USRE43298E1 - Peptides as NS3-serine protease inhibitors of hepatitis C virus - Google Patents
Peptides as NS3-serine protease inhibitors of hepatitis C virusInfo
- Publication number
- USRE43298E1 USRE43298E1 US13/068,159 US201113068159A USRE43298E US RE43298 E1 USRE43298 E1 US RE43298E1 US 201113068159 A US201113068159 A US 201113068159A US RE43298 E USRE43298 E US RE43298E
- Authority
- US
- United States
- Prior art keywords
- compound
- mmol
- shown below
- hcv
- interferon
- Prior art date
- Legal status (The legal status is an assumption and is not a legal conclusion. Google has not performed a legal analysis and makes no representation as to the accuracy of the status listed.)
- Expired - Lifetime, expires
Links
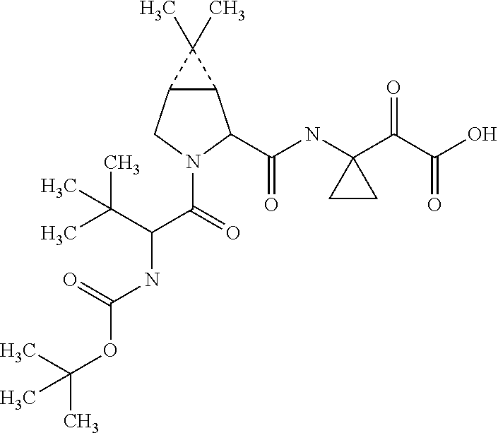
- 0 [1*]C(NC(=O)C([5*])CCCC(C)=O)C(=O)N1C[C@H](OC[2*])C[C@@]1([H])C(=O)NC1(C([4*])=O)CC1[3*] Chemical compound [1*]C(NC(=O)C([5*])CCCC(C)=O)C(=O)N1C[C@H](OC[2*])C[C@@]1([H])C(=O)NC1(C([4*])=O)CC1[3*] 0.000 description 50
- PDLPBINJTCICTQ-WPQQZQFVSA-N CCCC(NC(=O)[C@@H]1CC2(CN1C(=O)C(NC(=O)OCC(C)C)C1CCCCC1)SCCCCS2)C(=O)C(=O)NCC(=O)NC(C(=O)N(C)C)C1=CC=CC=C1 Chemical compound CCCC(NC(=O)[C@@H]1CC2(CN1C(=O)C(NC(=O)OCC(C)C)C1CCCCC1)SCCCCS2)C(=O)C(=O)NCC(=O)NC(C(=O)N(C)C)C1=CC=CC=C1 PDLPBINJTCICTQ-WPQQZQFVSA-N 0.000 description 6
- VYUGJHISXBUSCF-UNHVQPIPSA-N C=CCCC(NC(=O)[C@@H]1C2C(CN1C(=O)[C@@H](NC(=O)OC13CC4CC(CC(C4)C1)C3)C1CC3=C(C=CC=C3)C1)C2(C)C)C(=O)C(=O)NCC=C Chemical compound C=CCCC(NC(=O)[C@@H]1C2C(CN1C(=O)[C@@H](NC(=O)OC13CC4CC(CC(C4)C1)C3)C1CC3=C(C=CC=C3)C1)C2(C)C)C(=O)C(=O)NCC=C VYUGJHISXBUSCF-UNHVQPIPSA-N 0.000 description 4
- DOWCXORBWIFUPI-YOZRMCJMSA-N CCCC(NC(=O)[C@@H]1CC2(CN1C(=O)C(NC(=O)OCC(C)C)C1CCCCC1)SCC(C)S2)C(=O)C(=O)NCC(=O)NC(C(=O)N(C)C)C1=CC=CC=C1 Chemical compound CCCC(NC(=O)[C@@H]1CC2(CN1C(=O)C(NC(=O)OCC(C)C)C1CCCCC1)SCC(C)S2)C(=O)C(=O)NCC(=O)NC(C(=O)N(C)C)C1=CC=CC=C1 DOWCXORBWIFUPI-YOZRMCJMSA-N 0.000 description 4
- ZPYKUMFOSXFRFB-WIBTZIRRSA-N CCCC(NC(=O)[C@@H]1CC2(CN1C(=O)C(NC(=O)OCC(C)C)C1CCCCC1)SCC(CO)S2)C(=O)C(=O)NCC(=O)NC(C(=O)N(C)C)C1=CC=CC=C1 Chemical compound CCCC(NC(=O)[C@@H]1CC2(CN1C(=O)C(NC(=O)OCC(C)C)C1CCCCC1)SCC(CO)S2)C(=O)C(=O)NCC(=O)NC(C(=O)N(C)C)C1=CC=CC=C1 ZPYKUMFOSXFRFB-WIBTZIRRSA-N 0.000 description 4
- USBSUKDWMQCGMB-OAAUSXRXSA-N CCCC(NC(=O)[C@@H]1C[C@@H](OC(C)(C)C)CN1C(=O)[C@@H](NC(=O)OCC(C)C)C(C)(C)C)C(=O)C(=O)NCC(=O)N[C@H](CO)C1=CC=CC=C1 Chemical compound CCCC(NC(=O)[C@@H]1C[C@@H](OC(C)(C)C)CN1C(=O)[C@@H](NC(=O)OCC(C)C)C(C)(C)C)C(=O)C(=O)NCC(=O)N[C@H](CO)C1=CC=CC=C1 USBSUKDWMQCGMB-OAAUSXRXSA-N 0.000 description 4
- WHTXOEMFFFSHMB-MUIWYABNSA-N CCCC(NC(=O)[C@@H]1[C@@H]2[C@H](CN1C(=O)[C@@H](NC(=O)OC(C)(C)C)C(C)(C)C)C2(C)C)C(=O)C(=O)N[C@@H](C)C(=O)NC(C(=O)N(C)C)C1=CC=CC=C1 Chemical compound CCCC(NC(=O)[C@@H]1[C@@H]2[C@H](CN1C(=O)[C@@H](NC(=O)OC(C)(C)C)C(C)(C)C)C2(C)C)C(=O)C(=O)N[C@@H](C)C(=O)NC(C(=O)N(C)C)C1=CC=CC=C1 WHTXOEMFFFSHMB-MUIWYABNSA-N 0.000 description 4
- OJJNYVAQCFVFMF-IEZGCBEESA-N C=CCCC(NC(=O)[C@@H]1C2C(CN1C(=O)[C@@H](NC(=O)OC(C)(C)C)C1CC3=C(C=CC=C3)C1)C2(C)C)C(=O)C(=O)NCC(=O)N[C@H](C(=O)N(C)C)C1=CC=CC=C1 Chemical compound C=CCCC(NC(=O)[C@@H]1C2C(CN1C(=O)[C@@H](NC(=O)OC(C)(C)C)C1CC3=C(C=CC=C3)C1)C2(C)C)C(=O)C(=O)NCC(=O)N[C@H](C(=O)N(C)C)C1=CC=CC=C1 OJJNYVAQCFVFMF-IEZGCBEESA-N 0.000 description 3
- AOYNDOBYFFOAKI-NRJYKAJQSA-N C=CCCC(NC(=O)[C@@H]1C[C@@H](OC(C)(C)C)CN1C(=O)[C@@H](NC(=O)OCC(C)C)C(C)(C)C)C(=O)C(=O)NCC(=O)N[C@H](C(=O)N(C)C)C1=CC=CC=C1 Chemical compound C=CCCC(NC(=O)[C@@H]1C[C@@H](OC(C)(C)C)CN1C(=O)[C@@H](NC(=O)OCC(C)C)C(C)(C)C)C(=O)C(=O)NCC(=O)N[C@H](C(=O)N(C)C)C1=CC=CC=C1 AOYNDOBYFFOAKI-NRJYKAJQSA-N 0.000 description 3
- RSOOCBWZVJCOAV-UHFFFAOYSA-N CC(C)(C)OC(=O)NC(C(=O)N1CC2C(C1C(=O)NC(CC1CC1)C(=O)C(N)=O)C2(Cl)Cl)C(C)(C)C Chemical compound CC(C)(C)OC(=O)NC(C(=O)N1CC2C(C1C(=O)NC(CC1CC1)C(=O)C(N)=O)C2(Cl)Cl)C(C)(C)C RSOOCBWZVJCOAV-UHFFFAOYSA-N 0.000 description 3
- AUJORECRKQHPDL-UHFFFAOYSA-N CCCC(NC(=O)C1C2C(CN1C(=O)C(NC(=O)OC(C)(C)C)C1CCCCC1)C2(Cl)Cl)C(=O)C(=O)NCC(=O)NC(C(=O)N(C)C)C1=CC=CC=C1 Chemical compound CCCC(NC(=O)C1C2C(CN1C(=O)C(NC(=O)OC(C)(C)C)C1CCCCC1)C2(Cl)Cl)C(=O)C(=O)NCC(=O)NC(C(=O)N(C)C)C1=CC=CC=C1 AUJORECRKQHPDL-UHFFFAOYSA-N 0.000 description 3
- TUTPHURLBOFDMG-CXUDLPGUSA-N CCCC(NC(=O)[C@@H]1C2C(CN1C(=O)[C@@H](NC(=O)OC(C)C(C)C)C(C)(C)C)C2(C)C)C(=O)C(=O)NCC(=O)N[C@H](C(=O)N(C)C)C1=CC=CC=C1 Chemical compound CCCC(NC(=O)[C@@H]1C2C(CN1C(=O)[C@@H](NC(=O)OC(C)C(C)C)C(C)(C)C)C2(C)C)C(=O)C(=O)NCC(=O)N[C@H](C(=O)N(C)C)C1=CC=CC=C1 TUTPHURLBOFDMG-CXUDLPGUSA-N 0.000 description 3
- IANDMVKFJFCVEI-HSFJSRDGSA-N CCCC(NC(=O)[C@@H]1CC2(CN1C(=O)C(NC(=O)OCC(C)C)C1CCCCC1)SCCCS2)C(=O)C(=O)NCC(=O)NC(C(=O)N(C)C)C1=CC=CC=C1 Chemical compound CCCC(NC(=O)[C@@H]1CC2(CN1C(=O)C(NC(=O)OCC(C)C)C1CCCCC1)SCCCS2)C(=O)C(=O)NCC(=O)NC(C(=O)N(C)C)C1=CC=CC=C1 IANDMVKFJFCVEI-HSFJSRDGSA-N 0.000 description 3
- WANKTOMKBWYACK-HSFJSRDGSA-N CCCC(NC(=O)[C@@H]1CC2(CN1C(=O)C(NC(=O)OCC(C)C)C1CCCCC1)SCCS2)C(=O)C(=O)NCC(=O)NC(C(=O)OC(C)(C)C)C1=CC=CC=C1 Chemical compound CCCC(NC(=O)[C@@H]1CC2(CN1C(=O)C(NC(=O)OCC(C)C)C1CCCCC1)SCCS2)C(=O)C(=O)NCC(=O)NC(C(=O)OC(C)(C)C)C1=CC=CC=C1 WANKTOMKBWYACK-HSFJSRDGSA-N 0.000 description 3
- OSSSQJRVMUAXPV-OMAPUOLYSA-N CCCC(NC(=O)[C@@H]1CC2(CN1C(=O)[C@@H](NC(=O)OCC(C)C)C(C)(C)C)SCCCS2)C(=O)C(=O)NCC(=O)NC(C(=O)N(C)C)C1=CC=CC=C1 Chemical compound CCCC(NC(=O)[C@@H]1CC2(CN1C(=O)[C@@H](NC(=O)OCC(C)C)C(C)(C)C)SCCCS2)C(=O)C(=O)NCC(=O)NC(C(=O)N(C)C)C1=CC=CC=C1 OSSSQJRVMUAXPV-OMAPUOLYSA-N 0.000 description 3
- GGCYBCXTNUQXDX-OAXWUJSISA-N CCCC(NC(=O)[C@@H]1CC2(CN1C(=O)[C@@H](NC(=O)[C@@H](C)C1=CC=CC=C1)C(C)(C)C)SCCCS2)C(=O)C(=O)NCC(=O)NC(C(=O)N(C)C)C1=CC=CC=C1 Chemical compound CCCC(NC(=O)[C@@H]1CC2(CN1C(=O)[C@@H](NC(=O)[C@@H](C)C1=CC=CC=C1)C(C)(C)C)SCCCS2)C(=O)C(=O)NCC(=O)NC(C(=O)N(C)C)C1=CC=CC=C1 GGCYBCXTNUQXDX-OAXWUJSISA-N 0.000 description 3
- KJSGCKSJQCNVJY-GZEUNTQPSA-N CCCC(NC(=O)[C@@H]1CC2(CN1C(=O)[C@@H](NC(=O)[C@@H](OC(C)=O)C1=CC=CC=C1)C(C)(C)C)SCCCS2)C(=O)C(=O)NCC(=O)NC(C(=O)N(C)C)C1=CC=CC=C1 Chemical compound CCCC(NC(=O)[C@@H]1CC2(CN1C(=O)[C@@H](NC(=O)[C@@H](OC(C)=O)C1=CC=CC=C1)C(C)(C)C)SCCCS2)C(=O)C(=O)NCC(=O)NC(C(=O)N(C)C)C1=CC=CC=C1 KJSGCKSJQCNVJY-GZEUNTQPSA-N 0.000 description 3
- PZNNNUNEKIAFJY-NRHFQRLPSA-N CCCCC(NC(=O)C1[C@@H]2[C@H](CN1C(=O)[C@@H](NC(=O)OCC(C)C)C(C)(C)C)C2(C)C)C(=O)C(=O)NCC(=O)N[C@H](C(=O)N(C)C)C1=CC=CC=C1 Chemical compound CCCCC(NC(=O)C1[C@@H]2[C@H](CN1C(=O)[C@@H](NC(=O)OCC(C)C)C(C)(C)C)C2(C)C)C(=O)C(=O)NCC(=O)N[C@H](C(=O)N(C)C)C1=CC=CC=C1 PZNNNUNEKIAFJY-NRHFQRLPSA-N 0.000 description 3
- BCVLUTHLSALDJU-WIFZCIFKSA-N CCCCC(NC(=O)[C@@H]1C2C(CN1C(=O)[C@@H](NC(=O)OC(C)(C)C)C(C)(C)C)C2(C)C)C(=O)C(=O)NCC(=O)N[C@H](C(=O)N(C)C)C1=CC=CS1 Chemical compound CCCCC(NC(=O)[C@@H]1C2C(CN1C(=O)[C@@H](NC(=O)OC(C)(C)C)C(C)(C)C)C2(C)C)C(=O)C(=O)NCC(=O)N[C@H](C(=O)N(C)C)C1=CC=CS1 BCVLUTHLSALDJU-WIFZCIFKSA-N 0.000 description 3
- NNFHPDBGSIDQEX-KPMJVYQUSA-N CCCCC(NC(=O)[C@@H]1C[C@@H](OC(C)(C)C)CN1C(=O)[C@@H](NC(=O)OCC(C)C)C(C)(C)C)C(=O)C(=O)NCC(=O)N[C@H](C(=O)N(C)C)C1=CC=CS1 Chemical compound CCCCC(NC(=O)[C@@H]1C[C@@H](OC(C)(C)C)CN1C(=O)[C@@H](NC(=O)OCC(C)C)C(C)(C)C)C(=O)C(=O)NCC(=O)N[C@H](C(=O)N(C)C)C1=CC=CS1 NNFHPDBGSIDQEX-KPMJVYQUSA-N 0.000 description 3
- HWJSVFYEMDZWKY-UHFFFAOYSA-N C.CC(C)COC(=O)Cl.CCO.[H]CO Chemical compound C.CC(C)COC(=O)Cl.CCO.[H]CO HWJSVFYEMDZWKY-UHFFFAOYSA-N 0.000 description 2
- CZQUNHYAIUNDQW-UHFFFAOYSA-N C=CCC(NC(=O)C1C2C(CN1C(=O)C(NC(=O)OC(C)(C)C)C1CC3=C(C=CC=C3)C1)C2(C)C)C(=O)C(=O)NCC(=O)NCC1=CC=CC=C1 Chemical compound C=CCC(NC(=O)C1C2C(CN1C(=O)C(NC(=O)OC(C)(C)C)C1CC3=C(C=CC=C3)C1)C2(C)C)C(=O)C(=O)NCC(=O)NCC1=CC=CC=C1 CZQUNHYAIUNDQW-UHFFFAOYSA-N 0.000 description 2
- HWJQJXYLCKALOV-FRKWYRIUSA-N C=CCC(NC(=O)C1C2C(CN1C(=O)[C@@H](NC(=O)OC(C)(C)C)C(C)(C)C)C2(C)C)C(=O)C(=O)NCC(=O)NCC1=CC=C(Br)C=C1 Chemical compound C=CCC(NC(=O)C1C2C(CN1C(=O)[C@@H](NC(=O)OC(C)(C)C)C(C)(C)C)C2(C)C)C(=O)C(=O)NCC(=O)NCC1=CC=C(Br)C=C1 HWJQJXYLCKALOV-FRKWYRIUSA-N 0.000 description 2
- HYKRACNJMTXLSJ-HPRNHUGZSA-N C=CCC(NC(=O)[C@@H]1C2C(CN1C(=O)[C@@H](NC(=O)OC(C)(C)C)C(C)(C)C)C2(C)C)C(=O)C(=O)NCC(=O)N1CCC2=C(C=CC=C2)C1 Chemical compound C=CCC(NC(=O)[C@@H]1C2C(CN1C(=O)[C@@H](NC(=O)OC(C)(C)C)C(C)(C)C)C2(C)C)C(=O)C(=O)NCC(=O)N1CCC2=C(C=CC=C2)C1 HYKRACNJMTXLSJ-HPRNHUGZSA-N 0.000 description 2
- CWUUTDUGQVAWRB-BVGSJCHJSA-N C=CCC(NC(=O)[C@@H]1C2C(CN1C(=O)[C@@H](NC(=O)OC(C)(C)C)C1CCCCC1)C2(C)C)C(=O)C(=O)NCC(=O)NCC1=CC=C(C)C=C1 Chemical compound C=CCC(NC(=O)[C@@H]1C2C(CN1C(=O)[C@@H](NC(=O)OC(C)(C)C)C1CCCCC1)C2(C)C)C(=O)C(=O)NCC(=O)NCC1=CC=C(C)C=C1 CWUUTDUGQVAWRB-BVGSJCHJSA-N 0.000 description 2
- PPZLXVCEUHUIID-CMMMQLPKSA-N C=CCC(NC(=O)[C@@H]1C[C@@H](OC(C)(C)C)CN1C(=O)[C@@H](NC(=O)OCC(C)C)C(C)(C)C)C(=O)C(=O)NCC(=O)N[C@H](C(=O)N(C)C)C1=CC=CC=C1 Chemical compound C=CCC(NC(=O)[C@@H]1C[C@@H](OC(C)(C)C)CN1C(=O)[C@@H](NC(=O)OCC(C)C)C(C)(C)C)C(=O)C(=O)NCC(=O)N[C@H](C(=O)N(C)C)C1=CC=CC=C1 PPZLXVCEUHUIID-CMMMQLPKSA-N 0.000 description 2
- AVNUWOOTZVPDCW-ZKPNIGCQSA-N C=CCC(NC(=O)[C@@H]1[C@@H]2[C@H](CN1C(=O)[C@@H](NC(=O)NC(C)(C)C)C(C)(C)C)C2(C)C)C(=O)C(=O)NCC(=O)NCC1=CC=CC=C1 Chemical compound C=CCC(NC(=O)[C@@H]1[C@@H]2[C@H](CN1C(=O)[C@@H](NC(=O)NC(C)(C)C)C(C)(C)C)C2(C)C)C(=O)C(=O)NCC(=O)NCC1=CC=CC=C1 AVNUWOOTZVPDCW-ZKPNIGCQSA-N 0.000 description 2
- MHWMIMQSBRGFIU-KSWJUAGTSA-N C=CCC(NC(=O)[C@@H]1[C@@H]2[C@H](CN1C(=O)[C@H](NC(=O)OC(C)(C)C)C(C)(C)C)C2(C)C)C(=O)C(=O)NCC(=O)N[C@H](C(=O)N(C)C)C1=CC=CC=C1 Chemical compound C=CCC(NC(=O)[C@@H]1[C@@H]2[C@H](CN1C(=O)[C@H](NC(=O)OC(C)(C)C)C(C)(C)C)C2(C)C)C(=O)C(=O)NCC(=O)N[C@H](C(=O)N(C)C)C1=CC=CC=C1 MHWMIMQSBRGFIU-KSWJUAGTSA-N 0.000 description 2
- BRQXAANEBBCOKH-CXRMNROQSA-N C=CCC1CCN(C(=O)[C@@H](NC(=O)OCC(C)C)C2CCCCC2)C1C(=O)NC(CCC)C(=O)C(=O)NCC(=O)NC(C(=O)O)C1=CC=CC=C1 Chemical compound C=CCC1CCN(C(=O)[C@@H](NC(=O)OCC(C)C)C2CCCCC2)C1C(=O)NC(CCC)C(=O)C(=O)NCC(=O)NC(C(=O)O)C1=CC=CC=C1 BRQXAANEBBCOKH-CXRMNROQSA-N 0.000 description 2
- VNBYDBJOJKKMNP-UHFFFAOYSA-N C=CCCC(NC(=O)C1C2C(CN1C(=O)C(NC(=O)OC(C)(C)C)C1CCCC1)C2(C)C)C(=O)C(=O)NCC=C Chemical compound C=CCCC(NC(=O)C1C2C(CN1C(=O)C(NC(=O)OC(C)(C)C)C1CCCC1)C2(C)C)C(=O)C(=O)NCC=C VNBYDBJOJKKMNP-UHFFFAOYSA-N 0.000 description 2
- ZNJUJMLKZKQCLX-UHFFFAOYSA-N C=CCCC(NC(=O)C1C2C(CN1C(=O)C(NC(=O)OC1CCCCC1)C1CC3=C(C=CC=C3)C1)C2(C)C)C(=O)C(=O)NCC=C Chemical compound C=CCCC(NC(=O)C1C2C(CN1C(=O)C(NC(=O)OC1CCCCC1)C1CC3=C(C=CC=C3)C1)C2(C)C)C(=O)C(=O)NCC=C ZNJUJMLKZKQCLX-UHFFFAOYSA-N 0.000 description 2
- RFXZCCXEQWMVRU-HFIGSQFLSA-N C=CCCC(NC(=O)C1C2CC2CN1C(=O)[C@@H](NC(=O)OC(C)(C)C)C(C)(C)C)C(=O)C(=O)NCC=C Chemical compound C=CCCC(NC(=O)C1C2CC2CN1C(=O)[C@@H](NC(=O)OC(C)(C)C)C(C)(C)C)C(=O)C(=O)NCC=C RFXZCCXEQWMVRU-HFIGSQFLSA-N 0.000 description 2
- CGFSVSRBDZZAOT-ANTGNLSKSA-N C=CCCC(NC(=O)[C@@H]1C2C(CN1C(=O)[C@@H](NC(=O)CC(C)(C)C)C1CCCCC1)C2(C)C)C(=O)C(=O)NCC=C Chemical compound C=CCCC(NC(=O)[C@@H]1C2C(CN1C(=O)[C@@H](NC(=O)CC(C)(C)C)C1CCCCC1)C2(C)C)C(=O)C(=O)NCC=C CGFSVSRBDZZAOT-ANTGNLSKSA-N 0.000 description 2
- CRCAMFOAKSBKRF-QYNXPWQOSA-N C=CCCC(NC(=O)[C@@H]1C2C(CN1C(=O)[C@@H](NC(=O)OC(C)(C)C)C(C)(C)C)C2(C)C)C(=O)C(=O)NCCC1=CCCCC1 Chemical compound C=CCCC(NC(=O)[C@@H]1C2C(CN1C(=O)[C@@H](NC(=O)OC(C)(C)C)C(C)(C)C)C2(C)C)C(=O)C(=O)NCCC1=CCCCC1 CRCAMFOAKSBKRF-QYNXPWQOSA-N 0.000 description 2
- XUTGFPFPYASJLE-IOHZUATHSA-N C=CCCC(NC(=O)[C@@H]1C2C(CN1C(=O)[C@@H](NC(=O)OC(C)(C)C)C1CCCCC1)C2(Br)Br)C(=O)C(=O)NCC=C Chemical compound C=CCCC(NC(=O)[C@@H]1C2C(CN1C(=O)[C@@H](NC(=O)OC(C)(C)C)C1CCCCC1)C2(Br)Br)C(=O)C(=O)NCC=C XUTGFPFPYASJLE-IOHZUATHSA-N 0.000 description 2
- ZDFGECQYPGABRW-VVYVRQOISA-N C=CCCC(NC(=O)[C@@H]1C2C(CN1C(=O)[C@@H](NC(=O)OC(C)(C)C)C1CCCCC1)C2(C)C)C(=O)C(=O)NCCC1=CCCCC1 Chemical compound C=CCCC(NC(=O)[C@@H]1C2C(CN1C(=O)[C@@H](NC(=O)OC(C)(C)C)C1CCCCC1)C2(C)C)C(=O)C(=O)NCCC1=CCCCC1 ZDFGECQYPGABRW-VVYVRQOISA-N 0.000 description 2
- MFUCHTRAEHUZRG-QDSNRURRSA-N C=CCCC(NC(=O)[C@@H]1C2C(CN1C(=O)[C@@H](NC(=O)OC(C)(C)C)C1CCCCC1)C2(Cl)Cl)C(=O)C(=O)NCCC(=O)NC(C)(C)C Chemical compound C=CCCC(NC(=O)[C@@H]1C2C(CN1C(=O)[C@@H](NC(=O)OC(C)(C)C)C1CCCCC1)C2(Cl)Cl)C(=O)C(=O)NCCC(=O)NC(C)(C)C MFUCHTRAEHUZRG-QDSNRURRSA-N 0.000 description 2
- LMWYJUAYGWSANM-CURCJPCMSA-N C=CCCC(NC(=O)[C@@H]1[C@@H]2[C@H](CN1C(=O)[C@H](NC(=O)OC(C)(C)C)C(C)(C)C)C2(C)C)C(=O)C(=O)NCC(=O)N[C@H](C(=O)N(C)C)C1=CC=CC=C1 Chemical compound C=CCCC(NC(=O)[C@@H]1[C@@H]2[C@H](CN1C(=O)[C@H](NC(=O)OC(C)(C)C)C(C)(C)C)C2(C)C)C(=O)C(=O)NCC(=O)N[C@H](C(=O)N(C)C)C1=CC=CC=C1 LMWYJUAYGWSANM-CURCJPCMSA-N 0.000 description 2
- MTGFENUJQKDARZ-IMOXWJRASA-N C=CCCNC(=O)C(=O)C(CCC=C)NC(=O)[C@@H]1C2C(CN1C(=O)C(NC(=O)OC(C)(C)C)C1CCCCC1)C2(Cl)Cl Chemical compound C=CCCNC(=O)C(=O)C(CCC=C)NC(=O)[C@@H]1C2C(CN1C(=O)C(NC(=O)OC(C)(C)C)C1CCCCC1)C2(Cl)Cl MTGFENUJQKDARZ-IMOXWJRASA-N 0.000 description 2
- UPYFJEVBEKTFJJ-NRXKURHUSA-N C=CCCNC(=O)C(=O)C(CCC=C)NC(=O)[C@@H]1C2C(CN1C(=O)C(NC(=O)OC1CCCCC1)C(C)(C)C)C2(Cl)Cl Chemical compound C=CCCNC(=O)C(=O)C(CCC=C)NC(=O)[C@@H]1C2C(CN1C(=O)C(NC(=O)OC1CCCCC1)C(C)(C)C)C2(Cl)Cl UPYFJEVBEKTFJJ-NRXKURHUSA-N 0.000 description 2
- AMHNILKRMAEEDW-GEOIZIRNSA-N C=CCC[C@@H](NC(=O)[C@@H]1[C@@H]2C(CN1C(=O)[C@@H](NC(=O)NC13CC4CC(CC(C4)C1)C3)C1CCCCC1)C2(C)C)C(=O)C(=O)NC/C=C/C(=O)NCC1=CC=CC=C1 Chemical compound C=CCC[C@@H](NC(=O)[C@@H]1[C@@H]2C(CN1C(=O)[C@@H](NC(=O)NC13CC4CC(CC(C4)C1)C3)C1CCCCC1)C2(C)C)C(=O)C(=O)NC/C=C/C(=O)NCC1=CC=CC=C1 AMHNILKRMAEEDW-GEOIZIRNSA-N 0.000 description 2
- WZJGSBKGBBXJHP-VYJKVFMHSA-N C=CCNC(=O)C(=O)C(CC(F)(F)F)NC(=O)[C@@H]1C2C(CN1C(=O)[C@@H](NC(=O)OC(C)(C)C)C1CCCCC1)C2(C)C Chemical compound C=CCNC(=O)C(=O)C(CC(F)(F)F)NC(=O)[C@@H]1C2C(CN1C(=O)[C@@H](NC(=O)OC(C)(C)C)C1CCCCC1)C2(C)C WZJGSBKGBBXJHP-VYJKVFMHSA-N 0.000 description 2
- YKPZFIRMSAIAHL-QTYVGJCJSA-N C=CCNC(=O)C(=O)C(CCC)NC(=O)C1(C)CC(C)(C)CN1C(=O)[C@H](NC(=O)OC(C)(C)C)C1CCCCC1 Chemical compound C=CCNC(=O)C(=O)C(CCC)NC(=O)C1(C)CC(C)(C)CN1C(=O)[C@H](NC(=O)OC(C)(C)C)C1CCCCC1 YKPZFIRMSAIAHL-QTYVGJCJSA-N 0.000 description 2
- CGGQLYZSUVRIDT-UHFFFAOYSA-N C=CCNC(=O)C(=O)C(CCC)NC(=O)C1C2C(CN1C(=O)C(NC(=O)OC(C)(C)C)C(C)(C)C)C2(C)C Chemical compound C=CCNC(=O)C(=O)C(CCC)NC(=O)C1C2C(CN1C(=O)C(NC(=O)OC(C)(C)C)C(C)(C)C)C2(C)C CGGQLYZSUVRIDT-UHFFFAOYSA-N 0.000 description 2
- CBBLUTUSALBPOW-UHFFFAOYSA-N C=CCNC(=O)C(=O)C(CCC)NC(=O)C1C2C(CN1C(=O)C(NC(=O)OC1CCCC1C)C1CCCCC1)C2(C)C Chemical compound C=CCNC(=O)C(=O)C(CCC)NC(=O)C1C2C(CN1C(=O)C(NC(=O)OC1CCCC1C)C1CCCCC1)C2(C)C CBBLUTUSALBPOW-UHFFFAOYSA-N 0.000 description 2
- LSTPLDSNCZVLCM-UHFFFAOYSA-N C=CCNC(=O)C(=O)C(CCC)NC(=O)C1C2CC(C3CC32)N1C(=O)C(OC(=O)OC(C)(C)C)C1CCCCC1 Chemical compound C=CCNC(=O)C(=O)C(CCC)NC(=O)C1C2CC(C3CC32)N1C(=O)C(OC(=O)OC(C)(C)C)C1CCCCC1 LSTPLDSNCZVLCM-UHFFFAOYSA-N 0.000 description 2
- VBXWSXHEVHTRGZ-FKYPEVOHSA-N C=CCNC(=O)C(=O)C(CCC)NC(=O)C1C2CCC(C2)N1C(=O)[C@@H](NC(=O)OC(C)(C)C)C1CCCCC1 Chemical compound C=CCNC(=O)C(=O)C(CCC)NC(=O)C1C2CCC(C2)N1C(=O)[C@@H](NC(=O)OC(C)(C)C)C1CCCCC1 VBXWSXHEVHTRGZ-FKYPEVOHSA-N 0.000 description 2
- WWCJJIWNRUUZKQ-UZUOBHKXSA-N C=CCNC(=O)C(=O)C(CCC)NC(=O)[C@@H]1C2C(CN1C(=O)[C@@H](NC(=O)NC(C)C)C1CC3=C(C=CC=C3)C1)C2(C)C Chemical compound C=CCNC(=O)C(=O)C(CCC)NC(=O)[C@@H]1C2C(CN1C(=O)[C@@H](NC(=O)NC(C)C)C1CC3=C(C=CC=C3)C1)C2(C)C WWCJJIWNRUUZKQ-UZUOBHKXSA-N 0.000 description 2
- VQWHRBOXGLWNSR-UZUOBHKXSA-N C=CCNC(=O)C(=O)C(CCC)NC(=O)[C@@H]1C2C(CN1C(=O)[C@@H](NC(=O)OC(C)(C)C)C1CC3=C(C=CC=C3)C1)C2(C)C Chemical compound C=CCNC(=O)C(=O)C(CCC)NC(=O)[C@@H]1C2C(CN1C(=O)[C@@H](NC(=O)OC(C)(C)C)C1CC3=C(C=CC=C3)C1)C2(C)C VQWHRBOXGLWNSR-UZUOBHKXSA-N 0.000 description 2
- LFOSLZHNVNUFOO-VYJKVFMHSA-N C=CCNC(=O)C(=O)C(CCC)NC(=O)[C@@H]1C2C(CN1C(=O)[C@@H](NC(=O)OC(C)(C)C)C1CCCCC1)C2(Cl)Cl Chemical compound C=CCNC(=O)C(=O)C(CCC)NC(=O)[C@@H]1C2C(CN1C(=O)[C@@H](NC(=O)OC(C)(C)C)C1CCCCC1)C2(Cl)Cl LFOSLZHNVNUFOO-VYJKVFMHSA-N 0.000 description 2
- ZRLQOHNQNIJRIR-ADJYDZTDSA-N C=CCNC(=O)C(=O)C(CCC)NC(=O)[C@@H]1C2C(CN1C(=O)[C@@H](NC(=O)OC13CC4CC(CC(C4)C1)C3)C1CCCC1)C2(C)C Chemical compound C=CCNC(=O)C(=O)C(CCC)NC(=O)[C@@H]1C2C(CN1C(=O)[C@@H](NC(=O)OC13CC4CC(CC(C4)C1)C3)C1CCCC1)C2(C)C ZRLQOHNQNIJRIR-ADJYDZTDSA-N 0.000 description 2
- AWBYIDQACGLEMG-WSTRIDTPSA-N C=CCNC(=O)C(=O)C(CCC)NC(=O)[C@@H]1CC(C)(C)CN1C(=O)[C@H](NC(=O)OC(C)(C)C)C(C)(C)C Chemical compound C=CCNC(=O)C(=O)C(CCC)NC(=O)[C@@H]1CC(C)(C)CN1C(=O)[C@H](NC(=O)OC(C)(C)C)C(C)(C)C AWBYIDQACGLEMG-WSTRIDTPSA-N 0.000 description 2
- XGSMFFHGIXCNMG-QJDWYWKQSA-N C=CCNC(=O)C(=O)[C@@H](CCC)NC(=O)C1C2CCC(C2)N1C(=O)[C@@H](NC(=O)OC(C)(C)C)C(C)(C)C Chemical compound C=CCNC(=O)C(=O)[C@@H](CCC)NC(=O)C1C2CCC(C2)N1C(=O)[C@@H](NC(=O)OC(C)(C)C)C(C)(C)C XGSMFFHGIXCNMG-QJDWYWKQSA-N 0.000 description 2
- HKAUYOPISIYBOS-GYKIAPAASA-N C=CCNC(=O)C(=O)[C@H](CCC)NC(=O)[C@@H]1CCCN1C(=O)[C@@H](NC(=O)CC1C(C)C(C(C)=O)C1C)C(C)C Chemical compound C=CCNC(=O)C(=O)[C@H](CCC)NC(=O)[C@@H]1CCCN1C(=O)[C@@H](NC(=O)CC1C(C)C(C(C)=O)C1C)C(C)C HKAUYOPISIYBOS-GYKIAPAASA-N 0.000 description 2
- XYAGXUXEDNHMBP-UHFFFAOYSA-N C=CCNC(O)C(=O)C(CCC)NC(=O)C1C2C(CN1C(=O)C(CCCC(=O)O)NC(=O)OCC(C)C)C2(C)C Chemical compound C=CCNC(O)C(=O)C(CCC)NC(=O)C1C2C(CN1C(=O)C(CCCC(=O)O)NC(=O)OCC(C)C)C2(C)C XYAGXUXEDNHMBP-UHFFFAOYSA-N 0.000 description 2
- ZPSMCVBEZUEWOO-KJXWVISYSA-N C=CCOC(=O)CNC(=O)C(=O)C(CCC)NC(=O)[C@@H]1CC2(CN1C(=O)C(NC(=O)OCC(C)C)C1CCCCC1)SCCS2 Chemical compound C=CCOC(=O)CNC(=O)C(=O)C(CCC)NC(=O)[C@@H]1CC2(CN1C(=O)C(NC(=O)OCC(C)C)C1CCCCC1)SCCS2 ZPSMCVBEZUEWOO-KJXWVISYSA-N 0.000 description 2
- XFSATXIJCMHHAQ-NABAOSCDSA-N C=CCOC(=O)CNC(=O)C(=O)C(CCC)NC(=O)[C@@H]1CCCN1C(=O)[C@@H](NC(=O)[C@@H](NC(=O)OCC(C)C)C(C)C)C(C)C Chemical compound C=CCOC(=O)CNC(=O)C(=O)C(CCC)NC(=O)[C@@H]1CCCN1C(=O)[C@@H](NC(=O)[C@@H](NC(=O)OCC(C)C)C(C)C)C(C)C XFSATXIJCMHHAQ-NABAOSCDSA-N 0.000 description 2
- LQQBYOWWQROGSU-VYCPFJESSA-N C=CCOC(=O)CNC(=O)C(=O)C(CCC)NC(=O)[C@@H]1CCCN1C(=O)[C@@H]1CC2=C(C=CC=C2)CN1C(=O)OC(C)(C)C Chemical compound C=CCOC(=O)CNC(=O)C(=O)C(CCC)NC(=O)[C@@H]1CCCN1C(=O)[C@@H]1CC2=C(C=CC=C2)CN1C(=O)OC(C)(C)C LQQBYOWWQROGSU-VYCPFJESSA-N 0.000 description 2
- UIDCJPGPQYUWHK-KXNJDZORSA-N C=CCOC(=O)CNC(=O)C(=O)C(CCC)NC(=O)[C@@H]1CCCN1C(=O)[C@H](CC1CCCCC1)NC(=O)OC(C)(C)C Chemical compound C=CCOC(=O)CNC(=O)C(=O)C(CCC)NC(=O)[C@@H]1CCCN1C(=O)[C@H](CC1CCCCC1)NC(=O)OC(C)(C)C UIDCJPGPQYUWHK-KXNJDZORSA-N 0.000 description 2
- LOCZVTHXPLVZQY-OINFSCBFSA-N CC(=O)C(=O)C(CC(=O)[C@@H]1[C@@H]2C(CN1C(=O)[C@@H](CC(=O)OC(C)(C)C)C1CCC(F)(F)CC1)C2(C)C)CC1CC1.CC(C)(C)OC(=O)C[C@H](C(=O)N1CC2C([C@H]1C(=O)CC(CC1CCC1)C(=O)C(N)=O)C2(Cl)Cl)C(C)(C)C.CC1(C)C2CN(C(=O)[C@@H](CC(=O)CC34CC5CC(CC(C5)C3)C4)C(C)(C)C)[C@H](C(=O)CC(CC3CCC3)C(=O)C(N)=O)C21.CN(C)C(=O)[C@@H](NC(=O)CCC(=O)C(=O)C(CC(=O)[C@@H]1[C@H]2CC(C)(C)O[C@H]2CN1C(=O)[C@@H](NC(=O)OC(C)(C)C)C1CCCCC1)CC1CC1)C1=CC=CC=C1.CN(C)C(=O)[C@@H](NC(=O)CCC(=O)C(=O)C(CC(=O)[C@@H]1[C@H]2CC(C)(C)O[C@H]2CN1C(=O)[C@@H](NC(=O)OC(C)(C)C)C1CCCCC1)CC1CC1)C1=CC=CS1 Chemical compound CC(=O)C(=O)C(CC(=O)[C@@H]1[C@@H]2C(CN1C(=O)[C@@H](CC(=O)OC(C)(C)C)C1CCC(F)(F)CC1)C2(C)C)CC1CC1.CC(C)(C)OC(=O)C[C@H](C(=O)N1CC2C([C@H]1C(=O)CC(CC1CCC1)C(=O)C(N)=O)C2(Cl)Cl)C(C)(C)C.CC1(C)C2CN(C(=O)[C@@H](CC(=O)CC34CC5CC(CC(C5)C3)C4)C(C)(C)C)[C@H](C(=O)CC(CC3CCC3)C(=O)C(N)=O)C21.CN(C)C(=O)[C@@H](NC(=O)CCC(=O)C(=O)C(CC(=O)[C@@H]1[C@H]2CC(C)(C)O[C@H]2CN1C(=O)[C@@H](NC(=O)OC(C)(C)C)C1CCCCC1)CC1CC1)C1=CC=CC=C1.CN(C)C(=O)[C@@H](NC(=O)CCC(=O)C(=O)C(CC(=O)[C@@H]1[C@H]2CC(C)(C)O[C@H]2CN1C(=O)[C@@H](NC(=O)OC(C)(C)C)C1CCCCC1)CC1CC1)C1=CC=CS1 LOCZVTHXPLVZQY-OINFSCBFSA-N 0.000 description 2
- KQMJOAJIUWFEIG-WUZQNDNGSA-N CC(=O)C(=O)[C@H](CC(=O)[C@@H]1[C@@H]2[C@H](CN1C(=O)[C@@H](CC(=O)OC(C)(C)C)C1CCC(F)(F)CC1)C2(C)C)CC1CC1.CC(C)(C)OC(=O)C[C@H](C(=O)N1C[C@H]2[C@@H]([C@H]1C(=O)C[C@@H](CC1CC1)C(=O)C(N)=O)C2(C)C)C1CCC(F)(F)CC1 Chemical compound CC(=O)C(=O)[C@H](CC(=O)[C@@H]1[C@@H]2[C@H](CN1C(=O)[C@@H](CC(=O)OC(C)(C)C)C1CCC(F)(F)CC1)C2(C)C)CC1CC1.CC(C)(C)OC(=O)C[C@H](C(=O)N1C[C@H]2[C@@H]([C@H]1C(=O)C[C@@H](CC1CC1)C(=O)C(N)=O)C2(C)C)C1CCC(F)(F)CC1 KQMJOAJIUWFEIG-WUZQNDNGSA-N 0.000 description 2
- VINDNXFKNHBASV-JRQFWBKCSA-N CC(=O)NC(=O)N[C@H](C(=O)N1CC2C([C@H]1C(=O)NC(CC1CC1)C(=O)C(=O)NCC(=O)N[C@H](C(=O)N(C)C)C1=CC=CC=C1)C2(C)C)C(C)(C)C Chemical compound CC(=O)NC(=O)N[C@H](C(=O)N1CC2C([C@H]1C(=O)NC(CC1CC1)C(=O)C(=O)NCC(=O)N[C@H](C(=O)N(C)C)C1=CC=CC=C1)C2(C)C)C(C)(C)C VINDNXFKNHBASV-JRQFWBKCSA-N 0.000 description 2
- SOWSSWKFKCTTCI-MQSKBFOSSA-N CC(C)(C)CC(=O)C[C@H](C(=O)N1CC2C([C@H]1C(=O)CC(CC1CCC1)C(=O)C(N)=O)C2(C)C)C(C)(C)C.CC(C)(C)NC(=O)N[C@H](C(=O)N1C[C@H]2[C@@H]([C@H]1C(=O)NC(CC1CC1)C(=O)C(N)=O)C2(C)C)C(C)(C)C.CC(C)(C)OC(=O)C[C@H](C(=O)N1CC2C([C@H]1C(=O)CC(CC1CC1)C(=O)C(N)=O)C2(C)C)C(C)(C)C.CC(C)CC(=O)C[C@H](C(=O)N1CC2C([C@H]1C(=O)NC(CC1CCC1)C(=O)C(N)=O)C2(C)C)C(C)(C)C.CC(CC(=O)C[C@H](C(=O)N1CC2C([C@H]1C(=O)CC(CC1CCC1)C(=O)C(N)=O)C2(Cl)Cl)C1CCCCC1)C(C)(C)C Chemical compound CC(C)(C)CC(=O)C[C@H](C(=O)N1CC2C([C@H]1C(=O)CC(CC1CCC1)C(=O)C(N)=O)C2(C)C)C(C)(C)C.CC(C)(C)NC(=O)N[C@H](C(=O)N1C[C@H]2[C@@H]([C@H]1C(=O)NC(CC1CC1)C(=O)C(N)=O)C2(C)C)C(C)(C)C.CC(C)(C)OC(=O)C[C@H](C(=O)N1CC2C([C@H]1C(=O)CC(CC1CC1)C(=O)C(N)=O)C2(C)C)C(C)(C)C.CC(C)CC(=O)C[C@H](C(=O)N1CC2C([C@H]1C(=O)NC(CC1CCC1)C(=O)C(N)=O)C2(C)C)C(C)(C)C.CC(CC(=O)C[C@H](C(=O)N1CC2C([C@H]1C(=O)CC(CC1CCC1)C(=O)C(N)=O)C2(Cl)Cl)C1CCCCC1)C(C)(C)C SOWSSWKFKCTTCI-MQSKBFOSSA-N 0.000 description 2
- WQUFXUAFUXLIGP-WPXKTTJQSA-N CC(C)(C)CC(=O)C[C@H](C(=O)N1C[C@H]2[C@@H]([C@H]1C(=O)C[C@@H](CC1CC1)C(=O)C(N)=O)C2(C)C)C(C)(C)C.CC(C)(C)CC(=O)C[C@H](C(=O)N1C[C@H]2[C@@H]([C@H]1C(=O)C[C@@H](CC1CCC1)C(=O)C(N)=O)C2(C)C)C(C)(C)C.CC(C)(C)CC(=O)C[C@H](C(=O)N1C[C@H]2[C@@H]([C@H]1C(=O)C[C@H](CC1CC1)C(=O)C(N)=O)C2(C)C)C(C)(C)C.CC(C)(C)CC(=O)C[C@H](C(=O)N1C[C@H]2[C@@H]([C@H]1C(=O)C[C@H](CC1CCC1)C(=O)C(N)=O)C2(C)C)C(C)(C)C.CC(C)CC(=O)C[C@H](C(=O)N1C[C@H]2[C@@H]([C@H]1C(=O)C[C@@H](CC1CCC1)C(=O)C(N)=O)C2(C)C)C(C)(C)C.CC(C)CC(=O)C[C@H](C(=O)N1C[C@H]2[C@@H]([C@H]1C(=O)C[C@H](CC1CCC1)C(=O)C(N)=O)C2(C)C)C(C)(C)C Chemical compound CC(C)(C)CC(=O)C[C@H](C(=O)N1C[C@H]2[C@@H]([C@H]1C(=O)C[C@@H](CC1CC1)C(=O)C(N)=O)C2(C)C)C(C)(C)C.CC(C)(C)CC(=O)C[C@H](C(=O)N1C[C@H]2[C@@H]([C@H]1C(=O)C[C@@H](CC1CCC1)C(=O)C(N)=O)C2(C)C)C(C)(C)C.CC(C)(C)CC(=O)C[C@H](C(=O)N1C[C@H]2[C@@H]([C@H]1C(=O)C[C@H](CC1CC1)C(=O)C(N)=O)C2(C)C)C(C)(C)C.CC(C)(C)CC(=O)C[C@H](C(=O)N1C[C@H]2[C@@H]([C@H]1C(=O)C[C@H](CC1CCC1)C(=O)C(N)=O)C2(C)C)C(C)(C)C.CC(C)CC(=O)C[C@H](C(=O)N1C[C@H]2[C@@H]([C@H]1C(=O)C[C@@H](CC1CCC1)C(=O)C(N)=O)C2(C)C)C(C)(C)C.CC(C)CC(=O)C[C@H](C(=O)N1C[C@H]2[C@@H]([C@H]1C(=O)C[C@H](CC1CCC1)C(=O)C(N)=O)C2(C)C)C(C)(C)C WQUFXUAFUXLIGP-WPXKTTJQSA-N 0.000 description 2
- XKCHIIDHHLUSFN-DHGBADTLSA-N CC(C)(C)OC(=O)C[C@H](C(=O)N1C[C@H]2[C@@H]([C@H]1C(=O)C[C@@H](CC1CC1)C(=O)C(N)=O)C2(C)C)C(C)(C)C.CC(C)(C)OC(=O)C[C@H](C(=O)N1C[C@H]2[C@@H]([C@H]1C(=O)C[C@H](CC1CC1)C(=O)C(N)=O)C2(C)C)C(C)(C)C.CC(C)(C)[C@H](CC(=O)CC12CC3CC(CC(C3)C1)C2)C(=O)N1C[C@H]2[C@@H]([C@H]1C(=O)C[C@@H](CC1CCC1)C(=O)C(N)=O)C2(C)C.CC(C)(C)[C@H](CC(=O)CC12CC3CC(CC(C3)C1)C2)C(=O)N1C[C@H]2[C@@H]([C@H]1C(=O)C[C@H](CC1CCC1)C(=O)C(N)=O)C2(C)C.CC(CC(=O)C[C@H](C(=O)N1C[C@H]2[C@@H]([C@H]1C(=O)C[C@@H](CC1CCC1)C(=O)C(N)=O)C2(Cl)Cl)C1CCCCC1)C(C)(C)C.CC(CC(=O)C[C@H](C(=O)N1C[C@H]2[C@@H]([C@H]1C(=O)C[C@H](CC1CCC1)C(=O)C(N)=O)C2(Cl)Cl)C1CCCCC1)C(C)(C)C Chemical compound CC(C)(C)OC(=O)C[C@H](C(=O)N1C[C@H]2[C@@H]([C@H]1C(=O)C[C@@H](CC1CC1)C(=O)C(N)=O)C2(C)C)C(C)(C)C.CC(C)(C)OC(=O)C[C@H](C(=O)N1C[C@H]2[C@@H]([C@H]1C(=O)C[C@H](CC1CC1)C(=O)C(N)=O)C2(C)C)C(C)(C)C.CC(C)(C)[C@H](CC(=O)CC12CC3CC(CC(C3)C1)C2)C(=O)N1C[C@H]2[C@@H]([C@H]1C(=O)C[C@@H](CC1CCC1)C(=O)C(N)=O)C2(C)C.CC(C)(C)[C@H](CC(=O)CC12CC3CC(CC(C3)C1)C2)C(=O)N1C[C@H]2[C@@H]([C@H]1C(=O)C[C@H](CC1CCC1)C(=O)C(N)=O)C2(C)C.CC(CC(=O)C[C@H](C(=O)N1C[C@H]2[C@@H]([C@H]1C(=O)C[C@@H](CC1CCC1)C(=O)C(N)=O)C2(Cl)Cl)C1CCCCC1)C(C)(C)C.CC(CC(=O)C[C@H](C(=O)N1C[C@H]2[C@@H]([C@H]1C(=O)C[C@H](CC1CCC1)C(=O)C(N)=O)C2(Cl)Cl)C1CCCCC1)C(C)(C)C XKCHIIDHHLUSFN-DHGBADTLSA-N 0.000 description 2
- MKQSMRVNAUAWTN-KODWWJLTSA-N CC(C)(C)OC(=O)C[C@H](C(=O)N1C[C@H]2[C@@H]([C@H]1C(=O)C[C@@H](CC1CCC1)C(=O)C(N)=O)C2(Cl)Cl)C(C)(C)C.CC(C)(C)OC(=O)C[C@H](C(=O)N1C[C@H]2[C@@H]([C@H]1C(=O)C[C@H](CC1CCC1)C(=O)C(N)=O)C2(Cl)Cl)C(C)(C)C.CN(C)C(=O)[C@@H](NC(=O)CCC(=O)C(=O)[C@@H](CC(=O)[C@@H]1[C@H]2CC(C)(C)O[C@H]2CN1C(=O)[C@@H](CC(=O)OC(C)(C)C)C1CCCCC1)CC1CC1)C1=CC=CC=C1.CN(C)C(=O)[C@@H](NC(=O)CCC(=O)C(=O)[C@@H](CC(=O)[C@@H]1[C@H]2CC(C)(C)O[C@H]2CN1C(=O)[C@@H](CC(=O)OC(C)(C)C)C1CCCCC1)CC1CC1)C1=CC=CS1.CN(C)C(=O)[C@@H](NC(=O)CCC(=O)C(=O)[C@H](CC(=O)[C@@H]1[C@H]2CC(C)(C)O[C@H]2CN1C(=O)[C@@H](CC(=O)OC(C)(C)C)C1CCCCC1)CC1CC1)C1=CC=CC=C1.CN(C)C(=O)[C@@H](NC(=O)CCC(=O)C(=O)[C@H](CC(=O)[C@@H]1[C@H]2CC(C)(C)O[C@H]2CN1C(=O)[C@@H](CC(=O)OC(C)(C)C)C1CCCCC1)CC1CC1)C1=CC=CS1 Chemical compound CC(C)(C)OC(=O)C[C@H](C(=O)N1C[C@H]2[C@@H]([C@H]1C(=O)C[C@@H](CC1CCC1)C(=O)C(N)=O)C2(Cl)Cl)C(C)(C)C.CC(C)(C)OC(=O)C[C@H](C(=O)N1C[C@H]2[C@@H]([C@H]1C(=O)C[C@H](CC1CCC1)C(=O)C(N)=O)C2(Cl)Cl)C(C)(C)C.CN(C)C(=O)[C@@H](NC(=O)CCC(=O)C(=O)[C@@H](CC(=O)[C@@H]1[C@H]2CC(C)(C)O[C@H]2CN1C(=O)[C@@H](CC(=O)OC(C)(C)C)C1CCCCC1)CC1CC1)C1=CC=CC=C1.CN(C)C(=O)[C@@H](NC(=O)CCC(=O)C(=O)[C@@H](CC(=O)[C@@H]1[C@H]2CC(C)(C)O[C@H]2CN1C(=O)[C@@H](CC(=O)OC(C)(C)C)C1CCCCC1)CC1CC1)C1=CC=CS1.CN(C)C(=O)[C@@H](NC(=O)CCC(=O)C(=O)[C@H](CC(=O)[C@@H]1[C@H]2CC(C)(C)O[C@H]2CN1C(=O)[C@@H](CC(=O)OC(C)(C)C)C1CCCCC1)CC1CC1)C1=CC=CC=C1.CN(C)C(=O)[C@@H](NC(=O)CCC(=O)C(=O)[C@H](CC(=O)[C@@H]1[C@H]2CC(C)(C)O[C@H]2CN1C(=O)[C@@H](CC(=O)OC(C)(C)C)C1CCCCC1)CC1CC1)C1=CC=CS1 MKQSMRVNAUAWTN-KODWWJLTSA-N 0.000 description 2
- NAIXCSITWYMQPO-KUNBBXKYSA-N CC(C)(C)OC(=O)NC(C(=O)N1CC2C([C@H]1C(=O)NC(CC1CCC1)C(=O)C(N)=O)C2(Cl)Cl)C(C)(C)C Chemical compound CC(C)(C)OC(=O)NC(C(=O)N1CC2C([C@H]1C(=O)NC(CC1CCC1)C(=O)C(N)=O)C2(Cl)Cl)C(C)(C)C NAIXCSITWYMQPO-KUNBBXKYSA-N 0.000 description 2
- IYLFCYFVRLIDTA-JKWWZATHSA-N CC(C)(C)OC(=O)N[C@H](C(=O)N1CC2C([C@H]1C(=O)NC(CC1CC1)C(=O)C(N)=O)C2(C)C)C1CC2=C(C=CC=C2)C1 Chemical compound CC(C)(C)OC(=O)N[C@H](C(=O)N1CC2C([C@H]1C(=O)NC(CC1CC1)C(=O)C(N)=O)C2(C)C)C1CC2=C(C=CC=C2)C1 IYLFCYFVRLIDTA-JKWWZATHSA-N 0.000 description 2
- PSUDCBAAACXPFE-QKBRSHRXSA-N CC(C)(C)OC(=O)N[C@H](C(=O)N1CC2C([C@H]1C(=O)NC(CC1CC1)C(=O)C(N)=O)C2(Cl)Cl)C1CCCCC1 Chemical compound CC(C)(C)OC(=O)N[C@H](C(=O)N1CC2C([C@H]1C(=O)NC(CC1CC1)C(=O)C(N)=O)C2(Cl)Cl)C1CCCCC1 PSUDCBAAACXPFE-QKBRSHRXSA-N 0.000 description 2
- FPNPHCDQYRTRIE-OQPPHWFISA-N CC(C)(C)OC(=O)N[C@H](C(=O)N1CC2C([C@H]1C(=O)NC(CC1CCC1)C(=O)C(N)=O)C2(Cl)Cl)C1CCCCC1 Chemical compound CC(C)(C)OC(=O)N[C@H](C(=O)N1CC2C([C@H]1C(=O)NC(CC1CCC1)C(=O)C(N)=O)C2(Cl)Cl)C1CCCCC1 FPNPHCDQYRTRIE-OQPPHWFISA-N 0.000 description 2
- MOEDHVLVOPYLTB-IOHZUATHSA-N CC(C)(C)OC(=O)N[C@H](C(=O)N1CC2OC(C)(C)CC2[C@H]1C(=O)NC(CC1CC1)C(=O)C(N)=O)C1CCCCC1 Chemical compound CC(C)(C)OC(=O)N[C@H](C(=O)N1CC2OC(C)(C)CC2[C@H]1C(=O)NC(CC1CC1)C(=O)C(N)=O)C1CCCCC1 MOEDHVLVOPYLTB-IOHZUATHSA-N 0.000 description 2
- MYQOBAANJULZPQ-UHFFFAOYSA-N CC(C)(O)C(F)(F)F.CC(C)(OC(=O)ON1C(=O)CCC1=O)C(F)(F)F Chemical compound CC(C)(O)C(F)(F)F.CC(C)(OC(=O)ON1C(=O)CCC1=O)C(F)(F)F MYQOBAANJULZPQ-UHFFFAOYSA-N 0.000 description 2
- FYBLWBTVPMKRAL-BIHRWAPCSA-N CC(C)CC(NC(=O)[C@@H]1CC(C)(C)CN1C(=O)[C@@H](NC(=O)OC(C)(C)C)C(C)(C)C)C(=O)C(=O)NCC(=O)NC(C(=O)N(C)C)C1=CC=CC=C1 Chemical compound CC(C)CC(NC(=O)[C@@H]1CC(C)(C)CN1C(=O)[C@@H](NC(=O)OC(C)(C)C)C(C)(C)C)C(=O)C(=O)NCC(=O)NC(C(=O)N(C)C)C1=CC=CC=C1 FYBLWBTVPMKRAL-BIHRWAPCSA-N 0.000 description 2
- DHTPFUNONRDIPM-JYLWYXFKSA-N CC(C)CC(NC(=O)[C@@H]1CC(C)(C)CN1C(=O)[C@@H](NC(=O)O[C@@H](C)C(C)C)C(C)(C)C)C(=O)C(=O)NCC(=O)N[C@H](C(=O)N(C)C)C1=CC=CC=C1 Chemical compound CC(C)CC(NC(=O)[C@@H]1CC(C)(C)CN1C(=O)[C@@H](NC(=O)O[C@@H](C)C(C)C)C(C)(C)C)C(=O)C(=O)NCC(=O)N[C@H](C(=O)N(C)C)C1=CC=CC=C1 DHTPFUNONRDIPM-JYLWYXFKSA-N 0.000 description 2
- IAEOGJOSMGKLMQ-LYUBYTMKSA-N CC(C)CCC(NC(=O)[C@@H]1C[C@@H](OC(C)(C)C)CN1C(=O)[C@@H](NC(=O)OCC(C)C)C(C)(C)C)C(=O)C(=O)NCC(=O)O Chemical compound CC(C)CCC(NC(=O)[C@@H]1C[C@@H](OC(C)(C)C)CN1C(=O)[C@@H](NC(=O)OCC(C)C)C(C)(C)C)C(=O)C(=O)NCC(=O)O IAEOGJOSMGKLMQ-LYUBYTMKSA-N 0.000 description 2
- UHWXNXAFUISQDU-ATVIEFTBSA-N CC(C)COC(=O)N[C@H](C(=O)N1CC(C)(C)C[C@H]1C(=O)N[C@@H](CC(C)C)C(=O)C(=O)NCC(=O)N[C@H](C(=O)N(C)C)C1=CC=CC=C1)C1CCCCC1 Chemical compound CC(C)COC(=O)N[C@H](C(=O)N1CC(C)(C)C[C@H]1C(=O)N[C@@H](CC(C)C)C(=O)C(=O)NCC(=O)N[C@H](C(=O)N(C)C)C1=CC=CC=C1)C1CCCCC1 UHWXNXAFUISQDU-ATVIEFTBSA-N 0.000 description 2
- GRODOPRJTBULSB-HOTGVXAUSA-N CC(C)COC(=O)N[C@H](C(=O)N1CC(C)(C)C[C@H]1C(=O)O)C1CCCCC1 Chemical compound CC(C)COC(=O)N[C@H](C(=O)N1CC(C)(C)C[C@H]1C(=O)O)C1CCCCC1 GRODOPRJTBULSB-HOTGVXAUSA-N 0.000 description 2
- FHFYKTZKEUJAQC-AWGZWHCJSA-N CC(C)COC(=O)N[C@H](C(=O)N1CC(C)(C)C[C@H]1C(O)NC(CC(C)C)C(=O)C(=O)NCC(=O)NC(C(=O)N(C)C)C1=CC=CC=C1)C(C)(C)C Chemical compound CC(C)COC(=O)N[C@H](C(=O)N1CC(C)(C)C[C@H]1C(O)NC(CC(C)C)C(=O)C(=O)NCC(=O)NC(C(=O)N(C)C)C1=CC=CC=C1)C(C)(C)C FHFYKTZKEUJAQC-AWGZWHCJSA-N 0.000 description 2
- ICQVNZPKAGBQJY-OJEOKCMOSA-N CC(C)COC(=O)N[C@H](C(=O)N1CC2(CC1C(=O)NC(CC1CC1)C(=O)C(=O)NCC(=O)NC(C(=O)OC(C)(C)C)C1=CC=CC=C1)SCCCS2)C1CCCCC1 Chemical compound CC(C)COC(=O)N[C@H](C(=O)N1CC2(CC1C(=O)NC(CC1CC1)C(=O)C(=O)NCC(=O)NC(C(=O)OC(C)(C)C)C1=CC=CC=C1)SCCCS2)C1CCCCC1 ICQVNZPKAGBQJY-OJEOKCMOSA-N 0.000 description 2
- HVVMTQFHOPEALF-FPQZSVJMSA-N CC(C)COC(=O)N[C@H](C(=O)N1CC2(C[C@H]1C(=O)NC(CC1CC1)C(=O)C(=O)NCC(=O)NC(C(=O)N(C)C)C1=CC=CC=C1)SCCCS2)C(C)(C)C Chemical compound CC(C)COC(=O)N[C@H](C(=O)N1CC2(C[C@H]1C(=O)NC(CC1CC1)C(=O)C(=O)NCC(=O)NC(C(=O)N(C)C)C1=CC=CC=C1)SCCCS2)C(C)(C)C HVVMTQFHOPEALF-FPQZSVJMSA-N 0.000 description 2
- DSLNBNWUPFRTMW-HNRHMXCFSA-N CC(C)COC(=O)N[C@H](C(=O)N1C[C@H](OC(C)(C)C)C[C@H]1C(=O)NC1(C(=O)C(=O)NCC(=O)N[C@H](C(=O)N(C)C)C2=CC=CC=C2)CCCCC1)C(C)(C)C Chemical compound CC(C)COC(=O)N[C@H](C(=O)N1C[C@H](OC(C)(C)C)C[C@H]1C(=O)NC1(C(=O)C(=O)NCC(=O)N[C@H](C(=O)N(C)C)C2=CC=CC=C2)CCCCC1)C(C)(C)C DSLNBNWUPFRTMW-HNRHMXCFSA-N 0.000 description 2
- IOPCGJZTQQUEMG-IMOXWJRASA-N CC(C)OC(=O)NC(C(=O)N1CC2C([C@H]1C(=O)NC(CC1CCC1)C(=O)C(N)=O)C2(C)C)C1CCC2(CC1)CC2 Chemical compound CC(C)OC(=O)NC(C(=O)N1CC2C([C@H]1C(=O)NC(CC1CCC1)C(=O)C(N)=O)C2(C)C)C1CCC2(CC1)CC2 IOPCGJZTQQUEMG-IMOXWJRASA-N 0.000 description 2
- WOHQZXOKWLYRDO-CTEMSKPWSA-N CC1(C)C2CN(C(=O)[C@@H](NC(=O)NC3CCCCC3)C3CC4=C(C=CC=C4)C3)[C@H](C(=O)NC(CC3CC3)C(=O)C(N)=O)C21 Chemical compound CC1(C)C2CN(C(=O)[C@@H](NC(=O)NC3CCCCC3)C3CC4=C(C=CC=C4)C3)[C@H](C(=O)NC(CC3CC3)C(=O)C(N)=O)C21 WOHQZXOKWLYRDO-CTEMSKPWSA-N 0.000 description 2
- JTJIXUPTKTYNOY-RAVBPUIQSA-N CCCC(CC(=O)[C@@H]1C[C@@H](OC(C)(C)C)CN1C(=O)[C@@H](CC(=O)C1=C(C(=O)O)C(F)=C(F)C(F)=C1F)C1CCCCC1)C(=O)C(=O)CCC(=O)N[C@H](C(N)=O)C1=CC=CC=C1 Chemical compound CCCC(CC(=O)[C@@H]1C[C@@H](OC(C)(C)C)CN1C(=O)[C@@H](CC(=O)C1=C(C(=O)O)C(F)=C(F)C(F)=C1F)C1CCCCC1)C(=O)C(=O)CCC(=O)N[C@H](C(N)=O)C1=CC=CC=C1 JTJIXUPTKTYNOY-RAVBPUIQSA-N 0.000 description 2
- QJEPDKHPGCCASZ-UAYRZDTGSA-N CCCC(CC(=O)[C@@H]1C[C@@H](OC(C)(C)C)CN1C(=O)[C@@H](CC(=O)C1=CC=CC=C1C(C)=O)C1CCCCC1)C(=O)C(=O)CCC(=O)N[C@H](C(N)=O)C1=CC=CC=C1 Chemical compound CCCC(CC(=O)[C@@H]1C[C@@H](OC(C)(C)C)CN1C(=O)[C@@H](CC(=O)C1=CC=CC=C1C(C)=O)C1CCCCC1)C(=O)C(=O)CCC(=O)N[C@H](C(N)=O)C1=CC=CC=C1 QJEPDKHPGCCASZ-UAYRZDTGSA-N 0.000 description 2
- GSHDTNZBFYQVHB-ZFVOACSXSA-N CCCC(CC(=O)[C@@H]1C[C@@H](OC(C)(C)C)CN1C(=O)[C@@H](NC(=O)OCC(C)C)C1CCCCC1)C(=O)C(=O)CCC(=O)NC(C(N)=O)C1=CC(OC)=CC(OC)=C1 Chemical compound CCCC(CC(=O)[C@@H]1C[C@@H](OC(C)(C)C)CN1C(=O)[C@@H](NC(=O)OCC(C)C)C1CCCCC1)C(=O)C(=O)CCC(=O)NC(C(N)=O)C1=CC(OC)=CC(OC)=C1 GSHDTNZBFYQVHB-ZFVOACSXSA-N 0.000 description 2
- GRUJXKVAHMSCCF-GVOWSSNCSA-N CCCC(CC(=O)[C@@H]1C[C@@H](OCC2=CC=CC=C2)CN1C(=O)C(CC(=O)CC(=O)O)C1CCCCC1)C(=O)C(=O)CCC(=O)NC(C(=O)O)C1=CC=CC=C1 Chemical compound CCCC(CC(=O)[C@@H]1C[C@@H](OCC2=CC=CC=C2)CN1C(=O)C(CC(=O)CC(=O)O)C1CCCCC1)C(=O)C(=O)CCC(=O)NC(C(=O)O)C1=CC=CC=C1 GRUJXKVAHMSCCF-GVOWSSNCSA-N 0.000 description 2
- PDRNJCGELFQYME-UGFHTYPSSA-N CCCC(CC(=O)[C@@H]1C[C@@H](OCC2=CC=CC=C2)CN1C(=O)[C@H](CCCC(=O)O)NC(=O)C1=CC=CC=C1C(=O)O)C(=O)C(=O)CCC(=O)N[C@H](C(N)=O)C1=CC=CC=C1 Chemical compound CCCC(CC(=O)[C@@H]1C[C@@H](OCC2=CC=CC=C2)CN1C(=O)[C@H](CCCC(=O)O)NC(=O)C1=CC=CC=C1C(=O)O)C(=O)C(=O)CCC(=O)N[C@H](C(N)=O)C1=CC=CC=C1 PDRNJCGELFQYME-UGFHTYPSSA-N 0.000 description 2
- HBDXFEAGYULSPP-UHFFFAOYSA-N CCCC(NC(=O)C1C2C(CN1C(=O)C(NC(=O)NC(C)C1=CC=CC=C1)C1CCCCC1)C2(C)C)C(=O)C(N)=O Chemical compound CCCC(NC(=O)C1C2C(CN1C(=O)C(NC(=O)NC(C)C1=CC=CC=C1)C1CCCCC1)C2(C)C)C(=O)C(N)=O HBDXFEAGYULSPP-UHFFFAOYSA-N 0.000 description 2
- GOTBKWCJQKETSF-RWUPPGLESA-N CCCC(NC(=O)C1C2C(CN1C(=O)[C@@H](NC(=O)OC(C)(C)C)C(C)(C)C)C2(C)C)C(=O)C(=O)NCC(=O)N[C@H](C(=O)N(C)C)C1=CC=CC=C1 Chemical compound CCCC(NC(=O)C1C2C(CN1C(=O)[C@@H](NC(=O)OC(C)(C)C)C(C)(C)C)C2(C)C)C(=O)C(=O)NCC(=O)N[C@H](C(=O)N(C)C)C1=CC=CC=C1 GOTBKWCJQKETSF-RWUPPGLESA-N 0.000 description 2
- UWCVRPFGDMIBAK-PHJXICIASA-N CCCC(NC(=O)C1C2CCC(CC2)N1C(=O)[C@@H](NC(=O)OCC(C)C)C1CCCCC1)C(=O)C(=O)NCC(=O)N[C@H](C(N)=O)C1=CC=CC=C1 Chemical compound CCCC(NC(=O)C1C2CCC(CC2)N1C(=O)[C@@H](NC(=O)OCC(C)C)C1CCCCC1)C(=O)C(=O)NCC(=O)N[C@H](C(N)=O)C1=CC=CC=C1 UWCVRPFGDMIBAK-PHJXICIASA-N 0.000 description 2
- IKXVSZRUGQDLOM-ZTAOZUIISA-N CCCC(NC(=O)C1CC(NC(=O)NC2=CC=C(C(C)=O)C=C2)CN1C(=O)[C@H](NC(=O)OCC(C)C)C1CCCCC1)C(=O)C(=O)NCC(=O)N[C@@H](C(N)=O)C1=CC=CC=C1 Chemical compound CCCC(NC(=O)C1CC(NC(=O)NC2=CC=C(C(C)=O)C=C2)CN1C(=O)[C@H](NC(=O)OCC(C)C)C1CCCCC1)C(=O)C(=O)NCC(=O)N[C@@H](C(N)=O)C1=CC=CC=C1 IKXVSZRUGQDLOM-ZTAOZUIISA-N 0.000 description 2
- YRGZQOCOAGSESS-NBKLUXNBSA-N CCCC(NC(=O)[C@@H]1C2C(CN1C(=O)[C@@H](NC(=O)C(NC(=O)NC(C)(C)C)C(C1=CC=CC=C1)C1=CC=CC=C1)C(C)(C)C)C2(C)C)C(=O)C(N)=O Chemical compound CCCC(NC(=O)[C@@H]1C2C(CN1C(=O)[C@@H](NC(=O)C(NC(=O)NC(C)(C)C)C(C1=CC=CC=C1)C1=CC=CC=C1)C(C)(C)C)C2(C)C)C(=O)C(N)=O YRGZQOCOAGSESS-NBKLUXNBSA-N 0.000 description 2
- IXKBAQJDYIRQIU-JRQFWBKCSA-N CCCC(NC(=O)[C@@H]1C2C(CN1C(=O)[C@@H](NS(=O)(=O)C(C)C)C(C)(C)C)C2(C)C)C(=O)C(=O)NCC(=O)N[C@H](C(=O)N(C)C)C1=CC=CC=C1 Chemical compound CCCC(NC(=O)[C@@H]1C2C(CN1C(=O)[C@@H](NS(=O)(=O)C(C)C)C(C)(C)C)C2(C)C)C(=O)C(=O)NCC(=O)N[C@H](C(=O)N(C)C)C1=CC=CC=C1 IXKBAQJDYIRQIU-JRQFWBKCSA-N 0.000 description 2
- MRQNINAMWUXRFJ-XVGKINAUSA-N CCCC(NC(=O)[C@@H]1CC(=O)CN1C(=O)C(NC(=O)OCC(C)C)C1CCCCC1)C(=O)C(=O)NCC(=O)NC(C(=O)N(C)C)C1=CC=CC=C1 Chemical compound CCCC(NC(=O)[C@@H]1CC(=O)CN1C(=O)C(NC(=O)OCC(C)C)C1CCCCC1)C(=O)C(=O)NCC(=O)NC(C(=O)N(C)C)C1=CC=CC=C1 MRQNINAMWUXRFJ-XVGKINAUSA-N 0.000 description 2
- BSOITOCLZAGALC-NYPZKHNLSA-N CCCC(NC(=O)[C@@H]1CC(C)(C)CN1C(=O)[C@@H](NC(=O)OC(C)(C)C)C(C)(C)C)C(=O)C(=O)NCC(=O)NC(C(=O)N(C)C)C1=CC=CC=C1 Chemical compound CCCC(NC(=O)[C@@H]1CC(C)(C)CN1C(=O)[C@@H](NC(=O)OC(C)(C)C)C(C)(C)C)C(=O)C(=O)NCC(=O)NC(C(=O)N(C)C)C1=CC=CC=C1 BSOITOCLZAGALC-NYPZKHNLSA-N 0.000 description 2
- VCXJMJAIYCCHMP-DMBRGQJHSA-N CCCC(NC(=O)[C@@H]1CC(C)(O)CN1C(=O)[C@@H](NC(=O)OCC(C)C)C1CCCCC1)C(=O)C(=O)NCC(=O)NC(C(=O)N(C)C)C1=CC=CC=C1 Chemical compound CCCC(NC(=O)[C@@H]1CC(C)(O)CN1C(=O)[C@@H](NC(=O)OCC(C)C)C1CCCCC1)C(=O)C(=O)NCC(=O)NC(C(=O)N(C)C)C1=CC=CC=C1 VCXJMJAIYCCHMP-DMBRGQJHSA-N 0.000 description 2
- HDSULVQYPBGWQH-JFTXXUBUSA-N CCCC(NC(=O)[C@@H]1CC(CNC(=O)C2=CC(OC3=CC=CC=C3)=CC=C2)CN1C(=O)C(NC(=O)OCC(C)C)C1CCCCC1)C(=O)C(=O)NCC(=O)N[C@@H](C(N)=O)C1=CC=CC=C1 Chemical compound CCCC(NC(=O)[C@@H]1CC(CNC(=O)C2=CC(OC3=CC=CC=C3)=CC=C2)CN1C(=O)C(NC(=O)OCC(C)C)C1CCCCC1)C(=O)C(=O)NCC(=O)N[C@@H](C(N)=O)C1=CC=CC=C1 HDSULVQYPBGWQH-JFTXXUBUSA-N 0.000 description 2
- PYKYFOAKBMSTAY-LZHBCRIWSA-N CCCC(NC(=O)[C@@H]1CC(NS(=O)(=O)C2=C3N=CC=CC3=CC=C2)CN1C(=O)[C@H](NC(=O)OCC(C)C)C1CCCCC1)C(=O)C(=O)NCC(=O)N[C@@H](C(N)=O)C1=CC=CC=C1 Chemical compound CCCC(NC(=O)[C@@H]1CC(NS(=O)(=O)C2=C3N=CC=CC3=CC=C2)CN1C(=O)[C@H](NC(=O)OCC(C)C)C1CCCCC1)C(=O)C(=O)NCC(=O)N[C@@H](C(N)=O)C1=CC=CC=C1 PYKYFOAKBMSTAY-LZHBCRIWSA-N 0.000 description 2
- BMWIMCHUJKWQMK-GSIUETRJSA-N CCCC(NC(=O)[C@@H]1CC2(CC2)CN1C(=O)[C@@H](NC(=O)OCC(C)C)C(C)(C)C)C(=O)C(=O)NCC(=O)N[C@H](C(=O)N(C)C)C1=CC=CC=C1 Chemical compound CCCC(NC(=O)[C@@H]1CC2(CC2)CN1C(=O)[C@@H](NC(=O)OCC(C)C)C(C)(C)C)C(=O)C(=O)NCC(=O)N[C@H](C(=O)N(C)C)C1=CC=CC=C1 BMWIMCHUJKWQMK-GSIUETRJSA-N 0.000 description 2
- PTODJEHOWNKDCH-LBXMRWADSA-N CCCC(NC(=O)[C@@H]1CC2(CN1C(=O)C(NC(=O)NC1=CC=C(OC3=CC=CC=C3)C=C1)C1CCCCC1)SCCCS2)C(=O)C(=O)NCC(=O)NC(C(N)=O)C1=CC=CC=C1 Chemical compound CCCC(NC(=O)[C@@H]1CC2(CN1C(=O)C(NC(=O)NC1=CC=C(OC3=CC=CC=C3)C=C1)C1CCCCC1)SCCCS2)C(=O)C(=O)NCC(=O)NC(C(N)=O)C1=CC=CC=C1 PTODJEHOWNKDCH-LBXMRWADSA-N 0.000 description 2
- NVXBYRFEZATUPM-FLBKLJGZSA-N CCCC(NC(=O)[C@@H]1CC2(CN1C(=O)C(NC(=O)OC(C)(C)C)C(C)(C)C)SCCCS2)C(=O)C(=O)NCC(=O)NC(CO)C1=CC=CC=C1 Chemical compound CCCC(NC(=O)[C@@H]1CC2(CN1C(=O)C(NC(=O)OC(C)(C)C)C(C)(C)C)SCCCS2)C(=O)C(=O)NCC(=O)NC(CO)C1=CC=CC=C1 NVXBYRFEZATUPM-FLBKLJGZSA-N 0.000 description 2
- XEAKEPWGNLGXFO-FYZUJDCHSA-N CCCC(NC(=O)[C@@H]1CC2(CN1C(=O)C(NC(=O)OCC(C)C)C1CCCCC1)SC(C)C(C)S2)C(=O)C(=O)NCC(=O)NC(C(=O)N(C)C)C1=CC=CC=C1 Chemical compound CCCC(NC(=O)[C@@H]1CC2(CN1C(=O)C(NC(=O)OCC(C)C)C1CCCCC1)SC(C)C(C)S2)C(=O)C(=O)NCC(=O)NC(C(=O)N(C)C)C1=CC=CC=C1 XEAKEPWGNLGXFO-FYZUJDCHSA-N 0.000 description 2
- LSJYUEONUMITOY-GVTZYWAFSA-N CCCC(NC(=O)[C@@H]1CC2(CN1C(=O)C(NC(=O)OCC(C)C)C1CCCCC1)SCCS2)C(=O)C(=O)NCC(=O)NC(C(=O)O)C1=CC=CC=C1 Chemical compound CCCC(NC(=O)[C@@H]1CC2(CN1C(=O)C(NC(=O)OCC(C)C)C1CCCCC1)SCCS2)C(=O)C(=O)NCC(=O)NC(C(=O)O)C1=CC=CC=C1 LSJYUEONUMITOY-GVTZYWAFSA-N 0.000 description 2
- HHHSKIILUGCAMV-CEQLJHAMSA-N CCCC(NC(=O)[C@@H]1CC2(CN1C(=O)[C@@H](NC(=O)C(C)(C)C1=CC=CC=C1)C(C)(C)C)SCCCS2)C(=O)C(=O)NCC(=O)NC(C(=O)N(C)C)C1=CC=CC=C1 Chemical compound CCCC(NC(=O)[C@@H]1CC2(CN1C(=O)[C@@H](NC(=O)C(C)(C)C1=CC=CC=C1)C(C)(C)C)SCCCS2)C(=O)C(=O)NCC(=O)NC(C(=O)N(C)C)C1=CC=CC=C1 HHHSKIILUGCAMV-CEQLJHAMSA-N 0.000 description 2
- WXYARZNLGTVTNR-IETAOCBLSA-N CCCC(NC(=O)[C@@H]1CC2(CN1C(=O)[C@@H](NC(=O)C1=CC(Cl)=C(Cl)C=C1C(=O)O)C1CCCCC1)SCCCS2)C(=O)C(=O)NCC(=O)NC(C(=O)N(C)C)C1=CC=CC=C1 Chemical compound CCCC(NC(=O)[C@@H]1CC2(CN1C(=O)[C@@H](NC(=O)C1=CC(Cl)=C(Cl)C=C1C(=O)O)C1CCCCC1)SCCCS2)C(=O)C(=O)NCC(=O)NC(C(=O)N(C)C)C1=CC=CC=C1 WXYARZNLGTVTNR-IETAOCBLSA-N 0.000 description 2
- KUYVHLJKXOLWJG-WBVOFJQMSA-N CCCC(NC(=O)[C@@H]1CC2(CN1C(=O)[C@@H](NC(=O)C1=CC(Cl)=C(Cl)C=C1C(=O)O)C1CCCCC1)SCCCS2)C(=O)C(=O)NCC(=O)NC(C(=O)O)C1=CC=CC=C1 Chemical compound CCCC(NC(=O)[C@@H]1CC2(CN1C(=O)[C@@H](NC(=O)C1=CC(Cl)=C(Cl)C=C1C(=O)O)C1CCCCC1)SCCCS2)C(=O)C(=O)NCC(=O)NC(C(=O)O)C1=CC=CC=C1 KUYVHLJKXOLWJG-WBVOFJQMSA-N 0.000 description 2
- WOIMBJNDCYAWKF-QBAMANDOSA-N CCCC(NC(=O)[C@@H]1CC2(CN1C(=O)[C@@H](NC(=O)CC1=CC=CC=C1)C(C)(C)C)SCCCS2)C(=O)C(=O)NCC(=O)NC(C(=O)N(C)C)C1=CC=CC=C1 Chemical compound CCCC(NC(=O)[C@@H]1CC2(CN1C(=O)[C@@H](NC(=O)CC1=CC=CC=C1)C(C)(C)C)SCCCS2)C(=O)C(=O)NCC(=O)NC(C(=O)N(C)C)C1=CC=CC=C1 WOIMBJNDCYAWKF-QBAMANDOSA-N 0.000 description 2
- BITKRRRJJIUJSM-IWHYWORQSA-N CCCC(NC(=O)[C@@H]1CC2(CN1C(=O)[C@@H](NC(=O)CC1CCCC1)C1CCCCC1)SCCCS2)C(=O)C(=O)NCC(=O)NC(C(=O)N(C)C)C1=CC=CC=C1 Chemical compound CCCC(NC(=O)[C@@H]1CC2(CN1C(=O)[C@@H](NC(=O)CC1CCCC1)C1CCCCC1)SCCCS2)C(=O)C(=O)NCC(=O)NC(C(=O)N(C)C)C1=CC=CC=C1 BITKRRRJJIUJSM-IWHYWORQSA-N 0.000 description 2
- PNDQOLYWDGVYCW-IGWRBXEPSA-N CCCC(NC(=O)[C@@H]1CC2(CN1C(=O)[C@@H](NC(=O)OC1CCCC1)C1CCCCC1)SCCCS2)C(=O)C(=O)NCC(=O)NC(C(=O)O)C1=CC=CC=C1 Chemical compound CCCC(NC(=O)[C@@H]1CC2(CN1C(=O)[C@@H](NC(=O)OC1CCCC1)C1CCCCC1)SCCCS2)C(=O)C(=O)NCC(=O)NC(C(=O)O)C1=CC=CC=C1 PNDQOLYWDGVYCW-IGWRBXEPSA-N 0.000 description 2
- LAGYYXMXYAGLSK-OMAPUOLYSA-N CCCC(NC(=O)[C@@H]1CC2(CN1C(=O)[C@@H](NC(=O)OCC(C)(C)C)C(C)(C)C)SCCCS2)C(=O)C(=O)NCC(=O)NC(C(=O)N(C)C)C1=CC=CC=C1 Chemical compound CCCC(NC(=O)[C@@H]1CC2(CN1C(=O)[C@@H](NC(=O)OCC(C)(C)C)C(C)(C)C)SCCCS2)C(=O)C(=O)NCC(=O)NC(C(=O)N(C)C)C1=CC=CC=C1 LAGYYXMXYAGLSK-OMAPUOLYSA-N 0.000 description 2
- FNMPBESDNUDVTF-JTWGDSHUSA-N CCCC(NC(=O)[C@@H]1CC2(CN1C(=O)[C@@H](NC(=O)OCC(C)C)[C@@H](C)OCC1=CC=CC=C1)SCCCS2)C(=O)C(=O)NCC(=O)N[C@H](C(=O)O)C1=CC=CC=C1 Chemical compound CCCC(NC(=O)[C@@H]1CC2(CN1C(=O)[C@@H](NC(=O)OCC(C)C)[C@@H](C)OCC1=CC=CC=C1)SCCCS2)C(=O)C(=O)NCC(=O)N[C@H](C(=O)O)C1=CC=CC=C1 FNMPBESDNUDVTF-JTWGDSHUSA-N 0.000 description 2
- HXQKWHOHQDFJKY-OMAPUOLYSA-N CCCC(NC(=O)[C@@H]1CC2(CN1C(=O)[C@@H](NC(=O)OCC1CC1)C(C)(C)C)SCCCS2)C(=O)C(=O)NCC(=O)NC(C(=O)N(C)C)C1=CC=CC=C1 Chemical compound CCCC(NC(=O)[C@@H]1CC2(CN1C(=O)[C@@H](NC(=O)OCC1CC1)C(C)(C)C)SCCCS2)C(=O)C(=O)NCC(=O)NC(C(=O)N(C)C)C1=CC=CC=C1 HXQKWHOHQDFJKY-OMAPUOLYSA-N 0.000 description 2
- ZNZNXCVFOPUWRJ-GGIUSPKGSA-N CCCC(NC(=O)[C@@H]1CC2(CN1C(=O)[C@@H](NC(=O)[C@@H](C)C1=CC=C(CC(C)C)C=C1)C(C)(C)C)SCCCS2)C(=O)C(=O)NCC(=O)NC(C(=O)N(C)C)C1=CC=CC=C1 Chemical compound CCCC(NC(=O)[C@@H]1CC2(CN1C(=O)[C@@H](NC(=O)[C@@H](C)C1=CC=C(CC(C)C)C=C1)C(C)(C)C)SCCCS2)C(=O)C(=O)NCC(=O)NC(C(=O)N(C)C)C1=CC=CC=C1 ZNZNXCVFOPUWRJ-GGIUSPKGSA-N 0.000 description 2
- ZFXZUFXMJQSWTB-XLFLIJAGSA-N CCCC(NC(=O)[C@@H]1CC2(CN1C(=O)[C@@H](NC(=O)[C@@H](O)C1=CC=CC=C1)C(C)(C)C)SCCCS2)C(=O)C(=O)NCC(=O)NC(C(=O)N(C)C)C1=CC=CC=C1 Chemical compound CCCC(NC(=O)[C@@H]1CC2(CN1C(=O)[C@@H](NC(=O)[C@@H](O)C1=CC=CC=C1)C(C)(C)C)SCCCS2)C(=O)C(=O)NCC(=O)NC(C(=O)N(C)C)C1=CC=CC=C1 ZFXZUFXMJQSWTB-XLFLIJAGSA-N 0.000 description 2
- BSWZOCRZJLWZMW-VMLWIXIDSA-N CCCC(NC(=O)[C@@H]1CC2(CN1C(=O)[C@@H](NS(=O)(=O)C1=CC=C(NC(C)=O)C=C1)C1CCCCC1)SCCCS2)C(=O)C(=O)NCC(=O)NC(C(=O)OC(C)(C)C)C1=CC=CC=C1 Chemical compound CCCC(NC(=O)[C@@H]1CC2(CN1C(=O)[C@@H](NS(=O)(=O)C1=CC=C(NC(C)=O)C=C1)C1CCCCC1)SCCCS2)C(=O)C(=O)NCC(=O)NC(C(=O)OC(C)(C)C)C1=CC=CC=C1 BSWZOCRZJLWZMW-VMLWIXIDSA-N 0.000 description 2
- PVKGEQZIVKMJSS-VWQTYRMVSA-N CCCC(NC(=O)[C@@H]1CCCN1C(=O)C(NC(=O)[C@@H](NC(=O)OC(C)(C)C)C(C)C)C1C2=C(C=CC=C2)CCC2=C1C=CC=C2)C(=O)C(=O)NCC(=O)O Chemical compound CCCC(NC(=O)[C@@H]1CCCN1C(=O)C(NC(=O)[C@@H](NC(=O)OC(C)(C)C)C(C)C)C1C2=C(C=CC=C2)CCC2=C1C=CC=C2)C(=O)C(=O)NCC(=O)O PVKGEQZIVKMJSS-VWQTYRMVSA-N 0.000 description 2
- MNGKNMQDFUBULM-ZJZNHJNOSA-N CCCC(NC(=O)[C@@H]1CCCN1C(=O)[C@@H](NC(=O)OCC(C)C)C(C)C)C(=O)C(=O)NCC(=O)N1CCCCC1C(=O)O Chemical compound CCCC(NC(=O)[C@@H]1CCCN1C(=O)[C@@H](NC(=O)OCC(C)C)C(C)C)C(=O)C(=O)NCC(=O)N1CCCCC1C(=O)O MNGKNMQDFUBULM-ZJZNHJNOSA-N 0.000 description 2
- WULANLUZKHNQDM-FOFPODMLSA-N CCCC(NC(=O)[C@@H]1CCCN1C(=O)[C@@H](NC(=O)OCC(C)C)C(C)C)C(=O)C(=O)NCC(=O)N[C@@H](CC(=O)OC)C(=O)OC Chemical compound CCCC(NC(=O)[C@@H]1CCCN1C(=O)[C@@H](NC(=O)OCC(C)C)C(C)C)C(=O)C(=O)NCC(=O)N[C@@H](CC(=O)OC)C(=O)OC WULANLUZKHNQDM-FOFPODMLSA-N 0.000 description 2
- TZOYZZHSTXKXCE-ZDZADGERSA-N CCCC(NC(=O)[C@@H]1CCCN1C(=O)[C@@H](NC(=O)OCC(C)C)C1CCCCC1)C(=O)C(=O)NCC(=O)O Chemical compound CCCC(NC(=O)[C@@H]1CCCN1C(=O)[C@@H](NC(=O)OCC(C)C)C1CCCCC1)C(=O)C(=O)NCC(=O)O TZOYZZHSTXKXCE-ZDZADGERSA-N 0.000 description 2
- CKPDOMHNWPQRDE-IXWRAZNESA-N CCCC(NC(=O)[C@@H]1CCCN1C(=O)[C@@H](NC(=O)[C@@H](NC(=O)OCC(C)C)C(C)C)C(C)C)C(=O)C(=O)NCC(=O)O Chemical compound CCCC(NC(=O)[C@@H]1CCCN1C(=O)[C@@H](NC(=O)[C@@H](NC(=O)OCC(C)C)C(C)C)C(C)C)C(=O)C(=O)NCC(=O)O CKPDOMHNWPQRDE-IXWRAZNESA-N 0.000 description 2
- NVQKRCZGLRAGLP-RWZMTBSZSA-N CCCC(NC(=O)[C@@H]1CCCN1C[C@@H](NC(=O)OCC(C)C)C(C)C)C(=O)C(=O)NCC(=O)O Chemical compound CCCC(NC(=O)[C@@H]1CCCN1C[C@@H](NC(=O)OCC(C)C)C(C)C)C(=O)C(=O)NCC(=O)O NVQKRCZGLRAGLP-RWZMTBSZSA-N 0.000 description 2
- IMCFPZLOBPSJMB-PEYYGDOESA-N CCCC(NC(=O)[C@@H]1C[C@@H](NS(=O)(=O)C2=CC=CC=C2)CN1C(=O)[C@@H](NC(=O)OCC(C)C)C(C)C)C(=O)C(=O)NCC(=O)N[C@H](C(N)=O)C1=CC=CC=C1 Chemical compound CCCC(NC(=O)[C@@H]1C[C@@H](NS(=O)(=O)C2=CC=CC=C2)CN1C(=O)[C@@H](NC(=O)OCC(C)C)C(C)C)C(=O)C(=O)NCC(=O)N[C@H](C(N)=O)C1=CC=CC=C1 IMCFPZLOBPSJMB-PEYYGDOESA-N 0.000 description 2
- GVXDLBUWKUVYRK-VKINDGLQSA-N CCCC(NC(=O)[C@@H]1C[C@@H](O)CN1C(=O)[C@@H](NC(=O)C1=CC(Cl)=C(Cl)C=C1C(=O)O)C1CCCCC1)C(=O)C(=O)NCCOC(C(N)=O)C1=CC=CC=C1 Chemical compound CCCC(NC(=O)[C@@H]1C[C@@H](O)CN1C(=O)[C@@H](NC(=O)C1=CC(Cl)=C(Cl)C=C1C(=O)O)C1CCCCC1)C(=O)C(=O)NCCOC(C(N)=O)C1=CC=CC=C1 GVXDLBUWKUVYRK-VKINDGLQSA-N 0.000 description 2
- PYGMRSKNCVLTSQ-DOABYYAOSA-N CCCC(NC(=O)[C@@H]1C[C@@H](OC(C)(C)C)CN1C(=O)[C@@H](NC(=O)OCC(C)C)C(C)(C)C)C(=O)C(=O)NCC(=O)N[C@H](CO)C1CC1 Chemical compound CCCC(NC(=O)[C@@H]1C[C@@H](OC(C)(C)C)CN1C(=O)[C@@H](NC(=O)OCC(C)C)C(C)(C)C)C(=O)C(=O)NCC(=O)N[C@H](CO)C1CC1 PYGMRSKNCVLTSQ-DOABYYAOSA-N 0.000 description 2
- RRSPKASSOVLNPD-QJKSTGNASA-N CCCC(NC(=O)[C@@H]1C[C@@H](OC(C)(C)C)CN1C(=O)[C@@H](NC(=O)OCC(C)C)C(C)(C)C)C(=O)C(=O)NCC(=O)N[C@H](CO)C1SCCS1 Chemical compound CCCC(NC(=O)[C@@H]1C[C@@H](OC(C)(C)C)CN1C(=O)[C@@H](NC(=O)OCC(C)C)C(C)(C)C)C(=O)C(=O)NCC(=O)N[C@H](CO)C1SCCS1 RRSPKASSOVLNPD-QJKSTGNASA-N 0.000 description 2
- VGFMQNZFTSZXOI-DJXPPTTOSA-N CCCC(NC(=O)[C@@H]1C[C@@H](OC(C)(C)C)CN1C(=O)[C@@H](NC(=O)OCC(C)C)C(C)(C)C)C(=O)C(=O)NCC(=O)OCC1=CC=CC=C1 Chemical compound CCCC(NC(=O)[C@@H]1C[C@@H](OC(C)(C)C)CN1C(=O)[C@@H](NC(=O)OCC(C)C)C(C)(C)C)C(=O)C(=O)NCC(=O)OCC1=CC=CC=C1 VGFMQNZFTSZXOI-DJXPPTTOSA-N 0.000 description 2
- WKFUHTZMFLCREV-VRYFXCNMSA-N CCCC(NC(=O)[C@@H]1C[C@@H](OCC2=CC=CC=C2)CN1C(=O)[C@@H](NC(=O)C1=CC(Cl)=C(Cl)C=C1C(=O)O)C1CCCCC1)C(=O)C(=O)NCCOC(C(N)=O)C1=CC=CC=C1 Chemical compound CCCC(NC(=O)[C@@H]1C[C@@H](OCC2=CC=CC=C2)CN1C(=O)[C@@H](NC(=O)C1=CC(Cl)=C(Cl)C=C1C(=O)O)C1CCCCC1)C(=O)C(=O)NCCOC(C(N)=O)C1=CC=CC=C1 WKFUHTZMFLCREV-VRYFXCNMSA-N 0.000 description 2
- DPAJHJACZHAZDA-VGDGAYLZSA-N CCCC(NC(=O)[C@@H]1[C@@H]2[C@H](CN1C(=O)[C@@H](NC(=O)NC(C)(C)C)C(C)(C)C)C2(C)C)C(=O)C(N)=O Chemical compound CCCC(NC(=O)[C@@H]1[C@@H]2[C@H](CN1C(=O)[C@@H](NC(=O)NC(C)(C)C)C(C)(C)C)C2(C)C)C(=O)C(N)=O DPAJHJACZHAZDA-VGDGAYLZSA-N 0.000 description 2
- QSOWEPOBDLHKAS-DOVBMPENSA-N CCCC(NC(=O)[C@@H]1[C@@H]2[C@H](CN1C(=O)[C@@H](NC(=O)OC(C)(C)C)C(C)(C)C)C2(C)C)C(=O)C(=O)N(C)C Chemical compound CCCC(NC(=O)[C@@H]1[C@@H]2[C@H](CN1C(=O)[C@@H](NC(=O)OC(C)(C)C)C(C)(C)C)C2(C)C)C(=O)C(=O)N(C)C QSOWEPOBDLHKAS-DOVBMPENSA-N 0.000 description 2
- IDDHSTFDIPLFQC-NFUDYZNHSA-N CCCCC(CC(=O)[C@@H]1C2C(CN1C(=O)[C@@H](NC(=O)OC(C)C)C(C)(C)C)C2(C)C)C(=O)C(=O)CCC(=O)N[C@H](C(=O)N(C)C)C1=CC=CC=C1 Chemical compound CCCCC(CC(=O)[C@@H]1C2C(CN1C(=O)[C@@H](NC(=O)OC(C)C)C(C)(C)C)C2(C)C)C(=O)C(=O)CCC(=O)N[C@H](C(=O)N(C)C)C1=CC=CC=C1 IDDHSTFDIPLFQC-NFUDYZNHSA-N 0.000 description 2
- KBUVIUZDPPRPFX-QHDCCYLYSA-N CCCCC(CC(=O)[C@@H]1C2C(CN1C(=O)[C@@H](NC(=O)OC1CCCCC1)C(C)(C)C)C2(C)C)C(=O)C(=O)CCC(=O)N[C@H](C(=O)N(C)C)C1=CC=CC=C1 Chemical compound CCCCC(CC(=O)[C@@H]1C2C(CN1C(=O)[C@@H](NC(=O)OC1CCCCC1)C(C)(C)C)C2(C)C)C(=O)C(=O)CCC(=O)N[C@H](C(=O)N(C)C)C1=CC=CC=C1 KBUVIUZDPPRPFX-QHDCCYLYSA-N 0.000 description 2
- KICOGXOMTUMULT-LYLOBFJPSA-N CCCCC(CC(=O)[C@@H]1C[C@@H](OCC2=CC=CC=C2)CN1C(=O)C(CC(=O)C1CCCCC1)C1CCCCC1)C(=O)C(=O)CCC(=O)NC(C(N)=O)C1=CC=CC=C1 Chemical compound CCCCC(CC(=O)[C@@H]1C[C@@H](OCC2=CC=CC=C2)CN1C(=O)C(CC(=O)C1CCCCC1)C1CCCCC1)C(=O)C(=O)CCC(=O)NC(C(N)=O)C1=CC=CC=C1 KICOGXOMTUMULT-LYLOBFJPSA-N 0.000 description 2
- JEPCASQUAROMJE-UHFFFAOYSA-N CCCCC(NC(=O)C1C2CC(C3CC32)N1C(=O)C(NC(=O)OC(C)(C)C)C(C)(C)C)C(=O)C(=O)NCC(=O)NC(C(=O)N(C)C)C1=CC=CC=C1 Chemical compound CCCCC(NC(=O)C1C2CC(C3CC32)N1C(=O)C(NC(=O)OC(C)(C)C)C(C)(C)C)C(=O)C(=O)NCC(=O)NC(C(=O)N(C)C)C1=CC=CC=C1 JEPCASQUAROMJE-UHFFFAOYSA-N 0.000 description 2
- CCKQNSPANGRMES-HRMVYQRMSA-N CCCCC(NC(=O)CCC(=O)C(=O)C(CCC)CC(=O)[C@@H]1C[C@@H](OCC(=O)OC(C)(C)C)CN1C(=O)C(CC(=O)CC1CCCCC1)C1CCCCC1)C(N)=O Chemical compound CCCCC(NC(=O)CCC(=O)C(=O)C(CCC)CC(=O)[C@@H]1C[C@@H](OCC(=O)OC(C)(C)C)CN1C(=O)C(CC(=O)CC1CCCCC1)C1CCCCC1)C(N)=O CCKQNSPANGRMES-HRMVYQRMSA-N 0.000 description 2
- XUMMZKQTWBJGBS-DNLXTOQISA-N CCCCC(NC(=O)[C@@H]1C2C(CN1C(=O)[C@@H](NC(=O)OC(C)(C)C)C(C)(C)C)C2(C)C)C(=O)C(=O)NCC(=O)N[C@H](C(=O)N(C)C)C1=CSC=C1 Chemical compound CCCCC(NC(=O)[C@@H]1C2C(CN1C(=O)[C@@H](NC(=O)OC(C)(C)C)C(C)(C)C)C2(C)C)C(=O)C(=O)NCC(=O)N[C@H](C(=O)N(C)C)C1=CSC=C1 XUMMZKQTWBJGBS-DNLXTOQISA-N 0.000 description 2
- HIFIPCDYQSDTCD-ZTNRTKLDSA-N CCCCC(NC(=O)[C@@H]1CC(C)(C)CC1C(=O)[C@@H](NC(=O)OC(C)(C)C)C(C)(C)C)C(=O)C(=O)OC Chemical compound CCCCC(NC(=O)[C@@H]1CC(C)(C)CC1C(=O)[C@@H](NC(=O)OC(C)(C)C)C(C)(C)C)C(=O)C(=O)OC HIFIPCDYQSDTCD-ZTNRTKLDSA-N 0.000 description 2
- BYJPQRYKRFKXED-GSIUETRJSA-N CCCCC(NC(=O)[C@@H]1CC(C)(C)CN1C(=O)[C@@H](NC(=O)OC(C)(C)C)C(C)(C)C)C(=O)C(=O)NCC(=O)N[C@H](C(=O)N(C)C)C1=CC=CC=C1 Chemical compound CCCCC(NC(=O)[C@@H]1CC(C)(C)CN1C(=O)[C@@H](NC(=O)OC(C)(C)C)C(C)(C)C)C(=O)C(=O)NCC(=O)N[C@H](C(=O)N(C)C)C1=CC=CC=C1 BYJPQRYKRFKXED-GSIUETRJSA-N 0.000 description 2
- OQJKMEQMRPESFD-JYLWYXFKSA-N CCCCC(NC(=O)[C@@H]1CC(C)(C)CN1C(=O)[C@@H](NC(=O)O[C@@H](C)C(C)C)C(C)(C)C)C(=O)C(=O)NCC(=O)N[C@H](C(=O)N(C)C)C1=CC=CC=C1 Chemical compound CCCCC(NC(=O)[C@@H]1CC(C)(C)CN1C(=O)[C@@H](NC(=O)O[C@@H](C)C(C)C)C(C)(C)C)C(=O)C(=O)NCC(=O)N[C@H](C(=O)N(C)C)C1=CC=CC=C1 OQJKMEQMRPESFD-JYLWYXFKSA-N 0.000 description 2
- MXCLOOXALILTPM-IGWRBXEPSA-N CCCCC(NC(=O)[C@@H]1CC2(CN1C(=O)[C@@H](NC(=O)OCC(C)C)C1CCCCC1)SCCCS2)C(=O)C(=O)NCC(=O)NC(C(=O)O)C1=CC=CC=C1 Chemical compound CCCCC(NC(=O)[C@@H]1CC2(CN1C(=O)[C@@H](NC(=O)OCC(C)C)C1CCCCC1)SCCCS2)C(=O)C(=O)NCC(=O)NC(C(=O)O)C1=CC=CC=C1 MXCLOOXALILTPM-IGWRBXEPSA-N 0.000 description 2
- CDCLITQUNDURAC-MOBSYFJUSA-N CCCCC(NC(=O)[C@@H]1C[C@@H](OC(C)(C)C)CN1C(=O)[C@@H](NC(=O)OCC(C)C)C(C)(C)C)C(=O)C(=O)NCC(=O)NC[C@H](NC(=O)OC(C)(C)C)C1=CC=CC=C1 Chemical compound CCCCC(NC(=O)[C@@H]1C[C@@H](OC(C)(C)C)CN1C(=O)[C@@H](NC(=O)OCC(C)C)C(C)(C)C)C(=O)C(=O)NCC(=O)NC[C@H](NC(=O)OC(C)(C)C)C1=CC=CC=C1 CDCLITQUNDURAC-MOBSYFJUSA-N 0.000 description 2
- HYIHJABCTOPRJB-LMMYRHHLSA-N CCCCC(NC(=O)[C@@H]1C[C@@H](OC(C)(C)C)CN1C(=O)[C@@H](NC(=O)OCC(C)C)C(C)(C)C)C(=O)C(=O)NCC(=O)N[C@@H](CNC(=O)C1=CC=CO1)C1=CC=CC=C1 Chemical compound CCCCC(NC(=O)[C@@H]1C[C@@H](OC(C)(C)C)CN1C(=O)[C@@H](NC(=O)OCC(C)C)C(C)(C)C)C(=O)C(=O)NCC(=O)N[C@@H](CNC(=O)C1=CC=CO1)C1=CC=CC=C1 HYIHJABCTOPRJB-LMMYRHHLSA-N 0.000 description 2
- FYKAMAVSYQIGNM-LYUBYTMKSA-N CCCCC(NC(=O)[C@@H]1C[C@@H](OC(C)(C)C)CN1C(=O)[C@@H](NC(=O)OCC(C)C)C(C)(C)C)C(=O)C(=O)NCC(=O)OC Chemical compound CCCCC(NC(=O)[C@@H]1C[C@@H](OC(C)(C)C)CN1C(=O)[C@@H](NC(=O)OCC(C)C)C(C)(C)C)C(=O)C(=O)NCC(=O)OC FYKAMAVSYQIGNM-LYUBYTMKSA-N 0.000 description 2
- ULRQJHUUMIMSSX-OOLXUQFVSA-N CCCC[C@H](NC(=O)[C@@H]1C[C@@H](CCC(C)C)CN1C(=O)[C@@H](NC(=O)OC(C)(C)C)C(C)(C)C)C(=O)C(=O)NCC(=O)NC(C(=O)N(C)C)C1=CC=CC=C1 Chemical compound CCCC[C@H](NC(=O)[C@@H]1C[C@@H](CCC(C)C)CN1C(=O)[C@@H](NC(=O)OC(C)(C)C)C(C)(C)C)C(=O)C(=O)NCC(=O)NC(C(=O)N(C)C)C1=CC=CC=C1 ULRQJHUUMIMSSX-OOLXUQFVSA-N 0.000 description 2
- QEOAFKFSQWPRHQ-APHBZHJBSA-N CCC[C@@H](NC(=O)[C@@H]1C(OC(C)(C)C)CCN1C(=O)[C@@H](NC(=O)OC(C)(C)C)C(C)(C)C)C(=O)C(=O)NCC(=O)NC(C(=O)N(C)C)C1=CC=CC=C1 Chemical compound CCC[C@@H](NC(=O)[C@@H]1C(OC(C)(C)C)CCN1C(=O)[C@@H](NC(=O)OC(C)(C)C)C(C)(C)C)C(=O)C(=O)NCC(=O)NC(C(=O)N(C)C)C1=CC=CC=C1 QEOAFKFSQWPRHQ-APHBZHJBSA-N 0.000 description 2
- HFGDSAPMJJQCBA-TZBCGOAZSA-N CCC[C@@H](NC(=O)[C@@H]1C[C@@H](CCC(C)C)CN1C(=O)[C@@H](NC(=O)OC(C)(C)C)C(C)(C)C)C(=O)C(=O)NCC(=O)NC(C(=O)N(C)C)C1=CC=CC=C1 Chemical compound CCC[C@@H](NC(=O)[C@@H]1C[C@@H](CCC(C)C)CN1C(=O)[C@@H](NC(=O)OC(C)(C)C)C(C)(C)C)C(=O)C(=O)NCC(=O)NC(C(=O)N(C)C)C1=CC=CC=C1 HFGDSAPMJJQCBA-TZBCGOAZSA-N 0.000 description 2
- PTUSUDUGGYDJKS-YMQSMIAGSA-N CCC[C@@H](NC(=O)[C@@H]1[C@H]2[C@@H]3CC[C@@H](C3)[C@H]2CN1C(=O)[C@@H](NC(=O)OCC(C)C)C(C)(C)C)C(=O)C(=O)NCC(=O)NC(C(=O)N(C)C)C1=CC=CC=C1 Chemical compound CCC[C@@H](NC(=O)[C@@H]1[C@H]2[C@@H]3CC[C@@H](C3)[C@H]2CN1C(=O)[C@@H](NC(=O)OCC(C)C)C(C)(C)C)C(=O)C(=O)NCC(=O)NC(C(=O)N(C)C)C1=CC=CC=C1 PTUSUDUGGYDJKS-YMQSMIAGSA-N 0.000 description 2
- QEOAFKFSQWPRHQ-YFOMGIEESA-N CCC[C@H](NC(=O)[C@@H]1C(OC(C)(C)C)CCN1C(=O)[C@@H](NC(=O)OC(C)(C)C)C(C)(C)C)C(=O)C(=O)NCC(=O)NC(C(=O)N(C)C)C1=CC=CC=C1 Chemical compound CCC[C@H](NC(=O)[C@@H]1C(OC(C)(C)C)CCN1C(=O)[C@@H](NC(=O)OC(C)(C)C)C(C)(C)C)C(=O)C(=O)NCC(=O)NC(C(=O)N(C)C)C1=CC=CC=C1 QEOAFKFSQWPRHQ-YFOMGIEESA-N 0.000 description 2
- SPLLAHPMNRUSCG-GUFLDVNBSA-N CCC[C@H](NC(=O)[C@@H]1CC(C)(C)CN1C(=O)[C@@H](NC(=O)OCC(C)C)C(C)(O)O)C(=O)C(=O)NCC(=O)NC(C(=O)N(C)C)C1=CC=CC=C1 Chemical compound CCC[C@H](NC(=O)[C@@H]1CC(C)(C)CN1C(=O)[C@@H](NC(=O)OCC(C)C)C(C)(O)O)C(=O)C(=O)NCC(=O)NC(C(=O)N(C)C)C1=CC=CC=C1 SPLLAHPMNRUSCG-GUFLDVNBSA-N 0.000 description 2
- LLBFWFWSOSARMM-UHFFFAOYSA-N CN(C)C(=O)C(NC(=O)CNC(=O)C(=O)C(CC1CC1)NC(=O)C1C2CC(C)(C)CC2CN1C(=O)C(NC(=O)OC(C)(C)C)C1CCCCC1)C1=CC=CC=C1 Chemical compound CN(C)C(=O)C(NC(=O)CNC(=O)C(=O)C(CC1CC1)NC(=O)C1C2CC(C)(C)CC2CN1C(=O)C(NC(=O)OC(C)(C)C)C1CCCCC1)C1=CC=CC=C1 LLBFWFWSOSARMM-UHFFFAOYSA-N 0.000 description 2
- HNWIPSYIIUUDIK-UHFFFAOYSA-N CN(C)C(=O)NC(C(=O)N1CC2C(C1C(=O)NC(CC1CCC1)C(=O)C(N)=O)C2(C)C)C1CCCCC1 Chemical compound CN(C)C(=O)NC(C(=O)N1CC2C(C1C(=O)NC(CC1CCC1)C(=O)C(N)=O)C2(C)C)C1CCCCC1 HNWIPSYIIUUDIK-UHFFFAOYSA-N 0.000 description 2
- CMRFWZWLFREHEU-IEZGCBEESA-N CN(C)C(=O)[C@@H](NC(=O)CNC(=O)C(=O)C(CC1CC1)NC(=O)[C@@H]1C2C(CN1C(=O)[C@@H](NC(=O)OC(C)(C)C)C1CC3=C(C=CC=C3)C1)C2(C)C)C1=CC=CC=C1 Chemical compound CN(C)C(=O)[C@@H](NC(=O)CNC(=O)C(=O)C(CC1CC1)NC(=O)[C@@H]1C2C(CN1C(=O)[C@@H](NC(=O)OC(C)(C)C)C1CC3=C(C=CC=C3)C1)C2(C)C)C1=CC=CC=C1 CMRFWZWLFREHEU-IEZGCBEESA-N 0.000 description 2
- UPXRTVAIJMUAQR-VFNWGFHPSA-N [H]OC(=O)[C@@H]1C[C@@H](NC(=O)OCC2C3=C(C=CC=C3)C3=C2C=CC=C3)CN1C(=O)OC(C)(C)C Chemical compound [H]OC(=O)[C@@H]1C[C@@H](NC(=O)OCC2C3=C(C=CC=C3)C3=C2C=CC=C3)CN1C(=O)OC(C)(C)C UPXRTVAIJMUAQR-VFNWGFHPSA-N 0.000 description 2
- SXRZHRCIIMCSBE-HMRYQANSSA-N [H][C@@](C)(CC)C(NC(=O)[C@@H]1C[C@@H](OC(C)(C)C)CN1C(=O)C(NC(=O)OCC(C)C)C(C)(C)C)C(=O)C(=O)NCC(=O)N[C@@H](C1=CC=CC=C1)[C@H](C)O Chemical compound [H][C@@](C)(CC)C(NC(=O)[C@@H]1C[C@@H](OC(C)(C)C)CN1C(=O)C(NC(=O)OCC(C)C)C(C)(C)C)C(=O)C(=O)NCC(=O)N[C@@H](C1=CC=CC=C1)[C@H](C)O SXRZHRCIIMCSBE-HMRYQANSSA-N 0.000 description 2
- JRYROORWGXVSEU-YJWMKFRGSA-N [H][C@@](C)(CC)C(NC(=O)[C@@H]1C[C@@H](OC(C)(C)C)CN1C(=O)C(NC(=O)OCC(C)C)C(C)(C)C)C(=O)C(=O)NCC(=O)N[C@H](C(=O)N(C)C)C1=CC=CC=C1 Chemical compound [H][C@@](C)(CC)C(NC(=O)[C@@H]1C[C@@H](OC(C)(C)C)CN1C(=O)C(NC(=O)OCC(C)C)C(C)(C)C)C(=O)C(=O)NCC(=O)N[C@H](C(=O)N(C)C)C1=CC=CC=C1 JRYROORWGXVSEU-YJWMKFRGSA-N 0.000 description 2
- LWIRHLBCIJVXPB-RRRZCESPSA-N [H][C@@]1(C(=O)NC2(C(=O)O)CC2C=C)C[C@@H](OC2=C3C=CC(OC)=CC3=NC(C3=CC=CC=C3)=C2)CN1C(=O)[C@@H](NC(=O)OC(C)(C)C)C(C)C Chemical compound [H][C@@]1(C(=O)NC2(C(=O)O)CC2C=C)C[C@@H](OC2=C3C=CC(OC)=CC3=NC(C3=CC=CC=C3)=C2)CN1C(=O)[C@@H](NC(=O)OC(C)(C)C)C(C)C LWIRHLBCIJVXPB-RRRZCESPSA-N 0.000 description 2
- QZLORSCGRYQTJL-UZLDWMDBSA-N [H][C@@]12CCCC[C@]1([H])CN(C(=O)OCC1=CC=CC=C1)[C@H](C(=O)NC(CCC)C(=O)C(=O)NCC(=O)OCCC)C2 Chemical compound [H][C@@]12CCCC[C@]1([H])CN(C(=O)OCC1=CC=CC=C1)[C@H](C(=O)NC(CCC)C(=O)C(=O)NCC(=O)OCCC)C2 QZLORSCGRYQTJL-UZLDWMDBSA-N 0.000 description 2
- DMDFDZAGDOSPIM-UHFFFAOYSA-N B.C1CCOC1.CCCC(CO)NC(=O)OC(C)(C)C.CCCC(NC(=O)OC(C)(C)C)C(=O)O Chemical compound B.C1CCOC1.CCCC(CO)NC(=O)OC(C)(C)C.CCCC(NC(=O)OC(C)(C)C)C(=O)O DMDFDZAGDOSPIM-UHFFFAOYSA-N 0.000 description 1
- HGOVUJXOJNRSNN-AIWVCQNPSA-N C#CC1=CC=C(CC(=O)N[C@H](C(=O)N2CC3C([C@H]2C(=O)NC(CCC=C)C(=O)C(=O)CCC=C)C3(C)C)C2CC3=C(C=CC=C3)C2)C=C1 Chemical compound C#CC1=CC=C(CC(=O)N[C@H](C(=O)N2CC3C([C@H]2C(=O)NC(CCC=C)C(=O)C(=O)CCC=C)C3(C)C)C2CC3=C(C=CC=C3)C2)C=C1 HGOVUJXOJNRSNN-AIWVCQNPSA-N 0.000 description 1
- SRFRHGFIJYDIHM-ZJMLKMEGSA-N C#CC1=CC=C(OC(=O)N[C@H](C(=O)N2CC3C([C@H]2C(=O)CC(CCC)C(=O)C(=O)CCC(=O)N[C@H](C(=O)N(C)C)C2=CC=CC=C2)C3(C)C)C(C)(C)C)C=C1 Chemical compound C#CC1=CC=C(OC(=O)N[C@H](C(=O)N2CC3C([C@H]2C(=O)CC(CCC)C(=O)C(=O)CCC(=O)N[C@H](C(=O)N(C)C)C2=CC=CC=C2)C3(C)C)C(C)(C)C)C=C1 SRFRHGFIJYDIHM-ZJMLKMEGSA-N 0.000 description 1
- NQBSZIJQFYEJOI-BPEGCDQASA-N C#CC1=CC=C(OC(=O)N[C@H](C(=O)N2CC3C([C@H]2C(=O)CC(CCCC)C(=O)C(=O)CCC(=O)N[C@H](C(=O)N(C)C)C2=CC=CC=C2)C3(C)C)C(C)(C)C)C=C1 Chemical compound C#CC1=CC=C(OC(=O)N[C@H](C(=O)N2CC3C([C@H]2C(=O)CC(CCCC)C(=O)C(=O)CCC(=O)N[C@H](C(=O)N(C)C)C2=CC=CC=C2)C3(C)C)C(C)(C)C)C=C1 NQBSZIJQFYEJOI-BPEGCDQASA-N 0.000 description 1
- OUGGSWRIVFQLCF-UHFFFAOYSA-N C#CCC(C)C.C#CCCC(C)C.C=C(C)CC(C)C.C=CC(F)(F)CC(C)C.C=CCC(C)C.C=CCC(F)(F)C(C)C.C=CCCC(C)C.C=CCCCC(C)C.CC(C)C.CC(C)C(C)C.CC(C)C(F)(F)C1CCC1.CC(C)C(F)(F)F.CC(C)CC(C)(F)F.CC(C)CC(C)C.CC(C)CC(F)F.CC(C)CC1(C)CC1.CC(C)CC1CC(F)(F)C1.CC(C)CC1CCC1.CC(C)CC1COC1.CC(C)CC1CSC1.CC(C)CC=C(F)F.CC(C)CCC(C)C.CC(C)CCC(F)(F)F.CCC(C)C.CCC(C)C.CCC(C)C(C)C.CCC(F)(F)C(C)C.CCCC(C)(C)C.CCCC(C)(C)CC.CCCC(C)(C)CCC.CCCC(C)C.CCCC(C)C.CCCCC(C)C.CCCCC(C)C.CCCCC(C)C.CCCCCC(C)C.COCC(C)C.COCCC(C)C.[H]C(C)C Chemical compound C#CCC(C)C.C#CCCC(C)C.C=C(C)CC(C)C.C=CC(F)(F)CC(C)C.C=CCC(C)C.C=CCC(F)(F)C(C)C.C=CCCC(C)C.C=CCCCC(C)C.CC(C)C.CC(C)C(C)C.CC(C)C(F)(F)C1CCC1.CC(C)C(F)(F)F.CC(C)CC(C)(F)F.CC(C)CC(C)C.CC(C)CC(F)F.CC(C)CC1(C)CC1.CC(C)CC1CC(F)(F)C1.CC(C)CC1CCC1.CC(C)CC1COC1.CC(C)CC1CSC1.CC(C)CC=C(F)F.CC(C)CCC(C)C.CC(C)CCC(F)(F)F.CCC(C)C.CCC(C)C.CCC(C)C(C)C.CCC(F)(F)C(C)C.CCCC(C)(C)C.CCCC(C)(C)CC.CCCC(C)(C)CCC.CCCC(C)C.CCCC(C)C.CCCCC(C)C.CCCCC(C)C.CCCCC(C)C.CCCCCC(C)C.COCC(C)C.COCCC(C)C.[H]C(C)C OUGGSWRIVFQLCF-UHFFFAOYSA-N 0.000 description 1
- WKDAZZJOFXCVBP-UHFFFAOYSA-N C#CCCC.C#CCCClN.C#CCCN(C(=O)OC(C)(C)C)C(=O)OC(C)(C)C.C#CCCO.CC#CC#CC#CSOOCl.CC(C)(C)OC(=O)NC(=O)OC(C)(C)C Chemical compound C#CCCC.C#CCCClN.C#CCCN(C(=O)OC(C)(C)C)C(=O)OC(C)(C)C.C#CCCO.CC#CC#CC#CSOOCl.CC(C)(C)OC(=O)NC(=O)OC(C)(C)C WKDAZZJOFXCVBP-UHFFFAOYSA-N 0.000 description 1
- QHFUHDMGQREFDR-DRFPKQCGSA-N C#CCCCC(=O)C(=O)C(CCC=C)CC(=O)[C@@H]1[C@@H]2[C@H](CN1C(=O)[C@@H](NC(=O)NC13CC4CC(CC(C4)C1)C3)C1CCCCC1)C2(C)C.C=CCCC(=O)C(=O)C(CCC)CC(=O)[C@@H]1[C@@H]2[C@H](CN1C(=O)[C@@H](NC(=O)OC1C3(C)CCC(C3)C1(C)C)C1CCCCC1)C2(C)C.C=CCCC(CC(=O)[C@@H]1[C@@H]2[C@H](CN1C(=O)[C@@H](NC(=O)OC(C)(C)C)C1CCCCC1)C2(C)C)C(=O)C(=O)CCCC(=O)OC1(C)CC1.CC(C)(C)OC(=O)N[C@H](C(=O)N1C[C@H]2[C@@H]([C@H]1C(=O)CC(CC1CCC1)C(=O)C(=O)CCC(=O)OCC1=CC=CC=C1)C2(C)C)C1CCCCC1.CCCC(CC(=O)[C@@H]1[C@@H]2[C@H](CN1C(=O)[C@@H](NC(=O)OC(C)(C)C)C1CC3=C(C=CC=C3)C1)C2(C)C)C(=O)C(=O)CCC(=O)NCC1=CC=CC=C1 Chemical compound C#CCCCC(=O)C(=O)C(CCC=C)CC(=O)[C@@H]1[C@@H]2[C@H](CN1C(=O)[C@@H](NC(=O)NC13CC4CC(CC(C4)C1)C3)C1CCCCC1)C2(C)C.C=CCCC(=O)C(=O)C(CCC)CC(=O)[C@@H]1[C@@H]2[C@H](CN1C(=O)[C@@H](NC(=O)OC1C3(C)CCC(C3)C1(C)C)C1CCCCC1)C2(C)C.C=CCCC(CC(=O)[C@@H]1[C@@H]2[C@H](CN1C(=O)[C@@H](NC(=O)OC(C)(C)C)C1CCCCC1)C2(C)C)C(=O)C(=O)CCCC(=O)OC1(C)CC1.CC(C)(C)OC(=O)N[C@H](C(=O)N1C[C@H]2[C@@H]([C@H]1C(=O)CC(CC1CCC1)C(=O)C(=O)CCC(=O)OCC1=CC=CC=C1)C2(C)C)C1CCCCC1.CCCC(CC(=O)[C@@H]1[C@@H]2[C@H](CN1C(=O)[C@@H](NC(=O)OC(C)(C)C)C1CC3=C(C=CC=C3)C1)C2(C)C)C(=O)C(=O)CCC(=O)NCC1=CC=CC=C1 QHFUHDMGQREFDR-DRFPKQCGSA-N 0.000 description 1
- NNWVDAHELFDTQK-CCVVMJBXSA-N C#CCCCC(=O)C(=O)C(CCC=C)CC(=O)[C@@H]1[C@@H]2[C@H](CN1C(=O)[C@@H](NC(=O)NC13CC4CC(CC(C4)C1)C3)C1CCCCC1)C2(C)C.C=CCCC(=O)C(=O)C(CCC)CC(=O)[C@@H]1[C@@H]2[C@H](CN1C(=O)[C@@H](NC(=O)OC1C3(C)CCC(C3)C1(C)C)C1CCCCC1)C2(C)C.C=CCCCC(=O)C(=O)C(CCC=C)CC(=O)[C@@H]1[C@@H]2[C@H](CN1C(=O)[C@@H](NC(=O)NC(C)(C)C)C1CCCCC1)C2(Cl)Cl.CC(C)(C)OC(=O)N[C@H](C(=O)N1C[C@H]2[C@@H]([C@H]1C(=O)CC(CC1CCC1)C(=O)C(=O)CCC(=O)OCC1=CC=CC=C1)C2(C)C)C1CCCCC1.CCC(=O)C(=O)C(CC(=O)[C@@H]1[C@@H]2[C@H](CN1C(=O)[C@@H](NC(=O)O[C@H]1CCC[C@@H]1C)C1CC3=C(C=CC=C3)C1)C2(C)C)CC1CC1.CCCC(CC(=O)[C@@H]1[C@@H]2[C@H](CN1C(=O)[C@@H](NC(=O)OC(C)(C)C)C1CC3=C(C=CC=C3)C1)C2(C)C)C(=O)C(=O)CCC(=O)NCC1=CC=CC=C1 Chemical compound C#CCCCC(=O)C(=O)C(CCC=C)CC(=O)[C@@H]1[C@@H]2[C@H](CN1C(=O)[C@@H](NC(=O)NC13CC4CC(CC(C4)C1)C3)C1CCCCC1)C2(C)C.C=CCCC(=O)C(=O)C(CCC)CC(=O)[C@@H]1[C@@H]2[C@H](CN1C(=O)[C@@H](NC(=O)OC1C3(C)CCC(C3)C1(C)C)C1CCCCC1)C2(C)C.C=CCCCC(=O)C(=O)C(CCC=C)CC(=O)[C@@H]1[C@@H]2[C@H](CN1C(=O)[C@@H](NC(=O)NC(C)(C)C)C1CCCCC1)C2(Cl)Cl.CC(C)(C)OC(=O)N[C@H](C(=O)N1C[C@H]2[C@@H]([C@H]1C(=O)CC(CC1CCC1)C(=O)C(=O)CCC(=O)OCC1=CC=CC=C1)C2(C)C)C1CCCCC1.CCC(=O)C(=O)C(CC(=O)[C@@H]1[C@@H]2[C@H](CN1C(=O)[C@@H](NC(=O)O[C@H]1CCC[C@@H]1C)C1CC3=C(C=CC=C3)C1)C2(C)C)CC1CC1.CCCC(CC(=O)[C@@H]1[C@@H]2[C@H](CN1C(=O)[C@@H](NC(=O)OC(C)(C)C)C1CC3=C(C=CC=C3)C1)C2(C)C)C(=O)C(=O)CCC(=O)NCC1=CC=CC=C1 NNWVDAHELFDTQK-CCVVMJBXSA-N 0.000 description 1
- JXCHPANNJFHFKB-UHFFFAOYSA-N C#CCCOC(C)C.C=C(C)COC(C)C.C=CCOC(C)C.CC#CCOC(C)C.CC#COC(C)C.CC(C)COC(C)C.CC(C)OC(C)(C)C.CC(C)OC(C)C.CC(C)OC(C)C(C)C.CC(C)OC12CC3CC(CC(C3)C1)C2.CC(C)OC1CCC1.CC(C)OC1CCOCC1.CC(C)OCC#CC(C)(C)C.CC(C)OCC(C)(C)C.CC(C)OCC(C)(C)C.CC(C)OCC(C)(C)F.CC(C)OCC(C)C1CCCCC1.CC(C)OCC1=CC=CC=C1.CC(C)OCC1C2=C(C=CC=C2)C2=C\C=C/C=C\21.CC(C)OCC1C2CCC(C2)C1C.CC(C)OCC1CCC1.CC1=CC=C(OC(C)C)C=C1.CC1CCC(COC(C)C)CC1.CC1CCC(OC(C)C)CC1.CCC(C)C(C)C.CCC(CC)OC(C)C.CCOC(C)C.CCOC(C)C.CCOC1(OC(C)C)CC1.O=C=O.[H]C#CCOC(C)C Chemical compound C#CCCOC(C)C.C=C(C)COC(C)C.C=CCOC(C)C.CC#CCOC(C)C.CC#COC(C)C.CC(C)COC(C)C.CC(C)OC(C)(C)C.CC(C)OC(C)C.CC(C)OC(C)C(C)C.CC(C)OC12CC3CC(CC(C3)C1)C2.CC(C)OC1CCC1.CC(C)OC1CCOCC1.CC(C)OCC#CC(C)(C)C.CC(C)OCC(C)(C)C.CC(C)OCC(C)(C)C.CC(C)OCC(C)(C)F.CC(C)OCC(C)C1CCCCC1.CC(C)OCC1=CC=CC=C1.CC(C)OCC1C2=C(C=CC=C2)C2=C\C=C/C=C\21.CC(C)OCC1C2CCC(C2)C1C.CC(C)OCC1CCC1.CC1=CC=C(OC(C)C)C=C1.CC1CCC(COC(C)C)CC1.CC1CCC(OC(C)C)CC1.CCC(C)C(C)C.CCC(CC)OC(C)C.CCOC(C)C.CCOC(C)C.CCOC1(OC(C)C)CC1.O=C=O.[H]C#CCOC(C)C JXCHPANNJFHFKB-UHFFFAOYSA-N 0.000 description 1
- CCVJVUBYSLRVOC-UHFFFAOYSA-N C.C#CCCNC(C)C.C#CCNC(C)C.C=CCCNC(C)C.C=CCNC(C)C.CC.CC(C)C.CC(C)C.CC(C)C.CC(C)CC1=CSC=C1.CC(C)N(C)C(C)(C)C.CC(C)N(C)CC1=CC=CC=C1.CC(C)N1CCCC1.CC(C)N1CCCCC1.CC(C)N1CCCCC1.CC(C)N1CCOCC1.CC(C)NC(C)(C)C.CC(C)NC(C)(C)C1=CC=CC=C1.CC(C)NC(C)(C)CO.CC(C)NC(C)C1=CC=CC=C1.CC(C)NC(C)C1=CC=NC=C1.CC(C)NCC1=CC=CC=C1.CC(C)NCCO.CC(O)CNC(C)C.CNC(C)C Chemical compound C.C#CCCNC(C)C.C#CCNC(C)C.C=CCCNC(C)C.C=CCNC(C)C.CC.CC(C)C.CC(C)C.CC(C)C.CC(C)CC1=CSC=C1.CC(C)N(C)C(C)(C)C.CC(C)N(C)CC1=CC=CC=C1.CC(C)N1CCCC1.CC(C)N1CCCCC1.CC(C)N1CCCCC1.CC(C)N1CCOCC1.CC(C)NC(C)(C)C.CC(C)NC(C)(C)C1=CC=CC=C1.CC(C)NC(C)(C)CO.CC(C)NC(C)C1=CC=CC=C1.CC(C)NC(C)C1=CC=NC=C1.CC(C)NCC1=CC=CC=C1.CC(C)NCCO.CC(O)CNC(C)C.CNC(C)C CCVJVUBYSLRVOC-UHFFFAOYSA-N 0.000 description 1
- NDXBQDLTAQQKIP-UHFFFAOYSA-N C.C.C.C.C.CC(CC1=CC=CC=C1)C(=O)O.CC(CC1=CC=CC=C1)C(O)C#N.CC(CC1=CC=CC=C1)C(O)C(=O)O.CON(C)C(=O)C(C)CC1=CC=CC=C1.[H]C(=O)C(C)CC1=CC=CC=C1 Chemical compound C.C.C.C.C.CC(CC1=CC=CC=C1)C(=O)O.CC(CC1=CC=CC=C1)C(O)C#N.CC(CC1=CC=CC=C1)C(O)C(=O)O.CON(C)C(=O)C(C)CC1=CC=CC=C1.[H]C(=O)C(C)CC1=CC=CC=C1 NDXBQDLTAQQKIP-UHFFFAOYSA-N 0.000 description 1
- YFSYNAAJTOJUPA-GUPIWAPHSA-N C.C.CC(C)(C)CC(=O)C[C@H](C(=O)N1C[C@H]2[C@@H]([C@H]1C(=O)CC(CC1CCC1)C(O)C(N)=O)C2(Cl)Cl)C1CCCCC1.NCl[C@H](C(=O)N1C[C@H]2[C@@H]([C@H]1C(=O)CC(CC1CCC1)C(O)C(N)=O)C2(Cl)Cl)C1CCCCC1 Chemical compound C.C.CC(C)(C)CC(=O)C[C@H](C(=O)N1C[C@H]2[C@@H]([C@H]1C(=O)CC(CC1CCC1)C(O)C(N)=O)C2(Cl)Cl)C1CCCCC1.NCl[C@H](C(=O)N1C[C@H]2[C@@H]([C@H]1C(=O)CC(CC1CCC1)C(O)C(N)=O)C2(Cl)Cl)C1CCCCC1 YFSYNAAJTOJUPA-GUPIWAPHSA-N 0.000 description 1
- DEQPBGSURZLMFA-CDOHXLIMSA-N C.C.C[C@H](C(=O)N1C[C@H]2[C@@H]([C@H]1C(=O)CC(CC1CCC1)C(O)C(N)=O)C2(Cl)Cl)C1CCCCC1.NCl[C@H](C(=O)N1C[C@H]2[C@@H]([C@H]1C(=O)CC(CC1CCC1)C(O)C(N)=O)C2(Cl)Cl)C1CCCCC1 Chemical compound C.C.C[C@H](C(=O)N1C[C@H]2[C@@H]([C@H]1C(=O)CC(CC1CCC1)C(O)C(N)=O)C2(Cl)Cl)C1CCCCC1.NCl[C@H](C(=O)N1C[C@H]2[C@@H]([C@H]1C(=O)CC(CC1CCC1)C(O)C(N)=O)C2(Cl)Cl)C1CCCCC1 DEQPBGSURZLMFA-CDOHXLIMSA-N 0.000 description 1
- VVKAHQTUORGSQK-ZSQHYXNMSA-N C.C=C(C)C[C@@H]1[C@@H](C(=O)O)N(C(=O)OCC2=CC=CC=C2)C[C@@H]1O.C=C(C)C[C@@H]1[C@@H](C(=O)OC)N(C(=O)OCC2=CC=CC=C2)C[C@@H]1O Chemical compound C.C=C(C)C[C@@H]1[C@@H](C(=O)O)N(C(=O)OCC2=CC=CC=C2)C[C@@H]1O.C=C(C)C[C@@H]1[C@@H](C(=O)OC)N(C(=O)OCC2=CC=CC=C2)C[C@@H]1O VVKAHQTUORGSQK-ZSQHYXNMSA-N 0.000 description 1
- XHUXJNGEHDZWOY-HIJZUMDTSA-N C.C=C(C)C[C@@H]1[C@@H](C(=O)OC)N(C(=O)OCC2=CC=CC=C2)C[C@@H]1O.COC(=O)[C@@H]1[C@H]2CC(C)(C)OC2CN1C(=O)OCC1=CC=CC=C1 Chemical compound C.C=C(C)C[C@@H]1[C@@H](C(=O)OC)N(C(=O)OCC2=CC=CC=C2)C[C@@H]1O.COC(=O)[C@@H]1[C@H]2CC(C)(C)OC2CN1C(=O)OCC1=CC=CC=C1 XHUXJNGEHDZWOY-HIJZUMDTSA-N 0.000 description 1
- RTKOEKSDUWSEMP-SWAHQZSYSA-N C.CC(C)(C)CC(=O)C[C@H](C(=O)N1C[C@H]2[C@@H]([C@H]1C(=O)CC(CC1CCC1)C(=O)C(N)=O)C2(C)C)C(C)(C)C.CC(C)(C)CC(=O)C[C@H](C(=O)N1C[C@H]2[C@@H]([C@H]1C(=O)CC(CC1CCC1)C(=O)C(N)=O)C2(C)C)C(C)(C)C.CC(C)(C)NC(=O)N[C@H](C(=O)N1C[C@H]2[C@@H]([C@H]1C(=O)CC(CC1CC1)C(=O)C(N)=O)C2(C)C)C(C)(C)C.CC(C)(C)NC(=O)N[C@H](C(=O)N1C[C@H]2[C@@H]([C@H]1C(=O)CC(CC1CC1)C(=O)C(N)=O)C2(C)C)C1CCCCC1.CC(C)NC(=O)N[C@H](C(=O)N1C[C@H]2[C@@H]([C@H]1C(=O)CC(CC1CC1)C(=O)C(N)=O)C2(C)C)C1CC2=C(C=CC=C2)C1 Chemical compound C.CC(C)(C)CC(=O)C[C@H](C(=O)N1C[C@H]2[C@@H]([C@H]1C(=O)CC(CC1CCC1)C(=O)C(N)=O)C2(C)C)C(C)(C)C.CC(C)(C)CC(=O)C[C@H](C(=O)N1C[C@H]2[C@@H]([C@H]1C(=O)CC(CC1CCC1)C(=O)C(N)=O)C2(C)C)C(C)(C)C.CC(C)(C)NC(=O)N[C@H](C(=O)N1C[C@H]2[C@@H]([C@H]1C(=O)CC(CC1CC1)C(=O)C(N)=O)C2(C)C)C(C)(C)C.CC(C)(C)NC(=O)N[C@H](C(=O)N1C[C@H]2[C@@H]([C@H]1C(=O)CC(CC1CC1)C(=O)C(N)=O)C2(C)C)C1CCCCC1.CC(C)NC(=O)N[C@H](C(=O)N1C[C@H]2[C@@H]([C@H]1C(=O)CC(CC1CC1)C(=O)C(N)=O)C2(C)C)C1CC2=C(C=CC=C2)C1 RTKOEKSDUWSEMP-SWAHQZSYSA-N 0.000 description 1
- DBWCWHCEOGSZCZ-PVLGWAAZSA-L C.CC(C)(C)CC(=O)C[C@H](C(=O)N1C[C@H]2[C@@H]([C@H]1C(=O)CC(CC1CCC1)C(=O)C(N)=O)C2(Cl)Cl)C1CCCCC1.CC(C)(C)CC(=O)C[C@H](C(=O)N1C[C@H]2[C@@H]([C@H]1C(=O)CC(CC1CCC1)C(O)C(N)=O)C2(Cl)Cl)C1CCCCC1.CC[V](I)I Chemical compound C.CC(C)(C)CC(=O)C[C@H](C(=O)N1C[C@H]2[C@@H]([C@H]1C(=O)CC(CC1CCC1)C(=O)C(N)=O)C2(Cl)Cl)C1CCCCC1.CC(C)(C)CC(=O)C[C@H](C(=O)N1C[C@H]2[C@@H]([C@H]1C(=O)CC(CC1CCC1)C(O)C(N)=O)C2(Cl)Cl)C1CCCCC1.CC[V](I)I DBWCWHCEOGSZCZ-PVLGWAAZSA-L 0.000 description 1
- YQSFUZFZWNTSLG-WVRQKUFWSA-N C.CC(C)(C)CC(C)(C)CC(=O)C[C@H](C(=O)N1C[C@H]2[C@@H]([C@H]1C(=O)CC(CC1CCC1)C(=O)C(N)=O)C2(C)C)C1CCCCC1.CC(C)(C)OC(=O)N[C@H](C(=O)N1C[C@H]2[C@@H]([C@H]1C(=O)CC(CC(F)(F)F)C(=O)C(N)=O)C2(C)C)C1CCCCC1.CC(C)(C)OC(=O)N[C@H](C(=O)N1C[C@H]2[C@@H]([C@H]1C(=O)CC(CC1CC1)C(=O)C(N)=O)C2(C)C)C1CC2CCCCC2C1.CC(C)(C)OC(=O)N[C@H](C(=O)N1C[C@H]2[C@@H]([C@H]1C(=O)CC(CC1CC1)C(=O)C(N)=O)C2(C)C)C1CCC(F)(F)CC1.CC(C)(C)OC(=O)N[C@H](C(=O)N1C[C@H]2[C@@H]([C@H]1C(=O)CC(CC1CC1)C(=O)C(N)=O)C2(Cl)Cl)C(C)(C)C Chemical compound C.CC(C)(C)CC(C)(C)CC(=O)C[C@H](C(=O)N1C[C@H]2[C@@H]([C@H]1C(=O)CC(CC1CCC1)C(=O)C(N)=O)C2(C)C)C1CCCCC1.CC(C)(C)OC(=O)N[C@H](C(=O)N1C[C@H]2[C@@H]([C@H]1C(=O)CC(CC(F)(F)F)C(=O)C(N)=O)C2(C)C)C1CCCCC1.CC(C)(C)OC(=O)N[C@H](C(=O)N1C[C@H]2[C@@H]([C@H]1C(=O)CC(CC1CC1)C(=O)C(N)=O)C2(C)C)C1CC2CCCCC2C1.CC(C)(C)OC(=O)N[C@H](C(=O)N1C[C@H]2[C@@H]([C@H]1C(=O)CC(CC1CC1)C(=O)C(N)=O)C2(C)C)C1CCC(F)(F)CC1.CC(C)(C)OC(=O)N[C@H](C(=O)N1C[C@H]2[C@@H]([C@H]1C(=O)CC(CC1CC1)C(=O)C(N)=O)C2(Cl)Cl)C(C)(C)C YQSFUZFZWNTSLG-WVRQKUFWSA-N 0.000 description 1
- ZRROQIYPZNWUHA-JKIBVIBGSA-N C.CC(C)(C)COC(=O)N[C@H](C(=O)N1C[C@H]2[C@@H]([C@H]1C(=O)CC(CC1CC1)C(=O)C(N)=O)C2(C)C)C1CC2=C(C=CC=C2)C1.CC(C)(C)NC(=O)N[C@H](C(=O)N1C[C@H]2[C@@H]([C@H]1C(=O)CC(CC1CC1)C(=O)C(N)=O)C2(Cl)Cl)C1CCCCC1.CC(C)(C)NC(=O)N[C@H](C(=O)N1C[C@H]2[C@@H]([C@H]1C(=O)CC(CC1CCC1)C(=O)C(N)=O)C2(Cl)Cl)C(C)(C)C.CC(C)(C)OC(=O)N[C@H](C(=O)N1C[C@H]2[C@@H]([C@H]1C(=O)CC(CC1CC1)C(=O)C(N)=O)C2(Cl)Cl)C1CCCCC1 Chemical compound C.CC(C)(C)COC(=O)N[C@H](C(=O)N1C[C@H]2[C@@H]([C@H]1C(=O)CC(CC1CC1)C(=O)C(N)=O)C2(C)C)C1CC2=C(C=CC=C2)C1.CC(C)(C)NC(=O)N[C@H](C(=O)N1C[C@H]2[C@@H]([C@H]1C(=O)CC(CC1CC1)C(=O)C(N)=O)C2(Cl)Cl)C1CCCCC1.CC(C)(C)NC(=O)N[C@H](C(=O)N1C[C@H]2[C@@H]([C@H]1C(=O)CC(CC1CCC1)C(=O)C(N)=O)C2(Cl)Cl)C(C)(C)C.CC(C)(C)OC(=O)N[C@H](C(=O)N1C[C@H]2[C@@H]([C@H]1C(=O)CC(CC1CC1)C(=O)C(N)=O)C2(Cl)Cl)C1CCCCC1 ZRROQIYPZNWUHA-JKIBVIBGSA-N 0.000 description 1
- MLOOKYHQUQTNMU-KVSFCFBESA-N C.CC(C)(C)NC(=O)N[C@H](C(=O)N1C[C@H]2[C@@H]([C@H]1C(=O)CC(CC1CC1)C(=O)C(N)=O)C2(Cl)Cl)C(C)(C)C.CC(C)(C)[C@H](NC(=O)NC1CCCCC1)C(=O)N1C[C@H]2[C@@H]([C@H]1C(=O)CC(CC1CCC1)C(=O)C(N)=O)C2(Cl)Cl.CC(C)OC(=O)N[C@H](C(=O)N1C[C@H]2[C@@H]([C@H]1C(=O)CC(CC1CC1)C(=O)C(N)=O)C2(C)C)C1CC2=CC=CC=C2C1.CCCC(CC(=O)[C@@H]1[C@@H]2[C@H](CN1C(=O)[C@@H](NC(=O)OC(C)(C)C)C1CC3=C(C=CC=C3)C1)C2(Cl)Cl)C(=O)C(N)=O Chemical compound C.CC(C)(C)NC(=O)N[C@H](C(=O)N1C[C@H]2[C@@H]([C@H]1C(=O)CC(CC1CC1)C(=O)C(N)=O)C2(Cl)Cl)C(C)(C)C.CC(C)(C)[C@H](NC(=O)NC1CCCCC1)C(=O)N1C[C@H]2[C@@H]([C@H]1C(=O)CC(CC1CCC1)C(=O)C(N)=O)C2(Cl)Cl.CC(C)OC(=O)N[C@H](C(=O)N1C[C@H]2[C@@H]([C@H]1C(=O)CC(CC1CC1)C(=O)C(N)=O)C2(C)C)C1CC2=CC=CC=C2C1.CCCC(CC(=O)[C@@H]1[C@@H]2[C@H](CN1C(=O)[C@@H](NC(=O)OC(C)(C)C)C1CC3=C(C=CC=C3)C1)C2(Cl)Cl)C(=O)C(N)=O MLOOKYHQUQTNMU-KVSFCFBESA-N 0.000 description 1
- JGBQPXJGGQWCHZ-GMFQBMSESA-N C.CC(C)(C)OC(=O)CC(CC1CC1)C(O)C(=O)CCC(=O)O.CN(C)C(=O)[C@@H](NC(=O)CCC(=O)C(O)C(CC1CC1)ClN)C1=CC=CC=C1.CNC(=O)[C@@H](ClN)C1=CC=CC=C1.C[V] Chemical compound C.CC(C)(C)OC(=O)CC(CC1CC1)C(O)C(=O)CCC(=O)O.CN(C)C(=O)[C@@H](NC(=O)CCC(=O)C(O)C(CC1CC1)ClN)C1=CC=CC=C1.CNC(=O)[C@@H](ClN)C1=CC=CC=C1.C[V] JGBQPXJGGQWCHZ-GMFQBMSESA-N 0.000 description 1
- DZDWVCQNVSDIFF-CPFOISEUSA-N C.CC(C)(C)OC(=O)N1CC2(C[C@H]1C(=O)O)SCCCS2.CCCC(CC(=O)[C@@H]1CC2(CN1C(=O)OC(C)(C)C)SCCCS2)C(O)C(=O)CCC(=O)N[C@H](C(C)=O)C1=CC=CC=C1.CCCC(ClN)C(O)C(=O)CCC(=O)N[C@H](C)C1=CC=CC=C1 Chemical compound C.CC(C)(C)OC(=O)N1CC2(C[C@H]1C(=O)O)SCCCS2.CCCC(CC(=O)[C@@H]1CC2(CN1C(=O)OC(C)(C)C)SCCCS2)C(O)C(=O)CCC(=O)N[C@H](C(C)=O)C1=CC=CC=C1.CCCC(ClN)C(O)C(=O)CCC(=O)N[C@H](C)C1=CC=CC=C1 DZDWVCQNVSDIFF-CPFOISEUSA-N 0.000 description 1
- HJWLZPYGCRUBQU-ZKBGIIGHSA-N C.CC(C)(C)OC(=O)N1CC2(C[C@H]1C(=O)O)SCCS2.CCCC(C)C(O)C(=O)CCC(=O)N[C@H](C)C1=CC=CC=C1.CCCC(CC(=O)[C@@H]1CC2(CN1C(=O)OC(C)(C)C)SCCS2)C(O)C(=O)CCC(=O)N[C@H](C(C)=O)C1=CC=CC=C1 Chemical compound C.CC(C)(C)OC(=O)N1CC2(C[C@H]1C(=O)O)SCCS2.CCCC(C)C(O)C(=O)CCC(=O)N[C@H](C)C1=CC=CC=C1.CCCC(CC(=O)[C@@H]1CC2(CN1C(=O)OC(C)(C)C)SCCS2)C(O)C(=O)CCC(=O)N[C@H](C(C)=O)C1=CC=CC=C1 HJWLZPYGCRUBQU-ZKBGIIGHSA-N 0.000 description 1
- HTVGVZIUXCTLAA-UHFFFAOYSA-N C.CC(C)C1CC2=CC=CC=C2CN1C(C)C.CC(C)C1CCCCN1C(C)C Chemical compound C.CC(C)C1CC2=CC=CC=C2CN1C(C)C.CC(C)C1CCCCN1C(C)C HTVGVZIUXCTLAA-UHFFFAOYSA-N 0.000 description 1
- VVMNEDGGPHHZNX-WGFQLLGQSA-N C.CC.CCCC(CC(=O)[C@@H]1CC2(CN1CC)SCCCS2)C(O)C(=O)CCC(=O)N[C@H](C(C)=O)C1=CC=CC=C1.CCCC(CC(=O)[C@@H]1CC2(CN1Cl)SCCCS2)C(O)C(=O)CCC(=O)N[C@H](C(C)=O)C1=CC=CC=C1.CCO Chemical compound C.CC.CCCC(CC(=O)[C@@H]1CC2(CN1CC)SCCCS2)C(O)C(=O)CCC(=O)N[C@H](C(C)=O)C1=CC=CC=C1.CCCC(CC(=O)[C@@H]1CC2(CN1Cl)SCCCS2)C(O)C(=O)CCC(=O)N[C@H](C(C)=O)C1=CC=CC=C1.CCO VVMNEDGGPHHZNX-WGFQLLGQSA-N 0.000 description 1
- RYJCOJISIDRLML-NUUDHLADSA-N C.CC.CCCC(CC(=O)[C@@H]1CC2(CN1CC)SCCS2)C(O)C(=O)CCC(=O)N[C@H](C(C)=O)C1=CC=CC=C1.CCCC(CC(=O)[C@@H]1CC2(CN1Cl)SCCS2)C(O)C(=O)CCC(=O)N[C@H](C(C)=O)C1=CC=CC=C1.CCO Chemical compound C.CC.CCCC(CC(=O)[C@@H]1CC2(CN1CC)SCCS2)C(O)C(=O)CCC(=O)N[C@H](C(C)=O)C1=CC=CC=C1.CCCC(CC(=O)[C@@H]1CC2(CN1Cl)SCCS2)C(O)C(=O)CCC(=O)N[C@H](C(C)=O)C1=CC=CC=C1.CCO RYJCOJISIDRLML-NUUDHLADSA-N 0.000 description 1
- KADUTMWOICRNIL-OGGJHCBTSA-N C.CC1(C)[C@H]2CN(C(=O)[C@@H](NC(=O)OC3CCCCC3)C3CCCCC3)[C@H](C(=O)CC(CC3CCC3)C(=O)C(N)=O)[C@H]21.CCCC(CC(=O)[C@@H]1[C@@H]2[C@H](CN1C(=O)[C@@H](NC(=O)NC(C)(C)C)C(C)(C)C)C2(Cl)Cl)C(=O)C(N)=O.CCCC(CC(=O)[C@@H]1[C@@H]2[C@H](CN1C(=O)[C@@H](NC(=O)OC(C)(C)C)C1CCCCC1)C2(Cl)Cl)C(=O)C(N)=O.NC(=O)C(=O)C(CC(=O)[C@@H]1[C@@H]2[C@H](CN1C(=O)[C@@H](NC(=O)NC1CCCCC1)C1CC3=C(C=CC=C3)C1)C2(Cl)Cl)CC1CC1 Chemical compound C.CC1(C)[C@H]2CN(C(=O)[C@@H](NC(=O)OC3CCCCC3)C3CCCCC3)[C@H](C(=O)CC(CC3CCC3)C(=O)C(N)=O)[C@H]21.CCCC(CC(=O)[C@@H]1[C@@H]2[C@H](CN1C(=O)[C@@H](NC(=O)NC(C)(C)C)C(C)(C)C)C2(Cl)Cl)C(=O)C(N)=O.CCCC(CC(=O)[C@@H]1[C@@H]2[C@H](CN1C(=O)[C@@H](NC(=O)OC(C)(C)C)C1CCCCC1)C2(Cl)Cl)C(=O)C(N)=O.NC(=O)C(=O)C(CC(=O)[C@@H]1[C@@H]2[C@H](CN1C(=O)[C@@H](NC(=O)NC1CCCCC1)C1CC3=C(C=CC=C3)C1)C2(Cl)Cl)CC1CC1 KADUTMWOICRNIL-OGGJHCBTSA-N 0.000 description 1
- VHPDFFRREVEKMH-QQRQFZMKSA-N C.CCCC(C)C(O)C(=O)CCC(=O)N[C@H](C(=O)N(C)C)C1=CC=CC=C1.CCCC(C)C(O)C(=O)CCC(=O)O.CN(C)C(=O)[C@@H](N)C1=CC=CC=C1.Cl Chemical compound C.CCCC(C)C(O)C(=O)CCC(=O)N[C@H](C(=O)N(C)C)C1=CC=CC=C1.CCCC(C)C(O)C(=O)CCC(=O)O.CN(C)C(=O)[C@@H](N)C1=CC=CC=C1.Cl VHPDFFRREVEKMH-QQRQFZMKSA-N 0.000 description 1
- MGAUQWPWWRTSOU-TXLKRVQISA-N C.CCCC(C)C(O)C(=O)CCC(=O)N[C@H](C(=O)N(C)C)C1=CC=CC=C1.CCCC(CC(=O)[C@@H]1CC(=O)CN1CC)C(O)C(=O)CCC(=O)N[C@H](C(=O)N(C)C)C1=CC=CC=C1.CCN1CC(=O)CC1C(=O)O Chemical compound C.CCCC(C)C(O)C(=O)CCC(=O)N[C@H](C(=O)N(C)C)C1=CC=CC=C1.CCCC(CC(=O)[C@@H]1CC(=O)CN1CC)C(O)C(=O)CCC(=O)N[C@H](C(=O)N(C)C)C1=CC=CC=C1.CCN1CC(=O)CC1C(=O)O MGAUQWPWWRTSOU-TXLKRVQISA-N 0.000 description 1
- IJEJBYLTMRWQAI-UHFFFAOYSA-N C.CCN1CC(O)CC1C(=O)OCC1=CC=CC=C1.CCO.[H]N1CC(O)CC1C(=O)OCC1=CC=CC=C1 Chemical compound C.CCN1CC(O)CC1C(=O)OCC1=CC=CC=C1.CCO.[H]N1CC(O)CC1C(=O)OCC1=CC=CC=C1 IJEJBYLTMRWQAI-UHFFFAOYSA-N 0.000 description 1
- NYRVOMMXMGUSRW-OBGXMBHFSA-N C.COC(=O)[C@@H]1[C@H]2CC(C)(C)OC2CN1C(=O)OCC1=CC=CC=C1.COC(=O)[C@H]1NCC2OC(C)(C)C[C@@H]21 Chemical compound C.COC(=O)[C@@H]1[C@H]2CC(C)(C)OC2CN1C(=O)OCC1=CC=CC=C1.COC(=O)[C@H]1NCC2OC(C)(C)C[C@@H]21 NYRVOMMXMGUSRW-OBGXMBHFSA-N 0.000 description 1
- LSBBBOIBFHWDEL-WZEHXZIDSA-N C/C=C/CC(CC(C)C)C(=O)O.CC(=O)O.CC(C)/C=C/OC=O.CC(C)C(CCOC=O)C(C)(C)C.CC(C)C(O)C1=CC=CC=C1.CC(C)C1=C(C(=O)O)C=C(Cl)C(Cl)=C1.CC(C)C1=C(F)C(C(=O)O)=C(F)C(F)=C1F.CC(C)C1=C(F)C=CC=C1F.CC(C)C1=CC(C(=O)O)=CC(C(C)(C)C)=C1.CC(C)C1=CC(C(=O)O)=CC=C1.CC(C)C1CCCC1.CC(C)C1CCCCC1.CC(C)CC(C)(C)C.CC(C)CC1=CC=CC=C1.CC(C)CC1=CC=CC=C1.CC(C)CC1CC1.CC(C)CCC(C)(C)COC=O.CC(C)CCC(COC=O)C1=CC=CC=C1.CC(C)COC=O.CC(C)OC(C)C.CC(C)OC(C)C(C)C.CC(C)OCC(C)(C)C.CC(C)OCC1=CC=CC=C1.CC1=C(C(C)C)C=CC=C1.CC1=CC=C(C(C)C)C=C1.CCC(CC)OC(C)C.CCOC=O.COC(=O)C1=C(C(C)C)C(F)=C(F)C(F)=C1F.COC(=O)C1=C(C(C)C)C=C(Cl)C(Cl)=C1 Chemical compound C/C=C/CC(CC(C)C)C(=O)O.CC(=O)O.CC(C)/C=C/OC=O.CC(C)C(CCOC=O)C(C)(C)C.CC(C)C(O)C1=CC=CC=C1.CC(C)C1=C(C(=O)O)C=C(Cl)C(Cl)=C1.CC(C)C1=C(F)C(C(=O)O)=C(F)C(F)=C1F.CC(C)C1=C(F)C=CC=C1F.CC(C)C1=CC(C(=O)O)=CC(C(C)(C)C)=C1.CC(C)C1=CC(C(=O)O)=CC=C1.CC(C)C1CCCC1.CC(C)C1CCCCC1.CC(C)CC(C)(C)C.CC(C)CC1=CC=CC=C1.CC(C)CC1=CC=CC=C1.CC(C)CC1CC1.CC(C)CCC(C)(C)COC=O.CC(C)CCC(COC=O)C1=CC=CC=C1.CC(C)COC=O.CC(C)OC(C)C.CC(C)OC(C)C(C)C.CC(C)OCC(C)(C)C.CC(C)OCC1=CC=CC=C1.CC1=C(C(C)C)C=CC=C1.CC1=CC=C(C(C)C)C=C1.CCC(CC)OC(C)C.CCOC=O.COC(=O)C1=C(C(C)C)C(F)=C(F)C(F)=C1F.COC(=O)C1=C(C(C)C)C=C(Cl)C(Cl)=C1 LSBBBOIBFHWDEL-WZEHXZIDSA-N 0.000 description 1
- NSPPECRKOUYRTR-XEXZJFBJSA-N C1CCNC1.C=C(C)CC1C(=O)CN(C(=O)OCC2=CC=CC=C2)C1C(=O)O.C=C(C)CC1C(=O)CN(C(=O)OCC2=CC=CC=C2)C1C(=O)OC.C=C(C)CC1C(C(=O)O)N(C(=O)OCC2=CC=CC=C2)C[C@@H]1O.C=C(C)CCl.CC(=O)OB[Na].CC(=O)OOC(C)=O.COC(=O)C1C=C(N2CCCC2)CN1C(=O)OCC1=CC=CC=C1.COC(=O)C1CC(=O)CN1C(=O)OCC1=CC=CC=C1 Chemical compound C1CCNC1.C=C(C)CC1C(=O)CN(C(=O)OCC2=CC=CC=C2)C1C(=O)O.C=C(C)CC1C(=O)CN(C(=O)OCC2=CC=CC=C2)C1C(=O)OC.C=C(C)CC1C(C(=O)O)N(C(=O)OCC2=CC=CC=C2)C[C@@H]1O.C=C(C)CCl.CC(=O)OB[Na].CC(=O)OOC(C)=O.COC(=O)C1C=C(N2CCCC2)CN1C(=O)OCC1=CC=CC=C1.COC(=O)C1CC(=O)CN1C(=O)OCC1=CC=CC=C1 NSPPECRKOUYRTR-XEXZJFBJSA-N 0.000 description 1
- CGHHLEIVZZQAKJ-DLCSEWCFSA-N C1CCNC1.COC(=O)[C@@H]1C=C(N2CCCC2)CN1C(=O)OCC1=CC=CC=C1.COC(=O)[C@@H]1CC(=O)CN1C(=O)OCC1=CC=CC=C1 Chemical compound C1CCNC1.COC(=O)[C@@H]1C=C(N2CCCC2)CN1C(=O)OCC1=CC=CC=C1.COC(=O)[C@@H]1CC(=O)CN1C(=O)OCC1=CC=CC=C1 CGHHLEIVZZQAKJ-DLCSEWCFSA-N 0.000 description 1
- ACEUEDQXQXPPIT-CQOLHMCYSA-N C1CCOC1.C=CCC1(CC=C)C[C@@H](C(=O)OC(C)(C)C)N(C(=O)OC(C)(C)C)C1=O.C=CCC1C[C@@H](C(=O)OC(C)(C)C)N(C(=O)OC(C)(C)C)C1=O Chemical compound C1CCOC1.C=CCC1(CC=C)C[C@@H](C(=O)OC(C)(C)C)N(C(=O)OC(C)(C)C)C1=O.C=CCC1C[C@@H](C(=O)OC(C)(C)C)N(C(=O)OC(C)(C)C)C1=O ACEUEDQXQXPPIT-CQOLHMCYSA-N 0.000 description 1
- YYIUYCIOZXDVRI-GCGGZZMNSA-N C1CCOC1.C=CCC1C[C@@H](C(=O)OC(C)(C)C)N(C(=O)OC(C)(C)C)C1=O.CC(C)(C)OC(=O)[C@@H]1CCC(=O)N1C(=O)OC(C)(C)C Chemical compound C1CCOC1.C=CCC1C[C@@H](C(=O)OC(C)(C)C)N(C(=O)OC(C)(C)C)C1=O.CC(C)(C)OC(=O)[C@@H]1CCC(=O)N1C(=O)OC(C)(C)C YYIUYCIOZXDVRI-GCGGZZMNSA-N 0.000 description 1
- XXOFOJVQKIKBIG-VYJKVFMHSA-N C=C(C)CC(NC(=O)[C@@H]1C2C(CN1C(=O)[C@@H](NC(=O)OC(C)(C)C)C1CCCCC1)C2(C)C)C(=O)C(N)=O Chemical compound C=C(C)CC(NC(=O)[C@@H]1C2C(CN1C(=O)[C@@H](NC(=O)OC(C)(C)C)C1CCCCC1)C2(C)C)C(=O)C(N)=O XXOFOJVQKIKBIG-VYJKVFMHSA-N 0.000 description 1
- PSGXPDQSHFXIHZ-ZWIHKBOLSA-N C=C(C)CC1C(C(=O)OC)N(C(=O)OCC2=CC=CC=C2)C[C@@H]1O.COC(=O)C1NCC2OC(C)(C)C[C@@H]21.COC(=O)C1[C@H]2CC(C)(C)OC2CN1C(=O)OCC1=CC=CC=C1 Chemical compound C=C(C)CC1C(C(=O)OC)N(C(=O)OCC2=CC=CC=C2)C[C@@H]1O.COC(=O)C1NCC2OC(C)(C)C[C@@H]21.COC(=O)C1[C@H]2CC(C)(C)OC2CN1C(=O)OCC1=CC=CC=C1 PSGXPDQSHFXIHZ-ZWIHKBOLSA-N 0.000 description 1
- BZHMYHDSHZZSCF-SXBJVPMDSA-N C=C(C)CCl.C=C(C)C[C@H]1C(=O)CN(C(=O)OCC2=CC=CC=C2)[C@@H]1C(=O)OC.COC(=O)[C@@H]1C=C(N2CCCC2)CN1C(=O)OCC1=CC=CC=C1 Chemical compound C=C(C)CCl.C=C(C)C[C@H]1C(=O)CN(C(=O)OCC2=CC=CC=C2)[C@@H]1C(=O)OC.COC(=O)[C@@H]1C=C(N2CCCC2)CN1C(=O)OCC1=CC=CC=C1 BZHMYHDSHZZSCF-SXBJVPMDSA-N 0.000 description 1
- SQXQQLDSBIUZRE-KEIHWXIYSA-N C=C(C)C[C@@H]1[C@@H](C(=O)O)N(C(=O)OCC2=CC=CC=C2)C[C@@H]1O.C=C(C)C[C@H]1C(=O)CN(C(=O)OCC2=CC=CC=C2)[C@@H]1C(=O)O.CC(=O)OB[Na].CC(=O)OOC(C)=O Chemical compound C=C(C)C[C@@H]1[C@@H](C(=O)O)N(C(=O)OCC2=CC=CC=C2)C[C@@H]1O.C=C(C)C[C@H]1C(=O)CN(C(=O)OCC2=CC=CC=C2)[C@@H]1C(=O)O.CC(=O)OB[Na].CC(=O)OOC(C)=O SQXQQLDSBIUZRE-KEIHWXIYSA-N 0.000 description 1
- RIZRNGCWHLBJBI-NPZOWMERSA-N C=C(C)C[C@H]1C(=O)CN(C(=O)OCC2=CC=CC=C2)[C@@H]1C(=O)O.C=C(C)C[C@H]1C(=O)CN(C(=O)OCC2=CC=CC=C2)[C@@H]1C(=O)OC Chemical compound C=C(C)C[C@H]1C(=O)CN(C(=O)OCC2=CC=CC=C2)[C@@H]1C(=O)O.C=C(C)C[C@H]1C(=O)CN(C(=O)OCC2=CC=CC=C2)[C@@H]1C(=O)OC RIZRNGCWHLBJBI-NPZOWMERSA-N 0.000 description 1
- DPEJKJUNNLZAQP-IOFKYXGISA-N C=C([C@@H](NC(=O)CNC(=O)C(=O)[C@@H](CCC)NC(O)[C@@H]1CC(C)(C)CN1C(=O)[C@@H](NC(=O)OCC(C)C)C1CCC(C)(C)CC1)C1=CC=CC=C1)N(C)C Chemical compound C=C([C@@H](NC(=O)CNC(=O)C(=O)[C@@H](CCC)NC(O)[C@@H]1CC(C)(C)CN1C(=O)[C@@H](NC(=O)OCC(C)C)C1CCC(C)(C)CC1)C1=CC=CC=C1)N(C)C DPEJKJUNNLZAQP-IOFKYXGISA-N 0.000 description 1
- UFLYHKJAIKGJAT-MOHDTRNDSA-N C=C.CCCC(CC(=O)C1CC2(CN1C)SCCCS2)C(=O)C(=O)CCC(=O)N[C@H](C(=O)N(C)C)C1=CC=CC=C1.CCCC(CC(=O)C1CC2(CN1C)SCCCS2)C(=O)C(=O)CCC(=O)N[C@H](C(=O)O)C1=CC=CC=C1.CCCC(CC(=O)C1CC2(CN1C)SCCCS2)C(=O)C(=O)CCC(=O)N[C@H](C(C)=O)C1=CC=CC=C1.CCCC(CC(=O)C1CC2(CN1C)SCCCS2)C(=O)C(=O)CCC(=O)N[C@H](C(N)=O)C1=CC=CC=C1.CNC.Cl.O=C(O)C(F)(F)F Chemical compound C=C.CCCC(CC(=O)C1CC2(CN1C)SCCCS2)C(=O)C(=O)CCC(=O)N[C@H](C(=O)N(C)C)C1=CC=CC=C1.CCCC(CC(=O)C1CC2(CN1C)SCCCS2)C(=O)C(=O)CCC(=O)N[C@H](C(=O)O)C1=CC=CC=C1.CCCC(CC(=O)C1CC2(CN1C)SCCCS2)C(=O)C(=O)CCC(=O)N[C@H](C(C)=O)C1=CC=CC=C1.CCCC(CC(=O)C1CC2(CN1C)SCCCS2)C(=O)C(=O)CCC(=O)N[C@H](C(N)=O)C1=CC=CC=C1.CNC.Cl.O=C(O)C(F)(F)F UFLYHKJAIKGJAT-MOHDTRNDSA-N 0.000 description 1
- MLXLPKRXKFKECP-GSIUETRJSA-N C=C1C[C@@H](C(=O)NC(CCC)C(=O)C(=O)NCC(=O)N[C@H](C(=O)N(C)C)C2=CC=CC=C2)N(C(=O)[C@@H](NC(=O)OCC(C)C)C(C)(C)C)C1 Chemical compound C=C1C[C@@H](C(=O)NC(CCC)C(=O)C(=O)NCC(=O)N[C@H](C(=O)N(C)C)C2=CC=CC=C2)N(C(=O)[C@@H](NC(=O)OCC(C)C)C(C)(C)C)C1 MLXLPKRXKFKECP-GSIUETRJSA-N 0.000 description 1
- IHSNSGRYQVJUKM-NTVPYMASSA-N C=C1C[C@@H]([C+]([CH2-])=O)N([C+]([CH2-])=O)C1.C=CCC1CCN([C+]([CH2-])=O)[C@@H]1[C+]([CH2-])=O.C=S(CC1=CC=CC=C1)[C@@H]1C[C@@H]([C+]([CH2-])=O)N([C+]([CH2-])=O)C1.[CH2-][C+](=O)C1C[C@@H](C(C)(C)C)CN1[C+]([CH2-])=O.[CH2-][C+](=O)[C@@H]1CC(=O)CN1[C+]([CH2-])=O.[CH2-][C+](=O)[C@@H]1CC(C)(C)CN1[C+]([CH2-])=O.[CH2-][C+](=O)[C@@H]1CC(C2=CC=CC=C2)CN1[C+]([CH2-])=O.[CH2-][C+](=O)[C@@H]1CC(F)(F)CN1[C+]([CH2-])=O.[CH2-][C+](=O)[C@@H]1CCC(C)(C)N1C=O.[CH2-][C+](=O)[C@@H]1CCC(C2=CC=CC=C2)N1[C+]([CH2-])=O.[CH2-][C+](=O)[C@@H]1CC[C@@H](C)N1[C+]([CH2-])=O.[CH2-][C+](=O)[C@@H]1CC[C@H](C)N1[C+]([CH2-])=O.[CH2-][C+](=O)[C@@H]1C[C@@H](C)CN1[C+]([CH2-])=O.[CH2-][C+](=O)[C@@H]1C[C@@H](SC(C)(C)C)CN1[C+]([CH2-])=O.[CH2-][C+](=O)[C@@H]1C[C@H](C)CN1[C+]([CH2-])=O.[CH2-][C+](=O)[C@@H]1[C@@H](C)CCN1[C+]([CH2-])=O.[CH2-][C+](=O)[C@@H]1[C@H](C)CCN1[C+]([CH2-])=O.[CH2-][C+](=O)[C@H]1N([C+]([CH2-])=O)CCC1(C)C Chemical compound C=C1C[C@@H]([C+]([CH2-])=O)N([C+]([CH2-])=O)C1.C=CCC1CCN([C+]([CH2-])=O)[C@@H]1[C+]([CH2-])=O.C=S(CC1=CC=CC=C1)[C@@H]1C[C@@H]([C+]([CH2-])=O)N([C+]([CH2-])=O)C1.[CH2-][C+](=O)C1C[C@@H](C(C)(C)C)CN1[C+]([CH2-])=O.[CH2-][C+](=O)[C@@H]1CC(=O)CN1[C+]([CH2-])=O.[CH2-][C+](=O)[C@@H]1CC(C)(C)CN1[C+]([CH2-])=O.[CH2-][C+](=O)[C@@H]1CC(C2=CC=CC=C2)CN1[C+]([CH2-])=O.[CH2-][C+](=O)[C@@H]1CC(F)(F)CN1[C+]([CH2-])=O.[CH2-][C+](=O)[C@@H]1CCC(C)(C)N1C=O.[CH2-][C+](=O)[C@@H]1CCC(C2=CC=CC=C2)N1[C+]([CH2-])=O.[CH2-][C+](=O)[C@@H]1CC[C@@H](C)N1[C+]([CH2-])=O.[CH2-][C+](=O)[C@@H]1CC[C@H](C)N1[C+]([CH2-])=O.[CH2-][C+](=O)[C@@H]1C[C@@H](C)CN1[C+]([CH2-])=O.[CH2-][C+](=O)[C@@H]1C[C@@H](SC(C)(C)C)CN1[C+]([CH2-])=O.[CH2-][C+](=O)[C@@H]1C[C@H](C)CN1[C+]([CH2-])=O.[CH2-][C+](=O)[C@@H]1[C@@H](C)CCN1[C+]([CH2-])=O.[CH2-][C+](=O)[C@@H]1[C@H](C)CCN1[C+]([CH2-])=O.[CH2-][C+](=O)[C@H]1N([C+]([CH2-])=O)CCC1(C)C IHSNSGRYQVJUKM-NTVPYMASSA-N 0.000 description 1
- TYKGQXIPELSPJI-UHFFFAOYSA-N C=CC1CC1(C)C.CC(C)CC1(F)CC1.CC(C)CC1(F)CCC1.CC(C)CC1C=CCC1.CC(C)CC1CC1(F)F.CC1(C)CC1.CC1(C)CC1C1CC1.CC1CC1(C)C.CCC1CC1(C)C Chemical compound C=CC1CC1(C)C.CC(C)CC1(F)CC1.CC(C)CC1(F)CCC1.CC(C)CC1C=CCC1.CC(C)CC1CC1(F)F.CC1(C)CC1.CC1(C)CC1C1CC1.CC1CC1(C)C.CCC1CC1(C)C TYKGQXIPELSPJI-UHFFFAOYSA-N 0.000 description 1
- YQPVUBRLTUTJET-KTBXVOQDSA-N C=CCC(CC(=O)[C@@H]1[C@@H]2[C@H](CN1C(=O)[C@@H](NC(=O)NC(C)(C)C)C(C)(C)C)C2(C)C)C(=O)C(=O)CCC(=O)NCC1=CC=CC=C1.C=CCCC(=O)C(=O)C(CCC)CC(=O)[C@@H]1[C@@H]2[C@H](CN1C(=O)[C@@H](NC(=O)OC1CCCC1C)C1CCCCC1)C2(C)C.C=CCCC(=O)C(=O)C(CCC)CC(=O)[C@@H]1[C@@H]2[C@H](CN1C(=O)[C@@H](NC(=O)O[C@H]1CCC[C@@H]1C)C1CC3=C(C=CC=C3)C1)C2(C)C.C=CCCC(CC(=O)[C@@H]1[C@@H]2[C@H](CN1C(=O)[C@@H](NC(=O)OC(C)(C)C)C1CCCCC1)C2(C)C)C(=O)C(=O)CCCC(=O)OC(C)(C)CC.C=CCCCC(=O)C(=O)C(CCC=C)CC(=O)[C@@H]1[C@@H]2[C@H](CN1C(=O)[C@@H](NC(=O)NC(C)(C)C)C1CC3=C(C=CC=C3)C1)C2(C)C.C=CCCCC(=O)C(=O)C(CCC=C)CC(=O)[C@@H]1[C@@H]2[C@H](CN1C(=O)[C@@H](NC(=O)NC(C)(C)C)C1CCCCC1)C2(C)C.CCCC(CC(=O)[C@@H]1[C@@H]2[C@H](CN1C(=O)[C@@H](NC(=O)OC(C)(C)C)C1CC3=C(C=CC=C3)C1)C2(Cl)Cl)C(=O)C(=O)CC Chemical compound C=CCC(CC(=O)[C@@H]1[C@@H]2[C@H](CN1C(=O)[C@@H](NC(=O)NC(C)(C)C)C(C)(C)C)C2(C)C)C(=O)C(=O)CCC(=O)NCC1=CC=CC=C1.C=CCCC(=O)C(=O)C(CCC)CC(=O)[C@@H]1[C@@H]2[C@H](CN1C(=O)[C@@H](NC(=O)OC1CCCC1C)C1CCCCC1)C2(C)C.C=CCCC(=O)C(=O)C(CCC)CC(=O)[C@@H]1[C@@H]2[C@H](CN1C(=O)[C@@H](NC(=O)O[C@H]1CCC[C@@H]1C)C1CC3=C(C=CC=C3)C1)C2(C)C.C=CCCC(CC(=O)[C@@H]1[C@@H]2[C@H](CN1C(=O)[C@@H](NC(=O)OC(C)(C)C)C1CCCCC1)C2(C)C)C(=O)C(=O)CCCC(=O)OC(C)(C)CC.C=CCCCC(=O)C(=O)C(CCC=C)CC(=O)[C@@H]1[C@@H]2[C@H](CN1C(=O)[C@@H](NC(=O)NC(C)(C)C)C1CC3=C(C=CC=C3)C1)C2(C)C.C=CCCCC(=O)C(=O)C(CCC=C)CC(=O)[C@@H]1[C@@H]2[C@H](CN1C(=O)[C@@H](NC(=O)NC(C)(C)C)C1CCCCC1)C2(C)C.CCCC(CC(=O)[C@@H]1[C@@H]2[C@H](CN1C(=O)[C@@H](NC(=O)OC(C)(C)C)C1CC3=C(C=CC=C3)C1)C2(Cl)Cl)C(=O)C(=O)CC YQPVUBRLTUTJET-KTBXVOQDSA-N 0.000 description 1
- GVAOYBMKMNQTCD-ZJESNZCSSA-N C=CCC(CC(=O)[C@@H]1[C@@H]2[C@H](CN1C(=O)[C@@H](NC(=O)NC(C)(C)C)C(C)(C)C)C2(C)C)C(=O)C(=O)CCC(=O)NCC1=CC=CC=C1.C=CCCC(=O)C(=O)C(CCC)CC(=O)[C@@H]1[C@@H]2[C@H](CN1C(=O)[C@@H](NC(=O)OC1CCCC1C)C1CCCCC1)C2(C)C.C=CCCC(=O)C(=O)C(CCC)CC(=O)[C@@H]1[C@@H]2[C@H](CN1C(=O)[C@@H](NC(=O)O[C@H]1CCC[C@@H]1C)C1CC3=C(C=CC=C3)C1)C2(C)C.C=CCCCC(=O)C(=O)C(CCC=C)CC(=O)[C@@H]1[C@@H]2[C@H](CN1C(=O)[C@@H](NC(=O)NC(C)(C)C)C(C)(C)C)C2(C)C.C=CCCCC(=O)C(=O)C(CCC=C)CC(=O)[C@@H]1[C@@H]2[C@H](CN1C(=O)[C@@H](NC(=O)NC1CC3CCC1C3)C1CCCCC1)C2(Cl)Cl Chemical compound C=CCC(CC(=O)[C@@H]1[C@@H]2[C@H](CN1C(=O)[C@@H](NC(=O)NC(C)(C)C)C(C)(C)C)C2(C)C)C(=O)C(=O)CCC(=O)NCC1=CC=CC=C1.C=CCCC(=O)C(=O)C(CCC)CC(=O)[C@@H]1[C@@H]2[C@H](CN1C(=O)[C@@H](NC(=O)OC1CCCC1C)C1CCCCC1)C2(C)C.C=CCCC(=O)C(=O)C(CCC)CC(=O)[C@@H]1[C@@H]2[C@H](CN1C(=O)[C@@H](NC(=O)O[C@H]1CCC[C@@H]1C)C1CC3=C(C=CC=C3)C1)C2(C)C.C=CCCCC(=O)C(=O)C(CCC=C)CC(=O)[C@@H]1[C@@H]2[C@H](CN1C(=O)[C@@H](NC(=O)NC(C)(C)C)C(C)(C)C)C2(C)C.C=CCCCC(=O)C(=O)C(CCC=C)CC(=O)[C@@H]1[C@@H]2[C@H](CN1C(=O)[C@@H](NC(=O)NC1CC3CCC1C3)C1CCCCC1)C2(Cl)Cl GVAOYBMKMNQTCD-ZJESNZCSSA-N 0.000 description 1
- UMBQAAZEHJEEOW-OJTFJPLZSA-N C=CCC(CC(=O)[C@@H]1[C@@H]2[C@H](CN1C(=O)[C@@H](NC(=O)NC(C)(C)C)C(C)(C)C)C2(C)C)C(=O)C(=O)CCC(=O)NCC1=CC=CC=C1.C=CCCC(CC(=O)[C@@H]1[C@@H]2[C@H](CN1C(=O)[C@@H](NC(=O)NC(C)(C)C)C(C)(C)C)C2(C)C)C(=O)C(=O)CCCC(=O)N(C)CC1=CC=CC=C1.C=CCCC(CC(=O)[C@@H]1[C@@H]2[C@H](CN1C(=O)[C@@H](NC(=O)NC(C)(C)C)C(C)(C)C)C2(C)C)C(=O)C(=O)CCCC(=O)OC1(C)CCCC1.C=CCCC(CC(=O)[C@@H]1[C@@H]2[C@H](CN1C(=O)[C@@H](NC(=O)NC(C)(C)C)C1CCCCC1)C2(C)C)C(=O)C(=O)CCCS(=O)(=O)CC1=CC=CC=C1.CCC(=O)C(=O)C(CC(=O)[C@@H]1[C@@H]2[C@H](CN1C(=O)[C@@H](NC(=O)OCC(C)C)C1CC3=C(C=CC=C3)C1)C2(C)C)CC1CC1 Chemical compound C=CCC(CC(=O)[C@@H]1[C@@H]2[C@H](CN1C(=O)[C@@H](NC(=O)NC(C)(C)C)C(C)(C)C)C2(C)C)C(=O)C(=O)CCC(=O)NCC1=CC=CC=C1.C=CCCC(CC(=O)[C@@H]1[C@@H]2[C@H](CN1C(=O)[C@@H](NC(=O)NC(C)(C)C)C(C)(C)C)C2(C)C)C(=O)C(=O)CCCC(=O)N(C)CC1=CC=CC=C1.C=CCCC(CC(=O)[C@@H]1[C@@H]2[C@H](CN1C(=O)[C@@H](NC(=O)NC(C)(C)C)C(C)(C)C)C2(C)C)C(=O)C(=O)CCCC(=O)OC1(C)CCCC1.C=CCCC(CC(=O)[C@@H]1[C@@H]2[C@H](CN1C(=O)[C@@H](NC(=O)NC(C)(C)C)C1CCCCC1)C2(C)C)C(=O)C(=O)CCCS(=O)(=O)CC1=CC=CC=C1.CCC(=O)C(=O)C(CC(=O)[C@@H]1[C@@H]2[C@H](CN1C(=O)[C@@H](NC(=O)OCC(C)C)C1CC3=C(C=CC=C3)C1)C2(C)C)CC1CC1 UMBQAAZEHJEEOW-OJTFJPLZSA-N 0.000 description 1
- UIHFCVOGNPOXPJ-HQMFOQCKSA-N C=CCC(CC(=O)[C@@H]1[C@@H]2[C@H](CN1C(=O)[C@@H](NC(=O)NC(C)(C)C)C(C)(C)C)C2(C)C)C(=O)C(=O)CCC(=O)NCC1=CC=CC=C1.C=CCCC(CC(=O)[C@@H]1[C@@H]2[C@H](CN1C(=O)[C@@H](NC(=O)NC(C)(C)C)C(C)(C)C)C2(C)C)C(=O)C(=O)CCCC(=O)N(C)CC1=CC=CC=C1.C=CCCC(CC(=O)[C@@H]1[C@@H]2[C@H](CN1C(=O)[C@@H](NC(=O)NC(C)(C)C)C(C)(C)C)C2(C)C)C(=O)C(=O)CCCC(=O)OC1(C)CCCC1.CCC(=O)C(=O)C(CC(=O)[C@@H]1[C@@H]2[C@H](CN1C(=O)[C@@H](NC(=O)OCC(C)C)C1CC3=C(C=CC=C3)C1)C2(C)C)CC1CC1 Chemical compound C=CCC(CC(=O)[C@@H]1[C@@H]2[C@H](CN1C(=O)[C@@H](NC(=O)NC(C)(C)C)C(C)(C)C)C2(C)C)C(=O)C(=O)CCC(=O)NCC1=CC=CC=C1.C=CCCC(CC(=O)[C@@H]1[C@@H]2[C@H](CN1C(=O)[C@@H](NC(=O)NC(C)(C)C)C(C)(C)C)C2(C)C)C(=O)C(=O)CCCC(=O)N(C)CC1=CC=CC=C1.C=CCCC(CC(=O)[C@@H]1[C@@H]2[C@H](CN1C(=O)[C@@H](NC(=O)NC(C)(C)C)C(C)(C)C)C2(C)C)C(=O)C(=O)CCCC(=O)OC1(C)CCCC1.CCC(=O)C(=O)C(CC(=O)[C@@H]1[C@@H]2[C@H](CN1C(=O)[C@@H](NC(=O)OCC(C)C)C1CC3=C(C=CC=C3)C1)C2(C)C)CC1CC1 UIHFCVOGNPOXPJ-HQMFOQCKSA-N 0.000 description 1
- WCVBACNPCKJHKF-UCEGOZHTSA-N C=CCC(CC(=O)[C@@H]1[C@@H]2[C@H](CN1C(=O)[C@@H](NC(=O)OC(C)(C)C)C1CC3=C(C=CC=C3)C1)C2(C)C)C(=O)C(=O)CCC(=O)NCC1=CC=CC=C1.C=CCCC(=O)C(=O)C(CCC)CC(=O)[C@@H]1[C@@H]2[C@H](CN1C(=O)[C@@H](NC(=O)OC1CCC(C)C1)C1CCCCC1)C2(C)C.C=CCCC(CC(=O)[C@@H]1[C@@H]2[C@H](CN1C(=O)[C@@H](NC(=O)NC(C)(C)C)C1CCCCC1)C2(C)C)C(=O)C(=O)CCCS(C)(=O)=O.C=CCCC(CC(=O)[C@@H]1[C@@H]2[C@H](CN1C(=O)[C@@H](NC(=O)NC13CC4CC(CC(C4)C1)C3)C1CCCCC1)C2(C)C)C(=O)C(=O)CCC(=O)OC(C)(C)C1=CC=CC=C1.C=CCCC(CC(=O)[C@@H]1[C@@H]2[C@H](CN1C(=O)[C@@H](NC(=O)OC(C)(C)C)C1CCCCC1)C2(C)C)C(=O)C(=O)CCCC(=O)CCC1=CC=CC=C1 Chemical compound C=CCC(CC(=O)[C@@H]1[C@@H]2[C@H](CN1C(=O)[C@@H](NC(=O)OC(C)(C)C)C1CC3=C(C=CC=C3)C1)C2(C)C)C(=O)C(=O)CCC(=O)NCC1=CC=CC=C1.C=CCCC(=O)C(=O)C(CCC)CC(=O)[C@@H]1[C@@H]2[C@H](CN1C(=O)[C@@H](NC(=O)OC1CCC(C)C1)C1CCCCC1)C2(C)C.C=CCCC(CC(=O)[C@@H]1[C@@H]2[C@H](CN1C(=O)[C@@H](NC(=O)NC(C)(C)C)C1CCCCC1)C2(C)C)C(=O)C(=O)CCCS(C)(=O)=O.C=CCCC(CC(=O)[C@@H]1[C@@H]2[C@H](CN1C(=O)[C@@H](NC(=O)NC13CC4CC(CC(C4)C1)C3)C1CCCCC1)C2(C)C)C(=O)C(=O)CCC(=O)OC(C)(C)C1=CC=CC=C1.C=CCCC(CC(=O)[C@@H]1[C@@H]2[C@H](CN1C(=O)[C@@H](NC(=O)OC(C)(C)C)C1CCCCC1)C2(C)C)C(=O)C(=O)CCCC(=O)CCC1=CC=CC=C1 WCVBACNPCKJHKF-UCEGOZHTSA-N 0.000 description 1
- YWFFYJROMDNPKY-JNEDBFCQSA-N C=CCC(CC(=O)[C@@H]1[C@@H]2[C@H](CN1C(=O)[C@@H](NC(=O)OC(C)(C)C)C1CC3=C(C=CC=C3)C1)C2(C)C)C(=O)C(=O)CCC(=O)NCC1=CC=CC=C1.C=CCCC(=O)C(=O)C(CCC)CC(=O)[C@@H]1[C@@H]2[C@H](CN1C(=O)[C@@H](NC(=O)OC1CCC(C)C1)C1CCCCC1)C2(C)C.C=CCCC(CC(=O)[C@@H]1[C@@H]2[C@H](CN1C(=O)[C@@H](NC(=O)NC(C)(C)C)C1CCCCC1)C2(C)C)C(=O)C(=O)CCCS(C)(=O)=O.C=CCCC(CC(=O)[C@@H]1[C@@H]2[C@H](CN1C(=O)[C@@H](NC(=O)OC(C)(C)C)C1CCCCC1)C2(C)C)C(=O)C(=O)CCCC(=O)CCC1=CC=CC=C1 Chemical compound C=CCC(CC(=O)[C@@H]1[C@@H]2[C@H](CN1C(=O)[C@@H](NC(=O)OC(C)(C)C)C1CC3=C(C=CC=C3)C1)C2(C)C)C(=O)C(=O)CCC(=O)NCC1=CC=CC=C1.C=CCCC(=O)C(=O)C(CCC)CC(=O)[C@@H]1[C@@H]2[C@H](CN1C(=O)[C@@H](NC(=O)OC1CCC(C)C1)C1CCCCC1)C2(C)C.C=CCCC(CC(=O)[C@@H]1[C@@H]2[C@H](CN1C(=O)[C@@H](NC(=O)NC(C)(C)C)C1CCCCC1)C2(C)C)C(=O)C(=O)CCCS(C)(=O)=O.C=CCCC(CC(=O)[C@@H]1[C@@H]2[C@H](CN1C(=O)[C@@H](NC(=O)OC(C)(C)C)C1CCCCC1)C2(C)C)C(=O)C(=O)CCCC(=O)CCC1=CC=CC=C1 YWFFYJROMDNPKY-JNEDBFCQSA-N 0.000 description 1
- KCQJZYUQVOKHTC-YWYDTTDASA-N C=CCC(CC(=O)[C@@H]1[C@@H]2[C@H](CN1C(=O)[C@@H](NC(=O)OC(C)(C)C)C1CCCCC1)C2(C)C)C(=O)C(=O)CCC(=O)OC(C)(C)C1=CC=CC=C1.C=CCC(CC(=O)[C@@H]1[C@@H]2[C@H](CN1C(=O)[C@@H](NC(=O)OC(C)(C)C)C1CCCCC1)C2(C)C)C(=O)C(=O)CCC(=O)OC(C)(C)C1=CC=CC=C1 Chemical compound C=CCC(CC(=O)[C@@H]1[C@@H]2[C@H](CN1C(=O)[C@@H](NC(=O)OC(C)(C)C)C1CCCCC1)C2(C)C)C(=O)C(=O)CCC(=O)OC(C)(C)C1=CC=CC=C1.C=CCC(CC(=O)[C@@H]1[C@@H]2[C@H](CN1C(=O)[C@@H](NC(=O)OC(C)(C)C)C1CCCCC1)C2(C)C)C(=O)C(=O)CCC(=O)OC(C)(C)C1=CC=CC=C1 KCQJZYUQVOKHTC-YWYDTTDASA-N 0.000 description 1
- WULWNEMFODPCSJ-WQMVJSGXSA-N C=CCC(CC(=O)[C@@H]1[C@@H]2[C@H](CN1C(=O)[C@@H](NC(=O)OC(C)(C)C)C1CCCCC1)C2(C)C)C(=O)C(=O)CCC(=O)OC(C)(C)C1=CC=CC=C1.C=CCC(CC(=O)[C@@H]1[C@@H]2[C@H](CN1C(=O)[C@@H](NC(=O)OC(C)(C)C)C1CCCCC1)C2(C)C)C(=O)C(=O)CCC(=O)OC(C)(C)C1=CC=CC=C1.C=CCCCC(=O)C(=O)C(CCC=C)CC(=O)[C@@H]1[C@@H]2[C@H](CN1C(=O)[C@@H](NC(=O)OC(C)(C)C)C1CC3=C(C=CC=C3)C1)C2(C)C.CCCC(CC(=O)[C@@H]1[C@@H]2[C@H](CN1C(=O)[C@@H](NC(=O)NC(C)(C)C)C(C)(C)C)C2(Cl)Cl)C(=O)C(=O)CCC(=O)NCC1=CC=CC=C1.CCCC(CC(=O)[C@@H]1[C@@H]2[C@H](CN1C(=O)[C@@H](NC(=O)OC(C)(C)C)C(C)(C)C)C2(C)C)C(=O)C(=O)CCC(=O)NCC1=CC=CC=C1 Chemical compound C=CCC(CC(=O)[C@@H]1[C@@H]2[C@H](CN1C(=O)[C@@H](NC(=O)OC(C)(C)C)C1CCCCC1)C2(C)C)C(=O)C(=O)CCC(=O)OC(C)(C)C1=CC=CC=C1.C=CCC(CC(=O)[C@@H]1[C@@H]2[C@H](CN1C(=O)[C@@H](NC(=O)OC(C)(C)C)C1CCCCC1)C2(C)C)C(=O)C(=O)CCC(=O)OC(C)(C)C1=CC=CC=C1.C=CCCCC(=O)C(=O)C(CCC=C)CC(=O)[C@@H]1[C@@H]2[C@H](CN1C(=O)[C@@H](NC(=O)OC(C)(C)C)C1CC3=C(C=CC=C3)C1)C2(C)C.CCCC(CC(=O)[C@@H]1[C@@H]2[C@H](CN1C(=O)[C@@H](NC(=O)NC(C)(C)C)C(C)(C)C)C2(Cl)Cl)C(=O)C(=O)CCC(=O)NCC1=CC=CC=C1.CCCC(CC(=O)[C@@H]1[C@@H]2[C@H](CN1C(=O)[C@@H](NC(=O)OC(C)(C)C)C(C)(C)C)C2(C)C)C(=O)C(=O)CCC(=O)NCC1=CC=CC=C1 WULWNEMFODPCSJ-WQMVJSGXSA-N 0.000 description 1
- BVEOTITYGCEILQ-IQKOCQMTSA-N C=CCC(CC(=O)[C@@H]1[C@@H]2[C@H](CN1C(=O)[C@@H](NC(=O)OC(C)(C)C)C1CCCCC1)C2(C)C)C(=O)C(=O)CCCC(=O)CCC1=CC=CC=C1.C=CCCC(=O)C(=O)C(CC(=O)[C@@H]1[C@@H]2[C@H](CN1C(=O)[C@@H](NC(=O)NC(C)(C)C)C1CCCCC1)C2(C)C)CC(F)(F)F.C=CCCC(=O)C(=O)C(CCC=C)CC(=O)[C@@H]1[C@@H]2[C@H](CN1C(=O)[C@@H](NC(=O)NC(C)CC)C1CCCCC1)C2(C)C.C=CCCC(=O)C(=O)C(CCC=C)CC(=O)[C@@H]1[C@@H]2[C@H](CN1C(=O)[C@@H](NC(=O)OC(C)(C)C)C1CCCCC1)C2(Cl)Cl.C=CCCC(CC(=O)[C@@H]1[C@@H]2[C@H](CN1C(=O)[C@@H](NC(=O)NC13CC4CC(CC(C4)C1)C3)C1CCCCC1)C2(C)C)C(=O)C(=O)CCCC(=O)OC(C)(C)C.C=CCCCC(=O)C(=O)C(CCC=C)CC(=O)[C@@H]1[C@@H]2[C@H](CN1C(=O)[C@@H](NC(=O)NC13CC4CC(CC(C4)C1)C3)C(C)(C)C)C2(C)C.CC(C)(C)[C@H](NC(=O)NC1CCCCC1)C(=O)N1C[C@H]2[C@@H]([C@H]1C(=O)CC(CC1CCC1)C(=O)C(N)=O)C2(C)C Chemical compound C=CCC(CC(=O)[C@@H]1[C@@H]2[C@H](CN1C(=O)[C@@H](NC(=O)OC(C)(C)C)C1CCCCC1)C2(C)C)C(=O)C(=O)CCCC(=O)CCC1=CC=CC=C1.C=CCCC(=O)C(=O)C(CC(=O)[C@@H]1[C@@H]2[C@H](CN1C(=O)[C@@H](NC(=O)NC(C)(C)C)C1CCCCC1)C2(C)C)CC(F)(F)F.C=CCCC(=O)C(=O)C(CCC=C)CC(=O)[C@@H]1[C@@H]2[C@H](CN1C(=O)[C@@H](NC(=O)NC(C)CC)C1CCCCC1)C2(C)C.C=CCCC(=O)C(=O)C(CCC=C)CC(=O)[C@@H]1[C@@H]2[C@H](CN1C(=O)[C@@H](NC(=O)OC(C)(C)C)C1CCCCC1)C2(Cl)Cl.C=CCCC(CC(=O)[C@@H]1[C@@H]2[C@H](CN1C(=O)[C@@H](NC(=O)NC13CC4CC(CC(C4)C1)C3)C1CCCCC1)C2(C)C)C(=O)C(=O)CCCC(=O)OC(C)(C)C.C=CCCCC(=O)C(=O)C(CCC=C)CC(=O)[C@@H]1[C@@H]2[C@H](CN1C(=O)[C@@H](NC(=O)NC13CC4CC(CC(C4)C1)C3)C(C)(C)C)C2(C)C.CC(C)(C)[C@H](NC(=O)NC1CCCCC1)C(=O)N1C[C@H]2[C@@H]([C@H]1C(=O)CC(CC1CCC1)C(=O)C(N)=O)C2(C)C BVEOTITYGCEILQ-IQKOCQMTSA-N 0.000 description 1
- LGNAMCJVLFFLHQ-XNAIJHAUSA-N C=CCC(CC(=O)[C@@H]1[C@@H]2[C@H](CN1C(=O)[C@@H](NC(=O)OC(C)(C)C)C1CCCCC1)C2(C)C)C(=O)C(=O)CCCC(=O)CCC1=CC=CC=C1.C=CCCC(=O)C(=O)C(CC(=O)[C@@H]1[C@@H]2[C@H](CN1C(=O)[C@@H](NC(=O)NC(C)(C)C)C1CCCCC1)C2(C)C)CC(F)(F)F.C=CCCC(=O)C(=O)C(CCC=C)CC(=O)[C@@H]1[C@@H]2[C@H](CN1C(=O)[C@@H](NC(=O)NC(C)CC)C1CCCCC1)C2(C)C.C=CCCC(CC(=O)[C@@H]1[C@@H]2[C@H](CN1C(=O)[C@@H](NC(=O)NC13CC4CC(CC(C4)C1)C3)C1CCCCC1)C2(C)C)C(=O)C(=O)CCCC(=O)OC(C)(C)C.CC(C)(C)[C@H](NC(=O)NC1CCCCC1)C(=O)N1C[C@H]2[C@@H]([C@H]1C(=O)CC(CC1CCC1)C(=O)C(N)=O)C2(C)C Chemical compound C=CCC(CC(=O)[C@@H]1[C@@H]2[C@H](CN1C(=O)[C@@H](NC(=O)OC(C)(C)C)C1CCCCC1)C2(C)C)C(=O)C(=O)CCCC(=O)CCC1=CC=CC=C1.C=CCCC(=O)C(=O)C(CC(=O)[C@@H]1[C@@H]2[C@H](CN1C(=O)[C@@H](NC(=O)NC(C)(C)C)C1CCCCC1)C2(C)C)CC(F)(F)F.C=CCCC(=O)C(=O)C(CCC=C)CC(=O)[C@@H]1[C@@H]2[C@H](CN1C(=O)[C@@H](NC(=O)NC(C)CC)C1CCCCC1)C2(C)C.C=CCCC(CC(=O)[C@@H]1[C@@H]2[C@H](CN1C(=O)[C@@H](NC(=O)NC13CC4CC(CC(C4)C1)C3)C1CCCCC1)C2(C)C)C(=O)C(=O)CCCC(=O)OC(C)(C)C.CC(C)(C)[C@H](NC(=O)NC1CCCCC1)C(=O)N1C[C@H]2[C@@H]([C@H]1C(=O)CC(CC1CCC1)C(=O)C(N)=O)C2(C)C LGNAMCJVLFFLHQ-XNAIJHAUSA-N 0.000 description 1
- NTEMYLQCDMVMDI-UHFFFAOYSA-N C=CCC(NC(=O)C1C2C(CN1C(=O)C(NC(=O)OC(C)(C)C)C1CC3=C(C=CC=C3)C1)C2(C)C)C(=O)C(=O)CCC Chemical compound C=CCC(NC(=O)C1C2C(CN1C(=O)C(NC(=O)OC(C)(C)C)C1CC3=C(C=CC=C3)C1)C2(C)C)C(=O)C(=O)CCC NTEMYLQCDMVMDI-UHFFFAOYSA-N 0.000 description 1
- DFUWHEHXVXRFFG-UHFFFAOYSA-N C=CCC(NC(=O)C1C2C(CN1C(=O)C(NC(=O)OC(C)(C)C)C1CC3=C(C=CC=C3)C1)C2(C)C)C(=O)C(=O)NCCC(=O)OC(C)(C)C Chemical compound C=CCC(NC(=O)C1C2C(CN1C(=O)C(NC(=O)OC(C)(C)C)C1CC3=C(C=CC=C3)C1)C2(C)C)C(=O)C(=O)NCCC(=O)OC(C)(C)C DFUWHEHXVXRFFG-UHFFFAOYSA-N 0.000 description 1
- UCPFUSWZGASJAV-UHFFFAOYSA-N C=CCC(NC(=O)C1C2C(CN1C(=O)C(NC(=O)OC(C)(C)C)C1CCCC1)C2(C)C)C(=O)C(=O)CCCC(=O)OC(C)(C)C Chemical compound C=CCC(NC(=O)C1C2C(CN1C(=O)C(NC(=O)OC(C)(C)C)C1CCCC1)C2(C)C)C(=O)C(=O)CCCC(=O)OC(C)(C)C UCPFUSWZGASJAV-UHFFFAOYSA-N 0.000 description 1
- DIJNIFONZNQBTA-KUNBBXKYSA-N C=CCC(NC(=O)[C@@H]1C2C(CN1C(=O)C(NC(=O)OC(C)(C)C)C(C)(C)C)C2(C)C)C(=O)C(N)=O Chemical compound C=CCC(NC(=O)[C@@H]1C2C(CN1C(=O)C(NC(=O)OC(C)(C)C)C(C)(C)C)C2(C)C)C(=O)C(N)=O DIJNIFONZNQBTA-KUNBBXKYSA-N 0.000 description 1
- ICRXSEIOTBGCPJ-KRWXYPFASA-N C=CCC(NC(=O)[C@@H]1C2C(CN1C(=O)[C@@H](NC(=O)OC(C)(C)C)C(C)(C)C)C2(C)C)C(=O)C(=O)CCC(=O)CCC1CCCCC1 Chemical compound C=CCC(NC(=O)[C@@H]1C2C(CN1C(=O)[C@@H](NC(=O)OC(C)(C)C)C(C)(C)C)C2(C)C)C(=O)C(=O)CCC(=O)CCC1CCCCC1 ICRXSEIOTBGCPJ-KRWXYPFASA-N 0.000 description 1
- KGFLEOMGJBPMLN-LCTYKAMUSA-N C=CCC(NC(=O)[C@@H]1C2C(CN1C(=O)[C@@H](NC(=O)OC(C)(C)C)C(C)(C)C)C2(C)C)C(=O)C(=O)NCC(=O)NC(C)C1=CC=C(C)C=C1 Chemical compound C=CCC(NC(=O)[C@@H]1C2C(CN1C(=O)[C@@H](NC(=O)OC(C)(C)C)C(C)(C)C)C2(C)C)C(=O)C(=O)NCC(=O)NC(C)C1=CC=C(C)C=C1 KGFLEOMGJBPMLN-LCTYKAMUSA-N 0.000 description 1
- WWSFRLBPYGOZLZ-ITVHQYIBSA-N C=CCC(NC(=O)[C@@H]1C2C(CN1C(=O)[C@@H](NC(=O)OC(C)(C)C)C(C)(C)C)C2(C)C)C(=O)C(=O)NCC(=O)NC(C1=CC=CC=C1)C1=CC=CC=C1 Chemical compound C=CCC(NC(=O)[C@@H]1C2C(CN1C(=O)[C@@H](NC(=O)OC(C)(C)C)C(C)(C)C)C2(C)C)C(=O)C(=O)NCC(=O)NC(C1=CC=CC=C1)C1=CC=CC=C1 WWSFRLBPYGOZLZ-ITVHQYIBSA-N 0.000 description 1
- MNXIOBNBGQDOHY-MLFGQIFJSA-N C=CCC(NC(=O)[C@@H]1C2C(CN1C(=O)[C@@H](NC(=O)OC(C)(C)C)C(C)(C)C)C2(C)C)C(=O)C(=O)NCC(=O)NCC1=CC=C(C)C=C1 Chemical compound C=CCC(NC(=O)[C@@H]1C2C(CN1C(=O)[C@@H](NC(=O)OC(C)(C)C)C(C)(C)C)C2(C)C)C(=O)C(=O)NCC(=O)NCC1=CC=C(C)C=C1 MNXIOBNBGQDOHY-MLFGQIFJSA-N 0.000 description 1
- BYIIOILDKGFZJU-YYWYIIEFSA-N C=CCC(NC(=O)[C@@H]1C2C(CN1C(=O)[C@@H](NC(=O)OC(C)(C)C)C(C)(C)C)C2(C)C)C(=O)C(=O)NCC(=O)NCC1=CC=C(N(=O)[O-])C=C1 Chemical compound C=CCC(NC(=O)[C@@H]1C2C(CN1C(=O)[C@@H](NC(=O)OC(C)(C)C)C(C)(C)C)C2(C)C)C(=O)C(=O)NCC(=O)NCC1=CC=C(N(=O)[O-])C=C1 BYIIOILDKGFZJU-YYWYIIEFSA-N 0.000 description 1
- GOAPSAWJDYBDHV-MLFGQIFJSA-N C=CCC(NC(=O)[C@@H]1C2C(CN1C(=O)[C@@H](NC(=O)OC(C)(C)C)C(C)(C)C)C2(C)C)C(=O)C(=O)NCC(=O)NCC1=CC=C(OC)C=C1 Chemical compound C=CCC(NC(=O)[C@@H]1C2C(CN1C(=O)[C@@H](NC(=O)OC(C)(C)C)C(C)(C)C)C2(C)C)C(=O)C(=O)NCC(=O)NCC1=CC=C(OC)C=C1 GOAPSAWJDYBDHV-MLFGQIFJSA-N 0.000 description 1
- LCUQYUYBAFLJBI-MLFGQIFJSA-N C=CCC(NC(=O)[C@@H]1C2C(CN1C(=O)[C@@H](NC(=O)OC(C)(C)C)C(C)(C)C)C2(C)C)C(=O)C(=O)NCC(=O)NCC1=CC=CC(C)=C1 Chemical compound C=CCC(NC(=O)[C@@H]1C2C(CN1C(=O)[C@@H](NC(=O)OC(C)(C)C)C(C)(C)C)C2(C)C)C(=O)C(=O)NCC(=O)NCC1=CC=CC(C)=C1 LCUQYUYBAFLJBI-MLFGQIFJSA-N 0.000 description 1
- AGYMMVQLVFFNKN-MLFGQIFJSA-N C=CCC(NC(=O)[C@@H]1C2C(CN1C(=O)[C@@H](NC(=O)OC(C)(C)C)C(C)(C)C)C2(C)C)C(=O)C(=O)NCC(=O)NCC1=CC=CC=C1C Chemical compound C=CCC(NC(=O)[C@@H]1C2C(CN1C(=O)[C@@H](NC(=O)OC(C)(C)C)C(C)(C)C)C2(C)C)C(=O)C(=O)NCC(=O)NCC1=CC=CC=C1C AGYMMVQLVFFNKN-MLFGQIFJSA-N 0.000 description 1
- IVHHWVFPHQLRRU-MTCMSPMNSA-N C=CCC(NC(=O)[C@@H]1C2C(CN1C(=O)[C@@H](NC(=O)OC(C)(C)C)C(C)(C)C)C2(C)C)C(=O)C(=O)NCC(=O)NCC1=CC=CC=N1 Chemical compound C=CCC(NC(=O)[C@@H]1C2C(CN1C(=O)[C@@H](NC(=O)OC(C)(C)C)C(C)(C)C)C2(C)C)C(=O)C(=O)NCC(=O)NCC1=CC=CC=N1 IVHHWVFPHQLRRU-MTCMSPMNSA-N 0.000 description 1
- MDVHLNVOMUJXQN-MTCMSPMNSA-N C=CCC(NC(=O)[C@@H]1C2C(CN1C(=O)[C@@H](NC(=O)OC(C)(C)C)C(C)(C)C)C2(C)C)C(=O)C(=O)NCC(=O)NCC1=CC=CN=C1 Chemical compound C=CCC(NC(=O)[C@@H]1C2C(CN1C(=O)[C@@H](NC(=O)OC(C)(C)C)C(C)(C)C)C2(C)C)C(=O)C(=O)NCC(=O)NCC1=CC=CN=C1 MDVHLNVOMUJXQN-MTCMSPMNSA-N 0.000 description 1
- LOZXOJLPPQTZEG-MLFGQIFJSA-N C=CCC(NC(=O)[C@@H]1C2C(CN1C(=O)[C@@H](NC(=O)OC(C)(C)C)C(C)(C)C)C2(C)C)C(=O)C(=O)NCC(=O)NCCC1=CC=CC=C1 Chemical compound C=CCC(NC(=O)[C@@H]1C2C(CN1C(=O)[C@@H](NC(=O)OC(C)(C)C)C(C)(C)C)C2(C)C)C(=O)C(=O)NCC(=O)NCCC1=CC=CC=C1 LOZXOJLPPQTZEG-MLFGQIFJSA-N 0.000 description 1
- OHWHEPNXJIAWMF-BHEAYZAKSA-N C=CCC(NC(=O)[C@@H]1C2C(CN1C(=O)[C@@H](NC(=O)OC(C)(C)C)C(C)(C)C)C2(C)C)C(=O)C(=O)NCC(=O)OCC1CCCN1 Chemical compound C=CCC(NC(=O)[C@@H]1C2C(CN1C(=O)[C@@H](NC(=O)OC(C)(C)C)C(C)(C)C)C2(C)C)C(=O)C(=O)NCC(=O)OCC1CCCN1 OHWHEPNXJIAWMF-BHEAYZAKSA-N 0.000 description 1
- IULWVLMNOLUHIK-OQPPHWFISA-N C=CCC(NC(=O)[C@@H]1C2C(CN1C(=O)[C@@H](NC(=O)OC(C)(C)C)C1CCCCC1)C2(C)C)C(=O)C(=O)O Chemical compound C=CCC(NC(=O)[C@@H]1C2C(CN1C(=O)[C@@H](NC(=O)OC(C)(C)C)C1CCCCC1)C2(C)C)C(=O)C(=O)O IULWVLMNOLUHIK-OQPPHWFISA-N 0.000 description 1
- ZYUZBHWNYSHFOL-OQPPHWFISA-N C=CCC(NC(=O)[C@@H]1C2C(CN1C(=O)[C@@H](NC(=O)OC(C)(C)C)C1CCCCC1)C2(C)C)C(=O)C(N)=O Chemical compound C=CCC(NC(=O)[C@@H]1C2C(CN1C(=O)[C@@H](NC(=O)OC(C)(C)C)C1CCCCC1)C2(C)C)C(=O)C(N)=O ZYUZBHWNYSHFOL-OQPPHWFISA-N 0.000 description 1
- INKQFFQFKJUQOX-GCPDBCJPSA-N C=CCC(NC(=O)[C@@H]1C2[C@H](CN1C(=O)C(NC(=O)OC(C)(C)C)C1CCCCC1)C2(C)C)C(=O)C(=O)NCCS(=O)(=O)C(C)(C)C Chemical compound C=CCC(NC(=O)[C@@H]1C2[C@H](CN1C(=O)C(NC(=O)OC(C)(C)C)C1CCCCC1)C2(C)C)C(=O)C(=O)NCCS(=O)(=O)C(C)(C)C INKQFFQFKJUQOX-GCPDBCJPSA-N 0.000 description 1
- MDZNZKABVIZLRO-ZKPNIGCQSA-N C=CCC(NC(=O)[C@@H]1[C@@H]2[C@H](CN1C(=O)[C@@H](NC(=O)OC(C)(C)C)C(C)(C)C)C2(C)C)C(=O)C(=O)NCC(=O)NCC1=CC=CC=C1 Chemical compound C=CCC(NC(=O)[C@@H]1[C@@H]2[C@H](CN1C(=O)[C@@H](NC(=O)OC(C)(C)C)C(C)(C)C)C2(C)C)C(=O)C(=O)NCC(=O)NCC1=CC=CC=C1 MDZNZKABVIZLRO-ZKPNIGCQSA-N 0.000 description 1
- MASIFDQYOSQKEW-QDSGQFEVSA-N C=CCC(NC(=O)[C@@H]1[C@@H]2[C@H](CN1C(=O)[C@H](NC(=O)OC(C)(C)C)C(C)(C)C)C2(C)C)C(=O)C(=O)NCC(=O)O Chemical compound C=CCC(NC(=O)[C@@H]1[C@@H]2[C@H](CN1C(=O)[C@H](NC(=O)OC(C)(C)C)C(C)(C)C)C2(C)C)C(=O)C(=O)NCC(=O)O MASIFDQYOSQKEW-QDSGQFEVSA-N 0.000 description 1
- LQLVRDIRCYJFIA-NATOJRDTSA-N C=CCC(NC(=O)[C@H]1C(C(=O)[C@H](NC(=O)OC(C)(C)C)C(C)(C)C)C[C@H]2[C@@H]1C2(C)C)C(=O)C(=O)NCC(=O)OC Chemical compound C=CCC(NC(=O)[C@H]1C(C(=O)[C@H](NC(=O)OC(C)(C)C)C(C)(C)C)C[C@H]2[C@@H]1C2(C)C)C(=O)C(=O)NCC(=O)OC LQLVRDIRCYJFIA-NATOJRDTSA-N 0.000 description 1
- XWRFKGDLQTXVSQ-GMBRYWPFSA-N C=CCC1(CC=C)C[C@@H](C(=O)OC(C)(C)C)N(C(=O)OC(C)(C)C)C1.C=CCC1(CC=C)C[C@@H](C(=O)OC(C)(C)C)N(C(=O)OC(C)(C)C)C1=O Chemical compound C=CCC1(CC=C)C[C@@H](C(=O)OC(C)(C)C)N(C(=O)OC(C)(C)C)C1.C=CCC1(CC=C)C[C@@H](C(=O)OC(C)(C)C)N(C(=O)OC(C)(C)C)C1=O XWRFKGDLQTXVSQ-GMBRYWPFSA-N 0.000 description 1
- DWFUSYBYRDYTRX-FVKAJVOVSA-L C=CCC1(CC=C)C[C@@H](C(=O)OC(C)(C)C)N(C(=O)OC(C)(C)C)C1.CC(C)(C)OC(=O)[C@@H]1CC2(CC=CC2)CN1C(=O)OC(C)(C)C.Cl[Ru](Cl)(CC1=CC=CC=C1)([PH](C1CCCCC1)(C1CCCCC1)C1CCCCC1)[PH](C1CCCCC1)(C1CCCCC1)C1CCCCC1 Chemical compound C=CCC1(CC=C)C[C@@H](C(=O)OC(C)(C)C)N(C(=O)OC(C)(C)C)C1.CC(C)(C)OC(=O)[C@@H]1CC2(CC=CC2)CN1C(=O)OC(C)(C)C.Cl[Ru](Cl)(CC1=CC=CC=C1)([PH](C1CCCCC1)(C1CCCCC1)C1CCCCC1)[PH](C1CCCCC1)(C1CCCCC1)C1CCCCC1 DWFUSYBYRDYTRX-FVKAJVOVSA-L 0.000 description 1
- BTSINISSXCGJRZ-RWQQZIRQSA-N C=CCC1CCN(C(=O)[C@@H](NC(=O)OCC(C)C)C2CCCCC2)C1C(=O)NC(CCC)C(=O)C(=O)NCC(=O)NC(C(=O)OC(C)(C)C)C1=CC=CC=C1 Chemical compound C=CCC1CCN(C(=O)[C@@H](NC(=O)OCC(C)C)C2CCCCC2)C1C(=O)NC(CCC)C(=O)C(=O)NCC(=O)NC(C(=O)OC(C)(C)C)C1=CC=CC=C1 BTSINISSXCGJRZ-RWQQZIRQSA-N 0.000 description 1
- WVHQIQXOHGJHCB-SSHOWUCMSA-N C=CCCC(=O)C(=O)C(CC(=O)[C@@H]1C2C(CN1C(=O)[C@@H](NC(=O)OC(C)(C)C)C(C)(C)C)C2(C)C)CC(C)C Chemical compound C=CCCC(=O)C(=O)C(CC(=O)[C@@H]1C2C(CN1C(=O)[C@@H](NC(=O)OC(C)(C)C)C(C)(C)C)C2(C)C)CC(C)C WVHQIQXOHGJHCB-SSHOWUCMSA-N 0.000 description 1
- TVMTWQJUBZNSML-UHFFFAOYSA-N C=CCCC(=O)C(=O)C(CCC)CC(=O)C1C2C(CN1C(=O)C(CCCC1=CC=CC=C1)C(C)(C)C)C2(C)C Chemical compound C=CCCC(=O)C(=O)C(CCC)CC(=O)C1C2C(CN1C(=O)C(CCCC1=CC=CC=C1)C(C)(C)C)C2(C)C TVMTWQJUBZNSML-UHFFFAOYSA-N 0.000 description 1
- VYXVYBLFIBJEKG-UHFFFAOYSA-N C=CCCC(=O)C(=O)C(CCC)CC(=O)C1C2C(CN1C(=O)C(NC(=O)OC(C)(C)C)C1CCC(F)(F)CC1)C2(C)C Chemical compound C=CCCC(=O)C(=O)C(CCC)CC(=O)C1C2C(CN1C(=O)C(NC(=O)OC(C)(C)C)C1CCC(F)(F)CC1)C2(C)C VYXVYBLFIBJEKG-UHFFFAOYSA-N 0.000 description 1
- NYDGFKYMBLQOJU-UHFFFAOYSA-N C=CCCC(=O)C(=O)C(CCC)CC(=O)C1C2C(CN1C(=O)C(NC(=O)OCC(C)C)C1CCCC(C(=O)NCC3CC3)C1)C2(C)C Chemical compound C=CCCC(=O)C(=O)C(CCC)CC(=O)C1C2C(CN1C(=O)C(NC(=O)OCC(C)C)C1CCCC(C(=O)NCC3CC3)C1)C2(C)C NYDGFKYMBLQOJU-UHFFFAOYSA-N 0.000 description 1
- NLLAVPFFTOWUTG-UHFFFAOYSA-N C=CCCC(=O)C(=O)C(CCC)CC(=O)C1CC(C2=CC=CC=C2)CN1C(=O)CC1CCCCC1 Chemical compound C=CCCC(=O)C(=O)C(CCC)CC(=O)C1CC(C2=CC=CC=C2)CN1C(=O)CC1CCCCC1 NLLAVPFFTOWUTG-UHFFFAOYSA-N 0.000 description 1
- WSULTOAADTUHFF-UHFFFAOYSA-N C=CCCC(=O)C(=O)C(CCC)CC(=O)C1CC(OC(C)(C)C)CN1C(=O)OCC1C2=C(C=CC=C2)C2=C1C=CC=C2 Chemical compound C=CCCC(=O)C(=O)C(CCC)CC(=O)C1CC(OC(C)(C)C)CN1C(=O)OCC1C2=C(C=CC=C2)C2=C1C=CC=C2 WSULTOAADTUHFF-UHFFFAOYSA-N 0.000 description 1
- RQOCHLTVUYAAHV-RWIPDZTCSA-N C=CCCC(=O)C(=O)C(CCC)CC(=O)[C@@H]1C2CCC(C)(C)OC2CN1C(=O)[C@@H](NC(=O)OC(C)(C)C)C(C)(C)C Chemical compound C=CCCC(=O)C(=O)C(CCC)CC(=O)[C@@H]1C2CCC(C)(C)OC2CN1C(=O)[C@@H](NC(=O)OC(C)(C)C)C(C)(C)C RQOCHLTVUYAAHV-RWIPDZTCSA-N 0.000 description 1
- YLGVVQOGUAQCSI-RSMFLLDRSA-N C=CCCC(=O)C(=O)C(CCC)CC(=O)[C@@H]1CC(C2=CC=CC=C2)CN1S(=O)(=O)C1=CC=C(C)C=C1 Chemical compound C=CCCC(=O)C(=O)C(CCC)CC(=O)[C@@H]1CC(C2=CC=CC=C2)CN1S(=O)(=O)C1=CC=C(C)C=C1 YLGVVQOGUAQCSI-RSMFLLDRSA-N 0.000 description 1
- SIYHLFJNQXZETI-FSPLASGQSA-N C=CCCC(=O)C(=O)C(CCC)CC(=O)[C@@H]1[C@@H]2[C@H](CN1C(=O)[C@@H](NC(=O)OC(C)(C)C)C1CC3=C(C=CC=C3)C1)C2(C)C.C=CCCC(=O)C(=O)C(CCC)CC(=O)[C@@H]1[C@@H]2[C@H](CN1C(=O)[C@@H](NC(=O)OC1CCCC1C)C1CCCCC1)C2(Cl)Cl.C=CCCC(CC(=O)[C@@H]1[C@@H]2[C@H](CN1C(=O)[C@@H](NC(=O)OC(C)(C)C)C(C)(C)C)C2(C)C)C(=O)C(=O)CCCC(=O)NCC1=CC=CC=C1.CCCC(CC(=O)[C@@H]1[C@@H]2[C@H](CN1C(=O)[C@@H](NC(=O)OC(C)(C)C)C(C)(C)C)C2(Cl)Cl)C(=O)C(=O)CCC(=O)NCC1=CC=CC=C1.CCCC(CC(=O)[C@@H]1[C@@H]2[C@H](CN1C(=O)[C@@H](NC(=O)OC1CCCC1C)C(C)(C)C)C2(C)C)C(=O)C(=O)CCC(=O)NCC1=CC=CC=C1 Chemical compound C=CCCC(=O)C(=O)C(CCC)CC(=O)[C@@H]1[C@@H]2[C@H](CN1C(=O)[C@@H](NC(=O)OC(C)(C)C)C1CC3=C(C=CC=C3)C1)C2(C)C.C=CCCC(=O)C(=O)C(CCC)CC(=O)[C@@H]1[C@@H]2[C@H](CN1C(=O)[C@@H](NC(=O)OC1CCCC1C)C1CCCCC1)C2(Cl)Cl.C=CCCC(CC(=O)[C@@H]1[C@@H]2[C@H](CN1C(=O)[C@@H](NC(=O)OC(C)(C)C)C(C)(C)C)C2(C)C)C(=O)C(=O)CCCC(=O)NCC1=CC=CC=C1.CCCC(CC(=O)[C@@H]1[C@@H]2[C@H](CN1C(=O)[C@@H](NC(=O)OC(C)(C)C)C(C)(C)C)C2(Cl)Cl)C(=O)C(=O)CCC(=O)NCC1=CC=CC=C1.CCCC(CC(=O)[C@@H]1[C@@H]2[C@H](CN1C(=O)[C@@H](NC(=O)OC1CCCC1C)C(C)(C)C)C2(C)C)C(=O)C(=O)CCC(=O)NCC1=CC=CC=C1 SIYHLFJNQXZETI-FSPLASGQSA-N 0.000 description 1
- AUJOJSKCPGFQPR-MJNDVXALSA-N C=CCCC(=O)C(=O)C(CCC)CC(=O)[C@@H]1[C@@H]2[C@H](CN1C(=O)[C@@H](NC(=O)OC(C)(C)C)C1CC3=C(C=CC=C3)C1)C2(Cl)Cl.C=CCCC(CC(=O)[C@@H]1[C@@H]2[C@H](CN1C(=O)[C@@H](NC(=O)OC(C)(C)C)C(C)(C)C)C2(C)C)C(=O)C(=O)CCCC(=O)NCC1=CC=CC=C1.C=CCCC(CC(=O)[C@@H]1[C@@H]2[C@H](CN1C(=O)[C@@H](NC(=O)OC(C)(C)C)C1CCCCC1)C2(C)C)C(=O)C(=O)CCCC(=O)OC1(C)CC1.CCCC(CC(=O)[C@@H]1[C@@H]2[C@H](CN1C(=O)[C@@H](NC(=O)OC(C)(C)C)C(C)(C)C)C2(Cl)Cl)C(=O)C(=O)CCC(=O)NCC1=CC=CC=C1.CCCC(CC(=O)[C@@H]1[C@@H]2[C@H](CN1C(=O)[C@@H](NC(=O)OC1CCCC1C)C(C)(C)C)C2(C)C)C(=O)C(=O)CCC(=O)NCC1=CC=CC=C1 Chemical compound C=CCCC(=O)C(=O)C(CCC)CC(=O)[C@@H]1[C@@H]2[C@H](CN1C(=O)[C@@H](NC(=O)OC(C)(C)C)C1CC3=C(C=CC=C3)C1)C2(Cl)Cl.C=CCCC(CC(=O)[C@@H]1[C@@H]2[C@H](CN1C(=O)[C@@H](NC(=O)OC(C)(C)C)C(C)(C)C)C2(C)C)C(=O)C(=O)CCCC(=O)NCC1=CC=CC=C1.C=CCCC(CC(=O)[C@@H]1[C@@H]2[C@H](CN1C(=O)[C@@H](NC(=O)OC(C)(C)C)C1CCCCC1)C2(C)C)C(=O)C(=O)CCCC(=O)OC1(C)CC1.CCCC(CC(=O)[C@@H]1[C@@H]2[C@H](CN1C(=O)[C@@H](NC(=O)OC(C)(C)C)C(C)(C)C)C2(Cl)Cl)C(=O)C(=O)CCC(=O)NCC1=CC=CC=C1.CCCC(CC(=O)[C@@H]1[C@@H]2[C@H](CN1C(=O)[C@@H](NC(=O)OC1CCCC1C)C(C)(C)C)C2(C)C)C(=O)C(=O)CCC(=O)NCC1=CC=CC=C1 AUJOJSKCPGFQPR-MJNDVXALSA-N 0.000 description 1
- VUKZAKFQTVBLGA-AZHRNUESSA-N C=CCCC(=O)C(=O)C(CCC)CC(=O)[C@@H]1[C@@H]2[C@H](CN1C(=O)[C@@H](NC(=O)OC1CCC(C)C1)C1CCCCC1)C2(Cl)Cl.C=CCCCC(=O)C(=O)C(CCC=C)CC(=O)[C@@H]1[C@@H]2[C@H](CN1C(=O)[C@@H](NC(=O)NC13CC4CC(CC(C4)C1)C3)C(C)(C)C)C2(Cl)Cl.CCCC(CC(=O)[C@@H]1[C@@H]2[C@H](CN1C(=O)[C@@H](NC(=O)OC(C)(C)C)C1CC3=C(C=CC=C3)C1)C2(C)C)C(=O)C(=O)CC.CN(C)C(=O)[C@@H](NC(=O)CCC(=O)C(=O)C(CC(=O)[C@@H]1[C@@H]2[C@H](CN1C(=O)[C@@H](NC(=O)OC(C)(C)C)C(C)(C)C)C2(Br)Br)CC1CC1)C1=CC=CC=C1 Chemical compound C=CCCC(=O)C(=O)C(CCC)CC(=O)[C@@H]1[C@@H]2[C@H](CN1C(=O)[C@@H](NC(=O)OC1CCC(C)C1)C1CCCCC1)C2(Cl)Cl.C=CCCCC(=O)C(=O)C(CCC=C)CC(=O)[C@@H]1[C@@H]2[C@H](CN1C(=O)[C@@H](NC(=O)NC13CC4CC(CC(C4)C1)C3)C(C)(C)C)C2(Cl)Cl.CCCC(CC(=O)[C@@H]1[C@@H]2[C@H](CN1C(=O)[C@@H](NC(=O)OC(C)(C)C)C1CC3=C(C=CC=C3)C1)C2(C)C)C(=O)C(=O)CC.CN(C)C(=O)[C@@H](NC(=O)CCC(=O)C(=O)C(CC(=O)[C@@H]1[C@@H]2[C@H](CN1C(=O)[C@@H](NC(=O)OC(C)(C)C)C(C)(C)C)C2(Br)Br)CC1CC1)C1=CC=CC=C1 VUKZAKFQTVBLGA-AZHRNUESSA-N 0.000 description 1
- FDPRUDYPCRVKBF-KEOPJMLKSA-N C=CCCC(=O)C(=O)C(CCC)CC(=O)[C@@H]1[C@@H]2[C@H](CN1C(=O)[C@@H](NC(=O)OC1CCCC1C)C1CCCCC1)C2(Cl)Cl.C=CCCC(=O)C(=O)C(CCC=C)CC(=O)[C@@H]1[C@@H]2[C@H](CN1C(=O)[C@@H](NC(=O)NC(C)(C)C)C1CCCCC1)C2(Cl)Cl.C=CCCC(=O)C(=O)C(CCC=C)CC(=O)[C@@H]1[C@@H]2[C@H](CN1C(=O)[C@@H](NC(=O)NC13CC4CC(CC(C4)C1)C3)C1CCCCC1)C2(C)C.C=CCCC(CC(=O)[C@@H]1[C@@H]2[C@H](CN1C(=O)[C@@H](NC(=O)OC(C)(C)C)C1CCCCC1)C2(Cl)Cl)C(=O)C(=O)CCCC(=O)CC(C)(C)C.C=CCCCC(=O)C(=O)C(CCC=C)CC(=O)[C@@H]1[C@@H]2[C@H](CN1C(=O)[C@@H](NC(=O)NC1CC3CCC1C3)C(C)(C)C)C2(C)C.C=CCCCC(=O)C(=O)C(CCC=C)CC(=O)[C@@H]1[C@@H]2[C@H](CN1C(=O)[C@@H](NC(=O)OC(C)(C)C)C1CCCCC1)C2(Cl)Cl.CCCC(CC(=O)[C@@H]1[C@@H]2[C@H](CN1C(=O)[C@@H](NC(=O)OC(C)(C)C)C(C)(C)C)C2(C)C)C(=O)C(=O)CCC(=O)NCC1=CC=CC=C1 Chemical compound C=CCCC(=O)C(=O)C(CCC)CC(=O)[C@@H]1[C@@H]2[C@H](CN1C(=O)[C@@H](NC(=O)OC1CCCC1C)C1CCCCC1)C2(Cl)Cl.C=CCCC(=O)C(=O)C(CCC=C)CC(=O)[C@@H]1[C@@H]2[C@H](CN1C(=O)[C@@H](NC(=O)NC(C)(C)C)C1CCCCC1)C2(Cl)Cl.C=CCCC(=O)C(=O)C(CCC=C)CC(=O)[C@@H]1[C@@H]2[C@H](CN1C(=O)[C@@H](NC(=O)NC13CC4CC(CC(C4)C1)C3)C1CCCCC1)C2(C)C.C=CCCC(CC(=O)[C@@H]1[C@@H]2[C@H](CN1C(=O)[C@@H](NC(=O)OC(C)(C)C)C1CCCCC1)C2(Cl)Cl)C(=O)C(=O)CCCC(=O)CC(C)(C)C.C=CCCCC(=O)C(=O)C(CCC=C)CC(=O)[C@@H]1[C@@H]2[C@H](CN1C(=O)[C@@H](NC(=O)NC1CC3CCC1C3)C(C)(C)C)C2(C)C.C=CCCCC(=O)C(=O)C(CCC=C)CC(=O)[C@@H]1[C@@H]2[C@H](CN1C(=O)[C@@H](NC(=O)OC(C)(C)C)C1CCCCC1)C2(Cl)Cl.CCCC(CC(=O)[C@@H]1[C@@H]2[C@H](CN1C(=O)[C@@H](NC(=O)OC(C)(C)C)C(C)(C)C)C2(C)C)C(=O)C(=O)CCC(=O)NCC1=CC=CC=C1 FDPRUDYPCRVKBF-KEOPJMLKSA-N 0.000 description 1
- ZAOXGIITVQVXMI-IWSJVNQBSA-N C=CCCC(=O)C(=O)C(CCC)CC(=O)[C@@H]1[C@@H]2[C@H](CN1C(=O)[C@@H](NC(=O)O[C@H]1CCC[C@@H]1C)C1CCCCC1)C2(C)C.C=CCCCC(=O)C(=O)C(CCC=C)CC(=O)[C@@H]1[C@@H]2[C@H](CN1C(=O)[C@@H](NC(=O)NC13CC4CC(CC(C4)C1)C3)C(C)(C)C)C2(C)C.CC(C)(C)OC(=O)N[C@H](C(=O)N1C[C@H]2[C@@H]([C@H]1C(=O)CC(CC1CC1)C(=O)C(N)=O)C2(Cl)Cl)C1CC2=C(C=CC=C2)C1.CC(C)(C)OC(=O)N[C@H](C(=O)N1C[C@H]2[C@@H]([C@H]1C(=O)CC(CC1CCC1)C(=O)C(N)=O)C2(C)C)C1CCCCC1 Chemical compound C=CCCC(=O)C(=O)C(CCC)CC(=O)[C@@H]1[C@@H]2[C@H](CN1C(=O)[C@@H](NC(=O)O[C@H]1CCC[C@@H]1C)C1CCCCC1)C2(C)C.C=CCCCC(=O)C(=O)C(CCC=C)CC(=O)[C@@H]1[C@@H]2[C@H](CN1C(=O)[C@@H](NC(=O)NC13CC4CC(CC(C4)C1)C3)C(C)(C)C)C2(C)C.CC(C)(C)OC(=O)N[C@H](C(=O)N1C[C@H]2[C@@H]([C@H]1C(=O)CC(CC1CC1)C(=O)C(N)=O)C2(Cl)Cl)C1CC2=C(C=CC=C2)C1.CC(C)(C)OC(=O)N[C@H](C(=O)N1C[C@H]2[C@@H]([C@H]1C(=O)CC(CC1CCC1)C(=O)C(N)=O)C2(C)C)C1CCCCC1 ZAOXGIITVQVXMI-IWSJVNQBSA-N 0.000 description 1
- BMYJDKJMUAGQBV-YWBUGAGVSA-N C=CCCC(=O)C(=O)C(CCC)CC(=O)[C@@H]1[C@@H]2[C@H](CN1C(=O)[C@@H](NC(=O)O[C@H]1CCC[C@@H]1C)C1CCCCC1)C2(C)C.CC(C)(C)NC(=O)N[C@H](C(=O)N1C[C@H]2[C@@H]([C@H]1C(=O)CC(CC1CC1)C(=O)C(N)=O)C2(Cl)Cl)C1CCCCC1.CC(C)(C)OC(=O)N[C@H](C(=O)N1C[C@H]2[C@@H]([C@H]1C(=O)CC(CC1CC1)C(=O)C(N)=O)C2(Br)Br)C1CCCCC1.CC(C)(C)OC(=O)N[C@H](C(=O)N1C[C@H]2[C@@H]([C@H]1C(=O)CC(CC1CC1)C(=O)C(N)=O)C2(Cl)Cl)C1CC2=C(C=CC=C2)C1.CC(C)(C)OC(=O)N[C@H](C(=O)N1C[C@H]2[C@@H]([C@H]1C(=O)CC(CC1CCC1)C(=O)C(N)=O)C2(C)C)C1CCCCC1.CC(C)(C)OC(=O)N[C@H](C(=O)N1C[C@H]2[C@@H]([C@H]1C(=O)CC(CC1CCC1)C(=O)C(N)=O)C2(Cl)Cl)C1CCCCC1.CC(C)[C@@H](C)OC(=O)N[C@H](C(=O)N1C[C@H]2[C@@H]([C@H]1C(=O)CC(CC1CC1)C(=O)C(N)=O)C2(C)C)C1CC2=C(C=CC=C2)C1.CC(C)[C@@H](C)OC(=O)N[C@H](C(=O)N1C[C@H]2[C@@H]([C@H]1C(=O)CC(CC1CCC1)C(=O)C(N)=O)C2(C)C)C1CCCCC1 Chemical compound C=CCCC(=O)C(=O)C(CCC)CC(=O)[C@@H]1[C@@H]2[C@H](CN1C(=O)[C@@H](NC(=O)O[C@H]1CCC[C@@H]1C)C1CCCCC1)C2(C)C.CC(C)(C)NC(=O)N[C@H](C(=O)N1C[C@H]2[C@@H]([C@H]1C(=O)CC(CC1CC1)C(=O)C(N)=O)C2(Cl)Cl)C1CCCCC1.CC(C)(C)OC(=O)N[C@H](C(=O)N1C[C@H]2[C@@H]([C@H]1C(=O)CC(CC1CC1)C(=O)C(N)=O)C2(Br)Br)C1CCCCC1.CC(C)(C)OC(=O)N[C@H](C(=O)N1C[C@H]2[C@@H]([C@H]1C(=O)CC(CC1CC1)C(=O)C(N)=O)C2(Cl)Cl)C1CC2=C(C=CC=C2)C1.CC(C)(C)OC(=O)N[C@H](C(=O)N1C[C@H]2[C@@H]([C@H]1C(=O)CC(CC1CCC1)C(=O)C(N)=O)C2(C)C)C1CCCCC1.CC(C)(C)OC(=O)N[C@H](C(=O)N1C[C@H]2[C@@H]([C@H]1C(=O)CC(CC1CCC1)C(=O)C(N)=O)C2(Cl)Cl)C1CCCCC1.CC(C)[C@@H](C)OC(=O)N[C@H](C(=O)N1C[C@H]2[C@@H]([C@H]1C(=O)CC(CC1CC1)C(=O)C(N)=O)C2(C)C)C1CC2=C(C=CC=C2)C1.CC(C)[C@@H](C)OC(=O)N[C@H](C(=O)N1C[C@H]2[C@@H]([C@H]1C(=O)CC(CC1CCC1)C(=O)C(N)=O)C2(C)C)C1CCCCC1 BMYJDKJMUAGQBV-YWBUGAGVSA-N 0.000 description 1
- OGSRSRFPSQSFEV-UHFFFAOYSA-N C=CCCC(=O)C(=O)C(CCC)NC(=O)C1C2C(CN1C(=O)C(C1CCCC1)N(C)C(=O)CCC(C)(C)C)C2(C)C Chemical compound C=CCCC(=O)C(=O)C(CCC)NC(=O)C1C2C(CN1C(=O)C(C1CCCC1)N(C)C(=O)CCC(C)(C)C)C2(C)C OGSRSRFPSQSFEV-UHFFFAOYSA-N 0.000 description 1
- GUWUEJSGMIFJHH-UHFFFAOYSA-N C=CCCC(=O)C(=O)C(CCC)NC(=O)C1C2C(CN1C(=O)C(CC(=O)NCC(C)C)C1CCCC(C(=O)CCC=C)C1)C2(C)C Chemical compound C=CCCC(=O)C(=O)C(CCC)NC(=O)C1C2C(CN1C(=O)C(CC(=O)NCC(C)C)C1CCCC(C(=O)CCC=C)C1)C2(C)C GUWUEJSGMIFJHH-UHFFFAOYSA-N 0.000 description 1
- LGTZHYMRELBCJI-UHFFFAOYSA-N C=CCCC(=O)C(=O)C(CCC)NC(=O)C1CC(OC(C)(C)C)CN1C(=O)C(NC(=O)NC(C)(C)C)C1=C2C=CC=CC2=CC=C1 Chemical compound C=CCCC(=O)C(=O)C(CCC)NC(=O)C1CC(OC(C)(C)C)CN1C(=O)C(NC(=O)NC(C)(C)C)C1=C2C=CC=CC2=CC=C1 LGTZHYMRELBCJI-UHFFFAOYSA-N 0.000 description 1
- BUCAPHKFBDMRRT-YCKMOBRLSA-N C=CCCC(=O)C(=O)C(CCC=C)CC(=O)[C@@H]1C2C(CN1C(=O)[C@@H](NC(=O)NC(C)(C)C1=CC=CC(C(C)C)=C1)C1CCCCC1)C2(C)C Chemical compound C=CCCC(=O)C(=O)C(CCC=C)CC(=O)[C@@H]1C2C(CN1C(=O)[C@@H](NC(=O)NC(C)(C)C1=CC=CC(C(C)C)=C1)C1CCCCC1)C2(C)C BUCAPHKFBDMRRT-YCKMOBRLSA-N 0.000 description 1
- ORBICYUMZZEEPE-IHJOHTLVSA-N C=CCCC(=O)C(=O)C(CCC=C)CC(=O)[C@@H]1C2C(CN1C(=O)[C@@H](NC(=O)OC(C)(C)C)C1CCCCC1)C2(C)C Chemical compound C=CCCC(=O)C(=O)C(CCC=C)CC(=O)[C@@H]1C2C(CN1C(=O)[C@@H](NC(=O)OC(C)(C)C)C1CCCCC1)C2(C)C ORBICYUMZZEEPE-IHJOHTLVSA-N 0.000 description 1
- APNIGNQSJCIVDC-HFBKVUHKSA-N C=CCCC(=O)C(=O)C(CCC=C)CC(=O)[C@@H]1[C@@H]2[C@H](CN1C(=O)[C@@H](NC(=O)NC(C)(C)C)C1CCCCC1)C2(C)C.C=CCCC(=O)C(=O)C(CCC=C)CC(=O)[C@@H]1[C@@H]2[C@H](CN1C(=O)[C@@H](NC(=O)NC13CC4CC(CC(C4)C1)C3)C1CCCCC1)C2(C)C.C=CCCC(CC(=O)[C@@H]1[C@@H]2[C@H](CN1C(=O)[C@@H](NC(=O)OC(C)(C)C)C1CCCCC1)C2(Cl)Cl)C(=O)C(=O)CCCC(=O)CC(C)(C)C.C=CCCCC(=O)C(=O)C(CCC=C)CC(=O)[C@@H]1[C@@H]2[C@H](CN1C(=O)[C@@H](NC(=O)NC1CC3CCC1C3)C(C)(C)C)C2(C)C.CC(C)(C)[C@H](NC(=O)OC(C)(C)C(F)(F)F)C(=O)N1C[C@H]2[C@@H]([C@H]1C(=O)C[C@@H](CC1CC1)C(=O)C(N)=O)C2(C)C Chemical compound C=CCCC(=O)C(=O)C(CCC=C)CC(=O)[C@@H]1[C@@H]2[C@H](CN1C(=O)[C@@H](NC(=O)NC(C)(C)C)C1CCCCC1)C2(C)C.C=CCCC(=O)C(=O)C(CCC=C)CC(=O)[C@@H]1[C@@H]2[C@H](CN1C(=O)[C@@H](NC(=O)NC13CC4CC(CC(C4)C1)C3)C1CCCCC1)C2(C)C.C=CCCC(CC(=O)[C@@H]1[C@@H]2[C@H](CN1C(=O)[C@@H](NC(=O)OC(C)(C)C)C1CCCCC1)C2(Cl)Cl)C(=O)C(=O)CCCC(=O)CC(C)(C)C.C=CCCCC(=O)C(=O)C(CCC=C)CC(=O)[C@@H]1[C@@H]2[C@H](CN1C(=O)[C@@H](NC(=O)NC1CC3CCC1C3)C(C)(C)C)C2(C)C.CC(C)(C)[C@H](NC(=O)OC(C)(C)C(F)(F)F)C(=O)N1C[C@H]2[C@@H]([C@H]1C(=O)C[C@@H](CC1CC1)C(=O)C(N)=O)C2(C)C APNIGNQSJCIVDC-HFBKVUHKSA-N 0.000 description 1
- ZFBRDACAKNBEEC-PVPLKTPFSA-N C=CCCC(=O)C(=O)C(CCC=C)CC(=O)[C@@H]1[C@@H]2[C@H](CN1C(=O)[C@@H](NC(=O)NC1CC3CCC1C3)C1CCCCC1)C2(Cl)Cl.C=CCCC(CC(=O)[C@@H]1[C@@H]2[C@H](CN1C(=O)[C@@H](NC(=O)NC(C)(C)C)C(C)(C)C)C2(Cl)Cl)C(=O)C(=O)CCCC(=O)OC1(C)CCCC1.C=CCCC(CC(=O)[C@@H]1[C@@H]2[C@H](CN1C(=O)[C@@H](NC(=O)NC(C)(C)C)C1CCCCC1)C2(Cl)Cl)C(=O)C(=O)CCCC(=O)OC(C)(C)C.C=CCCC(CC(=O)[C@@H]1[C@@H]2[C@H](CN1C(=O)[C@@H](NC(=O)NC(C)(C)C)C1CCCCC1)C2(Cl)Cl)C(=O)C(=O)CCCC(=O)OC1(C)CCCC1.C=CCCC(CC(=O)[C@@H]1[C@@H]2[C@H](CN1C(=O)[C@@H](NC(=O)NC13CC4CC(CC(C4)C1)C3)C1CCCCC1)C2(C)C)C(=O)C(=O)CCC(=O)NCC1=CC=CC=C1 Chemical compound C=CCCC(=O)C(=O)C(CCC=C)CC(=O)[C@@H]1[C@@H]2[C@H](CN1C(=O)[C@@H](NC(=O)NC1CC3CCC1C3)C1CCCCC1)C2(Cl)Cl.C=CCCC(CC(=O)[C@@H]1[C@@H]2[C@H](CN1C(=O)[C@@H](NC(=O)NC(C)(C)C)C(C)(C)C)C2(Cl)Cl)C(=O)C(=O)CCCC(=O)OC1(C)CCCC1.C=CCCC(CC(=O)[C@@H]1[C@@H]2[C@H](CN1C(=O)[C@@H](NC(=O)NC(C)(C)C)C1CCCCC1)C2(Cl)Cl)C(=O)C(=O)CCCC(=O)OC(C)(C)C.C=CCCC(CC(=O)[C@@H]1[C@@H]2[C@H](CN1C(=O)[C@@H](NC(=O)NC(C)(C)C)C1CCCCC1)C2(Cl)Cl)C(=O)C(=O)CCCC(=O)OC1(C)CCCC1.C=CCCC(CC(=O)[C@@H]1[C@@H]2[C@H](CN1C(=O)[C@@H](NC(=O)NC13CC4CC(CC(C4)C1)C3)C1CCCCC1)C2(C)C)C(=O)C(=O)CCC(=O)NCC1=CC=CC=C1 ZFBRDACAKNBEEC-PVPLKTPFSA-N 0.000 description 1
- ZOYRDNBYWCYWCK-XYUQTHGISA-N C=CCCC(=O)C(=O)C(CCC=C)CC(=O)[C@@H]1[C@@H]2[C@H](CN1C(=O)[C@@H](NC(=O)NC1CC3CCC1C3)C1CCCCC1)C2(Cl)Cl.C=CCCC(CC(=O)[C@@H]1[C@@H]2[C@H](CN1C(=O)[C@@H](NC(=O)NC(C)(C)C)C(C)(C)C)C2(Cl)Cl)C(=O)C(=O)CCCC(=O)OC1(C)CCCC1.C=CCCC(CC(=O)[C@@H]1[C@@H]2[C@H](CN1C(=O)[C@@H](NC(=O)NC(C)(C)C)C1CCCCC1)C2(Cl)Cl)C(=O)C(=O)CCCC(=O)OC(C)(C)C.C=CCCC(CC(=O)[C@@H]1[C@@H]2[C@H](CN1C(=O)[C@@H](NC(=O)NC13CC4CC(CC(C4)C1)C3)C1CCCCC1)C2(C)C)C(=O)C(=O)CCC(=O)NCC1=CC=CC=C1.C=CCCC(CC(=O)[C@@H]1[C@@H]2[C@H](CN1C(=O)[C@@H](NC(=O)NC13CC4CC(CC(C4)C1)C3)C1CCCCC1)C2(C)C)C(=O)C(=O)CCC(=O)OC(C)(C)C1=CC=CC=C1 Chemical compound C=CCCC(=O)C(=O)C(CCC=C)CC(=O)[C@@H]1[C@@H]2[C@H](CN1C(=O)[C@@H](NC(=O)NC1CC3CCC1C3)C1CCCCC1)C2(Cl)Cl.C=CCCC(CC(=O)[C@@H]1[C@@H]2[C@H](CN1C(=O)[C@@H](NC(=O)NC(C)(C)C)C(C)(C)C)C2(Cl)Cl)C(=O)C(=O)CCCC(=O)OC1(C)CCCC1.C=CCCC(CC(=O)[C@@H]1[C@@H]2[C@H](CN1C(=O)[C@@H](NC(=O)NC(C)(C)C)C1CCCCC1)C2(Cl)Cl)C(=O)C(=O)CCCC(=O)OC(C)(C)C.C=CCCC(CC(=O)[C@@H]1[C@@H]2[C@H](CN1C(=O)[C@@H](NC(=O)NC13CC4CC(CC(C4)C1)C3)C1CCCCC1)C2(C)C)C(=O)C(=O)CCC(=O)NCC1=CC=CC=C1.C=CCCC(CC(=O)[C@@H]1[C@@H]2[C@H](CN1C(=O)[C@@H](NC(=O)NC13CC4CC(CC(C4)C1)C3)C1CCCCC1)C2(C)C)C(=O)C(=O)CCC(=O)OC(C)(C)C1=CC=CC=C1 ZOYRDNBYWCYWCK-XYUQTHGISA-N 0.000 description 1
- ZTYGLKFIPLACHD-HZHBPDIXSA-N C=CCCC(=O)C(=O)C(CCC=C)CC(=O)[C@@H]1[C@@H]2[C@H](CN1C(=O)[C@@H](NC(=O)OC(C)(C)C)C1CC3=C(C=CC=C3)C1)C2(Cl)Cl.C=CCCC(CC(=O)[C@@H]1[C@@H]2[C@H](CN1C(=O)[C@@H](NC(=O)NC(C)(C)C)C(C)(C)C)C2(C)C)C(=O)C(=O)CCCC(=O)OC(C)(C)C.C=CCCC(CC(=O)[C@@H]1[C@@H]2[C@H](CN1C(=O)[C@@H](NC(=O)NC1CC3CCC1C3)C(C)(C)C)C2(C)C)C(=O)C(=O)CCCC(=O)OCC.C=CCCC(CC(=O)[C@@H]1[C@@H]2[C@H](CN1C(=O)[C@@H](NC(=O)OC(C)(C)C)C1CCCCC1)C2(C)C)C(=O)C(=O)CCCC(=O)N(C)CC1=CC=CC=C1.C=CCCCC(=O)C(=O)C(CCC=C)CC(=O)[C@@H]1[C@@H]2[C@H](CN1C(=O)[C@@H](NC(=O)OC(C)(C)C)C1CCCCC1)C2(C)C Chemical compound C=CCCC(=O)C(=O)C(CCC=C)CC(=O)[C@@H]1[C@@H]2[C@H](CN1C(=O)[C@@H](NC(=O)OC(C)(C)C)C1CC3=C(C=CC=C3)C1)C2(Cl)Cl.C=CCCC(CC(=O)[C@@H]1[C@@H]2[C@H](CN1C(=O)[C@@H](NC(=O)NC(C)(C)C)C(C)(C)C)C2(C)C)C(=O)C(=O)CCCC(=O)OC(C)(C)C.C=CCCC(CC(=O)[C@@H]1[C@@H]2[C@H](CN1C(=O)[C@@H](NC(=O)NC1CC3CCC1C3)C(C)(C)C)C2(C)C)C(=O)C(=O)CCCC(=O)OCC.C=CCCC(CC(=O)[C@@H]1[C@@H]2[C@H](CN1C(=O)[C@@H](NC(=O)OC(C)(C)C)C1CCCCC1)C2(C)C)C(=O)C(=O)CCCC(=O)N(C)CC1=CC=CC=C1.C=CCCCC(=O)C(=O)C(CCC=C)CC(=O)[C@@H]1[C@@H]2[C@H](CN1C(=O)[C@@H](NC(=O)OC(C)(C)C)C1CCCCC1)C2(C)C ZTYGLKFIPLACHD-HZHBPDIXSA-N 0.000 description 1
- YVLUKLVNMMLICW-LFSXWVDCSA-N C=CCCC(=O)C(=O)C(CCC=C)CC(=O)[C@@H]1[C@@H]2[C@H](CN1C(=O)[C@@H](NC(=O)OC(C)(C)C)C1CC3=C(C=CC=C3)C1)C2(Cl)Cl.C=CCCC(CC(=O)[C@@H]1[C@@H]2[C@H](CN1C(=O)[C@@H](NC(=O)NC1CC3CCC1C3)C(C)(C)C)C2(C)C)C(=O)C(=O)CCCC(=O)OCC.C=CCCC(CC(=O)[C@@H]1[C@@H]2[C@H](CN1C(=O)[C@@H](NC(=O)OC(C)(C)C)C1CCCCC1)C2(C)C)C(=O)C(=O)CCCC(=O)N(C)CC1=CC=CC=C1.C=CCCCC(=O)C(=O)C(CCC=C)CC(=O)[C@@H]1[C@@H]2[C@H](CN1C(=O)[C@@H](NC(=O)NC(C)(C)C)C(C)(C)C)C2(C)C.C=CCCCC(=O)C(=O)C(CCC=C)CC(=O)[C@@H]1[C@@H]2[C@H](CN1C(=O)[C@@H](NC(=O)NC1CC3CCC1C3)C1CCCCC1)C2(Cl)Cl.C=CCCCC(=O)C(=O)C(CCC=C)CC(=O)[C@@H]1[C@@H]2[C@H](CN1C(=O)[C@@H](NC(=O)OC(C)(C)C)C1CCCCC1)C2(C)C Chemical compound C=CCCC(=O)C(=O)C(CCC=C)CC(=O)[C@@H]1[C@@H]2[C@H](CN1C(=O)[C@@H](NC(=O)OC(C)(C)C)C1CC3=C(C=CC=C3)C1)C2(Cl)Cl.C=CCCC(CC(=O)[C@@H]1[C@@H]2[C@H](CN1C(=O)[C@@H](NC(=O)NC1CC3CCC1C3)C(C)(C)C)C2(C)C)C(=O)C(=O)CCCC(=O)OCC.C=CCCC(CC(=O)[C@@H]1[C@@H]2[C@H](CN1C(=O)[C@@H](NC(=O)OC(C)(C)C)C1CCCCC1)C2(C)C)C(=O)C(=O)CCCC(=O)N(C)CC1=CC=CC=C1.C=CCCCC(=O)C(=O)C(CCC=C)CC(=O)[C@@H]1[C@@H]2[C@H](CN1C(=O)[C@@H](NC(=O)NC(C)(C)C)C(C)(C)C)C2(C)C.C=CCCCC(=O)C(=O)C(CCC=C)CC(=O)[C@@H]1[C@@H]2[C@H](CN1C(=O)[C@@H](NC(=O)NC1CC3CCC1C3)C1CCCCC1)C2(Cl)Cl.C=CCCCC(=O)C(=O)C(CCC=C)CC(=O)[C@@H]1[C@@H]2[C@H](CN1C(=O)[C@@H](NC(=O)OC(C)(C)C)C1CCCCC1)C2(C)C YVLUKLVNMMLICW-LFSXWVDCSA-N 0.000 description 1
- TTWZEBWOPNNKNZ-OOAXCMJCSA-N C=CCCC(=O)C(=O)C(CCC=C)CC(=O)[C@@H]1[C@@H]2[C@H](CN1C(=O)[C@@H](NC(=O)OC(C)(C)C)C1CCCCC1)C2(Cl)Cl.C=CCCC(CC(=O)[C@@H]1[C@@H]2[C@H](CN1C(=O)[C@@H](NC(=O)OC(C)(C)C)C1CCCCC1)C2(C)C)C(=O)C(=O)CCCC(=O)OC(C)(C)CC.C=CCCCC(=O)C(=O)C(CCC=C)CC(=O)[C@@H]1[C@@H]2[C@H](CN1C(=O)[C@@H](NC(=O)NC(C)(C)C)C1CC3=C(C=CC=C3)C1)C2(C)C.C=CCCCC(=O)C(=O)C(CCC=C)CC(=O)[C@@H]1[C@@H]2[C@H](CN1C(=O)[C@@H](NC(=O)NC(C)(C)C)C1CCCCC1)C2(C)C.CCCC(CC(=O)[C@@H]1[C@@H]2[C@H](CN1C(=O)[C@@H](NC(=O)OC(C)(C)C)C1CC3=C(C=CC=C3)C1)C2(Cl)Cl)C(=O)C(=O)CC Chemical compound C=CCCC(=O)C(=O)C(CCC=C)CC(=O)[C@@H]1[C@@H]2[C@H](CN1C(=O)[C@@H](NC(=O)OC(C)(C)C)C1CCCCC1)C2(Cl)Cl.C=CCCC(CC(=O)[C@@H]1[C@@H]2[C@H](CN1C(=O)[C@@H](NC(=O)OC(C)(C)C)C1CCCCC1)C2(C)C)C(=O)C(=O)CCCC(=O)OC(C)(C)CC.C=CCCCC(=O)C(=O)C(CCC=C)CC(=O)[C@@H]1[C@@H]2[C@H](CN1C(=O)[C@@H](NC(=O)NC(C)(C)C)C1CC3=C(C=CC=C3)C1)C2(C)C.C=CCCCC(=O)C(=O)C(CCC=C)CC(=O)[C@@H]1[C@@H]2[C@H](CN1C(=O)[C@@H](NC(=O)NC(C)(C)C)C1CCCCC1)C2(C)C.CCCC(CC(=O)[C@@H]1[C@@H]2[C@H](CN1C(=O)[C@@H](NC(=O)OC(C)(C)C)C1CC3=C(C=CC=C3)C1)C2(Cl)Cl)C(=O)C(=O)CC TTWZEBWOPNNKNZ-OOAXCMJCSA-N 0.000 description 1
- OZMVZZLHNLQSAV-KNISYOTISA-N C=CCCC(=O)C(=O)[C@@H](CCC=C)NC(=O)[C@@H]1C2C(CN1C(=O)[C@@H](NC(=O)OC(C)(C)CC(C)(C)C)C1CCCCC1)C2(O)O Chemical compound C=CCCC(=O)C(=O)[C@@H](CCC=C)NC(=O)[C@@H]1C2C(CN1C(=O)[C@@H](NC(=O)OC(C)(C)CC(C)(C)C)C1CCCCC1)C2(O)O OZMVZZLHNLQSAV-KNISYOTISA-N 0.000 description 1
- ITPKARZECIYUAO-MCNPINDMSA-M C=CCCC(=O)C(O)C(CCC)CC(=O)[C@@H]1CC(F)(F)CN1C(=O)[C@@H](CC(=O)OC(C)(C)C)C(C)(C)C.C=CCCC(=O)C(O)C(CCC)CC(=O)[C@@H]1CC(F)(F)CN1C(=O)[C@@H](CC(=O)OC(C)(C)C)C(C)(C)C.C=CCCC(=O)C(O)C(CCC)ClN.CC(C)(C)OC(=O)C[C@H](C(=O)N1CC(F)(F)C[C@H]1C(=O)O)C(C)(C)C.CC(C)(C)[C@H](N)C(=O)O.CCCC(CC(=O)[C@@H]1CC(F)(F)CN1C(=O)[C@@H](CC(=O)OC(C)(C)C)C(C)(C)C)C(=O)C(=O)CCC(=O)N[C@H](C(=O)N(C)C)C1=CC=CC=C1.CCC[V]I.COC(=O)[C@@H]1CC(F)(F)CN1.COC(=O)[C@@H]1CC(F)(F)CN1C(=O)[C@@H](CC(=O)OC(C)(C)C)C(C)(C)C.COC(=O)[C@@H]1CC(F)(F)CN1C(C)=O.ClCCl.O.[Li]NO Chemical compound C=CCCC(=O)C(O)C(CCC)CC(=O)[C@@H]1CC(F)(F)CN1C(=O)[C@@H](CC(=O)OC(C)(C)C)C(C)(C)C.C=CCCC(=O)C(O)C(CCC)CC(=O)[C@@H]1CC(F)(F)CN1C(=O)[C@@H](CC(=O)OC(C)(C)C)C(C)(C)C.C=CCCC(=O)C(O)C(CCC)ClN.CC(C)(C)OC(=O)C[C@H](C(=O)N1CC(F)(F)C[C@H]1C(=O)O)C(C)(C)C.CC(C)(C)[C@H](N)C(=O)O.CCCC(CC(=O)[C@@H]1CC(F)(F)CN1C(=O)[C@@H](CC(=O)OC(C)(C)C)C(C)(C)C)C(=O)C(=O)CCC(=O)N[C@H](C(=O)N(C)C)C1=CC=CC=C1.CCC[V]I.COC(=O)[C@@H]1CC(F)(F)CN1.COC(=O)[C@@H]1CC(F)(F)CN1C(=O)[C@@H](CC(=O)OC(C)(C)C)C(C)(C)C.COC(=O)[C@@H]1CC(F)(F)CN1C(C)=O.ClCCl.O.[Li]NO ITPKARZECIYUAO-MCNPINDMSA-M 0.000 description 1
- JORKQCZPNNBEBS-UTVRUWANSA-N C=CCCC(C)C.C=CCCCC(C(=O)O)C(C)C.CC(C)/C=C/OC=O.CC(C)C(C)(C)C.CC(C)C(C)C(C)OC=O.CC(C)C(C)CC1=CC=CC=C1.CC(C)C(C)OC=O.CC(C)C(CC1=CC=CC=C1)C(=O)O.CC(C)C(CC1=CC=CC=C1)C(C)(C)C.CC(C)C(CCOC=O)C(C)(C)C.CC(C)C1(C2=CC=CC=C2)CC1.CC(C)C1(OC=O)CC1.CC(C)C12CC3CC(CC(C3)C1)C2.CC(C)C1CC1C1=CC=CC=C1.CC(C)CC(C)(C)C.CC(C)CC(C)(C)COC=O.CC(C)CC(C)C.CC(C)CC(C)COC=O.CC(C)CC(C)COC=O.CC(C)CC(C1=CC=CC=C1)C1=CC=CC=C1.CC(C)CC(COC=O)C1=CC=CC=C1.CC(C)CCC(C)(C)OC=O.CC(C)CCCOC=O.CC(C)CCOC=O.CC(C)CCOC=O.CCC(C(=O)O)C(C)C.CCC(C1=CC=CC=C1)C(C)C.CCC/C=C/C(C)C.CCCC(CCC)C(C)C.CCCCC(C)C.CCCCC(CC(C)C)C(=O)O Chemical compound C=CCCC(C)C.C=CCCCC(C(=O)O)C(C)C.CC(C)/C=C/OC=O.CC(C)C(C)(C)C.CC(C)C(C)C(C)OC=O.CC(C)C(C)CC1=CC=CC=C1.CC(C)C(C)OC=O.CC(C)C(CC1=CC=CC=C1)C(=O)O.CC(C)C(CC1=CC=CC=C1)C(C)(C)C.CC(C)C(CCOC=O)C(C)(C)C.CC(C)C1(C2=CC=CC=C2)CC1.CC(C)C1(OC=O)CC1.CC(C)C12CC3CC(CC(C3)C1)C2.CC(C)C1CC1C1=CC=CC=C1.CC(C)CC(C)(C)C.CC(C)CC(C)(C)COC=O.CC(C)CC(C)C.CC(C)CC(C)COC=O.CC(C)CC(C)COC=O.CC(C)CC(C1=CC=CC=C1)C1=CC=CC=C1.CC(C)CC(COC=O)C1=CC=CC=C1.CC(C)CCC(C)(C)OC=O.CC(C)CCCOC=O.CC(C)CCOC=O.CC(C)CCOC=O.CCC(C(=O)O)C(C)C.CCC(C1=CC=CC=C1)C(C)C.CCC/C=C/C(C)C.CCCC(CCC)C(C)C.CCCCC(C)C.CCCCC(CC(C)C)C(=O)O JORKQCZPNNBEBS-UTVRUWANSA-N 0.000 description 1
- GIYVJMBUMOIYJS-UHFFFAOYSA-N C=CCCC(CC(=O)C1C2C(CN1C(=O)C(NC(=O)OC(C)(C)C)C(C)(C)C)C2(C)C)C(=O)C(=O)O Chemical compound C=CCCC(CC(=O)C1C2C(CN1C(=O)C(NC(=O)OC(C)(C)C)C(C)(C)C)C2(C)C)C(=O)C(=O)O GIYVJMBUMOIYJS-UHFFFAOYSA-N 0.000 description 1
- KUAUPGSLGRAMPY-UHFFFAOYSA-N C=CCCC(CC(=O)C1C2C(CN1C(=O)C(NC(=O)OC(C)(C)C)C(C)(C)C)C2(C)C)C(=O)C(=O)OCC Chemical compound C=CCCC(CC(=O)C1C2C(CN1C(=O)C(NC(=O)OC(C)(C)C)C(C)(C)C)C2(C)C)C(=O)C(=O)OCC KUAUPGSLGRAMPY-UHFFFAOYSA-N 0.000 description 1
- AUQBTDOXPOZEBM-IYLBWODHSA-N C=CCCC(CC(=O)C1C2C(CN1C(=O)C(NC(=O)OC(C)(C)C)C1CCCCC1)C2(C)C)C(=O)C(=O)CCC(=O)N[C@H](C(=O)N(C)C)C1=CC=CC=C1 Chemical compound C=CCCC(CC(=O)C1C2C(CN1C(=O)C(NC(=O)OC(C)(C)C)C1CCCCC1)C2(C)C)C(=O)C(=O)CCC(=O)N[C@H](C(=O)N(C)C)C1=CC=CC=C1 AUQBTDOXPOZEBM-IYLBWODHSA-N 0.000 description 1
- KXFDVFHVCCLAAE-NXLWEEGZSA-N C=CCCC(CC(=O)[C@@H]1[C@@H]2[C@H](CN1C(=O)C(NC(=O)NC(C)(C)C)C1CCCCC1)C2(C)C)C(=O)C(=O)CC(=O)C(C)C Chemical compound C=CCCC(CC(=O)[C@@H]1[C@@H]2[C@H](CN1C(=O)C(NC(=O)NC(C)(C)C)C1CCCCC1)C2(C)C)C(=O)C(=O)CC(=O)C(C)C KXFDVFHVCCLAAE-NXLWEEGZSA-N 0.000 description 1
- GQFDOTQZZVYLCA-ASFTXKMGSA-N C=CCCC(CC(=O)[C@@H]1[C@@H]2[C@H](CN1C(=O)[C@@H](NC(=O)NC(C)(C)C)C(C)(C)C)C2(C)C)C(=O)C(=O)CCC(=O)S(=O)(=O)CC1=CC=CC=C1.C=CCCC(CC(=O)[C@@H]1[C@@H]2[C@H](CN1C(=O)[C@@H](NC(=O)NC(C)(C)C)C1CCCCC1)C2(C)C)C(=O)C(=O)CCCC(=O)OC1(C)CCCC1.C=CCCC(CC(=O)[C@@H]1[C@@H]2[C@H](CN1C(=O)[C@@H](NC(=O)NC(C)(C)C)C1CCCCC1)C2(C)C)C(=O)C(=O)CCCS(=O)(=O)C1=CC=CC=C1.C=CCCC(CC(=O)[C@@H]1[C@@H]2[C@H](CN1C(=O)[C@@H](NC(=O)OC(C)(C)C)C1CCCCC1)C2(C)C)C(=O)C(=O)CCCS(=O)(=O)C1=CC=CC=C1.CCCC(CC(=O)[C@@H]1[C@@H]2[C@H](CN1C(=O)[C@@H](NC(=O)NC(C)(C)C)C1CCCC1)C2(C)C)C(=O)C(=O)CCC(=O)NCC1=CC=CC=C1 Chemical compound C=CCCC(CC(=O)[C@@H]1[C@@H]2[C@H](CN1C(=O)[C@@H](NC(=O)NC(C)(C)C)C(C)(C)C)C2(C)C)C(=O)C(=O)CCC(=O)S(=O)(=O)CC1=CC=CC=C1.C=CCCC(CC(=O)[C@@H]1[C@@H]2[C@H](CN1C(=O)[C@@H](NC(=O)NC(C)(C)C)C1CCCCC1)C2(C)C)C(=O)C(=O)CCCC(=O)OC1(C)CCCC1.C=CCCC(CC(=O)[C@@H]1[C@@H]2[C@H](CN1C(=O)[C@@H](NC(=O)NC(C)(C)C)C1CCCCC1)C2(C)C)C(=O)C(=O)CCCS(=O)(=O)C1=CC=CC=C1.C=CCCC(CC(=O)[C@@H]1[C@@H]2[C@H](CN1C(=O)[C@@H](NC(=O)OC(C)(C)C)C1CCCCC1)C2(C)C)C(=O)C(=O)CCCS(=O)(=O)C1=CC=CC=C1.CCCC(CC(=O)[C@@H]1[C@@H]2[C@H](CN1C(=O)[C@@H](NC(=O)NC(C)(C)C)C1CCCC1)C2(C)C)C(=O)C(=O)CCC(=O)NCC1=CC=CC=C1 GQFDOTQZZVYLCA-ASFTXKMGSA-N 0.000 description 1
- XSWNZDXYSYHQFK-VNRDPSLVSA-N C=CCCC(CC(=O)[C@@H]1[C@@H]2[C@H](CN1C(=O)[C@@H](NC(=O)NC(C)(C)C)C(C)(C)C)C2(C)C)C(=O)C(=O)CCCC(=O)OC(C)(C)C.C=CCCCC(=O)C(=O)C(CCC=C)CC(=O)[C@@H]1[C@@H]2[C@H](CN1C(=O)[C@@H](NC(=O)OC(C)(C)C)C1CCCCC1)C2(C)C.CCCC(CC(=O)[C@@H]1[C@@H]2[C@H](CN1C(=O)[C@@H](NC(=O)NC(C)(C)C)C(C)(C)C)C2(Cl)Cl)C(=O)C(=O)CCC(=O)NCC1=CC=CC=C1 Chemical compound C=CCCC(CC(=O)[C@@H]1[C@@H]2[C@H](CN1C(=O)[C@@H](NC(=O)NC(C)(C)C)C(C)(C)C)C2(C)C)C(=O)C(=O)CCCC(=O)OC(C)(C)C.C=CCCCC(=O)C(=O)C(CCC=C)CC(=O)[C@@H]1[C@@H]2[C@H](CN1C(=O)[C@@H](NC(=O)OC(C)(C)C)C1CCCCC1)C2(C)C.CCCC(CC(=O)[C@@H]1[C@@H]2[C@H](CN1C(=O)[C@@H](NC(=O)NC(C)(C)C)C(C)(C)C)C2(Cl)Cl)C(=O)C(=O)CCC(=O)NCC1=CC=CC=C1 XSWNZDXYSYHQFK-VNRDPSLVSA-N 0.000 description 1
- NWDMGXLZRULVSZ-CNBQCMNXSA-N C=CCCC(CC(=O)[C@@H]1[C@@H]2[C@H](CN1C(=O)[C@@H](NC(=O)NC(C)(C)C)C(C)(C)C)C2(C)C)C(=O)C(=O)CCCS(=O)(=O)CC1=CC=CC=C1.C=CCCC(CC(=O)[C@@H]1[C@@H]2[C@H](CN1C(=O)[C@@H](NC(=O)NC(C)(C)C)C1CCCCC1)C2(C)C)C(=O)C(=O)CCCC(=O)OC1(C)CCCC1.C=CCCC(CC(=O)[C@@H]1[C@@H]2[C@H](CN1C(=O)[C@@H](NC(=O)NC(C)(C)C)C1CCCCC1)C2(C)C)C(=O)C(=O)CCCS(=O)(=O)C1=CC=CC=C1.C=CCCCC(=O)C(=O)C(CCC=C)CC(=O)[C@@H]1[C@@H]2[C@H](CN1C(=O)[C@@H](NC(=O)NC(C)(C)C)C1CCCCC1)C2(Cl)Cl.CCC(=O)C(=O)C(CC(=O)[C@@H]1[C@@H]2[C@H](CN1C(=O)[C@@H](NC(=O)O[C@H]1CCC[C@@H]1C)C1CC3=C(C=CC=C3)C1)C2(C)C)CC1CC1 Chemical compound C=CCCC(CC(=O)[C@@H]1[C@@H]2[C@H](CN1C(=O)[C@@H](NC(=O)NC(C)(C)C)C(C)(C)C)C2(C)C)C(=O)C(=O)CCCS(=O)(=O)CC1=CC=CC=C1.C=CCCC(CC(=O)[C@@H]1[C@@H]2[C@H](CN1C(=O)[C@@H](NC(=O)NC(C)(C)C)C1CCCCC1)C2(C)C)C(=O)C(=O)CCCC(=O)OC1(C)CCCC1.C=CCCC(CC(=O)[C@@H]1[C@@H]2[C@H](CN1C(=O)[C@@H](NC(=O)NC(C)(C)C)C1CCCCC1)C2(C)C)C(=O)C(=O)CCCS(=O)(=O)C1=CC=CC=C1.C=CCCCC(=O)C(=O)C(CCC=C)CC(=O)[C@@H]1[C@@H]2[C@H](CN1C(=O)[C@@H](NC(=O)NC(C)(C)C)C1CCCCC1)C2(Cl)Cl.CCC(=O)C(=O)C(CC(=O)[C@@H]1[C@@H]2[C@H](CN1C(=O)[C@@H](NC(=O)O[C@H]1CCC[C@@H]1C)C1CC3=C(C=CC=C3)C1)C2(C)C)CC1CC1 NWDMGXLZRULVSZ-CNBQCMNXSA-N 0.000 description 1
- PEJPIXRPJSSKOA-IQOCOHNCSA-N C=CCCC(CC(=O)[C@@H]1[C@@H]2[C@H](CN1C(=O)[C@@H](NC(=O)NC(C)(C)C)C(C)(C)C)C2(Cl)Cl)C(=O)C(=O)CCCC(=O)OC(C)(C)C.CCCC(CC(=O)[C@@H]1[C@@H]2[C@H](CN1C(=O)[C@@H](NC(=O)NC1=CC=CC=C1)C(C)(C)C)C2(C)C)C(=O)C(=O)CCC(=O)N[C@H](C(=O)N(C)C)C1=CC=CC=C1.CCCCC(CC(=O)[C@@H]1[C@@H]2[C@H](CN1C(=O)[C@@H](NC(=O)OC(C)(C)C)C(C)(C)C)C2(Br)Br)C(=O)C(=O)CCC(=O)N[C@H](C(=O)N(C)C)C1=CC=CC=C1.CN(C)C(=O)[C@@H](NC(=O)CCC(=O)C(=O)C(CC(=O)[C@@H]1[C@@H]2[C@H](CN1C(=O)[C@@H](NC(=O)OC(C)(C)C)C1CC3=C(C=CC=C3)C1)C2(C)C)CC1CC1)C1=CC=CC=C1.CN(C)C(=O)[C@@H](NC(=O)CCC(=O)C(=O)C(CC(=O)[C@@H]1[C@@H]2[C@H](CN1C(=O)[C@@H](NC(=O)OC(C)(C)C)C1CCCCC1)C2(Cl)Cl)CC1CC1)C1=CC=CC=C1 Chemical compound C=CCCC(CC(=O)[C@@H]1[C@@H]2[C@H](CN1C(=O)[C@@H](NC(=O)NC(C)(C)C)C(C)(C)C)C2(Cl)Cl)C(=O)C(=O)CCCC(=O)OC(C)(C)C.CCCC(CC(=O)[C@@H]1[C@@H]2[C@H](CN1C(=O)[C@@H](NC(=O)NC1=CC=CC=C1)C(C)(C)C)C2(C)C)C(=O)C(=O)CCC(=O)N[C@H](C(=O)N(C)C)C1=CC=CC=C1.CCCCC(CC(=O)[C@@H]1[C@@H]2[C@H](CN1C(=O)[C@@H](NC(=O)OC(C)(C)C)C(C)(C)C)C2(Br)Br)C(=O)C(=O)CCC(=O)N[C@H](C(=O)N(C)C)C1=CC=CC=C1.CN(C)C(=O)[C@@H](NC(=O)CCC(=O)C(=O)C(CC(=O)[C@@H]1[C@@H]2[C@H](CN1C(=O)[C@@H](NC(=O)OC(C)(C)C)C1CC3=C(C=CC=C3)C1)C2(C)C)CC1CC1)C1=CC=CC=C1.CN(C)C(=O)[C@@H](NC(=O)CCC(=O)C(=O)C(CC(=O)[C@@H]1[C@@H]2[C@H](CN1C(=O)[C@@H](NC(=O)OC(C)(C)C)C1CCCCC1)C2(Cl)Cl)CC1CC1)C1=CC=CC=C1 PEJPIXRPJSSKOA-IQOCOHNCSA-N 0.000 description 1
- JJNDEZWXVZMOIE-PCPYYAOYSA-N C=CCCC(CC(=O)[C@@H]1[C@@H]2[C@H](CN1C(=O)[C@@H](NC(=O)NC(C)(C)C)C(C)(C)C)C2(Cl)Cl)C(=O)C(=O)CCCC(=O)OC(C)(C)C.CCCC(CC(=O)[C@@H]1[C@@H]2[C@H](CN1C(=O)[C@@H](NC(=O)NC1=CC=CC=C1)C(C)(C)C)C2(C)C)C(=O)C(=O)CCC(=O)N[C@H](C(=O)N(C)C)C1=CC=CC=C1.CN(C)C(=O)[C@@H](NC(=O)CCC(=O)C(=O)C(CC(=O)[C@@H]1[C@@H]2[C@H](CN1C(=O)[C@@H](NC(=O)OC(C)(C)C)C1CC3=C(C=CC=C3)C1)C2(C)C)CC1CC1)C1=CC=CC=C1.CN(C)C(=O)[C@@H](NC(=O)CCC(=O)C(=O)C(CC(=O)[C@@H]1[C@@H]2[C@H](CN1C(=O)[C@@H](NC(=O)OC(C)(C)C)C1CCCCC1)C2(Cl)Cl)CC1CC1)C1=CC=CC=C1 Chemical compound C=CCCC(CC(=O)[C@@H]1[C@@H]2[C@H](CN1C(=O)[C@@H](NC(=O)NC(C)(C)C)C(C)(C)C)C2(Cl)Cl)C(=O)C(=O)CCCC(=O)OC(C)(C)C.CCCC(CC(=O)[C@@H]1[C@@H]2[C@H](CN1C(=O)[C@@H](NC(=O)NC1=CC=CC=C1)C(C)(C)C)C2(C)C)C(=O)C(=O)CCC(=O)N[C@H](C(=O)N(C)C)C1=CC=CC=C1.CN(C)C(=O)[C@@H](NC(=O)CCC(=O)C(=O)C(CC(=O)[C@@H]1[C@@H]2[C@H](CN1C(=O)[C@@H](NC(=O)OC(C)(C)C)C1CC3=C(C=CC=C3)C1)C2(C)C)CC1CC1)C1=CC=CC=C1.CN(C)C(=O)[C@@H](NC(=O)CCC(=O)C(=O)C(CC(=O)[C@@H]1[C@@H]2[C@H](CN1C(=O)[C@@H](NC(=O)OC(C)(C)C)C1CCCCC1)C2(Cl)Cl)CC1CC1)C1=CC=CC=C1 JJNDEZWXVZMOIE-PCPYYAOYSA-N 0.000 description 1
- KTCCNGSFCSRJHN-MXZFZHMWSA-N C=CCCC(CC(=O)[C@@H]1[C@@H]2[C@H](CN1C(=O)[C@@H](NC(=O)NC(C)(C)C)C1CCCCC1)C2(C)C)C(=O)C(=O)CCC(=O)OC(C)(C)C1=CC=CC=C1.C=CCCC(CC(=O)[C@@H]1[C@@H]2[C@H](CN1C(=O)[C@@H](NC(=O)NC(C)(C)C)C1CCCCC1)C2(C)C)C(=O)C(=O)CCCS(=O)(=O)CC1=CC=CC=C1 Chemical compound C=CCCC(CC(=O)[C@@H]1[C@@H]2[C@H](CN1C(=O)[C@@H](NC(=O)NC(C)(C)C)C1CCCCC1)C2(C)C)C(=O)C(=O)CCC(=O)OC(C)(C)C1=CC=CC=C1.C=CCCC(CC(=O)[C@@H]1[C@@H]2[C@H](CN1C(=O)[C@@H](NC(=O)NC(C)(C)C)C1CCCCC1)C2(C)C)C(=O)C(=O)CCCS(=O)(=O)CC1=CC=CC=C1 KTCCNGSFCSRJHN-MXZFZHMWSA-N 0.000 description 1
- XURKAKCUYLQTPD-KDQWXUJHSA-N C=CCCC(CC(=O)[C@@H]1[C@@H]2[C@H](CN1C(=O)[C@@H](NC(=O)NC(C)(C)C)C1CCCCC1)C2(C)C)C(=O)C(=O)CCC(=O)OC(C)(C)C1=CC=CC=C1.C=CCCC(CC(=O)[C@@H]1[C@@H]2[C@H](CN1C(=O)[C@@H](NC(=O)OC(C)(C)C)C1CCCCC1)C2(C)C)C(=O)C(=O)CCCS(=O)(=O)C(C)(C)C.C=CCCC(CC(=O)[C@@H]1[C@@H]2[C@H](CN1C(=O)[C@@H](NC(=O)OC(C)(C)C)C1CCCCC1)C2(C)C)C(=O)C(=O)CCCS(=O)(=O)CC1=CC=CC=C1.C=CCCC(CC(=O)[C@@H]1[C@@H]2[C@H](CN1C(=O)[C@@H](NC(=O)OC(C)(C)C)C1CCCCC1)C2(C)C)C(=O)C(=O)CCCS(=O)(=O)CC1=CC=CC=C1.CCCC(CC(=O)[C@@H]1[C@@H]2[C@H](CN1C(=O)[C@@H](NC(=O)NC(C)(C)C)C(C)(C)C)C2(C)C)C(=O)C(=O)CCC(=O)NCC1=CC=CC=C1 Chemical compound C=CCCC(CC(=O)[C@@H]1[C@@H]2[C@H](CN1C(=O)[C@@H](NC(=O)NC(C)(C)C)C1CCCCC1)C2(C)C)C(=O)C(=O)CCC(=O)OC(C)(C)C1=CC=CC=C1.C=CCCC(CC(=O)[C@@H]1[C@@H]2[C@H](CN1C(=O)[C@@H](NC(=O)OC(C)(C)C)C1CCCCC1)C2(C)C)C(=O)C(=O)CCCS(=O)(=O)C(C)(C)C.C=CCCC(CC(=O)[C@@H]1[C@@H]2[C@H](CN1C(=O)[C@@H](NC(=O)OC(C)(C)C)C1CCCCC1)C2(C)C)C(=O)C(=O)CCCS(=O)(=O)CC1=CC=CC=C1.C=CCCC(CC(=O)[C@@H]1[C@@H]2[C@H](CN1C(=O)[C@@H](NC(=O)OC(C)(C)C)C1CCCCC1)C2(C)C)C(=O)C(=O)CCCS(=O)(=O)CC1=CC=CC=C1.CCCC(CC(=O)[C@@H]1[C@@H]2[C@H](CN1C(=O)[C@@H](NC(=O)NC(C)(C)C)C(C)(C)C)C2(C)C)C(=O)C(=O)CCC(=O)NCC1=CC=CC=C1 XURKAKCUYLQTPD-KDQWXUJHSA-N 0.000 description 1
- CXGVVPDMWIKXFZ-VMZFLYGUSA-N C=CCCC(CC(=O)[C@@H]1[C@@H]2[C@H](CN1C(=O)[C@@H](NC(=O)NC(C)(C)C)C1CCCCC1)C2(C)C)C(=O)C(=O)CCCC(=O)C(C)C.C=CCCC(CC(=O)[C@@H]1[C@@H]2[C@H](CN1C(=O)[C@@H](NC(=O)NC(C)(C)C)C1CCCCC1)C2(C)C)C(=O)C(=O)CCCC(=O)OC(C)(C)C.C=CCCC(CC(=O)[C@@H]1[C@@H]2[C@H](CN1C(=O)[C@@H](NC(=O)NC(C)(C)C)C1CCCCC1)C2(Cl)Cl)C(=O)C(=O)CCCC(=O)OC1(C)CCCC1.CC(C)(C)NC(=O)N[C@H](C(=O)N1C[C@H]2[C@@H]([C@H]1C(=O)CC(CC1CC1)C(=O)C(=O)CCC(=O)NCC1=CC=CC=C1)C2(C)C)C(C)(C)C Chemical compound C=CCCC(CC(=O)[C@@H]1[C@@H]2[C@H](CN1C(=O)[C@@H](NC(=O)NC(C)(C)C)C1CCCCC1)C2(C)C)C(=O)C(=O)CCCC(=O)C(C)C.C=CCCC(CC(=O)[C@@H]1[C@@H]2[C@H](CN1C(=O)[C@@H](NC(=O)NC(C)(C)C)C1CCCCC1)C2(C)C)C(=O)C(=O)CCCC(=O)OC(C)(C)C.C=CCCC(CC(=O)[C@@H]1[C@@H]2[C@H](CN1C(=O)[C@@H](NC(=O)NC(C)(C)C)C1CCCCC1)C2(Cl)Cl)C(=O)C(=O)CCCC(=O)OC1(C)CCCC1.CC(C)(C)NC(=O)N[C@H](C(=O)N1C[C@H]2[C@@H]([C@H]1C(=O)CC(CC1CC1)C(=O)C(=O)CCC(=O)NCC1=CC=CC=C1)C2(C)C)C(C)(C)C CXGVVPDMWIKXFZ-VMZFLYGUSA-N 0.000 description 1
- KLEJKMCSEPZQII-HDIWMGEASA-N C=CCCC(CC(=O)[C@@H]1[C@@H]2[C@H](CN1C(=O)[C@@H](NC(=O)NC(C)(C)C)C1CCCCC1)C2(C)C)C(=O)C(=O)CCCC(=O)C(C)C.C=CCCC(CC(=O)[C@@H]1[C@@H]2[C@H](CN1C(=O)[C@@H](NC(=O)NC(C)(C)C)C1CCCCC1)C2(C)C)C(=O)C(=O)CCCC(=O)OC(C)(C)C.C=CCCC(CC(=O)[C@@H]1[C@@H]2[C@H](CN1C(=O)[C@@H](NC(=O)OC(C)(C)C)C1CCCCC1)C2(C)C)C(=O)C(=O)CCCS(=O)(=O)C1=CC=CC=C1.CC(C)(C)NC(=O)N[C@H](C(=O)N1C[C@H]2[C@@H]([C@H]1C(=O)CC(CC1CC1)C(=O)C(=O)CCC(=O)NCC1=CC=CC=C1)C2(C)C)C(C)(C)C.CCCC(CC(=O)[C@@H]1[C@@H]2[C@H](CN1C(=O)[C@@H](NC(=O)NC(C)(C)C)C1CCCC1)C2(C)C)C(=O)C(=O)CCC(=O)NCC1=CC=CC=C1 Chemical compound C=CCCC(CC(=O)[C@@H]1[C@@H]2[C@H](CN1C(=O)[C@@H](NC(=O)NC(C)(C)C)C1CCCCC1)C2(C)C)C(=O)C(=O)CCCC(=O)C(C)C.C=CCCC(CC(=O)[C@@H]1[C@@H]2[C@H](CN1C(=O)[C@@H](NC(=O)NC(C)(C)C)C1CCCCC1)C2(C)C)C(=O)C(=O)CCCC(=O)OC(C)(C)C.C=CCCC(CC(=O)[C@@H]1[C@@H]2[C@H](CN1C(=O)[C@@H](NC(=O)OC(C)(C)C)C1CCCCC1)C2(C)C)C(=O)C(=O)CCCS(=O)(=O)C1=CC=CC=C1.CC(C)(C)NC(=O)N[C@H](C(=O)N1C[C@H]2[C@@H]([C@H]1C(=O)CC(CC1CC1)C(=O)C(=O)CCC(=O)NCC1=CC=CC=C1)C2(C)C)C(C)(C)C.CCCC(CC(=O)[C@@H]1[C@@H]2[C@H](CN1C(=O)[C@@H](NC(=O)NC(C)(C)C)C1CCCC1)C2(C)C)C(=O)C(=O)CCC(=O)NCC1=CC=CC=C1 KLEJKMCSEPZQII-HDIWMGEASA-N 0.000 description 1
- ZLISEJAXWIRLSM-NFOFEVCHSA-N C=CCCC(CC(=O)[C@@H]1[C@@H]2[C@H](CN1C(=O)[C@@H](NC(=O)NC13CC4CC(CC(C4)C1)C3)C1CCCCC1)C2(C)C)C(=O)C(=O)CCC(=O)N[C@H](C(=O)N(C)C)C1=CC=CC=C1.CC(C)[C@H](NC(=O)OC(C)(C)C)C(=O)N1C[C@H]2[C@@H]([C@H]1C(=O)CC(CC1CC1)C(=O)C(=O)CCC(=O)N[C@H](C(=O)N(C)C)C1=CC=CC=C1)C2(C)C.CCCC(CC(=O)[C@@H]1[C@@H]2[C@H](CN1C(=O)[C@@H](NC(=O)OC(C)(C)C)C(C)(C)C)C2(C)C)C(=O)C(=O)C[C@@H](C)C(=O)N[C@H](C(=O)N(C)C)C1=CC=CC=C1.CN(C)C(=O)[C@@H](NC(=O)CCC(=O)C(=O)C(CC(=O)[C@@H]1[C@@H]2[C@H](CN1C(=O)[C@@H](NC(=O)OC(C)(C)C)C1CC3=C(C=CC=C3)C1)C2(C)C)CC1CC1)C1=CC=CC=C1 Chemical compound C=CCCC(CC(=O)[C@@H]1[C@@H]2[C@H](CN1C(=O)[C@@H](NC(=O)NC13CC4CC(CC(C4)C1)C3)C1CCCCC1)C2(C)C)C(=O)C(=O)CCC(=O)N[C@H](C(=O)N(C)C)C1=CC=CC=C1.CC(C)[C@H](NC(=O)OC(C)(C)C)C(=O)N1C[C@H]2[C@@H]([C@H]1C(=O)CC(CC1CC1)C(=O)C(=O)CCC(=O)N[C@H](C(=O)N(C)C)C1=CC=CC=C1)C2(C)C.CCCC(CC(=O)[C@@H]1[C@@H]2[C@H](CN1C(=O)[C@@H](NC(=O)OC(C)(C)C)C(C)(C)C)C2(C)C)C(=O)C(=O)C[C@@H](C)C(=O)N[C@H](C(=O)N(C)C)C1=CC=CC=C1.CN(C)C(=O)[C@@H](NC(=O)CCC(=O)C(=O)C(CC(=O)[C@@H]1[C@@H]2[C@H](CN1C(=O)[C@@H](NC(=O)OC(C)(C)C)C1CC3=C(C=CC=C3)C1)C2(C)C)CC1CC1)C1=CC=CC=C1 ZLISEJAXWIRLSM-NFOFEVCHSA-N 0.000 description 1
- HNCLGBYHWBQMNY-WSBVTDLKSA-N C=CCCC(CC(=O)[C@@H]1[C@@H]2[C@H](CN1C(=O)[C@@H](NC(=O)NC13CC4CC(CC(C4)C1)C3)C1CCCCC1)C2(C)C)C(=O)C(=O)CCC(=O)N[C@H](C(=O)N(C)C)C1=CC=CC=C1.CCCC(CC(=O)[C@@H]1[C@@H]2[C@H](CN1C(=O)[C@@H](NC(=O)OC(C)(C)C)C(C)(C)C)C2(C)C)C(=O)C(=O)CCC(=O)N[C@@H](CC(=O)N(C)C)C1=CC=CC=C1.CCCC(CC(=O)[C@@H]1[C@@H]2[C@H](CN1C(=O)[C@@H](NC(=O)OC(C)(C)C)C(C)(C)C)C2(C)C)C(=O)C(=O)C[C@@H](C)C(=O)N[C@H](C(=O)N(C)C)C1=CC=CC=C1.CCCCC(CC(=O)[C@@H]1[C@@H]2[C@H](CN1C(=O)[C@@H](NC(=O)NC(C)(C)C)C(C)(C)C)C2(C)C)C(=O)C(=O)CCC(=O)N[C@H](C(=O)N(C)C)C1=CC=CC=C1.CN(C)C(=O)[C@@H](NC(=O)CCC(=O)C(=O)C(CC(=O)[C@@H]1[C@@H]2[C@H](CN1C(=O)[C@@H](NC(=O)OC(C)(C)C)C1CC3=C(C=CC=C3)C1)C2(Cl)Cl)CC1CC1)C1=CC=CC=C1 Chemical compound C=CCCC(CC(=O)[C@@H]1[C@@H]2[C@H](CN1C(=O)[C@@H](NC(=O)NC13CC4CC(CC(C4)C1)C3)C1CCCCC1)C2(C)C)C(=O)C(=O)CCC(=O)N[C@H](C(=O)N(C)C)C1=CC=CC=C1.CCCC(CC(=O)[C@@H]1[C@@H]2[C@H](CN1C(=O)[C@@H](NC(=O)OC(C)(C)C)C(C)(C)C)C2(C)C)C(=O)C(=O)CCC(=O)N[C@@H](CC(=O)N(C)C)C1=CC=CC=C1.CCCC(CC(=O)[C@@H]1[C@@H]2[C@H](CN1C(=O)[C@@H](NC(=O)OC(C)(C)C)C(C)(C)C)C2(C)C)C(=O)C(=O)C[C@@H](C)C(=O)N[C@H](C(=O)N(C)C)C1=CC=CC=C1.CCCCC(CC(=O)[C@@H]1[C@@H]2[C@H](CN1C(=O)[C@@H](NC(=O)NC(C)(C)C)C(C)(C)C)C2(C)C)C(=O)C(=O)CCC(=O)N[C@H](C(=O)N(C)C)C1=CC=CC=C1.CN(C)C(=O)[C@@H](NC(=O)CCC(=O)C(=O)C(CC(=O)[C@@H]1[C@@H]2[C@H](CN1C(=O)[C@@H](NC(=O)OC(C)(C)C)C1CC3=C(C=CC=C3)C1)C2(Cl)Cl)CC1CC1)C1=CC=CC=C1 HNCLGBYHWBQMNY-WSBVTDLKSA-N 0.000 description 1
- BBEPEBJGWQIBFI-QHSXCWFRSA-N C=CCCC(CC(=O)[C@@H]1[C@@H]2[C@H](CN1C(=O)[C@@H](NC(=O)OC(C)(C)C)C(C)(C)C)C2(C)C)C(=O)C(=O)CCC(=O)N[C@H](C(=O)N(C)C)C1=CC=CC=C1.CCCC(CC(=O)[C@@H]1[C@@H]2[C@H](CN1C(=O)[C@@H](NC(=O)OC(C)(C)C)C(C)(C)C)C2(C)C)C(=O)C(=O)CCC(=O)N[C@@H](CC(=O)N(C)C)C1=CC=CC=C1.CCCCC(CC(=O)[C@@H]1[C@@H]2[C@H](CN1C(=O)[C@@H](NC(=O)OC(C)(C)C)C(C)(C)C)C2(C)C)C(=O)C(=O)CCC(=O)N[C@H](C(=O)N(C)C)C1=CC=CC=C1.CN(C)C(=O)[C@@H](NC(=O)CCC(=O)C(=O)C(CCC(F)(F)F)CC(=O)[C@@H]1[C@@H]2[C@H](CN1C(=O)[C@@H](NC(=O)OC(C)(C)C)C1CCCCC1)C2(C)C)C1=CC=CC=C1 Chemical compound C=CCCC(CC(=O)[C@@H]1[C@@H]2[C@H](CN1C(=O)[C@@H](NC(=O)OC(C)(C)C)C(C)(C)C)C2(C)C)C(=O)C(=O)CCC(=O)N[C@H](C(=O)N(C)C)C1=CC=CC=C1.CCCC(CC(=O)[C@@H]1[C@@H]2[C@H](CN1C(=O)[C@@H](NC(=O)OC(C)(C)C)C(C)(C)C)C2(C)C)C(=O)C(=O)CCC(=O)N[C@@H](CC(=O)N(C)C)C1=CC=CC=C1.CCCCC(CC(=O)[C@@H]1[C@@H]2[C@H](CN1C(=O)[C@@H](NC(=O)OC(C)(C)C)C(C)(C)C)C2(C)C)C(=O)C(=O)CCC(=O)N[C@H](C(=O)N(C)C)C1=CC=CC=C1.CN(C)C(=O)[C@@H](NC(=O)CCC(=O)C(=O)C(CCC(F)(F)F)CC(=O)[C@@H]1[C@@H]2[C@H](CN1C(=O)[C@@H](NC(=O)OC(C)(C)C)C1CCCCC1)C2(C)C)C1=CC=CC=C1 BBEPEBJGWQIBFI-QHSXCWFRSA-N 0.000 description 1
- AGZIGZJAEGFYMV-FOCFOLDZSA-N C=CCCC(CC(=O)[C@@H]1[C@@H]2[C@H](CN1C(=O)[C@@H](NC(=O)OC(C)(C)C)C(C)(C)C)C2(C)C)C(=O)C(=O)CCC(=O)N[C@H](C(=O)N(C)C)C1=CC=CC=C1.CCCC(CC(=O)[C@@H]1[C@@H]2[C@H](CN1C(=O)[C@@H](NC(=O)O[C@H](C)C(C)C)C(C)(C)C)C2(C)C)C(=O)C(=O)CCC(=O)N[C@H](C(=O)N(C)C)C1=CC=CC=C1.CCCCC(CC(=O)[C@@H]1[C@@H]2[C@H](CN1C(=O)[C@@H](NC(=O)OCC(C)C)C(C)(C)C)C2(C)C)C(=O)C(=O)CCC(=O)N[C@H](C(=O)N(C)C)C1=CC=CC=C1.CCCCC(CC(=O)[C@@H]1[C@@H]2[C@H](CN1C(=O)[C@@H](NC(=O)OCC(C)C)C(C)(C)C)C2(C)C)C(=O)C(=O)CCC(=O)N[C@H](C(=O)N(C)C)C1=CC=CC=C1.CN(C)C(=O)[C@@H](NC(=O)CCC(=O)C(=O)C(CCC(F)(F)F)CC(=O)[C@@H]1[C@@H]2[C@H](CN1C(=O)[C@@H](NC(=O)OC(C)(C)C)C1CCCCC1)C2(C)C)C1=CC=CC=C1 Chemical compound C=CCCC(CC(=O)[C@@H]1[C@@H]2[C@H](CN1C(=O)[C@@H](NC(=O)OC(C)(C)C)C(C)(C)C)C2(C)C)C(=O)C(=O)CCC(=O)N[C@H](C(=O)N(C)C)C1=CC=CC=C1.CCCC(CC(=O)[C@@H]1[C@@H]2[C@H](CN1C(=O)[C@@H](NC(=O)O[C@H](C)C(C)C)C(C)(C)C)C2(C)C)C(=O)C(=O)CCC(=O)N[C@H](C(=O)N(C)C)C1=CC=CC=C1.CCCCC(CC(=O)[C@@H]1[C@@H]2[C@H](CN1C(=O)[C@@H](NC(=O)OCC(C)C)C(C)(C)C)C2(C)C)C(=O)C(=O)CCC(=O)N[C@H](C(=O)N(C)C)C1=CC=CC=C1.CCCCC(CC(=O)[C@@H]1[C@@H]2[C@H](CN1C(=O)[C@@H](NC(=O)OCC(C)C)C(C)(C)C)C2(C)C)C(=O)C(=O)CCC(=O)N[C@H](C(=O)N(C)C)C1=CC=CC=C1.CN(C)C(=O)[C@@H](NC(=O)CCC(=O)C(=O)C(CCC(F)(F)F)CC(=O)[C@@H]1[C@@H]2[C@H](CN1C(=O)[C@@H](NC(=O)OC(C)(C)C)C1CCCCC1)C2(C)C)C1=CC=CC=C1 AGZIGZJAEGFYMV-FOCFOLDZSA-N 0.000 description 1
- STFLZMMNCNGLNB-JGLVFYDJSA-N C=CCCC(CC(=O)[C@@H]1[C@@H]2[C@H](CN1C(=O)[C@@H](NC(=O)OC(C)(C)C)C1CC3=C(C=CC=C3)C1)C2(C)C)C(=O)C(=O)CCC(=O)N[C@H](C(=O)N(C)C)C1=CC=CC=C1.C=CCCC(CC(=O)[C@@H]1[C@@H]2[C@H](CN1C(=O)[C@@H](NC(=O)O[C@H](C)C(C)C)C1CC3=C(C=CC=C3)C1)C2(C)C)C(=O)C(=O)CCC(=O)N[C@H](C(=O)N(C)C)C1=CC=CC=C1.CCCC(CC(=O)[C@@H]1[C@@H]2[C@H](CN1C(=O)[C@@H](NC(=O)OC(C)(C)C)C1CCCC1)C2(C)C)C(=O)C(=O)CCC(=O)N[C@H](C(=O)N(C)C)C1=CC=CC=C1.CN(C)C(=O)[C@@H](NC(=O)CCC(=O)C(=O)C(CC(=O)[C@@H]1[C@@H]2[C@H](CN1C(=O)[C@@H](NC(=O)OC(C)(C)C)C1CC3=C(C=CC=C3)C1)C2(C)C)CC1CC1)C1=CC=CC=C1.[H][C@]12CC3(NC(=O)N[C@H](C(=O)N4C[C@H]5[C@@H]([C@H]4C(=O)CC(CCC)C(=O)C(=O)CCC(=O)N[C@H](C(=O)N(C)C)C4=CC=CC=C4)C5(C)C)C(C)(C)C)C[C@]([H])(C1)C[C@@]([H])(C3)C2 Chemical compound C=CCCC(CC(=O)[C@@H]1[C@@H]2[C@H](CN1C(=O)[C@@H](NC(=O)OC(C)(C)C)C1CC3=C(C=CC=C3)C1)C2(C)C)C(=O)C(=O)CCC(=O)N[C@H](C(=O)N(C)C)C1=CC=CC=C1.C=CCCC(CC(=O)[C@@H]1[C@@H]2[C@H](CN1C(=O)[C@@H](NC(=O)O[C@H](C)C(C)C)C1CC3=C(C=CC=C3)C1)C2(C)C)C(=O)C(=O)CCC(=O)N[C@H](C(=O)N(C)C)C1=CC=CC=C1.CCCC(CC(=O)[C@@H]1[C@@H]2[C@H](CN1C(=O)[C@@H](NC(=O)OC(C)(C)C)C1CCCC1)C2(C)C)C(=O)C(=O)CCC(=O)N[C@H](C(=O)N(C)C)C1=CC=CC=C1.CN(C)C(=O)[C@@H](NC(=O)CCC(=O)C(=O)C(CC(=O)[C@@H]1[C@@H]2[C@H](CN1C(=O)[C@@H](NC(=O)OC(C)(C)C)C1CC3=C(C=CC=C3)C1)C2(C)C)CC1CC1)C1=CC=CC=C1.[H][C@]12CC3(NC(=O)N[C@H](C(=O)N4C[C@H]5[C@@H]([C@H]4C(=O)CC(CCC)C(=O)C(=O)CCC(=O)N[C@H](C(=O)N(C)C)C4=CC=CC=C4)C5(C)C)C(C)(C)C)C[C@]([H])(C1)C[C@@]([H])(C3)C2 STFLZMMNCNGLNB-JGLVFYDJSA-N 0.000 description 1
- LVNZVOVWWCNWGQ-FXZBCALRSA-N C=CCCC(CC(=O)[C@@H]1[C@@H]2[C@H](CN1C(=O)[C@@H](NC(=O)OC(C)(C)C)C1CC3=C(C=CC=C3)C1)C2(C)C)C(=O)C(=O)CCC(=O)N[C@H](C(=O)N(C)C)C1=CC=CC=C1.C=CCCC(CC(=O)[C@@H]1[C@@H]2[C@H](CN1C(=O)[C@@H](NC(=O)O[C@H](C)C(C)C)C1CC3=C(C=CC=C3)C1)C2(C)C)C(=O)C(=O)CCC(=O)N[C@H](C(=O)N(C)C)C1=CC=CC=C1.CCCC(CC(=O)[C@@H]1[C@@H]2[C@H](CN1C(=O)[C@@H](NC(=O)OC(C)(C)C)C1CCCC1)C2(C)C)C(=O)C(=O)CCC(=O)N[C@H](C(=O)N(C)C)C1=CC=CC=C1.[H][C@]12CC3(NC(=O)N[C@H](C(=O)N4C[C@H]5[C@@H]([C@H]4C(=O)CC(CCC)C(=O)C(=O)CCC(=O)N[C@H](C(=O)N(C)C)C4=CC=CC=C4)C5(C)C)C(C)(C)C)C[C@]([H])(C1)C[C@@]([H])(C3)C2 Chemical compound C=CCCC(CC(=O)[C@@H]1[C@@H]2[C@H](CN1C(=O)[C@@H](NC(=O)OC(C)(C)C)C1CC3=C(C=CC=C3)C1)C2(C)C)C(=O)C(=O)CCC(=O)N[C@H](C(=O)N(C)C)C1=CC=CC=C1.C=CCCC(CC(=O)[C@@H]1[C@@H]2[C@H](CN1C(=O)[C@@H](NC(=O)O[C@H](C)C(C)C)C1CC3=C(C=CC=C3)C1)C2(C)C)C(=O)C(=O)CCC(=O)N[C@H](C(=O)N(C)C)C1=CC=CC=C1.CCCC(CC(=O)[C@@H]1[C@@H]2[C@H](CN1C(=O)[C@@H](NC(=O)OC(C)(C)C)C1CCCC1)C2(C)C)C(=O)C(=O)CCC(=O)N[C@H](C(=O)N(C)C)C1=CC=CC=C1.[H][C@]12CC3(NC(=O)N[C@H](C(=O)N4C[C@H]5[C@@H]([C@H]4C(=O)CC(CCC)C(=O)C(=O)CCC(=O)N[C@H](C(=O)N(C)C)C4=CC=CC=C4)C5(C)C)C(C)(C)C)C[C@]([H])(C1)C[C@@]([H])(C3)C2 LVNZVOVWWCNWGQ-FXZBCALRSA-N 0.000 description 1
- WNGYMOFVAICGDF-WPUMYKAXSA-N C=CCCC(CC(=O)[C@@H]1[C@@H]2[C@H](CN1C(=O)[C@@H](NC(=O)OC(C)(C)C)C1CC3=C(C=CC=C3)C1)C2(C)C)C(=O)C(=O)CCC(=O)N[C@H](C(=O)N(C)C)C1=CC=CC=C1.CCCC(CC(=O)[C@@H]1C[C@@H](CCC(=O)C2=CC=C(OC3=CC=CC=C3)C=C2)CN1C(=O)[C@@H](CC(=O)C1=C(OC=O)C=CC=C1)C1CCCCC1)C(=O)C(=O)CCC(=O)NC(C(N)=O)C1=CC=CC=C1.CCCC(CC(=O)[C@@H]1C[C@@H](CCS(=O)(=O)C2=CC=CC=C2)CN1C(=O)[C@@H](CC(=O)OCC(C)C)C1CCCCC1)C(=O)C(=O)CCC(=O)NC(C(N)=O)C1=CC=CC=C1.CN(C)C(=O)[C@@H](NC(=O)CCC(=O)C(=O)C(CC(=O)[C@@H]1[C@@H]2[C@H](CN1C(=O)[C@@H](NC(=O)OC(C)(C)C)C1CCC(F)(F)CC1)C2(C)C)CC1CC1)C1=CC=CC=C1.CN(C)C(=O)[C@@H](NC(=O)CCC(=O)C(=O)C(CC(=O)[C@@H]1[C@@H]2[C@H](CN1C(=O)[C@@H](NC(=O)OC(C)(C)C)C1CCCC1)C2(C)C)CC1CC1)C1=CC=CC=C1 Chemical compound C=CCCC(CC(=O)[C@@H]1[C@@H]2[C@H](CN1C(=O)[C@@H](NC(=O)OC(C)(C)C)C1CC3=C(C=CC=C3)C1)C2(C)C)C(=O)C(=O)CCC(=O)N[C@H](C(=O)N(C)C)C1=CC=CC=C1.CCCC(CC(=O)[C@@H]1C[C@@H](CCC(=O)C2=CC=C(OC3=CC=CC=C3)C=C2)CN1C(=O)[C@@H](CC(=O)C1=C(OC=O)C=CC=C1)C1CCCCC1)C(=O)C(=O)CCC(=O)NC(C(N)=O)C1=CC=CC=C1.CCCC(CC(=O)[C@@H]1C[C@@H](CCS(=O)(=O)C2=CC=CC=C2)CN1C(=O)[C@@H](CC(=O)OCC(C)C)C1CCCCC1)C(=O)C(=O)CCC(=O)NC(C(N)=O)C1=CC=CC=C1.CN(C)C(=O)[C@@H](NC(=O)CCC(=O)C(=O)C(CC(=O)[C@@H]1[C@@H]2[C@H](CN1C(=O)[C@@H](NC(=O)OC(C)(C)C)C1CCC(F)(F)CC1)C2(C)C)CC1CC1)C1=CC=CC=C1.CN(C)C(=O)[C@@H](NC(=O)CCC(=O)C(=O)C(CC(=O)[C@@H]1[C@@H]2[C@H](CN1C(=O)[C@@H](NC(=O)OC(C)(C)C)C1CCCC1)C2(C)C)CC1CC1)C1=CC=CC=C1 WNGYMOFVAICGDF-WPUMYKAXSA-N 0.000 description 1
- FECZCMQDJQYOTE-GMBBKKNZSA-N C=CCCC(CC(=O)[C@@H]1[C@@H]2[C@H](CN1C(=O)[C@@H](NC(=O)OC(C)(C)C)C1CC3=C(C=CC=C3)C1)C2(C)C)C(=O)C(=O)CCC(=O)N[C@H](C(=O)N(C)C)C1=CC=CC=C1.CN(C)C(=O)[C@@H](NC(=O)CCC(=O)C(=O)C(CC(=O)[C@@H]1[C@@H]2[C@H](CN1C(=O)[C@@H](NC(=O)OC(C)(C)C)C1CC3=C(C=CC=C3)C1)C2(C)C)CC1CC1)C1=CC=CC=C1.CN(C)C(=O)[C@@H](NC(=O)CCC(=O)C(=O)C(CC(=O)[C@@H]1[C@@H]2[C@H](CN1C(=O)[C@@H](NC(=O)OC(C)(C)C)C1CCC(F)(F)CC1)C2(C)C)CC1CC1)C1=CC=CC=C1.CN(C)C(=O)[C@@H](NC(=O)CCC(=O)C(=O)C(CC(=O)[C@@H]1[C@@H]2[C@H](CN1C(=O)[C@@H](NC(=O)OC(C)(C)C)C1CCCC1)C2(C)C)CC1CC1)C1=CC=CC=C1 Chemical compound C=CCCC(CC(=O)[C@@H]1[C@@H]2[C@H](CN1C(=O)[C@@H](NC(=O)OC(C)(C)C)C1CC3=C(C=CC=C3)C1)C2(C)C)C(=O)C(=O)CCC(=O)N[C@H](C(=O)N(C)C)C1=CC=CC=C1.CN(C)C(=O)[C@@H](NC(=O)CCC(=O)C(=O)C(CC(=O)[C@@H]1[C@@H]2[C@H](CN1C(=O)[C@@H](NC(=O)OC(C)(C)C)C1CC3=C(C=CC=C3)C1)C2(C)C)CC1CC1)C1=CC=CC=C1.CN(C)C(=O)[C@@H](NC(=O)CCC(=O)C(=O)C(CC(=O)[C@@H]1[C@@H]2[C@H](CN1C(=O)[C@@H](NC(=O)OC(C)(C)C)C1CCC(F)(F)CC1)C2(C)C)CC1CC1)C1=CC=CC=C1.CN(C)C(=O)[C@@H](NC(=O)CCC(=O)C(=O)C(CC(=O)[C@@H]1[C@@H]2[C@H](CN1C(=O)[C@@H](NC(=O)OC(C)(C)C)C1CCCC1)C2(C)C)CC1CC1)C1=CC=CC=C1 FECZCMQDJQYOTE-GMBBKKNZSA-N 0.000 description 1
- RRGUFSAVHGJWDP-QKXICVTASA-N C=CCCC(CC(=O)[C@@H]1[C@@H]2[C@H](CN1C(=O)[C@@H](NC(=O)OC(C)(C)C)C1CC3=C(C=CC=C3)C1)C2(Cl)Cl)C(=O)C(=O)CCC(=O)N[C@H](C(=O)N(C)C)C1=CC=CC=C1.CC(C)[C@H](NC(=O)OC(C)(C)C)C(=O)N1C[C@H]2[C@@H]([C@H]1C(=O)CC(CC1CC1)C(=O)C(=O)CCC(=O)N[C@H](C(=O)N(C)C)C1=CC=CC=C1)C2(C)C.CN(C)C(=O)[C@@H](NC(=O)CCC(=O)C(=O)C(CC(=O)[C@@H]1[C@@H]2[C@H](CN1C(=O)[C@@H](NC(=O)OC(C)(C)C)C(C)(C)C)C2(C)C)CC1CC1)C1=CC=CC=C1.CN(C)C(=O)[C@@H](NC(=O)CCC(=O)C(=O)C(CC(=O)[C@@H]1[C@@H]2[C@H](CN1C(=O)[C@@H](NC(=O)OC(C)(C)C)C(C)(C)C)C2(C)C)CC1CCC1)C1=CC=CC=C1.CN(C)C(=O)[C@@H](NC(=O)CCC(=O)C(=O)C(CC(=O)[C@@H]1[C@@H]2[C@H](CN1C(=O)[C@@H](NC(=O)OC(C)(C)C)C1CCCCC1)C2(C)C)CC1CCC1)C1=CC=CC=C1 Chemical compound C=CCCC(CC(=O)[C@@H]1[C@@H]2[C@H](CN1C(=O)[C@@H](NC(=O)OC(C)(C)C)C1CC3=C(C=CC=C3)C1)C2(Cl)Cl)C(=O)C(=O)CCC(=O)N[C@H](C(=O)N(C)C)C1=CC=CC=C1.CC(C)[C@H](NC(=O)OC(C)(C)C)C(=O)N1C[C@H]2[C@@H]([C@H]1C(=O)CC(CC1CC1)C(=O)C(=O)CCC(=O)N[C@H](C(=O)N(C)C)C1=CC=CC=C1)C2(C)C.CN(C)C(=O)[C@@H](NC(=O)CCC(=O)C(=O)C(CC(=O)[C@@H]1[C@@H]2[C@H](CN1C(=O)[C@@H](NC(=O)OC(C)(C)C)C(C)(C)C)C2(C)C)CC1CC1)C1=CC=CC=C1.CN(C)C(=O)[C@@H](NC(=O)CCC(=O)C(=O)C(CC(=O)[C@@H]1[C@@H]2[C@H](CN1C(=O)[C@@H](NC(=O)OC(C)(C)C)C(C)(C)C)C2(C)C)CC1CCC1)C1=CC=CC=C1.CN(C)C(=O)[C@@H](NC(=O)CCC(=O)C(=O)C(CC(=O)[C@@H]1[C@@H]2[C@H](CN1C(=O)[C@@H](NC(=O)OC(C)(C)C)C1CCCCC1)C2(C)C)CC1CCC1)C1=CC=CC=C1 RRGUFSAVHGJWDP-QKXICVTASA-N 0.000 description 1
- PTAYXCKJKKKZSQ-UXLURGAXSA-N C=CCCC(CC(=O)[C@@H]1[C@@H]2[C@H](CN1C(=O)[C@@H](NC(=O)OC(C)(C)C)C1CC3=C(C=CC=C3)C1)C2(Cl)Cl)C(=O)C(=O)CCC(=O)N[C@H](C(=O)N(C)C)C1=CC=CC=C1.CN(C)C(=O)[C@@H](NC(=O)CCC(=O)C(=O)C(CC(=O)[C@@H]1[C@@H]2[C@H](CN1C(=O)[C@@H](NC(=O)OC(C)(C)C)C(C)(C)C)C2(C)C)CC1CC1)C1=CC=CC=C1.CN(C)C(=O)[C@@H](NC(=O)CCC(=O)C(=O)C(CC(=O)[C@@H]1[C@@H]2[C@H](CN1C(=O)[C@@H](NC(=O)OC(C)(C)C)C(C)(C)C)C2(C)C)CC1CCC1)C1=CC=CC=C1.CN(C)C(=O)[C@@H](NC(=O)CCC(=O)C(=O)C(CC(=O)[C@@H]1[C@@H]2[C@H](CN1C(=O)[C@@H](NC(=O)OC(C)(C)C)C1CC3=C(C=CC=C3)C1)C2(C)C)CC1CCC1)C1=CC=CC=C1 Chemical compound C=CCCC(CC(=O)[C@@H]1[C@@H]2[C@H](CN1C(=O)[C@@H](NC(=O)OC(C)(C)C)C1CC3=C(C=CC=C3)C1)C2(Cl)Cl)C(=O)C(=O)CCC(=O)N[C@H](C(=O)N(C)C)C1=CC=CC=C1.CN(C)C(=O)[C@@H](NC(=O)CCC(=O)C(=O)C(CC(=O)[C@@H]1[C@@H]2[C@H](CN1C(=O)[C@@H](NC(=O)OC(C)(C)C)C(C)(C)C)C2(C)C)CC1CC1)C1=CC=CC=C1.CN(C)C(=O)[C@@H](NC(=O)CCC(=O)C(=O)C(CC(=O)[C@@H]1[C@@H]2[C@H](CN1C(=O)[C@@H](NC(=O)OC(C)(C)C)C(C)(C)C)C2(C)C)CC1CCC1)C1=CC=CC=C1.CN(C)C(=O)[C@@H](NC(=O)CCC(=O)C(=O)C(CC(=O)[C@@H]1[C@@H]2[C@H](CN1C(=O)[C@@H](NC(=O)OC(C)(C)C)C1CC3=C(C=CC=C3)C1)C2(C)C)CC1CCC1)C1=CC=CC=C1 PTAYXCKJKKKZSQ-UXLURGAXSA-N 0.000 description 1
- UHLQZTILZCOREY-ARGOTNQESA-N C=CCCC(CC(=O)[C@@H]1[C@@H]2[C@H](CN1C(=O)[C@@H](NC(=O)OC(C)(C)C)C1CC3=C(C=CC=C3)C1)C2(Cl)Cl)C(=O)C(=O)CCCC(=O)CC(C)(C)C.C=CCCC(CC(=O)[C@@H]1[C@@H]2[C@H](CN1C(=O)[C@@H](NC(=O)OC(C)(C)C)C1CCCCC1)C2(C)C)C(=O)C(=O)CCCS(=O)(=O)C(C)(C)C.CCCCC(CC(=O)[C@@H]1[C@@H]2[C@H](CN1C(=O)[C@@H](NC(=O)NC(C)(C)C)C(C)(C)C)C2(Br)Br)C(=O)C(=O)CCC(=O)N[C@H](C(=O)N(C)C)C1=CC=CC=C1.CN(C)C(=O)[C@@H](NC(=O)CCC(=O)C(=O)C(CCC(F)(F)F)CC(=O)[C@@H]1[C@@H]2[C@H](CN1C(=O)[C@@H](NC(=O)OC(C)(C)C)C1CC3=C(C=CC=C3)C1)C2(C)C)C1=CC=CC=C1 Chemical compound C=CCCC(CC(=O)[C@@H]1[C@@H]2[C@H](CN1C(=O)[C@@H](NC(=O)OC(C)(C)C)C1CC3=C(C=CC=C3)C1)C2(Cl)Cl)C(=O)C(=O)CCCC(=O)CC(C)(C)C.C=CCCC(CC(=O)[C@@H]1[C@@H]2[C@H](CN1C(=O)[C@@H](NC(=O)OC(C)(C)C)C1CCCCC1)C2(C)C)C(=O)C(=O)CCCS(=O)(=O)C(C)(C)C.CCCCC(CC(=O)[C@@H]1[C@@H]2[C@H](CN1C(=O)[C@@H](NC(=O)NC(C)(C)C)C(C)(C)C)C2(Br)Br)C(=O)C(=O)CCC(=O)N[C@H](C(=O)N(C)C)C1=CC=CC=C1.CN(C)C(=O)[C@@H](NC(=O)CCC(=O)C(=O)C(CCC(F)(F)F)CC(=O)[C@@H]1[C@@H]2[C@H](CN1C(=O)[C@@H](NC(=O)OC(C)(C)C)C1CC3=C(C=CC=C3)C1)C2(C)C)C1=CC=CC=C1 UHLQZTILZCOREY-ARGOTNQESA-N 0.000 description 1
- YQJWAFCSPHEWBM-CYKREYEZSA-N C=CCCC(CC(=O)[C@@H]1[C@@H]2[C@H](CN1C(=O)[C@@H](NC(=O)OC(C)(C)C)C1CC3=C(C=CC=C3)C1)C2(Cl)Cl)C(=O)C(=O)CCCC(=O)CC(C)(C)C.CCCC(CC(=O)[C@@H]1[C@@H]2[C@H](CN1C(=O)[C@@H](NC(=O)NC(C)(C)C)C(C)(C)C)C2(C)C)C(=O)C(=O)CCC(=O)N[C@H](C(=O)N(C)C)C1=CC=CC=C1.CCCCC(CC(=O)[C@@H]1[C@@H]2[C@H](CN1C(=O)[C@@H](NC(=O)NC(C)(C)C)C1CCCCC1)C2(C)C)C(=O)C(=O)CCCS(=O)(=O)C(C)(C)C.CN(C)C(=O)[C@@H](NC(=O)CCC(=O)C(=O)C(CC(=O)[C@@H]1[C@H]2CC(C)(C)O[C@H]2CN1C(=O)[C@@H](NC(=O)OC(C)(C)C)C1CCCCC1)CC1CC1)C1=CC=CC=C1.CN(C)C(=O)[C@@H](NC(=O)CCC(=O)C(=O)C(CCC(F)(F)F)CC(=O)[C@@H]1[C@@H]2[C@H](CN1C(=O)[C@@H](NC(=O)OC(C)(C)C)C1CC3=C(C=CC=C3)C1)C2(C)C)C1=CC=CC=C1 Chemical compound C=CCCC(CC(=O)[C@@H]1[C@@H]2[C@H](CN1C(=O)[C@@H](NC(=O)OC(C)(C)C)C1CC3=C(C=CC=C3)C1)C2(Cl)Cl)C(=O)C(=O)CCCC(=O)CC(C)(C)C.CCCC(CC(=O)[C@@H]1[C@@H]2[C@H](CN1C(=O)[C@@H](NC(=O)NC(C)(C)C)C(C)(C)C)C2(C)C)C(=O)C(=O)CCC(=O)N[C@H](C(=O)N(C)C)C1=CC=CC=C1.CCCCC(CC(=O)[C@@H]1[C@@H]2[C@H](CN1C(=O)[C@@H](NC(=O)NC(C)(C)C)C1CCCCC1)C2(C)C)C(=O)C(=O)CCCS(=O)(=O)C(C)(C)C.CN(C)C(=O)[C@@H](NC(=O)CCC(=O)C(=O)C(CC(=O)[C@@H]1[C@H]2CC(C)(C)O[C@H]2CN1C(=O)[C@@H](NC(=O)OC(C)(C)C)C1CCCCC1)CC1CC1)C1=CC=CC=C1.CN(C)C(=O)[C@@H](NC(=O)CCC(=O)C(=O)C(CCC(F)(F)F)CC(=O)[C@@H]1[C@@H]2[C@H](CN1C(=O)[C@@H](NC(=O)OC(C)(C)C)C1CC3=C(C=CC=C3)C1)C2(C)C)C1=CC=CC=C1 YQJWAFCSPHEWBM-CYKREYEZSA-N 0.000 description 1
- JFTWMCJSZTWPJH-HVQORFFSSA-N C=CCCC(CC(=O)[C@@H]1[C@@H]2[C@H](CN1C(=O)[C@@H](NC(=O)OC(C)(C)C)C1CCCCC1)C2(C)C)C(=O)C(=O)CCCS(=O)(=O)C(C)(C)C.C=CCCCC(=O)C(=O)C(CCC=C)CC(=O)[C@@H]1[C@@H]2[C@H](CN1C(=O)[C@@H](NC(=O)NC13CC4CC(CC(C4)C1)C3)C(C)(C)C)C2(Cl)Cl.CCCC(CC(=O)[C@@H]1[C@@H]2[C@H](CN1C(=O)[C@@H](NC(=O)NC(C)(C)C)C1CC3=C(C=CC=C3)C1)C2(C)C)C(=O)C(=O)CC.CCCCC(=O)C(=O)C(CCC)CC(=O)[C@@H]1[C@@H]2[C@H](CN1C(=O)[C@@H](NC(=O)OC1CCC(C)C1)C1CCCCC1)C2(Cl)Cl.CN(C)C(=O)[C@@H](NC(=O)CCC(=O)C(=O)C(CC(=O)[C@@H]1[C@@H]2[C@H](CN1C(=O)[C@@H](NC(=O)OC(C)(C)C)C(C)(C)C)C2(Br)Br)CC1CC1)C1=CC=CC=C1 Chemical compound C=CCCC(CC(=O)[C@@H]1[C@@H]2[C@H](CN1C(=O)[C@@H](NC(=O)OC(C)(C)C)C1CCCCC1)C2(C)C)C(=O)C(=O)CCCS(=O)(=O)C(C)(C)C.C=CCCCC(=O)C(=O)C(CCC=C)CC(=O)[C@@H]1[C@@H]2[C@H](CN1C(=O)[C@@H](NC(=O)NC13CC4CC(CC(C4)C1)C3)C(C)(C)C)C2(Cl)Cl.CCCC(CC(=O)[C@@H]1[C@@H]2[C@H](CN1C(=O)[C@@H](NC(=O)NC(C)(C)C)C1CC3=C(C=CC=C3)C1)C2(C)C)C(=O)C(=O)CC.CCCCC(=O)C(=O)C(CCC)CC(=O)[C@@H]1[C@@H]2[C@H](CN1C(=O)[C@@H](NC(=O)OC1CCC(C)C1)C1CCCCC1)C2(Cl)Cl.CN(C)C(=O)[C@@H](NC(=O)CCC(=O)C(=O)C(CC(=O)[C@@H]1[C@@H]2[C@H](CN1C(=O)[C@@H](NC(=O)OC(C)(C)C)C(C)(C)C)C2(Br)Br)CC1CC1)C1=CC=CC=C1 JFTWMCJSZTWPJH-HVQORFFSSA-N 0.000 description 1
- DACVEQRMMZCQID-WEZPFUGFSA-N C=CCCC(CC(=O)[C@@H]1[C@@H]2[C@H](CN1C(=O)[C@@H](NC(=O)OC(C)(C)C)C1CCCCC1)C2(C)C)C(=O)C(=O)CCCS(=O)(=O)CC1=CC=CC=C1.C=CCCC(CC(=O)[C@@H]1[C@@H]2[C@H](CN1C(=O)[C@@H](NC(=O)OC(C)(C)C)C1CCCCC1)C2(C)C)C(=O)C(=O)CCCS(=O)(=O)CC1=CC=CC=C1.CCCC(CC(=O)[C@@H]1[C@@H]2[C@H](CN1C(=O)[C@@H](NC(=O)NC(C)(C)C)C(C)(C)C)C2(C)C)C(=O)C(=O)CCC(=O)NCC1=CC=CC=C1 Chemical compound C=CCCC(CC(=O)[C@@H]1[C@@H]2[C@H](CN1C(=O)[C@@H](NC(=O)OC(C)(C)C)C1CCCCC1)C2(C)C)C(=O)C(=O)CCCS(=O)(=O)CC1=CC=CC=C1.C=CCCC(CC(=O)[C@@H]1[C@@H]2[C@H](CN1C(=O)[C@@H](NC(=O)OC(C)(C)C)C1CCCCC1)C2(C)C)C(=O)C(=O)CCCS(=O)(=O)CC1=CC=CC=C1.CCCC(CC(=O)[C@@H]1[C@@H]2[C@H](CN1C(=O)[C@@H](NC(=O)NC(C)(C)C)C(C)(C)C)C2(C)C)C(=O)C(=O)CCC(=O)NCC1=CC=CC=C1 DACVEQRMMZCQID-WEZPFUGFSA-N 0.000 description 1
- DGXMAHHUHIEXNK-NZGIWAPQSA-N C=CCCC(CC(=O)[C@@H]1[C@@H]2[C@H](CN1C(=O)[C@@H](NC(=O)OC(C)(C)C)C1CCCCC1)C2(Cl)Cl)C(=O)C(=O)CCCCC.CC(C)(C)[C@H](NC(=O)NC1CCCCC1)C(=O)N1C[C@H]2[C@@H]([C@H]1C(=O)CC(CC1CC1)C(=O)C(N)=O)C2(C)C.CCCC(CC(=O)[C@@H]1[C@@H]2[C@H](CN1C(=O)[C@@H](NC(=O)NC(C)(C)C)C1CCCCC1)C2(Cl)Cl)C(=O)C(N)=O.NC(=O)C(=O)C(CC(=O)[C@@H]1[C@@H]2[C@H](CN1C(=O)[C@@H](NC(=O)NC1CCCCC1)C1CCCCC1)C2(Cl)Cl)CC1CC1 Chemical compound C=CCCC(CC(=O)[C@@H]1[C@@H]2[C@H](CN1C(=O)[C@@H](NC(=O)OC(C)(C)C)C1CCCCC1)C2(Cl)Cl)C(=O)C(=O)CCCCC.CC(C)(C)[C@H](NC(=O)NC1CCCCC1)C(=O)N1C[C@H]2[C@@H]([C@H]1C(=O)CC(CC1CC1)C(=O)C(N)=O)C2(C)C.CCCC(CC(=O)[C@@H]1[C@@H]2[C@H](CN1C(=O)[C@@H](NC(=O)NC(C)(C)C)C1CCCCC1)C2(Cl)Cl)C(=O)C(N)=O.NC(=O)C(=O)C(CC(=O)[C@@H]1[C@@H]2[C@H](CN1C(=O)[C@@H](NC(=O)NC1CCCCC1)C1CCCCC1)C2(Cl)Cl)CC1CC1 DGXMAHHUHIEXNK-NZGIWAPQSA-N 0.000 description 1
- OCAZXBPXNYGRSW-VNXZQDSDSA-N C=CCCC(NC(=O)C(CCC(C)C)NC(=O)[C@@H](NC(=O)OC(C)(C)C)C1CCCCC1)C(=O)C(=O)NC=C Chemical compound C=CCCC(NC(=O)C(CCC(C)C)NC(=O)[C@@H](NC(=O)OC(C)(C)C)C1CCCCC1)C(=O)C(=O)NC=C OCAZXBPXNYGRSW-VNXZQDSDSA-N 0.000 description 1
- JMNUKDJPFAJVLW-UHFFFAOYSA-N C=CCCC(NC(=O)C1C2C(CN1C(=O)C(CC(=O)OC(C)(C)C)C1CCCCC1)C2(Cl)Cl)C(=O)C(=O)NCC=C Chemical compound C=CCCC(NC(=O)C1C2C(CN1C(=O)C(CC(=O)OC(C)(C)C)C1CCCCC1)C2(Cl)Cl)C(=O)C(=O)NCC=C JMNUKDJPFAJVLW-UHFFFAOYSA-N 0.000 description 1
- GOSGQHKYWFMXQY-UHFFFAOYSA-N C=CCCC(NC(=O)C1C2C(CN1C(=O)C(CC(=O)OC1CC3CCC1C3)C1CCCCC1)C2(Cl)Cl)C(=O)C(=O)NCC=C Chemical compound C=CCCC(NC(=O)C1C2C(CN1C(=O)C(CC(=O)OC1CC3CCC1C3)C1CCCCC1)C2(Cl)Cl)C(=O)C(=O)NCC=C GOSGQHKYWFMXQY-UHFFFAOYSA-N 0.000 description 1
- IVZZLGMRYIZQRL-UHFFFAOYSA-N C=CCCC(NC(=O)C1C2C(CN1C(=O)C(CC1CCCCC1)NC(=O)OC(C)(C)C)C2(C)C)C(=O)C(=O)NCC=C Chemical compound C=CCCC(NC(=O)C1C2C(CN1C(=O)C(CC1CCCCC1)NC(=O)OC(C)(C)C)C2(C)C)C(=O)C(=O)NCC=C IVZZLGMRYIZQRL-UHFFFAOYSA-N 0.000 description 1
- MKOGMGRTRWSQCY-UHFFFAOYSA-N C=CCCC(NC(=O)C1C2C(CN1C(=O)C(NC(=O)CC(C)C1=CC=CC=C1)C1CC3=C(C=CC=C3)C1)C2(C)C)C(=O)C(=O)NCC=C Chemical compound C=CCCC(NC(=O)C1C2C(CN1C(=O)C(NC(=O)CC(C)C1=CC=CC=C1)C1CC3=C(C=CC=C3)C1)C2(C)C)C(=O)C(=O)NCC=C MKOGMGRTRWSQCY-UHFFFAOYSA-N 0.000 description 1
- QAFJADVWSCCHLH-UHFFFAOYSA-N C=CCCC(NC(=O)C1C2C(CN1C(=O)C(NC(=O)NCC1=CC=CC=C1)C1CC3=C(C=CC=C3)C1)C2(C)C)C(=O)C(=O)NCC=C Chemical compound C=CCCC(NC(=O)C1C2C(CN1C(=O)C(NC(=O)NCC1=CC=CC=C1)C1CC3=C(C=CC=C3)C1)C2(C)C)C(=O)C(=O)NCC=C QAFJADVWSCCHLH-UHFFFAOYSA-N 0.000 description 1
- MVDQFEUSODQBPG-UHFFFAOYSA-N C=CCCC(NC(=O)C1C2C(CN1C(=O)C(NC(=O)OC(C)(C)C)C1CCC(F)(F)CC1)C2(C)C)C(=O)C(=O)NCC=C Chemical compound C=CCCC(NC(=O)C1C2C(CN1C(=O)C(NC(=O)OC(C)(C)C)C1CCC(F)(F)CC1)C2(C)C)C(=O)C(=O)NCC=C MVDQFEUSODQBPG-UHFFFAOYSA-N 0.000 description 1
- KEJIQXLEWXZTKU-UHFFFAOYSA-N C=CCCC(NC(=O)C1C2C(CN1C(=O)C(NC(=O)OC(C)(C)C)C1CCCCC1)C2(Cl)Cl)C(=O)C(=O)NCC=C Chemical compound C=CCCC(NC(=O)C1C2C(CN1C(=O)C(NC(=O)OC(C)(C)C)C1CCCCC1)C2(Cl)Cl)C(=O)C(=O)NCC=C KEJIQXLEWXZTKU-UHFFFAOYSA-N 0.000 description 1
- UVUBOUCLXGQOQD-UHFFFAOYSA-N C=CCCC(NC(=O)C1C2C(CN1C(=O)C(NC(=O)OC(C)C1=CC=CC=C1)C1CC3=C(C=CC=C3)C1)C2(C)C)C(=O)C(=O)NCC=C Chemical compound C=CCCC(NC(=O)C1C2C(CN1C(=O)C(NC(=O)OC(C)C1=CC=CC=C1)C1CC3=C(C=CC=C3)C1)C2(C)C)C(=O)C(=O)NCC=C UVUBOUCLXGQOQD-UHFFFAOYSA-N 0.000 description 1
- ASZMGTZQSRWGNK-UHFFFAOYSA-N C=CCCC(NC(=O)C1C2C(CN1C(=O)C(NC(=O)OC(C)CC)C1CC3=C(C=CC=C3)C1)C2(C)C)C(=O)C(=O)NCC=C Chemical compound C=CCCC(NC(=O)C1C2C(CN1C(=O)C(NC(=O)OC(C)CC)C1CC3=C(C=CC=C3)C1)C2(C)C)C(=O)C(=O)NCC=C ASZMGTZQSRWGNK-UHFFFAOYSA-N 0.000 description 1
- GCSGVORIKRFPFO-UHFFFAOYSA-N C=CCCC(NC(=O)C1C2C(CN1C(=O)C(NC(=O)OC1=CC=CC=C1)C1CC3=C(C=CC=C3)C1)C2(C)C)C(=O)C(=O)NCC=C Chemical compound C=CCCC(NC(=O)C1C2C(CN1C(=O)C(NC(=O)OC1=CC=CC=C1)C1CC3=C(C=CC=C3)C1)C2(C)C)C(=O)C(=O)NCC=C GCSGVORIKRFPFO-UHFFFAOYSA-N 0.000 description 1
- PEUYDWVCNFTVNC-UHFFFAOYSA-N C=CCCC(NC(=O)C1C2C(CN1C(=O)C(NC(=O)OC1CC1C1=CC=CC=C1)C1CC3=C(C=CC=C3)C1)C2(C)C)C(=O)C(=O)NCC=C Chemical compound C=CCCC(NC(=O)C1C2C(CN1C(=O)C(NC(=O)OC1CC1C1=CC=CC=C1)C1CC3=C(C=CC=C3)C1)C2(C)C)C(=O)C(=O)NCC=C PEUYDWVCNFTVNC-UHFFFAOYSA-N 0.000 description 1
- PQWUKLNGNLRODC-BDWKKJRCSA-N C=CCCC(NC(=O)C1C2C(CN1C(=O)[C@@H](NC(=O)OC(C)(C)C)C(C)(C)C)C2(C)C)C(=O)C(=O)NCC(=O)C(=O)CC1=CC=CC=C1 Chemical compound C=CCCC(NC(=O)C1C2C(CN1C(=O)[C@@H](NC(=O)OC(C)(C)C)C(C)(C)C)C2(C)C)C(=O)C(=O)NCC(=O)C(=O)CC1=CC=CC=C1 PQWUKLNGNLRODC-BDWKKJRCSA-N 0.000 description 1
- FWPXEGIWMGGCPT-XRIHTKFPSA-N C=CCCC(NC(=O)C1C2C(CN1C(=O)[C@@H](NC(=O)OC(C)(C)C)C(C)(C)C)C2(C)C)C(=O)C(=O)NCC(=O)CCC1=CC=CC=C1 Chemical compound C=CCCC(NC(=O)C1C2C(CN1C(=O)[C@@H](NC(=O)OC(C)(C)C)C(C)(C)C)C2(C)C)C(=O)C(=O)NCC(=O)CCC1=CC=CC=C1 FWPXEGIWMGGCPT-XRIHTKFPSA-N 0.000 description 1
- VDGPSHDFOYUFHP-GMLAODNESA-N C=CCCC(NC(=O)C1C2C(CN1C(=O)[C@@H](NC(=O)OC(C)(C)C)C(C)(C)C)C2(C)C)C(=O)C(=O)NCCC(=O)OC(C)(C)C Chemical compound C=CCCC(NC(=O)C1C2C(CN1C(=O)[C@@H](NC(=O)OC(C)(C)C)C(C)(C)C)C2(C)C)C(=O)C(=O)NCCC(=O)OC(C)(C)C VDGPSHDFOYUFHP-GMLAODNESA-N 0.000 description 1
- ZBIJEDBHDQXWEF-WNHYIRCFSA-N C=CCCC(NC(=O)C1C2C(CN1C(=O)[C@@H](NC(=O)OC(C)(C)C)C(C)(C)C)C2(C)C)C(=O)C(=O)NCCCNC(=O)OC(C)(C)C Chemical compound C=CCCC(NC(=O)C1C2C(CN1C(=O)[C@@H](NC(=O)OC(C)(C)C)C(C)(C)C)C2(C)C)C(=O)C(=O)NCCCNC(=O)OC(C)(C)C ZBIJEDBHDQXWEF-WNHYIRCFSA-N 0.000 description 1
- BVKRBIWROQCTPW-GGGBIRNISA-N C=CCCC(NC(=O)C1C2C(CN1C(=O)[C@@H](NC(=O)OC(C)(C)C)C(C)(C)C)C2(C)C)C(=O)C(=O)NCCCOCC Chemical compound C=CCCC(NC(=O)C1C2C(CN1C(=O)[C@@H](NC(=O)OC(C)(C)C)C(C)(C)C)C2(C)C)C(=O)C(=O)NCCCOCC BVKRBIWROQCTPW-GGGBIRNISA-N 0.000 description 1
- WUADHNNMYASCDN-CBRFJLGVSA-N C=CCCC(NC(=O)C1C2C(CN1C(=O)[C@@H](NC(=O)OC(C)(C)C)C(C)(C)C)C2(C)C)C(=O)C(=O)NCCNC(C)=O Chemical compound C=CCCC(NC(=O)C1C2C(CN1C(=O)[C@@H](NC(=O)OC(C)(C)C)C(C)(C)C)C2(C)C)C(=O)C(=O)NCCNC(C)=O WUADHNNMYASCDN-CBRFJLGVSA-N 0.000 description 1
- QQWXHJJIZAMHJM-WZGWLXCBSA-N C=CCCC(NC(=O)C1C2C(CN1C(=O)[C@@H](NC(=O)OC(C)(C)C)C(C)(C)C)C2(C)C)C(O)C(=O)NC/C=C/C(=O)OCC Chemical compound C=CCCC(NC(=O)C1C2C(CN1C(=O)[C@@H](NC(=O)OC(C)(C)C)C(C)(C)C)C2(C)C)C(O)C(=O)NC/C=C/C(=O)OCC QQWXHJJIZAMHJM-WZGWLXCBSA-N 0.000 description 1
- FFOPYLVLQAIMDB-PMZYFSIJSA-N C=CCCC(NC(=O)C1C2OC(C)(C)OC2CN1C(=O)[C@@H](NC(=O)OC(C)(C)C)C(C)(C)C)C(=O)C(=O)NCC(=O)N[C@H](C(=O)N(C)C)C1=CC=CC=C1 Chemical compound C=CCCC(NC(=O)C1C2OC(C)(C)OC2CN1C(=O)[C@@H](NC(=O)OC(C)(C)C)C(C)(C)C)C(=O)C(=O)NCC(=O)N[C@H](C(=O)N(C)C)C1=CC=CC=C1 FFOPYLVLQAIMDB-PMZYFSIJSA-N 0.000 description 1
- ADMITISSXXUKME-MDLYCCLOSA-N C=CCCC(NC(=O)C1[C@@H]2C(CN1C(=O)C(NC(=O)NC1CCCCC1)C1CCCCC1)C2(C)C)C(=O)C(=O)NCC=C Chemical compound C=CCCC(NC(=O)C1[C@@H]2C(CN1C(=O)C(NC(=O)NC1CCCCC1)C1CCCCC1)C2(C)C)C(=O)C(=O)NCC=C ADMITISSXXUKME-MDLYCCLOSA-N 0.000 description 1
- FWPXEGIWMGGCPT-QXXGHKLLSA-N C=CCCC(NC(=O)C1[C@@H]2C(CN1C(=O)[C@@H](NC(=O)OC(C)(C)C)C(C)(C)C)C2(C)C)C(=O)C(=O)NCC(=O)CCC1=CC=CC=C1 Chemical compound C=CCCC(NC(=O)C1[C@@H]2C(CN1C(=O)[C@@H](NC(=O)OC(C)(C)C)C(C)(C)C)C2(C)C)C(=O)C(=O)NCC(=O)CCC1=CC=CC=C1 FWPXEGIWMGGCPT-QXXGHKLLSA-N 0.000 description 1
- MCMARTYVYBOBMZ-ALAWOQLPSA-N C=CCCC(NC(=O)[C@@H]1C2C(CN1C(=O)C(N)C1CCCCC1)C2(C)C)C(=O)C(=O)NCC=C Chemical compound C=CCCC(NC(=O)[C@@H]1C2C(CN1C(=O)C(N)C1CCCCC1)C2(C)C)C(=O)C(=O)NCC=C MCMARTYVYBOBMZ-ALAWOQLPSA-N 0.000 description 1
- VVFQYBVNTQSEHT-LBXYBUTKSA-N C=CCCC(NC(=O)[C@@H]1C2C(CN1C(=O)C(NC(=O)NC(C)(C)C)C1CCCCC1)C2(C)C)C(=O)C(=O)NCCC(C)(=O)=O Chemical compound C=CCCC(NC(=O)[C@@H]1C2C(CN1C(=O)C(NC(=O)NC(C)(C)C)C1CCCCC1)C2(C)C)C(=O)C(=O)NCCC(C)(=O)=O VVFQYBVNTQSEHT-LBXYBUTKSA-N 0.000 description 1
- KOEYRLOHRXNJDV-YNLDHFENSA-N C=CCCC(NC(=O)[C@@H]1C2C(CN1C(=O)C(NC(=O)OC(C)(C)C)C(C)(C)C)C2(C)C)C(=O)C(=O)NCCC(=O)OC(C)(C)C1=CC=CC=C1 Chemical compound C=CCCC(NC(=O)[C@@H]1C2C(CN1C(=O)C(NC(=O)OC(C)(C)C)C(C)(C)C)C2(C)C)C(=O)C(=O)NCCC(=O)OC(C)(C)C1=CC=CC=C1 KOEYRLOHRXNJDV-YNLDHFENSA-N 0.000 description 1
- LGGLMRAIVISLET-WCWCZOKXSA-N C=CCCC(NC(=O)[C@@H]1C2C(CN1C(=O)C(NC(=O)OC(C)(C)C)C(C)(C)C)C2(C)C)C(=O)C(N)=O Chemical compound C=CCCC(NC(=O)[C@@H]1C2C(CN1C(=O)C(NC(=O)OC(C)(C)C)C(C)(C)C)C2(C)C)C(=O)C(N)=O LGGLMRAIVISLET-WCWCZOKXSA-N 0.000 description 1
- VTEWZHZJADQKMW-AZRLCKCBSA-N C=CCCC(NC(=O)[C@@H]1C2C(CN1C(=O)C(NC(=O)OC(C)(C)C)C(C)(C)C)C2(Cl)Cl)C(=O)C(=O)NCC=C Chemical compound C=CCCC(NC(=O)[C@@H]1C2C(CN1C(=O)C(NC(=O)OC(C)(C)C)C(C)(C)C)C2(Cl)Cl)C(=O)C(=O)NCC=C VTEWZHZJADQKMW-AZRLCKCBSA-N 0.000 description 1
- AJYPVDSEKPMQJA-UMRCGLLGSA-N C=CCCC(NC(=O)[C@@H]1C2C(CN1C(=O)C(NC(=O)OC(C)(C)C)C(C)(C)C)C2(Cl)Cl)C(=O)C(=O)NCCC(=O)NC(C)(C)C Chemical compound C=CCCC(NC(=O)[C@@H]1C2C(CN1C(=O)C(NC(=O)OC(C)(C)C)C(C)(C)C)C2(Cl)Cl)C(=O)C(=O)NCCC(=O)NC(C)(C)C AJYPVDSEKPMQJA-UMRCGLLGSA-N 0.000 description 1
- MTUWYXXJBCHTFM-GLMNMBRWSA-N C=CCCC(NC(=O)[C@@H]1C2C(CN1C(=O)C(NC(=O)OC(C)(C)C)C1CC3=C(C=CC=C3)C1)C2(C)C)C(=O)C(=O)NCC=C Chemical compound C=CCCC(NC(=O)[C@@H]1C2C(CN1C(=O)C(NC(=O)OC(C)(C)C)C1CC3=C(C=CC=C3)C1)C2(C)C)C(=O)C(=O)NCC=C MTUWYXXJBCHTFM-GLMNMBRWSA-N 0.000 description 1
- PQRWPARHDPDEKU-ZIQQCPBXSA-N C=CCCC(NC(=O)[C@@H]1C2C(CN1C(=O)C(NC(=O)OC(C)(C)C)C1CC3=C(C=CC=C3)C1)C2(Cl)Cl)C(=O)C(=O)NCC=C Chemical compound C=CCCC(NC(=O)[C@@H]1C2C(CN1C(=O)C(NC(=O)OC(C)(C)C)C1CC3=C(C=CC=C3)C1)C2(Cl)Cl)C(=O)C(=O)NCC=C PQRWPARHDPDEKU-ZIQQCPBXSA-N 0.000 description 1
- IBTQHNSTNMCFOY-LBXYBUTKSA-N C=CCCC(NC(=O)[C@@H]1C2C(CN1C(=O)C(NC(=O)OC(C)(C)C)C1CCCCC1)C2(C)C)C(=O)C(=O)NCC=C Chemical compound C=CCCC(NC(=O)[C@@H]1C2C(CN1C(=O)C(NC(=O)OC(C)(C)C)C1CCCCC1)C2(C)C)C(=O)C(=O)NCC=C IBTQHNSTNMCFOY-LBXYBUTKSA-N 0.000 description 1
- RYHUWJAFIRAQRT-MHQTWIMDSA-N C=CCCC(NC(=O)[C@@H]1C2C(CN1C(=O)C(NC(=O)OC(C)(C)C)C1CCCCC1)C2(Cl)Cl)C(=O)C(=O)NCCC(=O)OC(C)(C)C Chemical compound C=CCCC(NC(=O)[C@@H]1C2C(CN1C(=O)C(NC(=O)OC(C)(C)C)C1CCCCC1)C2(Cl)Cl)C(=O)C(=O)NCCC(=O)OC(C)(C)C RYHUWJAFIRAQRT-MHQTWIMDSA-N 0.000 description 1
- SRZSYHZMWAFXAG-YLWLDOQSSA-N C=CCCC(NC(=O)[C@@H]1C2C(CN1C(=O)[C@@H](NC(=O)C(NC(=O)OC(C)(C)C)C(C1=CC=CC=C1)C1=CC=CC=C1)C(C)(C)C)C2(C)C)C(=O)C(=O)NCC=C Chemical compound C=CCCC(NC(=O)[C@@H]1C2C(CN1C(=O)[C@@H](NC(=O)C(NC(=O)OC(C)(C)C)C(C1=CC=CC=C1)C1=CC=CC=C1)C(C)(C)C)C2(C)C)C(=O)C(=O)NCC=C SRZSYHZMWAFXAG-YLWLDOQSSA-N 0.000 description 1
- CWXRGYHUHUFPSW-SAFIRIESSA-N C=CCCC(NC(=O)[C@@H]1C2C(CN1C(=O)[C@@H](NC(=O)C(O)C(C)C)C1CCCCC1)C2(C)C)C(=O)C(=O)NCC=C Chemical compound C=CCCC(NC(=O)[C@@H]1C2C(CN1C(=O)[C@@H](NC(=O)C(O)C(C)C)C1CCCCC1)C2(C)C)C(=O)C(=O)NCC=C CWXRGYHUHUFPSW-SAFIRIESSA-N 0.000 description 1
- AZFVSDDUPHUXSO-IEZGCBEESA-N C=CCCC(NC(=O)[C@@H]1C2C(CN1C(=O)[C@@H](NC(=O)NC(C)(C)C)C1CC3=C(C=CC=C3)C1)C2(C)C)C(=O)C(=O)NCC(=O)N[C@H](C(=O)N(C)C)C1=CC=CC=C1 Chemical compound C=CCCC(NC(=O)[C@@H]1C2C(CN1C(=O)[C@@H](NC(=O)NC(C)(C)C)C1CC3=C(C=CC=C3)C1)C2(C)C)C(=O)C(=O)NCC(=O)N[C@H](C(=O)N(C)C)C1=CC=CC=C1 AZFVSDDUPHUXSO-IEZGCBEESA-N 0.000 description 1
- UJIPMRIELPSHEW-NSHLBDPBSA-N C=CCCC(NC(=O)[C@@H]1C2C(CN1C(=O)[C@@H](NC(=O)NC(C)(C)CC(C)(C)C)C1CC3=C(C=CC=C3)C1)C2(C)C)C(=O)C(=O)NCC=C Chemical compound C=CCCC(NC(=O)[C@@H]1C2C(CN1C(=O)[C@@H](NC(=O)NC(C)(C)CC(C)(C)C)C1CC3=C(C=CC=C3)C1)C2(C)C)C(=O)C(=O)NCC=C UJIPMRIELPSHEW-NSHLBDPBSA-N 0.000 description 1
- MALAHIGTQUXXCB-VVYVRQOISA-N C=CCCC(NC(=O)[C@@H]1C2C(CN1C(=O)[C@@H](NC(=O)NC(CC)CC)C1CC3=C(C=CC=C3)C1)C2(C)C)C(=O)C(=O)NCC=C Chemical compound C=CCCC(NC(=O)[C@@H]1C2C(CN1C(=O)[C@@H](NC(=O)NC(CC)CC)C1CC3=C(C=CC=C3)C1)C2(C)C)C(=O)C(=O)NCC=C MALAHIGTQUXXCB-VVYVRQOISA-N 0.000 description 1
- YXXNFKQFPUPPRH-NSXDPQMFSA-N C=CCCC(NC(=O)[C@@H]1C2C(CN1C(=O)[C@@H](NC(=O)NC13CC4CC(CC(C4)C1)C3)C1CCCCC1)C2(C)C)C(=O)C(=O)NCCC(=O)OC(C)(C)C Chemical compound C=CCCC(NC(=O)[C@@H]1C2C(CN1C(=O)[C@@H](NC(=O)NC13CC4CC(CC(C4)C1)C3)C1CCCCC1)C2(C)C)C(=O)C(=O)NCCC(=O)OC(C)(C)C YXXNFKQFPUPPRH-NSXDPQMFSA-N 0.000 description 1
- RGJDSJACSNPELA-VVYVRQOISA-N C=CCCC(NC(=O)[C@@H]1C2C(CN1C(=O)[C@@H](NC(=O)NC1CCCC1)C1CC3=C(C=CC=C3)C1)C2(C)C)C(=O)C(=O)NCC=C Chemical compound C=CCCC(NC(=O)[C@@H]1C2C(CN1C(=O)[C@@H](NC(=O)NC1CCCC1)C1CC3=C(C=CC=C3)C1)C2(C)C)C(=O)C(=O)NCC=C RGJDSJACSNPELA-VVYVRQOISA-N 0.000 description 1
- KLQRWRIYZZEIRK-NSHLBDPBSA-N C=CCCC(NC(=O)[C@@H]1C2C(CN1C(=O)[C@@H](NC(=O)NC1CCCCC1)C1CC3=C(C=CC=C3)C1)C2(C)C)C(=O)C(=O)NCC=C Chemical compound C=CCCC(NC(=O)[C@@H]1C2C(CN1C(=O)[C@@H](NC(=O)NC1CCCCC1)C1CC3=C(C=CC=C3)C1)C2(C)C)C(=O)C(=O)NCC=C KLQRWRIYZZEIRK-NSHLBDPBSA-N 0.000 description 1
- DRLVYZHVMZMLRZ-CTEMSKPWSA-N C=CCCC(NC(=O)[C@@H]1C2C(CN1C(=O)[C@@H](NC(=O)NCC=C)C1CC3=C(C=CC=C3)C1)C2(C)C)C(=O)C(=O)NCC=C Chemical compound C=CCCC(NC(=O)[C@@H]1C2C(CN1C(=O)[C@@H](NC(=O)NCC=C)C1CC3=C(C=CC=C3)C1)C2(C)C)C(=O)C(=O)NCC=C DRLVYZHVMZMLRZ-CTEMSKPWSA-N 0.000 description 1
- SLBGHUKJGJVJJE-CTEMSKPWSA-N C=CCCC(NC(=O)[C@@H]1C2C(CN1C(=O)[C@@H](NC(=O)NCCC)C1CC3=C(C=CC=C3)C1)C2(C)C)C(=O)C(=O)NCC=C Chemical compound C=CCCC(NC(=O)[C@@H]1C2C(CN1C(=O)[C@@H](NC(=O)NCCC)C1CC3=C(C=CC=C3)C1)C2(C)C)C(=O)C(=O)NCC=C SLBGHUKJGJVJJE-CTEMSKPWSA-N 0.000 description 1
- ZDSSSPZPHMAZEI-CTEMSKPWSA-N C=CCCC(NC(=O)[C@@H]1C2C(CN1C(=O)[C@@H](NC(=O)NCCNC)C1CC3=C(C=CC=C3)C1)C2(C)C)C(=O)C(=O)NCC=C Chemical compound C=CCCC(NC(=O)[C@@H]1C2C(CN1C(=O)[C@@H](NC(=O)NCCNC)C1CC3=C(C=CC=C3)C1)C2(C)C)C(=O)C(=O)NCC=C ZDSSSPZPHMAZEI-CTEMSKPWSA-N 0.000 description 1
- FQLAYZPMTSAEFW-NSHLBDPBSA-N C=CCCC(NC(=O)[C@@H]1C2C(CN1C(=O)[C@@H](NC(=O)NS(=O)(=O)C1=CC=CC=C1)C1CC3=C(C=CC=C3)C1)C2(C)C)C(=O)C(=O)NCC=C Chemical compound C=CCCC(NC(=O)[C@@H]1C2C(CN1C(=O)[C@@H](NC(=O)NS(=O)(=O)C1=CC=CC=C1)C1CC3=C(C=CC=C3)C1)C2(C)C)C(=O)C(=O)NCC=C FQLAYZPMTSAEFW-NSHLBDPBSA-N 0.000 description 1
- VNEDGTFRJPBJOM-KKUDABHJSA-N C=CCCC(NC(=O)[C@@H]1C2C(CN1C(=O)[C@@H](NC(=O)OC(C)(C)C)C(C)(C)C)C2(C)C)C(=O)C(=O)NC/C=C/C(=O)OCC Chemical compound C=CCCC(NC(=O)[C@@H]1C2C(CN1C(=O)[C@@H](NC(=O)OC(C)(C)C)C(C)(C)C)C2(C)C)C(=O)C(=O)NC/C=C/C(=O)OCC VNEDGTFRJPBJOM-KKUDABHJSA-N 0.000 description 1
- CNRRHWNMCLKSFW-WGMSXAEXSA-N C=CCCC(NC(=O)[C@@H]1C2C(CN1C(=O)[C@@H](NC(=O)OC(C)(C)C)C(C)(C)C)C2(C)C)C(=O)C(=O)NCC#CC1=CC=CC=C1 Chemical compound C=CCCC(NC(=O)[C@@H]1C2C(CN1C(=O)[C@@H](NC(=O)OC(C)(C)C)C(C)(C)C)C2(C)C)C(=O)C(=O)NCC#CC1=CC=CC=C1 CNRRHWNMCLKSFW-WGMSXAEXSA-N 0.000 description 1
- YVJQWUSFUNPJTD-VIMZLGPTSA-N C=CCCC(NC(=O)[C@@H]1C2C(CN1C(=O)[C@@H](NC(=O)OC(C)(C)C)C(C)(C)C)C2(C)C)C(=O)C(=O)NCC#N Chemical compound C=CCCC(NC(=O)[C@@H]1C2C(CN1C(=O)[C@@H](NC(=O)OC(C)(C)C)C(C)(C)C)C2(C)C)C(=O)C(=O)NCC#N YVJQWUSFUNPJTD-VIMZLGPTSA-N 0.000 description 1
- WKXBSWUKCCASAU-MLFGQIFJSA-N C=CCCC(NC(=O)[C@@H]1C2C(CN1C(=O)[C@@H](NC(=O)OC(C)(C)C)C(C)(C)C)C2(C)C)C(=O)C(=O)NCC(=O)NCC1=CC=CC=C1 Chemical compound C=CCCC(NC(=O)[C@@H]1C2C(CN1C(=O)[C@@H](NC(=O)OC(C)(C)C)C(C)(C)C)C2(C)C)C(=O)C(=O)NCC(=O)NCC1=CC=CC=C1 WKXBSWUKCCASAU-MLFGQIFJSA-N 0.000 description 1
- YSMNKHBKDOZRHF-TZCGXBFMSA-N C=CCCC(NC(=O)[C@@H]1C2C(CN1C(=O)[C@@H](NC(=O)OC(C)(C)C)C(C)(C)C)C2(C)C)C(=O)C(=O)NCCC(=O)(=O)C(C)(C)C Chemical compound C=CCCC(NC(=O)[C@@H]1C2C(CN1C(=O)[C@@H](NC(=O)OC(C)(C)C)C(C)(C)C)C2(C)C)C(=O)C(=O)NCCC(=O)(=O)C(C)(C)C YSMNKHBKDOZRHF-TZCGXBFMSA-N 0.000 description 1
- RVEKVFRTHTUARR-MLFGQIFJSA-N C=CCCC(NC(=O)[C@@H]1C2C(CN1C(=O)[C@@H](NC(=O)OC(C)(C)C)C(C)(C)C)C2(C)C)C(=O)C(=O)NCCC(=O)NC1=CC=CC=C1 Chemical compound C=CCCC(NC(=O)[C@@H]1C2C(CN1C(=O)[C@@H](NC(=O)OC(C)(C)C)C(C)(C)C)C2(C)C)C(=O)C(=O)NCCC(=O)NC1=CC=CC=C1 RVEKVFRTHTUARR-MLFGQIFJSA-N 0.000 description 1
- JXJPBJSFYDVPTI-TZCGXBFMSA-N C=CCCC(NC(=O)[C@@H]1C2C(CN1C(=O)[C@@H](NC(=O)OC(C)(C)C)C(C)(C)C)C2(C)C)C(=O)C(=O)NCCNC(=O)OC(C)(C)C Chemical compound C=CCCC(NC(=O)[C@@H]1C2C(CN1C(=O)[C@@H](NC(=O)OC(C)(C)C)C(C)(C)C)C2(C)C)C(=O)C(=O)NCCNC(=O)OC(C)(C)C JXJPBJSFYDVPTI-TZCGXBFMSA-N 0.000 description 1
- VFJHYOGEQGKUHF-OGKXSSEESA-N C=CCCC(NC(=O)[C@@H]1C2C(CN1C(=O)[C@@H](NC(=O)OC(C)(C)C)C(C)CC)C2(C)C)C(=O)C(=O)NCC=C Chemical compound C=CCCC(NC(=O)[C@@H]1C2C(CN1C(=O)[C@@H](NC(=O)OC(C)(C)C)C(C)CC)C2(C)C)C(=O)C(=O)NCC=C VFJHYOGEQGKUHF-OGKXSSEESA-N 0.000 description 1
- MTUWYXXJBCHTFM-CTEMSKPWSA-N C=CCCC(NC(=O)[C@@H]1C2C(CN1C(=O)[C@@H](NC(=O)OC(C)(C)C)C1CC3=C(C=CC=C3)C1)C2(C)C)C(=O)C(=O)NCC=C Chemical compound C=CCCC(NC(=O)[C@@H]1C2C(CN1C(=O)[C@@H](NC(=O)OC(C)(C)C)C1CC3=C(C=CC=C3)C1)C2(C)C)C(=O)C(=O)NCC=C MTUWYXXJBCHTFM-CTEMSKPWSA-N 0.000 description 1
- QHNOOXYWXOBROC-BVGSJCHJSA-N C=CCCC(NC(=O)[C@@H]1C2C(CN1C(=O)[C@@H](NC(=O)OC(C)(C)C)C1CC3=C(C=CC=C3)C1)C2(C)C)C(=O)C(=O)NCCC(=O)OC(C)(C)C Chemical compound C=CCCC(NC(=O)[C@@H]1C2C(CN1C(=O)[C@@H](NC(=O)OC(C)(C)C)C1CC3=C(C=CC=C3)C1)C2(C)C)C(=O)C(=O)NCCC(=O)OC(C)(C)C QHNOOXYWXOBROC-BVGSJCHJSA-N 0.000 description 1
- VERPMGSFJRACQN-URABXMJYSA-N C=CCCC(NC(=O)[C@@H]1C2C(CN1C(=O)[C@@H](NC(=O)OC(C)(C)C)C1CC3=C(C=CC=C3)C1)C2(Cl)Cl)C(=O)C(=O)NCC(=O)N[C@H](C(=O)N(C)C)C1=CC=CC=C1 Chemical compound C=CCCC(NC(=O)[C@@H]1C2C(CN1C(=O)[C@@H](NC(=O)OC(C)(C)C)C1CC3=C(C=CC=C3)C1)C2(Cl)Cl)C(=O)C(=O)NCC(=O)N[C@H](C(=O)N(C)C)C1=CC=CC=C1 VERPMGSFJRACQN-URABXMJYSA-N 0.000 description 1
- PQRWPARHDPDEKU-BOSQQAFTSA-N C=CCCC(NC(=O)[C@@H]1C2C(CN1C(=O)[C@@H](NC(=O)OC(C)(C)C)C1CC3=C(C=CC=C3)C1)C2(Cl)Cl)C(=O)C(=O)NCC=C Chemical compound C=CCCC(NC(=O)[C@@H]1C2C(CN1C(=O)[C@@H](NC(=O)OC(C)(C)C)C1CC3=C(C=CC=C3)C1)C2(Cl)Cl)C(=O)C(=O)NCC=C PQRWPARHDPDEKU-BOSQQAFTSA-N 0.000 description 1
- GDEWILYPEVIVOP-LSXCAERISA-N C=CCCC(NC(=O)[C@@H]1C2C(CN1C(=O)[C@@H](NC(=O)OC(C)(C)C)C1CC3=C(C=CC=C3)C1)C2(Cl)Cl)C(=O)C(=O)NCCC(=O)NC(C)(C)C Chemical compound C=CCCC(NC(=O)[C@@H]1C2C(CN1C(=O)[C@@H](NC(=O)OC(C)(C)C)C1CC3=C(C=CC=C3)C1)C2(Cl)Cl)C(=O)C(=O)NCCC(=O)NC(C)(C)C GDEWILYPEVIVOP-LSXCAERISA-N 0.000 description 1
- OPEJOEANAIUDRD-ANTGNLSKSA-N C=CCCC(NC(=O)[C@@H]1C2C(CN1C(=O)[C@@H](NC(=O)OC(C)(C)C)C1CCC(F)(F)CC1)C2(C)C)C(=O)C(=O)NCCC(=O)OC(C)(C)C Chemical compound C=CCCC(NC(=O)[C@@H]1C2C(CN1C(=O)[C@@H](NC(=O)OC(C)(C)C)C1CCC(F)(F)CC1)C2(C)C)C(=O)C(=O)NCCC(=O)OC(C)(C)C OPEJOEANAIUDRD-ANTGNLSKSA-N 0.000 description 1
- MFFPCABQSDHRFD-NHBVKNBFSA-N C=CCCC(NC(=O)[C@@H]1C2C(CN1C(=O)[C@@H](NC(=O)OC(C)(C)C)C1CCCC1)C2(C)C)C(=O)C(=O)NCC(=O)N[C@H](C(=O)N(C)C)C1=CC=CC=C1 Chemical compound C=CCCC(NC(=O)[C@@H]1C2C(CN1C(=O)[C@@H](NC(=O)OC(C)(C)C)C1CCCC1)C2(C)C)C(=O)C(=O)NCC(=O)N[C@H](C(=O)N(C)C)C1=CC=CC=C1 MFFPCABQSDHRFD-NHBVKNBFSA-N 0.000 description 1
- VNBYDBJOJKKMNP-WBLOSPSNSA-N C=CCCC(NC(=O)[C@@H]1C2C(CN1C(=O)[C@@H](NC(=O)OC(C)(C)C)C1CCCC1)C2(C)C)C(=O)C(=O)NCC=C Chemical compound C=CCCC(NC(=O)[C@@H]1C2C(CN1C(=O)[C@@H](NC(=O)OC(C)(C)C)C1CCCC1)C2(C)C)C(=O)C(=O)NCC=C VNBYDBJOJKKMNP-WBLOSPSNSA-N 0.000 description 1
- JZJSQFJZUAUUOF-DQPPXYKDSA-N C=CCCC(NC(=O)[C@@H]1C2C(CN1C(=O)[C@@H](NC(=O)OC(C)(C)C)C1CCCCC1)C2(C)C)C(=O)C(=O)NCCC(=O)OC(C)(C)C Chemical compound C=CCCC(NC(=O)[C@@H]1C2C(CN1C(=O)[C@@H](NC(=O)OC(C)(C)C)C1CCCCC1)C2(C)C)C(=O)C(=O)NCCC(=O)OC(C)(C)C JZJSQFJZUAUUOF-DQPPXYKDSA-N 0.000 description 1
- CKYWKMXNSHUPTE-LSXCAERISA-N C=CCCC(NC(=O)[C@@H]1C2C(CN1C(=O)[C@@H](NC(=O)OC(C)(C)C)C1CCCCC1)C2(C)C)C(=O)C(=O)NCCC(=O)OC(C)(C)C=C Chemical compound C=CCCC(NC(=O)[C@@H]1C2C(CN1C(=O)[C@@H](NC(=O)OC(C)(C)C)C1CCCCC1)C2(C)C)C(=O)C(=O)NCCC(=O)OC(C)(C)C=C CKYWKMXNSHUPTE-LSXCAERISA-N 0.000 description 1
- KEJIQXLEWXZTKU-IOHZUATHSA-N C=CCCC(NC(=O)[C@@H]1C2C(CN1C(=O)[C@@H](NC(=O)OC(C)(C)C)C1CCCCC1)C2(Cl)Cl)C(=O)C(=O)NCC=C Chemical compound C=CCCC(NC(=O)[C@@H]1C2C(CN1C(=O)[C@@H](NC(=O)OC(C)(C)C)C1CCCCC1)C2(Cl)Cl)C(=O)C(=O)NCC=C KEJIQXLEWXZTKU-IOHZUATHSA-N 0.000 description 1
- YXFIJEFZTRHELH-YMCWFVKOSA-N C=CCCC(NC(=O)[C@@H]1C2C(CN1C(=O)[C@@H](NC(=O)OC(C)C(C)C)C1CC3=C(C=CC=C3)C1)C2(C)C)C(=O)C(=O)NCC=C Chemical compound C=CCCC(NC(=O)[C@@H]1C2C(CN1C(=O)[C@@H](NC(=O)OC(C)C(C)C)C1CC3=C(C=CC=C3)C1)C2(C)C)C(=O)C(=O)NCC=C YXFIJEFZTRHELH-YMCWFVKOSA-N 0.000 description 1
- SNSTXUBGHZSFTC-CTEMSKPWSA-N C=CCCC(NC(=O)[C@@H]1C2C(CN1C(=O)[C@@H](NC(=O)OC(C)C)C1CC3=C(C=CC=C3)C1)C2(C)C)C(=O)C(=O)NCC=C Chemical compound C=CCCC(NC(=O)[C@@H]1C2C(CN1C(=O)[C@@H](NC(=O)OC(C)C)C1CC3=C(C=CC=C3)C1)C2(C)C)C(=O)C(=O)NCC=C SNSTXUBGHZSFTC-CTEMSKPWSA-N 0.000 description 1
- ASZMGTZQSRWGNK-FFPXKKFZSA-N C=CCCC(NC(=O)[C@@H]1C2C(CN1C(=O)[C@@H](NC(=O)OC(C)CC)C1CC3=C(C=CC=C3)C1)C2(C)C)C(=O)C(=O)NCC=C Chemical compound C=CCCC(NC(=O)[C@@H]1C2C(CN1C(=O)[C@@H](NC(=O)OC(C)CC)C1CC3=C(C=CC=C3)C1)C2(C)C)C(=O)C(=O)NCC=C ASZMGTZQSRWGNK-FFPXKKFZSA-N 0.000 description 1
- GCSGVORIKRFPFO-NSHLBDPBSA-N C=CCCC(NC(=O)[C@@H]1C2C(CN1C(=O)[C@@H](NC(=O)OC1=CC=CC=C1)C1CC3=C(C=CC=C3)C1)C2(C)C)C(=O)C(=O)NCC=C Chemical compound C=CCCC(NC(=O)[C@@H]1C2C(CN1C(=O)[C@@H](NC(=O)OC1=CC=CC=C1)C1CC3=C(C=CC=C3)C1)C2(C)C)C(=O)C(=O)NCC=C GCSGVORIKRFPFO-NSHLBDPBSA-N 0.000 description 1
- MMRVBBNRDQEAGM-XDZYFCLLSA-N C=CCCC(NC(=O)[C@@H]1C2C(CN1C(=O)[C@@H](NC(=O)OCC(C)(C)C)C1CC3=C(C=CC=C3)C1)C2(C)C)C(=O)C(=O)NCC=C Chemical compound C=CCCC(NC(=O)[C@@H]1C2C(CN1C(=O)[C@@H](NC(=O)OCC(C)(C)C)C1CC3=C(C=CC=C3)C1)C2(C)C)C(=O)C(=O)NCC=C MMRVBBNRDQEAGM-XDZYFCLLSA-N 0.000 description 1
- GQCVNZRQLOUOKF-UPHPCSDJSA-N C=CCCC(NC(=O)[C@@H]1C2C(CN1C(=O)[C@@H](NC(=O)OCC(C)C)C1CC3=C(C=CC=C3)C1)C2(C)C)C(=O)C(=O)NCC(=O)NC(C(=O)N(C)C)C1=CC=CC=C1 Chemical compound C=CCCC(NC(=O)[C@@H]1C2C(CN1C(=O)[C@@H](NC(=O)OCC(C)C)C1CC3=C(C=CC=C3)C1)C2(C)C)C(=O)C(=O)NCC(=O)NC(C(=O)N(C)C)C1=CC=CC=C1 GQCVNZRQLOUOKF-UPHPCSDJSA-N 0.000 description 1
- ATPJLODJOAZZQR-XDZYFCLLSA-N C=CCCC(NC(=O)[C@@H]1C2C(CN1C(=O)[C@@H](NC(=O)OCC(C)C)C1CC3=C(C=CC=C3)C1)C2(C)C)C(=O)C(=O)NCC=C Chemical compound C=CCCC(NC(=O)[C@@H]1C2C(CN1C(=O)[C@@H](NC(=O)OCC(C)C)C1CC3=C(C=CC=C3)C1)C2(C)C)C(=O)C(=O)NCC=C ATPJLODJOAZZQR-XDZYFCLLSA-N 0.000 description 1
- XTPBGWLBYKXXDY-XDZYFCLLSA-N C=CCCC(NC(=O)[C@@H]1C2C(CN1C(=O)[C@@H](NC(=O)OCC1CC1)C1CC3=C(C=CC=C3)C1)C2(C)C)C(=O)C(=O)NCC=C Chemical compound C=CCCC(NC(=O)[C@@H]1C2C(CN1C(=O)[C@@H](NC(=O)OCC1CC1)C1CC3=C(C=CC=C3)C1)C2(C)C)C(=O)C(=O)NCC=C XTPBGWLBYKXXDY-XDZYFCLLSA-N 0.000 description 1
- KNGRSNJYANAELV-UCWUQPSDSA-N C=CCCC(NC(=O)[C@@H]1C2CC2CN1C(=O)[C@@H](NC(=O)OC(C)(C)C)C1CCCCC1)C(=O)C(=O)NCC(=O)NC(C(=O)N(C)C)C1=CC=CC=C1 Chemical compound C=CCCC(NC(=O)[C@@H]1C2CC2CN1C(=O)[C@@H](NC(=O)OC(C)(C)C)C1CCCCC1)C(=O)C(=O)NCC(=O)NC(C(=O)N(C)C)C1=CC=CC=C1 KNGRSNJYANAELV-UCWUQPSDSA-N 0.000 description 1
- KNGRSNJYANAELV-CXIOJDHNSA-N C=CCCC(NC(=O)[C@@H]1C2CC2CN1C(=O)[C@@H](NC(=O)OC(C)(C)C)C1CCCCC1)C(=O)C(=O)NCC(=O)N[C@H](C(=O)N(C)C)C1=CC=CC=C1 Chemical compound C=CCCC(NC(=O)[C@@H]1C2CC2CN1C(=O)[C@@H](NC(=O)OC(C)(C)C)C1CCCCC1)C(=O)C(=O)NCC(=O)N[C@H](C(=O)N(C)C)C1=CC=CC=C1 KNGRSNJYANAELV-CXIOJDHNSA-N 0.000 description 1
- IZKLHYXGUROITF-PWYYUYHBSA-N C=CCCC(NC(=O)[C@@H]1C2OC(C)(C)OC2CN1C(=O)[C@@H](NC(=O)OC(C)(C)C)C(C)(C)C)C(=O)C(N)=O Chemical compound C=CCCC(NC(=O)[C@@H]1C2OC(C)(C)OC2CN1C(=O)[C@@H](NC(=O)OC(C)(C)C)C(C)(C)C)C(=O)C(N)=O IZKLHYXGUROITF-PWYYUYHBSA-N 0.000 description 1
- UAOWHMAXYFVGNF-KOLTXKIZSA-N C=CCCC(NC(=O)[C@@H]1C[C@@H](OC(C)(C)C)CN1C(=O)[C@@H](NC(=O)OCC(C)C)C(C)(C)C)C(=O)C(=O)NCC(=O)O Chemical compound C=CCCC(NC(=O)[C@@H]1C[C@@H](OC(C)(C)C)CN1C(=O)[C@@H](NC(=O)OCC(C)C)C(C)(C)C)C(=O)C(=O)NCC(=O)O UAOWHMAXYFVGNF-KOLTXKIZSA-N 0.000 description 1
- XOMWGOWKMVEXRN-LYUBYTMKSA-N C=CCCC(NC(=O)[C@@H]1C[C@@H](OC(C)(C)C)CN1C(=O)[C@@H](NC(=O)OCC(C)C)C(C)(C)C)C(=O)C(=O)NCC(=O)OC Chemical compound C=CCCC(NC(=O)[C@@H]1C[C@@H](OC(C)(C)C)CN1C(=O)[C@@H](NC(=O)OCC(C)C)C(C)(C)C)C(=O)C(=O)NCC(=O)OC XOMWGOWKMVEXRN-LYUBYTMKSA-N 0.000 description 1
- FOSKYUCJIAJQOA-LQDSCVQESA-N C=CCCC(NC(=O)[C@@H]1C[C@@H](OC(C)(C)C)CN1C(=O)[C@@H](NC(=O)OCC(C)C)C(C)(C)C)C(=O)C(=O)O Chemical compound C=CCCC(NC(=O)[C@@H]1C[C@@H](OC(C)(C)C)CN1C(=O)[C@@H](NC(=O)OCC(C)C)C(C)(C)C)C(=O)C(=O)O FOSKYUCJIAJQOA-LQDSCVQESA-N 0.000 description 1
- BLTYZKZABYKBEV-ZGQDTVHISA-N C=CCCC(NC(=O)[C@@H]1C[C@@H](OC(C)(C)C)CN1C(=O)[C@@H](NC(=O)OCC(C)C)C(C)(C)C)C(=O)C(=O)OCC Chemical compound C=CCCC(NC(=O)[C@@H]1C[C@@H](OC(C)(C)C)CN1C(=O)[C@@H](NC(=O)OCC(C)C)C(C)(C)C)C(=O)C(=O)OCC BLTYZKZABYKBEV-ZGQDTVHISA-N 0.000 description 1
- RHPFVAXUALVCEG-KJPRWFPHSA-N C=CCCC(NC(=O)[C@@H]1[C@@H]2C(CN1C(=O)C(N)C1CCC(F)(F)CC1)C2(C)C)C(=O)C(=O)NCC=C Chemical compound C=CCCC(NC(=O)[C@@H]1[C@@H]2C(CN1C(=O)C(N)C1CCC(F)(F)CC1)C2(C)C)C(=O)C(=O)NCC=C RHPFVAXUALVCEG-KJPRWFPHSA-N 0.000 description 1
- XBPHXCGLPCFZIL-FBRWXLTQSA-N C=CCCC(NC(=O)[C@@H]1[C@@H]2C(CN1C(=O)[C@@H](NC(=O)NC(C)(C)C)C(C)(C)C)C2(C)C)C(=O)C(=O)NCCC(=O)OC1(C)CCCC1 Chemical compound C=CCCC(NC(=O)[C@@H]1[C@@H]2C(CN1C(=O)[C@@H](NC(=O)NC(C)(C)C)C(C)(C)C)C2(C)C)C(=O)C(=O)NCCC(=O)OC1(C)CCCC1 XBPHXCGLPCFZIL-FBRWXLTQSA-N 0.000 description 1
- BIKYWOSODTYWCX-SCQHFWHESA-N C=CCCC(NC(=O)[C@@H]1[C@@H]2C(CN1C(=O)[C@@H](NC(=O)NC13CC4CC(CC(C4)C1)C3)C1CCCCC1)C2(C)C)C(=O)C(=O)NC/C=C/C(=O)NC(C)(C)C Chemical compound C=CCCC(NC(=O)[C@@H]1[C@@H]2C(CN1C(=O)[C@@H](NC(=O)NC13CC4CC(CC(C4)C1)C3)C1CCCCC1)C2(C)C)C(=O)C(=O)NC/C=C/C(=O)NC(C)(C)C BIKYWOSODTYWCX-SCQHFWHESA-N 0.000 description 1
- RFZPMZMXXYXBJT-PDOGPJTESA-N C=CCCC(NC(=O)[C@@H]1[C@@H]2C(CN1C(=O)[C@@H](NC(=O)NC13CC4CC(CC(C4)C1)C3)C1CCCCC1)C2(C)C)C(=O)C(=O)NCC#O Chemical compound C=CCCC(NC(=O)[C@@H]1[C@@H]2C(CN1C(=O)[C@@H](NC(=O)NC13CC4CC(CC(C4)C1)C3)C1CCCCC1)C2(C)C)C(=O)C(=O)NCC#O RFZPMZMXXYXBJT-PDOGPJTESA-N 0.000 description 1
- AJYKBZKQLOXCHC-KKKGTWSVSA-N C=CCCC(NC(=O)[C@@H]1[C@@H]2C(CN1C(=O)[C@@H](NC(=O)OC(C)(C)C)C(C)(C)C)C2(C)C)C(=O)C(=O)NCCCC(=O)C1=CC=CC=C1 Chemical compound C=CCCC(NC(=O)[C@@H]1[C@@H]2C(CN1C(=O)[C@@H](NC(=O)OC(C)(C)C)C(C)(C)C)C2(C)C)C(=O)C(=O)NCCCC(=O)C1=CC=CC=C1 AJYKBZKQLOXCHC-KKKGTWSVSA-N 0.000 description 1
- XKQBYJODRSXDHC-IMPXWGQXSA-N C=CCCC(NC(=O)[C@@H]1[C@@H]2C(CN1C(=O)[C@@H](NC(=O)OC(C)(C)C)C(C)C)C2(C)C)C(=O)C(=O)NCC=C Chemical compound C=CCCC(NC(=O)[C@@H]1[C@@H]2C(CN1C(=O)[C@@H](NC(=O)OC(C)(C)C)C(C)C)C2(C)C)C(=O)C(=O)NCC=C XKQBYJODRSXDHC-IMPXWGQXSA-N 0.000 description 1
- MZBZXVFJUIURAO-CKEXOBHFSA-N C=CCCC(NC(=O)[C@@H]1[C@@H]2C(CN1C(=O)[C@@H](NC(=O)OC(C)(C)C)C1CCCCC1)C2(C)C)C(=O)C(=O)NCCC(=O)N1CC1 Chemical compound C=CCCC(NC(=O)[C@@H]1[C@@H]2C(CN1C(=O)[C@@H](NC(=O)OC(C)(C)C)C1CCCCC1)C2(C)C)C(=O)C(=O)NCCC(=O)N1CC1 MZBZXVFJUIURAO-CKEXOBHFSA-N 0.000 description 1
- TZLLDILUROGHFS-HOYWHNDPSA-N C=CCCC(NC(=O)[C@@H]1[C@@H]2C(CN1C(=O)[C@@H](NC(=O)OC(C)(C)C)C1CCCCC1)C2(C)C)C(=O)C(=O)NCCC(=O)OC(C)(C)CC1=CC=CC=C1 Chemical compound C=CCCC(NC(=O)[C@@H]1[C@@H]2C(CN1C(=O)[C@@H](NC(=O)OC(C)(C)C)C1CCCCC1)C2(C)C)C(=O)C(=O)NCCC(=O)OC(C)(C)CC1=CC=CC=C1 TZLLDILUROGHFS-HOYWHNDPSA-N 0.000 description 1
- CGNOZHFCFSJSRQ-QLBQWALNSA-N C=CCCC(NC(=O)[C@@H]1[C@@H]2C(CN1C(=O)[C@@H](NC(=O)OC(C)(C)C)C1CCCCC1)C2(C)C)C(=O)C(=O)NCCC(=O)OC1(C)CC1 Chemical compound C=CCCC(NC(=O)[C@@H]1[C@@H]2C(CN1C(=O)[C@@H](NC(=O)OC(C)(C)C)C1CCCCC1)C2(C)C)C(=O)C(=O)NCCC(=O)OC1(C)CC1 CGNOZHFCFSJSRQ-QLBQWALNSA-N 0.000 description 1
- BMTXVRHAPYPLJZ-QLBQWALNSA-N C=CCCC(NC(=O)[C@@H]1[C@@H]2C(CN1C(=O)[C@@H](NC(=O)OC(C)(C)C)C1CCCCC1)C2(C)C)C(=O)C(=O)NCCCC(=O)OCC Chemical compound C=CCCC(NC(=O)[C@@H]1[C@@H]2C(CN1C(=O)[C@@H](NC(=O)OC(C)(C)C)C1CCCCC1)C2(C)C)C(=O)C(=O)NCCCC(=O)OCC BMTXVRHAPYPLJZ-QLBQWALNSA-N 0.000 description 1
- HDAUWKZZMXAEBO-CGMOUXERSA-N C=CCCC(NC(=O)[C@@H]1[C@@H]2C(CN1C(=O)[C@H](C1CC3=C(C=CC=C3)C1)N(C)C(=O)OC(C)(C)C)C2(C)C)C(=O)C(=O)NCCCC Chemical compound C=CCCC(NC(=O)[C@@H]1[C@@H]2C(CN1C(=O)[C@H](C1CC3=C(C=CC=C3)C1)N(C)C(=O)OC(C)(C)C)C2(C)C)C(=O)C(=O)NCCCC HDAUWKZZMXAEBO-CGMOUXERSA-N 0.000 description 1
- PGWTVHRPKGVMOB-UTRBVEOOSA-N C=CCCC(NC(=O)[C@@H]1[C@@H]2C(CN1C(=O)[C@H](C1CCCCC1)N(C)C(=O)OC(C)(C)C)C2(C)C)C(=O)C(=O)NCOCC=C Chemical compound C=CCCC(NC(=O)[C@@H]1[C@@H]2C(CN1C(=O)[C@H](C1CCCCC1)N(C)C(=O)OC(C)(C)C)C2(C)C)C(=O)C(=O)NCOCC=C PGWTVHRPKGVMOB-UTRBVEOOSA-N 0.000 description 1
- ISDUJYRANRRUBZ-ONZABHSXSA-N C=CCCC(NC(=O)[C@@H]1[C@@H]2[C@H](CN1C(=O)[C@@H](NC(=O)C(=O)C(C)C)C1CCCCC1)C2(C)C)C(=O)C(=O)NCC=C Chemical compound C=CCCC(NC(=O)[C@@H]1[C@@H]2[C@H](CN1C(=O)[C@@H](NC(=O)C(=O)C(C)C)C1CCCCC1)C2(C)C)C(=O)C(=O)NCC=C ISDUJYRANRRUBZ-ONZABHSXSA-N 0.000 description 1
- QIKQCFJRPORUTE-PTYFFADKSA-N C=CCCC(NC(=O)[C@@H]1[C@@H]2[C@H](CN1C(=O)[C@@H](NC(=O)NC(C)(C)C)C(C)(C)C)C2(C)C)C(=O)C(=O)NCCC(=O)OC(C)(C)C Chemical compound C=CCCC(NC(=O)[C@@H]1[C@@H]2[C@H](CN1C(=O)[C@@H](NC(=O)NC(C)(C)C)C(C)(C)C)C2(C)C)C(=O)C(=O)NCCC(=O)OC(C)(C)C QIKQCFJRPORUTE-PTYFFADKSA-N 0.000 description 1
- QKTSKHKFQHKLBI-KWMIJKRVSA-N C=CCCC(NC(=O)[C@@H]1[C@@H]2[C@H](CN1C(=O)[C@@H](NC(=O)NC(C)(C)C)C1CCCCC1)C2(C)C)C(=O)C(=O)NCCS(=O)(=O)C1CCCC1 Chemical compound C=CCCC(NC(=O)[C@@H]1[C@@H]2[C@H](CN1C(=O)[C@@H](NC(=O)NC(C)(C)C)C1CCCCC1)C2(C)C)C(=O)C(=O)NCCS(=O)(=O)C1CCCC1 QKTSKHKFQHKLBI-KWMIJKRVSA-N 0.000 description 1
- QQKQTFWSSGOFQC-QSQYJLEPSA-N C=CCCC(NC(=O)[C@@H]1[C@@H]2[C@H](CN1C(=O)[C@@H](NC(=O)OC(C)(C)C)C(C)(C)C)C2(C)C)C(=O)C(=O)NCCC(=O)O Chemical compound C=CCCC(NC(=O)[C@@H]1[C@@H]2[C@H](CN1C(=O)[C@@H](NC(=O)OC(C)(C)C)C(C)(C)C)C2(C)C)C(=O)C(=O)NCCC(=O)O QQKQTFWSSGOFQC-QSQYJLEPSA-N 0.000 description 1
- OKXMAGKNFLLXHV-JMFOMPNMSA-N C=CCCC(NC(=O)[C@@H]1[C@@H]2[C@H](CN1C(=O)[C@@H](NC(=O)OC(C)(C)C)C(C)(C)C)C2(C)C)C(=O)C(=O)NCCC(=O)OCC Chemical compound C=CCCC(NC(=O)[C@@H]1[C@@H]2[C@H](CN1C(=O)[C@@H](NC(=O)OC(C)(C)C)C(C)(C)C)C2(C)C)C(=O)C(=O)NCCC(=O)OCC OKXMAGKNFLLXHV-JMFOMPNMSA-N 0.000 description 1
- VJRQMTDUCOEVBC-BOWAHEBCSA-N C=CCCC(NC(=O)[C@@H]1[C@@H]2[C@H](CN1C(=O)[C@@H](NC(=O)OC(C)(C)C)C1CCCCC1)C2(C)C)C(=O)C(=O)NCCC(=O)NC(C)(C)C Chemical compound C=CCCC(NC(=O)[C@@H]1[C@@H]2[C@H](CN1C(=O)[C@@H](NC(=O)OC(C)(C)C)C1CCCCC1)C2(C)C)C(=O)C(=O)NCCC(=O)NC(C)(C)C VJRQMTDUCOEVBC-BOWAHEBCSA-N 0.000 description 1
- TZJYMYQYPFRQAY-LIELFMAKSA-N C=CCCC(NC(=O)[C@@H]1[C@@H]2[C@H](CN1C(=O)[C@@H](NC(=O)OC(C)(C)C)C1CCCCC1)C2(C)C)C(=O)C(N)=O Chemical compound C=CCCC(NC(=O)[C@@H]1[C@@H]2[C@H](CN1C(=O)[C@@H](NC(=O)OC(C)(C)C)C1CCCCC1)C2(C)C)C(=O)C(N)=O TZJYMYQYPFRQAY-LIELFMAKSA-N 0.000 description 1
- SWYIFLPGIUGOCW-SNEGVOOASA-N C=CCCC(NC(=O)[C@@H]1[C@@H]2[C@H](CN1C(=O)[C@H](NC(=O)OC(C)(C)C)C(C)(C)C)C2(C)C)C(=O)C(=O)NCC(=O)O Chemical compound C=CCCC(NC(=O)[C@@H]1[C@@H]2[C@H](CN1C(=O)[C@H](NC(=O)OC(C)(C)C)C(C)(C)C)C2(C)C)C(=O)C(=O)NCC(=O)O SWYIFLPGIUGOCW-SNEGVOOASA-N 0.000 description 1
- KPNSXFAAIWFRDP-QZYWRNGOSA-N C=CCCC(NC(=O)[C@@H]1[C@@H]2[C@H](CN1C(=O)[C@H](NC(=O)OC(C)(C)C)C(C)(C)C)C2(C)C)C(=O)C(=O)NCC(=O)OC Chemical compound C=CCCC(NC(=O)[C@@H]1[C@@H]2[C@H](CN1C(=O)[C@H](NC(=O)OC(C)(C)C)C(C)(C)C)C2(C)C)C(=O)C(=O)NCC(=O)OC KPNSXFAAIWFRDP-QZYWRNGOSA-N 0.000 description 1
- VLIRNPSTNSAHET-UTRBVEOOSA-N C=CCCCC(NC(=O)[C@@H]1[C@@H]2C(CN1C(=O)[C@H](C1CCCCC1)N(C)C(=O)OC(C)(C)C)C2(C)C)C(=O)C(=O)NCC=C Chemical compound C=CCCCC(NC(=O)[C@@H]1[C@@H]2C(CN1C(=O)[C@H](C1CCCCC1)N(C)C(=O)OC(C)(C)C)C2(C)C)C(=O)C(=O)NCC=C VLIRNPSTNSAHET-UTRBVEOOSA-N 0.000 description 1
- UATWSBYPDUGOLK-USSJPZKSSA-N C=CCCCC(NC(=O)[C@@H]1[C@@H]2[C@H](CN1C(=O)[C@@H](NC(=O)OC(C)(C)C)C1CCCCC1)C2(C)C)C(=O)C(=O)O Chemical compound C=CCCCC(NC(=O)[C@@H]1[C@@H]2[C@H](CN1C(=O)[C@@H](NC(=O)OC(C)(C)C)C1CCCCC1)C2(C)C)C(=O)C(=O)O UATWSBYPDUGOLK-USSJPZKSSA-N 0.000 description 1
- INKXLOOYEIODHO-KLYMBLKMSA-N C=CCCCC(NC(=O)[C@@H]1[C@@H]2[C@H](CN1C(=O)[C@@H](NC(=O)OC(C)(C)C)C1CCCCC1)C2(C)C)C(=O)C(=O)OC Chemical compound C=CCCCC(NC(=O)[C@@H]1[C@@H]2[C@H](CN1C(=O)[C@@H](NC(=O)OC(C)(C)C)C1CCCCC1)C2(C)C)C(=O)C(=O)OC INKXLOOYEIODHO-KLYMBLKMSA-N 0.000 description 1
- JFVMZHUHIBSXRC-ZIQQCPBXSA-N C=CCCCCNC(=O)C(=O)C(CCC=C)NC(=O)[C@@H]1C2C(CN1C(=O)C(NC(=O)OC(C)C)C1CCCCC1)C2(Cl)Cl Chemical compound C=CCCCCNC(=O)C(=O)C(CCC=C)NC(=O)[C@@H]1C2C(CN1C(=O)C(NC(=O)OC(C)C)C1CCCCC1)C2(Cl)Cl JFVMZHUHIBSXRC-ZIQQCPBXSA-N 0.000 description 1
- RBQPKJHHPOEPDV-HVNCOBHVSA-N C=CCCCCNC(=O)C(=O)C(CCC=C)NC(=O)[C@@H]1C2C(CN1C(=O)C(NC(=O)OC13CC4CC(CC(C4)C1)C3)C(C)(C)C)C2(Cl)Cl Chemical compound C=CCCCCNC(=O)C(=O)C(CCC=C)NC(=O)[C@@H]1C2C(CN1C(=O)C(NC(=O)OC13CC4CC(CC(C4)C1)C3)C(C)(C)C)C2(Cl)Cl RBQPKJHHPOEPDV-HVNCOBHVSA-N 0.000 description 1
- WHJULBVQYKPAJK-VMIXUHJNSA-N C=CCCNC(=O)C(=O)C(CC)NC(=O)[C@@H]1[C@@H]2C(CN1C(=O)[C@@H](NC(=O)OC(C)(C)C)C1CCCCC1)C2(C)C Chemical compound C=CCCNC(=O)C(=O)C(CC)NC(=O)[C@@H]1[C@@H]2C(CN1C(=O)[C@@H](NC(=O)OC(C)(C)C)C1CCCCC1)C2(C)C WHJULBVQYKPAJK-VMIXUHJNSA-N 0.000 description 1
- CGBZEWIGDIAGKU-CBYFEGAYSA-N C=CCCNC(=O)C(=O)C(CC1CC1)NC(=O)[C@@H]1[C@@H]2C(CN1C(=O)[C@@H](NC(=O)OC(C)(C)C)C1CCCCC1)C2(C)C Chemical compound C=CCCNC(=O)C(=O)C(CC1CC1)NC(=O)[C@@H]1[C@@H]2C(CN1C(=O)[C@@H](NC(=O)OC(C)(C)C)C1CCCCC1)C2(C)C CGBZEWIGDIAGKU-CBYFEGAYSA-N 0.000 description 1
- QHEVFPIEKPLNEH-UHFFFAOYSA-N C=CCCNC(=O)C(=O)C(CCC=C)NC(=O)C1C2C(CN1C(=O)C(NC(=O)OC(C)(C)C)C(C)(C)C)C2(Cl)Cl Chemical compound C=CCCNC(=O)C(=O)C(CCC=C)NC(=O)C1C2C(CN1C(=O)C(NC(=O)OC(C)(C)C)C(C)(C)C)C2(Cl)Cl QHEVFPIEKPLNEH-UHFFFAOYSA-N 0.000 description 1
- JIWXDWNTIMSLFW-MODHXXQDSA-N C=CCCNC(=O)C(=O)C(CCC=C)NC(=O)C1[C@@H]2CC(C)(C)OC2CN1C(=O)C(NC(=O)OC(C)(C)C)C1CCCCC1 Chemical compound C=CCCNC(=O)C(=O)C(CCC=C)NC(=O)C1[C@@H]2CC(C)(C)OC2CN1C(=O)C(NC(=O)OC(C)(C)C)C1CCCCC1 JIWXDWNTIMSLFW-MODHXXQDSA-N 0.000 description 1
- RTXDFPAMGPTGAN-KUNBBXKYSA-N C=CCCNC(=O)C(=O)C(CCC=C)NC(=O)[C@@H]1C2C(CN1C(=O)C(N)C(C)(C)C)C2(Cl)Cl Chemical compound C=CCCNC(=O)C(=O)C(CCC=C)NC(=O)[C@@H]1C2C(CN1C(=O)C(N)C(C)(C)C)C2(Cl)Cl RTXDFPAMGPTGAN-KUNBBXKYSA-N 0.000 description 1
- KAJIDWBZAOESBX-BJSIRNENSA-N C=CCCNC(=O)C(=O)C(CCC=C)NC(=O)[C@@H]1C2C(CN1C(=O)C(NC(=O)OC(C)(C)C)C1CC3=C(C=CC=C3)C1)C2(Cl)Cl Chemical compound C=CCCNC(=O)C(=O)C(CCC=C)NC(=O)[C@@H]1C2C(CN1C(=O)C(NC(=O)OC(C)(C)C)C1CC3=C(C=CC=C3)C1)C2(Cl)Cl KAJIDWBZAOESBX-BJSIRNENSA-N 0.000 description 1
- IECMQGIZNGWYAA-HUOSTODYSA-N C=CCCNC(=O)C(=O)C(CCC=C)NC(=O)[C@@H]1C2C(CN1C(=O)C(NC(=O)OC1CC3CCC1C3)C1CCCCC1)C2(Cl)Cl Chemical compound C=CCCNC(=O)C(=O)C(CCC=C)NC(=O)[C@@H]1C2C(CN1C(=O)C(NC(=O)OC1CC3CCC1C3)C1CCCCC1)C2(Cl)Cl IECMQGIZNGWYAA-HUOSTODYSA-N 0.000 description 1
- QHEVFPIEKPLNEH-VIMZLGPTSA-N C=CCCNC(=O)C(=O)C(CCC=C)NC(=O)[C@@H]1C2C(CN1C(=O)[C@@H](NC(=O)OC(C)(C)C)C(C)(C)C)C2(Cl)Cl Chemical compound C=CCCNC(=O)C(=O)C(CCC=C)NC(=O)[C@@H]1C2C(CN1C(=O)[C@@H](NC(=O)OC(C)(C)C)C(C)(C)C)C2(Cl)Cl QHEVFPIEKPLNEH-VIMZLGPTSA-N 0.000 description 1
- WWYKTSUQHHJSJL-XUTBLCSISA-N C=CCCNC(=O)C(=O)C(CCC=C)NC(=O)[C@@H]1[C@@H]2C(CN1C(=O)[C@@H](N)C(C)(C)C)C2(C)C Chemical compound C=CCCNC(=O)C(=O)C(CCC=C)NC(=O)[C@@H]1[C@@H]2C(CN1C(=O)[C@@H](N)C(C)(C)C)C2(C)C WWYKTSUQHHJSJL-XUTBLCSISA-N 0.000 description 1
- RZGVXIWONHELMU-AGKABIPDSA-N C=CCCNC(=O)C(=O)C(CCC=C)NC(=O)[C@@H]1[C@@H]2C(CN1C(=O)[C@@H](NC(=O)NC(C)(C)C)C(C)(C)C)C2(C)C Chemical compound C=CCCNC(=O)C(=O)C(CCC=C)NC(=O)[C@@H]1[C@@H]2C(CN1C(=O)[C@@H](NC(=O)NC(C)(C)C)C(C)(C)C)C2(C)C RZGVXIWONHELMU-AGKABIPDSA-N 0.000 description 1
- LYGWVDYLHRICAP-NGSVVIOZSA-N C=CCCNC(=O)C(=O)C(CCC=C)NC(=O)[C@@H]1[C@@H]2C(CN1C(=O)[C@@H](NC(=O)NC(C)(C)C)C1CC3=C(C=CC=C3)C1)C2(C)C Chemical compound C=CCCNC(=O)C(=O)C(CCC=C)NC(=O)[C@@H]1[C@@H]2C(CN1C(=O)[C@@H](NC(=O)NC(C)(C)C)C1CC3=C(C=CC=C3)C1)C2(C)C LYGWVDYLHRICAP-NGSVVIOZSA-N 0.000 description 1
- DVMBMUWNGVHMLA-SYPXHRIASA-N C=CCCNC(=O)C(=O)C(CCC=C)NC(=O)[C@@H]1[C@@H]2C(CN1C(=O)[C@@H](NC(=O)NC13CC4CC(CC(C4)C1)C3)C1CC3=C(C=CC=C3)C1)C2(C)C Chemical compound C=CCCNC(=O)C(=O)C(CCC=C)NC(=O)[C@@H]1[C@@H]2C(CN1C(=O)[C@@H](NC(=O)NC13CC4CC(CC(C4)C1)C3)C1CC3=C(C=CC=C3)C1)C2(C)C DVMBMUWNGVHMLA-SYPXHRIASA-N 0.000 description 1
- USMZICZYNTYHDH-VFUVFXKUSA-N C=CCCNC(=O)C(=O)C(CCC=C)NC(=O)[C@@H]1[C@@H]2C(CN1C(=O)[C@@H](NS(=O)(=O)CC13CCC(CC1=O)C3(C)C)C(C)(C)C)C2(C)C Chemical compound C=CCCNC(=O)C(=O)C(CCC=C)NC(=O)[C@@H]1[C@@H]2C(CN1C(=O)[C@@H](NS(=O)(=O)CC13CCC(CC1=O)C3(C)C)C(C)(C)C)C2(C)C USMZICZYNTYHDH-VFUVFXKUSA-N 0.000 description 1
- KNDGUGPEWXNHFU-ODHKIQKASA-N C=CCCNC(=O)C(=O)C(CCC=C)NC(=O)[C@@H]1[C@@H]2C(CN1C(=O)[C@@H](NS(=O)(=O)N(C)C)C(C)(C)C)C2(C)C Chemical compound C=CCCNC(=O)C(=O)C(CCC=C)NC(=O)[C@@H]1[C@@H]2C(CN1C(=O)[C@@H](NS(=O)(=O)N(C)C)C(C)(C)C)C2(C)C KNDGUGPEWXNHFU-ODHKIQKASA-N 0.000 description 1
- GWOGGOJPJVBJEO-AGKABIPDSA-N C=CCCNC(=O)C(=O)C(CCCC)NC(=O)[C@@H]1[C@@H]2C(CN1C(=O)[C@@H](NC(=O)OC(C)(C)C)C(C)(C)C)C2(C)C Chemical compound C=CCCNC(=O)C(=O)C(CCCC)NC(=O)[C@@H]1[C@@H]2C(CN1C(=O)[C@@H](NC(=O)OC(C)(C)C)C(C)(C)C)C2(C)C GWOGGOJPJVBJEO-AGKABIPDSA-N 0.000 description 1
- GWOGGOJPJVBJEO-GRNGOJQOSA-N C=CCCNC(=O)C(=O)C(CCCC)NC(=O)[C@@H]1[C@@H]2[C@H](CN1C(=O)[C@@H](NC(=O)OC(C)(C)C)C(C)(C)C)C2(C)C Chemical compound C=CCCNC(=O)C(=O)C(CCCC)NC(=O)[C@@H]1[C@@H]2[C@H](CN1C(=O)[C@@H](NC(=O)OC(C)(C)C)C(C)(C)C)C2(C)C GWOGGOJPJVBJEO-GRNGOJQOSA-N 0.000 description 1
- UQGLHLSFOAJIOS-IAKKCXOHSA-N C=CCCNC(=O)C(=O)[C@@H](CCC)NC(=O)[C@@H]1[C@@H]2C(CN1C(=O)[C@@H](NC(=O)OC(C)(C)C)C(C)(C)C)C2(C)C Chemical compound C=CCCNC(=O)C(=O)[C@@H](CCC)NC(=O)[C@@H]1[C@@H]2C(CN1C(=O)[C@@H](NC(=O)OC(C)(C)C)C(C)(C)C)C2(C)C UQGLHLSFOAJIOS-IAKKCXOHSA-N 0.000 description 1
- UFAWNBLDKJMCMR-FICMROCWSA-N C=CCCNC(=O)C(=O)[C@@H](CCC=C)NC(=O)C(CCC(C)C)NC(=O)OCC1C2=C(C=CC=C2)C2=C1C=CC=C2 Chemical compound C=CCCNC(=O)C(=O)[C@@H](CCC=C)NC(=O)C(CCC(C)C)NC(=O)OCC1C2=C(C=CC=C2)C2=C1C=CC=C2 UFAWNBLDKJMCMR-FICMROCWSA-N 0.000 description 1
- HOAIPJIPCQZSSQ-HMTCKZSBSA-N C=CCCNC(=O)C(=O)[C@@H](CCC=C)NC(=O)[C@@H]1[C@@H]2C(CN1C(=O)[C@@H](NC(=O)NC(C)(C)CC(C)(C)C)C(C)(C)C)C2(C)C Chemical compound C=CCCNC(=O)C(=O)[C@@H](CCC=C)NC(=O)[C@@H]1[C@@H]2C(CN1C(=O)[C@@H](NC(=O)NC(C)(C)CC(C)(C)C)C(C)(C)C)C2(C)C HOAIPJIPCQZSSQ-HMTCKZSBSA-N 0.000 description 1
- LFQIBFVVDLOMMM-MGJOQTALSA-N C=CCCNC(=O)C(=O)[C@@H](CCC=C)NC(=O)[C@@H]1[C@@H]2C(CN1C(=O)[C@@H](NC(=O)NC13CC4CC(CC(C4)C1)C3)C(C)(C)C)C2(C)C Chemical compound C=CCCNC(=O)C(=O)[C@@H](CCC=C)NC(=O)[C@@H]1[C@@H]2C(CN1C(=O)[C@@H](NC(=O)NC13CC4CC(CC(C4)C1)C3)C(C)(C)C)C2(C)C LFQIBFVVDLOMMM-MGJOQTALSA-N 0.000 description 1
- YWMRTWIAZAQALH-WNWAYWJMSA-N C=CCCNC(=O)C(=O)[C@@H](CCC=C)NC(=O)[C@@H]1[C@@H]2C(CN1C(=O)[C@@H](NC(=O)NC1CCCC1)C(C)(C)C)C2(C)C Chemical compound C=CCCNC(=O)C(=O)[C@@H](CCC=C)NC(=O)[C@@H]1[C@@H]2C(CN1C(=O)[C@@H](NC(=O)NC1CCCC1)C(C)(C)C)C2(C)C YWMRTWIAZAQALH-WNWAYWJMSA-N 0.000 description 1
- WVIVVAMWSIHGEY-HMTCKZSBSA-N C=CCCNC(=O)C(=O)[C@@H](CCC=C)NC(=O)[C@@H]1[C@@H]2C(CN1C(=O)[C@@H](NC(=O)NC1CCCCC1)C(C)(C)C)C2(C)C Chemical compound C=CCCNC(=O)C(=O)[C@@H](CCC=C)NC(=O)[C@@H]1[C@@H]2C(CN1C(=O)[C@@H](NC(=O)NC1CCCCC1)C(C)(C)C)C2(C)C WVIVVAMWSIHGEY-HMTCKZSBSA-N 0.000 description 1
- AURNIGQIUCLMEA-CYVPJEJKSA-N C=CCCNC(=O)C(=O)[C@@H](CCC=C)NC(=O)[C@@H]1[C@@H]2C(CN1C(=O)[C@@H](NC(=O)OC(C)(C)C)C(C)(C)C)C2(C)C Chemical compound C=CCCNC(=O)C(=O)[C@@H](CCC=C)NC(=O)[C@@H]1[C@@H]2C(CN1C(=O)[C@@H](NC(=O)OC(C)(C)C)C(C)(C)C)C2(C)C AURNIGQIUCLMEA-CYVPJEJKSA-N 0.000 description 1
- USSBSXOUPFFYCH-MGRZVDMVSA-N C=CCCNC(=O)C(=O)[C@@H](CCC=C)NC(=O)[C@@H]1[C@@H]2C(CN1C(=O)[C@@H](NC(=O)OC(C)(C)C)C1CCCCC1)C2(C)C Chemical compound C=CCCNC(=O)C(=O)[C@@H](CCC=C)NC(=O)[C@@H]1[C@@H]2C(CN1C(=O)[C@@H](NC(=O)OC(C)(C)C)C1CCCCC1)C2(C)C USSBSXOUPFFYCH-MGRZVDMVSA-N 0.000 description 1
- RKWCGLGVWPFLEJ-PFURDYELSA-N C=CCCNC(=O)C(=O)[C@@H](CCC=C)NC(=O)[C@@H]1[C@@H]2C(CN1C(=O)[C@H](C1CCCCC1)N(C)C(=O)NC13CC4CC(CC(C4)C1)C3)C2(C)C Chemical compound C=CCCNC(=O)C(=O)[C@@H](CCC=C)NC(=O)[C@@H]1[C@@H]2C(CN1C(=O)[C@H](C1CCCCC1)N(C)C(=O)NC13CC4CC(CC(C4)C1)C3)C2(C)C RKWCGLGVWPFLEJ-PFURDYELSA-N 0.000 description 1
- MNXFVGSRTBLMME-AQBMVDHDSA-N C=CCCNC(=O)C(=O)[C@@H](CCCC)NC(=O)[C@@H]1C2C(CN1C(=O)[C@@H](NC(=O)NC(C)(C)C)C(C)(C)C)C2(Cl)Cl Chemical compound C=CCCNC(=O)C(=O)[C@@H](CCCC)NC(=O)[C@@H]1C2C(CN1C(=O)[C@@H](NC(=O)NC(C)(C)C)C(C)(C)C)C2(Cl)Cl MNXFVGSRTBLMME-AQBMVDHDSA-N 0.000 description 1
- SUJYMPMMWBDQBD-MWHXIAQSSA-N C=CCC[C@@H](NC(=O)C1C2C(CN1C(=O)C(NC(=O)OC(C)(C)C)C(C)(C)C)C2(O)O)C(=O)C(=O)NCCC(=O)CC(C)(C)C Chemical compound C=CCC[C@@H](NC(=O)C1C2C(CN1C(=O)C(NC(=O)OC(C)(C)C)C(C)(C)C)C2(O)O)C(=O)C(=O)NCCC(=O)CC(C)(C)C SUJYMPMMWBDQBD-MWHXIAQSSA-N 0.000 description 1
- NCFPLTKDRDKPMN-XJSKEEMNSA-N C=CCC[C@@H](NC(=O)C1[C@@H]2C(CN1C(=O)C(CC(=O)OC(C)(C)C)C1C=CCCC1)C2(C)C)C(=O)C(=O)NCC=C Chemical compound C=CCC[C@@H](NC(=O)C1[C@@H]2C(CN1C(=O)C(CC(=O)OC(C)(C)C)C1C=CCCC1)C2(C)C)C(=O)C(=O)NCC=C NCFPLTKDRDKPMN-XJSKEEMNSA-N 0.000 description 1
- TVAAWEUPJNFMTC-SKFMPKQFSA-N C=CCC[C@@H](NC(=O)[C@@H]1C2C(CN1C(=O)C(NC(=O)OC(C)(C)C)C1CCN(C(=O)OCC3=CC=CC=C3)CC1)C2(C)C)C(=O)C(=O)NCC=C Chemical compound C=CCC[C@@H](NC(=O)[C@@H]1C2C(CN1C(=O)C(NC(=O)OC(C)(C)C)C1CCN(C(=O)OCC3=CC=CC=C3)CC1)C2(C)C)C(=O)C(=O)NCC=C TVAAWEUPJNFMTC-SKFMPKQFSA-N 0.000 description 1
- YFNQRZYBXHRRGM-VEOKNJGESA-N C=CCC[C@@H](NC(=O)[C@@H]1C2[C@H](CN1C(=O)C(NC(=O)OC(C)(C)C)C(C)(C)C)C2(C)C)C(=O)C(=O)NCCC(=O)CC(C)(C)C#O Chemical compound C=CCC[C@@H](NC(=O)[C@@H]1C2[C@H](CN1C(=O)C(NC(=O)OC(C)(C)C)C(C)(C)C)C2(C)C)C(=O)C(=O)NCCC(=O)CC(C)(C)C#O YFNQRZYBXHRRGM-VEOKNJGESA-N 0.000 description 1
- WXBCKEOQVNYRMT-NIYYFLRXSA-N C=CCC[C@@H](NC(=O)[C@@H]1C2[C@H](CN1C(=O)[C@@H](NC(=O)NC(C)(C)C)C1CCCCC1)C2(C)C)C(=O)C(=O)NCCCS(C)(=O)=O Chemical compound C=CCC[C@@H](NC(=O)[C@@H]1C2[C@H](CN1C(=O)[C@@H](NC(=O)NC(C)(C)C)C1CCCCC1)C2(C)C)C(=O)C(=O)NCCCS(C)(=O)=O WXBCKEOQVNYRMT-NIYYFLRXSA-N 0.000 description 1
- LMUQNQFASLMMRW-QWRFPDDASA-N C=CCC[C@@H](NC(=O)[C@@H]1C2[C@H](CN1C(=O)[C@@H](NC(=O)NC(C)(C)C)C1CCCCC1)C2(C)C)C(=O)C(=O)NCCS(=O)(=O)CC1=CC=CC=C1 Chemical compound C=CCC[C@@H](NC(=O)[C@@H]1C2[C@H](CN1C(=O)[C@@H](NC(=O)NC(C)(C)C)C1CCCCC1)C2(C)C)C(=O)C(=O)NCCS(=O)(=O)CC1=CC=CC=C1 LMUQNQFASLMMRW-QWRFPDDASA-N 0.000 description 1
- NCFPLTKDRDKPMN-TWZMENRJSA-N C=CCC[C@@H](NC(=O)[C@@H]1[C@@H]2C(CN1C(=O)C(CC(=O)OC(C)(C)C)C1C=CCCC1)C2(C)C)C(=O)C(=O)NCC=C Chemical compound C=CCC[C@@H](NC(=O)[C@@H]1[C@@H]2C(CN1C(=O)C(CC(=O)OC(C)(C)C)C1C=CCCC1)C2(C)C)C(=O)C(=O)NCC=C NCFPLTKDRDKPMN-TWZMENRJSA-N 0.000 description 1
- BHGSDRTYFMQYJC-ZAHNTPIFSA-N C=CCC[C@@H](NC(=O)[C@@H]1[C@@H]2C(CN1C(=O)C(NC(=O)OC(C)(C)C)C1C=CCCCC1)C2(C)C)C(=O)C(=O)NCC=C Chemical compound C=CCC[C@@H](NC(=O)[C@@H]1[C@@H]2C(CN1C(=O)C(NC(=O)OC(C)(C)C)C1C=CCCCC1)C2(C)C)C(=O)C(=O)NCC=C BHGSDRTYFMQYJC-ZAHNTPIFSA-N 0.000 description 1
- KNZDHDVVCMEQBN-MSZNTSTHSA-N C=CCC[C@@H](NC(=O)[C@@H]1[C@@H]2C(CN1C(=O)C(NC(=O)OC(C)(C)C)C1CCCCCC1)C2(C)C)C(=O)C(=O)NCC=C Chemical compound C=CCC[C@@H](NC(=O)[C@@H]1[C@@H]2C(CN1C(=O)C(NC(=O)OC(C)(C)C)C1CCCCCC1)C2(C)C)C(=O)C(=O)NCC=C KNZDHDVVCMEQBN-MSZNTSTHSA-N 0.000 description 1
- QECWVQAWVXBRCK-AVHDUPRESA-N C=CCC[C@@H](NC(=O)[C@@H]1[C@@H]2C(CN1C(=O)[C@@H](NC(=O)N(C(C)C)C(C)C)C1CCCCC1)C2(C)C)C(=O)C(=O)NCC=C Chemical compound C=CCC[C@@H](NC(=O)[C@@H]1[C@@H]2C(CN1C(=O)[C@@H](NC(=O)N(C(C)C)C(C)C)C1CCCCC1)C2(C)C)C(=O)C(=O)NCC=C QECWVQAWVXBRCK-AVHDUPRESA-N 0.000 description 1
- GGPPBEPEOUCQHH-AVHDUPRESA-N C=CCC[C@@H](NC(=O)[C@@H]1[C@@H]2C(CN1C(=O)[C@@H](NC(=O)NC(C)(C)CC(C)(C)C)C1CCCCC1)C2(C)C)C(=O)C(=O)NCC=C Chemical compound C=CCC[C@@H](NC(=O)[C@@H]1[C@@H]2C(CN1C(=O)[C@@H](NC(=O)NC(C)(C)CC(C)(C)C)C1CCCCC1)C2(C)C)C(=O)C(=O)NCC=C GGPPBEPEOUCQHH-AVHDUPRESA-N 0.000 description 1
- FPHGGXVTNJCOLL-DVWAQNMPSA-N C=CCC[C@@H](NC(=O)[C@@H]1[C@@H]2C(CN1C(=O)[C@@H](NC(=O)NC(C)CC)C1CCCCC1)C2(C)C)C(=O)C(=O)NCC=C Chemical compound C=CCC[C@@H](NC(=O)[C@@H]1[C@@H]2C(CN1C(=O)[C@@H](NC(=O)NC(C)CC)C1CCCCC1)C2(C)C)C(=O)C(=O)NCC=C FPHGGXVTNJCOLL-DVWAQNMPSA-N 0.000 description 1
- AXWOFJRLFKHRBK-USUQMQOKSA-N C=CCC[C@@H](NC(=O)[C@@H]1[C@@H]2C(CN1C(=O)[C@@H](NC(=O)NC13CC4CC(CC(C4)C1)C3)C1CCCCC1)C2(C)C)C(=O)C(=O)NC/C=C/COCC1=CC=CC=C1 Chemical compound C=CCC[C@@H](NC(=O)[C@@H]1[C@@H]2C(CN1C(=O)[C@@H](NC(=O)NC13CC4CC(CC(C4)C1)C3)C1CCCCC1)C2(C)C)C(=O)C(=O)NC/C=C/COCC1=CC=CC=C1 AXWOFJRLFKHRBK-USUQMQOKSA-N 0.000 description 1
- DOPAAVRXWHUFTA-SGUJTAEESA-N C=CCC[C@@H](NC(=O)[C@@H]1[C@@H]2C(CN1C(=O)[C@@H](NC(=O)NC13CC4CC(CC(C4)C1)C3)C1CCCCC1)C2(C)C)C(=O)C(=O)NCC(=O)N(C)CC1=CC=CC=C1 Chemical compound C=CCC[C@@H](NC(=O)[C@@H]1[C@@H]2C(CN1C(=O)[C@@H](NC(=O)NC13CC4CC(CC(C4)C1)C3)C1CCCCC1)C2(C)C)C(=O)C(=O)NCC(=O)N(C)CC1=CC=CC=C1 DOPAAVRXWHUFTA-SGUJTAEESA-N 0.000 description 1
- WAOSMHOUIUMROR-XCYBYNPNSA-N C=CCC[C@@H](NC(=O)[C@@H]1[C@@H]2C(CN1C(=O)[C@@H](NC(=O)NC13CC4CC(CC(C4)C1)C3)C1CCCCC1)C2(C)C)C(=O)C(=O)NCC(=O)N(CC1=CC=CC=C1)CC1=CC=CC=C1 Chemical compound C=CCC[C@@H](NC(=O)[C@@H]1[C@@H]2C(CN1C(=O)[C@@H](NC(=O)NC13CC4CC(CC(C4)C1)C3)C1CCCCC1)C2(C)C)C(=O)C(=O)NCC(=O)N(CC1=CC=CC=C1)CC1=CC=CC=C1 WAOSMHOUIUMROR-XCYBYNPNSA-N 0.000 description 1
- USXLIBHJODQVDU-VSOQBMGASA-N C=CCC[C@@H](NC(=O)[C@@H]1[C@@H]2C(CN1C(=O)[C@@H](NC(=O)NC13CC4CC(CC(C4)C1)C3)C1CCCCC1)C2(C)C)C(=O)C(=O)NCC(=O)OC(C)(C)C1=CC=CC=C1 Chemical compound C=CCC[C@@H](NC(=O)[C@@H]1[C@@H]2C(CN1C(=O)[C@@H](NC(=O)NC13CC4CC(CC(C4)C1)C3)C1CCCCC1)C2(C)C)C(=O)C(=O)NCC(=O)OC(C)(C)C1=CC=CC=C1 USXLIBHJODQVDU-VSOQBMGASA-N 0.000 description 1
- WXXVPYYJVDRBHK-OIKIELKRSA-N C=CCC[C@@H](NC(=O)[C@@H]1[C@@H]2C(CN1C(=O)[C@@H](NC(=O)NC13CC4CC(CC(C4)C1)C3)C1CCCCC1)C2(C)C)C(=O)C(=O)NCC=C Chemical compound C=CCC[C@@H](NC(=O)[C@@H]1[C@@H]2C(CN1C(=O)[C@@H](NC(=O)NC13CC4CC(CC(C4)C1)C3)C1CCCCC1)C2(C)C)C(=O)C(=O)NCC=C WXXVPYYJVDRBHK-OIKIELKRSA-N 0.000 description 1
- IMHIBXXBJZTVSO-BSVPYZIFSA-N C=CCC[C@@H](NC(=O)[C@@H]1[C@@H]2C(CN1C(=O)[C@@H](NC(=O)NCC=C)C1CCCCC1)C2(C)C)C(=O)C(=O)NCC=C Chemical compound C=CCC[C@@H](NC(=O)[C@@H]1[C@@H]2C(CN1C(=O)[C@@H](NC(=O)NCC=C)C1CCCCC1)C2(C)C)C(=O)C(=O)NCC=C IMHIBXXBJZTVSO-BSVPYZIFSA-N 0.000 description 1
- ZFGVMGXUFWJVKD-BSVPYZIFSA-N C=CCC[C@@H](NC(=O)[C@@H]1[C@@H]2C(CN1C(=O)[C@@H](NC(=O)OC(C)(C)C)C1CCC(=O)CC1)C2(C)C)C(=O)C(=O)NCC=C Chemical compound C=CCC[C@@H](NC(=O)[C@@H]1[C@@H]2C(CN1C(=O)[C@@H](NC(=O)OC(C)(C)C)C1CCC(=O)CC1)C2(C)C)C(=O)C(=O)NCC=C ZFGVMGXUFWJVKD-BSVPYZIFSA-N 0.000 description 1
- NYJAMEQEHQDKPM-BTNFFQCKSA-N C=CCC[C@@H](NC(=O)[C@@H]1[C@@H]2C(CN1C(=O)[C@@H](NC(=O)OC(C)(C)C)C1CCCCC1)C2(C)C)C(=O)C(=O)NCC(=O)OC(C)(C)C Chemical compound C=CCC[C@@H](NC(=O)[C@@H]1[C@@H]2C(CN1C(=O)[C@@H](NC(=O)OC(C)(C)C)C1CCCCC1)C2(C)C)C(=O)C(=O)NCC(=O)OC(C)(C)C NYJAMEQEHQDKPM-BTNFFQCKSA-N 0.000 description 1
- YSCQRAYTBBAKPO-KTEZVJOVSA-N C=CCC[C@@H](NC(=O)[C@@H]1[C@@H]2C(CN1C(=O)[C@@H](NC(=O)OC(C)(C)C)C1CCCCC1)C2(C)C)C(=O)C(=O)NCCC(=O)N(C)C(C)(C)C Chemical compound C=CCC[C@@H](NC(=O)[C@@H]1[C@@H]2C(CN1C(=O)[C@@H](NC(=O)OC(C)(C)C)C1CCCCC1)C2(C)C)C(=O)C(=O)NCCC(=O)N(C)C(C)(C)C YSCQRAYTBBAKPO-KTEZVJOVSA-N 0.000 description 1
- NGGCHCRWWKTRMT-YNQBZTTKSA-N C=CCC[C@@H](NC(=O)[C@@H]1[C@@H]2C(CN1C(=O)[C@@H](NC(=O)OC(C)(C)C)C1CCCCC1)C2(C)C)C(=O)C(=O)NCCC(=O)NCC1=CC=CC=C1 Chemical compound C=CCC[C@@H](NC(=O)[C@@H]1[C@@H]2C(CN1C(=O)[C@@H](NC(=O)OC(C)(C)C)C1CCCCC1)C2(C)C)C(=O)C(=O)NCCC(=O)NCC1=CC=CC=C1 NGGCHCRWWKTRMT-YNQBZTTKSA-N 0.000 description 1
- GRVSGTMYETWFKR-KTEZVJOVSA-N C=CCC[C@@H](NC(=O)[C@@H]1[C@@H]2C(CN1C(=O)[C@@H](NC(=O)OC(C)(C)C)C1CCCCC1)C2(C)C)C(=O)C(=O)NCCC(=O)OC(C)(C)CC Chemical compound C=CCC[C@@H](NC(=O)[C@@H]1[C@@H]2C(CN1C(=O)[C@@H](NC(=O)OC(C)(C)C)C1CCCCC1)C2(C)C)C(=O)C(=O)NCCC(=O)OC(C)(C)CC GRVSGTMYETWFKR-KTEZVJOVSA-N 0.000 description 1
- OUBBUOALFWJUNE-YSNUUEKSSA-N C=CCC[C@@H](NC(=O)[C@@H]1[C@@H]2C(CN1C(=O)[C@@H](NS(=O)OC(C)(C)C)C1CCCCC1)C2(C)C)C(=O)C(=O)NCCCC(=O)O Chemical compound C=CCC[C@@H](NC(=O)[C@@H]1[C@@H]2C(CN1C(=O)[C@@H](NS(=O)OC(C)(C)C)C1CCCCC1)C2(C)C)C(=O)C(=O)NCCCC(=O)O OUBBUOALFWJUNE-YSNUUEKSSA-N 0.000 description 1
- KHIREMAIEMYRTP-XWJMTZJMSA-N C=CCC[C@@H](NC(=O)[C@@H]1[C@@H]2C(CN1C(=O)[C@H](C1CCCCC1)N(C)C(=O)C(NC(=O)OC(C)(C)C)C1CCN(C(=O)OCC3=CC=CC=C3)CC1)C2(C)C)C(=O)C(=O)NCC=C Chemical compound C=CCC[C@@H](NC(=O)[C@@H]1[C@@H]2C(CN1C(=O)[C@H](C1CCCCC1)N(C)C(=O)C(NC(=O)OC(C)(C)C)C1CCN(C(=O)OCC3=CC=CC=C3)CC1)C2(C)C)C(=O)C(=O)NCC=C KHIREMAIEMYRTP-XWJMTZJMSA-N 0.000 description 1
- JXOXSMUTBSXDAJ-MGRZVDMVSA-N C=CCC[C@@H](NC(=O)[C@@H]1[C@@H]2C(CN1C(=O)[C@H](C1CCCCC1)N(C)C(=O)NC(C)(C)C)C2(C)C)C(=O)C(=O)NCC=C Chemical compound C=CCC[C@@H](NC(=O)[C@@H]1[C@@H]2C(CN1C(=O)[C@H](C1CCCCC1)N(C)C(=O)NC(C)(C)C)C2(C)C)C(=O)C(=O)NCC=C JXOXSMUTBSXDAJ-MGRZVDMVSA-N 0.000 description 1
- HKBFMCKBULPNOW-RZJJJTGRSA-N C=CCC[C@@H](NC(=O)[C@@H]1[C@@H]2C(CN1C(=O)[C@H](C1CCCCC1)N(C)C(=O)OC13CC4CC(CC(C4)C1)C3)C2(C)C)C(=O)C(=O)NCC=C Chemical compound C=CCC[C@@H](NC(=O)[C@@H]1[C@@H]2C(CN1C(=O)[C@H](C1CCCCC1)N(C)C(=O)OC13CC4CC(CC(C4)C1)C3)C2(C)C)C(=O)C(=O)NCC=C HKBFMCKBULPNOW-RZJJJTGRSA-N 0.000 description 1
- TZACSZNAERNXTO-UUNMLIRYSA-N C=CCC[C@@H](NC(=O)[C@@H]1[C@@H]2[C@H](CN1C(=O)[C@@H](NC(=O)NC(C)(C)C)C1CCCCC1)C2(C)C)C(=O)C(=O)NCCS(=O)(=O)C(C)(C)C Chemical compound C=CCC[C@@H](NC(=O)[C@@H]1[C@@H]2[C@H](CN1C(=O)[C@@H](NC(=O)NC(C)(C)C)C1CCCCC1)C2(C)C)C(=O)C(=O)NCCS(=O)(=O)C(C)(C)C TZACSZNAERNXTO-UUNMLIRYSA-N 0.000 description 1
- RFZPMZMXXYXBJT-LXNLCHMDSA-N C=CCC[C@@H](NC(=O)[C@@H]1[C@@H]2[C@H](CN1C(=O)[C@@H](NC(=O)NC13CC4CC(CC(C4)C1)C3)C1CCCCC1)C2(C)C)C(=O)C(=O)NCC#O Chemical compound C=CCC[C@@H](NC(=O)[C@@H]1[C@@H]2[C@H](CN1C(=O)[C@@H](NC(=O)NC13CC4CC(CC(C4)C1)C3)C1CCCCC1)C2(C)C)C(=O)C(=O)NCC#O RFZPMZMXXYXBJT-LXNLCHMDSA-N 0.000 description 1
- MHMDJROVQOSXQN-BGXRJSJVSA-N C=CCC[C@@H](NC(=O)[C@@H]1[C@@H]2[C@H](CN1C(=O)[C@@H](NC(=O)NC13CC4CC(CC(C4)C1)C3)C1CCCCC1)C2(C)C)C(=O)C(=O)NCC(=O)NCC1=CC=CC=C1 Chemical compound C=CCC[C@@H](NC(=O)[C@@H]1[C@@H]2[C@H](CN1C(=O)[C@@H](NC(=O)NC13CC4CC(CC(C4)C1)C3)C1CCCCC1)C2(C)C)C(=O)C(=O)NCC(=O)NCC1=CC=CC=C1 MHMDJROVQOSXQN-BGXRJSJVSA-N 0.000 description 1
- DLSYNROMZVZGEV-BGXRJSJVSA-N C=CCC[C@@H](NC(=O)[C@@H]1[C@@H]2[C@H](CN1C(=O)[C@@H](NC(=O)NC13CC4CC(CC(C4)C1)C3)C1CCCCC1)C2(C)C)C(=O)C(=O)NCCC(=O)OC(CC)(CC)CC Chemical compound C=CCC[C@@H](NC(=O)[C@@H]1[C@@H]2[C@H](CN1C(=O)[C@@H](NC(=O)NC13CC4CC(CC(C4)C1)C3)C1CCCCC1)C2(C)C)C(=O)C(=O)NCCC(=O)OC(CC)(CC)CC DLSYNROMZVZGEV-BGXRJSJVSA-N 0.000 description 1
- LZKZONGPDZIWAE-KJBUCFIJSA-N C=CCC[C@@H](NC(=O)[C@@H]1[C@@H]2[C@H](CN1C(=O)[C@@H](NC(=O)NC13CC4CC(CC(C4)C1)C3)C1CCCCC1)C2(C)C)C(=O)C(=O)NCCC(=O)OC1(C)CCCC1 Chemical compound C=CCC[C@@H](NC(=O)[C@@H]1[C@@H]2[C@H](CN1C(=O)[C@@H](NC(=O)NC13CC4CC(CC(C4)C1)C3)C1CCCCC1)C2(C)C)C(=O)C(=O)NCCC(=O)OC1(C)CCCC1 LZKZONGPDZIWAE-KJBUCFIJSA-N 0.000 description 1
- GUGQXBQUVXXTLL-OWBQEJDASA-N C=CCC[C@@H](NC(=O)[C@@H]1[C@@H]2[C@H](CN1C(=O)[C@@H](NC(=O)NC13CC4CC(CC(C4)C1)C3)C1CCCCC1)C2(C)C)C(=O)C(=O)NCCC(=O)OC12CC3CC(CC(C3)C1)C2 Chemical compound C=CCC[C@@H](NC(=O)[C@@H]1[C@@H]2[C@H](CN1C(=O)[C@@H](NC(=O)NC13CC4CC(CC(C4)C1)C3)C1CCCCC1)C2(C)C)C(=O)C(=O)NCCC(=O)OC12CC3CC(CC(C3)C1)C2 GUGQXBQUVXXTLL-OWBQEJDASA-N 0.000 description 1
- JZJSQFJZUAUUOF-BILQSEOESA-N C=CCC[C@@H](NC(=O)[C@@H]1[C@@H]2[C@H](CN1C(=O)[C@@H](NC(=O)OC(C)(C)C)C1CCCCC1)C2(C)C)C(=O)C(=O)NCCC(=O)OC(C)(C)C Chemical compound C=CCC[C@@H](NC(=O)[C@@H]1[C@@H]2[C@H](CN1C(=O)[C@@H](NC(=O)OC(C)(C)C)C1CCCCC1)C2(C)C)C(=O)C(=O)NCCC(=O)OC(C)(C)C JZJSQFJZUAUUOF-BILQSEOESA-N 0.000 description 1
- IWEWAUXXKRJCFE-UUNMLIRYSA-N C=CCC[C@@H](NC(=O)[C@@H]1[C@@H]2[C@H](CN1C(=O)[C@@H](NC(=O)OC(C)(C)C)C1CCCCC1)C2(C)C)C(=O)C(=O)NCCS(=O)(=O)C(C)(C)C Chemical compound C=CCC[C@@H](NC(=O)[C@@H]1[C@@H]2[C@H](CN1C(=O)[C@@H](NC(=O)OC(C)(C)C)C1CCCCC1)C2(C)C)C(=O)C(=O)NCCS(=O)(=O)C(C)(C)C IWEWAUXXKRJCFE-UUNMLIRYSA-N 0.000 description 1
- ANCBZKDTCAYGOT-HVXWDBPDSA-N C=CCC[C@@H](NC(=O)[C@@H]1[C@H]2CC2CN1C(=O)[C@@H](NC(=O)OC(C)(C)C)C1CCCCC1)C(=O)C(=O)NCC=C Chemical compound C=CCC[C@@H](NC(=O)[C@@H]1[C@H]2CC2CN1C(=O)[C@@H](NC(=O)OC(C)(C)C)C1CCCCC1)C(=O)C(=O)NCC=C ANCBZKDTCAYGOT-HVXWDBPDSA-N 0.000 description 1
- LTGOKOWTKJCYMZ-DRHSSAKMSA-N C=CCC[C@@H](NC(=O)[C@@H]1[C@H]2CC2CN1C(=O)[C@@H](NC(=O)OC(C)(C)C)C1CCCCC1)C(=O)C(=O)NCCC(=O)OC(C)(C)C Chemical compound C=CCC[C@@H](NC(=O)[C@@H]1[C@H]2CC2CN1C(=O)[C@@H](NC(=O)OC(C)(C)C)C1CCCCC1)C(=O)C(=O)NCCC(=O)OC(C)(C)C LTGOKOWTKJCYMZ-DRHSSAKMSA-N 0.000 description 1
- FAHIPVHMXPOPEM-QYMVYWPESA-N C=CCNC(=O)C(=O)C(C/C=C/C)NC(=O)C1C2C(CN1C(=O)[C@@H](NC(=O)OC(C)(C)C)C(C)(C)C)C2(C)C Chemical compound C=CCNC(=O)C(=O)C(C/C=C/C)NC(=O)C1C2C(CN1C(=O)[C@@H](NC(=O)OC(C)(C)C)C(C)(C)C)C2(C)C FAHIPVHMXPOPEM-QYMVYWPESA-N 0.000 description 1
- PGWFOXRAGDZULK-JMFOMPNMSA-N C=CCNC(=O)C(=O)C(CC(C)(C)C)NC(=O)[C@@H]1[C@@H]2[C@H](CN1C(=O)[C@@H](NC(=O)CC(C)(C)C)C(C)(C)C)C2(C)C Chemical compound C=CCNC(=O)C(=O)C(CC(C)(C)C)NC(=O)[C@@H]1[C@@H]2[C@H](CN1C(=O)[C@@H](NC(=O)CC(C)(C)C)C(C)(C)C)C2(C)C PGWFOXRAGDZULK-JMFOMPNMSA-N 0.000 description 1
- KVEQDAJHKSRAGS-UHFFFAOYSA-N C=CCNC(=O)C(=O)C(CC(C)C)NC(=O)C1C2C(CN1C(=O)C(NC(=O)OC(C)(C)C)C1CC3=C(C=CC=C3)C1)C2(C)C Chemical compound C=CCNC(=O)C(=O)C(CC(C)C)NC(=O)C1C2C(CN1C(=O)C(NC(=O)OC(C)(C)C)C1CC3=C(C=CC=C3)C1)C2(C)C KVEQDAJHKSRAGS-UHFFFAOYSA-N 0.000 description 1
- YYAZOBOOTHZBHT-ISEXJNJKSA-N C=CCNC(=O)C(=O)C(CC(C)C)NC(=O)[C@@H]1[C@@H]2C(CN1C(=O)[C@@H](NC(=O)OC(C)(C)C)C1CCCCC1)C2(C)C Chemical compound C=CCNC(=O)C(=O)C(CC(C)C)NC(=O)[C@@H]1[C@@H]2C(CN1C(=O)[C@@H](NC(=O)OC(C)(C)C)C1CCCCC1)C2(C)C YYAZOBOOTHZBHT-ISEXJNJKSA-N 0.000 description 1
- UUYWOEHBJTYWGP-XUTBLCSISA-N C=CCNC(=O)C(=O)C(CC)NC(=O)[C@@H]1[C@@H]2C(CN1C(=O)[C@@H](NC(=O)OC(C)(C)C)C(C)(C)C)C2(C)C Chemical compound C=CCNC(=O)C(=O)C(CC)NC(=O)[C@@H]1[C@@H]2C(CN1C(=O)[C@@H](NC(=O)OC(C)(C)C)C(C)(C)C)C2(C)C UUYWOEHBJTYWGP-XUTBLCSISA-N 0.000 description 1
- PFCJIMIXYMYCQU-PFHORGDFSA-N C=CCNC(=O)C(=O)C(CC)NC(=O)[C@@H]1[C@@H]2C(CN1C(=O)[C@@H](NC(=O)OC(C)(C)C)C1CCCCC1)C2(C)C Chemical compound C=CCNC(=O)C(=O)C(CC)NC(=O)[C@@H]1[C@@H]2C(CN1C(=O)[C@@H](NC(=O)OC(C)(C)C)C1CCCCC1)C2(C)C PFCJIMIXYMYCQU-PFHORGDFSA-N 0.000 description 1
- ZFWNWWJEMXFCOM-UHFFFAOYSA-N C=CCNC(=O)C(=O)C(CC1=CC=CC=C1)NC(=O)C1C2C(CN1C(=O)C(NC(=O)OC(C)(C)C)C(C)(C)C)C2(C)C Chemical compound C=CCNC(=O)C(=O)C(CC1=CC=CC=C1)NC(=O)C1C2C(CN1C(=O)C(NC(=O)OC(C)(C)C)C(C)(C)C)C2(C)C ZFWNWWJEMXFCOM-UHFFFAOYSA-N 0.000 description 1
- BLRDOQSWDXKCPG-JKWWZATHSA-N C=CCNC(=O)C(=O)C(CC1CC1)NC(=O)[C@@H]1C2C(CN1C(=O)[C@H](C1CCCC1)N(C)C(=O)OC(C)(C)C)C2(C)C Chemical compound C=CCNC(=O)C(=O)C(CC1CC1)NC(=O)[C@@H]1C2C(CN1C(=O)[C@H](C1CCCC1)N(C)C(=O)OC(C)(C)C)C2(C)C BLRDOQSWDXKCPG-JKWWZATHSA-N 0.000 description 1
- OYIGBNXZFDERSC-VMIXUHJNSA-N C=CCNC(=O)C(=O)C(CC1CC1)NC(=O)[C@@H]1[C@@H]2C(CN1C(=O)[C@@H](NC(=O)OC(C)(C)C)C1CCC(F)(F)CC1)C2(C)C Chemical compound C=CCNC(=O)C(=O)C(CC1CC1)NC(=O)[C@@H]1[C@@H]2C(CN1C(=O)[C@@H](NC(=O)OC(C)(C)C)C1CCC(F)(F)CC1)C2(C)C OYIGBNXZFDERSC-VMIXUHJNSA-N 0.000 description 1
- LGRHVRSRFJCWEH-ISEXJNJKSA-N C=CCNC(=O)C(=O)C(CC1CC1)NC(=O)[C@@H]1[C@@H]2C(CN1C(=O)[C@@H](NC(=O)OC(C)(C)C)C1CCCCC1)C2(C)C Chemical compound C=CCNC(=O)C(=O)C(CC1CC1)NC(=O)[C@@H]1[C@@H]2C(CN1C(=O)[C@@H](NC(=O)OC(C)(C)C)C1CCCCC1)C2(C)C LGRHVRSRFJCWEH-ISEXJNJKSA-N 0.000 description 1
- APOSJPIFQVGTIS-CBRFJLGVSA-N C=CCNC(=O)C(=O)C(CC1CCC1)NC(=O)C1C2C(CN1C(=O)[C@@H](NC(=O)OC(C)(C)C)C(C)(C)C)C2(C)C Chemical compound C=CCNC(=O)C(=O)C(CC1CCC1)NC(=O)C1C2C(CN1C(=O)[C@@H](NC(=O)OC(C)(C)C)C(C)(C)C)C2(C)C APOSJPIFQVGTIS-CBRFJLGVSA-N 0.000 description 1
- SPYHUKWGVNZUNR-UHFFFAOYSA-N C=CCNC(=O)C(=O)C(CC=C)NC(=O)C1C2C(CN1C(=O)C(C1CCCC1)N(C)C(=O)OC(C)(C)C)C2(C)C Chemical compound C=CCNC(=O)C(=O)C(CC=C)NC(=O)C1C2C(CN1C(=O)C(C1CCCC1)N(C)C(=O)OC(C)(C)C)C2(C)C SPYHUKWGVNZUNR-UHFFFAOYSA-N 0.000 description 1
- RHKBZPHLDCPHRY-UHFFFAOYSA-N C=CCNC(=O)C(=O)C(CC=C)NC(=O)C1C2C(CN1C(=O)C(NC(=O)OC(C)(C)C)C1CC3=C(C=CC=C3)C1)C2(C)C Chemical compound C=CCNC(=O)C(=O)C(CC=C)NC(=O)C1C2C(CN1C(=O)C(NC(=O)OC(C)(C)C)C1CC3=C(C=CC=C3)C1)C2(C)C RHKBZPHLDCPHRY-UHFFFAOYSA-N 0.000 description 1
- SBRPDECUJFZEDC-BSRYDQRCSA-N C=CCNC(=O)C(=O)C(CC=C)NC(=O)[C@@H]1CC(F)(F)CN1C(=O)[C@@H](NC(=O)OC(C)(C)C)C(C)(C)C Chemical compound C=CCNC(=O)C(=O)C(CC=C)NC(=O)[C@@H]1CC(F)(F)CN1C(=O)[C@@H](NC(=O)OC(C)(C)C)C(C)(C)C SBRPDECUJFZEDC-BSRYDQRCSA-N 0.000 description 1
- GGOFPTKAQGIQQD-FWOSDDQRSA-N C=CCNC(=O)C(=O)C(CCC)NC(=O)C1(C)CC(C)(C)CN1C(=O)[C@H](NC(=O)OC(C)(C)C)C(C)(C)C Chemical compound C=CCNC(=O)C(=O)C(CCC)NC(=O)C1(C)CC(C)(C)CN1C(=O)[C@H](NC(=O)OC(C)(C)C)C(C)(C)C GGOFPTKAQGIQQD-FWOSDDQRSA-N 0.000 description 1
- OLPRJKIHDKUAEF-UHFFFAOYSA-N C=CCNC(=O)C(=O)C(CCC)NC(=O)C1C(C2=CC=CC=C2)CN1C(=O)C(OC(=O)OC(C)(C)C)C1CCCCC1 Chemical compound C=CCNC(=O)C(=O)C(CCC)NC(=O)C1C(C2=CC=CC=C2)CN1C(=O)C(OC(=O)OC(C)(C)C)C1CCCCC1 OLPRJKIHDKUAEF-UHFFFAOYSA-N 0.000 description 1
- YVPRFRNVAOGGCH-UHFFFAOYSA-N C=CCNC(=O)C(=O)C(CCC)NC(=O)C1C2C(CN1C(=O)C(C1CCCC1)N(C)C(=O)OC(C)CC)C2(C)C Chemical compound C=CCNC(=O)C(=O)C(CCC)NC(=O)C1C2C(CN1C(=O)C(C1CCCC1)N(C)C(=O)OC(C)CC)C2(C)C YVPRFRNVAOGGCH-UHFFFAOYSA-N 0.000 description 1
- SLTDTMAIWORTSJ-UHFFFAOYSA-N C=CCNC(=O)C(=O)C(CCC)NC(=O)C1C2C(CN1C(=O)C(C1CCCC1)N(C)C(=O)OC(CC)CC)C2(C)C Chemical compound C=CCNC(=O)C(=O)C(CCC)NC(=O)C1C2C(CN1C(=O)C(C1CCCC1)N(C)C(=O)OC(CC)CC)C2(C)C SLTDTMAIWORTSJ-UHFFFAOYSA-N 0.000 description 1
- JNTHQQWMHVBULC-UHFFFAOYSA-N C=CCNC(=O)C(=O)C(CCC)NC(=O)C1C2C(CN1C(=O)C(C1CCCC1)N(C)C(=O)OCC(C)C)C2(C)C Chemical compound C=CCNC(=O)C(=O)C(CCC)NC(=O)C1C2C(CN1C(=O)C(C1CCCC1)N(C)C(=O)OCC(C)C)C2(C)C JNTHQQWMHVBULC-UHFFFAOYSA-N 0.000 description 1
- GIRGGXNPJLMSQR-UHFFFAOYSA-N C=CCNC(=O)C(=O)C(CCC)NC(=O)C1C2C(CN1C(=O)C(CCC(=O)O)NC(=O)OCC(C)C)C2(C)C Chemical compound C=CCNC(=O)C(=O)C(CCC)NC(=O)C1C2C(CN1C(=O)C(CCC(=O)O)NC(=O)OCC(C)C)C2(C)C GIRGGXNPJLMSQR-UHFFFAOYSA-N 0.000 description 1
- OWZGQRGJFZCDRL-UHFFFAOYSA-N C=CCNC(=O)C(=O)C(CCC)NC(=O)C1C2C(CN1C(=O)C(CCC(=O)OC(C)(C)C)NC(=O)NCC(C)C)C2(C)C Chemical compound C=CCNC(=O)C(=O)C(CCC)NC(=O)C1C2C(CN1C(=O)C(CCC(=O)OC(C)(C)C)NC(=O)NCC(C)C)C2(C)C OWZGQRGJFZCDRL-UHFFFAOYSA-N 0.000 description 1
- JCQZJKOYRUQZAG-UHFFFAOYSA-N C=CCNC(=O)C(=O)C(CCC)NC(=O)C1C2C(CN1C(=O)C(CCCC(C)C1=CC=CC=C1)C(C)(C)C)C2(C)C Chemical compound C=CCNC(=O)C(=O)C(CCC)NC(=O)C1C2C(CN1C(=O)C(CCCC(C)C1=CC=CC=C1)C(C)(C)C)C2(C)C JCQZJKOYRUQZAG-UHFFFAOYSA-N 0.000 description 1
- YDHPDZMZKZJQCA-UHFFFAOYSA-N C=CCNC(=O)C(=O)C(CCC)NC(=O)C1C2C(CN1C(=O)C(NC(=O)CC(C)(C)C)C1CC3=C(C=CC=C3)C1)C2(C)C Chemical compound C=CCNC(=O)C(=O)C(CCC)NC(=O)C1C2C(CN1C(=O)C(NC(=O)CC(C)(C)C)C1CC3=C(C=CC=C3)C1)C2(C)C YDHPDZMZKZJQCA-UHFFFAOYSA-N 0.000 description 1
- KIWXKVDBXSBQOI-UHFFFAOYSA-N C=CCNC(=O)C(=O)C(CCC)NC(=O)C1C2C(CN1C(=O)C(NC(=O)CC1=CC=CC=C1)C(C)(C)C)C2(C)C Chemical compound C=CCNC(=O)C(=O)C(CCC)NC(=O)C1C2C(CN1C(=O)C(NC(=O)CC1=CC=CC=C1)C(C)(C)C)C2(C)C KIWXKVDBXSBQOI-UHFFFAOYSA-N 0.000 description 1
- SHLKFEMACOMMFJ-UHFFFAOYSA-N C=CCNC(=O)C(=O)C(CCC)NC(=O)C1C2C(CN1C(=O)C(NC(=O)CC1=CC=CC=C1)C1CC3=C(C=CC=C3)C1)C2(C)C Chemical compound C=CCNC(=O)C(=O)C(CCC)NC(=O)C1C2C(CN1C(=O)C(NC(=O)CC1=CC=CC=C1)C1CC3=C(C=CC=C3)C1)C2(C)C SHLKFEMACOMMFJ-UHFFFAOYSA-N 0.000 description 1
- XWXYGXMLHTXIDR-UHFFFAOYSA-N C=CCNC(=O)C(=O)C(CCC)NC(=O)C1C2C(CN1C(=O)C(NC(=O)NC1CCCC1)C1CCCC1)C2(C)C Chemical compound C=CCNC(=O)C(=O)C(CCC)NC(=O)C1C2C(CN1C(=O)C(NC(=O)NC1CCCC1)C1CCCC1)C2(C)C XWXYGXMLHTXIDR-UHFFFAOYSA-N 0.000 description 1
- AISISLHLJBQAMC-UHFFFAOYSA-N C=CCNC(=O)C(=O)C(CCC)NC(=O)C1C2C(CN1C(=O)C(NC(=O)OC(C)(C)C)C1CC3CCCCC3C1)C2(C)C Chemical compound C=CCNC(=O)C(=O)C(CCC)NC(=O)C1C2C(CN1C(=O)C(NC(=O)OC(C)(C)C)C1CC3CCCCC3C1)C2(C)C AISISLHLJBQAMC-UHFFFAOYSA-N 0.000 description 1
- AJQIOYQRGIDYQQ-UHFFFAOYSA-N C=CCNC(=O)C(=O)C(CCC)NC(=O)C1C2C(CN1C(=O)C(NC(=O)OC(C)(C)C)C1CCCC(C(=O)NC(C)(C)C)C1)C2(C)C Chemical compound C=CCNC(=O)C(=O)C(CCC)NC(=O)C1C2C(CN1C(=O)C(NC(=O)OC(C)(C)C)C1CCCC(C(=O)NC(C)(C)C)C1)C2(C)C AJQIOYQRGIDYQQ-UHFFFAOYSA-N 0.000 description 1
- SSBGTTXKMNUQCN-UHFFFAOYSA-N C=CCNC(=O)C(=O)C(CCC)NC(=O)C1C2C(CN1C(=O)C(NC(=O)OC1C3CCC(C3)C1(C)C)C1CCCCC1)C2(C)C Chemical compound C=CCNC(=O)C(=O)C(CCC)NC(=O)C1C2C(CN1C(=O)C(NC(=O)OC1C3CCC(C3)C1(C)C)C1CCCCC1)C2(C)C SSBGTTXKMNUQCN-UHFFFAOYSA-N 0.000 description 1
- UGQPGHHOSOKBPV-UHFFFAOYSA-N C=CCNC(=O)C(=O)C(CCC)NC(=O)C1C2C(CN1C(=O)C(NC(=O)OC1CC(C)CC1C)C1CCCCC1)C2(C)C Chemical compound C=CCNC(=O)C(=O)C(CCC)NC(=O)C1C2C(CN1C(=O)C(NC(=O)OC1CC(C)CC1C)C1CCCCC1)C2(C)C UGQPGHHOSOKBPV-UHFFFAOYSA-N 0.000 description 1
- GNPDZYHGXREWMX-UHFFFAOYSA-N C=CCNC(=O)C(=O)C(CCC)NC(=O)C1C2C(CN1C(=O)C(NC(=O)OC1CCC(C)C1)C1CCCCC1)C2(C)C Chemical compound C=CCNC(=O)C(=O)C(CCC)NC(=O)C1C2C(CN1C(=O)C(NC(=O)OC1CCC(C)C1)C1CCCCC1)C2(C)C GNPDZYHGXREWMX-UHFFFAOYSA-N 0.000 description 1
- XMFNHPUMKSKDAR-UHFFFAOYSA-N C=CCNC(=O)C(=O)C(CCC)NC(=O)C1C2C(CN1C(=O)C(NC(=O)OC1CCCC1C)C1CC3=C(C=CC=C3)C1)C2(C)C Chemical compound C=CCNC(=O)C(=O)C(CCC)NC(=O)C1C2C(CN1C(=O)C(NC(=O)OC1CCCC1C)C1CC3=C(C=CC=C3)C1)C2(C)C XMFNHPUMKSKDAR-UHFFFAOYSA-N 0.000 description 1
- COOAMGWZHWBTCU-UHFFFAOYSA-N C=CCNC(=O)C(=O)C(CCC)NC(=O)C1C2C(CN1C(=O)C(NC(=O)OCC(C)C)C1CCC(F)(F)CC1)C2(C)C Chemical compound C=CCNC(=O)C(=O)C(CCC)NC(=O)C1C2C(CN1C(=O)C(NC(=O)OCC(C)C)C1CCC(F)(F)CC1)C2(C)C COOAMGWZHWBTCU-UHFFFAOYSA-N 0.000 description 1
- KGZGZAJHJDYYNN-UHFFFAOYSA-N C=CCNC(=O)C(=O)C(CCC)NC(=O)C1C2C(CN1C(=O)C(NC(=O)OCC1CC1)C1CC3=C(C=CC=C3)C1)C2(C)C Chemical compound C=CCNC(=O)C(=O)C(CCC)NC(=O)C1C2C(CN1C(=O)C(NC(=O)OCC1CC1)C1CC3=C(C=CC=C3)C1)C2(C)C KGZGZAJHJDYYNN-UHFFFAOYSA-N 0.000 description 1
- WIZUWSDKRBWKLR-UHFFFAOYSA-N C=CCNC(=O)C(=O)C(CCC)NC(=O)C1C2C(CN1C(=O)C(NC(=O)OCCCC1=CC=CC=C1)C1CCCCC1)C2(C)C Chemical compound C=CCNC(=O)C(=O)C(CCC)NC(=O)C1C2C(CN1C(=O)C(NC(=O)OCCCC1=CC=CC=C1)C1CCCCC1)C2(C)C WIZUWSDKRBWKLR-UHFFFAOYSA-N 0.000 description 1
- GJPPRKPJSPFVSF-UHFFFAOYSA-N C=CCNC(=O)C(=O)C(CCC)NC(=O)C1C2C(CN1C(=O)C(OCCC(C)(C)C)C(C)(C)C)C2(C)C Chemical compound C=CCNC(=O)C(=O)C(CCC)NC(=O)C1C2C(CN1C(=O)C(OCCC(C)(C)C)C(C)(C)C)C2(C)C GJPPRKPJSPFVSF-UHFFFAOYSA-N 0.000 description 1
- UFXLDEHTZFHODZ-NBKNUCQLSA-N C=CCNC(=O)C(=O)C(CCC)NC(=O)C1C2C3CCC(C3)C2CN1C(=O)[C@@H](NC(=O)OCC(C)C)C(C)(C)C Chemical compound C=CCNC(=O)C(=O)C(CCC)NC(=O)C1C2C3CCC(C3)C2CN1C(=O)[C@@H](NC(=O)OCC(C)C)C(C)(C)C UFXLDEHTZFHODZ-NBKNUCQLSA-N 0.000 description 1
- GPVQGPHKIUVQQM-UHFFFAOYSA-N C=CCNC(=O)C(=O)C(CCC)NC(=O)C1C2CC(C)(C)CC2CN1C(=O)C(NC(=O)OC(C)(C)C)C1CCCCC1 Chemical compound C=CCNC(=O)C(=O)C(CCC)NC(=O)C1C2CC(C)(C)CC2CN1C(=O)C(NC(=O)OC(C)(C)C)C1CCCCC1 GPVQGPHKIUVQQM-UHFFFAOYSA-N 0.000 description 1
- XGSMFFHGIXCNMG-UHFFFAOYSA-N C=CCNC(=O)C(=O)C(CCC)NC(=O)C1C2CCC(C2)N1C(=O)C(NC(=O)OC(C)(C)C)C(C)(C)C Chemical compound C=CCNC(=O)C(=O)C(CCC)NC(=O)C1C2CCC(C2)N1C(=O)C(NC(=O)OC(C)(C)C)C(C)(C)C XGSMFFHGIXCNMG-UHFFFAOYSA-N 0.000 description 1
- NTDMAKDLYUDZCZ-HBSCBHPYSA-N C=CCNC(=O)C(=O)C(CCC)NC(=O)C1CC(C2=CC=CC=C2)CN1C(=O)[C@@H](NC(=O)OC(C)(C)C)C(C)(C)C Chemical compound C=CCNC(=O)C(=O)C(CCC)NC(=O)C1CC(C2=CC=CC=C2)CN1C(=O)[C@@H](NC(=O)OC(C)(C)C)C(C)(C)C NTDMAKDLYUDZCZ-HBSCBHPYSA-N 0.000 description 1
- RTGRKJVCOPWJLA-UHFFFAOYSA-N C=CCNC(=O)C(=O)C(CCC)NC(=O)C1CCCN1C(=O)C(NC(=O)OC(C)(C)C)C(C)(C)C Chemical compound C=CCNC(=O)C(=O)C(CCC)NC(=O)C1CCCN1C(=O)C(NC(=O)OC(C)(C)C)C(C)(C)C RTGRKJVCOPWJLA-UHFFFAOYSA-N 0.000 description 1
- IRNDAFIYCALDCP-FKBCMKLJSA-N C=CCNC(=O)C(=O)C(CCC)NC(=O)C1[C@@H](OC(C)(C)C)CCN1C(=O)C(NC(=O)OC(C)(C)C)C(C)(C)C Chemical compound C=CCNC(=O)C(=O)C(CCC)NC(=O)C1[C@@H](OC(C)(C)C)CCN1C(=O)C(NC(=O)OC(C)(C)C)C(C)(C)C IRNDAFIYCALDCP-FKBCMKLJSA-N 0.000 description 1
- UHUYYJIZCXMPNG-ISRILLDMSA-N C=CCNC(=O)C(=O)C(CCC)NC(=O)C1[C@@H]2C(CN1C(=O)C(NC(=O)OCC=C)C1CCCC1)C2(C)C Chemical compound C=CCNC(=O)C(=O)C(CCC)NC(=O)C1[C@@H]2C(CN1C(=O)C(NC(=O)OCC=C)C1CCCC1)C2(C)C UHUYYJIZCXMPNG-ISRILLDMSA-N 0.000 description 1
- PCXQVDHZTUZBFJ-FHLDVFSJSA-N C=CCNC(=O)C(=O)C(CCC)NC(=O)C1[C@H]2OC(C)(C)O[C@H]2CN1C(=O)[C@@H](NC(=O)OC(C)(C)C)C(C)(C)C Chemical compound C=CCNC(=O)C(=O)C(CCC)NC(=O)C1[C@H]2OC(C)(C)O[C@H]2CN1C(=O)[C@@H](NC(=O)OC(C)(C)C)C(C)(C)C PCXQVDHZTUZBFJ-FHLDVFSJSA-N 0.000 description 1
- UUMRWNCICFSDMW-GLMNMBRWSA-N C=CCNC(=O)C(=O)C(CCC)NC(=O)[C@@H]1C2C(CN1C(=O)C(NC(=O)N(C)C(C)(C)C)C1CC3=C(C=CC=C3)C1)C2(C)C Chemical compound C=CCNC(=O)C(=O)C(CCC)NC(=O)[C@@H]1C2C(CN1C(=O)C(NC(=O)N(C)C(C)(C)C)C1CC3=C(C=CC=C3)C1)C2(C)C UUMRWNCICFSDMW-GLMNMBRWSA-N 0.000 description 1
- FBABSEQWYKETND-BGYSBVQDSA-N C=CCNC(=O)C(=O)C(CCC)NC(=O)[C@@H]1C2C(CN1C(=O)C(NC(=O)OC(C)(C)C)C(C)(C1=CC=CC=C1)C1=CC=CC=C1)C2(C)C Chemical compound C=CCNC(=O)C(=O)C(CCC)NC(=O)[C@@H]1C2C(CN1C(=O)C(NC(=O)OC(C)(C)C)C(C)(C1=CC=CC=C1)C1=CC=CC=C1)C2(C)C FBABSEQWYKETND-BGYSBVQDSA-N 0.000 description 1
- VBZUMYFZNXCXRU-ONCJYJFXSA-N C=CCNC(=O)C(=O)C(CCC)NC(=O)[C@@H]1C2C(CN1C(=O)C(NC(=O)OC1CCCC1)C1CC3=C(C=CC=C3)C1)C2(C)C Chemical compound C=CCNC(=O)C(=O)C(CCC)NC(=O)[C@@H]1C2C(CN1C(=O)C(NC(=O)OC1CCCC1)C1CC3=C(C=CC=C3)C1)C2(C)C VBZUMYFZNXCXRU-ONCJYJFXSA-N 0.000 description 1
- KLMDYLAALASVSP-LWNFXBRBSA-N C=CCNC(=O)C(=O)C(CCC)NC(=O)[C@@H]1C2C(CN1C(=O)C(NC(=O)OC1CCCC1C1CCCC1)C1CCCCC1)C2(C)C Chemical compound C=CCNC(=O)C(=O)C(CCC)NC(=O)[C@@H]1C2C(CN1C(=O)C(NC(=O)OC1CCCC1C1CCCC1)C1CCCCC1)C2(C)C KLMDYLAALASVSP-LWNFXBRBSA-N 0.000 description 1
- BLOYUXHRWBNNKJ-RAVWKCBISA-N C=CCNC(=O)C(=O)C(CCC)NC(=O)[C@@H]1C2C(CN1C(=O)CC1CC(C(=O)NCC3=CC=CC=C3)CCC1NC(=O)OCC(C)C)C2(C)C Chemical compound C=CCNC(=O)C(=O)C(CCC)NC(=O)[C@@H]1C2C(CN1C(=O)CC1CC(C(=O)NCC3=CC=CC=C3)CCC1NC(=O)OCC(C)C)C2(C)C BLOYUXHRWBNNKJ-RAVWKCBISA-N 0.000 description 1
- QUKPODOLXBXCOY-UZUOBHKXSA-N C=CCNC(=O)C(=O)C(CCC)NC(=O)[C@@H]1C2C(CN1C(=O)[C@@H](NC(=O)C(C)(C)C)C1CC3=C(C=CC=C3)C1)C2(C)C Chemical compound C=CCNC(=O)C(=O)C(CCC)NC(=O)[C@@H]1C2C(CN1C(=O)[C@@H](NC(=O)C(C)(C)C)C1CC3=C(C=CC=C3)C1)C2(C)C QUKPODOLXBXCOY-UZUOBHKXSA-N 0.000 description 1
- QASBNVIBRZVRNV-BVGSJCHJSA-N C=CCNC(=O)C(=O)C(CCC)NC(=O)[C@@H]1C2C(CN1C(=O)[C@@H](NC(=O)CC1CCCC1)C1CC3=C(C=CC=C3)C1)C2(C)C Chemical compound C=CCNC(=O)C(=O)C(CCC)NC(=O)[C@@H]1C2C(CN1C(=O)[C@@H](NC(=O)CC1CCCC1)C1CC3=C(C=CC=C3)C1)C2(C)C QASBNVIBRZVRNV-BVGSJCHJSA-N 0.000 description 1
- KUYZDZQKSXUVPT-NYVHLHOGSA-N C=CCNC(=O)C(=O)C(CCC)NC(=O)[C@@H]1C2C(CN1C(=O)[C@@H](NC(=O)CCC1=CC=CC=C1)C1CC3=C(C=CC=C3)C1)C2(C)C Chemical compound C=CCNC(=O)C(=O)C(CCC)NC(=O)[C@@H]1C2C(CN1C(=O)[C@@H](NC(=O)CCC1=CC=CC=C1)C1CC3=C(C=CC=C3)C1)C2(C)C KUYZDZQKSXUVPT-NYVHLHOGSA-N 0.000 description 1
- XXGWOUZGLJAGHX-IOHZUATHSA-N C=CCNC(=O)C(=O)C(CCC)NC(=O)[C@@H]1C2C(CN1C(=O)[C@@H](NC(=O)NC(C)C)C1CCCC1)C2(C)C Chemical compound C=CCNC(=O)C(=O)C(CCC)NC(=O)[C@@H]1C2C(CN1C(=O)[C@@H](NC(=O)NC(C)C)C1CCCC1)C2(C)C XXGWOUZGLJAGHX-IOHZUATHSA-N 0.000 description 1
- YDDOTPQRLXSJJH-QDHDIFQRSA-N C=CCNC(=O)C(=O)C(CCC)NC(=O)[C@@H]1C2C(CN1C(=O)[C@@H](NC(=O)NC(C)CC)C1CC3=C(C=CC=C3)C1)C2(C)C Chemical compound C=CCNC(=O)C(=O)C(CCC)NC(=O)[C@@H]1C2C(CN1C(=O)[C@@H](NC(=O)NC(C)CC)C1CC3=C(C=CC=C3)C1)C2(C)C YDDOTPQRLXSJJH-QDHDIFQRSA-N 0.000 description 1
- WZCLCMWNNYQHEN-XDZYFCLLSA-N C=CCNC(=O)C(=O)C(CCC)NC(=O)[C@@H]1C2C(CN1C(=O)[C@@H](NC(=O)NC1CCCC1)C1CC3=C(C=CC=C3)C1)C2(C)C Chemical compound C=CCNC(=O)C(=O)C(CCC)NC(=O)[C@@H]1C2C(CN1C(=O)[C@@H](NC(=O)NC1CCCC1)C1CC3=C(C=CC=C3)C1)C2(C)C WZCLCMWNNYQHEN-XDZYFCLLSA-N 0.000 description 1
- RXBOJQZJYPBUKG-BOSQQAFTSA-N C=CCNC(=O)C(=O)C(CCC)NC(=O)[C@@H]1C2C(CN1C(=O)[C@@H](NC(=O)NC1CCCCC1)C1CCCC1)C2(C)C Chemical compound C=CCNC(=O)C(=O)C(CCC)NC(=O)[C@@H]1C2C(CN1C(=O)[C@@H](NC(=O)NC1CCCCC1)C1CCCC1)C2(C)C RXBOJQZJYPBUKG-BOSQQAFTSA-N 0.000 description 1
- HCCBOJAAZASRRS-CTEMSKPWSA-N C=CCNC(=O)C(=O)C(CCC)NC(=O)[C@@H]1C2C(CN1C(=O)[C@@H](NC(=O)NCC(C)(C)C)C1CC3=C(C=CC=C3)C1)C2(C)C Chemical compound C=CCNC(=O)C(=O)C(CCC)NC(=O)[C@@H]1C2C(CN1C(=O)[C@@H](NC(=O)NCC(C)(C)C)C1CC3=C(C=CC=C3)C1)C2(C)C HCCBOJAAZASRRS-CTEMSKPWSA-N 0.000 description 1
- MUYVGHCLWXDVCP-CTEMSKPWSA-N C=CCNC(=O)C(=O)C(CCC)NC(=O)[C@@H]1C2C(CN1C(=O)[C@@H](NC(=O)NCC(C)C)C1CC3=C(C=CC=C3)C1)C2(C)C Chemical compound C=CCNC(=O)C(=O)C(CCC)NC(=O)[C@@H]1C2C(CN1C(=O)[C@@H](NC(=O)NCC(C)C)C1CC3=C(C=CC=C3)C1)C2(C)C MUYVGHCLWXDVCP-CTEMSKPWSA-N 0.000 description 1
- AWLUPUIULZWPMM-NSHLBDPBSA-N C=CCNC(=O)C(=O)C(CCC)NC(=O)[C@@H]1C2C(CN1C(=O)[C@@H](NC(=O)NCC1=CC=CC=C1)C1CC3=C(C=CC=C3)C1)C2(C)C Chemical compound C=CCNC(=O)C(=O)C(CCC)NC(=O)[C@@H]1C2C(CN1C(=O)[C@@H](NC(=O)NCC1=CC=CC=C1)C1CC3=C(C=CC=C3)C1)C2(C)C AWLUPUIULZWPMM-NSHLBDPBSA-N 0.000 description 1
- VGXDOQXIXCHHJE-FFPXKKFZSA-N C=CCNC(=O)C(=O)C(CCC)NC(=O)[C@@H]1C2C(CN1C(=O)[C@@H](NC(=O)OC(C)C(C)C)C1CC3=C(C=CC=C3)C1)C2(C)C Chemical compound C=CCNC(=O)C(=O)C(CCC)NC(=O)[C@@H]1C2C(CN1C(=O)[C@@H](NC(=O)OC(C)C(C)C)C1CC3=C(C=CC=C3)C1)C2(C)C VGXDOQXIXCHHJE-FFPXKKFZSA-N 0.000 description 1
- GYWTYMVMFZXEEV-CZKRAWDISA-N C=CCNC(=O)C(=O)C(CCC)NC(=O)[C@@H]1C2C(CN1C(=O)[C@@H](NC(=O)OC13CC4CC(CC(C4)C1)C3)C1CC3=C(C=CC=C3)C1)C2(C)C Chemical compound C=CCNC(=O)C(=O)C(CCC)NC(=O)[C@@H]1C2C(CN1C(=O)[C@@H](NC(=O)OC13CC4CC(CC(C4)C1)C3)C1CC3=C(C=CC=C3)C1)C2(C)C GYWTYMVMFZXEEV-CZKRAWDISA-N 0.000 description 1
- XGIBWCJMBQEWCW-BOSQQAFTSA-N C=CCNC(=O)C(=O)C(CCC)NC(=O)[C@@H]1C2C(CN1C(=O)[C@@H](NC(=O)OC1CCCC1)C1CCCCC1)C2(C)C Chemical compound C=CCNC(=O)C(=O)C(CCC)NC(=O)[C@@H]1C2C(CN1C(=O)[C@@H](NC(=O)OC1CCCC1)C1CCCCC1)C2(C)C XGIBWCJMBQEWCW-BOSQQAFTSA-N 0.000 description 1
- GJDXYSSXOANALR-VVYVRQOISA-N C=CCNC(=O)C(=O)C(CCC)NC(=O)[C@@H]1C2C(CN1C(=O)[C@@H](NC(=O)OC1CCCCC1)C1CC3=C(C=CC=C3)C1)C2(C)C Chemical compound C=CCNC(=O)C(=O)C(CCC)NC(=O)[C@@H]1C2C(CN1C(=O)[C@@H](NC(=O)OC1CCCCC1)C1CC3=C(C=CC=C3)C1)C2(C)C GJDXYSSXOANALR-VVYVRQOISA-N 0.000 description 1
- UDQYENCAFAZYLV-JKWWZATHSA-N C=CCNC(=O)C(=O)C(CCC)NC(=O)[C@@H]1C2C(CN1C(=O)[C@@H](NC(=O)OCC(C)(C)C)C1CCCCC1)C2(C)C Chemical compound C=CCNC(=O)C(=O)C(CCC)NC(=O)[C@@H]1C2C(CN1C(=O)[C@@H](NC(=O)OCC(C)(C)C)C1CCCCC1)C2(C)C UDQYENCAFAZYLV-JKWWZATHSA-N 0.000 description 1
- MTVWBAHZZVJEEY-JKWWZATHSA-N C=CCNC(=O)C(=O)C(CCC)NC(=O)[C@@H]1C2C(CN1C(=O)[C@@H](NC(=O)OCC1CC1)C1CCCCC1)C2(C)C Chemical compound C=CCNC(=O)C(=O)C(CCC)NC(=O)[C@@H]1C2C(CN1C(=O)[C@@H](NC(=O)OCC1CC1)C1CCCCC1)C2(C)C MTVWBAHZZVJEEY-JKWWZATHSA-N 0.000 description 1
- LUGGAJKXRWSEIZ-VAIBRFSZSA-N C=CCNC(=O)C(=O)C(CCC)NC(=O)[C@@H]1CC(C)(C)CN1C(=O)[C@@H](NC(=O)O[C@H](C)C(C)C)C(C)(C)C Chemical compound C=CCNC(=O)C(=O)C(CCC)NC(=O)[C@@H]1CC(C)(C)CN1C(=O)[C@@H](NC(=O)O[C@H](C)C(C)C)C(C)(C)C LUGGAJKXRWSEIZ-VAIBRFSZSA-N 0.000 description 1
- VWEVNGAQFQQGHI-VMUQOZGYSA-N C=CCNC(=O)C(=O)C(CCC)NC(=O)[C@@H]1CC(NS(=O)(=O)C2=CC=C(NC)C=C2)CN1C(=O)[C@@H](NC(=O)OC(C)(C)C)C1CCCCC1 Chemical compound C=CCNC(=O)C(=O)C(CCC)NC(=O)[C@@H]1CC(NS(=O)(=O)C2=CC=C(NC)C=C2)CN1C(=O)[C@@H](NC(=O)OC(C)(C)C)C1CCCCC1 VWEVNGAQFQQGHI-VMUQOZGYSA-N 0.000 description 1
- ZFIHOVTZQYMIQD-LQWFBNCQSA-N C=CCNC(=O)C(=O)C(CCC)NC(=O)[C@@H]1CC(OCC2=CC=CC3=CC=CC=C32)CN1C(=O)[C@@H](NC(=O)OC(C)(C)C)C1CCCCC1 Chemical compound C=CCNC(=O)C(=O)C(CCC)NC(=O)[C@@H]1CC(OCC2=CC=CC3=CC=CC=C32)CN1C(=O)[C@@H](NC(=O)OC(C)(C)C)C1CCCCC1 ZFIHOVTZQYMIQD-LQWFBNCQSA-N 0.000 description 1
- BIBKDCHHZHEARA-XBBFSJMHSA-N C=CCNC(=O)C(=O)C(CCC)NC(=O)[C@@H]1CCCN1C(=O)[C@@H](NC(=O)[C@@H](N)CC1=CC=CC=C1)C(C)C Chemical compound C=CCNC(=O)C(=O)C(CCC)NC(=O)[C@@H]1CCCN1C(=O)[C@@H](NC(=O)[C@@H](N)CC1=CC=CC=C1)C(C)C BIBKDCHHZHEARA-XBBFSJMHSA-N 0.000 description 1
- WWGKRTSQURHALR-MSMMDESQSA-N C=CCNC(=O)C(=O)C(CCC)NC(=O)[C@@H]1CCCN1C(=O)[C@@H](NC(=O)[C@H](CC1=CC=CC=C1)NC(=O)OC(C)(C)C)C(C)C Chemical compound C=CCNC(=O)C(=O)C(CCC)NC(=O)[C@@H]1CCCN1C(=O)[C@@H](NC(=O)[C@H](CC1=CC=CC=C1)NC(=O)OC(C)(C)C)C(C)C WWGKRTSQURHALR-MSMMDESQSA-N 0.000 description 1
- CEAPZVQKCAYCSM-QIFDKBNDSA-N C=CCNC(=O)C(=O)C(CCC)NC(=O)[C@@H]1CCCN1C(=O)[C@H](CC1CCCCC1)NC(=O)OC(C)(C)C Chemical compound C=CCNC(=O)C(=O)C(CCC)NC(=O)[C@@H]1CCCN1C(=O)[C@H](CC1CCCCC1)NC(=O)OC(C)(C)C CEAPZVQKCAYCSM-QIFDKBNDSA-N 0.000 description 1
- WRTSIWRIVCDIQQ-TTZRZWQXSA-N C=CCNC(=O)C(=O)C(CCC)NC(=O)[C@@H]1CC[C@H](C)N1C(=O)[C@@H](NC(=O)OC(C)(C)C)C1CCCCC1 Chemical compound C=CCNC(=O)C(=O)C(CCC)NC(=O)[C@@H]1CC[C@H](C)N1C(=O)[C@@H](NC(=O)OC(C)(C)C)C1CCCCC1 WRTSIWRIVCDIQQ-TTZRZWQXSA-N 0.000 description 1
- ZRFDJMGLLNNZDU-JHMFPGRKSA-N C=CCNC(=O)C(=O)C(CCC)NC(=O)[C@@H]1CC[C@H](C)N1C(=O)[C@@H](NC(=O)OCC1CC1)C1CCCCC1 Chemical compound C=CCNC(=O)C(=O)C(CCC)NC(=O)[C@@H]1CC[C@H](C)N1C(=O)[C@@H](NC(=O)OCC1CC1)C1CCCCC1 ZRFDJMGLLNNZDU-JHMFPGRKSA-N 0.000 description 1
- LUZRETOVSGOVQP-MAUYYQPMSA-N C=CCNC(=O)C(=O)C(CCC)NC(=O)[C@@H]1C[C@@H](CCC(C)C)CN1C(=O)[C@@H](NC(=O)OC(C)(C)C)C(C)(C)C Chemical compound C=CCNC(=O)C(=O)C(CCC)NC(=O)[C@@H]1C[C@@H](CCC(C)C)CN1C(=O)[C@@H](NC(=O)OC(C)(C)C)C(C)(C)C LUZRETOVSGOVQP-MAUYYQPMSA-N 0.000 description 1
- RTPDNFKXVIARBR-WMWIDRKBSA-N C=CCNC(=O)C(=O)C(CCC)NC(=O)[C@@H]1[C@@H]2C(CN1C(=O)[C@@H](NC(=O)OC(C)C(C)C)C(C)(C)C)C2(C)C Chemical compound C=CCNC(=O)C(=O)C(CCC)NC(=O)[C@@H]1[C@@H]2C(CN1C(=O)[C@@H](NC(=O)OC(C)C(C)C)C(C)(C)C)C2(C)C RTPDNFKXVIARBR-WMWIDRKBSA-N 0.000 description 1
- COCPLWFTHBOAAX-TVEBJLCNSA-N C=CCNC(=O)C(=O)C(CCC)NC(=O)[C@@H]1[C@@H]2C(CN1C(=O)[C@@H](NC(=O)OC(C)C(C)C)C1CCCCC1)C2(C)C Chemical compound C=CCNC(=O)C(=O)C(CCC)NC(=O)[C@@H]1[C@@H]2C(CN1C(=O)[C@@H](NC(=O)OC(C)C(C)C)C1CCCCC1)C2(C)C COCPLWFTHBOAAX-TVEBJLCNSA-N 0.000 description 1
- UDQYENCAFAZYLV-ISEXJNJKSA-N C=CCNC(=O)C(=O)C(CCC)NC(=O)[C@@H]1[C@@H]2C(CN1C(=O)[C@@H](NC(=O)OCC(C)(C)C)C1CCCCC1)C2(C)C Chemical compound C=CCNC(=O)C(=O)C(CCC)NC(=O)[C@@H]1[C@@H]2C(CN1C(=O)[C@@H](NC(=O)OCC(C)(C)C)C1CCCCC1)C2(C)C UDQYENCAFAZYLV-ISEXJNJKSA-N 0.000 description 1
- OMYYIPOVYVGYGJ-OPWGWMNQSA-N C=CCNC(=O)C(=O)C(CCC)NC(=O)[C@@H]1[C@@H]2C(CN1C(=O)[C@@H](NC(=O)[C@@H](OC(C)=O)C1=CC=CC=C1)C1CCCCC1)C2(C)C Chemical compound C=CCNC(=O)C(=O)C(CCC)NC(=O)[C@@H]1[C@@H]2C(CN1C(=O)[C@@H](NC(=O)[C@@H](OC(C)=O)C1=CC=CC=C1)C1CCCCC1)C2(C)C OMYYIPOVYVGYGJ-OPWGWMNQSA-N 0.000 description 1
- YLXSFUSMWLSXBB-AUHZBWOVSA-N C=CCNC(=O)C(=O)C(CCC)NC(=O)[C@@H]1[C@@H]2C(CN1C(=O)[C@@H](NS(=O)(=O)C(C)C)C(C)(C)C)C2(C)C Chemical compound C=CCNC(=O)C(=O)C(CCC)NC(=O)[C@@H]1[C@@H]2C(CN1C(=O)[C@@H](NS(=O)(=O)C(C)C)C(C)(C)C)C2(C)C YLXSFUSMWLSXBB-AUHZBWOVSA-N 0.000 description 1
- RKIOUBLUZGUSCW-KYGQKAMUSA-N C=CCNC(=O)C(=O)C(CCC)NC(=O)[C@@H]1[C@@H]2C(CN1[C@@H](O)[C@@H](NC(=O)OC(C)C(C)C)C1CCCCC1)C2(C)C Chemical compound C=CCNC(=O)C(=O)C(CCC)NC(=O)[C@@H]1[C@@H]2C(CN1[C@@H](O)[C@@H](NC(=O)OC(C)C(C)C)C1CCCCC1)C2(C)C RKIOUBLUZGUSCW-KYGQKAMUSA-N 0.000 description 1
- MHRVJUPYDCZFDX-KLYMBLKMSA-N C=CCNC(=O)C(=O)C(CCC)NC(=O)[C@@H]1[C@@H]2[C@H](CN1C(=O)[C@@H](NC(=O)OC(C)(C)C)C1CCCCC1)C2(C)C Chemical compound C=CCNC(=O)C(=O)C(CCC)NC(=O)[C@@H]1[C@@H]2[C@H](CN1C(=O)[C@@H](NC(=O)OC(C)(C)C)C1CCCCC1)C2(C)C MHRVJUPYDCZFDX-KLYMBLKMSA-N 0.000 description 1
- DHMGEFPQLKGPKB-UHFFFAOYSA-N C=CCNC(=O)C(=O)C(CCC1=CC=CC=C1)NC(=O)C1C2C(CN1C(=O)C(NC(=O)OC(C)(C)C)C1CCC(F)(F)CC1)C2(C)C Chemical compound C=CCNC(=O)C(=O)C(CCC1=CC=CC=C1)NC(=O)C1C2C(CN1C(=O)C(NC(=O)OC(C)(C)C)C1CCC(F)(F)CC1)C2(C)C DHMGEFPQLKGPKB-UHFFFAOYSA-N 0.000 description 1
- RTSNZMSYCQKDJB-DWIGDERUSA-N C=CCNC(=O)C(=O)C(CCC1CC1)NC(=O)[C@@H]1C2[C@H](CN1C(=O)[C@@H](NC(=O)OC(C)(C)C)C(C)(C)C)C2(C)C Chemical compound C=CCNC(=O)C(=O)C(CCC1CC1)NC(=O)[C@@H]1C2[C@H](CN1C(=O)[C@@H](NC(=O)OC(C)(C)C)C(C)(C)C)C2(C)C RTSNZMSYCQKDJB-DWIGDERUSA-N 0.000 description 1
- YQQHRPHWQXTJDV-CBYFEGAYSA-N C=CCNC(=O)C(=O)C(CCC1CC1)NC(=O)[C@@H]1[C@@H]2C(CN1C(=O)[C@@H](NC(=O)OC(C)(C)C)C1CCCCC1)C2(C)C Chemical compound C=CCNC(=O)C(=O)C(CCC1CC1)NC(=O)[C@@H]1[C@@H]2C(CN1C(=O)[C@@H](NC(=O)OC(C)(C)C)C1CCCCC1)C2(C)C YQQHRPHWQXTJDV-CBYFEGAYSA-N 0.000 description 1
- ULMGXSCWSZKVAJ-ZEWQUOHESA-N C=CCNC(=O)C(=O)C(CCCC)NC(=O)C1C[C@@H](CCC(C)C)CN1C(=O)[C@@H](NC(=O)OC(C)(C)C)C(C)(C)C Chemical compound C=CCNC(=O)C(=O)C(CCCC)NC(=O)C1C[C@@H](CCC(C)C)CN1C(=O)[C@@H](NC(=O)OC(C)(C)C)C(C)(C)C ULMGXSCWSZKVAJ-ZEWQUOHESA-N 0.000 description 1
- SPMIHGXFEDKYPL-MNCQZSHMSA-N C=CCNC(=O)C(=O)C(CCCC)NC(=O)C1[C@H]2OC(C)(C)O[C@H]2CN1C(=O)[C@@H](NC(=O)OC(C)(C)C)C(C)(C)C Chemical compound C=CCNC(=O)C(=O)C(CCCC)NC(=O)C1[C@H]2OC(C)(C)O[C@H]2CN1C(=O)[C@@H](NC(=O)OC(C)(C)C)C(C)(C)C SPMIHGXFEDKYPL-MNCQZSHMSA-N 0.000 description 1
- PFAQKIAMPTUKMT-XWCYNJGWSA-N C=CCNC(=O)C(=O)C(CCCC)NC(=O)[C@@H]1C2C(CN1C(=O)[C@@H](NC(=O)OC(C)(C)C)C(C)(C)C)C2(C)C Chemical compound C=CCNC(=O)C(=O)C(CCCC)NC(=O)[C@@H]1C2C(CN1C(=O)[C@@H](NC(=O)OC(C)(C)C)C(C)(C)C)C2(C)C PFAQKIAMPTUKMT-XWCYNJGWSA-N 0.000 description 1
- BQKBCYKFKRKKBW-SCCNAQOGSA-N C=CCNC(=O)C(=O)C(CCCC)NC(=O)[C@@H]1CC(C)(C)CN1C(=O)C(NC(=O)OC(C)(C)C)C(C)(C)C Chemical compound C=CCNC(=O)C(=O)C(CCCC)NC(=O)[C@@H]1CC(C)(C)CN1C(=O)C(NC(=O)OC(C)(C)C)C(C)(C)C BQKBCYKFKRKKBW-SCCNAQOGSA-N 0.000 description 1
- DCHMWZLAQPVJQX-VNWRSKMZSA-N C=CCNC(=O)C(=O)C(CCCC)NC(=O)[C@@H]1[C@@H](OC(C)(C)C)CCN1C(=O)[C@@H](NC(=O)OC(C)(C)C)C(C)(C)C Chemical compound C=CCNC(=O)C(=O)C(CCCC)NC(=O)[C@@H]1[C@@H](OC(C)(C)C)CCN1C(=O)[C@@H](NC(=O)OC(C)(C)C)C(C)(C)C DCHMWZLAQPVJQX-VNWRSKMZSA-N 0.000 description 1
- AARQANDKERSYQD-USSJPZKSSA-N C=CCNC(=O)C(=O)C(COC)NC(=O)[C@@H]1[C@@H]2[C@H](CN1C(=O)[C@@H](NC(=O)OC(C)(C)C)C1CCCCC1)C2(C)C Chemical compound C=CCNC(=O)C(=O)C(COC)NC(=O)[C@@H]1[C@@H]2[C@H](CN1C(=O)[C@@H](NC(=O)OC(C)(C)C)C1CCCCC1)C2(C)C AARQANDKERSYQD-USSJPZKSSA-N 0.000 description 1
- XDRMWDLTOVOJMD-OOKSDGMUSA-N C=CCNC(=O)C(=O)C1(NC(=O)[C@@H]2C3[C@H](CN2C(=O)[C@@H](NC(=O)OC(C)(C)C)C(C)(C)C)C3(C)C)CC1 Chemical compound C=CCNC(=O)C(=O)C1(NC(=O)[C@@H]2C3[C@H](CN2C(=O)[C@@H](NC(=O)OC(C)(C)C)C(C)(C)C)C3(C)C)CC1 XDRMWDLTOVOJMD-OOKSDGMUSA-N 0.000 description 1
- SCXUTFYPNKLDPN-ORTRUDSISA-N C=CCNC(=O)C(=O)[C@@H](CC#CC)NC(=O)[C@@H]1C2C(CN1C(=O)[C@@H](NC(=O)OC(C)(C)C)C(C)(C)C)C2(C)C Chemical compound C=CCNC(=O)C(=O)[C@@H](CC#CC)NC(=O)[C@@H]1C2C(CN1C(=O)[C@@H](NC(=O)OC(C)(C)C)C(C)(C)C)C2(C)C SCXUTFYPNKLDPN-ORTRUDSISA-N 0.000 description 1
- BMBDANNYLHUOKI-REEIFEBFSA-N C=CCNC(=O)C(=O)[C@@H](CCC)NC(=O)C1[C@@H]2C(CN1C(=O)C(CC(C)(C)C)NC(=O)OC(C)(C)C)C2(C)C Chemical compound C=CCNC(=O)C(=O)[C@@H](CCC)NC(=O)C1[C@@H]2C(CN1C(=O)C(CC(C)(C)C)NC(=O)OC(C)(C)C)C2(C)C BMBDANNYLHUOKI-REEIFEBFSA-N 0.000 description 1
- CLTJBSSFCSVXBS-SPPIJZGPSA-N C=CCNC(=O)C(=O)[C@@H](CCC)NC(=O)[C@@H]1C2[C@H](CN1C(=O)C(NC(=O)NC(C)(C)C)C(C)C)C2(C)C Chemical compound C=CCNC(=O)C(=O)[C@@H](CCC)NC(=O)[C@@H]1C2[C@H](CN1C(=O)C(NC(=O)NC(C)(C)C)C(C)C)C2(C)C CLTJBSSFCSVXBS-SPPIJZGPSA-N 0.000 description 1
- ZUPDBHCRXASDDI-XIYYMQOSSA-N C=CCNC(=O)C(=O)[C@@H](CCC)NC(=O)[C@@H]1C2[C@H](CN1C(=O)C(NC(=O)OC1CCC(C)C1)C(C)(C)C)C2(C)C Chemical compound C=CCNC(=O)C(=O)[C@@H](CCC)NC(=O)[C@@H]1C2[C@H](CN1C(=O)C(NC(=O)OC1CCC(C)C1)C(C)(C)C)C2(C)C ZUPDBHCRXASDDI-XIYYMQOSSA-N 0.000 description 1
- HLHFTWVAGJGURJ-XBRIEZIWSA-N C=CCNC(=O)C(=O)[C@@H](CCC)NC(=O)[C@@H]1C2[C@H](CN1C(=O)[C@@H](NC(=O)OC1CCC(C)(C)C1)C(C)(C)C)C2(C)C Chemical compound C=CCNC(=O)C(=O)[C@@H](CCC)NC(=O)[C@@H]1C2[C@H](CN1C(=O)[C@@H](NC(=O)OC1CCC(C)(C)C1)C(C)(C)C)C2(C)C HLHFTWVAGJGURJ-XBRIEZIWSA-N 0.000 description 1
- FHYKEPJPNBESTD-LRHTYFCCSA-N C=CCNC(=O)C(=O)[C@@H](CCC)NC(=O)[C@@H]1[C@@H]2C(CN1C(=O)[C@@H](NC(=O)NC(C)(C)C)C(C)(C)C)C2(C)C Chemical compound C=CCNC(=O)C(=O)[C@@H](CCC)NC(=O)[C@@H]1[C@@H]2C(CN1C(=O)[C@@H](NC(=O)NC(C)(C)C)C(C)(C)C)C2(C)C FHYKEPJPNBESTD-LRHTYFCCSA-N 0.000 description 1
- HPFSAHVJWOZGPC-TXUWIWCQSA-N C=CCNC(=O)C(=O)[C@@H](CCC)NC(=O)[C@@H]1[C@@H]2C(CN1C(=O)[C@@H](NC(=O)NC(C)(C)C)C1CCCCC1)C2(C)C Chemical compound C=CCNC(=O)C(=O)[C@@H](CCC)NC(=O)[C@@H]1[C@@H]2C(CN1C(=O)[C@@H](NC(=O)NC(C)(C)C)C1CCCCC1)C2(C)C HPFSAHVJWOZGPC-TXUWIWCQSA-N 0.000 description 1
- FLSPQXRXMNYBPD-AIPWLVHISA-N C=CCNC(=O)C(=O)[C@@H](CCC)NC(=O)[C@@H]1[C@@H]2C(CN1C(=O)[C@@H](NC(=O)OC(C)(C)C)C(C)C)C2(C)C Chemical compound C=CCNC(=O)C(=O)[C@@H](CCC)NC(=O)[C@@H]1[C@@H]2C(CN1C(=O)[C@@H](NC(=O)OC(C)(C)C)C(C)C)C2(C)C FLSPQXRXMNYBPD-AIPWLVHISA-N 0.000 description 1
- ZYAQWQZBYGIOES-AIPWLVHISA-N C=CCNC(=O)C(=O)[C@@H](CCC)NC(=O)[C@@H]1[C@@H]2C(CN1C(=O)[C@@H](NC(=O)OC(C)(C)C)C1CC1)C2(C)C Chemical compound C=CCNC(=O)C(=O)[C@@H](CCC)NC(=O)[C@@H]1[C@@H]2C(CN1C(=O)[C@@H](NC(=O)OC(C)(C)C)C1CC1)C2(C)C ZYAQWQZBYGIOES-AIPWLVHISA-N 0.000 description 1
- BPYLPMYMALNTOB-WZSRZZHVSA-N C=CCNC(=O)C(=O)[C@@H](CCC)NC(=O)[C@@H]1[C@@H]2C(CN1C(=O)[C@H](C(C)C)N(C)C(=O)OC(C)(C)C)C2(C)C Chemical compound C=CCNC(=O)C(=O)[C@@H](CCC)NC(=O)[C@@H]1[C@@H]2C(CN1C(=O)[C@H](C(C)C)N(C)C(=O)OC(C)(C)C)C2(C)C BPYLPMYMALNTOB-WZSRZZHVSA-N 0.000 description 1
- YWKTVJXXWPEHRI-LTXNUXGNSA-N C=CCNC(=O)C(=O)[C@@H](CCC)NC(=O)[C@@H]1[C@@H]2[C@H](CN1C(=O)[C@@H](NC(=O)C(CC(C)C)NS(C)(=O)=O)C(C)(C)C)C2(C)C Chemical compound C=CCNC(=O)C(=O)[C@@H](CCC)NC(=O)[C@@H]1[C@@H]2[C@H](CN1C(=O)[C@@H](NC(=O)C(CC(C)C)NS(C)(=O)=O)C(C)(C)C)C2(C)C YWKTVJXXWPEHRI-LTXNUXGNSA-N 0.000 description 1
- YCHKEUXVTKEFBG-BEQZQCNLSA-N C=CCNC(=O)C(=O)[C@@H](CCC)NC(=O)[C@@H]1[C@@H]2[C@H](CN1C(=O)[C@@H](NC(=O)[C@H](CC(C)C)NS(C)(=O)=O)C1CCCCC1)C2(C)C Chemical compound C=CCNC(=O)C(=O)[C@@H](CCC)NC(=O)[C@@H]1[C@@H]2[C@H](CN1C(=O)[C@@H](NC(=O)[C@H](CC(C)C)NS(C)(=O)=O)C1CCCCC1)C2(C)C YCHKEUXVTKEFBG-BEQZQCNLSA-N 0.000 description 1
- TXLCBERMOHLJFY-KBPBESRZSA-N C=CCNC(=O)C(=O)[C@H](CCC)NC(=O)[C@@H]1CCCN1C(=O)OC(C)(C)C Chemical compound C=CCNC(=O)C(=O)[C@H](CCC)NC(=O)[C@@H]1CCCN1C(=O)OC(C)(C)C TXLCBERMOHLJFY-KBPBESRZSA-N 0.000 description 1
- IQDCBQWOLUDPEV-ZDLLLCJNSA-N C=CCNC(=O)C(=O)[C@H](CCC)NC(=O)[C@@H]1CCCN1C(=O)[C@@H](NC(=O)/C=C/C1=CC(CC)=C(OC)C(OC)=C1)C(C)C Chemical compound C=CCNC(=O)C(=O)[C@H](CCC)NC(=O)[C@@H]1CCCN1C(=O)[C@@H](NC(=O)/C=C/C1=CC(CC)=C(OC)C(OC)=C1)C(C)C IQDCBQWOLUDPEV-ZDLLLCJNSA-N 0.000 description 1
- KBLLRARULGSRFJ-WPOPZESYSA-N C=CCNC(=O)C(=O)[C@H](CCC)NC(=O)[C@@H]1CCCN1C(=O)[C@@H](NC(=O)C1CCCO1)C(C)C Chemical compound C=CCNC(=O)C(=O)[C@H](CCC)NC(=O)[C@@H]1CCCN1C(=O)[C@@H](NC(=O)C1CCCO1)C(C)C KBLLRARULGSRFJ-WPOPZESYSA-N 0.000 description 1
- OJHKGCNCBVMYOI-KLJDGLGGSA-N C=CCNC(=O)C(=O)[C@H](CCC)NC(=O)[C@@H]1CCCN1C(=O)[C@@H](NC(=O)CCCCCC1=CC=CC=C1)C(C)C Chemical compound C=CCNC(=O)C(=O)[C@H](CCC)NC(=O)[C@@H]1CCCN1C(=O)[C@@H](NC(=O)CCCCCC1=CC=CC=C1)C(C)C OJHKGCNCBVMYOI-KLJDGLGGSA-N 0.000 description 1
- DAYAPKSYZHEPBX-JPLJXNOCSA-N C=CCNC(=O)C(=O)[C@H](CCC)NC(=O)[C@@H]1CCCN1C(=O)[C@@H](NC(=O)CCC[C@H](N)C(=O)O)C(C)C Chemical compound C=CCNC(=O)C(=O)[C@H](CCC)NC(=O)[C@@H]1CCCN1C(=O)[C@@H](NC(=O)CCC[C@H](N)C(=O)O)C(C)C DAYAPKSYZHEPBX-JPLJXNOCSA-N 0.000 description 1
- NDHOLCFVGUKXRH-SUGCFTRWSA-N C=CCNC(=O)C(=O)[C@H](CCC)NC(=O)[C@@H]1CCCN1C(=O)[C@@H](NC(=O)CCC[C@H](NC(=O)OCC1=CC=CC=C1)C(=O)OCC1=CC=CC=C1)C(C)C Chemical compound C=CCNC(=O)C(=O)[C@H](CCC)NC(=O)[C@@H]1CCCN1C(=O)[C@@H](NC(=O)CCC[C@H](NC(=O)OCC1=CC=CC=C1)C(=O)OCC1=CC=CC=C1)C(C)C NDHOLCFVGUKXRH-SUGCFTRWSA-N 0.000 description 1
- LLUBITMDKDJCTO-DWRORGKVSA-N C=CCNC(=O)C(=O)[C@H](CCC)NC(=O)[C@@H]1CCCN1C(=O)[C@@H](NC(=O)CC[C@H](N)C(=O)O)C(C)C Chemical compound C=CCNC(=O)C(=O)[C@H](CCC)NC(=O)[C@@H]1CCCN1C(=O)[C@@H](NC(=O)CC[C@H](N)C(=O)O)C(C)C LLUBITMDKDJCTO-DWRORGKVSA-N 0.000 description 1
- JBCACBKPWLKICY-IGRGDXOOSA-N C=CCNC(=O)C(=O)[C@H](CCC)NC(=O)[C@@H]1CCCN1C(=O)[C@@H](NC(=O)CC[C@H](NC(=O)OCC1=CC=CC=C1)C(=O)O)C(C)C Chemical compound C=CCNC(=O)C(=O)[C@H](CCC)NC(=O)[C@@H]1CCCN1C(=O)[C@@H](NC(=O)CC[C@H](NC(=O)OCC1=CC=CC=C1)C(=O)O)C(C)C JBCACBKPWLKICY-IGRGDXOOSA-N 0.000 description 1
- HCPKNUFBUTXSFZ-QFVIIZQESA-N C=CCNC(=O)C(=O)[C@H](CCC)NC(=O)[C@@H]1CCCN1C(=O)[C@@H](NC(=O)CC[C@H](NC(=O)OCC1=CC=CC=C1)C(=O)OC(C)(C)C)C(C)C Chemical compound C=CCNC(=O)C(=O)[C@H](CCC)NC(=O)[C@@H]1CCCN1C(=O)[C@@H](NC(=O)CC[C@H](NC(=O)OCC1=CC=CC=C1)C(=O)OC(C)(C)C)C(C)C HCPKNUFBUTXSFZ-QFVIIZQESA-N 0.000 description 1
- XZCUNTNUZYCXLL-INZDBNIQSA-N C=CCNC(=O)C(=O)[C@H](CCC)NC(=O)[C@@H]1CCCN1C(=O)[C@@H](NC(=O)O[C@H]1C[C@@H](C)CC[C@@H]1C(C)C)C(C)C Chemical compound C=CCNC(=O)C(=O)[C@H](CCC)NC(=O)[C@@H]1CCCN1C(=O)[C@@H](NC(=O)O[C@H]1C[C@@H](C)CC[C@@H]1C(C)C)C(C)C XZCUNTNUZYCXLL-INZDBNIQSA-N 0.000 description 1
- HGCBEEXMNLUIFX-IWNGNQFBSA-N C=CCNC(=O)CNC(=O)C(=O)C(CCC)NC(=O)[C@@H]1C2[C@H](CN1C(=O)[C@@H](NC(=O)OC(C)(C)C)C(C)(C)C)C2(C)C Chemical compound C=CCNC(=O)CNC(=O)C(=O)C(CCC)NC(=O)[C@@H]1C2[C@H](CN1C(=O)[C@@H](NC(=O)OC(C)(C)C)C(C)(C)C)C2(C)C HGCBEEXMNLUIFX-IWNGNQFBSA-N 0.000 description 1
- MAYOBDNXDSSLKB-UHFFFAOYSA-N C=CCNC(O)C(=O)C(CCC)NC(=O)C1C2C(CN1C(=O)C(CCCC(=O)OC(C)(C)C)NC(=O)OCC(C)C)C2(C)C Chemical compound C=CCNC(O)C(=O)C(CCC)NC(=O)C1C2C(CN1C(=O)C(CCCC(=O)OC(C)(C)C)NC(=O)OCC(C)C)C2(C)C MAYOBDNXDSSLKB-UHFFFAOYSA-N 0.000 description 1
- STWXKQVKQFWBLS-UHFFFAOYSA-N C=CCOC(=O)CNC(=O)C(=NNC(=O)NC(C1=CC=CC=C1)C1=CC=CC=C1)C(CCC)NC(=O)OCC1C2=C(C=CC=C2)C2=C1C=CC=C2.C=CCOC(=O)CNC(=O)C(=O)C(CCC)NC(=O)OCC1C2=C(C=CC=C2)C2=C1C=CC=C2 Chemical compound C=CCOC(=O)CNC(=O)C(=NNC(=O)NC(C1=CC=CC=C1)C1=CC=CC=C1)C(CCC)NC(=O)OCC1C2=C(C=CC=C2)C2=C1C=CC=C2.C=CCOC(=O)CNC(=O)C(=O)C(CCC)NC(=O)OCC1C2=C(C=CC=C2)C2=C1C=CC=C2 STWXKQVKQFWBLS-UHFFFAOYSA-N 0.000 description 1
- HSCIQFAKLVQWQS-UHFFFAOYSA-N C=CCOC(=O)CNC(=O)C(=NNC(=O)NC(C1=CC=CC=C1)C1=CC=CC=C1)C(CCC)NC(=O)OCC1C2=C(C=CC=C2)C2=C1C=CC=C2.CCCC(NC(=O)OCC1C2=C(C=CC=C2)C2=C1C=CC=C2)C(=NNC(=O)NC(C1=CC=CC=C1)C1=CC=CC=C1)C(=O)NCC(=O)O Chemical compound C=CCOC(=O)CNC(=O)C(=NNC(=O)NC(C1=CC=CC=C1)C1=CC=CC=C1)C(CCC)NC(=O)OCC1C2=C(C=CC=C2)C2=C1C=CC=C2.CCCC(NC(=O)OCC1C2=C(C=CC=C2)C2=C1C=CC=C2)C(=NNC(=O)NC(C1=CC=CC=C1)C1=CC=CC=C1)C(=O)NCC(=O)O HSCIQFAKLVQWQS-UHFFFAOYSA-N 0.000 description 1
- LPFFZNHRNIBHDB-UHFFFAOYSA-N C=CCOC(=O)CNC(=O)C(=O)C(CCC)NC(=O)OCC1C2=C(C=CC=C2)C2=C1C=CC=C2.C=CCOC(=O)CNC(=O)C(O)C(CCC)NC(=O)OCC1C2=C(C=CC=C2)C2=C1C=CC=C2 Chemical compound C=CCOC(=O)CNC(=O)C(=O)C(CCC)NC(=O)OCC1C2=C(C=CC=C2)C2=C1C=CC=C2.C=CCOC(=O)CNC(=O)C(O)C(CCC)NC(=O)OCC1C2=C(C=CC=C2)C2=C1C=CC=C2 LPFFZNHRNIBHDB-UHFFFAOYSA-N 0.000 description 1
- HMJQMFMHIRLMEP-NYQVKTLWSA-N C=CCOC(=O)CNC(=O)C(=O)C(CCC)NC(=O)[C@@H]1CCCN1C(=O)C(NC(=O)OCC1C2=CC=CC=C2C2=C1C=CC=C2)C1C2=CC=CC=C2CCC2=C1C=CC=C2 Chemical compound C=CCOC(=O)CNC(=O)C(=O)C(CCC)NC(=O)[C@@H]1CCCN1C(=O)C(NC(=O)OCC1C2=CC=CC=C2C2=C1C=CC=C2)C1C2=CC=CC=C2CCC2=C1C=CC=C2 HMJQMFMHIRLMEP-NYQVKTLWSA-N 0.000 description 1
- ZDKWPJGHBFDJHV-CPRJBALCSA-N C=CCOC(=O)CNC(=O)C(=O)C(CCC)NC(=O)[C@@H]1CCCN1C(=O)C1=CC=C(N2CCN(C(=O)C3=CC=CC=C3)CC2)C=C1 Chemical compound C=CCOC(=O)CNC(=O)C(=O)C(CCC)NC(=O)[C@@H]1CCCN1C(=O)C1=CC=C(N2CCN(C(=O)C3=CC=CC=C3)CC2)C=C1 ZDKWPJGHBFDJHV-CPRJBALCSA-N 0.000 description 1
- CKJYTSSFKROVJN-BBMPLOMVSA-N C=CCOC(=O)CNC(=O)C(=O)C(CCC)NC(=O)[C@@H]1CCCN1C(=O)C1=CC=C(N2CCN(C(=O)OC(C)(C)C)CC2)C=C1 Chemical compound C=CCOC(=O)CNC(=O)C(=O)C(CCC)NC(=O)[C@@H]1CCCN1C(=O)C1=CC=C(N2CCN(C(=O)OC(C)(C)C)CC2)C=C1 CKJYTSSFKROVJN-BBMPLOMVSA-N 0.000 description 1
- QLJJJKSBFNNUNY-DCYPJBMNSA-N C=CCOC(=O)CNC(=O)C(=O)C(CCC)NC(=O)[C@@H]1CCCN1C(=O)C1=CC=C(N2CCN(C(=O)[C@H](CCC(=O)O)NC(C)=O)CC2)C=C1 Chemical compound C=CCOC(=O)CNC(=O)C(=O)C(CCC)NC(=O)[C@@H]1CCCN1C(=O)C1=CC=C(N2CCN(C(=O)[C@H](CCC(=O)O)NC(C)=O)CC2)C=C1 QLJJJKSBFNNUNY-DCYPJBMNSA-N 0.000 description 1
- RRMMZHJLJOWDLF-RBJMMZEMSA-N C=CCOC(=O)CNC(=O)C(=O)C(CCC)NC(=O)[C@@H]1CCCN1C(=O)C1=CC=C(N2CCN(C(O)[C@H](CCC(=O)OC(C)(C)C)NC(C)=O)CC2)C=C1 Chemical compound C=CCOC(=O)CNC(=O)C(=O)C(CCC)NC(=O)[C@@H]1CCCN1C(=O)C1=CC=C(N2CCN(C(O)[C@H](CCC(=O)OC(C)(C)C)NC(C)=O)CC2)C=C1 RRMMZHJLJOWDLF-RBJMMZEMSA-N 0.000 description 1
- ATWCMCIRZQOLBP-KEKNWZKVSA-N C=CCOC(=O)CNC(=O)C(=O)C(CCC)NC(=O)[C@@H]1CCCN1C(=O)C1=CC=C(N2CCNCC2)C=C1 Chemical compound C=CCOC(=O)CNC(=O)C(=O)C(CCC)NC(=O)[C@@H]1CCCN1C(=O)C1=CC=C(N2CCNCC2)C=C1 ATWCMCIRZQOLBP-KEKNWZKVSA-N 0.000 description 1
- BLCCQTSZYMWTDF-PAGQWHICSA-N C=CCOC(=O)CNC(=O)C(=O)C(CCC)NC(=O)[C@@H]1CCCN1C(=O)[C@@H](NC(=O)C1=NC(OC)=CC=C1OC)C1CCCCC1 Chemical compound C=CCOC(=O)CNC(=O)C(=O)C(CCC)NC(=O)[C@@H]1CCCN1C(=O)[C@@H](NC(=O)C1=NC(OC)=CC=C1OC)C1CCCCC1 BLCCQTSZYMWTDF-PAGQWHICSA-N 0.000 description 1
- MEQKWQLPMWQOHT-HEIGWGIGSA-N C=CCOC(=O)CNC(=O)C(=O)C(CCC)NC(=O)[C@@H]1CCCN1C(=O)[C@@H](NC(=O)C1=NC=CN=C1)C1CCCCC1 Chemical compound C=CCOC(=O)CNC(=O)C(=O)C(CCC)NC(=O)[C@@H]1CCCN1C(=O)[C@@H](NC(=O)C1=NC=CN=C1)C1CCCCC1 MEQKWQLPMWQOHT-HEIGWGIGSA-N 0.000 description 1
- GPEZBYWBCTVUQB-ZXNYFWILSA-N C=CCOC(=O)CNC(=O)C(=O)C(CCC)NC(=O)[C@@H]1CCCN1C(=O)[C@@H](NC(=O)OC(C)(C)C)C1CCCCC1 Chemical compound C=CCOC(=O)CNC(=O)C(=O)C(CCC)NC(=O)[C@@H]1CCCN1C(=O)[C@@H](NC(=O)OC(C)(C)C)C1CCCCC1 GPEZBYWBCTVUQB-ZXNYFWILSA-N 0.000 description 1
- YZYFBMSVFXKUTR-XICMLOBYSA-N C=CCOC(=O)CNC(=O)C(=O)C(CCC)NC(=O)[C@@H]1CCCN1C(=O)[C@@H](NC(=O)OC1=CC=C(C(=O)OC)C=C1)C1CCCCC1 Chemical compound C=CCOC(=O)CNC(=O)C(=O)C(CCC)NC(=O)[C@@H]1CCCN1C(=O)[C@@H](NC(=O)OC1=CC=C(C(=O)OC)C=C1)C1CCCCC1 YZYFBMSVFXKUTR-XICMLOBYSA-N 0.000 description 1
- VBXAGILFBJRBQQ-OVOHSDETSA-N C=CCOC(=O)CNC(=O)C(=O)C(CCC)NC(=O)[C@@H]1CCCN1C(=O)[C@@H](NC(=O)OCC(C)C)C1CCCCC1 Chemical compound C=CCOC(=O)CNC(=O)C(=O)C(CCC)NC(=O)[C@@H]1CCCN1C(=O)[C@@H](NC(=O)OCC(C)C)C1CCCCC1 VBXAGILFBJRBQQ-OVOHSDETSA-N 0.000 description 1
- CYBJDYUXEOSYIU-AFUJVPCRSA-N C=CCOC(=O)CNC(=O)C(=O)C(CCC)NC(=O)[C@@H]1CCCN1C(=O)[C@@H](NC(=O)[C@@H](N)C(C)C)C(C)C Chemical compound C=CCOC(=O)CNC(=O)C(=O)C(CCC)NC(=O)[C@@H]1CCCN1C(=O)[C@@H](NC(=O)[C@@H](N)C(C)C)C(C)C CYBJDYUXEOSYIU-AFUJVPCRSA-N 0.000 description 1
- UQOHXTUPOBHMGU-OUBFZVOWSA-N C=CCOC(=O)CNC(=O)C(=O)C(CCC)NC(=O)[C@@H]1CCCN1C(=O)[C@@H](NC(=O)[C@@H](NC(=O)C1=NC(OC)=CC=C1OC)C(C)C)C1CCCCC1 Chemical compound C=CCOC(=O)CNC(=O)C(=O)C(CCC)NC(=O)[C@@H]1CCCN1C(=O)[C@@H](NC(=O)[C@@H](NC(=O)C1=NC(OC)=CC=C1OC)C(C)C)C1CCCCC1 UQOHXTUPOBHMGU-OUBFZVOWSA-N 0.000 description 1
- DUUSFGUOJOLWTK-KRCGVWOTSA-N C=CCOC(=O)CNC(=O)C(=O)C(CCC)NC(=O)[C@@H]1CCCN1C(=O)[C@@H](NC(=O)[C@@H](NC(=O)OC(C)(C)C)C(C)C)C(C)C Chemical compound C=CCOC(=O)CNC(=O)C(=O)C(CCC)NC(=O)[C@@H]1CCCN1C(=O)[C@@H](NC(=O)[C@@H](NC(=O)OC(C)(C)C)C(C)C)C(C)C DUUSFGUOJOLWTK-KRCGVWOTSA-N 0.000 description 1
- XXHXYWSREBTMCW-NIPJVVQSSA-N C=CCOC(=O)CNC(=O)C(=O)C(CCC)NC(=O)[C@@H]1CCCN1C(=O)[C@@H](NC(=O)[C@@H](NC(C)=O)C(C)C)C(C)C Chemical compound C=CCOC(=O)CNC(=O)C(=O)C(CCC)NC(=O)[C@@H]1CCCN1C(=O)[C@@H](NC(=O)[C@@H](NC(C)=O)C(C)C)C(C)C XXHXYWSREBTMCW-NIPJVVQSSA-N 0.000 description 1
- SWOGEQNTOHDFEQ-NGTSOPNQSA-N C=CCOC(=O)CNC(=O)C(=O)C(CCC)NC(=O)[C@@H]1CCCN1C(=O)[C@@H](NC(=O)[C@H](CC(C)C)NC(=O)OCC1=CC=CC=C1)C1CCCCC1 Chemical compound C=CCOC(=O)CNC(=O)C(=O)C(CCC)NC(=O)[C@@H]1CCCN1C(=O)[C@@H](NC(=O)[C@H](CC(C)C)NC(=O)OCC1=CC=CC=C1)C1CCCCC1 SWOGEQNTOHDFEQ-NGTSOPNQSA-N 0.000 description 1
- DOJIWHHRAKATFI-GFRIUCOISA-N C=CCOC(=O)CNC(=O)C(=O)C(CCC)NC(=O)[C@@H]1C[C@@H](OC(C)(C)C)CN1C(=O)OCC1C2=C(C=CC=C2)C2=C1C=CC=C2 Chemical compound C=CCOC(=O)CNC(=O)C(=O)C(CCC)NC(=O)[C@@H]1C[C@@H](OC(C)(C)C)CN1C(=O)OCC1C2=C(C=CC=C2)C2=C1C=CC=C2 DOJIWHHRAKATFI-GFRIUCOISA-N 0.000 description 1
- QKOMROIVPZYRCH-TVSRUNRJSA-N C=CCOC(=O)CNC(=O)C(=O)C(CCC)NC(=O)[C@@H]1C[C@@H]2CCCC[C@@H]2N1C(=O)C(NC(=O)OC(C)(C)C)C1CCCCC1 Chemical compound C=CCOC(=O)CNC(=O)C(=O)C(CCC)NC(=O)[C@@H]1C[C@@H]2CCCC[C@@H]2N1C(=O)C(NC(=O)OC(C)(C)C)C1CCCCC1 QKOMROIVPZYRCH-TVSRUNRJSA-N 0.000 description 1
- FRHBREANOBUTSR-RNLLHNEJSA-N C=CCOC(=O)CNC(=O)C(=O)C(CCC)NC(=O)[C@@H]1C[C@@H]2CCCC[C@@H]2N1C(=O)OC(C)(C)C Chemical compound C=CCOC(=O)CNC(=O)C(=O)C(CCC)NC(=O)[C@@H]1C[C@@H]2CCCC[C@@H]2N1C(=O)OC(C)(C)C FRHBREANOBUTSR-RNLLHNEJSA-N 0.000 description 1
- RJKWEVKMSQTYBS-STQWGSIPSA-N C=CCOC(=O)CNC(=O)C(=O)[C@H](CCC)NC(=O)[C@@H]1C[C@@H](OCC(=O)OC(C)(C)C)CN1C(=O)OCC1C2=C(C=CC=C2)C2=C1C=CC=C2 Chemical compound C=CCOC(=O)CNC(=O)C(=O)[C@H](CCC)NC(=O)[C@@H]1C[C@@H](OCC(=O)OC(C)(C)C)CN1C(=O)OCC1C2=C(C=CC=C2)C2=C1C=CC=C2 RJKWEVKMSQTYBS-STQWGSIPSA-N 0.000 description 1
- IKYTXARANZVOSO-UHFFFAOYSA-N C=CCOC(=O)CNC(=O)C(O)C(CCC)NC(=O)OCC1C2=C(C=CC=C2)C2=C1C=CC=C2.[H]C(=O)C(CCC)NC(=O)OCC1C2=C(C=CC=C2)C2=C1C=CC=C2 Chemical compound C=CCOC(=O)CNC(=O)C(O)C(CCC)NC(=O)OCC1C2=C(C=CC=C2)C2=C1C=CC=C2.[H]C(=O)C(CCC)NC(=O)OCC1C2=C(C=CC=C2)C2=C1C=CC=C2 IKYTXARANZVOSO-UHFFFAOYSA-N 0.000 description 1
- NDXIGFNBKLGIRI-ISEXJNJKSA-N C=CCONC(=O)C(=O)C(CC1CC1)NC(=O)[C@@H]1[C@@H]2C(CN1C(=O)[C@@H](NC(=O)OC(C)(C)C)C1CCCCC1)C2(C)C Chemical compound C=CCONC(=O)C(=O)C(CC1CC1)NC(=O)[C@@H]1[C@@H]2C(CN1C(=O)[C@@H](NC(=O)OC(C)(C)C)C1CCCCC1)C2(C)C NDXIGFNBKLGIRI-ISEXJNJKSA-N 0.000 description 1
- UEKVBRWKLFRWLG-RUDWHLCBSA-N C=CC[C@@H](NC(=O)[C@@H]1C2C(CN1C(=O)[C@@H](NC(=O)OC(C)(C)C)C1CCCC1)C2(C)C)C(=O)C(=O)OC Chemical compound C=CC[C@@H](NC(=O)[C@@H]1C2C(CN1C(=O)[C@@H](NC(=O)OC(C)(C)C)C1CCCC1)C2(C)C)C(=O)C(=O)OC UEKVBRWKLFRWLG-RUDWHLCBSA-N 0.000 description 1
- OKMCQEVQCYJIDO-HFRWVYDASA-N C=CC[C@H]1CCN(C(=O)[C@@H](CC(=O)OCC(C)C)C2CCCCC2)[C@@H]1C(=O)CC(CC1CC1)C(=O)C(=O)CCC(=O)N[C@H](C(=O)O)C1=CC=CC=C1.CC(C)COC(=O)C[C@H](C(=O)N1CC2(C[C@H]1C(=O)CC(CC1CC1)C(=O)C(=O)CCC(=O)N[C@H](C(=O)N(C)C)C1=CC=CC=C1)SCCCS2)C(C)(C)C.CCCC(CC(=O)[C@@H]1CC2(CN1C(=O)[C@@H](CC(=O)OCC(C)C)C(C)(C)C)SCCCS2)C(=O)C(=O)CCC(=O)N[C@H](C(C)=O)C1=CC=CC=C1.CCCC(CC(=O)[C@@H]1CC2(CN1C(=O)[C@@H](CC(=O)OCC(C)C)C(C)OCC1=CC=C(C(C)(C)C)C=C1)SCCCS2)C(=O)C(=O)CCC(=O)N[C@H](C(=O)O)C1=CC=CC=C1.CCCC(CC(=O)[C@@H]1CC2(CN1C(=O)[C@@H](CC(=O)[C@H](CC(C)C)NC(C)=O)C1CCCCC1)SCCCS2)C(=O)C(=O)CCC(=O)N[C@H](C(C)=O)C1=CC=CC=C1 Chemical compound C=CC[C@H]1CCN(C(=O)[C@@H](CC(=O)OCC(C)C)C2CCCCC2)[C@@H]1C(=O)CC(CC1CC1)C(=O)C(=O)CCC(=O)N[C@H](C(=O)O)C1=CC=CC=C1.CC(C)COC(=O)C[C@H](C(=O)N1CC2(C[C@H]1C(=O)CC(CC1CC1)C(=O)C(=O)CCC(=O)N[C@H](C(=O)N(C)C)C1=CC=CC=C1)SCCCS2)C(C)(C)C.CCCC(CC(=O)[C@@H]1CC2(CN1C(=O)[C@@H](CC(=O)OCC(C)C)C(C)(C)C)SCCCS2)C(=O)C(=O)CCC(=O)N[C@H](C(C)=O)C1=CC=CC=C1.CCCC(CC(=O)[C@@H]1CC2(CN1C(=O)[C@@H](CC(=O)OCC(C)C)C(C)OCC1=CC=C(C(C)(C)C)C=C1)SCCCS2)C(=O)C(=O)CCC(=O)N[C@H](C(=O)O)C1=CC=CC=C1.CCCC(CC(=O)[C@@H]1CC2(CN1C(=O)[C@@H](CC(=O)[C@H](CC(C)C)NC(C)=O)C1CCCCC1)SCCCS2)C(=O)C(=O)CCC(=O)N[C@H](C(C)=O)C1=CC=CC=C1 OKMCQEVQCYJIDO-HFRWVYDASA-N 0.000 description 1
- URAUYAGPKPFLRH-WRUDMOSHSA-N C=CC[C@H]1CCN(C(=O)[C@@H](CC(=O)OCC(C)C)C2CCCCC2)[C@@H]1C(=O)CC(CCC)C(=O)C(=O)CCC(=O)NC(C(=O)O)C1=CC=CC=C1.CC(C)COC(=O)C[C@H](C(=O)N1CC2(C[C@H]1C(=O)CC(CC1CC1)C(=O)C(=O)CCC(=O)NC(C(=O)N(C)C)C1=CC=CC=C1)SCCCS2)C(C)(C)C.CC(C)COC(=O)C[C@H](C(=O)N1CC2(C[C@H]1C(=O)CC(CC1CC1)C(=O)C(=O)CCC(=O)NC(C(=O)O)C1=CC=CC=C1)SCCCS2)C1CCCCC1.CCCC(CC(=O)[C@@H]1CC(F)(F)CN1C(=O)[C@@H](CC(=O)OCC(C)C)C1CCCCC1)C(=O)C(=O)CCC(=O)NC(C(=O)O)C1=CC=CC=C1.CCCC(CC(=O)[C@@H]1CC2(CN1C(=O)[C@@H](CC(=O)OCC(C)C)C(C)OCC1=CC=C(C(C)(C)C)C=C1)SCCCS2)C(=O)C(=O)CCC(=O)NC(C(=O)O)C1=CC=CC=C1.CCCC(CC(=O)[C@@H]1CC2(CN1C(=O)[C@@H](CC(=O)OCC(C)C)C1CCCCC1)SCCS2)C(=O)C(=O)CCC(=O)NC(C(C)=O)C1=CC=CC=C1.CCCC(CC(=O)[C@@H]1C[C@@H]2CCCC[C@@H]2N1C(=O)[C@@H](CC(=O)OCC(C)C)C1CCCCC1)C(=O)C(=O)CCC(=O)NC(C(=O)O)C1=CC=CC=C1 Chemical compound C=CC[C@H]1CCN(C(=O)[C@@H](CC(=O)OCC(C)C)C2CCCCC2)[C@@H]1C(=O)CC(CCC)C(=O)C(=O)CCC(=O)NC(C(=O)O)C1=CC=CC=C1.CC(C)COC(=O)C[C@H](C(=O)N1CC2(C[C@H]1C(=O)CC(CC1CC1)C(=O)C(=O)CCC(=O)NC(C(=O)N(C)C)C1=CC=CC=C1)SCCCS2)C(C)(C)C.CC(C)COC(=O)C[C@H](C(=O)N1CC2(C[C@H]1C(=O)CC(CC1CC1)C(=O)C(=O)CCC(=O)NC(C(=O)O)C1=CC=CC=C1)SCCCS2)C1CCCCC1.CCCC(CC(=O)[C@@H]1CC(F)(F)CN1C(=O)[C@@H](CC(=O)OCC(C)C)C1CCCCC1)C(=O)C(=O)CCC(=O)NC(C(=O)O)C1=CC=CC=C1.CCCC(CC(=O)[C@@H]1CC2(CN1C(=O)[C@@H](CC(=O)OCC(C)C)C(C)OCC1=CC=C(C(C)(C)C)C=C1)SCCCS2)C(=O)C(=O)CCC(=O)NC(C(=O)O)C1=CC=CC=C1.CCCC(CC(=O)[C@@H]1CC2(CN1C(=O)[C@@H](CC(=O)OCC(C)C)C1CCCCC1)SCCS2)C(=O)C(=O)CCC(=O)NC(C(C)=O)C1=CC=CC=C1.CCCC(CC(=O)[C@@H]1C[C@@H]2CCCC[C@@H]2N1C(=O)[C@@H](CC(=O)OCC(C)C)C1CCCCC1)C(=O)C(=O)CCC(=O)NC(C(=O)O)C1=CC=CC=C1 URAUYAGPKPFLRH-WRUDMOSHSA-N 0.000 description 1
- HROSVQGTGNBHQX-BFEJRXILSA-N C=CC[C@H]1CCN([C+]([CH2-])=O)[C@@H]1[C+]([CH2-])=O.[CH2-][C+](=O)C1C[C@@H](C)CN1[C+]([CH2-])=O.[CH2-][C+](=O)[C@@H]1C[C@@H](CNC(=O)C2=CC=CC=C2)CN1[C+]([CH2-])=O.[CH2-][C+](=O)[C@@H]1C[C@@H](NS(=O)(=O)C2=CC=CC=C2)CN1[C+]([CH2-])=O.[CH2-][C+](=O)[C@@H]1C[C@@H](OC(C)(C)C)CN1[C+]([CH2-])=O.[CH2-][C+](=O)[C@@H]1C[C@@H](OCC2=CC(Cl)=C(Cl)C=C2)CN1[C+]([CH2-])=O.[CH2-][C+](=O)[C@@H]1C[C@@H](OCC2=CC=CC=C2)CN1[C+]([CH2-])=O.[CH2-][C+](=O)[C@@H]1[C@H]2OC(C)(C)O[C@H]2CN1[C+]([CH2-])=O Chemical compound C=CC[C@H]1CCN([C+]([CH2-])=O)[C@@H]1[C+]([CH2-])=O.[CH2-][C+](=O)C1C[C@@H](C)CN1[C+]([CH2-])=O.[CH2-][C+](=O)[C@@H]1C[C@@H](CNC(=O)C2=CC=CC=C2)CN1[C+]([CH2-])=O.[CH2-][C+](=O)[C@@H]1C[C@@H](NS(=O)(=O)C2=CC=CC=C2)CN1[C+]([CH2-])=O.[CH2-][C+](=O)[C@@H]1C[C@@H](OC(C)(C)C)CN1[C+]([CH2-])=O.[CH2-][C+](=O)[C@@H]1C[C@@H](OCC2=CC(Cl)=C(Cl)C=C2)CN1[C+]([CH2-])=O.[CH2-][C+](=O)[C@@H]1C[C@@H](OCC2=CC=CC=C2)CN1[C+]([CH2-])=O.[CH2-][C+](=O)[C@@H]1[C@H]2OC(C)(C)O[C@H]2CN1[C+]([CH2-])=O HROSVQGTGNBHQX-BFEJRXILSA-N 0.000 description 1
- MGAGYECVMUAUIY-HOTGVXAUSA-N C=N[C@@H](C(CC1)CCC1(F)F)C(N([C@@H](Cc1ccccc1)CO1)C1=O)=O Chemical compound C=N[C@@H](C(CC1)CCC1(F)F)C(N([C@@H](Cc1ccccc1)CO1)C1=O)=O MGAGYECVMUAUIY-HOTGVXAUSA-N 0.000 description 1
- QXQVPTMTUUDSBY-RDJZCZTQSA-N C=N[C@@H](C(CC1)CCC1=O)C(N([C@@H](Cc1ccccc1)CO1)C1=O)=O Chemical compound C=N[C@@H](C(CC1)CCC1=O)C(N([C@@H](Cc1ccccc1)CO1)C1=O)=O QXQVPTMTUUDSBY-RDJZCZTQSA-N 0.000 description 1
- VBGSIDSYYLTHNB-GAESJPGFSA-N CC#CCOC(C)C.CC(C)CC(C)(C)C.CC(C)CC(C)(C)C(C)(C)C.CC(C)CC(C)(C)C(C)C.CC(C)CC(C)(C)C(Cl)(Cl)Cl.CC(C)CC(C)(C)C(F)(F)F.CC(C)CC(C)C(C)(C)C.CC(C)CC1(C)CCC1.CC(C)CC1CC2CCC1C2.CC(C)COC(C)C.CC(C)C[C@H](C)C(C)C.CC(C)N(C)C(C)(C)C.CC(C)N(C)C1CCC1.CC(C)NC1CC2CCC1C2.CC(C)NC1CCC1.CC(C)OC(C)(C)C.CC(C)OC(C)(C)C(C)(C)C.CC(C)OC(C)(C)C(C)C.CC(C)OC(C)(C)C(F)(F)F.CC(C)OC(C)C(C)(C)C.CC(C)OC1(C)CCC1.CC(C)OC1CC2CCC1C2.CC(C)OC1CC2CCC1C2.CC(C)OC1CCCC1C.CC(C)OC1CCCCC1C.CC(C)OCC#CC(C)(C)C.CC(C)OCC(C)(C)C.CC1CCC(OC(C)C)C1.CC1CCC(OC(C)C)CC1.CC1CCCC(OC(C)C)C1.CCC(C)(C)CC(C)C.N=S(=O)=O.O=C=O.[H]C#CCOC(C)C Chemical compound CC#CCOC(C)C.CC(C)CC(C)(C)C.CC(C)CC(C)(C)C(C)(C)C.CC(C)CC(C)(C)C(C)C.CC(C)CC(C)(C)C(Cl)(Cl)Cl.CC(C)CC(C)(C)C(F)(F)F.CC(C)CC(C)C(C)(C)C.CC(C)CC1(C)CCC1.CC(C)CC1CC2CCC1C2.CC(C)COC(C)C.CC(C)C[C@H](C)C(C)C.CC(C)N(C)C(C)(C)C.CC(C)N(C)C1CCC1.CC(C)NC1CC2CCC1C2.CC(C)NC1CCC1.CC(C)OC(C)(C)C.CC(C)OC(C)(C)C(C)(C)C.CC(C)OC(C)(C)C(C)C.CC(C)OC(C)(C)C(F)(F)F.CC(C)OC(C)C(C)(C)C.CC(C)OC1(C)CCC1.CC(C)OC1CC2CCC1C2.CC(C)OC1CC2CCC1C2.CC(C)OC1CCCC1C.CC(C)OC1CCCCC1C.CC(C)OCC#CC(C)(C)C.CC(C)OCC(C)(C)C.CC1CCC(OC(C)C)C1.CC1CCC(OC(C)C)CC1.CC1CCCC(OC(C)C)C1.CCC(C)(C)CC(C)C.N=S(=O)=O.O=C=O.[H]C#CCOC(C)C VBGSIDSYYLTHNB-GAESJPGFSA-N 0.000 description 1
- JAPILSDNRJCEFE-OVCVBXRMSA-N CC(=O)C(=O)C(CC(=O)[C@@H]1C2C(CN1C(=O)[C@@H](CC(=O)CC(C)(C)C)C(C)(C)C)C2(C)C)CC1CCC1 Chemical compound CC(=O)C(=O)C(CC(=O)[C@@H]1C2C(CN1C(=O)[C@@H](CC(=O)CC(C)(C)C)C(C)(C)C)C2(C)C)CC1CCC1 JAPILSDNRJCEFE-OVCVBXRMSA-N 0.000 description 1
- YNCCOFQKZYHAQE-UFUODGLYSA-N CC(=O)C(=O)C(CC(=O)[C@@H]1C2C(CN1C(=O)[C@@H](CC(=O)CC(C)C(C)(C)C)C1CCCCC1)C2(Cl)Cl)CC1CCC1 Chemical compound CC(=O)C(=O)C(CC(=O)[C@@H]1C2C(CN1C(=O)[C@@H](CC(=O)CC(C)C(C)(C)C)C1CCCCC1)C2(Cl)Cl)CC1CCC1 YNCCOFQKZYHAQE-UFUODGLYSA-N 0.000 description 1
- CWSLETBQKLQDPX-HQNBECRLSA-N CC(=O)C(=O)C(CC(=O)[C@@H]1C2C(CN1C(=O)[C@@H](CC(=O)CC13CC4CC(CC(C4)C1)C3)C(C)(C)C)C2(C)C)CC1CCC1 Chemical compound CC(=O)C(=O)C(CC(=O)[C@@H]1C2C(CN1C(=O)[C@@H](CC(=O)CC13CC4CC(CC(C4)C1)C3)C(C)(C)C)C2(C)C)CC1CCC1 CWSLETBQKLQDPX-HQNBECRLSA-N 0.000 description 1
- XAYLIDQLKYWNDP-SEULYVBGSA-N CC(=O)C(=O)C(CC(=O)[C@@H]1C2C(CN1C(=O)[C@@H](CC(=O)OC(C)(C)C)C(C)(C)C)C2(C)C)CC1CC1 Chemical compound CC(=O)C(=O)C(CC(=O)[C@@H]1C2C(CN1C(=O)[C@@H](CC(=O)OC(C)(C)C)C(C)(C)C)C2(C)C)CC1CC1 XAYLIDQLKYWNDP-SEULYVBGSA-N 0.000 description 1
- XVXDAMKKMNFTAL-RCSCCBMOSA-N CC(=O)C(=O)C(CC(=O)[C@@H]1C2C(CN1C(=O)[C@@H](CC(=O)OC(C)(C)C)C(C)(C)C)C2(Cl)Cl)CC1CCC1 Chemical compound CC(=O)C(=O)C(CC(=O)[C@@H]1C2C(CN1C(=O)[C@@H](CC(=O)OC(C)(C)C)C(C)(C)C)C2(Cl)Cl)CC1CCC1 XVXDAMKKMNFTAL-RCSCCBMOSA-N 0.000 description 1
- DCJKZEMGYBZFOL-GCQBIHKSSA-N CC(=O)C(=O)C(CC(=O)[C@@H]1[C@@H]2C(CN1C(=O)[C@@H](CC(=O)OC(C)(C)C)C1CCC(F)(F)CC1)C2(C)C)CC1CC1 Chemical compound CC(=O)C(=O)C(CC(=O)[C@@H]1[C@@H]2C(CN1C(=O)[C@@H](CC(=O)OC(C)(C)C)C1CCC(F)(F)CC1)C2(C)C)CC1CC1 DCJKZEMGYBZFOL-GCQBIHKSSA-N 0.000 description 1
- JHWAXGFJOYPQRA-QWYSVXDISA-N CC(=O)C(=O)C(CC1CC1)NC(=O)[C@@H]1[C@@H]2[C@H](CN1C(=O)[C@@H](NC(=O)NC(C)(C)C)C(C)(C)C)C2(C)C Chemical compound CC(=O)C(=O)C(CC1CC1)NC(=O)[C@@H]1[C@@H]2[C@H](CN1C(=O)[C@@H](NC(=O)NC(C)(C)C)C(C)(C)C)C2(C)C JHWAXGFJOYPQRA-QWYSVXDISA-N 0.000 description 1
- SELKREHRBVLXNB-KHTBIAQASA-N CC(=O)C(=O)C(CC1CCC1)NC(=O)[C@@H]1C2C(CN1C(=O)[C@@H](CC(=O)CC(C)C)C(C)(C)C)C2(C)C Chemical compound CC(=O)C(=O)C(CC1CCC1)NC(=O)[C@@H]1C2C(CN1C(=O)[C@@H](CC(=O)CC(C)C)C(C)(C)C)C2(C)C SELKREHRBVLXNB-KHTBIAQASA-N 0.000 description 1
- YJQJMYVUWFIBNJ-FDFYBKTBSA-N CC(=O)C(=O)[C@@H](CC(=O)[C@@H]1[C@@H]2[C@H](CN1C(=O)[C@@H](CC(=O)CC(C)(C)C)C(C)(C)C)C2(C)C)CC1CC1 Chemical compound CC(=O)C(=O)[C@@H](CC(=O)[C@@H]1[C@@H]2[C@H](CN1C(=O)[C@@H](CC(=O)CC(C)(C)C)C(C)(C)C)C2(C)C)CC1CC1 YJQJMYVUWFIBNJ-FDFYBKTBSA-N 0.000 description 1
- JAPILSDNRJCEFE-SATFRJSMSA-N CC(=O)C(=O)[C@@H](CC(=O)[C@@H]1[C@@H]2[C@H](CN1C(=O)[C@@H](CC(=O)CC(C)(C)C)C(C)(C)C)C2(C)C)CC1CCC1 Chemical compound CC(=O)C(=O)[C@@H](CC(=O)[C@@H]1[C@@H]2[C@H](CN1C(=O)[C@@H](CC(=O)CC(C)(C)C)C(C)(C)C)C2(C)C)CC1CCC1 JAPILSDNRJCEFE-SATFRJSMSA-N 0.000 description 1
- YNCCOFQKZYHAQE-XLYVEXMVSA-N CC(=O)C(=O)[C@@H](CC(=O)[C@@H]1[C@@H]2[C@H](CN1C(=O)[C@@H](CC(=O)CC(C)C(C)(C)C)C1CCCCC1)C2(Cl)Cl)CC1CCC1 Chemical compound CC(=O)C(=O)[C@@H](CC(=O)[C@@H]1[C@@H]2[C@H](CN1C(=O)[C@@H](CC(=O)CC(C)C(C)(C)C)C1CCCCC1)C2(Cl)Cl)CC1CCC1 YNCCOFQKZYHAQE-XLYVEXMVSA-N 0.000 description 1
- ZVOSNXIWBNUTTC-SATFRJSMSA-N CC(=O)C(=O)[C@@H](CC(=O)[C@@H]1[C@@H]2[C@H](CN1C(=O)[C@@H](CC(=O)CC(C)C)C(C)(C)C)C2(C)C)CC1CCC1 Chemical compound CC(=O)C(=O)[C@@H](CC(=O)[C@@H]1[C@@H]2[C@H](CN1C(=O)[C@@H](CC(=O)CC(C)C)C(C)(C)C)C2(C)C)CC1CCC1 ZVOSNXIWBNUTTC-SATFRJSMSA-N 0.000 description 1
- CWSLETBQKLQDPX-RXNOCHBGSA-N CC(=O)C(=O)[C@@H](CC(=O)[C@@H]1[C@@H]2[C@H](CN1C(=O)[C@@H](CC(=O)CC13CC4CC(CC(C4)C1)C3)C(C)(C)C)C2(C)C)CC1CCC1 Chemical compound CC(=O)C(=O)[C@@H](CC(=O)[C@@H]1[C@@H]2[C@H](CN1C(=O)[C@@H](CC(=O)CC13CC4CC(CC(C4)C1)C3)C(C)(C)C)C2(C)C)CC1CCC1 CWSLETBQKLQDPX-RXNOCHBGSA-N 0.000 description 1
- XAYLIDQLKYWNDP-PJPYIVHJSA-N CC(=O)C(=O)[C@@H](CC(=O)[C@@H]1[C@@H]2[C@H](CN1C(=O)[C@@H](CC(=O)OC(C)(C)C)C(C)(C)C)C2(C)C)CC1CC1 Chemical compound CC(=O)C(=O)[C@@H](CC(=O)[C@@H]1[C@@H]2[C@H](CN1C(=O)[C@@H](CC(=O)OC(C)(C)C)C(C)(C)C)C2(C)C)CC1CC1 XAYLIDQLKYWNDP-PJPYIVHJSA-N 0.000 description 1
- XVXDAMKKMNFTAL-ILCQWTCRSA-N CC(=O)C(=O)[C@@H](CC(=O)[C@@H]1[C@@H]2[C@H](CN1C(=O)[C@@H](CC(=O)OC(C)(C)C)C(C)(C)C)C2(Cl)Cl)CC1CCC1 Chemical compound CC(=O)C(=O)[C@@H](CC(=O)[C@@H]1[C@@H]2[C@H](CN1C(=O)[C@@H](CC(=O)OC(C)(C)C)C(C)(C)C)C2(Cl)Cl)CC1CCC1 XVXDAMKKMNFTAL-ILCQWTCRSA-N 0.000 description 1
- DCJKZEMGYBZFOL-HCQBBNJVSA-N CC(=O)C(=O)[C@@H](CC(=O)[C@@H]1[C@@H]2[C@H](CN1C(=O)[C@@H](CC(=O)OC(C)(C)C)C1CCC(F)(F)CC1)C2(C)C)CC1CC1 Chemical compound CC(=O)C(=O)[C@@H](CC(=O)[C@@H]1[C@@H]2[C@H](CN1C(=O)[C@@H](CC(=O)OC(C)(C)C)C1CCC(F)(F)CC1)C2(C)C)CC1CC1 DCJKZEMGYBZFOL-HCQBBNJVSA-N 0.000 description 1
- YJQJMYVUWFIBNJ-MIXOYVSQSA-N CC(=O)C(=O)[C@H](CC(=O)[C@@H]1[C@@H]2[C@H](CN1C(=O)[C@@H](CC(=O)CC(C)(C)C)C(C)(C)C)C2(C)C)CC1CC1 Chemical compound CC(=O)C(=O)[C@H](CC(=O)[C@@H]1[C@@H]2[C@H](CN1C(=O)[C@@H](CC(=O)CC(C)(C)C)C(C)(C)C)C2(C)C)CC1CC1 YJQJMYVUWFIBNJ-MIXOYVSQSA-N 0.000 description 1
- JAPILSDNRJCEFE-BEZVEXFWSA-N CC(=O)C(=O)[C@H](CC(=O)[C@@H]1[C@@H]2[C@H](CN1C(=O)[C@@H](CC(=O)CC(C)(C)C)C(C)(C)C)C2(C)C)CC1CCC1 Chemical compound CC(=O)C(=O)[C@H](CC(=O)[C@@H]1[C@@H]2[C@H](CN1C(=O)[C@@H](CC(=O)CC(C)(C)C)C(C)(C)C)C2(C)C)CC1CCC1 JAPILSDNRJCEFE-BEZVEXFWSA-N 0.000 description 1
- YNCCOFQKZYHAQE-DBOMQPEMSA-N CC(=O)C(=O)[C@H](CC(=O)[C@@H]1[C@@H]2[C@H](CN1C(=O)[C@@H](CC(=O)CC(C)C(C)(C)C)C1CCCCC1)C2(Cl)Cl)CC1CCC1 Chemical compound CC(=O)C(=O)[C@H](CC(=O)[C@@H]1[C@@H]2[C@H](CN1C(=O)[C@@H](CC(=O)CC(C)C(C)(C)C)C1CCCCC1)C2(Cl)Cl)CC1CCC1 YNCCOFQKZYHAQE-DBOMQPEMSA-N 0.000 description 1
- ZVOSNXIWBNUTTC-BEZVEXFWSA-N CC(=O)C(=O)[C@H](CC(=O)[C@@H]1[C@@H]2[C@H](CN1C(=O)[C@@H](CC(=O)CC(C)C)C(C)(C)C)C2(C)C)CC1CCC1 Chemical compound CC(=O)C(=O)[C@H](CC(=O)[C@@H]1[C@@H]2[C@H](CN1C(=O)[C@@H](CC(=O)CC(C)C)C(C)(C)C)C2(C)C)CC1CCC1 ZVOSNXIWBNUTTC-BEZVEXFWSA-N 0.000 description 1
- CWSLETBQKLQDPX-QTXGSJRQSA-N CC(=O)C(=O)[C@H](CC(=O)[C@@H]1[C@@H]2[C@H](CN1C(=O)[C@@H](CC(=O)CC13CC4CC(CC(C4)C1)C3)C(C)(C)C)C2(C)C)CC1CCC1 Chemical compound CC(=O)C(=O)[C@H](CC(=O)[C@@H]1[C@@H]2[C@H](CN1C(=O)[C@@H](CC(=O)CC13CC4CC(CC(C4)C1)C3)C(C)(C)C)C2(C)C)CC1CCC1 CWSLETBQKLQDPX-QTXGSJRQSA-N 0.000 description 1
- XAYLIDQLKYWNDP-RBBNJCGNSA-N CC(=O)C(=O)[C@H](CC(=O)[C@@H]1[C@@H]2[C@H](CN1C(=O)[C@@H](CC(=O)OC(C)(C)C)C(C)(C)C)C2(C)C)CC1CC1 Chemical compound CC(=O)C(=O)[C@H](CC(=O)[C@@H]1[C@@H]2[C@H](CN1C(=O)[C@@H](CC(=O)OC(C)(C)C)C(C)(C)C)C2(C)C)CC1CC1 XAYLIDQLKYWNDP-RBBNJCGNSA-N 0.000 description 1
- XVXDAMKKMNFTAL-YCADQPJXSA-N CC(=O)C(=O)[C@H](CC(=O)[C@@H]1[C@@H]2[C@H](CN1C(=O)[C@@H](CC(=O)OC(C)(C)C)C(C)(C)C)C2(Cl)Cl)CC1CCC1 Chemical compound CC(=O)C(=O)[C@H](CC(=O)[C@@H]1[C@@H]2[C@H](CN1C(=O)[C@@H](CC(=O)OC(C)(C)C)C(C)(C)C)C2(Cl)Cl)CC1CCC1 XVXDAMKKMNFTAL-YCADQPJXSA-N 0.000 description 1
- DCJKZEMGYBZFOL-KVDSHIEYSA-N CC(=O)C(=O)[C@H](CC(=O)[C@@H]1[C@@H]2[C@H](CN1C(=O)[C@@H](CC(=O)OC(C)(C)C)C1CCC(F)(F)CC1)C2(C)C)CC1CC1 Chemical compound CC(=O)C(=O)[C@H](CC(=O)[C@@H]1[C@@H]2[C@H](CN1C(=O)[C@@H](CC(=O)OC(C)(C)C)C1CCC(F)(F)CC1)C2(C)C)CC1CC1 DCJKZEMGYBZFOL-KVDSHIEYSA-N 0.000 description 1
- GNVMVVZTCVHLPS-NLAXOQHLSA-N CC(=O)C(C)C.CC(=O)NCC(=O)C(C)C.CC(C)C(=O)C1=CC=C(C(=O)O)C=C1.CC(C)C(=O)C1=CC=C(S(N)(=O)=O)C=C1.CC(C)C(=O)C1=CC=CC=C1.CC(C)C(=O)CC(C)(C)C.CC(C)C(=O)CC1CCCC1.CC(C)C(=O)CC1CCCCC1.CC(C)C(=O)OCC[Si](C)(C)C.CC(C)C[C@@H](NS(C)(=O)=O)C(=O)C(C)C Chemical compound CC(=O)C(C)C.CC(=O)NCC(=O)C(C)C.CC(C)C(=O)C1=CC=C(C(=O)O)C=C1.CC(C)C(=O)C1=CC=C(S(N)(=O)=O)C=C1.CC(C)C(=O)C1=CC=CC=C1.CC(C)C(=O)CC(C)(C)C.CC(C)C(=O)CC1CCCC1.CC(C)C(=O)CC1CCCCC1.CC(C)C(=O)OCC[Si](C)(C)C.CC(C)C[C@@H](NS(C)(=O)=O)C(=O)C(C)C GNVMVVZTCVHLPS-NLAXOQHLSA-N 0.000 description 1
- LZRHLCRURGEYIG-UHFFFAOYSA-N CC(=O)C(C)C.CC(C)C(=O)C(C)C.CC(C)C(=O)C1CCCCC1.CC(C)C(=O)CC(C)(C)C.CC(C)C(=O)CC1=CC2=C(C=C1)OCO2.CC(C)C(=O)CC1=CC2=C(C=CC=C2)C=C1.CC(C)C(=O)CC1=CC=C(C(C)C)C=C1.CC(C)C(=O)CC1=CC=CC=C1.CC(C)C(=O)CC1CCCC1.CC(C)C(=O)CC1CCCCC1.CC(C)C(=O)CCC1CCCC1.CC(C)CC(=O)C(C)C.CC(C)CCC(=O)C(C)C.CC(C)COC(=O)C(C)C.CC1=CC(C)=CC(CC(=O)C(C)C)=C1.CC1=CC=C(CC(=O)C(C)C)C=C1.CC1=CC=CC(CC(=O)C(C)C)=C1.CC1CCC(CC(=O)C(C)C)CC1.CCCC(CCC)C(=O)C(C)C.CCCCC(=O)C(C)C.CCCOC(=O)C(C)C.COC1=C(OC)C=C(CC(=O)C(C)C)C=C1.COC1=CC=C(CC(=O)C(C)C)C=C1.COC1=CC=CC(CC(=O)C(C)C)=C1.C[W]C.C[W][Y] Chemical compound CC(=O)C(C)C.CC(C)C(=O)C(C)C.CC(C)C(=O)C1CCCCC1.CC(C)C(=O)CC(C)(C)C.CC(C)C(=O)CC1=CC2=C(C=C1)OCO2.CC(C)C(=O)CC1=CC2=C(C=CC=C2)C=C1.CC(C)C(=O)CC1=CC=C(C(C)C)C=C1.CC(C)C(=O)CC1=CC=CC=C1.CC(C)C(=O)CC1CCCC1.CC(C)C(=O)CC1CCCCC1.CC(C)C(=O)CCC1CCCC1.CC(C)CC(=O)C(C)C.CC(C)CCC(=O)C(C)C.CC(C)COC(=O)C(C)C.CC1=CC(C)=CC(CC(=O)C(C)C)=C1.CC1=CC=C(CC(=O)C(C)C)C=C1.CC1=CC=CC(CC(=O)C(C)C)=C1.CC1CCC(CC(=O)C(C)C)CC1.CCCC(CCC)C(=O)C(C)C.CCCCC(=O)C(C)C.CCCOC(=O)C(C)C.COC1=C(OC)C=C(CC(=O)C(C)C)C=C1.COC1=CC=C(CC(=O)C(C)C)C=C1.COC1=CC=CC(CC(=O)C(C)C)=C1.C[W]C.C[W][Y] LZRHLCRURGEYIG-UHFFFAOYSA-N 0.000 description 1
- JXGPECOJHPGMTA-UHFFFAOYSA-N CC(=O)C(C)C.CC(C)C(=O)C1(C(=O)O)CC1.CC(C)C(=O)C1=CC=CC=C1.CC(C)C(=O)C1CCCCC1.CC(C)C(=O)CC1=CC=CC=C1.CC(C)C(=O)CCC(=O)O Chemical compound CC(=O)C(C)C.CC(C)C(=O)C1(C(=O)O)CC1.CC(C)C(=O)C1=CC=CC=C1.CC(C)C(=O)C1CCCCC1.CC(C)C(=O)CC1=CC=CC=C1.CC(C)C(=O)CCC(=O)O JXGPECOJHPGMTA-UHFFFAOYSA-N 0.000 description 1
- UJWAXMQZQNMZIJ-KLQLCTRVSA-N CC(=O)C(C)C.CC(C)C(=O)C1CC1.CC(C)C(=O)C1CC1C1=CC=CC=C1.CC(C)C(=O)CC(=O)O.CC(C)C(=O)CC(=O)OC(C)(C)C.CC(C)C(=O)CC1CCCCC1.CC(C)C(=O)CCCC(=O)C1=CC=CC=C1.CC(C)C(=O)CO[C@@H]1C[C@@H](C)CC[C@@H]1C(C)C.CC(C)C(=O)OCC1CCCCC1.CC(C)CC1=CC=C(F)C=C1Cl.CC(C)CC1CCCCC1.CC(C)CC1CCCO1.CC(C)CCC1=CC=CC=C1.CC(C)CCC1=NC=CC=C1.CC(C)CCCC1=CC=CC=C1.CC(C)CCCN1CCOCC1.CC(C)CCN(C)C.CC(C)COC(=O)C(C)C.CC(C)C[C@H]1CC[C@@H](NS(=O)(=O)C2=CC=CC3=C2C=CC=C3)CC1.CCN(CC)CCCC(C)C.CCN1CCCC1CC(C)C.COC1=CC=C(CCC(C)C)C=C1.[H]C(C)C Chemical compound CC(=O)C(C)C.CC(C)C(=O)C1CC1.CC(C)C(=O)C1CC1C1=CC=CC=C1.CC(C)C(=O)CC(=O)O.CC(C)C(=O)CC(=O)OC(C)(C)C.CC(C)C(=O)CC1CCCCC1.CC(C)C(=O)CCCC(=O)C1=CC=CC=C1.CC(C)C(=O)CO[C@@H]1C[C@@H](C)CC[C@@H]1C(C)C.CC(C)C(=O)OCC1CCCCC1.CC(C)CC1=CC=C(F)C=C1Cl.CC(C)CC1CCCCC1.CC(C)CC1CCCO1.CC(C)CCC1=CC=CC=C1.CC(C)CCC1=NC=CC=C1.CC(C)CCCC1=CC=CC=C1.CC(C)CCCN1CCOCC1.CC(C)CCN(C)C.CC(C)COC(=O)C(C)C.CC(C)C[C@H]1CC[C@@H](NS(=O)(=O)C2=CC=CC3=C2C=CC=C3)CC1.CCN(CC)CCCC(C)C.CCN1CCCC1CC(C)C.COC1=CC=C(CCC(C)C)C=C1.[H]C(C)C UJWAXMQZQNMZIJ-KLQLCTRVSA-N 0.000 description 1
- VZNRBMCUXWFTPB-UHFFFAOYSA-N CC(=O)C1=CC=CC=C1C(=O)C(C)C.CC(C)C(=O)C(C)(C)C.CC(C)C(=O)C(C)(C)C(=O)O.CC(C)C(=O)C(C)C(C)C(=O)O.CC(C)C(=O)C1=CC(Cl)=C(Cl)C=C1C(=O)O.CC(C)C(=O)C1=CC(F)=C(F)C=C1F.CC(C)C(=O)C1=CC=C(Cl)C(Cl)=C1.CC(C)C(=O)C1=CC=C(Cl)C=C1Cl.CC(C)C(=O)C1=CC=C(F)C(F)=C1.CC(C)C(=O)C1=CC=C(F)C=C1C(F)(F)F.CC(C)C(=O)C1=CC=CC=C1C(N)=O.CC(C)C(=O)C1=CC=CC=C1C1=CC=CC=C1.CC(C)C(=O)C1CC1.CC(C)C(=O)CC(=O)O.CC(C)C(=O)CC(C)(C)CC(=O)O.CC(C)C(=O)CC(CC(=O)O)C1CCCCC1.CC(CC(=O)O)CC(=O)C(C)C.CC1=C(C)C(C(=O)C(C)C)=CC=C1.CC1=CC=C(C(=O)C(C)C)C(C(F)(F)F)=C1.CC1=CC=C(C(=O)C(C)C)C(C)=C1.CCCCC(C(=O)O)C(=O)C(C)C.COC1=CC=CC=C1C(=O)C(C)C Chemical compound CC(=O)C1=CC=CC=C1C(=O)C(C)C.CC(C)C(=O)C(C)(C)C.CC(C)C(=O)C(C)(C)C(=O)O.CC(C)C(=O)C(C)C(C)C(=O)O.CC(C)C(=O)C1=CC(Cl)=C(Cl)C=C1C(=O)O.CC(C)C(=O)C1=CC(F)=C(F)C=C1F.CC(C)C(=O)C1=CC=C(Cl)C(Cl)=C1.CC(C)C(=O)C1=CC=C(Cl)C=C1Cl.CC(C)C(=O)C1=CC=C(F)C(F)=C1.CC(C)C(=O)C1=CC=C(F)C=C1C(F)(F)F.CC(C)C(=O)C1=CC=CC=C1C(N)=O.CC(C)C(=O)C1=CC=CC=C1C1=CC=CC=C1.CC(C)C(=O)C1CC1.CC(C)C(=O)CC(=O)O.CC(C)C(=O)CC(C)(C)CC(=O)O.CC(C)C(=O)CC(CC(=O)O)C1CCCCC1.CC(CC(=O)O)CC(=O)C(C)C.CC1=C(C)C(C(=O)C(C)C)=CC=C1.CC1=CC=C(C(=O)C(C)C)C(C(F)(F)F)=C1.CC1=CC=C(C(=O)C(C)C)C(C)=C1.CCCCC(C(=O)O)C(=O)C(C)C.COC1=CC=CC=C1C(=O)C(C)C VZNRBMCUXWFTPB-UHFFFAOYSA-N 0.000 description 1
- JZGBNOKHRZLZLZ-UHFFFAOYSA-M CC(=O)CC#N.N#CCC(=O)[O-].[K+] Chemical compound CC(=O)CC#N.N#CCC(=O)[O-].[K+] JZGBNOKHRZLZLZ-UHFFFAOYSA-M 0.000 description 1
- MQCWGPYSRCESBA-VLYIMACLSA-N CC(=O)N1CC2C([C@H]1C(=O)NC(CC1CC1)C(=O)C(=O)NCC(=O)N[C@H](C(=O)N(C)C)C1=CC=CC=C1)C2(C)C Chemical compound CC(=O)N1CC2C([C@H]1C(=O)NC(CC1CC1)C(=O)C(=O)NCC(=O)N[C@H](C(=O)N(C)C)C1=CC=CC=C1)C2(C)C MQCWGPYSRCESBA-VLYIMACLSA-N 0.000 description 1
- OETUXYRDFJPPAG-UQBRSMBMSA-N CC(=O)N1CCN(C2=CC=C(C(C)C)C=N2)CC1.CC(=O)O.CC(C)C.CC(C)C(=O)C1=C(C(C)C)C=CC=C1.CC(C)C(C)(C)C1=CC=CC=C1.CC(C)C(O)C1=CC=CC=C1.CC(C)C(OC1CCCCO1)C1=CC=CC=C1.CC(C)C1=C(C(=O)C2=CC=CS2)C=CC=C1.CC(C)C1=C(F)C=CC=C1F.CC(C)C1=CC=CC=C1.CC(C)C1=CN=CC=N1.CC(C)C1=NNC(C(=O)O)=C1.CC(C)C1CC1.CC(C)C1CCCCC1.CC(C)CC1(COC=O)CCCCC1.CC(C)CC1=CC=C(COC=O)C=C1.CC(C)CC1=CC=CC=C1.CC(C)CC1=CSC=C1.CC(C)CC1C2C=CC(C2)C1C(=O)O.CC(C)CC1CC1.CC(C)CC1CC2CCC1C2.CC(C)CC1CCC(C)CC1.CC(C)CCC1CCCC1.CC(C)[C@@H]1CCCCC1C(=O)C1=CC=CC=C1.CC(C)[C@H]1CCCCC1C(=O)O.CC1=C(C(C)C)C=CC=C1.CC1=CC=C(C(C)C)C=C1.CC1=CC=CC(C)=C1C(C)C.CCC(C)C(C)C(C)C Chemical compound CC(=O)N1CCN(C2=CC=C(C(C)C)C=N2)CC1.CC(=O)O.CC(C)C.CC(C)C(=O)C1=C(C(C)C)C=CC=C1.CC(C)C(C)(C)C1=CC=CC=C1.CC(C)C(O)C1=CC=CC=C1.CC(C)C(OC1CCCCO1)C1=CC=CC=C1.CC(C)C1=C(C(=O)C2=CC=CS2)C=CC=C1.CC(C)C1=C(F)C=CC=C1F.CC(C)C1=CC=CC=C1.CC(C)C1=CN=CC=N1.CC(C)C1=NNC(C(=O)O)=C1.CC(C)C1CC1.CC(C)C1CCCCC1.CC(C)CC1(COC=O)CCCCC1.CC(C)CC1=CC=C(COC=O)C=C1.CC(C)CC1=CC=CC=C1.CC(C)CC1=CSC=C1.CC(C)CC1C2C=CC(C2)C1C(=O)O.CC(C)CC1CC1.CC(C)CC1CC2CCC1C2.CC(C)CC1CCC(C)CC1.CC(C)CCC1CCCC1.CC(C)[C@@H]1CCCCC1C(=O)C1=CC=CC=C1.CC(C)[C@H]1CCCCC1C(=O)O.CC1=C(C(C)C)C=CC=C1.CC1=CC=C(C(C)C)C=C1.CC1=CC=CC(C)=C1C(C)C.CCC(C)C(C)C(C)C OETUXYRDFJPPAG-UQBRSMBMSA-N 0.000 description 1
- YRYXGFUUQGNXQK-UHFFFAOYSA-N CC(=O)NCC(=O)CC(C1=CC=CC=C1)C1=CC=CC=C1 Chemical compound CC(=O)NCC(=O)CC(C1=CC=CC=C1)C1=CC=CC=C1 YRYXGFUUQGNXQK-UHFFFAOYSA-N 0.000 description 1
- RHAQROXHRVVPJV-UHFFFAOYSA-N CC(=O)NCCCC(C)C.CC(C)CCCC(=O)OC(C)(C)C.CC(C)CCCNC(=O)C1=C(F)C(F)=C(F)C(F)=C1C(=O)O.CC(C)CCCNC(=O)C1=CC=C(C(=O)O)C=C1.CC(C)CCCNC(=O)C1=CC=CC(C(=O)O)=C1.CC(C)CCCNC(=O)C1=CC=CC=C1.CC(C)CCCNC(=O)C1CCC(C(=O)O)CC1.CC(C)CCCNC(=O)C1CCCCC1.CC(C)CCCNC(=O)C1CCCCC1C(=O)O.CC(C)CCCNC(=O)CC1=CC=CC=C1.CC(C)CCCNC(=O)CCCC(=O)O Chemical compound CC(=O)NCCCC(C)C.CC(C)CCCC(=O)OC(C)(C)C.CC(C)CCCNC(=O)C1=C(F)C(F)=C(F)C(F)=C1C(=O)O.CC(C)CCCNC(=O)C1=CC=C(C(=O)O)C=C1.CC(C)CCCNC(=O)C1=CC=CC(C(=O)O)=C1.CC(C)CCCNC(=O)C1=CC=CC=C1.CC(C)CCCNC(=O)C1CCC(C(=O)O)CC1.CC(C)CCCNC(=O)C1CCCCC1.CC(C)CCCNC(=O)C1CCCCC1C(=O)O.CC(C)CCCNC(=O)CC1=CC=CC=C1.CC(C)CCCNC(=O)CCCC(=O)O RHAQROXHRVVPJV-UHFFFAOYSA-N 0.000 description 1
- GKCOWGWHIXSSBZ-JRQFWBKCSA-N CC(=O)O[C@H](C(=O)N1CC2C([C@H]1C(=O)NC(CC1CC1)C(=O)C(=O)NCC(=O)N[C@H](C(=O)N(C)C)C1=CC=CC=C1)C2(C)C)C(C)(C)C Chemical compound CC(=O)O[C@H](C(=O)N1CC2C([C@H]1C(=O)NC(CC1CC1)C(=O)C(=O)NCC(=O)N[C@H](C(=O)N(C)C)C1=CC=CC=C1)C2(C)C)C(C)(C)C GKCOWGWHIXSSBZ-JRQFWBKCSA-N 0.000 description 1
- OTYWHJWSRWSQJT-UHFFFAOYSA-N CC(C)(C)C(CC(=O)CC1CCCCC1)C(=O)N1CC2C(C1C(=O)NC(CC1CCC1)C(=O)C(N)=O)C2(C)C Chemical compound CC(C)(C)C(CC(=O)CC1CCCCC1)C(=O)N1CC2C(C1C(=O)NC(CC1CCC1)C(=O)C(N)=O)C2(C)C OTYWHJWSRWSQJT-UHFFFAOYSA-N 0.000 description 1
- PIHKQNWIUKIYFE-TVYPLFJMSA-N CC(C)(C)C(N)C(=O)N1CC2[C@@H]([C@H]1C(=O)CC(CC1CC1)C(=O)C(N)=O)C2(C)C.CC(C)(C)NC(=O)NC(C(=O)N1CC2[C@@H]([C@H]1C(=O)CC(CC1CC1)C(=O)C(N)=O)C2(C)C)C(C)(C)C.CCC(I)(I)I.Cl Chemical compound CC(C)(C)C(N)C(=O)N1CC2[C@@H]([C@H]1C(=O)CC(CC1CC1)C(=O)C(N)=O)C2(C)C.CC(C)(C)NC(=O)NC(C(=O)N1CC2[C@@H]([C@H]1C(=O)CC(CC1CC1)C(=O)C(N)=O)C2(C)C)C(C)(C)C.CCC(I)(I)I.Cl PIHKQNWIUKIYFE-TVYPLFJMSA-N 0.000 description 1
- NACBZLQARNXDCD-UHFFFAOYSA-N CC(C)(C)C(NC(=O)OC1CCCCC1)C(=O)N1CC2C(C1C(=O)NC(CC1CCC1)C(=O)C(N)=O)C2(Cl)Cl Chemical compound CC(C)(C)C(NC(=O)OC1CCCCC1)C(=O)N1CC2C(C1C(=O)NC(CC1CCC1)C(=O)C(N)=O)C2(Cl)Cl NACBZLQARNXDCD-UHFFFAOYSA-N 0.000 description 1
- GFSDROQGEWWJRJ-KOPRQZOWSA-N CC(C)(C)CC(=O)C[C@H](C(=O)C1CC2C([C@H]1C(=O)CC(CC1CCC1)C(=O)C(=O)CCC(=O)OC(C)(C)C1=CC=CC=C1)C2(C)C)C(C)(C)C Chemical compound CC(C)(C)CC(=O)C[C@H](C(=O)C1CC2C([C@H]1C(=O)CC(CC1CCC1)C(=O)C(=O)CCC(=O)OC(C)(C)C1=CC=CC=C1)C2(C)C)C(C)(C)C GFSDROQGEWWJRJ-KOPRQZOWSA-N 0.000 description 1
- HLIDCNDUOZXHGT-WDWDIJAOSA-N CC(C)(C)CC(=O)C[C@H](C(=O)C1CC2C([C@H]1C(=O)CC(CC1CCC1)C(=O)C(=O)CCC(=O)OC(C)(C)C1=CC=CC=C1)C2(C)C)C(C)(C)C.CC(C)(C)CC(=O)C[C@H](C(=O)N1C[C@H]2[C@@H]([C@H]1C(=O)CC(CC1CCC1)C(O)C(=O)CCC(=O)OC(C)(C)C1=CC=CC=C1)C2(C)C)C(C)(C)C.CC[V] Chemical compound CC(C)(C)CC(=O)C[C@H](C(=O)C1CC2C([C@H]1C(=O)CC(CC1CCC1)C(=O)C(=O)CCC(=O)OC(C)(C)C1=CC=CC=C1)C2(C)C)C(C)(C)C.CC(C)(C)CC(=O)C[C@H](C(=O)N1C[C@H]2[C@@H]([C@H]1C(=O)CC(CC1CCC1)C(O)C(=O)CCC(=O)OC(C)(C)C1=CC=CC=C1)C2(C)C)C(C)(C)C.CC[V] HLIDCNDUOZXHGT-WDWDIJAOSA-N 0.000 description 1
- VASCCOFUBVAKKS-WKWAVOECSA-N CC(C)(C)CC(=O)C[C@H](C(=O)N1CC2C([C@H]1C(=O)CC(CC1CCC1)C(=O)C(N)=O)C2(C)C)C(C)(C)C Chemical compound CC(C)(C)CC(=O)C[C@H](C(=O)N1CC2C([C@H]1C(=O)CC(CC1CCC1)C(=O)C(N)=O)C2(C)C)C(C)(C)C VASCCOFUBVAKKS-WKWAVOECSA-N 0.000 description 1
- HZTUNDJHRVAZLG-OSTOWMFYSA-N CC(C)(C)CC(=O)C[C@H](C(=O)N1CC2C([C@H]1C(=O)CC(CC1CCC1)C(O)C(=O)CCC(=O)OC(C)(C)C1=CC=CC=C1)C2(C)C)C(C)(C)C.COC(=O)C(O)C(CC(=O)[C@@H]1C2C(CN1C(=O)[C@@H](CC(=O)CC(C)(C)C)C(C)(C)C)C2(C)C)CC1CCC1 Chemical compound CC(C)(C)CC(=O)C[C@H](C(=O)N1CC2C([C@H]1C(=O)CC(CC1CCC1)C(O)C(=O)CCC(=O)OC(C)(C)C1=CC=CC=C1)C2(C)C)C(C)(C)C.COC(=O)C(O)C(CC(=O)[C@@H]1C2C(CN1C(=O)[C@@H](CC(=O)CC(C)(C)C)C(C)(C)C)C2(C)C)CC1CCC1 HZTUNDJHRVAZLG-OSTOWMFYSA-N 0.000 description 1
- VASCCOFUBVAKKS-CNPFELAASA-N CC(C)(C)CC(=O)C[C@H](C(=O)N1C[C@H]2[C@@H]([C@H]1C(=O)CC(CC1CCC1)C(=O)C(N)=O)C2(C)C)C(C)(C)C Chemical compound CC(C)(C)CC(=O)C[C@H](C(=O)N1C[C@H]2[C@@H]([C@H]1C(=O)CC(CC1CCC1)C(=O)C(N)=O)C2(C)C)C(C)(C)C VASCCOFUBVAKKS-CNPFELAASA-N 0.000 description 1
- PDFVDBZBUFORDS-WKBDJDPBSA-N CC(C)(C)CC(=O)C[C@H](C(=O)N1C[C@H]2[C@@H]([C@H]1C(=O)CC(CC1CCC1)C(=O)C(N)=O)C2(C)C)C(C)(C)C.CC(C)(C)CC(=O)C[C@H](C(=O)N1C[C@H]2[C@@H]([C@H]1C(=O)CC(CC1CCC1)C(=O)C(N)=O)C2(C)C)C(C)(C)C.CC(C)(C)NC(=O)N[C@H](C(=O)N1C[C@H]2[C@@H]([C@H]1C(=O)CC(CC1CC1)C(=O)C(N)=O)C2(C)C)C(C)(C)C.CC(C)(C)NC(=O)N[C@H](C(=O)N1C[C@H]2[C@@H]([C@H]1C(=O)CC(CC1CC1)C(=O)C(N)=O)C2(C)C)C1CCCCC1.CC(C)(C)OC(=O)N[C@H](C(=O)N1C[C@H]2[C@@H]([C@H]1C(=O)CC(CC(F)(F)F)C(=O)C(N)=O)C2(C)C)C1CCCCC1.CC(C)NC(=O)N[C@H](C(=O)N1C[C@H]2[C@@H]([C@H]1C(=O)CC(CC1CC1)C(=O)C(N)=O)C2(C)C)C1CC2=C(C=CC=C2)C1 Chemical compound CC(C)(C)CC(=O)C[C@H](C(=O)N1C[C@H]2[C@@H]([C@H]1C(=O)CC(CC1CCC1)C(=O)C(N)=O)C2(C)C)C(C)(C)C.CC(C)(C)CC(=O)C[C@H](C(=O)N1C[C@H]2[C@@H]([C@H]1C(=O)CC(CC1CCC1)C(=O)C(N)=O)C2(C)C)C(C)(C)C.CC(C)(C)NC(=O)N[C@H](C(=O)N1C[C@H]2[C@@H]([C@H]1C(=O)CC(CC1CC1)C(=O)C(N)=O)C2(C)C)C(C)(C)C.CC(C)(C)NC(=O)N[C@H](C(=O)N1C[C@H]2[C@@H]([C@H]1C(=O)CC(CC1CC1)C(=O)C(N)=O)C2(C)C)C1CCCCC1.CC(C)(C)OC(=O)N[C@H](C(=O)N1C[C@H]2[C@@H]([C@H]1C(=O)CC(CC(F)(F)F)C(=O)C(N)=O)C2(C)C)C1CCCCC1.CC(C)NC(=O)N[C@H](C(=O)N1C[C@H]2[C@@H]([C@H]1C(=O)CC(CC1CC1)C(=O)C(N)=O)C2(C)C)C1CC2=C(C=CC=C2)C1 PDFVDBZBUFORDS-WKBDJDPBSA-N 0.000 description 1
- IMDJFALWPCFDLS-OKWDYNITSA-N CC(C)(C)CC(=O)C[C@H](C(=O)N1C[C@H]2[C@@H]([C@H]1C(=O)CC(CC1CCC1)C(=O)C(N)=O)C2(C)C)C(C)(C)C.CC(C)(C)CC(=O)C[C@H](C(=O)N1C[C@H]2[C@@H]([C@H]1C(=O)CC(CC1CCC1)C(O)C(N)=O)C2(C)C)C(C)(C)C.CC([V])I Chemical compound CC(C)(C)CC(=O)C[C@H](C(=O)N1C[C@H]2[C@@H]([C@H]1C(=O)CC(CC1CCC1)C(=O)C(N)=O)C2(C)C)C(C)(C)C.CC(C)(C)CC(=O)C[C@H](C(=O)N1C[C@H]2[C@@H]([C@H]1C(=O)CC(CC1CCC1)C(O)C(N)=O)C2(C)C)C(C)(C)C.CC([V])I IMDJFALWPCFDLS-OKWDYNITSA-N 0.000 description 1
- YGPOUBQUPCHLHH-WPUNHIRUSA-N CC(C)(C)CC(=O)C[C@H](C(=O)N1C[C@H]2[C@@H]([C@H]1C(=O)CC(CC1CCC1)C(=O)C(N)=O)C2(Cl)Cl)C1CCCCC1 Chemical compound CC(C)(C)CC(=O)C[C@H](C(=O)N1C[C@H]2[C@@H]([C@H]1C(=O)CC(CC1CCC1)C(=O)C(N)=O)C2(Cl)Cl)C1CCCCC1 YGPOUBQUPCHLHH-WPUNHIRUSA-N 0.000 description 1
- PWGVWKOJZDNPTI-JDANXVSDSA-N CC(C)(C)CC(=O)C[C@H](C(=O)N1C[C@H]2[C@@H]([C@H]1C(=O)CC(CC1CCC1)C(O)C(N)=O)C2(C)C)C(C)(C)C.COC(=O)[C@@H]1[C@@H]2[C@H](CN1C(=O)[C@@H](CC(=O)CC(C)(C)C)C(C)(C)C)C2(C)C Chemical compound CC(C)(C)CC(=O)C[C@H](C(=O)N1C[C@H]2[C@@H]([C@H]1C(=O)CC(CC1CCC1)C(O)C(N)=O)C2(C)C)C(C)(C)C.COC(=O)[C@@H]1[C@@H]2[C@H](CN1C(=O)[C@@H](CC(=O)CC(C)(C)C)C(C)(C)C)C2(C)C PWGVWKOJZDNPTI-JDANXVSDSA-N 0.000 description 1
- XXNJILCMRPHBLT-BGHVQYPCSA-N CC(C)(C)CC(=O)N1CC2[C@@H]([C@H]1C(=O)NC(CC1CC1)C(=O)C(=O)O)C2(C)C Chemical compound CC(C)(C)CC(=O)N1CC2[C@@H]([C@H]1C(=O)NC(CC1CC1)C(=O)C(=O)O)C2(C)C XXNJILCMRPHBLT-BGHVQYPCSA-N 0.000 description 1
- TVNSRSZHADZDAI-DXSPHCOUSA-N CC(C)(C)CC(=O)N1C[C@H]2[C@@H]([C@H]1C(=O)NC(CC1CC1)C(=O)C(N)=O)C2(C)C Chemical compound CC(C)(C)CC(=O)N1C[C@H]2[C@@H]([C@H]1C(=O)NC(CC1CC1)C(=O)C(N)=O)C2(C)C TVNSRSZHADZDAI-DXSPHCOUSA-N 0.000 description 1
- UDSIOONULXZABC-YDCNYNCGSA-N CC(C)(C)CC(C(C(NCC=C)=O)=O)NC([C@H](C1C(C)(C)[IH]C1C1)N1C([C@H](C(C)(C)C)NC(CC(C)(C)C)=O)=O)=O Chemical compound CC(C)(C)CC(C(C(NCC=C)=O)=O)NC([C@H](C1C(C)(C)[IH]C1C1)N1C([C@H](C(C)(C)C)NC(CC(C)(C)C)=O)=O)=O UDSIOONULXZABC-YDCNYNCGSA-N 0.000 description 1
- PTHRYYGQURAIGY-HSIGWOAESA-N CC(C)(C)CC(C)(C)CC(=O)C[C@H](C(=O)N1C[C@H]2[C@@H]([C@H]1C(=O)CC(CC1CCC1)C(=O)C(N)=O)C2(C)C)C1CCCCC1.CC(C)(C)OC(=O)N[C@H](C(=O)N1C[C@H]2[C@@H]([C@H]1C(=O)CC(CC1CC1)C(=O)C(N)=O)C2(C)C)C1CC2CCCCC2C1.CC(C)(C)OC(=O)N[C@H](C(=O)N1C[C@H]2[C@@H]([C@H]1C(=O)CC(CC1CC1)C(=O)C(N)=O)C2(C)C)C1CCC(F)(F)CC1.CC(C)(C)OC(=O)N[C@H](C(=O)N1C[C@H]2[C@@H]([C@H]1C(=O)CC(CC1CC1)C(=O)C(N)=O)C2(Cl)Cl)C(C)(C)C.CC(C)[C@@H](C)OC(=O)N[C@H](C(=O)N1C[C@H]2[C@@H]([C@H]1C(=O)CC(CC1CCC1)C(=O)C(N)=O)C2(C)C)C(C)(C)C.CC1(C)[C@H]2CN(C(=O)[C@@H](NC(=O)NC34CC5CC(CC(C5)C3)C4)C3CC4=C(C=CC=C4)C3)[C@H](C(=O)CC(CC3CC3)C(=O)C(N)=O)[C@H]21.CC1CCCC1OC(=O)N[C@H](C(=O)N1C[C@H]2[C@@H]([C@H]1C(=O)CC(CC1CC1)C(=O)C(N)=O)C2(C)C)C1CC2=C(C=CC=C2)C1.CCCC(CC(=O)[C@@H]1[C@@H]2[C@H](CN1C(=O)[C@@H](NC(=O)NC(C)(C)C)C1CC3=C(C=CC=C3)C1)C2(Cl)Cl)C(=O)C(N)=O Chemical compound CC(C)(C)CC(C)(C)CC(=O)C[C@H](C(=O)N1C[C@H]2[C@@H]([C@H]1C(=O)CC(CC1CCC1)C(=O)C(N)=O)C2(C)C)C1CCCCC1.CC(C)(C)OC(=O)N[C@H](C(=O)N1C[C@H]2[C@@H]([C@H]1C(=O)CC(CC1CC1)C(=O)C(N)=O)C2(C)C)C1CC2CCCCC2C1.CC(C)(C)OC(=O)N[C@H](C(=O)N1C[C@H]2[C@@H]([C@H]1C(=O)CC(CC1CC1)C(=O)C(N)=O)C2(C)C)C1CCC(F)(F)CC1.CC(C)(C)OC(=O)N[C@H](C(=O)N1C[C@H]2[C@@H]([C@H]1C(=O)CC(CC1CC1)C(=O)C(N)=O)C2(Cl)Cl)C(C)(C)C.CC(C)[C@@H](C)OC(=O)N[C@H](C(=O)N1C[C@H]2[C@@H]([C@H]1C(=O)CC(CC1CCC1)C(=O)C(N)=O)C2(C)C)C(C)(C)C.CC1(C)[C@H]2CN(C(=O)[C@@H](NC(=O)NC34CC5CC(CC(C5)C3)C4)C3CC4=C(C=CC=C4)C3)[C@H](C(=O)CC(CC3CC3)C(=O)C(N)=O)[C@H]21.CC1CCCC1OC(=O)N[C@H](C(=O)N1C[C@H]2[C@@H]([C@H]1C(=O)CC(CC1CC1)C(=O)C(N)=O)C2(C)C)C1CC2=C(C=CC=C2)C1.CCCC(CC(=O)[C@@H]1[C@@H]2[C@H](CN1C(=O)[C@@H](NC(=O)NC(C)(C)C)C1CC3=C(C=CC=C3)C1)C2(Cl)Cl)C(=O)C(N)=O PTHRYYGQURAIGY-HSIGWOAESA-N 0.000 description 1
- BRYYVSZNWLXJLJ-BOSQQAFTSA-N CC(C)(C)CC(C)(C)NC(=O)N[C@H](C(=O)N1CC2C([C@H]1C(=O)NC(CC1CCC1)C(=O)C(N)=O)C2(C)C)C1CCCCC1 Chemical compound CC(C)(C)CC(C)(C)NC(=O)N[C@H](C(=O)N1CC2C([C@H]1C(=O)NC(CC1CCC1)C(=O)C(N)=O)C2(C)C)C1CCCCC1 BRYYVSZNWLXJLJ-BOSQQAFTSA-N 0.000 description 1
- ZLMCOZNQHMOQQG-TZPCIBBBSA-N CC(C)(C)CC(NC(=O)[C@@H]1[C@@H]2[C@H](CN1C(=O)[C@@H](NC(=O)OC(C)(C)C)C(C)(C)C)C2(C)C)C(=O)C(N)=O Chemical compound CC(C)(C)CC(NC(=O)[C@@H]1[C@@H]2[C@H](CN1C(=O)[C@@H](NC(=O)OC(C)(C)C)C(C)(C)C)C2(C)C)C(=O)C(N)=O ZLMCOZNQHMOQQG-TZPCIBBBSA-N 0.000 description 1
- YDPHPQWWUSNYPN-ZIQQCPBXSA-N CC(C)(C)COC(=O)NC(C(=O)N1CC2C([C@H]1C(=O)NC(CC1CC1)C(=O)C(N)=O)C2(C)C)C1CC2=C(C=CC=C2)C1 Chemical compound CC(C)(C)COC(=O)NC(C(=O)N1CC2C([C@H]1C(=O)NC(CC1CC1)C(=O)C(N)=O)C2(C)C)C1CC2=C(C=CC=C2)C1 YDPHPQWWUSNYPN-ZIQQCPBXSA-N 0.000 description 1
- BYZMYMUIZAENKU-FKYPEVOHSA-N CC(C)(C)COC(=O)N[C@H](C(=O)N1CC2C(C1C(=O)NC(CC1CCC1)C(=O)C(N)=O)C2(C)C)C1CCCCC1 Chemical compound CC(C)(C)COC(=O)N[C@H](C(=O)N1CC2C(C1C(=O)NC(CC1CCC1)C(=O)C(N)=O)C2(C)C)C1CCCCC1 BYZMYMUIZAENKU-FKYPEVOHSA-N 0.000 description 1
- FABDUWVLTIULOI-MSEDGRFYSA-N CC(C)(C)COC(=O)N[C@H](C(=O)N1C[C@H]2[C@@H]([C@H]1C(=O)CC(CC1CC1)C(=O)C(N)=O)C2(C)C)C1CC2=C(C=CC=C2)C1.CC(C)(C)NC(=O)N[C@H](C(=O)N1C[C@H]2[C@@H]([C@H]1C(=O)CC(CC1CCC1)C(=O)C(N)=O)C2(Cl)Cl)C(C)(C)C.CC(C)(C)OC(=O)N[C@H](C(=O)N1C[C@H]2[C@@H]([C@H]1C(=O)CC(CC1CC1)C(=O)C(N)=O)C2(C)C)C1CCCCC1.CC(C)(C)OC(=O)N[C@H](C(=O)N1C[C@H]2[C@@H]([C@H]1C(=O)CC(CC1CC1)C(=O)C(N)=O)C2(Cl)Cl)C1CCCCC1.CC(C)(C)[C@H](NC(=O)NC1CCCCC1)C(=O)N1C[C@H]2[C@@H]([C@H]1C(=O)CC(CC1CC1)C(=O)C(N)=O)C2(C)C.CCCC(CC(=O)[C@@H]1[C@@H]2[C@H](CN1C(=O)[C@@H](NC(=O)NC(C)(C)C)C1CCCCC1)C2(Cl)Cl)C(=O)C(N)=O.NC(=O)C(=O)C(CC(=O)[C@@H]1[C@@H]2[C@H](CN1C(=O)[C@@H](NC(=O)NC13CC4CC(CC(C4)C1)C3)C1CCCCC1)C2(Cl)Cl)CC1CC1.NC(=O)C(=O)C(CC(=O)[C@@H]1[C@@H]2[C@H](CN1C(=O)[C@@H](NC(=O)NC1CCCCC1)C1CCCCC1)C2(Cl)Cl)CC1CC1 Chemical compound CC(C)(C)COC(=O)N[C@H](C(=O)N1C[C@H]2[C@@H]([C@H]1C(=O)CC(CC1CC1)C(=O)C(N)=O)C2(C)C)C1CC2=C(C=CC=C2)C1.CC(C)(C)NC(=O)N[C@H](C(=O)N1C[C@H]2[C@@H]([C@H]1C(=O)CC(CC1CCC1)C(=O)C(N)=O)C2(Cl)Cl)C(C)(C)C.CC(C)(C)OC(=O)N[C@H](C(=O)N1C[C@H]2[C@@H]([C@H]1C(=O)CC(CC1CC1)C(=O)C(N)=O)C2(C)C)C1CCCCC1.CC(C)(C)OC(=O)N[C@H](C(=O)N1C[C@H]2[C@@H]([C@H]1C(=O)CC(CC1CC1)C(=O)C(N)=O)C2(Cl)Cl)C1CCCCC1.CC(C)(C)[C@H](NC(=O)NC1CCCCC1)C(=O)N1C[C@H]2[C@@H]([C@H]1C(=O)CC(CC1CC1)C(=O)C(N)=O)C2(C)C.CCCC(CC(=O)[C@@H]1[C@@H]2[C@H](CN1C(=O)[C@@H](NC(=O)NC(C)(C)C)C1CCCCC1)C2(Cl)Cl)C(=O)C(N)=O.NC(=O)C(=O)C(CC(=O)[C@@H]1[C@@H]2[C@H](CN1C(=O)[C@@H](NC(=O)NC13CC4CC(CC(C4)C1)C3)C1CCCCC1)C2(Cl)Cl)CC1CC1.NC(=O)C(=O)C(CC(=O)[C@@H]1[C@@H]2[C@H](CN1C(=O)[C@@H](NC(=O)NC1CCCCC1)C1CCCCC1)C2(Cl)Cl)CC1CC1 FABDUWVLTIULOI-MSEDGRFYSA-N 0.000 description 1
- SFOQEKBLXUZVBC-WPVUCRLQSA-N CC(C)(C)COC(=O)N[C@H](C(=O)N1C[C@H]2[C@@H]([C@H]1C(=O)CC(CC1CCC1)C(=O)C(N)=O)C2(C)C)C1CCCCC1.CC(C)(C)NC(=O)N[C@H](C(=O)N1C[C@H]2[C@@H]([C@H]1C(=O)CC(CC1CC1)C(=O)C(N)=O)C2(Cl)Cl)C1CC2=C(C=CC=C2)C1.CC(C)(C)NC(=O)N[C@H](C(=O)N1C[C@H]2[C@@H]([C@H]1C(=O)CC(CC1CCC1)C(=O)C(N)=O)C2(Cl)Cl)C1CCCCC1.CC(C)(C)[C@H](NC(=O)NC12CC3CC(CC(C3)C1)C2)C(=O)N1C[C@H]2[C@@H]([C@H]1C(=O)CC(CC1CCC1)C(=O)C(N)=O)C2(C)C.CC(C)NC(=O)N[C@H](C(=O)N1C[C@H]2[C@@H]([C@H]1C(=O)CC(CC1CCC1)C(=O)C(N)=O)C2(C)C)C(C)(C)C.CC(NC(=O)N[C@H](C(=O)N1C[C@H]2[C@@H]([C@H]1C(=O)CC(CC1CCC1)C(=O)C(N)=O)C2(Cl)Cl)C1CCCCC1)C(C)(C)C.CCCC(CC(=O)[C@@H]1[C@@H]2[C@H](CN1C(=O)[C@@H](NC(=O)OC(C)(C)C)C1CC3=C(C=CC=C3)C1)C2(C)C)C(=O)C(N)=O.NC(=O)C(=O)C(CC(=O)[C@@H]1[C@@H]2[C@H](CN1C(=O)[C@@H](NC(=O)NC1CCCCC1)C1CCCCC1)C2(Cl)Cl)CC1CCC1 Chemical compound CC(C)(C)COC(=O)N[C@H](C(=O)N1C[C@H]2[C@@H]([C@H]1C(=O)CC(CC1CCC1)C(=O)C(N)=O)C2(C)C)C1CCCCC1.CC(C)(C)NC(=O)N[C@H](C(=O)N1C[C@H]2[C@@H]([C@H]1C(=O)CC(CC1CC1)C(=O)C(N)=O)C2(Cl)Cl)C1CC2=C(C=CC=C2)C1.CC(C)(C)NC(=O)N[C@H](C(=O)N1C[C@H]2[C@@H]([C@H]1C(=O)CC(CC1CCC1)C(=O)C(N)=O)C2(Cl)Cl)C1CCCCC1.CC(C)(C)[C@H](NC(=O)NC12CC3CC(CC(C3)C1)C2)C(=O)N1C[C@H]2[C@@H]([C@H]1C(=O)CC(CC1CCC1)C(=O)C(N)=O)C2(C)C.CC(C)NC(=O)N[C@H](C(=O)N1C[C@H]2[C@@H]([C@H]1C(=O)CC(CC1CCC1)C(=O)C(N)=O)C2(C)C)C(C)(C)C.CC(NC(=O)N[C@H](C(=O)N1C[C@H]2[C@@H]([C@H]1C(=O)CC(CC1CCC1)C(=O)C(N)=O)C2(Cl)Cl)C1CCCCC1)C(C)(C)C.CCCC(CC(=O)[C@@H]1[C@@H]2[C@H](CN1C(=O)[C@@H](NC(=O)OC(C)(C)C)C1CC3=C(C=CC=C3)C1)C2(C)C)C(=O)C(N)=O.NC(=O)C(=O)C(CC(=O)[C@@H]1[C@@H]2[C@H](CN1C(=O)[C@@H](NC(=O)NC1CCCCC1)C1CCCCC1)C2(Cl)Cl)CC1CCC1 SFOQEKBLXUZVBC-WPVUCRLQSA-N 0.000 description 1
- ZCLVABKSZZPPNF-BXIHOECOSA-N CC(C)(C)COC(=O)N[C@H](C(=O)N1C[C@H]2[C@@H]([C@H]1C(=O)CC(CC1CCC1)C(=O)C(N)=O)C2(C)C)C1CCCCC1.CC(C)NC(=O)N[C@H](C(=O)N1C[C@H]2[C@@H]([C@H]1C(=O)CC(CC1CCC1)C(=O)C(N)=O)C2(C)C)C(C)(C)C.CCCC(CC(=O)[C@@H]1[C@@H]2[C@H](CN1C(=O)[C@@H](NC(=O)OC(C)(C)C)C1CC3=C(C=CC=C3)C1)C2(C)C)C(=O)C(N)=O.CN(C)C(=O)[C@@H](NC(=O)CCC(=O)C(=O)C(CC(=O)C1[C@H]2CC(C)(C)OC2CN1C(=O)[C@@H](CC(=O)OC(C)(C)C)C1CCCCC1)CC1CC1)C1=CC=CC=C1.CN(C)C(=O)[C@@H](NC(=O)CCC(=O)C(=O)C(CC(=O)C1[C@H]2CC(C)(C)OC2CN1C(=O)[C@@H](CC(=O)OC(C)(C)C)C1CCCCC1)CC1CC1)C1=CC=CS1 Chemical compound CC(C)(C)COC(=O)N[C@H](C(=O)N1C[C@H]2[C@@H]([C@H]1C(=O)CC(CC1CCC1)C(=O)C(N)=O)C2(C)C)C1CCCCC1.CC(C)NC(=O)N[C@H](C(=O)N1C[C@H]2[C@@H]([C@H]1C(=O)CC(CC1CCC1)C(=O)C(N)=O)C2(C)C)C(C)(C)C.CCCC(CC(=O)[C@@H]1[C@@H]2[C@H](CN1C(=O)[C@@H](NC(=O)OC(C)(C)C)C1CC3=C(C=CC=C3)C1)C2(C)C)C(=O)C(N)=O.CN(C)C(=O)[C@@H](NC(=O)CCC(=O)C(=O)C(CC(=O)C1[C@H]2CC(C)(C)OC2CN1C(=O)[C@@H](CC(=O)OC(C)(C)C)C1CCCCC1)CC1CC1)C1=CC=CC=C1.CN(C)C(=O)[C@@H](NC(=O)CCC(=O)C(=O)C(CC(=O)C1[C@H]2CC(C)(C)OC2CN1C(=O)[C@@H](CC(=O)OC(C)(C)C)C1CCCCC1)CC1CC1)C1=CC=CS1 ZCLVABKSZZPPNF-BXIHOECOSA-N 0.000 description 1
- MBGJBLZEYDNXOJ-DOVBMPENSA-N CC(C)(C)COC(=O)N[C@H](C(=O)N1C[C@H]2[C@@H]([C@H]1C(=O)NC(CC1CC1)C(=O)C(N)=O)C2(C)C)C(C)(C)C Chemical compound CC(C)(C)COC(=O)N[C@H](C(=O)N1C[C@H]2[C@@H]([C@H]1C(=O)NC(CC1CC1)C(=O)C(N)=O)C2(C)C)C(C)(C)C MBGJBLZEYDNXOJ-DOVBMPENSA-N 0.000 description 1
- ZZGWWGVPSZJGHM-UHFFFAOYSA-N CC(C)(C)N(C)S(CCN)(=O)=O Chemical compound CC(C)(C)N(C)S(CCN)(=O)=O ZZGWWGVPSZJGHM-UHFFFAOYSA-N 0.000 description 1
- LHHCSNFAOIFYRV-UHFFFAOYSA-N CC(C)(C)NC(=O)NC(C(=O)N1CC2C(C1C(=O)NC(CC1CCC1)C(=O)C(N)=O)C2(C)C)C(C)(C)C Chemical compound CC(C)(C)NC(=O)NC(C(=O)N1CC2C(C1C(=O)NC(CC1CCC1)C(=O)C(N)=O)C2(C)C)C(C)(C)C LHHCSNFAOIFYRV-UHFFFAOYSA-N 0.000 description 1
- GOJLWYJGIGTXFP-DLBGWFIVSA-N CC(C)(C)NC(=O)N[C@H](C(=O)N1CC2C(C1C(=O)NC(CC1CCC1)C(=O)C(N)=O)C2(C)C)C1CCCCC1 Chemical compound CC(C)(C)NC(=O)N[C@H](C(=O)N1CC2C(C1C(=O)NC(CC1CCC1)C(=O)C(N)=O)C2(C)C)C1CCCCC1 GOJLWYJGIGTXFP-DLBGWFIVSA-N 0.000 description 1
- DTDFXXLHPYVJMP-JKWWZATHSA-N CC(C)(C)NC(=O)N[C@H](C(=O)N1CC2C([C@H]1C(=O)NC(CC1CC1)C(=O)C(N)=O)C2(C)C)C1CC2=C(C=CC=C2)C1 Chemical compound CC(C)(C)NC(=O)N[C@H](C(=O)N1CC2C([C@H]1C(=O)NC(CC1CC1)C(=O)C(N)=O)C2(C)C)C1CC2=C(C=CC=C2)C1 DTDFXXLHPYVJMP-JKWWZATHSA-N 0.000 description 1
- NIAQQHKBDYXVPK-QKBRSHRXSA-N CC(C)(C)NC(=O)N[C@H](C(=O)N1CC2C([C@H]1C(=O)NC(CC1CC1)C(=O)C(N)=O)C2(Cl)Cl)C1CCCCC1 Chemical compound CC(C)(C)NC(=O)N[C@H](C(=O)N1CC2C([C@H]1C(=O)NC(CC1CC1)C(=O)C(N)=O)C2(Cl)Cl)C1CCCCC1 NIAQQHKBDYXVPK-QKBRSHRXSA-N 0.000 description 1
- PRGRZICGIFHGSG-BOSQQAFTSA-N CC(C)(C)NC(=O)N[C@H](C(=O)N1CC2C([C@H]1C(=O)NC(CC1CCC1)C(=O)C(N)=O)C2(C)C)C1CC2=C(C=CC=C2)C1 Chemical compound CC(C)(C)NC(=O)N[C@H](C(=O)N1CC2C([C@H]1C(=O)NC(CC1CCC1)C(=O)C(N)=O)C2(C)C)C1CC2=C(C=CC=C2)C1 PRGRZICGIFHGSG-BOSQQAFTSA-N 0.000 description 1
- CQAJQKPXZXAGPZ-OQPPHWFISA-N CC(C)(C)NC(=O)N[C@H](C(=O)N1CC2C([C@H]1C(=O)NC(CC1CCC1)C(=O)C(N)=O)C2(Cl)Cl)C1CCCCC1 Chemical compound CC(C)(C)NC(=O)N[C@H](C(=O)N1CC2C([C@H]1C(=O)NC(CC1CCC1)C(=O)C(N)=O)C2(Cl)Cl)C1CCCCC1 CQAJQKPXZXAGPZ-OQPPHWFISA-N 0.000 description 1
- CUSMSBGYPLOLBC-QNSNYMDOSA-N CC(C)(C)NC(=O)N[C@H](C(=O)N1CC2[C@@H]([C@H]1C(=O)CC(CC1CC1)C(=O)C(N)=O)C2(C)C)C(C)(C)C Chemical compound CC(C)(C)NC(=O)N[C@H](C(=O)N1CC2[C@@H]([C@H]1C(=O)CC(CC1CC1)C(=O)C(N)=O)C2(C)C)C(C)(C)C CUSMSBGYPLOLBC-QNSNYMDOSA-N 0.000 description 1
- GESSORNNMXQCCK-ZPTURGTRSA-N CC(C)(C)NC(=O)N[C@H](C(=O)N1C[C@H]2[C@@H]([C@H]1C(=O)CC(CC1CC1)C(=O)C(N)=O)C2(C)C)C1CC2=C(C=CC=C2)C1.CC1(C)[C@H]2CN(C(=O)[C@@H](NC(=O)NC3CCCCC3)C3CC4=C(C=CC=C4)C3)[C@H](C(=O)CC(CC3CC3)C(=O)C(N)=O)[C@H]21.CC1(C)[C@H]2CN(C(=O)[C@@H](NC(=O)OC3CCCCC3)C3CCCCC3)[C@H](C(=O)CC(CC3CCC3)C(=O)C(N)=O)[C@H]21.CC1CCCCC1OC(=O)N[C@H](C(=O)N1C[C@H]2[C@@H]([C@H]1C(=O)CC(CC1CC1)C(=O)C(N)=O)C2(C)C)C1CCCCC1.CCCC(CC(=O)[C@@H]1[C@@H]2[C@H](CN1C(=O)[C@@H](NC(=O)NC(C)(C)C)C(C)(C)C)C2(Cl)Cl)C(=O)C(N)=O.CCCC(CC(=O)[C@@H]1[C@@H]2[C@H](CN1C(=O)[C@@H](NC(=O)OC(C)(C)C)C1CCCCC1)C2(Cl)Cl)C(=O)C(N)=O.C[C@H]1CCC[C@@H]1OC(=O)N[C@H](C(=O)N1C[C@H]2[C@@H]([C@H]1C(=O)CC(CC1CC1)C(=O)C(N)=O)C2(C)C)C1CCCCC1.NC(=O)C(=O)C(CC(=O)[C@@H]1[C@@H]2[C@H](CN1C(=O)[C@@H](NC(=O)NC1CCCCC1)C1CC3=C(C=CC=C3)C1)C2(Cl)Cl)CC1CC1 Chemical compound CC(C)(C)NC(=O)N[C@H](C(=O)N1C[C@H]2[C@@H]([C@H]1C(=O)CC(CC1CC1)C(=O)C(N)=O)C2(C)C)C1CC2=C(C=CC=C2)C1.CC1(C)[C@H]2CN(C(=O)[C@@H](NC(=O)NC3CCCCC3)C3CC4=C(C=CC=C4)C3)[C@H](C(=O)CC(CC3CC3)C(=O)C(N)=O)[C@H]21.CC1(C)[C@H]2CN(C(=O)[C@@H](NC(=O)OC3CCCCC3)C3CCCCC3)[C@H](C(=O)CC(CC3CCC3)C(=O)C(N)=O)[C@H]21.CC1CCCCC1OC(=O)N[C@H](C(=O)N1C[C@H]2[C@@H]([C@H]1C(=O)CC(CC1CC1)C(=O)C(N)=O)C2(C)C)C1CCCCC1.CCCC(CC(=O)[C@@H]1[C@@H]2[C@H](CN1C(=O)[C@@H](NC(=O)NC(C)(C)C)C(C)(C)C)C2(Cl)Cl)C(=O)C(N)=O.CCCC(CC(=O)[C@@H]1[C@@H]2[C@H](CN1C(=O)[C@@H](NC(=O)OC(C)(C)C)C1CCCCC1)C2(Cl)Cl)C(=O)C(N)=O.C[C@H]1CCC[C@@H]1OC(=O)N[C@H](C(=O)N1C[C@H]2[C@@H]([C@H]1C(=O)CC(CC1CC1)C(=O)C(N)=O)C2(C)C)C1CCCCC1.NC(=O)C(=O)C(CC(=O)[C@@H]1[C@@H]2[C@H](CN1C(=O)[C@@H](NC(=O)NC1CCCCC1)C1CC3=C(C=CC=C3)C1)C2(Cl)Cl)CC1CC1 GESSORNNMXQCCK-ZPTURGTRSA-N 0.000 description 1
- UBIBVQFOVKNSMH-PHEPTXFJSA-N CC(C)(C)NC(=O)N[C@H](C(=O)N1C[C@H]2[C@@H]([C@H]1C(=O)CC(CC1CC1)C(=O)C(N)=O)C2(C)C)C1CC2=C(C=CC=C2)C1.CC1(C)[C@H]2CN(C(=O)[C@@H](NC(=O)NC3CCCCC3)C3CC4=C(C=CC=C4)C3)[C@H](C(=O)CC(CC3CC3)C(=O)C(N)=O)[C@H]21.CC1CCCCC1OC(=O)N[C@H](C(=O)N1C[C@H]2[C@@H]([C@H]1C(=O)CC(CC1CC1)C(=O)C(N)=O)C2(C)C)C1CCCCC1.C[C@H]1CCC[C@@H]1OC(=O)N[C@H](C(=O)N1C[C@H]2[C@@H]([C@H]1C(=O)CC(CC1CC1)C(=O)C(N)=O)C2(C)C)C1CCCCC1 Chemical compound CC(C)(C)NC(=O)N[C@H](C(=O)N1C[C@H]2[C@@H]([C@H]1C(=O)CC(CC1CC1)C(=O)C(N)=O)C2(C)C)C1CC2=C(C=CC=C2)C1.CC1(C)[C@H]2CN(C(=O)[C@@H](NC(=O)NC3CCCCC3)C3CC4=C(C=CC=C4)C3)[C@H](C(=O)CC(CC3CC3)C(=O)C(N)=O)[C@H]21.CC1CCCCC1OC(=O)N[C@H](C(=O)N1C[C@H]2[C@@H]([C@H]1C(=O)CC(CC1CC1)C(=O)C(N)=O)C2(C)C)C1CCCCC1.C[C@H]1CCC[C@@H]1OC(=O)N[C@H](C(=O)N1C[C@H]2[C@@H]([C@H]1C(=O)CC(CC1CC1)C(=O)C(N)=O)C2(C)C)C1CCCCC1 UBIBVQFOVKNSMH-PHEPTXFJSA-N 0.000 description 1
- UXWUYUVXYZFELH-FICFNGBSSA-N CC(C)(C)NC(=O)N[C@H](C(=O)N1C[C@H]2[C@@H]([C@H]1C(=O)CC(CC1CC1)C(=O)C(N)=O)C2(Cl)Cl)C(C)(C)C.CC(C)(C)OC(=O)N[C@H](C(=O)N1C[C@H]2[C@@H]([C@H]1C(=O)CC(CCC(F)(F)F)C(=O)C(N)=O)C2(C)C)C1CCCCC1.CC(C)(C)[C@H](NC(=O)NC1CCCCC1)C(=O)N1C[C@H]2[C@@H]([C@H]1C(=O)CC(CC1CCC1)C(=O)C(N)=O)C2(Cl)Cl.CC(C)(C)[C@H](NC(=O)OC(C)(C)C(F)(F)F)C(=O)N1C[C@H]2[C@@H]([C@H]1C(=O)C[C@@H](CC1CC1)C(=O)C(N)=O)C2(C)C.CC(C)COC(=O)N[C@H](C(=O)N1C[C@H]2[C@@H]([C@H]1C(=O)CC(CC1CC1)C(=O)C(N)=O)C2(C)C)C1CC2=C(C=CC=C2)C1.CC(C)OC(=O)N[C@H](C(=O)N1C[C@H]2[C@@H]([C@H]1C(=O)CC(CC1CC1)C(=O)C(N)=O)C2(C)C)C1CC2=CC=CC=C2C1.CC1(C)[C@H]2CN(C(=O)[C@@H](NC(=O)OC(C)(C)C(F)(F)F)C3CCCCC3)[C@H](C(=O)CC(CC3CC3)C(=O)C(N)=O)[C@H]21.CCCC(CC(=O)[C@@H]1[C@@H]2[C@H](CN1C(=O)[C@@H](NC(=O)OC(C)(C)C)C1CC3=C(C=CC=C3)C1)C2(Cl)Cl)C(=O)C(N)=O Chemical compound CC(C)(C)NC(=O)N[C@H](C(=O)N1C[C@H]2[C@@H]([C@H]1C(=O)CC(CC1CC1)C(=O)C(N)=O)C2(Cl)Cl)C(C)(C)C.CC(C)(C)OC(=O)N[C@H](C(=O)N1C[C@H]2[C@@H]([C@H]1C(=O)CC(CCC(F)(F)F)C(=O)C(N)=O)C2(C)C)C1CCCCC1.CC(C)(C)[C@H](NC(=O)NC1CCCCC1)C(=O)N1C[C@H]2[C@@H]([C@H]1C(=O)CC(CC1CCC1)C(=O)C(N)=O)C2(Cl)Cl.CC(C)(C)[C@H](NC(=O)OC(C)(C)C(F)(F)F)C(=O)N1C[C@H]2[C@@H]([C@H]1C(=O)C[C@@H](CC1CC1)C(=O)C(N)=O)C2(C)C.CC(C)COC(=O)N[C@H](C(=O)N1C[C@H]2[C@@H]([C@H]1C(=O)CC(CC1CC1)C(=O)C(N)=O)C2(C)C)C1CC2=C(C=CC=C2)C1.CC(C)OC(=O)N[C@H](C(=O)N1C[C@H]2[C@@H]([C@H]1C(=O)CC(CC1CC1)C(=O)C(N)=O)C2(C)C)C1CC2=CC=CC=C2C1.CC1(C)[C@H]2CN(C(=O)[C@@H](NC(=O)OC(C)(C)C(F)(F)F)C3CCCCC3)[C@H](C(=O)CC(CC3CC3)C(=O)C(N)=O)[C@H]21.CCCC(CC(=O)[C@@H]1[C@@H]2[C@H](CN1C(=O)[C@@H](NC(=O)OC(C)(C)C)C1CC3=C(C=CC=C3)C1)C2(Cl)Cl)C(=O)C(N)=O UXWUYUVXYZFELH-FICFNGBSSA-N 0.000 description 1
- PQUYUCKKGQUQDC-JGFKPPCLSA-N CC(C)(C)NC(=O)N[C@H](C(=O)N1C[C@H]2[C@@H]([C@H]1C(=O)CC(CC1CC1)C(=O)C(N)=O)C2(Cl)Cl)C1CC2=C(C=CC=C2)C1.CC(C)(C)NC(=O)N[C@H](C(=O)N1C[C@H]2[C@@H]([C@H]1C(=O)CC(CC1CCC1)C(=O)C(N)=O)C2(Cl)Cl)C1CCCCC1.CC(C)(C)[C@H](NC(=O)NC12CC3CC(CC(C3)C1)C2)C(=O)N1C[C@H]2[C@@H]([C@H]1C(=O)CC(CC1CCC1)C(=O)C(N)=O)C2(C)C.NC(=O)C(=O)C(CC(=O)[C@@H]1[C@@H]2[C@H](CN1C(=O)[C@@H](NC(=O)NC1CCCCC1)C1CCCCC1)C2(Cl)Cl)CC1CCC1 Chemical compound CC(C)(C)NC(=O)N[C@H](C(=O)N1C[C@H]2[C@@H]([C@H]1C(=O)CC(CC1CC1)C(=O)C(N)=O)C2(Cl)Cl)C1CC2=C(C=CC=C2)C1.CC(C)(C)NC(=O)N[C@H](C(=O)N1C[C@H]2[C@@H]([C@H]1C(=O)CC(CC1CCC1)C(=O)C(N)=O)C2(Cl)Cl)C1CCCCC1.CC(C)(C)[C@H](NC(=O)NC12CC3CC(CC(C3)C1)C2)C(=O)N1C[C@H]2[C@@H]([C@H]1C(=O)CC(CC1CCC1)C(=O)C(N)=O)C2(C)C.NC(=O)C(=O)C(CC(=O)[C@@H]1[C@@H]2[C@H](CN1C(=O)[C@@H](NC(=O)NC1CCCCC1)C1CCCCC1)C2(Cl)Cl)CC1CCC1 PQUYUCKKGQUQDC-JGFKPPCLSA-N 0.000 description 1
- HTYIQBWZRMEJAI-LWARAMJSSA-N CC(C)(C)NC(=O)N[C@H](C(=O)N1C[C@H]2[C@@H]([C@H]1C(=O)CC(CC1CCC1)C(=O)C(N)=O)C2(C)C)C1CCCCC1.CC(C)(C)OC(=O)NC(C(=O)N1C[C@H]2[C@@H]([C@H]1C(=O)CC(CC1CCC1)C(=O)C(N)=O)C2(Cl)Cl)C(C)(C)C.CC1(C)[C@H]2CN(C(=O)[C@@H](NC(=O)NC34CC5CC(CC(C5)C3)C4)C3CCCCC3)[C@H](C(=O)CC(CC3CCC3)C(=O)C(N)=O)[C@H]21 Chemical compound CC(C)(C)NC(=O)N[C@H](C(=O)N1C[C@H]2[C@@H]([C@H]1C(=O)CC(CC1CCC1)C(=O)C(N)=O)C2(C)C)C1CCCCC1.CC(C)(C)OC(=O)NC(C(=O)N1C[C@H]2[C@@H]([C@H]1C(=O)CC(CC1CCC1)C(=O)C(N)=O)C2(Cl)Cl)C(C)(C)C.CC1(C)[C@H]2CN(C(=O)[C@@H](NC(=O)NC34CC5CC(CC(C5)C3)C4)C3CCCCC3)[C@H](C(=O)CC(CC3CCC3)C(=O)C(N)=O)[C@H]21 HTYIQBWZRMEJAI-LWARAMJSSA-N 0.000 description 1
- QEWAKVCXDDEOKA-FQYZOIDISA-N CC(C)(C)NC(=O)N[C@H](C(=O)N1C[C@H]2[C@@H]([C@H]1C(=O)CC(CC1CCC1)C(=O)C(N)=O)C2(C)C)C1CCCCC1.CC(C)(C)OC(=O)N[C@H](C(=O)N1C[C@H]2[C@@H]([C@H]1C(=O)CC(CC1CCC1)C(=O)C(N)=O)C2(Cl)Cl)C(C)(C)C.CC(NC(=O)N[C@H](C(=O)N1C[C@H]2[C@@H]([C@H]1C(=O)CC(CC1CCC1)C(=O)C(N)=O)C2(Cl)Cl)C1CCCCC1)C(C)(C)C.CC1(C)[C@H]2CN(C(=O)[C@@H](NC(=O)NC34CC5CC(CC(C5)C3)C4)C3CCCCC3)[C@H](C(=O)CC(CC3CCC3)C(=O)C(N)=O)[C@H]21 Chemical compound CC(C)(C)NC(=O)N[C@H](C(=O)N1C[C@H]2[C@@H]([C@H]1C(=O)CC(CC1CCC1)C(=O)C(N)=O)C2(C)C)C1CCCCC1.CC(C)(C)OC(=O)N[C@H](C(=O)N1C[C@H]2[C@@H]([C@H]1C(=O)CC(CC1CCC1)C(=O)C(N)=O)C2(Cl)Cl)C(C)(C)C.CC(NC(=O)N[C@H](C(=O)N1C[C@H]2[C@@H]([C@H]1C(=O)CC(CC1CCC1)C(=O)C(N)=O)C2(Cl)Cl)C1CCCCC1)C(C)(C)C.CC1(C)[C@H]2CN(C(=O)[C@@H](NC(=O)NC34CC5CC(CC(C5)C3)C4)C3CCCCC3)[C@H](C(=O)CC(CC3CCC3)C(=O)C(N)=O)[C@H]21 QEWAKVCXDDEOKA-FQYZOIDISA-N 0.000 description 1
- OKVITQHRBJKNTP-TZPCIBBBSA-N CC(C)(C)NC(=O)N[C@H](C(=O)N1C[C@H]2[C@@H]([C@H]1C(=O)NC(CC1CC1)C(=O)C(N)=O)C2(C)C)C(C)(C)C Chemical compound CC(C)(C)NC(=O)N[C@H](C(=O)N1C[C@H]2[C@@H]([C@H]1C(=O)NC(CC1CC1)C(=O)C(N)=O)C2(C)C)C(C)(C)C OKVITQHRBJKNTP-TZPCIBBBSA-N 0.000 description 1
- FDUWMNSSRXYVAE-LIELFMAKSA-N CC(C)(C)NC(=O)N[C@H](C(=O)N1C[C@H]2[C@@H]([C@H]1C(=O)NC(CC1CC1)C(=O)C(N)=O)C2(C)C)C1CCCCC1 Chemical compound CC(C)(C)NC(=O)N[C@H](C(=O)N1C[C@H]2[C@@H]([C@H]1C(=O)NC(CC1CC1)C(=O)C(N)=O)C2(C)C)C1CCCCC1 FDUWMNSSRXYVAE-LIELFMAKSA-N 0.000 description 1
- JRJQKHMNMZSECU-OFURLBHNSA-N CC(C)(C)NC(N[C@@H](C1CCCCC1)C(N(C[C@@H](C1)C(Cl)Cl)[C@@H]1C(NC(CC1CCC1)C(C(N)=O)=O)=O)=O)=O Chemical compound CC(C)(C)NC(N[C@@H](C1CCCCC1)C(N(C[C@@H](C1)C(Cl)Cl)[C@@H]1C(NC(CC1CCC1)C(C(N)=O)=O)=O)=O)=O JRJQKHMNMZSECU-OFURLBHNSA-N 0.000 description 1
- CUNBOXXVVCCGHC-IRSXWCFZSA-N CC(C)(C)OC(=O)CC(CC1CC1)C(O)C(=O)CCC(=O)O.CN(C)C(=O)[C@@H](ClN)C1=CC=CC=C1.CN(C)C(=O)[C@@H](NC(=O)CCC(=O)C(O)C(CC1CC1)ClN)C1=CC=CC=C1.COC(=O)CC#N.COC(=O)CCC(=O)C(OC(C)=O)C(CC(=O)OC(C)(C)C)CC1CC1.[H]C(=O)C(CC(=O)OC(C)(C)C)CC1CC1 Chemical compound CC(C)(C)OC(=O)CC(CC1CC1)C(O)C(=O)CCC(=O)O.CN(C)C(=O)[C@@H](ClN)C1=CC=CC=C1.CN(C)C(=O)[C@@H](NC(=O)CCC(=O)C(O)C(CC1CC1)ClN)C1=CC=CC=C1.COC(=O)CC#N.COC(=O)CCC(=O)C(OC(C)=O)C(CC(=O)OC(C)(C)C)CC1CC1.[H]C(=O)C(CC(=O)OC(C)(C)C)CC1CC1 CUNBOXXVVCCGHC-IRSXWCFZSA-N 0.000 description 1
- VAYZRFISDUEUAW-UHFFFAOYSA-N CC(C)(C)OC(=O)CC(CC1CC1)C(O)C(=O)CCC(=O)O.COC(=O)CCC(=O)C(OC(C)=O)C(CC(=O)OC(C)(C)C)CC1CC1 Chemical compound CC(C)(C)OC(=O)CC(CC1CC1)C(O)C(=O)CCC(=O)O.COC(=O)CCC(=O)C(OC(C)=O)C(CC(=O)OC(C)(C)C)CC1CC1 VAYZRFISDUEUAW-UHFFFAOYSA-N 0.000 description 1
- LILQMFXTAZRCOA-CQLPHIHCSA-N CC(C)(C)OC(=O)CCCC(=O)C(=O)C(CC(=O)[C@@H]1C2C(CN1C(=O)[C@@H](NC(=O)OC(C)(C)C)C(C)(C)C)C2(C)C)CC1=CC=CC=C1 Chemical compound CC(C)(C)OC(=O)CCCC(=O)C(=O)C(CC(=O)[C@@H]1C2C(CN1C(=O)[C@@H](NC(=O)OC(C)(C)C)C(C)(C)C)C2(C)C)CC1=CC=CC=C1 LILQMFXTAZRCOA-CQLPHIHCSA-N 0.000 description 1
- PLQSWIVJKOOOSY-GCSFFUMHSA-N CC(C)(C)OC(=O)CCNC(=O)C(=O)C(CC(F)(F)F)NC(=O)[C@@H]1[C@@H]2[C@H](CN1C(=O)[C@@H](NC(=O)OC(C)(C)C)C1CCCCC1)C2(C)C Chemical compound CC(C)(C)OC(=O)CCNC(=O)C(=O)C(CC(F)(F)F)NC(=O)[C@@H]1[C@@H]2[C@H](CN1C(=O)[C@@H](NC(=O)OC(C)(C)C)C1CCCCC1)C2(C)C PLQSWIVJKOOOSY-GCSFFUMHSA-N 0.000 description 1
- AIAJNUOJHSTCRS-XRPVGGPPSA-N CC(C)(C)OC(=O)CCNC(=O)C(=O)C(CC1CCC1)NC(=O)C1C2C(CN1C(=O)[C@@H](NC(=O)OC(C)(C)C)C(C)(C)C)C2(C)C Chemical compound CC(C)(C)OC(=O)CCNC(=O)C(=O)C(CC1CCC1)NC(=O)C1C2C(CN1C(=O)[C@@H](NC(=O)OC(C)(C)C)C(C)(C)C)C2(C)C AIAJNUOJHSTCRS-XRPVGGPPSA-N 0.000 description 1
- GJMWVARUZSCRPH-LUVJJERASA-N CC(C)(C)OC(=O)CCNC(=O)C(=O)[C@@H](CCC1CO1)NC(=O)[C@@H]1[C@@H]2C(CN1C(=O)[C@@H](NC(=O)NC13CC4CC(CC(C4)C1)C3)C1CCCCC1)C2(C)C Chemical compound CC(C)(C)OC(=O)CCNC(=O)C(=O)[C@@H](CCC1CO1)NC(=O)[C@@H]1[C@@H]2C(CN1C(=O)[C@@H](NC(=O)NC13CC4CC(CC(C4)C1)C3)C1CCCCC1)C2(C)C GJMWVARUZSCRPH-LUVJJERASA-N 0.000 description 1
- QRCOUNCFIMXIDE-MYLBNLLISA-N CC(C)(C)OC(=O)C[C@H](C(=O)C1CC2C(C1C(=O)CC(CC1CCC1)C(=O)C(N)=O)C2(C)C)C1CCCCC1 Chemical compound CC(C)(C)OC(=O)C[C@H](C(=O)C1CC2C(C1C(=O)CC(CC1CCC1)C(=O)C(N)=O)C2(C)C)C1CCCCC1 QRCOUNCFIMXIDE-MYLBNLLISA-N 0.000 description 1
- MBANVBMAKIVDQD-RJNPPPKQSA-N CC(C)(C)OC(=O)C[C@H](C(=O)N1CC2OC(C)(C)C[C@@H]2[C@H]1C(=O)O)C1CCCCC1.CCC([V])I.CN(C)C(=O)[C@@H](NC(=O)CCC(=O)C(=O)C(CC(=O)[C@@H]1[C@H]2CC(C)(C)OC2CN1C(=O)[C@@H](CC(=O)OC(C)(C)C)C1CCCCC1)CC1CC1)C1=CC=CC=C1 Chemical compound CC(C)(C)OC(=O)C[C@H](C(=O)N1CC2OC(C)(C)C[C@@H]2[C@H]1C(=O)O)C1CCCCC1.CCC([V])I.CN(C)C(=O)[C@@H](NC(=O)CCC(=O)C(=O)C(CC(=O)[C@@H]1[C@H]2CC(C)(C)OC2CN1C(=O)[C@@H](CC(=O)OC(C)(C)C)C1CCCCC1)CC1CC1)C1=CC=CC=C1 MBANVBMAKIVDQD-RJNPPPKQSA-N 0.000 description 1
- KTHURESONIPKOO-DXMNVVCKSA-N CC(C)(C)OC(=O)C[C@H](C(=O)N1CC2OC(C)(C)C[C@@H]2[C@H]1C(=O)O)C1CCCCC1.COC(=O)[C@@H]1[C@H]2CC(C)(C)OC2CN1C(=O)[C@@H](CC(=O)OC(C)(C)C)C1CCCCC1.[Li]NO Chemical compound CC(C)(C)OC(=O)C[C@H](C(=O)N1CC2OC(C)(C)C[C@@H]2[C@H]1C(=O)O)C1CCCCC1.COC(=O)[C@@H]1[C@H]2CC(C)(C)OC2CN1C(=O)[C@@H](CC(=O)OC(C)(C)C)C1CCCCC1.[Li]NO KTHURESONIPKOO-DXMNVVCKSA-N 0.000 description 1
- QJHZRLXABYAREV-DSRFCVLUSA-K CC(C)(C)OC(=O)C[C@H](C(=O)N1C[C@H]2[C@@H]([C@H]1C(=O)O)C2(C)C)C(C)(C)C.CCCCC(CC(=O)OC(C)(C)C)C(O)C(=O)CC/C(N[C@H](C(=O)N(C)C)C1=CC=CS1)=O\C.CCCCC(CC(=O)OC(C)(C)C)C(O)C(=O)CCC(=O)O.CCCCC(CC(=O)OC(C)(C)C)C(O)C(=O)CCC(=O)OC.CCCCC(CC(=O)[C@@H]1[C@@H]2[C@H](CN1C(=O)[C@@H](CC(=O)OC(C)(C)C)C(C)(C)C)C2(C)C)C(O)C(=O)CCC(=O)N[C@H](C(=O)N(C)C)C1=CC=CS1.CCCCC(CC(=O)[C@@H]1[C@@H]2[C@H](CN1C(=O)[C@@H](CC(=O)OC(C)(C)C)C(C)(C)C)C2(C)C)C(O)C(=O)CCC(=O)N[C@H](C(=O)N(C)C)C1=CC=CS1.CCCCC(ClN)C(O)C(=O)CCC(=O)N[C@H](C(=O)N(C)C)C1=CC=CS1.CCCCC(NC(=O)OC(C)(C)C)C(O)C(=O)O.CCC[V](I)(I)I.CN(C)C(=O)[C@@H](ClN)C1=CC=CS1.COC(=O)CClN.O Chemical compound CC(C)(C)OC(=O)C[C@H](C(=O)N1C[C@H]2[C@@H]([C@H]1C(=O)O)C2(C)C)C(C)(C)C.CCCCC(CC(=O)OC(C)(C)C)C(O)C(=O)CC/C(N[C@H](C(=O)N(C)C)C1=CC=CS1)=O\C.CCCCC(CC(=O)OC(C)(C)C)C(O)C(=O)CCC(=O)O.CCCCC(CC(=O)OC(C)(C)C)C(O)C(=O)CCC(=O)OC.CCCCC(CC(=O)[C@@H]1[C@@H]2[C@H](CN1C(=O)[C@@H](CC(=O)OC(C)(C)C)C(C)(C)C)C2(C)C)C(O)C(=O)CCC(=O)N[C@H](C(=O)N(C)C)C1=CC=CS1.CCCCC(CC(=O)[C@@H]1[C@@H]2[C@H](CN1C(=O)[C@@H](CC(=O)OC(C)(C)C)C(C)(C)C)C2(C)C)C(O)C(=O)CCC(=O)N[C@H](C(=O)N(C)C)C1=CC=CS1.CCCCC(ClN)C(O)C(=O)CCC(=O)N[C@H](C(=O)N(C)C)C1=CC=CS1.CCCCC(NC(=O)OC(C)(C)C)C(O)C(=O)O.CCC[V](I)(I)I.CN(C)C(=O)[C@@H](ClN)C1=CC=CS1.COC(=O)CClN.O QJHZRLXABYAREV-DSRFCVLUSA-K 0.000 description 1
- RPSCHYPIKJIXRN-LKFRFEGDSA-N CC(C)(C)OC(=O)C[C@H](C(=O)O)C1CCC(F)(F)CC1.COC(=O)[C@@H](CC(=O)OC(C)(C)C)C1CCC(F)(F)CC1 Chemical compound CC(C)(C)OC(=O)C[C@H](C(=O)O)C1CCC(F)(F)CC1.COC(=O)[C@@H](CC(=O)OC(C)(C)C)C1CCC(F)(F)CC1 RPSCHYPIKJIXRN-LKFRFEGDSA-N 0.000 description 1
- YRWULSZIBHQTJG-YSBWNTNTSA-N CC(C)(C)OC(=O)N1C2CCC(CC2)C1C(=O)O.COC(=O)C1C2C=CC(CC2)N1[C@H](C)C1=CC=CC=C1 Chemical compound CC(C)(C)OC(=O)N1C2CCC(CC2)C1C(=O)O.COC(=O)C1C2C=CC(CC2)N1[C@H](C)C1=CC=CC=C1 YRWULSZIBHQTJG-YSBWNTNTSA-N 0.000 description 1
- PZQHPXRGYOOUDJ-BSNLXVFGSA-N CC(C)(C)OC(=O)N1CC2(CC1C(=O)O)SCCS2.CCC.CCCC(CC(=O)C1CC2(CN1C(=O)OC(C)(C)C)SCCS2)C(O)C(=O)CCC(=O)N[C@H](C(C)=O)C1=CC=CC=C1.CCCC(CC(=O)C1CC2(CN1C)SCCS2)C(=O)C(=O)CCC(=O)N[C@H](C(C)=O)C1=CC=CC=C1.CCCC(CC(=O)C1CC2(CN1C)SCCS2)C(O)C(=O)CCC(=O)N[C@H](C(C)=O)C1=CC=CC=C1.CCCC(CC(=O)C1CC2(CN1Cl)SCCS2)C(O)C(=O)CCC(=O)N[C@H](C(C)=O)C1=CC=CC=C1.CCCC(N)C(O)C(=O)CCC(=O)N[C@H](C)C1=CC=CC=C1.Cl.Cl.OON1/N=N\C2=CC=CC=C21.OON1/N=N\C2=CC=CC=C21.[2H]CF Chemical compound CC(C)(C)OC(=O)N1CC2(CC1C(=O)O)SCCS2.CCC.CCCC(CC(=O)C1CC2(CN1C(=O)OC(C)(C)C)SCCS2)C(O)C(=O)CCC(=O)N[C@H](C(C)=O)C1=CC=CC=C1.CCCC(CC(=O)C1CC2(CN1C)SCCS2)C(=O)C(=O)CCC(=O)N[C@H](C(C)=O)C1=CC=CC=C1.CCCC(CC(=O)C1CC2(CN1C)SCCS2)C(O)C(=O)CCC(=O)N[C@H](C(C)=O)C1=CC=CC=C1.CCCC(CC(=O)C1CC2(CN1Cl)SCCS2)C(O)C(=O)CCC(=O)N[C@H](C(C)=O)C1=CC=CC=C1.CCCC(N)C(O)C(=O)CCC(=O)N[C@H](C)C1=CC=CC=C1.Cl.Cl.OON1/N=N\C2=CC=CC=C21.OON1/N=N\C2=CC=CC=C21.[2H]CF PZQHPXRGYOOUDJ-BSNLXVFGSA-N 0.000 description 1
- OQUGOZQLUUXMRD-QNKJTOQJSA-N CC(C)(C)OC(=O)N1CC2(CCCC2)C[C@H]1C(=O)O.O=C(O)[C@@H]1CC2(CC=CC2)CN1C(=O)OCC1C2=C(C=CC=C2)C2=C1C=CC=C2 Chemical compound CC(C)(C)OC(=O)N1CC2(CCCC2)C[C@H]1C(=O)O.O=C(O)[C@@H]1CC2(CC=CC2)CN1C(=O)OCC1C2=C(C=CC=C2)C2=C1C=CC=C2 OQUGOZQLUUXMRD-QNKJTOQJSA-N 0.000 description 1
- UFBCZOHXARKXRI-CORIKADDSA-N CC(C)(C)OC(=O)N1CC2(C[C@H]1C(=O)O)SCCCS2.COC(=O)[C@@H]1CC2(CN1C(=O)OC(C)(C)C)SCCCS2 Chemical compound CC(C)(C)OC(=O)N1CC2(C[C@H]1C(=O)O)SCCCS2.COC(=O)[C@@H]1CC2(CN1C(=O)OC(C)(C)C)SCCCS2 UFBCZOHXARKXRI-CORIKADDSA-N 0.000 description 1
- ZSPLDZDWIMENLL-QOOOJNEBSA-M CC(C)(C)OC(=O)N1CC2(C[C@H]1C(=O)O)SCCCS2.COC(=O)[C@@H]1CC2(CN1C(=O)OC(C)(C)C)SCCCS2.COC(=O)[C@@H]1CC2(CN1C(=O)OCC1=CC=CC=C1)SCCCS2.COC(=O)[C@@H]1CC2(CN1Cl)SCCCS2.COC(=O)[C@@H]1C[C@@H](O)CN1C(=O)OCC1=CC=CC=C1.COC(=O)[C@@H]1C[C@H](O)CN1C(=O)OCC1=CC=CC=C1.Cl.SCCCS.[Li]O Chemical compound CC(C)(C)OC(=O)N1CC2(C[C@H]1C(=O)O)SCCCS2.COC(=O)[C@@H]1CC2(CN1C(=O)OC(C)(C)C)SCCCS2.COC(=O)[C@@H]1CC2(CN1C(=O)OCC1=CC=CC=C1)SCCCS2.COC(=O)[C@@H]1CC2(CN1Cl)SCCCS2.COC(=O)[C@@H]1C[C@@H](O)CN1C(=O)OCC1=CC=CC=C1.COC(=O)[C@@H]1C[C@H](O)CN1C(=O)OCC1=CC=CC=C1.Cl.SCCCS.[Li]O ZSPLDZDWIMENLL-QOOOJNEBSA-M 0.000 description 1
- NNPCCGRTSXEXIB-PVSSEACSSA-N CC(C)(C)OC(=O)N1CC2(C[C@H]1C(=O)O)SCCS2.COC(=O)[C@@H]1CC2(CN1C(=O)OC(C)(C)C)SCCS2 Chemical compound CC(C)(C)OC(=O)N1CC2(C[C@H]1C(=O)O)SCCS2.COC(=O)[C@@H]1CC2(CN1C(=O)OC(C)(C)C)SCCS2 NNPCCGRTSXEXIB-PVSSEACSSA-N 0.000 description 1
- KHJIRVIXINGECQ-DIQYCMFJSA-N CC(C)(C)OC(=O)N1CC=C[C@H]1C(=O)O.CC(C)(C)OC(=O)[C@@H]1C=CCN1C(=O)OC(C)(C)C Chemical compound CC(C)(C)OC(=O)N1CC=C[C@H]1C(=O)O.CC(C)(C)OC(=O)[C@@H]1C=CCN1C(=O)OC(C)(C)C KHJIRVIXINGECQ-DIQYCMFJSA-N 0.000 description 1
- VLZXTFCNEBXFFX-LFLAPWSVSA-N CC(C)(C)OC(=O)N1CC=C[C@H]1C(=O)O.CC(C)(C)OC(=O)[C@@H]1C=CCN1C(=O)OC(C)(C)C.CC(C)(C)OC(=O)[C@@H]1[C@@H]2[C@H](CN1C(=O)OC(C)(C)C)C2(Cl)Cl.CCN(CC)CC.CO.COC(=O)[C@@H]1[C@@H]2[C@H](CN1C(=O)[C@@H](C)C1CCCCC1)C2(Cl)Cl.COC(=O)[C@H]1NC[C@H]2[C@@H]1C2(Cl)Cl.C[C@H](C(=O)O)C1CCCCC1.Cl.Cl.ClCC1=CC=CC=C1.ClCCl.O=C(O)C(F)(F)F.O=C(O)[C@H]1CC[C@H]2[C@@H]1C2(Cl)Cl.[2H]CF Chemical compound CC(C)(C)OC(=O)N1CC=C[C@H]1C(=O)O.CC(C)(C)OC(=O)[C@@H]1C=CCN1C(=O)OC(C)(C)C.CC(C)(C)OC(=O)[C@@H]1[C@@H]2[C@H](CN1C(=O)OC(C)(C)C)C2(Cl)Cl.CCN(CC)CC.CO.COC(=O)[C@@H]1[C@@H]2[C@H](CN1C(=O)[C@@H](C)C1CCCCC1)C2(Cl)Cl.COC(=O)[C@H]1NC[C@H]2[C@@H]1C2(Cl)Cl.C[C@H](C(=O)O)C1CCCCC1.Cl.Cl.ClCC1=CC=CC=C1.ClCCl.O=C(O)C(F)(F)F.O=C(O)[C@H]1CC[C@H]2[C@@H]1C2(Cl)Cl.[2H]CF VLZXTFCNEBXFFX-LFLAPWSVSA-N 0.000 description 1
- KVXXEKIGMOEPSA-ZETCQYMHSA-N CC(C)(C)OC(=O)N1CCOC[C@H]1C(=O)O Chemical compound CC(C)(C)OC(=O)N1CCOC[C@H]1C(=O)O KVXXEKIGMOEPSA-ZETCQYMHSA-N 0.000 description 1
- LKXIZFJHZAXZHB-KBPBESRZSA-N CC(C)(C)OC(=O)N1C[C@@H](Cl)C[C@H]1C(=O)OCC1=CC=CC=C1 Chemical compound CC(C)(C)OC(=O)N1C[C@@H](Cl)C[C@H]1C(=O)OCC1=CC=CC=C1 LKXIZFJHZAXZHB-KBPBESRZSA-N 0.000 description 1
- BEIPCYKSYYZEJH-KBPBESRZSA-N CC(C)(C)OC(=O)N1C[C@@H](O)C[C@H]1C(=O)OCC1=CC=CC=C1 Chemical compound CC(C)(C)OC(=O)N1C[C@@H](O)C[C@H]1C(=O)OCC1=CC=CC=C1 BEIPCYKSYYZEJH-KBPBESRZSA-N 0.000 description 1
- NRHZKNLVYZQMFI-GJZGRUSLSA-N CC(C)(C)OC(=O)N1C[C@@H](OS(C)(=O)=O)C[C@H]1C(=O)OCC1=CC=CC=C1 Chemical compound CC(C)(C)OC(=O)N1C[C@@H](OS(C)(=O)=O)C[C@H]1C(=O)OCC1=CC=CC=C1 NRHZKNLVYZQMFI-GJZGRUSLSA-N 0.000 description 1
- NNOLYNMFQICDQX-GJZGRUSLSA-N CC(C)(C)OC(=O)N1C[C@H](C#N)C[C@H]1C(=O)OCC1=CC=CC=C1 Chemical compound CC(C)(C)OC(=O)N1C[C@H](C#N)C[C@H]1C(=O)OCC1=CC=CC=C1 NNOLYNMFQICDQX-GJZGRUSLSA-N 0.000 description 1
- NNBVAZYHYUBQCU-KGLIPLIRSA-N CC(C)(C)OC(=O)N1C[C@H](N=[N+]=[N-])C[C@H]1C(=O)OCC1=CC=CC=C1 Chemical compound CC(C)(C)OC(=O)N1C[C@H](N=[N+]=[N-])C[C@H]1C(=O)OCC1=CC=CC=C1 NNBVAZYHYUBQCU-KGLIPLIRSA-N 0.000 description 1
- DQPPMXRMUUNHDJ-BLJKDTPWSA-N CC(C)(C)OC(=O)NC(C(=O)N1CC2C([C@H]1C(=O)NC(CC1CC1)C(=O)C(N)=O)C2(Cl)Cl)C1CC2=C(C=CC=C2)C1 Chemical compound CC(C)(C)OC(=O)NC(C(=O)N1CC2C([C@H]1C(=O)NC(CC1CC1)C(=O)C(N)=O)C2(Cl)Cl)C1CC2=C(C=CC=C2)C1 DQPPMXRMUUNHDJ-BLJKDTPWSA-N 0.000 description 1
- PSUDCBAAACXPFE-VEGHNBABSA-N CC(C)(C)OC(=O)NC(C(=O)N1CC2C([C@H]1C(=O)NC(CC1CC1)C(=O)C(N)=O)C2(Cl)Cl)C1CCCCC1 Chemical compound CC(C)(C)OC(=O)NC(C(=O)N1CC2C([C@H]1C(=O)NC(CC1CC1)C(=O)C(N)=O)C2(Cl)Cl)C1CCCCC1 PSUDCBAAACXPFE-VEGHNBABSA-N 0.000 description 1
- YXJGMAPGSGVIDY-MGGFZHBUSA-N CC(C)(C)OC(=O)NC(C(=O)N1CC2C([C@H]1C(=O)NC(CC1CCC1)C(=O)C(N)=O)C2(C)C)C1CC2CCCCC2C1 Chemical compound CC(C)(C)OC(=O)NC(C(=O)N1CC2C([C@H]1C(=O)NC(CC1CCC1)C(=O)C(N)=O)C2(C)C)C1CC2CCCCC2C1 YXJGMAPGSGVIDY-MGGFZHBUSA-N 0.000 description 1
- ZEZFRULSTTUVHY-IBLUKRHDSA-N CC(C)(C)OC(=O)NC(C(=O)N1CC2[C@@H](C1C(=O)NC1(C(=O)C(=O)O)CC1)C2(C)C)C(C)(C)C Chemical compound CC(C)(C)OC(=O)NC(C(=O)N1CC2[C@@H](C1C(=O)NC1(C(=O)C(=O)O)CC1)C2(C)C)C(C)(C)C ZEZFRULSTTUVHY-IBLUKRHDSA-N 0.000 description 1
- AZUGTZZQWFVKOQ-SHJNKKKYSA-N CC(C)(C)OC(=O)NC(C(=O)N1C[C@H]2C([C@H]1C(=O)NC(CC(F)(F)F)C(=O)C(=O)NCC1=CC=CC=C1)C2(C)C)C1CC2=C(C=CC=C2)C1 Chemical compound CC(C)(C)OC(=O)NC(C(=O)N1C[C@H]2C([C@H]1C(=O)NC(CC(F)(F)F)C(=O)C(=O)NCC1=CC=CC=C1)C2(C)C)C1CC2=C(C=CC=C2)C1 AZUGTZZQWFVKOQ-SHJNKKKYSA-N 0.000 description 1
- CUSXKQQSTPXPAO-TZXMNIPZSA-N CC(C)(C)OC(=O)NC(C(=O)N1C[C@H]2[C@@H]([C@H]1C(=O)O)C2(C)C)C1CCC(F)(F)CC1.CCCC(CC(=O)[C@@H]1[C@@H]2[C@H](CN1C(=O)C(NC(=O)OC(C)(C)C)C1CCC(F)(F)CC1)C2(C)C)C(=O)C(=O)CCC(=O)N[C@H](C(=O)N(C)C)C1=CC=CC=C1.CCCC(ClN)C(=O)C(=O)CCC(=O)N[C@H](C(=O)N(C)C)C1=CC=CC=C1.CCC[V] Chemical compound CC(C)(C)OC(=O)NC(C(=O)N1C[C@H]2[C@@H]([C@H]1C(=O)O)C2(C)C)C1CCC(F)(F)CC1.CCCC(CC(=O)[C@@H]1[C@@H]2[C@H](CN1C(=O)C(NC(=O)OC(C)(C)C)C1CCC(F)(F)CC1)C2(C)C)C(=O)C(=O)CCC(=O)N[C@H](C(=O)N(C)C)C1=CC=CC=C1.CCCC(ClN)C(=O)C(=O)CCC(=O)N[C@H](C(=O)N(C)C)C1=CC=CC=C1.CCC[V] CUSXKQQSTPXPAO-TZXMNIPZSA-N 0.000 description 1
- JDJYHODADHPNOJ-SMCBFFEISA-N CC(C)(C)OC(=O)NC(C(=O)N1C[C@H]2[C@@H]([C@H]1C(=O)O)C2(C)C)C1CCC(F)(F)CC1.COC(=O)[C@@H]1[C@@H]2[C@H](CN1C(=O)C(NC(=O)OC(C)(C)C)C1CCC(F)(F)CC1)C2(C)C Chemical compound CC(C)(C)OC(=O)NC(C(=O)N1C[C@H]2[C@@H]([C@H]1C(=O)O)C2(C)C)C1CCC(F)(F)CC1.COC(=O)[C@@H]1[C@@H]2[C@H](CN1C(=O)C(NC(=O)OC(C)(C)C)C1CCC(F)(F)CC1)C2(C)C JDJYHODADHPNOJ-SMCBFFEISA-N 0.000 description 1
- QVQSNNCTUDTZSL-GKRQEDRTSA-N CC(C)(C)OC(=O)NC(C(=O)O)C1CCC(F)(F)CC1.COC(=O)[C@@H]1[C@@H]2[C@H](CN1C(=O)C(NC(=O)OC(C)(C)C)C1CCC(F)(F)CC1)C2(C)C Chemical compound CC(C)(C)OC(=O)NC(C(=O)O)C1CCC(F)(F)CC1.COC(=O)[C@@H]1[C@@H]2[C@H](CN1C(=O)C(NC(=O)OC(C)(C)C)C1CCC(F)(F)CC1)C2(C)C QVQSNNCTUDTZSL-GKRQEDRTSA-N 0.000 description 1
- BQSPMYFDOHJYGR-NEUFXUDDSA-N CC(C)(C)OC(=O)N[C@H](C(=O)N1CC2C(C1C(=O)NC(CC1CC1)C(=O)C(=O)O)C2(C)C)C1CC2=C(C=CC=C2)C1 Chemical compound CC(C)(C)OC(=O)N[C@H](C(=O)N1CC2C(C1C(=O)NC(CC1CC1)C(=O)C(=O)O)C2(C)C)C1CC2=C(C=CC=C2)C1 BQSPMYFDOHJYGR-NEUFXUDDSA-N 0.000 description 1
- RYXCJLUHWWIYIS-PAOLREHBSA-N CC(C)(C)OC(=O)N[C@H](C(=O)N1CC2C([C@H]1C(=O)NC(CC1CC1)C(=O)C(N)=O)C2(Cl)Cl)C1CCCC1 Chemical compound CC(C)(C)OC(=O)N[C@H](C(=O)N1CC2C([C@H]1C(=O)NC(CC1CC1)C(=O)C(N)=O)C2(Cl)Cl)C1CCCC1 RYXCJLUHWWIYIS-PAOLREHBSA-N 0.000 description 1
- QOQJFKFSWFUVKP-VZIDXPSOSA-N CC(C)(C)OC(=O)N[C@H](C(=O)N1CC2C([C@H]1C(=O)NC(CC1CCC1)C(=O)C(N)=O)C2(C)C)C(C)(C)C Chemical compound CC(C)(C)OC(=O)N[C@H](C(=O)N1CC2C([C@H]1C(=O)NC(CC1CCC1)C(=O)C(N)=O)C2(C)C)C(C)(C)C QOQJFKFSWFUVKP-VZIDXPSOSA-N 0.000 description 1
- LFKITAOQQDIAJF-IOHZUATHSA-N CC(C)(C)OC(=O)N[C@H](C(=O)N1CC2C([C@H]1C(=O)NC(CC1CCC1)C(=O)C(N)=O)C2(C)C)C1CCCCC1 Chemical compound CC(C)(C)OC(=O)N[C@H](C(=O)N1CC2C([C@H]1C(=O)NC(CC1CCC1)C(=O)C(N)=O)C2(C)C)C1CCCCC1 LFKITAOQQDIAJF-IOHZUATHSA-N 0.000 description 1
- ORFFWAWVEJAVBU-WBLOSPSNSA-N CC(C)(C)OC(=O)N[C@H](C(=O)N1CC2C([C@H]1C(=O)NC(CC1CCCC1)C(=O)C(N)=O)C2(C)C)C1CCCCC1 Chemical compound CC(C)(C)OC(=O)N[C@H](C(=O)N1CC2C([C@H]1C(=O)NC(CC1CCCC1)C(=O)C(N)=O)C2(C)C)C1CCCCC1 ORFFWAWVEJAVBU-WBLOSPSNSA-N 0.000 description 1
- GEFJVDMEEKUEDT-XWCYNJGWSA-N CC(C)(C)OC(=O)N[C@H](C(=O)N1CC2C([C@H]1C(=O)NC(CC1CCCCC1)C(=O)C(N)=O)C2(C)C)C(C)(C)C Chemical compound CC(C)(C)OC(=O)N[C@H](C(=O)N1CC2C([C@H]1C(=O)NC(CC1CCCCC1)C(=O)C(N)=O)C2(C)C)C(C)(C)C GEFJVDMEEKUEDT-XWCYNJGWSA-N 0.000 description 1
- LSBCMRNQKGTHNL-CTEMSKPWSA-N CC(C)(C)OC(=O)N[C@H](C(=O)N1CC2C([C@H]1C(=O)NC(CC1CCCCC1)C(=O)C(N)=O)C2(C)C)C1CC2=C(C=CC=C2)C1 Chemical compound CC(C)(C)OC(=O)N[C@H](C(=O)N1CC2C([C@H]1C(=O)NC(CC1CCCCC1)C(=O)C(N)=O)C2(C)C)C1CC2=C(C=CC=C2)C1 LSBCMRNQKGTHNL-CTEMSKPWSA-N 0.000 description 1
- DSSRDKSTBVHGIK-JKWWZATHSA-N CC(C)(C)OC(=O)N[C@H](C(=O)N1CC2C([C@H]1C(=O)NC(CC1CCCCC1)C(=O)C(N)=O)C2(C)C)C1CCCCC1 Chemical compound CC(C)(C)OC(=O)N[C@H](C(=O)N1CC2C([C@H]1C(=O)NC(CC1CCCCC1)C(=O)C(N)=O)C2(C)C)C1CCCCC1 DSSRDKSTBVHGIK-JKWWZATHSA-N 0.000 description 1
- OWPFMRHBAISUAY-YOSFSMADSA-K CC(C)(C)OC(=O)N[C@H](C(=O)N1CC2[C@@H]([C@H]1C(=O)CC(CC1CC1)C(=O)C(=O)O)C2(C)C)C(C)(C)C.CC[V](I)(I)I.C[C@H](C(=O)N1C[C@H]2[C@@H]([C@H]1C(=O)CC(CC1CC1)C(=O)C(N)=O)C2(C)C)C(C)(C)C Chemical compound CC(C)(C)OC(=O)N[C@H](C(=O)N1CC2[C@@H]([C@H]1C(=O)CC(CC1CC1)C(=O)C(=O)O)C2(C)C)C(C)(C)C.CC[V](I)(I)I.C[C@H](C(=O)N1C[C@H]2[C@@H]([C@H]1C(=O)CC(CC1CC1)C(=O)C(N)=O)C2(C)C)C(C)(C)C OWPFMRHBAISUAY-YOSFSMADSA-K 0.000 description 1
- CCVRMLPMWUDMHS-RROBTDIZSA-N CC(C)(C)OC(=O)N[C@H](C(=O)N1CC2[C@@H]([C@H]1C(=O)CC(CC1CC1)C(=O)C(=O)O)C2(C)C)C(C)(C)C.COC(=O)C(=O)C(CC(=O)[C@@H]1[C@@H]2C(CN1C(=O)[C@@H](NC(=O)OC(C)(C)C)C(C)(C)C)C2(C)C)CC1CC1 Chemical compound CC(C)(C)OC(=O)N[C@H](C(=O)N1CC2[C@@H]([C@H]1C(=O)CC(CC1CC1)C(=O)C(=O)O)C2(C)C)C(C)(C)C.COC(=O)C(=O)C(CC(=O)[C@@H]1[C@@H]2C(CN1C(=O)[C@@H](NC(=O)OC(C)(C)C)C(C)(C)C)C2(C)C)CC1CC1 CCVRMLPMWUDMHS-RROBTDIZSA-N 0.000 description 1
- WCBQZXKMNJSPNO-VDJLUKFCSA-K CC(C)(C)OC(=O)N[C@H](C(=O)N1CC2[C@@H]([C@H]1C(=O)CC(CC1CC1)C(=O)C(N)=O)C2(C)C)C(C)(C)C.CC(C)(C)[C@H](N)C(=O)N1CC2[C@@H]([C@H]1C(=O)CC(CC1CC1)C(=O)C(N)=O)C2(C)C.CC[V](I)(I)I.Cl Chemical compound CC(C)(C)OC(=O)N[C@H](C(=O)N1CC2[C@@H]([C@H]1C(=O)CC(CC1CC1)C(=O)C(N)=O)C2(C)C)C(C)(C)C.CC(C)(C)[C@H](N)C(=O)N1CC2[C@@H]([C@H]1C(=O)CC(CC1CC1)C(=O)C(N)=O)C2(C)C.CC[V](I)(I)I.Cl WCBQZXKMNJSPNO-VDJLUKFCSA-K 0.000 description 1
- GVGHOVXYZSHTGT-KPSSQIJQSA-N CC(C)(C)OC(=O)N[C@H](C(=O)N1CC2[C@@H]([C@H]1C(=O)NC(CC1CC1)C(=O)C(=O)O)C2(C)C)C(C)(C)C Chemical compound CC(C)(C)OC(=O)N[C@H](C(=O)N1CC2[C@@H]([C@H]1C(=O)NC(CC1CC1)C(=O)C(=O)O)C2(C)C)C(C)(C)C GVGHOVXYZSHTGT-KPSSQIJQSA-N 0.000 description 1
- VTMFFVZJIMVXMQ-PWKSQPCKSA-N CC(C)(C)OC(=O)N[C@H](C(=O)N1CC2[C@@H]([C@H]1C(=O)NC(CC1CC1)C(=O)C(=O)O)C2(C)C)C1CCC(F)(F)CC1 Chemical compound CC(C)(C)OC(=O)N[C@H](C(=O)N1CC2[C@@H]([C@H]1C(=O)NC(CC1CC1)C(=O)C(=O)O)C2(C)C)C1CCC(F)(F)CC1 VTMFFVZJIMVXMQ-PWKSQPCKSA-N 0.000 description 1
- DSHSXAOLBBBUBE-PWKSQPCKSA-N CC(C)(C)OC(=O)N[C@H](C(=O)N1CC2[C@@H]([C@H]1C(=O)NC(CC1CC1)C(=O)C(=O)O)C2(C)C)C1CCCC1 Chemical compound CC(C)(C)OC(=O)N[C@H](C(=O)N1CC2[C@@H]([C@H]1C(=O)NC(CC1CC1)C(=O)C(=O)O)C2(C)C)C1CCCC1 DSHSXAOLBBBUBE-PWKSQPCKSA-N 0.000 description 1
- GWXNWOXNTHEHCI-IMPXWGQXSA-N CC(C)(C)OC(=O)N[C@H](C(=O)N1CC2[C@@H]([C@H]1C(=O)NC(CC1CC1)C(=O)C(=O)O)C2(C)C)C1CCCCC1 Chemical compound CC(C)(C)OC(=O)N[C@H](C(=O)N1CC2[C@@H]([C@H]1C(=O)NC(CC1CC1)C(=O)C(=O)O)C2(C)C)C1CCCCC1 GWXNWOXNTHEHCI-IMPXWGQXSA-N 0.000 description 1
- WCRLTBJBFZJIBI-LZBXTJKXSA-N CC(C)(C)OC(=O)N[C@H](C(=O)N1CC2[C@@H]([C@H]1C(=O)O)C2(C)C)C(C)(C)C.CN(C)C(=O)[C@@H](NC(=O)CCC(=O)C(O)C(CC(=O)[C@@H]1[C@@H]2C(CN1C(=O)[C@@H](NC(=O)OC(C)(C)C)C(C)(C)C)C2(C)C)CC1CC1)C1=CC=CC=C1.CN(C)C(=O)[C@@H](NC(=O)CCC(=O)C(O)C(CC1CC1)ClN)C1=CC=CC=C1 Chemical compound CC(C)(C)OC(=O)N[C@H](C(=O)N1CC2[C@@H]([C@H]1C(=O)O)C2(C)C)C(C)(C)C.CN(C)C(=O)[C@@H](NC(=O)CCC(=O)C(O)C(CC(=O)[C@@H]1[C@@H]2C(CN1C(=O)[C@@H](NC(=O)OC(C)(C)C)C(C)(C)C)C2(C)C)CC1CC1)C1=CC=CC=C1.CN(C)C(=O)[C@@H](NC(=O)CCC(=O)C(O)C(CC1CC1)ClN)C1=CC=CC=C1 WCRLTBJBFZJIBI-LZBXTJKXSA-N 0.000 description 1
- SFJVBVAUZWMVJF-IPYVJIHTSA-N CC(C)(C)OC(=O)N[C@H](C(=O)N1CCC[C@H]1C(=O)CC(CC1CC1)C(=O)C(=O)CCC(=O)N[C@H](C(N)=O)C1=CC=CC=C1)C1CCCCC1 Chemical compound CC(C)(C)OC(=O)N[C@H](C(=O)N1CCC[C@H]1C(=O)CC(CC1CC1)C(=O)C(=O)CCC(=O)N[C@H](C(N)=O)C1=CC=CC=C1)C1CCCCC1 SFJVBVAUZWMVJF-IPYVJIHTSA-N 0.000 description 1
- HPFVXZKTZWWZOD-ZBBNUGFNSA-N CC(C)(C)OC(=O)N[C@H](C(=O)N1C[C@H](OC(C)(C)C)C[C@H]1C(=O)CC(CC1CC1)C(=O)C(=O)CCC(=O)N[C@H](C(N)=O)C1=CC=CC=C1)C1CCCCC1 Chemical compound CC(C)(C)OC(=O)N[C@H](C(=O)N1C[C@H](OC(C)(C)C)C[C@H]1C(=O)CC(CC1CC1)C(=O)C(=O)CCC(=O)N[C@H](C(N)=O)C1=CC=CC=C1)C1CCCCC1 HPFVXZKTZWWZOD-ZBBNUGFNSA-N 0.000 description 1
- KPTGLSSAHPXHPV-AHJPPMIRSA-N CC(C)(C)OC(=O)N[C@H](C(=O)N1C[C@H]2C([C@H]1C(=O)CC(CCC1CC1)C(=O)C(=O)CCC(=O)NCC1=CC=CC=C1)C2(C)C)C(C)(C)C Chemical compound CC(C)(C)OC(=O)N[C@H](C(=O)N1C[C@H]2C([C@H]1C(=O)CC(CCC1CC1)C(=O)C(=O)CCC(=O)NCC1=CC=CC=C1)C2(C)C)C(C)(C)C KPTGLSSAHPXHPV-AHJPPMIRSA-N 0.000 description 1
- YNTMGKBBLBWFCG-WMCAYINRSA-N CC(C)(C)OC(=O)N[C@H](C(=O)N1C[C@H]2C([C@H]1C(=O)NC(CC(F)(F)F)C(=O)C(=O)NS(=O)(=O)C(C)(C)C)C2(C)C)C1CCCCC1 Chemical compound CC(C)(C)OC(=O)N[C@H](C(=O)N1C[C@H]2C([C@H]1C(=O)NC(CC(F)(F)F)C(=O)C(=O)NS(=O)(=O)C(C)(C)C)C2(C)C)C1CCCCC1 YNTMGKBBLBWFCG-WMCAYINRSA-N 0.000 description 1
- YSAPFUUTPOKROX-SSMUZRQLSA-N CC(C)(C)OC(=O)N[C@H](C(=O)N1C[C@H]2[C@@H](C1C(=O)NC(CC1CC1)C(=O)C(N)=O)C2(C)C)C(C)(C)C Chemical compound CC(C)(C)OC(=O)N[C@H](C(=O)N1C[C@H]2[C@@H](C1C(=O)NC(CC1CC1)C(=O)C(N)=O)C2(C)C)C(C)(C)C YSAPFUUTPOKROX-SSMUZRQLSA-N 0.000 description 1
- RVULYEBMBYJAQA-ZAQQFOKRSA-N CC(C)(C)OC(=O)N[C@H](C(=O)N1C[C@H]2[C@@H](C1C(=O)NC1(C(=O)C(N)=O)CC1)C2(C)C)C(C)(C)C Chemical compound CC(C)(C)OC(=O)N[C@H](C(=O)N1C[C@H]2[C@@H](C1C(=O)NC1(C(=O)C(N)=O)CC1)C2(C)C)C(C)(C)C RVULYEBMBYJAQA-ZAQQFOKRSA-N 0.000 description 1
- MYJOOGAPHKNKBW-PENGFBRXSA-N CC(C)(C)OC(=O)N[C@H](C(=O)N1C[C@H]2[C@@H]([C@H]1C(=O)CC(CC1CC1)C(=O)C(N)=O)C2(Br)Br)C1CCCCC1.CC(C)(C)OC(=O)N[C@H](C(=O)N1C[C@H]2[C@@H]([C@H]1C(=O)CC(CC1CCC1)C(=O)C(N)=O)C2(Cl)Cl)C1CCCCC1.CC(C)[C@@H](C)OC(=O)N[C@H](C(=O)N1C[C@H]2[C@@H]([C@H]1C(=O)CC(CC1CC1)C(=O)C(N)=O)C2(C)C)C1CC2=C(C=CC=C2)C1.CC(C)[C@@H](C)OC(=O)N[C@H](C(=O)N1C[C@H]2[C@@H]([C@H]1C(=O)CC(CC1CCC1)C(=O)C(N)=O)C2(C)C)C1CCCCC1 Chemical compound CC(C)(C)OC(=O)N[C@H](C(=O)N1C[C@H]2[C@@H]([C@H]1C(=O)CC(CC1CC1)C(=O)C(N)=O)C2(Br)Br)C1CCCCC1.CC(C)(C)OC(=O)N[C@H](C(=O)N1C[C@H]2[C@@H]([C@H]1C(=O)CC(CC1CCC1)C(=O)C(N)=O)C2(Cl)Cl)C1CCCCC1.CC(C)[C@@H](C)OC(=O)N[C@H](C(=O)N1C[C@H]2[C@@H]([C@H]1C(=O)CC(CC1CC1)C(=O)C(N)=O)C2(C)C)C1CC2=C(C=CC=C2)C1.CC(C)[C@@H](C)OC(=O)N[C@H](C(=O)N1C[C@H]2[C@@H]([C@H]1C(=O)CC(CC1CCC1)C(=O)C(N)=O)C2(C)C)C1CCCCC1 MYJOOGAPHKNKBW-PENGFBRXSA-N 0.000 description 1
- QUQHYMLCPMNMNA-BGGYFLRUSA-N CC(C)(C)OC(=O)N[C@H](C(=O)N1C[C@H]2[C@@H]([C@H]1C(=O)CC(CC1CC1)C(=O)C(N)=O)C2(C)C)C1CCCCC1.CC(C)(C)OC(=O)N[C@H](C(=O)N1C[C@H]2[C@@H]([C@H]1C(=O)CC(CCC(F)(F)F)C(=O)C(N)=O)C2(C)C)C1CCCCC1.CC(C)COC(=O)N[C@H](C(=O)N1C[C@H]2[C@@H]([C@H]1C(=O)CC(CC1CC1)C(=O)C(N)=O)C2(C)C)C1CC2=C(C=CC=C2)C1.CC1(C)[C@H]2CN(C(=O)[C@@H](NC(=O)OC(C)(C)C(F)(F)F)C3CCCCC3)[C@H](C(=O)CC(CC3CC3)C(=O)C(N)=O)[C@H]21 Chemical compound CC(C)(C)OC(=O)N[C@H](C(=O)N1C[C@H]2[C@@H]([C@H]1C(=O)CC(CC1CC1)C(=O)C(N)=O)C2(C)C)C1CCCCC1.CC(C)(C)OC(=O)N[C@H](C(=O)N1C[C@H]2[C@@H]([C@H]1C(=O)CC(CCC(F)(F)F)C(=O)C(N)=O)C2(C)C)C1CCCCC1.CC(C)COC(=O)N[C@H](C(=O)N1C[C@H]2[C@@H]([C@H]1C(=O)CC(CC1CC1)C(=O)C(N)=O)C2(C)C)C1CC2=C(C=CC=C2)C1.CC1(C)[C@H]2CN(C(=O)[C@@H](NC(=O)OC(C)(C)C(F)(F)F)C3CCCCC3)[C@H](C(=O)CC(CC3CC3)C(=O)C(N)=O)[C@H]21 QUQHYMLCPMNMNA-BGGYFLRUSA-N 0.000 description 1
- WJSXOCSSXBJRJA-XZMACLAHSA-N CC(C)(C)OC(=O)N[C@H](C(=O)N1C[C@H]2[C@@H]([C@H]1C(=O)CC(CC1CC1)C(=O)C(N)=O)C2(Cl)Cl)C1CCCCC1.CC(C)(C)[C@H](NC(=O)NC1CCCCC1)C(=O)N1C[C@H]2[C@@H]([C@H]1C(=O)CC(CC1CC1)C(=O)C(N)=O)C2(C)C.CCCC(CC(=O)[C@@H]1[C@@H]2[C@H](CN1C(=O)[C@@H](NC(=O)NC(C)(C)C)C1CCCCC1)C2(Cl)Cl)C(=O)C(N)=O.NC(=O)C(=O)C(CC(=O)[C@@H]1[C@@H]2[C@H](CN1C(=O)[C@@H](NC(=O)NC13CC4CC(CC(C4)C1)C3)C1CCCCC1)C2(Cl)Cl)CC1CC1 Chemical compound CC(C)(C)OC(=O)N[C@H](C(=O)N1C[C@H]2[C@@H]([C@H]1C(=O)CC(CC1CC1)C(=O)C(N)=O)C2(Cl)Cl)C1CCCCC1.CC(C)(C)[C@H](NC(=O)NC1CCCCC1)C(=O)N1C[C@H]2[C@@H]([C@H]1C(=O)CC(CC1CC1)C(=O)C(N)=O)C2(C)C.CCCC(CC(=O)[C@@H]1[C@@H]2[C@H](CN1C(=O)[C@@H](NC(=O)NC(C)(C)C)C1CCCCC1)C2(Cl)Cl)C(=O)C(N)=O.NC(=O)C(=O)C(CC(=O)[C@@H]1[C@@H]2[C@H](CN1C(=O)[C@@H](NC(=O)NC13CC4CC(CC(C4)C1)C3)C1CCCCC1)C2(Cl)Cl)CC1CC1 WJSXOCSSXBJRJA-XZMACLAHSA-N 0.000 description 1
- GFMDSWFTZQATSQ-CAWYOGTCSA-N CC(C)(C)OC(=O)N[C@H](C(=O)N1C[C@H]2[C@@H]([C@H]1C(=O)NC(CC(F)(F)F)C(=O)C(N)=O)C2(C)C)C(C)(C)C Chemical compound CC(C)(C)OC(=O)N[C@H](C(=O)N1C[C@H]2[C@@H]([C@H]1C(=O)NC(CC(F)(F)F)C(=O)C(N)=O)C2(C)C)C(C)(C)C GFMDSWFTZQATSQ-CAWYOGTCSA-N 0.000 description 1
- MDFDJEFLJUTQDV-LIELFMAKSA-N CC(C)(C)OC(=O)N[C@H](C(=O)N1C[C@H]2[C@@H]([C@H]1C(=O)NC(CC(F)(F)F)C(=O)C(N)=O)C2(C)C)C1CC2=C(C=CC=C2)C1 Chemical compound CC(C)(C)OC(=O)N[C@H](C(=O)N1C[C@H]2[C@@H]([C@H]1C(=O)NC(CC(F)(F)F)C(=O)C(N)=O)C2(C)C)C1CC2=C(C=CC=C2)C1 MDFDJEFLJUTQDV-LIELFMAKSA-N 0.000 description 1
- YWYOZQKXLGRBAH-JBGVAKJSSA-N CC(C)(C)OC(=O)N[C@H](C(=O)N1C[C@H]2[C@@H]([C@H]1C(=O)NC(CC(F)(F)F)C(=O)C(N)=O)C2(C)C)C1CCCCC1 Chemical compound CC(C)(C)OC(=O)N[C@H](C(=O)N1C[C@H]2[C@@H]([C@H]1C(=O)NC(CC(F)(F)F)C(=O)C(N)=O)C2(C)C)C1CCCCC1 YWYOZQKXLGRBAH-JBGVAKJSSA-N 0.000 description 1
- JWWFXNRDCLVSLH-USSJPZKSSA-N CC(C)(C)OC(=O)N[C@H](C(=O)N1C[C@H]2[C@@H]([C@H]1C(=O)NC(CC1CC1)C(=O)C(=O)NCC(F)(F)F)C2(C)C)C1CCCCC1 Chemical compound CC(C)(C)OC(=O)N[C@H](C(=O)N1C[C@H]2[C@@H]([C@H]1C(=O)NC(CC1CC1)C(=O)C(=O)NCC(F)(F)F)C2(C)C)C1CCCCC1 JWWFXNRDCLVSLH-USSJPZKSSA-N 0.000 description 1
- OBIDKHCZWYFKQX-CRJJDSQLSA-N CC(C)(C)OC(=O)N[C@H](C(=O)N1C[C@H]2[C@@H]([C@H]1C(=O)NC(CC1CC1)C(=O)C(N)=O)C2(C)C)C1CCC(F)(F)CC1 Chemical compound CC(C)(C)OC(=O)N[C@H](C(=O)N1C[C@H]2[C@@H]([C@H]1C(=O)NC(CC1CC1)C(=O)C(N)=O)C2(C)C)C1CCC(F)(F)CC1 OBIDKHCZWYFKQX-CRJJDSQLSA-N 0.000 description 1
- ZNTVNFNNIAMMQO-CRJJDSQLSA-N CC(C)(C)OC(=O)N[C@H](C(=O)N1C[C@H]2[C@@H]([C@H]1C(=O)NC(CC1CC1)C(=O)C(N)=O)C2(C)C)C1CCCC1 Chemical compound CC(C)(C)OC(=O)N[C@H](C(=O)N1C[C@H]2[C@@H]([C@H]1C(=O)NC(CC1CC1)C(=O)C(N)=O)C2(C)C)C1CCCC1 ZNTVNFNNIAMMQO-CRJJDSQLSA-N 0.000 description 1
- GQDQSRGJEOLULH-LIELFMAKSA-N CC(C)(C)OC(=O)N[C@H](C(=O)N1C[C@H]2[C@@H]([C@H]1C(=O)NC(CC1CC1)C(=O)C(N)=O)C2(C)C)C1CCCCC1 Chemical compound CC(C)(C)OC(=O)N[C@H](C(=O)N1C[C@H]2[C@@H]([C@H]1C(=O)NC(CC1CC1)C(=O)C(N)=O)C2(C)C)C1CCCCC1 GQDQSRGJEOLULH-LIELFMAKSA-N 0.000 description 1
- KOABFSUXBJJYME-JRLVQFASSA-N CC(C)(C)OC(=O)N[C@H](C(=O)N1C[C@H]2[C@@H]([C@H]1C(=O)NC(CCC(F)F)C(=O)C(N)=O)C2(C)C)C1CCCCC1 Chemical compound CC(C)(C)OC(=O)N[C@H](C(=O)N1C[C@H]2[C@@H]([C@H]1C(=O)NC(CCC(F)F)C(=O)C(N)=O)C2(C)C)C1CCCCC1 KOABFSUXBJJYME-JRLVQFASSA-N 0.000 description 1
- SXRYPPNHDZUXJN-USSJPZKSSA-N CC(C)(C)OC(=O)N[C@H](C(=O)N1C[C@H]2[C@@H]([C@H]1C(=O)NC(CCC1CC1)C(=O)C(=O)O)C2(C)C)C1CCCCC1 Chemical compound CC(C)(C)OC(=O)N[C@H](C(=O)N1C[C@H]2[C@@H]([C@H]1C(=O)NC(CCC1CC1)C(=O)C(=O)O)C2(C)C)C1CCCCC1 SXRYPPNHDZUXJN-USSJPZKSSA-N 0.000 description 1
- XXUVNXYZCBJRTQ-USSJPZKSSA-N CC(C)(C)OC(=O)N[C@H](C(=O)N1C[C@H]2[C@@H]([C@H]1C(=O)NC(CCC1CC1)C(=O)C(N)=O)C2(C)C)C1CCCCC1 Chemical compound CC(C)(C)OC(=O)N[C@H](C(=O)N1C[C@H]2[C@@H]([C@H]1C(=O)NC(CCC1CC1)C(=O)C(N)=O)C2(C)C)C1CCCCC1 XXUVNXYZCBJRTQ-USSJPZKSSA-N 0.000 description 1
- NNUXGGAMYKXODR-XSLAGTTESA-N CC(C)(C)OC(=O)N[C@H](C(=O)N1C[C@H]2[C@@H]([C@H]1C(=O)NC1(C(=O)C(=O)O)CC1)C2(C)C)C1CCCCC1 Chemical compound CC(C)(C)OC(=O)N[C@H](C(=O)N1C[C@H]2[C@@H]([C@H]1C(=O)NC1(C(=O)C(=O)O)CC1)C2(C)C)C1CCCCC1 NNUXGGAMYKXODR-XSLAGTTESA-N 0.000 description 1
- IQPGHNHTPUVDJH-XSLAGTTESA-N CC(C)(C)OC(=O)N[C@H](C(=O)N1C[C@H]2[C@@H]([C@H]1C(=O)NC1(C(=O)C(N)=O)CC1)C2(C)C)C1CCCCC1 Chemical compound CC(C)(C)OC(=O)N[C@H](C(=O)N1C[C@H]2[C@@H]([C@H]1C(=O)NC1(C(=O)C(N)=O)CC1)C2(C)C)C1CCCCC1 IQPGHNHTPUVDJH-XSLAGTTESA-N 0.000 description 1
- XNAMPXCZZFWKQR-PJVZLEMVSA-N CC(C)(C)OC(=O)N[C@H](C(=O)N1C[C@H]2[C@@H]([C@H]1C(=O)N[C@H](CCC(F)(F)F)C(=O)C(N)=O)C2(C)C)C1CCCCC1 Chemical compound CC(C)(C)OC(=O)N[C@H](C(=O)N1C[C@H]2[C@@H]([C@H]1C(=O)N[C@H](CCC(F)(F)F)C(=O)C(N)=O)C2(C)C)C1CCCCC1 XNAMPXCZZFWKQR-PJVZLEMVSA-N 0.000 description 1
- HSLBJOOXNOTLOZ-YPJRHXLCSA-N CC(C)(C)OC(=O)N[C@H](C(=O)N[C@@H](CC1CC1)C(=O)NC(CC1CC1)C(=O)C(N)=O)C1CCCCC1 Chemical compound CC(C)(C)OC(=O)N[C@H](C(=O)N[C@@H](CC1CC1)C(=O)NC(CC1CC1)C(=O)C(N)=O)C1CCCCC1 HSLBJOOXNOTLOZ-YPJRHXLCSA-N 0.000 description 1
- VDZFHKNYLIXHDN-UHFFFAOYSA-N CC(C)(C)OC(=O)OC(=O)OC(C)(C)C.CCCS(C)(=O)=O.CCCSC.CS(=O)(=O)CCClN.CSCCN Chemical compound CC(C)(C)OC(=O)OC(=O)OC(C)(C)C.CCCS(C)(=O)=O.CCCSC.CS(=O)(=O)CCClN.CSCCN VDZFHKNYLIXHDN-UHFFFAOYSA-N 0.000 description 1
- FGIOHRRZGBTQIG-JNFUNWDRSA-N CC(C)(C)OC(=O)[C@@H]1C=CCN1C(=O)OC(C)(C)C.CC(C)(C)OC(=O)[C@@H]1[C@@H]2[C@H](CN1C(=O)OC(C)(C)C)C2(Cl)Cl Chemical compound CC(C)(C)OC(=O)[C@@H]1C=CCN1C(=O)OC(C)(C)C.CC(C)(C)OC(=O)[C@@H]1[C@@H]2[C@H](CN1C(=O)OC(C)(C)C)C2(Cl)Cl FGIOHRRZGBTQIG-JNFUNWDRSA-N 0.000 description 1
- IQJUUJAOMZCZEH-ZJWKZYRJSA-N CC(C)(C)OC(=O)[C@@H]1CC(C)(C)C(=O)N1C(=O)OC(C)(C)C.CC1(C)C[C@@H](C(=O)OC(C)(C)C)N(C(=O)OC(C)(C)C)C1 Chemical compound CC(C)(C)OC(=O)[C@@H]1CC(C)(C)C(=O)N1C(=O)OC(C)(C)C.CC1(C)C[C@@H](C(=O)OC(C)(C)C)N(C(=O)OC(C)(C)C)C1 IQJUUJAOMZCZEH-ZJWKZYRJSA-N 0.000 description 1
- ZALVJRYZKKMHLZ-LTAJBXHESA-N CC(C)(C)OC(=O)[C@@H]1CC(C)(C)C(=O)N1C(=O)OC(C)(C)C.CC1C[C@@H](C(=O)OC(C)(C)C)N(C(=O)OC(C)(C)C)C1=O Chemical compound CC(C)(C)OC(=O)[C@@H]1CC(C)(C)C(=O)N1C(=O)OC(C)(C)C.CC1C[C@@H](C(=O)OC(C)(C)C)N(C(=O)OC(C)(C)C)C1=O ZALVJRYZKKMHLZ-LTAJBXHESA-N 0.000 description 1
- BJWHSIRMQZVJBX-CHNGVTQJSA-N CC(C)(C)OC(=O)[C@@H]1CC2(CC=CC2)CN1C(=O)OC(C)(C)C.CC(C)(C)OC(=O)[C@@H]1CC2(CCCC2)CN1C(=O)OC(C)(C)C Chemical compound CC(C)(C)OC(=O)[C@@H]1CC2(CC=CC2)CN1C(=O)OC(C)(C)C.CC(C)(C)OC(=O)[C@@H]1CC2(CCCC2)CN1C(=O)OC(C)(C)C BJWHSIRMQZVJBX-CHNGVTQJSA-N 0.000 description 1
- BPHNPZQVMSQOQT-IGXSENSLSA-N CC(C)(C)OC(=O)[C@@H]1CCC(=O)N1C(=O)OC(C)(C)C.CC1C[C@@H](C(=O)OC(C)(C)C)N(C(=O)OC(C)(C)C)C1=O Chemical compound CC(C)(C)OC(=O)[C@@H]1CCC(=O)N1C(=O)OC(C)(C)C.CC1C[C@@H](C(=O)OC(C)(C)C)N(C(=O)OC(C)(C)C)C1=O BPHNPZQVMSQOQT-IGXSENSLSA-N 0.000 description 1
- PWXIXAGLFTTWOB-CGWGLCBLSA-N CC(C)(C)OC(=O)[C@@H]1[C@@H]2[C@H](CN1C(=O)OC(C)(C)C)C2(Cl)Cl.O=C(O)[C@H]1NC[C@H]2[C@@H]1C2(Cl)Cl.OOC=C(F)F Chemical compound CC(C)(C)OC(=O)[C@@H]1[C@@H]2[C@H](CN1C(=O)OC(C)(C)C)C2(Cl)Cl.O=C(O)[C@H]1NC[C@H]2[C@@H]1C2(Cl)Cl.OOC=C(F)F PWXIXAGLFTTWOB-CGWGLCBLSA-N 0.000 description 1
- LZGSBVHJHXVQSI-VIFPVBQESA-N CC(C)(C)OC(N(CC1(C2)SCCS1)[C@@H]2C(OC)=O)=O Chemical compound CC(C)(C)OC(N(CC1(C2)SCCS1)[C@@H]2C(OC)=O)=O LZGSBVHJHXVQSI-VIFPVBQESA-N 0.000 description 1
- UQVVFJVWYGEKKR-VEGHNBABSA-N CC(C)(C)OC(NC(C1CCCCC1)C(N(CC1C(C)(C)C11)[C@@H]1C(NC(CC(F)(F)F)C(C(NC)=O)=O)=O)=O)=O Chemical compound CC(C)(C)OC(NC(C1CCCCC1)C(N(CC1C(C)(C)C11)[C@@H]1C(NC(CC(F)(F)F)C(C(NC)=O)=O)=O)=O)=O UQVVFJVWYGEKKR-VEGHNBABSA-N 0.000 description 1
- OVSYTVOYLQLWLK-UHFFFAOYSA-N CC(C)(C)OC(NS(C1Cc2ccccc2C1)C(N(CC(C12)C1(Cl)Cl)C2C(NC(CC1CC1)C(C(N)=O)=O)=O)=O)=O Chemical compound CC(C)(C)OC(NS(C1Cc2ccccc2C1)C(N(CC(C12)C1(Cl)Cl)C2C(NC(CC1CC1)C(C(N)=O)=O)=O)=O)=O OVSYTVOYLQLWLK-UHFFFAOYSA-N 0.000 description 1
- IWEWAUXXKRJCFE-QXCBKUAXSA-N CC(C)(C)OC(N[C@@H](C1CCCCC1)C(N(CC1C(C)(C)C11)[C@@H]1C(N[C@H](CCC=C)C(C(NCCS(C(C)(C)C)(=O)=O)=O)=O)=O)=O)=O Chemical compound CC(C)(C)OC(N[C@@H](C1CCCCC1)C(N(CC1C(C)(C)C11)[C@@H]1C(N[C@H](CCC=C)C(C(NCCS(C(C)(C)C)(=O)=O)=O)=O)=O)=O)=O IWEWAUXXKRJCFE-QXCBKUAXSA-N 0.000 description 1
- DFKPUSNHPRIYSZ-VSDMOMNFSA-N CC(C)(C)OC(N[C@@H](C1CCCCC1)C(N(CC1C(C)(C)[C@H]11)C1C(NC(COC)C(C(NCC(N[C@H](C(N(C)C)=O)c1ccccc1)=O)=O)=O)=O)=O)=O Chemical compound CC(C)(C)OC(N[C@@H](C1CCCCC1)C(N(CC1C(C)(C)[C@H]11)C1C(NC(COC)C(C(NCC(N[C@H](C(N(C)C)=O)c1ccccc1)=O)=O)=O)=O)=O)=O DFKPUSNHPRIYSZ-VSDMOMNFSA-N 0.000 description 1
- GRBSIKGZURFOFV-AJNGGQMLSA-N CC(C)(C)OC(N[C@@H](C1CCCCC1)C(N(C[C@@H]([C@@H]1C2)C2(Cl)Cl)[C@@H]1C(O)=O)=O)=O Chemical compound CC(C)(C)OC(N[C@@H](C1CCCCC1)C(N(C[C@@H]([C@@H]1C2)C2(Cl)Cl)[C@@H]1C(O)=O)=O)=O GRBSIKGZURFOFV-AJNGGQMLSA-N 0.000 description 1
- SHOWMHPNFCWWTM-AJNGGQMLSA-N CC(C)(C)OC(N[C@@H](C1CCCCC1)C(N(C[C@@H]([C@H]12)C1(Cl)Cl)[C@@H]2C(OC)=O)=O)=O Chemical compound CC(C)(C)OC(N[C@@H](C1CCCCC1)C(N(C[C@@H]([C@H]12)C1(Cl)Cl)[C@@H]2C(OC)=O)=O)=O SHOWMHPNFCWWTM-AJNGGQMLSA-N 0.000 description 1
- KAJIDWBZAOESBX-UZUOBHKXSA-N CC(C)(C)OC(N[C@@H](C1Cc2ccccc2C1)C(N(CC(C12)C1(Cl)Cl)[C@@H]2C(NC(CCC=C)C(C(NCCC=C)=O)=O)=O)=O)=O Chemical compound CC(C)(C)OC(N[C@@H](C1Cc2ccccc2C1)C(N(CC(C12)C1(Cl)Cl)[C@@H]2C(NC(CCC=C)C(C(NCCC=C)=O)=O)=O)=O)=O KAJIDWBZAOESBX-UZUOBHKXSA-N 0.000 description 1
- KNDGUGPEWXNHFU-XWCYNJGWSA-N CC(C)(C)[C@@H](C(N(CC1C(C)(C)C11)[C@@H]1C(NC(CCC=C)C(C(NCCC=C)=O)=O)=O)=O)NS(N(C)C)(=O)=O Chemical compound CC(C)(C)[C@@H](C(N(CC1C(C)(C)C11)[C@@H]1C(NC(CCC=C)C(C(NCCC=C)=O)=O)=O)=O)NS(N(C)C)(=O)=O KNDGUGPEWXNHFU-XWCYNJGWSA-N 0.000 description 1
- DYKLPDHZPCEKSL-ZQDZILKHSA-N CC(C)(C)[C@@H](C(N(C[C@@H]1C(C)(C)C[C@@H]11)[C@@H]1C(OC)=O)=O)NC(NC(C)(C)C)=O Chemical compound CC(C)(C)[C@@H](C(N(C[C@@H]1C(C)(C)C[C@@H]11)[C@@H]1C(OC)=O)=O)NC(NC(C)(C)C)=O DYKLPDHZPCEKSL-ZQDZILKHSA-N 0.000 description 1
- OQHLUCQRUYRBTQ-CGFDRLMOSA-N CC(C)(C)[C@H](N)C(=O)N1CC2[C@@H]([C@H]1C(=O)CC(CC1CC1)C(=O)C(N)=O)C2(C)C.CC(C)(C)[C@H](NC(=O)OC(C)(C)C(F)(F)F)C(=O)N1CC2[C@@H]([C@H]1C(=O)CC(CC1CC1)C(=O)C(N)=O)C2(C)C.CC(C)(OC(=O)ON1C(=O)CCC1=O)C(F)(F)F.CCC(I)I.Cl Chemical compound CC(C)(C)[C@H](N)C(=O)N1CC2[C@@H]([C@H]1C(=O)CC(CC1CC1)C(=O)C(N)=O)C2(C)C.CC(C)(C)[C@H](NC(=O)OC(C)(C)C(F)(F)F)C(=O)N1CC2[C@@H]([C@H]1C(=O)CC(CC1CC1)C(=O)C(N)=O)C2(C)C.CC(C)(OC(=O)ON1C(=O)CCC1=O)C(F)(F)F.CCC(I)I.Cl OQHLUCQRUYRBTQ-CGFDRLMOSA-N 0.000 description 1
- FWVOMHWDIGNGPK-TZPCIBBBSA-N CC(C)(C)[C@H](NC(=O)NC1CC1)C(=O)N1C[C@H]2[C@@H]([C@H]1C(=O)NC(CC1CC1)C(=O)C(N)=O)C2(C)C Chemical compound CC(C)(C)[C@H](NC(=O)NC1CC1)C(=O)N1C[C@H]2[C@@H]([C@H]1C(=O)NC(CC1CC1)C(=O)C(N)=O)C2(C)C FWVOMHWDIGNGPK-TZPCIBBBSA-N 0.000 description 1
- FCIILOMFTMZHLI-YVFZDIIHSA-N CC(C)(C)[C@H](NC(=O)NC1CCCCC1)C(=O)N1C[C@H]2[C@@H]([C@H]1C(=O)NC(CC1CC1)C(=O)C(N)=O)C2(C)C Chemical compound CC(C)(C)[C@H](NC(=O)NC1CCCCC1)C(=O)N1C[C@H]2[C@@H]([C@H]1C(=O)NC(CC1CC1)C(=O)C(N)=O)C2(C)C FCIILOMFTMZHLI-YVFZDIIHSA-N 0.000 description 1
- RIHZEYCIOUHKJT-MGYIXDEASA-N CC(C)(C)[C@H](NC(=O)OC(C)(C)C(F)(F)F)C(=O)N1CC2[C@@H]([C@H]1C(=O)CC(CC1CC1)C(=O)C(N)=O)C2(C)C Chemical compound CC(C)(C)[C@H](NC(=O)OC(C)(C)C(F)(F)F)C(=O)N1CC2[C@@H]([C@H]1C(=O)CC(CC1CC1)C(=O)C(N)=O)C2(C)C RIHZEYCIOUHKJT-MGYIXDEASA-N 0.000 description 1
- VVXWTIRHOLVAMM-ULQWZQFMSA-N CC(C)(C)[C@H](NC(=O)OC(C)(C)C(F)(F)F)C(=O)N1C[C@H]2[C@@H]([C@H]1C(=O)N[C@H](CC1CC1)C(=O)C(N)=O)C2(C)C Chemical compound CC(C)(C)[C@H](NC(=O)OC(C)(C)C(F)(F)F)C(=O)N1C[C@H]2[C@@H]([C@H]1C(=O)N[C@H](CC1CC1)C(=O)C(N)=O)C2(C)C VVXWTIRHOLVAMM-ULQWZQFMSA-N 0.000 description 1
- BUKGMBSBQLONCZ-TZPCIBBBSA-N CC(C)(C)[C@H](NC(=O)OC1CC1)C(=O)N1C[C@H]2[C@@H]([C@H]1C(=O)NC(CC1CC1)C(=O)C(N)=O)C2(C)C Chemical compound CC(C)(C)[C@H](NC(=O)OC1CC1)C(=O)N1C[C@H]2[C@@H]([C@H]1C(=O)NC(CC1CC1)C(=O)C(N)=O)C2(C)C BUKGMBSBQLONCZ-TZPCIBBBSA-N 0.000 description 1
- WFCMFJAALIDLHP-HYHFHBMOSA-N CC(C)(COC(C)(C)C(C)(C)C)OC(=O)N[C@H](C(=O)N1C[C@H]2[C@@H]([C@H]1C(=O)NC(CC1CC1)C(=O)C(N)=O)C2(C)C)C1CCCCC1 Chemical compound CC(C)(COC(C)(C)C(C)(C)C)OC(=O)N[C@H](C(=O)N1C[C@H]2[C@@H]([C@H]1C(=O)NC(CC1CC1)C(=O)C(N)=O)C2(C)C)C1CCCCC1 WFCMFJAALIDLHP-HYHFHBMOSA-N 0.000 description 1
- SYGQPOUUGRITDX-WVASEHPASA-N CC(C)(CON(C)(C)C(C)(C)C)OC(=O)N[C@H](C(=O)N1C[C@H]2[C@@H]([C@H]1C(=O)NC(CC1CC1)C(=O)C(N)=O)C2(C)C)C(C)(C)C Chemical compound CC(C)(CON(C)(C)C(C)(C)C)OC(=O)N[C@H](C(=O)N1C[C@H]2[C@@H]([C@H]1C(=O)NC(CC1CC1)C(=O)C(N)=O)C2(C)C)C(C)(C)C SYGQPOUUGRITDX-WVASEHPASA-N 0.000 description 1
- JZQLAYUSBVBJLL-UHFFFAOYSA-N CC(C)(O)C1=CC=CC=C1.CCC(=O)O.CCC(=O)OC(C)(C)C1=CC=CC=C1 Chemical compound CC(C)(O)C1=CC=CC=C1.CCC(=O)O.CCC(=O)OC(C)(C)C1=CC=CC=C1 JZQLAYUSBVBJLL-UHFFFAOYSA-N 0.000 description 1
- SLYYMNJGZMWCTP-UHFFFAOYSA-N CC(C)(OC(=O)CN)C1=CC=CC=C1.CCC(=O)OC(C)(C)C1=CC=CC=C1 Chemical compound CC(C)(OC(=O)CN)C1=CC=CC=C1.CCC(=O)OC(C)(C)C1=CC=CC=C1 SLYYMNJGZMWCTP-UHFFFAOYSA-N 0.000 description 1
- YROKKGJHDCOLJC-BXHGCPETSA-N CC(C)(OC(=O)ON1C(=O)CCC1=O)C(F)(F)F.CCC.CN(C)C(=O)[C@@H](NC(=O)CCC(=O)C(=O)C(CC(=O)[C@@H]1[C@@H]2C(CN1C(=O)[C@@H](N)C(C)(C)C)C2(C)C)CC1CC1)C1=CC=CC=C1.CN(C)C(=O)[C@@H](NC(=O)CCC(=O)C(=O)C(CC(=O)[C@@H]1[C@@H]2C(CN1C(=O)[C@@H](NC(=O)OC(C)(C)C(F)(F)F)C(C)(C)C)C2(C)C)CC1CC1)C1=CC=CC=C1.Cl Chemical compound CC(C)(OC(=O)ON1C(=O)CCC1=O)C(F)(F)F.CCC.CN(C)C(=O)[C@@H](NC(=O)CCC(=O)C(=O)C(CC(=O)[C@@H]1[C@@H]2C(CN1C(=O)[C@@H](N)C(C)(C)C)C2(C)C)CC1CC1)C1=CC=CC=C1.CN(C)C(=O)[C@@H](NC(=O)CCC(=O)C(=O)C(CC(=O)[C@@H]1[C@@H]2C(CN1C(=O)[C@@H](NC(=O)OC(C)(C)C(F)(F)F)C(C)(C)C)C2(C)C)CC1CC1)C1=CC=CC=C1.Cl YROKKGJHDCOLJC-BXHGCPETSA-N 0.000 description 1
- YBAUFRSEQQXSBP-UHFFFAOYSA-N CC(C)C(=O)/C1=C/C=C\C2=C1C=CC=C2.CC(C)C(=O)C(C)C(=O)O.CC(C)C(=O)C1(C(=O)O)CC1.CC(C)C(=O)C1(C2=CC=CC=C2)CC1.CC(C)C(=O)C1=CC=CC(C(=O)O)=C1.CC(C)C(=O)C1=CC=CC=C1.CC(C)C(=O)C1=CC=CC=C1C(=O)C1=CC=CC=C1.CC(C)C(=O)C1=CC=CC=C1C(=O)O.CC(C)C(=O)C1=CC=CC=C1C(F)(F)F.CC(C)C(=O)C1=CC=CC=C1OC1=CC=CC=C1.CC(C)C(=O)C1=CC=CC=C1[N+](=O)[O-].CC(C)C(=O)C1CC1C1=CC=CC=C1.CC(C)C(=O)C1CCCC1.CC(C)C(=O)C1CCCCC1C(=O)C1=CC=CC=C1.CC(C)C(=O)C1CCCCC1C(=O)O.CC(C)C(=O)CC(CC(=O)O)C1=CC=CC=C1.CC(C)C(=O)CC1=CC(CC(=O)O)=CC=C1.CC(C)C(=O)CC1=CC=CC=C1CC(=O)O.CC1=CC=CC(C)=C1C(=O)C(C)C.CCC(C(=O)O)C(=O)C(C)C.CCOC1=C(\C(=O)C(C)C)C2=C(C=CC=C2)/C=C\1 Chemical compound CC(C)C(=O)/C1=C/C=C\C2=C1C=CC=C2.CC(C)C(=O)C(C)C(=O)O.CC(C)C(=O)C1(C(=O)O)CC1.CC(C)C(=O)C1(C2=CC=CC=C2)CC1.CC(C)C(=O)C1=CC=CC(C(=O)O)=C1.CC(C)C(=O)C1=CC=CC=C1.CC(C)C(=O)C1=CC=CC=C1C(=O)C1=CC=CC=C1.CC(C)C(=O)C1=CC=CC=C1C(=O)O.CC(C)C(=O)C1=CC=CC=C1C(F)(F)F.CC(C)C(=O)C1=CC=CC=C1OC1=CC=CC=C1.CC(C)C(=O)C1=CC=CC=C1[N+](=O)[O-].CC(C)C(=O)C1CC1C1=CC=CC=C1.CC(C)C(=O)C1CCCC1.CC(C)C(=O)C1CCCCC1C(=O)C1=CC=CC=C1.CC(C)C(=O)C1CCCCC1C(=O)O.CC(C)C(=O)CC(CC(=O)O)C1=CC=CC=C1.CC(C)C(=O)CC1=CC(CC(=O)O)=CC=C1.CC(C)C(=O)CC1=CC=CC=C1CC(=O)O.CC1=CC=CC(C)=C1C(=O)C(C)C.CCC(C(=O)O)C(=O)C(C)C.CCOC1=C(\C(=O)C(C)C)C2=C(C=CC=C2)/C=C\1 YBAUFRSEQQXSBP-UHFFFAOYSA-N 0.000 description 1
- OQYBSXMXLNHIAQ-UHFFFAOYSA-N CC(C)C(=O)C(C)CC1=CC=CC=C1.CC(C)C(=O)C(C1=CC=CC=C1)C1=CC=CC=C1.CC(C)C(=O)C(CC1=CC=CC=C1)C(=O)O.CC(C)C(=O)C(CC1=CC=CC=C1)C(C)(C)C.CC(C)C(=O)CC(C)C1=CC=CC=C1.CC(C)C(=O)CC(C1=CC=CC=C1)C1=CC=CC=C1.CC(C)C(=O)CC1=CC(Cl)=C(Cl)C=C1.CC(C)C(=O)CC1=CC(Cl)=CC=C1.CC(C)C(=O)CC1=CC(F)=CC(F)=C1.CC(C)C(=O)CC1=CC(F)=CC=C1.CC(C)C(=O)CC1=CC(O)=CC=C1.CC(C)C(=O)CC1=CC=C(Br)C=C1.CC(C)C(=O)CC1=CC=C(Cl)C=C1.CC(C)C(=O)CC1=CC=C(F)C=C1.CC1=CC(C(F)(F)F)=CC(CC(=O)C(C)C)=C1.CC1=CC=C(CC(=O)C(C)C)C=C1.CC1=CC=CC(CC(=O)C(C)C)=C1.CCC(C(=O)C(C)C)C1=CC=CC=C1 Chemical compound CC(C)C(=O)C(C)CC1=CC=CC=C1.CC(C)C(=O)C(C1=CC=CC=C1)C1=CC=CC=C1.CC(C)C(=O)C(CC1=CC=CC=C1)C(=O)O.CC(C)C(=O)C(CC1=CC=CC=C1)C(C)(C)C.CC(C)C(=O)CC(C)C1=CC=CC=C1.CC(C)C(=O)CC(C1=CC=CC=C1)C1=CC=CC=C1.CC(C)C(=O)CC1=CC(Cl)=C(Cl)C=C1.CC(C)C(=O)CC1=CC(Cl)=CC=C1.CC(C)C(=O)CC1=CC(F)=CC(F)=C1.CC(C)C(=O)CC1=CC(F)=CC=C1.CC(C)C(=O)CC1=CC(O)=CC=C1.CC(C)C(=O)CC1=CC=C(Br)C=C1.CC(C)C(=O)CC1=CC=C(Cl)C=C1.CC(C)C(=O)CC1=CC=C(F)C=C1.CC1=CC(C(F)(F)F)=CC(CC(=O)C(C)C)=C1.CC1=CC=C(CC(=O)C(C)C)C=C1.CC1=CC=CC(CC(=O)C(C)C)=C1.CCC(C(=O)C(C)C)C1=CC=CC=C1 OQYBSXMXLNHIAQ-UHFFFAOYSA-N 0.000 description 1
- ZSIHGNNMNUAVMR-UHFFFAOYSA-N CC(C)C(=O)C1=CC(Br)=CN=C1.CC(C)C(=O)C1=CC=C(S(N)(=O)=O)C=C1.CC(C)C(=O)C1=CC=C2C=CC=CC2=N1.CC(C)C(=O)CC(C1=CC=CC=C1)C1=CC=CC=C1.CC(C)C(=O)CC1=CC2=C(C=C1)OCO2.CC(C)C(=O)CC1NC(=O)CC1=O.CC(C)C(=O)CN1C(=O)C2=CC=CC=C2C1=O.CC(C)S(=O)(=O)C1=CC=CC=C1 Chemical compound CC(C)C(=O)C1=CC(Br)=CN=C1.CC(C)C(=O)C1=CC=C(S(N)(=O)=O)C=C1.CC(C)C(=O)C1=CC=C2C=CC=CC2=N1.CC(C)C(=O)CC(C1=CC=CC=C1)C1=CC=CC=C1.CC(C)C(=O)CC1=CC2=C(C=C1)OCO2.CC(C)C(=O)CC1NC(=O)CC1=O.CC(C)C(=O)CN1C(=O)C2=CC=CC=C2C1=O.CC(C)S(=O)(=O)C1=CC=CC=C1 ZSIHGNNMNUAVMR-UHFFFAOYSA-N 0.000 description 1
- XMMHRXBSDIRTPB-UHFFFAOYSA-N CC(C)C(=O)C1=CC=C(Cl)C(Cl)=C1.CC(C)C(=O)NC(C)(C)C.CC(C)C(=O)NC1=CC=CC=C1.CC(C)C(=O)NCC1=CC=CC=C1.CC(C)C(C)(C)C.CC(C)C1=CC=CC=C1.CC(C)CC(=O)O.CC(C)CC(=O)OC(C)(C)C.CC(C)CC1=CC=C(Cl)C(Cl)=C1.CC(C)CC1=CC=C(Cl)C=C1.CC(C)CC1=CC=CC(Cl)=C1.CC(C)CC1=CC=CC=C1.CNC(=O)C(C)C.[H]C(C)C Chemical compound CC(C)C(=O)C1=CC=C(Cl)C(Cl)=C1.CC(C)C(=O)NC(C)(C)C.CC(C)C(=O)NC1=CC=CC=C1.CC(C)C(=O)NCC1=CC=CC=C1.CC(C)C(C)(C)C.CC(C)C1=CC=CC=C1.CC(C)CC(=O)O.CC(C)CC(=O)OC(C)(C)C.CC(C)CC1=CC=C(Cl)C(Cl)=C1.CC(C)CC1=CC=C(Cl)C=C1.CC(C)CC1=CC=CC(Cl)=C1.CC(C)CC1=CC=CC=C1.CNC(=O)C(C)C.[H]C(C)C XMMHRXBSDIRTPB-UHFFFAOYSA-N 0.000 description 1
- GEGRZEVCAKGVIV-UHFFFAOYSA-N CC(C)C(C)(C)C.CC(C)C(C)C.CC(C)C1=C2OCOC2=CC=C1.CC(C)C1=CC(Cl)=CC=C1.CC(C)C1=CC(F)=C(F)C=C1.CC(C)C1=CC(F)=CC=C1.CC(C)C1=CC=C(C(F)(F)F)C=C1.CC(C)C1=CC=C(F)C=C1.CC(C)CC(=O)O.CC(C)CC(=O)OC(C)(C)C.CC(C)CC(C)C.CC(C)CC1=CC2=C(C=CC=C2)C=C1.CC(C)CC1=CC=CC=C1.CC(C)CC1CCCCC1.CC(C)CCC(=O)O.CC(C)CCC1=CC=CC=C1.CC(C)CCCC(=O)O.CC(C)CCCCN.CC(C)CCO.CC(C)COC(C)(C)C.CC(C)COCC1=CC=CC=C1.CC1=CC(C)=CC(C(C)C)=C1.CC1=CC=CC(C(C)C)=C1.CCC(C)C(C)C.CCCCC(C)C.COC1=CC(OC)=CC(C(C)C)=C1.COC1=CC=CC(C(C)C)=C1.COC1=CC=CC(C(C)C)=C1OC.[H]C(C)C Chemical compound CC(C)C(C)(C)C.CC(C)C(C)C.CC(C)C1=C2OCOC2=CC=C1.CC(C)C1=CC(Cl)=CC=C1.CC(C)C1=CC(F)=C(F)C=C1.CC(C)C1=CC(F)=CC=C1.CC(C)C1=CC=C(C(F)(F)F)C=C1.CC(C)C1=CC=C(F)C=C1.CC(C)CC(=O)O.CC(C)CC(=O)OC(C)(C)C.CC(C)CC(C)C.CC(C)CC1=CC2=C(C=CC=C2)C=C1.CC(C)CC1=CC=CC=C1.CC(C)CC1CCCCC1.CC(C)CCC(=O)O.CC(C)CCC1=CC=CC=C1.CC(C)CCCC(=O)O.CC(C)CCCCN.CC(C)CCO.CC(C)COC(C)(C)C.CC(C)COCC1=CC=CC=C1.CC1=CC(C)=CC(C(C)C)=C1.CC1=CC=CC(C(C)C)=C1.CCC(C)C(C)C.CCCCC(C)C.COC1=CC(OC)=CC(C(C)C)=C1.COC1=CC=CC(C(C)C)=C1.COC1=CC=CC(C(C)C)=C1OC.[H]C(C)C GEGRZEVCAKGVIV-UHFFFAOYSA-N 0.000 description 1
- NYTXRPUNNBHTTP-XCFOQMRVSA-N CC(C)C(C)OC(=O)N[C@H](C(=O)N1CC2C([C@H]1C(=O)NC(CC1CC1)C(=O)C(N)=O)C2(C)C)C1CC2=C(C=CC=C2)C1 Chemical compound CC(C)C(C)OC(=O)N[C@H](C(=O)N1CC2C([C@H]1C(=O)NC(CC1CC1)C(=O)C(N)=O)C2(C)C)C1CC2=C(C=CC=C2)C1 NYTXRPUNNBHTTP-XCFOQMRVSA-N 0.000 description 1
- HLRUUAWUUFXKKL-VQHCMSLXSA-N CC(C)C(C)OC(=O)N[C@H](C(=O)N1CC2C([C@H]1C(=O)NC(CC1CCC1)C(=O)C(N)=O)C2(C)C)C(C)(C)C Chemical compound CC(C)C(C)OC(=O)N[C@H](C(=O)N1CC2C([C@H]1C(=O)NC(CC1CCC1)C(=O)C(N)=O)C2(C)C)C(C)(C)C HLRUUAWUUFXKKL-VQHCMSLXSA-N 0.000 description 1
- XGFRLITXWXNUBB-NNPXQVHPSA-N CC(C)C(C)OC(=O)N[C@H](C(=O)N1CC2C([C@H]1C(=O)NC(CC1CCC1)C(=O)C(N)=O)C2(C)C)C1CCCCC1 Chemical compound CC(C)C(C)OC(=O)N[C@H](C(=O)N1CC2C([C@H]1C(=O)NC(CC1CCC1)C(=O)C(N)=O)C2(C)C)C1CCCCC1 XGFRLITXWXNUBB-NNPXQVHPSA-N 0.000 description 1
- NZBYDYSNXPLCFJ-ZYFYDLNSSA-N CC(C)C(CC1)[C@@H](C(NC(CC2CCC2)CC(OC)=O)=O)N1C([C@H](C(C)(C)C)NC(NC(C)(C)C)=O)=O Chemical compound CC(C)C(CC1)[C@@H](C(NC(CC2CCC2)CC(OC)=O)=O)N1C([C@H](C(C)(C)C)NC(NC(C)(C)C)=O)=O NZBYDYSNXPLCFJ-ZYFYDLNSSA-N 0.000 description 1
- WZGAFZFMNNIWOZ-WQLHQHKRSA-N CC(C)C(O)C1=CC=CC=C1.CC(C)C1=C(C(=O)O)C(F)=C(F)C(F)=C1F.CC(C)C1=C(C(=O)O)C=C(Cl)C(Cl)=C1.CC(C)CC(C)(C)C.CC(C)CC(C)(C)C(C)C.CC(C)CC(C)(C)C(F)(F)F.CC(C)CC(C)C(C)(C)C.CC(C)CC1=CC=CC=C1.CC(C)CC1CC2CCC1C2.CC(C)CC1CCC1.CC(C)CC1CCCC1.CC(C)CC1CCCCC1.CC(C)COC(C)C.CC(C)C[C@H](C)C(C)C.CC(C)N(C)C(C)(C)C.CC(C)N(C)C1CCC1.CC(C)OC(C)(C)C.CC(C)OC(C)(C)C(C)(C)C.CC(C)OC(C)(C)C(C)C.CC(C)OC(C)(C)C(F)(F)F.CC(C)OC(C)C.CC(C)OC(C)C(C)C.CC(C)OC1(C)CC1.CC(C)OC1C2(C)CCC(C2)C1(C)C.CC(C)OC1CC2CCC1C2.CC(C)OC1CC2CCC1C2.CC(C)OC1CCCC1C.CC(C)OC1CCCCC1C.CC(C)OCC#CC(C)(C)C.CC(C)OCC(C)(C)C.CC(C)OCC1=CC=CC=C1.CC1CCC(OC(C)C)C1.N=S(=O)=O Chemical compound CC(C)C(O)C1=CC=CC=C1.CC(C)C1=C(C(=O)O)C(F)=C(F)C(F)=C1F.CC(C)C1=C(C(=O)O)C=C(Cl)C(Cl)=C1.CC(C)CC(C)(C)C.CC(C)CC(C)(C)C(C)C.CC(C)CC(C)(C)C(F)(F)F.CC(C)CC(C)C(C)(C)C.CC(C)CC1=CC=CC=C1.CC(C)CC1CC2CCC1C2.CC(C)CC1CCC1.CC(C)CC1CCCC1.CC(C)CC1CCCCC1.CC(C)COC(C)C.CC(C)C[C@H](C)C(C)C.CC(C)N(C)C(C)(C)C.CC(C)N(C)C1CCC1.CC(C)OC(C)(C)C.CC(C)OC(C)(C)C(C)(C)C.CC(C)OC(C)(C)C(C)C.CC(C)OC(C)(C)C(F)(F)F.CC(C)OC(C)C.CC(C)OC(C)C(C)C.CC(C)OC1(C)CC1.CC(C)OC1C2(C)CCC(C2)C1(C)C.CC(C)OC1CC2CCC1C2.CC(C)OC1CC2CCC1C2.CC(C)OC1CCCC1C.CC(C)OC1CCCCC1C.CC(C)OCC#CC(C)(C)C.CC(C)OCC(C)(C)C.CC(C)OCC1=CC=CC=C1.CC1CCC(OC(C)C)C1.N=S(=O)=O WZGAFZFMNNIWOZ-WQLHQHKRSA-N 0.000 description 1
- NBIQGNRBQSAEQW-UHFFFAOYSA-N CC(C)C.CC(C)C(C)(C)C.CC(C)C(C)C.CC(C)CC(C)C.CC(C)CC1=CC=CC=C1.CC(C)CCC(=O)O.CC(C)CCC(=O)OC(C)(C)C.CC(C)CCC(=O)OCC1=CC=CC=C1.CC(C)CCC(N)=O.CCC(C)C.CCCC(C)C.CCCCC(C)C.CCCCC(C)C.CCCCCC(C)C Chemical compound CC(C)C.CC(C)C(C)(C)C.CC(C)C(C)C.CC(C)CC(C)C.CC(C)CC1=CC=CC=C1.CC(C)CCC(=O)O.CC(C)CCC(=O)OC(C)(C)C.CC(C)CCC(=O)OCC1=CC=CC=C1.CC(C)CCC(N)=O.CCC(C)C.CCCC(C)C.CCCCC(C)C.CCCCC(C)C.CCCCCC(C)C NBIQGNRBQSAEQW-UHFFFAOYSA-N 0.000 description 1
- XGSKECFBZKDPJP-UHFFFAOYSA-N CC(C)C1=C(C(=O)O)C(F)=C(F)C(F)=C1F.CC(C)C1=C(C(=O)O)C(F)=CC=C1F.CC(C)C1=C(C(=O)O)C=C(Cl)C(Cl)=C1.CC(C)C1=C(C(F)(F)F)C=C(F)C=C1.CC(C)C1=C(Cl)C=C(Cl)C=C1.CC(C)C1=C(Cl)C=C(F)C(F)=C1.CC(C)C1=C(F)C(C(=O)O)=C(F)C(F)=C1F.CC(C)C1=C(F)C(F)=C(OC=O)C(F)=C1F.CC(C)C1=C(F)C=C(F)C(F)=C1.CC(C)C1=CC(C(=O)O)=CC(C(C)(C)C)=C1.CC(C)C1=CC(Cl)=C(Cl)C=C1.CC(C)C1=CC(F)=C(F)C=C1.CC(C)C1=CC=CC2=CC=CC=C21.CC(C)OC(C)(C)C(C)C.CC(C)OC(C)C(C)(C)C.CC1=CC(C(C)C)=CC(C(=O)O)=C1.CC1=CC(C(F)(F)F)=C(C(C)C)C=C1.CC1=CC(C)=C(C(C)C)C=C1.CC1=CC=CC(C(=O)O)=C1C(C)C.CC1=CC=CC(C(C)C)=C1C.CCOC1=C(C(C)C)C2=CC=CC=C2C=C1.CNC(=O)C1=C(C(C)C)C=C(Cl)C(Cl)=C1.COC(=O)C1=C(C(C)C)C=C(Cl)C(Cl)=C1 Chemical compound CC(C)C1=C(C(=O)O)C(F)=C(F)C(F)=C1F.CC(C)C1=C(C(=O)O)C(F)=CC=C1F.CC(C)C1=C(C(=O)O)C=C(Cl)C(Cl)=C1.CC(C)C1=C(C(F)(F)F)C=C(F)C=C1.CC(C)C1=C(Cl)C=C(Cl)C=C1.CC(C)C1=C(Cl)C=C(F)C(F)=C1.CC(C)C1=C(F)C(C(=O)O)=C(F)C(F)=C1F.CC(C)C1=C(F)C(F)=C(OC=O)C(F)=C1F.CC(C)C1=C(F)C=C(F)C(F)=C1.CC(C)C1=CC(C(=O)O)=CC(C(C)(C)C)=C1.CC(C)C1=CC(Cl)=C(Cl)C=C1.CC(C)C1=CC(F)=C(F)C=C1.CC(C)C1=CC=CC2=CC=CC=C21.CC(C)OC(C)(C)C(C)C.CC(C)OC(C)C(C)(C)C.CC1=CC(C(C)C)=CC(C(=O)O)=C1.CC1=CC(C(F)(F)F)=C(C(C)C)C=C1.CC1=CC(C)=C(C(C)C)C=C1.CC1=CC=CC(C(=O)O)=C1C(C)C.CC1=CC=CC(C(C)C)=C1C.CCOC1=C(C(C)C)C2=CC=CC=C2C=C1.CNC(=O)C1=C(C(C)C)C=C(Cl)C(Cl)=C1.COC(=O)C1=C(C(C)C)C=C(Cl)C(Cl)=C1 XGSKECFBZKDPJP-UHFFFAOYSA-N 0.000 description 1
- MDNYILCKKMEYAT-UHFFFAOYSA-N CC(C)C1=CC=CC=C1.CC(C)C1=CC=CC=N1.CC(C)C1=CC=CN=C1.CC(C)C1=CC=CS1.CC(C)C1=CC=NC=C1.CC(C)C1=CSC=C1.CC(C)C1CC1.CC(C)C1CC2=C(C=CC=C2)C1.CC(C)C1CCC(C)(C)CC1.CC(C)C1CCCC1.CC(C)C1CCCCC1.CC(C)C1CCN(C)CC1.CC(C)C1CCOCC1 Chemical compound CC(C)C1=CC=CC=C1.CC(C)C1=CC=CC=N1.CC(C)C1=CC=CN=C1.CC(C)C1=CC=CS1.CC(C)C1=CC=NC=C1.CC(C)C1=CSC=C1.CC(C)C1CC1.CC(C)C1CC2=C(C=CC=C2)C1.CC(C)C1CCC(C)(C)CC1.CC(C)C1CCCC1.CC(C)C1CCCCC1.CC(C)C1CCN(C)CC1.CC(C)C1CCOCC1 MDNYILCKKMEYAT-UHFFFAOYSA-N 0.000 description 1
- OSYSZMZCMLOXTM-RGHPQCEKSA-N CC(C)CC(C(C(NCC(N[C@H](C(N(C)C)=O)c1ccccc1)=O)=O)=O)NC([C@H](C1C(C)(C)C1C1)N1C([C@H](C(C)(C)C)NC(OC(C)C(C)C)=O)=O)=O Chemical compound CC(C)CC(C(C(NCC(N[C@H](C(N(C)C)=O)c1ccccc1)=O)=O)=O)NC([C@H](C1C(C)(C)C1C1)N1C([C@H](C(C)(C)C)NC(OC(C)C(C)C)=O)=O)=O OSYSZMZCMLOXTM-RGHPQCEKSA-N 0.000 description 1
- ALPOHHVGRBRCBW-PJVLAKQBSA-N CC(C)CC(C(C(NCC(N[C@H](C(N)=O)c1ccccc1)=O)=O)=O)NC([C@H](C[C@H](C1)OC(C)(C)C)N1C([C@H](C1CCCCC1)NC(c(c(C(O)=O)c(c(F)c1F)F)c1F)=O)=O)=O Chemical compound CC(C)CC(C(C(NCC(N[C@H](C(N)=O)c1ccccc1)=O)=O)=O)NC([C@H](C[C@H](C1)OC(C)(C)C)N1C([C@H](C1CCCCC1)NC(c(c(C(O)=O)c(c(F)c1F)F)c1F)=O)=O)=O ALPOHHVGRBRCBW-PJVLAKQBSA-N 0.000 description 1
- ITDVKJHXSOVRPG-UHFFFAOYSA-N CC(C)CC(C)(C)C.CC(C)CC(C)(C)C(C)(C)C.CC(C)CC(C)(C)C(Cl)(Cl)Cl.CC(C)CC(C)(C)C(F)(F)F.CC(C)CC(C)C(C)(C)C.CC(C)CC1(C)CCC1.CC(C)CC1CC2CCC1C2.CC(C)CC1CCC1.CC(C)N(C)C(C)(C)C.CC(C)N(C)C1CCC1.CC(C)NC1CC2CCC1C2.CC(C)OC(C)(C)C(C)(C)C.CC(C)OC(C)(C)C(Cl)(Cl)Cl.CC(C)OC(C)(C)C(F)(F)F.CC(C)OC1(C)CCC1.CC(C)OC1C(C)CCC1C.CC(C)OC1C2(C)CCC(C2)C1(C)C.CC(C)OC1CC2CCC1C2.CC(C)OC1CC2CCC1C2.CC(C)OC1CCC(C(C)(C)C)CC1.CC(C)OC1CCC(C)(C)CC1.CC(C)OC1CCC(C)C1C.CC(C)OC1CCCC1C.CC(C)OC1CCCCC1C.CC1CC(C)C(OC(C)C)C1.CC1CCC(OC(C)C)C1.CC1CCC(OC(C)C)CC1.CC1CCCC(OC(C)C)C1.CCC(C)(C)CC(C)C.CCC(C)(C)OC(C)C.CCC1CCC(OC(C)C)C1 Chemical compound CC(C)CC(C)(C)C.CC(C)CC(C)(C)C(C)(C)C.CC(C)CC(C)(C)C(Cl)(Cl)Cl.CC(C)CC(C)(C)C(F)(F)F.CC(C)CC(C)C(C)(C)C.CC(C)CC1(C)CCC1.CC(C)CC1CC2CCC1C2.CC(C)CC1CCC1.CC(C)N(C)C(C)(C)C.CC(C)N(C)C1CCC1.CC(C)NC1CC2CCC1C2.CC(C)OC(C)(C)C(C)(C)C.CC(C)OC(C)(C)C(Cl)(Cl)Cl.CC(C)OC(C)(C)C(F)(F)F.CC(C)OC1(C)CCC1.CC(C)OC1C(C)CCC1C.CC(C)OC1C2(C)CCC(C2)C1(C)C.CC(C)OC1CC2CCC1C2.CC(C)OC1CC2CCC1C2.CC(C)OC1CCC(C(C)(C)C)CC1.CC(C)OC1CCC(C)(C)CC1.CC(C)OC1CCC(C)C1C.CC(C)OC1CCCC1C.CC(C)OC1CCCCC1C.CC1CC(C)C(OC(C)C)C1.CC1CCC(OC(C)C)C1.CC1CCC(OC(C)C)CC1.CC1CCCC(OC(C)C)C1.CCC(C)(C)CC(C)C.CCC(C)(C)OC(C)C.CCC1CCC(OC(C)C)C1 ITDVKJHXSOVRPG-UHFFFAOYSA-N 0.000 description 1
- AJNRILVZLDFSHB-CIJDPAOOSA-N CC(C)CC(C)C(O)C(=O)NCC(=O)C[C@H](C(=O)N(C)C)C1=CC=CC=C1.CC(C)CC(NC(=O)OC(C)(C)C)C(O)C(=O)NCC(=O)C[C@H](C(=O)N(C)C)C1=CC=CC=C1 Chemical compound CC(C)CC(C)C(O)C(=O)NCC(=O)C[C@H](C(=O)N(C)C)C1=CC=CC=C1.CC(C)CC(NC(=O)OC(C)(C)C)C(O)C(=O)NCC(=O)C[C@H](C(=O)N(C)C)C1=CC=CC=C1 AJNRILVZLDFSHB-CIJDPAOOSA-N 0.000 description 1
- QDYIWFOHGPVTSO-PWPQYRESSA-N CC(C)CC(C)C(O)C(=O)NCC(=O)C[C@H](C(=O)N(C)C)C1=CC=CC=C1.CC(C)COC(=O)N[C@@H](C1CCCCC1)C(C)(=O)N1CC(C)(C)C[C@H]1C(=O)C[C@@H](CC(C)C)C(O)C(=O)CCC(=O)N[C@H](C(=O)N(C)C)C1=CC=CC=C1.CCO Chemical compound CC(C)CC(C)C(O)C(=O)NCC(=O)C[C@H](C(=O)N(C)C)C1=CC=CC=C1.CC(C)COC(=O)N[C@@H](C1CCCCC1)C(C)(=O)N1CC(C)(C)C[C@H]1C(=O)C[C@@H](CC(C)C)C(O)C(=O)CCC(=O)N[C@H](C(=O)N(C)C)C1=CC=CC=C1.CCO QDYIWFOHGPVTSO-PWPQYRESSA-N 0.000 description 1
- PWZBAAOGUFUPNG-UHFFFAOYSA-N CC(C)CC(C)C.CC(C)CCC12CC3CC(CC(C3)C1)C2.CC(C)NC12CC3CC(CC(C3)C1)C2.CCC(C)CC(C)C Chemical compound CC(C)CC(C)C.CC(C)CCC12CC3CC(CC(C3)C1)C2.CC(C)NC12CC3CC(CC(C3)C1)C2.CCC(C)CC(C)C PWZBAAOGUFUPNG-UHFFFAOYSA-N 0.000 description 1
- RQSBRFZHUKLKNO-UHFFFAOYSA-N CC(C)CC(C=O)NC(OC(C)(C)C)=O Chemical compound CC(C)CC(C=O)NC(OC(C)(C)C)=O RQSBRFZHUKLKNO-UHFFFAOYSA-N 0.000 description 1
- AFANMVKWZKBEMI-PFQXIGLHSA-N CC(C)CC(CC(=O)[C@@H]1C2C(CN1C(=O)[C@@H](NC(=O)OC(C)(C)C)C(C)(C)C)C2(C)C)C(=O)C(=O)CCCC(=O)OC(C)(C)C Chemical compound CC(C)CC(CC(=O)[C@@H]1C2C(CN1C(=O)[C@@H](NC(=O)OC(C)(C)C)C(C)(C)C)C2(C)C)C(=O)C(=O)CCCC(=O)OC(C)(C)C AFANMVKWZKBEMI-PFQXIGLHSA-N 0.000 description 1
- CPMRKPIWMPABBU-DSBNZXMYSA-N CC(C)CC(CC(=O)[C@@H]1C2C(CN1C(=O)[C@@H](NC(=O)OC(C)C(C)C)C(C)(C)C)C2(C)C)C(=O)C(=O)CCC(=O)N[C@H](C(=O)N(C)C)C1=CC=CC=C1 Chemical compound CC(C)CC(CC(=O)[C@@H]1C2C(CN1C(=O)[C@@H](NC(=O)OC(C)C(C)C)C(C)(C)C)C2(C)C)C(=O)C(=O)CCC(=O)N[C@H](C(=O)N(C)C)C1=CC=CC=C1 CPMRKPIWMPABBU-DSBNZXMYSA-N 0.000 description 1
- MVKBYAMULKPKFK-DVUWROPUSA-N CC(C)CC(CC(=O)[C@@H]1CC(C)(C)CN1C(=O)[C@@H](CC(=O)OC(C)C)C(C)(C)C)C(=O)C(=O)CCC(=O)NC(C(=O)N(C)C)C1=CC=CC=C1.CCCC(CC(=O)[C@@H]1CC(C)(C)CN1C(=O)[C@@H](CC(=O)OCC(C)C)C1CCC(C)(C)CC1)C(=O)C(=O)CCC(=O)NC(C(=O)N(C)C)C1=CC=CC=C1.CCCC(CC(=O)[C@@H]1CC[C@H](C)N1C(=O)[C@@H](CC(=O)OCC(C)C)C(C)(C)C)C(=O)C(=O)CCC(=O)NC(C(=O)N(C)C)C1=CC=CC=C1.CCCC(CC(=O)[C@@H]1[C@@H]2[C@H](CN1C(=O)[C@@H](CC(=O)OC(C)C)C(C)(C)C)C2(C)C)C(=O)C(=O)CCC(=O)NC(C(=O)N(C)C)C1=CC=CC=C1.CCCC(CC(=O)[C@@H]1[C@H]2C[C@H]2CN1C(=O)[C@@H](CC(=O)OC(C)C(C)C)C1(C)CCCCC1)C(=O)C(=O)CCC(=O)NC(C(=O)N(C)C)C1=CC=CC=C1.CCCC(CC(=O)[C@@H]1[C@H]2C[C@H]2CN1C(=O)[C@@H](CC(=O)OCC(C)C)C1CCCCC1)C(=O)C(=O)CCC(=O)NC(C(=O)N(C)C)C1=CC=CC=C1.CCCC(CC(=O)[C@@H]1[C@H]2[C@H](CC)[C@H]2CN1C(=O)[C@@H](CC(=O)OCC(C)C)C1CCCCC1)C(=O)C(=O)CCC(=O)NC(C(=O)N(C)C)C1=CC=CC=C1.CCCCC(CC(=O)[C@@H]1[C@@H]2[C@H](CN1C(=O)[C@@H](CC(=O)OC(C)(C)C)C(C)(C)C)C2(C)C)C(=O)C(=O)CCC(=O)NC(C(=O)N(C)C)C1=CC=CC=C1.O=C=O Chemical compound CC(C)CC(CC(=O)[C@@H]1CC(C)(C)CN1C(=O)[C@@H](CC(=O)OC(C)C)C(C)(C)C)C(=O)C(=O)CCC(=O)NC(C(=O)N(C)C)C1=CC=CC=C1.CCCC(CC(=O)[C@@H]1CC(C)(C)CN1C(=O)[C@@H](CC(=O)OCC(C)C)C1CCC(C)(C)CC1)C(=O)C(=O)CCC(=O)NC(C(=O)N(C)C)C1=CC=CC=C1.CCCC(CC(=O)[C@@H]1CC[C@H](C)N1C(=O)[C@@H](CC(=O)OCC(C)C)C(C)(C)C)C(=O)C(=O)CCC(=O)NC(C(=O)N(C)C)C1=CC=CC=C1.CCCC(CC(=O)[C@@H]1[C@@H]2[C@H](CN1C(=O)[C@@H](CC(=O)OC(C)C)C(C)(C)C)C2(C)C)C(=O)C(=O)CCC(=O)NC(C(=O)N(C)C)C1=CC=CC=C1.CCCC(CC(=O)[C@@H]1[C@H]2C[C@H]2CN1C(=O)[C@@H](CC(=O)OC(C)C(C)C)C1(C)CCCCC1)C(=O)C(=O)CCC(=O)NC(C(=O)N(C)C)C1=CC=CC=C1.CCCC(CC(=O)[C@@H]1[C@H]2C[C@H]2CN1C(=O)[C@@H](CC(=O)OCC(C)C)C1CCCCC1)C(=O)C(=O)CCC(=O)NC(C(=O)N(C)C)C1=CC=CC=C1.CCCC(CC(=O)[C@@H]1[C@H]2[C@H](CC)[C@H]2CN1C(=O)[C@@H](CC(=O)OCC(C)C)C1CCCCC1)C(=O)C(=O)CCC(=O)NC(C(=O)N(C)C)C1=CC=CC=C1.CCCCC(CC(=O)[C@@H]1[C@@H]2[C@H](CN1C(=O)[C@@H](CC(=O)OC(C)(C)C)C(C)(C)C)C2(C)C)C(=O)C(=O)CCC(=O)NC(C(=O)N(C)C)C1=CC=CC=C1.O=C=O MVKBYAMULKPKFK-DVUWROPUSA-N 0.000 description 1
- XEBPUTDKZUYKEM-QZDVRKPZSA-N CC(C)CC(CC(=O)[C@@H]1CC(C)(C)CN1C(=O)[C@@H](CC(=O)OC(C)C)C(C)(C)C)C(=O)C(=O)CCC(=O)N[C@H](C(=O)N(C)C)C1=CC=CC=C1.CCCC(CC(=O)[C@@H]1CC(C)(C)CN1C(=O)[C@@H](CC(=O)OCC(C)C)C1CCC(C)(C)CC1)C(=O)C(=O)CCC(=O)N[C@H](C(=O)N(C)C)C1=CC=CC=C1.CCCC(CC(=O)[C@@H]1CC[C@H](C)N1C(=O)[C@@H](CC(=O)OC(C)C(C)C)C(C)(C)C)C(=O)C(=O)CCC(=O)N[C@H](C(=O)N(C)C)C1=CC=CC=C1.CCCC(CC(=O)[C@@H]1[C@H]2C[C@H]2CN1C(=O)[C@@H](CC(=O)OC(C)C(C)C)C1(C)CCCCC1)C(=O)C(=O)CCC(=O)N[C@H](C(=O)N(C)C)C1=CC=CC=C1.CCCC(CC(=O)[C@@H]1[C@H]2C[C@H]2CN1C(=O)[C@@H](CC(=O)OCC(C)C)C1CCCCC1)C(=O)C(=O)CCC(=O)N[C@H](C(=O)N(C)C)C1=CC=CC=C1.CCCC(CC(=O)[C@@H]1[C@H]2[C@H](CC)[C@H]2CN1C(=O)[C@@H](CC(=O)OCC(C)C)C1CCCCC1)C(=O)C(=O)CCC(=O)N[C@H](C(=O)N(C)C)C1=CC=CC=C1.O=C=O Chemical compound CC(C)CC(CC(=O)[C@@H]1CC(C)(C)CN1C(=O)[C@@H](CC(=O)OC(C)C)C(C)(C)C)C(=O)C(=O)CCC(=O)N[C@H](C(=O)N(C)C)C1=CC=CC=C1.CCCC(CC(=O)[C@@H]1CC(C)(C)CN1C(=O)[C@@H](CC(=O)OCC(C)C)C1CCC(C)(C)CC1)C(=O)C(=O)CCC(=O)N[C@H](C(=O)N(C)C)C1=CC=CC=C1.CCCC(CC(=O)[C@@H]1CC[C@H](C)N1C(=O)[C@@H](CC(=O)OC(C)C(C)C)C(C)(C)C)C(=O)C(=O)CCC(=O)N[C@H](C(=O)N(C)C)C1=CC=CC=C1.CCCC(CC(=O)[C@@H]1[C@H]2C[C@H]2CN1C(=O)[C@@H](CC(=O)OC(C)C(C)C)C1(C)CCCCC1)C(=O)C(=O)CCC(=O)N[C@H](C(=O)N(C)C)C1=CC=CC=C1.CCCC(CC(=O)[C@@H]1[C@H]2C[C@H]2CN1C(=O)[C@@H](CC(=O)OCC(C)C)C1CCCCC1)C(=O)C(=O)CCC(=O)N[C@H](C(=O)N(C)C)C1=CC=CC=C1.CCCC(CC(=O)[C@@H]1[C@H]2[C@H](CC)[C@H]2CN1C(=O)[C@@H](CC(=O)OCC(C)C)C1CCCCC1)C(=O)C(=O)CCC(=O)N[C@H](C(=O)N(C)C)C1=CC=CC=C1.O=C=O XEBPUTDKZUYKEM-QZDVRKPZSA-N 0.000 description 1
- LOIHKENQQPXAKZ-PHOPWOEYSA-N CC(C)CC(CC(=O)[C@@H]1C[C@@H](OC(C)(C)C)CN1C(=O)[C@@H](NC(=O)C1=C(F)C(C(=O)O)=C(F)C(F)=C1F)C1CCCCC1)C(=O)C(=O)CCC(=O)N[C@H](C(N)=O)C1=CC=CC=C1 Chemical compound CC(C)CC(CC(=O)[C@@H]1C[C@@H](OC(C)(C)C)CN1C(=O)[C@@H](NC(=O)C1=C(F)C(C(=O)O)=C(F)C(F)=C1F)C1CCCCC1)C(=O)C(=O)CCC(=O)N[C@H](C(N)=O)C1=CC=CC=C1 LOIHKENQQPXAKZ-PHOPWOEYSA-N 0.000 description 1
- XZPOWOFKJKQVPU-PHOPWOEYSA-N CC(C)CC(CC(=O)[C@@H]1C[C@@H](OC(C)(C)C)CN1C(=O)[C@@H](NC(=O)C1=C(F)C(F)=C(C(=O)O)C(F)=C1F)C1CCCCC1)C(=O)C(=O)CCC(=O)N[C@H](C(N)=O)C1=CC=CC=C1 Chemical compound CC(C)CC(CC(=O)[C@@H]1C[C@@H](OC(C)(C)C)CN1C(=O)[C@@H](NC(=O)C1=C(F)C(F)=C(C(=O)O)C(F)=C1F)C1CCCCC1)C(=O)C(=O)CCC(=O)N[C@H](C(N)=O)C1=CC=CC=C1 XZPOWOFKJKQVPU-PHOPWOEYSA-N 0.000 description 1
- ZMNJKWXXLJFJLW-PHOPWOEYSA-N CC(C)CC(CC(=O)[C@@H]1C[C@@H](OC(C)(C)C)CN1C(=O)[C@@H](NC(=O)C1=C(F)C(F)=C(F)C(F)=C1C(=O)O)C1CCCCC1)C(=O)C(=O)CCC(=O)N[C@H](C(N)=O)C1=CC=CC=C1 Chemical compound CC(C)CC(CC(=O)[C@@H]1C[C@@H](OC(C)(C)C)CN1C(=O)[C@@H](NC(=O)C1=C(F)C(F)=C(F)C(F)=C1C(=O)O)C1CCCCC1)C(=O)C(=O)CCC(=O)N[C@H](C(N)=O)C1=CC=CC=C1 ZMNJKWXXLJFJLW-PHOPWOEYSA-N 0.000 description 1
- AYQALTLTVSOMMJ-PHOPWOEYSA-N CC(C)CC(CC(=O)[C@@H]1C[C@@H](OC(C)(C)C)CN1C(=O)[C@@H](NC(=O)C1=C(F)C(F)=C(F)C(F)=C1F)C1CCCCC1)C(=O)C(=O)CCC(=O)N[C@H](C(N)=O)C1=CC=CC=C1 Chemical compound CC(C)CC(CC(=O)[C@@H]1C[C@@H](OC(C)(C)C)CN1C(=O)[C@@H](NC(=O)C1=C(F)C(F)=C(F)C(F)=C1F)C1CCCCC1)C(=O)C(=O)CCC(=O)N[C@H](C(N)=O)C1=CC=CC=C1 AYQALTLTVSOMMJ-PHOPWOEYSA-N 0.000 description 1
- DNDPVNQWFFMXFQ-VIWFEWHISA-N CC(C)CC(CC(=O)[C@@H]1C[C@@H](OC(C)(C)C)CN1C(=O)[C@@H](NC(=O)C1=C(F)C=CC=C1F)C1CCCCC1)C(=O)C(=O)CCC(=O)N[C@H](C(N)=O)C1=CC=CC=C1 Chemical compound CC(C)CC(CC(=O)[C@@H]1C[C@@H](OC(C)(C)C)CN1C(=O)[C@@H](NC(=O)C1=C(F)C=CC=C1F)C1CCCCC1)C(=O)C(=O)CCC(=O)N[C@H](C(N)=O)C1=CC=CC=C1 DNDPVNQWFFMXFQ-VIWFEWHISA-N 0.000 description 1
- ZTBXNNBYPOGBEB-CLHCOWIISA-N CC(C)CC(CC(=O)[C@@H]1C[C@@H](OC(C)(C)C)CN1C(=O)[C@@H](NC(=O)C1=CC(C(=O)O)=CC=C1)C1CCCCC1)C(=O)C(=O)CCC(=O)N[C@H](C(N)=O)C1=CC=CC=C1 Chemical compound CC(C)CC(CC(=O)[C@@H]1C[C@@H](OC(C)(C)C)CN1C(=O)[C@@H](NC(=O)C1=CC(C(=O)O)=CC=C1)C1CCCCC1)C(=O)C(=O)CCC(=O)N[C@H](C(N)=O)C1=CC=CC=C1 ZTBXNNBYPOGBEB-CLHCOWIISA-N 0.000 description 1
- VFNUDCUMSAZVBA-CLHCOWIISA-N CC(C)CC(CC(=O)[C@@H]1C[C@@H](OC(C)(C)C)CN1C(=O)[C@@H](NC(=O)C1=CC=C(C(=O)O)C=C1)C1CCCCC1)C(=O)C(=O)CCC(=O)N[C@H](C(N)=O)C1=CC=CC=C1 Chemical compound CC(C)CC(CC(=O)[C@@H]1C[C@@H](OC(C)(C)C)CN1C(=O)[C@@H](NC(=O)C1=CC=C(C(=O)O)C=C1)C1CCCCC1)C(=O)C(=O)CCC(=O)N[C@H](C(N)=O)C1=CC=CC=C1 VFNUDCUMSAZVBA-CLHCOWIISA-N 0.000 description 1
- OFGNUFGWHPAKMJ-VMWZVOQYSA-N CC(C)CC(CC(=O)[C@@H]1C[C@@H](OC(C)(C)C)CN1C(=O)[C@@H](NC(=O)C1=CC=CC=C1C(=O)O)C1CCCCC1)C(=O)C(=O)CCC(=O)N[C@H](C(N)=O)C1=CC=CC=C1 Chemical compound CC(C)CC(CC(=O)[C@@H]1C[C@@H](OC(C)(C)C)CN1C(=O)[C@@H](NC(=O)C1=CC=CC=C1C(=O)O)C1CCCCC1)C(=O)C(=O)CCC(=O)N[C@H](C(N)=O)C1=CC=CC=C1 OFGNUFGWHPAKMJ-VMWZVOQYSA-N 0.000 description 1
- VGCTVJYEJGHXPZ-WPWZJONWSA-N CC(C)CC(CC(=O)[C@@H]1C[C@@H](OC(C)(C)C)CN1C(=O)[C@@H](NC(=O)C1CCC(C(=O)O)CC1)C1CCCCC1)C(=O)C(=O)CCC(=O)N[C@H](C(N)=O)C1=CC=CC=C1 Chemical compound CC(C)CC(CC(=O)[C@@H]1C[C@@H](OC(C)(C)C)CN1C(=O)[C@@H](NC(=O)C1CCC(C(=O)O)CC1)C1CCCCC1)C(=O)C(=O)CCC(=O)N[C@H](C(N)=O)C1=CC=CC=C1 VGCTVJYEJGHXPZ-WPWZJONWSA-N 0.000 description 1
- KAVPFPBZEIQBDI-QGNBOGPYSA-N CC(C)CC(CC(=O)[C@@H]1C[C@@H](OC(C)(C)C)CN1C(=O)[C@@H](NC(=O)CC1=C(F)C(F)=C(F)C(F)=C1F)C1CCCCC1)C(=O)C(=O)CCC(=O)N[C@H](C(N)=O)C1=CC=CC=C1 Chemical compound CC(C)CC(CC(=O)[C@@H]1C[C@@H](OC(C)(C)C)CN1C(=O)[C@@H](NC(=O)CC1=C(F)C(F)=C(F)C(F)=C1F)C1CCCCC1)C(=O)C(=O)CCC(=O)N[C@H](C(N)=O)C1=CC=CC=C1 KAVPFPBZEIQBDI-QGNBOGPYSA-N 0.000 description 1
- BNFGSYYTAGBUFD-KTRNMHJJSA-N CC(C)CC(CC(=O)[C@@H]1C[C@@H](OC(C)(C)C)CN1C(=O)[C@@H](NC(=O)CC1=CC=CC=C1)C1CCCCC1)C(=O)C(=O)CCC(=O)N[C@H](C(N)=O)C1=CC=CC=C1 Chemical compound CC(C)CC(CC(=O)[C@@H]1C[C@@H](OC(C)(C)C)CN1C(=O)[C@@H](NC(=O)CC1=CC=CC=C1)C1CCCCC1)C(=O)C(=O)CCC(=O)N[C@H](C(N)=O)C1=CC=CC=C1 BNFGSYYTAGBUFD-KTRNMHJJSA-N 0.000 description 1
- KNRRSFUQIDVUKJ-UHFFFAOYSA-N CC(C)CC(CO)NC(=O)OC(C)(C)C.[H]C(=O)C(CC(C)C)NC(=O)OC(C)(C)C Chemical compound CC(C)CC(CO)NC(=O)OC(C)(C)C.[H]C(=O)C(CC(C)C)NC(=O)OC(C)(C)C KNRRSFUQIDVUKJ-UHFFFAOYSA-N 0.000 description 1
- KGJXYTSQEPCELQ-NEUFXUDDSA-N CC(C)CC(NC(=O)C1C2C(CN1C(=O)[C@@H](NC(=O)OC(C)(C)C)C1CC3=C(C=CC=C3)C1)C2(C)C)C(=O)C(=O)O Chemical compound CC(C)CC(NC(=O)C1C2C(CN1C(=O)[C@@H](NC(=O)OC(C)(C)C)C1CC3=C(C=CC=C3)C1)C2(C)C)C(=O)C(=O)O KGJXYTSQEPCELQ-NEUFXUDDSA-N 0.000 description 1
- QKXAPDZEXRNRNW-UHFFFAOYSA-N CC(C)CC(NC(=O)C1C2CCC(C2)N1C(=O)C(NC(=O)OC(C)(C)C)C(C)(C)C)C(=O)C(=O)NCC(=O)NC(C(=O)N(C)C)C1=CC=CC=C1 Chemical compound CC(C)CC(NC(=O)C1C2CCC(C2)N1C(=O)C(NC(=O)OC(C)(C)C)C(C)(C)C)C(=O)C(=O)NCC(=O)NC(C(=O)N(C)C)C1=CC=CC=C1 QKXAPDZEXRNRNW-UHFFFAOYSA-N 0.000 description 1
- ROOGAFNCGGSPCK-UHFFFAOYSA-N CC(C)CC(NC(=O)C1C2CCC(C2)N1C(=O)C(NC(=O)OC(C)(C)C)C1CCCCC1)C(=O)C(=O)NCC(=O)NC(C(=O)N(C)C)C1=CC=CC=C1 Chemical compound CC(C)CC(NC(=O)C1C2CCC(C2)N1C(=O)C(NC(=O)OC(C)(C)C)C1CCCCC1)C(=O)C(=O)NCC(=O)NC(C(=O)N(C)C)C1=CC=CC=C1 ROOGAFNCGGSPCK-UHFFFAOYSA-N 0.000 description 1
- OAHGRBOCJSWSGX-UHFFFAOYSA-N CC(C)CC(NC(=O)C1CC(C)(C)CN1C(=O)C(NC(=O)OC(C)(C)C)C(C)(C)C)C(=O)C(=O)NCC(=O)NCC1=CC=CC=C1 Chemical compound CC(C)CC(NC(=O)C1CC(C)(C)CN1C(=O)C(NC(=O)OC(C)(C)C)C(C)(C)C)C(=O)C(=O)NCC(=O)NCC1=CC=CC=C1 OAHGRBOCJSWSGX-UHFFFAOYSA-N 0.000 description 1
- HGVKDJOGXWDPDO-JZACRQPVSA-N CC(C)CC(NC(=O)OC(C)(C)C)C(O)C(=O)NCC(=O)C[C@H](C(=O)N(C)C)C1=CC=CC=C1.CC(C)CC(NC(=O)OC(C)(C)C)C(O)C(=O)NCC(=O)O.[H]CN(C)C Chemical compound CC(C)CC(NC(=O)OC(C)(C)C)C(O)C(=O)NCC(=O)C[C@H](C(=O)N(C)C)C1=CC=CC=C1.CC(C)CC(NC(=O)OC(C)(C)C)C(O)C(=O)NCC(=O)O.[H]CN(C)C HGVKDJOGXWDPDO-JZACRQPVSA-N 0.000 description 1
- XRPPPPQCVUBSPL-UHFFFAOYSA-M CC(C)CC(NC(=O)OC(C)(C)C)C(O)C(=O)NCC(=O)O.CCOC(=O)CNC(=O)C(O)C(CC(C)C)NC(=O)OC(C)(C)C.[Li]O Chemical compound CC(C)CC(NC(=O)OC(C)(C)C)C(O)C(=O)NCC(=O)O.CCOC(=O)CNC(=O)C(O)C(CC(C)C)NC(=O)OC(C)(C)C.[Li]O XRPPPPQCVUBSPL-UHFFFAOYSA-M 0.000 description 1
- ACLNHVPSRNPOIN-AJQCYSRQSA-N CC(C)CC(NC(=O)[C@@H]1CC(C)(C)CN1C(=O)[C@@H](NC(=O)OC(C)C)C(C)(C)C)C(=O)C(=O)NCC(=O)NC(C(=O)N(C)C)C1=CC=CC=C1.CCCC(NC(=O)C1CC(C)(C)CN1C(=O)[C@@H](NC(=O)O[C@H](C)C(C)C)C1CCCCC1)C(=O)C(=O)NCC(=O)NC(C(=O)N(C)C)C1=CC=CC=C1.CCCC(NC(=O)[C@@H]1CC(C)(C)CN1C(=O)[C@@H](NC(=O)OC(C)C)C(C)(C)C)C(=O)C(=O)NCC(=O)NC(C(=O)N(C)C)C1=CC=CC=C1.CCCC(NC(=O)[C@@H]1CC[C@@H](C)N1C(=O)[C@@H](NC(=O)OCC(C)C)C1CCCCC1)C(=O)C(=O)NCC(=O)NC(C(=O)O)C1=CC=CC=C1.CCCC(NC(=O)[C@@H]1CC[C@H](C2=CC=CC=C2)N1C(=O)[C@@H](NC(=O)OCC(C)C)C1CCCCC1)C(=O)C(=O)NCC(=O)NC(C(=O)O)C1=CC=CC=C1.[H][C@]1(C(=O)OCC)[C@H]2CN(C(=O)[C@@H](NC(=O)OCC(C)C)C3CCCCC3)[C@H](C(=O)NC(CCC)C(=O)C(=O)NCC(=O)NC(C(=O)N(C)C)C3=CC=CC=C3)[C@H]21 Chemical compound CC(C)CC(NC(=O)[C@@H]1CC(C)(C)CN1C(=O)[C@@H](NC(=O)OC(C)C)C(C)(C)C)C(=O)C(=O)NCC(=O)NC(C(=O)N(C)C)C1=CC=CC=C1.CCCC(NC(=O)C1CC(C)(C)CN1C(=O)[C@@H](NC(=O)O[C@H](C)C(C)C)C1CCCCC1)C(=O)C(=O)NCC(=O)NC(C(=O)N(C)C)C1=CC=CC=C1.CCCC(NC(=O)[C@@H]1CC(C)(C)CN1C(=O)[C@@H](NC(=O)OC(C)C)C(C)(C)C)C(=O)C(=O)NCC(=O)NC(C(=O)N(C)C)C1=CC=CC=C1.CCCC(NC(=O)[C@@H]1CC[C@@H](C)N1C(=O)[C@@H](NC(=O)OCC(C)C)C1CCCCC1)C(=O)C(=O)NCC(=O)NC(C(=O)O)C1=CC=CC=C1.CCCC(NC(=O)[C@@H]1CC[C@H](C2=CC=CC=C2)N1C(=O)[C@@H](NC(=O)OCC(C)C)C1CCCCC1)C(=O)C(=O)NCC(=O)NC(C(=O)O)C1=CC=CC=C1.[H][C@]1(C(=O)OCC)[C@H]2CN(C(=O)[C@@H](NC(=O)OCC(C)C)C3CCCCC3)[C@H](C(=O)NC(CCC)C(=O)C(=O)NCC(=O)NC(C(=O)N(C)C)C3=CC=CC=C3)[C@H]21 ACLNHVPSRNPOIN-AJQCYSRQSA-N 0.000 description 1
- AALBIJKBATUIHC-IMPXWGQXSA-N CC(C)CC(NC(=O)[C@@H]1[C@@H]2C(CN1C(=O)[C@@H](NC(=O)OC(C)(C)C)C1CCCCC1)C2(C)C)C(=O)C(=O)O Chemical compound CC(C)CC(NC(=O)[C@@H]1[C@@H]2C(CN1C(=O)[C@@H](NC(=O)OC(C)(C)C)C1CCCCC1)C2(C)C)C(=O)C(=O)O AALBIJKBATUIHC-IMPXWGQXSA-N 0.000 description 1
- NMROGNIQMLQQIT-NGNWLLNHSA-N CC(C)CC(NC(=O)[C@@H]1[C@@H]2[C@H](CN1C(=O)[C@@H](NC(=O)OC(C)(C)C)C(C)(C)C)C2(C)C)C(=O)C(=O)NCC(=O)N[C@H](C(=O)N(C)C)C1=CC=CC=C1 Chemical compound CC(C)CC(NC(=O)[C@@H]1[C@@H]2[C@H](CN1C(=O)[C@@H](NC(=O)OC(C)(C)C)C(C)(C)C)C2(C)C)C(=O)C(=O)NCC(=O)N[C@H](C(=O)N(C)C)C1=CC=CC=C1 NMROGNIQMLQQIT-NGNWLLNHSA-N 0.000 description 1
- BKFUQKRRUFYLMR-LIELFMAKSA-N CC(C)CC(NC(=O)[C@@H]1[C@@H]2[C@H](CN1C(=O)[C@@H](NC(=O)OC(C)(C)C)C1CCCCC1)C2(C)C)C(=O)C(N)=O Chemical compound CC(C)CC(NC(=O)[C@@H]1[C@@H]2[C@H](CN1C(=O)[C@@H](NC(=O)OC(C)(C)C)C1CCCCC1)C2(C)C)C(=O)C(N)=O BKFUQKRRUFYLMR-LIELFMAKSA-N 0.000 description 1
- NZIHHUXURSFPMR-NGNWLLNHSA-N CC(C)CC(NC(=O)[C@@H]1[C@@H]2[C@H](CN1C(=O)[C@@H](NC(=O)OC(C)C)C(C)(C)C)C2(C)C)C(=O)C(=O)NCC(=O)N[C@H](C(=O)N(C)C)C1=CC=CC=C1 Chemical compound CC(C)CC(NC(=O)[C@@H]1[C@@H]2[C@H](CN1C(=O)[C@@H](NC(=O)OC(C)C)C(C)(C)C)C2(C)C)C(=O)C(=O)NCC(=O)N[C@H](C(=O)N(C)C)C1=CC=CC=C1 NZIHHUXURSFPMR-NGNWLLNHSA-N 0.000 description 1
- RGVWLTPCGASXDR-MYAZGUILSA-N CC(C)CCC(NC(=O)[C@@H]1C[C@@H](OC(C)(C)C)CN1C(=O)[C@@H](NC(=O)OCC(C)C)C(C)(C)C)C(=O)C(=O)NCC(=O)NC(C(=O)N(C)C)C1=CC=CC=C1 Chemical compound CC(C)CCC(NC(=O)[C@@H]1C[C@@H](OC(C)(C)C)CN1C(=O)[C@@H](NC(=O)OCC(C)C)C(C)(C)C)C(=O)C(=O)NCC(=O)NC(C(=O)N(C)C)C1=CC=CC=C1 RGVWLTPCGASXDR-MYAZGUILSA-N 0.000 description 1
- CJODVTMCCVAHMQ-UHFFFAOYSA-N CC(C)CCCCCC(=O)C1=CC(C(=O)O)=CC=C1.CC(C)CCCCCC(=O)C1=CC=C(C(=O)O)C=C1.CC(C)CCCCCC(=O)C1=CC=CC=C1.CC(C)CCCCCC(=O)C1CCC(C(=O)O)CC1.CC(C)CCCCCC(=O)C1CCCCC1.CC(C)CCCCCC(=O)C1CCCCC1C(=O)O.CC(C)CCCCCC(=O)CC1=CC=CC=C1.CC(C)CCCCCC(=O)CCC(=O)O.CC(C)CCCCCC(=O)CCCC(=O)O Chemical compound CC(C)CCCCCC(=O)C1=CC(C(=O)O)=CC=C1.CC(C)CCCCCC(=O)C1=CC=C(C(=O)O)C=C1.CC(C)CCCCCC(=O)C1=CC=CC=C1.CC(C)CCCCCC(=O)C1CCC(C(=O)O)CC1.CC(C)CCCCCC(=O)C1CCCCC1.CC(C)CCCCCC(=O)C1CCCCC1C(=O)O.CC(C)CCCCCC(=O)CC1=CC=CC=C1.CC(C)CCCCCC(=O)CCC(=O)O.CC(C)CCCCCC(=O)CCCC(=O)O CJODVTMCCVAHMQ-UHFFFAOYSA-N 0.000 description 1
- KTRAYFZMVITKRI-QPEDLNJJSA-N CC(C)CC[C@@H](NC(=O)[C@@H]1[C@@H]2C(CN1C(=O)[C@@H](NC(=O)NC13CC4CC(CC(C4)C1)C3)C1CCCCC1)C2(C)C)C(=O)C(=O)NCCC(=O)OC(C)(C)C Chemical compound CC(C)CC[C@@H](NC(=O)[C@@H]1[C@@H]2C(CN1C(=O)[C@@H](NC(=O)NC13CC4CC(CC(C4)C1)C3)C1CCCCC1)C2(C)C)C(=O)C(=O)NCCC(=O)OC(C)(C)C KTRAYFZMVITKRI-QPEDLNJJSA-N 0.000 description 1
- KBTXKXWIDYEDGH-SJEJKAIGSA-N CC(C)COC(=O)C[C@H](C(=O)N1CC2(C[C@H]1C(=O)CC(CC1CC1)C(=O)C(=O)CCC(=O)N[C@H](C(=O)O)C1=CC=CC=C1)SCCCS2)C1CCCCC1.CCCC(CC(=O)[C@@H]1CC(=O)CN1C(=O)[C@@H](CC(=O)OCC(C)C)C1CCCCC1)C(=O)C(=O)CCC(=O)N[C@H](C(=O)O)C1=CC=CC=C1.CCCC(CC(=O)[C@@H]1CC(F)(F)CN1C(=O)[C@@H](CC(=O)OCC(C)C)C1CCCCC1)C(=O)C(=O)CCC(=O)N[C@H](C(=O)O)C1=CC=CC=C1.CCCC(CC(=O)[C@@H]1CC2(CN1C(=O)[C@@H](CC(=O)OCC(C)C)C1CCCCC1)SCCS2)C(=O)C(=O)CCC(=O)N[C@H](C(C)=O)C1=CC=CC=C1.CCCC(CC(=O)[C@@H]1C[C@@H]2CCCC[C@@H]2N1C(=O)[C@@H](CC(=O)OCC(C)C)C1CCCCC1)C(=O)C(=O)CCC(=O)N[C@H](C(=O)O)C1=CC=CC=C1 Chemical compound CC(C)COC(=O)C[C@H](C(=O)N1CC2(C[C@H]1C(=O)CC(CC1CC1)C(=O)C(=O)CCC(=O)N[C@H](C(=O)O)C1=CC=CC=C1)SCCCS2)C1CCCCC1.CCCC(CC(=O)[C@@H]1CC(=O)CN1C(=O)[C@@H](CC(=O)OCC(C)C)C1CCCCC1)C(=O)C(=O)CCC(=O)N[C@H](C(=O)O)C1=CC=CC=C1.CCCC(CC(=O)[C@@H]1CC(F)(F)CN1C(=O)[C@@H](CC(=O)OCC(C)C)C1CCCCC1)C(=O)C(=O)CCC(=O)N[C@H](C(=O)O)C1=CC=CC=C1.CCCC(CC(=O)[C@@H]1CC2(CN1C(=O)[C@@H](CC(=O)OCC(C)C)C1CCCCC1)SCCS2)C(=O)C(=O)CCC(=O)N[C@H](C(C)=O)C1=CC=CC=C1.CCCC(CC(=O)[C@@H]1C[C@@H]2CCCC[C@@H]2N1C(=O)[C@@H](CC(=O)OCC(C)C)C1CCCCC1)C(=O)C(=O)CCC(=O)N[C@H](C(=O)O)C1=CC=CC=C1 KBTXKXWIDYEDGH-SJEJKAIGSA-N 0.000 description 1
- FQDDQKRHRIFOKB-IBCOCQCISA-N CC(C)COC(=O)C[C@H](C(=O)N1C[C@H]2[C@@H]([C@H]1C(=O)CC(C(=O)C(=O)CCC(=O)NC(C(=O)N(C)C)C1=CC=CC=C1)C1CC1C)C2(C)C)C1CCCCC1.CCCC(CC(=O)[C@@H]1CC(C)(C)CN1C(=O)[C@@H](CC(=O)OCC(C)C)C1CCCCC1)C(=O)C(=O)CCC(=O)NC(C(N)=O)C1=CC=CC=C1.CCCC(CC(=O)[C@@H]1CC2(CCCC2)CN1C(=O)[C@@H](CC(=O)OCC(C)C)C1CCCCC1)C(=O)C(=O)CCC(=O)NC(C(=O)OC)C1=CC=CC=C1.CCCC(CC(=O)[C@@H]1C[C@@H](NC(=O)NC2=CC=C(OC)C=C2)CN1C(=O)[C@@H](CC(=O)OCC(C)C)C1CCCCC1)C(=O)C(=O)CCC(=O)NC(C(N)=O)C1=CC=CC=C1.CCCC(CC(=O)[C@@H]1C[C@@H](NC(=O)OCC(C)C)CN1C(=O)[C@@H](CC(=O)C1=C(OC=O)C(F)=CC=C1F)C1CCCCC1)C(=O)C(=O)CCC(=O)NC(C(N)=O)C1=CC=CC=C1.CCCC(CC(=O)[C@@H]1C[C@@H](NS(=O)(=O)C2=CC=CC=C2)CN1C(=O)[C@@H](CC(=O)OCC(C)C)C1CCCCC1)C(=O)C(=O)CCC(=O)NC(C(N)=O)C1=CC=CC=C1.CCCC(CC(=O)[C@@H]1[C@@H](C)CCN1C(=O)[C@@H](CC(=O)OCC(C)C)C1CCCCC1)C(=O)C(=O)CCC(=O)NC(C(=O)N(C)C)C1=CC=CC=C1 Chemical compound CC(C)COC(=O)C[C@H](C(=O)N1C[C@H]2[C@@H]([C@H]1C(=O)CC(C(=O)C(=O)CCC(=O)NC(C(=O)N(C)C)C1=CC=CC=C1)C1CC1C)C2(C)C)C1CCCCC1.CCCC(CC(=O)[C@@H]1CC(C)(C)CN1C(=O)[C@@H](CC(=O)OCC(C)C)C1CCCCC1)C(=O)C(=O)CCC(=O)NC(C(N)=O)C1=CC=CC=C1.CCCC(CC(=O)[C@@H]1CC2(CCCC2)CN1C(=O)[C@@H](CC(=O)OCC(C)C)C1CCCCC1)C(=O)C(=O)CCC(=O)NC(C(=O)OC)C1=CC=CC=C1.CCCC(CC(=O)[C@@H]1C[C@@H](NC(=O)NC2=CC=C(OC)C=C2)CN1C(=O)[C@@H](CC(=O)OCC(C)C)C1CCCCC1)C(=O)C(=O)CCC(=O)NC(C(N)=O)C1=CC=CC=C1.CCCC(CC(=O)[C@@H]1C[C@@H](NC(=O)OCC(C)C)CN1C(=O)[C@@H](CC(=O)C1=C(OC=O)C(F)=CC=C1F)C1CCCCC1)C(=O)C(=O)CCC(=O)NC(C(N)=O)C1=CC=CC=C1.CCCC(CC(=O)[C@@H]1C[C@@H](NS(=O)(=O)C2=CC=CC=C2)CN1C(=O)[C@@H](CC(=O)OCC(C)C)C1CCCCC1)C(=O)C(=O)CCC(=O)NC(C(N)=O)C1=CC=CC=C1.CCCC(CC(=O)[C@@H]1[C@@H](C)CCN1C(=O)[C@@H](CC(=O)OCC(C)C)C1CCCCC1)C(=O)C(=O)CCC(=O)NC(C(=O)N(C)C)C1=CC=CC=C1 FQDDQKRHRIFOKB-IBCOCQCISA-N 0.000 description 1
- IOLLCIWDSZSKEN-ITXDLYGTSA-N CC(C)COC(=O)C[C@H](C(=O)N1C[C@H]2[C@@H]([C@H]1C(=O)CC(C(=O)C(=O)CCC(=O)N[C@H](C(=O)N(C)C)C1=CC=CC=C1)C1CC1C)C2(C)C)C1CCCCC1.CCCC(CC(=O)[C@@H]1CC(C)(C)CN1C(=O)[C@@H](CC(=O)OCC(C)C)C1CCCCC1)C(=O)C(=O)CCC(=O)N[C@H](C(N)=O)C1=CC=CC=C1.CCCC(CC(=O)[C@@H]1CC2(CCCC2)CN1C(=O)[C@@H](CC(=O)OCC(C)C)C1CCCCC1)C(=O)C(=O)CCC(=O)N[C@H](C(=O)OC)C1=CC=CC=C1.CCCC(CC(=O)[C@@H]1C[C@@H](NC(=O)OCC(C)C)CN1C(=O)[C@@H](CC(=O)C1=C(OC=O)C(F)=CC=C1F)C1CCCCC1)C(=O)C(=O)CCC(=O)N[C@H](C(N)=O)C1=CC=CC=C1.CCCC(CC(=O)[C@@H]1[C@@H](C)CCN1C(=O)[C@@H](CC(=O)OCC(C)C)C1CCCCC1)C(=O)C(=O)CCC(=O)N[C@H](C(=O)N(C)C)C1=CC=CC=C1 Chemical compound CC(C)COC(=O)C[C@H](C(=O)N1C[C@H]2[C@@H]([C@H]1C(=O)CC(C(=O)C(=O)CCC(=O)N[C@H](C(=O)N(C)C)C1=CC=CC=C1)C1CC1C)C2(C)C)C1CCCCC1.CCCC(CC(=O)[C@@H]1CC(C)(C)CN1C(=O)[C@@H](CC(=O)OCC(C)C)C1CCCCC1)C(=O)C(=O)CCC(=O)N[C@H](C(N)=O)C1=CC=CC=C1.CCCC(CC(=O)[C@@H]1CC2(CCCC2)CN1C(=O)[C@@H](CC(=O)OCC(C)C)C1CCCCC1)C(=O)C(=O)CCC(=O)N[C@H](C(=O)OC)C1=CC=CC=C1.CCCC(CC(=O)[C@@H]1C[C@@H](NC(=O)OCC(C)C)CN1C(=O)[C@@H](CC(=O)C1=C(OC=O)C(F)=CC=C1F)C1CCCCC1)C(=O)C(=O)CCC(=O)N[C@H](C(N)=O)C1=CC=CC=C1.CCCC(CC(=O)[C@@H]1[C@@H](C)CCN1C(=O)[C@@H](CC(=O)OCC(C)C)C1CCCCC1)C(=O)C(=O)CCC(=O)N[C@H](C(=O)N(C)C)C1=CC=CC=C1 IOLLCIWDSZSKEN-ITXDLYGTSA-N 0.000 description 1
- FCKVRSCFZQDBBX-ZIQQCPBXSA-N CC(C)COC(=O)NC(C(=O)N1CC2C([C@H]1C(=O)NC(CC1CC1)C(=O)C(N)=O)C2(C)C)C1CC2=C(C=CC=C2)C1 Chemical compound CC(C)COC(=O)NC(C(=O)N1CC2C([C@H]1C(=O)NC(CC1CC1)C(=O)C(N)=O)C2(C)C)C1CC2=C(C=CC=C2)C1 FCKVRSCFZQDBBX-ZIQQCPBXSA-N 0.000 description 1
- KGYHPIFQBCYYEA-UHFFFAOYSA-N CC(C)COC(=O)NC(C(=O)O)C1CCCCC1.NClC(C(=O)O)C1CCCCC1 Chemical compound CC(C)COC(=O)NC(C(=O)O)C1CCCCC1.NClC(C(=O)O)C1CCCCC1 KGYHPIFQBCYYEA-UHFFFAOYSA-N 0.000 description 1
- FABXWBDPOJFDSE-WWPOUOHLSA-N CC(C)COC(=O)N[C@H](C(=O)N1CC(C)(C)CC1C(=O)C[C@@H](CC(C)C)C(=O)C(=O)CCC(=O)N[C@H](C(=O)N(C)C)C1=CC=CC=C1)C1CCCCC1.CC(C)COC(=O)N[C@H](C(=O)N1CC(C)(C)CC1C(=O)C[C@@H](CC(C)C)C(O)C(=O)CCC(=O)N[C@H](C(=O)N(C)C)C1=CC=CC=C1)C1CCCCC1 Chemical compound CC(C)COC(=O)N[C@H](C(=O)N1CC(C)(C)CC1C(=O)C[C@@H](CC(C)C)C(=O)C(=O)CCC(=O)N[C@H](C(=O)N(C)C)C1=CC=CC=C1)C1CCCCC1.CC(C)COC(=O)N[C@H](C(=O)N1CC(C)(C)CC1C(=O)C[C@@H](CC(C)C)C(O)C(=O)CCC(=O)N[C@H](C(=O)N(C)C)C1=CC=CC=C1)C1CCCCC1 FABXWBDPOJFDSE-WWPOUOHLSA-N 0.000 description 1
- JJULIKFRYLRJJK-HXVWYZFTSA-N CC(C)COC(=O)N[C@H](C(=O)N1CC(C)(C)C[C@H]1C(=O)C[C@@H](CC(C)C)C(=O)C(=O)CCC(=O)N[C@H](C(=O)N(C)C)C1=CC=CC=C1)C1CCCCC1 Chemical compound CC(C)COC(=O)N[C@H](C(=O)N1CC(C)(C)C[C@H]1C(=O)C[C@@H](CC(C)C)C(=O)C(=O)CCC(=O)N[C@H](C(=O)N(C)C)C1=CC=CC=C1)C1CCCCC1 JJULIKFRYLRJJK-HXVWYZFTSA-N 0.000 description 1
- QRXWJCWFHOSQJS-RUDIRKLFSA-N CC(C)COC(=O)N[C@H](C(=O)N1CC(C)(C)C[C@H]1C(=O)NC(CC(C)C)C(=O)C(=O)NCC(=O)NC(C(=O)N(C)C)C1=CC=CC=C1)C(C)(C)C.CC(C)COC(=O)N[C@H](C(=O)N1C[C@H]2[C@@H]([C@H]1C(=O)N[C@H](C(=O)C(=O)NCC(=O)NC(C(=O)N(C)C)C1=CC=CC=C1)[C@H]1C[C@@H]1C)C2(C)C)C1CCCCC1.CCCC(NC(=O)[C@@H]1CC(C)(C)CN1C(=O)[C@@H](NC(=O)OC(C)C)C(C)(C)C)C(=O)C(=O)NCC(=O)NC(C(=O)N(C)C)C1=CC=CC=C1.CCCC(NC(=O)[C@@H]1CC(C)(C)CN1C(=O)[C@@H](NC(=O)OCC(C)C)C1CCCCC1)C(=O)C(=O)N[C@@H](CO)C(=O)N[C@H](C(=O)O)C1=CC=CC=C1.CCCC(NC(=O)[C@@H]1CC(C)(C)CN1C(=O)[C@@H](NC)C1CCCCC1)C(=O)C(=O)NCC(=O)NC(C(=O)O)C1=CC=CC=C1.CCC[C@H](NC(=O)[C@@H]1CC(C)(C)CN1C(=O)[C@@H](NC(=O)OCC(C)C)C(C)(C)C)C(=O)C(=O)NCC(=O)N[C@H](C(=O)N(C)C)C1=CC=CC=C1.[H][C@@]1(C(=O)OCC)[C@H]2CN(C(=O)[C@@H](NC(=O)OCC(C)C)C3CCCCC3)[C@H](C(=O)NC(CCC)C(=O)C(=O)NCC(=O)NC(C(=O)N(C)C)C3=CC=CC=C3)[C@H]21.[H][C@]1(C(=O)OCC)[C@H]2CN(C(=O)[C@@H](NC(=O)OCC(C)C)C3CCCCC3)[C@H](C(=O)NC(CCC)C(=O)C(=O)NCC(=O)NC(C(=O)N(C)C)C3=CC=CC=C3)[C@H]21 Chemical compound CC(C)COC(=O)N[C@H](C(=O)N1CC(C)(C)C[C@H]1C(=O)NC(CC(C)C)C(=O)C(=O)NCC(=O)NC(C(=O)N(C)C)C1=CC=CC=C1)C(C)(C)C.CC(C)COC(=O)N[C@H](C(=O)N1C[C@H]2[C@@H]([C@H]1C(=O)N[C@H](C(=O)C(=O)NCC(=O)NC(C(=O)N(C)C)C1=CC=CC=C1)[C@H]1C[C@@H]1C)C2(C)C)C1CCCCC1.CCCC(NC(=O)[C@@H]1CC(C)(C)CN1C(=O)[C@@H](NC(=O)OC(C)C)C(C)(C)C)C(=O)C(=O)NCC(=O)NC(C(=O)N(C)C)C1=CC=CC=C1.CCCC(NC(=O)[C@@H]1CC(C)(C)CN1C(=O)[C@@H](NC(=O)OCC(C)C)C1CCCCC1)C(=O)C(=O)N[C@@H](CO)C(=O)N[C@H](C(=O)O)C1=CC=CC=C1.CCCC(NC(=O)[C@@H]1CC(C)(C)CN1C(=O)[C@@H](NC)C1CCCCC1)C(=O)C(=O)NCC(=O)NC(C(=O)O)C1=CC=CC=C1.CCC[C@H](NC(=O)[C@@H]1CC(C)(C)CN1C(=O)[C@@H](NC(=O)OCC(C)C)C(C)(C)C)C(=O)C(=O)NCC(=O)N[C@H](C(=O)N(C)C)C1=CC=CC=C1.[H][C@@]1(C(=O)OCC)[C@H]2CN(C(=O)[C@@H](NC(=O)OCC(C)C)C3CCCCC3)[C@H](C(=O)NC(CCC)C(=O)C(=O)NCC(=O)NC(C(=O)N(C)C)C3=CC=CC=C3)[C@H]21.[H][C@]1(C(=O)OCC)[C@H]2CN(C(=O)[C@@H](NC(=O)OCC(C)C)C3CCCCC3)[C@H](C(=O)NC(CCC)C(=O)C(=O)NCC(=O)NC(C(=O)N(C)C)C3=CC=CC=C3)[C@H]21 QRXWJCWFHOSQJS-RUDIRKLFSA-N 0.000 description 1
- JIHNBOCRRYLOTD-JJAFDEJCSA-N CC(C)COC(=O)N[C@H](C(=O)N1CC(C)(C)C[C@H]1C(=O)N[C@@H](CC(C)C)C(=O)C(=O)NCC(=O)NC(C(=O)N(C)C)C1=CC=CC=C1)C1CCCCC1.CC(C)C[C@H](NC(=O)[C@@H]1CC(C)(C)CN1C(=O)[C@@H](NC(=O)OC(C)C)C(C)(C)C)C(=O)C(=O)NCC(=O)N[C@H](C(=O)N(C)C)C1=CC=CC=C1.CCC[C@@H](NC(=O)C1[C@H]2C[C@H]2CN1C(=O)[C@@H](NC(=O)OCC(C)C)C1CCCCC1)C(=O)C(=O)NCC(=O)NC(C(=O)N(C)C)C1=CC=CC=C1.CCC[C@H](NC(=O)C1CCCCN1C(=O)[C@@H](NC(=O)OCC(C)C)C1CCCCC1)C(=O)C(=O)NCC(=O)N[C@H](C(=O)N(C)C)C1=CC=CC=C1.CCC[C@H](NC(=O)[C@@H]1CC(C)(C)CN1C(=O)[C@@H](NC(=O)OCC(C)C)C1(C)CCCCC1)C(=O)C(=O)NCC(=O)N[C@H](C(=O)N(C)C)C1=CC=CC=C1.CCC[C@H](NC(=O)[C@@H]1CC(C)(C)CN1C(=O)[C@@H](NC(=O)OCC(C)C)C1CCC(C)(C)CC1)C(=O)C(=O)NCC(=O)N[C@H](C(=O)N(C)C)C1=CC=CC=C1 Chemical compound CC(C)COC(=O)N[C@H](C(=O)N1CC(C)(C)C[C@H]1C(=O)N[C@@H](CC(C)C)C(=O)C(=O)NCC(=O)NC(C(=O)N(C)C)C1=CC=CC=C1)C1CCCCC1.CC(C)C[C@H](NC(=O)[C@@H]1CC(C)(C)CN1C(=O)[C@@H](NC(=O)OC(C)C)C(C)(C)C)C(=O)C(=O)NCC(=O)N[C@H](C(=O)N(C)C)C1=CC=CC=C1.CCC[C@@H](NC(=O)C1[C@H]2C[C@H]2CN1C(=O)[C@@H](NC(=O)OCC(C)C)C1CCCCC1)C(=O)C(=O)NCC(=O)NC(C(=O)N(C)C)C1=CC=CC=C1.CCC[C@H](NC(=O)C1CCCCN1C(=O)[C@@H](NC(=O)OCC(C)C)C1CCCCC1)C(=O)C(=O)NCC(=O)N[C@H](C(=O)N(C)C)C1=CC=CC=C1.CCC[C@H](NC(=O)[C@@H]1CC(C)(C)CN1C(=O)[C@@H](NC(=O)OCC(C)C)C1(C)CCCCC1)C(=O)C(=O)NCC(=O)N[C@H](C(=O)N(C)C)C1=CC=CC=C1.CCC[C@H](NC(=O)[C@@H]1CC(C)(C)CN1C(=O)[C@@H](NC(=O)OCC(C)C)C1CCC(C)(C)CC1)C(=O)C(=O)NCC(=O)N[C@H](C(=O)N(C)C)C1=CC=CC=C1 JIHNBOCRRYLOTD-JJAFDEJCSA-N 0.000 description 1
- VYFBTJPSTVDLQT-JUIIRKMFSA-N CC(C)COC(=O)N[C@H](C(=O)N1CC(C)(C)C[C@H]1C(=O)N[C@@H](CC(C)C)C(=O)C(=O)NCC(=O)N[C@H](C(=O)N(C)C)C1=CC=CC=C1)C1CCCCC1.CC(C)C[C@H](NC(=O)[C@@H]1CC(C)(C)CN1C(=O)[C@@H](NC(=O)OC(C)C)C(C)(C)C)C(=O)C(=O)NCC(=O)N[C@H](C(=O)N(C)C)C1=CC=CC=C1.CCCC(NC(=O)[C@@H]1CC(C)(C)CN1C(=O)[C@@H](NC(=O)O[C@H](C)C(C)C)C(C)(C)C)C(=O)C(=O)NCC(=O)N[C@H](C(=O)N(C)C)C1=CC=CC=C1.CCCC(NC(=O)[C@@H]1CCC(C)N1C(=O)[C@@H](NC(=O)OC(C)C)C(C)(C)C)C(=O)C(=O)NCC(=O)N[C@H](C(=O)N(C)C)C1=CC=CC=C1.CCC[C@@H](NC(=O)[C@@H]1CC(C)(C)CN1C(=O)[C@@H](NC(=O)O[C@@H](C)C(C)C)C1CCCCC1)C(=O)C(=O)NCC(=O)N[C@H](C(=O)N(C)C)C1=CC=CC=C1.CCC[C@H](NC(=O)[C@@H]1CC[C@H](C)N1C(=O)[C@@H](NC(=O)OCC(C)C)C(C)(C)C)C(=O)C(=O)NCC(=O)N[C@H](C(=O)N(C)C)C1=CC=CC=C1.CCC[C@H](NC(=O)[C@@H]1C[C@H](C)CN1C(=O)[C@@H](NC(=O)OCC(C)C)C(C)(C)C)C(=O)C(=O)NCC(=O)N[C@H](C(=O)N(C)C)C1=CC=CC=C1.CCC[C@H](NC(=O)[C@@H]1C[C@H](C)CN1C(=O)[C@@H](NC(=O)OCC(C)C)C1CCCCC1)C(=O)C(=O)NCC(=O)N[C@H](C(=O)N(C)C)C1=CC=CC=C1 Chemical compound CC(C)COC(=O)N[C@H](C(=O)N1CC(C)(C)C[C@H]1C(=O)N[C@@H](CC(C)C)C(=O)C(=O)NCC(=O)N[C@H](C(=O)N(C)C)C1=CC=CC=C1)C1CCCCC1.CC(C)C[C@H](NC(=O)[C@@H]1CC(C)(C)CN1C(=O)[C@@H](NC(=O)OC(C)C)C(C)(C)C)C(=O)C(=O)NCC(=O)N[C@H](C(=O)N(C)C)C1=CC=CC=C1.CCCC(NC(=O)[C@@H]1CC(C)(C)CN1C(=O)[C@@H](NC(=O)O[C@H](C)C(C)C)C(C)(C)C)C(=O)C(=O)NCC(=O)N[C@H](C(=O)N(C)C)C1=CC=CC=C1.CCCC(NC(=O)[C@@H]1CCC(C)N1C(=O)[C@@H](NC(=O)OC(C)C)C(C)(C)C)C(=O)C(=O)NCC(=O)N[C@H](C(=O)N(C)C)C1=CC=CC=C1.CCC[C@@H](NC(=O)[C@@H]1CC(C)(C)CN1C(=O)[C@@H](NC(=O)O[C@@H](C)C(C)C)C1CCCCC1)C(=O)C(=O)NCC(=O)N[C@H](C(=O)N(C)C)C1=CC=CC=C1.CCC[C@H](NC(=O)[C@@H]1CC[C@H](C)N1C(=O)[C@@H](NC(=O)OCC(C)C)C(C)(C)C)C(=O)C(=O)NCC(=O)N[C@H](C(=O)N(C)C)C1=CC=CC=C1.CCC[C@H](NC(=O)[C@@H]1C[C@H](C)CN1C(=O)[C@@H](NC(=O)OCC(C)C)C(C)(C)C)C(=O)C(=O)NCC(=O)N[C@H](C(=O)N(C)C)C1=CC=CC=C1.CCC[C@H](NC(=O)[C@@H]1C[C@H](C)CN1C(=O)[C@@H](NC(=O)OCC(C)C)C1CCCCC1)C(=O)C(=O)NCC(=O)N[C@H](C(=O)N(C)C)C1=CC=CC=C1 VYFBTJPSTVDLQT-JUIIRKMFSA-N 0.000 description 1
- MRFKYPWKZDTXHG-RBWOUISFSA-N CC(C)COC(=O)N[C@H](C(=O)N1CC(C)(C)C[C@H]1C(=O)N[C@@H](CC(C)C)C(=O)C(=O)NCC(=O)N[C@H](C(=O)N(C)C)C1=CC=CC=C1)C1CCCCC1.CCCC(NC(=O)C1CC(C)(C)CN1C(=O)[C@@H](NC(=O)O[C@H](C)C(C)C)C1CCCCC1)C(=O)C(=O)NCC(=O)NC(C(=O)N(C)C)C1=CC=CC=C1.CCCC(NC(=O)[C@@H]1CC[C@@H](C)N1C(=O)[C@@H](NC(=O)OCC(C)C)C1CCCCC1)C(=O)C(=O)NCC(=O)NC(C(=O)O)C1=CC=CC=C1.CCCC(NC(=O)[C@@H]1CC[C@H](C2=CC=CC=C2)N1C(=O)[C@@H](NC(=O)OCC(C)C)C1CCCCC1)C(=O)C(=O)NCC(=O)NC(C(=O)O)C1=CC=CC=C1.CCC[C@@H](NC(=O)[C@@H]1[C@H]2C[C@H]2CN1C(=O)[C@@H](NC(=O)OCC(C)C)C1CCCCC1)C(=O)C(=O)NCC(=O)NC(C(=O)N(C)C)C1=CC=CC=C1.CCC[C@H](NC(=O)C1CCCCN1C(=O)[C@@H](NC(=O)OCC(C)C)C1CCCCC1)C(=O)C(=O)NCC(=O)N[C@H](C(=O)N(C)C)C1=CC=CC=C1.CCC[C@H](NC(=O)[C@@H]1CC(C)(C)CN1C(=O)[C@@H](NC(=O)OCC(C)C)C1(C)CCCCC1)C(=O)C(=O)NCC(=O)N[C@H](C(=O)N(C)C)C1=CC=CC=C1.CCC[C@H](NC(=O)[C@@H]1CC(C)(C)CN1C(=O)[C@@H](NC(=O)OCC(C)C)C1CCC(C)(C)CC1)C(=O)C(=O)NCC(=O)N[C@H](C(=O)N(C)C)C1=CC=CC=C1 Chemical compound CC(C)COC(=O)N[C@H](C(=O)N1CC(C)(C)C[C@H]1C(=O)N[C@@H](CC(C)C)C(=O)C(=O)NCC(=O)N[C@H](C(=O)N(C)C)C1=CC=CC=C1)C1CCCCC1.CCCC(NC(=O)C1CC(C)(C)CN1C(=O)[C@@H](NC(=O)O[C@H](C)C(C)C)C1CCCCC1)C(=O)C(=O)NCC(=O)NC(C(=O)N(C)C)C1=CC=CC=C1.CCCC(NC(=O)[C@@H]1CC[C@@H](C)N1C(=O)[C@@H](NC(=O)OCC(C)C)C1CCCCC1)C(=O)C(=O)NCC(=O)NC(C(=O)O)C1=CC=CC=C1.CCCC(NC(=O)[C@@H]1CC[C@H](C2=CC=CC=C2)N1C(=O)[C@@H](NC(=O)OCC(C)C)C1CCCCC1)C(=O)C(=O)NCC(=O)NC(C(=O)O)C1=CC=CC=C1.CCC[C@@H](NC(=O)[C@@H]1[C@H]2C[C@H]2CN1C(=O)[C@@H](NC(=O)OCC(C)C)C1CCCCC1)C(=O)C(=O)NCC(=O)NC(C(=O)N(C)C)C1=CC=CC=C1.CCC[C@H](NC(=O)C1CCCCN1C(=O)[C@@H](NC(=O)OCC(C)C)C1CCCCC1)C(=O)C(=O)NCC(=O)N[C@H](C(=O)N(C)C)C1=CC=CC=C1.CCC[C@H](NC(=O)[C@@H]1CC(C)(C)CN1C(=O)[C@@H](NC(=O)OCC(C)C)C1(C)CCCCC1)C(=O)C(=O)NCC(=O)N[C@H](C(=O)N(C)C)C1=CC=CC=C1.CCC[C@H](NC(=O)[C@@H]1CC(C)(C)CN1C(=O)[C@@H](NC(=O)OCC(C)C)C1CCC(C)(C)CC1)C(=O)C(=O)NCC(=O)N[C@H](C(=O)N(C)C)C1=CC=CC=C1 MRFKYPWKZDTXHG-RBWOUISFSA-N 0.000 description 1
- ZUILWYIPMQUREB-ZHGXGMIJSA-N CC(C)COC(=O)N[C@H](C(=O)N1CC2(CC1C(=O)NC(CC1CC1)C(=O)C(=O)NCC(=O)NC(C(=O)N(C)C)C1=CC=CC=C1)SCCCS2)C1CCCCC1 Chemical compound CC(C)COC(=O)N[C@H](C(=O)N1CC2(CC1C(=O)NC(CC1CC1)C(=O)C(=O)NCC(=O)NC(C(=O)N(C)C)C1=CC=CC=C1)SCCCS2)C1CCCCC1 ZUILWYIPMQUREB-ZHGXGMIJSA-N 0.000 description 1
- VMIZQMHOJLIXJS-SPOAFCAASA-N CC(C)COC(=O)N[C@H](C(=O)N1CC2(CC1C(=O)NC(CC1CC1)C(=O)C(=O)NCC(=O)NC(C(=O)O)C1=CC=CC=C1)SCCCS2)C1CCCCC1 Chemical compound CC(C)COC(=O)N[C@H](C(=O)N1CC2(CC1C(=O)NC(CC1CC1)C(=O)C(=O)NCC(=O)NC(C(=O)O)C1=CC=CC=C1)SCCCS2)C1CCCCC1 VMIZQMHOJLIXJS-SPOAFCAASA-N 0.000 description 1
- JFMOVHFLMCNVDT-BIHRWAPCSA-N CC(C)COC(=O)N[C@H](C(=O)N1CC2(C[C@H]1C(=O)NC(CC1CC1)C(=O)C(=O)NCC(=O)NC(C(=O)O)C1=CC=CC=C1)SCCCS2)C(C)(C)C Chemical compound CC(C)COC(=O)N[C@H](C(=O)N1CC2(C[C@H]1C(=O)NC(CC1CC1)C(=O)C(=O)NCC(=O)NC(C(=O)O)C1=CC=CC=C1)SCCCS2)C(C)(C)C JFMOVHFLMCNVDT-BIHRWAPCSA-N 0.000 description 1
- DRTMQEDTFXNPJA-HGUCJESGSA-N CC(C)COC(=O)N[C@H](C(=O)N1CC2(C[C@H]1C(=O)NC(CC1CC1)C(=O)C(=O)NCC(=O)NC(C(=O)OC(C)(C)C)C1=CC=CC=C1)SCCCS2)C(C)(C)C Chemical compound CC(C)COC(=O)N[C@H](C(=O)N1CC2(C[C@H]1C(=O)NC(CC1CC1)C(=O)C(=O)NCC(=O)NC(C(=O)OC(C)(C)C)C1=CC=CC=C1)SCCCS2)C(C)(C)C DRTMQEDTFXNPJA-HGUCJESGSA-N 0.000 description 1
- BWMKKLMAWMGHDY-WBLOSPSNSA-N CC(C)COC(=O)N[C@H](C(=O)N1CC2C([C@H]1C(=O)NC(CC1CCC1)C(=O)C(N)=O)C2(C)C)C1CCCCC1 Chemical compound CC(C)COC(=O)N[C@H](C(=O)N1CC2C([C@H]1C(=O)NC(CC1CCC1)C(=O)C(N)=O)C2(C)C)C1CCCCC1 BWMKKLMAWMGHDY-WBLOSPSNSA-N 0.000 description 1
- HOPOQOAOHQVBOG-VAUKOGSXSA-N CC(C)COC(=O)N[C@H](C(=O)N1CC2C([C@H]1C(=O)N[C@@H](CC(C)C)C(=O)C(=O)NCC(=O)N[C@H](C(=O)N(C)C)C1=CC=CC=C1)C2(C)C)C(C)(C)C Chemical compound CC(C)COC(=O)N[C@H](C(=O)N1CC2C([C@H]1C(=O)N[C@@H](CC(C)C)C(=O)C(=O)NCC(=O)N[C@H](C(=O)N(C)C)C1=CC=CC=C1)C2(C)C)C(C)(C)C HOPOQOAOHQVBOG-VAUKOGSXSA-N 0.000 description 1
- JWGMPLPJUUSBRL-BPZNKAFVSA-N CC(C)COC(=O)N[C@H](C(=O)N1CC2C([C@H]1C(=O)N[C@@H](CC(C)C)C(=O)C(=O)NCC(=O)N[C@H](C(=O)N(C)C)C1=CC=CC=C1)C2(C)C)C(C)(C)C.CC(C)COC(=O)N[C@H](C(=O)N1C[C@H]2C([C@H]1C(=O)N[C@@H](CC(C)C)C(=O)C(=O)NCC(=O)N[C@H](C(=O)N(C)C)C1=CC=CC=C1)C2(C)C)C1(C)CCCCC1.CCCC(NC(=O)[C@@H]1CC(C)(C)CN1C(=O)C(NC(=O)OCC(C)C)[C@H](C)C1=CC=CC=C1)C(=O)C(=O)NCC(=O)N[C@H](C(=O)N(C)C)C1=CC=CC=C1.CCC[C@@H](NC(=O)[C@@H]1COCCN1C(=O)[C@@H](NC(=O)OCC(C)C)C1CCCCC1)C(=O)C(=O)NCC(=O)N[C@H](C(=O)N(C)C)C1=CC=CC=C1.CCC[C@@H](NC(=O)[C@@H]1[C@@H](C2=CC=CC=C2)CCN1C(=O)[C@@H](NC(=O)OCC(C)C)C1CCCCC1)C(=O)C(=O)NCC(=O)N[C@H](C(=O)N(C)C)C1=CC=CC=C1.CCC[C@H](NC(=O)[C@@H]1C2[C@H](CN1C(=O)[C@@H](NC(=O)OCC(C)C)C1(C)CCCCC1)C2(C)C)C(=O)C(=O)NCC(=O)N[C@H](C(=O)N(C)C)C1=CC=CC=C1.CCC[C@H](NC(=O)[C@@H]1CC(C)(C)CN1C(=O)C(NC(=O)OCC(C)C)[C@@H](C)CC)C(=O)C(=O)NCC(=O)N[C@H](C(=O)N(C)C)C1=CC=CC=C1.CCC[C@H](NC(=O)[C@@H]1CC[C@H](C)N1C(=O)[C@@H](NC(=O)OCC(C)C)C1CCCCC1)C(=O)C(=O)NCC(=O)N[C@H](C(=O)N(C)C)C1=CC=CC=C1 Chemical compound CC(C)COC(=O)N[C@H](C(=O)N1CC2C([C@H]1C(=O)N[C@@H](CC(C)C)C(=O)C(=O)NCC(=O)N[C@H](C(=O)N(C)C)C1=CC=CC=C1)C2(C)C)C(C)(C)C.CC(C)COC(=O)N[C@H](C(=O)N1C[C@H]2C([C@H]1C(=O)N[C@@H](CC(C)C)C(=O)C(=O)NCC(=O)N[C@H](C(=O)N(C)C)C1=CC=CC=C1)C2(C)C)C1(C)CCCCC1.CCCC(NC(=O)[C@@H]1CC(C)(C)CN1C(=O)C(NC(=O)OCC(C)C)[C@H](C)C1=CC=CC=C1)C(=O)C(=O)NCC(=O)N[C@H](C(=O)N(C)C)C1=CC=CC=C1.CCC[C@@H](NC(=O)[C@@H]1COCCN1C(=O)[C@@H](NC(=O)OCC(C)C)C1CCCCC1)C(=O)C(=O)NCC(=O)N[C@H](C(=O)N(C)C)C1=CC=CC=C1.CCC[C@@H](NC(=O)[C@@H]1[C@@H](C2=CC=CC=C2)CCN1C(=O)[C@@H](NC(=O)OCC(C)C)C1CCCCC1)C(=O)C(=O)NCC(=O)N[C@H](C(=O)N(C)C)C1=CC=CC=C1.CCC[C@H](NC(=O)[C@@H]1C2[C@H](CN1C(=O)[C@@H](NC(=O)OCC(C)C)C1(C)CCCCC1)C2(C)C)C(=O)C(=O)NCC(=O)N[C@H](C(=O)N(C)C)C1=CC=CC=C1.CCC[C@H](NC(=O)[C@@H]1CC(C)(C)CN1C(=O)C(NC(=O)OCC(C)C)[C@@H](C)CC)C(=O)C(=O)NCC(=O)N[C@H](C(=O)N(C)C)C1=CC=CC=C1.CCC[C@H](NC(=O)[C@@H]1CC[C@H](C)N1C(=O)[C@@H](NC(=O)OCC(C)C)C1CCCCC1)C(=O)C(=O)NCC(=O)N[C@H](C(=O)N(C)C)C1=CC=CC=C1 JWGMPLPJUUSBRL-BPZNKAFVSA-N 0.000 description 1
- LRGQMRBNPJZOIM-XRRQPGHNSA-N CC(C)COC(=O)N[C@H](C(=O)N1CC2C([C@H]1C(=O)N[C@@H](CC(C)C)C(=O)C(=O)NCC(=O)N[C@H](C(=O)N(C)C)C1=CC=CC=C1)C2(C)C)C(C)(C)C.CC(C)C[C@H](NC(=O)[C@@H]1C2[C@H](CN1C(=O)[C@@H](NC(=O)OC(C)C)C(C)(C)C)C2(C)C)C(=O)C(=O)NCC(=O)N[C@H](C(=O)N(C)C)C1=CC=CC=C1.CCCC(NC(=O)[C@@H]1CC(C)(C)CN1C(=O)C(NC(=O)OCC(C)C)[C@H](C)C1=CC=CC=C1)C(=O)C(=O)NCC(=O)N[C@H](C(=O)N(C)C)C1=CC=CC=C1.CCC[C@H](NC(=O)[C@@H]1C2[C@H](CN1C(=O)[C@@H](NC(=O)OC(C)C)C(C)(C)C)C2(C)C)C(=O)C(=O)NCC(=O)N[C@H](C(=O)N(C)C)C1=CC=CC=C1.CCC[C@H](NC(=O)[C@@H]1[C@@H]2[C@H](CN1C(=O)[C@@H](NC(=O)O[C@H](C)C(C)C)C1(C)CCCCC1)C2(C)C)C(=O)C(=O)NCC(=O)N[C@H](C(=O)N(C)C)C1=CC=CC=C1.CCC[C@H](NC(=O)[C@@H]1[C@H]2C[C@H]2CN1C(=O)[C@@H](NC(=O)OCC(C)C)C(C)(C)C)C(=O)C(=O)NCC(=O)N[C@H](C(=O)N(C)C)C1=CC=CC=C1 Chemical compound CC(C)COC(=O)N[C@H](C(=O)N1CC2C([C@H]1C(=O)N[C@@H](CC(C)C)C(=O)C(=O)NCC(=O)N[C@H](C(=O)N(C)C)C1=CC=CC=C1)C2(C)C)C(C)(C)C.CC(C)C[C@H](NC(=O)[C@@H]1C2[C@H](CN1C(=O)[C@@H](NC(=O)OC(C)C)C(C)(C)C)C2(C)C)C(=O)C(=O)NCC(=O)N[C@H](C(=O)N(C)C)C1=CC=CC=C1.CCCC(NC(=O)[C@@H]1CC(C)(C)CN1C(=O)C(NC(=O)OCC(C)C)[C@H](C)C1=CC=CC=C1)C(=O)C(=O)NCC(=O)N[C@H](C(=O)N(C)C)C1=CC=CC=C1.CCC[C@H](NC(=O)[C@@H]1C2[C@H](CN1C(=O)[C@@H](NC(=O)OC(C)C)C(C)(C)C)C2(C)C)C(=O)C(=O)NCC(=O)N[C@H](C(=O)N(C)C)C1=CC=CC=C1.CCC[C@H](NC(=O)[C@@H]1[C@@H]2[C@H](CN1C(=O)[C@@H](NC(=O)O[C@H](C)C(C)C)C1(C)CCCCC1)C2(C)C)C(=O)C(=O)NCC(=O)N[C@H](C(=O)N(C)C)C1=CC=CC=C1.CCC[C@H](NC(=O)[C@@H]1[C@H]2C[C@H]2CN1C(=O)[C@@H](NC(=O)OCC(C)C)C(C)(C)C)C(=O)C(=O)NCC(=O)N[C@H](C(=O)N(C)C)C1=CC=CC=C1 LRGQMRBNPJZOIM-XRRQPGHNSA-N 0.000 description 1
- GRKOFMWTLBTMHQ-KAGWOCQHSA-N CC(C)COC(=O)N[C@H](C(=O)N1CC2C([C@H]1C(=O)N[C@@H](CC(C)C)C(=O)C(=O)NCC(=O)N[C@H](C(=O)N(C)C)C1=CC=CC=C1)C2(C)C)C1(C)CCCCC1 Chemical compound CC(C)COC(=O)N[C@H](C(=O)N1CC2C([C@H]1C(=O)N[C@@H](CC(C)C)C(=O)C(=O)NCC(=O)N[C@H](C(=O)N(C)C)C1=CC=CC=C1)C2(C)C)C1(C)CCCCC1 GRKOFMWTLBTMHQ-KAGWOCQHSA-N 0.000 description 1
- REUIXXIUABHHGA-SMGWBDPZSA-N CC(C)COC(=O)N[C@H](C(=O)N1C[C@H](OC(C)(C)C)C[C@H]1C(=O)CC(CC1=CC=CC=C1)C(=O)C(=O)CCC(=O)N[C@H](C(N)=O)C1=CC=CC=C1)C1CCCCC1 Chemical compound CC(C)COC(=O)N[C@H](C(=O)N1C[C@H](OC(C)(C)C)C[C@H]1C(=O)CC(CC1=CC=CC=C1)C(=O)C(=O)CCC(=O)N[C@H](C(N)=O)C1=CC=CC=C1)C1CCCCC1 REUIXXIUABHHGA-SMGWBDPZSA-N 0.000 description 1
- OSTKRDZOOSFNSL-NRJYKAJQSA-N CC(C)COC(=O)N[C@H](C(=O)N1C[C@H](OC(C)(C)C)C[C@H]1C(=O)NC(CC(C)C)C(=O)C(=O)NCC(=O)N[C@H](C(=O)N(C)C)C1=CC=CC=C1)C(C)(C)C Chemical compound CC(C)COC(=O)N[C@H](C(=O)N1C[C@H](OC(C)(C)C)C[C@H]1C(=O)NC(CC(C)C)C(=O)C(=O)NCC(=O)N[C@H](C(=O)N(C)C)C1=CC=CC=C1)C(C)(C)C OSTKRDZOOSFNSL-NRJYKAJQSA-N 0.000 description 1
- JZBPQMJYKXPELB-RZUBCFFCSA-N CC(C)COC(=O)N[C@H](C(=O)N1C[C@H](OC(C)(C)C)C[C@H]1C(=O)NC1(C(=O)C(=O)NCC(=O)O)CCCCC1)C(C)(C)C Chemical compound CC(C)COC(=O)N[C@H](C(=O)N1C[C@H](OC(C)(C)C)C[C@H]1C(=O)NC1(C(=O)C(=O)NCC(=O)O)CCCCC1)C(C)(C)C JZBPQMJYKXPELB-RZUBCFFCSA-N 0.000 description 1
- UJLMHAZIJNAHJI-BSJBYKCTSA-N CC(C)COC(=O)N[C@H](C(=O)N1C[C@H]2C([C@H]1C(=O)N[C@@H](CC(C)C)C(=O)C(=O)NCC(=O)N[C@H](C(=O)N(C)C)C1=CC=CC=C1)C2(C)C)C1(C)CCCCC1.CCC[C@@H](NC(=O)[C@@H]1COCCN1C(=O)[C@@H](NC(=O)OCC(C)C)C1CCCCC1)C(=O)C(=O)NCC(=O)N[C@H](C(=O)N(C)C)C1=CC=CC=C1.CCC[C@@H](NC(=O)[C@@H]1[C@@H](C2=CC=CC=C2)CCN1C(=O)[C@@H](NC(=O)OCC(C)C)C1CCCCC1)C(=O)C(=O)NCC(=O)N[C@H](C(=O)N(C)C)C1=CC=CC=C1.CCC[C@H](NC(=O)[C@@H]1C2[C@H](CN1C(=O)[C@@H](NC(=O)OCC(C)C)C1(C)CCCCC1)C2(C)C)C(=O)C(=O)NCC(=O)N[C@H](C(=O)N(C)C)C1=CC=CC=C1.CCC[C@H](NC(=O)[C@@H]1CC(C)(C)CN1C(=O)C(NC(=O)OCC(C)C)[C@@H](C)CC)C(=O)C(=O)NCC(=O)N[C@H](C(=O)N(C)C)C1=CC=CC=C1.CCC[C@H](NC(=O)[C@@H]1CC[C@H](C)N1C(=O)[C@@H](NC(=O)OCC(C)C)C1CCCCC1)C(=O)C(=O)NCC(=O)N[C@H](C(=O)N(C)C)C1=CC=CC=C1 Chemical compound CC(C)COC(=O)N[C@H](C(=O)N1C[C@H]2C([C@H]1C(=O)N[C@@H](CC(C)C)C(=O)C(=O)NCC(=O)N[C@H](C(=O)N(C)C)C1=CC=CC=C1)C2(C)C)C1(C)CCCCC1.CCC[C@@H](NC(=O)[C@@H]1COCCN1C(=O)[C@@H](NC(=O)OCC(C)C)C1CCCCC1)C(=O)C(=O)NCC(=O)N[C@H](C(=O)N(C)C)C1=CC=CC=C1.CCC[C@@H](NC(=O)[C@@H]1[C@@H](C2=CC=CC=C2)CCN1C(=O)[C@@H](NC(=O)OCC(C)C)C1CCCCC1)C(=O)C(=O)NCC(=O)N[C@H](C(=O)N(C)C)C1=CC=CC=C1.CCC[C@H](NC(=O)[C@@H]1C2[C@H](CN1C(=O)[C@@H](NC(=O)OCC(C)C)C1(C)CCCCC1)C2(C)C)C(=O)C(=O)NCC(=O)N[C@H](C(=O)N(C)C)C1=CC=CC=C1.CCC[C@H](NC(=O)[C@@H]1CC(C)(C)CN1C(=O)C(NC(=O)OCC(C)C)[C@@H](C)CC)C(=O)C(=O)NCC(=O)N[C@H](C(=O)N(C)C)C1=CC=CC=C1.CCC[C@H](NC(=O)[C@@H]1CC[C@H](C)N1C(=O)[C@@H](NC(=O)OCC(C)C)C1CCCCC1)C(=O)C(=O)NCC(=O)N[C@H](C(=O)N(C)C)C1=CC=CC=C1 UJLMHAZIJNAHJI-BSJBYKCTSA-N 0.000 description 1
- ZZXAHCFXKSIAQP-DOVBMPENSA-N CC(C)COC(=O)N[C@H](C(=O)N1C[C@H]2[C@@H]([C@H]1C(=O)NC(CC1CC1)C(=O)C(N)=O)C2(C)C)C(C)(C)C Chemical compound CC(C)COC(=O)N[C@H](C(=O)N1C[C@H]2[C@@H]([C@H]1C(=O)NC(CC1CC1)C(=O)C(N)=O)C2(C)C)C(C)(C)C ZZXAHCFXKSIAQP-DOVBMPENSA-N 0.000 description 1
- KQUGYJKZDSYNBQ-USSJPZKSSA-N CC(C)COC(=O)N[C@H](C(=O)N1C[C@H]2[C@@H]([C@H]1C(=O)NC(CC1CC1)C(=O)C(N)=O)C2(C)C)C1CCCCC1 Chemical compound CC(C)COC(=O)N[C@H](C(=O)N1C[C@H]2[C@@H]([C@H]1C(=O)NC(CC1CC1)C(=O)C(N)=O)C2(C)C)C1CCCCC1 KQUGYJKZDSYNBQ-USSJPZKSSA-N 0.000 description 1
- QXMIAPIOBIFENA-URIFLEQFSA-N CC(C)COC(=O)N[C@H](C(=O)N1C[C@H]2[C@@H]([C@H]1C(=O)N[C@H](C(=O)C(=O)NCC(=O)NC(C(=O)N(C)C)C1=CC=CC=C1)C1C[C@@H]1C)C2(C)C)C1CCCCC1 Chemical compound CC(C)COC(=O)N[C@H](C(=O)N1C[C@H]2[C@@H]([C@H]1C(=O)N[C@H](C(=O)C(=O)NCC(=O)NC(C(=O)N(C)C)C1=CC=CC=C1)C1C[C@@H]1C)C2(C)C)C1CCCCC1 QXMIAPIOBIFENA-URIFLEQFSA-N 0.000 description 1
- XZXNVYVLYCAUAG-SLLQLMDJSA-N CC(C)COC(=O)N[C@H](C(=O)N1C[C@H]2[C@@H]([C@H]1C(=O)N[C@H](C(=O)C(=O)NCC(=O)NC(C(=O)N(C)C)C1=CC=CC=C1)[C@H]1C[C@@H]1C)C2(C)C)C1CCCCC1.CCCC(NC(=O)[C@@H]1CC(C)(C)CN1C(=O)[C@@H](NC(=O)OCC(C)C)C1CCCCC1)C(=O)C(=O)N[C@@H](CO)C(=O)N[C@H](C(=O)O)C1=CC=CC=C1.CCCC(NC(=O)[C@@H]1CC(C)(C)CN1C(=O)[C@@H](NC)C1CCCCC1)C(=O)C(=O)NCC(=O)NC(C(=O)O)C1=CC=CC=C1.CCC[C@H](NC(=O)[C@@H]1CC(C)(C)CN1C(=O)[C@@H](NC(=O)OCC(C)C)C(C)(C)C)C(=O)C(=O)NCC(=O)N[C@H](C(=O)N(C)C)C1=CC=CC=C1.[H][C@@]1(C(=O)OCC)[C@H]2CN(C(=O)[C@@H](NC(=O)OCC(C)C)C3CCCCC3)[C@H](C(=O)NC(CCC)C(=O)C(=O)NCC(=O)NC(C(=O)N(C)C)C3=CC=CC=C3)[C@H]21 Chemical compound CC(C)COC(=O)N[C@H](C(=O)N1C[C@H]2[C@@H]([C@H]1C(=O)N[C@H](C(=O)C(=O)NCC(=O)NC(C(=O)N(C)C)C1=CC=CC=C1)[C@H]1C[C@@H]1C)C2(C)C)C1CCCCC1.CCCC(NC(=O)[C@@H]1CC(C)(C)CN1C(=O)[C@@H](NC(=O)OCC(C)C)C1CCCCC1)C(=O)C(=O)N[C@@H](CO)C(=O)N[C@H](C(=O)O)C1=CC=CC=C1.CCCC(NC(=O)[C@@H]1CC(C)(C)CN1C(=O)[C@@H](NC)C1CCCCC1)C(=O)C(=O)NCC(=O)NC(C(=O)O)C1=CC=CC=C1.CCC[C@H](NC(=O)[C@@H]1CC(C)(C)CN1C(=O)[C@@H](NC(=O)OCC(C)C)C(C)(C)C)C(=O)C(=O)NCC(=O)N[C@H](C(=O)N(C)C)C1=CC=CC=C1.[H][C@@]1(C(=O)OCC)[C@H]2CN(C(=O)[C@@H](NC(=O)OCC(C)C)C3CCCCC3)[C@H](C(=O)NC(CCC)C(=O)C(=O)NCC(=O)NC(C(=O)N(C)C)C3=CC=CC=C3)[C@H]21 XZXNVYVLYCAUAG-SLLQLMDJSA-N 0.000 description 1
- ZZXAHCFXKSIAQP-XUTBLCSISA-N CC(C)COC(N[C@@H](C(C)(C)C)C(N(CC1C(C)(C)[C@@H]11)[C@@H]1C(NC(CC1CC1)C(C(N)=O)=O)=O)=O)=O Chemical compound CC(C)COC(N[C@@H](C(C)(C)C)C(N(CC1C(C)(C)[C@@H]11)[C@@H]1C(NC(CC1CC1)C(C(N)=O)=O)=O)=O)=O ZZXAHCFXKSIAQP-XUTBLCSISA-N 0.000 description 1
- CJYSNQUBHSHIHX-BBITVKMKSA-N CC(C)COC(N[C@@H](C1CCCCC1)C(N(CC(C1)C(C)C)[C@@H]1C(NC(CC1CC1)C(C(N)=O)=O)=O)=O)=O Chemical compound CC(C)COC(N[C@@H](C1CCCCC1)C(N(CC(C1)C(C)C)[C@@H]1C(NC(CC1CC1)C(C(N)=O)=O)=O)=O)=O CJYSNQUBHSHIHX-BBITVKMKSA-N 0.000 description 1
- UHWXNXAFUISQDU-NGWXUUIRSA-N CC(C)C[C@@H](C(C(NCC(NC(C(N(C)C)=O)c1ccccc1)=O)=O)=O)NC(C(CC(C)(C)C1)N1C(C(C1CCCCC1)NC(OCC(C)C)=O)=O)=O Chemical compound CC(C)C[C@@H](C(C(NCC(NC(C(N(C)C)=O)c1ccccc1)=O)=O)=O)NC(C(CC(C)(C)C1)N1C(C(C1CCCCC1)NC(OCC(C)C)=O)=O)=O UHWXNXAFUISQDU-NGWXUUIRSA-N 0.000 description 1
- MORNCBOMZAJVTR-SPQIZYAFSA-N CC(C)C[C@@H](CC1)[C@@H](C(NC2(CC2)C(C(NCC(N[C@H](C(N(C)C)=O)c2ccccc2)=O)=O)=O)=O)N1C([C@H](C1CCCCC1)NC(OC(C)(C)C)=O)=O Chemical compound CC(C)C[C@@H](CC1)[C@@H](C(NC2(CC2)C(C(NCC(N[C@H](C(N(C)C)=O)c2ccccc2)=O)=O)=O)=O)N1C([C@H](C1CCCCC1)NC(OC(C)(C)C)=O)=O MORNCBOMZAJVTR-SPQIZYAFSA-N 0.000 description 1
- NZIHHUXURSFPMR-LLORDNHDSA-N CC(C)C[C@H](NC(=O)[C@@H]1C2[C@H](CN1C(=O)[C@@H](NC(=O)OC(C)C)C(C)(C)C)C2(C)C)C(=O)C(=O)NCC(=O)N[C@H](C(=O)N(C)C)C1=CC=CC=C1 Chemical compound CC(C)C[C@H](NC(=O)[C@@H]1C2[C@H](CN1C(=O)[C@@H](NC(=O)OC(C)C)C(C)(C)C)C2(C)C)C(=O)C(=O)NCC(=O)N[C@H](C(=O)N(C)C)C1=CC=CC=C1 NZIHHUXURSFPMR-LLORDNHDSA-N 0.000 description 1
- ULBUDZBWUTWOSG-ANXQMPKJSA-N CC(C)C[C@H](NC(=O)[C@@H]1C2[C@H](CN1C(=O)[C@@H](NC(=O)OC(C)C)C(C)(C)C)C2(C)C)C(=O)C(=O)NCC(=O)N[C@H](C(=O)N(C)C)C1=CC=CC=C1.CCC[C@H](NC(=O)[C@@H]1C2C[C@H]2CN1C(=O)[C@@H](NC(=O)OC(C)C)C(C)(C)C)C(=O)C(=O)NCC(=O)N[C@H](C(=O)N(C)C)C1=CC=CC=C1.CCC[C@H](NC(=O)[C@@H]1C2C[C@H]2CN1C(=O)[C@@H](NC(=O)O[C@H](C)C(C)C)C(C)(C)C)C(=O)C(=O)NCC(=O)N[C@H](C(=O)N(C)C)C1=CC=CC=C1.CCC[C@H](NC(=O)[C@@H]1C2[C@H](CN1C(=O)[C@@H](NC(=O)OC(C)C)C(C)(C)C)C2(C)C)C(=O)C(=O)NCC(=O)N[C@H](C(=O)N(C)C)C1=CC=CC=C1.CCC[C@H](NC(=O)[C@@H]1[C@@H]2[C@H](CN1C(=O)[C@@H](NC(=O)O[C@H](C)C(C)C)C1(C)CCCCC1)C2(C)C)C(=O)C(=O)NCC(=O)N[C@H](C(=O)N(C)C)C1=CC=CC=C1.CCC[C@H](NC(=O)[C@@H]1[C@H]2C[C@H]2CN1C(=O)[C@@H](NC(=O)OCC(C)C)C(C)(C)C)C(=O)C(=O)NCC(=O)N[C@H](C(=O)N(C)C)C1=CC=CC=C1.CCC[C@H](NC(=O)[C@@H]1[C@H]2C[C@H]2CN1C(=O)[C@@H](NC(=O)OCC(C)C)C1CCCCC1)C(=O)C(=O)NCC(=O)N[C@H](C(=O)N(C)C)C1=CC=CC=C1.CCC[C@H](NC(=O)[C@@H]1[C@H]2C[C@H]2CN1C(=O)[C@@H](NC(=O)O[C@H](C)C(C)C)C1(C)CCCCC1)C(=O)C(=O)NCC(=O)N[C@H](C(=O)N(C)C)C1=CC=CC=C1 Chemical compound CC(C)C[C@H](NC(=O)[C@@H]1C2[C@H](CN1C(=O)[C@@H](NC(=O)OC(C)C)C(C)(C)C)C2(C)C)C(=O)C(=O)NCC(=O)N[C@H](C(=O)N(C)C)C1=CC=CC=C1.CCC[C@H](NC(=O)[C@@H]1C2C[C@H]2CN1C(=O)[C@@H](NC(=O)OC(C)C)C(C)(C)C)C(=O)C(=O)NCC(=O)N[C@H](C(=O)N(C)C)C1=CC=CC=C1.CCC[C@H](NC(=O)[C@@H]1C2C[C@H]2CN1C(=O)[C@@H](NC(=O)O[C@H](C)C(C)C)C(C)(C)C)C(=O)C(=O)NCC(=O)N[C@H](C(=O)N(C)C)C1=CC=CC=C1.CCC[C@H](NC(=O)[C@@H]1C2[C@H](CN1C(=O)[C@@H](NC(=O)OC(C)C)C(C)(C)C)C2(C)C)C(=O)C(=O)NCC(=O)N[C@H](C(=O)N(C)C)C1=CC=CC=C1.CCC[C@H](NC(=O)[C@@H]1[C@@H]2[C@H](CN1C(=O)[C@@H](NC(=O)O[C@H](C)C(C)C)C1(C)CCCCC1)C2(C)C)C(=O)C(=O)NCC(=O)N[C@H](C(=O)N(C)C)C1=CC=CC=C1.CCC[C@H](NC(=O)[C@@H]1[C@H]2C[C@H]2CN1C(=O)[C@@H](NC(=O)OCC(C)C)C(C)(C)C)C(=O)C(=O)NCC(=O)N[C@H](C(=O)N(C)C)C1=CC=CC=C1.CCC[C@H](NC(=O)[C@@H]1[C@H]2C[C@H]2CN1C(=O)[C@@H](NC(=O)OCC(C)C)C1CCCCC1)C(=O)C(=O)NCC(=O)N[C@H](C(=O)N(C)C)C1=CC=CC=C1.CCC[C@H](NC(=O)[C@@H]1[C@H]2C[C@H]2CN1C(=O)[C@@H](NC(=O)O[C@H](C)C(C)C)C1(C)CCCCC1)C(=O)C(=O)NCC(=O)N[C@H](C(=O)N(C)C)C1=CC=CC=C1 ULBUDZBWUTWOSG-ANXQMPKJSA-N 0.000 description 1
- KZCOMGLQJWQFLT-SEGPTPNXSA-N CC(C)C[C@H](NC(=O)[C@@H]1CC(C)(C)CN1C(=O)[C@@H](NC(=O)OC(C)C)C(C)(C)C)C(=O)C(=O)NCC(=O)N[C@H](C(=O)N(C)C)C1=CC=CC=C1 Chemical compound CC(C)C[C@H](NC(=O)[C@@H]1CC(C)(C)CN1C(=O)[C@@H](NC(=O)OC(C)C)C(C)(C)C)C(=O)C(=O)NCC(=O)N[C@H](C(=O)N(C)C)C1=CC=CC=C1 KZCOMGLQJWQFLT-SEGPTPNXSA-N 0.000 description 1
- IFDLCEZGXMKIKA-YDSPCCDXSA-N CC(C)I.CN(C)C(=O)[C@@H](NC(=O)CCC(=O)C(=O)C(CC(=O)[C@@H]1[C@@H]2C(CN1C(=O)[C@@H](N)C(C)(C)C)C2(C)C)CC1CC1)C1=CC=CC=C1.CN(C)C(=O)[C@@H](NC(=O)CCC(=O)C(=O)C(CC(=O)[C@@H]1[C@@H]2C(CN1C(=O)[C@@H](NC(=O)OC(C)(C)C)C(C)(C)C)C2(C)C)CC1CC1)C1=CC=CC=C1.Cl Chemical compound CC(C)I.CN(C)C(=O)[C@@H](NC(=O)CCC(=O)C(=O)C(CC(=O)[C@@H]1[C@@H]2C(CN1C(=O)[C@@H](N)C(C)(C)C)C2(C)C)CC1CC1)C1=CC=CC=C1.CN(C)C(=O)[C@@H](NC(=O)CCC(=O)C(=O)C(CC(=O)[C@@H]1[C@@H]2C(CN1C(=O)[C@@H](NC(=O)OC(C)(C)C)C(C)(C)C)C2(C)C)CC1CC1)C1=CC=CC=C1.Cl IFDLCEZGXMKIKA-YDSPCCDXSA-N 0.000 description 1
- SLDOKYFMLMTWFW-IYZDFGCPSA-N CC(C)I.CN(C)C(=O)[C@@H](NC(=O)CCC(=O)C(=O)C(CC(=O)[C@@H]1[C@@H]2C(CN1C(=O)[C@@H](NC(=O)OC(C)(C)C)C(C)(C)C)C2(C)C)CC1CC1)C1=CC=CC=C1.CN(C)C(=O)[C@@H](NC(=O)CCC(=O)C(O)C(CC(=O)[C@@H]1[C@@H]2C(CN1C(=O)[C@@H](NC(=O)OC(C)(C)C)C(C)(C)C)C2(C)C)CC1CC1)C1=CC=CC=C1 Chemical compound CC(C)I.CN(C)C(=O)[C@@H](NC(=O)CCC(=O)C(=O)C(CC(=O)[C@@H]1[C@@H]2C(CN1C(=O)[C@@H](NC(=O)OC(C)(C)C)C(C)(C)C)C2(C)C)CC1CC1)C1=CC=CC=C1.CN(C)C(=O)[C@@H](NC(=O)CCC(=O)C(O)C(CC(=O)[C@@H]1[C@@H]2C(CN1C(=O)[C@@H](NC(=O)OC(C)(C)C)C(C)(C)C)C2(C)C)CC1CC1)C1=CC=CC=C1 SLDOKYFMLMTWFW-IYZDFGCPSA-N 0.000 description 1
- DZBXLHLOYNMRIH-ZIQQCPBXSA-N CC(C)N(C(=O)NC(C(=O)N1CC2C([C@H]1C(=O)NC(CC1CCC1)C(=O)C(N)=O)C2(C)C)C1CCCCC1)C(C)C Chemical compound CC(C)N(C(=O)NC(C(=O)N1CC2C([C@H]1C(=O)NC(CC1CCC1)C(=O)C(N)=O)C2(C)C)C1CCCCC1)C(C)C DZBXLHLOYNMRIH-ZIQQCPBXSA-N 0.000 description 1
- BVEIAKLANDGGED-BLJKDTPWSA-N CC(C)NC(=O)NC(C(=O)N1CC2C([C@H]1C(=O)NC(CC1CCC1)C(=O)C(N)=O)C2(C)C)C1CCCCC1 Chemical compound CC(C)NC(=O)NC(C(=O)N1CC2C([C@H]1C(=O)NC(CC1CCC1)C(=O)C(N)=O)C2(C)C)C1CCCCC1 BVEIAKLANDGGED-BLJKDTPWSA-N 0.000 description 1
- FIECJYTYLRFJBB-JKWWZATHSA-N CC(C)NC(=O)N[C@H](C(=O)N1CC2C([C@H]1C(=O)NC(CC1CC1)C(=O)C(N)=O)C2(C)C)C1CC2=C(C=CC=C2)C1 Chemical compound CC(C)NC(=O)N[C@H](C(=O)N1CC2C([C@H]1C(=O)NC(CC1CC1)C(=O)C(N)=O)C2(C)C)C1CC2=C(C=CC=C2)C1 FIECJYTYLRFJBB-JKWWZATHSA-N 0.000 description 1
- GBEBMXGNSZYQLY-VZIDXPSOSA-N CC(C)NC(=O)N[C@H](C(=O)N1CC2C([C@H]1C(=O)NC(CC1CCC1)C(=O)C(N)=O)C2(C)C)C(C)(C)C Chemical compound CC(C)NC(=O)N[C@H](C(=O)N1CC2C([C@H]1C(=O)NC(CC1CCC1)C(=O)C(N)=O)C2(C)C)C(C)(C)C GBEBMXGNSZYQLY-VZIDXPSOSA-N 0.000 description 1
- ALNOHCQHBZEZLM-LIELFMAKSA-N CC(C)NC(=O)N[C@H](C(=O)N1C[C@H]2[C@@H]([C@H]1C(=O)NC(CC1CC1)C(=O)C(N)=O)C2(C)C)C1CCCCC1 Chemical compound CC(C)NC(=O)N[C@H](C(=O)N1C[C@H]2[C@@H]([C@H]1C(=O)NC(CC1CC1)C(=O)C(N)=O)C2(C)C)C1CCCCC1 ALNOHCQHBZEZLM-LIELFMAKSA-N 0.000 description 1
- UJENFODQIWOGMA-UHFFFAOYSA-N CC(C)NC1CC2CCC1C2 Chemical compound CC(C)NC1CC2CCC1C2 UJENFODQIWOGMA-UHFFFAOYSA-N 0.000 description 1
- WPOTTWYAPHKJRK-PETRREHYSA-N CC(C)OC(=O)N[C@H](C(=O)N1CC2C([C@H]1C(=O)NC(CC1CC1)C(=O)C(=O)NCC(=O)N[C@H](C(=O)N(C)C)C1=CC=CC=C1)C2(C)C)C(C)(C)C Chemical compound CC(C)OC(=O)N[C@H](C(=O)N1CC2C([C@H]1C(=O)NC(CC1CC1)C(=O)C(=O)NCC(=O)N[C@H](C(=O)N(C)C)C1=CC=CC=C1)C2(C)C)C(C)(C)C WPOTTWYAPHKJRK-PETRREHYSA-N 0.000 description 1
- ROTCZLWAQZMBFJ-IOHZUATHSA-N CC(C)OC(=O)N[C@H](C(=O)N1CC2C([C@H]1C(=O)NC(CC1CCC1)C(=O)C(N)=O)C2(C)C)C1CCCCC1 Chemical compound CC(C)OC(=O)N[C@H](C(=O)N1CC2C([C@H]1C(=O)NC(CC1CCC1)C(=O)C(N)=O)C2(C)C)C1CCCCC1 ROTCZLWAQZMBFJ-IOHZUATHSA-N 0.000 description 1
- PNKHKMWZFVHEPT-ONZABHSXSA-N CC(C)OC(=O)N[C@H](C(=O)N1C[C@H]2[C@@H]([C@H]1C(=O)NC(CC1CC1)C(=O)C(=O)O)C2(C)C)C1CC2=CC=CC=C2C1 Chemical compound CC(C)OC(=O)N[C@H](C(=O)N1C[C@H]2[C@@H]([C@H]1C(=O)NC(CC1CC1)C(=O)C(=O)O)C2(C)C)C1CC2=CC=CC=C2C1 PNKHKMWZFVHEPT-ONZABHSXSA-N 0.000 description 1
- ZQTYYGCYOOLVDM-TZPCIBBBSA-N CC(C)OC(=O)N[C@H](C(=O)N1C[C@H]2[C@@H]([C@H]1C(=O)NC(CC1CC1)C(=O)C(N)=O)C2(C)C)C(C)(C)C Chemical compound CC(C)OC(=O)N[C@H](C(=O)N1C[C@H]2[C@@H]([C@H]1C(=O)NC(CC1CC1)C(=O)C(N)=O)C2(C)C)C(C)(C)C ZQTYYGCYOOLVDM-TZPCIBBBSA-N 0.000 description 1
- SSQOXLBKCHTABX-ONZABHSXSA-N CC(C)OC(=O)N[C@H](C(=O)N1C[C@H]2[C@@H]([C@H]1C(=O)NC(CC1CC1)C(=O)C(N)=O)C2(C)C)C1CC2=CC=CC=C2C1 Chemical compound CC(C)OC(=O)N[C@H](C(=O)N1C[C@H]2[C@@H]([C@H]1C(=O)NC(CC1CC1)C(=O)C(N)=O)C2(C)C)C1CC2=CC=CC=C2C1 SSQOXLBKCHTABX-ONZABHSXSA-N 0.000 description 1
- XVYUWZNMGXPOBB-LIELFMAKSA-N CC(C)OC(=O)N[C@H](C(=O)N1C[C@H]2[C@@H]([C@H]1C(=O)NC(CC1CC1)C(=O)C(N)=O)C2(C)C)C1CCCCC1 Chemical compound CC(C)OC(=O)N[C@H](C(=O)N1C[C@H]2[C@@H]([C@H]1C(=O)NC(CC1CC1)C(=O)C(N)=O)C2(C)C)C1CCCCC1 XVYUWZNMGXPOBB-LIELFMAKSA-N 0.000 description 1
- UZEIUJIHIKXOQI-BXXIVHCWSA-N CC(C)[C@@H](C)O.CC(C)[C@@H](C)OC(=O)Cl Chemical compound CC(C)[C@@H](C)O.CC(C)[C@@H](C)OC(=O)Cl UZEIUJIHIKXOQI-BXXIVHCWSA-N 0.000 description 1
- UYDPZFQRLMVVBL-YFTNQUNBSA-N CC(C)[C@@H](C)OC(=O)N[C@H](C(=O)N1C[C@H]2[C@@H]([C@H]1C(=O)CC(CC1CCC1)C(=O)C(N)=O)C2(C)C)C(C)(C)C.CC1(C)[C@H]2CN(C(=O)[C@@H](NC(=O)NC34CC5CC(CC(C5)C3)C4)C3CC4=C(C=CC=C4)C3)[C@H](C(=O)CC(CC3CC3)C(=O)C(N)=O)[C@H]21.CC1CCCC1OC(=O)N[C@H](C(=O)N1C[C@H]2[C@@H]([C@H]1C(=O)CC(CC1CC1)C(=O)C(N)=O)C2(C)C)C1CC2=C(C=CC=C2)C1.CCCC(CC(=O)[C@@H]1[C@@H]2[C@H](CN1C(=O)[C@@H](NC(=O)NC(C)(C)C)C1CC3=C(C=CC=C3)C1)C2(Cl)Cl)C(=O)C(N)=O Chemical compound CC(C)[C@@H](C)OC(=O)N[C@H](C(=O)N1C[C@H]2[C@@H]([C@H]1C(=O)CC(CC1CCC1)C(=O)C(N)=O)C2(C)C)C(C)(C)C.CC1(C)[C@H]2CN(C(=O)[C@@H](NC(=O)NC34CC5CC(CC(C5)C3)C4)C3CC4=C(C=CC=C4)C3)[C@H](C(=O)CC(CC3CC3)C(=O)C(N)=O)[C@H]21.CC1CCCC1OC(=O)N[C@H](C(=O)N1C[C@H]2[C@@H]([C@H]1C(=O)CC(CC1CC1)C(=O)C(N)=O)C2(C)C)C1CC2=C(C=CC=C2)C1.CCCC(CC(=O)[C@@H]1[C@@H]2[C@H](CN1C(=O)[C@@H](NC(=O)NC(C)(C)C)C1CC3=C(C=CC=C3)C1)C2(Cl)Cl)C(=O)C(N)=O UYDPZFQRLMVVBL-YFTNQUNBSA-N 0.000 description 1
- PYWDBPVNNYVDKC-VUMITEIJSA-N CC(C)[C@@H](CC1)[C@@H](C(NC(CC2CC2)C(C(N)=O)=O)=O)N1C([C@H](C(C)(C)C)NC(NC1CC1)=O)=O Chemical compound CC(C)[C@@H](CC1)[C@@H](C(NC(CC2CC2)C(C(N)=O)=O)=O)N1C([C@H](C(C)(C)C)NC(NC1CC1)=O)=O PYWDBPVNNYVDKC-VUMITEIJSA-N 0.000 description 1
- YSAWPGSJRJYMBS-ZFYVGVSOSA-N CC(C)[C@@H](CC1)[C@@H](C(NC(CC2CC2)C(C(N)=O)=O)=O)N1C([C@H](C1CCCCC1)NC(NC(C)(C)C)=O)=O Chemical compound CC(C)[C@@H](CC1)[C@@H](C(NC(CC2CC2)C(C(N)=O)=O)=O)N1C([C@H](C1CCCCC1)NC(NC(C)(C)C)=O)=O YSAWPGSJRJYMBS-ZFYVGVSOSA-N 0.000 description 1
- IKYGORGPQAJHPY-MOKPPXJMSA-N CC(C)[C@@H](CC1)[C@@H](C(NC(CC2CC2)C(C(N)=O)=O)=O)N1C([C@H](C1CCCCC1)NC(NC1CCCCC1)=O)=O Chemical compound CC(C)[C@@H](CC1)[C@@H](C(NC(CC2CC2)C(C(N)=O)=O)=O)N1C([C@H](C1CCCCC1)NC(NC1CCCCC1)=O)=O IKYGORGPQAJHPY-MOKPPXJMSA-N 0.000 description 1
- XUDCDMKDKVSLFH-JBGVAKJSSA-N CC(C)[C@H](NC(=O)OC(C)(C)C)C(=O)N1C[C@H]2[C@@H]([C@H]1C(=O)NC(CC1CC1)C(=O)C(=O)O)C2(C)C Chemical compound CC(C)[C@H](NC(=O)OC(C)(C)C)C(=O)N1C[C@H]2[C@@H]([C@H]1C(=O)NC(CC1CC1)C(=O)C(=O)O)C2(C)C XUDCDMKDKVSLFH-JBGVAKJSSA-N 0.000 description 1
- KCCRNXUTMCTBJD-JBGVAKJSSA-N CC(C)[C@H](NC(=O)OC(C)(C)C)C(=O)N1C[C@H]2[C@@H]([C@H]1C(=O)NC(CC1CC1)C(=O)C(N)=O)C2(C)C Chemical compound CC(C)[C@H](NC(=O)OC(C)(C)C)C(=O)N1C[C@H]2[C@@H]([C@H]1C(=O)NC(CC1CC1)C(=O)C(N)=O)C2(C)C KCCRNXUTMCTBJD-JBGVAKJSSA-N 0.000 description 1
- IXPAYEJMKISYSE-AJNGGQMLSA-N CC(C)[C@H](NC(=O)OC(C)(C)C)C(=O)N1C[C@H]2[C@@H]([C@H]1C(=O)NC1(C(=O)C(=O)O)CC1)C2(C)C Chemical compound CC(C)[C@H](NC(=O)OC(C)(C)C)C(=O)N1C[C@H]2[C@@H]([C@H]1C(=O)NC1(C(=O)C(=O)O)CC1)C2(C)C IXPAYEJMKISYSE-AJNGGQMLSA-N 0.000 description 1
- ATWOWXDSUPGOTF-AJNGGQMLSA-N CC(C)[C@H](NC(=O)OC(C)(C)C)C(=O)N1C[C@H]2[C@@H]([C@H]1C(=O)NC1(C(=O)C(N)=O)CC1)C2(C)C Chemical compound CC(C)[C@H](NC(=O)OC(C)(C)C)C(=O)N1C[C@H]2[C@@H]([C@H]1C(=O)NC1(C(=O)C(N)=O)CC1)C2(C)C ATWOWXDSUPGOTF-AJNGGQMLSA-N 0.000 description 1
- XSCLIQDOGSJCIA-FGRDXJNISA-N CC(CC([C@H](C1)O)[C@@H](C(O)=O)N1C(OCc1ccccc1)=O)=C Chemical compound CC(CC([C@H](C1)O)[C@@H](C(O)=O)N1C(OCc1ccccc1)=O)=C XSCLIQDOGSJCIA-FGRDXJNISA-N 0.000 description 1
- MLKJBIQOXDXZNI-UHFFFAOYSA-N CC(CC1CC1)C(=O)O.COC(=O)C(O)C(N)CC1CC1.Cl Chemical compound CC(CC1CC1)C(=O)O.COC(=O)C(O)C(N)CC1CC1.Cl MLKJBIQOXDXZNI-UHFFFAOYSA-N 0.000 description 1
- OUFSPOCXGQOMFI-UHFFFAOYSA-N CC(CC1CCC1)C(=O)O.CCOC(=O)C(N)CC1CCC1 Chemical compound CC(CC1CCC1)C(=O)O.CCOC(=O)C(N)CC1CCC1 OUFSPOCXGQOMFI-UHFFFAOYSA-N 0.000 description 1
- UHJACCFAVASLMV-UHFFFAOYSA-N CC(CC1CCC1)C(=O)O.CON(C)C(=O)C(C)CC1CCC1 Chemical compound CC(CC1CCC1)C(=O)O.CON(C)C(=O)C(C)CC1CCC1 UHJACCFAVASLMV-UHFFFAOYSA-N 0.000 description 1
- KTEBEDNQAMKJBW-UHFFFAOYSA-N CC(CC1CCC1)C(O)C#N.COC(=O)C(O)C(C)CC1CCC1 Chemical compound CC(CC1CCC1)C(O)C#N.COC(=O)C(O)C(C)CC1CCC1 KTEBEDNQAMKJBW-UHFFFAOYSA-N 0.000 description 1
- JJNUXXJUVZXUAJ-UHFFFAOYSA-N CC(CC1CCC1)C(O)C#N.[H]C(=O)C(C)CC1CCC1 Chemical compound CC(CC1CCC1)C(O)C#N.[H]C(=O)C(C)CC1CCC1 JJNUXXJUVZXUAJ-UHFFFAOYSA-N 0.000 description 1
- FZOURLWGMSXEAQ-UHFFFAOYSA-N CC(CC1CCC1)C(O)C(N)=O.COC(=O)C(O)C(C)CC1CCC1 Chemical compound CC(CC1CCC1)C(O)C(N)=O.COC(=O)C(O)C(C)CC1CCC1 FZOURLWGMSXEAQ-UHFFFAOYSA-N 0.000 description 1
- KHJBSKMCAIVKKE-ZFWWWQNUSA-N CC(C[C@H]([C@@H](C(O)=O)N(C1)C(OCc2ccccc2)=O)C1=O)=C Chemical compound CC(C[C@H]([C@@H](C(O)=O)N(C1)C(OCc2ccccc2)=O)C1=O)=C KHJBSKMCAIVKKE-ZFWWWQNUSA-N 0.000 description 1
- SBSQQMSFNGYKIJ-VNXZANIESA-N CC(F)(F)CC(NC(=O)[C@@H]1[C@@H]2[C@H](CN1C(=O)[C@@H](NC(=O)OC(C)(C)C)C1CCCCC1)C2(C)C)C(=O)C(N)=O Chemical compound CC(F)(F)CC(NC(=O)[C@@H]1[C@@H]2[C@H](CN1C(=O)[C@@H](NC(=O)OC(C)(C)C)C1CCCCC1)C2(C)C)C(=O)C(N)=O SBSQQMSFNGYKIJ-VNXZANIESA-N 0.000 description 1
- ZDZYRGIYKQCYMJ-PYCPOIBCSA-N CC(I)(I)I.CC([InH2])(I)I.C[C@H](C(=O)N1C[C@H]2[C@@H]([C@H]1C(=O)CC(CC1CCC1)C(=O)C(N)=O)C2(C)C)C1CCCCC1.C[C@H](C(=O)N1C[C@H]2[C@@H]([C@H]1C(=O)CC(CC1CCC1)C(O)C(N)=O)C2(C)C)C1CCCCC1 Chemical compound CC(I)(I)I.CC([InH2])(I)I.C[C@H](C(=O)N1C[C@H]2[C@@H]([C@H]1C(=O)CC(CC1CCC1)C(=O)C(N)=O)C2(C)C)C1CCCCC1.C[C@H](C(=O)N1C[C@H]2[C@@H]([C@H]1C(=O)CC(CC1CCC1)C(O)C(N)=O)C2(C)C)C1CCCCC1 ZDZYRGIYKQCYMJ-PYCPOIBCSA-N 0.000 description 1
- UGMYQLWEBONNIG-AIENQTLMSA-N CC(I)(I)N1C=CN=C1.CC([InH2])(I)I.COC(=O)[C@@H]1[C@@H]2[C@H](CN1C(=O)[C@@H](C)C1CCCCC1)C2(C)C.C[C@H](C(=O)N1C[C@H]2[C@@H]([C@H]1C(=O)CC(CC1CCC1)C(O)C(N)=O)C2(C)C)C1CCCCC1 Chemical compound CC(I)(I)N1C=CN=C1.CC([InH2])(I)I.COC(=O)[C@@H]1[C@@H]2[C@H](CN1C(=O)[C@@H](C)C1CCCCC1)C2(C)C.C[C@H](C(=O)N1C[C@H]2[C@@H]([C@H]1C(=O)CC(CC1CCC1)C(O)C(N)=O)C2(C)C)C1CCCCC1 UGMYQLWEBONNIG-AIENQTLMSA-N 0.000 description 1
- JGYWBDYNCRMKOJ-TUHQLQRUSA-O CC(I)(I)N1C=CN=C1.COC(=O)[C@@H]1[C@@H]2[C@H](CN1C(=O)[C@@H](C)C1CCCCC1)C2(C)C.COC(=O)[C@@H]1[C@@H]2[C@H](C[NH+]1Cl)C2(C)C.C[C@H](C(=O)O)C1CCCCC1 Chemical compound CC(I)(I)N1C=CN=C1.COC(=O)[C@@H]1[C@@H]2[C@H](CN1C(=O)[C@@H](C)C1CCCCC1)C2(C)C.COC(=O)[C@@H]1[C@@H]2[C@H](C[NH+]1Cl)C2(C)C.C[C@H](C(=O)O)C1CCCCC1 JGYWBDYNCRMKOJ-TUHQLQRUSA-O 0.000 description 1
- UFZXYWAJIIVQMJ-MDEDXOARSA-N CC(NC(=O)N[C@H](C(=O)N1CC2C([C@H]1C(=O)NC(CC1CCC1)C(=O)C(N)=O)C2(Cl)Cl)C1CCCCC1)C(C)(C)C Chemical compound CC(NC(=O)N[C@H](C(=O)N1CC2C([C@H]1C(=O)NC(CC1CCC1)C(=O)C(N)=O)C2(Cl)Cl)C1CCCCC1)C(C)(C)C UFZXYWAJIIVQMJ-MDEDXOARSA-N 0.000 description 1
- OQNHFFKNWLWURU-WRNQLVINSA-N CC(O)CC(CC(=O)[C@@H]1[C@@H]2[C@H](CN1C(=O)C(NC(=O)OC(C)(C)C)C(C)(C)C)C2(C)C)C(=O)C(N)=O Chemical compound CC(O)CC(CC(=O)[C@@H]1[C@@H]2[C@H](CN1C(=O)C(NC(=O)OC(C)(C)C)C(C)(C)C)C2(C)C)C(=O)C(N)=O OQNHFFKNWLWURU-WRNQLVINSA-N 0.000 description 1
- IWLCQIJFTNGEFI-WOXGZHCPSA-N CC(OC(=O)N[C@H](C(=O)N1CC2C([C@H]1C(=O)NC(CC1CC1)C(=O)C(=O)NCC(=O)N[C@H](C(=O)N(C)C)C1=CC=CC=C1)C2(C)C)C(C)(C)C)C1CC1 Chemical compound CC(OC(=O)N[C@H](C(=O)N1CC2C([C@H]1C(=O)NC(CC1CC1)C(=O)C(=O)NCC(=O)N[C@H](C(=O)N(C)C)C1=CC=CC=C1)C2(C)C)C(C)(C)C)C1CC1 IWLCQIJFTNGEFI-WOXGZHCPSA-N 0.000 description 1
- BJVQALDQGIZOLI-UHFFFAOYSA-N CC1(C(=O)O)CCCCC1.CC1(CO)CCCCC1 Chemical compound CC1(C(=O)O)CCCCC1.CC1(CO)CCCCC1 BJVQALDQGIZOLI-UHFFFAOYSA-N 0.000 description 1
- MCXGDYZBNWATND-QUFVHQOLSA-N CC1(C)C2C(=O)N(CC3=CC=CC=C3)[C@H](CO)[C@H]21.CC1(C)C2C(=O)N3C(C4=CC=CC=C4)OCC3[C@H]21.[H]N1C(=O)C2[C@@H]([C@H]1CO)C2(C)C Chemical compound CC1(C)C2C(=O)N(CC3=CC=CC=C3)[C@H](CO)[C@H]21.CC1(C)C2C(=O)N3C(C4=CC=CC=C4)OCC3[C@H]21.[H]N1C(=O)C2[C@@H]([C@H]1CO)C2(C)C MCXGDYZBNWATND-QUFVHQOLSA-N 0.000 description 1
- SFJLSGHOQYRVQA-ZBRZVJHHSA-N CC1(C)C2C(=O)N3C(CO[C@@H]3C3=CC=CC=C3)[C@H]21.O=C1C=CC2CO[C@H](C3=CC=CC=C3)N12 Chemical compound CC1(C)C2C(=O)N3C(CO[C@@H]3C3=CC=CC=C3)[C@H]21.O=C1C=CC2CO[C@H](C3=CC=CC=C3)N12 SFJLSGHOQYRVQA-ZBRZVJHHSA-N 0.000 description 1
- VGKGMFPSLUDPJF-UHFFFAOYSA-N CC1(C)C2CN(C(=O)C(NC(=O)N3CCCC3)C3CCCCC3)C(C(=O)NC(CC3CCC3)C(=O)C(N)=O)C21 Chemical compound CC1(C)C2CN(C(=O)C(NC(=O)N3CCCC3)C3CCCCC3)C(C(=O)NC(CC3CCC3)C(=O)C(N)=O)C21 VGKGMFPSLUDPJF-UHFFFAOYSA-N 0.000 description 1
- UHDNTOTVIODGKF-ZIQQCPBXSA-N CC1(C)C2CN(C(=O)C(NC(=O)OC3CCCCC3)C3CCCCC3)[C@H](C(=O)NC(CC3CCC3)C(=O)C(N)=O)C21 Chemical compound CC1(C)C2CN(C(=O)C(NC(=O)OC3CCCCC3)C3CCCCC3)[C@H](C(=O)NC(CC3CCC3)C(=O)C(N)=O)C21 UHDNTOTVIODGKF-ZIQQCPBXSA-N 0.000 description 1
- GSSIVWNYQANLLH-VHZYLWGESA-N CC1(C)C2CN(C(=O)CC3CCCCC3)[C@H](C(=O)NC(CC3CC3)C(=O)C(=O)O)[C@H]21 Chemical compound CC1(C)C2CN(C(=O)CC3CCCCC3)[C@H](C(=O)NC(CC3CC3)C(=O)C(=O)O)[C@H]21 GSSIVWNYQANLLH-VHZYLWGESA-N 0.000 description 1
- JTXFBYTVCYBAJB-XRWLSROLSA-N CC1(C)C2CN(C(=O)[C@@H](NC(=O)OC34CC5CC(CC(C5)C3)C4)C(C)(C)C)[C@H](C(=O)NC(CC3CCC3)C(=O)C(N)=O)C21 Chemical compound CC1(C)C2CN(C(=O)[C@@H](NC(=O)OC34CC5CC(CC(C5)C3)C4)C(C)(C)C)[C@H](C(=O)NC(CC3CCC3)C(=O)C(N)=O)C21 JTXFBYTVCYBAJB-XRWLSROLSA-N 0.000 description 1
- KEEHYCFJZOQKLW-AEJYZPCVSA-N CC1(C)C2CN(C(=O)[C@@H](NC(=O)OC34CC5CC(CC(C5)C3)C4)C3CC4=C(C=CC=C4)C3)[C@H](C(=O)NC(CC3CC3)C(=O)C(N)=O)C21 Chemical compound CC1(C)C2CN(C(=O)[C@@H](NC(=O)OC34CC5CC(CC(C5)C3)C4)C3CC4=C(C=CC=C4)C3)[C@H](C(=O)NC(CC3CC3)C(=O)C(N)=O)C21 KEEHYCFJZOQKLW-AEJYZPCVSA-N 0.000 description 1
- KPWULJXKBRSANJ-ADJYDZTDSA-N CC1(C)C2CN(C(=O)[C@@H](NC(=O)OC34CC5CC(CC(C5)C3)C4)C3CCCCC3)[C@H](C(=O)NC(CC3CCC3)C(=O)C(N)=O)C21 Chemical compound CC1(C)C2CN(C(=O)[C@@H](NC(=O)OC34CC5CC(CC(C5)C3)C4)C3CCCCC3)[C@H](C(=O)NC(CC3CCC3)C(=O)C(N)=O)C21 KPWULJXKBRSANJ-ADJYDZTDSA-N 0.000 description 1
- NYVAHUKTBCURBS-VYJKVFMHSA-N CC1(C)C2CN(C(=O)[C@@H](NC(=O)OC3CC3)C3CCCCC3)[C@H](C(=O)NC(CC3CC3)C(=O)C(N)=O)C21 Chemical compound CC1(C)C2CN(C(=O)[C@@H](NC(=O)OC3CC3)C3CCCCC3)[C@H](C(=O)NC(CC3CC3)C(=O)C(N)=O)C21 NYVAHUKTBCURBS-VYJKVFMHSA-N 0.000 description 1
- OTSANYLMWQRRDK-WBLOSPSNSA-N CC1(C)C2CN(C(=O)[C@@H](NC(=O)OCC3CC3)C3CCCCC3)[C@H](C(=O)NC(CC3CCC3)C(=O)C(N)=O)C21 Chemical compound CC1(C)C2CN(C(=O)[C@@H](NC(=O)OCC3CC3)C3CCCCC3)[C@H](C(=O)NC(CC3CCC3)C(=O)C(N)=O)C21 OTSANYLMWQRRDK-WBLOSPSNSA-N 0.000 description 1
- LAOLSJIYZGGFRM-UZOBLZDISA-N CC1(C)C2CN(C(=O)[C@@H](NC(=O)O[C@H]3CC4CC5C[C@@]5(C4)C3)C3CCCCC3)[C@H](C(=O)NC(CC3CCC3)C(=O)C(N)=O)C21 Chemical compound CC1(C)C2CN(C(=O)[C@@H](NC(=O)O[C@H]3CC4CC5C[C@@]5(C4)C3)C3CCCCC3)[C@H](C(=O)NC(CC3CCC3)C(=O)C(N)=O)C21 LAOLSJIYZGGFRM-UZOBLZDISA-N 0.000 description 1
- AWKUGODSXKMLDU-UHFFFAOYSA-N CC1(C)C=CC(=O)CC1.CC1(C)CCC(=O)CC1 Chemical compound CC1(C)C=CC(=O)CC1.CC1(C)CCC(=O)CC1 AWKUGODSXKMLDU-UHFFFAOYSA-N 0.000 description 1
- ZSGWFNBKGQBDPH-UHFFFAOYSA-N CC1(C)C=CC(=O)CC1.COC=C1CCC(C)(C)CC1 Chemical compound CC1(C)C=CC(=O)CC1.COC=C1CCC(C)(C)CC1 ZSGWFNBKGQBDPH-UHFFFAOYSA-N 0.000 description 1
- NUWRKVWCJYFWOV-HZQLVMQRSA-N CC1(C)CCC(C=O)CC1.C[C@@H]1COC(N(C=O)[C@H](C(=O)NC(C)(C)C)C2CCC(C)(C)CC2)[C@@H](OC(=O)C(C)(C)C)[C@@H]1C.C[C@@H]1CO[C@H](N)[C@@H](OC(=O)C(C)(C)C)[C@@H]1OC(=O)C(C)(C)C Chemical compound CC1(C)CCC(C=O)CC1.C[C@@H]1COC(N(C=O)[C@H](C(=O)NC(C)(C)C)C2CCC(C)(C)CC2)[C@@H](OC(=O)C(C)(C)C)[C@@H]1C.C[C@@H]1CO[C@H](N)[C@@H](OC(=O)C(C)(C)C)[C@@H]1OC(=O)C(C)(C)C NUWRKVWCJYFWOV-HZQLVMQRSA-N 0.000 description 1
- ZLJHQPARRNLIQA-PNOPXYHOSA-N CC1(C)CCC([C@@H](C(=O)NC(C)(C)C)N(C=O)C2OC[C@@H](OC(=O)C(C)(C)C)[C@@H](OC(=O)C(C)(C)C)[C@@H]2OC(=O)C(C)(C)C)CC1.CC1(C)CCC([C@H](Cl=N)C(=O)O)CC1 Chemical compound CC1(C)CCC([C@@H](C(=O)NC(C)(C)C)N(C=O)C2OC[C@@H](OC(=O)C(C)(C)C)[C@@H](OC(=O)C(C)(C)C)[C@@H]2OC(=O)C(C)(C)C)CC1.CC1(C)CCC([C@H](Cl=N)C(=O)O)CC1 ZLJHQPARRNLIQA-PNOPXYHOSA-N 0.000 description 1
- UBHUCKXNUHHPNZ-QMMMGPOBSA-N CC1(C)CCC([C@H](N)C(=O)O)CC1 Chemical compound CC1(C)CCC([C@H](N)C(=O)O)CC1 UBHUCKXNUHHPNZ-QMMMGPOBSA-N 0.000 description 1
- PYLMPWWRKXXPIW-WBLOSPSNSA-N CC1(C)CCC([C@H](NC(=O)OC(C)(C)C)C(=O)N2CC3C([C@H]2C(=O)NC(CC2CCC2)C(=O)C(N)=O)C3(C)C)CC1 Chemical compound CC1(C)CCC([C@H](NC(=O)OC(C)(C)C)C(=O)N2CC3C([C@H]2C(=O)NC(CC2CCC2)C(=O)C(N)=O)C3(C)C)CC1 PYLMPWWRKXXPIW-WBLOSPSNSA-N 0.000 description 1
- USCFSLLKFFHSJZ-SHLHOGBTSA-M CC1(C)CC[C@](C)(C(=O)O)C1.COC(=O)[C@@H]1CCC(=O)C1.COC(=O)[C@@]1(C)CC(=O)C(C)(C)C1.COC(=O)[C@@]1(C)CC(=O)C(C)(C)C1.COC(=O)[C@@]1(C)CCC(C)(C)C1.COC(=O)[C@H]1CC(=O)C(C)(C)C1.O[K].[Li]N([Si](C)(C)C)[Si](C)(C)C Chemical compound CC1(C)CC[C@](C)(C(=O)O)C1.COC(=O)[C@@H]1CCC(=O)C1.COC(=O)[C@@]1(C)CC(=O)C(C)(C)C1.COC(=O)[C@@]1(C)CC(=O)C(C)(C)C1.COC(=O)[C@@]1(C)CCC(C)(C)C1.COC(=O)[C@H]1CC(=O)C(C)(C)C1.O[K].[Li]N([Si](C)(C)C)[Si](C)(C)C USCFSLLKFFHSJZ-SHLHOGBTSA-M 0.000 description 1
- BDCVSTRTAKFZPZ-RVYSEXHFSA-N CC1(C)C[C@@H](C(=O)O)N(C(=O)OC(C)(C)C)C1.COC(=O)[C@@H]1CC(C)(C)CCl1=N Chemical compound CC1(C)C[C@@H](C(=O)O)N(C(=O)OC(C)(C)C)C1.COC(=O)[C@@H]1CC(C)(C)CCl1=N BDCVSTRTAKFZPZ-RVYSEXHFSA-N 0.000 description 1
- QTXBDKUAAYXONL-FIZIFZEPSA-N CC1(C)C[C@@H](C(=O)OC(C)(C)C)N(C(=O)OC(C)(C)C)C1.[H]OC(=O)[C@@H]1CC(C)(C)CN1[H] Chemical compound CC1(C)C[C@@H](C(=O)OC(C)(C)C)N(C(=O)OC(C)(C)C)C1.[H]OC(=O)[C@@H]1CC(C)(C)CN1[H] QTXBDKUAAYXONL-FIZIFZEPSA-N 0.000 description 1
- RPTLJSFBCPUUBM-SMNZTNOXSA-N CC1(C)[C@H]2CN(C(=O)CC3CCCCC3)[C@H](C(=O)NC(CC3CC3)C(=O)C(N)=O)[C@H]21 Chemical compound CC1(C)[C@H]2CN(C(=O)CC3CCCCC3)[C@H](C(=O)NC(CC3CC3)C(=O)C(N)=O)[C@H]21 RPTLJSFBCPUUBM-SMNZTNOXSA-N 0.000 description 1
- MKUHZUOKOIOWIL-LIELFMAKSA-N CC1(C)[C@H]2CN(C(=O)[C@@H](NC(=O)NC3CC3)C3CCCCC3)[C@H](C(=O)NC(CC3CC3)C(=O)C(N)=O)[C@H]21 Chemical compound CC1(C)[C@H]2CN(C(=O)[C@@H](NC(=O)NC3CC3)C3CCCCC3)[C@H](C(=O)NC(CC3CC3)C(=O)C(N)=O)[C@H]21 MKUHZUOKOIOWIL-LIELFMAKSA-N 0.000 description 1
- SHWPESYKCBVPOI-ONZABHSXSA-N CC1(C)[C@H]2CN(C(=O)[C@@H](NC(=O)NC3CCCCC3)C3CCCCC3)[C@H](C(=O)NC(CC3CC3)C(=O)C(N)=O)[C@H]21 Chemical compound CC1(C)[C@H]2CN(C(=O)[C@@H](NC(=O)NC3CCCCC3)C3CCCCC3)[C@H](C(=O)NC(CC3CC3)C(=O)C(N)=O)[C@H]21 SHWPESYKCBVPOI-ONZABHSXSA-N 0.000 description 1
- BWBFZKUAUQXIQS-WPVAHCMFSA-N CC1(C)[C@H]2CN(C(=O)[C@@H](NC(=O)OC(C)(C)C(F)(F)F)C3CCCCC3)[C@H](C(=O)N[C@H](CC3CC3)C(=O)C(N)=O)[C@H]21 Chemical compound CC1(C)[C@H]2CN(C(=O)[C@@H](NC(=O)OC(C)(C)C(F)(F)F)C3CCCCC3)[C@H](C(=O)N[C@H](CC3CC3)C(=O)C(N)=O)[C@H]21 BWBFZKUAUQXIQS-WPVAHCMFSA-N 0.000 description 1
- RFFXGPXIRXWCAA-GULWHIEISA-N CC1(C)[C@H]2CN(C(=O)[C@@H](NC(=O)OC3CCOC3)C3CCCCC3)[C@H](C(=O)NC(CC3CC3)C(=O)C(N)=O)[C@H]21 Chemical compound CC1(C)[C@H]2CN(C(=O)[C@@H](NC(=O)OC3CCOC3)C3CCCCC3)[C@H](C(=O)NC(CC3CC3)C(=O)C(N)=O)[C@H]21 RFFXGPXIRXWCAA-GULWHIEISA-N 0.000 description 1
- RFFXGPXIRXWCAA-IMSBAZIWSA-N CC1(C)[C@H]2CN(C(=O)[C@@H](NC(=O)O[C@H]3CCOC3)C3CCCCC3)[C@H](C(=O)NC(CC3CC3)C(=O)C(N)=O)[C@H]21 Chemical compound CC1(C)[C@H]2CN(C(=O)[C@@H](NC(=O)O[C@H]3CCOC3)C3CCCCC3)[C@H](C(=O)NC(CC3CC3)C(=O)C(N)=O)[C@H]21 RFFXGPXIRXWCAA-IMSBAZIWSA-N 0.000 description 1
- NFPDGVVCURCCCU-UHFFFAOYSA-N CC1(C=O)CCCCC1.CC1(CO)CCCCC1 Chemical compound CC1(C=O)CCCCC1.CC1(CO)CCCCC1 NFPDGVVCURCCCU-UHFFFAOYSA-N 0.000 description 1
- XKKJOGZPNCPCRX-KDKNAXPTSA-N CC1(C=O)CCCCC1.C[C@@H]1COC(N(C=O)[C@H](C(=O)NC(C)(C)C)C2(C)CCCCC2)[C@@H](OC(=O)C(C)(C)C)[C@@H]1C.C[C@@H]1CO[C@H](N)[C@@H](OC(=O)C(C)(C)C)[C@@H]1OC(=O)C(C)(C)C Chemical compound CC1(C=O)CCCCC1.C[C@@H]1COC(N(C=O)[C@H](C(=O)NC(C)(C)C)C2(C)CCCCC2)[C@@H](OC(=O)C(C)(C)C)[C@@H]1C.C[C@@H]1CO[C@H](N)[C@@H](OC(=O)C(C)(C)C)[C@@H]1OC(=O)C(C)(C)C XKKJOGZPNCPCRX-KDKNAXPTSA-N 0.000 description 1
- JFZUXQLHWZVVAG-TZPCIBBBSA-N CC1(NC(=O)N[C@H](C(=O)N2C[C@H]3[C@@H]([C@H]2C(=O)NC(CC2CC2)C(=O)C(N)=O)C3(C)C)C(C)(C)C)CC1 Chemical compound CC1(NC(=O)N[C@H](C(=O)N2C[C@H]3[C@@H]([C@H]2C(=O)NC(CC2CC2)C(=O)C(N)=O)C3(C)C)C(C)(C)C)CC1 JFZUXQLHWZVVAG-TZPCIBBBSA-N 0.000 description 1
- FWRFBPDOUKNJLJ-LIELFMAKSA-N CC1(NC(=O)N[C@H](C(=O)N2C[C@H]3[C@@H]([C@H]2C(=O)NC(CC2CC2)C(=O)C(N)=O)C3(C)C)C2CCCCC2)CC1 Chemical compound CC1(NC(=O)N[C@H](C(=O)N2C[C@H]3[C@@H]([C@H]2C(=O)NC(CC2CC2)C(=O)C(N)=O)C3(C)C)C2CCCCC2)CC1 FWRFBPDOUKNJLJ-LIELFMAKSA-N 0.000 description 1
- XPXOFOWOGCLTNG-UHFFFAOYSA-N CC1(O)CCCC1.CC1(OC(=O)CCClN)CCCC1.CC1(OC(=O)CCNC(=O)OCC2=CC=CC=C2)CCCC1.ClCCl.O=C(O)CCNC(=O)OCC1=CC=CC=C1 Chemical compound CC1(O)CCCC1.CC1(OC(=O)CCClN)CCCC1.CC1(OC(=O)CCNC(=O)OCC2=CC=CC=C2)CCCC1.ClCCl.O=C(O)CCNC(=O)OCC1=CC=CC=C1 XPXOFOWOGCLTNG-UHFFFAOYSA-N 0.000 description 1
- ZCDRFZAVMDOCDN-TZPCIBBBSA-N CC1(OC(=O)N[C@H](C(=O)N2C[C@H]3[C@@H]([C@H]2C(=O)NC(CC2CC2)C(=O)C(N)=O)C3(C)C)C(C)(C)C)CC1 Chemical compound CC1(OC(=O)N[C@H](C(=O)N2C[C@H]3[C@@H]([C@H]2C(=O)NC(CC2CC2)C(=O)C(N)=O)C3(C)C)C(C)(C)C)CC1 ZCDRFZAVMDOCDN-TZPCIBBBSA-N 0.000 description 1
- QHMRLWMBUCJWGI-LIELFMAKSA-N CC1(OC(=O)N[C@H](C(=O)N2C[C@H]3[C@@H]([C@H]2C(=O)NC(CC2CC2)C(=O)C(N)=O)C3(C)C)C2CCCCC2)CC1 Chemical compound CC1(OC(=O)N[C@H](C(=O)N2C[C@H]3[C@@H]([C@H]2C(=O)NC(CC2CC2)C(=O)C(N)=O)C3(C)C)C2CCCCC2)CC1 QHMRLWMBUCJWGI-LIELFMAKSA-N 0.000 description 1
- AUFXNTKFIJIRGW-AKURODGOSA-N CC1([C@H](Cl=N)C(=O)O)CCCCC1.C[C@@H]1COC(N(C=O)[C@H](C(=O)NC(C)(C)C)C2(C)CCCCC2)[C@@H](OC(=O)C(C)(C)C)[C@@H]1C Chemical compound CC1([C@H](Cl=N)C(=O)O)CCCCC1.C[C@@H]1COC(N(C=O)[C@H](C(=O)NC(C)(C)C)C2(C)CCCCC2)[C@@H](OC(=O)C(C)(C)C)[C@@H]1C AUFXNTKFIJIRGW-AKURODGOSA-N 0.000 description 1
- ZKVWUXSBUSFWDO-SSDOTTSWSA-N CC1([C@H](N)C(=O)O)CCCCC1 Chemical compound CC1([C@H](N)C(=O)O)CCCCC1 ZKVWUXSBUSFWDO-SSDOTTSWSA-N 0.000 description 1
- DTAVZQIEQBKAHP-BOXHHOBZSA-N CC1=CC=C(C(NC(=O)[C@@H](N)C2=CC=CC=C2)C2=CC=C(C)C=C2)C=C1.P Chemical compound CC1=CC=C(C(NC(=O)[C@@H](N)C2=CC=CC=C2)C2=CC=C(C)C=C2)C=C1.P DTAVZQIEQBKAHP-BOXHHOBZSA-N 0.000 description 1
- YFISBORBXZQOFQ-NUWQAWJASA-N CC1CCC(OC(=O)N[C@H](C(=O)N2C[C@H]3[C@@H]([C@H]2C(=O)NC(CC2CC2)C(=O)C(N)=O)C3(C)C)C(C)(C)C)C1 Chemical compound CC1CCC(OC(=O)N[C@H](C(=O)N2C[C@H]3[C@@H]([C@H]2C(=O)NC(CC2CC2)C(=O)C(N)=O)C3(C)C)C(C)(C)C)C1 YFISBORBXZQOFQ-NUWQAWJASA-N 0.000 description 1
- YZUWNUIHLJHCPA-MTEIKXATSA-N CC1CCC(OC(=O)N[C@H](C(=O)N2C[C@H]3[C@@H]([C@H]2C(=O)NC(CC2CC2)C(=O)C(N)=O)C3(C)C)C2CCCCC2)C1 Chemical compound CC1CCC(OC(=O)N[C@H](C(=O)N2C[C@H]3[C@@H]([C@H]2C(=O)NC(CC2CC2)C(=O)C(N)=O)C3(C)C)C2CCCCC2)C1 YZUWNUIHLJHCPA-MTEIKXATSA-N 0.000 description 1
- FHMKGYKYEJZKNY-PZNXHTIRSA-N CC1CCC(OC(=O)N[C@H](C(=O)N2C[C@H]3[C@@H]([C@H]2C(=O)NC(CC2CC2)C(=O)C(N)=O)C3(C)C)C2CCCCC2)CC1 Chemical compound CC1CCC(OC(=O)N[C@H](C(=O)N2C[C@H]3[C@@H]([C@H]2C(=O)NC(CC2CC2)C(=O)C(N)=O)C3(C)C)C2CCCCC2)CC1 FHMKGYKYEJZKNY-PZNXHTIRSA-N 0.000 description 1
- GTCOICXFQIKLAZ-XJFRJAFVSA-N CC1CCCC(OC(=O)N[C@H](C(=O)N2C[C@H]3[C@@H]([C@H]2C(=O)N[C@H](CC2CC2)C(=O)C(N)=O)C3(C)C)C2CCCCC2)C1 Chemical compound CC1CCCC(OC(=O)N[C@H](C(=O)N2C[C@H]3[C@@H]([C@H]2C(=O)N[C@H](CC2CC2)C(=O)C(N)=O)C3(C)C)C2CCCCC2)C1 GTCOICXFQIKLAZ-XJFRJAFVSA-N 0.000 description 1
- NWLKTGTVKPUEMQ-LBJNWROSSA-N CC1CCC[C@@H]1OC(=O)N[C@H](C(=O)N1C[C@H]2[C@@H]([C@H]1C(=O)NC(CC1CC1)C(=O)C(N)=O)C2(C)C)C(C)(C)C Chemical compound CC1CCC[C@@H]1OC(=O)N[C@H](C(=O)N1C[C@H]2[C@@H]([C@H]1C(=O)NC(CC1CC1)C(=O)C(N)=O)C2(C)C)C(C)(C)C NWLKTGTVKPUEMQ-LBJNWROSSA-N 0.000 description 1
- IWMUQPBZBWCHHS-YCNCSJICSA-N CCC(=O)C(=O)C(CC(=O)C1C2[C@H](CN1C(=O)[C@@H](NC(=O)OCC(C)C)C1CC3=C(C=CC=C3)C1)C2(C)C)CC1CC1 Chemical compound CCC(=O)C(=O)C(CC(=O)C1C2[C@H](CN1C(=O)[C@@H](NC(=O)OCC(C)C)C1CC3=C(C=CC=C3)C1)C2(C)C)CC1CC1 IWMUQPBZBWCHHS-YCNCSJICSA-N 0.000 description 1
- JNFHKFNZPUBOEG-RLXMYEMKSA-N CCC(=O)C(=O)C(CCC1CC1)CC(=O)C1C2[C@H](CN1C(=O)[C@@H](NC(=O)O[C@H]1CCC[C@@H]1C)C1CC3=C(C=CC=C3)C1)C2(C)C Chemical compound CCC(=O)C(=O)C(CCC1CC1)CC(=O)C1C2[C@H](CN1C(=O)[C@@H](NC(=O)O[C@H]1CCC[C@@H]1C)C1CC3=C(C=CC=C3)C1)C2(C)C JNFHKFNZPUBOEG-RLXMYEMKSA-N 0.000 description 1
- DNVZUJFPAUGQDA-UHFFFAOYSA-N CCC(=O)CC(C1=CC=CC=C1)C1=CC=CC=C1 Chemical compound CCC(=O)CC(C1=CC=CC=C1)C1=CC=CC=C1 DNVZUJFPAUGQDA-UHFFFAOYSA-N 0.000 description 1
- CWLGZKNBQMVSQK-NBASNMIQSA-N CCC(=O)N[C@H](C(=O)CP)C1=CC=CC=C1.CCCC(C)C(O)C(=O)CCC(=O)N[C@H](C(=O)CP)C1=CC=CC=C1.CCCC(CC(=O)[C@@H]1C[C@@H](OC(C)(C)C)CN1C(=O)OCC1C2=C(C=CC=C2)C2=C1C=CC=C2)C(O)C(=O)CCC(=O)N[C@H](C(=O)CP)C1=CC=CC=C1.CCCC(CC(=O)[C@@H]1C[C@@H](OC(C)(C)C)CN1C[C@@H](C)C1CCCCC1)C(O)C(=O)CCC(=O)N[C@H](C(=O)CP)C1=CC=CC=C1.CP.C[C@H](C(=O)CP)C1=CC=CC=C1 Chemical compound CCC(=O)N[C@H](C(=O)CP)C1=CC=CC=C1.CCCC(C)C(O)C(=O)CCC(=O)N[C@H](C(=O)CP)C1=CC=CC=C1.CCCC(CC(=O)[C@@H]1C[C@@H](OC(C)(C)C)CN1C(=O)OCC1C2=C(C=CC=C2)C2=C1C=CC=C2)C(O)C(=O)CCC(=O)N[C@H](C(=O)CP)C1=CC=CC=C1.CCCC(CC(=O)[C@@H]1C[C@@H](OC(C)(C)C)CN1C[C@@H](C)C1CCCCC1)C(O)C(=O)CCC(=O)N[C@H](C(=O)CP)C1=CC=CC=C1.CP.C[C@H](C(=O)CP)C1=CC=CC=C1 CWLGZKNBQMVSQK-NBASNMIQSA-N 0.000 description 1
- YNRCEGKAQLVEOS-WVCPFMPQSA-N CCC(C(C(NCC(N[C@H](C(N)=O)c1ccccc1)=O)=O)=O)NC([C@H](C[C@H](C1)OC(C)(C)C)N1C([C@H](C1CCCCC1)NC(c(cccc1)c1C(N)=O)=O)=O)=O Chemical compound CCC(C(C(NCC(N[C@H](C(N)=O)c1ccccc1)=O)=O)=O)NC([C@H](C[C@H](C1)OC(C)(C)C)N1C([C@H](C1CCCCC1)NC(c(cccc1)c1C(N)=O)=O)=O)=O YNRCEGKAQLVEOS-WVCPFMPQSA-N 0.000 description 1
- RBAUWRUJCXLXKI-FRBOYBKJSA-N CCC(C(C(NCC(N[C@H](C(N)=O)c1ccccc1)=O)=O)=O)NC([C@H](C[C@H](C1)OC(C)(C)C)N1C([C@H](C1CCCCC1)NC(c1cc(CC(O)=O)ccc1)=O)=O)=O Chemical compound CCC(C(C(NCC(N[C@H](C(N)=O)c1ccccc1)=O)=O)=O)NC([C@H](C[C@H](C1)OC(C)(C)C)N1C([C@H](C1CCCCC1)NC(c1cc(CC(O)=O)ccc1)=O)=O)=O RBAUWRUJCXLXKI-FRBOYBKJSA-N 0.000 description 1
- UUYWOEHBJTYWGP-VZIDXPSOSA-N CCC(C(C(NCC=C)=O)=O)NC([C@H](C1C(C)(C)C1C1)N1C([C@H](C(C)(C)C)NC(OC(C)(C)C)=O)=O)=O Chemical compound CCC(C(C(NCC=C)=O)=O)NC([C@H](C1C(C)(C)C1C1)N1C([C@H](C(C)(C)C)NC(OC(C)(C)C)=O)=O)=O UUYWOEHBJTYWGP-VZIDXPSOSA-N 0.000 description 1
- NGSJNBIXHVWIOC-IHGBVIFISA-N CCC(C)C(O)[C@H](O)CCC(=O)N[C@H](C(=O)N(C)C)C1=CC=CC=C1.CCC(C)C(O)[C@H](O)NCC(=O)O.CCCC(C)C(O)[C@H](O)CCC(=O)N[C@H](C(=O)N(C)C)C1=CC=CC=C1.CCCC(N)C(=O)[C@H](O)CCC(=O)N[C@H](C(=O)N(C)C)C1=CC=CC=C1.CCCC(N)C(O)[C@H](O)CCC(=O)N[C@H](C(=O)N(C)C)C1=CC=CC=C1.Cl.Cl.N=N/N=N/Cl.N=N/N=N/Cl Chemical compound CCC(C)C(O)[C@H](O)CCC(=O)N[C@H](C(=O)N(C)C)C1=CC=CC=C1.CCC(C)C(O)[C@H](O)NCC(=O)O.CCCC(C)C(O)[C@H](O)CCC(=O)N[C@H](C(=O)N(C)C)C1=CC=CC=C1.CCCC(N)C(=O)[C@H](O)CCC(=O)N[C@H](C(=O)N(C)C)C1=CC=CC=C1.CCCC(N)C(O)[C@H](O)CCC(=O)N[C@H](C(=O)N(C)C)C1=CC=CC=C1.Cl.Cl.N=N/N=N/Cl.N=N/N=N/Cl NGSJNBIXHVWIOC-IHGBVIFISA-N 0.000 description 1
- MCOWINBZEGDBKO-KBNXKBGXSA-N CCC(C)I.CN(C(C)(C)C)S(=O)(=O)CCCC(=O)C(=O)C(CC(=O)[C@@H]1C2C(CN1C(=O)[C@@H](CC(=O)CC(C)(C)C)C(C)(C)C)C2(C)C)CC1CCC1.CN(C(C)(C)C)S(=O)(=O)CCCC(=O)C(O)C(CC(=O)[C@@H]1C2C(CN1C(=O)[C@@H](CC(=O)CC(C)(C)C)C(C)(C)C)C2(C)C)CC1CCC1 Chemical compound CCC(C)I.CN(C(C)(C)C)S(=O)(=O)CCCC(=O)C(=O)C(CC(=O)[C@@H]1C2C(CN1C(=O)[C@@H](CC(=O)CC(C)(C)C)C(C)(C)C)C2(C)C)CC1CCC1.CN(C(C)(C)C)S(=O)(=O)CCCC(=O)C(O)C(CC(=O)[C@@H]1C2C(CN1C(=O)[C@@H](CC(=O)CC(C)(C)C)C(C)(C)C)C2(C)C)CC1CCC1 MCOWINBZEGDBKO-KBNXKBGXSA-N 0.000 description 1
- QNBHBFQYCLPGNQ-NYRIOLNXSA-N CCC(C)NC(=O)N[C@H](C(=O)N1CC2C([C@H]1C(=O)NC(CC1CC1)C(=O)C(N)=O)C2(C)C)C1CC2=C(C=CC=C2)C1 Chemical compound CCC(C)NC(=O)N[C@H](C(=O)N1CC2C([C@H]1C(=O)NC(CC1CC1)C(=O)C(N)=O)C2(C)C)C1CC2=C(C=CC=C2)C1 QNBHBFQYCLPGNQ-NYRIOLNXSA-N 0.000 description 1
- KOQXQKCNMCNHHQ-DVWAQNMPSA-N CCC(C)NC(N[C@@H](C1CCCCC1)C(N(CC1[IH]C(C)(C)[C@@H]11)[C@@H]1C(N[C@H](CCC=C)C(C(NCC=C)=O)=O)=O)=O)=O Chemical compound CCC(C)NC(N[C@@H](C1CCCCC1)C(N(CC1[IH]C(C)(C)[C@@H]11)[C@@H]1C(N[C@H](CCC=C)C(C(NCC=C)=O)=O)=O)=O)=O KOQXQKCNMCNHHQ-DVWAQNMPSA-N 0.000 description 1
- PWKRYVXZTLSHJA-AWXYFUQBSA-N CCC(CC(=O)[C@@H]1C[C@@H](OC(C)(C)C)CN1C(=O)[C@@H](CC(=O)C1=C(C(=O)O)C(F)=C(F)C(F)=C1F)C1CCCCC1)C(=O)C(=O)CCC(=O)N[C@H](C(N)=O)C1=CC=CC=C1 Chemical compound CCC(CC(=O)[C@@H]1C[C@@H](OC(C)(C)C)CN1C(=O)[C@@H](CC(=O)C1=C(C(=O)O)C(F)=C(F)C(F)=C1F)C1CCCCC1)C(=O)C(=O)CCC(=O)N[C@H](C(N)=O)C1=CC=CC=C1 PWKRYVXZTLSHJA-AWXYFUQBSA-N 0.000 description 1
- RIAHIBJSGXRAFU-ARMCGHEMSA-N CCC(CC(=O)[C@@H]1C[C@@H](OC(C)(C)C)CN1C(=O)[C@@H](CC(=O)C1=C(C(=O)O)C=CC=C1)C1CCCCC1)C(=O)C(=O)CCC(=O)N[C@H](C(N)=O)C1=CC=CC=C1 Chemical compound CCC(CC(=O)[C@@H]1C[C@@H](OC(C)(C)C)CN1C(=O)[C@@H](CC(=O)C1=C(C(=O)O)C=CC=C1)C1CCCCC1)C(=O)C(=O)CCC(=O)N[C@H](C(N)=O)C1=CC=CC=C1 RIAHIBJSGXRAFU-ARMCGHEMSA-N 0.000 description 1
- BBFXWOZIOWBTFK-SVNHIVAXSA-N CCC(CC(=O)[C@@H]1C[C@@H](OC(C)(C)C)CN1C(=O)[C@@H](CC(=O)C1=C(C(C)=O)C=CC=C1)C1CCCCC1)C(=O)C(=O)CCC(=O)N[C@H](C(N)=O)C1=CC=CC=C1 Chemical compound CCC(CC(=O)[C@@H]1C[C@@H](OC(C)(C)C)CN1C(=O)[C@@H](CC(=O)C1=C(C(C)=O)C=CC=C1)C1CCCCC1)C(=O)C(=O)CCC(=O)N[C@H](C(N)=O)C1=CC=CC=C1 BBFXWOZIOWBTFK-SVNHIVAXSA-N 0.000 description 1
- PUADOVZMCIPPLR-ARMCGHEMSA-N CCC(CC(=O)[C@@H]1C[C@@H](OC(C)(C)C)CN1C(=O)[C@@H](CC(=O)C1=C(C(N)=O)C=CC=C1)C1CCCCC1)C(=O)C(=O)CCC(=O)N[C@H](C(N)=O)C1=CC=CC=C1 Chemical compound CCC(CC(=O)[C@@H]1C[C@@H](OC(C)(C)C)CN1C(=O)[C@@H](CC(=O)C1=C(C(N)=O)C=CC=C1)C1CCCCC1)C(=O)C(=O)CCC(=O)N[C@H](C(N)=O)C1=CC=CC=C1 PUADOVZMCIPPLR-ARMCGHEMSA-N 0.000 description 1
- FJBNIVCXYQYYRE-FTMCMWLZSA-N CCC(CC(=O)[C@@H]1C[C@@H](OC(C)(C)C)CN1C(=O)[C@@H](CC(=O)C1=CC(C(=O)O)=CC=C1)C1CCCCC1)C(=O)C(=O)CCC(=O)N[C@H](C(N)=O)C1=CC=CC=C1 Chemical compound CCC(CC(=O)[C@@H]1C[C@@H](OC(C)(C)C)CN1C(=O)[C@@H](CC(=O)C1=CC(C(=O)O)=CC=C1)C1CCCCC1)C(=O)C(=O)CCC(=O)N[C@H](C(N)=O)C1=CC=CC=C1 FJBNIVCXYQYYRE-FTMCMWLZSA-N 0.000 description 1
- MKVNLMMRNFPBGF-JXRBSNMDSA-N CCC(CC(=O)[C@@H]1C[C@@H](OC(C)(C)C)CN1C(=O)[C@@H](CC(=O)C1=CC=CC(CC(=O)O)=C1)C1CCCCC1)C(=O)C(=O)CCC(=O)N[C@H](C(N)=O)C1=CC=CC=C1 Chemical compound CCC(CC(=O)[C@@H]1C[C@@H](OC(C)(C)C)CN1C(=O)[C@@H](CC(=O)C1=CC=CC(CC(=O)O)=C1)C1CCCCC1)C(=O)C(=O)CCC(=O)N[C@H](C(N)=O)C1=CC=CC=C1 MKVNLMMRNFPBGF-JXRBSNMDSA-N 0.000 description 1
- DELMQLLBEVRRJD-PMKIDSAXSA-N CCC(CC(=O)[C@@H]1C[C@@H](OC(C)(C)C)CN1C(=O)[C@@H](CC(=O)C1CCCC1)C1CCCCC1)C(=O)C(=O)CCC(=O)N[C@H](C(N)=O)C1=CC=CC=C1 Chemical compound CCC(CC(=O)[C@@H]1C[C@@H](OC(C)(C)C)CN1C(=O)[C@@H](CC(=O)C1CCCC1)C1CCCCC1)C(=O)C(=O)CCC(=O)N[C@H](C(N)=O)C1=CC=CC=C1 DELMQLLBEVRRJD-PMKIDSAXSA-N 0.000 description 1
- YGUNGCDFFXXYPP-OXUOEABPSA-N CCC(CC(=O)[C@@H]1C[C@@H](OC(C)(C)C)CN1C(=O)[C@@H](CC(=O)CC1=CC(CC(=O)O)=CC=C1)C1CCCCC1)C(=O)C(=O)CCC(=O)N[C@H](C(N)=O)C1=CC=CC=C1 Chemical compound CCC(CC(=O)[C@@H]1C[C@@H](OC(C)(C)C)CN1C(=O)[C@@H](CC(=O)CC1=CC(CC(=O)O)=CC=C1)C1CCCCC1)C(=O)C(=O)CCC(=O)N[C@H](C(N)=O)C1=CC=CC=C1 YGUNGCDFFXXYPP-OXUOEABPSA-N 0.000 description 1
- CSMLLXVHUIDZJG-OXUOEABPSA-N CCC(CC(=O)[C@@H]1C[C@@H](OC(C)(C)C)CN1C(=O)[C@@H](CC(=O)CC1=CC=C(CC(=O)O)C=C1)C1CCCCC1)C(=O)C(=O)CCC(=O)N[C@H](C(N)=O)C1=CC=CC=C1 Chemical compound CCC(CC(=O)[C@@H]1C[C@@H](OC(C)(C)C)CN1C(=O)[C@@H](CC(=O)CC1=CC=C(CC(=O)O)C=C1)C1CCCCC1)C(=O)C(=O)CCC(=O)N[C@H](C(N)=O)C1=CC=CC=C1 CSMLLXVHUIDZJG-OXUOEABPSA-N 0.000 description 1
- AJZJOXPAHOELTK-PKETVUCESA-N CCC(CC(=O)[C@@H]1C[C@@H](OC(C)(C)C)CN1C(=O)[C@@H](CC(=O)CC1=CC=CC=C1)C1CCCCC1)C(=O)C(=O)CCC(=O)N[C@H](C(N)=O)C1=CC=CC=C1 Chemical compound CCC(CC(=O)[C@@H]1C[C@@H](OC(C)(C)C)CN1C(=O)[C@@H](CC(=O)CC1=CC=CC=C1)C1CCCCC1)C(=O)C(=O)CCC(=O)N[C@H](C(N)=O)C1=CC=CC=C1 AJZJOXPAHOELTK-PKETVUCESA-N 0.000 description 1
- NPUVGPVUVCFLQL-UABWXYMOSA-N CCC(CC(=O)[C@@H]1C[C@@H](OC(C)(C)C)CN1C(=O)[C@@H](CC(=O)CC1CCCC1)C1CCCCC1)C(=O)C(=O)CCC(=O)N[C@H](C(N)=O)C1=CC=CC=C1 Chemical compound CCC(CC(=O)[C@@H]1C[C@@H](OC(C)(C)C)CN1C(=O)[C@@H](CC(=O)CC1CCCC1)C1CCCCC1)C(=O)C(=O)CCC(=O)N[C@H](C(N)=O)C1=CC=CC=C1 NPUVGPVUVCFLQL-UABWXYMOSA-N 0.000 description 1
- NDQJNKSISLPMOS-UHFFFAOYSA-N CCC(CC)[N]1(C)(CCS(Cl)(=O)=O)=CC1 Chemical compound CCC(CC)[N]1(C)(CCS(Cl)(=O)=O)=CC1 NDQJNKSISLPMOS-UHFFFAOYSA-N 0.000 description 1
- OLEKORFNDPTJNR-BITUMMKCSA-N CCC(NC(=O)[C@@H]1CCC(C)N1C(=O)[C@@H](NC(=O)OCC(C)C)C1CCCCC1)C(=O)C(=O)NCC(=O)NC(C(=O)O)C1=CC=CC=C1 Chemical compound CCC(NC(=O)[C@@H]1CCC(C)N1C(=O)[C@@H](NC(=O)OCC(C)C)C1CCCCC1)C(=O)C(=O)NCC(=O)NC(C(=O)O)C1=CC=CC=C1 OLEKORFNDPTJNR-BITUMMKCSA-N 0.000 description 1
- NZKQKQXNTQAAMK-XRLSCXDPSA-N CCC(NC(=O)[C@@H]1[C@@H]2C(CN1C(=O)[C@@H](NC(=O)OC(C)(C)C)C(C)(C)C)C2(C)C)C(=O)C(=O)O Chemical compound CCC(NC(=O)[C@@H]1[C@@H]2C(CN1C(=O)[C@@H](NC(=O)OC(C)(C)C)C(C)(C)C)C2(C)C)C(=O)C(=O)O NZKQKQXNTQAAMK-XRLSCXDPSA-N 0.000 description 1
- ZLLJNBVKJOXZMP-PRBAEBOXSA-N CCC(NC(=O)[C@@H]1[C@@H]2C(CN1C(=O)[C@@H](NC(=O)OC(C)(C)C)C(C)(C)C)C2(C)C)C(=O)C(=O)OC Chemical compound CCC(NC(=O)[C@@H]1[C@@H]2C(CN1C(=O)[C@@H](NC(=O)OC(C)(C)C)C(C)(C)C)C2(C)C)C(=O)C(=O)OC ZLLJNBVKJOXZMP-PRBAEBOXSA-N 0.000 description 1
- XNECMWJWCSRERJ-PWKSQPCKSA-N CCC(NC(=O)[C@@H]1[C@@H]2C(CN1C(=O)[C@@H](NC(=O)OC(C)(C)C)C1CCCCC1)C2(C)C)C(=O)C(=O)OC Chemical compound CCC(NC(=O)[C@@H]1[C@@H]2C(CN1C(=O)[C@@H](NC(=O)OC(C)(C)C)C1CCCCC1)C2(C)C)C(=O)C(=O)OC XNECMWJWCSRERJ-PWKSQPCKSA-N 0.000 description 1
- FEAPKHOZRLYBAV-WPZPHBQUSA-N CCC(NC(=O)[C@@H]1[C@@H]2C(CN1C(=O)[C@@H](NC(=O)OC(C)(C)C)C1CCCCC1)C2(C)C)C(=O)C(=O)OCC(=O)O Chemical compound CCC(NC(=O)[C@@H]1[C@@H]2C(CN1C(=O)[C@@H](NC(=O)OC(C)(C)C)C1CCCCC1)C2(C)C)C(=O)C(=O)OCC(=O)O FEAPKHOZRLYBAV-WPZPHBQUSA-N 0.000 description 1
- CFEZCVFPQYNOSR-DINCCYKQSA-N CCC(NC(=O)[C@@H]1[C@@H]2[C@H](CN1C(=O)[C@@H](NC(=O)OC(C)(C)C)C1CCCCC1)C2(C)C)C(=O)C(=O)NCC(=O)NC(C(=O)N(C)C)C1=CC=CC=C1 Chemical compound CCC(NC(=O)[C@@H]1[C@@H]2[C@H](CN1C(=O)[C@@H](NC(=O)OC(C)(C)C)C1CCCCC1)C2(C)C)C(=O)C(=O)NCC(=O)NC(C(=O)N(C)C)C1=CC=CC=C1 CFEZCVFPQYNOSR-DINCCYKQSA-N 0.000 description 1
- SRLXXGVPQVHYOH-VNXZANIESA-N CCC(NC(=O)[C@@H]1[C@@H]2[C@H](CN1C(=O)[C@@H](NC(=O)OC(C)(C)C)C1CCCCC1)C2(C)C)C(=O)C(N)=O Chemical compound CCC(NC(=O)[C@@H]1[C@@H]2[C@H](CN1C(=O)[C@@H](NC(=O)OC(C)(C)C)C1CCCCC1)C2(C)C)C(=O)C(N)=O SRLXXGVPQVHYOH-VNXZANIESA-N 0.000 description 1
- KFQHXROPKXLOOF-UHFFFAOYSA-N CCCC(C(C(CCC=C)=O)=O)NC(C(C1C(C)(C)C1C1)N1C(C(C1CCCC1)NC(CCC(C)(C)C)=O)=O)=O Chemical compound CCCC(C(C(CCC=C)=O)=O)NC(C(C1C(C)(C)C1C1)N1C(C(C1CCCC1)NC(CCC(C)(C)C)=O)=O)=O KFQHXROPKXLOOF-UHFFFAOYSA-N 0.000 description 1
- RCPNYCYOILNPME-JSRAGOMMSA-N CCCC(C(C(N)=O)=O)NC([C@H](C(CC1)C(C)C)N1C([C@H](C1CCCCC1)NC(OC(C)(C)C)=O)=O)=O Chemical compound CCCC(C(C(N)=O)=O)NC([C@H](C(CC1)C(C)C)N1C([C@H](C1CCCCC1)NC(OC(C)(C)C)=O)=O)=O RCPNYCYOILNPME-JSRAGOMMSA-N 0.000 description 1
- KYKCMXQBDIFQFP-MIZHBKSGSA-N CCCC(C(C(N)=O)=O)NC([C@H](C1C(C)(C)[C@H]1C1)N1C([C@H](C(C)(C)C)NC(C(CC(C)C)NS(C)(=O)=O)=O)=O)=O Chemical compound CCCC(C(C(N)=O)=O)NC([C@H](C1C(C)(C)[C@H]1C1)N1C([C@H](C(C)(C)C)NC(C(CC(C)C)NS(C)(=O)=O)=O)=O)=O KYKCMXQBDIFQFP-MIZHBKSGSA-N 0.000 description 1
- GMMWQQYKXZVZGI-PRMSLIBYSA-N CCCC(C(C(N)=O)=O)NC([C@H]([C@H]1C(C)(C)C1C1)N1C([C@H](C(C)(C)C)NS(C)(=O)=O)=O)=O Chemical compound CCCC(C(C(N)=O)=O)NC([C@H]([C@H]1C(C)(C)C1C1)N1C([C@H](C(C)(C)C)NS(C)(=O)=O)=O)=O GMMWQQYKXZVZGI-PRMSLIBYSA-N 0.000 description 1
- GGLJFKBIDXYYAV-MZUHXCIYSA-N CCCC(C(C(NCC(NC(C(N(C)C)=O)c1ccccc1)=O)=O)=O)NC([C@H](C([C@@H]1C2)[C@H]1C(OCC)=O)N2C([C@H](C1CCCCC1)NC(OCC(C)C)=O)=O)=O Chemical compound CCCC(C(C(NCC(NC(C(N(C)C)=O)c1ccccc1)=O)=O)=O)NC([C@H](C([C@@H]1C2)[C@H]1C(OCC)=O)N2C([C@H](C1CCCCC1)NC(OCC(C)C)=O)=O)=O GGLJFKBIDXYYAV-MZUHXCIYSA-N 0.000 description 1
- BBKCZGBYTDYZAY-YPGOPORDSA-N CCCC(C(C(NCC(NC(C(N)=O)c1cc(C)cc(C)c1)=O)=O)=O)NC([C@H](C[C@H](C1)OC(C)(C)C)N1C([C@H](C1CCCCC1)NC(c(c(C(O)=O)c(c(F)c1F)F)c1F)=O)=O)=O Chemical compound CCCC(C(C(NCC(NC(C(N)=O)c1cc(C)cc(C)c1)=O)=O)=O)NC([C@H](C[C@H](C1)OC(C)(C)C)N1C([C@H](C1CCCCC1)NC(c(c(C(O)=O)c(c(F)c1F)F)c1F)=O)=O)=O BBKCZGBYTDYZAY-YPGOPORDSA-N 0.000 description 1
- VWQBGYPSLZLABW-RLFUWCECSA-N CCCC(C(C(NCC(NC(C(N)=O)c1cc(OC)cc(OC)c1)=O)=O)=O)NC([C@H](C[C@H](C1)O)N1C([C@H](C1CCCCC1)NC(c(c(F)ccc1)c1F)=O)=O)=O Chemical compound CCCC(C(C(NCC(NC(C(N)=O)c1cc(OC)cc(OC)c1)=O)=O)=O)NC([C@H](C[C@H](C1)O)N1C([C@H](C1CCCCC1)NC(c(c(F)ccc1)c1F)=O)=O)=O VWQBGYPSLZLABW-RLFUWCECSA-N 0.000 description 1
- NKJFTAWIXIJUMR-LOCRKPGPSA-N CCCC(C(C(NCC(NC(C(N)=O)c1cccc(C)c1)=O)=O)=O)NC([C@H](C[C@H](C1)OC(C)(C)C)N1C([C@H](C1CCCCC1)NC(OCC(C)C)=O)=O)=O Chemical compound CCCC(C(C(NCC(NC(C(N)=O)c1cccc(C)c1)=O)=O)=O)NC([C@H](C[C@H](C1)OC(C)(C)C)N1C([C@H](C1CCCCC1)NC(OCC(C)C)=O)=O)=O NKJFTAWIXIJUMR-LOCRKPGPSA-N 0.000 description 1
- FDEUNKLXYKBJOR-RACGYDDWSA-N CCCC(C(C(NCC(NC(C(N)=O)c1cccc(C)c1)=O)=O)=O)NC([C@H](C[C@H](C1)OC(C)(C)C)N1C([C@H](C1CCCCC1)NC(c(c(C(O)=O)c(c(F)c1F)F)c1F)=O)=O)=O Chemical compound CCCC(C(C(NCC(NC(C(N)=O)c1cccc(C)c1)=O)=O)=O)NC([C@H](C[C@H](C1)OC(C)(C)C)N1C([C@H](C1CCCCC1)NC(c(c(C(O)=O)c(c(F)c1F)F)c1F)=O)=O)=O FDEUNKLXYKBJOR-RACGYDDWSA-N 0.000 description 1
- JBZYSXNIQNELHP-ZGXWMOTKSA-N CCCC(C(C(NCC(NC(C(N)=O)c1cccc(Cl)c1)=O)=O)=O)NC([C@H](C[C@H](C1)OC(C)(C)C)N1C([C@H](C1CCCCC1)NC(OCC(C)C)=O)=O)=O Chemical compound CCCC(C(C(NCC(NC(C(N)=O)c1cccc(Cl)c1)=O)=O)=O)NC([C@H](C[C@H](C1)OC(C)(C)C)N1C([C@H](C1CCCCC1)NC(OCC(C)C)=O)=O)=O JBZYSXNIQNELHP-ZGXWMOTKSA-N 0.000 description 1
- IPJSIKKGWYEHDE-JDRILBLRSA-N CCCC(C(C(NCC(NC(C(N)=O)c1cccc(F)c1)=O)=O)=O)NC([C@H](C[C@H](C1)OC(C)(C)C)N1C([C@H](C1CCCCC1)NC([C@H](C(C)C)NS(C)(=O)=O)=O)=O)=O Chemical compound CCCC(C(C(NCC(NC(C(N)=O)c1cccc(F)c1)=O)=O)=O)NC([C@H](C[C@H](C1)OC(C)(C)C)N1C([C@H](C1CCCCC1)NC([C@H](C(C)C)NS(C)(=O)=O)=O)=O)=O IPJSIKKGWYEHDE-JDRILBLRSA-N 0.000 description 1
- FHAZIIIMRRWTKB-XGZAKNSBSA-N CCCC(C(C(NCC(NC(C(N)=O)c1ccccc1)=O)=O)=O)NC([C@H](C[C@H](C1)OCc2ccccc2)N1C(C(C1CCCCC1)NC(OCC(C)C)=O)=O)=O Chemical compound CCCC(C(C(NCC(NC(C(N)=O)c1ccccc1)=O)=O)=O)NC([C@H](C[C@H](C1)OCc2ccccc2)N1C(C(C1CCCCC1)NC(OCC(C)C)=O)=O)=O FHAZIIIMRRWTKB-XGZAKNSBSA-N 0.000 description 1
- NABRSFDNCMZIMF-ZXPCSGILSA-N CCCC(C(C(NCC(NC(C(N)=O)c1ccccc1)=O)=O)=O)NC([C@H](C[C@H](C1)OCc2ccccc2)N1C(C(C1CCCCC1)NC(c(cccc1)c1C(c1ccccc1)=O)=O)=O)=O Chemical compound CCCC(C(C(NCC(NC(C(N)=O)c1ccccc1)=O)=O)=O)NC([C@H](C[C@H](C1)OCc2ccccc2)N1C(C(C1CCCCC1)NC(c(cccc1)c1C(c1ccccc1)=O)=O)=O)=O NABRSFDNCMZIMF-ZXPCSGILSA-N 0.000 description 1
- SFCCRVFGTBECDT-GEGDLXDSSA-N CCCC(C(C(NCC(NC(C(N)=O)c1ccccc1)=O)=O)=O)NC([C@H](C[C@H](C1)OCc2ccccc2)N1C(C(C1CCCCC1)NC(c(cccc1)c1Oc1ccccc1)=O)=O)=O Chemical compound CCCC(C(C(NCC(NC(C(N)=O)c1ccccc1)=O)=O)=O)NC([C@H](C[C@H](C1)OCc2ccccc2)N1C(C(C1CCCCC1)NC(c(cccc1)c1Oc1ccccc1)=O)=O)=O SFCCRVFGTBECDT-GEGDLXDSSA-N 0.000 description 1
- HPGAKPIVKZHAGU-DATCUUEMSA-N CCCC(C(C(NCC(NC(C1CCCCC1)C(N)=O)=O)=O)=O)NC([C@H](C[C@H](C1)OCC(O)=O)N1C(C(C(C)C)NC(OCC(C)C)=O)=O)=O Chemical compound CCCC(C(C(NCC(NC(C1CCCCC1)C(N)=O)=O)=O)=O)NC([C@H](C[C@H](C1)OCC(O)=O)N1C(C(C(C)C)NC(OCC(C)C)=O)=O)=O HPGAKPIVKZHAGU-DATCUUEMSA-N 0.000 description 1
- VHRKOPBAMDDXQE-DDGYPJSTSA-N CCCC(C(C(NCC(NC(CCCC(O)=O)C(N)=O)=O)=O)=O)NC([C@H](C[C@H](C1)OCC(O)=O)N1C(C(C(C)C)NC(OCC(C)C)=O)=O)=O Chemical compound CCCC(C(C(NCC(NC(CCCC(O)=O)C(N)=O)=O)=O)=O)NC([C@H](C[C@H](C1)OCC(O)=O)N1C(C(C(C)C)NC(OCC(C)C)=O)=O)=O VHRKOPBAMDDXQE-DDGYPJSTSA-N 0.000 description 1
- AWKZNRJNQLQRQQ-VGLOGQRBSA-N CCCC(C(C(NCC(NC(CCc1ccccc1)C(N)=O)=O)=O)=O)NC([C@H](CCC1)N1C(C(C(C)C)NC(OCC(C)C)=O)=O)=O Chemical compound CCCC(C(C(NCC(NC(CCc1ccccc1)C(N)=O)=O)=O)=O)NC([C@H](CCC1)N1C(C(C(C)C)NC(OCC(C)C)=O)=O)=O AWKZNRJNQLQRQQ-VGLOGQRBSA-N 0.000 description 1
- DCHQQVJGXISPHT-WHTAGGKFSA-N CCCC(C(C(NCC(N[C@@H](C(N)=O)c1ccccc1)=O)=O)=O)NC([C@H](C[C@H](C1)OCc2ccccc2)N1C(C(C1CCCCC1)NC(CC1CCCCC1)=O)=O)=O Chemical compound CCCC(C(C(NCC(N[C@@H](C(N)=O)c1ccccc1)=O)=O)=O)NC([C@H](C[C@H](C1)OCc2ccccc2)N1C(C(C1CCCCC1)NC(CC1CCCCC1)=O)=O)=O DCHQQVJGXISPHT-WHTAGGKFSA-N 0.000 description 1
- OMXYFPHVMSJCJU-KTIHJTQZSA-N CCCC(C(C(NCC(N[C@H](C(/C=C\C=C/C)=C)C(N)=O)=O)=O)=O)NC(C(C[C@@H](C1)NS(c2cc(Cl)ccc2)(=O)=O)N1C([C@@H](C1CCCCC1)NC(OCC(C)C)=O)=O)=O Chemical compound CCCC(C(C(NCC(N[C@H](C(/C=C\C=C/C)=C)C(N)=O)=O)=O)=O)NC(C(C[C@@H](C1)NS(c2cc(Cl)ccc2)(=O)=O)N1C([C@@H](C1CCCCC1)NC(OCC(C)C)=O)=O)=O OMXYFPHVMSJCJU-KTIHJTQZSA-N 0.000 description 1
- PDZUIQKEPQKHTN-JRMBIQTOSA-N CCCC(C(C(NCC(N[C@H](C(N(C)C)=O)c1ccccc1)=O)=O)=O)NC([C@H]([C@@H](C)CC1)N1C([C@H](C1CCCCC1)NC(OCC(C)C)=O)=O)=O Chemical compound CCCC(C(C(NCC(N[C@H](C(N(C)C)=O)c1ccccc1)=O)=O)=O)NC([C@H]([C@@H](C)CC1)N1C([C@H](C1CCCCC1)NC(OCC(C)C)=O)=O)=O PDZUIQKEPQKHTN-JRMBIQTOSA-N 0.000 description 1
- KISYCAZXTKWIOF-WDAGXUJTSA-N CCCC(C(C(NCC(N[C@H](C(N(C)C)=O)c1ccccc1)=O)=O)=O)NC([C@H]([C@H]1C(C)(C)C[C@H]1C1)N1C([C@H](C1CCCCC1)NC(OC(C)C(C)C)=O)=O)=O Chemical compound CCCC(C(C(NCC(N[C@H](C(N(C)C)=O)c1ccccc1)=O)=O)=O)NC([C@H]([C@H]1C(C)(C)C[C@H]1C1)N1C([C@H](C1CCCCC1)NC(OC(C)C(C)C)=O)=O)=O KISYCAZXTKWIOF-WDAGXUJTSA-N 0.000 description 1
- RILIUTGQLPLCGA-TUAXMMEMSA-N CCCC(C(C(NCC(N[C@H](C(N)=O)c1ccccc1)=O)=O)=O)NC([C@H](C[C@H](C1)OC(C)(C)C)N1C([C@H](C1CCCCC1)NC(Cc1cc(CC(O)=O)ccc1)=O)=O)=O Chemical compound CCCC(C(C(NCC(N[C@H](C(N)=O)c1ccccc1)=O)=O)=O)NC([C@H](C[C@H](C1)OC(C)(C)C)N1C([C@H](C1CCCCC1)NC(Cc1cc(CC(O)=O)ccc1)=O)=O)=O RILIUTGQLPLCGA-TUAXMMEMSA-N 0.000 description 1
- KXSYUGKPZPIILT-JPIUXDRQSA-N CCCC(C(C(NCC(N[C@H](C(N)=O)c1ccccc1)=O)=O)=O)NC([C@H](C[C@H](C1)OCc2ccccc2)N1C([C@H](CCCNC(C(CC1)CCC1C(O)=O)=O)NC(OCC(C)C)=O)=O)=O Chemical compound CCCC(C(C(NCC(N[C@H](C(N)=O)c1ccccc1)=O)=O)=O)NC([C@H](C[C@H](C1)OCc2ccccc2)N1C([C@H](CCCNC(C(CC1)CCC1C(O)=O)=O)NC(OCC(C)C)=O)=O)=O KXSYUGKPZPIILT-JPIUXDRQSA-N 0.000 description 1
- LUNZALLVLQEORP-VUAIYSHHSA-N CCCC(C(C(NCC(N[C@H](C(O)=O)c1ccccc1)=O)=O)=O)NC([C@H](C(CC1)C(C)C)N1C([C@H](C1CCCCC1)NC(OCC(C)C)=O)=O)=O Chemical compound CCCC(C(C(NCC(N[C@H](C(O)=O)c1ccccc1)=O)=O)=O)NC([C@H](C(CC1)C(C)C)N1C([C@H](C1CCCCC1)NC(OCC(C)C)=O)=O)=O LUNZALLVLQEORP-VUAIYSHHSA-N 0.000 description 1
- DCSUIQGYCDFASI-SDFVRXQPSA-N CCCC(C(C(NCC1=[O]C(C)CC(C(N)=O)N1)=O)=O)NC([C@H](C[C@H](C1)OCC(O)=O)N1C(C(C(C)C)NC(OCC(C)C)=O)=O)=O Chemical compound CCCC(C(C(NCC1=[O]C(C)CC(C(N)=O)N1)=O)=O)NC([C@H](C[C@H](C1)OCC(O)=O)N1C(C(C(C)C)NC(OCC(C)C)=O)=O)=O DCSUIQGYCDFASI-SDFVRXQPSA-N 0.000 description 1
- OCUIJVJOKVEJPF-UHFFFAOYSA-N CCCC(C(C(NCC=C)=O)=O)NC(C(CC(C1)OC(C)(C)C)N1C(C(c1cccc2ccccc12)NC(NC(C)(C)C)=O)=O)=O Chemical compound CCCC(C(C(NCC=C)=O)=O)NC(C(CC(C1)OC(C)(C)C)N1C(C(c1cccc2ccccc12)NC(NC(C)(C)C)=O)=O)=O OCUIJVJOKVEJPF-UHFFFAOYSA-N 0.000 description 1
- GTZFSJPHAFGTNR-KITTYXGWSA-N CCCC(C(C(NCC=C)=O)=O)NC([C@H](C1C(C2)OC(C)(C)CC1)N2C([C@H](C(C)(C)C)NC(OC(C)(C)C)=O)=O)=O Chemical compound CCCC(C(C(NCC=C)=O)=O)NC([C@H](C1C(C2)OC(C)(C)CC1)N2C([C@H](C(C)(C)C)NC(OC(C)(C)C)=O)=O)=O GTZFSJPHAFGTNR-KITTYXGWSA-N 0.000 description 1
- XRTHVKLKFYLUTC-LRZXZVOTSA-N CCCC(C)C(=O)C(=O)CCC(=O)N[C@H](C(=O)N(C)C)C1=CC=CC=C1.CCCC(C)C(O)C(=O)CCC(=O)N[C@H](C(=O)N(C)C)C1=CC=CC=C1 Chemical compound CCCC(C)C(=O)C(=O)CCC(=O)N[C@H](C(=O)N(C)C)C1=CC=CC=C1.CCCC(C)C(O)C(=O)CCC(=O)N[C@H](C(=O)N(C)C)C1=CC=CC=C1 XRTHVKLKFYLUTC-LRZXZVOTSA-N 0.000 description 1
- FBOIUQCZZYXTKD-DAFFCZBASA-N CCCC(C)C(=O)C(=O)CCC(=O)N[C@H](C)C1=CC=CC=C1.CCCC(C)C(O)C(=O)CCC(=O)N[C@H](C)C1=CC=CC=C1 Chemical compound CCCC(C)C(=O)C(=O)CCC(=O)N[C@H](C)C1=CC=CC=C1.CCCC(C)C(O)C(=O)CCC(=O)N[C@H](C)C1=CC=CC=C1 FBOIUQCZZYXTKD-DAFFCZBASA-N 0.000 description 1
- WGBGGWFWHKHTTR-GFDWENIRSA-N CCCC(C)C(=O)C(=O)CCC(=O)N[C@H](C)C1=CC=CC=C1.CCCC(N)C(=O)C(=O)CCC(=O)N[C@H](C)C1=CC=CC=C1.Cl Chemical compound CCCC(C)C(=O)C(=O)CCC(=O)N[C@H](C)C1=CC=CC=C1.CCCC(N)C(=O)C(=O)CCC(=O)N[C@H](C)C1=CC=CC=C1.Cl WGBGGWFWHKHTTR-GFDWENIRSA-N 0.000 description 1
- OGBWZJKXWAOMSM-SPOKCGPQSA-N CCCC(C)C(=O)[C@H](O)CCC(=O)N[C@H](C)C1=CC=CC=C1.CCCC(C)C(O)C(=O)NCC(=O)O.CCCC(C)C(O)[C@H](O)CCC(=O)N[C@H](C)C1=CC=CC=C1.CCCC(N)C(O)[C@H](O)CCC(=O)N[C@H](C)C1=CC=CC=C1.CCCC(N)C(O)[C@H](O)CCC(=O)N[C@H](C)C1=CC=CC=C1.Cl.Cl.N=N/N=N/Cl.N=N/N=N/Cl.OON1/N=N\C2=CC=CC=C21 Chemical compound CCCC(C)C(=O)[C@H](O)CCC(=O)N[C@H](C)C1=CC=CC=C1.CCCC(C)C(O)C(=O)NCC(=O)O.CCCC(C)C(O)[C@H](O)CCC(=O)N[C@H](C)C1=CC=CC=C1.CCCC(N)C(O)[C@H](O)CCC(=O)N[C@H](C)C1=CC=CC=C1.CCCC(N)C(O)[C@H](O)CCC(=O)N[C@H](C)C1=CC=CC=C1.Cl.Cl.N=N/N=N/Cl.N=N/N=N/Cl.OON1/N=N\C2=CC=CC=C21 OGBWZJKXWAOMSM-SPOKCGPQSA-N 0.000 description 1
- CQNBVAJCLQXJKD-ZRBIUIIOSA-N CCCC(C)C(O)C(=O)CCC(=O)N[C@H](C(=O)N(C)C)C1=CC=CC=C1.CCCC(N)C(=O)C(=O)CCC(=O)N[C@H](C(=O)N(C)C)C1=CC=CC=C1.[Cl] Chemical compound CCCC(C)C(O)C(=O)CCC(=O)N[C@H](C(=O)N(C)C)C1=CC=CC=C1.CCCC(N)C(=O)C(=O)CCC(=O)N[C@H](C(=O)N(C)C)C1=CC=CC=C1.[Cl] CQNBVAJCLQXJKD-ZRBIUIIOSA-N 0.000 description 1
- GWBZVQXJPPOVCZ-MHFJZZACSA-N CCCC(C)C(O)C(=O)CCC(=O)N[C@H](C(=O)N(C)C)C1=CC=CC=C1.CCCC(N)C(O)C(=O)CCC(=O)N[C@H](C(=O)N(C)C)C1=CC=CC=C1.Cl Chemical compound CCCC(C)C(O)C(=O)CCC(=O)N[C@H](C(=O)N(C)C)C1=CC=CC=C1.CCCC(N)C(O)C(=O)CCC(=O)N[C@H](C(=O)N(C)C)C1=CC=CC=C1.Cl GWBZVQXJPPOVCZ-MHFJZZACSA-N 0.000 description 1
- BFRNHTCTGLBHDU-DKSFBBIDSA-N CCCC(C)C(O)C(=O)CCC(=O)N[C@H](C)C1=CC=CC=C1.CCCC(C)C(O)C(=O)CCC(=O)O.C[C@@H](N)C1=CC=CC=C1 Chemical compound CCCC(C)C(O)C(=O)CCC(=O)N[C@H](C)C1=CC=CC=C1.CCCC(C)C(O)C(=O)CCC(=O)O.C[C@@H](N)C1=CC=CC=C1 BFRNHTCTGLBHDU-DKSFBBIDSA-N 0.000 description 1
- YNJQJEBRIQIPFQ-SNFBVLCGSA-N CCCC(C)C(O)C(=O)CCC(=O)N[C@H](C)C1=CC=CC=C1.CCCC(N)C(O)C(=O)CCC(=O)N[C@H](C)C1=CC=CC=C1.Cl Chemical compound CCCC(C)C(O)C(=O)CCC(=O)N[C@H](C)C1=CC=CC=C1.CCCC(N)C(O)C(=O)CCC(=O)N[C@H](C)C1=CC=CC=C1.Cl YNJQJEBRIQIPFQ-SNFBVLCGSA-N 0.000 description 1
- FVLNVXOLTRTVBJ-UHFFFAOYSA-N CCCC(C)C(O)C(=O)CCC(=O)O.CCCC(C)C(O)C(=O)CCC(=O)OCC1=CC=CC=C1 Chemical compound CCCC(C)C(O)C(=O)CCC(=O)O.CCCC(C)C(O)C(=O)CCC(=O)OCC1=CC=CC=C1 FVLNVXOLTRTVBJ-UHFFFAOYSA-N 0.000 description 1
- XYQGOMLYDIMNAO-UHFFFAOYSA-N CCCC(C)C(O)C(=O)CCC(=O)OCC1=CC=CC=C1.CCCC(C)C(O)C(=O)O Chemical compound CCCC(C)C(O)C(=O)CCC(=O)OCC1=CC=CC=C1.CCCC(C)C(O)C(=O)O XYQGOMLYDIMNAO-UHFFFAOYSA-N 0.000 description 1
- DZOPQCBLZDIFOD-UHFFFAOYSA-N CCCC(CC(=O)C1C2C(CN1C(=O)C(NC(=O)OC(C)(C)C)C1CCCCC1)C2(C)C)C(=O)C(=O)NCC(=O)OC1CC1 Chemical compound CCCC(CC(=O)C1C2C(CN1C(=O)C(NC(=O)OC(C)(C)C)C1CCCCC1)C2(C)C)C(=O)C(=O)NCC(=O)OC1CC1 DZOPQCBLZDIFOD-UHFFFAOYSA-N 0.000 description 1
- KMMSLDQMDPQYTP-HPEOYARFSA-N CCCC(CC(=O)C1C2CCC(C)(C)OC2CN1C(=O)[C@@H](NC(=O)OC(C)(C)C)C(C)(C)C)C(=O)C(=O)O Chemical compound CCCC(CC(=O)C1C2CCC(C)(C)OC2CN1C(=O)[C@@H](NC(=O)OC(C)(C)C)C(C)(C)C)C(=O)C(=O)O KMMSLDQMDPQYTP-HPEOYARFSA-N 0.000 description 1
- QZCZYAVHKUTCBA-RAEKVPNYSA-N CCCC(CC(=O)C1C2[C@H](CN1C(=O)[C@@H](NC(=O)OC1CCCC1C)C(C)(C)C)C2(C)C)C(=O)C(=O)CCC(=O)NCC1=CC=CC=C1 Chemical compound CCCC(CC(=O)C1C2[C@H](CN1C(=O)[C@@H](NC(=O)OC1CCCC1C)C(C)(C)C)C2(C)C)C(=O)C(=O)CCC(=O)NCC1=CC=CC=C1 QZCZYAVHKUTCBA-RAEKVPNYSA-N 0.000 description 1
- ADFQMHIMJZAPKK-NPPAGKERSA-N CCCC(CC(=O)C1CC(=O)CN1C)C(=O)C(=O)CCC(=O)N[C@H](C(=O)N(C)C)C1=CC=CC=C1.CCCC(CC(=O)C1CC(=O)CN1C)C(O)C(=O)CCC(=O)N[C@H](C(=O)N(C)C)C1=CC=CC=C1.CCCC(CC(=O)C1CC2(CN1C)SCCCCS2)C(=O)C(=O)CCC(=O)N[C@H](C(=O)N(C)C)C1=CC=CC=C1.CCCC(N)C(O)C(=O)CCC(=O)N[C@H](C(=O)N(C)C)C1=CC=CC=C1.CN1CC(=O)CC1C(=O)O.Cl.OON1/N=N\C2=CC=CC=C21.SCCCCS Chemical compound CCCC(CC(=O)C1CC(=O)CN1C)C(=O)C(=O)CCC(=O)N[C@H](C(=O)N(C)C)C1=CC=CC=C1.CCCC(CC(=O)C1CC(=O)CN1C)C(O)C(=O)CCC(=O)N[C@H](C(=O)N(C)C)C1=CC=CC=C1.CCCC(CC(=O)C1CC2(CN1C)SCCCCS2)C(=O)C(=O)CCC(=O)N[C@H](C(=O)N(C)C)C1=CC=CC=C1.CCCC(N)C(O)C(=O)CCC(=O)N[C@H](C(=O)N(C)C)C1=CC=CC=C1.CN1CC(=O)CC1C(=O)O.Cl.OON1/N=N\C2=CC=CC=C21.SCCCCS ADFQMHIMJZAPKK-NPPAGKERSA-N 0.000 description 1
- XAPFEUUVHWLYRE-LRVOAIMYSA-N CCCC(CC(=O)C1CC(=O)CN1CC)C(O)C(=O)CCC(=O)N[C@H](C(=O)N(C)C)C1=CC=CC=C1.CCCC(CC(=O)C1CC2(CN1CC)SCCCCS2)C(=O)C(=O)CCC(=O)N[C@H](C(=O)N(C)C)C1=CC=CC=C1 Chemical compound CCCC(CC(=O)C1CC(=O)CN1CC)C(O)C(=O)CCC(=O)N[C@H](C(=O)N(C)C)C1=CC=CC=C1.CCCC(CC(=O)C1CC2(CN1CC)SCCCCS2)C(=O)C(=O)CCC(=O)N[C@H](C(=O)N(C)C)C1=CC=CC=C1 XAPFEUUVHWLYRE-LRVOAIMYSA-N 0.000 description 1
- YVXFMHWWGDWTQQ-UHFFFAOYSA-N CCCC(CC(=O)C1CC(C2=CC=CC=C2)CN1C(=O)OC(C)(C)C)C(=O)C(=O)O Chemical compound CCCC(CC(=O)C1CC(C2=CC=CC=C2)CN1C(=O)OC(C)(C)C)C(=O)C(=O)O YVXFMHWWGDWTQQ-UHFFFAOYSA-N 0.000 description 1
- LKMCTPXYDRORQF-UNPSEHAXSA-N CCCC(CC(=O)C1CC(NS(=O)(=O)C2=CC=C(CC)C=C2)CN1C(=O)[C@@H](NC(=O)NC(C)(C)C)C1CCCCC1)C(=O)C(=O)CCC(=O)NC(C(=O)N(C)C)C1=CC=CC=C1 Chemical compound CCCC(CC(=O)C1CC(NS(=O)(=O)C2=CC=C(CC)C=C2)CN1C(=O)[C@@H](NC(=O)NC(C)(C)C)C1CCCCC1)C(=O)C(=O)CCC(=O)NC(C(=O)N(C)C)C1=CC=CC=C1 LKMCTPXYDRORQF-UNPSEHAXSA-N 0.000 description 1
- IWSGZXMAUDLDIF-UHFFFAOYSA-N CCCC(CC(=O)C1CC2=C(/C=C\C=C/2)CN1C(=O)C(CC(=O)OCC(C)C)C1CCCCC1)C(=O)C(=O)CCC(=O)NC(C(N)=O)C1=CC=CC=C1 Chemical compound CCCC(CC(=O)C1CC2=C(/C=C\C=C/2)CN1C(=O)C(CC(=O)OCC(C)C)C1CCCCC1)C(=O)C(=O)CCC(=O)NC(C(N)=O)C1=CC=CC=C1 IWSGZXMAUDLDIF-UHFFFAOYSA-N 0.000 description 1
- ZNBGZCQJRAUCGC-HNELZJNTSA-N CCCC(CC(=O)[C@@H]1C2C(CN1C(=O)[C@@H](NC(=O)NC(C)CC)C(C)(C)C)C2(C)C)C(=O)C(=O)CCC(=O)NC(C(=O)N(C)C)C1=CC=CC=C1 Chemical compound CCCC(CC(=O)[C@@H]1C2C(CN1C(=O)[C@@H](NC(=O)NC(C)CC)C(C)(C)C)C2(C)C)C(=O)C(=O)CCC(=O)NC(C(=O)N(C)C)C1=CC=CC=C1 ZNBGZCQJRAUCGC-HNELZJNTSA-N 0.000 description 1
- IUCIGCGORQNYMN-KBJUVDQNSA-N CCCC(CC(=O)[C@@H]1C2C(CN1C(=O)[C@@H](NC(=O)NC13CC4CC5CC(C4)(C1)C53)C(C)(C)C)C2(C)C)C(=O)C(=O)CCC(=O)N[C@H](C(=O)N(C)C)C1=CC=CC=C1 Chemical compound CCCC(CC(=O)[C@@H]1C2C(CN1C(=O)[C@@H](NC(=O)NC13CC4CC5CC(C4)(C1)C53)C(C)(C)C)C2(C)C)C(=O)C(=O)CCC(=O)N[C@H](C(=O)N(C)C)C1=CC=CC=C1 IUCIGCGORQNYMN-KBJUVDQNSA-N 0.000 description 1
- WUCRSLBDTNHICF-QCEIWBAESA-N CCCC(CC(=O)[C@@H]1C2C(CN1C(=O)[C@@H](NC(=O)NC1=CC=CC=C1)C(C)(C)C)C2(C)C)C(=O)C(=O)CCC(=O)N[C@H](C(=O)N(C)C)C1=CC=CC=C1 Chemical compound CCCC(CC(=O)[C@@H]1C2C(CN1C(=O)[C@@H](NC(=O)NC1=CC=CC=C1)C(C)(C)C)C2(C)C)C(=O)C(=O)CCC(=O)N[C@H](C(=O)N(C)C)C1=CC=CC=C1 WUCRSLBDTNHICF-QCEIWBAESA-N 0.000 description 1
- IHTBBGNCHJUXFU-QCEIWBAESA-N CCCC(CC(=O)[C@@H]1C2C(CN1C(=O)[C@@H](NC(=O)NC1CCCCC1)C(C)(C)C)C2(C)C)C(=O)C(=O)CCC(=O)N[C@H](C(=O)N(C)C)C1=CC=CC=C1 Chemical compound CCCC(CC(=O)[C@@H]1C2C(CN1C(=O)[C@@H](NC(=O)NC1CCCCC1)C(C)(C)C)C2(C)C)C(=O)C(=O)CCC(=O)N[C@H](C(=O)N(C)C)C1=CC=CC=C1 IHTBBGNCHJUXFU-QCEIWBAESA-N 0.000 description 1
- CJBBTAPBWIPYCZ-KOAUCFHTSA-N CCCC(CC(=O)[C@@H]1C2C(CN1C(=O)[C@@H](NC(=O)OC(C)(C)C)C(C)(C)C)C2(C)C)C(=O)C(=O)CCC(=O)NC(C(=O)N(C)C)C1=CC=CC=C1 Chemical compound CCCC(CC(=O)[C@@H]1C2C(CN1C(=O)[C@@H](NC(=O)OC(C)(C)C)C(C)(C)C)C2(C)C)C(=O)C(=O)CCC(=O)NC(C(=O)N(C)C)C1=CC=CC=C1 CJBBTAPBWIPYCZ-KOAUCFHTSA-N 0.000 description 1
- KBTSTPZXUFDQNU-YSHAKTQWSA-N CCCC(CC(=O)[C@@H]1C2C(CN1C(=O)[C@@H](NC(=O)OC(C)(C)C)C(C)(C)C)C2(C)C)C(=O)C(=O)CCC(=O)NC1=CC=CC=C1 Chemical compound CCCC(CC(=O)[C@@H]1C2C(CN1C(=O)[C@@H](NC(=O)OC(C)(C)C)C(C)(C)C)C2(C)C)C(=O)C(=O)CCC(=O)NC1=CC=CC=C1 KBTSTPZXUFDQNU-YSHAKTQWSA-N 0.000 description 1
- MZHJZKSYXSIUKA-YZNJJSHQSA-N CCCC(CC(=O)[C@@H]1C2C(CN1C(=O)[C@@H](NC(=O)OC(C)(C)C)C(C)(C)C)C2(C)C)C(=O)C(=O)CCCC(=O)CC1=CC=CC=C1 Chemical compound CCCC(CC(=O)[C@@H]1C2C(CN1C(=O)[C@@H](NC(=O)OC(C)(C)C)C(C)(C)C)C2(C)C)C(=O)C(=O)CCCC(=O)CC1=CC=CC=C1 MZHJZKSYXSIUKA-YZNJJSHQSA-N 0.000 description 1
- BWVUXOJQEDPAQG-KOAUCFHTSA-N CCCC(CC(=O)[C@@H]1C2C(CN1C(=O)[C@@H](NC(=O)OC(C)C)C(C)(C)C)C2(C)C)C(=O)C(=O)CCC(=O)NC(C(=O)N(C)C)C1=CC=CC=C1 Chemical compound CCCC(CC(=O)[C@@H]1C2C(CN1C(=O)[C@@H](NC(=O)OC(C)C)C(C)(C)C)C2(C)C)C(=O)C(=O)CCC(=O)NC(C(=O)N(C)C)C1=CC=CC=C1 BWVUXOJQEDPAQG-KOAUCFHTSA-N 0.000 description 1
- BWVUXOJQEDPAQG-RUUYSYGSSA-N CCCC(CC(=O)[C@@H]1C2C(CN1C(=O)[C@@H](NC(=O)OC(C)C)C(C)(C)C)C2(C)C)C(=O)C(=O)CCC(=O)N[C@H](C(=O)N(C)C)C1=CC=CC=C1 Chemical compound CCCC(CC(=O)[C@@H]1C2C(CN1C(=O)[C@@H](NC(=O)OC(C)C)C(C)(C)C)C2(C)C)C(=O)C(=O)CCC(=O)N[C@H](C(=O)N(C)C)C1=CC=CC=C1 BWVUXOJQEDPAQG-RUUYSYGSSA-N 0.000 description 1
- OWDINDVZRRJKMO-QCEIWBAESA-N CCCC(CC(=O)[C@@H]1C2C(CN1C(=O)[C@@H](NC(=O)OC1CCCCC1)C(C)(C)C)C2(C)C)C(=O)C(=O)CCC(=O)N[C@H](C(=O)N(C)C)C1=CC=CC=C1 Chemical compound CCCC(CC(=O)[C@@H]1C2C(CN1C(=O)[C@@H](NC(=O)OC1CCCCC1)C(C)(C)C)C2(C)C)C(=O)C(=O)CCC(=O)N[C@H](C(=O)N(C)C)C1=CC=CC=C1 OWDINDVZRRJKMO-QCEIWBAESA-N 0.000 description 1
- HZIOCGNAIOGKRJ-JZOHDSOVSA-N CCCC(CC(=O)[C@@H]1CC(=O)CN1CC)C(O)C(=O)CCC(=O)N[C@H](C(=O)N(C)C)C1=CC=CC=C1.CCCC(CC(=O)[C@@H]1CC(=O)CN1CC)C(O)C(=O)CCC(=O)N[C@H](C(=O)N(C)C)C1=CC=CC=C1 Chemical compound CCCC(CC(=O)[C@@H]1CC(=O)CN1CC)C(O)C(=O)CCC(=O)N[C@H](C(=O)N(C)C)C1=CC=CC=C1.CCCC(CC(=O)[C@@H]1CC(=O)CN1CC)C(O)C(=O)CCC(=O)N[C@H](C(=O)N(C)C)C1=CC=CC=C1 HZIOCGNAIOGKRJ-JZOHDSOVSA-N 0.000 description 1
- SIBDJJQMFNVWGG-YTRJOUIXSA-N CCCC(CC(=O)[C@@H]1CC2(CN1)SCCCS2)C(O)C(=O)CCC(=O)N[C@H](C(C)=O)C1=CC=CC=C1.CCCC(CC(=O)[C@@H]1CC2(CN1C(=O)OC(C)(C)C)SCCCS2)C(O)C(=O)CCC(=O)N[C@H](C(C)=O)C1=CC=CC=C1.Cl Chemical compound CCCC(CC(=O)[C@@H]1CC2(CN1)SCCCS2)C(O)C(=O)CCC(=O)N[C@H](C(C)=O)C1=CC=CC=C1.CCCC(CC(=O)[C@@H]1CC2(CN1C(=O)OC(C)(C)C)SCCCS2)C(O)C(=O)CCC(=O)N[C@H](C(C)=O)C1=CC=CC=C1.Cl SIBDJJQMFNVWGG-YTRJOUIXSA-N 0.000 description 1
- SOOIPDKVDMUXIJ-QPOGYYJNSA-N CCCC(CC(=O)[C@@H]1CC2(CN1C(=O)OC(C)(C)C)SCCS2)C(O)C(=O)CCC(=O)N[C@H](C(C)=O)C1=CC=CC=C1.CCCC(CC(=O)[C@@H]1CC2(CN1Cl)SCCS2)C(O)C(=O)CCC(=O)N[C@H](C(C)=O)C1=CC=CC=C1 Chemical compound CCCC(CC(=O)[C@@H]1CC2(CN1C(=O)OC(C)(C)C)SCCS2)C(O)C(=O)CCC(=O)N[C@H](C(C)=O)C1=CC=CC=C1.CCCC(CC(=O)[C@@H]1CC2(CN1Cl)SCCS2)C(O)C(=O)CCC(=O)N[C@H](C(C)=O)C1=CC=CC=C1 SOOIPDKVDMUXIJ-QPOGYYJNSA-N 0.000 description 1
- IONFCPJPFNCHEG-HXWGLFOBSA-N CCCC(CC(=O)[C@@H]1CC2(CN1CC)SCCCS2)C(=O)C(=O)CCC(=O)N[C@H](C(=O)N(C)C)C1=CC=CC=C1.CCCC(CC(=O)[C@@H]1CC2(CN1CC)SCCCS2)C(=O)C(=O)CCC(=O)N[C@H](C(=O)O)C1=CC=CC=C1 Chemical compound CCCC(CC(=O)[C@@H]1CC2(CN1CC)SCCCS2)C(=O)C(=O)CCC(=O)N[C@H](C(=O)N(C)C)C1=CC=CC=C1.CCCC(CC(=O)[C@@H]1CC2(CN1CC)SCCCS2)C(=O)C(=O)CCC(=O)N[C@H](C(=O)O)C1=CC=CC=C1 IONFCPJPFNCHEG-HXWGLFOBSA-N 0.000 description 1
- ROYMMMYHIOWIFR-BJAFTADUSA-N CCCC(CC(=O)[C@@H]1CC2(CN1CC)SCCCS2)C(=O)C(=O)CCC(=O)N[C@H](C(=O)O)C1=CC=CC=C1.CCCC(CC(=O)[C@@H]1CC2(CN1CC)SCCCS2)C(=O)C(=O)CCC(=O)N[C@H](C(C)=O)C1=CC=CC=C1 Chemical compound CCCC(CC(=O)[C@@H]1CC2(CN1CC)SCCCS2)C(=O)C(=O)CCC(=O)N[C@H](C(=O)O)C1=CC=CC=C1.CCCC(CC(=O)[C@@H]1CC2(CN1CC)SCCCS2)C(=O)C(=O)CCC(=O)N[C@H](C(C)=O)C1=CC=CC=C1 ROYMMMYHIOWIFR-BJAFTADUSA-N 0.000 description 1
- DHQFKKFFKULGMB-VHFZMBCZSA-N CCCC(CC(=O)[C@@H]1CC2(CN1CC)SCCCS2)C(=O)C(=O)CCC(=O)N[C@H](C(=O)O)C1=CC=CC=C1.CCCC(CC(=O)[C@@H]1CC2(CN1CC)SCCCS2)C(=O)C(=O)CCC(=O)N[C@H](C(N)=O)C1=CC=CC=C1 Chemical compound CCCC(CC(=O)[C@@H]1CC2(CN1CC)SCCCS2)C(=O)C(=O)CCC(=O)N[C@H](C(=O)O)C1=CC=CC=C1.CCCC(CC(=O)[C@@H]1CC2(CN1CC)SCCCS2)C(=O)C(=O)CCC(=O)N[C@H](C(N)=O)C1=CC=CC=C1 DHQFKKFFKULGMB-VHFZMBCZSA-N 0.000 description 1
- PNYZWSVZSITXBO-MPWCDGLJSA-N CCCC(CC(=O)[C@@H]1CC2(CN1CC)SCCS2)C(=O)C(=O)CCC(=O)N[C@H](C(C)=O)C1=CC=CC=C1.CCCC(CC(=O)[C@@H]1CC2(CN1CC)SCCS2)C(O)C(=O)CCC(=O)N[C@H](C(C)=O)C1=CC=CC=C1 Chemical compound CCCC(CC(=O)[C@@H]1CC2(CN1CC)SCCS2)C(=O)C(=O)CCC(=O)N[C@H](C(C)=O)C1=CC=CC=C1.CCCC(CC(=O)[C@@H]1CC2(CN1CC)SCCS2)C(O)C(=O)CCC(=O)N[C@H](C(C)=O)C1=CC=CC=C1 PNYZWSVZSITXBO-MPWCDGLJSA-N 0.000 description 1
- PRQPORSYDSTFAY-ZZWFSZFVSA-N CCCC(CC(=O)[C@@H]1CC2=C(/C=C\C=C/2)CN1C(=O)C(CC(=O)OCC(C)C)C1CCCCC1)C(=O)C(=O)CCC(=O)NC(COC(C)(C)C)C(N)=O Chemical compound CCCC(CC(=O)[C@@H]1CC2=C(/C=C\C=C/2)CN1C(=O)C(CC(=O)OCC(C)C)C1CCCCC1)C(=O)C(=O)CCC(=O)NC(COC(C)(C)C)C(N)=O PRQPORSYDSTFAY-ZZWFSZFVSA-N 0.000 description 1
- CCZDOFVXHNWOQF-DNTVIBISSA-N CCCC(CC(=O)[C@@H]1CCCN1C(=O)C(CC(=O)OCC(C)C)C(C)C)C(=O)C(=O)CCC(=O)NC(C(N)=O)C(C)(C)C Chemical compound CCCC(CC(=O)[C@@H]1CCCN1C(=O)C(CC(=O)OCC(C)C)C(C)C)C(=O)C(=O)CCC(=O)NC(C(N)=O)C(C)(C)C CCZDOFVXHNWOQF-DNTVIBISSA-N 0.000 description 1
- QEUGFULSKLHYMO-FOXNVTQHSA-N CCCC(CC(=O)[C@@H]1CCCN1C(=O)C(CC(=O)OCC(C)C)C(C)C)C(=O)C(=O)CCC(=O)NC(C(N)=O)C1=CC=CC=C1 Chemical compound CCCC(CC(=O)[C@@H]1CCCN1C(=O)C(CC(=O)OCC(C)C)C(C)C)C(=O)C(=O)CCC(=O)NC(C(N)=O)C1=CC=CC=C1 QEUGFULSKLHYMO-FOXNVTQHSA-N 0.000 description 1
- LLOPYCJSCGKLIJ-FOXNVTQHSA-N CCCC(CC(=O)[C@@H]1CCCN1C(=O)C(CC(=O)OCC(C)C)C(C)C)C(=O)C(=O)CCC(=O)NC(C(N)=O)C1CCCCC1 Chemical compound CCCC(CC(=O)[C@@H]1CCCN1C(=O)C(CC(=O)OCC(C)C)C(C)C)C(=O)C(=O)CCC(=O)NC(C(N)=O)C1CCCCC1 LLOPYCJSCGKLIJ-FOXNVTQHSA-N 0.000 description 1
- QYVRIXRQBIARLG-OWXMFSIZSA-N CCCC(CC(=O)[C@@H]1CCCN1C(=O)C(CC(=O)OCC(C)C)C(C)C)C(=O)C(=O)CCC(=O)NC(CC1=CC=C2C=CC=CC2=C1)C(N)=O Chemical compound CCCC(CC(=O)[C@@H]1CCCN1C(=O)C(CC(=O)OCC(C)C)C(C)C)C(=O)C(=O)CCC(=O)NC(CC1=CC=C2C=CC=CC2=C1)C(N)=O QYVRIXRQBIARLG-OWXMFSIZSA-N 0.000 description 1
- ISNNHKNOCUCZRV-OYGGZRDRSA-N CCCC(CC(=O)[C@@H]1CCCN1C(=O)C(CC(=O)OCC(C)C)C(C)C)C(=O)C(=O)CCC(=O)NC(CC1=CC=CC=C1)C(N)=O Chemical compound CCCC(CC(=O)[C@@H]1CCCN1C(=O)C(CC(=O)OCC(C)C)C(C)C)C(=O)C(=O)CCC(=O)NC(CC1=CC=CC=C1)C(N)=O ISNNHKNOCUCZRV-OYGGZRDRSA-N 0.000 description 1
- DVCKQEHERMTQJA-OYGGZRDRSA-N CCCC(CC(=O)[C@@H]1CCCN1C(=O)C(CC(=O)OCC(C)C)C(C)C)C(=O)C(=O)CCC(=O)NC(CC1CCCCC1)C(N)=O Chemical compound CCCC(CC(=O)[C@@H]1CCCN1C(=O)C(CC(=O)OCC(C)C)C(C)C)C(=O)C(=O)CCC(=O)NC(CC1CCCCC1)C(N)=O DVCKQEHERMTQJA-OYGGZRDRSA-N 0.000 description 1
- JTKDLEOVHHLAJX-VMYWCARFSA-N CCCC(CC(=O)[C@@H]1CCCN1C(=O)C(CC(=O)OCC(C)C)C(C)C)C(=O)C(=O)CCC(=O)NC(CCC1=CC=CC=C1)C(N)=O Chemical compound CCCC(CC(=O)[C@@H]1CCCN1C(=O)C(CC(=O)OCC(C)C)C(C)C)C(=O)C(=O)CCC(=O)NC(CCC1=CC=CC=C1)C(N)=O JTKDLEOVHHLAJX-VMYWCARFSA-N 0.000 description 1
- CSTOFKDSJLKCIV-GVWQBGCGSA-N CCCC(CC(=O)[C@@H]1CCCN1C(=O)C(CC(=O)OCC(C)C)C(C)C)C(=O)C(=O)CCC(=O)NC(CCCC(=O)O)C(N)=O Chemical compound CCCC(CC(=O)[C@@H]1CCCN1C(=O)C(CC(=O)OCC(C)C)C(C)C)C(=O)C(=O)CCC(=O)NC(CCCC(=O)O)C(N)=O CSTOFKDSJLKCIV-GVWQBGCGSA-N 0.000 description 1
- WNQBDWZLVHLCSQ-DGGBHQDZSA-N CCCC(CC(=O)[C@@H]1CCCN1C(=O)C(CC(=O)OCC(C)C)C(C)C)C(=O)C(=O)CCC(=O)NC(CCCCN)C(N)=O Chemical compound CCCC(CC(=O)[C@@H]1CCCN1C(=O)C(CC(=O)OCC(C)C)C(C)C)C(=O)C(=O)CCC(=O)NC(CCCCN)C(N)=O WNQBDWZLVHLCSQ-DGGBHQDZSA-N 0.000 description 1
- XKMLUNRLJNRPJI-JVLTXYAPSA-N CCCC(CC(=O)[C@@H]1CCCN1C(=O)C(CC(=O)OCC(C)C)C(C)C)C(=O)C(=O)CCC(=O)NC(CCO)C(N)=O Chemical compound CCCC(CC(=O)[C@@H]1CCCN1C(=O)C(CC(=O)OCC(C)C)C(C)C)C(=O)C(=O)CCC(=O)NC(CCO)C(N)=O XKMLUNRLJNRPJI-JVLTXYAPSA-N 0.000 description 1
- HBGRLXUZXIAYEZ-VMYWCARFSA-N CCCC(CC(=O)[C@@H]1CCCN1C(=O)C(CC(=O)OCC(C)C)C(C)C)C(=O)C(=O)CCC(=O)NC(COCC1=CC=CC=C1)C(N)=O Chemical compound CCCC(CC(=O)[C@@H]1CCCN1C(=O)C(CC(=O)OCC(C)C)C(C)C)C(=O)C(=O)CCC(=O)NC(COCC1=CC=CC=C1)C(N)=O HBGRLXUZXIAYEZ-VMYWCARFSA-N 0.000 description 1
- NGBUFXDNRGPGEW-LBXYBUTKSA-N CCCC(CC(=O)[C@@H]1CCCN1C(=O)C(CC(=O)OCC(C)C)C(C)C)C(=O)C(=O)CCC1=OC(C)CC(C(N)=O)N1 Chemical compound CCCC(CC(=O)[C@@H]1CCCN1C(=O)C(CC(=O)OCC(C)C)C(C)C)C(=O)C(=O)CCC1=OC(C)CC(C(N)=O)N1 NGBUFXDNRGPGEW-LBXYBUTKSA-N 0.000 description 1
- AYWRKLRFDVMZOB-IUPGEPMTSA-N CCCC(CC(=O)[C@@H]1CCCN1C(=O)[C@@H](NC(=O)OC(C)(C)C)C1CCCCC1)C(=O)C(=O)CCC(=O)N[C@H](C(N)=O)C1=CC=CC=C1 Chemical compound CCCC(CC(=O)[C@@H]1CCCN1C(=O)[C@@H](NC(=O)OC(C)(C)C)C1CCCCC1)C(=O)C(=O)CCC(=O)N[C@H](C(N)=O)C1=CC=CC=C1 AYWRKLRFDVMZOB-IUPGEPMTSA-N 0.000 description 1
- PEOBFNARIZVLHJ-BKMACMDBSA-N CCCC(CC(=O)[C@@H]1C[C@@H](CCC(=O)C2=CC=C(OC3=CC=CC=C3)C=C2)CN1C(=O)[C@@H](CC(=O)C1=C(OC=O)C=CC=C1)C1CCCCC1)C(=O)C(=O)CCC(=O)N[C@H](C(N)=O)C1=CC=CC=C1.CCCC(CC(=O)[C@@H]1C[C@@H](CCS(=O)(=O)C2=CC=CC=C2)CN1C(=O)[C@@H](CC(=O)OCC(C)C)C1CCCCC1)C(=O)C(=O)CCC(=O)N[C@H](C(N)=O)C1=CC=CC=C1.CCCC(CC(=O)[C@@H]1C[C@@H](NC(=O)NC2=CC=C(OC)C=C2)CN1C(=O)[C@@H](CC(=O)OCC(C)C)C1CCCCC1)C(=O)C(=O)CCC(=O)N[C@H](C(N)=O)C1=CC=CC=C1.CCCC(CC(=O)[C@@H]1C[C@@H](NS(=O)(=O)C2=CC=CC=C2)CN1C(=O)[C@@H](CC(=O)OCC(C)C)C1CCCCC1)C(=O)C(=O)CCC(=O)N[C@H](C(N)=O)C1=CC=CC=C1 Chemical compound CCCC(CC(=O)[C@@H]1C[C@@H](CCC(=O)C2=CC=C(OC3=CC=CC=C3)C=C2)CN1C(=O)[C@@H](CC(=O)C1=C(OC=O)C=CC=C1)C1CCCCC1)C(=O)C(=O)CCC(=O)N[C@H](C(N)=O)C1=CC=CC=C1.CCCC(CC(=O)[C@@H]1C[C@@H](CCS(=O)(=O)C2=CC=CC=C2)CN1C(=O)[C@@H](CC(=O)OCC(C)C)C1CCCCC1)C(=O)C(=O)CCC(=O)N[C@H](C(N)=O)C1=CC=CC=C1.CCCC(CC(=O)[C@@H]1C[C@@H](NC(=O)NC2=CC=C(OC)C=C2)CN1C(=O)[C@@H](CC(=O)OCC(C)C)C1CCCCC1)C(=O)C(=O)CCC(=O)N[C@H](C(N)=O)C1=CC=CC=C1.CCCC(CC(=O)[C@@H]1C[C@@H](NS(=O)(=O)C2=CC=CC=C2)CN1C(=O)[C@@H](CC(=O)OCC(C)C)C1CCCCC1)C(=O)C(=O)CCC(=O)N[C@H](C(N)=O)C1=CC=CC=C1 PEOBFNARIZVLHJ-BKMACMDBSA-N 0.000 description 1
- HKKFOBIUVRLQJP-VXRYGRPLSA-N CCCC(CC(=O)[C@@H]1C[C@@H](O)CN1C(=O)[C@@H](NC(=O)C1=C(F)C(F)=C(F)C(F)=C1C(=O)O)C1CCCCC1)C(=O)C(=O)CCC(=O)NC(C(N)=O)C1=CC(OC)=CC(OC)=C1 Chemical compound CCCC(CC(=O)[C@@H]1C[C@@H](O)CN1C(=O)[C@@H](NC(=O)C1=C(F)C(F)=C(F)C(F)=C1C(=O)O)C1CCCCC1)C(=O)C(=O)CCC(=O)NC(C(N)=O)C1=CC(OC)=CC(OC)=C1 HKKFOBIUVRLQJP-VXRYGRPLSA-N 0.000 description 1
- FIDYVOMNSIUUMY-YGGVNWFHSA-N CCCC(CC(=O)[C@@H]1C[C@@H](O)CN1C(=O)[C@@H](NC(=O)C1=C(F)C=CC=C1F)C1CCCCC1)C(=O)C(=O)CCC(=O)NC(C(N)=O)C1=CC(OC)=CC(OC)=C1 Chemical compound CCCC(CC(=O)[C@@H]1C[C@@H](O)CN1C(=O)[C@@H](NC(=O)C1=C(F)C=CC=C1F)C1CCCCC1)C(=O)C(=O)CCC(=O)NC(C(N)=O)C1=CC(OC)=CC(OC)=C1 FIDYVOMNSIUUMY-YGGVNWFHSA-N 0.000 description 1
- HWGODCQYCPYMMN-CBJBYIOGSA-N CCCC(CC(=O)[C@@H]1C[C@@H](O)CN1C(=O)[C@@H](NC(=O)CC1=CC=CC=C1)C1CCCCC1)C(=O)C(=O)CCC(=O)NC(C(N)=O)C1=CC(OC)=CC(OC)=C1 Chemical compound CCCC(CC(=O)[C@@H]1C[C@@H](O)CN1C(=O)[C@@H](NC(=O)CC1=CC=CC=C1)C1CCCCC1)C(=O)C(=O)CCC(=O)NC(C(N)=O)C1=CC(OC)=CC(OC)=C1 HWGODCQYCPYMMN-CBJBYIOGSA-N 0.000 description 1
- DGJHZDKPPDNAOR-KXUCDKQESA-N CCCC(CC(=O)[C@@H]1C[C@@H](OC(C)(C)C)CN1C(=O)C(CC(=O)OCC(C)C)C1CCCCC1)C(=O)C(=O)CCC(=O)NC(C(N)=O)C1=CC=CC=C1 Chemical compound CCCC(CC(=O)[C@@H]1C[C@@H](OC(C)(C)C)CN1C(=O)C(CC(=O)OCC(C)C)C1CCCCC1)C(=O)C(=O)CCC(=O)NC(C(N)=O)C1=CC=CC=C1 DGJHZDKPPDNAOR-KXUCDKQESA-N 0.000 description 1
- QYKMTFMRXJBENC-QNOPWYGZSA-N CCCC(CC(=O)[C@@H]1C[C@@H](OC(C)(C)C)CN1C(=O)C(CC(=O)OCC(C)C)C1CCCCC1)C(=O)C(=O)CCC(=O)NC(COC(C)(C)C)C(N)=O Chemical compound CCCC(CC(=O)[C@@H]1C[C@@H](OC(C)(C)C)CN1C(=O)C(CC(=O)OCC(C)C)C1CCCCC1)C(=O)C(=O)CCC(=O)NC(COC(C)(C)C)C(N)=O QYKMTFMRXJBENC-QNOPWYGZSA-N 0.000 description 1
- OJDJXNKLDUDIMT-UGFHTYPSSA-N CCCC(CC(=O)[C@@H]1C[C@@H](OC(C)(C)C)CN1C(=O)[C@@H](CC(=O)C1=C(C(=O)O)C=CC=C1)C1CCCCC1)C(=O)C(=O)CCC(=O)N[C@H](C(N)=O)C1=CC=CC=C1 Chemical compound CCCC(CC(=O)[C@@H]1C[C@@H](OC(C)(C)C)CN1C(=O)[C@@H](CC(=O)C1=C(C(=O)O)C=CC=C1)C1CCCCC1)C(=O)C(=O)CCC(=O)N[C@H](C(N)=O)C1=CC=CC=C1 OJDJXNKLDUDIMT-UGFHTYPSSA-N 0.000 description 1
- VETSVCFOHCVXQT-UGFHTYPSSA-N CCCC(CC(=O)[C@@H]1C[C@@H](OC(C)(C)C)CN1C(=O)[C@@H](CC(=O)C1=C(C(N)=O)C=CC=C1)C1CCCCC1)C(=O)C(=O)CCC(=O)N[C@H](C(N)=O)C1=CC=CC=C1 Chemical compound CCCC(CC(=O)[C@@H]1C[C@@H](OC(C)(C)C)CN1C(=O)[C@@H](CC(=O)C1=C(C(N)=O)C=CC=C1)C1CCCCC1)C(=O)C(=O)CCC(=O)N[C@H](C(N)=O)C1=CC=CC=C1 VETSVCFOHCVXQT-UGFHTYPSSA-N 0.000 description 1
- YGYPKSWWKRMXGL-MJDOEXMXSA-N CCCC(CC(=O)[C@@H]1C[C@@H](OC(C)(C)C)CN1C(=O)[C@@H](CC(=O)C1=CC(C(=O)O)=CC=C1)C1CCCCC1)C(=O)C(=O)CCC(=O)N[C@H](C(N)=O)C1=CC=CC=C1 Chemical compound CCCC(CC(=O)[C@@H]1C[C@@H](OC(C)(C)C)CN1C(=O)[C@@H](CC(=O)C1=CC(C(=O)O)=CC=C1)C1CCCCC1)C(=O)C(=O)CCC(=O)N[C@H](C(N)=O)C1=CC=CC=C1 YGYPKSWWKRMXGL-MJDOEXMXSA-N 0.000 description 1
- FESJQWZMZKOPDS-AUGJMZLPSA-N CCCC(CC(=O)[C@@H]1C[C@@H](OC(C)(C)C)CN1C(=O)[C@@H](CC(=O)C1=CC=CC(CC(=O)O)=C1)C1CCCCC1)C(=O)C(=O)CCC(=O)N[C@H](C(N)=O)C1=CC=CC=C1 Chemical compound CCCC(CC(=O)[C@@H]1C[C@@H](OC(C)(C)C)CN1C(=O)[C@@H](CC(=O)C1=CC=CC(CC(=O)O)=C1)C1CCCCC1)C(=O)C(=O)CCC(=O)N[C@H](C(N)=O)C1=CC=CC=C1 FESJQWZMZKOPDS-AUGJMZLPSA-N 0.000 description 1
- GGBFHBGEEQQHPC-BEYBWGOISA-N CCCC(CC(=O)[C@@H]1C[C@@H](OC(C)(C)C)CN1C(=O)[C@@H](CC(=O)C1=CC=CC=C1C(C)=O)C1CCCCC1)C(=O)C(=O)CCC(=O)N[C@H](C(=O)CP)C1=CC=CC=C1.CCCC(CC(=O)[C@@H]1C[C@@H](OC(C)(C)C)CN1C(=O)[C@@H](CC(=O)C1=CC=CC=C1C(C)=O)C1CCCCC1)C(=O)C(=O)CCC(=O)N[C@H](C(N)=O)C1=CC=CC=C1.CCCC(CC(=O)[C@@H]1C[C@@H](OC(C)(C)C)CN1C(=O)[C@@H](CC(=O)C1=CC=CC=C1C(C)=O)C1CCCCC1)C(O)C(=O)CCC(=O)N[C@H](C(=O)CP)C1=CC=CC=C1 Chemical compound CCCC(CC(=O)[C@@H]1C[C@@H](OC(C)(C)C)CN1C(=O)[C@@H](CC(=O)C1=CC=CC=C1C(C)=O)C1CCCCC1)C(=O)C(=O)CCC(=O)N[C@H](C(=O)CP)C1=CC=CC=C1.CCCC(CC(=O)[C@@H]1C[C@@H](OC(C)(C)C)CN1C(=O)[C@@H](CC(=O)C1=CC=CC=C1C(C)=O)C1CCCCC1)C(=O)C(=O)CCC(=O)N[C@H](C(N)=O)C1=CC=CC=C1.CCCC(CC(=O)[C@@H]1C[C@@H](OC(C)(C)C)CN1C(=O)[C@@H](CC(=O)C1=CC=CC=C1C(C)=O)C1CCCCC1)C(O)C(=O)CCC(=O)N[C@H](C(=O)CP)C1=CC=CC=C1 GGBFHBGEEQQHPC-BEYBWGOISA-N 0.000 description 1
- GKXGACJVHUGZIB-XGVGGEQCSA-N CCCC(CC(=O)[C@@H]1C[C@@H](OC(C)(C)C)CN1C(=O)[C@@H](CC(=O)C1CCCC1)C1CCCCC1)C(=O)C(=O)CCC(=O)N[C@H](C(N)=O)C1=CC=CC=C1 Chemical compound CCCC(CC(=O)[C@@H]1C[C@@H](OC(C)(C)C)CN1C(=O)[C@@H](CC(=O)C1CCCC1)C1CCCCC1)C(=O)C(=O)CCC(=O)N[C@H](C(N)=O)C1=CC=CC=C1 GKXGACJVHUGZIB-XGVGGEQCSA-N 0.000 description 1
- WBUHBXNDWHVRNY-CJXJMFHQSA-N CCCC(CC(=O)[C@@H]1C[C@@H](OC(C)(C)C)CN1C(=O)[C@@H](CC(=O)CC1=CC(CC(=O)O)=CC=C1)C1CCCCC1)C(=O)C(=O)CCC(=O)N[C@H](C(N)=O)C1=CC=CC=C1 Chemical compound CCCC(CC(=O)[C@@H]1C[C@@H](OC(C)(C)C)CN1C(=O)[C@@H](CC(=O)CC1=CC(CC(=O)O)=CC=C1)C1CCCCC1)C(=O)C(=O)CCC(=O)N[C@H](C(N)=O)C1=CC=CC=C1 WBUHBXNDWHVRNY-CJXJMFHQSA-N 0.000 description 1
- KSQRNRIBNPQOOX-CJXJMFHQSA-N CCCC(CC(=O)[C@@H]1C[C@@H](OC(C)(C)C)CN1C(=O)[C@@H](CC(=O)CC1=CC=C(CC(=O)O)C=C1)C1CCCCC1)C(=O)C(=O)CCC(=O)N[C@H](C(N)=O)C1=CC=CC=C1 Chemical compound CCCC(CC(=O)[C@@H]1C[C@@H](OC(C)(C)C)CN1C(=O)[C@@H](CC(=O)CC1=CC=C(CC(=O)O)C=C1)C1CCCCC1)C(=O)C(=O)CCC(=O)N[C@H](C(N)=O)C1=CC=CC=C1 KSQRNRIBNPQOOX-CJXJMFHQSA-N 0.000 description 1
- YUWQKKJOZXTNFR-GAZWHMERSA-N CCCC(CC(=O)[C@@H]1C[C@@H](OC(C)(C)C)CN1C(=O)[C@@H](CC(=O)CC1=CC=CC=C1)C1CCCCC1)C(=O)C(=O)CCC(=O)N[C@H](C(N)=O)C1=CC=CC=C1 Chemical compound CCCC(CC(=O)[C@@H]1C[C@@H](OC(C)(C)C)CN1C(=O)[C@@H](CC(=O)CC1=CC=CC=C1)C1CCCCC1)C(=O)C(=O)CCC(=O)N[C@H](C(N)=O)C1=CC=CC=C1 YUWQKKJOZXTNFR-GAZWHMERSA-N 0.000 description 1
- ZMRFSYVRLHQYMI-HXUCSRSUSA-N CCCC(CC(=O)[C@@H]1C[C@@H](OC(C)(C)C)CN1C(=O)[C@@H](CC(=O)CC1CCCC1)C1CCCCC1)C(=O)C(=O)CCC(=O)N[C@H](C(N)=O)C1=CC=CC=C1 Chemical compound CCCC(CC(=O)[C@@H]1C[C@@H](OC(C)(C)C)CN1C(=O)[C@@H](CC(=O)CC1CCCC1)C1CCCCC1)C(=O)C(=O)CCC(=O)N[C@H](C(N)=O)C1=CC=CC=C1 ZMRFSYVRLHQYMI-HXUCSRSUSA-N 0.000 description 1
- TVWLOGIWWTURDY-KQZCMOSJSA-N CCCC(CC(=O)[C@@H]1C[C@@H](OC(C)(C)C)CN1C(=O)[C@@H](NC(=O)C1=C(F)C(C(=O)O)=C(F)C(F)=C1F)C1CCCCC1)C(=O)C(=O)CCC(=O)NC(C(N)=O)C1=CC(Cl)=CC=C1 Chemical compound CCCC(CC(=O)[C@@H]1C[C@@H](OC(C)(C)C)CN1C(=O)[C@@H](NC(=O)C1=C(F)C(C(=O)O)=C(F)C(F)=C1F)C1CCCCC1)C(=O)C(=O)CCC(=O)NC(C(N)=O)C1=CC(Cl)=CC=C1 TVWLOGIWWTURDY-KQZCMOSJSA-N 0.000 description 1
- MZFSXJMWPCGEEV-KQZCMOSJSA-N CCCC(CC(=O)[C@@H]1C[C@@H](OC(C)(C)C)CN1C(=O)[C@@H](NC(=O)C1=C(F)C(F)=C(C(=O)O)C(F)=C1F)C1CCCCC1)C(=O)C(=O)CCC(=O)NC(C(N)=O)C1=CC(Cl)=CC=C1 Chemical compound CCCC(CC(=O)[C@@H]1C[C@@H](OC(C)(C)C)CN1C(=O)[C@@H](NC(=O)C1=C(F)C(F)=C(C(=O)O)C(F)=C1F)C1CCCCC1)C(=O)C(=O)CCC(=O)NC(C(N)=O)C1=CC(Cl)=CC=C1 MZFSXJMWPCGEEV-KQZCMOSJSA-N 0.000 description 1
- FETXAOWMMDVZAN-BFFDQNPZSA-N CCCC(CC(=O)[C@@H]1C[C@@H](OC(C)(C)C)CN1C(=O)[C@@H](NC(=O)C1=C(F)C(F)=C(F)C(F)=C1C(=O)O)C(C)(C)C)C(=O)C(=O)CCC(=O)N[C@H](C(N)=O)C1=CC=CC=C1 Chemical compound CCCC(CC(=O)[C@@H]1C[C@@H](OC(C)(C)C)CN1C(=O)[C@@H](NC(=O)C1=C(F)C(F)=C(F)C(F)=C1C(=O)O)C(C)(C)C)C(=O)C(=O)CCC(=O)N[C@H](C(N)=O)C1=CC=CC=C1 FETXAOWMMDVZAN-BFFDQNPZSA-N 0.000 description 1
- ZCZCADPBXFFPJQ-LPCXSIBWSA-N CCCC(CC(=O)[C@@H]1C[C@@H](OC(C)(C)C)CN1C(=O)[C@@H](NC(=O)C1=C(F)C(F)=C(F)C(F)=C1C(=O)O)C1CCCCC1)C(=O)C(=O)CCC(=O)NC(C(=O)O)C1=C(OC)C(OC)=CC=C1 Chemical compound CCCC(CC(=O)[C@@H]1C[C@@H](OC(C)(C)C)CN1C(=O)[C@@H](NC(=O)C1=C(F)C(F)=C(F)C(F)=C1C(=O)O)C1CCCCC1)C(=O)C(=O)CCC(=O)NC(C(=O)O)C1=C(OC)C(OC)=CC=C1 ZCZCADPBXFFPJQ-LPCXSIBWSA-N 0.000 description 1
- IIKNVWVLCQNAJA-QNXYTRJESA-N CCCC(CC(=O)[C@@H]1C[C@@H](OC(C)(C)C)CN1C(=O)[C@@H](NC(=O)C1=C(F)C(F)=C(F)C(F)=C1C(=O)O)C1CCCCC1)C(=O)C(=O)CCC(=O)NC(C(N)=O)C1=C2OCOC2=CC=C1 Chemical compound CCCC(CC(=O)[C@@H]1C[C@@H](OC(C)(C)C)CN1C(=O)[C@@H](NC(=O)C1=C(F)C(F)=C(F)C(F)=C1C(=O)O)C1CCCCC1)C(=O)C(=O)CCC(=O)NC(C(N)=O)C1=C2OCOC2=CC=C1 IIKNVWVLCQNAJA-QNXYTRJESA-N 0.000 description 1
- BQRKTKUDBODAKZ-ZGIRTDPESA-N CCCC(CC(=O)[C@@H]1C[C@@H](OC(C)(C)C)CN1C(=O)[C@@H](NC(=O)C1=C(F)C(F)=C(F)C(F)=C1C(=O)O)C1CCCCC1)C(=O)C(=O)CCC(=O)NC(C(N)=O)C1=CC(C)=CC(C)=C1 Chemical compound CCCC(CC(=O)[C@@H]1C[C@@H](OC(C)(C)C)CN1C(=O)[C@@H](NC(=O)C1=C(F)C(F)=C(F)C(F)=C1C(=O)O)C1CCCCC1)C(=O)C(=O)CCC(=O)NC(C(N)=O)C1=CC(C)=CC(C)=C1 BQRKTKUDBODAKZ-ZGIRTDPESA-N 0.000 description 1
- SWEZPOZBWOGMQO-RUUFAGDLSA-N CCCC(CC(=O)[C@@H]1C[C@@H](OC(C)(C)C)CN1C(=O)[C@@H](NC(=O)C1=C(F)C(F)=C(F)C(F)=C1C(=O)O)C1CCCCC1)C(=O)C(=O)CCC(=O)NC(C(N)=O)C1=CC(C)=CC=C1 Chemical compound CCCC(CC(=O)[C@@H]1C[C@@H](OC(C)(C)C)CN1C(=O)[C@@H](NC(=O)C1=C(F)C(F)=C(F)C(F)=C1C(=O)O)C1CCCCC1)C(=O)C(=O)CCC(=O)NC(C(N)=O)C1=CC(C)=CC=C1 SWEZPOZBWOGMQO-RUUFAGDLSA-N 0.000 description 1
- CWCVDPPAVNLJAH-KQZCMOSJSA-N CCCC(CC(=O)[C@@H]1C[C@@H](OC(C)(C)C)CN1C(=O)[C@@H](NC(=O)C1=C(F)C(F)=C(F)C(F)=C1C(=O)O)C1CCCCC1)C(=O)C(=O)CCC(=O)NC(C(N)=O)C1=CC(Cl)=CC=C1 Chemical compound CCCC(CC(=O)[C@@H]1C[C@@H](OC(C)(C)C)CN1C(=O)[C@@H](NC(=O)C1=C(F)C(F)=C(F)C(F)=C1C(=O)O)C1CCCCC1)C(=O)C(=O)CCC(=O)NC(C(N)=O)C1=CC(Cl)=CC=C1 CWCVDPPAVNLJAH-KQZCMOSJSA-N 0.000 description 1
- FEINJEZTEWWXGI-KQZCMOSJSA-N CCCC(CC(=O)[C@@H]1C[C@@H](OC(C)(C)C)CN1C(=O)[C@@H](NC(=O)C1=C(F)C(F)=C(F)C(F)=C1C(=O)O)C1CCCCC1)C(=O)C(=O)CCC(=O)NC(C(N)=O)C1=CC(F)=CC=C1 Chemical compound CCCC(CC(=O)[C@@H]1C[C@@H](OC(C)(C)C)CN1C(=O)[C@@H](NC(=O)C1=C(F)C(F)=C(F)C(F)=C1C(=O)O)C1CCCCC1)C(=O)C(=O)CCC(=O)NC(C(N)=O)C1=CC(F)=CC=C1 FEINJEZTEWWXGI-KQZCMOSJSA-N 0.000 description 1
- PRFXDOQGUNXSPP-ARHQJWHVSA-N CCCC(CC(=O)[C@@H]1C[C@@H](OC(C)(C)C)CN1C(=O)[C@@H](NC(=O)C1=C(F)C(F)=C(F)C(F)=C1C(=O)O)C1CCCCC1)C(=O)C(=O)CCC(=O)NC(C(N)=O)C1=CC(OC)=CC(OC)=C1 Chemical compound CCCC(CC(=O)[C@@H]1C[C@@H](OC(C)(C)C)CN1C(=O)[C@@H](NC(=O)C1=C(F)C(F)=C(F)C(F)=C1C(=O)O)C1CCCCC1)C(=O)C(=O)CCC(=O)NC(C(N)=O)C1=CC(OC)=CC(OC)=C1 PRFXDOQGUNXSPP-ARHQJWHVSA-N 0.000 description 1
- PTQWOVMTVXAIPF-ZUHDKYFDSA-N CCCC(CC(=O)[C@@H]1C[C@@H](OC(C)(C)C)CN1C(=O)[C@@H](NC(=O)C1=C(F)C(F)=C(F)C(F)=C1C(=O)O)C1CCCCC1)C(=O)C(=O)CCC(=O)NC(C(N)=O)C1=CC(OC)=CC=C1 Chemical compound CCCC(CC(=O)[C@@H]1C[C@@H](OC(C)(C)C)CN1C(=O)[C@@H](NC(=O)C1=C(F)C(F)=C(F)C(F)=C1C(=O)O)C1CCCCC1)C(=O)C(=O)CCC(=O)NC(C(N)=O)C1=CC(OC)=CC=C1 PTQWOVMTVXAIPF-ZUHDKYFDSA-N 0.000 description 1
- XDFCZZRVJRVPRT-UAWNPEEMSA-N CCCC(CC(=O)[C@@H]1C[C@@H](OC(C)(C)C)CN1C(=O)[C@@H](NC(=O)C1=C(F)C(F)=C(F)C(F)=C1C(=O)O)C1CCCCC1)C(=O)C(=O)CCC(=O)NC(CC(N)=O)C1=CC=CC=C1 Chemical compound CCCC(CC(=O)[C@@H]1C[C@@H](OC(C)(C)C)CN1C(=O)[C@@H](NC(=O)C1=C(F)C(F)=C(F)C(F)=C1C(=O)O)C1CCCCC1)C(=O)C(=O)CCC(=O)NC(CC(N)=O)C1=CC=CC=C1 XDFCZZRVJRVPRT-UAWNPEEMSA-N 0.000 description 1
- PUBYIQFCDHUYNK-UBQBWXTPSA-N CCCC(CC(=O)[C@@H]1C[C@@H](OC(C)(C)C)CN1C(=O)[C@@H](NC(=O)C1=C(F)C(F)=C(F)C(F)=C1C(=O)O)C1CCCCC1)C(=O)C(=O)CCC(=O)N[C@H](CC(=O)OC(C)(C)C)C(N)=O Chemical compound CCCC(CC(=O)[C@@H]1C[C@@H](OC(C)(C)C)CN1C(=O)[C@@H](NC(=O)C1=C(F)C(F)=C(F)C(F)=C1C(=O)O)C1CCCCC1)C(=O)C(=O)CCC(=O)N[C@H](CC(=O)OC(C)(C)C)C(N)=O PUBYIQFCDHUYNK-UBQBWXTPSA-N 0.000 description 1
- JEZXLGQCNGARKG-KQZCMOSJSA-N CCCC(CC(=O)[C@@H]1C[C@@H](OC(C)(C)C)CN1C(=O)[C@@H](NC(=O)C1=C(F)C(F)=C(F)C(F)=C1F)C1CCCCC1)C(=O)C(=O)CCC(=O)NC(C(N)=O)C1=CC(Cl)=CC=C1 Chemical compound CCCC(CC(=O)[C@@H]1C[C@@H](OC(C)(C)C)CN1C(=O)[C@@H](NC(=O)C1=C(F)C(F)=C(F)C(F)=C1F)C1CCCCC1)C(=O)C(=O)CCC(=O)NC(C(N)=O)C1=CC(Cl)=CC=C1 JEZXLGQCNGARKG-KQZCMOSJSA-N 0.000 description 1
- PZCYCUJANANBQD-FEYNUYMTSA-N CCCC(CC(=O)[C@@H]1C[C@@H](OC(C)(C)C)CN1C(=O)[C@@H](NC(=O)C1=C(F)C=CC=C1F)C1CCCCC1)C(=O)C(=O)CCC(=O)NC(C(N)=O)C1=C(OC)C(OC)=CC=C1 Chemical compound CCCC(CC(=O)[C@@H]1C[C@@H](OC(C)(C)C)CN1C(=O)[C@@H](NC(=O)C1=C(F)C=CC=C1F)C1CCCCC1)C(=O)C(=O)CCC(=O)NC(C(N)=O)C1=C(OC)C(OC)=CC=C1 PZCYCUJANANBQD-FEYNUYMTSA-N 0.000 description 1
- VIANJGLGYADPTO-IXXSMWHDSA-N CCCC(CC(=O)[C@@H]1C[C@@H](OC(C)(C)C)CN1C(=O)[C@@H](NC(=O)C1=C(F)C=CC=C1F)C1CCCCC1)C(=O)C(=O)CCC(=O)NC(C(N)=O)C1=C2OCOC2=CC=C1 Chemical compound CCCC(CC(=O)[C@@H]1C[C@@H](OC(C)(C)C)CN1C(=O)[C@@H](NC(=O)C1=C(F)C=CC=C1F)C1CCCCC1)C(=O)C(=O)CCC(=O)NC(C(N)=O)C1=C2OCOC2=CC=C1 VIANJGLGYADPTO-IXXSMWHDSA-N 0.000 description 1
- KVXPVMMEKNTTJG-XQFMISMSSA-N CCCC(CC(=O)[C@@H]1C[C@@H](OC(C)(C)C)CN1C(=O)[C@@H](NC(=O)C1=C(F)C=CC=C1F)C1CCCCC1)C(=O)C(=O)CCC(=O)NC(C(N)=O)C1=CC(C)=CC(C)=C1 Chemical compound CCCC(CC(=O)[C@@H]1C[C@@H](OC(C)(C)C)CN1C(=O)[C@@H](NC(=O)C1=C(F)C=CC=C1F)C1CCCCC1)C(=O)C(=O)CCC(=O)NC(C(N)=O)C1=CC(C)=CC(C)=C1 KVXPVMMEKNTTJG-XQFMISMSSA-N 0.000 description 1
- ARFMMNSODOHQAX-ZRKHKTECSA-N CCCC(CC(=O)[C@@H]1C[C@@H](OC(C)(C)C)CN1C(=O)[C@@H](NC(=O)C1=C(F)C=CC=C1F)C1CCCCC1)C(=O)C(=O)CCC(=O)NC(C(N)=O)C1=CC(C)=CC=C1 Chemical compound CCCC(CC(=O)[C@@H]1C[C@@H](OC(C)(C)C)CN1C(=O)[C@@H](NC(=O)C1=C(F)C=CC=C1F)C1CCCCC1)C(=O)C(=O)CCC(=O)NC(C(N)=O)C1=CC(C)=CC=C1 ARFMMNSODOHQAX-ZRKHKTECSA-N 0.000 description 1
- YDDTZIZCYMATGL-QSFRLOQSSA-N CCCC(CC(=O)[C@@H]1C[C@@H](OC(C)(C)C)CN1C(=O)[C@@H](NC(=O)C1=C(F)C=CC=C1F)C1CCCCC1)C(=O)C(=O)CCC(=O)NC(C(N)=O)C1=CC(Cl)=CC=C1 Chemical compound CCCC(CC(=O)[C@@H]1C[C@@H](OC(C)(C)C)CN1C(=O)[C@@H](NC(=O)C1=C(F)C=CC=C1F)C1CCCCC1)C(=O)C(=O)CCC(=O)NC(C(N)=O)C1=CC(Cl)=CC=C1 YDDTZIZCYMATGL-QSFRLOQSSA-N 0.000 description 1
- ZVHHCTPAHZFSKA-QSFRLOQSSA-N CCCC(CC(=O)[C@@H]1C[C@@H](OC(C)(C)C)CN1C(=O)[C@@H](NC(=O)C1=C(F)C=CC=C1F)C1CCCCC1)C(=O)C(=O)CCC(=O)NC(C(N)=O)C1=CC(F)=CC=C1 Chemical compound CCCC(CC(=O)[C@@H]1C[C@@H](OC(C)(C)C)CN1C(=O)[C@@H](NC(=O)C1=C(F)C=CC=C1F)C1CCCCC1)C(=O)C(=O)CCC(=O)NC(C(N)=O)C1=CC(F)=CC=C1 ZVHHCTPAHZFSKA-QSFRLOQSSA-N 0.000 description 1
- FSEQVUXTFPVQKP-IHVIYZKLSA-N CCCC(CC(=O)[C@@H]1C[C@@H](OC(C)(C)C)CN1C(=O)[C@@H](NC(=O)C1=C(F)C=CC=C1F)C1CCCCC1)C(=O)C(=O)CCC(=O)NC(C(N)=O)C1=CC(OC)=CC(OC)=C1 Chemical compound CCCC(CC(=O)[C@@H]1C[C@@H](OC(C)(C)C)CN1C(=O)[C@@H](NC(=O)C1=C(F)C=CC=C1F)C1CCCCC1)C(=O)C(=O)CCC(=O)NC(C(N)=O)C1=CC(OC)=CC(OC)=C1 FSEQVUXTFPVQKP-IHVIYZKLSA-N 0.000 description 1
- JLZUVICASFDBKU-CBJBYIOGSA-N CCCC(CC(=O)[C@@H]1C[C@@H](OC(C)(C)C)CN1C(=O)[C@@H](NC(=O)C1=C(F)C=CC=C1F)C1CCCCC1)C(=O)C(=O)CCC(=O)NC(C(N)=O)C1=CC(OC)=CC=C1 Chemical compound CCCC(CC(=O)[C@@H]1C[C@@H](OC(C)(C)C)CN1C(=O)[C@@H](NC(=O)C1=C(F)C=CC=C1F)C1CCCCC1)C(=O)C(=O)CCC(=O)NC(C(N)=O)C1=CC(OC)=CC=C1 JLZUVICASFDBKU-CBJBYIOGSA-N 0.000 description 1
- SAWFPZTXVRCXNE-ICPQXHJXSA-N CCCC(CC(=O)[C@@H]1C[C@@H](OC(C)(C)C)CN1C(=O)[C@@H](NC(=O)C1=C(F)C=CC=C1F)C1CCCCC1)C(=O)C(=O)CCC(=O)NC(CC(N)=O)C1=CC=CC=C1 Chemical compound CCCC(CC(=O)[C@@H]1C[C@@H](OC(C)(C)C)CN1C(=O)[C@@H](NC(=O)C1=C(F)C=CC=C1F)C1CCCCC1)C(=O)C(=O)CCC(=O)NC(CC(N)=O)C1=CC=CC=C1 SAWFPZTXVRCXNE-ICPQXHJXSA-N 0.000 description 1
- SBQXSOHHVFVLFN-CMWDBILASA-N CCCC(CC(=O)[C@@H]1C[C@@H](OC(C)(C)C)CN1C(=O)[C@@H](NC(=O)C1=C(F)C=CC=C1F)C1CCCCC1)C(=O)C(=O)CCC(=O)N[C@H](CC(=O)OC(C)(C)C)C(N)=O Chemical compound CCCC(CC(=O)[C@@H]1C[C@@H](OC(C)(C)C)CN1C(=O)[C@@H](NC(=O)C1=C(F)C=CC=C1F)C1CCCCC1)C(=O)C(=O)CCC(=O)N[C@H](CC(=O)OC(C)(C)C)C(N)=O SBQXSOHHVFVLFN-CMWDBILASA-N 0.000 description 1
- VOWGICYBBGTQOV-ZFVOACSXSA-N CCCC(CC(=O)[C@@H]1C[C@@H](OC(C)(C)C)CN1C(=O)[C@@H](NC(=O)C1=CC(C(=O)O)=CC=C1)C1CCCCC1)C(=O)C(=O)CCC(=O)NC(C(N)=O)C1=CC(Cl)=CC=C1 Chemical compound CCCC(CC(=O)[C@@H]1C[C@@H](OC(C)(C)C)CN1C(=O)[C@@H](NC(=O)C1=CC(C(=O)O)=CC=C1)C1CCCCC1)C(=O)C(=O)CCC(=O)NC(C(N)=O)C1=CC(Cl)=CC=C1 VOWGICYBBGTQOV-ZFVOACSXSA-N 0.000 description 1
- OVNRZIAMFNPITG-DDHPEMGKSA-N CCCC(CC(=O)[C@@H]1C[C@@H](OC(C)(C)C)CN1C(=O)[C@@H](NC(=O)C1=CC=C(C(=O)O)C=C1)C1CCCCC1)C(=O)C(=O)CCC(=O)NC(C(N)=O)C1=CC(Cl)=CC=C1 Chemical compound CCCC(CC(=O)[C@@H]1C[C@@H](OC(C)(C)C)CN1C(=O)[C@@H](NC(=O)C1=CC=C(C(=O)O)C=C1)C1CCCCC1)C(=O)C(=O)CCC(=O)NC(C(N)=O)C1=CC(Cl)=CC=C1 OVNRZIAMFNPITG-DDHPEMGKSA-N 0.000 description 1
- FQDSTOUPQKBJFG-AQOWMASTSA-N CCCC(CC(=O)[C@@H]1C[C@@H](OC(C)(C)C)CN1C(=O)[C@@H](NC(=O)C1=CC=CC=C1C(=O)O)C(C)(C)C)C(=O)C(=O)CCC(=O)N[C@H](C(N)=O)C1=CC=CC=C1 Chemical compound CCCC(CC(=O)[C@@H]1C[C@@H](OC(C)(C)C)CN1C(=O)[C@@H](NC(=O)C1=CC=CC=C1C(=O)O)C(C)(C)C)C(=O)C(=O)CCC(=O)N[C@H](C(N)=O)C1=CC=CC=C1 FQDSTOUPQKBJFG-AQOWMASTSA-N 0.000 description 1
- SMSKHTISBVTSDL-NRXJBCFESA-N CCCC(CC(=O)[C@@H]1C[C@@H](OC(C)(C)C)CN1C(=O)[C@@H](NC(=O)C1=CC=CC=C1C(=O)O)C1CCCCC1)C(=O)C(=O)CCC(=O)NC(C(N)=O)C1=C(OC)C(OC)=CC=C1 Chemical compound CCCC(CC(=O)[C@@H]1C[C@@H](OC(C)(C)C)CN1C(=O)[C@@H](NC(=O)C1=CC=CC=C1C(=O)O)C1CCCCC1)C(=O)C(=O)CCC(=O)NC(C(N)=O)C1=C(OC)C(OC)=CC=C1 SMSKHTISBVTSDL-NRXJBCFESA-N 0.000 description 1
- LQJKKPXCOMYTQC-RYGZGYMMSA-N CCCC(CC(=O)[C@@H]1C[C@@H](OC(C)(C)C)CN1C(=O)[C@@H](NC(=O)C1=CC=CC=C1C(=O)O)C1CCCCC1)C(=O)C(=O)CCC(=O)NC(C(N)=O)C1=C2OCOC2=CC=C1 Chemical compound CCCC(CC(=O)[C@@H]1C[C@@H](OC(C)(C)C)CN1C(=O)[C@@H](NC(=O)C1=CC=CC=C1C(=O)O)C1CCCCC1)C(=O)C(=O)CCC(=O)NC(C(N)=O)C1=C2OCOC2=CC=C1 LQJKKPXCOMYTQC-RYGZGYMMSA-N 0.000 description 1
- QAUTYCQRICAQAL-UKHMHIFCSA-N CCCC(CC(=O)[C@@H]1C[C@@H](OC(C)(C)C)CN1C(=O)[C@@H](NC(=O)C1=CC=CC=C1C(=O)O)C1CCCCC1)C(=O)C(=O)CCC(=O)NC(C(N)=O)C1=CC(C)=CC(C)=C1 Chemical compound CCCC(CC(=O)[C@@H]1C[C@@H](OC(C)(C)C)CN1C(=O)[C@@H](NC(=O)C1=CC=CC=C1C(=O)O)C1CCCCC1)C(=O)C(=O)CCC(=O)NC(C(N)=O)C1=CC(C)=CC(C)=C1 QAUTYCQRICAQAL-UKHMHIFCSA-N 0.000 description 1
- AQXBPQIWGJSJLW-ALZJVGLKSA-N CCCC(CC(=O)[C@@H]1C[C@@H](OC(C)(C)C)CN1C(=O)[C@@H](NC(=O)C1=CC=CC=C1C(=O)O)C1CCCCC1)C(=O)C(=O)CCC(=O)NC(C(N)=O)C1=CC(C)=CC=C1 Chemical compound CCCC(CC(=O)[C@@H]1C[C@@H](OC(C)(C)C)CN1C(=O)[C@@H](NC(=O)C1=CC=CC=C1C(=O)O)C1CCCCC1)C(=O)C(=O)CCC(=O)NC(C(N)=O)C1=CC(C)=CC=C1 AQXBPQIWGJSJLW-ALZJVGLKSA-N 0.000 description 1
- NGKVXJUACOAWKJ-DMKAHZKJSA-N CCCC(CC(=O)[C@@H]1C[C@@H](OC(C)(C)C)CN1C(=O)[C@@H](NC(=O)C1=CC=CC=C1C(=O)O)C1CCCCC1)C(=O)C(=O)CCC(=O)NC(C(N)=O)C1=CC(Cl)=CC=C1 Chemical compound CCCC(CC(=O)[C@@H]1C[C@@H](OC(C)(C)C)CN1C(=O)[C@@H](NC(=O)C1=CC=CC=C1C(=O)O)C1CCCCC1)C(=O)C(=O)CCC(=O)NC(C(N)=O)C1=CC(Cl)=CC=C1 NGKVXJUACOAWKJ-DMKAHZKJSA-N 0.000 description 1
- WQOBQGUHEASXJR-DMKAHZKJSA-N CCCC(CC(=O)[C@@H]1C[C@@H](OC(C)(C)C)CN1C(=O)[C@@H](NC(=O)C1=CC=CC=C1C(=O)O)C1CCCCC1)C(=O)C(=O)CCC(=O)NC(C(N)=O)C1=CC(F)=CC=C1 Chemical compound CCCC(CC(=O)[C@@H]1C[C@@H](OC(C)(C)C)CN1C(=O)[C@@H](NC(=O)C1=CC=CC=C1C(=O)O)C1CCCCC1)C(=O)C(=O)CCC(=O)NC(C(N)=O)C1=CC(F)=CC=C1 WQOBQGUHEASXJR-DMKAHZKJSA-N 0.000 description 1
- SGOBCTAVXHISJQ-JKJWCNMLSA-N CCCC(CC(=O)[C@@H]1C[C@@H](OC(C)(C)C)CN1C(=O)[C@@H](NC(=O)C1=CC=CC=C1C(=O)O)C1CCCCC1)C(=O)C(=O)CCC(=O)NC(C(N)=O)C1=CC(OC)=CC(OC)=C1 Chemical compound CCCC(CC(=O)[C@@H]1C[C@@H](OC(C)(C)C)CN1C(=O)[C@@H](NC(=O)C1=CC=CC=C1C(=O)O)C1CCCCC1)C(=O)C(=O)CCC(=O)NC(C(N)=O)C1=CC(OC)=CC(OC)=C1 SGOBCTAVXHISJQ-JKJWCNMLSA-N 0.000 description 1
- FCLYORFQFAUAQR-DFQKYRFASA-N CCCC(CC(=O)[C@@H]1C[C@@H](OC(C)(C)C)CN1C(=O)[C@@H](NC(=O)C1=CC=CC=C1C(=O)O)C1CCCCC1)C(=O)C(=O)CCC(=O)NC(C(N)=O)C1=CC(OC)=CC=C1 Chemical compound CCCC(CC(=O)[C@@H]1C[C@@H](OC(C)(C)C)CN1C(=O)[C@@H](NC(=O)C1=CC=CC=C1C(=O)O)C1CCCCC1)C(=O)C(=O)CCC(=O)NC(C(N)=O)C1=CC(OC)=CC=C1 FCLYORFQFAUAQR-DFQKYRFASA-N 0.000 description 1
- MFBHLTSHCQNOKA-AZDVMPOHSA-N CCCC(CC(=O)[C@@H]1C[C@@H](OC(C)(C)C)CN1C(=O)[C@@H](NC(=O)C1=CC=CC=C1C(=O)O)C1CCCCC1)C(=O)C(=O)CCC(=O)NC(CC(N)=O)C1=CC=CC=C1 Chemical compound CCCC(CC(=O)[C@@H]1C[C@@H](OC(C)(C)C)CN1C(=O)[C@@H](NC(=O)C1=CC=CC=C1C(=O)O)C1CCCCC1)C(=O)C(=O)CCC(=O)NC(CC(N)=O)C1=CC=CC=C1 MFBHLTSHCQNOKA-AZDVMPOHSA-N 0.000 description 1
- AXJNTCXVTJSQLP-RNFWQICTSA-N CCCC(CC(=O)[C@@H]1C[C@@H](OC(C)(C)C)CN1C(=O)[C@@H](NC(=O)C1=CC=CC=C1C(=O)O)C1CCCCC1)C(=O)C(=O)CCC(=O)N[C@H](CC(=O)OC(C)(C)C)C(N)=O Chemical compound CCCC(CC(=O)[C@@H]1C[C@@H](OC(C)(C)C)CN1C(=O)[C@@H](NC(=O)C1=CC=CC=C1C(=O)O)C1CCCCC1)C(=O)C(=O)CCC(=O)N[C@H](CC(=O)OC(C)(C)C)C(N)=O AXJNTCXVTJSQLP-RNFWQICTSA-N 0.000 description 1
- HPBJBNAHKIQCKE-ZWKAZUBBSA-N CCCC(CC(=O)[C@@H]1C[C@@H](OC(C)(C)C)CN1C(=O)[C@@H](NC(=O)CC1=C(F)C(F)=C(F)C(F)=C1F)C1CCCCC1)C(=O)C(=O)CCC(=O)NC(C(N)=O)C1=CC(Cl)=CC=C1 Chemical compound CCCC(CC(=O)[C@@H]1C[C@@H](OC(C)(C)C)CN1C(=O)[C@@H](NC(=O)CC1=C(F)C(F)=C(F)C(F)=C1F)C1CCCCC1)C(=O)C(=O)CCC(=O)NC(C(N)=O)C1=CC(Cl)=CC=C1 HPBJBNAHKIQCKE-ZWKAZUBBSA-N 0.000 description 1
- VKINUGCMYDUZBP-BALFCNSZSA-N CCCC(CC(=O)[C@@H]1C[C@@H](OC(C)(C)C)CN1C(=O)[C@@H](NC(=O)CC1=CC=CC=C1)C1CCCCC1)C(=O)C(=O)CCC(=O)NC(C(N)=O)C1=CC(C)=CC(C)=C1 Chemical compound CCCC(CC(=O)[C@@H]1C[C@@H](OC(C)(C)C)CN1C(=O)[C@@H](NC(=O)CC1=CC=CC=C1)C1CCCCC1)C(=O)C(=O)CCC(=O)NC(C(N)=O)C1=CC(C)=CC(C)=C1 VKINUGCMYDUZBP-BALFCNSZSA-N 0.000 description 1
- JVGSCIBMYTVVQL-VHSALFTHSA-N CCCC(CC(=O)[C@@H]1C[C@@H](OC(C)(C)C)CN1C(=O)[C@@H](NC(=O)CC1=CC=CC=C1)C1CCCCC1)C(=O)C(=O)CCC(=O)N[C@H](CC(=O)OC(C)(C)C)C(N)=O Chemical compound CCCC(CC(=O)[C@@H]1C[C@@H](OC(C)(C)C)CN1C(=O)[C@@H](NC(=O)CC1=CC=CC=C1)C1CCCCC1)C(=O)C(=O)CCC(=O)N[C@H](CC(=O)OC(C)(C)C)C(N)=O JVGSCIBMYTVVQL-VHSALFTHSA-N 0.000 description 1
- MZAWUGKYYIUHEA-VJAORWBYSA-N CCCC(CC(=O)[C@@H]1C[C@@H](OC(C)(C)C)CN1C(=O)[C@@H](NC(=O)OC(C)(C)C)C(C)(C)C)C(=O)C(=O)CCC(=O)N[C@H](C(N)=O)C1=CC=CC=C1 Chemical compound CCCC(CC(=O)[C@@H]1C[C@@H](OC(C)(C)C)CN1C(=O)[C@@H](NC(=O)OC(C)(C)C)C(C)(C)C)C(=O)C(=O)CCC(=O)N[C@H](C(N)=O)C1=CC=CC=C1 MZAWUGKYYIUHEA-VJAORWBYSA-N 0.000 description 1
- BQEYBOYAPAPVJB-ATQNSZHDSA-N CCCC(CC(=O)[C@@H]1C[C@@H](OC(C)(C)C)CN1C(=O)[C@@H](NC(=O)OC(C)(C)C)C(C)C)C(=O)C(=O)CCC(=O)N[C@H](C(N)=O)C1=CC=CC=C1 Chemical compound CCCC(CC(=O)[C@@H]1C[C@@H](OC(C)(C)C)CN1C(=O)[C@@H](NC(=O)OC(C)(C)C)C(C)C)C(=O)C(=O)CCC(=O)N[C@H](C(N)=O)C1=CC=CC=C1 BQEYBOYAPAPVJB-ATQNSZHDSA-N 0.000 description 1
- UWLBCTFDYKYTHJ-ZRLXPUIWSA-N CCCC(CC(=O)[C@@H]1C[C@@H](OC(C)(C)C)CN1C(=O)[C@@H](NC(=O)OC(C)(C)C)C1=CC=CC=C1)C(=O)C(=O)CCC(=O)N[C@H](C(N)=O)C1=CC=CC=C1 Chemical compound CCCC(CC(=O)[C@@H]1C[C@@H](OC(C)(C)C)CN1C(=O)[C@@H](NC(=O)OC(C)(C)C)C1=CC=CC=C1)C(=O)C(=O)CCC(=O)N[C@H](C(N)=O)C1=CC=CC=C1 UWLBCTFDYKYTHJ-ZRLXPUIWSA-N 0.000 description 1
- BERVXESFUIAYTO-VRQMOGSISA-N CCCC(CC(=O)[C@@H]1C[C@@H](OC(C)(C)C)CN1C(=O)[C@@H](NC(=O)OC(C)(C)C)C1CCCCC1)C(=O)C(=O)CCC(=O)N[C@@H](CC(=O)CC(C)(C)C)C(N)=O Chemical compound CCCC(CC(=O)[C@@H]1C[C@@H](OC(C)(C)C)CN1C(=O)[C@@H](NC(=O)OC(C)(C)C)C1CCCCC1)C(=O)C(=O)CCC(=O)N[C@@H](CC(=O)CC(C)(C)C)C(N)=O BERVXESFUIAYTO-VRQMOGSISA-N 0.000 description 1
- WHBJMSFCDCUSIU-WNCRCPOUSA-N CCCC(CC(=O)[C@@H]1C[C@@H](OC(C)(C)C)CN1C(=O)[C@@H](NC(=O)OC(C)(C)C)C1CCCCC1)C(=O)C(=O)CCC(=O)N[C@@H](CCC(=O)OC(C)(C)C)C(N)=O Chemical compound CCCC(CC(=O)[C@@H]1C[C@@H](OC(C)(C)C)CN1C(=O)[C@@H](NC(=O)OC(C)(C)C)C1CCCCC1)C(=O)C(=O)CCC(=O)N[C@@H](CCC(=O)OC(C)(C)C)C(N)=O WHBJMSFCDCUSIU-WNCRCPOUSA-N 0.000 description 1
- CXHQHZRJDWUPIA-CUCNQZLGSA-N CCCC(CC(=O)[C@@H]1C[C@@H](OC(C)(C)C)CN1C(=O)[C@@H](NC(=O)OC(C)(C)C)C1CCCCC1)C(=O)C(=O)CCC(=O)N[C@@H](CCCC(=O)OC(C)(C)C)C(N)=O Chemical compound CCCC(CC(=O)[C@@H]1C[C@@H](OC(C)(C)C)CN1C(=O)[C@@H](NC(=O)OC(C)(C)C)C1CCCCC1)C(=O)C(=O)CCC(=O)N[C@@H](CCCC(=O)OC(C)(C)C)C(N)=O CXHQHZRJDWUPIA-CUCNQZLGSA-N 0.000 description 1
- STSPPRPSKREBIR-JLXCVYPZSA-N CCCC(CC(=O)[C@@H]1C[C@@H](OC(C)(C)C)CN1C(=O)[C@@H](NC(=O)OC(C)(C)C)C1CCCCC1)C(=O)C(=O)CCC(=O)N[C@@H](COC(C)(C)C)C(N)=O Chemical compound CCCC(CC(=O)[C@@H]1C[C@@H](OC(C)(C)C)CN1C(=O)[C@@H](NC(=O)OC(C)(C)C)C1CCCCC1)C(=O)C(=O)CCC(=O)N[C@@H](COC(C)(C)C)C(N)=O STSPPRPSKREBIR-JLXCVYPZSA-N 0.000 description 1
- HLIYZFSZTOVGPB-ZRLXPUIWSA-N CCCC(CC(=O)[C@@H]1C[C@@H](OC(C)(C)C)CN1C(=O)[C@@H](NC(=O)OC(C)(C)C)C1CCCCC1)C(=O)C(=O)CCC(=O)N[C@H](C(N)=O)C1=CC=CC=C1 Chemical compound CCCC(CC(=O)[C@@H]1C[C@@H](OC(C)(C)C)CN1C(=O)[C@@H](NC(=O)OC(C)(C)C)C1CCCCC1)C(=O)C(=O)CCC(=O)N[C@H](C(N)=O)C1=CC=CC=C1 HLIYZFSZTOVGPB-ZRLXPUIWSA-N 0.000 description 1
- CUGRFKZKERJNIQ-ADDBWLIZSA-N CCCC(CC(=O)[C@@H]1C[C@@H](OC(C)(C)C)CN1C(=O)[C@@H](NC(=O)OCC(C)C)C(C)(C)C)C(=O)C(=O)CCC(=O)N[C@H](C(N)=O)C1=CC=CC=C1 Chemical compound CCCC(CC(=O)[C@@H]1C[C@@H](OC(C)(C)C)CN1C(=O)[C@@H](NC(=O)OCC(C)C)C(C)(C)C)C(=O)C(=O)CCC(=O)N[C@H](C(N)=O)C1=CC=CC=C1 CUGRFKZKERJNIQ-ADDBWLIZSA-N 0.000 description 1
- LBVBNNCOCFINLW-SHGALIAKSA-N CCCC(CC(=O)[C@@H]1C[C@@H](OC(C)(C)C)CN1C(=O)[C@@H](NC(=O)OCC(C)C)C1CCCCC1)C(=O)C(=O)CCC(=O)NC(C(N)=O)C1=C(OC)C(OC)=CC=C1 Chemical compound CCCC(CC(=O)[C@@H]1C[C@@H](OC(C)(C)C)CN1C(=O)[C@@H](NC(=O)OCC(C)C)C1CCCCC1)C(=O)C(=O)CCC(=O)NC(C(N)=O)C1=C(OC)C(OC)=CC=C1 LBVBNNCOCFINLW-SHGALIAKSA-N 0.000 description 1
- MEOUCSCERKIPEW-CULBQWJMSA-N CCCC(CC(=O)[C@@H]1C[C@@H](OC(C)(C)C)CN1C(=O)[C@@H](NC(=O)OCC(C)C)C1CCCCC1)C(=O)C(=O)CCC(=O)NC(C(N)=O)C1=C2OCOC2=CC=C1 Chemical compound CCCC(CC(=O)[C@@H]1C[C@@H](OC(C)(C)C)CN1C(=O)[C@@H](NC(=O)OCC(C)C)C1CCCCC1)C(=O)C(=O)CCC(=O)NC(C(N)=O)C1=C2OCOC2=CC=C1 MEOUCSCERKIPEW-CULBQWJMSA-N 0.000 description 1
- GZSAIZANMNUKQC-DDHPEMGKSA-N CCCC(CC(=O)[C@@H]1C[C@@H](OC(C)(C)C)CN1C(=O)[C@@H](NC(=O)OCC(C)C)C1CCCCC1)C(=O)C(=O)CCC(=O)NC(C(N)=O)C1=CC(C)=CC(C)=C1 Chemical compound CCCC(CC(=O)[C@@H]1C[C@@H](OC(C)(C)C)CN1C(=O)[C@@H](NC(=O)OCC(C)C)C1CCCCC1)C(=O)C(=O)CCC(=O)NC(C(N)=O)C1=CC(C)=CC(C)=C1 GZSAIZANMNUKQC-DDHPEMGKSA-N 0.000 description 1
- SWDDOHLXRDUKPB-MDTJEUGASA-N CCCC(CC(=O)[C@@H]1C[C@@H](OC(C)(C)C)CN1C(=O)[C@@H](NC(=O)OCC(C)C)C1CCCCC1)C(=O)C(=O)CCC(=O)NC(C(N)=O)C1=CC(C)=CC=C1 Chemical compound CCCC(CC(=O)[C@@H]1C[C@@H](OC(C)(C)C)CN1C(=O)[C@@H](NC(=O)OCC(C)C)C1CCCCC1)C(=O)C(=O)CCC(=O)NC(C(N)=O)C1=CC(C)=CC=C1 SWDDOHLXRDUKPB-MDTJEUGASA-N 0.000 description 1
- IDNXYGRSZPUFBT-VZPNCNRASA-N CCCC(CC(=O)[C@@H]1C[C@@H](OC(C)(C)C)CN1C(=O)[C@@H](NC(=O)OCC(C)C)C1CCCCC1)C(=O)C(=O)CCC(=O)NC(C(N)=O)C1=CC(Cl)=CC=C1 Chemical compound CCCC(CC(=O)[C@@H]1C[C@@H](OC(C)(C)C)CN1C(=O)[C@@H](NC(=O)OCC(C)C)C1CCCCC1)C(=O)C(=O)CCC(=O)NC(C(N)=O)C1=CC(Cl)=CC=C1 IDNXYGRSZPUFBT-VZPNCNRASA-N 0.000 description 1
- XCLHSKZBLQQDAG-VZPNCNRASA-N CCCC(CC(=O)[C@@H]1C[C@@H](OC(C)(C)C)CN1C(=O)[C@@H](NC(=O)OCC(C)C)C1CCCCC1)C(=O)C(=O)CCC(=O)NC(C(N)=O)C1=CC(F)=CC=C1 Chemical compound CCCC(CC(=O)[C@@H]1C[C@@H](OC(C)(C)C)CN1C(=O)[C@@H](NC(=O)OCC(C)C)C1CCCCC1)C(=O)C(=O)CCC(=O)NC(C(N)=O)C1=CC(F)=CC=C1 XCLHSKZBLQQDAG-VZPNCNRASA-N 0.000 description 1
- RLASHVXSRBTSPV-FONMVBGYSA-N CCCC(CC(=O)[C@@H]1C[C@@H](OC(C)(C)C)CN1C(=O)[C@@H](NC(=O)OCC(C)C)C1CCCCC1)C(=O)C(=O)CCC(=O)NC(C(N)=O)C1=CC(OC)=CC=C1 Chemical compound CCCC(CC(=O)[C@@H]1C[C@@H](OC(C)(C)C)CN1C(=O)[C@@H](NC(=O)OCC(C)C)C1CCCCC1)C(=O)C(=O)CCC(=O)NC(C(N)=O)C1=CC(OC)=CC=C1 RLASHVXSRBTSPV-FONMVBGYSA-N 0.000 description 1
- CPMGSIBAIXURCI-ARDDXTAZSA-N CCCC(CC(=O)[C@@H]1C[C@@H](OC(C)(C)C)CN1C(=O)[C@@H](NC(=O)OCC(C)C)C1CCCCC1)C(=O)C(=O)CCC(=O)NC(CC(N)=O)C1=CC=CC=C1 Chemical compound CCCC(CC(=O)[C@@H]1C[C@@H](OC(C)(C)C)CN1C(=O)[C@@H](NC(=O)OCC(C)C)C1CCCCC1)C(=O)C(=O)CCC(=O)NC(CC(N)=O)C1=CC=CC=C1 CPMGSIBAIXURCI-ARDDXTAZSA-N 0.000 description 1
- LYIAOLFNPQHFGV-CUCNQZLGSA-N CCCC(CC(=O)[C@@H]1C[C@@H](OC(C)(C)C)CN1C(=O)[C@@H](NC(=O)OCC(C)C)C1CCCCC1)C(=O)C(=O)CCC(=O)N[C@@H](CCC(=O)OC(C)(C)C)C(N)=O Chemical compound CCCC(CC(=O)[C@@H]1C[C@@H](OC(C)(C)C)CN1C(=O)[C@@H](NC(=O)OCC(C)C)C1CCCCC1)C(=O)C(=O)CCC(=O)N[C@@H](CCC(=O)OC(C)(C)C)C(N)=O LYIAOLFNPQHFGV-CUCNQZLGSA-N 0.000 description 1
- QVLLTDGPHWIEAK-COBRREPTSA-N CCCC(CC(=O)[C@@H]1C[C@@H](OC(C)(C)C)CN1C(=O)[C@@H](NC(=O)OCC(C)C)C1CCCCC1)C(=O)C(=O)CCC(=O)N[C@@H](CCCC(=O)OC(C)(C)C)C(N)=O Chemical compound CCCC(CC(=O)[C@@H]1C[C@@H](OC(C)(C)C)CN1C(=O)[C@@H](NC(=O)OCC(C)C)C1CCCCC1)C(=O)C(=O)CCC(=O)N[C@@H](CCCC(=O)OC(C)(C)C)C(N)=O QVLLTDGPHWIEAK-COBRREPTSA-N 0.000 description 1
- BKQJCLMUKXOROL-MGOCRABKSA-N CCCC(CC(=O)[C@@H]1C[C@@H](OC(C)(C)C)CN1C(=O)[C@@H](NC(=O)OCC(C)C)C1CCCCC1)C(=O)C(=O)CCC(=O)N[C@H](CC(=O)OC(C)(C)C)C(N)=O Chemical compound CCCC(CC(=O)[C@@H]1C[C@@H](OC(C)(C)C)CN1C(=O)[C@@H](NC(=O)OCC(C)C)C1CCCCC1)C(=O)C(=O)CCC(=O)N[C@H](CC(=O)OC(C)(C)C)C(N)=O BKQJCLMUKXOROL-MGOCRABKSA-N 0.000 description 1
- LUFGCHPFAXDWQZ-OJIRQKRMSA-N CCCC(CC(=O)[C@@H]1C[C@@H](OC(C)(C)C)CN1C(=O)[C@@H](NC(=O)[C@@H](CS(C)(=O)=O)C(C)C)C1CCCCC1)C(=O)C(=O)CCC(=O)NC(C(N)=O)C1=C(OC)C(OC)=CC=C1 Chemical compound CCCC(CC(=O)[C@@H]1C[C@@H](OC(C)(C)C)CN1C(=O)[C@@H](NC(=O)[C@@H](CS(C)(=O)=O)C(C)C)C1CCCCC1)C(=O)C(=O)CCC(=O)NC(C(N)=O)C1=C(OC)C(OC)=CC=C1 LUFGCHPFAXDWQZ-OJIRQKRMSA-N 0.000 description 1
- UDPFUESJZIMJIO-LSZJWFBUSA-N CCCC(CC(=O)[C@@H]1C[C@@H](OC(C)(C)C)CN1C(=O)[C@@H](NC(=O)[C@@H](CS(C)(=O)=O)C(C)C)C1CCCCC1)C(=O)C(=O)CCC(=O)NC(C(N)=O)C1=C2OCOC2=CC=C1 Chemical compound CCCC(CC(=O)[C@@H]1C[C@@H](OC(C)(C)C)CN1C(=O)[C@@H](NC(=O)[C@@H](CS(C)(=O)=O)C(C)C)C1CCCCC1)C(=O)C(=O)CCC(=O)NC(C(N)=O)C1=C2OCOC2=CC=C1 UDPFUESJZIMJIO-LSZJWFBUSA-N 0.000 description 1
- ZTEHPWMOSBZIKE-ZWXCBDBXSA-N CCCC(CC(=O)[C@@H]1C[C@@H](OC(C)(C)C)CN1C(=O)[C@@H](NC(=O)[C@@H](CS(C)(=O)=O)C(C)C)C1CCCCC1)C(=O)C(=O)CCC(=O)NC(C(N)=O)C1=CC(F)=CC=C1 Chemical compound CCCC(CC(=O)[C@@H]1C[C@@H](OC(C)(C)C)CN1C(=O)[C@@H](NC(=O)[C@@H](CS(C)(=O)=O)C(C)C)C1CCCCC1)C(=O)C(=O)CCC(=O)NC(C(N)=O)C1=CC(F)=CC=C1 ZTEHPWMOSBZIKE-ZWXCBDBXSA-N 0.000 description 1
- DEONRTXJFVNHGF-DAZOJSQYSA-N CCCC(CC(=O)[C@@H]1C[C@@H](OC(C)(C)C)CN1C(=O)[C@@H](NC(=O)[C@@H](CS(C)(=O)=O)C(C)C)C1CCCCC1)C(=O)C(=O)CCC(=O)NC(C(N)=O)C1=CC(OC)=CC(OC)=C1 Chemical compound CCCC(CC(=O)[C@@H]1C[C@@H](OC(C)(C)C)CN1C(=O)[C@@H](NC(=O)[C@@H](CS(C)(=O)=O)C(C)C)C1CCCCC1)C(=O)C(=O)CCC(=O)NC(C(N)=O)C1=CC(OC)=CC(OC)=C1 DEONRTXJFVNHGF-DAZOJSQYSA-N 0.000 description 1
- UHCMLSZDEMTPIJ-OJIATSDZSA-N CCCC(CC(=O)[C@@H]1C[C@@H](OC(C)(C)C)CN1C(=O)[C@@H](NC(=O)[C@@H](CS(C)(=O)=O)C(C)C)C1CCCCC1)C(=O)C(=O)CCC(=O)NC(CC(N)=O)C1=CC=CC=C1 Chemical compound CCCC(CC(=O)[C@@H]1C[C@@H](OC(C)(C)C)CN1C(=O)[C@@H](NC(=O)[C@@H](CS(C)(=O)=O)C(C)C)C1CCCCC1)C(=O)C(=O)CCC(=O)NC(CC(N)=O)C1=CC=CC=C1 UHCMLSZDEMTPIJ-OJIATSDZSA-N 0.000 description 1
- GMOYGFGZUKWHFT-JLXCVYPZSA-N CCCC(CC(=O)[C@@H]1C[C@@H](OC(C)(C)C)CN1C(=O)[C@H](COC(C)(C)C)NC(=O)OC(C)(C)C)C(=O)C(=O)CCC(=O)N[C@H](C(N)=O)C1=CC=CC=C1 Chemical compound CCCC(CC(=O)[C@@H]1C[C@@H](OC(C)(C)C)CN1C(=O)[C@H](COC(C)(C)C)NC(=O)OC(C)(C)C)C(=O)C(=O)CCC(=O)N[C@H](C(N)=O)C1=CC=CC=C1 GMOYGFGZUKWHFT-JLXCVYPZSA-N 0.000 description 1
- JPGYJVRRZXINGR-VHIQZECRSA-N CCCC(CC(=O)[C@@H]1C[C@@H](OC(C)(C)C)CN1C[C@@H](NC(=O)CC1=CC=CC=C1)C1CCCCC1)C(=O)C(=O)CCC(=O)NC(C(N)=O)C1=CC(Cl)=CC=C1 Chemical compound CCCC(CC(=O)[C@@H]1C[C@@H](OC(C)(C)C)CN1C[C@@H](NC(=O)CC1=CC=CC=C1)C1CCCCC1)C(=O)C(=O)CCC(=O)NC(C(N)=O)C1=CC(Cl)=CC=C1 JPGYJVRRZXINGR-VHIQZECRSA-N 0.000 description 1
- HNLRRLHMNABTMC-JSYLHFKJSA-N CCCC(CC(=O)[C@@H]1C[C@@H](OC2=CC(Cl)=C(Cl)C=C2)CN1C(=O)C(CC(=O)OCC(C)C)C1CCCCC1)C(=O)C(=O)CCC(=O)NC(COC(C)(C)C)C(N)=O Chemical compound CCCC(CC(=O)[C@@H]1C[C@@H](OC2=CC(Cl)=C(Cl)C=C2)CN1C(=O)C(CC(=O)OCC(C)C)C1CCCCC1)C(=O)C(=O)CCC(=O)NC(COC(C)(C)C)C(N)=O HNLRRLHMNABTMC-JSYLHFKJSA-N 0.000 description 1
- OTCVQWJGTHMXNG-YXCJVJLBSA-N CCCC(CC(=O)[C@@H]1C[C@@H](OC2=CC=CC=C2)CN1C(=O)C(CC(=O)OCC(C)C)C1CCCCC1)C(=O)C(=O)CCC(=O)NC(COC(C)(C)C)C(N)=O Chemical compound CCCC(CC(=O)[C@@H]1C[C@@H](OC2=CC=CC=C2)CN1C(=O)C(CC(=O)OCC(C)C)C1CCCCC1)C(=O)C(=O)CCC(=O)NC(COC(C)(C)C)C(N)=O OTCVQWJGTHMXNG-YXCJVJLBSA-N 0.000 description 1
- FFJOOPVQYJCVJC-ANJPHEJQSA-N CCCC(CC(=O)[C@@H]1C[C@@H](OCC(=O)O)CN1C(=O)C(CC(=O)OCC(C)C)C(C)C)C(=O)C(=O)CCC(=O)NC(C(N)=O)C(C)(C)C Chemical compound CCCC(CC(=O)[C@@H]1C[C@@H](OCC(=O)O)CN1C(=O)C(CC(=O)OCC(C)C)C(C)C)C(=O)C(=O)CCC(=O)NC(C(N)=O)C(C)(C)C FFJOOPVQYJCVJC-ANJPHEJQSA-N 0.000 description 1
- DCHQWTYSIXPKGG-MKEDDMMFSA-N CCCC(CC(=O)[C@@H]1C[C@@H](OCC(=O)O)CN1C(=O)C(CC(=O)OCC(C)C)C(C)C)C(=O)C(=O)CCC(=O)NC(C(N)=O)C1=CC=CC=C1 Chemical compound CCCC(CC(=O)[C@@H]1C[C@@H](OCC(=O)O)CN1C(=O)C(CC(=O)OCC(C)C)C(C)C)C(=O)C(=O)CCC(=O)NC(C(N)=O)C1=CC=CC=C1 DCHQWTYSIXPKGG-MKEDDMMFSA-N 0.000 description 1
- WXNOUMYPSZEEDM-MKEDDMMFSA-N CCCC(CC(=O)[C@@H]1C[C@@H](OCC(=O)O)CN1C(=O)C(CC(=O)OCC(C)C)C(C)C)C(=O)C(=O)CCC(=O)NC(C(N)=O)C1CCCCC1 Chemical compound CCCC(CC(=O)[C@@H]1C[C@@H](OCC(=O)O)CN1C(=O)C(CC(=O)OCC(C)C)C(C)C)C(=O)C(=O)CCC(=O)NC(C(N)=O)C1CCCCC1 WXNOUMYPSZEEDM-MKEDDMMFSA-N 0.000 description 1
- JUQCKDKAOUXVDN-HADOWVCRSA-N CCCC(CC(=O)[C@@H]1C[C@@H](OCC(=O)O)CN1C(=O)C(CC(=O)OCC(C)C)C(C)C)C(=O)C(=O)CCC(=O)NC(CC1=CC=C2C=CC=CC2=C1)C(N)=O Chemical compound CCCC(CC(=O)[C@@H]1C[C@@H](OCC(=O)O)CN1C(=O)C(CC(=O)OCC(C)C)C(C)C)C(=O)C(=O)CCC(=O)NC(CC1=CC=C2C=CC=CC2=C1)C(N)=O JUQCKDKAOUXVDN-HADOWVCRSA-N 0.000 description 1
- OGHFZTGCHPAARM-RMDMWAKJSA-N CCCC(CC(=O)[C@@H]1C[C@@H](OCC(=O)O)CN1C(=O)C(CC(=O)OCC(C)C)C(C)C)C(=O)C(=O)CCC(=O)NC(CC1=CC=CC=C1)C(N)=O Chemical compound CCCC(CC(=O)[C@@H]1C[C@@H](OCC(=O)O)CN1C(=O)C(CC(=O)OCC(C)C)C(C)C)C(=O)C(=O)CCC(=O)NC(CC1=CC=CC=C1)C(N)=O OGHFZTGCHPAARM-RMDMWAKJSA-N 0.000 description 1
- HARKQNADKULEPJ-RMDMWAKJSA-N CCCC(CC(=O)[C@@H]1C[C@@H](OCC(=O)O)CN1C(=O)C(CC(=O)OCC(C)C)C(C)C)C(=O)C(=O)CCC(=O)NC(CC1CCCCC1)C(N)=O Chemical compound CCCC(CC(=O)[C@@H]1C[C@@H](OCC(=O)O)CN1C(=O)C(CC(=O)OCC(C)C)C(C)C)C(=O)C(=O)CCC(=O)NC(CC1CCCCC1)C(N)=O HARKQNADKULEPJ-RMDMWAKJSA-N 0.000 description 1
- MSQFETNVHQDJAG-SKFMPKQFSA-N CCCC(CC(=O)[C@@H]1C[C@@H](OCC(=O)O)CN1C(=O)C(CC(=O)OCC(C)C)C(C)C)C(=O)C(=O)CCC(=O)NC(CCC1=CC=CC=C1)C(N)=O Chemical compound CCCC(CC(=O)[C@@H]1C[C@@H](OCC(=O)O)CN1C(=O)C(CC(=O)OCC(C)C)C(C)C)C(=O)C(=O)CCC(=O)NC(CCC1=CC=CC=C1)C(N)=O MSQFETNVHQDJAG-SKFMPKQFSA-N 0.000 description 1
- JQHXGBPKKHYKHT-MQEVJZRUSA-N CCCC(CC(=O)[C@@H]1C[C@@H](OCC(=O)O)CN1C(=O)C(CC(=O)OCC(C)C)C(C)C)C(=O)C(=O)CCC(=O)NC(CCCC(=O)O)C(N)=O Chemical compound CCCC(CC(=O)[C@@H]1C[C@@H](OCC(=O)O)CN1C(=O)C(CC(=O)OCC(C)C)C(C)C)C(=O)C(=O)CCC(=O)NC(CCCC(=O)O)C(N)=O JQHXGBPKKHYKHT-MQEVJZRUSA-N 0.000 description 1
- VIFZNNNVFYNXKF-GSNHUAOESA-N CCCC(CC(=O)[C@@H]1C[C@@H](OCC(=O)O)CN1C(=O)C(CC(=O)OCC(C)C)C(C)C)C(=O)C(=O)CCC(=O)NC(CCCCN)C(N)=O Chemical compound CCCC(CC(=O)[C@@H]1C[C@@H](OCC(=O)O)CN1C(=O)C(CC(=O)OCC(C)C)C(C)C)C(=O)C(=O)CCC(=O)NC(CCCCN)C(N)=O VIFZNNNVFYNXKF-GSNHUAOESA-N 0.000 description 1
- BXCMJPFGZJKLTG-GZKSJMNASA-N CCCC(CC(=O)[C@@H]1C[C@@H](OCC(=O)O)CN1C(=O)C(CC(=O)OCC(C)C)C(C)C)C(=O)C(=O)CCC(=O)NC(CCO)C(N)=O Chemical compound CCCC(CC(=O)[C@@H]1C[C@@H](OCC(=O)O)CN1C(=O)C(CC(=O)OCC(C)C)C(C)C)C(=O)C(=O)CCC(=O)NC(CCO)C(N)=O BXCMJPFGZJKLTG-GZKSJMNASA-N 0.000 description 1
- PQEKVHXMXYEQAS-SKFMPKQFSA-N CCCC(CC(=O)[C@@H]1C[C@@H](OCC(=O)O)CN1C(=O)C(CC(=O)OCC(C)C)C(C)C)C(=O)C(=O)CCC(=O)NC(COCC1=CC=CC=C1)C(N)=O Chemical compound CCCC(CC(=O)[C@@H]1C[C@@H](OCC(=O)O)CN1C(=O)C(CC(=O)OCC(C)C)C(C)C)C(=O)C(=O)CCC(=O)NC(COCC1=CC=CC=C1)C(N)=O PQEKVHXMXYEQAS-SKFMPKQFSA-N 0.000 description 1
- MGZHCFJNULSONR-GCXVKIOGSA-N CCCC(CC(=O)[C@@H]1C[C@@H](OCC(=O)O)CN1C(=O)C(CC(=O)OCC(C)C)C(C)C)C(=O)C(=O)CCC1=OC(C)CC(C(N)=O)N1 Chemical compound CCCC(CC(=O)[C@@H]1C[C@@H](OCC(=O)O)CN1C(=O)C(CC(=O)OCC(C)C)C(C)C)C(=O)C(=O)CCC1=OC(C)CC(C(N)=O)N1 MGZHCFJNULSONR-GCXVKIOGSA-N 0.000 description 1
- SKSIRFZBFAEQOB-VFPKEGOXSA-N CCCC(CC(=O)[C@@H]1C[C@@H](OCC(=O)OC(C)(C)C)CN1C(=O)C(CC(=O)OCC(C)C)C1CCCCC1)C(=O)C(=O)CCC(=O)NC(C(N)=O)C1=CC=CC=C1 Chemical compound CCCC(CC(=O)[C@@H]1C[C@@H](OCC(=O)OC(C)(C)C)CN1C(=O)C(CC(=O)OCC(C)C)C1CCCCC1)C(=O)C(=O)CCC(=O)NC(C(N)=O)C1=CC=CC=C1 SKSIRFZBFAEQOB-VFPKEGOXSA-N 0.000 description 1
- FFYNQENHMPZQMU-JUNRIKNTSA-N CCCC(CC(=O)[C@@H]1C[C@@H](OCC(=O)OC(C)(C)C)CN1C(=O)C(CC(=O)OCC(C)C)C1CCCCC1)C(=O)C(=O)CCC(=O)NC(COC(C)(C)C)C(N)=O Chemical compound CCCC(CC(=O)[C@@H]1C[C@@H](OCC(=O)OC(C)(C)C)CN1C(=O)C(CC(=O)OCC(C)C)C1CCCCC1)C(=O)C(=O)CCC(=O)NC(COC(C)(C)C)C(N)=O FFYNQENHMPZQMU-JUNRIKNTSA-N 0.000 description 1
- SFEBHUYOSQALPM-ZHLHWKQJSA-N CCCC(CC(=O)[C@@H]1C[C@@H](OCC2=CC=C(Cl)C(Cl)=C2)CN1C(=O)C(CC(=O)OCC(C)C)C1CCCCC1)C(=O)C(=O)CCC(=O)NC(C(N)=O)C1=CC=CC=C1 Chemical compound CCCC(CC(=O)[C@@H]1C[C@@H](OCC2=CC=C(Cl)C(Cl)=C2)CN1C(=O)C(CC(=O)OCC(C)C)C1CCCCC1)C(=O)C(=O)CCC(=O)NC(C(N)=O)C1=CC=CC=C1 SFEBHUYOSQALPM-ZHLHWKQJSA-N 0.000 description 1
- OACJUJAZCDESCV-SFXBAVLGSA-N CCCC(CC(=O)[C@@H]1C[C@@H](OCC2=CC=CC=C2)CN1C(=O)C(CC(=O)C(C)C(C)C(=O)O)C1CCCCC1)C(=O)C(=O)CCC(=O)NC(C(=O)O)C1=CC=CC=C1 Chemical compound CCCC(CC(=O)[C@@H]1C[C@@H](OCC2=CC=CC=C2)CN1C(=O)C(CC(=O)C(C)C(C)C(=O)O)C1CCCCC1)C(=O)C(=O)CCC(=O)NC(C(=O)O)C1=CC=CC=C1 OACJUJAZCDESCV-SFXBAVLGSA-N 0.000 description 1
- XWVQUPVEXQMKSJ-LHYTWIQQSA-N CCCC(CC(=O)[C@@H]1C[C@@H](OCC2=CC=CC=C2)CN1C(=O)C(CC(=O)C(CC)C(=O)O)C1CCCCC1)C(=O)C(=O)CCC(=O)NC(C(=O)O)C1=CC=CC=C1 Chemical compound CCCC(CC(=O)[C@@H]1C[C@@H](OCC2=CC=CC=C2)CN1C(=O)C(CC(=O)C(CC)C(=O)O)C1CCCCC1)C(=O)C(=O)CCC(=O)NC(C(=O)O)C1=CC=CC=C1 XWVQUPVEXQMKSJ-LHYTWIQQSA-N 0.000 description 1
- KBYIRUCNXSTJRM-YETHRVGDSA-N CCCC(CC(=O)[C@@H]1C[C@@H](OCC2=CC=CC=C2)CN1C(=O)C(CC(=O)C1=C(C(=O)C2=CC=CC=C2)C=CC=C1)C1CCCCC1)C(=O)C(=O)CCC(=O)NC(C(N)=O)C1=CC=CC=C1 Chemical compound CCCC(CC(=O)[C@@H]1C[C@@H](OCC2=CC=CC=C2)CN1C(=O)C(CC(=O)C1=C(C(=O)C2=CC=CC=C2)C=CC=C1)C1CCCCC1)C(=O)C(=O)CCC(=O)NC(C(N)=O)C1=CC=CC=C1 KBYIRUCNXSTJRM-YETHRVGDSA-N 0.000 description 1
- SRBDHONIZVLSJF-WIFYNVDXSA-N CCCC(CC(=O)[C@@H]1C[C@@H](OCC2=CC=CC=C2)CN1C(=O)C(CC(=O)C1=C(C(=O)O)C=C(Cl)C(Cl)=C1)C1CCCCC1)C(=O)C(=O)CCC(=O)N[C@@H](C(N)=O)C1=CC=CC=C1 Chemical compound CCCC(CC(=O)[C@@H]1C[C@@H](OCC2=CC=CC=C2)CN1C(=O)C(CC(=O)C1=C(C(=O)O)C=C(Cl)C(Cl)=C1)C1CCCCC1)C(=O)C(=O)CCC(=O)N[C@@H](C(N)=O)C1=CC=CC=C1 SRBDHONIZVLSJF-WIFYNVDXSA-N 0.000 description 1
- FFZGKCFDERBAMT-FPDDNOKPSA-N CCCC(CC(=O)[C@@H]1C[C@@H](OCC2=CC=CC=C2)CN1C(=O)C(CC(=O)C1=C(C(=O)O)C=CC=C1)C1CCCCC1)C(=O)C(=O)CCC(=O)NC(C(N)=O)C1=CC=CC=C1 Chemical compound CCCC(CC(=O)[C@@H]1C[C@@H](OCC2=CC=CC=C2)CN1C(=O)C(CC(=O)C1=C(C(=O)O)C=CC=C1)C1CCCCC1)C(=O)C(=O)CCC(=O)NC(C(N)=O)C1=CC=CC=C1 FFZGKCFDERBAMT-FPDDNOKPSA-N 0.000 description 1
- FFZGKCFDERBAMT-VWNYZRRTSA-N CCCC(CC(=O)[C@@H]1C[C@@H](OCC2=CC=CC=C2)CN1C(=O)C(CC(=O)C1=C(C(=O)O)C=CC=C1)C1CCCCC1)C(=O)C(=O)CCC(=O)N[C@@H](C(N)=O)C1=CC=CC=C1 Chemical compound CCCC(CC(=O)[C@@H]1C[C@@H](OCC2=CC=CC=C2)CN1C(=O)C(CC(=O)C1=C(C(=O)O)C=CC=C1)C1CCCCC1)C(=O)C(=O)CCC(=O)N[C@@H](C(N)=O)C1=CC=CC=C1 FFZGKCFDERBAMT-VWNYZRRTSA-N 0.000 description 1
- UZZGWLVGUWTAIO-MMPMGOQJSA-N CCCC(CC(=O)[C@@H]1C[C@@H](OCC2=CC=CC=C2)CN1C(=O)C(CC(=O)C1=C(C(=O)O)N=CC=N1)C1CCCCC1)C(=O)C(=O)CCC(=O)NC(C(N)=O)C1=CC=CC=C1 Chemical compound CCCC(CC(=O)[C@@H]1C[C@@H](OCC2=CC=CC=C2)CN1C(=O)C(CC(=O)C1=C(C(=O)O)N=CC=N1)C1CCCCC1)C(=O)C(=O)CCC(=O)NC(C(N)=O)C1=CC=CC=C1 UZZGWLVGUWTAIO-MMPMGOQJSA-N 0.000 description 1
- BVZLVPRRXMKPSF-IFKDRESJSA-N CCCC(CC(=O)[C@@H]1C[C@@H](OCC2=CC=CC=C2)CN1C(=O)C(CC(=O)C1=C(C(F)(F)F)C=C(C(F)(F)F)C=C1)C1CCCCC1)C(=O)C(=O)CCC(=O)N[C@@H](C(N)=O)C1=CC=CC=C1 Chemical compound CCCC(CC(=O)[C@@H]1C[C@@H](OCC2=CC=CC=C2)CN1C(=O)C(CC(=O)C1=C(C(F)(F)F)C=C(C(F)(F)F)C=C1)C1CCCCC1)C(=O)C(=O)CCC(=O)N[C@@H](C(N)=O)C1=CC=CC=C1 BVZLVPRRXMKPSF-IFKDRESJSA-N 0.000 description 1
- QZNGULVNRSYCTH-SOJZAXGNSA-N CCCC(CC(=O)[C@@H]1C[C@@H](OCC2=CC=CC=C2)CN1C(=O)C(CC(=O)C1=C(C(F)(F)F)C=CC=C1)C1CCCCC1)C(=O)C(=O)CCC(=O)NC(C(N)=O)C1=CC=CC=C1 Chemical compound CCCC(CC(=O)[C@@H]1C[C@@H](OCC2=CC=CC=C2)CN1C(=O)C(CC(=O)C1=C(C(F)(F)F)C=CC=C1)C1CCCCC1)C(=O)C(=O)CCC(=O)NC(C(N)=O)C1=CC=CC=C1 QZNGULVNRSYCTH-SOJZAXGNSA-N 0.000 description 1
- KBBJKAIMZJNQOE-VWNYZRRTSA-N CCCC(CC(=O)[C@@H]1C[C@@H](OCC2=CC=CC=C2)CN1C(=O)C(CC(=O)C1=C(C(N)=O)C=CC=C1)C1CCCCC1)C(=O)C(=O)CCC(=O)N[C@@H](C(N)=O)C1=CC=CC=C1 Chemical compound CCCC(CC(=O)[C@@H]1C[C@@H](OCC2=CC=CC=C2)CN1C(=O)C(CC(=O)C1=C(C(N)=O)C=CC=C1)C1CCCCC1)C(=O)C(=O)CCC(=O)N[C@@H](C(N)=O)C1=CC=CC=C1 KBBJKAIMZJNQOE-VWNYZRRTSA-N 0.000 description 1
- MSTPHDYFQKDOGK-QVHJEPOFSA-N CCCC(CC(=O)[C@@H]1C[C@@H](OCC2=CC=CC=C2)CN1C(=O)C(CC(=O)C1=C(C)C=CC=C1C)C1CCCCC1)C(=O)C(=O)CCC(=O)NC(C(N)=O)C1=CC=CC=C1 Chemical compound CCCC(CC(=O)[C@@H]1C[C@@H](OCC2=CC=CC=C2)CN1C(=O)C(CC(=O)C1=C(C)C=CC=C1C)C1CCCCC1)C(=O)C(=O)CCC(=O)NC(C(N)=O)C1=CC=CC=C1 MSTPHDYFQKDOGK-QVHJEPOFSA-N 0.000 description 1
- GQRKYRDHWJEZIR-WIFYNVDXSA-N CCCC(CC(=O)[C@@H]1C[C@@H](OCC2=CC=CC=C2)CN1C(=O)C(CC(=O)C1=C(Cl)C=C(F)C(F)=C1)C1CCCCC1)C(=O)C(=O)CCC(=O)N[C@@H](C(N)=O)C1=CC=CC=C1 Chemical compound CCCC(CC(=O)[C@@H]1C[C@@H](OCC2=CC=CC=C2)CN1C(=O)C(CC(=O)C1=C(Cl)C=C(F)C(F)=C1)C1CCCCC1)C(=O)C(=O)CCC(=O)N[C@@H](C(N)=O)C1=CC=CC=C1 GQRKYRDHWJEZIR-WIFYNVDXSA-N 0.000 description 1
- PFPCBTUNFQWCCZ-SOJZAXGNSA-N CCCC(CC(=O)[C@@H]1C[C@@H](OCC2=CC=CC=C2)CN1C(=O)C(CC(=O)C1=C(N(=O)O)C=CC=C1)C1CCCCC1)C(=O)C(=O)CCC(=O)NC(C(N)=O)C1=CC=CC=C1 Chemical compound CCCC(CC(=O)[C@@H]1C[C@@H](OCC2=CC=CC=C2)CN1C(=O)C(CC(=O)C1=C(N(=O)O)C=CC=C1)C1CCCCC1)C(=O)C(=O)CCC(=O)NC(C(N)=O)C1=CC=CC=C1 PFPCBTUNFQWCCZ-SOJZAXGNSA-N 0.000 description 1
- LJDHHWBSYXQGEP-WPQVFLIYSA-N CCCC(CC(=O)[C@@H]1C[C@@H](OCC2=CC=CC=C2)CN1C(=O)C(CC(=O)C1=C(OC2=CC=CC=C2)C=CC=C1)C1CCCCC1)C(=O)C(=O)CCC(=O)NC(C(N)=O)C1=CC=CC=C1 Chemical compound CCCC(CC(=O)[C@@H]1C[C@@H](OCC2=CC=CC=C2)CN1C(=O)C(CC(=O)C1=C(OC2=CC=CC=C2)C=CC=C1)C1CCCCC1)C(=O)C(=O)CCC(=O)NC(C(N)=O)C1=CC=CC=C1 LJDHHWBSYXQGEP-WPQVFLIYSA-N 0.000 description 1
- NUSVACATRWOGOV-JCFLJMKUSA-N CCCC(CC(=O)[C@@H]1C[C@@H](OCC2=CC=CC=C2)CN1C(=O)C(CC(=O)C1=CC=C(C)C=C1C)C1CCCCC1)C(=O)C(=O)CCC(=O)N[C@@H](C(N)=O)C1=CC=CC=C1 Chemical compound CCCC(CC(=O)[C@@H]1C[C@@H](OCC2=CC=CC=C2)CN1C(=O)C(CC(=O)C1=CC=C(C)C=C1C)C1CCCCC1)C(=O)C(=O)CCC(=O)N[C@@H](C(N)=O)C1=CC=CC=C1 NUSVACATRWOGOV-JCFLJMKUSA-N 0.000 description 1
- URAQKSPQVAQFTA-MMRRWPHQSA-N CCCC(CC(=O)[C@@H]1C[C@@H](OCC2=CC=CC=C2)CN1C(=O)C(CC(=O)C1=CC=CC(C(=O)O)=C1)C1CCCCC1)C(=O)C(=O)CCC(=O)N[C@@H](C(N)=O)C1=CC=CC=C1 Chemical compound CCCC(CC(=O)[C@@H]1C[C@@H](OCC2=CC=CC=C2)CN1C(=O)C(CC(=O)C1=CC=CC(C(=O)O)=C1)C1CCCCC1)C(=O)C(=O)CCC(=O)N[C@@H](C(N)=O)C1=CC=CC=C1 URAQKSPQVAQFTA-MMRRWPHQSA-N 0.000 description 1
- UGRHJXLBOLXTGO-JCFLJMKUSA-N CCCC(CC(=O)[C@@H]1C[C@@H](OCC2=CC=CC=C2)CN1C(=O)C(CC(=O)C1=CC=CC(C)=C1C)C1CCCCC1)C(=O)C(=O)CCC(=O)N[C@@H](C(N)=O)C1=CC=CC=C1 Chemical compound CCCC(CC(=O)[C@@H]1C[C@@H](OCC2=CC=CC=C2)CN1C(=O)C(CC(=O)C1=CC=CC(C)=C1C)C1CCCCC1)C(=O)C(=O)CCC(=O)N[C@@H](C(N)=O)C1=CC=CC=C1 UGRHJXLBOLXTGO-JCFLJMKUSA-N 0.000 description 1
- WTXAZSZNOJVSQR-BZOPTCEXSA-N CCCC(CC(=O)[C@@H]1C[C@@H](OCC2=CC=CC=C2)CN1C(=O)C(CC(=O)C1=CC=CC=C1)C1CCCCC1)C(=O)C(=O)CCC(=O)NC(C(N)=O)C1=CC=CC=C1 Chemical compound CCCC(CC(=O)[C@@H]1C[C@@H](OCC2=CC=CC=C2)CN1C(=O)C(CC(=O)C1=CC=CC=C1)C1CCCCC1)C(=O)C(=O)CCC(=O)NC(C(N)=O)C1=CC=CC=C1 WTXAZSZNOJVSQR-BZOPTCEXSA-N 0.000 description 1
- CYORLVBHPXHBQI-FPDDNOKPSA-N CCCC(CC(=O)[C@@H]1C[C@@H](OCC2=CC=CC=C2)CN1C(=O)C(CC(=O)C1=CC=CC=C1C(=O)O)C1CCCCC1)C(=O)C(=O)CCC(=O)NC(C(=O)O)C1=CC=CC=C1 Chemical compound CCCC(CC(=O)[C@@H]1C[C@@H](OCC2=CC=CC=C2)CN1C(=O)C(CC(=O)C1=CC=CC=C1C(=O)O)C1CCCCC1)C(=O)C(=O)CCC(=O)NC(C(=O)O)C1=CC=CC=C1 CYORLVBHPXHBQI-FPDDNOKPSA-N 0.000 description 1
- OFAIVGOLHFFFNE-SOJZAXGNSA-N CCCC(CC(=O)[C@@H]1C[C@@H](OCC2=CC=CC=C2)CN1C(=O)C(CC(=O)C1=CC=CC=C1C(F)(F)F)C1CCCCC1)C(=O)C(=O)CCC(=O)NC(C(=O)O)C1=CC=CC=C1 Chemical compound CCCC(CC(=O)[C@@H]1C[C@@H](OCC2=CC=CC=C2)CN1C(=O)C(CC(=O)C1=CC=CC=C1C(F)(F)F)C1CCCCC1)C(=O)C(=O)CCC(=O)NC(C(=O)O)C1=CC=CC=C1 OFAIVGOLHFFFNE-SOJZAXGNSA-N 0.000 description 1
- MPAYVAHOVRLRMB-SOJZAXGNSA-N CCCC(CC(=O)[C@@H]1C[C@@H](OCC2=CC=CC=C2)CN1C(=O)C(CC(=O)C1=CC=CC=C1N(=O)O)C1CCCCC1)C(=O)C(=O)CCC(=O)NC(C(=O)O)C1=CC=CC=C1 Chemical compound CCCC(CC(=O)[C@@H]1C[C@@H](OCC2=CC=CC=C2)CN1C(=O)C(CC(=O)C1=CC=CC=C1N(=O)O)C1CCCCC1)C(=O)C(=O)CCC(=O)NC(C(=O)O)C1=CC=CC=C1 MPAYVAHOVRLRMB-SOJZAXGNSA-N 0.000 description 1
- PZDJYHJCCMESLX-IKGSJNHLSA-N CCCC(CC(=O)[C@@H]1C[C@@H](OCC2=CC=CC=C2)CN1C(=O)C(CC(=O)C1CCCC(C)C1)C1CCCCC1)C(=O)C(=O)CCC(=O)NC(C(N)=O)C1=CC=CC=C1 Chemical compound CCCC(CC(=O)[C@@H]1C[C@@H](OCC2=CC=CC=C2)CN1C(=O)C(CC(=O)C1CCCC(C)C1)C1CCCCC1)C(=O)C(=O)CCC(=O)NC(C(N)=O)C1=CC=CC=C1 PZDJYHJCCMESLX-IKGSJNHLSA-N 0.000 description 1
- UTNOVQAHWYFGNE-VMWPXQQXSA-N CCCC(CC(=O)[C@@H]1C[C@@H](OCC2=CC=CC=C2)CN1C(=O)C(CC(=O)C1CCCCC1C(=O)O)C1CCCCC1)C(=O)C(=O)CCC(=O)NC(C(=O)O)C1=CC=CC=C1 Chemical compound CCCC(CC(=O)[C@@H]1C[C@@H](OCC2=CC=CC=C2)CN1C(=O)C(CC(=O)C1CCCCC1C(=O)O)C1CCCCC1)C(=O)C(=O)CCC(=O)NC(C(=O)O)C1=CC=CC=C1 UTNOVQAHWYFGNE-VMWPXQQXSA-N 0.000 description 1
- YQRLAJZQMWMRNL-IYHYWAQVSA-N CCCC(CC(=O)[C@@H]1C[C@@H](OCC2=CC=CC=C2)CN1C(=O)C(CC(=O)CC1=CC=CC=C1)C1CCCCC1)C(=O)C(=O)CCC(=O)NC(C(=O)O)C1=CC=CC=C1 Chemical compound CCCC(CC(=O)[C@@H]1C[C@@H](OCC2=CC=CC=C2)CN1C(=O)C(CC(=O)CC1=CC=CC=C1)C1CCCCC1)C(=O)C(=O)CCC(=O)NC(C(=O)O)C1=CC=CC=C1 YQRLAJZQMWMRNL-IYHYWAQVSA-N 0.000 description 1
- PQFRSRHQQFPOSD-RJRCKXEQSA-N CCCC(CC(=O)[C@@H]1C[C@@H](OCC2=CC=CC=C2)CN1C(=O)C(CC(=O)CC1=CC=CC=C1)C1CCCCC1)C(=O)C(=O)CCC(=O)N[C@@H](C(N)=O)C1=CC=CC=C1 Chemical compound CCCC(CC(=O)[C@@H]1C[C@@H](OCC2=CC=CC=C2)CN1C(=O)C(CC(=O)CC1=CC=CC=C1)C1CCCCC1)C(=O)C(=O)CCC(=O)N[C@@H](C(N)=O)C1=CC=CC=C1 PQFRSRHQQFPOSD-RJRCKXEQSA-N 0.000 description 1
- IJXCLRAEZIXLOH-HBUILSPOSA-N CCCC(CC(=O)[C@@H]1C[C@@H](OCC2=CC=CC=C2)CN1C(=O)C(CC(=O)CC1CCCC1)C1CCCCC1)C(=O)C(=O)CCC(=O)N[C@@H](C(N)=O)C1=CC=CC=C1 Chemical compound CCCC(CC(=O)[C@@H]1C[C@@H](OCC2=CC=CC=C2)CN1C(=O)C(CC(=O)CC1CCCC1)C1CCCCC1)C(=O)C(=O)CCC(=O)N[C@@H](C(N)=O)C1=CC=CC=C1 IJXCLRAEZIXLOH-HBUILSPOSA-N 0.000 description 1
- MHLALYGXAOWCAR-IYHYWAQVSA-N CCCC(CC(=O)[C@@H]1C[C@@H](OCC2=CC=CC=C2)CN1C(=O)C(CC(=O)CC1CCCCC1)C1CCCCC1)C(=O)C(=O)CCC(=O)NC(C(=O)O)C1=CC=CC=C1 Chemical compound CCCC(CC(=O)[C@@H]1C[C@@H](OCC2=CC=CC=C2)CN1C(=O)C(CC(=O)CC1CCCCC1)C1CCCCC1)C(=O)C(=O)CCC(=O)NC(C(=O)O)C1=CC=CC=C1 MHLALYGXAOWCAR-IYHYWAQVSA-N 0.000 description 1
- XRRWCUGJXUTABC-IYHYWAQVSA-N CCCC(CC(=O)[C@@H]1C[C@@H](OCC2=CC=CC=C2)CN1C(=O)C(CC(=O)CC1CCCCC1)C1CCCCC1)C(=O)C(=O)CCC(=O)NC(C(N)=O)C1=CC=CC=C1 Chemical compound CCCC(CC(=O)[C@@H]1C[C@@H](OCC2=CC=CC=C2)CN1C(=O)C(CC(=O)CC1CCCCC1)C1CCCCC1)C(=O)C(=O)CCC(=O)NC(C(N)=O)C1=CC=CC=C1 XRRWCUGJXUTABC-IYHYWAQVSA-N 0.000 description 1
- XRRWCUGJXUTABC-RJRCKXEQSA-N CCCC(CC(=O)[C@@H]1C[C@@H](OCC2=CC=CC=C2)CN1C(=O)C(CC(=O)CC1CCCCC1)C1CCCCC1)C(=O)C(=O)CCC(=O)N[C@@H](C(N)=O)C1=CC=CC=C1 Chemical compound CCCC(CC(=O)[C@@H]1C[C@@H](OCC2=CC=CC=C2)CN1C(=O)C(CC(=O)CC1CCCCC1)C1CCCCC1)C(=O)C(=O)CCC(=O)N[C@@H](C(N)=O)C1=CC=CC=C1 XRRWCUGJXUTABC-RJRCKXEQSA-N 0.000 description 1
- VPMJOCXFKQPVDN-SAQBZYEKSA-N CCCC(CC(=O)[C@@H]1C[C@@H](OCC2=CC=CC=C2)CN1C(=O)C(CC(=O)OCC(C)C)C(C)C)C(=O)C(=O)CCC(=O)NC(C(N)=O)C(C)(C)C Chemical compound CCCC(CC(=O)[C@@H]1C[C@@H](OCC2=CC=CC=C2)CN1C(=O)C(CC(=O)OCC(C)C)C(C)C)C(=O)C(=O)CCC(=O)NC(C(N)=O)C(C)(C)C VPMJOCXFKQPVDN-SAQBZYEKSA-N 0.000 description 1
- UFKCCDSISUILSU-RZDCNAOBSA-N CCCC(CC(=O)[C@@H]1C[C@@H](OCC2=CC=CC=C2)CN1C(=O)C(CC(=O)OCC(C)C)C(C)C)C(=O)C(=O)CCC(=O)NC(C(N)=O)C1=CC=CC=C1 Chemical compound CCCC(CC(=O)[C@@H]1C[C@@H](OCC2=CC=CC=C2)CN1C(=O)C(CC(=O)OCC(C)C)C(C)C)C(=O)C(=O)CCC(=O)NC(C(N)=O)C1=CC=CC=C1 UFKCCDSISUILSU-RZDCNAOBSA-N 0.000 description 1
- KBAXENCFAZVTIO-RZDCNAOBSA-N CCCC(CC(=O)[C@@H]1C[C@@H](OCC2=CC=CC=C2)CN1C(=O)C(CC(=O)OCC(C)C)C(C)C)C(=O)C(=O)CCC(=O)NC(C(N)=O)C1CCCCC1 Chemical compound CCCC(CC(=O)[C@@H]1C[C@@H](OCC2=CC=CC=C2)CN1C(=O)C(CC(=O)OCC(C)C)C(C)C)C(=O)C(=O)CCC(=O)NC(C(N)=O)C1CCCCC1 KBAXENCFAZVTIO-RZDCNAOBSA-N 0.000 description 1
- RUWMJYIBQLRDCU-MQUHMSLYSA-N CCCC(CC(=O)[C@@H]1C[C@@H](OCC2=CC=CC=C2)CN1C(=O)C(CC(=O)OCC(C)C)C(C)C)C(=O)C(=O)CCC(=O)NC(CC1=CC=C2C=CC=CC2=C1)C(N)=O Chemical compound CCCC(CC(=O)[C@@H]1C[C@@H](OCC2=CC=CC=C2)CN1C(=O)C(CC(=O)OCC(C)C)C(C)C)C(=O)C(=O)CCC(=O)NC(CC1=CC=C2C=CC=CC2=C1)C(N)=O RUWMJYIBQLRDCU-MQUHMSLYSA-N 0.000 description 1
- KQJJHUDGAXOHBU-TWNSUFICSA-N CCCC(CC(=O)[C@@H]1C[C@@H](OCC2=CC=CC=C2)CN1C(=O)C(CC(=O)OCC(C)C)C(C)C)C(=O)C(=O)CCC(=O)NC(CC1=CC=CC=C1)C(N)=O Chemical compound CCCC(CC(=O)[C@@H]1C[C@@H](OCC2=CC=CC=C2)CN1C(=O)C(CC(=O)OCC(C)C)C(C)C)C(=O)C(=O)CCC(=O)NC(CC1=CC=CC=C1)C(N)=O KQJJHUDGAXOHBU-TWNSUFICSA-N 0.000 description 1
- WQCZZGQBZICEPX-TWNSUFICSA-N CCCC(CC(=O)[C@@H]1C[C@@H](OCC2=CC=CC=C2)CN1C(=O)C(CC(=O)OCC(C)C)C(C)C)C(=O)C(=O)CCC(=O)NC(CC1CCCCC1)C(N)=O Chemical compound CCCC(CC(=O)[C@@H]1C[C@@H](OCC2=CC=CC=C2)CN1C(=O)C(CC(=O)OCC(C)C)C(C)C)C(=O)C(=O)CCC(=O)NC(CC1CCCCC1)C(N)=O WQCZZGQBZICEPX-TWNSUFICSA-N 0.000 description 1
- MAUXEEOCGFPUQB-NKQYZTAOSA-N CCCC(CC(=O)[C@@H]1C[C@@H](OCC2=CC=CC=C2)CN1C(=O)C(CC(=O)OCC(C)C)C(C)C)C(=O)C(=O)CCC(=O)NC(CCC1=CC=CC=C1)C(N)=O Chemical compound CCCC(CC(=O)[C@@H]1C[C@@H](OCC2=CC=CC=C2)CN1C(=O)C(CC(=O)OCC(C)C)C(C)C)C(=O)C(=O)CCC(=O)NC(CCC1=CC=CC=C1)C(N)=O MAUXEEOCGFPUQB-NKQYZTAOSA-N 0.000 description 1
- MJNQMAPXUFWUGU-QNOPWYGZSA-N CCCC(CC(=O)[C@@H]1C[C@@H](OCC2=CC=CC=C2)CN1C(=O)C(CC(=O)OCC(C)C)C(C)C)C(=O)C(=O)CCC(=O)NC(CCCC(=O)O)C(N)=O Chemical compound CCCC(CC(=O)[C@@H]1C[C@@H](OCC2=CC=CC=C2)CN1C(=O)C(CC(=O)OCC(C)C)C(C)C)C(=O)C(=O)CCC(=O)NC(CCCC(=O)O)C(N)=O MJNQMAPXUFWUGU-QNOPWYGZSA-N 0.000 description 1
- ZJKHIGGBAHFJTO-JUNRIKNTSA-N CCCC(CC(=O)[C@@H]1C[C@@H](OCC2=CC=CC=C2)CN1C(=O)C(CC(=O)OCC(C)C)C(C)C)C(=O)C(=O)CCC(=O)NC(CCCCN)C(N)=O Chemical compound CCCC(CC(=O)[C@@H]1C[C@@H](OCC2=CC=CC=C2)CN1C(=O)C(CC(=O)OCC(C)C)C(C)C)C(=O)C(=O)CCC(=O)NC(CCCCN)C(N)=O ZJKHIGGBAHFJTO-JUNRIKNTSA-N 0.000 description 1
- RXSUOOPIHNCBJJ-SKFMPKQFSA-N CCCC(CC(=O)[C@@H]1C[C@@H](OCC2=CC=CC=C2)CN1C(=O)C(CC(=O)OCC(C)C)C(C)C)C(=O)C(=O)CCC(=O)NC(CCO)C(N)=O Chemical compound CCCC(CC(=O)[C@@H]1C[C@@H](OCC2=CC=CC=C2)CN1C(=O)C(CC(=O)OCC(C)C)C(C)C)C(=O)C(=O)CCC(=O)NC(CCO)C(N)=O RXSUOOPIHNCBJJ-SKFMPKQFSA-N 0.000 description 1
- OLVVOUMBNXZRMT-NKQYZTAOSA-N CCCC(CC(=O)[C@@H]1C[C@@H](OCC2=CC=CC=C2)CN1C(=O)C(CC(=O)OCC(C)C)C(C)C)C(=O)C(=O)CCC(=O)NC(COCC1=CC=CC=C1)C(N)=O Chemical compound CCCC(CC(=O)[C@@H]1C[C@@H](OCC2=CC=CC=C2)CN1C(=O)C(CC(=O)OCC(C)C)C(C)C)C(=O)C(=O)CCC(=O)NC(COCC1=CC=CC=C1)C(N)=O OLVVOUMBNXZRMT-NKQYZTAOSA-N 0.000 description 1
- VPDGRAIRBCUHJP-PWKULTOXSA-N CCCC(CC(=O)[C@@H]1C[C@@H](OCC2=CC=CC=C2)CN1C(=O)C(CC(=O)OCC(C)C)C(C)C)C(=O)C(=O)CCC1=OC(C)CC(C(N)=O)N1 Chemical compound CCCC(CC(=O)[C@@H]1C[C@@H](OCC2=CC=CC=C2)CN1C(=O)C(CC(=O)OCC(C)C)C(C)C)C(=O)C(=O)CCC1=OC(C)CC(C(N)=O)N1 VPDGRAIRBCUHJP-PWKULTOXSA-N 0.000 description 1
- RBDRNDWIMDNIKW-MOHZULRCSA-N CCCC(CC(=O)[C@@H]1C[C@@H](OCC2=CC=CC=C2)CN1C(=O)C(CC(=O)OCC(C)C)C1CCCCC1)C(=O)C(=O)CCC(=O)NC(C(=O)O)C1=CC=CC=C1 Chemical compound CCCC(CC(=O)[C@@H]1C[C@@H](OCC2=CC=CC=C2)CN1C(=O)C(CC(=O)OCC(C)C)C1CCCCC1)C(=O)C(=O)CCC(=O)NC(C(=O)O)C1=CC=CC=C1 RBDRNDWIMDNIKW-MOHZULRCSA-N 0.000 description 1
- UFDMCVWGINUBPR-MOHZULRCSA-N CCCC(CC(=O)[C@@H]1C[C@@H](OCC2=CC=CC=C2)CN1C(=O)C(CC(=O)OCC(C)C)C1CCCCC1)C(=O)C(=O)CCC(=O)NC(C(N)=O)C1=CC=CC=C1 Chemical compound CCCC(CC(=O)[C@@H]1C[C@@H](OCC2=CC=CC=C2)CN1C(=O)C(CC(=O)OCC(C)C)C1CCCCC1)C(=O)C(=O)CCC(=O)NC(C(N)=O)C1=CC=CC=C1 UFDMCVWGINUBPR-MOHZULRCSA-N 0.000 description 1
- XCFSVIFMVGKNCS-JSCUEIFISA-N CCCC(CC(=O)[C@@H]1C[C@@H](OCC2=CC=CC=C2)CN1C(=O)[C@H](CCCC(=O)O)NC(=O)C1=C(F)C(F)=C(F)C(F)=C1C(=O)O)C(=O)C(=O)CCC(=O)NC(C(N)=O)C1=CC=CC=C1 Chemical compound CCCC(CC(=O)[C@@H]1C[C@@H](OCC2=CC=CC=C2)CN1C(=O)[C@H](CCCC(=O)O)NC(=O)C1=C(F)C(F)=C(F)C(F)=C1C(=O)O)C(=O)C(=O)CCC(=O)NC(C(N)=O)C1=CC=CC=C1 XCFSVIFMVGKNCS-JSCUEIFISA-N 0.000 description 1
- INWJLDOPCYFYJF-WCBXLWAGSA-N CCCC(CC(=O)[C@@H]1C[C@@H](OCC2=CC=CC=C2)CN1C(=O)[C@H](CCCC(=O)O)NC(=O)C1=C(F)C=CC=C1F)C(=O)C(=O)CCC(=O)NC(C(N)=O)C1=CC=CC=C1 Chemical compound CCCC(CC(=O)[C@@H]1C[C@@H](OCC2=CC=CC=C2)CN1C(=O)[C@H](CCCC(=O)O)NC(=O)C1=C(F)C=CC=C1F)C(=O)C(=O)CCC(=O)NC(C(N)=O)C1=CC=CC=C1 INWJLDOPCYFYJF-WCBXLWAGSA-N 0.000 description 1
- QIACFMZCPGXDCL-BAUQUUQOSA-N CCCC(CC(=O)[C@@H]1C[C@@H](OCC2=CC=CC=C2)CN1C(=O)[C@H](CCCC(=O)O)NC(=O)C1=CC(C(=O)O)=CC=C1)C(=O)C(=O)CCC(=O)N[C@H](C(N)=O)C1=CC=CC=C1 Chemical compound CCCC(CC(=O)[C@@H]1C[C@@H](OCC2=CC=CC=C2)CN1C(=O)[C@H](CCCC(=O)O)NC(=O)C1=CC(C(=O)O)=CC=C1)C(=O)C(=O)CCC(=O)N[C@H](C(N)=O)C1=CC=CC=C1 QIACFMZCPGXDCL-BAUQUUQOSA-N 0.000 description 1
- WSDOGOUXRZINBJ-OHKJRGNRSA-N CCCC(CC(=O)[C@@H]1C[C@@H](OCC2=CC=CC=C2)CN1C(=O)[C@H](CCCC(=O)O)NC(=O)C1CCCCC1)C(=O)C(=O)CCC(=O)N[C@H](C(N)=O)C1=CC=CC=C1 Chemical compound CCCC(CC(=O)[C@@H]1C[C@@H](OCC2=CC=CC=C2)CN1C(=O)[C@H](CCCC(=O)O)NC(=O)C1CCCCC1)C(=O)C(=O)CCC(=O)N[C@H](C(N)=O)C1=CC=CC=C1 WSDOGOUXRZINBJ-OHKJRGNRSA-N 0.000 description 1
- HNZDJBQICLKLSO-AUGJMZLPSA-N CCCC(CC(=O)[C@@H]1C[C@@H](OCC2=CC=CC=C2)CN1C(=O)[C@H](CCCC(=O)O)NC(=O)CC1=CC=CC=C1)C(=O)C(=O)CCC(=O)N[C@H](C(N)=O)C1=CC=CC=C1 Chemical compound CCCC(CC(=O)[C@@H]1C[C@@H](OCC2=CC=CC=C2)CN1C(=O)[C@H](CCCC(=O)O)NC(=O)CC1=CC=CC=C1)C(=O)C(=O)CCC(=O)N[C@H](C(N)=O)C1=CC=CC=C1 HNZDJBQICLKLSO-AUGJMZLPSA-N 0.000 description 1
- KSDUHCQIENSXHM-DEWLRQCCSA-N CCCC(CC(=O)[C@@H]1C[C@@H](OCC2=CC=CC=C2)CN1C(=O)[C@H](CCCC(=O)O)NC(=O)OCC(C)C)C(=O)C(=O)CCC(=O)NC(C(N)=O)C1=CC=CC=C1 Chemical compound CCCC(CC(=O)[C@@H]1C[C@@H](OCC2=CC=CC=C2)CN1C(=O)[C@H](CCCC(=O)O)NC(=O)OCC(C)C)C(=O)C(=O)CCC(=O)NC(C(N)=O)C1=CC=CC=C1 KSDUHCQIENSXHM-DEWLRQCCSA-N 0.000 description 1
- NEDJLBXMBZMJSR-WUSRJUTRSA-N CCCC(CC(=O)[C@@H]1C[C@@H](OCC2=CC=CC=C2)CN1C(=O)[C@H](CCCC(=O)OC(C)(C)C)NC(=O)C1=C(F)C(F)=C(F)C(F)=C1C(=O)O)C(=O)C(=O)CCC(=O)N[C@H](C(N)=O)C1=CC=CC=C1 Chemical compound CCCC(CC(=O)[C@@H]1C[C@@H](OCC2=CC=CC=C2)CN1C(=O)[C@H](CCCC(=O)OC(C)(C)C)NC(=O)C1=C(F)C(F)=C(F)C(F)=C1C(=O)O)C(=O)C(=O)CCC(=O)N[C@H](C(N)=O)C1=CC=CC=C1 NEDJLBXMBZMJSR-WUSRJUTRSA-N 0.000 description 1
- JWIUPUUMPUDXAV-BHBDPZIVSA-N CCCC(CC(=O)[C@@H]1C[C@@H](OCC2=CC=CC=C2)CN1C(=O)[C@H](CCCC(=O)OC(C)(C)C)NC(=O)C1=C(F)C=CC=C1F)C(=O)C(=O)CCC(=O)N[C@H](C(N)=O)C1=CC=CC=C1 Chemical compound CCCC(CC(=O)[C@@H]1C[C@@H](OCC2=CC=CC=C2)CN1C(=O)[C@H](CCCC(=O)OC(C)(C)C)NC(=O)C1=C(F)C=CC=C1F)C(=O)C(=O)CCC(=O)N[C@H](C(N)=O)C1=CC=CC=C1 JWIUPUUMPUDXAV-BHBDPZIVSA-N 0.000 description 1
- FGEBNBDWXBWWBJ-QJSACUJRSA-N CCCC(CC(=O)[C@@H]1C[C@@H](OCC2=CC=CC=C2)CN1C(=O)[C@H](CCCC(=O)OC(C)(C)C)NC(=O)C1=CC(C(=O)O)=CC=C1)C(=O)C(=O)CCC(=O)N[C@H](C(N)=O)C1=CC=CC=C1 Chemical compound CCCC(CC(=O)[C@@H]1C[C@@H](OCC2=CC=CC=C2)CN1C(=O)[C@H](CCCC(=O)OC(C)(C)C)NC(=O)C1=CC(C(=O)O)=CC=C1)C(=O)C(=O)CCC(=O)N[C@H](C(N)=O)C1=CC=CC=C1 FGEBNBDWXBWWBJ-QJSACUJRSA-N 0.000 description 1
- KLGKYCBUDUODAX-CWXNZYCDSA-N CCCC(CC(=O)[C@@H]1C[C@@H](OCC2=CC=CC=C2)CN1C(=O)[C@H](CCCC(=O)OC(C)(C)C)NC(=O)C1=CC=CC=C1C(=O)O)C(=O)C(=O)CCC(=O)N[C@H](C(N)=O)C1=CC=CC=C1 Chemical compound CCCC(CC(=O)[C@@H]1C[C@@H](OCC2=CC=CC=C2)CN1C(=O)[C@H](CCCC(=O)OC(C)(C)C)NC(=O)C1=CC=CC=C1C(=O)O)C(=O)C(=O)CCC(=O)N[C@H](C(N)=O)C1=CC=CC=C1 KLGKYCBUDUODAX-CWXNZYCDSA-N 0.000 description 1
- YXLYXBKDGQXIDO-CWXNZYCDSA-N CCCC(CC(=O)[C@@H]1C[C@@H](OCC2=CC=CC=C2)CN1C(=O)[C@H](CCCC(=O)OC(C)(C)C)NC(=O)C1=CC=CC=C1C(N)=O)C(=O)C(=O)CCC(=O)N[C@H](C(N)=O)C1=CC=CC=C1 Chemical compound CCCC(CC(=O)[C@@H]1C[C@@H](OCC2=CC=CC=C2)CN1C(=O)[C@H](CCCC(=O)OC(C)(C)C)NC(=O)C1=CC=CC=C1C(N)=O)C(=O)C(=O)CCC(=O)N[C@H](C(N)=O)C1=CC=CC=C1 YXLYXBKDGQXIDO-CWXNZYCDSA-N 0.000 description 1
- PYTMLTICJLRJRP-QXJRNNHLSA-N CCCC(CC(=O)[C@@H]1C[C@@H](OCC2=CC=CC=C2)CN1C(=O)[C@H](CCCC(=O)OC(C)(C)C)NC(=O)C1CCCCC1)C(=O)C(=O)CCC(=O)N[C@H](C(N)=O)C1=CC=CC=C1 Chemical compound CCCC(CC(=O)[C@@H]1C[C@@H](OCC2=CC=CC=C2)CN1C(=O)[C@H](CCCC(=O)OC(C)(C)C)NC(=O)C1CCCCC1)C(=O)C(=O)CCC(=O)N[C@H](C(N)=O)C1=CC=CC=C1 PYTMLTICJLRJRP-QXJRNNHLSA-N 0.000 description 1
- NDZVTZPKLYLHHY-LKHWEKNNSA-N CCCC(CC(=O)[C@@H]1C[C@@H](OCC2=CC=CC=C2)CN1C(=O)[C@H](CCCC(=O)OC(C)(C)C)NC(=O)CC1=CC=CC=C1)C(=O)C(=O)CCC(=O)N[C@H](C(N)=O)C1=CC=CC=C1 Chemical compound CCCC(CC(=O)[C@@H]1C[C@@H](OCC2=CC=CC=C2)CN1C(=O)[C@H](CCCC(=O)OC(C)(C)C)NC(=O)CC1=CC=CC=C1)C(=O)C(=O)CCC(=O)N[C@H](C(N)=O)C1=CC=CC=C1 NDZVTZPKLYLHHY-LKHWEKNNSA-N 0.000 description 1
- RPWDMTHFWNQQLC-ABLFKVKSSA-N CCCC(CC(=O)[C@@H]1C[C@@H](OCC2=CC=CC=C2)CN1C(=O)[C@H](CCCC(=O)OC(C)(C)C)NC(=O)OCC(C)C)C(=O)C(=O)CCC(=O)N[C@H](C(N)=O)C1=CC=CC=C1 Chemical compound CCCC(CC(=O)[C@@H]1C[C@@H](OCC2=CC=CC=C2)CN1C(=O)[C@H](CCCC(=O)OC(C)(C)C)NC(=O)OCC(C)C)C(=O)C(=O)CCC(=O)N[C@H](C(N)=O)C1=CC=CC=C1 RPWDMTHFWNQQLC-ABLFKVKSSA-N 0.000 description 1
- HCLXZMFLZXAAMD-CIPPYHLGSA-N CCCC(CC(=O)[C@@H]1C[C@@H](OCC2=CC=CC=C2)CN1C(=O)[C@H](CCCNC(=O)C1(C(=O)O)CC1)CC(=O)OCC(C)C)C(=O)C(=O)CCC(=O)N[C@H](C(N)=O)C1=CC=CC=C1 Chemical compound CCCC(CC(=O)[C@@H]1C[C@@H](OCC2=CC=CC=C2)CN1C(=O)[C@H](CCCNC(=O)C1(C(=O)O)CC1)CC(=O)OCC(C)C)C(=O)C(=O)CCC(=O)N[C@H](C(N)=O)C1=CC=CC=C1 HCLXZMFLZXAAMD-CIPPYHLGSA-N 0.000 description 1
- PJYILNVAIQEJDK-PRBXEQMKSA-N CCCC(CC(=O)[C@@H]1C[C@@H](OCC2=CC=CC=C2)CN1C(=O)[C@H](CCCNC(=O)C1=C(F)C(F)=C(F)C(F)=C1C(=O)O)CC(=O)OCC(C)C)C(=O)C(=O)CCC(=O)N[C@H](C(N)=O)C1=CC=CC=C1 Chemical compound CCCC(CC(=O)[C@@H]1C[C@@H](OCC2=CC=CC=C2)CN1C(=O)[C@H](CCCNC(=O)C1=C(F)C(F)=C(F)C(F)=C1C(=O)O)CC(=O)OCC(C)C)C(=O)C(=O)CCC(=O)N[C@H](C(N)=O)C1=CC=CC=C1 PJYILNVAIQEJDK-PRBXEQMKSA-N 0.000 description 1
- STTBFTXIJSZSOW-ZNEZUNAPSA-N CCCC(CC(=O)[C@@H]1C[C@@H](OCC2=CC=CC=C2)CN1C(=O)[C@H](CCCNC(=O)C1=CC=C(C(=O)O)C=C1)CC(=O)OCC(C)C)C(=O)C(=O)CCC(=O)N[C@H](C(N)=O)C1=CC=CC=C1 Chemical compound CCCC(CC(=O)[C@@H]1C[C@@H](OCC2=CC=CC=C2)CN1C(=O)[C@H](CCCNC(=O)C1=CC=C(C(=O)O)C=C1)CC(=O)OCC(C)C)C(=O)C(=O)CCC(=O)N[C@H](C(N)=O)C1=CC=CC=C1 STTBFTXIJSZSOW-ZNEZUNAPSA-N 0.000 description 1
- APALFDUYDIXWEW-YVFSQVPBSA-N CCCC(CC(=O)[C@@H]1C[C@@H](OCC2=CC=CC=C2)CN1C(=O)[C@H](CCCNC(=O)C1=CC=CC(C(=O)O)=C1)CC(=O)OCC(C)C)C(=O)C(=O)CCC(=O)N[C@H](C(N)=O)C1=CC=CC=C1 Chemical compound CCCC(CC(=O)[C@@H]1C[C@@H](OCC2=CC=CC=C2)CN1C(=O)[C@H](CCCNC(=O)C1=CC=CC(C(=O)O)=C1)CC(=O)OCC(C)C)C(=O)C(=O)CCC(=O)N[C@H](C(N)=O)C1=CC=CC=C1 APALFDUYDIXWEW-YVFSQVPBSA-N 0.000 description 1
- CYLIIBXFJOXWGH-ZNEZUNAPSA-N CCCC(CC(=O)[C@@H]1C[C@@H](OCC2=CC=CC=C2)CN1C(=O)[C@H](CCCNC(=O)C1=CC=CC=C1)CC(=O)OCC(C)C)C(=O)C(=O)CCC(=O)N[C@H](C(N)=O)C1=CC=CC=C1 Chemical compound CCCC(CC(=O)[C@@H]1C[C@@H](OCC2=CC=CC=C2)CN1C(=O)[C@H](CCCNC(=O)C1=CC=CC=C1)CC(=O)OCC(C)C)C(=O)C(=O)CCC(=O)N[C@H](C(N)=O)C1=CC=CC=C1 CYLIIBXFJOXWGH-ZNEZUNAPSA-N 0.000 description 1
- RRBBSLXPEBLHGB-LFRXATIXSA-N CCCC(CC(=O)[C@@H]1C[C@@H](OCC2=CC=CC=C2)CN1C(=O)[C@H](CCCNC(=O)C1CCC(C(=O)O)CC1)CC(=O)OCC(C)C)C(=O)C(=O)CCC(=O)N[C@H](C(N)=O)C1=CC=CC=C1 Chemical compound CCCC(CC(=O)[C@@H]1C[C@@H](OCC2=CC=CC=C2)CN1C(=O)[C@H](CCCNC(=O)C1CCC(C(=O)O)CC1)CC(=O)OCC(C)C)C(=O)C(=O)CCC(=O)N[C@H](C(N)=O)C1=CC=CC=C1 RRBBSLXPEBLHGB-LFRXATIXSA-N 0.000 description 1
- BNDATCKYDKZLIT-ZNEZUNAPSA-N CCCC(CC(=O)[C@@H]1C[C@@H](OCC2=CC=CC=C2)CN1C(=O)[C@H](CCCNC(=O)C1CCCCC1)CC(=O)OCC(C)C)C(=O)C(=O)CCC(=O)N[C@H](C(N)=O)C1=CC=CC=C1 Chemical compound CCCC(CC(=O)[C@@H]1C[C@@H](OCC2=CC=CC=C2)CN1C(=O)[C@H](CCCNC(=O)C1CCCCC1)CC(=O)OCC(C)C)C(=O)C(=O)CCC(=O)N[C@H](C(N)=O)C1=CC=CC=C1 BNDATCKYDKZLIT-ZNEZUNAPSA-N 0.000 description 1
- KMWHLEBZRZXIOD-HVVJEOAKSA-N CCCC(CC(=O)[C@@H]1C[C@@H](OCC2=CC=CC=C2)CN1C(=O)[C@H](CCCNC(=O)C1CCCC[C@H]1C(=O)O)CC(=O)OCC(C)C)C(=O)C(=O)CCC(=O)N[C@H](C(N)=O)C1=CC=CC=C1 Chemical compound CCCC(CC(=O)[C@@H]1C[C@@H](OCC2=CC=CC=C2)CN1C(=O)[C@H](CCCNC(=O)C1CCCC[C@H]1C(=O)O)CC(=O)OCC(C)C)C(=O)C(=O)CCC(=O)N[C@H](C(N)=O)C1=CC=CC=C1 KMWHLEBZRZXIOD-HVVJEOAKSA-N 0.000 description 1
- JZBYZVKFZLKPIY-AUWMWBAWSA-N CCCC(CC(=O)[C@@H]1C[C@@H](OCC2=CC=CC=C2)CN1C(=O)[C@H](CCCNC(=O)CC1=CC=CC=C1)CC(=O)OCC(C)C)C(=O)C(=O)CCC(=O)N[C@H](C(N)=O)C1=CC=CC=C1 Chemical compound CCCC(CC(=O)[C@@H]1C[C@@H](OCC2=CC=CC=C2)CN1C(=O)[C@H](CCCNC(=O)CC1=CC=CC=C1)CC(=O)OCC(C)C)C(=O)C(=O)CCC(=O)N[C@H](C(N)=O)C1=CC=CC=C1 JZBYZVKFZLKPIY-AUWMWBAWSA-N 0.000 description 1
- DOWAOJBJNONYOZ-ROEGGPKVSA-N CCCC(CC(=O)[C@@H]1C[C@@H](OCC2=CC=CC=C2)CN1C(=O)[C@H](CCCNC(=O)CCC(=O)O)CC(=O)OCC(C)C)C(=O)C(=O)CCC(=O)N[C@H](C(N)=O)C1=CC=CC=C1 Chemical compound CCCC(CC(=O)[C@@H]1C[C@@H](OCC2=CC=CC=C2)CN1C(=O)[C@H](CCCNC(=O)CCC(=O)O)CC(=O)OCC(C)C)C(=O)C(=O)CCC(=O)N[C@H](C(N)=O)C1=CC=CC=C1 DOWAOJBJNONYOZ-ROEGGPKVSA-N 0.000 description 1
- SWZPMGSXYHZQAI-ZBBMKHTCSA-N CCCC(CC(=O)[C@@H]1C[C@@H](OCC2=CC=CC=C2)CN1C(=O)[C@H](CCCNC(=O)CCC(=O)OC)CC(=O)OCC(C)C)C(=O)C(=O)CCC(=O)N[C@H](C(N)=O)C1=CC=CC=C1 Chemical compound CCCC(CC(=O)[C@@H]1C[C@@H](OCC2=CC=CC=C2)CN1C(=O)[C@H](CCCNC(=O)CCC(=O)OC)CC(=O)OCC(C)C)C(=O)C(=O)CCC(=O)N[C@H](C(N)=O)C1=CC=CC=C1 SWZPMGSXYHZQAI-ZBBMKHTCSA-N 0.000 description 1
- NJAPEPKPZCDSIW-CIPPYHLGSA-N CCCC(CC(=O)[C@@H]1C[C@@H](OCC2=CC=CC=C2)CN1C(=O)[C@H](CCCNC(C)=O)CC(=O)OCC(C)C)C(=O)C(=O)CCC(=O)N[C@H](C(N)=O)C1=CC=CC=C1 Chemical compound CCCC(CC(=O)[C@@H]1C[C@@H](OCC2=CC=CC=C2)CN1C(=O)[C@H](CCCNC(C)=O)CC(=O)OCC(C)C)C(=O)C(=O)CCC(=O)N[C@H](C(N)=O)C1=CC=CC=C1 NJAPEPKPZCDSIW-CIPPYHLGSA-N 0.000 description 1
- LWXDIYCHPSKQDB-PTRSUVFCSA-N CCCC(CC(=O)[C@@H]1[C@@H]2[C@H](CN1C(=O)[C@@H](NC(=O)NC(C)(C)C)C(C)(C)C)C2(C)C)C(=O)C(=O)CCC(=O)N[C@H](C(=O)N(C)C)C1=CC=CC=C1.CCCC(CC(=O)[C@@H]1[C@@H]2[C@H](CN1C(=O)[C@@H](NC(=O)O[C@H](C)C(C)C)C(C)(C)C)C2(C)C)C(=O)C(=O)CCC(=O)N[C@H](C(=O)N(C)C)C1=CC=CC=C1.CCCCC(CC(=O)[C@@H]1[C@@H]2[C@H](CN1C(=O)[C@@H](NC(=O)OCC(C)C)C(C)(C)C)C2(C)C)C(=O)C(=O)CCC(=O)N[C@H](C(=O)N(C)C)C1=CC=CC=C1.CN(C)C(=O)[C@@H](NC(=O)CCC(=O)C(=O)C(CC(=O)[C@@H]1[C@H]2CC(C)(C)O[C@H]2CN1C(=O)[C@@H](NC(=O)OC(C)(C)C)C1CCCCC1)CC1CC1)C1=CC=CC=C1 Chemical compound CCCC(CC(=O)[C@@H]1[C@@H]2[C@H](CN1C(=O)[C@@H](NC(=O)NC(C)(C)C)C(C)(C)C)C2(C)C)C(=O)C(=O)CCC(=O)N[C@H](C(=O)N(C)C)C1=CC=CC=C1.CCCC(CC(=O)[C@@H]1[C@@H]2[C@H](CN1C(=O)[C@@H](NC(=O)O[C@H](C)C(C)C)C(C)(C)C)C2(C)C)C(=O)C(=O)CCC(=O)N[C@H](C(=O)N(C)C)C1=CC=CC=C1.CCCCC(CC(=O)[C@@H]1[C@@H]2[C@H](CN1C(=O)[C@@H](NC(=O)OCC(C)C)C(C)(C)C)C2(C)C)C(=O)C(=O)CCC(=O)N[C@H](C(=O)N(C)C)C1=CC=CC=C1.CN(C)C(=O)[C@@H](NC(=O)CCC(=O)C(=O)C(CC(=O)[C@@H]1[C@H]2CC(C)(C)O[C@H]2CN1C(=O)[C@@H](NC(=O)OC(C)(C)C)C1CCCCC1)CC1CC1)C1=CC=CC=C1 LWXDIYCHPSKQDB-PTRSUVFCSA-N 0.000 description 1
- MDUFJKOGZAKTGV-GKTDHZDCSA-N CCCC(CC(=O)[C@@H]1[C@@H]2[C@H](CN1C(=O)[C@@H](NC(=O)OC(C)(C)C)C1CCC(F)(F)CC1)C2(C)C)C(=O)C(=O)CCC(=O)N[C@H](C(=O)N(C)C)C1=CC=CC=C1 Chemical compound CCCC(CC(=O)[C@@H]1[C@@H]2[C@H](CN1C(=O)[C@@H](NC(=O)OC(C)(C)C)C1CCC(F)(F)CC1)C2(C)C)C(=O)C(=O)CCC(=O)N[C@H](C(=O)N(C)C)C1=CC=CC=C1 MDUFJKOGZAKTGV-GKTDHZDCSA-N 0.000 description 1
- KBRYZNMOZXZJQQ-UHFFFAOYSA-N CCCC(CO)NC(=O)OC(C)(C)C.[H]C(=O)C(CCC)NC(=O)OC(C)(C)C Chemical compound CCCC(CO)NC(=O)OC(C)(C)C.[H]C(=O)C(CCC)NC(=O)OC(C)(C)C KBRYZNMOZXZJQQ-UHFFFAOYSA-N 0.000 description 1
- CEIFFHBTVBJLAL-UHFFFAOYSA-N CCCC(CO)NC(=O)OCC1C2=C(C=CC=C2)C2=C1C=CC=C2.CCCC(NC(=O)OCC1C2=C(C=CC=C2)C2=C1C=CC=C2)C(=O)OC Chemical compound CCCC(CO)NC(=O)OCC1C2=C(C=CC=C2)C2=C1C=CC=C2.CCCC(NC(=O)OCC1C2=C(C=CC=C2)C2=C1C=CC=C2)C(=O)OC CEIFFHBTVBJLAL-UHFFFAOYSA-N 0.000 description 1
- XIYSWUQCVQPITR-UHFFFAOYSA-N CCCC(CO)NC(=O)OCC1C2=C(C=CC=C2)C2=C1C=CC=C2.[H]C(=O)C(CCC)NC(=O)OCC1C2=C(C=CC=C2)C2=C1C=CC=C2 Chemical compound CCCC(CO)NC(=O)OCC1C2=C(C=CC=C2)C2=C1C=CC=C2.[H]C(=O)C(CCC)NC(=O)OCC1C2=C(C=CC=C2)C2=C1C=CC=C2 XIYSWUQCVQPITR-UHFFFAOYSA-N 0.000 description 1
- MYSMRCCMXHCKKE-QCPFYQAFSA-N CCCC(NC(=O)C1(C)CC(C)(C)CN1C(=O)C(NC(=O)OC(C)(C)C)C(C)(C)C)C(=O)C(=O)NCC(=O)N[C@H](C(=O)N(C)C)C1=CC=CC=C1 Chemical compound CCCC(NC(=O)C1(C)CC(C)(C)CN1C(=O)C(NC(=O)OC(C)(C)C)C(C)(C)C)C(=O)C(=O)NCC(=O)N[C@H](C(=O)N(C)C)C1=CC=CC=C1 MYSMRCCMXHCKKE-QCPFYQAFSA-N 0.000 description 1
- CTRSSPKKMABLAN-MVGYEFLTSA-N CCCC(NC(=O)C1(C)CC(C)(C)CN1C(=O)[C@H](NC(=O)OC(C)(C)C)C1CCCCC1)C(=O)C(=O)NCC(=O)N[C@H](C(=O)N(C)C)C1=CC=CC=C1 Chemical compound CCCC(NC(=O)C1(C)CC(C)(C)CN1C(=O)[C@H](NC(=O)OC(C)(C)C)C1CCCCC1)C(=O)C(=O)NCC(=O)N[C@H](C(=O)N(C)C)C1=CC=CC=C1 CTRSSPKKMABLAN-MVGYEFLTSA-N 0.000 description 1
- UXKCNIMMCVIKNM-UHFFFAOYSA-N CCCC(NC(=O)C1C(C(=O)C(NC(=O)NC(C)(C)C)C2CCCCC2)CC1C1=CC=CC=C1)C(=O)C(N)=O Chemical compound CCCC(NC(=O)C1C(C(=O)C(NC(=O)NC(C)(C)C)C2CCCCC2)CC1C1=CC=CC=C1)C(=O)C(N)=O UXKCNIMMCVIKNM-UHFFFAOYSA-N 0.000 description 1
- IBCCPQVNEZWZGO-UHFFFAOYSA-N CCCC(NC(=O)C1C2C(CN1C(=O)C(CC(=O)CC1=C[SH](C)C=C1)C1CCCCC1)C2(C)C)C(=O)C(N)=O Chemical compound CCCC(NC(=O)C1C2C(CN1C(=O)C(CC(=O)CC1=C[SH](C)C=C1)C1CCCCC1)C2(C)C)C(=O)C(N)=O IBCCPQVNEZWZGO-UHFFFAOYSA-N 0.000 description 1
- SOCNTDSZYWYIEO-UHFFFAOYSA-N CCCC(NC(=O)C1C2C(CN1C(=O)C(NC(=O)N1CCOCC1)C1CCCCC1)C2(C)C)C(=O)C(N)=O Chemical compound CCCC(NC(=O)C1C2C(CN1C(=O)C(NC(=O)N1CCOCC1)C1CCCCC1)C2(C)C)C(=O)C(N)=O SOCNTDSZYWYIEO-UHFFFAOYSA-N 0.000 description 1
- NFVKGMKDBROYJL-UHFFFAOYSA-N CCCC(NC(=O)C1C2C(CN1C(=O)C(NC(=O)NC(C)(C)C)C1CCCCC1)C2(C)C)C(=O)C(=O)NCC(=O)NC(C)(C)C Chemical compound CCCC(NC(=O)C1C2C(CN1C(=O)C(NC(=O)NC(C)(C)C)C1CCCCC1)C2(C)C)C(=O)C(=O)NCC(=O)NC(C)(C)C NFVKGMKDBROYJL-UHFFFAOYSA-N 0.000 description 1
- RJZVVHCKSCSJIV-NBVRZTHBSA-N CCCC(NC(=O)C1C2C(CN1C(=O)C(NC(=O)OC(C)(C)C)C(C)(C)C)C2(C)C)C(=O)C(=O)NC/C=C/C1=CC=CC=C1 Chemical compound CCCC(NC(=O)C1C2C(CN1C(=O)C(NC(=O)OC(C)(C)C)C(C)(C)C)C2(C)C)C(=O)C(=O)NC/C=C/C1=CC=CC=C1 RJZVVHCKSCSJIV-NBVRZTHBSA-N 0.000 description 1
- PIOILWMTQYEXBA-UHFFFAOYSA-N CCCC(NC(=O)C1C2C(CN1C(=O)C(NC(=O)OC(C)(C)C)C(C)(C)C)C2(C)C)C(=O)C(=O)NCCC(C1=CC=CC=C1)C1=CC=CC=C1 Chemical compound CCCC(NC(=O)C1C2C(CN1C(=O)C(NC(=O)OC(C)(C)C)C(C)(C)C)C2(C)C)C(=O)C(=O)NCCC(C1=CC=CC=C1)C1=CC=CC=C1 PIOILWMTQYEXBA-UHFFFAOYSA-N 0.000 description 1
- HQCAMTARQBQJOK-UHFFFAOYSA-N CCCC(NC(=O)C1C2C(CN1C(=O)C(NC(=O)OC(C)(C)C)C(C)(C)C)C2(C)C)C(=O)C(=O)NCCC1=CC=CC=N1 Chemical compound CCCC(NC(=O)C1C2C(CN1C(=O)C(NC(=O)OC(C)(C)C)C(C)(C)C)C2(C)C)C(=O)C(=O)NCCC1=CC=CC=N1 HQCAMTARQBQJOK-UHFFFAOYSA-N 0.000 description 1
- HPHNLQQVHQYFAH-UHFFFAOYSA-N CCCC(NC(=O)C1C2C(CN1C(=O)C(NC(=O)OC(C)(C)C)C(C)(C)C)C2(Cl)Cl)C(=O)C(N)=O Chemical compound CCCC(NC(=O)C1C2C(CN1C(=O)C(NC(=O)OC(C)(C)C)C(C)(C)C)C2(Cl)Cl)C(=O)C(N)=O HPHNLQQVHQYFAH-UHFFFAOYSA-N 0.000 description 1
- DLYZFDRQTYQOTO-UHFFFAOYSA-N CCCC(NC(=O)C1C2C(CN1C(=O)C(NC(=O)OC(C)(C)C)C1CC3=C(C=CC=C3)C1)C2(C)C)C(=O)C(=O)NCC(=O)NCC1=CC=CC=C1 Chemical compound CCCC(NC(=O)C1C2C(CN1C(=O)C(NC(=O)OC(C)(C)C)C1CC3=C(C=CC=C3)C1)C2(C)C)C(=O)C(=O)NCC(=O)NCC1=CC=CC=C1 DLYZFDRQTYQOTO-UHFFFAOYSA-N 0.000 description 1
- KIAKSXZNDJBOCS-UHFFFAOYSA-N CCCC(NC(=O)C1C2C(CN1C(=O)C(NC(=O)OC(C)(C)C)C1CCC(F)(F)CC1)C2(C)C)C(=O)C(=O)O Chemical compound CCCC(NC(=O)C1C2C(CN1C(=O)C(NC(=O)OC(C)(C)C)C1CCC(F)(F)CC1)C2(C)C)C(=O)C(=O)O KIAKSXZNDJBOCS-UHFFFAOYSA-N 0.000 description 1
- WFUOUOOCINZGCR-UHFFFAOYSA-N CCCC(NC(=O)C1C2C(CN1C(=O)C(NC(=O)OC(C)(C)C)C1CCCCC1)C2(C)C)C(=O)C(=O)CCCC1=CCCCC1 Chemical compound CCCC(NC(=O)C1C2C(CN1C(=O)C(NC(=O)OC(C)(C)C)C1CCCCC1)C2(C)C)C(=O)C(=O)CCCC1=CCCCC1 WFUOUOOCINZGCR-UHFFFAOYSA-N 0.000 description 1
- QULZMESVKXUREN-UHFFFAOYSA-N CCCC(NC(=O)C1C2C(CN1C(=O)C(NC(=O)OC(C)(C)C)C1CCCCC1)C2(C)C)C(=O)C(=O)NCC(=O)CC1CCCCC1 Chemical compound CCCC(NC(=O)C1C2C(CN1C(=O)C(NC(=O)OC(C)(C)C)C1CCCCC1)C2(C)C)C(=O)C(=O)NCC(=O)CC1CCCCC1 QULZMESVKXUREN-UHFFFAOYSA-N 0.000 description 1
- FNRAUIKHGNYJRH-UHFFFAOYSA-N CCCC(NC(=O)C1C2C(CN1C(=O)C(NC(=O)OC(C)(C)C)C1CCCCC1)C2(C)C)C(=O)C(=O)NCCCCC(=O)(=O)NC1=CC=C(C)C=C1 Chemical compound CCCC(NC(=O)C1C2C(CN1C(=O)C(NC(=O)OC(C)(C)C)C1CCCCC1)C2(C)C)C(=O)C(=O)NCCCCC(=O)(=O)NC1=CC=C(C)C=C1 FNRAUIKHGNYJRH-UHFFFAOYSA-N 0.000 description 1
- RYZYRQLBTNKZOO-UHFFFAOYSA-N CCCC(NC(=O)C1C2C(CN1C(=O)C(NC(=O)OC(C)(C)C)C1CCCCC1)C2(C)C)C(=O)C(=O)NCCOC(=O)OC(C)(C)C Chemical compound CCCC(NC(=O)C1C2C(CN1C(=O)C(NC(=O)OC(C)(C)C)C1CCCCC1)C2(C)C)C(=O)C(=O)NCCOC(=O)OC(C)(C)C RYZYRQLBTNKZOO-UHFFFAOYSA-N 0.000 description 1
- LBOHKEGXLKJGDF-UHFFFAOYSA-N CCCC(NC(=O)C1C2C(CN1C(=O)C(NC(=O)OC(C)C(C)(C)C)C1CCCCC1)C2(C)C)C(=O)C(N)=O Chemical compound CCCC(NC(=O)C1C2C(CN1C(=O)C(NC(=O)OC(C)C(C)(C)C)C1CCCCC1)C2(C)C)C(=O)C(N)=O LBOHKEGXLKJGDF-UHFFFAOYSA-N 0.000 description 1
- WOROHGFFDDHYNY-UHFFFAOYSA-N CCCC(NC(=O)C1C2C(CN1C(=O)C(NC(=O)OCC(C)C)C1CCC(F)(F)CC1)C2(C)C)C(=O)C(=O)NCC(=O)NC(C(=O)N(C)C)C1=CC=CC=C1 Chemical compound CCCC(NC(=O)C1C2C(CN1C(=O)C(NC(=O)OCC(C)C)C1CCC(F)(F)CC1)C2(C)C)C(=O)C(=O)NCC(=O)NC(C(=O)N(C)C)C1=CC=CC=C1 WOROHGFFDDHYNY-UHFFFAOYSA-N 0.000 description 1
- IULANHPDYAMDCC-HLJHNMRUSA-N CCCC(NC(=O)C1C2C(CN1C(=O)[C@@H](NC(=O)OC(C)(C)C)C(C)(C)C)C2(C)C)C(=O)C(=O)NCC1CC1C1=CC=CC=C1 Chemical compound CCCC(NC(=O)C1C2C(CN1C(=O)[C@@H](NC(=O)OC(C)(C)C)C(C)(C)C)C2(C)C)C(=O)C(=O)NCC1CC1C1=CC=CC=C1 IULANHPDYAMDCC-HLJHNMRUSA-N 0.000 description 1
- XIUHLJNRFMHUAJ-VDJOACQGSA-N CCCC(NC(=O)C1C2C(CN1C(=O)[C@@H](NC(=O)OC(C)(C)C)C(C)(C)C)C2(C)C)C(=O)C(=O)NCCCCCCC1=CC=CC=C1 Chemical compound CCCC(NC(=O)C1C2C(CN1C(=O)[C@@H](NC(=O)OC(C)(C)C)C(C)(C)C)C2(C)C)C(=O)C(=O)NCCCCCCC1=CC=CC=C1 XIUHLJNRFMHUAJ-VDJOACQGSA-N 0.000 description 1
- JGXCLHDKFNIXOY-KLRXVVKKSA-N CCCC(NC(=O)C1C2C(CN1C(=O)[C@@H](NC(=O)OC(C)(C)C)C1CCCC1)C2(C)C)C(=O)C(=O)NCC(=O)N[C@H](C(=O)N(C)C)C1=CC=CC=C1 Chemical compound CCCC(NC(=O)C1C2C(CN1C(=O)[C@@H](NC(=O)OC(C)(C)C)C1CCCC1)C2(C)C)C(=O)C(=O)NCC(=O)N[C@H](C(=O)N(C)C)C1=CC=CC=C1 JGXCLHDKFNIXOY-KLRXVVKKSA-N 0.000 description 1
- MSHRDJHOMYCZBB-CVZBMTAPSA-N CCCC(NC(=O)C1C2C(CN1C(=O)[C@@H](NC(=O)OCC(C)C)C(C)(C)C)C2(C)C)C(=O)C(=O)NCC(=O)N[C@H](C(=O)N(C)C)C1=CC=CC=C1 Chemical compound CCCC(NC(=O)C1C2C(CN1C(=O)[C@@H](NC(=O)OCC(C)C)C(C)(C)C)C2(C)C)C(=O)C(=O)NCC(=O)N[C@H](C(=O)N(C)C)C1=CC=CC=C1 MSHRDJHOMYCZBB-CVZBMTAPSA-N 0.000 description 1
- VOTCZHMCSLTABW-HNICDYJYSA-N CCCC(NC(=O)C1C2C(CN1C(=O)[C@H](CC1CC1)NC(=O)OC(C)(C)C)C2(C)C)C(=O)C(N)=O Chemical compound CCCC(NC(=O)C1C2C(CN1C(=O)[C@H](CC1CC1)NC(=O)OC(C)(C)C)C2(C)C)C(=O)C(N)=O VOTCZHMCSLTABW-HNICDYJYSA-N 0.000 description 1
- ODXRVUPASGQFIK-XULJFXSZSA-N CCCC(NC(=O)C1C2CC(C3CC32)N1C(=O)[C@@H](NC(=O)OC(C)(C)C)C1CCCCC1)C(=O)C(N)=O Chemical compound CCCC(NC(=O)C1C2CC(C3CC32)N1C(=O)[C@@H](NC(=O)OC(C)(C)C)C1CCCCC1)C(=O)C(N)=O ODXRVUPASGQFIK-XULJFXSZSA-N 0.000 description 1
- UJJQBQLHBXMZBI-UHFFFAOYSA-N CCCC(NC(=O)C1C2CCC(C)(C)OC2CN1C(=O)C(NC(=O)OC(C)(C)C)C(C)(C)C)C(=O)C(=O)OC Chemical compound CCCC(NC(=O)C1C2CCC(C)(C)OC2CN1C(=O)C(NC(=O)OC(C)(C)C)C(C)(C)C)C(=O)C(=O)OC UJJQBQLHBXMZBI-UHFFFAOYSA-N 0.000 description 1
- SANAKVHOEONSCW-FIEBVZDYSA-N CCCC(NC(=O)C1C2CCC(C2)N1C(=O)C(NC(=O)OC(C)(C)C)C1CCCCC1)C(=O)C(=O)NCC(=O)N[C@H](C(=O)N(C)C)C1=CC=CC=C1 Chemical compound CCCC(NC(=O)C1C2CCC(C2)N1C(=O)C(NC(=O)OC(C)(C)C)C1CCCCC1)C(=O)C(=O)NCC(=O)N[C@H](C(=O)N(C)C)C1=CC=CC=C1 SANAKVHOEONSCW-FIEBVZDYSA-N 0.000 description 1
- PITGRROSVMRTGB-UHFFFAOYSA-N CCCC(NC(=O)C1C2CCC(C2)N1C(=O)C(NC(=O)OC(C)(C)C)C1CCCCC1)C(=O)C(=O)OCC1=CC=CC=C1 Chemical compound CCCC(NC(=O)C1C2CCC(C2)N1C(=O)C(NC(=O)OC(C)(C)C)C1CCCCC1)C(=O)C(=O)OCC1=CC=CC=C1 PITGRROSVMRTGB-UHFFFAOYSA-N 0.000 description 1
- IGVQGPTVZUVJPW-QBZUQLHGSA-N CCCC(NC(=O)C1C2CCC(C2)N1C(=O)[C@@H](NC(=O)OC(C)(C)C)C(C)(C)C)C(=O)C(=O)NCC(=O)O Chemical compound CCCC(NC(=O)C1C2CCC(C2)N1C(=O)[C@@H](NC(=O)OC(C)(C)C)C(C)(C)C)C(=O)C(=O)NCC(=O)O IGVQGPTVZUVJPW-QBZUQLHGSA-N 0.000 description 1
- FAQHGIFJDSUBTD-ZHEFSGTFSA-N CCCC(NC(=O)C1C2CCC(C2)N1C(=O)[C@@H](NC(=O)OC(C)(C)C)C(C)(C)C)C(=O)C(N)=O Chemical compound CCCC(NC(=O)C1C2CCC(C2)N1C(=O)[C@@H](NC(=O)OC(C)(C)C)C(C)(C)C)C(=O)C(N)=O FAQHGIFJDSUBTD-ZHEFSGTFSA-N 0.000 description 1
- CHIGAXSBEVVQOQ-SBMIBSRVSA-N CCCC(NC(=O)C1C2CCC(C2)N1C(=O)[C@@H](NC(=O)OC(C)(C)C)C1CCCCC1)C(=O)C(=O)NCC(=O)OCC1=CC=CC=C1 Chemical compound CCCC(NC(=O)C1C2CCC(C2)N1C(=O)[C@@H](NC(=O)OC(C)(C)C)C1CCCCC1)C(=O)C(=O)NCC(=O)OCC1=CC=CC=C1 CHIGAXSBEVVQOQ-SBMIBSRVSA-N 0.000 description 1
- PNZAEDWRBZDLCQ-VTPGYJTPSA-N CCCC(NC(=O)C1C2CCC(C2)N1C(=O)[C@H](NC(=O)OC(C)(C)C)C(C)(C)C)C(=O)C(=O)NCC(=O)N[C@H](C(=O)N(C)C)C1=CC=CC=C1 Chemical compound CCCC(NC(=O)C1C2CCC(C2)N1C(=O)[C@H](NC(=O)OC(C)(C)C)C(C)(C)C)C(=O)C(=O)NCC(=O)N[C@H](C(=O)N(C)C)C1=CC=CC=C1 PNZAEDWRBZDLCQ-VTPGYJTPSA-N 0.000 description 1
- VSLIGPCKTAQATB-CRRBKZSLSA-N CCCC(NC(=O)C1C2CCC(C2)N1C(=O)[C@H](NC(=O)OC(C)(C)C)C(C)(C)C)C(=O)C(=O)NCC(=O)OCC1=CC=CC=C1 Chemical compound CCCC(NC(=O)C1C2CCC(C2)N1C(=O)[C@H](NC(=O)OC(C)(C)C)C(C)(C)C)C(=O)C(=O)NCC(=O)OCC1=CC=CC=C1 VSLIGPCKTAQATB-CRRBKZSLSA-N 0.000 description 1
- CCHKMDPHIKLPNI-CHSRXRMCSA-N CCCC(NC(=O)C1C2CCC(CC2)N1C(=O)[C@@H](NC(=O)OCC(C)C)C1CCCCC1)C(=O)C(=O)NCC(=O)N[C@H](C(N)=O)C1=CC=CC=C1.CCCC(NC(=O)C1CC(C)(C)CN1C(=O)[C@@H](NC(=O)OCC(C)C)C1CCCCC1)C(=O)C(=O)NCC(=O)N[C@H](C(N)=O)C1=CC=CC=C1.CCCC(NC(=O)C1CC(C)(CC2=CC=CC=C2)CN1C(=O)[C@@H](NC(=O)OCC(C)C)C1CCCCC1)C(=O)C(=O)NCC(=O)N[C@H](C(N)=O)C1=CC=CC=C1.CCCC(NC(=O)C1CC2(CCCC2)CN1C(=O)[C@@H](NC(=O)OCC(C)C)C1CCCCC1)C(=O)C(=O)NCC(=O)N[C@H](C(=O)O)C1=CC=CC=C1.CCCC(NC(=O)C1C[C@@H](OC(C)(C)C)CN1C(=O)[C@@H](NC(=O)OC(C)C)C1CCCCC1)C(=O)C(=O)NCC(=O)N[C@H](C(=O)O)C1=CC=CC=C1 Chemical compound CCCC(NC(=O)C1C2CCC(CC2)N1C(=O)[C@@H](NC(=O)OCC(C)C)C1CCCCC1)C(=O)C(=O)NCC(=O)N[C@H](C(N)=O)C1=CC=CC=C1.CCCC(NC(=O)C1CC(C)(C)CN1C(=O)[C@@H](NC(=O)OCC(C)C)C1CCCCC1)C(=O)C(=O)NCC(=O)N[C@H](C(N)=O)C1=CC=CC=C1.CCCC(NC(=O)C1CC(C)(CC2=CC=CC=C2)CN1C(=O)[C@@H](NC(=O)OCC(C)C)C1CCCCC1)C(=O)C(=O)NCC(=O)N[C@H](C(N)=O)C1=CC=CC=C1.CCCC(NC(=O)C1CC2(CCCC2)CN1C(=O)[C@@H](NC(=O)OCC(C)C)C1CCCCC1)C(=O)C(=O)NCC(=O)N[C@H](C(=O)O)C1=CC=CC=C1.CCCC(NC(=O)C1C[C@@H](OC(C)(C)C)CN1C(=O)[C@@H](NC(=O)OC(C)C)C1CCCCC1)C(=O)C(=O)NCC(=O)N[C@H](C(=O)O)C1=CC=CC=C1 CCHKMDPHIKLPNI-CHSRXRMCSA-N 0.000 description 1
- VYZPLERUPHJDBS-SMLYMLNLSA-N CCCC(NC(=O)C1C2CCC(CC2)N1C(=O)[C@@H](NC(=O)OCC(C)C)C1CCCCC1)C(=O)C(=O)NCC(=O)N[C@H](C(N)=O)C1=CC=CC=C1.CCCC(NC(=O)C1CC(C)(C)CN1C(=O)[C@@H](NC(=O)OCC(C)C)C1CCCCC1)C(=O)C(=O)NCC(=O)N[C@H](C(N)=O)C1=CC=CC=C1.CCCC(NC(=O)C1CC2(CCCC2)CN1C(=O)[C@@H](NC(=O)OCC(C)C)C1CCCCC1)C(=O)C(=O)NCC(=O)N[C@H](C(N)=O)C1=CC=CC=C1.CCCC(NC(=O)C1C[C@@H](O)CN1C(=O)[C@@H](NC(=O)OCC(C)(C)C)C1CCCCC1)C(=O)C(=O)NCC(=O)N[C@H](C(=O)O)C1=CC=CC=C1.CCCC(NC(=O)C1C[C@@H](O)CN1C(=O)[C@@H](NC(=O)OCC)C1CCCCC1)C(=O)C(=O)NCC(=O)N[C@H](C(=O)O)C1=CC=CC=C1.CCCC(NC(=O)C1C[C@@H](OC(C)(C)C)CN1C(=O)[C@@H](NC(=O)OC(C)C)C1CCCCC1)C(=O)C(=O)NCC(=O)N[C@H](C(=O)O)C1=CC=CC=C1.CCCC(NC(=O)C1C[C@@H](OC(C)(C)C)CN1C(=O)[C@@H](NC(=O)OCC(C)(C)C)C1CCCCC1)C(=O)C(=O)NCC(=O)N[C@H](C(=O)O)C1=CC=CC=C1 Chemical compound CCCC(NC(=O)C1C2CCC(CC2)N1C(=O)[C@@H](NC(=O)OCC(C)C)C1CCCCC1)C(=O)C(=O)NCC(=O)N[C@H](C(N)=O)C1=CC=CC=C1.CCCC(NC(=O)C1CC(C)(C)CN1C(=O)[C@@H](NC(=O)OCC(C)C)C1CCCCC1)C(=O)C(=O)NCC(=O)N[C@H](C(N)=O)C1=CC=CC=C1.CCCC(NC(=O)C1CC2(CCCC2)CN1C(=O)[C@@H](NC(=O)OCC(C)C)C1CCCCC1)C(=O)C(=O)NCC(=O)N[C@H](C(N)=O)C1=CC=CC=C1.CCCC(NC(=O)C1C[C@@H](O)CN1C(=O)[C@@H](NC(=O)OCC(C)(C)C)C1CCCCC1)C(=O)C(=O)NCC(=O)N[C@H](C(=O)O)C1=CC=CC=C1.CCCC(NC(=O)C1C[C@@H](O)CN1C(=O)[C@@H](NC(=O)OCC)C1CCCCC1)C(=O)C(=O)NCC(=O)N[C@H](C(=O)O)C1=CC=CC=C1.CCCC(NC(=O)C1C[C@@H](OC(C)(C)C)CN1C(=O)[C@@H](NC(=O)OC(C)C)C1CCCCC1)C(=O)C(=O)NCC(=O)N[C@H](C(=O)O)C1=CC=CC=C1.CCCC(NC(=O)C1C[C@@H](OC(C)(C)C)CN1C(=O)[C@@H](NC(=O)OCC(C)(C)C)C1CCCCC1)C(=O)C(=O)NCC(=O)N[C@H](C(=O)O)C1=CC=CC=C1 VYZPLERUPHJDBS-SMLYMLNLSA-N 0.000 description 1
- MLOLXTVDAAXGTQ-UHFFFAOYSA-N CCCC(NC(=O)C1CC(C)(C)CN1C(=O)C(NC(=O)OC(C)(C)C)C(C)(C)C)C(=O)C(=O)NCC(=O)NC(C)C1=CC=CC=C1 Chemical compound CCCC(NC(=O)C1CC(C)(C)CN1C(=O)C(NC(=O)OC(C)(C)C)C(C)(C)C)C(=O)C(=O)NCC(=O)NC(C)C1=CC=CC=C1 MLOLXTVDAAXGTQ-UHFFFAOYSA-N 0.000 description 1
- NSQIDYODJICKOC-UHFFFAOYSA-N CCCC(NC(=O)C1CC(C)(C)CN1C(=O)C(NC(=O)OC(C)(C)C)C1CCC(F)(F)CC1)C(=O)C(=O)NCC(=O)NC(C(=O)N(C)C)C1=CC=CC=C1 Chemical compound CCCC(NC(=O)C1CC(C)(C)CN1C(=O)C(NC(=O)OC(C)(C)C)C1CCC(F)(F)CC1)C(=O)C(=O)NCC(=O)NC(C(=O)N(C)C)C1=CC=CC=C1 NSQIDYODJICKOC-UHFFFAOYSA-N 0.000 description 1
- GAQVYMIDMBVIPP-FAFZWHIHSA-N CCCC(NC(=O)C1CC(C)(C)CN1C(=O)[C@@H](NC(=O)OC(C)(C)C)C(C)(C)C)C(=O)C(=O)NCC Chemical compound CCCC(NC(=O)C1CC(C)(C)CN1C(=O)[C@@H](NC(=O)OC(C)(C)C)C(C)(C)C)C(=O)C(=O)NCC GAQVYMIDMBVIPP-FAFZWHIHSA-N 0.000 description 1
- VXHBHMUQAXLWDH-QGPIEZSZSA-N CCCC(NC(=O)C1CC(C)(C)CN1C(=O)[C@@H](NC(=O)OC(C)(C)C)C(C)(C)C)C(=O)C(=O)NCC(=O)NCC1=CC=CC=C1 Chemical compound CCCC(NC(=O)C1CC(C)(C)CN1C(=O)[C@@H](NC(=O)OC(C)(C)C)C(C)(C)C)C(=O)C(=O)NCC(=O)NCC1=CC=CC=C1 VXHBHMUQAXLWDH-QGPIEZSZSA-N 0.000 description 1
- NSFDXTSDWHSOKW-OOEPIQFGSA-N CCCC(NC(=O)C1CC(C)(C)CN1C(=O)[C@@H](NC(=O)OC(C)(C)C)C(C)(C)C)C(=O)C(=O)NCCC1=CC=CC=C1 Chemical compound CCCC(NC(=O)C1CC(C)(C)CN1C(=O)[C@@H](NC(=O)OC(C)(C)C)C(C)(C)C)C(=O)C(=O)NCCC1=CC=CC=C1 NSFDXTSDWHSOKW-OOEPIQFGSA-N 0.000 description 1
- PXSBGRKJFQCUSS-VMBOVVBDSA-N CCCC(NC(=O)C1CC(C)(C)CN1C(=O)[C@@H](NC(=O)OC(C)(C)C)C(C)(C)C)C(=O)C(N)=O Chemical compound CCCC(NC(=O)C1CC(C)(C)CN1C(=O)[C@@H](NC(=O)OC(C)(C)C)C(C)(C)C)C(=O)C(N)=O PXSBGRKJFQCUSS-VMBOVVBDSA-N 0.000 description 1
- IVRLIZYCLNWQIY-MDQKUIDESA-N CCCC(NC(=O)C1CC(C)(C)CN1C(=O)[C@@H](NC(=O)OCC(C)C)C1CCCCC1)C(=O)C(=O)NCC(=O)N[C@H](C(N)=O)C1=CC=CC=C1 Chemical compound CCCC(NC(=O)C1CC(C)(C)CN1C(=O)[C@@H](NC(=O)OCC(C)C)C1CCCCC1)C(=O)C(=O)NCC(=O)N[C@H](C(N)=O)C1=CC=CC=C1 IVRLIZYCLNWQIY-MDQKUIDESA-N 0.000 description 1
- JCDFLSXOFXLKEW-YBYKBJHJSA-N CCCC(NC(=O)C1CC(C)(C)CN1C(=O)[C@@H](NC(=O)O[C@H](C)C(C)C)C1CCCCC1)C(=O)C(=O)NCC(=O)NC(C(=O)N(C)C)C1=CC=CC=C1 Chemical compound CCCC(NC(=O)C1CC(C)(C)CN1C(=O)[C@@H](NC(=O)O[C@H](C)C(C)C)C1CCCCC1)C(=O)C(=O)NCC(=O)NC(C(=O)N(C)C)C1=CC=CC=C1 JCDFLSXOFXLKEW-YBYKBJHJSA-N 0.000 description 1
- UIWHCADDAWCZNO-ZFFVSHNJSA-N CCCC(NC(=O)C1CC(C)(CC2=CC=CC=C2)CN1C(=O)[C@@H](NC(=O)OCC(C)C)C1CCCCC1)C(=O)C(=O)NCC(=O)N[C@H](C(N)=O)C1=CC=CC=C1 Chemical compound CCCC(NC(=O)C1CC(C)(CC2=CC=CC=C2)CN1C(=O)[C@@H](NC(=O)OCC(C)C)C1CCCCC1)C(=O)C(=O)NCC(=O)N[C@H](C(N)=O)C1=CC=CC=C1 UIWHCADDAWCZNO-ZFFVSHNJSA-N 0.000 description 1
- PIKHDZKSISFTRB-QIIZCJKJSA-N CCCC(NC(=O)C1CC(C)(CC2=CC=CC=C2)CN1C(=O)[C@@H](NC(=O)OCC(C)C)C1CCCCC1)C(=O)C(=O)NCC(=O)N[C@H](C(N)=O)C1=CC=CC=C1.CCCC(NC(=O)C1C[C@@H](C2CCCCC2)CN1C(=O)[C@@H](NC(=O)OCC(C)C)C1CCCCC1)C(=O)C(=O)NCC(=O)N[C@H](C(N)=O)C1=CC=CC=C1.CCCC(NC(=O)[C@@H]1C[C@@H](NC(=O)NC2=CC(Cl)=CC=C2)CN1C(=O)[C@@H](NC(=O)OCC(C)C)C1CCCCC1)C(=O)C(=O)NCC(=O)N[C@H](C(N)=O)C1=CC=CC=C1.CCCC(NC(=O)[C@@H]1C[C@@H](NC(=O)OCC(C)C)CN1C(=O)[C@@H](NC(=O)C1=CC(Cl)=C(Cl)C=C1C(=O)O)C1CCCCC1)C(=O)C(=O)NCC(=O)N[C@H](C(N)=O)C1=CC=CC=C1.CCCC(NC(=O)[C@@H]1C[C@@H](NS(=O)(=O)C2=CC=CC=C2)CN1C(=O)[C@@H](NC(=O)C1=CC(Cl)=C(Cl)C=C1C(=O)O)C1CCCCC1)C(=O)C(=O)NCC(=O)N[C@H](C(N)=O)C1=CC=CC=C1.CCCC(NC(=O)[C@@H]1[C@@H]2[C@H](CN1C(=O)[C@@H](NC(=O)OCC(C)C)C1CCCCC1)C2(C)C)C(=O)C(=O)NCC(=O)N[C@H](C(=O)O)C1=CC=CC=C1 Chemical compound CCCC(NC(=O)C1CC(C)(CC2=CC=CC=C2)CN1C(=O)[C@@H](NC(=O)OCC(C)C)C1CCCCC1)C(=O)C(=O)NCC(=O)N[C@H](C(N)=O)C1=CC=CC=C1.CCCC(NC(=O)C1C[C@@H](C2CCCCC2)CN1C(=O)[C@@H](NC(=O)OCC(C)C)C1CCCCC1)C(=O)C(=O)NCC(=O)N[C@H](C(N)=O)C1=CC=CC=C1.CCCC(NC(=O)[C@@H]1C[C@@H](NC(=O)NC2=CC(Cl)=CC=C2)CN1C(=O)[C@@H](NC(=O)OCC(C)C)C1CCCCC1)C(=O)C(=O)NCC(=O)N[C@H](C(N)=O)C1=CC=CC=C1.CCCC(NC(=O)[C@@H]1C[C@@H](NC(=O)OCC(C)C)CN1C(=O)[C@@H](NC(=O)C1=CC(Cl)=C(Cl)C=C1C(=O)O)C1CCCCC1)C(=O)C(=O)NCC(=O)N[C@H](C(N)=O)C1=CC=CC=C1.CCCC(NC(=O)[C@@H]1C[C@@H](NS(=O)(=O)C2=CC=CC=C2)CN1C(=O)[C@@H](NC(=O)C1=CC(Cl)=C(Cl)C=C1C(=O)O)C1CCCCC1)C(=O)C(=O)NCC(=O)N[C@H](C(N)=O)C1=CC=CC=C1.CCCC(NC(=O)[C@@H]1[C@@H]2[C@H](CN1C(=O)[C@@H](NC(=O)OCC(C)C)C1CCCCC1)C2(C)C)C(=O)C(=O)NCC(=O)N[C@H](C(=O)O)C1=CC=CC=C1 PIKHDZKSISFTRB-QIIZCJKJSA-N 0.000 description 1
- LNTKPSCALGOSKL-UHFFFAOYSA-N CCCC(NC(=O)C1CC(C2=CC=CC=C2)CN1C(=O)OC(C)(C)C)C(=O)C(=O)OC Chemical compound CCCC(NC(=O)C1CC(C2=CC=CC=C2)CN1C(=O)OC(C)(C)C)C(=O)C(=O)OC LNTKPSCALGOSKL-UHFFFAOYSA-N 0.000 description 1
- FOBMICOLLUYPJL-UHFFFAOYSA-N CCCC(NC(=O)C1CC(CNC(=O)C2=CC=CC(OC3=CC=CC=C3)=C2)CN1C(=O)C(NC(=O)C1=CC=CC=C1C(=O)O)C1CCCCC1)C(=O)C(=O)NCC(=O)NC(C(N)=O)C1=CC=CC=C1 Chemical compound CCCC(NC(=O)C1CC(CNC(=O)C2=CC=CC(OC3=CC=CC=C3)=C2)CN1C(=O)C(NC(=O)C1=CC=CC=C1C(=O)O)C1CCCCC1)C(=O)C(=O)NCC(=O)NC(C(N)=O)C1=CC=CC=C1 FOBMICOLLUYPJL-UHFFFAOYSA-N 0.000 description 1
- OBRVEUJACHBMRH-RVJADFKUSA-N CCCC(NC(=O)C1CC(NC(=O)NC2=CC=C(Cl)C=C2)CN1C(=O)[C@H](NC(=O)OCC(C)C)C1CCCCC1)C(=O)C(=O)NCC(=O)N[C@@H](C(N)=O)C1=CC=CC=C1 Chemical compound CCCC(NC(=O)C1CC(NC(=O)NC2=CC=C(Cl)C=C2)CN1C(=O)[C@H](NC(=O)OCC(C)C)C1CCCCC1)C(=O)C(=O)NCC(=O)N[C@@H](C(N)=O)C1=CC=CC=C1 OBRVEUJACHBMRH-RVJADFKUSA-N 0.000 description 1
- UVPZSSBQUBCJBG-SNRIMVQLSA-N CCCC(NC(=O)C1CC(NC(=O)NC2=CC=C(OC)C=C2)CN1C(=O)[C@H](NC(=O)OCC(C)C)C1CCCCC1)C(=O)C(=O)NCC(=O)N[C@@H](C(N)=O)C1=CC=CC=C1 Chemical compound CCCC(NC(=O)C1CC(NC(=O)NC2=CC=C(OC)C=C2)CN1C(=O)[C@H](NC(=O)OCC(C)C)C1CCCCC1)C(=O)C(=O)NCC(=O)N[C@@H](C(N)=O)C1=CC=CC=C1 UVPZSSBQUBCJBG-SNRIMVQLSA-N 0.000 description 1
- IWLKIYGVKKTLNP-VCFFZQJCSA-N CCCC(NC(=O)C1CC(OCC2=CC=CC3=CC=CC=C32)CN1C(=O)[C@@H](NC(=O)OC(C)(C)C)C1CCCCC1)C(=O)C(=O)NCC(=O)NC(C(=O)N(C)C)C1=CC=CC=C1 Chemical compound CCCC(NC(=O)C1CC(OCC2=CC=CC3=CC=CC=C32)CN1C(=O)[C@@H](NC(=O)OC(C)(C)C)C1CCCCC1)C(=O)C(=O)NCC(=O)NC(C(=O)N(C)C)C1=CC=CC=C1 IWLKIYGVKKTLNP-VCFFZQJCSA-N 0.000 description 1
- BHCLXBQNYBBGBF-AAFCJBGOSA-N CCCC(NC(=O)C1CC2(CCCC2)CN1C(=O)[C@@H](NC(=O)OCC(C)C)C1CCCCC1)C(=O)C(=O)NCC(=O)N[C@H](C(=O)O)C1=CC=CC=C1 Chemical compound CCCC(NC(=O)C1CC2(CCCC2)CN1C(=O)[C@@H](NC(=O)OCC(C)C)C1CCCCC1)C(=O)C(=O)NCC(=O)N[C@H](C(=O)O)C1=CC=CC=C1 BHCLXBQNYBBGBF-AAFCJBGOSA-N 0.000 description 1
- XXEYADRIYQBMNT-UHFFFAOYSA-N CCCC(NC(=O)C1CC2(CN1C(=O)C(C1CCCCC1)N(C)C(=O)CC1=CC=CC=C1)SCCCS2)C(=O)C(=O)NCC(=O)NC(C(=O)N(C)C)C1=CC=CC=C1 Chemical compound CCCC(NC(=O)C1CC2(CN1C(=O)C(C1CCCCC1)N(C)C(=O)CC1=CC=CC=C1)SCCCS2)C(=O)C(=O)NCC(=O)NC(C(=O)N(C)C)C1=CC=CC=C1 XXEYADRIYQBMNT-UHFFFAOYSA-N 0.000 description 1
- OSPNIELTRLBHOK-UHFFFAOYSA-N CCCC(NC(=O)C1CC2(CN1C(=O)C(C1CCCCC1)N(C)C(=O)OC(C)(C)C)SCCCS2)C(=O)C(=O)NCC(=O)NC(C(=O)N(C)C)C1=CC=CC=C1 Chemical compound CCCC(NC(=O)C1CC2(CN1C(=O)C(C1CCCCC1)N(C)C(=O)OC(C)(C)C)SCCCS2)C(=O)C(=O)NCC(=O)NC(C(=O)N(C)C)C1=CC=CC=C1 OSPNIELTRLBHOK-UHFFFAOYSA-N 0.000 description 1
- RECFUEYXGXUYOV-UHFFFAOYSA-N CCCC(NC(=O)C1CC2(CN1C(=O)C(C1CCCCC1)N(C)C(=O)OCC(C)C)SCCCS2)C(=O)C(=O)NCC(=O)NC(C(=O)N(C)C)C1=CC=CC=C1 Chemical compound CCCC(NC(=O)C1CC2(CN1C(=O)C(C1CCCCC1)N(C)C(=O)OCC(C)C)SCCCS2)C(=O)C(=O)NCC(=O)NC(C(=O)N(C)C)C1=CC=CC=C1 RECFUEYXGXUYOV-UHFFFAOYSA-N 0.000 description 1
- QKEMXTJBPNBGQY-UHFFFAOYSA-N CCCC(NC(=O)C1CC2(CN1C(=O)C(NC(=O)OCC(C)C)C1CCCCC1)SCCCS2)C(=O)C(=O)NCC(=O)NC(C(=O)N(C)C(C)C)C1=CC=CC=C1 Chemical compound CCCC(NC(=O)C1CC2(CN1C(=O)C(NC(=O)OCC(C)C)C1CCCCC1)SCCCS2)C(=O)C(=O)NCC(=O)NC(C(=O)N(C)C(C)C)C1=CC=CC=C1 QKEMXTJBPNBGQY-UHFFFAOYSA-N 0.000 description 1
- YIFUGPHPKAOETJ-UHFFFAOYSA-N CCCC(NC(=O)C1CC2(CN1C(=O)C(NC(=O)OCC(C)C)C1CCCCC1)SCCCS2)C(=O)C(=O)NCC(=O)NC(C(=O)N(C)CCO)C1=CC=CC=C1 Chemical compound CCCC(NC(=O)C1CC2(CN1C(=O)C(NC(=O)OCC(C)C)C1CCCCC1)SCCCS2)C(=O)C(=O)NCC(=O)NC(C(=O)N(C)CCO)C1=CC=CC=C1 YIFUGPHPKAOETJ-UHFFFAOYSA-N 0.000 description 1
- JIUUMFIXBLWHIU-UHFFFAOYSA-N CCCC(NC(=O)C1CC2(CN1C(=O)C(NC(=O)OCC(C)C)C1CCCCC1)SCCCS2)C(=O)C(=O)NCC(=O)NC(C(=O)N1CCCC1)C1=CC=CC=C1 Chemical compound CCCC(NC(=O)C1CC2(CN1C(=O)C(NC(=O)OCC(C)C)C1CCCCC1)SCCCS2)C(=O)C(=O)NCC(=O)NC(C(=O)N1CCCC1)C1=CC=CC=C1 JIUUMFIXBLWHIU-UHFFFAOYSA-N 0.000 description 1
- OCVHRPUUKCNZIT-UHFFFAOYSA-N CCCC(NC(=O)C1CC2(CN1C(=O)C(NC(=O)OCC(C)C)C1CCCCC1)SCCCS2)C(=O)C(=O)NCC(=O)NC(C(=O)N1CCOCC1)C1=CC=CC=C1 Chemical compound CCCC(NC(=O)C1CC2(CN1C(=O)C(NC(=O)OCC(C)C)C1CCCCC1)SCCCS2)C(=O)C(=O)NCC(=O)NC(C(=O)N1CCOCC1)C1=CC=CC=C1 OCVHRPUUKCNZIT-UHFFFAOYSA-N 0.000 description 1
- JRYIGYHFYLTVJD-UHFFFAOYSA-N CCCC(NC(=O)C1CC2(CN1C(=O)C(NC(=O)OCC(C)C)C1CCCCC1)SCCCS2)C(=O)C(=O)NCC(=O)NC(C(=O)NC(C)C)C1=CC=CC=C1 Chemical compound CCCC(NC(=O)C1CC2(CN1C(=O)C(NC(=O)OCC(C)C)C1CCCCC1)SCCCS2)C(=O)C(=O)NCC(=O)NC(C(=O)NC(C)C)C1=CC=CC=C1 JRYIGYHFYLTVJD-UHFFFAOYSA-N 0.000 description 1
- ZWHSQTLQLDYELA-UHFFFAOYSA-N CCCC(NC(=O)C1CC2(CN1C(=O)C(NC(=O)OCC(C)C)C1CCCCC1)SCCCS2)C(=O)C(=O)NCC(=O)NC(C(=O)NCCO)C1=CC=CC=C1 Chemical compound CCCC(NC(=O)C1CC2(CN1C(=O)C(NC(=O)OCC(C)C)C1CCCCC1)SCCCS2)C(=O)C(=O)NCC(=O)NC(C(=O)NCCO)C1=CC=CC=C1 ZWHSQTLQLDYELA-UHFFFAOYSA-N 0.000 description 1
- MWQXSYLWNHRSSA-GFZCUNELSA-N CCCC(NC(=O)C1C[C@@H](C2CCCCC2)CN1C(=O)[C@@H](NC(=O)OCC(C)C)C1CCCCC1)C(=O)C(=O)NCC(=O)N[C@H](C(N)=O)C1=CC=CC=C1 Chemical compound CCCC(NC(=O)C1C[C@@H](C2CCCCC2)CN1C(=O)[C@@H](NC(=O)OCC(C)C)C1CCCCC1)C(=O)C(=O)NCC(=O)N[C@H](C(N)=O)C1=CC=CC=C1 MWQXSYLWNHRSSA-GFZCUNELSA-N 0.000 description 1
- XTDOFNZXSAOUKL-MMBCQABPSA-N CCCC(NC(=O)C1C[C@@H](C2CCCCC2)CN1C(=O)[C@@H](NC(=O)OCC(C)C)C1CCCCC1)C(=O)C(=O)NCC(=O)N[C@H](C(N)=O)C1=CC=CC=C1.CCCC(NC(=O)[C@@H]1C[C@@H](NC(=O)NC2=CC(Cl)=CC=C2)CN1C(=O)[C@@H](NC(=O)OCC(C)C)C1CCCCC1)C(=O)C(=O)NCC(=O)N[C@H](C(N)=O)C1=CC=CC=C1.CCCC(NC(=O)[C@@H]1C[C@@H](NS(=O)(=O)C2=CC=CC=C2)CN1C(=O)[C@@H](NC(=O)C1=CC(Cl)=C(Cl)C=C1C(=O)O)C1CCCCC1)C(=O)C(=O)NCC(=O)N[C@H](C(N)=O)C1=CC=CC=C1.CCCC(NC(=O)[C@@H]1[C@@H]2[C@H](CN1C(=O)[C@@H](NC(=O)OCC(C)C)C1CCCCC1)C2(C)C)C(=O)C(=O)NCC(=O)N[C@H](C(=O)O)C1=CC=CC=C1 Chemical compound CCCC(NC(=O)C1C[C@@H](C2CCCCC2)CN1C(=O)[C@@H](NC(=O)OCC(C)C)C1CCCCC1)C(=O)C(=O)NCC(=O)N[C@H](C(N)=O)C1=CC=CC=C1.CCCC(NC(=O)[C@@H]1C[C@@H](NC(=O)NC2=CC(Cl)=CC=C2)CN1C(=O)[C@@H](NC(=O)OCC(C)C)C1CCCCC1)C(=O)C(=O)NCC(=O)N[C@H](C(N)=O)C1=CC=CC=C1.CCCC(NC(=O)[C@@H]1C[C@@H](NS(=O)(=O)C2=CC=CC=C2)CN1C(=O)[C@@H](NC(=O)C1=CC(Cl)=C(Cl)C=C1C(=O)O)C1CCCCC1)C(=O)C(=O)NCC(=O)N[C@H](C(N)=O)C1=CC=CC=C1.CCCC(NC(=O)[C@@H]1[C@@H]2[C@H](CN1C(=O)[C@@H](NC(=O)OCC(C)C)C1CCCCC1)C2(C)C)C(=O)C(=O)NCC(=O)N[C@H](C(=O)O)C1=CC=CC=C1 XTDOFNZXSAOUKL-MMBCQABPSA-N 0.000 description 1
- XCYHVGYCUVHHQT-OYEZPREDSA-N CCCC(NC(=O)C1C[C@@H](CNC(=O)C2=CC=CC(OC3=CC=CC=C3)=C2)CN1C(=O)[C@@H](NC(=O)C1=CC=CC=C1C(=O)O)C1CCCCC1)C(=O)C(=O)NCC(=O)N[C@H](C(N)=O)C1=CC=CC=C1.CCCC(NC(=O)C1C[C@@H](NC(=O)OCC(C)C)CN1C(=O)[C@@H](NC(=O)OCC(C)C)C1CCCCC1)C(=O)C(=O)NCC(=O)N[C@H](C(N)=O)C1=CC=CC=C1.CCCC(NC(=O)C1C[C@@H](NS(=O)(=O)C2=CC=CC=C2)CN1C(=O)[C@@H](NC(=O)OCC(C)C)C1CCCCC1)C(=O)C(=O)NCC(=O)N[C@H](C(N)=O)C1=CC=CC=C1.CCCC(NC(=O)[C@@H]1C[C@@H](CNS(=O)(=O)C2=CC=CC=C2)CN1C(=O)[C@@H](NC(=O)OCC(C)C)C1CCCCC1)C(=O)C(=O)NCC(=O)N[C@H](C(N)=O)C1=CC=CC=C1.CCCC(NC(=O)[C@@H]1C[C@@H](NC(=O)NC2=CC=CC=C2)CN1C(=O)[C@@H](NC(=O)OCC(C)C)C1CCCCC1)C(=O)C(=O)NCC(=O)N[C@H](C(N)=O)C1=CC=CC=C1 Chemical compound CCCC(NC(=O)C1C[C@@H](CNC(=O)C2=CC=CC(OC3=CC=CC=C3)=C2)CN1C(=O)[C@@H](NC(=O)C1=CC=CC=C1C(=O)O)C1CCCCC1)C(=O)C(=O)NCC(=O)N[C@H](C(N)=O)C1=CC=CC=C1.CCCC(NC(=O)C1C[C@@H](NC(=O)OCC(C)C)CN1C(=O)[C@@H](NC(=O)OCC(C)C)C1CCCCC1)C(=O)C(=O)NCC(=O)N[C@H](C(N)=O)C1=CC=CC=C1.CCCC(NC(=O)C1C[C@@H](NS(=O)(=O)C2=CC=CC=C2)CN1C(=O)[C@@H](NC(=O)OCC(C)C)C1CCCCC1)C(=O)C(=O)NCC(=O)N[C@H](C(N)=O)C1=CC=CC=C1.CCCC(NC(=O)[C@@H]1C[C@@H](CNS(=O)(=O)C2=CC=CC=C2)CN1C(=O)[C@@H](NC(=O)OCC(C)C)C1CCCCC1)C(=O)C(=O)NCC(=O)N[C@H](C(N)=O)C1=CC=CC=C1.CCCC(NC(=O)[C@@H]1C[C@@H](NC(=O)NC2=CC=CC=C2)CN1C(=O)[C@@H](NC(=O)OCC(C)C)C1CCCCC1)C(=O)C(=O)NCC(=O)N[C@H](C(N)=O)C1=CC=CC=C1 XCYHVGYCUVHHQT-OYEZPREDSA-N 0.000 description 1
- DIERLGZBETVBLJ-PSVAEZKJSA-N CCCC(NC(=O)C1C[C@@H](CNC(=O)C2=CC=CC(OC3=CC=CC=C3)=C2)CN1C(=O)[C@@H](NC(=O)C1=CC=CC=C1C(=O)O)C1CCCCC1)C(=O)C(=O)NCC(=O)N[C@H](C(N)=O)C1=CC=CC=C1.CCCC(NC(=O)C1C[C@@H](NC(=O)OCC(C)C)CN1C(=O)[C@@H](NC(=O)OCC(C)C)C1CCCCC1)C(=O)C(=O)NCC(=O)N[C@H](C(N)=O)C1=CC=CC=C1.CN(C)C(=O)[C@@H](NC(=O)CCC(=O)C(=O)C(CC(=O)C1[C@H]2CC(C)(C)OC2CN1C(=O)[C@@H](CC(=O)CC(=O)OC(C)(C)C)C1CCCCC1)CC1CC1)C1=CC=CS1.CN(C)C(=O)[C@@H](NC(=O)CCC(=O)C(=O)C(CC(=O)C1[C@H]2CC(C)(C)OC2CN1C(=O)[C@@H](CC(=O)OC(C)(C)C)C1CCCCC1)CC1CC1)C1=CC=CC=C1 Chemical compound CCCC(NC(=O)C1C[C@@H](CNC(=O)C2=CC=CC(OC3=CC=CC=C3)=C2)CN1C(=O)[C@@H](NC(=O)C1=CC=CC=C1C(=O)O)C1CCCCC1)C(=O)C(=O)NCC(=O)N[C@H](C(N)=O)C1=CC=CC=C1.CCCC(NC(=O)C1C[C@@H](NC(=O)OCC(C)C)CN1C(=O)[C@@H](NC(=O)OCC(C)C)C1CCCCC1)C(=O)C(=O)NCC(=O)N[C@H](C(N)=O)C1=CC=CC=C1.CN(C)C(=O)[C@@H](NC(=O)CCC(=O)C(=O)C(CC(=O)C1[C@H]2CC(C)(C)OC2CN1C(=O)[C@@H](CC(=O)CC(=O)OC(C)(C)C)C1CCCCC1)CC1CC1)C1=CC=CS1.CN(C)C(=O)[C@@H](NC(=O)CCC(=O)C(=O)C(CC(=O)C1[C@H]2CC(C)(C)OC2CN1C(=O)[C@@H](CC(=O)OC(C)(C)C)C1CCCCC1)CC1CC1)C1=CC=CC=C1 DIERLGZBETVBLJ-PSVAEZKJSA-N 0.000 description 1
- SHAKDACGTOCHDB-MRBPRVMJSA-N CCCC(NC(=O)C1C[C@@H](NC(=O)(=O)C2=CC3=CC=CC=C3C=C2)CN1C(=O)C(NC(=O)OCC(C)C)C1CCCCC1)C(=O)C(=O)NCC(=O)NC(C(N)=O)C1=CC=CC=C1 Chemical compound CCCC(NC(=O)C1C[C@@H](NC(=O)(=O)C2=CC3=CC=CC=C3C=C2)CN1C(=O)C(NC(=O)OCC(C)C)C1CCCCC1)C(=O)C(=O)NCC(=O)NC(C(N)=O)C1=CC=CC=C1 SHAKDACGTOCHDB-MRBPRVMJSA-N 0.000 description 1
- CFTCMMXFXRHQMS-PCLDYKLHSA-N CCCC(NC(=O)C1C[C@@H](NC(=O)NC2=CC=C(C(C)=O)C=C2)CN1C(=O)[C@@H](NC(=O)OCC(C)C)C1CCCCC1)C(=O)C(=O)NCC(=O)N[C@H](C(N)=O)C1=CC=CC=C1.CCCC(NC(=O)C1C[C@@H](NC(=O)NC2=CC=C(C(C)=O)C=C2)CN1C(=O)[C@@H](NC(=O)OCC(C)C)C1CCCCC1)C(=O)C(=O)NCC(=O)N[C@H](C(N)=O)C1=CC=CC=C1.CCCC(NC(=O)C1C[C@@H](NC(=O)NC2=CC=C(Cl)C=C2)CN1C(=O)[C@@H](NC(=O)OCC(C)C)C1CCCCC1)C(=O)C(=O)NCC(=O)N[C@H](C(N)=O)C1=CC=CC=C1.CCCC(NC(=O)C1C[C@@H](NS(=O)(=O)C2=CC=C(OC)C=C2)CN1C(=O)[C@@H](NC(=O)OCC(C)C)C1CCCCC1)C(=O)C(=O)NCC(=O)N[C@H](C(N)=O)C1=CC=CC=C1.CCCC(NC(=O)[C@@H]1C[C@@H](NS(=O)(=O)C2=CC=CC=C2)CN1C(=O)[C@@H](NC(=O)OCC(C)C)C(C)C)C(=O)C(=O)NCC(=O)N[C@H](C(N)=O)C1=CC=CC=C1 Chemical compound CCCC(NC(=O)C1C[C@@H](NC(=O)NC2=CC=C(C(C)=O)C=C2)CN1C(=O)[C@@H](NC(=O)OCC(C)C)C1CCCCC1)C(=O)C(=O)NCC(=O)N[C@H](C(N)=O)C1=CC=CC=C1.CCCC(NC(=O)C1C[C@@H](NC(=O)NC2=CC=C(C(C)=O)C=C2)CN1C(=O)[C@@H](NC(=O)OCC(C)C)C1CCCCC1)C(=O)C(=O)NCC(=O)N[C@H](C(N)=O)C1=CC=CC=C1.CCCC(NC(=O)C1C[C@@H](NC(=O)NC2=CC=C(Cl)C=C2)CN1C(=O)[C@@H](NC(=O)OCC(C)C)C1CCCCC1)C(=O)C(=O)NCC(=O)N[C@H](C(N)=O)C1=CC=CC=C1.CCCC(NC(=O)C1C[C@@H](NS(=O)(=O)C2=CC=C(OC)C=C2)CN1C(=O)[C@@H](NC(=O)OCC(C)C)C1CCCCC1)C(=O)C(=O)NCC(=O)N[C@H](C(N)=O)C1=CC=CC=C1.CCCC(NC(=O)[C@@H]1C[C@@H](NS(=O)(=O)C2=CC=CC=C2)CN1C(=O)[C@@H](NC(=O)OCC(C)C)C(C)C)C(=O)C(=O)NCC(=O)N[C@H](C(N)=O)C1=CC=CC=C1 CFTCMMXFXRHQMS-PCLDYKLHSA-N 0.000 description 1
- FUNVOJJIPBNDOV-AIKZMWEQSA-N CCCC(NC(=O)C1C[C@@H](NC(=O)NC2=CC=C(C(C)=O)C=C2)CN1C(=O)[C@@H](NC(=O)OCC(C)C)C1CCCCC1)C(=O)C(=O)NCC(=O)N[C@H](C(N)=O)C1=CC=CC=C1.CCCC(NC(=O)C1C[C@@H](NC(=O)NC2=CC=C(C(C)=O)C=C2)CN1C(=O)[C@@H](NC(=O)OCC(C)C)C1CCCCC1)C(=O)C(=O)NCC(=O)N[C@H](C(N)=O)C1=CC=CC=C1.CCCC(NC(=O)[C@@H]1C[C@@H](NS(=O)(=O)C2=CC=CC=C2)CN1C(=O)[C@@H](NC(=O)OCC(C)C)C(C)C)C(=O)C(=O)NCC(=O)N[C@H](C(N)=O)C1=CC=CC=C1 Chemical compound CCCC(NC(=O)C1C[C@@H](NC(=O)NC2=CC=C(C(C)=O)C=C2)CN1C(=O)[C@@H](NC(=O)OCC(C)C)C1CCCCC1)C(=O)C(=O)NCC(=O)N[C@H](C(N)=O)C1=CC=CC=C1.CCCC(NC(=O)C1C[C@@H](NC(=O)NC2=CC=C(C(C)=O)C=C2)CN1C(=O)[C@@H](NC(=O)OCC(C)C)C1CCCCC1)C(=O)C(=O)NCC(=O)N[C@H](C(N)=O)C1=CC=CC=C1.CCCC(NC(=O)[C@@H]1C[C@@H](NS(=O)(=O)C2=CC=CC=C2)CN1C(=O)[C@@H](NC(=O)OCC(C)C)C(C)C)C(=O)C(=O)NCC(=O)N[C@H](C(N)=O)C1=CC=CC=C1 FUNVOJJIPBNDOV-AIKZMWEQSA-N 0.000 description 1
- KBNOEUOVDJAIRM-OZSUZCRASA-N CCCC(NC(=O)C1C[C@@H](NC(=O)NC2=CC=C(Cl)C=C2)CN1C(=O)[C@@H](NC(=O)OCC(C)C)C1CCCCC1)C(=O)C(=O)NCC(=O)N[C@H](C(N)=O)C1=CC=CC=C1.CCCC(NC(=O)C1C[C@@H](NS(=O)(=O)C2=CC3=C(C=C2)OC(=O)C=C3OC)CN1C(=O)[C@@H](NC(=O)OCC(C)C)C1CCCCC1)C(=O)C(=O)NCC(=O)N[C@H](C(N)=O)C1=CC=CC=C1.CCCC(NC(=O)[C@@H]1C[C@@H](NC(=O)NC2=CC=C(Cl)C=C2)CN1C(=O)[C@@H](NC(=O)OCC(C)C)C1CCCCC1)C(=O)C(=O)NCC(=O)N[C@H](C(N)=O)C1=CC=CC=C1 Chemical compound CCCC(NC(=O)C1C[C@@H](NC(=O)NC2=CC=C(Cl)C=C2)CN1C(=O)[C@@H](NC(=O)OCC(C)C)C1CCCCC1)C(=O)C(=O)NCC(=O)N[C@H](C(N)=O)C1=CC=CC=C1.CCCC(NC(=O)C1C[C@@H](NS(=O)(=O)C2=CC3=C(C=C2)OC(=O)C=C3OC)CN1C(=O)[C@@H](NC(=O)OCC(C)C)C1CCCCC1)C(=O)C(=O)NCC(=O)N[C@H](C(N)=O)C1=CC=CC=C1.CCCC(NC(=O)[C@@H]1C[C@@H](NC(=O)NC2=CC=C(Cl)C=C2)CN1C(=O)[C@@H](NC(=O)OCC(C)C)C1CCCCC1)C(=O)C(=O)NCC(=O)N[C@H](C(N)=O)C1=CC=CC=C1 KBNOEUOVDJAIRM-OZSUZCRASA-N 0.000 description 1
- PEIUYDFEXPJBMG-IPFJTFLASA-N CCCC(NC(=O)C1C[C@@H](NS(=O)(=O)C2=CC(Cl)=CC=C2)CN1C(=O)[C@@H](NC(=O)OCC(C)C)C1CCCCC1)C(=O)C(=O)NCC(=O)N[C@H](C(N)=O)C1=CC=CC=C1.CCCC(NC(=O)[C@@H]1C[C@@H](CNC(=O)C2=CC(OC3=CC=CC=C3)=CC=C2)CN1C(=O)[C@@H](NC(=O)OCC(C)C)C1CCCCC1)C(=O)C(=O)NCC(=O)N[C@H](C(N)=O)C1=CC=CC=C1.CCCC(NC(=O)[C@@H]1C[C@@H](CNC(=O)C2=CC=CC=C2)CN1C(=O)[C@@H](NC(=O)OCC(C)C)C1CCCCC1)C(=O)C(=O)NCC(=O)N[C@H](C(N)=O)C1=CC=CC=C1.CCCC(NC(=O)[C@@H]1C[C@@H](NC(=O)NC2=CC=CC=C2)CN1C(=O)[C@@H](NC(=O)C1=CC=CC=C1C(=O)O)C1CCCCC1)C(=O)C(=O)NCC(=O)N[C@H](C(N)=O)C1=CC=CC=C1.CCCC(NC(=O)[C@@H]1C[C@@H](NS(=O)(=O)C2=CC=C(C)C=C2)CN1C(=O)[C@@H](NC(=O)OCC(C)C)C1CCCCC1)C(=O)C(=O)NCC(=O)N[C@H](C(N)=O)C1=CC=CC=C1 Chemical compound CCCC(NC(=O)C1C[C@@H](NS(=O)(=O)C2=CC(Cl)=CC=C2)CN1C(=O)[C@@H](NC(=O)OCC(C)C)C1CCCCC1)C(=O)C(=O)NCC(=O)N[C@H](C(N)=O)C1=CC=CC=C1.CCCC(NC(=O)[C@@H]1C[C@@H](CNC(=O)C2=CC(OC3=CC=CC=C3)=CC=C2)CN1C(=O)[C@@H](NC(=O)OCC(C)C)C1CCCCC1)C(=O)C(=O)NCC(=O)N[C@H](C(N)=O)C1=CC=CC=C1.CCCC(NC(=O)[C@@H]1C[C@@H](CNC(=O)C2=CC=CC=C2)CN1C(=O)[C@@H](NC(=O)OCC(C)C)C1CCCCC1)C(=O)C(=O)NCC(=O)N[C@H](C(N)=O)C1=CC=CC=C1.CCCC(NC(=O)[C@@H]1C[C@@H](NC(=O)NC2=CC=CC=C2)CN1C(=O)[C@@H](NC(=O)C1=CC=CC=C1C(=O)O)C1CCCCC1)C(=O)C(=O)NCC(=O)N[C@H](C(N)=O)C1=CC=CC=C1.CCCC(NC(=O)[C@@H]1C[C@@H](NS(=O)(=O)C2=CC=C(C)C=C2)CN1C(=O)[C@@H](NC(=O)OCC(C)C)C1CCCCC1)C(=O)C(=O)NCC(=O)N[C@H](C(N)=O)C1=CC=CC=C1 PEIUYDFEXPJBMG-IPFJTFLASA-N 0.000 description 1
- YEZKTDIJIXAGPW-YVJIGFPXSA-N CCCC(NC(=O)C1C[C@@H](NS(=O)(=O)C2=CC(Cl)=CC=C2)CN1C(=O)[C@@H](NC(=O)OCC(C)C)C1CCCCC1)C(=O)C(=O)NCC(=O)N[C@H](C(N)=O)C1=CC=CC=C1.CCCC(NC(=O)[C@@H]1C[C@@H](NS(=O)(=O)C2=CC(Cl)=C(Cl)C=C2)CN1C(=O)[C@@H](NC(=O)OCC(C)C)C1CCCCC1)C(=O)C(=O)NCC(=O)N[C@H](C(N)=O)C1=CC=CC=C1.CCCC(NC(=O)[C@@H]1C[C@@H](NS(=O)(=O)C2=CC=C(C)C=C2)CN1C(=O)[C@@H](NC(=O)OCC(C)C)C1CCCCC1)C(=O)C(=O)NCC(=O)N[C@H](C(N)=O)C1=CC=CC=C1 Chemical compound CCCC(NC(=O)C1C[C@@H](NS(=O)(=O)C2=CC(Cl)=CC=C2)CN1C(=O)[C@@H](NC(=O)OCC(C)C)C1CCCCC1)C(=O)C(=O)NCC(=O)N[C@H](C(N)=O)C1=CC=CC=C1.CCCC(NC(=O)[C@@H]1C[C@@H](NS(=O)(=O)C2=CC(Cl)=C(Cl)C=C2)CN1C(=O)[C@@H](NC(=O)OCC(C)C)C1CCCCC1)C(=O)C(=O)NCC(=O)N[C@H](C(N)=O)C1=CC=CC=C1.CCCC(NC(=O)[C@@H]1C[C@@H](NS(=O)(=O)C2=CC=C(C)C=C2)CN1C(=O)[C@@H](NC(=O)OCC(C)C)C1CCCCC1)C(=O)C(=O)NCC(=O)N[C@H](C(N)=O)C1=CC=CC=C1 YEZKTDIJIXAGPW-YVJIGFPXSA-N 0.000 description 1
- TUTGVAFJQDHARE-JJHGIYJFSA-N CCCC(NC(=O)C1C[C@@H](NS(=O)(=O)C2=CC3=C(C=C2)OC(=O)C=C3OC)CN1C(=O)[C@@H](NC(=O)OCC(C)C)C1CCCCC1)C(=O)C(=O)NCC(=O)N[C@H](C(N)=O)C1=CC=CC=C1.CCCC(NC(=O)C1C[C@@H](NS(=O)(=O)C2=CC=C(Cl)C=C2)CN1C(=O)[C@@H](NC(=O)OCC(C)C)C1CCCCC1)C(=O)C(=O)NCC(=O)N[C@H](C(N)=O)C1=CC=CC=C1.CCCC(NC(=O)[C@@H]1C[C@@H](NC(=O)NC2=CC=C(Cl)C=C2)CN1C(=O)[C@@H](NC(=O)OCC(C)C)C1CCCCC1)C(=O)C(=O)NCC(=O)N[C@H](C(N)=O)C1=CC=CC=C1.CCCC(NC(=O)[C@@H]1C[C@@H](NC(=O)NC2=CC=C(OC)C=C2)CN1C(=O)[C@@H](NC(=O)OCC(C)C)C1CCCCC1)C(=O)C(=O)NCC(=O)N[C@H](C(N)=O)C1=CC=CC=C1 Chemical compound CCCC(NC(=O)C1C[C@@H](NS(=O)(=O)C2=CC3=C(C=C2)OC(=O)C=C3OC)CN1C(=O)[C@@H](NC(=O)OCC(C)C)C1CCCCC1)C(=O)C(=O)NCC(=O)N[C@H](C(N)=O)C1=CC=CC=C1.CCCC(NC(=O)C1C[C@@H](NS(=O)(=O)C2=CC=C(Cl)C=C2)CN1C(=O)[C@@H](NC(=O)OCC(C)C)C1CCCCC1)C(=O)C(=O)NCC(=O)N[C@H](C(N)=O)C1=CC=CC=C1.CCCC(NC(=O)[C@@H]1C[C@@H](NC(=O)NC2=CC=C(Cl)C=C2)CN1C(=O)[C@@H](NC(=O)OCC(C)C)C1CCCCC1)C(=O)C(=O)NCC(=O)N[C@H](C(N)=O)C1=CC=CC=C1.CCCC(NC(=O)[C@@H]1C[C@@H](NC(=O)NC2=CC=C(OC)C=C2)CN1C(=O)[C@@H](NC(=O)OCC(C)C)C1CCCCC1)C(=O)C(=O)NCC(=O)N[C@H](C(N)=O)C1=CC=CC=C1 TUTGVAFJQDHARE-JJHGIYJFSA-N 0.000 description 1
- SNUTVNIBDBGLMW-ANFYPSCKSA-N CCCC(NC(=O)C1C[C@@H](NS(=O)(=O)C2=CC3=C(C=C2)OCC3)CN1C(=O)[C@@H](NC(=O)OCC(C)C)C1CCCCC1)C(=O)C(=O)NCC(=O)N[C@H](C(N)=O)C1=CC=CC=C1.CCCC(NC(=O)C1C[C@@H](NS(=O)(=O)C2=CC3=CC=CC=C3C=C2)CN1C(=O)[C@@H](NC(=O)OCC(C)C)C1CCCCC1)C(=O)C(=O)NCC(=O)N[C@H](C(N)=O)C1=CC=CC=C1.CCCC(NC(=O)[C@@H]1C[C@@H](NC(=O)NC2=C3C=CC=CC3=CC=C2)CN1C(=O)[C@@H](NC(=O)OCC(C)C)C1CCCCC1)C(=O)C(=O)NCC(=O)N[C@H](C(N)=O)C1=CC=CC=C1.CCCC(NC(=O)[C@@H]1C[C@@H](NS(=O)(=O)C2=CC(Cl)=C(Cl)C=C2)CN1C(=O)[C@@H](NC(=O)OCC(C)C)C1CCCCC1)C(=O)C(=O)NCC(=O)N[C@H](C(N)=O)C1=CC=CC=C1.CCCC(NC(=O)[C@@H]1C[C@@H](NS(=O)(=O)C2=CC=C(NC(C)=O)C=C2)CN1C(=O)[C@@H](NC(=O)OCC(C)C)C1CCCCC1)C(=O)C(=O)NCC(=O)N[C@H](C(N)=O)C1=CC=CC=C1 Chemical compound CCCC(NC(=O)C1C[C@@H](NS(=O)(=O)C2=CC3=C(C=C2)OCC3)CN1C(=O)[C@@H](NC(=O)OCC(C)C)C1CCCCC1)C(=O)C(=O)NCC(=O)N[C@H](C(N)=O)C1=CC=CC=C1.CCCC(NC(=O)C1C[C@@H](NS(=O)(=O)C2=CC3=CC=CC=C3C=C2)CN1C(=O)[C@@H](NC(=O)OCC(C)C)C1CCCCC1)C(=O)C(=O)NCC(=O)N[C@H](C(N)=O)C1=CC=CC=C1.CCCC(NC(=O)[C@@H]1C[C@@H](NC(=O)NC2=C3C=CC=CC3=CC=C2)CN1C(=O)[C@@H](NC(=O)OCC(C)C)C1CCCCC1)C(=O)C(=O)NCC(=O)N[C@H](C(N)=O)C1=CC=CC=C1.CCCC(NC(=O)[C@@H]1C[C@@H](NS(=O)(=O)C2=CC(Cl)=C(Cl)C=C2)CN1C(=O)[C@@H](NC(=O)OCC(C)C)C1CCCCC1)C(=O)C(=O)NCC(=O)N[C@H](C(N)=O)C1=CC=CC=C1.CCCC(NC(=O)[C@@H]1C[C@@H](NS(=O)(=O)C2=CC=C(NC(C)=O)C=C2)CN1C(=O)[C@@H](NC(=O)OCC(C)C)C1CCCCC1)C(=O)C(=O)NCC(=O)N[C@H](C(N)=O)C1=CC=CC=C1 SNUTVNIBDBGLMW-ANFYPSCKSA-N 0.000 description 1
- XMESXVRNYPCCHR-JBHIHVDSSA-N CCCC(NC(=O)C1C[C@@H](NS(=O)(=O)C2=CC3=C(C=C2)OCC3)CN1C(=O)[C@@H](NC(=O)OCC(C)C)C1CCCCC1)C(=O)C(=O)NCC(=O)N[C@H](C(N)=O)C1=CC=CC=C1.CCCC(NC(=O)C1C[C@@H](NS(=O)(=O)C2=CC=C(Cl)C=C2)CN1C(=O)[C@@H](NC(=O)OCC(C)C)C1CCCCC1)C(=O)C(=O)NCC(=O)N[C@H](C(N)=O)C1=CC=CC=C1.CCCC(NC(=O)[C@@H]1C[C@@H](NC(=O)NC2=CC=C(OC)C=C2)CN1C(=O)[C@@H](NC(=O)OCC(C)C)C1CCCCC1)C(=O)C(=O)NCC(=O)N[C@H](C(N)=O)C1=CC=CC=C1 Chemical compound CCCC(NC(=O)C1C[C@@H](NS(=O)(=O)C2=CC3=C(C=C2)OCC3)CN1C(=O)[C@@H](NC(=O)OCC(C)C)C1CCCCC1)C(=O)C(=O)NCC(=O)N[C@H](C(N)=O)C1=CC=CC=C1.CCCC(NC(=O)C1C[C@@H](NS(=O)(=O)C2=CC=C(Cl)C=C2)CN1C(=O)[C@@H](NC(=O)OCC(C)C)C1CCCCC1)C(=O)C(=O)NCC(=O)N[C@H](C(N)=O)C1=CC=CC=C1.CCCC(NC(=O)[C@@H]1C[C@@H](NC(=O)NC2=CC=C(OC)C=C2)CN1C(=O)[C@@H](NC(=O)OCC(C)C)C1CCCCC1)C(=O)C(=O)NCC(=O)N[C@H](C(N)=O)C1=CC=CC=C1 XMESXVRNYPCCHR-JBHIHVDSSA-N 0.000 description 1
- PFIQDBVZDDZGND-BLJHQKHFSA-N CCCC(NC(=O)C1C[C@@H](NS(=O)(=O)C2=CC3=CC=CC=C3C=C2)CN1C(=O)[C@@H](NC(=O)OCC(C)C)C1CCCCC1)C(=O)C(=O)NCC(=O)N[C@H](C(N)=O)C1=CC=CC=C1.CCCC(NC(=O)[C@@H]1C[C@@H](NC(=O)NC2=C3C=CC=CC3=CC=C2)CN1C(=O)[C@@H](NC(=O)OCC(C)C)C1CCCCC1)C(=O)C(=O)NCC(=O)N[C@H](C(N)=O)C1=CC=CC=C1.CCCC(NC(=O)[C@@H]1C[C@@H](NS(=O)(=O)C2=CC=C(NC(C)=O)C=C2)CN1C(=O)[C@@H](NC(=O)OCC(C)C)C1CCCCC1)C(=O)C(=O)NCC(=O)N[C@H](C(N)=O)C1=CC=CC=C1 Chemical compound CCCC(NC(=O)C1C[C@@H](NS(=O)(=O)C2=CC3=CC=CC=C3C=C2)CN1C(=O)[C@@H](NC(=O)OCC(C)C)C1CCCCC1)C(=O)C(=O)NCC(=O)N[C@H](C(N)=O)C1=CC=CC=C1.CCCC(NC(=O)[C@@H]1C[C@@H](NC(=O)NC2=C3C=CC=CC3=CC=C2)CN1C(=O)[C@@H](NC(=O)OCC(C)C)C1CCCCC1)C(=O)C(=O)NCC(=O)N[C@H](C(N)=O)C1=CC=CC=C1.CCCC(NC(=O)[C@@H]1C[C@@H](NS(=O)(=O)C2=CC=C(NC(C)=O)C=C2)CN1C(=O)[C@@H](NC(=O)OCC(C)C)C1CCCCC1)C(=O)C(=O)NCC(=O)N[C@H](C(N)=O)C1=CC=CC=C1 PFIQDBVZDDZGND-BLJHQKHFSA-N 0.000 description 1
- TXICWNVKIQZISB-NKHQBMSLSA-N CCCC(NC(=O)C1C[C@@H](NS(=O)(=O)C2=CC=C(Cl)C=C2)CN1C(=O)[C@@H](NC(=O)OCC(C)C)C1CCCCC1)C(=O)C(=O)NCC(=O)N[C@H](C(N)=O)C1=CC=CC=C1 Chemical compound CCCC(NC(=O)C1C[C@@H](NS(=O)(=O)C2=CC=C(Cl)C=C2)CN1C(=O)[C@@H](NC(=O)OCC(C)C)C1CCCCC1)C(=O)C(=O)NCC(=O)N[C@H](C(N)=O)C1=CC=CC=C1 TXICWNVKIQZISB-NKHQBMSLSA-N 0.000 description 1
- HCYGHIOMYUIOSS-QRJCKTBZSA-N CCCC(NC(=O)C1C[C@@H](NS(=O)(=O)C2=CC=C(OC)C=C2)CN1C(=O)[C@@H](NC(=O)OCC(C)C)C1CCCCC1)C(=O)C(=O)NCC(=O)N[C@H](C(N)=O)C1=CC=CC=C1.CCCC(NC(=O)[C@@H]1C[C@@H](NS(=O)(=O)C2=C3C=CC=CC3=CC=C2)CN1C(=O)[C@@H](NC(=O)OCC(C)C)C1CCCCC1)C(=O)C(=O)NCC(=O)N[C@H](C(N)=O)C1=CC=CC=C1.CCCC(NC(=O)[C@@H]1C[C@@H](NS(=O)(=O)C2=C3N=CC=CC3=CC=C2)CN1C(=O)[C@@H](NC(=O)OCC(C)C)C1CCCCC1)C(=O)C(=O)NCC(=O)N[C@H](C(N)=O)C1=CC=CC=C1 Chemical compound CCCC(NC(=O)C1C[C@@H](NS(=O)(=O)C2=CC=C(OC)C=C2)CN1C(=O)[C@@H](NC(=O)OCC(C)C)C1CCCCC1)C(=O)C(=O)NCC(=O)N[C@H](C(N)=O)C1=CC=CC=C1.CCCC(NC(=O)[C@@H]1C[C@@H](NS(=O)(=O)C2=C3C=CC=CC3=CC=C2)CN1C(=O)[C@@H](NC(=O)OCC(C)C)C1CCCCC1)C(=O)C(=O)NCC(=O)N[C@H](C(N)=O)C1=CC=CC=C1.CCCC(NC(=O)[C@@H]1C[C@@H](NS(=O)(=O)C2=C3N=CC=CC3=CC=C2)CN1C(=O)[C@@H](NC(=O)OCC(C)C)C1CCCCC1)C(=O)C(=O)NCC(=O)N[C@H](C(N)=O)C1=CC=CC=C1 HCYGHIOMYUIOSS-QRJCKTBZSA-N 0.000 description 1
- PZPQRGGQEFGIPS-AZXLYBEGSA-N CCCC(NC(=O)C1C[C@@H](NS(=O)(=O)C2=CC=C(OC)C=C2)CN1C(=O)[C@H](NC(=O)OCC(C)C)C1CCCCC1)C(=O)C(=O)NCC(=O)N[C@@H](C(N)=O)C1=CC=CC=C1 Chemical compound CCCC(NC(=O)C1C[C@@H](NS(=O)(=O)C2=CC=C(OC)C=C2)CN1C(=O)[C@H](NC(=O)OCC(C)C)C1CCCCC1)C(=O)C(=O)NCC(=O)N[C@@H](C(N)=O)C1=CC=CC=C1 PZPQRGGQEFGIPS-AZXLYBEGSA-N 0.000 description 1
- RFMCDKRQPJIAJH-WOGIUQELSA-N CCCC(NC(=O)C1C[C@@H](NS(=O)(=O)C2=CC=CC=C2)CN1C(=O)C(NC(=O)OCC(C)C)C1CCCCC1)C(=O)C(=O)NCC(=O)N[C@H](C(N)=O)C1=CC=CC=C1 Chemical compound CCCC(NC(=O)C1C[C@@H](NS(=O)(=O)C2=CC=CC=C2)CN1C(=O)C(NC(=O)OCC(C)C)C1CCCCC1)C(=O)C(=O)NCC(=O)N[C@H](C(N)=O)C1=CC=CC=C1 RFMCDKRQPJIAJH-WOGIUQELSA-N 0.000 description 1
- VIMFABKAXYURKK-KNSHBDIGSA-N CCCC(NC(=O)C1C[C@@H](NS(=O)(=O)C2=CC=CC=C2)CN1C(=O)[C@@H](NC(=O)OCC(C)C)C1CCCCC1)C(=O)C(=O)NCC(=O)N[C@H](C(N)=O)C1=CC=CC=C1.CCCC(NC(=O)[C@@H]1C[C@@H](CNS(=O)(=O)C2=CC=CC=C2)CN1C(=O)[C@@H](NC(=O)OCC(C)C)C1CCCCC1)C(=O)C(=O)NCC(=O)N[C@H](C(N)=O)C1=CC=CC=C1.CCCC(NC(=O)[C@@H]1C[C@@H](NC(=O)NC2=CC=CC=C2)CN1C(=O)[C@@H](NC(=O)OCC(C)C)C1CCCCC1)C(=O)C(=O)NCC(=O)N[C@H](C(N)=O)C1=CC=CC=C1 Chemical compound CCCC(NC(=O)C1C[C@@H](NS(=O)(=O)C2=CC=CC=C2)CN1C(=O)[C@@H](NC(=O)OCC(C)C)C1CCCCC1)C(=O)C(=O)NCC(=O)N[C@H](C(N)=O)C1=CC=CC=C1.CCCC(NC(=O)[C@@H]1C[C@@H](CNS(=O)(=O)C2=CC=CC=C2)CN1C(=O)[C@@H](NC(=O)OCC(C)C)C1CCCCC1)C(=O)C(=O)NCC(=O)N[C@H](C(N)=O)C1=CC=CC=C1.CCCC(NC(=O)[C@@H]1C[C@@H](NC(=O)NC2=CC=CC=C2)CN1C(=O)[C@@H](NC(=O)OCC(C)C)C1CCCCC1)C(=O)C(=O)NCC(=O)N[C@H](C(N)=O)C1=CC=CC=C1 VIMFABKAXYURKK-KNSHBDIGSA-N 0.000 description 1
- JHPZHEKKPKWOHF-LFGQXSFDSA-N CCCC(NC(=O)C1C[C@@H](O)CN1C(=O)[C@@H](NC(=O)OCC(C)(C)C)C1CCCCC1)C(=O)C(=O)NCC(=O)N[C@H](C(=O)O)C1=CC=CC=C1.CCCC(NC(=O)C1C[C@@H](O)CN1C(=O)[C@@H](NC(=O)OCC)C1CCCCC1)C(=O)C(=O)NCC(=O)N[C@H](C(=O)O)C1=CC=CC=C1.CCCC(NC(=O)C1C[C@@H](OC(C)(C)C)CN1C(=O)[C@@H](NC(=O)OCC(C)(C)C)C1CCCCC1)C(=O)C(=O)NCC(=O)N[C@H](C(=O)O)C1=CC=CC=C1.CCCC(NC(=O)C1[C@@H]2[C@H](CN1C(=O)[C@@H](NC(=O)OCC(C)C)C1CCCCC1)C2(C)C)C(=O)C(=O)NCC(=O)NC(C(=O)N(C)C)C1=CC=CC=C1.CCCC(NC(=O)[C@@H]1CC(C)(C)CN1C(=O)[C@@H](NC(=O)OCC(C)C)C1CCCCC1)C(=O)C(=O)NCC(=O)NC(C(=O)N(C)C)C1=CC=CC=C1.CCCC(NC(=O)[C@@H]1C[C@@](C)(CCC)CN1C(=O)[C@@H](NC(=O)OCC(C)C)C1CCCCC1)C(=O)C(=O)NCC(=O)NC(C(=O)N(C)C)C1=CC=CC=C1 Chemical compound CCCC(NC(=O)C1C[C@@H](O)CN1C(=O)[C@@H](NC(=O)OCC(C)(C)C)C1CCCCC1)C(=O)C(=O)NCC(=O)N[C@H](C(=O)O)C1=CC=CC=C1.CCCC(NC(=O)C1C[C@@H](O)CN1C(=O)[C@@H](NC(=O)OCC)C1CCCCC1)C(=O)C(=O)NCC(=O)N[C@H](C(=O)O)C1=CC=CC=C1.CCCC(NC(=O)C1C[C@@H](OC(C)(C)C)CN1C(=O)[C@@H](NC(=O)OCC(C)(C)C)C1CCCCC1)C(=O)C(=O)NCC(=O)N[C@H](C(=O)O)C1=CC=CC=C1.CCCC(NC(=O)C1[C@@H]2[C@H](CN1C(=O)[C@@H](NC(=O)OCC(C)C)C1CCCCC1)C2(C)C)C(=O)C(=O)NCC(=O)NC(C(=O)N(C)C)C1=CC=CC=C1.CCCC(NC(=O)[C@@H]1CC(C)(C)CN1C(=O)[C@@H](NC(=O)OCC(C)C)C1CCCCC1)C(=O)C(=O)NCC(=O)NC(C(=O)N(C)C)C1=CC=CC=C1.CCCC(NC(=O)[C@@H]1C[C@@](C)(CCC)CN1C(=O)[C@@H](NC(=O)OCC(C)C)C1CCCCC1)C(=O)C(=O)NCC(=O)NC(C(=O)N(C)C)C1=CC=CC=C1 JHPZHEKKPKWOHF-LFGQXSFDSA-N 0.000 description 1
- GTECWZQVGSAXQY-SQVOWFFUSA-N CCCC(NC(=O)C1C[C@@H](OC(C)(C)C)CC1C(=O)[C@@H](NC(=O)OC(C)C)C1CCCCC1)C(=O)C(=O)NCC(=O)N[C@H](C(=O)O)C1=CC=CC=C1 Chemical compound CCCC(NC(=O)C1C[C@@H](OC(C)(C)C)CC1C(=O)[C@@H](NC(=O)OC(C)C)C1CCCCC1)C(=O)C(=O)NCC(=O)N[C@H](C(=O)O)C1=CC=CC=C1 GTECWZQVGSAXQY-SQVOWFFUSA-N 0.000 description 1
- SVIUIRZMNZJQSZ-WXGLKWOMSA-N CCCC(NC(=O)C1C[C@@H](SC(C)(C)C)CN1C(=O)C(NC(=O)OCC(C)C)C1CCCCC1)C(=O)C(=O)NCC(=O)NC(C(=O)N(C)C)C1=CC=CC=C1 Chemical compound CCCC(NC(=O)C1C[C@@H](SC(C)(C)C)CN1C(=O)C(NC(=O)OCC(C)C)C1CCCCC1)C(=O)C(=O)NCC(=O)NC(C(=O)N(C)C)C1=CC=CC=C1 SVIUIRZMNZJQSZ-WXGLKWOMSA-N 0.000 description 1
- YUQQFXGEKHETPT-XYKLZSAASA-N CCCC(NC(=O)C1C[C@@H](SC(C)(C)C)CN1C(=O)C(NC(=O)OCC(C)C)C1CCCCC1)C(=O)C(=O)NCC(=O)NC(C(=O)NC)C1=CC=CC=C1 Chemical compound CCCC(NC(=O)C1C[C@@H](SC(C)(C)C)CN1C(=O)C(NC(=O)OCC(C)C)C1CCCCC1)C(=O)C(=O)NCC(=O)NC(C(=O)NC)C1=CC=CC=C1 YUQQFXGEKHETPT-XYKLZSAASA-N 0.000 description 1
- VBIQKHOYMHHKLK-DWFONQOZSA-N CCCC(NC(=O)C1C[C@@H](SC(C)(C)C)CN1C(=O)C(NC(=O)OCC(C)C)C1CCCCC1)C(=O)C(=O)NCC(=O)NC(C(=O)O)C1=CC=CC=C1 Chemical compound CCCC(NC(=O)C1C[C@@H](SC(C)(C)C)CN1C(=O)C(NC(=O)OCC(C)C)C1CCCCC1)C(=O)C(=O)NCC(=O)NC(C(=O)O)C1=CC=CC=C1 VBIQKHOYMHHKLK-DWFONQOZSA-N 0.000 description 1
- FKOFMQWHTRSQCN-XVJAZIGKSA-N CCCC(NC(=O)C1C[C@@H](SC(C)(C)C)CN1C(=O)C(NC(=O)OCC(C)C)C1CCCCC1)C(=O)C(=O)NCC(=O)NC(C(=O)OC(C)(C)C)C1=CC=CC=C1 Chemical compound CCCC(NC(=O)C1C[C@@H](SC(C)(C)C)CN1C(=O)C(NC(=O)OCC(C)C)C1CCCCC1)C(=O)C(=O)NCC(=O)NC(C(=O)OC(C)(C)C)C1=CC=CC=C1 FKOFMQWHTRSQCN-XVJAZIGKSA-N 0.000 description 1
- SHHLEWCJVYCPAL-XWHBHJOISA-N CCCC(NC(=O)C1C[C@@H](SCC2=CC=CC=C2)CN1C(=O)C(NC(=O)OCC(C)C)C1CCCCC1)C(=O)C(=O)NCC(=O)NC(C(=O)N(C)C)C1=CC=CC=C1 Chemical compound CCCC(NC(=O)C1C[C@@H](SCC2=CC=CC=C2)CN1C(=O)C(NC(=O)OCC(C)C)C1CCCCC1)C(=O)C(=O)NCC(=O)NC(C(=O)N(C)C)C1=CC=CC=C1 SHHLEWCJVYCPAL-XWHBHJOISA-N 0.000 description 1
- TYTCFGZECXUQNT-IYEPWYIGSA-N CCCC(NC(=O)C1C[C@@H](SCC2=CC=CC=C2)CN1C(=O)C(NC(=O)OCC(C)C)C1CCCCC1)C(=O)C(=O)NCC(=O)NC(C(=O)NC)C1=CC=CC=C1 Chemical compound CCCC(NC(=O)C1C[C@@H](SCC2=CC=CC=C2)CN1C(=O)C(NC(=O)OCC(C)C)C1CCCCC1)C(=O)C(=O)NCC(=O)NC(C(=O)NC)C1=CC=CC=C1 TYTCFGZECXUQNT-IYEPWYIGSA-N 0.000 description 1
- FOAAZHPKIUFVPI-ZJGKIXRFSA-N CCCC(NC(=O)C1C[C@@H](SCC2=CC=CC=C2)CN1C(=O)C(NC(=O)OCC(C)C)C1CCCCC1)C(=O)C(=O)NCC(=O)NC(C(=O)O)C1=CC=CC=C1 Chemical compound CCCC(NC(=O)C1C[C@@H](SCC2=CC=CC=C2)CN1C(=O)C(NC(=O)OCC(C)C)C1CCCCC1)C(=O)C(=O)NCC(=O)NC(C(=O)O)C1=CC=CC=C1 FOAAZHPKIUFVPI-ZJGKIXRFSA-N 0.000 description 1
- IIZFRHGTDQGNOG-MRBPRVMJSA-N CCCC(NC(=O)C1C[C@@H](SCC2=CC=CC=C2)CN1C(=O)C(NC(=O)OCC(C)C)C1CCCCC1)C(=O)C(=O)NCC(=O)NC(C(=O)OC(C)(C)C)C1=CC=CC=C1 Chemical compound CCCC(NC(=O)C1C[C@@H](SCC2=CC=CC=C2)CN1C(=O)C(NC(=O)OCC(C)C)C1CCCCC1)C(=O)C(=O)NCC(=O)NC(C(=O)OC(C)(C)C)C1=CC=CC=C1 IIZFRHGTDQGNOG-MRBPRVMJSA-N 0.000 description 1
- JSDWTBGBUWAVLE-ZWFCEDGBSA-N CCCC(NC(=O)C1C[C@H](NC(=O)NC2=C3C=CC=CC3=CC=C2)CN1C(=O)[C@H](NC(=O)OCC(C)C)C1CCCCC1)C(=O)C(=O)NCC(=O)N[C@@H](C(N)=O)C1=CC=CC=C1 Chemical compound CCCC(NC(=O)C1C[C@H](NC(=O)NC2=C3C=CC=CC3=CC=C2)CN1C(=O)[C@H](NC(=O)OCC(C)C)C1CCCCC1)C(=O)C(=O)NCC(=O)N[C@@H](C(N)=O)C1=CC=CC=C1 JSDWTBGBUWAVLE-ZWFCEDGBSA-N 0.000 description 1
- OBRVEUJACHBMRH-WOTPIXEDSA-N CCCC(NC(=O)C1C[C@H](NC(=O)NC2=CC=C(Cl)C=C2)CN1C(=O)[C@H](NC(=O)OCC(C)C)C1CCCCC1)C(=O)C(=O)NCC(=O)N[C@@H](C(N)=O)C1=CC=CC=C1 Chemical compound CCCC(NC(=O)C1C[C@H](NC(=O)NC2=CC=C(Cl)C=C2)CN1C(=O)[C@H](NC(=O)OCC(C)C)C1CCCCC1)C(=O)C(=O)NCC(=O)N[C@@H](C(N)=O)C1=CC=CC=C1 OBRVEUJACHBMRH-WOTPIXEDSA-N 0.000 description 1
- QRTLHRAPOADSCL-HQIKABEQSA-N CCCC(NC(=O)C1C[C@H](NC(=O)OCC(C)C)CN1C(=O)[C@H](NC(=O)OCC(C)C)C1CCCCC1)C(=O)C(=O)NCC(=O)N[C@H](C(N)=O)C1=CC=CC=C1 Chemical compound CCCC(NC(=O)C1C[C@H](NC(=O)OCC(C)C)CN1C(=O)[C@H](NC(=O)OCC(C)C)C1CCCCC1)C(=O)C(=O)NCC(=O)N[C@H](C(N)=O)C1=CC=CC=C1 QRTLHRAPOADSCL-HQIKABEQSA-N 0.000 description 1
- ZYINANSSCLFIQZ-MOMNEFFLSA-N CCCC(NC(=O)C1C[C@H](NS(=O)(=O)C2=CC(Cl)=C(Cl)C=C2)CN1C(=O)[C@H](NC(=O)OCC(C)C)C1CCCCC1)C(=O)C(=O)NCC(=O)N[C@@H](C(N)=O)C1=CC=CC=C1 Chemical compound CCCC(NC(=O)C1C[C@H](NS(=O)(=O)C2=CC(Cl)=C(Cl)C=C2)CN1C(=O)[C@H](NC(=O)OCC(C)C)C1CCCCC1)C(=O)C(=O)NCC(=O)N[C@@H](C(N)=O)C1=CC=CC=C1 ZYINANSSCLFIQZ-MOMNEFFLSA-N 0.000 description 1
- WWFZOFVYXNAENT-CERYZUOVSA-N CCCC(NC(=O)C1C[C@H](NS(=O)(=O)C2=CC(Cl)=CC=C2)CN1C(=O)[C@H](NC(=O)OCC(C)C)C1CCCCC1)C(=O)C(=O)NCC(=O)N[C@@H](C(N)=O)C1=CC=CC=C1 Chemical compound CCCC(NC(=O)C1C[C@H](NS(=O)(=O)C2=CC(Cl)=CC=C2)CN1C(=O)[C@H](NC(=O)OCC(C)C)C1CCCCC1)C(=O)C(=O)NCC(=O)N[C@@H](C(N)=O)C1=CC=CC=C1 WWFZOFVYXNAENT-CERYZUOVSA-N 0.000 description 1
- BJZLAXFLMFKNRB-HPYPITNOSA-N CCCC(NC(=O)C1C[C@H](NS(=O)(=O)C2=CC3=C(C=C2)OC(=O)C=C3OC)CN1C(=O)[C@H](NC(=O)OCC(C)C)C1CCCCC1)C(=O)C(=O)NCC(=O)N[C@@H](C(N)=O)C1=CC=CC=C1 Chemical compound CCCC(NC(=O)C1C[C@H](NS(=O)(=O)C2=CC3=C(C=C2)OC(=O)C=C3OC)CN1C(=O)[C@H](NC(=O)OCC(C)C)C1CCCCC1)C(=O)C(=O)NCC(=O)N[C@@H](C(N)=O)C1=CC=CC=C1 BJZLAXFLMFKNRB-HPYPITNOSA-N 0.000 description 1
- VCLYZLUTOJNLNO-RUHCEBRGSA-N CCCC(NC(=O)C1C[C@H](NS(=O)(=O)C2=CC3=C(C=C2)OCC3)CN1C(=O)C(NC(=O)OCC(C)C)C1CCCCC1)C(=O)C(=O)NCC(=O)NC(C(N)=O)C1=CC=CC=C1 Chemical compound CCCC(NC(=O)C1C[C@H](NS(=O)(=O)C2=CC3=C(C=C2)OCC3)CN1C(=O)C(NC(=O)OCC(C)C)C1CCCCC1)C(=O)C(=O)NCC(=O)NC(C(N)=O)C1=CC=CC=C1 VCLYZLUTOJNLNO-RUHCEBRGSA-N 0.000 description 1
- AELLFAJSCIYASD-DCYYOMPXSA-N CCCC(NC(=O)C1C[C@H](NS(=O)(=O)C2=CC=C(C)C=C2)CN1C(=O)[C@@H](NC(=O)OCC(C)C)C1CCCCC1)C(=O)C(=O)NCC(=O)N[C@H](C(N)=O)C1=CC=CC=C1 Chemical compound CCCC(NC(=O)C1C[C@H](NS(=O)(=O)C2=CC=C(C)C=C2)CN1C(=O)[C@@H](NC(=O)OCC(C)C)C1CCCCC1)C(=O)C(=O)NCC(=O)N[C@H](C(N)=O)C1=CC=CC=C1 AELLFAJSCIYASD-DCYYOMPXSA-N 0.000 description 1
- ZKZONRHYDRTNKS-DNAUFASJSA-N CCCC(NC(=O)C1C[C@H](NS(=O)(=O)C2=CC=C(NC(C)=O)C=C2)CN1C(=O)[C@@H](NC(=O)OCC(C)C)C1CCCCC1)C(=O)C(=O)NCC(=O)N[C@H](C(N)=O)C1=CC=CC=C1 Chemical compound CCCC(NC(=O)C1C[C@H](NS(=O)(=O)C2=CC=C(NC(C)=O)C=C2)CN1C(=O)[C@@H](NC(=O)OCC(C)C)C1CCCCC1)C(=O)C(=O)NCC(=O)N[C@H](C(N)=O)C1=CC=CC=C1 ZKZONRHYDRTNKS-DNAUFASJSA-N 0.000 description 1
- LCFARUHZFZKILB-DHCTZIRRSA-N CCCC(NC(=O)C1[C@@H]2C(CN1C(=O)C(NC(=O)[C@H](CC(C)C)NS(C)(=O)=O)C(C)(C)C)C2(C)C)C(=O)C(=O)O Chemical compound CCCC(NC(=O)C1[C@@H]2C(CN1C(=O)C(NC(=O)[C@H](CC(C)C)NS(C)(=O)=O)C(C)(C)C)C2(C)C)C(=O)C(=O)O LCFARUHZFZKILB-DHCTZIRRSA-N 0.000 description 1
- CJXLVUFHXGLLSB-UHFFFAOYSA-N CCCC(NC(=O)OC(C)(C)C)C(O)C(=O)NCC(=O)O.CCCC(NC(=O)OC(C)(C)C)C(O)C(=O)NCC(=O)OCC Chemical compound CCCC(NC(=O)OC(C)(C)C)C(O)C(=O)NCC(=O)O.CCCC(NC(=O)OC(C)(C)C)C(O)C(=O)NCC(=O)OCC CJXLVUFHXGLLSB-UHFFFAOYSA-N 0.000 description 1
- KZAUACFCQFIKBL-UHFFFAOYSA-N CCCC(NC(=O)OC(C)(C)C)C(O)C(=O)NCC(=O)OCC.[H]C(=O)C(CCC)NC(=O)OC(C)(C)C Chemical compound CCCC(NC(=O)OC(C)(C)C)C(O)C(=O)NCC(=O)OCC.[H]C(=O)C(CCC)NC(=O)OC(C)(C)C KZAUACFCQFIKBL-UHFFFAOYSA-N 0.000 description 1
- PRXPAJYHNOUWEE-UHFFFAOYSA-N CCCC(NC(=O)OCC1C2=C(C=CC=C2)C2=C1C=CC=C2)C(=O)O.CCCC(NC(=O)OCC1C2=C(C=CC=C2)C2=C1C=CC=C2)C(=O)OC Chemical compound CCCC(NC(=O)OCC1C2=C(C=CC=C2)C2=C1C=CC=C2)C(=O)O.CCCC(NC(=O)OCC1C2=C(C=CC=C2)C2=C1C=CC=C2)C(=O)OC PRXPAJYHNOUWEE-UHFFFAOYSA-N 0.000 description 1
- PDZUIQKEPQKHTN-KIAVJYNLSA-N CCCC(NC(=O)[C@@H]1C(C)CCN1C(=O)[C@@H](NC(=O)OCC(C)C)C1CCCCC1)C(=O)C(=O)NCC(=O)NC(C(=O)N(C)C)C1=CC=CC=C1 Chemical compound CCCC(NC(=O)[C@@H]1C(C)CCN1C(=O)[C@@H](NC(=O)OCC(C)C)C1CCCCC1)C(=O)C(=O)NCC(=O)NC(C(=O)N(C)C)C1=CC=CC=C1 PDZUIQKEPQKHTN-KIAVJYNLSA-N 0.000 description 1
- UWLLAWVGLIWEHU-BUCROICWSA-N CCCC(NC(=O)[C@@H]1C2C(CN1C(=O)C(NC(=O)NC(C)(C)C)C(C)(C)C)C2(C)C)C(=O)C(=O)NCC(=O)NCC1=CC=CC=C1 Chemical compound CCCC(NC(=O)[C@@H]1C2C(CN1C(=O)C(NC(=O)NC(C)(C)C)C(C)(C)C)C2(C)C)C(=O)C(=O)NCC(=O)NCC1=CC=CC=C1 UWLLAWVGLIWEHU-BUCROICWSA-N 0.000 description 1
- VNJGKBQLIPPICO-BUCROICWSA-N CCCC(NC(=O)[C@@H]1C2C(CN1C(=O)C(NC(=O)OC(C)(C)C)C(C)(C)C)C2(C)C)C(=O)C(=O)NCC(=O)NCC1=CC=CC=C1 Chemical compound CCCC(NC(=O)[C@@H]1C2C(CN1C(=O)C(NC(=O)OC(C)(C)C)C(C)(C)C)C2(C)C)C(=O)C(=O)NCC(=O)NCC1=CC=CC=C1 VNJGKBQLIPPICO-BUCROICWSA-N 0.000 description 1
- NDPQXMHSVLQUNA-CTQQYZDFSA-N CCCC(NC(=O)[C@@H]1C2C(CN1C(=O)C(NC(=O)OC(C)(C)C)C(C)(C)C)C2(Cl)Cl)C(=O)C(=O)NCC(=O)NCC1=CC=CC=C1 Chemical compound CCCC(NC(=O)[C@@H]1C2C(CN1C(=O)C(NC(=O)OC(C)(C)C)C(C)(C)C)C2(Cl)Cl)C(=O)C(=O)NCC(=O)NCC1=CC=CC=C1 NDPQXMHSVLQUNA-CTQQYZDFSA-N 0.000 description 1
- CRONFSSYLUWVEN-JMKHSIRFSA-N CCCC(NC(=O)[C@@H]1C2C(CN1C(=O)C(NC(=O)OC(C)(C)C)C1CCCC1)C2(C)C)C(=O)C(=O)NCC(=O)NCC1=CC=CC=C1 Chemical compound CCCC(NC(=O)[C@@H]1C2C(CN1C(=O)C(NC(=O)OC(C)(C)C)C1CCCC1)C2(C)C)C(=O)C(=O)NCC(=O)NCC1=CC=CC=C1 CRONFSSYLUWVEN-JMKHSIRFSA-N 0.000 description 1
- DPGUGWNSLBRLJU-ZGUKRASKSA-N CCCC(NC(=O)[C@@H]1C2C(CN1C(=O)C(NC(=O)OC(C)(C)C)C1CCCCC1)C2(C)C)C(=O)C(=O)NCCC(=O)NC(C)(C)C Chemical compound CCCC(NC(=O)[C@@H]1C2C(CN1C(=O)C(NC(=O)OC(C)(C)C)C1CCCCC1)C2(C)C)C(=O)C(=O)NCCC(=O)NC(C)(C)C DPGUGWNSLBRLJU-ZGUKRASKSA-N 0.000 description 1
- BMOXOTDHOFPZQN-UZWFAEGXSA-N CCCC(NC(=O)[C@@H]1C2C(CN1C(=O)C(NCCC(C)(C)C)C(C)(C)C)C2(C)C)C(=O)C(=O)NCC(=O)NC(C(=O)N(C)C)C1=CC=CC=C1 Chemical compound CCCC(NC(=O)[C@@H]1C2C(CN1C(=O)C(NCCC(C)(C)C)C(C)(C)C)C2(C)C)C(=O)C(=O)NCC(=O)NC(C(=O)N(C)C)C1=CC=CC=C1 BMOXOTDHOFPZQN-UZWFAEGXSA-N 0.000 description 1
- JXGVHLXVUBGASQ-UWUKIJIZSA-N CCCC(NC(=O)[C@@H]1C2C(CN1C(=O)C(NCCC(C)C1=CC=CC=C1)C(C)(C)C)C2(C)C)C(=O)C(=O)NCC(=O)NC(C(=O)N(C)C)C1=CC=CC=C1 Chemical compound CCCC(NC(=O)[C@@H]1C2C(CN1C(=O)C(NCCC(C)C1=CC=CC=C1)C(C)(C)C)C2(C)C)C(=O)C(=O)NCC(=O)NC(C(=O)N(C)C)C1=CC=CC=C1 JXGVHLXVUBGASQ-UWUKIJIZSA-N 0.000 description 1
- ZXXBSAXBAVEZQA-GTOIXZHXSA-N CCCC(NC(=O)[C@@H]1C2C(CN1C(=O)C(NCCC1=CC=CC=C1)C(C)(C)C)C2(C)C)C(=O)C(=O)NCC(=O)NC(C(=O)N(C)C)C1=CC=CC=C1 Chemical compound CCCC(NC(=O)[C@@H]1C2C(CN1C(=O)C(NCCC1=CC=CC=C1)C(C)(C)C)C2(C)C)C(=O)C(=O)NCC(=O)NC(C(=O)N(C)C)C1=CC=CC=C1 ZXXBSAXBAVEZQA-GTOIXZHXSA-N 0.000 description 1
- WGMXGPJZKMZJSP-OKPYCMANSA-N CCCC(NC(=O)[C@@H]1C2C(CN1C(=O)[C@@H](NC(=O)C1CC3=C(C=CC=C3)C1C(=O)NC(C)(C)C)C1CCCCC1)C2(C)C)C(=O)C(N)=O Chemical compound CCCC(NC(=O)[C@@H]1C2C(CN1C(=O)[C@@H](NC(=O)C1CC3=C(C=CC=C3)C1C(=O)NC(C)(C)C)C1CCCCC1)C2(C)C)C(=O)C(N)=O WGMXGPJZKMZJSP-OKPYCMANSA-N 0.000 description 1
- SWVNGORVOQBDMK-MVYPCCBCSA-N CCCC(NC(=O)[C@@H]1C2C(CN1C(=O)[C@@H](NC(=O)C1CC3=C(C=CC=C3)N1)C1CCCCC1)C2(C)C)C(=O)C(N)=O Chemical compound CCCC(NC(=O)[C@@H]1C2C(CN1C(=O)[C@@H](NC(=O)C1CC3=C(C=CC=C3)N1)C1CCCCC1)C2(C)C)C(=O)C(N)=O SWVNGORVOQBDMK-MVYPCCBCSA-N 0.000 description 1
- NXOKYXVGWSNTCI-ANTGNLSKSA-N CCCC(NC(=O)[C@@H]1C2C(CN1C(=O)[C@@H](NC(=O)CC1=CC(C)=CC=C1)C1CCCCC1)C2(C)C)C(=O)C(N)=O Chemical compound CCCC(NC(=O)[C@@H]1C2C(CN1C(=O)[C@@H](NC(=O)CC1=CC(C)=CC=C1)C1CCCCC1)C2(C)C)C(=O)C(N)=O NXOKYXVGWSNTCI-ANTGNLSKSA-N 0.000 description 1
- GOPZSGMJFJCULC-QDSNRURRSA-N CCCC(NC(=O)[C@@H]1C2C(CN1C(=O)[C@@H](NC(=O)CC1=CC=CC=C1)C1CCCCC1)C2(C)C)C(=O)C(N)=O Chemical compound CCCC(NC(=O)[C@@H]1C2C(CN1C(=O)[C@@H](NC(=O)CC1=CC=CC=C1)C1CCCCC1)C2(C)C)C(=O)C(N)=O GOPZSGMJFJCULC-QDSNRURRSA-N 0.000 description 1
- XSPACNYLATUAGG-WBLOSPSNSA-N CCCC(NC(=O)[C@@H]1C2C(CN1C(=O)[C@@H](NC(=O)NC(C)(C)C)C1CC3=C(C=CC=C3)C1)C2(C)C)C(=O)C(N)=O Chemical compound CCCC(NC(=O)[C@@H]1C2C(CN1C(=O)[C@@H](NC(=O)NC(C)(C)C)C1CC3=C(C=CC=C3)C1)C2(C)C)C(=O)C(N)=O XSPACNYLATUAGG-WBLOSPSNSA-N 0.000 description 1
- HRBGDGKAIFQUPW-PAOLREHBSA-N CCCC(NC(=O)[C@@H]1C2C(CN1C(=O)[C@@H](NC(=O)NC(C)(C)C)C1CCCCC1)C2(Cl)Cl)C(=O)C(N)=O Chemical compound CCCC(NC(=O)[C@@H]1C2C(CN1C(=O)[C@@H](NC(=O)NC(C)(C)C)C1CCCCC1)C2(Cl)Cl)C(=O)C(N)=O HRBGDGKAIFQUPW-PAOLREHBSA-N 0.000 description 1
- IXWRVLSSQRCXRS-WBLOSPSNSA-N CCCC(NC(=O)[C@@H]1C2C(CN1C(=O)[C@@H](NC(=O)NC(C)C)C1CC3=C(C=CC=C3)C1)C2(C)C)C(=O)C(N)=O Chemical compound CCCC(NC(=O)[C@@H]1C2C(CN1C(=O)[C@@H](NC(=O)NC(C)C)C1CC3=C(C=CC=C3)C1)C2(C)C)C(=O)C(N)=O IXWRVLSSQRCXRS-WBLOSPSNSA-N 0.000 description 1
- JGQJVQNDSBSPBH-UVPGAOOHSA-N CCCC(NC(=O)[C@@H]1C2C(CN1C(=O)[C@@H](NC(=O)NC13CC4CC(CC(C4)C1)C3)C1CC3=C(C=CC=C3)C1)C2(C)C)C(=O)C(N)=O Chemical compound CCCC(NC(=O)[C@@H]1C2C(CN1C(=O)[C@@H](NC(=O)NC13CC4CC(CC(C4)C1)C3)C1CC3=C(C=CC=C3)C1)C2(C)C)C(=O)C(N)=O JGQJVQNDSBSPBH-UVPGAOOHSA-N 0.000 description 1
- KQHPBXFRDJICSY-ANTGNLSKSA-N CCCC(NC(=O)[C@@H]1C2C(CN1C(=O)[C@@H](NC(=O)NC1=CC=C(C(=O)CC)C=C1)C1CCCCC1)C2(C)C)C(=O)C(N)=O Chemical compound CCCC(NC(=O)[C@@H]1C2C(CN1C(=O)[C@@H](NC(=O)NC1=CC=C(C(=O)CC)C=C1)C1CCCCC1)C2(C)C)C(=O)C(N)=O KQHPBXFRDJICSY-ANTGNLSKSA-N 0.000 description 1
- AGQKVFTXZJLSEY-UZUOBHKXSA-N CCCC(NC(=O)[C@@H]1C2C(CN1C(=O)[C@@H](NC(=O)NC1CCCCC1)C1CC3=C(C=CC=C3)C1)C2(C)C)C(=O)C(N)=O Chemical compound CCCC(NC(=O)[C@@H]1C2C(CN1C(=O)[C@@H](NC(=O)NC1CCCCC1)C1CC3=C(C=CC=C3)C1)C2(C)C)C(=O)C(N)=O AGQKVFTXZJLSEY-UZUOBHKXSA-N 0.000 description 1
- AHRNUBLZFKESPC-HVNOVTHYSA-N CCCC(NC(=O)[C@@H]1C2C(CN1C(=O)[C@@H](NC(=O)OC(C)(C)C)C(C)(C)C)C2(C)C)C(=O)C(=O)NCC(=O)N[C@H](C(=O)N(C)C)C1=CC=CS1 Chemical compound CCCC(NC(=O)[C@@H]1C2C(CN1C(=O)[C@@H](NC(=O)OC(C)(C)C)C(C)(C)C)C2(C)C)C(=O)C(=O)NCC(=O)N[C@H](C(=O)N(C)C)C1=CC=CS1 AHRNUBLZFKESPC-HVNOVTHYSA-N 0.000 description 1
- NDPQXMHSVLQUNA-FCVAGASSSA-N CCCC(NC(=O)[C@@H]1C2C(CN1C(=O)[C@@H](NC(=O)OC(C)(C)C)C(C)(C)C)C2(Cl)Cl)C(=O)C(=O)NCC(=O)NCC1=CC=CC=C1 Chemical compound CCCC(NC(=O)[C@@H]1C2C(CN1C(=O)[C@@H](NC(=O)OC(C)(C)C)C(C)(C)C)C2(Cl)Cl)C(=O)C(=O)NCC(=O)NCC1=CC=CC=C1 NDPQXMHSVLQUNA-FCVAGASSSA-N 0.000 description 1
- ZPAQJRVYIWBXRA-YQEYDWPVSA-N CCCC(NC(=O)[C@@H]1C2C(CN1C(=O)[C@@H](NC(=O)OC(C)(C)C)C1CC3=C(C=CC=C3)C1)C2(C)C)C(=O)C(=O)CCCC(=O)OC(C)(C)C Chemical compound CCCC(NC(=O)[C@@H]1C2C(CN1C(=O)[C@@H](NC(=O)OC(C)(C)C)C1CC3=C(C=CC=C3)C1)C2(C)C)C(=O)C(=O)CCCC(=O)OC(C)(C)C ZPAQJRVYIWBXRA-YQEYDWPVSA-N 0.000 description 1
- FLQZXJNLULZHDA-JKWWZATHSA-N CCCC(NC(=O)[C@@H]1C2C(CN1C(=O)[C@@H](NC(=O)OC(C)(C)C)C1CC3=C(C=CC=C3)C1)C2(C)C)C(=O)C(=O)NC Chemical compound CCCC(NC(=O)[C@@H]1C2C(CN1C(=O)[C@@H](NC(=O)OC(C)(C)C)C1CC3=C(C=CC=C3)C1)C2(C)C)C(=O)C(=O)NC FLQZXJNLULZHDA-JKWWZATHSA-N 0.000 description 1
- YIZAXJTYDPTUSV-UWXKOQGKSA-N CCCC(NC(=O)[C@@H]1C2C(CN1C(=O)[C@@H](NC(=O)OC(C)(C)C)C1CC3=C(C=CC=C3)C1)C2(C)C)C(=O)C(=O)NCC(=O)N[C@H](C(=O)N(C)C)C1=CC=CC=C1 Chemical compound CCCC(NC(=O)[C@@H]1C2C(CN1C(=O)[C@@H](NC(=O)OC(C)(C)C)C1CC3=C(C=CC=C3)C1)C2(C)C)C(=O)C(=O)NCC(=O)N[C@H](C(=O)N(C)C)C1=CC=CC=C1 YIZAXJTYDPTUSV-UWXKOQGKSA-N 0.000 description 1
- ZHJXXAJEPZBHED-BVGSJCHJSA-N CCCC(NC(=O)[C@@H]1C2C(CN1C(=O)[C@@H](NC(=O)OC(C)(C)C)C1CC3=C(C=CC=C3)C1)C2(Cl)Cl)C(=O)C(=O)NCC(=O)NCC1=CC=CC=C1 Chemical compound CCCC(NC(=O)[C@@H]1C2C(CN1C(=O)[C@@H](NC(=O)OC(C)(C)C)C1CC3=C(C=CC=C3)C1)C2(Cl)Cl)C(=O)C(=O)NCC(=O)NCC1=CC=CC=C1 ZHJXXAJEPZBHED-BVGSJCHJSA-N 0.000 description 1
- RDCJCBVCWKPMIP-GRNHBQNCSA-N CCCC(NC(=O)[C@@H]1C2C(CN1C(=O)[C@@H](NC(=O)OC(C)(C)C)C1CC3CCCCC3C1)C2(C)C)C(=O)C(N)=O Chemical compound CCCC(NC(=O)[C@@H]1C2C(CN1C(=O)[C@@H](NC(=O)OC(C)(C)C)C1CC3CCCCC3C1)C2(C)C)C(=O)C(N)=O RDCJCBVCWKPMIP-GRNHBQNCSA-N 0.000 description 1
- NDOSRXUKOGCFAU-QKBRSHRXSA-N CCCC(NC(=O)[C@@H]1C2C(CN1C(=O)[C@@H](NC(=O)OC(C)(C)C)C1CCCC1)C2(C)C)C(=O)C(N)=O Chemical compound CCCC(NC(=O)[C@@H]1C2C(CN1C(=O)[C@@H](NC(=O)OC(C)(C)C)C1CCCC1)C2(C)C)C(=O)C(N)=O NDOSRXUKOGCFAU-QKBRSHRXSA-N 0.000 description 1
- LJYWNEGOOFQXCA-OJZFQKCSSA-N CCCC(NC(=O)[C@@H]1C2C(CN1C(=O)[C@@H](NC(=O)OC(C)(C)C)C1CCCCC1)C2(Br)Br)C(=O)C(=O)NCC(=O)N[C@H](C(=O)N(C)C)C1=CC=CC=C1 Chemical compound CCCC(NC(=O)[C@@H]1C2C(CN1C(=O)[C@@H](NC(=O)OC(C)(C)C)C1CCCCC1)C2(Br)Br)C(=O)C(=O)NCC(=O)N[C@H](C(=O)N(C)C)C1=CC=CC=C1 LJYWNEGOOFQXCA-OJZFQKCSSA-N 0.000 description 1
- FQWQFMJDELOUET-YYQXTLSJSA-N CCCC(NC(=O)[C@@H]1C2C(CN1C(=O)[C@@H](NC(=O)OC(C)(C)C)C1CCCCC1)C2(C)C)C(=O)C(=O)NCC(=O)NCC1=CC=CC=C1 Chemical compound CCCC(NC(=O)[C@@H]1C2C(CN1C(=O)[C@@H](NC(=O)OC(C)(C)C)C1CCCCC1)C2(C)C)C(=O)C(=O)NCC(=O)NCC1=CC=CC=C1 FQWQFMJDELOUET-YYQXTLSJSA-N 0.000 description 1
- GEHQIAYWZDAXGY-LIWXEUBNSA-N CCCC(NC(=O)[C@@H]1C2C(CN1C(=O)[C@@H](NC(=O)OC(C)(C)C)C1CCCCC1)C2(C)C)C(=O)C(=O)NCC(=O)O Chemical compound CCCC(NC(=O)[C@@H]1C2C(CN1C(=O)[C@@H](NC(=O)OC(C)(C)C)C1CCCCC1)C2(C)C)C(=O)C(=O)NCC(=O)O GEHQIAYWZDAXGY-LIWXEUBNSA-N 0.000 description 1
- AKJFZAGMINGTNB-NCCLISIYSA-N CCCC(NC(=O)[C@@H]1C2C(CN1C(=O)[C@@H](NC(=O)OC(C)(C)C)C1CCCCC1)C2(C)C)C(=O)C(=O)NCC1CC1C=C(C)C Chemical compound CCCC(NC(=O)[C@@H]1C2C(CN1C(=O)[C@@H](NC(=O)OC(C)(C)C)C1CCCCC1)C2(C)C)C(=O)C(=O)NCC1CC1C=C(C)C AKJFZAGMINGTNB-NCCLISIYSA-N 0.000 description 1
- DPAAQZLUZHYSRT-ANTGNLSKSA-N CCCC(NC(=O)[C@@H]1C2C(CN1C(=O)[C@@H](NC(=O)OC(C)(C)C)C1CCCCC1)C2(C)C)C(=O)C(=O)NCCC(=O)OC(C)(C)C Chemical compound CCCC(NC(=O)[C@@H]1C2C(CN1C(=O)[C@@H](NC(=O)OC(C)(C)C)C1CCCCC1)C2(C)C)C(=O)C(=O)NCCC(=O)OC(C)(C)C DPAAQZLUZHYSRT-ANTGNLSKSA-N 0.000 description 1
- ZZCGHTQLDLZJPK-XDZYFCLLSA-N CCCC(NC(=O)[C@@H]1C2C(CN1C(=O)[C@@H](NC(=O)OC(C)(C)C)C1CCCCC1)C2(C)C)C(=O)C(=O)NCCOC(=O)C1=CC=CC=C1 Chemical compound CCCC(NC(=O)[C@@H]1C2C(CN1C(=O)[C@@H](NC(=O)OC(C)(C)C)C1CCCCC1)C2(C)C)C(=O)C(=O)NCCOC(=O)C1=CC=CC=C1 ZZCGHTQLDLZJPK-XDZYFCLLSA-N 0.000 description 1
- GANKYBGKENWJSR-PAOLREHBSA-N CCCC(NC(=O)[C@@H]1C2C(CN1C(=O)[C@@H](NC(=O)OC(C)(C)C)C1CCCCC1)C2(Cl)Cl)C(=O)C(N)=O Chemical compound CCCC(NC(=O)[C@@H]1C2C(CN1C(=O)[C@@H](NC(=O)OC(C)(C)C)C1CCCCC1)C2(Cl)Cl)C(=O)C(N)=O GANKYBGKENWJSR-PAOLREHBSA-N 0.000 description 1
- FQHMHSWBEBPCEX-DQNBIEJHSA-N CCCC(NC(=O)[C@@H]1C2C(CN1C(=O)[C@@H](NC(=O)OC(C)C(C)C)C1CC3=C(C=CC=C3)C1)C2(C)C)C(=O)C(=O)NCC(=O)N[C@H](C(=O)N(C)C)C1=CC=CC=C1 Chemical compound CCCC(NC(=O)[C@@H]1C2C(CN1C(=O)[C@@H](NC(=O)OC(C)C(C)C)C1CC3=C(C=CC=C3)C1)C2(C)C)C(=O)C(=O)NCC(=O)N[C@H](C(=O)N(C)C)C1=CC=CC=C1 FQHMHSWBEBPCEX-DQNBIEJHSA-N 0.000 description 1
- BZFIVSJOYDQSGD-UBICHJKXSA-N CCCC(NC(=O)[C@@H]1C2C(CN1C(=O)[C@@H](NC(=O)OC(C)C)C(C)(C)C)C2(C)C)C(=O)C(N)=O Chemical compound CCCC(NC(=O)[C@@H]1C2C(CN1C(=O)[C@@H](NC(=O)OC(C)C)C(C)(C)C)C2(C)C)C(=O)C(N)=O BZFIVSJOYDQSGD-UBICHJKXSA-N 0.000 description 1
- JBQZTSNMXKWBCP-ROQACYCNSA-N CCCC(NC(=O)[C@@H]1C2C(CN1C(=O)[C@@H](NC(=O)OC(C)CC)C1CC3=C(C=CC=C3)C1)C2(C)C)C(=O)C(N)=O Chemical compound CCCC(NC(=O)[C@@H]1C2C(CN1C(=O)[C@@H](NC(=O)OC(C)CC)C1CC3=C(C=CC=C3)C1)C2(C)C)C(=O)C(N)=O JBQZTSNMXKWBCP-ROQACYCNSA-N 0.000 description 1
- WCINDFLLACJWSF-BOSQQAFTSA-N CCCC(NC(=O)[C@@H]1C2C(CN1C(=O)[C@@H](NC(=O)OC(CC)CC)C1CC3=C(C=CC=C3)C1)C2(C)C)C(=O)C(N)=O Chemical compound CCCC(NC(=O)[C@@H]1C2C(CN1C(=O)[C@@H](NC(=O)OC(CC)CC)C1CC3=C(C=CC=C3)C1)C2(C)C)C(=O)C(N)=O WCINDFLLACJWSF-BOSQQAFTSA-N 0.000 description 1
- CALWXDAXHAWOJQ-JKWWZATHSA-N CCCC(NC(=O)[C@@H]1C2C(CN1C(=O)[C@@H](NC(=O)OCC(C)C)C1CC3=C(C=CC=C3)C1)C2(C)C)C(=O)C(N)=O Chemical compound CCCC(NC(=O)[C@@H]1C2C(CN1C(=O)[C@@H](NC(=O)OCC(C)C)C1CC3=C(C=CC=C3)C1)C2(C)C)C(=O)C(N)=O CALWXDAXHAWOJQ-JKWWZATHSA-N 0.000 description 1
- KWGNDFOPKPHJFV-URABXMJYSA-N CCCC(NC(=O)[C@@H]1C2C(CN1C(=O)[C@@H](NCCC(C)C)C1CCCCC1)C2(C)C)C(=O)C(=O)NCC(=O)N[C@H](C(=O)N(C)C)C1=CC=CC=C1 Chemical compound CCCC(NC(=O)[C@@H]1C2C(CN1C(=O)[C@@H](NCCC(C)C)C1CCCCC1)C2(C)C)C(=O)C(=O)NCC(=O)N[C@H](C(=O)N(C)C)C1=CC=CC=C1 KWGNDFOPKPHJFV-URABXMJYSA-N 0.000 description 1
- JJRFVYRNDLIZMF-SFJAREFRSA-N CCCC(NC(=O)[C@@H]1C2C(CN1C(=O)[C@H](C1CCCCC1)N(CCC(C)C)C(=O)OC(C)(C)C)C2(C)C)C(=O)C(=O)NCC(=O)N[C@H](C(=O)N(C)C)C1=CC=CC=C1 Chemical compound CCCC(NC(=O)[C@@H]1C2C(CN1C(=O)[C@H](C1CCCCC1)N(CCC(C)C)C(=O)OC(C)(C)C)C2(C)C)C(=O)C(=O)NCC(=O)N[C@H](C(=O)N(C)C)C1=CC=CC=C1 JJRFVYRNDLIZMF-SFJAREFRSA-N 0.000 description 1
- IOTLIBFNHXEMGB-TWIDDBSPSA-N CCCC(NC(=O)[C@@H]1C2CCC(C2)N1C(=O)[C@H](NC(=O)OC(C)(C)C)C(C)(C)C)C(=O)C(=O)OC Chemical compound CCCC(NC(=O)[C@@H]1C2CCC(C2)N1C(=O)[C@H](NC(=O)OC(C)(C)C)C(C)(C)C)C(=O)C(=O)OC IOTLIBFNHXEMGB-TWIDDBSPSA-N 0.000 description 1
- AYESIRJKYXXZSM-FVFODTBWSA-N CCCC(NC(=O)[C@@H]1C2CCC(C2)N1C(=O)[C@H](NC(=O)OC(C)(C)C)C1CCCCC1)C(=O)C(=O)OC Chemical compound CCCC(NC(=O)[C@@H]1C2CCC(C2)N1C(=O)[C@H](NC(=O)OC(C)(C)C)C1CCCCC1)C(=O)C(=O)OC AYESIRJKYXXZSM-FVFODTBWSA-N 0.000 description 1
- WCXZBXWEDASSAU-GQCZORKSSA-N CCCC(NC(=O)[C@@H]1C2OC(C)(C)O[C@H]2CN1C(=O)[C@@H](NC(=O)OC(C)(C)C)C(C)(C)C)C(=O)C(=O)NCC(=O)NC(C(=O)N(C)C)C1=CC=CC=C1 Chemical compound CCCC(NC(=O)[C@@H]1C2OC(C)(C)O[C@H]2CN1C(=O)[C@@H](NC(=O)OC(C)(C)C)C(C)(C)C)C(=O)C(=O)NCC(=O)NC(C(=O)N(C)C)C1=CC=CC=C1 WCXZBXWEDASSAU-GQCZORKSSA-N 0.000 description 1
- GACYUJLFOSTICE-DWIGDERUSA-N CCCC(NC(=O)[C@@H]1C2[C@H](CN1C(=O)[C@@H](NC(=O)OC(C)(C)C)C(C)(C)C)C2(C)C)C(=O)C(=O)NCC1=CC=CO1 Chemical compound CCCC(NC(=O)[C@@H]1C2[C@H](CN1C(=O)[C@@H](NC(=O)OC(C)(C)C)C(C)(C)C)C2(C)C)C(=O)C(=O)NCC1=CC=CO1 GACYUJLFOSTICE-DWIGDERUSA-N 0.000 description 1
- FJRKGUCOIRGMER-XYGDCPMASA-N CCCC(NC(=O)[C@@H]1C2[C@H](CN1C(=O)[C@@H](NC(=O)OC(C)(C)C)C(C)(C)C)C2(C)C)C(=O)C(=O)NCC1=CN=CC=C1 Chemical compound CCCC(NC(=O)[C@@H]1C2[C@H](CN1C(=O)[C@@H](NC(=O)OC(C)(C)C)C(C)(C)C)C2(C)C)C(=O)C(=O)NCC1=CN=CC=C1 FJRKGUCOIRGMER-XYGDCPMASA-N 0.000 description 1
- OHRWUGFYEXVHKH-LOOBLDTLSA-N CCCC(NC(=O)[C@@H]1CC(=O)CN1C(=O)[C@@H](NC(=O)OCC(C)C)C1CCCCC1)C(=O)C(=O)NCC(=O)NC(C(=O)O)C1=CC=CC=C1 Chemical compound CCCC(NC(=O)[C@@H]1CC(=O)CN1C(=O)[C@@H](NC(=O)OCC(C)C)C1CCCCC1)C(=O)C(=O)NCC(=O)NC(C(=O)O)C1=CC=CC=C1 OHRWUGFYEXVHKH-LOOBLDTLSA-N 0.000 description 1
- WYJPDPNVSDBWTJ-YGLVDARFSA-N CCCC(NC(=O)[C@@H]1CC(C)(C)CN1C(=O)C(NC(=O)OCC(C)C)[C@@H](C)C1=CC=CC=C1)C(=O)C(=O)NCC(=O)N[C@H](C(=O)N(C)C)C1=CC=CC=C1 Chemical compound CCCC(NC(=O)[C@@H]1CC(C)(C)CN1C(=O)C(NC(=O)OCC(C)C)[C@@H](C)C1=CC=CC=C1)C(=O)C(=O)NCC(=O)N[C@H](C(=O)N(C)C)C1=CC=CC=C1 WYJPDPNVSDBWTJ-YGLVDARFSA-N 0.000 description 1
- UGIYZQRCCAWHAB-NYPZKHNLSA-N CCCC(NC(=O)[C@@H]1CC(C)(C)CN1C(=O)[C@@H](NC(=O)OC(C)C)C(C)(C)C)C(=O)C(=O)NCC(=O)NC(C(=O)N(C)C)C1=CC=CC=C1 Chemical compound CCCC(NC(=O)[C@@H]1CC(C)(C)CN1C(=O)[C@@H](NC(=O)OC(C)C)C(C)(C)C)C(=O)C(=O)NCC(=O)NC(C(=O)N(C)C)C1=CC=CC=C1 UGIYZQRCCAWHAB-NYPZKHNLSA-N 0.000 description 1
- PXGMFRHXOBGUBO-HUHIXEOQSA-N CCCC(NC(=O)[C@@H]1CC(C)(C)CN1C(=O)[C@@H](NC(=O)OCC(C)C)C1CCCCC1)C(=O)C(=O)NCC(=O)NC(C(=O)N(C)C)C1=CC=CC=C1.CCCC(NC(=O)[C@@H]1CC(C)(C)CN1C(=O)[C@@H](NC(=O)OCC(C)C)C1CCCCC1)C(=O)C(=O)NCC(=O)NC(C(=O)OC)C1=CC=CC=C1.CCCC(NC(=O)[C@@H]1CC(C)(C)CN1C(=O)[C@@H](NC(=O)OCC(C)C)C1CCCCC1)C(=O)C(=O)N[C@@H](C(C)=O)C(=O)N[C@H](C(=O)O)C1=CC=CC=C1.CCCC(NC(=O)[C@@H]1CC(C)(C)CN1C(=O)[C@@H](NC(=O)OCC(C)C)C1CCCCC1)C(=O)C(=O)N[C@@H](COC)C(=O)N[C@H](C(=O)O)C1=CC=CC=C1.CCCC(NC(=O)[C@@H]1CC2(CCCC2)CN1C(=O)[C@@H](NC(=O)OCC(C)C)C1CCCCC1)C(=O)C(=O)NCC(=O)NC(C(=O)N(C)C)C1=CC=CC=C1.CCCC(NC(=O)[C@@H]1CC2(CCCC2)CN1C(=O)[C@@H](NC(=O)OCC(C)C)C1CCCCC1)C(=O)C(=O)NCC(=O)NC(C(=O)OC)C1=CC=CC=C1.CCCC(NC(=O)[C@@H]1C[C@@](C)(CCC)CN1C(=O)[C@@H](NC(=O)OCC(C)C)C1CCCCC1)C(=O)C(=O)NCC(=O)NC(C(=O)N(C)C)C1=CC=CC=C1.CCCC(NC(=O)[C@@H]1[C@@H](C)CCN1C(=O)[C@@H](NC(=O)OCC(C)C)C1CCCCC1)C(=O)C(=O)NCC(=O)N[C@H](C(=O)N(C)C)C1=CC=CC=C1.CCCC(NC(=O)[C@@H]1[C@@H]2[C@H](CN1C(=O)[C@@H](NC(=O)OCC(C)C)C1CCCCC1)C2(C)C)C(=O)C(=O)NCC(=O)NC(C(=O)N(C)C)C1=CC=CC=C1 Chemical compound CCCC(NC(=O)[C@@H]1CC(C)(C)CN1C(=O)[C@@H](NC(=O)OCC(C)C)C1CCCCC1)C(=O)C(=O)NCC(=O)NC(C(=O)N(C)C)C1=CC=CC=C1.CCCC(NC(=O)[C@@H]1CC(C)(C)CN1C(=O)[C@@H](NC(=O)OCC(C)C)C1CCCCC1)C(=O)C(=O)NCC(=O)NC(C(=O)OC)C1=CC=CC=C1.CCCC(NC(=O)[C@@H]1CC(C)(C)CN1C(=O)[C@@H](NC(=O)OCC(C)C)C1CCCCC1)C(=O)C(=O)N[C@@H](C(C)=O)C(=O)N[C@H](C(=O)O)C1=CC=CC=C1.CCCC(NC(=O)[C@@H]1CC(C)(C)CN1C(=O)[C@@H](NC(=O)OCC(C)C)C1CCCCC1)C(=O)C(=O)N[C@@H](COC)C(=O)N[C@H](C(=O)O)C1=CC=CC=C1.CCCC(NC(=O)[C@@H]1CC2(CCCC2)CN1C(=O)[C@@H](NC(=O)OCC(C)C)C1CCCCC1)C(=O)C(=O)NCC(=O)NC(C(=O)N(C)C)C1=CC=CC=C1.CCCC(NC(=O)[C@@H]1CC2(CCCC2)CN1C(=O)[C@@H](NC(=O)OCC(C)C)C1CCCCC1)C(=O)C(=O)NCC(=O)NC(C(=O)OC)C1=CC=CC=C1.CCCC(NC(=O)[C@@H]1C[C@@](C)(CCC)CN1C(=O)[C@@H](NC(=O)OCC(C)C)C1CCCCC1)C(=O)C(=O)NCC(=O)NC(C(=O)N(C)C)C1=CC=CC=C1.CCCC(NC(=O)[C@@H]1[C@@H](C)CCN1C(=O)[C@@H](NC(=O)OCC(C)C)C1CCCCC1)C(=O)C(=O)NCC(=O)N[C@H](C(=O)N(C)C)C1=CC=CC=C1.CCCC(NC(=O)[C@@H]1[C@@H]2[C@H](CN1C(=O)[C@@H](NC(=O)OCC(C)C)C1CCCCC1)C2(C)C)C(=O)C(=O)NCC(=O)NC(C(=O)N(C)C)C1=CC=CC=C1 PXGMFRHXOBGUBO-HUHIXEOQSA-N 0.000 description 1
- OMGQHFHHBXJDCC-AVUHTBEGSA-N CCCC(NC(=O)[C@@H]1CC(C)(C)CN1C(=O)[C@@H](NC(=O)OCC(C)C)C1CCCCC1)C(=O)C(=O)NCC(=O)NC(C(=O)OC)C1=CC=CC=C1 Chemical compound CCCC(NC(=O)[C@@H]1CC(C)(C)CN1C(=O)[C@@H](NC(=O)OCC(C)C)C1CCCCC1)C(=O)C(=O)NCC(=O)NC(C(=O)OC)C1=CC=CC=C1 OMGQHFHHBXJDCC-AVUHTBEGSA-N 0.000 description 1
- OJRDCSFYVGOIJM-FNWCFHAZSA-N CCCC(NC(=O)[C@@H]1CC(C)(C)CN1C(=O)[C@@H](NC(=O)OCC(C)C)C1CCCCC1)C(=O)C(=O)NCC(=O)NC(C(=O)OC)C1=CC=CC=C1.CCCC(NC(=O)[C@@H]1CC(C)(C)CN1C(=O)[C@@H](NC(=O)OCC(C)C)C1CCCCC1)C(=O)C(=O)N[C@@H](C(C)=O)C(=O)N[C@H](C(=O)O)C1=CC=CC=C1.CCCC(NC(=O)[C@@H]1CC(C)(C)CN1C(=O)[C@@H](NC(=O)OCC(C)C)C1CCCCC1)C(=O)C(=O)N[C@@H](COC)C(=O)N[C@H](C(=O)O)C1=CC=CC=C1.CCCC(NC(=O)[C@@H]1CC2(CCCC2)CN1C(=O)[C@@H](NC(=O)OCC(C)C)C1CCCCC1)C(=O)C(=O)NCC(=O)NC(C(=O)N(C)C)C1=CC=CC=C1.CCCC(NC(=O)[C@@H]1CC2(CCCC2)CN1C(=O)[C@@H](NC(=O)OCC(C)C)C1CCCCC1)C(=O)C(=O)NCC(=O)NC(C(=O)OC)C1=CC=CC=C1.CCCC(NC(=O)[C@@H]1[C@@H](C)CCN1C(=O)[C@@H](NC(=O)OCC(C)C)C1CCCCC1)C(=O)C(=O)NCC(=O)NC(C(=O)N(C)C)C1=CC=CC=C1 Chemical compound CCCC(NC(=O)[C@@H]1CC(C)(C)CN1C(=O)[C@@H](NC(=O)OCC(C)C)C1CCCCC1)C(=O)C(=O)NCC(=O)NC(C(=O)OC)C1=CC=CC=C1.CCCC(NC(=O)[C@@H]1CC(C)(C)CN1C(=O)[C@@H](NC(=O)OCC(C)C)C1CCCCC1)C(=O)C(=O)N[C@@H](C(C)=O)C(=O)N[C@H](C(=O)O)C1=CC=CC=C1.CCCC(NC(=O)[C@@H]1CC(C)(C)CN1C(=O)[C@@H](NC(=O)OCC(C)C)C1CCCCC1)C(=O)C(=O)N[C@@H](COC)C(=O)N[C@H](C(=O)O)C1=CC=CC=C1.CCCC(NC(=O)[C@@H]1CC2(CCCC2)CN1C(=O)[C@@H](NC(=O)OCC(C)C)C1CCCCC1)C(=O)C(=O)NCC(=O)NC(C(=O)N(C)C)C1=CC=CC=C1.CCCC(NC(=O)[C@@H]1CC2(CCCC2)CN1C(=O)[C@@H](NC(=O)OCC(C)C)C1CCCCC1)C(=O)C(=O)NCC(=O)NC(C(=O)OC)C1=CC=CC=C1.CCCC(NC(=O)[C@@H]1[C@@H](C)CCN1C(=O)[C@@H](NC(=O)OCC(C)C)C1CCCCC1)C(=O)C(=O)NCC(=O)NC(C(=O)N(C)C)C1=CC=CC=C1 OJRDCSFYVGOIJM-FNWCFHAZSA-N 0.000 description 1
- FEZMSSIEWMHRBB-IBDZFHDISA-N CCCC(NC(=O)[C@@H]1CC(C)(C)CN1C(=O)[C@@H](NC(=O)OCC(C)C)C1CCCCC1)C(=O)C(=O)N[C@@H](C(C)=O)C(=O)N[C@H](C(=O)O)C1=CC=CC=C1 Chemical compound CCCC(NC(=O)[C@@H]1CC(C)(C)CN1C(=O)[C@@H](NC(=O)OCC(C)C)C1CCCCC1)C(=O)C(=O)N[C@@H](C(C)=O)C(=O)N[C@H](C(=O)O)C1=CC=CC=C1 FEZMSSIEWMHRBB-IBDZFHDISA-N 0.000 description 1
- BOPBNBOPHWMYFS-ZBYITMBUSA-N CCCC(NC(=O)[C@@H]1CC(C)(C)CN1C(=O)[C@@H](NC(=O)OCC(C)C)C1CCCCC1)C(=O)C(=O)N[C@@H](CO)C(=O)N[C@H](C(=O)O)C1=CC=CC=C1 Chemical compound CCCC(NC(=O)[C@@H]1CC(C)(C)CN1C(=O)[C@@H](NC(=O)OCC(C)C)C1CCCCC1)C(=O)C(=O)N[C@@H](CO)C(=O)N[C@H](C(=O)O)C1=CC=CC=C1 BOPBNBOPHWMYFS-ZBYITMBUSA-N 0.000 description 1
- RTGKCACCUIAUNB-IBDZFHDISA-N CCCC(NC(=O)[C@@H]1CC(C)(C)CN1C(=O)[C@@H](NC(=O)OCC(C)C)C1CCCCC1)C(=O)C(=O)N[C@@H](COC)C(=O)N[C@H](C(=O)O)C1=CC=CC=C1 Chemical compound CCCC(NC(=O)[C@@H]1CC(C)(C)CN1C(=O)[C@@H](NC(=O)OCC(C)C)C1CCCCC1)C(=O)C(=O)N[C@@H](COC)C(=O)N[C@H](C(=O)O)C1=CC=CC=C1 RTGKCACCUIAUNB-IBDZFHDISA-N 0.000 description 1
- MUPZZDREYGGWBS-VQNYSBCRSA-N CCCC(NC(=O)[C@@H]1CC(C)(C)CN1C(=O)[C@@H](NC(=O)O[C@@H](C)C(C)C)C(C)(C)C)C(=O)C(=O)NCC(=O)N[C@H](C(=O)N(C)C)C1=CC=CC=C1 Chemical compound CCCC(NC(=O)[C@@H]1CC(C)(C)CN1C(=O)[C@@H](NC(=O)O[C@@H](C)C(C)C)C(C)(C)C)C(=O)C(=O)NCC(=O)N[C@H](C(=O)N(C)C)C1=CC=CC=C1 MUPZZDREYGGWBS-VQNYSBCRSA-N 0.000 description 1
- MUPZZDREYGGWBS-DXUJOHEDSA-N CCCC(NC(=O)[C@@H]1CC(C)(C)CN1C(=O)[C@@H](NC(=O)O[C@H](C)C(C)C)C(C)(C)C)C(=O)C(=O)NCC(=O)N[C@H](C(=O)N(C)C)C1=CC=CC=C1 Chemical compound CCCC(NC(=O)[C@@H]1CC(C)(C)CN1C(=O)[C@@H](NC(=O)O[C@H](C)C(C)C)C(C)(C)C)C(=O)C(=O)NCC(=O)N[C@H](C(=O)N(C)C)C1=CC=CC=C1 MUPZZDREYGGWBS-DXUJOHEDSA-N 0.000 description 1
- LRINCGMXEUZMHK-ZZPKTVQESA-N CCCC(NC(=O)[C@@H]1CC(C)(C)CN1C(=O)[C@@H](NC(=O)O[C@H](C)C(C)C)C(C)(C)C)C(=O)C(=O)NCC(=O)N[C@H](C(=O)N(C)C)C1=CC=CC=C1.CCCC(NC(=O)[C@@H]1CCC(C)N1C(=O)[C@@H](NC(=O)OC(C)C)C(C)(C)C)C(=O)C(=O)NCC(=O)N[C@H](C(=O)N(C)C)C1=CC=CC=C1.CCC[C@@H](NC(=O)[C@@H]1CC(C)(C)CN1C(=O)[C@@H](NC(=O)O[C@@H](C)C(C)C)C1CCCCC1)C(=O)C(=O)NCC(=O)N[C@H](C(=O)N(C)C)C1=CC=CC=C1.CCC[C@H](NC(=O)[C@@H]1CC[C@H](C)N1C(=O)[C@@H](NC(=O)OCC(C)C)C(C)(C)C)C(=O)C(=O)NCC(=O)N[C@H](C(=O)N(C)C)C1=CC=CC=C1.CCC[C@H](NC(=O)[C@@H]1C[C@H](C)CN1C(=O)[C@@H](NC(=O)OCC(C)C)C(C)(C)C)C(=O)C(=O)NCC(=O)N[C@H](C(=O)N(C)C)C1=CC=CC=C1.CCC[C@H](NC(=O)[C@@H]1C[C@H](C)CN1C(=O)[C@@H](NC(=O)OCC(C)C)C1CCCCC1)C(=O)C(=O)NCC(=O)N[C@H](C(=O)N(C)C)C1=CC=CC=C1 Chemical compound CCCC(NC(=O)[C@@H]1CC(C)(C)CN1C(=O)[C@@H](NC(=O)O[C@H](C)C(C)C)C(C)(C)C)C(=O)C(=O)NCC(=O)N[C@H](C(=O)N(C)C)C1=CC=CC=C1.CCCC(NC(=O)[C@@H]1CCC(C)N1C(=O)[C@@H](NC(=O)OC(C)C)C(C)(C)C)C(=O)C(=O)NCC(=O)N[C@H](C(=O)N(C)C)C1=CC=CC=C1.CCC[C@@H](NC(=O)[C@@H]1CC(C)(C)CN1C(=O)[C@@H](NC(=O)O[C@@H](C)C(C)C)C1CCCCC1)C(=O)C(=O)NCC(=O)N[C@H](C(=O)N(C)C)C1=CC=CC=C1.CCC[C@H](NC(=O)[C@@H]1CC[C@H](C)N1C(=O)[C@@H](NC(=O)OCC(C)C)C(C)(C)C)C(=O)C(=O)NCC(=O)N[C@H](C(=O)N(C)C)C1=CC=CC=C1.CCC[C@H](NC(=O)[C@@H]1C[C@H](C)CN1C(=O)[C@@H](NC(=O)OCC(C)C)C(C)(C)C)C(=O)C(=O)NCC(=O)N[C@H](C(=O)N(C)C)C1=CC=CC=C1.CCC[C@H](NC(=O)[C@@H]1C[C@H](C)CN1C(=O)[C@@H](NC(=O)OCC(C)C)C1CCCCC1)C(=O)C(=O)NCC(=O)N[C@H](C(=O)N(C)C)C1=CC=CC=C1 LRINCGMXEUZMHK-ZZPKTVQESA-N 0.000 description 1
- QGAVFMDVJUXNFP-JOOLDSSXSA-N CCCC(NC(=O)[C@@H]1CC(C)(C)CN1C(=O)[C@@H](NC(=O)O[C@H](C)C(C)C)C(C)(C)C)C(=O)C(N)=O Chemical compound CCCC(NC(=O)[C@@H]1CC(C)(C)CN1C(=O)[C@@H](NC(=O)O[C@H](C)C(C)C)C(C)(C)C)C(=O)C(N)=O QGAVFMDVJUXNFP-JOOLDSSXSA-N 0.000 description 1
- XMQBFHCTDBAPCP-FYSACMIMSA-N CCCC(NC(=O)[C@@H]1CC(C)(C)CN1C(=O)[C@@H](NC)C1CCCCC1)C(=O)C(=O)NCC(=O)NC(C(=O)O)C1=CC=CC=C1 Chemical compound CCCC(NC(=O)[C@@H]1CC(C)(C)CN1C(=O)[C@@H](NC)C1CCCCC1)C(=O)C(=O)NCC(=O)NC(C(=O)O)C1=CC=CC=C1 XMQBFHCTDBAPCP-FYSACMIMSA-N 0.000 description 1
- RLYUVGBNMFNBBV-WSTRIDTPSA-N CCCC(NC(=O)[C@@H]1CC(C)(C)CN1C(=O)[C@H](NC(=O)OC(C)(C)C)C(C)(C)C)C(=O)C(=O)OC(C)(C)C Chemical compound CCCC(NC(=O)[C@@H]1CC(C)(C)CN1C(=O)[C@H](NC(=O)OC(C)(C)C)C(C)(C)C)C(=O)C(=O)OC(C)(C)C RLYUVGBNMFNBBV-WSTRIDTPSA-N 0.000 description 1
- UYBALZSTUNLJJD-XNFAZICRSA-N CCCC(NC(=O)[C@@H]1CC(C2=CC=CC=C2)CN1C(=O)[C@@H](NC(=O)OCC(C)C)C1CCCCC1)C(=O)C(=O)NCC(=O)N[C@H](C(=O)N(C)C)C1=CC=CC=C1 Chemical compound CCCC(NC(=O)[C@@H]1CC(C2=CC=CC=C2)CN1C(=O)[C@@H](NC(=O)OCC(C)C)C1CCCCC1)C(=O)C(=O)NCC(=O)N[C@H](C(=O)N(C)C)C1=CC=CC=C1 UYBALZSTUNLJJD-XNFAZICRSA-N 0.000 description 1
- IECQJCQJNIEXBU-GOEYDAFJSA-N CCCC(NC(=O)[C@@H]1CC(CNC(=O)C2=CC=CC=C2)CN1C(=O)[C@H](NC(=O)OCC(C)C)C1CCCCC1)C(=O)C(=O)NCC(=O)N[C@@H](C(N)=O)C1=CC=CC=C1 Chemical compound CCCC(NC(=O)[C@@H]1CC(CNC(=O)C2=CC=CC=C2)CN1C(=O)[C@H](NC(=O)OCC(C)C)C1CCCCC1)C(=O)C(=O)NCC(=O)N[C@@H](C(N)=O)C1=CC=CC=C1 IECQJCQJNIEXBU-GOEYDAFJSA-N 0.000 description 1
- MJYNJTNADXXSTM-YVOWIJCBSA-N CCCC(NC(=O)[C@@H]1CC(CNS(=O)(=O)C2=CC=CC=C2)CN1C(=O)C(NC(=O)OCC(C)C)C1CCCCC1)C(=O)C(=O)NCC(=O)N[C@@H](C(N)=O)C1=CC=CC=C1 Chemical compound CCCC(NC(=O)[C@@H]1CC(CNS(=O)(=O)C2=CC=CC=C2)CN1C(=O)C(NC(=O)OCC(C)C)C1CCCCC1)C(=O)C(=O)NCC(=O)N[C@@H](C(N)=O)C1=CC=CC=C1 MJYNJTNADXXSTM-YVOWIJCBSA-N 0.000 description 1
- HNZFPWIBENCMCO-ZLMDOPAYSA-N CCCC(NC(=O)[C@@H]1CC(F)(F)CN1C(=O)[C@@H](NC(=O)OCC(C)C)C1CCCCC1)C(=O)C(=O)NCC(=O)N[C@H](C(=O)N(C)C)C1=CC=CC=C1 Chemical compound CCCC(NC(=O)[C@@H]1CC(F)(F)CN1C(=O)[C@@H](NC(=O)OCC(C)C)C1CCCCC1)C(=O)C(=O)NCC(=O)N[C@H](C(=O)N(C)C)C1=CC=CC=C1 HNZFPWIBENCMCO-ZLMDOPAYSA-N 0.000 description 1
- QAEABJUHMPQYDU-PISHYYAPSA-N CCCC(NC(=O)[C@@H]1CC(F)(F)CN1C(=O)[C@@H](NC(=O)OCC(C)C)C1CCCCC1)C(=O)C(=O)NCC(=O)N[C@H](C(=O)O)C1=CC=CC=C1 Chemical compound CCCC(NC(=O)[C@@H]1CC(F)(F)CN1C(=O)[C@@H](NC(=O)OCC(C)C)C1CCCCC1)C(=O)C(=O)NCC(=O)N[C@H](C(=O)O)C1=CC=CC=C1 QAEABJUHMPQYDU-PISHYYAPSA-N 0.000 description 1
- KFSYWGVCSAVMON-AGDVDVTHSA-N CCCC(NC(=O)[C@@H]1CC(F)(F)CN1C(=O)[C@@H](NC(=O)OCC(C)C)C1CCCCC1)C(=O)C(=O)NCC(=O)N[C@H](C(=O)OC(C)(C)C)C1=CC=CC=C1 Chemical compound CCCC(NC(=O)[C@@H]1CC(F)(F)CN1C(=O)[C@@H](NC(=O)OCC(C)C)C1CCCCC1)C(=O)C(=O)NCC(=O)N[C@H](C(=O)OC(C)(C)C)C1=CC=CC=C1 KFSYWGVCSAVMON-AGDVDVTHSA-N 0.000 description 1
- JEAHFFVXALADPJ-GNIGFBPOSA-N CCCC(NC(=O)[C@@H]1CC(NC(=O)NC2=CC(Cl)=CC=C2)CN1C(=O)C(NC(=O)OCC(C)C)C1CCCCC1)C(=O)C(=O)NCC(=O)N[C@@H](C(N)=O)C1=CC=CC=C1 Chemical compound CCCC(NC(=O)[C@@H]1CC(NC(=O)NC2=CC(Cl)=CC=C2)CN1C(=O)C(NC(=O)OCC(C)C)C1CCCCC1)C(=O)C(=O)NCC(=O)N[C@@H](C(N)=O)C1=CC=CC=C1 JEAHFFVXALADPJ-GNIGFBPOSA-N 0.000 description 1
- PRJRBBWWFCDEDZ-LOZGIWDVSA-N CCCC(NC(=O)[C@@H]1CC(NC(=O)NC2=CC=CC=C2)CN1C(=O)[C@H](NC(=O)C1=CC(Cl)=C(Cl)C=C1C(=O)O)C1CCCCC1)C(=O)C(=O)NCC(=O)N[C@@H](C(N)=O)C1=CC=CC=C1 Chemical compound CCCC(NC(=O)[C@@H]1CC(NC(=O)NC2=CC=CC=C2)CN1C(=O)[C@H](NC(=O)C1=CC(Cl)=C(Cl)C=C1C(=O)O)C1CCCCC1)C(=O)C(=O)NCC(=O)N[C@@H](C(N)=O)C1=CC=CC=C1 PRJRBBWWFCDEDZ-LOZGIWDVSA-N 0.000 description 1
- MJXKXAWTWSNLEQ-QACUEAGUSA-N CCCC(NC(=O)[C@@H]1CC(NC(=O)NC2=CC=CC=C2)CN1C(=O)[C@H](NC(=O)OCC(C)C)C1CCCCC1)C(=O)C(=O)NCC(=O)N[C@@H](C(N)=O)C1=CC=CC=C1 Chemical compound CCCC(NC(=O)[C@@H]1CC(NC(=O)NC2=CC=CC=C2)CN1C(=O)[C@H](NC(=O)OCC(C)C)C1CCCCC1)C(=O)C(=O)NCC(=O)N[C@@H](C(N)=O)C1=CC=CC=C1 MJXKXAWTWSNLEQ-QACUEAGUSA-N 0.000 description 1
- YMOPZSBCZDOECO-LVOZUTNCSA-N CCCC(NC(=O)[C@@H]1CC(NC(=O)OCC(C)C)CN1C(=O)[C@H](NC(=O)C1=CC(Cl)=C(Cl)C=C1C(=O)O)C1CCCCC1)C(=O)C(=O)NCC(=O)N[C@@H](C(N)=O)C1=CC=CC=C1 Chemical compound CCCC(NC(=O)[C@@H]1CC(NC(=O)OCC(C)C)CN1C(=O)[C@H](NC(=O)C1=CC(Cl)=C(Cl)C=C1C(=O)O)C1CCCCC1)C(=O)C(=O)NCC(=O)N[C@@H](C(N)=O)C1=CC=CC=C1 YMOPZSBCZDOECO-LVOZUTNCSA-N 0.000 description 1
- OSMZHQMGTBNHQX-NGYQRBJESA-N CCCC(NC(=O)[C@@H]1CC(NS(=O)(=O)C2=C3C=CC=CC3=CC=C2)CN1C(=O)[C@H](NC(=O)OCC(C)C)C1CCCCC1)C(=O)C(=O)NCC(=O)N[C@@H](C(N)=O)C1=CC=CC=C1 Chemical compound CCCC(NC(=O)[C@@H]1CC(NS(=O)(=O)C2=C3C=CC=CC3=CC=C2)CN1C(=O)[C@H](NC(=O)OCC(C)C)C1CCCCC1)C(=O)C(=O)NCC(=O)N[C@@H](C(N)=O)C1=CC=CC=C1 OSMZHQMGTBNHQX-NGYQRBJESA-N 0.000 description 1
- CUUHMDOYXBHRSK-SDAFTYILSA-N CCCC(NC(=O)[C@@H]1CC(NS(=O)(=O)C2=CC=C(CC)C=C2)CN1C(=O)[C@@H](NC(=O)OC(C)(C)C)C1CCCCC1)C(=O)C(N)=O Chemical compound CCCC(NC(=O)[C@@H]1CC(NS(=O)(=O)C2=CC=C(CC)C=C2)CN1C(=O)[C@@H](NC(=O)OC(C)(C)C)C1CCCCC1)C(=O)C(N)=O CUUHMDOYXBHRSK-SDAFTYILSA-N 0.000 description 1
- TXGCJEJSUJLTJT-FRUCMKMRSA-N CCCC(NC(=O)[C@@H]1CC(O)CN1C(=O)C(NC(=O)OC(C)(C)C)C(C)(C)C)C(=O)C(=O)NCC(=O)NC(C(=O)N(C)C)C1=CC=CC=C1 Chemical compound CCCC(NC(=O)[C@@H]1CC(O)CN1C(=O)C(NC(=O)OC(C)(C)C)C(C)(C)C)C(=O)C(=O)NCC(=O)NC(C(=O)N(C)C)C1=CC=CC=C1 TXGCJEJSUJLTJT-FRUCMKMRSA-N 0.000 description 1
- MFOFQPUHWZLHIU-AKLMWGOMSA-N CCCC(NC(=O)[C@@H]1CC(OC(=O)C(C)(C)C)CN1C(=O)C(NC(=O)OC(C)(C)C)C(C)(C)C)C(=O)C(=O)NCC(=O)NC(C(=O)N(C)C)C1=CC=CC=C1 Chemical compound CCCC(NC(=O)[C@@H]1CC(OC(=O)C(C)(C)C)CN1C(=O)C(NC(=O)OC(C)(C)C)C(C)(C)C)C(=O)C(=O)NCC(=O)NC(C(=O)N(C)C)C1=CC=CC=C1 MFOFQPUHWZLHIU-AKLMWGOMSA-N 0.000 description 1
- KHQJBTZRJQLEHQ-PXGNEFPESA-N CCCC(NC(=O)[C@@H]1CC(OC(=O)CCC2=CC=CC=C2)CN1C(=O)C(NC(=O)OC(C)(C)C)C(C)(C)C)C(=O)C(=O)NCC(=O)NC(C(=O)N(C)C)C1=CC=CC=C1 Chemical compound CCCC(NC(=O)[C@@H]1CC(OC(=O)CCC2=CC=CC=C2)CN1C(=O)C(NC(=O)OC(C)(C)C)C(C)(C)C)C(=O)C(=O)NCC(=O)NC(C(=O)N(C)C)C1=CC=CC=C1 KHQJBTZRJQLEHQ-PXGNEFPESA-N 0.000 description 1
- XXICFSVJKHZEHF-AKLMWGOMSA-N CCCC(NC(=O)[C@@H]1CC(OC(C)(C)C)CN1C(=O)C(NC(=O)OC(C)(C)C)C(C)(C)C)C(=O)C(=O)NCC(=O)NC(C(=O)N(C)C)C1=CC=CC=C1 Chemical compound CCCC(NC(=O)[C@@H]1CC(OC(C)(C)C)CN1C(=O)C(NC(=O)OC(C)(C)C)C(C)(C)C)C(=O)C(=O)NCC(=O)NC(C(=O)N(C)C)C1=CC=CC=C1 XXICFSVJKHZEHF-AKLMWGOMSA-N 0.000 description 1
- IJLYHZWFFSAJQW-LOVCIFHBSA-N CCCC(NC(=O)[C@@H]1CC(OC(C)(C)C)CN1C(=O)C(NC(=O)OCC(C)C)C1CCCCC1)C(=O)C(=O)NCC(=O)NC(C(=O)N(C)C)C1=CC=CC=C1 Chemical compound CCCC(NC(=O)[C@@H]1CC(OC(C)(C)C)CN1C(=O)C(NC(=O)OCC(C)C)C1CCCCC1)C(=O)C(=O)NCC(=O)NC(C(=O)N(C)C)C1=CC=CC=C1 IJLYHZWFFSAJQW-LOVCIFHBSA-N 0.000 description 1
- XJAQTPQNLHPWJD-BBLPBDBVSA-N CCCC(NC(=O)[C@@H]1CC(OC(C)(C)C)CN1C(=O)[C@@H](NC(=O)OC(C)(C)C)C(C)(C)C)C(=O)C(=O)NCCC(=O)OC(C)(C)C Chemical compound CCCC(NC(=O)[C@@H]1CC(OC(C)(C)C)CN1C(=O)[C@@H](NC(=O)OC(C)(C)C)C(C)(C)C)C(=O)C(=O)NCCC(=O)OC(C)(C)C XJAQTPQNLHPWJD-BBLPBDBVSA-N 0.000 description 1
- OEAXODFYZJQNIR-SPSLYSOASA-N CCCC(NC(=O)[C@@H]1CC(OC(C)(C)C)CN1C(=O)[C@@H](NC(=O)OC(C)(C)C)C1CCCCC1)C(=O)C(=O)NCCC(=O)OC(C)(C)C Chemical compound CCCC(NC(=O)[C@@H]1CC(OC(C)(C)C)CN1C(=O)[C@@H](NC(=O)OC(C)(C)C)C1CCCCC1)C(=O)C(=O)NCCC(=O)OC(C)(C)C OEAXODFYZJQNIR-SPSLYSOASA-N 0.000 description 1
- AVEHWJSQKSIWKR-YBNNYFSKSA-N CCCC(NC(=O)[C@@H]1CC(OCCOC2=CC=CC=C2)CN1C(=O)C(NC(=O)OC(C)(C)C)C1CCCCC1)C(=O)C(=O)NCC(=O)NC(C(=O)N(C)C)C1=CC=CC=C1 Chemical compound CCCC(NC(=O)[C@@H]1CC(OCCOC2=CC=CC=C2)CN1C(=O)C(NC(=O)OC(C)(C)C)C1CCCCC1)C(=O)C(=O)NCC(=O)NC(C(=O)N(C)C)C1=CC=CC=C1 AVEHWJSQKSIWKR-YBNNYFSKSA-N 0.000 description 1
- ZHXCWXJVBIJOMN-AFNXQCIESA-N CCCC(NC(=O)[C@@H]1CC(OCCOC2=CC=CC=C2)CN1C(=O)C(NC(=O)OCC(C)C)C1CCCCC1)C(=O)C(=O)NCC(=O)NC(C(=O)N(C)C)C1=CC=CC=C1 Chemical compound CCCC(NC(=O)[C@@H]1CC(OCCOC2=CC=CC=C2)CN1C(=O)C(NC(=O)OCC(C)C)C1CCCCC1)C(=O)C(=O)NCC(=O)NC(C(=O)N(C)C)C1=CC=CC=C1 ZHXCWXJVBIJOMN-AFNXQCIESA-N 0.000 description 1
- BKOUAFDJUHRMHX-IMLKRVOHSA-N CCCC(NC(=O)[C@@H]1CC(OCCOC2=CC=CC=C2)CN1C(=O)C(NC(C)=O)C1CCCCC1)C(=O)C(=O)NCC(=O)NC(C(=O)N(C)C)C1=CC=CC=C1 Chemical compound CCCC(NC(=O)[C@@H]1CC(OCCOC2=CC=CC=C2)CN1C(=O)C(NC(C)=O)C1CCCCC1)C(=O)C(=O)NCC(=O)NC(C(=O)N(C)C)C1=CC=CC=C1 BKOUAFDJUHRMHX-IMLKRVOHSA-N 0.000 description 1
- SQVWWKGOROFLBE-XOVXYEMCSA-N CCCC(NC(=O)[C@@H]1CC2(CC2)CN1C(=O)[C@@H](CC(=O)OCC(C)C)C(C)(C)C)C(=O)C(=O)NCC(=O)N[C@H](C(=O)N(C)C)C1=CC=CC=C1 Chemical compound CCCC(NC(=O)[C@@H]1CC2(CC2)CN1C(=O)[C@@H](CC(=O)OCC(C)C)C(C)(C)C)C(=O)C(=O)NCC(=O)N[C@H](C(=O)N(C)C)C1=CC=CC=C1 SQVWWKGOROFLBE-XOVXYEMCSA-N 0.000 description 1
- OGQBSZUAEHZESX-PPMRTRMPSA-N CCCC(NC(=O)[C@@H]1CC2(CCCC2)CN1C(=O)[C@@H](NC(=O)OCC(C)C)C1CCCCC1)C(=O)C(=O)NCC(=O)NC(C(=O)N(C)C)C1=CC=CC=C1 Chemical compound CCCC(NC(=O)[C@@H]1CC2(CCCC2)CN1C(=O)[C@@H](NC(=O)OCC(C)C)C1CCCCC1)C(=O)C(=O)NCC(=O)NC(C(=O)N(C)C)C1=CC=CC=C1 OGQBSZUAEHZESX-PPMRTRMPSA-N 0.000 description 1
- OEAOWQACJFVFHN-WBVOFJQMSA-N CCCC(NC(=O)[C@@H]1CC2(CCCC2)CN1C(=O)[C@@H](NC(=O)OCC(C)C)C1CCCCC1)C(=O)C(=O)NCC(=O)NC(C(=O)OC)C1=CC=CC=C1 Chemical compound CCCC(NC(=O)[C@@H]1CC2(CCCC2)CN1C(=O)[C@@H](NC(=O)OCC(C)C)C1CCCCC1)C(=O)C(=O)NCC(=O)NC(C(=O)OC)C1=CC=CC=C1 OEAOWQACJFVFHN-WBVOFJQMSA-N 0.000 description 1
- RUNNKCBAKQLGLP-OSSXWCPBSA-N CCCC(NC(=O)[C@@H]1CC2(CN1C(=O)C(NC(=O)CC1=CC=CC=C1)C1CCCCC1)SCCCS2)C(=O)C(=O)NCC(=O)NC(C(=O)N(C)C)C1=CC=CC=C1 Chemical compound CCCC(NC(=O)[C@@H]1CC2(CN1C(=O)C(NC(=O)CC1=CC=CC=C1)C1CCCCC1)SCCCS2)C(=O)C(=O)NCC(=O)NC(C(=O)N(C)C)C1=CC=CC=C1 RUNNKCBAKQLGLP-OSSXWCPBSA-N 0.000 description 1
- FDAJVJJIRLZRCJ-OWZDCNAKSA-N CCCC(NC(=O)[C@@H]1CC2(CN1C(=O)C(NC(=O)OC(C)(C)C)C(C)(C)C)SCCCS2)C(=O)C(=O)NCC(=O)NC(CO)C(C)(C)C Chemical compound CCCC(NC(=O)[C@@H]1CC2(CN1C(=O)C(NC(=O)OC(C)(C)C)C(C)(C)C)SCCCS2)C(=O)C(=O)NCC(=O)NC(CO)C(C)(C)C FDAJVJJIRLZRCJ-OWZDCNAKSA-N 0.000 description 1
- GWFFFKBSLWMTDP-IORSFJAHSA-N CCCC(NC(=O)[C@@H]1CC2(CN1C(=O)C(NC(=O)OC(C)(C)C)C(C)(C)C)SCCCS2)C(=O)C(=O)NCC(=O)NC(CO)C(C)C Chemical compound CCCC(NC(=O)[C@@H]1CC2(CN1C(=O)C(NC(=O)OC(C)(C)C)C(C)(C)C)SCCCS2)C(=O)C(=O)NCC(=O)NC(CO)C(C)C GWFFFKBSLWMTDP-IORSFJAHSA-N 0.000 description 1
- FIWLPHDTAJYJRH-BKXUJRTISA-N CCCC(NC(=O)[C@@H]1CC2(CN1C(=O)C(NC(=O)OC(C)(C)C)C(C)(C)C)SCCCS2)C(=O)C(=O)NCC(=O)NC(CO)C1=CC=CS1 Chemical compound CCCC(NC(=O)[C@@H]1CC2(CN1C(=O)C(NC(=O)OC(C)(C)C)C(C)(C)C)SCCCS2)C(=O)C(=O)NCC(=O)NC(CO)C1=CC=CS1 FIWLPHDTAJYJRH-BKXUJRTISA-N 0.000 description 1
- QMESTDHWBIKADW-OFXVJIJHSA-N CCCC(NC(=O)[C@@H]1CC2(CN1C(=O)C(NC(=O)OC(C)(C)C)C(C)(C)C)SCCCS2)C(=O)C(=O)NCC(=O)NC(CO)CC(C)C Chemical compound CCCC(NC(=O)[C@@H]1CC2(CN1C(=O)C(NC(=O)OC(C)(C)C)C(C)(C)C)SCCCS2)C(=O)C(=O)NCC(=O)NC(CO)CC(C)C QMESTDHWBIKADW-OFXVJIJHSA-N 0.000 description 1
- PJXOZZSSGBEXRX-GLWDPUFSSA-N CCCC(NC(=O)[C@@H]1CC2(CN1C(=O)C(NC(=O)OC(C)(C)C)C(C)(C)C)SCCCS2)C(=O)C(=O)NCC(=O)NC(CO)CC1CCCCC1 Chemical compound CCCC(NC(=O)[C@@H]1CC2(CN1C(=O)C(NC(=O)OC(C)(C)C)C(C)(C)C)SCCCS2)C(=O)C(=O)NCC(=O)NC(CO)CC1CCCCC1 PJXOZZSSGBEXRX-GLWDPUFSSA-N 0.000 description 1
- FPLGSVLGSDVPPV-IORSFJAHSA-N CCCC(NC(=O)[C@@H]1CC2(CN1C(=O)C(NC(=O)OC(C)(C)C)C(C)(C)C)SCCCS2)C(=O)C(=O)NCC(=O)NC(CO)CCSC Chemical compound CCCC(NC(=O)[C@@H]1CC2(CN1C(=O)C(NC(=O)OC(C)(C)C)C(C)(C)C)SCCCS2)C(=O)C(=O)NCC(=O)NC(CO)CCSC FPLGSVLGSDVPPV-IORSFJAHSA-N 0.000 description 1
- QHRWQWKMQOWWIX-GLWDPUFSSA-N CCCC(NC(=O)[C@@H]1CC2(CN1C(=O)C(NC(=O)OC(C)(C)C)C(C)(C)C)SCCCS2)C(=O)C(=O)NCC(=O)NC(COC)C1=CC=CC=C1 Chemical compound CCCC(NC(=O)[C@@H]1CC2(CN1C(=O)C(NC(=O)OC(C)(C)C)C(C)(C)C)SCCCS2)C(=O)C(=O)NCC(=O)NC(COC)C1=CC=CC=C1 QHRWQWKMQOWWIX-GLWDPUFSSA-N 0.000 description 1
- HDRUXLDKOMZJOU-GNZRSQJKSA-N CCCC(NC(=O)[C@@H]1CC2(CN1C(=O)C(NC(=O)OC(C)(C)C)C(C)(C)C)SCCCS2)C(=O)C(=O)NCC(=O)O Chemical compound CCCC(NC(=O)[C@@H]1CC2(CN1C(=O)C(NC(=O)OC(C)(C)C)C(C)(C)C)SCCCS2)C(=O)C(=O)NCC(=O)O HDRUXLDKOMZJOU-GNZRSQJKSA-N 0.000 description 1
- NHCMTHWQWZOTSJ-WBTXTPOCSA-N CCCC(NC(=O)[C@@H]1CC2(CN1C(=O)C(NC(=O)OC(C)(C)C)C(C)(C)C)SCCCS2)C(=O)C(=O)NCC(=O)OC Chemical compound CCCC(NC(=O)[C@@H]1CC2(CN1C(=O)C(NC(=O)OC(C)(C)C)C(C)(C)C)SCCCS2)C(=O)C(=O)NCC(=O)OC NHCMTHWQWZOTSJ-WBTXTPOCSA-N 0.000 description 1
- RRXSWHCJLOSMOW-IYHSZZMASA-N CCCC(NC(=O)[C@@H]1CC2(CN1C(=O)C(NC(=O)OCC(C)C)C1CCCCC1)SCCCS2)C(=O)C(=O)NCC(=O)NC(C(=O)NC)C1=CC=CC=C1 Chemical compound CCCC(NC(=O)[C@@H]1CC2(CN1C(=O)C(NC(=O)OCC(C)C)C1CCCCC1)SCCCS2)C(=O)C(=O)NCC(=O)NC(C(=O)NC)C1=CC=CC=C1 RRXSWHCJLOSMOW-IYHSZZMASA-N 0.000 description 1
- CEFHJCXOJNGMRY-QKDPSFTKSA-N CCCC(NC(=O)[C@@H]1CC2(CN1C(=O)C(NC(=O)OCC(C)C)C1CCCCC1)SCCCS2)C(=O)C(=O)NCC(=O)O Chemical compound CCCC(NC(=O)[C@@H]1CC2(CN1C(=O)C(NC(=O)OCC(C)C)C1CCCCC1)SCCCS2)C(=O)C(=O)NCC(=O)O CEFHJCXOJNGMRY-QKDPSFTKSA-N 0.000 description 1
- KINWMHAXVFBNBX-QWJQGLKASA-N CCCC(NC(=O)[C@@H]1CC2(CN1C(=O)C(NC(=O)OCC(C)C)C1CCCCC1)SCCCS2)C(=O)C(=O)NCC(=O)OC(C)(C)C Chemical compound CCCC(NC(=O)[C@@H]1CC2(CN1C(=O)C(NC(=O)OCC(C)C)C1CCCCC1)SCCCS2)C(=O)C(=O)NCC(=O)OC(C)(C)C KINWMHAXVFBNBX-QWJQGLKASA-N 0.000 description 1
- YOSDIEMVUOHXLT-IYHSZZMASA-N CCCC(NC(=O)[C@@H]1CC2(CN1C(=O)C(NC(=O)OCC(C)C)C1CCCCC1)SCCS2)C(=O)C(=O)NCC(=O)NC(C(=O)N(C)C)C1=CC=CC=C1 Chemical compound CCCC(NC(=O)[C@@H]1CC2(CN1C(=O)C(NC(=O)OCC(C)C)C1CCCCC1)SCCS2)C(=O)C(=O)NCC(=O)NC(C(=O)N(C)C)C1=CC=CC=C1 YOSDIEMVUOHXLT-IYHSZZMASA-N 0.000 description 1
- UTOGCJFTNLPLQP-XVGKINAUSA-N CCCC(NC(=O)[C@@H]1CC2(CN1C(=O)C(NC(=O)OCC(C)C)C1CCCCC1)SCCS2)C(=O)C(=O)NCC(=O)NC(C(=O)NC)C1=CC=CC=C1 Chemical compound CCCC(NC(=O)[C@@H]1CC2(CN1C(=O)C(NC(=O)OCC(C)C)C1CCCCC1)SCCS2)C(=O)C(=O)NCC(=O)NC(C(=O)NC)C1=CC=CC=C1 UTOGCJFTNLPLQP-XVGKINAUSA-N 0.000 description 1
- FHOWOEZLKWQIHM-GVTZYWAFSA-N CCCC(NC(=O)[C@@H]1CC2(CN1C(=O)C(NC(=O)OCC(C)C)C1CCCCC1)SCCS2)C(=O)C(=O)NCC(=O)NC(C(N)=O)C1=CC=CC=C1 Chemical compound CCCC(NC(=O)[C@@H]1CC2(CN1C(=O)C(NC(=O)OCC(C)C)C1CCCCC1)SCCS2)C(=O)C(=O)NCC(=O)NC(C(N)=O)C1=CC=CC=C1 FHOWOEZLKWQIHM-GVTZYWAFSA-N 0.000 description 1
- VKCINJFGGABJDR-FUHYEJFZSA-N CCCC(NC(=O)[C@@H]1CC2(CN1C(=O)C(NC(=O)OCC(C)C)C1CCCCC1)SCCS2)C(=O)C(=O)NCC(=O)O Chemical compound CCCC(NC(=O)[C@@H]1CC2(CN1C(=O)C(NC(=O)OCC(C)C)C1CCCCC1)SCCS2)C(=O)C(=O)NCC(=O)O VKCINJFGGABJDR-FUHYEJFZSA-N 0.000 description 1
- XWGWCSILTQSOKC-XVGKINAUSA-N CCCC(NC(=O)[C@@H]1CC2(CN1C(=O)C(NC(C)=O)C1CCCCC1)SCCCS2)C(=O)C(=O)NCC(=O)NC(C(=O)N(C)C)C1=CC=CC=C1 Chemical compound CCCC(NC(=O)[C@@H]1CC2(CN1C(=O)C(NC(C)=O)C1CCCCC1)SCCCS2)C(=O)C(=O)NCC(=O)NC(C(=O)N(C)C)C1=CC=CC=C1 XWGWCSILTQSOKC-XVGKINAUSA-N 0.000 description 1
- IYCVFWSECRWSCO-GSGRZKARSA-N CCCC(NC(=O)[C@@H]1CC2(CN1C(=O)C(O)C(C)(C)C)SCCCS2)C(=O)C(=O)NCC(=O)NC(C(=O)N(C)C)C1=CC=CC=C1 Chemical compound CCCC(NC(=O)[C@@H]1CC2(CN1C(=O)C(O)C(C)(C)C)SCCCS2)C(=O)C(=O)NCC(=O)NC(C(=O)N(C)C)C1=CC=CC=C1 IYCVFWSECRWSCO-GSGRZKARSA-N 0.000 description 1
- HWOQJQUMMPZKQD-HRWNNDAUSA-N CCCC(NC(=O)[C@@H]1CC2(CN1C(=O)C(OC(C)=O)C(C)(C)C)SCCCS2)C(=O)C(=O)NCC(=O)NC(C(=O)N(C)C)C1=CC=CC=C1 Chemical compound CCCC(NC(=O)[C@@H]1CC2(CN1C(=O)C(OC(C)=O)C(C)(C)C)SCCCS2)C(=O)C(=O)NCC(=O)NC(C(=O)N(C)C)C1=CC=CC=C1 HWOQJQUMMPZKQD-HRWNNDAUSA-N 0.000 description 1
- LZJDWEZPPWLVHP-KMTZPVKYSA-N CCCC(NC(=O)[C@@H]1CC2(CN1C(=O)[C@@H](NC(=O)C1=CC(Cl)=C(Cl)C=C1C(=O)O)C1CCCCC1)SCCCS2)C(=O)C(=O)NCC(=O)NC(C(N)=O)C1=CC=CC=C1 Chemical compound CCCC(NC(=O)[C@@H]1CC2(CN1C(=O)[C@@H](NC(=O)C1=CC(Cl)=C(Cl)C=C1C(=O)O)C1CCCCC1)SCCCS2)C(=O)C(=O)NCC(=O)NC(C(N)=O)C1=CC=CC=C1 LZJDWEZPPWLVHP-KMTZPVKYSA-N 0.000 description 1
- DMYZQXFDDFLALB-IWHYWORQSA-N CCCC(NC(=O)[C@@H]1CC2(CN1C(=O)[C@@H](NC(=O)CC1CCCC1)C1CCCCC1)SCCCS2)C(=O)C(=O)NCC(=O)NC(C(=O)N(C)OC)C1=CC=CC=C1 Chemical compound CCCC(NC(=O)[C@@H]1CC2(CN1C(=O)[C@@H](NC(=O)CC1CCCC1)C1CCCCC1)SCCCS2)C(=O)C(=O)NCC(=O)NC(C(=O)N(C)OC)C1=CC=CC=C1 DMYZQXFDDFLALB-IWHYWORQSA-N 0.000 description 1
- YHSPARARXHQNTB-VWQTYRMVSA-N CCCC(NC(=O)[C@@H]1CC2(CN1C(=O)[C@@H](NC(=O)CC1CCCC1)C1CCCCC1)SCCCS2)C(=O)C(=O)NCC(=O)NC(C(=O)O)C1=CC=CC=C1 Chemical compound CCCC(NC(=O)[C@@H]1CC2(CN1C(=O)[C@@H](NC(=O)CC1CCCC1)C1CCCCC1)SCCCS2)C(=O)C(=O)NCC(=O)NC(C(=O)O)C1=CC=CC=C1 YHSPARARXHQNTB-VWQTYRMVSA-N 0.000 description 1
- XNAVRUOSSLWWPE-LAUHKTGVSA-N CCCC(NC(=O)[C@@H]1CC2(CN1C(=O)[C@@H](NC(=O)CC1CCCC1)C1CCCCC1)SCCCS2)C(=O)C(=O)NCC(=O)NC(C(=O)OC(C)(C)C)C1=CC=CC=C1 Chemical compound CCCC(NC(=O)[C@@H]1CC2(CN1C(=O)[C@@H](NC(=O)CC1CCCC1)C1CCCCC1)SCCCS2)C(=O)C(=O)NCC(=O)NC(C(=O)OC(C)(C)C)C1=CC=CC=C1 XNAVRUOSSLWWPE-LAUHKTGVSA-N 0.000 description 1
- WKUYQZRIQCEHGT-KBTZWLMJSA-N CCCC(NC(=O)[C@@H]1CC2(CN1C(=O)[C@@H](NC(=O)CC1CCCC1)C1CCCCC1)SCCCS2)C(=O)C(=O)NCC(=O)NC(C(N)=O)C1=CC=CC=C1 Chemical compound CCCC(NC(=O)[C@@H]1CC2(CN1C(=O)[C@@H](NC(=O)CC1CCCC1)C1CCCCC1)SCCCS2)C(=O)C(=O)NCC(=O)NC(C(N)=O)C1=CC=CC=C1 WKUYQZRIQCEHGT-KBTZWLMJSA-N 0.000 description 1
- ORQPJJBDZQDLMH-PPMRTRMPSA-N CCCC(NC(=O)[C@@H]1CC2(CN1C(=O)[C@@H](NC(=O)OC1CCCC1)C1CCCCC1)SCCCS2)C(=O)C(=O)NCC(=O)NC(C(=O)N(C)C)C1=CC=CC=C1 Chemical compound CCCC(NC(=O)[C@@H]1CC2(CN1C(=O)[C@@H](NC(=O)OC1CCCC1)C1CCCCC1)SCCCS2)C(=O)C(=O)NCC(=O)NC(C(=O)N(C)C)C1=CC=CC=C1 ORQPJJBDZQDLMH-PPMRTRMPSA-N 0.000 description 1
- GGZMOQZSAOAHFZ-PPMRTRMPSA-N CCCC(NC(=O)[C@@H]1CC2(CN1C(=O)[C@@H](NC(=O)OC1CCOCC1)C1CCCCC1)SCCCS2)C(=O)C(=O)NCC(=O)NC(C(=O)N(C)C)C1=CC=CC=C1 Chemical compound CCCC(NC(=O)[C@@H]1CC2(CN1C(=O)[C@@H](NC(=O)OC1CCOCC1)C1CCCCC1)SCCCS2)C(=O)C(=O)NCC(=O)NC(C(=O)N(C)C)C1=CC=CC=C1 GGZMOQZSAOAHFZ-PPMRTRMPSA-N 0.000 description 1
- KOVKOLJVWGIZEX-IGWRBXEPSA-N CCCC(NC(=O)[C@@H]1CC2(CN1C(=O)[C@@H](NC(=O)OC1CCOCC1)C1CCCCC1)SCCCS2)C(=O)C(=O)NCC(=O)NC(C(=O)O)C1=CC=CC=C1 Chemical compound CCCC(NC(=O)[C@@H]1CC2(CN1C(=O)[C@@H](NC(=O)OC1CCOCC1)C1CCCCC1)SCCCS2)C(=O)C(=O)NCC(=O)NC(C(=O)O)C1=CC=CC=C1 KOVKOLJVWGIZEX-IGWRBXEPSA-N 0.000 description 1
- DSMZBLBTRSYEJV-LCAKABIZSA-N CCCC(NC(=O)[C@@H]1CC2(CN1C(=O)[C@@H](NC(=O)OC1CCOCC1)C1CCCCC1)SCCCS2)C(=O)C(=O)NCC(=O)NC(C(=O)OC(C)(C)C)C1=CC=CC=C1 Chemical compound CCCC(NC(=O)[C@@H]1CC2(CN1C(=O)[C@@H](NC(=O)OC1CCOCC1)C1CCCCC1)SCCCS2)C(=O)C(=O)NCC(=O)NC(C(=O)OC(C)(C)C)C1=CC=CC=C1 DSMZBLBTRSYEJV-LCAKABIZSA-N 0.000 description 1
- YBERPJNSYFICHG-NGTJJBFNSA-N CCCC(NC(=O)[C@@H]1CC2(CN1C(=O)[C@@H](NC(=O)OC1CCOCC1)C1CCCCC1)SCCCS2)C(=O)C(=O)NCC(=O)NC(C(N)=O)C1=CC=CC=C1 Chemical compound CCCC(NC(=O)[C@@H]1CC2(CN1C(=O)[C@@H](NC(=O)OC1CCOCC1)C1CCCCC1)SCCCS2)C(=O)C(=O)NCC(=O)NC(C(N)=O)C1=CC=CC=C1 YBERPJNSYFICHG-NGTJJBFNSA-N 0.000 description 1
- YLIMMJMNMXRCSO-NYPZKHNLSA-N CCCC(NC(=O)[C@@H]1CC2(CN1C(=O)[C@@H](NC(=O)OCC(C)C)C(C)(C)C)SCCCS2)C(=O)C(=O)NCC(=O)NC(C(=O)O)C1=CC=CC=C1 Chemical compound CCCC(NC(=O)[C@@H]1CC2(CN1C(=O)[C@@H](NC(=O)OCC(C)C)C(C)(C)C)SCCCS2)C(=O)C(=O)NCC(=O)NC(C(=O)O)C1=CC=CC=C1 YLIMMJMNMXRCSO-NYPZKHNLSA-N 0.000 description 1
- RIHIJCSKLSFBAM-FPQZSVJMSA-N CCCC(NC(=O)[C@@H]1CC2(CN1C(=O)[C@@H](NC(=O)OCC(C)C)C(C)(C)C)SCCCS2)C(=O)C(=O)NCC(=O)NC(C(=O)OC(C)(C)C)C1=CC=CC=C1 Chemical compound CCCC(NC(=O)[C@@H]1CC2(CN1C(=O)[C@@H](NC(=O)OCC(C)C)C(C)(C)C)SCCCS2)C(=O)C(=O)NCC(=O)NC(C(=O)OC(C)(C)C)C1=CC=CC=C1 RIHIJCSKLSFBAM-FPQZSVJMSA-N 0.000 description 1
- HRFLFRIJULPFCH-NYPZKHNLSA-N CCCC(NC(=O)[C@@H]1CC2(CN1C(=O)[C@@H](NC(=O)OCC(C)C)C(C)(C)C)SCCCS2)C(=O)C(=O)NCC(=O)NC(C(N)=O)C1=CC=CC=C1 Chemical compound CCCC(NC(=O)[C@@H]1CC2(CN1C(=O)[C@@H](NC(=O)OCC(C)C)C(C)(C)C)SCCCS2)C(=O)C(=O)NCC(=O)NC(C(N)=O)C1=CC=CC=C1 HRFLFRIJULPFCH-NYPZKHNLSA-N 0.000 description 1
- CQWOOSOYRDSMJZ-NGTJJBFNSA-N CCCC(NC(=O)[C@@H]1CC2(CN1C(=O)[C@@H](NC(=O)OCC(C)C)C1CCC(F)(F)CC1)SCCCS2)C(=O)C(=O)NCC(=O)NC(C(=O)N(C)C)C1=CC=CC=C1 Chemical compound CCCC(NC(=O)[C@@H]1CC2(CN1C(=O)[C@@H](NC(=O)OCC(C)C)C1CCC(F)(F)CC1)SCCCS2)C(=O)C(=O)NCC(=O)NC(C(=O)N(C)C)C1=CC=CC=C1 CQWOOSOYRDSMJZ-NGTJJBFNSA-N 0.000 description 1
- RBMRGMPKZSFSDW-AVFFZFNYSA-N CCCC(NC(=O)[C@@H]1CC2(CN1C(=O)[C@@H](NC(=O)OCC(C)C)C1CCCCC1)OCCO2)C(=O)C(=O)NCC(=O)NC(C(N)=O)C1=CC=CC=C1 Chemical compound CCCC(NC(=O)[C@@H]1CC2(CN1C(=O)[C@@H](NC(=O)OCC(C)C)C1CCCCC1)OCCO2)C(=O)C(=O)NCC(=O)NC(C(N)=O)C1=CC=CC=C1 RBMRGMPKZSFSDW-AVFFZFNYSA-N 0.000 description 1
- FVNVSJXTKBUZIH-UXWWFSRSSA-N CCCC(NC(=O)[C@@H]1CC2(CN1C(=O)[C@@H](NC(=O)OCC(C)C)C1CCCCC1)SCCCS2)C(=O)C(=O)NCC(=O)NC(C(N)=O)C1=CC=CC=C1 Chemical compound CCCC(NC(=O)[C@@H]1CC2(CN1C(=O)[C@@H](NC(=O)OCC(C)C)C1CCCCC1)SCCCS2)C(=O)C(=O)NCC(=O)NC(C(N)=O)C1=CC=CC=C1 FVNVSJXTKBUZIH-UXWWFSRSSA-N 0.000 description 1
- OIEOURRFSVPXFR-AKQSQHNNSA-N CCCC(NC(=O)[C@@H]1CC2(CN1C(=O)[C@@H](NC(=O)OCC(C)C)C1CCCCC1)SCCCS2)C(=O)C(N)=O Chemical compound CCCC(NC(=O)[C@@H]1CC2(CN1C(=O)[C@@H](NC(=O)OCC(C)C)C1CCCCC1)SCCCS2)C(=O)C(N)=O OIEOURRFSVPXFR-AKQSQHNNSA-N 0.000 description 1
- JWIGFNYKHZCTDC-PARFXGGISA-N CCCC(NC(=O)[C@@H]1CC2(CN1C(=O)[C@@H](NC(=O)OCC(C)C)[C@@H](C)OCC1=CC=C(C(C)(C)C)C=C1)SCCCS2)C(=O)C(=O)NCC(=O)N[C@H](C(=O)N(C)C)C1=CC=CC=C1 Chemical compound CCCC(NC(=O)[C@@H]1CC2(CN1C(=O)[C@@H](NC(=O)OCC(C)C)[C@@H](C)OCC1=CC=C(C(C)(C)C)C=C1)SCCCS2)C(=O)C(=O)NCC(=O)N[C@H](C(=O)N(C)C)C1=CC=CC=C1 JWIGFNYKHZCTDC-PARFXGGISA-N 0.000 description 1
- YHQSCRHNUHOKKT-TXXHRJKWSA-N CCCC(NC(=O)[C@@H]1CC2(CN1C(=O)[C@@H](NC(=O)OCC(C)C)[C@@H](C)OCC1=CC=C(C(C)(C)C)C=C1)SCCCS2)C(=O)C(=O)NCC(=O)N[C@H](C(=O)O)C1=CC=CC=C1 Chemical compound CCCC(NC(=O)[C@@H]1CC2(CN1C(=O)[C@@H](NC(=O)OCC(C)C)[C@@H](C)OCC1=CC=C(C(C)(C)C)C=C1)SCCCS2)C(=O)C(=O)NCC(=O)N[C@H](C(=O)O)C1=CC=CC=C1 YHQSCRHNUHOKKT-TXXHRJKWSA-N 0.000 description 1
- XAKUWWYWDSLZSI-ODWMGROHSA-N CCCC(NC(=O)[C@@H]1CC2(CN1C(=O)[C@@H](NC(=O)OCC(C)C)[C@@H](C)OCC1=CC=C(Cl)C=C1)SCCCS2)C(=O)C(=O)NCC(=O)N[C@H](C(=O)N(C)C)C1=CC=CC=C1 Chemical compound CCCC(NC(=O)[C@@H]1CC2(CN1C(=O)[C@@H](NC(=O)OCC(C)C)[C@@H](C)OCC1=CC=C(Cl)C=C1)SCCCS2)C(=O)C(=O)NCC(=O)N[C@H](C(=O)N(C)C)C1=CC=CC=C1 XAKUWWYWDSLZSI-ODWMGROHSA-N 0.000 description 1
- WJKKWKFEDGMLGI-XUAHVORZSA-N CCCC(NC(=O)[C@@H]1CC2(CN1C(=O)[C@@H](NC(=O)OCC(C)C)[C@@H](C)OCC1=CC=C(Cl)C=C1)SCCCS2)C(=O)C(=O)NCC(=O)N[C@H](C(=O)O)C1=CC=CC=C1 Chemical compound CCCC(NC(=O)[C@@H]1CC2(CN1C(=O)[C@@H](NC(=O)OCC(C)C)[C@@H](C)OCC1=CC=C(Cl)C=C1)SCCCS2)C(=O)C(=O)NCC(=O)N[C@H](C(=O)O)C1=CC=CC=C1 WJKKWKFEDGMLGI-XUAHVORZSA-N 0.000 description 1
- KANCIMNEOULGNK-XVEQYGNOSA-N CCCC(NC(=O)[C@@H]1CC2(CN1C(=O)[C@@H](NC(=O)OCC(C)C)[C@@H](C)OCC1=CC=CC=C1C1=CC=CC=C1)SCCCS2)C(=O)C(=O)NCC(=O)N[C@H](C(=O)N(C)C)C1=CC=CC=C1 Chemical compound CCCC(NC(=O)[C@@H]1CC2(CN1C(=O)[C@@H](NC(=O)OCC(C)C)[C@@H](C)OCC1=CC=CC=C1C1=CC=CC=C1)SCCCS2)C(=O)C(=O)NCC(=O)N[C@H](C(=O)N(C)C)C1=CC=CC=C1 KANCIMNEOULGNK-XVEQYGNOSA-N 0.000 description 1
- TZJQTUYUTXWTHN-ZEMYEBKKSA-N CCCC(NC(=O)[C@@H]1CC2(CN1C(=O)[C@@H](NC(=O)OCC(C)C)[C@@H](C)OCC1=CC=CC=C1C1=CC=CC=C1)SCCCS2)C(=O)C(=O)NCC(=O)N[C@H](C(=O)O)C1=CC=CC=C1 Chemical compound CCCC(NC(=O)[C@@H]1CC2(CN1C(=O)[C@@H](NC(=O)OCC(C)C)[C@@H](C)OCC1=CC=CC=C1C1=CC=CC=C1)SCCCS2)C(=O)C(=O)NCC(=O)N[C@H](C(=O)O)C1=CC=CC=C1 TZJQTUYUTXWTHN-ZEMYEBKKSA-N 0.000 description 1
- GFAZWDTTZVNSOJ-XJKLUKSSSA-N CCCC(NC(=O)[C@@H]1CC2(CN1C(=O)[C@@H](NC(=O)[C@H](CC(C)C)NC(C)=O)C1CCCCC1)SCCCS2)C(=O)C(=O)NCC(=O)NC(C(=O)N(C)C)C1=CC=CC=C1 Chemical compound CCCC(NC(=O)[C@@H]1CC2(CN1C(=O)[C@@H](NC(=O)[C@H](CC(C)C)NC(C)=O)C1CCCCC1)SCCCS2)C(=O)C(=O)NCC(=O)NC(C(=O)N(C)C)C1=CC=CC=C1 GFAZWDTTZVNSOJ-XJKLUKSSSA-N 0.000 description 1
- IRFXAKFFFHKSJL-XJKLUKSSSA-N CCCC(NC(=O)[C@@H]1CC2(CN1C(=O)[C@@H](NC(=O)[C@H](CC(C)C)NC(C)=O)C1CCCCC1)SCCCS2)C(=O)C(=O)NCC(=O)NC(C(=O)N(C)OC)C1=CC=CC=C1 Chemical compound CCCC(NC(=O)[C@@H]1CC2(CN1C(=O)[C@@H](NC(=O)[C@H](CC(C)C)NC(C)=O)C1CCCCC1)SCCCS2)C(=O)C(=O)NCC(=O)NC(C(=O)N(C)OC)C1=CC=CC=C1 IRFXAKFFFHKSJL-XJKLUKSSSA-N 0.000 description 1
- OUYFEOPHDZLQOY-LERGCGRLSA-N CCCC(NC(=O)[C@@H]1CC2(CN1C(=O)[C@@H](NC(=O)[C@H](CC(C)C)NC(C)=O)C1CCCCC1)SCCCS2)C(=O)C(=O)NCC(=O)NC(C(=O)O)C1=CC=CC=C1 Chemical compound CCCC(NC(=O)[C@@H]1CC2(CN1C(=O)[C@@H](NC(=O)[C@H](CC(C)C)NC(C)=O)C1CCCCC1)SCCCS2)C(=O)C(=O)NCC(=O)NC(C(=O)O)C1=CC=CC=C1 OUYFEOPHDZLQOY-LERGCGRLSA-N 0.000 description 1
- MZPOBBKAKHIVAM-YRPQULKISA-N CCCC(NC(=O)[C@@H]1CC2(CN1C(=O)[C@@H](NC(=O)[C@H](CC(C)C)NC(C)=O)C1CCCCC1)SCCCS2)C(=O)C(=O)NCC(=O)NC(C(=O)OC(C)(C)C)C1=CC=CC=C1 Chemical compound CCCC(NC(=O)[C@@H]1CC2(CN1C(=O)[C@@H](NC(=O)[C@H](CC(C)C)NC(C)=O)C1CCCCC1)SCCCS2)C(=O)C(=O)NCC(=O)NC(C(=O)OC(C)(C)C)C1=CC=CC=C1 MZPOBBKAKHIVAM-YRPQULKISA-N 0.000 description 1
- SHEPMQCCQGPWBF-YOWZXVDWSA-N CCCC(NC(=O)[C@@H]1CC2(CN1C(=O)[C@@H](NC(=O)[C@H](CC(C)C)NC(C)=O)C1CCCCC1)SCCCS2)C(=O)C(=O)NCC(=O)NC(C(N)=O)C1=CC=CC=C1 Chemical compound CCCC(NC(=O)[C@@H]1CC2(CN1C(=O)[C@@H](NC(=O)[C@H](CC(C)C)NC(C)=O)C1CCCCC1)SCCCS2)C(=O)C(=O)NCC(=O)NC(C(N)=O)C1=CC=CC=C1 SHEPMQCCQGPWBF-YOWZXVDWSA-N 0.000 description 1
- XKFZFSWMLOWQCS-HWILFIEZSA-N CCCC(NC(=O)[C@@H]1CC2(CN1C(=O)[C@@H](NS(=O)(=O)C1=CC=C(NC(C)=O)C=C1)C1CCCCC1)SCCCS2)C(=O)C(=O)NCC(=O)NC(C(=O)N(C)C)C1=CC=CC=C1 Chemical compound CCCC(NC(=O)[C@@H]1CC2(CN1C(=O)[C@@H](NS(=O)(=O)C1=CC=C(NC(C)=O)C=C1)C1CCCCC1)SCCCS2)C(=O)C(=O)NCC(=O)NC(C(=O)N(C)C)C1=CC=CC=C1 XKFZFSWMLOWQCS-HWILFIEZSA-N 0.000 description 1
- GVWCNTLCTHWRDX-LCAKABIZSA-N CCCC(NC(=O)[C@@H]1CC2(CN1C(=O)[C@@H](NS(=O)(=O)C1=CC=C(NC(C)=O)C=C1)C1CCCCC1)SCCCS2)C(=O)C(=O)NCC(=O)NC(C(=O)O)C1=CC=CC=C1 Chemical compound CCCC(NC(=O)[C@@H]1CC2(CN1C(=O)[C@@H](NS(=O)(=O)C1=CC=C(NC(C)=O)C=C1)C1CCCCC1)SCCCS2)C(=O)C(=O)NCC(=O)NC(C(=O)O)C1=CC=CC=C1 GVWCNTLCTHWRDX-LCAKABIZSA-N 0.000 description 1
- FSSAXDUKUZGHFM-IETAOCBLSA-N CCCC(NC(=O)[C@@H]1CC2(CN1C(=O)[C@@H](NS(=O)(=O)C1=CC=C(NC(C)=O)C=C1)C1CCCCC1)SCCCS2)C(=O)C(=O)NCC(=O)NC(C(N)=O)C1=CC=CC=C1 Chemical compound CCCC(NC(=O)[C@@H]1CC2(CN1C(=O)[C@@H](NS(=O)(=O)C1=CC=C(NC(C)=O)C=C1)C1CCCCC1)SCCCS2)C(=O)C(=O)NCC(=O)NC(C(N)=O)C1=CC=CC=C1 FSSAXDUKUZGHFM-IETAOCBLSA-N 0.000 description 1
- KMGYLGOFRPGCFP-QOKIQQCASA-N CCCC(NC(=O)[C@@H]1CC2CCCCC2N1C(=O)[C@@H](NC(=O)OCC(C)C)C1CCCCC1)C(=O)C(=O)NCC(=O)NC(C(=O)O)C1=CC=CC=C1 Chemical compound CCCC(NC(=O)[C@@H]1CC2CCCCC2N1C(=O)[C@@H](NC(=O)OCC(C)C)C1CCCCC1)C(=O)C(=O)NCC(=O)NC(C(=O)O)C1=CC=CC=C1 KMGYLGOFRPGCFP-QOKIQQCASA-N 0.000 description 1
- VXWBMCZMLUNZLI-AJVTVCPYSA-N CCCC(NC(=O)[C@@H]1CCC(C)N1C(=O)[C@@H](NC(=O)OC(C)C)C(C)(C)C)C(=O)C(=O)NCC(=O)N[C@H](C(=O)N(C)C)C1=CC=CC=C1 Chemical compound CCCC(NC(=O)[C@@H]1CCC(C)N1C(=O)[C@@H](NC(=O)OC(C)C)C(C)(C)C)C(=O)C(=O)NCC(=O)N[C@H](C(=O)N(C)C)C1=CC=CC=C1 VXWBMCZMLUNZLI-AJVTVCPYSA-N 0.000 description 1
- NQGUXDNIQKEBEO-ZXNYFWILSA-N CCCC(NC(=O)[C@@H]1CCCN1C(=O)[C@@H](NC(=O)OCC(C)C)C(C)C)C(=O)C(=O)NCC(=O)N1CCC(C(=O)O)CC1 Chemical compound CCCC(NC(=O)[C@@H]1CCCN1C(=O)[C@@H](NC(=O)OCC(C)C)C(C)C)C(=O)C(=O)NCC(=O)N1CCC(C(=O)O)CC1 NQGUXDNIQKEBEO-ZXNYFWILSA-N 0.000 description 1
- UJYLADMLUGOWMR-HPZMQGABSA-N CCCC(NC(=O)[C@@H]1CCCN1C(=O)[C@@H](NC(=O)OCC(C)C)C(C)C)C(=O)C(=O)NCC(=O)N1CCC(C(=O)OCC)CC1 Chemical compound CCCC(NC(=O)[C@@H]1CCCN1C(=O)[C@@H](NC(=O)OCC(C)C)C(C)C)C(=O)C(=O)NCC(=O)N1CCC(C(=O)OCC)CC1 UJYLADMLUGOWMR-HPZMQGABSA-N 0.000 description 1
- LUDGFCSGVSHZPT-JRJYRQGGSA-N CCCC(NC(=O)[C@@H]1CCCN1C(=O)[C@@H](NC(=O)OCC(C)C)C(C)C)C(=O)C(=O)NCC(=O)N1CCCC(C(=O)O)C1 Chemical compound CCCC(NC(=O)[C@@H]1CCCN1C(=O)[C@@H](NC(=O)OCC(C)C)C(C)C)C(=O)C(=O)NCC(=O)N1CCCC(C(=O)O)C1 LUDGFCSGVSHZPT-JRJYRQGGSA-N 0.000 description 1
- PJRWKASOGNZUKM-BKKSKEKOSA-N CCCC(NC(=O)[C@@H]1CCCN1C(=O)[C@@H](NC(=O)OCC(C)C)C(C)C)C(=O)C(=O)NCC(=O)N1CCCC(C(=O)OCC)C1 Chemical compound CCCC(NC(=O)[C@@H]1CCCN1C(=O)[C@@H](NC(=O)OCC(C)C)C(C)C)C(=O)C(=O)NCC(=O)N1CCCC(C(=O)OCC)C1 PJRWKASOGNZUKM-BKKSKEKOSA-N 0.000 description 1
- ILWCCLMDVLUMDB-ZYXSGXIJSA-N CCCC(NC(=O)[C@@H]1CCCN1C(=O)[C@@H](NC(=O)OCC(C)C)C(C)C)C(=O)C(=O)NCC(=O)N1CCCCC1C(=O)OCC Chemical compound CCCC(NC(=O)[C@@H]1CCCN1C(=O)[C@@H](NC(=O)OCC(C)C)C(C)C)C(=O)C(=O)NCC(=O)N1CCCCC1C(=O)OCC ILWCCLMDVLUMDB-ZYXSGXIJSA-N 0.000 description 1
- RNMFQYYYNKBIOK-XVAHUTHZSA-N CCCC(NC(=O)[C@@H]1CCCN1C(=O)[C@@H](NC(=O)OCC(C)C)C(C)C)C(=O)C(=O)NCC(=O)NC(CC(=O)O)C(=O)O Chemical compound CCCC(NC(=O)[C@@H]1CCCN1C(=O)[C@@H](NC(=O)OCC(C)C)C(C)C)C(=O)C(=O)NCC(=O)NC(CC(=O)O)C(=O)O RNMFQYYYNKBIOK-XVAHUTHZSA-N 0.000 description 1
- RNMFQYYYNKBIOK-VVIDKITLSA-N CCCC(NC(=O)[C@@H]1CCCN1C(=O)[C@@H](NC(=O)OCC(C)C)C(C)C)C(=O)C(=O)NCC(=O)N[C@@H](CC(=O)O)C(=O)O Chemical compound CCCC(NC(=O)[C@@H]1CCCN1C(=O)[C@@H](NC(=O)OCC(C)C)C(C)C)C(=O)C(=O)NCC(=O)N[C@@H](CC(=O)O)C(=O)O RNMFQYYYNKBIOK-VVIDKITLSA-N 0.000 description 1
- RJWAKTJAHABFCT-VAVBCVKYSA-N CCCC(NC(=O)[C@@H]1CCCN1C(=O)[C@@H](NC(=O)OCC(C)C)C(C)C)C(=O)C(=O)NCC(=O)N[C@@H](CCC(=O)O)C(=O)O Chemical compound CCCC(NC(=O)[C@@H]1CCCN1C(=O)[C@@H](NC(=O)OCC(C)C)C(C)C)C(=O)C(=O)NCC(=O)N[C@@H](CCC(=O)O)C(=O)O RJWAKTJAHABFCT-VAVBCVKYSA-N 0.000 description 1
- NMNKPVWZNRYZEN-YKMKTPCJSA-N CCCC(NC(=O)[C@@H]1CCCN1C(=O)[C@@H](NC(=O)OCC(C)C)C(C)C)C(=O)C(=O)NCC(=O)N[C@@H](CCC(=O)OCC)C(=O)OCC Chemical compound CCCC(NC(=O)[C@@H]1CCCN1C(=O)[C@@H](NC(=O)OCC(C)C)C(C)C)C(=O)C(=O)NCC(=O)N[C@@H](CCC(=O)OCC)C(=O)OCC NMNKPVWZNRYZEN-YKMKTPCJSA-N 0.000 description 1
- BJBLHHSLRSJTCF-LEMMNCSCSA-N CCCC(NC(=O)[C@@H]1CCCN1C(=O)[C@@H](NC(=O)OCC(C)C)C(C)C)C(=O)C(=O)NCC(=O)N[C@H](C(=O)O)[C@@H](C)CC Chemical compound CCCC(NC(=O)[C@@H]1CCCN1C(=O)[C@@H](NC(=O)OCC(C)C)C(C)C)C(=O)C(=O)NCC(=O)N[C@H](C(=O)O)[C@@H](C)CC BJBLHHSLRSJTCF-LEMMNCSCSA-N 0.000 description 1
- AQTCVTGNLCTTDJ-RHHNHKTJSA-N CCCC(NC(=O)[C@@H]1CCCN1C(=O)[C@@H](NC(=O)OCC(C)C)C(C)C)C(=O)C(=O)NCC(=O)N[C@H](C(=O)OC)[C@@H](C)CC Chemical compound CCCC(NC(=O)[C@@H]1CCCN1C(=O)[C@@H](NC(=O)OCC(C)C)C(C)C)C(=O)C(=O)NCC(=O)N[C@H](C(=O)OC)[C@@H](C)CC AQTCVTGNLCTTDJ-RHHNHKTJSA-N 0.000 description 1
- VOXMTDCVDITXML-OTDOAUSESA-N CCCC(NC(=O)[C@@H]1CCCN1C(=O)[C@@H](NC(=O)[C@@H](NC(C)=O)C(C)C)C(C)C)C(=O)C(=O)NCC(=O)O Chemical compound CCCC(NC(=O)[C@@H]1CCCN1C(=O)[C@@H](NC(=O)[C@@H](NC(C)=O)C(C)C)C(C)C)C(=O)C(=O)NCC(=O)O VOXMTDCVDITXML-OTDOAUSESA-N 0.000 description 1
- HQGMGICBPAMWPO-DVYQJAKZSA-N CCCC(NC(=O)[C@@H]1CCCN1C(=O)[C@@H](NC(=O)[C@H](CC(C)C)NC(=O)OCC1=CC=CC=C1)C1CCCCC1)C(=O)C(=O)NCC(=O)O Chemical compound CCCC(NC(=O)[C@@H]1CCCN1C(=O)[C@@H](NC(=O)[C@H](CC(C)C)NC(=O)OCC1=CC=CC=C1)C1CCCCC1)C(=O)C(=O)NCC(=O)O HQGMGICBPAMWPO-DVYQJAKZSA-N 0.000 description 1
- PSUUWYAMKHTEBX-YPJRHXLCSA-N CCCC(NC(=O)[C@@H]1CCCN1C(=O)[C@H](CC1CCCCC1)NC(=O)OC(C)(C)C)C(=O)C(=O)NCC(=O)O Chemical compound CCCC(NC(=O)[C@@H]1CCCN1C(=O)[C@H](CC1CCCCC1)NC(=O)OC(C)(C)C)C(=O)C(=O)NCC(=O)O PSUUWYAMKHTEBX-YPJRHXLCSA-N 0.000 description 1
- CZTPGFKOOHKJQF-WXTLDEFBSA-N CCCC(NC(=O)[C@@H]1CC[C@H](C)N1C(=O)[C@@H](NC(=O)OCC(C)C)C(C)(C)C)C(=O)C(=O)NCC(=O)N[C@H](C(=O)N(C)C)C1=CC=CC=C1 Chemical compound CCCC(NC(=O)[C@@H]1CC[C@H](C)N1C(=O)[C@@H](NC(=O)OCC(C)C)C(C)(C)C)C(=O)C(=O)NCC(=O)N[C@H](C(=O)N(C)C)C1=CC=CC=C1 CZTPGFKOOHKJQF-WXTLDEFBSA-N 0.000 description 1
- QKWDEDCWJGZIFF-OPRMCGTHSA-N CCCC(NC(=O)[C@@H]1CC[C@H](C)N1C(=O)[C@@H](NC(=O)OCC(C)C)C1CCCCC1)C(=O)C(=O)NCC(=O)N[C@H](C(=O)N(C)C)C1=CC=CC=C1 Chemical compound CCCC(NC(=O)[C@@H]1CC[C@H](C)N1C(=O)[C@@H](NC(=O)OCC(C)C)C1CCCCC1)C(=O)C(=O)NCC(=O)N[C@H](C(=O)N(C)C)C1=CC=CC=C1 QKWDEDCWJGZIFF-OPRMCGTHSA-N 0.000 description 1
- TXMREZHHRLTJPJ-ZLHGSOIUSA-N CCCC(NC(=O)[C@@H]1C[C@@H](C)CN1C(=O)[C@@H](NC(=O)OCC(C)C)C(C)(C)C)C(=O)C(=O)NCC(=O)NC(C(=O)N(C)C)C1=CC=CC=C1 Chemical compound CCCC(NC(=O)[C@@H]1C[C@@H](C)CN1C(=O)[C@@H](NC(=O)OCC(C)C)C(C)(C)C)C(=O)C(=O)NCC(=O)NC(C(=O)N(C)C)C1=CC=CC=C1 TXMREZHHRLTJPJ-ZLHGSOIUSA-N 0.000 description 1
- FQAMFXUGTANSQS-GUSJKBSCSA-N CCCC(NC(=O)[C@@H]1C[C@@H](C2=CC=CC=C2)CN1C(=O)[C@@H](N)C1CCCCC1)C(=O)C(=O)NCC(=O)N[C@H](C(N)=O)C1=CC=CC=C1 Chemical compound CCCC(NC(=O)[C@@H]1C[C@@H](C2=CC=CC=C2)CN1C(=O)[C@@H](N)C1CCCCC1)C(=O)C(=O)NCC(=O)N[C@H](C(N)=O)C1=CC=CC=C1 FQAMFXUGTANSQS-GUSJKBSCSA-N 0.000 description 1
- FGBUDZOZIFOIFW-OIBPRRGPSA-N CCCC(NC(=O)[C@@H]1C[C@@H](C2=CC=CC=C2)CN1C(=O)[C@@H](NC(=O)OC(C)(C)C)C1CCCCC1)C(=O)C(=O)NCC(=O)NC(C(=O)O)C1CCCCC1 Chemical compound CCCC(NC(=O)[C@@H]1C[C@@H](C2=CC=CC=C2)CN1C(=O)[C@@H](NC(=O)OC(C)(C)C)C1CCCCC1)C(=O)C(=O)NCC(=O)NC(C(=O)O)C1CCCCC1 FGBUDZOZIFOIFW-OIBPRRGPSA-N 0.000 description 1
- DDGITWCYRWVNJI-XPTMODIVSA-N CCCC(NC(=O)[C@@H]1C[C@@H](C2=CC=CC=C2)CN1C(=O)[C@@H](NC(=O)OC(C)(C)C)C1CCCCC1)C(=O)C(=O)NCC(=O)NC(C(=O)OCC1=CC=CC=C1)C1CCCCC1 Chemical compound CCCC(NC(=O)[C@@H]1C[C@@H](C2=CC=CC=C2)CN1C(=O)[C@@H](NC(=O)OC(C)(C)C)C1CCCCC1)C(=O)C(=O)NCC(=O)NC(C(=O)OCC1=CC=CC=C1)C1CCCCC1 DDGITWCYRWVNJI-XPTMODIVSA-N 0.000 description 1
- DELDPTHCNFBGNW-FMNOVHIKSA-N CCCC(NC(=O)[C@@H]1C[C@@H](C2=CC=CC=C2)CN1C(=O)[C@@H](NC(=O)OC(C)(C)C)C1CCCCC1)C(=O)C(=O)NCC(=O)NCC1=C(OC)C=CC=C1 Chemical compound CCCC(NC(=O)[C@@H]1C[C@@H](C2=CC=CC=C2)CN1C(=O)[C@@H](NC(=O)OC(C)(C)C)C1CCCCC1)C(=O)C(=O)NCC(=O)NCC1=C(OC)C=CC=C1 DELDPTHCNFBGNW-FMNOVHIKSA-N 0.000 description 1
- RVJAJHDTODLINP-MKXWBQDCSA-N CCCC(NC(=O)[C@@H]1C[C@@H](C2=CC=CC=C2)CN1C(=O)[C@@H](NC(=O)OC(C)(C)C)C1CCCCC1)C(=O)C(=O)NCC(=O)N[C@H](C(=O)O)C1=CC=CC=C1 Chemical compound CCCC(NC(=O)[C@@H]1C[C@@H](C2=CC=CC=C2)CN1C(=O)[C@@H](NC(=O)OC(C)(C)C)C1CCCCC1)C(=O)C(=O)NCC(=O)N[C@H](C(=O)O)C1=CC=CC=C1 RVJAJHDTODLINP-MKXWBQDCSA-N 0.000 description 1
- UARBCQBDPHDJEL-FLJHIIEUSA-N CCCC(NC(=O)[C@@H]1C[C@@H](C2=CC=CC=C2)CN1C(=O)[C@@H](NC(=O)OC(C)(C)C)C1CCCCC1)C(=O)C(=O)NCC(=O)N[C@H](C(=O)OC)C1=CC=CC=C1 Chemical compound CCCC(NC(=O)[C@@H]1C[C@@H](C2=CC=CC=C2)CN1C(=O)[C@@H](NC(=O)OC(C)(C)C)C1CCCCC1)C(=O)C(=O)NCC(=O)N[C@H](C(=O)OC)C1=CC=CC=C1 UARBCQBDPHDJEL-FLJHIIEUSA-N 0.000 description 1
- WBJFRMYRZXZZSH-MKXWBQDCSA-N CCCC(NC(=O)[C@@H]1C[C@@H](C2=CC=CC=C2)CN1C(=O)[C@@H](NC(=O)OC(C)(C)C)C1CCCCC1)C(=O)C(=O)NCC(=O)N[C@H](C(N)=O)C1=CC=CC=C1 Chemical compound CCCC(NC(=O)[C@@H]1C[C@@H](C2=CC=CC=C2)CN1C(=O)[C@@H](NC(=O)OC(C)(C)C)C1CCCCC1)C(=O)C(=O)NCC(=O)N[C@H](C(N)=O)C1=CC=CC=C1 WBJFRMYRZXZZSH-MKXWBQDCSA-N 0.000 description 1
- QUSGOTXNILEBGR-KUVZYWMBSA-N CCCC(NC(=O)[C@@H]1C[C@@H](C2=CC=CC=C2)CN1C(=O)[C@@H](NC(=O)OCC(C)C)C1CCCCC1)C(=O)C(=O)NCC(=O)NC(C(=O)O)C1CCCCC1 Chemical compound CCCC(NC(=O)[C@@H]1C[C@@H](C2=CC=CC=C2)CN1C(=O)[C@@H](NC(=O)OCC(C)C)C1CCCCC1)C(=O)C(=O)NCC(=O)NC(C(=O)O)C1CCCCC1 QUSGOTXNILEBGR-KUVZYWMBSA-N 0.000 description 1
- KXTHNRRJXQJRMX-QZNZSKHJSA-N CCCC(NC(=O)[C@@H]1C[C@@H](C2=CC=CC=C2)CN1C(=O)[C@@H](NC(=O)OCC(C)C)C1CCCCC1)C(=O)C(=O)NCC(=O)NC(C(=O)OCC1=CC=CC=C1)C1CCCCC1 Chemical compound CCCC(NC(=O)[C@@H]1C[C@@H](C2=CC=CC=C2)CN1C(=O)[C@@H](NC(=O)OCC(C)C)C1CCCCC1)C(=O)C(=O)NCC(=O)NC(C(=O)OCC1=CC=CC=C1)C1CCCCC1 KXTHNRRJXQJRMX-QZNZSKHJSA-N 0.000 description 1
- UMSMXGQQXHJYDQ-FLJHIIEUSA-N CCCC(NC(=O)[C@@H]1C[C@@H](C2=CC=CC=C2)CN1C(=O)[C@@H](NC(=O)OCC(C)C)C1CCCCC1)C(=O)C(=O)NCC(=O)N[C@H](C(=O)O)C1=CC=CC=C1 Chemical compound CCCC(NC(=O)[C@@H]1C[C@@H](C2=CC=CC=C2)CN1C(=O)[C@@H](NC(=O)OCC(C)C)C1CCCCC1)C(=O)C(=O)NCC(=O)N[C@H](C(=O)O)C1=CC=CC=C1 UMSMXGQQXHJYDQ-FLJHIIEUSA-N 0.000 description 1
- BQEPBUFAUSKNPT-BIXICTAVSA-N CCCC(NC(=O)[C@@H]1C[C@@H](C2=CC=CC=C2)CN1C(=O)[C@@H](NC(=O)OCC(C)C)C1CCCCC1)C(=O)C(=O)NCC(=O)N[C@H](C(=O)OC(C)(C)C)C1=CC=CC=C1 Chemical compound CCCC(NC(=O)[C@@H]1C[C@@H](C2=CC=CC=C2)CN1C(=O)[C@@H](NC(=O)OCC(C)C)C1CCCCC1)C(=O)C(=O)NCC(=O)N[C@H](C(=O)OC(C)(C)C)C1=CC=CC=C1 BQEPBUFAUSKNPT-BIXICTAVSA-N 0.000 description 1
- LHJCIZNBEQIVNJ-FLJHIIEUSA-N CCCC(NC(=O)[C@@H]1C[C@@H](C2=CC=CC=C2)CN1C(=O)[C@@H](NC(=O)OCC(C)C)C1CCCCC1)C(=O)C(=O)NCC(=O)N[C@H](C(N)=O)C1=CC=CC=C1 Chemical compound CCCC(NC(=O)[C@@H]1C[C@@H](C2=CC=CC=C2)CN1C(=O)[C@@H](NC(=O)OCC(C)C)C1CCCCC1)C(=O)C(=O)NCC(=O)N[C@H](C(N)=O)C1=CC=CC=C1 LHJCIZNBEQIVNJ-FLJHIIEUSA-N 0.000 description 1
- LDPMFIIRLRGEGX-TZGQXOKZSA-N CCCC(NC(=O)[C@@H]1C[C@@H](C2=CC=CC=C2)CN1C(=O)[C@@H](NC(=O)OCC(Cl)(Cl)Cl)C1CCCCC1)C(=O)C(=O)NCC(=O)N[C@H](C(=O)O)C1=CC=CC=C1 Chemical compound CCCC(NC(=O)[C@@H]1C[C@@H](C2=CC=CC=C2)CN1C(=O)[C@@H](NC(=O)OCC(Cl)(Cl)Cl)C1CCCCC1)C(=O)C(=O)NCC(=O)N[C@H](C(=O)O)C1=CC=CC=C1 LDPMFIIRLRGEGX-TZGQXOKZSA-N 0.000 description 1
- WOPPOPQONWVUPP-FLJHIIEUSA-N CCCC(NC(=O)[C@@H]1C[C@@H](C2=CC=CC=C2)CN1C(=O)[C@@H](NC(=O)OCC(Cl)(Cl)Cl)C1CCCCC1)C(=O)C(=O)NCC(=O)N[C@H](C(=O)OC(C)(C)C)C1=CC=CC=C1 Chemical compound CCCC(NC(=O)[C@@H]1C[C@@H](C2=CC=CC=C2)CN1C(=O)[C@@H](NC(=O)OCC(Cl)(Cl)Cl)C1CCCCC1)C(=O)C(=O)NCC(=O)N[C@H](C(=O)OC(C)(C)C)C1=CC=CC=C1 WOPPOPQONWVUPP-FLJHIIEUSA-N 0.000 description 1
- OKAGCEDNLQQHDI-OCBSUINISA-N CCCC(NC(=O)[C@@H]1C[C@@H](CNC(=O)C2=CC(OC3=CC=CC=C3)=CC=C2)CN1C(=O)[C@@H](NC(=O)OCC(C)C)C1CCCCC1)C(=O)C(=O)NCC(=O)N[C@H](C(N)=O)C1=CC=CC=C1.CCCC(NC(=O)[C@@H]1C[C@@H](CNC(=O)C2=CC=CC=C2)CN1C(=O)[C@@H](NC(=O)OCC(C)C)C1CCCCC1)C(=O)C(=O)NCC(=O)N[C@H](C(N)=O)C1=CC=CC=C1.CCCC(NC(=O)[C@@H]1C[C@@H](NC(=O)NC2=CC=CC=C2)CN1C(=O)[C@@H](NC(=O)C1=CC=CC=C1C(=O)O)C1CCCCC1)C(=O)C(=O)NCC(=O)N[C@H](C(N)=O)C1=CC=CC=C1 Chemical compound CCCC(NC(=O)[C@@H]1C[C@@H](CNC(=O)C2=CC(OC3=CC=CC=C3)=CC=C2)CN1C(=O)[C@@H](NC(=O)OCC(C)C)C1CCCCC1)C(=O)C(=O)NCC(=O)N[C@H](C(N)=O)C1=CC=CC=C1.CCCC(NC(=O)[C@@H]1C[C@@H](CNC(=O)C2=CC=CC=C2)CN1C(=O)[C@@H](NC(=O)OCC(C)C)C1CCCCC1)C(=O)C(=O)NCC(=O)N[C@H](C(N)=O)C1=CC=CC=C1.CCCC(NC(=O)[C@@H]1C[C@@H](NC(=O)NC2=CC=CC=C2)CN1C(=O)[C@@H](NC(=O)C1=CC=CC=C1C(=O)O)C1CCCCC1)C(=O)C(=O)NCC(=O)N[C@H](C(N)=O)C1=CC=CC=C1 OKAGCEDNLQQHDI-OCBSUINISA-N 0.000 description 1
- DZGBFCLOCCOVMG-JLZZQPQFSA-N CCCC(NC(=O)[C@@H]1C[C@@H](NC(=O)NC2=CC=CC=C2)CN1C(=O)[C@@H](NC(=O)C1=CC(Cl)=C(Cl)C=C1C(=O)O)C1CCCCC1)C(=O)C(=O)NCC(=O)N[C@H](C(N)=O)C1=CC=CC=C1.CCCC(NC(=O)[C@@H]1C[C@@H](NC(=O)OCC(C)C)CN1C(=O)[C@@H](NC(=O)C1=C(F)C=CC(F)=C1C(=O)O)C1CCCCC1)C(=O)C(=O)NCC(=O)N[C@H](C(N)=O)C1=CC=CC=C1.CCCC(NC(=O)[C@@H]1C[C@@H](NC(=O)OCC(C)C)CN1C(=O)[C@@H](NC(=O)C1=CC(Cl)=C(Cl)C=C1C(=O)O)C1CCCCC1)C(=O)C(=O)NCC(=O)N[C@H](C(N)=O)C1=CC=CC=C1.CCCC(NC(=O)[C@@H]1C[C@@H](NS(=O)(=O)C2=CC=CC=C2)CN1C(=O)[C@@H](NC(=O)C1=C(F)C=CC(F)=C1C(=O)O)C1CCCCC1)C(=O)C(=O)NCC(=O)N[C@H](C(N)=O)C1=CC=CC=C1 Chemical compound CCCC(NC(=O)[C@@H]1C[C@@H](NC(=O)NC2=CC=CC=C2)CN1C(=O)[C@@H](NC(=O)C1=CC(Cl)=C(Cl)C=C1C(=O)O)C1CCCCC1)C(=O)C(=O)NCC(=O)N[C@H](C(N)=O)C1=CC=CC=C1.CCCC(NC(=O)[C@@H]1C[C@@H](NC(=O)OCC(C)C)CN1C(=O)[C@@H](NC(=O)C1=C(F)C=CC(F)=C1C(=O)O)C1CCCCC1)C(=O)C(=O)NCC(=O)N[C@H](C(N)=O)C1=CC=CC=C1.CCCC(NC(=O)[C@@H]1C[C@@H](NC(=O)OCC(C)C)CN1C(=O)[C@@H](NC(=O)C1=CC(Cl)=C(Cl)C=C1C(=O)O)C1CCCCC1)C(=O)C(=O)NCC(=O)N[C@H](C(N)=O)C1=CC=CC=C1.CCCC(NC(=O)[C@@H]1C[C@@H](NS(=O)(=O)C2=CC=CC=C2)CN1C(=O)[C@@H](NC(=O)C1=C(F)C=CC(F)=C1C(=O)O)C1CCCCC1)C(=O)C(=O)NCC(=O)N[C@H](C(N)=O)C1=CC=CC=C1 DZGBFCLOCCOVMG-JLZZQPQFSA-N 0.000 description 1
- KCRVANQGUGCWEB-KJOMTAGBSA-N CCCC(NC(=O)[C@@H]1C[C@@H](NC(=O)NC2=CC=CC=C2)CN1C(=O)[C@@H](NC(=O)C1=CC(Cl)=C(Cl)C=C1C(=O)O)C1CCCCC1)C(=O)C(=O)NCC(=O)N[C@H](C(N)=O)C1=CC=CC=C1.CCCC(NC(=O)[C@@H]1C[C@@H](NC(=O)OCC(C)C)CN1C(=O)[C@@H](NC(=O)C1=C(F)C=CC(F)=C1C(=O)O)C1CCCCC1)C(=O)C(=O)NCC(=O)N[C@H](C(N)=O)C1=CC=CC=C1.CCCC(NC(=O)[C@@H]1C[C@@H](NS(=O)(=O)C2=C3C=CC=CC3=CC=C2)CN1C(=O)[C@@H](NC(=O)OCC(C)C)C1CCCCC1)C(=O)C(=O)NCC(=O)N[C@H](C(N)=O)C1=CC=CC=C1.CCCC(NC(=O)[C@@H]1C[C@@H](NS(=O)(=O)C2=C3N=CC=CC3=CC=C2)CN1C(=O)[C@@H](NC(=O)OCC(C)C)C1CCCCC1)C(=O)C(=O)NCC(=O)N[C@H](C(N)=O)C1=CC=CC=C1.CCCC(NC(=O)[C@@H]1C[C@@H](NS(=O)(=O)C2=CC=CC=C2)CN1C(=O)[C@@H](NC(=O)C1=C(F)C=CC(F)=C1C(=O)O)C1CCCCC1)C(=O)C(=O)NCC(=O)N[C@H](C(N)=O)C1=CC=CC=C1 Chemical compound CCCC(NC(=O)[C@@H]1C[C@@H](NC(=O)NC2=CC=CC=C2)CN1C(=O)[C@@H](NC(=O)C1=CC(Cl)=C(Cl)C=C1C(=O)O)C1CCCCC1)C(=O)C(=O)NCC(=O)N[C@H](C(N)=O)C1=CC=CC=C1.CCCC(NC(=O)[C@@H]1C[C@@H](NC(=O)OCC(C)C)CN1C(=O)[C@@H](NC(=O)C1=C(F)C=CC(F)=C1C(=O)O)C1CCCCC1)C(=O)C(=O)NCC(=O)N[C@H](C(N)=O)C1=CC=CC=C1.CCCC(NC(=O)[C@@H]1C[C@@H](NS(=O)(=O)C2=C3C=CC=CC3=CC=C2)CN1C(=O)[C@@H](NC(=O)OCC(C)C)C1CCCCC1)C(=O)C(=O)NCC(=O)N[C@H](C(N)=O)C1=CC=CC=C1.CCCC(NC(=O)[C@@H]1C[C@@H](NS(=O)(=O)C2=C3N=CC=CC3=CC=C2)CN1C(=O)[C@@H](NC(=O)OCC(C)C)C1CCCCC1)C(=O)C(=O)NCC(=O)N[C@H](C(N)=O)C1=CC=CC=C1.CCCC(NC(=O)[C@@H]1C[C@@H](NS(=O)(=O)C2=CC=CC=C2)CN1C(=O)[C@@H](NC(=O)C1=C(F)C=CC(F)=C1C(=O)O)C1CCCCC1)C(=O)C(=O)NCC(=O)N[C@H](C(N)=O)C1=CC=CC=C1 KCRVANQGUGCWEB-KJOMTAGBSA-N 0.000 description 1
- FZAKFFQQPRKRIK-PADFWDFBSA-N CCCC(NC(=O)[C@@H]1C[C@@H](NS(=O)(=O)C2=CC=CC=C2)CN1C(=O)[C@@H](NC(=O)C1=CC(Cl)=C(Cl)C=C1C(=O)O)C1CCCCC1)C(=O)C(=O)NCC(=O)N[C@H](C(N)=O)C1=CC=CC=C1 Chemical compound CCCC(NC(=O)[C@@H]1C[C@@H](NS(=O)(=O)C2=CC=CC=C2)CN1C(=O)[C@@H](NC(=O)C1=CC(Cl)=C(Cl)C=C1C(=O)O)C1CCCCC1)C(=O)C(=O)NCC(=O)N[C@H](C(N)=O)C1=CC=CC=C1 FZAKFFQQPRKRIK-PADFWDFBSA-N 0.000 description 1
- BTOZIXRQSNPNLZ-NXBNODKASA-N CCCC(NC(=O)[C@@H]1C[C@@H](NS(=O)(=O)C2=CC=CC=C2)CN1C(=O)[C@H](NC(=O)C1=C(F)C=CC(F)=C1C(=O)O)C1CCCCC1)C(=O)C(=O)NCC(=O)N[C@@H](C(N)=O)C1=CC=CC=C1 Chemical compound CCCC(NC(=O)[C@@H]1C[C@@H](NS(=O)(=O)C2=CC=CC=C2)CN1C(=O)[C@H](NC(=O)C1=C(F)C=CC(F)=C1C(=O)O)C1CCCCC1)C(=O)C(=O)NCC(=O)N[C@@H](C(N)=O)C1=CC=CC=C1 BTOZIXRQSNPNLZ-NXBNODKASA-N 0.000 description 1
- SWLZLJJGGJGRKK-GUSJKBSCSA-N CCCC(NC(=O)[C@@H]1C[C@@H](O)CN1C(=O)[C@@H](NC(=O)OCC(C)C)C1CCCCC1)C(=O)C(=O)NCC(=O)N[C@H](C(=O)N(C)C)C1=CC=CC=C1 Chemical compound CCCC(NC(=O)[C@@H]1C[C@@H](O)CN1C(=O)[C@@H](NC(=O)OCC(C)C)C1CCCCC1)C(=O)C(=O)NCC(=O)N[C@H](C(=O)N(C)C)C1=CC=CC=C1 SWLZLJJGGJGRKK-GUSJKBSCSA-N 0.000 description 1
- MACOFHNKDDIJGT-GUVVWEKHSA-N CCCC(NC(=O)[C@@H]1C[C@@H](O)CN1C(=O)[C@@H](NC(=O)OCC(C)C)C1CCCCC1)C(=O)C(=O)NCC(=O)N[C@H](C(=O)O)C1=CC=CC=C1 Chemical compound CCCC(NC(=O)[C@@H]1C[C@@H](O)CN1C(=O)[C@@H](NC(=O)OCC(C)C)C1CCCCC1)C(=O)C(=O)NCC(=O)N[C@H](C(=O)O)C1=CC=CC=C1 MACOFHNKDDIJGT-GUVVWEKHSA-N 0.000 description 1
- CCCPJDHTMQAJPJ-CMMMQLPKSA-N CCCC(NC(=O)[C@@H]1C[C@@H](OC(C)(C)C)CN1C(=O)[C@@H](NC(=O)OCC(C)C)C(C)(C)C)C(=O)C(=O)NCC(=O)N[C@H](C(=O)N(C)C)C1=CC=CC=C1 Chemical compound CCCC(NC(=O)[C@@H]1C[C@@H](OC(C)(C)C)CN1C(=O)[C@@H](NC(=O)OCC(C)C)C(C)(C)C)C(=O)C(=O)NCC(=O)N[C@H](C(=O)N(C)C)C1=CC=CC=C1 CCCPJDHTMQAJPJ-CMMMQLPKSA-N 0.000 description 1
- SLGIMUTUWROLKT-XFCGAFINSA-N CCCC(NC(=O)[C@@H]1C[C@@H](OC(C)(C)C)CN1C(=O)[C@@H](NC(=O)OCC(C)C)C(C)(C)C)C(=O)C(=O)NCC(=O)O Chemical compound CCCC(NC(=O)[C@@H]1C[C@@H](OC(C)(C)C)CN1C(=O)[C@@H](NC(=O)OCC(C)C)C(C)(C)C)C(=O)C(=O)NCC(=O)O SLGIMUTUWROLKT-XFCGAFINSA-N 0.000 description 1
- GZOVWCQOBMHSCY-FLJHIIEUSA-N CCCC(NC(=O)[C@@H]1C[C@@H](OC(C)(C)C)CN1C(=O)[C@@H](NC(=O)OCC(C)C)C1CCCCC1)C(=O)C(=O)NCC(=O)N[C@H](C(=O)OC(C)(C)C)C1=CC=CC=C1 Chemical compound CCCC(NC(=O)[C@@H]1C[C@@H](OC(C)(C)C)CN1C(=O)[C@@H](NC(=O)OCC(C)C)C1CCCCC1)C(=O)C(=O)NCC(=O)N[C@H](C(=O)OC(C)(C)C)C1=CC=CC=C1 GZOVWCQOBMHSCY-FLJHIIEUSA-N 0.000 description 1
- BDZWONIPGCDQPE-ZFYVGVSOSA-N CCCC(NC(=O)[C@@H]1C[C@@H](OC(C)(C)C)CN1C(=O)[C@@H](NC(=O)OCC(C)C)C1CCCCC1)C(=O)C(=O)O Chemical compound CCCC(NC(=O)[C@@H]1C[C@@H](OC(C)(C)C)CN1C(=O)[C@@H](NC(=O)OCC(C)C)C1CCCCC1)C(=O)C(=O)O BDZWONIPGCDQPE-ZFYVGVSOSA-N 0.000 description 1
- QSRCJPDKYAWGQQ-MLXVXYHNSA-N CCCC(NC(=O)[C@@H]1C[C@@H](OC(C)(C)C)CN1C(=O)[C@@H](NC(=O)OCC(C)C)C1CCCCC1)C(=O)C(=O)OC Chemical compound CCCC(NC(=O)[C@@H]1C[C@@H](OC(C)(C)C)CN1C(=O)[C@@H](NC(=O)OCC(C)C)C1CCCCC1)C(=O)C(=O)OC QSRCJPDKYAWGQQ-MLXVXYHNSA-N 0.000 description 1
- HXIRZLXCANYKID-ZFYVGVSOSA-N CCCC(NC(=O)[C@@H]1C[C@@H](OC(C)(C)C)CN1C(=O)[C@@H](NC(=O)OCC(C)C)C1CCCCC1)C(=O)C(N)=O Chemical compound CCCC(NC(=O)[C@@H]1C[C@@H](OC(C)(C)C)CN1C(=O)[C@@H](NC(=O)OCC(C)C)C1CCCCC1)C(=O)C(N)=O HXIRZLXCANYKID-ZFYVGVSOSA-N 0.000 description 1
- PLOYKCQOGPOGGX-FTIFNZIWSA-N CCCC(NC(=O)[C@@H]1C[C@@H](OC(C)(C)C)CN1C(=O)[C@@H](NC(=O)[C@H](CC(C)C)NS(C)(=O)=O)C1CCCCC1)C(=O)C(=O)NCCOC(C(N)=O)C1=CC=CC=C1 Chemical compound CCCC(NC(=O)[C@@H]1C[C@@H](OC(C)(C)C)CN1C(=O)[C@@H](NC(=O)[C@H](CC(C)C)NS(C)(=O)=O)C1CCCCC1)C(=O)C(=O)NCCOC(C(N)=O)C1=CC=CC=C1 PLOYKCQOGPOGGX-FTIFNZIWSA-N 0.000 description 1
- DTZKOUMZYXOXTJ-LZLFFEPASA-N CCCC(NC(=O)[C@@H]1C[C@@H](OC2=C3C=CC(OC)=CC3=NC(C3=CC=CC=C3)=C2)CN1C(=O)[C@@H](N)C(C)C)C(=O)C(=O)O Chemical compound CCCC(NC(=O)[C@@H]1C[C@@H](OC2=C3C=CC(OC)=CC3=NC(C3=CC=CC=C3)=C2)CN1C(=O)[C@@H](N)C(C)C)C(=O)C(=O)O DTZKOUMZYXOXTJ-LZLFFEPASA-N 0.000 description 1
- DICABPQHLJMUNY-SBWLLXCZSA-N CCCC(NC(=O)[C@@H]1C[C@@H](OC2=C3C=CC(OC)=CC3=NC(C3=CC=CC=C3)=C2)CN1C(=O)[C@@H](NC(=O)OC(C)(C)C)C(C)C)C(=O)C(=O)NCC(=O)N[C@H](C(=O)N(C)C)C1=CC=CC=C1 Chemical compound CCCC(NC(=O)[C@@H]1C[C@@H](OC2=C3C=CC(OC)=CC3=NC(C3=CC=CC=C3)=C2)CN1C(=O)[C@@H](NC(=O)OC(C)(C)C)C(C)C)C(=O)C(=O)NCC(=O)N[C@H](C(=O)N(C)C)C1=CC=CC=C1 DICABPQHLJMUNY-SBWLLXCZSA-N 0.000 description 1
- LXWYVQMVLQQHDW-LGTYJQNUSA-N CCCC(NC(=O)[C@@H]1C[C@@H](OC2=C3C=CC(OC)=CC3=NC(C3=CC=CC=C3)=C2)CN1C(=O)[C@@H](NC(=O)OC(C)(C)C)C(C)C)C(=O)C(=O)OC(C)(C)C Chemical compound CCCC(NC(=O)[C@@H]1C[C@@H](OC2=C3C=CC(OC)=CC3=NC(C3=CC=CC=C3)=C2)CN1C(=O)[C@@H](NC(=O)OC(C)(C)C)C(C)C)C(=O)C(=O)OC(C)(C)C LXWYVQMVLQQHDW-LGTYJQNUSA-N 0.000 description 1
- NWGHYWQBOJDAFD-VQWUNQGISA-N CCCC(NC(=O)[C@@H]1C[C@@H](OCC2=CC=CC=C2)CN1C(=O)[C@@H](NC(=O)C1=CC(Cl)=C(Cl)C=C1C(=O)O)C1CCCCC1)C(=O)C(=O)NCCCC(C(N)=O)C1=CC=CC=C1 Chemical compound CCCC(NC(=O)[C@@H]1C[C@@H](OCC2=CC=CC=C2)CN1C(=O)[C@@H](NC(=O)C1=CC(Cl)=C(Cl)C=C1C(=O)O)C1CCCCC1)C(=O)C(=O)NCCCC(C(N)=O)C1=CC=CC=C1 NWGHYWQBOJDAFD-VQWUNQGISA-N 0.000 description 1
- LPTWKEYGHFNOMN-DXPMRFHZSA-N CCCC(NC(=O)[C@@H]1C[C@@H](OCC2=CC=CC=C2)CN1C(=O)[C@@H](NC(=O)C1=CC=CC=C1C(=O)O)C1CCCCC1)C(=O)C(=O)NCCCC(C(N)=O)C1=CC=CC=C1 Chemical compound CCCC(NC(=O)[C@@H]1C[C@@H](OCC2=CC=CC=C2)CN1C(=O)[C@@H](NC(=O)C1=CC=CC=C1C(=O)O)C1CCCCC1)C(=O)C(=O)NCCCC(C(N)=O)C1=CC=CC=C1 LPTWKEYGHFNOMN-DXPMRFHZSA-N 0.000 description 1
- DZNQPYQSYUCJSR-WGLIFOLXSA-N CCCC(NC(=O)[C@@H]1C[C@@H](OCC2=CC=CC=C2)CN1C(=O)[C@@H](NC(=O)CC(C)CC(=O)O)C1CCCCC1)C(=O)C(=O)NCCCC(C(N)=O)C1=CC=CC=C1 Chemical compound CCCC(NC(=O)[C@@H]1C[C@@H](OCC2=CC=CC=C2)CN1C(=O)[C@@H](NC(=O)CC(C)CC(=O)O)C1CCCCC1)C(=O)C(=O)NCCCC(C(N)=O)C1=CC=CC=C1 DZNQPYQSYUCJSR-WGLIFOLXSA-N 0.000 description 1
- QOMJCIDVQCJRIP-SOBGMFJESA-N CCCC(NC(=O)[C@@H]1C[C@@H](OCC2=CC=CC=C2)CN1C(=O)[C@@H](NC(=O)CC1CCCC1)C1CCCCC1)C(=O)C(=O)NCCCC(C(N)=O)C1=CC=CC=C1 Chemical compound CCCC(NC(=O)[C@@H]1C[C@@H](OCC2=CC=CC=C2)CN1C(=O)[C@@H](NC(=O)CC1CCCC1)C1CCCCC1)C(=O)C(=O)NCCCC(C(N)=O)C1=CC=CC=C1 QOMJCIDVQCJRIP-SOBGMFJESA-N 0.000 description 1
- XGBFHXIDWKJCNW-JBGMDRLWSA-N CCCC(NC(=O)[C@@H]1C[C@@H](OCC2=CC=CC=C2)CN1C(=O)[C@@H](NC(=O)OCC(C)C)C1CCCCC1)C(=O)C(=O)NCCCC(C(N)=O)C1=CC=CC=C1 Chemical compound CCCC(NC(=O)[C@@H]1C[C@@H](OCC2=CC=CC=C2)CN1C(=O)[C@@H](NC(=O)OCC(C)C)C1CCCCC1)C(=O)C(=O)NCCCC(C(N)=O)C1=CC=CC=C1 XGBFHXIDWKJCNW-JBGMDRLWSA-N 0.000 description 1
- XEDVNIRONWSTMG-ZDRSRYBKSA-N CCCC(NC(=O)[C@@H]1C[C@@H](OCC2=CC=CC=C2)CN1C(=O)[C@@H](NC(=O)[C@H](CC(C)C)NS(C)(=O)=O)C1CCCCC1)C(=O)C(=O)NCCCC(C(N)=O)C1=CC=CC=C1 Chemical compound CCCC(NC(=O)[C@@H]1C[C@@H](OCC2=CC=CC=C2)CN1C(=O)[C@@H](NC(=O)[C@H](CC(C)C)NS(C)(=O)=O)C1CCCCC1)C(=O)C(=O)NCCCC(C(N)=O)C1=CC=CC=C1 XEDVNIRONWSTMG-ZDRSRYBKSA-N 0.000 description 1
- WXKMUDHXBOSMKZ-XRVAMFTOSA-N CCCC(NC(=O)[C@@H]1C[C@@H](OCC2=CC=CC=C2)CN1C(=O)[C@@H](NC(=O)[C@H](CC(C)C)NS(C)(=O)=O)C1CCCCC1)C(=O)C(=O)NCCOC(C(N)=O)C1=CC=CC=C1 Chemical compound CCCC(NC(=O)[C@@H]1C[C@@H](OCC2=CC=CC=C2)CN1C(=O)[C@@H](NC(=O)[C@H](CC(C)C)NS(C)(=O)=O)C1CCCCC1)C(=O)C(=O)NCCOC(C(N)=O)C1=CC=CC=C1 WXKMUDHXBOSMKZ-XRVAMFTOSA-N 0.000 description 1
- FOGHORFBMHLXQI-HLDIWYJJSA-N CCCC(NC(=O)[C@@H]1C[C@@H](OCCOC2=CC=CC=C2)CN1C(=O)OCC1=CC=CC=C1)C(=O)C(=O)NCC(=O)NC(C(=O)N(C)C)C1=CC=CC=C1 Chemical compound CCCC(NC(=O)[C@@H]1C[C@@H](OCCOC2=CC=CC=C2)CN1C(=O)OCC1=CC=CC=C1)C(=O)C(=O)NCC(=O)NC(C(=O)N(C)C)C1=CC=CC=C1 FOGHORFBMHLXQI-HLDIWYJJSA-N 0.000 description 1
- WHGZUWMPIJIEBE-NRJYKAJQSA-N CCCC(NC(=O)[C@@H]1C[C@@H](OCCOC2=CC=CC=C2)CN1C(=O)[C@@H](O)C(C)(C)C)C(=O)C(=O)NCC(=O)N[C@H](C(=O)N(C)C)C1=CC=CC=C1 Chemical compound CCCC(NC(=O)[C@@H]1C[C@@H](OCCOC2=CC=CC=C2)CN1C(=O)[C@@H](O)C(C)(C)C)C(=O)C(=O)NCC(=O)N[C@H](C(=O)N(C)C)C1=CC=CC=C1 WHGZUWMPIJIEBE-NRJYKAJQSA-N 0.000 description 1
- PRAOWICTDYTDKG-JOTGHPAYSA-N CCCC(NC(=O)[C@@H]1C[C@@](C)(CCC)CN1C(=O)[C@@H](NC(=O)OCC(C)C)C1CCCCC1)C(=O)C(=O)NCC(=O)NC(C(=O)N(C)C)C1=CC=CC=C1 Chemical compound CCCC(NC(=O)[C@@H]1C[C@@](C)(CCC)CN1C(=O)[C@@H](NC(=O)OCC(C)C)C1CCCCC1)C(=O)C(=O)NCC(=O)NC(C(=O)N(C)C)C1=CC=CC=C1 PRAOWICTDYTDKG-JOTGHPAYSA-N 0.000 description 1
- TXMREZHHRLTJPJ-YLDKRSJJSA-N CCCC(NC(=O)[C@@H]1C[C@H](C)CN1C(=O)[C@@H](NC(=O)OCC(C)C)C(C)(C)C)C(=O)C(=O)NCC(=O)NC(C(=O)N(C)C)C1=CC=CC=C1 Chemical compound CCCC(NC(=O)[C@@H]1C[C@H](C)CN1C(=O)[C@@H](NC(=O)OCC(C)C)C(C)(C)C)C(=O)C(=O)NCC(=O)NC(C(=O)N(C)C)C1=CC=CC=C1 TXMREZHHRLTJPJ-YLDKRSJJSA-N 0.000 description 1
- TXMREZHHRLTJPJ-WXTLDEFBSA-N CCCC(NC(=O)[C@@H]1C[C@H](C)CN1C(=O)[C@@H](NC(=O)OCC(C)C)C(C)(C)C)C(=O)C(=O)NCC(=O)N[C@H](C(=O)N(C)C)C1=CC=CC=C1 Chemical compound CCCC(NC(=O)[C@@H]1C[C@H](C)CN1C(=O)[C@@H](NC(=O)OCC(C)C)C(C)(C)C)C(=O)C(=O)NCC(=O)N[C@H](C(=O)N(C)C)C1=CC=CC=C1 TXMREZHHRLTJPJ-WXTLDEFBSA-N 0.000 description 1
- SUBOVJNBZDCYMO-OPRMCGTHSA-N CCCC(NC(=O)[C@@H]1C[C@H](C)CN1C(=O)[C@@H](NC(=O)OCC(C)C)C1CCCCC1)C(=O)C(=O)NCC(=O)N[C@H](C(=O)N(C)C)C1=CC=CC=C1 Chemical compound CCCC(NC(=O)[C@@H]1C[C@H](C)CN1C(=O)[C@@H](NC(=O)OCC(C)C)C1CCCCC1)C(=O)C(=O)NCC(=O)N[C@H](C(=O)N(C)C)C1=CC=CC=C1 SUBOVJNBZDCYMO-OPRMCGTHSA-N 0.000 description 1
- RVXUEYXYNVINPX-LNSHAJIESA-N CCCC(NC(=O)[C@@H]1C[C@H](NC(=O)NC2=CC=CC=C2)CN1C(=O)C(NC(=O)C1=CC=CC=C1C(=O)O)C1CCCCC1)C(=O)C(=O)NCC(=O)N[C@@H](C(N)=O)C1=CC=CC=C1 Chemical compound CCCC(NC(=O)[C@@H]1C[C@H](NC(=O)NC2=CC=CC=C2)CN1C(=O)C(NC(=O)C1=CC=CC=C1C(=O)O)C1CCCCC1)C(=O)C(=O)NCC(=O)N[C@@H](C(N)=O)C1=CC=CC=C1 RVXUEYXYNVINPX-LNSHAJIESA-N 0.000 description 1
- IUWOWPPWLQIWGK-RFAPZZTOSA-N CCCC(NC(=O)[C@@H]1C[C@H](NC(=O)OCC(C)C)CN1C(=O)[C@H](NC(=O)C1=C(F)C=CC(F)=C1C(=O)O)C1CCCCC1)C(=O)C(=O)NCC(=O)N[C@@H](C(N)=O)C1=CC=CC=C1 Chemical compound CCCC(NC(=O)[C@@H]1C[C@H](NC(=O)OCC(C)C)CN1C(=O)[C@H](NC(=O)C1=C(F)C=CC(F)=C1C(=O)O)C1CCCCC1)C(=O)C(=O)NCC(=O)N[C@@H](C(N)=O)C1=CC=CC=C1 IUWOWPPWLQIWGK-RFAPZZTOSA-N 0.000 description 1
- UUQJGZVNWXJHOQ-RZRWGGSLSA-N CCCC(NC(=O)[C@@H]1[C@@H](C2=CC=CC=C2)CCN1C(=O)[C@@H](NC(=O)OCC(C)C)C1CCCCC1)C(=O)C(=O)NCC(=O)N[C@H](C(=O)N(C)C)C1=CC=CC=C1 Chemical compound CCCC(NC(=O)[C@@H]1[C@@H](C2=CC=CC=C2)CCN1C(=O)[C@@H](NC(=O)OCC(C)C)C1CCCCC1)C(=O)C(=O)NCC(=O)N[C@H](C(=O)N(C)C)C1=CC=CC=C1 UUQJGZVNWXJHOQ-RZRWGGSLSA-N 0.000 description 1
- JURWMAHAYZVVMX-JTENSBHRSA-N CCCC(NC(=O)[C@@H]1[C@@H]2C(CN1C(=O)[C@@H](NC(=O)OC(C)(C)C)C(C)(C)C)C2(C)C)C(=O)C(=O)NCC(=O)NC#O Chemical compound CCCC(NC(=O)[C@@H]1[C@@H]2C(CN1C(=O)[C@@H](NC(=O)OC(C)(C)C)C(C)(C)C)C2(C)C)C(=O)C(=O)NCC(=O)NC#O JURWMAHAYZVVMX-JTENSBHRSA-N 0.000 description 1
- QYEFRRONNCTBTG-KPSSQIJQSA-N CCCC(NC(=O)[C@@H]1[C@@H]2C(CN1C(=O)[C@@H](NC(=O)OC(C)(C)C)C(C)(C)C)C2(C)C)C(=O)C(=O)NOC Chemical compound CCCC(NC(=O)[C@@H]1[C@@H]2C(CN1C(=O)[C@@H](NC(=O)OC(C)(C)C)C(C)(C)C)C2(C)C)C(=O)C(=O)NOC QYEFRRONNCTBTG-KPSSQIJQSA-N 0.000 description 1
- FATUMBMANCKILY-GJRTZAGMSA-N CCCC(NC(=O)[C@@H]1[C@@H]2[C@H](CN1C(=O)C(NC(=O)NC1(C)CC1)C1CCCCC1)C2(C)C)C(=O)C(N)=O Chemical compound CCCC(NC(=O)[C@@H]1[C@@H]2[C@H](CN1C(=O)C(NC(=O)NC1(C)CC1)C1CCCCC1)C2(C)C)C(=O)C(N)=O FATUMBMANCKILY-GJRTZAGMSA-N 0.000 description 1
- PSSSQSBJFQCBOI-NDEQCLPFSA-N CCCC(NC(=O)[C@@H]1[C@@H]2[C@H](CN1C(=O)C(NC(=O)OC(C)(C)C)C(C)(C)C)C2(C)C)C(=O)C(=O)NCCS(C)(=O)=O Chemical compound CCCC(NC(=O)[C@@H]1[C@@H]2[C@H](CN1C(=O)C(NC(=O)OC(C)(C)C)C(C)(C)C)C2(C)C)C(=O)C(=O)NCCS(C)(=O)=O PSSSQSBJFQCBOI-NDEQCLPFSA-N 0.000 description 1
- PTLTYBSRQUDFNK-CMYURLEYSA-N CCCC(NC(=O)[C@@H]1[C@@H]2[C@H](CN1C(=O)C(NC(=O)OC(C)(C)C)C1CC3=C(C=CC=C3)C1)C2(C)C)C(=O)C(N)=O Chemical compound CCCC(NC(=O)[C@@H]1[C@@H]2[C@H](CN1C(=O)C(NC(=O)OC(C)(C)C)C1CC3=C(C=CC=C3)C1)C2(C)C)C(=O)C(N)=O PTLTYBSRQUDFNK-CMYURLEYSA-N 0.000 description 1
- VWPLYMUDCKAAOH-CCYMTBFBSA-N CCCC(NC(=O)[C@@H]1[C@@H]2[C@H](CN1C(=O)C(NC(=O)OC(C)C(C)C)C1CC3=C(C=CC=C3)C1)C2(C)C)C(=O)C(N)=O Chemical compound CCCC(NC(=O)[C@@H]1[C@@H]2[C@H](CN1C(=O)C(NC(=O)OC(C)C(C)C)C1CC3=C(C=CC=C3)C1)C2(C)C)C(=O)C(N)=O VWPLYMUDCKAAOH-CCYMTBFBSA-N 0.000 description 1
- KYKCMXQBDIFQFP-NLNGDDDLSA-N CCCC(NC(=O)[C@@H]1[C@@H]2[C@H](CN1C(=O)[C@@H](NC(=O)C(CC(C)C)NS(C)(=O)=O)C(C)(C)C)C2(C)C)C(=O)C(N)=O Chemical compound CCCC(NC(=O)[C@@H]1[C@@H]2[C@H](CN1C(=O)[C@@H](NC(=O)C(CC(C)C)NS(C)(=O)=O)C(C)(C)C)C2(C)C)C(=O)C(N)=O KYKCMXQBDIFQFP-NLNGDDDLSA-N 0.000 description 1
- JCPXKWWNPBKSOC-CRJJDSQLSA-N CCCC(NC(=O)[C@@H]1[C@@H]2[C@H](CN1C(=O)[C@@H](NC(=O)NC(C)(C)C)C1CCCCC1)C2(C)C)C(=O)C(N)=O Chemical compound CCCC(NC(=O)[C@@H]1[C@@H]2[C@H](CN1C(=O)[C@@H](NC(=O)NC(C)(C)C)C1CCCCC1)C2(C)C)C(=O)C(N)=O JCPXKWWNPBKSOC-CRJJDSQLSA-N 0.000 description 1
- GSANQILHSRVDBO-VGDGAYLZSA-N CCCC(NC(=O)[C@@H]1[C@@H]2[C@H](CN1C(=O)[C@@H](NC(=O)NC(C)C)C(C)(C)C)C2(C)C)C(=O)C(N)=O Chemical compound CCCC(NC(=O)[C@@H]1[C@@H]2[C@H](CN1C(=O)[C@@H](NC(=O)NC(C)C)C(C)(C)C)C2(C)C)C(=O)C(N)=O GSANQILHSRVDBO-VGDGAYLZSA-N 0.000 description 1
- WBTSIZOSTGSYCQ-VGDGAYLZSA-N CCCC(NC(=O)[C@@H]1[C@@H]2[C@H](CN1C(=O)[C@@H](NC(=O)NC1(C)CC1)C(C)(C)C)C2(C)C)C(=O)C(N)=O Chemical compound CCCC(NC(=O)[C@@H]1[C@@H]2[C@H](CN1C(=O)[C@@H](NC(=O)NC1(C)CC1)C(C)(C)C)C2(C)C)C(=O)C(N)=O WBTSIZOSTGSYCQ-VGDGAYLZSA-N 0.000 description 1
- UJOCNZOIQFTLOM-VGDGAYLZSA-N CCCC(NC(=O)[C@@H]1[C@@H]2[C@H](CN1C(=O)[C@@H](NC(=O)NC1CC1)C(C)(C)C)C2(C)C)C(=O)C(N)=O Chemical compound CCCC(NC(=O)[C@@H]1[C@@H]2[C@H](CN1C(=O)[C@@H](NC(=O)NC1CC1)C(C)(C)C)C2(C)C)C(=O)C(N)=O UJOCNZOIQFTLOM-VGDGAYLZSA-N 0.000 description 1
- NEBHKICAFBWPDH-QWYSVXDISA-N CCCC(NC(=O)[C@@H]1[C@@H]2[C@H](CN1C(=O)[C@@H](NC(=O)NC1CCCCC1)C(C)(C)C)C2(C)C)C(=O)C(N)=O Chemical compound CCCC(NC(=O)[C@@H]1[C@@H]2[C@H](CN1C(=O)[C@@H](NC(=O)NC1CCCCC1)C(C)(C)C)C2(C)C)C(=O)C(N)=O NEBHKICAFBWPDH-QWYSVXDISA-N 0.000 description 1
- QHBQMOOIKLGSFK-YGPWJVBQSA-N CCCC(NC(=O)[C@@H]1[C@@H]2[C@H](CN1C(=O)[C@@H](NC(=O)NCC)C(C)(C)C)C2(C)C)C(=O)C(N)=O Chemical compound CCCC(NC(=O)[C@@H]1[C@@H]2[C@H](CN1C(=O)[C@@H](NC(=O)NCC)C(C)(C)C)C2(C)C)C(=O)C(N)=O QHBQMOOIKLGSFK-YGPWJVBQSA-N 0.000 description 1
- HPNLFRFRIYRESL-TZPCIBBBSA-N CCCC(NC(=O)[C@@H]1[C@@H]2[C@H](CN1C(=O)[C@@H](NC(=O)OC(C)(C)C)C(C)(C)C)C2(C)C)C(=O)C(=O)NC Chemical compound CCCC(NC(=O)[C@@H]1[C@@H]2[C@H](CN1C(=O)[C@@H](NC(=O)OC(C)(C)C)C(C)(C)C)C2(C)C)C(=O)C(=O)NC HPNLFRFRIYRESL-TZPCIBBBSA-N 0.000 description 1
- MWAPFWIFOORASV-TZPCIBBBSA-N CCCC(NC(=O)[C@@H]1[C@@H]2[C@H](CN1C(=O)[C@@H](NC(=O)OC(C)(C)C)C(C)(C)C)C2(C)C)C(=O)C(=O)NCC(F)(F)F Chemical compound CCCC(NC(=O)[C@@H]1[C@@H]2[C@H](CN1C(=O)[C@@H](NC(=O)OC(C)(C)C)C(C)(C)C)C2(C)C)C(=O)C(=O)NCC(F)(F)F MWAPFWIFOORASV-TZPCIBBBSA-N 0.000 description 1
- MMKPFKAYTUVTFO-SHGUQYMKSA-N CCCC(NC(=O)[C@@H]1[C@@H]2[C@H](CN1C(=O)[C@@H](NC(=O)OC(C)(C)C)C(C)(C)C)C2(C)C)C(=O)C(=O)N[C@@H](C)C(=O)OC Chemical compound CCCC(NC(=O)[C@@H]1[C@@H]2[C@H](CN1C(=O)[C@@H](NC(=O)OC(C)(C)C)C(C)(C)C)C2(C)C)C(=O)C(=O)N[C@@H](C)C(=O)OC MMKPFKAYTUVTFO-SHGUQYMKSA-N 0.000 description 1
- XWQBVLITARLWBM-VGDGAYLZSA-N CCCC(NC(=O)[C@@H]1[C@@H]2[C@H](CN1C(=O)[C@@H](NC(=O)OC(C)(C)C)C(C)(C)C)C2(C)C)C(=O)C(N)=O Chemical compound CCCC(NC(=O)[C@@H]1[C@@H]2[C@H](CN1C(=O)[C@@H](NC(=O)OC(C)(C)C)C(C)(C)C)C2(C)C)C(=O)C(N)=O XWQBVLITARLWBM-VGDGAYLZSA-N 0.000 description 1
- RYDIKPPNMYVKCF-VNXZANIESA-N CCCC(NC(=O)[C@@H]1[C@@H]2[C@H](CN1C(=O)[C@@H](NC(=O)OC(C)(C)C)C1CCC(F)(F)CC1)C2(C)C)C(=O)C(N)=O Chemical compound CCCC(NC(=O)[C@@H]1[C@@H]2[C@H](CN1C(=O)[C@@H](NC(=O)OC(C)(C)C)C1CCC(F)(F)CC1)C2(C)C)C(=O)C(N)=O RYDIKPPNMYVKCF-VNXZANIESA-N 0.000 description 1
- ANWXAHDHVAGJFL-CRJJDSQLSA-N CCCC(NC(=O)[C@@H]1[C@@H]2[C@H](CN1C(=O)[C@@H](NC(=O)OC(C)(C)C)C1CCCCC1)C2(C)C)C(=O)C(N)=O Chemical compound CCCC(NC(=O)[C@@H]1[C@@H]2[C@H](CN1C(=O)[C@@H](NC(=O)OC(C)(C)C)C1CCCCC1)C2(C)C)C(=O)C(N)=O ANWXAHDHVAGJFL-CRJJDSQLSA-N 0.000 description 1
- QTSPAEBDSPQVFP-KDSRXLCPSA-N CCCC(NC(=O)[C@@H]1[C@@H]2[C@H](CN1C(=O)[C@@H](NC(=O)OC(C)C(C)C)C1(C)CCCCC1)C2(C)C)C(=O)C(=O)NCC(=O)N[C@H](C(=O)N(C)C)C1=CC=CC=C1 Chemical compound CCCC(NC(=O)[C@@H]1[C@@H]2[C@H](CN1C(=O)[C@@H](NC(=O)OC(C)C(C)C)C1(C)CCCCC1)C2(C)C)C(=O)C(=O)NCC(=O)N[C@H](C(=O)N(C)C)C1=CC=CC=C1 QTSPAEBDSPQVFP-KDSRXLCPSA-N 0.000 description 1
- QGKGSSJTBYGMIW-OYPAKVMISA-N CCCC(NC(=O)[C@@H]1[C@@H]2[C@H](CN1C(=O)[C@@H](NC(=O)OC(C)C)C(C)C)C2(C)C)C(=O)C(N)=O Chemical compound CCCC(NC(=O)[C@@H]1[C@@H]2[C@H](CN1C(=O)[C@@H](NC(=O)OC(C)C)C(C)C)C2(C)C)C(=O)C(N)=O QGKGSSJTBYGMIW-OYPAKVMISA-N 0.000 description 1
- VBRLJXHJZXUSIF-KLYMBLKMSA-N CCCC(NC(=O)[C@@H]1[C@@H]2[C@H](CN1C(=O)[C@@H](NC(=O)OC(C)C)C1CC3=CC=CC=C3C1)C2(C)C)C(=O)C(N)=O Chemical compound CCCC(NC(=O)[C@@H]1[C@@H]2[C@H](CN1C(=O)[C@@H](NC(=O)OC(C)C)C1CC3=CC=CC=C3C1)C2(C)C)C(=O)C(N)=O VBRLJXHJZXUSIF-KLYMBLKMSA-N 0.000 description 1
- PBTUIYCEUXABDE-VNXZANIESA-N CCCC(NC(=O)[C@@H]1[C@@H]2[C@H](CN1C(=O)[C@@H](NC(=O)OC(C)C)C1CCCC1)C2(C)C)C(=O)C(N)=O Chemical compound CCCC(NC(=O)[C@@H]1[C@@H]2[C@H](CN1C(=O)[C@@H](NC(=O)OC(C)C)C1CCCC1)C2(C)C)C(=O)C(N)=O PBTUIYCEUXABDE-VNXZANIESA-N 0.000 description 1
- SWVKKHGGIPQNAS-WHYLQJKWSA-N CCCC(NC(=O)[C@@H]1[C@@H]2[C@H](CN1C(=O)[C@@H](NC(=O)OC13CC4CC(CC(C4)C1)C3)C(C)(C)C)C2(C)C)C(=O)C(N)=O Chemical compound CCCC(NC(=O)[C@@H]1[C@@H]2[C@H](CN1C(=O)[C@@H](NC(=O)OC13CC4CC(CC(C4)C1)C3)C(C)(C)C)C2(C)C)C(=O)C(N)=O SWVKKHGGIPQNAS-WHYLQJKWSA-N 0.000 description 1
- WLNQXRLERRPMHP-ISAAJCPASA-N CCCC(NC(=O)[C@@H]1[C@@H]2[C@H](CN1C(=O)[C@@H](NC(=O)OC1CCC(C)C1)C(C)(C)C)C2(C)C)C(=O)C(N)=O Chemical compound CCCC(NC(=O)[C@@H]1[C@@H]2[C@H](CN1C(=O)[C@@H](NC(=O)OC1CCC(C)C1)C(C)(C)C)C2(C)C)C(=O)C(N)=O WLNQXRLERRPMHP-ISAAJCPASA-N 0.000 description 1
- IVDACYIUQQEBBQ-OFOMUGPCSA-N CCCC(NC(=O)[C@@H]1[C@@H]2[C@H](CN1C(=O)[C@@H](NC(=O)OCC(C)C)C1CCCCC1)C2(C)C)C(=O)C(=O)NCC(=O)NC(C(=O)N(C)C)C1=CC=CC=C1 Chemical compound CCCC(NC(=O)[C@@H]1[C@@H]2[C@H](CN1C(=O)[C@@H](NC(=O)OCC(C)C)C1CCCCC1)C2(C)C)C(=O)C(=O)NCC(=O)NC(C(=O)N(C)C)C1=CC=CC=C1 IVDACYIUQQEBBQ-OFOMUGPCSA-N 0.000 description 1
- MSJXYJYFRZVRDJ-SOZDDGSCSA-N CCCC(NC(=O)[C@@H]1[C@@H]2[C@H](CN1C(=O)[C@@H](NC(=O)OCC(C)C)C1CCCCC1)C2(C)C)C(=O)C(=O)NCC(=O)N[C@H](C(=O)O)C1=CC=CC=C1 Chemical compound CCCC(NC(=O)[C@@H]1[C@@H]2[C@H](CN1C(=O)[C@@H](NC(=O)OCC(C)C)C1CCCCC1)C2(C)C)C(=O)C(=O)NCC(=O)N[C@H](C(=O)O)C1=CC=CC=C1 MSJXYJYFRZVRDJ-SOZDDGSCSA-N 0.000 description 1
- GQCXLVBTXHXIEK-YKZMZPJBSA-N CCCC(NC(=O)[C@@H]1[C@@H]2[C@H](CN1C(=O)[C@@H](NC(=O)[C@H](CC(C)C)NS(C)(=O)=O)C1CCCCC1)C2(C)C)C(=O)C(N)=O Chemical compound CCCC(NC(=O)[C@@H]1[C@@H]2[C@H](CN1C(=O)[C@@H](NC(=O)[C@H](CC(C)C)NS(C)(=O)=O)C1CCCCC1)C2(C)C)C(=O)C(N)=O GQCXLVBTXHXIEK-YKZMZPJBSA-N 0.000 description 1
- GMMWQQYKXZVZGI-CAWYOGTCSA-N CCCC(NC(=O)[C@@H]1[C@@H]2[C@H](CN1C(=O)[C@@H](NS(C)(=O)=O)C(C)(C)C)C2(C)C)C(=O)C(N)=O Chemical compound CCCC(NC(=O)[C@@H]1[C@@H]2[C@H](CN1C(=O)[C@@H](NS(C)(=O)=O)C(C)(C)C)C2(C)C)C(=O)C(N)=O GMMWQQYKXZVZGI-CAWYOGTCSA-N 0.000 description 1
- PTUSUDUGGYDJKS-MHEBCXFXSA-N CCCC(NC(=O)[C@@H]1[C@H]2[C@@H]3CC[C@@H](C3)[C@H]2CN1C(=O)[C@@H](NC(=O)OCC(C)C)C(C)(C)C)C(=O)C(=O)NCC(=O)NC(C(=O)N(C)C)C1=CC=CC=C1 Chemical compound CCCC(NC(=O)[C@@H]1[C@H]2[C@@H]3CC[C@@H](C3)[C@H]2CN1C(=O)[C@@H](NC(=O)OCC(C)C)C(C)(C)C)C(=O)C(=O)NCC(=O)NC(C(=O)N(C)C)C1=CC=CC=C1 PTUSUDUGGYDJKS-MHEBCXFXSA-N 0.000 description 1
- RCGASIXWXHVSMT-WFIHSIJWSA-N CCCC(NC(O)[C@@H]1CC[C@H](C2=CC=CC=C2)N1C(=O)[C@@H](NC(=O)OCC(C)C)C1CCCCC1)C(=O)C(=O)NCC(=O)NC(C(=O)O)C1=CC=CC=C1 Chemical compound CCCC(NC(O)[C@@H]1CC[C@H](C2=CC=CC=C2)N1C(=O)[C@@H](NC(=O)OCC(C)C)C1CCCCC1)C(=O)C(=O)NCC(=O)NC(C(=O)O)C1=CC=CC=C1 RCGASIXWXHVSMT-WFIHSIJWSA-N 0.000 description 1
- UZKHDIDPWXSYKJ-NFEFNNAISA-N CCCCC(C(C(NCC(NC(C(N)=O)c1ccccc1)=O)=O)=O)NC([C@H](C[C@H](C1)OCc2ccccc2)N1C(C(C1CCCCC1)NC([C@H](CCCC1)[C@H]1[O](c1ccccc1)=O)=O)=O)=O Chemical compound CCCCC(C(C(NCC(NC(C(N)=O)c1ccccc1)=O)=O)=O)NC([C@H](C[C@H](C1)OCc2ccccc2)N1C(C(C1CCCCC1)NC([C@H](CCCC1)[C@H]1[O](c1ccccc1)=O)=O)=O)=O UZKHDIDPWXSYKJ-NFEFNNAISA-N 0.000 description 1
- ZVQZVUVXGRYLPT-SRTKGUHXSA-N CCCCC(C(C(NCC(NC(C(N)=O)c1ccccc1)=O)=O)=O)NC([C@H](C[C@H](C1)OCc2ccccc2)N1C(C(C1CCCCC1)NC(c1c(C)cccc1C)=O)=O)=O Chemical compound CCCCC(C(C(NCC(NC(C(N)=O)c1ccccc1)=O)=O)=O)NC([C@H](C[C@H](C1)OCc2ccccc2)N1C(C(C1CCCCC1)NC(c1c(C)cccc1C)=O)=O)=O ZVQZVUVXGRYLPT-SRTKGUHXSA-N 0.000 description 1
- HSBQCPDVVLNMRQ-SFUDDWTFSA-N CCCCC(C(C(NCC(N[C@H](C(N(C)C)=O)c1ccccc1)=O)=O)=O)NC([C@H](C1C(C)(C)C1C1)N1C([C@H](C(C)(C)C)NC(OC1CCCCC1)=O)=O)=O Chemical compound CCCCC(C(C(NCC(N[C@H](C(N(C)C)=O)c1ccccc1)=O)=O)=O)NC([C@H](C1C(C)(C)C1C1)N1C([C@H](C(C)(C)C)NC(OC1CCCCC1)=O)=O)=O HSBQCPDVVLNMRQ-SFUDDWTFSA-N 0.000 description 1
- DXOKKBVHHCXDHA-GGWOERJOSA-N CCCCC(C(C(NCC(N[C@H](C(N)=O)c1ccccc1)=O)=O)=O)NC([C@H](C[C@H](C1)OC(C)(C)C)N1C([C@H](C(C)(C)C)NC(OC(C)(C)C)=O)=O)=O Chemical compound CCCCC(C(C(NCC(N[C@H](C(N)=O)c1ccccc1)=O)=O)=O)NC([C@H](C[C@H](C1)OC(C)(C)C)N1C([C@H](C(C)(C)C)NC(OC(C)(C)C)=O)=O)=O DXOKKBVHHCXDHA-GGWOERJOSA-N 0.000 description 1
- LBPAMWZDTXMCST-OAQMNZSCSA-N CCCCC(C(C(O)=O)=O)NC([C@H]([C@@H]1[C@H](C2)C(C)(C)C1)N2C([C@H](C(C)(C)C)NC(OC(C)(C)C)=O)=O)=O Chemical compound CCCCC(C(C(O)=O)=O)NC([C@H]([C@@H]1[C@H](C2)C(C)(C)C1)N2C([C@H](C(C)(C)C)NC(OC(C)(C)C)=O)=O)=O LBPAMWZDTXMCST-OAQMNZSCSA-N 0.000 description 1
- CFWQQVBGWMKELW-KHAULCTMSA-N CCCCC(C(N)=O)NC(C(CCCC)NC(CNC(C(C(CCC)NC([C@H](C[C@H](C1)OCc2ccccc2)N1C(C(C1CCCCC1)NC([C@@H](CCCC1)[C@H]1C(c1ccccc1)=O)=O)=O)=O)=O)=O)=O)=O Chemical compound CCCCC(C(N)=O)NC(C(CCCC)NC(CNC(C(C(CCC)NC([C@H](C[C@H](C1)OCc2ccccc2)N1C(C(C1CCCCC1)NC([C@@H](CCCC1)[C@H]1C(c1ccccc1)=O)=O)=O)=O)=O)=O)=O)=O CFWQQVBGWMKELW-KHAULCTMSA-N 0.000 description 1
- KVXNEROWYGXXFN-WSPHPKEXSA-N CCCCC(C(N)=O)NC(CNC(C(C(CCC)NC([C@H](C[C@H](C1)OC(C)(C)C)N1C(C(C1CCCCC1)NC(Cc1cc(C(F)(F)F)ccc1)=O)=O)=O)=O)=O)=O Chemical compound CCCCC(C(N)=O)NC(CNC(C(C(CCC)NC([C@H](C[C@H](C1)OC(C)(C)C)N1C(C(C1CCCCC1)NC(Cc1cc(C(F)(F)F)ccc1)=O)=O)=O)=O)=O)=O KVXNEROWYGXXFN-WSPHPKEXSA-N 0.000 description 1
- HWSMROJIEOQBAF-ISLOCDCWSA-N CCCCC(C(N)=O)NC(CNC(C(C(CCC)NC([C@H](C[C@H](C1)OCC(O)=O)N1C(C(C1CCCCC1)NC(C(CCC)CCC)=O)=O)=O)=O)=O)=O Chemical compound CCCCC(C(N)=O)NC(CNC(C(C(CCC)NC([C@H](C[C@H](C1)OCC(O)=O)N1C(C(C1CCCCC1)NC(C(CCC)CCC)=O)=O)=O)=O)=O)=O HWSMROJIEOQBAF-ISLOCDCWSA-N 0.000 description 1
- SNRBDRZFTWAXJT-HZANFKEBSA-N CCCCC(C(N)=O)NC(CNC(C(C(CCC)NC([C@H](C[C@H](C1)OCC(OC(C)(C)C)=O)N1C(C(C1CCCCC1)NC(Cc(cc1)ccc1Br)=O)=O)=O)=O)=O)=O Chemical compound CCCCC(C(N)=O)NC(CNC(C(C(CCC)NC([C@H](C[C@H](C1)OCC(OC(C)(C)C)=O)N1C(C(C1CCCCC1)NC(Cc(cc1)ccc1Br)=O)=O)=O)=O)=O)=O SNRBDRZFTWAXJT-HZANFKEBSA-N 0.000 description 1
- WUJOFSBARVEIFA-HZANFKEBSA-N CCCCC(C(N)=O)NC(CNC(C(C(CCC)NC([C@H](C[C@H](C1)OCC(OC(C)(C)C)=O)N1C(C(C1CCCCC1)NC(Cc(cc1)ccc1Cl)=O)=O)=O)=O)=O)=O Chemical compound CCCCC(C(N)=O)NC(CNC(C(C(CCC)NC([C@H](C[C@H](C1)OCC(OC(C)(C)C)=O)N1C(C(C1CCCCC1)NC(Cc(cc1)ccc1Cl)=O)=O)=O)=O)=O)=O WUJOFSBARVEIFA-HZANFKEBSA-N 0.000 description 1
- DEHHWJDEBXKKRO-SVFKFJHWSA-N CCCCC(C(N)=O)NC(CNC(C(C(CCC)NC([C@H](C[C@H](C1)OCOCCOC)N1C(C(C1CCCCC1)NC(C1(CC1)c1ccccc1)=O)=O)=O)=O)=O)=O Chemical compound CCCCC(C(N)=O)NC(CNC(C(C(CCC)NC([C@H](C[C@H](C1)OCOCCOC)N1C(C(C1CCCCC1)NC(C1(CC1)c1ccccc1)=O)=O)=O)=O)=O)=O DEHHWJDEBXKKRO-SVFKFJHWSA-N 0.000 description 1
- BMFPVEVQLGVCKN-AAZPUIHSSA-N CCCCC(C(N)=O)NC(CNC(C(C(CCC)NC([C@H](C[C@H](C1)OCc2ccccc2)N1C(C(C1CCCCC1)NC(C(C1)C1c1ccccc1)=O)=O)=O)=O)=O)=O Chemical compound CCCCC(C(N)=O)NC(CNC(C(C(CCC)NC([C@H](C[C@H](C1)OCc2ccccc2)N1C(C(C1CCCCC1)NC(C(C1)C1c1ccccc1)=O)=O)=O)=O)=O)=O BMFPVEVQLGVCKN-AAZPUIHSSA-N 0.000 description 1
- KTPOUQAJEBXGTC-OXXHXETOSA-N CCCCC(C(N)=O)NC(CNC(C(C(CCC)NC([C@H](C[C@H](C1)OCc2ccccc2)N1C(C(C1CCCCC1)NC(C(Cc1ccccc1)C(C)(C)C)=O)=O)=O)=O)=O)=O Chemical compound CCCCC(C(N)=O)NC(CNC(C(C(CCC)NC([C@H](C[C@H](C1)OCc2ccccc2)N1C(C(C1CCCCC1)NC(C(Cc1ccccc1)C(C)(C)C)=O)=O)=O)=O)=O)=O KTPOUQAJEBXGTC-OXXHXETOSA-N 0.000 description 1
- GSBAIJZBEWWGFD-KZTKPCROSA-N CCCCC(CC(=O)C(CCCC)NC(=O)CCC(=O)C(=O)C(CCC)CC(=O)[C@@H]1C[C@@H](OCC2=CC=CC=C2)CN1C(=O)C(CC(=O)C1=CC=CC2=CC=CC=C21)C1CCCCC1)C(N)=O Chemical compound CCCCC(CC(=O)C(CCCC)NC(=O)CCC(=O)C(=O)C(CCC)CC(=O)[C@@H]1C[C@@H](OCC2=CC=CC=C2)CN1C(=O)C(CC(=O)C1=CC=CC2=CC=CC=C21)C1CCCCC1)C(N)=O GSBAIJZBEWWGFD-KZTKPCROSA-N 0.000 description 1
- DAHYIMFSWBAFFO-FMWFADARSA-N CCCCC(CC(=O)C(CCCC)NC(=O)CCC(=O)C(=O)C(CCC)CC(=O)[C@@H]1C[C@@H](OCC2=CC=CC=C2)CN1C(=O)C(CC(=O)C1CCCC(C)C1)C1CCCCC1)C(N)=O Chemical compound CCCCC(CC(=O)C(CCCC)NC(=O)CCC(=O)C(=O)C(CCC)CC(=O)[C@@H]1C[C@@H](OCC2=CC=CC=C2)CN1C(=O)C(CC(=O)C1CCCC(C)C1)C1CCCCC1)C(N)=O DAHYIMFSWBAFFO-FMWFADARSA-N 0.000 description 1
- KIHMJLVJHKHMEX-WXFZAOLASA-N CCCCC(CC(=O)C(CCCC)NC(=O)CCC(=O)C(=O)C(CCC)CC(=O)[C@@H]1C[C@@H](OCC2=CC=CC=C2)CN1C(=O)C(CC(=O)C1CCCC1)C1CCCCC1)C(N)=O Chemical compound CCCCC(CC(=O)C(CCCC)NC(=O)CCC(=O)C(=O)C(CCC)CC(=O)[C@@H]1C[C@@H](OCC2=CC=CC=C2)CN1C(=O)C(CC(=O)C1CCCC1)C1CCCCC1)C(N)=O KIHMJLVJHKHMEX-WXFZAOLASA-N 0.000 description 1
- LDZSGMJDTXWXRY-DNTSJDCISA-N CCCCC(CC(=O)C(CCCC)NC(=O)CCC(=O)C(=O)C(CCC)CC(=O)[C@@H]1C[C@@H](OCC2=CC=CC=C2)CN1C(=O)C(CC(=O)C1CCCCC1)C1CCCCC1)C(N)=O Chemical compound CCCCC(CC(=O)C(CCCC)NC(=O)CCC(=O)C(=O)C(CCC)CC(=O)[C@@H]1C[C@@H](OCC2=CC=CC=C2)CN1C(=O)C(CC(=O)C1CCCCC1)C1CCCCC1)C(N)=O LDZSGMJDTXWXRY-DNTSJDCISA-N 0.000 description 1
- VJUASUYDFVKPKG-ZACCOQPHSA-N CCCCC(CC(=O)C(CCCC)NC(=O)CCC(=O)C(=O)C(CCC)CC(=O)[C@@H]1C[C@@H](OCC2=CC=CC=C2)CN1C(=O)C(CC(=O)CC1=CC=CC(CC(=O)O)=C1)C1CCCCC1)C(N)=O Chemical compound CCCCC(CC(=O)C(CCCC)NC(=O)CCC(=O)C(=O)C(CCC)CC(=O)[C@@H]1C[C@@H](OCC2=CC=CC=C2)CN1C(=O)C(CC(=O)CC1=CC=CC(CC(=O)O)=C1)C1CCCCC1)C(N)=O VJUASUYDFVKPKG-ZACCOQPHSA-N 0.000 description 1
- RIIVIICIPAMTLO-ZACCOQPHSA-N CCCCC(CC(=O)C(CCCC)NC(=O)CCC(=O)C(=O)C(CCC)CC(=O)[C@@H]1C[C@@H](OCC2=CC=CC=C2)CN1C(=O)C(CC(=O)CC1=CC=CC=C1CC(=O)O)C1CCCCC1)C(N)=O Chemical compound CCCCC(CC(=O)C(CCCC)NC(=O)CCC(=O)C(=O)C(CCC)CC(=O)[C@@H]1C[C@@H](OCC2=CC=CC=C2)CN1C(=O)C(CC(=O)CC1=CC=CC=C1CC(=O)O)C1CCCCC1)C(N)=O RIIVIICIPAMTLO-ZACCOQPHSA-N 0.000 description 1
- OUWUDDOOUXEMRL-QOQFKJDLSA-N CCCCC(CC(=O)C(CCCC)NC(=O)CCC(=O)C(=O)C(CCC)CC(=O)[C@@H]1C[C@@H](OCC2=CC=CC=C2)CN1C(=O)C(CC(=O)CC1CCCCC1)C1CCCCC1)C(N)=O Chemical compound CCCCC(CC(=O)C(CCCC)NC(=O)CCC(=O)C(=O)C(CCC)CC(=O)[C@@H]1C[C@@H](OCC2=CC=CC=C2)CN1C(=O)C(CC(=O)CC1CCCCC1)C1CCCCC1)C(N)=O OUWUDDOOUXEMRL-QOQFKJDLSA-N 0.000 description 1
- ZYEIKAYKJCDRTO-KJBZNBIYSA-N CCCCC(CC(=O)C(CCCC)NC(=O)CCC(=O)C(=O)C(CCC)CC(=O)[C@@H]1C[C@@H](OCC2=CC=CC=C2)CN1C(=O)C(CC(=O)[C@H]1CCCC[C@@H]1C(=O)C1=CC=CC=C1)C1CCCCC1)C(N)=O Chemical compound CCCCC(CC(=O)C(CCCC)NC(=O)CCC(=O)C(=O)C(CCC)CC(=O)[C@@H]1C[C@@H](OCC2=CC=CC=C2)CN1C(=O)C(CC(=O)[C@H]1CCCC[C@@H]1C(=O)C1=CC=CC=C1)C1CCCCC1)C(N)=O ZYEIKAYKJCDRTO-KJBZNBIYSA-N 0.000 description 1
- OLLGQVWNPBVGRH-AVCXWVCQSA-N CCCCC(CC(=O)C(CCCC)NC(=O)CCC(=O)C(=O)C(CCC)CC(=O)[C@@H]1C[C@@H](OCC2=CC=CC=C2)CN1C(=O)C(CC(=O)[C@H]1CCCC[C@@H]1C(=O)O)C1CCCCC1)C(N)=O Chemical compound CCCCC(CC(=O)C(CCCC)NC(=O)CCC(=O)C(=O)C(CCC)CC(=O)[C@@H]1C[C@@H](OCC2=CC=CC=C2)CN1C(=O)C(CC(=O)[C@H]1CCCC[C@@H]1C(=O)O)C1CCCCC1)C(N)=O OLLGQVWNPBVGRH-AVCXWVCQSA-N 0.000 description 1
- MNKPGRSNDKFATA-PSGRVGHMSA-N CCCCC(CC(=O)C(CCCC)NC(=O)CCC(=O)C(=O)C(CCC)CC(=O)[C@@H]1C[C@@H](OCC2=CC=CC=C2)CN1C(=O)C(CC(=O)[C@H]1CCCC[C@@H]1OC1=CC=CC=C1)C1CCCCC1)C(N)=O Chemical compound CCCCC(CC(=O)C(CCCC)NC(=O)CCC(=O)C(=O)C(CCC)CC(=O)[C@@H]1C[C@@H](OCC2=CC=CC=C2)CN1C(=O)C(CC(=O)[C@H]1CCCC[C@@H]1OC1=CC=CC=C1)C1CCCCC1)C(N)=O MNKPGRSNDKFATA-PSGRVGHMSA-N 0.000 description 1
- SFUPBLAYGLXAQP-VKEBEEOESA-N CCCCC(CC(=O)C(CCCC)NC(=O)CCC(=O)C(=O)C(CCC)CC(=O)[C@@H]1C[C@@H]2CN1C(=O)C(C1CCCCC1)CC(=O)C1=C(C=CC3=CC=CC=C31)OCO2CC1=CC=CC=C1)C(N)=O Chemical compound CCCCC(CC(=O)C(CCCC)NC(=O)CCC(=O)C(=O)C(CCC)CC(=O)[C@@H]1C[C@@H]2CN1C(=O)C(C1CCCCC1)CC(=O)C1=C(C=CC3=CC=CC=C31)OCO2CC1=CC=CC=C1)C(N)=O SFUPBLAYGLXAQP-VKEBEEOESA-N 0.000 description 1
- MYHHZBKAPALTQQ-KRQIZSSPSA-N CCCCC(CC(=O)CNC(=O)C(=O)C(CCC)NC(=O)[C@@H]1C[C@@H](OCC2=CC=CC=C2)CN1C(=O)C(NC(=O)C1CC1C1=CC=CC=C1)C1CCCCC1)C(N)=O Chemical compound CCCCC(CC(=O)CNC(=O)C(=O)C(CCC)NC(=O)[C@@H]1C[C@@H](OCC2=CC=CC=C2)CN1C(=O)C(NC(=O)C1CC1C1=CC=CC=C1)C1CCCCC1)C(N)=O MYHHZBKAPALTQQ-KRQIZSSPSA-N 0.000 description 1
- AYWAJKOGYDQLAY-NFUDYZNHSA-N CCCCC(CC(=O)[C@@H]1C2C(CN1C(=O)[C@@H](NC(=O)OC(C)(C)C)C(C)(C)C)C2(C)C)C(=O)C(=O)CCC(=O)N[C@H](C(=O)N(C)C)C1=CC=CC=C1 Chemical compound CCCCC(CC(=O)[C@@H]1C2C(CN1C(=O)[C@@H](NC(=O)OC(C)(C)C)C(C)(C)C)C2(C)C)C(=O)C(=O)CCC(=O)N[C@H](C(=O)N(C)C)C1=CC=CC=C1 AYWAJKOGYDQLAY-NFUDYZNHSA-N 0.000 description 1
- OPVSCIWKGKOGSR-DSBNZXMYSA-N CCCCC(CC(=O)[C@@H]1C2C(CN1C(=O)[C@@H](NC(=O)OC(C)C(C)C)C(C)(C)C)C2(C)C)C(=O)C(=O)CCC(=O)N[C@H](C(=O)N(C)C)C1=CC=CC=C1 Chemical compound CCCCC(CC(=O)[C@@H]1C2C(CN1C(=O)[C@@H](NC(=O)OC(C)C(C)C)C(C)(C)C)C2(C)C)C(=O)C(=O)CCC(=O)N[C@H](C(=O)N(C)C)C1=CC=CC=C1 OPVSCIWKGKOGSR-DSBNZXMYSA-N 0.000 description 1
- BTECFUZDYQXLBV-MXLGKLEYSA-N CCCCC(CC(=O)[C@@H]1C2C(CN1C(=O)[C@@H](NC(=O)OC(C)CC)C(C)(C)C)C2(C)C)C(=O)C(=O)CCC(=O)N[C@H](C(=O)N(C)C)C1=CC=CC=C1 Chemical compound CCCCC(CC(=O)[C@@H]1C2C(CN1C(=O)[C@@H](NC(=O)OC(C)CC)C(C)(C)C)C2(C)C)C(=O)C(=O)CCC(=O)N[C@H](C(=O)N(C)C)C1=CC=CC=C1 BTECFUZDYQXLBV-MXLGKLEYSA-N 0.000 description 1
- NDMWPJOSWVQJAA-KBJUVDQNSA-N CCCCC(CC(=O)[C@@H]1C2C(CN1C(=O)[C@@H](NC(=O)OC13CC4CC5CC1(C4)C53)C(C)(C)C)C2(C)C)C(=O)C(=O)CCC(=O)N[C@H](C(=O)N(C)C)C1=CC=CC=C1 Chemical compound CCCCC(CC(=O)[C@@H]1C2C(CN1C(=O)[C@@H](NC(=O)OC13CC4CC5CC1(C4)C53)C(C)(C)C)C2(C)C)C(=O)C(=O)CCC(=O)N[C@H](C(=O)N(C)C)C1=CC=CC=C1 NDMWPJOSWVQJAA-KBJUVDQNSA-N 0.000 description 1
- CABIGAGMSNNFHL-QHDCCYLYSA-N CCCCC(CC(=O)[C@@H]1C2C(CN1C(=O)[C@@H](NC(=O)OC1=CC=CC=C1)C(C)(C)C)C2(C)C)C(=O)C(=O)CCC(=O)N[C@H](C(=O)N(C)C)C1=CC=CC=C1 Chemical compound CCCCC(CC(=O)[C@@H]1C2C(CN1C(=O)[C@@H](NC(=O)OC1=CC=CC=C1)C(C)(C)C)C2(C)C)C(=O)C(=O)CCC(=O)N[C@H](C(=O)N(C)C)C1=CC=CC=C1 CABIGAGMSNNFHL-QHDCCYLYSA-N 0.000 description 1
- RFHILSAHNHAHMI-IPYVJIHTSA-N CCCCC(CC(=O)[C@@H]1CCCN1C(=O)[C@@H](NC(=O)OC(C)(C)C)C1CCCCC1)C(=O)C(=O)CCC(=O)N[C@H](C(N)=O)C1CCCCC1 Chemical compound CCCCC(CC(=O)[C@@H]1CCCN1C(=O)[C@@H](NC(=O)OC(C)(C)C)C1CCCCC1)C(=O)C(=O)CCC(=O)N[C@H](C(N)=O)C1CCCCC1 RFHILSAHNHAHMI-IPYVJIHTSA-N 0.000 description 1
- VEXAFRLXMPELJE-CSYVOKGNSA-N CCCCC(CC(=O)[C@@H]1CCCN1C(=O)[C@@H](NC(=O)OC(C)(C)C)C1CCCCC1)C(=O)C(=O)C[C@@H](C)C(=O)N[C@H](C(N)=O)C1CCCCC1 Chemical compound CCCCC(CC(=O)[C@@H]1CCCN1C(=O)[C@@H](NC(=O)OC(C)(C)C)C1CCCCC1)C(=O)C(=O)C[C@@H](C)C(=O)N[C@H](C(N)=O)C1CCCCC1 VEXAFRLXMPELJE-CSYVOKGNSA-N 0.000 description 1
- XJHPULJLXWBHKS-ADDBWLIZSA-N CCCCC(CC(=O)[C@@H]1C[C@@H](OC(C)(C)C)CN1C(=O)[C@@H](NC(=O)OC(C)(C)C)C(C)(C)C)C(=O)C(=O)CCC(=O)N[C@H](C(N)=O)C1=CC=CC=C1 Chemical compound CCCCC(CC(=O)[C@@H]1C[C@@H](OC(C)(C)C)CN1C(=O)[C@@H](NC(=O)OC(C)(C)C)C(C)(C)C)C(=O)C(=O)CCC(=O)N[C@H](C(N)=O)C1=CC=CC=C1 XJHPULJLXWBHKS-ADDBWLIZSA-N 0.000 description 1
- HAEFBIJZRSGVDA-PFWSZGKDSA-N CCCCC(CC(=O)[C@@H]1C[C@@H](OC(C)(C)C)CN1C(=O)[C@@H](NC(=O)OC(C)(C)C)C(C)C)C(=O)C(=O)CCC(=O)N[C@H](C(N)=O)C1=CC=CC=C1 Chemical compound CCCCC(CC(=O)[C@@H]1C[C@@H](OC(C)(C)C)CN1C(=O)[C@@H](NC(=O)OC(C)(C)C)C(C)C)C(=O)C(=O)CCC(=O)N[C@H](C(N)=O)C1=CC=CC=C1 HAEFBIJZRSGVDA-PFWSZGKDSA-N 0.000 description 1
- SKGSETLYNUJYCX-ZBBNUGFNSA-N CCCCC(CC(=O)[C@@H]1C[C@@H](OC(C)(C)C)CN1C(=O)[C@@H](NC(=O)OC(C)(C)C)C1=CC=CC=C1)C(=O)C(=O)CCC(=O)N[C@H](C(N)=O)C1=CC=CC=C1 Chemical compound CCCCC(CC(=O)[C@@H]1C[C@@H](OC(C)(C)C)CN1C(=O)[C@@H](NC(=O)OC(C)(C)C)C1=CC=CC=C1)C(=O)C(=O)CCC(=O)N[C@H](C(N)=O)C1=CC=CC=C1 SKGSETLYNUJYCX-ZBBNUGFNSA-N 0.000 description 1
- KSXPVTLAVMECCK-ZBBNUGFNSA-N CCCCC(CC(=O)[C@@H]1C[C@@H](OC(C)(C)C)CN1C(=O)[C@@H](NC(=O)OC(C)(C)C)C1CCCCC1)C(=O)C(=O)CCC(=O)N[C@H](C(N)=O)C1CCCCC1 Chemical compound CCCCC(CC(=O)[C@@H]1C[C@@H](OC(C)(C)C)CN1C(=O)[C@@H](NC(=O)OC(C)(C)C)C1CCCCC1)C(=O)C(=O)CCC(=O)N[C@H](C(N)=O)C1CCCCC1 KSXPVTLAVMECCK-ZBBNUGFNSA-N 0.000 description 1
- OLXMTRXFPQVWBM-ACHSWPOHSA-N CCCCC(CC(=O)[C@@H]1C[C@@H](OC(C)(C)C)CN1C(=O)[C@@H](NC(=O)OC(C)(C)C)C1CCCCC1)C(=O)C(=O)C[C@@H](C)C(=O)N[C@H](C(N)=O)C1CCCCC1 Chemical compound CCCCC(CC(=O)[C@@H]1C[C@@H](OC(C)(C)C)CN1C(=O)[C@@H](NC(=O)OC(C)(C)C)C1CCCCC1)C(=O)C(=O)C[C@@H](C)C(=O)N[C@H](C(N)=O)C1CCCCC1 OLXMTRXFPQVWBM-ACHSWPOHSA-N 0.000 description 1
- LAQJVPFHFAFQPE-KHDPOIGNSA-N CCCCC(CC(=O)[C@@H]1C[C@@H](OC(C)(C)C)CN1C(=O)[C@@H](NC(=O)OCC(C)C)C(C)(C)C)C(=O)C(=O)CCC(=O)N[C@H](C(N)=O)C1=CC=CC=C1 Chemical compound CCCCC(CC(=O)[C@@H]1C[C@@H](OC(C)(C)C)CN1C(=O)[C@@H](NC(=O)OCC(C)C)C(C)(C)C)C(=O)C(=O)CCC(=O)N[C@H](C(N)=O)C1=CC=CC=C1 LAQJVPFHFAFQPE-KHDPOIGNSA-N 0.000 description 1
- DYPUHGYPUUHOHP-ZPSJRCQWSA-N CCCCC(CC(=O)[C@@H]1C[C@@H](OC(C)(C)C)CN1C(=O)[C@@H](NC(=O)OCC(C)C)C1CCCCC1)C(=O)C(=O)CCC(=O)N[C@H](C(N)=O)C1=CC=CC=C1 Chemical compound CCCCC(CC(=O)[C@@H]1C[C@@H](OC(C)(C)C)CN1C(=O)[C@@H](NC(=O)OCC(C)C)C1CCCCC1)C(=O)C(=O)CCC(=O)N[C@H](C(N)=O)C1=CC=CC=C1 DYPUHGYPUUHOHP-ZPSJRCQWSA-N 0.000 description 1
- MRAGABOENJNIAA-WYIRSSIBSA-N CCCCC(CC(=O)[C@@H]1C[C@@H](OC(C)(C)C)CN1C(=O)[C@@H](NS(=O)(=O)C1=CC=C(F)C=C1)C(C)C)C(=O)C(=O)CCC(=O)N[C@H](C(N)=O)C1=CC=CC=C1 Chemical compound CCCCC(CC(=O)[C@@H]1C[C@@H](OC(C)(C)C)CN1C(=O)[C@@H](NS(=O)(=O)C1=CC=C(F)C=C1)C(C)C)C(=O)C(=O)CCC(=O)N[C@H](C(N)=O)C1=CC=CC=C1 MRAGABOENJNIAA-WYIRSSIBSA-N 0.000 description 1
- KWTKEGPFWOAXLE-JWSVXIHJSA-N CCCCC(CC(=O)[C@@H]1C[C@@H](OC(C)(C)C)CN1C(=O)[C@@H](NS(=O)(=O)C1=CC=C(OC)C=C1)C(C)C)C(=O)C(=O)CCC(=O)N[C@H](C(N)=O)C1=CC=CC=C1 Chemical compound CCCCC(CC(=O)[C@@H]1C[C@@H](OC(C)(C)C)CN1C(=O)[C@@H](NS(=O)(=O)C1=CC=C(OC)C=C1)C(C)C)C(=O)C(=O)CCC(=O)N[C@H](C(N)=O)C1=CC=CC=C1 KWTKEGPFWOAXLE-JWSVXIHJSA-N 0.000 description 1
- AOOLUPYDJPQPIP-KDSCIJTKSA-N CCCCC(CC(=O)[C@@H]1C[C@@H](OC(C)(C)C)CN1C(=O)[C@@H](NS(=O)(=O)C1=CC=CC=C1)C(C)C)C(=O)C(=O)CCC(=O)N[C@H](C(N)=O)C1=CC=CC=C1 Chemical compound CCCCC(CC(=O)[C@@H]1C[C@@H](OC(C)(C)C)CN1C(=O)[C@@H](NS(=O)(=O)C1=CC=CC=C1)C(C)C)C(=O)C(=O)CCC(=O)N[C@H](C(N)=O)C1=CC=CC=C1 AOOLUPYDJPQPIP-KDSCIJTKSA-N 0.000 description 1
- RDCHQJPNORQBIY-PFWSZGKDSA-N CCCCC(CC(=O)[C@@H]1C[C@@H](OC(C)(C)C)CN1C(=O)[C@@H](NS(=O)(=O)CCC)C(C)C)C(=O)C(=O)CCC(=O)N[C@H](C(N)=O)C1=CC=CC=C1 Chemical compound CCCCC(CC(=O)[C@@H]1C[C@@H](OC(C)(C)C)CN1C(=O)[C@@H](NS(=O)(=O)CCC)C(C)C)C(=O)C(=O)CCC(=O)N[C@H](C(N)=O)C1=CC=CC=C1 RDCHQJPNORQBIY-PFWSZGKDSA-N 0.000 description 1
- PAEFQTHYVMUBOP-WJRGWPMNSA-N CCCCC(CC(=O)[C@@H]1C[C@@H](OCC2=CC=CC=C2)CN1C(=O)C(CC(=O)C1=C(C(=O)O)C=CC=C1)C1CCCCC1)C(=O)C(=O)CCC(=O)NC(C(N)=O)C1=CC=CC=C1 Chemical compound CCCCC(CC(=O)[C@@H]1C[C@@H](OCC2=CC=CC=C2)CN1C(=O)C(CC(=O)C1=C(C(=O)O)C=CC=C1)C1CCCCC1)C(=O)C(=O)CCC(=O)NC(C(N)=O)C1=CC=CC=C1 PAEFQTHYVMUBOP-WJRGWPMNSA-N 0.000 description 1
- ZRSPZWHCIXDZNK-NLSGCFFWSA-N CCCCC(CC(=O)[C@@H]1C[C@@H](OCC2=CC=CC=C2)CN1C(=O)C(CC(=O)C1=C(C(=O)O)N=CC=N1)C1CCCCC1)C(=O)C(=O)CCC(=O)NC(C(N)=O)C1=CC=CC=C1 Chemical compound CCCCC(CC(=O)[C@@H]1C[C@@H](OCC2=CC=CC=C2)CN1C(=O)C(CC(=O)C1=C(C(=O)O)N=CC=N1)C1CCCCC1)C(=O)C(=O)CCC(=O)NC(C(N)=O)C1=CC=CC=C1 ZRSPZWHCIXDZNK-NLSGCFFWSA-N 0.000 description 1
- YJQXILSQDWWDEP-PFGXMFJYSA-N CCCCC(CC(=O)[C@@H]1C[C@@H](OCC2=CC=CC=C2)CN1C(=O)C(CC(=O)C1=C(C(F)(F)F)C=CC=C1)C1CCCCC1)C(=O)C(=O)CCC(=O)NC(C(N)=O)C1=CC=CC=C1 Chemical compound CCCCC(CC(=O)[C@@H]1C[C@@H](OCC2=CC=CC=C2)CN1C(=O)C(CC(=O)C1=C(C(F)(F)F)C=CC=C1)C1CCCCC1)C(=O)C(=O)CCC(=O)NC(C(N)=O)C1=CC=CC=C1 YJQXILSQDWWDEP-PFGXMFJYSA-N 0.000 description 1
- XPRMIVDFVFIQLQ-FKRJBZJRSA-N CCCCC(CC(=O)[C@@H]1C[C@@H](OCC2=CC=CC=C2)CN1C(=O)C(CC(=O)C1=C(C)C=CC=C1C)C1CCCCC1)C(=O)C(=O)CCC(=O)NC(C(N)=O)C1=CC=CC=C1 Chemical compound CCCCC(CC(=O)[C@@H]1C[C@@H](OCC2=CC=CC=C2)CN1C(=O)C(CC(=O)C1=C(C)C=CC=C1C)C1CCCCC1)C(=O)C(=O)CCC(=O)NC(C(N)=O)C1=CC=CC=C1 XPRMIVDFVFIQLQ-FKRJBZJRSA-N 0.000 description 1
- IAWQBCKJAUCVGN-RHPBXYLOSA-N CCCCC(CC(=O)[C@@H]1C[C@@H](OCC2=CC=CC=C2)CN1C(=O)C(CC(=O)C1=CC=CC=C1C(=O)C1=CC=CC=C1)C1CCCCC1)C(=O)C(=O)CCC(=O)NC(C(N)=O)C1=CC=CC=C1 Chemical compound CCCCC(CC(=O)[C@@H]1C[C@@H](OCC2=CC=CC=C2)CN1C(=O)C(CC(=O)C1=CC=CC=C1C(=O)C1=CC=CC=C1)C1CCCCC1)C(=O)C(=O)CCC(=O)NC(C(N)=O)C1=CC=CC=C1 IAWQBCKJAUCVGN-RHPBXYLOSA-N 0.000 description 1
- YRXFNONQNQRJEZ-PFGXMFJYSA-N CCCCC(CC(=O)[C@@H]1C[C@@H](OCC2=CC=CC=C2)CN1C(=O)C(CC(=O)C1=CC=CC=C1N(=O)O)C1CCCCC1)C(=O)C(=O)CCC(=O)NC(C(N)=O)C1=CC=CC=C1 Chemical compound CCCCC(CC(=O)[C@@H]1C[C@@H](OCC2=CC=CC=C2)CN1C(=O)C(CC(=O)C1=CC=CC=C1N(=O)O)C1CCCCC1)C(=O)C(=O)CCC(=O)NC(C(N)=O)C1=CC=CC=C1 YRXFNONQNQRJEZ-PFGXMFJYSA-N 0.000 description 1
- PUAILNSHGVAITL-NQVHNSRPSA-N CCCCC(CC(=O)[C@@H]1C[C@@H](OCC2=CC=CC=C2)CN1C(=O)C(CC(=O)C1=CC=CC=C1OC)C1CCCCC1)C(=O)C(=O)CCC(=O)NC(C(N)=O)C1=CC=CC=C1 Chemical compound CCCCC(CC(=O)[C@@H]1C[C@@H](OCC2=CC=CC=C2)CN1C(=O)C(CC(=O)C1=CC=CC=C1OC)C1CCCCC1)C(=O)C(=O)CCC(=O)NC(C(N)=O)C1=CC=CC=C1 PUAILNSHGVAITL-NQVHNSRPSA-N 0.000 description 1
- YAOLPXQZVVTVHT-DSAVNETMSA-N CCCCC(CC(=O)[C@@H]1C[C@@H](OCC2=CC=CC=C2)CN1C(=O)C(CC(=O)C1=CC=CC=C1OC1=CC=CC=C1)C1CCCCC1)C(=O)C(=O)CCC(=O)NC(C(N)=O)C1=CC=CC=C1 Chemical compound CCCCC(CC(=O)[C@@H]1C[C@@H](OCC2=CC=CC=C2)CN1C(=O)C(CC(=O)C1=CC=CC=C1OC1=CC=CC=C1)C1CCCCC1)C(=O)C(=O)CCC(=O)NC(C(N)=O)C1=CC=CC=C1 YAOLPXQZVVTVHT-DSAVNETMSA-N 0.000 description 1
- AYJSUSVPJBSVGP-BZOPTCEXSA-N CCCCC(CC(=O)[C@@H]1C[C@@H](OCC2=CC=CC=C2)CN1C(=O)C(CC(=O)C1CCCC1)C1CCCCC1)C(=O)C(=O)CCC(=O)NC(C(N)=O)C1=CC=CC=C1 Chemical compound CCCCC(CC(=O)[C@@H]1C[C@@H](OCC2=CC=CC=C2)CN1C(=O)C(CC(=O)C1CCCC1)C1CCCCC1)C(=O)C(=O)CCC(=O)NC(C(N)=O)C1=CC=CC=C1 AYJSUSVPJBSVGP-BZOPTCEXSA-N 0.000 description 1
- PGLUNHPZZGVXJZ-CLORZWMXSA-N CCCCC(CC(=O)[C@@H]1C[C@@H](OCC2=CC=CC=C2)CN1C(=O)C(CC(=O)C1CCCCC1C)C1CCCCC1)C(=O)C(=O)CCC(=O)NC(C(N)=O)C1=CC=CC=C1 Chemical compound CCCCC(CC(=O)[C@@H]1C[C@@H](OCC2=CC=CC=C2)CN1C(=O)C(CC(=O)C1CCCCC1C)C1CCCCC1)C(=O)C(=O)CCC(=O)NC(C(N)=O)C1=CC=CC=C1 PGLUNHPZZGVXJZ-CLORZWMXSA-N 0.000 description 1
- JPVAQOGMONCKDC-RRQQUTIUSA-N CCCCC(CC(=O)[C@@H]1C[C@@H](OCC2=CC=CC=C2)CN1C(=O)C(CC(=O)CC1CCCCC1)C1CCCCC1)C(=O)C(=O)CCC(=O)NC(C(N)=O)C1=CC=CC=C1 Chemical compound CCCCC(CC(=O)[C@@H]1C[C@@H](OCC2=CC=CC=C2)CN1C(=O)C(CC(=O)CC1CCCCC1)C1CCCCC1)C(=O)C(=O)CCC(=O)NC(C(N)=O)C1=CC=CC=C1 JPVAQOGMONCKDC-RRQQUTIUSA-N 0.000 description 1
- VTTBNYPOTPYXTK-YMKJFBBRSA-N CCCCC(CC(=O)[C@@H]1C[C@@H](OCC2=CC=CC=C2)CN1C(=O)C(CC(=O)[C@@H]1CCCC[C@@H]1C(=O)C1=CC=CC=C1)C1CCCCC1)C(=O)C(=O)CCC(=O)NC(C(N)=O)C1=CC=CC=C1 Chemical compound CCCCC(CC(=O)[C@@H]1C[C@@H](OCC2=CC=CC=C2)CN1C(=O)C(CC(=O)[C@@H]1CCCC[C@@H]1C(=O)C1=CC=CC=C1)C1CCCCC1)C(=O)C(=O)CCC(=O)NC(C(N)=O)C1=CC=CC=C1 VTTBNYPOTPYXTK-YMKJFBBRSA-N 0.000 description 1
- VHWXYLKKQMXOHG-OZOOWBDXSA-N CCCCC(CC(=O)[C@@H]1C[C@@H](OCC2=CC=CC=C2)CN1C(=O)C(CC(=O)[C@@H]1CCCC[C@@H]1O(=O)C1=CC=CC=C1)C1CCCCC1)C(=O)C(=O)CCC(=O)NC(C(N)=O)C1=CC=CC=C1 Chemical compound CCCCC(CC(=O)[C@@H]1C[C@@H](OCC2=CC=CC=C2)CN1C(=O)C(CC(=O)[C@@H]1CCCC[C@@H]1O(=O)C1=CC=CC=C1)C1CCCCC1)C(=O)C(=O)CCC(=O)NC(C(N)=O)C1=CC=CC=C1 VHWXYLKKQMXOHG-OZOOWBDXSA-N 0.000 description 1
- QYIVUHGGLONBIK-TVQLAQIOSA-N CCCCC(CC(=O)[C@@H]1C[C@@H](OCC2=CC=CC=C2)CN1C(=O)C(CC(=O)[C@@H]1CCCC[C@H]1C(=O)O)C1CCCCC1)C(=O)C(=O)CCC(=O)NC(C(N)=O)C1=CC=CC=C1 Chemical compound CCCCC(CC(=O)[C@@H]1C[C@@H](OCC2=CC=CC=C2)CN1C(=O)C(CC(=O)[C@@H]1CCCC[C@H]1C(=O)O)C1CCCCC1)C(=O)C(=O)CCC(=O)NC(C(N)=O)C1=CC=CC=C1 QYIVUHGGLONBIK-TVQLAQIOSA-N 0.000 description 1
- NEEDBWBKQBHHEH-HBJSMRNJSA-N CCCCC(CC(=O)[C@@H]1C[C@@H](OCC2=CC=CC=C2)CN1C(=O)C(NC(=O)C1=CC=CC=C1C1=CC=CC=C1)C1CCCCC1)C(=O)C(=O)CCC(=O)NC(C(N)=O)C1=CC=CC=C1 Chemical compound CCCCC(CC(=O)[C@@H]1C[C@@H](OCC2=CC=CC=C2)CN1C(=O)C(NC(=O)C1=CC=CC=C1C1=CC=CC=C1)C1CCCCC1)C(=O)C(=O)CCC(=O)NC(C(N)=O)C1=CC=CC=C1 NEEDBWBKQBHHEH-HBJSMRNJSA-N 0.000 description 1
- ICWFMPBIOVOYMH-MNTUHICISA-N CCCCC(CC)CC(=O)CC(C(=O)N1C[C@H](OCC(=O)OC(C)(C)C)C[C@H]1C(=O)CC(CCC)C(=O)C(=O)CCC(=O)NC(CCCC)C(N)=O)C1CCCCC1 Chemical compound CCCCC(CC)CC(=O)CC(C(=O)N1C[C@H](OCC(=O)OC(C)(C)C)C[C@H]1C(=O)CC(CCC)C(=O)C(=O)CCC(=O)NC(CCCC)C(N)=O)C1CCCCC1 ICWFMPBIOVOYMH-MNTUHICISA-N 0.000 description 1
- DVVHZPMCCNLAPH-UHFFFAOYSA-N CCCCC(NC(=O)C1C(CC)CCC(C)N1C(=O)C(NC(=O)OC(C)(C)C)C1CCCCC1)C(=O)C(=O)NCC(=O)NC(C(=O)N(C)C)C1=CC=CC=C1 Chemical compound CCCCC(NC(=O)C1C(CC)CCC(C)N1C(=O)C(NC(=O)OC(C)(C)C)C1CCCCC1)C(=O)C(=O)NCC(=O)NC(C(=O)N(C)C)C1=CC=CC=C1 DVVHZPMCCNLAPH-UHFFFAOYSA-N 0.000 description 1
- UIRRBMNORHECAT-UHFFFAOYSA-N CCCCC(NC(=O)C1C2CC(C3CC32)N1C(=O)C(NC(=O)OC(C)(C)C)C1CCCCC1)C(=O)C(=O)NCC(=O)NC(C(=O)N(C)C)C1=CC=CC=C1 Chemical compound CCCCC(NC(=O)C1C2CC(C3CC32)N1C(=O)C(NC(=O)OC(C)(C)C)C1CCCCC1)C(=O)C(=O)NCC(=O)NC(C(=O)N(C)C)C1=CC=CC=C1 UIRRBMNORHECAT-UHFFFAOYSA-N 0.000 description 1
- ZNNZUTIXECDNRZ-NJWQOSDJSA-N CCCCC(NC(=O)C1C2CC(C3CC32)N1C(=O)[C@H](OC(=O)OC(C)(C)C)C1CCCCC1)C(=O)C(=O)NCC(=O)NC(C(=O)N(C)C)C1=CC=CC=C1 Chemical compound CCCCC(NC(=O)C1C2CC(C3CC32)N1C(=O)[C@H](OC(=O)OC(C)(C)C)C1CCCCC1)C(=O)C(=O)NCC(=O)NC(C(=O)N(C)C)C1=CC=CC=C1 ZNNZUTIXECDNRZ-NJWQOSDJSA-N 0.000 description 1
- YFYHDVOVFZQTQE-UHFFFAOYSA-N CCCCC(NC(=O)C1C2CCC(C2)N1C(=O)C(NC(=O)OC(C)(C)C)C(C)(C)C)C(=O)C(=O)NCC(=O)NC(C(=O)N(C)C)C1=CC=CC=C1 Chemical compound CCCCC(NC(=O)C1C2CCC(C2)N1C(=O)C(NC(=O)OC(C)(C)C)C(C)(C)C)C(=O)C(=O)NCC(=O)NC(C(=O)N(C)C)C1=CC=CC=C1 YFYHDVOVFZQTQE-UHFFFAOYSA-N 0.000 description 1
- MURQUENFSKPOMC-UHFFFAOYSA-N CCCCC(NC(=O)C1C2CCC(C2)N1C(=O)C(NC(=O)OC(C)(C)C)C1CCCCC1)C(=O)C(N)=O Chemical compound CCCCC(NC(=O)C1C2CCC(C2)N1C(=O)C(NC(=O)OC(C)(C)C)C1CCCCC1)C(=O)C(N)=O MURQUENFSKPOMC-UHFFFAOYSA-N 0.000 description 1
- WRTNZIZUGATVCB-LEOMRAHMSA-N CCCCC(NC(=O)C1CC(C)(C)CN1C(=O)[C@@H](NC(=O)OC(C)(C)C)C(C)(C)C)C(=O)C(N)=O Chemical compound CCCCC(NC(=O)C1CC(C)(C)CN1C(=O)[C@@H](NC(=O)OC(C)(C)C)C(C)(C)C)C(=O)C(N)=O WRTNZIZUGATVCB-LEOMRAHMSA-N 0.000 description 1
- IQUPHAIFPAJKNG-NRHFQRLPSA-N CCCCC(NC(=O)C1[C@@H]2[C@H](CN1C(=O)[C@@H](NC(=O)OCC(C)(C)C)C(C)(C)C)C2(C)C)C(=O)C(=O)NCC(=O)N[C@H](C(=O)N(C)C)C1=CC=CC=C1 Chemical compound CCCCC(NC(=O)C1[C@@H]2[C@H](CN1C(=O)[C@@H](NC(=O)OCC(C)(C)C)C(C)(C)C)C2(C)C)C(=O)C(=O)NCC(=O)N[C@H](C(=O)N(C)C)C1=CC=CC=C1 IQUPHAIFPAJKNG-NRHFQRLPSA-N 0.000 description 1
- CDZKRBOTDSNWEH-ZZWFSZFVSA-N CCCCC(NC(=O)CCC(=O)C(=O)C(CCC)CC(=O)[C@@H]1CC2=C(/C=C\C=C/2)CN1C(=O)C(CC(=O)OCC(C)C)C1CCCCC1)C(N)=O Chemical compound CCCCC(NC(=O)CCC(=O)C(=O)C(CCC)CC(=O)[C@@H]1CC2=C(/C=C\C=C/2)CN1C(=O)C(CC(=O)OCC(C)C)C1CCCCC1)C(N)=O CDZKRBOTDSNWEH-ZZWFSZFVSA-N 0.000 description 1
- RVRYCJGMBPCLLO-QQZOYXNKSA-N CCCCC(NC(=O)CCC(=O)C(=O)C(CCC)CC(=O)[C@@H]1C[C@@H](OC(C)(C)C)CN1C(=O)C(CC(=O)C(CCC)CCC)C1CCCCC1)C(N)=O Chemical compound CCCCC(NC(=O)CCC(=O)C(=O)C(CCC)CC(=O)[C@@H]1C[C@@H](OC(C)(C)C)CN1C(=O)C(CC(=O)C(CCC)CCC)C1CCCCC1)C(N)=O RVRYCJGMBPCLLO-QQZOYXNKSA-N 0.000 description 1
- NLPPGILDRUSPSA-NPDOMVKVSA-N CCCCC(NC(=O)CCC(=O)C(=O)C(CCC)CC(=O)[C@@H]1C[C@@H](OC(C)(C)C)CN1C(=O)C(CC(=O)CC(C)(C)C)C1CCCCC1)C(N)=O Chemical compound CCCCC(NC(=O)CCC(=O)C(=O)C(CCC)CC(=O)[C@@H]1C[C@@H](OC(C)(C)C)CN1C(=O)C(CC(=O)CC(C)(C)C)C1CCCCC1)C(N)=O NLPPGILDRUSPSA-NPDOMVKVSA-N 0.000 description 1
- HWTNLKLCYVRLGW-JZUPFPOCSA-N CCCCC(NC(=O)CCC(=O)C(=O)C(CCC)CC(=O)[C@@H]1C[C@@H](OC(C)(C)C)CN1C(=O)C(CC(=O)CC1=CC(C(F)(F)F)=CC(C(F)(F)F)=C1)C1CCCCC1)C(N)=O Chemical compound CCCCC(NC(=O)CCC(=O)C(=O)C(CCC)CC(=O)[C@@H]1C[C@@H](OC(C)(C)C)CN1C(=O)C(CC(=O)CC1=CC(C(F)(F)F)=CC(C(F)(F)F)=C1)C1CCCCC1)C(N)=O HWTNLKLCYVRLGW-JZUPFPOCSA-N 0.000 description 1
- FPEXKFZZTFQOQG-ZGESHMAQSA-N CCCCC(NC(=O)CCC(=O)C(=O)C(CCC)CC(=O)[C@@H]1C[C@@H](OC(C)(C)C)CN1C(=O)C(CC(=O)CC1=CC=C(C(F)(F)F)C=C1)C1CCCCC1)C(N)=O Chemical compound CCCCC(NC(=O)CCC(=O)C(=O)C(CCC)CC(=O)[C@@H]1C[C@@H](OC(C)(C)C)CN1C(=O)C(CC(=O)CC1=CC=C(C(F)(F)F)C=C1)C1CCCCC1)C(N)=O FPEXKFZZTFQOQG-ZGESHMAQSA-N 0.000 description 1
- WSTZZQNGKYHQEA-ROIDQJFASA-N CCCCC(NC(=O)CCC(=O)C(=O)C(CCC)CC(=O)[C@@H]1C[C@@H](OC(C)(C)C)CN1C(=O)C(CC(=O)CC1=CC=C2C=CC=CC2=C1)C1CCCCC1)C(N)=O Chemical compound CCCCC(NC(=O)CCC(=O)C(=O)C(CCC)CC(=O)[C@@H]1C[C@@H](OC(C)(C)C)CN1C(=O)C(CC(=O)CC1=CC=C2C=CC=CC2=C1)C1CCCCC1)C(N)=O WSTZZQNGKYHQEA-ROIDQJFASA-N 0.000 description 1
- GWTRQJGCIUTSCA-ZGESHMAQSA-N CCCCC(NC(=O)CCC(=O)C(=O)C(CCC)CC(=O)[C@@H]1C[C@@H](OC(C)(C)C)CN1C(=O)C(CC(=O)CC1=CC=CC(C(F)(F)F)=C1)C1CCCCC1)C(N)=O Chemical compound CCCCC(NC(=O)CCC(=O)C(=O)C(CCC)CC(=O)[C@@H]1C[C@@H](OC(C)(C)C)CN1C(=O)C(CC(=O)CC1=CC=CC(C(F)(F)F)=C1)C1CCCCC1)C(N)=O GWTRQJGCIUTSCA-ZGESHMAQSA-N 0.000 description 1
- BIBVMLSGSWKXNG-YXCJVJLBSA-N CCCCC(NC(=O)CCC(=O)C(=O)C(CCC)CC(=O)[C@@H]1C[C@@H](OC(C)(C)C)CN1C(=O)C(CC(=O)CC1CCCC1)C1CCCCC1)C(N)=O Chemical compound CCCCC(NC(=O)CCC(=O)C(=O)C(CCC)CC(=O)[C@@H]1C[C@@H](OC(C)(C)C)CN1C(=O)C(CC(=O)CC1CCCC1)C1CCCCC1)C(N)=O BIBVMLSGSWKXNG-YXCJVJLBSA-N 0.000 description 1
- SKQJYWGFNCLUEW-OTZVOGGFSA-N CCCCC(NC(=O)CCC(=O)C(=O)C(CCC)CC(=O)[C@@H]1C[C@@H](OC(C)(C)C)CN1C(=O)C(CC(=O)CC1CCCCC1)C1CCCCC1)C(N)=O Chemical compound CCCCC(NC(=O)CCC(=O)C(=O)C(CCC)CC(=O)[C@@H]1C[C@@H](OC(C)(C)C)CN1C(=O)C(CC(=O)CC1CCCCC1)C1CCCCC1)C(N)=O SKQJYWGFNCLUEW-OTZVOGGFSA-N 0.000 description 1
- NCYZRVIJCSDCMB-QNOPWYGZSA-N CCCCC(NC(=O)CCC(=O)C(=O)C(CCC)CC(=O)[C@@H]1C[C@@H](OC(C)(C)C)CN1C(=O)C(CC(=O)OCC(C)C)C1CCCCC1)C(N)=O Chemical compound CCCCC(NC(=O)CCC(=O)C(=O)C(CCC)CC(=O)[C@@H]1C[C@@H](OC(C)(C)C)CN1C(=O)C(CC(=O)OCC(C)C)C1CCCCC1)C(N)=O NCYZRVIJCSDCMB-QNOPWYGZSA-N 0.000 description 1
- FYPXLGGTDLGJRT-JUNRIKNTSA-N CCCCC(NC(=O)CCC(=O)C(=O)C(CCC)CC(=O)[C@@H]1C[C@@H](OCC(=O)O)CN1C(=O)C(CC(=O)C(CCC)CCC)C1CCCCC1)C(N)=O Chemical compound CCCCC(NC(=O)CCC(=O)C(=O)C(CCC)CC(=O)[C@@H]1C[C@@H](OCC(=O)O)CN1C(=O)C(CC(=O)C(CCC)CCC)C1CCCCC1)C(N)=O FYPXLGGTDLGJRT-JUNRIKNTSA-N 0.000 description 1
- CRDZIZFVGQQJOH-OTZVOGGFSA-N CCCCC(NC(=O)CCC(=O)C(=O)C(CCC)CC(=O)[C@@H]1C[C@@H](OCC(=O)O)CN1C(=O)C(CC(=O)CC1=CC(C)=CC(C)=C1)C1CCCCC1)C(N)=O Chemical compound CCCCC(NC(=O)CCC(=O)C(=O)C(CCC)CC(=O)[C@@H]1C[C@@H](OCC(=O)O)CN1C(=O)C(CC(=O)CC1=CC(C)=CC(C)=C1)C1CCCCC1)C(N)=O CRDZIZFVGQQJOH-OTZVOGGFSA-N 0.000 description 1
- JGVVBTBKHOCBPY-HRMVYQRMSA-N CCCCC(NC(=O)CCC(=O)C(=O)C(CCC)CC(=O)[C@@H]1C[C@@H](OCC(=O)O)CN1C(=O)C(CC(=O)CC1=CC=C(C(C)C)C=C1)C1CCCCC1)C(N)=O Chemical compound CCCCC(NC(=O)CCC(=O)C(=O)C(CCC)CC(=O)[C@@H]1C[C@@H](OCC(=O)O)CN1C(=O)C(CC(=O)CC1=CC=C(C(C)C)C=C1)C1CCCCC1)C(N)=O JGVVBTBKHOCBPY-HRMVYQRMSA-N 0.000 description 1
- CCEZSRTZZZPUFB-YXCJVJLBSA-N CCCCC(NC(=O)CCC(=O)C(=O)C(CCC)CC(=O)[C@@H]1C[C@@H](OCC(=O)O)CN1C(=O)C(CC(=O)CC1=CC=C(C)C=C1)C1CCCCC1)C(N)=O Chemical compound CCCCC(NC(=O)CCC(=O)C(=O)C(CCC)CC(=O)[C@@H]1C[C@@H](OCC(=O)O)CN1C(=O)C(CC(=O)CC1=CC=C(C)C=C1)C1CCCCC1)C(N)=O CCEZSRTZZZPUFB-YXCJVJLBSA-N 0.000 description 1
- PRLGGTCCHLWXRH-KRXGKJEKSA-N CCCCC(NC(=O)CCC(=O)C(=O)C(CCC)CC(=O)[C@@H]1C[C@@H](OCC(=O)O)CN1C(=O)C(CC(=O)CC1=CC=C2C=CC=CC2=C1)C1CCCCC1)C(N)=O Chemical compound CCCCC(NC(=O)CCC(=O)C(=O)C(CCC)CC(=O)[C@@H]1C[C@@H](OCC(=O)O)CN1C(=O)C(CC(=O)CC1=CC=C2C=CC=CC2=C1)C1CCCCC1)C(N)=O PRLGGTCCHLWXRH-KRXGKJEKSA-N 0.000 description 1
- TVQKFCLGHHTESR-YXCJVJLBSA-N CCCCC(NC(=O)CCC(=O)C(=O)C(CCC)CC(=O)[C@@H]1C[C@@H](OCC(=O)O)CN1C(=O)C(CC(=O)CC1=CC=CC(C)=C1)C1CCCCC1)C(N)=O Chemical compound CCCCC(NC(=O)CCC(=O)C(=O)C(CCC)CC(=O)[C@@H]1C[C@@H](OCC(=O)O)CN1C(=O)C(CC(=O)CC1=CC=CC(C)=C1)C1CCCCC1)C(N)=O TVQKFCLGHHTESR-YXCJVJLBSA-N 0.000 description 1
- MQLIPFAPYFDZCE-KOIWTYROSA-N CCCCC(NC(=O)CCC(=O)C(=O)C(CCC)CC(=O)[C@@H]1C[C@@H](OCC(=O)O)CN1C(=O)C(CC(=O)CC1CCC(C)CC1)C1CCCCC1)C(N)=O Chemical compound CCCCC(NC(=O)CCC(=O)C(=O)C(CCC)CC(=O)[C@@H]1C[C@@H](OCC(=O)O)CN1C(=O)C(CC(=O)CC1CCC(C)CC1)C1CCCCC1)C(N)=O MQLIPFAPYFDZCE-KOIWTYROSA-N 0.000 description 1
- BZGATOOICTZXHZ-NPDOMVKVSA-N CCCCC(NC(=O)CCC(=O)C(=O)C(CCC)CC(=O)[C@@H]1C[C@@H](OCC(=O)O)CN1C(=O)C(CC(=O)CC1CCCC1)C1CCCCC1)C(N)=O Chemical compound CCCCC(NC(=O)CCC(=O)C(=O)C(CCC)CC(=O)[C@@H]1C[C@@H](OCC(=O)O)CN1C(=O)C(CC(=O)CC1CCCC1)C1CCCCC1)C(N)=O BZGATOOICTZXHZ-NPDOMVKVSA-N 0.000 description 1
- RZCCMEUYDVXQKB-GDJNYOGOSA-N CCCCC(NC(=O)CCC(=O)C(=O)C(CCC)CC(=O)[C@@H]1C[C@@H](OCC(=O)O)CN1C(=O)C(CC(=O)CC1CCCCC1)C1CCCCC1)C(N)=O Chemical compound CCCCC(NC(=O)CCC(=O)C(=O)C(CCC)CC(=O)[C@@H]1C[C@@H](OCC(=O)O)CN1C(=O)C(CC(=O)CC1CCCCC1)C1CCCCC1)C(N)=O RZCCMEUYDVXQKB-GDJNYOGOSA-N 0.000 description 1
- YPHHNAYNLLLNTL-HGEODWDMSA-N CCCCC(NC(=O)CCC(=O)C(=O)C(CCC)CC(=O)[C@@H]1C[C@@H](OCC(=O)OC(C)(C)C)CN1C(=O)C(CC(=O)CC1=CC=C(Br)C=C1)C1CCCCC1)C(N)=O Chemical compound CCCCC(NC(=O)CCC(=O)C(=O)C(CCC)CC(=O)[C@@H]1C[C@@H](OCC(=O)OC(C)(C)C)CN1C(=O)C(CC(=O)CC1=CC=C(Br)C=C1)C1CCCCC1)C(N)=O YPHHNAYNLLLNTL-HGEODWDMSA-N 0.000 description 1
- UTUISQJRJDRRGC-HGEODWDMSA-N CCCCC(NC(=O)CCC(=O)C(=O)C(CCC)CC(=O)[C@@H]1C[C@@H](OCC(=O)OC(C)(C)C)CN1C(=O)C(CC(=O)CC1=CC=C(Cl)C=C1)C1CCCCC1)C(N)=O Chemical compound CCCCC(NC(=O)CCC(=O)C(=O)C(CCC)CC(=O)[C@@H]1C[C@@H](OCC(=O)OC(C)(C)C)CN1C(=O)C(CC(=O)CC1=CC=C(Cl)C=C1)C1CCCCC1)C(N)=O UTUISQJRJDRRGC-HGEODWDMSA-N 0.000 description 1
- MPGOJZMSSJPJET-HGEODWDMSA-N CCCCC(NC(=O)CCC(=O)C(=O)C(CCC)CC(=O)[C@@H]1C[C@@H](OCC(=O)OC(C)(C)C)CN1C(=O)C(CC(=O)CC1=CC=C(F)C=C1)C1CCCCC1)C(N)=O Chemical compound CCCCC(NC(=O)CCC(=O)C(=O)C(CCC)CC(=O)[C@@H]1C[C@@H](OCC(=O)OC(C)(C)C)CN1C(=O)C(CC(=O)CC1=CC=C(F)C=C1)C1CCCCC1)C(N)=O MPGOJZMSSJPJET-HGEODWDMSA-N 0.000 description 1
- CCAGDGVJYPZADS-FWTGUXRCSA-N CCCCC(NC(=O)CCC(=O)C(=O)C(CCC)CC(=O)[C@@H]1C[C@@H](OCC(=O)OC(C)(C)C)CN1C(=O)C(CC(=O)CC1=CC=C2C=CC=CC2=C1)C1CCCCC1)C(N)=O Chemical compound CCCCC(NC(=O)CCC(=O)C(=O)C(CCC)CC(=O)[C@@H]1C[C@@H](OCC(=O)OC(C)(C)C)CN1C(=O)C(CC(=O)CC1=CC=C2C=CC=CC2=C1)C1CCCCC1)C(N)=O CCAGDGVJYPZADS-FWTGUXRCSA-N 0.000 description 1
- LSOFFNVFZRROQN-HGEODWDMSA-N CCCCC(NC(=O)CCC(=O)C(=O)C(CCC)CC(=O)[C@@H]1C[C@@H](OCC(=O)OC(C)(C)C)CN1C(=O)C(CC(=O)CC1=CC=CC(Cl)=C1)C1CCCCC1)C(N)=O Chemical compound CCCCC(NC(=O)CCC(=O)C(=O)C(CCC)CC(=O)[C@@H]1C[C@@H](OCC(=O)OC(C)(C)C)CN1C(=O)C(CC(=O)CC1=CC=CC(Cl)=C1)C1CCCCC1)C(N)=O LSOFFNVFZRROQN-HGEODWDMSA-N 0.000 description 1
- TXTAWCWXHGGCES-HGEODWDMSA-N CCCCC(NC(=O)CCC(=O)C(=O)C(CCC)CC(=O)[C@@H]1C[C@@H](OCC(=O)OC(C)(C)C)CN1C(=O)C(CC(=O)CC1=CC=CC(F)=C1)C1CCCCC1)C(N)=O Chemical compound CCCCC(NC(=O)CCC(=O)C(=O)C(CCC)CC(=O)[C@@H]1C[C@@H](OCC(=O)OC(C)(C)C)CN1C(=O)C(CC(=O)CC1=CC=CC(F)=C1)C1CCCCC1)C(N)=O TXTAWCWXHGGCES-HGEODWDMSA-N 0.000 description 1
- KJCZUYQWKVPWTQ-HGEODWDMSA-N CCCCC(NC(=O)CCC(=O)C(=O)C(CCC)CC(=O)[C@@H]1C[C@@H](OCC(=O)OC(C)(C)C)CN1C(=O)C(CC(=O)CC1=CC=CC(O)=C1)C1CCCCC1)C(N)=O Chemical compound CCCCC(NC(=O)CCC(=O)C(=O)C(CCC)CC(=O)[C@@H]1C[C@@H](OCC(=O)OC(C)(C)C)CN1C(=O)C(CC(=O)CC1=CC=CC(O)=C1)C1CCCCC1)C(N)=O KJCZUYQWKVPWTQ-HGEODWDMSA-N 0.000 description 1
- RMWXDKWYYBZURH-OTZVOGGFSA-N CCCCC(NC(=O)CCC(=O)C(=O)C(CCC)CC(=O)[C@@H]1C[C@@H](OCC(=O)OC(C)(C)C)CN1C(=O)C(CC(=O)CC1CCCC1)C1CCCCC1)C(N)=O Chemical compound CCCCC(NC(=O)CCC(=O)C(=O)C(CCC)CC(=O)[C@@H]1C[C@@H](OCC(=O)OC(C)(C)C)CN1C(=O)C(CC(=O)CC1CCCC1)C1CCCCC1)C(N)=O RMWXDKWYYBZURH-OTZVOGGFSA-N 0.000 description 1
- KGIACHCCCFDGAC-JUNRIKNTSA-N CCCCC(NC(=O)CCC(=O)C(=O)C(CCC)CC(=O)[C@@H]1C[C@@H](OCC(=O)OC(C)(C)C)CN1C(=O)C(CC(=O)OCC(C)C)C1CCCCC1)C(N)=O Chemical compound CCCCC(NC(=O)CCC(=O)C(=O)C(CCC)CC(=O)[C@@H]1C[C@@H](OCC(=O)OC(C)(C)C)CN1C(=O)C(CC(=O)OCC(C)C)C1CCCCC1)C(N)=O KGIACHCCCFDGAC-JUNRIKNTSA-N 0.000 description 1
- NQHJEKUTYMGHRO-ULDVJKQCSA-N CCCCC(NC(=O)CCC(=O)C(=O)C(CCC)CC(=O)[C@@H]1C[C@@H](OCC2=CC=C(Cl)C(Cl)=C2)CN1C(=O)C(CC(=O)OCC(C)C)C1CCCCC1)C(N)=O Chemical compound CCCCC(NC(=O)CCC(=O)C(=O)C(CCC)CC(=O)[C@@H]1C[C@@H](OCC2=CC=C(Cl)C(Cl)=C2)CN1C(=O)C(CC(=O)OCC(C)C)C1CCCCC1)C(N)=O NQHJEKUTYMGHRO-ULDVJKQCSA-N 0.000 description 1
- GYGFUOJNEBVOFL-KTOAIAIKSA-N CCCCC(NC(=O)CCC(=O)C(=O)C(CCC)CC(=O)[C@@H]1C[C@@H](OCC2=CC=CC=C2)CN1C(=O)C(CC(=O)C(C)CC1=CC=CC=C1)C1CCCCC1)C(N)=O Chemical compound CCCCC(NC(=O)CCC(=O)C(=O)C(CCC)CC(=O)[C@@H]1C[C@@H](OCC2=CC=CC=C2)CN1C(=O)C(CC(=O)C(C)CC1=CC=CC=C1)C1CCCCC1)C(N)=O GYGFUOJNEBVOFL-KTOAIAIKSA-N 0.000 description 1
- YTWWUVDMZNWRJT-QHVKFQFISA-N CCCCC(NC(=O)CCC(=O)C(=O)C(CCC)CC(=O)[C@@H]1C[C@@H](OCC2=CC=CC=C2)CN1C(=O)C(CC(=O)C(C1=CC=CC=C1)C1=CC=CC=C1)C1CCCCC1)C(N)=O Chemical compound CCCCC(NC(=O)CCC(=O)C(=O)C(CCC)CC(=O)[C@@H]1C[C@@H](OCC2=CC=CC=C2)CN1C(=O)C(CC(=O)C(C1=CC=CC=C1)C1=CC=CC=C1)C1CCCCC1)C(N)=O YTWWUVDMZNWRJT-QHVKFQFISA-N 0.000 description 1
- IEITZIMGMIESPA-LKBLOHQUSA-N CCCCC(NC(=O)CCC(=O)C(=O)C(CCC)CC(=O)[C@@H]1C[C@@H](OCC2=CC=CC=C2)CN1C(=O)C(CC(=O)C(CC)C1=CC=CC=C1)C1CCCCC1)C(N)=O Chemical compound CCCCC(NC(=O)CCC(=O)C(=O)C(CCC)CC(=O)[C@@H]1C[C@@H](OCC2=CC=CC=C2)CN1C(=O)C(CC(=O)C(CC)C1=CC=CC=C1)C1CCCCC1)C(N)=O IEITZIMGMIESPA-LKBLOHQUSA-N 0.000 description 1
- NPSOREYEQGEMKT-RKBKECNPSA-N CCCCC(NC(=O)CCC(=O)C(=O)C(CCC)CC(=O)[C@@H]1C[C@@H](OCC2=CC=CC=C2)CN1C(=O)C(CC(=O)C(CC1=CC=CC=C1)C(=O)O)C1CCCCC1)C(N)=O Chemical compound CCCCC(NC(=O)CCC(=O)C(=O)C(CCC)CC(=O)[C@@H]1C[C@@H](OCC2=CC=CC=C2)CN1C(=O)C(CC(=O)C(CC1=CC=CC=C1)C(=O)O)C1CCCCC1)C(N)=O NPSOREYEQGEMKT-RKBKECNPSA-N 0.000 description 1
- QBVPBQDUXITZLJ-KKNKHKQISA-N CCCCC(NC(=O)CCC(=O)C(=O)C(CCC)CC(=O)[C@@H]1C[C@@H](OCC2=CC=CC=C2)CN1C(=O)C(CC(=O)C(CC1=CC=CC=C1)C(C)(C)C)C1CCCCC1)C(N)=O Chemical compound CCCCC(NC(=O)CCC(=O)C(=O)C(CCC)CC(=O)[C@@H]1C[C@@H](OCC2=CC=CC=C2)CN1C(=O)C(CC(=O)C(CC1=CC=CC=C1)C(C)(C)C)C1CCCCC1)C(N)=O QBVPBQDUXITZLJ-KKNKHKQISA-N 0.000 description 1
- ZNPFUIISKORCFS-VTSVJXPTSA-N CCCCC(NC(=O)CCC(=O)C(=O)C(CCC)CC(=O)[C@@H]1C[C@@H](OCC2=CC=CC=C2)CN1C(=O)C(CC(=O)CC(C)C1=CC=CC=C1)C1CCCCC1)C(N)=O Chemical compound CCCCC(NC(=O)CCC(=O)C(=O)C(CCC)CC(=O)[C@@H]1C[C@@H](OCC2=CC=CC=C2)CN1C(=O)C(CC(=O)CC(C)C1=CC=CC=C1)C1CCCCC1)C(N)=O ZNPFUIISKORCFS-VTSVJXPTSA-N 0.000 description 1
- ASHBQBFSVMUYQO-BWQQOTQCSA-N CCCCC(NC(=O)CCC(=O)C(=O)C(CCC)CC(=O)[C@@H]1C[C@@H](OCC2=CC=CC=C2)CN1C(=O)C(CC(=O)CC(C1=CC=CC=C1)C1=CC=CC=C1)C1CCCCC1)C(N)=O Chemical compound CCCCC(NC(=O)CCC(=O)C(=O)C(CCC)CC(=O)[C@@H]1C[C@@H](OCC2=CC=CC=C2)CN1C(=O)C(CC(=O)CC(C1=CC=CC=C1)C1=CC=CC=C1)C1CCCCC1)C(N)=O ASHBQBFSVMUYQO-BWQQOTQCSA-N 0.000 description 1
- WPKBMEAYHKNDIL-DYEAOZOFSA-N CCCCC(NC(=O)CCC(=O)C(=O)C(CCC)CC(=O)[C@@H]1C[C@@H](OCC2=CC=CC=C2)CN1C(=O)C(CC(=O)CC(CC(=O)O)C1=CC=CC=C1)C1CCCCC1)C(N)=O Chemical compound CCCCC(NC(=O)CCC(=O)C(=O)C(CCC)CC(=O)[C@@H]1C[C@@H](OCC2=CC=CC=C2)CN1C(=O)C(CC(=O)CC(CC(=O)O)C1=CC=CC=C1)C1CCCCC1)C(N)=O WPKBMEAYHKNDIL-DYEAOZOFSA-N 0.000 description 1
- QPRXBMAOUCWYKL-ROIDQJFASA-N CCCCC(NC(=O)CCC(=O)C(=O)C(CCC)CC(=O)[C@@H]1C[C@@H](OCC2=CC=CC=C2)CN1C(=O)C(CC(=O)CC1CCCCC1)C1CCCCC1)C(N)=O Chemical compound CCCCC(NC(=O)CCC(=O)C(=O)C(CCC)CC(=O)[C@@H]1C[C@@H](OCC2=CC=CC=C2)CN1C(=O)C(CC(=O)CC1CCCCC1)C1CCCCC1)C(N)=O QPRXBMAOUCWYKL-ROIDQJFASA-N 0.000 description 1
- VDBQVGSKJIQOOE-TWNSUFICSA-N CCCCC(NC(=O)CCC(=O)C(=O)C(CCC)CC(=O)[C@@H]1C[C@@H](OCC2=CC=CC=C2)CN1C(=O)C(CC(=O)OCC(C)C)C1CCCCC1)C(N)=O Chemical compound CCCCC(NC(=O)CCC(=O)C(=O)C(CCC)CC(=O)[C@@H]1C[C@@H](OCC2=CC=CC=C2)CN1C(=O)C(CC(=O)OCC(C)C)C1CCCCC1)C(N)=O VDBQVGSKJIQOOE-TWNSUFICSA-N 0.000 description 1
- JUSHDVSHMWTJAB-QBZOVHKVSA-N CCCCC(NC(=O)CCC(=O)C(=O)C(CCC)CC(=O)[C@@H]1C[C@@H](OCOCCOC)CN1C(=O)C(CC(=O)C(C)CC1=CC=CC=C1)C1CCCCC1)C(N)=O Chemical compound CCCCC(NC(=O)CCC(=O)C(=O)C(CCC)CC(=O)[C@@H]1C[C@@H](OCOCCOC)CN1C(=O)C(CC(=O)C(C)CC1=CC=CC=C1)C1CCCCC1)C(N)=O JUSHDVSHMWTJAB-QBZOVHKVSA-N 0.000 description 1
- XMHKRZPHXBVKSP-SKFMPKQFSA-N CCCCC(NC(=O)CCC(=O)C(=O)C(CCC)CC(=O)[C@@H]1C[C@@H](OCOCCOC)CN1C(=O)C(CC(=O)C1(C(=O)O)CC1)C1CCCCC1)C(N)=O Chemical compound CCCCC(NC(=O)CCC(=O)C(=O)C(CCC)CC(=O)[C@@H]1C[C@@H](OCOCCOC)CN1C(=O)C(CC(=O)C1(C(=O)O)CC1)C1CCCCC1)C(N)=O XMHKRZPHXBVKSP-SKFMPKQFSA-N 0.000 description 1
- RSEUUWOXFMHYTI-HRMVYQRMSA-N CCCCC(NC(=O)CCC(=O)C(=O)C(CCC)CC(=O)[C@@H]1C[C@@H](OCOCCOC)CN1C(=O)C(CC(=O)C1(C2=CC=CC=C2)CC1)C1CCCCC1)C(N)=O Chemical compound CCCCC(NC(=O)CCC(=O)C(=O)C(CCC)CC(=O)[C@@H]1C[C@@H](OCOCCOC)CN1C(=O)C(CC(=O)C1(C2=CC=CC=C2)CC1)C1CCCCC1)C(N)=O RSEUUWOXFMHYTI-HRMVYQRMSA-N 0.000 description 1
- JIJCCUNMRFHEGW-SNEITLNESA-N CCCCC(NC(=O)CCC(=O)C(=O)C(CCC)CC(=O)[C@@H]1C[C@@H](OCOCCOC)CN1C(=O)C(CC(=O)C12CC3CC(CC(C3)C1)C2)C1CCCCC1)C(N)=O Chemical compound CCCCC(NC(=O)CCC(=O)C(=O)C(CCC)CC(=O)[C@@H]1C[C@@H](OCOCCOC)CN1C(=O)C(CC(=O)C12CC3CC(CC(C3)C1)C2)C1CCCCC1)C(N)=O JIJCCUNMRFHEGW-SNEITLNESA-N 0.000 description 1
- BTVWIQGRZRMORG-YXCJVJLBSA-N CCCCC(NC(=O)CCC(=O)C(=O)C(CCC)CC(=O)[C@@H]1C[C@@H](OCOCCOC)CN1C(=O)C(CC(=O)C1=CC=CC(C(=O)O)=C1)C1CCCCC1)C(N)=O Chemical compound CCCCC(NC(=O)CCC(=O)C(=O)C(CCC)CC(=O)[C@@H]1C[C@@H](OCOCCOC)CN1C(=O)C(CC(=O)C1=CC=CC(C(=O)O)=C1)C1CCCCC1)C(N)=O BTVWIQGRZRMORG-YXCJVJLBSA-N 0.000 description 1
- XDJFBUZMXYWDIQ-BDPLIGOZSA-N CCCCC(NC(=O)CCC(=O)C(=O)C(CCC)CC(=O)[C@@H]1C[C@@H](OCOCCOC)CN1C(=O)C(CC(=O)C1=CC=CC=C1C(=O)O)C1CCCCC1)C(N)=O Chemical compound CCCCC(NC(=O)CCC(=O)C(=O)C(CCC)CC(=O)[C@@H]1C[C@@H](OCOCCOC)CN1C(=O)C(CC(=O)C1=CC=CC=C1C(=O)O)C1CCCCC1)C(N)=O XDJFBUZMXYWDIQ-BDPLIGOZSA-N 0.000 description 1
- PLOVIWJVYZXLAM-CAKNRFMSSA-N CCCCC(NC(=O)CCC(=O)C(=O)C(CCC)CC(=O)[C@@H]1C[C@@H](OCOCCOC)CN1C(=O)C(CC(=O)CC1C2CCC3CC321)C1CCCCC1)C(N)=O Chemical compound CCCCC(NC(=O)CCC(=O)C(=O)C(CCC)CC(=O)[C@@H]1C[C@@H](OCOCCOC)CN1C(=O)C(CC(=O)CC1C2CCC3CC321)C1CCCCC1)C(N)=O PLOVIWJVYZXLAM-CAKNRFMSSA-N 0.000 description 1
- JOJNSAXRFHZMGV-AUCSDBQJSA-N CCCCC(NC(=O)CCC(=O)C(=O)C(CCC)CC(=O)[C@@H]1C[C@@H](OCOCCOC)CN1C(=O)C(CC(=O)[C@@H]1CCCC[C@@H]1C(=O)O)C1CCCCC1)C(N)=O Chemical compound CCCCC(NC(=O)CCC(=O)C(=O)C(CCC)CC(=O)[C@@H]1C[C@@H](OCOCCOC)CN1C(=O)C(CC(=O)[C@@H]1CCCC[C@@H]1C(=O)O)C1CCCCC1)C(N)=O JOJNSAXRFHZMGV-AUCSDBQJSA-N 0.000 description 1
- HJOAYNNGZCEEJR-JTIGCQGMSA-N CCCCC(NC(=O)[C@@H]1C(OC(C)(C)C)CCN1C(=O)[C@@H](NC(=O)OC(C)(C)C)C(C)(C)C)C(=O)C(=O)NCC(=O)NC(C(=O)N(C)C)C1=CC=CC=C1 Chemical compound CCCCC(NC(=O)[C@@H]1C(OC(C)(C)C)CCN1C(=O)[C@@H](NC(=O)OC(C)(C)C)C(C)(C)C)C(=O)C(=O)NCC(=O)NC(C(=O)N(C)C)C1=CC=CC=C1 HJOAYNNGZCEEJR-JTIGCQGMSA-N 0.000 description 1
- VMGVTXMVWFQVDO-WLTNDKIXSA-N CCCCC(NC(=O)[C@@H]1C2C(CN1C(=O)C(NC(=O)NC(C)(C)C)C(C)(C)C)C2(Cl)Cl)C(=O)C(=O)NCC(=O)N[C@H](C(=O)N(C)C)C1=CC=CC=C1 Chemical compound CCCCC(NC(=O)[C@@H]1C2C(CN1C(=O)C(NC(=O)NC(C)(C)C)C(C)(C)C)C2(Cl)Cl)C(=O)C(=O)NCC(=O)N[C@H](C(=O)N(C)C)C1=CC=CC=C1 VMGVTXMVWFQVDO-WLTNDKIXSA-N 0.000 description 1
- OQIKEQVZPMEGDV-QPCUBCJCSA-N CCCCC(NC(=O)[C@@H]1C2C(CN1C(=O)C(NC(=O)OC(C)(C)C)C(C)(C)C)C2(C)C)C(=O)C(=O)NCCOC Chemical compound CCCCC(NC(=O)[C@@H]1C2C(CN1C(=O)C(NC(=O)OC(C)(C)C)C(C)(C)C)C2(C)C)C(=O)C(=O)NCCOC OQIKEQVZPMEGDV-QPCUBCJCSA-N 0.000 description 1
- RJNDKAKTSVAMTA-AZRLCKCBSA-N CCCCC(NC(=O)[C@@H]1C2C(CN1C(=O)C(NC(=O)OC(C)(C)C)C(C)(C)C)C2(C)C)C(=O)C(=O)NOC Chemical compound CCCCC(NC(=O)[C@@H]1C2C(CN1C(=O)C(NC(=O)OC(C)(C)C)C(C)(C)C)C2(C)C)C(=O)C(=O)NOC RJNDKAKTSVAMTA-AZRLCKCBSA-N 0.000 description 1
- NRTBOXWDZVTTQO-SFUDDWTFSA-N CCCCC(NC(=O)[C@@H]1C2C(CN1C(=O)[C@@H](NC(=O)OC(C)(C)C)C(C)(C)C)C2(C)C)C(=O)C(=O)NCC(=O)N[C@H](C(=O)N(C)C)C1CC2=C(C=CC=C2)C1 Chemical compound CCCCC(NC(=O)[C@@H]1C2C(CN1C(=O)[C@@H](NC(=O)OC(C)(C)C)C(C)(C)C)C2(C)C)C(=O)C(=O)NCC(=O)N[C@H](C(=O)N(C)C)C1CC2=C(C=CC=C2)C1 NRTBOXWDZVTTQO-SFUDDWTFSA-N 0.000 description 1
- IUTGWVOHOGUKCX-ZDBVJNABSA-N CCCCC(NC(=O)[C@@H]1C2C(CN1C(=O)[C@@H](NS(=O)(=O)CC1=CC=CC=C1)C(C)(C)C)C2(C)C)C(=O)C(=O)NCC(=O)N[C@H](C(=O)N(C)C)C1=CC=CC=C1 Chemical compound CCCCC(NC(=O)[C@@H]1C2C(CN1C(=O)[C@@H](NS(=O)(=O)CC1=CC=CC=C1)C(C)(C)C)C2(C)C)C(=O)C(=O)NCC(=O)N[C@H](C(=O)N(C)C)C1=CC=CC=C1 IUTGWVOHOGUKCX-ZDBVJNABSA-N 0.000 description 1
- UZTDRALXIDCWJM-FVXZMODXSA-N CCCCC(NC(=O)[C@@H]1C2C3CCC(C3)[C@H]2CN1C(=O)[C@@H](NC(=O)OCC(C)C)C(C)(C)C)C(=O)C(=O)NCC(=O)NC(C(=O)N(C)C)C1=CC=CC=C1 Chemical compound CCCCC(NC(=O)[C@@H]1C2C3CCC(C3)[C@H]2CN1C(=O)[C@@H](NC(=O)OCC(C)C)C(C)(C)C)C(=O)C(=O)NCC(=O)NC(C(=O)N(C)C)C1=CC=CC=C1 UZTDRALXIDCWJM-FVXZMODXSA-N 0.000 description 1
- MUEIJKYWENSOLF-WUMRBEECSA-N CCCCC(NC(=O)[C@@H]1C2OC(C)(C)O[C@H]2CN1C(=O)[C@@H](NC(=O)OC(C)(C)C)C(C)(C)C)C(=O)C(=O)NCC(=O)NC(C(=O)N(C)C)C1=CC=CC=C1 Chemical compound CCCCC(NC(=O)[C@@H]1C2OC(C)(C)O[C@H]2CN1C(=O)[C@@H](NC(=O)OC(C)(C)C)C(C)(C)C)C(=O)C(=O)NCC(=O)NC(C(=O)N(C)C)C1=CC=CC=C1 MUEIJKYWENSOLF-WUMRBEECSA-N 0.000 description 1
- RDGBZCHPOCRDGE-YAKJAMNNSA-N CCCCC(NC(=O)[C@@H]1CC(F)(F)CN1C(=O)[C@@H](NC(=O)OC(C)(C)C)C(C)(C)C)C(=O)C(=O)NCC(=O)N[C@H](C(=O)N(C)C)C1=CC=CC=C1 Chemical compound CCCCC(NC(=O)[C@@H]1CC(F)(F)CN1C(=O)[C@@H](NC(=O)OC(C)(C)C)C(C)(C)C)C(=O)C(=O)NCC(=O)N[C@H](C(=O)N(C)C)C1=CC=CC=C1 RDGBZCHPOCRDGE-YAKJAMNNSA-N 0.000 description 1
- CAGSACLSXJVBDD-FPQZSVJMSA-N CCCCC(NC(=O)[C@@H]1CC2(CN1C(=O)[C@@H](NC(=O)OCC(C)C)C(C)(C)C)SCCCS2)C(=O)C(=O)NCC(=O)NC(C(=O)N(C)C)C1=CC=CC=C1 Chemical compound CCCCC(NC(=O)[C@@H]1CC2(CN1C(=O)[C@@H](NC(=O)OCC(C)C)C(C)(C)C)SCCCS2)C(=O)C(=O)NCC(=O)NC(C(=O)N(C)C)C1=CC=CC=C1 CAGSACLSXJVBDD-FPQZSVJMSA-N 0.000 description 1
- UNGXNUNWVSKVDR-BIHRWAPCSA-N CCCCC(NC(=O)[C@@H]1CC2(CN1C(=O)[C@@H](NC(=O)OCC(C)C)C(C)(C)C)SCCCS2)C(=O)C(=O)NCC(=O)NC(C(=O)O)C1=CC=CC=C1 Chemical compound CCCCC(NC(=O)[C@@H]1CC2(CN1C(=O)[C@@H](NC(=O)OCC(C)C)C(C)(C)C)SCCCS2)C(=O)C(=O)NCC(=O)NC(C(=O)O)C1=CC=CC=C1 UNGXNUNWVSKVDR-BIHRWAPCSA-N 0.000 description 1
- IIHCLNKLTHOPGQ-HGUCJESGSA-N CCCCC(NC(=O)[C@@H]1CC2(CN1C(=O)[C@@H](NC(=O)OCC(C)C)C(C)(C)C)SCCCS2)C(=O)C(=O)NCC(=O)NC(C(=O)OC(C)(C)C)C1=CC=CC=C1 Chemical compound CCCCC(NC(=O)[C@@H]1CC2(CN1C(=O)[C@@H](NC(=O)OCC(C)C)C(C)(C)C)SCCCS2)C(=O)C(=O)NCC(=O)NC(C(=O)OC(C)(C)C)C1=CC=CC=C1 IIHCLNKLTHOPGQ-HGUCJESGSA-N 0.000 description 1
- UKYOBSQSQOXLPJ-PPMRTRMPSA-N CCCCC(NC(=O)[C@@H]1CC2(CN1C(=O)[C@@H](NC(=O)OCC(C)C)C1CCCCC1)SCCCS2)C(=O)C(=O)NCC(=O)NC(C(=O)N(C)C)C1=CC=CC=C1 Chemical compound CCCCC(NC(=O)[C@@H]1CC2(CN1C(=O)[C@@H](NC(=O)OCC(C)C)C1CCCCC1)SCCCS2)C(=O)C(=O)NCC(=O)NC(C(=O)N(C)C)C1=CC=CC=C1 UKYOBSQSQOXLPJ-PPMRTRMPSA-N 0.000 description 1
- XNWDKKHNKNBEAS-PPMRTRMPSA-N CCCCC(NC(=O)[C@@H]1CC2(CN1C(=O)[C@@H](NC(=O)OCC(C)C)C1CCCCC1)SCCCS2)C(=O)C(=O)NCC(=O)NC(C(=O)N(C)OC)C1=CC=CC=C1 Chemical compound CCCCC(NC(=O)[C@@H]1CC2(CN1C(=O)[C@@H](NC(=O)OCC(C)C)C1CCCCC1)SCCCS2)C(=O)C(=O)NCC(=O)NC(C(=O)N(C)OC)C1=CC=CC=C1 XNWDKKHNKNBEAS-PPMRTRMPSA-N 0.000 description 1
- MSERWBXTGQVAKL-LCAKABIZSA-N CCCCC(NC(=O)[C@@H]1CC2(CN1C(=O)[C@@H](NC(=O)OCC(C)C)C1CCCCC1)SCCCS2)C(=O)C(=O)NCC(=O)NC(C(=O)OC(C)(C)C)C1=CC=CC=C1 Chemical compound CCCCC(NC(=O)[C@@H]1CC2(CN1C(=O)[C@@H](NC(=O)OCC(C)C)C1CCCCC1)SCCCS2)C(=O)C(=O)NCC(=O)NC(C(=O)OC(C)(C)C)C1=CC=CC=C1 MSERWBXTGQVAKL-LCAKABIZSA-N 0.000 description 1
- NXZQFXSGFQVYAE-JANSTZRISA-N CCCCC(NC(=O)[C@@H]1C[C@@H](OC(C)(C)C)CN1C(=O)[C@@H](NC(=O)OCC(C)C)C(C)(C)C)C(=O)C(=O)NCC(=O)NC[C@@H](N)C1=CC=CC=C1 Chemical compound CCCCC(NC(=O)[C@@H]1C[C@@H](OC(C)(C)C)CN1C(=O)[C@@H](NC(=O)OCC(C)C)C(C)(C)C)C(=O)C(=O)NCC(=O)NC[C@@H](N)C1=CC=CC=C1 NXZQFXSGFQVYAE-JANSTZRISA-N 0.000 description 1
- CDCLITQUNDURAC-VIQNKRBLSA-N CCCCC(NC(=O)[C@@H]1C[C@@H](OC(C)(C)C)CN1C(=O)[C@@H](NC(=O)OCC(C)C)C(C)(C)C)C(=O)C(=O)NCC(=O)NC[C@@H](NC(=O)OC(C)(C)C)C1=CC=CC=C1 Chemical compound CCCCC(NC(=O)[C@@H]1C[C@@H](OC(C)(C)C)CN1C(=O)[C@@H](NC(=O)OCC(C)C)C(C)(C)C)C(=O)C(=O)NCC(=O)NC[C@@H](NC(=O)OC(C)(C)C)C1=CC=CC=C1 CDCLITQUNDURAC-VIQNKRBLSA-N 0.000 description 1
- GAENDBOVKZPODS-PYPWXPABSA-N CCCCC(NC(=O)[C@@H]1C[C@@H](OC(C)(C)C)CN1C(=O)[C@@H](NC(=O)OCC(C)C)C(C)(C)C)C(=O)C(=O)NCC(=O)N[C@@H](C1=CC=CC=C1)[C@@H](C)O Chemical compound CCCCC(NC(=O)[C@@H]1C[C@@H](OC(C)(C)C)CN1C(=O)[C@@H](NC(=O)OCC(C)C)C(C)(C)C)C(=O)C(=O)NCC(=O)N[C@@H](C1=CC=CC=C1)[C@@H](C)O GAENDBOVKZPODS-PYPWXPABSA-N 0.000 description 1
- GAENDBOVKZPODS-GIHGVLMTSA-N CCCCC(NC(=O)[C@@H]1C[C@@H](OC(C)(C)C)CN1C(=O)[C@@H](NC(=O)OCC(C)C)C(C)(C)C)C(=O)C(=O)NCC(=O)N[C@@H](C1=CC=CC=C1)[C@H](C)O Chemical compound CCCCC(NC(=O)[C@@H]1C[C@@H](OC(C)(C)C)CN1C(=O)[C@@H](NC(=O)OCC(C)C)C(C)(C)C)C(=O)C(=O)NCC(=O)N[C@@H](C1=CC=CC=C1)[C@H](C)O GAENDBOVKZPODS-GIHGVLMTSA-N 0.000 description 1
- ZTXVPTQXKAICGE-MGHKHATHSA-N CCCCC(NC(=O)[C@@H]1C[C@@H](OC(C)(C)C)CN1C(=O)[C@@H](NC(=O)OCC(C)C)C(C)(C)C)C(=O)C(=O)NCC(=O)N[C@@H](CN=[N+]=[N-])C1=CC=CC=C1 Chemical compound CCCCC(NC(=O)[C@@H]1C[C@@H](OC(C)(C)C)CN1C(=O)[C@@H](NC(=O)OCC(C)C)C(C)(C)C)C(=O)C(=O)NCC(=O)N[C@@H](CN=[N+]=[N-])C1=CC=CC=C1 ZTXVPTQXKAICGE-MGHKHATHSA-N 0.000 description 1
- KRVLKPAPDWIJIM-AVAQZNTRSA-N CCCCC(NC(=O)[C@@H]1C[C@@H](OC(C)(C)C)CN1C(=O)[C@@H](NC(=O)OCC(C)C)C(C)(C)C)C(=O)C(=O)NCC(=O)N[C@@H](CNC(C)=O)C1=CC=CC=C1 Chemical compound CCCCC(NC(=O)[C@@H]1C[C@@H](OC(C)(C)C)CN1C(=O)[C@@H](NC(=O)OCC(C)C)C(C)(C)C)C(=O)C(=O)NCC(=O)N[C@@H](CNC(C)=O)C1=CC=CC=C1 KRVLKPAPDWIJIM-AVAQZNTRSA-N 0.000 description 1
- YIGQPAUZVXXDNV-NRJYKAJQSA-N CCCCC(NC(=O)[C@@H]1C[C@@H](OC(C)(C)C)CN1C(=O)[C@@H](NC(=O)OCC(C)C)C(C)(C)C)C(=O)C(=O)NCC(=O)N[C@H](C(=O)N(C)C)C1=CC=CC=C1 Chemical compound CCCCC(NC(=O)[C@@H]1C[C@@H](OC(C)(C)C)CN1C(=O)[C@@H](NC(=O)OCC(C)C)C(C)(C)C)C(=O)C(=O)NCC(=O)N[C@H](C(=O)N(C)C)C1=CC=CC=C1 YIGQPAUZVXXDNV-NRJYKAJQSA-N 0.000 description 1
- HMPOWNHPKSDRGC-LNOYPAOOSA-N CCCCC(NC(=O)[C@@H]1C[C@@H](OC(C)(C)C)CN1C(=O)[C@@H](NC(=O)OCC(C)C)C(C)(C)C)C(=O)C(=O)NCC(=O)N[C@H](C(C)=O)C1=CC=CC=C1 Chemical compound CCCCC(NC(=O)[C@@H]1C[C@@H](OC(C)(C)C)CN1C(=O)[C@@H](NC(=O)OCC(C)C)C(C)(C)C)C(=O)C(=O)NCC(=O)N[C@H](C(C)=O)C1=CC=CC=C1 HMPOWNHPKSDRGC-LNOYPAOOSA-N 0.000 description 1
- ZNYSZYKJHDKIIF-YAIABQAUSA-N CCCCC(NC(=O)[C@@H]1C[C@@H](OC(C)(C)C)CN1C(=O)[C@@H](NC(=O)OCC(C)C)C(C)(C)C)C(=O)C(=O)NCC(=O)N[C@H](CN)C1=CC=CC=C1 Chemical compound CCCCC(NC(=O)[C@@H]1C[C@@H](OC(C)(C)C)CN1C(=O)[C@@H](NC(=O)OCC(C)C)C(C)(C)C)C(=O)C(=O)NCC(=O)N[C@H](CN)C1=CC=CC=C1 ZNYSZYKJHDKIIF-YAIABQAUSA-N 0.000 description 1
- ZTXVPTQXKAICGE-YAIABQAUSA-N CCCCC(NC(=O)[C@@H]1C[C@@H](OC(C)(C)C)CN1C(=O)[C@@H](NC(=O)OCC(C)C)C(C)(C)C)C(=O)C(=O)NCC(=O)N[C@H](CN=[N+]=[N-])C1=CC=CC=C1 Chemical compound CCCCC(NC(=O)[C@@H]1C[C@@H](OC(C)(C)C)CN1C(=O)[C@@H](NC(=O)OCC(C)C)C(C)(C)C)C(=O)C(=O)NCC(=O)N[C@H](CN=[N+]=[N-])C1=CC=CC=C1 ZTXVPTQXKAICGE-YAIABQAUSA-N 0.000 description 1
- HYIHJABCTOPRJB-RYJIQWHOSA-N CCCCC(NC(=O)[C@@H]1C[C@@H](OC(C)(C)C)CN1C(=O)[C@@H](NC(=O)OCC(C)C)C(C)(C)C)C(=O)C(=O)NCC(=O)N[C@H](CNC(=O)C1=CC=CO1)C1=CC=CC=C1 Chemical compound CCCCC(NC(=O)[C@@H]1C[C@@H](OC(C)(C)C)CN1C(=O)[C@@H](NC(=O)OCC(C)C)C(C)(C)C)C(=O)C(=O)NCC(=O)N[C@H](CNC(=O)C1=CC=CO1)C1=CC=CC=C1 HYIHJABCTOPRJB-RYJIQWHOSA-N 0.000 description 1
- KRVLKPAPDWIJIM-SFCKBMSZSA-N CCCCC(NC(=O)[C@@H]1C[C@@H](OC(C)(C)C)CN1C(=O)[C@@H](NC(=O)OCC(C)C)C(C)(C)C)C(=O)C(=O)NCC(=O)N[C@H](CNC(C)=O)C1=CC=CC=C1 Chemical compound CCCCC(NC(=O)[C@@H]1C[C@@H](OC(C)(C)C)CN1C(=O)[C@@H](NC(=O)OCC(C)C)C(C)(C)C)C(=O)C(=O)NCC(=O)N[C@H](CNC(C)=O)C1=CC=CC=C1 KRVLKPAPDWIJIM-SFCKBMSZSA-N 0.000 description 1
- ZHGADCFEGGEYIN-YAIABQAUSA-N CCCCC(NC(=O)[C@@H]1C[C@@H](OC(C)(C)C)CN1C(=O)[C@@H](NC(=O)OCC(C)C)C(C)(C)C)C(=O)C(=O)NCC(=O)N[C@H](CO)C1=CC=CC=C1 Chemical compound CCCCC(NC(=O)[C@@H]1C[C@@H](OC(C)(C)C)CN1C(=O)[C@@H](NC(=O)OCC(C)C)C(C)(C)C)C(=O)C(=O)NCC(=O)N[C@H](CO)C1=CC=CC=C1 ZHGADCFEGGEYIN-YAIABQAUSA-N 0.000 description 1
- LMRMCNFCASJNJP-POHAQCIASA-N CCCCC(NC(=O)[C@@H]1C[C@@H](OC(C)(C)C)CN1C(=O)[C@@H](NC(=O)OCC(C)C)C(C)(C)C)C(=O)C(=O)NCC(=O)N[C@H](COP(=O)(OC1=CC=CC=C1)OC1=CC=CC=C1)C1=CC=CC=C1 Chemical compound CCCCC(NC(=O)[C@@H]1C[C@@H](OC(C)(C)C)CN1C(=O)[C@@H](NC(=O)OCC(C)C)C(C)(C)C)C(=O)C(=O)NCC(=O)N[C@H](COP(=O)(OC1=CC=CC=C1)OC1=CC=CC=C1)C1=CC=CC=C1 LMRMCNFCASJNJP-POHAQCIASA-N 0.000 description 1
- XMKAXLYZDUWWJQ-KOLTXKIZSA-N CCCCC(NC(=O)[C@@H]1C[C@@H](OC(C)(C)C)CN1C(=O)[C@@H](NC(=O)OCC(C)C)C(C)(C)C)C(=O)C(=O)NCC(=O)O Chemical compound CCCCC(NC(=O)[C@@H]1C[C@@H](OC(C)(C)C)CN1C(=O)[C@@H](NC(=O)OCC(C)C)C(C)(C)C)C(=O)C(=O)NCC(=O)O XMKAXLYZDUWWJQ-KOLTXKIZSA-N 0.000 description 1
- LXPMPJBIBAMAIE-NDWKJVSPSA-N CCCCC(NC(=O)[C@@H]1[C@@H]2[C@H](CN1C(=O)C(NC(C)=O)C(C)(C)C)C2(C)C)C(=O)C(=O)NCC(=O)NC(C(=O)N(C)C)C1=CC=CC=C1 Chemical compound CCCCC(NC(=O)[C@@H]1[C@@H]2[C@H](CN1C(=O)C(NC(C)=O)C(C)(C)C)C2(C)C)C(=O)C(=O)NCC(=O)NC(C(=O)N(C)C)C1=CC=CC=C1 LXPMPJBIBAMAIE-NDWKJVSPSA-N 0.000 description 1
- LXPMPJBIBAMAIE-FENAGIQKSA-N CCCCC(NC(=O)[C@@H]1[C@@H]2[C@H](CN1C(=O)C(NC(C)=O)C(C)(C)C)C2(C)C)C(=O)C(=O)NCC(=O)N[C@H](C(=O)N(C)C)C1=CC=CC=C1 Chemical compound CCCCC(NC(=O)[C@@H]1[C@@H]2[C@H](CN1C(=O)C(NC(C)=O)C(C)(C)C)C2(C)C)C(=O)C(=O)NCC(=O)N[C@H](C(=O)N(C)C)C1=CC=CC=C1 LXPMPJBIBAMAIE-FENAGIQKSA-N 0.000 description 1
- YSOAQFIFGKPNPE-WVASEHPASA-N CCCCC(NC(=O)[C@@H]1[C@@H]2[C@H](CN1C(=O)[C@@H](NC(=O)OC(C)(C)C)C(C)(C)C)C2(C)C)C(=O)C(=O)N1CC=CCC1 Chemical compound CCCCC(NC(=O)[C@@H]1[C@@H]2[C@H](CN1C(=O)[C@@H](NC(=O)OC(C)(C)C)C(C)(C)C)C2(C)C)C(=O)C(=O)N1CC=CCC1 YSOAQFIFGKPNPE-WVASEHPASA-N 0.000 description 1
- KYIZFPZGJREYCP-YVFZDIIHSA-N CCCCC(NC(=O)[C@@H]1[C@@H]2[C@H](CN1C(=O)[C@@H](NC(=O)OC(C)(C)C)C(C)(C)C)C2(C)C)C(=O)C(=O)NC(C)(C)C Chemical compound CCCCC(NC(=O)[C@@H]1[C@@H]2[C@H](CN1C(=O)[C@@H](NC(=O)OC(C)(C)C)C(C)(C)C)C2(C)C)C(=O)C(=O)NC(C)(C)C KYIZFPZGJREYCP-YVFZDIIHSA-N 0.000 description 1
- REBSJOHTKIGZMQ-YVFZDIIHSA-N CCCCC(NC(=O)[C@@H]1[C@@H]2[C@H](CN1C(=O)[C@@H](NC(=O)OC(C)(C)C)C(C)(C)C)C2(C)C)C(=O)C(=O)NC1CC1 Chemical compound CCCCC(NC(=O)[C@@H]1[C@@H]2[C@H](CN1C(=O)[C@@H](NC(=O)OC(C)(C)C)C(C)(C)C)C2(C)C)C(=O)C(=O)NC1CC1 REBSJOHTKIGZMQ-YVFZDIIHSA-N 0.000 description 1
- QMAFFKHZVBICCO-GRNGOJQOSA-N CCCCC(NC(=O)[C@@H]1[C@@H]2[C@H](CN1C(=O)[C@@H](NC(=O)OC(C)(C)C)C(C)(C)C)C2(C)C)C(=O)C(=O)NCC1CC1 Chemical compound CCCCC(NC(=O)[C@@H]1[C@@H]2[C@H](CN1C(=O)[C@@H](NC(=O)OC(C)(C)C)C(C)(C)C)C2(C)C)C(=O)C(=O)NCC1CC1 QMAFFKHZVBICCO-GRNGOJQOSA-N 0.000 description 1
- XWYACJDZJWCVJY-LIFJXQIBSA-N CCCCC(NC(=O)[C@@H]1[C@@H]2[C@H](CN1C(=O)[C@@H](NC(=O)OC(C)(C)C)C(C)(C)C)C2(C)C)C(=O)C(=O)NCCC1=CC=CC=C1OC Chemical compound CCCCC(NC(=O)[C@@H]1[C@@H]2[C@H](CN1C(=O)[C@@H](NC(=O)OC(C)(C)C)C(C)(C)C)C2(C)C)C(=O)C(=O)NCCC1=CC=CC=C1OC XWYACJDZJWCVJY-LIFJXQIBSA-N 0.000 description 1
- OQIKEQVZPMEGDV-YVFZDIIHSA-N CCCCC(NC(=O)[C@@H]1[C@@H]2[C@H](CN1C(=O)[C@@H](NC(=O)OC(C)(C)C)C(C)(C)C)C2(C)C)C(=O)C(=O)NCCOC Chemical compound CCCCC(NC(=O)[C@@H]1[C@@H]2[C@H](CN1C(=O)[C@@H](NC(=O)OC(C)(C)C)C(C)(C)C)C2(C)C)C(=O)C(=O)NCCOC OQIKEQVZPMEGDV-YVFZDIIHSA-N 0.000 description 1
- RJNDKAKTSVAMTA-DOVBMPENSA-N CCCCC(NC(=O)[C@@H]1[C@@H]2[C@H](CN1C(=O)[C@@H](NC(=O)OC(C)(C)C)C(C)(C)C)C2(C)C)C(=O)C(=O)NOC Chemical compound CCCCC(NC(=O)[C@@H]1[C@@H]2[C@H](CN1C(=O)[C@@H](NC(=O)OC(C)(C)C)C(C)(C)C)C2(C)C)C(=O)C(=O)NOC RJNDKAKTSVAMTA-DOVBMPENSA-N 0.000 description 1
- BBHHBCIEBSTMCE-TZPCIBBBSA-N CCCCC(NC(=O)[C@@H]1[C@@H]2[C@H](CN1C(=O)[C@@H](NC(=O)OC(C)(C)C)C(C)(C)C)C2(C)C)C(=O)C(=O)O Chemical compound CCCCC(NC(=O)[C@@H]1[C@@H]2[C@H](CN1C(=O)[C@@H](NC(=O)OC(C)(C)C)C(C)(C)C)C2(C)C)C(=O)C(=O)O BBHHBCIEBSTMCE-TZPCIBBBSA-N 0.000 description 1
- YPOSOPPDONHGOK-DOVBMPENSA-N CCCCC(NC(=O)[C@@H]1[C@@H]2[C@H](CN1C(=O)[C@@H](NC(=O)OC(C)(C)C)C(C)(C)C)C2(C)C)C(=O)C(=O)OC Chemical compound CCCCC(NC(=O)[C@@H]1[C@@H]2[C@H](CN1C(=O)[C@@H](NC(=O)OC(C)(C)C)C(C)(C)C)C2(C)C)C(=O)C(=O)OC YPOSOPPDONHGOK-DOVBMPENSA-N 0.000 description 1
- FAPPNFHTSMEZSW-TZPCIBBBSA-N CCCCC(NC(=O)[C@@H]1[C@@H]2[C@H](CN1C(=O)[C@@H](NC(=O)OC(C)(C)C)C(C)(C)C)C2(C)C)C(=O)C(N)=O Chemical compound CCCCC(NC(=O)[C@@H]1[C@@H]2[C@H](CN1C(=O)[C@@H](NC(=O)OC(C)(C)C)C(C)(C)C)C2(C)C)C(=O)C(N)=O FAPPNFHTSMEZSW-TZPCIBBBSA-N 0.000 description 1
- YPWQRRZPRBSUMC-HIOPWESISA-N CCCCCC(NC(=O)[C@@H]1C[C@@H](OC(C)(C)C)CN1C(=O)C(NC(=O)OCC(C)C)C(C)(C)C)C(=O)C(=O)NCC(=O)N[C@H](C(=O)N(C)C)C1=CC=CC=C1 Chemical compound CCCCCC(NC(=O)[C@@H]1C[C@@H](OC(C)(C)C)CN1C(=O)C(NC(=O)OCC(C)C)C(C)(C)C)C(=O)C(=O)NCC(=O)N[C@H](C(=O)N(C)C)C1=CC=CC=C1 YPWQRRZPRBSUMC-HIOPWESISA-N 0.000 description 1
- ZAZMPRTXMXOIBM-UQRZOWCNSA-N CCCCCC(NC(=O)[C@@H]1C[C@@H](OC(C)(C)C)CN1C(=O)C(NC(=O)OCC(C)C)C(C)(C)C)C(=O)C(=O)NCC(=O)OC Chemical compound CCCCCC(NC(=O)[C@@H]1C[C@@H](OC(C)(C)C)CN1C(=O)C(NC(=O)OCC(C)C)C(C)(C)C)C(=O)C(=O)NCC(=O)OC ZAZMPRTXMXOIBM-UQRZOWCNSA-N 0.000 description 1
- JQOUGAIPXHIFCC-LYUBYTMKSA-N CCCCCC(NC(=O)[C@@H]1C[C@@H](OC(C)(C)C)CN1C(=O)[C@@H](NC(=O)OCC(C)C)C(C)(C)C)C(=O)C(=O)NCC(=O)O Chemical compound CCCCCC(NC(=O)[C@@H]1C[C@@H](OC(C)(C)C)CN1C(=O)[C@@H](NC(=O)OCC(C)C)C(C)(C)C)C(=O)C(=O)NCC(=O)O JQOUGAIPXHIFCC-LYUBYTMKSA-N 0.000 description 1
- MOIHGGLIUPMUJY-VJFXSFEUSA-N CCCCCCCCCCCCNC(=O)N[C@H](C(=O)N1C[C@H]2[C@@H]([C@H]1C(=O)NC(CCC)C(=O)C(N)=O)C2(C)C)C(C)(C)C Chemical compound CCCCCCCCCCCCNC(=O)N[C@H](C(=O)N1C[C@H]2[C@@H]([C@H]1C(=O)NC(CCC)C(=O)C(N)=O)C2(C)C)C(C)(C)C MOIHGGLIUPMUJY-VJFXSFEUSA-N 0.000 description 1
- TYBVUEWFAQKZRK-QWYSVXDISA-N CCCCCCNC(=O)N[C@H](C(=O)N1C[C@H]2[C@@H]([C@H]1C(=O)NC(CCC)C(=O)C(N)=O)C2(C)C)C(C)(C)C Chemical compound CCCCCCNC(=O)N[C@H](C(=O)N1C[C@H]2[C@@H]([C@H]1C(=O)NC(CCC)C(=O)C(N)=O)C2(C)C)C(C)(C)C TYBVUEWFAQKZRK-QWYSVXDISA-N 0.000 description 1
- HJOAYNNGZCEEJR-CREZCSQPSA-N CCCC[C@@H](NC(=O)[C@@H]1C(OC(C)(C)C)CCN1C(=O)[C@@H](NC(=O)OC(C)(C)C)C(C)(C)C)C(=O)C(=O)NCC(=O)NC(C(=O)N(C)C)C1=CC=CC=C1 Chemical compound CCCC[C@@H](NC(=O)[C@@H]1C(OC(C)(C)C)CCN1C(=O)[C@@H](NC(=O)OC(C)(C)C)C(C)(C)C)C(=O)C(=O)NCC(=O)NC(C(=O)N(C)C)C1=CC=CC=C1 HJOAYNNGZCEEJR-CREZCSQPSA-N 0.000 description 1
- MUEIJKYWENSOLF-NKJCUWAOSA-N CCCC[C@@H](NC(=O)[C@@H]1C2OC(C)(C)O[C@H]2CN1C(=O)[C@@H](NC(=O)OC(C)(C)C)C(C)(C)C)C(=O)C(=O)NCC(=O)NC(C(=O)N(C)C)C1=CC=CC=C1 Chemical compound CCCC[C@@H](NC(=O)[C@@H]1C2OC(C)(C)O[C@H]2CN1C(=O)[C@@H](NC(=O)OC(C)(C)C)C(C)(C)C)C(=O)C(=O)NCC(=O)NC(C(=O)N(C)C)C1=CC=CC=C1 MUEIJKYWENSOLF-NKJCUWAOSA-N 0.000 description 1
- ULRQJHUUMIMSSX-QPQDCNMDSA-N CCCC[C@@H](NC(=O)[C@@H]1C[C@@H](CCC(C)C)CN1C(=O)[C@@H](NC(=O)OC(C)(C)C)C(C)(C)C)C(=O)C(=O)NCC(=O)NC(C(=O)N(C)C)C1=CC=CC=C1 Chemical compound CCCC[C@@H](NC(=O)[C@@H]1C[C@@H](CCC(C)C)CN1C(=O)[C@@H](NC(=O)OC(C)(C)C)C(C)(C)C)C(=O)C(=O)NCC(=O)NC(C(=O)N(C)C)C1=CC=CC=C1 ULRQJHUUMIMSSX-QPQDCNMDSA-N 0.000 description 1
- QZFXLOUAVVXVPF-IKWMAJKSSA-N CCCC[C@@H](NC(=O)[C@@H]1[C@@H]2C(CN1C(=O)[C@@H](NC(=O)OC(C)(C)C)C1CCCCC1)C2(C)C)C(=O)C(=O)NCC(=O)OC(C)(C)CC1=CC=CC=C1 Chemical compound CCCC[C@@H](NC(=O)[C@@H]1[C@@H]2C(CN1C(=O)[C@@H](NC(=O)OC(C)(C)C)C1CCCCC1)C2(C)C)C(=O)C(=O)NCC(=O)OC(C)(C)CC1=CC=CC=C1 QZFXLOUAVVXVPF-IKWMAJKSSA-N 0.000 description 1
- HJOAYNNGZCEEJR-RHJWWPDYSA-N CCCC[C@H](NC(=O)[C@@H]1C(OC(C)(C)C)CCN1C(=O)[C@@H](NC(=O)OC(C)(C)C)C(C)(C)C)C(=O)C(=O)NCC(=O)NC(C(=O)N(C)C)C1=CC=CC=C1 Chemical compound CCCC[C@H](NC(=O)[C@@H]1C(OC(C)(C)C)CCN1C(=O)[C@@H](NC(=O)OC(C)(C)C)C(C)(C)C)C(=O)C(=O)NCC(=O)NC(C(=O)N(C)C)C1=CC=CC=C1 HJOAYNNGZCEEJR-RHJWWPDYSA-N 0.000 description 1
- UZTDRALXIDCWJM-DPBVZMNZSA-N CCCC[C@H](NC(=O)[C@@H]1C2C3CCC(C3)C2CN1C(=O)[C@@H](NC(=O)OCC(C)C)C(C)(C)C)C(=O)C(=O)NCC(=O)NC(C(=O)N(C)C)C1=CC=CC=C1 Chemical compound CCCC[C@H](NC(=O)[C@@H]1C2C3CCC(C3)C2CN1C(=O)[C@@H](NC(=O)OCC(C)C)C(C)(C)C)C(=O)C(=O)NCC(=O)NC(C(=O)N(C)C)C1=CC=CC=C1 UZTDRALXIDCWJM-DPBVZMNZSA-N 0.000 description 1
- SBZKVROENQRNOG-YDSPCCDXSA-N CCCI.CN(C)C(=O)[C@@H](NC(=O)CCC(=O)C(=O)C(CC(=O)[C@@H]1[C@@H]2C(CN1C(=O)[C@@H](N)C(C)(C)C)C2(C)C)CC1CC1)C1=CC=CC=C1.CN(C)C(=O)[C@@H](NC(=O)CCC(=O)C(=O)C(CC(=O)[C@@H]1[C@@H]2C(CN1C(=O)[C@@H](NC(=O)NC(C)(C)C)C(C)(C)C)C2(C)C)CC1CC1)C1=CC=CC=C1.Cl Chemical compound CCCI.CN(C)C(=O)[C@@H](NC(=O)CCC(=O)C(=O)C(CC(=O)[C@@H]1[C@@H]2C(CN1C(=O)[C@@H](N)C(C)(C)C)C2(C)C)CC1CC1)C1=CC=CC=C1.CN(C)C(=O)[C@@H](NC(=O)CCC(=O)C(=O)C(CC(=O)[C@@H]1[C@@H]2C(CN1C(=O)[C@@H](NC(=O)NC(C)(C)C)C(C)(C)C)C2(C)C)CC1CC1)C1=CC=CC=C1.Cl SBZKVROENQRNOG-YDSPCCDXSA-N 0.000 description 1
- KLHRMQWNBWVZOV-QWYSVXDISA-N CCCNC(=O)C(=O)C(CCC)NC(=O)[C@@H]1[C@@H]2[C@H](CN1C(=O)[C@@H](NC(=O)OC(C)(C)C)C(C)(C)C)C2(C)C Chemical compound CCCNC(=O)C(=O)C(CCC)NC(=O)[C@@H]1[C@@H]2[C@H](CN1C(=O)[C@@H](NC(=O)OC(C)(C)C)C(C)(C)C)C2(C)C KLHRMQWNBWVZOV-QWYSVXDISA-N 0.000 description 1
- IXWIOUVNLNKZGL-IWNGNQFBSA-N CCCNC(=O)CNC(=O)C(=O)C(CCC)NC(=O)[C@@H]1C2[C@H](CN1C(=O)[C@@H](NC(=O)OC(C)(C)C)C(C)(C)C)C2(C)C Chemical compound CCCNC(=O)CNC(=O)C(=O)C(CCC)NC(=O)[C@@H]1C2[C@H](CN1C(=O)[C@@H](NC(=O)OC(C)(C)C)C(C)(C)C)C2(C)C IXWIOUVNLNKZGL-IWNGNQFBSA-N 0.000 description 1
- AUAAPXXZRSUJPQ-UHFFFAOYSA-N CCCOC(=O)CCNC(=O)C(=O)C(CCC)NC(=O)C1C2C(CN1C(=O)C(NC(=O)OC(C)(C)C)C1CCCCC1)C2(C)C Chemical compound CCCOC(=O)CCNC(=O)C(=O)C(CCC)NC(=O)C1C2C(CN1C(=O)C(NC(=O)OC(C)(C)C)C1CCCCC1)C2(C)C AUAAPXXZRSUJPQ-UHFFFAOYSA-N 0.000 description 1
- ABYZTKXXQHAQAI-QDSNRURRSA-N CCCOC(=O)CNC(=O)C(=O)C(CCC)NC(=O)[C@@H]1C2C(CN1C(=O)[C@@H](NC(=O)OC(C)(C)C)C1CCCCC1)C2(C)C Chemical compound CCCOC(=O)CNC(=O)C(=O)C(CCC)NC(=O)[C@@H]1C2C(CN1C(=O)[C@@H](NC(=O)OC(C)(C)C)C1CCCCC1)C2(C)C ABYZTKXXQHAQAI-QDSNRURRSA-N 0.000 description 1
- ZYACCUUXPCRGEH-COTUPVRBSA-N CCCOC(=O)CNC(=O)C(=O)C(CCC)NC(=O)[C@@H]1CCCN1C(=O)[C@@H](NC(=O)[C@@H](NC(=O)OC(C)(C)C)C(C)(C)C)C(C)C Chemical compound CCCOC(=O)CNC(=O)C(=O)C(CCC)NC(=O)[C@@H]1CCCN1C(=O)[C@@H](NC(=O)[C@@H](NC(=O)OC(C)(C)C)C(C)(C)C)C(C)C ZYACCUUXPCRGEH-COTUPVRBSA-N 0.000 description 1
- SYQDBJNDIXSZNW-JUODMZLFSA-N CCCOC(=O)CNC(=O)C(=O)C(CCC)NC(=O)[C@@H]1CCCN1C[C@@H](NC(=O)OCC(C)C)C(C)C Chemical compound CCCOC(=O)CNC(=O)C(=O)C(CCC)NC(=O)[C@@H]1CCCN1C[C@@H](NC(=O)OCC(C)C)C(C)C SYQDBJNDIXSZNW-JUODMZLFSA-N 0.000 description 1
- MUKQGYMKTPIXTL-RNLLHNEJSA-N CCCOC(=O)CNC(=O)C(=O)C(CCC)NC(=O)[C@@H]1C[C@@H]2CCCC[C@@H]2N1C(=O)OC(C)(C)C Chemical compound CCCOC(=O)CNC(=O)C(=O)C(CCC)NC(=O)[C@@H]1C[C@@H]2CCCC[C@@H]2N1C(=O)OC(C)(C)C MUKQGYMKTPIXTL-RNLLHNEJSA-N 0.000 description 1
- PVHRDOHNZIWBPD-UHFFFAOYSA-N CCCS(=O)(=O)Cl.CN(C(C)(C)C)S(=O)(=O)CCN Chemical compound CCCS(=O)(=O)Cl.CN(C(C)(C)C)S(=O)(=O)CCN PVHRDOHNZIWBPD-UHFFFAOYSA-N 0.000 description 1
- AYFPYAYREMVPHD-UHFFFAOYSA-N CCCS(=O)(=O)N(C)C.CN(C(C)(C)C)S(=O)(=O)CCN Chemical compound CCCS(=O)(=O)N(C)C.CN(C(C)(C)C)S(=O)(=O)CCN AYFPYAYREMVPHD-UHFFFAOYSA-N 0.000 description 1
- FVQPJHIMCGBCSN-YVKVGZNISA-N CCC[C@@H](C(C(NCC(N[C@H](C(N(C)C)=O)c1ccccc1)=O)=O)=O)NC([C@H](C(CC1)[C@@H]1C1)N1C([C@H](C(C)(C)C)NC(OCC(C)C)=O)=O)=O Chemical compound CCC[C@@H](C(C(NCC(N[C@H](C(N(C)C)=O)c1ccccc1)=O)=O)=O)NC([C@H](C(CC1)[C@@H]1C1)N1C([C@H](C(C)(C)C)NC(OCC(C)C)=O)=O)=O FVQPJHIMCGBCSN-YVKVGZNISA-N 0.000 description 1
- CWLUOICKMYMSDA-QJDWYWKQSA-N CCC[C@@H](NC(=O)C1C2CCC(C2)N1C(=O)[C@@H](NC(=O)OC(C)(C)C)C(C)(C)C)C(=O)C(=O)OC(C)(C)C Chemical compound CCC[C@@H](NC(=O)C1C2CCC(C2)N1C(=O)[C@@H](NC(=O)OC(C)(C)C)C(C)(C)C)C(=O)C(=O)OC(C)(C)C CWLUOICKMYMSDA-QJDWYWKQSA-N 0.000 description 1
- HIXIFGHZPRKQNP-CDNMWQPMSA-N CCC[C@@H](NC(=O)C1[C@@H]2C(CN1C(=O)C(NC(=O)[C@H](CC(C)C)NS(C)(=O)=O)C(C)(C)C)C2(C)C)C(=O)C(=O)OC Chemical compound CCC[C@@H](NC(=O)C1[C@@H]2C(CN1C(=O)C(NC(=O)[C@H](CC(C)C)NS(C)(=O)=O)C(C)(C)C)C2(C)C)C(=O)C(=O)OC HIXIFGHZPRKQNP-CDNMWQPMSA-N 0.000 description 1
- TUTPHURLBOFDMG-LMZQMATKSA-N CCC[C@@H](NC(=O)[C@@H]1C2C(CN1C(=O)[C@@H](NC(=O)OC(C)C(C)C)C(C)(C)C)C2(C)C)C(=O)C(=O)NCC(=O)N[C@H](C(=O)N(C)C)C1=CC=CC=C1 Chemical compound CCC[C@@H](NC(=O)[C@@H]1C2C(CN1C(=O)[C@@H](NC(=O)OC(C)C(C)C)C(C)(C)C)C2(C)C)C(=O)C(=O)NCC(=O)N[C@H](C(=O)N(C)C)C1=CC=CC=C1 TUTPHURLBOFDMG-LMZQMATKSA-N 0.000 description 1
- QJVNWVAXWALQIC-BKCBZOBISA-N CCC[C@@H](NC(=O)[C@@H]1C2C(CN1C(=O)[C@@H](NC(=O)OCC(C)C)C1(C)CCCCC1)C2(C)C)C(=O)C(=O)NCC(=O)N[C@H](C(=O)N(C)C)C1=CC=CC=C1 Chemical compound CCC[C@@H](NC(=O)[C@@H]1C2C(CN1C(=O)[C@@H](NC(=O)OCC(C)C)C1(C)CCCCC1)C2(C)C)C(=O)C(=O)NCC(=O)N[C@H](C(=O)N(C)C)C1=CC=CC=C1 QJVNWVAXWALQIC-BKCBZOBISA-N 0.000 description 1
- SOITVKCRWNBAEZ-YCHXIMLFSA-N CCC[C@@H](NC(=O)[C@@H]1C2C(CN1C(=O)[C@H](NC(=O)OC(C)(C)C)N1CCCC(C(=O)NC(C)(C)C)C1)C2(C)C)C(=O)C(N)=O Chemical compound CCC[C@@H](NC(=O)[C@@H]1C2C(CN1C(=O)[C@H](NC(=O)OC(C)(C)C)N1CCCC(C(=O)NC(C)(C)C)C1)C2(C)C)C(=O)C(N)=O SOITVKCRWNBAEZ-YCHXIMLFSA-N 0.000 description 1
- CWLUOICKMYMSDA-DCTLGZKKSA-N CCC[C@@H](NC(=O)[C@@H]1C2CCC(C2)N1C(=O)[C@H](NC(=O)OC(C)(C)C)C(C)(C)C)C(=O)C(=O)OC(C)(C)C Chemical compound CCC[C@@H](NC(=O)[C@@H]1C2CCC(C2)N1C(=O)[C@H](NC(=O)OC(C)(C)C)C(C)(C)C)C(=O)C(=O)OC(C)(C)C CWLUOICKMYMSDA-DCTLGZKKSA-N 0.000 description 1
- LSFYTPLRAZQNFC-NYYHUVJVSA-N CCC[C@@H](NC(=O)[C@@H]1C2[C@H](CN1C(=O)C(NC(=O)OC(C)(C)C)C1CCCCC1)C2(C)C)C(=O)C(=O)NCCS(=O)(=O)C(C)(C)C Chemical compound CCC[C@@H](NC(=O)[C@@H]1C2[C@H](CN1C(=O)C(NC(=O)OC(C)(C)C)C1CCCCC1)C2(C)C)C(=O)C(=O)NCCS(=O)(=O)C(C)(C)C LSFYTPLRAZQNFC-NYYHUVJVSA-N 0.000 description 1
- SYBFDQKUZMKGLD-ADXLDSDHSA-N CCC[C@@H](NC(=O)[C@@H]1C2[C@H](CN1C(=O)[C@@H](NC(=O)OC(C)(C)C)C(C)(C)C)C2(C)C)C(=O)C(=O)NCC1=CC=CC=C1 Chemical compound CCC[C@@H](NC(=O)[C@@H]1C2[C@H](CN1C(=O)[C@@H](NC(=O)OC(C)(C)C)C(C)(C)C)C2(C)C)C(=O)C(=O)NCC1=CC=CC=C1 SYBFDQKUZMKGLD-ADXLDSDHSA-N 0.000 description 1
- NOTPAWKZXLSROA-MOBLKYNXSA-N CCC[C@@H](NC(=O)[C@@H]1C2[C@H](CN1C(=O)[C@@H](NC(=O)OC(C)(C)C)C(C)(C)C)C2(C)C)C(=O)C(=O)NCC1=CC=CS1 Chemical compound CCC[C@@H](NC(=O)[C@@H]1C2[C@H](CN1C(=O)[C@@H](NC(=O)OC(C)(C)C)C(C)(C)C)C2(C)C)C(=O)C(=O)NCC1=CC=CS1 NOTPAWKZXLSROA-MOBLKYNXSA-N 0.000 description 1
- PACYQGAERBSHTD-NTZLVRFOSA-N CCC[C@@H](NC(=O)[C@@H]1C2[C@H](CN1C(=O)[C@@H](NC(=O)OC(C)(C)C)C(C)(C)C)C2(C)C)C(=O)C(=O)NCC1=CC=NC=C1 Chemical compound CCC[C@@H](NC(=O)[C@@H]1C2[C@H](CN1C(=O)[C@@H](NC(=O)OC(C)(C)C)C(C)(C)C)C2(C)C)C(=O)C(=O)NCC1=CC=NC=C1 PACYQGAERBSHTD-NTZLVRFOSA-N 0.000 description 1
- SRUMJMXSQIHSNL-MOBLKYNXSA-N CCC[C@@H](NC(=O)[C@@H]1C2[C@H](CN1C(=O)[C@@H](NC(=O)OC(C)(C)C)C(C)(C)C)C2(C)C)C(=O)C(=O)NCC=C(C)C Chemical compound CCC[C@@H](NC(=O)[C@@H]1C2[C@H](CN1C(=O)[C@@H](NC(=O)OC(C)(C)C)C(C)(C)C)C2(C)C)C(=O)C(=O)NCC=C(C)C SRUMJMXSQIHSNL-MOBLKYNXSA-N 0.000 description 1
- JCDFLSXOFXLKEW-HWIPNQKPSA-N CCC[C@@H](NC(=O)[C@@H]1CC(C)(C)CN1C(=O)[C@@H](NC(=O)O[C@@H](C)C(C)C)C1CCCCC1)C(=O)C(=O)NCC(=O)N[C@H](C(=O)N(C)C)C1=CC=CC=C1 Chemical compound CCC[C@@H](NC(=O)[C@@H]1CC(C)(C)CN1C(=O)[C@@H](NC(=O)O[C@@H](C)C(C)C)C1CCCCC1)C(=O)C(=O)NCC(=O)N[C@H](C(=O)N(C)C)C1=CC=CC=C1 JCDFLSXOFXLKEW-HWIPNQKPSA-N 0.000 description 1
- PEIKWEJVXRCRAN-JMZGFNRRSA-N CCC[C@@H](NC(=O)[C@@H]1COCN1C(=O)[C@@H](NC(=O)OCC(C)C)C1CCCCC1)C(=O)C(=O)NCC(=O)N[C@H](C(=O)N(C)C)C1=CC=CC=C1 Chemical compound CCC[C@@H](NC(=O)[C@@H]1COCN1C(=O)[C@@H](NC(=O)OCC(C)C)C1CCCCC1)C(=O)C(=O)NCC(=O)N[C@H](C(=O)N(C)C)C1=CC=CC=C1 PEIKWEJVXRCRAN-JMZGFNRRSA-N 0.000 description 1
- TXMREZHHRLTJPJ-BSSSQQLQSA-N CCC[C@@H](NC(=O)[C@@H]1C[C@@H](C)CN1C(=O)[C@@H](NC(=O)OCC(C)C)C(C)(C)C)C(=O)C(=O)NCC(=O)NC(C(=O)N(C)C)C1=CC=CC=C1 Chemical compound CCC[C@@H](NC(=O)[C@@H]1C[C@@H](C)CN1C(=O)[C@@H](NC(=O)OCC(C)C)C(C)(C)C)C(=O)C(=O)NCC(=O)NC(C(=O)N(C)C)C1=CC=CC=C1 TXMREZHHRLTJPJ-BSSSQQLQSA-N 0.000 description 1
- MUALSRWQQWTZSM-HXDGVXKCSA-N CCC[C@@H](NC(=O)[C@@H]1[C@@H]2C(CN1C(=O)[C@@H](N(C)C(=O)OC(C)(C)C)C(C)(C)C)C2(C)C)C(=O)C(=O)NCCC(=O)OC(C)(C)C Chemical compound CCC[C@@H](NC(=O)[C@@H]1[C@@H]2C(CN1C(=O)[C@@H](N(C)C(=O)OC(C)(C)C)C(C)(C)C)C2(C)C)C(=O)C(=O)NCCC(=O)OC(C)(C)C MUALSRWQQWTZSM-HXDGVXKCSA-N 0.000 description 1
- LDYLENAFXLKXIR-DIKWHBJGSA-N CCC[C@@H](NC(=O)[C@@H]1[C@@H]2C(CN1C(=O)[C@@H](NC(=O)OC(C)(C)C)C(C)(C)C)C2(C)C)C(=O)C(=O)NCC#O Chemical compound CCC[C@@H](NC(=O)[C@@H]1[C@@H]2C(CN1C(=O)[C@@H](NC(=O)OC(C)(C)C)C(C)(C)C)C2(C)C)C(=O)C(=O)NCC#O LDYLENAFXLKXIR-DIKWHBJGSA-N 0.000 description 1
- JURWMAHAYZVVMX-ZLCGFQFISA-N CCC[C@@H](NC(=O)[C@@H]1[C@@H]2C(CN1C(=O)[C@@H](NC(=O)OC(C)(C)C)C(C)(C)C)C2(C)C)C(=O)C(=O)NCC(=O)NC#O Chemical compound CCC[C@@H](NC(=O)[C@@H]1[C@@H]2C(CN1C(=O)[C@@H](NC(=O)OC(C)(C)C)C(C)(C)C)C2(C)C)C(=O)C(=O)NCC(=O)NC#O JURWMAHAYZVVMX-ZLCGFQFISA-N 0.000 description 1
- RMTBAWGPBNZRIF-DIKWHBJGSA-N CCC[C@@H](NC(=O)[C@@H]1[C@@H]2C(CN1C(=O)[C@@H](NC(=O)OC(C)(C)C)C(C)(C)C)C2(C)C)C(=O)C(=O)NOCC Chemical compound CCC[C@@H](NC(=O)[C@@H]1[C@@H]2C(CN1C(=O)[C@@H](NC(=O)OC(C)(C)C)C(C)(C)C)C2(C)C)C(=O)C(=O)NOCC RMTBAWGPBNZRIF-DIKWHBJGSA-N 0.000 description 1
- WNRPCOLBBZCCLN-PNZSJRDDSA-N CCC[C@@H](NC(=O)[C@@H]1[C@@H]2[C@H](CN1C(=O)C(NC(=O)OC(C)(C)C)C(C)(C)C)C2(C)C)C(=O)C(=O)NCCS(=O)(=O)C1=CC=CC=C1 Chemical compound CCC[C@@H](NC(=O)[C@@H]1[C@@H]2[C@H](CN1C(=O)C(NC(=O)OC(C)(C)C)C(C)(C)C)C2(C)C)C(=O)C(=O)NCCS(=O)(=O)C1=CC=CC=C1 WNRPCOLBBZCCLN-PNZSJRDDSA-N 0.000 description 1
- XDEXMRIUEWKUEP-CEEVZKBLSA-N CCC[C@@H](NC(=O)[C@@H]1[C@@H]2[C@H](CN1C(=O)[C@@H](NC(=O)OC(C)(C)C(F)(F)F)C(C)(C)C)C2(C)C)C(=O)C(N)=O Chemical compound CCC[C@@H](NC(=O)[C@@H]1[C@@H]2[C@H](CN1C(=O)[C@@H](NC(=O)OC(C)(C)C(F)(F)F)C(C)(C)C)C2(C)C)C(=O)C(N)=O XDEXMRIUEWKUEP-CEEVZKBLSA-N 0.000 description 1
- PKWIWXSHFQTICC-QSHMMXJSSA-N CCC[C@@H](NC(=O)[C@@H]1[C@H]2CC2CN1C(=O)[C@@H](NC(=O)OCC(C)C)C1CCCCC1)C(=O)C(=O)NCC(=O)NC(C(=O)N(C)C)C1=CC=CC=C1 Chemical compound CCC[C@@H](NC(=O)[C@@H]1[C@H]2CC2CN1C(=O)[C@@H](NC(=O)OCC(C)C)C1CCCCC1)C(=O)C(=O)NCC(=O)NC(C(=O)N(C)C)C1=CC=CC=C1 PKWIWXSHFQTICC-QSHMMXJSSA-N 0.000 description 1
- AYJFTYXZJNVCPB-ULQWZQFMSA-N CCC[C@H](C(C(N)=O)=O)NC([C@H]([C@H]1C(C)(C)C[C@H]1C1)N1C([C@H](C(C)(C)C)NC(OC(C)(C)C(F)(F)F)=O)=O)=O Chemical compound CCC[C@H](C(C(N)=O)=O)NC([C@H]([C@H]1C(C)(C)C[C@H]1C1)N1C([C@H](C(C)(C)C)NC(OC(C)(C)C(F)(F)F)=O)=O)=O AYJFTYXZJNVCPB-ULQWZQFMSA-N 0.000 description 1
- RZKBLUBBHCPWRM-WNWAYWJMSA-N CCC[C@H](C(C(NCc1ccccc1)=O)=O)NC([C@H]([C@H]1C(C)(C)[IH]C1C1)N1C([C@H](C(C)(C)C)NC(OC(C)(C)C)=O)=O)=O Chemical compound CCC[C@H](C(C(NCc1ccccc1)=O)=O)NC([C@H]([C@H]1C(C)(C)[IH]C1C1)N1C([C@H](C(C)(C)C)NC(OC(C)(C)C)=O)=O)=O RZKBLUBBHCPWRM-WNWAYWJMSA-N 0.000 description 1
- BGOMWKFGEGNOOK-GEVKEYJPSA-N CCC[C@H](N)C(=NNC(=O)NC(C1=CC=CC=C1)C1=CC=CC=C1)C(=O)NCC(=O)CC(C(=O)NC)C1=CC=CC=C1 Chemical compound CCC[C@H](N)C(=NNC(=O)NC(C1=CC=CC=C1)C1=CC=CC=C1)C(=O)NCC(=O)CC(C(=O)NC)C1=CC=CC=C1 BGOMWKFGEGNOOK-GEVKEYJPSA-N 0.000 description 1
- WVWDKWLJYSLAQD-HKDWDXDSSA-N CCC[C@H](NC(=O)C1CCCCN1C(=O)[C@@H](NC(=O)OCC(C)C)C1CCCCC1)C(=O)C(=O)NCC(=O)N[C@H](C(=O)N(C)C)C1=CC=CC=C1 Chemical compound CCC[C@H](NC(=O)C1CCCCN1C(=O)[C@@H](NC(=O)OCC(C)C)C1CCCCC1)C(=O)C(=O)NCC(=O)N[C@H](C(=O)N(C)C)C1=CC=CC=C1 WVWDKWLJYSLAQD-HKDWDXDSSA-N 0.000 description 1
- HENOZTNGAPWROV-CJKOVFCZSA-N CCC[C@H](NC(=O)C1C[C@@H](N)CN1C(=O)OC(C)(C)C)C(=NNC(=O)NC(C1=CC=CC=C1)C1=CC=CC=C1)C(=O)NCC(=O)CC(C(=O)NC)C1=CC=CC=C1 Chemical compound CCC[C@H](NC(=O)C1C[C@@H](N)CN1C(=O)OC(C)(C)C)C(=NNC(=O)NC(C1=CC=CC=C1)C1=CC=CC=C1)C(=O)NCC(=O)CC(C(=O)NC)C1=CC=CC=C1 HENOZTNGAPWROV-CJKOVFCZSA-N 0.000 description 1
- ROFFIYCFPIHGNH-UDHSUVFOSA-N CCC[C@H](NC(=O)C1C[C@@H](NC(=O)OCC2C3=C(C=CC=C3)C3=C2C=CC=C3)CN1C(=O)OC(C)(C)C)C(=CNC(=O)NC(C1=CC=CC=C1)C1=CC=CC=C1)C(=O)NCC(=O)CC(C(=O)NC)C1=CC=CC=C1 Chemical compound CCC[C@H](NC(=O)C1C[C@@H](NC(=O)OCC2C3=C(C=CC=C3)C3=C2C=CC=C3)CN1C(=O)OC(C)(C)C)C(=CNC(=O)NC(C1=CC=CC=C1)C1=CC=CC=C1)C(=O)NCC(=O)CC(C(=O)NC)C1=CC=CC=C1 ROFFIYCFPIHGNH-UDHSUVFOSA-N 0.000 description 1
- CYGGZBCEUFCDHI-GQEAVTMBSA-N CCC[C@H](NC(=O)C1C[C@@H](NS(=O)(=O)C2=CC=CC=C2)CN1C(=O)OC(C)(C)C)C(=NNC(=O)NC(C1=CC=CC=C1)C1=CC=CC=C1)C(=O)NCC(=O)CC(C(=O)NC)C1=CC=CC=C1 Chemical compound CCC[C@H](NC(=O)C1C[C@@H](NS(=O)(=O)C2=CC=CC=C2)CN1C(=O)OC(C)(C)C)C(=NNC(=O)NC(C1=CC=CC=C1)C1=CC=CC=C1)C(=O)NCC(=O)CC(C(=O)NC)C1=CC=CC=C1 CYGGZBCEUFCDHI-GQEAVTMBSA-N 0.000 description 1
- VTZZFZUKQKKPFR-ZEKWBMDLSA-N CCC[C@H](NC(=O)C1C[C@@H](NS(=O)(=O)C2=CC=CC=C2)CN1C(=O)[C@@H](CC(=O)OCC(C)C)C1CCCCC1)C(=NNC(=O)NC(C1=CC=CC=C1)C1=CC=CC=C1)C(=O)NCC(=O)C[C@H](C(=O)NC)C1=CC=CC=C1 Chemical compound CCC[C@H](NC(=O)C1C[C@@H](NS(=O)(=O)C2=CC=CC=C2)CN1C(=O)[C@@H](CC(=O)OCC(C)C)C1CCCCC1)C(=NNC(=O)NC(C1=CC=CC=C1)C1=CC=CC=C1)C(=O)NCC(=O)C[C@H](C(=O)NC)C1=CC=CC=C1 VTZZFZUKQKKPFR-ZEKWBMDLSA-N 0.000 description 1
- JKLGLJQOWGLZTN-ASHLUDJCSA-N CCC[C@H](NC(=O)C1C[C@@H](NS(=O)(=O)C2=CC=CC=C2)CN1C(=O)[C@@H](CC(=O)OCC(C)C)C1CCCCC1)C(=O)C(=O)NCC(=O)C[C@H](C(=O)NC)C1=CC=CC=C1 Chemical compound CCC[C@H](NC(=O)C1C[C@@H](NS(=O)(=O)C2=CC=CC=C2)CN1C(=O)[C@@H](CC(=O)OCC(C)C)C1CCCCC1)C(=O)C(=O)NCC(=O)C[C@H](C(=O)NC)C1=CC=CC=C1 JKLGLJQOWGLZTN-ASHLUDJCSA-N 0.000 description 1
- BVKUFYGBKCYPBI-WHXPQHAASA-N CCC[C@H](NC(=O)C1C[C@@H](NS(=O)(=O)C2=CC=CC=C2)CN1C(=O)[C@@H](NC(=O)OCC(C)C)C1CCCCC1)[C@H](O)C(=O)NCC(=O)C[C@H](C(N)=O)C1=CC=CC=C1 Chemical compound CCC[C@H](NC(=O)C1C[C@@H](NS(=O)(=O)C2=CC=CC=C2)CN1C(=O)[C@@H](NC(=O)OCC(C)C)C1CCCCC1)[C@H](O)C(=O)NCC(=O)C[C@H](C(N)=O)C1=CC=CC=C1 BVKUFYGBKCYPBI-WHXPQHAASA-N 0.000 description 1
- CGLFBGIYCDECPB-UPJMSHBXSA-N CCC[C@H](NC(=O)C1C[C@@H](O)CN1C(=O)[C@@H](NC(=O)OCC(C)(C)C)C1CCCCC1)C(=O)C(=O)NCC(=O)N[C@H](C(=O)O)C1=CC=CC=C1 Chemical compound CCC[C@H](NC(=O)C1C[C@@H](O)CN1C(=O)[C@@H](NC(=O)OCC(C)(C)C)C1CCCCC1)C(=O)C(=O)NCC(=O)N[C@H](C(=O)O)C1=CC=CC=C1 CGLFBGIYCDECPB-UPJMSHBXSA-N 0.000 description 1
- DJKIIWOERYJCHL-WMABXRHJSA-N CCC[C@H](NC(=O)C1C[C@@H](O)CN1C(=O)[C@@H](NC(=O)OCC)C1CCCCC1)C(=O)C(=O)NCC(=O)N[C@H](C(=O)O)C1=CC=CC=C1 Chemical compound CCC[C@H](NC(=O)C1C[C@@H](O)CN1C(=O)[C@@H](NC(=O)OCC)C1CCCCC1)C(=O)C(=O)NCC(=O)N[C@H](C(=O)O)C1=CC=CC=C1 DJKIIWOERYJCHL-WMABXRHJSA-N 0.000 description 1
- AWFNNEGFWMUAHM-GRDMQMRBSA-N CCC[C@H](NC(=O)C1C[C@@H](OC(C)(C)C)CN1C(=O)[C@@H](NC(=O)OCC(C)(C)C)C1CCCCC1)C(=O)C(=O)NCC(=O)N[C@H](C(=O)O)C1=CC=CC=C1 Chemical compound CCC[C@H](NC(=O)C1C[C@@H](OC(C)(C)C)CN1C(=O)[C@@H](NC(=O)OCC(C)(C)C)C1CCCCC1)C(=O)C(=O)NCC(=O)N[C@H](C(=O)O)C1=CC=CC=C1 AWFNNEGFWMUAHM-GRDMQMRBSA-N 0.000 description 1
- MJQMUEDKQGMEPV-PEHGTWAWSA-N CCC[C@H](NC(=O)OC(C)(C)C)C(O)C(=O)NCC(=O)O Chemical compound CCC[C@H](NC(=O)OC(C)(C)C)C(O)C(=O)NCC(=O)O MJQMUEDKQGMEPV-PEHGTWAWSA-N 0.000 description 1
- IXKBAQJDYIRQIU-NGPNKXNLSA-N CCC[C@H](NC(=O)[C@@H]1C2C(CN1C(=O)[C@@H](NS(=O)(=O)C(C)C)C(C)(C)C)C2(C)C)C(=O)C(=O)NCC(=O)N[C@H](C(=O)N(C)C)C1=CC=CC=C1 Chemical compound CCC[C@H](NC(=O)[C@@H]1C2C(CN1C(=O)[C@@H](NS(=O)(=O)C(C)C)C(C)(C)C)C2(C)C)C(=O)C(=O)NCC(=O)N[C@H](C(=O)N(C)C)C1=CC=CC=C1 IXKBAQJDYIRQIU-NGPNKXNLSA-N 0.000 description 1
- OIVCMHOZVJTOKY-MHTAPBGLSA-N CCC[C@H](NC(=O)[C@@H]1C2C[C@H]2CN1C(=O)[C@@H](NC(=O)OC(C)C)C(C)(C)C)C(=O)C(=O)NCC(=O)N[C@H](C(=O)N(C)C)C1=CC=CC=C1.CCC[C@H](NC(=O)[C@@H]1C2C[C@H]2CN1C(=O)[C@@H](NC(=O)O[C@H](C)C(C)C)C(C)(C)C)C(=O)C(=O)NCC(=O)N[C@H](C(=O)N(C)C)C1=CC=CC=C1.CCC[C@H](NC(=O)[C@@H]1[C@H]2C[C@H]2CN1C(=O)[C@@H](NC(=O)OCC(C)C)C1CCCCC1)C(=O)C(=O)NCC(=O)NC(C(=O)N(C)C)C1=CC=CC=C1.CCC[C@H](NC(=O)[C@@H]1[C@H]2C[C@H]2CN1C(=O)[C@@H](NC(=O)O[C@H](C)C(C)C)C1(C)CCCCC1)C(=O)C(=O)NCC(=O)N[C@H](C(=O)N(C)C)C1=CC=CC=C1 Chemical compound CCC[C@H](NC(=O)[C@@H]1C2C[C@H]2CN1C(=O)[C@@H](NC(=O)OC(C)C)C(C)(C)C)C(=O)C(=O)NCC(=O)N[C@H](C(=O)N(C)C)C1=CC=CC=C1.CCC[C@H](NC(=O)[C@@H]1C2C[C@H]2CN1C(=O)[C@@H](NC(=O)O[C@H](C)C(C)C)C(C)(C)C)C(=O)C(=O)NCC(=O)N[C@H](C(=O)N(C)C)C1=CC=CC=C1.CCC[C@H](NC(=O)[C@@H]1[C@H]2C[C@H]2CN1C(=O)[C@@H](NC(=O)OCC(C)C)C1CCCCC1)C(=O)C(=O)NCC(=O)NC(C(=O)N(C)C)C1=CC=CC=C1.CCC[C@H](NC(=O)[C@@H]1[C@H]2C[C@H]2CN1C(=O)[C@@H](NC(=O)O[C@H](C)C(C)C)C1(C)CCCCC1)C(=O)C(=O)NCC(=O)N[C@H](C(=O)N(C)C)C1=CC=CC=C1 OIVCMHOZVJTOKY-MHTAPBGLSA-N 0.000 description 1
- WCXZBXWEDASSAU-BVXSFBNRSA-N CCC[C@H](NC(=O)[C@@H]1C2OC(C)(C)O[C@H]2CN1C(=O)[C@@H](NC(=O)OC(C)(C)C)C(C)(C)C)C(=O)C(=O)NCC(=O)NC(C(=O)N(C)C)C1=CC=CC=C1 Chemical compound CCC[C@H](NC(=O)[C@@H]1C2OC(C)(C)O[C@H]2CN1C(=O)[C@@H](NC(=O)OC(C)(C)C)C(C)(C)C)C(=O)C(=O)NCC(=O)NC(C(=O)N(C)C)C1=CC=CC=C1 WCXZBXWEDASSAU-BVXSFBNRSA-N 0.000 description 1
- LTLGWOCIGZWZAK-WOPQWVFSSA-N CCC[C@H](NC(=O)[C@@H]1C2[C@H](CN1C(=O)[C@@H](NC(=O)OC(C)C)C(C)(C)C)C2(C)C)C(=O)C(=O)NCC(=O)N[C@H](C(=O)N(C)C)C1=CC=CC=C1 Chemical compound CCC[C@H](NC(=O)[C@@H]1C2[C@H](CN1C(=O)[C@@H](NC(=O)OC(C)C)C(C)(C)C)C2(C)C)C(=O)C(=O)NCC(=O)N[C@H](C(=O)N(C)C)C1=CC=CC=C1 LTLGWOCIGZWZAK-WOPQWVFSSA-N 0.000 description 1
- TVCOWKDBEJYQNU-WWNJYFRKSA-N CCC[C@H](NC(=O)[C@@H]1CC(C)(C)CN1C(=O)C(NC(=O)OCC(C)C)[C@@H](C)CC)C(=O)C(=O)NCC(=O)N[C@H](C(=O)N(C)C)C1=CC=CC=C1 Chemical compound CCC[C@H](NC(=O)[C@@H]1CC(C)(C)CN1C(=O)C(NC(=O)OCC(C)C)[C@@H](C)CC)C(=O)C(=O)NCC(=O)N[C@H](C(=O)N(C)C)C1=CC=CC=C1 TVCOWKDBEJYQNU-WWNJYFRKSA-N 0.000 description 1
- OJPBJAQRPMJOEK-JYFZQOIESA-N CCC[C@H](NC(=O)[C@@H]1CC(C)(C)CN1C(=O)[C@@H](NC(=O)OCC(C)C)C1(C)CCCCC1)C(=O)C(=O)NCC(=O)N[C@H](C(=O)N(C)C)C1=CC=CC=C1 Chemical compound CCC[C@H](NC(=O)[C@@H]1CC(C)(C)CN1C(=O)[C@@H](NC(=O)OCC(C)C)C1(C)CCCCC1)C(=O)C(=O)NCC(=O)N[C@H](C(=O)N(C)C)C1=CC=CC=C1 OJPBJAQRPMJOEK-JYFZQOIESA-N 0.000 description 1
- HFGDSAPMJJQCBA-SAADUZIKSA-N CCC[C@H](NC(=O)[C@@H]1CC(CCC(C)C)CN1C(=O)[C@@H](NC(=O)OC(C)(C)C)C(C)(C)C)C(=O)C(=O)NCC(=O)NC(C(=O)N(C)C)C1=CC=CC=C1 Chemical compound CCC[C@H](NC(=O)[C@@H]1CC(CCC(C)C)CN1C(=O)[C@@H](NC(=O)OC(C)(C)C)C(C)(C)C)C(=O)C(=O)NCC(=O)NC(C(=O)N(C)C)C1=CC=CC=C1 HFGDSAPMJJQCBA-SAADUZIKSA-N 0.000 description 1
- TXMREZHHRLTJPJ-VNTWZLFKSA-N CCC[C@H](NC(=O)[C@@H]1C[C@@H](C)CN1C(=O)[C@@H](NC(=O)OCC(C)C)C(C)(C)C)C(=O)C(=O)NCC(=O)NC(C(=O)N(C)C)C1=CC=CC=C1 Chemical compound CCC[C@H](NC(=O)[C@@H]1C[C@@H](C)CN1C(=O)[C@@H](NC(=O)OCC(C)C)C(C)(C)C)C(=O)C(=O)NCC(=O)NC(C(=O)N(C)C)C1=CC=CC=C1 TXMREZHHRLTJPJ-VNTWZLFKSA-N 0.000 description 1
- HFGDSAPMJJQCBA-FSMDHBHGSA-N CCC[C@H](NC(=O)[C@@H]1C[C@@H](CCC(C)C)CN1C(=O)[C@@H](NC(=O)OC(C)(C)C)C(C)(C)C)C(=O)C(=O)NCC(=O)NC(C(=O)N(C)C)C1=CC=CC=C1 Chemical compound CCC[C@H](NC(=O)[C@@H]1C[C@@H](CCC(C)C)CN1C(=O)[C@@H](NC(=O)OC(C)(C)C)C(C)(C)C)C(=O)C(=O)NCC(=O)NC(C(=O)N(C)C)C1=CC=CC=C1 HFGDSAPMJJQCBA-FSMDHBHGSA-N 0.000 description 1
- AILUTJCVHNDQQT-QFQIFDGDSA-N CCC[C@H](NC(=O)[C@@H]1[C@H]2C[C@H]2CN1C(=O)[C@@H](NC(=O)OC(C)C)C(C)(C)C)C(=O)C(=O)NCC(=O)N[C@H](C(=O)N(C)C)C1=CC=CC=C1 Chemical compound CCC[C@H](NC(=O)[C@@H]1[C@H]2C[C@H]2CN1C(=O)[C@@H](NC(=O)OC(C)C)C(C)(C)C)C(=O)C(=O)NCC(=O)N[C@H](C(=O)N(C)C)C1=CC=CC=C1 AILUTJCVHNDQQT-QFQIFDGDSA-N 0.000 description 1
- GOJNQJSRVDXKEL-RCIQZBQMSA-N CCC[C@H](NC(=O)[C@@H]1[C@H]2C[C@H]2CN1C(=O)[C@@H](NC(=O)OCC(C)C)C(C)(C)C)C(=O)C(=O)NCC(=O)N[C@H](C(=O)N(C)C)C1=CC=CC=C1 Chemical compound CCC[C@H](NC(=O)[C@@H]1[C@H]2C[C@H]2CN1C(=O)[C@@H](NC(=O)OCC(C)C)C(C)(C)C)C(=O)C(=O)NCC(=O)N[C@H](C(=O)N(C)C)C1=CC=CC=C1 GOJNQJSRVDXKEL-RCIQZBQMSA-N 0.000 description 1
- PKWIWXSHFQTICC-JTLZFHFRSA-N CCC[C@H](NC(=O)[C@@H]1[C@H]2C[C@H]2CN1C(=O)[C@@H](NC(=O)OCC(C)C)C1CCCCC1)C(=O)C(=O)NCC(=O)N[C@H](C(=O)N(C)C)C1=CC=CC=C1 Chemical compound CCC[C@H](NC(=O)[C@@H]1[C@H]2C[C@H]2CN1C(=O)[C@@H](NC(=O)OCC(C)C)C1CCCCC1)C(=O)C(=O)NCC(=O)N[C@H](C(=O)N(C)C)C1=CC=CC=C1 PKWIWXSHFQTICC-JTLZFHFRSA-N 0.000 description 1
- WACPPWFGEBVSCX-BNMVFWSGSA-N CCC[C@H](NC(=O)[C@@H]1[C@H]2C[C@H]2CN1C(=O)[C@@H](NC(=O)O[C@H](C)C(C)C)C(C)(C)C)C(=O)C(=O)NCC(=O)N[C@H](C(=O)N(C)C)C1=CC=CC=C1 Chemical compound CCC[C@H](NC(=O)[C@@H]1[C@H]2C[C@H]2CN1C(=O)[C@@H](NC(=O)O[C@H](C)C(C)C)C(C)(C)C)C(=O)C(=O)NCC(=O)N[C@H](C(=O)N(C)C)C1=CC=CC=C1 WACPPWFGEBVSCX-BNMVFWSGSA-N 0.000 description 1
- GOGMVPQGZPSESG-MEZYBWKJSA-N CCC[C@H](NC(=O)[C@@H]1[C@H]2C[C@H]2CN1C(=O)[C@@H](NC(=O)O[C@H](C)C(C)C)C1(O)CCCCC1)C(=O)C(=O)NCC(=O)N[C@H](C(=O)N(C)C)C1=CC=CC=C1 Chemical compound CCC[C@H](NC(=O)[C@@H]1[C@H]2C[C@H]2CN1C(=O)[C@@H](NC(=O)O[C@H](C)C(C)C)C1(O)CCCCC1)C(=O)C(=O)NCC(=O)N[C@H](C(=O)N(C)C)C1=CC=CC=C1 GOGMVPQGZPSESG-MEZYBWKJSA-N 0.000 description 1
- YBRGZBUVWDEEOK-UHFFFAOYSA-N CCN1CC(=O)CC1C(=O)O.CCN1CC(=O)CC1C(=O)OCC1=CC=CC=C1 Chemical compound CCN1CC(=O)CC1C(=O)O.CCN1CC(=O)CC1C(=O)OCC1=CC=CC=C1 YBRGZBUVWDEEOK-UHFFFAOYSA-N 0.000 description 1
- QZPQQTANHPVGMU-UHFFFAOYSA-N CCN1CC(=O)CC1C(=O)OCC1=CC=CC=C1.CCN1CC(O)CC1C(=O)OCC1=CC=CC=C1 Chemical compound CCN1CC(=O)CC1C(=O)OCC1=CC=CC=C1.CCN1CC(O)CC1C(=O)OCC1=CC=CC=C1 QZPQQTANHPVGMU-UHFFFAOYSA-N 0.000 description 1
- BYQATAONNSZUAV-IOHZUATHSA-N CCNC(C(C(CCC=C)NC([C@H](C1C(C)(C)C1C1)N1C([C@H](C1CCCC1)NC(OC(C)(C)C)=O)=O)=O)=O)=O Chemical compound CCNC(C(C(CCC=C)NC([C@H](C1C(C)(C)C1C1)N1C([C@H](C1CCCC1)NC(OC(C)(C)C)=O)=O)=O)=O)=O BYQATAONNSZUAV-IOHZUATHSA-N 0.000 description 1
- OEPUIJJLQYKKJH-ORTRUDSISA-N CCNC(C([C@@H](CCC#CC)NC([C@H](C1C(C)(C)C1C1)N1C([C@H](C(C)(C)C)NC(OC(C)(C)C)=O)=O)=O)=O)=O Chemical compound CCNC(C([C@@H](CCC#CC)NC([C@H](C1C(C)(C)C1C1)N1C([C@H](C(C)(C)C)NC(OC(C)(C)C)=O)=O)=O)=O)=O OEPUIJJLQYKKJH-ORTRUDSISA-N 0.000 description 1
- TVRTYNTVYLXKOM-UHFFFAOYSA-N CCOC(=O)C(N)CC1CCC1.CCOC(=O)CN=C(C1=CC=CC=C1)C1=CC=CC=C1 Chemical compound CCOC(=O)C(N)CC1CCC1.CCOC(=O)CN=C(C1=CC=CC=C1)C1=CC=CC=C1 TVRTYNTVYLXKOM-UHFFFAOYSA-N 0.000 description 1
- DVKJAEQLZDLDSX-UHFFFAOYSA-N CCOC(=O)C=C1CCC2(CC1)OCCO2.CCOC(=O)CC1CCC2(CC1)OCCO2 Chemical compound CCOC(=O)C=C1CCC2(CC1)OCCO2.CCOC(=O)CC1CCC2(CC1)OCCO2 DVKJAEQLZDLDSX-UHFFFAOYSA-N 0.000 description 1
- DHNAYMCGVZNTDL-UHFFFAOYSA-N CCOC(=O)C=C1CCC2(CC1)OCCO2.CCOC(=O)C[PH](=O)O(CC)OCC.O=C1CCC2(CC1)OCCO2 Chemical compound CCOC(=O)C=C1CCC2(CC1)OCCO2.CCOC(=O)C[PH](=O)O(CC)OCC.O=C1CCC2(CC1)OCCO2 DHNAYMCGVZNTDL-UHFFFAOYSA-N 0.000 description 1
- WQWYYIJBEDFLCX-AHTXFPQCSA-M CCOC(=O)C=C1CCC2(CC1)OCCO2C.CCOC(=O)CC1CCC2(CC1)OCCO2C.CCOC(=O)CP(=O)(OCC)OCC.CO1CCOC12CCC(=O)CC2.CO1CCOC12CCC(CC(=O)N1C(=O)OC[C@@H]1CC1=CC=CC=C1)CC2.CO1CCOC12CCC(CC(=O)O)CC2.CO1CCOC12CCC([C@H](N=[N+]=[N-])C(=O)N1C(=O)OC[C@@H]1CC1=CC=CC=C1)CC2.O=CO.[HH].[Li]O Chemical compound CCOC(=O)C=C1CCC2(CC1)OCCO2C.CCOC(=O)CC1CCC2(CC1)OCCO2C.CCOC(=O)CP(=O)(OCC)OCC.CO1CCOC12CCC(=O)CC2.CO1CCOC12CCC(CC(=O)N1C(=O)OC[C@@H]1CC1=CC=CC=C1)CC2.CO1CCOC12CCC(CC(=O)O)CC2.CO1CCOC12CCC([C@H](N=[N+]=[N-])C(=O)N1C(=O)OC[C@@H]1CC1=CC=CC=C1)CC2.O=CO.[HH].[Li]O WQWYYIJBEDFLCX-AHTXFPQCSA-M 0.000 description 1
- YNWKVQKDBCRJKN-UHFFFAOYSA-M CCOC(=O)CC#N.N#CCC(=O)[O-].[K+] Chemical compound CCOC(=O)CC#N.N#CCC(=O)[O-].[K+] YNWKVQKDBCRJKN-UHFFFAOYSA-M 0.000 description 1
- SGMSIKAXFAWLKE-QASJSGSOSA-N CCOC(=O)CC1CCC2(CC1)OCCO2.O=C(CC1CCC2(CC1)OCCO2)N1C(=O)OC[C@@H]1CC1=CC=CC=C1.O=C1N[C@@H](CC2=CC=CC=C2)CO1 Chemical compound CCOC(=O)CC1CCC2(CC1)OCCO2.O=C(CC1CCC2(CC1)OCCO2)N1C(=O)OC[C@@H]1CC1=CC=CC=C1.O=C1N[C@@H](CC2=CC=CC=C2)CO1 SGMSIKAXFAWLKE-QASJSGSOSA-N 0.000 description 1
- UEIFOLOGBPELSE-UHFFFAOYSA-N CCOC(=O)CC1CCC2(CC1)OCCO2.O=C(O)CC1CCC2(CC1)OCCO2 Chemical compound CCOC(=O)CC1CCC2(CC1)OCCO2.O=C(O)CC1CCC2(CC1)OCCO2 UEIFOLOGBPELSE-UHFFFAOYSA-N 0.000 description 1
- JICWUBQFQILQRC-UHFFFAOYSA-N CCOC(=O)CNC(=O)C(O)C(CC(C)C)NC(=O)OC(C)(C)C.[H]C(=O)C(CC(C)C)NC(=O)OC(C)(C)C Chemical compound CCOC(=O)CNC(=O)C(O)C(CC(C)C)NC(=O)OC(C)(C)C.[H]C(=O)C(CC(C)C)NC(=O)OC(C)(C)C JICWUBQFQILQRC-UHFFFAOYSA-N 0.000 description 1
- HRTYEQDANOILAY-CRJJDSQLSA-N CCOC(=O)N[C@H](C(=O)N1C[C@H]2[C@@H]([C@H]1C(=O)NC(CC1CC1)C(=O)C(N)=O)C2(C)C)C1CCCCC1 Chemical compound CCOC(=O)N[C@H](C(=O)N1C[C@H]2[C@@H]([C@H]1C(=O)NC(CC1CC1)C(=O)C(N)=O)C2(C)C)C1CCCCC1 HRTYEQDANOILAY-CRJJDSQLSA-N 0.000 description 1
- UOOKGXCIDJGHPF-UHFFFAOYSA-N CCOC(CNC(CC(CC(C)C)NC(OC(C)(C)C)=O)=O)=O Chemical compound CCOC(CNC(CC(CC(C)C)NC(OC(C)(C)C)=O)=O)=O UOOKGXCIDJGHPF-UHFFFAOYSA-N 0.000 description 1
- OQNKAUUCRVIENT-DOVBMPENSA-N CCOC1(OC(=O)N[C@H](C(=O)N2C[C@H]3[C@@H]([C@H]2C(=O)NC(CC2CC2)C(=O)C(N)=O)C3(C)C)C(C)(C)C)CC1 Chemical compound CCOC1(OC(=O)N[C@H](C(=O)N2C[C@H]3[C@@H]([C@H]2C(=O)NC(CC2CC2)C(=O)C(N)=O)C3(C)C)C(C)(C)C)CC1 OQNKAUUCRVIENT-DOVBMPENSA-N 0.000 description 1
- MACOOQNRVMRBLM-USSJPZKSSA-N CCOC1(OC(=O)N[C@H](C(=O)N2C[C@H]3[C@@H]([C@H]2C(=O)NC(CC2CC2)C(=O)C(N)=O)C3(C)C)C2CCCCC2)CC1 Chemical compound CCOC1(OC(=O)N[C@H](C(=O)N2C[C@H]3[C@@H]([C@H]2C(=O)NC(CC2CC2)C(=O)C(N)=O)C3(C)C)C2CCCCC2)CC1 MACOOQNRVMRBLM-USSJPZKSSA-N 0.000 description 1
- GKGWQTZNLOWABB-WWNMHJFFSA-M CC[V]I.C[C@H](C(=O)N1C[C@H]2[C@@H]([C@H]1C(=O)CC(CC1CCC1)C(=O)C(N)=O)C2(Cl)Cl)C1CCCCC1.C[C@H](C(=O)N1C[C@H]2[C@@H]([C@H]1C(=O)CC(CC1CCC1)C(O)C(N)=O)C2(Cl)Cl)C1CCCCC1 Chemical compound CC[V]I.C[C@H](C(=O)N1C[C@H]2[C@@H]([C@H]1C(=O)CC(CC1CCC1)C(=O)C(N)=O)C2(Cl)Cl)C1CCCCC1.C[C@H](C(=O)N1C[C@H]2[C@@H]([C@H]1C(=O)CC(CC1CCC1)C(O)C(N)=O)C2(Cl)Cl)C1CCCCC1 GKGWQTZNLOWABB-WWNMHJFFSA-M 0.000 description 1
- DJVZIEOAXNUTSU-UHFFFAOYSA-N CN(C(=O)NC(C(=O)N1CC2C(C1C(=O)NC(CC1CCC1)C(=O)C(N)=O)C2(C)C)C1CCCCC1)C1=CC=CC=C1 Chemical compound CN(C(=O)NC(C(=O)N1CC2C(C1C(=O)NC(CC1CCC1)C(=O)C(N)=O)C2(C)C)C1CCCCC1)C1=CC=CC=C1 DJVZIEOAXNUTSU-UHFFFAOYSA-N 0.000 description 1
- RTGYHMHCPINZJK-GRNGOJQOSA-N CN(C(=O)N[C@H](C(=O)N1C[C@H]2[C@@H]([C@H]1C(=O)NC(CC1CC1)C(=O)C(N)=O)C2(C)C)C(C)(C)C)C1CCCCC1 Chemical compound CN(C(=O)N[C@H](C(=O)N1C[C@H]2[C@@H]([C@H]1C(=O)NC(CC1CC1)C(=O)C(N)=O)C2(C)C)C(C)(C)C)C1CCCCC1 RTGYHMHCPINZJK-GRNGOJQOSA-N 0.000 description 1
- JTIDOQHELIZPQW-LMBSDASBSA-N CN(C(C)(C)C)S(=O)(=O)CCCC(=O)C(=O)C(CC(=O)[C@@H]1C2C(CN1C(=O)[C@@H](CC(=O)CC(C)(C)C)C(C)(C)C)C2(C)C)CC1CCC1 Chemical compound CN(C(C)(C)C)S(=O)(=O)CCCC(=O)C(=O)C(CC(=O)[C@@H]1C2C(CN1C(=O)[C@@H](CC(=O)CC(C)(C)C)C(C)(C)C)C2(C)C)CC1CCC1 JTIDOQHELIZPQW-LMBSDASBSA-N 0.000 description 1
- KXXHSBYSOSJBEX-GRPJKFOBSA-N CN(C(C)(C)C)S(=O)(=O)CCCC(=O)C(=O)C(CC(=O)[C@@H]1C2C(CN1C(=O)[C@@H](CC(=O)CC(C)(C)C)C(C)(C)C)C2(C)C)CC1CCC1.COC(=O)C(O)C(CC(=O)[C@@H]1C2C(CN1C(=O)[C@@H](CC(=O)CC(C)(C)C)C(C)(C)C)C2(C)C)CC1CCC1 Chemical compound CN(C(C)(C)C)S(=O)(=O)CCCC(=O)C(=O)C(CC(=O)[C@@H]1C2C(CN1C(=O)[C@@H](CC(=O)CC(C)(C)C)C(C)(C)C)C2(C)C)CC1CCC1.COC(=O)C(O)C(CC(=O)[C@@H]1C2C(CN1C(=O)[C@@H](CC(=O)CC(C)(C)C)C(C)(C)C)C2(C)C)CC1CCC1 KXXHSBYSOSJBEX-GRPJKFOBSA-N 0.000 description 1
- MKKFDIUBKQIGDB-QZGCSSRFSA-N CN(C)C(=O)C(NC(=O)CNC(=O)C(=O)C(CC1CC1)NC(=O)[C@@H]1C2C(CN1C(=O)C(NC(=O)OC(C)(C)C)C(C)(C)C)C2(Cl)Cl)C1=CC=CC=C1 Chemical compound CN(C)C(=O)C(NC(=O)CNC(=O)C(=O)C(CC1CC1)NC(=O)[C@@H]1C2C(CN1C(=O)C(NC(=O)OC(C)(C)C)C(C)(C)C)C2(Cl)Cl)C1=CC=CC=C1 MKKFDIUBKQIGDB-QZGCSSRFSA-N 0.000 description 1
- OCQJJJBHZBRIDH-WPWKSCSZSA-N CN(C)C(=O)C(NC(=O)CNC(=O)C(=O)C(CC1CC1)NC(=O)[C@@H]1C2C(CN1C(=O)C(NC(=O)OC(C)(C)C)C1CCCCC1)C2(Cl)Cl)C1=CC=CC=C1 Chemical compound CN(C)C(=O)C(NC(=O)CNC(=O)C(=O)C(CC1CC1)NC(=O)[C@@H]1C2C(CN1C(=O)C(NC(=O)OC(C)(C)C)C1CCCCC1)C2(Cl)Cl)C1=CC=CC=C1 OCQJJJBHZBRIDH-WPWKSCSZSA-N 0.000 description 1
- FFPPBOYHSAFQLF-XPBBVKHMSA-N CN(C)C(=O)C(NC(=O)CNC(=O)C(=O)C(CC1CC1)NC(=O)[C@@H]1C2C(CN1C(=O)[C@@H](NC(=O)OC(C)(C)C)C1CC3=C(C=CC=C3)C1)C2(Cl)Cl)C1=CC=CC=C1 Chemical compound CN(C)C(=O)C(NC(=O)CNC(=O)C(=O)C(CC1CC1)NC(=O)[C@@H]1C2C(CN1C(=O)[C@@H](NC(=O)OC(C)(C)C)C1CC3=C(C=CC=C3)C1)C2(Cl)Cl)C1=CC=CC=C1 FFPPBOYHSAFQLF-XPBBVKHMSA-N 0.000 description 1
- QDKYXGHWYPQEGC-RCSPPFMPSA-N CN(C)C(=O)C(NC(=O)CNC(=O)C(=O)C(CC1CC1)NC(=O)[C@@H]1C2C(CN1C(=O)[C@@H](NC(=O)OC(C)(C)C)C1CCCC1)C2(C)C)C1=CC=CC=C1 Chemical compound CN(C)C(=O)C(NC(=O)CNC(=O)C(=O)C(CC1CC1)NC(=O)[C@@H]1C2C(CN1C(=O)[C@@H](NC(=O)OC(C)(C)C)C1CCCC1)C2(C)C)C1=CC=CC=C1 QDKYXGHWYPQEGC-RCSPPFMPSA-N 0.000 description 1
- MVGWHRQCECIIFA-RSTNYROGSA-N CN(C)C(=O)C(NC(=O)CNC(=O)C(=O)C(CC1CCC1)NC(=O)[C@@H]1C2C(CN1C(=O)C(NC(=O)OC(C)(C)C)C1CCCCC1)C2(Cl)Cl)C1=CC=CC=C1 Chemical compound CN(C)C(=O)C(NC(=O)CNC(=O)C(=O)C(CC1CCC1)NC(=O)[C@@H]1C2C(CN1C(=O)C(NC(=O)OC(C)(C)C)C1CCCCC1)C2(Cl)Cl)C1=CC=CC=C1 MVGWHRQCECIIFA-RSTNYROGSA-N 0.000 description 1
- RNCZNTFJGZLFRA-YXUWKADMSA-N CN(C)C(=O)C(NC(=O)CNC(=O)C(=O)C(CC1CCC1)NC(=O)[C@@H]1C2C(CN1C(=O)[C@@H](NC(=O)OC(C)(C)C)C(C)(C)C)C2(C)C)C1=CC=CC=C1 Chemical compound CN(C)C(=O)C(NC(=O)CNC(=O)C(=O)C(CC1CCC1)NC(=O)[C@@H]1C2C(CN1C(=O)[C@@H](NC(=O)OC(C)(C)C)C(C)(C)C)C2(C)C)C1=CC=CC=C1 RNCZNTFJGZLFRA-YXUWKADMSA-N 0.000 description 1
- OESLYAQHXTWKMQ-UHFFFAOYSA-N CN(C)C(=O)C(NC(=O)CNC(=O)C(=O)C(CCC1=CC=CC=C1)NC(=O)C1CC(C)(C)CN1C(=O)C(NC(=O)OC(C)(C)C)C1CCC(F)(F)CC1)C1=CC=CC=C1 Chemical compound CN(C)C(=O)C(NC(=O)CNC(=O)C(=O)C(CCC1=CC=CC=C1)NC(=O)C1CC(C)(C)CN1C(=O)C(NC(=O)OC(C)(C)C)C1CCC(F)(F)CC1)C1=CC=CC=C1 OESLYAQHXTWKMQ-UHFFFAOYSA-N 0.000 description 1
- BKBZUPOTVBRRMH-YETXFWRYSA-N CN(C)C(=O)C(NC(=O)CNC(=O)C(=O)CNC(=O)C1C2C(CN1C(=O)[C@@H](NC(=O)OC(C)(C)C)C1CCCCC1)C2(C)C)C1=CC=CC=C1 Chemical compound CN(C)C(=O)C(NC(=O)CNC(=O)C(=O)CNC(=O)C1C2C(CN1C(=O)[C@@H](NC(=O)OC(C)(C)C)C1CCCCC1)C2(C)C)C1=CC=CC=C1 BKBZUPOTVBRRMH-YETXFWRYSA-N 0.000 description 1
- VFQNKAVLNJABFW-XFNAGHOKSA-N CN(C)C(=O)[C@@H](N)C1=CC=CC=C1.C[C@H](C(=O)N(C)C)C1=CC=CC=C1.Cl Chemical compound CN(C)C(=O)[C@@H](N)C1=CC=CC=C1.C[C@H](C(=O)N(C)C)C1=CC=CC=C1.Cl VFQNKAVLNJABFW-XFNAGHOKSA-N 0.000 description 1
- JOMCURMRVOVRCA-RTJKMOLESA-N CN(C)C(=O)[C@@H](NC(=O)CCC(=O)C(=O)C(CC(=O)[C@@H]1[C@@H]2C(CN1C(=O)C(NC(=O)OC(C)(C)C)C(C)(C)C)C2(C)C)CC1CC1)C1=CC=CC=C1 Chemical compound CN(C)C(=O)[C@@H](NC(=O)CCC(=O)C(=O)C(CC(=O)[C@@H]1[C@@H]2C(CN1C(=O)C(NC(=O)OC(C)(C)C)C(C)(C)C)C2(C)C)CC1CC1)C1=CC=CC=C1 JOMCURMRVOVRCA-RTJKMOLESA-N 0.000 description 1
- YUSHDIAEQMKNDC-MNJZBWNNSA-N CN(C)C(=O)[C@@H](NC(=O)CCC(=O)C(=O)C(CC(=O)[C@@H]1[C@@H]2C(CN1C(=O)[C@@H](NC(=O)NC(C)(C)C)C(C)(C)C)C2(C)C)CC1CC1)C1=CC=CC=C1 Chemical compound CN(C)C(=O)[C@@H](NC(=O)CCC(=O)C(=O)C(CC(=O)[C@@H]1[C@@H]2C(CN1C(=O)[C@@H](NC(=O)NC(C)(C)C)C(C)(C)C)C2(C)C)CC1CC1)C1=CC=CC=C1 YUSHDIAEQMKNDC-MNJZBWNNSA-N 0.000 description 1
- PTISZQGRJJAFEY-MVMZZUNXSA-N CN(C)C(=O)[C@@H](NC(=O)CCC(=O)C(=O)C(CC(=O)[C@@H]1[C@@H]2C(CN1C(=O)[C@@H](NC(=O)OC(C)(C)C(F)(F)F)C(C)(C)C)C2(C)C)CC1CC1)C1=CC=CC=C1 Chemical compound CN(C)C(=O)[C@@H](NC(=O)CCC(=O)C(=O)C(CC(=O)[C@@H]1[C@@H]2C(CN1C(=O)[C@@H](NC(=O)OC(C)(C)C(F)(F)F)C(C)(C)C)C2(C)C)CC1CC1)C1=CC=CC=C1 PTISZQGRJJAFEY-MVMZZUNXSA-N 0.000 description 1
- PADZLCUKZRANDY-SDYZLQPNSA-N CN(C)C(=O)[C@@H](NC(=O)CCC(=O)C(=O)C(CC(=O)[C@@H]1[C@H]2CC(C)(C)OC2CN1C(=O)[C@@H](CC(=O)OC(C)(C)C)C1CCCCC1)CC1CC1)C1=CC=CC=C1 Chemical compound CN(C)C(=O)[C@@H](NC(=O)CCC(=O)C(=O)C(CC(=O)[C@@H]1[C@H]2CC(C)(C)OC2CN1C(=O)[C@@H](CC(=O)OC(C)(C)C)C1CCCCC1)CC1CC1)C1=CC=CC=C1 PADZLCUKZRANDY-SDYZLQPNSA-N 0.000 description 1
- KRUZSHJRIBJOOW-WSOWHXKLSA-N CN(C)C(=O)[C@@H](NC(=O)CCC(=O)C(=O)C(CC(=O)[C@@H]1[C@H]2CC(C)(C)O[C@H]2CN1C(=O)[C@@H](NC(=O)OC(C)(C)C)C1CCCCC1)CC1CC1)C1=CC=CC=C1 Chemical compound CN(C)C(=O)[C@@H](NC(=O)CCC(=O)C(=O)C(CC(=O)[C@@H]1[C@H]2CC(C)(C)O[C@H]2CN1C(=O)[C@@H](NC(=O)OC(C)(C)C)C1CCCCC1)CC1CC1)C1=CC=CC=C1 KRUZSHJRIBJOOW-WSOWHXKLSA-N 0.000 description 1
- FSGBDWDUYZQCJY-HVSOJYNMSA-N CN(C)C(=O)[C@@H](NC(=O)CCC(=O)C(=O)C(CC(=O)[C@@H]1[C@H]2CC(C)(C)O[C@H]2CN1C(=O)[C@@H](NC(=O)OC(C)(C)C)C1CCCCC1)CC1CC1)C1=CC=CS1 Chemical compound CN(C)C(=O)[C@@H](NC(=O)CCC(=O)C(=O)C(CC(=O)[C@@H]1[C@H]2CC(C)(C)O[C@H]2CN1C(=O)[C@@H](NC(=O)OC(C)(C)C)C1CCCCC1)CC1CC1)C1=CC=CS1 FSGBDWDUYZQCJY-HVSOJYNMSA-N 0.000 description 1
- PADZLCUKZRANDY-PXONMYCTSA-N CN(C)C(=O)[C@@H](NC(=O)CCC(=O)C(=O)[C@@H](CC(=O)[C@@H]1[C@H]2CC(C)(C)O[C@H]2CN1C(=O)[C@@H](CC(=O)OC(C)(C)C)C1CCCCC1)CC1CC1)C1=CC=CC=C1 Chemical compound CN(C)C(=O)[C@@H](NC(=O)CCC(=O)C(=O)[C@@H](CC(=O)[C@@H]1[C@H]2CC(C)(C)O[C@H]2CN1C(=O)[C@@H](CC(=O)OC(C)(C)C)C1CCCCC1)CC1CC1)C1=CC=CC=C1 PADZLCUKZRANDY-PXONMYCTSA-N 0.000 description 1
- FYODZBAPYSFCHO-VXBMTVBMSA-N CN(C)C(=O)[C@@H](NC(=O)CCC(=O)C(=O)[C@@H](CC(=O)[C@@H]1[C@H]2CC(C)(C)O[C@H]2CN1C(=O)[C@@H](CC(=O)OC(C)(C)C)C1CCCCC1)CC1CC1)C1=CC=CS1 Chemical compound CN(C)C(=O)[C@@H](NC(=O)CCC(=O)C(=O)[C@@H](CC(=O)[C@@H]1[C@H]2CC(C)(C)O[C@H]2CN1C(=O)[C@@H](CC(=O)OC(C)(C)C)C1CCCCC1)CC1CC1)C1=CC=CS1 FYODZBAPYSFCHO-VXBMTVBMSA-N 0.000 description 1
- PADZLCUKZRANDY-DYIUWINXSA-N CN(C)C(=O)[C@@H](NC(=O)CCC(=O)C(=O)[C@H](CC(=O)[C@@H]1[C@H]2CC(C)(C)O[C@H]2CN1C(=O)[C@@H](CC(=O)OC(C)(C)C)C1CCCCC1)CC1CC1)C1=CC=CC=C1 Chemical compound CN(C)C(=O)[C@@H](NC(=O)CCC(=O)C(=O)[C@H](CC(=O)[C@@H]1[C@H]2CC(C)(C)O[C@H]2CN1C(=O)[C@@H](CC(=O)OC(C)(C)C)C1CCCCC1)CC1CC1)C1=CC=CC=C1 PADZLCUKZRANDY-DYIUWINXSA-N 0.000 description 1
- FYODZBAPYSFCHO-GQZOLUDBSA-N CN(C)C(=O)[C@@H](NC(=O)CCC(=O)C(=O)[C@H](CC(=O)[C@@H]1[C@H]2CC(C)(C)O[C@H]2CN1C(=O)[C@@H](CC(=O)OC(C)(C)C)C1CCCCC1)CC1CC1)C1=CC=CS1 Chemical compound CN(C)C(=O)[C@@H](NC(=O)CCC(=O)C(=O)[C@H](CC(=O)[C@@H]1[C@H]2CC(C)(C)O[C@H]2CN1C(=O)[C@@H](CC(=O)OC(C)(C)C)C1CCCCC1)CC1CC1)C1=CC=CS1 FYODZBAPYSFCHO-GQZOLUDBSA-N 0.000 description 1
- ZGPVCRCRGQGOGF-AYZHYPJUSA-N CN(C)C(=O)[C@@H](NC(=O)CNC(=O)C(=O)C(CC(F)(F)F)NC(=O)C1[C@@H]2[C@H](CN1C(=O)[C@@H](NC(=O)OC(C)(C)C)C1CCCCC1)C2(C)C)C1=CC=CC=C1 Chemical compound CN(C)C(=O)[C@@H](NC(=O)CNC(=O)C(=O)C(CC(F)(F)F)NC(=O)C1[C@@H]2[C@H](CN1C(=O)[C@@H](NC(=O)OC(C)(C)C)C1CCCCC1)C2(C)C)C1=CC=CC=C1 ZGPVCRCRGQGOGF-AYZHYPJUSA-N 0.000 description 1
- JPNRCVDONWXGES-PNWFOGHHSA-N CN(C)C(=O)[C@@H](NC(=O)CNC(=O)C(=O)C(CC1CC1)NC(=O)C1C2CC(C)(C)CC2CN1C(=O)[C@@H](NC(=O)OC(C)(C)C)C1CCCCC1)C1=CC=CS1 Chemical compound CN(C)C(=O)[C@@H](NC(=O)CNC(=O)C(=O)C(CC1CC1)NC(=O)C1C2CC(C)(C)CC2CN1C(=O)[C@@H](NC(=O)OC(C)(C)C)C1CCCCC1)C1=CC=CS1 JPNRCVDONWXGES-PNWFOGHHSA-N 0.000 description 1
- BHLVKVCTJDZKEH-ZJHJIHAVSA-N CN(C)C(=O)[C@@H](NC(=O)CNC(=O)C(=O)C(CC1CC1)NC(=O)[C@@H]1C2C(CN1C(=O)CC(C)(C)C)C2(C)C)C1=CC=CC=C1 Chemical compound CN(C)C(=O)[C@@H](NC(=O)CNC(=O)C(=O)C(CC1CC1)NC(=O)[C@@H]1C2C(CN1C(=O)CC(C)(C)C)C2(C)C)C1=CC=CC=C1 BHLVKVCTJDZKEH-ZJHJIHAVSA-N 0.000 description 1
- RWUHJTQDPLKFSV-VYKUTWNASA-N CN(C)C(=O)[C@@H](NC(=O)CNC(=O)C(=O)C(CC1CC1)NC(=O)[C@@H]1C2C(CN1C(=O)CC1CCCCC1)C2(C)C)C1=CC=CC=C1 Chemical compound CN(C)C(=O)[C@@H](NC(=O)CNC(=O)C(=O)C(CC1CC1)NC(=O)[C@@H]1C2C(CN1C(=O)CC1CCCCC1)C2(C)C)C1=CC=CC=C1 RWUHJTQDPLKFSV-VYKUTWNASA-N 0.000 description 1
- LPNYTBVRIJQODO-QDSNRURRSA-N CN(C)C(=O)[C@@H](NC(=O)CNC(=O)C(=O)C(CC1CC1)NC(=O)[C@@H]1C2C(CN1C(=O)OC(C)(C)C)C2(C)C)C1=CC=CC=C1 Chemical compound CN(C)C(=O)[C@@H](NC(=O)CNC(=O)C(=O)C(CC1CC1)NC(=O)[C@@H]1C2C(CN1C(=O)OC(C)(C)C)C2(C)C)C1=CC=CC=C1 LPNYTBVRIJQODO-QDSNRURRSA-N 0.000 description 1
- ZTRKAUYRDCJYTO-LQTYOKGJSA-N CN(C)C(=O)[C@@H](NC(=O)CNC(=O)C(=O)C(CC1CC1)NC(=O)[C@@H]1C2C(CN1C(=O)[C@@H](O)C(C)(C)C)C2(C)C)C1=CC=CC=C1 Chemical compound CN(C)C(=O)[C@@H](NC(=O)CNC(=O)C(=O)C(CC1CC1)NC(=O)[C@@H]1C2C(CN1C(=O)[C@@H](O)C(C)(C)C)C2(C)C)C1=CC=CC=C1 ZTRKAUYRDCJYTO-LQTYOKGJSA-N 0.000 description 1
- CLDFSAUDRBOUGB-MEPAEGDCSA-N CN(C)C(=O)[C@@H](NC(=O)CNC(=O)C(=O)C(CC1CC1)NC(=O)[C@@H]1C2CCC(C)(C)OC2CN1C(=O)[C@@H](NC(=O)OC(C)(C)C)C(C)(C)C)C1=CC=CC=C1 Chemical compound CN(C)C(=O)[C@@H](NC(=O)CNC(=O)C(=O)C(CC1CC1)NC(=O)[C@@H]1C2CCC(C)(C)OC2CN1C(=O)[C@@H](NC(=O)OC(C)(C)C)C(C)(C)C)C1=CC=CC=C1 CLDFSAUDRBOUGB-MEPAEGDCSA-N 0.000 description 1
- WHFNHDUMWYGJDL-NGNWLLNHSA-N CN(C)C(=O)[C@@H](NC(=O)CNC(=O)C(=O)C(CC1CC1)NC(=O)[C@@H]1[C@@H]2[C@H](CN1C(=O)[C@@H](NC(=O)OC(C)(C)C)C(C)(C)C)C2(C)C)C1=CC=CC=C1 Chemical compound CN(C)C(=O)[C@@H](NC(=O)CNC(=O)C(=O)C(CC1CC1)NC(=O)[C@@H]1[C@@H]2[C@H](CN1C(=O)[C@@H](NC(=O)OC(C)(C)C)C(C)(C)C)C2(C)C)C1=CC=CC=C1 WHFNHDUMWYGJDL-NGNWLLNHSA-N 0.000 description 1
- XHNFXVDHCWLEGA-CISYKLKFSA-N CN(C)C(=O)[C@@H](NC(=O)CNC(=O)C(=O)C1(NC(=O)[C@@H]2[C@@H]3[C@H](CN2C(=O)[C@@H](NC(=O)OC(C)(C)C)C2CCCCC2)C3(C)C)CC1)C1=CC=CC=C1 Chemical compound CN(C)C(=O)[C@@H](NC(=O)CNC(=O)C(=O)C1(NC(=O)[C@@H]2[C@@H]3[C@H](CN2C(=O)[C@@H](NC(=O)OC(C)(C)C)C2CCCCC2)C3(C)C)CC1)C1=CC=CC=C1 XHNFXVDHCWLEGA-CISYKLKFSA-N 0.000 description 1
- LOYUREPGGUIOKL-GMZYCDAPSA-N CN(C)C(=O)[C@@H](NC(=O)CNC(=O)C(=O)CNC(=O)C1C2C(CN1C(=O)[C@@H](NC(=O)OC(C)(C)C)C(C)(C)C)C2(C)C)C1=CC=CC=C1 Chemical compound CN(C)C(=O)[C@@H](NC(=O)CNC(=O)C(=O)CNC(=O)C1C2C(CN1C(=O)[C@@H](NC(=O)OC(C)(C)C)C(C)(C)C)C2(C)C)C1=CC=CC=C1 LOYUREPGGUIOKL-GMZYCDAPSA-N 0.000 description 1
- HCKNPHQGBHHOEM-JMCQPDGTSA-N CN(C)C(=O)[C@@H](NC(=O)CNC(=O)C(=O)[C@@H](CC1CCC1)NC(=O)C1C2OC(C)(C)OC2CN1C(=O)[C@@H](NC(=O)OC(C)(C)C)C(C)(C)C)C1=CC=CC=C1 Chemical compound CN(C)C(=O)[C@@H](NC(=O)CNC(=O)C(=O)[C@@H](CC1CCC1)NC(=O)C1C2OC(C)(C)OC2CN1C(=O)[C@@H](NC(=O)OC(C)(C)C)C(C)(C)C)C1=CC=CC=C1 HCKNPHQGBHHOEM-JMCQPDGTSA-N 0.000 description 1
- HCKNPHQGBHHOEM-LOABQACXSA-N CN(C)C(=O)[C@@H](NC(=O)CNC(=O)C(=O)[C@H](CC1CCC1)NC(=O)C1C2OC(C)(C)OC2CN1C(=O)[C@@H](NC(=O)OC(C)(C)C)C(C)(C)C)C1=CC=CC=C1 Chemical compound CN(C)C(=O)[C@@H](NC(=O)CNC(=O)C(=O)[C@H](CC1CCC1)NC(=O)C1C2OC(C)(C)OC2CN1C(=O)[C@@H](NC(=O)OC(C)(C)C)C(C)(C)C)C1=CC=CC=C1 HCKNPHQGBHHOEM-LOABQACXSA-N 0.000 description 1
- JGTAWTMDLWTQJX-WJNUGGBXSA-N CN(C)C(=O)[C@@H](NC(=O)OCC1=CC=CC=C1)C1=CC=CC=C1.O=C(N[C@H](C(=O)O)C1=CC=CC=C1)OCC1=CC=CC=C1 Chemical compound CN(C)C(=O)[C@@H](NC(=O)OCC1=CC=CC=C1)C1=CC=CC=C1.O=C(N[C@H](C(=O)O)C1=CC=CC=C1)OCC1=CC=CC=C1 JGTAWTMDLWTQJX-WJNUGGBXSA-N 0.000 description 1
- WYSSREJXGRPVKV-GIYVLMGKSA-N CN(C)C(=O)[C@@H](NC(=O)OCC1=CC=CC=C1)C1=CC=CC=C1.[H]N([H])[C@H](C(=O)N(C)C)C1=CC=CC=C1 Chemical compound CN(C)C(=O)[C@@H](NC(=O)OCC1=CC=CC=C1)C1=CC=CC=C1.[H]N([H])[C@H](C(=O)N(C)C)C1=CC=CC=C1 WYSSREJXGRPVKV-GIYVLMGKSA-N 0.000 description 1
- UZYPVCFKDMVZTL-UHFFFAOYSA-N CN1CC(=O)CC1C(=O)O.CN1CC(=O)CC1C(=O)OCC1=CC=CC=C1.CN1CC(=O)CC1C(=O)OCC1=CC=CC=C1.CN1CC(=O)CC1C(=O)OCC1=CC=CC=C1.[HH] Chemical compound CN1CC(=O)CC1C(=O)O.CN1CC(=O)CC1C(=O)OCC1=CC=CC=C1.CN1CC(=O)CC1C(=O)OCC1=CC=CC=C1.CN1CC(=O)CC1C(=O)OCC1=CC=CC=C1.[HH] UZYPVCFKDMVZTL-UHFFFAOYSA-N 0.000 description 1
- UQVVFJVWYGEKKR-LRZPQDAISA-N CNC(=O)C(=O)C(CC(F)(F)F)NC(=O)[C@@H]1C2[C@H](CN1C(=O)C(NC(=O)OC(C)(C)C)C1CCCCC1)C2(C)C Chemical compound CNC(=O)C(=O)C(CC(F)(F)F)NC(=O)[C@@H]1C2[C@H](CN1C(=O)C(NC(=O)OC(C)(C)C)C1CCCCC1)C2(C)C UQVVFJVWYGEKKR-LRZPQDAISA-N 0.000 description 1
- GXSCILPICOOQMP-BMTWLGCMSA-N CNC(=O)C(=O)C(CC1CC1)NC(=O)[C@@H]1[C@@H]2C(CN1C(=O)C(NC(=O)NC(C)(C)C)C(C)(C)C)C2(C)C Chemical compound CNC(=O)C(=O)C(CC1CC1)NC(=O)[C@@H]1[C@@H]2C(CN1C(=O)C(NC(=O)NC(C)(C)C)C(C)(C)C)C2(C)C GXSCILPICOOQMP-BMTWLGCMSA-N 0.000 description 1
- RDUZWFHUVYVWEJ-IPHNJEJOSA-N CNC(=O)C(=O)C(CC1CC1)NC(=O)[C@@H]1[C@@H]2C(CN1C(=O)C(NC(=O)NC1CCCCC1)C(C)(C)C)C2(C)C Chemical compound CNC(=O)C(=O)C(CC1CC1)NC(=O)[C@@H]1[C@@H]2C(CN1C(=O)C(NC(=O)NC1CCCCC1)C(C)(C)C)C2(C)C RDUZWFHUVYVWEJ-IPHNJEJOSA-N 0.000 description 1
- BIXCZKOKVIKREP-PFHORGDFSA-N CNC(=O)C(=O)C(CC1CC1)NC(=O)[C@@H]1[C@@H]2C(CN1C(=O)[C@@H](NC(=O)NC(C)(C)C)C1CCCCC1)C2(C)C Chemical compound CNC(=O)C(=O)C(CC1CC1)NC(=O)[C@@H]1[C@@H]2C(CN1C(=O)[C@@H](NC(=O)NC(C)(C)C)C1CCCCC1)C2(C)C BIXCZKOKVIKREP-PFHORGDFSA-N 0.000 description 1
- ILXFCXZUFIJPFC-XUTBLCSISA-N CNC(=O)C(=O)C(CC1CC1)NC(=O)[C@@H]1[C@@H]2C(CN1C(=O)[C@@H](NC(=O)OC(C)(C)C)C(C)(C)C)C2(C)C Chemical compound CNC(=O)C(=O)C(CC1CC1)NC(=O)[C@@H]1[C@@H]2C(CN1C(=O)[C@@H](NC(=O)OC(C)(C)C)C(C)(C)C)C2(C)C ILXFCXZUFIJPFC-XUTBLCSISA-N 0.000 description 1
- OIHSSSHIENTYJW-PFHORGDFSA-N CNC(=O)C(=O)C(CC1CC1)NC(=O)[C@@H]1[C@@H]2C(CN1C(=O)[C@@H](NC(=O)OC(C)(C)C)C1CCCCC1)C2(C)C Chemical compound CNC(=O)C(=O)C(CC1CC1)NC(=O)[C@@H]1[C@@H]2C(CN1C(=O)[C@@H](NC(=O)OC(C)(C)C)C1CCCCC1)C2(C)C OIHSSSHIENTYJW-PFHORGDFSA-N 0.000 description 1
- LDSWHQDWNGCGHX-ZMGOFIQQSA-N CNC(=O)C1=CC=CC=C1.[CH2-][C+](=O)[C@@H]1CC(C)(C)CN1[C+]([CH2-])=O.[CH2-][C+](=O)[C@@H]1C[C@@H](C)CN1[C+]([CH2-])=O.[CH2-][C+](=O)[C@@H]1C[C@@H](NS(=O)(=O)C2=CC=CC=C2)CN1[C+]([CH2-])=O Chemical compound CNC(=O)C1=CC=CC=C1.[CH2-][C+](=O)[C@@H]1CC(C)(C)CN1[C+]([CH2-])=O.[CH2-][C+](=O)[C@@H]1C[C@@H](C)CN1[C+]([CH2-])=O.[CH2-][C+](=O)[C@@H]1C[C@@H](NS(=O)(=O)C2=CC=CC=C2)CN1[C+]([CH2-])=O LDSWHQDWNGCGHX-ZMGOFIQQSA-N 0.000 description 1
- VXBCUJAXLZDMOT-UOQXYWCXSA-N CO/C=C1/C=CC(C)(C)CC1.[H]C(=O)C1CCC(C)(C)CC1 Chemical compound CO/C=C1/C=CC(C)(C)CC1.[H]C(=O)C1CCC(C)(C)CC1 VXBCUJAXLZDMOT-UOQXYWCXSA-N 0.000 description 1
- GYEZZFJTSPBHFX-UXKAEEQISA-N COC(=O)C(=O)C(CC(=O)[C@@H]1[C@@H]2[C@H](CN1C(=O)[C@@H](C)C(C)(C)C)C2(C)C)CC1CC1.COC(=O)C(O)C(CC(=O)[C@@H]1[C@@H]2[C@H](CN1C(=O)[C@@H](C)C(C)(C)C)C2(C)C)CC1CC1 Chemical compound COC(=O)C(=O)C(CC(=O)[C@@H]1[C@@H]2[C@H](CN1C(=O)[C@@H](C)C(C)(C)C)C2(C)C)CC1CC1.COC(=O)C(O)C(CC(=O)[C@@H]1[C@@H]2[C@H](CN1C(=O)[C@@H](C)C(C)(C)C)C2(C)C)CC1CC1 GYEZZFJTSPBHFX-UXKAEEQISA-N 0.000 description 1
- OLWNUJPAYDEFID-XUTBLCSISA-N COC(=O)C(=O)C(CC(C)(C)C)NC(=O)[C@@H]1[C@@H]2C(CN1C(=O)[C@@H](NC(=O)OC(C)(C)C)C(C)(C)C)C2(C)C Chemical compound COC(=O)C(=O)C(CC(C)(C)C)NC(=O)[C@@H]1[C@@H]2C(CN1C(=O)[C@@H](NC(=O)OC(C)(C)C)C(C)(C)C)C2(C)C OLWNUJPAYDEFID-XUTBLCSISA-N 0.000 description 1
- AMPBPWKXOCYYPW-UHFFFAOYSA-N COC(=O)C(=O)C(CC(C)C)NC(=O)C1C2C(CN1C(=O)C(NC(=O)OC(C)(C)C)C1CC3=C(C=CC=C3)C1)C2(C)C Chemical compound COC(=O)C(=O)C(CC(C)C)NC(=O)C1C2C(CN1C(=O)C(NC(=O)OC(C)(C)C)C1CC3=C(C=CC=C3)C1)C2(C)C AMPBPWKXOCYYPW-UHFFFAOYSA-N 0.000 description 1
- VJKBMKCPSDAUHV-PFHORGDFSA-N COC(=O)C(=O)C(CC(C)C)NC(=O)[C@@H]1[C@@H]2C(CN1C(=O)[C@@H](NC(=O)OC(C)(C)C)C1CCCCC1)C2(C)C Chemical compound COC(=O)C(=O)C(CC(C)C)NC(=O)[C@@H]1[C@@H]2C(CN1C(=O)[C@@H](NC(=O)OC(C)(C)C)C1CCCCC1)C2(C)C VJKBMKCPSDAUHV-PFHORGDFSA-N 0.000 description 1
- YRFCEVIUYYLHSX-WWNAGFPVSA-N COC(=O)C(=O)C(CC1CC1)NC(=O)C1C2C(CN1C(=O)[C@@H](NC(=O)OC(C)(C)C)C1CC3=C(C=CC=C3)C1)C2(C)C Chemical compound COC(=O)C(=O)C(CC1CC1)NC(=O)C1C2C(CN1C(=O)[C@@H](NC(=O)OC(C)(C)C)C1CC3=C(C=CC=C3)C1)C2(C)C YRFCEVIUYYLHSX-WWNAGFPVSA-N 0.000 description 1
- DGOMRNFJOGGJKH-CXJCBYFBSA-N COC(=O)C(=O)C(CC1CC1)NC(=O)C1[C@@H]2C(CN1C(=O)C(NC(=O)OC(C)(C)C)C(C)(C)C)C2(C)C Chemical compound COC(=O)C(=O)C(CC1CC1)NC(=O)C1[C@@H]2C(CN1C(=O)C(NC(=O)OC(C)(C)C)C(C)(C)C)C2(C)C DGOMRNFJOGGJKH-CXJCBYFBSA-N 0.000 description 1
- QBYQGOQNGADOFA-LCSXWQTCSA-N COC(=O)C(=O)C(CC1CC1)NC(=O)[C@@H]1[C@@H]2C(CN1C(=O)CC(C)(C)C)C2(C)C Chemical compound COC(=O)C(=O)C(CC1CC1)NC(=O)[C@@H]1[C@@H]2C(CN1C(=O)CC(C)(C)C)C2(C)C QBYQGOQNGADOFA-LCSXWQTCSA-N 0.000 description 1
- BCMSLDZNMLCDGX-WXDAQCLHSA-N COC(=O)C(=O)C(CC1CC1)NC(=O)[C@@H]1[C@@H]2C(CN1C(=O)CC1CCCCC1)C2(C)C Chemical compound COC(=O)C(=O)C(CC1CC1)NC(=O)[C@@H]1[C@@H]2C(CN1C(=O)CC1CCCCC1)C2(C)C BCMSLDZNMLCDGX-WXDAQCLHSA-N 0.000 description 1
- FVKBXLIKIWJFSW-IMPXWGQXSA-N COC(=O)C(=O)C(CC1CC1)NC(=O)[C@@H]1[C@@H]2C(CN1C(=O)[C@@H](NC(=O)OC(C)(C)C)C1CCC(F)(F)CC1)C2(C)C Chemical compound COC(=O)C(=O)C(CC1CC1)NC(=O)[C@@H]1[C@@H]2C(CN1C(=O)[C@@H](NC(=O)OC(C)(C)C)C1CCC(F)(F)CC1)C2(C)C FVKBXLIKIWJFSW-IMPXWGQXSA-N 0.000 description 1
- GQQIGDAQLWHWDR-IMPXWGQXSA-N COC(=O)C(=O)C(CC1CC1)NC(=O)[C@@H]1[C@@H]2C(CN1C(=O)[C@@H](NC(=O)OC(C)(C)C)C1CCCC1)C2(C)C Chemical compound COC(=O)C(=O)C(CC1CC1)NC(=O)[C@@H]1[C@@H]2C(CN1C(=O)[C@@H](NC(=O)OC(C)(C)C)C1CCCC1)C2(C)C GQQIGDAQLWHWDR-IMPXWGQXSA-N 0.000 description 1
- FVBDIPRTLQOLST-PFHORGDFSA-N COC(=O)C(=O)C(CC1CC1)NC(=O)[C@@H]1[C@@H]2C(CN1C(=O)[C@@H](NC(=O)OC(C)(C)C)C1CCCCC1)C2(C)C Chemical compound COC(=O)C(=O)C(CC1CC1)NC(=O)[C@@H]1[C@@H]2C(CN1C(=O)[C@@H](NC(=O)OC(C)(C)C)C1CCCCC1)C2(C)C FVBDIPRTLQOLST-PFHORGDFSA-N 0.000 description 1
- BAQCHOPXMFIYAT-VNXZANIESA-N COC(=O)C(=O)C(CC1CC1)NC(=O)[C@@H]1[C@@H]2[C@H](CN1C(=O)[C@@H](NC(=O)OC(C)(C)C)C(C)C)C2(C)C Chemical compound COC(=O)C(=O)C(CC1CC1)NC(=O)[C@@H]1[C@@H]2[C@H](CN1C(=O)[C@@H](NC(=O)OC(C)(C)C)C(C)C)C2(C)C BAQCHOPXMFIYAT-VNXZANIESA-N 0.000 description 1
- NOMGRMKAENJBSR-CASZSKKGSA-N COC(=O)C(=O)C(CC1CC1)NC(=O)[C@@H]1[C@@H]2[C@H](CN1C(=O)[C@@H](NC(=O)OC(C)C)C1CC3=CC=CC=C3C1)C2(C)C Chemical compound COC(=O)C(=O)C(CC1CC1)NC(=O)[C@@H]1[C@@H]2[C@H](CN1C(=O)[C@@H](NC(=O)OC(C)C)C1CC3=CC=CC=C3C1)C2(C)C NOMGRMKAENJBSR-CASZSKKGSA-N 0.000 description 1
- WORKHDGKQZMLJK-UHFFFAOYSA-N COC(=O)C(=O)C(CC1CCC1)NC(=O)C1C2C(CN1C(=O)C(NC(=O)OC(C)(C)C)C(C)(C)C)C2(C)C Chemical compound COC(=O)C(=O)C(CC1CCC1)NC(=O)C1C2C(CN1C(=O)C(NC(=O)OC(C)(C)C)C(C)(C)C)C2(C)C WORKHDGKQZMLJK-UHFFFAOYSA-N 0.000 description 1
- ASEARXDHFOGXPB-KLYMBLKMSA-N COC(=O)C(=O)C(CCC1CC1)NC(=O)[C@@H]1[C@@H]2[C@H](CN1C(=O)[C@@H](NC(=O)OC(C)(C)C)C1CCCCC1)C2(C)C Chemical compound COC(=O)C(=O)C(CCC1CC1)NC(=O)[C@@H]1[C@@H]2[C@H](CN1C(=O)[C@@H](NC(=O)OC(C)(C)C)C1CCCCC1)C2(C)C ASEARXDHFOGXPB-KLYMBLKMSA-N 0.000 description 1
- LIHGPXHYJHXAPP-KXVRIMHRSA-N COC(=O)C(=O)C1(NC(=O)C2[C@@H]3C(CN2C(=O)C(NC(=O)OC(C)(C)C)C(C)(C)C)C3(C)C)CC1 Chemical compound COC(=O)C(=O)C1(NC(=O)C2[C@@H]3C(CN2C(=O)C(NC(=O)OC(C)(C)C)C(C)(C)C)C3(C)C)CC1 LIHGPXHYJHXAPP-KXVRIMHRSA-N 0.000 description 1
- FNVRAPIVXXSFFF-VGWMRTNUSA-N COC(=O)C(=O)C1(NC(=O)[C@@H]2[C@@H]3[C@H](CN2C(=O)[C@@H](NC(=O)OC(C)(C)C)C(C)C)C3(C)C)CC1 Chemical compound COC(=O)C(=O)C1(NC(=O)[C@@H]2[C@@H]3[C@H](CN2C(=O)[C@@H](NC(=O)OC(C)(C)C)C(C)C)C3(C)C)CC1 FNVRAPIVXXSFFF-VGWMRTNUSA-N 0.000 description 1
- SNSRJRYHBBCPJP-VJANTYMQSA-N COC(=O)C(=O)C1(NC(=O)[C@@H]2[C@@H]3[C@H](CN2C(=O)[C@@H](NC(=O)OC(C)(C)C)C2CCCCC2)C3(C)C)CC1 Chemical compound COC(=O)C(=O)C1(NC(=O)[C@@H]2[C@@H]3[C@H](CN2C(=O)[C@@H](NC(=O)OC(C)(C)C)C2CCCCC2)C3(C)C)CC1 SNSRJRYHBBCPJP-VJANTYMQSA-N 0.000 description 1
- VAFIPBNUXSCVDO-UHFFFAOYSA-N COC(=O)C(O)C(C)CC1CCC1.COC(=O)C(O)C(C)CC1CCC1 Chemical compound COC(=O)C(O)C(C)CC1CCC1.COC(=O)C(O)C(C)CC1CCC1 VAFIPBNUXSCVDO-UHFFFAOYSA-N 0.000 description 1
- WLYCPFGYFPDAMC-OBXQLBEOSA-N COC(=O)C(O)C(CC(=O)[C@@H]1[C@@H]2[C@H](CN1C(=O)[C@@H](C)C(C)(C)C)C2(C)C)CC1CC1.COC(=O)C(O)C(N)CC1CC1.C[C@H](C(=O)N1C[C@H]2[C@@H]([C@H]1C(=O)O)C2(C)C)C(C)(C)C.Cl Chemical compound COC(=O)C(O)C(CC(=O)[C@@H]1[C@@H]2[C@H](CN1C(=O)[C@@H](C)C(C)(C)C)C2(C)C)CC1CC1.COC(=O)C(O)C(N)CC1CC1.C[C@H](C(=O)N1C[C@H]2[C@@H]([C@H]1C(=O)O)C2(C)C)C(C)(C)C.Cl WLYCPFGYFPDAMC-OBXQLBEOSA-N 0.000 description 1
- UXYOXSSJSXEFHN-AAURFILYSA-N COC(=O)C(O)C(CC(=O)[C@@H]1[C@@H]2[C@H](CN1C(=O)[C@@H](CC(=O)CC(C)(C)C)C(C)(C)C)C2(C)C)CC1CCC1.COC(=O)[C@@H]1[C@@H]2[C@H](CN1C(=O)[C@@H](CC(=O)CC(C)(C)C)C(C)(C)C)C2(C)C Chemical compound COC(=O)C(O)C(CC(=O)[C@@H]1[C@@H]2[C@H](CN1C(=O)[C@@H](CC(=O)CC(C)(C)C)C(C)(C)C)C2(C)C)CC1CCC1.COC(=O)[C@@H]1[C@@H]2[C@H](CN1C(=O)[C@@H](CC(=O)CC(C)(C)C)C(C)(C)C)C2(C)C UXYOXSSJSXEFHN-AAURFILYSA-N 0.000 description 1
- WVKDCPWYUXFCOQ-UHFFFAOYSA-N COC(=O)CCC(=O)C(OC(C)=O)C(CC(=O)OC(C)(C)C)CC1CC1.[H]C(=O)C(CC(=O)OC(C)(C)C)CC1CC1 Chemical compound COC(=O)CCC(=O)C(OC(C)=O)C(CC(=O)OC(C)(C)C)CC1CC1.[H]C(=O)C(CC(=O)OC(C)(C)C)CC1CC1 WVKDCPWYUXFCOQ-UHFFFAOYSA-N 0.000 description 1
- QAYOCHVNHUVUGI-UQRZOWCNSA-N COC(=O)CNC(=O)C(=O)C(CCC(C)C)NC(=O)[C@@H]1C[C@@H](OC(C)(C)C)CN1C(=O)C(NC(=O)OCC(C)C)C(C)(C)C Chemical compound COC(=O)CNC(=O)C(=O)C(CCC(C)C)NC(=O)[C@@H]1C[C@@H](OC(C)(C)C)CN1C(=O)C(NC(=O)OCC(C)C)C(C)(C)C QAYOCHVNHUVUGI-UQRZOWCNSA-N 0.000 description 1
- JDKJWWPHNWUXLR-FUPPJEDESA-N COC(=O)CNC(=O)C(=O)C1(NC(=O)[C@@H]2C[C@@H](OC(C)(C)C)CN2C(=O)[C@@H](NC(=O)OCC(C)C)C(C)(C)C)CCCCC1 Chemical compound COC(=O)CNC(=O)C(=O)C1(NC(=O)[C@@H]2C[C@@H](OC(C)(C)C)CN2C(=O)[C@@H](NC(=O)OCC(C)C)C(C)(C)C)CCCCC1 JDKJWWPHNWUXLR-FUPPJEDESA-N 0.000 description 1
- QCINIJBXZXYDNS-VNXZANIESA-N COC(=O)N[C@H](C(=O)N1C[C@H]2[C@@H]([C@H]1C(=O)NC(CC1CC1)C(=O)C(N)=O)C2(C)C)C1CCCCC1 Chemical compound COC(=O)N[C@H](C(=O)N1C[C@H]2[C@@H]([C@H]1C(=O)NC(CC1CC1)C(=O)C(N)=O)C2(C)C)C1CCCCC1 QCINIJBXZXYDNS-VNXZANIESA-N 0.000 description 1
- MIAHCUGMLWESST-VNZOWGDASA-N COC(=O)[C@@H](CC(=O)OC(C)(C)C)C1CCC(F)(F)CC1.COC(=O)[C@@H](N)C1CCC(F)(F)CC1 Chemical compound COC(=O)[C@@H](CC(=O)OC(C)(C)C)C1CCC(F)(F)CC1.COC(=O)[C@@H](N)C1CCC(F)(F)CC1 MIAHCUGMLWESST-VNZOWGDASA-N 0.000 description 1
- HIFAMDADLBUTPV-VGMFFHCQSA-N COC(=O)[C@@H](N)C1CCC(F)(F)CC1.COC(=O)[C@@H](N)C1CCC(F)(F)CC1 Chemical compound COC(=O)[C@@H](N)C1CCC(F)(F)CC1.COC(=O)[C@@H](N)C1CCC(F)(F)CC1 HIFAMDADLBUTPV-VGMFFHCQSA-N 0.000 description 1
- DRESZGJRSNHFSG-KSTOEEEWSA-N COC(=O)[C@@H](N)C1CCC(F)(F)CC1.N[C@H](C(=O)O)C1CCC(F)(F)CC1 Chemical compound COC(=O)[C@@H](N)C1CCC(F)(F)CC1.N[C@H](C(=O)O)C1CCC(F)(F)CC1 DRESZGJRSNHFSG-KSTOEEEWSA-N 0.000 description 1
- NSUBWWJNVXXUAP-YQAYWTTMSA-O COC(=O)[C@@H]1C2C(CN1C(=O)C(C)C(C)(C)C)C2(C)C.COC(=O)[C@@H]1C2C(C[NH+]1Cl)C2(C)C.C[C@H](C(=O)O)C(C)(C)C Chemical compound COC(=O)[C@@H]1C2C(CN1C(=O)C(C)C(C)(C)C)C2(C)C.COC(=O)[C@@H]1C2C(C[NH+]1Cl)C2(C)C.C[C@H](C(=O)O)C(C)(C)C NSUBWWJNVXXUAP-YQAYWTTMSA-O 0.000 description 1
- WSYLBTIMVZDBBA-UFRHTXTISA-N COC(=O)[C@@H]1CC(=O)CN1C(=O)OCC1=CC=CC=C1.COC(=O)[C@@H]1CC2(CN1C(=O)OCC1=CC=CC=C1)SCCCS2 Chemical compound COC(=O)[C@@H]1CC(=O)CN1C(=O)OCC1=CC=CC=C1.COC(=O)[C@@H]1CC2(CN1C(=O)OCC1=CC=CC=C1)SCCCS2 WSYLBTIMVZDBBA-UFRHTXTISA-N 0.000 description 1
- FEXBNGRDBIIYKZ-IMECTCCJSA-N COC(=O)[C@@H]1CC(=O)CN1C(=O)OCC1=CC=CC=C1.COC(=O)[C@@H]1CC2(CN1C(=O)OCC1=CC=CC=C1)SCCS2 Chemical compound COC(=O)[C@@H]1CC(=O)CN1C(=O)OCC1=CC=CC=C1.COC(=O)[C@@H]1CC2(CN1C(=O)OCC1=CC=CC=C1)SCCS2 FEXBNGRDBIIYKZ-IMECTCCJSA-N 0.000 description 1
- KKVRAPXXXVKIOY-LJFMQGSLSA-N COC(=O)[C@@H]1CC(=O)CN1C(=O)OCC1=CC=CC=C1.COC(=O)[C@@H]1C[C@@H](O)CN1C(=O)OCC1=CC=CC=C1 Chemical compound COC(=O)[C@@H]1CC(=O)CN1C(=O)OCC1=CC=CC=C1.COC(=O)[C@@H]1C[C@@H](O)CN1C(=O)OCC1=CC=CC=C1 KKVRAPXXXVKIOY-LJFMQGSLSA-N 0.000 description 1
- OBXYGFZYTSTGDX-LURJTMIESA-N COC(=O)[C@@H]1CC(C)(C)CCl1=N Chemical compound COC(=O)[C@@H]1CC(C)(C)CCl1=N OBXYGFZYTSTGDX-LURJTMIESA-N 0.000 description 1
- ZXELUVHVFKWXGE-IRXDYDNUSA-N COC(=O)[C@@H]1CC(C)(C)CN1C(=O)[C@@H](NC(=O)OCC(C)C)C1CCCCC1 Chemical compound COC(=O)[C@@H]1CC(C)(C)CN1C(=O)[C@@H](NC(=O)OCC(C)C)C1CCCCC1 ZXELUVHVFKWXGE-IRXDYDNUSA-N 0.000 description 1
- NAXQBSFYLKBSDB-FPAZSGHZSA-N COC(=O)[C@@H]1CC(F)(F)CN1.COC(=O)[C@@H]1CC(F)(F)CN1C(C)=O Chemical compound COC(=O)[C@@H]1CC(F)(F)CN1.COC(=O)[C@@H]1CC(F)(F)CN1C(C)=O NAXQBSFYLKBSDB-FPAZSGHZSA-N 0.000 description 1
- UPFJMROYHVVNET-QPADVSNVSA-N COC(=O)[C@@H]1CC2(CN1C(=O)OC(C)(C)C)SCCCS2.COC(=O)[C@@H]1CC2(CN1C(=O)OCC1=CC=CC=C1)SCCCS2 Chemical compound COC(=O)[C@@H]1CC2(CN1C(=O)OC(C)(C)C)SCCCS2.COC(=O)[C@@H]1CC2(CN1C(=O)OCC1=CC=CC=C1)SCCCS2 UPFJMROYHVVNET-QPADVSNVSA-N 0.000 description 1
- HCCYLASTXDLNPU-DIQYCMFJSA-N COC(=O)[C@@H]1CC2(CN1C(=O)OC(C)(C)C)SCCCS2.COC(=O)[C@@H]1CC2(CN1Cl)SCCCS2 Chemical compound COC(=O)[C@@H]1CC2(CN1C(=O)OC(C)(C)C)SCCCS2.COC(=O)[C@@H]1CC2(CN1Cl)SCCCS2 HCCYLASTXDLNPU-DIQYCMFJSA-N 0.000 description 1
- LCKLGKILFANLHZ-YSLLJANASA-N COC(=O)[C@@H]1CC2(CN1C(=O)OC(C)(C)C)SCCS2.COC(=O)[C@@H]1CC2(CN1C(=O)OCC1=CC=CC=C1)SCCS2 Chemical compound COC(=O)[C@@H]1CC2(CN1C(=O)OC(C)(C)C)SCCS2.COC(=O)[C@@H]1CC2(CN1C(=O)OCC1=CC=CC=C1)SCCS2 LCKLGKILFANLHZ-YSLLJANASA-N 0.000 description 1
- AQJXMUJTGDIDIC-NRDCADONSA-N COC(=O)[C@@H]1CC2(CN1C(=O)OC(C)(C)C)SCCS2.COC(=O)[C@@H]1CC2(CN1Cl)SCCS2 Chemical compound COC(=O)[C@@H]1CC2(CN1C(=O)OC(C)(C)C)SCCS2.COC(=O)[C@@H]1CC2(CN1Cl)SCCS2 AQJXMUJTGDIDIC-NRDCADONSA-N 0.000 description 1
- LSUPMOFKOCTORU-LBLNFYKUSA-N COC(=O)[C@@H]1[C@@H]2[C@H](CN1C(=O)[C@@H](C)C(C)(C)C)C2(C)C.COC(=O)[C@@H]1[C@@H]2[C@H](CN1C(=O)[C@@H](CC(=O)CC(C)(C)C)C(C)(C)C)C2(C)C Chemical compound COC(=O)[C@@H]1[C@@H]2[C@H](CN1C(=O)[C@@H](C)C(C)(C)C)C2(C)C.COC(=O)[C@@H]1[C@@H]2[C@H](CN1C(=O)[C@@H](CC(=O)CC(C)(C)C)C(C)(C)C)C2(C)C LSUPMOFKOCTORU-LBLNFYKUSA-N 0.000 description 1
- DXKAMDKWECTOFL-RIMWHHCCSA-N COC(=O)[C@@H]1[C@@H]2[C@H](CN1C(=O)[C@@H](C)C1CCCCC1)C2(Cl)Cl.COC(=O)[C@H]1NC[C@H]2[C@@H]1C2(Cl)Cl.C[C@H](C(=O)O)C1CCCCC1.Cl Chemical compound COC(=O)[C@@H]1[C@@H]2[C@H](CN1C(=O)[C@@H](C)C1CCCCC1)C2(Cl)Cl.COC(=O)[C@H]1NC[C@H]2[C@@H]1C2(Cl)Cl.C[C@H](C(=O)O)C1CCCCC1.Cl DXKAMDKWECTOFL-RIMWHHCCSA-N 0.000 description 1
- VJXCKTYFZVSIJZ-WELHNAOMSA-N COC(=O)[C@@H]1[C@@H]2[C@H](CN1C(=O)[C@@H](C)C1CCCCC1)C2(Cl)Cl.C[C@H](C(=O)N1C[C@H]2[C@@H]([C@H]1C(=O)O)C2(Cl)Cl)C1CCCCC1 Chemical compound COC(=O)[C@@H]1[C@@H]2[C@H](CN1C(=O)[C@@H](C)C1CCCCC1)C2(Cl)Cl.C[C@H](C(=O)N1C[C@H]2[C@@H]([C@H]1C(=O)O)C2(Cl)Cl)C1CCCCC1 VJXCKTYFZVSIJZ-WELHNAOMSA-N 0.000 description 1
- UPBXSSDUWFQLOQ-ZCUMHPQBSA-N COC(=O)[C@H]1NC[C@H]2[C@@H]1C2(Cl)Cl.Cl.O=C(O)C(F)(F)F.O=C(O)[C@H]1NC[C@H]2[C@@H]1C2(Cl)Cl Chemical compound COC(=O)[C@H]1NC[C@H]2[C@@H]1C2(Cl)Cl.Cl.O=C(O)C(F)(F)F.O=C(O)[C@H]1NC[C@H]2[C@@H]1C2(Cl)Cl UPBXSSDUWFQLOQ-ZCUMHPQBSA-N 0.000 description 1
- MGRMHOQGTAPMHQ-UHFFFAOYSA-N COC1=C(OC)C=C(C(C)C(=O)O)C=C1.COC1=C(OC)C=C(C(N)C(=O)O)C=C1.COC1=C(OC)C=C(C2NC(=O)NC2=O)C=C1.COC1=C(OC)C=C(C=O)C=C1 Chemical compound COC1=C(OC)C=C(C(C)C(=O)O)C=C1.COC1=C(OC)C=C(C(N)C(=O)O)C=C1.COC1=C(OC)C=C(C2NC(=O)NC2=O)C=C1.COC1=C(OC)C=C(C=O)C=C1 MGRMHOQGTAPMHQ-UHFFFAOYSA-N 0.000 description 1
- DFKPUSNHPRIYSZ-KLRXVVKKSA-N COCC(NC(=O)C1C2C(CN1C(=O)[C@@H](NC(=O)OC(C)(C)C)C1CCCCC1)C2(C)C)C(=O)C(=O)NCC(=O)N[C@H](C(=O)N(C)C)C1=CC=CC=C1 Chemical compound COCC(NC(=O)C1C2C(CN1C(=O)[C@@H](NC(=O)OC(C)(C)C)C1CCCCC1)C2(C)C)C(=O)C(=O)NCC(=O)N[C@H](C(=O)N(C)C)C1=CC=CC=C1 DFKPUSNHPRIYSZ-KLRXVVKKSA-N 0.000 description 1
- ACYSJIQNWXXOTG-XMEXKUPESA-N COCC(NC(=O)[C@@H]1[C@@H]2C(CN1C(=O)[C@@H](NC(=O)OC(C)(C)C)C(C)(C)C)C2(C)C)C(=O)C(=O)NCCC(=O)OC(C)(C)C Chemical compound COCC(NC(=O)[C@@H]1[C@@H]2C(CN1C(=O)[C@@H](NC(=O)OC(C)(C)C)C(C)(C)C)C2(C)C)C(=O)C(=O)NCCC(=O)OC(C)(C)C ACYSJIQNWXXOTG-XMEXKUPESA-N 0.000 description 1
- PFPXZXRENLBQEO-HNBRVQJESA-N COCC(NC(=O)[C@@H]1[C@@H]2C(CN1C(=O)[C@@H](NC(=O)OC(C)(C)C)C1CC3=C(C=CC=C3)C1)C2(C)C)C(=O)C(=O)NCCC(=O)OC(C)(C)C Chemical compound COCC(NC(=O)[C@@H]1[C@@H]2C(CN1C(=O)[C@@H](NC(=O)OC(C)(C)C)C1CC3=C(C=CC=C3)C1)C2(C)C)C(=O)C(=O)NCCC(=O)OC(C)(C)C PFPXZXRENLBQEO-HNBRVQJESA-N 0.000 description 1
- LAPORSZSVRMACZ-SRJTZBBASA-N COCC(NC(=O)[C@@H]1[C@@H]2[C@H](CN1C(=O)[C@@H](CC(=O)OC(C)(C)C)C1CCCCC1)C2(C)C)C(=O)C(=O)NCCC(=O)OC(C)(C)C Chemical compound COCC(NC(=O)[C@@H]1[C@@H]2[C@H](CN1C(=O)[C@@H](CC(=O)OC(C)(C)C)C1CCCCC1)C2(C)C)C(=O)C(=O)NCCC(=O)OC(C)(C)C LAPORSZSVRMACZ-SRJTZBBASA-N 0.000 description 1
- WMVUVMYZPODRCY-YGPWJVBQSA-N COCC(NC(=O)[C@@H]1[C@@H]2[C@H](CN1C(=O)[C@@H](NC(=O)OC(C)(C)C)C(C)(C)C)C2(C)C)C(=O)C(N)=O Chemical compound COCC(NC(=O)[C@@H]1[C@@H]2[C@H](CN1C(=O)[C@@H](NC(=O)OC(C)(C)C)C(C)(C)C)C2(C)C)C(=O)C(N)=O WMVUVMYZPODRCY-YGPWJVBQSA-N 0.000 description 1
- AMZJZEILUPAEOY-UHFFFAOYSA-N CON(C)C(=O)C(C)CC1CCC1.[H]C(=O)C(C)CC1CCC1 Chemical compound CON(C)C(=O)C(C)CC1CCC1.[H]C(=O)C(C)CC1CCC1 AMZJZEILUPAEOY-UHFFFAOYSA-N 0.000 description 1
- IVPODZNAUIDDTR-PFHORGDFSA-N CONC(=O)C(=O)C(CC1CC1)NC(=O)[C@@H]1[C@@H]2C(CN1C(=O)[C@@H](NC(=O)OC(C)(C)C)C1CCCCC1)C2(C)C Chemical compound CONC(=O)C(=O)C(CC1CC1)NC(=O)[C@@H]1[C@@H]2C(CN1C(=O)[C@@H](NC(=O)OC(C)(C)C)C1CCCCC1)C2(C)C IVPODZNAUIDDTR-PFHORGDFSA-N 0.000 description 1
- OHUPESWCFMDBBC-NYPZKHNLSA-N CSCC(NC(=O)[C@@H]1CC2(CN1C(=O)[C@@H](NC(=O)OC(C)(C)C)C(C)(C)C)SCCCS2)C(=O)C(=O)NCC(=O)NC(C(=O)N(C)C)C1=CC=CC=C1 Chemical compound CSCC(NC(=O)[C@@H]1CC2(CN1C(=O)[C@@H](NC(=O)OC(C)(C)C)C(C)(C)C)SCCCS2)C(=O)C(=O)NCC(=O)NC(C(=O)N(C)C)C1=CC=CC=C1 OHUPESWCFMDBBC-NYPZKHNLSA-N 0.000 description 1
- MFUBPKSEPCKKKA-BIHRWAPCSA-N CSCC(NC(=O)[C@@H]1CC2(CN1C(=O)[C@@H](NC(=O)OCC(C)C)C(C)(C)C)SCCCS2)C(=O)C(=O)NCC(=O)NC(C(=O)N(C)C)C1=CC=CC=C1 Chemical compound CSCC(NC(=O)[C@@H]1CC2(CN1C(=O)[C@@H](NC(=O)OCC(C)C)C(C)(C)C)SCCCS2)C(=O)C(=O)NCC(=O)NC(C(=O)N(C)C)C1=CC=CC=C1 MFUBPKSEPCKKKA-BIHRWAPCSA-N 0.000 description 1
- RCYDPRYIJAMMEF-UJYLDPHVSA-N CSCC(NC(=O)[C@@H]1C[C@@H](OC(C)(C)C)CN1C(=O)[C@@H](NC(=O)OCC(C)C)C(C)(C)C)C(=O)C(=O)NCC(=O)NC(C(=O)N(C)C)C1=CC=CC=C1 Chemical compound CSCC(NC(=O)[C@@H]1C[C@@H](OC(C)(C)C)CN1C(=O)[C@@H](NC(=O)OCC(C)C)C(C)(C)C)C(=O)C(=O)NCC(=O)NC(C(=O)N(C)C)C1=CC=CC=C1 RCYDPRYIJAMMEF-UJYLDPHVSA-N 0.000 description 1
- HDPIZQZHDCGAGZ-OMAPUOLYSA-N CSCCC(NC(=O)[C@@H]1CC2(CN1C(=O)[C@@H](NC(=O)OCC(C)C)C(C)(C)C)SCCCS2)C(=O)C(=O)NCC(=O)NC(C(=O)N(C)C)C1=CC=CC=C1 Chemical compound CSCCC(NC(=O)[C@@H]1CC2(CN1C(=O)[C@@H](NC(=O)OCC(C)C)C(C)(C)C)SCCCS2)C(=O)C(=O)NCC(=O)NC(C(=O)N(C)C)C1=CC=CC=C1 HDPIZQZHDCGAGZ-OMAPUOLYSA-N 0.000 description 1
- FFEPJYLFQICLHG-ANNIYNITSA-N C[C@H](C(=O)N(C)C)C1=CC=CC=C1.C[C@H](C(=O)O)C1=CC=CC=C1 Chemical compound C[C@H](C(=O)N(C)C)C1=CC=CC=C1.C[C@H](C(=O)O)C1=CC=CC=C1 FFEPJYLFQICLHG-ANNIYNITSA-N 0.000 description 1
- QNTQXDYSLWLYDI-LPNZNWGVSA-N C[C@H](C(=O)N1CC2[C@@H]([C@H]1C(=O)O)C2(C)C)C1CCCCC1 Chemical compound C[C@H](C(=O)N1CC2[C@@H]([C@H]1C(=O)O)C2(C)C)C1CCCCC1 QNTQXDYSLWLYDI-LPNZNWGVSA-N 0.000 description 1
- WIIBYSYWVGEMIP-ZBOGSRDLSA-N C[C@H](C(=O)N1C[C@H]2[C@@H]([C@H]1C(=O)CC(CC1CCC1)C(=O)C(N)=O)C2(C)C)C(C)(C)C Chemical compound C[C@H](C(=O)N1C[C@H]2[C@@H]([C@H]1C(=O)CC(CC1CCC1)C(=O)C(N)=O)C2(C)C)C(C)(C)C WIIBYSYWVGEMIP-ZBOGSRDLSA-N 0.000 description 1
- MUYXONKEOCKVMA-CNODOATNSA-N C[C@H](C(=O)N1C[C@H]2[C@@H]([C@H]1C(=O)CC(CC1CCC1)C(=O)C(N)=O)C2(Cl)Cl)C1CCCCC1 Chemical compound C[C@H](C(=O)N1C[C@H]2[C@@H]([C@H]1C(=O)CC(CC1CCC1)C(=O)C(N)=O)C2(Cl)Cl)C1CCCCC1 MUYXONKEOCKVMA-CNODOATNSA-N 0.000 description 1
- RVBMNQODTCRMNT-QPVFUWBLSA-N C[C@H](C(=O)N1C[C@H]2[C@@H]([C@H]1C(=O)CC(CC1CCC1)C(O)C(N)=O)C2(Cl)Cl)C1CCCCC1.C[C@H](C(=O)N1C[C@H]2[C@@H]([C@H]1C(=O)O)C2(Cl)Cl)C1CCCCC1.Cl.NC(=O)C(=O)C(N)CC1CCC1 Chemical compound C[C@H](C(=O)N1C[C@H]2[C@@H]([C@H]1C(=O)CC(CC1CCC1)C(O)C(N)=O)C2(Cl)Cl)C1CCCCC1.C[C@H](C(=O)N1C[C@H]2[C@@H]([C@H]1C(=O)O)C2(Cl)Cl)C1CCCCC1.Cl.NC(=O)C(=O)C(N)CC1CCC1 RVBMNQODTCRMNT-QPVFUWBLSA-N 0.000 description 1
- GNTIZEPBQVEODB-CEZJOBDZSA-N C[C@H](C(=O)N1C[C@H]2[C@@H]([C@H]1C(=O)O)C2(C)C)C1CCCCC1.C[C@H](C(=O)N1C[C@H]2[C@@H]([C@H]1CO)C2(C)C)C1CCCCC1.C[C@H](C(=O)O)C1CCCCC1.[H]N1C[C@H]2[C@@H]([C@H]1CO)C2(C)C Chemical compound C[C@H](C(=O)N1C[C@H]2[C@@H]([C@H]1C(=O)O)C2(C)C)C1CCCCC1.C[C@H](C(=O)N1C[C@H]2[C@@H]([C@H]1CO)C2(C)C)C1CCCCC1.C[C@H](C(=O)O)C1CCCCC1.[H]N1C[C@H]2[C@@H]([C@H]1CO)C2(C)C GNTIZEPBQVEODB-CEZJOBDZSA-N 0.000 description 1
- LKLSILNSJKLFHR-VCUAWQQBSA-N C[C@H](C(=O)O)C1CC2=CC=CC=C2C1.C[C@H](C(=O)O)C1CC2CCCCC2C1 Chemical compound C[C@H](C(=O)O)C1CC2=CC=CC=C2C1.C[C@H](C(=O)O)C1CC2CCCCC2C1 LKLSILNSJKLFHR-VCUAWQQBSA-N 0.000 description 1
- GFIVVPABBKTXPY-WVQGBPJISA-N C[C@H](CC(=O)C(=O)C(CC(=O)[C@@H]1CCCN1C(=O)[C@@H](NC(=O)OC(C)(C)C)C1CCCCC1)CC1CC1)C(=O)N[C@H](C(N)=O)C1=CC=CC=C1 Chemical compound C[C@H](CC(=O)C(=O)C(CC(=O)[C@@H]1CCCN1C(=O)[C@@H](NC(=O)OC(C)(C)C)C1CCCCC1)CC1CC1)C(=O)N[C@H](C(N)=O)C1=CC=CC=C1 GFIVVPABBKTXPY-WVQGBPJISA-N 0.000 description 1
- OHLKQZLGKOVTAK-XDKFNMSGSA-N C[C@H](CC(=O)C(=O)C(CC(=O)[C@@H]1C[C@@H](CC(C)(C)C)CN1C(=O)[C@@H](NC(=O)OC(C)(C)C)C1CCCCC1)CC1CC1)C(=O)N[C@H](C(N)=O)C1=CC=CC=C1 Chemical compound C[C@H](CC(=O)C(=O)C(CC(=O)[C@@H]1C[C@@H](CC(C)(C)C)CN1C(=O)[C@@H](NC(=O)OC(C)(C)C)C1CCCCC1)CC1CC1)C(=O)N[C@H](C(N)=O)C1=CC=CC=C1 OHLKQZLGKOVTAK-XDKFNMSGSA-N 0.000 description 1
- UXHQGXVCWOTVHZ-QELHCHSZSA-N C[C@H]1CC2=CC=C(C=C2)OC2=CC(=CC=C2)C[C@@H](C(=O)C[C@@H](CS)C(=O)O)NC(=O)[C@H](CCC(=O)O)CC1=O Chemical compound C[C@H]1CC2=CC=C(C=C2)OC2=CC(=CC=C2)C[C@@H](C(=O)C[C@@H](CS)C(=O)O)NC(=O)[C@H](CCC(=O)O)CC1=O UXHQGXVCWOTVHZ-QELHCHSZSA-N 0.000 description 1
- CZFUMSLGESWRQX-NBLULHKYSA-N C[C@H]1CCC[C@@H]1OC(=O)N[C@H](C(=O)N1C[C@H]2[C@@H]([C@H]1C(=O)NC(CC1CC1)C(=O)C(N)=O)C2(C)C)C1CCCCC1 Chemical compound C[C@H]1CCC[C@@H]1OC(=O)N[C@H](C(=O)N1C[C@H]2[C@@H]([C@H]1C(=O)NC(CC1CC1)C(=O)C(N)=O)C2(C)C)C1CCCCC1 CZFUMSLGESWRQX-NBLULHKYSA-N 0.000 description 1
- WKOZZGYKTJFHNE-IPACBAGHSA-N C[C@H]1C[C@@H]1/C=C/C(=O)OC(C)(C)C.C[C@H]1C[C@@H]1C=O Chemical compound C[C@H]1C[C@@H]1/C=C/C(=O)OC(C)(C)C.C[C@H]1C[C@@H]1C=O WKOZZGYKTJFHNE-IPACBAGHSA-N 0.000 description 1
- RAXMXZYNLVKEOU-QGGISHNGSA-N C[C@H]1C[C@@H]1/C=C/C(=O)OC(C)(C)C.C[C@H]1C[C@@H]1[C@H](NCC(=O)C1=CC=CC=C1)[C@@H](O)C(=O)OC(C)(C)C Chemical compound C[C@H]1C[C@@H]1/C=C/C(=O)OC(C)(C)C.C[C@H]1C[C@@H]1[C@H](NCC(=O)C1=CC=CC=C1)[C@@H](O)C(=O)OC(C)(C)C RAXMXZYNLVKEOU-QGGISHNGSA-N 0.000 description 1
- BPKBDXSASVDUAW-KXRDUBRWSA-N C[C@H]1C[C@@H]1[C@H](N)[C@@H](O)C(=O)OC(C)(C)C.C[C@H]1C[C@@H]1[C@H](NCC(=O)C1=CC=CC=C1)[C@@H](O)C(=O)OC(C)(C)C Chemical compound C[C@H]1C[C@@H]1[C@H](N)[C@@H](O)C(=O)OC(C)(C)C.C[C@H]1C[C@@H]1[C@H](NCC(=O)C1=CC=CC=C1)[C@@H](O)C(=O)OC(C)(C)C BPKBDXSASVDUAW-KXRDUBRWSA-N 0.000 description 1
- AHZHLSNIANRDJA-ZFZWDLNGSA-N C[C@H]1C[C@@H]1[C@H](NCC(=O)C1=CC=CC=C1)[C@@H](O)C(=O)OC(C)(C)C Chemical compound C[C@H]1C[C@@H]1[C@H](NCC(=O)C1=CC=CC=C1)[C@@H](O)C(=O)OC(C)(C)C AHZHLSNIANRDJA-ZFZWDLNGSA-N 0.000 description 1
- NPNMTAMOAOYYNE-BOSQQAFTSA-N NC(=O)C(=O)C(CC1CC1)NC(=O)[C@@H]1C2C(CN1C(=O)[C@@H](NC(=O)NC1CCCCC1)C1CC3=C(C=CC=C3)C1)C2(Cl)Cl Chemical compound NC(=O)C(=O)C(CC1CC1)NC(=O)[C@@H]1C2C(CN1C(=O)[C@@H](NC(=O)NC1CCCCC1)C1CC3=C(C=CC=C3)C1)C2(Cl)Cl NPNMTAMOAOYYNE-BOSQQAFTSA-N 0.000 description 1
- VGNGBXPXYWBLRO-HRYRKZSQSA-N NC(=O)C(=O)C(CC1CC1)NC(=O)[C@@H]1C2C(CN1C(=O)[C@@H](NC(=O)OC13CC4CC(CC(C4)C1)C3)C1CCCCC1)C2(Cl)Cl Chemical compound NC(=O)C(=O)C(CC1CC1)NC(=O)[C@@H]1C2C(CN1C(=O)[C@@H](NC(=O)OC13CC4CC(CC(C4)C1)C3)C1CCCCC1)C2(Cl)Cl VGNGBXPXYWBLRO-HRYRKZSQSA-N 0.000 description 1
- LSEJIGSNUCZTFG-IOHZUATHSA-N NC(=O)C(=O)C(CC1CC1)NC(=O)[C@@H]1C2C(CN1C(=O)[C@@H](NC(=O)OC1CCCCC1)C1CCCCC1)C2(Cl)Cl Chemical compound NC(=O)C(=O)C(CC1CC1)NC(=O)[C@@H]1C2C(CN1C(=O)[C@@H](NC(=O)OC1CCCCC1)C1CCCCC1)C2(Cl)Cl LSEJIGSNUCZTFG-IOHZUATHSA-N 0.000 description 1
- VXMCRLKQRYQJOU-WBLOSPSNSA-N NC(=O)C(=O)C(CC1CCC1)NC(=O)[C@@H]1C2C(CN1C(=O)[C@@H](NC(=O)NC1CCCCC1)C1CCCCC1)C2(Cl)Cl Chemical compound NC(=O)C(=O)C(CC1CCC1)NC(=O)[C@@H]1C2C(CN1C(=O)[C@@H](NC(=O)NC1CCCCC1)C1CCCCC1)C2(Cl)Cl VXMCRLKQRYQJOU-WBLOSPSNSA-N 0.000 description 1
- MWSUTJPCIOGXBH-VBJOYHMQSA-N N[C@H](C(=O)N1C(=O)OC[C@@H]1CC1=CC=CC=C1)C1CCC(F)(F)CC1.N[C@H](C(=O)O)C1CCC(F)(F)CC1 Chemical compound N[C@H](C(=O)N1C(=O)OC[C@@H]1CC1=CC=CC=C1)C1CCC(F)(F)CC1.N[C@H](C(=O)O)C1CCC(F)(F)CC1 MWSUTJPCIOGXBH-VBJOYHMQSA-N 0.000 description 1
- XMTOPHOLTMJHJU-JINURLTBSA-N O=C(CC1CCC2(CC1)OCCO2)N1C(=O)OC[C@@H]1CC1=CC=CC=C1.[N-]=[N+]=N[C@H](C(=O)N1C(=O)OC[C@@H]1CC1=CC=CC=C1)C1CCC2(CC1)OCCO2 Chemical compound O=C(CC1CCC2(CC1)OCCO2)N1C(=O)OC[C@@H]1CC1=CC=CC=C1.[N-]=[N+]=N[C@H](C(=O)N1C(=O)OC[C@@H]1CC1=CC=CC=C1)C1CCC2(CC1)OCCO2 XMTOPHOLTMJHJU-JINURLTBSA-N 0.000 description 1
- VQCIECYKQHOOCC-AVEMZIMASA-N O=C(O)[C@@H]1C2C[C@H]2CN1C(=O)OCC1=CC=CC=C1.O=C(OCC1=CC=CC=C1)N1C[C@@H]2CC2[C@H]1CO Chemical compound O=C(O)[C@@H]1C2C[C@H]2CN1C(=O)OCC1=CC=CC=C1.O=C(OCC1=CC=CC=C1)N1C[C@@H]2CC2[C@H]1CO VQCIECYKQHOOCC-AVEMZIMASA-N 0.000 description 1
- GPYIUXYHTCZTDR-NRFANRHFSA-N O=C(O)[C@@H]1CC2(CCCC2)CN1C(=O)OCC1C2=C(C=CC=C2)C2=C1C=CC=C2 Chemical compound O=C(O)[C@@H]1CC2(CCCC2)CN1C(=O)OCC1C2=C(C=CC=C2)C2=C1C=CC=C2 GPYIUXYHTCZTDR-NRFANRHFSA-N 0.000 description 1
- AXUGRJLGJPMWQJ-RAMGSTBQSA-N O=C(O)[C@@H]1[C@H]2CC2CN1C(=O)OCC1=CC=CC=C1 Chemical compound O=C(O)[C@@H]1[C@H]2CC2CN1C(=O)OCC1=CC=CC=C1 AXUGRJLGJPMWQJ-RAMGSTBQSA-N 0.000 description 1
- RZUYZDKQIAWSGJ-PJCNGMDRSA-N O=C(OCC1=CC=CC=C1)N1C[C@@H]2CC2[C@H]1CO.OC[C@@H]1C2C[C@H]2CN1CC1=CC=CC=C1 Chemical compound O=C(OCC1=CC=CC=C1)N1C[C@@H]2CC2[C@H]1CO.OC[C@@H]1C2C[C@H]2CN1CC1=CC=CC=C1 RZUYZDKQIAWSGJ-PJCNGMDRSA-N 0.000 description 1
- MUGKJLXZMIJBLT-LNXFQZFCSA-N O=C1C2C(C3=CC=CC=C3)OC[C@@H]2C2C[C@@H]12.OC[C@@H]1C2C[C@H]2CN1CC1=CC=CC=C1 Chemical compound O=C1C2C(C3=CC=CC=C3)OC[C@@H]2C2C[C@@H]12.OC[C@@H]1C2C[C@H]2CN1CC1=CC=CC=C1 MUGKJLXZMIJBLT-LNXFQZFCSA-N 0.000 description 1
- XOXDZCLMERGROP-UHFFFAOYSA-N [CH2-][C+](=O)C1C2C(CN1[C+]([CH2-])=O)C2(C)C(F)(F)F.[CH2-][C+](=O)C1CC2CCCCC2N1[C+]([CH2-])=O Chemical compound [CH2-][C+](=O)C1C2C(CN1[C+]([CH2-])=O)C2(C)C(F)(F)F.[CH2-][C+](=O)C1CC2CCCCC2N1[C+]([CH2-])=O XOXDZCLMERGROP-UHFFFAOYSA-N 0.000 description 1
- ODEUZDBBSUAHJL-RKUAQVDZSA-N [CH2-][C+](=O)[C@@H]1C2CCC(C2)N1[C+]([CH2-])=O.[CH2-][C+](=O)[C@@H]1CC2=CC=CC=C2CN1[C+]([CH2-])=O.[CH2-][C+](=O)[C@@H]1[C@@H]2[C@H](C(C)N1[C+]([CH2-])=O)C2(C)C.[CH2-][C+](=O)[C@@H]1[C@@H]2[C@H](CN1[C+]([CH2-])=O)C2(C)C.[CH2-][C+](=O)[C@@H]1[C@H]2C3C=CC(C3)[C@H]2CN1[C+]([CH2-])=O.[CH2-][C+](=O)[C@@H]1[C@H]2C3CCC(C3)[C@H]2CN1[C+]([CH2-])=O.[CH2-][C+](=O)[C@@H]1[C@H]2CC(C)(C)O[C@H]2CN1[C+]([CH2-])=O.[CH2-][C+](=O)[C@@H]1[C@H]2CCC(C)(C)O[C@H]2CN1[C+]([CH2-])=O.[CH2-][C+](=O)[C@@H]1[C@H]2CCCC[C@H]2CN1[C+]([CH2-])=O.[CH2-][C+](=O)[C@@H]1[C@H]2C[C@H]2CN1[C+]([CH2-])=O.[CH2-][C+](=O)[C@@H]1[C@H]2OC(C)(C)O[C@H]2CN1[C+]([CH2-])=O.[CH2-][C+](=O)[C@@H]1[C@H]2OC(CC)(CC)O[C@H]2CN1[C+]([CH2-])=O Chemical compound [CH2-][C+](=O)[C@@H]1C2CCC(C2)N1[C+]([CH2-])=O.[CH2-][C+](=O)[C@@H]1CC2=CC=CC=C2CN1[C+]([CH2-])=O.[CH2-][C+](=O)[C@@H]1[C@@H]2[C@H](C(C)N1[C+]([CH2-])=O)C2(C)C.[CH2-][C+](=O)[C@@H]1[C@@H]2[C@H](CN1[C+]([CH2-])=O)C2(C)C.[CH2-][C+](=O)[C@@H]1[C@H]2C3C=CC(C3)[C@H]2CN1[C+]([CH2-])=O.[CH2-][C+](=O)[C@@H]1[C@H]2C3CCC(C3)[C@H]2CN1[C+]([CH2-])=O.[CH2-][C+](=O)[C@@H]1[C@H]2CC(C)(C)O[C@H]2CN1[C+]([CH2-])=O.[CH2-][C+](=O)[C@@H]1[C@H]2CCC(C)(C)O[C@H]2CN1[C+]([CH2-])=O.[CH2-][C+](=O)[C@@H]1[C@H]2CCCC[C@H]2CN1[C+]([CH2-])=O.[CH2-][C+](=O)[C@@H]1[C@H]2C[C@H]2CN1[C+]([CH2-])=O.[CH2-][C+](=O)[C@@H]1[C@H]2OC(C)(C)O[C@H]2CN1[C+]([CH2-])=O.[CH2-][C+](=O)[C@@H]1[C@H]2OC(CC)(CC)O[C@H]2CN1[C+]([CH2-])=O ODEUZDBBSUAHJL-RKUAQVDZSA-N 0.000 description 1
- YNCJFSOUANXVMK-GDHNVFNKSA-N [CH2-][C+](=O)[C@@H]1CC(C)(C)CN1[C+]([CH2-])=O.[CH2-][C+](=O)[C@@H]1CC(C)(C)[C@H](C)N1[C+]([CH2-])=O.[CH2-][C+](=O)[C@@H]1CC(C)CN1[C+]([CH2-])=O.[CH2-][C+](=O)[C@@H]1CC2(CC2)CN1[C+]([CH2-])=O.[CH2-][C+](=O)[C@@H]1CC2(CCCC2)CN1[C+]([CH2-])=O.[CH2-][C+](=O)[C@@H]1CC2(CN1[C+]([CH2-])=O)SCCCS2.[CH2-][C+](=O)[C@@H]1CC2(CN1[C+]([CH2-])=O)SCCS2.[CH2-][C+](=O)[C@@H]1CC[C@H](C)N1[C+]([CH2-])=O.[CH2-][C+](=O)[C@@H]1C[C@@H](SC(C)(C)C)CN1[C+]([CH2-])=O.[CH2-][C+](=O)[C@@H]1[C@@H](C)CCN1[C+]([CH2-])=O.[CH2-][C+](=O)[C@@H]1[C@@H]2[C@H](CN1[C+]([CH2-])=O)C2(C)C.[CH2-][C+](=O)[C@@H]1[C@H]2C3CCC(C3)[C@H]2CN1[C+]([CH2-])=O.[CH2-][C+](=O)[C@@H]1[C@H]2CC(C)(C)O[C@H]2CN1[C+]([CH2-])=O.[CH2-][C+](=O)[C@@H]1[C@H]2C[C@H]2CN1[C+]([CH2-])=O Chemical compound [CH2-][C+](=O)[C@@H]1CC(C)(C)CN1[C+]([CH2-])=O.[CH2-][C+](=O)[C@@H]1CC(C)(C)[C@H](C)N1[C+]([CH2-])=O.[CH2-][C+](=O)[C@@H]1CC(C)CN1[C+]([CH2-])=O.[CH2-][C+](=O)[C@@H]1CC2(CC2)CN1[C+]([CH2-])=O.[CH2-][C+](=O)[C@@H]1CC2(CCCC2)CN1[C+]([CH2-])=O.[CH2-][C+](=O)[C@@H]1CC2(CN1[C+]([CH2-])=O)SCCCS2.[CH2-][C+](=O)[C@@H]1CC2(CN1[C+]([CH2-])=O)SCCS2.[CH2-][C+](=O)[C@@H]1CC[C@H](C)N1[C+]([CH2-])=O.[CH2-][C+](=O)[C@@H]1C[C@@H](SC(C)(C)C)CN1[C+]([CH2-])=O.[CH2-][C+](=O)[C@@H]1[C@@H](C)CCN1[C+]([CH2-])=O.[CH2-][C+](=O)[C@@H]1[C@@H]2[C@H](CN1[C+]([CH2-])=O)C2(C)C.[CH2-][C+](=O)[C@@H]1[C@H]2C3CCC(C3)[C@H]2CN1[C+]([CH2-])=O.[CH2-][C+](=O)[C@@H]1[C@H]2CC(C)(C)O[C@H]2CN1[C+]([CH2-])=O.[CH2-][C+](=O)[C@@H]1[C@H]2C[C@H]2CN1[C+]([CH2-])=O YNCJFSOUANXVMK-GDHNVFNKSA-N 0.000 description 1
- ZZQJMLYURSVPLE-UFLGEMAHSA-N [CH2-][C+](=O)[C@@H]1CC2(CC2)CN1[C+]([CH2-])=O.[CH2-][C+](=O)[C@@H]1CC2(CC3CC3C2)CN1[C+]([CH2-])=O.[CH2-][C+](=O)[C@@H]1CC2(CC=CC2)CN1[C+]([CH2-])=O.[CH2-][C+](=O)[C@@H]1CC2(CCC2)CN1[C+]([CH2-])=O.[CH2-][C+](=O)[C@@H]1CC2(CCCC2)CN1[C+]([CH2-])=O.[CH2-][C+](=O)[C@@H]1CC2(CCCCC2)CN1[C+]([CH2-])=O.[CH2-][C+](=O)[C@@H]1CC2(CN1[C+]([CH2-])=O)OCCCO2.[CH2-][C+](=O)[C@@H]1CC2(CN1[C+]([CH2-])=O)OCCO2.[CH2-][C+](=O)[C@@H]1CC2(CN1[C+]([CH2-])=O)SCCCS2.[CH2-][C+](=O)[C@@H]1CC2(CN1[C+]([CH2-])=O)SCCS2 Chemical compound [CH2-][C+](=O)[C@@H]1CC2(CC2)CN1[C+]([CH2-])=O.[CH2-][C+](=O)[C@@H]1CC2(CC3CC3C2)CN1[C+]([CH2-])=O.[CH2-][C+](=O)[C@@H]1CC2(CC=CC2)CN1[C+]([CH2-])=O.[CH2-][C+](=O)[C@@H]1CC2(CCC2)CN1[C+]([CH2-])=O.[CH2-][C+](=O)[C@@H]1CC2(CCCC2)CN1[C+]([CH2-])=O.[CH2-][C+](=O)[C@@H]1CC2(CCCCC2)CN1[C+]([CH2-])=O.[CH2-][C+](=O)[C@@H]1CC2(CN1[C+]([CH2-])=O)OCCCO2.[CH2-][C+](=O)[C@@H]1CC2(CN1[C+]([CH2-])=O)OCCO2.[CH2-][C+](=O)[C@@H]1CC2(CN1[C+]([CH2-])=O)SCCCS2.[CH2-][C+](=O)[C@@H]1CC2(CN1[C+]([CH2-])=O)SCCS2 ZZQJMLYURSVPLE-UFLGEMAHSA-N 0.000 description 1
- BAAGNXAKMAGRPD-CRKKCPSOSA-N [CH2-][C+](=O)[C@@H]1CC2(CCCC2)CN1[C+]([CH2-])=O.[CH2-][C+](=O)[C@@H]1CC2(CN1[C+]([CH2-])=O)SCCCS2.[CH2-][C+](=O)[C@@H]1CC2(CN1[C+]([CH2-])=O)SCCS2.[CH2-][C+](=O)[C@@H]1C[C@@H](OC(C)(C)C)CN1[C+]([CH2-])=O.[CH2-][C+](=O)[C@@H]1C[C@H](C)CN1[C+]([CH2-])=O.[CH2-][C+](=O)[C@@H]1[C@@H]2[C@H](CN1[C+]([CH2-])=O)C2(Br)Br.[CH2-][C+](=O)[C@@H]1[C@@H]2[C@H](CN1[C+]([CH2-])=O)C2(C)C.[CH2-][C+](=O)[C@@H]1[C@@H]2[C@H](CN1[C+]([CH2-])=O)C2(Cl)Cl.[CH2-][C+](=O)[C@@H]1[C@@H]2[C@H](CN1[C+]([CH2-])=O)C2(F)F.[CH2-][C+](=O)[C@@H]1[C@H]2CC(C)(C)O[C@H]2CN1[C+]([CH2-])=O.[CH2-][C+](=O)[C@@H]1[C@H]2OC(C)(C)O[C@H]2CN1[C+]([CH2-])=O.[H][C@]12C[C@@]1([H])CN([C+]([CH2-])=O)[C@@H]2[C+]([CH2-])=O Chemical compound [CH2-][C+](=O)[C@@H]1CC2(CCCC2)CN1[C+]([CH2-])=O.[CH2-][C+](=O)[C@@H]1CC2(CN1[C+]([CH2-])=O)SCCCS2.[CH2-][C+](=O)[C@@H]1CC2(CN1[C+]([CH2-])=O)SCCS2.[CH2-][C+](=O)[C@@H]1C[C@@H](OC(C)(C)C)CN1[C+]([CH2-])=O.[CH2-][C+](=O)[C@@H]1C[C@H](C)CN1[C+]([CH2-])=O.[CH2-][C+](=O)[C@@H]1[C@@H]2[C@H](CN1[C+]([CH2-])=O)C2(Br)Br.[CH2-][C+](=O)[C@@H]1[C@@H]2[C@H](CN1[C+]([CH2-])=O)C2(C)C.[CH2-][C+](=O)[C@@H]1[C@@H]2[C@H](CN1[C+]([CH2-])=O)C2(Cl)Cl.[CH2-][C+](=O)[C@@H]1[C@@H]2[C@H](CN1[C+]([CH2-])=O)C2(F)F.[CH2-][C+](=O)[C@@H]1[C@H]2CC(C)(C)O[C@H]2CN1[C+]([CH2-])=O.[CH2-][C+](=O)[C@@H]1[C@H]2OC(C)(C)O[C@H]2CN1[C+]([CH2-])=O.[H][C@]12C[C@@]1([H])CN([C+]([CH2-])=O)[C@@H]2[C+]([CH2-])=O BAAGNXAKMAGRPD-CRKKCPSOSA-N 0.000 description 1
- FYEBKMCUIFSZNT-VIFPVBQESA-N [H]N([H])[C@H](C(=O)N(C)C)C1=CC=CC=C1 Chemical compound [H]N([H])[C@H](C(=O)N(C)C)C1=CC=CC=C1 FYEBKMCUIFSZNT-VIFPVBQESA-N 0.000 description 1
- DHBQFHVWDLFLSP-JUUVMNCLSA-N [H]OC(=O)[C@@H]1CC(C)(C)CN1C(=O)OC(C)(C)C.[H]OC(=O)[C@@H]1CC(C)(C)CN1[H] Chemical compound [H]OC(=O)[C@@H]1CC(C)(C)CN1C(=O)OC(C)(C)C.[H]OC(=O)[C@@H]1CC(C)(C)CN1[H] DHBQFHVWDLFLSP-JUUVMNCLSA-N 0.000 description 1
- MBJLRUOGOJQDTG-ZQOGUXAJSA-N [H]OC(=O)[C@@H]1C[C@@H](C2=CC=CC=C2)CN1C(=O)OC(C)(C)C.[H]OC(=O)[C@@H]1C[C@@H](C2CCCCC2)CN1C(=O)OC(C)(C)C Chemical compound [H]OC(=O)[C@@H]1C[C@@H](C2=CC=CC=C2)CN1C(=O)OC(C)(C)C.[H]OC(=O)[C@@H]1C[C@@H](C2CCCCC2)CN1C(=O)OC(C)(C)C MBJLRUOGOJQDTG-ZQOGUXAJSA-N 0.000 description 1
- BMWJCTADLVGNLS-HXOBKFHXSA-N [H]OC(=O)[C@@H]1C[C@@H](CCC(=O)OCC2C3=CC=CC=C3C3=C2C=CC=C3)CN1C(=O)OC(C)(C)C Chemical compound [H]OC(=O)[C@@H]1C[C@@H](CCC(=O)OCC2C3=CC=CC=C3C3=C2C=CC=C3)CN1C(=O)OC(C)(C)C BMWJCTADLVGNLS-HXOBKFHXSA-N 0.000 description 1
- DXBCMCAXZWBWLK-AOMKIAJQSA-N [H]OC(=O)[C@@H]1C[C@@H](CNC(=O)OCC2C3=C(C=CC=C3)C3=C2C=CC=C3)CN1C(=O)OC(C)(C)C Chemical compound [H]OC(=O)[C@@H]1C[C@@H](CNC(=O)OCC2C3=C(C=CC=C3)C3=C2C=CC=C3)CN1C(=O)OC(C)(C)C DXBCMCAXZWBWLK-AOMKIAJQSA-N 0.000 description 1
- AKJNJZWYQSZIEG-WRCRWCOGSA-N [H]OC(=O)[C@@H]1C[C@@](C)(CC=C)CN1C(=O)OC(C)(C)C.[H]OC(=O)[C@@H]1C[C@@](C)(CCC)CN1C(=O)OC(C)(C)C Chemical compound [H]OC(=O)[C@@H]1C[C@@](C)(CC=C)CN1C(=O)OC(C)(C)C.[H]OC(=O)[C@@H]1C[C@@](C)(CCC)CN1C(=O)OC(C)(C)C AKJNJZWYQSZIEG-WRCRWCOGSA-N 0.000 description 1
- KDAWEPJXZQPDLY-WXIPJHLYSA-N [H][C@@](C)(CC)C(NC(=O)[C@@H]1C[C@@H](OC(C)(C)C)CN1C(=O)C(NC(=O)OCC(C)C)C(C)(C)C)C(=O)C(=O)NCC(=O)O Chemical compound [H][C@@](C)(CC)C(NC(=O)[C@@H]1C[C@@H](OC(C)(C)C)CN1C(=O)C(NC(=O)OCC(C)C)C(C)(C)C)C(=O)C(=O)NCC(=O)O KDAWEPJXZQPDLY-WXIPJHLYSA-N 0.000 description 1
- HHYAJTKVRYWKCJ-AWXHUCRRSA-N [H][C@@](C)(CC)C(NC(=O)[C@@H]1C[C@@H](OC(C)(C)C)CN1C(=O)C(NC(=O)OCC(C)C)C(C)(C)C)C(=O)C(=O)NCC(=O)OC Chemical compound [H][C@@](C)(CC)C(NC(=O)[C@@H]1C[C@@H](OC(C)(C)C)CN1C(=O)C(NC(=O)OCC(C)C)C(C)(C)C)C(=O)C(=O)NCC(=O)OC HHYAJTKVRYWKCJ-AWXHUCRRSA-N 0.000 description 1
- SXRZHRCIIMCSBE-VLXXGRDRSA-N [H][C@@](C)(CC)C(NC(=O)[C@@H]1C[C@@H](OC(C)(C)C)CN1C(=O)[C@@H](NC(=O)OCC(C)C)C(C)(C)C)C(=O)C(=O)NCC(=O)N[C@@H](C1=CC=CC=C1)[C@@H](C)O Chemical compound [H][C@@](C)(CC)C(NC(=O)[C@@H]1C[C@@H](OC(C)(C)C)CN1C(=O)[C@@H](NC(=O)OCC(C)C)C(C)(C)C)C(=O)C(=O)NCC(=O)N[C@@H](C1=CC=CC=C1)[C@@H](C)O SXRZHRCIIMCSBE-VLXXGRDRSA-N 0.000 description 1
- HPZORXYOBHHQEK-BVFGSBBKSA-N [H][C@@]1(C(=O)NC2(C(=O)O)CC2C=C)C[C@@H](OC2=C3C=CC(OC)=CC3=NC(C3=CC=CC=C3)=C2)CN1C(=O)C(NC(=O)C(NC(C)=O)C1CCCCC1)C(C)(C)C Chemical compound [H][C@@]1(C(=O)NC2(C(=O)O)CC2C=C)C[C@@H](OC2=C3C=CC(OC)=CC3=NC(C3=CC=CC=C3)=C2)CN1C(=O)C(NC(=O)C(NC(C)=O)C1CCCCC1)C(C)(C)C HPZORXYOBHHQEK-BVFGSBBKSA-N 0.000 description 1
- GLJRVOMQLSQQPW-BDBFLJFWSA-N [H][C@@]1(C(=O)OCC)C2CN(C(=O)OC(C)(C)C)[C@H](C(=O)O)[C@H]21 Chemical compound [H][C@@]1(C(=O)OCC)C2CN(C(=O)OC(C)(C)C)[C@H](C(=O)O)[C@H]21 GLJRVOMQLSQQPW-BDBFLJFWSA-N 0.000 description 1
- GGLJFKBIDXYYAV-NXTNGBEGSA-N [H][C@@]1(C(=O)OCC)[C@H]2CN(C(=O)[C@@H](NC(=O)OCC(C)C)C3CCCCC3)[C@H](C(=O)NC(CCC)C(=O)C(=O)NCC(=O)NC(C(=O)N(C)C)C3=CC=CC=C3)[C@H]21 Chemical compound [H][C@@]1(C(=O)OCC)[C@H]2CN(C(=O)[C@@H](NC(=O)OCC(C)C)C3CCCCC3)[C@H](C(=O)NC(CCC)C(=O)C(=O)NCC(=O)NC(C(=O)N(C)C)C3=CC=CC=C3)[C@H]21 GGLJFKBIDXYYAV-NXTNGBEGSA-N 0.000 description 1
- LVCRKXBFTROWMY-JKWVGCSGSA-N [H][C@@]12CCCC[C@]1([H])CN(C(=O)OCC1=CC=CC=C1)[C@H](C(=O)NC(CCC)C(=O)C(=O)NCC(=O)O)C2 Chemical compound [H][C@@]12CCCC[C@]1([H])CN(C(=O)OCC1=CC=CC=C1)[C@H](C(=O)NC(CCC)C(=O)C(=O)NCC(=O)O)C2 LVCRKXBFTROWMY-JKWVGCSGSA-N 0.000 description 1
- XKMMUZHMDGDBOO-UZLDWMDBSA-N [H][C@@]12CCCC[C@]1([H])CN(C(=O)OCC1=CC=CC=C1)[C@H](C(=O)NC(CCC)C(=O)C(=O)NCC(=O)OCC=C)C2 Chemical compound [H][C@@]12CCCC[C@]1([H])CN(C(=O)OCC1=CC=CC=C1)[C@H](C(=O)NC(CCC)C(=O)C(=O)NCC(=O)OCC=C)C2 XKMMUZHMDGDBOO-UZLDWMDBSA-N 0.000 description 1
- ORODDDAOSKMPTA-VGMSLZNMSA-N [H][C@@]12CCCC[C@]1([H])CN(C(=O)[C@@H](NC(=O)OC(C)(C)C)C1CCCCC1)[C@H](C(=O)NC(CCC)C(=O)C(=O)NCC(=O)O)C2 Chemical compound [H][C@@]12CCCC[C@]1([H])CN(C(=O)[C@@H](NC(=O)OC(C)(C)C)C1CCCCC1)[C@H](C(=O)NC(CCC)C(=O)C(=O)NCC(=O)O)C2 ORODDDAOSKMPTA-VGMSLZNMSA-N 0.000 description 1
- YEVZLCQKCVLADZ-CHYAFLNGSA-N [H][C@@]12CCCC[C@]1([H])CN(C(=O)[C@@H](NC(=O)OC(C)(C)C)C1CCCCC1)[C@H](C(=O)NC(CCC)C(=O)C(=O)NCC(=O)OCC1=CC=CC=C1)C2 Chemical compound [H][C@@]12CCCC[C@]1([H])CN(C(=O)[C@@H](NC(=O)OC(C)(C)C)C1CCCCC1)[C@H](C(=O)NC(CCC)C(=O)C(=O)NCC(=O)OCC1=CC=CC=C1)C2 YEVZLCQKCVLADZ-CHYAFLNGSA-N 0.000 description 1
- JRYROORWGXVSEU-BBTVCSTFSA-N [H][C@](C)(CC)C(NC(=O)[C@@H]1C[C@@H](OC(C)(C)C)CN1C(=O)C(NC(=O)OCC(C)C)C(C)(C)C)C(=O)C(=O)NCC(=O)N[C@H](C(=O)N(C)C)C1=CC=CC=C1 Chemical compound [H][C@](C)(CC)C(NC(=O)[C@@H]1C[C@@H](OC(C)(C)C)CN1C(=O)C(NC(=O)OCC(C)C)C(C)(C)C)C(=O)C(=O)NCC(=O)N[C@H](C(=O)N(C)C)C1=CC=CC=C1 JRYROORWGXVSEU-BBTVCSTFSA-N 0.000 description 1
- KDAWEPJXZQPDLY-SKFWHACISA-N [H][C@](C)(CC)C(NC(=O)[C@@H]1C[C@@H](OC(C)(C)C)CN1C(=O)C(NC(=O)OCC(C)C)C(C)(C)C)C(=O)C(=O)NCC(=O)O Chemical compound [H][C@](C)(CC)C(NC(=O)[C@@H]1C[C@@H](OC(C)(C)C)CN1C(=O)C(NC(=O)OCC(C)C)C(C)(C)C)C(=O)C(=O)NCC(=O)O KDAWEPJXZQPDLY-SKFWHACISA-N 0.000 description 1
- HHYAJTKVRYWKCJ-DKPUDAMOSA-N [H][C@](C)(CC)C(NC(=O)[C@@H]1C[C@@H](OC(C)(C)C)CN1C(=O)C(NC(=O)OCC(C)C)C(C)(C)C)C(=O)C(=O)NCC(=O)OC Chemical compound [H][C@](C)(CC)C(NC(=O)[C@@H]1C[C@@H](OC(C)(C)C)CN1C(=O)C(NC(=O)OCC(C)C)C(C)(C)C)C(=O)C(=O)NCC(=O)OC HHYAJTKVRYWKCJ-DKPUDAMOSA-N 0.000 description 1
- GGLJFKBIDXYYAV-ZZODCNEWSA-N [H][C@]1(C(=O)OCC)C2CN(C(=O)C(NC(=O)OCC(C)C)C3CCCCC3)[C@H](C(=O)NC(CCC)C(=O)C(=O)NCC(=O)NC(C(=O)N(C)C)C3=CC=CC=C3)[C@H]21 Chemical compound [H][C@]1(C(=O)OCC)C2CN(C(=O)C(NC(=O)OCC(C)C)C3CCCCC3)[C@H](C(=O)NC(CCC)C(=O)C(=O)NCC(=O)NC(C(=O)N(C)C)C3=CC=CC=C3)[C@H]21 GGLJFKBIDXYYAV-ZZODCNEWSA-N 0.000 description 1
- DCLVECWFEFGHAT-ZGUVIYEZSA-N [N-]=[N+]=N[C@H](C(=O)N1C(=O)OC[C@@H]1CC1=CC=CC=C1)C1CCC(=O)CC1.[N-]=[N+]=N[C@H](C(=O)N1C(=O)OC[C@@H]1CC1=CC=CC=C1)C1CCC(F)(F)CC1 Chemical compound [N-]=[N+]=N[C@H](C(=O)N1C(=O)OC[C@@H]1CC1=CC=CC=C1)C1CCC(=O)CC1.[N-]=[N+]=N[C@H](C(=O)N1C(=O)OC[C@@H]1CC1=CC=CC=C1)C1CCC(F)(F)CC1 DCLVECWFEFGHAT-ZGUVIYEZSA-N 0.000 description 1
- MMVJQBBAMREJDG-DZFTXROWSA-N [N-]=[N+]=N[C@H](C(=O)N1C(=O)OC[C@@H]1CC1=CC=CC=C1)C1CCC(=O)CC1.[N-]=[N+]=N[C@H](C(=O)N1C(=O)OC[C@@H]1CC1=CC=CC=C1)C1CCC2(CC1)OCCO2 Chemical compound [N-]=[N+]=N[C@H](C(=O)N1C(=O)OC[C@@H]1CC1=CC=CC=C1)C1CCC(=O)CC1.[N-]=[N+]=N[C@H](C(=O)N1C(=O)OC[C@@H]1CC1=CC=CC=C1)C1CCC2(CC1)OCCO2 MMVJQBBAMREJDG-DZFTXROWSA-N 0.000 description 1
Classifications
-
- C—CHEMISTRY; METALLURGY
- C07—ORGANIC CHEMISTRY
- C07K—PEPTIDES
- C07K5/00—Peptides containing up to four amino acids in a fully defined sequence; Derivatives thereof
-
- C—CHEMISTRY; METALLURGY
- C07—ORGANIC CHEMISTRY
- C07K—PEPTIDES
- C07K5/00—Peptides containing up to four amino acids in a fully defined sequence; Derivatives thereof
- C07K5/02—Peptides containing up to four amino acids in a fully defined sequence; Derivatives thereof containing at least one abnormal peptide link
- C07K5/0202—Peptides containing up to four amino acids in a fully defined sequence; Derivatives thereof containing at least one abnormal peptide link containing the structure -NH-X-X-C(=0)-, X being an optionally substituted carbon atom or a heteroatom, e.g. beta-amino acids
-
- A—HUMAN NECESSITIES
- A61—MEDICAL OR VETERINARY SCIENCE; HYGIENE
- A61P—SPECIFIC THERAPEUTIC ACTIVITY OF CHEMICAL COMPOUNDS OR MEDICINAL PREPARATIONS
- A61P1/00—Drugs for disorders of the alimentary tract or the digestive system
- A61P1/16—Drugs for disorders of the alimentary tract or the digestive system for liver or gallbladder disorders, e.g. hepatoprotective agents, cholagogues, litholytics
-
- A—HUMAN NECESSITIES
- A61—MEDICAL OR VETERINARY SCIENCE; HYGIENE
- A61P—SPECIFIC THERAPEUTIC ACTIVITY OF CHEMICAL COMPOUNDS OR MEDICINAL PREPARATIONS
- A61P31/00—Antiinfectives, i.e. antibiotics, antiseptics, chemotherapeutics
-
- A—HUMAN NECESSITIES
- A61—MEDICAL OR VETERINARY SCIENCE; HYGIENE
- A61P—SPECIFIC THERAPEUTIC ACTIVITY OF CHEMICAL COMPOUNDS OR MEDICINAL PREPARATIONS
- A61P31/00—Antiinfectives, i.e. antibiotics, antiseptics, chemotherapeutics
- A61P31/12—Antivirals
-
- A—HUMAN NECESSITIES
- A61—MEDICAL OR VETERINARY SCIENCE; HYGIENE
- A61P—SPECIFIC THERAPEUTIC ACTIVITY OF CHEMICAL COMPOUNDS OR MEDICINAL PREPARATIONS
- A61P31/00—Antiinfectives, i.e. antibiotics, antiseptics, chemotherapeutics
- A61P31/12—Antivirals
- A61P31/14—Antivirals for RNA viruses
-
- A—HUMAN NECESSITIES
- A61—MEDICAL OR VETERINARY SCIENCE; HYGIENE
- A61P—SPECIFIC THERAPEUTIC ACTIVITY OF CHEMICAL COMPOUNDS OR MEDICINAL PREPARATIONS
- A61P43/00—Drugs for specific purposes, not provided for in groups A61P1/00-A61P41/00
-
- C—CHEMISTRY; METALLURGY
- C07—ORGANIC CHEMISTRY
- C07K—PEPTIDES
- C07K5/00—Peptides containing up to four amino acids in a fully defined sequence; Derivatives thereof
- C07K5/04—Peptides containing up to four amino acids in a fully defined sequence; Derivatives thereof containing only normal peptide links
- C07K5/08—Tripeptides
- C07K5/0802—Tripeptides with the first amino acid being neutral
- C07K5/0812—Tripeptides with the first amino acid being neutral and aromatic or cycloaliphatic
-
- C—CHEMISTRY; METALLURGY
- C07—ORGANIC CHEMISTRY
- C07K—PEPTIDES
- C07K5/00—Peptides containing up to four amino acids in a fully defined sequence; Derivatives thereof
- C07K5/04—Peptides containing up to four amino acids in a fully defined sequence; Derivatives thereof containing only normal peptide links
- C07K5/08—Tripeptides
- C07K5/0827—Tripeptides containing heteroatoms different from O, S, or N
-
- C—CHEMISTRY; METALLURGY
- C07—ORGANIC CHEMISTRY
- C07K—PEPTIDES
- C07K7/00—Peptides having 5 to 20 amino acids in a fully defined sequence; Derivatives thereof
- C07K7/02—Linear peptides containing at least one abnormal peptide link
-
- A—HUMAN NECESSITIES
- A61—MEDICAL OR VETERINARY SCIENCE; HYGIENE
- A61K—PREPARATIONS FOR MEDICAL, DENTAL OR TOILETRY PURPOSES
- A61K38/00—Medicinal preparations containing peptides
Definitions
- the present invention relates to novel hepatitis C virus (“HCV”) protease inhibitors, pharmaceutical compositions containing one or more such inhibitors, methods of preparing such inhibitors and methods of using such inhibitors to treat hepatitis C and related disorders.
- HCV hepatitis C virus
- This invention specifically discloses novel peptide compounds as inhibitors of the HCV NS3/NS4a serine protease.
- Hepatitis C virus is a (+)-sense single-stranded RNA virus that has been implicated as the major causative agent in non-A, non-B hepatitis (NANBH), particularly in blood-associated NANBH (BB-NANBH)(see, International Patent Application Publication No. WO 89/04669 and European Patent Application Publication No. EP 381 216).
- NANBH is to be distinguished from other types of viral-induced liver disease, such as hepatitis A virus (HAV), hepatitis B virus (HBV), delta hepatitis virus (HDV), cytomegalovirus (CMV) and Epstein-Barr virus (EBV), as well as from other forms of liver disease such as alcoholism and primary biliar cirrhosis.
- HAV hepatitis A virus
- HBV hepatitis B virus
- HDV delta hepatitis virus
- CMV cytomegalovirus
- EBV Epstein-Barr virus
- This approximately 3000 amino acid polyprotein contains, from the amino terminus to the carboxy terminus, a nucleocapsid protein (C), envelope proteins (E1 and E2) and several non-structural proteins (NS1, 2, 3, 4a, 5a and 5b).
- NS3 is an approximately 68 kda protein, encoded by approximately 1893 nucleotides of the HCV genome, and has two distinct domains: (a) a serine protease domain consisting of approximately 200 of the N-terminal amino acids; and (b) an RNA-dependent ATPase domain at the C-terminus of the protein.
- the NS3 protease is considered a member of the chymotrypsin family because of similarities in protein sequence, overall three-dimensional structure and mechanism of catalysis.
- Other chymotrypsin-like enzymes are elastase, factor Xa, thrombin, trypsin, plasmin, urokinase, tPA and PSA.
- the HCV NS3 serine protease is responsible for proteolysis of the polypeptide (polyprotein) at the NS3/NS4a, NS4a/NS4b, NS4b/NS5a and NS5a/NS5b junctions and is thus responsible for generating four viral proteins during viral replication. This has made the HCV NS3 serine protease an attractive target for antiviral chemotherapy.
- NS4a protein an approximately 6 kda polypeptide
- NS3/NS4a serine protease activity of NS3 It has been determined that the NS4a protein, an approximately 6 kda polypeptide, is a co-factor for the serine protease activity of NS3.
- Autocleavage of the NS3/NS4a junction by the NS3/NS4a serine protease occurs intramolecularly (i.e., cis) while the other cleavage sites are processed intermolecularly (i.e., trans).
- NS3/NS4a junction contains a threonine at P1 and a serine at P1′.
- the Cys ⁇ Thr substitution at NS3/NS4a is postulated to account for the requirement of cis rather than trans processing at this junction. See, e.g., Pizzi et al. (1994) Proc. Natl. Acad. Sci (USA) 91:888-892, Failla et al.
- the NS3/NS4a cleavage site is also more tolerant of mutagenesis than the other sites. See, e.g., Kollykhalov et al. (1994)J. Virol. 68:7525-7533. It has also been found that acidic residues in the region upstream of the cleavage site are required for efficient cleavage. See, e.g., Komoda et al. (1994) J. Virol. 68:7351-7357.
- Inhibitors of HCV protease include antioxidants (see, International Patent Application Publication No. WO 98/14181), certain peptides and peptide analogs (see, International Patent Application Publication No. WO 98/17679, Landro et al. (1997) Biochem. 36:9340-9348, Ingallinella et al. (1998) Biochem. 37:8906-8914, Llinàs-Brunet et al. (1998) Bioorg. Med. Chem. Lett. 8:1713-1718), inhibitors based on the 70-amino acid polypeptide eglin c (Martin et al. (1998) Biochem.
- HCV has been implicated in cirrhosis of the liver and in induction of hepatocellular carcinoma.
- the prognosis for patients suffering from HCV infection is currently poor.
- HCV infection is more difficult to treat than other forms of hepatitis due to the lack of immunity or remission associated with HCV infection.
- Current data indicates a less than 50% survival rate at four years post cirrhosis diagnosis.
- Patients diagnosed with localized resectable hepatocellular carcinoma have a five-year survival rate of 10-30%, whereas those with localized unresectable hepatocellular carcinoma have a five-year survival rate of less than 1%.
- a still further object of the present invention is to provide methods for modulating the activity of serine proteases, particularly the HCV NS3/NS4a serine protease, using the compounds provided herein.
- Another object herein is to provide methods of modulating the processing of the HCV polypeptide using the compounds provided herein.
- the present invention provides a novel class of inhibitors of the HCV protease, pharmaceutical compositions containing one or more of the compounds, methods of preparing pharmaceutical formulations comprising one or more such compounds, and methods of treatment, prevention or amelioration or one or more of the symptoms of hepatitis C. Also provided are methods of modulating the interaction of an HCV polypeptide with HCV protease. Among the compounds provided herein, compounds that inhibit HCV NS3/NS4a serine protease activity are preferred.
- the present application discloses a compound, including enantiomers, stereoisomers, rotamers, tautomers, racemates and prodrug of said compound, and pharmaceutically acceptable salts or solvates of said compound, or of said prodrug, said compound having the general structure shown in Formula I:
- R 10 preferred moieties for R 10 are: H, R 14 , CH(R 1′ )COOR 11 , CH(R 1′ )CH(R 1′ )COOR 11 , CH(R 1′ )CONR 12 R 13 , CH(R 1′ )CH(R 1′ )CONR 12 R 13 , CH(R 1′ ) CH(R 1′ )SO 2 R 11 , CH(R 1′ )CH(R 1′ )SO 2 N R 12 R 13 , CH(R 1′ )CH (R 1′ )COR 11 , CH(R 1′ )CONHCH(R 2′ )COOR 11 , CH(R 1′ ) CONHCH(R 2′ ) CONR 12 R 13 , or CH(R 1′ )CONHCH(R 2′ )(R′), wherein R 1′ is H or alkyl, and R 2′ is phenyl, substituted phenyl, hetero atom-substituted
- R 1′ is H
- R 11 is H, methyl, ethyl, allyl, tert-butyl, benzyl, ⁇ -methylbenzyl, ⁇ , ⁇ -dimethylbenzyl, 1-methylcyclopropyl or 1-methylcyclopentyl; for
- R′ is hydroxymethyl or CH 2 CONR 12 R 13 where
- NR 12 R 13 is selected from the group consisting of:
- Preferred moieties for R 3 are:
- Y 20 is selected from the following moieties:
- Preferred moieties for Y are:
- cyclic ring structure which may be a five-membered or six-membered ring structure.
- that cyclic ring represents a five-membered ring, it is a requirement of this invention that that five-membered cyclic ring does not contain a carbonyl group as part of the cyclic ring structure.
- that five-membered ring is of the structure:
- R 20 is selected from the following moieties:
- five-membered ring along with its adjacent two exocyclic carbonyls, may be represented as follows:
- R 21 and R 22 may be the same or different and are independently selected from the following moieties:
- G and J are independently selected from the group consisting of (CH 2 ) p , (CHR) p , (CHR—CHR′) p , and (CRR′) p ;
- a and M are independently selected from the group consisting of O, S, SO 2 , NR, (CH 2 ) p , (CHR) p , (CHR—CHR′) p , and (CRR′) p ; and Q is CH 2 , CHR, CRR′, NH, NR, O, S, SO 2 , NR, (CH 2 ) p , (CHR) p , and (CRR′) p .
- Preferred definitions for c are:
- alkyl refers to a monovalent group derived from a straight or branched chain saturated hydrocarbon by the removal of a single atom having from 1 to 8 carbon atoms, preferably from 1 to 6;
- tautomers tautomers, rotamers, enantiomers and other optical isomers, as well as prodrugs, of compounds of Formula I, as well as pharmaceutically acceptable salts, solvates and derivatives thereof.
- a further feature of the invention is pharmaceutical compositions containing as active ingredient a compound of Formula I (or its salt, solvate or isomers) together with a pharmaceutically acceptable carrier or excipient.
- the invention also provides methods for preparing compounds of Formula I, as well as methods for treating diseases such as, for example, HCV, AIDS (Acquired Immune Deficiency Syndrome), and related disorders.
- the methods for treating comprise administering to a patient suffering from said disease or diseases a therapeutically effective amount of a compound of Formula I, or pharmaceutical compositions comprising a compound of Formula I.
- HCV hepatitis C virus
- HCV protease is the NS3 or NS4a protease.
- inventive compounds inhibit such protease. They also modulate the processing of hepatitis C virus (HCV) polypeptide.
- the present invention discloses compounds of Formula I as inhibitors of HCV protease, especially the HCV NS3/NS4a serine protease, or a pharmaceutically acceptable derivative thereof, where the various definitions are given above.
- the compounds of the invention may form pharmaceutically acceptable salts with organic or inorganic acids, or organic or inorganic bases.
- suitable acids for such salt formation are hydrochloric, sulfuric, phosphoric, acetic, citric, malonic, salicylic, malic, fumaric, succinic, ascorbic, maleic, methanesulfonic and other mineral and carboxylic acids well known to those skilled in the art.
- suitable bases are, for example, NaOH, KOH, NH 4 OH, tetraalkylammonium hydroxide, and the like.
- this invention provides pharmaceutical compositions comprising the inventive peptides as an active ingredient.
- the pharmaceutical compositions generally additionally comprise a pharmaceutically acceptable carrier diluent, excipient or carrier (collectively referred to herein as carrier materials). Because of their HCV inhibitory activity, such pharmaceutical compositions possess utility in treating hepatitis C and related disorders.
- the present invention discloses methods for preparing pharmaceutical compositions comprising the inventive compounds as an active ingredient.
- the active ingredients will typically be administered in admixture with suitable carrier materials suitably selected with respect to the intended form of administration, i.e. oral tablets, capsules (either solid-filled, semi-solid filled or liquid filled), powders for constitution, oral gels, elixirs, dispersible granules, syrups, suspensions, and the like, and consistent with conventional pharmaceutical practices.
- the active drug component may be combined with any oral non-toxic pharmaceutically acceptable inert carrier, such as lactose, starch, sucrose, cellulose, magnesium stearate, dicalcium phosphate, calcium sulfate, talc, mannitol, ethyl alcohol (liquid forms) and the like.
- suitable binders, lubricants, disintegrating agents and coloring agents may also be incorporated in the mixture.
- Powders and tablets may be comprised of from about 5 to about 95 percent inventive composition.
- Suitable binders include starch, gelatin, natural sugars, corn sweeteners, natural and synthetic gums such as acacia, sodium alginate, carboxymethylcellulose, polyethylene glycol and waxes.
- lubricants there may be mentioned for use in these dosage forms, boric acid, sodium benzoate, sodium acetate, sodium chloride, and the like.
- Disintegrants include starch, methylcellulose, guar gum and the like.
- Sweetening and flavoring agents and preservatives may also be included where appropriate.
- disintegrants namely disintegrants, diluents, lubricants, binders and the like, are discussed in more detail below.
- compositions of the present invention may be formulated in sustained release form to provide the rate controlled release of any one or more of the components or active ingredients to optimize the therapeutic effects, i.e. HCV inhibitory activity and the like.
- Suitable dosage forms for sustained release include layered tablets containing layers of varying disintegration rates or controlled release polymeric matrices impregnated with the active components and shaped in tablet form or capsules containing such impregnated or encapsulated porous polymeric matrices.
- Liquid form preparations include solutions, suspensions and emulsions. As an example may be mentioned water or water-propylene glycol solutions for parenteral injections or addition of sweeteners and pacifiers for oral solutions, suspensions and emulsions. Liquid form preparations may also include solutions for intranasal administration.
- Aerosol preparations suitable for inhalation may include solutions and solids in powder form, which may be in combination with a pharmaceutically acceptable carrier such as inert compressed gas, e.g. nitrogen.
- a pharmaceutically acceptable carrier such as inert compressed gas, e.g. nitrogen.
- a low melting wax such as a mixture of fatty acid glycerides such as cocoa butter is first melted, and the active ingredient is dispersed homogeneously therein by stirring or similar mixing. The molten homogeneous mixture is then poured into convenient sized molds, allowed to cool and thereby solidify.
- solid form preparations which are intended to be converted, shortly before use, to liquid form preparations for either oral or parenteral administration.
- liquid forms include solutions, suspensions and emulsions.
- the compounds of the invention may also be deliverable transdermally.
- the transdermal compositions may take the form of creams, lotions, aerosols and/or emulsions and can be included in a transdermal patch of the matrix or reservoir type as are conventional in the art for this purpose.
- the compound is administered orally, intravenously or subcutaneously.
- the pharmaceutical preparation is in a unit dosage form.
- the preparation is subdivided into suitably sized unit doses containing appropriate quantities of the active components, e.g., an effective amount to achieve the desired purpose.
- the quantity of the inventive active composition in a unit dose of preparation may be generally varied or adjusted from about 1.0 milligram to about 1,000 milligrams, preferably from about 1.0 to about 950 milligrams, more preferably from about 1.0 to about 500 milligrams, and typically from about 1 to about 250 milligrams, according to the particular application.
- the actual dosage employed may be varied depending upon the patient's age, sex, weight and severity of the condition being treated. Such techniques are well known to those skilled in the art.
- the human oral dosage form containing the active ingredients can be administered 1 or 2 times per day.
- the amount and frequency of the administration will be regulated according to the judgment of the attending clinician.
- a generally recommended daily dosage regimen for oral administration may range from about 1.0 milligram to about 1,000 milligrams per day, in single or divided doses.
- Capsule refers to a special container or enclosure made of methyl cellulose, polyvinyl alcohols, or denatured gelatins or starch for holding or containing compositions comprising the active ingredients.
- Hard shell capsules are typically made of blends of relatively high gel strength bone and pork skin gelatins. The capsule itself may contain small amounts of dyes, opaquing agents, plasticizers and preservatives.
- Tablet refers to a compressed or molded solid dosage form containing the active ingredients with suitable diluents.
- the tablet can be prepared by compression of mixtures or granulations obtained by wet granulation, dry granulation or by compaction.
- Oral gel refers to the active ingredients dispersed or solubilized in a hydrophillic semi-solid matrix.
- Powder for constitution refers to powder blends containing the active ingredients and suitable diluents which can be suspended in water or juices.
- Diluent refers to substances that usually make up the major portion of the composition or dosage form. Suitable diluents include sugars such as lactose, sucrose, mannitol and sorbitol; starches derived from wheat, corn, rice and potato; and celluloses such as microcrystalline cellulose.
- the amount of diluent in the composition can range from about 10 to about 90% by weight of the total composition, preferably from about 25 to about 75%, more preferably from about 30 to about 60% by weight, even more preferably from about 12 to about 60%.
- Disintegrant refers to materials added to the composition to help it break apart (disintegrate) and release the medicaments.
- Suitable disintegrants include starches; “cold water soluble” modified starches such as sodium carboxymethyl starch; natural and synthetic gums such as locust bean, karaya, guar, tragacanth and agar; cellulose derivatives such as methylcellulose and sodium carboxymethylcellulose; microcrystalline celluloses and cross-linked microcrystalline celluloses such as sodium croscarmellose; alginates such as alginic acid and sodium alginate; clays such as bentonites; and effervescent mixtures.
- the amount of disintegrant in the composition can range from about 2 to about 15% by weight of the composition, more preferably from about 4 to about 10% by weight.
- Binder refers to substances that bind or “glue” powders together and make them cohesive by forming granules, thus serving as the “adhesive” in the formulation. Binders add cohesive strength already available in the diluent or bulking agent. Suitable binders include sugars such as sucrose; starches derived from wheat, corn rice and potato; natural gums such as acacia, gelatin and tragacanth; derivatives of seaweed such as alginic acid, sodium alginate and ammonium calcium alginate; cellulosic materials such as methylcellulose and sodium carboxymethylcellulose and hydroxypropylmethylcellulose; polyvinylpyrrolidone; and inorganics such as magnesium aluminum silicate.
- the amount of binder in the composition can range from about 2 to about 20% by weight of the composition, more preferably from about 3 to about 10% by weight, even more preferably from about 3 to about 6% by weight.
- Lubricant refers to a substance added to the dosage form to enable the tablet, granules, etc. after it has been compressed, to release from the mold or die by reducing friction or wear.
- Suitable lubricants include metallic stearates such as magnesium stearate, calcium stearate or potassium stearate; stearic acid; high melting point waxes; and water soluble lubricants such as sodium chloride, sodium benzoate, sodium acetate, sodium oleate, polyethylene glycols and d'l-leucine. Lubricants are usually added at the very last step before compression, since they must be present on the surfaces of the granules and in between them and the parts of the tablet press.
- the amount of lubricant in the composition can range from about 0.2 to about 5% by weight of the composition, preferably from about 0.5 to about 2%, more preferably from about 0.3 to about 1.5% by weight.
- Glident material that prevents caking and improve the flow characteristics of granulations, so that flow is smooth and uniform.
- Suitable glidents include silicon dioxide and talc.
- the amount of glident in the composition can range from about 0.1% to about 5% by weight of the total composition, preferably from about 0.5 to about 2% by weight.
- Coloring agents that provide coloration to the composition or the dosage form.
- excipients can include food grade dyes and food grade dyes adsorbed onto a suitable adsorbent such as clay or aluminum oxide.
- the amount of the coloring agent can vary from about 0.1 to about 5% by weight of the composition, preferably from about 0.1 to about 1%.
- Bioavailability refers to the rate and extent to which the active drug ingredient or therapeutic moiety is absorbed into the systemic circulation from an administered dosage form as compared to a standard or control.
- Conventional methods for preparing tablets are known. Such methods include dry methods such as direct compression and compression of granulation produced by compaction, or wet methods or other special procedures. Conventional methods for making other forms for administration such as, for example, capsules, suppositories and the like are also well known.
- Another embodiment of the invention discloses the use of the pharmaceutical compositions disclosed above for treatment of diseases such as, for example, hepatitis C and the like.
- the method comprises administering a therapeutically effective amount of the inventive pharmaceutical composition to a patient having such a disease or diseases and in need of such a treatment.
- the compounds of the invention may be used for the treatment of HCV in humans in monotherapy mode or in a combination therapy (e.g., dual combination, triple combination etc.) mode such as, for example, in combination with antiviral and/or immunomodulatory agents.
- a combination therapy e.g., dual combination, triple combination etc.
- antiviral and/or immunomodulatory agents examples include Ribavirin (from Schering-Plough Corporation, Madison, N.J.) and LevovirinTM (from ICN Pharmaceuticals, Costa Mesa, Calif.), VP 50406TM (from Viropharma, Incorporated, Exton, Pa.), ISIS 14803TM (from ISIS Pharmaceuticals, Carlsbad, Calif.), HeptazymeTM (from Ribozyme Pharmaceuticals, Boulder, Colo.), VX 497TM (from Vertex Pharmaceuticals, Cambridge, Mass.), ThymosinTM (from SciClone Pharmaceuticals, San Mateo, Calif.), MaxamineTM (Maxim Pharmaceuticals, San Diego, Calif.), mycophenolate mofetil (from Hoffman-LaRoche, Nutley, N.J.), interferon (such as, for example, interferon-alpha, PEG-interferon alpha conjugates) and the like.
- Ribavirin from Schering-Plough Corporation, Madison, N.J.
- PEG-interferon alpha conjugates are interferon alpha molecules covalently attached to a PEG molecule.
- Illustrative PEG-interferon alpha conjugates include interferon alpha-2a (RoferonTM, from Hoffman La-Roche, Nutley, N.J.) in the form of pegylated interferon alpha-2a (e.g., as sold under the trade name PegasysTM), interferon alpha-2b (IntronTM, from Schering-Plough Corporation) in the form of pegylated interferon alpha-2b (e.g., as sold under the trade name PEG-IntronTM), interferon alpha-2c (Berofor AlphaTM, from Boehringer Ingelheim, Ingelheim, Germany) or consensus interferon as defined by determination of a consensus sequence of naturally occurring interferon alphas (InfergenTM, from Amgen, Thousand Oaks, Calif.).
- the invention includes tautomers, rotamers, enantiomers and other stereoisomers of the inventive compounds also.
- inventive compounds may exist in suitable isomeric forms. Such variations are contemplated to be within the scope of the invention.
- Another embodiment of the invention discloses a method of making the compounds disclosed herein.
- the compounds may be prepared by several techniques known in the art. Representative illustrative procedures are outlined in the following reaction schemes. It is to be understood that while the following illustrative schemes describe the preparation of a few representative inventive compounds, suitable substitution of any of both the natural and unnatural amino acids will result in the formation of the desired compounds based on such substitution. Such variations are contemplated to be within the scope of the invention.
- Step A (3.0 g) was treated with 4 N HCl/dioxane (36 mL) and stirred at room temperature for 7 min. The mixture was poured into 1.5 L cold (5° C.) hexane and stirred, then allowed to set cold for 0.5 hr.
- Step B Compound (2.5) was prepared.
- N-Cbz-hydroxyproline methyl ester available from Bachem Biosciences, Incorporated, King of Prussia, Pa
- compound 3.01
- toluene (30 mL
- ethyl acetate (30 mL)
- the mixture was stirred vigorously, and then a solution of NaBr/water (1.28 g/5 mL) was added.
- TEMPO 2,2,6,6-tetramethyl-1-piperidinyloxy free radical
- Ethyl acetate 1000 mL was added to the lower acetonitrile layer, and then the layer was washed with 10% aqueous KH 2 PO 4 (2 ⁇ 700 mL), and brine.
- the filtrate was evaporated under vacuum in a 25° C. water bath, taken up in fresh ethyl acetate (1000 mL), and washed successively with 0.1 N HCl, 0.1 N NaOH, 10% aqueous KH 2 PO 4 , and brine.
- the organic solution was dried over anhydrous MgSO 4 , filtered, and evaporated under vacuum.
- any open-ended nitrogen atom with unfulfilled valence in the chemical structures in the Examples and Tables refers to NH, or in the case of a terminal nitrogen, —NH 2 .
- any open-ended oxygen atom with unfulfilled valence in the chemical structures in the Examples and Tables refers to —OH.
- the synthesis was done in a reaction vessel which was constructed from a polypropylene syringe cartridge fitted with a polypropylene frit at the bottom.
- the Fmoc-protected amino acids were coupled under standard solid-phase techniques.
- Each reaction vessel was loaded with 100 mg of the starting Fmoc-Sieber resin (approximately 0.03 mmol).
- the resin was washed with 2 mL portions of DMF (2 times).
- the Fmoc protecting group was removed by treatment with 2 mL of a 20% v/v solution of piperidine in DMF for 20 min.
- the resin was washed with 2 mL portions of DMF (4 times).
- the coupling was done in DMF (2 mL), using 0.1 mmol of Fmoc-amino acid, 0.1 mmol of HATU [O-(7-azabenzotriazol-1-yl)-1,1,3,3-tetramethyluronium hexafluorophosphate] and 0.2 mmol of DIPEA (N,N-diisopropylethylamine). After shaking for 2 h, the reaction vessel was drained and the resin was washed with 2 mL portions of DMF (4 times). The coupling cycle was repeated with the next Fmoc-amino acid or capping group.
- the synthesis was conducted in a reaction vessel which was constructed from a polypropylene syringe cartridge fitted with a polypropylene frit at the bottom.
- Resin-bound hydroxy compound (approximately 0.03 mmol) was treated with a solution of 0.12 mmol of Dess-Martin periodinane and 0.12 mmol of t-BuOH in 2 mL of DCM for 4 h.
- the resin was washed with 2 mL portions of a 20% v/v solution of iPrOH in DCM, THF, a 50% v/v solution of THF in water (4 times), THF (4 times) and DCM (4 times).
- Compound 901B was dissolved in 10% w/w aqueous sodium hydroxide solution (15 mL) and the resulting solution was heated under reflux for 24 h. Concentrated hydrochloric acid was added and the pH was adjusted to neutral (pH 7). The resulting solution containing compound 901C was evaporated under reduced pressure. The residue was dissolved in 5% w/w aqueous sodium bicarbonate solution (150 mL). The solution was cooled to 0° C. in an ice bath and 1,4-dioxane (30 mL) and a solution of 9-fluorenylmethyl succinimidyl carbonate (2.7 g, 8 mmol) in 1,4-dioxane (30 mL) was added at 0° C.
- N-Fmoc-phenylalanine 801A (5 g, 12.9 mmol) in anhydrous DCM (22 mL) cooled to ⁇ 30° C. in a dry ice-acetone bath was added N-methylpyrrolidine (1.96 mL, 16.1 mmol) and methyl chloroformate (1.2 mL, 15.5 mmol) sequentially.
- the reaction mixture was stirred at ⁇ 30° C. for 1 h and a solution of N,O-dimethylhydroxylamine hydrochloride (1.51 g, 15.5 mol) and N-methylpyrrolidine (1.96 mL, 16.1 mmol) in anhydrous DCM (8 mL) was added.
- Resin-bound compound 301B, 301C, 301D, 301E, 301F and 301G were prepared according to the general procedure for solid-phase coupling reactions started with 100 mg of Fmoc-Sieber resin (0.03 mmol). Resin-bound compound 301G was oxidized to resin-bound compound 301H according to the general procedure for solid-phase Dess-Martin oxidation. The resin-bound compound 301H was treated with 4 mL of a 2% v/v solution of TFA in DCM for 5 min. The filtrate was added to 1 mL of AcOH and the solution was concentrated by vacuum centrifugation to provide compound 301J (0.0069 g, 29% yield). MS (LCMS-Electrospray) 771.2 MH + .
- the solution was stirred for 20 minutes at 0° C., then the reaction mixture was concentrated in vacuo to remove the tetrahydrofuran.
- the aqueous solution was diluted with water (10 mL) and extracted with dichloromethane (3 ⁇ 40 mL). The organic layers were dried (Na 2 SO 4 ), filtered and concentrated. The residue was dissolved in dichloromethane (20 mL) and triethylsilane (310 ⁇ L, 2.0 mmol), then cooled to ⁇ 78° C. and boron trifluoride diethyletherate (270 ⁇ L, 2.13 mmol) was added dropwise.
- the solution was stirred for 10 minutes at 0° C., then the reaction mixture was concentrated in vacuo to remove the tetrahydrofuran.
- the aqueous solution was diluted with water (300 mL) and extracted with dichloromethane (3 ⁇ 200 mL). The organic layers were dried (sodium sulfate), filtered and concentrated. The residue was dissolved in dichloromethane (100 mL) and triethylsilane (2.6 mL, mmol), then cooled to ⁇ 78° C. and boron trifluoride diethyletherate (2.2 mL, mmol) was added dropwise.
- N-Boc-pyroglutamic(4-allyl)-tert-butylester obtained in the Step 1 above (2.68 g, 8.24 mmol) was subjected to a second alkylation with allyl bromide under similar conditions. Flash chromatography in 15:85 ethylacetate:hexanes provided 2.13 g product (71%) as a clear oil.
- the aqueous layer was then acidified to pH ⁇ 1 with 1N sodium bisulfate solution and extracted with ethylacetate. The organic layer was dried over sodium sulfate, filtered and concentrated to a beige foam (1.3 g, 100%).
- the oil was dissolved in water (53 mL) containing sodium carbonate (5.31 g, 50.1 mmol) and a solution of fluorenylmethyl succinyl carbonate (8.37 g, 29.8 mmol) in dioxane (60 mL) was added over 40 min.
- the reaction mixture was stirred at room temperature for 17 h, then concentrated to remove the dioxane and diluted with water (200 mL).
- the solution was washed with ether (3 ⁇ 100 mL).
- the pH of the aqueous solution was adjusted to 2 by the addition of citric acid (caution! foaming! and water (100 mL).
- the mixture was extracted with dichloromethane (400 mL, 100 mL, 100 mL) and the combined organic layers were dried (sodium sulfate), filtered and concentrated to give the title compound.
- the solution was washed with ether (3 ⁇ 75 mL).
- the pH of the aqueous solution was adjusted to 2 by the addition of citric acid (approx. 20 g, caution! foaming! and water (100 mL).
- the mixture was extracted with dichloromethane (4 ⁇ 100 mL), and the combined organic layers were dried (sodium sulfate), filtered and concentrated.
- the crude product contained a major impurity which necessitated a three step purification.
- the crude product was dissolved in dichloromethane (50 mL) and trifluoroacetic acid (50 mL) and stirred for 5 h before being concentrated.
- the residue was purified by preparatory reverse-phase HPLC.
- the mixture was extracted with ethyl acetate (3 ⁇ 150 mL) and the combined organic layers were washed with saturated aqueous sodium chloride (100 mL), dried (sodium sulfate), filtered and concentrated.
- the crude product was dissolved in saturated aqueous sodium bicarbonate(100 mL) and washed with ether (3 ⁇ 75 mL).
- the combined organic layers were dried (sodium sulfate), filtered and concentrated to the title compound (1.373 g, 2.94 mmol, 42%).
- Step I Synthesis of iBoc-G(Chx)-P(4,4-dimethyl)-OMe:
- N-benzyloxycarbonyl-L-phenylglycine 25 g, 88 mmols was dissolved in THF (800 mL) and cooled to ⁇ 10° C.
- N-methylmorpholine 9.7 mL, 88 mmols
- isobutylchloroformate (11.4 mL, 88.0 mmols) were added and the mixture allowed to stir for 1 minute.
- Dimethylamine 100 mL, 2M in THF was added and the reaction was allowed to warm to room temperature. The mixture was filtered and the filtrate concentrated in vacuo to afford N-benzyloxycabonyl-L-phenylglycine dimethylamide (32.5 g) as a yellow oil.
- N-benzyloxycarbonyl-L-phenylglycine dimethylamide (32.5 g) obtained above was dissolved in methanol (750 ml) and 10% palladium on activated carbon (3.3 g) was added. This mixture was hydrogenated on a Parr apparatus under 35 psi hydrogen for 2 hours. The reaction mixture was filtered and the solvent removed in vacuo and the residue recrystallized from methanol-hexanes to afford phenylglycine dimethylamide (26 g) as an off white solid. The ee of this material was determined to be >99% by HPLC analysis of the 2,3,4,6-tetra-O-acetylglucopyranosylthioisocyanate derivative.
- the reaction was diluted with saturated ammonium chloride (50 mL), ethylacetate (100 mL) and hexanes (100 mL). The organic layer was washed with water and brine, dried filtered and concentrated. The residue was stirred with hexanes (70 mL) for 10 min and filtered. The filtrate was concentrated and chromatographed using 25% ethylacetate in hexanes to give the title compound (1.925 g, 12.5 mmol, 65%).
- the reaction mixture was diluted with dichloromethane (350 ml) and washed twice each with 75 ml portions of 1M hydrochloric acid, saturated sodium bicarbonate and brine. The organic layer was dried, filtered and concentrated. The residue obtained was subjected to flash chromatography in a 2′′ ⁇ 6′′ silica gel column using 10% ethylacetate in hexanes (800 ml) followed by 1:1 ethylacetate in hexanes (800 ml). The fractions corresponding to the product were pooled and concentrated to yield 980 mg (79%) product.
- the reaction mixture was concentrated and the remaining residue was diluted with ethylacetate and washed successively with two 75 ml portions of 1M hydrochloric acid, saturated sodium bicarbonate and brine. The organic layer was then dried filtered and concentrated.
- the crude product was subjected to flash chromatography in a 2′′ ⁇ 6′′ silica gel column using 4:1 ethylacetate:hexanes (700 ml) followed by ethylacetate (1000 ml) and 10% methanol in dichloromethane (600 ml). The fractions corresponding to the product were pooled and concentrated to yield 445 mg (80%) white solid.
- Step 7 Synthesis of iBoc-G(Chx)-Pro(4,4-dimethyl)-Leu-(CO)-Gly-Phg-dimethylamide:
- reactors for the solid-phase synthesis of peptidyl ketoamides are comprised of a reactor vessel with at least one surface permeable to solvent and dissolved reagents, but not permeable to synthesis resin of the selected mesh size.
- Such reactors include glass solid phase reaction vessels with a sintered glass frit, polypropylene tubes or columns with frits, or reactor KansTM made by Irori Inc., San Diego, Calif.
- the type of reactor chosen depends on volume of solid-phase resin needed, and different reactor types might be used at different stages of a synthesis. The following procedures will be referenced in the subsequent examples:
- Procedure A Coupling reaction: To the resin suspended in N-methylpyrrolidine (NMP) (10-15 mL/gram resin) was added Fmoc-amino acid (2 eq), HOAt (2 eq), HATU (2 eq) and diisopropylethylamine (4 eq). The mixture was let to react for 4-48 hours. The reactants were drained and the resin was washed successively with dimethylformamide, dichloromethane, methanol, dichloromethane and diethylether (use 10-15 mL solvent/gram resin). The resin was then dried in vacuo.
- NMP N-methylpyrrolidine
- Procedure B Fmoc deprotection: The Fmoc-protected resin was treated with 20% piperidine in dimethylformamide (10 mL reagent/g resin) for 30 minutes. The reagents were drained and the resin was washed successively with dimethylformamide, dichloromethane, methanol, dichloromethane and diethyl ether (10 mL solvent/gram resin).
- Procedure C Boc deprotection: The Boc-protected resin was treated with a 1:1 mixture of dichloromethane and trifluoroacetic acid for 20-60 minutes (10 mL solvent/gram resin).
- Procedure D Semicarbazone hydrolysis: The resin was suspended in the cleavage cocktail (10 mL/g resin) consisting of trifluoroacetic acid:pyruvic acid:dichloromethane:water 9:2:2:1 for 2 hours. The reactants were drained and the procedure was repeated three more times. The resin was washed successively with dichloromethane, water and dichloromethane and dried under vacuum.
- HF cleavage The dried peptide-nVal(CO)-G-O-PAM resin (50 mg) was placed in an HF vessel containing a small stir bar. Anisole (10% of total volume) was added as a scavenger. In the presence of glutamic acid and cysteine amino acids, thioanisole (10%) and 1,2-ethanedithiol (0.2%) were also added. The HF vessel was then hooked up to the HF apparatus (Immuno Dynamics) and the system was flushed with nitrogen for five minutes. It was then cooled down to ⁇ 70° C. with a dry ice/isopropanol bath. After 20 minutes, HF was distilled to the desired volume (10 mL HF/g resin).
- the reaction was let to proceed for one and a half hour at 0° C. Work up consisted of removing all the HF using nitrogen. Dichloromethane was then added to the resin and the mixture was stirred for five minutes. This was followed by the addition of 20% acetic acid in water (4 mL). After stirring for 20 minutes, the resin was filtered using a fritted funnel and the dichloromethane was removed under reduced pressure. The remaining residue and the mixture was washed with hexanes (2 ⁇ ) to remove scavengers. Meanwhile, the resin was soaked in 1 mL methanol. The aqueous layer (20% HOAC) was added back to the resin and the mixture was agitated for five minutes and then filtered. The methanol was removed under reduced pressure and the aqueous layer was lyophilized The peptide was then dissolved in 10-25% methanol (containing 0.1% trifluoroacetic acid) and purified by reverse phase HPLC.
- Step 1 Synthesis of Fmoc-nV-(dpsc)-Gly-OH: A) Synthesis of Allyl Isocyanoacetate (Steps a-b Below):
- the reaction was quenched with the slow addition of water (100 ml) at 0° C.
- the methanol was removed under reduced pressure and the remaining aqueous phase was diluted with ethylacetate.
- the organic layer was washed with water (3 ⁇ 500 ml), saturated sodium bicarbonate (3 ⁇ 500 ml) and brine (500 ml).
- the organic layer was dried over sodium sulfate, filtered and concentrated to a white solid (21.70 g, 90.5%).
- Step IB To a solution of Fmoc-nVal-CHO (Step IB) (5.47 g, 16.90 mmol) in dichloromethane (170 ml) was added allyl isocyanoacetate (Step IA) (2.46 ml, 20.28 mmol) and pyridine (5.47 ml, 67.61 mmol). The reaction mixture was cooled to 0° C. and trifluoroacetic acid (3.38 ml, 33.80 mmol) was added dropwise. The reaction was stirred at 0° C. for 1 h, and then at room temperature for 48 hours. TLC taken in ethylacetate confirmed the completion of the reaction.
- Step D To a solution of Fmoc-nVal-(CHOH)-Gly-Oallyl (Step D) (5.01 g, 10.77 mmol) in dimethylsulfoxide (100 ml) and toluene (100 ml) was added EDC (20.6 g, 107.7 mmol). The reaction mixture was cooled to 0° C. and dichloroacetic acid (4.44 ml, 53.83 mmol) was added dropwise. The reaction was stirred for 15 minutes at 0° C. and 1 h at room temperature. After cooling back to 0 C, water (70 ml) was added and the toluene was removed under reduced pressure.
- the commercially available MBHA resin (2.6 g, 1.12 mmol/g, 2.91 mmol) was transferred to a 250 mL fritted solid phase reaction vessel equipped with a nitrogen inlet. It was then washed thoroughly with 30 ml portions of dichloromethane, methanol, dimethylformamide and dichloromethane and coupled over 18 hours to the commercially available Fmoc-Phg-OH (2.17 g, 5.82 mmol) according Procedure A with 99.82% efficiency. The resin was then subjected to Fmoc deprotection according to procedure B. A qualitative ninhydrin assay on a small aliquot gave dark blue resin and solution, indicating a successful reaction.
- step II The resin obtained in step II (2.6 g, 0.8 mmol/g, 2.91 mmol) was reacted with Fmoc-nVal-(dpsc)-Gly-Oallyl (Step IG) (5.82 mmol, 3.77 g) according to Procedure A. After 18 hours, quantitative ninhydrin analysis indicated 99.91% coupling efficiency.
- the resin was subjected to Fmoc deprotection according to procedure B. A qualitative ninhydrin assay on a small aliquot gave dark blue resin and solution, indicating a successful reaction.
- Step 8 Synthesis of iBoc-G(Chx)-Pro(4t-NHSO2Bn)-nVal(dpsc)-Gly-Phg-MBHA Resin:
- the resin obtained in the previous step (Fmoc-G(Chx)-Pro(4t-NHSO2Bn)-nVal(dpsc)-Gly-Phg-MBHA resin) was subjected to Fmoc deprotection according to procedure B.
- a ninhydrin assay on a small aliquot gave dark blue resin and solution, indicating a successful reaction.
- To the resin (0.2 g, 0.22 mmol) suspended in 2 ml NMP was added isobutylchloroformate (0.12 ml, 0.90 mmol) followed by diisopropylethylamine (0.31 ml, 1.79 mmol), and the reaction mixture was shaken for 18 hours at room temperature.
- Qualitative ninhydrin analysis showed colorless beads and solution indicating a successful reaction.
- Step 9 Synthesis of iBoc-G(Chx)-Pro(4t-NHSO 2 Bn)-nVal(CO)-Gly-Phg-MBHA Resin:
- Step 10 Synthesis of Synthesis of iBoc-G(Chx)-Pro(4t-NHSO 2 Bn)-nVal(CO)-Gly-Phg-NH 2 :
- the resin of the previous step (iBoc-G(Chx)-Pro(4t-NHSO 2 Bn)-nVal(CO)-Gly-Phg-MBHA resin) (100 mg) was subjected to HF cleavage condition (Procedure E) to yield the desired crude product.
- the material was purified by HPLC using a 2.2 ⁇ 25 cm reverse phase column, containing a C-18 resin comprised of 10 micron size gel particles with a 300 angstrom pore size, eluting with a gradient using 20-50% acetonitrile in water.
- N-methyl morpholine 27 mL
- N,O-dimethyl hydroxylamine hydrochloride 9.07 g, 93 mmol
- the reaction mixture was diluted with 1 N aq. HCl (250 mL), and the layers were separated and the aqueous layer was extracted with CH 2 Cl 2 (3 ⁇ 300 ml).
- the combined organic layers were dried (MgSO 4 ), filtered and concentrated in vacuo and purified by chromatography (SiO 2 , EtOAc/Hex 2:3) to yield the amide XXIIId (15.0 g) as a colorless solid.
- XXIIIi can also be obtained directly by the reaction of XXIIIf (4.5 g, 17.7 mmol) with aq. H 2 O 2 (10 mL), LiOH.H 2 O (820 mg, 20.8 mmol) at 0° C. in 50 mL of CH 3 OH for 0.5 h.)
- the amino ester XXIIIl was prepared following the method of R. Zhang and J. S. Madalengoitia (J. Org. Chem. 1999, 64, 330), with the exeception that the Boc group was cleved by the reaction of the Boc-protected amino acid with methanolic HCl.
- the desired product XXIIIi was prepared according to the procedure in Example XXIII, Step 11.
- the desired product XXVI was prepared according to the procedure in Example XXIII, Step 12.
- the desired product XXVIIb was prepared according to the procedure in Example XXIV, Step 2.
- the intermediate XXVIIIb was prepared according to the procedure in Example XXIII, Steps 3-6.
- the desired acid product was prepared according to the procedure in Example XXIV, Step 3.
- the desired product XXXIV was prepared according to the procedure in Example XXIX, Steps 4-5.
- the product of the preceding step (3.7 g) was dissolved in a mixture of THF (150 mL) and water (48 mL), cooled to 0° C., treated with 30% H 2 O 2 (3.95 mL), and then with LiOH.H 2 O (0.86 g). The mixture was stirred for 1 hour at 0° C., then quenched with a solution of Na 2 SO 3 (5.6 g) in water (30 mL), followed by a solution of 0.5 N NaHCO 3 (100 mL). The mixture was concentrated under vacuum to 1 ⁇ 2 volume, diluted with water (to 500 mL), and extracted with CH 2 Cl 2 (4 ⁇ 200 mL).
- the desired acid product was prepared according to the procedure in Example XXIV, Step 3.
- the desired acid product was prepared according to the procedure in Example XXIX, Step 4.
- the compound of formula XXXVIb was prepared from a compound of formula XXXVIa as follows by known procedures:
- hydroxy sulfonamide XXXIXd was synthesized similar to the procedure for the synthesis of XXVf except replacing the amine XXVd with XXXIXc. The crude reaction mixture directly used for the next reaction.
- Spectrophotometric assay for the HCV serine protease was performed on the inventive compounds by following the procedure described by R. Zhang et al, Analytical Biochemistry, 270 (1999) 268-275, the disclosure of which is incorporated herein by reference.
- the assay based on the proteolysis of chromogenic ester substrates is suitable for the continuous monitoring of HCV NS3 protease activity.
- X A or P
- chromophoric alcohols 3- or 4-nitrophenol, 7-hydroxy-4-methyl-coumarin, or 4-phenylazophenol
- the prewarming block was from USA Scientific (Ocala, Fla.) and the 96-well plate vortexer was from Labline Instruments (Melrose Park, Ill.).
- a Spectramax Plus microtiter plate reader with monochrometer was obtained from Molecular Devices (Sunnyvale, Calif.).
- HCV NS3/NS4A protease (strain 1a) was prepared by using the procedures published previously (D. L. Sali et al, Biochemistry, 37 (1998) 3392-3401). Protein concentrations were determined by the Biorad dye method using recombinant HCV protease standards previously quantified by amino acid analysis.
- the enzyme storage buffer 50 mM sodium phosphate pH 8.0, 300 mM NaCl, 10% glycerol, 0.05% lauryl maltoside and 10 mM DTT
- the assay buffer 25 mM MOPS pH 6.5, 300 mM NaCl, 10% glycerol, 0.05% lauryl maltoside, 5 ⁇ M EDTA and 5 ⁇ M DTT
- the synthesis of the substrates was done as reported by R.
- N-acetylated and fully protected peptide fragments were cleaved from the resin either by 10% acetic acid (HOAc) and 10% trifluoroethanol (TFE) in dichloromethane (DCM) for 30 min, or by 2% trifluoroacetic acid (TFA) in DCM for 10 min.
- HOAc acetic acid
- TFE trifluoroethanol
- TFE trifluoroacetic acid
- ester substrates were assembled using standard acid-alcohol coupling procedures (K. Holmber et al, Acta Chem. Scand., B33 (1979) 410-412). Peptide fragments were dissolved in anhydrous pyridine (30-60 mg/ml) to which 10 molar equivalents of chromophore and a catalytic amount (0.1 eq.) of para-toluenesulfonic acid (PTSA) were added. Dicyclohexylcarbodiimide (DCC, 3 eq.) was added to initiate the coupling reactions. Product formation was monitored by HPLC and found to be complete following 12-72 hour reaction at room temperature.
- DCC dicyclohexylcarbodiimide
- Spectra of Substrates and Products Spectra of substrates and the corresponding chromophore products were obtained in the pH 6.5 assay buffer. Extinction coefficients were determined at the optimal off-peak wavelength in 1-cm cuvettes (340 nm for 3-Np and HMC, 370 nm for PAP and 400 nm for 4-Np) using multiple dilutions. The optimal off-peak wavelength was defined as that wavelength yielding the maximum fractional difference in absorbance between substrate and product (product OD—substrate OD)/substrate OD).
- Protease Assay HCV protease assays were performed at 30° C. using a 200 ⁇ l reaction mix in a 96-well microtiter plate.
- Assay buffer conditions 25 mM MOPS pH 6.5, 300 mM NaCl, 10% glycerol, 0.05% lauryl maltoside, 5 ⁇ M EDTA and 5 ⁇ M DTT
- Assay buffer conditions 25 mM MOPS pH 6.5, 300 mM NaCl, 10% glycerol, 0.05% lauryl maltoside, 5 ⁇ M EDTA and 5 ⁇ M DTT
- 150 ⁇ l mixtures of buffer, substrate and inhibitor were placed in wells (final concentration of DMSO 4% v/v) and allowed to preincubate at 30° C. for approximately 3 minutes.
- the resulting data were fitted using linear regression and the resulting slope, 1/(Ki*(1+[S] o /K m ), was used to calculate the Ki* value.
- Ki* values for the various compounds of the present invention are given in the afore-mentioned Tables wherein the compounds have been arranged in the order of ranges of Ki* values. From these test results, it would be apparent to the skilled artisan that the compounds of the invention have excellent utility as NS3-serine protease inhibitors.
Landscapes
- Chemical & Material Sciences (AREA)
- Health & Medical Sciences (AREA)
- Organic Chemistry (AREA)
- Life Sciences & Earth Sciences (AREA)
- General Health & Medical Sciences (AREA)
- Medicinal Chemistry (AREA)
- Molecular Biology (AREA)
- Proteomics, Peptides & Aminoacids (AREA)
- Genetics & Genomics (AREA)
- Biophysics (AREA)
- Biochemistry (AREA)
- Nuclear Medicine, Radiotherapy & Molecular Imaging (AREA)
- General Chemical & Material Sciences (AREA)
- Public Health (AREA)
- Veterinary Medicine (AREA)
- Pharmacology & Pharmacy (AREA)
- Chemical Kinetics & Catalysis (AREA)
- Animal Behavior & Ethology (AREA)
- Communicable Diseases (AREA)
- Oncology (AREA)
- Virology (AREA)
- Engineering & Computer Science (AREA)
- Bioinformatics & Cheminformatics (AREA)
- Crystallography & Structural Chemistry (AREA)
- Gastroenterology & Hepatology (AREA)
- Medicines That Contain Protein Lipid Enzymes And Other Medicines (AREA)
- Peptides Or Proteins (AREA)
- Pharmaceuticals Containing Other Organic And Inorganic Compounds (AREA)
- Heterocyclic Carbon Compounds Containing A Hetero Ring Having Nitrogen And Oxygen As The Only Ring Hetero Atoms (AREA)
Abstract
Description
-
- Y is selected from the group consisting of the following moieties: alkyl, alkyl-aryl, heteroalkyl, heteroaryl, aryl-heteroaryl, alkyl-heteroaryl, cycloalkyl, alkyloxy, alkyl-aryloxy, aryloxy, heteroaryloxy, heterocycloalkyloxy, cycloalkyloxy, alkylamino, arylamino, alkyl-arylamino, arylamino, heteroarylamino, cycloalkylamino and heterocycloalkylamino, with the proviso that Y maybe optionally substituted with X11 or X12;
- X11 is alkyl, alkenyl, alkynyl, cycloalkyl, cycloalkylalkyl, heterocyclyl, heterocyclylalkyl, aryl, alkylaryl, arylalkyl, heteroaryl, alkylheteroaryl, or heteroarylalkyl, with the proviso that X11 may be additionally optionally substituted with X12;
- X12 is hydroxy, alkoxy, aryloxy, thio, alkylthio, arylthio, amino, alkylamino, arylamino, alkylsulfonyl, arylsulfonyl, alkylsulfonamido, arylsulfonamido, carboxy, carbalkoxy, carboxamido, alkoxycarbonylamino, alkoxycarbonyloxy, alkylureido, arylureido, halogen, cyano, or nitro, with the proviso that said alkyl, alkoxy, and aryl may be additionally optionally substituted with moieties independently selected from X12;
- R1 is COR5 or B(OR)2, wherein R5 is H, OH, OR8, NR9R10, CF3, C2F5, C3F7, CF2R6, R6, or COR7 wherein R7 is H, OH, OR8, CHR9R10, or NR9R10, wherein R6, R8, R9 and R10 are independently selected from the group consisting of H, alkyl, aryl, heteroalkyl, heteroaryl, cycloalkyl, cycloalkyl, arylalkyl, heteroarylalkyl, [CH(R1′)]p COOR11, [CH(R1′)]pCONR12R13, [CH(R1′)]pSO2R11, [CH(R1′)]pCOR11, [CH(R1′)]pCH(OH)R11, CH(R1′) CONHCH(R2′)COO R11, CH(R1′)CONHCH(R2′) CONR12R13, CH(R1′)CONHCH(R2′)R′, CH(R1′) CONHCH(R2′)CONHCH(R3′)COO R11, CH(R1′) CONHCH(R2′)CONHCH(R3′)CONR12R13, CH(R1′) CONHCH(R2′)CONHCH(R3′)CONHCH(R4′)COO R11, CH(R1′)CONHCH(R2′)CONHCH(R3′)CONHCH(R4′) CONR12R13, CH(R1′)CONHCH(R2′)CONHCH(R3′) CONHCH(R4′)CONHCH(R5′)COO R11 and CH(R1′) CONHCH(R2′)CONHCH(R3′)CONHCH(R4′)CONHCH (R5′) CONR12R13, wherein R1′, R2′, R3′, R4′, R5′, R11, R12, R13, and R′ are independently selected from the group consisting of H, alkyl, aryl, heteroalkyl, heteroaryl, cycloalkyl, alkyl-aryl, alkyl-heteroaryl, aryl-alkyl and heteroaralkyl;
- Z is selected from O, N, CH or CR;
- W may be present or absent, and if W is present, W is selected from C═O, C═S, C(═N—CN), or SO2;
- Q may be present or absent, and when Q is present, Q is CH, N, P, (CH2)p, (CHR)p, (CRR′)p, O, NR, S, or SO2; and when Q is absent, M may be present or absent; when Q and M are absent, A is directly linked to L;
- A is O, CH2, (CHR)p, (CHR—CHR′)p, (CRR′)p, NR, S, SO2 or a bond;
- E is CH, N, CR, or a double bond towards A, L or G;
- G may be present or absent, and when G is present, G is (CH2)p, (CHR)p, or (CRR′)p; and when G is absent, J is present and E is directly connected to the carbon atom in Formula I as G is linked to;
- J maybe present or absent, and when J is present, J is (CH2)p, (CHR)p, or (CRR′)p, SO2, NH, NR or O; and when J is absent, G is present and E is directly linked to N shown in Formula I as linked to J;
- L may be present or absent, and when L is present, L is CH, CR, O, S or NR; and when L is absent, then M may be present or absent; and if M is present with L being absent, then M is directly and independently linked to E, and J is directly and independently linked to E;
- M may be present or absent, and when M is present, M is O, NR, S, SO2, (CH2)p, (CHR)p(CHR—CHR′)p, or (CRR′)p;
- p is a number from 0 to 6; and
- R, R′, R2, R3 and R4 are independently selected from the group consisting of H; C1-C10 alkyl; C2-C10 alkenyl; C3-C8 cycloalkyl; C3-C8 heterocycloalkyl, alkoxy, aryloxy, alkylthio, arylthio, amino, amido, ester, carboxylic acid, carbamate, urea, ketone, aldehyde, cyano, nitro, halogen; (cycloalkyl)alkyl and (heterocycloalkyl)alkyl, wherein said cycloalkyl is made of three to eight carbon atoms, and zero to six oxygen, nitrogen, sulfur, or phosphorus atoms, and said alkyl is of one to six carbon atoms; aryl; heteroaryl; alkyl-aryl; and alkyl-heteroaryl;
wherein said alkyl, heteroalkyl, alkenyl, heteroalkenyl, aryl, heteroaryl, cycloalkyl and heterocycloalkyl moieties may be optionally and chemically-suitably substituted, with said term “substituted” referring to optional and chemically-suitable substitution with one or more moieties selected from the group consisting of alkyl, alkenyl, alkynyl, aryl, aralkyl, cycloalkyl, heterocyclic, halogen, hydroxy, thio, alkoxy, aryloxy, alkylthio, arylthio, amino, amido, ester, carboxylic acid, carbamate, urea, ketone, aldehyde, cyano, nitro, sulfonamido, sulfoxide, sulfone, sulfonyl urea, hydrazide, and hydroxamate;
further wherein said unit N-C-G-E-L-J-N represents a five-membered or six-membered cyclic ring structure with the proviso that when said unit N-C-G-E-L-J-N represents a five-membered cyclic ring structure, or when the bicyclic ring structure in Formula I comprising N, C, G, E, L, J, N, A, Q, and M represents a five-membered cyclic ring structure, then said five-membered cyclic ring structure lacks a carbonyl group as part of the cyclic ring.
- Preferred definition for R1 is COR5 with R5 being H, OH, COOR8 or CONR9R10, where R8, R9 and R10 are defined above. Still preferred moiety for R1 is COCONR9R10, where R9 is H; and R10 is H, R14, [CH(R1′)]pCOOR11, [CH(R1′)]pCONR12R13, [CH(R1′)]pSO2R11, [CH(R1′)]p SO2N R12R13, [CH(R1′)]pCOR11, CH(R1′)CONHCH(R2′) COOR11, CH(R1′)CONHCH(R2′) CONR12R13, or CH(R1′)CONHCH(R2′)(R′), wherein R14 is H, alkyl, aryl, heteroalkyl, heteroaryl, cycloalkyl, alkyl-aryl, alkyl-heteroaryl, aryl-alkyl, alkenyl, alkynyl or heteroaralkyl.
-
- wherein U6 is H, OH, or CH2OH;
- R14 is preferably selected from the group consisting of: H, Me, Et, n-propyl, methoxy, cyclopropyl, n-butyl, 1-but-3-ynyl, benzyl, α-methylbenzyl, phenethyl, allyl, 1-but-3-enyl, OMe, cyclopropylmethyl;
- and R2′ is preferably independently selected from the group consisting of:
-
- wherein:
- U1 and U2 maybe same or different and are selected from H, F, CH2COOH, CH2COOMe, CH2CONH2, CH2CONHMe, CH2CONMe2, azido, amino, hydroxyl, substituted amino, substituted hydroxyl;
- U3 and U4 maybe same or different and are selected from O and S;
- U5 is selected from the moieties consisting of alkyl sulfonyl, aryl sulfonyl, heteroalkyl sulfonyl, heteroaryl sulfonyl, alkyl carbonyl, aryl carbonyl, heteroalkyl carbonyl, heteroaryl carbonyl, alkoxycarbonyl, aryloxycarbonyl, heteroaryloxycarbonyl, alkylaminocarbonyl, arylaminocarbonyl, heteroarylaminocarbonyl or a combination thereof.
Preferred moieties for R2 are:
- wherein:
-
- wherein R31═OH or O-alkyl;
- Y19 is selected from the following moieties:
Some other preferred moieties are: for Z it is N, for R4 it is H, and for W it is C═O. Additionally, the moiety Z—C—R3 in Formula I, with R4 being absent, may be represented by the following structures:
- Y11 is selected from H, COOH, COOEt, OMe, Ph, OPh, NHMe, NHAc, NHPh, CH(Me)2, 1-triazolyl, 1-imidazolyl, and NHCH2COOH;
- Y12 is selected from H, COOH, COOMe, OMe, F, Cl, or Br;
- Y13 is selected from the following moieties:
- Y14 is selected from MeO2, Ac, Boc, iBoc, Cbz, or Alloc;
- Y15 and Y16 are independently selected from alkyl, aryl, heteroalkyl, and heteroaryl;
- Y17 is CF3, NO2, CONH2, OH, COOCH3, OCH3, OC6H5, C6H5, COC6H5, NH2, or COOH; and
- Y18 is COOCH3, NO2, N(CH3)2, F, OCH3, CH2COOH, COOH, SO2NH2, or NHCOCH3.
- Y may be more preferably represented by:
-
- wherein:
- Y17=CF3, NO2, CONH2, OH, NH2, or COOH;
- Y18=F, COOH,
Still more preferred moieties for Y are:
- wherein:
represents a cyclic ring structure, which may be a five-membered or six-membered ring structure. When that cyclic ring represents a five-membered ring, it is a requirement of this invention that that five-membered cyclic ring does not contain a carbonyl group as part of the cyclic ring structure. Preferably, that five-membered ring is of the structure:
wherein R and R′ are defined above. Preferred representations for that five-membered cyclic ring structure is:
Furthermore, that five-membered ring, along with its adjacent two exocyclic carbonyls, may be represented as follows:
in which case, R21 and R22 may be the same or different and are independently selected from the following moieties:
In c, G and J are independently selected from the group consisting of (CH2)p, (CHR)p, (CHR—CHR′)p, and (CRR′)p; A and M are independently selected from the group consisting of O, S, SO2, NR, (CH2)p, (CHR)p, (CHR—CHR′)p, and (CRR′)p; and Q is CH2, CHR, CRR′, NH, NR, O, S, SO2, NR, (CH2)p, (CHR)p, and (CRR′)p. Preferred definitions for c are:
-
- aryl—represents a carbocyclic group having from 6 to 14 carbon atoms and having at least one benzenoid ring, with all available substitutable aromatic carbon atoms of the carbocyclic group being intended as possible points of attachment. Preferred aryl groups include phenyl, 1-naphthyl, 2-naphthyl and indanyl, and especially phenyl and substituted phenyl;
- aralkyl—represents a moiety containing an aryl group linked vial a lower alkyl;
- alkylaryl—represents a moiety containing a lower alkyl linked via an aryl group;
- cycloalkyl—represents a saturated carbocyclic ring having from 3 to 8 carbon atoms, preferably 5 or 6, optionally substituted.
- heterocyclic—represents, in addition to the heteroaryl groups defined below, saturated and unsaturated cyclic organic groups having at least one O, S and/or N atom interrupting a carbocyclic ring structure that consists of one ring or two fused rings, wherein each ring is 5-, 6- or 7-membered and may or may not have double bonds that lack delocalized pi electrons, which ring structure has from 2 to 8, preferably from 3 to 6 carbon atoms, e.g., 2- or 3-piperidinyl, 2- or 3-piperazinyl, 2- or 3-morpholinyl, or 2- or 3-thiomorpholinyl;
- halogen—represents fluorine, chlorine, bromine and iodine;
- heteroaryl represents a cyclic organic group having at least one O, S and/or N atom interrupting a carbocyclic ring structure and having a sufficient number of delocalized pi electrons to provide aromatic character, with the aromatic heterocyclyl group having from 2 to 14, preferably 4 or 5 carbon atoms, e.g., 2-, 3- or 4-pyridyl, 2- or 3-furyl, 2- or 3-thienyl, 2-, 4- or 5-thiazolyl, 2- or 4-imidazolyl, 2-, 4- or 5-pyrimidinyl, 2-pyrazinyl, or 3- or 4-pyridazinyl, etc. Preferred heteroaryl groups are 2-, 3- and 4-pyridyl; such heteroaryl groups may also be optionally substituted. Additionally, unless otherwise specifically defined, as stated above, the term “substituted or unsubstituted” or “optionally substituted” refers to the subject moiety being optionally and chemically-suitably substituted with a moiety belonging to R12 or R13. As used herein, “prodrug” means compounds that are drug precursors which, following administration to a patient, release the drug in vivo via some chemical or physiological process (e.g., a prodrug on being brought to the physiological pH or through enzyme action is converted to the desired drug form).
| TABLE 1 |
| Compounds and HCV protease continuous assay results |
| Compound from Example No. | Ki* Range | ||
| 1 | C | ||
| 2 | C | ||
| 3 | C | ||
| 4 | C | ||
| 5 | C | ||
| 6 | C | ||
| 7 | C | ||
| 8 | C | ||
| 9 | C | ||
| 10 | C | ||
| 11 | C | ||
| 12 | C | ||
| 13 | C | ||
| 14 | C | ||
| 15 | C | ||
| 16 | C | ||
| 17 | C | ||
| 18 | C | ||
| 19 | C | ||
| 20 | C | ||
| 21 | C | ||
| 22 | C | ||
| 23 | C | ||
| 24 | C | ||
| 25 | C | ||
| 26 | C | ||
| 27 | C | ||
| 28 | C | ||
| 29 | C | ||
| 30 | C | ||
| 31 | C | ||
| 32 | C | ||
| 33 | C | ||
| 34 | C | ||
| 35 | C | ||
| 36 | C | ||
| 37 | C | ||
| 38 | C | ||
| 39 | C | ||
| 40 | C | ||
| 41 | C | ||
| 42 | C | ||
| 43 | C | ||
| 44 | C | ||
| 45 | C | ||
| 46 | C | ||
| 47 | C | ||
| 48 | C | ||
| 49 | C | ||
| 50 | C | ||
| 51 | C | ||
| 52 | C | ||
| 53 | C | ||
| 54 | C | ||
| 55 | C | ||
| 56 | C | ||
| 57 | C | ||
| 58 | C | ||
| 59 | C | ||
| 60 | C | ||
| 61 | C | ||
| 62 | C | ||
| 63 | C | ||
| 64 | C | ||
| 65 | C | ||
| 66 | C | ||
| 67 | C | ||
| 68 | B | ||
| 69 | C | ||
| 70 | C | ||
| 71 | B | ||
| 72 | C | ||
| 73 | B | ||
| 74 | C | ||
| 75 | C | ||
| 76 | A | ||
| 77 | B | ||
| 78 | A | ||
| 79 | C | ||
| 80 | A | ||
| 81 | C | ||
| 82 | A | ||
| 83 | B | ||
| 84 | C | ||
| 85 | C | ||
| 86 | B | ||
| 87 | B | ||
| 88 | A | ||
| 89 | B | ||
| 90 | C | ||
| 91 | C | ||
| 92 | C | ||
| 93 | C | ||
| 94 | C | ||
| 95 | C | ||
| 96 | C | ||
| 97 | C | ||
| 98 | B | ||
| 99 | B | ||
| 100 | A | ||
| 101 | A | ||
| 102 | C | ||
| 103 | C | ||
| 104 | C | ||
| 105 | C | ||
| 106 | C | ||
| 107 | B | ||
| 108 | A | ||
| 109 | A | ||
| 110 | A | ||
| 111 | A | ||
| 112 | A | ||
| 113 | B | ||
| 114 | A | ||
| 115 | B | ||
| 116 | A | ||
| 117 | A | ||
| 118 | A | ||
| 119 | A | ||
| 120 | A | ||
| 121 | B | ||
| 122 | B | ||
| 123 | A | ||
| 124 | B | ||
| 125 | B | ||
| 126 | B | ||
| 127 | A | ||
| 128 | A | ||
| 129 | A | ||
| 130 | B | ||
| 131 | A | ||
| 132 | A | ||
| 133 | A | ||
| 134 | B | ||
| 135 | A | ||
| 136 | A | ||
| 137 | A | ||
| 138 | A | ||
| 139 | A | ||
| 140 | B | ||
| 141 | A | ||
| 142 | A | ||
| 143 | B | ||
| 144 | B | ||
| 145 | C | ||
| 146 | A | ||
| 147 | A | ||
| 148 | B | ||
| 149 | A | ||
| 150 | A | ||
| 151 | A | ||
| 152 | A | ||
| 153 | A | ||
| 154 | A | ||
| 155 | B | ||
| 156 | B | ||
| 157 | B | ||
| 158 | C | ||
| 159 | B | ||
| 160 | A | ||
| 161 | A | ||
| 162 | A | ||
| 163 | C | ||
| 164 | A | ||
| 165 | C | ||
| 166 | B | ||
| 167 | A | ||
| 168 | C | ||
| 169 | B | ||
| 170 | B | ||
| 171 | A | ||
| 172 | A | ||
| 173 | A | ||
| 174 | A | ||
| 175 | A | ||
| 176 | B | ||
| 177 | B | ||
| 178 | A | ||
| 179 | A | ||
| 180 | B | ||
| 181 | A | ||
| 182 | B | ||
| 183 | A | ||
| 184 | A | ||
| 185 | A | ||
| 186 | A | ||
| 187 | A | ||
| 188 | A | ||
| 189 | B | ||
| 190 | B | ||
| 191 | B | ||
| 192 | A | ||
| 193 | A | ||
| 194 | B | ||
| 195 | A | ||
| 196 | B | ||
| 197 | A | ||
| 198 | A | ||
| 199 | A | ||
| 200 | A | ||
| 201 | B | ||
| 202 | A | ||
| 203 | B | ||
| 204 | B | ||
| 205 | B | ||
| 206 | B | ||
| 207 | B | ||
| 208 | A | ||
| 209 | A | ||
| 210 | A | ||
| 211 | A | ||
| 212 | A | ||
| 213 | B | ||
| 214 | B | ||
| 215 | B | ||
| 216 | B | ||
| 217 | C | ||
| 218 | A | ||
| 219 | A | ||
| 220 | A | ||
| 221 | A | ||
| 222 | A | ||
| 223 | B | ||
| 224 | C | ||
| 225 | C | ||
| 226 | A | ||
| 227 | A | ||
| 228 | C | ||
| 229 | A | ||
| 230 | A | ||
| 231 | A | ||
| 232 | C | ||
| 233 | C | ||
| 234 | C | ||
| 235 | C | ||
| 236 | B | ||
| 237 | C | ||
| 238 | A | ||
| 239 | C | ||
| 240 | A | ||
| 241 | C | ||
| 242 | B | ||
| 243 | C | ||
| 244 | B | ||
| 245 | C | ||
| 246 | B | ||
| 247 | A | ||
| 248 | A | ||
| 249 | C | ||
| 250 | C | ||
| 251 | B | ||
| 252 | C | ||
| 253 | C | ||
| 254 | B | ||
| 255 | B | ||
| 256 | A | ||
| 257 | C | ||
| 258 | A | ||
| 259 | A | ||
| 260 | C | ||
| 261 | C | ||
| 262 | A | ||
| 263 | B | ||
| 264 | B | ||
| 265 | C | ||
| 266 | B | ||
| 267 | A | ||
| 268 | C | ||
| 269 | A | ||
| 270 | C | ||
| 271 | A | ||
| 272 | C | ||
| 273 | C | ||
| 274 | C | ||
| 275 | C | ||
| 276 | A | ||
| 277 | B | ||
| 278 | A | ||
| 279 | B | ||
| 280 | A | ||
| 281 | C | ||
| 282 | C | ||
| 283 | C | ||
| 284 | C | ||
| 285 | C | ||
| 286 | C | ||
| 287 | C | ||
| 288 | B | ||
| 289 | B | ||
| 290 | C | ||
| 291 | C | ||
| 292 | C | ||
| 293 | C | ||
| 294 | C | ||
| 295 | C | ||
| 296 | B | ||
| 297 | C | ||
| 298 | C | ||
| 299 | B | ||
| 300 | B | ||
| 301 | C | ||
| 302 | C | ||
| 303 | B | ||
| 304 | C | ||
| 305 | C | ||
| 306 | C | ||
| 307 | B | ||
| 308 | B | ||
| 309 | C | ||
| 310 | C | ||
| 311 | C | ||
| 312 | C | ||
| 313 | B | ||
| 314 | A | ||
| 315 | B | ||
| 316 | B | ||
| 317 | A | ||
| 318 | A | ||
| 319 | A | ||
| 320 | A | ||
| 321 | C | ||
| 322 | C | ||
| 323 | C | ||
| 324 | C | ||
| 325 | A | ||
| 326 | A | ||
| 327 | C | ||
| 328 | B | ||
| 329 | B | ||
| 330 | A | ||
| 331 | A | ||
| 332 | A | ||
| 333 | B | ||
| 334 | B | ||
| 335 | B | ||
| 336 | A | ||
| 337 | A | ||
| 338 | C | ||
| 339 | A | ||
| 340 | C | ||
| 341 | C | ||
| 342 | C | ||
| 343 | A | ||
| 344 | C | ||
| 345 | C | ||
| 346 | C | ||
| 347 | B | ||
| 348 | B | ||
| 349 | C | ||
| 350 | C | ||
| 351 | C | ||
| 352 | C | ||
| 353 | C | ||
| 354 | C | ||
| 355 | C | ||
| 356 | A | ||
| 357 | A | ||
| 358 | C | ||
| 359 | A | ||
| 360 | B | ||
| 361 | B | ||
| 362 | C | ||
HCV continuous assay Ki* range:
- Cataegory A=1-100 nM; Category B=101-1,000 nM; Category C>1000 nM.
- THF: Tetrahydrofuran
- DMF: N,N-Dimethylformamide
- EtOAc: Ethyl acetate
- AcOH: Acetic acid
- HOOBt: 3-Hydroxy-1,2,3-benzotriazin-4(3H)-one
- EDCl: 1-(3-dimethylaminopropyl)-3-ethylcarbodiimide hydrochloride
- NMM: N-Methylmorpholine
- ADDP: 1,1′-(Azodicarbobyl)dipiperidine
- DEAD: Diethylazodicarboxylate
- MeOH: Methanol
- EtOH: Ethanol
- Et2O: Diethyl ether
- DMSO: Dimethylsulfoxide
- HOBt: N-Hydroxybenzotriazole
- PyBrOP: Bromo-tris-pyrrolidinophosphonium hexafluorophosphate
- DCM: Dichloromethane
- DCC: 1,3-Dicyclohexylcarbodiimide
- TEMPO: 2,2,6,6-Tetramethyl-1-piperidinyloxy
- Phg: Phenylglycine
- Chg: Cyclohexylglycine
- Bn: Benzyl
- Bzl: Benzyl
- Et: Ethyl
- Ph: Phenyl
- iBoc: isobutoxycarbonyl
- iPr: isopropyl
- tBu or But: tert-Butyl
- Boc: tert-Butyloxycarbonyl
- Cbz: Benzyloxycarbonyl
- Cp: Cylcopentyldienyl
- Ts: p-toluenesulfonyl
- Me: Methyl
- HATU: O-(7-azabenzotriazol-1-yl)-1,1,3,3-tetramethyluronium hexafluorophosphate
- DMAP: 4-N,N-Dimethylaminopyridine
- Bop: Benzotriazol-1-yl-oxy-tris(dimethylamino) hexafluorophosphate
General Preparative Schemes:
Resin-bound compound 301B, 301C, 301D, 301E, 301F and 301G were prepared according to the general procedure for solid-phase coupling reactions started with 100 mg of Fmoc-Sieber resin (0.03 mmol). Resin-bound compound 301G was oxidized to resin-bound compound 301H according to the general procedure for solid-phase Dess-Martin oxidation. The resin-bound compound 301H was treated with 4 mL of a 2% v/v solution of TFA in DCM for 5 min. The filtrate was added to 1 mL of AcOH and the solution was concentrated by vacuum centrifugation to provide compound 301J (0.0069 g, 29% yield). MS (LCMS-Electrospray) 771.2 MH+.
| TABLE 3 |
| Compounds prepared by Solid Phase Synthesis |
| Ki* | |
| STRUCTURE | CLASS |
|
|
C |
|
|
C |
|
|
C |
|
|
C |
|
|
C |
|
|
C |
|
|
C |
|
|
C |
|
|
C |
|
|
B |
|
|
B |
|
|
C |
|
|
B |
|
|
C |
|
|
B |
|
|
B |
|
|
C |
|
|
C |
|
|
C |
|
|
C |
|
|
C |
|
|
C |
|
|
C |
|
|
C |
|
|
C |
|
|
C |
|
|
C |
|
|
C |
|
|
C |
|
|
C |
|
|
C |
|
|
C |
|
|
C |
|
|
C |
|
|
C |
|
|
C |
|
|
C |
|
|
C |
|
|
C |
|
|
C |
|
|
C |
|
|
B |
|
|
C |
|
|
B |
|
|
C |
|
|
C |
|
|
C |
|
|
C |
|
|
C |
|
|
C |
|
|
C |
|
|
C |
|
|
C |
|
|
C |
|
|
C |
|
|
C |
|
|
C |
|
|
C |
|
|
C |
|
|
C |
|
|
C |
|
|
C |
|
|
C |
|
|
B |
|
|
B |
|
|
B |
|
|
C |
|
|
C |
|
|
C |
|
|
C |
|
|
C |
|
|
C |
|
|
C |
|
|
C |
|
|
C |
|
|
B |
|
|
C |
|
|
B |
|
|
C |
|
|
B |
|
|
B |
|
|
C |
|
|
A |
|
|
A |
|
|
A |
|
|
B |
|
|
A |
|
|
B |
|
|
B |
|
|
B |
|
|
C |
|
|
B |
|
|
B |
|
|
B |
|
|
B |
|
|
C |
|
|
B |
|
|
B |
|
|
B |
|
|
B |
|
|
B |
|
|
B |
|
|
C |
|
|
C |
|
|
A |
|
|
B |
|
|
B |
|
|
B |
|
|
B |
|
|
B |
|
|
B |
|
|
B |
|
|
C |
|
|
B |
|
|
B |
|
|
B |
|
|
B |
|
|
B |
|
|
A |
|
|
B |
|
|
B |
|
|
B |
|
|
B |
|
|
C |
|
|
B |
|
|
B |
|
|
B |
|
|
B |
|
|
B |
|
|
B |
|
|
C |
|
|
C |
|
|
C |
|
|
A |
|
|
B |
|
|
A |
|
|
A |
|
|
B |
|
|
A |
|
|
A |
|
|
A |
|
|
A |
|
|
B |
|
|
B |
|
|
A |
|
|
A |
|
|
B |
|
|
B |
|
|
C |
|
|
B |
|
|
B |
|
|
B |
|
|
B |
|
|
C |
|
|
C |
|
|
C |
|
|
C |
|
|
B |
|
|
B |
|
|
B |
|
|
B |
|
|
A |
|
|
B |
|
|
C |
|
|
C |
|
|
B |
|
|
B |
|
|
B |
|
|
B |
|
|
A |
|
|
A |
|
|
A |
|
|
A |
|
|
B |
|
|
C |
|
|
B |
|
|
A |
|
|
C |
|
|
A |
|
|
C |
|
|
C |
|
|
C |
|
|
C |
|
|
C |
|
|
C |
|
|
C |
|
|
C |
|
|
C |
|
|
C |
|
|
C |
|
|
C |
|
|
B |
|
|
B |
|
|
B |
|
|
B |
|
|
C |
|
|
B |
|
|
A |
|
|
B |
|
|
B |
|
|
B |
|
|
B |
|
|
B |
|
|
B |
|
|
B |
|
|
B |
|
|
B |
|
|
B |
|
|
B |
|
|
A |
|
|
B |
|
|
C |
|
|
C |
|
|
C |
|
|
C |
|
|
C |
|
|
B |
|
|
C |
|
|
C |
|
|
B |
|
|
C |
|
|
B |
|
|
B |
|
|
B |
|
|
B |
|
|
B |
|
|
B |
|
|
B |
|
|
B |
|
|
B |
|
|
B |
|
|
B |
|
|
B |
|
|
B |
|
|
B |
|
|
B |
|
|
B |
|
|
B |
|
|
B |
|
|
B |
|
|
B |
|
|
B |
|
|
B |
|
|
B |
|
|
B |
|
|
B |
|
|
C |
|
|
B |
|
|
B |
|
|
C |
|
|
C |
|
|
C |
|
|
C |
|
|
B |
|
|
C |
|
|
C |
|
|
C |
|
|
C |
|
|
C |
|
|
C |
|
|
C |
|
|
C |
|
|
C |
|
|
C |
|
|
C |
|
|
C |
|
|
C |
|
|
B |
|
|
B |
|
|
B |
|
|
B |
|
|
B |
|
|
B |
|
|
B |
|
|
B |
|
|
B |
|
|
B |
|
|
C |
|
|
B |
|
|
B |
|
|
C |
|
|
B |
|
|
C |
|
|
B |
|
|
B |
|
|
B |
|
|
B |
|
|
C |
|
|
C |
|
|
C |
|
|
C |
|
|
C |
|
|
C |
|
|
B |
|
|
C |
|
|
C |
|
|
C |
|
|
B |
|
|
C |
|
|
B |
|
|
C |
|
|
C |
|
|
C |
|
|
C |
|
|
B |
|
|
B |
|
|
C |
|
|
C |
|
|
C |
|
|
C |
Step 1. Synthesis of Tert-Butyl N-tert-butoxycarbonyl-4-methyl-L-pyroglutamate (Boc-PyroGlu(4-methyl)-OtBu):
Compounds where R group is allyl and benzyl were synthesized following steps 1-4 below:
Step 1. Synthesis of tert-butyl N-tert-butoxycarbonyl-4-alkyl-4-methyl-L-pyroglutamate:
Procedure B: Fmoc deprotection: The Fmoc-protected resin was treated with 20% piperidine in dimethylformamide (10 mL reagent/g resin) for 30 minutes. The reagents were drained and the resin was washed successively with dimethylformamide, dichloromethane, methanol, dichloromethane and diethyl ether (10 mL solvent/gram resin).
Procedure C: Boc deprotection: The Boc-protected resin was treated with a 1:1 mixture of dichloromethane and trifluoroacetic acid for 20-60 minutes (10 mL solvent/gram resin). The reagents were drained and the resin was washed successively with dichloromethane, dimethylformamide, 5% diisopropylethylamine in dimethylformamide, dimethylformamide, dichloromethane and dimethylformamide (10 mL solvent/gram resin).
Procedure D: Semicarbazone hydrolysis: The resin was suspended in the cleavage cocktail (10 mL/g resin) consisting of trifluoroacetic acid:pyruvic acid:dichloromethane:water 9:2:2:1 for 2 hours. The reactants were drained and the procedure was repeated three more times. The resin was washed successively with dichloromethane, water and dichloromethane and dried under vacuum.
Procedure E: HF cleavage: The dried peptide-nVal(CO)-G-O-PAM resin (50 mg) was placed in an HF vessel containing a small stir bar. Anisole (10% of total volume) was added as a scavenger. In the presence of glutamic acid and cysteine amino acids, thioanisole (10%) and 1,2-ethanedithiol (0.2%) were also added. The HF vessel was then hooked up to the HF apparatus (Immuno Dynamics) and the system was flushed with nitrogen for five minutes. It was then cooled down to −70° C. with a dry ice/isopropanol bath. After 20 minutes, HF was distilled to the desired volume (10 mL HF/g resin). The reaction was let to proceed for one and a half hour at 0° C. Work up consisted of removing all the HF using nitrogen. Dichloromethane was then added to the resin and the mixture was stirred for five minutes. This was followed by the addition of 20% acetic acid in water (4 mL). After stirring for 20 minutes, the resin was filtered using a fritted funnel and the dichloromethane was removed under reduced pressure. The remaining residue and the mixture was washed with hexanes (2×) to remove scavengers. Meanwhile, the resin was soaked in 1 mL methanol. The aqueous layer (20% HOAC) was added back to the resin and the mixture was agitated for five minutes and then filtered. The methanol was removed under reduced pressure and the aqueous layer was lyophilized The peptide was then dissolved in 10-25% methanol (containing 0.1% trifluoroacetic acid) and purified by reverse phase HPLC.
Step 1. Synthesis of Fmoc-nV-(dpsc)-Gly-OH:
A) Synthesis of Allyl Isocyanoacetate (Steps a-b Below):
- 1. The product of the preceding step (3.0 g) was dissolved in Et2O (150 mL), treated with Et3N (2.1 mL), and the solution cooled to −78° C. Pivaloyl chloride (1.85 mL) was added dropwise, and after 0.25 hour additional stirring, the reaction was allowed to warm to 0° C. over 0.75 hour, and then cooled again to −78° C. to afford a solution of mixed anhydride for reaction in part 2.
- 2. A solution of (S)-4-benzyl-2-oxazolidinone (2.66 g) in THF (22 mL) was cooled to −78° C., and a 1.6 M solution (9.38 mL) of n-butyllithium in hexane was added dropwise. After an additional 0.33 hour stirring at this temperature, the solution was transferred via canula to the cold solution of part 1. The mixture was stirred at −78° C., then warmed to 0° C., and stirred at this temperature for 0.5 hour. The organic layer was separated, the aqueous layer was extracted with Et2O, the combined organics were washed with brine, dried over anhydrous Na2SO4, filtered, and the filtrate evaporated. The residue was chromatographed on silica gel, eluting with a gradient of hexane/EtOAc (9:1) to afford the title compound (5.0 g), 93% yield. Mass spectrum (FAB) 360.4 (M+H+).
Step 5:
The compound of formula XXXVIb was prepared from a compound of formula XXXVIa as follows by known procedures:
To a solution of Compound XXXVIa (6.58 g, 22 mmol) in 100 mL of MeOH was added 10% Pd/C (0.8 g) and p-toluene sulfonic acid (4.2 g). The reaction mixture was subjected to hydrogenation at room temperature overnight. The reaction mixture was filtered through celite and washed with excess MeOH. The combined filtrate was concentrated in-vacuo to provide the title compound XXXVIb as a gummy. Conversion of XXXVIb to XXXVI and XXXVII followed the route as shown in the scheme above and according to preparative examples 11-15.
Materials and Methods:
Substrate Synthesis and Purification: The synthesis of the substrates was done as reported by R. Zhang et al, (ibid.) and was initiated by anchoring Fmoc-Nva-OH to 2-chlorotrityl chloride resin using a standard protocol (K. Barbs et al., Int. J. Pept. Protein Res., 37 (1991), 513-520). The peptides were subsequently assembled, using Fmoc chemistry, either manually or on an automatic ABI model 431 peptide synthesizer. The N-acetylated and fully protected peptide fragments were cleaved from the resin either by 10% acetic acid (HOAc) and 10% trifluoroethanol (TFE) in dichloromethane (DCM) for 30 min, or by 2% trifluoroacetic acid (TFA) in DCM for 10 min. The combined filtrate and DCM wash was evaporated azeotropically (or repeatedly extracted by aqueous Na2CO3 solution) to remove the acid used in cleavage. The DCM phase was dried over Na2SO4 and evaporated.
Protease Assay: HCV protease assays were performed at 30° C. using a 200 μl reaction mix in a 96-well microtiter plate. Assay buffer conditions (25 mM MOPS pH 6.5, 300 mM NaCl, 10% glycerol, 0.05% lauryl maltoside, 5 μM EDTA and 5 μM DTT) were optimized for the NS3/NS4A heterodimer (D. L. Sali et al, ibid.)). Typically, 150 μl mixtures of buffer, substrate and inhibitor were placed in wells (final concentration of DMSO 4% v/v) and allowed to preincubate at 30° C. for approximately 3 minutes. Fifty μls of prewarmed protease (12 nM, 30° C.) in assay buffer, was then used to initiate the reaction (final volume 200 μl).The plates were monitored over the length of the assay (60 minutes) for change in absorbance at the appropriate wavelength (340 nm for 3-Np and HMC, 370 nm for PAP, and 400 nm for 4-Np) using a Spectromax Plus microtiter plate reader equipped with a monochrometer (acceptable results can be obtained with plate readers that utilize cutoff filters). Proteolytic cleavage of the ester linkage between the Nva and the chromophore was monitored at the appropriate wavelength against a no enzyme blank as a control for non-enzymatic hydrolysis. The evaluation of substrate kinetic parameters was performed over a 30-fold substrate concentration range (˜6-200 μM). Initial velocities were determined using linear regression and kinetic constants were obtained by fitting the data to the Michaelis-Menten equation using non-linear regression analysis (Mac Curve Fit 1.1, K. Raner). Turnover numbers (kcat) were calculated assuming the enzyme was fully active.
Evaluation of Inhibitors and Inactivators: The inhibition constants (Ki*) for the competitive inhibitors Ac-D-(D-Gla)-L-I-(Cha)-C-OH (27), Ac-DTEDVVA(Nva)-OH and Ac-DTEDVVP(Nva)-OH were determined experimentally at fixed concentrations of enzyme and substrate by plotting vo/vi vs. inhibitor concentration ([I]o) according to the rearranged Michaelis-Menten equation for competitive inhibition kinetics: vo/vi=1+[I]o/(Ki*(1+[S]o/Km)), where vo is the uninhibited initial velocity, vi is the initial velocity in the presence of inhibitor at any given inhibitor concentration ([I]o) and [S]o is the substrate concentration used. The resulting data were fitted using linear regression and the resulting slope, 1/(Ki*(1+[S]o/Km), was used to calculate the Ki* value.
| TABLE 2 | ||
| Ex. | molecular | |
| # | STRUCTURE | weight |
| 1 |
|
691.7853 |
| 2 |
|
627.7441 |
| 3 |
|
754.8883 |
| 4 |
|
527.6259 |
| 5 |
|
698.7799 |
| 6 |
|
631.7352 |
| 7 |
|
381.476 |
| 8 |
|
540.6626 |
| 9 |
|
498.5813 |
| 10 |
|
633.7482 |
| 11 |
|
641.7249 |
| 12 |
|
641.7249 |
| 13 |
|
683.8061 |
| 14 |
|
637.7802 |
| 15 |
|
637.7802 |
| 16 |
|
637.7802 |
| 17 |
|
625.769 |
| 18 |
|
613.6707 |
| 19 |
|
613.6707 |
| 20 |
|
627.6978 |
| 21 |
|
609.726 |
| 22 |
|
609.726 |
| 23 |
|
609.726 |
| 24 |
|
611.742 |
| 25 |
|
600.7183 |
| 26 |
|
554.7361 |
| 27 |
|
478.5937 |
| 28 |
|
546.7132 |
| 29 |
|
562.7562 |
| 30 |
|
699.8519 |
| 31 |
|
643.7435 |
| 32 |
|
509.6077 |
| 33 |
|
637.7802 |
| 34 |
|
637.7802 |
| 35 |
|
579.6995 |
| 36 |
|
537.6619 |
| 37 |
|
539.6342 |
| 38 |
|
597.7149 |
| 39 |
|
493.6055 |
| 40 |
|
632.8044 |
| 41 |
|
747.8965 |
| 42 |
|
523.6348 |
| 43 |
|
598.7024 |
| 44 |
|
578.712 |
| 45 |
|
495.6214 |
| 46 |
|
627.7878 |
| 47 |
|
541.6501 |
| 48 |
|
543.666 |
| 49 |
|
501.5847 |
| 50 |
|
656.7394 |
| 51 |
|
578.712 |
| 52 |
|
725.8901 |
| 53 |
|
584.6782 |
| 54 |
|
538.6467 |
| 55 |
|
685.8248 |
| 56 |
|
527.6695 |
| 57 |
|
810.9557 |
| 58 |
|
552.6737 |
| 59 |
|
592.7391 |
| 60 |
|
534.702 |
| 61 |
|
653.8232 |
| 62 |
|
696.892 |
| 63 |
|
606.7662 |
| 64 |
|
643.7435 |
| 65 |
|
742.8771 |
| 66 |
|
747.8965 |
| 67 |
|
747.8965 |
| 68 |
|
761.9236 |
| 69 |
|
747.8965 |
| 70 |
|
733.913 |
| 71 |
|
746.9118 |
| 72 |
|
646.7935 |
| 73 |
|
746.9118 |
| 74 |
|
668.8782 |
| 75 |
|
628.8129 |
| 76 |
|
760.9792 |
| 77 |
|
818.0723 |
| 78 |
|
761.964 |
| 79 |
|
844.0702 |
| 80 |
|
753.9443 |
| 81 |
|
844.0702 |
| 82 |
|
753.9443 |
| 83 |
|
747.8965 |
| 84 |
|
804.0049 |
| 85 |
|
879.2858 |
| 86 |
|
823.1774 |
| 87 |
|
832.0994 |
| 88 |
|
775.9911 |
| 89 |
|
725.8901 |
| 90 |
|
698.9483 |
| 91 |
|
642.84 |
| 92 |
|
853.0995 |
| 93 |
|
789.9778 |
| 94 |
|
809.9682 |
| 95 |
|
878.8583 |
| 96 |
|
772.006 |
| 97 |
|
761.9672 |
| 98 |
|
728.85 |
| 99 |
|
828.0239 |
| 100 |
|
789.0334 |
| 101 |
|
775.0063 |
| 102 |
|
886.1102 |
| 103 |
|
880.8306 |
| 104 |
|
855.0718 |
| 105 |
|
790.7047 |
| 106 |
|
821.0543 |
| 107 |
|
685.7812 |
| 108 |
|
891.8973 |
| 109 |
|
775.0063 |
| 110 |
|
785.0452 |
| 111 |
|
789.0334 |
| 112 |
|
803.0605 |
| 113 |
|
862.4689 |
| 114 |
|
884.1323 |
| 115 |
|
889.5384 |
| 116 |
|
887.1794 |
| 117 |
|
831.071 |
| 118 |
|
830.0863 |
| 119 |
|
858.1405 |
| 120 |
|
874.1399 |
| 121 |
|
904.1227 |
| 122 |
|
929.195 |
| 123 |
|
873.0867 |
| 124 |
|
872.1019 |
| 125 |
|
900.1561 |
| 126 |
|
860.11 |
| 127 |
|
804.0016 |
| 128 |
|
803.0169 |
| 129 |
|
831.071 |
| 130 |
|
806.0612 |
| 131 |
|
749.9528 |
| 132 |
|
748.9681 |
| 133 |
|
777.0223 |
| 134 |
|
842.1382 |
| 135 |
|
786.0299 |
| 136 |
|
813.0994 |
| 137 |
|
829.0988 |
| 138 |
|
788.0022 |
| 139 |
|
815.0717 |
| 140 |
|
846.1265 |
| 141 |
|
790.0181 |
| 142 |
|
817.0876 |
| 143 |
|
833.087 |
| 144 |
|
911.2017 |
| 145 |
|
931.1921 |
| 146 |
|
844.1106 |
| 147 |
|
788.0022 |
| 148 |
|
815.0717 |
| 149 |
|
817.0876 |
| 150 |
|
831.1147 |
| 151 |
|
819.0599 |
| 152 |
|
833.087 |
| 153 |
|
829.0988 |
| 154 |
|
845.0981 |
| 155 |
|
816.0784 |
| 156 |
|
773.0125 |
| 157 |
|
787.0396 |
| 158 |
|
850.0959 |
| 159 |
|
807.03 |
| 160 |
|
821.0571 |
| 161 |
|
793.9876 |
| 162 |
|
759.9701 |
| 163 |
|
767.9714 |
| 164 |
|
711.863 |
| 165 |
|
712.8506 |
| 166 |
|
712.8506 |
| 167 |
|
817.0876 |
| 168 |
|
817.0876 |
| 169 |
|
817.0876 |
| 170 |
|
817.0876 |
| 171 |
|
777.0223 |
| 172 |
|
777.0223 |
| 173 |
|
801.0882 |
| 174 |
|
919.9515 |
| 175 |
|
919.9515 |
| 176 |
|
892.8821 |
| 177 |
|
892.8821 |
| 178 |
|
818.0723 |
| 179 |
|
761.964 |
| 180 |
|
789.0334 |
| 181 |
|
789.0334 |
| 182 |
|
820.0883 |
| 183 |
|
763.9799 |
| 184 |
|
791.0494 |
| 185 |
|
791.0494 |
| 186 |
|
791.0494 |
| 187 |
|
809.0674 |
| 188 |
|
809.0674 |
| 189 |
|
823.0945 |
| 190 |
|
823.0945 |
| 191 |
|
865.1758 |
| 192 |
|
865.1758 |
| 193 |
|
817.0876 |
| 194 |
|
817.0876 |
| 195 |
|
1606.121 |
|
|
||
| 196 |
|
1606.121 |
|
|
||
| 197 |
|
1638.12 |
|
|
||
| 198 |
|
1638.12 |
|
|
||
| 199 |
|
775.0063 |
| 200 |
|
775.0063 |
| 201 |
|
763.887 |
| 202 |
|
707.7786 |
| 203 |
|
734.848 |
| 204 |
|
774.9659 |
| 205 |
|
800.0139 |
| 206 |
|
687.7971 |
| 207 |
|
714.8666 |
| 208 |
|
853.0774 |
| 209 |
|
853.0774 |
| 210 |
|
811.0398 |
| 211 |
|
811.0398 |
| 212 |
|
811.0398 |
| 213 |
|
817.0876 |
| 214 |
|
817.0876 |
| 215 |
|
835.1057 |
| 216 |
|
630.8288 |
| 217 |
|
616.8018 |
| 218 |
|
742.9208 |
| 219 |
|
744.9367 |
| 220 |
|
735.9694 |
| 221 |
|
853.0774 |
| 222 |
|
809.0862 |
| 223 |
|
749.9965 |
| 224 |
|
612.7703 |
| 225 |
|
598.7432 |
| 226 |
|
758.9638 |
| 227 |
|
684.8401 |
| 228 |
|
758.9638 |
| 229 |
|
758.9638 |
| 230 |
|
795.0404 |
| 231 |
|
795.0404 |
| 232 |
|
624.7815 |
| 233 |
|
610.7544 |
| 234 |
|
770.9749 |
| 235 |
|
612.7703 |
| 236 |
|
722.8369 |
| 237 |
|
598.7432 |
| 238 |
|
795.0592 |
| 239 |
|
758.9638 |
| 240 |
|
839.0414 |
| 241 |
|
729.8375 |
| 242 |
|
756.0443 |
| 243 |
|
701.9518 |
| 244 |
|
734.0159 |
| 245 |
|
715.9789 |
| 246 |
|
715.9789 |
| 247 |
|
741.9951 |
| 248 |
|
821.0786 |
| 249 |
|
626.7974 |
| 250 |
|
612.7703 |
| 251 |
|
698.8672 |
| 252 |
|
674.842 |
| 253 |
|
584.7162 |
| 254 |
|
735.9694 |
| 255 |
|
772.9909 |
| 256 |
|
776.9383 |
| 257 |
|
626.7974 |
| 258 |
|
835.0189 |
| 259 |
|
835.0189 |
| 260 |
|
612.7703 |
| 261 |
|
686.856 |
| 262 |
|
686.856 |
| 263 |
|
686.856 |
| 264 |
|
686.856 |
| 265 |
|
742.9236 |
| 266 |
|
738.9325 |
| 267 |
|
738.9325 |
| 268 |
|
817.0444 |
| 269 |
|
738.9325 |
| 270 |
|
772.9909 |
| 271 |
|
795.0592 |
| 272 |
|
758.9638 |
| 273 |
|
810.9966 |
| 274 |
|
610.7544 |
| 275 |
|
596.7273 |
| 276 |
|
756.9479 |
| 277 |
|
756.9479 |
| 278 |
|
744.9799 |
| 279 |
|
698.8672 |
| 280 |
|
698.8672 |
| 281 |
|
709.8471 |
| 282 |
|
598.7432 |
| 283 |
|
810.9966 |
| 284 |
|
758.9638 |
| 285 |
|
742.9236 |
| 286 |
|
817.0444 |
| 287 |
|
817.0444 |
| 288 |
|
759.9526 |
| 289 |
|
494.6367 |
| 290 |
|
719.9263 |
| 291 |
|
731.938 |
| 292 |
|
677.8887 |
| 293 |
|
612.7703 |
| 294 |
|
612.7703 |
| 295 |
|
716.9261 |
| 296 |
|
717.9109 |
| 297 |
|
950.0884 |
| 298 |
|
729.9221 |
| 299 |
|
578.712 |
| 300 |
|
564.6849 |
| 301 |
|
703.8838 |
| 302 |
|
553.7021 |
| 303 |
|
703.8838 |
| 304 |
|
552.7173 |
| 305 |
|
523.6756 |
| 306 |
|
731.9783 |
| 307 |
|
509.6485 |
| 308 |
|
508.6638 |
| 309 |
|
731.9783 |
| 310 |
|
667.8503 |
| 311 |
|
667.8503 |
| 312 |
|
567.7292 |
| 313 |
|
724.9054 |
| 314 |
|
724.9054 |
| 315 |
|
762.9736 |
| 316 |
|
764.9896 |
| 317 |
|
764.9896 |
| 318 |
|
764.9896 |
| 319 |
|
908.0734 |
| 320 |
|
724.9054 |
| 321 |
|
508.6638 |
| 322 |
|
522.6909 |
| 323 |
|
522.6909 |
| 324 |
|
731.938 |
| 325 |
|
744.9367 |
| 326 |
|
727.9102 |
| 327 |
|
567.7292 |
| 328 |
|
584.8029 |
| 329 |
|
726.9214 |
| 330 |
|
726.9214 |
| 331 |
|
726.9214 |
| 332 |
|
740.9484 |
| 333 |
|
688.8284 |
| 334 |
|
564.6849 |
| 335 |
|
550.6578 |
| 336 |
|
820.9918 |
| 337 |
|
710.8784 |
| 338 |
|
746.9089 |
| 339 |
|
710.8784 |
| 340 |
|
590.6823 |
| 341 |
|
716.9261 |
| 342 |
|
539.675 |
| 343 |
|
772.9473 |
| 344 |
|
731.938 |
| 345 |
|
731.938 |
| 346 |
|
731.938 |
| 347 |
|
546.7132 |
| 348 |
|
606.7662 |
| 349 |
|
578.712 |
| 350 |
|
564.7722 |
| 351 |
|
548.7291 |
| 352 |
|
562.7562 |
| 353 |
|
642.8432 |
| 354 |
|
536.718 |
| 355 |
|
574.7673 |
| 356 |
|
726.9214 |
| 357 |
|
726.9214 |
| 358 |
|
580.7279 |
| 359 |
|
639.799 |
| 360 |
|
538.6902 |
| 361 |
|
562.7562 |
| 362 |
|
566.7444 |
| TABLE 4 | ||
| STRUCTURE | NAME | Ki* Range |
|
|
iBoc-G(Chx)-P(4t- NHiBoc)-nV-(CO)- G-G(Ph)-Am | A |
|
|
(2-CO2)PhCO- G(Chx)-P(4t- MeNHCOPh(3- OPh)-nV-(CO)-G- G(Ph)-Am | A |
|
|
iBoc-G(Chx)-P(4t- NHSO2Ph)-nV- (CO)-G-G(Ph)-Am | A |
|
|
iBoc-G(Chx)-P(4t- UreaPh)-nV-(CO)- G-G(Ph)-Am | A |
|
|
iBoc-G(Chx)-P(4t- MeNHCOPh)-nV- (CO)-G-G(Ph)-Am | A |
|
|
iBoc-G(Chx)-P(4t- MeNHSO2Ph)-nV- (CO)-G-G(Ph)-Am | A |
|
|
iBoc-G(Chx)-P(4t- MeNHCOPh(3- OPh))-nV-(CO)-G- G(Ph)-Am | B |
|
|
(2-CO2)PhCO- G(chx)-P(4t- UreaPh)-nV-(CO)- G-G(ph)-Am | C |
|
|
iBoc-G(Chx)-P(4t- NHSO2-(4Me)Ph)- nV(CO)-G-G(Ph)- Am | B |
|
|
iBoc-G(Chx)-P(4t- NHSO2-(3Cl)Ph)- nV-(CO)-G-G(Ph)- Am | B |
|
|
iBoc-G(Chx)-P(4t- NHSO2-(4- NHAc)Ph)-nV- (CO)-G-G(Ph)-Am | A |
|
|
iBoc-G(Chx)-P(4t- NHSO2-(3,4- diCl)Ph)-nV-(CO)- G-G(Ph)-Am | B |
|
|
iBoc-G(Chx)-P(4t- Urea-1-Np)-nV- (CO)-G-G(Ph)-Am | B |
|
|
iBoc-G(Chx)-P(4t- NHSO2-2-Np)-nV- (CO)-G-G(Ph)-Am | B |
|
|
iBoc-G(Chx)-P(4t- NHSO2-(4Cl)Ph)- nV-(CO)-G-G(Ph)- Am | B |
|
|
iBoc-G(Chx)-P(4t- NHSO2-5(2,3- dihydrobenzofuran))- nV-(CO)-G- G(Ph)-Am | B |
|
|
iBoc-G(Chx)-P(4t- NHSO2-6(4- OMe)Courmarin)- nV-(CO)-G-G(Ph)- Am | B |
|
|
iBoc-G(Chx)-P(4t- Urea-Ph(4-OMe))- nV-(CO)-G-G(Ph)- Am | A |
|
|
iBoc-G(Chx)-P(4t- Urea-Ph(4-Cl))-nV- (CO)-G-G(Ph)-Am | B |
|
|
iBoc-G(Chx)-P(4t- Urea-Ph(4-Cl))-nV- (CO)-G-G(Ph)-Am | C |
|
|
iBoc-G(Chx)-P(4t- Urea-Ph(4-Ac))- nV-(CO)-G-G(Ph)- Am | B |
|
|
iBoc-G(Chx)-P(4t- Urea-Ph(4-Ac))- nV-(CO)-G-G(Ph)- Am | B |
|
|
iBoc-G(Chx)-P(4t- NHSO2-Ph(4- OMe))-nV-(CO)-G- G(Ph)-Am | B |
|
|
iBoc-V-P(4t- NHSO2-Ph)-nV- (CO)-G-G(Ph)-Am | B |
|
|
iBoc-G(Chx)-P(4t- NHSO2-1Np)-nV- (CO)-G-G(Ph)-Am | B |
|
|
iBoc-G(Chx)-P(4t- NHSO2-8- Quinoline)-nV- (CO)-G-G(Ph)-Am | B |
|
|
(2,5-diF-6- CO2)PhCO- G(Chx)-P(4t-NH- iBoc)-nV-(CO)-G- G(Ph)-Am | A |
|
|
(2,5-diF-6- CO2)PhCO- G(CHx)-P(4t- NHSO2-Ph)-nV- (CO)-G-G(Ph)-Am | A |
|
|
(3,4-diCl-6- CO2)PhCO- G(Chx)-P(4t-NH- iBoc)-nV-(CO)-G- G(Ph)-Am | A |
|
|
(3,4-diCi-6- CO2)PhCO- G(Chx)-P(4t- UreaPh)-nV(CO)- G-G(Ph)-Am | A |
|
|
iBoc-G(Chx)-P(4t- Urea-(3-Cl)Ph)-nV- (CO)-G-G(Ph)-Am | B |
|
|
(3,4-diCl-6- CO2)PhCO- G(Chx)-P(4t- NHSO2-Ph)-nV- (CO)-G-G(Ph)-Am | A |
|
|
iBoc-G(Chx)-P(3,4- iPr)-nV-(CO)-G- G(Ph)-OH | A |
|
|
iBoc-G(Chx)-P(4t- Chx)-nV-(CO)-G- G(Ph)-Am | B |
|
|
iBoc-G(Chx)-P(4- diMe)-nV-(CO)-G- G(Ph)-Am | A |
|
|
iBoc-G(Chx)-P(4- Bn,4-Me)-nV-(C0)- G-G(Ph)-Am | B |
|
|
iBoc-G(Chx)-P(4- spirocyclopentane)- nV-(CO)-G- G(Ph)-OH | A |
|
|
iBoc-G(Chx)-2- Azabicyclo[2.2.2] octane-3-CO-nV- (CO)-G-G(Ph)-Am | B |
|
|
iPrOCO-G(Chx)- P(4-OtBu)-nV- (CO)-G-G(Ph)-OH | A |
|
|
Neopentoxy(CO)- G(Chx)-P(4-OtBu)- nV-(CO)-G-G(Ph)- OH | B |
|
|
Neopentoxy(CO)- G(Chx)-P(OH)-nV- (CO)-G-G(Ph)- OH | B |
|
|
Ethoxy(CO)- G(Chx)-P(OH)-nV- (CO)-G-G(Ph)- OH | B |
|
|
iBoc-G(Chx)-P(4,4- diMe)-nV-(CO)-G- G(Ph)-N(Me)2 | A |
|
|
iBoc-G(Chx)-P(3,4- iPr)-nV-(CO)-G- G(Ph)-N(Me)2 | A |
|
|
iBoc-G(Chx)-P(4- spirocyclopentane)- nV-(CO)-G- G(Ph)-N(Me)2 | A |
|
|
iBoe-G(Ohx)-P(4c- Me,4t-Pr)-nV- (CO)-G-G(Ph)- N(Me)2 | A |
|
|
iBoc-G(Chx)-P(4,4- diMe)-nV-(CO)-G- G(Ph)-OMe | A |
|
|
iBoc-G(Chx)-P(4- spirocyclopentane)- nV-(CO)-G- G(Ph)-OMe | A |
|
|
iBoc-G(Chx)-P(3t- Me)-nV-(CO)-G- G(Ph)-N(Me)2 | A |
|
|
iBoc-G(Chx)--P(4,4- diMe)-nV-(CO)- s(Me)-G(Ph)-OH | A |
|
|
iBoc-G(Chx)-P(4,4- diMe)-nV-(CO)-S- G(Ph)-OH | B |
|
|
iBoc-G(Chx)-P(4,4- diMe)-nV-(CO)- G(Ac)-G(Ph(-OH | C |
|
|
N-Me-G(Chx)- P(4,4-diMe)-nV- (CO)-G-G(Ph)- CO2H | C |
|
|
iBoc-G(tBu)-P(4,4- diMe)-nV-(CO)-G- G(Ph)-N(Me)2 | A |
|
|
iBoc-G(Chx)-P(3,4- (diMe- cyclopropvl))- G((S,5)-Me- cyclopropyl)-(CO)- G-G(Ph)-N(Me) | A |
|
|
iBoc-G(Chx)-P(6S- CEM)-nV-(CO)-G- G(Ph)-N(Me)2 | A |
|
|
iPoc-G(tBu)-P(4,4- diMe)-nV-(CO)-G- G(Ph)-N(Me)2 | A |
|
|
iBoc-G(Chx)-P(6R- CEM)-nV-(CO)-G- G(Ph)-N(Me)2 | A |
|
|
iBoc-G(tBu)-P(4,4- diMe)-L-(CO)-G- G(Ph)-N(Me)2 | A |
|
|
((R)-1-Me-iBoc)- G(Chx)-P(4,4- diMe)-nV-(CO)-G- G(Ph)-N(Me)2 | A |
|
|
iBoc-G(Chx)-P(5- c/t-Me)-nV-(CO)- G-G(Ph)-CO2H | A |
|
|
iBoc-G(Chx)-P(5- cis-Ph)-nV-(CO)- G-G(Ph)-CO2H | B |
|
|
iBoc-G(4,4- diMeChx)-P(4,4- diMe)-nV-(CO)-G- G(Ph)-N(Me)2 | A |
|
|
iBoc-G(1-MeChx)- P(4,4-diMe)-nV- (CO)-G-G(Ph)- N(Me)2 | A |
|
|
iBoc-G(Chx)-P(3,4- CH2)-nV-(CO)-G- G(Ph)-N(Me)2 | A |
|
|
iBoc-Chg-Pip-nV- (CO)-G-G(Ph)- N(Me)2 | C |
|
|
iBoc-G(Chx)-P(4,4- UiMe)-L-(CO)-G- G(Ph)-N(Me)2 | A |
|
|
iPoc-G(tBu)-P(4,4- diMe)-L-(CO)-G- G(Ph)-N(Me)2 | A |
|
|
iPoc-G(tBu)-P(5- c/t-Me)-nV-(CO)- G-G(Ph)-N(Me)2 | A |
|
|
((R)-1-Me-iBoc)- G(tBu)-P(4,4- diMe)-nV-(CO)-G- G(Ph)-N(Me)2 | A |
|
|
(S)-1-MeiBoc- G(Chx)-P(4,4- diMe)-nV-(CO)-G- G(Ph)-N(Me)2 | A |
|
|
iBoc-G(tBu)-P(4- cis-Me)-nV-(CO)- G-G(Ph)-N(Me)2 | A |
|
|
iBoc-G(Chx)-P(4- cis-Me)-nV-(CO)- G-G(Ph)-N(Me)2 | A |
|
|
iBoc-G(tBu)-P(5- cis-Me)-nV-(CO)- G-G(Ph)-N(Me)2 | A |
|
|
iBoc-G(Chx)-P(5- cis-Me)-nV-(CO)- G-G(Ph)-N(Me)2 | A |
|
|
iBoc-G(Chx)-P(1- 3Ph)-nV-(CO)-G- G(Ph)-N(Me)2 | B |
|
|
iBoc-allo(Ile)-P(4,4- diMe)-nV-(CO)-G- G(Ph)-N(Me)2 | A |
|
|
iBoc-G(Chx)-Pip(4- morpholino)-nV- (CO)-G-G(Ph)- N(Me)2 | B |
|
|
iBoc-G(1-MeChx)- P[3,4-(diMe- cyclopropyl)]-nV- (CO)-G-G(Ph)- N(Me)2 | A |
|
|
iBoc-G(1-MeChx)- P[3,4-(diMe- cyclopropyl)]-L- (CO)-G-G(Ph)- N(Me)2 | A |
|
|
iBoc-G(tBu)-P[3,4- (diMe- cycloptopyl)]-L- (CO)-G-G(Ph)- N(Me)2 | A |
|
|
iBoc-erythro-D,L- F(beta-Me)-P(4,4- diMe)- nV-(CO)-G-G(Ph)- N(Me)2 | A |
|
|
((R)-1-Me)iBoc- G(1-MeChx)-P[3,4- (diMe- cyclopropyl)]-nV- (CX)-G-G(Ph)- N(Me)2 | A |
|
|
iPoc-G(1Bu)-P[3,4- (diMe- cyclopropyl)]-nV- (CO)-G-G(Ph)- N(Me)2 | A |
|
|
iPoc-G(tBu)-P[3,4- (diMe- cyclopropyI)]-L- (CO)-G-G(Ph)- N(Me)2 | A |
|
|
iBoc-G(tBu)-P(3,4- CH2)-nV-(CO)-G- G(Ph)-N(Me)2 | A |
|
|
iBoc-G(Chx)-P(3,4- CH2)-nV-(CO)-G- G(Ph)-N(Me)2 | A |
|
|
iPoc-G(tBu)-P(3,4- CH2)-nV-(CO)-G- G(Ph)-N(Me)2 | A |
|
|
((R)-1-Me)iBoc- G(tBu)-P(3,4- CH2)-nV-(CO)-G- G(Ph)-N(Me)2 | A |
|
|
((R)-1-Me)iBoc- G(1-MeChx)-P(3,4- CH2)-nV-(CO)-G- G(Ph)-N(Me)2 | A |
| TABLE 5 | ||
| Structure | MW | Ki* range |
|
|
507 | B |
|
|
481 | B |
|
|
473 | C |
|
|
586 | B |
|
|
497 | C |
|
|
483 | C |
|
|
481 | C |
|
|
479 | B |
|
|
507 | A |
|
|
521 | A |
|
|
612 | A |
|
|
533 | A |
|
|
569 | A |
|
|
557 | B |
|
|
521 | C |
|
|
555 | A |
|
|
497 | C |
|
|
569 | B |
|
|
533 | C |
|
|
519 | B |
|
|
621 | C |
|
|
392 | C |
|
|
418 | B |
|
|
509 | B |
|
|
493 | C |
|
|
507 | B |
|
|
567 | A |
|
|
519 | A |
|
|
519 | B |
|
|
535 | B |
|
|
523 | C |
|
|
493 | B |
|
|
547 | B |
|
|
519 | A |
|
|
505 | C |
|
|
494 | B |
|
|
480 | B |
|
|
466 | C |
|
|
493 | B |
|
|
505 | B |
|
|
491 | B |
|
|
541 | B |
|
|
478 | C |
|
|
555 | B |
|
|
554 | B |
|
|
465 | C |
|
|
520 | A |
|
|
558 | A |
|
|
532 | A |
|
|
547 | B |
|
|
547 | B |
|
|
553 | A |
|
|
520 | B |
|
|
521 | A |
|
|
543 | C |
|
|
569 | B |
|
|
507 | B |
|
|
522 | B |
|
|
606 | C |
|
|
493 | B |
|
|
467 | C |
|
|
507 | B |
|
|
572 | A |
|
|
718 | C |
|
|
547 | A |
|
|
666 | B |
|
|
540 | C |
|
|
554 | B |
|
|
540 | B |
|
|
632 | B |
|
|
580 | B |
|
|
552 | A |
|
|
592 | A |
|
|
518 | A |
|
|
506 | A |
|
|
532 | A |
|
|
581 | B |
|
|
566 | C |
|
|
599 | B |
|
|
533 | B |
|
|
568 | B |
|
|
566 | A |
|
|
566 | A |
|
|
644 | A |
|
|
543 | C |
|
|
574 | A |
|
|
534 | C |
|
|
549 | B |
|
|
562 | A |
|
|
662 | A |
|
|
563 | B |
|
|
518 | B |
|
|
492 | B |
|
|
533 | A |
|
|
510 | C |
|
|
504 | A |
|
|
530 | B |
|
|
516 | B |
|
|
574 | B |
|
|
561 | B |
|
|
533 | B |
|
|
493 | C |
|
|
546 | A |
|
|
561 | A |
|
|
505 | B |
|
|
490 | B |
|
|
539 | C |
|
|
532 | A |
|
|
561 | A |
|
|
573 | A |
|
|
567 | A |
|
|
581 | A |
|
|
608 | A |
|
|
587 | B |
|
|
561 | B |
|
|
581 | A |
|
|
573 | A |
|
|
624 | A |
|
|
547 | A |
|
|
583 | A |
|
|
545 | B |
|
|
609 | C |
|
|
549 | C |
|
|
575 | C |
|
|
613 | A |
|
|
573 | A |
|
|
561 | A |
|
|
625 | A |
|
|
666 | C |
|
|
588 | A |
|
|
599 | A |
|
|
573 | A |
|
|
587 | A |
|
|
615 | A |
|
|
535 | B |
|
|
561 | A |
|
|
531 | A |
|
|
651 | A |
|
|
506 | A |
|
|
520 | A |
|
|
546 | A |
|
|
602 | A |
|
|
549 | B |
|
|
587 | A |
|
|
561 | A |
|
|
517 | B |
|
|
491 | B |
|
|
533 | B |
|
|
507 | A |
|
|
598 | A |
|
|
535 | A |
|
|
561 | A |
|
|
633 | A |
|
|
497 | C |
|
|
607 | A |
|
|
574 | B |
|
|
518 | B |
|
|
580 | C |
|
|
544 | B |
|
|
562 | A |
|
|
561 | A |
|
|
587 | A |
|
|
533 | A |
|
|
559 | A |
|
|
557 | C |
|
|
535 | A |
|
|
535 | B |
|
|
547 | A |
|
|
546 | A |
|
|
546 | B |
|
|
523 | B |
|
|
633 | B |
|
|
637 | C |
|
|
521 | B |
|
|
573 | B |
|
|
559 | A |
|
|
533 | A |
|
|
573 | B |
|
|
595 | B |
|
|
575 | A |
|
|
560 | B |
|
|
534 | C |
|
|
727 | A |
|
|
727 | A |
|
|
753 | C |
|
|
753 | B |
|
|
745 | A |
|
|
745 | A |
|
|
759 | C |
|
|
759 | B |
|
|
669 | B |
|
|
669 | A |
|
|
554 | C |
|
|
610 | B |
|
|
711 | A |
|
|
713 | A |
|
|
713 | A |
|
|
732 | A |
|
|
733 | A |
|
|
733 | A |
|
|
737 | A |
|
|
667 | A |
|
|
612 | C |
|
|
745 | C |
|
|
745 | C |
|
|
745 | C |
|
|
759 | C |
|
|
759 | C |
|
|
759 | C |
|
|
668 | C |
|
|
636 | B |
|
|
733 | A |
|
|
767 | B |
|
|
626 | B |
|
|
715 | C |
|
|
715 | A |
|
|
699 | B |
|
|
725 | A |
|
|
781 | B |
|
|
743 | B |
|
|
743 | C |
|
|
743 | A |
|
|
757 | B |
|
|
757 | C |
|
|
757 | B |
|
|
715 | A |
|
|
715 | A |
|
|
701 | C |
|
|
701 | A |
|
|
713 | A |
|
|
739 | A |
|
|
741 | C |
|
|
715 | C |
|
|
837 | B |
|
|
751 | A |
|
|
725 | C |
|
|
711 | C |
|
|
737 | A |
|
|
775 | A |
|
|
729 | A |
|
|
729 | A |
|
|
715 | A |
|
|
775 | A |
|
|
739 | A |
|
|
713 | A |
|
|
719 | A |
|
|
719 | A |
|
|
719 | A |
|
|
773 | A |
|
|
727 | A |
|
|
727 | A |
|
|
727 | A |
|
|
787 | A |
|
|
809 | C |
|
|
709 | A |
|
|
769 | B |
|
|
723 | C |
|
|
713 | A |
|
|
723 | A |
|
|
723 | B |
|
|
771 | C |
|
|
741 | A |
|
|
725 | A |
|
|
745 | A |
|
|
716 | A |
|
|
733 | A |
|
|
713 | A |
|
|
753 | A |
|
|
726 | A |
|
|
712 | A |
|
|
771 | B |
|
|
804 | A |
|
|
726 | A |
|
|
746 | A |
|
|
752 | A |
|
|
741 | A |
|
|
727 | A |
|
|
699 | A |
|
|
739 | A |
|
|
712 | A |
|
|
698 | A |
|
|
757 | B |
|
|
790 | A |
|
|
712 | A |
|
|
732 | A |
|
|
738 | A |
|
|
869 | A |
|
|
785 | A |
|
|
785 | A |
|
|
785 | A |
|
|
785 | A |
|
|
781 | A |
|
|
780 | A |
|
|
697 | C |
|
|
671 | C |
|
|
780 | A |
|
|
884 | A |
|
|
855 | A |
|
|
757 | B |
|
|
741 | B |
|
|
779 | B |
|
|
725 | A |
|
|
787 | A |
|
|
785 | A |
|
|
737 | A |
|
|
737 | A |
|
|
739 | A |
|
|
855 | A |
|
|
826 | A |
|
|
857 | A |
|
|
826 | A |
|
|
765 | A |
|
|
792 | A |
|
|
799 | A |
|
|
784 | A |
|
|
750 | A |
|
|
771 | A |
|
|
771 | A |
|
|
536 | C |
|
|
508 | B |
|
|
601 | C |
|
|
587 | B |
|
|
494 | C |
|
|
512 | C |
|
|
538 | C |
|
|
538 | C |
|
|
522 | C |
|
|
496 | C |
|
|
522 | C |
|
|
540 | C |
|
|
598 | C |
|
|
480 | C |
|
|
508 | B |
|
|
548 | C |
|
|
534 | B |
|
|
584 | C |
|
|
570 | B |
|
|
558 | C |
|
|
433 | C |
|
|
407 | C |
|
|
393 | C |
|
|
433 | C |
|
|
419 | C |
|
|
534 | C |
|
|
520 | B |
|
|
534 | C |
|
|
520 | B |
|
|
550 | C |
|
|
536 | C |
|
|
538 | C |
|
|
568 | B |
|
|
582 | C |
|
|
570 | C |
|
|
584 | C |
|
|
418 | C |
|
|
554 | C |
|
|
508 | C |
|
|
494 | B |
|
|
562 | C |
|
|
548 | A |
|
|
520 | C |
|
|
506 | C |
|
|
540 | C |
|
|
562 | C |
|
|
548 | B |
|
|
480 | C |
|
|
466 | C |
|
|
568 | C |
|
|
554 | B |
|
|
508 | C |
|
|
482 | C |
|
|
496 | C |
|
|
522 | C |
|
|
535 | C |
|
|
539 | B |
|
|
563 | B |
|
|
567 | B |
|
|
561 | B |
|
|
567 | C |
|
|
581 | C |
|
|
495 | C |
|
|
654 | B |
|
|
549 | C |
|
|
567 | C |
|
|
581 | C |
|
|
654 | C |
|
|
626 | B |
|
|
654 | A |
|
|
535 | C |
|
|
535 | B |
|
|
523 | C |
|
|
523 | C |
|
|
561 | B |
|
|
511 | C |
|
|
537 | C |
|
|
654 | B |
|
|
654 | A |
|
|
626 | B |
|
|
652 | B |
|
|
525 | C |
|
|
539 | C |
|
|
549 | C |
|
|
641 | B |
|
|
630 | C |
|
|
653 | B |
|
|
653 | B |
|
|
553 | C |
|
|
655 | C |
|
|
629 | C |
|
|
539 | C |
|
|
521 | C |
|
|
521 | C |
|
|
547 | C |
|
|
547 | C |
|
|
590 | B |
|
|
590 | B |
|
|
641 | B |
|
|
565 | C |
|
|
579 | C |
|
|
644 | C |
|
|
587 | C |
|
|
654 | B |
|
|
716 | B |
|
|
668 | B |
|
|
670 | A |
|
|
666 | C |
|
|
666 | C |
|
|
630 | B |
|
|
531 | C |
|
|
563 | C |
|
|
537 | C |
|
|
575 | B |
|
|
591 | B |
|
|
586 | C |
|
|
586 | C |
|
|
585 | B |
|
|
563 | B |
|
|
547 | B |
|
|
519 | C |
|
|
640 | B |
|
|
546 | B |
|
|
646 | B |
|
|
594 | C |
|
|
592 | B |
|
|
533 | C |
|
|
545 | C |
|
|
659 | B |
|
|
609 | A |
|
|
635 | B |
|
|
685 | B |
|
|
519 | C |
|
|
621 | B |
|
|
521 | B |
|
|
547 | B |
|
|
573 | B |
|
|
609 | B |
|
|
547 | B |
|
|
719 | B |
|
|
719 | C |
|
|
653 | B |
|
|
597 | B |
|
|
697 | A |
|
|
619 | B |
|
|
651 | C |
|
|
592 | B |
|
|
587 | C |
|
|
563 | B |
|
|
589 | C |
|
|
621 | C |
|
|
519 | C |
|
|
597 | B |
|
|
549 | C |
|
|
535 | C |
|
|
521 | B |
|
|
519 | C |
|
|
689 | C |
|
|
611 | C |
|
|
600 | C |
|
|
595 | B |
|
|
541 | C |
|
|
549 | B |
|
|
593 | C |
|
|
680 | B |
|
|
559 | C |
|
|
559 | C |
|
|
573 | B |
|
|
644 | C |
|
|
537 | C |
|
|
627 | C |
|
|
609 | B |
|
|
664 | B |
|
|
650 | C |
|
|
661 | B |
|
|
571 | C |
|
|
661 | B |
|
|
607 | B |
|
|
625 | C |
|
|
575 | B |
|
|
575 | B |
|
|
575 | B |
|
|
575 | B |
|
|
559 | B |
|
|
573 | B |
|
|
637 | B |
|
|
473 | C |
|
|
559 | B |
|
|
549 | C |
|
|
587 | C |
|
|
547 | C |
|
|
547 | B |
|
|
573 | C |
|
|
573 | C |
|
|
607 | C |
|
|
595 | B |
|
|
581 | B |
|
|
609 | B |
|
|
629 | C |
|
|
694 | C |
|
|
605 | C |
|
|
579 | C |
|
|
627 | C |
|
|
563 | C |
|
|
571 | C |
|
|
572 | B |
|
|
551 | C |
|
|
609 | C |
|
|
593 | B |
|
|
593 | C |
|
|
613 | C |
|
|
593 | B |
|
|
581 | C |
|
|
571 | B |
|
|
577 | C |
|
|
615 | C |
|
|
571 | C |
|
|
571 | C |
|
|
545 | C |
|
|
633 | C |
|
|
585 | B |
|
|
587 | B |
|
|
647 | B |
|
|
512 | C |
|
|
575 | C |
|
|
658 | C |
|
|
621 | C |
|
|
565 | C |
|
|
572 | A |
|
|
587 | A |
|
|
587 | B |
|
|
509 | C |
|
|
533 | C |
|
|
587 | B |
|
|
644 | C |
|
|
594 | B |
|
|
695 | B |
|
|
650 | B |
|
|
600 | B |
|
|
628 | A |
|
|
556 | B |
|
|
674 | B |
|
|
579 | C |
|
|
637 | C |
|
|
671 | C |
|
|
583 | C |
|
|
587 | B |
|
|
601 | B |
|
|
623 | B |
|
|
621 | A |
|
|
645 | C |
|
|
664 | B |
|
|
573 | C |
|
|
559 | C |
|
|
847 | B |
|
|
651 | B |
|
|
547 | C |
|
|
561 | B |
|
|
561 | B |
|
|
546 | C |
|
|
545 | C |
|
|
633 | B |
|
|
681 | C |
|
|
561 | C |
|
|
598 | B |
|
|
583 | C |
|
|
567 | C |
|
|
539 | C |
|
|
519 | C |
|
|
708 | B |
|
|
649 | C |
|
|
561 | B |
|
|
461 | C |
|
|
531 | C |
|
|
606 | A |
|
|
606 | A |
|
|
592 | A |
|
|
666 | C |
|
|
626 | B |
|
|
640 | B |
|
|
654 | B |
|
|
698 | B |
|
|
654 | B |
|
|
758 | C |
|
|
638 | A |
|
|
683 | B |
|
|
593 | A |
|
|
621 | A |
|
|
607 | B |
|
|
627 | B |
|
|
586 | A |
|
|
534 | B |
|
|
560 | C |
|
|
621 | A |
|
|
616 | B |
|
|
572 | A |
|
|
547 | C |
|
|
561 | C |
|
|
521 | C |
|
|
620 | B |
|
|
578 | B |
|
|
560 | A |
|
|
620 | A |
|
|
618 | B |
|
|
632 | B |
|
|
662 | B |
|
|
592 | B |
|
|
590 | B |
|
|
690 | B |
|
|
609 | B |
|
|
749 | B |
|
|
648 | A |
|
|
783 | B |
|
|
783 | B |
|
|
634 | C |
|
|
648 | C |
|
|
634 | C |
|
|
649 | C |
|
|
629 | C |
|
|
657 | C |
|
|
614 | A |
|
|
702 | B |
|
|
702 | A |
|
|
675 | B |
|
|
647 | B |
|
|
568 | C |
|
|
619 | C |
|
|
482 | C |
|
|
576 | C |
|
|
617 | B |
|
|
651 | C |
|
|
637 | C |
|
|
684 | B |
|
|
685 | B |
|
|
698 | B |
|
|
605 | B |
|
|
620 | B |
|
|
672 | C |
|
|
620 | B |
|
|
594 | B |
|
|
606 | B |
|
|
580 | C |
|
|
532 | B |
|
|
572 | B |
|
|
738 | A |
|
|
718 | B |
|
|
664 | B |
|
|
614 | B |
|
|
624 | B |
|
|
558 | B |
|
|
633 | B |
|
|
770 | C |
|
|
535 | C |
|
|
533 | C |
|
|
677 | C |
|
|
563 | B |
|
|
651 | A |
|
|
634 | A |
|
|
706 | C |
|
|
757 | A |
|
|
662 | A |
|
|
660 | A |
|
|
648 | A |
|
|
648 | C |
|
|
668 | B |
|
|
618 | A |
|
|
660 | B |
|
|
601 | B |
|
|
673 | B |
|
|
662 | A |
|
|
602 | A |
|
|
681 | A |
|
|
681 | C |
|
|
655 | C |
|
|
689 | B |
|
|
660 | A |
|
|
538 | C |
|
|
764 | A |
|
|
816 | C |
|
|
780 | B |
|
|
560 | C |
|
|
602 | C |
|
|
625 | B |
|
|
685 | B |
|
|
587 | A |
|
|
587 | A |
|
|
601 | A |
|
|
625 | B |
|
|
601 | A |
|
|
627 | B |
|
|
679 | A |
|
|
628 | A |
|
|
587 | A |
|
|
641 | A |
|
|
659 | A |
|
|
674 | A |
|
|
615 | B |
|
|
641 | B |
|
|
641 | B |
|
|
627 | A |
|
|
665 | A |
|
|
614 | A |
|
|
737 | B |
|
|
666 | A |
|
|
660 | A |
|
|
591 | C |
|
|
615 | C |
|
|
754 | B |
|
|
577 | C |
|
|
694 | A |
|
|
702 | A |
|
|
701 | A |
|
|
546 | B |
|
|
520 | B |
|
|
546 | B |
|
|
723 | B |
|
|
675 | A |
|
|
771 | B |
|
|
847 | C |
|
|
641 | A |
|
|
613 | A |
|
|
651 | C |
|
|
700 | A |
|
|
569 | A |
|
|
756 | B |
|
|
786 | A |
|
|
669 | B |
|
|
601 | A |
|
|
601 | B |
|
|
683 | A |
|
|
673 | A |
|
|
680 | A |
|
|
602 | A |
|
|
735 | A |
|
|
743 | A |
|
|
655 | B |
|
|
692 | A |
|
|
639 | A |
|
|
639 | A |
|
|
675 | A |
|
|
621 | A |
|
|
668 | A |
|
|
642 | A |
|
|
654 | A |
|
|
601 | C |
|
|
663 | B |
|
|
641 | A |
|
|
702 | A |
|
|
701 | A |
|
|
588 | B |
|
|
638 | A |
|
|
630 | A |
|
|
697 | A |
|
|
621 | A |
|
|
608 | B |
|
|
682 | A |
|
|
667 | B |
|
|
520 | B |
|
|
645 | B |
|
|
669 | C |
|
|
575 | A |
|
|
709 | B |
|
|
652 | B |
|
|
714 | A |
|
|
561 | B |
|
|
561 | B |
|
|
685 | B |
|
|
580 | A |
|
|
606 | A |
|
|
653 | A |
|
|
667 | A |
Claims (66)
Priority Applications (1)
| Application Number | Priority Date | Filing Date | Title |
|---|---|---|---|
| US13/068,159 USRE43298E1 (en) | 2000-07-21 | 2011-04-22 | Peptides as NS3-serine protease inhibitors of hepatitis C virus |
Applications Claiming Priority (3)
| Application Number | Priority Date | Filing Date | Title |
|---|---|---|---|
| US22010800P | 2000-07-21 | 2000-07-21 | |
| US09/908,955 US7012066B2 (en) | 2000-07-21 | 2001-07-19 | Peptides as NS3-serine protease inhibitors of hepatitis C virus |
| US13/068,159 USRE43298E1 (en) | 2000-07-21 | 2011-04-22 | Peptides as NS3-serine protease inhibitors of hepatitis C virus |
Related Parent Applications (1)
| Application Number | Title | Priority Date | Filing Date |
|---|---|---|---|
| US09/908,955 Reissue US7012066B2 (en) | 2000-07-21 | 2001-07-19 | Peptides as NS3-serine protease inhibitors of hepatitis C virus |
Publications (1)
| Publication Number | Publication Date |
|---|---|
| USRE43298E1 true USRE43298E1 (en) | 2012-04-03 |
Family
ID=22822095
Family Applications (4)
| Application Number | Title | Priority Date | Filing Date |
|---|---|---|---|
| US09/908,955 Ceased US7012066B2 (en) | 2000-07-21 | 2001-07-19 | Peptides as NS3-serine protease inhibitors of hepatitis C virus |
| US11/241,656 Abandoned US20060205672A1 (en) | 2000-07-21 | 2005-09-30 | Novel peptides as NS3-serine protease inhibitors of hepatitis C virus |
| US12/973,020 Abandoned US20110117057A1 (en) | 2000-07-21 | 2010-12-20 | Novel peptides as ns3-serine protease inhibitors of hepatitis c virus |
| US13/068,159 Expired - Lifetime USRE43298E1 (en) | 2000-07-21 | 2011-04-22 | Peptides as NS3-serine protease inhibitors of hepatitis C virus |
Family Applications Before (3)
| Application Number | Title | Priority Date | Filing Date |
|---|---|---|---|
| US09/908,955 Ceased US7012066B2 (en) | 2000-07-21 | 2001-07-19 | Peptides as NS3-serine protease inhibitors of hepatitis C virus |
| US11/241,656 Abandoned US20060205672A1 (en) | 2000-07-21 | 2005-09-30 | Novel peptides as NS3-serine protease inhibitors of hepatitis C virus |
| US12/973,020 Abandoned US20110117057A1 (en) | 2000-07-21 | 2010-12-20 | Novel peptides as ns3-serine protease inhibitors of hepatitis c virus |
Country Status (31)
| Country | Link |
|---|---|
| US (4) | US7012066B2 (en) |
| EP (1) | EP1385870B1 (en) |
| JP (3) | JP4298289B2 (en) |
| KR (2) | KR100904788B1 (en) |
| CN (3) | CN102206247B (en) |
| AR (2) | AR033985A1 (en) |
| AT (1) | ATE461207T1 (en) |
| AU (2) | AU7698801A (en) |
| BR (1) | BR0112540A (en) |
| CA (1) | CA2410662C (en) |
| CY (2) | CY1112267T1 (en) |
| CZ (1) | CZ303213B6 (en) |
| DE (2) | DE60141608D1 (en) |
| DK (1) | DK1385870T3 (en) |
| EC (1) | ECSP034438A (en) |
| ES (1) | ES2341534T3 (en) |
| HU (1) | HU229997B1 (en) |
| IL (2) | IL153670A0 (en) |
| LU (1) | LU91910I2 (en) |
| MX (1) | MXPA03000627A (en) |
| MY (2) | MY139078A (en) |
| NO (2) | NO332329B1 (en) |
| NZ (1) | NZ523782A (en) |
| PL (1) | PL206255B1 (en) |
| PT (1) | PT1385870E (en) |
| RU (2) | RU2355700C9 (en) |
| SI (1) | SI1385870T1 (en) |
| SK (1) | SK288064B6 (en) |
| TW (1) | TWI324611B (en) |
| WO (1) | WO2002008244A2 (en) |
| ZA (1) | ZA200210312B (en) |
Cited By (8)
| Publication number | Priority date | Publication date | Assignee | Title |
|---|---|---|---|---|
| US20110034705A1 (en) * | 2007-12-21 | 2011-02-10 | Schering-Plough Corporation | Process For the Synthesis of 3- Amino-3-Cyclobuthylmethyl-2-Hydroxypropionamide or Salts Thereof |
| US8466159B2 (en) | 2011-10-21 | 2013-06-18 | Abbvie Inc. | Methods for treating HCV |
| US8492386B2 (en) | 2011-10-21 | 2013-07-23 | Abbvie Inc. | Methods for treating HCV |
| US8809265B2 (en) | 2011-10-21 | 2014-08-19 | Abbvie Inc. | Methods for treating HCV |
| US8853176B2 (en) | 2011-10-21 | 2014-10-07 | Abbvie Inc. | Methods for treating HCV |
| WO2017189978A1 (en) | 2016-04-28 | 2017-11-02 | Emory University | Alkyne containing nucleotide and nucleoside therapeutic compositions and uses related thereto |
| US11351149B2 (en) | 2020-09-03 | 2022-06-07 | Pfizer Inc. | Nitrile-containing antiviral compounds |
| US12577240B2 (en) | 2020-07-11 | 2026-03-17 | Pfizer Inc. | Antiviral heteroaryl ketone derivatives |
Families Citing this family (268)
| Publication number | Priority date | Publication date | Assignee | Title |
|---|---|---|---|---|
| PL194025B1 (en) | 1996-10-18 | 2007-04-30 | Vertex Pharma | Inhibitors of serine proteases, particularly hepatitis c virus ns3 protease |
| US6608027B1 (en) | 1999-04-06 | 2003-08-19 | Boehringer Ingelheim (Canada) Ltd | Macrocyclic peptides active against the hepatitis C virus |
| PE20011350A1 (en) | 2000-05-19 | 2002-01-15 | Vertex Pharma | PROPHARMAC OF AN INHIBITOR OF INTERLEUKIN-1ß CONVERTER ENZYME (ICE) |
| US7244721B2 (en) * | 2000-07-21 | 2007-07-17 | Schering Corporation | Peptides as NS3-serine protease inhibitors of hepatitis C virus |
| SK288064B6 (en) * | 2000-07-21 | 2013-04-03 | Merck Sharp & Dohme Corp. | Peptide compounds, pharmaceutical compositions comprising them and their use |
| SV2003000617A (en) | 2000-08-31 | 2003-01-13 | Lilly Co Eli | INHIBITORS OF PROTEASA PEPTIDOMIMETICA REF. X-14912M |
| AP2003002762A0 (en) | 2000-09-15 | 2003-03-31 | Vertex Pharma | Pyrazole compounds useful as protein kinase inhibitors |
| US7473691B2 (en) | 2000-09-15 | 2009-01-06 | Vertex Pharmaceuticals Incorporated | Pyrazole compounds useful as protein kinase inhibitors |
| US6660731B2 (en) | 2000-09-15 | 2003-12-09 | Vertex Pharmaceuticals Incorporated | Pyrazole compounds useful as protein kinase inhibitors |
| GB2367816A (en) * | 2000-10-09 | 2002-04-17 | Bayer Ag | Urea- and thiourea-containing derivatives of beta-amino acids |
| US6911428B2 (en) * | 2000-12-12 | 2005-06-28 | Schering Corporation | Diaryl peptides as NS3-serine protease inhibitors of hepatitis C virus |
| AU2002255452B2 (en) | 2000-12-21 | 2006-06-08 | Vertex Pharmaceuticals Incorporated | Pyrazole compounds useful as protein kinase inhibitors |
| US6909000B2 (en) | 2001-07-11 | 2005-06-21 | Vertex Pharmaceuticals Incorporated | Bridged bicyclic serine protease inhibitors |
| EP2402009A1 (en) | 2001-10-24 | 2012-01-04 | Vertex Pharmaceuticals Incorporated | Inhibitors of serine protease, particularly hepatitis c virus NS3-NS4A protease, incorporating a fused ring system |
| MXPA04007163A (en) * | 2002-01-23 | 2004-10-29 | Schering Corp | Proline compounds as ns3-serine protease inhibitors for use in treatment of hepatites c virus infection. |
| US7119072B2 (en) | 2002-01-30 | 2006-10-10 | Boehringer Ingelheim (Canada) Ltd. | Macrocyclic peptides active against the hepatitis C virus |
| US7091184B2 (en) | 2002-02-01 | 2006-08-15 | Boehringer Ingelheim International Gmbh | Hepatitis C inhibitor tri-peptides |
| US6642204B2 (en) | 2002-02-01 | 2003-11-04 | Boehringer Ingelheim International Gmbh | Hepatitis C inhibitor tri-peptides |
| TW200403236A (en) | 2002-04-11 | 2004-03-01 | Vertex Pharma | Inhibitors or serine proteases, particularly HCV NS3-NS4A protease |
| MY140680A (en) | 2002-05-20 | 2010-01-15 | Bristol Myers Squibb Co | Hepatitis c virus inhibitors |
| MY141867A (en) | 2002-06-20 | 2010-07-16 | Vertex Pharma | Substituted pyrimidines useful as protein kinase inhibitors |
| US20050075279A1 (en) | 2002-10-25 | 2005-04-07 | Boehringer Ingelheim International Gmbh | Macrocyclic peptides active against the hepatitis C virus |
| AU2011203054B2 (en) * | 2003-04-11 | 2012-04-26 | Vertex Pharmaceuticals, Incorporated | Inhibitors of Serine Proteases, Particularly HCV NS3-NS4A Protease |
| ATE547412T1 (en) | 2003-04-11 | 2012-03-15 | Vertex Pharma | INHIBITORS OF SERINE PROTEASES, IN PARTICULAR HCV NS3-NS4A PROTEASE |
| NZ544076A (en) * | 2003-05-21 | 2009-04-30 | Boehringer Ingelheim Int | Hepatitis C inhibitor compounds |
| JP4823899B2 (en) * | 2003-06-17 | 2011-11-24 | シェーリング コーポレイション | Process and intermediate for the preparation of 3- (amino) -3-cyclobutylmethyl-2-hydroxy-propionamide or a salt thereof |
| AR044694A1 (en) * | 2003-06-17 | 2005-09-21 | Schering Corp | PROCESS AND INTERMEDIATE COMPOUNDS FOR THE PREPARATION OF (1R, 2S, 5S) - 3 AZABICICLO [3,1,0] HEXANO-2- CARBOXAMIDE, N- [3- AMINO-1- (CYCLLOBUTILMETILE) - 2, 3 - DIOXOPROPIL] -3- [(2S) - 2 - [[[1,1- DIMETHYTILE] AMINO] CARBONYLAMINE] -3,3-DIMETHYL -1- OXOBUTIL] -6.6 DIMETHYL |
| US7309717B2 (en) * | 2003-06-17 | 2007-12-18 | Schering Corporation | Process and intermediates for the preparation of (1R,2S,5S)-6,6-dimethyl-3-azabicyclo[3,1,0]hexane-2-carboxylates or salts thereof |
| EP1646642A2 (en) | 2003-07-18 | 2006-04-19 | Vertex Pharmaceuticals Incorporated | Inhibitors of serine proteases, particularly hcv ns3-ns4a protease |
| EP1664090A2 (en) * | 2003-08-26 | 2006-06-07 | Schering Corporation | Novel peptidomimetic ns3-serine protease inhibitors of hepatitis c virus |
| PE20050374A1 (en) | 2003-09-05 | 2005-05-30 | Vertex Pharma | SERINE PROTEASE INHIBITORS, IN PARTICULAR HCV PROTEASE NS3-NS4A |
| WO2005028502A1 (en) * | 2003-09-18 | 2005-03-31 | Vertex Pharmaceuticals, Incorporated | Inhibitors of serine proteases, particularly hcv ns3-ns4a protease |
| JP4704342B2 (en) | 2003-09-22 | 2011-06-15 | ベーリンガー インゲルハイム インターナショナル ゲゼルシャフト ミット ベシュレンクテル ハフツング | Macrocyclic peptide active against hepatitis C virus |
| US7592419B2 (en) * | 2003-09-26 | 2009-09-22 | Schering Corporation | Macrocyclic inhibitors of hepatitis C virus NS3-serine protease |
| MXPA06004006A (en) * | 2003-10-10 | 2006-06-28 | Vertex Pharma | Inhibitors of serine proteases, particularly hcv ns3-ns4a protease. |
| US7491794B2 (en) * | 2003-10-14 | 2009-02-17 | Intermune, Inc. | Macrocyclic compounds as inhibitors of viral replication |
| WO2005043118A2 (en) | 2003-10-27 | 2005-05-12 | Vertex Pharmaceuticals Incorporated | Drug discovery method |
| EP1944042A1 (en) | 2003-10-27 | 2008-07-16 | Vertex Pharmceuticals Incorporated | Combinations for HCV treatment |
| EP1678202B1 (en) | 2003-10-27 | 2012-06-13 | Vertex Pharmaceuticals Incorporated | Hcv ns3-ns4a protease resistance mutants |
| JP2007532479A (en) | 2003-11-20 | 2007-11-15 | シェーリング コーポレイション | Depeptideization inhibitor of hepatitis C virus NS3 protease |
| AU2004298498B2 (en) * | 2003-12-11 | 2008-09-11 | Schering Corporation | Inhibitors of hepatitis C virus NS3/NS4a serine protease |
| WO2005070955A1 (en) | 2004-01-21 | 2005-08-04 | Boehringer Ingelheim International Gmbh | Macrocyclic peptides active against the hepatitis c virus |
| DE602005017582D1 (en) * | 2004-01-30 | 2009-12-24 | Medivir Ab | Hcv ns-3 serine protease inhibitoren |
| EP2311851A3 (en) * | 2004-02-04 | 2011-05-25 | Vertex Pharmaceuticals Incorporated | Inhibitors of serine proteases, particularly HCV NS3-NS4A protease |
| US20070049593A1 (en) | 2004-02-24 | 2007-03-01 | Japan Tobacco Inc. | Tetracyclic fused heterocyclic compound and use thereof as HCV polymerase inhibitor |
| RS50815B (en) | 2004-02-24 | 2010-08-31 | Japan Tobacco Inc. | CONDENSED HETEROTETRACYCLIC COMPOUNDS AND THEIR USE AS HCV POLYMERASE INHIBITORS |
| WO2005087721A2 (en) | 2004-02-27 | 2005-09-22 | Schering Corporation | Compounds as inhibitors of hepatitis c virus ns3 serine protease |
| US7635694B2 (en) | 2004-02-27 | 2009-12-22 | Schering Corporation | Cyclobutenedione-containing compounds as inhibitors of hepatitis C virus NS3 serine protease |
| AU2005219824B2 (en) * | 2004-02-27 | 2007-11-29 | Merck Sharp & Dohme Corp. | Novel ketoamides with cyclic p4's as inhibitors of ns3 serine protease of hepatitis c virus |
| ES2328589T3 (en) | 2004-02-27 | 2009-11-16 | Schering Corporation | PROLIN 3.4 COMPOUNDS (CYCLOPENTIL) FUSED AS INHIBITORS OF THE SERINE PROTEASE NS3 OF THE HEPATITIS VIRUS C. |
| CA2557301A1 (en) * | 2004-02-27 | 2005-09-15 | Schering Corporation | Cyclobutenedione groups-containing compounds as inhibitors of hepatitis c virus ns3 serine protease |
| US7816326B2 (en) | 2004-02-27 | 2010-10-19 | Schering Corporation | Sulfur compounds as inhibitors of hepatitis C virus NS3 serine protease |
| TW200536528A (en) | 2004-02-27 | 2005-11-16 | Schering Corp | Novel inhibitors of hepatitis C virus NS3 protease |
| RU2006134002A (en) * | 2004-02-27 | 2008-04-10 | Шеринг Корпорейшн (US) | NEW COMPOUNDS OPERATING AS NS3 SERIN PROTEASE INHIBITORS HEPATITIS C VIRUS |
| KR20130018418A (en) * | 2004-02-27 | 2013-02-21 | 머크 샤프 앤드 돔 코포레이션 | Sulfur compounds as inhibitors of hepatitis c virus ns3 serine protease |
| PT2399916E (en) * | 2004-03-12 | 2015-03-17 | Vertex Pharma | Process and intermediates for the preparation of aspartic acetal caspase ihnhibitors |
| AR049635A1 (en) * | 2004-05-06 | 2006-08-23 | Schering Corp | (1R, 2S, 5S) -N - ((1S) -3-AMINO-1- (CYCLLOBUTILMETIL) -2,3-DIOXOPROPIL) -3 - ((2S) -2 - (((((1,1-DIMETILETIL ) AMINO) CARBONIL) AMINO) -3,3-DIMETIL-1-OXOBUTIL) -6,6-DIMETIL-3-AZABICICLO (3.1.0) HEXAN-2-CARBOXAMIDE AS INHIBITOR OF THE NS3 / NS4A SERINA PROTEASA DEL VIRUS DE HEPATITIS C |
| US7399749B2 (en) | 2004-05-20 | 2008-07-15 | Schering Corporation | Substituted prolines as inhibitors of hepatitis C virus NS3 serine protease |
| CA2573346C (en) | 2004-07-20 | 2011-09-20 | Boehringer Ingelheim International Gmbh | Hepatitis c inhibitor peptide analogs |
| UY29016A1 (en) | 2004-07-20 | 2006-02-24 | Boehringer Ingelheim Int | ANALOGS OF INHIBITING DIPEPTIDES OF HEPATITIS C |
| WO2006026352A1 (en) | 2004-08-27 | 2006-03-09 | Schering Corporation | Acylsulfonamide compounds as inhibitors of hepatitis c virus ns3 serine protease |
| US7196161B2 (en) * | 2004-10-01 | 2007-03-27 | Scynexis Inc. | 3-ether and 3-thioether substituted cyclosporin derivatives for the treatment and prevention of hepatitis C infection |
| BRPI0516737A (en) * | 2004-10-01 | 2008-04-29 | Scynexis Inc | method for treating or preventing hepatitis c virus infection, uses of a cyclosporine derivative and 3 - [(r) -2- (n, n-dimethylamino) ethylthio-sar] -4- (gamma-hydroxymethylucine) cyclosporine , or a pharmaceutically acceptable salt thereof, pharmaceutically acceptable salt of the cyclosporin derivative, and hydrate |
| SG191661A1 (en) | 2004-10-01 | 2013-07-31 | Vertex Pharma | Hcv ns3-ns4a protease inhibition |
| US7659263B2 (en) | 2004-11-12 | 2010-02-09 | Japan Tobacco Inc. | Thienopyrrole compound and use thereof as HCV polymerase inhibitor |
| GB0426661D0 (en) * | 2004-12-06 | 2005-01-05 | Isis Innovation | Pyrrolidine compounds |
| WO2006130607A2 (en) * | 2005-06-02 | 2006-12-07 | Schering Corporation | Controlled-release formulation useful for treating disorders associated with hepatitis c virus |
| WO2006130626A2 (en) * | 2005-06-02 | 2006-12-07 | Schering Corporation | Method for modulating activity of hcv protease through use of a novel hcv protease inhibitor to reduce duration of treatment period |
| US20060276407A1 (en) * | 2005-06-02 | 2006-12-07 | Schering Corporation | Methods of treating hepatitis C virus |
| KR20080021634A (en) * | 2005-06-02 | 2008-03-07 | 쉐링 코포레이션 | Pharmaceutical compositions and methods of treatment using the same |
| US20070021351A1 (en) * | 2005-06-02 | 2007-01-25 | Schering Corporation | Liver/plasma concentration ratio for dosing hepatitis C virus protease inhibitor |
| WO2006130627A2 (en) * | 2005-06-02 | 2006-12-07 | Schering Corporation | Methods for treating hepatitis c |
| US20060275366A1 (en) * | 2005-06-02 | 2006-12-07 | Schering Corporation | Controlled-release formulation |
| US20060276406A1 (en) * | 2005-06-02 | 2006-12-07 | Schering Corporation | Methods of treating hepatitis C virus |
| EP1891089B1 (en) * | 2005-06-02 | 2014-11-05 | Merck Sharp & Dohme Corp. | HCV protease inhibitors in combination with food |
| ZA200711069B (en) * | 2005-06-30 | 2009-03-25 | Virobay Inc | HCV inhibitors |
| US7608592B2 (en) * | 2005-06-30 | 2009-10-27 | Virobay, Inc. | HCV inhibitors |
| US20110104109A1 (en) * | 2005-07-13 | 2011-05-05 | Frank Bennett | Tetracyclic indole derivatives and their use for treating or preventing viral infections |
| EA019888B1 (en) * | 2005-07-25 | 2014-07-30 | Интермьюн, Инк. | Intermediate compound for making macrocyclic inhibitors of hepatitis c virus replication and method of synthesis thereof |
| MY142972A (en) | 2005-07-29 | 2011-01-31 | Tibotec Pharm Ltd | Macrocyclic inhibitors of hepatitis c virus |
| EP1912997B1 (en) | 2005-07-29 | 2011-09-14 | Tibotec Pharmaceuticals | Macrocyclic inhibitors of hepatitis c virus |
| WO2007016589A2 (en) * | 2005-08-02 | 2007-02-08 | Vertex Pharmaceuticals Incorporated | Inhibitors of serine proteases |
| US8399615B2 (en) | 2005-08-19 | 2013-03-19 | Vertex Pharmaceuticals Incorporated | Processes and intermediates |
| EP2194043B1 (en) | 2005-08-19 | 2013-12-25 | Vertex Pharmaceuticals Incorporated | Processes |
| AR055395A1 (en) | 2005-08-26 | 2007-08-22 | Vertex Pharma | INHIBITING COMPOUNDS OF THE ACTIVITY OF SERINA PROTEASA NS3-NS4A OF HEPATITIS C VIRUS |
| US7964624B1 (en) * | 2005-08-26 | 2011-06-21 | Vertex Pharmaceuticals Incorporated | Inhibitors of serine proteases |
| EP1933859A2 (en) * | 2005-09-30 | 2008-06-25 | Scynexis, Inc. | Methods and pharmaceutical compositions for the treatment and prevention of hepatitis c infection |
| US8329658B2 (en) * | 2005-09-30 | 2012-12-11 | Scynexis, Inc. | Arylalkyl and heteroarylalkyl derivatives of cyclosporine A for the treatment and prevention of viral infection |
| ATE493409T1 (en) | 2005-10-11 | 2011-01-15 | Intermune Inc | COMPOUNDS AND METHODS FOR INHIBITING HEPATITIS C VIRUS REPLICATION |
| CN101316843B (en) | 2005-11-03 | 2013-01-02 | 顶点医药品公司 | Aminopyrimidines useful as kinase inhibitors |
| EP1951748B1 (en) | 2005-11-11 | 2013-07-24 | Vertex Pharmaceuticals, Inc. | Hepatitis c virus variants |
| US7705138B2 (en) | 2005-11-11 | 2010-04-27 | Vertex Pharmaceuticals Incorporated | Hepatitis C virus variants |
| AR056805A1 (en) | 2005-11-14 | 2007-10-24 | Schering Corp | AN OXIDATION PROCESS FOR THE PREPARATION OF N- (3- AMINO-1- (CICLOBUTILMETIL) -2,3- DIOXOPROPIL) -3- (N - ((TER-BUTILAMINO) CARBONIL) -3- METIL-L- VALIL) -6,6- DIMETIL-3- AZABICICLO (3.1.0) HEXANO -2- CARBOXAMIDE AND RALATED COMPOUNDS |
| MX2008008350A (en) * | 2005-12-22 | 2008-09-03 | Schering Corp | Process for the preparation of 6, 6-dimethyl-3-azabicyclo-[3.1.0] -hexane compounds and enantiomeric salts thereof. |
| EP2386539B1 (en) | 2005-12-23 | 2016-07-20 | Zealand Pharma A/S | 4-Aminoproline derivatives useful as lysine mimetics |
| US7816348B2 (en) | 2006-02-03 | 2010-10-19 | Boehringer Ingelheim International Gmbh | Viral polymerase inhibitors |
| TW200808308A (en) * | 2006-02-09 | 2008-02-16 | Schering Corp | Novel HCV inhibitor combinations and methods |
| JP2009526070A (en) * | 2006-02-09 | 2009-07-16 | シェーリング コーポレイション | Combinations of HCV protease inhibitors and HCV polymerase inhibitors and methods of treatment associated therewith |
| US8039475B2 (en) * | 2006-02-27 | 2011-10-18 | Vertex Pharmaceuticals Incorporated | Co-crystals and pharmaceutical compositions comprising the same |
| MX2008011354A (en) * | 2006-03-03 | 2008-09-15 | Schering Corp | Pharmaceutical combinations of hcv-protease and -ires inhibitors. |
| JP5646814B2 (en) * | 2006-03-06 | 2014-12-24 | アッヴィ・インコーポレイテッド | Compositions and methods of use of ritonavir for treating HCV |
| WO2007109080A2 (en) | 2006-03-16 | 2007-09-27 | Vertex Pharmaceuticals Incorporated | Deuterated hepatitis c protease inhibitors |
| RU2448976C2 (en) | 2006-04-11 | 2012-04-27 | Новартис Аг | Hcv/hiv inhibitors and their application |
| MX2008013125A (en) * | 2006-04-11 | 2008-10-21 | Novartis Ag | Hcv inhibitors. |
| US20080045530A1 (en) * | 2006-04-11 | 2008-02-21 | Trixi Brandl | Organic Compounds and Their Uses |
| US8017612B2 (en) | 2006-04-18 | 2011-09-13 | Japan Tobacco Inc. | Piperazine compound and use thereof as a HCV polymerase inhibitor |
| CN101495095B (en) * | 2006-04-28 | 2013-05-29 | 默沙东公司 | Process for Precipitating and Isolating 6,6-Dimethyl-3-aza-bicyclo[3.1.0]hexane-amide Compounds by Controlled Precipitation and Pharmaceutical Preparations Containing The Same |
| US8420122B2 (en) * | 2006-04-28 | 2013-04-16 | Merck Sharp & Dohme Corp. | Process for the precipitation and isolation of 6,6-dimethyl-3-aza-bicyclo [3.1.0] hexane-amide compounds by controlled precipitation and pharmaceutical formulations containing same |
| JP5592647B2 (en) * | 2006-04-28 | 2014-09-17 | メルク・シャープ・アンド・ドーム・コーポレーション | Process for the precipitation and isolation of 6,6-dimethyl-3-aza-bicyclo [3.1.0] hexane-amide compounds by controlled precipitation and pharmaceutical formulations containing the same |
| US8188052B2 (en) | 2006-05-19 | 2012-05-29 | Scynexis, Inc. | Method for the treatment and prevention of ocular disorders |
| AU2007267733B9 (en) * | 2006-05-23 | 2011-04-21 | Irm Llc | Compounds and compositions as channel activating protease inhibitors |
| MX2008014839A (en) * | 2006-05-23 | 2008-12-05 | Irm Llc | Compounds and compositions as channel activating protease inhibitors. |
| JP2009539292A (en) * | 2006-06-02 | 2009-11-12 | ぺリション、クロード、アニー | Management of active electrons |
| RU2008152171A (en) * | 2006-07-05 | 2010-08-10 | Интермьюн, Инк. (Us) | NEW HEPATITIS C VIRAL REPLICATION INHIBITORS |
| EP2049474B1 (en) | 2006-07-11 | 2015-11-04 | Bristol-Myers Squibb Company | Hepatitis c virus inhibitors |
| EP1886685A1 (en) | 2006-08-11 | 2008-02-13 | INSERM (Institut National de la Santé et de la Recherche Médicale) | Methods, uses and compositions for modulating replication of hcv through the farnesoid x receptor (fxr) activation or inhibition |
| MX2009000882A (en) | 2006-08-17 | 2009-02-04 | Boehringer Ingelheim Int | Viral polymerase inhibitors. |
| BRPI0715714A2 (en) * | 2006-08-25 | 2014-03-11 | Wyeth Corp | METHODS FOR REDUCING THE EMERGENCY FREQUENCY OF A RESISTANT TREATMENT HEPATITIS C VIRAL INFECTION TO DELAY THE EMERGENCY OF A TREATMENT RESISTANT HEPATITIS C VIRAL INFECTION TO REDUCE THE RESISTANCE LEVEL OF A VIRAL TREATMENT INFECTION TO REDUCE THE EMERGENCY OF AN HCV-796 RESISTANT HEPATITIS C VIRAL INFECTION, TO IDENTIFY AN INDIVIDUAL WITH A REDUCED PROBABILITY TO ANTI-HEPATITIS DIAGNOSTIC OR DIAGNOSTIC DIAGNOSIS MONITORING TREATMENT IN A PATIENT TO MONITOR THE TREATMENT COURSE OF HEPATITIS C VIRAL INFECTION IN A PATIENT TO PROGNOSTIC DEVELOPMENT OF A HEPATITIS C VIRAL INFECTION RESISTANT TO MONITOR THE INFECTION OF A HEPATITIS C PATIENT AND TO DIAGNOSE THE DEVELOPMENT OF A HEPATITIS VIRAL INFECTION OF TREATMENT IN A PATIENT YOU |
| CN101541826A (en) * | 2006-09-13 | 2009-09-23 | 诺瓦提斯公司 | Macrocyclic HCV inhibitors and their uses |
| US8343477B2 (en) | 2006-11-01 | 2013-01-01 | Bristol-Myers Squibb Company | Inhibitors of hepatitis C virus |
| US7772180B2 (en) | 2006-11-09 | 2010-08-10 | Bristol-Myers Squibb Company | Hepatitis C virus inhibitors |
| US7888464B2 (en) | 2006-11-16 | 2011-02-15 | Bristol-Myers Squibb Company | Hepatitis C virus inhibitors |
| US8003604B2 (en) | 2006-11-16 | 2011-08-23 | Bristol-Myers Squibb Company | Hepatitis C virus inhibitors |
| US7763584B2 (en) | 2006-11-16 | 2010-07-27 | Bristol-Myers Squibb Company | Hepatitis C virus inhibitors |
| WO2008069917A2 (en) | 2006-11-20 | 2008-06-12 | Scynexis, Inc. | Novel cyclic peptides |
| WO2008064218A2 (en) * | 2006-11-21 | 2008-05-29 | Smithkline Beecham Corporation | Amido anti-viral compounds |
| TW200831084A (en) * | 2006-11-21 | 2008-08-01 | Genelabs Tech Inc | Anti-viral compounds |
| EP2099430A2 (en) * | 2006-12-07 | 2009-09-16 | Schering Corporation | Ph sensitive matrix formulation |
| EP2121604A2 (en) * | 2006-12-15 | 2009-11-25 | Schering Corporation | Bisulfite purification of an alpha-keto amide |
| PT2121605E (en) * | 2006-12-20 | 2014-02-11 | Merck Sharp & Dohme | Process for preparing (1r,2s,5s)-n-[(1s)-3-amino-1-(cyclobutylmethyl)-2,3-dioxopropyl]-3-[(2s)-2-[[[(1,1-dimethylethyl)amino]-carbonyl]amino]-3,3-dimethyl-1-oxobutyl]-6,6-dimethyl-3-azabicyclo[3.1.0]hexane-2-carboxamide |
| DK2468724T3 (en) | 2006-12-21 | 2016-02-22 | Zealand Pharma As | Synthesis of pyrrolidine compounds |
| CA2673254C (en) * | 2006-12-22 | 2013-09-10 | Schering Corporation | 4,5-ring annulated indole derivatives for treating or preventing of hcv and related viral infections |
| CA2674831A1 (en) | 2006-12-22 | 2008-11-13 | Schering Corporation | 5,6-ring annulated indole derivatives and methods of use thereof |
| JP5079818B2 (en) | 2006-12-22 | 2012-11-21 | メルク・シャープ・アンド・ドーム・コーポレーション | 4,5-cyclic indole derivatives for the treatment or prevention of HCV and related viral diseases |
| WO2008086053A1 (en) * | 2007-01-03 | 2008-07-17 | Virobay, Inc. | Hcv inhibitors |
| EA016327B1 (en) | 2007-02-09 | 2012-04-30 | Айрм Ллк | Compounds and compositions as channel activating protease inhibitors |
| WO2008106058A2 (en) * | 2007-02-27 | 2008-09-04 | Vertex Pharmaceuticals Incorporated | Inhibitors of serine proteases |
| US8759353B2 (en) * | 2007-02-27 | 2014-06-24 | Vertex Pharmaceuticals Incorporated | Co-crystals and pharmaceutical compositions comprising the same |
| WO2009008913A2 (en) * | 2007-03-23 | 2009-01-15 | Schering Corporation | P1-nonepimerizable ketoamide inhibitors of hcv ns3 protease |
| US20090155209A1 (en) * | 2007-05-03 | 2009-06-18 | Blatt Lawrence M | Novel macrocyclic inhibitors of hepatitis c virus replication |
| JP2010526143A (en) | 2007-05-04 | 2010-07-29 | バーテックス ファーマシューティカルズ インコーポレイテッド | Combination therapy for the treatment of HCV infection |
| KR20100027134A (en) * | 2007-05-10 | 2010-03-10 | 인터뮨, 인크. | Novel peptide inhibitors of hepatitis c virus replication |
| US8242140B2 (en) | 2007-08-03 | 2012-08-14 | Boehringer Ingelheim International Gmbh | Viral polymerase inhibitors |
| CN101842353A (en) * | 2007-08-29 | 2010-09-22 | 先灵公司 | 2, 3-substituted indole derivatives for treating viral infections |
| PE20090994A1 (en) | 2007-08-29 | 2009-08-03 | Schering Corp | AZAINDOL DERIVATIVES 2,3-SUBSTITUTED AS ANTIVIRAL AGENTS |
| AU2008295484B2 (en) | 2007-08-29 | 2013-09-26 | Merck Sharp & Dohme Llc | Substituted indole derivatives and methods of use thereof |
| AU2008297015B2 (en) | 2007-08-30 | 2013-08-22 | Vertex Pharmaceuticals Incorporated | Co-crystals and pharmaceutical compositions comprising the same |
| HRP20110637T1 (en) | 2007-09-14 | 2011-10-31 | Schering Corporation | METHOD OF TREATMENT OF PATIENTS WITH HEPATITIS C |
| CN104016970A (en) * | 2007-10-10 | 2014-09-03 | 诺华股份有限公司 | Spiropyrrolidines and their use against HCV and HIV infection |
| US8419332B2 (en) * | 2007-10-19 | 2013-04-16 | Atlas Bolt & Screw Company Llc | Non-dimpling fastener |
| JP5416708B2 (en) * | 2007-11-16 | 2014-02-12 | メルク・シャープ・アンド・ドーム・コーポレーション | 3-Aminosulfonyl-substituted indole derivatives and methods for their use |
| EP2222660B1 (en) * | 2007-11-16 | 2014-03-26 | Merck Sharp & Dohme Corp. | 3-heterocyclic substituted indole derivatives and methods of use thereof |
| EP2225203A1 (en) * | 2007-11-28 | 2010-09-08 | Schering Corporation | Dehydrohalogenation process for the preparation of intermediates useful in providing 6,6-dimethyl-3-azabicyclo-[3.1.0]-hexane compounds |
| EP2234977A4 (en) | 2007-12-19 | 2011-04-13 | Boehringer Ingelheim Int | Viral polymerase inhibitors |
| US8202996B2 (en) | 2007-12-21 | 2012-06-19 | Bristol-Myers Squibb Company | Crystalline forms of N-(tert-butoxycarbonyl)-3-methyl-L-valyl-(4R)-4-((7-chloro-4-methoxy-1-isoquinolinyl)oxy)-N- ((1R,2S)-1-((cyclopropylsulfonyl)carbamoyl)-2-vinylcyclopropyl)-L-prolinamide |
| BRPI0908021A2 (en) | 2008-02-04 | 2015-07-21 | Idenix Pharmaceuticals Inc | Compound, Pharmaceutical Composition, and, Uses of Compound or Pharmaceutical Composition |
| BRPI0911260A2 (en) * | 2008-04-15 | 2015-09-29 | Intermune Inc | compound, pharmaceutical composition, method of inhibiting ns3 / ns4 protease activity in vitro, and uses of compounds |
| US8163921B2 (en) | 2008-04-16 | 2012-04-24 | Bristol-Myers Squibb Company | Hepatitis C virus inhibitors |
| US8044023B2 (en) | 2008-05-29 | 2011-10-25 | Bristol-Myers Squibb Company | Hepatitis C virus inhibitors |
| US7964560B2 (en) | 2008-05-29 | 2011-06-21 | Bristol-Myers Squibb Company | Hepatitis C virus inhibitors |
| WO2009148615A1 (en) * | 2008-06-06 | 2009-12-10 | Scynexis, Inc. | Cyclosporin analogs and their use in the treatment of hcv infections |
| CA2724523A1 (en) * | 2008-06-06 | 2010-01-07 | Scynexis, Inc. | Novel macrocyclic peptides |
| WO2009152200A1 (en) * | 2008-06-13 | 2009-12-17 | Schering Corporation | Tricyclic indole derivatives and methods of use thereof |
| CN102816106A (en) | 2008-06-24 | 2012-12-12 | 默沙东公司 | Biocatalytic processes for the preparation of substantially stereomerically pure fused bicyclic proline compounds |
| US8188137B2 (en) | 2008-08-15 | 2012-05-29 | Avila Therapeutics, Inc. | HCV protease inhibitors and uses thereof |
| AR072937A1 (en) | 2008-08-20 | 2010-09-29 | Schering Corp | DERIVATIVES OF PIRIDINE AND REPLACED PYRIMIDINE AND ITS USE IN THE TREATMENT OF VIRAL INFECTIONS |
| JP5654990B2 (en) | 2008-08-20 | 2015-01-14 | メルク・シャープ・アンド・ドーム・コーポレーションMerck Sharp & Dohme Corp. | Azo-substituted pyridine and pyrimidine derivatives and their use in the treatment of viral infections |
| AU2009282574B2 (en) | 2008-08-20 | 2014-08-21 | Merck Sharp & Dohme Corp. | Ethenyl-substituted pyridine and pyrimidine derivatives and their use in treating viral infections |
| JP5674661B2 (en) | 2008-08-20 | 2015-02-25 | メルク・シャープ・アンド・ドーム・コーポレーションMerck Sharp & Dohme Corp. | Ethynyl-substituted pyridine and pyrimidine derivatives and their use in the treatment of viral infections |
| US8207341B2 (en) | 2008-09-04 | 2012-06-26 | Bristol-Myers Squibb Company | Process or synthesizing substituted isoquinolines |
| US8044087B2 (en) | 2008-09-29 | 2011-10-25 | Bristol-Myers Squibb Company | Hepatitis C virus inhibitors |
| US8563505B2 (en) | 2008-09-29 | 2013-10-22 | Bristol-Myers Squibb Company | Hepatitis C virus inhibitors |
| AP2011005695A0 (en) * | 2008-10-15 | 2011-06-30 | Intermune Inc | Therapeutic antiviral poptides. |
| US8283310B2 (en) | 2008-12-15 | 2012-10-09 | Bristol-Myers Squibb Company | Hepatitis C virus inhibitors |
| US8536114B2 (en) * | 2008-12-31 | 2013-09-17 | Scynexis, Inc. | Macrocycles |
| AU2010203656A1 (en) | 2009-01-07 | 2011-07-21 | Scynexis, Inc. | Cyclosporine derivative for use in the treatment of HCV and HIV infection |
| GB0900914D0 (en) | 2009-01-20 | 2009-03-04 | Angeletti P Ist Richerche Bio | Antiviral agents |
| US8102720B2 (en) * | 2009-02-02 | 2012-01-24 | Qualcomm Incorporated | System and method of pulse generation |
| AR075584A1 (en) * | 2009-02-27 | 2011-04-20 | Intermune Inc | THERAPEUTIC COMPOSITIONS THAT INCLUDE beta-D-2'-DESOXI-2'-FLUORO-2'-C-METHYLYCTIDINE AND A CARDIEX ISOINDOL ACID DERIVATIVE AND ITS USES. COMPOUND. |
| EP2403860B1 (en) | 2009-03-04 | 2015-11-04 | IDENIX Pharmaceuticals, Inc. | Phosphothiophene and phosphothiazole as hcv polymerase inhibitors |
| JP2012523419A (en) | 2009-04-08 | 2012-10-04 | イデニク プハルマセウティカルス,インコーポレイテッド | Macrocyclic serine protease inhibitor |
| US20110182850A1 (en) * | 2009-04-10 | 2011-07-28 | Trixi Brandl | Organic compounds and their uses |
| US8512690B2 (en) | 2009-04-10 | 2013-08-20 | Novartis Ag | Derivatised proline containing peptide compounds as protease inhibitors |
| US20120244122A1 (en) | 2009-05-28 | 2012-09-27 | Masse Craig E | Peptides for the Treatment of HCV Infections |
| EP2435424B1 (en) | 2009-05-29 | 2015-01-21 | Merck Sharp & Dohme Corp. | Antiviral compounds composed of three linked aryl moieties to treat diseases such as hepatitis c |
| TW201105323A (en) | 2009-06-23 | 2011-02-16 | Gilead Sciences Inc | Pharmaceutical compositions useful for treating HCV |
| US20110034469A1 (en) | 2009-08-04 | 2011-02-10 | Takeda Pharmaceutical Company Limited | Heterocyclic Compound |
| US9284307B2 (en) | 2009-08-05 | 2016-03-15 | Idenix Pharmaceuticals Llc | Macrocyclic serine protease inhibitors |
| US9156818B2 (en) | 2009-09-11 | 2015-10-13 | Enanta Pharmaceuticals, Inc. | Hepatitis C virus inhibitors |
| WO2011038293A1 (en) * | 2009-09-28 | 2011-03-31 | Intermune, Inc. | Cyclic peptide inhibitors of hepatitis c virus replication |
| US20110082182A1 (en) * | 2009-10-01 | 2011-04-07 | Intermune, Inc. | Therapeutic antiviral peptides |
| US20110117055A1 (en) | 2009-11-19 | 2011-05-19 | Macdonald James E | Methods of Treating Hepatitis C Virus with Oxoacetamide Compounds |
| EP2503881B1 (en) | 2009-11-25 | 2015-05-13 | Merck Sharp & Dohme Corp. | Fused tricyclic compounds and derivatives thereof useful for the treatment of viral diseases |
| CA2784748A1 (en) | 2009-12-18 | 2011-06-23 | Idenix Pharmaceuticals, Inc. | 5,5-fused arylene or heteroarylene hepatitis c virus inhibitors |
| AU2010341537A1 (en) | 2009-12-22 | 2012-08-09 | Merck Sharp & Dohme Corp. | Fused Tricyclic Compounds and methods of use thereof for the treatment of viral diseases |
| US9433621B2 (en) | 2010-02-18 | 2016-09-06 | Merck Sharp & Dohme Corp. | Substituted pyridine and pyrimidine derivatives and their use in treating viral infections |
| BR112012021581A2 (en) * | 2010-02-25 | 2017-03-21 | Ver Voor Christelijk Hoger Onderwijs Wetenschappelijk Onderzoek En Patiëntenzorg | alpha-acyloxyl beta-formamide amides preparation process |
| JP2013522202A (en) | 2010-03-09 | 2013-06-13 | メルク・シャープ・エンド・ドーム・コーポレイション | Fused tricyclic silyl compounds and methods of use thereof for the treatment of viral diseases |
| WO2012018534A2 (en) | 2010-07-26 | 2012-02-09 | Schering Corporation | Substituted biphenylene compounds and methods of use thereof for the treatment of viral diseases |
| WO2012050848A1 (en) | 2010-09-29 | 2012-04-19 | Schering Corporation | Fused tetracycle derivatives and methods of use thereof for the treatment of viral diseases |
| AR085352A1 (en) | 2011-02-10 | 2013-09-25 | Idenix Pharmaceuticals Inc | MACROCICLIC INHIBITORS OF SERINA PROTEASA, ITS PHARMACEUTICAL COMPOSITIONS AND ITS USE TO TREAT HCV INFECTIONS |
| WO2012107589A1 (en) | 2011-02-11 | 2012-08-16 | INSERM (Institut National de la Santé et de la Recherche Médicale) | Methods and pharmaceutical compositions for the treatment and prevention of hcv infections |
| US20120252721A1 (en) | 2011-03-31 | 2012-10-04 | Idenix Pharmaceuticals, Inc. | Methods for treating drug-resistant hepatitis c virus infection with a 5,5-fused arylene or heteroarylene hepatitis c virus inhibitor |
| EP2697242B1 (en) | 2011-04-13 | 2018-10-03 | Merck Sharp & Dohme Corp. | 2'-azido substituted nucleoside derivatives and methods of use thereof for the treatment of viral diseases |
| WO2012142085A1 (en) | 2011-04-13 | 2012-10-18 | Merck Sharp & Dohme Corp. | 2'-substituted nucleoside derivatives and methods of use thereof for the treatment of viral diseases |
| US8957203B2 (en) | 2011-05-05 | 2015-02-17 | Bristol-Myers Squibb Company | Hepatitis C virus inhibitors |
| US8691757B2 (en) | 2011-06-15 | 2014-04-08 | Bristol-Myers Squibb Company | Hepatitis C virus inhibitors |
| WO2013033899A1 (en) | 2011-09-08 | 2013-03-14 | Merck Sharp & Dohme Corp. | Substituted benzofuran compounds and methods of use thereof for the treatment of viral diseases |
| WO2013033900A1 (en) | 2011-09-08 | 2013-03-14 | Merck Sharp & Dohme Corp. | Tetracyclic heterocycle compounds and methods of use thereof for the treatment of viral diseases |
| WO2013033901A1 (en) | 2011-09-08 | 2013-03-14 | Merck Sharp & Dohme Corp. | Heterocyclic-substituted benzofuran derivatives and methods of use thereof for the treatment of viral diseases |
| US20140378416A1 (en) | 2011-09-14 | 2014-12-25 | Michael P. Dwyer | Silyl-containing heterocyclic compounds and methods of use thereof for the treatment of viral diseases |
| US20130123325A1 (en) | 2011-11-14 | 2013-05-16 | Sven Ruf | Use of boceprevir and related compounds in atherosclerosis, heart failure, renal diseases, liver diseases or inflammatory diseases |
| WO2013178682A2 (en) * | 2012-05-30 | 2013-12-05 | Chemo Ibérica, S.A. | Multicomponent process for the preparation of bicyclic compounds |
| CN103508918B (en) * | 2012-06-18 | 2015-09-09 | 上海医药工业研究院 | With the Alpha-hydroxy beta-amino ester compound and preparation method thereof of cyclobutyl |
| WO2014053533A1 (en) | 2012-10-05 | 2014-04-10 | Sanofi | Use of substituted 3-heteroaroylamino-propionic acid derivatives as pharmaceuticals for prevention/treatment of atrial fibrillation |
| WO2014061034A1 (en) * | 2012-10-18 | 2014-04-24 | Msn Laboratories Limited | Process for preparation of boceprevir and intermediates thereof |
| BR112015007879A2 (en) | 2012-10-19 | 2017-07-04 | Bristol Myers Squibb Co | hepatitis c virus inhibitors |
| CA2889903C (en) | 2012-10-29 | 2021-03-09 | Manjinder Singh Phull | Antiviral phosphonate analogues and process for preparation thereof |
| WO2014071007A1 (en) | 2012-11-02 | 2014-05-08 | Bristol-Myers Squibb Company | Hepatitis c virus inhibitors |
| WO2014070964A1 (en) | 2012-11-02 | 2014-05-08 | Bristol-Myers Squibb Company | Hepatitis c virus inhibitors |
| US9643999B2 (en) | 2012-11-02 | 2017-05-09 | Bristol-Myers Squibb Company | Hepatitis C virus inhibitors |
| EP2914614B1 (en) | 2012-11-05 | 2017-08-16 | Bristol-Myers Squibb Company | Hepatitis c virus inhibitors |
| WO2014083575A2 (en) | 2012-11-29 | 2014-06-05 | Mylan Laboratories Ltd | Improved process for the preparation of boceprevir intermediate |
| CN103936652B (en) * | 2013-01-18 | 2016-07-06 | 上海医药工业研究院 | Intermediate compound IV of anti-hepatitis C medicine Boceprevir and its preparation method and application |
| CN103936818B (en) * | 2013-01-18 | 2017-09-29 | 上海医药工业研究院 | Anti- hepatitis medicine Boceprevir intermediate I and its preparation method and application |
| CN103936627B (en) * | 2013-01-18 | 2016-08-31 | 上海医药工业研究院 | Intermediate VII of anti-hepatitis medicine Boceprevir and its preparation method and application |
| WO2014137869A1 (en) | 2013-03-07 | 2014-09-12 | Bristol-Myers Squibb Company | Hepatitis c virus inhibitors |
| AR095426A1 (en) | 2013-03-14 | 2015-10-14 | Onyx Therapeutics Inc | TRIPEPTIDE INHIBITORS OF PROTEASA EPOXYCETONE |
| SG11201507106PA (en) | 2013-03-14 | 2015-10-29 | Onyx Therapeutics Inc | Dipeptide and tripeptide epoxy ketone protease inhibitors |
| EP3184095A1 (en) | 2013-05-23 | 2017-06-28 | IP Gesellschaft für Management mbH | Administration units comprising polymorph 1 of 2-(2-methylamino-pyrimidin-4-yl]-1h-indole-5-carboxylic acid [(s)-1-carbamoyl-2-(phenyl-pyrimidin-2-yl-amino)-ethyl]-amide |
| CN103387510B (en) * | 2013-08-08 | 2015-09-09 | 苏州永健生物医药有限公司 | A kind of synthetic method of β-amino-alpha-hydroxycyclobutylbutanamide hydrochloride |
| WO2015042375A1 (en) | 2013-09-20 | 2015-03-26 | Idenix Pharmaceuticals, Inc. | Hepatitis c virus inhibitors |
| JP6466433B2 (en) * | 2013-10-24 | 2019-02-06 | ビーブ・ヘルスケア・ユーケイ・(ナンバー5)・リミテッドViiV Healthcare UK (No.5) Limited | Inhibitors of human immunodeficiency virus replication |
| US10167298B2 (en) | 2013-10-30 | 2019-01-01 | Merck Sharp & Dohme Corp. | Pseudopolymorphs of an HCV NS5A inhibitor and uses thereof |
| EP2899207A1 (en) | 2014-01-28 | 2015-07-29 | Amikana.Biologics | New method for testing HCV protease inhibition |
| EP3114122A1 (en) | 2014-03-05 | 2017-01-11 | Idenix Pharmaceuticals LLC | Solid forms of a flaviviridae virus inhibitor compound and salts thereof |
| WO2015134561A1 (en) | 2014-03-05 | 2015-09-11 | Idenix Pharmaceuticals, Inc. | Pharmaceutical compositions comprising a 5,5-fused heteroarylene flaviviridae inhibitor and their use for treating or preventing flaviviridae infection |
| CN106810485A (en) * | 2015-11-27 | 2017-06-09 | 上海现代制药股份有限公司 | A kind of Preparation Method And Their Intermediate of chiral boxidine alkanone |
| EP3472151A4 (en) | 2016-06-21 | 2020-03-04 | Orion Ophthalmology LLC | CARBOCYCLIC PROLINAMIDE DERIVATIVES |
| KR102595723B1 (en) * | 2016-06-21 | 2023-10-27 | 오리온 옵탈몰로지 엘엘씨 | Heterocyclic Prolinamide Derivatives |
| ES2917194T3 (en) * | 2016-06-21 | 2022-07-07 | Orion Ophthalmology LLC | Aliphatic prolinamide derivatives |
| WO2018073110A1 (en) | 2016-10-20 | 2018-04-26 | Basf Se | Quinoline compounds as fungicides |
| BR112019014061A2 (en) | 2017-01-23 | 2020-02-04 | Basf Se | compounds of formula i, intermediates b, intermediates c, intermediates ii and intermediates d, composition, use, method to combat phytopathogenic fungi, seed and process for the synthesis of the compounds of formula i |
| US20200187500A1 (en) | 2017-04-06 | 2020-06-18 | Basf Se | Pyridine compounds |
| CN110709096B (en) | 2017-05-05 | 2023-10-31 | 泽兰德制药公司 | Gap junction communication modulators and their application in the treatment of diabetic eye disease |
| WO2020169593A1 (en) | 2019-02-19 | 2020-08-27 | Univerza V Ljubljani | Antibacterials based on monocyclic fragments coupled to aminopiperidine naphthyridine scaffold |
| WO2021209563A1 (en) | 2020-04-16 | 2021-10-21 | Som Innovation Biotech, S.A. | Compounds for use in the treatment of viral infections by respiratory syndrome-related coronavirus |
| KR20230069090A (en) * | 2020-07-20 | 2023-05-18 | 이난타 파마슈티칼스, 인코포레이티드 | Functionalized Peptides as Antiviral Agents |
| US12083099B2 (en) | 2020-10-28 | 2024-09-10 | Accencio LLC | Methods of treating symptoms of coronavirus infection with viral protease inhibitors |
| AU2021383832A1 (en) | 2020-11-23 | 2023-06-22 | Enanta Pharmaceuticals, Inc. | Novel spiropyrrolidine derived antiviral agents |
| US12540141B2 (en) | 2020-11-23 | 2026-02-03 | Enanta Pharmaceuticals, Inc. | Spiropyrrolidine derived antiviral agents |
| WO2022208113A1 (en) * | 2021-04-01 | 2022-10-06 | Heptares Therapeutics Limited | Sars-cov-2 mpro inhibitor compounds |
| EP4209494B1 (en) * | 2021-04-16 | 2024-10-09 | Fujian Akeylink Biotechnology Co., Ltd. | Ring-modified proline short peptide compound and use thereof |
| WO2022235605A1 (en) | 2021-05-04 | 2022-11-10 | Enanta Pharmaceuticals, Inc. | Novel macrocyclic antiviral agents |
| US12398147B2 (en) | 2021-05-11 | 2025-08-26 | Enanta Pharmaceuticals, Inc. | Macrocyclic spiropyrrolidine derived antiviral agents |
| US11851422B2 (en) | 2021-07-09 | 2023-12-26 | Aligos Therapeutics, Inc. | Anti-viral compounds |
| US12479854B2 (en) | 2021-07-29 | 2025-11-25 | Enanta Pharmaceuticals, Inc. | Spiropyrrolidine derived antiviral agents |
| US12065428B2 (en) | 2021-09-17 | 2024-08-20 | Aligos Therapeutics, Inc. | Anti-viral compounds |
| WO2023086352A1 (en) | 2021-11-12 | 2023-05-19 | Enanta Pharmaceuticals, Inc. | Novel spiropyrrolidine derived antiviral agents |
| WO2023086400A1 (en) | 2021-11-12 | 2023-05-19 | Enanta Pharmaceuticals, Inc. | Novel spiropyrrolidine derived antiviral agents |
| WO2023086350A1 (en) | 2021-11-12 | 2023-05-19 | Enanta Pharmaceuticals, Inc. | Alkyne-containing antiviral agents |
| US12145941B2 (en) | 2021-12-08 | 2024-11-19 | Enanta Pharmaceuticals, Inc. | Heterocyclic antiviral agents |
| WO2023107419A1 (en) | 2021-12-08 | 2023-06-15 | Enanta Pharmaceuticals, Inc. | Saturated spirocyclics as antiviral agents |
| CN114133350B (en) * | 2021-12-16 | 2023-05-23 | 浙江乐普药业股份有限公司 | Preparation method of anti-neocrown drug Paxlovid intermediate |
| WO2023149981A1 (en) * | 2022-02-07 | 2023-08-10 | Purdue Research Foundation | Compounds for the treatment of sars |
| WO2023196307A1 (en) | 2022-04-05 | 2023-10-12 | Enanta Pharmaceuticals, Inc. | Novel spiropyrrolidine derived antiviral agents |
| CN114736151B (en) * | 2022-04-13 | 2023-04-21 | 湖南复瑞生物医药技术有限责任公司 | Preparation method of Pa Luo Weide key intermediate and structural formula of compound |
| CN115160205B (en) * | 2022-07-08 | 2024-06-07 | 上海皓鸿生物医药科技有限公司 | Method for preparing (S) -1- (tert-butoxycarbonyl) -2, 5-dihydro-1H-pyrrole-2-carboxylic acid and salt thereof |
Citations (49)
| Publication number | Priority date | Publication date | Assignee | Title |
|---|---|---|---|---|
| US4209442A (en) | 1977-07-18 | 1980-06-24 | Richter Gedeon Vegyeszeti Gyar Rt. | Angiotensin II analogs and process for the preparation thereof |
| US4400316A (en) | 1980-11-11 | 1983-08-23 | Toyo Jozo Kabushiki Kaisha | C-Terminal fragment of human chorionic gonadotropin |
| US4555403A (en) | 1979-09-06 | 1985-11-26 | Victor Brantl | Pharmacologically active peptides and medicaments containing the same |
| US4596789A (en) | 1983-04-27 | 1986-06-24 | Ici Americas Inc. | Proline derivatives |
| EP0195212A2 (en) | 1985-02-04 | 1986-09-24 | Merrell Dow Pharmaceuticals Inc. | Novel peptidase inhibitors |
| WO1989004669A1 (en) | 1987-11-18 | 1989-06-01 | Chiron Corporation | Nanbv diagnostics and vaccines |
| EP0363284A2 (en) | 1988-10-07 | 1990-04-11 | Merrell Pharmaceuticals Inc. | Use of peptidase inhibitors for the preparation of medicaments useful for the treatment of strokes |
| EP0381216A1 (en) | 1989-02-01 | 1990-08-08 | Asahi Glass Company Ltd. | Hydrochlorofluorocarbon azeotropic or azeotropic-like mixture |
| EP0423358A1 (en) | 1989-04-15 | 1991-04-24 | Zaidan Hojin Biseibutsu Kagaku Kenkyu Kai | Postostatin and related compound thereof, or their salts |
| JPH041140A (en) | 1990-04-13 | 1992-01-06 | Microbial Chem Res Found | Production of 3-amino-2-oxofatty acid derivative |
| JPH04149166A (en) | 1990-10-12 | 1992-05-22 | Nippon Kayaku Co Ltd | Novel keto acid amide derivative |
| WO1992011850A2 (en) | 1990-12-28 | 1992-07-23 | Cortex Pharmaceuticals, Inc. | Use of calpain inhibitors in the inhibition and treatment of neurodegeneration |
| WO1994000095A2 (en) | 1992-06-24 | 1994-01-06 | Cortex Pharmaceuticals, Inc. | Use of calpain inhibitors in the inhibition and treatment of medical conditions associated with increased calpain activity |
| US5359138A (en) | 1989-04-15 | 1994-10-25 | Zaidan Hojin Biseibutsu Kagaku Kenkyu Kai | Poststatin and related compounds or salts thereof |
| WO1995033764A2 (en) | 1994-06-07 | 1995-12-14 | Procter & Gamble | Oral compositions comprising a novel tripeptide |
| US5488067A (en) | 1993-09-24 | 1996-01-30 | G. D. Searle & Co. | Alkylaminoalkyl-terminated sulfide/sulfonyl-containing propargyl amino-diol compounds for treatment of hypertension |
| US5496927A (en) | 1985-02-04 | 1996-03-05 | Merrell Pharmaceuticals Inc. | Peptidase inhibitors |
| US5514694A (en) | 1992-09-21 | 1996-05-07 | Georgia Tech Research Corp | Peptidyl ketoamides |
| WO1996040743A2 (en) | 1995-06-07 | 1996-12-19 | Cor Therapeutics, Inc. | INHIBITORS OF FACTOR Xa |
| WO1997006804A1 (en) | 1995-08-19 | 1997-02-27 | Glaxo Group Limited | 1,3-oxathiolane nucleoside analogues in the treatment of hepatitis c |
| US5633388A (en) | 1996-03-29 | 1997-05-27 | Viropharma Incorporated | Compounds, compositions and methods for treatment of hepatitis C |
| WO1997031937A1 (en) | 1996-03-01 | 1997-09-04 | Akzo Nobel N.V. | Serine protease inhibitors |
| US5712145A (en) | 1990-04-04 | 1998-01-27 | Chiron Corporation | Hepatitis C virus protease |
| WO1998007734A1 (en) | 1996-08-21 | 1998-02-26 | Hybridon, Inc. | Oligonucleotide prodrugs |
| WO1998012308A1 (en) | 1996-09-17 | 1998-03-26 | Istituto Di Ricerche Di Biologia Molecolare P. Angeletti S.P.A | Soluble polypeptides with activity of the ns3 serine protease of hepatitis c virus, and process for their preparation and isolation |
| WO1998013462A1 (en) | 1996-09-24 | 1998-04-02 | The Procter & Gamble Company | Liquid detergents containing proteolytic enzyme, peptide aldehyde and a source of boric acid |
| WO1998014181A1 (en) | 1996-09-30 | 1998-04-09 | Regents Of The University Of California | Treatment and prevention of hepatic disorders |
| US5739002A (en) | 1994-02-23 | 1998-04-14 | Istituto Di Richerche Di Biologia Molecolare P. Angeletti S.P.A. | Method for reproducing in vitro the Proteolytic activity of the NS3 protease of hepatitis C virus (HCV) |
| WO1998017679A1 (en) | 1996-10-18 | 1998-04-30 | Vertex Pharmaceuticals Incorporated | Inhibitors of serine proteases, particularly hepatitis c virus ns3 protease |
| WO1998022496A2 (en) | 1996-11-18 | 1998-05-28 | F. Hoffmann-La Roche Ag | Antiviral peptide derivatives |
| US5763576A (en) | 1995-10-06 | 1998-06-09 | Georgia Tech Research Corp. | Tetrapeptide α-ketoamides |
| WO1998029435A1 (en) | 1996-12-27 | 1998-07-09 | Boehringer Ingelheim (Canada) Ltd. | Peptidomimetic inhibitors of the human cytomegalovirus protease |
| WO1998037180A2 (en) | 1997-02-22 | 1998-08-27 | Abbott Laboratories | Hcv fusion protease and polynucleotide encoding same |
| US5843450A (en) | 1994-02-14 | 1998-12-01 | Abbott Laboratories | Hepatitis GB Virus synthetic peptides and uses thereof |
| US5843752A (en) | 1995-05-12 | 1998-12-01 | Schering Corporation | Soluble active hepatitis C virus protease |
| US5854001A (en) | 1992-01-31 | 1998-12-29 | Abbott Laboratories | Hepatitis C virus fusion proteins |
| WO1999007734A2 (en) | 1997-08-11 | 1999-02-18 | Boehringer Ingelheim (Canada) Ltd. | Hepatitis c inhibitor peptide analogues |
| WO1999007733A2 (en) | 1997-08-11 | 1999-02-18 | Boehringer Ingelheim (Canada) Ltd. | Hepatitis c inhibitor peptides |
| FR2778406A1 (en) | 1998-05-06 | 1999-11-12 | Hoffmann La Roche | ALPHA-CETOAMIDE DERIVATIVES, PROCESS FOR THEIR PREPARATION, PHARMACEUTICAL PREPARATIONS CONTAINING THEM, AND THEIR USE AS ANTI-VIRAL DRUGS |
| WO1999064442A1 (en) | 1998-06-10 | 1999-12-16 | Istituto Di Ricerche Di Biologia Molecolare P Angeletti S.P.A. | Peptide inhibitors of hepatitis c virus ns3 protease |
| WO2000005245A2 (en) | 1998-07-24 | 2000-02-03 | Corvas International, Inc. | Inhibitors of urokinase and blood vessel formation |
| WO2000009558A1 (en) | 1998-08-10 | 2000-02-24 | Boehringer Ingelheim (Canada) Ltd. | Hepatitis c inhibitor peptides |
| WO2000009543A2 (en) | 1998-08-10 | 2000-02-24 | Boehringer Ingelheim (Canada) Ltd. | Hepatitis c inhibitor tri-peptides |
| CA2362911A1 (en) | 1999-03-03 | 2000-09-08 | Dainippon Pharmaceutical Co., Ltd. | Heterocyclic compounds, intermediates thereof and elastase inhibitors |
| WO2001040262A1 (en) | 1999-12-03 | 2001-06-07 | Bristol-Myers Squibb Pharma Company | Alpha-ketoamide inhibitors of hepatitis c virus ns3 protease |
| WO2001074768A2 (en) | 2000-04-03 | 2001-10-11 | Vertex Pharmaceuticals Incorporated | Inhibitors of serine proteases, particularly hepatitis c virus ns3 protease |
| WO2002018369A2 (en) | 2000-08-31 | 2002-03-07 | Eli Lilly And Company | Peptidomimetic protease inhibitors |
| US6800434B2 (en) | 2000-07-21 | 2004-10-05 | Schering Corporation | Peptides as NS3-serine protease inhibitors of hepatitis C virus |
| US7244721B2 (en) | 2000-07-21 | 2007-07-17 | Schering Corporation | Peptides as NS3-serine protease inhibitors of hepatitis C virus |
Family Cites Families (6)
| Publication number | Priority date | Publication date | Assignee | Title |
|---|---|---|---|---|
| FR2686086A1 (en) * | 1992-01-15 | 1993-07-16 | Adir | NOVEL THERAPEUTICALLY ACTIVE PEPTIDE AND PSEUDOPEPTIDE DERIVATIVES IN BLOOD COAGULATION CASCADE, PREPARATION METHOD THEREOF AND PHARMACEUTICAL COMPOSITIONS CONTAINING SAME. |
| US6285380B1 (en) * | 1994-08-02 | 2001-09-04 | New York University | Method and system for scripting interactive animated actors |
| RU2104284C1 (en) * | 1994-10-20 | 1998-02-10 | Научно-исследовательский институт вирусологии им.Д.И.Ивановского РАМН | Synthetic oligoypeptides specifically interacting with antibodies raised to hepatitis c virus, methods of diagnosis hcv-infection (variants) |
| US5736576A (en) * | 1996-06-04 | 1998-04-07 | Octamer, Inc. | Method of treating malignant tumors with thyroxine analogues having no significant hormonal activity |
| UA74546C2 (en) * | 1999-04-06 | 2006-01-16 | Boehringer Ingelheim Ca Ltd | Macrocyclic peptides having activity relative to hepatitis c virus, a pharmaceutical composition and use of the pharmaceutical composition |
| SK288064B6 (en) * | 2000-07-21 | 2013-04-03 | Merck Sharp & Dohme Corp. | Peptide compounds, pharmaceutical compositions comprising them and their use |
-
2001
- 2001-07-19 SK SK75-2003A patent/SK288064B6/en not_active IP Right Cessation
- 2001-07-19 KR KR1020037000784A patent/KR100904788B1/en not_active Expired - Fee Related
- 2001-07-19 CN CN2011100651916A patent/CN102206247B/en not_active Expired - Fee Related
- 2001-07-19 BR BR0112540-0A patent/BR0112540A/en not_active IP Right Cessation
- 2001-07-19 AU AU7698801A patent/AU7698801A/en active Pending
- 2001-07-19 AU AU2001276988A patent/AU2001276988B2/en not_active Ceased
- 2001-07-19 PL PL366063A patent/PL206255B1/en unknown
- 2001-07-19 HU HU0401730A patent/HU229997B1/en not_active IP Right Cessation
- 2001-07-19 WO PCT/US2001/022678 patent/WO2002008244A2/en not_active Ceased
- 2001-07-19 CA CA2410662A patent/CA2410662C/en not_active Expired - Fee Related
- 2001-07-19 US US09/908,955 patent/US7012066B2/en not_active Ceased
- 2001-07-19 NZ NZ523782A patent/NZ523782A/en not_active IP Right Cessation
- 2001-07-19 DK DK01954764.5T patent/DK1385870T3/en active
- 2001-07-19 SI SI200130967T patent/SI1385870T1/en unknown
- 2001-07-19 CN CNA018131115A patent/CN1498224A/en active Pending
- 2001-07-19 MY MYPI20013436A patent/MY139078A/en unknown
- 2001-07-19 ES ES01954764T patent/ES2341534T3/en not_active Expired - Lifetime
- 2001-07-19 CN CN2011102287110A patent/CN102372764A/en active Pending
- 2001-07-19 EP EP01954764A patent/EP1385870B1/en not_active Expired - Lifetime
- 2001-07-19 MY MYPI20064737A patent/MY143322A/en unknown
- 2001-07-19 KR KR1020097002011A patent/KR100939155B1/en not_active Expired - Fee Related
- 2001-07-19 RU RU2003105217/04A patent/RU2355700C9/en not_active IP Right Cessation
- 2001-07-19 MX MXPA03000627A patent/MXPA03000627A/en active IP Right Grant
- 2001-07-19 CZ CZ20030151A patent/CZ303213B6/en not_active IP Right Cessation
- 2001-07-19 IL IL15367001A patent/IL153670A0/en unknown
- 2001-07-19 JP JP2002514149A patent/JP4298289B2/en not_active Expired - Fee Related
- 2001-07-19 AT AT01954764T patent/ATE461207T1/en active
- 2001-07-19 PT PT01954764T patent/PT1385870E/en unknown
- 2001-07-19 DE DE60141608T patent/DE60141608D1/en not_active Expired - Lifetime
- 2001-07-20 TW TW090117804A patent/TWI324611B/en not_active IP Right Cessation
- 2001-07-20 AR ARP010103450A patent/AR033985A1/en not_active Application Discontinuation
-
2002
- 2002-12-19 ZA ZA200210312A patent/ZA200210312B/en unknown
- 2002-12-25 IL IL153670A patent/IL153670A/en active Protection Beyond IP Right Term
-
2003
- 2003-01-20 EC EC2003004438A patent/ECSP034438A/en unknown
- 2003-01-20 NO NO20030272A patent/NO332329B1/en not_active IP Right Cessation
-
2005
- 2005-09-30 US US11/241,656 patent/US20060205672A1/en not_active Abandoned
-
2008
- 2008-06-30 RU RU2008126266/04A patent/RU2008126266A/en not_active Application Discontinuation
- 2008-10-27 JP JP2008275159A patent/JP2009051860A/en active Pending
- 2008-11-19 AR ARP080105033A patent/AR069373A2/en unknown
-
2010
- 2010-06-16 CY CY20101100554T patent/CY1112267T1/en unknown
- 2010-12-20 US US12/973,020 patent/US20110117057A1/en not_active Abandoned
-
2011
- 2011-04-22 US US13/068,159 patent/USRE43298E1/en not_active Expired - Lifetime
- 2011-12-02 LU LU91910C patent/LU91910I2/en unknown
- 2011-12-16 CY CY2011020C patent/CY2011020I2/en unknown
-
2012
- 2012-01-13 DE DE201212000004 patent/DE122012000004I1/en active Pending
- 2012-11-05 JP JP2012243691A patent/JP5775505B2/en not_active Expired - Fee Related
-
2013
- 2013-02-12 NO NO2013003C patent/NO2013003I2/en unknown
Patent Citations (58)
| Publication number | Priority date | Publication date | Assignee | Title |
|---|---|---|---|---|
| US4209442A (en) | 1977-07-18 | 1980-06-24 | Richter Gedeon Vegyeszeti Gyar Rt. | Angiotensin II analogs and process for the preparation thereof |
| US4555403A (en) | 1979-09-06 | 1985-11-26 | Victor Brantl | Pharmacologically active peptides and medicaments containing the same |
| US4400316A (en) | 1980-11-11 | 1983-08-23 | Toyo Jozo Kabushiki Kaisha | C-Terminal fragment of human chorionic gonadotropin |
| US4596789A (en) | 1983-04-27 | 1986-06-24 | Ici Americas Inc. | Proline derivatives |
| US5849866A (en) | 1985-02-04 | 1998-12-15 | Merrell Pharmaceuticals Inc. | Peptidase inhibitors |
| EP0195212A2 (en) | 1985-02-04 | 1986-09-24 | Merrell Dow Pharmaceuticals Inc. | Novel peptidase inhibitors |
| US5496927A (en) | 1985-02-04 | 1996-03-05 | Merrell Pharmaceuticals Inc. | Peptidase inhibitors |
| WO1989004669A1 (en) | 1987-11-18 | 1989-06-01 | Chiron Corporation | Nanbv diagnostics and vaccines |
| EP0363284A2 (en) | 1988-10-07 | 1990-04-11 | Merrell Pharmaceuticals Inc. | Use of peptidase inhibitors for the preparation of medicaments useful for the treatment of strokes |
| EP0381216A1 (en) | 1989-02-01 | 1990-08-08 | Asahi Glass Company Ltd. | Hydrochlorofluorocarbon azeotropic or azeotropic-like mixture |
| EP0423358A1 (en) | 1989-04-15 | 1991-04-24 | Zaidan Hojin Biseibutsu Kagaku Kenkyu Kai | Postostatin and related compound thereof, or their salts |
| EP0672648A1 (en) | 1989-04-15 | 1995-09-20 | Zaidan Hojin Biseibutsu Kagaku Kenkyu Kai | Threo-3-amino-2-hydroxypentanoic acid and threo (2R,3S), (2S,3R)-3-(p-methoxy-benzyloxycarbonyl) amino-2-hydroxy-pentanoic acid |
| EP0672648B1 (en) | 1989-04-15 | 1998-09-23 | Zaidan Hojin Biseibutsu Kagaku Kenkyu Kai | Threo (2R,3S)-3-amino-2-hydroxypentanoic acid and threo (2R,3S)-3-(p-methoxy-benzyloxycarbonyl/FMOC) amino-2-hydroxy-pentanoic acid |
| US5162500A (en) | 1989-04-15 | 1992-11-10 | Zaidan Hojin Biseibutsu Kagaku Kenkyu Kai | Poststatin and related compounds or salts thereof |
| US5359138A (en) | 1989-04-15 | 1994-10-25 | Zaidan Hojin Biseibutsu Kagaku Kenkyu Kai | Poststatin and related compounds or salts thereof |
| US5712145A (en) | 1990-04-04 | 1998-01-27 | Chiron Corporation | Hepatitis C virus protease |
| JPH041140A (en) | 1990-04-13 | 1992-01-06 | Microbial Chem Res Found | Production of 3-amino-2-oxofatty acid derivative |
| JPH04149166A (en) | 1990-10-12 | 1992-05-22 | Nippon Kayaku Co Ltd | Novel keto acid amide derivative |
| WO1992011850A2 (en) | 1990-12-28 | 1992-07-23 | Cortex Pharmaceuticals, Inc. | Use of calpain inhibitors in the inhibition and treatment of neurodegeneration |
| US5854001A (en) | 1992-01-31 | 1998-12-29 | Abbott Laboratories | Hepatitis C virus fusion proteins |
| WO1994000095A2 (en) | 1992-06-24 | 1994-01-06 | Cortex Pharmaceuticals, Inc. | Use of calpain inhibitors in the inhibition and treatment of medical conditions associated with increased calpain activity |
| US5514694A (en) | 1992-09-21 | 1996-05-07 | Georgia Tech Research Corp | Peptidyl ketoamides |
| US5488067A (en) | 1993-09-24 | 1996-01-30 | G. D. Searle & Co. | Alkylaminoalkyl-terminated sulfide/sulfonyl-containing propargyl amino-diol compounds for treatment of hypertension |
| US5843450A (en) | 1994-02-14 | 1998-12-01 | Abbott Laboratories | Hepatitis GB Virus synthetic peptides and uses thereof |
| US5739002A (en) | 1994-02-23 | 1998-04-14 | Istituto Di Richerche Di Biologia Molecolare P. Angeletti S.P.A. | Method for reproducing in vitro the Proteolytic activity of the NS3 protease of hepatitis C virus (HCV) |
| WO1995033764A2 (en) | 1994-06-07 | 1995-12-14 | Procter & Gamble | Oral compositions comprising a novel tripeptide |
| US5843752A (en) | 1995-05-12 | 1998-12-01 | Schering Corporation | Soluble active hepatitis C virus protease |
| WO1996040743A2 (en) | 1995-06-07 | 1996-12-19 | Cor Therapeutics, Inc. | INHIBITORS OF FACTOR Xa |
| WO1997006804A1 (en) | 1995-08-19 | 1997-02-27 | Glaxo Group Limited | 1,3-oxathiolane nucleoside analogues in the treatment of hepatitis c |
| US5763576A (en) | 1995-10-06 | 1998-06-09 | Georgia Tech Research Corp. | Tetrapeptide α-ketoamides |
| WO1997031937A1 (en) | 1996-03-01 | 1997-09-04 | Akzo Nobel N.V. | Serine protease inhibitors |
| US5633388A (en) | 1996-03-29 | 1997-05-27 | Viropharma Incorporated | Compounds, compositions and methods for treatment of hepatitis C |
| WO1998007734A1 (en) | 1996-08-21 | 1998-02-26 | Hybridon, Inc. | Oligonucleotide prodrugs |
| WO1998012308A1 (en) | 1996-09-17 | 1998-03-26 | Istituto Di Ricerche Di Biologia Molecolare P. Angeletti S.P.A | Soluble polypeptides with activity of the ns3 serine protease of hepatitis c virus, and process for their preparation and isolation |
| WO1998013462A1 (en) | 1996-09-24 | 1998-04-02 | The Procter & Gamble Company | Liquid detergents containing proteolytic enzyme, peptide aldehyde and a source of boric acid |
| WO1998014181A1 (en) | 1996-09-30 | 1998-04-09 | Regents Of The University Of California | Treatment and prevention of hepatic disorders |
| WO1998017679A1 (en) | 1996-10-18 | 1998-04-30 | Vertex Pharmaceuticals Incorporated | Inhibitors of serine proteases, particularly hepatitis c virus ns3 protease |
| US6265380B1 (en) | 1996-10-18 | 2001-07-24 | Vertex Pharmaceuticals Incorporated | Inhibitors of serine proteases, particularly hepatitis C virus NS3 protease |
| WO1998022496A2 (en) | 1996-11-18 | 1998-05-28 | F. Hoffmann-La Roche Ag | Antiviral peptide derivatives |
| WO1998029435A1 (en) | 1996-12-27 | 1998-07-09 | Boehringer Ingelheim (Canada) Ltd. | Peptidomimetic inhibitors of the human cytomegalovirus protease |
| WO1998037180A2 (en) | 1997-02-22 | 1998-08-27 | Abbott Laboratories | Hcv fusion protease and polynucleotide encoding same |
| WO1999007734A2 (en) | 1997-08-11 | 1999-02-18 | Boehringer Ingelheim (Canada) Ltd. | Hepatitis c inhibitor peptide analogues |
| WO1999007733A2 (en) | 1997-08-11 | 1999-02-18 | Boehringer Ingelheim (Canada) Ltd. | Hepatitis c inhibitor peptides |
| US6187905B1 (en) | 1998-05-06 | 2001-02-13 | Hoffmann-La Roche Inc. | Alpha-ketoamide derivatives |
| FR2778406A1 (en) | 1998-05-06 | 1999-11-12 | Hoffmann La Roche | ALPHA-CETOAMIDE DERIVATIVES, PROCESS FOR THEIR PREPARATION, PHARMACEUTICAL PREPARATIONS CONTAINING THEM, AND THEIR USE AS ANTI-VIRAL DRUGS |
| GB2338482A (en) | 1998-05-06 | 1999-12-22 | Hoffmann La Roche | Alpha-ketoamide derivatives |
| WO1999064442A1 (en) | 1998-06-10 | 1999-12-16 | Istituto Di Ricerche Di Biologia Molecolare P Angeletti S.P.A. | Peptide inhibitors of hepatitis c virus ns3 protease |
| WO2000005245A2 (en) | 1998-07-24 | 2000-02-03 | Corvas International, Inc. | Inhibitors of urokinase and blood vessel formation |
| WO2000009543A2 (en) | 1998-08-10 | 2000-02-24 | Boehringer Ingelheim (Canada) Ltd. | Hepatitis c inhibitor tri-peptides |
| WO2000009558A1 (en) | 1998-08-10 | 2000-02-24 | Boehringer Ingelheim (Canada) Ltd. | Hepatitis c inhibitor peptides |
| WO2000052032A1 (en) | 1999-03-03 | 2000-09-08 | Dainippon Pharmaceutical Co., Ltd. | Heterocyclic compounds, intermediates thereof and elastase inhibitors |
| CA2362911A1 (en) | 1999-03-03 | 2000-09-08 | Dainippon Pharmaceutical Co., Ltd. | Heterocyclic compounds, intermediates thereof and elastase inhibitors |
| US6835714B1 (en) | 1999-03-03 | 2004-12-28 | Dainippon Pharmaceutical Co., Ltd. | Heterocyclic compounds, intermediates thereof and elastase inhibitors |
| WO2001040262A1 (en) | 1999-12-03 | 2001-06-07 | Bristol-Myers Squibb Pharma Company | Alpha-ketoamide inhibitors of hepatitis c virus ns3 protease |
| WO2001074768A2 (en) | 2000-04-03 | 2001-10-11 | Vertex Pharmaceuticals Incorporated | Inhibitors of serine proteases, particularly hepatitis c virus ns3 protease |
| US6800434B2 (en) | 2000-07-21 | 2004-10-05 | Schering Corporation | Peptides as NS3-serine protease inhibitors of hepatitis C virus |
| US7244721B2 (en) | 2000-07-21 | 2007-07-17 | Schering Corporation | Peptides as NS3-serine protease inhibitors of hepatitis C virus |
| WO2002018369A2 (en) | 2000-08-31 | 2002-03-07 | Eli Lilly And Company | Peptidomimetic protease inhibitors |
Non-Patent Citations (104)
| Title |
|---|
| Agrawal (1999) Hepatology Supplement to vol. 30 "Development and Characterization of Hepatitis C Virus Serine Protease Cell-based Trans-Cleavage Assay". |
| Agrawal(1999) Hepatology Supplement to vol. 30 "Development and Characterization of Hepatitis C Virus Serine Protease Cell-based Trans-Cleavage Assay". |
| Asano et al, "Novel Retrovirus Protease Inhibitors, RPI-856 A, B, C and D, Produced by Streptomyces Sp. AL-322", Journal of Antibiotics, Japan Antibiotics Research Association, Tokyo, JP, vol. 47, No. 5, May 1, 1994, pp. 557-565. |
| Asano, et al. "Novel Retrovirus Protease Inhibitors, RPI-856 A, B, C and D, Produced by Streptomyces Sp. AL-322", Journal of Antibiotics, Japan Antibiotics Research Association, Tokyo, JP, vol. 47, No. 5, May 1, 1994, pp. 557-565. |
| Barlos (1991) Int. J. Pept. Protein Res 513-520. |
| Barlos, "2-Chlorotrityl chloride resin" (1991) Int. J. Pept. Protein Res., vol. 37(6): 513-520. |
| Bartenschlager et al., Substrate Determinants for Cleavage in cis and in trans by the Hepatitis C Virus NS3 Proteinase, Journal of Virology, Jan. 1995, vol. 69, No. 1, pp. 198-205. |
| Bennett et al., "The Identification of a-Ketoamides as Potent Inhibitors of Hepatitis C Virus NS3-4A Proteinase", Bioorganic & Medicinal Chemistry Letters 11 (2001), pp. 355-357. |
| Bennett et al., The Identification of a-Ketoamides as Potent Inhibitors of Hepatitis C Virus NS34 Proteinase, Biorganic & Medicinal Chemistry Letters 11 (2001), pp. 355-357. |
| Berenguer (1998) Proc. Assoc. Am. Physicians 110(2): 98-112. |
| Berenguer, "Hepatitis B and C Viruses: Molecular Identificiation and Targeted Antiviral Therapies" (1998) Proceedings of the Association of American Physicians 110(2): 98-112. |
| Bianchi et al., Syntehtic Depsipeptide Substrates for the Assay of Human Hepatitis C Virus Protease, Analytical Bichemistry 237, 239-244 (1996). |
| Bianchi et al., Synthetic Depsipeptide Substrates for the Assay of Human Hepatitis C Virus Protease, Analytical Biochemistry 237, 239-244 (1996). |
| Bio World Today 9(217): p. 4, Nov. 10, 1998. |
| Bio World Today 9(217):4 (Nov. 10, 1998). |
| Bouffard et al., An in Vitro Assay for Hepatitis C Virus NS3 Serine Proteinase, Virology 209, 52-59 (1995). |
| Cho et al., Construction of hepatitis C-SIN virus recombinants with replicative dependency on hepatitis C virus serine protease activity, Journal of Virological Methods 65 (1997), 201-207. |
| Dimasi (1997) J. Virol. 71:7461-7469. |
| Dimasi, "Characterization of Engineered Hepatitis C Virus NS3 Protease Inhibitors Affinity Selected from Human Pancreatic Secretory Trypsin Inhibitor and Minibody Repertoires" (1997) J. Virol. vol. 71, No. 10:7461-7469. |
| D'Souza et al., In vitro cleavage of hepatitis C virus polyprotein substrates by purified recombinant NS3 protease, Journal of General Virology (1995), 76, 1729-1736. |
| Elzouki (1997) J. Hepat. 27:42-48. |
| Elzouki, "Serine protease inhibitors in patients with chronic viral hepatitis" (1997) J. Hepatology 27:42-48. |
| Failla (1996) folding & Design 1:35-42. |
| Failla, "Redesigning the substrate specificity of the hepatitis C virus NS3 protease", (1998) Folding & Design vol. 1, No. 1:35-42. |
| Filocamo et al., Chimeric Sinbis Viruses Dependent on the NS3 Protease of Hepatitis C Virus, Journal of Virology, Feb. 1997, p. 1417-1427. |
| Filocamo et al., Chimeric Sindbis Viruses Dependent on the NS3 Protease of Hepatitis C Virus, Journal of Virology, Feb. 1997, p. 1417-1427. |
| Hahm et al., Generation of a Novel Poliovirus with a Requirement of Hepatitis C Virus Protease NS3 Activity, Virology 226, 318-326 (1996). |
| Hamatake et al., Establishment of an in vitro Assay to Characterize Hepatitis C Virus NS3-4A Protease Trans-Processing Activity, Intervirology 1996;39:249-258. |
| Han et al, "alpha-Keto amides, alpha-keto esters, and alpha-diketones as HCV NS3 protease inhibitors" Bioorganic & Medicinal Chemistry Letters (2000), 10(8), 711-713. |
| Han et al, "α-Keto amides, α-keto esters, and α-diketones as HCV NS3 protease inhibitors" Bioorganic & Medicinal Chemistry Letters (2000), 10(8), 711-713. |
| Han, (2000) Bioorganic & Medicinal Chemistry Letters 10 "alpha-Ketoamides, alpha-Ketoesters and alpha-Kiketones as HCV NS3 Protease Inhibitors" pp. 711-713. |
| Han, (2000) Bioorganic & Medicinal Chemistry Letters 10 "α-Ketoamides, α-Ketoesters and α-Kiketones as HCV NS3 Protease Inhibitors" pp. 711-713. |
| Harbeson et al., Stereospecific Synthesis of Peptidyl a-Keto Amides as Inhibitors of Calpain, J. Med. Chem. 1994, 37, 2918-2929. |
| Heck (1989) Org. Reactions 27:345-390. |
| Heck, "Palladium-Catalyzed Vinylation of Organic Halides" (1989) Org. Reactions 27:345-395. |
| Holmberg (1979) Acta Chem. Scand., B33:410-412. |
| Holmberg et al., "Ester Synthesis with Dicyclohexylcarbodiimide Improved by Acid Catalysts", Acta Chem. Scand., B33:410-412 (1979). |
| Hoofnagle (1997) New England Journal Med. 336:347. |
| Hoofnagle, "The Treatment of Chronic Viral Hepatitis" (1997) New England Journal Med. vol. 336, No. 5:347-356. |
| http://en.wiktionary.org/wiki/solvate. Archived revision Aug. 30, 2009. |
| Hughes (1992) Org. Reactions 42:335. |
| Hughes, "The Mitsunobu Reaction", Organic Reactions 42:335-395, 1992. |
| Ingallinella (1998) Biochem 37:8906-8914. |
| Ingallinella, et al., "Potent Peptide Inhibitors of Human Hepatitis C Virus NS3 Protease Are Obtained by Optimizing the Cleavage Products", (1998) Biochem 37:8906-8914. |
| Ito et al., Cultivation of hepatitis C virus in primary hepatocyte culture from patients with chronic hepatitis C results in release of high titre infectious virus, J. Gen. Virol May 1996; 77 (Pt 5):1043-54. |
| Kollykhalov (1994) J. Virol. 68:7525-7533. |
| Kolykhalov, "Specificity of the Hepatitis C Virus NS3 Serine Protease: Effects of Substitutions at the 3/4A, 4A/4B, 4B/5A, and 5A/5B Cleavage Sites on Polyprotein Processing" (1994) J. Virol. vol. 68, No. 11:7525-7533. |
| Komoda (1994) J. Virol. 68:7351-7357. |
| Komoda, "Substrate Requirements of Hepatitis C Virus Serine Proteinase for Intermolecular Polypeptide Cleavage in Escherichia coli" (1994) J. Virol. vol. 68, No. 11:7351-7357. |
| Landro (1997) Biochem 36:9340-9348. |
| Landro, "Mechanistic Role of an NS4A Peptide Cofactor with the Truncated NS3 Protease of Hepatitis C Virus: Elucidation of the NS4A Stimulatory Effect via Kinetic Analysis and Inhibitor Mapping" (1997) Biochemistry, 36:9340-9348. |
| Llinas-Brunet (1998) Bioorg. Med. Chem. Lett, 8:1713-1718. |
| Llinas-Brunet et al., Studies on the C-Terminal of Hexapeptide Inhibitors of the Hepatitis C Virus Serine Protease, Bioorganic & Medicinal Chemistry Letters 8 (1998), pp. 2719-2724. |
| Llinas-Brunet Montse, et al, "Studies on the c-terminal of hexapeptide inhibitors of the hepatitis C virus serine protease", Bioorganic & Medicinal Chemistry Letters, vol. 8, No. 19, (1998), pp. 2719-2724. |
| Llinas-Brunett, "Peptide-Based Inhibitors of the Hepatitis C Virus Serine Protease" (1998) Bioorganic & Medicinal Chemistry Letters, 8:1713-1718. |
| Lu et al., Poliovirus chimeras replicating under the translational control of genetic elements of hepatitis C virus reveal unusual properties of the internal ribosomal entry site of hepatitis C virus, Proc. Natl. Acad. Sci. USA, vol. 93, pp. 1412-1417, Feb. 1996. |
| Marchetti (1999) Synlett, vol. S1, "Synthesis of Two Novel Cyclic Biphenyl Ether Analogs of an Inhibitor of HCV NS3 Prolease", pp. 1000-1002. |
| Marchetti(1999) Synlett, vol. S1, " Synthesis of Two Novel Cyclic Biphenyl Ether Analogs of an Inhibitor of HCV NS3 Protease", pp. 1000-1002. |
| Martin (1997) Protein Eng. 10:607-614. |
| Martin (1998) Biochem 37:11459-11468. |
| Martin, "Affinity selection of a camelized VH domain antibody inhibitor of hepatitis C virus NS3 protease", (1997) Protein Eng. vol. 10, No. 5:607-614. |
| Martin, "Design of Selective Eglin Inhibitors of HCV NS3 Proteinase", (1998) Biochemistry 37:11459-11468. |
| Mizutani et al., Characterization of Hepatitis C Virus Replication in Cloned Cells Obtained from a Human T-Cell Leukemia Virus Type 1-Infected Cell Line, MT-2, Journal of Virology, Oct. 1996, p. 7219-7223. |
| Mizutani et al., Inhibition of Hepatitis C Virus Replication by Antisense Oligonucleotide in Culture Cells, Biochemical and Biophysical Research Communications, vol. 212, No. 3, 1995, pp. 906-911. |
| Mizutani et al., Long-Term Human T-Cell Culture System Supporting Hepatitis C Virus Replication, Biochemical and Biophysical Research Communications 227, 822-826 (1996). |
| Mizutani et al., Long-Term T-Cell Culture System Supporting Hepatitis C Virus Replication, Biochemical and Biophysical Research Communications 227, 822-826 (1996). |
| Narjes et al., "alpha-Ketoacids are Potent Slow Binding Inhibitors of the Hepatitis C Virus NS3 Protease", Biochemistry (2000), vol. 39, pp. 1849-1861. |
| Narjes et al., "α-Ketoacids are Potent Slow Binding Inhibitors of the Hepatitis C Virus NS3 Protease", Biochemistry (2000), vol. 39, pp. 1849-1861. |
| Narjes et al., 1-Ketoacids are Potent Slow Binding Inhibitors of the Hepatitis C Virus NS3 Protease, Biochemistry (2000), vol. 39, pp. 1849-1861. |
| Njoroge, et al., "Challenges in Modern Drug Discovery: A Case Study of Boceprevir, an HCV Protease Inhibitor for the Treatment of Hepatitis C Virus Infection", Accounts of Chemical Research, vol. 41(1), pp. 50-59, 2008. |
| Ogilvie et al, Peptidomimetic Inhibitors of the Human Cytomegalovirus Protease, J. Med. Chem., 1997, 40, 4113-4135. |
| Ogilvie et al., Peptidomimetic Inhibitors of the Human Cytomegalovirus Protease, J. Med. Chem. 1997, 40, 4113-4135. |
| Patel, D.V. et al, "Activated Ketone Based Inhibitors of Human Renin", Journal of Medicinal Chemistry, American Chemical Society, Washington, US, vol. 36, No. 17, Aug. 1, 1993, pp. 2431-2447. |
| Patel, DV et al., "Activated Ketone Based Inhibitors of Human Renin", Journal of Medicinal Chemistry, American Chemical Society, Washington, US, vol. 36, No. 17, Aug. 20, 1993, pp. 2431-2447. |
| Pizzi, "Molecular model of the specificity pocket of the hepatitis C virus protease: Implications for substrate recognition" (1994) Proc. Natl. Acad. Sci(USA) 91:888-892. |
| Pizzi, (1994) Proc. Natl. Acad. Sci(USA) 91:888-892. |
| Portions of the prosecution history for U.S. Appl. No. 10/052,386, Jul. 30, 2002-Mar. 5, 2007. |
| Portions of the prosecution history for U.S. Appl. No. 11/714,457, May 19, 2005-Sep. 18, 2009. |
| Portions of the prosecution history for U.S. Appl. No. 12/973,020, filed Dec. 20, 2010. |
| Sali (1998) Biochemistry 3392-3401. |
| Sali, "Serine Protease of Hepatitis C Virus Expressed in Insect Cells as the NS3/4A Complex" (1998) Biochemistry, vol. 37(10) 3392-3401. |
| Scarselli et al., GB Virus B and Hepatitis C Virus NS3 Serine Proteases Share Substrate Specificity, Journal of Virology, Jul. 1997, p. 4985-4989. |
| Schechter et al., On the Size of the Active Site in Proteases, Biochemical and Biophysical Research Communications, vol. 27, No. 2, 1967. |
| Shimizu et al., Multicycle Infection of Hepatitis C Virus in Cell Culture and Inhibition by Alpha and Beta Interferons, Journal of Virology, Dec. 1994, p. 8406-8408. |
| Steinkuhler et al., Product Inhibition of the Hepatitis C Virus NS3 Protease, Biochemistry 1998, vol. 37, pp. 8899-8905. |
| STN Registry No. 207001-88-5. Reference to Tung et al. including citation of STN No. 207001-88-5 found therein. (Cited in U.S. Appl. No. 09/909,062; Office Action Mar. 26, 2003). |
| Sudo et al., Establishment of an in vitro assay system for screening hepatitis C virus protease inhibitors using high performance liquid chromatography, Antiviral Research 32 (1996), pp. 9-18. |
| Suto M.J., et al: "Peptide Inhibitors of IKB Protease: Modification of the C-termini of Z-LLF-CHO", Biorganic & Medicinal Chemistry Letters, Oxford, GB, vol. 6, No. 24, Dec. 17, 1996. |
| Suto, MJ et al., "Peptide Inhibitors of IKB Protease: Modification of the C-termini of Z-LLF-CHO", Bioorganic & Medicinal Chemistry Letters, Oxford, GB, vol. 6, No. 24, pp. 2925-2930, 1996. |
| Takeshita et al., An Enzyme-Linked Immunosorbent Assay for Detecting Proteolytic Activity of Hepatitis C Virus Proteinase, Analytical Biochemistry (1997), 274, pp. 242-246. |
| Taliani et al., A Continuous Assay of Hepatitis C Virus Protease Based on Resonance Energy Transfer Depsipeptide Substrates, Analytical Biochemistry 240 (1996), pp. 60-67. |
| Taremi et al., Construction, expression, and characterization of a novel fully activated recombinant single-chain hepatitis C virus protease, Protein Science (1998), 7:2143-2149. |
| Tong et al., Conserved mode of peptidomimetic inhibition and substrate recognition of human cytomegalovirus protease, Nature Structural Biology (1998), vol. 5., No. 9, pp. 819-826. |
| Tsuda et al., "Poststatin, a New Inhibitor of Prolyl Endopeptidase", The Journal of Antibiotics (1996), vol. 49, No. 3, pp. 287-291. |
| Tsuda et al., Poststatin, a New Inhibitor of Prolyl Endopeptidase, The Journal of Antibiotics (1996), vol. 49, No. 3, pp. 287-291. |
| Tsuda et al., Poststatin, a New Inhibitor of Prolyl Endopeptidase, The Journal of Antibiotics (1996), vol. 49, No. 9, pp. 890-899. |
| Urbani et al., "Substrate Specificity of the Hepatitis C Virus Serine Protease NS3", Journal of Biological Chemistry (1997), Apr. 4 Issue, pp. 9204-9209. |
| Wang et al., Expression of HCV NS3 Protease and Detection of Its Activity in Mammalian Cells, 4th International Meeting on Hepatitis C Virus and Related Viruses, Molecular Virology and Pathogenesis, Mar. 6-10, 1997. |
| Wasserman et al., (Cyanomethylene) phosphoranes as Novel Carbonyl 1,1-Dipole Synthons: An Efficient Synthesis of a-Keto, Acids, Esters, and Amides, J. Org. Chem. (1994), vol. 59, pp. 4364-4366. |
| Wasserman et al., (Cyanomethylene)phosphoranes as Novel Carbonyl 1,1-Dipole Synthons: An Efficient Synthesis of a-Keto, Acids, Esters, and Amides, J. Org. Chem. (1994), vol. 59, pp. 4364-4366. |
| Wei Han, et al, "alpha-Ketoamides, alpha-ketoesters and alpha-diketones as HCV NS3 protease inhibitors", Bioorganic & Medicinal Chemistry Letters, vol. 10, No. 8, (2000), pp. 711-713. |
| Zhang (199) Analytical Biochemistry 270:268-275. |
| Zhang et al., Probing the Substrate Specificity of Hepatitis C Virus NS3 Serine Protease by Using Synthetic Peptides, Journal of Virology, Aug. 1997, pp. 6208-6213. |
| Zhang, "A Continuous Spectrophotometric Assay for the Hepatitis C Virus Serine Protease" (1999) Analytical Biochemistry 270:268-275. |
Cited By (17)
| Publication number | Priority date | Publication date | Assignee | Title |
|---|---|---|---|---|
| US8586765B2 (en) | 2007-12-21 | 2013-11-19 | Merck Sharp & Dohme Corp. | Process for the synthesis of 3-amino-3-cyclobuthylmethyl-2-hydroxypropionamide or salts thereof |
| US20110034705A1 (en) * | 2007-12-21 | 2011-02-10 | Schering-Plough Corporation | Process For the Synthesis of 3- Amino-3-Cyclobuthylmethyl-2-Hydroxypropionamide or Salts Thereof |
| US8969357B2 (en) | 2011-10-21 | 2015-03-03 | Abbvie Inc. | Methods for treating HCV |
| US8993578B2 (en) | 2011-10-21 | 2015-03-31 | Abbvie Inc. | Methods for treating HCV |
| US8680106B2 (en) | 2011-10-21 | 2014-03-25 | AbbVic Inc. | Methods for treating HCV |
| US8685984B2 (en) | 2011-10-21 | 2014-04-01 | Abbvie Inc. | Methods for treating HCV |
| US8809265B2 (en) | 2011-10-21 | 2014-08-19 | Abbvie Inc. | Methods for treating HCV |
| US8853176B2 (en) | 2011-10-21 | 2014-10-07 | Abbvie Inc. | Methods for treating HCV |
| US8466159B2 (en) | 2011-10-21 | 2013-06-18 | Abbvie Inc. | Methods for treating HCV |
| US8492386B2 (en) | 2011-10-21 | 2013-07-23 | Abbvie Inc. | Methods for treating HCV |
| US9452194B2 (en) | 2011-10-21 | 2016-09-27 | Abbvie Inc. | Methods for treating HCV |
| WO2017189978A1 (en) | 2016-04-28 | 2017-11-02 | Emory University | Alkyne containing nucleotide and nucleoside therapeutic compositions and uses related thereto |
| US11192914B2 (en) | 2016-04-28 | 2021-12-07 | Emory University | Alkyne containing nucleotide and nucleoside therapeutic compositions and uses related thereto |
| US12577240B2 (en) | 2020-07-11 | 2026-03-17 | Pfizer Inc. | Antiviral heteroaryl ketone derivatives |
| US11351149B2 (en) | 2020-09-03 | 2022-06-07 | Pfizer Inc. | Nitrile-containing antiviral compounds |
| US11452711B2 (en) | 2020-09-03 | 2022-09-27 | Pfizer Inc. | Nitrile-containing antiviral compounds |
| US11541034B2 (en) | 2020-09-03 | 2023-01-03 | Pfizer Inc. | Nitrile-containing antiviral compounds |
Also Published As
Similar Documents
| Publication | Publication Date | Title |
|---|---|---|
| USRE43298E1 (en) | Peptides as NS3-serine protease inhibitors of hepatitis C virus | |
| US7244721B2 (en) | Peptides as NS3-serine protease inhibitors of hepatitis C virus | |
| US6846802B2 (en) | Macrocyclic NS3-serine protease inhibitors of hepatitis C virus comprising N-cyclic P2 moieties | |
| US6800434B2 (en) | Peptides as NS3-serine protease inhibitors of hepatitis C virus | |
| US6914122B2 (en) | Macrocyclic NS-3 serine protease inhibitors of hepatitis C virus comprising alkyl and aryl alanine P2 moieties | |
| AU2001276988A1 (en) | Peptides as NS3-serine protease inhibitors of hepatitis C virus | |
| US20020147139A1 (en) | Diaryl peptides as NS3-serine protease inhibitors of hepatitis C virus | |
| US20050176648A1 (en) | Novel peptides as NS3-serine protease inhibitors of hepatitis C virus | |
| ES2344890T3 (en) | NEW PEPTIDES AS INHIBITORS OF THE SERINA PROTEASA NS3 OF THE VIRUS OF HEPATITIS C. | |
| HK1058047B (en) | Peptides as ns3-serine protease inhibitors of hepatitis c virus | |
| AU2003216064A1 (en) | Novel peptides as NS3-serine protease inhibitors of hepatitis C virus |
Legal Events
| Date | Code | Title | Description |
|---|---|---|---|
| PTEF | Application for a patent term extension |
Free format text: PRODUCT NAME: VICTRELIS (BOCEPREVIR); REQUESTED FOR 1032 DAYS; WAS US 7012066 Filing date: 20110707 Expiry date: 20220222 |
|
| CC | Certificate of correction | ||
| AS | Assignment |
Owner name: MERCK SHARP & DOHME CORP., NEW JERSEY Free format text: CHANGE OF NAME;ASSIGNOR:SCHERING CORPORATION;REEL/FRAME:028884/0151 Effective date: 20120502 |
|
| FPAY | Fee payment |
Year of fee payment: 8 |
|
| AS | Assignment |
Owner name: DRONE ACQUISITION SUB INC., NEW JERSEY Free format text: ASSIGNMENT OF ASSIGNORS INTEREST;ASSIGNOR:DENDREON CORPORATION, AND ITS WHOLLY OWNED SUBSIDIARIES, DENDREON HOLDINGS, LLC, DENDREON DISTRIBUTION, LLC, AND DENDREON MANUFACTORING, LLC;REEL/FRAME:036126/0259 Effective date: 20150223 |
|
| AS | Assignment |
Owner name: DENDREON PHARMACEUTICALS, INC., NEW JERSEY Free format text: CHANGE OF NAME;ASSIGNOR:DRONE ACQUISITION SUB INC.;REEL/FRAME:036136/0181 Effective date: 20150423 |
|
| AS | Assignment |
Owner name: BARCLAYS BANK PLC, AS COLLATERAL AGENT, NEW YORK Free format text: SECURITY AGREEMENT;ASSIGNOR:DENDREON PHARMACEUTICALS, INC.;REEL/FRAME:036190/0503 Effective date: 20150724 |
|
| PTEG | Grant of a patent term extension |
Free format text: PRODUCT NAME: VICTRELIS (BOCEPREVIR) Filing date: 20110707 Expiry date: 20220222 |
|
| AS | Assignment |
Owner name: DENDREON PHARMACEUTICALS LLC, NEW JERSEY Free format text: CHANGE OF NAME;ASSIGNOR:DENDREON PHARMACEUTICALS, INC.;REEL/FRAME:042389/0505 Effective date: 20170412 |
|
| AS | Assignment |
Owner name: DENDREON PHARMACEUTICALS LLC, WASHINGTON Free format text: RELEASE BY SECURED PARTY;ASSIGNOR:BARCLAYS BANK PLC;REEL/FRAME:043089/0288 Effective date: 20170628 |
|
| MAFP | Maintenance fee payment |
Free format text: PAYMENT OF MAINTENANCE FEE, 12TH YEAR, LARGE ENTITY (ORIGINAL EVENT CODE: M1553) Year of fee payment: 12 |
|
| AS | Assignment |
Owner name: DENDREON PHARMACEUTICALS LLC, CALIFORNIA Free format text: CORRECTIVE ASSIGNMENT TO CORRECT THE ASSIGNEE ADDRESS PREVIOUSLY RECORDED AT REEL: 042389 FRAME: 505. ASSIGNOR(S) HEREBY CONFIRMS THE CHANGE OF NAME;ASSIGNOR:DENDREON PHARMACEUTICALS, INC.;REEL/FRAME:046088/0882 Effective date: 20170412 |
|
| AS | Assignment |
Owner name: MERCK SHARP & DOHME LLC, NEW JERSEY Free format text: MERGER;ASSIGNOR:MERCK SHARP & DOHME CORP.;REEL/FRAME:061102/0145 Effective date: 20220407 |











































































































































































































































































































































































































































































































































































































































































































































































































































































































































































































































































































































































































































































































































































































































































































































































































































































































































































































































































































































































































































































































