USRE45272E1 - β-glucuronide-linker drug conjugates - Google Patents
β-glucuronide-linker drug conjugates Download PDFInfo
- Publication number
- USRE45272E1 USRE45272E1 US14/056,145 US201314056145A USRE45272E US RE45272 E1 USRE45272 E1 US RE45272E1 US 201314056145 A US201314056145 A US 201314056145A US RE45272 E USRE45272 E US RE45272E
- Authority
- US
- United States
- Prior art keywords
- alkyl
- aryl
- heterocycle
- carbocycle
- drug conjugate
- Prior art date
- Legal status (The legal status is an assumption and is not a legal conclusion. Google has not performed a legal analysis and makes no representation as to the accuracy of the status listed.)
- Active, expires
Links
- 239000003814 drug Substances 0.000 title claims abstract description 199
- 229940079593 drug Drugs 0.000 title claims abstract description 192
- 150000001875 compounds Chemical class 0.000 claims abstract description 139
- 239000003446 ligand Substances 0.000 claims abstract description 123
- -1 C3-C8 carbocycle Chemical group 0.000 claims description 130
- 125000000623 heterocyclic group Chemical group 0.000 claims description 102
- 125000004209 (C1-C8) alkyl group Chemical group 0.000 claims description 99
- 239000000427 antigen Substances 0.000 claims description 84
- 108091007433 antigens Proteins 0.000 claims description 83
- 102000036639 antigens Human genes 0.000 claims description 83
- 125000003118 aryl group Chemical group 0.000 claims description 72
- 125000005647 linker group Chemical group 0.000 claims description 70
- 150000003839 salts Chemical class 0.000 claims description 55
- 239000012453 solvate Substances 0.000 claims description 48
- AOJJSUZBOXZQNB-TZSSRYMLSA-N Doxorubicin Chemical compound O([C@H]1C[C@@](O)(CC=2C(O)=C3C(=O)C=4C=CC=C(C=4C(=O)C3=C(O)C=21)OC)C(=O)CO)[C@H]1C[C@H](N)[C@H](O)[C@H](C)O1 AOJJSUZBOXZQNB-TZSSRYMLSA-N 0.000 claims description 47
- 241000282414 Homo sapiens Species 0.000 claims description 39
- 150000008134 glucuronides Chemical group 0.000 claims description 39
- 230000027455 binding Effects 0.000 claims description 33
- 125000006850 spacer group Chemical group 0.000 claims description 24
- 229960004679 doxorubicin Drugs 0.000 claims description 21
- 125000002496 methyl group Chemical group [H]C([H])([H])* 0.000 claims description 21
- 229910052717 sulfur Inorganic materials 0.000 claims description 21
- 102100025221 CD70 antigen Human genes 0.000 claims description 18
- 239000002246 antineoplastic agent Substances 0.000 claims description 18
- 229910052760 oxygen Inorganic materials 0.000 claims description 17
- 235000000346 sugar Nutrition 0.000 claims description 17
- 101000934356 Homo sapiens CD70 antigen Proteins 0.000 claims description 15
- 125000003178 carboxy group Chemical group [H]OC(*)=O 0.000 claims description 14
- 229940127089 cytotoxic agent Drugs 0.000 claims description 14
- 125000006832 (C1-C10) alkylene group Chemical group 0.000 claims description 13
- 101000851376 Homo sapiens Tumor necrosis factor receptor superfamily member 8 Proteins 0.000 claims description 13
- 102100036857 Tumor necrosis factor receptor superfamily member 8 Human genes 0.000 claims description 13
- 239000012634 fragment Substances 0.000 claims description 13
- 229910052736 halogen Inorganic materials 0.000 claims description 13
- 229910052705 radium Inorganic materials 0.000 claims description 11
- 229910006069 SO3H Inorganic materials 0.000 claims description 10
- 125000004093 cyano group Chemical group *C#N 0.000 claims description 10
- 239000001257 hydrogen Substances 0.000 claims description 9
- 229910052739 hydrogen Inorganic materials 0.000 claims description 9
- 125000003837 (C1-C20) alkyl group Chemical group 0.000 claims description 8
- 108010021625 Immunoglobulin Fragments Proteins 0.000 claims description 8
- 102000008394 Immunoglobulin Fragments Human genes 0.000 claims description 8
- 125000002837 carbocyclic group Chemical group 0.000 claims description 8
- 239000008194 pharmaceutical composition Substances 0.000 claims description 8
- AXKGIPZJYUNAIW-UHFFFAOYSA-N (4-aminophenyl)methanol Chemical group NC1=CC=C(CO)C=C1 AXKGIPZJYUNAIW-UHFFFAOYSA-N 0.000 claims description 6
- HXCHCVDVKSCDHU-LULTVBGHSA-N calicheamicin Chemical compound C1[C@H](OC)[C@@H](NCC)CO[C@H]1O[C@H]1[C@H](O[C@@H]2C\3=C(NC(=O)OC)C(=O)C[C@](C/3=C/CSSSC)(O)C#C\C=C/C#C2)O[C@H](C)[C@@H](NO[C@@H]2O[C@H](C)[C@@H](SC(=O)C=3C(=C(OC)C(O[C@H]4[C@@H]([C@H](OC)[C@@H](O)[C@H](C)O4)O)=C(I)C=3C)OC)[C@@H](O)C2)[C@@H]1O HXCHCVDVKSCDHU-LULTVBGHSA-N 0.000 claims description 6
- 229930195731 calicheamicin Natural products 0.000 claims description 5
- 125000000449 nitro group Chemical group [O-][N+](*)=O 0.000 claims description 5
- 239000000546 pharmaceutical excipient Substances 0.000 claims description 5
- 239000003085 diluting agent Substances 0.000 claims description 4
- 150000002431 hydrogen Chemical group 0.000 claims description 4
- 102100024222 B-lymphocyte antigen CD19 Human genes 0.000 claims description 3
- 101000980825 Homo sapiens B-lymphocyte antigen CD19 Proteins 0.000 claims description 3
- 101000934338 Homo sapiens Myeloid cell surface antigen CD33 Proteins 0.000 claims description 3
- 102100025243 Myeloid cell surface antigen CD33 Human genes 0.000 claims description 3
- 239000011230 binding agent Substances 0.000 claims description 3
- HKSZLNNOFSGOKW-UHFFFAOYSA-N ent-staurosporine Natural products C12=C3N4C5=CC=CC=C5C3=C3CNC(=O)C3=C2C2=CC=CC=C2N1C1CC(NC)C(OC)C4(C)O1 HKSZLNNOFSGOKW-UHFFFAOYSA-N 0.000 claims description 2
- 150000002367 halogens Chemical class 0.000 claims description 2
- 125000000843 phenylene group Chemical group C1(=C(C=CC=C1)*)* 0.000 claims description 2
- HKSZLNNOFSGOKW-FYTWVXJKSA-N staurosporine Chemical compound C12=C3N4C5=CC=CC=C5C3=C3CNC(=O)C3=C2C2=CC=CC=C2N1[C@H]1C[C@@H](NC)[C@@H](OC)[C@]4(C)O1 HKSZLNNOFSGOKW-FYTWVXJKSA-N 0.000 claims description 2
- CGPUWJWCVCFERF-UHFFFAOYSA-N staurosporine Natural products C12=C3N4C5=CC=CC=C5C3=C3CNC(=O)C3=C2C2=CC=CC=C2N1C1CC(NC)C(OC)C4(OC)O1 CGPUWJWCVCFERF-UHFFFAOYSA-N 0.000 claims description 2
- 125000000896 monocarboxylic acid group Chemical group 0.000 claims 6
- 125000002915 carbonyl group Chemical group [*:2]C([*:1])=O 0.000 claims 1
- 238000000034 method Methods 0.000 abstract description 64
- 206010028980 Neoplasm Diseases 0.000 description 110
- 239000000203 mixture Substances 0.000 description 91
- 239000000562 conjugate Substances 0.000 description 86
- 210000004027 cell Anatomy 0.000 description 80
- 201000011510 cancer Diseases 0.000 description 70
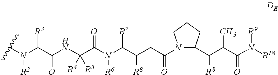
- 0 [2*]N(C(C)C)C([3*])C(=O)CC([4*])([5*])C(=O)N([6*])C([7*])C([8*])CC(=O)N1CCCC1C([8*])C(C)C(=O)N([9*])C(C[10*])C(=O)C[11*].[2*]N(C(C)C)C([3*])C(=O)CC([4*])([5*])C(=O)N([6*])C([7*])C([8*])CC(=O)N1CCCC1C([8*])C(C)C(=O)N([9*])[18*] Chemical compound [2*]N(C(C)C)C([3*])C(=O)CC([4*])([5*])C(=O)N([6*])C([7*])C([8*])CC(=O)N1CCCC1C([8*])C(C)C(=O)N([9*])C(C[10*])C(=O)C[11*].[2*]N(C(C)C)C([3*])C(=O)CC([4*])([5*])C(=O)N([6*])C([7*])C([8*])CC(=O)N1CCCC1C([8*])C(C)C(=O)N([9*])[18*] 0.000 description 59
- 238000011282 treatment Methods 0.000 description 56
- YMWUJEATGCHHMB-UHFFFAOYSA-N Dichloromethane Chemical compound ClCCl YMWUJEATGCHHMB-UHFFFAOYSA-N 0.000 description 45
- 229940049595 antibody-drug conjugate Drugs 0.000 description 42
- MFRNYXJJRJQHNW-DEMKXPNLSA-N (2s)-2-[[(2r,3r)-3-methoxy-3-[(2s)-1-[(3r,4s,5s)-3-methoxy-5-methyl-4-[methyl-[(2s)-3-methyl-2-[[(2s)-3-methyl-2-(methylamino)butanoyl]amino]butanoyl]amino]heptanoyl]pyrrolidin-2-yl]-2-methylpropanoyl]amino]-3-phenylpropanoic acid Chemical compound CN[C@@H](C(C)C)C(=O)N[C@@H](C(C)C)C(=O)N(C)[C@@H]([C@@H](C)CC)[C@H](OC)CC(=O)N1CCC[C@H]1[C@H](OC)[C@@H](C)C(=O)N[C@H](C(O)=O)CC1=CC=CC=C1 MFRNYXJJRJQHNW-DEMKXPNLSA-N 0.000 description 37
- 108090000765 processed proteins & peptides Proteins 0.000 description 33
- 108010059074 monomethylauristatin F Proteins 0.000 description 31
- 235000002639 sodium chloride Nutrition 0.000 description 29
- OKKJLVBELUTLKV-UHFFFAOYSA-N Methanol Chemical compound OC OKKJLVBELUTLKV-UHFFFAOYSA-N 0.000 description 27
- 208000037265 diseases, disorders, signs and symptoms Diseases 0.000 description 27
- 239000000243 solution Substances 0.000 description 27
- 102000004196 processed proteins & peptides Human genes 0.000 description 26
- 108090000623 proteins and genes Proteins 0.000 description 26
- 108010060309 Glucuronidase Proteins 0.000 description 25
- 102000053187 Glucuronidase Human genes 0.000 description 25
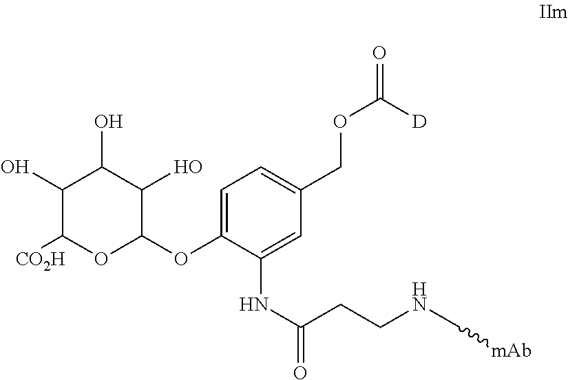
- IEDXPSOJFSVCKU-HOKPPMCLSA-N [4-[[(2S)-5-(carbamoylamino)-2-[[(2S)-2-[6-(2,5-dioxopyrrolidin-1-yl)hexanoylamino]-3-methylbutanoyl]amino]pentanoyl]amino]phenyl]methyl N-[(2S)-1-[[(2S)-1-[[(3R,4S,5S)-1-[(2S)-2-[(1R,2R)-3-[[(1S,2R)-1-hydroxy-1-phenylpropan-2-yl]amino]-1-methoxy-2-methyl-3-oxopropyl]pyrrolidin-1-yl]-3-methoxy-5-methyl-1-oxoheptan-4-yl]-methylamino]-3-methyl-1-oxobutan-2-yl]amino]-3-methyl-1-oxobutan-2-yl]-N-methylcarbamate Chemical compound CC[C@H](C)[C@@H]([C@@H](CC(=O)N1CCC[C@H]1[C@H](OC)[C@@H](C)C(=O)N[C@H](C)[C@@H](O)c1ccccc1)OC)N(C)C(=O)[C@@H](NC(=O)[C@H](C(C)C)N(C)C(=O)OCc1ccc(NC(=O)[C@H](CCCNC(N)=O)NC(=O)[C@@H](NC(=O)CCCCCN2C(=O)CCC2=O)C(C)C)cc1)C(C)C IEDXPSOJFSVCKU-HOKPPMCLSA-N 0.000 description 25
- 125000004432 carbon atom Chemical group C* 0.000 description 25
- XEKOWRVHYACXOJ-UHFFFAOYSA-N Ethyl acetate Chemical compound CCOC(C)=O XEKOWRVHYACXOJ-UHFFFAOYSA-N 0.000 description 24
- 241001465754 Metazoa Species 0.000 description 24
- 239000003795 chemical substances by application Substances 0.000 description 24
- 102000004169 proteins and genes Human genes 0.000 description 23
- 230000013595 glycosylation Effects 0.000 description 22
- 238000006206 glycosylation reaction Methods 0.000 description 22
- 229920001184 polypeptide Polymers 0.000 description 22
- XLYOFNOQVPJJNP-UHFFFAOYSA-N water Substances O XLYOFNOQVPJJNP-UHFFFAOYSA-N 0.000 description 22
- 102100031408 Acidic amino acid decarboxylase GADL1 Human genes 0.000 description 21
- 108091022873 acetoacetate decarboxylase Proteins 0.000 description 21
- 239000000611 antibody drug conjugate Substances 0.000 description 21
- 208000023275 Autoimmune disease Diseases 0.000 description 20
- IAZDPXIOMUYVGZ-UHFFFAOYSA-N Dimethylsulphoxide Chemical compound CS(C)=O IAZDPXIOMUYVGZ-UHFFFAOYSA-N 0.000 description 20
- 108010093470 monomethyl auristatin E Proteins 0.000 description 20
- 201000009030 Carcinoma Diseases 0.000 description 19
- 235000018102 proteins Nutrition 0.000 description 19
- 229930182480 glucuronide Natural products 0.000 description 18
- 208000015181 infectious disease Diseases 0.000 description 18
- 238000004895 liquid chromatography mass spectrometry Methods 0.000 description 18
- 208000035473 Communicable disease Diseases 0.000 description 17
- ZMXDDKWLCZADIW-UHFFFAOYSA-N N,N-Dimethylformamide Chemical compound CN(C)C=O ZMXDDKWLCZADIW-UHFFFAOYSA-N 0.000 description 17
- 239000002253 acid Substances 0.000 description 16
- 229940002612 prodrug Drugs 0.000 description 16
- 239000000651 prodrug Substances 0.000 description 16
- 239000007787 solid Substances 0.000 description 16
- 239000007788 liquid Substances 0.000 description 15
- 239000000463 material Substances 0.000 description 15
- 238000003786 synthesis reaction Methods 0.000 description 15
- IJGRMHOSHXDMSA-UHFFFAOYSA-N Atomic nitrogen Chemical compound N#N IJGRMHOSHXDMSA-UHFFFAOYSA-N 0.000 description 14
- 125000003275 alpha amino acid group Chemical group 0.000 description 14
- 208000035475 disorder Diseases 0.000 description 14
- 230000000694 effects Effects 0.000 description 14
- 239000011541 reaction mixture Substances 0.000 description 14
- 230000002829 reductive effect Effects 0.000 description 14
- 238000006467 substitution reaction Methods 0.000 description 14
- NOPNWHSMQOXAEI-PUCKCBAPSA-N (7s,9s)-7-[(2r,4s,5s,6s)-4-(2,3-dihydropyrrol-1-yl)-5-hydroxy-6-methyloxan-2-yl]oxy-6,9,11-trihydroxy-9-(2-hydroxyacetyl)-4-methoxy-8,10-dihydro-7h-tetracene-5,12-dione Chemical compound N1([C@H]2C[C@@H](O[C@@H](C)[C@H]2O)O[C@H]2C[C@@](O)(CC=3C(O)=C4C(=O)C=5C=CC=C(C=5C(=O)C4=C(O)C=32)OC)C(=O)CO)CCC=C1 NOPNWHSMQOXAEI-PUCKCBAPSA-N 0.000 description 13
- 108060003951 Immunoglobulin Proteins 0.000 description 13
- 230000015572 biosynthetic process Effects 0.000 description 13
- 230000001472 cytotoxic effect Effects 0.000 description 13
- 102000018358 immunoglobulin Human genes 0.000 description 13
- 238000005160 1H NMR spectroscopy Methods 0.000 description 12
- 150000001720 carbohydrates Chemical class 0.000 description 12
- 201000010099 disease Diseases 0.000 description 12
- 238000002347 injection Methods 0.000 description 12
- 239000007924 injection Substances 0.000 description 12
- 239000000126 substance Substances 0.000 description 12
- QTBSBXVTEAMEQO-UHFFFAOYSA-N Acetic acid Chemical compound CC(O)=O QTBSBXVTEAMEQO-UHFFFAOYSA-N 0.000 description 11
- UHOVQNZJYSORNB-UHFFFAOYSA-N Benzene Chemical compound C1=CC=CC=C1 UHOVQNZJYSORNB-UHFFFAOYSA-N 0.000 description 11
- 102000004190 Enzymes Human genes 0.000 description 11
- 108090000790 Enzymes Proteins 0.000 description 11
- FAPWRFPIFSIZLT-UHFFFAOYSA-M Sodium chloride Chemical compound [Na+].[Cl-] FAPWRFPIFSIZLT-UHFFFAOYSA-M 0.000 description 11
- 229940088598 enzyme Drugs 0.000 description 11
- VLKZOEOYAKHREP-UHFFFAOYSA-N n-Hexane Chemical class CCCCCC VLKZOEOYAKHREP-UHFFFAOYSA-N 0.000 description 11
- 210000001519 tissue Anatomy 0.000 description 11
- JGFZNNIVVJXRND-UHFFFAOYSA-N N,N-Diisopropylethylamine (DIPEA) Chemical compound CCN(C(C)C)C(C)C JGFZNNIVVJXRND-UHFFFAOYSA-N 0.000 description 10
- NQRYJNQNLNOLGT-UHFFFAOYSA-N Piperidine Chemical group C1CCNCC1 NQRYJNQNLNOLGT-UHFFFAOYSA-N 0.000 description 10
- WYURNTSHIVDZCO-UHFFFAOYSA-N Tetrahydrofuran Chemical group C1CCOC1 WYURNTSHIVDZCO-UHFFFAOYSA-N 0.000 description 10
- 235000001014 amino acid Nutrition 0.000 description 10
- 230000037396 body weight Effects 0.000 description 10
- 125000004435 hydrogen atom Chemical group [H]* 0.000 description 10
- 239000003112 inhibitor Substances 0.000 description 10
- 229910052757 nitrogen Inorganic materials 0.000 description 10
- BASFCYQUMIYNBI-UHFFFAOYSA-N platinum Chemical compound [Pt] BASFCYQUMIYNBI-UHFFFAOYSA-N 0.000 description 10
- WYWHKKSPHMUBEB-UHFFFAOYSA-N tioguanine Chemical compound N1C(N)=NC(=S)C2=C1N=CN2 WYWHKKSPHMUBEB-UHFFFAOYSA-N 0.000 description 10
- 230000003612 virological effect Effects 0.000 description 10
- WVDDGKGOMKODPV-UHFFFAOYSA-N Benzyl alcohol Chemical compound OCC1=CC=CC=C1 WVDDGKGOMKODPV-UHFFFAOYSA-N 0.000 description 9
- CMSMOCZEIVJLDB-UHFFFAOYSA-N Cyclophosphamide Chemical compound ClCCN(CCCl)P1(=O)NCCCO1 CMSMOCZEIVJLDB-UHFFFAOYSA-N 0.000 description 9
- 102000003886 Glycoproteins Human genes 0.000 description 9
- 108090000288 Glycoproteins Proteins 0.000 description 9
- PEEHTFAAVSWFBL-UHFFFAOYSA-N Maleimide Chemical compound O=C1NC(=O)C=C1 PEEHTFAAVSWFBL-UHFFFAOYSA-N 0.000 description 9
- NWIBSHFKIJFRCO-WUDYKRTCSA-N Mytomycin Chemical compound C1N2C(C(C(C)=C(N)C3=O)=O)=C3[C@@H](COC(N)=O)[C@@]2(OC)[C@@H]2[C@H]1N2 NWIBSHFKIJFRCO-WUDYKRTCSA-N 0.000 description 9
- 208000015914 Non-Hodgkin lymphomas Diseases 0.000 description 9
- 125000000217 alkyl group Chemical group 0.000 description 9
- 230000010056 antibody-dependent cellular cytotoxicity Effects 0.000 description 9
- 210000004369 blood Anatomy 0.000 description 9
- 239000008280 blood Substances 0.000 description 9
- RAXXELZNTBOGNW-UHFFFAOYSA-N imidazole Chemical group C1=CNC=N1 RAXXELZNTBOGNW-UHFFFAOYSA-N 0.000 description 9
- 230000000813 microbial effect Effects 0.000 description 9
- 239000000047 product Substances 0.000 description 9
- 238000001959 radiotherapy Methods 0.000 description 9
- 239000002904 solvent Substances 0.000 description 9
- BQOWCLYQRUEYRE-BDSXQHABSA-N CC[C@H](C)[C@@H]([C@@H](CC(=O)N1CCC[C@H]1[C@H](OC)[C@@H](C)C(=O)C[C@H](C)[C@@H](O)C1=CC=CC=C1)OC)N(C)C(=O)[C@@H](CC(=O)[C@H](C(C)C)N(C)C(C)C)C(C)C Chemical compound CC[C@H](C)[C@@H]([C@@H](CC(=O)N1CCC[C@H]1[C@H](OC)[C@@H](C)C(=O)C[C@H](C)[C@@H](O)C1=CC=CC=C1)OC)N(C)C(=O)[C@@H](CC(=O)[C@H](C(C)C)N(C)C(C)C)C(C)C BQOWCLYQRUEYRE-BDSXQHABSA-N 0.000 description 8
- PEDCQBHIVMGVHV-UHFFFAOYSA-N Glycerine Chemical compound OCC(O)CO PEDCQBHIVMGVHV-UHFFFAOYSA-N 0.000 description 8
- FBOZXECLQNJBKD-ZDUSSCGKSA-N L-methotrexate Chemical compound C=1N=C2N=C(N)N=C(N)C2=NC=1CN(C)C1=CC=C(C(=O)N[C@@H](CCC(O)=O)C(O)=O)C=C1 FBOZXECLQNJBKD-ZDUSSCGKSA-N 0.000 description 8
- 229930012538 Paclitaxel Natural products 0.000 description 8
- JUJWROOIHBZHMG-UHFFFAOYSA-N Pyridine Chemical group C1=CC=NC=C1 JUJWROOIHBZHMG-UHFFFAOYSA-N 0.000 description 8
- 238000007792 addition Methods 0.000 description 8
- 229940024606 amino acid Drugs 0.000 description 8
- 150000001413 amino acids Chemical class 0.000 description 8
- 229910052799 carbon Inorganic materials 0.000 description 8
- 238000004128 high performance liquid chromatography Methods 0.000 description 8
- 238000000338 in vitro Methods 0.000 description 8
- WMFOQBRAJBCJND-UHFFFAOYSA-M lithium hydroxide Inorganic materials [Li+].[OH-] WMFOQBRAJBCJND-UHFFFAOYSA-M 0.000 description 8
- 229960000485 methotrexate Drugs 0.000 description 8
- 150000002482 oligosaccharides Polymers 0.000 description 8
- 229960001592 paclitaxel Drugs 0.000 description 8
- 239000012071 phase Substances 0.000 description 8
- 102000005962 receptors Human genes 0.000 description 8
- 108020003175 receptors Proteins 0.000 description 8
- RCINICONZNJXQF-MZXODVADSA-N taxol Chemical compound O([C@@H]1[C@@]2(C[C@@H](C(C)=C(C2(C)C)[C@H](C([C@]2(C)[C@@H](O)C[C@H]3OC[C@]3([C@H]21)OC(C)=O)=O)OC(=O)C)OC(=O)[C@H](O)[C@@H](NC(=O)C=1C=CC=CC=1)C=1C=CC=CC=1)O)C(=O)C1=CC=CC=C1 RCINICONZNJXQF-MZXODVADSA-N 0.000 description 8
- 229960004528 vincristine Drugs 0.000 description 8
- OGWKCGZFUXNPDA-XQKSVPLYSA-N vincristine Chemical compound C([N@]1C[C@@H](C[C@]2(C(=O)OC)C=3C(=CC4=C([C@]56[C@H]([C@@]([C@H](OC(C)=O)[C@]7(CC)C=CCN([C@H]67)CC5)(O)C(=O)OC)N4C=O)C=3)OC)C[C@@](C1)(O)CC)CC1=C2NC2=CC=CC=C12 OGWKCGZFUXNPDA-XQKSVPLYSA-N 0.000 description 8
- OGWKCGZFUXNPDA-UHFFFAOYSA-N vincristine Natural products C1C(CC)(O)CC(CC2(C(=O)OC)C=3C(=CC4=C(C56C(C(C(OC(C)=O)C7(CC)C=CCN(C67)CC5)(O)C(=O)OC)N4C=O)C=3)OC)CN1CCC1=C2NC2=CC=CC=C12 OGWKCGZFUXNPDA-UHFFFAOYSA-N 0.000 description 8
- 206010009944 Colon cancer Diseases 0.000 description 7
- UHDGCWIWMRVCDJ-CCXZUQQUSA-N Cytarabine Chemical compound O=C1N=C(N)C=CN1[C@H]1[C@@H](O)[C@H](O)[C@@H](CO)O1 UHDGCWIWMRVCDJ-CCXZUQQUSA-N 0.000 description 7
- LFQSCWFLJHTTHZ-UHFFFAOYSA-N Ethanol Chemical compound CCO LFQSCWFLJHTTHZ-UHFFFAOYSA-N 0.000 description 7
- ZDZOTLJHXYCWBA-VCVYQWHSSA-N N-debenzoyl-N-(tert-butoxycarbonyl)-10-deacetyltaxol Chemical compound O([C@H]1[C@H]2[C@@](C([C@H](O)C3=C(C)[C@@H](OC(=O)[C@H](O)[C@@H](NC(=O)OC(C)(C)C)C=4C=CC=CC=4)C[C@]1(O)C3(C)C)=O)(C)[C@@H](O)C[C@H]1OC[C@]12OC(=O)C)C(=O)C1=CC=CC=C1 ZDZOTLJHXYCWBA-VCVYQWHSSA-N 0.000 description 7
- 208000006265 Renal cell carcinoma Diseases 0.000 description 7
- VYPSYNLAJGMNEJ-UHFFFAOYSA-N Silicium dioxide Chemical compound O=[Si]=O VYPSYNLAJGMNEJ-UHFFFAOYSA-N 0.000 description 7
- 239000002775 capsule Substances 0.000 description 7
- 235000014633 carbohydrates Nutrition 0.000 description 7
- 150000001721 carbon Chemical group 0.000 description 7
- 229960004397 cyclophosphamide Drugs 0.000 description 7
- 231100000433 cytotoxic Toxicity 0.000 description 7
- 238000003379 elimination reaction Methods 0.000 description 7
- 230000004927 fusion Effects 0.000 description 7
- 125000005842 heteroatom Chemical group 0.000 description 7
- 125000001449 isopropyl group Chemical group [H]C([H])([H])C([H])(*)C([H])([H])[H] 0.000 description 7
- 201000001441 melanoma Diseases 0.000 description 7
- 230000004048 modification Effects 0.000 description 7
- 238000012986 modification Methods 0.000 description 7
- 229920006395 saturated elastomer Polymers 0.000 description 7
- 125000002914 sec-butyl group Chemical group [H]C([H])([H])C([H])([H])C([H])(*)C([H])([H])[H] 0.000 description 7
- 239000011780 sodium chloride Substances 0.000 description 7
- 208000011580 syndromic disease Diseases 0.000 description 7
- JXLYSJRDGCGARV-CFWMRBGOSA-N vinblastine Chemical compound C([C@H](C[C@]1(C(=O)OC)C=2C(=CC3=C([C@]45[C@H]([C@@]([C@H](OC(C)=O)[C@]6(CC)C=CCN([C@H]56)CC4)(O)C(=O)OC)N3C)C=2)OC)C[C@@](C2)(O)CC)N2CCC2=C1NC1=CC=CC=C21 JXLYSJRDGCGARV-CFWMRBGOSA-N 0.000 description 7
- FDKXTQMXEQVLRF-ZHACJKMWSA-N (E)-dacarbazine Chemical compound CN(C)\N=N\c1[nH]cnc1C(N)=O FDKXTQMXEQVLRF-ZHACJKMWSA-N 0.000 description 6
- VBICKXHEKHSIBG-UHFFFAOYSA-N 1-monostearoylglycerol Chemical compound CCCCCCCCCCCCCCCCCC(=O)OCC(O)CO VBICKXHEKHSIBG-UHFFFAOYSA-N 0.000 description 6
- DGHHQBMTXTWTJV-BQAIUKQQSA-N 119413-54-6 Chemical compound Cl.C1=C(O)C(CN(C)C)=C2C=C(CN3C4=CC5=C(C3=O)COC(=O)[C@]5(O)CC)C4=NC2=C1 DGHHQBMTXTWTJV-BQAIUKQQSA-N 0.000 description 6
- GXCJLVVUIVSLOQ-UHFFFAOYSA-N 2-propyl-4,5-dihydro-1,3-oxazole Chemical compound CCCC1=NCCO1 GXCJLVVUIVSLOQ-UHFFFAOYSA-N 0.000 description 6
- WEVYAHXRMPXWCK-UHFFFAOYSA-N Acetonitrile Chemical compound CC#N WEVYAHXRMPXWCK-UHFFFAOYSA-N 0.000 description 6
- 108010006654 Bleomycin Proteins 0.000 description 6
- 206010006187 Breast cancer Diseases 0.000 description 6
- 208000026310 Breast neoplasm Diseases 0.000 description 6
- 208000001333 Colorectal Neoplasms Diseases 0.000 description 6
- 108010092160 Dactinomycin Proteins 0.000 description 6
- 241000588724 Escherichia coli Species 0.000 description 6
- GHASVSINZRGABV-UHFFFAOYSA-N Fluorouracil Chemical compound FC1=CNC(=O)NC1=O GHASVSINZRGABV-UHFFFAOYSA-N 0.000 description 6
- 102000004856 Lectins Human genes 0.000 description 6
- 108090001090 Lectins Proteins 0.000 description 6
- RWRDLPDLKQPQOW-UHFFFAOYSA-N Pyrrolidine Chemical group C1CCNC1 RWRDLPDLKQPQOW-UHFFFAOYSA-N 0.000 description 6
- JXLYSJRDGCGARV-WWYNWVTFSA-N Vinblastine Natural products O=C(O[C@H]1[C@](O)(C(=O)OC)[C@@H]2N(C)c3c(cc(c(OC)c3)[C@]3(C(=O)OC)c4[nH]c5c(c4CCN4C[C@](O)(CC)C[C@H](C3)C4)cccc5)[C@@]32[C@H]2[C@@]1(CC)C=CCN2CC3)C JXLYSJRDGCGARV-WWYNWVTFSA-N 0.000 description 6
- 241000700605 Viruses Species 0.000 description 6
- 150000007513 acids Chemical class 0.000 description 6
- RJURFGZVJUQBHK-UHFFFAOYSA-N actinomycin D Natural products CC1OC(=O)C(C(C)C)N(C)C(=O)CN(C)C(=O)C2CCCN2C(=O)C(C(C)C)NC(=O)C1NC(=O)C1=C(N)C(=O)C(C)=C2OC(C(C)=CC=C3C(=O)NC4C(=O)NC(C(N5CCCC5C(=O)N(C)CC(=O)N(C)C(C(C)C)C(=O)OC4C)=O)C(C)C)=C3N=C21 RJURFGZVJUQBHK-UHFFFAOYSA-N 0.000 description 6
- 239000002671 adjuvant Substances 0.000 description 6
- 239000000443 aerosol Substances 0.000 description 6
- 230000000340 anti-metabolite Effects 0.000 description 6
- 239000002256 antimetabolite Substances 0.000 description 6
- 229940100197 antimetabolite Drugs 0.000 description 6
- 125000003710 aryl alkyl group Chemical group 0.000 description 6
- 230000004071 biological effect Effects 0.000 description 6
- 238000006243 chemical reaction Methods 0.000 description 6
- 238000004587 chromatography analysis Methods 0.000 description 6
- LOKCTEFSRHRXRJ-UHFFFAOYSA-I dipotassium trisodium dihydrogen phosphate hydrogen phosphate dichloride Chemical compound P(=O)(O)(O)[O-].[K+].P(=O)(O)([O-])[O-].[Na+].[Na+].[Cl-].[K+].[Cl-].[Na+] LOKCTEFSRHRXRJ-UHFFFAOYSA-I 0.000 description 6
- 239000000839 emulsion Substances 0.000 description 6
- 150000002148 esters Chemical class 0.000 description 6
- 229960002949 fluorouracil Drugs 0.000 description 6
- 238000009472 formulation Methods 0.000 description 6
- 210000004408 hybridoma Anatomy 0.000 description 6
- HOMGKSMUEGBAAB-UHFFFAOYSA-N ifosfamide Chemical compound ClCCNP1(=O)OCCCN1CCCl HOMGKSMUEGBAAB-UHFFFAOYSA-N 0.000 description 6
- 229960001101 ifosfamide Drugs 0.000 description 6
- 230000002519 immonomodulatory effect Effects 0.000 description 6
- 238000001727 in vivo Methods 0.000 description 6
- 238000001990 intravenous administration Methods 0.000 description 6
- GURKHSYORGJETM-WAQYZQTGSA-N irinotecan hydrochloride (anhydrous) Chemical compound Cl.C1=C2C(CC)=C3CN(C(C4=C([C@@](C(=O)OC4)(O)CC)C=4)=O)C=4C3=NC2=CC=C1OC(=O)N(CC1)CCC1N1CCCCC1 GURKHSYORGJETM-WAQYZQTGSA-N 0.000 description 6
- 239000002523 lectin Substances 0.000 description 6
- GLVAUDGFNGKCSF-UHFFFAOYSA-N mercaptopurine Chemical compound S=C1NC=NC2=C1NC=N2 GLVAUDGFNGKCSF-UHFFFAOYSA-N 0.000 description 6
- KKZJGLLVHKMTCM-UHFFFAOYSA-N mitoxantrone Chemical compound O=C1C2=C(O)C=CC(O)=C2C(=O)C2=C1C(NCCNCCO)=CC=C2NCCNCCO KKZJGLLVHKMTCM-UHFFFAOYSA-N 0.000 description 6
- 125000004123 n-propyl group Chemical group [H]C([H])([H])C([H])([H])C([H])([H])* 0.000 description 6
- 229920001542 oligosaccharide Polymers 0.000 description 6
- 239000002953 phosphate buffered saline Substances 0.000 description 6
- 238000002953 preparative HPLC Methods 0.000 description 6
- 238000000746 purification Methods 0.000 description 6
- 238000011160 research Methods 0.000 description 6
- 125000006413 ring segment Chemical group 0.000 description 6
- 239000000725 suspension Substances 0.000 description 6
- NRUKOCRGYNPUPR-QBPJDGROSA-N teniposide Chemical compound COC1=C(O)C(OC)=CC([C@@H]2C3=CC=4OCOC=4C=C3[C@@H](O[C@H]3[C@@H]([C@@H](O)[C@@H]4O[C@@H](OC[C@H]4O3)C=3SC=CC=3)O)[C@@H]3[C@@H]2C(OC3)=O)=C1 NRUKOCRGYNPUPR-QBPJDGROSA-N 0.000 description 6
- 125000000999 tert-butyl group Chemical group [H]C([H])([H])C(*)(C([H])([H])[H])C([H])([H])[H] 0.000 description 6
- 125000003396 thiol group Chemical group [H]S* 0.000 description 6
- 210000004881 tumor cell Anatomy 0.000 description 6
- 229960003048 vinblastine Drugs 0.000 description 6
- GBABOYUKABKIAF-IELIFDKJSA-N vinorelbine Chemical compound C1N(CC=2C3=CC=CC=C3NC=22)CC(CC)=C[C@H]1C[C@]2(C(=O)OC)C1=CC([C@]23[C@H]([C@@]([C@H](OC(C)=O)[C@]4(CC)C=CCN([C@H]34)CC2)(O)C(=O)OC)N2C)=C2C=C1OC GBABOYUKABKIAF-IELIFDKJSA-N 0.000 description 6
- 229960002066 vinorelbine Drugs 0.000 description 6
- STQGQHZAVUOBTE-UHFFFAOYSA-N 7-Cyan-hept-2t-en-4,6-diinsaeure Natural products C1=2C(O)=C3C(=O)C=4C(OC)=CC=CC=4C(=O)C3=C(O)C=2CC(O)(C(C)=O)CC1OC1CC(N)C(O)C(C)O1 STQGQHZAVUOBTE-UHFFFAOYSA-N 0.000 description 5
- BVKZGUZCCUSVTD-UHFFFAOYSA-L Carbonate Chemical compound [O-]C([O-])=O BVKZGUZCCUSVTD-UHFFFAOYSA-L 0.000 description 5
- DLGOEMSEDOSKAD-UHFFFAOYSA-N Carmustine Chemical compound ClCCNC(=O)N(N=O)CCCl DLGOEMSEDOSKAD-UHFFFAOYSA-N 0.000 description 5
- IAZDPXIOMUYVGZ-WFGJKAKNSA-N Dimethyl sulfoxide Chemical compound [2H]C([2H])([2H])S(=O)C([2H])([2H])[2H] IAZDPXIOMUYVGZ-WFGJKAKNSA-N 0.000 description 5
- XDXDZDZNSLXDNA-TZNDIEGXSA-N Idarubicin Chemical compound C1[C@H](N)[C@H](O)[C@H](C)O[C@H]1O[C@@H]1C2=C(O)C(C(=O)C3=CC=CC=C3C3=O)=C3C(O)=C2C[C@@](O)(C(C)=O)C1 XDXDZDZNSLXDNA-TZNDIEGXSA-N 0.000 description 5
- XDXDZDZNSLXDNA-UHFFFAOYSA-N Idarubicin Natural products C1C(N)C(O)C(C)OC1OC1C2=C(O)C(C(=O)C3=CC=CC=C3C3=O)=C3C(O)=C2CC(O)(C(C)=O)C1 XDXDZDZNSLXDNA-UHFFFAOYSA-N 0.000 description 5
- GQYIWUVLTXOXAJ-UHFFFAOYSA-N Lomustine Chemical compound ClCCN(N=O)C(=O)NC1CCCCC1 GQYIWUVLTXOXAJ-UHFFFAOYSA-N 0.000 description 5
- 206010025323 Lymphomas Diseases 0.000 description 5
- 241000699670 Mus sp. Species 0.000 description 5
- 229910019142 PO4 Inorganic materials 0.000 description 5
- 241000700159 Rattus Species 0.000 description 5
- 229940122803 Vinca alkaloid Drugs 0.000 description 5
- 230000001154 acute effect Effects 0.000 description 5
- 150000001412 amines Chemical class 0.000 description 5
- 239000003242 anti bacterial agent Substances 0.000 description 5
- 108010044540 auristatin Proteins 0.000 description 5
- VSRXQHXAPYXROS-UHFFFAOYSA-N azanide;cyclobutane-1,1-dicarboxylic acid;platinum(2+) Chemical compound [NH2-].[NH2-].[Pt+2].OC(=O)C1(C(O)=O)CCC1 VSRXQHXAPYXROS-UHFFFAOYSA-N 0.000 description 5
- OYVAGSVQBOHSSS-UAPAGMARSA-O bleomycin A2 Chemical compound N([C@H](C(=O)N[C@H](C)[C@@H](O)[C@H](C)C(=O)N[C@@H]([C@H](O)C)C(=O)NCCC=1SC=C(N=1)C=1SC=C(N=1)C(=O)NCCC[S+](C)C)[C@@H](O[C@H]1[C@H]([C@@H](O)[C@H](O)[C@H](CO)O1)O[C@@H]1[C@H]([C@@H](OC(N)=O)[C@H](O)[C@@H](CO)O1)O)C=1N=CNC=1)C(=O)C1=NC([C@H](CC(N)=O)NC[C@H](N)C(N)=O)=NC(N)=C1C OYVAGSVQBOHSSS-UAPAGMARSA-O 0.000 description 5
- 239000012267 brine Substances 0.000 description 5
- 229960004562 carboplatin Drugs 0.000 description 5
- DQLATGHUWYMOKM-UHFFFAOYSA-L cisplatin Chemical compound N[Pt](N)(Cl)Cl DQLATGHUWYMOKM-UHFFFAOYSA-L 0.000 description 5
- 229960004316 cisplatin Drugs 0.000 description 5
- 238000003776 cleavage reaction Methods 0.000 description 5
- STQGQHZAVUOBTE-VGBVRHCVSA-N daunorubicin Chemical compound O([C@H]1C[C@@](O)(CC=2C(O)=C3C(=O)C=4C=CC=C(C=4C(=O)C3=C(O)C=21)OC)C(C)=O)[C@H]1C[C@H](N)[C@H](O)[C@H](C)O1 STQGQHZAVUOBTE-VGBVRHCVSA-N 0.000 description 5
- 238000013461 design Methods 0.000 description 5
- NKLCNNUWBJBICK-UHFFFAOYSA-N dess–martin periodinane Chemical compound C1=CC=C2I(OC(=O)C)(OC(C)=O)(OC(C)=O)OC(=O)C2=C1 NKLCNNUWBJBICK-UHFFFAOYSA-N 0.000 description 5
- 229960003668 docetaxel Drugs 0.000 description 5
- 239000003937 drug carrier Substances 0.000 description 5
- 238000011156 evaluation Methods 0.000 description 5
- 125000004446 heteroarylalkyl group Chemical group 0.000 description 5
- 230000007062 hydrolysis Effects 0.000 description 5
- 238000006460 hydrolysis reaction Methods 0.000 description 5
- 229960000908 idarubicin Drugs 0.000 description 5
- 238000001802 infusion Methods 0.000 description 5
- 238000003780 insertion Methods 0.000 description 5
- 230000037431 insertion Effects 0.000 description 5
- 210000004698 lymphocyte Anatomy 0.000 description 5
- 238000004519 manufacturing process Methods 0.000 description 5
- 229960004857 mitomycin Drugs 0.000 description 5
- 229960001156 mitoxantrone Drugs 0.000 description 5
- 125000004108 n-butyl group Chemical group [H]C([H])([H])C([H])([H])C([H])([H])C([H])([H])* 0.000 description 5
- 239000002773 nucleotide Substances 0.000 description 5
- 125000003729 nucleotide group Chemical group 0.000 description 5
- 239000003921 oil Substances 0.000 description 5
- 235000019198 oils Nutrition 0.000 description 5
- 230000003287 optical effect Effects 0.000 description 5
- 235000021317 phosphate Nutrition 0.000 description 5
- 229910052698 phosphorus Inorganic materials 0.000 description 5
- 229910052697 platinum Inorganic materials 0.000 description 5
- 229960004641 rituximab Drugs 0.000 description 5
- 210000002966 serum Anatomy 0.000 description 5
- HPALAKNZSZLMCH-UHFFFAOYSA-M sodium;chloride;hydrate Chemical compound O.[Na+].[Cl-] HPALAKNZSZLMCH-UHFFFAOYSA-M 0.000 description 5
- 208000024891 symptom Diseases 0.000 description 5
- 239000003826 tablet Substances 0.000 description 5
- 229960001278 teniposide Drugs 0.000 description 5
- 229940124597 therapeutic agent Drugs 0.000 description 5
- 229960003087 tioguanine Drugs 0.000 description 5
- 229960000303 topotecan Drugs 0.000 description 5
- UGGWPQSBPIFKDZ-KOTLKJBCSA-N vindesine Chemical compound C([C@@H](C[C@]1(C(=O)OC)C=2C(=CC3=C([C@]45[C@H]([C@@]([C@H](O)[C@]6(CC)C=CCN([C@H]56)CC4)(O)C(N)=O)N3C)C=2)OC)C[C@@](C2)(O)CC)N2CCC2=C1N=C1[C]2C=CC=C1 UGGWPQSBPIFKDZ-KOTLKJBCSA-N 0.000 description 5
- 229960004355 vindesine Drugs 0.000 description 5
- 229910052727 yttrium Inorganic materials 0.000 description 5
- WOWDZACBATWTAU-FEFUEGSOSA-N (2s)-2-[[(2s)-2-(dimethylamino)-3-methylbutanoyl]amino]-n-[(3r,4s,5s)-1-[(2s)-2-[(1r,2r)-3-[[(1s,2r)-1-hydroxy-1-phenylpropan-2-yl]amino]-1-methoxy-2-methyl-3-oxopropyl]pyrrolidin-1-yl]-3-methoxy-5-methyl-1-oxoheptan-4-yl]-n,3-dimethylbutanamide Chemical compound CC(C)[C@H](N(C)C)C(=O)N[C@@H](C(C)C)C(=O)N(C)[C@@H]([C@@H](C)CC)[C@H](OC)CC(=O)N1CCC[C@H]1[C@H](OC)[C@@H](C)C(=O)N[C@H](C)[C@@H](O)C1=CC=CC=C1 WOWDZACBATWTAU-FEFUEGSOSA-N 0.000 description 4
- IAKHMKGGTNLKSZ-INIZCTEOSA-N (S)-colchicine Chemical compound C1([C@@H](NC(C)=O)CC2)=CC(=O)C(OC)=CC=C1C1=C2C=C(OC)C(OC)=C1OC IAKHMKGGTNLKSZ-INIZCTEOSA-N 0.000 description 4
- NDMPLJNOPCLANR-UHFFFAOYSA-N 3,4-dihydroxy-15-(4-hydroxy-18-methoxycarbonyl-5,18-seco-ibogamin-18-yl)-16-methoxy-1-methyl-6,7-didehydro-aspidospermidine-3-carboxylic acid methyl ester Natural products C1C(CC)(O)CC(CC2(C(=O)OC)C=3C(=CC4=C(C56C(C(C(O)C7(CC)C=CCN(C67)CC5)(O)C(=O)OC)N4C)C=3)OC)CN1CCC1=C2NC2=CC=CC=C12 NDMPLJNOPCLANR-UHFFFAOYSA-N 0.000 description 4
- VVIAGPKUTFNRDU-UHFFFAOYSA-N 6S-folinic acid Natural products C1NC=2NC(N)=NC(=O)C=2N(C=O)C1CNC1=CC=C(C(=O)NC(CCC(O)=O)C(O)=O)C=C1 VVIAGPKUTFNRDU-UHFFFAOYSA-N 0.000 description 4
- PAYRUJLWNCNPSJ-UHFFFAOYSA-N Aniline Chemical compound NC1=CC=CC=C1 PAYRUJLWNCNPSJ-UHFFFAOYSA-N 0.000 description 4
- CIWBSHSKHKDKBQ-JLAZNSOCSA-N Ascorbic acid Chemical compound OC[C@H](O)[C@H]1OC(=O)C(O)=C1O CIWBSHSKHKDKBQ-JLAZNSOCSA-N 0.000 description 4
- KLWPJMFMVPTNCC-UHFFFAOYSA-N Camptothecin Natural products CCC1(O)C(=O)OCC2=C1C=C3C4Nc5ccccc5C=C4CN3C2=O KLWPJMFMVPTNCC-UHFFFAOYSA-N 0.000 description 4
- CURLTUGMZLYLDI-UHFFFAOYSA-N Carbon dioxide Chemical compound O=C=O CURLTUGMZLYLDI-UHFFFAOYSA-N 0.000 description 4
- 108020004414 DNA Proteins 0.000 description 4
- 102000001301 EGF receptor Human genes 0.000 description 4
- 108060006698 EGF receptor Proteins 0.000 description 4
- 201000009051 Embryonal Carcinoma Diseases 0.000 description 4
- YLQBMQCUIZJEEH-UHFFFAOYSA-N Furan Chemical group C=1C=COC=1 YLQBMQCUIZJEEH-UHFFFAOYSA-N 0.000 description 4
- 241000725303 Human immunodeficiency virus Species 0.000 description 4
- OAKJQQAXSVQMHS-UHFFFAOYSA-N Hydrazine Chemical compound NN OAKJQQAXSVQMHS-UHFFFAOYSA-N 0.000 description 4
- 239000000867 Lipoxygenase Inhibitor Substances 0.000 description 4
- 102100034256 Mucin-1 Human genes 0.000 description 4
- 108010008707 Mucin-1 Proteins 0.000 description 4
- 241001529936 Murinae Species 0.000 description 4
- 241000699660 Mus musculus Species 0.000 description 4
- 108091007491 NSP3 Papain-like protease domains Proteins 0.000 description 4
- 206010033128 Ovarian cancer Diseases 0.000 description 4
- 102100024952 Protein CBFA2T1 Human genes 0.000 description 4
- KAESVJOAVNADME-UHFFFAOYSA-N Pyrrole Chemical group C=1C=CNC=1 KAESVJOAVNADME-UHFFFAOYSA-N 0.000 description 4
- IWUCXVSUMQZMFG-AFCXAGJDSA-N Ribavirin Chemical compound N1=C(C(=O)N)N=CN1[C@H]1[C@H](O)[C@H](O)[C@@H](CO)O1 IWUCXVSUMQZMFG-AFCXAGJDSA-N 0.000 description 4
- PMZURENOXWZQFD-UHFFFAOYSA-L Sodium Sulfate Chemical compound [Na+].[Na+].[O-]S([O-])(=O)=O PMZURENOXWZQFD-UHFFFAOYSA-L 0.000 description 4
- UIIMBOGNXHQVGW-UHFFFAOYSA-M Sodium bicarbonate Chemical compound [Na+].OC([O-])=O UIIMBOGNXHQVGW-UHFFFAOYSA-M 0.000 description 4
- 208000005718 Stomach Neoplasms Diseases 0.000 description 4
- NKANXQFJJICGDU-QPLCGJKRSA-N Tamoxifen Chemical compound C=1C=CC=CC=1C(/CC)=C(C=1C=CC(OCCN(C)C)=CC=1)/C1=CC=CC=C1 NKANXQFJJICGDU-QPLCGJKRSA-N 0.000 description 4
- 229940123237 Taxane Drugs 0.000 description 4
- YTPLMLYBLZKORZ-UHFFFAOYSA-N Thiophene Chemical group C=1C=CSC=1 YTPLMLYBLZKORZ-UHFFFAOYSA-N 0.000 description 4
- HEDRZPFGACZZDS-MICDWDOJSA-N Trichloro(2H)methane Chemical compound [2H]C(Cl)(Cl)Cl HEDRZPFGACZZDS-MICDWDOJSA-N 0.000 description 4
- 206010067584 Type 1 diabetes mellitus Diseases 0.000 description 4
- MCSXSLGCYGBPMB-RNLSNHMOSA-N [3-[3-(9h-fluoren-9-ylmethoxycarbonylamino)propanoylamino]-4-[(2s,3r,4s,5s,6s)-3,4,5-triacetyloxy-6-methoxycarbonyloxan-2-yl]oxyphenyl]methyl 2-(3-oxopropyl)-1,3-oxazolidine-3-carboxylate Chemical compound CC(=O)O[C@@H]1[C@@H](OC(C)=O)[C@H](OC(C)=O)[C@@H](C(=O)OC)O[C@H]1OC(C(=C1)NC(=O)CCNC(=O)OCC2C3=CC=CC=C3C3=CC=CC=C32)=CC=C1COC(=O)N1C(CCC=O)OCC1 MCSXSLGCYGBPMB-RNLSNHMOSA-N 0.000 description 4
- 239000004480 active ingredient Substances 0.000 description 4
- 208000009956 adenocarcinoma Diseases 0.000 description 4
- 230000002776 aggregation Effects 0.000 description 4
- 125000002947 alkylene group Chemical group 0.000 description 4
- 125000000539 amino acid group Chemical group 0.000 description 4
- 238000003556 assay Methods 0.000 description 4
- 125000004429 atom Chemical group 0.000 description 4
- LMEKQMALGUDUQG-UHFFFAOYSA-N azathioprine Chemical compound CN1C=NC([N+]([O-])=O)=C1SC1=NC=NC2=C1NC=N2 LMEKQMALGUDUQG-UHFFFAOYSA-N 0.000 description 4
- 229960002170 azathioprine Drugs 0.000 description 4
- 230000001588 bifunctional effect Effects 0.000 description 4
- WERYXYBDKMZEQL-UHFFFAOYSA-N butane-1,4-diol Chemical compound OCCCCO WERYXYBDKMZEQL-UHFFFAOYSA-N 0.000 description 4
- VSJKWCGYPAHWDS-FQEVSTJZSA-N camptothecin Chemical compound C1=CC=C2C=C(CN3C4=CC5=C(C3=O)COC(=O)[C@]5(O)CC)C4=NC2=C1 VSJKWCGYPAHWDS-FQEVSTJZSA-N 0.000 description 4
- 229940127093 camptothecin Drugs 0.000 description 4
- 239000003153 chemical reaction reagent Substances 0.000 description 4
- 238000002512 chemotherapy Methods 0.000 description 4
- JCKYGMPEJWAADB-UHFFFAOYSA-N chlorambucil Chemical compound OC(=O)CCCC1=CC=C(N(CCCl)CCCl)C=C1 JCKYGMPEJWAADB-UHFFFAOYSA-N 0.000 description 4
- 229960004630 chlorambucil Drugs 0.000 description 4
- 239000003086 colorant Substances 0.000 description 4
- 230000000295 complement effect Effects 0.000 description 4
- 230000004540 complement-dependent cytotoxicity Effects 0.000 description 4
- 238000013270 controlled release Methods 0.000 description 4
- 229960000684 cytarabine Drugs 0.000 description 4
- 229960000975 daunorubicin Drugs 0.000 description 4
- 238000012217 deletion Methods 0.000 description 4
- 230000037430 deletion Effects 0.000 description 4
- VSJKWCGYPAHWDS-UHFFFAOYSA-N dl-camptothecin Natural products C1=CC=C2C=C(CN3C4=CC5=C(C3=O)COC(=O)C5(O)CC)C4=NC2=C1 VSJKWCGYPAHWDS-UHFFFAOYSA-N 0.000 description 4
- 238000002651 drug therapy Methods 0.000 description 4
- 238000005516 engineering process Methods 0.000 description 4
- 230000002255 enzymatic effect Effects 0.000 description 4
- HESCAJZNRMSMJG-HGYUPSKWSA-N epothilone A Natural products O=C1[C@H](C)[C@H](O)[C@H](C)CCC[C@H]2O[C@H]2C[C@@H](/C(=C\c2nc(C)sc2)/C)OC(=O)C[C@H](O)C1(C)C HESCAJZNRMSMJG-HGYUPSKWSA-N 0.000 description 4
- FRPJXPJMRWBBIH-RBRWEJTLSA-N estramustine Chemical compound ClCCN(CCCl)C(=O)OC1=CC=C2[C@H]3CC[C@](C)([C@H](CC4)O)[C@@H]4[C@@H]3CCC2=C1 FRPJXPJMRWBBIH-RBRWEJTLSA-N 0.000 description 4
- 229960001842 estramustine Drugs 0.000 description 4
- 125000001495 ethyl group Chemical group [H]C([H])([H])C([H])([H])* 0.000 description 4
- VJJPUSNTGOMMGY-MRVIYFEKSA-N etoposide Chemical compound COC1=C(O)C(OC)=CC([C@@H]2C3=CC=4OCOC=4C=C3[C@@H](O[C@H]3[C@@H]([C@@H](O)[C@@H]4O[C@H](C)OC[C@H]4O3)O)[C@@H]3[C@@H]2C(OC3)=O)=C1 VJJPUSNTGOMMGY-MRVIYFEKSA-N 0.000 description 4
- 238000001914 filtration Methods 0.000 description 4
- ODKNJVUHOIMIIZ-RRKCRQDMSA-N floxuridine Chemical compound C1[C@H](O)[C@@H](CO)O[C@H]1N1C(=O)NC(=O)C(F)=C1 ODKNJVUHOIMIIZ-RRKCRQDMSA-N 0.000 description 4
- VVIAGPKUTFNRDU-ABLWVSNPSA-N folinic acid Chemical compound C1NC=2NC(N)=NC(=O)C=2N(C=O)C1CNC1=CC=C(C(=O)N[C@@H](CCC(O)=O)C(O)=O)C=C1 VVIAGPKUTFNRDU-ABLWVSNPSA-N 0.000 description 4
- 235000008191 folinic acid Nutrition 0.000 description 4
- 239000011672 folinic acid Substances 0.000 description 4
- 230000006870 function Effects 0.000 description 4
- 125000000524 functional group Chemical group 0.000 description 4
- 206010017758 gastric cancer Diseases 0.000 description 4
- 239000000499 gel Substances 0.000 description 4
- SDUQYLNIPVEERB-QPPQHZFASA-N gemcitabine Chemical compound O=C1N=C(N)C=CN1[C@H]1C(F)(F)[C@H](O)[C@@H](CO)O1 SDUQYLNIPVEERB-QPPQHZFASA-N 0.000 description 4
- 229960005277 gemcitabine Drugs 0.000 description 4
- JYGXADMDTFJGBT-VWUMJDOOSA-N hydrocortisone Chemical compound O=C1CC[C@]2(C)[C@H]3[C@@H](O)C[C@](C)([C@@](CC4)(O)C(=O)CO)[C@@H]4[C@@H]3CCC2=C1 JYGXADMDTFJGBT-VWUMJDOOSA-N 0.000 description 4
- 239000007943 implant Substances 0.000 description 4
- 230000002401 inhibitory effect Effects 0.000 description 4
- 239000000543 intermediate Substances 0.000 description 4
- 229960004768 irinotecan Drugs 0.000 description 4
- 229960001691 leucovorin Drugs 0.000 description 4
- 208000032839 leukemia Diseases 0.000 description 4
- 238000011068 loading method Methods 0.000 description 4
- 231100000682 maximum tolerated dose Toxicity 0.000 description 4
- 230000001404 mediated effect Effects 0.000 description 4
- 229960001428 mercaptopurine Drugs 0.000 description 4
- 125000000325 methylidene group Chemical group [H]C([H])=* 0.000 description 4
- CFCUWKMKBJTWLW-BKHRDMLASA-N mithramycin Chemical compound O([C@@H]1C[C@@H](O[C@H](C)[C@H]1O)OC=1C=C2C=C3C[C@H]([C@@H](C(=O)C3=C(O)C2=C(O)C=1C)O[C@@H]1O[C@H](C)[C@@H](O)[C@H](O[C@@H]2O[C@H](C)[C@H](O)[C@H](O[C@@H]3O[C@H](C)[C@@H](O)[C@@](C)(O)C3)C2)C1)[C@H](OC)C(=O)[C@@H](O)[C@@H](C)O)[C@H]1C[C@@H](O)[C@H](O)[C@@H](C)O1 CFCUWKMKBJTWLW-BKHRDMLASA-N 0.000 description 4
- 238000002703 mutagenesis Methods 0.000 description 4
- 231100000350 mutagenesis Toxicity 0.000 description 4
- 230000007935 neutral effect Effects 0.000 description 4
- 150000007523 nucleic acids Chemical class 0.000 description 4
- 230000001717 pathogenic effect Effects 0.000 description 4
- NBIIXXVUZAFLBC-UHFFFAOYSA-K phosphate Chemical compound [O-]P([O-])([O-])=O NBIIXXVUZAFLBC-UHFFFAOYSA-K 0.000 description 4
- 239000010452 phosphate Substances 0.000 description 4
- 229960003171 plicamycin Drugs 0.000 description 4
- 229920001282 polysaccharide Polymers 0.000 description 4
- 239000005017 polysaccharide Substances 0.000 description 4
- 150000004804 polysaccharides Chemical class 0.000 description 4
- 239000000843 powder Substances 0.000 description 4
- 239000002243 precursor Substances 0.000 description 4
- 238000002360 preparation method Methods 0.000 description 4
- 125000002924 primary amino group Chemical group [H]N([H])* 0.000 description 4
- UMJSCPRVCHMLSP-UHFFFAOYSA-N pyridine Natural products COC1=CC=CN=C1 UMJSCPRVCHMLSP-UHFFFAOYSA-N 0.000 description 4
- 125000000714 pyrimidinyl group Chemical group 0.000 description 4
- 230000005855 radiation Effects 0.000 description 4
- 150000003254 radicals Chemical class 0.000 description 4
- 238000003259 recombinant expression Methods 0.000 description 4
- 230000010076 replication Effects 0.000 description 4
- 229960000329 ribavirin Drugs 0.000 description 4
- 230000007017 scission Effects 0.000 description 4
- 229910052938 sodium sulfate Inorganic materials 0.000 description 4
- 235000011152 sodium sulphate Nutrition 0.000 description 4
- 201000011549 stomach cancer Diseases 0.000 description 4
- 238000007920 subcutaneous administration Methods 0.000 description 4
- 239000000758 substrate Substances 0.000 description 4
- 125000004434 sulfur atom Chemical group 0.000 description 4
- 238000001356 surgical procedure Methods 0.000 description 4
- 230000009885 systemic effect Effects 0.000 description 4
- GKVNVAPUEKJGHY-UHFFFAOYSA-N tert-butyl-[3-(1,3-oxazolidin-2-yl)propoxy]-diphenylsilane Chemical compound C=1C=CC=CC=1[Si](C=1C=CC=CC=1)(C(C)(C)C)OCCCC1NCCO1 GKVNVAPUEKJGHY-UHFFFAOYSA-N 0.000 description 4
- 230000001225 therapeutic effect Effects 0.000 description 4
- 238000002560 therapeutic procedure Methods 0.000 description 4
- 230000001988 toxicity Effects 0.000 description 4
- 231100000419 toxicity Toxicity 0.000 description 4
- MTCFGRXMJLQNBG-REOHCLBHSA-N (2S)-2-Amino-3-hydroxypropansäure Chemical compound OC[C@H](N)C(O)=O MTCFGRXMJLQNBG-REOHCLBHSA-N 0.000 description 3
- AOJJSUZBOXZQNB-VTZDEGQISA-N 4'-epidoxorubicin Chemical compound O([C@H]1C[C@@](O)(CC=2C(O)=C3C(=O)C=4C=CC=C(C=4C(=O)C3=C(O)C=21)OC)C(=O)CO)[C@H]1C[C@H](N)[C@@H](O)[C@H](C)O1 AOJJSUZBOXZQNB-VTZDEGQISA-N 0.000 description 3
- FIGNMIFTOBCQOY-UHFFFAOYSA-N 4-[tert-butyl(diphenyl)silyl]oxybutanal Chemical compound C=1C=CC=CC=1[Si](OCCCC=O)(C(C)(C)C)C1=CC=CC=C1 FIGNMIFTOBCQOY-UHFFFAOYSA-N 0.000 description 3
- FUXVKZWTXQUGMW-FQEVSTJZSA-N 9-Aminocamptothecin Chemical compound C1=CC(N)=C2C=C(CN3C4=CC5=C(C3=O)COC(=O)[C@]5(O)CC)C4=NC2=C1 FUXVKZWTXQUGMW-FQEVSTJZSA-N 0.000 description 3
- QTBSBXVTEAMEQO-UHFFFAOYSA-M Acetate Chemical compound CC([O-])=O QTBSBXVTEAMEQO-UHFFFAOYSA-M 0.000 description 3
- 208000031261 Acute myeloid leukaemia Diseases 0.000 description 3
- 206010073478 Anaplastic large-cell lymphoma Diseases 0.000 description 3
- 108010024976 Asparaginase Proteins 0.000 description 3
- 208000010839 B-cell chronic lymphocytic leukemia Diseases 0.000 description 3
- COVZYZSDYWQREU-UHFFFAOYSA-N Busulfan Chemical compound CS(=O)(=O)OCCCCOS(C)(=O)=O COVZYZSDYWQREU-UHFFFAOYSA-N 0.000 description 3
- 229960005532 CC-1065 Drugs 0.000 description 3
- ANUVZXQVKGYGNU-ORWMAOLLSA-N CC[C@H](C)[C@@H]([C@@H](CC(=O)N1CCC[C@H]1[C@H](OC)[C@@H](C)C(=O)C[C@@H](CC1=CC=CC=C1)C(=O)O)OC)N(C)C(=O)[C@@H](CC(=O)[C@H](C(C)C)N(C)C(C)C)C(C)C Chemical compound CC[C@H](C)[C@@H]([C@@H](CC(=O)N1CCC[C@H]1[C@H](OC)[C@@H](C)C(=O)C[C@@H](CC1=CC=CC=C1)C(=O)O)OC)N(C)C(=O)[C@@H](CC(=O)[C@H](C(C)C)N(C)C(C)C)C(C)C ANUVZXQVKGYGNU-ORWMAOLLSA-N 0.000 description 3
- 108010046080 CD27 Ligand Proteins 0.000 description 3
- GAGWJHPBXLXJQN-UORFTKCHSA-N Capecitabine Chemical compound C1=C(F)C(NC(=O)OCCCCC)=NC(=O)N1[C@H]1[C@H](O)[C@H](O)[C@@H](C)O1 GAGWJHPBXLXJQN-UORFTKCHSA-N 0.000 description 3
- KXDHJXZQYSOELW-UHFFFAOYSA-M Carbamate Chemical compound NC([O-])=O KXDHJXZQYSOELW-UHFFFAOYSA-M 0.000 description 3
- 108010047041 Complementarity Determining Regions Proteins 0.000 description 3
- 229930188224 Cryptophycin Natural products 0.000 description 3
- 108010036949 Cyclosporine Proteins 0.000 description 3
- 108010002156 Depsipeptides Proteins 0.000 description 3
- BWGNESOTFCXPMA-UHFFFAOYSA-N Dihydrogen disulfide Chemical compound SS BWGNESOTFCXPMA-UHFFFAOYSA-N 0.000 description 3
- 102000009024 Epidermal Growth Factor Human genes 0.000 description 3
- HTIJFSOGRVMCQR-UHFFFAOYSA-N Epirubicin Natural products COc1cccc2C(=O)c3c(O)c4CC(O)(CC(OC5CC(N)C(=O)C(C)O5)c4c(O)c3C(=O)c12)C(=O)CO HTIJFSOGRVMCQR-UHFFFAOYSA-N 0.000 description 3
- BDAGIHXWWSANSR-UHFFFAOYSA-N Formic acid Chemical compound OC=O BDAGIHXWWSANSR-UHFFFAOYSA-N 0.000 description 3
- IAJILQKETJEXLJ-UHFFFAOYSA-N Galacturonsaeure Natural products O=CC(O)C(O)C(O)C(O)C(O)=O IAJILQKETJEXLJ-UHFFFAOYSA-N 0.000 description 3
- 108010010803 Gelatin Proteins 0.000 description 3
- WQZGKKKJIJFFOK-GASJEMHNSA-N Glucose Natural products OC[C@H]1OC(O)[C@H](O)[C@@H](O)[C@@H]1O WQZGKKKJIJFFOK-GASJEMHNSA-N 0.000 description 3
- 241000700588 Human alphaherpesvirus 1 Species 0.000 description 3
- 241000701074 Human alphaherpesvirus 2 Species 0.000 description 3
- 102000006496 Immunoglobulin Heavy Chains Human genes 0.000 description 3
- 108010019476 Immunoglobulin Heavy Chains Proteins 0.000 description 3
- SIKJAQJRHWYJAI-UHFFFAOYSA-N Indole Chemical group C1=CC=C2NC=CC2=C1 SIKJAQJRHWYJAI-UHFFFAOYSA-N 0.000 description 3
- 108010044023 Ki-1 Antigen Proteins 0.000 description 3
- WHUUTDBJXJRKMK-VKHMYHEASA-N L-glutamic acid Chemical compound OC(=O)[C@@H](N)CCC(O)=O WHUUTDBJXJRKMK-VKHMYHEASA-N 0.000 description 3
- 208000016604 Lyme disease Diseases 0.000 description 3
- 229930126263 Maytansine Natural products 0.000 description 3
- 229930192392 Mitomycin Natural products 0.000 description 3
- 208000034578 Multiple myelomas Diseases 0.000 description 3
- 108010057150 Peplomycin Proteins 0.000 description 3
- 206010035226 Plasma cell myeloma Diseases 0.000 description 3
- DNIAPMSPPWPWGF-UHFFFAOYSA-N Propylene glycol Chemical compound CC(O)CO DNIAPMSPPWPWGF-UHFFFAOYSA-N 0.000 description 3
- WTKZEGDFNFYCGP-UHFFFAOYSA-N Pyrazole Chemical group C=1C=NNC=1 WTKZEGDFNFYCGP-UHFFFAOYSA-N 0.000 description 3
- OWPCHSCAPHNHAV-UHFFFAOYSA-N Rhizoxin Natural products C1C(O)C2(C)OC2C=CC(C)C(OC(=O)C2)CC2CC2OC2C(=O)OC1C(C)C(OC)C(C)=CC=CC(C)=CC1=COC(C)=N1 OWPCHSCAPHNHAV-UHFFFAOYSA-N 0.000 description 3
- 229920002472 Starch Polymers 0.000 description 3
- NINIDFKCEFEMDL-UHFFFAOYSA-N Sulfur Chemical compound [S] NINIDFKCEFEMDL-UHFFFAOYSA-N 0.000 description 3
- QJJXYPPXXYFBGM-LFZNUXCKSA-N Tacrolimus Chemical compound C1C[C@@H](O)[C@H](OC)C[C@@H]1\C=C(/C)[C@@H]1[C@H](C)[C@@H](O)CC(=O)[C@H](CC=C)/C=C(C)/C[C@H](C)C[C@H](OC)[C@H]([C@H](C[C@H]2C)OC)O[C@@]2(O)C(=O)C(=O)N2CCCC[C@H]2C(=O)O1 QJJXYPPXXYFBGM-LFZNUXCKSA-N 0.000 description 3
- 239000004098 Tetracycline Substances 0.000 description 3
- FOCVUCIESVLUNU-UHFFFAOYSA-N Thiotepa Chemical compound C1CN1P(N1CC1)(=S)N1CC1 FOCVUCIESVLUNU-UHFFFAOYSA-N 0.000 description 3
- 238000002835 absorbance Methods 0.000 description 3
- 229930183665 actinomycin Natural products 0.000 description 3
- RJURFGZVJUQBHK-IIXSONLDSA-N actinomycin D Chemical compound C[C@H]1OC(=O)[C@H](C(C)C)N(C)C(=O)CN(C)C(=O)[C@@H]2CCCN2C(=O)[C@@H](C(C)C)NC(=O)[C@H]1NC(=O)C1=C(N)C(=O)C(C)=C2OC(C(C)=CC=C3C(=O)N[C@@H]4C(=O)N[C@@H](C(N5CCC[C@H]5C(=O)N(C)CC(=O)N(C)[C@@H](C(C)C)C(=O)O[C@@H]4C)=O)C(C)C)=C3N=C21 RJURFGZVJUQBHK-IIXSONLDSA-N 0.000 description 3
- 238000004220 aggregation Methods 0.000 description 3
- 238000012867 alanine scanning Methods 0.000 description 3
- 150000001299 aldehydes Chemical class 0.000 description 3
- 125000003342 alkenyl group Chemical group 0.000 description 3
- 229940100198 alkylating agent Drugs 0.000 description 3
- 239000002168 alkylating agent Substances 0.000 description 3
- 125000000304 alkynyl group Chemical group 0.000 description 3
- 230000004075 alteration Effects 0.000 description 3
- 125000003277 amino group Chemical group 0.000 description 3
- 239000003708 ampul Substances 0.000 description 3
- 229940045799 anthracyclines and related substance Drugs 0.000 description 3
- 230000003432 anti-folate effect Effects 0.000 description 3
- 230000002924 anti-infective effect Effects 0.000 description 3
- 230000000259 anti-tumor effect Effects 0.000 description 3
- 229940088710 antibiotic agent Drugs 0.000 description 3
- 229940127074 antifolate Drugs 0.000 description 3
- 229940045719 antineoplastic alkylating agent nitrosoureas Drugs 0.000 description 3
- 238000013459 approach Methods 0.000 description 3
- 230000001363 autoimmune Effects 0.000 description 3
- 210000003719 b-lymphocyte Anatomy 0.000 description 3
- WPYMKLBDIGXBTP-UHFFFAOYSA-N benzoic acid Chemical compound OC(=O)C1=CC=CC=C1 WPYMKLBDIGXBTP-UHFFFAOYSA-N 0.000 description 3
- 235000019445 benzyl alcohol Nutrition 0.000 description 3
- WQZGKKKJIJFFOK-VFUOTHLCSA-N beta-D-glucose Chemical compound OC[C@H]1O[C@@H](O)[C@H](O)[C@@H](O)[C@@H]1O WQZGKKKJIJFFOK-VFUOTHLCSA-N 0.000 description 3
- 239000000872 buffer Substances 0.000 description 3
- 229960002092 busulfan Drugs 0.000 description 3
- 229910002092 carbon dioxide Inorganic materials 0.000 description 3
- 229960005243 carmustine Drugs 0.000 description 3
- 239000000969 carrier Substances 0.000 description 3
- 238000010367 cloning Methods 0.000 description 3
- 208000029742 colonic neoplasm Diseases 0.000 description 3
- 230000021615 conjugation Effects 0.000 description 3
- 230000000875 corresponding effect Effects 0.000 description 3
- XUJNEKJLAYXESH-UHFFFAOYSA-N cysteine Natural products SCC(N)C(O)=O XUJNEKJLAYXESH-UHFFFAOYSA-N 0.000 description 3
- 235000018417 cysteine Nutrition 0.000 description 3
- 239000002254 cytotoxic agent Substances 0.000 description 3
- 231100000599 cytotoxic agent Toxicity 0.000 description 3
- 229960003901 dacarbazine Drugs 0.000 description 3
- 229960000640 dactinomycin Drugs 0.000 description 3
- CYQFCXCEBYINGO-IAGOWNOFSA-N delta1-THC Chemical compound C1=C(C)CC[C@H]2C(C)(C)OC3=CC(CCCCC)=CC(O)=C3[C@@H]21 CYQFCXCEBYINGO-IAGOWNOFSA-N 0.000 description 3
- 238000011161 development Methods 0.000 description 3
- 230000018109 developmental process Effects 0.000 description 3
- VHJLVAABSRFDPM-QWWZWVQMSA-N dithiothreitol Chemical compound SC[C@@H](O)[C@H](O)CS VHJLVAABSRFDPM-QWWZWVQMSA-N 0.000 description 3
- 239000003534 dna topoisomerase inhibitor Substances 0.000 description 3
- 229960005501 duocarmycin Drugs 0.000 description 3
- 229930184221 duocarmycin Natural products 0.000 description 3
- 239000012636 effector Substances 0.000 description 3
- XOPYFXBZMVTEJF-PDACKIITSA-N eleutherobin Chemical compound C(/[C@H]1[C@H](C(=CC[C@@H]1C(C)C)C)C[C@@H]([C@@]1(C)O[C@@]2(C=C1)OC)OC(=O)\C=C\C=1N=CN(C)C=1)=C2\CO[C@@H]1OC[C@@H](O)[C@@H](O)[C@@H]1OC(C)=O XOPYFXBZMVTEJF-PDACKIITSA-N 0.000 description 3
- XOPYFXBZMVTEJF-UHFFFAOYSA-N eleutherobin Natural products C1=CC2(OC)OC1(C)C(OC(=O)C=CC=1N=CN(C)C=1)CC(C(=CCC1C(C)C)C)C1C=C2COC1OCC(O)C(O)C1OC(C)=O XOPYFXBZMVTEJF-UHFFFAOYSA-N 0.000 description 3
- 230000008030 elimination Effects 0.000 description 3
- 229960001904 epirubicin Drugs 0.000 description 3
- HESCAJZNRMSMJG-KKQRBIROSA-N epothilone A Chemical compound C/C([C@@H]1C[C@@H]2O[C@@H]2CCC[C@@H]([C@@H]([C@@H](C)C(=O)C(C)(C)[C@@H](O)CC(=O)O1)O)C)=C\C1=CSC(C)=N1 HESCAJZNRMSMJG-KKQRBIROSA-N 0.000 description 3
- 229960005420 etoposide Drugs 0.000 description 3
- 239000000284 extract Substances 0.000 description 3
- 229960000961 floxuridine Drugs 0.000 description 3
- 229960000390 fludarabine Drugs 0.000 description 3
- GIUYCYHIANZCFB-FJFJXFQQSA-N fludarabine phosphate Chemical compound C1=NC=2C(N)=NC(F)=NC=2N1[C@@H]1O[C@H](COP(O)(O)=O)[C@@H](O)[C@@H]1O GIUYCYHIANZCFB-FJFJXFQQSA-N 0.000 description 3
- 239000004052 folic acid antagonist Substances 0.000 description 3
- 235000003599 food sweetener Nutrition 0.000 description 3
- 239000008273 gelatin Substances 0.000 description 3
- 229920000159 gelatin Polymers 0.000 description 3
- 235000019322 gelatine Nutrition 0.000 description 3
- 235000011852 gelatine desserts Nutrition 0.000 description 3
- 208000005017 glioblastoma Diseases 0.000 description 3
- 235000011187 glycerol Nutrition 0.000 description 3
- 230000012010 growth Effects 0.000 description 3
- 125000005843 halogen group Chemical group 0.000 description 3
- 208000014829 head and neck neoplasm Diseases 0.000 description 3
- 208000006454 hepatitis Diseases 0.000 description 3
- 125000001072 heteroaryl group Chemical group 0.000 description 3
- 150000002430 hydrocarbons Chemical class 0.000 description 3
- 230000002209 hydrophobic effect Effects 0.000 description 3
- 125000002887 hydroxy group Chemical group [H]O* 0.000 description 3
- 230000001900 immune effect Effects 0.000 description 3
- 230000028993 immune response Effects 0.000 description 3
- 201000006747 infectious mononucleosis Diseases 0.000 description 3
- 238000007914 intraventricular administration Methods 0.000 description 3
- 125000000959 isobutyl group Chemical group [H]C([H])([H])C([H])(C([H])([H])[H])C([H])([H])* 0.000 description 3
- 125000002183 isoquinolinyl group Chemical group C1(=NC=CC2=CC=CC=C12)* 0.000 description 3
- 125000000842 isoxazolyl group Chemical group 0.000 description 3
- 230000002147 killing effect Effects 0.000 description 3
- 229960002247 lomustine Drugs 0.000 description 3
- 210000004072 lung Anatomy 0.000 description 3
- 230000002132 lysosomal effect Effects 0.000 description 3
- WKPWGQKGSOKKOO-RSFHAFMBSA-N maytansine Chemical compound CO[C@@H]([C@@]1(O)C[C@](OC(=O)N1)([C@H]([C@@H]1O[C@@]1(C)[C@@H](OC(=O)[C@H](C)N(C)C(C)=O)CC(=O)N1C)C)[H])\C=C\C=C(C)\CC2=CC(OC)=C(Cl)C1=C2 WKPWGQKGSOKKOO-RSFHAFMBSA-N 0.000 description 3
- HAWPXGHAZFHHAD-UHFFFAOYSA-N mechlorethamine Chemical compound ClCCN(C)CCCl HAWPXGHAZFHHAD-UHFFFAOYSA-N 0.000 description 3
- 229960004961 mechlorethamine Drugs 0.000 description 3
- SGDBTWWWUNNDEQ-LBPRGKRZSA-N melphalan Chemical compound OC(=O)[C@@H](N)CC1=CC=C(N(CCCl)CCCl)C=C1 SGDBTWWWUNNDEQ-LBPRGKRZSA-N 0.000 description 3
- 229960001924 melphalan Drugs 0.000 description 3
- 210000004379 membrane Anatomy 0.000 description 3
- 239000012528 membrane Substances 0.000 description 3
- DMGQNZOORDYDEZ-LELKPENRSA-N methyl (2s,3s,4s,5r,6s)-3,4,5-triacetyloxy-6-[2-[3-(9h-fluoren-9-ylmethoxycarbonylamino)propanoylamino]-4-[(4-nitrophenoxy)carbonyloxymethyl]phenoxy]oxane-2-carboxylate Chemical compound CC(=O)O[C@@H]1[C@@H](OC(C)=O)[C@H](OC(C)=O)[C@@H](C(=O)OC)O[C@H]1OC(C(=C1)NC(=O)CCNC(=O)OCC2C3=CC=CC=C3C3=CC=CC=C32)=CC=C1COC(=O)OC1=CC=C([N+]([O-])=O)C=C1 DMGQNZOORDYDEZ-LELKPENRSA-N 0.000 description 3
- OSWPMRLSEDHDFF-UHFFFAOYSA-N methyl salicylate Chemical compound COC(=O)C1=CC=CC=C1O OSWPMRLSEDHDFF-UHFFFAOYSA-N 0.000 description 3
- 125000000740 n-pentyl group Chemical group [H]C([H])([H])C([H])([H])C([H])([H])C([H])([H])C([H])([H])* 0.000 description 3
- 108020004707 nucleic acids Proteins 0.000 description 3
- 102000039446 nucleic acids Human genes 0.000 description 3
- 229960001756 oxaliplatin Drugs 0.000 description 3
- DWAFYCQODLXJNR-BNTLRKBRSA-L oxaliplatin Chemical compound O1C(=O)C(=O)O[Pt]11N[C@@H]2CCCC[C@H]2N1 DWAFYCQODLXJNR-BNTLRKBRSA-L 0.000 description 3
- 239000001301 oxygen Substances 0.000 description 3
- 208000008443 pancreatic carcinoma Diseases 0.000 description 3
- WBXPDJSOTKVWSJ-ZDUSSCGKSA-N pemetrexed Chemical compound C=1NC=2NC(N)=NC(=O)C=2C=1CCC1=CC=C(C(=O)N[C@@H](CCC(O)=O)C(O)=O)C=C1 WBXPDJSOTKVWSJ-ZDUSSCGKSA-N 0.000 description 3
- 125000001484 phenothiazinyl group Chemical group C1(=CC=CC=2SC3=CC=CC=C3NC12)* 0.000 description 3
- 239000006187 pill Substances 0.000 description 3
- 150000003057 platinum Chemical class 0.000 description 3
- 230000003389 potentiating effect Effects 0.000 description 3
- 229960004618 prednisone Drugs 0.000 description 3
- XOFYZVNMUHMLCC-ZPOLXVRWSA-N prednisone Chemical compound O=C1C=C[C@]2(C)[C@H]3C(=O)C[C@](C)([C@@](CC4)(O)C(=O)CO)[C@@H]4[C@@H]3CCC2=C1 XOFYZVNMUHMLCC-ZPOLXVRWSA-N 0.000 description 3
- 239000003755 preservative agent Substances 0.000 description 3
- 230000002265 prevention Effects 0.000 description 3
- 210000002307 prostate Anatomy 0.000 description 3
- 230000002685 pulmonary effect Effects 0.000 description 3
- 150000003214 pyranose derivatives Chemical class 0.000 description 3
- 125000003373 pyrazinyl group Chemical group 0.000 description 3
- 150000003230 pyrimidines Chemical class 0.000 description 3
- 125000002943 quinolinyl group Chemical group N1=C(C=CC2=CC=CC=C12)* 0.000 description 3
- UOWVMDUEMSNCAV-WYENRQIDSA-N rachelmycin Chemical compound C1([C@]23C[C@@H]2CN1C(=O)C=1NC=2C(OC)=C(O)C4=C(C=2C=1)CCN4C(=O)C1=CC=2C=4CCN(C=4C(O)=C(C=2N1)OC)C(N)=O)=CC(=O)C1=C3C(C)=CN1 UOWVMDUEMSNCAV-WYENRQIDSA-N 0.000 description 3
- ZAHRKKWIAAJSAO-UHFFFAOYSA-N rapamycin Natural products COCC(O)C(=C/C(C)C(=O)CC(OC(=O)C1CCCCN1C(=O)C(=O)C2(O)OC(CC(OC)C(=CC=CC=CC(C)CC(C)C(=O)C)C)CCC2C)C(C)CC3CCC(O)C(C3)OC)C ZAHRKKWIAAJSAO-UHFFFAOYSA-N 0.000 description 3
- 230000009257 reactivity Effects 0.000 description 3
- 206010039073 rheumatoid arthritis Diseases 0.000 description 3
- OWPCHSCAPHNHAV-LMONGJCWSA-N rhizoxin Chemical compound C/C([C@H](OC)[C@@H](C)[C@@H]1C[C@H](O)[C@]2(C)O[C@@H]2/C=C/[C@@H](C)[C@]2([H])OC(=O)C[C@@](C2)(C[C@@H]2O[C@H]2C(=O)O1)[H])=C\C=C\C(\C)=C\C1=COC(C)=N1 OWPCHSCAPHNHAV-LMONGJCWSA-N 0.000 description 3
- 238000012163 sequencing technique Methods 0.000 description 3
- 239000000741 silica gel Substances 0.000 description 3
- 229910002027 silica gel Inorganic materials 0.000 description 3
- 229960002930 sirolimus Drugs 0.000 description 3
- QFJCIRLUMZQUOT-HPLJOQBZSA-N sirolimus Chemical compound C1C[C@@H](O)[C@H](OC)C[C@@H]1C[C@@H](C)[C@H]1OC(=O)[C@@H]2CCCCN2C(=O)C(=O)[C@](O)(O2)[C@H](C)CC[C@H]2C[C@H](OC)/C(C)=C/C=C/C=C/[C@@H](C)C[C@@H](C)C(=O)[C@H](OC)[C@H](O)/C(C)=C/[C@@H](C)C(=O)C1 QFJCIRLUMZQUOT-HPLJOQBZSA-N 0.000 description 3
- 235000019698 starch Nutrition 0.000 description 3
- 239000008107 starch Substances 0.000 description 3
- 229960001052 streptozocin Drugs 0.000 description 3
- ZSJLQEPLLKMAKR-GKHCUFPYSA-N streptozocin Chemical compound O=NN(C)C(=O)N[C@H]1[C@@H](O)O[C@H](CO)[C@@H](O)[C@@H]1O ZSJLQEPLLKMAKR-GKHCUFPYSA-N 0.000 description 3
- KZNICNPSHKQLFF-UHFFFAOYSA-N succinimide Chemical class O=C1CCC(=O)N1 KZNICNPSHKQLFF-UHFFFAOYSA-N 0.000 description 3
- 239000011593 sulfur Substances 0.000 description 3
- 239000000829 suppository Substances 0.000 description 3
- 230000004083 survival effect Effects 0.000 description 3
- 239000003765 sweetening agent Substances 0.000 description 3
- 239000006188 syrup Substances 0.000 description 3
- 235000020357 syrup Nutrition 0.000 description 3
- 229960001967 tacrolimus Drugs 0.000 description 3
- QJJXYPPXXYFBGM-SHYZHZOCSA-N tacrolimus Natural products CO[C@H]1C[C@H](CC[C@@H]1O)C=C(C)[C@H]2OC(=O)[C@H]3CCCCN3C(=O)C(=O)[C@@]4(O)O[C@@H]([C@H](C[C@H]4C)OC)[C@@H](C[C@H](C)CC(=C[C@@H](CC=C)C(=O)C[C@H](O)[C@H]2C)C)OC QJJXYPPXXYFBGM-SHYZHZOCSA-N 0.000 description 3
- 230000008685 targeting Effects 0.000 description 3
- 235000019364 tetracycline Nutrition 0.000 description 3
- 150000003522 tetracyclines Chemical class 0.000 description 3
- 125000001544 thienyl group Chemical group 0.000 description 3
- 150000003573 thiols Chemical class 0.000 description 3
- 229960001196 thiotepa Drugs 0.000 description 3
- 231100000331 toxic Toxicity 0.000 description 3
- 230000002588 toxic effect Effects 0.000 description 3
- 238000011830 transgenic mouse model Methods 0.000 description 3
- 229960001099 trimetrexate Drugs 0.000 description 3
- NOYPYLRCIDNJJB-UHFFFAOYSA-N trimetrexate Chemical compound COC1=C(OC)C(OC)=CC(NCC=2C(=C3C(N)=NC(N)=NC3=CC=2)C)=C1 NOYPYLRCIDNJJB-UHFFFAOYSA-N 0.000 description 3
- 241000712461 unidentified influenza virus Species 0.000 description 3
- HBOMLICNUCNMMY-XLPZGREQSA-N zidovudine Chemical compound O=C1NC(=O)C(C)=CN1[C@@H]1O[C@H](CO)[C@@H](N=[N+]=[N-])C1 HBOMLICNUCNMMY-XLPZGREQSA-N 0.000 description 3
- 229960002555 zidovudine Drugs 0.000 description 3
- AADVCYNFEREWOS-UHFFFAOYSA-N (+)-DDM Natural products C=CC=CC(C)C(OC(N)=O)C(C)C(O)C(C)CC(C)=CC(C)C(O)C(C)C=CC(O)CC1OC(=O)C(C)C(O)C1C AADVCYNFEREWOS-UHFFFAOYSA-N 0.000 description 2
- BMKDZUISNHGIBY-ZETCQYMHSA-N (+)-dexrazoxane Chemical compound C([C@H](C)N1CC(=O)NC(=O)C1)N1CC(=O)NC(=O)C1 BMKDZUISNHGIBY-ZETCQYMHSA-N 0.000 description 2
- XSAKVDNHFRWJKS-IIZANFQQSA-N (2s)-n-benzyl-1-[(2s)-1-[(2s)-2-[[(2s)-2-[[(2s)-2-(dimethylamino)-3-methylbutanoyl]amino]-3-methylbutanoyl]-methylamino]-3-methylbutanoyl]pyrrolidine-2-carbonyl]pyrrolidine-2-carboxamide Chemical compound CC(C)[C@H](N(C)C)C(=O)N[C@@H](C(C)C)C(=O)N(C)[C@@H](C(C)C)C(=O)N1CCC[C@H]1C(=O)N1[C@H](C(=O)NCC=2C=CC=CC=2)CCC1 XSAKVDNHFRWJKS-IIZANFQQSA-N 0.000 description 2
- INAUWOVKEZHHDM-PEDBPRJASA-N (7s,9s)-6,9,11-trihydroxy-9-(2-hydroxyacetyl)-7-[(2r,4s,5s,6s)-5-hydroxy-6-methyl-4-morpholin-4-yloxan-2-yl]oxy-4-methoxy-8,10-dihydro-7h-tetracene-5,12-dione;hydrochloride Chemical compound Cl.N1([C@H]2C[C@@H](O[C@@H](C)[C@H]2O)O[C@H]2C[C@@](O)(CC=3C(O)=C4C(=O)C=5C=CC=C(C=5C(=O)C4=C(O)C=32)OC)C(=O)CO)CCOCC1 INAUWOVKEZHHDM-PEDBPRJASA-N 0.000 description 2
- FPVKHBSQESCIEP-UHFFFAOYSA-N (8S)-3-(2-deoxy-beta-D-erythro-pentofuranosyl)-3,6,7,8-tetrahydroimidazo[4,5-d][1,3]diazepin-8-ol Natural products C1C(O)C(CO)OC1N1C(NC=NCC2O)=C2N=C1 FPVKHBSQESCIEP-UHFFFAOYSA-N 0.000 description 2
- 125000003088 (fluoren-9-ylmethoxy)carbonyl group Chemical group 0.000 description 2
- SWQQELWGJDXCFT-PNHWDRBUSA-N 1-[(2r,3r,4s,5r)-3,4-dihydroxy-5-(hydroxymethyl)oxolan-2-yl]-5-ethynylimidazole-4-carboxamide Chemical compound C#CC1=C(C(=O)N)N=CN1[C@H]1[C@H](O)[C@H](O)[C@@H](CO)O1 SWQQELWGJDXCFT-PNHWDRBUSA-N 0.000 description 2
- FCEHBMOGCRZNNI-UHFFFAOYSA-N 1-benzothiophene Chemical compound C1=CC=C2SC=CC2=C1 FCEHBMOGCRZNNI-UHFFFAOYSA-N 0.000 description 2
- UHDGCWIWMRVCDJ-UHFFFAOYSA-N 1-beta-D-Xylofuranosyl-NH-Cytosine Natural products O=C1N=C(N)C=CN1C1C(O)C(O)C(CO)O1 UHDGCWIWMRVCDJ-UHFFFAOYSA-N 0.000 description 2
- VSNHCAURESNICA-NJFSPNSNSA-N 1-oxidanylurea Chemical compound N[14C](=O)NO VSNHCAURESNICA-NJFSPNSNSA-N 0.000 description 2
- BTOTXLJHDSNXMW-POYBYMJQSA-N 2,3-dideoxyuridine Chemical compound O1[C@H](CO)CC[C@@H]1N1C(=O)NC(=O)C=C1 BTOTXLJHDSNXMW-POYBYMJQSA-N 0.000 description 2
- SGTNSNPWRIOYBX-UHFFFAOYSA-N 2-(3,4-dimethoxyphenyl)-5-{[2-(3,4-dimethoxyphenyl)ethyl](methyl)amino}-2-(propan-2-yl)pentanenitrile Chemical compound C1=C(OC)C(OC)=CC=C1CCN(C)CCCC(C#N)(C(C)C)C1=CC=C(OC)C(OC)=C1 SGTNSNPWRIOYBX-UHFFFAOYSA-N 0.000 description 2
- HZAXFHJVJLSVMW-UHFFFAOYSA-N 2-Aminoethan-1-ol Chemical compound NCCO HZAXFHJVJLSVMW-UHFFFAOYSA-N 0.000 description 2
- NGNBDVOYPDDBFK-UHFFFAOYSA-N 2-[2,4-di(pentan-2-yl)phenoxy]acetyl chloride Chemical compound CCCC(C)C1=CC=C(OCC(Cl)=O)C(C(C)CCC)=C1 NGNBDVOYPDDBFK-UHFFFAOYSA-N 0.000 description 2
- 125000004398 2-methyl-2-butyl group Chemical group CC(C)(CC)* 0.000 description 2
- 125000004918 2-methyl-2-pentyl group Chemical group CC(C)(CCC)* 0.000 description 2
- 125000004922 2-methyl-3-pentyl group Chemical group CC(C)C(CC)* 0.000 description 2
- 125000001494 2-propynyl group Chemical group [H]C#CC([H])([H])* 0.000 description 2
- YIMDLWDNDGKDTJ-QLKYHASDSA-N 3'-deamino-3'-(3-cyanomorpholin-4-yl)doxorubicin Chemical compound N1([C@H]2C[C@@H](O[C@@H](C)[C@H]2O)O[C@H]2C[C@@](O)(CC=3C(O)=C4C(=O)C=5C=CC=C(C=5C(=O)C4=C(O)C=32)OC)C(=O)CO)CCOCC1C#N YIMDLWDNDGKDTJ-QLKYHASDSA-N 0.000 description 2
- 125000004917 3-methyl-2-butyl group Chemical group CC(C(C)*)C 0.000 description 2
- 125000004919 3-methyl-2-pentyl group Chemical group CC(C(C)*)CC 0.000 description 2
- 125000004921 3-methyl-3-pentyl group Chemical group CC(CC)(CC)* 0.000 description 2
- WGBBKMOBGARXLF-UHFFFAOYSA-N 4-[tert-butyl(diphenyl)silyl]oxybutan-1-ol Chemical compound C=1C=CC=CC=1[Si](OCCCCO)(C(C)(C)C)C1=CC=CC=C1 WGBBKMOBGARXLF-UHFFFAOYSA-N 0.000 description 2
- 125000004920 4-methyl-2-pentyl group Chemical group CC(CC(C)*)C 0.000 description 2
- 102100030310 5,6-dihydroxyindole-2-carboxylic acid oxidase Human genes 0.000 description 2
- IDPUKCWIGUEADI-UHFFFAOYSA-N 5-[bis(2-chloroethyl)amino]uracil Chemical compound ClCCN(CCCl)C1=CNC(=O)NC1=O IDPUKCWIGUEADI-UHFFFAOYSA-N 0.000 description 2
- NMUSYJAQQFHJEW-KVTDHHQDSA-N 5-azacytidine Chemical compound O=C1N=C(N)N=CN1[C@H]1[C@H](O)[C@H](O)[C@@H](CO)O1 NMUSYJAQQFHJEW-KVTDHHQDSA-N 0.000 description 2
- KDCGOANMDULRCW-UHFFFAOYSA-N 7H-purine Chemical compound N1=CNC2=NC=NC2=C1 KDCGOANMDULRCW-UHFFFAOYSA-N 0.000 description 2
- UJOBWOGCFQCDNV-UHFFFAOYSA-N 9H-carbazole Chemical compound C1=CC=C2C3=CC=CC=C3NC2=C1 UJOBWOGCFQCDNV-UHFFFAOYSA-N 0.000 description 2
- 208000030507 AIDS Diseases 0.000 description 2
- 206010000830 Acute leukaemia Diseases 0.000 description 2
- 208000036762 Acute promyelocytic leukaemia Diseases 0.000 description 2
- 206010001257 Adenoviral conjunctivitis Diseases 0.000 description 2
- GUBGYTABKSRVRQ-XLOQQCSPSA-N Alpha-Lactose Chemical compound O[C@@H]1[C@@H](O)[C@@H](O)[C@@H](CO)O[C@H]1O[C@@H]1[C@@H](CO)O[C@H](O)[C@H](O)[C@H]1O GUBGYTABKSRVRQ-XLOQQCSPSA-N 0.000 description 2
- 208000035939 Alveolitis allergic Diseases 0.000 description 2
- 206010001935 American trypanosomiasis Diseases 0.000 description 2
- 102000015790 Asparaginase Human genes 0.000 description 2
- 201000002909 Aspergillosis Diseases 0.000 description 2
- 208000036641 Aspergillus infections Diseases 0.000 description 2
- 102100038080 B-cell receptor CD22 Human genes 0.000 description 2
- 208000008439 Biliary Liver Cirrhosis Diseases 0.000 description 2
- 208000033222 Biliary cirrhosis primary Diseases 0.000 description 2
- 241000589968 Borrelia Species 0.000 description 2
- 101150013553 CD40 gene Proteins 0.000 description 2
- 108010065524 CD52 Antigen Proteins 0.000 description 2
- 102000013135 CD52 Antigen Human genes 0.000 description 2
- GAGWJHPBXLXJQN-UHFFFAOYSA-N Capecitabine Natural products C1=C(F)C(NC(=O)OCCCCC)=NC(=O)N1C1C(O)C(O)C(C)O1 GAGWJHPBXLXJQN-UHFFFAOYSA-N 0.000 description 2
- 239000004215 Carbon black (E152) Substances 0.000 description 2
- 208000024699 Chagas disease Diseases 0.000 description 2
- 241000606161 Chlamydia Species 0.000 description 2
- JWBOIMRXGHLCPP-UHFFFAOYSA-N Chloditan Chemical compound C=1C=CC=C(Cl)C=1C(C(Cl)Cl)C1=CC=C(Cl)C=C1 JWBOIMRXGHLCPP-UHFFFAOYSA-N 0.000 description 2
- KRKNYBCHXYNGOX-UHFFFAOYSA-K Citrate Chemical compound [O-]C(=O)CC(O)(CC([O-])=O)C([O-])=O KRKNYBCHXYNGOX-UHFFFAOYSA-K 0.000 description 2
- 206010010741 Conjunctivitis Diseases 0.000 description 2
- 102100021906 Cyclin-O Human genes 0.000 description 2
- 229920000858 Cyclodextrin Polymers 0.000 description 2
- PMATZTZNYRCHOR-CGLBZJNRSA-N Cyclosporin A Chemical compound CC[C@@H]1NC(=O)[C@H]([C@H](O)[C@H](C)C\C=C\C)N(C)C(=O)[C@H](C(C)C)N(C)C(=O)[C@H](CC(C)C)N(C)C(=O)[C@H](CC(C)C)N(C)C(=O)[C@@H](C)NC(=O)[C@H](C)NC(=O)[C@H](CC(C)C)N(C)C(=O)[C@H](C(C)C)NC(=O)[C@H](CC(C)C)N(C)C(=O)CN(C)C1=O PMATZTZNYRCHOR-CGLBZJNRSA-N 0.000 description 2
- 201000003808 Cystic echinococcosis Diseases 0.000 description 2
- UHDGCWIWMRVCDJ-PSQAKQOGSA-N Cytidine Natural products O=C1N=C(N)C=CN1[C@@H]1[C@@H](O)[C@@H](O)[C@H](CO)O1 UHDGCWIWMRVCDJ-PSQAKQOGSA-N 0.000 description 2
- 241000701022 Cytomegalovirus Species 0.000 description 2
- 102100039498 Cytotoxic T-lymphocyte protein 4 Human genes 0.000 description 2
- AEMOLEFTQBMNLQ-AQKNRBDQSA-N D-glucopyranuronic acid Chemical compound OC1O[C@H](C(O)=O)[C@@H](O)[C@H](O)[C@H]1O AEMOLEFTQBMNLQ-AQKNRBDQSA-N 0.000 description 2
- SRBFZHDQGSBBOR-IOVATXLUSA-N D-xylopyranose Chemical compound O[C@@H]1COC(O)[C@H](O)[C@H]1O SRBFZHDQGSBBOR-IOVATXLUSA-N 0.000 description 2
- 239000012626 DNA minor groove binder Substances 0.000 description 2
- UBJVUCKUDDKUJF-UHFFFAOYSA-N Diallyl sulfide Chemical compound C=CCSCC=C UBJVUCKUDDKUJF-UHFFFAOYSA-N 0.000 description 2
- AADVCYNFEREWOS-OBRABYBLSA-N Discodermolide Chemical compound C=C\C=C/[C@H](C)[C@H](OC(N)=O)[C@@H](C)[C@H](O)[C@@H](C)C\C(C)=C/[C@H](C)[C@@H](O)[C@@H](C)\C=C/[C@@H](O)C[C@@H]1OC(=O)[C@H](C)[C@@H](O)[C@H]1C AADVCYNFEREWOS-OBRABYBLSA-N 0.000 description 2
- 206010061818 Disease progression Diseases 0.000 description 2
- LQKSHSFQQRCAFW-UHFFFAOYSA-N Dolastatin 15 Natural products COC1=CC(=O)N(C(=O)C(OC(=O)C2N(CCC2)C(=O)C2N(CCC2)C(=O)C(C(C)C)N(C)C(=O)C(NC(=O)C(C(C)C)N(C)C)C(C)C)C(C)C)C1CC1=CC=CC=C1 LQKSHSFQQRCAFW-UHFFFAOYSA-N 0.000 description 2
- DYEFUKCXAQOFHX-UHFFFAOYSA-N Ebselen Chemical compound [se]1C2=CC=CC=C2C(=O)N1C1=CC=CC=C1 DYEFUKCXAQOFHX-UHFFFAOYSA-N 0.000 description 2
- 206010014096 Echinococciasis Diseases 0.000 description 2
- 208000009366 Echinococcosis Diseases 0.000 description 2
- 101800003838 Epidermal growth factor Proteins 0.000 description 2
- QXRSDHAAWVKZLJ-OXZHEXMSSA-N Epothilone B Natural products O=C1[C@H](C)[C@H](O)[C@@H](C)CCC[C@@]2(C)O[C@H]2C[C@@H](/C(=C\c2nc(C)sc2)/C)OC(=O)C[C@H](O)C1(C)C QXRSDHAAWVKZLJ-OXZHEXMSSA-N 0.000 description 2
- 241000283073 Equus caballus Species 0.000 description 2
- ULGZDMOVFRHVEP-RWJQBGPGSA-N Erythromycin Chemical compound O([C@@H]1[C@@H](C)C(=O)O[C@@H]([C@@]([C@H](O)[C@@H](C)C(=O)[C@H](C)C[C@@](C)(O)[C@H](O[C@H]2[C@@H]([C@H](C[C@@H](C)O2)N(C)C)O)[C@H]1C)(C)O)CC)[C@H]1C[C@@](C)(OC)[C@@H](O)[C@H](C)O1 ULGZDMOVFRHVEP-RWJQBGPGSA-N 0.000 description 2
- LYCAIKOWRPUZTN-UHFFFAOYSA-N Ethylene glycol Chemical compound OCCO LYCAIKOWRPUZTN-UHFFFAOYSA-N 0.000 description 2
- 108010087819 Fc receptors Proteins 0.000 description 2
- 102000009109 Fc receptors Human genes 0.000 description 2
- 201000008808 Fibrosarcoma Diseases 0.000 description 2
- 102100039717 G antigen 1 Human genes 0.000 description 2
- 208000005577 Gastroenteritis Diseases 0.000 description 2
- 208000007465 Giant cell arteritis Diseases 0.000 description 2
- 102000016354 Glucuronosyltransferase Human genes 0.000 description 2
- 108010092364 Glucuronosyltransferase Proteins 0.000 description 2
- 102100041003 Glutamate carboxypeptidase 2 Human genes 0.000 description 2
- DHMQDGOQFOQNFH-UHFFFAOYSA-N Glycine Natural products NCC(O)=O DHMQDGOQFOQNFH-UHFFFAOYSA-N 0.000 description 2
- 208000024869 Goodpasture syndrome Diseases 0.000 description 2
- BLCLNMBMMGCOAS-URPVMXJPSA-N Goserelin Chemical compound C([C@@H](C(=O)N[C@H](COC(C)(C)C)C(=O)N[C@@H](CC(C)C)C(=O)N[C@@H](CCCN=C(N)N)C(=O)N1[C@@H](CCC1)C(=O)NNC(N)=O)NC(=O)[C@H](CO)NC(=O)[C@H](CC=1C2=CC=CC=C2NC=1)NC(=O)[C@H](CC=1NC=NC=1)NC(=O)[C@H]1NC(=O)CC1)C1=CC=C(O)C=C1 BLCLNMBMMGCOAS-URPVMXJPSA-N 0.000 description 2
- 108010069236 Goserelin Proteins 0.000 description 2
- 206010072579 Granulomatosis with polyangiitis Diseases 0.000 description 2
- 208000031886 HIV Infections Diseases 0.000 description 2
- 208000037357 HIV infectious disease Diseases 0.000 description 2
- 208000030836 Hashimoto thyroiditis Diseases 0.000 description 2
- 241000700721 Hepatitis B virus Species 0.000 description 2
- 208000017604 Hodgkin disease Diseases 0.000 description 2
- 208000010747 Hodgkins lymphoma Diseases 0.000 description 2
- 101000884305 Homo sapiens B-cell receptor CD22 Proteins 0.000 description 2
- 101000897441 Homo sapiens Cyclin-O Proteins 0.000 description 2
- 101000886137 Homo sapiens G antigen 1 Proteins 0.000 description 2
- 101000892862 Homo sapiens Glutamate carboxypeptidase 2 Proteins 0.000 description 2
- 101000578784 Homo sapiens Melanoma antigen recognized by T-cells 1 Proteins 0.000 description 2
- 101001012157 Homo sapiens Receptor tyrosine-protein kinase erbB-2 Proteins 0.000 description 2
- 101000716102 Homo sapiens T-cell surface glycoprotein CD4 Proteins 0.000 description 2
- 101000610605 Homo sapiens Tumor necrosis factor receptor superfamily member 10A Proteins 0.000 description 2
- 101000851370 Homo sapiens Tumor necrosis factor receptor superfamily member 9 Proteins 0.000 description 2
- VSNHCAURESNICA-UHFFFAOYSA-N Hydroxyurea Chemical compound NC(=O)NO VSNHCAURESNICA-UHFFFAOYSA-N 0.000 description 2
- 102000013463 Immunoglobulin Light Chains Human genes 0.000 description 2
- 108010065825 Immunoglobulin Light Chains Proteins 0.000 description 2
- KFZMGEQAYNKOFK-UHFFFAOYSA-N Isopropanol Chemical compound CC(C)O KFZMGEQAYNKOFK-UHFFFAOYSA-N 0.000 description 2
- 241000588748 Klebsiella Species 0.000 description 2
- AYFVYJQAPQTCCC-GBXIJSLDSA-N L-threonine Chemical compound C[C@@H](O)[C@H](N)C(O)=O AYFVYJQAPQTCCC-GBXIJSLDSA-N 0.000 description 2
- GUBGYTABKSRVRQ-QKKXKWKRSA-N Lactose Natural products OC[C@H]1O[C@@H](O[C@H]2[C@H](O)[C@@H](O)C(O)O[C@@H]2CO)[C@H](O)[C@@H](O)[C@H]1O GUBGYTABKSRVRQ-QKKXKWKRSA-N 0.000 description 2
- 201000010743 Lambert-Eaton myasthenic syndrome Diseases 0.000 description 2
- 206010058467 Lung neoplasm malignant Diseases 0.000 description 2
- 208000031422 Lymphocytic Chronic B-Cell Leukemia Diseases 0.000 description 2
- KDXKERNSBIXSRK-UHFFFAOYSA-N Lysine Natural products NCCCCC(N)C(O)=O KDXKERNSBIXSRK-UHFFFAOYSA-N 0.000 description 2
- 201000005505 Measles Diseases 0.000 description 2
- 102100028389 Melanoma antigen recognized by T-cells 1 Human genes 0.000 description 2
- 201000009906 Meningitis Diseases 0.000 description 2
- 244000246386 Mentha pulegium Species 0.000 description 2
- 235000016257 Mentha pulegium Nutrition 0.000 description 2
- 235000004357 Mentha x piperita Nutrition 0.000 description 2
- 206010027476 Metastases Diseases 0.000 description 2
- YNAVUWVOSKDBBP-UHFFFAOYSA-N Morpholine Chemical group C1COCCN1 YNAVUWVOSKDBBP-UHFFFAOYSA-N 0.000 description 2
- 108010063954 Mucins Proteins 0.000 description 2
- 102000015728 Mucins Human genes 0.000 description 2
- 208000005647 Mumps Diseases 0.000 description 2
- 241000699666 Mus <mouse, genus> Species 0.000 description 2
- 208000033776 Myeloid Acute Leukemia Diseases 0.000 description 2
- UBQYURCVBFRUQT-UHFFFAOYSA-N N-benzoyl-Ferrioxamine B Chemical compound CC(=O)N(O)CCCCCNC(=O)CCC(=O)N(O)CCCCCNC(=O)CCC(=O)N(O)CCCCCN UBQYURCVBFRUQT-UHFFFAOYSA-N 0.000 description 2
- 238000005481 NMR spectroscopy Methods 0.000 description 2
- UFWIBTONFRDIAS-UHFFFAOYSA-N Naphthalene Chemical class C1=CC=CC2=CC=CC=C21 UFWIBTONFRDIAS-UHFFFAOYSA-N 0.000 description 2
- 108010006232 Neuraminidase Proteins 0.000 description 2
- 102000005348 Neuraminidase Human genes 0.000 description 2
- 101100498071 Neurospora crassa (strain ATCC 24698 / 74-OR23-1A / CBS 708.71 / DSM 1257 / FGSC 987) cys-17 gene Proteins 0.000 description 2
- 230000004989 O-glycosylation Effects 0.000 description 2
- IPWWJFHENOAHQB-WKPASLBNSA-N O=C=O.[H]C1O[C@@H](OC2=CC=C(COC([2H])=O)C=C2NC(=O)CCNC(=O)CCCCCN2C(=O)CC(C)C2=O)[C@H](O)[C@@H](O)[C@@H]1O Chemical compound O=C=O.[H]C1O[C@@H](OC2=CC=C(COC([2H])=O)C=C2NC(=O)CCNC(=O)CCCCCN2C(=O)CC(C)C2=O)[C@H](O)[C@@H](O)[C@@H]1O IPWWJFHENOAHQB-WKPASLBNSA-N 0.000 description 2
- 206010061535 Ovarian neoplasm Diseases 0.000 description 2
- WYNCHZVNFNFDNH-UHFFFAOYSA-N Oxazolidine Chemical compound C1COCN1 WYNCHZVNFNFDNH-UHFFFAOYSA-N 0.000 description 2
- 206010061902 Pancreatic neoplasm Diseases 0.000 description 2
- JGSARLDLIJGVTE-MBNYWOFBSA-N Penicillin G Chemical compound N([C@H]1[C@H]2SC([C@@H](N2C1=O)C(O)=O)(C)C)C(=O)CC1=CC=CC=C1 JGSARLDLIJGVTE-MBNYWOFBSA-N 0.000 description 2
- GLUUGHFHXGJENI-UHFFFAOYSA-N Piperazine Chemical group C1CNCCN1 GLUUGHFHXGJENI-UHFFFAOYSA-N 0.000 description 2
- KMSKQZKKOZQFFG-HSUXVGOQSA-N Pirarubicin Chemical compound O([C@H]1[C@@H](N)C[C@@H](O[C@H]1C)O[C@H]1C[C@@](O)(CC=2C(O)=C3C(=O)C=4C=CC=C(C=4C(=O)C3=C(O)C=21)OC)C(=O)CO)[C@H]1CCCCO1 KMSKQZKKOZQFFG-HSUXVGOQSA-N 0.000 description 2
- 206010035664 Pneumonia Diseases 0.000 description 2
- 208000012654 Primary biliary cholangitis Diseases 0.000 description 2
- ZTHYODDOHIVTJV-UHFFFAOYSA-N Propyl gallate Chemical compound CCCOC(=O)C1=CC(O)=C(O)C(O)=C1 ZTHYODDOHIVTJV-UHFFFAOYSA-N 0.000 description 2
- 102000007066 Prostate-Specific Antigen Human genes 0.000 description 2
- 108010072866 Prostate-Specific Antigen Proteins 0.000 description 2
- 201000004681 Psoriasis Diseases 0.000 description 2
- 102100030086 Receptor tyrosine-protein kinase erbB-2 Human genes 0.000 description 2
- 108020004511 Recombinant DNA Proteins 0.000 description 2
- 206010061603 Respiratory syncytial virus infection Diseases 0.000 description 2
- 206010039085 Rhinitis allergic Diseases 0.000 description 2
- 241000606701 Rickettsia Species 0.000 description 2
- 238000011579 SCID mouse model Methods 0.000 description 2
- MTCFGRXMJLQNBG-UHFFFAOYSA-N Serine Natural products OCC(N)C(O)=O MTCFGRXMJLQNBG-UHFFFAOYSA-N 0.000 description 2
- 208000000453 Skin Neoplasms Diseases 0.000 description 2
- CZMRCDWAGMRECN-UGDNZRGBSA-N Sucrose Chemical compound O[C@H]1[C@H](O)[C@@H](CO)O[C@@]1(CO)O[C@@H]1[C@H](O)[C@@H](O)[C@H](O)[C@@H](CO)O1 CZMRCDWAGMRECN-UGDNZRGBSA-N 0.000 description 2
- 229930006000 Sucrose Natural products 0.000 description 2
- 102100036011 T-cell surface glycoprotein CD4 Human genes 0.000 description 2
- 210000001744 T-lymphocyte Anatomy 0.000 description 2
- CYQFCXCEBYINGO-UHFFFAOYSA-N THC Natural products C1=C(C)CCC2C(C)(C)OC3=CC(CCCCC)=CC(O)=C3C21 CYQFCXCEBYINGO-UHFFFAOYSA-N 0.000 description 2
- NAVMQTYZDKMPEU-UHFFFAOYSA-N Targretin Chemical compound CC1=CC(C(CCC2(C)C)(C)C)=C2C=C1C(=C)C1=CC=C(C(O)=O)C=C1 NAVMQTYZDKMPEU-UHFFFAOYSA-N 0.000 description 2
- 239000004473 Threonine Substances 0.000 description 2
- 108010009583 Transforming Growth Factors Proteins 0.000 description 2
- 102000009618 Transforming Growth Factors Human genes 0.000 description 2
- YCPOZVAOBBQLRI-WDSKDSINSA-N Treosulfan Chemical compound CS(=O)(=O)OC[C@H](O)[C@@H](O)COS(C)(=O)=O YCPOZVAOBBQLRI-WDSKDSINSA-N 0.000 description 2
- 241000224526 Trichomonas Species 0.000 description 2
- 108060008683 Tumor Necrosis Factor Receptor Proteins 0.000 description 2
- 102100040113 Tumor necrosis factor receptor superfamily member 10A Human genes 0.000 description 2
- 102100022153 Tumor necrosis factor receptor superfamily member 4 Human genes 0.000 description 2
- 102100040245 Tumor necrosis factor receptor superfamily member 5 Human genes 0.000 description 2
- 102100036856 Tumor necrosis factor receptor superfamily member 9 Human genes 0.000 description 2
- VGQOVCHZGQWAOI-UHFFFAOYSA-N UNPD55612 Natural products N1C(O)C2CC(C=CC(N)=O)=CN2C(=O)C2=CC=C(C)C(O)=C12 VGQOVCHZGQWAOI-UHFFFAOYSA-N 0.000 description 2
- XSQUKJJJFZCRTK-UHFFFAOYSA-N Urea Chemical compound NC(N)=O XSQUKJJJFZCRTK-UHFFFAOYSA-N 0.000 description 2
- 101800003344 Vaccinia growth factor Proteins 0.000 description 2
- 241000607598 Vibrio Species 0.000 description 2
- OIRDTQYFTABQOQ-UHTZMRCNSA-N Vidarabine Chemical compound C1=NC=2C(N)=NC=NC=2N1[C@@H]1O[C@H](CO)[C@@H](O)[C@@H]1O OIRDTQYFTABQOQ-UHTZMRCNSA-N 0.000 description 2
- CHKFLBOLYREYDO-SHYZEUOFSA-N [[(2s,4r,5r)-5-(4-amino-2-oxopyrimidin-1-yl)-4-hydroxyoxolan-2-yl]methoxy-hydroxyphosphoryl] phosphono hydrogen phosphate Chemical compound O=C1N=C(N)C=CN1[C@H]1[C@H](O)C[C@@H](COP(O)(=O)OP(O)(=O)OP(O)(O)=O)O1 CHKFLBOLYREYDO-SHYZEUOFSA-N 0.000 description 2
- 238000010521 absorption reaction Methods 0.000 description 2
- 230000021736 acetylation Effects 0.000 description 2
- 238000006640 acetylation reaction Methods 0.000 description 2
- 229960004150 aciclovir Drugs 0.000 description 2
- MKUXAQIIEYXACX-UHFFFAOYSA-N aciclovir Chemical compound N1C(N)=NC(=O)C2=C1N(COCCO)C=N2 MKUXAQIIEYXACX-UHFFFAOYSA-N 0.000 description 2
- 230000002378 acidificating effect Effects 0.000 description 2
- 230000009471 action Effects 0.000 description 2
- 239000013543 active substance Substances 0.000 description 2
- 125000004450 alkenylene group Chemical group 0.000 description 2
- 125000004419 alkynylene group Chemical group 0.000 description 2
- SHGAZHPCJJPHSC-YCNIQYBTSA-N all-trans-retinoic acid Chemical compound OC(=O)\C=C(/C)\C=C\C=C(/C)\C=C\C1=C(C)CCCC1(C)C SHGAZHPCJJPHSC-YCNIQYBTSA-N 0.000 description 2
- 208000026935 allergic disease Diseases 0.000 description 2
- 201000010105 allergic rhinitis Diseases 0.000 description 2
- 229960000473 altretamine Drugs 0.000 description 2
- DKNWSYNQZKUICI-UHFFFAOYSA-N amantadine Chemical compound C1C(C2)CC3CC2CC1(N)C3 DKNWSYNQZKUICI-UHFFFAOYSA-N 0.000 description 2
- 229960003805 amantadine Drugs 0.000 description 2
- 239000003098 androgen Substances 0.000 description 2
- MWPLVEDNUUSJAV-UHFFFAOYSA-N anthracene Chemical class C1=CC=CC2=CC3=CC=CC=C3C=C21 MWPLVEDNUUSJAV-UHFFFAOYSA-N 0.000 description 2
- VGQOVCHZGQWAOI-HYUHUPJXSA-N anthramycin Chemical compound N1[C@@H](O)[C@@H]2CC(\C=C\C(N)=O)=CN2C(=O)C2=CC=C(C)C(O)=C12 VGQOVCHZGQWAOI-HYUHUPJXSA-N 0.000 description 2
- 229940121363 anti-inflammatory agent Drugs 0.000 description 2
- 239000002260 anti-inflammatory agent Substances 0.000 description 2
- 239000003080 antimitotic agent Substances 0.000 description 2
- 229940041181 antineoplastic drug Drugs 0.000 description 2
- 239000003963 antioxidant agent Substances 0.000 description 2
- 235000006708 antioxidants Nutrition 0.000 description 2
- 239000003443 antiviral agent Substances 0.000 description 2
- 230000006907 apoptotic process Effects 0.000 description 2
- PYMYPHUHKUWMLA-UHFFFAOYSA-N arabinose Natural products OCC(O)C(O)C(O)C=O PYMYPHUHKUWMLA-UHFFFAOYSA-N 0.000 description 2
- 201000009361 ascariasis Diseases 0.000 description 2
- 235000010323 ascorbic acid Nutrition 0.000 description 2
- 239000011668 ascorbic acid Substances 0.000 description 2
- 229960003272 asparaginase Drugs 0.000 description 2
- DCXYFEDJOCDNAF-UHFFFAOYSA-M asparaginate Chemical compound [O-]C(=O)C(N)CC(N)=O DCXYFEDJOCDNAF-UHFFFAOYSA-M 0.000 description 2
- 208000006673 asthma Diseases 0.000 description 2
- 229940120638 avastin Drugs 0.000 description 2
- 229960002756 azacitidine Drugs 0.000 description 2
- HONIICLYMWZJFZ-UHFFFAOYSA-N azetidine Chemical compound C1CNC1 HONIICLYMWZJFZ-UHFFFAOYSA-N 0.000 description 2
- 125000004069 aziridinyl group Chemical group 0.000 description 2
- 239000002585 base Substances 0.000 description 2
- 230000009286 beneficial effect Effects 0.000 description 2
- UHOVQNZJYSORNB-MZWXYZOWSA-N benzene-d6 Chemical compound [2H]C1=C([2H])C([2H])=C([2H])C([2H])=C1[2H] UHOVQNZJYSORNB-MZWXYZOWSA-N 0.000 description 2
- 125000000499 benzofuranyl group Chemical group O1C(=CC2=C1C=CC=C2)* 0.000 description 2
- 150000001562 benzopyrans Chemical class 0.000 description 2
- SRBFZHDQGSBBOR-UHFFFAOYSA-N beta-D-Pyranose-Lyxose Natural products OC1COC(O)C(O)C1O SRBFZHDQGSBBOR-UHFFFAOYSA-N 0.000 description 2
- AEMOLEFTQBMNLQ-QIUUJYRFSA-N beta-D-glucuronic acid Chemical compound O[C@@H]1O[C@H](C(O)=O)[C@@H](O)[C@H](O)[C@H]1O AEMOLEFTQBMNLQ-QIUUJYRFSA-N 0.000 description 2
- QZPQTZZNNJUOLS-UHFFFAOYSA-N beta-lapachone Chemical compound C12=CC=CC=C2C(=O)C(=O)C2=C1OC(C)(C)CC2 QZPQTZZNNJUOLS-UHFFFAOYSA-N 0.000 description 2
- 229960002938 bexarotene Drugs 0.000 description 2
- ACBQROXDOHKANW-UHFFFAOYSA-N bis(4-nitrophenyl) carbonate Chemical compound C1=CC([N+](=O)[O-])=CC=C1OC(=O)OC1=CC=C([N+]([O-])=O)C=C1 ACBQROXDOHKANW-UHFFFAOYSA-N 0.000 description 2
- 229960001561 bleomycin Drugs 0.000 description 2
- 210000000481 breast Anatomy 0.000 description 2
- 125000001246 bromo group Chemical group Br* 0.000 description 2
- IVFYLRMMHVYGJH-PVPPCFLZSA-N calusterone Chemical compound C1C[C@]2(C)[C@](O)(C)CC[C@H]2[C@@H]2[C@@H](C)CC3=CC(=O)CC[C@]3(C)[C@H]21 IVFYLRMMHVYGJH-PVPPCFLZSA-N 0.000 description 2
- 229950009823 calusterone Drugs 0.000 description 2
- 229960004117 capecitabine Drugs 0.000 description 2
- CREMABGTGYGIQB-UHFFFAOYSA-N carbon carbon Chemical compound C.C CREMABGTGYGIQB-UHFFFAOYSA-N 0.000 description 2
- 239000001569 carbon dioxide Substances 0.000 description 2
- 239000011203 carbon fibre reinforced carbon Substances 0.000 description 2
- 125000005587 carbonate group Chemical group 0.000 description 2
- YCIMNLLNPGFGHC-UHFFFAOYSA-N catechol Chemical compound OC1=CC=CC=C1O YCIMNLLNPGFGHC-UHFFFAOYSA-N 0.000 description 2
- 108010046713 cemadotin Proteins 0.000 description 2
- 229950009017 cemadotin Drugs 0.000 description 2
- 238000012512 characterization method Methods 0.000 description 2
- 125000001309 chloro group Chemical group Cl* 0.000 description 2
- 208000024207 chronic leukemia Diseases 0.000 description 2
- 208000032852 chronic lymphocytic leukemia Diseases 0.000 description 2
- 229960001265 ciclosporin Drugs 0.000 description 2
- MYSWGUAQZAJSOK-UHFFFAOYSA-N ciprofloxacin Chemical compound C12=CC(N3CCNCC3)=C(F)C=C2C(=O)C(C(=O)O)=CN1C1CC1 MYSWGUAQZAJSOK-UHFFFAOYSA-N 0.000 description 2
- 239000011248 coating agent Substances 0.000 description 2
- 238000000576 coating method Methods 0.000 description 2
- 229960001338 colchicine Drugs 0.000 description 2
- 201000010897 colon adenocarcinoma Diseases 0.000 description 2
- 238000010276 construction Methods 0.000 description 2
- SBRXTSOCZITGQG-UHFFFAOYSA-N crisnatol Chemical compound C1=CC=C2C(CNC(CO)(CO)C)=CC3=C(C=CC=C4)C4=CC=C3C2=C1 SBRXTSOCZITGQG-UHFFFAOYSA-N 0.000 description 2
- 229950007258 crisnatol Drugs 0.000 description 2
- VFLDPWHFBUODDF-FCXRPNKRSA-N curcumin Chemical compound C1=C(O)C(OC)=CC(\C=C\C(=O)CC(=O)\C=C\C=2C=C(OC)C(O)=CC=2)=C1 VFLDPWHFBUODDF-FCXRPNKRSA-N 0.000 description 2
- 125000004122 cyclic group Chemical group 0.000 description 2
- 229930182912 cyclosporin Natural products 0.000 description 2
- 125000000151 cysteine group Chemical group N[C@@H](CS)C(=O)* 0.000 description 2
- 230000009089 cytolysis Effects 0.000 description 2
- 239000000824 cytostatic agent Substances 0.000 description 2
- 230000001085 cytostatic effect Effects 0.000 description 2
- 229960000958 deferoxamine Drugs 0.000 description 2
- WHBIGIKBNXZKFE-UHFFFAOYSA-N delavirdine Chemical compound CC(C)NC1=CC=CN=C1N1CCN(C(=O)C=2NC3=CC=C(NS(C)(=O)=O)C=C3C=2)CC1 WHBIGIKBNXZKFE-UHFFFAOYSA-N 0.000 description 2
- 229960003957 dexamethasone Drugs 0.000 description 2
- UREBDLICKHMUKA-CXSFZGCWSA-N dexamethasone Chemical compound C1CC2=CC(=O)C=C[C@]2(C)[C@]2(F)[C@@H]1[C@@H]1C[C@@H](C)[C@@](C(=O)CO)(O)[C@@]1(C)C[C@@H]2O UREBDLICKHMUKA-CXSFZGCWSA-N 0.000 description 2
- 229960000605 dexrazoxane Drugs 0.000 description 2
- 239000008121 dextrose Substances 0.000 description 2
- 230000004069 differentiation Effects 0.000 description 2
- 239000003166 dihydrofolate reductase inhibitor Substances 0.000 description 2
- ZUOUZKKEUPVFJK-UHFFFAOYSA-N diphenyl Chemical class C1=CC=CC=C1C1=CC=CC=C1 ZUOUZKKEUPVFJK-UHFFFAOYSA-N 0.000 description 2
- HCUYBXPSSCRKRF-UHFFFAOYSA-N diphosgene Chemical compound ClC(=O)OC(Cl)(Cl)Cl HCUYBXPSSCRKRF-UHFFFAOYSA-N 0.000 description 2
- 230000005750 disease progression Effects 0.000 description 2
- ZWAOHEXOSAUJHY-ZIYNGMLESA-N doxifluridine Chemical compound O[C@@H]1[C@H](O)[C@@H](C)O[C@H]1N1C(=O)NC(=O)C(F)=C1 ZWAOHEXOSAUJHY-ZIYNGMLESA-N 0.000 description 2
- 229950005454 doxifluridine Drugs 0.000 description 2
- NOTIQUSPUUHHEH-UXOVVSIBSA-N dromostanolone propionate Chemical compound C([C@@H]1CC2)C(=O)[C@H](C)C[C@]1(C)[C@@H]1[C@@H]2[C@@H]2CC[C@H](OC(=O)CC)[C@@]2(C)CC1 NOTIQUSPUUHHEH-UXOVVSIBSA-N 0.000 description 2
- 229950004683 drostanolone propionate Drugs 0.000 description 2
- 229950010033 ebselen Drugs 0.000 description 2
- 229940116977 epidermal growth factor Drugs 0.000 description 2
- 229930013356 epothilone Natural products 0.000 description 2
- QXRSDHAAWVKZLJ-PVYNADRNSA-N epothilone B Chemical compound C/C([C@@H]1C[C@@H]2O[C@]2(C)CCC[C@@H]([C@@H]([C@@H](C)C(=O)C(C)(C)[C@@H](O)CC(=O)O1)O)C)=C\C1=CSC(C)=N1 QXRSDHAAWVKZLJ-PVYNADRNSA-N 0.000 description 2
- 210000003743 erythrocyte Anatomy 0.000 description 2
- 238000002474 experimental method Methods 0.000 description 2
- 239000013604 expression vector Substances 0.000 description 2
- 229930003935 flavonoid Natural products 0.000 description 2
- 150000002215 flavonoids Chemical class 0.000 description 2
- 235000017173 flavonoids Nutrition 0.000 description 2
- 239000000796 flavoring agent Substances 0.000 description 2
- 125000001153 fluoro group Chemical group F* 0.000 description 2
- OVBPIULPVIDEAO-LBPRGKRZSA-N folic acid Chemical compound C=1N=C2NC(N)=NC(=O)C2=NC=1CNC1=CC=C(C(=O)N[C@@H](CCC(O)=O)C(O)=O)C=C1 OVBPIULPVIDEAO-LBPRGKRZSA-N 0.000 description 2
- 235000013355 food flavoring agent Nutrition 0.000 description 2
- 125000002541 furyl group Chemical group 0.000 description 2
- VCCRNZQBSJXYJD-UHFFFAOYSA-N galangin Chemical compound C=1C(O)=CC(O)=C(C(C=2O)=O)C=1OC=2C1=CC=CC=C1 VCCRNZQBSJXYJD-UHFFFAOYSA-N 0.000 description 2
- CHPZKNULDCNCBW-UHFFFAOYSA-N gallium nitrate Chemical compound [Ga+3].[O-][N+]([O-])=O.[O-][N+]([O-])=O.[O-][N+]([O-])=O CHPZKNULDCNCBW-UHFFFAOYSA-N 0.000 description 2
- 239000007789 gas Substances 0.000 description 2
- 201000006585 gastric adenocarcinoma Diseases 0.000 description 2
- 210000001035 gastrointestinal tract Anatomy 0.000 description 2
- 239000007903 gelatin capsule Substances 0.000 description 2
- 229960003297 gemtuzumab ozogamicin Drugs 0.000 description 2
- 239000003862 glucocorticoid Substances 0.000 description 2
- YQEMORVAKMFKLG-UHFFFAOYSA-N glycerine monostearate Natural products CCCCCCCCCCCCCCCCCC(=O)OC(CO)CO YQEMORVAKMFKLG-UHFFFAOYSA-N 0.000 description 2
- SVUQHVRAGMNPLW-UHFFFAOYSA-N glycerol monostearate Natural products CCCCCCCCCCCCCCCCC(=O)OCC(O)CO SVUQHVRAGMNPLW-UHFFFAOYSA-N 0.000 description 2
- 229930182470 glycoside Natural products 0.000 description 2
- 229960002913 goserelin Drugs 0.000 description 2
- 239000008187 granular material Substances 0.000 description 2
- 231100000283 hepatitis Toxicity 0.000 description 2
- 206010073071 hepatocellular carcinoma Diseases 0.000 description 2
- 229940022353 herceptin Drugs 0.000 description 2
- UUVWYPNAQBNQJQ-UHFFFAOYSA-N hexamethylmelamine Chemical compound CN(C)C1=NC(N(C)C)=NC(N(C)C)=N1 UUVWYPNAQBNQJQ-UHFFFAOYSA-N 0.000 description 2
- 235000001050 hortel pimenta Nutrition 0.000 description 2
- 208000033519 human immunodeficiency virus infectious disease Diseases 0.000 description 2
- 150000007857 hydrazones Chemical class 0.000 description 2
- 229930195733 hydrocarbon Natural products 0.000 description 2
- 229960000890 hydrocortisone Drugs 0.000 description 2
- 229960001330 hydroxycarbamide Drugs 0.000 description 2
- 125000002883 imidazolyl group Chemical group 0.000 description 2
- 229940072221 immunoglobulins Drugs 0.000 description 2
- 238000011534 incubation Methods 0.000 description 2
- 125000001041 indolyl group Chemical group 0.000 description 2
- CGIGDMFJXJATDK-UHFFFAOYSA-N indomethacin Chemical compound CC1=C(CC(O)=O)C2=CC(OC)=CC=C2N1C(=O)C1=CC=C(Cl)C=C1 CGIGDMFJXJATDK-UHFFFAOYSA-N 0.000 description 2
- 239000004615 ingredient Substances 0.000 description 2
- NOESYZHRGYRDHS-UHFFFAOYSA-N insulin Chemical compound N1C(=O)C(NC(=O)C(CCC(N)=O)NC(=O)C(CCC(O)=O)NC(=O)C(C(C)C)NC(=O)C(NC(=O)CN)C(C)CC)CSSCC(C(NC(CO)C(=O)NC(CC(C)C)C(=O)NC(CC=2C=CC(O)=CC=2)C(=O)NC(CCC(N)=O)C(=O)NC(CC(C)C)C(=O)NC(CCC(O)=O)C(=O)NC(CC(N)=O)C(=O)NC(CC=2C=CC(O)=CC=2)C(=O)NC(CSSCC(NC(=O)C(C(C)C)NC(=O)C(CC(C)C)NC(=O)C(CC=2C=CC(O)=CC=2)NC(=O)C(CC(C)C)NC(=O)C(C)NC(=O)C(CCC(O)=O)NC(=O)C(C(C)C)NC(=O)C(CC(C)C)NC(=O)C(CC=2NC=NC=2)NC(=O)C(CO)NC(=O)CNC2=O)C(=O)NCC(=O)NC(CCC(O)=O)C(=O)NC(CCCNC(N)=N)C(=O)NCC(=O)NC(CC=3C=CC=CC=3)C(=O)NC(CC=3C=CC=CC=3)C(=O)NC(CC=3C=CC(O)=CC=3)C(=O)NC(C(C)O)C(=O)N3C(CCC3)C(=O)NC(CCCCN)C(=O)NC(C)C(O)=O)C(=O)NC(CC(N)=O)C(O)=O)=O)NC(=O)C(C(C)CC)NC(=O)C(CO)NC(=O)C(C(C)O)NC(=O)C1CSSCC2NC(=O)C(CC(C)C)NC(=O)C(NC(=O)C(CCC(N)=O)NC(=O)C(CC(N)=O)NC(=O)C(NC(=O)C(N)CC=1C=CC=CC=1)C(C)C)CC1=CN=CN1 NOESYZHRGYRDHS-UHFFFAOYSA-N 0.000 description 2
- 102000006495 integrins Human genes 0.000 description 2
- 108010044426 integrins Proteins 0.000 description 2
- 230000003993 interaction Effects 0.000 description 2
- 230000003834 intracellular effect Effects 0.000 description 2
- 150000002500 ions Chemical class 0.000 description 2
- 125000000904 isoindolyl group Chemical group C=1(NC=C2C=CC=CC12)* 0.000 description 2
- 238000002955 isolation Methods 0.000 description 2
- 125000001786 isothiazolyl group Chemical group 0.000 description 2
- 210000003734 kidney Anatomy 0.000 description 2
- 239000008101 lactose Substances 0.000 description 2
- 229940065725 leukotriene receptor antagonists for obstructive airway diseases Drugs 0.000 description 2
- 239000003199 leukotriene receptor blocking agent Substances 0.000 description 2
- 230000000670 limiting effect Effects 0.000 description 2
- 239000000314 lubricant Substances 0.000 description 2
- 201000005249 lung adenocarcinoma Diseases 0.000 description 2
- 208000020816 lung neoplasm Diseases 0.000 description 2
- 206010025135 lupus erythematosus Diseases 0.000 description 2
- 125000003588 lysine group Chemical class [H]N([H])C([H])([H])C([H])([H])C([H])([H])C([H])([H])C([H])(N([H])[H])C(*)=O 0.000 description 2
- 210000003712 lysosome Anatomy 0.000 description 2
- HQKMJHAJHXVSDF-UHFFFAOYSA-L magnesium stearate Chemical compound [Mg+2].CCCCCCCCCCCCCCCCCC([O-])=O.CCCCCCCCCCCCCCCCCC([O-])=O HQKMJHAJHXVSDF-UHFFFAOYSA-L 0.000 description 2
- 201000004792 malaria Diseases 0.000 description 2
- 208000015486 malignant pancreatic neoplasm Diseases 0.000 description 2
- HCZKYJDFEPMADG-TXEJJXNPSA-N masoprocol Chemical compound C([C@H](C)[C@H](C)CC=1C=C(O)C(O)=CC=1)C1=CC=C(O)C(O)=C1 HCZKYJDFEPMADG-TXEJJXNPSA-N 0.000 description 2
- 230000007246 mechanism Effects 0.000 description 2
- 229960001786 megestrol Drugs 0.000 description 2
- RQZAXGRLVPAYTJ-GQFGMJRRSA-N megestrol acetate Chemical compound C1=C(C)C2=CC(=O)CC[C@]2(C)[C@@H]2[C@@H]1[C@@H]1CC[C@@](C(C)=O)(OC(=O)C)[C@@]1(C)CC2 RQZAXGRLVPAYTJ-GQFGMJRRSA-N 0.000 description 2
- ANZJBCHSOXCCRQ-FKUXLPTCSA-N mertansine Chemical compound CO[C@@H]([C@@]1(O)C[C@H](OC(=O)N1)[C@@H](C)[C@@H]1O[C@@]1(C)[C@@H](OC(=O)[C@H](C)N(C)C(=O)CCS)CC(=O)N1C)\C=C\C=C(C)\CC2=CC(OC)=C(Cl)C1=C2 ANZJBCHSOXCCRQ-FKUXLPTCSA-N 0.000 description 2
- 230000002503 metabolic effect Effects 0.000 description 2
- 230000009401 metastasis Effects 0.000 description 2
- 125000001360 methionine group Chemical group N[C@@H](CCSC)C(=O)* 0.000 description 2
- 125000000956 methoxy group Chemical group [H]C([H])([H])O* 0.000 description 2
- COFWDBMZXNIYIR-DVEMFWCFSA-N methyl (2s,3s,4s,5r,6s)-3,4,5-triacetyloxy-6-[2-[3-(9h-fluoren-9-ylmethoxycarbonylamino)propanoylamino]-4-(hydroxymethyl)phenoxy]oxane-2-carboxylate Chemical compound CC(=O)O[C@@H]1[C@@H](OC(C)=O)[C@H](OC(C)=O)[C@@H](C(=O)OC)O[C@H]1OC1=CC=C(CO)C=C1NC(=O)CCNC(=O)OCC1C2=CC=CC=C2C2=CC=CC=C21 COFWDBMZXNIYIR-DVEMFWCFSA-N 0.000 description 2
- LXCFILQKKLGQFO-UHFFFAOYSA-N methylparaben Chemical compound COC(=O)C1=CC=C(O)C=C1 LXCFILQKKLGQFO-UHFFFAOYSA-N 0.000 description 2
- HPNSFSBZBAHARI-UHFFFAOYSA-N micophenolic acid Natural products OC1=C(CC=C(C)CCC(O)=O)C(OC)=C(C)C2=C1C(=O)OC2 HPNSFSBZBAHARI-UHFFFAOYSA-N 0.000 description 2
- 239000002480 mineral oil Substances 0.000 description 2
- 235000010446 mineral oil Nutrition 0.000 description 2
- 229960000350 mitotane Drugs 0.000 description 2
- 125000001620 monocyclic carbocycle group Chemical group 0.000 description 2
- 201000006417 multiple sclerosis Diseases 0.000 description 2
- 208000010805 mumps infectious disease Diseases 0.000 description 2
- 230000035772 mutation Effects 0.000 description 2
- RTGDFNSFWBGLEC-SYZQJQIISA-N mycophenolate mofetil Chemical compound COC1=C(C)C=2COC(=O)C=2C(O)=C1C\C=C(/C)CCC(=O)OCCN1CCOCC1 RTGDFNSFWBGLEC-SYZQJQIISA-N 0.000 description 2
- 229960004866 mycophenolate mofetil Drugs 0.000 description 2
- 229960000951 mycophenolic acid Drugs 0.000 description 2
- HPNSFSBZBAHARI-RUDMXATFSA-N mycophenolic acid Chemical compound OC1=C(C\C=C(/C)CCC(O)=O)C(OC)=C(C)C2=C1C(=O)OC2 HPNSFSBZBAHARI-RUDMXATFSA-N 0.000 description 2
- 210000000066 myeloid cell Anatomy 0.000 description 2
- 208000025113 myeloid leukemia Diseases 0.000 description 2
- 125000001280 n-hexyl group Chemical group C(CCCCC)* 0.000 description 2
- QZGIWPZCWHMVQL-UIYAJPBUSA-N neocarzinostatin chromophore Chemical compound O1[C@H](C)[C@H](O)[C@H](O)[C@@H](NC)[C@H]1O[C@@H]1C/2=C/C#C[C@H]3O[C@@]3([C@@H]3OC(=O)OC3)C#CC\2=C[C@H]1OC(=O)C1=C(O)C=CC2=C(C)C=C(OC)C=C12 QZGIWPZCWHMVQL-UIYAJPBUSA-N 0.000 description 2
- IDBIFFKSXLYUOT-UHFFFAOYSA-N netropsin Chemical compound C1=C(C(=O)NCCC(N)=N)N(C)C=C1NC(=O)C1=CC(NC(=O)CN=C(N)N)=CN1C IDBIFFKSXLYUOT-UHFFFAOYSA-N 0.000 description 2
- NQDJXKOVJZTUJA-UHFFFAOYSA-N nevirapine Chemical compound C12=NC=CC=C2C(=O)NC=2C(C)=CC=NC=2N1C1CC1 NQDJXKOVJZTUJA-UHFFFAOYSA-N 0.000 description 2
- QJGQUHMNIGDVPM-UHFFFAOYSA-N nitrogen group Chemical group [N] QJGQUHMNIGDVPM-UHFFFAOYSA-N 0.000 description 2
- 238000011275 oncology therapy Methods 0.000 description 2
- IOYHCQBYQJQBSK-UHFFFAOYSA-N orobol Chemical compound C=1C(O)=CC(O)=C(C2=O)C=1OC=C2C1=CC=C(O)C(O)=C1 IOYHCQBYQJQBSK-UHFFFAOYSA-N 0.000 description 2
- 230000002611 ovarian Effects 0.000 description 2
- 125000000636 p-nitrophenyl group Chemical group [H]C1=C([H])C(=C([H])C([H])=C1*)[N+]([O-])=O 0.000 description 2
- 201000002528 pancreatic cancer Diseases 0.000 description 2
- 239000002245 particle Substances 0.000 description 2
- 125000003538 pentan-3-yl group Chemical group [H]C([H])([H])C([H])([H])C([H])(*)C([H])([H])C([H])([H])[H] 0.000 description 2
- 229960002340 pentostatin Drugs 0.000 description 2
- FPVKHBSQESCIEP-JQCXWYLXSA-N pentostatin Chemical compound C1[C@H](O)[C@@H](CO)O[C@H]1N1C(N=CNC[C@H]2O)=C2N=C1 FPVKHBSQESCIEP-JQCXWYLXSA-N 0.000 description 2
- QIMGFXOHTOXMQP-GFAGFCTOSA-N peplomycin Chemical compound N([C@H](C(=O)N[C@H](C)[C@@H](O)[C@H](C)C(=O)N[C@@H]([C@H](O)C)C(=O)NCCC=1SC=C(N=1)C=1SC=C(N=1)C(=O)NCCCN[C@@H](C)C=1C=CC=CC=1)[C@@H](O[C@H]1[C@H]([C@@H](O)[C@H](O)[C@H](CO)O1)O[C@@H]1[C@H]([C@@H](OC(N)=O)[C@H](O)[C@@H](CO)O1)O)C=1NC=NC=1)C(=O)C1=NC([C@H](CC(N)=O)NC[C@H](N)C(N)=O)=NC(N)=C1C QIMGFXOHTOXMQP-GFAGFCTOSA-N 0.000 description 2
- 229950003180 peplomycin Drugs 0.000 description 2
- 238000002823 phage display Methods 0.000 description 2
- 125000001997 phenyl group Chemical class [H]C1=C([H])C([H])=C(*)C([H])=C1[H] 0.000 description 2
- ZJAOAACCNHFJAH-UHFFFAOYSA-N phosphonoformic acid Chemical compound OC(=O)P(O)(O)=O ZJAOAACCNHFJAH-UHFFFAOYSA-N 0.000 description 2
- 239000002504 physiological saline solution Substances 0.000 description 2
- 229960000952 pipobroman Drugs 0.000 description 2
- NJBFOOCLYDNZJN-UHFFFAOYSA-N pipobroman Chemical compound BrCCC(=O)N1CCN(C(=O)CCBr)CC1 NJBFOOCLYDNZJN-UHFFFAOYSA-N 0.000 description 2
- 229960001221 pirarubicin Drugs 0.000 description 2
- 229920001223 polyethylene glycol Polymers 0.000 description 2
- CPTBDICYNRMXFX-UHFFFAOYSA-N procarbazine Chemical compound CNNCC1=CC=C(C(=O)NC(C)C)C=C1 CPTBDICYNRMXFX-UHFFFAOYSA-N 0.000 description 2
- 229960000624 procarbazine Drugs 0.000 description 2
- 230000008569 process Effects 0.000 description 2
- 230000035755 proliferation Effects 0.000 description 2
- 125000001436 propyl group Chemical group [H]C([*])([H])C([H])([H])C([H])([H])[H] 0.000 description 2
- 239000002599 prostaglandin synthase inhibitor Substances 0.000 description 2
- 238000000159 protein binding assay Methods 0.000 description 2
- 150000003212 purines Chemical class 0.000 description 2
- RXWNCPJZOCPEPQ-NVWDDTSBSA-N puromycin Chemical compound C1=CC(OC)=CC=C1C[C@H](N)C(=O)N[C@H]1[C@@H](O)[C@H](N2C3=NC=NC(=C3N=C2)N(C)C)O[C@@H]1CO RXWNCPJZOCPEPQ-NVWDDTSBSA-N 0.000 description 2
- 125000003226 pyrazolyl group Chemical group 0.000 description 2
- 125000002098 pyridazinyl group Chemical group 0.000 description 2
- 125000004076 pyridyl group Chemical group 0.000 description 2
- 125000000168 pyrrolyl group Chemical group 0.000 description 2
- 230000002285 radioactive effect Effects 0.000 description 2
- 230000009467 reduction Effects 0.000 description 2
- 238000006722 reduction reaction Methods 0.000 description 2
- 230000004044 response Effects 0.000 description 2
- 238000012552 review Methods 0.000 description 2
- HZCAHMRRMINHDJ-DBRKOABJSA-N ribavirin Natural products O[C@@H]1[C@H](O)[C@@H](CO)O[C@H]1N1N=CN=C1 HZCAHMRRMINHDJ-DBRKOABJSA-N 0.000 description 2
- 201000005404 rubella Diseases 0.000 description 2
- CVHZOJJKTDOEJC-UHFFFAOYSA-N saccharin Chemical compound C1=CC=C2C(=O)NS(=O)(=O)C2=C1 CVHZOJJKTDOEJC-UHFFFAOYSA-N 0.000 description 2
- 235000019204 saccharin Nutrition 0.000 description 2
- 229940081974 saccharin Drugs 0.000 description 2
- 239000000901 saccharin and its Na,K and Ca salt Substances 0.000 description 2
- 229930195734 saturated hydrocarbon Natural products 0.000 description 2
- HFHDHCJBZVLPGP-UHFFFAOYSA-N schardinger α-dextrin Chemical compound O1C(C(C2O)O)C(CO)OC2OC(C(C2O)O)C(CO)OC2OC(C(C2O)O)C(CO)OC2OC(C(O)C2O)C(CO)OC2OC(C(C2O)O)C(CO)OC2OC2C(O)C(O)C1OC2CO HFHDHCJBZVLPGP-UHFFFAOYSA-N 0.000 description 2
- 201000004409 schistosomiasis Diseases 0.000 description 2
- 238000000926 separation method Methods 0.000 description 2
- 239000011734 sodium Substances 0.000 description 2
- 235000017557 sodium bicarbonate Nutrition 0.000 description 2
- 229910000030 sodium bicarbonate Inorganic materials 0.000 description 2
- JQWHASGSAFIOCM-UHFFFAOYSA-M sodium periodate Chemical compound [Na+].[O-]I(=O)(=O)=O JQWHASGSAFIOCM-UHFFFAOYSA-M 0.000 description 2
- 239000008247 solid mixture Substances 0.000 description 2
- 241000894007 species Species 0.000 description 2
- 206010041823 squamous cell carcinoma Diseases 0.000 description 2
- 239000003381 stabilizer Substances 0.000 description 2
- 210000000130 stem cell Anatomy 0.000 description 2
- 238000003756 stirring Methods 0.000 description 2
- UCSJYZPVAKXKNQ-HZYVHMACSA-N streptomycin Chemical compound CN[C@H]1[C@H](O)[C@@H](O)[C@H](CO)O[C@H]1O[C@@H]1[C@](C=O)(O)[C@H](C)O[C@H]1O[C@@H]1[C@@H](NC(N)=N)[C@H](O)[C@@H](NC(N)=N)[C@H](O)[C@H]1O UCSJYZPVAKXKNQ-HZYVHMACSA-N 0.000 description 2
- PVYJZLYGTZKPJE-UHFFFAOYSA-N streptonigrin Chemical compound C=1C=C2C(=O)C(OC)=C(N)C(=O)C2=NC=1C(C=1N)=NC(C(O)=O)=C(C)C=1C1=CC=C(OC)C(OC)=C1O PVYJZLYGTZKPJE-UHFFFAOYSA-N 0.000 description 2
- 125000001424 substituent group Chemical group 0.000 description 2
- KDYFGRWQOYBRFD-UHFFFAOYSA-L succinate(2-) Chemical compound [O-]C(=O)CCC([O-])=O KDYFGRWQOYBRFD-UHFFFAOYSA-L 0.000 description 2
- 239000005720 sucrose Substances 0.000 description 2
- 239000006228 supernatant Substances 0.000 description 2
- 208000006379 syphilis Diseases 0.000 description 2
- 201000000596 systemic lupus erythematosus Diseases 0.000 description 2
- 239000000454 talc Substances 0.000 description 2
- 229910052623 talc Inorganic materials 0.000 description 2
- 229960001603 tamoxifen Drugs 0.000 description 2
- RCINICONZNJXQF-XAZOAEDWSA-N taxol® Chemical compound O([C@@H]1[C@@]2(CC(C(C)=C(C2(C)C)[C@H](C([C@]2(C)[C@@H](O)C[C@H]3OC[C@]3(C21)OC(C)=O)=O)OC(=O)C)OC(=O)[C@H](O)[C@@H](NC(=O)C=1C=CC=CC=1)C=1C=CC=CC=1)O)C(=O)C1=CC=CC=C1 RCINICONZNJXQF-XAZOAEDWSA-N 0.000 description 2
- 229940063683 taxotere Drugs 0.000 description 2
- 206010043207 temporal arteritis Diseases 0.000 description 2
- 229960005353 testolactone Drugs 0.000 description 2
- BPEWUONYVDABNZ-DZBHQSCQSA-N testolactone Chemical compound O=C1C=C[C@]2(C)[C@H]3CC[C@](C)(OC(=O)CC4)[C@@H]4[C@@H]3CCC2=C1 BPEWUONYVDABNZ-DZBHQSCQSA-N 0.000 description 2
- 229960002180 tetracycline Drugs 0.000 description 2
- 229930101283 tetracycline Natural products 0.000 description 2
- 125000003507 tetrahydrothiofenyl group Chemical group 0.000 description 2
- 125000003831 tetrazolyl group Chemical group 0.000 description 2
- 125000000335 thiazolyl group Chemical group 0.000 description 2
- 229960003723 tiazofurine Drugs 0.000 description 2
- FVRDYQYEVDDKCR-DBRKOABJSA-N tiazofurine Chemical compound NC(=O)C1=CSC([C@H]2[C@@H]([C@H](O)[C@@H](CO)O2)O)=N1 FVRDYQYEVDDKCR-DBRKOABJSA-N 0.000 description 2
- 230000000699 topical effect Effects 0.000 description 2
- 229940044693 topoisomerase inhibitor Drugs 0.000 description 2
- VZCYOOQTPOCHFL-UHFFFAOYSA-N trans-butenedioic acid Natural products OC(=O)C=CC(O)=O VZCYOOQTPOCHFL-UHFFFAOYSA-N 0.000 description 2
- QAIPRVGONGVQAS-DUXPYHPUSA-N trans-caffeic acid Chemical compound OC(=O)\C=C\C1=CC=C(O)C(O)=C1 QAIPRVGONGVQAS-DUXPYHPUSA-N 0.000 description 2
- 239000012581 transferrin Substances 0.000 description 2
- 229960003181 treosulfan Drugs 0.000 description 2
- 229960001727 tretinoin Drugs 0.000 description 2
- ZIBGPFATKBEMQZ-UHFFFAOYSA-N triethylene glycol Chemical class OCCOCCOCCO ZIBGPFATKBEMQZ-UHFFFAOYSA-N 0.000 description 2
- 229960003962 trifluridine Drugs 0.000 description 2
- VSQQQLOSPVPRAZ-RRKCRQDMSA-N trifluridine Chemical compound C1[C@H](O)[C@@H](CO)O[C@H]1N1C(=O)NC(=O)C(C(F)(F)F)=C1 VSQQQLOSPVPRAZ-RRKCRQDMSA-N 0.000 description 2
- 229960000875 trofosfamide Drugs 0.000 description 2
- UMKFEPPTGMDVMI-UHFFFAOYSA-N trofosfamide Chemical compound ClCCN(CCCl)P1(=O)OCCCN1CCCl UMKFEPPTGMDVMI-UHFFFAOYSA-N 0.000 description 2
- 201000008827 tuberculosis Diseases 0.000 description 2
- 230000004614 tumor growth Effects 0.000 description 2
- 102000003298 tumor necrosis factor receptor Human genes 0.000 description 2
- 229960001055 uracil mustard Drugs 0.000 description 2
- VBEQCZHXXJYVRD-GACYYNSASA-N uroanthelone Chemical compound C([C@@H](C(=O)N[C@H](C(=O)N[C@@H](CS)C(=O)N[C@@H](CC(N)=O)C(=O)N[C@@H](CS)C(=O)N[C@H](C(=O)N[C@@H]([C@@H](C)CC)C(=O)NCC(=O)N[C@@H](CC=1C=CC(O)=CC=1)C(=O)N[C@@H](CO)C(=O)NCC(=O)N[C@@H](CC(O)=O)C(=O)N[C@@H](CCCNC(N)=N)C(=O)N[C@@H](CS)C(=O)N[C@@H](CCC(N)=O)C(=O)N[C@@H]([C@@H](C)O)C(=O)N[C@@H](CCCNC(N)=N)C(=O)N[C@@H](CC(O)=O)C(=O)N[C@@H](CC(C)C)C(=O)N[C@@H](CCCNC(N)=N)C(=O)N[C@@H](CC=1C2=CC=CC=C2NC=1)C(=O)N[C@@H](CC=1C2=CC=CC=C2NC=1)C(=O)N[C@@H](CCC(O)=O)C(=O)N[C@@H](CC(C)C)C(=O)N[C@@H](CCCNC(N)=N)C(O)=O)C(C)C)[C@@H](C)O)NC(=O)[C@H](CO)NC(=O)[C@H](CC(O)=O)NC(=O)[C@H](CC(C)C)NC(=O)[C@H](CO)NC(=O)[C@H](CCC(O)=O)NC(=O)[C@@H](NC(=O)[C@H](CC=1NC=NC=1)NC(=O)[C@H](CCSC)NC(=O)[C@H](CS)NC(=O)[C@@H](NC(=O)CNC(=O)CNC(=O)[C@H](CC(N)=O)NC(=O)[C@H](CC(C)C)NC(=O)[C@H](CS)NC(=O)[C@H](CC=1C=CC(O)=CC=1)NC(=O)CNC(=O)[C@H](CC(O)=O)NC(=O)[C@H](CC=1C=CC(O)=CC=1)NC(=O)[C@H](CO)NC(=O)[C@H](CO)NC(=O)[C@H]1N(CCC1)C(=O)[C@H](CS)NC(=O)CNC(=O)[C@H]1N(CCC1)C(=O)[C@H](CC=1C=CC(O)=CC=1)NC(=O)[C@H](CO)NC(=O)[C@@H](N)CC(N)=O)C(C)C)[C@@H](C)CC)C1=CC=C(O)C=C1 VBEQCZHXXJYVRD-GACYYNSASA-N 0.000 description 2
- 206010046766 uterine cancer Diseases 0.000 description 2
- ZOCKGBMQLCSHFP-KQRAQHLDSA-N valrubicin Chemical compound O([C@H]1C[C@](CC2=C(O)C=3C(=O)C4=CC=CC(OC)=C4C(=O)C=3C(O)=C21)(O)C(=O)COC(=O)CCCC)[C@H]1C[C@H](NC(=O)C(F)(F)F)[C@H](O)[C@H](C)O1 ZOCKGBMQLCSHFP-KQRAQHLDSA-N 0.000 description 2
- JQSHBVHOMNKWFT-DTORHVGOSA-N varenicline Chemical compound C12=CC3=NC=CN=C3C=C2[C@H]2C[C@@H]1CNC2 JQSHBVHOMNKWFT-DTORHVGOSA-N 0.000 description 2
- 239000003981 vehicle Substances 0.000 description 2
- 229960001722 verapamil Drugs 0.000 description 2
- 229960003636 vidarabine Drugs 0.000 description 2
- 125000000391 vinyl group Chemical group [H]C([*])=C([H])[H] 0.000 description 2
- 239000003643 water by type Substances 0.000 description 2
- 239000000080 wetting agent Substances 0.000 description 2
- FBTUMDXHSRTGRV-ALTNURHMSA-N zorubicin Chemical compound O([C@H]1C[C@@](O)(CC=2C(O)=C3C(=O)C=4C=CC=C(C=4C(=O)C3=C(O)C=21)OC)C(\C)=N\NC(=O)C=1C=CC=CC=1)[C@H]1C[C@H](N)[C@H](O)[C@H](C)O1 FBTUMDXHSRTGRV-ALTNURHMSA-N 0.000 description 2
- 229960000641 zorubicin Drugs 0.000 description 2
- AIFRHYZBTHREPW-UHFFFAOYSA-N β-carboline Chemical compound N1=CC=C2C3=CC=CC=C3NC2=C1 AIFRHYZBTHREPW-UHFFFAOYSA-N 0.000 description 2
- CXQWRCVTCMQVQX-LSDHHAIUSA-N (+)-taxifolin Chemical compound C1([C@@H]2[C@H](C(C3=C(O)C=C(O)C=C3O2)=O)O)=CC=C(O)C(O)=C1 CXQWRCVTCMQVQX-LSDHHAIUSA-N 0.000 description 1
- NNJPGOLRFBJNIW-HNNXBMFYSA-N (-)-demecolcine Chemical compound C1=C(OC)C(=O)C=C2[C@@H](NC)CCC3=CC(OC)=C(OC)C(OC)=C3C2=C1 NNJPGOLRFBJNIW-HNNXBMFYSA-N 0.000 description 1
- BSPMWFRGZQDRIU-UHFFFAOYSA-N (2-amino-1h-imidazol-5-yl)methanol Chemical class NC1=NC(CO)=CN1 BSPMWFRGZQDRIU-UHFFFAOYSA-N 0.000 description 1
- XMAYWYJOQHXEEK-OZXSUGGESA-N (2R,4S)-ketoconazole Chemical compound C1CN(C(=O)C)CCN1C(C=C1)=CC=C1OC[C@@H]1O[C@@](CN2C=NC=C2)(C=2C(=CC(Cl)=CC=2)Cl)OC1 XMAYWYJOQHXEEK-OZXSUGGESA-N 0.000 description 1
- LQIPDFIUPOYMPR-BKYURJJWSA-N (2e,4e)-n-[2-[[(2r,3r,4r,5r,6s)-2-[(1s)-1,2-dihydroxyethyl]-4,5-dihydroxy-6-(7h-purin-6-ylamino)oxan-3-yl]amino]-2-oxoethyl]tetradeca-2,4-dienamide Chemical compound O1[C@@H]([C@@H](O)CO)[C@H](NC(=O)CNC(=O)/C=C/C=C/CCCCCCCCC)[C@@H](O)[C@@H](O)[C@H]1NC1=NC=NC2=C1NC=N2 LQIPDFIUPOYMPR-BKYURJJWSA-N 0.000 description 1
- ZEYYDOLCHFETHQ-JOCHJYFZSA-N (2r)-2-cyclopentyl-2-[4-(quinolin-2-ylmethoxy)phenyl]acetic acid Chemical compound C1([C@@H](C(=O)O)C=2C=CC(OCC=3N=C4C=CC=CC4=CC=3)=CC=2)CCCC1 ZEYYDOLCHFETHQ-JOCHJYFZSA-N 0.000 description 1
- CIDUJQMULVCIBT-MQDUPKMGSA-N (2r,3r,4r,5r)-2-[(1s,2s,3r,4s,6r)-4-amino-3-[[(2s,3r)-3-amino-6-(aminomethyl)-3,4-dihydro-2h-pyran-2-yl]oxy]-6-(ethylamino)-2-hydroxycyclohexyl]oxy-5-methyl-4-(methylamino)oxane-3,5-diol Chemical compound O([C@@H]1[C@@H](N)C[C@H]([C@@H]([C@H]1O)O[C@@H]1[C@@H]([C@@H](NC)[C@@](C)(O)CO1)O)NCC)[C@H]1OC(CN)=CC[C@H]1N CIDUJQMULVCIBT-MQDUPKMGSA-N 0.000 description 1
- WDQLRUYAYXDIFW-RWKIJVEZSA-N (2r,3r,4s,5r,6r)-4-[(2s,3r,4s,5r,6r)-3,5-dihydroxy-4-[(2r,3r,4s,5s,6r)-3,4,5-trihydroxy-6-(hydroxymethyl)oxan-2-yl]oxy-6-[[(2r,3r,4s,5s,6r)-3,4,5-trihydroxy-6-(hydroxymethyl)oxan-2-yl]oxymethyl]oxan-2-yl]oxy-6-(hydroxymethyl)oxane-2,3,5-triol Chemical compound O[C@@H]1[C@@H](CO)O[C@@H](O)[C@H](O)[C@H]1O[C@H]1[C@H](O)[C@@H](O[C@H]2[C@@H]([C@@H](O)[C@H](O)[C@@H](CO)O2)O)[C@H](O)[C@@H](CO[C@H]2[C@@H]([C@@H](O)[C@H](O)[C@@H](CO)O2)O)O1 WDQLRUYAYXDIFW-RWKIJVEZSA-N 0.000 description 1
- XTYSXGHMTNTKFH-BDEHJDMKSA-N (2s)-1-[(2s,4r)-4-benzyl-2-hydroxy-5-[[(1s,2r)-2-hydroxy-2,3-dihydro-1h-inden-1-yl]amino]-5-oxopentyl]-n-tert-butyl-4-(pyridin-3-ylmethyl)piperazine-2-carboxamide;hydrate Chemical compound O.C([C@H](N(CC1)C[C@@H](O)C[C@@H](CC=2C=CC=CC=2)C(=O)N[C@H]2C3=CC=CC=C3C[C@H]2O)C(=O)NC(C)(C)C)N1CC1=CC=CN=C1 XTYSXGHMTNTKFH-BDEHJDMKSA-N 0.000 description 1
- RDJGLLICXDHJDY-NSHDSACASA-N (2s)-2-(3-phenoxyphenyl)propanoic acid Chemical compound OC(=O)[C@@H](C)C1=CC=CC(OC=2C=CC=CC=2)=C1 RDJGLLICXDHJDY-NSHDSACASA-N 0.000 description 1
- AGGWFDNPHKLBBV-YUMQZZPRSA-N (2s)-2-[[(2s)-2-amino-3-methylbutanoyl]amino]-5-(carbamoylamino)pentanoic acid Chemical compound CC(C)[C@H](N)C(=O)N[C@H](C(O)=O)CCCNC(N)=O AGGWFDNPHKLBBV-YUMQZZPRSA-N 0.000 description 1
- YXTKHLHCVFUPPT-YYFJYKOTSA-N (2s)-2-[[4-[(2-amino-5-formyl-4-oxo-1,6,7,8-tetrahydropteridin-6-yl)methylamino]benzoyl]amino]pentanedioic acid;(1r,2r)-1,2-dimethanidylcyclohexane;5-fluoro-1h-pyrimidine-2,4-dione;oxalic acid;platinum(2+) Chemical compound [Pt+2].OC(=O)C(O)=O.[CH2-][C@@H]1CCCC[C@H]1[CH2-].FC1=CNC(=O)NC1=O.C1NC=2NC(N)=NC(=O)C=2N(C=O)C1CNC1=CC=C(C(=O)N[C@@H](CCC(O)=O)C(O)=O)C=C1 YXTKHLHCVFUPPT-YYFJYKOTSA-N 0.000 description 1
- FLWWDYNPWOSLEO-HQVZTVAUSA-N (2s)-2-[[4-[1-(2-amino-4-oxo-1h-pteridin-6-yl)ethyl-methylamino]benzoyl]amino]pentanedioic acid Chemical compound C=1N=C2NC(N)=NC(=O)C2=NC=1C(C)N(C)C1=CC=C(C(=O)N[C@@H](CCC(O)=O)C(O)=O)C=C1 FLWWDYNPWOSLEO-HQVZTVAUSA-N 0.000 description 1
- KYBXNPIASYUWLN-WUCPZUCCSA-N (2s)-5-hydroxypyrrolidine-2-carboxylic acid Chemical compound OC1CC[C@@H](C(O)=O)N1 KYBXNPIASYUWLN-WUCPZUCCSA-N 0.000 description 1
- LAQPKDLYOBZWBT-NYLDSJSYSA-N (2s,4s,5r,6r)-5-acetamido-2-{[(2s,3r,4s,5s,6r)-2-{[(2r,3r,4r,5r)-5-acetamido-1,2-dihydroxy-6-oxo-4-{[(2s,3s,4r,5s,6s)-3,4,5-trihydroxy-6-methyloxan-2-yl]oxy}hexan-3-yl]oxy}-3,5-dihydroxy-6-(hydroxymethyl)oxan-4-yl]oxy}-4-hydroxy-6-[(1r,2r)-1,2,3-trihydrox Chemical compound O[C@H]1[C@H](O)[C@H](O)[C@H](C)O[C@H]1O[C@H]([C@@H](NC(C)=O)C=O)[C@@H]([C@H](O)CO)O[C@H]1[C@H](O)[C@@H](O[C@]2(O[C@H]([C@H](NC(C)=O)[C@@H](O)C2)[C@H](O)[C@H](O)CO)C(O)=O)[C@@H](O)[C@@H](CO)O1 LAQPKDLYOBZWBT-NYLDSJSYSA-N 0.000 description 1
- AKJHMTWEGVYYSE-DRYRGIGMSA-N (2z,4e,6e,8e)-n-(4-hydroxyphenyl)-3,7-dimethyl-9-(2,6,6-trimethylcyclohexen-1-yl)nona-2,4,6,8-tetraenamide Chemical compound C=1C=C(O)C=CC=1NC(=O)/C=C(/C)\C=C\C=C(/C)\C=C\C1=C(C)CCCC1(C)C AKJHMTWEGVYYSE-DRYRGIGMSA-N 0.000 description 1
- ASWBNKHCZGQVJV-UHFFFAOYSA-N (3-hexadecanoyloxy-2-hydroxypropyl) 2-(trimethylazaniumyl)ethyl phosphate Chemical compound CCCCCCCCCCCCCCCC(=O)OCC(O)COP([O-])(=O)OCC[N+](C)(C)C ASWBNKHCZGQVJV-UHFFFAOYSA-N 0.000 description 1
- CGMTUJFWROPELF-YPAAEMCBSA-N (3E,5S)-5-[(2S)-butan-2-yl]-3-(1-hydroxyethylidene)pyrrolidine-2,4-dione Chemical compound CC[C@H](C)[C@@H]1NC(=O)\C(=C(/C)O)C1=O CGMTUJFWROPELF-YPAAEMCBSA-N 0.000 description 1
- OQANPHBRHBJGNZ-FYJGNVAPSA-N (3e)-6-oxo-3-[[4-(pyridin-2-ylsulfamoyl)phenyl]hydrazinylidene]cyclohexa-1,4-diene-1-carboxylic acid Chemical compound C1=CC(=O)C(C(=O)O)=C\C1=N\NC1=CC=C(S(=O)(=O)NC=2N=CC=CC=2)C=C1 OQANPHBRHBJGNZ-FYJGNVAPSA-N 0.000 description 1
- TVIRNGFXQVMMGB-OFWIHYRESA-N (3s,6r,10r,13e,16s)-16-[(2r,3r,4s)-4-chloro-3-hydroxy-4-phenylbutan-2-yl]-10-[(3-chloro-4-methoxyphenyl)methyl]-6-methyl-3-(2-methylpropyl)-1,4-dioxa-8,11-diazacyclohexadec-13-ene-2,5,9,12-tetrone Chemical compound C1=C(Cl)C(OC)=CC=C1C[C@@H]1C(=O)NC[C@@H](C)C(=O)O[C@@H](CC(C)C)C(=O)O[C@H]([C@H](C)[C@@H](O)[C@@H](Cl)C=2C=CC=CC=2)C/C=C/C(=O)N1 TVIRNGFXQVMMGB-OFWIHYRESA-N 0.000 description 1
- FZKWRPSUNUOXKJ-CVHRZJFOSA-N (4s,4ar,5s,5ar,6r,12ar)-4-(dimethylamino)-1,5,10,11,12a-pentahydroxy-6-methyl-3,12-dioxo-4a,5,5a,6-tetrahydro-4h-tetracene-2-carboxamide;hydrate Chemical compound O.C1=CC=C2[C@H](C)[C@@H]([C@H](O)[C@@H]3[C@](C(O)=C(C(N)=O)C(=O)[C@H]3N(C)C)(O)C3=O)C3=C(O)C2=C1O FZKWRPSUNUOXKJ-CVHRZJFOSA-N 0.000 description 1
- FFTVPQUHLQBXQZ-KVUCHLLUSA-N (4s,4as,5ar,12ar)-4,7-bis(dimethylamino)-1,10,11,12a-tetrahydroxy-3,12-dioxo-4a,5,5a,6-tetrahydro-4h-tetracene-2-carboxamide Chemical compound C1C2=C(N(C)C)C=CC(O)=C2C(O)=C2[C@@H]1C[C@H]1[C@H](N(C)C)C(=O)C(C(N)=O)=C(O)[C@@]1(O)C2=O FFTVPQUHLQBXQZ-KVUCHLLUSA-N 0.000 description 1
- GUXHBMASAHGULD-SEYHBJAFSA-N (4s,4as,5as,6s,12ar)-7-chloro-4-(dimethylamino)-1,6,10,11,12a-pentahydroxy-3,12-dioxo-4a,5,5a,6-tetrahydro-4h-tetracene-2-carboxamide Chemical compound C1([C@H]2O)=C(Cl)C=CC(O)=C1C(O)=C1[C@@H]2C[C@H]2[C@H](N(C)C)C(=O)C(C(N)=O)=C(O)[C@@]2(O)C1=O GUXHBMASAHGULD-SEYHBJAFSA-N 0.000 description 1
- XRBSKUSTLXISAB-XVVDYKMHSA-N (5r,6r,7r,8r)-8-hydroxy-7-(hydroxymethyl)-5-(3,4,5-trimethoxyphenyl)-5,6,7,8-tetrahydrobenzo[f][1,3]benzodioxole-6-carboxylic acid Chemical compound COC1=C(OC)C(OC)=CC([C@@H]2C3=CC=4OCOC=4C=C3[C@H](O)[C@@H](CO)[C@@H]2C(O)=O)=C1 XRBSKUSTLXISAB-XVVDYKMHSA-N 0.000 description 1
- VMWQYEAAXYPFCW-LCYFTJDESA-N (5z)-5-[(3,5-ditert-butyl-4-hydroxyphenyl)methylidene]-1,3-thiazolidine-2,4-dione Chemical compound CC(C)(C)C1=C(O)C(C(C)(C)C)=CC(\C=C/2C(NC(=O)S\2)=O)=C1 VMWQYEAAXYPFCW-LCYFTJDESA-N 0.000 description 1
- XRBSKUSTLXISAB-UHFFFAOYSA-N (7R,7'R,8R,8'R)-form-Podophyllic acid Natural products COC1=C(OC)C(OC)=CC(C2C3=CC=4OCOC=4C=C3C(O)C(CO)C2C(O)=O)=C1 XRBSKUSTLXISAB-UHFFFAOYSA-N 0.000 description 1
- AESVUZLWRXEGEX-DKCAWCKPSA-N (7S,9R)-7-[(2S,4R,5R,6R)-4-amino-5-hydroxy-6-methyloxan-2-yl]oxy-6,9,11-trihydroxy-9-(2-hydroxyacetyl)-4-methoxy-8,10-dihydro-7H-tetracene-5,12-dione iron(3+) Chemical compound [Fe+3].COc1cccc2C(=O)c3c(O)c4C[C@@](O)(C[C@H](O[C@@H]5C[C@@H](N)[C@@H](O)[C@@H](C)O5)c4c(O)c3C(=O)c12)C(=O)CO AESVUZLWRXEGEX-DKCAWCKPSA-N 0.000 description 1
- YUFFSWGQGVEMMI-JLNKQSITSA-N (7Z,10Z,13Z,16Z,19Z)-docosapentaenoic acid Chemical compound CC\C=C/C\C=C/C\C=C/C\C=C/C\C=C/CCCCCC(O)=O YUFFSWGQGVEMMI-JLNKQSITSA-N 0.000 description 1
- MWWSFMDVAYGXBV-MYPASOLCSA-N (7r,9s)-7-[(2r,4s,5s,6s)-4-amino-5-hydroxy-6-methyloxan-2-yl]oxy-6,9,11-trihydroxy-9-(2-hydroxyacetyl)-4-methoxy-8,10-dihydro-7h-tetracene-5,12-dione;hydrochloride Chemical compound Cl.O([C@@H]1C[C@@](O)(CC=2C(O)=C3C(=O)C=4C=CC=C(C=4C(=O)C3=C(O)C=21)OC)C(=O)CO)[C@H]1C[C@H](N)[C@H](O)[C@H](C)O1 MWWSFMDVAYGXBV-MYPASOLCSA-N 0.000 description 1
- RGVRUQHYQSORBY-JIGXQNLBSA-N (7s,9r)-7-[(2r,4s,5s,6s)-4-amino-5-hydroxy-6-methyloxan-2-yl]oxy-6,9,11-trihydroxy-9-(2-hydroxyethyl)-4-methoxy-8,10-dihydro-7h-tetracene-5,12-dione Chemical compound O([C@H]1C[C@](O)(CCO)CC=2C(O)=C3C(=O)C=4C=CC=C(C=4C(=O)C3=C(O)C=21)OC)[C@H]1C[C@H](N)[C@H](O)[C@H](C)O1 RGVRUQHYQSORBY-JIGXQNLBSA-N 0.000 description 1
- JXVAMODRWBNUSF-KZQKBALLSA-N (7s,9r,10r)-7-[(2r,4s,5s,6s)-5-[[(2s,4as,5as,7s,9s,9ar,10ar)-2,9-dimethyl-3-oxo-4,4a,5a,6,7,9,9a,10a-octahydrodipyrano[4,2-a:4',3'-e][1,4]dioxin-7-yl]oxy]-4-(dimethylamino)-6-methyloxan-2-yl]oxy-10-[(2s,4s,5s,6s)-4-(dimethylamino)-5-hydroxy-6-methyloxan-2 Chemical compound O([C@@H]1C2=C(O)C=3C(=O)C4=CC=CC(O)=C4C(=O)C=3C(O)=C2[C@@H](O[C@@H]2O[C@@H](C)[C@@H](O[C@@H]3O[C@@H](C)[C@H]4O[C@@H]5O[C@@H](C)C(=O)C[C@@H]5O[C@H]4C3)[C@H](C2)N(C)C)C[C@]1(O)CC)[C@H]1C[C@H](N(C)C)[C@H](O)[C@H](C)O1 JXVAMODRWBNUSF-KZQKBALLSA-N 0.000 description 1
- RCFNNLSZHVHCEK-IMHLAKCZSA-N (7s,9s)-7-(4-amino-6-methyloxan-2-yl)oxy-6,9,11-trihydroxy-9-(2-hydroxyacetyl)-4-methoxy-8,10-dihydro-7h-tetracene-5,12-dione;hydrochloride Chemical compound [Cl-].O([C@H]1C[C@@](O)(CC=2C(O)=C3C(=O)C=4C=CC=C(C=4C(=O)C3=C(O)C=21)OC)C(=O)CO)C1CC([NH3+])CC(C)O1 RCFNNLSZHVHCEK-IMHLAKCZSA-N 0.000 description 1
- 125000006736 (C6-C20) aryl group Chemical group 0.000 description 1
- GHOKWGTUZJEAQD-ZETCQYMHSA-N (D)-(+)-Pantothenic acid Chemical compound OCC(C)(C)[C@@H](O)C(=O)NCCC(O)=O GHOKWGTUZJEAQD-ZETCQYMHSA-N 0.000 description 1
- ACEAELOMUCBPJP-UHFFFAOYSA-N (E)-3,4,5-trihydroxycinnamic acid Natural products OC(=O)C=CC1=CC(O)=C(O)C(O)=C1 ACEAELOMUCBPJP-UHFFFAOYSA-N 0.000 description 1
- RJDJXOBGMMKPMH-GGWOSOGESA-N (E,E)-di-1-propenyl sulfide Chemical compound C\C=C\S\C=C\C RJDJXOBGMMKPMH-GGWOSOGESA-N 0.000 description 1
- LKJPYSCBVHEWIU-KRWDZBQOSA-N (R)-bicalutamide Chemical compound C([C@@](O)(C)C(=O)NC=1C=C(C(C#N)=CC=1)C(F)(F)F)S(=O)(=O)C1=CC=C(F)C=C1 LKJPYSCBVHEWIU-KRWDZBQOSA-N 0.000 description 1
- WHTVZRBIWZFKQO-AWEZNQCLSA-N (S)-chloroquine Chemical compound ClC1=CC=C2C(N[C@@H](C)CCCN(CC)CC)=CC=NC2=C1 WHTVZRBIWZFKQO-AWEZNQCLSA-N 0.000 description 1
- AGNGYMCLFWQVGX-AGFFZDDWSA-N (e)-1-[(2s)-2-amino-2-carboxyethoxy]-2-diazonioethenolate Chemical compound OC(=O)[C@@H](N)CO\C([O-])=C\[N+]#N AGNGYMCLFWQVGX-AGFFZDDWSA-N 0.000 description 1
- ZJLFOOWTDISDIO-ZRDIBKRKSA-N (e)-3-[6-[(2,6-dichlorophenyl)sulfanylmethyl]-3-(2-phenylethoxy)pyridin-2-yl]prop-2-enoic acid Chemical compound C=1C=C(OCCC=2C=CC=CC=2)C(/C=C/C(=O)O)=NC=1CSC1=C(Cl)C=CC=C1Cl ZJLFOOWTDISDIO-ZRDIBKRKSA-N 0.000 description 1
- IGDCPFCWGRZBEA-HTXNQAPBSA-N (e)-3-[6-[(3-aminophenyl)sulfinylmethyl]-3-[8-(4-methoxyphenyl)octoxy]pyridin-2-yl]prop-2-enoic acid Chemical compound C1=CC(OC)=CC=C1CCCCCCCCOC(C(=N1)\C=C\C(O)=O)=CC=C1CS(=O)C1=CC=CC(N)=C1 IGDCPFCWGRZBEA-HTXNQAPBSA-N 0.000 description 1
- VYEWZWBILJHHCU-OMQUDAQFSA-N (e)-n-[(2s,3r,4r,5r,6r)-2-[(2r,3r,4s,5s,6s)-3-acetamido-5-amino-4-hydroxy-6-(hydroxymethyl)oxan-2-yl]oxy-6-[2-[(2r,3s,4r,5r)-5-(2,4-dioxopyrimidin-1-yl)-3,4-dihydroxyoxolan-2-yl]-2-hydroxyethyl]-4,5-dihydroxyoxan-3-yl]-5-methylhex-2-enamide Chemical compound N1([C@@H]2O[C@@H]([C@H]([C@H]2O)O)C(O)C[C@@H]2[C@H](O)[C@H](O)[C@H]([C@@H](O2)O[C@@H]2[C@@H]([C@@H](O)[C@H](N)[C@@H](CO)O2)NC(C)=O)NC(=O)/C=C/CC(C)C)C=CC(=O)NC1=O VYEWZWBILJHHCU-OMQUDAQFSA-N 0.000 description 1
- ZYOVPHVRMNKWBD-BQYQJAHWSA-N (e)-n-hydroxy-n-methyl-3-(2-methylsulfanylphenyl)prop-2-enamide Chemical compound CSC1=CC=CC=C1\C=C\C(=O)N(C)O ZYOVPHVRMNKWBD-BQYQJAHWSA-N 0.000 description 1
- 108091032973 (ribonucleotides)n+m Proteins 0.000 description 1
- BUMMZWFWCNQFPS-BTJKTKAUSA-N (z)-but-2-enedioic acid;4-[5-(4-carbamimidoylphenoxy)pentoxy]-3-methoxy-n,n-di(propan-2-yl)benzamide Chemical compound OC(=O)\C=C/C(O)=O.COC1=CC(C(=O)N(C(C)C)C(C)C)=CC=C1OCCCCCOC1=CC=C(C(N)=N)C=C1 BUMMZWFWCNQFPS-BTJKTKAUSA-N 0.000 description 1
- 150000005206 1,2-dihydroxybenzenes Chemical class 0.000 description 1
- FONKWHRXTPJODV-DNQXCXABSA-N 1,3-bis[2-[(8s)-8-(chloromethyl)-4-hydroxy-1-methyl-7,8-dihydro-3h-pyrrolo[3,2-e]indole-6-carbonyl]-1h-indol-5-yl]urea Chemical compound C1([C@H](CCl)CN2C(=O)C=3NC4=CC=C(C=C4C=3)NC(=O)NC=3C=C4C=C(NC4=CC=3)C(=O)N3C4=CC(O)=C5NC=C(C5=C4[C@H](CCl)C3)C)=C2C=C(O)C2=C1C(C)=CN2 FONKWHRXTPJODV-DNQXCXABSA-N 0.000 description 1
- UBCHPRBFMUDMNC-UHFFFAOYSA-N 1-(1-adamantyl)ethanamine Chemical compound C1C(C2)CC3CC2CC1(C(N)C)C3 UBCHPRBFMUDMNC-UHFFFAOYSA-N 0.000 description 1
- MYBLAOJMRYYKMS-RTRLPJTCSA-N 1-(2-chloroethyl)-1-nitroso-3-[(3r,4r,5s,6r)-2,4,5-trihydroxy-6-(hydroxymethyl)oxan-3-yl]urea Chemical compound OC[C@H]1OC(O)[C@H](NC(=O)N(CCCl)N=O)[C@@H](O)[C@@H]1O MYBLAOJMRYYKMS-RTRLPJTCSA-N 0.000 description 1
- KMNLXCBYBKHKSK-BKMJKUGQSA-N 1-[(3s,4r)-4-hydroxy-3-[(4-phenylphenyl)methyl]-3,4-dihydro-2h-chromen-7-yl]cyclopentane-1-carboxylic acid Chemical compound C([C@@H]1[C@H](C2=CC=C(C=C2OC1)C1(CCCC1)C(O)=O)O)C(C=C1)=CC=C1C1=CC=CC=C1 KMNLXCBYBKHKSK-BKMJKUGQSA-N 0.000 description 1
- 102100025573 1-alkyl-2-acetylglycerophosphocholine esterase Human genes 0.000 description 1
- YHAROSAFXOQKCZ-UHFFFAOYSA-N 1-benzofuran-2-ol Chemical class C1=CC=C2OC(O)=CC2=C1 YHAROSAFXOQKCZ-UHFFFAOYSA-N 0.000 description 1
- FPIRBHDGWMWJEP-UHFFFAOYSA-N 1-hydroxy-7-azabenzotriazole Chemical compound C1=CN=C2N(O)N=NC2=C1 FPIRBHDGWMWJEP-UHFFFAOYSA-N 0.000 description 1
- IXPNQXFRVYWDDI-UHFFFAOYSA-N 1-methyl-2,4-dioxo-1,3-diazinane-5-carboximidamide Chemical compound CN1CC(C(N)=N)C(=O)NC1=O IXPNQXFRVYWDDI-UHFFFAOYSA-N 0.000 description 1
- KJCVRFUGPWSIIH-UHFFFAOYSA-N 1-naphthol Chemical compound C1=CC=C2C(O)=CC=CC2=C1 KJCVRFUGPWSIIH-UHFFFAOYSA-N 0.000 description 1
- JRZJOMJEPLMPRA-UHFFFAOYSA-N 1-nonene Chemical group CCCCCCCC=C JRZJOMJEPLMPRA-UHFFFAOYSA-N 0.000 description 1
- 125000001462 1-pyrrolyl group Chemical group [*]N1C([H])=C([H])C([H])=C1[H] 0.000 description 1
- OWFVSJHRFRIEAK-UHFFFAOYSA-N 15-hydroxyicosa-2,4,6,8,10-pentaenoic acid Chemical class CCCCCC(O)CCCC=CC=CC=CC=CC=CC(O)=O OWFVSJHRFRIEAK-UHFFFAOYSA-N 0.000 description 1
- BAXOFTOLAUCFNW-UHFFFAOYSA-N 1H-indazole Chemical group C1=CC=C2C=NNC2=C1 BAXOFTOLAUCFNW-UHFFFAOYSA-N 0.000 description 1
- 125000005955 1H-indazolyl group Chemical group 0.000 description 1
- WJGPNUBJBMCRQH-UHFFFAOYSA-N 2,2-dimethyl-2,3-dihydro-1-benzofuran-7-ol Chemical compound C1=CC(O)=C2OC(C)(C)CC2=C1 WJGPNUBJBMCRQH-UHFFFAOYSA-N 0.000 description 1
- KEQTWHPMSVAFDA-UHFFFAOYSA-N 2,3-dihydro-1h-pyrazole Chemical group C1NNC=C1 KEQTWHPMSVAFDA-UHFFFAOYSA-N 0.000 description 1
- UFBJCMHMOXMLKC-UHFFFAOYSA-N 2,4-dinitrophenol Chemical compound OC1=CC=C([N+]([O-])=O)C=C1[N+]([O-])=O UFBJCMHMOXMLKC-UHFFFAOYSA-N 0.000 description 1
- BOMZMNZEXMAQQW-UHFFFAOYSA-N 2,5,11-trimethyl-6h-pyrido[4,3-b]carbazol-2-ium-9-ol;acetate Chemical compound CC([O-])=O.C[N+]1=CC=C2C(C)=C(NC=3C4=CC(O)=CC=3)C4=C(C)C2=C1 BOMZMNZEXMAQQW-UHFFFAOYSA-N 0.000 description 1
- FFMBYMANYCDCMK-UHFFFAOYSA-N 2,5-dihydro-1h-imidazole Chemical group C1NCN=C1 FFMBYMANYCDCMK-UHFFFAOYSA-N 0.000 description 1
- WXTMDXOMEHJXQO-UHFFFAOYSA-N 2,5-dihydroxybenzoic acid Chemical compound OC(=O)C1=CC(O)=CC=C1O WXTMDXOMEHJXQO-UHFFFAOYSA-N 0.000 description 1
- UFCRQKWENZPCAD-UHFFFAOYSA-N 2-(2-aminophenyl)propanamide Chemical class NC(=O)C(C)C1=CC=CC=C1N UFCRQKWENZPCAD-UHFFFAOYSA-N 0.000 description 1
- HIXDQWDOVZUNNA-UHFFFAOYSA-N 2-(3,4-dimethoxyphenyl)-5-hydroxy-7-methoxychromen-4-one Chemical compound C=1C(OC)=CC(O)=C(C(C=2)=O)C=1OC=2C1=CC=C(OC)C(OC)=C1 HIXDQWDOVZUNNA-UHFFFAOYSA-N 0.000 description 1
- TXQPXJKRNHJWAX-UHFFFAOYSA-N 2-(3-aminopropylamino)ethylsulfanylphosphonic acid;trihydrate Chemical compound O.O.O.NCCCNCCSP(O)(O)=O TXQPXJKRNHJWAX-UHFFFAOYSA-N 0.000 description 1
- UIJWMSUSZQORDJ-UHFFFAOYSA-N 2-(4-methoxyphenyl)-3-pyridin-4-yl-6,7-dihydro-5h-pyrrolo[1,2-a]imidazole Chemical compound C1=CC(OC)=CC=C1C1=C(C=2C=CN=CC=2)N2CCCC2=N1 UIJWMSUSZQORDJ-UHFFFAOYSA-N 0.000 description 1
- HYNQTSZBTIOFKH-UHFFFAOYSA-N 2-Amino-5-hydroxybenzoic acid Chemical compound NC1=CC=C(O)C=C1C(O)=O HYNQTSZBTIOFKH-UHFFFAOYSA-N 0.000 description 1
- IMSODMZESSGVBE-UHFFFAOYSA-N 2-Oxazoline Chemical compound C1CN=CO1 IMSODMZESSGVBE-UHFFFAOYSA-N 0.000 description 1
- VHVPQPYKVGDNFY-DFMJLFEVSA-N 2-[(2r)-butan-2-yl]-4-[4-[4-[4-[[(2r,4s)-2-(2,4-dichlorophenyl)-2-(1,2,4-triazol-1-ylmethyl)-1,3-dioxolan-4-yl]methoxy]phenyl]piperazin-1-yl]phenyl]-1,2,4-triazol-3-one Chemical compound O=C1N([C@H](C)CC)N=CN1C1=CC=C(N2CCN(CC2)C=2C=CC(OC[C@@H]3O[C@](CN4N=CN=C4)(OC3)C=3C(=CC(Cl)=CC=3)Cl)=CC=2)C=C1 VHVPQPYKVGDNFY-DFMJLFEVSA-N 0.000 description 1
- QXLQZLBNPTZMRK-UHFFFAOYSA-N 2-[(dimethylamino)methyl]-1-(2,4-dimethylphenyl)prop-2-en-1-one Chemical compound CN(C)CC(=C)C(=O)C1=CC=C(C)C=C1C QXLQZLBNPTZMRK-UHFFFAOYSA-N 0.000 description 1
- ZFDATWDBAKWOKP-UHFFFAOYSA-N 2-[5-methyl-5-(2h-tetrazol-5-yl)hexoxy]-4,6-diphenylpyridine Chemical compound N1=NNN=C1C(C)(C)CCCCOC(N=1)=CC(C=2C=CC=CC=2)=CC=1C1=CC=CC=C1 ZFDATWDBAKWOKP-UHFFFAOYSA-N 0.000 description 1
- IVTVGDXNLFLDRM-UHFFFAOYSA-N 2-[[5-[methyl-[(2-methyl-4-oxo-1h-quinazolin-6-yl)methyl]amino]thiophene-2-carbonyl]amino]pentanedioic acid Chemical compound C=1C=C2NC(C)=NC(=O)C2=CC=1CN(C)C1=CC=C(C(=O)NC(CCC(O)=O)C(O)=O)S1 IVTVGDXNLFLDRM-UHFFFAOYSA-N 0.000 description 1
- BGFTWECWAICPDG-UHFFFAOYSA-N 2-[bis(4-chlorophenyl)methyl]-4-n-[3-[bis(4-chlorophenyl)methyl]-4-(dimethylamino)phenyl]-1-n,1-n-dimethylbenzene-1,4-diamine Chemical compound C1=C(C(C=2C=CC(Cl)=CC=2)C=2C=CC(Cl)=CC=2)C(N(C)C)=CC=C1NC(C=1)=CC=C(N(C)C)C=1C(C=1C=CC(Cl)=CC=1)C1=CC=C(Cl)C=C1 BGFTWECWAICPDG-UHFFFAOYSA-N 0.000 description 1
- QCXJFISCRQIYID-IAEPZHFASA-N 2-amino-1-n-[(3s,6s,7r,10s,16s)-3-[(2s)-butan-2-yl]-7,11,14-trimethyl-2,5,9,12,15-pentaoxo-10-propan-2-yl-8-oxa-1,4,11,14-tetrazabicyclo[14.3.0]nonadecan-6-yl]-4,6-dimethyl-3-oxo-9-n-[(3s,6s,7r,10s,16s)-7,11,14-trimethyl-2,5,9,12,15-pentaoxo-3,10-di(propa Chemical compound C[C@H]1OC(=O)[C@H](C(C)C)N(C)C(=O)CN(C)C(=O)[C@@H]2CCCN2C(=O)[C@H](C(C)C)NC(=O)[C@H]1NC(=O)C1=C(N=C2C(C(=O)N[C@@H]3C(=O)N[C@H](C(N4CCC[C@H]4C(=O)N(C)CC(=O)N(C)[C@@H](C(C)C)C(=O)O[C@@H]3C)=O)[C@@H](C)CC)=C(N)C(=O)C(C)=C2O2)C2=C(C)C=C1 QCXJFISCRQIYID-IAEPZHFASA-N 0.000 description 1
- 125000000979 2-amino-2-oxoethyl group Chemical group [H]C([*])([H])C(=O)N([H])[H] 0.000 description 1
- KGTRXRJMKPFFHY-UHFFFAOYSA-N 2-amino-3,7-dihydropurine-6-thione;3,7-dihydropurine-6-thione Chemical compound S=C1N=CNC2=C1NC=N2.S=C1NC(N)=NC2=C1NC=N2 KGTRXRJMKPFFHY-UHFFFAOYSA-N 0.000 description 1
- PBSPQZHJEDTHTL-UHFFFAOYSA-N 2-benzoylpentanoic acid Chemical compound CCCC(C(O)=O)C(=O)C1=CC=CC=C1 PBSPQZHJEDTHTL-UHFFFAOYSA-N 0.000 description 1
- QXPXILGITKUCLM-UHFFFAOYSA-N 2-benzylidenepropane-1,3-diol Chemical compound OCC(CO)=CC1=CC=CC=C1 QXPXILGITKUCLM-UHFFFAOYSA-N 0.000 description 1
- CZTSOXCSVFEFIK-UHFFFAOYSA-N 2-benzylnaphthalen-1-ol Chemical compound C1=CC2=CC=CC=C2C(O)=C1CC1=CC=CC=C1 CZTSOXCSVFEFIK-UHFFFAOYSA-N 0.000 description 1
- JUIKUQOUMZUFQT-UHFFFAOYSA-N 2-bromoacetamide Chemical compound NC(=O)CBr JUIKUQOUMZUFQT-UHFFFAOYSA-N 0.000 description 1
- FDAYLTPAFBGXAB-UHFFFAOYSA-N 2-chloro-n,n-bis(2-chloroethyl)ethanamine Chemical compound ClCCN(CCCl)CCCl FDAYLTPAFBGXAB-UHFFFAOYSA-N 0.000 description 1
- VNBAOSVONFJBKP-UHFFFAOYSA-N 2-chloro-n,n-bis(2-chloroethyl)propan-1-amine;hydrochloride Chemical compound Cl.CC(Cl)CN(CCCl)CCCl VNBAOSVONFJBKP-UHFFFAOYSA-N 0.000 description 1
- NEAQRZUHTPSBBM-UHFFFAOYSA-N 2-hydroxy-3,3-dimethyl-7-nitro-4h-isoquinolin-1-one Chemical class C1=C([N+]([O-])=O)C=C2C(=O)N(O)C(C)(C)CC2=C1 NEAQRZUHTPSBBM-UHFFFAOYSA-N 0.000 description 1
- XTDKZSUYCXHXJM-UHFFFAOYSA-N 2-methoxyoxane Chemical compound COC1CCCCO1 XTDKZSUYCXHXJM-UHFFFAOYSA-N 0.000 description 1
- 125000004493 2-methylbut-1-yl group Chemical group CC(C*)CC 0.000 description 1
- YZEUHQHUFTYLPH-UHFFFAOYSA-N 2-nitroimidazole Chemical compound [O-][N+](=O)C1=NC=CN1 YZEUHQHUFTYLPH-UHFFFAOYSA-N 0.000 description 1
- KRTGJZMJJVEKRX-UHFFFAOYSA-N 2-phenylethan-1-yl Chemical group [CH2]CC1=CC=CC=C1 KRTGJZMJJVEKRX-UHFFFAOYSA-N 0.000 description 1
- 125000003903 2-propenyl group Chemical group [H]C([*])([H])C([H])=C([H])[H] 0.000 description 1
- 125000004105 2-pyridyl group Chemical group N1=C([*])C([H])=C([H])C([H])=C1[H] 0.000 description 1
- RSEBUVRVKCANEP-UHFFFAOYSA-N 2-pyrroline Chemical group C1CC=CN1 RSEBUVRVKCANEP-UHFFFAOYSA-N 0.000 description 1
- KIUMMUBSPKGMOY-UHFFFAOYSA-N 3,3'-Dithiobis(6-nitrobenzoic acid) Chemical compound C1=C([N+]([O-])=O)C(C(=O)O)=CC(SSC=2C=C(C(=CC=2)[N+]([O-])=O)C(O)=O)=C1 KIUMMUBSPKGMOY-UHFFFAOYSA-N 0.000 description 1
- PWMYMKOUNYTVQN-UHFFFAOYSA-N 3-(8,8-diethyl-2-aza-8-germaspiro[4.5]decan-2-yl)-n,n-dimethylpropan-1-amine Chemical compound C1C[Ge](CC)(CC)CCC11CN(CCCN(C)C)CC1 PWMYMKOUNYTVQN-UHFFFAOYSA-N 0.000 description 1
- QGJZLNKBHJESQX-UHFFFAOYSA-N 3-Epi-Betulin-Saeure Natural products C1CC(O)C(C)(C)C2CCC3(C)C4(C)CCC5(C(O)=O)CCC(C(=C)C)C5C4CCC3C21C QGJZLNKBHJESQX-UHFFFAOYSA-N 0.000 description 1
- CWVRJTMFETXNAD-FWCWNIRPSA-N 3-O-Caffeoylquinic acid Natural products O[C@H]1[C@@H](O)C[C@@](O)(C(O)=O)C[C@H]1OC(=O)\C=C\C1=CC=C(O)C(O)=C1 CWVRJTMFETXNAD-FWCWNIRPSA-N 0.000 description 1
- YWYUQSGYKDEAMJ-QFIPXVFZSA-N 3-[(2s)-7-[3-[2-(cyclopropylmethyl)-3-methoxy-4-(methylcarbamoyl)phenoxy]propoxy]-8-propyl-3,4-dihydro-2h-chromen-2-yl]propanoic acid Chemical compound O([C@H](CCC(O)=O)CCC=1C=C2)C=1C(CCC)=C2OCCCOC1=CC=C(C(=O)NC)C(OC)=C1CC1CC1 YWYUQSGYKDEAMJ-QFIPXVFZSA-N 0.000 description 1
- UZFPOOOQHWICKY-UHFFFAOYSA-N 3-[13-[1-[1-[8,12-bis(2-carboxyethyl)-17-(1-hydroxyethyl)-3,7,13,18-tetramethyl-21,24-dihydroporphyrin-2-yl]ethoxy]ethyl]-18-(2-carboxyethyl)-8-(1-hydroxyethyl)-3,7,12,17-tetramethyl-22,23-dihydroporphyrin-2-yl]propanoic acid Chemical compound N1C(C=C2C(=C(CCC(O)=O)C(C=C3C(=C(C)C(C=C4N5)=N3)CCC(O)=O)=N2)C)=C(C)C(C(C)O)=C1C=C5C(C)=C4C(C)OC(C)C1=C(N2)C=C(N3)C(C)=C(C(O)C)C3=CC(C(C)=C3CCC(O)=O)=NC3=CC(C(CCC(O)=O)=C3C)=NC3=CC2=C1C UZFPOOOQHWICKY-UHFFFAOYSA-N 0.000 description 1
- YWYUQSGYKDEAMJ-UHFFFAOYSA-N 3-[7-[3-[2-(cyclopropylmethyl)-3-methoxy-4-(methylcarbamoyl)phenoxy]propoxy]-8-propyl-3,4-dihydro-2h-chromen-2-yl]propanoic acid Chemical compound C1=CC=2CCC(CCC(O)=O)OC=2C(CCC)=C1OCCCOC1=CC=C(C(=O)NC)C(OC)=C1CC1CC1 YWYUQSGYKDEAMJ-UHFFFAOYSA-N 0.000 description 1
- AQFYLVCUNGCYNH-UHFFFAOYSA-N 3-[[6-[(4-acetyl-2-ethyl-5-hydroxyphenoxy)methyl]pyridine-2-carbonyl]-ethylamino]propanoic acid Chemical compound OC(=O)CCN(CC)C(=O)C1=CC=CC(COC=2C(=CC(=C(O)C=2)C(C)=O)CC)=N1 AQFYLVCUNGCYNH-UHFFFAOYSA-N 0.000 description 1
- QQUXZUFSDIOIFJ-HTXNQAPBSA-N 3-[[6-[(e)-2-carboxyethenyl]-5-[8-(4-methoxyphenyl)octoxy]pyridin-2-yl]methylsulfanylmethyl]benzoic acid Chemical compound C1=CC(OC)=CC=C1CCCCCCCCOC(C(=N1)\C=C\C(O)=O)=CC=C1CSCC1=CC=CC(C(O)=O)=C1 QQUXZUFSDIOIFJ-HTXNQAPBSA-N 0.000 description 1
- FEWJPZIEWOKRBE-UHFFFAOYSA-M 3-carboxy-2,3-dihydroxypropanoate Chemical compound OC(=O)C(O)C(O)C([O-])=O FEWJPZIEWOKRBE-UHFFFAOYSA-M 0.000 description 1
- 125000003349 3-pyridyl group Chemical group N1=C([H])C([*])=C([H])C([H])=C1[H] 0.000 description 1
- JVQIKJMSUIMUDI-UHFFFAOYSA-N 3-pyrroline Chemical group C1NCC=C1 JVQIKJMSUIMUDI-UHFFFAOYSA-N 0.000 description 1
- INZOTETZQBPBCE-NYLDSJSYSA-N 3-sialyl lewis Chemical compound O[C@H]1[C@H](O)[C@H](O)[C@H](C)O[C@H]1O[C@H]([C@H](O)CO)[C@@H]([C@@H](NC(C)=O)C=O)O[C@H]1[C@H](O)[C@@H](O[C@]2(O[C@H]([C@H](NC(C)=O)[C@@H](O)C2)[C@H](O)[C@H](O)CO)C(O)=O)[C@@H](O)[C@@H](CO)O1 INZOTETZQBPBCE-NYLDSJSYSA-N 0.000 description 1
- QXZBMSIDSOZZHK-DOPDSADYSA-N 31362-50-2 Chemical compound C([C@@H](C(=O)N[C@@H](CC(C)C)C(=O)N[C@@H](CCSC)C(N)=O)NC(=O)CNC(=O)[C@@H](NC(=O)[C@H](C)NC(=O)[C@H](CC=1C2=CC=CC=C2NC=1)NC(=O)[C@H](CCC(N)=O)NC(=O)[C@H](CC(N)=O)NC(=O)CNC(=O)[C@H](CC(C)C)NC(=O)[C@H](CCCNC(N)=N)NC(=O)[C@H](CCC(N)=O)NC(=O)[C@H]1NC(=O)CC1)C(C)C)C1=CNC=N1 QXZBMSIDSOZZHK-DOPDSADYSA-N 0.000 description 1
- 101800000504 3C-like protease Proteins 0.000 description 1
- CLOUCVRNYSHRCF-UHFFFAOYSA-N 3beta-Hydroxy-20(29)-Lupen-3,27-oic acid Natural products C1CC(O)C(C)(C)C2CCC3(C)C4(C(O)=O)CCC5(C)CCC(C(=C)C)C5C4CCC3C21C CLOUCVRNYSHRCF-UHFFFAOYSA-N 0.000 description 1
- CZWWCTHQXBMHDA-UHFFFAOYSA-N 3h-1,3-thiazol-2-one Chemical class OC1=NC=CS1 CZWWCTHQXBMHDA-UHFFFAOYSA-N 0.000 description 1
- UPMLOUAZCHDJJD-UHFFFAOYSA-N 4,4'-Diphenylmethane Diisocyanate Chemical compound C1=CC(N=C=O)=CC=C1CC1=CC=C(N=C=O)C=C1 UPMLOUAZCHDJJD-UHFFFAOYSA-N 0.000 description 1
- MAAQGZFMFXQVOG-UHFFFAOYSA-N 4,4-diphenylbutan-1-amine Chemical class C=1C=CC=CC=1C(CCCN)C1=CC=CC=C1 MAAQGZFMFXQVOG-UHFFFAOYSA-N 0.000 description 1
- MCGBIXXDQFWVDW-UHFFFAOYSA-N 4,5-dihydro-1h-pyrazole Chemical group C1CC=NN1 MCGBIXXDQFWVDW-UHFFFAOYSA-N 0.000 description 1
- QFVHZQCOUORWEI-UHFFFAOYSA-N 4-[(4-anilino-5-sulfonaphthalen-1-yl)diazenyl]-5-hydroxynaphthalene-2,7-disulfonic acid Chemical compound C=12C(O)=CC(S(O)(=O)=O)=CC2=CC(S(O)(=O)=O)=CC=1N=NC(C1=CC=CC(=C11)S(O)(=O)=O)=CC=C1NC1=CC=CC=C1 QFVHZQCOUORWEI-UHFFFAOYSA-N 0.000 description 1
- KRCUWCAUDKTMPB-UHFFFAOYSA-N 4-[[n-[(3-fluorophenyl)methyl]-4-(quinolin-2-ylmethoxy)anilino]methyl]benzoic acid Chemical compound C1=CC(C(=O)O)=CC=C1CN(C=1C=CC(OCC=2N=C3C=CC=CC3=CC=2)=CC=1)CC1=CC=CC(F)=C1 KRCUWCAUDKTMPB-UHFFFAOYSA-N 0.000 description 1
- CDXHOBQTVYVWHA-UHFFFAOYSA-N 4-amino-n-(5-methyl-1,3,4-thiadiazol-2-yl)benzenesulfonimidic acid Chemical compound S1C(C)=NN=C1N=S(O)(=O)C1=CC=C(N)C=C1 CDXHOBQTVYVWHA-UHFFFAOYSA-N 0.000 description 1
- ALYNCZNDIQEVRV-UHFFFAOYSA-N 4-aminobenzoic acid Chemical compound NC1=CC=C(C(O)=O)C=C1 ALYNCZNDIQEVRV-UHFFFAOYSA-N 0.000 description 1
- WCVPFJVXEXJFLB-UHFFFAOYSA-N 4-aminobutanamide Chemical class NCCCC(N)=O WCVPFJVXEXJFLB-UHFFFAOYSA-N 0.000 description 1
- TVZGACDUOSZQKY-LBPRGKRZSA-N 4-aminofolic acid Chemical compound C1=NC2=NC(N)=NC(N)=C2N=C1CNC1=CC=C(C(=O)N[C@@H](CCC(O)=O)C(O)=O)C=C1 TVZGACDUOSZQKY-LBPRGKRZSA-N 0.000 description 1
- 125000005986 4-piperidonyl group Chemical group 0.000 description 1
- 125000000339 4-pyridyl group Chemical group N1=C([H])C([H])=C([*])C([H])=C1[H] 0.000 description 1
- KDDQRKBRJSGMQE-UHFFFAOYSA-N 4-thiazolyl Chemical group [C]1=CSC=N1 KDDQRKBRJSGMQE-UHFFFAOYSA-N 0.000 description 1
- 125000002471 4H-quinolizinyl group Chemical group C=1(C=CCN2C=CC=CC12)* 0.000 description 1
- 101710163881 5,6-dihydroxyindole-2-carboxylic acid oxidase Proteins 0.000 description 1
- PJJGZPJJTHBVMX-UHFFFAOYSA-N 5,7-Dihydroxyisoflavone Chemical compound C=1C(O)=CC(O)=C(C2=O)C=1OC=C2C1=CC=CC=C1 PJJGZPJJTHBVMX-UHFFFAOYSA-N 0.000 description 1
- DCTKEJXAVFAMFK-UHFFFAOYSA-N 5-(2-carboxyethyl)-6-[3-[2-ethyl-4-(4-fluorophenyl)-5-hydroxyphenoxy]propoxy]-9-oxoxanthene-2-carboxylic acid Chemical compound OC=1C=C(OCCCOC=2C(=C3C(C(C4=CC(=CC=C4O3)C(O)=O)=O)=CC=2)CCC(O)=O)C(CC)=CC=1C1=CC=C(F)C=C1 DCTKEJXAVFAMFK-UHFFFAOYSA-N 0.000 description 1
- NMUSYJAQQFHJEW-UHFFFAOYSA-N 5-Azacytidine Natural products O=C1N=C(N)N=CN1C1C(O)C(O)C(CO)O1 NMUSYJAQQFHJEW-UHFFFAOYSA-N 0.000 description 1
- LGZKGOGODCLQHG-CYBMUJFWSA-N 5-[(2r)-2-hydroxy-2-(3,4,5-trimethoxyphenyl)ethyl]-2-methoxyphenol Chemical compound C1=C(O)C(OC)=CC=C1C[C@@H](O)C1=CC(OC)=C(OC)C(OC)=C1 LGZKGOGODCLQHG-CYBMUJFWSA-N 0.000 description 1
- JOPSSWGWLCLPPF-RUDMXATFSA-N 5-[2-(2-carboxyethyl)-3-[(e)-6-(4-methoxyphenyl)hex-5-enoxy]phenoxy]pentanoic acid Chemical compound C1=CC(OC)=CC=C1\C=C\CCCCOC1=CC=CC(OCCCCC(O)=O)=C1CCC(O)=O JOPSSWGWLCLPPF-RUDMXATFSA-N 0.000 description 1
- 125000006043 5-hexenyl group Chemical group 0.000 description 1
- VFFTVZUIDYJUQS-UHFFFAOYSA-N 5-hydroxy-4-oxo-10-propyl-6,7,8,9-tetrahydrobenzo[g]chromene-2-carboxylic acid Chemical compound O1C(C(O)=O)=CC(=O)C2=C1C(CCC)=C1CCCCC1=C2O VFFTVZUIDYJUQS-UHFFFAOYSA-N 0.000 description 1
- 229940117976 5-hydroxylysine Drugs 0.000 description 1
- 125000004938 5-pyridyl group Chemical group N1=CC=CC(=C1)* 0.000 description 1
- CWDWFSXUQODZGW-UHFFFAOYSA-N 5-thiazolyl Chemical group [C]1=CN=CS1 CWDWFSXUQODZGW-UHFFFAOYSA-N 0.000 description 1
- SLXKOJJOQWFEFD-UHFFFAOYSA-N 6-aminohexanoic acid Chemical compound NCCCCCC(O)=O SLXKOJJOQWFEFD-UHFFFAOYSA-N 0.000 description 1
- WYXSYVWAUAUWLD-SHUUEZRQSA-N 6-azauridine Chemical compound O[C@@H]1[C@H](O)[C@@H](CO)O[C@H]1N1C(=O)NC(=O)C=N1 WYXSYVWAUAUWLD-SHUUEZRQSA-N 0.000 description 1
- YCWQAMGASJSUIP-YFKPBYRVSA-N 6-diazo-5-oxo-L-norleucine Chemical compound OC(=O)[C@@H](N)CCC(=O)C=[N+]=[N-] YCWQAMGASJSUIP-YFKPBYRVSA-N 0.000 description 1
- 229960005538 6-diazo-5-oxo-L-norleucine Drugs 0.000 description 1
- 125000004939 6-pyridyl group Chemical group N1=CC=CC=C1* 0.000 description 1
- YGWHMSNGVVTUIT-XZTJDVGNSA-N 64t9qz8n2y Chemical compound CN1[C@H]2C[C@@H](C(O)=O)[C@@H]1[C@@H]1CC(C=CC=C3OC)=C3[C@H](CO)N1[C@H]2C#N YGWHMSNGVVTUIT-XZTJDVGNSA-N 0.000 description 1
- FJHBVJOVLFPMQE-QFIPXVFZSA-N 7-Ethyl-10-Hydroxy-Camptothecin Chemical compound C1=C(O)C=C2C(CC)=C(CN3C(C4=C([C@@](C(=O)OC4)(O)CC)C=C33)=O)C3=NC2=C1 FJHBVJOVLFPMQE-QFIPXVFZSA-N 0.000 description 1
- ZVVCSBSDFGYRCB-UHFFFAOYSA-N 7-[3-(4-acetyl-3-methoxy-2-propylphenoxy)propoxy]-8-propyl-3,4-dihydro-2h-chromene-2-carboxylic acid Chemical compound C1=CC(C(C)=O)=C(OC)C(CCC)=C1OCCCOC1=CC=C(CCC(O2)C(O)=O)C2=C1CCC ZVVCSBSDFGYRCB-UHFFFAOYSA-N 0.000 description 1
- HBAQYPYDRFILMT-UHFFFAOYSA-N 8-[3-(1-cyclopropylpyrazol-4-yl)-1H-pyrazolo[4,3-d]pyrimidin-5-yl]-3-methyl-3,8-diazabicyclo[3.2.1]octan-2-one Chemical class C1(CC1)N1N=CC(=C1)C1=NNC2=C1N=C(N=C2)N1C2C(N(CC1CC2)C)=O HBAQYPYDRFILMT-UHFFFAOYSA-N 0.000 description 1
- ZGXJTSGNIOSYLO-UHFFFAOYSA-N 88755TAZ87 Chemical compound NCC(=O)CCC(O)=O ZGXJTSGNIOSYLO-UHFFFAOYSA-N 0.000 description 1
- SHGAZHPCJJPHSC-ZVCIMWCZSA-N 9-cis-retinoic acid Chemical compound OC(=O)/C=C(\C)/C=C/C=C(/C)\C=C\C1=C(C)CCCC1(C)C SHGAZHPCJJPHSC-ZVCIMWCZSA-N 0.000 description 1
- GSDSWSVVBLHKDQ-UHFFFAOYSA-N 9-fluoro-3-methyl-10-(4-methylpiperazin-1-yl)-7-oxo-2,3-dihydro-7H-[1,4]oxazino[2,3,4-ij]quinoline-6-carboxylic acid Chemical compound FC1=CC(C(C(C(O)=O)=C2)=O)=C3N2C(C)COC3=C1N1CCN(C)CC1 GSDSWSVVBLHKDQ-UHFFFAOYSA-N 0.000 description 1
- HDZZVAMISRMYHH-UHFFFAOYSA-N 9beta-Ribofuranosyl-7-deazaadenin Natural products C1=CC=2C(N)=NC=NC=2N1C1OC(CO)C(O)C1O HDZZVAMISRMYHH-UHFFFAOYSA-N 0.000 description 1
- 102100031585 ADP-ribosyl cyclase/cyclic ADP-ribose hydrolase 1 Human genes 0.000 description 1
- 244000215068 Acacia senegal Species 0.000 description 1
- 235000006491 Acacia senegal Nutrition 0.000 description 1
- DLFVBJFMPXGRIB-UHFFFAOYSA-N Acetamide Chemical group CC(N)=O DLFVBJFMPXGRIB-UHFFFAOYSA-N 0.000 description 1
- 206010069754 Acquired gene mutation Diseases 0.000 description 1
- 102100036464 Activated RNA polymerase II transcriptional coactivator p15 Human genes 0.000 description 1
- 208000024893 Acute lymphoblastic leukemia Diseases 0.000 description 1
- 208000014697 Acute lymphocytic leukaemia Diseases 0.000 description 1
- 206010000890 Acute myelomonocytic leukaemia Diseases 0.000 description 1
- 208000026872 Addison Disease Diseases 0.000 description 1
- 208000010507 Adenocarcinoma of Lung Diseases 0.000 description 1
- 241000701242 Adenoviridae Species 0.000 description 1
- 206010001324 Adrenal atrophy Diseases 0.000 description 1
- 241000607528 Aeromonas hydrophila Species 0.000 description 1
- PLXMOAALOJOTIY-FPTXNFDTSA-N Aesculin Natural products OC[C@@H]1[C@@H](O)[C@H](O)[C@@H](O)[C@H](O)[C@H]1Oc2cc3C=CC(=O)Oc3cc2O PLXMOAALOJOTIY-FPTXNFDTSA-N 0.000 description 1
- 208000000230 African Trypanosomiasis Diseases 0.000 description 1
- 208000008190 Agammaglobulinemia Diseases 0.000 description 1
- 102100024321 Alkaline phosphatase, placental type Human genes 0.000 description 1
- 102100037982 Alpha-1,6-mannosylglycoprotein 6-beta-N-acetylglucosaminyltransferase A Human genes 0.000 description 1
- 102100023635 Alpha-fetoprotein Human genes 0.000 description 1
- 208000024985 Alport syndrome Diseases 0.000 description 1
- CEIZFXOZIQNICU-UHFFFAOYSA-N Alternaria alternata Crofton-weed toxin Natural products CCC(C)C1NC(=O)C(C(C)=O)=C1O CEIZFXOZIQNICU-UHFFFAOYSA-N 0.000 description 1
- 102100034452 Alternative prion protein Human genes 0.000 description 1
- 208000024827 Alzheimer disease Diseases 0.000 description 1
- 206010061424 Anal cancer Diseases 0.000 description 1
- 241001465677 Ancylostomatoidea Species 0.000 description 1
- 201000002045 Ancylostomiasis Diseases 0.000 description 1
- 201000003076 Angiosarcoma Diseases 0.000 description 1
- 206010002556 Ankylosing Spondylitis Diseases 0.000 description 1
- 208000033211 Ankylostomiasis Diseases 0.000 description 1
- 206010059313 Anogenital warts Diseases 0.000 description 1
- 101710099705 Anti-lipopolysaccharide factor Proteins 0.000 description 1
- 108010083359 Antigen Receptors Proteins 0.000 description 1
- 102000006306 Antigen Receptors Human genes 0.000 description 1
- 108020000948 Antisense Oligonucleotides Proteins 0.000 description 1
- 241001523209 Antissa Species 0.000 description 1
- 208000007860 Anus Neoplasms Diseases 0.000 description 1
- 108010083590 Apoproteins Proteins 0.000 description 1
- 102000006410 Apoproteins Human genes 0.000 description 1
- 241000712892 Arenaviridae Species 0.000 description 1
- BFYIZQONLCFLEV-DAELLWKTSA-N Aromasine Chemical compound O=C1C=C[C@]2(C)[C@H]3CC[C@](C)(C(CC4)=O)[C@@H]4[C@@H]3CC(=C)C2=C1 BFYIZQONLCFLEV-DAELLWKTSA-N 0.000 description 1
- 206010053555 Arthritis bacterial Diseases 0.000 description 1
- 241000244185 Ascaris lumbricoides Species 0.000 description 1
- 208000006740 Aseptic Meningitis Diseases 0.000 description 1
- 108010011485 Aspartame Proteins 0.000 description 1
- 241001225321 Aspergillus fumigatus Species 0.000 description 1
- 206010003571 Astrocytoma Diseases 0.000 description 1
- 206010003645 Atopy Diseases 0.000 description 1
- 208000004300 Atrophic Gastritis Diseases 0.000 description 1
- 208000031212 Autoimmune polyendocrinopathy Diseases 0.000 description 1
- NOWKCMXCCJGMRR-UHFFFAOYSA-N Aziridine Chemical class C1CN1 NOWKCMXCCJGMRR-UHFFFAOYSA-N 0.000 description 1
- 108091008875 B cell receptors Proteins 0.000 description 1
- 102100035526 B melanoma antigen 1 Human genes 0.000 description 1
- 108010008014 B-Cell Maturation Antigen Proteins 0.000 description 1
- 102000006942 B-Cell Maturation Antigen Human genes 0.000 description 1
- 102100022005 B-lymphocyte antigen CD20 Human genes 0.000 description 1
- 208000032791 BCR-ABL1 positive chronic myelogenous leukemia Diseases 0.000 description 1
- 229930190007 Baccatin Natural products 0.000 description 1
- 241000193738 Bacillus anthracis Species 0.000 description 1
- 241000193755 Bacillus cereus Species 0.000 description 1
- 108010001478 Bacitracin Proteins 0.000 description 1
- 208000031729 Bacteremia Diseases 0.000 description 1
- 241000894006 Bacteria Species 0.000 description 1
- 208000035143 Bacterial infection Diseases 0.000 description 1
- FXNFHKRTJBSTCS-UHFFFAOYSA-N Baicalein Natural products C=1C(=O)C=2C(O)=C(O)C(O)=CC=2OC=1C1=CC=CC=C1 FXNFHKRTJBSTCS-UHFFFAOYSA-N 0.000 description 1
- 206010044583 Bartonella Infections Diseases 0.000 description 1
- 206010004146 Basal cell carcinoma Diseases 0.000 description 1
- 208000023328 Basedow disease Diseases 0.000 description 1
- 208000009137 Behcet syndrome Diseases 0.000 description 1
- 239000005711 Benzoic acid Substances 0.000 description 1
- VGGGPCQERPFHOB-MCIONIFRSA-N Bestatin Chemical compound CC(C)C[C@H](C(O)=O)NC(=O)[C@@H](O)[C@H](N)CC1=CC=CC=C1 VGGGPCQERPFHOB-MCIONIFRSA-N 0.000 description 1
- 108060000903 Beta-catenin Proteins 0.000 description 1
- 102000015735 Beta-catenin Human genes 0.000 description 1
- 102100026031 Beta-glucuronidase Human genes 0.000 description 1
- DIZWSDNSTNAYHK-XGWVBXMLSA-N Betulinic acid Natural products CC(=C)[C@@H]1C[C@H]([C@H]2CC[C@]3(C)[C@H](CC[C@@H]4[C@@]5(C)CC[C@H](O)C(C)(C)[C@@H]5CC[C@@]34C)[C@@H]12)C(=O)O DIZWSDNSTNAYHK-XGWVBXMLSA-N 0.000 description 1
- 206010004593 Bile duct cancer Diseases 0.000 description 1
- 229940122361 Bisphosphonate Drugs 0.000 description 1
- 206010005003 Bladder cancer Diseases 0.000 description 1
- 241000228405 Blastomyces dermatitidis Species 0.000 description 1
- 206010005098 Blastomycosis Diseases 0.000 description 1
- 102000004506 Blood Proteins Human genes 0.000 description 1
- 108010017384 Blood Proteins Proteins 0.000 description 1
- 108010051479 Bombesin Proteins 0.000 description 1
- 206010005949 Bone cancer Diseases 0.000 description 1
- 208000018084 Bone neoplasm Diseases 0.000 description 1
- BTBUEUYNUDRHOZ-UHFFFAOYSA-N Borate Chemical compound [O-]B([O-])[O-] BTBUEUYNUDRHOZ-UHFFFAOYSA-N 0.000 description 1
- 241000283690 Bos taurus Species 0.000 description 1
- 241000167854 Bourreria succulenta Species 0.000 description 1
- CPELXLSAUQHCOX-UHFFFAOYSA-M Bromide Chemical compound [Br-] CPELXLSAUQHCOX-UHFFFAOYSA-M 0.000 description 1
- 206010006448 Bronchiolitis Diseases 0.000 description 1
- 206010053160 Bronchitis viral Diseases 0.000 description 1
- 241000589567 Brucella abortus Species 0.000 description 1
- 241001148106 Brucella melitensis Species 0.000 description 1
- 241001148111 Brucella suis Species 0.000 description 1
- 206010006500 Brucellosis Diseases 0.000 description 1
- MBABCNBNDNGODA-LTGLSHGVSA-N Bullatacin Natural products O=C1C(C[C@H](O)CCCCCCCCCC[C@@H](O)[C@@H]2O[C@@H]([C@@H]3O[C@H]([C@@H](O)CCCCCCCCCC)CC3)CC2)=C[C@H](C)O1 MBABCNBNDNGODA-LTGLSHGVSA-N 0.000 description 1
- KGGVWMAPBXIMEM-JQFCFGFHSA-N Bullatacinone Natural products O=C(C[C@H]1C(=O)O[C@H](CCCCCCCCCC[C@H](O)[C@@H]2O[C@@H]([C@@H]3O[C@@H]([C@@H](O)CCCCCCCCCC)CC3)CC2)C1)C KGGVWMAPBXIMEM-JQFCFGFHSA-N 0.000 description 1
- KGGVWMAPBXIMEM-ZRTAFWODSA-N Bullatacinone Chemical compound O1[C@@H]([C@@H](O)CCCCCCCCCC)CC[C@@H]1[C@@H]1O[C@@H]([C@H](O)CCCCCCCCCC[C@H]2OC(=O)[C@H](CC(C)=O)C2)CC1 KGGVWMAPBXIMEM-ZRTAFWODSA-N 0.000 description 1
- 208000011691 Burkitt lymphomas Diseases 0.000 description 1
- FERIUCNNQQJTOY-UHFFFAOYSA-N Butyric acid Natural products CCCC(O)=O FERIUCNNQQJTOY-UHFFFAOYSA-N 0.000 description 1
- QUMCIHKVKQYNPA-RUZDIDTESA-N C1(CCCCC1)CN1[C@@H](C=2N(C=3C=NC(=NC1=3)NC1=C(C=C(C(=O)NC3CCN(CC3)C)C=C1)OC)C(=NN=2)C)CC Chemical compound C1(CCCCC1)CN1[C@@H](C=2N(C=3C=NC(=NC1=3)NC1=C(C=C(C(=O)NC3CCN(CC3)C)C=C1)OC)C(=NN=2)C)CC QUMCIHKVKQYNPA-RUZDIDTESA-N 0.000 description 1
- PYWOIESDGOHXHM-UHFFFAOYSA-N CC(=O)OCC1=CC=C(OC(C)(C)C2OC(C(=O)O)C(O)C(O)C2O)C(NC(=O)CCNC(=O)CCCCCN2C(=O)C=CC2=O)=C1.COC(=O)C1OC(OC2=CC=C(CO)C=C2NC(C)=O)C(C)C(C)C1C Chemical compound CC(=O)OCC1=CC=C(OC(C)(C)C2OC(C(=O)O)C(O)C(O)C2O)C(NC(=O)CCNC(=O)CCCCCN2C(=O)C=CC2=O)=C1.COC(=O)C1OC(OC2=CC=C(CO)C=C2NC(C)=O)C(C)C(C)C1C PYWOIESDGOHXHM-UHFFFAOYSA-N 0.000 description 1
- DSDVPMNBLJWQLW-DBMUVAGOSA-N CC(=O)O[C@H]1C(OC2=CC=C(CO)C=C2NC(=O)CCNC(=O)OCC2C3=C(C=CC=C3)C3=C2C=CC=C3)O[C@H](COC=O)[C@@H](C)[C@@H]1C.CC(=O)O[C@H]1C(OC2=CC=C(COC(=O)N3CCOC3CCCO[Si](C3=CC=CC=C3)(C3=CC=CC=C3)C(C)(C)C)C=C2NC(=O)CCNC(=O)OCC2C3=C(C=CC=C3)C3=C2C=CC=C3)O[C@H](COC=O)[C@@H](C)[C@@H]1C.CC(C)(C)[Si](OCCCC1CCCO1)(C1=CC=CC=C1)C1=CC=CC=C1.CCCC(=O)NC1=CC(COC(=O)N2CCOC2CCCNC2CC(OC3C[C@](O)(C(=O)CO)CC4=C3C(O)=C3C(=O)C5=C(OC)C=CC=C5C(=O)C3=C4O)OC(C)C2O)=CC=C1OC1O[C@H](C(=O)OC)[C@@H](OC(C)=O)[C@H](OC(C)=O)[C@H]1C.[H]C(=O)CCC1OCCN1C(=O)OCC1=CC=C(OC2O[C@H](COC=O)[C@@H](C)[C@H](C)[C@H]2OC(C)=O)C(NC(=O)CCNC(=O)OCC2C3=C(C=CC=C3)C3=C2C=CC=C3)=C1 Chemical compound CC(=O)O[C@H]1C(OC2=CC=C(CO)C=C2NC(=O)CCNC(=O)OCC2C3=C(C=CC=C3)C3=C2C=CC=C3)O[C@H](COC=O)[C@@H](C)[C@@H]1C.CC(=O)O[C@H]1C(OC2=CC=C(COC(=O)N3CCOC3CCCO[Si](C3=CC=CC=C3)(C3=CC=CC=C3)C(C)(C)C)C=C2NC(=O)CCNC(=O)OCC2C3=C(C=CC=C3)C3=C2C=CC=C3)O[C@H](COC=O)[C@@H](C)[C@@H]1C.CC(C)(C)[Si](OCCCC1CCCO1)(C1=CC=CC=C1)C1=CC=CC=C1.CCCC(=O)NC1=CC(COC(=O)N2CCOC2CCCNC2CC(OC3C[C@](O)(C(=O)CO)CC4=C3C(O)=C3C(=O)C5=C(OC)C=CC=C5C(=O)C3=C4O)OC(C)C2O)=CC=C1OC1O[C@H](C(=O)OC)[C@@H](OC(C)=O)[C@H](OC(C)=O)[C@H]1C.[H]C(=O)CCC1OCCN1C(=O)OCC1=CC=C(OC2O[C@H](COC=O)[C@@H](C)[C@H](C)[C@H]2OC(C)=O)C(NC(=O)CCNC(=O)OCC2C3=C(C=CC=C3)C3=C2C=CC=C3)=C1 DSDVPMNBLJWQLW-DBMUVAGOSA-N 0.000 description 1
- YTBMKOQUHZCEPQ-UHFFFAOYSA-N CC(C)(C)C(=O)CCNC(=O)C(C)(C)C.CC(C)(C)CCCCCN1C(=O)CC(C(C)(C)C)C1=O Chemical compound CC(C)(C)C(=O)CCNC(=O)C(C)(C)C.CC(C)(C)CCCCCN1C(=O)CC(C(C)(C)C)C1=O YTBMKOQUHZCEPQ-UHFFFAOYSA-N 0.000 description 1
- XYLRBQLAGJLPEJ-UHFFFAOYSA-N CC(C)C(=O)CCCCCN1C(=O)CC(C(C)C)C1=O Chemical compound CC(C)C(=O)CCCCCN1C(=O)CC(C(C)C)C1=O XYLRBQLAGJLPEJ-UHFFFAOYSA-N 0.000 description 1
- CMEWAOWJBVJIQY-UHFFFAOYSA-N CC(C)C(=O)CCOCCOCCN1C(=O)CC(C(C)C)C1=O Chemical compound CC(C)C(=O)CCOCCOCCN1C(=O)CC(C(C)C)C1=O CMEWAOWJBVJIQY-UHFFFAOYSA-N 0.000 description 1
- UIMDZZVXGCKQRC-UHFFFAOYSA-N CC(C)C(=O)COCCOCCN1C(=O)CC(C(C)C)C1=O Chemical compound CC(C)C(=O)COCCOCCN1C(=O)CC(C(C)C)C1=O UIMDZZVXGCKQRC-UHFFFAOYSA-N 0.000 description 1
- BXMLLOTYMRYOPB-UHFFFAOYSA-N CC(C)C1=CC=C(C(C)C)C=C1.CC(C)C1=CC=CC(C(C)C)=C1.CC(C)C1=CC=CC=C1C(C)C Chemical compound CC(C)C1=CC=C(C(C)C)C=C1.CC(C)C1=CC=CC(C(C)C)=C1.CC(C)C1=CC=CC=C1C(C)C BXMLLOTYMRYOPB-UHFFFAOYSA-N 0.000 description 1
- NTHJGNZNHQWILG-UHFFFAOYSA-N CC(C)CC(=O)NCCCCCC(=O)C(C)C Chemical compound CC(C)CC(=O)NCCCCCC(=O)C(C)C NTHJGNZNHQWILG-UHFFFAOYSA-N 0.000 description 1
- MYTCKPQNGRSZTG-UHFFFAOYSA-N CC(C)CCOCCOCCN1C(=O)CC(C(C)C)C1=O Chemical compound CC(C)CCOCCOCCN1C(=O)CC(C(C)C)C1=O MYTCKPQNGRSZTG-UHFFFAOYSA-N 0.000 description 1
- OSCYIOBNSKBUHL-AYGJSBAWSA-N CCC(=O)NC1=CC(COC(C)=O)=CC=C1O.O=C=O.O=C=O.O=C=O.[H]C1C(OC2=CC=C(COC(C)=O)C=C2NC(=O)CC)OC(O)C(O)C1O.[H]C1OC(O)C(O)C(O)C1O.[H]C1OC(OC2=CC=C(COC(=O)NC3CC(OC4C[C@](O)(C(=O)CO)CC5=C(O)C6C(=O)C7=CC=CC=C7C(=O)C6C(O)=C54)OC(C)C3O)C=C2NC(C)=O)C(O)C(O)C1O Chemical compound CCC(=O)NC1=CC(COC(C)=O)=CC=C1O.O=C=O.O=C=O.O=C=O.[H]C1C(OC2=CC=C(COC(C)=O)C=C2NC(=O)CC)OC(O)C(O)C1O.[H]C1OC(O)C(O)C(O)C1O.[H]C1OC(OC2=CC=C(COC(=O)NC3CC(OC4C[C@](O)(C(=O)CO)CC5=C(O)C6C(=O)C7=CC=CC=C7C(=O)C6C(O)=C54)OC(C)C3O)C=C2NC(C)=O)C(O)C(O)C1O OSCYIOBNSKBUHL-AYGJSBAWSA-N 0.000 description 1
- QWTDNUCVQCZILF-UHFFFAOYSA-N CCC(C)C Chemical compound CCC(C)C QWTDNUCVQCZILF-UHFFFAOYSA-N 0.000 description 1
- XLIJIJVEJRFISM-NNDZUSFPSA-N CCCC(NC(=O)[C@@H](CC(=O)[C@H](C)[C@@H](OC)[C@@H]1CCCN1C(=O)C[C@@H](OC)[C@H]([C@@H](C)CC)N(C)C(=O)[C@@H](CC(=O)[C@H](C(C)C)N(C)C(C)C)C(C)C)CC1=CC=CC=C1)OC=O.CC[C@H](C)[C@@H]([C@@H](CC(=O)N1CCC[C@H]1[C@H](OC)[C@@H](C)C(=O)C[C@@H](CC1=CC=CC=C1)C(=O)NC1=CC=C(N)C=C1)OC)N(C)C(=O)[C@@H](CC(=O)[C@H](C(C)C)N(C)C(C)C)C(C)C.CC[C@H](C)[C@@H]([C@@H](CC(=O)N1CCC[C@H]1[C@H](OC)[C@@H](C)C(=O)C[C@@H](CC1=CC=CC=C1)C(=O)NCCS(=O)(=O)O)OC)N(C)C(=O)[C@@H](CC(=O)[C@H](C(C)C)N(C)C(C)C)C(C)C.CC[C@H](C)[C@@H]([C@@H](CC(=O)N1CCC[C@H]1[C@H](OC)[C@@H](C)C(=O)C[C@@H](CC1=CC=CC=C1)C(=O)OCCN(CC)COC=O)OC)N(C)C(=O)[C@@H](CC(=O)[C@H](C(C)C)N(C)C(C)C)C(C)C Chemical compound CCCC(NC(=O)[C@@H](CC(=O)[C@H](C)[C@@H](OC)[C@@H]1CCCN1C(=O)C[C@@H](OC)[C@H]([C@@H](C)CC)N(C)C(=O)[C@@H](CC(=O)[C@H](C(C)C)N(C)C(C)C)C(C)C)CC1=CC=CC=C1)OC=O.CC[C@H](C)[C@@H]([C@@H](CC(=O)N1CCC[C@H]1[C@H](OC)[C@@H](C)C(=O)C[C@@H](CC1=CC=CC=C1)C(=O)NC1=CC=C(N)C=C1)OC)N(C)C(=O)[C@@H](CC(=O)[C@H](C(C)C)N(C)C(C)C)C(C)C.CC[C@H](C)[C@@H]([C@@H](CC(=O)N1CCC[C@H]1[C@H](OC)[C@@H](C)C(=O)C[C@@H](CC1=CC=CC=C1)C(=O)NCCS(=O)(=O)O)OC)N(C)C(=O)[C@@H](CC(=O)[C@H](C(C)C)N(C)C(C)C)C(C)C.CC[C@H](C)[C@@H]([C@@H](CC(=O)N1CCC[C@H]1[C@H](OC)[C@@H](C)C(=O)C[C@@H](CC1=CC=CC=C1)C(=O)OCCN(CC)COC=O)OC)N(C)C(=O)[C@@H](CC(=O)[C@H](C(C)C)N(C)C(C)C)C(C)C XLIJIJVEJRFISM-NNDZUSFPSA-N 0.000 description 1
- XJHPALGRIASEIJ-NLWMVOFOSA-N CC[C@H](C)C([C@@H](CC(=O)N1CCC[C@H]1[C@H](OC)[C@@H](C)C(=O)N[C@H](C)[C@@H](O)C1=CC=CC=C1)OC)N(C)C(=O)[C@@H](CC(=O)C(C(C)C)N(C)C(=O)OCC1=CC=C(OC2O[C@H](C(=O)O)[C@@H](O)[C@H](O)[C@H]2O)C(NC(=O)CCNC(=O)CBr)=C1)C(C)C.COC1C(N(C)C(=O)OCC2=CC(CC(=O)CCCC(=O)CCCCCN3C(=O)C=CC3=O)=C(OC3OC(C(=O)O)C(O)C(O)C3O)C=C2)CC2OC1(C)N1C3=C(C=CC=C3)C3=C4CNC(=O)C4=C4C5=C(C=CC=C5)N2C4=C31.O=C=O.[H]C1OC(OC2=CC=C3C=C2N/C(CCNC(=O)CBr)=O/C(C)[C@@H](C(=O)N[C@H](C(=O)N(C)[C@@H]([C@H](C)CC)[C@@H](CC(=O)N2CCC[C@H]2[C@H](OC)[C@@H](C)C(=O)C[C@@H](CC2=CC=CC=C2)C(=O)O)OC)C(C)C)N(C)C(=O)OC3)[C@H](O)[C@@H](O)[C@@H]1O Chemical compound CC[C@H](C)C([C@@H](CC(=O)N1CCC[C@H]1[C@H](OC)[C@@H](C)C(=O)N[C@H](C)[C@@H](O)C1=CC=CC=C1)OC)N(C)C(=O)[C@@H](CC(=O)C(C(C)C)N(C)C(=O)OCC1=CC=C(OC2O[C@H](C(=O)O)[C@@H](O)[C@H](O)[C@H]2O)C(NC(=O)CCNC(=O)CBr)=C1)C(C)C.COC1C(N(C)C(=O)OCC2=CC(CC(=O)CCCC(=O)CCCCCN3C(=O)C=CC3=O)=C(OC3OC(C(=O)O)C(O)C(O)C3O)C=C2)CC2OC1(C)N1C3=C(C=CC=C3)C3=C4CNC(=O)C4=C4C5=C(C=CC=C5)N2C4=C31.O=C=O.[H]C1OC(OC2=CC=C3C=C2N/C(CCNC(=O)CBr)=O/C(C)[C@@H](C(=O)N[C@H](C(=O)N(C)[C@@H]([C@H](C)CC)[C@@H](CC(=O)N2CCC[C@H]2[C@H](OC)[C@@H](C)C(=O)C[C@@H](CC2=CC=CC=C2)C(=O)O)OC)C(C)C)N(C)C(=O)OC3)[C@H](O)[C@@H](O)[C@@H]1O XJHPALGRIASEIJ-NLWMVOFOSA-N 0.000 description 1
- MSZMAWCLYBQWLR-RBGBWQQASA-N CC[C@H](C)[C@@H]([C@@H](CC(=O)N1CCC[C@H]1[C@H](OC)[C@@H](C)C(=O)N[C@@H](CC1=CC=CC=C1)C(=O)O)OC)N(C)C(=O)[C@@H](CC(=O)C1=CC=C(NC(C)C)C=C1)C(C)C Chemical compound CC[C@H](C)[C@@H]([C@@H](CC(=O)N1CCC[C@H]1[C@H](OC)[C@@H](C)C(=O)N[C@@H](CC1=CC=CC=C1)C(=O)O)OC)N(C)C(=O)[C@@H](CC(=O)C1=CC=C(NC(C)C)C=C1)C(C)C MSZMAWCLYBQWLR-RBGBWQQASA-N 0.000 description 1
- 229940124292 CD20 monoclonal antibody Drugs 0.000 description 1
- 102100027207 CD27 antigen Human genes 0.000 description 1
- 102000017420 CD3 protein, epsilon/gamma/delta subunit Human genes 0.000 description 1
- 108050005493 CD3 protein, epsilon/gamma/delta subunit Proteins 0.000 description 1
- 108010036239 CD4-IgG(2) Proteins 0.000 description 1
- 108010063916 CD40 Antigens Proteins 0.000 description 1
- XPZFIVWQZDELMS-OYPHINIYSA-N COC1=C2C(=O)C3=C(O)C4=C(C[C@@](O)(C(=O)CO)CC4OC4CC(N5C=CCC5)C(O)C(C)O4)C(O)=C3C(=O)C2=CC=C1.COC1=C2C(=O)C3=C(O)C4=C(C[C@@](O)(C(=O)CO)CC4OC4CC(NCCCC(OC(C)=O)OC(C)=O)C(O)C(C)O4)C(O)=C3C(=O)C2=CC=C1.COC1=C2C(=O)C3=C(O)C4=C(C[C@@](O)(C(=O)CO)CC4OC4CC(NCCCC5NCCO5)C(O)C(C)O4)C(O)=C3C(=O)C2=CC=C1.NCCO Chemical compound COC1=C2C(=O)C3=C(O)C4=C(C[C@@](O)(C(=O)CO)CC4OC4CC(N5C=CCC5)C(O)C(C)O4)C(O)=C3C(=O)C2=CC=C1.COC1=C2C(=O)C3=C(O)C4=C(C[C@@](O)(C(=O)CO)CC4OC4CC(NCCCC(OC(C)=O)OC(C)=O)C(O)C(C)O4)C(O)=C3C(=O)C2=CC=C1.COC1=C2C(=O)C3=C(O)C4=C(C[C@@](O)(C(=O)CO)CC4OC4CC(NCCCC5NCCO5)C(O)C(C)O4)C(O)=C3C(=O)C2=CC=C1.NCCO XPZFIVWQZDELMS-OYPHINIYSA-N 0.000 description 1
- DRSCWJQSLWGSMZ-NTXBMCNOSA-N COC1=C2C(=O)C3=C(O)C4=C(C[C@@](O)(C(=O)CO)CC4OC4CC(NCCCC5OCCN5C(=O)OCC5=CC=C(OC6O[C@H](C(=O)O)[C@@H](O)[C@H](O)[C@H]6O)C(NC(=O)CCCC(=O)CCCCCN6C(=O)C=CC6=O)=C5)C(O)C(C)O4)C(O)=C3C(=O)C2=CC=C1 Chemical compound COC1=C2C(=O)C3=C(O)C4=C(C[C@@](O)(C(=O)CO)CC4OC4CC(NCCCC5OCCN5C(=O)OCC5=CC=C(OC6O[C@H](C(=O)O)[C@@H](O)[C@H](O)[C@H]6O)C(NC(=O)CCCC(=O)CCCCCN6C(=O)C=CC6=O)=C5)C(O)C(C)O4)C(O)=C3C(=O)C2=CC=C1 DRSCWJQSLWGSMZ-NTXBMCNOSA-N 0.000 description 1
- QAGYKUNXZHXKMR-UHFFFAOYSA-N CPD000469186 Natural products CC1=C(O)C=CC=C1C(=O)NC(C(O)CN1C(CC2CCCCC2C1)C(=O)NC(C)(C)C)CSC1=CC=CC=C1 QAGYKUNXZHXKMR-UHFFFAOYSA-N 0.000 description 1
- 201000002829 CREST Syndrome Diseases 0.000 description 1
- AUJXLBOHYWTPFV-BLWRDSOESA-N CS[C@H]1SC[C@H]2N(C)C(=O)[C@@H](C)NC(=O)[C@H](COC(=O)[C@@H](C(C)C)N(C)C(=O)[C@@H]1N(C)C(=O)[C@@H](C)NC(=O)[C@H](COC(=O)[C@@H](C(C)C)N(C)C2=O)NC(=O)c1cnc2ccccc2n1)NC(=O)c1cnc2ccccc2n1 Chemical compound CS[C@H]1SC[C@H]2N(C)C(=O)[C@@H](C)NC(=O)[C@H](COC(=O)[C@@H](C(C)C)N(C)C(=O)[C@@H]1N(C)C(=O)[C@@H](C)NC(=O)[C@H](COC(=O)[C@@H](C(C)C)N(C)C2=O)NC(=O)c1cnc2ccccc2n1)NC(=O)c1cnc2ccccc2n1 AUJXLBOHYWTPFV-BLWRDSOESA-N 0.000 description 1
- 108010021064 CTLA-4 Antigen Proteins 0.000 description 1
- 229940045513 CTLA4 antagonist Drugs 0.000 description 1
- PZIRUHCJZBGLDY-UHFFFAOYSA-N Caffeoylquinic acid Natural products CC(CCC(=O)C(C)C1C(=O)CC2C3CC(O)C4CC(O)CCC4(C)C3CCC12C)C(=O)O PZIRUHCJZBGLDY-UHFFFAOYSA-N 0.000 description 1
- OYPRJOBELJOOCE-UHFFFAOYSA-N Calcium Chemical compound [Ca] OYPRJOBELJOOCE-UHFFFAOYSA-N 0.000 description 1
- 208000008889 California Encephalitis Diseases 0.000 description 1
- 102000000584 Calmodulin Human genes 0.000 description 1
- 108010041952 Calmodulin Proteins 0.000 description 1
- 241000589876 Campylobacter Species 0.000 description 1
- 241000222122 Candida albicans Species 0.000 description 1
- 241000282465 Canis Species 0.000 description 1
- 208000020119 Caplan syndrome Diseases 0.000 description 1
- 241000283707 Capra Species 0.000 description 1
- OKTJSMMVPCPJKN-UHFFFAOYSA-N Carbon Chemical group [C] OKTJSMMVPCPJKN-UHFFFAOYSA-N 0.000 description 1
- SHHKQEUPHAENFK-UHFFFAOYSA-N Carboquone Chemical compound O=C1C(C)=C(N2CC2)C(=O)C(C(COC(N)=O)OC)=C1N1CC1 SHHKQEUPHAENFK-UHFFFAOYSA-N 0.000 description 1
- 229920002134 Carboxymethyl cellulose Polymers 0.000 description 1
- 108010022366 Carcinoembryonic Antigen Proteins 0.000 description 1
- 102100025475 Carcinoembryonic antigen-related cell adhesion molecule 5 Human genes 0.000 description 1
- 208000031229 Cardiomyopathies Diseases 0.000 description 1
- AOCCBINRVIKJHY-UHFFFAOYSA-N Carmofur Chemical compound CCCCCCNC(=O)N1C=C(F)C(=O)NC1=O AOCCBINRVIKJHY-UHFFFAOYSA-N 0.000 description 1
- QRYRORQUOLYVBU-VBKZILBWSA-N Carnosic acid Natural products CC([C@@H]1CC2)(C)CCC[C@]1(C(O)=O)C1=C2C=C(C(C)C)C(O)=C1O QRYRORQUOLYVBU-VBKZILBWSA-N 0.000 description 1
- XUSYGBPHQBWGAD-PJSUUKDQSA-N Carnosol Chemical compound CC([C@@H]1C2)(C)CCC[C@@]11C(=O)O[C@@H]2C2=C1C(O)=C(O)C(C(C)C)=C2 XUSYGBPHQBWGAD-PJSUUKDQSA-N 0.000 description 1
- MMFRMKXYTWBMOM-UHFFFAOYSA-N Carnosol Natural products CCc1cc2C3CC4C(C)(C)CCCC4(C(=O)O3)c2c(O)c1O MMFRMKXYTWBMOM-UHFFFAOYSA-N 0.000 description 1
- 241000700198 Cavia Species 0.000 description 1
- 241000700199 Cavia porcellus Species 0.000 description 1
- 102000000844 Cell Surface Receptors Human genes 0.000 description 1
- 108010001857 Cell Surface Receptors Proteins 0.000 description 1
- 229940123587 Cell cycle inhibitor Drugs 0.000 description 1
- 206010007882 Cellulitis Diseases 0.000 description 1
- 241000282693 Cercopithecidae Species 0.000 description 1
- 206010008342 Cervix carcinoma Diseases 0.000 description 1
- 208000026368 Cestode infections Diseases 0.000 description 1
- 102000009410 Chemokine receptor Human genes 0.000 description 1
- 108050000299 Chemokine receptor Proteins 0.000 description 1
- 201000006082 Chickenpox Diseases 0.000 description 1
- 208000000362 Chlamydial Pneumonia Diseases 0.000 description 1
- VEXZGXHMUGYJMC-UHFFFAOYSA-M Chloride anion Chemical compound [Cl-] VEXZGXHMUGYJMC-UHFFFAOYSA-M 0.000 description 1
- XCDXSSFOJZZGQC-UHFFFAOYSA-N Chlornaphazine Chemical compound C1=CC=CC2=CC(N(CCCl)CCCl)=CC=C21 XCDXSSFOJZZGQC-UHFFFAOYSA-N 0.000 description 1
- 206010008631 Cholera Diseases 0.000 description 1
- 208000005243 Chondrosarcoma Diseases 0.000 description 1
- 201000009047 Chordoma Diseases 0.000 description 1
- 208000006332 Choriocarcinoma Diseases 0.000 description 1
- 206010008761 Choriomeningitis lymphocytic Diseases 0.000 description 1
- 108010062540 Chorionic Gonadotropin Proteins 0.000 description 1
- 102000011022 Chorionic Gonadotropin Human genes 0.000 description 1
- 206010008803 Chromoblastomycosis Diseases 0.000 description 1
- 208000015116 Chromomycosis Diseases 0.000 description 1
- 206010008909 Chronic Hepatitis Diseases 0.000 description 1
- 208000010833 Chronic myeloid leukaemia Diseases 0.000 description 1
- WNBCMONIPIJTSB-BGNCJLHMSA-N Cichoriin Natural products O([C@H]1[C@H](O)[C@@H](O)[C@@H](O)[C@@H](CO)O1)c1c(O)cc2c(OC(=O)C=C2)c1 WNBCMONIPIJTSB-BGNCJLHMSA-N 0.000 description 1
- VWFCHDSQECPREK-LURJTMIESA-N Cidofovir Chemical compound NC=1C=CN(C[C@@H](CO)OCP(O)(O)=O)C(=O)N=1 VWFCHDSQECPREK-LURJTMIESA-N 0.000 description 1
- PTOAARAWEBMLNO-KVQBGUIXSA-N Cladribine Chemical compound C1=NC=2C(N)=NC(Cl)=NC=2N1[C@H]1C[C@H](O)[C@@H](CO)O1 PTOAARAWEBMLNO-KVQBGUIXSA-N 0.000 description 1
- 241001327965 Clonorchis sinensis Species 0.000 description 1
- 241000193155 Clostridium botulinum Species 0.000 description 1
- 241000193468 Clostridium perfringens Species 0.000 description 1
- 241000193449 Clostridium tetani Species 0.000 description 1
- 241000223205 Coccidioides immitis Species 0.000 description 1
- 108020004705 Codon Proteins 0.000 description 1
- 208000015943 Coeliac disease Diseases 0.000 description 1
- 208000010007 Cogan syndrome Diseases 0.000 description 1
- 208000011038 Cold agglutinin disease Diseases 0.000 description 1
- 206010009868 Cold type haemolytic anaemia Diseases 0.000 description 1
- 108010078777 Colistin Proteins 0.000 description 1
- 206010009900 Colitis ulcerative Diseases 0.000 description 1
- 101710184994 Complement control protein Proteins 0.000 description 1
- 208000000907 Condylomata Acuminata Diseases 0.000 description 1
- 206010010619 Congenital rubella infection Diseases 0.000 description 1
- 229920002261 Corn starch Polymers 0.000 description 1
- 241000711573 Coronaviridae Species 0.000 description 1
- 241000186216 Corynebacterium Species 0.000 description 1
- 241000186227 Corynebacterium diphtheriae Species 0.000 description 1
- 102100037364 Craniofacial development protein 1 Human genes 0.000 description 1
- 208000009798 Craniopharyngioma Diseases 0.000 description 1
- 208000020406 Creutzfeldt Jacob disease Diseases 0.000 description 1
- 208000003407 Creutzfeldt-Jakob Syndrome Diseases 0.000 description 1
- 208000010859 Creutzfeldt-Jakob disease Diseases 0.000 description 1
- 241000699802 Cricetulus griseus Species 0.000 description 1
- 208000011231 Crohn disease Diseases 0.000 description 1
- 239000004971 Cross linker Substances 0.000 description 1
- 206010011416 Croup infectious Diseases 0.000 description 1
- 201000007336 Cryptococcosis Diseases 0.000 description 1
- 241000221204 Cryptococcus neoformans Species 0.000 description 1
- 208000014311 Cushing syndrome Diseases 0.000 description 1
- 108010025464 Cyclin-Dependent Kinase 4 Proteins 0.000 description 1
- 102000013701 Cyclin-Dependent Kinase 4 Human genes 0.000 description 1
- 206010011715 Cyclitis Diseases 0.000 description 1
- 206010061802 Cyclosporidium infection Diseases 0.000 description 1
- FMGYKKMPNATWHP-UHFFFAOYSA-N Cyperquat Chemical compound C1=C[N+](C)=CC=C1C1=CC=CC=C1 FMGYKKMPNATWHP-UHFFFAOYSA-N 0.000 description 1
- 102000004127 Cytokines Human genes 0.000 description 1
- 108090000695 Cytokines Proteins 0.000 description 1
- 206010011831 Cytomegalovirus infection Diseases 0.000 description 1
- DSLZVSRJTYRBFB-LLEIAEIESA-N D-glucaric acid Chemical compound OC(=O)[C@@H](O)[C@@H](O)[C@H](O)[C@@H](O)C(O)=O DSLZVSRJTYRBFB-LLEIAEIESA-N 0.000 description 1
- RGHNJXZEOKUKBD-SQOUGZDYSA-M D-gluconate Chemical compound OC[C@@H](O)[C@@H](O)[C@H](O)[C@@H](O)C([O-])=O RGHNJXZEOKUKBD-SQOUGZDYSA-M 0.000 description 1
- 102000053602 DNA Human genes 0.000 description 1
- 108010019673 Darbepoetin alfa Proteins 0.000 description 1
- WEAHRLBPCANXCN-UHFFFAOYSA-N Daunomycin Natural products CCC1(O)CC(OC2CC(N)C(O)C(C)O2)c3cc4C(=O)c5c(OC)cccc5C(=O)c4c(O)c3C1 WEAHRLBPCANXCN-UHFFFAOYSA-N 0.000 description 1
- XXGMIHXASFDFSM-UHFFFAOYSA-N Delta9-tetrahydrocannabinol Natural products CCCCCc1cc2OC(C)(C)C3CCC(=CC3c2c(O)c1O)C XXGMIHXASFDFSM-UHFFFAOYSA-N 0.000 description 1
- NNJPGOLRFBJNIW-UHFFFAOYSA-N Demecolcine Natural products C1=C(OC)C(=O)C=C2C(NC)CCC3=CC(OC)=C(OC)C(OC)=C3C2=C1 NNJPGOLRFBJNIW-UHFFFAOYSA-N 0.000 description 1
- FMTDIUIBLCQGJB-UHFFFAOYSA-N Demethylchlortetracyclin Natural products C1C2C(O)C3=C(Cl)C=CC(O)=C3C(=O)C2=C(O)C2(O)C1C(N(C)C)C(O)=C(C(N)=O)C2=O FMTDIUIBLCQGJB-UHFFFAOYSA-N 0.000 description 1
- 208000001490 Dengue Diseases 0.000 description 1
- 206010012310 Dengue fever Diseases 0.000 description 1
- 201000004624 Dermatitis Diseases 0.000 description 1
- 206010012438 Dermatitis atopic Diseases 0.000 description 1
- 229920001353 Dextrin Polymers 0.000 description 1
- 239000004375 Dextrin Substances 0.000 description 1
- FEWJPZIEWOKRBE-JCYAYHJZSA-N Dextrotartaric acid Chemical compound OC(=O)[C@H](O)[C@@H](O)C(O)=O FEWJPZIEWOKRBE-JCYAYHJZSA-N 0.000 description 1
- AUGQEEXBDZWUJY-ZLJUKNTDSA-N Diacetoxyscirpenol Chemical compound C([C@]12[C@]3(C)[C@H](OC(C)=O)[C@@H](O)[C@H]1O[C@@H]1C=C(C)CC[C@@]13COC(=O)C)O2 AUGQEEXBDZWUJY-ZLJUKNTDSA-N 0.000 description 1
- AUGQEEXBDZWUJY-UHFFFAOYSA-N Diacetoxyscirpenol Natural products CC(=O)OCC12CCC(C)=CC1OC1C(O)C(OC(C)=O)C2(C)C11CO1 AUGQEEXBDZWUJY-UHFFFAOYSA-N 0.000 description 1
- BXZVVICBKDXVGW-NKWVEPMBSA-N Didanosine Chemical compound O1[C@H](CO)CC[C@@H]1N1C(NC=NC2=O)=C2N=C1 BXZVVICBKDXVGW-NKWVEPMBSA-N 0.000 description 1
- 102100024746 Dihydrofolate reductase Human genes 0.000 description 1
- 229940117937 Dihydrofolate reductase inhibitor Drugs 0.000 description 1
- 102100022334 Dihydropyrimidine dehydrogenase [NADP(+)] Human genes 0.000 description 1
- 108010066455 Dihydrouracil Dehydrogenase (NADP) Proteins 0.000 description 1
- 208000021866 Dressler syndrome Diseases 0.000 description 1
- CYQFCXCEBYINGO-DLBZAZTESA-N Dronabinol Natural products C1=C(C)CC[C@H]2C(C)(C)OC3=CC(CCCCC)=CC(O)=C3[C@H]21 CYQFCXCEBYINGO-DLBZAZTESA-N 0.000 description 1
- 229930193152 Dynemicin Natural products 0.000 description 1
- KCXVZYZYPLLWCC-UHFFFAOYSA-N EDTA Chemical compound OC(=O)CN(CC(O)=O)CCN(CC(O)=O)CC(O)=O KCXVZYZYPLLWCC-UHFFFAOYSA-N 0.000 description 1
- 102000018386 EGF Family of Proteins Human genes 0.000 description 1
- 108010066486 EGF Family of Proteins Proteins 0.000 description 1
- 201000011001 Ebola Hemorrhagic Fever Diseases 0.000 description 1
- 108010009858 Echinomycin Proteins 0.000 description 1
- 208000005235 Echovirus Infections Diseases 0.000 description 1
- 241000607471 Edwardsiella tarda Species 0.000 description 1
- 241000196324 Embryophyta Species 0.000 description 1
- XQSPYNMVSIKCOC-NTSWFWBYSA-N Emtricitabine Chemical compound C1=C(F)C(N)=NC(=O)N1[C@H]1O[C@@H](CO)SC1 XQSPYNMVSIKCOC-NTSWFWBYSA-N 0.000 description 1
- 206010014584 Encephalitis california Diseases 0.000 description 1
- 206010014614 Encephalitis western equine Diseases 0.000 description 1
- 206010014733 Endometrial cancer Diseases 0.000 description 1
- 206010014759 Endometrial neoplasm Diseases 0.000 description 1
- AFMYMMXSQGUCBK-UHFFFAOYSA-N Endynamicin A Natural products C1#CC=CC#CC2NC(C=3C(=O)C4=C(O)C=CC(O)=C4C(=O)C=3C(O)=C3)=C3C34OC32C(C)C(C(O)=O)=C(OC)C41 AFMYMMXSQGUCBK-UHFFFAOYSA-N 0.000 description 1
- SAMRUMKYXPVKPA-VFKOLLTISA-N Enocitabine Chemical compound O=C1N=C(NC(=O)CCCCCCCCCCCCCCCCCCCCC)C=CN1[C@H]1[C@@H](O)[C@H](O)[C@@H](CO)O1 SAMRUMKYXPVKPA-VFKOLLTISA-N 0.000 description 1
- 241000498255 Enterobius vermicularis Species 0.000 description 1
- 206010014954 Eosinophilic fasciitis Diseases 0.000 description 1
- 206010014967 Ependymoma Diseases 0.000 description 1
- 108010055334 EphB2 Receptor Proteins 0.000 description 1
- 102100031968 Ephrin type-B receptor 2 Human genes 0.000 description 1
- 206010014978 Epidemic pleurodynia Diseases 0.000 description 1
- OBMLHUPNRURLOK-XGRAFVIBSA-N Epitiostanol Chemical compound C1[C@@H]2S[C@@H]2C[C@]2(C)[C@H]3CC[C@](C)([C@H](CC4)O)[C@@H]4[C@@H]3CC[C@H]21 OBMLHUPNRURLOK-XGRAFVIBSA-N 0.000 description 1
- 108010074604 Epoetin Alfa Proteins 0.000 description 1
- 206010015108 Epstein-Barr virus infection Diseases 0.000 description 1
- 208000007985 Erythema Infectiosum Diseases 0.000 description 1
- 229930189413 Esperamicin Natural products 0.000 description 1
- 108090000371 Esterases Proteins 0.000 description 1
- 108010008165 Etanercept Proteins 0.000 description 1
- VGGSQFUCUMXWEO-UHFFFAOYSA-N Ethene Chemical compound C=C VGGSQFUCUMXWEO-UHFFFAOYSA-N 0.000 description 1
- 239000001856 Ethyl cellulose Substances 0.000 description 1
- ZZSNKZQZMQGXPY-UHFFFAOYSA-N Ethyl cellulose Chemical compound CCOCC1OC(OC)C(OCC)C(OCC)C1OC1C(O)C(O)C(OC)C(CO)O1 ZZSNKZQZMQGXPY-UHFFFAOYSA-N 0.000 description 1
- JOYRKODLDBILNP-UHFFFAOYSA-N Ethyl urethane Chemical compound CCOC(N)=O JOYRKODLDBILNP-UHFFFAOYSA-N 0.000 description 1
- 239000005977 Ethylene Substances 0.000 description 1
- 208000004332 Evans syndrome Diseases 0.000 description 1
- 208000006168 Ewing Sarcoma Diseases 0.000 description 1
- 201000005866 Exanthema Subitum Diseases 0.000 description 1
- 241000282326 Felis catus Species 0.000 description 1
- 208000028387 Felty syndrome Diseases 0.000 description 1
- 208000001640 Fibromyalgia Diseases 0.000 description 1
- 241000724791 Filamentous phage Species 0.000 description 1
- 201000006353 Filariasis Diseases 0.000 description 1
- 206010016675 Filariasis lymphatic Diseases 0.000 description 1
- 108010029961 Filgrastim Proteins 0.000 description 1
- KRHYYFGTRYWZRS-UHFFFAOYSA-M Fluoride anion Chemical compound [F-] KRHYYFGTRYWZRS-UHFFFAOYSA-M 0.000 description 1
- MPJKWIXIYCLVCU-UHFFFAOYSA-N Folinic acid Natural products NC1=NC2=C(N(C=O)C(CNc3ccc(cc3)C(=O)NC(CCC(=O)O)CC(=O)O)CN2)C(=O)N1 MPJKWIXIYCLVCU-UHFFFAOYSA-N 0.000 description 1
- BDAGIHXWWSANSR-UHFFFAOYSA-M Formate Chemical compound [O-]C=O BDAGIHXWWSANSR-UHFFFAOYSA-M 0.000 description 1
- 241000589602 Francisella tularensis Species 0.000 description 1
- 229930091371 Fructose Natural products 0.000 description 1
- RFSUNEUAIZKAJO-ARQDHWQXSA-N Fructose Chemical compound OC[C@H]1O[C@](O)(CO)[C@@H](O)[C@@H]1O RFSUNEUAIZKAJO-ARQDHWQXSA-N 0.000 description 1
- 239000005715 Fructose Substances 0.000 description 1
- VWUXBMIQPBEWFH-WCCTWKNTSA-N Fulvestrant Chemical compound OC1=CC=C2[C@H]3CC[C@](C)([C@H](CC4)O)[C@@H]4[C@@H]3[C@H](CCCCCCCCCS(=O)CCCC(F)(F)C(F)(F)F)CC2=C1 VWUXBMIQPBEWFH-WCCTWKNTSA-N 0.000 description 1
- VZCYOOQTPOCHFL-OWOJBTEDSA-N Fumaric acid Chemical compound OC(=O)\C=C\C(O)=O VZCYOOQTPOCHFL-OWOJBTEDSA-N 0.000 description 1
- 241000233866 Fungi Species 0.000 description 1
- 230000005526 G1 to G0 transition Effects 0.000 description 1
- 102400000921 Gastrin Human genes 0.000 description 1
- 108090001053 Gastrin releasing peptide Proteins 0.000 description 1
- 102000004862 Gastrin releasing peptide Human genes 0.000 description 1
- 102100036519 Gastrin-releasing peptide Human genes 0.000 description 1
- 108010052343 Gastrins Proteins 0.000 description 1
- 206010017993 Gastrointestinal neoplasms Diseases 0.000 description 1
- 229930182566 Gentamicin Natural products 0.000 description 1
- CEAZRRDELHUEMR-URQXQFDESA-N Gentamicin Chemical compound O1[C@H](C(C)NC)CC[C@@H](N)[C@H]1O[C@H]1[C@H](O)[C@@H](O[C@@H]2[C@@H]([C@@H](NC)[C@@](C)(O)CO2)O)[C@H](N)C[C@@H]1N CEAZRRDELHUEMR-URQXQFDESA-N 0.000 description 1
- 208000003736 Gerstmann-Straussler-Scheinker Disease Diseases 0.000 description 1
- 206010072075 Gerstmann-Straussler-Scheinker syndrome Diseases 0.000 description 1
- 208000032612 Glial tumor Diseases 0.000 description 1
- 201000010915 Glioblastoma multiforme Diseases 0.000 description 1
- 206010018338 Glioma Diseases 0.000 description 1
- 206010018364 Glomerulonephritis Diseases 0.000 description 1
- 206010018367 Glomerulonephritis chronic Diseases 0.000 description 1
- 239000004471 Glycine Substances 0.000 description 1
- 108700023372 Glycosyltransferases Proteins 0.000 description 1
- 102000051366 Glycosyltransferases Human genes 0.000 description 1
- 206010018612 Gonorrhoea Diseases 0.000 description 1
- 208000009329 Graft vs Host Disease Diseases 0.000 description 1
- 108010026389 Gramicidin Proteins 0.000 description 1
- 102100039619 Granulocyte colony-stimulating factor Human genes 0.000 description 1
- 102100039620 Granulocyte-macrophage colony-stimulating factor Human genes 0.000 description 1
- 208000003807 Graves Disease Diseases 0.000 description 1
- 208000015023 Graves' disease Diseases 0.000 description 1
- AIJTTZAVMXIJGM-UHFFFAOYSA-N Grepafloxacin Chemical compound C1CNC(C)CN1C(C(=C1C)F)=CC2=C1C(=O)C(C(O)=O)=CN2C1CC1 AIJTTZAVMXIJGM-UHFFFAOYSA-N 0.000 description 1
- 229920000084 Gum arabic Polymers 0.000 description 1
- 238000010268 HPLC based assay Methods 0.000 description 1
- 208000008899 Habitual abortion Diseases 0.000 description 1
- 241000606768 Haemophilus influenzae Species 0.000 description 1
- 206010061192 Haemorrhagic fever Diseases 0.000 description 1
- 208000020061 Hand, Foot and Mouth Disease Diseases 0.000 description 1
- 208000025713 Hand-foot-and-mouth disease Diseases 0.000 description 1
- 101710154606 Hemagglutinin Proteins 0.000 description 1
- 208000001258 Hemangiosarcoma Diseases 0.000 description 1
- 208000035186 Hemolytic Autoimmune Anemia Diseases 0.000 description 1
- 201000004331 Henoch-Schoenlein purpura Diseases 0.000 description 1
- 206010019617 Henoch-Schonlein purpura Diseases 0.000 description 1
- 241000711549 Hepacivirus C Species 0.000 description 1
- 241000724675 Hepatitis E virus Species 0.000 description 1
- 241000709721 Hepatovirus A Species 0.000 description 1
- 201000006219 Herpangina Diseases 0.000 description 1
- 208000001688 Herpes Genitalis Diseases 0.000 description 1
- 241000700586 Herpesviridae Species 0.000 description 1
- 241000228404 Histoplasma capsulatum Species 0.000 description 1
- 101000773083 Homo sapiens 5,6-dihydroxyindole-2-carboxylic acid oxidase Proteins 0.000 description 1
- 101000777636 Homo sapiens ADP-ribosyl cyclase/cyclic ADP-ribose hydrolase 1 Proteins 0.000 description 1
- 101000874316 Homo sapiens B melanoma antigen 1 Proteins 0.000 description 1
- 101000897405 Homo sapiens B-lymphocyte antigen CD20 Proteins 0.000 description 1
- 101000914511 Homo sapiens CD27 antigen Proteins 0.000 description 1
- 101001078158 Homo sapiens Integrin alpha-1 Proteins 0.000 description 1
- 101001078133 Homo sapiens Integrin alpha-2 Proteins 0.000 description 1
- 101000994378 Homo sapiens Integrin alpha-3 Proteins 0.000 description 1
- 101000994375 Homo sapiens Integrin alpha-4 Proteins 0.000 description 1
- 101000994369 Homo sapiens Integrin alpha-5 Proteins 0.000 description 1
- 101000994365 Homo sapiens Integrin alpha-6 Proteins 0.000 description 1
- 101001046687 Homo sapiens Integrin alpha-E Proteins 0.000 description 1
- 101001078143 Homo sapiens Integrin alpha-IIb Proteins 0.000 description 1
- 101001046686 Homo sapiens Integrin alpha-M Proteins 0.000 description 1
- 101000935043 Homo sapiens Integrin beta-1 Proteins 0.000 description 1
- 101000935040 Homo sapiens Integrin beta-2 Proteins 0.000 description 1
- 101001015006 Homo sapiens Integrin beta-4 Proteins 0.000 description 1
- 101000798109 Homo sapiens Melanotransferrin Proteins 0.000 description 1
- 101000904173 Homo sapiens Progonadoliberin-1 Proteins 0.000 description 1
- 101001094545 Homo sapiens Retrotransposon-like protein 1 Proteins 0.000 description 1
- 101000934346 Homo sapiens T-cell surface antigen CD2 Proteins 0.000 description 1
- 101000946843 Homo sapiens T-cell surface glycoprotein CD8 alpha chain Proteins 0.000 description 1
- 101000914514 Homo sapiens T-cell-specific surface glycoprotein CD28 Proteins 0.000 description 1
- 101000800116 Homo sapiens Thy-1 membrane glycoprotein Proteins 0.000 description 1
- 101000834948 Homo sapiens Tomoregulin-2 Proteins 0.000 description 1
- 101000610604 Homo sapiens Tumor necrosis factor receptor superfamily member 10B Proteins 0.000 description 1
- 101000610602 Homo sapiens Tumor necrosis factor receptor superfamily member 10C Proteins 0.000 description 1
- 101000610609 Homo sapiens Tumor necrosis factor receptor superfamily member 10D Proteins 0.000 description 1
- 101000795167 Homo sapiens Tumor necrosis factor receptor superfamily member 13B Proteins 0.000 description 1
- 101000679903 Homo sapiens Tumor necrosis factor receptor superfamily member 25 Proteins 0.000 description 1
- 101000611023 Homo sapiens Tumor necrosis factor receptor superfamily member 6 Proteins 0.000 description 1
- 206010020376 Hookworm infection Diseases 0.000 description 1
- 108010084873 Human Immunodeficiency Virus nef Gene Products Proteins 0.000 description 1
- 241000598436 Human T-cell lymphotropic virus Species 0.000 description 1
- VEXZGXHMUGYJMC-UHFFFAOYSA-N Hydrochloric acid Chemical compound Cl VEXZGXHMUGYJMC-UHFFFAOYSA-N 0.000 description 1
- 102000006933 Hydroxymethyl and Formyl Transferases Human genes 0.000 description 1
- 108010072462 Hydroxymethyl and Formyl Transferases Proteins 0.000 description 1
- 206010020751 Hypersensitivity Diseases 0.000 description 1
- 206010020850 Hyperthyroidism Diseases 0.000 description 1
- 206010020983 Hypogammaglobulinaemia Diseases 0.000 description 1
- XQFRJNBWHJMXHO-RRKCRQDMSA-N IDUR Chemical compound C1[C@H](O)[C@@H](CO)O[C@H]1N1C(=O)NC(=O)C(I)=C1 XQFRJNBWHJMXHO-RRKCRQDMSA-N 0.000 description 1
- MPBVHIBUJCELCL-UHFFFAOYSA-N Ibandronate Chemical compound CCCCCN(C)CCC(O)(P(O)(O)=O)P(O)(O)=O MPBVHIBUJCELCL-UHFFFAOYSA-N 0.000 description 1
- 101710123134 Ice-binding protein Proteins 0.000 description 1
- 101710082837 Ice-structuring protein Proteins 0.000 description 1
- 208000031814 IgA Vasculitis Diseases 0.000 description 1
- 208000010159 IgA glomerulonephritis Diseases 0.000 description 1
- 206010021263 IgA nephropathy Diseases 0.000 description 1
- 102100026120 IgG receptor FcRn large subunit p51 Human genes 0.000 description 1
- 101710177940 IgG receptor FcRn large subunit p51 Proteins 0.000 description 1
- WRYCSMQKUKOKBP-UHFFFAOYSA-N Imidazolidine Chemical group C1CNCN1 WRYCSMQKUKOKBP-UHFFFAOYSA-N 0.000 description 1
- 108010054477 Immunoglobulin Fab Fragments Proteins 0.000 description 1
- 102000001706 Immunoglobulin Fab Fragments Human genes 0.000 description 1
- 108700005091 Immunoglobulin Genes Proteins 0.000 description 1
- 206010021531 Impetigo Diseases 0.000 description 1
- 208000004575 Infectious Arthritis Diseases 0.000 description 1
- 208000022559 Inflammatory bowel disease Diseases 0.000 description 1
- 108090001061 Insulin Proteins 0.000 description 1
- 102000004877 Insulin Human genes 0.000 description 1
- 206010022489 Insulin Resistance Diseases 0.000 description 1
- 108090000723 Insulin-Like Growth Factor I Proteins 0.000 description 1
- 102100025323 Integrin alpha-1 Human genes 0.000 description 1
- 102100025305 Integrin alpha-2 Human genes 0.000 description 1
- 102100032819 Integrin alpha-3 Human genes 0.000 description 1
- 102100032818 Integrin alpha-4 Human genes 0.000 description 1
- 102100032817 Integrin alpha-5 Human genes 0.000 description 1
- 102100032816 Integrin alpha-6 Human genes 0.000 description 1
- 102100022341 Integrin alpha-E Human genes 0.000 description 1
- 102100025306 Integrin alpha-IIb Human genes 0.000 description 1
- 102100022338 Integrin alpha-M Human genes 0.000 description 1
- 102100022297 Integrin alpha-X Human genes 0.000 description 1
- 102100025304 Integrin beta-1 Human genes 0.000 description 1
- 102100025390 Integrin beta-2 Human genes 0.000 description 1
- 102100033000 Integrin beta-4 Human genes 0.000 description 1
- 108010078049 Interferon alpha-2 Proteins 0.000 description 1
- 108010047761 Interferon-alpha Proteins 0.000 description 1
- 102000006992 Interferon-alpha Human genes 0.000 description 1
- 102000008070 Interferon-gamma Human genes 0.000 description 1
- 108010074328 Interferon-gamma Proteins 0.000 description 1
- 102100030694 Interleukin-11 Human genes 0.000 description 1
- 108010002350 Interleukin-2 Proteins 0.000 description 1
- 102000000588 Interleukin-2 Human genes 0.000 description 1
- 102000010789 Interleukin-2 Receptors Human genes 0.000 description 1
- 108010038453 Interleukin-2 Receptors Proteins 0.000 description 1
- 102000004889 Interleukin-6 Human genes 0.000 description 1
- 108090001005 Interleukin-6 Proteins 0.000 description 1
- 206010023076 Isosporiasis Diseases 0.000 description 1
- UETNIIAIRMUTSM-UHFFFAOYSA-N Jacareubin Natural products CC1(C)OC2=CC3Oc4c(O)c(O)ccc4C(=O)C3C(=C2C=C1)O UETNIIAIRMUTSM-UHFFFAOYSA-N 0.000 description 1
- 208000003456 Juvenile Arthritis Diseases 0.000 description 1
- 206010059176 Juvenile idiopathic arthritis Diseases 0.000 description 1
- 108010076876 Keratins Proteins 0.000 description 1
- 102000011782 Keratins Human genes 0.000 description 1
- 208000008839 Kidney Neoplasms Diseases 0.000 description 1
- 241000588747 Klebsiella pneumoniae Species 0.000 description 1
- 108050004036 Klotho Proteins 0.000 description 1
- QNAYBMKLOCPYGJ-REOHCLBHSA-N L-alanine Chemical compound C[C@H](N)C(O)=O QNAYBMKLOCPYGJ-REOHCLBHSA-N 0.000 description 1
- KJQFBVYMGADDTQ-CVSPRKDYSA-N L-buthionine-(S,R)-sulfoximine Chemical compound CCCCS(=N)(=O)CC[C@H](N)C(O)=O KJQFBVYMGADDTQ-CVSPRKDYSA-N 0.000 description 1
- LRQKBLKVPFOOQJ-YFKPBYRVSA-N L-norleucine Chemical compound CCCC[C@H]([NH3+])C([O-])=O LRQKBLKVPFOOQJ-YFKPBYRVSA-N 0.000 description 1
- 102000007330 LDL Lipoproteins Human genes 0.000 description 1
- 108010007622 LDL Lipoproteins Proteins 0.000 description 1
- 201000009908 La Crosse encephalitis Diseases 0.000 description 1
- JVTAAEKCZFNVCJ-UHFFFAOYSA-M Lactate Chemical compound CC(O)C([O-])=O JVTAAEKCZFNVCJ-UHFFFAOYSA-M 0.000 description 1
- 208000004204 Larva Migrans Diseases 0.000 description 1
- 206010023927 Lassa fever Diseases 0.000 description 1
- 208000018142 Leiomyosarcoma Diseases 0.000 description 1
- 241000222740 Leishmania braziliensis Species 0.000 description 1
- 241000222727 Leishmania donovani Species 0.000 description 1
- 241000222736 Leishmania tropica Species 0.000 description 1
- 208000004554 Leishmaniasis Diseases 0.000 description 1
- 229920001491 Lentinan Polymers 0.000 description 1
- 206010024229 Leprosy Diseases 0.000 description 1
- 241000589902 Leptospira Species 0.000 description 1
- 206010024238 Leptospirosis Diseases 0.000 description 1
- 108010000817 Leuprolide Proteins 0.000 description 1
- HLFSDGLLUJUHTE-SNVBAGLBSA-N Levamisole Chemical compound C1([C@H]2CN3CCSC3=N2)=CC=CC=C1 HLFSDGLLUJUHTE-SNVBAGLBSA-N 0.000 description 1
- GSDSWSVVBLHKDQ-JTQLQIEISA-N Levofloxacin Chemical compound C([C@@H](N1C2=C(C(C(C(O)=O)=C1)=O)C=C1F)C)OC2=C1N1CCN(C)CC1 GSDSWSVVBLHKDQ-JTQLQIEISA-N 0.000 description 1
- NNJVILVZKWQKPM-UHFFFAOYSA-N Lidocaine Chemical compound CCN(CC)CC(=O)NC1=C(C)C=CC=C1C NNJVILVZKWQKPM-UHFFFAOYSA-N 0.000 description 1
- OJMMVQQUTAEWLP-UHFFFAOYSA-N Lincomycin Natural products CN1CC(CCC)CC1C(=O)NC(C(C)O)C1C(O)C(O)C(O)C(SC)O1 OJMMVQQUTAEWLP-UHFFFAOYSA-N 0.000 description 1
- 206010024641 Listeriosis Diseases 0.000 description 1
- 208000002041 Loiasis Diseases 0.000 description 1
- MEPSBMMZQBMKHM-UHFFFAOYSA-N Lomatiol Natural products CC(=C/CC1=C(O)C(=O)c2ccccc2C1=O)CO MEPSBMMZQBMKHM-UHFFFAOYSA-N 0.000 description 1
- 208000037263 Lymphatic filariasis Diseases 0.000 description 1
- 206010025327 Lymphopenia Diseases 0.000 description 1
- 102000016200 MART-1 Antigen Human genes 0.000 description 1
- 108010010995 MART-1 Antigen Proteins 0.000 description 1
- 241000124008 Mammalia Species 0.000 description 1
- 102000009112 Mannose-Binding Lectin Human genes 0.000 description 1
- 108010087870 Mannose-Binding Lectin Proteins 0.000 description 1
- 108010090665 Mannosyl-Glycoprotein Endo-beta-N-Acetylglucosaminidase Proteins 0.000 description 1
- 208000030156 Marburg disease Diseases 0.000 description 1
- VJRAUFKOOPNFIQ-UHFFFAOYSA-N Marcellomycin Natural products C12=C(O)C=3C(=O)C4=C(O)C=CC(O)=C4C(=O)C=3C=C2C(C(=O)OC)C(CC)(O)CC1OC(OC1C)CC(N(C)C)C1OC(OC1C)CC(O)C1OC1CC(O)C(O)C(C)O1 VJRAUFKOOPNFIQ-UHFFFAOYSA-N 0.000 description 1
- SBDNJUWAMKYJOX-UHFFFAOYSA-N Meclofenamic Acid Chemical compound CC1=CC=C(Cl)C(NC=2C(=CC=CC=2)C(O)=O)=C1Cl SBDNJUWAMKYJOX-UHFFFAOYSA-N 0.000 description 1
- 208000007054 Medullary Carcinoma Diseases 0.000 description 1
- 208000000172 Medulloblastoma Diseases 0.000 description 1
- 208000035490 Megakaryoblastic Acute Leukemia Diseases 0.000 description 1
- 108010071463 Melanoma-Specific Antigens Proteins 0.000 description 1
- 102000007557 Melanoma-Specific Antigens Human genes 0.000 description 1
- 102100032239 Melanotransferrin Human genes 0.000 description 1
- ZRVUJXDFFKFLMG-UHFFFAOYSA-N Meloxicam Chemical compound OC=1C2=CC=CC=C2S(=O)(=O)N(C)C=1C(=O)NC1=NC=C(C)S1 ZRVUJXDFFKFLMG-UHFFFAOYSA-N 0.000 description 1
- 208000027530 Meniere disease Diseases 0.000 description 1
- 206010027201 Meningitis aseptic Diseases 0.000 description 1
- IVDYZAAPOLNZKG-KWHRADDSSA-N Mepitiostane Chemical compound O([C@@H]1[C@]2(CC[C@@H]3[C@@]4(C)C[C@H]5S[C@H]5C[C@@H]4CC[C@H]3[C@@H]2CC1)C)C1(OC)CCCC1 IVDYZAAPOLNZKG-KWHRADDSSA-N 0.000 description 1
- 241000002163 Mesapamea fractilinea Species 0.000 description 1
- XOGTZOOQQBDUSI-UHFFFAOYSA-M Mesna Chemical compound [Na+].[O-]S(=O)(=O)CCS XOGTZOOQQBDUSI-UHFFFAOYSA-M 0.000 description 1
- 206010027406 Mesothelioma Diseases 0.000 description 1
- 102100037510 Metallothionein-1E Human genes 0.000 description 1
- AFVFQIVMOAPDHO-UHFFFAOYSA-N Methanesulfonic acid Chemical compound CS(O)(=O)=O AFVFQIVMOAPDHO-UHFFFAOYSA-N 0.000 description 1
- RJQXTJLFIWVMTO-TYNCELHUSA-N Methicillin Chemical compound COC1=CC=CC(OC)=C1C(=O)N[C@@H]1C(=O)N2[C@@H](C(O)=O)C(C)(C)S[C@@H]21 RJQXTJLFIWVMTO-TYNCELHUSA-N 0.000 description 1
- QXKHYNVANLEOEG-UHFFFAOYSA-N Methoxsalen Chemical compound C1=CC(=O)OC2=C1C=C1C=COC1=C2OC QXKHYNVANLEOEG-UHFFFAOYSA-N 0.000 description 1
- 229920000168 Microcrystalline cellulose Polymers 0.000 description 1
- 201000000090 Microsporidiosis Diseases 0.000 description 1
- VFKZTMPDYBFSTM-KVTDHHQDSA-N Mitobronitol Chemical compound BrC[C@@H](O)[C@@H](O)[C@H](O)[C@H](O)CBr VFKZTMPDYBFSTM-KVTDHHQDSA-N 0.000 description 1
- 208000003250 Mixed connective tissue disease Diseases 0.000 description 1
- PCZOHLXUXFIOCF-UHFFFAOYSA-N Monacolin X Natural products C12C(OC(=O)C(C)CC)CC(C)C=C2C=CC(C)C1CCC1CC(O)CC(=O)O1 PCZOHLXUXFIOCF-UHFFFAOYSA-N 0.000 description 1
- 208000035489 Monocytic Acute Leukemia Diseases 0.000 description 1
- 208000003445 Mouth Neoplasms Diseases 0.000 description 1
- 101100425758 Mus musculus Tnfrsf1b gene Proteins 0.000 description 1
- 206010028424 Myasthenic syndrome Diseases 0.000 description 1
- 241000041810 Mycetoma Species 0.000 description 1
- 241000187479 Mycobacterium tuberculosis Species 0.000 description 1
- RTGDFNSFWBGLEC-UHFFFAOYSA-N Mycophenolate mofetil Chemical compound COC1=C(C)C=2COC(=O)C=2C(O)=C1CC=C(C)CCC(=O)OCCN1CCOCC1 RTGDFNSFWBGLEC-UHFFFAOYSA-N 0.000 description 1
- 241000204031 Mycoplasma Species 0.000 description 1
- 208000031888 Mycoses Diseases 0.000 description 1
- 208000033835 Myelomonocytic Acute Leukemia Diseases 0.000 description 1
- 208000009525 Myocarditis Diseases 0.000 description 1
- QPCDCPDFJACHGM-UHFFFAOYSA-N N,N-bis{2-[bis(carboxymethyl)amino]ethyl}glycine Chemical compound OC(=O)CN(CC(O)=O)CCN(CC(=O)O)CCN(CC(O)=O)CC(O)=O QPCDCPDFJACHGM-UHFFFAOYSA-N 0.000 description 1
- OVRNDRQMDRJTHS-CBQIKETKSA-N N-Acetyl-D-Galactosamine Chemical compound CC(=O)N[C@H]1[C@@H](O)O[C@H](CO)[C@H](O)[C@@H]1O OVRNDRQMDRJTHS-CBQIKETKSA-N 0.000 description 1
- NQTADLQHYWFPDB-UHFFFAOYSA-N N-Hydroxysuccinimide Chemical compound ON1C(=O)CCC1=O NQTADLQHYWFPDB-UHFFFAOYSA-N 0.000 description 1
- OVBPIULPVIDEAO-UHFFFAOYSA-N N-Pteroyl-L-glutaminsaeure Natural products C=1N=C2NC(N)=NC(=O)C2=NC=1CNC1=CC=C(C(=O)NC(CCC(O)=O)C(O)=O)C=C1 OVBPIULPVIDEAO-UHFFFAOYSA-N 0.000 description 1
- GXCLVBGFBYZDAG-UHFFFAOYSA-N N-[2-(1H-indol-3-yl)ethyl]-N-methylprop-2-en-1-amine Chemical compound CN(CCC1=CNC2=C1C=CC=C2)CC=C GXCLVBGFBYZDAG-UHFFFAOYSA-N 0.000 description 1
- MBLBDJOUHNCFQT-UHFFFAOYSA-N N-acetyl-D-galactosamine Natural products CC(=O)NC(C=O)C(O)C(O)C(O)CO MBLBDJOUHNCFQT-UHFFFAOYSA-N 0.000 description 1
- OVRNDRQMDRJTHS-FMDGEEDCSA-N N-acetyl-beta-D-glucosamine Chemical group CC(=O)N[C@H]1[C@H](O)O[C@H](CO)[C@@H](O)[C@@H]1O OVRNDRQMDRJTHS-FMDGEEDCSA-N 0.000 description 1
- 230000004988 N-glycosylation Effects 0.000 description 1
- 229910002651 NO3 Inorganic materials 0.000 description 1
- BLXXJMDCKKHMKV-UHFFFAOYSA-N Nabumetone Chemical compound C1=C(CCC(C)=O)C=CC2=CC(OC)=CC=C21 BLXXJMDCKKHMKV-UHFFFAOYSA-N 0.000 description 1
- 241000588652 Neisseria gonorrhoeae Species 0.000 description 1
- 241000588650 Neisseria meningitidis Species 0.000 description 1
- CWVRJTMFETXNAD-KLZCAUPSSA-N Neochlorogenin-saeure Natural products O[C@H]1C[C@@](O)(C[C@@H](OC(=O)C=Cc2ccc(O)c(O)c2)[C@@H]1O)C(=O)O CWVRJTMFETXNAD-KLZCAUPSSA-N 0.000 description 1
- 229930193140 Neomycin Natural products 0.000 description 1
- 108010042309 Netropsin Proteins 0.000 description 1
- 206010029260 Neuroblastoma Diseases 0.000 description 1
- PVNIIMVLHYAWGP-UHFFFAOYSA-N Niacin Chemical class OC(=O)C1=CC=CN=C1 PVNIIMVLHYAWGP-UHFFFAOYSA-N 0.000 description 1
- NHNBFGGVMKEFGY-UHFFFAOYSA-N Nitrate Chemical compound [O-][N+]([O-])=O NHNBFGGVMKEFGY-UHFFFAOYSA-N 0.000 description 1
- SYNHCENRCUAUNM-UHFFFAOYSA-N Nitrogen mustard N-oxide hydrochloride Chemical compound Cl.ClCC[N+]([O-])(C)CCCl SYNHCENRCUAUNM-UHFFFAOYSA-N 0.000 description 1
- 206010029443 Nocardia Infections Diseases 0.000 description 1
- 206010029444 Nocardiosis Diseases 0.000 description 1
- KYRVNWMVYQXFEU-UHFFFAOYSA-N Nocodazole Chemical compound C1=C2NC(NC(=O)OC)=NC2=CC=C1C(=O)C1=CC=CS1 KYRVNWMVYQXFEU-UHFFFAOYSA-N 0.000 description 1
- KGTDRFCXGRULNK-UHFFFAOYSA-N Nogalamycin Natural products COC1C(OC)(C)C(OC)C(C)OC1OC1C2=C(O)C(C(=O)C3=C(O)C=C4C5(C)OC(C(C(C5O)N(C)C)O)OC4=C3C3=O)=C3C=C2C(C(=O)OC)C(C)(O)C1 KGTDRFCXGRULNK-UHFFFAOYSA-N 0.000 description 1
- 208000010505 Nose Neoplasms Diseases 0.000 description 1
- 108091028043 Nucleic acid sequence Proteins 0.000 description 1
- XDMCWZFLLGVIID-SXPRBRBTSA-N O-(3-O-D-galactosyl-N-acetyl-beta-D-galactosaminyl)-L-serine Chemical compound CC(=O)N[C@H]1[C@H](OC[C@H]([NH3+])C([O-])=O)O[C@H](CO)[C@H](O)[C@@H]1OC1[C@H](O)[C@@H](O)[C@@H](O)[C@@H](CO)O1 XDMCWZFLLGVIID-SXPRBRBTSA-N 0.000 description 1
- AAQVWFPYAGRGFN-SOFGDDPGSA-N O=C=O.[H]C1OC(OC2=CC=C(COC(=O)NC3=CC4=C(C5=CC=CC=C35)C(CCl)CN4C(=O)/C=C/C3=CC=C(OC)C=C3)C=C2NC(=O)CCNC(=O)CBr)[C@H](O)[C@@H](O)[C@@H]1O Chemical compound O=C=O.[H]C1OC(OC2=CC=C(COC(=O)NC3=CC4=C(C5=CC=CC=C35)C(CCl)CN4C(=O)/C=C/C3=CC=C(OC)C=C3)C=C2NC(=O)CCNC(=O)CBr)[C@H](O)[C@@H](O)[C@@H]1O AAQVWFPYAGRGFN-SOFGDDPGSA-N 0.000 description 1
- 201000010133 Oligodendroglioma Diseases 0.000 description 1
- 108091034117 Oligonucleotide Proteins 0.000 description 1
- 229930187135 Olivomycin Natural products 0.000 description 1
- 241000243985 Onchocerca volvulus Species 0.000 description 1
- 108700020796 Oncogene Proteins 0.000 description 1
- 102000043276 Oncogene Human genes 0.000 description 1
- 241000283973 Oryctolagus cuniculus Species 0.000 description 1
- 240000007594 Oryza sativa Species 0.000 description 1
- 235000007164 Oryza sativa Nutrition 0.000 description 1
- 108010035042 Osteoprotegerin Proteins 0.000 description 1
- 102000008108 Osteoprotegerin Human genes 0.000 description 1
- 101710093908 Outer capsid protein VP4 Proteins 0.000 description 1
- 101710135467 Outer capsid protein sigma-1 Proteins 0.000 description 1
- 101710160107 Outer membrane protein A Proteins 0.000 description 1
- MUBZPKHOEPUJKR-UHFFFAOYSA-N Oxalic acid Chemical compound OC(=O)C(O)=O MUBZPKHOEPUJKR-UHFFFAOYSA-N 0.000 description 1
- 239000004100 Oxytetracycline Substances 0.000 description 1
- 241001484645 Ozaena Species 0.000 description 1
- 229910018828 PO3H2 Inorganic materials 0.000 description 1
- 102100034640 PWWP domain-containing DNA repair factor 3A Human genes 0.000 description 1
- 108050007154 PWWP domain-containing DNA repair factor 3A Proteins 0.000 description 1
- 208000002193 Pain Diseases 0.000 description 1
- VREZDOWOLGNDPW-ALTGWBOUSA-N Pancratistatin Chemical compound C1=C2[C@H]3[C@@H](O)[C@H](O)[C@@H](O)[C@@H](O)[C@@H]3NC(=O)C2=C(O)C2=C1OCO2 VREZDOWOLGNDPW-ALTGWBOUSA-N 0.000 description 1
- VREZDOWOLGNDPW-MYVCAWNPSA-N Pancratistatin Natural products O=C1N[C@H]2[C@H](O)[C@H](O)[C@H](O)[C@H](O)[C@@H]2c2c1c(O)c1OCOc1c2 VREZDOWOLGNDPW-MYVCAWNPSA-N 0.000 description 1
- 241000935974 Paralichthys dentatus Species 0.000 description 1
- 208000002606 Paramyxoviridae Infections Diseases 0.000 description 1
- 208000030852 Parasitic disease Diseases 0.000 description 1
- 241000701945 Parvoviridae Species 0.000 description 1
- 241000237988 Patellidae Species 0.000 description 1
- 235000019483 Peanut oil Nutrition 0.000 description 1
- 229930195708 Penicillin V Natural products 0.000 description 1
- 102000000447 Peptide-N4-(N-acetyl-beta-glucosaminyl) Asparagine Amidase Human genes 0.000 description 1
- 108010055817 Peptide-N4-(N-acetyl-beta-glucosaminyl) Asparagine Amidase Proteins 0.000 description 1
- 206010034681 Peritonitis pneumococcal Diseases 0.000 description 1
- 208000031845 Pernicious anaemia Diseases 0.000 description 1
- 241000009328 Perro Species 0.000 description 1
- 201000005702 Pertussis Diseases 0.000 description 1
- 206010057249 Phagocytosis Diseases 0.000 description 1
- 201000007100 Pharyngitis Diseases 0.000 description 1
- PCNDJXKNXGMECE-UHFFFAOYSA-N Phenazine Natural products C1=CC=CC2=NC3=CC=CC=C3N=C21 PCNDJXKNXGMECE-UHFFFAOYSA-N 0.000 description 1
- 241000709664 Picornaviridae Species 0.000 description 1
- 208000007641 Pinealoma Diseases 0.000 description 1
- 206010035148 Plague Diseases 0.000 description 1
- 241000224016 Plasmodium Species 0.000 description 1
- 241000223960 Plasmodium falciparum Species 0.000 description 1
- 241000223810 Plasmodium vivax Species 0.000 description 1
- 108010038512 Platelet-Derived Growth Factor Proteins 0.000 description 1
- 102000010780 Platelet-Derived Growth Factor Human genes 0.000 description 1
- 208000005384 Pneumocystis Pneumonia Diseases 0.000 description 1
- 241000233872 Pneumocystis carinii Species 0.000 description 1
- 206010073755 Pneumocystis jirovecii pneumonia Diseases 0.000 description 1
- 206010035673 Pneumonia chlamydial Diseases 0.000 description 1
- 208000000474 Poliomyelitis Diseases 0.000 description 1
- 239000002202 Polyethylene glycol Substances 0.000 description 1
- 108010093965 Polymyxin B Proteins 0.000 description 1
- 241000700625 Poxviridae Species 0.000 description 1
- 208000006664 Precursor Cell Lymphoblastic Leukemia-Lymphoma Diseases 0.000 description 1
- HFVNWDWLWUCIHC-GUPDPFMOSA-N Prednimustine Chemical compound O=C([C@@]1(O)CC[C@H]2[C@H]3[C@@H]([C@]4(C=CC(=O)C=C4CC3)C)[C@@H](O)C[C@@]21C)COC(=O)CCCC1=CC=C(N(CCCl)CCCl)C=C1 HFVNWDWLWUCIHC-GUPDPFMOSA-N 0.000 description 1
- 206010036631 Presenile dementia Diseases 0.000 description 1
- 108091000054 Prion Proteins 0.000 description 1
- 206010036774 Proctitis Diseases 0.000 description 1
- 102100024028 Progonadoliberin-1 Human genes 0.000 description 1
- ONIBWKKTOPOVIA-UHFFFAOYSA-N Proline Natural products OC(=O)C1CCCN1 ONIBWKKTOPOVIA-UHFFFAOYSA-N 0.000 description 1
- 208000033826 Promyelocytic Acute Leukemia Diseases 0.000 description 1
- 206010060862 Prostate cancer Diseases 0.000 description 1
- 208000000236 Prostatic Neoplasms Diseases 0.000 description 1
- 102100035703 Prostatic acid phosphatase Human genes 0.000 description 1
- 101710176177 Protein A56 Proteins 0.000 description 1
- 208000003251 Pruritus Diseases 0.000 description 1
- 241000589517 Pseudomonas aeruginosa Species 0.000 description 1
- 201000001263 Psoriatic Arthritis Diseases 0.000 description 1
- 208000036824 Psoriatic arthropathy Diseases 0.000 description 1
- KYQCOXFCLRTKLS-UHFFFAOYSA-N Pyrazine Natural products C1=CN=CC=N1 KYQCOXFCLRTKLS-UHFFFAOYSA-N 0.000 description 1
- 206010037688 Q fever Diseases 0.000 description 1
- 206010037742 Rabies Diseases 0.000 description 1
- 208000012322 Raynaud phenomenon Diseases 0.000 description 1
- 208000015634 Rectal Neoplasms Diseases 0.000 description 1
- 208000033464 Reiter syndrome Diseases 0.000 description 1
- 206010038389 Renal cancer Diseases 0.000 description 1
- 241000702247 Reoviridae Species 0.000 description 1
- PLXBWHJQWKZRKG-UHFFFAOYSA-N Resazurin Chemical compound C1=CC(=O)C=C2OC3=CC(O)=CC=C3[N+]([O-])=C21 PLXBWHJQWKZRKG-UHFFFAOYSA-N 0.000 description 1
- 241000725643 Respiratory syncytial virus Species 0.000 description 1
- 201000000582 Retinoblastoma Diseases 0.000 description 1
- 241000712907 Retroviridae Species 0.000 description 1
- 201000007981 Reye syndrome Diseases 0.000 description 1
- 241000711931 Rhabdoviridae Species 0.000 description 1
- 108091028664 Ribonucleotide Proteins 0.000 description 1
- 229940127395 Ribonucleotide Reductase Inhibitors Drugs 0.000 description 1
- 208000034712 Rickettsia Infections Diseases 0.000 description 1
- 241000606723 Rickettsia akari Species 0.000 description 1
- 201000004282 Rickettsialpox Diseases 0.000 description 1
- 206010061495 Rickettsiosis Diseases 0.000 description 1
- NCDNCNXCDXHOMX-UHFFFAOYSA-N Ritonavir Natural products C=1C=CC=CC=1CC(NC(=O)OCC=1SC=NC=1)C(O)CC(CC=1C=CC=CC=1)NC(=O)C(C(C)C)NC(=O)N(C)CC1=CSC(C(C)C)=N1 NCDNCNXCDXHOMX-UHFFFAOYSA-N 0.000 description 1
- 206010039207 Rocky Mountain Spotted Fever Diseases 0.000 description 1
- NSFWWJIQIKBZMJ-YKNYLIOZSA-N Roridin A Chemical compound C([C@]12[C@]3(C)[C@H]4C[C@H]1O[C@@H]1C=C(C)CC[C@@]13COC(=O)[C@@H](O)[C@H](C)CCO[C@H](\C=C\C=C/C(=O)O4)[C@H](O)C)O2 NSFWWJIQIKBZMJ-YKNYLIOZSA-N 0.000 description 1
- 208000036485 Roseola Diseases 0.000 description 1
- CIEYTVIYYGTCCI-UHFFFAOYSA-N SJ000286565 Natural products C1=CC=C2C(=O)C(CC=C(C)C)=C(O)C(=O)C2=C1 CIEYTVIYYGTCCI-UHFFFAOYSA-N 0.000 description 1
- 240000004808 Saccharomyces cerevisiae Species 0.000 description 1
- 206010061934 Salivary gland cancer Diseases 0.000 description 1
- 241000607142 Salmonella Species 0.000 description 1
- 241000293869 Salmonella enterica subsp. enterica serovar Typhimurium Species 0.000 description 1
- 208000007893 Salpingitis Diseases 0.000 description 1
- 206010039491 Sarcoma Diseases 0.000 description 1
- 241000242683 Schistosoma haematobium Species 0.000 description 1
- 241000242677 Schistosoma japonicum Species 0.000 description 1
- 241000242680 Schistosoma mansoni Species 0.000 description 1
- 206010039710 Scleroderma Diseases 0.000 description 1
- 201000010208 Seminoma Diseases 0.000 description 1
- 229920001800 Shellac Polymers 0.000 description 1
- 241000607764 Shigella dysenteriae Species 0.000 description 1
- 241000607762 Shigella flexneri Species 0.000 description 1
- 241000607760 Shigella sonnei Species 0.000 description 1
- 101710173693 Short transient receptor potential channel 1 Proteins 0.000 description 1
- BQCADISMDOOEFD-UHFFFAOYSA-N Silver Chemical compound [Ag] BQCADISMDOOEFD-UHFFFAOYSA-N 0.000 description 1
- 241000700584 Simplexvirus Species 0.000 description 1
- 229920000519 Sizofiran Polymers 0.000 description 1
- KEAYESYHFKHZAL-UHFFFAOYSA-N Sodium Chemical compound [Na] KEAYESYHFKHZAL-UHFFFAOYSA-N 0.000 description 1
- UIIMBOGNXHQVGW-DEQYMQKBSA-M Sodium bicarbonate-14C Chemical compound [Na+].O[14C]([O-])=O UIIMBOGNXHQVGW-DEQYMQKBSA-M 0.000 description 1
- DWAQJAXMDSEUJJ-UHFFFAOYSA-M Sodium bisulfite Chemical compound [Na+].OS([O-])=O DWAQJAXMDSEUJJ-UHFFFAOYSA-M 0.000 description 1
- 102000013275 Somatomedins Human genes 0.000 description 1
- 108010056088 Somatostatin Proteins 0.000 description 1
- 102000005157 Somatostatin Human genes 0.000 description 1
- 206010041736 Sporotrichosis Diseases 0.000 description 1
- 206010041896 St. Louis Encephalitis Diseases 0.000 description 1
- XNKLLVCARDGLGL-JGVFFNPUSA-N Stavudine Chemical compound O=C1NC(=O)C(C)=CN1[C@H]1C=C[C@@H](CO)O1 XNKLLVCARDGLGL-JGVFFNPUSA-N 0.000 description 1
- 206010042033 Stevens-Johnson syndrome Diseases 0.000 description 1
- 206010072148 Stiff-Person syndrome Diseases 0.000 description 1
- 241000193998 Streptococcus pneumoniae Species 0.000 description 1
- 241000193996 Streptococcus pyogenes Species 0.000 description 1
- 101000895926 Streptomyces plicatus Endo-beta-N-acetylglucosaminidase H Proteins 0.000 description 1
- ZSJLQEPLLKMAKR-UHFFFAOYSA-N Streptozotocin Natural products O=NN(C)C(=O)NC1C(O)OC(CO)C(O)C1O ZSJLQEPLLKMAKR-UHFFFAOYSA-N 0.000 description 1
- 241000244177 Strongyloides stercoralis Species 0.000 description 1
- 208000037065 Subacute sclerosing leukoencephalitis Diseases 0.000 description 1
- 206010042297 Subacute sclerosing panencephalitis Diseases 0.000 description 1
- QAOWNCQODCNURD-UHFFFAOYSA-L Sulfate Chemical compound [O-]S([O-])(=O)=O QAOWNCQODCNURD-UHFFFAOYSA-L 0.000 description 1
- NHUHCSRWZMLRLA-UHFFFAOYSA-N Sulfisoxazole Chemical compound CC1=NOC(NS(=O)(=O)C=2C=CC(N)=CC=2)=C1C NHUHCSRWZMLRLA-UHFFFAOYSA-N 0.000 description 1
- 241000282898 Sus scrofa Species 0.000 description 1
- 101000996723 Sus scrofa Gonadotropin-releasing hormone receptor Proteins 0.000 description 1
- 206010042742 Sympathetic ophthalmia Diseases 0.000 description 1
- 108010008038 Synthetic Vaccines Proteins 0.000 description 1
- 201000009594 Systemic Scleroderma Diseases 0.000 description 1
- 206010042938 Systemic candida Diseases 0.000 description 1
- 206010042953 Systemic sclerosis Diseases 0.000 description 1
- BXFOFFBJRFZBQZ-QYWOHJEZSA-N T-2 toxin Chemical compound C([C@@]12[C@]3(C)[C@H](OC(C)=O)[C@@H](O)[C@H]1O[C@H]1[C@]3(COC(C)=O)C[C@@H](C(=C1)C)OC(=O)CC(C)C)O2 BXFOFFBJRFZBQZ-QYWOHJEZSA-N 0.000 description 1
- 208000000389 T-cell leukemia Diseases 0.000 description 1
- 208000028530 T-cell lymphoblastic leukemia/lymphoma Diseases 0.000 description 1
- 206010042971 T-cell lymphoma Diseases 0.000 description 1
- 102100025237 T-cell surface antigen CD2 Human genes 0.000 description 1
- 102100034922 T-cell surface glycoprotein CD8 alpha chain Human genes 0.000 description 1
- 102100027213 T-cell-specific surface glycoprotein CD28 Human genes 0.000 description 1
- 108700011582 TER 286 Proteins 0.000 description 1
- 208000001106 Takayasu Arteritis Diseases 0.000 description 1
- 229920002253 Tannate Polymers 0.000 description 1
- BPEGJWRSRHCHSN-UHFFFAOYSA-N Temozolomide Chemical compound O=C1N(C)N=NC2=C(C(N)=O)N=CN21 BPEGJWRSRHCHSN-UHFFFAOYSA-N 0.000 description 1
- CGMTUJFWROPELF-UHFFFAOYSA-N Tenuazonic acid Natural products CCC(C)C1NC(=O)C(=C(C)/O)C1=O CGMTUJFWROPELF-UHFFFAOYSA-N 0.000 description 1
- 208000024313 Testicular Neoplasms Diseases 0.000 description 1
- 206010057644 Testis cancer Diseases 0.000 description 1
- 206010043376 Tetanus Diseases 0.000 description 1
- HATRDXDCPOXQJX-UHFFFAOYSA-N Thapsigargin Natural products CCCCCCCC(=O)OC1C(OC(O)C(=C/C)C)C(=C2C3OC(=O)C(C)(O)C3(O)C(CC(C)(OC(=O)C)C12)OC(=O)CCC)C HATRDXDCPOXQJX-UHFFFAOYSA-N 0.000 description 1
- FZWLAAWBMGSTSO-UHFFFAOYSA-N Thiazole Chemical group C1=CSC=N1 FZWLAAWBMGSTSO-UHFFFAOYSA-N 0.000 description 1
- AYFVYJQAPQTCCC-UHFFFAOYSA-N Threonine Natural products CC(O)C(N)C(O)=O AYFVYJQAPQTCCC-UHFFFAOYSA-N 0.000 description 1
- 206010043515 Throat cancer Diseases 0.000 description 1
- 102100033523 Thy-1 membrane glycoprotein Human genes 0.000 description 1
- 208000024770 Thyroid neoplasm Diseases 0.000 description 1
- 102100026160 Tomoregulin-2 Human genes 0.000 description 1
- IVTVGDXNLFLDRM-HNNXBMFYSA-N Tomudex Chemical compound C=1C=C2NC(C)=NC(=O)C2=CC=1CN(C)C1=CC=C(C(=O)N[C@@H](CCC(O)=O)C(O)=O)S1 IVTVGDXNLFLDRM-HNNXBMFYSA-N 0.000 description 1
- 206010044223 Toxic epidermal necrolysis Diseases 0.000 description 1
- 231100000087 Toxic epidermal necrolysis Toxicity 0.000 description 1
- 241000223997 Toxoplasma gondii Species 0.000 description 1
- 201000005485 Toxoplasmosis Diseases 0.000 description 1
- 206010044302 Tracheitis Diseases 0.000 description 1
- 102000004357 Transferases Human genes 0.000 description 1
- 108090000992 Transferases Proteins 0.000 description 1
- 102000004338 Transferrin Human genes 0.000 description 1
- 108090000901 Transferrin Proteins 0.000 description 1
- 102000006747 Transforming Growth Factor alpha Human genes 0.000 description 1
- 108090001012 Transforming Growth Factor beta Proteins 0.000 description 1
- 102000004887 Transforming Growth Factor beta Human genes 0.000 description 1
- 101800004564 Transforming growth factor alpha Proteins 0.000 description 1
- 108700019146 Transgenes Proteins 0.000 description 1
- 208000004938 Trematode Infections Diseases 0.000 description 1
- 241000589886 Treponema Species 0.000 description 1
- 241000589884 Treponema pallidum Species 0.000 description 1
- 241000589904 Treponema pallidum subsp. pertenue Species 0.000 description 1
- 241000243777 Trichinella spiralis Species 0.000 description 1
- 206010044608 Trichiniasis Diseases 0.000 description 1
- 241000224527 Trichomonas vaginalis Species 0.000 description 1
- 241001489145 Trichuris trichiura Species 0.000 description 1
- UMILHIMHKXVDGH-UHFFFAOYSA-N Triethylene glycol diglycidyl ether Chemical compound C1OC1COCCOCCOCCOCC1CO1 UMILHIMHKXVDGH-UHFFFAOYSA-N 0.000 description 1
- 239000007983 Tris buffer Substances 0.000 description 1
- YZCKVEUIGOORGS-NJFSPNSNSA-N Tritium Chemical compound [3H] YZCKVEUIGOORGS-NJFSPNSNSA-N 0.000 description 1
- GLEVLJDDWXEYCO-UHFFFAOYSA-N Trolox Chemical compound O1C(C)(C(O)=O)CCC2=C1C(C)=C(C)C(O)=C2C GLEVLJDDWXEYCO-UHFFFAOYSA-N 0.000 description 1
- 206010044696 Tropical spastic paresis Diseases 0.000 description 1
- LVTKHGUGBGNBPL-UHFFFAOYSA-N Trp-P-1 Chemical compound N1C2=CC=CC=C2C2=C1C(C)=C(N)N=C2C LVTKHGUGBGNBPL-UHFFFAOYSA-N 0.000 description 1
- 241001442397 Trypanosoma brucei rhodesiense Species 0.000 description 1
- 241000223109 Trypanosoma cruzi Species 0.000 description 1
- 108060008682 Tumor Necrosis Factor Proteins 0.000 description 1
- 102100040112 Tumor necrosis factor receptor superfamily member 10B Human genes 0.000 description 1
- 102100040115 Tumor necrosis factor receptor superfamily member 10C Human genes 0.000 description 1
- 102100040110 Tumor necrosis factor receptor superfamily member 10D Human genes 0.000 description 1
- 102100029675 Tumor necrosis factor receptor superfamily member 13B Human genes 0.000 description 1
- 101710187743 Tumor necrosis factor receptor superfamily member 1A Proteins 0.000 description 1
- 102100033732 Tumor necrosis factor receptor superfamily member 1A Human genes 0.000 description 1
- 102100022203 Tumor necrosis factor receptor superfamily member 25 Human genes 0.000 description 1
- 101710165473 Tumor necrosis factor receptor superfamily member 4 Proteins 0.000 description 1
- 102100040403 Tumor necrosis factor receptor superfamily member 6 Human genes 0.000 description 1
- YJQCOFNZVFGCAF-UHFFFAOYSA-N Tunicamycin II Natural products O1C(CC(O)C2C(C(O)C(O2)N2C(NC(=O)C=C2)=O)O)C(O)C(O)C(NC(=O)C=CCCCCCCCCC(C)C)C1OC1OC(CO)C(O)C(O)C1NC(C)=O YJQCOFNZVFGCAF-UHFFFAOYSA-N 0.000 description 1
- 101710107540 Type-2 ice-structuring protein Proteins 0.000 description 1
- 208000037386 Typhoid Diseases 0.000 description 1
- 102000003425 Tyrosinase Human genes 0.000 description 1
- 108060008724 Tyrosinase Proteins 0.000 description 1
- GBOGMAARMMDZGR-UHFFFAOYSA-N UNPD149280 Natural products N1C(=O)C23OC(=O)C=CC(O)CCCC(C)CC=CC3C(O)C(=C)C(C)C2C1CC1=CC=CC=C1 GBOGMAARMMDZGR-UHFFFAOYSA-N 0.000 description 1
- 201000006704 Ulcerative Colitis Diseases 0.000 description 1
- ISAKRJDGNUQOIC-UHFFFAOYSA-N Uracil Chemical class O=C1C=CNC(=O)N1 ISAKRJDGNUQOIC-UHFFFAOYSA-N 0.000 description 1
- 208000007097 Urinary Bladder Neoplasms Diseases 0.000 description 1
- 208000006105 Uterine Cervical Neoplasms Diseases 0.000 description 1
- 208000006374 Uterine Cervicitis Diseases 0.000 description 1
- 208000002495 Uterine Neoplasms Diseases 0.000 description 1
- 206010046851 Uveitis Diseases 0.000 description 1
- HDOVUKNUBWVHOX-QMMMGPOBSA-N Valacyclovir Chemical compound N1C(N)=NC(=O)C2=C1N(COCCOC(=O)[C@@H](N)C(C)C)C=N2 HDOVUKNUBWVHOX-QMMMGPOBSA-N 0.000 description 1
- 108010059993 Vancomycin Proteins 0.000 description 1
- 206010046980 Varicella Diseases 0.000 description 1
- 241000700647 Variola virus Species 0.000 description 1
- 208000012886 Vertigo Diseases 0.000 description 1
- 208000014070 Vestibular schwannoma Diseases 0.000 description 1
- 241000863480 Vinca Species 0.000 description 1
- 208000036142 Viral infection Diseases 0.000 description 1
- 206010047505 Visceral leishmaniasis Diseases 0.000 description 1
- 206010047642 Vitiligo Diseases 0.000 description 1
- 206010047741 Vulval cancer Diseases 0.000 description 1
- 208000033559 Waldenström macroglobulinemia Diseases 0.000 description 1
- 208000005466 Western Equine Encephalomyelitis Diseases 0.000 description 1
- 201000005806 Western equine encephalitis Diseases 0.000 description 1
- 208000008383 Wilms tumor Diseases 0.000 description 1
- 208000027418 Wounds and injury Diseases 0.000 description 1
- PCWZKQSKUXXDDJ-UHFFFAOYSA-N Xanthotoxin Natural products COCc1c2OC(=O)C=Cc2cc3ccoc13 PCWZKQSKUXXDDJ-UHFFFAOYSA-N 0.000 description 1
- 208000003152 Yellow Fever Diseases 0.000 description 1
- 241000607447 Yersinia enterocolitica Species 0.000 description 1
- 241000607479 Yersinia pestis Species 0.000 description 1
- 241000607477 Yersinia pseudotuberculosis Species 0.000 description 1
- WREGKURFCTUGRC-POYBYMJQSA-N Zalcitabine Chemical compound O=C1N=C(N)C=CN1[C@@H]1O[C@H](CO)CC1 WREGKURFCTUGRC-POYBYMJQSA-N 0.000 description 1
- 206010061418 Zygomycosis Diseases 0.000 description 1
- LNUFLCYMSVYYNW-ZPJMAFJPSA-N [(2r,3r,4s,5r,6r)-2-[(2r,3r,4s,5r,6r)-6-[(2r,3r,4s,5r,6r)-6-[(2r,3r,4s,5r,6r)-6-[[(3s,5s,8r,9s,10s,13r,14s,17r)-10,13-dimethyl-17-[(2r)-6-methylheptan-2-yl]-2,3,4,5,6,7,8,9,11,12,14,15,16,17-tetradecahydro-1h-cyclopenta[a]phenanthren-3-yl]oxy]-4,5-disulfo Chemical compound O([C@@H]1[C@@H](COS(O)(=O)=O)O[C@@H]([C@@H]([C@H]1OS(O)(=O)=O)OS(O)(=O)=O)O[C@@H]1[C@@H](COS(O)(=O)=O)O[C@@H]([C@@H]([C@H]1OS(O)(=O)=O)OS(O)(=O)=O)O[C@@H]1[C@@H](COS(O)(=O)=O)O[C@H]([C@@H]([C@H]1OS(O)(=O)=O)OS(O)(=O)=O)O[C@@H]1C[C@@H]2CC[C@H]3[C@@H]4CC[C@@H]([C@]4(CC[C@@H]3[C@@]2(C)CC1)C)[C@H](C)CCCC(C)C)[C@H]1O[C@H](COS(O)(=O)=O)[C@@H](OS(O)(=O)=O)[C@H](OS(O)(=O)=O)[C@H]1OS(O)(=O)=O LNUFLCYMSVYYNW-ZPJMAFJPSA-N 0.000 description 1
- NBLHOLNNKJBEDC-XOGQCRKLSA-N [(2r,3s,4s,5r,6r)-2-[(2r,3s,4s,5s,6s)-2-[(1r,2s)-2-[[6-amino-2-[(1s)-3-amino-1-[[(2s)-2,3-diamino-3-oxopropyl]amino]-3-oxopropyl]-5-methylpyrimidine-4-carbonyl]amino]-3-[[(2r,3s,4s)-5-[[(2s,3r)-1-[2-[4-[4-[4-(diaminomethylideneamino)butylcarbamoyl]-1,3-th Chemical compound N([C@H](C(=O)N[C@H](C)[C@@H](O)[C@H](C)C(=O)N[C@@H]([C@H](O)C)C(=O)NCCC=1SC=C(N=1)C=1SC=C(N=1)C(=O)NCCCCN=C(N)N)[C@@H](O[C@H]1[C@H]([C@@H](O)[C@H](O)[C@H](CO)O1)O[C@@H]1[C@H]([C@@H](OC(N)=O)[C@H](O)[C@@H](CO)O1)O)C=1NC=NC=1)C(=O)C1=NC([C@H](CC(N)=O)NC[C@H](N)C(N)=O)=NC(N)=C1C NBLHOLNNKJBEDC-XOGQCRKLSA-N 0.000 description 1
- SPJCRMJCFSJKDE-ZWBUGVOYSA-N [(3s,8s,9s,10r,13r,14s,17r)-10,13-dimethyl-17-[(2r)-6-methylheptan-2-yl]-2,3,4,7,8,9,11,12,14,15,16,17-dodecahydro-1h-cyclopenta[a]phenanthren-3-yl] 2-[4-[bis(2-chloroethyl)amino]phenyl]acetate Chemical compound O([C@@H]1CC2=CC[C@H]3[C@@H]4CC[C@@H]([C@]4(CC[C@@H]3[C@@]2(C)CC1)C)[C@H](C)CCCC(C)C)C(=O)CC1=CC=C(N(CCCl)CCCl)C=C1 SPJCRMJCFSJKDE-ZWBUGVOYSA-N 0.000 description 1
- IFJUINDAXYAPTO-UUBSBJJBSA-N [(8r,9s,13s,14s,17s)-17-[2-[4-[4-[bis(2-chloroethyl)amino]phenyl]butanoyloxy]acetyl]oxy-13-methyl-6,7,8,9,11,12,14,15,16,17-decahydrocyclopenta[a]phenanthren-3-yl] benzoate Chemical compound C([C@@H]1[C@@H](C2=CC=3)CC[C@]4([C@H]1CC[C@@H]4OC(=O)COC(=O)CCCC=1C=CC(=CC=1)N(CCCl)CCCl)C)CC2=CC=3OC(=O)C1=CC=CC=C1 IFJUINDAXYAPTO-UUBSBJJBSA-N 0.000 description 1
- DGEZNRSVGBDHLK-UHFFFAOYSA-N [1,10]phenanthroline Chemical compound C1=CN=C2C3=NC=CC=C3C=CC2=C1 DGEZNRSVGBDHLK-UHFFFAOYSA-N 0.000 description 1
- XZSRRNFBEIOBDA-CFNBKWCHSA-N [2-[(2s,4s)-4-[(2r,4s,5s,6s)-4-amino-5-hydroxy-6-methyloxan-2-yl]oxy-2,5,12-trihydroxy-7-methoxy-6,11-dioxo-3,4-dihydro-1h-tetracen-2-yl]-2-oxoethyl] 2,2-diethoxyacetate Chemical compound O([C@H]1C[C@](CC2=C(O)C=3C(=O)C4=CC=CC(OC)=C4C(=O)C=3C(O)=C21)(O)C(=O)COC(=O)C(OCC)OCC)[C@H]1C[C@H](N)[C@H](O)[C@H](C)O1 XZSRRNFBEIOBDA-CFNBKWCHSA-N 0.000 description 1
- RRTVUHLCGZQOHX-QOWOAITPSA-N [2H]C(=O)OCC1=CC=C(OC2OC(C(=O)O)C(O)C(O)C2O)C(NC(=O)CCCC)=C1 Chemical compound [2H]C(=O)OCC1=CC=C(OC2OC(C(=O)O)C(O)C(O)C2O)C(NC(=O)CCCC)=C1 RRTVUHLCGZQOHX-QOWOAITPSA-N 0.000 description 1
- YVFQFVRHOSFNAQ-MMIHMFRQSA-N [2H]C(=O)OCC1=CC=C(OC2OC(C(=O)O)C(O)C(O)C2O)C(NC(=O)CCCCC)=C1 Chemical compound [2H]C(=O)OCC1=CC=C(OC2OC(C(=O)O)C(O)C(O)C2O)C(NC(=O)CCCCC)=C1 YVFQFVRHOSFNAQ-MMIHMFRQSA-N 0.000 description 1
- STOBVCYMCQKFEI-WHRKIXHSSA-N [2H]C(=O)OCC1=CC=C(OC2OC(C(=O)O)C(O)C(O)C2O)C(NCC)=C1 Chemical compound [2H]C(=O)OCC1=CC=C(OC2OC(C(=O)O)C(O)C(O)C2O)C(NCC)=C1 STOBVCYMCQKFEI-WHRKIXHSSA-N 0.000 description 1
- OFBQJSOFQDEBGM-MICDWDOJSA-N [2H]CCCCC Chemical compound [2H]CCCCC OFBQJSOFQDEBGM-MICDWDOJSA-N 0.000 description 1
- NNXMRWZATZEBES-VMNATFBRSA-N [2H]COCC1=CC=C(OC)C(NCC)=C1 Chemical compound [2H]COCC1=CC=C(OC)C(NCC)=C1 NNXMRWZATZEBES-VMNATFBRSA-N 0.000 description 1
- VWEPEMXPKYHVEC-VMNATFBRSA-N [2H]COCC1=CC=C(OC2OC(C(=O)O)C(O)C(O)C2O)C(NCC)=C1 Chemical compound [2H]COCC1=CC=C(OC2OC(C(=O)O)C(O)C(O)C2O)C(NCC)=C1 VWEPEMXPKYHVEC-VMNATFBRSA-N 0.000 description 1
- XXBPWWGMZMBWJA-RNLSNHMOSA-N [3-[3-(9h-fluoren-9-ylmethoxycarbonylamino)propanoylamino]-4-[(2s,3r,4s,5s,6s)-3,4,5-triacetyloxy-6-methoxycarbonyloxan-2-yl]oxyphenyl]methyl 2-(3-hydroxypropyl)-1,3-oxazolidine-3-carboxylate Chemical compound CC(=O)O[C@@H]1[C@@H](OC(C)=O)[C@H](OC(C)=O)[C@@H](C(=O)OC)O[C@H]1OC(C(=C1)NC(=O)CCNC(=O)OCC2C3=CC=CC=C3C3=CC=CC=C32)=CC=C1COC(=O)N1C(CCCO)OCC1 XXBPWWGMZMBWJA-RNLSNHMOSA-N 0.000 description 1
- LUOUCHOLMUUZBO-SVSXJNCISA-N [4-[(1e,3e)-5-[2-(4-benzhydryloxypiperidin-1-yl)ethylamino]-5-oxopenta-1,3-dienyl]-2-methoxyphenyl] ethyl carbonate Chemical compound C1=C(OC)C(OC(=O)OCC)=CC=C1\C=C\C=C\C(=O)NCCN1CCC(OC(C=2C=CC=CC=2)C=2C=CC=CC=2)CC1 LUOUCHOLMUUZBO-SVSXJNCISA-N 0.000 description 1
- DULZJSBFYXKCJG-UHFFFAOYSA-M [OH-].[Si+4].CN(C)CCC[Si](C)(C)[O-].c1ccc2c3nc(nc4[n-]c(nc5nc(nc6[n-]c(n3)c3ccccc63)c3ccccc53)c3ccccc43)c2c1 Chemical compound [OH-].[Si+4].CN(C)CCC[Si](C)(C)[O-].c1ccc2c3nc(nc4[n-]c(nc5nc(nc6[n-]c(n3)c3ccccc63)c3ccccc53)c3ccccc43)c2c1 DULZJSBFYXKCJG-UHFFFAOYSA-M 0.000 description 1
- IKWTVSLWAPBBKU-UHFFFAOYSA-N a1010_sial Chemical compound O=[As]O[As]=O IKWTVSLWAPBBKU-UHFFFAOYSA-N 0.000 description 1
- 235000010489 acacia gum Nutrition 0.000 description 1
- ZOZKYEHVNDEUCO-XUTVFYLZSA-N aceglatone Chemical compound O1C(=O)[C@H](OC(C)=O)[C@@H]2OC(=O)[C@@H](OC(=O)C)[C@@H]21 ZOZKYEHVNDEUCO-XUTVFYLZSA-N 0.000 description 1
- 229950002684 aceglatone Drugs 0.000 description 1
- 150000001242 acetic acid derivatives Chemical class 0.000 description 1
- PBCJIPOGFJYBJE-UHFFFAOYSA-N acetonitrile;hydrate Chemical compound O.CC#N PBCJIPOGFJYBJE-UHFFFAOYSA-N 0.000 description 1
- 208000004064 acoustic neuroma Diseases 0.000 description 1
- 208000017733 acquired polycythemia vera Diseases 0.000 description 1
- 125000000641 acridinyl group Chemical group C1(=CC=CC2=NC3=CC=CC=C3C=C12)* 0.000 description 1
- 201000007691 actinomycosis Diseases 0.000 description 1
- 239000008186 active pharmaceutical agent Substances 0.000 description 1
- 208000037831 acute erythroleukemic leukemia Diseases 0.000 description 1
- 208000037832 acute lymphoblastic B-cell leukemia Diseases 0.000 description 1
- 208000037833 acute lymphoblastic T-cell leukemia Diseases 0.000 description 1
- 208000013593 acute megakaryoblastic leukemia Diseases 0.000 description 1
- 208000020700 acute megakaryocytic leukemia Diseases 0.000 description 1
- 208000011912 acute myelomonocytic leukemia M4 Diseases 0.000 description 1
- 201000003462 adenoid hypertrophy Diseases 0.000 description 1
- 239000000362 adenosine triphosphatase inhibitor Substances 0.000 description 1
- 108700010877 adenoviridae proteins Proteins 0.000 description 1
- 229950004955 adozelesin Drugs 0.000 description 1
- BYRVKDUQDLJUBX-JJCDCTGGSA-N adozelesin Chemical compound C1=CC=C2OC(C(=O)NC=3C=C4C=C(NC4=CC=3)C(=O)N3C[C@H]4C[C@]44C5=C(C(C=C43)=O)NC=C5C)=CC2=C1 BYRVKDUQDLJUBX-JJCDCTGGSA-N 0.000 description 1
- 229940009456 adriamycin Drugs 0.000 description 1
- 239000003463 adsorbent Substances 0.000 description 1
- 230000002411 adverse Effects 0.000 description 1
- 230000009824 affinity maturation Effects 0.000 description 1
- 238000005054 agglomeration Methods 0.000 description 1
- 239000000556 agonist Substances 0.000 description 1
- 235000004279 alanine Nutrition 0.000 description 1
- 229960005310 aldesleukin Drugs 0.000 description 1
- 108700025316 aldesleukin Proteins 0.000 description 1
- 229960000548 alemtuzumab Drugs 0.000 description 1
- 235000010443 alginic acid Nutrition 0.000 description 1
- 239000000783 alginic acid Substances 0.000 description 1
- 229920000615 alginic acid Polymers 0.000 description 1
- 229960001126 alginic acid Drugs 0.000 description 1
- 150000004781 alginic acids Chemical class 0.000 description 1
- 229940110282 alimta Drugs 0.000 description 1
- 150000001335 aliphatic alkanes Chemical class 0.000 description 1
- 229960001445 alitretinoin Drugs 0.000 description 1
- 229930013930 alkaloid Natural products 0.000 description 1
- 150000001336 alkenes Chemical class 0.000 description 1
- 150000001345 alkine derivatives Chemical class 0.000 description 1
- 229940045714 alkyl sulfonate alkylating agent Drugs 0.000 description 1
- 150000008052 alkyl sulfonates Chemical class 0.000 description 1
- 230000029936 alkylation Effects 0.000 description 1
- 238000005804 alkylation reaction Methods 0.000 description 1
- 230000000172 allergic effect Effects 0.000 description 1
- 230000007815 allergy Effects 0.000 description 1
- 229960003459 allopurinol Drugs 0.000 description 1
- OFCNXPDARWKPPY-UHFFFAOYSA-N allopurinol Chemical compound OC1=NC=NC2=C1C=NN2 OFCNXPDARWKPPY-UHFFFAOYSA-N 0.000 description 1
- 108010034034 alpha-1,6-mannosylglycoprotein beta 1,6-N-acetylglucosaminyltransferase Proteins 0.000 description 1
- WQZGKKKJIJFFOK-PHYPRBDBSA-N alpha-D-galactose Chemical compound OC[C@H]1O[C@H](O)[C@H](O)[C@@H](O)[C@H]1O WQZGKKKJIJFFOK-PHYPRBDBSA-N 0.000 description 1
- 102000013529 alpha-Fetoproteins Human genes 0.000 description 1
- 108010026331 alpha-Fetoproteins Proteins 0.000 description 1
- ANBQYFIVLNNZCU-CQCLMDPOSA-N alpha-L-Fucp-(1->2)-[alpha-D-GalpNAc-(1->3)]-beta-D-Galp-(1->3)-[alpha-L-Fucp-(1->4)]-beta-D-GlcpNAc-(1->3)-beta-D-Galp Chemical compound O[C@H]1[C@H](O)[C@H](O)[C@H](C)O[C@H]1O[C@H]1[C@H](O[C@H]2[C@@H]([C@@H](O[C@@H]3[C@@H]([C@@H](O)[C@@H](O)[C@@H](CO)O3)NC(C)=O)[C@@H](O)[C@@H](CO)O2)O[C@H]2[C@H]([C@H](O)[C@H](O)[C@H](C)O2)O)[C@@H](NC(C)=O)[C@H](O[C@H]2[C@H]([C@@H](CO)O[C@@H](O)[C@@H]2O)O)O[C@@H]1CO ANBQYFIVLNNZCU-CQCLMDPOSA-N 0.000 description 1
- HSFWRNGVRCDJHI-UHFFFAOYSA-N alpha-acetylene Natural products C#C HSFWRNGVRCDJHI-UHFFFAOYSA-N 0.000 description 1
- WNROFYMDJYEPJX-UHFFFAOYSA-K aluminium hydroxide Chemical compound [OH-].[OH-].[OH-].[Al+3] WNROFYMDJYEPJX-UHFFFAOYSA-K 0.000 description 1
- 230000009435 amidation Effects 0.000 description 1
- 238000007112 amidation reaction Methods 0.000 description 1
- 150000001408 amides Chemical class 0.000 description 1
- 229960001097 amifostine Drugs 0.000 description 1
- 229960004821 amikacin Drugs 0.000 description 1
- LKCWBDHBTVXHDL-RMDFUYIESA-N amikacin Chemical compound O([C@@H]1[C@@H](N)C[C@H]([C@@H]([C@H]1O)O[C@@H]1[C@@H]([C@@H](N)[C@H](O)[C@@H](CO)O1)O)NC(=O)[C@@H](O)CCN)[C@H]1O[C@H](CN)[C@@H](O)[C@H](O)[C@H]1O LKCWBDHBTVXHDL-RMDFUYIESA-N 0.000 description 1
- 150000005417 aminobenzoic acid derivatives Chemical group 0.000 description 1
- 229960002684 aminocaproic acid Drugs 0.000 description 1
- ROBVIMPUHSLWNV-UHFFFAOYSA-N aminoglutethimide Chemical compound C=1C=C(N)C=CC=1C1(CC)CCC(=O)NC1=O ROBVIMPUHSLWNV-UHFFFAOYSA-N 0.000 description 1
- 229960003437 aminoglutethimide Drugs 0.000 description 1
- 229940126575 aminoglycoside Drugs 0.000 description 1
- 229960002749 aminolevulinic acid Drugs 0.000 description 1
- 229960003896 aminopterin Drugs 0.000 description 1
- LFVGISIMTYGQHF-UHFFFAOYSA-N ammonium dihydrogen phosphate Chemical compound [NH4+].OP(O)([O-])=O LFVGISIMTYGQHF-UHFFFAOYSA-N 0.000 description 1
- 229960003022 amoxicillin Drugs 0.000 description 1
- LSQZJLSUYDQPKJ-NJBDSQKTSA-N amoxicillin Chemical compound C1([C@@H](N)C(=O)N[C@H]2[C@H]3SC([C@@H](N3C2=O)C(O)=O)(C)C)=CC=C(O)C=C1 LSQZJLSUYDQPKJ-NJBDSQKTSA-N 0.000 description 1
- 229960000723 ampicillin Drugs 0.000 description 1
- AVKUERGKIZMTKX-NJBDSQKTSA-N ampicillin Chemical compound C1([C@@H](N)C(=O)N[C@H]2[C@H]3SC([C@@H](N3C2=O)C(O)=O)(C)C)=CC=CC=C1 AVKUERGKIZMTKX-NJBDSQKTSA-N 0.000 description 1
- 229960001220 amsacrine Drugs 0.000 description 1
- XCPGHVQEEXUHNC-UHFFFAOYSA-N amsacrine Chemical compound COC1=CC(NS(C)(=O)=O)=CC=C1NC1=C(C=CC=C2)C2=NC2=CC=CC=C12 XCPGHVQEEXUHNC-UHFFFAOYSA-N 0.000 description 1
- 238000004458 analytical method Methods 0.000 description 1
- 229960002932 anastrozole Drugs 0.000 description 1
- YBBLVLTVTVSKRW-UHFFFAOYSA-N anastrozole Chemical compound N#CC(C)(C)C1=CC(C(C)(C#N)C)=CC(CN2N=CN=C2)=C1 YBBLVLTVTVSKRW-UHFFFAOYSA-N 0.000 description 1
- BBDAGFIXKZCXAH-CCXZUQQUSA-N ancitabine Chemical compound N=C1C=CN2[C@@H]3O[C@H](CO)[C@@H](O)[C@@H]3OC2=N1 BBDAGFIXKZCXAH-CCXZUQQUSA-N 0.000 description 1
- 229950000242 ancitabine Drugs 0.000 description 1
- 229940030486 androgens Drugs 0.000 description 1
- 150000008064 anhydrides Chemical class 0.000 description 1
- SMWDFEZZVXVKRB-UHFFFAOYSA-N anhydrous quinoline Natural products N1=CC=CC2=CC=CC=C21 SMWDFEZZVXVKRB-UHFFFAOYSA-N 0.000 description 1
- 238000005571 anion exchange chromatography Methods 0.000 description 1
- CIDNKDMVSINJCG-GKXONYSUSA-N annamycin Chemical compound I[C@@H]1[C@H](O)[C@@H](O)[C@H](C)O[C@H]1O[C@@H]1C2=C(O)C(C(=O)C3=CC=CC=C3C3=O)=C3C(O)=C2C[C@@](O)(C(=O)CO)C1 CIDNKDMVSINJCG-GKXONYSUSA-N 0.000 description 1
- 208000025009 anogenital human papillomavirus infection Diseases 0.000 description 1
- 201000004201 anogenital venereal wart Diseases 0.000 description 1
- 230000002280 anti-androgenic effect Effects 0.000 description 1
- 230000003429 anti-cardiolipin effect Effects 0.000 description 1
- 230000002494 anti-cea effect Effects 0.000 description 1
- 230000003476 anti-centromere Effects 0.000 description 1
- 229940046836 anti-estrogen Drugs 0.000 description 1
- 230000001833 anti-estrogenic effect Effects 0.000 description 1
- 230000002583 anti-histone Effects 0.000 description 1
- 230000003598 anti-microsomal effect Effects 0.000 description 1
- 230000002529 anti-mitochondrial effect Effects 0.000 description 1
- 230000003460 anti-nuclear Effects 0.000 description 1
- 230000003097 anti-respiratory effect Effects 0.000 description 1
- 230000003208 anti-thyroid effect Effects 0.000 description 1
- 239000000051 antiandrogen Substances 0.000 description 1
- 229940030495 antiandrogen sex hormone and modulator of the genital system Drugs 0.000 description 1
- 238000011230 antibody-based therapy Methods 0.000 description 1
- 230000000890 antigenic effect Effects 0.000 description 1
- 229940045687 antimetabolites folic acid analogs Drugs 0.000 description 1
- 229940034982 antineoplastic agent Drugs 0.000 description 1
- 239000000074 antisense oligonucleotide Substances 0.000 description 1
- 238000012230 antisense oligonucleotides Methods 0.000 description 1
- 229940043671 antithyroid preparations Drugs 0.000 description 1
- 201000011165 anus cancer Diseases 0.000 description 1
- 239000012062 aqueous buffer Substances 0.000 description 1
- 150000001491 aromatic compounds Chemical class 0.000 description 1
- 229960002594 arsenic trioxide Drugs 0.000 description 1
- GOLCXWYRSKYTSP-UHFFFAOYSA-N arsenic trioxide Inorganic materials O1[As]2O[As]1O2 GOLCXWYRSKYTSP-UHFFFAOYSA-N 0.000 description 1
- 206010003246 arthritis Diseases 0.000 description 1
- 150000005840 aryl radicals Chemical class 0.000 description 1
- 125000000732 arylene group Chemical group 0.000 description 1
- 229940072107 ascorbate Drugs 0.000 description 1
- 229960005070 ascorbic acid Drugs 0.000 description 1
- 125000000613 asparagine group Chemical group N[C@@H](CC(N)=O)C(=O)* 0.000 description 1
- IAOZJIPTCAWIRG-QWRGUYRKSA-N aspartame Chemical compound OC(=O)C[C@H](N)C(=O)N[C@H](C(=O)OC)CC1=CC=CC=C1 IAOZJIPTCAWIRG-QWRGUYRKSA-N 0.000 description 1
- 239000000605 aspartame Substances 0.000 description 1
- 235000010357 aspartame Nutrition 0.000 description 1
- 229960003438 aspartame Drugs 0.000 description 1
- 229940091771 aspergillus fumigatus Drugs 0.000 description 1
- QVGXLLKOCUKJST-UHFFFAOYSA-N atomic oxygen Chemical compound [O] QVGXLLKOCUKJST-UHFFFAOYSA-N 0.000 description 1
- 201000008937 atopic dermatitis Diseases 0.000 description 1
- 208000010668 atopic eczema Diseases 0.000 description 1
- 239000012752 auxiliary agent Substances 0.000 description 1
- 229950011321 azaserine Drugs 0.000 description 1
- 150000001541 aziridines Chemical class 0.000 description 1
- 229960004099 azithromycin Drugs 0.000 description 1
- MQTOSJVFKKJCRP-BICOPXKESA-N azithromycin Chemical compound O([C@@H]1[C@@H](C)C(=O)O[C@@H]([C@@]([C@H](O)[C@@H](C)N(C)C[C@H](C)C[C@@](C)(O)[C@H](O[C@H]2[C@@H]([C@H](C[C@@H](C)O2)N(C)C)O)[C@H]1C)(C)O)CC)[C@H]1C[C@@](C)(OC)[C@@H](O)[C@H](C)O1 MQTOSJVFKKJCRP-BICOPXKESA-N 0.000 description 1
- JTWOMNBEOCYFNV-NFFDBFGFSA-N azlocillin Chemical compound N([C@@H](C(=O)N[C@H]1[C@H]2SC([C@@H](N2C1=O)C(O)=O)(C)C)C=1C=CC=CC=1)C(=O)N1CCNC1=O JTWOMNBEOCYFNV-NFFDBFGFSA-N 0.000 description 1
- 229960003623 azlocillin Drugs 0.000 description 1
- 125000004931 azocinyl group Chemical group N1=C(C=CC=CC=C1)* 0.000 description 1
- 201000008680 babesiosis Diseases 0.000 description 1
- PFOLLRNADZZWEX-FFGRCDKISA-N bacampicillin Chemical compound C1([C@@H](N)C(=O)N[C@H]2[C@@H]3N(C2=O)[C@H](C(S3)(C)C)C(=O)OC(C)OC(=O)OCC)=CC=CC=C1 PFOLLRNADZZWEX-FFGRCDKISA-N 0.000 description 1
- 229960002699 bacampicillin Drugs 0.000 description 1
- 229960003071 bacitracin Drugs 0.000 description 1
- 229930184125 bacitracin Natural products 0.000 description 1
- CLKOFPXJLQSYAH-ABRJDSQDSA-N bacitracin A Chemical compound C1SC([C@@H](N)[C@@H](C)CC)=N[C@@H]1C(=O)N[C@@H](CC(C)C)C(=O)N[C@H](CCC(O)=O)C(=O)N[C@@H]([C@@H](C)CC)C(=O)N[C@@H]1C(=O)N[C@H](CCCN)C(=O)N[C@@H]([C@@H](C)CC)C(=O)N[C@H](CC=2C=CC=CC=2)C(=O)N[C@@H](CC=2N=CNC=2)C(=O)N[C@H](CC(O)=O)C(=O)N[C@@H](CC(N)=O)C(=O)NCCCC1 CLKOFPXJLQSYAH-ABRJDSQDSA-N 0.000 description 1
- 230000001580 bacterial effect Effects 0.000 description 1
- UDFLTIRFTXWNJO-UHFFFAOYSA-N baicalein Chemical compound O1C2=CC(=O)C(O)=C(O)C2=C(O)C=C1C1=CC=CC=C1 UDFLTIRFTXWNJO-UHFFFAOYSA-N 0.000 description 1
- 229940015301 baicalein Drugs 0.000 description 1
- 206010004145 bartonellosis Diseases 0.000 description 1
- 230000008901 benefit Effects 0.000 description 1
- XHGZTQKXFVJQDR-UHFFFAOYSA-N benzene-1,2-diol;butane Chemical class CCCC.OC1=CC=CC=C1O XHGZTQKXFVJQDR-UHFFFAOYSA-N 0.000 description 1
- 150000001555 benzenes Chemical class 0.000 description 1
- 229940077388 benzenesulfonate Drugs 0.000 description 1
- SRSXLGNVWSONIS-UHFFFAOYSA-M benzenesulfonate Chemical compound [O-]S(=O)(=O)C1=CC=CC=C1 SRSXLGNVWSONIS-UHFFFAOYSA-M 0.000 description 1
- 125000003785 benzimidazolyl group Chemical group N1=C(NC2=C1C=CC=C2)* 0.000 description 1
- 125000004603 benzisoxazolyl group Chemical group O1N=C(C2=C1C=CC=C2)* 0.000 description 1
- 235000010233 benzoic acid Nutrition 0.000 description 1
- 125000003354 benzotriazolyl group Chemical group N1N=NC2=C1C=CC=C2* 0.000 description 1
- 125000004935 benzoxazolinyl group Chemical group O1C(=NC2=C1C=CC=C2)* 0.000 description 1
- 125000001797 benzyl group Chemical group [H]C1=C([H])C([H])=C(C([H])=C1[H])C([H])([H])* 0.000 description 1
- 239000003782 beta lactam antibiotic agent Substances 0.000 description 1
- CXQCLLQQYTUUKJ-ALWAHNIESA-N beta-D-GalpNAc-(1->4)-[alpha-Neup5Ac-(2->8)-alpha-Neup5Ac-(2->3)]-beta-D-Galp-(1->4)-beta-D-Glcp-(1<->1')-Cer(d18:1/18:0) Chemical compound O[C@@H]1[C@@H](O)[C@H](OC[C@H](NC(=O)CCCCCCCCCCCCCCCCC)[C@H](O)\C=C\CCCCCCCCCCCCC)O[C@H](CO)[C@H]1O[C@H]1[C@H](O)[C@@H](O[C@]2(O[C@H]([C@H](NC(C)=O)[C@@H](O)C2)[C@H](O)[C@@H](CO)O[C@]2(O[C@H]([C@H](NC(C)=O)[C@@H](O)C2)[C@H](O)[C@H](O)CO)C(O)=O)C(O)=O)[C@@H](O[C@H]2[C@@H]([C@@H](O)[C@@H](O)[C@@H](CO)O2)NC(C)=O)[C@@H](CO)O1 CXQCLLQQYTUUKJ-ALWAHNIESA-N 0.000 description 1
- QGJZLNKBHJESQX-FZFNOLFKSA-N betulinic acid Chemical compound C1C[C@H](O)C(C)(C)[C@@H]2CC[C@@]3(C)[C@]4(C)CC[C@@]5(C(O)=O)CC[C@@H](C(=C)C)[C@@H]5[C@H]4CC[C@@H]3[C@]21C QGJZLNKBHJESQX-FZFNOLFKSA-N 0.000 description 1
- 229960000997 bicalutamide Drugs 0.000 description 1
- 125000002619 bicyclic group Chemical group 0.000 description 1
- 201000007180 bile duct carcinoma Diseases 0.000 description 1
- 230000003115 biocidal effect Effects 0.000 description 1
- 235000010290 biphenyl Nutrition 0.000 description 1
- 239000004305 biphenyl Chemical class 0.000 description 1
- 208000015440 bird fancier lung Diseases 0.000 description 1
- 229950008548 bisantrene Drugs 0.000 description 1
- 150000004663 bisphosphonates Chemical class 0.000 description 1
- 229950006844 bizelesin Drugs 0.000 description 1
- 201000001531 bladder carcinoma Diseases 0.000 description 1
- 210000002459 blastocyst Anatomy 0.000 description 1
- NBLHOLNNKJBEDC-UHFFFAOYSA-N bleomycin B2 Natural products N=1C(C=2SC=C(N=2)C(=O)NCCCCN=C(N)N)=CSC=1CCNC(=O)C(C(O)C)NC(=O)C(C)C(O)C(C)NC(=O)C(C(OC1C(C(O)C(O)C(CO)O1)OC1C(C(OC(N)=O)C(O)C(CO)O1)O)C=1NC=NC=1)NC(=O)C1=NC(C(CC(N)=O)NCC(N)C(N)=O)=NC(N)=C1C NBLHOLNNKJBEDC-UHFFFAOYSA-N 0.000 description 1
- 230000000903 blocking effect Effects 0.000 description 1
- 238000010504 bond cleavage reaction Methods 0.000 description 1
- 238000006664 bond formation reaction Methods 0.000 description 1
- 210000001185 bone marrow Anatomy 0.000 description 1
- 210000002798 bone marrow cell Anatomy 0.000 description 1
- 229910021538 borax Inorganic materials 0.000 description 1
- GXJABQQUPOEUTA-RDJZCZTQSA-N bortezomib Chemical compound C([C@@H](C(=O)N[C@@H](CC(C)C)B(O)O)NC(=O)C=1N=CC=NC=1)C1=CC=CC=C1 GXJABQQUPOEUTA-RDJZCZTQSA-N 0.000 description 1
- 210000004556 brain Anatomy 0.000 description 1
- 201000008275 breast carcinoma Diseases 0.000 description 1
- 229910052794 bromium Inorganic materials 0.000 description 1
- OZVBMTJYIDMWIL-AYFBDAFISA-N bromocriptine Chemical compound C1=CC(C=2[C@H](N(C)C[C@@H](C=2)C(=O)N[C@]2(C(=O)N3[C@H](C(N4CCC[C@H]4[C@]3(O)O2)=O)CC(C)C)C(C)C)C2)=C3C2=C(Br)NC3=C1 OZVBMTJYIDMWIL-AYFBDAFISA-N 0.000 description 1
- 229960002802 bromocriptine Drugs 0.000 description 1
- 208000003362 bronchogenic carcinoma Diseases 0.000 description 1
- 229940056450 brucella abortus Drugs 0.000 description 1
- 229940038698 brucella melitensis Drugs 0.000 description 1
- 229960005520 bryostatin Drugs 0.000 description 1
- MJQUEDHRCUIRLF-TVIXENOKSA-N bryostatin 1 Chemical compound C([C@@H]1CC(/[C@@H]([C@@](C(C)(C)/C=C/2)(O)O1)OC(=O)/C=C/C=C/CCC)=C\C(=O)OC)[C@H]([C@@H](C)O)OC(=O)C[C@H](O)C[C@@H](O1)C[C@H](OC(C)=O)C(C)(C)[C@]1(O)C[C@@H]1C\C(=C\C(=O)OC)C[C@H]\2O1 MJQUEDHRCUIRLF-TVIXENOKSA-N 0.000 description 1
- MUIWQCKLQMOUAT-AKUNNTHJSA-N bryostatin 20 Natural products COC(=O)C=C1C[C@@]2(C)C[C@]3(O)O[C@](C)(C[C@@H](O)CC(=O)O[C@](C)(C[C@@]4(C)O[C@](O)(CC5=CC(=O)O[C@]45C)C(C)(C)C=C[C@@](C)(C1)O2)[C@@H](C)O)C[C@H](OC(=O)C(C)(C)C)C3(C)C MUIWQCKLQMOUAT-AKUNNTHJSA-N 0.000 description 1
- 201000006824 bubonic plague Diseases 0.000 description 1
- MBABCNBNDNGODA-LUVUIASKSA-N bullatacin Chemical compound O1[C@@H]([C@@H](O)CCCCCCCCCC)CC[C@@H]1[C@@H]1O[C@@H]([C@H](O)CCCCCCCCCC[C@@H](O)CC=2C(O[C@@H](C)C=2)=O)CC1 MBABCNBNDNGODA-LUVUIASKSA-N 0.000 description 1
- 210000004899 c-terminal region Anatomy 0.000 description 1
- PPKJUHVNTMYXOD-PZGPJMECSA-N c49ws9n75l Chemical compound O=C([C@@H]1N(C2=O)CC[C@H]1S(=O)(=O)CCN(CC)CC)O[C@H](C(C)C)[C@H](C)\C=C\C(=O)NC\C=C\C(\C)=C\[C@@H](O)CC(=O)CC1=NC2=CO1.N([C@@H]1C(=O)N[C@@H](C(N2CCC[C@H]2C(=O)N(C)[C@@H](CC=2C=CC(=CC=2)N(C)C)C(=O)N2C[C@@H](CS[C@H]3C4CCN(CC4)C3)C(=O)C[C@H]2C(=O)N[C@H](C(=O)O[C@@H]1C)C=1C=CC=CC=1)=O)CC)C(=O)C1=NC=CC=C1O PPKJUHVNTMYXOD-PZGPJMECSA-N 0.000 description 1
- 108700002839 cactinomycin Proteins 0.000 description 1
- 229950009908 cactinomycin Drugs 0.000 description 1
- 229940074360 caffeic acid Drugs 0.000 description 1
- 235000004883 caffeic acid Nutrition 0.000 description 1
- 229960005084 calcitriol Drugs 0.000 description 1
- 235000020964 calcitriol Nutrition 0.000 description 1
- 239000011612 calcitriol Substances 0.000 description 1
- GMRQFYUYWCNGIN-NKMMMXOESA-N calcitriol Chemical compound C1(/[C@@H]2CC[C@@H]([C@]2(CCC1)C)[C@@H](CCCC(C)(C)O)C)=C\C=C1\C[C@@H](O)C[C@H](O)C1=C GMRQFYUYWCNGIN-NKMMMXOESA-N 0.000 description 1
- 239000011575 calcium Substances 0.000 description 1
- 229910052791 calcium Inorganic materials 0.000 description 1
- 238000004364 calculation method Methods 0.000 description 1
- 229940112129 campath Drugs 0.000 description 1
- 229940088954 camptosar Drugs 0.000 description 1
- 229940095731 candida albicans Drugs 0.000 description 1
- 201000003984 candidiasis Diseases 0.000 description 1
- GSIHQZGPFLEYRK-UHFFFAOYSA-N carbamic acid;4,5-dihydro-1,3-oxazole Chemical compound NC(O)=O.C1CN=CO1 GSIHQZGPFLEYRK-UHFFFAOYSA-N 0.000 description 1
- 239000004202 carbamide Substances 0.000 description 1
- 125000000609 carbazolyl group Chemical group C1(=CC=CC=2C3=CC=CC=C3NC12)* 0.000 description 1
- FPPNZSSZRUTDAP-UWFZAAFLSA-N carbenicillin Chemical compound N([C@H]1[C@H]2SC([C@@H](N2C1=O)C(O)=O)(C)C)C(=O)C(C(O)=O)C1=CC=CC=C1 FPPNZSSZRUTDAP-UWFZAAFLSA-N 0.000 description 1
- 229960003669 carbenicillin Drugs 0.000 description 1
- 238000012511 carbohydrate analysis Methods 0.000 description 1
- 229960002115 carboquone Drugs 0.000 description 1
- 239000001768 carboxy methyl cellulose Substances 0.000 description 1
- 235000010948 carboxy methyl cellulose Nutrition 0.000 description 1
- 150000007942 carboxylates Chemical group 0.000 description 1
- 150000001732 carboxylic acid derivatives Chemical class 0.000 description 1
- 239000008112 carboxymethyl-cellulose Substances 0.000 description 1
- XREUEWVEMYWFFA-CSKJXFQVSA-N carminomycin Chemical compound C1[C@H](N)[C@H](O)[C@H](C)O[C@H]1O[C@@H]1C2=C(O)C(C(=O)C3=C(O)C=CC=C3C3=O)=C3C(O)=C2C[C@@](O)(C(C)=O)C1 XREUEWVEMYWFFA-CSKJXFQVSA-N 0.000 description 1
- 229930188550 carminomycin Natural products 0.000 description 1
- XREUEWVEMYWFFA-UHFFFAOYSA-N carminomycin I Natural products C1C(N)C(O)C(C)OC1OC1C2=C(O)C(C(=O)C3=C(O)C=CC=C3C3=O)=C3C(O)=C2CC(O)(C(C)=O)C1 XREUEWVEMYWFFA-UHFFFAOYSA-N 0.000 description 1
- 229960003261 carmofur Drugs 0.000 description 1
- 235000004654 carnosol Nutrition 0.000 description 1
- IVUMCTKHWDRRMH-UHFFFAOYSA-N carprofen Chemical compound C1=CC(Cl)=C[C]2C3=CC=C(C(C(O)=O)C)C=C3N=C21 IVUMCTKHWDRRMH-UHFFFAOYSA-N 0.000 description 1
- 229960003184 carprofen Drugs 0.000 description 1
- 229950001725 carubicin Drugs 0.000 description 1
- BBZDXMBRAFTCAA-AREMUKBSSA-N carzelesin Chemical compound C1=2NC=C(C)C=2C([C@H](CCl)CN2C(=O)C=3NC4=CC=C(C=C4C=3)NC(=O)C3=CC4=CC=C(C=C4O3)N(CC)CC)=C2C=C1OC(=O)NC1=CC=CC=C1 BBZDXMBRAFTCAA-AREMUKBSSA-N 0.000 description 1
- 229950007509 carzelesin Drugs 0.000 description 1
- 108010047060 carzinophilin Proteins 0.000 description 1
- 239000005018 casein Substances 0.000 description 1
- BECPQYXYKAMYBN-UHFFFAOYSA-N casein, tech. Chemical compound NCCCCC(C(O)=O)N=C(O)C(CC(O)=O)N=C(O)C(CCC(O)=N)N=C(O)C(CC(C)C)N=C(O)C(CCC(O)=O)N=C(O)C(CC(O)=O)N=C(O)C(CCC(O)=O)N=C(O)C(C(C)O)N=C(O)C(CCC(O)=N)N=C(O)C(CCC(O)=N)N=C(O)C(CCC(O)=N)N=C(O)C(CCC(O)=O)N=C(O)C(CCC(O)=O)N=C(O)C(COP(O)(O)=O)N=C(O)C(CCC(O)=N)N=C(O)C(N)CC1=CC=CC=C1 BECPQYXYKAMYBN-UHFFFAOYSA-N 0.000 description 1
- 235000021240 caseins Nutrition 0.000 description 1
- 238000012219 cassette mutagenesis Methods 0.000 description 1
- 229960000590 celecoxib Drugs 0.000 description 1
- RZEKVGVHFLEQIL-UHFFFAOYSA-N celecoxib Chemical compound C1=CC(C)=CC=C1C1=CC(C(F)(F)F)=NN1C1=CC=C(S(N)(=O)=O)C=C1 RZEKVGVHFLEQIL-UHFFFAOYSA-N 0.000 description 1
- 239000012578 cell culture reagent Substances 0.000 description 1
- 230000024245 cell differentiation Effects 0.000 description 1
- 230000007910 cell fusion Effects 0.000 description 1
- 230000010261 cell growth Effects 0.000 description 1
- 230000022534 cell killing Effects 0.000 description 1
- 230000001413 cellular effect Effects 0.000 description 1
- 210000003169 central nervous system Anatomy 0.000 description 1
- 201000010881 cervical cancer Diseases 0.000 description 1
- 208000019065 cervical carcinoma Diseases 0.000 description 1
- 206010008323 cervicitis Diseases 0.000 description 1
- 229960005395 cetuximab Drugs 0.000 description 1
- 150000001789 chalcones Chemical class 0.000 description 1
- 230000008859 change Effects 0.000 description 1
- 239000002738 chelating agent Substances 0.000 description 1
- JQXXHWHPUNPDRT-BQVAUQFYSA-N chembl1523493 Chemical compound O([C@](C1=O)(C)O\C=C/[C@@H]([C@H]([C@@H](OC(C)=O)[C@H](C)[C@H](O)[C@H](C)[C@@H](O)[C@@H](C)/C=C\C=C(C)/C(=O)NC=2C(O)=C3C(O)=C4C)C)OC)C4=C1C3=C(O)C=2C=NN1CCN(C)CC1 JQXXHWHPUNPDRT-BQVAUQFYSA-N 0.000 description 1
- AOXOCDRNSPFDPE-UKEONUMOSA-N chembl413654 Chemical compound C([C@H](C(=O)NCC(=O)N[C@H](CC=1C2=CC=CC=C2NC=1)C(=O)N[C@H](CCSC)C(=O)N[C@H](CC(O)=O)C(=O)N[C@H](CC=1C=CC=CC=1)C(N)=O)NC(=O)[C@@H](C)NC(=O)[C@@H](CCC(O)=O)NC(=O)[C@@H](CCC(O)=O)NC(=O)[C@@H](CCC(O)=O)NC(=O)[C@H](CCC(O)=O)NC(=O)[C@H](CCC(O)=O)NC(=O)[C@H](CC(C)C)NC(=O)[C@H](CC=1C2=CC=CC=C2NC=1)NC(=O)[C@H]1N(CCC1)C(=O)CNC(=O)[C@@H](N)CCC(O)=O)C1=CC=C(O)C=C1 AOXOCDRNSPFDPE-UKEONUMOSA-N 0.000 description 1
- NDAYQJDHGXTBJL-MWWSRJDJSA-N chembl557217 Chemical compound C1=CC=C2C(C[C@H](NC(=O)[C@@H](CC(C)C)NC(=O)[C@H](CC=3C4=CC=CC=C4NC=3)NC(=O)[C@@H](CC(C)C)NC(=O)[C@H](CC=3C4=CC=CC=C4NC=3)NC(=O)[C@@H](CC(C)C)NC(=O)[C@H](CC=3C4=CC=CC=C4NC=3)NC(=O)[C@@H](C(C)C)NC(=O)[C@H](C(C)C)NC(=O)[C@@H](C(C)C)NC(=O)[C@H](C)NC(=O)[C@H](NC(=O)CNC(=O)[C@@H](NC=O)C(C)C)CC(C)C)C(=O)NCCO)=CNC2=C1 NDAYQJDHGXTBJL-MWWSRJDJSA-N 0.000 description 1
- 238000007385 chemical modification Methods 0.000 description 1
- 235000019693 cherries Nutrition 0.000 description 1
- 229940112822 chewing gum Drugs 0.000 description 1
- 235000015218 chewing gum Nutrition 0.000 description 1
- 210000004978 chinese hamster ovary cell Anatomy 0.000 description 1
- 229960005091 chloramphenicol Drugs 0.000 description 1
- WIIZWVCIJKGZOK-RKDXNWHRSA-N chloramphenicol Chemical compound ClC(Cl)C(=O)N[C@H](CO)[C@H](O)C1=CC=C([N+]([O-])=O)C=C1 WIIZWVCIJKGZOK-RKDXNWHRSA-N 0.000 description 1
- 229910052801 chlorine Inorganic materials 0.000 description 1
- 150000001805 chlorine compounds Chemical class 0.000 description 1
- 229950008249 chlornaphazine Drugs 0.000 description 1
- CWVRJTMFETXNAD-JUHZACGLSA-N chlorogenic acid Chemical compound O[C@@H]1[C@H](O)C[C@@](O)(C(O)=O)C[C@H]1OC(=O)\C=C\C1=CC=C(O)C(O)=C1 CWVRJTMFETXNAD-JUHZACGLSA-N 0.000 description 1
- 229940074393 chlorogenic acid Drugs 0.000 description 1
- FFQSDFBBSXGVKF-KHSQJDLVSA-N chlorogenic acid Natural products O[C@@H]1C[C@](O)(C[C@@H](CC(=O)C=Cc2ccc(O)c(O)c2)[C@@H]1O)C(=O)O FFQSDFBBSXGVKF-KHSQJDLVSA-N 0.000 description 1
- 235000001368 chlorogenic acid Nutrition 0.000 description 1
- 229960003677 chloroquine Drugs 0.000 description 1
- WHTVZRBIWZFKQO-UHFFFAOYSA-N chloroquine Natural products ClC1=CC=C2C(NC(C)CCCN(CC)CC)=CC=NC2=C1 WHTVZRBIWZFKQO-UHFFFAOYSA-N 0.000 description 1
- 229960001480 chlorozotocin Drugs 0.000 description 1
- 125000003016 chromanyl group Chemical group O1C(CCC2=CC=CC=C12)* 0.000 description 1
- 125000004230 chromenyl group Chemical group O1C(C=CC2=CC=CC=C12)* 0.000 description 1
- 208000016644 chronic atrophic gastritis Diseases 0.000 description 1
- 208000025302 chronic primary adrenal insufficiency Diseases 0.000 description 1
- 229960000724 cidofovir Drugs 0.000 description 1
- 125000000259 cinnolinyl group Chemical group N1=NC(=CC2=CC=CC=C12)* 0.000 description 1
- VDUWPHTZYNWKRN-UHFFFAOYSA-N cinoxacin Chemical compound C1=C2N(CC)N=C(C(O)=O)C(=O)C2=CC2=C1OCO2 VDUWPHTZYNWKRN-UHFFFAOYSA-N 0.000 description 1
- 229960004621 cinoxacin Drugs 0.000 description 1
- 229960003405 ciprofloxacin Drugs 0.000 description 1
- BMRSEYFENKXDIS-KLZCAUPSSA-N cis-3-O-p-coumaroylquinic acid Natural products O[C@H]1C[C@@](O)(C[C@@H](OC(=O)C=Cc2ccc(O)cc2)[C@@H]1O)C(=O)O BMRSEYFENKXDIS-KLZCAUPSSA-N 0.000 description 1
- QAIPRVGONGVQAS-UHFFFAOYSA-N cis-caffeic acid Natural products OC(=O)C=CC1=CC=C(O)C(O)=C1 QAIPRVGONGVQAS-UHFFFAOYSA-N 0.000 description 1
- 229940001468 citrate Drugs 0.000 description 1
- 150000001860 citric acid derivatives Chemical class 0.000 description 1
- 229960002436 cladribine Drugs 0.000 description 1
- 229960002626 clarithromycin Drugs 0.000 description 1
- AGOYDEPGAOXOCK-KCBOHYOISA-N clarithromycin Chemical compound O([C@@H]1[C@@H](C)C(=O)O[C@@H]([C@@]([C@H](O)[C@@H](C)C(=O)[C@H](C)C[C@](C)([C@H](O[C@H]2[C@@H]([C@H](C[C@@H](C)O2)N(C)C)O)[C@H]1C)OC)(C)O)CC)[C@H]1C[C@@](C)(OC)[C@@H](O)[C@H](C)O1 AGOYDEPGAOXOCK-KCBOHYOISA-N 0.000 description 1
- 229960002227 clindamycin Drugs 0.000 description 1
- KDLRVYVGXIQJDK-AWPVFWJPSA-N clindamycin Chemical compound CN1C[C@H](CCC)C[C@H]1C(=O)N[C@H]([C@H](C)Cl)[C@@H]1[C@H](O)[C@H](O)[C@@H](O)[C@@H](SC)O1 KDLRVYVGXIQJDK-AWPVFWJPSA-N 0.000 description 1
- ACSIXWWBWUQEHA-UHFFFAOYSA-N clodronic acid Chemical compound OP(O)(=O)C(Cl)(Cl)P(O)(O)=O ACSIXWWBWUQEHA-UHFFFAOYSA-N 0.000 description 1
- 229960002286 clodronic acid Drugs 0.000 description 1
- 229910017052 cobalt Inorganic materials 0.000 description 1
- 239000010941 cobalt Substances 0.000 description 1
- GUTLYIVDDKVIGB-UHFFFAOYSA-N cobalt atom Chemical compound [Co] GUTLYIVDDKVIGB-UHFFFAOYSA-N 0.000 description 1
- 229960003346 colistin Drugs 0.000 description 1
- 239000008119 colloidal silica Substances 0.000 description 1
- 229940075614 colloidal silicon dioxide Drugs 0.000 description 1
- 210000001072 colon Anatomy 0.000 description 1
- 238000002648 combination therapy Methods 0.000 description 1
- LGZKGOGODCLQHG-UHFFFAOYSA-N combretastatin Natural products C1=C(O)C(OC)=CC=C1CC(O)C1=CC(OC)=C(OC)C(OC)=C1 LGZKGOGODCLQHG-UHFFFAOYSA-N 0.000 description 1
- 150000004814 combretastatins Chemical class 0.000 description 1
- 239000007891 compressed tablet Substances 0.000 description 1
- 235000008504 concentrate Nutrition 0.000 description 1
- 239000012141 concentrate Substances 0.000 description 1
- 238000012790 confirmation Methods 0.000 description 1
- 239000000356 contaminant Substances 0.000 description 1
- 238000007796 conventional method Methods 0.000 description 1
- 239000008120 corn starch Substances 0.000 description 1
- 230000002596 correlated effect Effects 0.000 description 1
- 125000000332 coumarinyl group Chemical group O1C(=O)C(=CC2=CC=CC=C12)* 0.000 description 1
- 230000008878 coupling Effects 0.000 description 1
- 238000010168 coupling process Methods 0.000 description 1
- 238000005859 coupling reaction Methods 0.000 description 1
- COFJBSXICYYSKG-OAUVCNBTSA-N cph2u7dndy Chemical compound OS(O)(=O)=O.C([C@H](C[C@]1(C(=O)OC)C=2C(=CC3=C([C@]45[C@H]([C@@]([C@H](O)[C@]6(CC)C=CCN([C@H]56)CC4)(O)C(N)=O)N3C)C=2)OC)C[C@@](C2)(O)CC)N2CCC2=C1NC1=CC=CC=C21 COFJBSXICYYSKG-OAUVCNBTSA-N 0.000 description 1
- 239000003431 cross linking reagent Substances 0.000 description 1
- 201000010549 croup Diseases 0.000 description 1
- 201000003278 cryoglobulinemia Diseases 0.000 description 1
- 108010089438 cryptophycin 1 Proteins 0.000 description 1
- PSNOPSMXOBPNNV-VVCTWANISA-N cryptophycin 1 Chemical compound C1=C(Cl)C(OC)=CC=C1C[C@@H]1C(=O)NC[C@@H](C)C(=O)O[C@@H](CC(C)C)C(=O)O[C@H]([C@H](C)[C@@H]2[C@H](O2)C=2C=CC=CC=2)C/C=C/C(=O)N1 PSNOPSMXOBPNNV-VVCTWANISA-N 0.000 description 1
- 108010090203 cryptophycin 8 Proteins 0.000 description 1
- PSNOPSMXOBPNNV-UHFFFAOYSA-N cryptophycin-327 Natural products C1=C(Cl)C(OC)=CC=C1CC1C(=O)NCC(C)C(=O)OC(CC(C)C)C(=O)OC(C(C)C2C(O2)C=2C=CC=CC=2)CC=CC(=O)N1 PSNOPSMXOBPNNV-UHFFFAOYSA-N 0.000 description 1
- 239000013078 crystal Substances 0.000 description 1
- 229940109262 curcumin Drugs 0.000 description 1
- 239000004148 curcumin Substances 0.000 description 1
- 235000012754 curcumin Nutrition 0.000 description 1
- 125000001995 cyclobutyl group Chemical group [H]C1([H])C([H])([H])C([H])(*)C1([H])[H] 0.000 description 1
- 125000000582 cycloheptyl group Chemical group [H]C1([H])C([H])([H])C([H])([H])C([H])([H])C([H])(*)C([H])([H])C1([H])[H] 0.000 description 1
- 125000000113 cyclohexyl group Chemical group [H]C1([H])C([H])([H])C([H])([H])C([H])(*)C([H])([H])C1([H])[H] 0.000 description 1
- 125000000640 cyclooctyl group Chemical group [H]C1([H])C([H])([H])C([H])([H])C([H])([H])C([H])(*)C([H])([H])C([H])([H])C1([H])[H] 0.000 description 1
- 125000002433 cyclopentenyl group Chemical group C1(=CCCC1)* 0.000 description 1
- 125000001511 cyclopentyl group Chemical group [H]C1([H])C([H])([H])C([H])([H])C([H])(*)C1([H])[H] 0.000 description 1
- 125000001559 cyclopropyl group Chemical group [H]C1([H])C([H])([H])C1([H])* 0.000 description 1
- 201000002641 cyclosporiasis Diseases 0.000 description 1
- 208000002445 cystadenocarcinoma Diseases 0.000 description 1
- 201000008167 cystoisosporiasis Diseases 0.000 description 1
- GBOGMAARMMDZGR-TYHYBEHESA-N cytochalasin B Chemical compound C([C@H]1[C@@H]2[C@@H](C([C@@H](O)[C@@H]3/C=C/C[C@H](C)CCC[C@@H](O)/C=C/C(=O)O[C@@]23C(=O)N1)=C)C)C1=CC=CC=C1 GBOGMAARMMDZGR-TYHYBEHESA-N 0.000 description 1
- GBOGMAARMMDZGR-JREHFAHYSA-N cytochalasin B Natural products C[C@H]1CCC[C@@H](O)C=CC(=O)O[C@@]23[C@H](C=CC1)[C@H](O)C(=C)[C@@H](C)[C@@H]2[C@H](Cc4ccccc4)NC3=O GBOGMAARMMDZGR-JREHFAHYSA-N 0.000 description 1
- 102000003675 cytokine receptors Human genes 0.000 description 1
- 108010057085 cytokine receptors Proteins 0.000 description 1
- OPTASPLRGRRNAP-UHFFFAOYSA-N cytosine Chemical class NC=1C=CNC(=O)N=1 OPTASPLRGRRNAP-UHFFFAOYSA-N 0.000 description 1
- 230000006378 damage Effects 0.000 description 1
- POZRVZJJTULAOH-LHZXLZLDSA-N danazol Chemical compound C1[C@]2(C)[C@H]3CC[C@](C)([C@](CC4)(O)C#C)[C@@H]4[C@@H]3CCC2=CC2=C1C=NO2 POZRVZJJTULAOH-LHZXLZLDSA-N 0.000 description 1
- 229960000766 danazol Drugs 0.000 description 1
- 229960005029 darbepoetin alfa Drugs 0.000 description 1
- 125000004856 decahydroquinolinyl group Chemical group N1(CCCC2CCCCC12)* 0.000 description 1
- 230000003247 decreasing effect Effects 0.000 description 1
- 230000002950 deficient Effects 0.000 description 1
- FMGSKLZLMKYGDP-USOAJAOKSA-N dehydroepiandrosterone Chemical compound C1[C@@H](O)CC[C@]2(C)[C@H]3CC[C@](C)(C(CC4)=O)[C@@H]4[C@@H]3CC=C21 FMGSKLZLMKYGDP-USOAJAOKSA-N 0.000 description 1
- 229960005319 delavirdine Drugs 0.000 description 1
- YSMODUONRAFBET-UHFFFAOYSA-N delta-DL-hydroxylysine Natural products NCC(O)CCC(N)C(O)=O YSMODUONRAFBET-UHFFFAOYSA-N 0.000 description 1
- 229960002398 demeclocycline Drugs 0.000 description 1
- 229960005052 demecolcine Drugs 0.000 description 1
- 208000025729 dengue disease Diseases 0.000 description 1
- 229960002923 denileukin diftitox Drugs 0.000 description 1
- 108010017271 denileukin diftitox Proteins 0.000 description 1
- CFCUWKMKBJTWLW-UHFFFAOYSA-N deoliosyl-3C-alpha-L-digitoxosyl-MTM Natural products CC=1C(O)=C2C(O)=C3C(=O)C(OC4OC(C)C(O)C(OC5OC(C)C(O)C(OC6OC(C)C(O)C(C)(O)C6)C5)C4)C(C(OC)C(=O)C(O)C(C)O)CC3=CC2=CC=1OC(OC(C)C1O)CC1OC1CC(O)C(O)C(C)O1 CFCUWKMKBJTWLW-UHFFFAOYSA-N 0.000 description 1
- 230000001419 dependent effect Effects 0.000 description 1
- 238000001212 derivatisation Methods 0.000 description 1
- 201000001981 dermatomyositis Diseases 0.000 description 1
- 229950003913 detorubicin Drugs 0.000 description 1
- 235000019425 dextrin Nutrition 0.000 description 1
- WVYXNIXAMZOZFK-UHFFFAOYSA-N diaziquone Chemical compound O=C1C(NC(=O)OCC)=C(N2CC2)C(=O)C(NC(=O)OCC)=C1N1CC1 WVYXNIXAMZOZFK-UHFFFAOYSA-N 0.000 description 1
- 229950002389 diaziquone Drugs 0.000 description 1
- DCOPUUMXTXDBNB-UHFFFAOYSA-N diclofenac Chemical compound OC(=O)CC1=CC=CC=C1NC1=C(Cl)C=CC=C1Cl DCOPUUMXTXDBNB-UHFFFAOYSA-N 0.000 description 1
- 229960001259 diclofenac Drugs 0.000 description 1
- YFAGHNZHGGCZAX-JKIFEVAISA-N dicloxacillin Chemical compound N([C@@H]1C(N2[C@H](C(C)(C)S[C@@H]21)C(O)=O)=O)C(=O)C1=C(C)ON=C1C1=C(Cl)C=CC=C1Cl YFAGHNZHGGCZAX-JKIFEVAISA-N 0.000 description 1
- 229960001585 dicloxacillin Drugs 0.000 description 1
- 229960002656 didanosine Drugs 0.000 description 1
- RCKMWOKWVGPNJF-UHFFFAOYSA-N diethylcarbamazine Chemical compound CCN(CC)C(=O)N1CCN(C)CC1 RCKMWOKWVGPNJF-UHFFFAOYSA-N 0.000 description 1
- 229960003974 diethylcarbamazine Drugs 0.000 description 1
- VFLDPWHFBUODDF-UHFFFAOYSA-N diferuloylmethane Natural products C1=C(O)C(OC)=CC(C=CC(=O)CC(=O)C=CC=2C=C(OC)C(O)=CC=2)=C1 VFLDPWHFBUODDF-UHFFFAOYSA-N 0.000 description 1
- HUPFGZXOMWLGNK-UHFFFAOYSA-N diflunisal Chemical compound C1=C(O)C(C(=O)O)=CC(C=2C(=CC(F)=CC=2)F)=C1 HUPFGZXOMWLGNK-UHFFFAOYSA-N 0.000 description 1
- 229960000616 diflunisal Drugs 0.000 description 1
- 230000029087 digestion Effects 0.000 description 1
- PZXJOHSZQAEJFE-UHFFFAOYSA-N dihydrobetulinic acid Natural products C1CC(O)C(C)(C)C2CCC3(C)C4(C)CCC5(C(O)=O)CCC(C(C)C)C5C4CCC3C21C PZXJOHSZQAEJFE-UHFFFAOYSA-N 0.000 description 1
- 108020001096 dihydrofolate reductase Proteins 0.000 description 1
- XCGZWJIXHMSSQC-UHFFFAOYSA-N dihydroquercetin Natural products OC1=CC2OC(=C(O)C(=O)C2C(O)=C1)c1ccc(O)c(O)c1 XCGZWJIXHMSSQC-UHFFFAOYSA-N 0.000 description 1
- 206010013023 diphtheria Diseases 0.000 description 1
- 230000006806 disease prevention Effects 0.000 description 1
- KPUWHANPEXNPJT-UHFFFAOYSA-N disiloxane Chemical compound [SiH3]O[SiH3] KPUWHANPEXNPJT-UHFFFAOYSA-N 0.000 description 1
- 239000002270 dispersing agent Substances 0.000 description 1
- 239000006185 dispersion Substances 0.000 description 1
- DVSZKTAMJJTWFG-UHFFFAOYSA-N docosa-2,4,6,8,10,12-hexaenoic acid Chemical class CCCCCCCCCC=CC=CC=CC=CC=CC=CC(O)=O DVSZKTAMJJTWFG-UHFFFAOYSA-N 0.000 description 1
- 235000020669 docosahexaenoic acid Nutrition 0.000 description 1
- AMRJKAQTDDKMCE-UHFFFAOYSA-N dolastatin Chemical compound CC(C)C(N(C)C)C(=O)NC(C(C)C)C(=O)N(C)C(C(C)C)C(OC)CC(=O)N1CCCC1C(OC)C(C)C(=O)NC(C=1SC=CN=1)CC1=CC=CC=C1 AMRJKAQTDDKMCE-UHFFFAOYSA-N 0.000 description 1
- 229930188854 dolastatin Natural products 0.000 description 1
- 230000003291 dopaminomimetic effect Effects 0.000 description 1
- 239000002552 dosage form Substances 0.000 description 1
- 230000003828 downregulation Effects 0.000 description 1
- 229960003722 doxycycline Drugs 0.000 description 1
- 208000008576 dracunculiasis Diseases 0.000 description 1
- 229960004242 dronabinol Drugs 0.000 description 1
- 239000003118 drug derivative Substances 0.000 description 1
- 238000009510 drug design Methods 0.000 description 1
- 230000009977 dual effect Effects 0.000 description 1
- VQNATVDKACXKTF-XELLLNAOSA-N duocarmycin Chemical compound COC1=C(OC)C(OC)=C2NC(C(=O)N3C4=CC(=O)C5=C([C@@]64C[C@@H]6C3)C=C(N5)C(=O)OC)=CC2=C1 VQNATVDKACXKTF-XELLLNAOSA-N 0.000 description 1
- 239000000975 dye Substances 0.000 description 1
- AFMYMMXSQGUCBK-AKMKHHNQSA-N dynemicin a Chemical compound C1#C\C=C/C#C[C@@H]2NC(C=3C(=O)C4=C(O)C=CC(O)=C4C(=O)C=3C(O)=C3)=C3[C@@]34O[C@]32[C@@H](C)C(C(O)=O)=C(OC)[C@H]41 AFMYMMXSQGUCBK-AKMKHHNQSA-N 0.000 description 1
- 208000001848 dysentery Diseases 0.000 description 1
- 201000010582 ecthyma Diseases 0.000 description 1
- FSIRXIHZBIXHKT-MHTVFEQDSA-N edatrexate Chemical compound C=1N=C2N=C(N)N=C(N)C2=NC=1CC(CC)C1=CC=C(C(=O)N[C@@H](CCC(O)=O)C(O)=O)C=C1 FSIRXIHZBIXHKT-MHTVFEQDSA-N 0.000 description 1
- 229950006700 edatrexate Drugs 0.000 description 1
- VLCYCQAOQCDTCN-UHFFFAOYSA-N eflornithine Chemical compound NCCCC(N)(C(F)F)C(O)=O VLCYCQAOQCDTCN-UHFFFAOYSA-N 0.000 description 1
- 229960002759 eflornithine Drugs 0.000 description 1
- 208000000292 ehrlichiosis Diseases 0.000 description 1
- MGLDCXPLYOWQRP-UHFFFAOYSA-N eicosa-5,8,11,14-tetraynoic acid Chemical compound CCCCCC#CCC#CCC#CCC#CCCCC(O)=O MGLDCXPLYOWQRP-UHFFFAOYSA-N 0.000 description 1
- 150000002066 eicosanoids Chemical class 0.000 description 1
- 238000010894 electron beam technology Methods 0.000 description 1
- 229950000549 elliptinium acetate Drugs 0.000 description 1
- 229960000366 emtricitabine Drugs 0.000 description 1
- 239000003995 emulsifying agent Substances 0.000 description 1
- 238000005538 encapsulation Methods 0.000 description 1
- 206010014599 encephalitis Diseases 0.000 description 1
- 201000002491 encephalomyelitis Diseases 0.000 description 1
- 206010014665 endocarditis Diseases 0.000 description 1
- 230000002124 endocrine Effects 0.000 description 1
- 210000001900 endoderm Anatomy 0.000 description 1
- 201000003914 endometrial carcinoma Diseases 0.000 description 1
- 230000002357 endometrial effect Effects 0.000 description 1
- JOZGNYDSEBIJDH-UHFFFAOYSA-N eniluracil Chemical compound O=C1NC=C(C#C)C(=O)N1 JOZGNYDSEBIJDH-UHFFFAOYSA-N 0.000 description 1
- 229950010213 eniluracil Drugs 0.000 description 1
- 229950011487 enocitabine Drugs 0.000 description 1
- IDYZIJYBMGIQMJ-UHFFFAOYSA-N enoxacin Chemical compound N1=C2N(CC)C=C(C(O)=O)C(=O)C2=CC(F)=C1N1CCNCC1 IDYZIJYBMGIQMJ-UHFFFAOYSA-N 0.000 description 1
- 229960002549 enoxacin Drugs 0.000 description 1
- 239000002702 enteric coating Substances 0.000 description 1
- 238000009505 enteric coating Methods 0.000 description 1
- 206010014881 enterobiasis Diseases 0.000 description 1
- 230000006862 enzymatic digestion Effects 0.000 description 1
- 208000021373 epidemic keratoconjunctivitis Diseases 0.000 description 1
- 208000028104 epidemic louse-borne typhus Diseases 0.000 description 1
- 201000010063 epididymitis Diseases 0.000 description 1
- 208000001606 epiglottitis Diseases 0.000 description 1
- YJGVMLPVUAXIQN-UHFFFAOYSA-N epipodophyllotoxin Natural products COC1=C(OC)C(OC)=CC(C2C3=CC=4OCOC=4C=C3C(O)C3C2C(OC3)=O)=C1 YJGVMLPVUAXIQN-UHFFFAOYSA-N 0.000 description 1
- 208000037828 epithelial carcinoma Diseases 0.000 description 1
- 210000000981 epithelium Anatomy 0.000 description 1
- 229950002973 epitiostanol Drugs 0.000 description 1
- 229960003388 epoetin alfa Drugs 0.000 description 1
- 150000003883 epothilone derivatives Chemical class 0.000 description 1
- 229940082789 erbitux Drugs 0.000 description 1
- YSMODUONRAFBET-UHNVWZDZSA-N erythro-5-hydroxy-L-lysine Chemical compound NC[C@H](O)CC[C@H](N)C(O)=O YSMODUONRAFBET-UHNVWZDZSA-N 0.000 description 1
- HCZKYJDFEPMADG-UHFFFAOYSA-N erythro-nordihydroguaiaretic acid Natural products C=1C=C(O)C(O)=CC=1CC(C)C(C)CC1=CC=C(O)C(O)=C1 HCZKYJDFEPMADG-UHFFFAOYSA-N 0.000 description 1
- 229960003276 erythromycin Drugs 0.000 description 1
- XHCADAYNFIFUHF-TVKJYDDYSA-N esculin Chemical compound O[C@@H]1[C@@H](O)[C@H](O)[C@@H](CO)O[C@H]1OC(C(=C1)O)=CC2=C1OC(=O)C=C2 XHCADAYNFIFUHF-TVKJYDDYSA-N 0.000 description 1
- 229940093496 esculin Drugs 0.000 description 1
- AWRMZKLXZLNBBK-UHFFFAOYSA-N esculin Natural products OC1OC(COc2cc3C=CC(=O)Oc3cc2O)C(O)C(O)C1O AWRMZKLXZLNBBK-UHFFFAOYSA-N 0.000 description 1
- ITSGNOIFAJAQHJ-BMFNZSJVSA-N esorubicin Chemical compound O([C@H]1C[C@@](O)(CC=2C(O)=C3C(=O)C=4C=CC=C(C=4C(=O)C3=C(O)C=21)OC)C(=O)CO)[C@H]1C[C@H](N)C[C@H](C)O1 ITSGNOIFAJAQHJ-BMFNZSJVSA-N 0.000 description 1
- 229950002017 esorubicin Drugs 0.000 description 1
- LJQQFQHBKUKHIS-WJHRIEJJSA-N esperamicin Chemical compound O1CC(NC(C)C)C(OC)CC1OC1C(O)C(NOC2OC(C)C(SC)C(O)C2)C(C)OC1OC1C(\C2=C/CSSSC)=C(NC(=O)OC)C(=O)C(OC3OC(C)C(O)C(OC(=O)C=4C(=CC(OC)=C(OC)C=4)NC(=O)C(=C)OC)C3)C2(O)C#C\C=C/C#C1 LJQQFQHBKUKHIS-WJHRIEJJSA-N 0.000 description 1
- 229940011871 estrogen Drugs 0.000 description 1
- 239000000262 estrogen Substances 0.000 description 1
- 239000000328 estrogen antagonist Substances 0.000 description 1
- 229960000403 etanercept Drugs 0.000 description 1
- CCIVGXIOQKPBKL-UHFFFAOYSA-M ethanesulfonate Chemical compound CCS([O-])(=O)=O CCIVGXIOQKPBKL-UHFFFAOYSA-M 0.000 description 1
- RTZKZFJDLAIYFH-UHFFFAOYSA-N ether Substances CCOCC RTZKZFJDLAIYFH-UHFFFAOYSA-N 0.000 description 1
- 125000001033 ether group Chemical group 0.000 description 1
- 125000005677 ethinylene group Chemical group [*:2]C#C[*:1] 0.000 description 1
- QSRLNKCNOLVZIR-KRWDZBQOSA-N ethyl (2s)-2-[[2-[4-[bis(2-chloroethyl)amino]phenyl]acetyl]amino]-4-methylsulfanylbutanoate Chemical compound CCOC(=O)[C@H](CCSC)NC(=O)CC1=CC=C(N(CCCl)CCCl)C=C1 QSRLNKCNOLVZIR-KRWDZBQOSA-N 0.000 description 1
- 235000019325 ethyl cellulose Nutrition 0.000 description 1
- 229920001249 ethyl cellulose Polymers 0.000 description 1
- 229960005237 etoglucid Drugs 0.000 description 1
- 230000005284 excitation Effects 0.000 description 1
- 229960000255 exemestane Drugs 0.000 description 1
- 208000021045 exocrine pancreatic carcinoma Diseases 0.000 description 1
- 210000001723 extracellular space Anatomy 0.000 description 1
- 238000013213 extrapolation Methods 0.000 description 1
- 208000024711 extrinsic asthma Diseases 0.000 description 1
- 208000006275 fascioliasis Diseases 0.000 description 1
- 206010016235 fasciolopsiasis Diseases 0.000 description 1
- 201000006061 fatal familial insomnia Diseases 0.000 description 1
- 239000010685 fatty oil Substances 0.000 description 1
- ZPAKPRAICRBAOD-UHFFFAOYSA-N fenbufen Chemical compound C1=CC(C(=O)CCC(=O)O)=CC=C1C1=CC=CC=C1 ZPAKPRAICRBAOD-UHFFFAOYSA-N 0.000 description 1
- 229960001395 fenbufen Drugs 0.000 description 1
- 229960001419 fenoprofen Drugs 0.000 description 1
- 230000001605 fetal effect Effects 0.000 description 1
- 210000003754 fetus Anatomy 0.000 description 1
- 239000000835 fiber Substances 0.000 description 1
- 208000005239 filarial elephantiasis Diseases 0.000 description 1
- 229960004177 filgrastim Drugs 0.000 description 1
- 229930003944 flavone Natural products 0.000 description 1
- 150000002213 flavones Chemical class 0.000 description 1
- 235000011949 flavones Nutrition 0.000 description 1
- HVQAJTFOCKOKIN-UHFFFAOYSA-N flavonol Natural products O1C2=CC=CC=C2C(=O)C(O)=C1C1=CC=CC=C1 HVQAJTFOCKOKIN-UHFFFAOYSA-N 0.000 description 1
- 150000007946 flavonol Chemical class 0.000 description 1
- 235000011957 flavonols Nutrition 0.000 description 1
- 235000013312 flour Nutrition 0.000 description 1
- 239000012530 fluid Substances 0.000 description 1
- 229910052731 fluorine Inorganic materials 0.000 description 1
- NBVXSUQYWXRMNV-UHFFFAOYSA-N fluoromethane Chemical compound FC NBVXSUQYWXRMNV-UHFFFAOYSA-N 0.000 description 1
- 229940124307 fluoroquinolone Drugs 0.000 description 1
- 229960002074 flutamide Drugs 0.000 description 1
- MKXKFYHWDHIYRV-UHFFFAOYSA-N flutamide Chemical compound CC(C)C(=O)NC1=CC=C([N+]([O-])=O)C(C(F)(F)F)=C1 MKXKFYHWDHIYRV-UHFFFAOYSA-N 0.000 description 1
- 239000011724 folic acid Substances 0.000 description 1
- 235000019152 folic acid Nutrition 0.000 description 1
- 229960000304 folic acid Drugs 0.000 description 1
- 150000002224 folic acids Chemical class 0.000 description 1
- 235000019264 food flavour enhancer Nutrition 0.000 description 1
- 230000022244 formylation Effects 0.000 description 1
- 238000006170 formylation reaction Methods 0.000 description 1
- 229960005102 foscarnet Drugs 0.000 description 1
- 229960004783 fotemustine Drugs 0.000 description 1
- YAKWPXVTIGTRJH-UHFFFAOYSA-N fotemustine Chemical compound CCOP(=O)(OCC)C(C)NC(=O)N(CCCl)N=O YAKWPXVTIGTRJH-UHFFFAOYSA-N 0.000 description 1
- 229940118764 francisella tularensis Drugs 0.000 description 1
- 239000012458 free base Substances 0.000 description 1
- 229960002737 fructose Drugs 0.000 description 1
- 229960002258 fulvestrant Drugs 0.000 description 1
- 229940050411 fumarate Drugs 0.000 description 1
- 244000053095 fungal pathogen Species 0.000 description 1
- 150000002243 furanoses Chemical class 0.000 description 1
- 125000003838 furazanyl group Chemical group 0.000 description 1
- ZZUFCTLCJUWOSV-UHFFFAOYSA-N furosemide Chemical compound C1=C(Cl)C(S(=O)(=O)N)=CC(C(O)=O)=C1NCC1=CC=CO1 ZZUFCTLCJUWOSV-UHFFFAOYSA-N 0.000 description 1
- 229930185528 fuscoside Natural products 0.000 description 1
- 108020001507 fusion proteins Proteins 0.000 description 1
- 102000037865 fusion proteins Human genes 0.000 description 1
- 229930182830 galactose Natural products 0.000 description 1
- CIPSYTVGZURWPT-UHFFFAOYSA-N galangin Natural products OC1=C(Oc2cc(O)c(O)cc2C1=O)c3ccccc3 CIPSYTVGZURWPT-UHFFFAOYSA-N 0.000 description 1
- 229940044658 gallium nitrate Drugs 0.000 description 1
- 230000005251 gamma ray Effects 0.000 description 1
- GIVLTTJNORAZON-HDBOBKCLSA-N ganglioside GM2 (18:0) Chemical compound O[C@@H]1[C@@H](O)[C@H](OC[C@H](NC(=O)CCCCCCCCCCCCCCCCC)[C@H](O)\C=C\CCCCCCCCCCCCC)O[C@H](CO)[C@H]1O[C@H]1[C@H](O)[C@@H](O[C@]2(O[C@H]([C@H](NC(C)=O)[C@@H](O)C2)[C@H](O)[C@H](O)CO)C(O)=O)[C@@H](O[C@H]2[C@@H]([C@@H](O)[C@@H](O)[C@@H](CO)O2)NC(C)=O)[C@@H](CO)O1 GIVLTTJNORAZON-HDBOBKCLSA-N 0.000 description 1
- PFJKOHUKELZMLE-VEUXDRLPSA-N ganglioside GM3 Chemical compound O[C@@H]1[C@@H](O)[C@H](OC[C@@H]([C@H](O)/C=C/CCCCCCCCCCCCC)NC(=O)CCCCCCCCCCCCC\C=C/CCCCCCCC)O[C@H](CO)[C@H]1O[C@H]1[C@H](O)[C@@H](O[C@]2(O[C@H]([C@H](NC(C)=O)[C@@H](O)C2)[C@H](O)[C@H](O)CO)C(O)=O)[C@@H](O)[C@@H](CO)O1 PFJKOHUKELZMLE-VEUXDRLPSA-N 0.000 description 1
- 150000002270 gangliosides Chemical class 0.000 description 1
- PUBCCFNQJQKCNC-XKNFJVFFSA-N gastrin-releasingpeptide Chemical compound C([C@@H](C(=O)N[C@@H](CC(C)C)C(=O)N[C@@H](CCSC)C(N)=O)NC(=O)CNC(=O)[C@@H](NC(=O)[C@H](C)NC(=O)[C@H](CC=1C2=CC=CC=C2NC=1)NC(=O)[C@H](CC=1N=CNC=1)NC(=O)[C@H](CC(N)=O)NC(=O)CNC(=O)[C@H](CCCN=C(N)N)NC(=O)[C@H]1N(CCC1)C(=O)[C@H](CC=1C=CC(O)=CC=1)NC(=O)[C@H](CCSC)NC(=O)[C@H](CCCCN)NC(=O)[C@@H](NC(=O)[C@H](CC(C)C)NC(=O)[C@@H](NC(=O)[C@@H](NC(=O)CNC(=O)CNC(=O)CNC(=O)[C@H](C)NC(=O)[C@H]1N(CCC1)C(=O)[C@H](CC(C)C)NC(=O)[C@H]1N(CCC1)C(=O)[C@@H](N)C(C)C)[C@@H](C)O)C(C)C)[C@@H](C)O)C(C)C)C1=CNC=N1 PUBCCFNQJQKCNC-XKNFJVFFSA-N 0.000 description 1
- 201000005298 gastrointestinal allergy Diseases 0.000 description 1
- 238000005227 gel permeation chromatography Methods 0.000 description 1
- 238000002523 gelfiltration Methods 0.000 description 1
- 229940020967 gemzar Drugs 0.000 description 1
- 239000003168 generic drug Substances 0.000 description 1
- 201000004946 genital herpes Diseases 0.000 description 1
- 229960002518 gentamicin Drugs 0.000 description 1
- 201000006592 giardiasis Diseases 0.000 description 1
- 239000011521 glass Substances 0.000 description 1
- 229940050410 gluconate Drugs 0.000 description 1
- 239000008103 glucose Substances 0.000 description 1
- 229940097042 glucuronate Drugs 0.000 description 1
- 229940097043 glucuronic acid Drugs 0.000 description 1
- 230000023611 glucuronidation Effects 0.000 description 1
- 229930195712 glutamate Natural products 0.000 description 1
- BEBCJVAWIBVWNZ-UHFFFAOYSA-N glycinamide Chemical compound NCC(N)=O BEBCJVAWIBVWNZ-UHFFFAOYSA-N 0.000 description 1
- 125000003630 glycyl group Chemical group [H]N([H])C([H])([H])C(*)=O 0.000 description 1
- XLXSAKCOAKORKW-UHFFFAOYSA-N gonadorelin Chemical compound C1CCC(C(=O)NCC(N)=O)N1C(=O)C(CCCN=C(N)N)NC(=O)C(CC(C)C)NC(=O)CNC(=O)C(NC(=O)C(CO)NC(=O)C(CC=1C2=CC=CC=C2NC=1)NC(=O)C(CC=1NC=NC=1)NC(=O)C1NC(=O)CC1)CC1=CC=C(O)C=C1 XLXSAKCOAKORKW-UHFFFAOYSA-N 0.000 description 1
- 208000001786 gonorrhea Diseases 0.000 description 1
- 208000024908 graft versus host disease Diseases 0.000 description 1
- 229960000642 grepafloxacin Drugs 0.000 description 1
- 230000009036 growth inhibition Effects 0.000 description 1
- 201000009277 hairy cell leukemia Diseases 0.000 description 1
- 201000010536 head and neck cancer Diseases 0.000 description 1
- 230000036541 health Effects 0.000 description 1
- 208000025750 heavy chain disease Diseases 0.000 description 1
- 239000000185 hemagglutinin Substances 0.000 description 1
- 201000002222 hemangioblastoma Diseases 0.000 description 1
- 210000003958 hematopoietic stem cell Anatomy 0.000 description 1
- 108060003552 hemocyanin Proteins 0.000 description 1
- 208000007475 hemolytic anemia Diseases 0.000 description 1
- 230000002440 hepatic effect Effects 0.000 description 1
- 208000002672 hepatitis B Diseases 0.000 description 1
- 208000003215 hereditary nephritis Diseases 0.000 description 1
- 150000002391 heterocyclic compounds Chemical class 0.000 description 1
- 150000002402 hexoses Chemical class 0.000 description 1
- 231100000171 higher toxicity Toxicity 0.000 description 1
- 229940088597 hormone Drugs 0.000 description 1
- 239000005556 hormone Substances 0.000 description 1
- 238000001794 hormone therapy Methods 0.000 description 1
- 208000029080 human African trypanosomiasis Diseases 0.000 description 1
- 229940084986 human chorionic gonadotropin Drugs 0.000 description 1
- 235000020256 human milk Nutrition 0.000 description 1
- 210000004251 human milk Anatomy 0.000 description 1
- 229940088013 hycamtin Drugs 0.000 description 1
- 150000004677 hydrates Chemical class 0.000 description 1
- 125000005597 hydrazone group Chemical group 0.000 description 1
- XMBWDFGMSWQBCA-UHFFFAOYSA-N hydrogen iodide Chemical compound I XMBWDFGMSWQBCA-UHFFFAOYSA-N 0.000 description 1
- QAOWNCQODCNURD-UHFFFAOYSA-M hydrogensulfate Chemical compound OS([O-])(=O)=O QAOWNCQODCNURD-UHFFFAOYSA-M 0.000 description 1
- WGCNASOHLSPBMP-UHFFFAOYSA-N hydroxyacetaldehyde Natural products OCC=O WGCNASOHLSPBMP-UHFFFAOYSA-N 0.000 description 1
- 125000002349 hydroxyamino group Chemical group [H]ON([H])[*] 0.000 description 1
- XXSMGPRMXLTPCZ-UHFFFAOYSA-N hydroxychloroquine Chemical compound ClC1=CC=C2C(NC(C)CCCN(CCO)CC)=CC=NC2=C1 XXSMGPRMXLTPCZ-UHFFFAOYSA-N 0.000 description 1
- 229960004171 hydroxychloroquine Drugs 0.000 description 1
- 150000002443 hydroxylamines Chemical class 0.000 description 1
- KNOSIOWNDGUGFJ-UHFFFAOYSA-N hydroxysesamone Natural products C1=CC(O)=C2C(=O)C(CC=C(C)C)=C(O)C(=O)C2=C1O KNOSIOWNDGUGFJ-UHFFFAOYSA-N 0.000 description 1
- 229940015872 ibandronate Drugs 0.000 description 1
- 229960004716 idoxuridine Drugs 0.000 description 1
- 229960003685 imatinib mesylate Drugs 0.000 description 1
- YLMAHDNUQAMNNX-UHFFFAOYSA-N imatinib methanesulfonate Chemical compound CS(O)(=O)=O.C1CN(C)CCN1CC1=CC=C(C(=O)NC=2C=C(NC=3N=C(C=CN=3)C=3C=NC=CC=3)C(C)=CC=2)C=C1 YLMAHDNUQAMNNX-UHFFFAOYSA-N 0.000 description 1
- 125000002632 imidazolidinyl group Chemical group 0.000 description 1
- MTNDZQHUAFNZQY-UHFFFAOYSA-N imidazoline Chemical group C1CN=CN1 MTNDZQHUAFNZQY-UHFFFAOYSA-N 0.000 description 1
- 125000002636 imidazolinyl group Chemical group 0.000 description 1
- 239000012729 immediate-release (IR) formulation Substances 0.000 description 1
- 208000026278 immune system disease Diseases 0.000 description 1
- 229940124622 immune-modulator drug Drugs 0.000 description 1
- 229940127121 immunoconjugate Drugs 0.000 description 1
- 230000002163 immunogen Effects 0.000 description 1
- 208000015446 immunoglobulin a vasculitis Diseases 0.000 description 1
- 238000011532 immunohistochemical staining Methods 0.000 description 1
- 229960003444 immunosuppressant agent Drugs 0.000 description 1
- 239000003018 immunosuppressive agent Substances 0.000 description 1
- 230000001771 impaired effect Effects 0.000 description 1
- DBIGHPPNXATHOF-UHFFFAOYSA-N improsulfan Chemical compound CS(=O)(=O)OCCCNCCCOS(C)(=O)=O DBIGHPPNXATHOF-UHFFFAOYSA-N 0.000 description 1
- 229950008097 improsulfan Drugs 0.000 description 1
- 239000012535 impurity Substances 0.000 description 1
- 238000000099 in vitro assay Methods 0.000 description 1
- 238000005462 in vivo assay Methods 0.000 description 1
- 238000011065 in-situ storage Methods 0.000 description 1
- 125000003453 indazolyl group Chemical group N1N=C(C2=C1C=CC=C2)* 0.000 description 1
- 229960001936 indinavir Drugs 0.000 description 1
- PZOUSPYUWWUPPK-UHFFFAOYSA-N indole Chemical group CC1=CC=CC2=C1C=CN2 PZOUSPYUWWUPPK-UHFFFAOYSA-N 0.000 description 1
- RKJUIXBNRJVNHR-UHFFFAOYSA-N indolenine Chemical group C1=CC=C2CC=NC2=C1 RKJUIXBNRJVNHR-UHFFFAOYSA-N 0.000 description 1
- 125000004926 indolenyl group Chemical group 0.000 description 1
- 125000003387 indolinyl group Chemical group N1(CCC2=CC=CC=C12)* 0.000 description 1
- 125000003406 indolizinyl group Chemical group C=1(C=CN2C=CC=CC12)* 0.000 description 1
- 229960000905 indomethacin Drugs 0.000 description 1
- 239000003701 inert diluent Substances 0.000 description 1
- 239000012678 infectious agent Substances 0.000 description 1
- 230000008595 infiltration Effects 0.000 description 1
- 238000001764 infiltration Methods 0.000 description 1
- 210000004969 inflammatory cell Anatomy 0.000 description 1
- 229960000598 infliximab Drugs 0.000 description 1
- 206010022000 influenza Diseases 0.000 description 1
- 208000030603 inherited susceptibility to asthma Diseases 0.000 description 1
- 239000007972 injectable composition Substances 0.000 description 1
- 229910052500 inorganic mineral Inorganic materials 0.000 description 1
- 229910017053 inorganic salt Inorganic materials 0.000 description 1
- 239000002348 inosinate dehydrogenase inhibitor Substances 0.000 description 1
- 238000007689 inspection Methods 0.000 description 1
- 229940125396 insulin Drugs 0.000 description 1
- 230000002452 interceptive effect Effects 0.000 description 1
- 229960003521 interferon alfa-2a Drugs 0.000 description 1
- 229960003130 interferon gamma Drugs 0.000 description 1
- 210000004347 intestinal mucosa Anatomy 0.000 description 1
- 230000008863 intramolecular interaction Effects 0.000 description 1
- 238000007918 intramuscular administration Methods 0.000 description 1
- 238000007913 intrathecal administration Methods 0.000 description 1
- 239000002555 ionophore Substances 0.000 description 1
- 230000000236 ionophoric effect Effects 0.000 description 1
- 229940075525 iron chelating agent Drugs 0.000 description 1
- 239000000797 iron chelating agent Substances 0.000 description 1
- 125000004936 isatinoyl group Chemical group N1(C(=O)C(=O)C2=CC=CC=C12)C(=O)* 0.000 description 1
- AWJUIBRHMBBTKR-UHFFFAOYSA-N iso-quinoline Natural products C1=NC=CC2=CC=CC=C21 AWJUIBRHMBBTKR-UHFFFAOYSA-N 0.000 description 1
- 125000001977 isobenzofuranyl group Chemical group C=1(OC=C2C=CC=CC12)* 0.000 description 1
- 125000003384 isochromanyl group Chemical group C1(OCCC2=CC=CC=C12)* 0.000 description 1
- 239000012948 isocyanate Substances 0.000 description 1
- 150000002513 isocyanates Chemical class 0.000 description 1
- GWVMLCQWXVFZCN-UHFFFAOYSA-N isoindoline Chemical group C1=CC=C2CNCC2=C1 GWVMLCQWXVFZCN-UHFFFAOYSA-N 0.000 description 1
- 125000004594 isoindolinyl group Chemical group C1(NCC2=CC=CC=C12)* 0.000 description 1
- DXDRHHKMWQZJHT-FPYGCLRLSA-N isoliquiritigenin Chemical compound C1=CC(O)=CC=C1\C=C\C(=O)C1=CC=C(O)C=C1O DXDRHHKMWQZJHT-FPYGCLRLSA-N 0.000 description 1
- DXDRHHKMWQZJHT-UHFFFAOYSA-N isoliquiritigenin chalcone Natural products C1=CC(O)=CC=C1C=CC(=O)C1=CC=C(O)C=C1O DXDRHHKMWQZJHT-UHFFFAOYSA-N 0.000 description 1
- TWBYWOBDOCUKOW-UHFFFAOYSA-M isonicotinate Chemical compound [O-]C(=O)C1=CC=NC=C1 TWBYWOBDOCUKOW-UHFFFAOYSA-M 0.000 description 1
- 125000001972 isopentyl group Chemical group [H]C([H])([H])C([H])(C([H])([H])[H])C([H])([H])C([H])([H])* 0.000 description 1
- 230000006122 isoprenylation Effects 0.000 description 1
- ZLTPDFXIESTBQG-UHFFFAOYSA-N isothiazole Chemical group C=1C=NSC=1 ZLTPDFXIESTBQG-UHFFFAOYSA-N 0.000 description 1
- 150000002540 isothiocyanates Chemical class 0.000 description 1
- 239000007951 isotonicity adjuster Substances 0.000 description 1
- 229960004130 itraconazole Drugs 0.000 description 1
- MWDZOUNAPSSOEL-UHFFFAOYSA-N kaempferol Natural products OC1=C(C(=O)c2cc(O)cc(O)c2O1)c3ccc(O)cc3 MWDZOUNAPSSOEL-UHFFFAOYSA-N 0.000 description 1
- 229960000318 kanamycin Drugs 0.000 description 1
- 229930027917 kanamycin Natural products 0.000 description 1
- SBUJHOSQTJFQJX-NOAMYHISSA-N kanamycin Chemical compound O[C@@H]1[C@@H](O)[C@H](O)[C@@H](CN)O[C@@H]1O[C@H]1[C@H](O)[C@@H](O[C@@H]2[C@@H]([C@@H](N)[C@H](O)[C@@H](CO)O2)O)[C@H](N)C[C@@H]1N SBUJHOSQTJFQJX-NOAMYHISSA-N 0.000 description 1
- 229930182823 kanamycin A Natural products 0.000 description 1
- 108010011519 keratan-sulfate endo-1,4-beta-galactosidase Proteins 0.000 description 1
- 206010023332 keratitis Diseases 0.000 description 1
- 150000004715 keto acids Chemical class 0.000 description 1
- 229960004125 ketoconazole Drugs 0.000 description 1
- DKYWVDODHFEZIM-UHFFFAOYSA-N ketoprofen Chemical compound OC(=O)C(C)C1=CC=CC(C(=O)C=2C=CC=CC=2)=C1 DKYWVDODHFEZIM-UHFFFAOYSA-N 0.000 description 1
- 229960000991 ketoprofen Drugs 0.000 description 1
- 201000010982 kidney cancer Diseases 0.000 description 1
- 229950000518 labetuzumab Drugs 0.000 description 1
- JTEGQNOMFQHVDC-NKWVEPMBSA-N lamivudine Chemical compound O=C1N=C(N)C=CN1[C@H]1O[C@@H](CO)SC1 JTEGQNOMFQHVDC-NKWVEPMBSA-N 0.000 description 1
- 229960001627 lamivudine Drugs 0.000 description 1
- CWPGNVFCJOPXFB-UHFFFAOYSA-N lapachol Chemical compound C1=CC=C2C(=O)C(=O)C(CC=C(C)C)=C(O)C2=C1 CWPGNVFCJOPXFB-UHFFFAOYSA-N 0.000 description 1
- SIUGQQMOYSVTAT-UHFFFAOYSA-N lapachol Natural products CC(=CCC1C(O)C(=O)c2ccccc2C1=O)C SIUGQQMOYSVTAT-UHFFFAOYSA-N 0.000 description 1
- 229940115286 lentinan Drugs 0.000 description 1
- 231100001231 less toxic Toxicity 0.000 description 1
- 229960003881 letrozole Drugs 0.000 description 1
- HPJKCIUCZWXJDR-UHFFFAOYSA-N letrozole Chemical compound C1=CC(C#N)=CC=C1C(N1N=CN=C1)C1=CC=C(C#N)C=C1 HPJKCIUCZWXJDR-UHFFFAOYSA-N 0.000 description 1
- 150000002617 leukotrienes Chemical class 0.000 description 1
- GFIJNRVAKGFPGQ-LIJARHBVSA-N leuprolide Chemical compound CCNC(=O)[C@@H]1CCCN1C(=O)[C@H](CCCNC(N)=N)NC(=O)[C@H](CC(C)C)NC(=O)[C@@H](CC(C)C)NC(=O)[C@@H](NC(=O)[C@H](CO)NC(=O)[C@H](CC=1C2=CC=CC=C2NC=1)NC(=O)[C@H](CC=1N=CNC=1)NC(=O)[C@H]1NC(=O)CC1)CC1=CC=C(O)C=C1 GFIJNRVAKGFPGQ-LIJARHBVSA-N 0.000 description 1
- 229960004338 leuprorelin Drugs 0.000 description 1
- 229960001614 levamisole Drugs 0.000 description 1
- 229960003376 levofloxacin Drugs 0.000 description 1
- 229960004194 lidocaine Drugs 0.000 description 1
- OJMMVQQUTAEWLP-KIDUDLJLSA-N lincomycin Chemical compound CN1C[C@H](CCC)C[C@H]1C(=O)N[C@H]([C@@H](C)O)[C@@H]1[C@H](O)[C@H](O)[C@@H](O)[C@@H](SC)O1 OJMMVQQUTAEWLP-KIDUDLJLSA-N 0.000 description 1
- 229960005287 lincomycin Drugs 0.000 description 1
- 208000012987 lip and oral cavity carcinoma Diseases 0.000 description 1
- 150000002632 lipids Chemical class 0.000 description 1
- 206010024627 liposarcoma Diseases 0.000 description 1
- 239000002502 liposome Substances 0.000 description 1
- 210000004185 liver Anatomy 0.000 description 1
- 201000007270 liver cancer Diseases 0.000 description 1
- 208000014018 liver neoplasm Diseases 0.000 description 1
- 239000003589 local anesthetic agent Substances 0.000 description 1
- 229960002422 lomefloxacin Drugs 0.000 description 1
- ZEKZLJVOYLTDKK-UHFFFAOYSA-N lomefloxacin Chemical compound FC1=C2N(CC)C=C(C(O)=O)C(=O)C2=CC(F)=C1N1CCNC(C)C1 ZEKZLJVOYLTDKK-UHFFFAOYSA-N 0.000 description 1
- YROQEQPFUCPDCP-UHFFFAOYSA-N losoxantrone Chemical compound OCCNCCN1N=C2C3=CC=CC(O)=C3C(=O)C3=C2C1=CC=C3NCCNCCO YROQEQPFUCPDCP-UHFFFAOYSA-N 0.000 description 1
- 229950008745 losoxantrone Drugs 0.000 description 1
- PCZOHLXUXFIOCF-BXMDZJJMSA-N lovastatin Chemical compound C([C@H]1[C@@H](C)C=CC2=C[C@H](C)C[C@@H]([C@H]12)OC(=O)[C@@H](C)CC)C[C@@H]1C[C@@H](O)CC(=O)O1 PCZOHLXUXFIOCF-BXMDZJJMSA-N 0.000 description 1
- 229960004844 lovastatin Drugs 0.000 description 1
- QLJODMDSTUBWDW-UHFFFAOYSA-N lovastatin hydroxy acid Natural products C1=CC(C)C(CCC(O)CC(O)CC(O)=O)C2C(OC(=O)C(C)CC)CC(C)C=C21 QLJODMDSTUBWDW-UHFFFAOYSA-N 0.000 description 1
- 239000007937 lozenge Substances 0.000 description 1
- 230000001050 lubricating effect Effects 0.000 description 1
- 201000005202 lung cancer Diseases 0.000 description 1
- 201000005296 lung carcinoma Diseases 0.000 description 1
- 239000003580 lung surfactant Substances 0.000 description 1
- IQPNAANSBPBGFQ-UHFFFAOYSA-N luteolin Chemical compound C=1C(O)=CC(O)=C(C(C=2)=O)C=1OC=2C1=CC=C(O)C(O)=C1 IQPNAANSBPBGFQ-UHFFFAOYSA-N 0.000 description 1
- LRDGATPGVJTWLJ-UHFFFAOYSA-N luteolin Natural products OC1=CC(O)=CC(C=2OC3=CC(O)=CC(O)=C3C(=O)C=2)=C1 LRDGATPGVJTWLJ-UHFFFAOYSA-N 0.000 description 1
- 235000009498 luteolin Nutrition 0.000 description 1
- 201000003265 lymphadenitis Diseases 0.000 description 1
- 208000037829 lymphangioendotheliosarcoma Diseases 0.000 description 1
- 208000012804 lymphangiosarcoma Diseases 0.000 description 1
- 208000001419 lymphocytic choriomeningitis Diseases 0.000 description 1
- 230000000527 lymphocytic effect Effects 0.000 description 1
- 231100001023 lymphopenia Toxicity 0.000 description 1
- 239000008176 lyophilized powder Substances 0.000 description 1
- 235000018977 lysine Nutrition 0.000 description 1
- 230000001868 lysosomic effect Effects 0.000 description 1
- 239000003120 macrolide antibiotic agent Substances 0.000 description 1
- 229940041033 macrolides Drugs 0.000 description 1
- 235000019359 magnesium stearate Nutrition 0.000 description 1
- 230000014759 maintenance of location Effects 0.000 description 1
- VZCYOOQTPOCHFL-UPHRSURJSA-N maleic acid Chemical compound OC(=O)\C=C/C(O)=O VZCYOOQTPOCHFL-UPHRSURJSA-N 0.000 description 1
- 230000003211 malignant effect Effects 0.000 description 1
- 208000026037 malignant tumor of neck Diseases 0.000 description 1
- MQXVYODZCMMZEM-ZYUZMQFOSA-N mannomustine Chemical compound ClCCNC[C@@H](O)[C@@H](O)[C@H](O)[C@H](O)CNCCCl MQXVYODZCMMZEM-ZYUZMQFOSA-N 0.000 description 1
- 229950008612 mannomustine Drugs 0.000 description 1
- 229940099262 marinol Drugs 0.000 description 1
- 229960003951 masoprocol Drugs 0.000 description 1
- 238000004949 mass spectrometry Methods 0.000 description 1
- 239000011159 matrix material Substances 0.000 description 1
- 229960003803 meclofenamic acid Drugs 0.000 description 1
- 208000023356 medullary thyroid gland carcinoma Diseases 0.000 description 1
- 229960003464 mefenamic acid Drugs 0.000 description 1
- 210000002752 melanocyte Anatomy 0.000 description 1
- 229960001929 meloxicam Drugs 0.000 description 1
- 206010027191 meningioma Diseases 0.000 description 1
- 201000011475 meningoencephalitis Diseases 0.000 description 1
- LWYJUZBXGAFFLP-OCNCTQISSA-N menogaril Chemical compound O1[C@@]2(C)[C@H](O)[C@@H](N(C)C)[C@H](O)[C@@H]1OC1=C3C(=O)C(C=C4C[C@@](C)(O)C[C@H](C4=C4O)OC)=C4C(=O)C3=C(O)C=C12 LWYJUZBXGAFFLP-OCNCTQISSA-N 0.000 description 1
- 229950002676 menogaril Drugs 0.000 description 1
- 229960000901 mepacrine Drugs 0.000 description 1
- 229950009246 mepitiostane Drugs 0.000 description 1
- QSHDDOUJBYECFT-UHFFFAOYSA-N mercury Chemical compound [Hg] QSHDDOUJBYECFT-UHFFFAOYSA-N 0.000 description 1
- 229910052753 mercury Inorganic materials 0.000 description 1
- 229960004635 mesna Drugs 0.000 description 1
- 230000004060 metabolic process Effects 0.000 description 1
- 239000002207 metabolite Substances 0.000 description 1
- TWXDDNPPQUTEOV-FVGYRXGTSA-N methamphetamine hydrochloride Chemical compound Cl.CN[C@@H](C)CC1=CC=CC=C1 TWXDDNPPQUTEOV-FVGYRXGTSA-N 0.000 description 1
- 229960004469 methoxsalen Drugs 0.000 description 1
- VJRAUFKOOPNFIQ-TVEKBUMESA-N methyl (1r,2r,4s)-4-[(2r,4s,5s,6s)-5-[(2s,4s,5s,6s)-5-[(2s,4s,5s,6s)-4,5-dihydroxy-6-methyloxan-2-yl]oxy-4-hydroxy-6-methyloxan-2-yl]oxy-4-(dimethylamino)-6-methyloxan-2-yl]oxy-2-ethyl-2,5,7,10-tetrahydroxy-6,11-dioxo-3,4-dihydro-1h-tetracene-1-carboxylat Chemical compound O([C@H]1[C@@H](O)C[C@@H](O[C@H]1C)O[C@H]1[C@H](C[C@@H](O[C@H]1C)O[C@H]1C[C@]([C@@H](C2=CC=3C(=O)C4=C(O)C=CC(O)=C4C(=O)C=3C(O)=C21)C(=O)OC)(O)CC)N(C)C)[C@H]1C[C@H](O)[C@H](O)[C@H](C)O1 VJRAUFKOOPNFIQ-TVEKBUMESA-N 0.000 description 1
- QRMNENFZDDYDEF-GOSISDBHSA-N methyl (8s)-8-(bromomethyl)-2-methyl-4-(4-methylpiperazine-1-carbonyl)oxy-6-(5,6,7-trimethoxy-1h-indole-2-carbonyl)-7,8-dihydro-3h-pyrrolo[3,2-e]indole-1-carboxylate Chemical compound C1([C@H](CBr)CN(C1=C1)C(=O)C=2NC3=C(OC)C(OC)=C(OC)C=C3C=2)=C2C(C(=O)OC)=C(C)NC2=C1OC(=O)N1CCN(C)CC1 QRMNENFZDDYDEF-GOSISDBHSA-N 0.000 description 1
- TWCQWABAGCMHLL-ROVQGQOSSA-N methyl (z)-7-[(1r,2r,3r)-2-[(e)-4-ethenyl-4-hydroxyoct-1-enyl]-3-hydroxy-5-oxocyclopentyl]hept-5-enoate Chemical compound CCCCC(O)(C=C)C\C=C\[C@H]1[C@H](O)CC(=O)[C@@H]1C\C=C/CCCC(=O)OC TWCQWABAGCMHLL-ROVQGQOSSA-N 0.000 description 1
- FHWPXRMQJIZPDX-WWAXUJMESA-N methyl 2-[4-[(1r,2r)-2-[(e)-2-naphthalen-2-ylethenyl]cyclopropyl]butanoylamino]benzoate Chemical compound COC(=O)C1=CC=CC=C1NC(=O)CCC[C@H]1[C@H](\C=C\C=2C=C3C=CC=CC3=CC=2)C1 FHWPXRMQJIZPDX-WWAXUJMESA-N 0.000 description 1
- 150000004702 methyl esters Chemical group 0.000 description 1
- STZCRXQWRGQSJD-GEEYTBSJSA-M methyl orange Chemical compound [Na+].C1=CC(N(C)C)=CC=C1\N=N\C1=CC=C(S([O-])(=O)=O)C=C1 STZCRXQWRGQSJD-GEEYTBSJSA-M 0.000 description 1
- 229940012189 methyl orange Drugs 0.000 description 1
- 235000010270 methyl p-hydroxybenzoate Nutrition 0.000 description 1
- 239000004292 methyl p-hydroxybenzoate Substances 0.000 description 1
- 229960001047 methyl salicylate Drugs 0.000 description 1
- SNVLJLYUUXKWOJ-UHFFFAOYSA-N methylidenecarbene Chemical group C=[C] SNVLJLYUUXKWOJ-UHFFFAOYSA-N 0.000 description 1
- 229960002216 methylparaben Drugs 0.000 description 1
- 229960003085 meticillin Drugs 0.000 description 1
- 229960000282 metronidazole Drugs 0.000 description 1
- VAOCPAMSLUNLGC-UHFFFAOYSA-N metronidazole Chemical compound CC1=NC=C([N+]([O-])=O)N1CCO VAOCPAMSLUNLGC-UHFFFAOYSA-N 0.000 description 1
- YPBATNHYBCGSSN-VWPFQQQWSA-N mezlocillin Chemical compound N([C@@H](C(=O)N[C@H]1[C@H]2SC([C@@H](N2C1=O)C(O)=O)(C)C)C=1C=CC=CC=1)C(=O)N1CCN(S(C)(=O)=O)C1=O YPBATNHYBCGSSN-VWPFQQQWSA-N 0.000 description 1
- 229960000198 mezlocillin Drugs 0.000 description 1
- 239000003094 microcapsule Substances 0.000 description 1
- 235000019813 microcrystalline cellulose Nutrition 0.000 description 1
- 239000008108 microcrystalline cellulose Substances 0.000 description 1
- 229940016286 microcrystalline cellulose Drugs 0.000 description 1
- 239000011859 microparticle Substances 0.000 description 1
- 108010071421 milk fat globule Proteins 0.000 description 1
- 235000010755 mineral Nutrition 0.000 description 1
- 239000011707 mineral Substances 0.000 description 1
- 229960004023 minocycline Drugs 0.000 description 1
- 229960005485 mitobronitol Drugs 0.000 description 1
- 229960003539 mitoguazone Drugs 0.000 description 1
- MXWHMTNPTTVWDM-NXOFHUPFSA-N mitoguazone Chemical compound NC(N)=N\N=C(/C)\C=N\N=C(N)N MXWHMTNPTTVWDM-NXOFHUPFSA-N 0.000 description 1
- VFKZTMPDYBFSTM-GUCUJZIJSA-N mitolactol Chemical compound BrC[C@H](O)[C@@H](O)[C@@H](O)[C@H](O)CBr VFKZTMPDYBFSTM-GUCUJZIJSA-N 0.000 description 1
- 229950010913 mitolactol Drugs 0.000 description 1
- 239000002808 molecular sieve Substances 0.000 description 1
- 238000002625 monoclonal antibody therapy Methods 0.000 description 1
- 239000000178 monomer Substances 0.000 description 1
- 150000002772 monosaccharides Chemical class 0.000 description 1
- 125000002757 morpholinyl group Chemical group 0.000 description 1
- 210000002200 mouth mucosa Anatomy 0.000 description 1
- 229940051875 mucins Drugs 0.000 description 1
- 201000007524 mucormycosis Diseases 0.000 description 1
- 206010028417 myasthenia gravis Diseases 0.000 description 1
- 208000001611 myxosarcoma Diseases 0.000 description 1
- RVXKHAITGKBBAC-SFHVURJKSA-N n-[(1s)-2-cyclohexyl-1-pyridin-2-ylethyl]-5-methyl-1,3-benzoxazol-2-amine Chemical compound C([C@H](NC=1OC2=CC=C(C=C2N=1)C)C=1N=CC=CC=1)C1CCCCC1 RVXKHAITGKBBAC-SFHVURJKSA-N 0.000 description 1
- JORAUNFTUVJTNG-BSTBCYLQSA-N n-[(2s)-4-amino-1-[[(2s,3r)-1-[[(2s)-4-amino-1-oxo-1-[[(3s,6s,9s,12s,15r,18s,21s)-6,9,18-tris(2-aminoethyl)-3-[(1r)-1-hydroxyethyl]-12,15-bis(2-methylpropyl)-2,5,8,11,14,17,20-heptaoxo-1,4,7,10,13,16,19-heptazacyclotricos-21-yl]amino]butan-2-yl]amino]-3-h Chemical compound CC(C)CCCCC(=O)N[C@@H](CCN)C(=O)N[C@H]([C@@H](C)O)CN[C@@H](CCN)C(=O)N[C@H]1CCNC(=O)[C@H]([C@@H](C)O)NC(=O)[C@H](CCN)NC(=O)[C@H](CCN)NC(=O)[C@H](CC(C)C)NC(=O)[C@@H](CC(C)C)NC(=O)[C@H](CCN)NC1=O.CCC(C)CCCCC(=O)N[C@@H](CCN)C(=O)N[C@H]([C@@H](C)O)CN[C@@H](CCN)C(=O)N[C@H]1CCNC(=O)[C@H]([C@@H](C)O)NC(=O)[C@H](CCN)NC(=O)[C@H](CCN)NC(=O)[C@H](CC(C)C)NC(=O)[C@@H](CC(C)C)NC(=O)[C@H](CCN)NC1=O JORAUNFTUVJTNG-BSTBCYLQSA-N 0.000 description 1
- NJSMWLQOCQIOPE-OCHFTUDZSA-N n-[(e)-[10-[(e)-(4,5-dihydro-1h-imidazol-2-ylhydrazinylidene)methyl]anthracen-9-yl]methylideneamino]-4,5-dihydro-1h-imidazol-2-amine Chemical compound N1CCN=C1N\N=C\C(C1=CC=CC=C11)=C(C=CC=C2)C2=C1\C=N\NC1=NCCN1 NJSMWLQOCQIOPE-OCHFTUDZSA-N 0.000 description 1
- KSNUCNRMDYJBKT-UHFFFAOYSA-N n-[3-[4-[4-(2-oxo-3,4-dihydroquinolin-1-yl)piperidine-1-carbonyl]phenoxy]propyl]acetamide Chemical compound C1=CC(OCCCNC(=O)C)=CC=C1C(=O)N1CCC(N2C3=CC=CC=C3CCC2=O)CC1 KSNUCNRMDYJBKT-UHFFFAOYSA-N 0.000 description 1
- OWIUPIRUAQMTTK-UHFFFAOYSA-M n-aminocarbamate Chemical compound NNC([O-])=O OWIUPIRUAQMTTK-UHFFFAOYSA-M 0.000 description 1
- VDUIPQNXOQMTBF-UHFFFAOYSA-N n-ethylhydroxylamine Chemical compound CCNO VDUIPQNXOQMTBF-UHFFFAOYSA-N 0.000 description 1
- 229960004270 nabumetone Drugs 0.000 description 1
- GPXLMGHLHQJAGZ-JTDSTZFVSA-N nafcillin Chemical compound C1=CC=CC2=C(C(=O)N[C@@H]3C(N4[C@H](C(C)(C)S[C@@H]43)C(O)=O)=O)C(OCC)=CC=C21 GPXLMGHLHQJAGZ-JTDSTZFVSA-N 0.000 description 1
- 229960000515 nafcillin Drugs 0.000 description 1
- MHWLWQUZZRMNGJ-UHFFFAOYSA-N nalidixic acid Chemical compound C1=C(C)N=C2N(CC)C=C(C(O)=O)C(=O)C2=C1 MHWLWQUZZRMNGJ-UHFFFAOYSA-N 0.000 description 1
- 229960000210 nalidixic acid Drugs 0.000 description 1
- 229960001133 nandrolone phenpropionate Drugs 0.000 description 1
- UBWXUGDQUBIEIZ-QNTYDACNSA-N nandrolone phenpropionate Chemical compound O([C@H]1CC[C@H]2[C@H]3[C@@H]([C@H]4CCC(=O)C=C4CC3)CC[C@@]21C)C(=O)CCC1=CC=CC=C1 UBWXUGDQUBIEIZ-QNTYDACNSA-N 0.000 description 1
- 239000002105 nanoparticle Substances 0.000 description 1
- YVFMFWAUSKFVGO-UHFFFAOYSA-N naphthalene-2-carboperoxoic acid Chemical class C1=CC=CC2=CC(C(=O)OO)=CC=C21 YVFMFWAUSKFVGO-UHFFFAOYSA-N 0.000 description 1
- 125000004923 naphthylmethyl group Chemical group C1(=CC=CC2=CC=CC=C12)C* 0.000 description 1
- 125000004593 naphthyridinyl group Chemical group N1=C(C=CC2=CC=CN=C12)* 0.000 description 1
- 208000037830 nasal cancer Diseases 0.000 description 1
- 201000009240 nasopharyngitis Diseases 0.000 description 1
- 229930014626 natural product Natural products 0.000 description 1
- 229940086322 navelbine Drugs 0.000 description 1
- 239000006199 nebulizer Substances 0.000 description 1
- 230000001338 necrotic effect Effects 0.000 description 1
- 208000037931 necrotizing enteritis Diseases 0.000 description 1
- 230000007524 negative regulation of DNA replication Effects 0.000 description 1
- QAGYKUNXZHXKMR-HKWSIXNMSA-N nelfinavir Chemical compound CC1=C(O)C=CC=C1C(=O)N[C@H]([C@H](O)CN1[C@@H](C[C@@H]2CCCC[C@@H]2C1)C(=O)NC(C)(C)C)CSC1=CC=CC=C1 QAGYKUNXZHXKMR-HKWSIXNMSA-N 0.000 description 1
- 229960000884 nelfinavir Drugs 0.000 description 1
- 229960004927 neomycin Drugs 0.000 description 1
- 230000001613 neoplastic effect Effects 0.000 description 1
- MQYXUWHLBZFQQO-UHFFFAOYSA-N nepehinol Natural products C1CC(O)C(C)(C)C2CCC3(C)C4(C)CCC5(C)CCC(C(=C)C)C5C4CCC3C21C MQYXUWHLBZFQQO-UHFFFAOYSA-N 0.000 description 1
- 229960000808 netilmicin Drugs 0.000 description 1
- 239000002581 neurotoxin Substances 0.000 description 1
- 231100000618 neurotoxin Toxicity 0.000 description 1
- 229960000689 nevirapine Drugs 0.000 description 1
- 229960001420 nimustine Drugs 0.000 description 1
- VFEDRRNHLBGPNN-UHFFFAOYSA-N nimustine Chemical compound CC1=NC=C(CNC(=O)N(CCCl)N=O)C(N)=N1 VFEDRRNHLBGPNN-UHFFFAOYSA-N 0.000 description 1
- LQNUZADURLCDLV-UHFFFAOYSA-N nitrobenzene Chemical compound [O-][N+](=O)C1=CC=CC=C1 LQNUZADURLCDLV-UHFFFAOYSA-N 0.000 description 1
- 229960000564 nitrofurantoin Drugs 0.000 description 1
- NXFQHRVNIOXGAQ-YCRREMRBSA-N nitrofurantoin Chemical compound O1C([N+](=O)[O-])=CC=C1\C=N\N1C(=O)NC(=O)C1 NXFQHRVNIOXGAQ-YCRREMRBSA-N 0.000 description 1
- 125000004433 nitrogen atom Chemical group N* 0.000 description 1
- 229950006344 nocodazole Drugs 0.000 description 1
- KGTDRFCXGRULNK-JYOBTZKQSA-N nogalamycin Chemical compound CO[C@@H]1[C@@](OC)(C)[C@@H](OC)[C@H](C)O[C@H]1O[C@@H]1C2=C(O)C(C(=O)C3=C(O)C=C4[C@@]5(C)O[C@H]([C@H]([C@@H]([C@H]5O)N(C)C)O)OC4=C3C3=O)=C3C=C2[C@@H](C(=O)OC)[C@@](C)(O)C1 KGTDRFCXGRULNK-JYOBTZKQSA-N 0.000 description 1
- 229950009266 nogalamycin Drugs 0.000 description 1
- 208000002154 non-small cell lung carcinoma Diseases 0.000 description 1
- 231100000252 nontoxic Toxicity 0.000 description 1
- 230000003000 nontoxic effect Effects 0.000 description 1
- 239000000346 nonvolatile oil Substances 0.000 description 1
- 229960001180 norfloxacin Drugs 0.000 description 1
- OGJPXUAPXNRGGI-UHFFFAOYSA-N norfloxacin Chemical compound C1=C2N(CC)C=C(C(O)=O)C(=O)C2=CC(F)=C1N1CCNCC1 OGJPXUAPXNRGGI-UHFFFAOYSA-N 0.000 description 1
- 238000000655 nuclear magnetic resonance spectrum Methods 0.000 description 1
- 238000011580 nude mouse model Methods 0.000 description 1
- XXUPLYBCNPLTIW-UHFFFAOYSA-N octadec-7-ynoic acid Chemical compound CCCCCCCCCCC#CCCCCCC(O)=O XXUPLYBCNPLTIW-UHFFFAOYSA-N 0.000 description 1
- 125000004930 octahydroisoquinolinyl group Chemical group C1(NCCC2CCCC=C12)* 0.000 description 1
- 208000003177 ocular onchocerciasis Diseases 0.000 description 1
- 229960001699 ofloxacin Drugs 0.000 description 1
- 239000002674 ointment Substances 0.000 description 1
- 229940049964 oleate Drugs 0.000 description 1
- ZQPPMHVWECSIRJ-KTKRTIGZSA-N oleic acid Chemical compound CCCCCCCC\C=C/CCCCCCCC(O)=O ZQPPMHVWECSIRJ-KTKRTIGZSA-N 0.000 description 1
- CZDBNBLGZNWKMC-MWQNXGTOSA-N olivomycin Chemical class O([C@@H]1C[C@@H](O[C@H](C)[C@@H]1O)OC=1C=C2C=C3C[C@H]([C@@H](C(=O)C3=C(O)C2=C(O)C=1)O[C@H]1O[C@@H](C)[C@H](O)[C@@H](OC2O[C@@H](C)[C@H](O)[C@@H](O)C2)C1)[C@H](OC)C(=O)[C@@H](O)[C@@H](C)O)[C@H]1C[C@H](O)[C@H](OC)[C@H](C)O1 CZDBNBLGZNWKMC-MWQNXGTOSA-N 0.000 description 1
- 229950010666 ontazolast Drugs 0.000 description 1
- 208000003692 opisthorchiasis Diseases 0.000 description 1
- 229960001840 oprelvekin Drugs 0.000 description 1
- 108010046821 oprelvekin Proteins 0.000 description 1
- 210000000056 organ Anatomy 0.000 description 1
- 239000012074 organic phase Substances 0.000 description 1
- 230000008520 organization Effects 0.000 description 1
- 125000001181 organosilyl group Chemical group [SiH3]* 0.000 description 1
- 201000008968 osteosarcoma Diseases 0.000 description 1
- 210000001672 ovary Anatomy 0.000 description 1
- UWYHMGVUTGAWSP-JKIFEVAISA-N oxacillin Chemical compound N([C@@H]1C(N2[C@H](C(C)(C)S[C@@H]21)C(O)=O)=O)C(=O)C1=C(C)ON=C1C1=CC=CC=C1 UWYHMGVUTGAWSP-JKIFEVAISA-N 0.000 description 1
- 229960001019 oxacillin Drugs 0.000 description 1
- 125000000160 oxazolidinyl group Chemical group 0.000 description 1
- 125000002971 oxazolyl group Chemical group 0.000 description 1
- 230000003647 oxidation Effects 0.000 description 1
- 238000007254 oxidation reaction Methods 0.000 description 1
- 150000002923 oximes Chemical class 0.000 description 1
- 125000004095 oxindolyl group Chemical group N1(C(CC2=CC=CC=C12)=O)* 0.000 description 1
- 238000006213 oxygenation reaction Methods 0.000 description 1
- 229960000625 oxytetracycline Drugs 0.000 description 1
- IWVCMVBTMGNXQD-PXOLEDIWSA-N oxytetracycline Chemical compound C1=CC=C2[C@](O)(C)[C@H]3[C@H](O)[C@H]4[C@H](N(C)C)C(O)=C(C(N)=O)C(=O)[C@@]4(O)C(O)=C3C(=O)C2=C1O IWVCMVBTMGNXQD-PXOLEDIWSA-N 0.000 description 1
- 235000019366 oxytetracycline Nutrition 0.000 description 1
- LSQZJLSUYDQPKJ-UHFFFAOYSA-N p-Hydroxyampicillin Natural products O=C1N2C(C(O)=O)C(C)(C)SC2C1NC(=O)C(N)C1=CC=C(O)C=C1 LSQZJLSUYDQPKJ-UHFFFAOYSA-N 0.000 description 1
- 101800000607 p15 Proteins 0.000 description 1
- 239000006179 pH buffering agent Substances 0.000 description 1
- CWODDUGJZSCNGB-HQNRRURTSA-N palytoxin Chemical compound O([C@@H]1[C@@H](O)[C@H](O)[C@@H](O)[C@@H](O)[C@H](O)CCCCC[C@H](C)C[C@@H]2[C@@]3(C)C[C@H](C)C[C@@](O3)(CCCCCCC[C@H](O)C[C@@H]3[C@@H]([C@@H](O)[C@@H](O)[C@](O)(C[C@H](O)[C@@H](C)\C=C\[C@@H](O)CC[C@@H](O)[C@@H](O)[C@H]4O[C@H](C[C@@H](O)[C@H](O)C[C@@H]5[C@H]([C@H](O)[C@@H](O)[C@H](C[C@H](O)\C=C/C=C/C[C@@H](O)[C@H](O)[C@H](O)C\C=C/C(=C)CC[C@H](O)[C@@H](O)[C@H](O)[C@H](C)C[C@@H]6[C@@H]([C@@H](O)[C@H](O)[C@@H](\C=C/[C@@H](O)[C@H](O)C[C@H]7O[C@H]8C[C@H](O[C@@H]8CC[C@@H]8[C@@H](C[C@@H](CN)O8)O)C7)O6)O)O5)O)[C@@H](O)[C@H](O)C4)O3)O)O2)[C@H](C[C@H](O)[C@H](O)C(\C)=C\[C@H](O)C[C@@H](C)[C@H](O)C(=O)N\C=C\C(=O)NCCCO)[C@H](O)[C@@H](O)[C@@H]1O CWODDUGJZSCNGB-HQNRRURTSA-N 0.000 description 1
- 229960005548 palytoxin Drugs 0.000 description 1
- WRUUGTRCQOWXEG-UHFFFAOYSA-N pamidronate Chemical compound NCCC(O)(P(O)(O)=O)P(O)(O)=O WRUUGTRCQOWXEG-UHFFFAOYSA-N 0.000 description 1
- 229940046231 pamidronate Drugs 0.000 description 1
- VREZDOWOLGNDPW-UHFFFAOYSA-N pancratistatine Natural products C1=C2C3C(O)C(O)C(O)C(O)C3NC(=O)C2=C(O)C2=C1OCO2 VREZDOWOLGNDPW-UHFFFAOYSA-N 0.000 description 1
- 229940014662 pantothenate Drugs 0.000 description 1
- 235000019161 pantothenic acid Nutrition 0.000 description 1
- 239000011713 pantothenic acid Substances 0.000 description 1
- 208000004019 papillary adenocarcinoma Diseases 0.000 description 1
- 201000010198 papillary carcinoma Diseases 0.000 description 1
- 238000007911 parenteral administration Methods 0.000 description 1
- 230000036961 partial effect Effects 0.000 description 1
- 244000052769 pathogen Species 0.000 description 1
- 239000000312 peanut oil Substances 0.000 description 1
- HQQSBEDKMRHYME-UHFFFAOYSA-N pefloxacin mesylate Chemical compound [H+].CS([O-])(=O)=O.C1=C2N(CC)C=C(C(O)=O)C(=O)C2=CC(F)=C1N1CCN(C)CC1 HQQSBEDKMRHYME-UHFFFAOYSA-N 0.000 description 1
- 229960001218 pegademase Drugs 0.000 description 1
- 108010027841 pegademase bovine Proteins 0.000 description 1
- 229960001744 pegaspargase Drugs 0.000 description 1
- 108010001564 pegaspargase Proteins 0.000 description 1
- 229960001373 pegfilgrastim Drugs 0.000 description 1
- 108010044644 pegfilgrastim Proteins 0.000 description 1
- 230000006320 pegylation Effects 0.000 description 1
- 239000008188 pellet Substances 0.000 description 1
- 229960005079 pemetrexed Drugs 0.000 description 1
- 229940056360 penicillin g Drugs 0.000 description 1
- 229940056367 penicillin v Drugs 0.000 description 1
- 208000030940 penile carcinoma Diseases 0.000 description 1
- 201000008174 penis carcinoma Diseases 0.000 description 1
- 125000000538 pentafluorophenyl group Chemical group FC1=C(F)C(F)=C(*)C(F)=C1F 0.000 description 1
- 238000010647 peptide synthesis reaction Methods 0.000 description 1
- 230000010412 perfusion Effects 0.000 description 1
- 208000008494 pericarditis Diseases 0.000 description 1
- 230000002093 peripheral effect Effects 0.000 description 1
- 201000002628 peritoneum cancer Diseases 0.000 description 1
- 239000003208 petroleum Substances 0.000 description 1
- 230000008782 phagocytosis Effects 0.000 description 1
- 239000002831 pharmacologic agent Substances 0.000 description 1
- 201000001369 pharyngoconjunctival fever Diseases 0.000 description 1
- 125000004934 phenanthridinyl group Chemical group C1(=CC=CC2=NC=C3C=CC=CC3=C12)* 0.000 description 1
- 125000004625 phenanthrolinyl group Chemical group N1=C(C=CC2=CC=C3C=CC=NC3=C12)* 0.000 description 1
- 125000001791 phenazinyl group Chemical group C1(=CC=CC2=NC3=CC=CC=C3N=C12)* 0.000 description 1
- CMCWWLVWPDLCRM-UHFFFAOYSA-N phenidone Chemical compound N1C(=O)CCN1C1=CC=CC=C1 CMCWWLVWPDLCRM-UHFFFAOYSA-N 0.000 description 1
- ISWSIDIOOBJBQZ-UHFFFAOYSA-N phenol group Chemical group C1(=CC=CC=C1)O ISWSIDIOOBJBQZ-UHFFFAOYSA-N 0.000 description 1
- 150000002989 phenols Chemical class 0.000 description 1
- 125000004932 phenoxathinyl group Chemical group 0.000 description 1
- 125000001644 phenoxazinyl group Chemical group C1(=CC=CC=2OC3=CC=CC=C3NC12)* 0.000 description 1
- BPLBGHOLXOTWMN-MBNYWOFBSA-N phenoxymethylpenicillin Chemical compound N([C@H]1[C@H]2SC([C@@H](N2C1=O)C(O)=O)(C)C)C(=O)COC1=CC=CC=C1 BPLBGHOLXOTWMN-MBNYWOFBSA-N 0.000 description 1
- 150000003013 phosphoric acid derivatives Chemical class 0.000 description 1
- 230000026731 phosphorylation Effects 0.000 description 1
- 238000006366 phosphorylation reaction Methods 0.000 description 1
- 238000002428 photodynamic therapy Methods 0.000 description 1
- 125000004592 phthalazinyl group Chemical group C1(=NN=CC2=CC=CC=C12)* 0.000 description 1
- IEQIEDJGQAUEQZ-UHFFFAOYSA-N phthalocyanine Chemical compound N1C(N=C2C3=CC=CC=C3C(N=C3C4=CC=CC=C4C(=N4)N3)=N2)=C(C=CC=C2)C2=C1N=C1C2=CC=CC=C2C4=N1 IEQIEDJGQAUEQZ-UHFFFAOYSA-N 0.000 description 1
- 208000024724 pineal body neoplasm Diseases 0.000 description 1
- 201000004123 pineal gland cancer Diseases 0.000 description 1
- SUYJZKRQHBQNCA-UHFFFAOYSA-N pinobanksin Natural products O1C2=CC(O)=CC(O)=C2C(=O)C(O)C1C1=CC=CC=C1 SUYJZKRQHBQNCA-UHFFFAOYSA-N 0.000 description 1
- 229960002292 piperacillin Drugs 0.000 description 1
- WCMIIGXFCMNQDS-IDYPWDAWSA-M piperacillin sodium Chemical compound [Na+].O=C1C(=O)N(CC)CCN1C(=O)N[C@H](C=1C=CC=CC=1)C(=O)N[C@@H]1C(=O)N2[C@@H](C([O-])=O)C(C)(C)S[C@@H]21 WCMIIGXFCMNQDS-IDYPWDAWSA-M 0.000 description 1
- 125000004193 piperazinyl group Chemical group 0.000 description 1
- 125000000587 piperidin-1-yl group Chemical group [H]C1([H])N(*)C([H])([H])C([H])([H])C([H])([H])C1([H])[H] 0.000 description 1
- 125000003386 piperidinyl group Chemical group 0.000 description 1
- 125000005936 piperidyl group Chemical group 0.000 description 1
- NUKCGLDCWQXYOQ-UHFFFAOYSA-N piposulfan Chemical compound CS(=O)(=O)OCCC(=O)N1CCN(C(=O)CCOS(C)(=O)=O)CC1 NUKCGLDCWQXYOQ-UHFFFAOYSA-N 0.000 description 1
- 229950001100 piposulfan Drugs 0.000 description 1
- 108010031345 placental alkaline phosphatase Proteins 0.000 description 1
- 239000004033 plastic Substances 0.000 description 1
- 229920003023 plastic Polymers 0.000 description 1
- 201000000317 pneumocystosis Diseases 0.000 description 1
- 208000030773 pneumonia caused by chlamydia Diseases 0.000 description 1
- 229960001237 podophyllotoxin Drugs 0.000 description 1
- YJGVMLPVUAXIQN-XVVDYKMHSA-N podophyllotoxin Chemical compound COC1=C(OC)C(OC)=CC([C@@H]2C3=CC=4OCOC=4C=C3[C@H](O)[C@@H]3[C@@H]2C(OC3)=O)=C1 YJGVMLPVUAXIQN-XVVDYKMHSA-N 0.000 description 1
- YVCVYCSAAZQOJI-UHFFFAOYSA-N podophyllotoxin Natural products COC1=C(O)C(OC)=CC(C2C3=CC=4OCOC=4C=C3C(O)C3C2C(OC3)=O)=C1 YVCVYCSAAZQOJI-UHFFFAOYSA-N 0.000 description 1
- 229920001983 poloxamer Polymers 0.000 description 1
- 108010054442 polyalanine Proteins 0.000 description 1
- 229920000447 polyanionic polymer Polymers 0.000 description 1
- 208000037244 polycythemia vera Diseases 0.000 description 1
- 229920000024 polymyxin B Polymers 0.000 description 1
- XDJYMJULXQKGMM-UHFFFAOYSA-N polymyxin E1 Natural products CCC(C)CCCCC(=O)NC(CCN)C(=O)NC(C(C)O)C(=O)NC(CCN)C(=O)NC1CCNC(=O)C(C(C)O)NC(=O)C(CCN)NC(=O)C(CCN)NC(=O)C(CC(C)C)NC(=O)C(CC(C)C)NC(=O)C(CCN)NC1=O XDJYMJULXQKGMM-UHFFFAOYSA-N 0.000 description 1
- KNIWPHSUTGNZST-UHFFFAOYSA-N polymyxin E2 Natural products CC(C)CCCCC(=O)NC(CCN)C(=O)NC(C(C)O)C(=O)NC(CCN)C(=O)NC1CCNC(=O)C(C(C)O)NC(=O)C(CCN)NC(=O)C(CCN)NC(=O)C(CC(C)C)NC(=O)C(CC(C)C)NC(=O)C(CCN)NC1=O KNIWPHSUTGNZST-UHFFFAOYSA-N 0.000 description 1
- 229960005266 polymyxin b Drugs 0.000 description 1
- 229920005862 polyol Polymers 0.000 description 1
- 150000003077 polyols Chemical class 0.000 description 1
- 235000013824 polyphenols Nutrition 0.000 description 1
- 229960004293 porfimer sodium Drugs 0.000 description 1
- 230000004481 post-translational protein modification Effects 0.000 description 1
- 238000001556 precipitation Methods 0.000 description 1
- 229960004694 prednimustine Drugs 0.000 description 1
- 229960005205 prednisolone Drugs 0.000 description 1
- OIGNJSKKLXVSLS-VWUMJDOOSA-N prednisolone Chemical compound O=C1C=C[C@]2(C)[C@H]3[C@@H](O)C[C@](C)([C@@](CC4)(O)C(=O)CO)[C@@H]4[C@@H]3CCC2=C1 OIGNJSKKLXVSLS-VWUMJDOOSA-N 0.000 description 1
- 230000002028 premature Effects 0.000 description 1
- 230000001855 preneoplastic effect Effects 0.000 description 1
- 238000012746 preparative thin layer chromatography Methods 0.000 description 1
- 230000002335 preservative effect Effects 0.000 description 1
- 150000003141 primary amines Chemical class 0.000 description 1
- 201000009395 primary hyperaldosteronism Diseases 0.000 description 1
- 238000012545 processing Methods 0.000 description 1
- 206010036807 progressive multifocal leukoencephalopathy Diseases 0.000 description 1
- 230000002062 proliferating effect Effects 0.000 description 1
- 230000000069 prophylactic effect Effects 0.000 description 1
- 235000010388 propyl gallate Nutrition 0.000 description 1
- 239000000473 propyl gallate Substances 0.000 description 1
- 229940075579 propyl gallate Drugs 0.000 description 1
- QQONPFPTGQHPMA-UHFFFAOYSA-N propylene Natural products CC=C QQONPFPTGQHPMA-UHFFFAOYSA-N 0.000 description 1
- 125000004805 propylene group Chemical group [H]C([H])([H])C([H])([*:1])C([H])([H])[*:2] 0.000 description 1
- MYHXHCUNDDAEOZ-FOSBLDSVSA-N prostaglandin A2 Chemical compound CCCCC[C@H](O)\C=C\[C@H]1C=CC(=O)[C@@H]1C\C=C/CCCC(O)=O MYHXHCUNDDAEOZ-FOSBLDSVSA-N 0.000 description 1
- GMVPRGQOIOIIMI-DWKJAMRDSA-N prostaglandin E1 Chemical compound CCCCC[C@H](O)\C=C\[C@H]1[C@H](O)CC(=O)[C@@H]1CCCCCCC(O)=O GMVPRGQOIOIIMI-DWKJAMRDSA-N 0.000 description 1
- 108010043671 prostatic acid phosphatase Proteins 0.000 description 1
- 125000006239 protecting group Chemical group 0.000 description 1
- 230000004853 protein function Effects 0.000 description 1
- 230000006337 proteolytic cleavage Effects 0.000 description 1
- 229950003082 proxicromil Drugs 0.000 description 1
- 125000001042 pteridinyl group Chemical group N1=C(N=CC2=NC=CN=C12)* 0.000 description 1
- WOLQREOUPKZMEX-UHFFFAOYSA-N pteroyltriglutamic acid Chemical compound C=1N=C2NC(N)=NC(=O)C2=NC=1CNC1=CC=C(C(=O)NC(CCC(=O)NC(CCC(=O)NC(CCC(O)=O)C(O)=O)C(O)=O)C(O)=O)C=C1 WOLQREOUPKZMEX-UHFFFAOYSA-N 0.000 description 1
- 239000000649 purine antagonist Substances 0.000 description 1
- 125000000561 purinyl group Chemical group N1=C(N=C2N=CNC2=C1)* 0.000 description 1
- 229950010131 puromycin Drugs 0.000 description 1
- 125000004309 pyranyl group Chemical group O1C(C=CC=C1)* 0.000 description 1
- 125000004307 pyrazin-2-yl group Chemical group [H]C1=C([H])N=C(*)C([H])=N1 0.000 description 1
- 125000004944 pyrazin-3-yl group Chemical group [H]C1=C([H])N=C(*)C([H])=N1 0.000 description 1
- 125000003072 pyrazolidinyl group Chemical group 0.000 description 1
- DNXIASIHZYFFRO-UHFFFAOYSA-N pyrazoline Chemical group C1CN=NC1 DNXIASIHZYFFRO-UHFFFAOYSA-N 0.000 description 1
- 125000002755 pyrazolinyl group Chemical group 0.000 description 1
- 125000002206 pyridazin-3-yl group Chemical group [H]C1=C([H])C([H])=C(*)N=N1 0.000 description 1
- 125000004940 pyridazin-4-yl group Chemical group N1=NC=C(C=C1)* 0.000 description 1
- 125000004941 pyridazin-5-yl group Chemical group N1=NC=CC(=C1)* 0.000 description 1
- 125000004942 pyridazin-6-yl group Chemical group N1=NC=CC=C1* 0.000 description 1
- PBMFSQRYOILNGV-UHFFFAOYSA-N pyridazine Chemical group C1=CC=NN=C1 PBMFSQRYOILNGV-UHFFFAOYSA-N 0.000 description 1
- GRJJQCWNZGRKAU-UHFFFAOYSA-N pyridin-1-ium;fluoride Chemical compound F.C1=CC=NC=C1 GRJJQCWNZGRKAU-UHFFFAOYSA-N 0.000 description 1
- 125000005494 pyridonyl group Chemical group 0.000 description 1
- 125000000246 pyrimidin-2-yl group Chemical group [H]C1=NC(*)=NC([H])=C1[H] 0.000 description 1
- 125000004527 pyrimidin-4-yl group Chemical group N1=CN=C(C=C1)* 0.000 description 1
- 125000004528 pyrimidin-5-yl group Chemical group N1=CN=CC(=C1)* 0.000 description 1
- 125000004943 pyrimidin-6-yl group Chemical group N1=CN=CC=C1* 0.000 description 1
- 125000000719 pyrrolidinyl group Chemical group 0.000 description 1
- 125000001422 pyrrolinyl group Chemical group 0.000 description 1
- GPKJTRJOBQGKQK-UHFFFAOYSA-N quinacrine Chemical compound C1=C(OC)C=C2C(NC(C)CCCN(CC)CC)=C(C=CC(Cl)=C3)C3=NC2=C1 GPKJTRJOBQGKQK-UHFFFAOYSA-N 0.000 description 1
- 125000002294 quinazolinyl group Chemical group N1=C(N=CC2=CC=CC=C12)* 0.000 description 1
- 150000007660 quinolones Chemical class 0.000 description 1
- AUJXLBOHYWTPFV-UHFFFAOYSA-N quinomycin A Natural products CN1C(=O)C(C)NC(=O)C(NC(=O)C=2N=C3C=CC=CC3=NC=2)COC(=O)C(C(C)C)N(C)C(=O)C2N(C)C(=O)C(C)NC(=O)C(NC(=O)C=3N=C4C=CC=CC4=NC=3)COC(=O)C(C(C)C)N(C)C(=O)C1CSC2SC AUJXLBOHYWTPFV-UHFFFAOYSA-N 0.000 description 1
- 125000001567 quinoxalinyl group Chemical group N1=C(C=NC2=CC=CC=C12)* 0.000 description 1
- 125000004621 quinuclidinyl group Chemical group N12C(CC(CC1)CC2)* 0.000 description 1
- 108010071077 quinupristin-dalfopristin Proteins 0.000 description 1
- 239000002534 radiation-sensitizing agent Substances 0.000 description 1
- HCWPIIXVSYCSAN-UHFFFAOYSA-N radium atom Chemical compound [Ra] HCWPIIXVSYCSAN-UHFFFAOYSA-N 0.000 description 1
- 229960004622 raloxifene Drugs 0.000 description 1
- GZUITABIAKMVPG-UHFFFAOYSA-N raloxifene Chemical compound C1=CC(O)=CC=C1C1=C(C(=O)C=2C=CC(OCCN3CCCCC3)=CC=2)C2=CC=C(O)C=C2S1 GZUITABIAKMVPG-UHFFFAOYSA-N 0.000 description 1
- 229960004432 raltitrexed Drugs 0.000 description 1
- 238000002708 random mutagenesis Methods 0.000 description 1
- 229960000424 rasburicase Drugs 0.000 description 1
- 108010084837 rasburicase Proteins 0.000 description 1
- 208000010563 rat-bite fever Diseases 0.000 description 1
- BMKDZUISNHGIBY-UHFFFAOYSA-N razoxane Chemical compound C1C(=O)NC(=O)CN1C(C)CN1CC(=O)NC(=O)C1 BMKDZUISNHGIBY-UHFFFAOYSA-N 0.000 description 1
- 229960000460 razoxane Drugs 0.000 description 1
- 208000002574 reactive arthritis Diseases 0.000 description 1
- 229940044551 receptor antagonist Drugs 0.000 description 1
- 239000002464 receptor antagonist Substances 0.000 description 1
- 206010038038 rectal cancer Diseases 0.000 description 1
- 210000000664 rectum Anatomy 0.000 description 1
- 201000001275 rectum cancer Diseases 0.000 description 1
- 238000005932 reductive alkylation reaction Methods 0.000 description 1
- 238000006268 reductive amination reaction Methods 0.000 description 1
- 238000006578 reductive coupling reaction Methods 0.000 description 1
- 230000001105 regulatory effect Effects 0.000 description 1
- 208000007865 relapsing fever Diseases 0.000 description 1
- 208000030925 respiratory syncytial virus infectious disease Diseases 0.000 description 1
- 208000023504 respiratory system disease Diseases 0.000 description 1
- 229930002330 retinoic acid Natural products 0.000 description 1
- 238000004007 reversed phase HPLC Methods 0.000 description 1
- 201000009410 rhabdomyosarcoma Diseases 0.000 description 1
- 201000003068 rheumatic fever Diseases 0.000 description 1
- 206010039083 rhinitis Diseases 0.000 description 1
- 239000002336 ribonucleotide Substances 0.000 description 1
- 125000002652 ribonucleotide group Chemical group 0.000 description 1
- 235000009566 rice Nutrition 0.000 description 1
- 229960001225 rifampicin Drugs 0.000 description 1
- 229960000888 rimantadine Drugs 0.000 description 1
- 238000007363 ring formation reaction Methods 0.000 description 1
- NCDNCNXCDXHOMX-XGKFQTDJSA-N ritonavir Chemical compound N([C@@H](C(C)C)C(=O)N[C@H](C[C@H](O)[C@H](CC=1C=CC=CC=1)NC(=O)OCC=1SC=NC=1)CC=1C=CC=CC=1)C(=O)N(C)CC1=CSC(C(C)C)=N1 NCDNCNXCDXHOMX-XGKFQTDJSA-N 0.000 description 1
- 229960000311 ritonavir Drugs 0.000 description 1
- 229950004892 rodorubicin Drugs 0.000 description 1
- MBABCNBNDNGODA-WPZDJQSSSA-N rolliniastatin 1 Natural products O1[C@@H]([C@@H](O)CCCCCCCCCC)CC[C@H]1[C@H]1O[C@@H]([C@H](O)CCCCCCCCCC[C@@H](O)CC=2C(O[C@@H](C)C=2)=O)CC1 MBABCNBNDNGODA-WPZDJQSSSA-N 0.000 description 1
- IMUQLZLGWJSVMV-UOBFQKKOSA-N roridin A Natural products CC(O)C1OCCC(C)C(O)C(=O)OCC2CC(=CC3OC4CC(OC(=O)C=C/C=C/1)C(C)(C23)C45CO5)C IMUQLZLGWJSVMV-UOBFQKKOSA-N 0.000 description 1
- VHXNKPBCCMUMSW-FQEVSTJZSA-N rubitecan Chemical compound C1=CC([N+]([O-])=O)=C2C=C(CN3C4=CC5=C(C3=O)COC(=O)[C@]5(O)CC)C4=NC2=C1 VHXNKPBCCMUMSW-FQEVSTJZSA-N 0.000 description 1
- YGSDEFSMJLZEOE-UHFFFAOYSA-M salicylate Chemical compound OC1=CC=CC=C1C([O-])=O YGSDEFSMJLZEOE-UHFFFAOYSA-M 0.000 description 1
- 229960001860 salicylate Drugs 0.000 description 1
- 201000003804 salivary gland carcinoma Diseases 0.000 description 1
- 238000005070 sampling Methods 0.000 description 1
- QWAXKHKRTORLEM-UGJKXSETSA-N saquinavir Chemical compound C([C@@H]([C@H](O)CN1C[C@H]2CCCC[C@H]2C[C@H]1C(=O)NC(C)(C)C)NC(=O)[C@H](CC(N)=O)NC(=O)C=1N=C2C=CC=CC2=CC=1)C1=CC=CC=C1 QWAXKHKRTORLEM-UGJKXSETSA-N 0.000 description 1
- 229960001852 saquinavir Drugs 0.000 description 1
- 229930182947 sarcodictyin Natural products 0.000 description 1
- 229960002530 sargramostim Drugs 0.000 description 1
- 108010038379 sargramostim Proteins 0.000 description 1
- 238000012216 screening Methods 0.000 description 1
- 201000008407 sebaceous adenocarcinoma Diseases 0.000 description 1
- 150000003335 secondary amines Chemical class 0.000 description 1
- 125000000467 secondary amino group Chemical group [H]N([*:1])[*:2] 0.000 description 1
- 230000035945 sensitivity Effects 0.000 description 1
- 201000001223 septic arthritis Diseases 0.000 description 1
- 238000013207 serial dilution Methods 0.000 description 1
- 239000008159 sesame oil Substances 0.000 description 1
- 235000011803 sesame oil Nutrition 0.000 description 1
- 208000002491 severe combined immunodeficiency Diseases 0.000 description 1
- 239000004208 shellac Substances 0.000 description 1
- ZLGIYFNHBLSMPS-ATJNOEHPSA-N shellac Chemical compound OCCCCCC(O)C(O)CCCCCCCC(O)=O.C1C23[C@H](C(O)=O)CCC2[C@](C)(CO)[C@@H]1C(C(O)=O)=C[C@@H]3O ZLGIYFNHBLSMPS-ATJNOEHPSA-N 0.000 description 1
- 229940113147 shellac Drugs 0.000 description 1
- 235000013874 shellac Nutrition 0.000 description 1
- 229940007046 shigella dysenteriae Drugs 0.000 description 1
- 229940115939 shigella sonnei Drugs 0.000 description 1
- 201000006476 shipyard eye Diseases 0.000 description 1
- 125000005629 sialic acid group Chemical group 0.000 description 1
- 231100000161 signs of toxicity Toxicity 0.000 description 1
- 238000010898 silica gel chromatography Methods 0.000 description 1
- 239000000377 silicon dioxide Substances 0.000 description 1
- 229910052709 silver Inorganic materials 0.000 description 1
- 239000004332 silver Substances 0.000 description 1
- 238000009097 single-agent therapy Methods 0.000 description 1
- 201000009890 sinusitis Diseases 0.000 description 1
- 238000003998 size exclusion chromatography high performance liquid chromatography Methods 0.000 description 1
- 229950001403 sizofiran Drugs 0.000 description 1
- 235000020183 skimmed milk Nutrition 0.000 description 1
- 201000000849 skin cancer Diseases 0.000 description 1
- 201000002612 sleeping sickness Diseases 0.000 description 1
- 239000002002 slurry Substances 0.000 description 1
- 208000000587 small cell lung carcinoma Diseases 0.000 description 1
- 235000010413 sodium alginate Nutrition 0.000 description 1
- 239000000661 sodium alginate Substances 0.000 description 1
- 229940005550 sodium alginate Drugs 0.000 description 1
- URGAHOPLAPQHLN-UHFFFAOYSA-N sodium aluminosilicate Chemical compound [Na+].[Al+3].[O-][Si]([O-])=O.[O-][Si]([O-])=O URGAHOPLAPQHLN-UHFFFAOYSA-N 0.000 description 1
- BEOOHQFXGBMRKU-UHFFFAOYSA-N sodium cyanoborohydride Chemical compound [Na+].[B-]C#N BEOOHQFXGBMRKU-UHFFFAOYSA-N 0.000 description 1
- 238000002415 sodium dodecyl sulfate polyacrylamide gel electrophoresis Methods 0.000 description 1
- 239000012312 sodium hydride Substances 0.000 description 1
- 229910000104 sodium hydride Inorganic materials 0.000 description 1
- 235000010267 sodium hydrogen sulphite Nutrition 0.000 description 1
- RYYKJJJTJZKILX-UHFFFAOYSA-M sodium octadecanoate Chemical compound [Na+].CCCCCCCCCCCCCCCCCC([O-])=O RYYKJJJTJZKILX-UHFFFAOYSA-M 0.000 description 1
- 235000010339 sodium tetraborate Nutrition 0.000 description 1
- GKDIMGQSBSDJNC-UHFFFAOYSA-M sodium;2-[3-[3-[2-ethyl-4-(4-fluorophenyl)-5-hydroxyphenoxy]propoxy]-2-propylphenoxy]benzoate Chemical compound [Na+].C1=CC=C(OC=2C(=CC=CC=2)C([O-])=O)C(CCC)=C1OCCCOC(C(=C1)CC)=CC(O)=C1C1=CC=C(F)C=C1 GKDIMGQSBSDJNC-UHFFFAOYSA-M 0.000 description 1
- YPURUCMVRRNPHJ-UHFFFAOYSA-M sodium;3-[3-tert-butylsulfanyl-1-[(4-chlorophenyl)methyl]-5-(quinolin-2-ylmethoxy)indol-2-yl]-2,2-dimethylpropanoate Chemical compound [Na+].C12=CC=C(OCC=3N=C4C=CC=CC4=CC=3)C=C2C(SC(C)(C)C)=C(CC(C)(C)C([O-])=O)N1CC1=CC=C(Cl)C=C1 YPURUCMVRRNPHJ-UHFFFAOYSA-M 0.000 description 1
- 239000011343 solid material Substances 0.000 description 1
- 230000037439 somatic mutation Effects 0.000 description 1
- NHXLMOGPVYXJNR-ATOGVRKGSA-N somatostatin Chemical compound C([C@H]1C(=O)N[C@H](C(N[C@@H](CO)C(=O)N[C@@H](CSSC[C@@H](C(=O)N[C@@H](CCCCN)C(=O)N[C@@H](CC(N)=O)C(=O)N[C@@H](CC=2C=CC=CC=2)C(=O)N[C@@H](CC=2C=CC=CC=2)C(=O)N[C@@H](CC=2C3=CC=CC=C3NC=2)C(=O)N[C@@H](CCCCN)C(=O)N[C@H](C(=O)N1)[C@@H](C)O)NC(=O)CNC(=O)[C@H](C)N)C(O)=O)=O)[C@H](O)C)C1=CC=CC=C1 NHXLMOGPVYXJNR-ATOGVRKGSA-N 0.000 description 1
- 229960000553 somatostatin Drugs 0.000 description 1
- 239000003549 soybean oil Substances 0.000 description 1
- 235000012424 soybean oil Nutrition 0.000 description 1
- DZZWHBIBMUVIIW-DTORHVGOSA-N sparfloxacin Chemical compound C1[C@@H](C)N[C@@H](C)CN1C1=C(F)C(N)=C2C(=O)C(C(O)=O)=CN(C3CC3)C2=C1F DZZWHBIBMUVIIW-DTORHVGOSA-N 0.000 description 1
- 229960004954 sparfloxacin Drugs 0.000 description 1
- 230000009870 specific binding Effects 0.000 description 1
- 229960000268 spectinomycin Drugs 0.000 description 1
- UNFWWIHTNXNPBV-WXKVUWSESA-N spectinomycin Chemical compound O([C@@H]1[C@@H](NC)[C@@H](O)[C@H]([C@@H]([C@H]1O1)O)NC)[C@]2(O)[C@H]1O[C@H](C)CC2=O UNFWWIHTNXNPBV-WXKVUWSESA-N 0.000 description 1
- 230000003595 spectral effect Effects 0.000 description 1
- 150000003408 sphingolipids Chemical class 0.000 description 1
- 238000009987 spinning Methods 0.000 description 1
- 229950006315 spirogermanium Drugs 0.000 description 1
- ICXJVZHDZFXYQC-UHFFFAOYSA-N spongistatin 1 Natural products OC1C(O2)(O)CC(O)C(C)C2CCCC=CC(O2)CC(O)CC2(O2)CC(OC)CC2CC(=O)C(C)C(OC(C)=O)C(C)C(=C)CC(O2)CC(C)(O)CC2(O2)CC(OC(C)=O)CC2CC(=O)OC2C(O)C(CC(=C)CC(O)C=CC(Cl)=C)OC1C2C ICXJVZHDZFXYQC-UHFFFAOYSA-N 0.000 description 1
- 239000007921 spray Substances 0.000 description 1
- 230000000087 stabilizing effect Effects 0.000 description 1
- 229960001203 stavudine Drugs 0.000 description 1
- 239000008227 sterile water for injection Substances 0.000 description 1
- 150000003431 steroids Chemical class 0.000 description 1
- 229940031000 streptococcus pneumoniae Drugs 0.000 description 1
- 229960005322 streptomycin Drugs 0.000 description 1
- 238000010254 subcutaneous injection Methods 0.000 description 1
- 239000007929 subcutaneous injection Substances 0.000 description 1
- 125000000547 substituted alkyl group Chemical group 0.000 description 1
- 125000003107 substituted aryl group Chemical group 0.000 description 1
- 229960002317 succinimide Drugs 0.000 description 1
- 150000008163 sugars Chemical class 0.000 description 1
- SKIVFJLNDNKQPD-UHFFFAOYSA-N sulfacetamide Chemical compound CC(=O)NS(=O)(=O)C1=CC=C(N)C=C1 SKIVFJLNDNKQPD-UHFFFAOYSA-N 0.000 description 1
- 229960002673 sulfacetamide Drugs 0.000 description 1
- SEEPANYCNGTZFQ-UHFFFAOYSA-N sulfadiazine Chemical compound C1=CC(N)=CC=C1S(=O)(=O)NC1=NC=CC=N1 SEEPANYCNGTZFQ-UHFFFAOYSA-N 0.000 description 1
- 229960004306 sulfadiazine Drugs 0.000 description 1
- 229960000654 sulfafurazole Drugs 0.000 description 1
- VACCAVUAMIDAGB-UHFFFAOYSA-N sulfamethizole Chemical compound S1C(C)=NN=C1NS(=O)(=O)C1=CC=C(N)C=C1 VACCAVUAMIDAGB-UHFFFAOYSA-N 0.000 description 1
- 229960005158 sulfamethizole Drugs 0.000 description 1
- 229960005404 sulfamethoxazole Drugs 0.000 description 1
- PXQLVRUNWNTZOS-UHFFFAOYSA-N sulfanyl Chemical compound [SH] PXQLVRUNWNTZOS-UHFFFAOYSA-N 0.000 description 1
- NCEXYHBECQHGNR-UHFFFAOYSA-N sulfasalazine Natural products C1=C(O)C(C(=O)O)=CC(N=NC=2C=CC(=CC=2)S(=O)(=O)NC=2N=CC=CC=2)=C1 NCEXYHBECQHGNR-UHFFFAOYSA-N 0.000 description 1
- 229960001940 sulfasalazine Drugs 0.000 description 1
- 229940124530 sulfonamide Drugs 0.000 description 1
- 150000003456 sulfonamides Chemical class 0.000 description 1
- YBBRCQOCSYXUOC-UHFFFAOYSA-N sulfuryl dichloride Chemical class ClS(Cl)(=O)=O YBBRCQOCSYXUOC-UHFFFAOYSA-N 0.000 description 1
- MLKXDPUZXIRXEP-MFOYZWKCSA-N sulindac Chemical compound CC1=C(CC(O)=O)C2=CC(F)=CC=C2\C1=C/C1=CC=C(S(C)=O)C=C1 MLKXDPUZXIRXEP-MFOYZWKCSA-N 0.000 description 1
- 229960000894 sulindac Drugs 0.000 description 1
- JLKIGFTWXXRPMT-UHFFFAOYSA-N sulphamethoxazole Chemical compound O1C(C)=CC(NS(=O)(=O)C=2C=CC(N)=CC=2)=N1 JLKIGFTWXXRPMT-UHFFFAOYSA-N 0.000 description 1
- 230000003319 supportive effect Effects 0.000 description 1
- 239000004094 surface-active agent Substances 0.000 description 1
- 239000000375 suspending agent Substances 0.000 description 1
- 230000002459 sustained effect Effects 0.000 description 1
- 238000013268 sustained release Methods 0.000 description 1
- 239000012730 sustained-release form Substances 0.000 description 1
- 201000010965 sweat gland carcinoma Diseases 0.000 description 1
- 229940036185 synagis Drugs 0.000 description 1
- 206010042863 synovial sarcoma Diseases 0.000 description 1
- 231100000057 systemic toxicity Toxicity 0.000 description 1
- 101150047061 tag-72 gene Proteins 0.000 description 1
- 229940095064 tartrate Drugs 0.000 description 1
- DKPFODGZWDEEBT-QFIAKTPHSA-N taxane Chemical class C([C@]1(C)CCC[C@@H](C)[C@H]1C1)C[C@H]2[C@H](C)CC[C@@H]1C2(C)C DKPFODGZWDEEBT-QFIAKTPHSA-N 0.000 description 1
- 229960004964 temozolomide Drugs 0.000 description 1
- 229960004556 tenofovir Drugs 0.000 description 1
- VCMJCVGFSROFHV-WZGZYPNHSA-N tenofovir disoproxil fumarate Chemical compound OC(=O)\C=C\C(O)=O.N1=CN=C2N(C[C@@H](C)OCP(=O)(OCOC(=O)OC(C)C)OCOC(=O)OC(C)C)C=NC2=C1N VCMJCVGFSROFHV-WZGZYPNHSA-N 0.000 description 1
- WZWYJBNHTWCXIM-UHFFFAOYSA-N tenoxicam Chemical compound O=C1C=2SC=CC=2S(=O)(=O)N(C)C1=C(O)NC1=CC=CC=N1 WZWYJBNHTWCXIM-UHFFFAOYSA-N 0.000 description 1
- 229960002871 tenoxicam Drugs 0.000 description 1
- IWVCMVBTMGNXQD-UHFFFAOYSA-N terramycin dehydrate Natural products C1=CC=C2C(O)(C)C3C(O)C4C(N(C)C)C(O)=C(C(N)=O)C(=O)C4(O)C(O)=C3C(=O)C2=C1O IWVCMVBTMGNXQD-UHFFFAOYSA-N 0.000 description 1
- MHYGQXWCZAYSLJ-UHFFFAOYSA-N tert-butyl-chloro-diphenylsilane Chemical compound C=1C=CC=CC=1[Si](Cl)(C(C)(C)C)C1=CC=CC=C1 MHYGQXWCZAYSLJ-UHFFFAOYSA-N 0.000 description 1
- 201000003120 testicular cancer Diseases 0.000 description 1
- 238000012360 testing method Methods 0.000 description 1
- 229940040944 tetracyclines Drugs 0.000 description 1
- 125000003718 tetrahydrofuranyl group Chemical group 0.000 description 1
- 125000003039 tetrahydroisoquinolinyl group Chemical group C1(NCCC2=CC=CC=C12)* 0.000 description 1
- 125000001412 tetrahydropyranyl group Chemical group 0.000 description 1
- 125000005942 tetrahydropyridyl group Chemical group 0.000 description 1
- 125000000147 tetrahydroquinolinyl group Chemical group N1(CCCC2=CC=CC=C12)* 0.000 description 1
- CZDYPVPMEAXLPK-UHFFFAOYSA-N tetramethylsilane Chemical compound C[Si](C)(C)C CZDYPVPMEAXLPK-UHFFFAOYSA-N 0.000 description 1
- ZRKFYGHZFMAOKI-QMGMOQQFSA-N tgfbeta Chemical compound C([C@H](NC(=O)[C@H](C(C)C)NC(=O)CNC(=O)[C@H](CCC(O)=O)NC(=O)[C@H](CCCNC(N)=N)NC(=O)[C@H](CC(N)=O)NC(=O)[C@H](CC(C)C)NC(=O)[C@H]([C@@H](C)O)NC(=O)[C@H](CCC(O)=O)NC(=O)[C@H]([C@@H](C)O)NC(=O)[C@H](CC(C)C)NC(=O)CNC(=O)[C@H](C)NC(=O)[C@H](CO)NC(=O)[C@H](CCC(N)=O)NC(=O)[C@@H](NC(=O)[C@H](C)NC(=O)[C@H](C)NC(=O)[C@@H](NC(=O)[C@H](CC(C)C)NC(=O)[C@@H](N)CCSC)C(C)C)[C@@H](C)CC)C(=O)N[C@@H]([C@@H](C)O)C(=O)N[C@@H](C(C)C)C(=O)N[C@@H](CC=1C=CC=CC=1)C(=O)N[C@@H](C)C(=O)N1[C@@H](CCC1)C(=O)N[C@@H]([C@@H](C)O)C(=O)N[C@@H](CC(N)=O)C(=O)N[C@@H](CCC(O)=O)C(=O)N[C@@H](C)C(=O)N[C@@H](CC=1C=CC=CC=1)C(=O)N[C@@H](CCCNC(N)=N)C(=O)N[C@@H](C)C(=O)N[C@@H](CC(C)C)C(=O)N1[C@@H](CCC1)C(=O)N1[C@@H](CCC1)C(=O)N[C@@H](CCCNC(N)=N)C(=O)N[C@@H](CCC(O)=O)C(=O)N[C@@H](CCCNC(N)=N)C(=O)N[C@@H](CO)C(=O)N[C@@H](CCCNC(N)=N)C(=O)N[C@@H](CC(C)C)C(=O)N[C@@H](CC(C)C)C(O)=O)C1=CC=C(O)C=C1 ZRKFYGHZFMAOKI-QMGMOQQFSA-N 0.000 description 1
- IXFPJGBNCFXKPI-FSIHEZPISA-N thapsigargin Chemical compound CCCC(=O)O[C@H]1C[C@](C)(OC(C)=O)[C@H]2[C@H](OC(=O)CCCCCCC)[C@@H](OC(=O)C(\C)=C/C)C(C)=C2[C@@H]2OC(=O)[C@@](C)(O)[C@]21O IXFPJGBNCFXKPI-FSIHEZPISA-N 0.000 description 1
- 231100001274 therapeutic index Toxicity 0.000 description 1
- 125000004927 thianaphthalenyl group Chemical group S1C(C=CC2=CC=CC=C12)* 0.000 description 1
- 125000004627 thianthrenyl group Chemical group C1(=CC=CC=2SC3=CC=CC=C3SC12)* 0.000 description 1
- 230000008719 thickening Effects 0.000 description 1
- 239000002562 thickening agent Substances 0.000 description 1
- SRVJKTDHMYAMHA-WUXMJOGZSA-N thioacetazone Chemical compound CC(=O)NC1=CC=C(\C=N\NC(N)=S)C=C1 SRVJKTDHMYAMHA-WUXMJOGZSA-N 0.000 description 1
- 150000003568 thioethers Chemical class 0.000 description 1
- CNHYKKNIIGEXAY-UHFFFAOYSA-N thiolan-2-imine Chemical compound N=C1CCCS1 CNHYKKNIIGEXAY-UHFFFAOYSA-N 0.000 description 1
- ATGUDZODTABURZ-UHFFFAOYSA-N thiolan-2-ylideneazanium;chloride Chemical compound Cl.N=C1CCCS1 ATGUDZODTABURZ-UHFFFAOYSA-N 0.000 description 1
- 229930192474 thiophene Chemical group 0.000 description 1
- 125000000341 threoninyl group Chemical group [H]OC([H])(C([H])([H])[H])C([H])(N([H])[H])C(*)=O 0.000 description 1
- 206010043554 thrombocytopenia Diseases 0.000 description 1
- 239000003734 thymidylate synthase inhibitor Substances 0.000 description 1
- 229960002175 thyroglobulin Drugs 0.000 description 1
- 201000002510 thyroid cancer Diseases 0.000 description 1
- 206010043778 thyroiditis Diseases 0.000 description 1
- 208000005057 thyrotoxicosis Diseases 0.000 description 1
- YFTWHEBLORWGNI-UHFFFAOYSA-N tiamiprine Chemical compound CN1C=NC([N+]([O-])=O)=C1SC1=NC(N)=NC2=C1NC=N2 YFTWHEBLORWGNI-UHFFFAOYSA-N 0.000 description 1
- 229950011457 tiamiprine Drugs 0.000 description 1
- OHKOGUYZJXTSFX-KZFFXBSXSA-N ticarcillin Chemical compound C=1([C@@H](C(O)=O)C(=O)N[C@H]2[C@H]3SC([C@@H](N3C2=O)C(O)=O)(C)C)C=CSC=1 OHKOGUYZJXTSFX-KZFFXBSXSA-N 0.000 description 1
- 229960004659 ticarcillin Drugs 0.000 description 1
- 229960000707 tobramycin Drugs 0.000 description 1
- NLVFBUXFDBBNBW-PBSUHMDJSA-N tobramycin Chemical compound N[C@@H]1C[C@H](O)[C@@H](CN)O[C@@H]1O[C@H]1[C@H](O)[C@@H](O[C@@H]2[C@@H]([C@@H](N)[C@H](O)[C@@H](CO)O2)O)[C@H](N)C[C@@H]1N NLVFBUXFDBBNBW-PBSUHMDJSA-N 0.000 description 1
- UPSPUYADGBWSHF-UHFFFAOYSA-N tolmetin Chemical compound C1=CC(C)=CC=C1C(=O)C1=CC=C(CC(O)=O)N1C UPSPUYADGBWSHF-UHFFFAOYSA-N 0.000 description 1
- 229960001017 tolmetin Drugs 0.000 description 1
- JOXIMZWYDAKGHI-UHFFFAOYSA-N toluene-4-sulfonic acid Chemical compound CC1=CC=C(S(O)(=O)=O)C=C1 JOXIMZWYDAKGHI-UHFFFAOYSA-N 0.000 description 1
- 238000011200 topical administration Methods 0.000 description 1
- 239000012049 topical pharmaceutical composition Substances 0.000 description 1
- 229960005026 toremifene Drugs 0.000 description 1
- XFCLJVABOIYOMF-QPLCGJKRSA-N toremifene Chemical compound C1=CC(OCCN(C)C)=CC=C1C(\C=1C=CC=CC=1)=C(\CCCl)C1=CC=CC=C1 XFCLJVABOIYOMF-QPLCGJKRSA-N 0.000 description 1
- 229960005267 tositumomab Drugs 0.000 description 1
- 230000007675 toxicity by organ Effects 0.000 description 1
- 206010044325 trachoma Diseases 0.000 description 1
- 230000009466 transformation Effects 0.000 description 1
- 238000002054 transplantation Methods 0.000 description 1
- 229960000575 trastuzumab Drugs 0.000 description 1
- 238000011269 treatment regimen Methods 0.000 description 1
- IUCJMVBFZDHPDX-UHFFFAOYSA-N tretamine Chemical compound C1CN1C1=NC(N2CC2)=NC(N2CC2)=N1 IUCJMVBFZDHPDX-UHFFFAOYSA-N 0.000 description 1
- 229950001353 tretamine Drugs 0.000 description 1
- 150000004654 triazenes Chemical class 0.000 description 1
- 125000004306 triazinyl group Chemical group 0.000 description 1
- PXSOHRWMIRDKMP-UHFFFAOYSA-N triaziquone Chemical compound O=C1C(N2CC2)=C(N2CC2)C(=O)C=C1N1CC1 PXSOHRWMIRDKMP-UHFFFAOYSA-N 0.000 description 1
- 229960004560 triaziquone Drugs 0.000 description 1
- 125000001425 triazolyl group Chemical group 0.000 description 1
- 229940096911 trichinella spiralis Drugs 0.000 description 1
- 208000003982 trichinellosis Diseases 0.000 description 1
- 201000007588 trichinosis Diseases 0.000 description 1
- 229930013292 trichothecene Natural products 0.000 description 1
- 150000003327 trichothecene derivatives Chemical class 0.000 description 1
- 208000009920 trichuriasis Diseases 0.000 description 1
- 229960001670 trilostane Drugs 0.000 description 1
- KVJXBPDAXMEYOA-CXANFOAXSA-N trilostane Chemical compound OC1=C(C#N)C[C@]2(C)[C@H]3CC[C@](C)([C@H](CC4)O)[C@@H]4[C@@H]3CC[C@@]32O[C@@H]31 KVJXBPDAXMEYOA-CXANFOAXSA-N 0.000 description 1
- IEDVJHCEMCRBQM-UHFFFAOYSA-N trimethoprim Chemical compound COC1=C(OC)C(OC)=CC(CC=2C(=NC(N)=NC=2)N)=C1 IEDVJHCEMCRBQM-UHFFFAOYSA-N 0.000 description 1
- 229960001082 trimethoprim Drugs 0.000 description 1
- BSVBQGMMJUBVOD-UHFFFAOYSA-N trisodium borate Chemical compound [Na+].[Na+].[Na+].[O-]B([O-])[O-] BSVBQGMMJUBVOD-UHFFFAOYSA-N 0.000 description 1
- 229910052722 tritium Inorganic materials 0.000 description 1
- 208000006961 tropical spastic paraparesis Diseases 0.000 description 1
- HDZZVAMISRMYHH-LITAXDCLSA-N tubercidin Chemical compound C1=CC=2C(N)=NC=NC=2N1[C@@H]1O[C@@H](CO)[C@H](O)[C@H]1O HDZZVAMISRMYHH-LITAXDCLSA-N 0.000 description 1
- 102000003390 tumor necrosis factor Human genes 0.000 description 1
- 208000029729 tumor suppressor gene on chromosome 11 Diseases 0.000 description 1
- MEYZYGMYMLNUHJ-UHFFFAOYSA-N tunicamycin Natural products CC(C)CCCCCCCCCC=CC(=O)NC1C(O)C(O)C(CC(O)C2OC(C(O)C2O)N3C=CC(=O)NC3=O)OC1OC4OC(CO)C(O)C(O)C4NC(=O)C MEYZYGMYMLNUHJ-UHFFFAOYSA-N 0.000 description 1
- 208000035408 type 1 diabetes mellitus 1 Diseases 0.000 description 1
- 208000001072 type 2 diabetes mellitus Diseases 0.000 description 1
- 201000008297 typhoid fever Diseases 0.000 description 1
- 206010061393 typhus Diseases 0.000 description 1
- 229950009811 ubenimex Drugs 0.000 description 1
- 238000000108 ultra-filtration Methods 0.000 description 1
- 229930195735 unsaturated hydrocarbon Natural products 0.000 description 1
- 208000000143 urethritis Diseases 0.000 description 1
- 208000010570 urinary bladder carcinoma Diseases 0.000 description 1
- 208000019206 urinary tract infection Diseases 0.000 description 1
- 208000012991 uterine carcinoma Diseases 0.000 description 1
- 229940093257 valacyclovir Drugs 0.000 description 1
- 229960000653 valrubicin Drugs 0.000 description 1
- MYPYJXKWCTUITO-LYRMYLQWSA-N vancomycin Chemical compound O([C@@H]1[C@@H](O)[C@H](O)[C@@H](CO)O[C@H]1OC1=C2C=C3C=C1OC1=CC=C(C=C1Cl)[C@@H](O)[C@H](C(N[C@@H](CC(N)=O)C(=O)N[C@H]3C(=O)N[C@H]1C(=O)N[C@H](C(N[C@@H](C3=CC(O)=CC(O)=C3C=3C(O)=CC=C1C=3)C(O)=O)=O)[C@H](O)C1=CC=C(C(=C1)Cl)O2)=O)NC(=O)[C@@H](CC(C)C)NC)[C@H]1C[C@](C)(N)[C@H](O)[C@H](C)O1 MYPYJXKWCTUITO-LYRMYLQWSA-N 0.000 description 1
- 229960003165 vancomycin Drugs 0.000 description 1
- MYPYJXKWCTUITO-UHFFFAOYSA-N vancomycin Natural products O1C(C(=C2)Cl)=CC=C2C(O)C(C(NC(C2=CC(O)=CC(O)=C2C=2C(O)=CC=C3C=2)C(O)=O)=O)NC(=O)C3NC(=O)C2NC(=O)C(CC(N)=O)NC(=O)C(NC(=O)C(CC(C)C)NC)C(O)C(C=C3Cl)=CC=C3OC3=CC2=CC1=C3OC1OC(CO)C(O)C(O)C1OC1CC(C)(N)C(O)C(C)O1 MYPYJXKWCTUITO-UHFFFAOYSA-N 0.000 description 1
- 235000013311 vegetables Nutrition 0.000 description 1
- 229940099039 velcade Drugs 0.000 description 1
- 230000035899 viability Effects 0.000 description 1
- CILBMBUYJCWATM-PYGJLNRPSA-N vinorelbine ditartrate Chemical compound OC(=O)[C@H](O)[C@@H](O)C(O)=O.OC(=O)[C@H](O)[C@@H](O)C(O)=O.C1N(CC=2C3=CC=CC=C3NC=22)CC(CC)=C[C@H]1C[C@]2(C(=O)OC)C1=CC([C@]23[C@H]([C@@]([C@H](OC(C)=O)[C@]4(CC)C=CCN([C@H]34)CC2)(O)C(=O)OC)N2C)=C2C=C1OC CILBMBUYJCWATM-PYGJLNRPSA-N 0.000 description 1
- 229920002554 vinyl polymer Polymers 0.000 description 1
- 229950011361 viprostol Drugs 0.000 description 1
- 230000009385 viral infection Effects 0.000 description 1
- 229940088594 vitamin Drugs 0.000 description 1
- 235000013343 vitamin Nutrition 0.000 description 1
- 239000011782 vitamin Substances 0.000 description 1
- 229930003231 vitamin Natural products 0.000 description 1
- QYSXJUFSXHHAJI-YRZJJWOYSA-N vitamin D3 Chemical class C1(/[C@@H]2CC[C@@H]([C@]2(CCC1)C)[C@H](C)CCCC(C)C)=C\C=C1\C[C@@H](O)CCC1=C QYSXJUFSXHHAJI-YRZJJWOYSA-N 0.000 description 1
- 201000005102 vulva cancer Diseases 0.000 description 1
- 239000008215 water for injection Substances 0.000 description 1
- 238000009736 wetting Methods 0.000 description 1
- 239000009637 wintergreen oil Substances 0.000 description 1
- JFCFGYGEYRIEBE-YVLHJLIDSA-N wob38vs2ni Chemical compound CO[C@@H]([C@@]1(O)C[C@H](OC(=O)N1)[C@@H](C)[C@@H]1O[C@@]1(C)[C@@H](OC(=O)[C@H](C)N(C)C(=O)CCC(C)(C)S)CC(=O)N1C)\C=C\C=C(C)\CC2=CC(OC)=C(Cl)C1=C2 JFCFGYGEYRIEBE-YVLHJLIDSA-N 0.000 description 1
- 125000001834 xanthenyl group Chemical group C1=CC=CC=2OC3=CC=CC=C3C(C12)* 0.000 description 1
- 229940053867 xeloda Drugs 0.000 description 1
- 239000002676 xenobiotic agent Substances 0.000 description 1
- 229940098232 yersinia enterocolitica Drugs 0.000 description 1
- 229960000523 zalcitabine Drugs 0.000 description 1
- 229950009268 zinostatin Drugs 0.000 description 1
- XRASPMIURGNCCH-UHFFFAOYSA-N zoledronic acid Chemical compound OP(=O)(O)C(P(O)(O)=O)(O)CN1C=CN=C1 XRASPMIURGNCCH-UHFFFAOYSA-N 0.000 description 1
- 229960004276 zoledronic acid Drugs 0.000 description 1
- 125000004933 β-carbolinyl group Chemical group C1(=NC=CC=2C3=CC=CC=C3NC12)* 0.000 description 1
- 239000002132 β-lactam antibiotic Substances 0.000 description 1
- 229940124586 β-lactam antibiotics Drugs 0.000 description 1
Images
Classifications
-
- A61K47/48384—
-
- A—HUMAN NECESSITIES
- A61—MEDICAL OR VETERINARY SCIENCE; HYGIENE
- A61K—PREPARATIONS FOR MEDICAL, DENTAL OR TOILETRY PURPOSES
- A61K47/00—Medicinal preparations characterised by the non-active ingredients used, e.g. carriers or inert additives; Targeting or modifying agents chemically bound to the active ingredient
- A61K47/50—Medicinal preparations characterised by the non-active ingredients used, e.g. carriers or inert additives; Targeting or modifying agents chemically bound to the active ingredient the non-active ingredient being chemically bound to the active ingredient, e.g. polymer-drug conjugates
- A61K47/51—Medicinal preparations characterised by the non-active ingredients used, e.g. carriers or inert additives; Targeting or modifying agents chemically bound to the active ingredient the non-active ingredient being chemically bound to the active ingredient, e.g. polymer-drug conjugates the non-active ingredient being a modifying agent
- A61K47/68—Medicinal preparations characterised by the non-active ingredients used, e.g. carriers or inert additives; Targeting or modifying agents chemically bound to the active ingredient the non-active ingredient being chemically bound to the active ingredient, e.g. polymer-drug conjugates the non-active ingredient being a modifying agent the modifying agent being an antibody, an immunoglobulin or a fragment thereof, e.g. an Fc-fragment
- A61K47/6835—Medicinal preparations characterised by the non-active ingredients used, e.g. carriers or inert additives; Targeting or modifying agents chemically bound to the active ingredient the non-active ingredient being chemically bound to the active ingredient, e.g. polymer-drug conjugates the non-active ingredient being a modifying agent the modifying agent being an antibody, an immunoglobulin or a fragment thereof, e.g. an Fc-fragment the modifying agent being an antibody or an immunoglobulin bearing at least one antigen-binding site
- A61K47/6851—Medicinal preparations characterised by the non-active ingredients used, e.g. carriers or inert additives; Targeting or modifying agents chemically bound to the active ingredient the non-active ingredient being chemically bound to the active ingredient, e.g. polymer-drug conjugates the non-active ingredient being a modifying agent the modifying agent being an antibody, an immunoglobulin or a fragment thereof, e.g. an Fc-fragment the modifying agent being an antibody or an immunoglobulin bearing at least one antigen-binding site the antibody targeting a determinant of a tumour cell
- A61K47/6867—Medicinal preparations characterised by the non-active ingredients used, e.g. carriers or inert additives; Targeting or modifying agents chemically bound to the active ingredient the non-active ingredient being chemically bound to the active ingredient, e.g. polymer-drug conjugates the non-active ingredient being a modifying agent the modifying agent being an antibody, an immunoglobulin or a fragment thereof, e.g. an Fc-fragment the modifying agent being an antibody or an immunoglobulin bearing at least one antigen-binding site the antibody targeting a determinant of a tumour cell the tumour determinant being from a cell of a blood cancer
-
- A—HUMAN NECESSITIES
- A61—MEDICAL OR VETERINARY SCIENCE; HYGIENE
- A61K—PREPARATIONS FOR MEDICAL, DENTAL OR TOILETRY PURPOSES
- A61K38/00—Medicinal preparations containing peptides
- A61K38/04—Peptides having up to 20 amino acids in a fully defined sequence; Derivatives thereof
- A61K38/07—Tetrapeptides
-
- A—HUMAN NECESSITIES
- A61—MEDICAL OR VETERINARY SCIENCE; HYGIENE
- A61K—PREPARATIONS FOR MEDICAL, DENTAL OR TOILETRY PURPOSES
- A61K47/00—Medicinal preparations characterised by the non-active ingredients used, e.g. carriers or inert additives; Targeting or modifying agents chemically bound to the active ingredient
- A61K47/50—Medicinal preparations characterised by the non-active ingredients used, e.g. carriers or inert additives; Targeting or modifying agents chemically bound to the active ingredient the non-active ingredient being chemically bound to the active ingredient, e.g. polymer-drug conjugates
- A61K47/51—Medicinal preparations characterised by the non-active ingredients used, e.g. carriers or inert additives; Targeting or modifying agents chemically bound to the active ingredient the non-active ingredient being chemically bound to the active ingredient, e.g. polymer-drug conjugates the non-active ingredient being a modifying agent
- A61K47/68—Medicinal preparations characterised by the non-active ingredients used, e.g. carriers or inert additives; Targeting or modifying agents chemically bound to the active ingredient the non-active ingredient being chemically bound to the active ingredient, e.g. polymer-drug conjugates the non-active ingredient being a modifying agent the modifying agent being an antibody, an immunoglobulin or a fragment thereof, e.g. an Fc-fragment
- A61K47/6801—Drug-antibody or immunoglobulin conjugates defined by the pharmacologically or therapeutically active agent
- A61K47/6803—Drugs conjugated to an antibody or immunoglobulin, e.g. cisplatin-antibody conjugates
-
- A—HUMAN NECESSITIES
- A61—MEDICAL OR VETERINARY SCIENCE; HYGIENE
- A61K—PREPARATIONS FOR MEDICAL, DENTAL OR TOILETRY PURPOSES
- A61K47/00—Medicinal preparations characterised by the non-active ingredients used, e.g. carriers or inert additives; Targeting or modifying agents chemically bound to the active ingredient
- A61K47/50—Medicinal preparations characterised by the non-active ingredients used, e.g. carriers or inert additives; Targeting or modifying agents chemically bound to the active ingredient the non-active ingredient being chemically bound to the active ingredient, e.g. polymer-drug conjugates
- A61K47/51—Medicinal preparations characterised by the non-active ingredients used, e.g. carriers or inert additives; Targeting or modifying agents chemically bound to the active ingredient the non-active ingredient being chemically bound to the active ingredient, e.g. polymer-drug conjugates the non-active ingredient being a modifying agent
- A61K47/68—Medicinal preparations characterised by the non-active ingredients used, e.g. carriers or inert additives; Targeting or modifying agents chemically bound to the active ingredient the non-active ingredient being chemically bound to the active ingredient, e.g. polymer-drug conjugates the non-active ingredient being a modifying agent the modifying agent being an antibody, an immunoglobulin or a fragment thereof, e.g. an Fc-fragment
- A61K47/6801—Drug-antibody or immunoglobulin conjugates defined by the pharmacologically or therapeutically active agent
- A61K47/6803—Drugs conjugated to an antibody or immunoglobulin, e.g. cisplatin-antibody conjugates
- A61K47/68031—Drugs conjugated to an antibody or immunoglobulin, e.g. cisplatin-antibody conjugates the drug being an auristatin
-
- A—HUMAN NECESSITIES
- A61—MEDICAL OR VETERINARY SCIENCE; HYGIENE
- A61K—PREPARATIONS FOR MEDICAL, DENTAL OR TOILETRY PURPOSES
- A61K47/00—Medicinal preparations characterised by the non-active ingredients used, e.g. carriers or inert additives; Targeting or modifying agents chemically bound to the active ingredient
- A61K47/50—Medicinal preparations characterised by the non-active ingredients used, e.g. carriers or inert additives; Targeting or modifying agents chemically bound to the active ingredient the non-active ingredient being chemically bound to the active ingredient, e.g. polymer-drug conjugates
- A61K47/51—Medicinal preparations characterised by the non-active ingredients used, e.g. carriers or inert additives; Targeting or modifying agents chemically bound to the active ingredient the non-active ingredient being chemically bound to the active ingredient, e.g. polymer-drug conjugates the non-active ingredient being a modifying agent
- A61K47/68—Medicinal preparations characterised by the non-active ingredients used, e.g. carriers or inert additives; Targeting or modifying agents chemically bound to the active ingredient the non-active ingredient being chemically bound to the active ingredient, e.g. polymer-drug conjugates the non-active ingredient being a modifying agent the modifying agent being an antibody, an immunoglobulin or a fragment thereof, e.g. an Fc-fragment
- A61K47/6801—Drug-antibody or immunoglobulin conjugates defined by the pharmacologically or therapeutically active agent
- A61K47/6803—Drugs conjugated to an antibody or immunoglobulin, e.g. cisplatin-antibody conjugates
- A61K47/6807—Drugs conjugated to an antibody or immunoglobulin, e.g. cisplatin-antibody conjugates the drug or compound being a sugar, nucleoside, nucleotide, nucleic acid, e.g. RNA antisense
- A61K47/6809—Antibiotics, e.g. antitumor antibiotics anthracyclins, adriamycin, doxorubicin or daunomycin
-
- A—HUMAN NECESSITIES
- A61—MEDICAL OR VETERINARY SCIENCE; HYGIENE
- A61K—PREPARATIONS FOR MEDICAL, DENTAL OR TOILETRY PURPOSES
- A61K47/00—Medicinal preparations characterised by the non-active ingredients used, e.g. carriers or inert additives; Targeting or modifying agents chemically bound to the active ingredient
- A61K47/50—Medicinal preparations characterised by the non-active ingredients used, e.g. carriers or inert additives; Targeting or modifying agents chemically bound to the active ingredient the non-active ingredient being chemically bound to the active ingredient, e.g. polymer-drug conjugates
- A61K47/51—Medicinal preparations characterised by the non-active ingredients used, e.g. carriers or inert additives; Targeting or modifying agents chemically bound to the active ingredient the non-active ingredient being chemically bound to the active ingredient, e.g. polymer-drug conjugates the non-active ingredient being a modifying agent
- A61K47/68—Medicinal preparations characterised by the non-active ingredients used, e.g. carriers or inert additives; Targeting or modifying agents chemically bound to the active ingredient the non-active ingredient being chemically bound to the active ingredient, e.g. polymer-drug conjugates the non-active ingredient being a modifying agent the modifying agent being an antibody, an immunoglobulin or a fragment thereof, e.g. an Fc-fragment
- A61K47/6835—Medicinal preparations characterised by the non-active ingredients used, e.g. carriers or inert additives; Targeting or modifying agents chemically bound to the active ingredient the non-active ingredient being chemically bound to the active ingredient, e.g. polymer-drug conjugates the non-active ingredient being a modifying agent the modifying agent being an antibody, an immunoglobulin or a fragment thereof, e.g. an Fc-fragment the modifying agent being an antibody or an immunoglobulin bearing at least one antigen-binding site
- A61K47/6849—Medicinal preparations characterised by the non-active ingredients used, e.g. carriers or inert additives; Targeting or modifying agents chemically bound to the active ingredient the non-active ingredient being chemically bound to the active ingredient, e.g. polymer-drug conjugates the non-active ingredient being a modifying agent the modifying agent being an antibody, an immunoglobulin or a fragment thereof, e.g. an Fc-fragment the modifying agent being an antibody or an immunoglobulin bearing at least one antigen-binding site the antibody targeting a receptor, a cell surface antigen or a cell surface determinant
-
- A—HUMAN NECESSITIES
- A61—MEDICAL OR VETERINARY SCIENCE; HYGIENE
- A61K—PREPARATIONS FOR MEDICAL, DENTAL OR TOILETRY PURPOSES
- A61K47/00—Medicinal preparations characterised by the non-active ingredients used, e.g. carriers or inert additives; Targeting or modifying agents chemically bound to the active ingredient
- A61K47/50—Medicinal preparations characterised by the non-active ingredients used, e.g. carriers or inert additives; Targeting or modifying agents chemically bound to the active ingredient the non-active ingredient being chemically bound to the active ingredient, e.g. polymer-drug conjugates
- A61K47/51—Medicinal preparations characterised by the non-active ingredients used, e.g. carriers or inert additives; Targeting or modifying agents chemically bound to the active ingredient the non-active ingredient being chemically bound to the active ingredient, e.g. polymer-drug conjugates the non-active ingredient being a modifying agent
- A61K47/68—Medicinal preparations characterised by the non-active ingredients used, e.g. carriers or inert additives; Targeting or modifying agents chemically bound to the active ingredient the non-active ingredient being chemically bound to the active ingredient, e.g. polymer-drug conjugates the non-active ingredient being a modifying agent the modifying agent being an antibody, an immunoglobulin or a fragment thereof, e.g. an Fc-fragment
- A61K47/6835—Medicinal preparations characterised by the non-active ingredients used, e.g. carriers or inert additives; Targeting or modifying agents chemically bound to the active ingredient the non-active ingredient being chemically bound to the active ingredient, e.g. polymer-drug conjugates the non-active ingredient being a modifying agent the modifying agent being an antibody, an immunoglobulin or a fragment thereof, e.g. an Fc-fragment the modifying agent being an antibody or an immunoglobulin bearing at least one antigen-binding site
- A61K47/6851—Medicinal preparations characterised by the non-active ingredients used, e.g. carriers or inert additives; Targeting or modifying agents chemically bound to the active ingredient the non-active ingredient being chemically bound to the active ingredient, e.g. polymer-drug conjugates the non-active ingredient being a modifying agent the modifying agent being an antibody, an immunoglobulin or a fragment thereof, e.g. an Fc-fragment the modifying agent being an antibody or an immunoglobulin bearing at least one antigen-binding site the antibody targeting a determinant of a tumour cell
- A61K47/6861—Medicinal preparations characterised by the non-active ingredients used, e.g. carriers or inert additives; Targeting or modifying agents chemically bound to the active ingredient the non-active ingredient being chemically bound to the active ingredient, e.g. polymer-drug conjugates the non-active ingredient being a modifying agent the modifying agent being an antibody, an immunoglobulin or a fragment thereof, e.g. an Fc-fragment the modifying agent being an antibody or an immunoglobulin bearing at least one antigen-binding site the antibody targeting a determinant of a tumour cell the tumour determinant being from kidney or bladder cancer cell
-
- A—HUMAN NECESSITIES
- A61—MEDICAL OR VETERINARY SCIENCE; HYGIENE
- A61K—PREPARATIONS FOR MEDICAL, DENTAL OR TOILETRY PURPOSES
- A61K47/00—Medicinal preparations characterised by the non-active ingredients used, e.g. carriers or inert additives; Targeting or modifying agents chemically bound to the active ingredient
- A61K47/50—Medicinal preparations characterised by the non-active ingredients used, e.g. carriers or inert additives; Targeting or modifying agents chemically bound to the active ingredient the non-active ingredient being chemically bound to the active ingredient, e.g. polymer-drug conjugates
- A61K47/51—Medicinal preparations characterised by the non-active ingredients used, e.g. carriers or inert additives; Targeting or modifying agents chemically bound to the active ingredient the non-active ingredient being chemically bound to the active ingredient, e.g. polymer-drug conjugates the non-active ingredient being a modifying agent
- A61K47/68—Medicinal preparations characterised by the non-active ingredients used, e.g. carriers or inert additives; Targeting or modifying agents chemically bound to the active ingredient the non-active ingredient being chemically bound to the active ingredient, e.g. polymer-drug conjugates the non-active ingredient being a modifying agent the modifying agent being an antibody, an immunoglobulin or a fragment thereof, e.g. an Fc-fragment
- A61K47/6889—Conjugates wherein the antibody being the modifying agent and wherein the linker, binder or spacer confers particular properties to the conjugates, e.g. peptidic enzyme-labile linkers or acid-labile linkers, providing for an acid-labile immuno conjugate wherein the drug may be released from its antibody conjugated part in an acidic, e.g. tumoural or environment
-
- A—HUMAN NECESSITIES
- A61—MEDICAL OR VETERINARY SCIENCE; HYGIENE
- A61P—SPECIFIC THERAPEUTIC ACTIVITY OF CHEMICAL COMPOUNDS OR MEDICINAL PREPARATIONS
- A61P31/00—Antiinfectives, i.e. antibiotics, antiseptics, chemotherapeutics
-
- A—HUMAN NECESSITIES
- A61—MEDICAL OR VETERINARY SCIENCE; HYGIENE
- A61P—SPECIFIC THERAPEUTIC ACTIVITY OF CHEMICAL COMPOUNDS OR MEDICINAL PREPARATIONS
- A61P35/00—Antineoplastic agents
-
- A—HUMAN NECESSITIES
- A61—MEDICAL OR VETERINARY SCIENCE; HYGIENE
- A61P—SPECIFIC THERAPEUTIC ACTIVITY OF CHEMICAL COMPOUNDS OR MEDICINAL PREPARATIONS
- A61P37/00—Drugs for immunological or allergic disorders
-
- A—HUMAN NECESSITIES
- A61—MEDICAL OR VETERINARY SCIENCE; HYGIENE
- A61P—SPECIFIC THERAPEUTIC ACTIVITY OF CHEMICAL COMPOUNDS OR MEDICINAL PREPARATIONS
- A61P37/00—Drugs for immunological or allergic disorders
- A61P37/02—Immunomodulators
-
- A—HUMAN NECESSITIES
- A61—MEDICAL OR VETERINARY SCIENCE; HYGIENE
- A61P—SPECIFIC THERAPEUTIC ACTIVITY OF CHEMICAL COMPOUNDS OR MEDICINAL PREPARATIONS
- A61P37/00—Drugs for immunological or allergic disorders
- A61P37/02—Immunomodulators
- A61P37/06—Immunosuppressants, e.g. drugs for graft rejection
-
- A—HUMAN NECESSITIES
- A61—MEDICAL OR VETERINARY SCIENCE; HYGIENE
- A61P—SPECIFIC THERAPEUTIC ACTIVITY OF CHEMICAL COMPOUNDS OR MEDICINAL PREPARATIONS
- A61P43/00—Drugs for specific purposes, not provided for in groups A61P1/00-A61P41/00
-
- C—CHEMISTRY; METALLURGY
- C07—ORGANIC CHEMISTRY
- C07H—SUGARS; DERIVATIVES THEREOF; NUCLEOSIDES; NUCLEOTIDES; NUCLEIC ACIDS
- C07H17/00—Compounds containing heterocyclic radicals directly attached to hetero atoms of saccharide radicals
- C07H17/04—Heterocyclic radicals containing only oxygen as ring hetero atoms
- C07H17/08—Hetero rings containing eight or more ring members, e.g. erythromycins
-
- A61K47/48561—
-
- Y—GENERAL TAGGING OF NEW TECHNOLOGICAL DEVELOPMENTS; GENERAL TAGGING OF CROSS-SECTIONAL TECHNOLOGIES SPANNING OVER SEVERAL SECTIONS OF THE IPC; TECHNICAL SUBJECTS COVERED BY FORMER USPC CROSS-REFERENCE ART COLLECTIONS [XRACs] AND DIGESTS
- Y02—TECHNOLOGIES OR APPLICATIONS FOR MITIGATION OR ADAPTATION AGAINST CLIMATE CHANGE
- Y02A—TECHNOLOGIES FOR ADAPTATION TO CLIMATE CHANGE
- Y02A50/00—TECHNOLOGIES FOR ADAPTATION TO CLIMATE CHANGE in human health protection, e.g. against extreme weather
- Y02A50/30—Against vector-borne diseases, e.g. mosquito-borne, fly-borne, tick-borne or waterborne diseases whose impact is exacerbated by climate change
Definitions
- Monoclonal antibody therapies are gaining momentum as adjunct and front-line treatments for cancer.
- Successes of mAb therapies like AVASTIN (anti-VEGF) for colon cancer, RITUXAN (Rituximab; anti-CD20) for Non-Hodgkin's Lymphoma and HERCEPTIN (anti-Her2) for breast cancer have demonstrated that unconjugated antibodies can improve patient survival without the incidence of significantly increased toxicity.
- Monoclonal antibodies can be conjugated to a therapeutic agent to form an antibody drug conjugate (ADC).
- ADCs can exhibit increased efficacy, as compared to an unconjugated antibody.
- the linkage of the antibody to the drug can be direct, or indirect via a linker.
- One of components believed to be important for developing effective and well-tolerated ADCs is the composition and stability of the linker.
- the linker desirably provides serum stability, yet selectively releases the drug at or within the target cell.
- Attachment of a linker to a mAb can be accomplished in a variety of ways, such as through surface lysines, reductive-coupling to oxidized carbohydrates, and through cysteine residues liberated by reducing interchain disulfide linkages.
- a variety of ADC linkage systems have been described in the literature, including hydrazone-, disulfide- and peptide-based linkages. Some hydrazone and disulfide-based linkers can be labile in circulation, resulting in release of drug outside the targeted tissue. It is believed that this premature release of drug might lead to systemic toxicity or organ-specific toxicity and/or less than optimal therapeutic efficacy.
- Peptide-based linker strategies may provide linkers of higher stability; however, the increased associated hydrophobicity of some linkers may lead to aggregation, particularly with strongly hydrophobic drugs. Such aggregation may lead to non-specific uptake of the ADCs into non-targeted tissues, potentially affecting non-target toxicity.
- ⁇ -glucuronides are metabolites produced in the liver and kidneys by a class of enzymes known as UDP-glucuronosyl transferases. These transferases are involved in a metabolic transformation leading to the clearance of xenobiotics from the body. Glucuronidation dramatically increases the solubility of substrate compounds, allowing more efficient renal clearance.
- ⁇ -glucuronidase is a UDP-glucuronosyl transferase which is present in the lysosomes of essentially all human tissues.
- the enzyme catalyzes the hydrolysis of the glycosidic bond of glucuronides with ⁇ -configuration and is reported to have broad substrate specificity. It is most active at a low pH with the enzymatic efficiency dropping to approximately 10% at neutral pH.
- ⁇ -glucuronidase has been reported to be over-expressed in breast cancer tissue relative to peritumor tissue. In spite of its ubiquitous nature, the enzyme is effectively sequestered inside cell lysosomes, and minimal immunohistochemical staining is observed in the extracellular space of normal tissue samples.
- One exception is the ⁇ -glucuronidase activity seen in the intestinal tract, arising from the presence of E. coli.
- ⁇ -glucuronide prodrugs primarily of doxorubicin
- the rationale for this approach is that the ⁇ -glucuronide prodrug would be less toxic than free drug due to its inability to enter cells.
- the prodrug has two primary fates: prodrug in the vicinity of the tumor will be converted to free drug, while the remaining prodrug will be rapidly cleared through the kidneys.
- ADEPT Antibody Directed Enzyme Pro-drug Therapy
- the present invention provides ligand drug conjugates and linker-drug conjugates for targeted delivery of drugs.
- the ligand drug conjugates include a ligand, such as an antibody, for targeting the conjugate to a target cell or tissue.
- the conjugates further include a ⁇ -glucuronide-based linker comprising a site that can be cleaved by an enzyme having ⁇ -glucuronidase activity.
- the linker is attached to the ligand and to a drug.
- the invention further provides methods of treating cancer, immune disease, infectious disease and other diseases or disorders using a ligand drug conjugate including a ⁇ -glucuronide-based linker.
- the ligand drug conjugates surprisingly yet exhibit serum stability to provide targeted delivery of linked drug to a target cell.
- a ligand drug conjugate compound having the following formula: L A a —W w —Y y —D 1-4 ) p I
- the Ligand is an antibody, such as a chimeric, humanized or human antibody or an antigen binding antibody fragment.
- the Glucuronide unit (—W—) comprises the formula:
- S is sugar moiety
- —O′— is a glycosidic bond (e.g., cleavable by a ⁇ -glucuronidase) and Z is a self-immolative group; and wherein Z forms a first covalent bond with Y or D and a second covalent bond with L or A.
- the Glucuronide unit (—W—) comprises the formula: -Su-O′—Z— wherein S is sugar moiety, —O′— is a bond cleavable by a ⁇ -Glucuronidase and Z is a self-immolative group; and wherein Z forms a covalent bond with Y or D and Su forms a covalent bond with L or A.
- the Drug unit is selected from Formulas D E and D F :
- the Drug unit is Formula D F :
- the Drug unit has the formula:
- the Drug unit has the formula D E :
- the Drug unit has the formula:
- the ligand drug conjugate compound has the following formula:
- the ligand drug conjugate compound has the formula:
- the ligand drug conjugate compounds can be formulated as a pharmaceutical composition comprising an effective amount of the ligand drug conjugate compound, or a pharmaceutically acceptable salt thereof, and a pharmaceutically acceptable diluent, carrier or excipient.
- the pharmaceutical composition optionally can include therapeutically effective amount of chemotherapeutic agent.
- a method of killing or inhibiting the proliferation of tumor cells or cancer cells generally include treating tumor cells or cancer cells with an amount of the ligand drug conjugate compound, or a pharmaceutically acceptable salt or solvate thereof, being effective to kill or inhibit the proliferation of the tumor cells or cancer cells.
- a method for treating cancer generally includes administering to a patient an amount of the antibody-drug conjugate compound or a pharmaceutically acceptable salt or solvate thereof, the amount being effective to treat cancer.
- the method can optionally include administering an effective amount of an additional anticancer agent, an immunosuppressant agent or an anti-infectious agent.
- a method for treating an autoimmune disease includes administering to a patient an amount of ligand drug conjugate compound, or a pharmaceutically acceptable salt or solvate thereof, the amount being effective to treat the autoimmune disease.
- a method for treating an infectious disease generally includes administering to a patient an amount of the ligand drug conjugate compound or a pharmaceutically acceptable salt or solvate thereof, the amount being effective to treat the infectious disease.
- FIG. 1 shows the reactivity of a cysteine-quenched Glucuronide linker-MMAF conjugate with E. coli ⁇ -glucuronidase. Cysteine-quenched c1F6-9b was added to the enzyme and incubated at 37° C. Hydrolysis to free drug was monitored by HPLC (254 nm) with sampling every 30 min. Digestion half-life was 41 min.
- FIG. 2 shows in vitro cytotoxic activity of ADCs on CD30+ and CD70+ cancer cell lines:
- A Karpas 299 (CD30+) ALCL cells treated with anti-CD30 ADC cAC10-9a and non-binding control c1F6-9a for 96 hours.
- B 786-O (CD70+) RCC cells treated with anti-CD70 ADC c1F6-9b and non-binding control cAC10-9b for 96 hours.
- C Caki-1 (CD70+) RCC cells treated with c1F6-17 and nonbinding control cAC10-17. Results are shown as mean ⁇ SD.
- FIG. 3 shows in vivo studies with ADCs.
- Panel A shows the effect of cAC10-9a (with MMAE) on CD30+ Karpas 299 (ALCL) subcutaneous tumor bearing SCID mice.
- a dose of 3 mg/kg of non-binding control conjugate c1F6-9a ( ⁇ ) resulted in no tumor response as with the untreated group ( ⁇ ).
- Panel B shows the effect of c1 F6-9b (with MMAF) on CD70+ 786-O (RCC) subcutaneous tumor bearing SCID mice.
- trade names includes the trade name product formulation, the generic drug, and the active pharmaceutical ingredient(s) of the trade name product, unless otherwise indicated by context.
- antibody herein is used in the broadest sense and refers to intact monoclonal antibodies, polyclonal antibodies, multispecific antibodies (e.g., bispecific antibodies), and to antibody fragments that exhibit the desired biological activity (e.g., antigen binding).
- the antibody can be of any type or class (e.g., IgG, IgE, IgM, IgD, and IgA) or sub-class (e.g., IgG1, IgG2, IgG3, IgG4, IgA1 and IgA2).
- an “intact” antibody is one which comprises an antigen-binding variable region as well as a light chain constant domain (C L ) and heavy chain constant domains, C H 1, C H 2, C H 3, and/or C H 4, as appropriate for the antibody class.
- the constant domains may be native sequence constant domains (e.g., human native sequence constant domains) or amino acid sequence variant thereof.
- An antibody may have one or more “effector functions” which refer to those biological activities attributable to the Fc region (a native sequence Fc region or amino acid sequence variant Fc region) of an antibody.
- effector functions include C1q binding; complement dependent cytotoxicity (CDC); Fc receptor binding; antibody-dependent cell-mediated cytotoxicity (ADCC); phagocytosis; down regulation of cell surface receptors (e.g., B cell receptor; BCR), etc.
- Single-chain Fv or “scFv” antibody fragments comprise the V H and V L domains of an antibody, wherein these domains are present in a single polypeptide chain.
- the F v polypeptide typically further comprises a polypeptide linker between the V H and V L domains which enables the scFv to form the desired structure for antigen binding.
- diabody refers to a small antibody fragment with two antigen-binding sites, which fragment comprises a variable heavy domain (V H ) connected to a variable light domain (V L ) in the same polypeptide chain.
- V H variable heavy domain
- V L variable light domain
- the domains are forced to pair with the complementary domains of another chain and create two antigen-binding sites.
- Diabodies are described more fully in, for example, EP 0 404 097; WO 93/11161; and Hollinger et al., 1993, Proc. Natl. Acad. Sci. USA 90:6444-6448.
- the two antigen-binding sites can be the same or different.
- an “isolated” antibody is one which has been identified and separated and/or recovered from a component of its natural environment. Contaminant components of its natural environment are materials which would interfere with diagnostic or therapeutic uses for the antibody, and may include enzymes, hormones, and other proteinaceous or nonproteinaceous solutes.
- the antibody will be purified (1) to greater than 95% by weight of antibody as determined by the Lowry method, or to greater than 99% by weight, (2) to a degree sufficient to obtain at least 15 residues of N-terminal or internal amino acid sequence by use of a spinning cup sequenator, or (3) to homogeneity by SDS-PAGE under reducing or nonreducing conditions using Coomassie blue or silver stain.
- Isolated antibody includes the antibody in situ within recombinant cells since at least one component of the antibody's natural environment will not be present. Ordinarily, however, isolated antibody will be prepared by at least one purification step.
- An antibody “which binds” an antigen of interest is one capable of binding that antigen with sufficient affinity such that the antibody is useful in targeting a cell expressing the antigen.
- the terms “specifically binds” and “specific binding” refer to antibody binding to a predetermined antigen.
- the antibody binds with an affinity of at least about 1 ⁇ 10 7 M ⁇ 1 , and binds to the predetermined antigen with an affinity that is at least two-fold greater than its affinity for binding to a non-specific antigen (e.g., BSA, casein) other than the predetermined antigen or a closely-related antigen.
- a non-specific antigen e.g., BSA, casein
- terapéuticaally effective amount refers to an amount of a drug (e.g., a ligand drug conjugate or linker drug conjugate) effective to treat a disease or disorder in a mammal.
- the therapeutically effective amount of the drug may reduce the number of cancer cells; reduce the tumor size; inhibit (i.e., slow to some extent and preferably stop) cancer cell infiltration into peripheral organs; inhibit (i.e., slow to some extent and preferably stop) tumor metastasis; inhibit to some extent, tumor growth; and/or relieve to some extent one or more of the symptoms associated with the cancer.
- the drug may prevent growth and/or kill existing cancer cells, it may be cytostatic and/or cytotoxic.
- efficacy can, for example, be measured by assessing the time to disease progression (TTP) and/or determining the response rate (RR).
- target polypeptide refers to a protein, polypeptide, and in addition in the case of a “target antigen,” another molecule on the surface of or associated with a target cell.
- salts of the compound preferably pharmaceutically acceptable salts, including acid addition salts and base addition salts, including salts having organic counterions and inorganic counterions, and including zwitterionic forms, where if a compound is associated with two or more counterions, the two or more counterions may be the same or different; and solvates of the compound, including hemisolvates, monosolvates, disolvates, etc., including organic solvates and inorganic solvates, said inorganic solvates including hydrates; where if a compound is associated with two or more solvent molecules, the two or more solvent molecules may be the same or different.
- reference made herein to a compound of the invention will include an explicit reference to one or of the above forms, e.g., salts and solvates, however, this reference is for emphasis only, and is not to be construed as excluding other of the above forms as identified above.
- alkyl refers to a straight chain or branched, saturated or unsaturated hydrocarbon having the indicated number of carbon atoms (e.g., “C 1 -C 8 alkyl” refers to an alkyl group having from 1 to 8 carbon atoms). When the number of carbon atoms is not indicated, the alkyl group has from 1 to 8 carbon atoms.
- C 1 -C 8 alkyl groups include, but are not limited to, methyl (Me, —CH 3 ), ethyl (Et, —CH 2 CH 3 ), 1-propyl (n-Pr, n-propyl, —CH 2 CH 2 CH 3 ), 2-propyl (i-Pr, i-propyl, —CH(CH 3 ) 2 ), 1-butyl (n-Bu, n-butyl, —CH 2 CH 2 CH 2 CH 3 ), 2-methyl-1-propyl (i-Bu, i-butyl, —CH 2 CH(CH 3 ) 2 ), 2-butyl (s-Bu, s-butyl, —CH(CH 3 )CH 2 CH 3 ), 2-methyl-2-propyl (t-Bu, t-butyl, —C(CH 3 ) 3 ), 1-pentyl (n-pentyl, —CH 2 CH 2 CH 2 CH 3 ), 2-pentyl (n
- An alkyl group can be unsubstituted or substituted with one or more groups including, but not limited to, —O—(C 1 -C 8 alkyl), aryl, —C(O)R′, —OC(O)R′, —C(O)OR′, —C(O)NH 2 , —C(O)NHR′, —C(O)N(R′) 2 —NHC(O)R′, —SO 3 R′, —S(O) 2 R′, —S(O) 2 R′, —S(O)R′, —OH, -halogen, —N 3 , —NH2, —NH(R′), —N(R′) 2 and —CN; where each R′ is independently selected from H, unsubstituted C 1 -C 8 alkyl and aryl.
- alkenyl refers to a C 2 -C 18 hydrocarbon containing normal, secondary, tertiary or cyclic carbon atoms with at least one site of unsaturation, Le., a carbon-carbon, sp 2 double bond. Examples include, but are not limited to: ethylene or vinyl (—CH ⁇ CH 2 ), allyl (—CH 2 CH ⁇ CH 2 ), cyclopentenyl (—C 5 H 7 ), and 5-hexenyl (—CH 2 CH 2 CH 2 CH 2 CH ⁇ CH 2 ).
- alkynyl refers to a C 2 -C 18 hydrocarbon containing normal, secondary, tertiary or cyclic carbon atoms with at least one site of unsaturation, i.e., a carbon-carbon, sp triple bond. Examples include, but are not limited to: acetylenic (—C ⁇ CH) and propargyl (—CH 2 C ⁇ CH).
- alkylene refers to a saturated, branched or straight chain or cyclic hydrocarbon radical of 1-18 carbon atoms, and having two monovalent radical centers derived by the removal of two hydrogen atoms from the same or two different carbon atoms of a parent alkane.
- Typical alkylenes include, but are not limited to: methylene (—CH 2 —) 1,2-ethyl (—CH 2 CH 2 —), 1,3-propyl (—CH 2 CH 2 CH 2 —), 1,4-butyl (—CH 2 CH 2 CH 2 CH 2 —), and the like.
- alkenylene refers to an unsaturated, branched or straight chain or cyclic hydrocarbon radical of 2-18 carbon atoms, and having two monovalent radical centers derived by the removal of two hydrogen atoms from the same or two different carbon atoms of a parent alkene.
- Typical alkenylene radicals include, but are not limited to: 1,2-ethylene (—CH ⁇ CH—).
- alkynylene refers to an unsaturated, branched or straight chain or cyclic hydrocarbon radical of 2-18 carbon atoms, and having two monovalent radical centers derived by the removal of two hydrogen atoms from carbon atoms of a parent alkyne.
- Typical alkynylene radicals include, but are not limited to: acetylene (—C ⁇ C—), propargyl (—CH 2 C ⁇ C—), and 4-pentynyl (—CH 2 CH 2 CH 2 C ⁇ C—).
- aryl refers to a monovalent aromatic hydrocarbon radical of 6-20 carbon atoms derived by the removal of one hydrogen atom from a single carbon atom of a parent aromatic ring system. Some aryl groups are represented in the exemplary structures as “Ar”. An aryl group can be unsubstituted or substituted. Typical aryl groups include, but are not limited to, radicals derived from benzene, substituted benzene, phenyl, naphthalene, anthracene, biphenyl, and the like.
- An aryl can be substituted with one or more groups including, but not limited to, —C 1 -C 8 alkyl, —O—(C 1 -C 8 alkyl), —C(O)R′, —OC(O)R′, —C(O)OR′, —C(O)NH 2 , —C(O)NHR′, —C(O)N(R′) 2 —NHC(O)R′, —S(O) 2 R′, —S(O)R′, —OH, -halogen, —N 3 , —NH 2 , —NH(R′), —N(R′) 2 and —CN; wherein each R′ is independently selected from H, —C 1 -C 8 alkyl and unsubstituted aryl.
- arylalkyl refers to an acyclic alkyl radical in which one of the hydrogen atoms bonded to a carbon atom, typically a terminal or sp 3 carbon atom, is replaced with an aryl radical.
- Typical arylalkyl groups include, but are not limited to, benzyl, 2-phenylethan-1-yl, 2-phenylethen-1-yl, naphthylmethyl, 2-naphthylethan-1-yl, 2-naphthylethen-1-yl, naphthobenzyl, 2-naphthophenylethan-1-yl, and the like.
- the arylalkyl group comprises 6 to 20 carbon atoms, e.g., the alkyl moiety, including alkanyl, alkenyl or alkynyl groups, of the arylalkyl group is 1 to 6 carbon atoms and the aryl moiety is 5 to 14 carbon atoms.
- heteroarylalkyl refers to an acyclic alkyl radical in which one of the hydrogen atoms bonded to a carbon atom, typically a terminal or sp 3 carbon atom, is replaced with a heteroaryl radical.
- Typical heteroarylalkyl groups include, but are not limited to, 2-benzimidazolylmethyl, 2-furylethyl, and the like.
- the heteroarylalkyl group comprises 6 to 20 carbon atoms, e.g., the alkyl moiety, including alkanyl, alkenyl or alkynyl groups, of the heteroarylalkyl group is 1 to 6 carbon atoms and the heteroaryl moiety is 5 to 14 ring atoms, typically 1 to 3 heteroatoms selected from N, O, P, and S, with the remainder being carbon atoms.
- the heteroaryl moiety of the heteroarylalkyl group may be a monocycle having 3 to 7 ring members (2 to 6 carbon atoms) or a bicycle having 7 to 10 ring members (4 to 9 carbon atoms) and 1 to 3 heteroatoms selected from N, O, P, and S, for example: a bicyclo [4,5], [5,5], [5,6], or [6,6] system.
- arylene refers to an aryl group which has two covalent bonds and can be in the para, meta, or ortho configurations as shown in the following structures:
- the phenyl group can be unsubstituted or substituted with up to four groups including, but not limited to, —C 1 -C 8 alkyl, —O—(C 1 -C 8 alkyl), -aryl, —C(O)R′, —OC(O)R′, —C(O)OR′, —C(O)NH 2 , —C(O)NHR′, —C(O)N(R′) 2 —NHC(O)R′, —S(O) 2 R′, —S(O)R′, —OH, -halogen, —N 3 , —NH 2 , —NH(R′), —N(R′) 2 and —CN; wherein each R′ is independently selected from H, —C 1 -C 8 alkyl and aryl.
- substituted alkyl refers to alkyl, aryl, and arylalkyl, respectively, in which one or more hydrogen atoms are each independently replaced with a substituent.
- Typical substituents include, but are not limited to, —X, —R, —O ⁇ , —OR, —SR, —S ⁇ , —NR 2 , —NR 3 , ⁇ NR, —CX 3 , —CN, —OCN, —SCN, —N ⁇ C ⁇ O, —NCS, —NO, —NO 2 , ⁇ N 2 , —N 3 , NRC( ⁇ O)R, —C( ⁇ O)R, —C( ⁇ O)NR 2 , —SO 3 ⁇ , -SO 3 H, —S( ⁇ O) 2 R, —OS( ⁇ O) 2 OR, —S( ⁇ O) 2 NR, —S( ⁇ O)R, —OP( ⁇ O)(OR) 2 , —P( ⁇ O)(OR) 2 , —PO ⁇ 3 , —PO 3 H 2 , —C( ⁇ O)R, —C( ⁇ O
- heteroaryl and “heterocycle” refer to a ring system in which one or more ring atoms is a heteroatom, e.g., nitrogen, oxygen, phosphate and sulfur.
- the heterocycle radical comprises 1 to 20 carbon atoms and 1 to 3 heteroatoms selected from N, O, P, and S.
- a heterocycle may be a monocycle having 3 to 7 ring members (2 to 6 carbon atoms and 1 to 3 heteroatoms selected from N, O, P, and S) or a bicycle having 7 to 10 ring members (4 to 9 carbon atoms and 1 to 3 heteroatoms selected from N, O, P, and S), for example: a bicyclo [4,5], [5,5], [5,6], or [6,6] system.
- Heterocycles are described in Paquette, “Principles of Modern Heterocyclic Chemistry” (W. A. Benjamin, New York, 1968), particularly Chapters 1, 3, 4, 6, 7, and 9; “The Chemistry of Heterocyclic Compounds, A series of Monographs” (John Wiley & Sons, New York, 1950 to present), in particular Volumes 13, 14, 16, 19, and 28; and J. Am. Chem. Soc. 82:5566 (1960).
- heterocycles include, by way of example and not limitation, pyridyl, dihydroypyridyl, tetrahydropyridyl (piperidyl), thiazolyl, tetrahydrothiophenyl, sulfur oxidized tetrahydrothiophenyl, pyrimidinyl, furanyl, thienyl, pyrrolyl, pyrazolyl, imidazolyl, tetrazolyl, benzofuranyl, thianaphthalenyl, indolyl, indolenyl, quinolinyl, isoquinolinyl, benzimidazolyl, piperidinyl, 4-piperidonyl, pyrrolidinyl, 2-pyrrolidonyl, pyrrolinyl, tetrahydrofuranyl, bis-tetrahydrofuranyl, tetrahydropyranyl, bis-tetrahydropyranyl, bis-
- carbon-bonded heterocycles are bonded at the following positions: position 2, 3, 4, 5, or 6 of a pyridine; position 3, 4, 5, or 6 of a pyridazine; position 2, 4, 5, or 6 of a pyrimidine; position 2, 3, 5, or 6 of a pyrazine; position 2, 3, 4, or 5 of a furan, tetrahydrofuran, thiofuran, thiophene, pyrrole or tetrahydropyrrole; position 2, 4, or 5 of an oxazole, imidazole or thiazole; position 3, 4, or 5 of an isoxazole, pyrazole, or isothiazole; position 2 or 3 of an aziridine; position 2, 3, or 4 of an azetidine; position 2, 3, 4, 5, 6, 7, or 8 of a quinoline; or position 1, 3, 4, 5, 6, 7, or 8 of an isoquinoline.
- carbon bonded heterocycles include 2-pyridyl, 3-pyridyl, 4-pyridyl, 5-pyridyl, 6-pyridyl, 3-pyridazinyl, 4-pyridazinyl, 5-pyridazinyl, 6-pyridazinyl, 2-pyrimidinyl, 4-pyrimidinyl, 5-pyrimidinyl, 6-pyrimidinyl, 2-pyrazinyl, 3-pyrazinyl, 5-pyrazinyl, 6-pyrazinyl, 2-thiazolyl, 4-thiazolyl and 5-thiazolyl.
- nitrogen bonded heterocycles are bonded at position 1 of an aziridine, azetidine, pyrrole, pyrrolidine, 2-pyrroline, 3-pyrroline, imidazole, imidazolidine, 2-imidazoline, 3-imidazoline, pyrazole, pyrazoline, 2-pyrazoline, 3-pyrazoline, piperidine, piperazine, indole, indoline, or 1H-indazole; position 2 of a isoindole or isoindoline; position 4 of a morpholine; and position 9 of a carbazole or ⁇ -carboline.
- nitrogen bonded heterocycles include 1-aziridyl, 1-azetedyl, 1-pyrrolyl, 1-imidazolyl, 1-pyrazolyl and 1-piperidinyl.
- Carbocycle refers to a saturated or unsaturated ring having 3 to 7 carbon atoms as a monocycle or 7 to 12 carbon atoms as a bicycle.
- Monocyclic carbocycles have 3 to 6 ring atoms, still more typically 5 or 6 ring atoms.
- Bicyclic carbocycles have 7 to 12 ring atoms, e.g., arranged as a bicyclo [4,5], [5,5], [5,6] or [6,6] system, or 9 or 10 ring atoms arranged as a bicyclo [5,6] or [6,6] system.
- Examples of monocyclic carbocycles include cyclopropyl, cyclobutyl, cyclopentyl, 1-cyclopent-1-enyl, 1-cyclopent-2-enyl, 1-cyclopent-3-enyl, cyclohexyl, 1-cyclohex-1-enyl, 1-cyclohex-2-enyl, 1-cyclohex-3-enyl, cycloheptyl and cyclooctyl.
- a “C 3 -C 8 carbocycle” is a 3-, 4-, 5-, 6-, 7- or 8-membered saturated or unsaturated non-aromatic carbocyclic ring.
- Representative C 3 -C 8 carbocycles include, but are not limited to, -cyclopropyl, -cyclobutyl, -cyclopentyl, -cyclopentadienyl, -cyclohexyl, -cyclohexenyl, -1,3-cyclohexadienyl, -1,4-cyclohexadienyl, -cycloheptyl, -1,3-cycloheptadienyl, -1,3,5-cycloheptatrienyl, -cyclooctyl and -cyclooctadienyl.
- a C 3 -C 8 carbocycle group can be unsubstituted or substituted with one or more groups including, but not limited to, —C 1 -C 8 alkyl, —O—(C 1 -C 8 alkyl), -aryl, —C(O)R′, —OC(O)R′, —C(O)OR′, —C(O)NH 2 , —C(O)NHR′, —C(O)N(R′) 2 , —NHC(O)R′, —S(O) 2 R′, —S(O)R′, —OH, -halogen, —N 3 , —NH 2 , —NH(R′), —N(R′) 2 and —CN; where each R′ is independently selected from H, -C 1 -C 8 alkyl and aryl.
- C 3 -C 8 carbocyclo refers to a C 3 -C 8 carbocycle group defined above wherein one of the carbocycle groups' hydrogen atoms is replaced with a bond.
- a “C 1 -C 10 alkylene” is a straight chain, saturated hydrocarbon group of the formula —(CH 2 ) 1-10 —.
- Examples of a C 1 -C 10 alkylene include methylene, ethylene, propylene, butylene, pentylene, hexylene, heptylene, ocytylene, nonylene and decalene.
- C 3 -C 8 heterocycle refers to an aromatic or non-arouratic C 3 -C 8 carbocycle in which one to four of the ring carbon atoms are independently replaced with a heteroatom from the group consisting of O, S and N.
- C 3 -C 8 heterocycle include, but are not limited to, benzofuranyl, benzothiophene, indolyl, benzopyrazolyl, coumarinyl, isoquinolinyl, pyrrolyl, thiophenyl, furanyl, thiazolyl, imidazolyl, pyrazolyl, triazolyl, quinolinyl, pyrimidinyl, pyridinyl, pyridonyl, pyrazinyl, pyridazinyl, isothiazolyl, isoxazolyl and tetrazolyl.
- a C 3 -C 8 heterocycle can be unsubstituted or substituted with up to seven groups including, but not limited to, —C 1 -C 8 alkyl, —O—(C 1 -C 8 alkyl), -aryl, —C(O)R′, —OC(O)R′, —C(O)OR′, —C(O)NH 2 , —C(O)NHR′, —C(O)N(R′) 2 , —NHC(O)R′, —S(O) 2 R′, —S(O)R′, —OH, -halogen, —N 3 , —NH 2 , —NH(R′), —N(R′) 2 and —CN; wherein each R′ is independently selected from H, —C 1 -C 8 alkyl and aryl.
- C 3 -C 8 heterocyclo refers to a C 3 -C 8 heterocycle group defined above wherein one of the heterocycle group's hydrogen atoms is replaced with a bond.
- a C 3 -C 8 heterocyclo can be unsubstituted or substituted with up to six groups including, but not limited to, C 1 -C 8 alkyl, —O—(C 1 -C 8 alkyl), -aryl, —C(O)R′, —OC(O)R′, —C(O)OR′, —C(O)NH 2 , —C(O)NHR′, —C(O)N(R′) 2 —NHC(O)R′, —S(O) 2 R′, —S(O)R′, —OH, -halogen, —N 3 , —NH 2 , —NH(R′), —N(R′) 2 and —CN; wherein each R′ is independently selected from H, —C
- pharmaceutically acceptable salt refers to a pharmaceutically acceptable organic or inorganic salt of a ligand drug conjugate or linker drug conjugate.
- the conjugates may contain at least one amino group, and accordingly acid addition salts can be formed with the amino group.
- Exemplary salts include, but are not limited, to sulfate, citrate, acetate, oxalate, chloride, bromide, iodide, nitrate, bisulfate, phosphate, acid phosphate, isonicotinate, lactate, salicylate, acid citrate, tartrate, oleate, tannate, pantothenate, bitartrate, ascorbate, succinate, maleate, gentisinate, fumarate, gluconate, glucuronate, saccharate, formate, benzoate, glutamate, methanesulfonate, ethanesulfonate, benzenesulfonate, p-toluenesulfonate and pamoate (i.e., 1,1′ methylene bis -(2 hydroxy 3 naphthoate)) salts.
- sulfate citrate, acetate, oxalate, chloride, bromide,
- a pharmaceutically acceptable salt may involve the inclusion of another molecule such as an acetate ion, a succinate ion or other counterion.
- the counterion may be any organic or inorganic moiety that stabilizes the charge on the parent compound.
- a pharmaceutically acceptable salt may have more than one charged atom in its structure. Instances where multiple charged atoms are part of the pharmaceutically acceptable salt can have multiple counter ions. Hence, a pharmaceutically acceptable salt can have one or more charged atoms and/or one or more counterion.
- phrases “pharmaceutically acceptable solvate” or “solvate” refer to an association of one or more solvent molecules and a ligand drug conjugate or linker drug conjugate.
- solvents that form pharmaceutically acceptable solvates include, but are not limited to, water, isopropanol, ethanol, methanol, DMSO, ethyl acetate, acetic acid, and ethanolamine.
- Examples of a “patient” or “subject” include, but are not limited to, a human, rat, mouse, guinea pig, monkey, pig, goat, cow, horse, dog, cat, bird and fowl.
- the patient or subject is a human.
- treat refers to both therapeutic treatment and prophylactic or preventative measures, wherein the object is to prevent or slow down (lessen) an undesired physiological change or disorder, such as the development or spread of cancer.
- beneficial or desired clinical results include, but are not limited to, alleviation of symptoms, diminishment of extent of disease, stabilized (i.e., not worsening) state of disease, delay or slowing of disease progression, amelioration or palliation of the disease state, and remission (whether partial or total), whether detectable or undetectable.
- Treatment can also mean prolonging survival as compared to expected survival if not receiving treatment.
- Those in need of treatment include those already with the condition or disorder as well as those prone to have the condition or disorder or those in which the condition or disorder is to be prevented.
- treating includes any or all of: preventing growth of tumor cells, cancer cells, or of a tumor; preventing replication of tumor cells or cancer cells, lessening of overall tumor burden or decreasing the number of cancerous cells, and ameliorating one or more symptoms associated with the disease.
- treating includes any or all of: preventing replication of cells associated with an autoimmune disease state including, but not limited to, cells that produce an autoimmune antibody, lessening the autoimmune-antibody burden and ameliorating one or more symptoms of an autoimmune disease.
- treating includes any or all of: preventing the growth, multiplication or replication of the pathogen that causes the infectious disease and ameliorating one or more symptoms of an infectious disease.
- MMAE mono-methyl auristatin E (MW 718); MMAF is N-methylvaline-valine-dolaisoleuine-dolaproine-phenylalanine (MW 731.5); AEVB is auristatin E valeryl benzylhydrazone, acid labile linker through the C-terminus of AE (MW 732); DMSO is dimethylsulfoxide; DMF is N,N dimethylformamide; HPLC is high pressure liquid chromatography, THF is tetrahydrofuran; and Mc-OSu is maleimidocaproyl N-hydroxysuccimidyl ester.
- the present invention is drawn to a series of drug linker compounds and conjugate compounds containing a Drug compound (-D) and a Linker unit comprising a Glucuronide unit (—W—).
- the drug-linker compounds are useful as discrete entities, or can be conjugated to Ligands (L, in some embodiments, antibodies).
- the Linker unit can operate to provide a suitable, targeted release of a Drug compound(s). Additionally, some Linker Units can have multiple attached drugs (e.g., one to four attached drugs can be represented as -LU-(D) 1-4 ).
- the ligand drug conjugate compounds generally comprise the following formula I: L A a —W w —Y y —D 1-4 ) p I
- a is 0 or 1, w is 1, and y is 0, 1 or 2. In some embodiments, a is 0 or 1, w is 1, and y is 0 or 1. In some embodiments, a is 0, w is 1, and y is 0. In some embodiments, a is 0 or 1, w is 1, and y is 1. In some embodiments, a is 1, w is 1, and y is 0. In some embodiments, a is 1, w is 1, and y is 1. In some embodiments, a is 1, w is 1, and y is 1. In some embodiments, p is 1 to 10, 1 to 8, 1 to 6, 1 to 4, 6, 4 or 2. Each of these units is described in more detail herein.
- a “Linker unit” is a bifunctional compound which can be used to link a Drug unit and a Ligand unit to form a Ligand Drug Conjugate compound (also referred to as a Ligand-Linker-Drug conjugate compound), to a Drug unit to form a Linker-Drug unit, or which is useful in the formation of immunoconjugates.
- the Linker unit has the formula: -A a -W w —Y y —
- a is 0 or 1
- w is 1
- y is 0, 1 or 2.
- a is 0 or 1
- w is 1
- y is 0 or 1.
- the Glucuronide unit (—W—) links a Stretcher unit to a Spacer unit if the Stretcher and Spacer units are present, links a Stretcher unit to the Drug moiety if the Spacer unit is absent, and links the Ligand unit to the Drug unit if the Stretcher and Spacer units are absent.
- the Glucuronide unit includes a site that can be cleaved by a ⁇ -glucuronidase enzyme.
- the Glucuronide unit comprises a sugar moiety (Su) linked via a glycoside bond (—O′—) to a self-immolative group (Z) of the formula: -[Su-O′—Z]— IIa
- the glycosidic bond (—O′—) is typically a ⁇ -glucuronidase-cleavage site, such as a bond cleavable by human, lysosomal ⁇ -glucuronidase.
- the term “self-immolative group” refers to a di- or tri-functional chemical moiety that is capable of covalently linking together two or three spaced chemical moieties (Le., the sugar moiety (via a glycosidic bond), a Drug unit (directly or indirectly via a Spacer unit), and, in some embodiments, a Ligand unit (directly or indirectly via a Stretcher unit) into a stable molecule.
- the self-immolative group will spontaneously separate from the first chemical moiety (e.g., the Spacer or Drug unit) if its bond to the Sugar moiety is cleaved.
- the Sugar moiety (Su) is cyclic hexose, such as a pyranose, or a cyclic pentose, such as a furanose.
- the pyranose is a glucuronide or hexose.
- the Sugar moiety is usually in the ⁇ -D conformation.
- the pyranose is a ⁇ -D-glucuronide moiety (i.e., ⁇ -D-glucuronic acid linked to the self-immolative group —Z— via a glycosidic bond that is cleavable by ⁇ -glucuronidase).
- the sugar moiety is unsubstituted (e.g., a naturally occurring cyclic hexose or cyclic pentose).
- the sugar moiety can be a substituted ⁇ -D-glucuronide (i.e., glucuronic acid substituted with one or more group, such hydrogen, hydroxyl, halogen, sulfur, nitrogen or lower alkyl.
- the self-immolative group Z is a p-aminobenzyl alcohol (PAB) unit, as further described herein.
- PAB p-aminobenzyl alcohol
- Other suitable self immolative groups are known in the art.
- the Glucuronide unit has one of the following formulae:
- the glycosidic bond comprises the oxygen bond between Su and the self immolative group Z
- each R is independently hydrogen, halo (e.g., chloro, bromo, fluoro, etc), —CN, —NO 2 , or other electron withdrawing or donating group, provided that the Glucuronide unit (and Z in particular) undergoes self-immolation upon cleavage of the glycosidic bond.
- each R is independently hydrogen, halo (e.g., chloro, bromo, fluoro, etc), —CN or —NO 2 .
- the Glucuronide unit has one of the following formulae:
- the glycosidic bond (—O′—) comprises the oxygen bond between Su and the self immolative group Z, and each R is independently hydrogen.
- the self-immolative group (Z) is covalently linked to the Sugar moiety, to the Drug unit (directly or indirectly via the Spacer unit(s)), and to the Ligand unit (directly or indirectly via the Stretcher unit(s)).
- a Drug Linker conjugate has the following formula:
- a Ligand Drug conjugate compound e.g., an antibody drug conjugate (ADC)
- ADC antibody drug conjugate
- a Ligand Drug conjugate compound comprising the Glucuronide unit has the following formula:
- a Ligand Drug conjugate compound comprising the Glucuronide unit has the following formula:
- a Ligand Drug conjugate compound comprising the Glucuronide unit has the following formula:
- a Ligand Drug conjugate compound comprising the Glucuronide unit has the following formula:
- the Ligand unit is linked (directly or indirectly) to the Sugar moiety (S), which is linked to the self-immolative group (Z) which is linked (directly or indirectly) to the Drug unit, according to the following formula.
- the Sugar moiety (Su) can be linked directly to the Ligand unit or indirectly via a Stretcher unit.
- the self-immolative group (Z) can be linked directly to the Drug unit or indirectly via a Spacer unit.
- a Drug-Linker compound has the following formula: A a -[Su-O′—Z] W -Y y -D IIo wherein A, a, Su, O′, Z, w, Y, y and D are defined as above. Typically from 1 to 20 of such Drug-Linker compounds can be linked to a Ligand unit.
- the Stretcher unit (-A-), when present, is capable of linking a Ligand unit to a Glucuronide unit (—W—).
- a Ligand unit (L) has a functional group that can form a bond with a functional group of a Stretcher.
- Useful functional groups that can be present on a Ligand unit, either naturally or via chemical manipulation include, but are not limited to, sulfhydryl (—SH), amino, hydroxyl, carboxy, the anomeric hydroxyl group of a carbohydrate, and carboxyl.
- the Ligand unit functional groups are sulfhydryl and/or amino. Sulfhydryl groups can be generated by reduction of an intramolecular disulfide bond of a Ligand.
- Sulfhydryl groups also can be generated by reaction of an amino group of a lysine moiety of a Ligand using 2-iminothiolane (Traut's reagent) or another sulfhydryl generating reagent.
- the Stretcher unit forms a bond with a sulfur atom of the Ligand unit.
- the sulfur atom can be derived from a sulfhydryl group of a Ligand.
- Representative Stretcher units of this embodiment are depicted within the square brackets of Formulas IIIa and IIIb, wherein L-, —W—, —Y—, -D, w and y are as defined above, and R 17 is direct bond or selected from —C 1 -C 8 alkylene-, —C 3 -C 8 carbocyclo-, —O—(C 1 -C 8 alkyl)-, -arylene-, —C 1 -C 10 alkylene-arylene-, -arylene-C 1 -C 10 alkylene-, —C 1 -C 10 alkylene-(C 3 -C 8 carbocyclo)-, —(C 3 -C 8 carbocyclo)-C 1 -C 10 alkylene-, —C 3 -C 8
- An illustrative Stretcher unit is that of Formula IIIa wherein R 17 is —(CH 2 ) 5 —:
- Stretcher unit is that of Formula Ilia wherein R 17 is —(CH 2 CH 2 O) r —CH 2 —; and r is 2:
- Stretcher unit is that of Formula IIIa wherein R 17 is —(CH 2 CH 2 O) r —CH 2 —CH 2 —; and r is 2:
- Stretcher unit is that of Formula III wherein R 17 is —(CH 2 CH 2 O) r —CH 2 —CH 2 —; and r is 2
- Still another illustrative Stretcher unit is that of Formula IIIb wherein R 17 is —(CH 2 ) 5 —:
- the Stretcher unit is linked to the Ligand unit via a disulfide bond between a sulfur atom of the Ligand unit and a sulfur atom of the Stretcher unit.
- a representative Stretcher unit of this embodiment is depicted within the square brackets of Formula IV, wherein R 17 , L-, —W—, —Y—, -D, w and y are as defined above. L S—R 17 —C(O) W w —Y y —D IV
- the reactive group of the Stretcher contains a reactive site that can form a bond with a primary or secondary amino group of a Ligand.
- these reactive sites include, but are not limited to, activated esters such as succinimide esters, 4-nitrophenyl esters, pentafluorophenyl esters, tetrafluorophenyl esters, anhydrides, acid chlorides, sulfonyl chlorides, isocyanates and isothiocyanates.
- Representative Stretcher units of this embodiment are depicted within the square brackets of Formulas Va and Vb, wherein —R 17 —, L-, —W—, —Y—, -D, w and y are as defined above;
- the reactive group of the Stretcher contains a reactive site that is reactive to a modified carbohydrate (—CHO) group that can be present on a Ligand.
- a carbohydrate can be mildly oxidized using a reagent such as sodium periodate and the resulting (—CHO) unit of the oxidized carbohydrate can be condensed with a Stretcher that contains a functionality such as a hydrazide, an oxime, a primary or secondary amine, a hydrazine, a thiosemicarbazone, a hydrazine carboxylate, and an arylhydrazide such as those described by Kaneko et. al., 1991, Bioconjugate Chem. 2:133 41.
- a modified carbohydrate can be prepared by reductive amination.
- Representative Stretcher units of this embodiment are depicted within the square brackets of Formulas VIa, VIb, and VIc, wherein —R 17 —, L-, —W—, —Y—, -D, w and y are as defined above.
- the Spacer unit(s) is a self-immolative spacer.
- self-immolative spacer refers to a bifunctional chemical moiety that is capable of covalently linking together two spaced chemical moieties into a normally stable tripartite molecule. It will spontaneously separate from the second chemical moiety if its bond to the first moiety is cleaved.
- —Y— is linked to -Ww - via the methylene carbon atom of the self-immolative group, and linked connected directly to -D via a carbonate, carbamate or ether group.
- Scheme 1 depicts a mechanism of Drug release of a glucuronide-based linker which is attached directly to -D via a carbonate group.
- —Yy- is a p-aminobenzyl alcohol (PAB) unit (see, e.g., Schemes 1 and 2, infra) whose phenylene portion is substituted with Qm wherein Q is —C1-C8 alkyl, —O—(C1-C8 alkyl), -halogen, -nitro or -cyano; and m is an integer ranging from 0-4.
- PAB p-aminobenzyl alcohol
- self-immolative spacers include, but are not limited to, aromatic compounds that are electronically similar to the PAB group such as 2-aminoimidazol-5-methanol derivatives (see, e.g., Hay et. al., 1999, Bioorg. Med. Chem. Lett. 9:2237) and ortho or para-aminobenzylacetals.
- Spacers can be used that undergo cyclization upon amide bond hydrolysis, such as substituted and unsubstituted 4-aminobutyric acid amides (see, e.g., Rodrigues et.
- the Spacer unit is a branched bis(hydroxymethyl)styrene (BHMS) unit as depicted in the following Scheme, which can be used to incorporate and release multiple drugs.
- BHMS branched bis(hydroxymethyl)styrene
- a Ligand unit includes within its scope any molecule that binds or reactively associates or complexes with a receptor, antigen or other receptive moiety associated with a given target-cell or cell population.
- the Ligand unit acts to deliver a Drug unit (infra) to the particular target cell or cell population with which the Ligand unit reacts.
- Drug unit infra
- Such Ligand units include, but are not limited to, large molecular weight proteins such as, for example, full-length antibodies, antibody fragments, smaller molecular weight proteins, polypeptides or peptides, lectins, glycoproteins, non-peptides, vitamins, nutrient-transport molecules, and any other cell binding molecule or substance.
- Non-immunoreactive proteins, polypeptides, or peptide ligands include, but are not limited to, transferrin, epidermal growth factors (“EGF”), bombesin, gastrin, gastrin-releasing peptide, platelet-derived growth factor, IL-2, IL-6, transforming growth factors (“TGF”), such as TGF- ⁇ and TGF- ⁇ , vaccinia growth factor (“VGF”), insulin and insulin-like growth factors I and II, lectins, somatostatin and apoprotein from low density lipoprotein.
- EGF epidermal growth factors
- TGF transforming growth factors
- VGF vaccinia growth factor
- I and II insulin and insulin-like growth factors I and II
- lectins somatostatin and apoprotein from low density lipoprotein.
- Useful polyclonal antibodies are heterogeneous populations of antibody molecules, such as those derived from the sera of immunized animals.
- Various procedures known in the art may be used for the production of polyclonal antibodies to an antigen-of-interest.
- various host animals can be immunized by injection with an antigen of interest or derivative thereof, including but not limited to rabbits, mice, rats, and guinea pigs.
- adjuvants can be used to increase the immunological response, depending on the host species, and including but not limited to Freund's (complete and incomplete) adjuvant, mineral gels such as aluminum hydroxide, surface active substances such as lysolecithin, pluronic polyols, polyanions, peptides, oil emulsions, keyhole limpet hemocyanins, dinitrophenol, and potentially useful human adjuvants such as BCG (bacille Calmette-Guerin) and corynebacterium parvum.
- BCG Bacille Calmette-Guerin
- corynebacterium parvum Such adjuvants are also well known in the art.
- Useful monoclonal antibodies are homogeneous populations of antibodies to a particular antigenic determinant (e.g., a cell antigen (such as a cancer or autoimmune cell antigen), a viral antigen, a microbial antigen, a protein, a peptide, a carbohydrate, a chemical, a nucleic acid, or antigen-binding fragments thereof.
- a monoclonal antibody (mAb) to an antigen-of-interest can be prepared by using any technique known in the art.
- Such antibodies may be of any immunoglobulin class including IgG, IgM, IgE, IgA, and IgD and any subclass thereof.
- the hybridoma producing the mAbs of use in this invention may be cultivated in vitro or in vivo.
- Useful monoclonal antibodies include, but are not limited to, human monoclonal antibodies, humanized monoclonal antibodies, chimeric monoclonal antibodies and functionally active antibody fragments.
- Human monoclonal antibodies may be made by any of numerous techniques known in the art (see, e.g., Teng et al., 1983, Proc. Natl. Acad. Sci. USA. 80:7308-7312; Kozbor et al., 1983, Immunology Today 4:72-79; Olsson et al., 1982, Meth. Enzymol. 92:3-16; and U.S. Pat. Nos. 5,939,598 and 5,770,429).
- recombinant antibodies such as chimeric and humanized monoclonal antibodies, comprising both human and non-human portions, which can be made using standard recombinant DNA techniques, are useful antibodies.
- recombinant antibodies are antibody molecules from non-human species having one or more complementarity determining regions (CDRs) from the non-human species and a framework region from a human immunoglobulin molecule.
- CDRs complementarity determining regions
- Such chimeric and humanized monoclonal antibodies can be produced by recombinant DNA techniques known in the art, for example using methods described in International Publication No. WO 87/02671; European Patent Publication No. 0 184 187; European Patent Publication No. 0 171 496; European Patent Publication No. 0 173 494; International Publication No. WO 86/01533; U.S. Pat. No. 4,816,567; European Patent Publication No. 012 023; Berter et al, 1988, Science 240:1041-1043; Liu et a., 1987, Proc. Natl. Acad. Sci.
- Completely human antibodies can be produced using transgenic mice that are incapable of expressing endogenous immunoglobulin heavy and light chains genes, but which can express human heavy and light chain genes.
- the transgenic mice are immunized in the normal fashion with a selected antigen, e.g., all or a portion of a polypeptide of the invention.
- Monoclonal antibodies directed against the antigen can be obtained using conventional hybridoma technology.
- the human immunoglobulin transgenes harbored by the transgenic mice rearrange during B cell differentiation, and subsequently undergo class switching and somatic mutation. Thus, using such a technique, it is possible to produce therapeutically useful IgG, IgA, IgM and IgE antibodies.
- Completely human antibodies that recognize a selected epitope can be generated using a technique referred to as “guided selection.”
- a selected non-human monoclonal antibody e.g., a mouse antibody
- Human antibodies also can be produced using various techniques known in the art, including phage display libraries (Hoogenboom and Winter, 1991, J. Mol. Biol. 227: 381; Marks et al., 1991, J. Mol. Biol.
- the antibody is monospecific.
- the antibody can also be a bispecific antibody.
- Methods for making bispecific antibodies are known in the art. Traditional production of full-length bispecific antibodies is based on the coexpression of two immunoglobulin heavy chain-light chain pairs, where the two chains have different specificities (see, e.g., Milstein et al., 1983, Nature 305:537-539). Because of the random assortment of immunoglobulin heavy and light chains, these hybridomas (quadromas) produce a potential mixture of 10 different antibody molecules, of which only one has the correct bispecific structure. Similar procedures are disclosed in International Publication No. WO 93/08829, and in Traunecker et al., 1991, EMBO J. 10:3655-3659.
- antibody variable domains with the desired binding specificities are fused to immunoglobulin constant domain sequences.
- the fusion typically is with an immunoglobulin heavy chain constant region, comprising at least part of the hinge, C H 2, and C H 3 domains. It is preferred to have the first heavy-chain constant region (C H 1) containing the site necessary for light chain binding, present in at least one of the fusions.
- Nucleic acids with sequences encoding the immunoglobulin heavy chain fusions and, if desired, the immunoglobulin light chain are inserted into separate expression vectors, and are co-transfected into a suitable host organism.
- the bispecific antibodies can have a hybrid immunoglobulin heavy chain with a first binding specificity in one arm, and a hybrid immunoglobulin heavy chain-light chain pair (providing a second binding specificity) in the other arm.
- This asymmetric structure facilitates the separation of the desired bispecific compound from unwanted immunoglobulin chain combinations, as the presence of an immunoglobulin light chain in only one half of the bispecific molecule provides for a facile way of separation (International Publication No. WO 94/04690; which is incorporated herein by reference in its entirety).
- bispecific antibodies can be prepared for use in the treatment or prevention of disease as defined herein.
- bifunctional antibodies are also described in European Patent Publication No. 0 105 360.
- hybrid or bifunctional antibodies can be derived either biologically, e.g., by cell fusion techniques, or chemically, especially with cross-linking agents or disulfide-bridge forming reagents, and may comprise whole antibodies or fragments thereof. Methods for obtaining such hybrid antibodies are disclosed for example, in International Publication WO 83/03679, and European Patent Publication No. 0 217 577, both of which are incorporated herein by reference.
- the antibody also can be a functionally active fragment, derivative or analog of an antibody that immuno specifically binds to a desired target antigen (e.g., a cancer cell antigen, a viral antigen, or a microbial antigen) or other antibodies bound to a target cell(s) or matrix.
- a desired target antigen e.g., a cancer cell antigen, a viral antigen, or a microbial antigen
- “functionally active” means that the fragment, derivative or analog is able to elicit anti-anti-idiotype antibodies that recognize the same antigen that the antibody from which the fragment, derivative or analog is derived recognized.
- the antigenicity of the idiotype of the immunoglobulin molecule can be enhanced by deletion of framework and CDR sequences that are C-terminal to the CDR sequence that specifically recognizes the antigen.
- synthetic peptides containing the CDR sequences can be used in binding assays with the antigen by any binding assay method known in the art (e.g., the BIAcore assay) (see, e.g., Kabat et al., 1991, Sequences of Proteins of Immunological Interest, Fifth Edition, National Institute of Health, Bethesda, Md.; Kabat et al., 1980, J. Immunology 125(3):961-969).
- antibodies include fragments of antibodies such as, but not limited to, F(ab′) 2 fragments, Fab′ fragments, Fab fragments, Fvs, single chain antibodies (SCAs) (e.g., as described in U.S. Pat. No. 4,946,778; Bird, 1988, Science 242:423-42; Huston et al., 1988, Proc. Natl. Acad. Sci.
- SCAs single chain antibodies
- the antibody is a fusion protein of an antibody, or a functionally active fragment thereof, for example in which the antibody is fused via a covalent bond (e.g., a peptide bond), at either the N-terminus or the C-terminus to an amino acid sequence of another protein (or portion thereof, typically at least a 10, 20 or 50 amino acid portion of the protein) that is not the antibody.
- a covalent bond e.g., a peptide bond
- the antibody or fragment thereof can be covalently linked to the other protein at the N-terminus of the constant domain.
- Antibodies can also include analogs and derivatives that are either modified, e.g., by the covalent attachment of any type of molecule as long as such covalent attachment permits the antibody to retain its antigen binding immunospecificity.
- the derivatives and analogs of the antibodies include those that have been further modified, e.g., by glycosylation, acetylation, pegylation, phosphorylation, amidation, derivatization by known protecting/blocking groups, proteolytic cleavage, linkage to a cellular antibody unit or other protein, etc. Any of numerous chemical modifications can be carried out by known techniques, including, but not limited to specific chemical cleavage, acetylation, formylation, metabolic synthesis in the presence of tunicamycin, or the like. Additionally, the analog or derivative can contain one or more unnatural amino acids.
- amino acid sequence variants of the antibodies are prepared by introducing appropriate nucleotide changes into the antibody nucleic acid, or by peptide synthesis. Such modifications include, for example, deletions from, and/or insertions into and/or substitutions of, residues within the amino acid sequences of the antibody. Any combination of deletion, insertion, and substitution is made to arrive at the final construct, provided that the final construct possesses the desired characteristics.
- the amino acid changes also may alter post-translational processes of the antibody, such as changing the number or position of glycosylation sites.
- a useful method for identification of certain residues or regions of the antibody that are favored locations for mutagenesis is called “alanine scanning mutagenesis” as described by Cunningham and Wells (1989, Science 244: 1081-1085).
- a residue or group of target residues are identified (e.g., charged residues such as arg, asp, his, lys, and glu) and replaced by a neutral or negatively charged amino acid (typically alanine or polyalanine) to affect the interaction of the amino acids with antigen.
- Those amino acid locations demonstrating functional sensitivity to the substitutions then are refined by introducing further or other variants at, or for, the sites of substitution.
- the site for introducing an amino acid sequence variation is predetermined, the nature of the mutation per se need not be predetermined. For example, to analyze the performance of a mutation at a given site, alanine scanning or random mutagenesis is conducted at the target codon or region and the expressed antibody variants are screened for the desired activity.
- Amino acid sequence insertions include amino- and/or carboxyl-terminal fusions ranging in length from one residue to polypeptides containing a hundred or more residues, as well as intrasequence insertions of single or multiple amino acid residues.
- terminal insertions include an antibody with an N-terminal methionyl residue or the antibody fused to a cytotoxic polypeptide.
- variants are an amino acid substitution variant. These variants have at least one amino acid residue in the antibody molecule replaced by a different residue.
- the sites of greatest interest for substitutional mutagenesis include the hypervariable regions, but framework region alterations are also contemplated.
- Substantial modifications in the biological properties of the antibody are accomplished by selecting substitutions that differ significantly in their effect on maintaining (a) the structure of the polypeptide backbone in the area of the substitution, for example, as a sheet or helical conformation, (b) the charge or hydrophobicity of the molecule at the target site, or (c) the bulk of the side chain.
- Naturally-occurring residues are divided into groups based on common side-chain properties:
- hydrophobic norleucine, met, ala, val, leu, ile
- Non-conservative substitutions will entail exchanging a member of one of these classes for another class.
- a particularly type of substitutional variant involves substituting one or more hypervariable region residues of a parent antibody (e.g., a humanized or human antibody).
- a parent antibody e.g., a humanized or human antibody
- the resulting variant(s) selected for further development will have improved biological properties relative to the parent antibody from which they are generated.
- a convenient way for generating such substitutional variants involves affinity maturation using phage display. Briefly, several hypervariable region sites (e.g., 6-7 sites) are mutated to generate all possible amino substitutions at each site.
- the antibody variants thus generated are displayed in a monovalent fashion from filamentous phage particles as fusions to the gene III product of M13 packaged within each particle. The phage-displayed variants are then screened for their biological activity (e.g., binding affinity).
- alanine scanning mutagenesis can be performed to identify hypervariable region residues contributing significantly to antigen binding. Alternatively, or additionally. it may be beneficial to analyze a crystal structure of the antigen-antibody complex to identify contact points between the antibody and the antigen. Such contact residues and neighboring residues are candidates for substitution according to the techniques elaborated herein. Once such variants are generated, the panel of variants is subjected to screening and antibodies with superior properties in one or more relevant assays may be selected for further development.
- ADCC antigen-dependent cell-mediated cyotoxicity
- CDC complement dependent cytotoxicity
- This may be achieved by introducing one or more amino acid substitutions in an Fc region of the antibody.
- cysteine residue(s) may be introduced in the Fc region, thereby allowing interchain disulfide bond formation in this region.
- the homodimeric antibody thus generated may have improved internalization capability and/or increased complement-mediated cell killing and antibody-dependent cellular cytotoxicity (ADCC). See, e.g., Caron et al., 1992, J. Exp Med.
- Homodimeric antibodies with enhanced anti-tumor activity may also be prepared using heterobifunctional cross-linkers as described in Wolff et al., 1993, Cancer Research 53:2560-2565.
- an antibody can be engineered which has dual Fc regions and may thereby have enhanced complement lysis and ADCC capabilities. See, e.g., Stevenson et al., 1989, Anti-Cancer Drug Design 3:219-230.
- a salvage receptor binding epitope refers to an epitope of the Fc region of an IgG molecule (e.g., IgG 1 , IgG 2 , IgG 3 , or IgG 4 ) that is responsible for increasing the in vivo serum half-life of the IgG molecule.
- Antibodies may be glycosylated at conserved positions in their constant regions (see, e.g., Jefferis and Lund, 1997, Chem. Immunol. 65:111-128; Wright and Morrison, 1997, TibTECH 15:26-32).
- the oligosaccharide side chains of the immunoglobulins affect the protein's function (see, e.g., Boyd et al., 1996, Mol. Immunol, 32:1311-1318; Wittwe and Howard, 1990, Biochem.
- Oligosaccharides may also serve to target a given glycoprotein to certain molecules based upon specific recognition structures.
- CAMPATH-1H a recombinant humanized murine monoclonal IgG1 antibody which recognizes the CDw52 antigen of human lymphocytes
- CHO Chinese Hamster Ovary
- CHO cells with tetracycline-regulated expression of ⁇ (1,4)-N-acetylglucosaminyltransferase III (GnTIII), a glycosyltransferase catalyzing formation of bisecting GIcNAc, was reported to have improved ADCC activity (see, e.g., Umana et al., 1999, Mature Biotech. 17:176-180).
- N-linked refers to the attachment of the carbohydrate moiety to the side chain of an asparagine residue.
- the tripeptide sequences asparagine-X-serine and asparagine-X-threonine, where X is any amino acid except proline, are the recognition sequences for enzymatic attachment of the carbohydrate moiety to the asparagine side chain.
- X is any amino acid except proline
- O-linked glycosylation refers to the attachment of one of the sugars N-acetylgalactosamine, galactose, or xylose to a hydroxyamino acid, most commonly serine or threonine, although 5-hydroxyproline or 5-hydroxylysine may also be used.
- Glycosylation variants of antibodies are variants in which the glycosylation pattern of an antibody is altered.
- altering is meant deleting one or more carbohydrate moieties found in the antibody, adding one or more carbohydrate moieties to the antibody, changing the composition of glycosylation (glycosylation pattern), the extent of glycosylation, or the like.
- glycosylation sites to the antibody is conveniently accomplished by altering the amino acid sequence such that it contains one or more of the above-described tripeptide sequences (for N-linked glycosylation sites).
- the alteration may also be made by the addition of, or substitution by, one or more serine or threonine residues to the sequence of the original antibody (for O-linked glycosylation sites).
- removal of glycosylation sites can be accomplished by amino acid alteration within the native glycosylation sites of the antibody.
- the amino acid sequence is usually altered by altering the underlying nucleic acid sequence.
- These methods include, but are not limited to, isolation from a natural source (in the case of naturally-occurring amino acid sequence variants) or preparation by oligonucleotide-mediated (or site-directed) mutagenesis, PCR mutagenesis, and cassette mutagenesis of an earlier prepared variant or a non-variant version of the antibody.
- glycosylation may also be altered without altering the amino acid sequence or the underlying nucleotide sequence. Glycosylation largely depends on the host cell used to express the antibody. Since the cell type used for expression of recombinant glycoproteins, e.g., antibodies, as potential therapeutics is rarely the native cell, significant variations in the glycosylation pattern of the antibodies can be expected. See, e.g., Hse et al., 1997, J. Biol. Chem. 272:9062-9070. In addition to the choice of host cells, factors which affect glycosylation during recombinant production of antibodies include growth mode, media formulation, culture density, oxygenation, pH, purification schemes and the like.
- glycosylation pattern achieved in a particular host organism including introducing or overexpressing certain enzymes involved in oligosaccharide production (see, e.g., U.S. Pat. Nos. 5,047,335; 5,510,261; and 5,278,299).
- Glycosylation, or certain types of glycosylation can be enzymatically removed from the glycoprotein, for example using endoglycosidase H (Endo H).
- the recombinant host cell can be genetically engineered, e.g., make defective in processing certain types of polysaccharides.
- glycosylation structure of antibodies can be readily analyzed by conventional techniques of carbohydrate analysis, including lectin chromatography, NMR, mass spectrometry, HPLC, GPC, monosaccharide compositional analysis, sequential enzymatic digestion, and HPAEC-PAD, which uses high pH anion exchange chromatography to separate oligosaccharides based on charge.
- Methods for releasing oligosaccharides for analytical purposes include, without limitation, enzymatic treatment (commonly performed using peptide-N-glycosidase F/endo- ⁇ -galactosidase), elimination using harsh alkaline environment to release mainly O-linked structures, and chemical methods using anhydrous hydrazine to release both N- and O-linked oligosaccharides.
- antibodies also can have modifications (e.g., substitutions, deletions or additions) in amino acid residues that interact with Fc receptors.
- antibodies include antibodies having modifications in amino acid residues identified as involved in the interaction between the anti-Fc domain and the FcRn receptor (see, e.g., International Publication No. WO 97/34631, which is incorporated herein by reference in its entirety).
- Antibodies immuno specific for a cancer cell antigen can be obtained commercially, for example, from commercial companies or produced by any method known to one of skill in the art such as, e.g., chemical synthesis or recombinant expression techniques.
- the nucleotide sequence encoding antibodies immunospecific for a cancer cell antigen can be obtained, e.g., from the GenBank database or a database like it, the literature publications, or by routine cloning and sequencing.
- antibodies for the treatment or prevention of cancer can be used.
- Antibodies immunospecific for a cancer cell antigen can be obtained commercially or produced by any method known to one of skill in the art such as, erg., recombinant expression techniques.
- the nucleotide sequence encoding antibodies immunospecific for a cancer cell antigen can be obtained, e.g., from the GenBank database or a database like it, the literature publications, or by routine cloning and sequencing.
- any target protein can be targeted by an antibody, including any target protein which expression is correlated with expression on cells of a cancer, cell proliferative disorder or tumor.
- the antigen is a tumor-associated antigen, such as a polypeptide, protein or other molecule that is specifically expressed on the surface of one or more particular type(s) of cancer cell as compared to on one or more normal non-cancerous cell(s).
- tumor-associated antigens are more abundantly expressed on the surface of the cancer cells as compared to on the surface of the non-cancerous cells. The identification of such tumor-associated cell surface antigens has given rise to the ability to specifically target cancer cells for destruction via antibody-based therapies.
- Suitable target proteins include human tumor antigens recognized by T cells (Robbins and Kawakami, 1996, Curr. Opin. Immunol 8:628-636, incorporated herein by reference in its entirety), melanocyte lineage proteins, including gp 100, MART-1/MelanA, TRP-1 (gp75), tyrosinase; Tumor-specific widely shared antigens, MAGE-1, MAGE-3, BAGE, GAGE-1, GAGE-1, N-acetylglucosaminyltransferase-V, p15; Tumor-specific mutated antigens, beta-catenin, MUM-1, CDK4; Nonmelanoma antigens for breast, ovarian, cervical and pancreatic carcinoma, HER-2/neu, human papillomavirus-E6, -E7, MUC-1; cancer antigens, such as KS 1/4 pan-carcinoma antigen (Perez and Walker, 1990, J.
- melanocyte lineage proteins including
- melanoma antigen gp75 (Vijayasardahl et al., 1990, J. Exp. Med. 171(4):1375-1380); high molecular weight melanoma antigen (HMW-MM) (Natali et al., 1987, Cancer 59:55-63; Mittelman et al., 1990, J. Clin. Invest 86:2136-2144); prostate specific membrane antigen; carcinoembryonic antigen (CEA) (Foon et al., 1994, Proc. Am. Soc. Clin. Oncol.
- CEA carcinoembryonic antigen
- ganglioside GM2 Livingston et al., 1994, J. Clin. Oncol. 12:1036-1044
- ganglioside GM3 Hoon et al., 1993, Cancer Res. 53:5244-5250
- tumor-specific transplantation type of cell-surface antigen TSTA
- virally-induced tumor antigens including T-antigen DNA tumor viruses and envelope antigens of RNA tumor viruses
- oncofetal antigen-alpha-fetoprotein such as CEA of colon, bladder tumor oncofetal antigen
- differentiation antigen such as human lung carcinoma antigen L6, L20 (Hellstrom et al., 1986, Cancer Res. 46:3917-3923); antigens of fibrosarcoma, human leukemia T cell antigen-Gp37 (Bhattacharya-Chatterjee et al., 1988, J. Immunol. 141: 1398-1403); neoglycoprotein, sphingolipids, breast cancer antigen such as EGFR (Epidermal growth factor receptor), HER2 antigen (p185HER2), polymorphic epithelial mucin (PEM) (Hilkens et al., 1992, Trends in Bio. Chem. Sci.
- differentiation antigen such as human lung carcinoma antigen L6, L20 (Hellstrom et al., 1986, Cancer Res. 46:3917-3923); antigens of fibrosarcoma, human leukemia T cell antigen-Gp37 (Bhattacharya-Chatterjee et al.,
- the antibody is useful for the treatment of cancer.
- antibodies available for the treatment of cancer include, but are not limited to R ITUXAN ® (rituximab; Genentech) which is a chimeric anti-CD20 monoclonal antibody for the treatment of patients with non-Hodgkin's lymphoma; OVAREX (AltaRex Corporation, Mass.) which is a murine antibody for the treatment of ovarian cancer; PANOREX (Glaxo Wellcome, NC) which is a murine IgG 2a antibody for the treatment of colorectal cancer; CETUXIMAB ERBITUX (Imclone Systems Inc., NY) which is an anti-EGFR IgG chimeric antibody for the treatment of epidermal growth factor positive cancers, such as head and neck cancer; VITAXIN (Medimmune, Inc., MD) which is a humanized antibody for the treatment of sarcoma; CAMPATH I/H (Leukosite, Mass
- the antibody is an antibody against the following antigens (where exemplary cancers are indicated in parentheses): CA125 (ovarian), CA15-3 (carcinomas), CA19-9 (carcinomas), L6 (carcinomas), Lewis Y (carcinomas), Lewis X (carcinomas), alpha fetoprotein (carcinomas), CA 242 (colorectal), placental alkaline phosphatase (carcinomas), prostate specific membrane antigen (prostate), EphB2, TMEFF2, prostatic acid phosphatase (prostate), epidermal growth factor (carcinomas), MAGE-1 (carcinomas), MAGE-2 (carcinomas), MAGE-3 (carcinomas), MAGE-4 (carcinomas), anti-transferrin receptor (carcinomas), p97 (melanoma), MUC1-KLH (breast cancer), CEA (colorectal), gp100 (melanoma), MART1 (melanoma), prostate specific antigen (prostate), IL-2 receptor
- Some specific, useful antibodies include, but are not limited to, BR96 mAb (Trail et. al., 1993, Science 261:212-215), BR64 (Trail et al., 1997, Cancer Research 57:100-105), mAbs against the CD40 antigen, such as S2C6 mAb (Francisco et al., 2000, Cancer Res. 60:3225-3231) or other anti-CD40 antibodies, such as those disclosed in U.S Patent Publication Nos.
- mAbs against the CD70 antigen such as 1F6 mAb and 2F2 mAb
- mAbs against the CD30 antigen such as AC10 (Bowen et al., 1993, J. Immunol. 151:5896-5906; Wahl et al., 2002, Cancer Res. 62(13):3736-42) or MDX-0060 (U.S. Patent Publication No. 2004-0006215).
- Other internalizing antibodies that bind to tumor associated antigens can be used and have been reviewed (Franke et al., 2000, Cancer Biother. Radiopharm. 15:459 76; Murray, 2000, Semin. Oncol. 27:64 70; Breitling, F., and Dubel, S., Recombinant Antibodies, John Wiley, and Sons, New York, 1998).
- antibodies for the treatment or prevention of an autoimmune disease are used.
- Antibodies immunospecific for an antigen of a cell that is responsible for producing autoimmune antibodies can be obtained from any organization (e.g., a university scientist or a company) or produced by any method known to one of skill in the art such as, e.g., chemical synthesis or recombinant expression techniques.
- Useful antibodies are immunospecific for the treatment of autoimmune diseases include, but are not limited to, anti-nuclear antibody; anti-ds DNA antibody; anti-ss DNA antibody; anti-cardiolipin antibody IgM, IgG; anti-phospholipid antibody IgM, IgG; anti-SM antibody; anti-mitochondrial antibody; anti-thyroid antibody; anti-microsomal antibody; anti-thyroglobulin antibody; anti-SCL-70 antibody; anti-Jo antibody; anti-U 1 RNP antibody; anti-La/SSB antibody; anti-SSA antibody; anti-SSB antibody; anti-perital cells antibody; anti-histone antibody; anti-RNP antibody; anti-C-ANCA antibody; anti-P-ANCA antibody; anti-centromere antibody; anti-Fibrillarin antibody, and anti-GBM antibody.
- useful antibodies can bind to a receptor or a receptor complex expressed on a target cell.
- the receptor or receptor complex can comprise an immunoglobulin gene superfamily member, a TNF receptor superfamily member, an integrin, a cytokine receptor, a chemokine receptor, a major histocompatibility protein, a lectin, or a complement control protein.
- suitable immunoglobulin superfamily members are CD2, CD3, CD4, CD8, CD19, CD22, CD28, CD79, CD90, CD152/CTLA-4, PD-1, and ICOS.
- TNF receptor superfamily members are CD27, CD40, CD95/Fas, CD134/OX40, CD137/4-1BB, TNF-R1, TNFR-2, RANK, TACI, BCMA, osteoprotegerin, Apo2/TRAIL-R1, TRAIL-R2, TRAIL-R3, TRAIL-R4, and APO-3.
- suitable integrins are CD11a, CD11b, CD11c, CD18, CD29, CD41, CD49a, CD49b, CD49c, CD49d, CD49e, CD49f, CD103, and CD104.
- suitable lectins are C-type, S-type, and I-type lectin.
- the ligand binds to an activated lymphocyte that is associated with an autoimmune disease.
- useful ligands immunospecific for a viral or a microbial antigen are monoclonal antibodies.
- viral antigen includes, but is not limited to, any viral peptide, polypeptide protein (e.g., HIV gp120, HIV nef, RSV F glycoprotein, influenza virus neuraminidase, influenza virus hemagglutinin, HTLV tax, herpes simplex virus glycoprotein (e.g., gB, gC, gD, and gE) and hepatitis B surface antigen) that is capable of eliciting an immune response.
- polypeptide protein e.g., HIV gp120, HIV nef, RSV F glycoprotein, influenza virus neuraminidase, influenza virus hemagglutinin, HTLV tax, herpes simplex virus glycoprotein (e.g., gB, gC, gD, and gE) and hepatitis B surface antigen
- microbial antigen includes, but is not limited to, any microbial peptide, polypeptide, protein, saccharide, polysaccharide, or lipid molecule (e.g., a bacterial, fungi, pathogenic protozoa, or yeast polypeptide including, e.g., LPS and capsular polysaccharide 5/8) that is capable of eliciting an immune response.
- microbial antigen includes, but is not limited to, any microbial peptide, polypeptide, protein, saccharide, polysaccharide, or lipid molecule (e.g., a bacterial, fungi, pathogenic protozoa, or yeast polypeptide including, e.g., LPS and capsular polysaccharide 5/8) that is capable of eliciting an immune response.
- Antibodies immuno specific for a viral or microbial antigen can be obtained commercially or produced by any method known to one of skill in the art such as, e.g., chemical synthesis or recombinant expression techniques.
- the nucleotide sequence encoding antibodies that are immunospecific for a viral or microbial antigen can be obtained, e.g., from the GenBank database or a database like it, literature publications, or by routine cloning and sequencing.
- useful ligands are those that are useful for the treatment or prevention of viral or microbial infection in accordance with the methods disclosed herein.
- antibodies available useful for the treatment of viral infection or microbial infection include, but are not limited to, SYNAGIS (Medimmune, Inc., MD) which is a humanized anti-respiratory syncytial virus (RSV) monoclonal antibody useful for the treatment of patients with RSV infection; PRO542 (Progenics) which is a CD4 fusion antibody useful for the treatment of HIV infection; OSTAVIR (Protein Design Labs, Inc., CA) which is a human antibody useful for the treatment of hepatitis B virus; PROTOVIR (Protein Design Labs, Inc., CA) which is a humanized IgG 1 antibody useful for the treatment of cytomegalovirus (CMV); and anti-LPS antibodies.
- SYNAGIS Medimmune, Inc., MD
- RSV humanized anti-respiratory syncytial
- antibodies useful in the treatment of infectious diseases include, but are not limited to, antibodies against the antigens from pathogenic strains of bacteria (e.g., Streptococcus pyogenes, Streptococcus pneumoniae, Neisseria gonorrheae, Neisseria meningitidis, Corynebacterium diphtheriae, Clostridium botulinum, Clostridium perfringens, Clostridium tetani, Hemophilus influenzae, Klebsiella pneumoniae, Klebsiella ozaenas, Klebsiella rhinoscleromotis, Staphylococc aureus, Vibrio colerae, Escherichia coli, Pseudomonas aeruginosa, Campylobacter (Vibrio) fetus, Aeromonas hydrophila, Bacillus cereus, Edwardsiella tarda, Yersinia enterocolitica, Yersinia
- antibodies useful in this invention for treatment of viral disease include, but are not limited to, antibodies against antigens of pathogenic viruses, such as for example: Poxviridae, Herpesviridae, Herpes Simplex virus 1, Herpes Simplex virus 2, Adenoviridae, Papovaviridae, Enteroviridae, Picornaviridae, Parvoviridae, Reoviridae, Retroviridae, influenza viruses, parainfluenza viruses, mumps, measles, respiratory syncytial virus, rubella, Arboviridae, Rhabdoviridae, Arenaviridae, Hepatitis A virus, Hepatitis B virus, Hepatitis C virus, Hepatitis E virus, Non-A/Non-B Hepatitis virus, Rhinoviridae, Coronaviridae, Rotoviridae, and Human Immunodeficiency Virus.
- pathogenic viruses such as for example: Poxviridae, Herpesvirida
- the Drug unit can be any cytotoxic, cytostatic or immunomodulatory drug.
- the Drug unit D has a nitrogen atom that can form a bond with the Spacer unit.
- drug unit and “Drug moiety” are synonymous and used interchangeably.
- cytotoxic or immunomodulatory agents include, for example, antitubulin agents, auristatins, DNA minor groove binders, DNA replication inhibitors, alkylating agents (e.g., platinum complexes such as cis-platin, mono (platinum), bis(platinum) and tri-nuclear platinum complexes and carboplatin), anthracyclines, antibiotics, anti-folates, antimetabolites, calmodulin inhibitors, chemotherapy sensitizers, duocarmycins, etoposides, fluorinated pyrimidines, ionophores, lexitropsins, maytansinoids, nitrosoureas, platinols, pore-forming compounds, purine antimetabolites, puromycins, radiation sensitizers, rapamycins, steroids, taxanes, topoisomerase inhibitors, vinca alkaloids, or the like.
- alkylating agents e.g., platinum complexes such as
- cytotoxic or immunomodulatory agents include, for example, an androgen, anthramycin (AMC), asparaginase, 5-azacytidine, azathioprine, bleomycin, busulfan, buthionine sulfoximine, calicheamicin, calicheamicin derivatives, camptothecin, carboplatin, carmustine (BSNU), CC-1065, chlorambucil, cisplatin, colchicine, cyclophosphamide, cytarabine, cytidine arabinoside, cytochalasin B, dacarbazine, dactinomycin (formerly actinomycin), daunorubicin, decarbazine, DM1, DM4, docetaxel, doxorubicin, etoposide, an estrogen, 5-fluordeoxyuridine, 5-fluorouracil, gemcitabine, gramicidin D, hydroxyurea, idarubicin, if
- suitable cytotoxic agents include, for example, DNA minor groove binders (e.g., enediynes and lexitropsins, a CBI compound; see also U.S. Pat. No. 6,130,237), duocarmycins, taxanes (e.g., paclitaxel and docetaxel), puromycins, vinca alkaloids, CC-1065, SN-38, topotecan, morpholino-doxorubicin, rhizoxin, cyanomorpholino-doxorubicin, echinomycin, combretastatin, netropsin, epothilone A and B, estramustine, cryptophycins, cemadotin, maytansinoids, discodermolide, eleutherobin, and mitoxantrone.
- DNA minor groove binders e.g., enediynes and lexitropsins, a CBI compound; see also U.S. Pat
- the Drug is an anti-tubulin agent.
- anti-tubulin agents include, but are not limited to, taxanes (e.g., Taxol® (paclitaxel), Taxotere® (docetaxel)), T67 (Tularik) and vinca alkyloids (e.g., vincristine, vinblastine, vindesine, and vinorelbine).
- antitubulin agents include, for example, baccatin derivatives, taxane analogs, epothilones (e.g., epothilone A and B), nocodazole, colchicine and colcimid, estramustine, cryptophycins, cemadotin, maytansinoids, combretastatins, discodermolide, and eleutherobin.
- the cytotoxic agent is a maytansinoid, another group of anti-tubulin agents.
- the maytansinoid can be maytansine or DM-1 (ImmunoGen, Inc.; see also Chari et al., 1992, Cancer Res. 52:127-131).
- the Drug is an auristatin, such as auristatin E or a derivative thereof.
- the auristatin E derivative can be an ester formed between auristatin E and a keto acid.
- auristatin E can be reacted with paraacetyl benzoic acid or benzoylvaleric acid to produce AEB and AEVB, respectively.
- Other typical auristatin derivatives include AFP, MMAF, and MMAE.
- the synthesis and structure of auristatin derivatives are described in U.S. Patent Application Publication Nos. 2003-0083263, 2005-0238649 and 2005-0009751; International Patent Publication No. WO 04/010957, International Patent Publication No.
- -D is either formula D E or D F :
- R 3 , R 4 and R 7 are independently isopropyl or sec-butyl and R 5 is —H. In an exemplary embodiment, R 3 and R 4 are each isopropyl, R 5 is H, and R 7 is sec-butyl.
- R 2 and R 6 are each methyl, and R 9 is H.
- each occurrence of R 8 is —OCH 3 .
- R 3 and R 4 are each isopropyl
- R 2 and R 6 are each methyl
- R 5 is H
- R 7 is sec-butyl
- each occurrence of R 8 is —OCH 3
- R 9 is H.
- Z is —O— or —NH—.
- R 10 is aryl
- R 10 is -phenyl
- R 11 is H, methyl or t-butyl.
- R 11 is —CH(R 15 ) 2 , wherein R 15 is —(CH 2 ) n —N(R 16 ) 2 , and R 16 is —C 1 -C 8 alkyl or —(CH 2 ) n —COOH.
- R 11 is —CH(R 15 ) 2 , wherein R 15 is —(CH 2 ) n —SO 3 H.
- Illustrative Drug units (-D) include the drug units having the following structures:
- hydrophilic groups such as but not limited to triethylene glycol esters (TEG), as shown above, can be attached to the Drug Unit at R 11 .
- TEG triethylene glycol esters
- the hydrophilic groups assist in the internalization and non-agglomeration of the Drug Unit.
- the Drug unit is an amino-benzoic acid derivative of an auristatin of the following formula:
- the Drug unit is of the following formula:
- the Drug unit is of the following formula:
- the Drug unit is of the following formula:
- the Drug unit is of the following formula:
- the Drug unit is not a radioisotope. In some embodiments, the Drug unit is not radioactive.
- the Drug unit is an antimetabolite.
- the antimetabolite can be, for example, a purine antagonist (e.g., azothioprine or mycophenolate mofetil), a dihydrofolate reductase inhibitor (e.g., methotrexate), acyclovir, gangcyclovir, zidovudine, vidarabine, ribavarin, azidothymidine, cytidine arabinoside, amantadine, dideoxyuridine, iododeoxyuridine, poscarnet, or trifluridine.
- a purine antagonist e.g., azothioprine or mycophenolate mofetil
- a dihydrofolate reductase inhibitor e.g., methotrexate
- acyclovir gangcyclovir
- zidovudine vidarabine
- ribavarin azidothymidine
- the Drug unit is tacrolimus, cyclosporine, FU506 or rapamycin.
- the Drug is aldesleukin, alemtuzumab, alitretinoin, allopurinol, altretamine, amifostine, anastrozole, arsenic trioxide, bexarotene, bexarotene, calusterone, capecitabine, celecoxib, cladribine, Darbepoetin alfa, Denileukin diftitox, dexrazoxane, dromostanolone propionate, epirubicin, Epoetin alfa, estramustine, exemestane, Filgrastim, floxuridine, fludarabine, fulvestrant, gemcitabine, gemtuzumab ozogamicin (MYLOTARG), goserelin, idarubicin, ifosfamide, im
- the Drug moiety is an immunomodulatory agent.
- the immunomodulatory agent can be, for example, gangcyclovir, etanercept, tacrolimus, cyclosporine, rapamycin, cyclophosphamide, azathioprine, mycophenolate mofetil or methotrexate.
- the immunomodulatory agent can be, for example, a glucocorticoid (e.g., cortisol or aidosterone) or a glucocorticoid analogue (e.g., prednisone or dexamethasone).
- the immunomodulatory agent is an anti-inflammatory agent, such as arylcarboxylic derivatives, pyrazole-containing derivatives, oxicam derivatives and nicotinic acid derivatives.
- Classes of anti-inflammatory agents include, for example, cyclooxygenase inhibitors, 5-lipoxygenase inhibitors, and leukotriene receptor antagonists.
- Suitable cyclooxygenase inhibitors include meclofenamic acid, mefenamic acid, carprofen, diclofenac, diflunisal, fenbufen, fenoprofen, indomethacin, ketoprofen, nabumetone, sulindac, tenoxicam and tolmetin.
- Suitable lipoxygenase inhibitors include redox inhibitors (e.g., catechol butane derivatives, nordihydroguaiaretic acid (NDGA), masoprocol, phenidone, lanopalen, indazolinones, naphazatrom, benzofuranol, alkylhydroxylamine), and non-redox inhibitors (e.g., hydroxythiazoles, methoxyalkylthiazoles, benzopyrans and derivatives thereof, methoxytetrahydropyran, boswellic acids and acetylated derivatives of boswellic acids, and quinolinemethoxyphenylacetic acids substituted with cycloalkyl radicals), and precursors of redox inhibitors.
- redox inhibitors e.g., catechol butane derivatives, nordihydroguaiaretic acid (NDGA), masoprocol, phenidone, lanopalen, indazolinones,
- lipoxygenase inhibitors include antioxidants (e.g., phenols, propyl gallate, flavonoids and/or naturally occurring substrates containing flavonoids, hydroxylated derivatives of the flavones, flavonol, dihydroquercetin, luteolin, galangin, orobol, derivatives of chalcone, 4,2′,4′-trihydroxychalcone, ortho-aminophenols, N-hydroxyureas, benzofuranols, ebselen and species that increase the activity of the reducing selenoenzymes), iron chelating agents (e.g., hydroxamic acids and derivatives thereof, N-hydroxyureas, 2-benzyl-1-naphthol, catechols, hydroxylamines, carnosol trolox C, catechol, naphthol.
- antioxidants e.g., phenols, propyl gallate, flavonoids and/or naturally occurring substrates containing flavonoids, hydroxy
- sulfasalazine zyleuton, 5-hydroxyanthranilic acid and 4-(omega-arylalkyl)phenylalkanoic acids
- imidazole-containing compounds e.g., ketoconazole and itraconazole
- phenothiazines e.g., phenothiazines, and benzopyran derivatives.
- lipoxygenase inhibitors include inhibitors of eicosanoids (e.g., octadecatetraenoic, eicosatetraenoic, docosapentaenoic, eicosahexaenoic and docosahexaenoic acids and esters thereof, PGE1 (prostaglandin E1), PGA2 (prostaglandin A2), viprostol, 15-monohydroxyeicosatetraenoic, 15-monohydroxy-eicosatrienoic and 15-monohydroxyeicosapentaenoic acids, and leukotrienes B5, C5 and D5), compounds interfering with calcium flows, phenothiazines, diphenylbutylamines, verapamil, fuscoside, curcumin, chlorogenic acid, caffeic acid, 5,8,11,14-eicosatetrayenoic acid (ETYA), hydroxyphenylretinamide,
- Leukotriene receptor antagonists include calcitriol, ontazolast, Bayer Bay-x-1005, Ciba-Geigy CGS-25019C, ebselen, Leo Denmark ETH-615, Lilly LY-293111, Ono ONO-4057, Terumo TMK-688, Boehringer Ingleheim BI-RM-270, Lilly LY 213024, Lilly LY 264086, Lilly LY 292728, Ono ONO LB457, Pfizer 105696, Perdue Frederick PF 10042, Rhone-Poulenc Rorer RP 66153, SmithKline Beecham SB-201146, SmithKline Beecham SB-201993, Smith-Kline Beecham SB-209247, Searle SC-53228, Sumitamo SM 15178, American Home Products WAY 121006, Bayer Bay-o-8276, Warner-Lambert CI-987, Warner-Lambert CI-987BPC-15LY 223982, Lilly
- a Glucuronide unit and glucuronide-based Linker-Drug conjugate can be synthesized by any suitable technique.
- the synthesis of Glucuronide-based prodrugs is disclosed in, for example, Desbene et al., 1998, Anticancer Drug Des. 13:955-68.
- a Ligand Drug compound conjugate comprising a glucuronide-based Linker-Drug conjugate can be synthesized by techniques in the art.
- a glucuronide-based Linker-Drug conjugate can comprise an acetamide functionality for conjugation to a Ligand unit.
- a ⁇ -glucuronide prodrug of doxorubicin (3) is shown in Scheme 1.
- the amide can be modified, via the amine precursor, to possess a reactive group such as a bromoacetamide or maleimide for attachment to a Ligand, such as an antibody.
- Scheme 2 discloses exemplary antibody drug conjugates of MMAE, and MMAF and another potent doxorubicin derivative; doxorubicin propyl oxazoline (DPO; 2) which is a precursor to 2-pyrrolinodoxorubicin (4) as shown in Scheme 2. Additionally, shown in Scheme 2a is a ⁇ -glucuronide prodrug of MMAE.
- DPO doxorubicin propyl oxazoline
- Scheme 2a is a ⁇ -glucuronide prodrug of MMAE.
- the glucuronide-based Linker-Drug conjugate can be, for example, bromoacetamide-glucuronide-MMAE; bromoacetamide-glucuronide-MMAF; glucuronide-staurosporine; or glucuronide-amino CBI minor groove binder (SN26597), as shown in the following formula.
- compositions can be in any form that allows for the composition to be administered to a patient.
- the composition can be in the form of a solid, liquid or gas (aerosol).
- routes of administration include, without limitation, oral, topical, parenteral, sublingual, rectal, vaginal, ocular, intra-tumor, and intranasal.
- Parenteral administration includes subcutaneous injections, intravenous, intramuscular, intrasternal injection or infusion techniques.
- the compositions are administered parenterally.
- the compounds are administered intravenously.
- a Ligand Drug conjugate compound is administered in the absence of an administration of a beta-glucuronidase.
- compositions can be formulated so as to allow a compound to be bioavailable upon administration of the composition to a patient.
- Compositions can take the form of one or more dosage units, where for example, a tablet can be a single dosage unit, and a container of a compound in aerosol form can hold a plurality of dosage units.
- compositions can be non-toxic in the amounts used. It will be evident to those of ordinary skill in the art that the optimal dosage of the active ingredient(s) in the pharmaceutical composition will depend on a variety of factors. Relevant factors include, without limitation, the type of animal (e.g., human), the particular form of the compound, the manner of administration, and the composition employed.
- the pharmaceutically acceptable carrier or vehicle can be particulate, so that the compositions are, for example, in tablet or powder form.
- the carrier(s) can be liquid, with the compositions being, for example, an oral syrup or injectable liquid.
- the carrier(s) can be gaseous or particulate, so as to provide an aerosol composition useful in, e.g., inhalatory administration.
- composition When intended for oral administration, the composition is preferably in solid or liquid form, where semi-solid, semi-liquid, suspension and gel forms are included within the forms considered herein as either solid or liquid.
- the composition can be formulated into a powder, granule, compressed tablet, pill, capsule, chewing gum, wafer or the like form.
- a solid composition typically contains one or more inert diluents.
- binders such as carboxymethylcellulose, ethyl cellulose, microcrystalline cellulose, or gelatin; excipients such as starch, lactose or dextrins, disintegrating agents such as alginic acid, sodium alginate, Primogel, corn starch and the like; lubricants such as magnesium stearate or Sterotex; glidants such as colloidal silicon dioxide; sweetening agents such as sucrose or saccharin, a flavoring agent such as peppermint, methyl salicylate or orange flavoring, and a coloring agent.
- composition when in the form of a capsule, e.g., a gelatin capsule, it can contain, in addition to materials of the above type, a liquid carrier such as polyethylene glycol, cyclodextrin or a fatty oil.
- a liquid carrier such as polyethylene glycol, cyclodextrin or a fatty oil.
- the composition can be in the form of a liquid, e.g., an elixir, syrup, solution, emulsion or suspension.
- the liquid can be useful for oral administration or for delivery by injection.
- a composition can comprise one or more of a sweetening agent, preservatives, dye/colorant and flavor enhancer.
- a surfactant, preservative, wetting agent, dispersing agent, suspending agent, buffer, stabilizer and isotonic agent can also be included.
- the liquid compositions can also include one or more of the following: sterile diluents such as water for injection, saline solution, preferably physiological saline, Ringer's solution, isotonic sodium chloride, fixed oils such as synthetic mono or digylcerides which can serve as the solvent or suspending medium, polyethylene glycols, glycerin, cyclodextrin, propylene glycol or other solvents; antibacterial agents such as benzyl alcohol or methyl paraben; antioxidants such as ascorbic acid or sodium bisulfite; chelating agents such as ethylenediaminetetraacetic acid; buffers such as acetates, citrates or phosphates and agents for the adjustment of tonicity such as sodium chloride or dextrose.
- sterile diluents such as water for injection, saline solution, preferably physiological saline, Ringer's solution, isotonic sodium chloride
- fixed oils such as synthetic mono or digylcer
- a parenteral composition can be enclosed in ampoule, a disposable syringe or a multiple-dose vial made of glass, plastic or other material.
- Physiological saline is an exemplary adjuvant.
- An injectable composition is preferably sterile.
- the amount of the compound that is effective in the treatment of a particular disorder or condition will depend on the nature of the disorder or condition, and can be determined by standard clinical techniques. In addition, in vitro or in vivo assays can optionally be employed to help identify optimal dosage ranges. The precise dose to be employed in the compositions will also depend on the route of administration, and the seriousness of the disease or disorder, and should be decided according to the judgment of the practitioner and each patient's circumstances.
- compositions comprise an effective amount of a compound such that a suitable dosage will be obtained. Typically, this amount is at least about 0.01% of a compound by weight of the composition. When intended for oral administration, this amount can be varied to range from about 0.1% to about 80% by weight of the composition. In one aspect, oral compositions can comprise from about 4% to about 50% of the compound by weight of the composition. In yet another aspect, present compositions are prepared so that a parenteral dosage unit contains from about 0.01% to about 2% by weight of the compound.
- the composition can comprise from about 0.01 to about 100 mg of a compound per kg of the animal's body weight. In one aspect, the composition can include from about 1 to about 100 mg of a compound per kg of the animal's body weight. In another aspect, the amount administered will be in the range from about 0.1 to about 25 mg/kg of body weight of a compound.
- the dosage of a compound administered to a patient is typically about 0.01 mg/kg to about 2000 mg/kg of the animal's body weight. In some embodiments, the dosage administered to a patient is between about 0.01 mg/kg to about 10 mg/kg of the animal's body weight. In some embodiments, the dosage administered to a patient is between about 0.1 mg/kg and about 250 mg/kg of the animal's body weight. In some embodiments, the dosage administered to a patient is between about 0.1 mg/kg and about 20 mg/kg of the animal's body weight. In some embodiments, the dosage administered is between about 0.1 mg/kg to about 10 mg/kg of the animal's body weight. In some embodiments, the dosage administered is between about 1 mg/kg to about 15 mg/kg of the animal's body weight. In some embodiments, the dosage administered is between about 1 mg/kg to about 10 mg/kg of the animal's body weight.
- the compound or compositions can be administered by any convenient route, for example by infusion or bolus injection, by absorption through epithelial or mucocutaneous linings (e.g., oral mucosa, rectal and intestinal mucosa, etc.). Administration can be systemic or local.
- Various delivery systems are known, e.g., encapsulation in liposomes, microparticles, microcapsules, capsules, etc., and can be used to administer a compound.
- more than one compound or composition is administered to a patient.
- administration can be by direct injection at the site (or former site) of a cancer, tumor or neoplastic or pre-neoplastic tissue. In another embodiment, administration can be by direct injection at the site (or former site) of a manifestation of an autoimmune disease.
- Intraventricular injection can be facilitated by an intraventricular catheter, for example, attached to a reservoir, such as an Ommaya reservoir.
- Pulmonary administration can also be employed, e.g., by use of an inhaler or nebulizer, and formulation with an aerosolizing agent, or via perfusion in a fluorocarbon or synthetic pulmonary surfactant.
- the compound or compositions can be delivered in a controlled release system, such as but not limited to, a pump or various polymeric materials can be used.
- a controlled-release system can be placed in proximity of the target of the compound or compositions, e.g., the brain, thus requiring only a fraction of the systemic dose (see, e.g., Goodson, in Medical Applications of Controlled Release, supra, vol. 2, pp. 115-138 (1984)).
- Other controlled-release systems discussed in the review by Langer (1990, Science 249:1527-1533) can be used.
- carrier refers to a diluent, adjuvant or excipient, with which a compound is administered.
- Such pharmaceutical carriers can be liquids, such as water and oils, including those of petroleum, animal, vegetable or synthetic origin, such as peanut oil, soybean oil, mineral oil, sesame oil and the like.
- the carriers can be saline, gum acacia, gelatin, starch paste, talc, keratin, colloidal silica, urea, and the like.
- auxiliary, stabilizing, thickening, lubricating and coloring agents can be used.
- the compound or compositions and pharmaceutically acceptable carriers when administered to a patient, are sterile. Water is an exemplary carrier when the compounds are administered intravenously.
- Saline solutions and aqueous dextrose and glycerol solutions can also be employed as liquid carriers, particularly for injectable solutions.
- suitable pharmaceutical carriers also include excipients such as starch, glucose, lactose, sucrose, gelatin, malt, rice, flour, chalk, silica gel, sodium stearate, glycerol monostearate, talc, sodium chloride, dried skim milk, glycerol, propylene, glycol, water, ethanol and the like.
- the present compositions if desired, can also contain minor amounts of wetting or emulsifying agents, or pH buffering agents.
- compositions can take the form of solutions, suspensions, emulsion, tablets, pills, pellets, capsules, capsules containing liquids, powders, sustained-release formulations, suppositories, emulsions, aerosols, sprays, suspensions, or any other form suitable for use.
- suitable pharmaceutical carriers are described in “Remington's Pharmaceutical Sciences” by E. W. Martin.
- the compounds are formulated in accordance with routine procedures as a pharmaceutical composition adapted for intravenous administration to animals, particularly human beings.
- the carriers or vehicles for intravenous administration are sterile isotonic aqueous buffer solutions.
- the compositions can also include a solubilizing agent.
- Compositions for intravenous administration can optionally comprise a local anesthetic such as lignocaine to ease pain at the site of the injection.
- the ingredients are supplied either separately or mixed together in unit dosage form, for example, as a dry lyophilized powder or water free concentrate in a hermetically sealed container such as an ampoule or sachette indicating the quantity of active agent.
- compound is to be administered by infusion, it can be dispensed, for example, with an infusion bottle containing sterile pharmaceutical grade water or saline.
- an ampoule of sterile water for injection or saline can be provided so that the ingredients can be mixed prior to administration.
- compositions for oral delivery can be in the form of tablets, lozenges, aqueous or oily suspensions, granules, powders, emulsions, capsules, syrups, or elixirs, for example.
- Orally administered compositions can contain one or more optionally agents, for example, sweetening agents such as fructose, aspartame or saccharin; flavoring agents such as peppermint, oil of wintergreen, or cherry; coloring agents; and preserving agents, to provide a pharmaceutically palatable preparation.
- sweetening agents such as fructose, aspartame or saccharin
- flavoring agents such as peppermint, oil of wintergreen, or cherry
- coloring agents such as peppermint, oil of wintergreen, or cherry
- preserving agents to provide a pharmaceutically palatable preparation.
- the compositions can be coated to delay disintegration and absorption in the gastrointestinal tract thereby providing a sustained action over an extended period of time.
- Selectively permeable membranes surrounding an osmotically active driving compound are also suitable for orally administered compounds.
- fluid from the environment surrounding the capsule is imbibed by the driving compound, which swells to displace the agent or agent composition through an aperture.
- delivery platforms can provide an essentially zero order delivery profile as opposed to the spiked profiles of immediate release formulations.
- a time-delay material such as glycerol mono stearate or glycerol stearate can also be used.
- compositions can be intended for topical administration, in which case the carrier may be in the form of a solution, emulsion, ointment or gel base. If intended for transdermal administration, the composition can be in the form of a transdermal patch or an iontophoresis device.
- Topical formulations can comprise a concentration of a compound of from about 0.05% to about 50% w/v (weight per unit volume of composition), in another aspect, from 0.1% to 10% w/v.
- composition can be intended for rectal administration, in the form, e.g., of a suppository which will melt in the rectum and release the compound.
- the composition can include various materials that modify the physical form of a solid or liquid dosage unit.
- the composition can include materials that form a coating shell around the active ingredients.
- the materials that form the coating shell are typically inert, and can be selected from, for example, sugar, shellac, and other enteric coating agents.
- the active ingredients can be encased in a gelatin capsule.
- compositions can consist of gaseous dosage units, e.g., it can be in the form of an aerosol.
- aerosol is used to denote a variety of systems ranging from those of colloidal nature to systems consisting of pressurized packages. Delivery can be by a liquefied or compressed gas or by a suitable pump system that dispenses the active ingredients.
- the present compositions can include a pharmacological agent used in the treatment of cancer, an autoimmune disease or an infectious disease.
- the conjugates are useful for treating cancer, an autoimmune disease, an infectious disease or other disease in a patient.
- the conjugates are administered alone.
- the conjugates a co-administered with another therapeutic agent.
- the conjugates are co-administered with standard of care chemotherapeutics.
- the conjugates are useful for inhibiting the multiplication of a tumor cell or cancer cell, causing apoptosis in a tumor or cancer cell, or for treating cancer in a patient.
- the compounds can be used accordingly in a variety of settings for the treatment of animal cancers.
- Some exemplary particular types of cancers that can be treated with compounds include, but are not limited to, those disclosed in Table 1.
- Solid tumors including but not limited to: fibrosarcoma myxosarcoma liposarcoma chondrosarcoma osteogenic sarcoma chordoma angiosarcoma endotheliosarcoma lymphangiosarcoma lymphangioendotheliosarcoma synovioma mesothelioma Ewing's tumor leiomyosarcoma rhabdomyosarcoma colon cancer rectal cancer colorectal cancer kidney cancer pancreatic cancer bone cancer breast cancer ovarian cancer prostate cancer penile carcinoma esophogeal cancer gastric cancer gastrointestinal cancer stomach cancer peritoneal cancer hepatic carcinoma hepatocellular cancer liver cancer oral cancer nasal cancer throat cancer squamous cell carcinoma (e.g., epithelial) basal cell carcinoma adenocarcinoma sweat gland carcinoma sebaceous gland carcinoma papillary carcinoma papillary adenocarcinomas cystadenocarcinoma medullary carcinoma
- the conjugates provide conjugation-specific tumor or cancer targeting,. thus reducing general toxicity of these compounds.
- the linker stabilizes the conjugates in blood, yet is cleavable by enzymes within the cell (e.g., lysosomal enzymes), liberating the Drug(s).
- Cancers including, but not limited to, a tumor, metastasis, or other disease or disorder characterized by uncontrolled cell growth, can be treated or prevented by administration of a conjugate according to the present invention.
- methods for treating or preventing cancer including administering to a patient in need thereof an effective amount of a conjugate and a chemotherapeutic agent.
- the chemotherapeutic agent is that with which treatment of the cancer has not been found to be refractory.
- the chemotherapeutic agent is that with which the treatment of cancer has been found to be refractory.
- the conjugates can be administered to a patient that has also undergone surgery as treatment for the cancer.
- the additional method of treatment is radiation therapy.
- the conjugate is administered concurrently with the chemotherapeutic agent or with radiation therapy.
- the chemotherapeutic agent or radiation therapy is administered prior or subsequent to administration of a conjugate.
- the chemotherapeutic agent or radiation therapy is administered at least an hour, five hours, 12 hours, a day, a week, a month, several months (e.g., up to three months), prior or subsequent to administration of a conjugate.
- a chemotherapeutic agent can be administered over a series of sessions. Any one or a combination of the following chemotherapeutic agents can be administered (see infra).
- any radiation therapy protocol can be used depending upon the type of cancer to be treated.
- x-ray radiation can be administered; in particular, high-energy megavoltage (radiation of greater that 1 MeV energy) can be used for deep tumors, and electron beam and orthovoltage x-ray radiation can be used for skin cancers.
- Gamma-ray emitting radioisotopes such as radioactive isotopes of radium, cobalt and other elements, can also be administered.
- methods of treatment of cancer with a conjugate are provided as an alternative to chemotherapy or radiation therapy where the chemotherapy or the radiation therapy has proven or can prove to be too toxic, e.g., results in unacceptable or unbearable side effects, for the subject being treated.
- the animal being treated can, optionally, be treated with another cancer treatment such as surgery, radiation therapy or chemotherapy, depending on which treatment is found to be acceptable or bearable.
- the conjugates can also be used in an in vitro or ex vivo fashion, such as for the treatment of certain cancers, including, but not limited to leukemias and lymphomas, such treatment involving autologous stem cell transplants.
- This can involve a multi-step process in which the animal's autologous hematopoietic stem cells are harvested and purged of all cancer cells, the animal's remaining bone-marrow cell population is then eradicated via the administration of a high dose of a conjugate with or without accompanying high dose radiation therapy, and the stem cell graft is infused back into the animal. Supportive care is then provided while bone marrow function is restored and the animal recovers.
- Methods for treating cancer including administering to a patient in need thereof an effective amount of a conjugate and another therapeutic agent that is an anti-cancer agent are disclosed.
- chemotherapeutic agents include alkylating agents such as thiotepa and CYTOXAN® cyclosphosphamide; alkyl sulfonates such as busulfan, improsulfan, piposulfan and treosulfan; decarbazine; aziridines such as benzodopa, carboquone, meturedopa, and uredopa; ethylenimines and methylamelamines including altretamine, triethylenemelamine, trietylenephosphoramide, triethiylenethiophosphoramide and trimethylolomelamine; TLK 286 (TELCYTATM); acetogenins (especially bullatacin and bullatacinone); delta-9-tetrahydrocannabinol (dronabinol, MARINOL®); beta-lapachone; lapachol; colchicines; betulinic acid; a camptothecin (including the synthetic analogue
- anthracyclines such as annamycin, AD 32, alcarubicin, daunorubicin, dexrazoxane, DX-52-1, epirubicin, GPX-100, idarubicin, KRN5500, menogaril, dynemicin, including dynemicin A, an esperamicin, neocarzinostatin chromophore and related chromoprotein enediyne antibiotic chromophores, aclacinomysins, actinomycin, authramycin, azaserine, bleomycins (e.g., bleomycin A2, bleomycin B2 and peplomycin), cactinomycin, carabicin, carminomycin, carzinophilin, chromomycinis, dactinomycin, detorubicin, 6-diazo-5-oxo-L-
- the anticancer agent is methotrexate, taxol, L-asparaginase, mercaptopurine, thioguanine, hydroxyurea, cytarabine, cyclophosphamide, ifosfamide, nitrosoureas, cisplatin, carboplatin, mitomycin, dacarbazine, procarbizine, topotecan, nitrogen mustards, cytoxan, etoposide, 5-fluorouracil, BCNU, irinotecan, camptothecins, bleomycin, doxorubicin, idarubicin, daunorubicin, dactinomycin, plicamycin, mitoxantrone, asparaginase, vinblastine, vincristine, vinorelbine, paclitaxel, or docetaxel.
- the anti-cancer agent includes, but is not limited to, a drug listed in Table 2.
- the conjugates are useful for killing or inhibiting the replication of a cell that produces an autoimmune disease or for treating an autoimmune disease.
- the conjugates can be used accordingly in a variety of settings for the treatment of an autoimmune disease in a patient.
- Th2 lymphocyte related disorders e.g., atopic dermatitis, atopic asthma, rhinoconjunctivitis, allergic rhinitis, Omenn's syndrome, systemic sclerosis, and graft versus host disease
- Th1 lymphocyte-related disorders e.g., rheumatoid arthritis, multiple sclerosis, psoriasis, Sjorgren's syndrome, Hashimoto's thyroiditis, Grave's disease, primary biliary cirrhosis, Wegener's granulomatosis, and tuberculosis
- activated B lymphocyte-related disorders e.g., systemic lupus erythematosus, Goodpasture's syndrome, rheumatoid arthritis, and type I diabetes
- Methods for treating an autoimmune disease including administering to a patient in need thereof an effective amount of a conjugate and another therapeutic agent known for the treatment of an autoimmune disease.
- the anti-autoimmune disease agent includes, but is not limited to, agents listed in Table 4.
- the conjugates are useful for killing or inhibiting the multiplication of a cell that produces an infectious disease or for treating an infectious disease.
- the conjugates kill or inhibit the multiplication of cells that produce a particular infectious disease.
- Particular types of infectious diseases that can be treated with the conjugates include, but are not limited to, those disclosed in Table 5.
- Methods for treating an infectious disease including administering to a patient in need thereof a conjugate and another therapeutic agent that is an anti-infectious disease agent.
- the anti-infectious disease agent is, but not limited to, agents listed in Table 6.
- Preparative HPLC purifications were performed on Varian instrument equipped with C12 Phenomenex Synergy MAX-RP 4 ⁇ reversed phase column, 250 ⁇ 21.2 mm, eluting with 0.1% TFA in a water-acetonitrile gradient. Radial chromatography was performed on a Chromatotron® instrument (Harrison Research, Palo Alto, Calif.) on normal phase silica plates (Analtech, Newark, Del.). Preparative thin layer chromatography was performed on Whatman 20 ⁇ 20 cm, 500 ⁇ , 60 ⁇ silica gel plates. All other preparative normal phase purifications were done by standard flash silica gel chromatography using Whatman Science 60 ⁇ 230-400 mesh silica gel as adsorbent.
- MMAE Monomethyl Auristatin E
- MMAE (1a) was prepared at Albany Molecule Research, Inc (Albany, N.Y.). The synthesis of MMAE (1a) has been described previously (Doronina et al., Nat Biotechnol 21:778-84 (2003); the disclosure of which is incorporated by reference herein).
- MMAF Monomethyl Auristatin F
- MMAF Carbonate (8) To a mixture of the p-nitrophenyl carbonate 7 (30 mg, 0.033 mmol) and monomethyl auristatin F (MMAF) (1b; 29 mg, 0.039 mmol) was added DMF (0.8 mL) and pyridine (0.2 mL). (The synthesis of MMAF has been described previously (Doronina et al., Bioconjug Chem. 17(1):114-124 (2006); and U.S. Patent Publication 2005-0238649; the disclosures of which are incorporated by reference herein). DIPEA (7 ⁇ L, 0.04 mmol) was added followed by HOAt (1 mg, 7 ⁇ mol). The reaction mixture was stirred for 16 h at an ambient temperature.
- MMAF glucuronide amine To a mixture of the MMAF carbamate (22 mg, 0.015 mmol) in methanol (1 mL) at 0° C. was added a solution of LiOH monohydrate (5.5 mg, 0.132 mmol) in water (1 mL). The mixture was stirred for 15 min at 0° C. and the reaction mixture was neutralized using acetic acid (8 ⁇ L) and was concentrated under reduced pressure: LC-MS m/z (ES ⁇ ), 1364.09 (M-H) + , 9.78 min.
- MMAF glucuronide maleimide (9b) To a mixture of the amine (12 mg, 0.011 mmol) in DMF (1 mL) was added MC-OSu (10; 5.2 mg) followed by DIPEA (6 ⁇ L). After 15 min., the reaction mixture was concentrated under reduced pressure, was dissolved in a mixture of water and DMSO (1:1; 1 mL) and was purified via preparative HPLC.
- the oxazolidine 12 (formed from 65 mg of 4-(tert-butyidiphenylsilyloxy)butanal) was added as a dichloromethane solution (3 mL) dropwise down the cooled inside wall of the reaction flask. The reaction mixture was allowed to slowly warm to ⁇ 20° C. over several hours. The reaction mixture was poured into ethyl acetate and washed with saturated aqueous sodium bicarbonate, water and brine. The organic phase was dried over sodium sulfate, filtered and concentrated. The resulting residue was purified via radial chromatography eluting with dichloromethane.
- reaction mixture was stirred for 3 h and was poured into saturated aqueous sodium bicarbonate and was extracted with ethyl acetate (3 ⁇ 100 mL). The combined extracts were washed with water and brine and dried over sodium sulfate, before being filtered and concentrated.
- Drug-linkers employing a glucuronide-based linker unit with the antimitotic agents monomethyl auristatin E (MMAE; 1a) and monomethyl auristatin F (MMAF; 1b) and doxorubicin propyloxazoline (DPO; 2) were prepared and evaluated.
- MMAE monomethyl auristatin E
- MMAF monomethyl auristatin F
- DPO doxorubicin propyloxazoline
- ⁇ -Glucuronide Drug-Linker Preparation: The starting point for the synthesis of a ⁇ -glucuronide drug-linker with MMAF (1b) was ⁇ -glucuronide 5 bearing the free aniline and hydroxy groups (Scheme 3, infra). This compound was acylated with the acid chloride 6, and then converted to the p-nitrophenyl (PNP) carbonate 7. Reaction with MMAF (1b) afforded the carbamate 8. This molecule was converted to the desired glucuronide drug-linker 9b by first saponifying the acetate and methyl ester protecting groups with lithium hydroxide (Leenders et al., 1999, Bioorg. Med. Chem.
- ADCS Antibody drug conjugates
- linker drug conjugates 9a with MMAE
- b with MMAF
- 17 with doxorubicin propyloxazoline (DPO)
- DPO doxorubicin propyloxazoline
- the antibodies were prepared based on a method described previously (see Doronina et al., 2003, Nat. Biotechnol. 21:778-84).
- mAbs >5 mg/ml in phosphate buffered saline (PBS) containing 50 mM sodium borate, pH 8.0, were treated with dithiothreitol (DTT) or tris(2-carboxyethyl)phospine hydrochloride (TCEP) (at 10 mM final) at 37° C. for 30 min.
- DTT dithiothreitol
- TCEP tris(2-carboxyethyl)phospine hydrochloride
- Drug loading for the doxorubicin-containing conjugates cAC10-17 and c1F6-17 was determined by measuring the absorbance at 280 nm and 490 nm (doxorubicin absorbance). It was found that the cAC10 and c1F6 ADCs had 6.8 and 8.3 drugs/mAb, respectively. Due to the weak UV absorbance of the drug-linkers 9a and 9b, the drug per mAb ratios of the corresponding ADCs were determined through chromatographic resolution of the light and heavy chains at each drug loading level (0-1 drugs for light chains; 0-3 drugs for heavy chains) and calculation of the overall average from the peak areas at each loading level (Hamblett et al., supra; Sun et al., supra).
- the levels were shown to be 3.7 and 4.5 for cAC10-9a and c1F6-9a, and 7.6 and 7.0 for the cAC10-9b and c1F6-9b conjugates, respectively.
- the six ADCs were primarily monomeric with 2% or less aggregate being observed in the cAC10-based conjugates and 7% or less aggregate for the c1F6-based conjugates.
- the ⁇ -glucuronide linker system described can be included a part of an antibody drug conjugate (ADC).
- ADC antibody drug conjugate
- ⁇ -glucuronidase e.g., a lysosomal ⁇ -glucuronidase
- the drug-linker is hydrolyzed at the glycosidic bond and undergo a 1,6-elimination with loss of carbon dioxide to liberate drug conjugated to the linker system (see Scheme 1, supra).
- ADCs based on this linker design employed the antimitotic drugs MMAE (1a) and MMAF (1b) and doxorubicin propyl oxazoline (DPO; 2), which is a labile precursor to highly potent 2-pyrrolinodoxorubicin (4), as shown in Scheme 2 (supra).
- DPO doxorubicin propyl oxazoline
- Compound 4 affects apoptosis through alkylation of double-stranded DNA (33).
- the susceptibility of the ⁇ -glucuronide linkers to enzymatic cleavage was determined by treatment of the cysteine adduct of compound 9b with ⁇ -glucuronidase.
- a commercially available E. coli ⁇ -glucuronidase (EC 3.2.1.31) was in place of the human enzyme for this study. This allowed confirmation that the desired drug, MMAF (1b), was released and if any stable intermediates were formed in the process.
- AUC area under the curve
- the ⁇ -glucuronidase assay was performed as described above. An HPLC assay was used to monitor the loss of cys-9b (MMAF) at 37° C.
- the specific activity of the E. coli ⁇ -glucuronidase for cys-9b was 0.13 ⁇ mol/min/mg. Referring to FIG. 1 , the cleavage of ⁇ -glucuronide from cys-9b resulted in rapid 1,6-elimination of MMAF (1b) which was identified by LC-MS. No MMAF-containing phenolic intermediates could be detected by LC-MS. Thus the 1,6-elimination appears to be rapid.
- the reactive, maleimide double bond of 9b was reduced with excess DTT to afford dihydro-9b.
- This material was added to rat plasma and incubated at 37° C. for a period of 7 days. Aliquots were taken at various time points and the plasma proteins were precipitated, centrifuged and the supernatant recovered. Each supernatant was analyzed by LC-MS and the total positive ion current (TIC+) chromatogram was scanned for the masses of parent compound dihydro-9b and released MMAF (1b).
- the TIC+ for dihydro-9b (including the ring-opened succinimide hydrolysis adduct) was 89% of sample taken immediately after dihydro-9b was injected into plasma. Free drug 1b could be detected but was not quantified. Assuming first order kinetics, extrapolation of these data suggest a half-life of 81 days for dihydro-9b. In a parallel experiment, the rat plasma stability of the maleimide reduced Val-Cit-PABA linked MMAF was determined, just as with dihydro-9b. This drug-linker displayed a half-life of 6.25 days.
- the linker-drug conjugates and ADCs compounds 9a (with MMAE), 9b (MMAF) and 17 (with doxorubicin propyloxazoline (DPO) with the mAbs AC10 (IgG1 against the CD30 antigen) and 1F6 (IgG1 against the CD70 antigen) were prepared.
- the ADCs (c1F6-9a and cAC10-9a, c1F6-9b and cAC10-9b, and c1F6-17 and cAC10-17) were evaluated for cytotoxic activity on a CD30+ cell line (Karpas 299) and two CD70+ renal cell carcinoma (RCC) lines, 786-O and Caki-1.
- the ADCs were prepared as described above.
- FIG. 2 In vitro evaluation of cAC10 and c1F6 conjugates of 9a demonstrated that the linker delivered active drug to the target cells with immunologic specificity ( FIG. 2 ).
- FIG. 2A A comparison of the activity of the two conjugates on the CD30+ line Karpas 299 ( FIG. 2A ) revealed that the anti-CD30 conjugate cAC10-9a titrated to an IC 50 value of 0.06 nM (drug content), where the non-binding conjugate c1F6-9a had no cytotoxic activity up to 30 nM, the highest concentration tested.
- the anti-CD70 conjugate c1F6-9a was quite potent on the CD70+ cell line Caki-1 (IC 50 0.45 nM) ( FIG. 2C ).
- the ADCs of 9b effectively delivered 1 b to the targeted cells.
- Conjugates of 9b displayed immunologic specificity and were highly effective against the CD70+ lines Caki-1 and 786-O ( FIGS. 2B and 2C , respectively) with IC 50 values of 0.08 and 0.20 nM, respectively.
- the corresponding non-binding cAC10-9b was inactive on these cell lines representing specificity levels of >250-fold.
- the anti-CD30 conjugate cAC10-9b was highly effective on the CD30+ line Karpas 299 with an IC 50 value of 50 ⁇ M.
- Conjugates of doxorubicin drug-linker 17 gave the same general profile with effective cell kill on antigen positive cell lines and specificity values >16-fold.
- cAC10-9a 4 drugs/mAb
- MTD maximum tolerated dose
- cAC10-9a 4 drugs/mAb
- Conjugate c1F6-1b was well tolerated at 25 mg/kg, but was toxic at the 50 mg/kg dose.
- the MTDs of the glucuronide ADCs therefore appear to be comparable to the corresponding peptide-linked MMAE (Doronina et al., 2003, Nat. Biotechnol. 21:778-84) and MMAF ((Doronina et al., 2006, Bioconjug. Chem. 17(1):114-124) ADCs that were previously described.
- c1F6-9b were determined in mice with subcutaneous 786-0 renal cell carcinoma implants Significant levels of antitumor activity were obtained at all three dose levels (0.75, 1.5 and 3.0 mg/kg), again without any signs of toxicity or adverse events ( FIG. 3B ). As with the c1F6-9a ADC, this was achieved at a small fraction of the MTD.
Landscapes
- Health & Medical Sciences (AREA)
- Engineering & Computer Science (AREA)
- Life Sciences & Earth Sciences (AREA)
- Bioinformatics & Cheminformatics (AREA)
- Chemical & Material Sciences (AREA)
- General Health & Medical Sciences (AREA)
- Veterinary Medicine (AREA)
- Immunology (AREA)
- Pharmacology & Pharmacy (AREA)
- Medicinal Chemistry (AREA)
- Animal Behavior & Ethology (AREA)
- Public Health (AREA)
- Epidemiology (AREA)
- Cell Biology (AREA)
- Organic Chemistry (AREA)
- General Chemical & Material Sciences (AREA)
- Chemical Kinetics & Catalysis (AREA)
- Nuclear Medicine, Radiotherapy & Molecular Imaging (AREA)
- Oncology (AREA)
- Molecular Biology (AREA)
- Biochemistry (AREA)
- Proteomics, Peptides & Aminoacids (AREA)
- Gastroenterology & Hepatology (AREA)
- Hematology (AREA)
- Urology & Nephrology (AREA)
- Transplantation (AREA)
- Communicable Diseases (AREA)
- Biotechnology (AREA)
- Genetics & Genomics (AREA)
- Medicinal Preparation (AREA)
- Pharmaceuticals Containing Other Organic And Inorganic Compounds (AREA)
- Medicines That Contain Protein Lipid Enzymes And Other Medicines (AREA)
- Medicines Containing Antibodies Or Antigens For Use As Internal Diagnostic Agents (AREA)
- Peptides Or Proteins (AREA)
Abstract
Description
-
- or a pharmaceutically acceptable salt or solvate thereof,
- wherein:
- L- is a Ligand unit,
- -Aa—Ww—Yy is a Linker unit (LU),
- -A- is an optional Stretcher unit,
- a is 0, 1 or 2,
- each —W— is independently a Glucuronide unit,
- w is an integer ranging from 1 to 2,
- —Y— is an optional self-immolative spacer unit,
- y is 0, 1 or 2,
- p ranges from 1 to about 20, and
- -D is a Drug unit.
wherein S is sugar moiety, —O′— is a glycosidic bond (e.g., cleavable by a β-glucuronidase) and Z is a self-immolative group; and wherein Z forms a first covalent bond with Y or D and a second covalent bond with L or A.
-Su-O′—Z—
wherein S is sugar moiety, —O′— is a bond cleavable by a β-Glucuronidase and Z is a self-immolative group; and wherein Z forms a covalent bond with Y or D and Su forms a covalent bond with L or A.
-
- wherein:
- R2 is selected from H and C1-C8 alkyl;
- R3 is selected from H, C1-C8 alkyl, C3-C8 carbocycle, aryl, X1-aryl, X1—(C3-C8 carbocycle), C3-C8 heterocycle and X1—(C3-C8 heterocycle);
- R4 is selected from H, C1-C8 alkyl, C3-C8 carbocycle, aryl, X1-aryl, X1—(C3-C8 carbocycle), C3-C8 heterocycle and X1—(C3-C8 heterocycle);
- R5 is selected from H and methyl;
- or R4 and R5 jointly form a carbocyclic ring and have the formula —(CRaRb)n— wherein Ra and Rb are independently selected from H, C1-C8 alkyl and C3-C8 carbocycle and n is selected from 2, 3, 4, 5 and 6;
- R6 is selected from H and C1-C8 alkyl;
- R7 is selected from H, C1-C8 alkyl, C3-C8 carbocycle, aryl, X1-aryl, X1—(C3-C8 carbocycle), C3-C8 heterocycle and X1—(C3-C8 heterocycle);
- each R8 is independently selected from H, OH, C1-C8 alkyl, C3-C8 carbocycle and O—(C1-C8 alkyl);
- R9 is selected from H and C1-C8 alkyl;
- R10 is selected from aryl and C3-C8 heterocycle;
- Z is O, S, NH, or NR12, wherein R12 is C1-C8 alkyl;
- R11 is selected from H, C1-C20 alkyl, aryl, C3-C8 heterocycle, —(R13O)m—R14, and —(R13O)m—CH(R15)2;
- m is an integer ranging from 1-1000;
- R13 is C2-C8 alkyl;
- R14 is H or C1-C8 alkyl;
- each occurrence of R15 is independently H, COOH, —(CH2)n—N(R16)2, —(CH2)n—SO3H, or —(CH2)n—SO3—C1-C8 alkyl;
- each occurrence of R16 is independently H, C1-C8 alkyl, or —(CH2)n—COOH;
- R18 is selected from —C(R8)2—C(R8)2-aryl, —C(R8)2—C(R8)2—(C3-C8 heterocycle), and —C(R8)2—C(R8)2—(C3-C8 carbocycle);
- X1 is C1-C10 alkylene; and
- n is an integer ranging from 0 to 6.
-
- wherein R17 is a direct bond of —C1-C10 alkylene-, —C3-C8 carbocyclo-, —O—(C1-C8 alkyl)-, -arylene-, —C1-C10 alkylene-arylene-, -arylene-C1-C10 alkylene-, —C1-C10 alkylene-(C3-C8 carbocyclo)-, —(C3-C8 carbocyclo)-C1-C10 alkylene-, —C3-C8 heterocyclo-, —C1-C10 alkylene-(C3-C8 heterocyclo)-, —(C3-C8 heterocyclo)-C1-C10 alkylene-, —(CH2CH2O)r—, —(CH2CH2O)r—CH2—, or —(CH2CH2O)r—CH2—CH2—; and r is an integer ranging from 1-10.
in which the phenyl group can be unsubstituted or substituted with up to four groups including, but not limited to, —C1-C8 alkyl, —O—(C1-C8 alkyl), -aryl, —C(O)R′, —OC(O)R′, —C(O)OR′, —C(O)NH2 , —C(O)NHR′, —C(O)N(R′)2 —NHC(O)R′, —S(O)2R′, —S(O)R′, —OH, -halogen, —N3, —NH2, —NH(R′), —N(R′)2 and —CN; wherein each R′ is independently selected from H, —C1-C8 alkyl and aryl.
LAa—Ww—Yy—D1-4)p I
-
- or a pharmaceutically acceptable salt or solvate thereof,
- wherein:
- L- is a Ligand unit,
- -Aa—Ww—Yy- is a Linker unit (LU),
- -A- is an optional Stretcher unit,
- a is 0, 1 or 2,
- each —W— is independently a Glucuronide unit,
- w is an integer ranging from 1 to 2,
- —Y— is an optional self-immolative spacer unit,
- y is 0, 1 or 2,
- p ranges from 1 to 20, and
- -D is a Drug unit.
-Aa-Ww—Yy—
-
- wherein: -A- is an optional Stretcher unit,
- a is 0, 1 or 2,
- each -W- is independently a Glucuronide unit,
- w is an integer ranging from 1 to 2,
- -Y- is an optional self-immolative Spacer unit, and
- y is 0, 1 or 2.
-[Su-O′—Z]— IIa
The glycosidic bond (—O′—) is typically a β-glucuronidase-cleavage site, such as a bond cleavable by human, lysosomal β-glucuronidase.
wherein Su is the Sugar moiety, the glycosidic bond comprises the oxygen bond between Su and the self immolative group Z, and each R is independently hydrogen, halo (e.g., chloro, bromo, fluoro, etc), —CN, —NO2, or other electron withdrawing or donating group, provided that the Glucuronide unit (and Z in particular) undergoes self-immolation upon cleavage of the glycosidic bond. In some embodiments, each R is independently hydrogen, halo (e.g., chloro, bromo, fluoro, etc), —CN or —NO2.
wherein Su is the Sugar moiety, the glycosidic bond (—O′—) comprises the oxygen bond between Su and the self immolative group Z, and each R is independently hydrogen.
wherein Su, O′, Z, Y, y, D, A and a are defined as above. Typically from 1 to 20 of such Drug-Linker conjugates can be linked to a Ligand unit.
L-[Aa-[Su-O′—Z]W-Yy-D]p IIn
wherein A, a, Su, O′, Z, w, Y, y, D and L are defined as described above. For example, the Sugar moiety (Su) can be linked directly to the Ligand unit or indirectly via a Stretcher unit. The self-immolative group (Z) can be linked directly to the Drug unit or indirectly via a Spacer unit.
Aa-[Su-O′—Z]W-Yy-D IIo
wherein A, a, Su, O′, Z, w, Y, y and D are defined as above. Typically from 1 to 20 of such Drug-Linker compounds can be linked to a Ligand unit.
The Stretcher Unit
LS—R17—C(O)Ww—Yy—D IV
-
- wherein Q is -C1-C8 alkyl, —O—(C1-C8 alkyl), -halogen, -nitro or -cyano; m is an integer ranging from 0-4; n is 0 or 1; and p ranges raging from 1 to 20. In one embodiment, the -D moieties are the same. In yet another embodiment, the -D moieties are different.
-
- wherein, independently at each location:
- R2 is selected from H and C1-C8 alkyl;
- R3 is selected from H, C1-C8 alkyl, C3-C8 carbocycle, aryl, X1-aryl, X1—(C3-C8 carbocycle), C3-C8 heterocycle and X1-(C3-C8 heterocycle);
- R4 is selected from H, C1-C8 alkyl, C3-C8 carbocycle, aryl, X1-aryl, X1-(C3-C8 carbocycle), C3-C8 heterocycle and X1-(C3-C8 heterocycle);
- R5 is selected from H and methyl;
- or R4 and R5 jointly form a carbocyclic ring and have the formula —(CRaRb)n—, wherein Ra and Rb are independently selected from H, C1-C8 alkyl and C3-C8 carbocycle and n is selected from 2, 3, 4, 5 and 6;
- R6 is selected from H and C1-C8 alkyl;
- R7 is selected from H, C1-C8 alkyl, C3-C8 carbocycle, aryl, X1-aryl, X1—(C3-C8 carbocycle), C3-C8 heterocycle and X1—(C3-C8 heterocycle);
- each R8 is independently selected from H, OH, C1-C8 alkyl, C3-C8 carbocycle and O—(C1-C8 alkyl);
- R9 is selected from H and C1-C8 alkyl;
- R10 is selected from aryl and C3-C8 heterocycle;
- Z is O, S, NH, or NR12, wherein R12 is C1-C8 alkyl;
- R11 is selected from H, C1-C20 alkyl, aryl, C3-C8 heterocycle, —(R13O)m—R14, and —(R13O)m—CH(R15)2;
- m is an integer ranging from 1-1000;
- R13 is C2-C8 alkyl;
- R14 is H or C1-C8 alkyl;
- each occurrence of R15 is independently H, COOH, —(CH2)n—N(R16)2, —(CH2)n—SO3H, or —(CH2)n—SO3-C1-C8 alkyl;
- each occurrence of R16 is independently H, C1-C8 alkyl, or —(CH2)n—COOH;
- R18 is selected from —C(R8)2—C(R8)2-aryl, —C(R8)2—C(R8)2—(C3-C8 heterocycle), and —C(R8)2—C(R8)2—(C3-C8 carbocycle);
- X1 is C1-C10 alkylene; and
- n is an integer ranging from 0 to 6.
-
- wherein, independently at each location:
- R2 is selected from -hydrogen, —C1-C8 alkyl, —O—(C1-C8 alkyl), -halogen, —NO2, —COOH, and —C(O)OR11;
- each R3 is selected independently from -hydrogen and —C1-C8 alkyl;
- I is an integer ranging from 0-10;
- R4 is selected from -hydrogen, —C1-C8 alkyl, —C3-C8 carbocycle, -aryl, X1-aryl, X1—(C3-C8 carbocycle), —C3-C8 heterocycle and X1-(C3-C8 heterocycle), and R5 is selected from —H and -methyl; or R4 and R5 jointly have the formula —(CRaRb)n—, wherein Ra and Rb are independently selected from —H, —C1-C8 alkyl and —C3-C8 carbocycle and n is selected from 2, 3, 4, 5 and 6, and form a ring with the carbon atom to which they are attached;
- R6 is selected from —H and —C1-C8 alkyl;
- R7 is selected from -H, —C1-C8 alkyl, —C3-C8 carbocycle, aryl, X1-aryl, X1—(C3-C8 carbocycle), —C3-C8 heterocycle and X1—(C3-C8 heterocycle);
- each R8 is independently selected from —H, —OH, —C1-C8 alkyl, —C3-C8 carbocycle, —O-alkyl-(C1-C8 carbocycle) and —O—(C1-C8 alkyl);
- R9 is selected from —H and —C1-C8 alkyl;
- R10 is selected from aryl and —C3-C8 heterocycle;
- Z is —O—, —S—, —NH—, or —NR12— where R12 is C1-C8 alkyl or aryl;
- R11 is selected from —H, C1-C8 alkyl, aryl, —C3-C8 heterocycle, —(CH2CH2O)r—H, —(CH2CH2O)r—CH3, and —(CH2CH2O)r—CH2CH2C(O)OH; wherein r is an integer ranging from 1-10; and
- X1 is C1-C10 alkylene.
-
- wherein, independently at each location:
- R4 is selected from -hydrogen, —C1-C8 alkyl, —C3-C8 carbocycle, -aryl, X1-aryl, X1—(C3-C8 carbocycle), —C3-C8 heterocycle and X1—(C3-C8 heterocycle), and R5 is selected from —H and -methyl; or R4 and R5 jointly have the formula —(CRaRb)n—, wherein Ra and Rb are independently selected from —H, —C1-C8 alkyl and —C3-C8 carbocycle and n is selected from 2, 3, 4, 5 and 6, and form a ring with the carbon atom to which they are attached;
- R6 is selected from —H and —C1-C8 alkyl;
- R7 is selected from —H, —C1-C8 alkyl, —C3-C8 carbocycle, aryl, X1-aryl, X1—(C3-C8 carbocycle), —C3-C8 heterocycle and X1-(C3-C8 heterocycle);
- each R8 is independently selected from —H, —OH, —C1-C8 alkyl, —C3-C8 carbocycle, —O-alkyl-(C1-C8 carbocycle) and —O—(C1-C8 alkyl);
- R9 is selected from —H and —C1-C8 alkyl;
- R10 is selected from aryl and —C3-C8 heterocycle;
- Z is —O—, —S—, —NH—, or —NR12— where R12 is C1-C8 alkyl or aryl;
- R11 is selected from —H, C1-C8 alkyl, aryl, —C3-C8 heterocycle, —(CH2CH2O)r—H, —(CH2CH2O)r—CH3, and —(CH2CH2O)r—CH2CH2C(O)OH; wherein r is an integer ranging from 1-10; and
- X1 is C1-C10 alkylene.
-
- wherein, independently at each location:
- R10 is selected from aryl group and —C3-C8 heterocycle;
- Z is —O—, —S—, —NH—, or —NR12— where R12 is C1-C8 alkyl or aryl; and
- R11 is selected from —H, C1-C8 alkyl, aryl, —C3-C8 heterocycle, —(CH2CH2O)r—H, —(CH2CH2O)r—CH3, and —(CH2CH2O)rCH2CH2C(O)OH; wherein r is an integer ranging from 1-10.
- wherein, independently at each location:
-
- Z is —O—, —S—, —NH—, or —NR12— where R12 is C1-C8 alkyl or aryl; and
- R11 is selected from —H, C1-C8 alkyl, aryl, —C3-C8 heterocycle, —(CH2CH2O)r—H, —(CH2CH2O)r—CH3, and —(CH2CH2O)r—CH2CH2C(O)OH; wherein r is an integer ranging from 1-10.
| TABLE 1 | |
| Solid tumors, including but not limited to: | |
| fibrosarcoma | |
| myxosarcoma | |
| liposarcoma | |
| chondrosarcoma | |
| osteogenic sarcoma | |
| chordoma | |
| angiosarcoma | |
| endotheliosarcoma | |
| lymphangiosarcoma | |
| lymphangioendotheliosarcoma | |
| synovioma | |
| mesothelioma | |
| Ewing's tumor | |
| leiomyosarcoma | |
| rhabdomyosarcoma | |
| colon cancer | |
| rectal cancer | |
| colorectal cancer | |
| kidney cancer | |
| pancreatic cancer | |
| bone cancer | |
| breast cancer | |
| ovarian cancer | |
| prostate cancer | |
| penile carcinoma | |
| esophogeal cancer | |
| gastric cancer | |
| gastrointestinal cancer | |
| stomach cancer | |
| peritoneal cancer | |
| hepatic carcinoma | |
| hepatocellular cancer | |
| liver cancer | |
| oral cancer | |
| nasal cancer | |
| throat cancer | |
| squamous cell carcinoma (e.g., epithelial) | |
| basal cell carcinoma | |
| adenocarcinoma | |
| sweat gland carcinoma | |
| sebaceous gland carcinoma | |
| papillary carcinoma | |
| papillary adenocarcinomas | |
| cystadenocarcinoma | |
| medullary carcinoma | |
| bronchogenic carcinoma | |
| renal cell carcinoma | |
| hepatoma | |
| bile duct carcinoma | |
| choriocarcinoma | |
| seminoma | |
| embryonal carcinoma | |
| Wilms' tumor | |
| cervical cancer | |
| uterine cancer | |
| endometrial or uterine carcinoma | |
| vulval cancer | |
| testicular cancer | |
| bladder carcinoma | |
| lung cancer, including small cell lung carcinoma, non-small cell lung | |
| cancer, adenocarcinoma of the lung and squamous carcinoma of | |
| the lung | |
| epithelial carcinoma | |
| glioma | |
| glioblastoma | |
| glioblastoma multiforme | |
| astrocytoma | |
| medulloblastoma | |
| craniopharyngioma | |
| ependymoma | |
| pinealoma | |
| hemangioblastoma | |
| acoustic neuroma | |
| oligodendroglioma | |
| meningioma | |
| skin cancer | |
| melanoma | |
| neuroblastoma | |
| retinoblastoma | |
| salivary gland carcinoma | |
| thyroid cancer | |
| head cancer | |
| neck cancer | |
| anal cancer | |
| blood-borne cancers, including but not limited to: | |
| acute lymphoblastic leukemia “ALL” | |
| acute lymphoblastic B-cell leukemia | |
| acute lymphoblastic T-cell leukemia | |
| acute myeloblastic leukemia “AML” | |
| acute promyelocytic leukemia “APL” | |
| acute monoblastic leukemia | |
| acute erythroleukemic leukemia | |
| acute megakaryoblastic leukemia | |
| acute myelomonocytic leukemia | |
| acute nonlymphocyctic leukemia | |
| acute undifferentiated leukemia | |
| chronic myelocytic leukemia “CML” | |
| chronic lymphocytic leukemia “CLL” | |
| hairy cell leukemia | |
| multiple myeloma | |
| acute and chronic leukemias: | |
| lymphoblastic | |
| myelogenous | |
| lymphocytic | |
| myelocytic leukemias | |
| Lymphomas: | |
| Hodgkin's disease | |
| non-Hodgkin's Lymphoma | |
| Multiple myeloma | |
| Waldenström's macroglobulinemia | |
| Heavy chain disease | |
| Polycythemia vera | |
| TABLE 2 | |
| Alkylating agents | |
| Nitrogen mustards: | cyclophosphamide |
| ifosfamide | |
| trofosfamide | |
| chlorambucil | |
| melphalan | |
| Nitrosoureas: | carmustine (BCNU) |
| lomustine (CCNU) | |
| Alkylsulphonates | busulfan |
| treosulfan | |
| Triazenes: | decarbazine |
| Platinum containing compounds: | cisplatin |
| carboplatin | |
| Plant Alkaloids | |
| Vinca alkaloids: | vincristine |
| vinblastine | |
| vindesine | |
| vinorelbine | |
| Taxoids: | paclitaxel |
| docetaxol | |
| DNA Topoisomerase Inhibitors | |
| Epipodophyllins: | etoposide |
| teniposide | |
| topotecan | |
| 9-aminocamptothecin | |
| camptothecin | |
| crisnatol | |
| mitomycins: | mitomycin C |
| Anti-metabolites | |
| Anti-folates: | |
| DHFR inhibitors: | methotrexate |
| trimetrexate | |
| IMP dehydrogenase Inhibitors: | mycophenolic acid |
| tiazofurin | |
| ribavirin | |
| EICAR | |
| Ribonucleotide reductase Inhibitors: | hydroxyurea |
| deferoxamine | |
| Pyrimidine analogs: | |
| Uracil analogs | 5-Fluorouracil |
| floxuridine | |
| doxifluridine | |
| ratitrexed | |
| Cytosine analogs | cytarabine (ara C) |
| cytosine arabinoside | |
| fludarabine | |
| Purine analogs: | mercaptopurine |
| thioguanine | |
| Hormonal therapies: | |
| Receptor antagonists: | |
| Anti-estrogen | tamoxifen |
| raloxifene | |
| megestrol | |
| LHRH agonists: | goserelin |
| leuprolide acetate | |
| Anti-androgens: | flutamide |
| bicalutamide | |
| Retinoids/Deltoids | |
| Vitamin D3 analogs: | EB 1089 |
| CB 1093 | |
| KH 1060 | |
| Photodynamic therapies: | vertoporfin (BPD-MA) |
| phthalocyanine | |
| photosensitizer Pc4 | |
| demethoxy-hypocrellin A | |
| (2BA-2-DMHA) | |
| Cytokines: | Interferon-α |
| Interferon-γ | |
| tumor necrosis factor | |
| Others: | Gemcitabine |
| Velcade | |
| Revamid | |
| Thalamid | |
| Isoprenylation inhibitors: | Lovastatin |
| Dopaminergic neurotoxins: | 1-methyl-4-phenylpyridinium ion |
| Cell cycle inhibitors: | staurosporine |
| Actinomycins: | Actinomycin D |
| dactinomycin | |
| Bleomycins: | bleomycin A2 |
| bleomycin B2 | |
| peplomycin | |
| Anthracyclines: | daunorubicin |
| Doxorubicin (adriamycin) | |
| idarubicin | |
| epirubicin | |
| pirarubicin | |
| zorubicin | |
| mtoxantrone | |
| MDR inhibitors: | verapamil |
| Ca2+ ATPase inhibitors: | thapsigargin |
Treatment of Autoimmune Diseases
| TABLE 3 | |
| Active Chronic Hepatitis | |
| Addison's Disease | |
| Allergic Alveolitis | |
| Allergic Reaction | |
| Allergic Rhinitis | |
| Alport's Syndrome | |
| Anaphlaxis | |
| Ankylosing Spondylitis | |
| Anti-phosholipid Syndrome | |
| Arthritis | |
| Ascariasis | |
| Aspergillosis | |
| Atopic Allergy | |
| Atropic Dermatitis | |
| Atropic Rhinitis | |
| Behcet's Disease | |
| Bird-Fancier's Lung | |
| Bronchial Asthma | |
| Caplan's Syndrome | |
| Cardiomyopathy | |
| Celiac Disease | |
| Chagas' Disease | |
| Chronic Glomerulonephritis | |
| Cogan's Syndrome | |
| Cold Agglutinin Disease | |
| Congenital Rubella Infection | |
| CREST Syndrome | |
| Crohn's Disease | |
| Cryoglobulinemia | |
| Cushing's Syndrome | |
| Dermatomyositis | |
| Discoid Lupus | |
| Dressler's Syndrome | |
| Eaton-Lambert Syndrome | |
| Echovirus Infection | |
| Encephalomyelitis | |
| Endocrine opthalmopathy | |
| Epstein-Barr Virus Infection | |
| Equine Heaves | |
| Erythematosis | |
| Evan's Syndrome | |
| Felty's Syndrome | |
| Fibromyalgia | |
| Fuch's Cyclitis | |
| Gastric Atrophy | |
| Gastrointestinal Allergy | |
| Giant Cell Arteritis | |
| Glomerulonephritis | |
| Goodpasture's Syndrome | |
| Graft v. Host Disease | |
| Graves' Disease | |
| Guillain-Barre Disease | |
| Hashimoto's Thyroiditis | |
| Hemolytic Anemia | |
| Henoch-Schonlein Purpura | |
| Idiopathic Adrenal Atrophy | |
| Idiopathic Pulmonary Fibritis | |
| IgA Nephropathy | |
| Inflammatory Bowel Diseases | |
| Insulin-dependent Diabetes Mellitus | |
| Juvenile Arthritis | |
| Juvenile Diabetes Mellitus (Type I) | |
| Lambert-Eaton Syndrome | |
| Laminitis | |
| Lichen Planus | |
| Lupoid Hepatitis | |
| Lupus | |
| Lymphopenia | |
| Meniere's Disease | |
| Mixed Connective Tissue Disease | |
| Multiple Sclerosis | |
| Myasthenia Gravis | |
| Pernicious Anemia | |
| Polyglandular Syndromes | |
| Presenile Dementia | |
| Primary Agammaglobulinemia | |
| Primary Biliary Cirrhosis | |
| Psoriasis | |
| Psoriatic Arthritis | |
| Raynauds Phenomenon | |
| Recurrent Abortion | |
| Reiter's Syndrome | |
| Rheumatic Fever | |
| Rheumatoid Arthritis | |
| Sampter's Syndrome | |
| Schistosomiasis | |
| Schmidt's Syndrome | |
| Scleroderma | |
| Shulman's Syndrome | |
| Sjorgen's Syndrome | |
| Stiff-Man Syndrome | |
| Sympathetic Ophthalmia | |
| Systemic Lupus Erythematosis | |
| Takayasu's Arteritis | |
| Temporal Arteritis | |
| Thyroiditis | |
| Thrombocytopenia | |
| Thyrotoxicosis | |
| Toxic Epidermal Necrolysis | |
| Type B Insulin Resistance | |
| Type I Diabetes Mellitus | |
| Ulcerative Colitis | |
| Uveitis | |
| Vitiligo | |
| Waldenstrom's Macroglobulemia | |
| Wegener's Granulomatosis | |
Multi-Drug Therapy of Autoimmune Diseases
| TABLE 4 | |
| cyclosporine | |
| cyclosporine A | |
| mycophenylate mofetil | |
| sirolimus | |
| tacrolimus | |
| enanercept | |
| prednisone | |
| azathioprine | |
| methotrexate cyclophosphamide | |
| prednisone | |
| aminocaproic acid | |
| chloroquine | |
| hydroxychloroquine | |
| hydrocortisone | |
| dexamethasone | |
| chlorambucil | |
| DHEA | |
| danazol | |
| bromocriptine | |
| meloxicam | |
| infliximab | |
| TABLE 5 | |||
| Bacterial Diseases: | |||
| Diphtheria | |||
| Pertussis | |||
| Occult Bacteremia | |||
| Urinary Tract Infection | |||
| Gastroenteritis | |||
| Cellulitis | |||
| Epiglottitis | |||
| Tracheitis | |||
| Adenoid Hypertrophy | |||
| Retropharyngeal Abcess | |||
| Impetigo | |||
| Ecthyma | |||
| Pneumonia | |||
| Endocarditis | |||
| Septic Arthritis | |||
| Pneumococcal | |||
| Peritonitis | |||
| Bactermia | |||
| Meningitis | |||
| Acute Purulent Meningitis | |||
| Urethritis | |||
| Cervicitis | |||
| Proctitis | |||
| Pharyngitis | |||
| Salpingitis | |||
| Epididymitis | |||
| Gonorrhea | |||
| Syphilis | |||
| Listeriosis | |||
| Anthrax | |||
| Nocardiosis | |||
| Salmonella | |||
| Typhoid Fever | |||
| Dysentery | |||
| Conjunctivitis | |||
| Sinusitis | |||
| Brucellosis | |||
| Tullaremia | |||
| Cholera | |||
| Bubonic Plague | |||
| Tetanus | |||
| Necrotizing Enteritis | |||
| Actinomycosis | |||
| Mixed Anaerobic Infections | |||
| Syphilis | |||
| Relapsing Fever | |||
| Leptospirosis | |||
| Lyme Disease | |||
| Rat Bite Fever | |||
| Tuberculosis | |||
| Lymphadenitis | |||
| Leprosy | |||
| Chlamydia | |||
| Chlamydial Pneumonia | |||
| Trachoma | |||
| Inclusion Conjunctivitis | |||
| Systemic Fungal Diseases: | |||
| Histoplamosis | |||
| Coccidiodomycosis | |||
| Blastomycosis | |||
| Sporotrichosis | |||
| Cryptococcsis | |||
| Systemic Candidiasis | |||
| Aspergillosis | |||
| Mucormycosis | |||
| Mycetoma | |||
| Chromomycosis | |||
| Rickettsial Diseases: | |||
| Typhus | |||
| Rocky Mountain Spotted Fever | |||
| Ehrlichiosis | |||
| Eastern Tick-Borne Rickettsioses | |||
| Rickettsialpox | |||
| Q Fever | |||
| Bartonellosis | |||
| Parasitic Diseases: | |||
| Malaria | |||
| Babesiosis | |||
| African Sleeping Sickness | |||
| Chagas' Disease | |||
| Leishmaniasis | |||
| Dum-Dum Fever | |||
| Toxoplasmosis | |||
| Meningoencephalitis | |||
| Keratitis | |||
| Entamebiasis | |||
| Giardiasis | |||
| Cryptosporidiasis | |||
| Isosporiasis | |||
| Cyclosporiasis | |||
| Microsporidiosis | |||
| Ascariasis | |||
| Whipworm Infection | |||
| Hookworm Infection | |||
| Threadworm Infection | |||
| Ocular Larva Migrans | |||
| Trichinosis | |||
| Guinea Worm Disease | |||
| Lymphatic Filariasis | |||
| Loiasis | |||
| River Blindness | |||
| Canine Heartworm Infection | |||
| Schistosomiasis | |||
| Swimmer's Itch | |||
| Oriental Lung Fluke | |||
| Oriental Liver Fluke | |||
| Fascioliasis | |||
| Fasciolopsiasis | |||
| Opisthorchiasis | |||
| Tapeworm Infections | |||
| Hydatid Disease | |||
| Alveolar Hydatid Disease | |||
| Viral Diseases: | |||
| Measles | |||
| Subacute sclerosing panencephalitis | |||
| Common Cold | |||
| Mumps | |||
| Rubella | |||
| Roseola | |||
| Fifth Disease | |||
| Chickenpox | |||
| Respiratory syncytial virus infection | |||
| Croup | |||
| Bronchiolitis | |||
| Infectious Mononucleosis | |||
| Poliomyelitis | |||
| Herpangina | |||
| Hand-Foot-and-Mouth Disease | |||
| Bornholm Disease | |||
| Genital Herpes | |||
| Genital Warts | |||
| Aseptic Meningitis | |||
| Myocarditis | |||
| Pericarditis | |||
| Gastroenteritis | |||
| Acquired Immunodeficiency Syndrome (AIDS) | |||
| Human Immunodeficiency Virus (HIV) | |||
| Reye's Syndrome | |||
| Kawasaki Syndrome | |||
| Influenza | |||
| Bronchitis | |||
| Viral “Walking” Pneumonia | |||
| Acute Febrile Respiratory Disease | |||
| Acute pharyngoconjunctival fever | |||
| Epidemic keratoconjunctivitis | |||
| Herpes Simplex Virus 1 (HSV-1) | |||
| Herpes Simplex Virus 2 (HSV-2) | |||
| Shingles | |||
| Cytomegalic Inclusion Disease | |||
| Rabies | |||
| Progressive Multifocal Leukoencephalopathy | |||
| Kuru | |||
| Fatal Familial Insomnia | |||
| Creutzfeldt-Jakob Disease | |||
| Gerstmann-Straussler-Scheinker Disease | |||
| Tropical Spastic Paraparesis | |||
| Western Equine Encephalitis | |||
| California Encephalitis | |||
| St. Louis Encephalitis | |||
| Yellow Fever | |||
| Dengue | |||
| Lymphocytic choriomeningitis | |||
| Lassa Fever | |||
| Hemorrhagic Fever | |||
| Hantvirus Pulmonary Syndrome | |||
| Marburg Virus Infections | |||
| Ebola Virus Infections | |||
| Smallpox | |||
Multi-Drug Therapy of Infectious Diseases
| TABLE 6 | |||
| β-Lactam Antibiotics: | |||
| Penicillin G | |||
| Penicillin V | |||
| Cloxacilliin | |||
| Dicloxacillin | |||
| Methicillin | |||
| Nafcillin | |||
| Oxacillin | |||
| Ampicillin | |||
| Amoxicillin | |||
| Bacampicillin | |||
| Azlocillin | |||
| Carbenicillin | |||
| Mezlocillin | |||
| Piperacillin | |||
| Ticarcillin | |||
| Aminoglycosides: | |||
| Amikacin | |||
| Gentamicin | |||
| Kanamycin | |||
| Neomycin | |||
| Netilmicin | |||
| Streptomycin | |||
| Tobramycin | |||
| Macrolides: | |||
| Azithromycin | |||
| Clarithromycin | |||
| Erythromycin | |||
| Lincomycin | |||
| Clindamycin | |||
| Tetracyclines: | |||
| Demeclocycline | |||
| Doxycycline | |||
| Minocycline | |||
| Oxytetracycline | |||
| Tetracycline | |||
| Quinolones: | |||
| Cinoxacin | |||
| Nalidixic Acid | |||
| Fluoroquinolones: | |||
| Ciprofloxacin | |||
| Enoxacin | |||
| Grepafloxacin | |||
| Levofloxacin | |||
| Lomefloxacin | |||
| Norfloxacin | |||
| Ofloxacin | |||
| Sparfloxacin | |||
| Trovafloxicin | |||
| Polypeptides: | |||
| Bacitracin | |||
| Colistin | |||
| Polymyxin B | |||
| Sulfonamides: | |||
| Sulfisoxazole | |||
| Sulfamethoxazole | |||
| Sulfadiazine | |||
| Sulfamethizole | |||
| Sulfacetamide | |||
| Miscellaneous Antibacterial Agents: | |||
| Trimethoprim | |||
| Sulfamethazole | |||
| Chloramphenicol | |||
| Vancomycin | |||
| Metronidazole | |||
| Quinupristin | |||
| Dalfopristin | |||
| Rifampin | |||
| Spectinomycin | |||
| Nitrofurantoin | |||
| Antiviral Agents: | |||
| General Antiviral Agents: | |||
| Idoxuradine | |||
| Vidarabine | |||
| Trifluridine | |||
| Acyclovir | |||
| Famcicyclovir | |||
| Pencicyclovir | |||
| Valacyclovir | |||
| Gancicyclovir | |||
| Foscarnet | |||
| Ribavirin | |||
| Amantadine | |||
| Rimantadine | |||
| Cidofovir | |||
| Antisense Oligonucleotides | |||
| Immunoglobulins | |||
| Inteferons | |||
| Drugs for HIV infection: | |||
| Tenofovir | |||
| Emtricitabine | |||
| Zidovudine | |||
| Didanosine | |||
| Zalcitabine | |||
| Stavudine | |||
| Lamivudine | |||
| Nevirapine | |||
| Delavirdine | |||
| Saquinavir | |||
| Ritonavir | |||
| Indinavir | |||
| Nelfinavir | |||
| TABLE 7 |
| Characterization and in vitro cytotoxic activity of free drugs and ADCs |
| Caki-1 | 786- | Karpas | 299 | |||||
| Target | Active | Drug | % | (CD70+, CD30−) | (CD70+, CD30−) | (CD30+, CD70−) | ||
| Compound | antigen | drug | loading | Aggregation | IC50 drug nM | IC50 drug nM | IC50 drug nM | |
| 1a | — | — | — | — | 0.11 | 0.19 | 0.09 |
| 1b | — | — | — | — | 270 | 300 | 100 |
| 15 | — | — | — | — | 110 | 65 | 29 |
| 18 | — | 4 | — | — | 0.04 | 0.01 | 0.1 |
| c1F6-9a | CD70 | 1a | 4.5 | 2 | 0.45 | — | >30 |
| cAC10-9a | CD30 | 1a | 3.7 | 2 | — | — | 0.06 |
| c1F6-9b | CD70 | 1b | 7 | 7 | 0.08 | 0.2 | — |
| cAC10-9b | CD30 | 1b | 7.6 | <1 | >50 | >50 | 0.05 |
| c1F6-17 | CD70 | 4 | 8.3 | 3.5 | 2.0 | 2.7 | >55 |
| cAC10-17 | CD30 | 4 | 6.8 | <1 | >45 | >45 | 1.2 |
| aCells were exposed to the test agents for 96 h, and viability was determined using rezasurin metabolism as a measure of cytotoxic activity. The IC50 values were determined compared to untreated cells. | |||||||
Claims (50)
Priority Applications (1)
| Application Number | Priority Date | Filing Date | Title |
|---|---|---|---|
| US14/056,145 USRE45272E1 (en) | 2005-07-18 | 2013-10-17 | β-glucuronide-linker drug conjugates |
Applications Claiming Priority (4)
| Application Number | Priority Date | Filing Date | Title |
|---|---|---|---|
| US70042205P | 2005-07-18 | 2005-07-18 | |
| US77907606P | 2006-03-04 | 2006-03-04 | |
| US11/996,009 US8039273B2 (en) | 2005-07-18 | 2006-07-18 | β-glucuronide-linker drug conjugates |
| US14/056,145 USRE45272E1 (en) | 2005-07-18 | 2013-10-17 | β-glucuronide-linker drug conjugates |
Related Parent Applications (1)
| Application Number | Title | Priority Date | Filing Date |
|---|---|---|---|
| US99600908A Reissue | 2005-07-18 | 2008-01-17 |
Publications (1)
| Publication Number | Publication Date |
|---|---|
| USRE45272E1 true USRE45272E1 (en) | 2014-12-02 |
Family
ID=37669524
Family Applications (8)
| Application Number | Title | Priority Date | Filing Date |
|---|---|---|---|
| US11/996,009 Ceased US8039273B2 (en) | 2005-07-18 | 2006-07-18 | β-glucuronide-linker drug conjugates |
| US13/274,212 Active US8568728B2 (en) | 2005-07-18 | 2011-10-14 | Beta-glucuronide-linker drug conjugates |
| US14/036,968 Active US9731030B2 (en) | 2005-07-18 | 2013-09-25 | β-glucuronide-linker drug conjugates |
| US14/056,145 Active 2027-11-24 USRE45272E1 (en) | 2005-07-18 | 2013-10-17 | β-glucuronide-linker drug conjugates |
| US15/245,678 Abandoned US20160361424A1 (en) | 2005-07-18 | 2016-08-24 | Beta-glucuronide-linker drug conjugates |
| US15/463,267 Abandoned US20170189542A1 (en) | 2005-07-18 | 2017-03-20 | Beta-glucuronide-linker drug conjugates |
| US17/348,523 Abandoned US20220143209A1 (en) | 2005-07-18 | 2021-06-15 | Beta-glucuronide-linker drug conjugates |
| US18/495,728 Pending US20240252672A1 (en) | 2005-07-18 | 2023-10-26 | Beta-glucuronide-linker drug conjugates |
Family Applications Before (3)
| Application Number | Title | Priority Date | Filing Date |
|---|---|---|---|
| US11/996,009 Ceased US8039273B2 (en) | 2005-07-18 | 2006-07-18 | β-glucuronide-linker drug conjugates |
| US13/274,212 Active US8568728B2 (en) | 2005-07-18 | 2011-10-14 | Beta-glucuronide-linker drug conjugates |
| US14/036,968 Active US9731030B2 (en) | 2005-07-18 | 2013-09-25 | β-glucuronide-linker drug conjugates |
Family Applications After (4)
| Application Number | Title | Priority Date | Filing Date |
|---|---|---|---|
| US15/245,678 Abandoned US20160361424A1 (en) | 2005-07-18 | 2016-08-24 | Beta-glucuronide-linker drug conjugates |
| US15/463,267 Abandoned US20170189542A1 (en) | 2005-07-18 | 2017-03-20 | Beta-glucuronide-linker drug conjugates |
| US17/348,523 Abandoned US20220143209A1 (en) | 2005-07-18 | 2021-06-15 | Beta-glucuronide-linker drug conjugates |
| US18/495,728 Pending US20240252672A1 (en) | 2005-07-18 | 2023-10-26 | Beta-glucuronide-linker drug conjugates |
Country Status (14)
| Country | Link |
|---|---|
| US (8) | US8039273B2 (en) |
| EP (3) | EP1912671B1 (en) |
| JP (7) | JP5752346B2 (en) |
| AU (1) | AU2006269940C1 (en) |
| CA (1) | CA2616005C (en) |
| CY (1) | CY1125064T1 (en) |
| DK (2) | DK3248613T3 (en) |
| ES (2) | ES2908458T3 (en) |
| HU (2) | HUE035853T2 (en) |
| LT (1) | LT1912671T (en) |
| PL (2) | PL1912671T3 (en) |
| PT (1) | PT3248613T (en) |
| SI (2) | SI1912671T1 (en) |
| WO (1) | WO2007011968A2 (en) |
Cited By (3)
| Publication number | Priority date | Publication date | Assignee | Title |
|---|---|---|---|---|
| US11730822B2 (en) | 2017-03-24 | 2023-08-22 | Seagen Inc. | Process for the preparation of glucuronide drug-linkers and intermediates thereof |
| US11844839B2 (en) | 2016-03-25 | 2023-12-19 | Seagen Inc. | Process for the preparation of pegylated drug-linkers and intermediates thereof |
| US12036286B2 (en) | 2021-03-18 | 2024-07-16 | Seagen Inc. | Selective drug release from internalized conjugates of biologically active compounds |
Families Citing this family (217)
| Publication number | Priority date | Publication date | Assignee | Title |
|---|---|---|---|---|
| US20100056762A1 (en) | 2001-05-11 | 2010-03-04 | Old Lloyd J | Specific binding proteins and uses thereof |
| US20110313230A1 (en) | 2001-05-11 | 2011-12-22 | Terrance Grant Johns | Specific binding proteins and uses thereof |
| PT1392359E (en) | 2001-05-11 | 2010-01-27 | Ludwig Inst For Cancer Res Ltd | Specific binding proteins and uses thereof |
| WO2007011968A2 (en) * | 2005-07-18 | 2007-01-25 | Seattle Genetics, Inc. | Beta-glucuronide-linker drug conjugates |
| US7750116B1 (en) * | 2006-02-18 | 2010-07-06 | Seattle Genetics, Inc. | Antibody drug conjugate metabolites |
| RS54163B1 (en) | 2006-05-30 | 2015-12-31 | Genentech Inc. | ANTI-CD22 ANTIBODIES, THEIR IMMUNCONJUGATES AND THEIR USE |
| LT2845866T (en) | 2006-10-27 | 2017-07-10 | Genentech, Inc. | Antibodies and immunoconjugates and uses therefor |
| MX338185B (en) | 2007-01-25 | 2016-04-05 | Dana Farber Cancer Inst Inc | Use of anti-egfr antibodies in treatment of egfr mutant mediated disease. |
| AU2008227123B2 (en) | 2007-03-15 | 2014-03-27 | Ludwig Institute For Cancer Research Ltd. | Treatment method using EGFR antibodies and src inhibitors and related formulations |
| FR2914306B1 (en) * | 2007-04-02 | 2009-07-03 | Biocydex Soc Par Actions Simpl | OLIGOMERS OF CYCLODEXTRINS, VECTORS OF ACTIVE MOLECULES |
| WO2009012256A1 (en) | 2007-07-16 | 2009-01-22 | Genentech, Inc. | Humanized anti-cd79b antibodies and immunoconjugates and methods of use |
| DK2176296T3 (en) | 2007-07-16 | 2012-05-21 | Genentech Inc | Anti-CD79B antibodies and immune conjugates and methods of use. |
| JP5532486B2 (en) | 2007-08-14 | 2014-06-25 | ルードヴィッヒ インスティテュート フォー キャンサー リサーチ | Monoclonal antibody 175 targeting EGF receptor and derivatives and uses thereof |
| FR2920877B1 (en) * | 2007-09-10 | 2010-01-22 | Commissariat Energie Atomique | SACCHARIDE FLUORESCENT SUBSTRATES, PROCESS FOR PREPARING THEM AND USE THEREOF |
| NZ584552A (en) * | 2007-10-12 | 2012-07-27 | Seattle Genetics Inc | Combination therapy comprising brentuximab and either a AVBD regimen or gemcitabine |
| PT2211904T (en) * | 2007-10-19 | 2016-11-02 | Seattle Genetics Inc | Cd19 binding agents and uses thereof |
| DK2247620T3 (en) | 2008-01-31 | 2016-08-22 | Genentech Inc | ANTI-CD79b ANTIBODIES AND IMMUNOCONJUGATES AND METHODS OF USE |
| US8742076B2 (en) * | 2008-02-01 | 2014-06-03 | Genentech, Inc. | Nemorubicin metabolite and analog reagents, antibody-drug conjugates and methods |
| ES2532635T3 (en) | 2008-07-15 | 2015-03-30 | Genentech, Inc. | Anthracycline conjugates, process for its preparation and its use as antitumor compounds |
| EP2727606A3 (en) | 2008-09-08 | 2015-09-23 | Psma Development Company, L.L.C. | Compounds for killing psma-expressing, taxane-resistant cancer cells |
| CN102471380B (en) | 2009-04-01 | 2015-01-14 | 霍夫曼-拉罗奇有限公司 | Anti-fcrh5 antibodies and immunoconjugates and methods of use |
| US20110076232A1 (en) | 2009-09-29 | 2011-03-31 | Ludwig Institute For Cancer Research | Specific binding proteins and uses thereof |
| JP5870400B2 (en) * | 2010-04-15 | 2016-03-01 | シアトル ジェネティクス,インコーポレーテッド | Targeted pyrrolobenzodiazepine conjugates |
| MX336109B (en) | 2010-06-03 | 2016-01-08 | Genentech Inc | FORMATION OF IMMUNE-TEP IMAGES OF ANTIBODIES AND IMMUNOCUSES AND USES OF THE SAME. |
| RU2563638C2 (en) | 2010-12-02 | 2015-09-20 | НЕРВИАНО МЕДИКАЛ САЙЕНСИЗ С.р.л. | Method of obtaining morpholinylanthracycline derivatives |
| JOP20210044A1 (en) | 2010-12-30 | 2017-06-16 | Takeda Pharmaceuticals Co | Anti-CD38 . antibody |
| US20140080766A1 (en) * | 2011-01-07 | 2014-03-20 | Massachusetts Institute Of Technology | Compositions and methods for macromolecular drug delivery |
| PL2678037T3 (en) | 2011-02-25 | 2015-05-29 | Lonza Ag | Branched linker for protein drug conjugates |
| CN103384534B (en) * | 2011-02-25 | 2015-09-30 | 隆萨有限公司 | Branched Linkers for Protein Drug Conjugates |
| WO2012151039A2 (en) * | 2011-05-02 | 2012-11-08 | The Regents Of The University Of California | Compositions and methods for detecting mycobacterium |
| CA2835576C (en) * | 2011-05-08 | 2021-01-05 | Legochem Biosciences, Inc. | Protein-active agent conjugates and method for preparing the same |
| WO2012158964A2 (en) * | 2011-05-18 | 2012-11-22 | Eumederis Pharmaceuticals, Inc. | Improved peptide pharmaceuticals for osteoporosis |
| UA112434C2 (en) | 2011-05-27 | 2016-09-12 | Ґлаксо Ґруп Лімітед | ANTIGENCY BINDING SPECIFICALLY Binds to ALL |
| EP2734238B1 (en) * | 2011-07-19 | 2020-02-19 | CellMosaic, Inc. | Sugar alcohol-based crosslinking reagents, macromolecules, therapeutic bioconjugates, and synthetic methods thereof |
| WO2013067055A1 (en) | 2011-11-01 | 2013-05-10 | Bionomics, Inc. | Methods of blocking cancer stem cell growth |
| EP2592103A1 (en) | 2011-11-08 | 2013-05-15 | Adriacell S.p.A. | Polymer aldehyde derivatives |
| AU2013216863B2 (en) | 2012-02-10 | 2018-09-06 | Seagen Inc. | Detection and treatment of CD30+ cancers |
| CN104662000B (en) | 2012-05-15 | 2018-08-17 | 索伦托医疗有限公司 | Drug conjugates and its coupling method and purposes |
| SG10201805807PA (en) | 2012-06-26 | 2018-08-30 | Del Mar Pharmaceuticals | Methods for treating tyrosine-kinase-inhibitor-resistant malignancies in patients with genetic polymorphisms or ahi1 dysregulations or mutations employing dianhydrogalactitol, diacetyldianhydrogalactitol, dibromodulcitol, or analogs or derivatives thereof |
| EP3485897A1 (en) | 2012-08-02 | 2019-05-22 | Stealth Peptides International, Inc. | D-arg-2'6'-dmt-lys-phe-nh2 for decreasing statin side effects |
| US9353150B2 (en) | 2012-12-04 | 2016-05-31 | Massachusetts Institute Of Technology | Substituted pyrazino[1′,2′:1 ,5]pyrrolo[2,3-b]-indole-1,4-diones for cancer treatment |
| CN105209068A (en) * | 2013-02-07 | 2015-12-30 | 免疫医疗公司 | Pro-drug form (P2PDox) of the highly potent 2-pyrrolinodoxorubicin conjugated to antibodies for targeted therapy of cancer |
| US10201614B2 (en) | 2013-03-15 | 2019-02-12 | Zymeworks Inc. | Cytotoxic and anti-mitotic compounds, and methods of using the same |
| KR20150132864A (en) | 2013-03-15 | 2015-11-26 | 애브비 인코포레이티드 | Antibody drug conjugate(adc) purification |
| US9498540B2 (en) | 2013-03-15 | 2016-11-22 | Novartis Ag | Cell proliferation inhibitors and conjugates thereof |
| TW201945032A (en) | 2013-03-15 | 2019-12-01 | 德商艾伯維德國有限及兩合公司 | Anti-EGFR antibody drug conjugate formulations |
| EP2983674A4 (en) | 2013-04-08 | 2017-05-10 | Dennis M. Brown | Therapeutic benefit of suboptimally administered chemical compounds |
| EP3613468A1 (en) * | 2013-05-02 | 2020-02-26 | Glykos Finland Oy | Glycoprotein-toxic payload conjugates |
| US10208125B2 (en) | 2013-07-15 | 2019-02-19 | University of Pittsburgh—of the Commonwealth System of Higher Education | Anti-mucin 1 binding agents and uses thereof |
| EP3041507B1 (en) | 2013-08-26 | 2021-06-30 | BioNTech Research and Development, Inc. | Nucleic acids encoding human antibodies to sialyl-lewis a |
| WO2015048312A1 (en) | 2013-09-26 | 2015-04-02 | Costim Pharmaceuticals Inc. | Methods for treating hematologic cancers |
| MX2021008464A (en) * | 2013-10-15 | 2023-03-03 | Seattle Genetics Inc | Pegylated drug-linkers for improved ligand-drug conjugate pharmacokinetics. |
| CN111569086B (en) * | 2013-12-19 | 2024-06-21 | 西雅图基因公司 | Methylene carbamate linkers for use with target-drug conjugates |
| EP3086815B1 (en) | 2013-12-27 | 2022-02-09 | Zymeworks Inc. | Sulfonamide-containing linkage systems for drug conjugates |
| JOP20200094A1 (en) | 2014-01-24 | 2017-06-16 | Dana Farber Cancer Inst Inc | Antibody molecules to pd-1 and uses thereof |
| JOP20200096A1 (en) | 2014-01-31 | 2017-06-16 | Children’S Medical Center Corp | TIM-3 Antibody Molecules and Their Uses |
| FR3017298B1 (en) | 2014-02-07 | 2016-03-04 | Centre Nat Rech Scient | CONJUGATES AND PRO-DRUGS FOR THE TREATMENT OF CANCER AND INFLAMMATORY DISEASES |
| LT3116909T (en) | 2014-03-14 | 2020-02-10 | Novartis Ag | ANTI-BODY MOLECULES AGAINST LAG-3 AND THEIR USE |
| KR20220025946A (en) | 2014-03-21 | 2022-03-03 | 애브비 인코포레이티드 | Anti-egfr antibodies and antibody drug conjugates |
| WO2015183988A1 (en) | 2014-05-28 | 2015-12-03 | Stealth Peptides International, Inc. | Therapeutic compositions including therapeutic small molecules and uses thereof |
| US10576124B2 (en) | 2014-05-28 | 2020-03-03 | Stealth Biotherapeutics Corp | Therapeutic compositions including frataxin, lactoferrin, and mitochondrial energy generating enzymes, and uses thereof |
| KR101628872B1 (en) * | 2014-05-28 | 2016-06-09 | 주식회사 레고켐 바이오사이언스 | Compounds comprising self-immolative group |
| AU2015271685B2 (en) | 2014-06-04 | 2021-02-18 | Biontech Research And Development, Inc. | Human monoclonal antibodies to ganglioside GD2 |
| JP5924795B2 (en) | 2014-06-13 | 2016-05-25 | テンボロン オイ | Complex |
| AU2015282627B2 (en) | 2014-06-30 | 2020-04-02 | Glykos Finland Oy | Saccharide derivative of a toxic payload and antibody conjugates thereof |
| CA2960824A1 (en) | 2014-09-13 | 2016-03-17 | Novartis Ag | Combination therapies of alk inhibitors |
| US10450378B2 (en) | 2014-09-17 | 2019-10-22 | Zymeworks Inc. | Cytotoxic and anti-mitotic compounds, and methods of using the same |
| JP2017537893A (en) | 2014-10-31 | 2017-12-21 | アッヴィ・バイオセラピューティクス・インコーポレイテッド | Anti-CS1 antibody and antibody drug conjugate |
| US10077287B2 (en) | 2014-11-10 | 2018-09-18 | Bristol-Myers Squibb Company | Tubulysin analogs and methods of making and use |
| CN111620861A (en) | 2014-12-09 | 2020-09-04 | 艾伯维公司 | BCL-XL inhibitory compound having low cell permeability and antibody drug conjugate including the same |
| CA2969908A1 (en) | 2014-12-09 | 2016-06-16 | Abbvie Inc. | Antibody drug conjugates with cell permeable bcl-xl inhibitors |
| US10398774B2 (en) | 2014-12-09 | 2019-09-03 | INSERM (Institut National de la Santé et de la Recherche Médicale) | Human monoclonal antibodies against AXL |
| JP6676058B2 (en) | 2015-01-14 | 2020-04-08 | ブリストル−マイヤーズ スクイブ カンパニーBristol−Myers Squibb Company | Heteroarylene-bridged benzodiazepine dimers, conjugates thereof, and methods of making and using |
| EA201992756A3 (en) * | 2015-03-18 | 2020-06-30 | Сиэтл Дженетикс, Инк. | ANTIBODIES AGAINST CD48 AND THEIR CONJUGATES |
| WO2017051249A1 (en) * | 2015-09-25 | 2017-03-30 | Legochem Biosciences, Inc. | Compositions and methods related to anti-cd19 antibody drug conjugates |
| WO2017051254A1 (en) | 2015-09-25 | 2017-03-30 | Legochem Biosciences, Inc. | Compositions and methods related to anti-egfr antibody drug conjugates |
| KR20180058737A (en) * | 2015-10-07 | 2018-06-01 | 더 보오드 오브 트러스티스 오브 더 유니버시티 오브 일리노이즈 | Trigger-activated metabolic precursor for cancer selective targeting and targeting |
| WO2017060397A1 (en) | 2015-10-09 | 2017-04-13 | INSERM (Institut National de la Santé et de la Recherche Médicale) | Methods for predicting the survival time of subjects suffering from melanoma metastases |
| WO2017067944A1 (en) | 2015-10-19 | 2017-04-27 | INSERM (Institut National de la Santé et de la Recherche Médicale) | Methods for predicting the survival time of subjects suffering from triple negative breast cancer |
| TWI618697B (en) * | 2015-11-03 | 2018-03-21 | 財團法人工業技術研究院 | Compounds, linker-drugs and ligand-drug conjugates |
| JP7120765B2 (en) * | 2015-11-25 | 2022-08-17 | レゴケム バイオサイエンシズ, インク. | CONJUGATES CONTAINING PEPTIDE GROUPS AND RELATED METHODS |
| KR102847350B1 (en) * | 2015-11-25 | 2025-08-19 | 주식회사 리가켐바이오사이언스 | Antibody-drug conjugate comprising a branched linker and method for preparing the same |
| SMT202400223T1 (en) * | 2015-11-25 | 2024-07-09 | Ligachem Biosciences Inc | Conjugates comprising self-immolative groups and methods related thereto |
| JP2019501124A (en) | 2015-11-30 | 2019-01-17 | アッヴィ・インコーポレイテッド | Anti-huLRRC15 antibody drug conjugate and method of use thereof |
| WO2017095805A1 (en) | 2015-11-30 | 2017-06-08 | Abbvie Inc. | ANTI-huLRRC15 ANTIBODY DRUG CONJUGATES AND METHODS FOR THEIR USE |
| US11793880B2 (en) | 2015-12-04 | 2023-10-24 | Seagen Inc. | Conjugates of quaternized tubulysin compounds |
| ES2919323T3 (en) | 2015-12-04 | 2022-07-26 | Seagen Inc | Conjugates of quaternized tubulisin compounds |
| CN108883069B (en) * | 2016-01-04 | 2021-07-20 | 中央研究院 | Esterification/saponification based method for liposome loading |
| KR102640157B1 (en) | 2016-03-22 | 2024-02-27 | 인쎄름 (엥스띠뛰 나씨오날 드 라 쌍떼 에 드 라 흐쉐르슈 메디깔) | Humanized anti-claudin-1 antibodies and uses thereof |
| US10745487B2 (en) | 2016-03-22 | 2020-08-18 | Bionomics Limited | Method of treating cancer by administering an anti-LGR5 monoclonal antibody |
| US10918627B2 (en) | 2016-05-11 | 2021-02-16 | Massachusetts Institute Of Technology | Convergent and enantioselective total synthesis of Communesin analogs |
| LT3458102T (en) | 2016-05-17 | 2020-08-25 | Abbvie Biotherapeutics Inc. | Anti-cmet antibody drug conjugates and methods for their use |
| CN109562190A (en) | 2016-06-08 | 2019-04-02 | 艾伯维公司 | Anti-EGFR Antibody Drug Conjugates |
| CN109562169A (en) | 2016-06-08 | 2019-04-02 | 艾伯维公司 | Anti-CD98 Antibody and Antibody Drug Conjugate |
| KR20230035690A (en) | 2016-06-08 | 2023-03-14 | 애브비 인코포레이티드 | Anti-egfr antibody drug conjugates |
| EP3888689A1 (en) | 2016-06-08 | 2021-10-06 | AbbVie Inc. | Anti-egfr antibody drug conjugates |
| EP3835322A3 (en) | 2016-06-08 | 2021-10-06 | AbbVie Inc. | Anti-b7-h3 antibodies and antibody drug conjugates |
| AU2017277920A1 (en) | 2016-06-08 | 2019-01-03 | Abbvie Inc. | Anti-CD98 antibodies and antibody drug conjugates |
| CN109562168A (en) | 2016-06-08 | 2019-04-02 | 艾伯维公司 | Anti-CD98 Antibody and Antibody Drug Conjugate |
| WO2017214322A1 (en) | 2016-06-08 | 2017-12-14 | Abbvie Inc. | Anti-b7-h3 antibodies and antibody drug conjugates |
| EP3469000A1 (en) | 2016-06-08 | 2019-04-17 | AbbVie Inc. | Anti-b7-h3 antibodies and antibody drug conjugates |
| WO2018025168A1 (en) | 2016-08-03 | 2018-02-08 | Pfizer Inc. | Heteroaryl sulfone-based conjugation handles, methods for their preparation, and their use in synthesizing antibody drug conjugates |
| TWI851531B (en) | 2016-08-09 | 2024-08-11 | 美商思進公司 | Drug conjugates with self-stabilizing linkers having improved physiochemical properties |
| CN109641911B (en) | 2016-08-19 | 2023-02-21 | 百时美施贵宝公司 | seco-cyclopyrroloindole compounds and antibody-drug conjugates thereof and methods of making and using them |
| US10398783B2 (en) | 2016-10-20 | 2019-09-03 | Bristol-Myers Squibb Company | Antiproliferative compounds and conjugates made therefrom |
| US11186635B2 (en) | 2016-10-25 | 2021-11-30 | Institut National De La Santé Et De La Recherché Médical (Inserm) | Monoclonal antibodies binding to the CD160 transmembrane isoform |
| TWI807423B (en) * | 2016-11-14 | 2023-07-01 | 醣基生醫股份有限公司 | Antibody-drug conjugates |
| CA3042889A1 (en) | 2016-11-14 | 2018-05-17 | Millennium Pharmaceuticals, Inc. | Non-adult human dosing of anti-cd30 antibody-drug conjugates |
| US11135307B2 (en) | 2016-11-23 | 2021-10-05 | Mersana Therapeutics, Inc. | Peptide-containing linkers for antibody-drug conjugates |
| EP3544634B1 (en) | 2016-11-23 | 2021-04-14 | Eli Lilly and Company | Met antibody drug conjugates |
| JP7244987B2 (en) | 2016-12-14 | 2023-03-23 | シージェン インコーポレイテッド | Multidrug Antibody Drug Conjugates |
| MA50134A (en) | 2016-12-16 | 2020-07-29 | Bluefin Biomedicine Inc | ANTI-PROTEIN 1 ANTIBODY CONTAINING AN ANTI-CUB DOMAIN (CDCP1), ANTIBODY-DRUG CONJUGATES AND THEIR METHODS OF USE |
| KR102085798B1 (en) | 2016-12-28 | 2020-03-06 | 주식회사 인투셀 | Compounds comprising beta-galactoside self-immolative linker |
| SG11201906414VA (en) | 2017-01-24 | 2019-08-27 | Pfizer | Calicheamicin derivatives and antibody drug conjugates thereof |
| WO2018146253A1 (en) | 2017-02-10 | 2018-08-16 | INSERM (Institut National de la Santé et de la Recherche Médicale) | Methods and pharmaceutical compositions for the treatment of cancers associated with activation of the mapk pathway |
| WO2018148650A1 (en) * | 2017-02-10 | 2018-08-16 | The Board Of Trustees Of The University Of Illinois | Trigger-activatable sugar conjugates for cancer-selective labeling and targeting |
| JP7664680B2 (en) | 2017-03-29 | 2025-04-18 | リガケム バイオサイエンシズ, インク. | Pyrrolobenzodiazepine dimer precursors and their ligand-linker conjugate compounds |
| US11932650B2 (en) | 2017-05-11 | 2024-03-19 | Massachusetts Institute Of Technology | Potent agelastatin derivatives as modulators for cancer invasion and metastasis |
| US11666657B2 (en) | 2017-05-16 | 2023-06-06 | Universite De Strasbourg | Protein-drug conjugates and their use in the treatment of cancers |
| US20210403573A1 (en) | 2017-06-22 | 2021-12-30 | INSERM (Institut National de la Santé et de la Recherche Médicale | Methods and pharmaceutical compositions for the treatment of fibrosis with agents capable of inhibiting the activation of mucosal-associated invariant t (mait) cells |
| US10508115B2 (en) | 2017-08-16 | 2019-12-17 | Bristol-Myers Squibb Company | Toll-like receptor 7 (TLR7) agonists having heteroatom-linked aromatic moieties, conjugates thereof, and methods and uses therefor |
| US10457681B2 (en) | 2017-08-16 | 2019-10-29 | Bristol_Myers Squibb Company | Toll-like receptor 7 (TLR7) agonists having a tricyclic moiety, conjugates thereof, and methods and uses therefor |
| US10487084B2 (en) | 2017-08-16 | 2019-11-26 | Bristol-Myers Squibb Company | Toll-like receptor 7 (TLR7) agonists having a heterobiaryl moiety, conjugates thereof, and methods and uses therefor |
| US10494370B2 (en) | 2017-08-16 | 2019-12-03 | Bristol-Myers Squibb Company | Toll-like receptor 7 (TLR7) agonists having a pyridine or pyrazine moiety, conjugates thereof, and methods and uses therefor |
| US10472361B2 (en) | 2017-08-16 | 2019-11-12 | Bristol-Myers Squibb Company | Toll-like receptor 7 (TLR7) agonists having a benzotriazole moiety, conjugates thereof, and methods and uses therefor |
| WO2019051489A1 (en) | 2017-09-11 | 2019-03-14 | Sperovie Biosciences, Inc. | Compounds, compositions, and methods for the treatment of disease |
| WO2019051488A1 (en) | 2017-09-11 | 2019-03-14 | Sperovie Biosciences, Inc. | Compounds compositions, and methods for the treatment of disease |
| US11707522B2 (en) | 2017-10-13 | 2023-07-25 | Boehringer Ingelheim International Gmbh | Human antibodies to Tn antigen |
| US10640508B2 (en) | 2017-10-13 | 2020-05-05 | Massachusetts Institute Of Technology | Diazene directed modular synthesis of compounds with quaternary carbon centers |
| EP3498293A1 (en) | 2017-12-15 | 2019-06-19 | Institut National De La Sante Et De La Recherche Medicale (Inserm) | Treatment of monogenic diseases with an anti-cd45rc antibody |
| US12281171B2 (en) | 2018-03-19 | 2025-04-22 | Bio Ventures, Llc | Periostin antibodies and methods of using the same |
| WO2019209811A1 (en) | 2018-04-24 | 2019-10-31 | Bristol-Myers Squibb Company | Macrocyclic toll-like receptor 7 (tlr7) agonists |
| MX2020011176A (en) | 2018-05-07 | 2020-11-12 | Genmab As | Methods of treating cancer with a combination of an anti-pd-1 antibody and an anti-tissue factor antibody-drug conjugate. |
| SG11202010993VA (en) | 2018-05-07 | 2020-12-30 | Genmab As | Methods of treating cancer with a combination of an anti-pd-1 antibody and an anti-tissue factor antibody-drug conjugate |
| SG11202010443WA (en) | 2018-05-09 | 2020-11-27 | Legochem Biosciences Inc | Compositions and methods related to anti-cd19 antibody drug conjugates |
| MX2020012674A (en) | 2018-05-29 | 2021-02-09 | Bristol Myers Squibb Co | Modified self-immolating moieties for use in prodrugs and conjugates and methods of using and making. |
| US11492409B2 (en) | 2018-06-01 | 2022-11-08 | Novartis Ag | Binding molecules against BCMA and uses thereof |
| CN113382754A (en) * | 2018-07-13 | 2021-09-10 | Il-2Rx公司 | Compounds, compositions, methods and uses for treating cancer and immune disorders |
| JP2020019723A (en) * | 2018-07-30 | 2020-02-06 | 国立大学法人 鹿児島大学 | Complex of anti-CD70 antibody and IgG binding peptide |
| US11554120B2 (en) | 2018-08-03 | 2023-01-17 | Bristol-Myers Squibb Company | 1H-pyrazolo[4,3-d]pyrimidine compounds as toll-like receptor 7 (TLR7) agonists and methods and uses therefor |
| WO2020058372A1 (en) | 2018-09-19 | 2020-03-26 | INSERM (Institut National de la Santé et de la Recherche Médicale) | Methods and pharmaceutical composition for the treatment of cancers resistant to immune checkpoint therapy |
| EP3626265A1 (en) | 2018-09-21 | 2020-03-25 | INSERM (Institut National de la Santé et de la Recherche Médicale) | Anti-human cd45rc antibodies and uses thereof |
| GB201817321D0 (en) | 2018-10-24 | 2018-12-05 | Nanna Therapeutics Ltd | Microbeads for tagless encoded chemical library screening |
| TWI844571B (en) | 2018-10-30 | 2024-06-11 | 丹麥商珍美寶股份有限公司 | Methods of treating cancer with a combination of an anti-vegf antibody and an anti-tissue factor antibody-drug conjugate |
| WO2020094609A1 (en) | 2018-11-06 | 2020-05-14 | INSERM (Institut National de la Santé et de la Recherche Médicale) | Methods and pharmaceutical compositions for the treatment of acute myeloid leukemia by eradicating leukemic stem cells |
| US20220064260A1 (en) | 2018-12-14 | 2022-03-03 | INSERM (Institut National de la Santé et de la Recherche Médicale) | Isolated mhc-derived human peptides and uses thereof for stimulating and activating the suppressive function of cd8+cd45rclow tregs |
| KR20210125511A (en) | 2019-02-05 | 2021-10-18 | 씨젠 인크. | Anti-CD228 Antibodies and Antibody-Drug Conjugates |
| CN113795264A (en) | 2019-03-19 | 2021-12-14 | 瓦尔希伯伦私人肿瘤研究基金会 | Combination therapy for cancer with Omomyc and antibodies that bind PD-1 or CTLA-4 |
| KR20250156861A (en) | 2019-05-21 | 2025-11-03 | 노파르티스 아게 | Cd19 binding molecules and uses thereof |
| EP3972993A1 (en) | 2019-05-21 | 2022-03-30 | Novartis AG | Variant cd58 domains and uses thereof |
| US11535634B2 (en) | 2019-06-05 | 2022-12-27 | Massachusetts Institute Of Technology | Compounds, conjugates, and compositions of epipolythiodiketopiperazines and polythiodiketopiperazines and uses thereof |
| WO2021026409A1 (en) | 2019-08-08 | 2021-02-11 | Regeneron Pharmaceuticals, Inc. | Novel antigen binding molecule formats |
| CN119409834A (en) | 2019-08-12 | 2025-02-11 | 北京恩瑞尼生物科技股份有限公司 | Methods and compositions for promoting and enhancing T cell-mediated immune responses through ADCC targeting of CD39 expressing cells |
| EP4025233A4 (en) * | 2019-09-04 | 2023-07-12 | Seagen Inc. | DOUBLE DIGESTIVE ASSAY FOR THE ANALYSIS OF LIGAND-DRUG CONJUGATES |
| KR20210028544A (en) | 2019-09-04 | 2021-03-12 | 주식회사 레고켐 바이오사이언스 | Antibody-drug conjugate comprising antibody binding to antibody against human ROR1 and its use |
| AU2020348876A1 (en) | 2019-09-19 | 2022-04-07 | Seagen Inc. | Selective drug release from internalized conjugates of biologically active compounds |
| WO2021064184A1 (en) | 2019-10-04 | 2021-04-08 | INSERM (Institut National de la Santé et de la Recherche Médicale) | Methods and pharmaceutical composition for the treatment of ovarian cancer, breast cancer or pancreatic cancer |
| US12435116B2 (en) * | 2019-10-16 | 2025-10-07 | Clarence Hurt | Compounds, compositions, methods, and uses for treating insulin resistance, type 2 diabetes and metabolic syndrome |
| US20210324031A1 (en) * | 2019-10-16 | 2021-10-21 | Clarence Hurt | Compounds, compositions, methods, and uses for treating leptin resistance, obesity, diabetes mellitus and metabolic syndrome |
| AU2020379735A1 (en) | 2019-11-05 | 2022-05-26 | Regeneron Pharmaceuticals, Inc. | N-terminal SCFV multispecific binding molecules |
| TW202131954A (en) | 2019-11-07 | 2021-09-01 | 丹麥商珍美寶股份有限公司 | Methods of treating cancer with a combination of a platinum-based agent and an anti-tissue factor antibody-drug conjugate |
| TW202132343A (en) | 2019-11-07 | 2021-09-01 | 丹麥商珍美寶股份有限公司 | Methods of treating cancer with a combination of an anti-pd-1 antibody and an anti-tissue factor antibody-drug conjugate |
| WO2021092287A1 (en) | 2019-11-08 | 2021-05-14 | North Carolina State University | Cross-linking compounds and methods of use thereof |
| TWI877278B (en) | 2019-12-30 | 2025-03-21 | 美商思進公司 | Methods of treating cancer with nonfucosylated anti-cd70 antibodies |
| JP2023516080A (en) | 2020-03-06 | 2023-04-17 | ジーオー セラピューティクス,インコーポレイテッド | Anti-glyco CD44 antibodies and uses thereof |
| EP4126241A1 (en) | 2020-03-27 | 2023-02-08 | Novartis AG | Bispecific combination therapy for treating proliferative diseases and autoimmune disorders |
| BR112022020332A2 (en) | 2020-04-10 | 2022-12-13 | Seagen Inc | ANTIBODY-DRUG CONJUGATE COMPOUND, COMPOSITION, METHOD OF TREATMENT OF CANCER AND AN AUTOIMMUNE DISORDER |
| JP2023528293A (en) | 2020-05-20 | 2023-07-04 | アンスティテュ・クリー | Single domain antibodies and their use in cancer therapy |
| KR20230028492A (en) | 2020-06-29 | 2023-02-28 | 젠맵 에이/에스 | Anti-tissue factor antibody-drug conjugates and their use in the treatment of cancer |
| EP4189071A1 (en) | 2020-08-03 | 2023-06-07 | Institut National de la Santé et de la Recherche Médicale (INSERM) | Population of treg cells functionally committed to exert a regulatory activity and their use for adoptive therapy |
| CN112062855B (en) | 2020-08-26 | 2024-08-30 | 北京天诺健成医药科技有限公司 | Development and application of drug therapeutic agent containing adapter |
| EP4229090A1 (en) | 2020-10-16 | 2023-08-23 | Université d'Aix-Marseille | Anti-gpc4 single domain antibodies |
| CN114685657B (en) | 2020-12-31 | 2024-08-16 | 康诺亚生物医药科技(成都)有限公司 | Development and application of a functionally enhanced antibody blocker |
| JP2024505428A (en) | 2021-01-14 | 2024-02-06 | アンスティテュ キュリー | HER2 single domain antibody variants and their CARs |
| AU2022208054A1 (en) | 2021-01-15 | 2023-07-27 | Seagen Inc. | Immunomodulatory antibody-drug conjugates |
| WO2022159326A1 (en) | 2021-01-19 | 2022-07-28 | Erimos Pharmaceuticals, Llc | Terameprocol and nordihydroguaiaretic acid (ndga) derivatives as coronavirus anti-viral agents |
| AR124681A1 (en) | 2021-01-20 | 2023-04-26 | Abbvie Inc | ANTI-EGFR ANTIBODY-DRUG CONJUGATES |
| WO2022170002A1 (en) | 2021-02-03 | 2022-08-11 | Seagen Inc. | Immunostimulatory compounds and conjugates |
| WO2022182415A1 (en) | 2021-02-24 | 2022-09-01 | Massachusetts Institute Of Technology | Himastatin derivatives, and processes of preparation thereof, and uses thereof |
| EP4301782A1 (en) | 2021-03-05 | 2024-01-10 | Go Therapeutics, Inc. | Anti-glyco-cd44 antibodies and their uses |
| JP2024511360A (en) | 2021-03-18 | 2024-03-13 | シージェン インコーポレイテッド | Selective drug release from internalization complexes of bioactive compounds |
| WO2022200303A1 (en) | 2021-03-23 | 2022-09-29 | INSERM (Institut National de la Santé et de la Recherche Médicale) | Methods for the diagnosis and treatment of t cell-lymphomas |
| WO2022214681A1 (en) | 2021-04-09 | 2022-10-13 | INSERM (Institut National de la Santé et de la Recherche Médicale) | Methods for the treatment of anaplastic large cell lymphoma |
| IL308795A (en) | 2021-05-28 | 2024-01-01 | Seagen Inc | Anthracycline antibody conjugates |
| WO2023014863A1 (en) | 2021-08-05 | 2023-02-09 | Go Therapeutics, Inc. | Anti-glyco-muc4 antibodies and their uses |
| JP2024536722A (en) | 2021-09-03 | 2024-10-08 | ジーオー セラピューティクス,インコーポレイテッド | Anti-glyco-CMET antibodies and uses thereof |
| WO2023034571A1 (en) | 2021-09-03 | 2023-03-09 | Go Therapeutics, Inc. | Anti-glyco-lamp1 antibodies and their uses |
| ES3047544T3 (en) | 2021-09-16 | 2025-12-03 | Aboleris Pharma | Anti-human cd45rc binding domains and uses thereof |
| WO2023110937A1 (en) | 2021-12-14 | 2023-06-22 | INSERM (Institut National de la Santé et de la Recherche Médicale) | Depletion of nk cells for the treatment of adverse post-ischemic cardiac remodeling |
| EP4472740A1 (en) | 2022-01-31 | 2024-12-11 | INSERM (Institut National de la Santé et de la Recherche Médicale) | Cd38 as a biomarker and biotarget in t-cell lymphomas |
| EP4508432A1 (en) | 2022-04-11 | 2025-02-19 | Institut National de la Santé et de la Recherche Médicale | Methods for the diagnosis and treatment of t-cell malignancies |
| WO2023198874A1 (en) | 2022-04-15 | 2023-10-19 | Institut National de la Santé et de la Recherche Médicale | Methods for the diagnosis and treatment of t cell-lymphomas |
| TW202408583A (en) | 2022-05-06 | 2024-03-01 | 丹麥商珍美寶股份有限公司 | Methods of treating cancer with anti-tissue factor antibody-drug conjugates |
| US20250255981A1 (en) | 2022-05-06 | 2025-08-14 | Seagen Inc. | Immunomodulatory antibody-drug conjugates |
| CN119256007B (en) * | 2022-05-31 | 2025-10-31 | 山东博安生物技术股份有限公司 | Anti-CD228 antibodies and their drug conjugates |
| EP4545096A1 (en) * | 2022-06-27 | 2025-04-30 | Trioar, Inc. | Compound comprising self-immolative group and ligand-drug conjugate comprising same |
| IL318450A (en) | 2022-08-03 | 2025-03-01 | Seagen Inc | Immunostimulatory anti-pd-l1-drug conjugates |
| KR20250060207A (en) | 2022-09-09 | 2025-05-07 | 미릭스 파마 리미티드 | Antibody drug conjugates comprising NMT inhibitors and uses thereof |
| KR20250089547A (en) | 2022-10-25 | 2025-06-18 | 펩토믹, 에스.엘. | Combination therapy for cancer treatment |
| CN120303006A (en) | 2022-11-01 | 2025-07-11 | 阿比蒂斯有限公司 | Compounds containing Fc binding units and conjugates prepared using the same |
| WO2024129614A1 (en) | 2022-12-13 | 2024-06-20 | Crinetics Pharmaceuticals, Inc. | Somatostatin subtype-2 receptor (sst2r) targeted therapeutics and uses thereof |
| AU2024207469A1 (en) | 2023-01-13 | 2025-08-28 | Regeneron Pharmaceuticals, Inc. | Fgfr3 binding molecules and methods of use thereof |
| KR20250138802A (en) * | 2023-01-30 | 2025-09-22 | 프라임링크 바이오테라퓨틱스 (선전) 컴퍼니 리미티드 | polymer-drug conjugates |
| CN120676967A (en) * | 2023-02-10 | 2025-09-19 | 匹诺生物股份有限公司 | Antibody-drug conjugate linkers |
| KR20250152101A (en) | 2023-03-13 | 2025-10-22 | 하이델베르크 파마 리서치 게엠베하 | Subcutaneous antibody-drug conjugates for use in cancer treatment |
| AR132178A1 (en) | 2023-03-22 | 2025-06-04 | Salubris Biotherapeutics Inc | ANTI-5T4 ANTIGEN BINDING DOMAINS, ANTIBODY-DRUG CONJUGATES, AND METHODS OF USING THEM |
| EP4687866A1 (en) | 2023-04-02 | 2026-02-11 | The Francis Crick Institute Limited | Inhibitors of ets2-activating molecules for the treatment of inflammatory diseases |
| KR20250169306A (en) | 2023-04-18 | 2025-12-02 | 아스트라제네카 아베 | Conjugate comprising a cleavable linker |
| TW202513088A (en) | 2023-06-07 | 2025-04-01 | 瓦爾希伯倫私人腫瘤研究基金會 | Combination therapy with mek inhibitors for the treatment of cancer |
| WO2024251854A1 (en) | 2023-06-07 | 2024-12-12 | Fundació Privada Institut D'investigació Oncològica De Vall Hebron | Combination therapy with braf inhibitors for the treatment of cancer |
| EP4473974A1 (en) | 2023-06-07 | 2024-12-11 | Peptomyc, S.L. | Omomyc and kras inhibitors combination therapy for the treatment of cancer |
| TW202525344A (en) | 2023-08-15 | 2025-07-01 | 瑞典商阿斯特捷利康公司 | Conjugates comprising cleavable linkers |
| EP4509142A1 (en) | 2023-08-16 | 2025-02-19 | Ona Therapeutics S.L. | Fgfr4 as target in cancer treatment |
| WO2025178923A1 (en) * | 2024-02-20 | 2025-08-28 | Exelixis, Inc. | Methods for protein purification |
| US20250282776A1 (en) | 2024-03-05 | 2025-09-11 | Bristol-Myers Squibb Company | Bicyclic TLR7 Agonists and Uses Thereof |
| WO2025188694A1 (en) | 2024-03-05 | 2025-09-12 | Bristol-Myers Squibb Company | Tricyclic tlr7 agonists and uses thereof |
| WO2025240335A1 (en) | 2024-05-13 | 2025-11-20 | Regeneron Pharmaceuticals, Inc. | Fgfr3 binding molecules and methods of use thereof |
Citations (7)
| Publication number | Priority date | Publication date | Assignee | Title |
|---|---|---|---|---|
| US5561119A (en) | 1991-04-30 | 1996-10-01 | Laboratoires Hoechst | Glycosylated prodrugs, their method of preparation and their uses |
| US5851527A (en) * | 1988-04-18 | 1998-12-22 | Immunomedics, Inc. | Method for antibody targeting of therapeutic agents |
| US6361774B1 (en) | 1999-09-17 | 2002-03-26 | Immunomedics, Inc. | Methods and compositions for increasing the target-specific toxicity of a chemotherapy drug |
| WO2003086312A2 (en) | 2002-04-12 | 2003-10-23 | A & D Bioscience, Inc. | Conjugates comprising cancer cell specific ligands, a sugar and cancer chemotherapeutic agents/boron neutron capture therapy agents, and uses thereof |
| WO2004010957A2 (en) | 2002-07-31 | 2004-02-05 | Seattle Genetics, Inc. | Drug conjugates and their use for treating cancer, an autoimmune disease or an infectious disease |
| US6884869B2 (en) | 2001-04-30 | 2005-04-26 | Seattle Genetics, Inc. | Pentapeptide compounds and uses related thereto |
| US6906182B2 (en) | 2000-12-01 | 2005-06-14 | Cell Works Therapeutics, Inc. | Conjugates of glycosylated/galactosylated peptide, bifunctional linker, and nucleotidic monomers/polymers, and related compositions and method of use |
Family Cites Families (60)
| Publication number | Priority date | Publication date | Assignee | Title |
|---|---|---|---|---|
| GB2036891B (en) | 1978-12-05 | 1983-05-05 | Windsor Smith C | Change speed gear |
| ES521370A0 (en) | 1982-04-12 | 1985-04-16 | Hybritech Inc | A PROCEDURE FOR OBTAINING A POLYDOMA. |
| US4486414A (en) | 1983-03-21 | 1984-12-04 | Arizona Board Of Reagents | Dolastatins A and B cell growth inhibitory substances |
| GB8308235D0 (en) | 1983-03-25 | 1983-05-05 | Celltech Ltd | Polypeptides |
| US4816567A (en) | 1983-04-08 | 1989-03-28 | Genentech, Inc. | Recombinant immunoglobin preparations |
| JPS6147500A (en) | 1984-08-15 | 1986-03-07 | Res Dev Corp Of Japan | Chimera monoclonal antibody and its preparation |
| EP0173494A3 (en) | 1984-08-27 | 1987-11-25 | The Board Of Trustees Of The Leland Stanford Junior University | Chimeric receptors by dna splicing and expression |
| GB8422238D0 (en) | 1984-09-03 | 1984-10-10 | Neuberger M S | Chimeric proteins |
| JPS61134325A (en) | 1984-12-04 | 1986-06-21 | Teijin Ltd | Expression of hybrid antibody gene |
| CA1282069C (en) | 1985-09-12 | 1991-03-26 | Damon L. Meyer | Antibody complexes of hapten-modified diagnostic or therapeutic agents |
| WO1987002671A1 (en) | 1985-11-01 | 1987-05-07 | International Genetic Engineering, Inc. | Modular assembly of antibody genes, antibodies prepared thereby and use |
| US5225539A (en) | 1986-03-27 | 1993-07-06 | Medical Research Council | Recombinant altered antibodies and methods of making altered antibodies |
| US4946778A (en) | 1987-09-21 | 1990-08-07 | Genex Corporation | Single polypeptide chain binding molecules |
| US4816444A (en) | 1987-07-10 | 1989-03-28 | Arizona Board Of Regents, Arizona State University | Cell growth inhibitory substance |
| US5076973A (en) | 1988-10-24 | 1991-12-31 | Arizona Board Of Regents | Synthesis of dolastatin 3 |
| US5047335A (en) | 1988-12-21 | 1991-09-10 | The Regents Of The University Of Calif. | Process for controlling intracellular glycosylation of proteins |
| US5530101A (en) | 1988-12-28 | 1996-06-25 | Protein Design Labs, Inc. | Humanized immunoglobulins |
| US4978744A (en) | 1989-01-27 | 1990-12-18 | Arizona Board Of Regents | Synthesis of dolastatin 10 |
| US4879278A (en) | 1989-05-16 | 1989-11-07 | Arizona Board Of Regents | Isolation and structural elucidation of the cytostatic linear depsipeptide dolastatin 15 |
| US4986988A (en) | 1989-05-18 | 1991-01-22 | Arizona Board Of Regents | Isolation and structural elucidation of the cytostatic linear depsipeptides dolastatin 13 and dehydrodolastatin 13 |
| DE3920358A1 (en) | 1989-06-22 | 1991-01-17 | Behringwerke Ag | BISPECIFIC AND OLIGO-SPECIFIC, MONO- AND OLIGOVALENT ANTI-BODY CONSTRUCTS, THEIR PRODUCTION AND USE |
| US5138036A (en) | 1989-11-13 | 1992-08-11 | Arizona Board Of Regents Acting On Behalf Of Arizona State University | Isolation and structural elucidation of the cytostatic cyclodepsipeptide dolastatin 14 |
| DK0463151T3 (en) | 1990-01-12 | 1996-07-01 | Cell Genesys Inc | Generation of xenogenic antibodies |
| US5770429A (en) | 1990-08-29 | 1998-06-23 | Genpharm International, Inc. | Transgenic non-human animals capable of producing heterologous antibodies |
| US5661016A (en) | 1990-08-29 | 1997-08-26 | Genpharm International Inc. | Transgenic non-human animals capable of producing heterologous antibodies of various isotypes |
| JP2938569B2 (en) | 1990-08-29 | 1999-08-23 | ジェンファーム インターナショナル,インコーポレイティド | Method for producing xenogeneic immunoglobulin and transgenic mouse |
| US5545806A (en) | 1990-08-29 | 1996-08-13 | Genpharm International, Inc. | Ransgenic non-human animals for producing heterologous antibodies |
| US5633425A (en) | 1990-08-29 | 1997-05-27 | Genpharm International, Inc. | Transgenic non-human animals capable of producing heterologous antibodies |
| US5625126A (en) | 1990-08-29 | 1997-04-29 | Genpharm International, Inc. | Transgenic non-human animals for producing heterologous antibodies |
| US5278299A (en) | 1991-03-18 | 1994-01-11 | Scripps Clinic And Research Foundation | Method and composition for synthesizing sialylated glycosyl compounds |
| WO1993008829A1 (en) | 1991-11-04 | 1993-05-13 | The Regents Of The University Of California | Compositions that mediate killing of hiv-infected cells |
| WO1993010260A1 (en) | 1991-11-21 | 1993-05-27 | The Board Of Trustees Of The Leland Stanford Junior University | Controlling degradation of glycoprotein oligosaccharides by extracellular glycosisases |
| WO1993011161A1 (en) | 1991-11-25 | 1993-06-10 | Enzon, Inc. | Multivalent antigen-binding proteins |
| JPH08500017A (en) | 1992-08-17 | 1996-01-09 | ジェネンテク,インコーポレイテッド | Bispecific immune adhesin |
| US6034065A (en) | 1992-12-03 | 2000-03-07 | Arizona Board Of Regents | Elucidation and synthesis of antineoplastic tetrapeptide phenethylamides of dolastatin 10 |
| US5635483A (en) | 1992-12-03 | 1997-06-03 | Arizona Board Of Regents Acting On Behalf Of Arizona State University | Tumor inhibiting tetrapeptide bearing modified phenethyl amides |
| US5410024A (en) | 1993-01-21 | 1995-04-25 | Arizona Board Of Regents Acting On Behalf Of Arizona State University | Human cancer inhibitory pentapeptide amides |
| US5780588A (en) | 1993-01-26 | 1998-07-14 | Arizona Board Of Regents | Elucidation and synthesis of selected pentapeptides |
| US5434105A (en) * | 1994-03-04 | 1995-07-18 | National Semiconductor Corporation | Process for attaching a lead frame to a heat sink using a glob-top encapsulation |
| US5521284A (en) | 1994-08-01 | 1996-05-28 | Arizona Board Of Regents Acting On Behalf Of Arizona State University | Human cancer inhibitory pentapeptide amides and esters |
| US5504191A (en) | 1994-08-01 | 1996-04-02 | Arizona Board Of Regents Acting On Behalf Of Arizona State University | Human cancer inhibitory pentapeptide methyl esters |
| US5530097A (en) | 1994-08-01 | 1996-06-25 | Arizona Board Of Regents Acting On Behalf Of Arizona State University | Human cancer inhibitory peptide amides |
| US5554725A (en) | 1994-09-14 | 1996-09-10 | Arizona Board Of Regents Acting On Behalf Of Arizona State University | Synthesis of dolastatin 15 |
| US5599902A (en) | 1994-11-10 | 1997-02-04 | Arizona Board Of Regents Acting On Behalf Of Arizona State University | Cancer inhibitory peptides |
| US5663149A (en) | 1994-12-13 | 1997-09-02 | Arizona Board Of Regents Acting On Behalf Of Arizona State University | Human cancer inhibitory pentapeptide heterocyclic and halophenyl amides |
| US5739277A (en) | 1995-04-14 | 1998-04-14 | Genentech Inc. | Altered polypeptides with increased half-life |
| CA2249195A1 (en) | 1996-03-18 | 1997-09-25 | Board Of Regents, The University Of Texas System | Immunoglobin-like domains with increased half lives |
| US6130237A (en) | 1996-09-12 | 2000-10-10 | Cancer Research Campaign Technology Limited | Condensed N-aclyindoles as antitumor agents |
| US6239104B1 (en) | 1997-02-25 | 2001-05-29 | Arizona Board Of Regents | Isolation and structural elucidation of the cytostatic linear and cyclo-depsipeptides dolastatin 16, dolastatin 17, and dolastatin 18 |
| WO1999027078A1 (en) | 1997-11-21 | 1999-06-03 | Human Genome Sciences, Inc. | Chemokine alpha-5 |
| US6323315B1 (en) | 1999-09-10 | 2001-11-27 | Basf Aktiengesellschaft | Dolastatin peptides |
| US7063845B2 (en) | 2000-04-28 | 2006-06-20 | Gemini Science, Inc. | Human anti-CD40 antibodies |
| US20030083263A1 (en) | 2001-04-30 | 2003-05-01 | Svetlana Doronina | Pentapeptide compounds and uses related thereto |
| AR039067A1 (en) | 2001-11-09 | 2005-02-09 | Pfizer Prod Inc | ANTIBODIES FOR CD40 |
| JP4562395B2 (en) | 2002-01-09 | 2010-10-13 | メダレックス, インク. | Human monoclonal antibody against CD30 |
| US7641609B2 (en) | 2002-07-31 | 2010-01-05 | Olympus Corporation | Endoscope device and navigation method for endoscope device |
| CA2516455C (en) | 2003-02-20 | 2012-05-01 | Seattle Genetics, Inc. | Anti-cd70 antibody-drug conjugates and their use for the treatment of cancer and immune disorders |
| PT2489364E (en) | 2003-11-06 | 2015-04-16 | Seattle Genetics Inc | Monomethylvaline compounds conjugated to antibodies |
| US20060003412A1 (en) | 2003-12-08 | 2006-01-05 | Xencor, Inc. | Protein engineering with analogous contact environments |
| WO2007011968A2 (en) * | 2005-07-18 | 2007-01-25 | Seattle Genetics, Inc. | Beta-glucuronide-linker drug conjugates |
-
2006
- 2006-07-18 WO PCT/US2006/027925 patent/WO2007011968A2/en not_active Ceased
- 2006-07-18 LT LTEP06787774.6T patent/LT1912671T/en unknown
- 2006-07-18 EP EP06787774.6A patent/EP1912671B1/en active Active
- 2006-07-18 JP JP2008522908A patent/JP5752346B2/en active Active
- 2006-07-18 AU AU2006269940A patent/AU2006269940C1/en not_active Ceased
- 2006-07-18 DK DK17179428.2T patent/DK3248613T3/en active
- 2006-07-18 PL PL06787774T patent/PL1912671T3/en unknown
- 2006-07-18 DK DK06787774.6T patent/DK1912671T3/en active
- 2006-07-18 PL PL17179428T patent/PL3248613T3/en unknown
- 2006-07-18 ES ES17179428T patent/ES2908458T3/en active Active
- 2006-07-18 HU HUE06787774A patent/HUE035853T2/en unknown
- 2006-07-18 HU HUE17179428A patent/HUE057936T2/en unknown
- 2006-07-18 EP EP21206543.7A patent/EP4026840A1/en not_active Withdrawn
- 2006-07-18 PT PT171794282T patent/PT3248613T/en unknown
- 2006-07-18 CA CA2616005A patent/CA2616005C/en active Active
- 2006-07-18 SI SI200632226T patent/SI1912671T1/en unknown
- 2006-07-18 SI SI200632421T patent/SI3248613T1/en unknown
- 2006-07-18 ES ES06787774.6T patent/ES2649550T3/en active Active
- 2006-07-18 US US11/996,009 patent/US8039273B2/en not_active Ceased
- 2006-07-18 EP EP17179428.2A patent/EP3248613B1/en active Active
-
2011
- 2011-10-14 US US13/274,212 patent/US8568728B2/en active Active
-
2013
- 2013-06-03 JP JP2013116721A patent/JP2013166793A/en not_active Withdrawn
- 2013-09-25 US US14/036,968 patent/US9731030B2/en active Active
- 2013-10-17 US US14/056,145 patent/USRE45272E1/en active Active
-
2015
- 2015-10-02 JP JP2015196467A patent/JP6404200B2/en active Active
-
2016
- 2016-08-24 US US15/245,678 patent/US20160361424A1/en not_active Abandoned
-
2017
- 2017-03-20 US US15/463,267 patent/US20170189542A1/en not_active Abandoned
- 2017-09-21 JP JP2017181291A patent/JP6642946B2/en not_active Expired - Fee Related
-
2019
- 2019-02-20 JP JP2019028445A patent/JP6908640B2/en active Active
-
2020
- 2020-06-10 JP JP2020100697A patent/JP2020143167A/en not_active Withdrawn
-
2021
- 2021-06-15 US US17/348,523 patent/US20220143209A1/en not_active Abandoned
-
2022
- 2022-03-11 CY CY20221100201T patent/CY1125064T1/en unknown
- 2022-07-22 JP JP2022117254A patent/JP2022137300A/en active Pending
-
2023
- 2023-10-26 US US18/495,728 patent/US20240252672A1/en active Pending
Patent Citations (7)
| Publication number | Priority date | Publication date | Assignee | Title |
|---|---|---|---|---|
| US5851527A (en) * | 1988-04-18 | 1998-12-22 | Immunomedics, Inc. | Method for antibody targeting of therapeutic agents |
| US5561119A (en) | 1991-04-30 | 1996-10-01 | Laboratoires Hoechst | Glycosylated prodrugs, their method of preparation and their uses |
| US6361774B1 (en) | 1999-09-17 | 2002-03-26 | Immunomedics, Inc. | Methods and compositions for increasing the target-specific toxicity of a chemotherapy drug |
| US6906182B2 (en) | 2000-12-01 | 2005-06-14 | Cell Works Therapeutics, Inc. | Conjugates of glycosylated/galactosylated peptide, bifunctional linker, and nucleotidic monomers/polymers, and related compositions and method of use |
| US6884869B2 (en) | 2001-04-30 | 2005-04-26 | Seattle Genetics, Inc. | Pentapeptide compounds and uses related thereto |
| WO2003086312A2 (en) | 2002-04-12 | 2003-10-23 | A & D Bioscience, Inc. | Conjugates comprising cancer cell specific ligands, a sugar and cancer chemotherapeutic agents/boron neutron capture therapy agents, and uses thereof |
| WO2004010957A2 (en) | 2002-07-31 | 2004-02-05 | Seattle Genetics, Inc. | Drug conjugates and their use for treating cancer, an autoimmune disease or an infectious disease |
Non-Patent Citations (43)
| Title |
|---|
| Albin, N. et al. "Main Drug-metabolizing Enzyme Systems in Huyman Breast Tumors and Peritumoral Tissues," Cancer Research, 1993, vol. 53, pp. 3541-3546. |
| Allen, T.M., "Ligand-Targeted Therapeutics in Anticancer Therapy," Nature, 2002, vol. 2, pp. 750-763. |
| Andrianomenjanahary, S. et al., "Synthesis of Novel Targeted Pro-Prodrugs of Anthracyclines Potentially Activated by a Monoclonal Antibody Galactosidase Conjugate (Part 1)," Bioorganic & Medicinal Chemistry Letters, 1992, vol. 2, No. 9, pp. 1093-1096. |
| Angenault, S. et al., "Cancer Chemotherapy: A SN-38 (7-Ethyl-10-hydroxycamptoothecin) Glucuronide Prodrug for Treatment by a PMT (Prodrug Mono Therapy) Strategy," Bioorganic & Medicinal Chemistry Letters, 2003, vol. 13, pp. 947-950. |
| Asai, A., et al., "Synthesis and Antitumor Activity of Water-soluble Duocarmycin B1 Prodrugs," Bioorganic & Medicinal Chemistry Letters, 1999, vol. 9, pp. 2995-2998. |
| Azoulay, M. et al., "Prodrugs of anthracycline antibiotics suited for tumor-specific activation," Anti-Cancer Drug Design, 1995, vol. 10, pp. 441-450. |
| Azoulay, M. et al., "Prodrugs of anthracycline antibiotics suited for tumor-specific activation," Anti-Cancer Drug Design, 1995, vol. 10, pp. 441-460. |
| Bakina, E. et al., "Intensely Cytotoxic Anthracycline Prodrugs: Glucuronides," J. Med. Chem., 1997, vol. 40, No. 25, pp. 4013-4018. |
| Boons, G.J., ed., Carbohydrate Chemistry, Blackie Academic & Professional: London, United Kingdom, 1998, pp. 98-174. |
| Bosslet, K. et al., "Elucidation of the Mechanism Enabling Tumor Selective Prodrug Monotherapy," Cancer Research, 1998, vol. 58, pp. 1195-1201. |
| Bross, P.F. et al., "Approval Summary: Gemtuzumab Ozogamicin in Relapsed Acute Myeloid Leukemia," Clinical Cancer Research, 2001, vol. 7, pp. 1490-1496. |
| Chen, X. et al., "Glucuronides in Anti-Cancer Therapy," Curr. Med. Chem. Anti-Cancer Agents, 2003, vol. 3, No. 2, pp. 139-150. |
| De Graaf, M. et al., "Beta-glucuronidase-mediated drug release," Current Pharmaceutical Design, Bentham Science Publishers Ltd, 2002, vol. 8, pp. 1391-1403. |
| De Graaf, M. et al., "Cytosolic Beta-glycosidases for activation of glycoside prodrugs of daunorubicin," Biochemical Pharmacology, 2003, vol. 65, 1875-1881. |
| De Groot, F.M. et al., "Anticancer prodrugs for application in monotherapy: targeting hypoxia, tumor-associated enzymes, and receptors," Current Medicinal Chemistry, 2001, vol. 8, No. 9, pp. 1093-1122. |
| Desai, A.A., et al., "UGT pharmcogenomics: implications for cancer risk and cancer therapeutics," Pharmacogenetics, 2003, vol. 13, No. 8, pp. 517-523. |
| Desbene, S. et al., "Doxorubicin prodrugs with reduced cytotoxicity suited for tumour-specific activation," Anti-Cancer Dru Design, 1998, vol. 13, pp. 955-968. |
| Drueckhammer, D.G. et al., "Enzyme Catalysis in Synthetic Carbohydrate Chemistry," Synthesis, 1991, pp. 499-525. |
| Dubowchik, G.M. et al., "Receptor-mediated and enzyme-dependent targeting of cytotoxic anticancer drugs," Pharmacology & Therapeutics, 1999, vol. 83, pp. 67-123. |
| Eneyskaya, E.V. et al., "Chemo-enzymatic synthesis of 4-methylumbelliferyl Beta-(1-4)-D-xylooligosides: new substrates for Beta-D-xylanease assaus," Org. Biomol. Chem., 2005, vol. 3, pp. 146-151. |
| Fuselier, J.A., et al., "An Adjustable Release Rate Linking Strategy for Cytotoxin-Peptide Conjugates," Bioorganic & Medicinal Chemistry Letters, 2003, vol. 13, pp. 799-803. |
| Gesson, J.P. et al., "Prodrugs of anthracyclines for chemotherapy via enzyme-monoclonal antibody conjugates," Anti-Cancer Drug Design, 1994, vol. 9, pp. 409-423. |
| Haisma, H.J. et al., "A monoclonal antibody-Beta-glucuronidase conjugate as activator of the prodrug epirubicin-glucuronide for specific treatment of cancer," Br. J. Cancer, 1992, vol. 66, pp. 474-478. |
| Houba, P.H.J. et al., "Characterization of Novel Anthracycline Prodrugs Activated by Human Beta-glucuronidase for Use in Antibody-Directed Enzyme Prodrug Therapy," Biochemical Pharmacology, 1996, vol. 52, No. 3, pp. 455-463. |
| Huang, P.S. et al., "Drug-targeting strategies in cancer therapy," Current Opinion in Genetics & Development, 2001, vol. 11, pp. 104-110. |
| Jeffrey, S.C. et al., "Development and Properties of Beta-Glucuronide Linkers for Monoclonal Antibody-Drug Conjugates," Bioconjugate Chem., 2006, vol. 17, pp. 831-840. |
| Kelly, M.A. et al., "preparation of some aryl alpha-L-arabinofuranosides as substrates for arabinofuranosides," Carbohydrate Research, 1988, vol. 181, pp. 262-266. |
| Kirschke, H., "Lysosomal Cysteine Peptidases and Malignant Tumours," Cellular Peptidases in Immune Fuctions and Diseases,, Ansorge et al., eds., 1997, Plenum Press, New York, pp. 253-256. |
| Leenders, R.G.G. et al., "Novel Anthracycline-space-Beta-glucuronide, Beta-glucoside, and Beta-galactoside prodrugs for Application in Selective Chematherapy," Bioorganic & Medicinal Chemistry, 1999, vol. 7, pp. 1597-1610. |
| Leenders, R.G.G. et al., "Synthesis and Evaluation of Novel Daunomycin-Phosphate Sulfate Beta-Glucuronide and Beta-Glucoside Prodrugs for Application in Adept," Bioorganic & Medicinal Chemistry Letters, 1995, vol. 5, No. 24, pp. 2975-2960. |
| Leenders, R.G.G., et al., "Beta-Glucuronyl Carbamate Based Pro-moieties Designed for Prodrugs in ADEPT," Tetrahedron Letters,, 1995, vol. 36, No. 10, pp. 1701-1704. |
| Lougerstay-Madec, R. et al., "Synthesis of self-immolative glucuronide-based prodrugs of a phenol mustard," Anti-Cancer Drug Design, 1998, vol. 13, pp. 995-1007. |
| Marino, C. et al., "Synthesis of 4-methylcoumarin-7-yl Beta-D-galactofuranoside, a fluorogenic substrate for galactofuranosidase," Carbohydrate Research, 1995, vol. 276, pp. 209-213. |
| Papot, S. et al., "Design of Selectively Activated Anticancer Prodrugs: Elimination and Cyclization Strategies," Curr. Med. Chem.-Anti-Cancer Agents, 2002, vol. 2, No. 2, pp. 155-185. |
| Ritter, J.K., "Roles of glucuronidation and UDP-glucuronosyltransferases in xenobiotic bioactivation reactions," Chemico-Biological Interactions, 2000, vol. 129, pp. 171-193. |
| Sanderson et al., "In vivo Drug-Linker Stability of an Anti-CD30 Dipeptide-Linked Auristatin Immunoconjugate," Clinical Cancer Research: An Official Journal of the American Association for Cancer Research, 2005, vol. 11, No. 2, pp. 843-852. |
| Schelte, P. et al., "Differential Reactivity of Maleimide and Bromoacetyl Functions with Thiols: Application to the Preparation of Liposomal Diepitope Constructs," Bioconjugate Chem., 2000, vol. 11, pp. 118-123. |
| Schmidt, F. et al., Cancer Chemotherapy: A Paclitaxel Prodrug for ADEPT (Antibody-Directed Enzyme Prodrug Therapy), Eur. J. Org. Chem., 2001, pp. 2129-2134. |
| Sperker, B. et al., "The Role of Beta-Glucuronidase in Drug Disposition and Drug Targeting in Humans," Clin, Pharmacokinet, 1997, vol. 33, No. 1, pp. 18-31. |
| Stachulski, A.V. et al., "The synthesis of O-glucuronides," Natural Product Reports, 1998, pp. 173-186. |
| Toshima, K. et al., "Recent Progress in O-Glycosylation Methods and Its Application to Natural Products Synthesis," Chemical Reviews, 1993, vol. 93, No. 4, pp. 1503-1531. |
| Veridier-Pinard, P. et al., "Sustained Intracellular Retention of Dolastatin 10 Causes its Potent Antimitotic Activity," Molecular Pharmacology, 2000, vol. 57, pp. 180-187. |
| Wilbur, D.S. et al., "Biotin Reagents for Antibody Pretargeting 5 Additional Studies of Biotin Conjugate Design to Provide Biotinidase Stability," Bioconjugate Chem. 2001, vol. 12, pp. 616-623. |
Cited By (3)
| Publication number | Priority date | Publication date | Assignee | Title |
|---|---|---|---|---|
| US11844839B2 (en) | 2016-03-25 | 2023-12-19 | Seagen Inc. | Process for the preparation of pegylated drug-linkers and intermediates thereof |
| US11730822B2 (en) | 2017-03-24 | 2023-08-22 | Seagen Inc. | Process for the preparation of glucuronide drug-linkers and intermediates thereof |
| US12036286B2 (en) | 2021-03-18 | 2024-07-16 | Seagen Inc. | Selective drug release from internalized conjugates of biologically active compounds |
Also Published As
Similar Documents
| Publication | Publication Date | Title |
|---|---|---|
| US20240252672A1 (en) | Beta-glucuronide-linker drug conjugates | |
| AU2018201190B2 (en) | Self-stabilizing linker conjugates | |
| WO2007103288A2 (en) | Engineered antibody drug conjugates | |
| US7750116B1 (en) | Antibody drug conjugate metabolites | |
| US7837980B2 (en) | Partially loaded antibodies and methods of their conjugation | |
| AU2008203369A1 (en) | Antibody against N-terminal peptide or C-terminal peptide of GPC3 solubilized in blood | |
| WO2007137170A2 (en) | Anti-glypican-3 antibody drug conjugates | |
| AU2005332660A1 (en) | Auristatins having an aminobenzoic acid unit at the N terminus | |
| HK40077437A (en) | Beta-glucuronide-linker drug conjugates | |
| HK1246200B (en) | Beta-glucuronide drug linker conjugates |
Legal Events
| Date | Code | Title | Description |
|---|---|---|---|
| FPAY | Fee payment |
Year of fee payment: 4 |
|
| CC | Certificate of correction | ||
| MAFP | Maintenance fee payment |
Free format text: PAYMENT OF MAINTENANCE FEE, 8TH YEAR, LARGE ENTITY (ORIGINAL EVENT CODE: M1552); ENTITY STATUS OF PATENT OWNER: LARGE ENTITY Year of fee payment: 8 |
|
| AS | Assignment |
Owner name: SEAGEN INC., WASHINGTON Free format text: CHANGE OF NAME;ASSIGNOR:SEATTLE GENETICS, INC.;REEL/FRAME:055334/0754 Effective date: 20201006 |
|
| MAFP | Maintenance fee payment |
Free format text: PAYMENT OF MAINTENANCE FEE, 12TH YEAR, LARGE ENTITY (ORIGINAL EVENT CODE: M1553); ENTITY STATUS OF PATENT OWNER: LARGE ENTITY Year of fee payment: 12 |

















































































