazol-1-yl)methyl)benzonitrile
Figure USRE048097-20200714-C00154
To a solution of 2,3-dihydro-1H-imidazo[1,2-b]pyrazole (1.399 g, 12.84) in dimethyl formamide (10 mL) was added 4-(bromomethyl)benzonitrile (2.86 g, 12.84 mmol) followed by potassium carbonate (2.66 g, 19.26 mmol) and the reaction mixture was stirred under nitrogen 20 h, then diluted with ethyl acetate (100 mL) and water (100 mL). The organic layer was separated, washed with water (3×100 mL) followed by brine solution (200 mL), dried over Na2SO4 and concentrated under reduced pressure. Purification of the crude product by silica gel column chromatography using ethyl acetate as eluent gave 4-((2,3-dihydro-1H-imidazo[1,2-b]pyrazol-1-yl)methyl)benzonitrile (2.1 g, 72.9%) as a solid.
1H NMR (400 MHz, DMSO-d6): δ 3.66 (t, 2H), 4.07 (t, 2H), 4.31 (s, 2H), 5.22 (d, 2H, J=2.0 Hz), 7.19 (d, 1H, J=1.5 Hz), 7.58 (d, 2H, J=8.2 Hz), 7.85 (d, 2H, J=8.2 Hz)
Step 2: Ethyl 4-(2,3-dihydro-1H-imidazo[1,2-b]pyrazol-1-ylmethyl)benzenecarboximidate hydrochloride
Figure USRE048097-20200714-C00155
Through a solution of 4-((2,3-dihydro-1H-imidazo[1,2-b]pyrazol-1-yl)methyl)benzonitrile (from step 1, 1.5 g, 6.69 mmol) in anhydrous methanol in a pressure vessel at 0° C. was bubbled a stream of anhydrous hydrogen chloride gas for 15 min. The reaction vessel was stoppered and stirred at room temperature for 20 h, the contents were transferred to a flask and evaporated in vacuo. The crude product was triturated with ether and dried under vacuum to get ethyl 4-(2,3-dihydro-1H-imidazo[1,2-b]pyrazol-1-ylmethyl)benzenecarboximidate hydrochloride (1.8 g, 87.8%) as a solid.
1H NMR (400 MHz, DMSO-d6): δ 1.49 (t, 3H), 3.77 (dd, 2H, J=4.2 Hz), 4.17 (t, 2H), 4.43 (dd, 2H, 10.0 Hz), 4.63 (q, 2H, J=7.1 Hz), 5.51 (d, 1H, J=2.3 Hz), 6.00 (br s, 2H), 7.63 (d, 2H, J=8.0 Hz), 8.14 (d, 2H, J=8.0 Hz), 12.20 (br s, 2H).
Step 3: 4-(2,3-Dihydro-1H-imidazo[1,2-b]pyrazol-1-ylmethyl)benzenecarboximidamide
Figure USRE048097-20200714-C00156
A pressure vessel containing a suspension of ethyl 4-(2,3-dihydro-1H-imidazo[1,2-b]pyrazol-1-ylmethyl)benzenecarboximidate hydrochloride (from step 2, 1.8 g, 5.87 mol) in methanol (25 mL) was saturated with ammonia gas and stoppered. The reaction mixture was stirred at room temperature for 24 h, then the excess ammonia was vented out and the contents were concentrated under reduced pressure. The residue was triturated with hexanes and dried under vacuum to give 4-(2,3-dihydro-1H-imidazo[1,2-b]pyrazol-1-ylmethyl)benzenecarboximidamide (0.95 g, 66.9%) as a solid.
1H NMR (400 MHz, DMSO-d6): δ 3.66 (t, 2H), 4.06 (t, 2H), 4.31 (t, 2H), 5.22 (d, 1H, J=2.0 Hz), 7.17 (d, 1H, J=1.6 Hz), 7.71 (d, 2H, J=8.2 Hz), 7.83 (d, 2H, J=8.2 Hz)
Mass: ES+ 242.10
Step 4: tert-Butyl {[4-(2,3-dihydro-1H-imidazo[1,2-b]pyrazol-1-ylmethyl)phenyl]carbonoimidoyl}carbamate
Figure USRE048097-20200714-C00157
To a suspension of 4-(2,3-dihydro-1H-imidazo[1,2-b]pyrazol-1-ylmethyl)benzenecarboximidamide (from step 3, 0.95 g, 3.94 mmol) in a mixture of sodium bicarbonate (1.60 g, 19.7 mmol), 1,4-dioxane (25 mL) and water (10 mL) was added di-tert-butyl dicarbonate (2.74 g, 12.54 mmol) and stirred at room temperature for 24 h. The reaction mixture was concentrated under reduced pressure to remove the volatiles and the remaining solution was dissolved in ethyl acetate (80 mL), washed with water (80 mL), brine solution (80 mL), dried and concentrated. The crude product was purified by silica gel column chromatography using ethyl acetate as eluent to afford tert-butyl {[4-(2,3-dihydro-1H-imidazo[1,2-b]pyrazol-1-ylmethyl)phenyl]carbonoimidoyl)}carbamate (0.45 g, 33.5%).
1H NMR (400 MHz, DMSO-d6): δ 1.42 (s, 9H), 3.63 (t, 2H), 4.24 (t, 2H), 5.18 (d, 1H, J=2.0 Hz), 7.16 (d, 1H, J=2.0 Hz), 7.45 (d, 2H, J=8.0 Hz), 7.92 (d, 2H, J=8.0 Hz).
Step 5: 5-{[(6R,7R)-7-{[(2Z)-2-{2-[(tert-Butoxycarbonyl)amino]-1,3-thiazol-4-yl}-2-{[(1-tert-butoxy-2-methyl-1-oxopropan-2-yl)oxy]imino}acetyl]amino}-2-{[(4-methoxybenzyl)oxy]carbonyl}-8-oxo-5-thia-1-azabicyclo[4.2.0]oct-2-en-3-yl]methyl}-1-{4-[N-(tert-butoxycarbonyl)carbamimidoyl]benzyl}-2,3-dihydro-1H-imidazo[1,2-b]pyrazol-5-ium iodide
Figure USRE048097-20200714-C00158
To a solution of 4-methoxybenzyl (6R,7R)-7-((Z)-2-(((1-(tert-butoxy)-2-methyl-1-oxopropan-2-yl)oxy)imino)-2-(2-((tert-butoxycarbonyl)amino)thiazol-4-yl)acetamido)-3-(chloromethyl)-8-oxo-5-thia-1-azabicyclo[4.2.0]oct-2-ene-2-carboxylate (0.35 g, 0.449 mmol) in dimethylformamide (8 mL) at room temperature was added potassium iodide (0.149 g, 0.898 mmol) and after stirring for 10 min was added tert-butyl {[4-(2,3-dihydro-1H-imidazo[1,2-b]pyrazol-1-ylmethyl)phenyl]carbonoimidoyl}carbamate (from step 4, 153 mg, 0.449 mmol). The reaction mixture was then stirred under nitrogen at room temperature for 16 h and diluted with a 1:1 mixture of sodium thio sulfate and brine (15 mL) solution. The suspension was then filtered, washed with water and the solid was vacuum dried to get a yellow solid (0.448 g), which was used in the next step without further purification.
Step 6: (6R,7R)-7-{[(2Z)-2-(2-Amino-1,3-thiazol-4-yl)-2-{[(2-carboxypropan-2-yl)oxy]imino}acetyl]amino}-3-{[1-(4-carbamimidoylbenzyl)-2,3-dihydro-1H-imidazo[1,2-b]pyrazol-5-ium-5-yl]methyl}-8-oxo-5-thia-1-azabicyclo[4.2.0]oct-2-ene-2-carboxylate
Figure USRE048097-20200714-C00159
To a solution of 5-{[(6R,7R)-7-{[(2Z)-2-{2-[(tert-butoxycarbonyl)amino]-1,3-thiazol-4-yl}-2-{[(1-tert-butoxy-2-methyl-1-oxopropan-2-yl)oxy]imino}acetyl]amino}-2-{[(4-methoxybenzyl)oxy]carbonyl}-8-oxo-5-thia-1-azabicyclo[4.2.0]oct-2-en-3-yl]methyl}-1-{4-[N-(tert-butoxycarbonyl)carbamimidoyl]benzyl}-2,3-dihydro-1H-imidazo[1,2-b]pyrazol-5-ium iodide (from step 5, 0.45 g) in dry dichloromethane (15 mL) under nitrogen at room temperature was added anisole (0.8 mL) followed by trifluoroacetic acid (3 mL) in one portion and stirred for 3 h. The reaction mixture was concentrated under reduced pressure and the residue was suspended in distilled water (20 mL), stirred for 20 min and filtered. The filtrate was lyophilized and the product was purified by HPLC to obtain (6R,7R)-7-{[(2Z)-2-(2-amino-1,3-thiazol-4-yl)-2-{[(2-carboxypropan-2-yl)oxy]imino}acetyl]amino}-3-{[1-(4-carbamimidoylbenzyl)-2,3-dihydro-1H-imidazo[1,2-b]pyrazol-5-ium-5-yl]methyl}-8-oxo-5-thia-1-azabicyclo[4.2.0]oct-2-ene-2-carboxylate as a formic acid salt (0.022 g, 8.4%).
1H NMR (400 MHz, D2O): δ 1.33 (s, 6H), 3.08 (d, 1H, J=18.0 Hz), 3.31 (d, 1H, J=18.0 Hz), 3.86 (t, 2H), 4.12 (q, 1H, J=8.6 Hz), 4.22 (q, 1H, J=8.2 Hz), 4.44 (q, 2H, J=3.5 Hz), 4.85 (dd, 2H, J=15.6 and 19.7 Hz), 5.07 (d, 1H), 5.64 (d, 1H), 5.66 (d, 1H), 6.87 (s, 1H), 7.42 (d, 2H), 7.63 (d, 2H), 7.81 (1H, d), 8.17 (1H, s).
Mass: ES+ 709.19
Example 3 (Table 1, Compound 2) (6R,7R)-7-{[(2Z)-2-(2-Amino-1,3-thiazol-4-yl)-2-{[(2-carboxypropan-2-yl)oxy]imino}acetyl]-amino}-8-oxo-3-{[1-(4-{N-[(3R)-piperidin-3-yl]carbamimidoyl}benzyl)-1H-pyrazol[4,3-c]pyridin-5-ium-5-yl]methyl}-5-thia-1-azabicyclo[4.2.0]oct-2-ene-2-carboxylate
Figure USRE048097-20200714-C00160
Step 1: 4-(1H-Pyrazolo[4,3-c]pyridin-1-ylmethyl)benzonitrile
Figure USRE048097-20200714-C00161
A mixture of 1H-pyrazolo[4,3-c]pyridine (0.72 g, 6.04 mmol), 4-(bromomethyl)benzonitrile (1.57 g, 8.01 mmol) and potassium carbonate (1.67 g, 12.08 mmol) in DMF (75 mL) was stirred at 60° C. for 24 h and concentrated. The residue was partitioned between ethyl acetate (100 mL) and water (100 mL). The organic layer was separated, washed with brine (3×100 mL), dried (Na2SO4) and concentrated. The crude product was purified by silica gel column chromatography using ethyl acetate: methanol (9:1) as eluent to afford 4-(1H-pyrazolo[4,3-c]pyridin-1-ylmethyl)benzonitrile (0.42 g, 30.5%) as a solid.
1H NMR (400 MHz, CDCl3): δ 5.66 (s, 2H), 7.24-7.28 (m, 3H), 7.61 (d, 2H, J=8.4 Hz), 8.23 (s, 1H), 8.43 (d, 1H, J=6.4 Hz), 9.15 (s, 1H).
Step 2: Ethyl 4-(1H-pyrazolo[4,3-c]pyridin-1-ylmethyl)benzenecarboximidate hydrochloride
Figure USRE048097-20200714-C00162
Through a solution of 4-(1H-pyrazolo[4,3-c]pyridin-1-ylmethyl)benzonitrile (from step 1, 0.7 g, 3.0 mmol) in anhydrous ethanol (30 mL) in a pressure vessel at 0° C. was bubbled a stream of anhydrous hydrogen chloride gas for 10 min. The reaction vessel was stoppered, then stirred at room temperature for 18 h and the contents were transferred into a flask and evaporated under reduced pressure. The crude product was triturated with ether and dried under vacuum to provide ethyl 4-(1H-pyrazolo[4,3-c]pyridin-1-ylmethyl)benzenecarboximidate hydrochloride (0.8 g, 84%) as a solid.
1H NMR (400 MHz, CD3OD): δ 1.59 (t, 3H, J=6.6 Hz), 4.63 (q, 2H, J=6.2 Hz), 6.03 (s, 2H), 7.60 (d, 2H, J=6.8 Hz), 8.04 (d, 2H, J=7.2 Hz), 8.37 (s, 1H), 8.58 (s, 1H), 8.84 (s, 1H), 9.59 (s, 1H). One proton was not observed in CD3OD.
Step 3: tert-Butyl (3R)-3-({[4-(1H-pyrazolo[4,3-c]pyridin-1-ylmethyl)phenyl]carbonoimidoyl}amino)piperidine-1-carboxylate
Figure USRE048097-20200714-C00163
To a solution of ethyl 4-(1H-pyrazolo[4,3-c]pyridin-1-ylmethyl)benzenecarboximidate hydrochloride (from step 2, 0.57 g, 1.8 mmol) and triethylamine (0.56 mL, 4.0 mmol) in methanol (5 mL) was added tert-butyl (3R)-3-aminopiperidine-1-carboxylate (0.36 g, 1.8 mmol) in methanol (1 mL) at 0° C. The reaction mixture was stirred at room temperature for 2 days and concentrated. The residue was purified by column chromatography using methanol: ethyl acetate (1:4) as eluent to give tert-butyl (3R)-3-({[4-(1H-pyrazolo[4,3-c]pyridin-1 ylmethyl)phenyl]carbonoimidoyl}amino)piperidine-1-carboxylate (0.5 g, 64%) as a solid.
1H NMR (400 MHz, CDCl3): δ 1.28 (s, 9H), 1.57-1.80 (m, 3H), 2.12 (s, 1H), 3.08-3.30 (m, 2H), 3.36-4.10 (m, 3H), 5.83 (s, 2H), 7.45 (d, 2H, J=8.8 Hz), 7.67-7.69 (m, 3H), 8.33 (d, 1H, J=6.0 Hz), 8.37 (s, 1H), 9.10 (s, 1H). Two protons were not observed in CD3OD.
Step 4: tert-Butyl (3R)-3-[(tert-butoxycarbonyl){[4-(1H-pyrazolo[4,3-c]pyridin-1-ylmethyl)phenyl]carbonoimidoyl}amino]piperidine-1-carboxylate
Figure USRE048097-20200714-C00164
A solution of tert-butyl (3R)-3-({[4-(1H-pyrazolo[4,3-c]pyridin-1ylmethyl)phenyl]carbonoimidoyl}amino)piperidine-1-carboxylate (from step 3, 0.5 g. 1.15 mmol) in 1,4-dioxane (20 mL) was treated with a saturated sodium carbonate solution (10 mL) followed by di-tert-butyl dicarbonate (1.26 g, 5.78 mmol), then stirred at room temperature for 40 h. The reaction mixture was concentrated under reduced pressure to remove the volatiles and the remaining solution was dissolved in ethyl acetate (100 mL) and washed with water (100 mL), brine solution (100 mL), dried, and concentrated. The crude product was purified by silica gel column chromatography using ethyl acetate: methanol: ammonium hydroxide (60:39:1) as eluent to afford tert-butyl (3R)-3-[(tert-butoxycarbonyl){[4-(1H-pyrazolo[4,3-c]pyridin-1-ylmethyl)phenyl]carbonoimidoyl}amino]piperidine-1-carboxylate (0.48 g, 78%).
1H NMR (400 MHz, CDCl3): δ 1.24-2.05 (m, 22H), 3.05-3.71 (m, 4H), 4.09-4.10 (m, 1H), 5.08 (br s, 1H), 5.62 (s, 2H), 7.22-7.28 (m, 3H), 7.39 (d, 2H, J=8.4 Hz), 8.19 (s, 1H), 8.38 (d, 1H, J=6.0 Hz), 9.12 (s, 1H).
Step 5: 5-{[(6R,7R)-7-{[(2Z)-2-{2-[(tert-Butoxycarbonyl)amino]-1,3-thiazol-4-yl}-2-{[(1-tert-butoxy-2-methyl-1-oxopropan-2-yl)oxy]imino}acetyl]amino}-2-{[(4-methoxybenzyl)oxy]carbonyl}-8-oxo-5-thia-1-azabicyclo[4.2.0]oct-2-en-3-yl]methyl}-1-(4-{N-(tert-butoxycarbonyl)-N-[(3R)-1-(tert-butoxycarbonyl)piperidin-3-yl]carbamimidoyl}benzyl)-1H-pyrazolo[4,3-c]pyridin-5-ium iodide
Figure USRE048097-20200714-C00165
To a solution of tert-butyl (3R)-3-[(tert-butoxycarbonyl){[4-(1H-pyrazolo[4,3-c]pyridin-1-ylmethyl)phenyl]carbonoimidoyl}amino]piperidine-1-carboxylate (from step 4, 0.16 g, 0.30 mmol) in dimethylacetamide (2 mL) was added 4-methoxybenzyl (6R,7R)-7-{[(2Z)-2-{5-[(tert-butoxycarbonyl)amino]-1,2,4-thiadiazol-3-yl}-2-{[(1-tert-butoxy-2-methyl-1-oxopropan-2-yl)oxy]imino}acetyl]amino}-3-(chloromethyl)-8-oxo-5-thia-1-azabicyclo[4.2.0]oct-2-ene-2-carboxylate (0.23 g, 0.30 mmol) at 0° C. The reaction mixture was then degassed under reduced pressure for 0.5 h, and thereto was added sodium iodide (0.09 g, 0.60 mmol). After stirring at 15° C. for 16 h, the reaction mixture was slowly added to 5% aqueous sodium chloride and sodium thiosulfate solution cooled under ice. The suspension was then filtered, washed with water and the solid was vacuum dried to get a yellow solid (0.33 g) which was used in the next step without further purification.
Step 6: (6R,7R)-7-{[(2Z)-2-(2-Amino-1,3-thiazol-4-yl)-2-{[(2-carboxypropan-2-yl)oxy]imino}acetyl]amino}-8-oxo-3-{[1-(4-{N-[(3R)-piperidin-3-yl]carbamimidoyl}benzyl)-1H-pyrazolo[4,3-c]pyridin-5-ium-5-yl]methyl}-5-thia-1-azabicyclo[4.2.1]oct-2-ene-2-carboxylate
Figure USRE048097-20200714-C00166
To a solution of 5-{[(6R,7R)-7-{[(2Z)-2-{2-[(tert-butoxycarbonyl)amino]-1,3-thiazol-4-yl}-2-{[(1-tert-butoxy-2-methyl-1-oxopropan-2-yl)oxy]imino}acetyl]amino}-2-[(4-methoxybenzyl)oxy]carbonyl}-8-oxo-5-thia-1-azabicyclo[4.2.0]oct-2-en-3-yl]methyl}-1-(4-{N-(tert-butoxycarbonyl)-N-[(3R)-1-(tert-butoxycarbonyl)piperidin-3-yl]carbamimidoyl}benzyl)-1H-pyrazolo[4,3-c]pyridin-5-ium iodide (from step 5, 0.33 g) in dry dichloromethane (6 mL) at −40° C. was added anisole (0.50 mL, 4.64 mmol) and then 2M aluminium chloride in nitromethane (2.33 mL, 4.66 mmol). The liquid was stirred at 0° C. for 30 min. To the reaction mixture were added di-isopropyl ether (10 mL) and water (0.8 mL), and the resultant was stirred to generate a precipitate. The supernatant was removed by decantation. To the insoluble matter adhering to the vessel were added dilute aqueous hydrochloric acid solution (4 mL) and acetonitrile (15 mL). The resultant was stirred to dissolve the matter completely. Thereto was added HP20 resin (0.8 g), and stirred for 30 min, and then filtered. The filtrate was concentrated and freeze-dried to give a crude product which was purified by HPLC to obtain (6R,7R)-7-{[(2Z)-2-(2-amino-1,3-thiazol-4-yl)-2-{[(2-carboxypropan-2-yl)oxy]imino}acetyl]amino}-8-oxo-3-{[1-(4-{N-[(3R)-piperidin-3-yl]carbamimidoyl}benzyl)-1H-pyrazolo[4,3-c]pyridin-5-ium-5-yl]methyl}-5-thia-1-azabicyclo[4.2.0]oct-2-ene-2-carboxylate as a formic acid salt (0.025 g, 12.5%).
1H NMR (400 MHz, D2O): δ 1.17 (s, 6H), 1.58-1.70 (m, 2H), 1.88-1.92 (m, 1H), 2.08-2.09 (m, 1H), 2.85-2.98 (m, 3H), 3.20 (d, 1H, J=12.0 Hz), 3.45-3.49 (m, 2H), 3.96 (m, 1H), 5.08-5.11 (m, 2H), 5.43 (d, 1H, J=14.8 Hz), 5.58 (d, 1H, J=4.4 Hz), 5.72 (s, 2H), 6.65 (s, 1H), 7.26 (d, 2H, J=8.0 Hz), 7.50 (d, 2H, J=7.2 Hz), 7.90 (d, 1H, J=6.8 Hz), 8.50 (d, 1H, J=7.2 Hz), 8.58 (s, 1H), 9.49 (s, 1H). Seven protons were not observed in D2O.
Mass: ES+ 802.20
Example 4 (Table 1, Compound 5) (6R,7R)-7-{[(2Z)-2-(2-Amino-1,3-thiazol-4-yl)-2-{[(2-carboxypropan-2-yl)oxy]imino}acetyl]amino}-3-{[1-(4-carbamimidoylbenzyl)-1H-imidazo[1,2-b]pyrazol-5-ium-5-yl]methyl}-8-oxo-5-thia-1-azabicyclo[4.2.0]oct-2-ene-2-carboxylate
Figure USRE048097-20200714-C00167
Step 1: 4-(1H-Imidazo[1,2-b]pyrazol-1-ylmethyl)benzonitrile
Figure USRE048097-20200714-C00168
To a solution of 1H-imidazo[1,2-b]pyrazole (2.158 g, 20.146 mmol) in DMF (30 mL) under nitrogen at 0° C. was added sodium hydride (60.9% in mineral oil, 1.19 g, 30.22 mmol) in portions and after stirring for 15 min was added 4-(bromomethyl)benzonitrile (3.95 g, 20.146 mmol) in portions. The reaction mixture was stirred at 0° C. for 2 h then at room temperature for 1 h and quenched with saturated ammonium chloride solution, then diluted with ethyl acetate (200 mL) and water (200 mL). The organic layer was separated, washed with water (3×200 mL), brine solution, dried (Na2SO4) and concentrated. The crude product was purified by silica gel column chromatography using ethyl acetate to afford 4-(1H-imidazo[1,2-b]pyrazol-1-ylmethyl)benzonitrile (2.2 g, 49%) as a solid.
1H NMR (400 MHz, DMSO-d6): δ 5.25 (s, 2H), 5.62 (d, 1H, J=2.7 Hz), 7.34-7.35 (m, 1H), 7.44-7.47 (m, 3H), 7.59-7.60 (m, 1H), 7.84 (d, 2H, J=8.2 Hz).
Step 2: Ethyl 4-(1H-imidazo[1,2-b]pyrazol-1-ylmethyl)benzenecarboximidate hydrochloride
Figure USRE048097-20200714-C00169
Through a solution of 4-(1H-imidazo[1,2-b]pyrazol-1-ylmethyl)benzonitrile (from step 1, 1.2 g, 5.4 mmol) in anhydrous ethanol (25 mL) in a pressure vessel at 0° C. was bubbled a stream of anhydrous hydrogen chloride gas for 15 min. The reaction vessel was stoppered and stirred at room temperature for 18 h, then the contents were transferred into a flask and evaporated under reduced pressure. The crude product was triturated with ether and dried under vacuum to provide ethyl 4-(1H-imidazo[1,2-b]pyrazol-1-ylmethyl)benzenecarboximidate hydrochloride (1.6 g, 97%) as a solid.
1H NMR (400 MHz, DMSO-d6): δ 1.46 (t, 3H, J=7.1 Hz), 4.73 (q, 2H, J=6.9 Hz), 5.41 (s, 2H), 5.98 (d, 1H, J=2.8 Hz), 7.56-7.61 (m, 4H), 7.80 (d, 2H, J=8.6 Hz), 8.14 (d, 2H, J=8.6 Hz), 12.20 (br s, 2H).
Step 3: 4-(1H-Imidazo[1,2-b]pyrazol-1-ylmethyl)benzenecarboximidamide
Figure USRE048097-20200714-C00170
A pressure vessel containing a suspension of ethyl 4-(1H-imidazo[1,2-b]pyrazol-1-ylmethyl)benzenecarboximidate hydrochloride (from step 2, 1.1 g, 3.61 mol) in methanol (25 mL) was saturated with ammonia gas and stoppered. The reaction mixture was stirred at room temperature for 24 h, then excess ammonia was vented out and the contents were concentrated under reduced pressure. The residue was triturated with hexanes and dried under vacuum to give 4-(1H-imidazo[1,2-b]pyrazol-1-ylmethyl)benzenecarboximidamide (1.5 g, 141.5%) as a solid.
1H NMR (400 MHz, DMSO-d6): δ 5.27 (s, 2H), 5.64 (d, 1H, J=2.4 Hz), 7.35-7.60 (m, 5H), 7.80-7.86 (m, 2H)
Step 4: tert-Butyl {[4-(1H-imidazo[1,2-b]pyrazol-1-ylmethyl)phenyl]carbonoimidoyl}carbamate
Figure USRE048097-20200714-C00171
To a suspension of 4-(1H-imidazo[1,2-b]pyrazol-1-ylmethyl)benzenecarboximidamide (from step 3, 1.50 g. 6.27 mmol) in a mixture of sodium bicarbonate (1.524 g, 18.81 mmol), 1,4-dioxane (30 mL) and water (10 mL) was added di-tert-butyl dicarbonate (2.74 g, 12.54 mmol) and stirred at room temperature for 20 h. The reaction mixture was concentrated under reduced pressure to remove the volatiles and the remaining solution was dissolved in ethyl acetate (80 mL), washed with water (80 mL), brine solution (80 mL), dried and concentrated. The crude product was purified by silica gel column chromatography using ethyl acetate as eluent to afford tert-butyl {[4-(1H-imidazo[1,2-b]pyrazol-1-ylmethyl)phenyl]carbonoimidoyl}carbamate (0.60 g, 28.17%).
1H NMR (400 MHz, DMSO-d6): δ 1.41 (s, 9H), 5.18 (s, 2H), 5.58 (d, 1H, J=2.3 Hz), 7.32-7.37 (m, 3H), 7.41-7.42 (m, 1H), 7.56 (d, 1H, J=2.8 Hz), 7.88 (d, 2H, J=8.5 Hz).
Mass: ES338.11
Step 5: 5-{[(6R,7R)-7-{[(2Z)-2-{2-[(tert-Butoxycarbonyl)amino]-1,3-thiazol-4-yl}-2-{[(1-tert-butoxy-2-methyl-1-oxopropan-2-yl)oxy]imino}acetyl]amino}-2-{[(4-methoxybenzyl)oxy]carbonyl}-8-oxo-5-thia-1-azabicyclo[4.2.0]oct-2-en-3-yl]methyl}-1-{4-[N-(tert-butoxycarbonyl)carbamimidoyl]benzyl}-1H-imidazo[1,2-b]pyrazol-5-ium iodide
Figure USRE048097-20200714-C00172
To a solution of 4-methoxybenzyl (6R,7R)-7-{[(2Z)-2-{2-[(tert-butoxycarbonyl)amino]-1,3-thiazol-4-yl}-2-{[(1-tert-butoxy-2-methyl-1-oxopropan-2-yl)oxy]imino}acetyl]amino}-3-(chloromethyl)-8-oxo-5-thia-1-azabicyclo[4.2.0]oct-2-ene-2-carboxylate (0.35 g, 0.449 mmol) in dimethylformamide (8 mL) at room temperature was added potassium iodide (0.149 g, 0.898 mmol) and after stirring for 10 min was added tert-butyl {[4-(1H-imidazo[1,2-b]pyrazol-1-ylmethyl)phenyl]carbonoimidoyl}carbamate (from step 4, 152 mg, 0.449 mmol). The reaction mixture was then stirred under nitrogen at room temperature for 16 h and diluted with a 1:1 mixture of sodium thio sulfate and brine solution (15 mL). The suspension was then filtered, washed with water and the solid was vacuum dried to get a yellow solid (0.650 g), which was used in the next step without further purification.
Step 6: (6R,7R)-7-{[(2Z)-2-(2-Amino-1,3-thiazol-4-yl)-2-{[(2-carboxypropan-2-yl)oxy]imino}acetyl]amino}-3-{[1-(4-carbamimidoylbenzyl)-1H-imidazo[1,2-b]pyrazol-5-ium-5-yl]methyl}-8-oxo-5-thia-1-azabicyclo[4.2.0]oct-2-ene-2-carboxylate
Figure USRE048097-20200714-C00173
To a solution of 5-{[(6R,7R)-7-{[(2Z)-2-{2-[(tert-butoxycarbonyl)amino]-1,3-thiazol-4-yl}-2-{[(1-tert-butoxy-2-methyl-1-oxopropan-2-yl)oxy]imino}acetyl]amino}-2-{[(4-methoxybenzyl)oxy]carbonyl}-8-oxo-5-thia-1-azabicyclo[4.2.0]oct-2-en-3-yl]methyl}-1-{4-[N-(tert-butoxycarbonyl)carbamimidoyl]benzyl}-1H-imidazo[1,2-b]pyrazol-5-ium iodide (from step 5, 0.65 g) in dry dichloromethane under nitrogen at room temperature was added trifluoroacetic acid (5 mL) in one portion and stirred for 3 h. The reaction mixture was concentrated under reduced pressure and the residue was suspended in distilled water (20 mL), stirred for 20 min then filtered. The filtrate was lyophilized and the product was purified by HPLC to obtain (6R,7R)-7-{[(2Z)-2-(2-amino-1,3-thiazol-4-yl)-2-{[(2-carboxypropan-2-yl)oxy]imino}acetyl]amino}-3-{[1-(4-carbamimidoylbenzyl)-1H-imidazo[1,2-b]pyrazol-5-ium-5-yl]methyl}-8-oxo-5-thia-1-azabicyclo[4.2.0]oct-2-ene-2-carboxylate as formic acid salt (0.032 g, 7.9%).
1H NMR (400 MHz, DMSO-d6): δ 1.29 (d, 6H, J=8.2 Hz), 2.94 (d, 1H, J=18.0 Hz), 3.25 (d, 1H, J=18 Hz), 5.05 (d, 1H, J=5.0 Hz), 5.14 (s, 2H), 5.32 (s, 2H), 5.63 (d, 1H, J=4.7 Hz), 6.13 (d, 1H, J=3.5 Hz), 6.86 (s, 1H), 7.37-7.41 (m, 3H), 7.63 (d, 2H, J=8.6 Hz), 7.87 (d, 2H, J=3.2 Hz), 8.16 (s, 1H)
Mass: ES+ 707.17
Example 5 (Table 1, Compound 11) (6R,7R)-7-{[(2Z)-2-(2-Amino-1,3-thiazol-4-yl)-2-{[(2-carboxypropan-2-yl)oxy]imino}acetyl]amino}-3-({1-[(4-carbamimidoylthiophen-2-yl)methyl]-1H-pyrrolo[3,2-c]pyridin-5-ium-5-yl}methyl)-8-oxo-5-thia-1-azabicyclo[4.2.0]oct-2-ene-2-carboxylate
Figure USRE048097-20200714-C00174
Step 1: (4-Bromothiophen-2-yl)methanol
Figure USRE048097-20200714-C00175
Sodium borohydride (2.08 g, 55.0 mmol) was added to a solution of 4-bromothiophene-2-carbaldehyde (10.0 g, 52.3 mmol) in anhydrous tetrahydrofuran (200 mL) at room temperature and the resulting reaction mixture was stirred at room temperature for 1.5 h. Then the reaction mixture was quenched carefully by adding saturated aq. ammonium chloride solution (50 mL). The reaction mixture was extracted with ethyl acetate (200 mL). Organic phase was separated, dried over Na2SO4. Solvent was evaporated, crude compound was dried under vacuum to give (4-bromothiophen-2-yl) methanol (10.56 g, crude) as white semi-solid which was used in the next step without further purification.
1H NMR (400 MHz, CDCl3): δ 4.79 (s, 2H), 6.92 (s, 1H), 7.17 (s, 1H).
Step 2: 5-(Hydroxymethyl)thiophene-3-carbonitrile
Figure USRE048097-20200714-C00176
A mixture of (4-bromothiophen-2-yl) methanol (from step 1, 10.56 g crude, -52.3 mmol), zinc cyanide (6.14 g, 52.34 mmol) in a 500 mL round bottom flask was degassed three times with nitrogen. Then anhydrous dimethylformamide (75 mL) was added, and the mixture was degassed with nitrogen. After that was added Palladium-tetrakis(triphenylphosphine) (3.01 g, 2.61 mmol) and degassing was repeated once again. The flask was fitted with a reflux condenser, and the reaction mixture was stirred at 80° C. (bath temperature) for 4 h under nitrogen. The mixture was cooled to room temperature, solvent was evaporated. The crude compound was purified by flash chromatography using RediSep silica 120 g flash column (10-30% ethyl acetate in hexanes as eluent) to give 5-(hydroxymethyl)thiophene-3-carbonitrile (5.15 g, 71% over two steps) as white solid.
1H NMR (400 MHz, CDCl3): δ 2.26 (t, 1H, J=5.9 Hz), 4.84 (d, 2H, J=5.9 Hz), 7.16 (s, 1H), 7.88 (d, 1H, J=1.6 Hz).
Step 3: 5-(Bromomethyl)thiophene-3-carbonitrile
Figure USRE048097-20200714-C00177
A solution of 5-(hydroxymethyl)thiophene-3-carbonitrile (from step 2, 5.15 g, 37.0 mmol) in anhydrous tetrahydrofuran (150 mL) was added triphenyl phosphine (10.19 g, 38.8 mmol) followed by carbon tetrabromide (12.88 g, 38.8 mmol). The reaction mixture was stirred at room temperature for 20 h under nitrogen. Solvent was evaporated and the crude compound was purified by flash chromatography using RediSep silica 120 g flash column (0-10% ethyl acetate in hexanes as eluent) to give 5-(bromomethyl)thiophene-3-carbonitrile (6.07 g, 81%) as a white solid.
1H NMR (400 MHz, CDCl3): δ 4.66 (s, 2H), 7.28 (d, 1H, J=0.8 Hz), 7.92 (d, 1H, J=1.6 Hz).
Step 4: 5-(1H-Pyrrolo[3,2-c]pyridin-1-ylmethyl)thiophene-3-carbonitrile
Figure USRE048097-20200714-C00178
To a solution of 1H-pyrrolo[3,2-c]pyridine (1.77 g, 15.00 mmol) in anhydrous dimethylformamide (75 mL) was added sodium hydride (60% suspension in mineral oil, 0.75 g, 18.75 mmol) at 0° C. in small portions under nitrogen. After the addition, reaction mixture was stirred for 15 minutes at 0° C. and then at room temperature for 10 minutes. Cooled to 0° C., 5-(bromomethyl)thiophene-3-carbonitrile (from step 3, 3.79 g, 18.75 mmol) was added in small portions. After the addition, reaction mixture was stirred for 10 minutes at 0° C. and then at room temperature for 1 h. Quenched with water (10 mL), solvent was evaporated under reduced pressure. Residue was partitioned between ethyl acetate (150 mL) and water (100 mL). Organic phase was separated, washed with brine and dried over Na2SO4. The crude compound was purified by flash chromatography using RediSep silica 80 g flash column (0-3% methanol in methylene chloride as eluent) to give 5-(1H-pyrrolo[3,2-c]pyridin-1-ylmethyl)thiophene-3-carbonitrile (2.17 g, 60%) as a brown solid.
1H NMR (400 MHz, CDCl3): δ 5.47 (s, 2H), 6.68 (d, 1H, J=3.1 Hz), 7.10 (s, 1H), 7.15 (d, 1H, J=3.5 Hz), 7.23 (d, 1H, J=5.8 Hz), 7.83 (s, 1H), 8.35 (d, 1H, J=5.9 Hz).
Mass: ES+ 240.01
Step 5: Methyl 5-(1H-pyrrolo[3,2-c]pyridin-1-ylmethyl)thiophene-3-carboximidate hydrochloride
Figure USRE048097-20200714-C00179
Anhydrous hydrogen chloride gas was bubbled through a solution of 5-(1H-pyrrolo[3,2-c]pyridin-1-ylmethyl)thiophene-3-carbonitrile (from step 4, 1.05 g, 4.38 mmol) in anhydrous methanol (30 mL) at room temperature for 45 minutes. The reaction mixture was stirred at room temperature for 20 h. Solvent was evaporated and dried under vacuum to give methyl 5-(1H-pyrrolo[3,2-c]pyridin-1-ylmethyl)thiophene-3-carboximidate hydrochloride (1.05 g crude) as brown color gummy solid which was used in next step without further purification.
Mass: ES+ 272.06.
Step 6: 5-(1H-Pyrrolo[3,2-c]pyridin-1-ylmethyl)thiophene-3-carboximidamide
Figure USRE048097-20200714-C00180
Anhydrous ammonia gas was bubbled through a solution of methyl 5-(1H-pyrrolo[3,2-c]pyridin-1-ylmethyl)thiophene-3-carboximidate hydrochloride (from step 5, 1.05 g crude, −4.3 mmol) in anhydrous methanol (20 mL) at room temperature for 45 minutes. The reaction mixture was stirred at room temperature for 16 h. Solvent was evaporated and dried under vacuum to give 5-(1H-pyrrolo[3,2-c]pyridin-1-ylmethyl)thiophene-3-carboximidamide (1.72 g crude) as a brown solid which was used in the next step without further purification.
1H NMR (400 MHz, DMSO-d6): δ 5.90 (br s, 2H), 7.00 (br s, 1H), 7.42 (br s, 2H), 7.85 (s, 1H), 8.00 (br s, 1H), 8.19 (br s, 1H), 8.43 (br s, 1H), 8.65 (s, 1H), 9.19 (br s, 1H), 9.52 (br s, 1H).
Mass: ES+ 257.05.
Step 7: tert-Butyl {[5-(1H-pyrrolo[3,2-c]pyridin-1-ylmethyl)thiophen-3-yl]carbonoimidoyl}carbamate
Figure USRE048097-20200714-C00181
To a solution of 5-(1H-pyrrolo[3,2-c]pyridin-1-ylmethyl)thiophene-3-carboximidamide (from step 6, 1.72 g crude, ˜4.0 mmol) in 1,4-dioxane (50 mL) was added aqueous saturated sodium bicarbonate solution followed by di-tert-butyldicarbonate (3.50 g, 16.0 mmol). The reaction mixture was stirred at room temperature for 4 h. Solvent was evaporated, water (50 mL) was added and extracted with methylene chloride (2×50 mL). The organic phase was dried over Na2SO4. Solvent was evaporated and the crude compound was purified by flash chromatography using RediSep silica 40 g flash column (0-2% methanol in methylene chloride as eluent) to give tert-butyl {[5-(1H-pyrrolo[3,2-c]pyridin-1-ylmethyl)thiophen-3-yl]carbonoimidoyl}carbamate (0.17 g, 11% for three steps) as an off-white solid.
1H NMR (400 MHz, CDCl3): δ 1.53 (s, 9H), 5.42 (s, 2H), 6.64 (d, 1H, J=2.7 Hz), 7.15 (d, 1H, J=3.5 Hz), 7.23 (d, 1H, J=5.5 Hz), 7.41 (s, 1H), 7.86 (s, 1H), 8.28 (d, 1H, J=5.9 Hz), 8.89 (s, 1H).
Mass: ES+ 355.10.
Step 8: 5-{[(6R,7R)-7-{[(2Z)-2-(2-Amino-1,3-thiazol-4-yl)-2-{[((1-tert-butoxy-2-methyl-1-oxopropan-2-yl)oxy]imino}acetyl]amino}-2-{[(4-methoxybenzyl)oxy]carbonyl}-8-oxo-5-thia-1-azabicyclo[4.2.0]oct-2-en-3-yl]methyl}-1-({4-[N-(tert-butoxycarbonyl)carbamimidoyl]thiophen-2-yl}methyl)-1H-pyrrolo[3,2-c]pyridin-5-ium iodide
Figure USRE048097-20200714-C00182
A mixture of tert-butyl {[5-(1H-pyrrolo[3,2-c]pyridin-1-ylmethyl)thiophen-3-yl]carbonoimidoyl}carbamate (from step 7, 107 mg, 0.30 mmol), 4-methoxybenzyl (6R,7R)-7-{[(2Z)-2-{2-[(tert-butoxycarbonyl)amino]-1,3-thiazol-4-yl}-2-{[(1-tert-butoxy-2-methyl-1-oxopropan-2-yl)oxy]imino}acetyl]amino}-3-(chloromethyl)-8-oxo-5-thia-1-azabicyclo[4.2.0]oct-2-ene-2-carboxylate (234 mg, 0.30 mmol), and sodium iodide (90 mg, 0.60 mmol) was cooled to 0° C. in an ice-bath; dimethyl formamide (3 mL) was added, stirred for 45 minutes, then the mixture was stirred at −16° C. for 16 h under nitrogen. Sodium bisulphite (0.6 g) in sodium chloride solution (75 mL) was added at 15° C., stirred for 10 minutes. The solid separated was filtered off, washed with water and dried under vacuum to give 5-(((6R,7R)-7-((Z)-2-(2-aminothiazol-4-yl)-2-(((1-(tert-butoxy)-2-methyl-1-oxopropan-2-yl)oxy)imino)acetamido)-2-(((4-methoxybenzyl)oxy)carbonyl)-8-oxo -5-thia-1-azabicyclo[4.2.0]oct-2-en-3-yl)methyl)-1-((4-(N-(tert-butoxycarbonyl)carbamimidoyl)thiophen-2-yl)methyl)-1H-pyrrolo[3,2-c]pyridin-5-ium iodide (296 mg, crude) as yellow color solid which was used in the next step without further purification.
Mass: ES+ 1100.52.
Step 9: (6R,7R)-7-{[(2Z)-2-(2-Amino-1,3-thiazol-4-yl)-2-{[(2-carboxypropan-2-yl)oxy]imino}acetyl]amino}-3-({1-[(4-carbamimidoylthiophen-2-yl)methyl]-1H-pyrrolo [3,2-c]pyridin-5-ium-5-yl}methyl)-8-oxo-5-thia-1-azabicyclo[4.2.0]oct-2-ene-2-carboxylate
Figure USRE048097-20200714-C00183
To a solution of 5-{[(6R,7R)-7-{[(2Z)-2-(2-amino-1,3-thiazol-4-yl)-2-{[(1-tert-butoxy-2-methyl-1-oxopropan-2-yl)oxy]imino}acetyl]amino}-2-{[(4-methoxybenzyl)oxy]carbonyl}-8-oxo-5-thia-1-azabicyclo[4.2.0]oct-2-en-3-yl]methyl}-1-({4-[N-(tert-butoxycarbonyl)carbamimidoyl]thiophen-2-yl}methyl)-1H-pyrrolo[3,2-c]pyridin-5-ium iodide (from step 8, 296 mg, crude, −0.30 mmol)) in anhydrous methylene chloride (3 mL) was added anisole (0.8 mL) followed by trifluoroacetic acid (2.0 mL). The reaction mixture was stirred at room temperature for 3 h. 55 Solvent was evaporated and diisopropyl ether (30 mL) was added. The solid separated was filtered, washed with diisopropyl ether and dried under vacuum. The light brown color solid (356 mg) was dissolved in water (20 mL) and filtered. The aqueous phase was lyophilized to give yellow solid (200 mg) which was purified by preparative HPLC (acetonitrile, water, 0.1% formic acid) to give (6R,7R)-7-{[(2Z)-2-(2-amino-1,3-thiazol-4-yl)-2-{[(2-carboxypropan-2-yl)oxy]imino}acetyl]amino}-3-({1-[(4-carbamimidoylthiophen-2-yl)methyl]-1H-pyrrolo[3,2-c]pyridin-5-ium-5-yl}methyl)-8-oxo-5-thia-1-azabicyclo[4.2.0]oct-2-ene-2-carboxylate as a formic acid salt (30 mg, 14%).
1H NMR (400 MHz, D2O): δ 1.24 (s, 3H), 1.26 (s, 3H), 2.94 (d, 1H, J=18.0 Hz), 3.42 (d, 1H, J=18.0 Hz), 5.01-5.14 (m, 2H), 5.39 (d, 1H, J=14.5 Hz), 5.59-5.76 (m, 3H), 6.75 (s, 1H), 6.95 (d, 1H, J=3.5 Hz), 7.31 (s, 1H), 7.73 (d, 1H, J=3.5 Hz), 7.88 (d, 1H, J=7.0), 8.09 (d, 1H, J=1.6 Hz), 8.37 (d, 1H, J=7.0 Hz), 9.10 (s, 1H).
Mass: ES+ 724.17.
Example 6 (Table 1, Compound 13) (6R,7R)-7-{[(2Z)-2-(2-Amino-1,3-thiazol-4-yl)-2-{[(2-carboxypropan-2-yl)oxy]imino}acetyl]amino}-3-({1-[(4-carbamimidoylfuran-2-yl)methyl]-1H-pyrrolo[3,2-c]pyridin-5-ium-5-yl}methyl)-8-oxo-5-thia-1-azabicyclo[4.2.0]oct-2-ene-2-carboxylate
Figure USRE048097-20200714-C00184
Step 1: (4-Bromofuran-2-yl)methanol
Figure USRE048097-20200714-C00185
Sodium borohydride (1.21 g, 31.98 mmol) was added to a solution of 4-bromofuran-2-carbaldehyde (5.33 g, 30.46 mmol) in anhydrous tetrahydrofuran (120 mL) at room temperature and the resulting reaction mixture was stirred at room temperature for 1.5 h. Then the reaction mixture was quenched carefully by adding saturated aqueous ammonium chloride solution (50 mL) and extracted with ethyl acetate (200 mL). The organic phase was separated and dried over Na2SO4. Solvent was evaporated and the crude compound was dried under vacuum to give (4-bromofuran-2-yl) methanol (5.34 g) as white semi-solid, which was used in the next step without further purification.
1HNMR (400 MHz, CDCl3): δ 2.36 (br s, 1H), 4.55 (s, 2H), 6.34 (s, 1H), 7.39 (s, 1H).
Step 2: 5-(Hydroxymethyl)furan-3-carbonitrile
Figure USRE048097-20200714-C00186
A mixture of (4-bromofuran-2-yl)methanol (from step 1, 3.50 g, 19.8 mmol) and zinc cyanide (2.32 g, 19.8 mmol) in a 250 mL round bottom flask was degassed three times with nitrogen. Anhydrous dimethylformamide (20 mL) was added, and the mixture was degassed with nitrogen. After that Pd(PPh3)4 (1.38 g, 1.20 mmol) was added and degassing was repeated once again. The flask was fitted with a reflux condenser, and the reaction mixture was stirred at 80° C. for 24 h under nitrogen. The mixture was cooled to room temperature, solvent was evaporated and residue was taken in ethyl acetate (150 mL), washed with water (100 mL), brine (100 mL) and dried over Na2SO4. Solvent was evaporated and the crude compound was purified by flash chromatography using RediSep silica 120 g flash column (0-30% ethyl acetate in hexanes as eluent) to give 5-(hydroxymethyl)furan-3-carbonitrile (0.58 g, 24%) as a white solid.
1HNMR (400 MHz, CDCl3): δ 1.97 (br s, 1H), 4.64 (d, 2H, J=6.3 Hz), 6.53 (s, 1H), 7.92 (s, 1H).
Step 3: 5-(Bromomethyl)furan-3-carbonitrile
Figure USRE048097-20200714-C00187
A solution of 5-(hydroxymethyl)furan-3-carbonitrile (from step 2, 0.92 g, 7.47 mmol) in anhydrous tetrahydrofuran (30 mL) was added triphenyl phosphine (2.15 g, 8.22 mmol) followed by carbon tetrabromide (2.72 g, 8.22 mmol). The reaction mixture was stirred at room temperature for 4 h under nitrogen. Solvent was evaporated and the crude compound was purified by flash chromatography using RediSep silica 80 g flash column (10% ethyl acetate in hexanes as eluent) to give 5-(bromomethyl)furan-3-carbonitrile (1.12 g, 81%) as a white solid.
1H NMR (400 MHz, CDCl3): δ 4.43 (s, 2H), 6.60 (s, 1H), 7.94 (s, 1H).
Step 4: 5-(1H-Pyrrolo[3,2-c]pyridin-1-ylmethyl)furan-3-carbonitrile
Figure USRE048097-20200714-C00188
To a solution of 1H-pyrrolo[3,2-c]pyridine (0.77 g, 6.50 mmol) in anhydrous dimethylformamide (30 mL) was added sodium hydride (60% suspension in mineral oil, 0.26 g, 6.50 mmol) at 0° C. in small portions under nitrogen. After the addition, the reaction mixture was stirred for 15 minutes at 0° C. and then at room temperature for 10 minutes then cooled to 0° C. and 5-(bromomethyl)furan-3-carbonitrile (from step 3, 1.10 g, 5.91 mmol) was added in small portions. After the addition, the reaction mixture was stirred for 10 minutes at 0° C. then at room temperature for 1 h. The mixture was quenched with water (5 mL). Solvent was evaporated under reduced pressure. Residue was partitioned between ethyl acetate (100 mL) and water (50 mL). The organic phase was separated, washed with brine and dried over Na2SO4. The crude compound was purified by flash chromatography using RediSep silica 40 g flash column (0-3% methanol in methylene chloride as eluent) to give 5-(1H-pyrrolo[3,2-c]pyridin-1-ylmethyl)furan-3-carbonitrile (1.065 g, 80%) as an off-white solid.
1HNMR (400 MHz, CDCl3): δ 5.29 (s, 2H), 6.46 (s, 1H), 6.66 (d, 1H, J=2.3 Hz), 7.15 (d, 1H, J=3.5 Hz), 7.27 (s, 1H), 7.88 (s, 1H), 8.37 (d, 1H, J=5.9 Hz), 8.94 (s, 1H).
Mass: ES+ 224.10.
Step 5: Methyl 5-(1H-pyrrolo[3,2-c]pyridin-1-ylmethyl)furan-3-carboximidate hydrochloride
Figure USRE048097-20200714-C00189
Anhydrous hydrogen chloride gas was bubbled through a solution of 5-(1H-pyrrolo[3,2-c]pyridin-1-ylmethyl)furan-3-carbonitrile (from step 4, 1.05 g, 4.70 mmol) in anhydrous methanol (30 mL) at room temperature for 45 minutes; the reaction mixture was stirred at room temperature for 20 h. Solvent was evaporated and dried under vacuum to give methyl 5-(1H-pyrrolo[3,2-c]pyridin-1-ylmethyl)furan-3-carboximidate hydrochloride (1.05 g, crude) as a brown gummy solid. The compound was used in the next step without further purification. 1H NMR (400 MHz, CD3OD): δ 4.28 (s, 3H), 5.82 (s, 2H), 7.16 (br s, 1H), 7.22 (br s, 1H), 7.98 (br s, 1H), 8.30 (br s, 1H), 8.46 (br s, 1H), 8.54 (s, 1H), 9.20 (s, 1H).
Mass: ES+ 256.10.
Step 6: 5-(1H-Pyrrolo[3,2-c]pyridin-1-ylmethyl)furan-3-carboximidamide
Figure USRE048097-20200714-C00190
Anhydrous ammonia gas was bubbled through a solution of methyl 5-(1H-pyrrolo[3,2-c]pyridin-1-ylmethyl)furan-3-carboximidate hydrochloride (from step 5, 1.0 g crude, ˜4.7 mmol) in anhydrous methanol (30 mL) at room temperature for 45 minutes. The reaction mixture was stirred at room temperature for 16 h. Solvent was evaporated and dried under vacuum to give 5-(1H-pyrrolo[3,2-c]pyridin-1-ylmethyl)furan-3-carboximidamide (1.90 g, crude) as a brown solid.
The compound was used in the next step without further purification.
Mass: ES+ 241.11.
Step 7: tert-Butyl {[5-(1H-pyrrolo[3,2-c]pyridin-1-ylmethyl)furan-3-yl]carbonoimidoyl}carbamate
Figure USRE048097-20200714-C00191
To a solution of 5-(1H-pyrrolo[3,2-c]pyridin-1-ylmethyl)furan-3-carboximidamide (from step 6, 1.90 g crude, ˜4.7 mmol) in 1,4-dioxane (5 mL) was added aqueous saturated sodium bicarbonate solution (5 mL) followed by di-tert-butyldicarbonate (4.10 g, 18.8 mmol) and the reaction mixture was stirred at room temperature for 4 h. Solvent was evaporated, water (50 mL) was added and extracted with methylene chloride (2×50 mL). The organic phase was dried over Na2SO4. Solvent was evaporated and the crude compound was purified by flash chromatography using RediSep silica 40 g flash column (2-5% methanol in methylene chloride as eluent) to give tert-butyl {[5-(1H-pyrrolo[3,2-c]pyridin-1-ylmethyl)furan-3-yl]carbonoimidoyl}carbamate (116 mg, 7% over steps) as an off-white solid.
1H NMR (400 MHz, CDCl3): δ 1.51 (s, 9H), 5.26 (s, 2H), 6.59 (s, 1H), 6.63 (dd, 1H, J=3.1, 0.8 Hz), 7.15 (d, 1H, J=3.5 Hz), 7.22 (d, 1H, J=5.9 Hz), 8.01 (s, 1H), 8.22 (d, 1H, J=5.9 Hz), 8.85 (s, 1H).
Mass: ES+ 341.23.
Step 8: 5-{[(6R,7R)-7-{[(2Z)-2-(2-Amino-1,3-thiazol-4-yl)-2-{[(1-tert-butoxy-2-methyl-1-oxopropan-2-yl)oxy]imino}acetyl]amino}-2-{[(4-methoxybenzyl)oxy]carbonyl}-8-oxo-5-thia-1-azabicyclo[4.2.0]oct-2-en-3-yl]methyl}-1-({4-[N-(tert-butoxycarbonyl)carbamimidoyl]furan-2-yl}methyl)-1H-pyrrolo[3,2-c]pyridin-5-ium iodide
Figure USRE048097-20200714-C00192
A mixture of tert-butyl {[5-(1H-pyrrolo[3,2-c]pyridin-1-ylmethyl)furan-3-yl]carbonoimidoyl}carbamate (from step 7, 110 mg, 0.32 mmol), 4-methoxybenzyl (6R,7R)-7-{[(2Z)-2-{2-[(tert-butoxycarbonyl)amino]-1,3-thiazol-4-yl}-2-{[(1-tert-butoxy-2-methyl-1-oxopropan-2-yl)oxy]imino}acetyl]amino}-3-(chloromethyl)-8-oxo-5-thia-1-azabicyclo[4.2.0]oct-2-ene-2-carboxylate (252 mg, 0.32 mmol), and sodium iodide (96 mg, 0.64 mmol) was cooled to 0° C. and dimethylformamide (3 mL) was added, stirred for 45 minutes then the mixture was stirred at −16° C. for 16 h under nitrogen. Sodium bisulphite (0.6 g) in sodium chloride solution (75 mL) was added at 15° C., stirred for 10 minutes, and the solid was filtered, washed with water and dried under vacuum to give 5-{[(6R,7R)-7-{[(2Z)-2-(2-amino-1,3-thiazol-4-yl)-2-{[(1-tert-butoxy-2-methyl-1-oxo-propan-2-yl)oxy]imino}acetyl]amino}-2- {[(4-methoxybenzyl)oxy]carbonyl}-8-oxo-5-thia-1-azabicyclo[4.2.0]oct-2-en-3-yl]methyl}-1-({4-[N-(tert-butoxycarbonyl)carbamimidoyl]furan-2-yl}methyl)-1H-pyrrolo[3,2-c]pyridin-5-ium iodide (328 mg, crude) as yellow solid which was used in the next step without further purification.
Mass: ES+ 1084.68.
Step 9: (6R,7R)-7-{[(2Z)-2-(2-Amino-1,3-thiazol-4-yl)-2-{[(2-carboxypropan-2-yl)oxy]imino}acetyl]amino}-3-({1-[(4-carbamimidoylfuran-2-yl)methyl]-1H-pyrrolo[3,2-c]pyridin-5-ium-5-yl}methyl)-8-oxo-5-thia-1-azabicyclo[4.2.0]oct-2-ene-2-carboxylate
Figure USRE048097-20200714-C00193
To a solution of 5-{[(6R,7R)-7-{[(2Z)-2-(2-amino-1,3-thiazol-4-yl)-2-{[(1-tert-butoxy-2-methyl-1-oxopropan-2yl)oxy]imino}acetyl]amino}-2-{[(4-methoxybenzyl)oxy]carbonyl}-8-oxo-5-thia-1-azabicyclo[4.2.0]oct-2-en-3-yl]methyl}-1-({4-[N-(tert-butoxycarbonyl)carbamimidoyl]furan-2-yl}methyl)-1H-pyrrolo[3,2-c]pyridin-5-ium iodide (from step 8, 328 mg, crude, ˜0.32 mmol)) in anhydrous methylene chloride (3 mL) was added anisole (0.8 mL) followed by trifluoroacetic acid (2.0 mL). The reaction mixture was stirred at room temperature for 3 h and the solvent was evaporated. To the residue was added diisopropyl ether (30 mL) and the solid separated was filtered off, washed with diisopropyl ether and dried under vacuum to get greenish yellow color solid (315 mg), which was dissolved in water (30 mL) and filtered. The aqueous phase was lyophilized to give yellow solid (160 mg), which was purified by preparative HPLC to give (6R,7R)-7-{[(2Z)-2-(2-amino-1,3-thiazol-4-yl)-2-{[(2-carboxypropan-2-yl)oxy]imino}acetyl]amino}-3-({1-[(4-carbamimidoylfuran-2-yl)methyl]-1H-pyrrolo[3,2-c]pyridin-5-ium-5-yl}methyl)-8-oxo-5-thia-1-azabicyclo[4.2.0]oct-2-ene-2-carboxylate as formic acid salt (28 mg, 12% over two steps).
1H NMR (400 MHz, D2O): δ 1.27 (s, 3H), 1.28 (s, 3H), 2.97 (d, 1H, J=18.0 Hz), 3.44 (d, 1H, J=18.0 Hz), 5.04-5.16 (m, 2H), 5.42 (d, 1H, J=14.5 Hz), 5.66 (d, 1H, J=4.7 Hz), 6.72 (s, 1H), 6.84 (s, 1H), 6.96 (d, 1H, J=3.1 Hz), 7.74 (d, 1H, J=3.5 Hz), 7.96 (d, 1H, J=7.0 Hz), 8.14 (s, 1H), 8.43 (d, 1H, J=7.0 Hz), 9.14 (s, 1H). Seven protons were not observed in D2O.
Mass: ES+ 708.27.
Example 7 (Table 1, Compound 3) (6R,7R)-7-{[(2Z)-2-(2-Amino-1,3-thiazol-4-yl)-2-{[(2-carboxypropan-2-yl)oxy]imino}acetyl]amino}-8-oxo-3-{[1-(4-{N-[(3R)-piperidin-3-yl]carbamimidoyl}benzyl)-1H-pyrrolo[3,2-c]pyridin-5-ium-5-yl]methyl}-5-thia-1-azabicyclo[4.2.0]oct-2-ene-2-carboxylate
Figure USRE048097-20200714-C00194
1HNMR (400 MHz, CD3OD): δ 1.23 (s, 3H), 1.29 (s, 3H), 1.81-2.02 (m, 4H), 2.89 (d, 1H, J=18.0 Hz), 2.99 (m, 1H), 3.16 (m, 1H), 3.40-3.51 (m, 2H), 3.63 (d, 1H, J=17.6 Hz), 4.21 (m, 1H), 4.95 (m, 1H), 5.18 (d, 1H, J=4.8 Hz), 5.66-5.83 (m, 3H), 5.93 (d, 1H, J=14.0 Hz), 6.78 (s, 1H), 7.14 (d, 1H, J=3.2 Hz), 7.44 (d, 2H, J=8.0 Hz), 7.70 (d, 1H, J=6.8 Hz), 7.85 (d, 1H, J=8.4 Hz), 8.07 (s, 1H), 8.34 (s, 1H), 9.29 (d, 1H, J=6.0 Hz), 9.43 (s, 1H). Seven protons were not observed in CD3OD.
Mass: ES799.2.
Example 8 (Table 1, Compound 14) (6R,7R)-7-{[(2Z)-2-(2-Amino-1,3-thiazol-4-yl)-2-{[(2-carboxypropan-2-yl)oxy]imino}acetyl]amino}-3-{[1-(4-carbamimidoyl-2-fluorobenzyl)-1H-pyrrolo[3,2-c]pyridin-5-ium-5-yl]methyl}-8-oxo-5-thia-1-azabicyclo[4.2.0]oct-2-ene-2-carboxylate
Figure USRE048097-20200714-C00195
1H NMR (400 MHz, D2O): δ 1.23 (s, 6H), 2.93 (d, 1H, J=18.0 Hz), 3.38 (d, 1H, J=17.6 Hz), 5.08-5.12 (m, 2H), 5.34 (d, 1H, J=14.4 Hz), 5.57 (s, 2H), 5.64 (d, 1H, J=4.4 Hz), 6.75 (s, 1H), 6.92 (d, 1H, J=3.6 Hz), 7.15 (t, 1H, J=7.6 Hz), 7.36 (d, 1H, J=7.2 Hz), 7.41 (d, 1H, J=10.4 Hz), 7.67 (d, 1H, J=3.6 Hz), 7.77 (d, 1H, J=6.8 Hz), 8.27 (d, 1H, J=8.0 Hz), 9.05 (s, 1H). Seven protons were not observed in D2O.
Mass: ES+ 736.41
Example 9 (Table 1, Compound 17) (6R,7R)-7-{[(2Z)-2-(2-Amino-1,3-thiazol-4-yl)-2-{[(2-carboxypropan-2-yl)oxy]imino}acetyl]amino}-3-{[1-({3-[(diaminomethylidene)amino]-1,2-oxazol-5-yl}methyl)-1H-pyrrolo[3,2-c]pyridin-5-ium-5-yl]methyl}-8-oxo-5-thia-1-azabicyclo[4.2.0]oct-2-ene-2-carboxylate
Figure USRE048097-20200714-C00196
1H NMR (400 MHz, D2O): δ 1.25 (s, 6H), 2.93 (d, 1H,
J=17.6 Hz), 3.42 (d, 1H, J=18.0 Hz), 5.07-5.10 (m, 2H), 5.39 (d, 1H, J=13.6 Hz), 5.61 (s, 2H), 5.64 (d, 1H, J=4.8 Hz), 6.10 (s, 1H), 6.78 (s, 1H), 6.94 (d, 1H, J=3.2 Hz), 7.68 (d, 1H, J=3.6 Hz), 7.85 (d, 1H, J=6.4 Hz), 8.38 (d, 1H, J=6.8 Hz), 9.09 (s, 1H). Eight protons were not observed in D2O.
Mass: ES+ 724.35
Example 10 (Table 1, Compound 18) (6R,7R)-7-{[(2Z)-2-(2-Amino-1,3-thiazol-4-yl)-2-{[(2-carboxypropan-2-yl)oxy]imino}acetyl]amino}-3-({1-[(4-carbamimidoylthiophen-2-yl)methyl]-1H-imidazo[1,2-b]pyrazol-5-ium-5-yl}methyl)-8-oxo-5-thia-1-azabicyclo[4.2.0]oct-2-ene-2-carboxylate
Figure USRE048097-20200714-C00197
Step 1: 5-(1H-Imidazo[1,2-b]pyrazol-1-ylmethyl)thiophene-3-carbonitrile
Figure USRE048097-20200714-C00198
To a stirred solution of 1H-imidazo[1,2-b]pyrazole (0.25 g, 2.33 mmol) in anhydrous dimethylformamide (5 mL) was added sodium hydride (60% dispersion in mineral oil, 0.14 g, 3.50 mmol) in small portions at 0° C. The reaction mixture was stirred at 0° C. for 30 min and a solution of 5-(bromomethyl)thiophene-3-carbonitrile (0.495 g, 2.45 mmol) in anhydrous dimethylformamide (1.0 mL) was added slowly. The reaction mixture was stirred at 0° C. for 1 h then at room temperature for 2 h. The reaction was quenched using aqueous saturated ammonium chloride solution (2 mL) and the resulting mixture was partitioned between ethyl acetate (80 mL) and water (10 mL). The organic phase was separated, washed with water (10 mL), brine (10 mL), dried over sodium sulfate, filtered and concentrated under reduced pressure. The crude mixture was purified by flash column chromatography (silica gel, 230-400 mesh) using a 50 to 100% gradient of ethyl acetate in hexane to afford 5-(1H-imidazo[1,2-b]pyrazol-1-ylmethyl)thiophene-3-carbonitrile (0.28 g, 53%) as an off-white solid.
1H NMR (400 MHz, DMSO-d6): δ 5.38 (s, 2H), 5.72 (d, 1H, J=1.9 Hz), 7.29-7.32 (m, 1H), 7.46-7.48 (m, 1H), 7.57 (m, 2H), 8.49 (d, 1H, J=1.2 Hz)
Mass: ES+ 229.09
Step 2: Ethyl 5-(1H-imidazo[1,2-b]pyrazol-1-ylmethyl)thiophene-3-carboximidate hydrochloride
Figure USRE048097-20200714-C00199
A solution of 5-(1H-imidazo[1,2-b]pyrazol-1-ylmethyl)thiophene-3-carbonitrile (from step 1, 0.39 g, 1.71 mmol) in anhydrous ethanol (30 mL) at 0° C. was purged with a stream of anhydrous hydrogen chloride gas for 15 min. The reaction flask was stoppered and the reaction mixture was stirred at room temperature for 24 h. The volatiles were removed under reduced pressure and the residue was further dried under high vacuum to afford ethyl 5-(1H-imidazo[1,2-b]pyrazol-1-ylmethyl)thiophene-3-carboximidate hydrochloride (0.60 g, crude) as a yellow solid which was used directly in the next step without further purification.
1H NMR (400 MHz, DMSO-d6): δ 1.45 (t, 3H, J=7.0 Hz), 4.55 (q, 2H, J=7.0 Hz), 5.46 (s, 2H), 5.83 (d, 1H, J=1.9 Hz), 7.40 (s, 1H), 7.58 (s, 1H), 7.65 (d, 1H, J=1.6 Hz), 7.81 (s, 1H), 8.78 (d, 1H, J=1.6 Hz). One proton was not observed in DMSO
Mass: ES+ 275.16
Step 3: 5-(1H-Imidazo[1,2-b]pyrazol-1-ylmethyl)thiophene-3-carboximidamide
Figure USRE048097-20200714-C00200
A solution of ethyl 5-(1H-imidazo[1,2-b]pyrazol-1-ylmethyl)thiophene-3-carboximidate hydrochloride (from step 2, crude, 0.6 g, 1.71 mmol) in anhydrous methanol (20 mL) at 0° C. was purged with a stream of anhydrous ammonia gas for 15 min. The reaction flask was sealed and the reaction mixture was allowed to warm to room temperature and stirred for 17 h. The volatiles were removed under reduced pressure and the residue was further dried under high vacuum to afford 5-(1H-imidazo[1,2-b]pyrazol-1-ylmethyl)thiophene-3-carboximidamide (1.0 g, crude) as a reddish solid which was used in the next step without further purification.
1HNMR (400 MHz, DMSO-d6): δ 5.40 (s, 2H), 5.69 (d, 1H, J=1.9 Hz), 7.29-7.32 (m, 1H), 7.44-7.48 (m, 1H), 7.59 (d, 1H, J=2.7 Hz), 7.69 (d, 1H, J=0.8 Hz), 8.50 (d, 1H, J=1.6 Hz). Three protons were not observed in DMSO.
Mass: ES+ 246.09
Step 4: tert-Butyl {[5-(1H-imidazo[1,2-b]pyrazol-1-ylmethyl)thiophen-3-yl](imino)methyl}carbamate
Figure USRE048097-20200714-C00201
To a vigorously stirred solution of 5-(1H-imidazo[1,2-b]pyrazol-1-ylmethyl)thiophene-3-carboximidamide (from step 3, crude, 1.0 g, 1.71 mmol) in 1,4-dioxane (10 mL) was added aqueous saturated sodium bicarbonate solution (6 mL) followed by di-tert-butyl dicarbonate (1.5 g, 6.84 mmol). The reaction mixture was stirred at room temperature for 17 h. The majority of 1,4-dioxane was removed under reduced pressure and the mixture was partitioned between dichloromethane (50 mL) and water (30 mL). The phases were separated and the aqueous layer was re-extracted with dichloromethane (60 mL). The combined organic extracts were dried over sodium sulfate, filtered and concentrated under reduced pressure. The crude mixture was purified by flash column chromatography (silica gel, 230-400 mesh) using a 30 to 100% gradient of ethyl acetate in hexane to afford tert-butyl {[5-(1H-imidazo[1,2-b]pyrazol-1-ylmethyl)thiophen-3-yl](imino)methyl}carbamate (0.215 g, 36% over 3 steps) as a yellowish solid.
1H NMR (400 MHz, DMSO-d6): δ 1.41 (s, 9H), 5.32 (s, 2H), 5.65 (d, 1H, J=1.9 Hz), 7.24-7.30 (m, 1H), 7.39-7.46 (m, 1H), 7.54 (d, 1H, J=1.9 Hz), 7.60 (d, 1H, J.8 Hz), 8.21 (d, 1H, J=1.2 Hz), 8.85 (br s, 2H)
Mass: ES+346.23, ES344.18
Step 5: 5-{[(6R,7R)-7-{[(2Z)-2-{2-[(tert-Butoxycarbonyl)amino]-1,3-thiazol-4-yl}-2-{[(1-tert-butoxy-2-methyl-1-oxopropan-2-yl)oxy]imino}acetyl]amino}-2-{[(4-methoxybenzyl)oxy]carbonyl}-8-oxo-5-thia-1-azabicyclo[4.2.0]oct-2-en-3-yl]methyl}-1-({4-[N-(tert-butoxycarbonyl)carbamimidoyl]thiophen-2-yl}methyl)-1H-imidazo[1,2-b]pyrazol-5-ium iodide
Figure USRE048097-20200714-C00202
To a solution of tert-butyl {[5-(1H-imidazo[1,2-b]pyrazol-1-ylmethyl)thiophen-3-yl](imino)methyl}carbamate (from step 4, 0.118 g, 0.34 mmol) in anhydrous dimethylformamide (2 mL) was added (6R,7R)-7-{[(2Z)-2-{2-[(tert-butoxycarbonyl)amino]-1,3-thiazol-4-yl}-2-{[(1-tert-butoxy-2-methyl-1-oxopropan-2-yl)oxy]imino}acetyl]amino}-3-(iodomethyl)-2-{[(4-methoxybenzyl)oxy]carbonyl}-8-oxo-5-thia-1-azabicyclo[4.2.0]oct-2-en-5-olate (0.303 g, 0.34 mmol) in one portion at room temperature. The reaction mixture was stirred at room temperature for 18 h. Anhydrous dimethylformamide (1 mL) was added and the reaction mixture was cooled to −40° C. Potassium iodide (0.317 g, 2.39 mmol) followed by acetyl chloride (0.107 g, 1.37 mmol) was then added at −40° C. and the reaction mixture was stirred at 0° C. for 1 h. Aqueous 5% sodium bisulphite solution (containing sodium metabisulphite, 10 mL) was added and the resulting mixture was stirred for 15 min at room temperature. The precipitated solid was collected by filtration, washed with water (3×10 mL) and air-dried. The crude product was further dried under high vacuum to afford 5-{[(6R,7R)-7-{[(2Z)-2-{2-[(tert-butoxycarbonyl)amino]-1,3-thiazol-4-yl}-2-{[(1-tert-butoxy-2-methyl-1-oxopropan-2-yl)oxy]imino}acetyl]amino}-2-{[(4-methoxybenzyl)oxy]carbonyl}-8-oxo-5-thia-1-azabicyclo[4.2.0]oct-2-en-3-yl]methyl}-1-({4-[N-(tert-butoxycarbonyl)carbamimidoyl]thiophen-2-yl}methyl)-1H-imidazo[1,2-b]pyrazol-5-ium iodide (0.37 g, crude) as a yellow solid which was used in the next step without further purification.
Mass: ES+ 1090.75
Step 6: (6R,7R)-7-{[(2Z)-2-(2-Amino-1,3-thiazol-4-yl)-2-{[(2-carboxypropan-2-yl)oxy]imino}acetyl]amino}-3-({1-[(4-carbamimidoylthiophen-2-yl)methyl]-1H-imidazo[1,2-b]pyrazol-5-ium-5-yl}methyl)-8-oxo-5-thia-1-azabicyclo[4.2.0]oct-2-ene-2-carboxylate
Figure USRE048097-20200714-C00203
To a stirred solution of 5-{[(6R,7R)-7-{[(2Z)-2-{2-[(tert-butoxycarbonyl)amino]-1,3-thiazol-4-yl}-2-{[(1-tert-butoxy-2-methyl-1-oxopropan-2-yl)oxy]imino}acetyl]amino}-2-{[(4-methoxybenzyl)oxy]carbonyl}-8-oxo-5-thia-1-azabicyclo[4.2.0]oct-2-en-3-yl]methyl}-1-({4-[N-(tert-butoxycarbonyl)carbamimidoyl]thiophen-2-yl}methyl)-1H-imidazo[1,2-b]pyrazol-5-ium iodide (0.37 g, 0.30 mmol) and anisole (1 mL) in anhydrous dichloromethane (7 mL) was added trifluoroacetic acid (3 mL) dropwise at 0° C. The reaction mixture was allowed to warm to room temperature and stirred for 3 h. The volatiles were then removed under reduced pressure and the residue was triturated using diisopropyl ether (15 mL). The precipitate was collected by filtration, washed with diisopropyl ether (5 mL) and dried under high vacuum to afford a yellow solid (0.33 g). The crude material was then taken in distilled water (20 mL) and the resulting suspension was stirred vigorously for 30 min at room temperature. The insoluble material was filtered off, the filtrate was collected and lyophilized. The crude product (0.16 g) was purified by prep HPLC to afford the trifluoroacetic acid salt of (6R,7R)-7-{[(2Z)-2-(2-amino-1,3-thiazol-4-yl)-2-{[(2-carboxypropan-2-yl)oxy]imino}acetyl]amino}-3-({1-[(4-carbamimidoylthiophen-2-yl)methyl]-1H-imidazo[1,2-b]pyrazol-5-ium-5-yl}methyl)-8-oxo-5-thia-1-azabicyclo[4.2.0]oct-2-ene-2-carboxylate (15 mg; 6% over 2 steps).
1H NMR (400 MHz, D2O): δ 1.27 (s, 3H), 1.29 (s, 3H), 2.92 (d, 1H, J=18.0 Hz), 3.25 (d, 1H, J=18.0 Hz), 5.03 (d, 1H, J=5.1 Hz), 5.13 (s, 2H), 5.44 (s, 2H), 5.61 (d, 1H, J=4.7 Hz), 6.19 (d, 1H, J=3.5 Hz), 6.83 (s, 1H), 7.38-7.42 (m, 2H), 7.85-7.87 (m, 1H), 7.88 (d, 1H, J=4.3 Hz), 8.14 (s, 1H). Seven protons were not observed in D2O.
Mass: ES+ 712.37
Example 11 (Table 1, Compound 59) (6R,7R)-7-{[(2Z)-2-(2-Amino-1,3-thiazol-4-yl)-2-(methoxyimino)acetyl]amino}-3-({1-[(4-carbamimidoylthiophen-2-yl)methyl]-1H-pyrrolo[3,2-c]pyridin-5-ium-5-yl}methyl)-8-oxo-5-thia-1-azabicyclo[4.2.0]oct-2-ene-2-carboxylate
Figure USRE048097-20200714-C00204
Step 1: 5-{[(6R,7R)-7-{[(2Z)-2-{2-[(tert-Butoxycarbonyl)amino]-1,3-thiazol-4-yl}-2-(methoxyimino)acetyl]amino}-2-{[(4-methoxybenzyl)oxy]carbonyl}-8-oxo-5-thia-1-azabicyclo[4.2.0]oct-2-en-3-yl]methyl}-1-({4-[N-(tert-butoxycarbonyl)carbamimidoyl]thiophen-2-yl}methyl)-1H-pyrrolo[3,2-c]pyridin-5-ium iodide
Figure USRE048097-20200714-C00205
To a solution tert-butyl {[5-(1H-pyrrolo[3,2-c]pyridin-1-ylmethyl)thiophen-3-yl]carbonoimidoyl}carbamate (0.12 g, 0.30 mmol) in dimethylformamide (2 mL) was added 4-methoxybenzyl (6R,7R)-7-{[(2Z)-2-{2-[(tert-butoxycarbonyl)amino]-1,3-thiazol-4-yl}-2-(methoxyimino)acetyl]amino}-3-(chloromethyl)-8-oxo-5-thia-1-azabicyclo[4.2.0]oct-2-ene-2-carboxylate (0.19 g, 0.30 mmol) at 0° C. The reaction mixture was then degassed under reduced pressure for 0.5 h, followed by adding Nal (0.09 g, 0.6 mmol) and stirred at room temperature overnight. Sodium bisulphite (0.6 g) in sodium chloride solution (75 mL) was added at 15° C. and stirred for 10 minutes. The solid was filtered, washed with water and dried under vacuum to a yellow solid (0.29 g), which was used in the next step without further purification.
Step 2: (6R,7R)-7-{[(2Z)-2-(2-Amino-1,3-thiazol-4-yl)-2-(methoxyimino)acetyl]amino}-3-({1-[(4-carbamimidoylthiophen-2-yl)methyl]-1H-pyrrolo[3,2-c]pyridin-5-ium-5-yl}methyl)-8-oxo-5-thia-1-azabicyclo[4.2.0]oct-2-ene-2-carboxylate
Figure USRE048097-20200714-C00206
To a solution of 5-{[(6R,7R)-7-{[(2Z)-2-{2-[(tert-butoxycarbonyl)amino]-1,3-thiazol-4-yl}-2-(methoxyimino)acetyl]amino}-2-{[(4-methoxybenzyl)oxy]carbonyl}-8-oxo-5-thia-1-azabicyclo[4.2.0]oct-2-en-3-yl]methyl}-1-({4-[N-(tert-butoxycarbonyl)carbamimidoyl]thiophen-2-yl}methyl)-1H-pyrrolo[3,2-c]pyridin-5-ium iodide (0.29 g) in dry dichloromethane (2.5 mL) at 0° C. was added trifluoroacetic acid (2.5 mL) and anisole (0.82 mL, 7.75 mmol) and then stirred at room temperature for 2 h. Solvent was evaporated and diisopropyl ether (30 mL) was added. The solid separated was filtered, washed with di-isopropyl ether and dried under vacuum. The greenish yellow solid (315 mg) was dissolved in water (30 mL), filtered and the aqueous phase was lyophilized to give yellow solid (160 mg) which was purified by preparative HPLC to give (6R,7R)-7-{[(2Z)-2-(2-amino-1,3-thiazol-4-yl)-2-(methoxyimino)acetyl]amino}-3-({1-[(4-carbamimidoylthiophen-2-yl)methyl]-1H-pyrrolo[3,2-c]pyridin-5-ium-5-yl}methyl)-8-oxo-5-thia-1-azabicyclo[4.2.0]oct-2-ene-2-carboxylate as formic acid salt (0.007 g, 4%).
1H NMR (400 MHz, D2O): δ 3.05 (d, 1H, J=17.6 Hz), 3.45 (d, 1H, J=18.0 Hz), 3.84 (s, 3H), 5.11 (d, 1H, J=4.8 Hz), 5.21 (d, 1H, J=14.8 Hz), 5.35 (d, 1H, J=14.4 Hz), 5.70 (m, 3H), 6.84 (s, 1H), 6.98 (d, 1H, J=3.2 Hz), 7.34 (s, 1H), 7.73 (d, 1H, J=3.6 Hz), 7.88 (d, 1H, J=7.2 Hz), 8.12 (s, 1H), 8.31 (d, 1H, J=8.4 Hz), 9.08 (s, 1H). Six protons were not observed in D2O.
Mass: ES+ 652.15
Example 12 (Table 1, Compound 62) (6R,7R)-7-{[(2Z)-2-(2-Amino-5-chloro-1,3-thiazol-4-yl)-2-(methoxyimino)acetyl]amino}-8-oxo-3-[(1-{[4-(N-phenylcarbamimidoyl)thiophen-2-yl]methyl}-1H-pyrrolo[3,2-c]pyridin-5-ium-5-yl)methyl]-5-thia-1-azabicyclo[4.2.0]oct-2-ene-2-carboxylate
Figure USRE048097-20200714-C00207
Step 1: N-phenyl-5-(1H-pyrrolo[3,2-c]pyridin-1-ylmethyl)thiophene-3-carboximidamide
Figure USRE048097-20200714-C00208
To a solution of ethyl 5-(1H-pyrrolo[3,2-c]pyridin-1-ylmethyl)thiophene-3-carboximidate hydrochloride (0.5 g, 1.55 mmol) and triethylamine (0.56 mL, 4.0 mmol) in ethanol (5 mL) was added aniline (0.2.33 mmol) at room temperature. The reaction mixture was stirred at room temperature for 2 days and concentrated. The residue was purified by column chromatography using methanol: dichloromethane (15:85) as eluent to give N-phenyl-5-(1H-pyrrolo[3,2-c]pyridin-1-ylmethyl)thiophene-3-carboximidamide (0.28 g, 54%) as a beige solid.
1H NMR (400 MHz, CD3OD): δ 5.78 (s, 2H), 6.81 (d, 1H, J=4.4 Hz), 7.38-7.47 (m, 3H), 7.53-7.57 (m, 2H), 7.62 (m, 2H), 7.70 (d, 1H, J=6.4 Hz), 8.23 (d, 1H, J=6.4 Hz), 8.35 (s, 1H), 8.87 (s, 1H). Two protons were not observed in CD3OD.
Step 2: 5-{[(6R,7R)-7-{[(2Z)-2-{2-[(tert-Butoxycarbonyl)amino]-5-chloro-1,3-thiazol-4-yl}-2-(methoxyimino)acetyl]amino}-2-{[(4-methoxybenzyl)oxy]carbonyl}-8-oxo-5-thia-1-azabicyclo[4.2.0]oct-2-en-3-yl]methyl}-1-{[4-(N-phenylcarbamimidoyl)thiophen-2-yl]methyl}-1H-pyrrolo[3,2-c]pyridin-5-ium iodide
Figure USRE048097-20200714-C00209
To a solution N-phenyl-5-(1H-pyrrolo[3,2-c]pyridin-1-ylmethyl)thiophene-3-carboximidamide (0.10 g, 0.30 mmol) in dimethylformamide (2 mL) was added 4-methoxybenzyl (6R,7R)-7-{[(2Z)-2-{2-[(tert-butoxycarbonyl)amino]-5-chloro-1,3-thiazol-4-yl}-2-(methoxyimino)acetyl]amino}-3-(chloromethyl)-8-oxo-5-thia-1-azabicyclo[4.2.0]oct-2-ene-2-carboxylate (0.21 g, 0.30 mmol) at 0° C. The reaction mixture was then degassed under reduced pressure for 0.5 h, followed by adding Nal (0.09 g, 0.6 mmol) and stirred at room temperature overnight. Sodium bisulphite (0.6 g) in sodium chloride solution (75 mL) was added at 15° C. and stirred for 10 minutes. The solid was filtered off, washed with water and dried under vacuum to a yellow solid (0.28 g), which was used in the next step without further purification.
Step 3: (6R,7R)-7-{[(2Z)-2-(2-Amino-5-chloro-1,3-thiazol-4-yl)-2-(methoxyimino)acetyl]amino}-8-oxo-3-[(1-{[4-(N-phenylcarbamimidoyl)thiophen-2-yl]methyl}-1H-pyrrolo[3,2-c]pyridin-5-ium-5-yl)methyl]-5-thia-1-azabicyclo[4.2.0]oct-2-ene-2-carboxylate
Figure USRE048097-20200714-C00210
To a solution of 5-{[(6R,7R)-7-{[(2Z)-2-{2-[(tert-butoxycarbonyl)amino]-5-chloro-1,3-thiazol-4-yl}-2-(methoxyimino)acetyl]amino}-2-{[(4-methoxybenzyl)oxy]carbonyl}-8-oxo-5-thia-1-azabicyclo[4.2.0]oct-2-en-3-yl]methyl}-1-{[4-(N-phenylcarbamimidoyl)thiophen-2-yl]methyl}-1H-pyrrolo[3,2-c]pyridin-5-ium iodide (0.28 g) in dry dichloromethane (2.5 mL) at 0° C. was added trifluoroacetic acid (2.5 mL) and anisole (0.82 mL, 7.75 mmol) and then stirred at room temperature for 2 h. Solvent was evaporated and diisopropyl ether (30 mL) was added. The solid was filtered, washed with diisopropyl ether and dried under vacuum. The greenish yellow solid (315 mg) was dissolved in water (30 mL), filtered and the aqueous phase was lyophilized to give yellow solid (160 mg) which was purified by preparative HPLC to give (6R,7R)-7-{[(2Z)-2-(2-amino-5-chloro-1,3-thiazol-4-yl)-2-(methoxyimino)acetyl]amino}-8-oxo-3-[(1-{[4-(N-phenylcarbamimidoyl)thiophen-2-yl]methyl}-1H-pyrrolo[3,2-c]pyridin-5-ium-5-yl)methyl]-5-thia-1-azabicyclo[4.2 .0]oct-2-ene-2-carboxylate as formic acid salt (0.01 g, 5%).
1H NMR (400 MHz, D2O): δ 3.05 (d, 1H, J=18.0 Hz), 3.43 (d, 1H, J=18.0 Hz), 3.84 (s, 3H), 5.10 (d, 1H, J=4.8 Hz), 5.22 (d, 1H, J=15.2 Hz), 5.35 (d, 1H, J=14.4 Hz), 5.71 (d, 1H, J=4.8 Hz), 5.76 (s, 2H), 7.00 (d, 1H, J=3.2 Hz), 7.30 (d, 2H, J=7.2 Hz), 7.41-7.49 (m, 4H), 7.78 (d, 1H, J=3.2 Hz), 7.92 (d, 1H, J=7.6 Hz), 8.21 (s, 1H), 8.33 (d, 1H, J=8.0 Hz), 9.09 (s, 1H). Five protons were not observed in D2O.
Mass: ES+ 662.09
Example 13 (Table 1, Compound 63) (6R,7R)-7-{[(2Z)-2-(2-Amino-5-chloro-1,3-thiazol-4-yl)-2-(methoxyimino)acetyl]amino}-8-oxo-3-[(1-{[4-(pyrrolidin-1-ylcarbonoimidoyl)thiophen-2-yl]methyl}-1H-pyrrolo[3,2-c]pyridin-5-ium-5-yl)methyl]-5-thia-1-azabicyclo[4.2.0]oct-2-ene-2-carboxylate
Figure USRE048097-20200714-C00211
Step 1: 1-(Pyrrolidin-1-yl)-1-[5-(1H-pyrrolo[3,2-c]pyridin-1-ylmethyl)thiophen-3-yl]methanimine
Figure USRE048097-20200714-C00212
To a solution of ethyl 5-(1H-pyrrolo[3,2-c]pyridin-1-ylmethyl)thiophene-3-carboximidate hydrochloride (0.5 g, 1.55 mmol) and triethylamine (0.56 mL, 4.0 mmol) in ethanol (5 mL) was added pyrrolidine (0.2 g, 2.81 mmol) at room temperature. The reaction mixture was stirred at room temperature for 2 days and concentrated. The residue was purified by column chromatography using methanol: dichloromethane (15:85) as eluent to give 1-(pyrrolidin-1-yl)-1-[5-(1H-pyrrolo[3,2-c]pyridin-1-ylmethyl)thiophen-3-yl]methanimine (0.26 g, 54%) as a beige solid.
1H NMR (400 MHz, CD3OD): δ 1.96 (m, 2H), 2.14 (m, 2H), 3.30 (m, 4H), 5.64 (s, 2H), 6.74 (d, 1H, J=4.0 Hz), 7.38 (s, 1H), 7.51 (d, 1H, J=3.6 Hz), 7.57 (d, 1H, J=6.0 Hz), 7.99 (s, 1H), 8.18 (d, 1H, J=5.6 Hz), 8.81 (s, 1H). One proton was not observed in CD3OD.
Step 2: 5-{[(6R,7R)-7-{[(2Z)-2-{2-[(tert-Butoxycarbonyl)amino]-5-chloro-1,3-thiazol-4-yl}-2-(methoxyimino)acetyl]amino}-2-{[(4-methoxybenzyl)oxy]carbonyl}-8-oxo-5-thia-1-azabicyclo[4.2.0]oct-2-en-3-yl]methyl}-1-{[4-(pyrrolidin-1-ylcarbonoimidoyl)thiophen-2-yl]methyl}-1H-pyrrolo[3,2-c]pyridin-5-ium iodide
Figure USRE048097-20200714-C00213
To a solution 1-(pyrrolidin-1-yl)-1-[5-(1H-pyrrolo[3,2-c]pyridin-1-ylmethyl)thiophen-3-yl]methanimine (0.093 g, 0.30 mmol) in dimethylformamide (2 mL) was added 4-methoxybenzyl (6R,7R)-7-{[(2Z)-2-{2-[(tert-butoxycarbonyl)amino]-5-chloro-1,3-thiazol-4-yl}-2-(methoxyimino)acetyl]amino}-3-(chloromethyl)-8-oxo-5-thia-1-azabicyclo[4.2.0]oct-2-ene-2-carboxylate (0.21 g, 0.30 mmol) at 0° C. The reaction mixture was then degassed under reduced pressure for 0.5 h, followed by adding NaI (0.09 g, 0.6 mmol) and stirred at room temperature overnight. Sodium bisulphite (0.6 g) in sodium chloride solution (75 mL) was added at 15° C. and stirred for 10 minutes. The solid separated was filtered, washed with water and dried under vacuum to a yellow solid (0.28 g), which was used in the next step without further purification.
Step 3: (6R,7R)-7-{[(2Z)-2-(2-Amino-5-chloro-1,3-thiazol-4-yl)-2-(methoxyimino)acetyl]amino}-8-oxo-3-[(1-{[4-(pyrrolidin-1-ylcarbonoimidoyl)thiophen-2-yl]methyl}-1H-pyrrolo[3,2-c]pyridin-5-ium-5-yl)methyl]-5-thia-1-azabicyclo[4.2.0]oct-2-ene-2-carboxylate
Figure USRE048097-20200714-C00214
To a solution of 5-{[(6R,7R)-7-{[(2Z)-2-{2-[(tert-butoxycarbonyl)amino]-5-chloro-1,3-thiazol-4-yl}-2-(methoxyimino)acetyl]amino}-2-{[(4-methoxybenzyl)oxy]carbonyl}-8-oxo-5-thia-1-azabicyclo[4.2.0]oct-2-en-3-yl]methyl}-1-{[4-(pyrrolidin-1-ylcarbonoimidoyl)thiophen-2-yl]methyl}-1H-pyrrolo[3,2-c]pyridin-5-ium iodide (0.29 g) in dry dichloromethane (2.5 mL) at 0° C. was added trifluoroacetic acid (2.5 mL) and anisole (0.82 mL, 7.75 mmol) and then stirred at room temperature for 2 h. Solvent was evaporated and diisopropyl ether (30 mL) was added to the residue and the solid separated was filtered, washed with diisopropyl ether then dried under vacuum. The greenish yellow solid (315 mg) was dissolved in water (30 mL), filtered and the aqueous phase was lyophilized to give yellow solid (160 mg) which was purified by preparative HPLC to give (6R,7R)-7-{[(2Z)-2-(2-amino-5-chloro-1,3-thiazol-4-yl)-2-(methoxyimino)acetyl]amino}-8-oxo-3-[(1-{[4-(pyrrolidin-1-ylcarbonoimidoyl)thiophen-2-yl]methyl}-H-pyrrolo[3,2-c]pyridin-5-ium-5-yl)methyl]-5-thia-1-azabicyclo[4.2.0]oct-2-ene-2-carboxylate as formic acid salt (0.011 g, 5.7%).
1H NMR (200 MHz, D2O): δ 1.79 (m, 2H), 1.97 (m, 2H), 3.03 (d, 1H, J=18.0 Hz), 3.42 (m, 5H), 3.84 (s, 3H), 5.10 (d, 1H, J=4.4 Hz), 5.21 (d, 1H, J=14.8 Hz), 5.35 (d, 1H, J=14.4 Hz), 5.70 (m, 3H), 6.98 (d, 1H, J=3.2 Hz), 7.22 (s, 1H), 7.74 (d, 1H, J=3.2 Hz), 7.85 (s, 1H), 7.89 (d, 1H, J=7.2 Hz), 8.32 (d, 1H, 7.2 Hz), 9.08 (s, 1H). Four protons were not observed in D2O.
Mass: ES+ 740.13
Example 14 (Table 1, Compound 64) (6R,7R)-7-{[(2Z)-2-(2-Amino-5-chloro-1,3-thiazol-4-yl)-2-(methoxyimino)acetyl]amino}-8-oxo-3-{[1-({4-[N-(1,3-thiazol-2-yl)carbamimidoyl]thiophen-2-yl}methyl)-1H-pyrrolo[3,2-c]pyridin-5-ium-5-yl]methyl}-5-thia-1-azabicyclo[4.2.0]oct-2-ene-2-carboxylate
Figure USRE048097-20200714-C00215
Step 1: 5-(1H-Pyrrolo[3,2-c]pyridin-1-ylmethyl)-N-(1,3-thiazol-2-yl)thiophene-3-carboximidamide
Figure USRE048097-20200714-C00216
To a solution of ethyl 5-(1H-pyrrolo[3,2-c]pyridin-1-ylmethyl)thiophene-3-carboximidate hydrochloride (0.5 g, 1.55 mmol) and triethylamine (0.56 mL, 4.0 mmol) in ethanol (5 mL) was added 1,3-thiazol-2-amine (0.25 g, 2.33 mmol) at room temperature. The reaction mixture was stirred at room temperature for 2 days and concentrated. The residue was purified by column chromatography using methanol: dichloromethane (15:85) as eluent to give 5-(1H-pyrrolo[3,2-c]pyridin-1-ylmethyl)-N-(1,3-thiazol-2-yl)thiophene-3-carboximidamide (0.22 g, 42%) as a beige solid.
1H NMR (400 MHz, CD3OD): δ 5.43 (s, 2H), 6.65 (d, 1H, J=4.0 Hz), 7.16 (m, 2H), 7.27 (m, 2H), 7.44 (m, 1H, J=6.0 Hz), 7.64 (s, 1H), 8.32 (d, 1H, J=6.0 Hz), 8.92 (s, 1H).
Step 2: 5-{[(6R,7R)-7-{[(2Z)-2-{2-[(tert-Butoxycarbonyl)amino]-5-chloro-1,3-thiazol-4-yl}-2-(methoxyimino)acetyl]amino}-2-{[(4-methoxybenzyl)oxy]carbonyl}-8-oxo-5-thia-1-azabicyclo[4.2.0]oct-2-en-3-yl]methyl}-1-({4-[N-(1,3-thiazol-2-yl)carbamimidoyl]thiophen-2-yl}methyl)-1H-pyrrolo[3,2-c]pyridin-5-ium iodide
Figure USRE048097-20200714-C00217
To a solution of 5-(1H-pyrrolo[3,2-c]pyridin-1-ylmethyl)-N-(1,3-thiazol-2-yl)thiophene-3-carboximidamide (0.102 g, 0.30 mmol) in dimethylformamide (2 mL) was added 4-methoxybenzyl (6R,7R)-7-{[(2Z)-2-{2-[(tert-butoxycarbonyl)amino]-5-chloro-1,3-thiazol-4-yl}-2-(methoxyimino)acetyl]amino}-3-(chloromethyl)-8-oxo-5-thia-1-azabicyclo[4.2.0]oct-2-ene-2-carboxylate (0.21 g, 0.30 mmol) at 0° C. The reaction mixture was then degassed under reduced pressure for 0.5 h, followed by adding NaI (0.09 g, 0.6 mmol) and stirred at room temperature overnight. Sodium bisulphite (0.6 g) in sodium chloride solution (75 mL) was added at 0° C., stirred for 10 minutes and the solid separated was filtered, washed with water and dried under vacuum to a yellow solid (0.3 g), which was used in the next step without further purification.
Step 3: (6R,7R)-7-{[(2Z)-2-(2-Amino-5-chloro-1,3-thiazol-4-yl)-2-(methoxyimino)acetyl]amino}-8-oxo-3-{[1-({4-[N-(1,3-thiazol-2-yl)carbamimidoyl]thiophen-2-yl}methyl)-1H-pyrrolo[3,2-c]pyridin-5-ium-5-yl]methyl}-5-thia-1-azabicyclo[4.2.0]oct-2-ene-2-carboxylate
Figure USRE048097-20200714-C00218
To a solution of 5-{[(6R,7R)-7-{[(2Z)-2-{2-[(tert-butoxycarbonyl)amino]-5-chloro-1,3-thiazol-4-yl}-2-(methoxyimino)acetyl]amino}-2-{[(4-methoxybenzyl)oxy]carbonyl}-8-oxo-5-thia-1-azabicyclo[4.2.0]oct-2-en-3-yl]methyl}-1-({4-[N-(1,3-thiazol-2-yl)carbamimidoyl]thiophen-2-yl}methyl)-1H-pyrrolo[3,2-c]pyridin-5-ium iodide (0.3 g) in dry dichloromethane (2.5 mL) at 0° C. was added trifluoroacetic acid (2.5 mL) and anisole (0.82 mL, 7.75 mmol) and then stirred at room temperature for 2 h, then the solvent was evaporated and diisopropyl ether (30 mL) was added. The solid was filtered, washed with diisopropyl ether and dried under vacuum. The greenish yellow solid (315 mg) was dissolved in water (30 mL), filtered and the aqueous phase was lyophilized to give yellow solid (160 mg) which was purified by preparative HPLC to give (6R,7R)-7-{[(2Z)-2-(2-amino-5-chloro-1,3-thiazol-4-yl)-2-(methoxyimino)acetyl]amino}-8-oxo-3-{[1-({4-[N-(1,3-thiazol-2-yl)carbamimidoyl]thiophen-2-yl}methyl)-1H-pyrrolo[3,2-c]pyridin-5-ium-5-yl]methyl}-5-thia-1-azabicyclo[4.2.0]oct-2-ene-2-carboxylate as formic acid salt (0.005 g, 2.5%).
1H NMR (400 MHz, D2O): δ 3.03 (d, 1H, J=17.6 Hz), 3.43 (d, 1H, J=17.2 Hz), 3.84 (s, 3H), 5.11 (d, 1H, J=4.8 Hz), 5.21 (d, 1H, J=13.6 Hz), 5.36 (d, 1H, J=14.0 Hz), 5.72 (m, 3H), 7.01 (d, 1H, J=4.2 Hz), 7.25 (d, 1H, J=3.6 Hz), 7.41 (d, 1H, J=7.6 Hz), 7.49 (m, 1H), 7.75 (m, 1H), 7.92 (d, 1H, J=7.2 Hz), 8.20 (s, 1H), 8.33 (d, 1H, J=7.6 Hz), 9.06 (s, 1H). Five protons were not observed in D2O.
Mass: ES+ 769.03
Example 15 (Table 1, Compound 60) (6R,7R)-7-{[(2Z)-2-(2-Amino-5-chloro-1,3-thiazol-4-yl)-2-(methoxyimino)acetyl]amino}-3-({1-[(4-carbamimidoylthiophen-2-yl)methyl]-1H-pyrrolo[3,2-b]pyridin-4-ium-4-yl}methyl)-8-oxo-5-thia-1-azabicyclo[4.2.0]oct-2-ene-2-carboxylate
Figure USRE048097-20200714-C00219
Step 1: 5-(1H-Pyrrolo[3,2-b]pyridin-1-ylmethyl)thiophene-3-carbonitrile
Figure USRE048097-20200714-C00220
To a solution of 1H-pyrrolo[3,2-b]pyridine (0.59 g, 5.00 mmol) in anhydrous dimethylformamide (10 mL) was added sodium hydride (60% suspension in mineral oil, 0.29 g, 7.25 mmol) at 0° C. in small portions under nitrogen. After the addition, the mixture was stirred for 10 minutes at 0° C. and then at room temperature for 10 minutes, cooled to 0° C. and was added 5-(bromomethyl)thiophene-3-carbonitrile (1.11 g, 5.50 mmol) in anhydrous tetrahydrofuran (10 mL) dropwise. After the addition, the reaction mixture was stirred at 0° C. for 1.5 h, quenched with ice-water (10 mL) and extracted with ethyl acetate (20 mL×2). The combined organic layers were washed with brine, dried over Na2SO4, filtered and evaporated. The residue was purified by column chromatography using DCM: MeOH (92:8) as eluent to afford 5-(1H-pyrrolo[3,2-b]pyridin-1-ylmethyl)thiophene-3-carbonitrile (1.0 g, 80%) as a brown solid.
1H NMR (400 MHz, CDCl3): δ 5.47 (s, 2H), 6.79 (d, 1H, J=4.0 Hz), 7.10 (s, 1H), 7.12 (m, 1H), 7.36 (d, 1H, J=3.6 Hz), 7.58 (d, 1H, J=10.4 Hz), 7.82 (s, 1H), 8.50 (d, 1H, J=6.0 Hz).
Step 2: Methyl 5-(1H-pyrrolo[3,2-b]pyridin-1-ylmethyl)thiophene-3-carboximidate hydrochloride
Figure USRE048097-20200714-C00221
Anhydrous hydrogen chloride gas was bubbled through a solution of 5-(1H-pyrrolo[3,2-b]pyridin-1-ylmethyl)thiophene-3-carbonitrile (1.0 g, 4.18 mmol) in anhydrous ethanol (30 mL) at 0° C. for 20 minutes. The reaction mixture was stirred at room temperature for 20 h and the solvent was evaporated and dried under vacuum to give methyl 5-(1H-pyrrolo[3,2-b]pyridin-1-ylmethyl)thiophene-3-carboximidate hydrochloride (0.97 g crude) as brown solid, which was used in next step without further purification.
Step 3: 5-(1H-Pyrrolo[3,2-b]pyridin-1-ylmethyl)thiophene-3-carboximidamide
Figure USRE048097-20200714-C00222
Anhydrous ammonia gas was bubbled through a solution of methyl 5-(1H-pyrrolo[3,2-b]pyridin-1-ylmethyl)thiophene-3-carboximidate hydrochloride (0.97 g crude, ˜4.1 mmol) in anhydrous methanol (40 mL) at 0° C. for 15 minutes. Then the reaction mixture was stirred at room temperature for 16 h. Solvent was evaporated and dried under vacuum to give 5-(1H-pyrrolo[3,2-b]pyridin-1-ylmethyl)thiophene-3-carboximidamide (1.2 g, crude) as a brown solid which was used in the next step without further purification.
Step 4: tert-Butyl {[5-(1H-pyrrolo[3,2-b]pyridin-1-ylmethyl)thiophen-3-yl]carbonoimidoyl}carbamate
Figure USRE048097-20200714-C00223
To a solution of 5-(1H-pyrrolo[3,2-b]pyridin-1-ylmethyl)thiophene-3-carboximidamide (0.97 g, crude) in 1,4-dioxane (100 mL) was added aqueous saturated sodium carbonate solution (50 mL) followed by di-tert-butyldicarbonate (3.30 g, 15.12 mmol) at 0° C. The reaction mixture was stirred at room temperature for 16 h, the solvent was evaporated and was added water (50 mL) was added then extracted with ethyl acetate (2×50 mL). The organic phases were combined, washed with brine (2×50 mL) and dried over Na2SO4. The solvent was evaporated and the crude compound was purified by flash chromatography using RediSep silica 40 g flash column (0-6% methanol in methylene chloride as eluent) to give tert-butyl {[5-(1H-pyrrolo[3,2-b]pyridin-1-ylmethyl)thiophen-3-yl]carbonoimidoyl}carbamate (1.2 g, 61% over three steps) as an off-white solid.
1H NMR (400 MHz, CDCl3): δ 1.51 (s, 9H), 5.39 (s, 2H), 6.66 (d, 1H, J=4.00 Hz), 7.06 (m, 1H), 7.32 (d, 1H, J=3.2 Hz), 7.42 (s, 1H), 7.58 (d, 1H, J=10.4 Hz), 7.87 (s, 1H), 8.42 (d, 1H, J=5.6 Hz).
Step 5: 4-{[(6R,7R)-7-{[(2Z)-2-{2-[(tert-Butoxycarbonyl)amino]-5-chloro-1,3-thiazol-4-yl}-2-(methoxyimino)acetyl]amino}-2-{[(4-methoxybenzyl)oxy]carbonyl}-8-oxo-5-thia-1-azabicyclo[4.2.0]oct-2-en-3-yl]methyl}-1-({4-[N-(tert-butoxycarbonyl)carbamimidoyl]thiophen-2-yl}methyl)-1H-pyrrolo[3,2-b]pyridin-4-ium iodide
Figure USRE048097-20200714-C00224
To a solution tert-butyl {[5-(1H-pyrrolo[3,2-b]pyridin-1-ylmethyl)thiophen-3-yl]carbonoimidoyl}carbamate (0.12 g, 0.30 mmol) in dimethylformamide (2 mL) was added 4-methoxybenzyl (6R,7R)-7-{[(2Z)-2-{2-[(tert-butoxycarbonyl)amino]-5-chloro-1,3-thiazol-4-yl}-2-(methoxyimino)acetyl]amino}-3-(chloromethyl)-8-oxo-5-thia-1-azabicyclo[4.2.0]oct-2-ene-2-carboxylate (0.21 g, 0.30 mmol) at 0° C. The reaction mixture was then degassed under reduced pressure for 0.5 h, followed by adding NaI (0.09 g, 0.6 mmol) and stirred at room temperature overnight. Sodium bisulphite (0.6 g) in sodium chloride solution (75 mL) was added at 15° C. and stirred for 10 minutes. The solid was filtered, washed with water and dried under vacuum to a yellow solid (0.3 g), which was used in the next step without further purification.
Step 6: (6R,7R)-7-{[(2Z)-2-(2-Amino-5-chloro-1,3-thiazol-4-yl)-2-(methoxyimino)acetyl]amino}-3-({1-[(4-carbamimidoylthiophen-2-yl)methyl]-1H-pyrrolo[3,2-b]pyridin-4-ium-4-yl}methyl)-8-oxo-5-thia-1-azabicyclo[4.2.0]oct-2-ene-2-carboxylate
Figure USRE048097-20200714-C00225
To a solution of 4-{[(6R,7R)-7-{[(2Z)-2-{2-[(tert-butoxycarbonyl)amino]-5-chloro-1,3-thiazol-4-yl}-2-(methoxyimino)acetyl]amino}-2-{[(4-methoxybenzyl)oxy]carbonyl}-8-oxo-5-thia-1-azabicyclo[4.2.0]oct-2-en-3-yl]methyl}-1-({4-[N-(tert-butoxycarbonyl)carbamimidoyl]thiophen-2-yl}methyl)-1H-pyrrolo[3,2-b]pyridin-4-ium iodide (0.3 mg, crude)) in dry dichloromethane (2.5 mL) at 0° C. was added trifluoroacetic acid (2.5 mL) and anisole (0.82 mL, 7.75 mmol) and then stirred at room temperature for 2 h. Solvent was evaporated, diisopropyl ether (30 mL) was added, and the solid separated was filtered, washed with diisopropyl ether and dried under vacuum. The greenish yellow solid (315 mg) was dissolved in water (30 mL), filtered and the aqueous phase was lyophilized to give yellow solid (165 mg), which was purified by preparative HPLC to give (6R,7R)-7-{[(2Z)-2-(2-amino-5-chloro-1,3-thiazol-4-yl)-2-(methoxyimino)acetyl]amino}-3-({1-[(4-carbamimidoylthiophen-2-yl)methyl]-1H-pyrrolo[3,2-b]pyridin-4-ium-4-yl}methyl)-8-oxo-5-thia-1-azabicyclo[4.2.0]oct-2-ene-2-carboxylate as formic acid salt (0.007 g, 3.9%).
1H NMR (400 MHz, D2O): δ 3.08 (d, 1H, J=18.0 Hz), 3.23 (d, 1H, J=17.6 Hz), 3.86 (s, 3H), 5.04 (d, 1H, J=4.8 Hz), 5.39 (d, 1H, J=15.2 Hz), 5.67 (d, 1H, J=14.8 Hz), 5.71 (d, 1H, J=4.4 Hz), 5.76 (s, 2H), 6.93 (d, 1H, J=3.6 Hz), 7.35 (s, 1H), 7.55 (m, 1H), 8.09 (d, 1H, J=3.2 Hz), 8.13 (s, 1H), 8.49 25 (m, 2H). Six protons were not observed in D2O.
Mass: ES+ 686.14
Example 16 (Table 1, Compound 61) (6R,7R)-7-{[(2Z)-2-(2-Amino-5-chloro-1,3-thiazol-4-yl)-2-(methoxyimino)acetyl]amino}-3-({1-[(4-carbamimidoylthiophen-2-yl)methyl]-1H-pyrrolo[2,3-c]pyridin-6-ium-6-yl}methyl)-8-oxo-5-thia-1-azabicyclo[4.2.0]oct-2-ene-2-carboxylate
Figure USRE048097-20200714-C00226
Step 1: 5-(1H-Pyrrolo[2,3-c]pyridin-1-ylmethyl)thiophene-3-carbonitrile
Figure USRE048097-20200714-C00227
To a solution of 1H-pyrrolo[2,3-c]pyridine (0.59 g, 5.00 mmol) in anhydrous dimethylformamide (10 mL) was added sodium hydride (60% suspension in mineral oil, 0.29 g, 7.25 mmol) at 0° C. in small portions under nitrogen. After the addition, reaction mixture was stirred for 10 minutes at 0° C., then at room temperature for 10 minutes, cooled to 0° C. then 5-(bromomethyl)thiophene-3-carbonitrile (1.11 g, 5.50 mmol) in anhydrous tetrahydrofuran (10 mL) was added dropwise. After the addition, reaction mixture was stirred at 0° C. for 1.5 h, quenched with ice-water (10 mL) and extracted with ethyl acetate (20 mL×2). The combined organic layers were washed with brine, dried over Na2SO4, filtered and evaporated. The residue was purified by column chromatography using DCM: MeOH (92:8) as eluent to afford 5-(1H-pyrrolo[2,3-c]pyridin-1-ylmethyl)thiophene-3-carbonitrile (0.88 g, 73%) as a brown solid. 1H NMR (400 MHz, CDCl3): δ 5.56 (s, 2H), 6.59 (d, 1H, J=2.8 Hz), 7.13 (s, 1H), 7.27 (d, 1H, J=6.8 Hz), 7.54 (d, 1H, J=5.2 Hz), 7.82 (s, 1H), 8.29 (d, 1H, J=5.2 Hz), 8.73 (s, 1H).
Step 2: Methyl 5-(1H-pyrrolo[2,3-c]pyridin-1-ylmethyl)thiophene-3-carboximidate hydrochloride
Figure USRE048097-20200714-C00228
Anhydrous hydrogen chloride gas was bubbled through a solution of 5-(1H-pyrrolo[2,3-c]pyridin-1-ylmethyl)thiophene-3-carbonitrile (0.8 g, 3.34 mmol) in anhydrous ethanol (30 mL) at 0° C. for 20 minutes. Then the reaction mixture was stirred at room temperature for 20 h. Solvent was evaporated and dried under vacuum to give methyl 5-(1H-pyrrolo[2,3-c]pyridin-1-ylmethyl)thiophene-3-carboximidate hydrochloride (1.0 g, crude) as brown solid, which was used in next step without further purification.
Step 3: 5-(1H-Pyrrolo[2,3-c]pyridin-1-ylmethyl)thiophene-3-carbonitrile
Figure USRE048097-20200714-C00229
Anhydrous ammonia gas was bubbled through a solution of methyl 5-(1H-pyrrolo[2,3-c]pyridin-1-ylmethyl)thiophene-3-carboximidate hydrochloride (1.0 g crude, ˜4.1 mmol) in anhydrous methanol (40 mL) at 0° C. for 15 minutes. The reaction mixture was stirred at room temperature for 16 h. Solvent was evaporated and dried under vacuum to give 5-(1H-pyrrolo[2,3-c]pyridin-1-ylmethyl)thiophene-3-carboximidamide (0.73 g, crude) as a brown solid, which was used in the next step without further purification.
Step 4: tert-Butyl {[5-(1H-pyrrolo[2,3-c]pyridin-1-ylmethyl)thiophen-3-yl]carbonoimidoyl}carbamate
Figure USRE048097-20200714-C00230
To a solution of 5-(1H-pyrrolo[2,3-c]pyridin-1-ylmethyl)thiophene-3-carboximidamide (0.73 g crude) in 1,4-dioxane (100 mL) was added aqueous saturated sodium carbonate solution (50 mL) followed by di-tert-butyldicarbonate (2.9 g, 13.12 mmol) at 0° C. and stirred at room temperature for 16 h. The solvent was evaporated and was added water (50 mL) then extracted with ethyl acetate (2×50 mL). The organic phases were combined, washed with brine (2×50 mL), dried over Na2SO4, concentrated and the crude compound was purified by flash chromatography using RediSep silica 40 g flash column (0-6% methanol in methylene chloride as eluent) to give tert-butyl {[5-(1H-pyrrolo[2,3-c]pyridin-1-ylmethyl)thiophen-3-yl]carbonoimidoyl}carbamate (1.0 g, 51% over three steps) as an off-white solid.
1H NMR (400 MHz, CDCl3): δ 1.53 (s, 9H), 5.50 (s, 2H), 6.54 (d, 1H, J=3.2 Hz), 6.88 (d, 1H, J=3.6 Hz), 7.26 (s, 1H), 7.37 (d, 1H, J=3.6 Hz), 7.43 (s, 1H), 7.52 (d, 1H, J=4.8 Hz), 7.84 (s, 1H), 8.25 (d, 1H, J=5.6 Hz), 8.78 (s, 1H).
Step 5: 6-{[(6R,7R)-7-{[(2Z)-2-{2-[(tert-Butoxycarbonyl)amino]-5-chloro-1,3-thiazol-4-yl}-2-(methoxyimino)acetyl]amino}-2-{[(4-methoxybenzyl)oxy]carbonyl}-8-oxo-5-thia-1-azabicyclo[4.2.0]oct-2-en-3-yl]methyl}-1-({4-[N-(tert-butoxycarbonyl)carbamimidoyl]thiophen-2-yl}methyl)-1H-pyrrolo[2,3-c]pyridin-6-ium iodide
Figure USRE048097-20200714-C00231
To a solution tert-butyl {[5-(1H-pyrrolo[2,3-c]pyridin-1-ylmethyl)thiophen-3-yl]carbonoimidoyl}carbamate (0.12 g, 0.30 mmol) in dimethylformamide (2 mL) was added 4-methoxybenzyl (6R,7R)-7-{[(2Z)-2-{2-[(tert-butoxycarbonyl)amino]-5-chloro-1,3-thiazol-4-yl})-2-(methoxyimino)acetyl]amino}-3-(chloromethyl)-8-oxo -5-thia-1-azabicyclo[4.2.0]oct-2-ene-2-carboxylate (0.21 g, 0.30 mmol) at 0° C. The reaction mixture was then degassed under reduced pressure for 0.5 h, treated with NaI (0.09 g, 0.6 mmol) and stirred at room temperature overnight.
Sodium bisulphite (0.6 g) in sodium chloride solution (75 mL) was added to the reaction mixture at 15° C., stirred for 10 minutes and the solid separated was filtered, washed with water then dried under vacuum to a yellow solid (0.3 g), which was used in the next step without further purification.
Step 6: (6R,7R)-7-{[(2Z)-2-(2-Amino-5-chloro-1,3-thiazol-4-yl)-2-(methoxyimino)acetyl]amino}-3-({1-[(4-carbamimidoylthiophen-2-yl)methyl]-1H-pyrrolo[2,3-c]pyridin-6-ium-6-yl}methyl)-8-oxo-5-thia-1-azabicyclo[4.2.0]oct-2-ene-2-carboxylate formic acid salt
Figure USRE048097-20200714-C00232
To a solution of 6-{[(6R,7R)-7-{[(2Z)-2-{2-[(tert-butoxycarbonyl)amino]-5-chloro-1,3-thiazol-4-yl}-2-(methoxyimino)acetyl]amino}-2-{[(4-methoxybenzyl)oxy]carbonyl}-8-oxo-5-thia-1-azabicyclo[4.2.0]oct-2-en-3-yl]methyl}-1-({4-[N-(tert-butoxycarbonyl)carbamimidoyl]thiophen-2-yl}methyl)-1H-pyrrolo[2,3-c]pyridin-6-ium iodide (0.3 mg, crude)) in dry dichloromethane (2.5 mL) at 0° C. was added trifluoroacetic acid (2.5 mL) and anisole (0.82 mL, 7.75 mmol) then stirred at room temperature for 2 h. Solvent was evaporated, diisopropyl ether (30 mL) was added and solid was filtered, washed with diisopropyl ether then dried under vacuum. The greenish yellow solid (315 mg) was dissolved in water (30 mL), filtered and the aqueous phase was lyophilized to give yellow solid, which was purified by preparative HPLC to get (6R,7R)-7-{[(2Z)-2-(2-amino-5-chloro-1,3-thiazol-4-yl)-2-(methoxyimino)acetyl]amino}-3-({1-[(4-carbamimidoylthiophen-2-yl)methyl]-1H-pyrrolo[2,3-c]pyridin-6-ium-6-yl}methyl)-8-oxo-5-thia-1-azabicyclo[4.2.0]oct-2-ene-2-carboxylate yellow solid (165 mg) as formic acid salt (0.02 g, 11.2%).
1H NMR (400 MHz, D2O): δ 2.99 (d, 1H, J=18.0 Hz), 3.38 (d, 1H, J=18.0 Hz), 3.85 (s, 3H), 5.06 (d, 1H, J=5.2 Hz), 5.13 (d, 1H, J=14.4 Hz), 5.34 (d, 1H, J=14.0 Hz), 5.69-5.82 (m, 3H), 6.88 (d, 1H, J=3.2 Hz), 7.49 (s, 1H), 7.96 (d, 1H, J=6.8 Hz), 8.14 (d, 1H, J=6.8 Hz), 8.32 (s, 2H), 9.06 (s, 1H), Six protons were not observed in D2O.
Mass: ES+ 686.23
Example 17 (Table 1, Compound 28) (6R,7R)-7-{[(2Z)-2-(2-Amino-5-chloro-1,3-thiazol-4-yl)-2-{[(2-carboxypropan-2-yl)oxy]imino}acetyl]amino}-3-({1-[(4-carbamimidoylthiophen-2-yl)methyl]-1H-imidazo[1,2-b]pyrazol-5-ium-5-yl}methyl)-8-oxo-5-thia-1-azabicyclo[4.2.0]oct-2-ene-2-carboxylate
Figure USRE048097-20200714-C00233
1H NMR (400 MHz, D2O) δ 1.24 (s, 3H), 1.27 (s, 3H), 2.88 (d, 1H, J=18.0 Hz), 3.24 (d, 1H, J=18.0 Hz), 5.02 (d, 1H, J=4.7 Hz), 5.13 (m, 2H), 5.45 (s, 2H), 5.61 (d, 1H, J=4.7 Hz), 6.20 (d, 1H, J=3.9 Hz), 7.40 (s, 2H), 7.87-7.89 (m, 2H), 8.14 (s, 1H). Seven protons were not observed in D2O.
Mass: ES+ 747.34 and 749.22
Example 18 (Table 1, Compound 4) (6R,7R)-7-{[(2Z)-2-(2-Amino-1,3-thiazol-4-yl)-2-{[(2-carboxypropan-2-yl)oxy]imino}acetyl]amino}-3-{[1-(4-carbamimidamidobenzyl)-1H-pyrrolo[3,2-c]pyridin-5-ium-5-yl]methyl}-8-oxo-5-thia-1-azabicyclo[4.2.0]oct-2-ene-2-carboxylate
Figure USRE048097-20200714-C00234
1H NMR (400 MHz, D2O): δ 1.27 (s, 3H), 1.28 (s, 3H), 2.92 (d, 1H, J=17.6 Hz), 3.38 (d, 1H, J=17.6 Hz), 5.08-5.12 (m, 2H), 5.33 (d, 1H, J=14.9 Hz), 5.44 (s, 2H), 5.64 (s, 1H), 6.80 (s, 1H), 6.91 (s, 1H), 7.11-7.17 (m, 4H), 7.67-7.71 (m, 2H), 8.16 (s, 0.4H, formic acid), 8.25 (m, 1H), 9.04 (s, 1H). Eight protons were not observed in D2O.
Mass: ES+ 733.32
Example 19 (Table 1, Compound 7) (6R,7R)-3-[(1-{4-[N-(2-Aminoethyl)carbamimidoyl]benzyl}-1H-pyrrolo[3,2-c]pyridin-5-ium-5-yl)methyl]-7-{[(2Z)-2-(2-amino-1,3-thiazol-4-yl)-2-{[(2-carboxypropan-2-yl)oxy]imino}acetyl]amino}-8-oxo-5-thia-1-azabicyclo[4.2.0]oct-2-ene-2-carboxylate
Figure USRE048097-20200714-C00235
1H NMR (400 MHz, D2O): δ 1.20 (s, 3H), 1.21 (s, 3H), 2.92 (d, 1H, J=18.0 Hz), 3.21 (t, 2H, J=6.3 Hz), 3.38 (d, 1H, J=18.0 Hz), 3.63 (t, 2H, J=6.3 Hz), 5.06-5.11 (m, 2H), 5.32 (d, 1H, J=14.4 Hz), 5.52 (s, 2H), 5.59 (d, 1H, J=4.7 Hz), 6.73 (s, 1H), 6.92 (d, 1H, J=3.1 Hz), 7.21 (d, 2H, J=8.2 Hz), 7.52 (d, 2H, J=8.2 Hz), 7.66-7.69 (m, 2H), 8.23 (d, 1H, J=7.0 Hz), 9.05 (s, 1H). Eight protons were not observed in D2O.
Mass: ES+ 761.13
Example 20 (Table 1, Compound 8) (6R,7R)-7-{[(2Z)-2-(2-Amino-1,3-thiazol-4-yl)-2-{[(2-carboxypropan-2-yl)oxy]imino}acetyl]amino}-3-({1-[4-(4,5-dihydro-1H-imidazol-2-yl)benzyl]-1H-pyrrolo[3,2-c]pyridin-5-ium-5-yl}methyl)-8-oxo-5-thia-1-azabicyclo[4.2.0]oct-2-ene-2-carboxylate
Figure USRE048097-20200714-C00236
1H NMR (400 MHz, D2O): δ 1.24 (s, 3H), 1.27 (s, 3H), 2.94 (d, 1H, J=17.5 Hz), 3.40 (d, 1H, J=17.5 Hz), 3.89 (s, 4H), 5.09-5.13 (m, 2H), 5.34 (d, 1H, J=14.8 Hz), 5.55 (s, 2H), 5.63 (d, 1H, J=4.7 Hz), 6.78 (s, 1H), 6.96 (s, 1H), 7.23 (d, 2H, J=7.1 Hz), 7.58 (d, 2H, J=7.1 Hz), 7.69-7.71 (m, 2H), 8.19 (s, 1H, formic acid), 8.25 (d, 1H, J=7.1 Hz), 9.08 (s, 1H). Five protons were not observed in D2O.
Mass: ES+ 744.27
Example 21 (Table 1, Compound 12) (6R,7R)-7-{[(2Z)-2-(2-Amino-1,3-thiazol-4-yl)-2-{[(2-carboxypropan-2-yl)oxy]imino}acetyl]amino}-3-({1-[2-(4-carbamimidamidophenyl)ethyl]-1H-pyrrolo[3,2-c]pyridin-5-ium-5-yl}methyl)-8-oxo-5-thia-1-azabicyclo[4.2.0]oct-2-ene-2-carboxylate
Figure USRE048097-20200714-C00237
1H NMR (400 MHz, D2O): δ 1.30 (s, 6H), 2.80 (d, 1H, J=17.6 Hz), 3.00 (m, 2H), 3.23 (d, 1H, J=17.6 Hz), 4.44 (m, 2H), 5.03-5.07 (m, 2H), 5.21 (d, 1H, J=14.1 Hz), 5.56 (d, 1H, J=4.3 Hz), 6.75-6.86 (m, 6H), 7.02 (d, 1H, J=6.7 Hz), 7.60 (s, 1H), 7.85 (d, 1H, J=6.7 Hz), 8.19 (s, 0.5H, formic acid), 8.90 (s, 1H). Eight protons were not observed in D2O.
Mass: ES+ 747.27
Example 22 (Table 1, Compound 16) (6R,7R)-7-{[(2Z)-2-(2-Amino-1,3-thiazol-4-yl)-2-{[(2-carboxypropan-2-yl)oxy]imino}acetyl]amino}-3-({1-[(4-carbamimidoyl-1,3-thiazol-2-yl)methyl]-1H-pyrrolo[3,2-c]pyridin-5-ium-5-yl}methyl)-8-oxo-5-thia-1-azabicyclo[4.2.0]oct-2-ene-2-carboxylate
Figure USRE048097-20200714-C00238
1H NMR (400 MHz, D2O): δ 1.29 (s, 3H), 1.32 (s, 3H), 2.98 (d, 1H, J=17.6 Hz), 3.40 (d, 1H, J=17.6 Hz), 5.09 (d, 1H, J=4.7 Hz), 5.14 (d, 1H, J=14.4 Hz), 5.34 (d, 1H, J=14.4 Hz), 5.67 (d, 1H, J=4.7 Hz), 5.85 (s, 2H), 6.91 (s, 1H), 6.97 (d, 1H, J=3.1 Hz), 7.74 (d, 1H, J=3.1 Hz), 7.86 (d, 1H, J=7.1 Hz), 8.09 (s, 0.4H, formic acid), 8.31 (d, 1H, J=7.1 Hz), 8.39 (s, 1H), 9.08 (s, 1H). Seven protons were not observed in D2O.
Mass: ES+ 725.37
Example 23 (Table 1, Compound 19) (6R,7R)-7-{[(2Z)-2-(2-Amino-1,3-thiazol-4-yl)-2-{[(2-carboxypropan-2-yl)oxy]imino}acetyl]amino}-3-({1-[4-(N′-methoxycarbamimidoyl)benzyl]-1H-pyrrolo[3,2-c]pyridin-5-ium-5-yl}methyl)-8-oxo-5-thia-1-azabicyclo[4.2.0]oct-2-ene-2-carboxylate
Figure USRE048097-20200714-C00239
1H NMR (400 MHz, D2O): δ 1.25 (s, 3H), 1.26 (s, 3H), 2.94 (d, 1H, J=18.0 Hz), 3.35 (d, 1H, J=18.0 Hz), 3.64 (s, 3H), 5.07 (d, 1H, J=4.7 Hz), 5.09 (d, 1H, J=14.5 Hz), 5.30 (d, 1H, J=14.5 Hz), 5.45 (s, 2H), 5.65 (d, 1H, J=4.7 Hz), 6.77 (s, 1H), 6.91 (d, 1H, J=3.5 Hz), 7.11 (d, 2H, J=8.2 Hz), 7.38 (d, 2H, J=8.2 Hz), 7.64 (d, 1H, J=3.5 Hz), 7.69 (d, 1H, J=6.7 Hz), 8.19 (d, 1H, J=6.7 Hz), 8.26 (s, 3H, formic acid), 9.02 (s, 1H). Six protons were not observed in D2O.
Mass: ES+ 748.45
Example 24 (Table 1, Compound 30) (6R,7R)-7-{[(2Z)-2-(2-Amino-1,3-thiazol-4-yl)-2-{[(2-carboxypropan-2-yl)oxy]imino}acetyl]amino}-3-({1-[(4-carbamimidoyl-1,3-oxazol-2-yl)methyl]-1H-pyrrolo[3,2-c]pyridin-5-ium-5-yl}methyl)-8-oxo-5-thia-1-azabicyclo[4.2.0]oct-2-ene-2-carboxylate
Figure USRE048097-20200714-C00240
1H NMR (400 MHz, D2O): δ 1.30 (s, 3H), 1.32 (s, 3H), 2.98 (d, 1H, J=18.0 Hz), 3.39 (d, 1H, J=18.0 Hz), 5.08 (d, 1H, J=4.7 Hz), 5.14 (d, 1H, J=14.9 Hz), 5.33 (d, 1H, J=14.9 Hz), 5.66 (d, 1H, J=4.7 Hz), 5.71 (s, 2H), 6.92 (s, 1H), 6.95 (d, 1H, J=3.5 Hz), 7.69 (d, 1H, J=3.5 Hz), 7.85 (d, 1H, J=7.0 Hz), 8.31 (d, 1H, J=7.0 Hz), 8.50 (s, 1H), 9.06 (s, 1H). Seven protons were not observed in D2O.
Mass: ES+ 709.29
Example 25 (Table 1, Compound 31) (6R,7R)-7-{[(2Z)-2-(2-Amino-1,3-thiazol-4-yl)-2-{[(2-carboxypropan-2-yl)oxy]imino}acetyl]amino}-3-({1-[(4-{N-[(Z)-(dimethylamino)methylidene]carbamimidoyl}-1,3-oxazol-2-yl)methyl]-1H-pyrrolo[3,2-c]pyridin-5-ium-5-yl}methyl)-8-oxo-5-thia-1-azabicyclo[4.2.0]oct-2-ene-2-carboxylate
Figure USRE048097-20200714-C00241
1H NMR (400 MHz, D2O): δ 1.29 (s, 3H), 1.3 (s, 3H), 2.98 (d, 1H, J=18.0 Hz), 3.05 (s, 3H), 3.13 (s, 3H), 3.40 (d, 1H, J=18.0 Hz), 5.08 (d, 1H, J=4.7 Hz), 5.13 (d, 1H, J=14.9 Hz), 5.34 (d, 1H, J=14.9 Hz), 5.65 (d, 1H, J=4.7 Hz), 5.71 (s, 2H), 6.87 (s, 1H), 6.95 (d, 1H, J=3.2 Hz), 7.70 (d, 1H, J=3.6 Hz), 7.86 (d, 1H, J=7.4 Hz), 8.23 (s, 1H), 8.32 (d, 1H, J=6.7 Hz), 8.45 (s, 1H), 9.08 (s, 1H). Five protons were not observed in D2O.
Mass: ES+ 764.36
Example 26 (Table 1, Compound 29) (6R,7R)-7-{[(2Z)-2-(2-Amino-1,3-thiazol-4-yl)-2-{[(2-carboxypropan-2-yl)oxy]imino}acetyl]amino}-3-[(1-{[3-(4,5-dihydro-1H-imidazol-2-yl)-1,2-oxazol-5-yl]methyl}-1H-pyrrolo[3,2-c]pyridin-5-ium-5-yl)methyl]-8-oxo-5-thia-1-azabicyclo[4.2.0]oct-2-ene-2-carboxylate
Figure USRE048097-20200714-C00242
1H NMR (400 MHz, D2O): δ 1.25 (s, 6H), 2.94 (d, 1H, J=17.2 Hz), 3.40 (d, 1H, J=17.2 Hz), 4.59 (s, 4H), 5.08-5.13 (m, 2H), 5.35 (d, 1H, J=14.4 Hz), 5.63 (d, 1H, J=5.1 Hz), 5.74 (s, 2H), 6.72 (m, 2H), 6.94 (d, 1H, J=1.2 Hz), 7.68 (d, 1H, J=3.1 Hz), 7.86 (d, 1H, J=7.1 Hz), 8.23 (s, 1H, formic acid), 8.34 (d, 1H, J=7.1 Hz), 9.07 (s, 1H). Five protons were not observed in D2O.
Mass: ES+ 735.21
Example 27 (Table 1, Compound 15) (6R,7R)-7-{[(2Z)-2-(2-Amino-1,3-thiazol-4-yl)-2-{[(2-carboxypropan-2-yl)oxy]imino}acetyl]amino}-3-{[1-(4-carbamimidoyl-2-fluorobenzyl)-1H-imidazo[1,2-b]pyrazol-5-ium-5-yl]methyl}-8-oxo-5-thia-1-azabicyclo[4.2.0]oct-2-ene-2-carboxylate
Figure USRE048097-20200714-C00243
1H NMR (400 MHz, D2O): δ 1.29 (s, 3H), 1.31 (s, 3H), 2.95 (d, 1H, J=17.6 Hz), 3.24 (d, 1H, J=17.6 Hz), 5.04 (d, 1H, J=4.8 Hz), 5.14 (s, 2H), 5.37 (s, 2H), 5.62 (d, 1H, J=4.8 Hz), 6.23 (d, 1H, J=3.2 Hz), 6.92 (s, 1H), 7.40-7.48 (m, 4H), 7.84 (d, 1H, J=2.0 Hz), 7.88 (d, 1H, J=3.6 Hz). Seven protons were not observed in D2O.
Mass: ES+ 725.42
Example 28 (Table 1, Compound 6) (6R,7R)-7-{[(2Z)-2-(2-Amino-1,3-thiazol-4-yl)-2-{[(2-carboxypropan-2-yl)oxy]imino}acetyl]amino}-3-({1-[4-(2-carbamimidamidoethoxy)benzyl]-1H-pyrrolo[3,2-c]pyridin-5-ium-5-yl}methyl)-8-oxo-5-thia-1-azabicyclo[4.2.0]oct-2-ene-2-carboxylate
Figure USRE048097-20200714-C00244
1H NMR (400 MHz, DMSO-d6): δ 1.38 (s, 6H), 2.91 (d, 1H, J=18.4 Hz), 3.20-3.50 (m, 3H), 3.92 (s, 1H), 4.02 (s, 1H), 4.85 (d, 1H, J=13.2 Hz), 5.04 (d, 1H, J=5.2 Hz), 5.46 (s, 2H), 5.68 (d, 1H, J=13.2 Hz), 5.79 (d, 1H, J=4.8 Hz), 6.72 (s, 1H), 6.81 (d, 2H, J=8.8 Hz), 7.03 (d, 1H, J=3.2 Hz), 7.17 (s, 1H), 7.30 (d, 2H, J=8.0 Hz), 8.05 (d, 1H, J=6.0 Hz), 8.14 (s, 1H), 9.30 (br s, 1H), 9.44 (s, 1H). Eight protons were not observed in D2O.
Mass: ES+ 777.25
Example 29 (Table 1, Compound 20) (6R,7R)-7-{[(2Z)-2-(5-Amino-1,2,4-thiadiazol-3-yl)-2-{[(2-carboxypropan-2-yl)oxy]imino}acetyl]amino}-3-{[1-(4-carbamimidoyl-2-fluorobenzyl)-1H-pyrrolo[3,2-c]pyridin-5-ium-5-yl]methyl}-8-oxo-5-thia-1-azabicyclo[4.2.0]oct-2-ene-2-carboxylate
Figure USRE048097-20200714-C00245
1H NMR (400 MHz, D2O): δ 1.25 (s, 6H), 2.93 (d, 1H, J=17.6 Hz), 3.37 (d, 1H, J=18.0 Hz), 5.08-5.12 (m, 2H), 5.33 (d, 1H, J=14.4 Hz), 5.57 (s, 2H), 5.65 (d, 1H, J=4.4 Hz), 6.92 (d, 1H, J=3.6 Hz), 7.14 (t, 1H, J=8.0 Hz), 7.36 (d, 1H, J=8.4 Hz), 7.41 (d, 1H, J=10.0 Hz), 7.66 (d, 1H, J=3.2 Hz), 7.77 (d, 1H, J=6.8 Hz), 8.26 (d, 1H, J=6.8 Hz), 9.05 (s, 1H). Seven protons were not observed in D2O.
Mass: ES+ 737.36
Example 30 (Table 1, Compound 21) (6R,7R)-7-{[(2Z)-2-(2-Amino-5-chloro-1,3-thiazol-4-yl)-2-{[(2-carboxypropan-2-yl)oxy]imino}acetyl]amino}-3-{[1-(4-carbamimidoyl-2-fluorobenzyl)-1H-pyrrolo[3,2-c]pyridin-5-ium-5-yl]methyl}-8-oxo-5-thia-1-azabicyclo[4.2.0]oct-2-ene-2-carboxylate
Figure USRE048097-20200714-C00246
1H NMR (400 MHz, D2O): δ 1.22 (s, 6H), 2.92 (d, 1H, J=18.0 Hz), 3.37 (d, 1H, J=19.2 Hz), 5.07-5.11 (m, 2H), 5.34 (d, 1H, J=14.4 Hz), 5.58 (s, 2H), 5.64 (d, 1H, J=4.4 Hz), 6.93 (d, 1H, J=4.0 Hz), 7.17 (t, 1H, J=7.6 Hz), 7.36 (d, 1H, J=8.8 Hz), 7.42 (d, 1H, J=10.0 Hz), 7.67 (d, 1H, J=3.6 Hz), 7.78 (d, 1H, J=6.4 Hz), 8.25 (d, 1H, J=6.8 Hz), 9.05 (s, 1H). Seven protons were not observed in D2O.
Mass: ES+ 770.36
Example 31 (Table 1, Compound 26) (6R,7R)-7-{[(2Z)-2-(2-Amino-1,3-thiazol-4-yl)-2-{[(2-carboxypropan-2-yl)oxy]imino}acetyl]amino}-3-({1-[(4-carbamimidoyl-1,3-thiazol-2-yl)methyl]-1H-imidazo[1,2-b]pyrazol-5-ium-5-yl}methyl)-8-oxo-5-thia-1-azabicyclo[4.2.0]oct-2-ene-2-carboxylate
Figure USRE048097-20200714-C00247
1H NMR (400 MHz, D2O): δ 1.26 (s, 3H), 1.28 (s, 3H), 2.91 (d, 1H, J=18 Hz), 3.28 (d, 1H, J=18 Hz), 5.08 (s, 1H), 5.15 (s, 1H), 5.18 (s, 1H), 5.60-5.70 (m, 3H), 6.32 (s, 1H), 6.79 (s, 1H), 7.48 (s, 1H), 7.92-8.00 (m, 2H), 8.44 (s, 1H). 65 Seven protons were not observed in D2O.
Mass: ES+ 714.27
Example 32 (Table 1, Compound 22) (6R,7R)-7-({(2Z)-2-(2-Amino-1,3-thiazol-4-yl)-2-[(carboxymethoxy)imino]acetyl}amino)-3-{[1-(4-carbamimidoyl-2-fluorobenzyl)-1H-imidazo[1,2-b]pyrazol-5-ium-5-yl]methyl}-8-oxo-5-thia-1-azabicyclo[4.2.0]oct-2-ene-2-carboxylate
Figure USRE048097-20200714-C00248
1H NMR (400 MHz, D2O): δ 2.97 (d, 1H, J=18 Hz), 3.25 (d, 1H, J=18 Hz), 5.04 (s, 1H), 5.15 (s, 2H), 5.38 (s, 2H), 5.66 (s, 1H), 6.23 (s, 1H), 6.96 (s, 1H), 7.38-7.52 (m, 4H), 7.83 (s, 1H), 7.88 (s, 1H). Seven protons were not observed in D2O.
Mass: ES+ 697.34
Example 33 (Table 1, Compound 23) (6R,7R)-7-{[(2Z)-2-(2-Amino-5-chloro-1,3-thiazol-4-yl)-2-{[(2-carboxypropan-2-yl)oxy]imino}acetyl]amino}-3-{[1-(4-carbamimidoyl-2-fluorobenzyl)-1H-imidazo[1,2-b]pyrazol-5-ium-5-yl]methyl}-8-oxo-5-thia-1-azabicyclo[4.2.0]oct-2-ene-2-carboxylate
Figure USRE048097-20200714-C00249
1H NMR (400 MHz, D2O): δ 1.27 (s, 3H), 1.30 (s, 3H), 2.90 (d, 1H, J=18 Hz), 3.20 (d, 1H, J=18 Hz), 5.00 (d, 1H, J=5.0 Hz), 5.13 (s, 2H), 5.32 (s, 2H), 5.61 (d, 1H, J=5.0 Hz), 6.24 (s, 1H), 7.40-7.55 (m, 4H), 7.90 (d, 2H, J=4.0 Hz), 8.20 (s, 0.2H). Six protons were not observed in D2O.
Mass: ES+ 760.29
Example 34 (Table 1, Compound 24) (6R,7R)-7-{[(2Z)-2-(5-Amino-1,2,4-thiadiazol-3-yl)-2-{[(2-carboxypropan-2-yl)oxy]imino}acetyl]amino}-3-{[1-(4-carbamimidoyl-2-fluorobenzyl)-1H-imidazo[1,2-b]pyrazol-5-ium-5-yl]methyl}-8-oxo-5-thia-1-azabicyclo[4.2.0]oct-2-ene-2-carboxylate
Figure USRE048097-20200714-C00250
1H NMR (400 MHz, D2O): δ 1.25 and 1.29 (2s, 6H), 2.90 (d, 1H, J=18 Hz), 3.24 (d, 1H, J=18 Hz), 5.06 (s, 1H), 5.16 (s, 2H), 5.38 (s, 2H), 5.64 (s, 1H), 6.25 (s, 1H), 7.40-7.50 (m, 4H), 7.90 (s, 2H), 8.27 (s, 2.75H). Six protons were not observed in D2O.
Mass: ES+ 726.27
Example 35 (Table 1, Compound 25) (6R,7R)-7-{[(2Z)-2-(2-Amino-1,3-thiazol-4-yl)-2-{[(2-carboxypropan-2-yl)oxy]imino}acetyl]amino}-3-({1-[(4-carbamimidoylfuran-2-yl)methyl]-1H-imidazo[1,2-b]pyrazol-5-ium-5-yl}methyl)-8-oxo-5-thia-1-azabicyclo[4.2.0]oct-2-ene-2-carboxylate
Figure USRE048097-20200714-C00251
1H NMR (400 MHz, D2O): δ 1.30 (s, 3H), 1.32 (s, 3H), 2.95 (d, 1H, J=18 Hz), 3.24 (d, 1H, J=18 Hz), 5.03 (d, 1H, J=4.8 Hz), 5.13 (d, 2H, J=4.8 Hz), 5.29 (s, 2H), 5.62 (d, 1H, J=4.4 Hz), 6.26 (d, 1H, J=3.6 Hz), 6.85 (s, 1H), 6.92 (s, 1H), 7.38 (s, 1H), 7.82 (s, 1H), 7.89 (d, 1H, J=3.6 Hz), 8.13 (s, 1H). Seven protons were not observed in D2O.
Mass: ES+ 697.25
Example 36 (Table 1, Compound 10) (6R,7R)-7-{[(2Z)-2-(2-Amino-1,3-thiazol-4-yl)-2-{[(2-carboxypropan-2-yl)oxy]imino}acetyl]amino}-3-({1-[4-(2-carbamimidamidoethoxy)benzyl]-2,3-dihydro-1H-imidazo[1,2-b]pyrazol-5-ium-5-yl}methyl)-8-oxo-5-thia-1-azabicyclo[4.2.0]oct-2-ene-2-carboxylate
Figure USRE048097-20200714-C00252
1H NMR (400 MHz, DMSO-d6): δ 1.30 (s, 3H), 1.32 (s, 3H), 3.03 (d, 1H, J=17.6 Hz), 3.25 (d, 1H, J=17.6 Hz), 3.43 (t, 2H, J=4.7 Hz), 3.79 (t, 2H, J=8.2 Hz), 4.02-4.08 (m, 3H), 4.26 (m, 2H), 4.78 (d, 1H, J=15.3 Hz), 4.87 (d, 1H, J=15.7 Hz), 5.03 (d, 1H, J=5.1 Hz), 5.61 (dd, 2H, J=5.05 and 1.9 Hz), 6.84-6.86 (m, 3H), 7.17 (d, 2H, J=8.9 Hz), 7.78 (d, 1H, J=3.1 Hz), 8.18 (s, 1H). Eight protons were not observed in D2O.
Mass: ES+ 768.31
Example 37 (Table 1, Compound 49) (6R,7R)-7-{[(2Z)-2-(2-Amino-1,3-thiazol-4-yl)-2-{[(2-carboxypropan-2-yl)oxy]imino}acetyl]amino}-3-{[1-(4-carbamimidoyl-2-chloro-6-fluorobenzyl)-1H-pyrrolo[3,2-c]pyridin-5-ium-5-yl]methyl}-8-oxo-5-thia-1-azabicyclo[4.2.0]oct-2-ene-2-carboxylate
Figure USRE048097-20200714-C00253
1H NMR (400 MHz, D2O): δ 1.21 (s, 6H), 2.90 (d, 1H, J=17.6 Hz), 3.36 (d, 1H, J=18.0 Hz), 5.05-5.09 (m, 2H), 5.32 (d, 1H, J=14.4 Hz), 5.59 (s, 3H), 6.69 (s, 1H), 6.84 (d, 1H, J=3.2 Hz), 7.40 (d, 1H, J=9.6 Hz), 7.58 (d, 2H, J=10.0 Hz), 7.87 (d, 1H, J=7.2 Hz), 8.28 (d, 1H, J=7.2 Hz), 9.00 (s, 1H). Seven protons were not observed in D2O.
Mass: ES+ 770.28
Example 38 (Table 1, Compound 27) (6R,7R)-7-{[(2Z)-2-(5-Amino-1,2,4-thiadiazol-3-yl)-2-{[(2-carboxypropan-2-yl)oxy]imino}acetyl]amino}-3-({1-[(4-carbamimidoylthiophen-2-yl)methyl]-1H-imidazo[1,2-b]pyrazol-5-ium-5-yl}methyl)-8-oxo-5-thia-1-azabicyclo[4.2.0]oct-2-ene-2-carboxylate
Figure USRE048097-20200714-C00254
1H NMR (400 MHz, D2O): δ 1.28 (s, 3H), 1.30 (s, 3H), 2.90 (d, 1H, J=18.0 Hz), 3.22 (d, 1H, J=18.0 Hz), 5.01 (d, 1H, J=4.7 Hz), 5.12 (s, 2H), 5.43 (s, 2H), 5.62 (d, 1H, J=4.7 Hz), 6.17 (d, 1H, J=3.5 Hz), 7.38-7.40 (m, 2H), 7.80-7.88 (m, 2H), 8.12 (s, 1H). Seven protons were not observed in D2O.
Mass: ES+ 714.27
Example 39 (Table 1, Compound 51) (6R,7R)-7-{[(2Z)-2-(2-Amino-5-chloro-1,3-thiazol-4-yl)-2-(methoxyimino)acetyl]amino}-3-({1-[(4-carbamimidoylthiophen-2-yl)methyl]-1H-imidazo[1,2-b]pyrazol-5-ium-5-yl}methyl)-8-oxo-5-thia-1-azabicyclo[4.2.0]oct-2-ene-2-carboxylate
Figure USRE048097-20200714-C00255
1H NMR (D2O): δ 2.90 (d, 1H, J=17.6 Hz), 3.15 (d, 1H, J=17.6 Hz), 3.78 (s, 3H), 4.96 (d, 1H, J=4.8 Hz), 5.10 (d, 2H, J=3.6 Hz), 5.39 (s, 2H), 5.63 (d, 1H, J=4.8 Hz), 6.15 (d, 1H, J=3.6 Hz), 7.37 (d, 2H, J=10.8 Hz), 7.80 (d, 1H, J=2.4 Hz), 7.85 (d, 1H, J=2.4 Hz), 7.86 (s, 1H). Six protons were not observed in D2O.
Mass: ES+ 676.10
Example 40 (Table 1, Compound 50) (6R,7R)-7-{[(2Z)-2-(2-Amino-5-chloro-1,3-thiazol-4-yl)-2-(methoxyimino)acetyl]amino}-3-({1-[(4-carbamimidoylthiophen-2-yl)methyl]-1H-pyrrolo[3,2-c]pyridin-5-ium-5-yl}methyl)-8-oxo-5-thia-1-azabicyclo[4.2.0]oct-2-ene-2-carboxylate
Figure USRE048097-20200714-C00256
1H NMR (D2O): δ 3.04 (d, 1H, J=17.6 Hz), 3.42 (d, 1H, J=18.0 Hz), 3.84 (s, 3H), 5.10 (d, 1H, J=4.8 Hz), 5.21 (d, 1H, J=14.8 Hz), 5.34 (d, 1H, J=14.4 Hz), 5.70 (m, 3H), 6.98 (d, 1H, J=3.2 Hz), 7.35 (s, 1H), 7.74 (d, 1H, J=3.2 Hz), 7.89 (d, 1H, J=6.8 Hz), 8.12 (s, 1H), 8.31 (d, 1H, J=2.4 Hz), 9.08 (s, 1H). Six protons were not observed in D2O.
Mass: ES+ 686.17
Example 41 (Table 1, Compound 52) (6R,7R)-7-{[(2Z)-2-(2-Amino-5-chloro-1,3-thiazol-4-yl)-2-(methoxyimino)acetyl]amino}-3-{[1-(4-carbamimidoyl-2-fluorobenzyl)-1H-pyrrolo[3,2-c]pyridin-5-ium-5-yl]methyl}-8-oxo-5-thia-1-azabicyclo[4.2.0]oct-2-ene-2-carboxylate
Figure USRE048097-20200714-C00257
1H NMR (400 MHz, D2O): δ 2.97 (d, 1H, J=18.0 Hz), 3.35 (d, 1H, J=17.6 Hz), 3.77 (s, 3H), 5.03 (d, 1H, J=4.8 Hz), 5.14 (d, 1H, J=15.2 Hz), 5.26 (d, 1H, J=14.0 Hz), 5.56 (s, 2H), 5.65 (d, 1H, J=4.8 Hz), 6.91 (d, 1H, J=3.6 Hz), 7.15 (t, 1H, J=8.0 Hz), 7.35 (d, 1H, J=7.6 Hz), 7.41 (d, 1H, J=10.4 Hz), 7.65 (d, 1H, J=3.2 Hz), 7.77 (d, 1H, J=7.2 Hz), 8.22 (d, 1H, J=8.4 Hz), 9.01 (s, 1H). Six protons were not observed in D2O.
Mass: ES+ 698.16
Example 42 (Table 1, Compound 54) (6R,7R)-7-{[(2Z)-2-(2-Amino-5-chloro-1,3-thiazol-4-yl)-2-(methoxyimino)acetyl]amino}-8-oxo-3-{[1-(4-{N-[(3R)-piperidin-3-yl]carbamimidoyl}benzyl)-1H-pyrrol[3,2-c]pyridin-5-ium-5-yl]methyl}-5-thia-1-azabicyclo[4.2.0]oct-2-ene-2-carboxylate
Figure USRE048097-20200714-C00258
1H NMR (400 MHz, D2O): δ 1.56-1.92 (m, 2H), 1.88 (d, 1H, J=15.2 Hz), 2.07 (d, 1H, J=10.4 Hz), 2.83-3.01 (m, 3H), 3.21 (d, 1H, J=12.8 Hz), 3.32 (d, 1H, J=18.0 Hz), 3.47 (d, 1H, J=12.4 Hz), 3.74 (s, 3H), 3.92-3.97 (m, 1H), 4.99 (d, 1H, J=4.8 Hz), 5.13 (d, 1H, J=14.8 Hz), 5.23 (d, 1H, J=14.4 Hz), 5.51 (s, 2H), 5.60 (d, 1H, J=4.4 Hz), 6.90 (d, 1H, J=3.6 Hz), 7.17 (d, 2H, J=8.0 Hz), 7.47 (d, 2H, J=8.0 Hz), 7.63 (d, 1H, J=3.2 Hz), 7.66 (d, 1H, J=7.2 Hz), 8.16 (d, 1H, J=7.2 Hz), 9.00 (s, 1H). Six protons were not observed in D2O.
Mass: ES+ 763.22
Example 43 (Table 1, Compound 53) (6R,7R)-7-{[(2Z)-2-(2-Amino-5-chloro-1,3-thiazol-4-yl)-2-(methoxyimino)acetyl]amino}-3-({-[(4-carbamimidoyl-1,3-thiazol-2-yl)methyl]-1H-imidazo[1,2-b]pyrazol-5-ium-5-yl}methyl)-8-oxo-5-thia-1-azabicyclo[4.2.0]oct-2-ene-2-carboxylate
Figure USRE048097-20200714-C00259
1H NMR (400 MHz, D2O): δ 3.02 (d, 1H, J=16.4 Hz), 3.25 (d, 1H, J=18.4 Hz), 3.83 (s, 3H), 5.04 (s, 1H), 5.11 (d, 1H, J=16.5 Hz), 5.20 (d, 1H, J=15.4 Hz), 5.67 (s, 3H), 6.34 (m, 1H), 7.51 (m, 1H), 7.87 (m, 1H), 7.95 (m, 1H), 8.46 (s, 1H). Six protons were not observed in D2O.
Mass: ES+ 677.13
Example 44 (Table 1, Compound 55) (6R,7R)-7-{[(2Z)-2-(2-Amino-1,3-thiazol-4-yl)-2-(methoxyimino)acetyl]amino}-3-{[1-(4-carbamimidoyl-2-fluorobenzyl)-1H-pyrrolo[3,2-c]pyridin-5-ium-5-yl]methyl}-8-oxo-5-thia-1-azabicyclo[4.2.0]oct-2-ene-2-carboxylate
Figure USRE048097-20200714-C00260
1H NMR (400 MHz, D2O): δ 2.96 (d, 1H, J=17.6 Hz), 3.36 (d, 1H, J=18.0 Hz), 3.75 (s, 3H), 5.04 (d, 1H, J=4.8 Hz), 5.12 (d, 1H, J=14.8 Hz), 5.26 (d, 1H, J=14.8 Hz), 5.55 (s, 2H), 5.62 (d, 1H, J=4.8 Hz), 6.75 (s, 1H), 6.90 (d, 1H, J=2.8 Hz), 7.11 (t, 1H, J=8.0 Hz), 7.33 (d, 1H, J=8.0 Hz), 7.40 (d, 1H, J=10.8 Hz), 7.64 (d, 1H, J=3.2 Hz), 7.75 (d, 1H, J=6.8 Hz), 8.21 (d, 1H, J=7.2 Hz), 9.00 (s, 1H). Six protons were not observed in D2O.
Mass: ES+ 664.23
Example 45 (Table 1, Compound 58) (6R,7R)-7-{[(2Z)-2-(2-amino-5-chloro-1,3-thiazol-4-yl)-2-(methoxyimino)acetyl]amino}-3-{[1-(4-carbamimidoyl-2-chloro-6-fluorobenzyl)-1H-pyrrolo[3,2-c]pyridin-5-ium-5-yl]methyl}-8-oxo-5-thia-1-azabicyclo[4.2.0]oct-2-ene-2-carboxylate
Figure USRE048097-20200714-C00261
Step 1: 3-Chloro-5-fluoro-4-formylbenzonitrile
Figure USRE048097-20200714-C00262
To a solution of 3-chloro-5-fluorobenzonitrile (1.8 g, 11.57 mmol) in anhydrous tetrahydrofuran (40 mL) at −78° C. was added lithium diisopropylamide (2M, 6.4 mL, 12.73 mmol). After stirring at same temperature for 30 minutes was added dimethylformamide (1.02 g, 13.84 mmol). The reaction mixture was stirred at −78° C. for an additional 15 minutes, then was added acetic acid (2.7 mL) followed by water (40 mL) and the mixture was warmed to room temperature. After extraction with ethyl acetate (60 mL), the organic phase was washed with 1M HCl solution, brine, dried over Na2SO4, filtered and evaporated to give 3-chloro-5-fluoro-4-formylbenzonitrile (1.08 g, 51%) as a gummy solid.
1H NMR (400 MHz, CDCl3): δ 7.42 (m, 1H), 7.61 (d, 1H, J=2.8 Hz), 10.45 (s, 1H).
Step 2: 3-Chloro-5-fluoro-4-(hydroxymethyl)benzonitrile
Figure USRE048097-20200714-C00263
To a solution of 3-chloro-5-fluoro-4-formylbenzonitrile (from step 1, 1.08 g, 5.88 mmol) in methanol (6 mL) was added sodium borohydride (0.25 g, 6.61 mmol) at 0° C. After 15 minutes, the mixture was quenched with water (1 mL) and concentrated to obtain a yellow oil residue. Dissolved the residue in ethyl acetate (35 mL), washed with water (30 mL) and the aqueous layer was extracted again with ethyl acetate (20 mL). The extracts were combined, washed with brine, dried over Na2SO4, filtered and evaporated. The residue was purified by column chromatography (silica gel) eluting 1:1 ethyl acetate/hexanes as eluent to give 3-chloro-5-fluoro-4-(hydroxymethyl)benzonitrile (0.65 g, 60%) as an orange thick oil.
1H NMR (400 MHz, CDCl3): δ 4.88 (s, 2H), 7.33 (m, 1H), 7.54 (d, 1H, J=1.2 Hz).
Step 3: 4-(Bromomethyl)-3-chloro-5-fluorobenzonitrile
Figure USRE048097-20200714-C00264
To a solution of 3-chloro-5-fluoro-4-(hydroxymethyl)benzonitrile (from step 2, 0.65 g, 3.5 mmol) and carbon tetrabromide (1.25 g, 3.73 mmol) I dichloromethane (20 mL) was added triphenylphosphene (1.02 g, 2.73 mmol) slowly at 0° C. After stirring for 10 minutes at the same temperature, the solution was stirred overnight at room temperature. The solution was concentrated under reduced pressure and the residue was purified by column chromatography (silica gel) eluting with 1:20 ethyl acetate/hexanes as eluent to give 4-(bromomethyl)-3-chloro-5-fluorobenzonitrile (0.72 g, 83%) as a white solid.
1H NMR (400 MHz, CDCl3): δ 4.59 (s, 2H), 7.32 (m, 1H), 7.54 (s, 1H, J=1.2 Hz).
Step 4: 3-Chloro-5-fluoro-4-(1H-pyrrolo[3,2-c]pyridin-1-ylmethyl)benzonitrile
Figure USRE048097-20200714-C00265
An ice-cold mixture of 5-azaindole (0.34 g, 2.88 mmol) in N,N-dimethylformamide (10 mL) was treated with sodium hydride (60% in mineral oil, 0.172 g, 4.32 mmol) in portions, then stirred at room temperature for 15 minutes. The mixture was cooled to 0° C., and then treated with 4-(bromomethyl)-3-chloro-5-fluorobenzonitrile (from step 3, 0.73 g, 2.93 mmol) in tetrahydrofuran (10 mL). The resulting mixture was stirred at 0° C. for 1 hour then quenched with saturated ammonium chloride solution. The mixture was extracted with ethyl acetate, and the extracts were washed with brine, dried (sodium sulphate), filtered and concentrated in vacuo to brown oil, which was purified by column chromatography (silica gel) eluting with 5:3:2 dichloromethane/ethyl acetate/methanol as eluent to afford 3-chloro -5-fluoro -4-(1H-pyrrolo[3,2-c]pyridin-1-ylmethyl)benzonitrile (0.53 g, 65%) as a white solid.
1H NMR (400 MHz, CDCl3): δ 5.49 (d, 2H, J=1.9 Hz), 6.62 (d, 1H, J=3.2 Hz), 7.19 (d, 1H, J=2.8 Hz), 7.37-7.41 (m, 2H), 7.59 (s, 1H), 8.35 (d, 1H, J=6.0 Hz), 8.91 (s, 1H).
Step 5: Ethyl 3-chloro-5-fluoro-4-(1H-pyrrolo[3,2-c]pyridin-1-ylmethyl)benzenecarboximidate hydrochloride
Figure USRE048097-20200714-C00266
Through a solution of 3-chloro-5-fluoro-4-(1H-pyrrolo[3,2-c]pyridin-1-ylmethyl)benzonitrile (from step 4, 0.53 g, 1.86 mmol) in anhydrous ethanol (20 mL) in a pressure vessel at 0° C. was bubbled a stream of anhydrous hydrogen chloride gas for 10 min. The reaction vessel was stoppered and stirred at room temperature for 18 h and the contents were transferred into a flask and evaporated under reduced pressure. The crude product was triturated with ether, then dried under vacuum to provide ethyl 3-chloro-5-fluoro-4-(1H-pyrrolo[3,2-c]pyridin-1-ylmethyl)benzenecarboximidate hydrochloride (0.64 g, 94%) as a white solid which was used in the next step without further purification.
Step 6: 3-Chloro-5-fluoro-4-(1H-pyrrolo[3,2-c]pyridin-1-ylmethyl)benzenecarboximidamide
Figure USRE048097-20200714-C00267
A pressure vessel containing a suspension of ethyl 3-chloro -5-fluoro -4-(1H-pyrrolo[3,2-c]pyridin-1-ylmethyl)benzenecarboximidate hydrochloride (from step 5, 0.64 g, 1.74 mol) in methanol (20 mL) was saturated with ammonia gas and stoppered. The reaction mixture was stirred at room temperature for 24 h, then excess ammonia was vented out and the contents were concentrated under reduced pressure. The residue was triturated with hexanes and dried under vacuum to give 3-chloro-5-fluoro-4-(1H-pyrrolo[3,2-c]pyridin-1-ylmethyl)benzenecarboximidamide (0.69 g, 130%) as a grey solid which was used in the next step without further purification.
Step 7: tert-Butyl {[3-chloro-5-fluoro-4-(1H-pyrrolo[3,2-c]pyridin-1-ylmethyl)phenyl]carbonoimidoyl}carbamate
Figure USRE048097-20200714-C00268
A solution of 3-chloro-5-fluoro-4-(1H-pyrrolo[3,2-c]pyridin-1-ylmethyl)benzenecarboximidamide (from step 6, 0.69 g. 1.74 mmol) in 1,4-dioxane (50 mL) was treated with a saturated sodium carbonate solution (25 mL) followed by di-tert-butyl dicarbonate (2.51 g, 11.4 mmol) and stirred at room temperature for 40 h. The reaction mixture was concentrated under reduced pressure to remove the volatiles and the remaining solution was dissolved in ethyl acetate (60 mL), then washed with water (60 mL), brine solution (60 mL), dried and concentrated. The crude product was purified by silica gel column chromatography using ethyl acetate: methanol:ammonium hydroxide (60:39:1) as eluent to afford tert-butyl {[3-chloro-5-fluoro-4-(1H-pyrrolo[3,2-c]pyridin-1-ylmethyl)phenyl]carbonoimidoyl}carbamate (0.3 g, 33%).
1HNMR (400 MHz, CDCl3): δ 1.52 (s, 9H), 5.43 (s, 2H), 6.56 (d, 1, J=3.2 Hz), 7.18 (d, 1H, J=2.8 Hz), 7.37 (d, 1H, J=6.0 Hz), 7.58 (d, 1H, J=9.6 Hz), 7.80 (s, 1H), 8.22 (d, 1H, J=5.6 Hz), 8.82 (s, 1H).
Step 8: 5-{[(6R,7R)-7-{[(2Z)-2-{2-[(tert-Butoxycarbonyl)amino]-5-chloro-1,3-thiazol-4-yl}-2-(methoxyimino)acetyl]amino}-2-{[(4-methoxybenzyl)oxy]carbonyl}-8-oxo-5-thia-1-azabicyclo[4.2.0]oct-2-en-3-yl]methyl}-1-{4-[N-(tert-butoxycarbonyl)carbamimidoyl]-2-chloro-6-fluorobenzyl}-1H-pyrrolo[3,2-c]pyridin-5-ium iodide
Figure USRE048097-20200714-C00269
To a solution of tert-butyl {[3-chloro-5-fluoro-4-(1H-pyrrolo[3,2-c]pyridin-1-ylmethyl)phenyl]carbonoimidoyl}carbamate (from step 7, 0.12 g, 0.30 mmol) in dimethylformamide (1 mL) was added (6R,7R)-7-{[(2Z)-2-{2-[(tert-butoxycarbonyl)amino]-5-chloro-1,3-thiazol-4-yl}-2-(methoxyimino)acetyl]amino}-3-(iodomethyl)-2-{[(4-methoxybenzyl)oxy]carbonyl}-8-oxo-5-thionia-1-azabicyclo[4.2.0]oct-2-en-5-olate (0.24 g, 0.30 mmol) at 0° C. The reaction mixture was then degassed under reduced pressure for 0.5 h, and stirred at room temperature for 16 h.
Dimethyl formamide (2 mL) was added and cooled to −40° C., followed by adding KI (0.35 g, 2.1 mmol) and acetyl chloride (0.09 mL, 1.2 mmol). After stirring at 0° C. for 1 h, ice water and ethyl acetate (30 mL) were poured to the reaction solution, and then NaHSO3 solution (20 mL) was added. The aqueous solution was extracted with ethyl acetate (30 mL×2) and the organic layers were combined, washed with brine (3×50 mL), dried over Na2SO4, filtered and evaporated to give yellow solid (0.29 g), which was used in the next step without further purification.
Step 9: (6R,7R)-7-{[(2Z)-2-(2-Amino-5-chloro-1,3-thiazol-4-yl)-2-(methoxyimino)acetyl]amino}-3-{[1-(4-carbamimidoyl-2-chloro-6-fluorobenzyl)-1H-pyrrolo[3,2-c]pyridin-5-ium-5-yl]methyl}-8-oxo -5-thia-1-azabicyclo[4.2.0]oct-2-ene-2-carboxylate
Figure USRE048097-20200714-C00270
To a solution of 5-{[(6R,7R)-7-{[(2Z)-2-{2-[(tert-butoxycarbonyl)amino]-5-chloro-1,3-thiazol-4-yl}-2-(methoxyimino)acetyl]amino}-2-{[(4-methoxybenzyl)oxy]carbonyl}-8-oxo-5-thia-1-azabicyclo[4.2.0]oct-2-en-3-yl]methyl}-1-{4-[N-(tert-butoxycarbonyl)carbamimidoyl]-2-chloro-6-fluorobenzyl}-1H-pyrrolo[3,2-c]pyridin-5-ium iodide (0.29 g) in dry dichloromethane (6 mL) at −40° C. was added anisole (0.52 mL, 4.92 mmol) and then 2M AlCl3 in CH3NO2 (2.46 mL, 4.92 mmol). The liquid was stirred at 0° C. for 30 min. To the reaction mixture were added diisopropyl ether (10 mL) and water (0.5 mL), and the resultant was stirred to generate a precipitate. The supernatant was removed by decantation. To the insoluble matter adhering to the vessel were added diluted aqueous hydrochloric acid solution (5 mL) and acetonitrile (10 mL). The resultant was stirred to dissolve the matter completely. Thereto was added HP20 resin (1.0 g), and stirred for 30 min, and then filtered. The filtrate was concentrated and lyophilized to give a crude product which was purified by HPLC to obtain (6R,7R)-7-{[(2Z)-2-(2-amino-5-chloro-1,3-thiazol-4-yl)-2-(methoxyimino)acetyl]amino}-3-{[1-(4-carbamimidoyl-2-chloro-6-fluorobenzyl)-1H-pyrrolo[3,2-c]pyridin-5-ium-5-yl]methyl}-8-oxo-5-thia-1-azabicyclo[4.2.0]oct-2-ene-2-carboxylate as formic acid salt (0.0135 g, 7.5%).
1H NMR (400 MHz, D2O): δ 2.94 (d, 1H, J=18.0 Hz), 3.33 (d, 1H, J=17.6 Hz), 3.73 (s, 3H), 5.00 (d, 1H, J=5.2 Hz), 5.11 (d, 1H, J=14.4 Hz), 5.26 (d, 1H, J=14.0 Hz), 5.58-5.62 (m, 3H), 6.84 (s, 1H), 7.39 (d, 1H, J=9.6 Hz), 7.58 (s, 2H), 7.89 (d, 1H, J=7.2 Hz), 8.25 (d, 1H, J=6.4 Hz), 8.97 (s, 1H). Six protons were not observed in D2O.
Mass: ES+ 732.21
Example 46 (Table 1, Compound 56) (6R,7R)-7-{[(2Z)-2-(2-Amino-5-chloro-1,3-thiazol-4-yl)-2-(methoxyimino)acetyl]amino}-3-({1-[(4-carbamimidoylfuran-2-yl)methyl]-1H-pyrrolo[3,2-c]pyridin-5-ium-5-yl}methyl)-8-oxo-5-thia-1-azabicyclo[4.2.0]oct-2-ene-2-carboxylate
Figure USRE048097-20200714-C00271
1H NMR (400 MHz, D2O): δ 2.91 (d, 1H, J=18.0 Hz), 3.34 (d, 1H, J=18.0 Hz), 3.77 (s, 3H), 5.03 (d, 1H, J=4.8 Hz), 5.15 (d, 1H, J=15.2 Hz), 5.26 (d, 1H, J=14.0 Hz), 5.47 (s, 2H), 5.65 (d, 1H, J=4.8 Hz), 6.74 (s, 1H), 6.88 (d, 1H, J=3.2 Hz), 7.64 (d, 1H, J=3.6 Hz), 7.86 (d, 1H, J=7.6 Hz), 8.04 (s, 1H), 8.25 (d, 1H, J=4.0 Hz), 8.99 (s, 1H). Six protons were not observed in D2O.
Mass: ES+ 670.06
Example 47 (Table 1, Compound 65) (6R,7R)-7-{[(2Z)-2-(2-Amino-5-chloro-1,3-thiazol-4-yl)-2-{[(2-carboxypropan-2-yl)oxy]imino}acetyl]amino}-3-({1-[(4-carbamimidoylthiophen-2-yl)methyl]-1H-pyrrolo[2,3-c]pyridin-6-ium-6-yl}methyl)-8-oxo-5-thia-1-azabicyclo[4.2.0]oct-2-ene-2-carboxylate
Figure USRE048097-20200714-C00272
1HNMR (400 MHz, D2O): δ 1.33 (s, 3H), 1.35 (s, 3H), 2.95 (d, 1H, J=18.0 Hz), 3.38 (d, 1H, J=18.4 Hz), 5.07-5.11 (m, 2H), 5.39 (d, 1H, J=14.5 Hz), 5.67-5.78 (m, 3H), 6.88 (d, 1H, J=2.8 Hz), 7.47 (s, 1H), 7.96 (d, 1H, J=6.0 Hz), 8.12 (m, 3H), 9.10 (s, 1H). Seven protons were not observed in D2O.
Mass: ES+ 758.17
Example 48 (Table 1, Compound 66) (6R,7R)-7-{[(2Z)-2-(5-Amino-1,2,4-thiadiazol-3-yl)-2-{[(2-carboxypropan-2-yl)oxy]imino}acetyl]amino}-3-({1-[(4-carbamimidoylthiophen-2-yl)methyl]-1H-pyrrolo[2,3-c]pyridin-6-ium-6-yl}methyl)-8-oxo-5-thia-1-azabicyclo[4.2.0]oct-2-ene-2-carboxylate
Figure USRE048097-20200714-C00273
1H NMR (400 MHz, D2O): δ 1.37 (s, 3H), 1.39 (s, 3H), 2.97 (d, 1H, J=18.0 Hz), 3.38 (d, 1H, J=17.6 Hz), 5.08-5.13 (m, 2H), 5.37 (d, 1H, J=14.4 Hz), 5.69-5.80 (m, 3H), 6.85 (d, 1H, J=2.8 Hz), 7.46 (s, 1H), 7.94 (d, 1H, J=6.8 Hz), 8.09-8.16 (m, 3H), 9.08 (s, 1H). Seven protons were not observed in D2O.
Mass: ES+ 725.16
Example 49 (Table 1, Compound 67) (6R,7R)-7-{[(2Z)-2-(5-Amino-1,2,4-thiadiazol-3-yl)-2-(methoxyimino)acetyl]amino}-3-({1-[(4-carbamimidoylthiophen-2-yl)methyl]-1H-pyrrolo[2,3-c]pyridin-6-ium-6-yl}methyl)-8-oxo-5-thia-1-azabicyclo[4.2.0]oct-2-ene-2-carboxylate
Figure USRE048097-20200714-C00274
1H NMR (400 MHz, D2O): δ 2.96 (d, 1H, J=17.6 Hz), 3.38 (d, 1H, J=17.6 Hz), 3.95 (s, 3H), 5.06 (d, 1H, J=4.8 Hz), 5.12 (d, 1H, J=14.8 Hz), 5.31 (d, 1H, J=14.4 Hz), 5.53 (d, 1H, J=4.8 Hz), 5.72 (m, 2H), 6.88 (d, 1H, J=3.2 Hz), 7.50 (s, 1H), 7.95 (d, 1H, J=6.4 Hz), 8.11-8.30 (m, 3H), 8.99 (s, 1H). Six protons were not observed in D2O.
Mass: ES+ 653.19
Example 50 (Table 1, Compound 68) (6R,7R)-7-{[(2Z)-2-(5-amino-1,2,4-thiadiazol-3-yl)-2-{[(2-carboxypropan-2-yl)oxy]imino}acetyl]amino}-3-({1-[(4-carbamimidoylthiophen-2-yl)methyl]-1H-pyrrolo[3,2-b]pyridin-4-ium-4-yl}methyl)-8-oxo-5-thia-1-azabicyclo[4.2.0]oct-2-ene-2-carboxylate
Figure USRE048097-20200714-C00275
1H NMR (400 MHz, D2O): δ 1.40 (s, 6H), 3.03 (d, 1H, J=17.6 Hz), 3.24 (d, 1H, J=17.6 Hz), 5.06 (d, 1H, J=4.8 Hz), 5.42 (d, 1H, J=15.2 Hz), 5.58 (d, 1H, J=15.2 Hz), 5.71 (d, 1H, J=4.8 Hz), 5.76 (s, 2H), 6.95 (d, 1H, J=3.2 Hz), 7.34 (s, 1H), 7.54-7.58 (m, 1H), 8.08 (d, 1H, J=3.2 Hz), 8.12 (s, 1H), 8.48-8.53 (m, 2H). Seven protons were not observed in D2O.
Mass: ES+ 725.13
Example 51 (Table 1, Compound 71) (6R,7R)-7-{[(2Z)-2-(2-Amino-5-chloro-1,3-thiazol-4-yl)-2-(methoxyimino)acetyl]amino}-3-{[1-(4-carbamimidoyl-2-chloro-6-fluorobenzyl)-1H-pyrrolo[3,2-b]pyridin-4-ium-4-yl]methyl}-8-oxo-5-thia-1-azabicyclo[4.2.0]oct-2-ene-2-carboxylate
Figure USRE048097-20200714-C00276
Step 1: 3-Chloro-5-fluoro-4-(1H-pyrrolo[3,2-b]pyridin-1-ylmethyl)benzonitrile
Figure USRE048097-20200714-C00277
An ice-cold mixture of 4-azaindole (0.47 g, 3.98 mmol) in N,N-dimethylformamide (10 mL) was treated with sodium hydride (60% in mineral oil, 0.23 g, 6.0 mmol) in portions, then stirred at room temperature for 15 minutes. The mixture was cooled to 0° C., then treated with 4-(bromomethyl)-3-chloro-5-fluorobenzonitrile (1.00 g, 4.00 mmol) in tetrahydrofuran (10 mL). The resulting mixture was stirred at 0° C. for 1 hour then quenched with saturated ammonium chloride solution. The mixture was extracted with ethyl acetate and the extracts were washed with brine, dried (sodium sulphate), filtered and concentrated in vacuo to brown oil, which was purified by column chromatography (silica gel) eluting with 5:3:2 dichloromethane/ethyl acetate/methanol as eluent to afford 3-chloro-5-fluoro-4-(1H-pyrrolo[3,2-b]pyridin-1-ylmethyl)benzonitrile (0.62 g, 54%) as brown solid.
1HNMR (400 MHz, CDCl3): δ 5.49 (d, 2H, J=1.9 Hz), 6.72 (d, 1H, J=3.4 Hz), 7.14 (dd, 1H, J=8.2, 4.7 Hz), 7.37 (d, 1H, J=8.7 Hz), 7.41 (d, 1H, J=3.4 Hz), 7.58 (br s, 1H,) 7.78 (d, 1H, J=8.4 Hz), 8.47 (d, 1H, J=4.7 Hz).
Step 2: Ethyl 3-chloro-5-fluoro-4-(1H-pyrrolo[3,2-b]pyridin-1-ylmethyl)benzenecarboximidate hydrochloride
Figure USRE048097-20200714-C00278
Anhydrous hydrochloric acid was bubbled into an ice-cold brown suspension of 3-chloro-5-fluoro-4-(1H-pyrrolo[3,2-b]pyridin-1-ylmethyl)benzonitrile (0.65 g, 2.23 mmol) in anhydrous ethanol (30 mL) for 10 minutes. The mixture was sealed and stirred at room temperature overnight. The mixture was concentrated in vacuo to afford ethyl 3-chloro-5-fluoro-4-(1H-pyrrolo[3,2-b]pyridin-1-ylmethyl)benzenecarboximidate hydrochloride (0.83 g) as a brown solid, which was used in the next step without further purification.
1HNMR (400 MHz, CD3OD): δ 1.58 (t, 3H, J=7.2H), 4.59 (q, 2H, J=7.0 Hz), 6.09 (s, 2H), 7.15 (d, 1H, J=3.2 Hz), 7.92-8.04 (m, 2H), 8.16 (s, 1H), 8.34 (d, 1H, J=2.9 Hz), 8.83 (d, 1H, J=5.6 Hz), 9.03 (d, 1H, J=8.2 Hz).
Step 3: 3-Chloro-5-fluoro-4-(1H-pyrrolo[3,2-b]pyridin-1-ylmethyl)benzenecarboximidamide
Figure USRE048097-20200714-C00279
Anhydrous ammonia was bubbled into an ice-cold solution of 3-chloro-5-fluoro-4-(1H-pyrrolo[3,2-b]pyridin-1-ylmethyl)benzenecarboximidate hydrochloride (0.83 g, 2.23 mmol) in anhydrous ethanol (30 mL) for 10 minutes. The mixture was sealed and stirred at room temperature overnight. The mixture was concentrated in vacuo to afford 3-chloro-5-fluoro-4-(1H-pyrrolo[3,2-b]pyridin-1-ylmethyl)benzenecarboximidamide as a brown solid (0.72 g), which was used in the next step without further purification.
1H NMR (400 MHz, CD3OD): δ 5.59 (s, 2H), 6.62 (br s, 1H), 7.22 (br s, 1H), 7.54-7.60 (m, 2H), 7.64-7.69 (m, 1H), 7.82-7.87 (m, 1H), 8.23-8.43 (br s, 1H).
Step 4: tert-Butyl {[3-chloro-5-fluoro-4-(1H-pyrrolo[3,2-b]pyridin-1-ylmethyl)phenyl]carbonoimidoyl}carbamate
Figure USRE048097-20200714-C00280
An ice-cold solution of 3-chloro-5-fluoro-4-(1H-pyrrolo[3,2-b]pyridin-1-ylmethyl)benzenecarboximidamide (0.72 g, 2.38 mmol) in dioxane (40 mL) and saturated sodium carbonate solution (20 mL) was treated with di-tert-butyl dicarbonate (2.08 g, 9.53 mmol). The mixture was stirred at room temperature overnight, then concentrated in vacuo. The residue was diluted with ethyl acetate and washed with water and brine, then dried (sodium sulphate), filtered and concentrated to brown solid, which was purified by column chromatography (silica gel) eluting with 2-4% methanol in dichloromethane to afford tert-butyl {[3-chloro-5-fluoro-4-(1H-pyrrolo[3,2-b]pyridin-1-ylmethyl)phenyl]carbonoimidoyl}carbamate (0.20 g, 21%) as a yellow solid.
1H NMR (400 MHz, CDCl3): δ 1.55 (s, 9H), 5.47 (d, 2H, J=1.8 Hz), 6.60 (d, 1H, J=3.2 Hz), 7.19 (d, 1H, J=3.1 Hz), 7.41 (d, 1H, J=6.0 Hz), 7.55-7.60 (m, 1H), 7.78 (s, 1H), 8.31 (d, 1H, J=6.0 Hz), 8.88 (s, 1H).
Step 5: 4-{[(6R,7R)-7-{[(2Z)-2-{2-[(tert-Butoxycarbonyl)amino]-5-chloro-1,3-thiazol-4-yl}-2-(methoxyimino)acetyl]amino}-2-{[(4-methoxybenzyl)oxy]carbonyl}-8-oxo-5-thia-1-azabicyclo[4.2.0]oct-2-en-3-yl]methyl}-1-{4-[N-(tert-butoxycarbonyl)carbamimidoyl]-2-chloro-6-fluorobenzyl}-1H-pyrrolo[3,2-b]pyridin-4-ium iodide
Figure USRE048097-20200714-C00281
An ice-cold mixture of tert-butyl {[3-chloro-5-fluoro-4-(1H-pyrrolo[3,2-b]pyridin-1-ylmethyl)phenyl]carbonoimidoyl}carbamate (0.20 g, 0.50 mmol) in anhydrous N,N-dimethylformamide (2.0 mL) was degassed under reduced pressure for 5 minutes, then treated with 4-methoxybenzyl (6R,7R)-7-{[(2Z)-2-{2-[(tert-butoxycarbonyl)amino]-5-chloro-1,3-thiazol-4-yl}-2-(methoxyimino)acetyl]amino}-3-(chloromethyl)-8-oxo-5-thia-1-azabicyclo[4.2.0]oct-2-ene-2-carboxylate (0.34 g, 0.50 mmol). The resulting mixture was degassed for 30 minutes, and treated with sodium iodide (0.15 g, 1.00 mmol). The mixture was stirred at room temperature overnight, cooled to 0° C. and quenched with a 5% aqueous solution of sodium chloride and sodium thiosulfate to give an orange suspension. The solid was filtered, washed with water and dried in vacuo to afford 4-{[(6R,7R)-7-{[(2Z)-2-{2-[(tert-butoxycarbonyl)amino]-5-chloro-1,3-thiazol-4-yl}-2-(methoxyimino)acetyl]amino}-2-{[(4-methoxybenzyl)oxy]carbonyl}-8-oxo-5-thia-1-azabicyclo[4.2.0]oct-2-en-3-yl]methyl}-1-{4-[N-(tert-butoxycarbonyl)carbamimidoyl]-2-chloro-6-fluorobenzyl}-1H-pyrrolo[3,2-b]pyridin-4-ium iodide, which was used in the next step without further purification.
Step 6: (6R,7R)-7-{[(2Z)-2-(2-Amino-5-chloro-1,3-thiazol-4-yl)-2-(methoxyimino)acetyl]amino}-3-{[1-(4-carbamimidoyl-2-chloro-6-fluorobenzyl)-1H-pyrrolo[3,2-b]pyridin-4-ium-4-yl]methyl}-8-oxo -5-thia-1-azabicyclo[4.2.0]oct-2-ene-2-carboxylate
Figure USRE048097-20200714-C00282
A solution of 4-{[(6R,7R)-7-{[(2Z)-2-{2-[(tert-butoxycarbonyl)amino]-5-chloro-1,3-thiazol-4-yl}-2-(methoxyimino)acetyl]amino}-2-{[(4-methoxybenzyl)oxy]carbonyl}-8-oxo-5-thia-1-azabicyclo[4.2.0]oct-2-en-3-yl]methyl}-1-{4-[N-(tert-butoxycarbonyl)carbamimidoyl]-2-chloro-6-fluorobenzyl}-1H-pyrrolo[3,2-b]pyridin-4-ium iodide (0.50 mmol) in dichloromethane (2.5 mL) and anisole (0.85 mL, 7.82 mmol) was cooled to 0° C., then treated with trifluoroacetic acid (2.5 mL, 32.6 mmol). The resulting brown solution was stirred at 0° C. for 10 minutes, then at room temperature for 2 hours. The mixture was concentrated in vacuo to a brown residue, which was washed with diethyl ether and the brown solid was purified by preparative HPLC (0.1% formic acid in water/acetonitrile) to afford (6R,7R)-7-{[(2Z)-2-(2-amino-5-chloro-1,3-thiazol-4-yl)-2-(methoxyimino)acetyl]amino}-3-{[1-(4-carbamimidoyl-2-chloro-6-fluorobenzyl)-1H-pyrrolo[3,2-b]pyridin-4-ium-4-yl]methyl}-8-oxo-5-thia-1-azabicyclo[4.2.0]oct-2-ene-2-carboxylate (0.050 g, 14% over 2 steps) as formic acid salt.
1H NMR (400 MHz, D2O): δ 3.18 (d, 1H, J=17.9 Hz), 3.32 (d, 1H, J=17.9 Hz), 3.95 (s, 3H) 5.12 (d, 1H, J=5.0 Hz), 5.50 (d, 1H, J=14.7 Hz), 5.71 (d, 1H, J=15.0 Hz), 5.80 (d, 1H, J=4.7 Hz), 5.85 (s, 2H), 7.01 (d, 1H, J=3.5 Hz), 7.62 (dd, 1H, J=9.7, 1.7 Hz), 7.70 (dd, 1H, J=8.2, 6.2 Hz), 7.80 (s, 1H), 8.15 (d, 1H, J=3.2 Hz), 8.62 (d, 1H, J=6.2 Hz), 8.69 (d, 1H, J=8.5 Hz).
Six protons were not observed in D2O.
Mass: ES+ 732.15.
Example 52 (Table 1, Compound 69) (6R,7R)-7-{[(2Z)-2-(2-Amino-1,3-thiazol-4-yl)-2-(methoxyimino)acetyl]amino}-3-{[1-(4-carbamimidoyl-2-chloro-6-fluorobenzyl)-1H-pyrrolo[3,2-c]pyridin-5-ium-5-yl]methyl}-8-oxo-5-thia-1-azabicyclo[4.2.0]oct-2-ene-2-carboxylate
Figure USRE048097-20200714-C00283
1H NMR (400 MHz, D2O): δ 3.14 (d, 1H, J=17.9 Hz), 3.58 (d, 1H, J=17.9 Hz), 3.93 (s, 3H), 5.22 (d, 1H, J=5.0 Hz), 5.29 (d, 1H, J=14.7 Hz), 5.48 (d, 1H, J=14.4 Hz), 5.74-5.79 (m, 3H), 6.82 (s, 1H), 7.02 (d, 1H, J=3.2 Hz), 7.60 (dd, 1H, J=9.7, 1.5 Hz), 7.73-7.81 (m, 2H), 8.06 (d, 1H, J=7.3 Hz), 8.44 (d, 1H, J=7.0 Hz), 9.17 (s, 1H). Six protons were not observed in D2O.
Mass: ES+ 698.19.
Example 53 (Table 1, Compound 70) (6R,7R)-7-{[(2Z)-2-(2-Amino-5-chloro-1,3-thiazol-4-yl)-2-(methoxyimino)acetyl]amino}-3-{[1-(4-carbamimidoyl-2-chloro-6-fluorobenzyl)-1H-pyrrolo[2,3-c]pyridin-6-ium-6-yl]methyl}-8-oxo-5-thia-1-azabicyclo[4.2.0]oct-2-ene-2-carboxylate formic acid salt
Figure USRE048097-20200714-C00284
Step 1: 3-Chloro-5-fluoro-4-(1H-pyrrolo[2,3-c]pyridin-1-ylmethyl)benzonitrile
Figure USRE048097-20200714-C00285
An ice-cold mixture of 6-azaindole (0.98 g, 7.96 mmol) in N,N-dimethylformamide (10 mL) was treated with sodium hydride (60% in mineral oil, 0.46 g, 12.0 mmol) in portions, then stirred at room temperature for 15 minutes. The mixture was cooled to 0° C., then treated with 4-(bromomethyl)-3-chloro-5-fluorobenzonitrile (2.00 g, 8.05 mmol) in tetrahydrofuran (10 mL). The resulting mixture was stirred at 0° C. for 1 hour then quenched with saturated ammonium chloride solution. The mixture was extracted with ethyl acetate, and the extracts were washed with brine, dried (sodium sulphate), filtered and concentrated in vacuo to brown oil, which was purified by column chromatography (silica gel) eluting with 5:3:2 dichloromethane/ethyl acetate/methanol as eluent to afford 3-chloro-5-fluoro-4-(1H-pyrrolo[2,3-c]pyridin-1-ylmethyl)benzonitrile (1.14 g, 50%) as a brown solid.
1HNMR (400 MHz, CDCl3): δ 5.59 (d, 2H, J=1.9 Hz), 6.54 (dd, 1H) 7.31 (dd, 1H, J=3.15, 1.25 Hz), 7.38 (dd, 1H, J=8.7, 1.6 Hz), 7.51 (dd, 1H, J=5.4, 1.0 Hz), 7.59 (t, 1H, J=1.4 Hz), 8.27 (d, 1H, J=5.4 Hz), 8.92 (s, 1H).
Step 2: Ethyl 3-chloro-5-fluoro-4-(1H-pyrrolo[2,3-c]pyridin-1-ylmethyl)benzenecarboximidate hydrochloride
Figure USRE048097-20200714-C00286
Anhydrous hydrochloric acid was bubbled into an ice-cold brown suspension of 3-chloro-5-fluoro-4-(1H-pyrrolo[2,3-c]pyridin-1-ylmethyl)benzonitrile (1.14 g, 3.99 mmol) in anhydrous ethanol (30 mL) for 10 minutes. The mixture 5 was sealed and stirred at room temperature overnight. The mixture was concentrated in vacuo to afford ethyl 3-chloro-5-fluoro-4-(1H-pyrrolo[2,3-c]pyridin-1-ylmethyl)benzenecarboximidate hydrochloride (1.16 g) as a brown solid, which was used in the next step without further purification.
Step 3: 3-Chloro-5-fluoro-4-(1H-pyrrolo[2,3-c]pyridin-1-ylmethyl)benzenecarboximidamide
Figure USRE048097-20200714-C00287
Anhydrous ammonia was bubbled into an ice-cold solution of ethyl 3-chloro-5-fluoro-4-(1H-pyrrolo[2,3-c]pyridin-1-ylmethyl)benzenecarboximidate hydrochloride (1.6 g, 4.34 mmol) in anhydrous ethanol (30 mL) for 10 minutes. The mixture was sealed and stirred at room temperature overnight. The mixture was concentrated in vacuo to afford 3-chloro-5-fluoro-4-(1H-pyrrolo[2,3-c]pyridin-1-ylmethyl)benzenecarboximidamide as a brown solid (0.59 g), which was used in the next step without further purification.
1H NMR (400 MHz, CD3OD): δ 5.80 (s, 2H), 6.64-6.71 (m, 1H), 7.55-7.74 (m, 3H), 7.84-7.91 (m, 1H), 8.12 (s, 1H), 8.92 (s, 1H).
Step 4: tert-Butyl {[3-chloro-5-fluoro-4-(1H-pyrrolo[2,3-c]pyridin-1-ylmethyl)phenyl]carbonoimidoyl}carbamate
Figure USRE048097-20200714-C00288
An ice-cold solution of 3-chloro-5-fluoro-4-(1H-pyrrolo[2,3-c]pyridin-1-ylmethyl)benzenecarboximidamide (0.59 g, 1.95 mmol) in dioxane (40 mL) and saturated sodium carbonate solution (20 mL) was treated with di-tert-butyl dicarbonate (1.70 g, 7.78 mmol). The mixture was stirred at room temperature overnight and concentrated in vacuo. The residue was diluted with ethyl acetate, washed with water and brine, then dried (sodium sulphate), filtered and concentrated to a brown solid. The solid was purified by column chromatography (silica gel) eluting with 2-4% methanol in dichloromethane to afford tert-butyl {[3-chloro-5-fluoro-4-(1H-pyrrolo[2,3-c]pyridin-1-ylmethyl)phenyl]carbonoimidoyl}carbamate (0.64 g, 82%) as a yellow solid.
1H NMR (400 MHz, CDCl3): δ 1.55 (s, 9H), 5.53 (d, 2H, J=1.5 Hz), 6.49 (d, 1H, J=3.2 Hz), 7.30 (d, 1H, J=3.2 Hz), 7.48 (d, 1H, J=5.4 Hz), 7.57-7.63 (m, 1H), 7.81 (s, 1H), 8.21 (d, 1H, J=5.4 Hz), 8.91 (s, 1H).
Step 5: 6-{[(6R,7R)-7-{[(2Z)-2-{2-[(tert-Butoxycarbonyl)amino]-5-chloro-1,3-thiazol-4-yl}-2-(methoxyimino)acetyl]amino}-2-{[(4-methoxybenzyl)oxy]carbonyl}-8-oxo-5-thia-1-azabicyclo[4.2.0]oct-2-en-3-yl]methyl}-1-{4-[N-(tert-butoxycarbonyl)carbamimidoyl]-2-chloro-6-fluorobenzyl}-1H-pyrrolo[2,3-c]pyridin-6-ium iodide
Figure USRE048097-20200714-C00289
An ice-cold mixture of tert-butyl {[3-chloro-5-fluoro-4-(1H-pyrrolo[2,3-c]pyridin-1-ylmethyl)phenyl]carbonoimidoyl}carbamate (0.20 g, 0.50 mmol) in anhydrous N,N-dimethylformamide (2.0 mL) was degassed under reduced pressure for 5 minutes, then treated with 4-methoxybenzyl (6R,7R)-7-{[(2Z)-2-{2-[(tert-butoxycarbonyl)amino]-5-chloro-1,3-thiazol-4-yl}-2-(methoxyimino)acetyl]amino}-3-(chloromethyl)-8-oxo-5-thia-1-azabicyclo[4.2.0]oct-2-ene-2-carboxylate (0.34 g, 0.50 mmol). The resulting mixture was degassed for 30 minutes, then treated with sodium iodide (0.15 g, 1.00 mmol). The mixture was stirred at room temperature overnight, then cooled to 0° C. and quenched with a 5% aqueous solution of sodium chloride and sodium thiosulfate to give an orange suspension. The solid was filtered, washed with water and dried in vacuo to afford 6-{[(6R,7R)-7-{[(2Z)-2-{2-[(tert-butoxycarbonyl)amino]-5-chloro-1,3-thiazol-4-yl}-2-(methoxyimino)acetyl]amino}-2-{[(4-methoxybenzyl)oxy]carbonyl}-8-oxo-5-thia-1-azabicyclo[4.2.0]oct-2-en-3-yl]methyl}-1-{4-[N-(tert-butoxycarbonyl)carbamimidoyl]-2-chloro-6-fluorobenzyl}-1H-pyrrolo[2,3-c]pyridin-6-ium iodide, which was used in the next step without further purification.
Step 6: (6R,7R)-7-{[(2Z)-2-(2-Amino-5-chloro-1,3-thiazol-4-yl)-2-(methoxyimino)acetyl]amino}-3-{[1-(4-carbamimidoyl-2-chloro-6-fluorobenzyl)-1H-pyrrolo[2,3-c]pyridin-6-ium-6-yl]methyl}-8-oxo-5-thia-1-azabicyclo[4.2.0]oct-2-ene-2-carboxylate
Figure USRE048097-20200714-C00290
A solution of 6-{[(6R,7R)-7-{[(2Z)-2-{2-[(tert-butoxycarbonyl)amino]-5-chloro-1,3-thiazol-4-yl}-2-(methoxyimino)acetyl]amino}-2-{[(4-methoxybenzyl)oxy]carbonyl}-8-oxo-5-thia-1-azabicyclo[4.2.0]oct-2-en-3-yl]methyl}-1-{4-[N-(tert-butoxycarbonyl)carbamimidoyl]-2-chloro-6-fluorobenzyl}-1H-pyrrolo[2,3-c]pyridin-6-ium iodide (0.50 mmol) in dichloromethane (2.5 mL) and anisole (0.85 mL, 7.82 mmol) was cooled to 0° C., then treated with trifluoroacetic acid (2.5 mL, 32.6 mmol). The resulting brown solution was stirred at 0° C. for 10 minutes, then at room temperature for 2 hours. The mixture was concentrated in vacuo to a brown residue, which was washed with diethyl ether to afford the crude product as brown solid. The solid was purified by preparative HPLC (0.1% formic acid in water/acetonitrile) to afford (6R,7R)-7-{[(2Z)-2-(2-Amino-5-chloro-1,3-thiazol-4-yl)-2-(methoxyimino)acetyl]amino}-3-{[1-(4-carbamimidoyl-2-chloro-6-fluorobenzyl)-1H-pyrrolo[2,3-c]pyridin-6-ium-6-yl]methyl}-8-oxo-5-thia-1-azabicyclo[4.2.0]oct-2-ene-2-carboxylate (0.025 g, 7% over 2 steps) as formic acid salt.
1H NMR (400 MHz, D2O): δ 3.18 (d, 1H, J=18.2 Hz), 3.59 (d, 1H, J=17.9 Hz), 3.95 (s, 3H), 5.21-5.32 (m, 2H), 5.56 (d, 1H, J=14.1 Hz), 5.79-5.90 (m, 3H), 6.96 (d, 1H, J=3.2 Hz), 7.62 (dd, 1H, J=9.5, 1.60 Hz), 7.78 (s, 1H), 8.05 (d, 1H, J=6.8 Hz), 8.20 (d, 1H, J=3.2 Hz), 8.24 (d, 1H, J=6.8 Hz), 9.09 (s, 1H). Six protons were not observed in D2O.
Mass: ES+ 732.04.
Example 54 (Table 1, Compound 72) (6R,7R)-7-{[(2Z)-2-(2-Amino-5-chloro-1,3-thiazol-4-yl)-2-{[(2-carboxypropan-2-yl)oxy]imino}acetyl]amino}-3-{[1-(4-carbamimidoyl-2-chloro-6-fluorobenzyl)-1H-pyrrolo[2,3-c]pyridin-6-ium-6-yl]methyl}-8-oxo-5-thia-1-azabicyclo[4.2.0]oct-2-ene-2-carboxylate
Figure USRE048097-20200714-C00291
1H NMR (400 MHz, D2O): δ 1.46 (s, 3H), 1.47 (s, 3H), 3.16 (d, 1H, J=18.2 Hz), 3.61 (d, 1H, J=17.9 Hz), 5.21 (d, 1H, J=14.1 Hz), 5.28 (d, 1H, J=5.0 Hz), 5.61 (d, 1H, J=14.4 Hz), 5.79-5.91 (m, 3H), 6.95 (d, 1H, J=2.6 Hz), 7.61 (d, 1H, J=10.0 Hz), 7.78 (s, 1H), 8.04 (d, 1H, J=6.8 Hz), 8.21 (d, 1H, J=2.4 Hz), 8.24 (d, 1H, J=6.8 Hz), 9.13 (s, 1H). Six protons were not observed in D2O.
Mass: ES+ 804.13
Example 55 (Table 1, Compound 73) (6R,7R)-7-{[(2Z)-2-(2-Amino-1,3-thiazol-4-yl)-2-(methoxyimino)acetyl]amino}-3-{[1-(4-carbamimidoyl-2-chloro-6-fluorobenzyl)-1H-pyrrolo[2,3-c]pyridin-6-ium-6-yl]methyl}-8-oxo-5-thia-1-azabicyclo[4.2.0]oct-2-ene-2-carboxylate
Figure USRE048097-20200714-C00292
1H NMR (400 MHz, D2O): δ 3.16 (d, 1H, J=17.9 Hz), 3.63 (d, 1H, J=17.9 Hz), 3.94 (s, 3H), 5.19-5.33 (m, 2H), 5.58 (d, 1H, J=14.4 Hz), 5.78 (d, 1H, J=5.0 Hz), 5.82 (d, 2H, J=5.0 Hz), 6.95 (s, 2H), 7.60 (d, 1H, J=9.7 Hz), 7.73 (s, 1H), 8.04 (d, 1H, J=6.8 Hz), 8.16 (d, 1H, J=2.9 Hz), 8.24 (d, 1H, J=7.34 Hz), 9.13 (s, 1H). Six protons were not observed in D2O.
Mass: ES+ 698.13.
Example 56 (Table 1, Compound 74) (6R,7R)-7-{[(2Z)-2-(5-Amino-1,2,4-thiadiazol-3-yl)-2-{[(2-carboxypropan-2-yl)oxy]imino}acetyl]amino}-3-{[1-(4-carbamimidoyl-2-chloro-6-fluorobenzyl)-1H-pyrrolo[2,3-c]pyridin-6-ium-6-yl]methyl}-8-oxo-5-thia-1-azabicyclo[4.2.0]oct-2-ene-2-carboxylate
Figure USRE048097-20200714-C00293
1H NMR (400 MHz, D2O): δ 1.46 (s, 6H), 3.15 (d, 1H, J=17.9 Hz), 3.61 (d, 1H, J=18.2 Hz), 5.20 (d, 1H, J=14.4 Hz), 5.28 (d, 1H, J=5.0 Hz), 5.61 (d, 1H, J=14.4 Hz), 5.80-5.88 (m, 3H), 6.95 (d, 1H, J=3.23 Hz), 7.60 (dd, 1H, J=9.4, 1.8 Hz), 7.76 (s, 1H), 8.03 (d, 1H, J=6.8 Hz), 8.20 (d, 1H, J=2.9 Hz), 8.24 (dd, 1H, J=6.8, 1.2 Hz), 9.13 (s, 1H). Six protons were not observed in D2O.
Mass: ES+ 771.18
Antibacterial Activity and Synergistic Activity:
Without limitation, the present cephem compounds alone, or in combination with one or more β-lactamase inhibitors, may provide improved antibacterial efficacy, particularly in antibiotic-resistant bacterial strains. It is believed that the present compounds may be structurally different from known compounds and, as a result, may be more basic in nature. It is an advantage that the present compounds may extend the spectrum of effective bacterial compounds, particularly against previously-resistant bacteria (e.g. ESKAPE organisms), and/or gram negative bacteria, without significant side effects. In a preferred embodiment, the present cephem compound may comprise reference compound ceftazidime, which may be used alone, or in combination with one or more β-lactamase inhibitors, such as NXL-104. As shown, the foregoing composition was tested for minimum inhibitory concentration (MIC, μg/mL) against bacteria listed in Tables 2-3.
TABLE 2
MIC values of selected compounds alone and in combination with NXL-104 against G(+) and G(−) isolates
Resistance CAZ: Ex-1: EX-2: EX-5: Ex-6:
Isolate Mechanism CAZ NXL104 Ex-1 NXL104 EX-2 NXL104 Ex-5 NXL104 Ex-6 NXL104
S. aureus 3132 MSSA 8.00 8.00 2.00 2.00 2.00 2.00 2.00 4.00 4.00
S. aureus 3136 MSSA 8.00 8.00 2.00 2.00 2.00 2.00 2.00 2.00 4.00 4.00
S. aureus3137 MSSA 32.00 32.00 8.00 8.00 32.00 32.00 32.00 4.00 32.00 8.00
S. aureus 3144 MSSA 16.00 16.00 4.00 4.00 4.00 4.00 4.00 4.00 8.00 8.00
S. aureus 3147 MSSA 8.00 8.00 2.00 2.00 2.00 2.00 2.00 2.00 4.00 4.00
S. pneumoniae ATCC Pen R 16.00 8.00 2.00 2.00 8.00 8.00 2.00 2.00 2.00 2.00
700673
S. pneumoniae ATCC Pen S 0.12 0.12 ≤0.06 ≤0.06 ≤0.06 ≤0.06 ≤0.06 ≤0.06 ≤0.06 ≤0.06
6301
S. pneumoniae 2389 Pen R 16.00 16.00 4.00 4.00 8.00 8.00 2.00 1.00 2.00 2.00
S. pneumoniae 2392 Pen R 16.00 16.00 2.00 2.00 8.00 8.00 2.00 1.00 2.00 2.00
S. pneumoniae 2492 Pen R 8.00 8.00 2.00 2.00 8.00 8.00 2.00 2.00 2.00 2.00
S. pneumoniae 2493 Pen R 16.00 16.00 4.00 4.00 8.00 8.00 2.00 2.00 2.00 2.00
S. pneumoniae 2403 Pen S 0.12 0.12 ≤0.06 ≤0.06 ≤0.06 ≤0.06 ≤0.06 ≤0.06 ≤0.06 ≤0.06
S. pneumoniae 2404 Pen S 32.00 32.00 0.25 0.12 0.25 0.25 ≤0.06 ≤0.06 ≤0.06 ≤0.06
S. pneumoniae 2405 Pen S 0.25 0.25 ≤0.06 ≤0.06 0.12 ≤0.06 ≤0.06 ≤0.06 ≤0.06 ≤0.06
S. pneumoniae 2406 Pen S 0.12 0.12 ≤0.06 ≤0.06 ≤0.06 ≤0.06 ≤0.06 ≤0.06 ≤0.06 ≤0.06
S. pneumoniae 2407 Pen S 4.00 32.00 0.12 0.12 0.12 0.12 ≤0.06 ≤0.06 ≤0.06 ≤0.06
E. cloacae 2704 P99 16.00 4.00 16.00 16.00 4.00 1.00 16.00 2.00 32.00 1.00
E. cloacae 551 Caz R, IMP S 16.00 4.00 32.00 1.00 8.00 1.00 32.00 1.00 16.00 1.00
E. cloacae 552 Caz S, IMP S 0.50 0.25 0.12 0.12 0.12 0.12 0.12 ≤0.06 0.12 0.25
E. cloacae 566 Caz R, IMP S >32 2.00 4.00 0.50 0.50 0.25 2.00 0.50 4.00 0.50
E. cloacae596 Caz R, IMP S 4.00 1.00 4.00 0.50 0.50 0.25 8.00 0.25 8.00 0.50
E. cloacae 2044 Caz S, IMP S 1.00 0.25 0.25 0.12 0.25 0.12 0.50 0.12 0.12 ≤0.06
C. freundii 15 Caz R, IMP S 8.00 2.00 16.00 0.50 4.00 0.50 16.00 0.50 8.00 0.50
C. freundii 579 Caz R, IMP S 4.00 2.00 4.00 0.25 2.00 0.50 4.00 0.25 2.00 0.25
C. freundii 580 Caz R, IMP S 8.00 2.00 16.00 0.50 4.00 0.50 8.00 0.25 4.00 0.25
C. freundii 2003 Caz R, IMP S 4.00 1.00 8.00 0.25 2.00 0.50 8.00 0.25 4.00 0.50
C. freundii 2487 Caz R, IMP S 16.00 8.00 32.00 1.00 8.00 1.00 32.00 1.00 8.00 1.00
K. pneumoniae 4104 KPC-3, TEM-1 32.00 8.00 16.00 2.00 8.00 2.00 32.00 2.00 32.00 2.00
K. pneumoniae 4105 KPC-3, TEM-1, 32.00 4.00 16.00 2.00 32.00 2.00 32.00 1.00 32.00 1.00
SHV-11
K. pneumoniae 4106 KPC-3, TEM-1, 16.00 4.00 8.00 1.00 8.00 2.00 16.00 1.00 16.00 1.00
SHV-12, SHV-141
K. pneumoniae 4107 KPC-2, TEM-1, 32.00 8.00 16.00 2.00 16.00 4.00 32.00 2.00 32.00 2.00
SHV-11
K. pneumoniae 4108 KPC-3, TEM-166, 16.00 4.00 4.00 0.50 4.00 1.00 8.00 0.50 16.00 0.50
SHV-12, SHV-141
K. pneumoniae 4109 SHV-1, SHV-12 2.00 0.50 2.00 0.12 0.50 0.12 8.00 0.12 8.00 0.12
M. morganii 2409 High level cephase 16.00 4.00 8.00 1.00 8.00 1.00 16.00 0.50 16.00 1.00
(ACC 43: 769-776,
1999),
β-Lactamase
producing
K. pneumoniae 2689 KPC-2 32.00 4.00 8.00 2.00 8.00 2.00 8.00 1.00 16.00 1.00
E. coli 2671 VIM-19 32.00 32.00 16.00 16.00 4.00 4.00 16.00 16.00 32.00 32.00
K. pneumoniae 2697 IMP-4 8.00 2.00 4.00 0.50 4.00 1.00 16.00 0.50 16.00 0.50
E. coli 4080 TEM-10 16.00 4.00 4.00 1.00 8.00 1.00 16.00 0.50 16.00 0.50
E. coli 4098 CTX-M-15, TEM-1 2.00 0.50 4.00 0.25 1.00 0.25 >32 0.12 32.00 0.12
E. coli 4101 CTX-M-14, TEM-1 0.50 0.25 0.50 0.12 0.50 0.12 0.50 0.12 0.50 ≤0.06
E. coli 4102 CTX-M-14 1.00 0.25 1.00 0.12 1.00 0.12 1.00 ≤0.06 2.00 0.12
E. coli 102 TEM-1 0.12 0.12 ≤0.06 ≤0.06 ≤0.06 ≤0.06 ≤0.06 ≤0.06 ≤0.06 ≤0.06
K. baumanii 2579 OXA-25 >32 >32 32.00 8.00 >32 32.00 >32 8.00 >32 16.00
K. baumanii 4091 OXA-23 >32 16.00 16.00 4.00 8.00 2.00 8.00 2.00 16.00 4.00
K. baumanii 4094 OXA-51 >32 32.00 16.00 32.00 32.00 8.00 16.00 4.00 16.00 8.00
K. baumanii 4095 OXA-48 0.50 0.50 0.50 0.25 0.25 0.25 0.25 0.25 0.12 0.25
E. coli 2668 OXA-48 1.00 0.50 1.00 0.12 0.50 0.25 1.00 ≤0.06 0.50 0.12
P. aeruginosa 2573 OXA-10 (Class D) 8.00 8.00 4.00 2.00 2.00 4.00 4.00 4.00 2.00 2.00
TABLE 3
MIC values of selected compounds alone and in combination with NXL-104 against KPC-producing organisms
Resistance CAZ: Ex-1: Ex-12: Ex-4:
Isolate Mechanism CAZ NXL104 Ex-1 NXL104 Ex-12 NXL104 Ex-4 NXL104
E. cloacae KPC-2 >32 2 32 1 32 1 4 0.5
2689
E. cloacae VIM-1, KPC- >32 >32 >32 >32 >32 >32 >32 >32
2705 3type
E. cloacae VIM-1, KPC-3 >32 32 >32 32 >32 >32 >32 32
2706
E. cloacae KPC-3, VIM-1 >32 8 32 4 32 4 8 4
2709
E. cloacae KPC-3, VIM-1 >32 >32 >32 >32 >32 >32 >32 >32
2710
E. coli 2666 KPC-2 >32 4 32 1 16 1 32 2
E. coli 4103 KPC-2, TEM- >32 16 >32 4 >32 4 >32 8
1, CMY-type
K. pneumoniae KPC-2 >32 4 16 1 16 1 16 1
2689
K. pneumoniae KPC-2 >32 4 32 1 8 1 16 2
2690
K. pneumoniae KPC-3, VIM-1 >32 2 4 0.25 4 0.5 8 1
2711
K. pneumoniae KPC-3, VIM-1 >32 16 >32 4 >32 4 >32 4
2712
K. pneumoniae KPC-3, VIM-1 >32 8 >32 1 >32 2 >32 2
2713
K. pneumoniae KPC-3 >32 8 >32 4 >32 2 >32 4
4088
K. pneumoniae KPC-3, TEM-1 >32 2 32 1 16 1 16 1
4104
K. pneumoniae KPC-3, TEM- >32 4 32 2 32 2 >32 2
4105 1, SHV-11
K. pneumoniae KPC-3, TEM- >32 8 32 2 32 2 32 4
4106 1, SHV-12,
SHV-141
K. pneumoniae KPC-2, TEM- >32 4 32 1 16 1 32 2
4107 1, SHV-11
K. pneumoniae KPC-3, TEM- >32 4 32 2 32 1 >32 2
4108 166, SHV-
12, SHV-141
P. aeruginosa KPC-2 >32 16 >32 8 32 32 32 8
2686
Ex-14: Ex-2: Ex-5: Ex-6:
Isolate Ex-14 NXL104 Ex-2 NXL104 Ex-5 NXL104 Ex-6 NXL104
E. cloacae 16 0.5 8 0.5 16 0.5 16 1
2689
E. cloacae >32 >32 >32 >32 >32 >32 >32 >32
2705
E. cloacae >32 32 >32 32 >32 32 >32 32
2706
E. cloacae 32 4 16 4 32 4 32 4
2709
E. cloacae >32 >32 >32 >32 >32 >32 >32 >32
2710
E. coli 2666 32 1 32 2 16 1 16 1
E. coli 4103 >32 8 >32 8 >32 4 >32 4
K. pneumoniae 32 1 32 2 8 1 16 1
2689
K. pneumoniae 32 1 32 2 8 .5 16 1
2690
K. pneumoniae 4 0.5 4 0.5 2 0.25 4 0.5
2711
K. pneumoniae >32 4 >32 4 >32 4 >32 4
2712
K. pneumoniae >32 2 >32 2 >32 2 >32 2
2713
K. pneumoniae >32 4 >32 4 32 2 >32 2
4088
K. pneumoniae 32 1 32 2 16 0.5 32 0.5
4104
K. pneumoniae >32 2 >32 2 32 1 32 2
4105
K. pneumoniae >32 4 >32 4 32 2 32 2
4106
K. pneumoniae 16 2 >32 2 16 1 16 1
4107
K. pneumoniae >32 2 >32 2 32 1 32 1
4108
P. aeruginosa >32 16 >32 16 32 8 32 8
2686

Claims (14)

We claim:
1. A compound of formula (I) or a pharmaceutically acceptable salt thereof:
Figure USRE048097-20200714-C00294
wherein in the formula (I),
(i) A is define by the formula (Ia):
Figure USRE048097-20200714-C00295
Wherewhere X is N, C(H), C(F) or C(Cl);
(ii) B is defined as hydrogen, methyl, ethyl or represented by the formula (Ib)
Figure USRE048097-20200714-C00296
wherein, R1 and R2 is independently hydrogen or lower alkyl; or
wherein R1 and R2 together may form a 3 to 6-membered spiro ring system; and
m is 0 or 1;
(iii) C represents a quaternized bicyclic nitrogen containing aromatic heterocyclic ring represented by the formulae (Ic) to (Iz)
Figure USRE048097-20200714-C00297
Figure USRE048097-20200714-C00298
Figure USRE048097-20200714-C00299
(iv) D represents CH2, CH2CH2 or CH2CO;
(v) E represents a substituted or unsubstituted benzene ring or a substituted or unsubstituted 5- or 6-membered aromatic heterocyclic ring having at least one heteroatom selected from the group consisting of O, S and N, wherein the heteroaromatic ring includes is pyrrolyl, imidazolyl, pyrazolyl, pyridazinyl, pyrimidinyl, pyrazinyl, triazolyl, isoxazolyl, oxazolyl, oxadiazolyl, isothiazolyl, thiazolyl, thiadiazolyl, furyl, and or thienyl;
(vi) F is optionally substituted amidine or optionally substituted guanidine; and
(vii) G is hydrogen, methyl, ethyl, C3-6 alkyl, C3-6 cycloalkyl or a an optionally substituted 5- or 6-membered aliphatic or a an optionally substituted 5- or 6-membered aromatic heterocyclic ring, wherein the heterocyclic ring is substituted with at least 1-2 hetero atoms selected from the group consisting of N, O, and S (αor β α or β).
2. A compound as recited in claim 1, where E is selected from a substituted aryl or a 5- and the group consisting of an optionally substituted benzene ring and an optionally substituted 5- or 6-membered aromatic heterocyclic rings ring, comprising:
Figure USRE048097-20200714-C00300
3. A compound as recited in claim 2, wherein the optional substituents include on the benzene ring and the 5- or 6-membered aromatic heterocyclic rings of E are selected from the group consisting of chloro, fluoro, cyano, hydroxy, amino, carboxy, acetyl, methoxy, ethoxy, trifluoromethyl, pyrrolidinyloxy, and piperidinyloxy.
4. A compound as recited in claim 1, wherein the preferred examples of “-C-D-E-F” include comprises one of the following organic residues
Figure USRE048097-20200714-C00301
Figure USRE048097-20200714-C00302
Figure USRE048097-20200714-C00303
Figure USRE048097-20200714-C00304
Figure USRE048097-20200714-C00305
Figure USRE048097-20200714-C00306
Figure USRE048097-20200714-C00307
Figure USRE048097-20200714-C00308
Figure USRE048097-20200714-C00309
Figure USRE048097-20200714-C00310
Figure USRE048097-20200714-C00311
Figure USRE048097-20200714-C00312
Figure USRE048097-20200714-C00313
Figure USRE048097-20200714-C00314
Figure USRE048097-20200714-C00315
Figure USRE048097-20200714-C00316
Figure USRE048097-20200714-C00317
Figure USRE048097-20200714-C00318
Figure USRE048097-20200714-C00319
Figure USRE048097-20200714-C00320
Figure USRE048097-20200714-C00321
Figure USRE048097-20200714-C00322
Figure USRE048097-20200714-C00323
Figure USRE048097-20200714-C00324
Figure USRE048097-20200714-C00325
Figure USRE048097-20200714-C00326
Figure USRE048097-20200714-C00327
Figure USRE048097-20200714-C00328
Figure USRE048097-20200714-C00329
Figure USRE048097-20200714-C00330
Figure USRE048097-20200714-C00331
Figure USRE048097-20200714-C00332
Figure USRE048097-20200714-C00333
Figure USRE048097-20200714-C00334
Figure USRE048097-20200714-C00335
Figure USRE048097-20200714-C00336
Figure USRE048097-20200714-C00337
Figure USRE048097-20200714-C00338
Figure USRE048097-20200714-C00339
Figure USRE048097-20200714-C00340
Figure USRE048097-20200714-C00341
Figure USRE048097-20200714-C00342
Figure USRE048097-20200714-C00343
Figure USRE048097-20200714-C00344
Figure USRE048097-20200714-C00345
5. The compound of formula (I) as recited in claim 1, which is selected from the following group of compounds consisting of:
Figure USRE048097-20200714-C00346
Figure USRE048097-20200714-C00347
Figure USRE048097-20200714-C00348
Figure USRE048097-20200714-C00349
Figure USRE048097-20200714-C00350
Figure USRE048097-20200714-C00351
Figure USRE048097-20200714-C00352
Figure USRE048097-20200714-C00353
Figure USRE048097-20200714-C00354
Figure USRE048097-20200714-C00355
Figure USRE048097-20200714-C00356
Figure USRE048097-20200714-C00357
Figure USRE048097-20200714-C00358
Figure USRE048097-20200714-C00359
Figure USRE048097-20200714-C00360
Figure USRE048097-20200714-C00361
Figure USRE048097-20200714-C00362
Figure USRE048097-20200714-C00363
Figure USRE048097-20200714-C00364
Figure USRE048097-20200714-C00365
Figure USRE048097-20200714-C00366
Figure USRE048097-20200714-C00367
Figure USRE048097-20200714-C00368
Figure USRE048097-20200714-C00369
Figure USRE048097-20200714-C00370
Figure USRE048097-20200714-C00371
Figure USRE048097-20200714-C00372
Figure USRE048097-20200714-C00373
Figure USRE048097-20200714-C00374
Figure USRE048097-20200714-C00375
Figure USRE048097-20200714-C00376
Figure USRE048097-20200714-C00377
Figure USRE048097-20200714-C00378
Figure USRE048097-20200714-C00379
Figure USRE048097-20200714-C00380
Figure USRE048097-20200714-C00381
Figure USRE048097-20200714-C00382
Figure USRE048097-20200714-C00383
Figure USRE048097-20200714-C00384
Figure USRE048097-20200714-C00385
Figure USRE048097-20200714-C00386
Figure USRE048097-20200714-C00387
6. A method of treating a bacterial infection comprising administering to a mammal in need thereof an antibacterially effective amount of a compound as recited in claim 1.
7. A pharmaceutical composition containing as an active ingredient, at least one compound as recited in claim 1 and at least one pharmaceutically acceptable carrier or diluent.
8. A method of treating a bacterial infection comprising administering to a mammal in need thereof a combination of (i) an antibacterially effective amount of a compound as recited in claim 1, and (ii) a therapeutically effective amount of a β-lactamase inhibitor selected from the group consisting of:
Figure USRE048097-20200714-C00388
Figure USRE048097-20200714-C00389
Figure USRE048097-20200714-C00390
9. A pharmaceutical composition containing as an active ingredient at least (i) one compound as recited in claim 1 and (ii) a therapeutically effective amount of a β-lactamase inhibitor selected from the group consisting of:
Figure USRE048097-20200714-C00391
Figure USRE048097-20200714-C00392
Figure USRE048097-20200714-C00393
10. The method as recited in claim 8, wherein (i) and (ii) are administered simultaneously, sequentially, or separated in time.
11. The pharmaceutical composition as recited in claim 9, wherein the ratio of the weight of (i) to the weight of (ii) is in the range of from about 1:20 to about 20:1.
12. A process for preparing a compound of formula (I) as recited in claim 1, the process comprising one of the following processes:
Process I wherein the intermediate VIII (q=0, Y=chloride) is coupled with intermediate (IX) to provide the intermediate (X) followed by removal of protecting groups to provide the compound of formula (I)
Figure USRE048097-20200714-C00394
or
Process II wherein the intermediate VIII (q=1, Y=iodide) is coupled with intermediate (IX) and subsequently reducing the sulfoxide to sulfide providing the intermediate (XI) by removal of the protecting groups provides the compound of formula (I)
Figure USRE048097-20200714-C00395
wherein in the formula VIII, P1 is a suitable carboxy protecting group.
13. A compound of formula (I) or a pharmaceutically acceptable salt thereof:
Figure USRE048097-20200714-C00396
wherein in the formula (I),
(i) A is defined by the formula (Ia)
Figure USRE048097-20200714-C00397
(ii) B is defined as hydrogen, methyl, ethyl or represented by the formula (Ib):
Figure USRE048097-20200714-C00398
wherein, R1 and R2 are independently hydrogen or lower alkyl; or
wherein R1 and R2 together may form a 3 to 6 membered spiro ring system; and
m is 0 or 1; and
(iii) wherein “-C-D-E-F” is selected from the group consisting of one of the following organic residues:
Figure USRE048097-20200714-C00399
14. A compound of formula (I) or a pharmaceutically acceptable salt thereof:
Figure USRE048097-20200714-C00400
wherein the compound is selected from the group consisting of the following compounds:
Figure USRE048097-20200714-C00401
US16/225,892 2015-12-10 2018-12-19 Cephem compounds, their production and use Active USRE48097E1 (en)

Priority Applications (1)

Application Number Priority Date Filing Date Title
US16/225,892 USRE48097E1 (en) 2015-12-10 2018-12-19 Cephem compounds, their production and use

Applications Claiming Priority (3)

Application Number Priority Date Filing Date Title
US201562265625P 2015-12-10 2015-12-10
US15/369,181 US9751894B2 (en) 2015-12-10 2016-12-05 Cephem compounds, their production and use
US16/225,892 USRE48097E1 (en) 2015-12-10 2018-12-19 Cephem compounds, their production and use

Related Parent Applications (1)

Application Number Title Priority Date Filing Date
US15/369,181 Reissue US9751894B2 (en) 2015-12-10 2016-12-05 Cephem compounds, their production and use

Publications (1)

Publication Number Publication Date
USRE48097E1 true USRE48097E1 (en) 2020-07-14

Family

ID=59012429

Family Applications (2)

Application Number Title Priority Date Filing Date
US15/369,181 Ceased US9751894B2 (en) 2015-12-10 2016-12-05 Cephem compounds, their production and use
US16/225,892 Active USRE48097E1 (en) 2015-12-10 2018-12-19 Cephem compounds, their production and use

Family Applications Before (1)

Application Number Title Priority Date Filing Date
US15/369,181 Ceased US9751894B2 (en) 2015-12-10 2016-12-05 Cephem compounds, their production and use

Country Status (13)

Country Link
US (2) US9751894B2 (en)
EP (1) EP3386977A4 (en)
JP (1) JP6967000B2 (en)
KR (2) KR102135230B1 (en)
CN (1) CN108463461B (en)
AU (1) AU2016367284C1 (en)
BR (1) BR112018009725A8 (en)
CA (1) CA3005779C (en)
EA (1) EA039648B1 (en)
HK (1) HK1254209A1 (en)
IL (1) IL259234B (en)
WO (1) WO2017096472A1 (en)
ZA (1) ZA201802654B (en)

Families Citing this family (7)

* Cited by examiner, † Cited by third party
Publication number Priority date Publication date Assignee Title
WO2017096472A1 (en) 2015-12-10 2017-06-15 Naeja-Rgm Pharmaceuticals Inc. Cephem compounds, their production and use
WO2019064071A1 (en) * 2017-09-27 2019-04-04 F. Hoffmann-La Roche Ag Crystalline forms of diazabicyclooctane derivatives and production process thereof
TWI795549B (en) * 2018-04-06 2023-03-11 日商富士軟片股份有限公司 Novel penicillane derivative or its salt, pharmaceutical composition and application thereof
KR102484880B1 (en) 2018-06-08 2023-01-05 엘지디스플레이 주식회사 Stretchable display device, panel driving circuit and the method of driving the same
US11905286B2 (en) 2018-08-09 2024-02-20 Antabio Sas Diazabicyclooctanones as inhibitors of serine beta-lactamases
DK3833665T3 (en) 2018-08-09 2023-10-09 Antabio Sas Diazabicyclooctanones as inhibitors of serine beta-lactamases
WO2020263975A1 (en) 2019-06-24 2020-12-30 Diverse Biotech, Inc. Beta-lactam-cannabinoid conjugate molecules

Citations (24)

* Cited by examiner, † Cited by third party
Publication number Priority date Publication date Assignee Title
US4406899A (en) * 1982-03-04 1983-09-27 Bristol-Myers Company Cephalosporins
US4748171A (en) * 1985-01-14 1988-05-31 Eisai Co., Ltd. Cephem compounds having at the 3-position a (1,4-methylene-1-piperidinio)methyl group or a (1-quinuclidinio)methyl group
US4864022A (en) * 1985-04-17 1989-09-05 Takeda Chemical Industries, Ltd. 3-Condensed imidazolium-cephem compounds
EP0332156A2 (en) 1988-03-09 1989-09-13 Fujisawa Pharmaceutical Co., Ltd. Cephem compounds and processes for preparation thereof
US4910301A (en) * 1985-08-05 1990-03-20 Bristol-Myers Company Cefepime cephalosporin salts
US5071979A (en) * 1981-05-12 1991-12-10 Hoechst Aktiengesellschaft Cephalosporin derivatives
US5173485A (en) * 1988-03-09 1992-12-22 Fujisawa Pharmaceutical Company, Ltd. Cephem compounds
US5215982A (en) * 1989-11-10 1993-06-01 Fujisawa Pharmaceutical Co., Ltd. Cephem compounds
EP0832893A1 (en) 1996-09-25 1998-04-01 Eisai Chemical Co., Ltd. Process for the production of cephem compounds
WO2004039814A1 (en) 2002-10-30 2004-05-13 Astellas Pharma Inc. Cephem compounds
EP1489084A1 (en) 2002-03-18 2004-12-22 Shionogi & Co., Ltd. Broad-spectrum cephem compounds
WO2007119511A1 (en) 2006-03-16 2007-10-25 Astellas Pharma Inc. Cephem compounds and use as antimicrobial agents
EP2341053A1 (en) 2008-10-31 2011-07-06 Shionogi & Co., Ltd. Cephalosporin having catechol group
WO2011136268A1 (en) 2010-04-28 2011-11-03 塩野義製薬株式会社 Novel cephem derivative
US20120264727A1 (en) 2011-03-30 2012-10-18 Legochem Biosciences, Inc. Novel cephalosporin derivatives and pharmaceutical compositions thereof
EP2557082A1 (en) 2010-04-05 2013-02-13 Shionogi & Co., Ltd. Cephem compound having catechol group
US20130079319A1 (en) 2010-04-05 2013-03-28 Shionogi & Co., Ltd. Cephem compound having pseudo-catechol group
WO2013052568A1 (en) 2011-10-04 2013-04-11 Glaxo Group Limited Antibacterial compounds
EP2703406A1 (en) 2011-04-28 2014-03-05 Shionogi & Co., Ltd. Novel cephem compound having catechol or pseudo-catechol structure
WO2014068388A1 (en) 2012-10-29 2014-05-08 Glaxo Group Limited 2 substituted cephem compounds
WO2014087165A1 (en) 2012-12-06 2014-06-12 University Of Bath Tankyrase inhibitors
US8809314B1 (en) 2012-09-07 2014-08-19 Cubist Pharmacueticals, Inc. Cephalosporin compound
US20140256697A1 (en) 2011-10-04 2014-09-11 Shionogi & Co., Ltd. Cephem derivative having catechol group
US9751894B2 (en) 2015-12-10 2017-09-05 Naeja-Rgm Pharmaceuticals Inc. Cephem compounds, their production and use

Family Cites Families (7)

* Cited by examiner, † Cited by third party
Publication number Priority date Publication date Assignee Title
US4777128A (en) 1986-05-27 1988-10-11 Ethigen Corporation Fluorescence immunoassay involving energy transfer between two fluorophores
TW526202B (en) * 1998-11-27 2003-04-01 Shionogi & Amp Co Broad spectrum cephem having benzo[4,5-b]pyridium methyl group of antibiotic activity
JP2003026679A (en) * 2001-07-10 2003-01-29 Banyu Pharmaceut Co Ltd New carbapenem derivatives
CN101343281A (en) * 2007-04-20 2009-01-14 山东轩竹医药科技有限公司 Novel amidino based pyridinyl cephalosporins compound
DK2590978T3 (en) * 2010-06-18 2018-01-02 Fob Synthesis Inc CARBAPENEM ANTIBACTERIAL AGENTS WITH GRAM-NEGATIVE ACTIVITY
JP2013012630A (en) 2011-06-30 2013-01-17 Toyota Industries Corp Thermoelectric conversion module
JPWO2014104148A1 (en) * 2012-12-26 2017-01-12 塩野義製薬株式会社 Cephem compound

Patent Citations (28)

* Cited by examiner, † Cited by third party
Publication number Priority date Publication date Assignee Title
US5071979A (en) * 1981-05-12 1991-12-10 Hoechst Aktiengesellschaft Cephalosporin derivatives
US4406899A (en) * 1982-03-04 1983-09-27 Bristol-Myers Company Cephalosporins
US4748171A (en) * 1985-01-14 1988-05-31 Eisai Co., Ltd. Cephem compounds having at the 3-position a (1,4-methylene-1-piperidinio)methyl group or a (1-quinuclidinio)methyl group
US5010188A (en) * 1985-01-14 1991-04-23 Eisai Co., Ltd. Cephem derivatives
US4864022A (en) * 1985-04-17 1989-09-05 Takeda Chemical Industries, Ltd. 3-Condensed imidazolium-cephem compounds
US4910301A (en) * 1985-08-05 1990-03-20 Bristol-Myers Company Cefepime cephalosporin salts
EP0332156A2 (en) 1988-03-09 1989-09-13 Fujisawa Pharmaceutical Co., Ltd. Cephem compounds and processes for preparation thereof
US5173485A (en) * 1988-03-09 1992-12-22 Fujisawa Pharmaceutical Company, Ltd. Cephem compounds
US5215982A (en) * 1989-11-10 1993-06-01 Fujisawa Pharmaceutical Co., Ltd. Cephem compounds
EP0832893A1 (en) 1996-09-25 1998-04-01 Eisai Chemical Co., Ltd. Process for the production of cephem compounds
US5998611A (en) 1996-09-25 1999-12-07 Eisai Chemical Co., Ltd. Process for producing cephem compounds in an aqueous medium
US7384928B2 (en) * 2002-03-18 2008-06-10 Shionogi & Co., Ltd. Broad spectrum cephem compounds
EP1489084A1 (en) 2002-03-18 2004-12-22 Shionogi & Co., Ltd. Broad-spectrum cephem compounds
WO2004039814A1 (en) 2002-10-30 2004-05-13 Astellas Pharma Inc. Cephem compounds
WO2007119511A1 (en) 2006-03-16 2007-10-25 Astellas Pharma Inc. Cephem compounds and use as antimicrobial agents
EP2341053A1 (en) 2008-10-31 2011-07-06 Shionogi & Co., Ltd. Cephalosporin having catechol group
EP2557082A1 (en) 2010-04-05 2013-02-13 Shionogi & Co., Ltd. Cephem compound having catechol group
US20130079319A1 (en) 2010-04-05 2013-03-28 Shionogi & Co., Ltd. Cephem compound having pseudo-catechol group
WO2011136268A1 (en) 2010-04-28 2011-11-03 塩野義製薬株式会社 Novel cephem derivative
EP2706062A2 (en) 2011-03-30 2014-03-12 LegoChem Biosciences, Inc. Novel cephalosporin derivative and pharmaceutical composition thereof
US20120264727A1 (en) 2011-03-30 2012-10-18 Legochem Biosciences, Inc. Novel cephalosporin derivatives and pharmaceutical compositions thereof
EP2703406A1 (en) 2011-04-28 2014-03-05 Shionogi & Co., Ltd. Novel cephem compound having catechol or pseudo-catechol structure
WO2013052568A1 (en) 2011-10-04 2013-04-11 Glaxo Group Limited Antibacterial compounds
US20140256697A1 (en) 2011-10-04 2014-09-11 Shionogi & Co., Ltd. Cephem derivative having catechol group
US8809314B1 (en) 2012-09-07 2014-08-19 Cubist Pharmacueticals, Inc. Cephalosporin compound
WO2014068388A1 (en) 2012-10-29 2014-05-08 Glaxo Group Limited 2 substituted cephem compounds
WO2014087165A1 (en) 2012-12-06 2014-06-12 University Of Bath Tankyrase inhibitors
US9751894B2 (en) 2015-12-10 2017-09-05 Naeja-Rgm Pharmaceuticals Inc. Cephem compounds, their production and use

Non-Patent Citations (12)

* Cited by examiner, † Cited by third party
Title
Extended Search Report for European Patent Application No. 16871861.7, dated Apr. 23, 2019, 7 pages.
Garigipati "An Efficient Conversion of Nitriles to Amidines," Tetrahedron Letters, 1990, vol. 31, No. 14, pp. 1969-1972.
Judkins et al. "A Versatile Synthesis of Amidines From Nitriles Via Amidoximes," Synthetic Communications, 1996, vol. 26, No. 23, pp. 4351-4367.
Nadrah et al. "Preparation of Amidines by Amidoxime Reduction with Potassium Formate," Synlett, May 2007, Iss. 8, pp. 1257-1258.
Official Action for Canada Patent Application No. 3,005,779, dated Jun. 6, 2018, 5 pages.
Official Action for Canada Patent Application No. 3,005,779, dated Sep. 7, 2018, 4 pages.
Official Action with English Translation for Korea Patent Application No. 10-2018-7015784, dated Oct. 25, 2018, 6 pages.
Ohki et al. "Studies on 3′-Quaternary Ammonium Cephalosporins II1)," The Journal of Antibiotics, Sep. 1995, vol. 48, No. 9, pp. 1049-1051.
Pfaff et al. "A Lewis acid-promoted Pinner reaction," Beilstein Journal of Organic Chemistry, 2013, vol. 9, pp. 1572-1577.
Pinner et al. "Unwandlung der Nitrile in Imide." Berichte der deutschen chemisschen Gesellschaft, Jul.-Dec. 1877, vol. 10, No. 2, pp. 1889-1897.
Weintraub et al. "A Convenient General Synthesis of Amidines," The Journal of Organic Chemistry, Apr. 1968, vol. 33, No. 4, pp. 1679-1681.
Yamawaki et al. "A novel series of parenteral cephalosporins exhibiting potent activities against Pseudomonas aeruginosa and other Gram-negative pathogens: Synthesis and structure-activity relationships," Bioorganic & Medicinal Chemistry, Nov. 2007, vol. 15, No. 21, pp. 6716-6732.

Also Published As

Publication number Publication date
AU2016367284A1 (en) 2018-05-10
EA039648B1 (en) 2022-02-21
EP3386977A1 (en) 2018-10-17
EP3386977A4 (en) 2019-05-22
JP6967000B2 (en) 2021-11-17
KR20190042752A (en) 2019-04-24
BR112018009725A8 (en) 2019-02-26
WO2017096472A1 (en) 2017-06-15
KR20180066264A (en) 2018-06-18
HK1254209A1 (en) 2019-07-12
JP2018536678A (en) 2018-12-13
AU2016367284B2 (en) 2018-05-17
KR102135230B1 (en) 2020-07-17
CN108463461B (en) 2021-11-19
CA3005779C (en) 2020-04-07
CN108463461A (en) 2018-08-28
CA3005779A1 (en) 2017-06-15
AU2016367284C1 (en) 2018-09-20
IL259234B (en) 2018-12-31
ZA201802654B (en) 2019-07-31
US9751894B2 (en) 2017-09-05
BR112018009725A2 (en) 2018-11-06
EA201891381A1 (en) 2019-01-31
US20170166587A1 (en) 2017-06-15

Similar Documents

Publication Publication Date Title
USRE48097E1 (en) Cephem compounds, their production and use
US8901293B2 (en) Useful combinations of monobactam antibiotics with beta-lactamase inhibitors
SK126696A3 (en) Cephalosporin antibiotics and antibacterial agents containing them
EP2900244B1 (en) Tazobactam arginine antibiotic compositions
KR100455544B1 (en) Cephalosporin Antibiotics
JPS6127989A (en) Manufacture of cephalosporin compound
US20060106034A1 (en) Drug efflux pump inhibitor
US5663162A (en) Cephem derivatives
JPWO1995007912A1 (en) New cephem derivatives
US20210346364A1 (en) Oxazolidinones as taro inhibitors
KR20080004571A (en) 2-thioethenyl carbapenem derivatives
JP3218363B2 (en) Cephem compound, method for producing the same, and antibacterial agent containing the compound
JPH04338392A (en) New cephem derivative and preparation thereof
KR830001593B1 (en) Method for preparing cephalosporin antibiotic
US20050267092A1 (en) Novel cephalosporin compounds and process for preparing the same
JPH02152982A (en) Novel cephalosporin compound and antibacterial agent
JPWO1996005205A1 (en) New cephem derivatives

Legal Events

Date Code Title Description
FEPP Fee payment procedure

Free format text: ENTITY STATUS SET TO UNDISCOUNTED (ORIGINAL EVENT CODE: BIG.); ENTITY STATUS OF PATENT OWNER: LARGE ENTITY

AS Assignment

Owner name: NAEJA-RGM PHARMACEUTICALS INC., CANADA

Free format text: ASSIGNMENT OF ASSIGNORS INTEREST;ASSIGNORS:MAITI, SAMARENDRA NATH;NGUYEN, DAI QUOC;REDDY, ANDHE V.N.;AND OTHERS;REEL/FRAME:051700/0108

Effective date: 20161202

Owner name: NAEJA-RGM PHARMACEUTICALS ULC, CANADA

Free format text: CHANGE OF NAME;ASSIGNOR:NAEJA-RGM PHARMACEUTICALS INC.;REEL/FRAME:051779/0429

Effective date: 20170824

FEPP Fee payment procedure

Free format text: ENTITY STATUS SET TO SMALL (ORIGINAL EVENT CODE: SMAL); ENTITY STATUS OF PATENT OWNER: SMALL ENTITY

MAFP Maintenance fee payment

Free format text: PAYMENT OF MAINTENANCE FEE, 4TH YR, SMALL ENTITY (ORIGINAL EVENT CODE: M2551); ENTITY STATUS OF PATENT OWNER: SMALL ENTITY

Year of fee payment: 4

MAFP Maintenance fee payment

Free format text: PAYMENT OF MAINTENANCE FEE, 8TH YR, SMALL ENTITY (ORIGINAL EVENT CODE: M2552); ENTITY STATUS OF PATENT OWNER: SMALL ENTITY

Year of fee payment: 8