US20180098994A9 - Process for preparation of optically pure and optionally substituted 2-(1-hydroxy-alkyl)-chromen-4-one derivatives and their use in preparing pharmaceuticals - Google Patents

Process for preparation of optically pure and optionally substituted 2-(1-hydroxy-alkyl)-chromen-4-one derivatives and their use in preparing pharmaceuticals Download PDF

Info

Publication number
US20180098994A9
US20180098994A9 US15/073,324 US201615073324A US2018098994A9 US 20180098994 A9 US20180098994 A9 US 20180098994A9 US 201615073324 A US201615073324 A US 201615073324A US 2018098994 A9 US2018098994 A9 US 2018098994A9
Authority
US
United States
Prior art keywords
substituted
unsubstituted
compound
formula
alkyl
Prior art date
Legal status (The legal status is an assumption and is not a legal conclusion. Google has not performed a legal analysis and makes no representation as to the accuracy of the status listed.)
Granted
Application number
US15/073,324
Other versions
US10130635B2 (en
US20170266196A1 (en
Inventor
Jayaraman VENKAT RAMAN
Swaroop K. VAKKALANKA
Current Assignee (The listed assignees may be inaccurate. Google has not performed a legal analysis and makes no representation or warranty as to the accuracy of the list.)
Rhizen Pharmaceuticals AG
Original Assignee
Rhizen Pharmaceuticals AG
Priority date (The priority date is an assumption and is not a legal conclusion. Google has not performed a legal analysis and makes no representation as to the accuracy of the date listed.)
Filing date
Publication date
Priority claimed from PCT/IB2013/053544 external-priority patent/WO2013164801A1/en
Application filed by Rhizen Pharmaceuticals AG filed Critical Rhizen Pharmaceuticals AG
Priority to US15/073,324 priority Critical patent/US10130635B2/en
Publication of US20170266196A1 publication Critical patent/US20170266196A1/en
Publication of US20180098994A9 publication Critical patent/US20180098994A9/en
Priority to US16/156,378 priority patent/US11478481B2/en
Application granted granted Critical
Publication of US10130635B2 publication Critical patent/US10130635B2/en
Assigned to RHIZEN PHARMACEUTICALS SA reassignment RHIZEN PHARMACEUTICALS SA CHANGE OF ADDRESS Assignors: RHIZEN PHARMACEUTICALS SA
Assigned to RHIZEN PHARMACEUTICALS AG reassignment RHIZEN PHARMACEUTICALS AG CHANGE OF ADDRESS Assignors: RHIZEN PHARMACEUTICALS AG
Active legal-status Critical Current
Anticipated expiration legal-status Critical

Links

Classifications

    • AHUMAN NECESSITIES
    • A61MEDICAL OR VETERINARY SCIENCE; HYGIENE
    • A61KPREPARATIONS FOR MEDICAL, DENTAL OR TOILETRY PURPOSES
    • A61K31/00Medicinal preparations containing organic active ingredients
    • A61K31/33Heterocyclic compounds
    • A61K31/395Heterocyclic compounds having nitrogen as a ring hetero atom, e.g. guanethidine or rifamycins
    • A61K31/535Heterocyclic compounds having nitrogen as a ring hetero atom, e.g. guanethidine or rifamycins having six-membered rings with at least one nitrogen and one oxygen as the ring hetero atoms, e.g. 1,2-oxazines
    • A61K31/53751,4-Oxazines, e.g. morpholine
    • A61K31/53771,4-Oxazines, e.g. morpholine not condensed and containing further heterocyclic rings, e.g. timolol
    • AHUMAN NECESSITIES
    • A61MEDICAL OR VETERINARY SCIENCE; HYGIENE
    • A61KPREPARATIONS FOR MEDICAL, DENTAL OR TOILETRY PURPOSES
    • A61K31/00Medicinal preparations containing organic active ingredients
    • A61K31/33Heterocyclic compounds
    • A61K31/335Heterocyclic compounds having oxygen as the only ring hetero atom, e.g. fungichromin
    • A61K31/35Heterocyclic compounds having oxygen as the only ring hetero atom, e.g. fungichromin having six-membered rings with one oxygen as the only ring hetero atom
    • A61K31/352Heterocyclic compounds having oxygen as the only ring hetero atom, e.g. fungichromin having six-membered rings with one oxygen as the only ring hetero atom condensed with carbocyclic rings, e.g. methantheline 
    • AHUMAN NECESSITIES
    • A61MEDICAL OR VETERINARY SCIENCE; HYGIENE
    • A61KPREPARATIONS FOR MEDICAL, DENTAL OR TOILETRY PURPOSES
    • A61K31/00Medicinal preparations containing organic active ingredients
    • A61K31/33Heterocyclic compounds
    • A61K31/395Heterocyclic compounds having nitrogen as a ring hetero atom, e.g. guanethidine or rifamycins
    • A61K31/495Heterocyclic compounds having nitrogen as a ring hetero atom, e.g. guanethidine or rifamycins having six-membered rings with two or more nitrogen atoms as the only ring heteroatoms, e.g. piperazine or tetrazines
    • A61K31/505Pyrimidines; Hydrogenated pyrimidines, e.g. trimethoprim
    • A61K31/519Pyrimidines; Hydrogenated pyrimidines, e.g. trimethoprim ortho- or peri-condensed with heterocyclic rings
    • A61K31/52Purines, e.g. adenine
    • CCHEMISTRY; METALLURGY
    • C07ORGANIC CHEMISTRY
    • C07BGENERAL METHODS OF ORGANIC CHEMISTRY; APPARATUS THEREFOR
    • C07B55/00Racemisation; Complete or partial inversion
    • CCHEMISTRY; METALLURGY
    • C07ORGANIC CHEMISTRY
    • C07DHETEROCYCLIC COMPOUNDS
    • C07D311/00Heterocyclic compounds containing six-membered rings having one oxygen atom as the only hetero atom, condensed with other rings
    • C07D311/02Heterocyclic compounds containing six-membered rings having one oxygen atom as the only hetero atom, condensed with other rings ortho- or peri-condensed with carbocyclic rings or ring systems
    • C07D311/04Benzo[b]pyrans, not hydrogenated in the carbocyclic ring
    • C07D311/22Benzo[b]pyrans, not hydrogenated in the carbocyclic ring with oxygen or sulfur atoms directly attached in position 4
    • C07D311/26Benzo[b]pyrans, not hydrogenated in the carbocyclic ring with oxygen or sulfur atoms directly attached in position 4 with aromatic rings attached in position 2 or 3
    • C07D311/34Benzo[b]pyrans, not hydrogenated in the carbocyclic ring with oxygen or sulfur atoms directly attached in position 4 with aromatic rings attached in position 2 or 3 with aromatic rings attached in position 3 only
    • C07D311/36Benzo[b]pyrans, not hydrogenated in the carbocyclic ring with oxygen or sulfur atoms directly attached in position 4 with aromatic rings attached in position 2 or 3 with aromatic rings attached in position 3 only not hydrogenated in the hetero ring, e.g. isoflavones
    • CCHEMISTRY; METALLURGY
    • C07ORGANIC CHEMISTRY
    • C07DHETEROCYCLIC COMPOUNDS
    • C07D311/00Heterocyclic compounds containing six-membered rings having one oxygen atom as the only hetero atom, condensed with other rings
    • C07D311/02Heterocyclic compounds containing six-membered rings having one oxygen atom as the only hetero atom, condensed with other rings ortho- or peri-condensed with carbocyclic rings or ring systems
    • C07D311/04Benzo[b]pyrans, not hydrogenated in the carbocyclic ring
    • C07D311/58Benzo[b]pyrans, not hydrogenated in the carbocyclic ring other than with oxygen or sulphur atoms in position 2 or 4
    • CCHEMISTRY; METALLURGY
    • C07ORGANIC CHEMISTRY
    • C07DHETEROCYCLIC COMPOUNDS
    • C07D473/00Heterocyclic compounds containing purine ring systems
    • C07D473/26Heterocyclic compounds containing purine ring systems with an oxygen, sulphur, or nitrogen atom directly attached in position 2 or 6, but not in both
    • C07D473/32Nitrogen atom
    • C07D473/34Nitrogen atom attached in position 6, e.g. adenine
    • CCHEMISTRY; METALLURGY
    • C07ORGANIC CHEMISTRY
    • C07DHETEROCYCLIC COMPOUNDS
    • C07D487/00Heterocyclic compounds containing nitrogen atoms as the only ring hetero atoms in the condensed system, not provided for by groups C07D451/00 - C07D477/00
    • C07D487/02Heterocyclic compounds containing nitrogen atoms as the only ring hetero atoms in the condensed system, not provided for by groups C07D451/00 - C07D477/00 in which the condensed system contains two hetero rings
    • C07D487/04Ortho-condensed systems
    • CCHEMISTRY; METALLURGY
    • C07ORGANIC CHEMISTRY
    • C07DHETEROCYCLIC COMPOUNDS
    • C07D487/00Heterocyclic compounds containing nitrogen atoms as the only ring hetero atoms in the condensed system, not provided for by groups C07D451/00 - C07D477/00
    • C07D487/12Heterocyclic compounds containing nitrogen atoms as the only ring hetero atoms in the condensed system, not provided for by groups C07D451/00 - C07D477/00 in which the condensed system contains three hetero rings
    • C07D487/14Ortho-condensed systems
    • CCHEMISTRY; METALLURGY
    • C07ORGANIC CHEMISTRY
    • C07BGENERAL METHODS OF ORGANIC CHEMISTRY; APPARATUS THEREFOR
    • C07B2200/00Indexing scheme relating to specific properties of organic compounds
    • C07B2200/07Optical isomers

Definitions

  • the present invention relates to compounds useful as pharmaceutical intermediates, to processes for preparing the intermediates, to intermediates used in the processes, and to the use of the intermediates in the preparation of pharmaceuticals.
  • the present invention concerns enantiomerically pure optionally substituted 2-(1-hydroxy-alkyl)-chromen-4-one derivatives, processes for preparing the alcohol derivatives and their use in preparing pharmaceuticals.
  • the present inventors have developed an improved process for preparing optionally substituted 2-(1-hydroxy-alkyl)-chromen-4-one derivatives (including 2-(1-hydroxy-alkyl), 6-substituted 4H-chromen-4-one compounds), which may be used in the preparation of 2,3 disubstituted-4H-chromen-4-one compounds.
  • the process is particularly useful for preparing enantiomerically pure optionally substituted 2-(1-hydroxy-alkyl)-chromen-4-one derivatives.
  • the process is enantioselective and suitable for large scale production, has high yield, uses non-hazardous reagents and results in less waste.
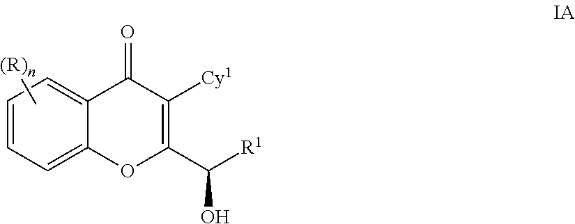
  • the present invention provides processes for preparing a compound of formula (IA)
  • each occurrence of R is independently selected from hydrogen, hydroxy, halogen, carboxyl, cyano, nitro, substituted or unsubstituted alkyl, substituted or unsubstituted alkoxy, substituted or unsubstituted alkenyl, substituted or unsubstituted alkynyl, substituted or unsubstituted cycloalkyl, substituted or unsubstituted cycloalkenyl, substituted or unsubstituted cycloalkylalkyl, substituted or unsubstituted cycloalkenylalkyl, substituted or unsubstituted heterocyclyl, substituted or unsubstituted heterocyclylalkyl, substituted or unsubstituted aryl, substituted or unsubstituted arylalkyl, substituted or unsubstituted heteroaryl, substituted or unsubstituted heteroarylalkyl, —COOR x ,
  • the compound is not selected from
  • R is alkyl (e.g., C 1 -C 4 alkyl, such as methyl or ethyl) or halogen.
  • Cy 1 is a monocyclic group selected from substituted or unsubstituted aryl.
  • One embodiment is a process of preparing a compound of formula (IA) which includes
  • the reaction of compound of formula (6) with compound of formula A is performed in presence of a suitable coupling reagent such as HATU ((2-(7-Aza-1H-benzotriazole-1-yl)-1,1,3,3-tetramethyluronium hexafluorophosphate), HBTU (O-Benzotriazole-N,N,N′,N′-tetramethyl-uronium-hexafluoro-phosphate), TBTU (O-(Benzotriazol-1-yl)-N,N,N′,N′-tetramethyl uronium tetrafluoroborate), COMU (Morpholinium, 4-[[[(1-cyano-2-ethoxy-2-oxoethylidene)amino] oxayl] (dimethyl amino) methylene]-hexafluorophosphate), TOTU ((O-[(Ethoxy carbonyl)cyanomethylenamino]
  • reaction of compound of formula (6) with compound of formula A is performed in presence of HATU, HBTU, TBTU or COMU.
  • reaction of compound of formula (6) with compound of formula A is performed in presence of HATU.
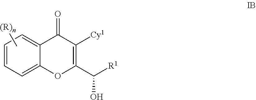
  • Another embodiment is a process for preparing a compound of formula (IB)
  • the method includes the steps of
  • the compound is not selected from
  • R is alkyl (e.g., C 1 -C 4 alkyl, such as methyl or ethyl) or halogen.
  • Cy 1 is a monocyclic group selected from substituted or unsubstituted aryl.
  • Yet another embodiment is a process for preparing a compound of formula (IA)
  • the method includes the steps of
  • the compound of Formula (1) may be converted to a compound of Formula (2) by treating the compound of formula (1) with hydroxyl amine or a salt thereof (such as NH 2 OH.HCl) in presence of a base.
  • the compound of Formula (3) may be obtained by treating the compound of formula (2) with N,N′-carbonyldiimidazole (CDI).
  • CDI N,N′-carbonyldiimidazole
  • the compound of Formula (3) may be converted to a compound of Formula (5) by treating the compound of formula (3) with a Grignard reagent of formula (4a)
  • Yet another embodiment is a process for preparing a compound of formula (IB)
  • R and n are as defined above and Pg is a protecting group (for example by reacting the compound of formula (1) with hydroxylamine or a salt thereof (such as NH 2 OH.HCl) in presence of a base);
  • the reaction of compound of formula (6) with compound of formula B is performed in presence of a suitable coupling reagent such as HATU ((2-(7-Ara-1H-benzotriazole-1-yl)-1,1,3,3-tetramethyluronium hexafluorophosphate), HBTU (O-Benzotriazole-N,N,N′,N′-tetramethyl-uronium-hexafluoro-phosphate), TBTU (O-(Benzotriazol-1-yl)-N,N,N′,N′-tetramethyl uronium tetrafluoroborate), COMU (Morpholinium, 4-[[[(1-cyano-2-ethoxy-2-oxoethylidene)amino] oxayl] (dimethyl amino) methylene]-hexafluorophosphate), TOTU ((O-[(Ethoxy carbonyl) cyanomethylenamin
  • reaction of compound of formula (6) with compound of formula B is performed in presence of HATU, HBTU, TBTU or COMU.
  • reaction of compound of formula (6) with compound of formula B is performed in presence of HATU.
  • Yet another embodiment is a process for inverting a compound of formula (IA) to yield a compound of formula (IB) comprising the step of
  • Yet another embodiment is a process for inverting a compound of formula (IB) to yield a compound of formula (IA) comprising the step of
  • R 1 is 4-chloro phenyl.
  • the base is selected from inorganic bases, such as K 2 CO 3 , Na 2 CO 3 or CsCO 3 and the polar solvent used is a suitable alcohol selected from methanol or ethanol.
  • Yet another embodiment is a process for preparing a compound of formula (IA-I)
  • R and n are as defined above and Pg is a protecting group (for example, reacting a compound of formula (1a) with hydroxylamine or a salt thereof (such as NH 2 OH.HCl) in the presence of a base);
  • Yet another embodiment is a process for preparing a compound of formula (IA-II)
  • Yet another embodiment is a process for inverting a compound of formula (IA-I) to yield a compound of formula (IB-I) (shown below) comprising the step of
  • Yet another embodiment is a process for inverting a compound of formula (IB-I) to yield a compound of formula (IA-I) comprising the step of
  • Yet another embodiment is a process for preparing a compound of formula (IB-I)
  • Yet another embodiment is a process for preparing a compound of formula (IB-II)
  • Yet another embodiment is a process for inverting a compound of formula (IA-II) to yield a compound of formula (IB-II) comprising the step of
  • Yet another embodiment is a process for inverting a compound of formula (IB-II) to yield a compound of formula (IA-II) comprising the step of
  • Yet another embodiment is a compound of formula (IA) or (IB)
  • the compound of formula (IA) or (IB) has an enantiomeric excess (EE) of at least 75%, 90%, 95%, 97%, or 98%.
  • Yet another embodiment is the use of the compound of formula (IA), or any other intermediate described herein, for preparation of PI3K inhibitors of formula (I)
  • the compound of formula (I) may be prepared by
  • the compound of formula (I) may also be prepared by
  • X 1 is halogen or —O-Mesyl (i.e., —O—SO 2 CH 3 );
  • the compound of formula (II) may be prepared by
  • X 1 is halogen or —O-Mesyl
  • the compound of formula (III) may be prepared by
  • R, R 1 , n and Cy 1 are as described above in relation to Formula (IB);
  • the compound of formula (III) may also be prepared by
  • X 1 is halogen or —O-Mesyl (i.e., —O—SO 2 CH 3 );
  • the compound of formula (IV) may be prepared by
  • X 1 is halogen or —O-Mesyl
  • the coupling reaction of the compound of formula 6 with the compound of formula A or B is performed in the presence of N-[(Dimethylamino)-1H-1,2,3-triazolo-[4,5-b]pyridin-1-ylmethylene]-N-methyl methanaminium hexafluorophosphate N-oxide (HATU).
  • HATU N-[(Dimethylamino)-1H-1,2,3-triazolo-[4,5-b]pyridin-1-ylmethylene]-N-methyl methanaminium hexafluorophosphate N-oxide
  • the protecting groups such as those on the compounds of formulas 7a, 7b, 7aa, 7ab, 7ba, and 7bb may be removed using suitable deprotecting agents, such as aluminium chloride, boron tribromide, or any combination of the foregoing.
  • suitable deprotecting agents such as aluminium chloride, boron tribromide, or any combination of the foregoing.
  • the deprotection may be performed using other suitable deprotecting agents including use of hydrogenation for deprotection.
  • composition e.g., a pharmaceutical composition
  • a composition comprising (a) a PI3K inhibitor of formula (I) or (II) or a salt thereof, and (b) a compound of formula (IA) or (IB) or a salt thereof.
  • the composition comprises at least about 99.5% by weight of the PI3K inhibitor, and the compound of formula (IA) or (IB) in an amount up to 0.5% by weight, based upon the total of components (a) and (b).
  • the composition includes the compound of formula (IA) or (IB) in an amount up to 0.2% or 0.1% by weight.
  • the pharmaceutical composition can be, for example, a tablet or capsule.
  • alkyl refers to a straight or branched hydrocarbon chain radical consisting solely of carbon and hydrogen atoms, containing no unsaturation, having from one to eight carbon atoms, and which is attached to the rest of the molecule by a single bond, e.g., methyl, ethyl, n-propyl, 1-methylethyl (isopropyl), n-butyl, n-pentyl, and 1,1-dimethylethyl (t-butyl).
  • alkenyl refers to an aliphatic hydrocarbon group containing a carbon-carbon double bond and which may be a straight or branched or branched chain having 2 to about 10 carbon atoms, e.g., ethenyl, 1-propenyl, 2-propenyl (allyl), iso-propenyl, 2-methyl-1-propenyl, 1-butenyl, and 2-butenyl.
  • alkynyl refers to a straight or branched chain hydrocarbyl radical having at least one carbon-carbon triple bond, and having in the range of 2 to up to 12 carbon atoms (with radicals having in the range of 2 to up to 10 carbon atoms presently being preferred) e.g., ethynyl, propynyl, and butnyl.
  • alkoxy denotes an alkyl, cycloalkyl, or cycloalkylalkyl group as defined above attached via an oxygen linkage to the rest of the molecule.
  • substituted alkoxy refers to an alkoxy group where the alkyl constituent is substituted (i.e., —O-(substituted alkyl) wherein the term “substituted alkyl” is the same as defined above for “alkyl”.
  • alkoxy refers to the group —O-alkyl, including from 1 to 8 carbon atoms of a straight, branched, cyclic configuration and combinations thereof attached to the parent structure through a oxygen atom. Examples include methoxy, ethoxy, propoxy, isopropoxy, cyclopropyloxy, and cyclohexyloxy.
  • cycloalkyl denotes a non-aromatic mono or multicyclic ring system of 3 to about 12 carbon atoms such as cyclopropyl, cyclobutyl, cyclopentyl, and cyclohexyl.
  • multicyclic cycloalkyl groups include perhydronaphthyl, adamantyl and norbornyl groups, bridged cyclic groups, and sprirobicyclic groups, e.g., sprio (4,4) non-2-yl.
  • cycloalkylalkyl refers to a cyclic ring-containing radical containing in the range of 3 up to about 8 carbon atoms directly attached to an alkyl group which are then attached to the main structure at any carbon from the alkyl group that results in the creation of a stable structure such as cyclopropylmethyl, cyclobutylethyl, and cyclopentylethyl.
  • cycloalkenyl refers to cyclic ring-containing radicals containing in the range of 3 up to about 8 carbon atoms with at least one carbon-carbon double bond such as cyclopropenyl, cyclobutenyl, and cyclopentenyl.
  • cycloalkenylalkyl refers to a cycloalkenyl group directly attached to an alkyl group which are then attached to the main structure at any carbon from the alkyl group that results in the creation of a stable structure.
  • aryl refers to aromatic radicals having in the range of 6 up to 20 carbon atoms such as phenyl, naphthyl, tetrahydronaphthyl, indanyl, and biphenyl.
  • arylalkyl refers to an aryl group as defined above directly bonded to an alkyl group as defined above, e.g., —CH 2 C 6 H 5 and —C 2 H 5 C 6 H 5 .
  • heterocyclic ring refers to a non-aromatic 3 to 15 member ring radical which consists of carbon atoms and at least one heteroatom selected from nitrogen, phosphorus, oxygen and sulfur.
  • the heterocyclic ring radical may be a mono-, bi-, tri- or tetracyclic ring system, which may include fused, bridged or spiro ring systems, and the nitrogen, phosphorus, carbon, oxygen or sulfur atoms in the heterocyclic ring radical may be optionally oxidized to various oxidation states.
  • the nitrogen atom may be optionally quaternized.
  • the heterocyclic ring radical may be attached to the main structure at any heteroatom or carbon atom that results in the creation of a stable structure.
  • heterocyclyl refers to a heterocylic ring radical as defined above.
  • the heterocylcyl ring radical may be attached to the main structure at any heteroatom or carbon atom that results in the creation of a stable structure.
  • heterocyclylalkyl refers to a heterocylic ring radical as defined above directly bonded to an alkyl group.
  • the heterocyclylalkyl radical may be attached to the main structure at carbon atom in the alkyl group that results in the creation of a stable structure.
  • heterocycloalkyl radicals include, but are not limited to, dioxolanyl, thienyl[1,3]dithianyl, decahydroisoquinolyl, imidazolinyl, isothiazolidinyl, isoxazolidinyl, morpholinyl, octahydroindolyl, octahydroisoindolyl, 2-oxopiperazinyl, 2-oxopiperidinyl, 2-oxopyrrolidinyl, oxazolidinyl, piperidinyl, piperazinyl, 4-piperidonyl, pyrrolidinyl, pyrazolidinyl, quinuclidinyl, thiazolidinyl, tetrahydrofuryl, trithianyl, tetrahydropyranyl, thiomorpholinyl, thiamorpholinyl, 1-oxo-thiomorpholinyl, and
  • heteroaryl refers to an optionally substituted 5 to 14 member aromatic ring having one or more heteroatoms selected from N, O, and S as ring atoms.
  • the heteroaryl may be a mono-, bi- or tricyclic ring system.
  • heterocyclic ring or “heteroaryl” radicals include, but are not limited to, oxazolyl, thiazolyl, imidazolyl, pyrrolyl, furanyl, pyridinyl, pyrimidinyl, pyrazinyl, benzofuranyl, indolyl, benzothiazolyl, benzoxazolyl, carbazolyl, quinolyl, isoquinolyl, azetidinyl, acridinyl, benzodioxolyl, benzodioxanyl, benzofuranyl, carbazolyl, cinnolinyl, dioxolanyl, indolizinyl, naphthyridinyl, perhydroazepinyl, phenazinyl, phenothiazinyl, phenoxazinyl, phthalazinyl, pteridinyl, purinyl, qui
  • heteroaryl ring radical may be attached to the main structure at any heteroatom or carbon atom that results in the creation of a stable structure.
  • substituted heteroaryl also includes ring systems substituted with one or more oxidesubstituents, such as pyridinyl N-oxides.
  • heteroarylalkyl refers to a heteroaryl ring radical as defined above directly bonded to an alkyl group.
  • the heteroarylalkyl radical may be attached to the main structure at any carbon atom from alkyl group that results in the creation of a stable structure.
  • cyclic ring refers to a cyclic ring containing 3 to 10 carbon atoms.
  • substituted refers to substitution with any one or any combination of the following substituents which may be the same or different and are independently selected from hydrogen, hydroxy, halogen, carboxyl, cyano, nitro, oxo ( ⁇ O), thio ( ⁇ S), substituted or unsubstituted alkyl, substituted or unsubstituted alkoxy, substituted or unsubstituted alkenyl, substituted or unsubstituted alkynyl, substituted or unsubstituted aryl, substituted or unsubstituted arylalkyl, substituted or unsubstituted cycloalkyl, substituted or unsubstituted cycloalkylalkyl, substituted or unsubstituted cycloalkenyl, substituted or unsubstituted cycloalkenylalkyl, substituted or unsubstituted heteroaryl, substituted or unsubstituted
  • Substitution or the combinations of substituents envisioned by this invention are preferably those that result in the formation of a stable or chemically feasible compound.
  • stable refers to the compounds or the structure that are not substantially altered when subjected to conditions to allow for their production, detection and preferably their recovery, purification and incorporation into a pharmaceutical composition.
  • the substituents in the aforementioned “substituted” groups cannot be further substituted. For example, when the substituent on “substituted alkyl” is “substituted aryl”, the substituent on “substituted aryl” cannot be “substituted alkenyl”.
  • halo means fluoro, chloro, bromo or iodo.
  • haloalkyl haloalkenyl
  • haloalkynyl haloalkoxy
  • protecting group refers to a substituent that is employed to block or protect a particular functionality. Other functional groups on the compound may remain reactive.
  • an “amino-protecting group” is a substituent attached to an amino group that blocks or protects the amino functionality in the compound. Suitable amino-protecting groups include, but are not limited to, acetyl, trifluoroacetyl, tert-butoxycarbonyl (BOC), benzyloxycarbonyl (CBz) and 9-fluorenylmethyloxycarbonyl (Fmoc).
  • a “hydroxy-protecting group” refers to a substituent of a hydroxy group that blocks or protects the hydroxy functionality.
  • Suitable hydroxy-protecting groups include, but are not limited to, acetyl and silyl.
  • a “carboxy-protecting group” refers to a substituent of the carboxy group that blocks or protects the carboxy functionality.
  • Suitable carboxy-protecting groups include, but are not limited to, —CH 2 CH 2 SO 2 Ph, cyanoethyl, 2-(trimethylsilyl)ethyl, 2-(trimethylsilyl)ethoxymethyl, -2-(p-toluenesulfonyl)ethyl, 2-(p-nitrophenylsulfenyl)ethyl, 2-(diphenylphosphino)-ethyl, and nitroethyl.
  • protecting groups and their use see T. W. Greene, Protective Groups in Organic Synthesis, John Wiley & Sons, New York, 1991.
  • Certain of the compounds described herein contain one or more asymmetric centers and can thus give rise to enantiomers, diastereomers, and other stereoisomeric forms that can be defined, in terms of absolute stereochemistry, as (R)- or (S)-.
  • the present chemical entities, pharmaceutical compositions and methods are meant to include all such possible isomers, including racemic mixtures, optically pure forms and intermediate mixtures.
  • the non-limiting example of intermediate mixtures include a mixture of isomers in a ratio of 10:90, 13:87, 17:83, 20:80, or 22:78.
  • Optically active (R)- and (S)-isomers can be prepared using chiral synthons or chiral reagents, or resolved using conventional techniques.
  • tautomers refers to compounds, which are characterized by relatively easy interconversion of isomeric forms in equilibrium. These isomers are intended to be covered by this invention. “Tautomers” are structurally distinct isomers that interconvert by tautomerization. “Tautomerization” is a form of isomerization and includes prototropic or proton-shift tautomerization, which is considered a subset of acid-base chemistry. “Prototropic tautomerization” or “proton-shift tautomerization” involves the migration of a proton accompanied by changes in bond order, often the interchange of a single bond with an adjacent double bond.
  • tautomerization is possible (e.g., in solution), a chemical equilibrium of tautomers can be reached.
  • An example of tautomerization is keto-enol tautomerization.
  • keto-enol tautomerization is the interconversion of pentane-2,4-dione and 4-hydroxypent-3-en-2-one tautomers.
  • Another example of tautomerization is phenol-keto tautomerization.
  • phenol-keto tautomerization is the interconversion of pyridin-4-ol and pyridin-4(1H)-one tautomers.
  • a “leaving group or atom” is any group or atom that will, under the reaction conditions, cleave from the starting material, thus promoting reaction at a specified site. Suitable examples of such groups, unless otherwise specified, are halogen atoms and mesyloxy, p-nitrobenzensulphonyloxy and tosyloxy groups.
  • prodrug refers to a compound, which is a precursor (for example, an inactive precursor) of a compound, converted into its active form in the body by normal metabolic processes. Prodrug design is discussed generally in Hardma, et al. (Eds.), Goodman and Gilman's The Pharmacological Basis of Therapeutics, 9th ed., pp. 11-16 (1996). A thorough discussion is provided in Higuchi, et al., Prodrugs as Novel Delivery Systems, Vol. 14, ASCD Symposium Series, and in Roche (ed.), Bioreversible Carriers in Drug Design, American Pharmaceutical Association and Pergamon Press (1987).
  • prodrugs can be converted into a pharmacologically active form through hydrolysis of, for example, an ester or amide linkage, thereby introducing or exposing a functional group on the resultant product.
  • the prodrugs can be designed to react with an endogenous compound to form a water-soluble conjugate that further enhances the pharmacological properties of the compound, for example, increased circulatory half-life.
  • prodrugs can be designed to undergo covalent modification on a functional group with, for example, glucuronic acid, sulfate, glutathione, amino acids, or acetate.
  • the resulting conjugate can be inactivated and excreted in the urine, or rendered more potent than the parent compound.
  • High molecular weight conjugates also can be excreted into the bile, subjected to enzymatic cleavage, and released back into the circulation, thereby effectively increasing the biological half-life of the originally administered compound.
  • ester refers to a compound, which is formed by reaction between an acid and an alcohol with elimination of water.
  • An ester can be represented by the general formula RCOOR′.
  • the instant invention also includes the compounds which differ only in the presence of one or more isotopically enriched atoms for example replacement of hydrogen with deuterium or tritium, or the replacement of a carbon by 13 C- or 14 C-enriched carbon.
  • the compounds of the present invention may also contain unnatural proportions of atomic isotopes at one or more of atoms that constitute such compounds.
  • the compounds may be radiolabeled with radioactive isotopes, such as for example tritium ( 3 H), iodine-125 ( 125 I) or carbon-14 ( 14 C). All isotopic variations of the compounds of the present invention, whether radioactive or not, are encompassed within the scope of the present invention.
  • Pharmaceutically acceptable salts forming part of this invention include salts derived from inorganic bases such as Li, Na, K, Ca, Mg, Fe, Cu, Zn, and Mn; salts of organic bases such as N,N′-diacetylethylenediamine, glucamine, triethylamine, choline, hydroxide, dicyclohexylamine, metformin, benzylamine, trialkylamine, and thiamine; chiral bases such as alkylphenylamine, glycinol, and phenyl glycinol; salts of natural amino acids such as glycine, alanine, valine, leucine, isoleucine, norleucine, tyrosine, cystine, cysteine, methionine, proline, hydroxy proline, histidine, omithine, lysine, arginine, and serine; quaternary ammonium salts of the compounds of invention with alkyl hal
  • Salts may include acid addition salts where appropriate which are sulphates, nitrates, phosphates, perchlorates, borates, hydrohalides, acetates, tartrates, maleates, citrates, fumarates, succinates, palmoates, methanesulphonates, benzoates, salicylates, benzenesulfonates, ascorbates, glycerophosphates, and ketoglutarates.
  • acid addition salts where appropriate which are sulphates, nitrates, phosphates, perchlorates, borates, hydrohalides, acetates, tartrates, maleates, citrates, fumarates, succinates, palmoates, methanesulphonates, benzoates, salicylates, benzenesulfonates, ascorbates, glycerophosphates, and ketoglutarates.
  • Step 1 (R)-2-(1-(benzyloxy) ethyl)-6-fluoro-3-(3-fluorophenyl)-4H-chromen-4-one: To 1-(5-fluoro-2-hydroxyphenyl)-2-(3-fluorophenyl) ethanone (11 g, 44.31 mmol), in Dichloromethane (110 ml), HATU (33.7 g, 88.63 mmol) and (R)-Benzyloxypropionic acid (9.58 g, 53.17 mmol) were added and stirred for ⁇ 10 min Triethylamine (67 ml, 478 mmol) was added dropwise and stirred at room temperature (RT) for 24 h.
  • RT room temperature
  • Step 2 (R)-6-fluoro-3-(3-fluorophenyl)-2-(1-hydroxyethyl)-4H-chromen-4-one: To (R)-2-(1-(benzyloxy)ethyl)-6-fluoro-3-(3-fluorophenyl)-4H-chromen-4-one (10.5 g, 26.69 mmol) in Dichloromethane (110 ml) cooled to 0° C., anhydrous Aluminium chloride (5.35 g, 40.03 mmol) was added portion wise and stirred for 1 h and then at RT for 2 h. The reaction mixture was quenched with dilute aq.
  • Step 1 (R)-2-(1-(benzyloxy)ethyl)-5-methyl-3-phenyl-4H-chromen-4-one: To 1-(2-hydroxy-6-methylphenyl)-2-phenylethanone (0.400 g, 1.76 mmol) in dichloromethane (4 ml), R(+)-benzyloxypropionic acid (0.382 g, 2.12 mmol) and HATU (2.01 g, 5.30 mmol) were added followed by triethylamine (2.6 ml, 19.08 mmol). After 20h at room temperature, the reaction mixture was quenched with water, extracted with ethyl acetate, dried over sodium sulphate and concentrated.
  • Step 2 (R)-2-(1-hydroxyethyl)-5-methyl-3-phenyl-4H-chromen-4-one: To (R)-2-(1-(benzyloxy)ethyl)-5-methyl-3-phenyl-4H-chromen-4-one (0.850 g, 2.29 mmol) in dichloromethane (8.0 ml) at ⁇ 78° C., boron tribromide (0.78 ml, 1M in dichloromethane, 4.58 mmol) was added slowly and maintained for 4 h. The reaction mass was quenched at ⁇ 78° C. using 2N HCl (50 ml), extracted with ethyl acetate, dried over sodium sulphate and concentrated.
  • Step 1 (R)-2-(1-(benzyloxy)ethyl)-6-fluoro-3-phenyl-4H-chromen-4-one: To 1-(5-fluoro-2-hydroxyphenyl)-2-phenylethanone (2.00 g, 8.68 mmol), in dichloromethane (15 ml), HATU (6.60 g, 17.36 mmol), and R-(+)2-benzyloxypropionic acid (1.87 g, 10.42 mmol) were added and stirred for 10 min. Triethylamine (13.0 ml, 93.7 mmol) was added dropwise and stirred at RT for 24 h.
  • Step 2 (R)-6-fluoro-2-(1-hydroxyethyl)-3-phenyl-4H-chromen-4-one: To (R)-2-(1-(benzyloxy)ethyl)-6-fluoro-3-phenyl-4H-chromen-4-one (0.63 g, 1.68 mmol) in dichloromethane (6 ml) cooled to 0° C., aluminium chloride (0.330 g, 2.52 mmol) was added portion wise and stirred at RT for 6 h. The reaction mixture was quenched with 2N HCl solution, extracted with dichloromethane, dried over sodium sulphate and concentrated under reduced pressure.
  • Step 1 (R)-2-(1-(benzyloxy)ethyl)-3-phenyl-4H-chromen-4-one:
  • the title compound was obtained as a yellow solid (1.50 g, 37%) by following the procedure described for Step 1 of Example 3 from 1-(2-hydroxyphenyl)-2-phenylethanone (2.40 g, 11.30 mmol), dichloromethane (30 ml), HATU (8.60 g, 22.60 mmol), R-(+)2-benzyloxypropionic acid (2.44 g, 13.56 mmol) and triethylamine (17.0 ml, 122.11 mmol) which was used as such in next step.
  • Step 2 (R)-2-(1-hydroxyethyl)-3-phenyl-4H-chromen-4-one: The title compound was obtained as a yellow solid (0.650 g, 58%) by following the procedure described for Step 2 of Example 3 from (R)-2-(1-(benzyloxy)ethyl)-3-phenyl-4H-chromen-4-one (1.50 g, 4.20 mmol) in dichloromethane (15 ml) cooled to 0° C. and aluminium chloride (0.843 g, 6.30 mmol).
  • Step 1 (R)-2-(1-(benzyloxy)propyl)-3-(3-fluorophenyl)-4H-chromen-4-one:
  • the title compound was obtained as a yellow solid (1.65 g, 45%) by following the procedure described for Step 1 of Example 3 from 2-(3-fluorophenyl)-1-(2-hydroxyphenyl)ethanone (2.15 g, 9.36 mmol), dichloromethane (20 ml), HATU (4.27 g, 11.23 mmol), R-(+)2-benzyloxybutyric acid (2.00 g, 10.29 mmol) and triethylamine (14.0 ml, 101.1 mmol).
  • Step 2 (R)-3-(3-fluorophenyl)-2-(1-hydroxypropyl)-4H-chromen-4-one: The title compound was obtained as a yellow solid (0.552 g, 48%) by following the procedure described for Step 2 of Example 3 from (R)-2-(1-(benzyloxy)propyl)-3-(3-fluorophenyl)-4H-chromen-4-one (1.50 g, 3.86 mmol) in dichloromethane (15 ml) cooled to 0° C. and aluminium chloride (1.00 g, 7.72 mmol).
  • Step-1 (R)-2-(1-(benzyloxy)ethyl)-3-(3-fluorophenyl)-4H-chromen-4-one: To 2-(3-fluorophenyl)-1-(2-hydroxyphenyl)ethanone (10.0 g, 43.43 mmol) in dichloromethane (75 ml), HATU (33.0 g, 86.86 mmol) and R-(+)2-benzyloxypropionic acid (9.39 g, 52.12 mmol) were added and stirred for 10 min. Triethylamine (65.4 ml, 0.469 mol) was added dropwise and stirred at RT for 24 h.
  • Step 2 (R)-3-(3-fluorophenyl)-2-(1-hydroxyethyl)-4H-chromen-4-one: To (R)-2-(1-(benzyloxy)ethyl)-3-(3-fluorophenyl)-4H-chromen-4-one (5.0 g, 13.35 mmol) in dichloromethane (50 ml) cooled to ⁇ 78° C., boron tribromide (1M in dichloromethane, 36.5 ml, 0.145 mmol) was added dropwise and stirred for 1 h. The reaction mixture was quenched with 2N HCl solution, extracted with dichloromethane, dried over sodium sulphate and concentrated under reduced pressure.
  • Step-1 (S)-1-(3-(3-fluorophenyl)-4-oxo-4H-chromen-2-yl)ethyl 4-chlorobenzoate: To a solution of Example 6 (2.00 g, 7.03 mmol) in THF (20 ml), 4-chlorobenzoic acid (1.10 g, 2.15 mmol) and triphenylphosphine (2.70 g, 10.55 mmol) were added and heated to 45° C. followed by and diisopropylazodicarboxylate (2.0 ml, 10.55 mmol).
  • Step-2 (S)-3-(3-fluorophenyl)-2-(1-hydroxyethyl)-4H-chromen-4-one: To (R)-11-(3-(3-fluorophenyl)-4-oxo-4H-chromen-2-yl)ethyl 4-chlorobenzoate (2.35 g, 5.55 mmol) in methanol (20 ml), potassium carbonate (0.384 g, 2.77 mmol) was added at 0° C. After 30 min the methanol was concentrated, quenched with 2N HCl and extracted with ethyl acetate. The organic layer was dried over sodium sulphate and concentrated under reduced pressure.
  • Example 68 of WO 2012/151525 This example is also described in Example 68 of WO 2012/151525.
  • the title compound is obtained as an off-white solid using a procedure that is similar to the one described for Illustration 1 from tert-butyl 9-trityl-9H-purin-6-ylcarbamate (0.235 g, 0.494 mmol), ( ⁇ )-5-fluoro-3-(3-fluorophenyl)-2-(1-hydroxyethyl)-4H-chromen-4-one (0.150 g, 0.494 mmol), triphenylphosphine (0.194 g, 0.741 mmol), THF (8 ml) and diisopropylazodicarboxylate (0.15 ml, 0.749 mmol), followed by the cleavage of the intermediate with trifluoroacetic acid (1.8 ml) and dichloromethane (5 ml). MP: 194-197° C. Enantiomeric excess: 99.62%
  • Example 114 of WO 2012/151525 This example is also described in Example 114 of WO 2012/151525.
  • the title compound is obtained as off-white solid using a procedure that is similar to the one described for Illustration 1 from 3-(4-isopropoxy-3-methylphenyl)-1H-pyrazolo[3,4-d]pyrimidin-4-amine (0.150 g, 0.529 mmol), ( ⁇ )-5-fluoro-3-(3-fluorophenyl)-2-(1-hydroxyethyl)-4H-chromen-4-one (0.145 g, 0.481 mmol), tris-4-methoxytriphenylphosphine (0.254 g, 0.721 mmol), THF (3 ml) and diisopropylazodicarboxylate (0.14 ml, 0.721 mmol).
  • Example 115 of WO 2012/151525 This example is also described in Example 115 of WO 2012/151525.
  • the title compound is obtained as an off-white solid using a procedure that is similar to the one described for Illustration 1 from 3-(4-isopropoxy-3-methylphenyl)-1H-pyrazolo[3,4-d]pyrimidin-4-amine (0.128 g, 0.453 mmol), (+)-5-fluoro-3-(3-fluorophenyl)-2-(1-hydroxyethyl)-4H-chromen-4-one (0.125 g, 0.412 mmol), tris-4-methoxytriphenylphosphine (0.217 g, 0.618 mmol), THF (3 ml) and diisopropylazodicarboxylate (0.12 ml, 0.618 mmol).
  • Step-1 (S)/(R)-1-(5-fluoro-3-(3-fluorophenyl)-4-oxo-4H-chromen-2-yl)ethyl methanesulfonate: To a cooled solution of (+)-5-fluoro-3-(3-fluorophenyl)-2-(1-hydroxyethyl)-4H-chromen-4-one (0.800 g, 2.63 mmol) in dichloromethane (16 ml) and triethylamine (1.10 ml, 7.91 mmol), methanesulphonyl chloride (0.400 ml, 5.27 mmol) is added stirred at room temperature for 2 h. The reaction mass is quenched with water, extracted with dichloromethane, dried over sodium sulphate and concentrated to afford the title compound as brown solid which is used as such in next step.
  • Step-2 (S)/(R)-2-(1-azidoethyl)-5-fluoro-3-(3-fluorophenyl)-4H-chromen-4-one: To a solution of (S)/(R)-1-(5-fluoro-3-(3-fluorophenyl)-4-oxo-4H-chromen-2-yl)ethyl methane sulfonate (0.900 g, 2.36 mmol) in DMF (18 ml), sodium azide (0.306 g, 4.72 mmol) is added and heated to 60° C. After 2 h, the reaction mass is quenched with water, extracted with dichloromehane, dried over sodium sulphate and concentrated. The crude product is column chromatographed with ethyl acetate:petroleum ether to afford the title compound as a brown liquid which is used as such in next step.
  • Step-3 (S)/(R)-2-(1-aminoethyl)-5-fluoro-3-(3-fluorophenyl)-4H-chromen-4-one: To a solution of (S)/(R)-2-(1-azidoethyl)-5-fluoro-3-(3-fluorophenyl)-4H-chromen-4-one (0.600 g, 1.82 mmol) in THF (2.4 ml) and water (1.2 ml), triphenylphosphine (0.455 g, 1.73 mmol) is added and stirred at room temperature for 14 h. The reaction mass is quenched with water, extracted with ethyl acetate, dried over sodium sulphate and concentrated. The crude product is column chromatographed with methanol:dichloromethane to afford the title compound as a brown liquid.

Landscapes

  • Chemical & Material Sciences (AREA)
  • Organic Chemistry (AREA)
  • Health & Medical Sciences (AREA)
  • Medicinal Chemistry (AREA)
  • Pharmacology & Pharmacy (AREA)
  • Epidemiology (AREA)
  • Life Sciences & Earth Sciences (AREA)
  • Animal Behavior & Ethology (AREA)
  • General Health & Medical Sciences (AREA)
  • Public Health (AREA)
  • Veterinary Medicine (AREA)
  • Pharmaceuticals Containing Other Organic And Inorganic Compounds (AREA)

Abstract

The present invention relates to compounds useful as pharmaceutical intermediates, to processes for preparing the intermediates, to intermediates used in the processes, and to the use of the intermediates in the preparation of pharmaceuticals. In particular, the present invention concerns enantiomerically pure optionally substituted 2-(1-hydroxy-alkyl)-chromen-4-one derivatives represented by formula (IA) and (IB), processes for preparing the alcohol derivatives and their use in preparing pharmaceuticals.

Description

    PRIORITY
  • This application claims the benefit of Indian Provisional Patent Application No. 1737/CHE/2012 dated 4 May 2012 and U.S. Provisional Patent Application No. 61/671,956 dated 16 Jul. 2012; each of which is hereby incorporated by reference.
  • FIELD OF THE INVENTION
  • The present invention relates to compounds useful as pharmaceutical intermediates, to processes for preparing the intermediates, to intermediates used in the processes, and to the use of the intermediates in the preparation of pharmaceuticals. In particular, the present invention concerns enantiomerically pure optionally substituted 2-(1-hydroxy-alkyl)-chromen-4-one derivatives, processes for preparing the alcohol derivatives and their use in preparing pharmaceuticals.
  • BACKGROUND OF THE INVENTION
  • International Publication No. WO 2011/055215, International Publication No. WO2012151525A1, U.S. Publication No. 2011/0118257, U.S. Publication No. 2012/0289496, Indian Provisional Patent Application Nos. 1542/CHE/2011 dated 4 May 2011 and 81/CHE/2012 dated 9 Jan. 2012 (all of which are incorporated herein by reference in their entirety for all purposes) generally disclose 2,3 disubstituted-4H-chromen-4-one compounds as PI3K inhibitors useful for the treatment, prevention and/or amelioration of kinase mediated diseases or disorders.
  • SUMMARY OF THE INVENTION
  • The present inventors have developed an improved process for preparing optionally substituted 2-(1-hydroxy-alkyl)-chromen-4-one derivatives (including 2-(1-hydroxy-alkyl), 6-substituted 4H-chromen-4-one compounds), which may be used in the preparation of 2,3 disubstituted-4H-chromen-4-one compounds. The process is particularly useful for preparing enantiomerically pure optionally substituted 2-(1-hydroxy-alkyl)-chromen-4-one derivatives. The process is enantioselective and suitable for large scale production, has high yield, uses non-hazardous reagents and results in less waste.
  • The present invention provides processes for preparing a compound of formula (IA)
  • Figure US20180098994A9-20180412-C00001
  • wherein
  • each occurrence of R is independently selected from hydrogen, hydroxy, halogen, carboxyl, cyano, nitro, substituted or unsubstituted alkyl, substituted or unsubstituted alkoxy, substituted or unsubstituted alkenyl, substituted or unsubstituted alkynyl, substituted or unsubstituted cycloalkyl, substituted or unsubstituted cycloalkenyl, substituted or unsubstituted cycloalkylalkyl, substituted or unsubstituted cycloalkenylalkyl, substituted or unsubstituted heterocyclyl, substituted or unsubstituted heterocyclylalkyl, substituted or unsubstituted aryl, substituted or unsubstituted arylalkyl, substituted or unsubstituted heteroaryl, substituted or unsubstituted heteroarylalkyl, —COORx, —C(O)Rx, —C(S)Rx, —C(O)NRxRy, —C(O)ONRxRy, —NRxRy, —NRxCONRxRy, —N(Rx)SORx, —N(Rx)SO2Ry, —(═N—N(Rx)Ry), —NRxC(O)ORy, —NRxC(O)Ry—, —NRxC(S)Ry, —NRxC(S)NRxRy, —SONRxRy, —SO2NRxRy, —ORx, —ORxC(O)NRxRy, —ORxC(O)ORx, —OC(O)Rx, —OC(O)NRxRy, —RxNRyC(O)Rz, —RxORy, —RxC(O)ORy, —RxC(O)NRxRy, —RxC(O)Ry, —RxOC(O)Ry, —SRx, —SORx, —SO2Rx, and —ONO2, wherein each occurrence of Rx, Ry and Rz is independently hydrogen, substituted or unsubstituted alkyl, substituted or unsubstituted alkoxy, substituted or unsubstituted alkenyl, substituted or unsubstituted alkynyl, substituted or unsubstituted aryl, substituted or unsubstituted arylalkyl, substituted or unsubstituted heteroaryl, substituted or unsubstituted heteroarylalkyl, substituted or unsubstituted cycloalkyl, substituted or unsubstituted cycloalkylalkyl, substituted or unsubstituted cycloalkenyl, substituted or unsubstituted heterocyclic ring, substituted or unsubstituted heterocyclylalkyl ring, or substituted or unsubstituted amino, or (i) any two of Rx and Ry, when bound to a common atom, are joined to form a substituted or unsubstituted, saturated or unsaturated 3-14 membered ring, which may optionally include heteroatoms which may be the same or different and are selected from O, NRz or S, or (ii) any two of Rx and Ry, when bound to a common atom, are joined to form an oxo (═O), thio (═S) or imino (═NRf) (wherein Rf is hydrogen or substituted or unsubstituted alkyl);
      • R1 is substituted or unsubstituted C1-6 alkyl;
      • Cy1 is a group (e.g., a monocyclic or bicyclic group) selected from substituted or unsubstituted cycloalkyl, substituted or unsubstituted heterocyclic group, substituted or unsubstituted aryl and substituted or unsubstituted heteroaryl; and
      • n is an integer selected from 0, 1, 2, 3 or 4.
  • In one embodiment, the compound is not selected from
  • Figure US20180098994A9-20180412-C00002
  • or a salt thereof.
  • Further preferred is a compound of formula (IA) wherein R is alkyl (e.g., C1-C4 alkyl, such as methyl or ethyl) or halogen.
  • Further preferred is a compound of formula (IA) wherein R is chloro, fluoro or methyl.
  • Further preferred is a compound of formula (IA) wherein Cy1 is a monocyclic group selected from substituted or unsubstituted aryl.
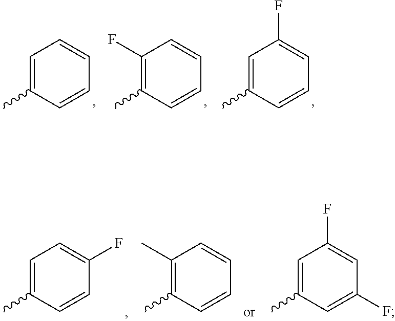
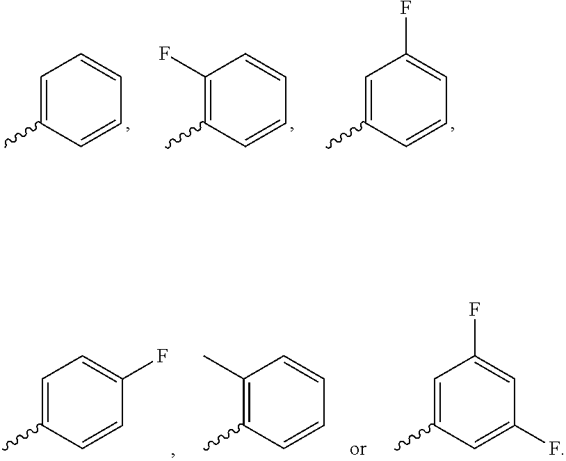
  • Further preferred is a compound of formula (IA) wherein Cy1 is selected from
  • Figure US20180098994A9-20180412-C00003
  • Further preferred is a compound of formula (IA) wherein R1 is methyl or ethyl.
  • Further preferred is a compound of formula (IA) wherein n is 1.
  • In yet another embodiment is a compound selected from
    • 1. (R)-6-fluoro-3-(3-fluorophenyl)-2-(1-hydroxyethyl)-4H-chromen-4-one
    • 2. (R)-2-(1-hydroxyethyl)-5-methyl-3-phenyl-4H-chromen-4-one
    • 3. (R)-6-fluoro-2-(1-hydroxyethyl)-3-phenyl-4H-chromen-4-one
    • 4. (R)-2-(1-hydroxyethyl)-3-phenyl-4H-chromen-4-one
    • 5. (R)-3-(3-fluorophenyl)-2-(1-hydroxypropyl)-4H-chromen-4-one
    • 6. (R)-3-(3-fluorophenyl)-2-(1-hydroxyethyl)-4H-chromen-4-one
    • 7. (S)-3-(3-fluorophenyl)-2-(1-hydroxyethyl)-4H-chromen-4-one;
  • TABLE 1
    Figure US20180098994A9-20180412-C00004
    Example-1
    Figure US20180098994A9-20180412-C00005
    Example-2
    Figure US20180098994A9-20180412-C00006
    Example-3
    Figure US20180098994A9-20180412-C00007
    Example-4
    Figure US20180098994A9-20180412-C00008
    Example-5
    Figure US20180098994A9-20180412-C00009
    Example-6
    Figure US20180098994A9-20180412-C00010
    Example-7
  • One embodiment is a process of preparing a compound of formula (IA) which includes
    • (a) treating a compound of formula (6) wherein R, n and Cy1 are as defined above with a compound of formula (A) wherein R1 is as defined above and Pg is a protecting group (such as benzyl)
  • Figure US20180098994A9-20180412-C00011
    • and
    • (b) deprotecting the compound formed in step (a) to obtain a compound of formula (IA), and optionally converting it to its salt.
  • In yet another embodiment, the reaction of compound of formula (6) with compound of formula A is performed in presence of a suitable coupling reagent such as HATU ((2-(7-Aza-1H-benzotriazole-1-yl)-1,1,3,3-tetramethyluronium hexafluorophosphate), HBTU (O-Benzotriazole-N,N,N′,N′-tetramethyl-uronium-hexafluoro-phosphate), TBTU (O-(Benzotriazol-1-yl)-N,N,N′,N′-tetramethyl uronium tetrafluoroborate), COMU (Morpholinium, 4-[[[(1-cyano-2-ethoxy-2-oxoethylidene)amino] oxayl] (dimethyl amino) methylene]-hexafluorophosphate), TOTU ((O-[(Ethoxy carbonyl)cyanomethylenamino]-N,N,N′,N′-tetra methyl uronium tetrafluoroborate), HCTU ((2-(6-Chloro-1H-benzotriazole-1-yl)-1,1,3,3-tetramethylaminium hexafluorophosphate), TCTU (O-(6-Chloro-1-hydrocibenzotriazol-1-yl)-1,1,3,3-tetramethyl uronium tetra fluoroborate), TATU (O-(7-Azabenzotriazole-1-yl)-N,N,N′,N′-tetramethyl uronium tetra fluoroborate), TSTU (O-(N-Succinimidyl)-1,1,3,3-tetramethyl uranium tetrafluoroborate), TDBTU (N,N,N′,N′-Tetramethyl-O-(3,4-dihydro-4-oxo-1,2,3-benzotriazin-3-yl) uranium tetrafluoroborate), any other suitable coupling reagents, or any combination of any of the foregoing.
  • Further preferred is where the reaction of compound of formula (6) with compound of formula A is performed in presence of HATU, HBTU, TBTU or COMU.
  • Further preferred is where the reaction of compound of formula (6) with compound of formula A is performed in presence of HATU.
  • Another embodiment is a process for preparing a compound of formula (IB)
  • Figure US20180098994A9-20180412-C00012
  • wherein all the variables are as defined above, the method includes the steps of
    • (a) treating a compound of formula (6), wherein R, n and Cy1 are as defined above, with a compound of formula (B) wherein R1 is as defined above and Pg is a protecting group (such as benzyl)
  • Figure US20180098994A9-20180412-C00013
  • and
    • (b) deprotecting the compound formed in step (a) to obtain a compound of Formula (IB).
  • In one embodiment, the compound is not selected from
  • Figure US20180098994A9-20180412-C00014
  • or a salt thereof.
  • Further preferred is a compound of formula (IB) wherein R is alkyl (e.g., C1-C4 alkyl, such as methyl or ethyl) or halogen.
  • Further preferred is a compound of formula (IB) wherein R is chloro, fluoro or methyl.
  • Further preferred is a compound of formula (IB) wherein Cy1 is a monocyclic group selected from substituted or unsubstituted aryl.
  • Further preferred is a compound of formula (IB) wherein Cy1 is selected from
  • Figure US20180098994A9-20180412-C00015
  • Further preferred is a compound of formula (IB) wherein R1 is methyl or ethyl.
  • Further preferred is a compound of formula (IB) wherein n is 1.
  • Yet another embodiment is a process for preparing a compound of formula (IA)
  • Figure US20180098994A9-20180412-C00016
  • wherein all the variables are as defined above, the method includes the steps of
    • (a) converting a compound of formula (1)
  • Figure US20180098994A9-20180412-C00017
    • wherein R and n are as defined above and Pg is a protecting group, to a compound of formula (2)
  • Figure US20180098994A9-20180412-C00018
    • (b) converting the compound of formula (2) to a compound of formula (3)
  • Figure US20180098994A9-20180412-C00019
    • (c) converting the compound of formula (3) to a compound of formula (5)
  • Figure US20180098994A9-20180412-C00020
    • wherein R, n, Cy1 and Pg are as described above;
    • (d) deprotection of the compound of formula (5) to give a compound of formula (6)
  • Figure US20180098994A9-20180412-C00021
    • (e) reacting the compound of formula (6) with a compound of formula (A)
  • Figure US20180098994A9-20180412-C00022
    • to give a compound of formula (7a)
  • Figure US20180098994A9-20180412-C00023
    • (f) deprotection of the compound of formula (7a) to give the desired compound of formula (IA); and
    • (g) optionally, converting the compound of formula (IA) to a salt of the compound.
  • The compound of Formula (1) may be converted to a compound of Formula (2) by treating the compound of formula (1) with hydroxyl amine or a salt thereof (such as NH2OH.HCl) in presence of a base. The compound of Formula (3) may be obtained by treating the compound of formula (2) with N,N′-carbonyldiimidazole (CDI). The compound of Formula (3) may be converted to a compound of Formula (5) by treating the compound of formula (3) with a Grignard reagent of formula (4a)

  • Cy1-CH2—MgX   4a
  • wherein X is halogen and Cy1 is as defined above.
  • Yet another embodiment is a process for preparing a compound of formula (IB)
  • Figure US20180098994A9-20180412-C00024
  • wherein all the variables are as defined above, the process includes the steps of
    • (a) converting a compound of formula (1)
  • Figure US20180098994A9-20180412-C00025
  • to a compound of formula (2)
  • Figure US20180098994A9-20180412-C00026
  • wherein R and n are as defined above and Pg is a protecting group (for example by reacting the compound of formula (1) with hydroxylamine or a salt thereof (such as NH2OH.HCl) in presence of a base);
    • (b) converting the compound of formula (2) to a compound of formula (3)
  • Figure US20180098994A9-20180412-C00027
  • (for example, by treating the compound of formula (2) with N,N′-carbonyldiimidazole (CDI));
    • (c) converting the compound of formula (3) to a compound of formula (5)
  • Figure US20180098994A9-20180412-C00028
  • wherein R, n, Cy1 and Pg are as described above (for example by treating the compound of formula (3) with a Grignard reagent of formula (4a)

  • Cy1-CH2—MgX   4a
  • wherein X is halogen and Cy1 is as defined above);
    • (d) deprotection of the compound of formula (5) to give a compound of formula (6)
  • Figure US20180098994A9-20180412-C00029
    • (e) reacting the compound of formula (6) with a compound of formula (B)
  • Figure US20180098994A9-20180412-C00030
  • to give a compound of formula (7b)
  • Figure US20180098994A9-20180412-C00031
    • (f) deprotection of the compound of formula (7b) to give the desired compound of formula (IB) wherein all the variables (R, R1, n and Cy1) are as described above in relation to Formula (IA); and
    • (g) optionally, converting the compound of formula (IB) to a salt of the compound.
  • In yet another embodiment, the reaction of compound of formula (6) with compound of formula B is performed in presence of a suitable coupling reagent such as HATU ((2-(7-Ara-1H-benzotriazole-1-yl)-1,1,3,3-tetramethyluronium hexafluorophosphate), HBTU (O-Benzotriazole-N,N,N′,N′-tetramethyl-uronium-hexafluoro-phosphate), TBTU (O-(Benzotriazol-1-yl)-N,N,N′,N′-tetramethyl uronium tetrafluoroborate), COMU (Morpholinium, 4-[[[(1-cyano-2-ethoxy-2-oxoethylidene)amino] oxayl] (dimethyl amino) methylene]-hexafluorophosphate), TOTU ((O-[(Ethoxy carbonyl) cyanomethylenamino]-N,N,N′,N′-tetra methyl uronium tetrafluoroborate), HCTU ((2-(6-Chloro-1H-benzotriazole-1-yl)-1,1,3,3-tetramethylaminium hexafluorophosphate), TCTU (O-(6-Chloro-1-hydrocibenzotriazol-1-yl)-1,1,3,3-tetramethyl uronium tetra fluoroborate), TATU (O-(7-Azabenzotriazole-1-yl)-N,N,N′,N′-tetramethyl uronium tetra fluoroborate), TSTU (O-(N-Succinimidyl)-1,1,3,3-tetramethyl uranium tetrafluoroborate), TDBTU (N,N,N′,N′-Tetramethyl-O-(3,4-dihydro-4-oxo-1,2,3-benzotriazin-3-yl) uranium tetrafluoroborate), any other suitable coupling reagents, or any combination of any of the foregoing.
  • Further preferred is where the reaction of compound of formula (6) with compound of formula B is performed in presence of HATU, HBTU, TBTU or COMU.
  • Further preferred is where the reaction of compound of formula (6) with compound of formula B is performed in presence of HATU.
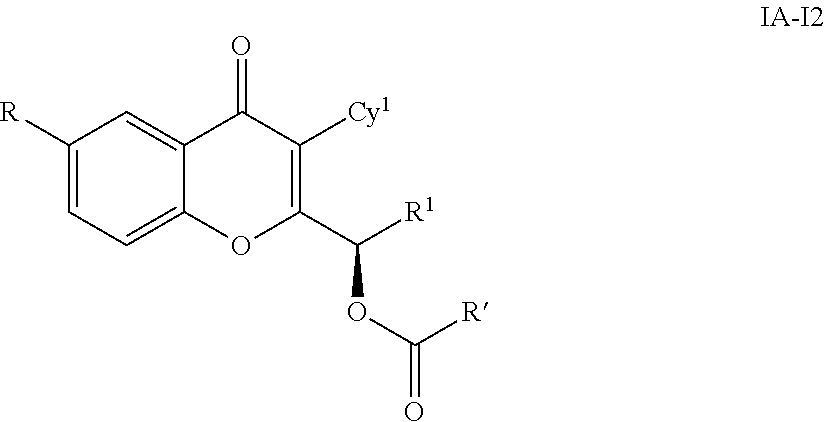
  • Yet another embodiment is a process for inverting a compound of formula (IA) to yield a compound of formula (IB) comprising the step of
    • (a) reacting the compound of formula (IA) with R′-COOH (wherein R1 is selected from substituted or unsubstituted alkyl or substituted or unsubstituted aryl) to provide a compound of formula IA-2
  • Figure US20180098994A9-20180412-C00032
    • (b) treating the compound of formula (IA-2) with a suitable base in a polar solvent to yield a compound of formula (IB).
  • Yet another embodiment is a process for inverting a compound of formula (IB) to yield a compound of formula (IA) comprising the step of
    • (a) reacting the compound of formula (IB) with R′-COOH (wherein R1 is selected from substituted or unsubstituted alkyl or substituted or unsubstituted aryl) to provide a compound of formula IB-2
  • Figure US20180098994A9-20180412-C00033
    • (b) treating the compound of formula (IB-2) with a suitable base in a polar solvent to yield a compound of formula (IA).
  • Further preferred is where R1 is 4-chloro phenyl.
  • Further preferred is where the base is selected from inorganic bases, such as K2CO3 , Na2CO3 or CsCO3 and the polar solvent used is a suitable alcohol selected from methanol or ethanol.
  • Yet another embodiment is a process for preparing a compound of formula (IA-I)
  • Figure US20180098994A9-20180412-C00034
  • wherein all the variables are as defined above, the method comprising the steps of
    • (a) converting a compound of formula (1a)
  • Figure US20180098994A9-20180412-C00035
  • to a compound of formula (2a)
  • Figure US20180098994A9-20180412-C00036
  • wherein R and n are as defined above and Pg is a protecting group (for example, reacting a compound of formula (1a) with hydroxylamine or a salt thereof (such as NH2OH.HCl) in the presence of a base);
    • (b) converting a compound of formula (2a) to a compound of formula (3a)
  • Figure US20180098994A9-20180412-C00037
  • (for example, by treating the compound of formula (2a) with N,N′-carbonyldiimidazole (CDI));
    • (c) converting a compound of formula (3a) to a compound of formula (5a)
  • Figure US20180098994A9-20180412-C00038
  • (for example, by treating the compound of formula (3a) with a Grignard reagent of formula (4a)

  • Cy1-CH2—MgX   4a
  • wherein X is halogen and Cy1 is as described above);
    • (d) deprotection of the compound of formula (5a) to give a compound of formula (6a)
  • Figure US20180098994A9-20180412-C00039
    • (e) reacting the compound of formula (6a) with a compound of formula (A)
  • Figure US20180098994A9-20180412-C00040
  • to give a compound of formula (7aa)
  • Figure US20180098994A9-20180412-C00041
    • (f) deprotection of the compound of formula (7aa) to give the desired compound of formula (IA-I) wherein all the variables (R, R1, n and Cy1) are as described above in relation to Formula (IA); and
    • (g) optionally, converting the compound of formula (IA-I) to a salt of the compound.
  • Yet another embodiment is a process for preparing a compound of formula (IA-II)
  • Figure US20180098994A9-20180412-C00042
  • wherein all the variables are as defined above, the methods comprising the step of
    • (a) converting a compound of formula (1b)
  • Figure US20180098994A9-20180412-C00043
  • wherein R is as defined above and Pg is a protecting group, to a compound of formula (2b)
  • Figure US20180098994A9-20180412-C00044
  • (for example, by treating a compound of formula (1a) with hydroxylamine or a salt thereof (such as NH2OH.HCl) in the presence of a base);
    • (b) converting a compound of formula (2b) to a compound of formula (3b)
  • Figure US20180098994A9-20180412-C00045
  • (for example, by treating the compound of formula (2b) with N,N′-carbonyldiimidazole (CDI));
    • (c) converting the compound of formula (3b) to a compound of formula (5b)
  • Figure US20180098994A9-20180412-C00046
  • (for example, treating a compound of formula (3b) with a Grignard reagent of formula (4a)

  • Cy1-CH2—MgX   4a
  • wherein X is halogen and Cy1 is as described above);
    • (d) deprotection of the compound of formula (5b) to give a compound of formula (6b)
  • Figure US20180098994A9-20180412-C00047
    • (e) reacting the compound of formula (6b) with a compound of formula (A)
  • Figure US20180098994A9-20180412-C00048
  • to give a compound of formula (7ab)
  • Figure US20180098994A9-20180412-C00049
  • and
    • (f) deprotection of the compound of formula (7ab) to give the desired compound of formula (IA-II) wherein all the variables (R, R1, n and Cy1) are as described above in relation to Formula (IA); and
    • (g) optionally, converting the compound of formula (IA-II) to a salt of the compound.
  • Yet another embodiment is a process for inverting a compound of formula (IA-I) to yield a compound of formula (IB-I) (shown below) comprising the step of
    • (a) reacting the compound of formula (IA-I) with R′-COOH (wherein R1 is selected from substituted or unsubstituted alkyl or substituted or unsubstituted aryl) to provide a compound of formula (IA-I2)
  • Figure US20180098994A9-20180412-C00050
    • (b) treating the compound of formula (IA-I2) with a suitable base in a polar solvent to yield a compound of formula (IB-I).
  • Yet another embodiment is a process for inverting a compound of formula (IB-I) to yield a compound of formula (IA-I) comprising the step of
    • (a) reacting the compound of formula (IB-I) with R′-COOH (wherein R1 is selected from substituted or unsubstituted alkyl or substituted or unsubstituted aryl) to provide a compound of formula (IB-I2)
  • Figure US20180098994A9-20180412-C00051
    • (b) treating the compound of formula (IB-I2) with a suitable base in a polar solvent to yield a compound of formula (IA-I).
  • Yet another embodiment is a process for preparing a compound of formula (IB-I)
  • Figure US20180098994A9-20180412-C00052
  • wherein all the variables are as defined above, the method comprising the steps of
    • (a) reacting the compound of formula (6a) with a compound of formula (B)
  • Figure US20180098994A9-20180412-C00053
  • to give a compound of formula (7ba)
  • Figure US20180098994A9-20180412-C00054
    • (b) deprotection of the compound of formula (7ba) to give the desired compound of formula (IB-I) wherein all the variables (R, R1, n and Cy1) are as described above in relation to Formula (IA); and
    • (c) optionally, converting the compound of formula (IB-I) to a salt of the compound.
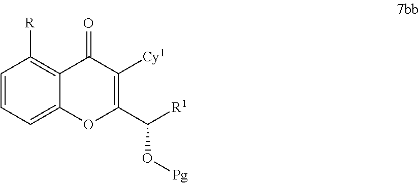
  • Yet another embodiment is a process for preparing a compound of formula (IB-II)
  • Figure US20180098994A9-20180412-C00055
  • wherein all the variables are as defined above, the method comprising the steps of
    • (a) reacting the compound of formula (6b) with a compound of formula (B)
  • Figure US20180098994A9-20180412-C00056
  • to give a compound of formula (7bb)
  • Figure US20180098994A9-20180412-C00057
    • (b) deprotection of the compound of formula (7bb) to give the desired compound of formula (IB-II) wherein all the variables (R, R1, n and Cy1) are as described above in relation to Formula (IA); and
    • (c) optionally, converting the compound of formula (IB-II) to a salt of the compound.
  • Yet another embodiment is a process for inverting a compound of formula (IA-II) to yield a compound of formula (IB-II) comprising the step of
    • (a) reacting the compound of formula (IA-II) with R′-COOH (wherein R1 is selected from substituted or unsubstituted alkyl or substituted or unsubstituted aryl) to provide a compound of formula IA-II2
  • Figure US20180098994A9-20180412-C00058
    • (b) treating the compound of formula (IA-II2) with a suitable base in a polar solvent to yield a compound of formula (IB-II).
  • Yet another embodiment is a process for inverting a compound of formula (IB-II) to yield a compound of formula (IA-II) comprising the step of
    • (a) reacting the compound of formula (IB-II) with R′-COOH (wherein R1 is selected from substituted or unsubstituted alkyl or substituted or unsubstituted aryl) to provide a compound of formula IB-II2
  • Figure US20180098994A9-20180412-C00059
    • (b) treating the compound of formula (IB-II2) with a suitable base in a polar solvent to yield a compound of formula (IA-II).
  • Yet another embodiment is a compound of formula (IA) or (IB)
  • Figure US20180098994A9-20180412-C00060
  • or a salt thereof, wherein the variables R, n, Cy1, and R1 are defined as above.
  • In one embodiment, the compound of formula (IA) or (IB) has an enantiomeric excess (EE) of at least 75%, 90%, 95%, 97%, or 98%.
  • Yet another embodiment is the use of the compound of formula (IA), or any other intermediate described herein, for preparation of PI3K inhibitors of formula (I)
  • Figure US20180098994A9-20180412-C00061
  • or a tautomer thereof, N-oxide thereof, pharmaceutically acceptable ester thereof, prodrug thereof, or pharmaceutically acceptable salt thereof, wherein
      • the variables R, n, Cy1, and R1 are defined as above;
      • Cy2 is selected from a substituted or unsubstituted heterocyclic group, substituted or unsubstituted aryl and substituted or unsubstituted heteroaryl;
      • L1 is absent or selected from —(CRaRb)q—, —O—, —S(═O)q—, —NRa— or —C(═Y)—;
      • each occurrence of Ra and Rb may be the same or different and are independently selected from hydrogen, halogen, hydroxy, cyano, substituted or unsubstituted (C1-6)alkyl, —NRcRd (wherein Rc and Rd are independently hydrogen, halogen, hydroxy, cyano, substituted or unsubstituted (C1-6)alkyl, or (C1-6)alkoxy) and —ORc (wherein Rc is substituted or unsubstituted (C1-6)alkyl) or when Ra and Rb are directly bound to a common atom, they may be joined to form an oxo group (═O) or form a substituted or unsubstituted, saturated or unsaturated 3-10 member ring (including the common atom to which Ra and Rb are directly bound), which may optionally include one or more heteroatoms which may be the same or different and are selected from O, NRd (wherein Rd is hydrogen or substituted or unsubstituted (C1-6)alkyl) or S;
      • Y is selected from O, S, and NRa; and
      • q is 0, 1 or 2.
  • The compound of formula (I) may be prepared by
    • (a) treating the compound of formula (IA)
  • Figure US20180098994A9-20180412-C00062
  • with Cy2-H (for example, by a Mitsunobu reaction) to give the desired compound of formula (I) or a tautomer thereof, N-oxide thereof, pharmaceutically acceptable ester thereof, prodrug thereof, or pharmaceutically acceptable salt thereof, wherein
      • R, R1, n and Cy1 are as described above in relation to Formula (IA).
      • Cy2 is selected from a substituted or unsubstituted heterocyclic group, substituted or unsubstituted aryl and substituted or unsubstituted heteroaryl; and
      • L1 is absent; and
    • (b) optionally converting the compound of formula (I) to a salt of the compound.
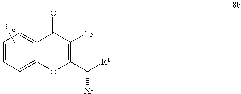
  • The compound of formula (I) may also be prepared by
    • (a) treating the compound of formula (IA)
  • Figure US20180098994A9-20180412-C00063
  • with a phosphorus halide or mesyl chloride (or other mesyl halide) in the presence of a base to give a compound of formula (8a)
  • Figure US20180098994A9-20180412-C00064
  • wherein X1 is halogen or —O-Mesyl (i.e., —O—SO2CH3); and
    • (b) reacting the compound of formula (8a) with Cy2-H in the presence of a base to give the desired compound of formula (I) or a tautomer thereof, N-oxide thereof, pharmaceutically acceptable ester thereof, prodrug thereof, wherein
      • R, R1, n and Cy1 are as described above in relation to Formula (IA);
      • Cy2 is selected from a substituted or unsubstituted heterocyclic group, substituted or unsubstituted aryl and substituted or unsubstituted heteroaryl; and
      • L1 is absent; and
    • (c) optionally, converting the compound of formula (I) to a salt of the compound.
  • Yet another embodiment provided is the use of the compound of formula (IA) for preparation of PI3K inhibitors of formula (II)
  • Figure US20180098994A9-20180412-C00065
  • or a tautomer thereof, N-oxide thereof, pharmaceutically acceptable ester thereof, prodrug thereof, wherein
      • R, R1, n and Cy1 are as described above in relation to Formula (IA);
      • Cy2 is selected from a substituted or unsubstituted heterocyclic group, substituted or unsubstituted aryl and substituted or unsubstituted heteroaryl; and
      • L1 is NH.
  • The compound of formula (II) may be prepared by
    • (a) treating the compound of formula (IA)
  • Figure US20180098994A9-20180412-C00066
  • with a phosphorus halide or mesyl chloride (or other mesyl halide) in the presence of a base to give a compound of formula (8a)
  • Figure US20180098994A9-20180412-C00067
  • wherein X1 is halogen or —O-Mesyl;
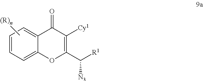
    • (b) converting the compound of formula (8a) to give a compound of formula (9a)
  • Figure US20180098994A9-20180412-C00068
  • (for example, by treating the compound of formula (8a) with sodium azide);
    • (c) converting the compound of formula (9a) to give a compound of formula (10a)
  • Figure US20180098994A9-20180412-C00069
  • (for example, by treating the compound of formula (8a) with triphenyl phosphine);
    • (d) coupling the compound of formula (10a) with a compound of formula Cy2-Lg, wherein Lg is a leaving group, in the presence of a base to give the desired compound of formula (II); and
    • (e) optionally, converting the compound of formula (II) to a salt of the compound.
  • Yet another embodiment is the use of the compound of formula (IB), or any other intermediate described herein, for preparation of PI3K inhibitors of formula (III)
  • Figure US20180098994A9-20180412-C00070
  • or a tautomer thereof, N-oxide thereof, pharmaceutically acceptable ester thereof, prodrug thereof, or pharmaceutically acceptable salt thereof, wherein
      • the variables R, n, Cy1, and R1 are defined as above;
      • Cy2 is selected from a substituted or unsubstituted heterocyclic group, substituted or unsubstituted aryl and substituted or unsubstituted heteroaryl;
      • L1 is absent or selected from —(CRaRb)q—, —O—, —S(═O)q—, —NRa— or —C(═Y)—;
      • each occurrence of Ra and Rb may be the same or different and are independently selected from hydrogen, halogen, hydroxy, cyano, substituted or unsubstituted (C1-6)alkyl, —NRcRd (wherein Rc and Rd are independently hydrogen, halogen, hydroxy, cyano, substituted or unsubstituted (C1-6)alkyl, or (C1-6)alkoxy) and —ORc (wherein Rc is substituted or unsubstituted (C1-6)alkyl) or when Ra and Rb are directly bound to a common atom, they may be joined to form an oxo group (═O) or form a substituted or unsubstituted, saturated or unsaturated 3-10 member ring (including the common atom to which Ra and Rb are directly bound), which may optionally include one or more heteroatoms which may be the same or different and are selected from O, NRd (wherein Rd is hydrogen or substituted or unsubstituted (C1-6)alkyl) or S;
      • Y is selected from O, S, and NRa; and
      • q is 0, 1 or 2.
  • The compound of formula (III) may be prepared by
    • (a) treating the compound of formula (IB)
  • Figure US20180098994A9-20180412-C00071
  • with Cy2-H (for example, by a Mitsunobu reaction) to give the desired compound of formula (III) or a tautomer thereof, N-oxide thereof, pharmaceutically acceptable ester thereof, prodrug thereof, or pharmaceutically acceptable salt thereof, wherein
  • R, R1, n and Cy1 are as described above in relation to Formula (IB);
      • Cy2 is selected from a substituted or unsubstituted heterocyclic group, substituted or unsubstituted aryl and substituted or unsubstituted heteroaryl; and
      • L1 is absent; and
    • (b) optionally converting the compound of formula (III) to a salt of the compound.
  • The compound of formula (III) may also be prepared by
    • (a) treating the compound of formula (IB)
  • Figure US20180098994A9-20180412-C00072
  • with a phosphorus halide or mesyl chloride (or other mesyl halide) in the presence of a base to give a compound of formula (8b)
  • Figure US20180098994A9-20180412-C00073
  • wherein X1 is halogen or —O-Mesyl (i.e., —O—SO2CH3); and
    • (b) reacting the compound of formula (8b) with Cy2-H in the presence of a base to give the desired compound of formula (III) or a tautomer thereof, N-oxide thereof, pharmaceutically acceptable ester thereof, prodrug thereof, or pharmaceutically acceptable salt thereof, wherein
      • R, R1, n and Cy1 are as described above in relation to Formula (IB);
      • Cy2 is selected from a substituted or unsubstituted heterocyclic group, substituted or unsubstituted aryl and substituted or unsubstituted heteroaryl; and
      • L1 is absent; and
    • (c) optionally, converting the compound of formula (III) to a salt of the compound.
  • Yet another embodiment provided is the use of the compound of formula (IB) for preparation of PI3K inhibitors of formula (IV)
  • Figure US20180098994A9-20180412-C00074
  • or a tautomer thereof, N-oxide thereof, pharmaceutically acceptable ester thereof, prodrug thereof, or pharmaceutically acceptable salt thereof, wherein
      • R, R1, n and Cy1 are as described above in relation to Formula (IB);
      • Cy2 is selected from a substituted or unsubstituted heterocyclic group, substituted or unsubstituted aryl and substituted or unsubstituted heteroaryl; and
      • L1 is NH.
  • The compound of formula (IV) may be prepared by
    • (a) treating the compound of formula (IB)
  • Figure US20180098994A9-20180412-C00075
  • with a phosphorus halide or mesyl chloride (or other mesyl halide) in the presence of a base to give a compound of formula (8b)
  • Figure US20180098994A9-20180412-C00076
  • wherein X1 is halogen or —O-Mesyl;
    • (b) converting the compound of formula (8b) to give a compound of formula (9b)
  • Figure US20180098994A9-20180412-C00077
  • (for example, by treating the compound of formula (8b) with sodium azide);
    • (c) converting the compound of formula (9b) to give a compound of formula (10b)
  • Figure US20180098994A9-20180412-C00078
  • (for example, by treating the compound of formula (8b) with triphenyl phosphine);
    • (d) coupling the compound of formula (10b) with a compound of formula Cy2-Lg, wherein Lg is a leaving group, in the presence of a base to give the desired compound of formula (IV); and
    • (e) optionally, converting the compound of formula (IV) to a salt of the compound.
  • In one preferred embodiment, the coupling reaction of the compound of formula 6 with the compound of formula A or B is performed in the presence of N-[(Dimethylamino)-1H-1,2,3-triazolo-[4,5-b]pyridin-1-ylmethylene]-N-methyl methanaminium hexafluorophosphate N-oxide (HATU).
  • The protecting groups, such as those on the compounds of formulas 7a, 7b, 7aa, 7ab, 7ba, and 7bb may be removed using suitable deprotecting agents, such as aluminium chloride, boron tribromide, or any combination of the foregoing. Optionally the deprotection may be performed using other suitable deprotecting agents including use of hydrogenation for deprotection.
  • Yet another embodiment is a composition (e.g., a pharmaceutical composition) comprising (a) a PI3K inhibitor of formula (I) or (II) or a salt thereof, and (b) a compound of formula (IA) or (IB) or a salt thereof. In one embodiment, the composition comprises at least about 99.5% by weight of the PI3K inhibitor, and the compound of formula (IA) or (IB) in an amount up to 0.5% by weight, based upon the total of components (a) and (b). In another embodiment, the composition includes the compound of formula (IA) or (IB) in an amount up to 0.2% or 0.1% by weight. The pharmaceutical composition can be, for example, a tablet or capsule.
  • DETAIL DESCRIPTION OF THE INVENTION
  • As used herein the following definitions shall apply unless otherwise indicated. Further many of the groups defined herein can be optionally substituted. The listing of substituents in the definition is exemplary and is not to be construed to limit the substituents defined elsewhere in the specification.
  • The term “alkyl” refers to a straight or branched hydrocarbon chain radical consisting solely of carbon and hydrogen atoms, containing no unsaturation, having from one to eight carbon atoms, and which is attached to the rest of the molecule by a single bond, e.g., methyl, ethyl, n-propyl, 1-methylethyl (isopropyl), n-butyl, n-pentyl, and 1,1-dimethylethyl (t-butyl).
  • The term “alkenyl” refers to an aliphatic hydrocarbon group containing a carbon-carbon double bond and which may be a straight or branched or branched chain having 2 to about 10 carbon atoms, e.g., ethenyl, 1-propenyl, 2-propenyl (allyl), iso-propenyl, 2-methyl-1-propenyl, 1-butenyl, and 2-butenyl.
  • The term “alkynyl” refers to a straight or branched chain hydrocarbyl radical having at least one carbon-carbon triple bond, and having in the range of 2 to up to 12 carbon atoms (with radicals having in the range of 2 to up to 10 carbon atoms presently being preferred) e.g., ethynyl, propynyl, and butnyl.
  • The term “alkoxy” denotes an alkyl, cycloalkyl, or cycloalkylalkyl group as defined above attached via an oxygen linkage to the rest of the molecule. The term “substituted alkoxy” refers to an alkoxy group where the alkyl constituent is substituted (i.e., —O-(substituted alkyl) wherein the term “substituted alkyl” is the same as defined above for “alkyl”. For example, “alkoxy” refers to the group —O-alkyl, including from 1 to 8 carbon atoms of a straight, branched, cyclic configuration and combinations thereof attached to the parent structure through a oxygen atom. Examples include methoxy, ethoxy, propoxy, isopropoxy, cyclopropyloxy, and cyclohexyloxy.
  • The term “cycloalkyl” denotes a non-aromatic mono or multicyclic ring system of 3 to about 12 carbon atoms such as cyclopropyl, cyclobutyl, cyclopentyl, and cyclohexyl. Examples of multicyclic cycloalkyl groups include perhydronaphthyl, adamantyl and norbornyl groups, bridged cyclic groups, and sprirobicyclic groups, e.g., sprio (4,4) non-2-yl.
  • The term “cycloalkylalkyl” refers to a cyclic ring-containing radical containing in the range of 3 up to about 8 carbon atoms directly attached to an alkyl group which are then attached to the main structure at any carbon from the alkyl group that results in the creation of a stable structure such as cyclopropylmethyl, cyclobutylethyl, and cyclopentylethyl.
  • The term “cycloalkenyl” refers to cyclic ring-containing radicals containing in the range of 3 up to about 8 carbon atoms with at least one carbon-carbon double bond such as cyclopropenyl, cyclobutenyl, and cyclopentenyl. The term “cycloalkenylalkyl” refers to a cycloalkenyl group directly attached to an alkyl group which are then attached to the main structure at any carbon from the alkyl group that results in the creation of a stable structure.
  • The term “aryl” refers to aromatic radicals having in the range of 6 up to 20 carbon atoms such as phenyl, naphthyl, tetrahydronaphthyl, indanyl, and biphenyl.
  • The term “arylalkyl” refers to an aryl group as defined above directly bonded to an alkyl group as defined above, e.g., —CH2C6H5 and —C2H5C6H5.
  • The term “heterocyclic ring” refers to a non-aromatic 3 to 15 member ring radical which consists of carbon atoms and at least one heteroatom selected from nitrogen, phosphorus, oxygen and sulfur. For purposes of this invention, the heterocyclic ring radical may be a mono-, bi-, tri- or tetracyclic ring system, which may include fused, bridged or spiro ring systems, and the nitrogen, phosphorus, carbon, oxygen or sulfur atoms in the heterocyclic ring radical may be optionally oxidized to various oxidation states. In addition, the nitrogen atom may be optionally quaternized. The heterocyclic ring radical may be attached to the main structure at any heteroatom or carbon atom that results in the creation of a stable structure.
  • The term “heterocyclyl” refers to a heterocylic ring radical as defined above. The heterocylcyl ring radical may be attached to the main structure at any heteroatom or carbon atom that results in the creation of a stable structure.
  • The term “heterocyclylalkyl” refers to a heterocylic ring radical as defined above directly bonded to an alkyl group. The heterocyclylalkyl radical may be attached to the main structure at carbon atom in the alkyl group that results in the creation of a stable structure. Examples of such heterocycloalkyl radicals include, but are not limited to, dioxolanyl, thienyl[1,3]dithianyl, decahydroisoquinolyl, imidazolinyl, isothiazolidinyl, isoxazolidinyl, morpholinyl, octahydroindolyl, octahydroisoindolyl, 2-oxopiperazinyl, 2-oxopiperidinyl, 2-oxopyrrolidinyl, oxazolidinyl, piperidinyl, piperazinyl, 4-piperidonyl, pyrrolidinyl, pyrazolidinyl, quinuclidinyl, thiazolidinyl, tetrahydrofuryl, trithianyl, tetrahydropyranyl, thiomorpholinyl, thiamorpholinyl, 1-oxo-thiomorpholinyl, and 1,1-dioxo-thiomorpholinyl.
  • The term “heteroaryl” refers to an optionally substituted 5 to 14 member aromatic ring having one or more heteroatoms selected from N, O, and S as ring atoms. The heteroaryl may be a mono-, bi- or tricyclic ring system. Examples of such “heterocyclic ring” or “heteroaryl” radicals include, but are not limited to, oxazolyl, thiazolyl, imidazolyl, pyrrolyl, furanyl, pyridinyl, pyrimidinyl, pyrazinyl, benzofuranyl, indolyl, benzothiazolyl, benzoxazolyl, carbazolyl, quinolyl, isoquinolyl, azetidinyl, acridinyl, benzodioxolyl, benzodioxanyl, benzofuranyl, carbazolyl, cinnolinyl, dioxolanyl, indolizinyl, naphthyridinyl, perhydroazepinyl, phenazinyl, phenothiazinyl, phenoxazinyl, phthalazinyl, pteridinyl, purinyl, quinazolinyl, quinoxalinyl, tetrazoyl, tetrahydroisoquinolyl, piperidinyl, piperazinyl, 2-oxopiperazinyl, 2-oxopiperidinyl, 2-oxopyrrolidinyl, 2-oxoazepinyl, azepinyl, 4-piperidonyl, pyrrolidinyl, pyridazinyl, oxazolinyl, oxazolidinyl, triazolyl, indanyl, isoxazolyl, isoxazolidinyl, morpholinyl, thiazolinyl, thiazolidinyl, isothiazolyl, quinuclidinyl, isothiazolidinyl, isoindolyl, indolinyl, isoindolinyl, octahydroindolyl, octahydroisoindolyl, decahydroisoquinolyl, benzimidazolyl, thiadiazolyl, benzopyranyl, tetrahydrofuryl, tetrahydropyranyl, thienyl, benzothienyl, thiamorpholinyl, thiamorpholinyl sulfoxide, thiamorpholinyl sulfone, dioxaphospholanyl, oxadiazolyl, chromanyl, and isochromanyl. The heteroaryl ring radical may be attached to the main structure at any heteroatom or carbon atom that results in the creation of a stable structure. The term “substituted heteroaryl” also includes ring systems substituted with one or more oxidesubstituents, such as pyridinyl N-oxides.
  • The term “heteroarylalkyl” refers to a heteroaryl ring radical as defined above directly bonded to an alkyl group. The heteroarylalkyl radical may be attached to the main structure at any carbon atom from alkyl group that results in the creation of a stable structure.
  • The term “cyclic ring” refers to a cyclic ring containing 3 to 10 carbon atoms.
  • The term “substituted” unless otherwise specified, refers to substitution with any one or any combination of the following substituents which may be the same or different and are independently selected from hydrogen, hydroxy, halogen, carboxyl, cyano, nitro, oxo (═O), thio (═S), substituted or unsubstituted alkyl, substituted or unsubstituted alkoxy, substituted or unsubstituted alkenyl, substituted or unsubstituted alkynyl, substituted or unsubstituted aryl, substituted or unsubstituted arylalkyl, substituted or unsubstituted cycloalkyl, substituted or unsubstituted cycloalkylalkyl, substituted or unsubstituted cycloalkenyl, substituted or unsubstituted cycloalkenylalkyl, substituted or unsubstituted heteroaryl, substituted or unsubstituted heteroarylalkyl, substituted or unsubstituted heterocyclic ring, substituted heterocyclylalkyl ring, substituted or unsubstituted guanidine, —COORx, —C(O)Rx, —C(S)Rx, —C(O)NRxRy, —C(O)ONRxRy, —NRxCONRyRz, —N(Rx)SORy, —N(Rx)SO2Ry, —(═N—N(Rx)Ry), —NRxC(O)ORy, —NRxRy, —NRxC(O)Ry, —NRxC(S)Ry—NRxC(S)NRyRz, —SONRxRy—, —SO2NRxRy, —ORx, —ORxC(O)NRyRz, —ORxC(O)ORy—, —OC(O)Rx, —OC(O)NRxRy, —RxNRyC(O)Rz, —RxORy, —RxC(O)ORy, —RxC(O)NRyRz, —RxC(O)Rx, —RxOC(O)Ry, —SRx, —SORx, —SO2Rx, and —ONO2, wherein Rx, Ry and Rz in each of the above groups can be hydrogen, substituted or unsubstituted alkyl, substituted or unsubstituted alkoxy, substituted or unsubstituted alkenyl, substituted or unsubstituted alkynyl, substituted or unsubstituted aryl, substituted or unsubstituted arylalkyl, substituted or unsubstituted cycloalkyl, substituted or unsubstituted cycloalkylalkyl, substituted or unsubstituted cycloalkenyl, substituted or unsubstituted amino, substituted or unsubstituted heteroaryl, substituted or unsubstituted heteroarylalkyl, substituted or unsubstituted heterocyclic ring, or substituted heterocyclylalkyl ring, or any two of Rx, Ry and Rz may be joined to form a substituted or unsubstituted, saturated or unsaturated 3-10 membered ring, which may optionally include heteroatoms which may be the same or different and are selected from O, NRx (e.g., Rx can be hydrogen or C1-6 alkyl) or S. Substitution or the combinations of substituents envisioned by this invention are preferably those that result in the formation of a stable or chemically feasible compound. The term stable as used herein refers to the compounds or the structure that are not substantially altered when subjected to conditions to allow for their production, detection and preferably their recovery, purification and incorporation into a pharmaceutical composition. The substituents in the aforementioned “substituted” groups cannot be further substituted. For example, when the substituent on “substituted alkyl” is “substituted aryl”, the substituent on “substituted aryl” cannot be “substituted alkenyl”.
  • The term “halo”, “halide”, or, alternatively, “halogen” means fluoro, chloro, bromo or iodo. The terms “haloalkyl,” “haloalkenyl,” “haloalkynyl” and “haloalkoxy” include alkyl, alkenyl, alkynyl and alkoxy structures that are substituted with one or more halo groups. For example, the terms “fluoroalkyl” and “fluoroalkoxy” include haloalkyl and haloalkoxy groups, respectively, in which the halo is fluorine.
  • The term “protecting group” or “Pg” refers to a substituent that is employed to block or protect a particular functionality. Other functional groups on the compound may remain reactive. For example, an “amino-protecting group” is a substituent attached to an amino group that blocks or protects the amino functionality in the compound. Suitable amino-protecting groups include, but are not limited to, acetyl, trifluoroacetyl, tert-butoxycarbonyl (BOC), benzyloxycarbonyl (CBz) and 9-fluorenylmethyloxycarbonyl (Fmoc). Similarly, a “hydroxy-protecting group” refers to a substituent of a hydroxy group that blocks or protects the hydroxy functionality. Suitable hydroxy-protecting groups include, but are not limited to, acetyl and silyl. A “carboxy-protecting group” refers to a substituent of the carboxy group that blocks or protects the carboxy functionality. Suitable carboxy-protecting groups include, but are not limited to, —CH2CH2SO2Ph, cyanoethyl, 2-(trimethylsilyl)ethyl, 2-(trimethylsilyl)ethoxymethyl, -2-(p-toluenesulfonyl)ethyl, 2-(p-nitrophenylsulfenyl)ethyl, 2-(diphenylphosphino)-ethyl, and nitroethyl. For a general description of protecting groups and their use, see T. W. Greene, Protective Groups in Organic Synthesis, John Wiley & Sons, New York, 1991.
  • Certain of the compounds described herein contain one or more asymmetric centers and can thus give rise to enantiomers, diastereomers, and other stereoisomeric forms that can be defined, in terms of absolute stereochemistry, as (R)- or (S)-. The present chemical entities, pharmaceutical compositions and methods are meant to include all such possible isomers, including racemic mixtures, optically pure forms and intermediate mixtures. For instance, the non-limiting example of intermediate mixtures include a mixture of isomers in a ratio of 10:90, 13:87, 17:83, 20:80, or 22:78. Optically active (R)- and (S)-isomers can be prepared using chiral synthons or chiral reagents, or resolved using conventional techniques. When the compounds described herein contain olefinic double bonds or other centers of geometric asymmetry, and unless specified otherwise, it is intended that the compounds include both E and Z geometric isomers.
  • The term “tautomers” refers to compounds, which are characterized by relatively easy interconversion of isomeric forms in equilibrium. These isomers are intended to be covered by this invention. “Tautomers” are structurally distinct isomers that interconvert by tautomerization. “Tautomerization” is a form of isomerization and includes prototropic or proton-shift tautomerization, which is considered a subset of acid-base chemistry. “Prototropic tautomerization” or “proton-shift tautomerization” involves the migration of a proton accompanied by changes in bond order, often the interchange of a single bond with an adjacent double bond. Where tautomerization is possible (e.g., in solution), a chemical equilibrium of tautomers can be reached. An example of tautomerization is keto-enol tautomerization. A specific example of keto-enol tautomerization is the interconversion of pentane-2,4-dione and 4-hydroxypent-3-en-2-one tautomers. Another example of tautomerization is phenol-keto tautomerization. A specific example of phenol-keto tautomerization is the interconversion of pyridin-4-ol and pyridin-4(1H)-one tautomers.
  • A “leaving group or atom” is any group or atom that will, under the reaction conditions, cleave from the starting material, thus promoting reaction at a specified site. Suitable examples of such groups, unless otherwise specified, are halogen atoms and mesyloxy, p-nitrobenzensulphonyloxy and tosyloxy groups.
  • The term “prodrug” refers to a compound, which is a precursor (for example, an inactive precursor) of a compound, converted into its active form in the body by normal metabolic processes. Prodrug design is discussed generally in Hardma, et al. (Eds.), Goodman and Gilman's The Pharmacological Basis of Therapeutics, 9th ed., pp. 11-16 (1996). A thorough discussion is provided in Higuchi, et al., Prodrugs as Novel Delivery Systems, Vol. 14, ASCD Symposium Series, and in Roche (ed.), Bioreversible Carriers in Drug Design, American Pharmaceutical Association and Pergamon Press (1987). To illustrate, prodrugs can be converted into a pharmacologically active form through hydrolysis of, for example, an ester or amide linkage, thereby introducing or exposing a functional group on the resultant product. The prodrugs can be designed to react with an endogenous compound to form a water-soluble conjugate that further enhances the pharmacological properties of the compound, for example, increased circulatory half-life. Alternatively, prodrugs can be designed to undergo covalent modification on a functional group with, for example, glucuronic acid, sulfate, glutathione, amino acids, or acetate. The resulting conjugate can be inactivated and excreted in the urine, or rendered more potent than the parent compound. High molecular weight conjugates also can be excreted into the bile, subjected to enzymatic cleavage, and released back into the circulation, thereby effectively increasing the biological half-life of the originally administered compound.
  • The term “ester” refers to a compound, which is formed by reaction between an acid and an alcohol with elimination of water. An ester can be represented by the general formula RCOOR′.
  • These prodrugs and esters are intended to be covered within the scope of this invention.
  • Additionally the instant invention also includes the compounds which differ only in the presence of one or more isotopically enriched atoms for example replacement of hydrogen with deuterium or tritium, or the replacement of a carbon by 13C- or 14C-enriched carbon.
  • The compounds of the present invention may also contain unnatural proportions of atomic isotopes at one or more of atoms that constitute such compounds. For example, the compounds may be radiolabeled with radioactive isotopes, such as for example tritium (3H), iodine-125 (125I) or carbon-14 (14C). All isotopic variations of the compounds of the present invention, whether radioactive or not, are encompassed within the scope of the present invention.
  • Pharmaceutically acceptable salts forming part of this invention include salts derived from inorganic bases such as Li, Na, K, Ca, Mg, Fe, Cu, Zn, and Mn; salts of organic bases such as N,N′-diacetylethylenediamine, glucamine, triethylamine, choline, hydroxide, dicyclohexylamine, metformin, benzylamine, trialkylamine, and thiamine; chiral bases such as alkylphenylamine, glycinol, and phenyl glycinol; salts of natural amino acids such as glycine, alanine, valine, leucine, isoleucine, norleucine, tyrosine, cystine, cysteine, methionine, proline, hydroxy proline, histidine, omithine, lysine, arginine, and serine; quaternary ammonium salts of the compounds of invention with alkyl halides, alkyl sulphates such as MeI and (Me)2SO4; non-natural amino acids such as D-isomers or substituted amino acids; guanidine; and substituted guanidine wherein the substituents are selected from nitro, amino, alkyl, alkenyl, alkynyl, ammonium or substituted ammonium salts and aluminum salts. Salts may include acid addition salts where appropriate which are sulphates, nitrates, phosphates, perchlorates, borates, hydrohalides, acetates, tartrates, maleates, citrates, fumarates, succinates, palmoates, methanesulphonates, benzoates, salicylates, benzenesulfonates, ascorbates, glycerophosphates, and ketoglutarates.
  • Representative processes of the present invention include those specified below. The present invention should not be construed to be limited to them.
  • Experimental
  • The examples and preparations provided below further illustrate and exemplify the methods of preparing compounds of the invention. It is to be understood that the scope of the present invention is not limited in any way by the scope of the following examples and preparations. In the following examples molecules with a single chiral center, unless otherwise noted, exist as a racemic mixture. Those molecules with two or more chiral centers, unless otherwise noted, exist as a racemic mixture of diastereomers. Single enantiomers/diastereomers may be obtained by methods known to those skilled in the art.
  • EXAMPLE 1 (R)-6-fluoro-3-(3-fluorophenyl)-2-(1-hydroxyethyl)-4H-chromen-4-one
  • Figure US20180098994A9-20180412-C00079
  • Step 1: (R)-2-(1-(benzyloxy) ethyl)-6-fluoro-3-(3-fluorophenyl)-4H-chromen-4-one: To 1-(5-fluoro-2-hydroxyphenyl)-2-(3-fluorophenyl) ethanone (11 g, 44.31 mmol), in Dichloromethane (110 ml), HATU (33.7 g, 88.63 mmol) and (R)-Benzyloxypropionic acid (9.58 g, 53.17 mmol) were added and stirred for ˜10 min Triethylamine (67 ml, 478 mmol) was added dropwise and stirred at room temperature (RT) for 24 h. The reaction mixture was quenched with water and extracted with Dichloromethane (2×250 ml). The organic layer was dried with sodium sulphate and concentrated under vacuum. The crude product was purified by column chromatography with ethyl acetate: Petroleum ether to afford the title compound as a off-white solid (10.9 g, 63%). 1H-NMR (δ ppm, CDCl3, 400 MHz): 7.85 (dd, J=8.1, 3.0 Hz, 1H), 7.58 (dd, J=9.1, 4.1 Hz, 1H), 7.47-7.39 (m, 1H), 7.39-7.34 (m, 1H), 7.28-7.20 (m, 3H), 7.20-7.14 (m, 2H), 7.16-7.14 (m, 1H), 6.99-7.89 (m, 2H), 4.50-4.31 (m, 3H), 1.56 (d, J=6.4 Hz, 3H). Mass: 392.9 (M+).
  • Step 2: (R)-6-fluoro-3-(3-fluorophenyl)-2-(1-hydroxyethyl)-4H-chromen-4-one: To (R)-2-(1-(benzyloxy)ethyl)-6-fluoro-3-(3-fluorophenyl)-4H-chromen-4-one (10.5 g, 26.69 mmol) in Dichloromethane (110 ml) cooled to 0° C., anhydrous Aluminium chloride (5.35 g, 40.03 mmol) was added portion wise and stirred for 1 h and then at RT for 2 h. The reaction mixture was quenched with dilute aq. HCl (10 ml), extracted with Dichloromethane (2×50 ml). The organic layer was dried over sodium sulphate and concentrated under reduced pressure. The crude product was purified by column chromatography with ethyl acetate:petroleum ether to afford the title compound as off-white solid (6.5 g, 81%). 1H-NMR (δ ppm, CDCl3, 400 MHz): 7.86 (dd, J=8.3, 3.0 Hz, 1H), 7.56 (dd, J=9.2, 4.2 Hz, 1H), 7.45 (m, 2H), 7.12-6.99 (m, 3H), 4.76 (q, J=6.6 Hz, 1H), 1.55 (d, J=6.6 Hz, 3H). Mass: 303.2 (M++1). Purity: 99.78% . [α]25 D 0.287 (c=1, CHCl3). Enantiomeric excess: 97.74%, enriched in the late eluting isomer (retention time: 10.93 min.) as determined by HPLC on a chiralpak AD-H column.
  • EXAMPLE 2 (R)-2-(1-hydroxyethyl)-5-methyl-3-phenyl-4H-chromen-4-one
  • Figure US20180098994A9-20180412-C00080
  • Step 1: (R)-2-(1-(benzyloxy)ethyl)-5-methyl-3-phenyl-4H-chromen-4-one: To 1-(2-hydroxy-6-methylphenyl)-2-phenylethanone (0.400 g, 1.76 mmol) in dichloromethane (4 ml), R(+)-benzyloxypropionic acid (0.382 g, 2.12 mmol) and HATU (2.01 g, 5.30 mmol) were added followed by triethylamine (2.6 ml, 19.08 mmol). After 20h at room temperature, the reaction mixture was quenched with water, extracted with ethyl acetate, dried over sodium sulphate and concentrated. The crude product was column chromatographed with ethyl acetate:petroleum ether to afford the title compound as off-white solid (0.080 g , 12%). 1H-NMR (δ ppm, CDCl3, 400 MHz): 7.55 (t, J=8.1 Hz, 1H), 7.43-7.13 (m, 12H), 4.47 (m, 2H), 4.30 (d, J=11.8 Hz, 1H), 2.84 (s, 3H), 1.54 (d, J=6.5 Hz, 3H). Mass: 370.9 (M+).
  • Step 2: (R)-2-(1-hydroxyethyl)-5-methyl-3-phenyl-4H-chromen-4-one: To (R)-2-(1-(benzyloxy)ethyl)-5-methyl-3-phenyl-4H-chromen-4-one (0.850 g, 2.29 mmol) in dichloromethane (8.0 ml) at −78° C., boron tribromide (0.78 ml, 1M in dichloromethane, 4.58 mmol) was added slowly and maintained for 4 h. The reaction mass was quenched at −78° C. using 2N HCl (50 ml), extracted with ethyl acetate, dried over sodium sulphate and concentrated. The crude product was column chromatographed with ethyl acetate:petroleum ether to afford the title compound as pale-yellow liquid (0.200 g, 31%). 1H-NMR (δ ppm, CDCl3, 400 MHz): 7.54 (t, J=8.0 Hz, 1H), 7.46-7.26 (m, 6H), 7.13 (d, J=7.4 Hz, 1H), 4.71 (q, J=6.6 Hz, 1H), 2.83 (s, 3H), 1.53 (d, J=6.6 Hz, 3H). Mass: 280.8 (M+).
  • EXAMPLE 3 (R)-6-fluoro-2-(1-hydroxyethyl)-3-phenyl-4H-chromen-4-one
  • Figure US20180098994A9-20180412-C00081
  • Step 1: (R)-2-(1-(benzyloxy)ethyl)-6-fluoro-3-phenyl-4H-chromen-4-one: To 1-(5-fluoro-2-hydroxyphenyl)-2-phenylethanone (2.00 g, 8.68 mmol), in dichloromethane (15 ml), HATU (6.60 g, 17.36 mmol), and R-(+)2-benzyloxypropionic acid (1.87 g, 10.42 mmol) were added and stirred for 10 min. Triethylamine (13.0 ml, 93.7 mmol) was added dropwise and stirred at RT for 24 h. The reaction mixture was quenched with water, extracted with dichloromethane, dried over sodium sulphate and concentrated under reduced pressure. The crude product was purified by column chromatography with ethyl acetate:petroleum ether to afford the title compound as a yellow solid (0.634 g, 19%). 1H-NMR (δ ppm, CDCl3, 400 MHz): 7.87 (dd, J=8.2, 3.1 Hz, 1H), 7.59 (dd, J=9.1, 4.1 Hz, 1H), 7.45-7.37 (m, 4H), 7.25-7.15 (m, 7H), 4.53 (q, J=6.5 Hz, 1H), 4.43 (d, J=11.8 Hz, 1H), 4.33 (d, J=11.7 Hz, 1H), 1.56 (d, J=6.5 Hz, 3H). Mass: 375.0 (M+).
  • Step 2: (R)-6-fluoro-2-(1-hydroxyethyl)-3-phenyl-4H-chromen-4-one: To (R)-2-(1-(benzyloxy)ethyl)-6-fluoro-3-phenyl-4H-chromen-4-one (0.63 g, 1.68 mmol) in dichloromethane (6 ml) cooled to 0° C., aluminium chloride (0.330 g, 2.52 mmol) was added portion wise and stirred at RT for 6 h. The reaction mixture was quenched with 2N HCl solution, extracted with dichloromethane, dried over sodium sulphate and concentrated under reduced pressure. The crude product was purified by column chromatography with ethyl acetate:petroleum ether to afford the title compound as yellow solid (0.348 g, 73%). 1H-NMR (δ ppm, CDCl3, 400 MHz): 7.83 (m, 1H), 7.76 (m, 2H), 7.46 (m, 3H), 7.30 (m, 2H), 5.60 (d, J=4.9 Hz, 1H), 4.53 (m, 1H), 1.38 (d, J=6.5 Hz, 3H). Mass: 285.2 (M++1). Purity: 86.82%. [α]25 D-1.18 (c=1, CHCl3). Enantiomeric excess: 97.8%, enriched in the late eluting isomer (retention time: 11.39 min.) as determined by HPLC on a chiralpak AD-H column.
  • EXAMPLE 4 (R)-2-(1-hydroxyethyl)-3-phenyl-4H-chromen-4-one
  • Figure US20180098994A9-20180412-C00082
  • Step 1: (R)-2-(1-(benzyloxy)ethyl)-3-phenyl-4H-chromen-4-one: The title compound was obtained as a yellow solid (1.50 g, 37%) by following the procedure described for Step 1 of Example 3 from 1-(2-hydroxyphenyl)-2-phenylethanone (2.40 g, 11.30 mmol), dichloromethane (30 ml), HATU (8.60 g, 22.60 mmol), R-(+)2-benzyloxypropionic acid (2.44 g, 13.56 mmol) and triethylamine (17.0 ml, 122.11 mmol) which was used as such in next step.
  • Step 2: (R)-2-(1-hydroxyethyl)-3-phenyl-4H-chromen-4-one: The title compound was obtained as a yellow solid (0.650 g, 58%) by following the procedure described for Step 2 of Example 3 from (R)-2-(1-(benzyloxy)ethyl)-3-phenyl-4H-chromen-4-one (1.50 g, 4.20 mmol) in dichloromethane (15 ml) cooled to 0° C. and aluminium chloride (0.843 g, 6.30 mmol). 1H-NMR (δ ppm, CDCl3, 400 MHz): 8.24 (dd, J=7.9, 1.5 Hz, 1H), 7.72 (m, 1H), 7.54 (d, J=8.0 Hz, 1H), 7.46-7.37 (m, 4H), 7.29 (m, 2H), 4.79 (q, J=6.6 Hz, 1H), 1.55 (d, J=6.6 Hz, 3H). Mass: 267.0 (M+). Purity: 98.28%. [α]25 D 6.53 (c=1, CHCl3). Enantiomeric excess: 92.2%, enriched in the late eluting isomer (retention time: 10.38 min.) as determined by HPLC on a chiralpak AD-H column.
  • EXAMPLE 5 (R)-3-(3-fluorophenyl)-2-(1-hydroxypropyl)-4H-chromen-4-one
  • Figure US20180098994A9-20180412-C00083
  • Step 1: (R)-2-(1-(benzyloxy)propyl)-3-(3-fluorophenyl)-4H-chromen-4-one: The title compound was obtained as a yellow solid (1.65 g, 45%) by following the procedure described for Step 1 of Example 3 from 2-(3-fluorophenyl)-1-(2-hydroxyphenyl)ethanone (2.15 g, 9.36 mmol), dichloromethane (20 ml), HATU (4.27 g, 11.23 mmol), R-(+)2-benzyloxybutyric acid (2.00 g, 10.29 mmol) and triethylamine (14.0 ml, 101.1 mmol). 1H-NMR (δ ppm, CDCl3, 400 MHz): 8.24 (dd, J=7.9, 1.5 Hz, 1H), 7.74 (dt, J=7.1, 1.7 Hz, 1H), 7.58 (dd, J=8.3, 0.4 Hz, 1H), 7.44-7.06 (m, 10H), 4.51 (d, J=7.8 Hz, 1H), 4.34 (d, J=7.8 Hz, 1H), 4.25 (dd, J=7.8, 6.2 Hz, 1H), 2.17-1.90 (m, 2H), 0.95 (t, J=7.5 Hz, 3H). Mass: 389.0 (M+).
  • Step 2: (R)-3-(3-fluorophenyl)-2-(1-hydroxypropyl)-4H-chromen-4-one: The title compound was obtained as a yellow solid (0.552 g, 48%) by following the procedure described for Step 2 of Example 3 from (R)-2-(1-(benzyloxy)propyl)-3-(3-fluorophenyl)-4H-chromen-4-one (1.50 g, 3.86 mmol) in dichloromethane (15 ml) cooled to 0° C. and aluminium chloride (1.00 g, 7.72 mmol). 1H-NMR (δ ppm, CDCl3, 400 MHz): 8.24 (dd, J=8.0, 1.6 Hz, 1H), 7.72 (m, 1H), 7.52 (dd, J=8.4, 0.5 Hz, 1H), 7.44 (m, 2H), 7.12-7.01 (m,3H), 4.49 (t, J=7.0 Hz, 1H), 1.94 (m, 2H), 0.93 (t, J=7.5 Hz, 3H). Mass: (299.0 (M+). Purity: 96.93%. [α]25 D-14.73 (c=1, CHCl3). Enantiomeric excess: 85.92%, enriched in the fast eluting isomer (retention time: 8.57 min) as determined by HPLC on a chiralpak AS-3R column.
  • EXAMPLE 6 (R)-3-(3-fluorophenyl)-2-(1-hydroxyethyl)-4H-chromen-4-one
  • Figure US20180098994A9-20180412-C00084
  • Step-1: (R)-2-(1-(benzyloxy)ethyl)-3-(3-fluorophenyl)-4H-chromen-4-one: To 2-(3-fluorophenyl)-1-(2-hydroxyphenyl)ethanone (10.0 g, 43.43 mmol) in dichloromethane (75 ml), HATU (33.0 g, 86.86 mmol) and R-(+)2-benzyloxypropionic acid (9.39 g, 52.12 mmol) were added and stirred for 10 min. Triethylamine (65.4 ml, 0.469 mol) was added dropwise and stirred at RT for 24 h. The reaction mixture was quenched with water, extracted with dichloromethane, dried over sodium sulphate and concentrated under reduced pressure. The crude product was purified by column chromatography with ethyl acetate:petroleum ether to afford the title compound as a off-white solid (9.0 g, 55%). 1H-NMR (δ ppm, CDCl3, 400 MHz): 8.23 (dd, J=7.9, 1.2 Hz, 1H), 7.74-7.70 (m, 1H), 7.58 (d, J=8.3 Hz, 1H), 7.43 (t, J=7.2 Hz, 1H), 7.37 (q, J=7.2 Hz, 1H), 7.29-7.15 (m, 5H), 7.09 (dt, J=8.6, 1.7 Hz, 1H), 7.00-6.90 (m, 2H), 4.51-4.35 (m, 3H), 1.57 (d, J=6.4 Hz, 3H).
  • Step 2: (R)-3-(3-fluorophenyl)-2-(1-hydroxyethyl)-4H-chromen-4-one: To (R)-2-(1-(benzyloxy)ethyl)-3-(3-fluorophenyl)-4H-chromen-4-one (5.0 g, 13.35 mmol) in dichloromethane (50 ml) cooled to −78° C., boron tribromide (1M in dichloromethane, 36.5 ml, 0.145 mmol) was added dropwise and stirred for 1 h. The reaction mixture was quenched with 2N HCl solution, extracted with dichloromethane, dried over sodium sulphate and concentrated under reduced pressure. The crude product was purified by column chromatography with ethyl acetate:petroleum ether to afford (R)-3-(3-fluorophenyl)-2-(1-hydroxyethyl)-4H-chromen-4-one as an off-white solid (3.05 g, 80%). 1H-NMR (δ ppm, CDCl3, 400 MHz): 8.24 (dd, J=7.9, 1.5 Hz, 1H), 7.73 (m, 1H), 7.54 (d, J=8.1 Hz, 1H), 7.44 (m, 2H), 7.13-7.01 (m, 3H), 4.71 (q, J=6.6 Hz, 1H), 1.56 (d, J=6.5 Hz, 3H). Mass: 284.9 (M+). Purity: 99.73%. [α]25 D-0.605 (c=1, CHCl3). Enantiomeric excess: 95.2%, enriched in the late eluting isomer (retention time: 10.19 min) as determined by HPLC on a chiralpak AD-H column.
  • EXAMPLE 7
  • Figure US20180098994A9-20180412-C00085
  • Step-1: (S)-1-(3-(3-fluorophenyl)-4-oxo-4H-chromen-2-yl)ethyl 4-chlorobenzoate: To a solution of Example 6 (2.00 g, 7.03 mmol) in THF (20 ml), 4-chlorobenzoic acid (1.10 g, 2.15 mmol) and triphenylphosphine (2.70 g, 10.55 mmol) were added and heated to 45° C. followed by and diisopropylazodicarboxylate (2.0 ml, 10.55 mmol). The mixture was refluxed for 1 h, concentrated and the residue was purified by column chromatography with ethyl acetate:petroleum ether to afford the title compound as off-white solid (2.35 g, 79%) which was used without purification in the next step.
  • Step-2: (S)-3-(3-fluorophenyl)-2-(1-hydroxyethyl)-4H-chromen-4-one: To (R)-11-(3-(3-fluorophenyl)-4-oxo-4H-chromen-2-yl)ethyl 4-chlorobenzoate (2.35 g, 5.55 mmol) in methanol (20 ml), potassium carbonate (0.384 g, 2.77 mmol) was added at 0° C. After 30 min the methanol was concentrated, quenched with 2N HCl and extracted with ethyl acetate. The organic layer was dried over sodium sulphate and concentrated under reduced pressure. The crude product was purified by column chromatography with ethyl acetate:petroleum ether to afford(S)-3-(3-fluorophenyl)-2-(1-hydroxyethyl)-4H-chromen-4-one as pale yellow solid (1.15 g, 73%). Enantiomeric excess: 95.2%, enriched in the fast eluting isomer (retention time: 8.75 min.) as determined by HPLC on a chiralpak AD-H column.
  • In order to fully understand and demonstrate the various embodiment of the invention, provided herein below are certain examples in detail as an illustration to enable the utility and/or performance of the present invention.
  • Illustration 1 (R)-2-(1-(4-amino-3-(3-fluoro-4-morpholinophenyl)-1H-pyrazolo[3,4-d]py-rimidin-1-yl)ethyl)-5-fluoro-3-(3-fluorophenyl)-4H-chromen-4-one
  • This example is also described in Example 59 of WO 2012/151525. To a solution of 3-(3-fluoro-4-morpholinophenyl)-1H-pyrazolo[3,4-d]pyrimidin-4-amine (0.080 g, 0.254 mmol) in THF (2 ml), tris(4-methoxyphenyl)phosphine (0.134 g, 0.381 mmol) and diisopropylazodicarboxylate (0.07 ml, 0.381 mmol) is added and stirred at room temperature (RT) for 10 minutes. To this mixture (−)-5-fluoro-3-(3-fluorophenyl)-2-(1-hydroxyethyl)-4H-chromen-4-one (0.077 g, 0.254 mmol) is added and stirred for 12 h. The reaction mixture is diluted with water and extracted with ethyl acetate. The organic layer is dried over sodium sulphate and concentrated under reduced pressure. The crude product is purified by column chromatography with methanol: dichloromethane to afford the title compound as an off-white solid. MP: 242-245° C. Enantiomeric excess: 96.21% Mass: 599.1 (M++1).
  • Figure US20180098994A9-20180412-C00086
  • This example is also described in Example 68 of WO 2012/151525. The title compound is obtained as an off-white solid using a procedure that is similar to the one described for Illustration 1 from tert-butyl 9-trityl-9H-purin-6-ylcarbamate (0.235 g, 0.494 mmol), (−)-5-fluoro-3-(3-fluorophenyl)-2-(1-hydroxyethyl)-4H-chromen-4-one (0.150 g, 0.494 mmol), triphenylphosphine (0.194 g, 0.741 mmol), THF (8 ml) and diisopropylazodicarboxylate (0.15 ml, 0.749 mmol), followed by the cleavage of the intermediate with trifluoroacetic acid (1.8 ml) and dichloromethane (5 ml). MP: 194-197° C. Enantiomeric excess: 99.62%. [α]25 D 142.00 (c=1, CHCl3). Mass: 420.1 (M++1).
  • Figure US20180098994A9-20180412-C00087
  • This example is also described in Example 114 of WO 2012/151525. The title compound is obtained as off-white solid using a procedure that is similar to the one described for Illustration 1 from 3-(4-isopropoxy-3-methylphenyl)-1H-pyrazolo[3,4-d]pyrimidin-4-amine (0.150 g, 0.529 mmol), (−)-5-fluoro-3-(3-fluorophenyl)-2-(1-hydroxyethyl)-4H-chromen-4-one (0.145 g, 0.481 mmol), tris-4-methoxytriphenylphosphine (0.254 g, 0.721 mmol), THF (3 ml) and diisopropylazodicarboxylate (0.14 ml, 0.721 mmol). MP: 217-220° C. 1H-NMR (δ ppm, CDCl3, 400 MHz): δ 8.22 (s, 1H), 7.61 (dt, J=8.4, 5.4 Hz, 1H), 7.43 (m, 2H), 7.29 (m, 2H), 7.05-6.97 (m, 4H), 6.92 (d, J=9.4 Hz, 1H), 6.07 (q, J=7.1 Hz, 1H), 5.42 (s, 2H), 4.63 (quintet, J=6.0 Hz, 1H), 2.28 (s, 3H), 1.97 (d, J=7.1 Hz, 3H), 1.39 (d, J=6.0 Hz, 6H). Enantiomeric excess: 100% as determined by HPLC on a chiralpak AD-H column, enriched in the fast eluting isomer (retention time=9.36 min) [α]25 D 176.04 (c=1, CHCl3).
  • Figure US20180098994A9-20180412-C00088
  • This example is also described in Example 115 of WO 2012/151525. The title compound is obtained as an off-white solid using a procedure that is similar to the one described for Illustration 1 from 3-(4-isopropoxy-3-methylphenyl)-1H-pyrazolo[3,4-d]pyrimidin-4-amine (0.128 g, 0.453 mmol), (+)-5-fluoro-3-(3-fluorophenyl)-2-(1-hydroxyethyl)-4H-chromen-4-one (0.125 g, 0.412 mmol), tris-4-methoxytriphenylphosphine (0.217 g, 0.618 mmol), THF (3 ml) and diisopropylazodicarboxylate (0.12 ml, 0.618 mmol). MP: 221-224° C. 1H-NMR (δ ppm, CDCl3, 400 MHz): δ 8.22 (s, 1H), 7.61 (dt, J=8.4, 5.5 Hz, 1H), 7.43 (m, 2H), 7.29 (m, 2H), 7.05-6.95 (m, 4H), 6.92 (d, J=9.5 Hz, 1H), 6.05 (q, J=7.1 Hz, 1H), 5.40 (s, 2H), 4.62 (quintet, J=6.0 Hz, 1H), 2.28 (s, 3H), 1.99 (d, J=7.2 Hz, 3H), 1.39 (d, J=6.0 Hz, 6H). Enantiomeric excess: 99.6% as determined by HPLC on a chiralpak AD-H column, enriched in the late eluting isomer (retention time=11.43 min) [α]25 D-183.59 (c=1, CHCl3).
  • Figure US20180098994A9-20180412-C00089
  • Figure US20180098994A9-20180412-C00090
  • This example is also described in Intermediate 141-143 of WO 2012/151525.
  • Step-1: (S)/(R)-1-(5-fluoro-3-(3-fluorophenyl)-4-oxo-4H-chromen-2-yl)ethyl methanesulfonate: To a cooled solution of (+)-5-fluoro-3-(3-fluorophenyl)-2-(1-hydroxyethyl)-4H-chromen-4-one (0.800 g, 2.63 mmol) in dichloromethane (16 ml) and triethylamine (1.10 ml, 7.91 mmol), methanesulphonyl chloride (0.400 ml, 5.27 mmol) is added stirred at room temperature for 2 h. The reaction mass is quenched with water, extracted with dichloromethane, dried over sodium sulphate and concentrated to afford the title compound as brown solid which is used as such in next step.
  • Figure US20180098994A9-20180412-C00091
  • Step-2: (S)/(R)-2-(1-azidoethyl)-5-fluoro-3-(3-fluorophenyl)-4H-chromen-4-one: To a solution of (S)/(R)-1-(5-fluoro-3-(3-fluorophenyl)-4-oxo-4H-chromen-2-yl)ethyl methane sulfonate (0.900 g, 2.36 mmol) in DMF (18 ml), sodium azide (0.306 g, 4.72 mmol) is added and heated to 60° C. After 2 h, the reaction mass is quenched with water, extracted with dichloromehane, dried over sodium sulphate and concentrated. The crude product is column chromatographed with ethyl acetate:petroleum ether to afford the title compound as a brown liquid which is used as such in next step.
  • Figure US20180098994A9-20180412-C00092
  • Step-3: (S)/(R)-2-(1-aminoethyl)-5-fluoro-3-(3-fluorophenyl)-4H-chromen-4-one: To a solution of (S)/(R)-2-(1-azidoethyl)-5-fluoro-3-(3-fluorophenyl)-4H-chromen-4-one (0.600 g, 1.82 mmol) in THF (2.4 ml) and water (1.2 ml), triphenylphosphine (0.455 g, 1.73 mmol) is added and stirred at room temperature for 14 h. The reaction mass is quenched with water, extracted with ethyl acetate, dried over sodium sulphate and concentrated. The crude product is column chromatographed with methanol:dichloromethane to afford the title compound as a brown liquid.
  • Figure US20180098994A9-20180412-C00093
  • This example is also described in Example 136 of WO 2012/151525. To a solution of (S)/(R)-2-(1-aminoethyl)-5-fluoro-3-(3-fluorophenyl)-4H-chromen-4-one (0.22 g, 0.730 mmol), tert-butanol (1.5 ml) N,N-diisopropylethylamine (0.25 ml, 1.46 mmol) and 6-chloro-2-fluoro-9H-purine (0.102 g, 0.663 mmol) are added and heated to reflux for 248 h. The reaction mixture is concentrated, quenched with water, extracted with ethyl acetate, dried with sodium sulphate and concentrated. The crude product is purified by column chromatography with methanol: ethyl acetate to afford the title compound as a brown solid. MP: 183-186° C. Mass: 437.9 (M+). Enantiomeric excess: 33% as determined by HPLC on a chiralpak AD-H column, enriched in the fast eluting isomer (retention time=7.21 min).
  • Figure US20180098994A9-20180412-C00094
  • This example is also described in Example 24 of WO 2011/055215. To a solution of (S)-2-(1-aminoethyl)-6-bromo-3-phenyl-4H-chromen-4-one (0.20 g, 0.581 mmoles) in tert-butanol (6 ml), N,N-diisopropylethyl amine (0.2 ml, 1.162 mmoles) and 6-bromopurine (0.087 g, 0.435 mmoles) are added and refluxed for 24 h. The reaction mixture is concentrated, diluted with water, extracted with ethyl acetate. The organic layer is dried over sodium sulphate and concentrated under reduced pressure. The crude product is purified by column chromatography with methanol: ethyl acetate to afford the title compound as yellow solid. MP: 151-154° C. 1H-NMR (δ ppm, DMSO-D6, 400 MHz): δ 12.94 (s,1H), 8.09 (br s, 3H), 7.94 (d, J=7.9 Hz, 1H), 7.59 (d, J=8.7 Hz, 1H), 7.42 (m, 6H), 5.22 (br t,1H), 1.82 (d, J=6.4 Hz, 3H). Mass: 463.99 (M++1).
  • Figure US20180098994A9-20180412-C00095
  • This example is also described in Example 56 of WO 2011/055215. To a solution of (R)-2-(1-Amino-ethyl)-3-(3-fluoro-phenyl)-chromen-4-one (0.41 g, 1.52 mmoles) in tert-butanol (7 ml), N,N-diisopropylethylamine (0.53 ml, 3.04 mmoles) and 6-bromopurine (0.242 g, 1.21 mmoles) are added and refluxed for 24 h. The reaction mixture is concentrated, diluted with water, and extracted with ethyl acetate. The organic layer is dried over sodium sulphate and concentrated under reduced pressure. The crude product is purified by column chromatography with methanol: ethyl acetate to afford the title compound as an off-white solid. MP: 274-276° C. 1H-NMR (δ ppm, DMSO-D6, 400 MHz): δ 12.96 (s, 1H), 8.14-8.01 (m, 4H), 8.11 (s, 1H), 7.81 (dt, J=8.5, 1.5 Hz, 1H), 7.60 (d, J=8.4 Hz, 1H), 7.49 (m, 2H), 7.25-7.19 (m, 3H), 5.18 (br m, 1H), 1.56 (d, J=7.0 Hz, 3H). Mass: 402.04 (M++1).
  • Figure US20180098994A9-20180412-C00096
  • Although the invention herein has been described with reference to particular embodiments, it is to be understood that these embodiments are merely illustrative of the principles and applications of the present invention. It is therefore to be understood that numerous modifications may be made to the illustrative embodiments and that other arrangements may be devised without departing from the spirit and scope of the present invention as described above. It is intended that the appended claims define the scope of the invention and that methods and structures within the scope of these claims and their equivalents be covered thereby.
  • All publications, patents and patent applications cited in this application are herein incorporated by reference to the same extent as if each individual publication, patent, or patent application was specifically and individually indicated to be incorporated herein by reference.

Claims (26)

1-14. (canceled)
15. A process for preparing a PI3K inhibitor of formula (I)
Figure US20180098994A9-20180412-C00097
or a tautomer thereof, N-oxide thereof, pharmaceutically acceptable ester thereof, prodrug thereof, or pharmaceutically acceptable salt thereof, wherein
each occurrence of R is independently selected from hydrogen, hydroxy, halogen, carboxyl, cyano, nitro, substituted or unsubstituted alkyl, substituted or unsubstituted alkoxy, substituted or unsubstituted alkenyl, substituted or unsubstituted alkynyl, substituted or unsubstituted cycloalkyl, substituted or unsubstituted cycloalkenyl, substituted or unsubstituted cycloalkylalkyl, substituted or unsubstituted cycloalkenylalkyl, substituted or unsubstituted heterocyclyl, substituted or unsubstituted heterocyclylalkyl, substituted or unsubstituted aryl, substituted or unsubstituted arylalkyl, substituted or unsubstituted heteroaryl, substituted or unsubstituted heteroarylalkyl, —COORx, —C(O)Rx, —C(S)Rx, —C(O)NRxRy, —C(O)ONRxRy, —NRxRy, —NRxCONRxRy, —N(Rx)SORx, —N(Rx)SO2Ry, —(═N—N(Rx)Ry), —NRxC(O)ORy, —NRxC(O)Ry—, —NRxC(S)Ry—NRxC(S)NRxRy, —SONRxRy, —SO2NRxRy, —ORx, —ORxC(O)NRxRy, —ORxC(O)ORx, —OC(O)Rx, —OC(O)NRxRy, —RxNRyC(O)Rz, —RxORy, —RxC(O)ORy, —RxC(O)NRxRy, —RxC(O)Ry, —RxOC(O)Ry, —SRx, —SORx, —SO2Rx, and —ONO2, wherein each occurrence of Rx, Ry and Rz is independently hydrogen, substituted or unsubstituted alkyl, substituted or unsubstituted alkoxy, substituted or unsubstituted alkenyl, substituted or unsubstituted alkynyl, substituted or unsubstituted aryl, substituted or unsubstituted arylalkyl, substituted or unsubstituted heteroaryl, substituted or unsubstituted heteroarylalkyl, substituted or unsubstituted cycloalkyl, substituted or unsubstituted cycloalkylalkyl, substituted or unsubstituted cycloalkenyl, substituted or unsubstituted heterocyclic ring, substituted or unsubstituted heterocyclylalkyl ring, or substituted or unsubstituted amino, or (i) any two of Rx and Ry, when bound to a common atom, are joined to form a substituted or unsubstituted, saturated or unsaturated 3-14 membered ring, which may optionally include heteroatoms which may be the same or different and are selected from O, NRz or S, or (ii) any two of Rx and Ry, when bound to a common atom, are joined to form an oxo (═O), thio (═S) or imino (═NRf) (wherein Rf is hydrogen or substituted or unsubstituted alkyl);
R1 is substituted or unsubstituted C1-6 alkyl;
Cy1 is a monocyclic or bicyclic group selected from substituted or unsubstituted cycloalkyl, substituted or unsubstituted heterocyclic group, substituted or unsubstituted aryl and substituted or unsubstituted heteroaryl;
n is an integer selected from 0, 1, 2, 3 or 4;
Cy2 is selected from a substituted or unsubstituted heterocyclic group, substituted or unsubstituted aryl and substituted or unsubstituted heteroaryl;
L1 is absent, —(CRaRb)q—, —O—, —S(═O)q—, —NRa— or —C(═Y)—;
each occurrence of Ra and Rb may be the same or different and are independently selected from hydrogen, halogen, hydroxy, cyano, substituted or unsubstituted (C1-6)alkyl, —NRcRd (wherein Rc and Rd are independently hydrogen, halogen, hydroxy, cyano, substituted or unsubstituted (C1-6)alkyl, or (C1-6)alkoxy) and —ORc (wherein Rc is substituted or unsubstituted (C1-6)alkyl) or when Ra and Rb are directly bound to a common atom, they may be joined to form an oxo group (═O) or form a substituted or unsubstituted, saturated or unsaturated 3-10 member ring (including the common atom to which Ra and Rb are directly bound), which may optionally include one or more heteroatoms which may be the same or different and are selected from O, NRd (wherein Rd is hydrogen or substituted or unsubstituted (C1-6)alkyl) or S;
Y is selected from O, S, and NRa; and
q is 0, 1 or 2,
the process comprising
(a) treating the compound of formula (IA) with Cy2-H to obtain the compound of formula (I) or a tautomer thereof; and
(b) optionally converting the compound of formula (I) to an N-oxide thereof, a pharmaceutically acceptable ester thereof, a prodrug thereof, or a pharmaceutically acceptable salt thereof.
16. A process for preparing a PI3K inhibitor of formula (I)
Figure US20180098994A9-20180412-C00098
or a tautomer thereof, N-oxide thereof, pharmaceutically acceptable ester thereof, prodrug thereof, or pharmaceutically acceptable salt thereof, wherein
each occurrence of R is independently selected from hydrogen, hydroxy, halogen, carboxyl, cyano, nitro, substituted or unsubstituted alkyl, substituted or unsubstituted alkoxy, substituted or unsubstituted alkenyl, substituted or unsubstituted alkynyl, substituted or unsubstituted cycloalkyl, substituted or unsubstituted cycloalkenyl, substituted or unsubstituted cycloalkylalkyl, substituted or unsubstituted cycloalkenylalkyl, substituted or unsubstituted heterocyclyl, substituted or unsubstituted heterocyclylalkyl, substituted or unsubstituted aryl, substituted or unsubstituted arylalkyl, substituted or unsubstituted heteroaryl, substituted or unsubstituted heteroarylalkyl, —COORx, —C(O)Rx, —C(S)Rx, —C(O)NRxRy, —C(O)ONRxRy, —NRxRy, —NRxCONRxRy, —N(Rx)SORx, —N(Rx)SO2Ry, —(═N—N(Rx)Ry), —NRxC(O)ORy, —NRxC(O)Ry—, —NRxC(S)Ry—NRxC(S)NRxRy, —SONRxRy, —SO2NRxRy, —ORx, —ORxC(O)NRxRy, —ORxC(O)ORx, —OC(O)Rx, —OC(O)NRxRy, —RxNRyC(O)Rz, —RxORy, —RxC(O)ORy, —RxC(O)NRxRy, —RxC(O)Ry, —RxOC(O)Ry, —SRx, —SORx, —SO2Rx, and —ONO2, wherein each occurrence of Rx, Ry and Rz is independently hydrogen, substituted or unsubstituted alkyl, substituted or unsubstituted alkoxy, substituted or unsubstituted alkenyl, substituted or unsubstituted alkynyl, substituted or unsubstituted aryl, substituted or unsubstituted arylalkyl, substituted or unsubstituted heteroaryl, substituted or unsubstituted heteroarylalkyl, substituted or unsubstituted cycloalkyl, substituted or unsubstituted cycloalkylalkyl, substituted or unsubstituted cycloalkenyl, substituted or unsubstituted heterocyclic ring, substituted or unsubstituted heterocyclylalkyl ring, or substituted or unsubstituted amino, or (i) any two of Rx and Ry, when bound to a common atom, are joined to form a substituted or unsubstituted, saturated or unsaturated 3-14 membered ring, which may optionally include heteroatoms which may be the same or different and are selected from O, NRz or S, or (ii) any two of Rx and Ry, when bound to a common atom, are joined to form an oxo (═O), thio (═S) or imino (═NRf) (wherein Rf is hydrogen or substituted or unsubstituted alkyl);
R1 is substituted or unsubstituted C1-6 alkyl;
Cy1 is a monocyclic or bicyclic group selected from substituted or unsubstituted cycloalkyl, substituted or unsubstituted heterocyclic group, substituted or unsubstituted aryl and substituted or unsubstituted heteroaryl;
n is an integer selected from 0, 1, 2, 3 or 4;
Cy2 is selected from a substituted or unsubstituted heterocyclic group, substituted or unsubstituted aryl and substituted or unsubstituted heteroaryl;
L1 is absent, —(CRaRb)q—, —O—, —S(═O)q—, —NRa— or —C(═Y)—;
each occurrence of Ra and Rb may be the same or different and are independently selected from hydrogen, halogen, hydroxy, cyano, substituted or unsubstituted (C1-6)alkyl, —NRcRd (wherein Rc and Rd are independently hydrogen, halogen, hydroxy, cyano, substituted or unsubstituted (C1-6)alkyl, or (C1-6)alkoxy) and —ORc (wherein Rc is substituted or unsubstituted (C1-6)alkyl) or when Ra and Rb are directly bound to a common atom, they may be joined to form an oxo group (═O) or form a substituted or unsubstituted, saturated or unsaturated 3-10 member ring (including the common atom to which Ra and Rb are directly bound), which may optionally include one or more heteroatoms which may be the same or different and are selected from O, NRd (wherein Rd is hydrogen or substituted or unsubstituted (C1-6)alkyl) or S;
Y is selected from O, S, and NRa; and
q is 0, 1 or 2,
the process comprising
(a) reacting a compound of formula (IA)
Figure US20180098994A9-20180412-C00099
with a phosphorus halide or mesyl halide in the presence of a base to obtain a compound of formula (8a)
Figure US20180098994A9-20180412-C00100
wherein X1 is halogen or —O-Mesyl;
(b) reacting the compound of formula (8a) with Cy2-H in the presence of a base to give the desired compound of formula (I) or a tautomer thereof; and
(c) optionally converting the compound of formula (I) to an N-oxide thereof, a pharmaceutically acceptable ester thereof, a prodrug thereof, or a pharmaceutically acceptable salt thereof.
17. (canceled)
18. A process for preparing a PI3K inhibitor of formula (II)
Figure US20180098994A9-20180412-C00101
or a tautomer thereof, N-oxide thereof, pharmaceutically acceptable ester thereof, prodrug thereof, or pharmaceutically acceptable salt thereof, wherein
each occurrence of R is independently selected from hydrogen, hydroxy, halogen, carboxyl, cyano, nitro, substituted or unsubstituted alkyl, substituted or unsubstituted alkoxy, substituted or unsubstituted alkenyl, substituted or unsubstituted alkynyl, substituted or unsubstituted cycloalkyl, substituted or unsubstituted cycloalkenyl, substituted or unsubstituted cycloalkylalkyl, substituted or unsubstituted cycloalkenylalkyl, substituted or unsubstituted heterocyclyl, substituted or unsubstituted heterocyclylalkyl, substituted or unsubstituted aryl, substituted or unsubstituted arylalkyl, substituted or unsubstituted heteroaryl, substituted or unsubstituted heteroarylalkyl, —COORx, —C(O)Rx, —C(S)Rx, —C(O)NRxRy, —C(O)ONRxRy, —NRxRy, —NRxCONRxRy, —N(Rx)SORx, —N(Rx)SO2Ry, —(═N—N(Rx)Ry), —NRxC(O)ORy, —NRxC(O)Ry—, —NRxC(S)Ry—NRxC(S)NRxRy, —SONRxRy, —SO2NRxRy, —ORx, —ORxC(O)NRxRy, —ORxC(O)ORx, —OC(O)Rx, —OC(O)NRxRy, —RxNRyC(O)Rz, —RxORy, —RxC(O)ORy, —RxC(O)NRxRy, —RxC(O)Ry, —RxOC(O)Ry, —SRx, —SORx, —SO2Rx, and —ONO2, wherein each occurrence of Rx, Ry and Rz is independently hydrogen, substituted or unsubstituted alkyl, substituted or unsubstituted alkoxy, substituted or unsubstituted alkenyl, substituted or unsubstituted alkynyl, substituted or unsubstituted aryl, substituted or unsubstituted arylalkyl, substituted or unsubstituted heteroaryl, substituted or unsubstituted heteroarylalkyl, substituted or unsubstituted cycloalkyl, substituted or unsubstituted cycloalkylalkyl, substituted or unsubstituted cycloalkenyl, substituted or unsubstituted heterocyclic ring, substituted or unsubstituted heterocyclylalkyl ring, or substituted or unsubstituted amino, or (i) any two of Rx and Ry, when bound to a common atom, are joined to form a substituted or unsubstituted, saturated or unsaturated 3-14 membered ring, which may optionally include heteroatoms which may be the same or different and are selected from O, NRz or S, or (ii) any two of Rx and Ry, when bound to a common atom, are joined to form an oxo (═O), thio (═S) or imino (═NRf) (wherein Rf is hydrogen or substituted or unsubstituted alkyl);
R1 is substituted or unsubstituted C1-6 alkyl;
Cy1 is a monocyclic or bicyclic group selected from substituted or unsubstituted cycloalkyl, substituted or unsubstituted heterocyclic group, substituted or unsubstituted aryl and substituted or unsubstituted heteroaryl;
n is an integer selected from 0, 1, 2, 3 or 4;
Cy2 is selected from a substituted or unsubstituted heterocyclic group, substituted or unsubstituted aryl and substituted or unsubstituted heteroaryl; and
L1 is NH;
the process comprising
(a) treating a compound of formula (IA)
Figure US20180098994A9-20180412-C00102
with a phosphorus halide or mesyl halide in the presence of a base to give a compound of formula (8a)
Figure US20180098994A9-20180412-C00103
wherein X1 is halogen or —O-Mesyl;
(b) converting the compound of formula (8a) to obtain a compound of formula (9a)
Figure US20180098994A9-20180412-C00104
(c) converting the compound of formula (9a) to obtain a compound of formula (10a)
Figure US20180098994A9-20180412-C00105
(d) coupling the compound of formula (10a) with a compound of formula Cy2-Lg, wherein Lg is a leaving group, in the presence of a base to give the desired compound of formula (II) or a tautomer thereof; and
(e) optionally converting the compound of formula (II) to an N-oxide thereof, a pharmaceutically acceptable ester thereof, a prodrug thereof, or a pharmaceutically acceptable salt thereof.
19-20. (canceled)
21. A process for preparing a PI3K inhibitor of formula (III)
Figure US20180098994A9-20180412-C00106
or a tautomer thereof, N-oxide thereof, pharmaceutically acceptable ester thereof, prodrug thereof, or pharmaceutically acceptable salt thereof, wherein
each occurrence of R is independently selected from hydrogen, hydroxy, halogen, carboxyl, cyano, nitro, substituted or unsubstituted alkyl, substituted or unsubstituted alkoxy, substituted or unsubstituted alkenyl, substituted or unsubstituted alkynyl, substituted or unsubstituted cycloalkyl, substituted or unsubstituted cycloalkenyl, substituted or unsubstituted cycloalkylalkyl, substituted or unsubstituted cycloalkenylalkyl, substituted or unsubstituted heterocyclyl, substituted or unsubstituted heterocyclylalkyl, substituted or unsubstituted aryl, substituted or unsubstituted arylalkyl, substituted or unsubstituted heteroaryl, substituted or unsubstituted heteroarylalkyl, —COORx, —C(O)Rx, —C(S)Rx, —C(O)NRxRy, —C(O)ONRxRy, —NRxRy, —NRxCONRxRy, —N(Rx)SORx, —N(Rx)SO2Ry, —(═N—N(Rx)Ry), —NRxC(O)ORy, —NRxC(O)Ry—, —NRxC(S)Ry—NRxC(S)NRxRy, —SONRxRy, —SO2NRxRy, —ORx, —ORxC(O)NRxRy, —ORxC(O)ORx, —OC(O)Rx, —OC(O)NRxRy, —RxNRyC(O)Rz, —RxORy, —RxC(O)ORy, —RxC(O)NRxRy, —RxC(O)Ry, —RxOC(O)Ry, —SRx, —SORx, —SO2Rx, and —ONO2, wherein each occurrence of Rx, Ry and Rz is independently hydrogen, substituted or unsubstituted alkyl, substituted or unsubstituted alkoxy, substituted or unsubstituted alkenyl, substituted or unsubstituted alkynyl, substituted or unsubstituted aryl, substituted or unsubstituted arylalkyl, substituted or unsubstituted heteroaryl, substituted or unsubstituted heteroarylalkyl, substituted or unsubstituted cycloalkyl, substituted or unsubstituted cycloalkylalkyl, substituted or unsubstituted cycloalkenyl, substituted or unsubstituted heterocyclic ring, substituted or unsubstituted heterocyclylalkyl ring, or substituted or unsubstituted amino, or (i) any two of Rx and Ry, when bound to a common atom, are joined to form a substituted or unsubstituted, saturated or unsaturated 3-14 membered ring, which may optionally include heteroatoms which may be the same or different and are selected from O, NRz or S, or (ii) any two of Rx and Ry, when bound to a common atom, are joined to form an oxo (═O), thio (═S) or imino (═NRf) (wherein Rf is hydrogen or substituted or unsubstituted alkyl);
R1 is substituted or unsubstituted C1-6 alkyl;
Cy1 is a monocyclic or bicyclic group selected from substituted or unsubstituted cycloalkyl, substituted or unsubstituted heterocyclic group, substituted or unsubstituted aryl and substituted or unsubstituted heteroaryl;
n is an integer selected from 0, 1, 2, 3 or 4;
Cy2 is selected from a substituted or unsubstituted heterocyclic group, substituted or unsubstituted aryl and substituted or unsubstituted heteroaryl;
L1 is absent, —(CRaRb)q—, —O—, —S(═O)q—, —NRa— or —C(═Y)—;
each occurrence of Ra and Rb may be the same or different and are independently selected from hydrogen, halogen, hydroxy, cyano, substituted or unsubstituted (C1-6)alkyl, —NRcRd (wherein Rc and Rd are independently hydrogen, halogen, hydroxy, cyano, substituted or unsubstituted (C1-6)alkyl, or (C1-6)alkoxy) and —ORc (wherein W is substituted or unsubstituted (C1-6)alkyl) or when Ra and Rb are directly bound to a common atom, they may be joined to form an oxo group (═O) or form a substituted or unsubstituted, saturated or unsaturated 3-10 member ring (including the common atom to which Ra and Rb are directly bound), which may optionally include one or more heteroatoms which may be the same or different and are selected from O, NRd (wherein Rd is hydrogen or substituted or unsubstituted (C1-6)alkyl) or S;
Y is selected from O, S, and NRa; and
q is 0, 1 or 2,
the process comprising
(a) reacting a compound of formula (IB)
Figure US20180098994A9-20180412-C00107
with Cy2-H to obtain the compound of formula (III) or a tautomer thereof; and
(b) optionally converting the compound of formula (III) to an N-oxide thereof, a pharmaceutically acceptable ester thereof, a prodrug thereof, or a pharmaceutically acceptable salt thereof.
22. A process for preparing a PI3K inhibitor of formula (III)
Figure US20180098994A9-20180412-C00108
or a tautomer thereof, N-oxide thereof, pharmaceutically acceptable ester thereof, prodrug thereof, or pharmaceutically acceptable salt thereof, wherein
each occurrence of R is independently selected from hydrogen, hydroxy, halogen, carboxyl, cyano, nitro, substituted or unsubstituted alkyl, substituted or unsubstituted alkoxy, substituted or unsubstituted alkenyl, substituted or unsubstituted alkynyl, substituted or unsubstituted cycloalkyl, substituted or unsubstituted cycloalkenyl, substituted or unsubstituted cycloalkylalkyl, substituted or unsubstituted cycloalkenylalkyl, substituted or unsubstituted heterocyclyl, substituted or unsubstituted heterocyclylalkyl, substituted or unsubstituted aryl, substituted or unsubstituted arylalkyl, substituted or unsubstituted heteroaryl, substituted or unsubstituted heteroarylalkyl, —COORx, —C(O)Rx, —C(S)Rx, —C(O)NRxRy, —C(O)ONRxRy, —NRxRy, —NRxCONRxRy, —N(Rx)SORx, —N(Rx)SO2Ry, —(═N—N(Rx)Ry), —NRxC(O)ORy, —NRxC(O)Ry—, —NRxC(S)Ry—NRxC(S)NRxRy, —SONRxRy, —SO2NRxRy, —ORx, —ORxC(O)NRxRy, —ORxC(O)ORx, —OC(O)Rx, —OC(O)NRxRy, —RxNRyC(O)Rz, —RxORy, —RxC(O)ORy, —RxC(O)NRxRy, —RxC(O)Ry, —RxOC(O)Ry, —SRx, —SORx, —SO2Rx, and —ONO2, wherein each occurrence of Rx, Ry and Rz is independently hydrogen, substituted or unsubstituted alkyl, substituted or unsubstituted alkoxy, substituted or unsubstituted alkenyl, substituted or unsubstituted alkynyl, substituted or unsubstituted aryl, substituted or unsubstituted arylalkyl, substituted or unsubstituted heteroaryl, substituted or unsubstituted heteroarylalkyl, substituted or unsubstituted cycloalkyl, substituted or unsubstituted cycloalkylalkyl, substituted or unsubstituted cycloalkenyl, substituted or unsubstituted heterocyclic ring, substituted or unsubstituted heterocyclylalkyl ring, or substituted or unsubstituted amino, or (i) any two of Rx and Ry, when bound to a common atom, are joined to form a substituted or unsubstituted, saturated or unsaturated 3-14 membered ring, which may optionally include heteroatoms which may be the same or different and are selected from O, NRz or S, or (ii) any two of Rx and Ry, when bound to a common atom, are joined to form an oxo (═O), thio (═S) or imino (═NRf) (wherein Rf is hydrogen or substituted or unsubstituted alkyl);
R1 is substituted or unsubstituted C1-6 alkyl;
Cy1 is a monocyclic or bicyclic group selected from substituted or unsubstituted cycloalkyl, substituted or unsubstituted heterocyclic group, substituted or unsubstituted aryl and substituted or unsubstituted heteroaryl;
n is an integer selected from 0, 1, 2, 3 or 4;
Cy2 is selected from a substituted or unsubstituted heterocyclic group, substituted or unsubstituted aryl and substituted or unsubstituted heteroaryl;
L1 is absent, —(CRaRb)q—, —O—, —S(═O)q—, —NRa— or —C(═Y)—;
each occurrence of Ra and Rb may be the same or different and are independently selected from hydrogen, halogen, hydroxy, cyano, substituted or unsubstituted (C1-6)alkyl, —NRcRd (wherein Rc and Rd are independently hydrogen, halogen, hydroxy, cyano, substituted or unsubstituted (C1-6)alkyl, or (C1-6)alkoxy) and —ORc (wherein Rc is substituted or unsubstituted (C1-6)alkyl) or when Ra and Rb are directly bound to a common atom, they may be joined to form an oxo group (═O) or form a substituted or unsubstituted, saturated or unsaturated 3-10 member ring (including the common atom to which Ra and Rb are directly bound), which may optionally include one or more heteroatoms which may be the same or different and are selected from O, NRd (wherein Rd is hydrogen or substituted or unsubstituted (C1-6)alkyl) or S;
Y is selected from O, S, and NRa; and
q is 0, 1 or 2,
the process comprising
(a) treating a compound of formula (IB)
Figure US20180098994A9-20180412-C00109
with a phosphorus halide or mesyl halide in the presence of a base to obtain a compound of formula (8b)
Figure US20180098994A9-20180412-C00110
wherein X1 is halogen or —O-Mesyl;
(b) reacting the compound of formula (8b) with Cy2-H in the presence of a base to obtain the compound of formula (III) or a tautomer thereof; and
(h) optionally converting the compound of formula (III) to N-oxide thereof, a pharmaceutically acceptable ester thereof, a prodrug thereof or a pharmaceutically acceptable salt thereof.
23. (canceled)
24. A process for preparing a PI3K inhibitor of formula (IV)
Figure US20180098994A9-20180412-C00111
or a tautomer thereof, N-oxide thereof, pharmaceutically acceptable ester thereof, prodrug thereof, or pharmaceutically acceptable salt thereof, wherein
each occurrence of R is independently selected from hydrogen, hydroxy, halogen, carboxyl, cyano, nitro, substituted or unsubstituted alkyl, substituted or unsubstituted alkoxy, substituted or unsubstituted alkenyl, substituted or unsubstituted alkynyl, substituted or unsubstituted cycloalkyl, substituted or unsubstituted cycloalkenyl, substituted or unsubstituted cycloalkylalkyl, substituted or unsubstituted cycloalkenylalkyl, substituted or unsubstituted heterocyclyl, substituted or unsubstituted heterocyclylalkyl, substituted or unsubstituted aryl, substituted or unsubstituted arylalkyl, substituted or unsubstituted heteroaryl, substituted or unsubstituted heteroarylalkyl, —COORx, —C(O)Rx, —C(S)Rx, —C(O)NRxRy, —C(O)ONRxRy, —NRxRy, —NRxCONRxRy, —N(Rx)SORx, —N(Rx)SO2Ry, —(═N—N(Rx)Ry), —NRxC(O)ORy, —NRxC(O)Ry—, —NRxC(S)Ry—NRxC(S)NRxRy, —SONRxRy, —SO2NRxRy, —ORx, —ORxC(O)NRxRy, —ORxC(O)ORx, —OC(O)Rx, —OC(O)NRxRy, —RxNRyC(O)Rz, —RxORy, —RxC(O)ORy, —RxC(O)NRxRy, —RxC(O)Ry, —RxOC(O)Ry, —SRx, —SORx, —SO2Rx, and —ONO2, wherein each occurrence of Rx, Ry and Rz is independently hydrogen, substituted or unsubstituted alkyl, substituted or unsubstituted alkoxy, substituted or unsubstituted alkenyl, substituted or unsubstituted alkynyl, substituted or unsubstituted aryl, substituted or unsubstituted arylalkyl, substituted or unsubstituted heteroaryl, substituted or unsubstituted heteroarylalkyl, substituted or unsubstituted cycloalkyl, substituted or unsubstituted cycloalkylalkyl, substituted or unsubstituted cycloalkenyl, substituted or unsubstituted heterocyclic ring, substituted or unsubstituted heterocyclylalkyl ring, or substituted or unsubstituted amino, or (i) any two of Rx and Ry, when bound to a common atom, are joined to form a substituted or unsubstituted, saturated or unsaturated 3-14 membered ring, which may optionally include heteroatoms which may be the same or different and are selected from O, NRz or S, or (ii) any two of Rx and Ry, when bound to a common atom, are joined to form an oxo (═O), thio (═S) or imino (═NRf) (wherein Rf is hydrogen or substituted or unsubstituted alkyl);
R1 is substituted or unsubstituted C1-6 alkyl;
Cy1 is a monocyclic or bicyclic group selected from substituted or unsubstituted cycloalkyl, substituted or unsubstituted heterocyclic group, substituted or unsubstituted aryl and substituted or unsubstituted heteroaryl;
n is an integer selected from 0, 1, 2, 3 or 4;
Cy2 is selected from a substituted or unsubstituted heterocyclic group, substituted or unsubstituted aryl and substituted or unsubstituted heteroaryl; and
Li is NH;
the process comprising
(a) reacting a compound of formula (IB)
Figure US20180098994A9-20180412-C00112
with a phosphorus halide or mesyl halide in the presence of a base to obtain a compound of formula (8b)
Figure US20180098994A9-20180412-C00113
wherein X1 is halogen or —O-Mesyl;
(b) converting the compound of formula (8b) to obtain a compound of formula (9b)
Figure US20180098994A9-20180412-C00114
(c) converting the compound of formula (9b) to obtain a compound of formula (10b)
Figure US20180098994A9-20180412-C00115
(d) coupling the compound of formula (10b) with a compound of formula Cy2-Lg, wherein Lg is a leaving group, in the presence of a base to obtain the compound of formula (IV) or a tautomer thereof; and
(e) optionally converting the compound of formula (IV) to an N-oxide thereof, pharmaceutically acceptable ester thereof, prodrug thereof, or pharmaceutically acceptable salt thereof.
25. A process for inverting a compound of formula (IA) to obtain a compound of formula (IB)
Figure US20180098994A9-20180412-C00116
the process comprising
(a) reacting the compound of formula (IA) with R′-COOH (wherein R′ is selected from substituted or unsubstituted alkyl and substituted or unsubstituted aryl) to obtain a compound of formula IA-2
Figure US20180098994A9-20180412-C00117
and
(b) converting the compound of formula (IA-2) to obtain a compound of formula (IB),
wherein
each occurrence of R is independently selected from hydrogen, hydroxy, halogen, carboxyl, cyano, nitro, substituted or unsubstituted alkyl, substituted or unsubstituted alkoxy, substituted or unsubstituted alkenyl, substituted or unsubstituted alkynyl, substituted or unsubstituted cycloalkyl, substituted or unsubstituted cycloalkenyl, substituted or unsubstituted cycloalkylalkyl, substituted or unsubstituted cycloalkenylalkyl, substituted or unsubstituted heterocyclyl, substituted or unsubstituted heterocyclylalkyl, substituted or unsubstituted aryl, substituted or unsubstituted arylalkyl, substituted or unsubstituted heteroaryl, substituted or unsubstituted heteroarylalkyl, —COORx, —C(O)Rx, —C(S)Rx, —C(O)NRxRy, —C(O)ONRxRy, —NRxRy, —NRxCONRxRy, —N(Rx)SORx, —N(Rx)SO2Ry, —(═N—N(Rx)Ry), —NRxC(O)ORy, —NRxC(O)Ry—, —NRxC(S)Ry—NRxC(S)NRxRy, —SONRxRy, —SO2NRxRy, —ORx, —ORxC(O)NRxRy, —ORxC(O)ORx, —OC(O)Rx, —OC(O)NRxRy, —RxNRyC(O)Rz, —RxORy, —RxC(O)ORy, —RxC(O)NRxRy, —RxC(O)Ry, —RxOC(O)Ry, —SRx, —SORx, —SO2Rx, and —ONO2, wherein each occurrence of Rx, Ry and Rz is independently hydrogen, substituted or unsubstituted alkyl, substituted or unsubstituted alkoxy, substituted or unsubstituted alkenyl, substituted or unsubstituted alkynyl, substituted or unsubstituted aryl, substituted or unsubstituted arylalkyl, substituted or unsubstituted heteroaryl, substituted or unsubstituted heteroarylalkyl, substituted or unsubstituted cycloalkyl, substituted or unsubstituted cycloalkylalkyl, substituted or unsubstituted cycloalkenyl, substituted or unsubstituted heterocyclic ring, substituted or unsubstituted heterocyclylalkyl ring, or substituted or unsubstituted amino, or (i) any two of Rx and Ry, when bound to a common atom, are joined to form a substituted or unsubstituted, saturated or unsaturated 3-14 membered ring, which may optionally include heteroatoms which may be the same or different and are selected from O, NRz or S, or (ii) any two of Rx and Ry, when bound to a common atom, are joined to form an oxo (═O), thio (═S) or imino (═NRf) (wherein Rf is hydrogen or substituted or unsubstituted alkyl);
R1 is substituted or unsubstituted C1-6 alkyl;
Cy1 is a monocyclic or bicyclic group selected from substituted or unsubstituted cycloalkyl, substituted or unsubstituted heterocyclic group, substituted or unsubstituted aryl and substituted or unsubstituted heteroaryl; and
n is an integer selected from 0, 1, 2, 3 or 4.
26. A process for inverting a compound of formula (IB) to obtain a compound of formula (IA)
Figure US20180098994A9-20180412-C00118
the process comprising
(a) reacting the compound of formula (IB) with R′-COOH (wherein R′ is selected from substituted or unsubstituted alkyl and substituted or unsubstituted aryl) to obtain a compound of formula IB-2
Figure US20180098994A9-20180412-C00119
and
(b) converting the compound of formula (IB-2) to obtain a compound of formula (IA),
wherein
each occurrence of R is independently selected from hydrogen, hydroxy, halogen, carboxyl, cyano, nitro, substituted or unsubstituted alkyl, substituted or unsubstituted alkoxy, substituted or unsubstituted alkenyl, substituted or unsubstituted alkynyl, substituted or unsubstituted cycloalkyl, substituted or unsubstituted cycloalkenyl, substituted or unsubstituted cycloalkylalkyl, substituted or unsubstituted cycloalkenylalkyl, substituted or unsubstituted heterocyclyl, substituted or unsubstituted heterocyclylalkyl, substituted or unsubstituted aryl, substituted or unsubstituted arylalkyl, substituted or unsubstituted heteroaryl, substituted or unsubstituted heteroarylalkyl, —COORx, —C(O)Rx, —C(S)Rx, —C(O)NRxRy, —C(O)ONRxRy, —NRxRy, —NRxCONRxRy, —N(Rx)SORx, —N(Rx)SO2Ry, —(═N—N(Rx)Ry), —NRxC(O)ORy, —NRxC(O)Ry—, —NRxC(S)Ry—NRxC(S)NRxRy, —SONRxRy, —SO2NRxRy, —ORx, —ORxC(O)NRxRy, —ORxC(O)ORx, —OC(O)Rx, —OC(O)NRxRy, —RxNRyC(O)Rz, —RxORy, —RxC(O)ORy, —RxC(O)NRxRy, —RxC(O)Ry, —RxOC(O)Ry, —SRx, —SORx, —SO2Rx, and —ONO2, wherein each occurrence of Rx, Ry and Rz is independently hydrogen, substituted or unsubstituted alkyl, substituted or unsubstituted alkoxy, substituted or unsubstituted alkenyl, substituted or unsubstituted alkynyl, substituted or unsubstituted aryl, substituted or unsubstituted arylalkyl, substituted or unsubstituted heteroaryl, substituted or unsubstituted heteroarylalkyl, substituted or unsubstituted cycloalkyl, substituted or unsubstituted cycloalkylalkyl, substituted or unsubstituted cycloalkenyl, substituted or unsubstituted heterocyclic ring, substituted or unsubstituted heterocyclylalkyl ring, or substituted or unsubstituted amino, or (i) any two of Rx and Ry, when bound to a common atom, are joined to form a substituted or unsubstituted, saturated or unsaturated 3-14 membered ring, which may optionally include heteroatoms which may be the same or different and are selected from O, NRz or S, or (ii) any two of Rx and Ry, when bound to a common atom, are joined to form an oxo (═O), thio (═S) or imino (═NRf) (wherein Rf is hydrogen or substituted or unsubstituted alkyl);
R1 is substituted or unsubstituted C1-6 alkyl;
Cy1 is a monocyclic or bicyclic group selected from substituted or unsubstituted cycloalkyl, substituted or unsubstituted heterocyclic group, substituted or unsubstituted aryl and substituted or unsubstituted heteroaryl; and
n is an integer selected from 0, 1, 2, 3 or 4.
27. The process of claim 25, wherein R′ is 4-chlorophenyl.
28. A compound of formula (IA) or (IB)
Figure US20180098994A9-20180412-C00120
or a salt thereof, wherein
each occurrence of R is independently selected from hydrogen, hydroxy, halogen, carboxyl, cyano, nitro, substituted or unsubstituted alkyl, substituted or unsubstituted alkoxy, substituted or unsubstituted alkenyl, substituted or unsubstituted alkynyl, substituted or unsubstituted cycloalkyl, substituted or unsubstituted cycloalkenyl, substituted or unsubstituted cycloalkylalkyl, substituted or unsubstituted cycloalkenylalkyl, substituted or unsubstituted heterocyclyl, substituted or unsubstituted heterocyclylalkyl, substituted or unsubstituted aryl, substituted or unsubstituted arylalkyl, substituted or unsubstituted heteroaryl, substituted or unsubstituted heteroarylalkyl, —COORx, —C(O)Rx, —C(S)Rx, —C(O)NRxRy, —C(O)ONRxRy, —NRxRy, —NRxCONRxRy, —N(Rx)S ORx, —N(Rx)SO2Ry, —(═N—N(Rx)Ry), —NRxC(O) ORy, —NRxC(O)Ry—, —NRxC(S)Ry—NRxC(S)NRxRy, —SONRxRy, —SO2NRxRy, —ORx, —ORxC(O)NRxRy, —ORxC(O)ORx, —OC(O)Rx, —OC(O)NRxRy, —RxNRyC(O)Rz, —RxORy, —RxC(O)ORy, —RxC(O)NRxRy, —RxC(O)Ry, —RxOC(O)Ry, —SRx, —SORx, —SO2Rx, and —ONO2, wherein each occurrence of Rx, Ry and Rz is independently hydrogen, substituted or unsubstituted alkyl, substituted or unsubstituted alkoxy, substituted or unsubstituted alkenyl, substituted or unsubstituted alkynyl, substituted or unsubstituted aryl, substituted or unsubstituted arylalkyl, substituted or unsubstituted heteroaryl, substituted or unsubstituted heteroarylalkyl, substituted or unsubstituted cycloalkyl, substituted or unsubstituted cycloalkylalkyl, substituted or unsubstituted cycloalkenyl, substituted or unsubstituted heterocyclic ring, substituted or unsubstituted heterocyclylalkyl ring, or substituted or unsubstituted amino, or (i) any two of Rx and Ry, when bound to a common atom, are joined to form a substituted or unsubstituted, saturated or unsaturated 3-14 membered ring, which may optionally include heteroatoms which may be the same or different and are selected from O, NRz or S, or (ii) any two of Rx and Ry, when bound to a common atom, are joined to form an oxo (═O), thio (═S) or imino (═NRf) (wherein Rf is hydrogen or substituted or unsubstituted alkyl);
R1 is substituted or unsubstituted C1-6 alkyl;
Cy1 is a group selected from substituted or unsubstituted cycloalkyl, substituted or unsubstituted heterocyclic group, substituted or unsubstituted aryl and substituted or unsubstituted heteroaryl; and
n is an integer selected from 0, 1, 2, 3 or 4,
wherein the compound is not selected from
Figure US20180098994A9-20180412-C00121
or a salt thereof.
29. The compound of claim 28, wherein R is alkyl or halogen; Cy1 is a monocyclic group selected from substituted or unsubstituted aryl; and n is 1.
30. A compound of claim 28, wherein
R is chloro, fluoro or methyl;
Cy1 is
Figure US20180098994A9-20180412-C00122
and
R1 is methyl or ethyl.
31-32. (canceled)
33. A compound of claim 28, wherein R1 is methyl or ethyl.
34. A compound of claim 28, wherein n is 1.
35. A compound of claim 28, wherein the compound has an enantiomeric excess of at least 75%, 90%, 95%, 97%, or 98%.
36. A compound selected from
(R)-6-fluoro-3-(3-fluorophenyl)-2-(1-hydroxyethyl)-4H-chromen-4-one;
(R)-2-(1-hydroxyethyl)-5-methyl-3-phenyl-4H-chromen-4-one;
(R)-6-fluoro-2-(1-hydroxyethyl)-3-phenyl-4H-chromen-4-one;
(R)-2-(1-hydroxyethyl)-3-phenyl-4H-chromen-4-one;
(R)-3-(3-fluorophenyl)-2-(1-hydroxypropyl)-4H-chromen-4-one;
(R)-3-(3-fluorophenyl)-2-(1-hydroxyethyl)-4H-chromen-4-one;
(S)-3-(3-fluorophenyl)-2-(1-hydroxyethyl)-4H-chromen-4-one;
and salts thereof.
37. A composition comprising
(i) (a) a compound of formula (IA) or (IB)
Figure US20180098994A9-20180412-C00123
or a salt thereof, and
(b) a PI3K inhibitor of formula (I)
Figure US20180098994A9-20180412-C00124
or a tautomer thereof, N-oxide thereof, pharmaceutically acceptable ester thereof, prodrug thereof, or pharmaceutically acceptable salt thereof, or
(ii) (a) a compound of formula (IA) or (IB)
Figure US20180098994A9-20180412-C00125
or a salt thereof, and
(b) a PI3K inhibitor of formula (III)
Figure US20180098994A9-20180412-C00126
or a tautomer thereof, N-oxide thereof, pharmaceutically acceptable ester thereof, prodrug thereof, or pharmaceutically acceptable salt thereof; wherein
each occurrence of R is independently selected from hydrogen, hydroxy, halogen, carboxyl, cyano, nitro, substituted or unsubstituted alkyl, substituted or unsubstituted alkoxy, substituted or unsubstituted alkenyl, substituted or unsubstituted alkynyl, substituted or unsubstituted cycloalkyl, substituted or unsubstituted cycloalkenyl, substituted or unsubstituted cycloalkylalkyl, substituted or unsubstituted cycloalkenylalkyl, substituted or unsubstituted heterocyclyl, substituted or unsubstituted heterocyclylalkyl, substituted or unsubstituted aryl, substituted or unsubstituted arylalkyl, substituted or unsubstituted heteroaryl, substituted or unsubstituted heteroarylalkyl, —COORx, —C(O)Rx, —C(S)Rx, —C(O)NRxRy, —C(O)ONRxRy, —NRxRy, —NRxCONRxRy, —N(Rx)SORx, —N(Rx)SO2Ry, —(═N—N(Rx)Ry), —NRxC(O)ORy, —NRxC(O)Ry—, —NRxC(S)Ry—NRxC(S)NRxRy, —SONRxRy, —SO2NRxRy, —ORx, —ORxC(O)NRxRy, —ORxC(O)ORx, —OC(O)Rx, —OC(O)NRxRy, —RxNRyC(O)Rz, —RxORy, —RxC(O)ORy, —RxC(O)NRxRy, —RxC(O)Ry, —RxOC(O)Ry, —SRx, —SORx, —SO2Rx, and —ONO2, wherein each occurrence of Rx, Ry and Rz is independently hydrogen, substituted or unsubstituted alkyl, substituted or unsubstituted alkoxy, substituted or unsubstituted alkenyl, substituted or unsubstituted alkynyl, substituted or unsubstituted aryl, substituted or unsubstituted arylalkyl, substituted or unsubstituted heteroaryl, substituted or unsubstituted heteroarylalkyl, substituted or unsubstituted cycloalkyl, substituted or unsubstituted cycloalkylalkyl, substituted or unsubstituted cycloalkenyl, substituted or unsubstituted heterocyclic ring, substituted or unsubstituted heterocyclylalkyl ring, or substituted or unsubstituted amino, or (i) any two of Rx and Ry, when bound to a common atom, are joined to form a substituted or unsubstituted, saturated or unsaturated 3-14 membered ring, which may optionally include heteroatoms which may be the same or different and are selected from O, NRz or S, or (ii) any two of Rx and Ry, when bound to a common atom, are joined to form an oxo (═O), thio (═S) or imino (═NRf) (wherein Rf is hydrogen or substituted or unsubstituted alkyl);
R1 is substituted or unsubstituted C1-6 alkyl;
Cy1 is a monocyclic or bicyclic group selected from substituted or unsubstituted cycloalkyl, substituted or unsubstituted heterocyclic group, substituted or unsubstituted aryl and substituted or unsubstituted heteroaryl;
n is an integer selected from 0, 1, 2, 3 or 4;
Cy2 is selected from a substituted or unsubstituted heterocyclic group, substituted or unsubstituted aryl and substituted or unsubstituted heteroaryl;
L1 is absent, —(CRaRb)q—, —O—, —S(═O)q—, —NRa— or —C(═Y)—;
each occurrence of Ra and Rb may be the same or different and are independently selected from hydrogen, halogen, hydroxy, cyano, substituted or unsubstituted (C1-6)alkyl, —NRcRd (wherein Rc and Rd are independently hydrogen, halogen, hydroxy, cyano, substituted or unsubstituted (C1-6)alkyl, or (C1-6)alkoxy) and —ORc (wherein Rc is substituted or unsubstituted (C1-6)alkyl) or when Ra and Rb are directly bound to a common atom, they may be joined to form an oxo group (═O) or form a substituted or unsubstituted, saturated or unsaturated 3-10 member ring (including the common atom to which Ra and Rb are directly bound), which may optionally include one or more heteroatoms which may be the same or different and are selected from O, NRd (wherein Rd is hydrogen or substituted or unsubstituted (C1-6)alkyl) or S;
Y is selected from O, S, and NRa; and
q is 0, 1 or 2,
wherein the compound of formula (IA) or (IB) is present in the composition in an amount up to 0.5% by weight, based upon the total of components (a) and (b) in the composition.
38. (canceled)
39. The composition of claim 37, wherein the compound of formula (IA) or (IB) is present in the composition in an amount up to 0.2% by weight, based upon the total of components (a) and (b) in the composition.
40. A process for preparing a compound of formula (I):
Figure US20180098994A9-20180412-C00127
or a tautomer thereof, N-oxide thereof, pharmaceutically acceptable ester thereof, prodrug thereof, or pharmaceutically acceptable salt thereof;
the process comprising
(a) converting a compound of formula (IA) or (IB)
Figure US20180098994A9-20180412-C00128
to a compound of formula (I), or a tautomer thereof; and
(b) optionally converting the compound of formula (I) to an N-oxide thereof, a pharmaceutically acceptable ester thereof, a prodrug thereof, or a pharmaceutically acceptable salt thereof;
wherein
(i) n is 1, R is 6-fluoro, Cy1 is 3-fluorophenyl and R1 is methyl;
(ii) n is 1, R is 5-methyl, Cy1 is phenyl and R1 is methyl;
(iii) n is 1, R is 6-fluoro, Cy1 is phenyl and R1 is methyl;
(iv) n is 1, R is hydrogen, Cy1 is phenyl and R1 is methyl;
(v) n is 1, R is hydrogen, Cy1 is 3-fluorophenyl and R1 is ethyl; or
(vi) n is 1, R is hydrogen, Cy1 is 3-fluorophenyl and R1 is methyl; and
L1 is, in each case, independently, absent or NRa, wherein Ra is, in each case, independently selected from hydrogen, halogen, hydroxy, cyano, substituted or unsubstituted (C1-6)alkyl, —NRcRd (wherein Rc and Rd are independently hydrogen, halogen, hydroxy, cyano, substituted or unsubstituted (C1-6)alkyl, or (C1-6)alkoxy) and —ORc (wherein Rc is substituted or unsubstituted (C1-6)alkyl); and
Cy2 is, in each case, independently selected from a substituted or unsubstituted heterocyclic group, substituted or unsubstituted aryl and substituted or unsubstituted heteroaryl.
41. The process of claim 40, wherein step (a) comprises
(i) reacting the compound of formula (IA) or (IB) with a phosphorus halide or mesyl halide in the presence of a base to obtain a compound of formula (8a) or (8b)
Figure US20180098994A9-20180412-C00129
wherein X1 is halogen or —O-Mesyl; and
(ii) reacting the compound of formula (8a) or (8b) with Cy2-H in the presence of a base to give the desired compound of formula (I) in which L1 is absent.
US15/073,324 2012-05-04 2016-03-17 Process for preparation of optically pure and optionally substituted 2-(1-hydroxy-alkyl)-chromen-4-one derivatives and their use in preparing pharmaceuticals Active US10130635B2 (en)

Priority Applications (2)

Application Number Priority Date Filing Date Title
US15/073,324 US10130635B2 (en) 2012-05-04 2016-03-17 Process for preparation of optically pure and optionally substituted 2-(1-hydroxy-alkyl)-chromen-4-one derivatives and their use in preparing pharmaceuticals
US16/156,378 US11478481B2 (en) 2012-05-04 2018-10-10 Process for preparation of optically pure and optionally substituted 2-(1-hydroxy-alkyl)-chromen-4-one derivatives and their use in preparing pharmaceuticals

Applications Claiming Priority (6)

Application Number Priority Date Filing Date Title
IN1737/CHE/2012 2012-05-04
IN1737CH2012 2012-05-04
US201261671956P 2012-07-16 2012-07-16
PCT/IB2013/053544 WO2013164801A1 (en) 2012-05-04 2013-05-03 Process for preparation of optically pure and optionally substituted 2- (1 -hydroxy- alkyl) - chromen - 4 - one derivatives and their use in preparing pharmaceuticals
US201414398902A 2014-11-04 2014-11-04
US15/073,324 US10130635B2 (en) 2012-05-04 2016-03-17 Process for preparation of optically pure and optionally substituted 2-(1-hydroxy-alkyl)-chromen-4-one derivatives and their use in preparing pharmaceuticals

Related Parent Applications (2)

Application Number Title Priority Date Filing Date
US14/398,902 Continuation US9309216B2 (en) 2012-05-04 2013-05-03 Process for preparation of optically pure and optionally substituted 2-(1-hydroxy-alkyl)-chromen-4-one derivatives and their use in preparing pharmaceuticals
PCT/IB2013/053544 Continuation WO2013164801A1 (en) 2012-05-04 2013-05-03 Process for preparation of optically pure and optionally substituted 2- (1 -hydroxy- alkyl) - chromen - 4 - one derivatives and their use in preparing pharmaceuticals

Related Child Applications (1)

Application Number Title Priority Date Filing Date
US16/156,378 Division US11478481B2 (en) 2012-05-04 2018-10-10 Process for preparation of optically pure and optionally substituted 2-(1-hydroxy-alkyl)-chromen-4-one derivatives and their use in preparing pharmaceuticals

Publications (3)

Publication Number Publication Date
US20170266196A1 US20170266196A1 (en) 2017-09-21
US20180098994A9 true US20180098994A9 (en) 2018-04-12
US10130635B2 US10130635B2 (en) 2018-11-20

Family

ID=59855128

Family Applications (2)

Application Number Title Priority Date Filing Date
US15/073,324 Active US10130635B2 (en) 2012-05-04 2016-03-17 Process for preparation of optically pure and optionally substituted 2-(1-hydroxy-alkyl)-chromen-4-one derivatives and their use in preparing pharmaceuticals
US16/156,378 Active US11478481B2 (en) 2012-05-04 2018-10-10 Process for preparation of optically pure and optionally substituted 2-(1-hydroxy-alkyl)-chromen-4-one derivatives and their use in preparing pharmaceuticals

Family Applications After (1)

Application Number Title Priority Date Filing Date
US16/156,378 Active US11478481B2 (en) 2012-05-04 2018-10-10 Process for preparation of optically pure and optionally substituted 2-(1-hydroxy-alkyl)-chromen-4-one derivatives and their use in preparing pharmaceuticals

Country Status (1)

Country Link
US (2) US10130635B2 (en)

Families Citing this family (1)

* Cited by examiner, † Cited by third party
Publication number Priority date Publication date Assignee Title
CN114891005B (en) * 2022-03-30 2024-01-19 武汉九州钰民医药科技有限公司 Preparation process of Wupalision p-toluenesulfonate

Family Cites Families (6)

* Cited by examiner, † Cited by third party
Publication number Priority date Publication date Assignee Title
JPS62201882A (en) 1985-11-18 1987-09-05 Yamanouchi Pharmaceut Co Ltd Isoflavon derivative
PE20060426A1 (en) 2004-06-02 2006-06-28 Schering Corp TARTARIC ACID DERIVATIVES AS INHIBITORS OF MMPs, ADAMs, TACE AND TNF-alpha
CA2779574C (en) 2009-11-05 2018-12-18 Rhizen Pharmaceuticals S.A. Novel kinase modulators
AP4075A (en) 2011-05-04 2017-03-23 Rhizen Pharmaceuticals S A Novel compounds as modulators of protein kinases
BR112014027470A2 (en) * 2012-05-04 2017-06-27 Rhizen Pharmaceuticals S A novel process for preparing optically substituted 2- (1-hydroxyalkyl) -chromen-4-one derivatives and their use in the preparation of pharmaceuticals.
DK3260455T3 (en) 2012-07-04 2019-06-11 Rhizen Pharmaceuticals S A SELECTIVE PI3K DELTA REQUESTS

Also Published As

Publication number Publication date
US10130635B2 (en) 2018-11-20
US20190038634A1 (en) 2019-02-07
US20170266196A1 (en) 2017-09-21
US11478481B2 (en) 2022-10-25

Similar Documents

Publication Publication Date Title
US9309216B2 (en) Process for preparation of optically pure and optionally substituted 2-(1-hydroxy-alkyl)-chromen-4-one derivatives and their use in preparing pharmaceuticals
US8354528B2 (en) Process for making thienopyrimidine compounds
CN110041333B (en) Bromodomain inhibitor compounds and uses thereof
CA2990088A1 (en) Hydroxyester derivatives, a process for their preparation and pharmaceutical compositions containing them
CA2990083A1 (en) Hydroxyacid derivatives, a process for their preparation and pharmaceutical compositions containing them
CN114805314B (en) Synthesis method of Entecavir
JP7347852B2 (en) Method for preparing deuterated macrocycles
CN116554262A (en) Process for preparing cytotoxic benzodiazepine derivatives
US11478481B2 (en) Process for preparation of optically pure and optionally substituted 2-(1-hydroxy-alkyl)-chromen-4-one derivatives and their use in preparing pharmaceuticals
MX2008015980A (en) Dual molecules containing a peroxide derivative, their synthesis and therapeutic uses.
ES2825974T3 (en) Process for the preparation of optically pure and optionally substituted 2- (1-hydroxy-alkyl) -chromen-4-one derivatives and their use in the preparation of pharmaceutical products
HK1203964B (en) Process for preparation of optically pure and optionally substituted 2- (1 -hydroxy- alkyl) - chromen - 4 - one derivatives and their use in preparing pharmaceuticals
US8536342B2 (en) Process for producing thiabenzoazulene-propionic acid derivative
OA17124A (en) Process for preparation of optically pure and optionally substituted 2-(1-Hydroxy-Alkyl)-Chromen-4-one derivatives and their use in preparing pharmaceuticals
CN116888109A (en) Pyrimidine compounds as Wee-1 inhibitors
CN101671323A (en) Method for synthesizing 1,2,6,7-tetrahydro-8H-indeno[5,4-b]furan-8-ketone
CN121405683A (en) Cyclopropyl substituted aromatic amide derivative, and preparation method and application thereof
JPWO2013157267A1 (en) Method for producing acylglucuronic acid conjugate
TW202527939A (en) Selective preparation method of single axially asymmetric compound
NZ761639A (en) Pyrrolopyrimidine compounds used as tlr7 agonist

Legal Events

Date Code Title Description
FEPP Fee payment procedure

Free format text: PETITION RELATED TO MAINTENANCE FEES GRANTED (ORIGINAL EVENT CODE: PTGR); ENTITY STATUS OF PATENT OWNER: LARGE ENTITY

FEPP Fee payment procedure

Free format text: ENTITY STATUS SET TO UNDISCOUNTED (ORIGINAL EVENT CODE: BIG.); ENTITY STATUS OF PATENT OWNER: LARGE ENTITY

STCF Information on status: patent grant

Free format text: PATENTED CASE

AS Assignment

Owner name: RHIZEN PHARMACEUTICALS SA, SWITZERLAND

Free format text: CHANGE OF ADDRESS;ASSIGNOR:RHIZEN PHARMACEUTICALS SA;REEL/FRAME:056775/0375

Effective date: 20201208

AS Assignment

Owner name: RHIZEN PHARMACEUTICALS AG, SWITZERLAND

Free format text: CHANGE OF ADDRESS;ASSIGNOR:RHIZEN PHARMACEUTICALS AG;REEL/FRAME:057836/0286

Effective date: 20210914

FEPP Fee payment procedure

Free format text: SURCHARGE FOR LATE PAYMENT, LARGE ENTITY (ORIGINAL EVENT CODE: M1554); ENTITY STATUS OF PATENT OWNER: LARGE ENTITY

MAFP Maintenance fee payment

Free format text: PAYMENT OF MAINTENANCE FEE, 4TH YEAR, LARGE ENTITY (ORIGINAL EVENT CODE: M1551); ENTITY STATUS OF PATENT OWNER: LARGE ENTITY

Year of fee payment: 4