US20030191114A1 - Assay for and uses of peptide hormone receptor agonists - Google Patents
Assay for and uses of peptide hormone receptor agonists Download PDFInfo
- Publication number
- US20030191114A1 US20030191114A1 US10/441,757 US44175703A US2003191114A1 US 20030191114 A1 US20030191114 A1 US 20030191114A1 US 44175703 A US44175703 A US 44175703A US 2003191114 A1 US2003191114 A1 US 2003191114A1
- Authority
- US
- United States
- Prior art keywords
- leu
- receptor
- ser
- val
- alkyl
- Prior art date
- Legal status (The legal status is an assumption and is not a legal conclusion. Google has not performed a legal analysis and makes no representation as to the accuracy of the status listed.)
- Abandoned
Links
- 102000014187 peptide receptors Human genes 0.000 title claims abstract description 67
- 108010011903 peptide receptors Proteins 0.000 title claims abstract description 53
- 238000003556 assay Methods 0.000 title description 11
- 229940127336 Hormone Receptor Agonists Drugs 0.000 title 1
- 239000000556 agonist Substances 0.000 claims abstract description 101
- 150000001875 compounds Chemical class 0.000 claims abstract description 65
- 238000000034 method Methods 0.000 claims abstract description 50
- 208000037265 diseases, disorders, signs and symptoms Diseases 0.000 claims abstract description 24
- 108010089448 Cholecystokinin B Receptor Proteins 0.000 claims description 114
- 102000052874 Gastrin receptors Human genes 0.000 claims description 65
- 102100036016 Gastrin/cholecystokinin type B receptor Human genes 0.000 claims description 49
- 125000004169 (C1-C6) alkyl group Chemical group 0.000 claims description 24
- 125000004178 (C1-C4) alkyl group Chemical group 0.000 claims description 20
- 108010089335 Cholecystokinin A Receptor Proteins 0.000 claims description 17
- 102100034927 Cholecystokinin receptor type A Human genes 0.000 claims description 17
- 125000005843 halogen group Chemical group 0.000 claims description 13
- 108010052343 Gastrins Proteins 0.000 claims description 12
- AOXOCDRNSPFDPE-UKEONUMOSA-N chembl413654 Chemical compound C([C@H](C(=O)NCC(=O)N[C@H](CC=1C2=CC=CC=C2NC=1)C(=O)N[C@H](CCSC)C(=O)N[C@H](CC(O)=O)C(=O)N[C@H](CC=1C=CC=CC=1)C(N)=O)NC(=O)[C@@H](C)NC(=O)[C@@H](CCC(O)=O)NC(=O)[C@@H](CCC(O)=O)NC(=O)[C@@H](CCC(O)=O)NC(=O)[C@H](CCC(O)=O)NC(=O)[C@H](CCC(O)=O)NC(=O)[C@H](CC(C)C)NC(=O)[C@H](CC=1C2=CC=CC=C2NC=1)NC(=O)[C@H]1N(CCC1)C(=O)CNC(=O)[C@@H](N)CCC(O)=O)C1=CC=C(O)C=C1 AOXOCDRNSPFDPE-UKEONUMOSA-N 0.000 claims description 12
- -1 imidazolyl Chemical group 0.000 claims description 12
- 206010028980 Neoplasm Diseases 0.000 claims description 11
- 125000001997 phenyl group Chemical group [H]C1=C([H])C([H])=C(*)C([H])=C1[H] 0.000 claims description 10
- 229940002612 prodrug Drugs 0.000 claims description 8
- 239000000651 prodrug Substances 0.000 claims description 8
- 125000004122 cyclic group Chemical group 0.000 claims description 7
- 229910052760 oxygen Inorganic materials 0.000 claims description 7
- VEYIMQVTPXPUHA-UHFFFAOYSA-N pyromeconic acid Natural products OC1=COC=CC1=O VEYIMQVTPXPUHA-UHFFFAOYSA-N 0.000 claims description 6
- 125000003107 substituted aryl group Chemical group 0.000 claims description 6
- 125000002023 trifluoromethyl group Chemical group FC(F)(F)* 0.000 claims description 6
- 229910052717 sulfur Inorganic materials 0.000 claims description 5
- 150000003839 salts Chemical class 0.000 claims description 4
- 125000004400 (C1-C12) alkyl group Chemical group 0.000 claims description 3
- 125000000229 (C1-C4)alkoxy group Chemical group 0.000 claims description 3
- 125000006272 (C3-C7) cycloalkyl group Chemical group 0.000 claims description 3
- GPCDGGKVBPVZCT-UHFFFAOYSA-N 1,1-difluorocyclopropane Chemical compound FC1(F)CC1 GPCDGGKVBPVZCT-UHFFFAOYSA-N 0.000 claims description 3
- 241000124008 Mammalia Species 0.000 claims description 3
- 208000035269 cancer or benign tumor Diseases 0.000 claims description 3
- 125000000753 cycloalkyl group Chemical group 0.000 claims description 3
- 125000004186 cyclopropylmethyl group Chemical group [H]C([H])(*)C1([H])C([H])([H])C1([H])[H] 0.000 claims description 3
- ZHXTWWCDMUWMDI-UHFFFAOYSA-N dihydroxyboron Chemical compound O[B]O ZHXTWWCDMUWMDI-UHFFFAOYSA-N 0.000 claims description 3
- 125000004076 pyridyl group Chemical group 0.000 claims description 3
- 125000001424 substituent group Chemical group 0.000 claims description 3
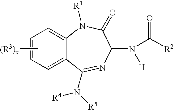
- QYERABWMFRRINX-UHFFFAOYSA-N 1-[5-(3-azabicyclo[3.2.2]nonan-3-yl)-1-methyl-2-oxo-3h-1,4-benzodiazepin-3-yl]-3-(3-methylphenyl)urea Chemical compound O=C1N(C)C2=CC=CC=C2C(N2CC3CCC(CC3)C2)=NC1NC(=O)NC1=CC=CC(C)=C1 QYERABWMFRRINX-UHFFFAOYSA-N 0.000 claims 4
- 125000002887 hydroxy group Chemical group [H]O* 0.000 claims 2
- 125000003831 tetrazolyl group Chemical group 0.000 claims 2
- 102100021022 Gastrin Human genes 0.000 claims 1
- 108020003175 receptors Proteins 0.000 abstract description 198
- 102000005962 receptors Human genes 0.000 abstract description 197
- 230000000694 effects Effects 0.000 abstract description 111
- 230000009991 second messenger activation Effects 0.000 abstract description 20
- 229940127264 non-peptide agonist Drugs 0.000 abstract description 15
- 230000036961 partial effect Effects 0.000 abstract description 9
- 201000010099 disease Diseases 0.000 abstract description 8
- 230000002265 prevention Effects 0.000 abstract description 7
- 230000008859 change Effects 0.000 abstract description 5
- 150000007523 nucleic acids Chemical group 0.000 abstract description 3
- 108090000623 proteins and genes Proteins 0.000 abstract description 3
- 229940123486 Hormone receptor agonist Drugs 0.000 abstract description 2
- 102000004169 proteins and genes Human genes 0.000 abstract description 2
- 241000282414 Homo sapiens Species 0.000 description 61
- 235000001014 amino acid Nutrition 0.000 description 59
- 229940024606 amino acid Drugs 0.000 description 58
- 150000001413 amino acids Chemical class 0.000 description 58
- 239000003446 ligand Substances 0.000 description 48
- 108090000765 processed proteins & peptides Proteins 0.000 description 39
- 210000004027 cell Anatomy 0.000 description 36
- INAPMGSXUVUWAF-GCVPSNMTSA-N [(2r,3s,5r,6r)-2,3,4,5,6-pentahydroxycyclohexyl] dihydrogen phosphate Chemical compound OC1[C@H](O)[C@@H](O)C(OP(O)(O)=O)[C@H](O)[C@@H]1O INAPMGSXUVUWAF-GCVPSNMTSA-N 0.000 description 33
- 230000003834 intracellular effect Effects 0.000 description 32
- IZTQOLKUZKXIRV-YRVFCXMDSA-N sincalide Chemical compound C([C@@H](C(=O)N[C@@H](CCSC)C(=O)NCC(=O)N[C@@H](CC=1C2=CC=CC=C2NC=1)C(=O)N[C@@H](CCSC)C(=O)N[C@@H](CC(O)=O)C(=O)N[C@@H](CC=1C=CC=CC=1)C(N)=O)NC(=O)[C@@H](N)CC(O)=O)C1=CC=C(OS(O)(=O)=O)C=C1 IZTQOLKUZKXIRV-YRVFCXMDSA-N 0.000 description 29
- 239000005557 antagonist Substances 0.000 description 28
- 229940125425 inverse agonist Drugs 0.000 description 26
- QYERABWMFRRINX-XWEVFREBSA-N 1-[(3r)-5-(3-azabicyclo[3.2.2]nonan-3-yl)-1-methyl-2-oxo-3h-1,4-benzodiazepin-3-yl]-3-(3-methylphenyl)urea Chemical compound N([C@@H]1N=C(C2=CC=CC=C2N(C1=O)C)N1CC2CCC(CC2)C1)C(=O)NC1=CC=CC(C)=C1 QYERABWMFRRINX-XWEVFREBSA-N 0.000 description 25
- 108010029020 prolylglycine Proteins 0.000 description 21
- 101800001982 Cholecystokinin Proteins 0.000 description 20
- 229940107137 cholecystokinin Drugs 0.000 description 20
- VCSABYLVNWQYQE-UHFFFAOYSA-N Ala-Lys-Lys Natural products NCCCCC(NC(=O)C(N)C)C(=O)NC(CCCCN)C(O)=O VCSABYLVNWQYQE-UHFFFAOYSA-N 0.000 description 19
- FMFNIDICDKEMOE-XUXIUFHCSA-N Leu-Val-Ile Chemical compound [H]N[C@@H](CC(C)C)C(=O)N[C@@H](C(C)C)C(=O)N[C@@H]([C@@H](C)CC)C(O)=O FMFNIDICDKEMOE-XUXIUFHCSA-N 0.000 description 18
- 238000004519 manufacturing process Methods 0.000 description 18
- BRPMXFSTKXXNHF-IUCAKERBSA-N (2s)-1-[2-[[(2s)-pyrrolidine-2-carbonyl]amino]acetyl]pyrrolidine-2-carboxylic acid Chemical compound OC(=O)[C@@H]1CCCN1C(=O)CNC(=O)[C@H]1NCCC1 BRPMXFSTKXXNHF-IUCAKERBSA-N 0.000 description 17
- MJWVXZABPOKJJF-ACRUOGEOSA-N Leu-Phe-Phe Chemical compound [H]N[C@@H](CC(C)C)C(=O)N[C@@H](CC1=CC=CC=C1)C(=O)N[C@@H](CC1=CC=CC=C1)C(O)=O MJWVXZABPOKJJF-ACRUOGEOSA-N 0.000 description 17
- 108010069020 alanyl-prolyl-glycine Proteins 0.000 description 17
- 108010078274 isoleucylvaline Proteins 0.000 description 17
- 102100025841 Cholecystokinin Human genes 0.000 description 16
- 108010043958 Peptoids Proteins 0.000 description 16
- VYQQQIRHIFALGE-UWJYBYFXSA-N Tyr-Ser-Ala Chemical compound OC(=O)[C@H](C)NC(=O)[C@H](CO)NC(=O)[C@@H](N)CC1=CC=C(O)C=C1 VYQQQIRHIFALGE-UWJYBYFXSA-N 0.000 description 16
- 108010080629 tryptophan-leucine Proteins 0.000 description 16
- BFMIRJBURUXDRG-DLOVCJGASA-N Ala-Phe-Asp Chemical compound OC(=O)C[C@@H](C(O)=O)NC(=O)[C@@H](NC(=O)[C@@H](N)C)CC1=CC=CC=C1 BFMIRJBURUXDRG-DLOVCJGASA-N 0.000 description 15
- XCBKBPRFACFFOO-AQZXSJQPSA-N Asn-Thr-Trp Chemical compound C[C@H]([C@@H](C(=O)N[C@@H](CC1=CNC2=CC=CC=C21)C(=O)O)NC(=O)[C@H](CC(=O)N)N)O XCBKBPRFACFFOO-AQZXSJQPSA-N 0.000 description 15
- HQPHMEPBNUHPKD-XIRDDKMYSA-N Leu-Cys-Trp Chemical compound CC(C)C[C@@H](C(=O)N[C@@H](CS)C(=O)N[C@@H](CC1=CNC2=CC=CC=C21)C(=O)O)N HQPHMEPBNUHPKD-XIRDDKMYSA-N 0.000 description 15
- 239000004031 partial agonist Substances 0.000 description 15
- SOEGEPHNZOISMT-BYPYZUCNSA-N Gly-Ser-Gly Chemical compound NCC(=O)N[C@@H](CO)C(=O)NCC(O)=O SOEGEPHNZOISMT-BYPYZUCNSA-N 0.000 description 14
- 101001021397 Homo sapiens Gastrin/cholecystokinin type B receptor Proteins 0.000 description 14
- JDBQSGMJBMPNFT-AVGNSLFASA-N Leu-Pro-Val Chemical compound CC(C)C[C@H](N)C(=O)N1CCC[C@H]1C(=O)N[C@@H](C(C)C)C(O)=O JDBQSGMJBMPNFT-AVGNSLFASA-N 0.000 description 14
- ZJZNLRVCZWUONM-JXUBOQSCSA-N Leu-Thr-Ala Chemical compound CC(C)C[C@H](N)C(=O)N[C@@H]([C@@H](C)O)C(=O)N[C@@H](C)C(O)=O ZJZNLRVCZWUONM-JXUBOQSCSA-N 0.000 description 14
- NRCJWSGXMAPYQX-LPEHRKFASA-N Ser-Arg-Pro Chemical compound C1C[C@@H](N(C1)C(=O)[C@H](CCCN=C(N)N)NC(=O)[C@H](CO)N)C(=O)O NRCJWSGXMAPYQX-LPEHRKFASA-N 0.000 description 14
- 208000035475 disorder Diseases 0.000 description 14
- 108091005465 peptide hormone receptors Proteins 0.000 description 14
- BHPQYMZQTOCNFJ-UHFFFAOYSA-N Calcium cation Chemical compound [Ca+2] BHPQYMZQTOCNFJ-UHFFFAOYSA-N 0.000 description 13
- 241000880493 Leptailurus serval Species 0.000 description 13
- 229910001424 calcium ion Inorganic materials 0.000 description 13
- 101100512078 Caenorhabditis elegans lys-1 gene Proteins 0.000 description 12
- 102400000921 Gastrin Human genes 0.000 description 12
- 230000001965 increasing effect Effects 0.000 description 12
- OYTNZCBFDXGQGE-XQXXSGGOSA-N Thr-Gln-Ala Chemical compound C[C@H]([C@@H](C(=O)N[C@@H](CCC(=O)N)C(=O)N[C@@H](C)C(=O)O)N)O OYTNZCBFDXGQGE-XQXXSGGOSA-N 0.000 description 11
- 125000000539 amino acid group Chemical group 0.000 description 11
- 229940049706 benzodiazepine Drugs 0.000 description 11
- 102000004859 Cholecystokinin Receptors Human genes 0.000 description 10
- 108090001085 Cholecystokinin Receptors Proteins 0.000 description 10
- 102000012673 Follicle Stimulating Hormone Human genes 0.000 description 10
- 108010079345 Follicle Stimulating Hormone Proteins 0.000 description 10
- KWTVLKBOQATPHJ-SRVKXCTJSA-N Leu-Ala-Lys Chemical compound C[C@@H](C(=O)N[C@@H](CCCCN)C(=O)O)NC(=O)[C@H](CC(C)C)N KWTVLKBOQATPHJ-SRVKXCTJSA-N 0.000 description 10
- KZNQNBZMBZJQJO-UHFFFAOYSA-N N-glycyl-L-proline Natural products NCC(=O)N1CCCC1C(O)=O KZNQNBZMBZJQJO-UHFFFAOYSA-N 0.000 description 10
- 238000010609 cell counting kit-8 assay Methods 0.000 description 10
- 229940028334 follicle stimulating hormone Drugs 0.000 description 10
- 108010043649 gastrin I Proteins 0.000 description 10
- 238000007423 screening assay Methods 0.000 description 10
- 230000011664 signaling Effects 0.000 description 10
- 102400000322 Glucagon-like peptide 1 Human genes 0.000 description 9
- 101800000224 Glucagon-like peptide 1 Proteins 0.000 description 9
- RXGLHDWAZQECBI-SRVKXCTJSA-N Leu-Leu-Ser Chemical compound CC(C)C[C@H](N)C(=O)N[C@@H](CC(C)C)C(=O)N[C@@H](CO)C(O)=O RXGLHDWAZQECBI-SRVKXCTJSA-N 0.000 description 9
- 230000004913 activation Effects 0.000 description 9
- 108010050848 glycylleucine Proteins 0.000 description 9
- 229940040129 luteinizing hormone Drugs 0.000 description 9
- 230000035772 mutation Effects 0.000 description 9
- 238000006467 substitution reaction Methods 0.000 description 9
- 0 CC.[1*]N1C(=O)C(N([H])C([2*])=O)N=C(N([4*])[5*])C2=CC=CC=C21 Chemical compound CC.[1*]N1C(=O)C(N([H])C([2*])=O)N=C(N([4*])[5*])C2=CC=CC=C21 0.000 description 8
- 108010073521 Luteinizing Hormone Proteins 0.000 description 8
- 102000009151 Luteinizing Hormone Human genes 0.000 description 8
- NTSPQIONFJUMJV-AVGNSLFASA-N Lys-Arg-Val Chemical compound [H]N[C@@H](CCCCN)C(=O)N[C@@H](CCCNC(N)=N)C(=O)N[C@@H](C(C)C)C(O)=O NTSPQIONFJUMJV-AVGNSLFASA-N 0.000 description 8
- ZJWIXBZTAAJERF-IHRRRGAJSA-N Lys-Lys-Arg Chemical compound NCCCC[C@H](N)C(=O)N[C@@H](CCCCN)C(=O)N[C@H](C(O)=O)CCCN=C(N)N ZJWIXBZTAAJERF-IHRRRGAJSA-N 0.000 description 8
- YBAFDPFAUTYYRW-UHFFFAOYSA-N N-L-alpha-glutamyl-L-leucine Natural products CC(C)CC(C(O)=O)NC(=O)C(N)CCC(O)=O YBAFDPFAUTYYRW-UHFFFAOYSA-N 0.000 description 8
- 102000011923 Thyrotropin Human genes 0.000 description 8
- 108010061174 Thyrotropin Proteins 0.000 description 8
- 230000003321 amplification Effects 0.000 description 8
- 238000004458 analytical method Methods 0.000 description 8
- 239000003814 drug Substances 0.000 description 8
- 238000003199 nucleic acid amplification method Methods 0.000 description 8
- 239000000813 peptide hormone Substances 0.000 description 8
- 230000004044 response Effects 0.000 description 8
- 230000007781 signaling event Effects 0.000 description 8
- SVUOLADPCWQTTE-UHFFFAOYSA-N 1h-1,2-benzodiazepine Chemical compound N1N=CC=CC2=CC=CC=C12 SVUOLADPCWQTTE-UHFFFAOYSA-N 0.000 description 7
- OYPRJOBELJOOCE-UHFFFAOYSA-N Calcium Chemical compound [Ca] OYPRJOBELJOOCE-UHFFFAOYSA-N 0.000 description 7
- DTHNMHAUYICORS-KTKZVXAJSA-N Glucagon-like peptide 1 Chemical compound C([C@@H](C(=O)N[C@@H]([C@@H](C)CC)C(=O)N[C@@H](C)C(=O)N[C@@H](CC=1C2=CC=CC=C2NC=1)C(=O)N[C@@H](CC(C)C)C(=O)N[C@@H](C(C)C)C(=O)N[C@@H](CCCCN)C(=O)NCC(=O)N[C@@H](CCCNC(N)=N)C(N)=O)NC(=O)[C@H](CCC(O)=O)NC(=O)[C@H](CCCCN)NC(=O)[C@H](C)NC(=O)[C@H](C)NC(=O)[C@H](CCC(N)=O)NC(=O)CNC(=O)[C@H](CCC(O)=O)NC(=O)[C@H](CC(C)C)NC(=O)[C@H](CC=1C=CC(O)=CC=1)NC(=O)[C@H](CO)NC(=O)[C@H](CO)NC(=O)[C@@H](NC(=O)[C@H](CC(O)=O)NC(=O)[C@H](CO)NC(=O)[C@@H](NC(=O)[C@H](CC=1C=CC=CC=1)NC(=O)[C@@H](NC(=O)CNC(=O)[C@H](CCC(O)=O)NC(=O)[C@H](C)NC(=O)[C@@H](N)CC=1N=CNC=1)[C@@H](C)O)[C@@H](C)O)C(C)C)C1=CC=CC=C1 DTHNMHAUYICORS-KTKZVXAJSA-N 0.000 description 7
- 241000700159 Rattus Species 0.000 description 7
- XPYNXORPPVTVQK-SRVKXCTJSA-N Val-Arg-Met Chemical compound CC(C)[C@@H](C(=O)N[C@@H](CCCN=C(N)N)C(=O)N[C@@H](CCSC)C(=O)O)N XPYNXORPPVTVQK-SRVKXCTJSA-N 0.000 description 7
- RTJPAGFXOWEBAI-SRVKXCTJSA-N Val-Val-Arg Chemical compound CC(C)[C@H](N)C(=O)N[C@@H](C(C)C)C(=O)N[C@H](C(O)=O)CCCN=C(N)N RTJPAGFXOWEBAI-SRVKXCTJSA-N 0.000 description 7
- 102000055135 Vasoactive Intestinal Peptide Human genes 0.000 description 7
- 108010003205 Vasoactive Intestinal Peptide Proteins 0.000 description 7
- 125000003275 alpha amino acid group Chemical group 0.000 description 7
- 239000011575 calcium Substances 0.000 description 7
- 229910052791 calcium Inorganic materials 0.000 description 7
- 229940079593 drug Drugs 0.000 description 7
- 230000006870 function Effects 0.000 description 7
- 108010015796 prolylisoleucine Proteins 0.000 description 7
- PGNNQOJOEGFAOR-KWQFWETISA-N Ala-Tyr-Gly Chemical compound OC(=O)CNC(=O)[C@@H](NC(=O)[C@@H](N)C)CC1=CC=C(O)C=C1 PGNNQOJOEGFAOR-KWQFWETISA-N 0.000 description 6
- REWSWYIDQIELBE-FXQIFTODSA-N Ala-Val-Ser Chemical compound [H]N[C@@H](C)C(=O)N[C@@H](C(C)C)C(=O)N[C@@H](CO)C(O)=O REWSWYIDQIELBE-FXQIFTODSA-N 0.000 description 6
- QNBMMYGKDUBMGQ-UHFFFAOYSA-N C1=CC=C2[W]CCC2=C1.CC Chemical compound C1=CC=C2[W]CCC2=C1.CC QNBMMYGKDUBMGQ-UHFFFAOYSA-N 0.000 description 6
- 108090000932 Calcitonin Gene-Related Peptide Proteins 0.000 description 6
- 102000004414 Calcitonin Gene-Related Peptide Human genes 0.000 description 6
- 239000006144 Dulbecco’s modified Eagle's medium Substances 0.000 description 6
- 102100039813 Inactive tyrosine-protein kinase 7 Human genes 0.000 description 6
- 102000023108 LH Receptors Human genes 0.000 description 6
- 108010011942 LH Receptors Proteins 0.000 description 6
- 241001416505 Mastomys Species 0.000 description 6
- MQASRXPTQJJNFM-JYJNAYRXSA-N Met-Pro-Phe Chemical compound CSCC[C@H](N)C(=O)N1CCC[C@H]1C(=O)N[C@H](C(O)=O)CC1=CC=CC=C1 MQASRXPTQJJNFM-JYJNAYRXSA-N 0.000 description 6
- CLNJSLSHKJECME-BQBZGAKWSA-N Pro-Gly-Ala Chemical compound OC(=O)[C@H](C)NC(=O)CNC(=O)[C@@H]1CCCN1 CLNJSLSHKJECME-BQBZGAKWSA-N 0.000 description 6
- 108010087230 Sincalide Proteins 0.000 description 6
- 108010012944 Tetragastrin Proteins 0.000 description 6
- 241000269370 Xenopus <genus> Species 0.000 description 6
- 108010047857 aspartylglycine Proteins 0.000 description 6
- 238000002474 experimental method Methods 0.000 description 6
- 230000007935 neutral effect Effects 0.000 description 6
- 230000000638 stimulation Effects 0.000 description 6
- RGYLYUZOGHTBRF-BIHRQFPBSA-N tetragastrin Chemical compound C([C@H](NC(=O)[C@H](CC(O)=O)NC(=O)[C@@H](NC(=O)[C@@H](N)CC=1C2=CC=CC=C2NC=1)CCSC)C(N)=O)C1=CC=CC=C1 RGYLYUZOGHTBRF-BIHRQFPBSA-N 0.000 description 6
- MTCFGRXMJLQNBG-REOHCLBHSA-N (2S)-2-Amino-3-hydroxypropansäure Chemical compound OC[C@H](N)C(O)=O MTCFGRXMJLQNBG-REOHCLBHSA-N 0.000 description 5
- NGYHSXDNNOFHNE-AVGNSLFASA-N Arg-Pro-Leu Chemical compound [H]N[C@@H](CCCNC(N)=N)C(=O)N1CCC[C@H]1C(=O)N[C@@H](CC(C)C)C(O)=O NGYHSXDNNOFHNE-AVGNSLFASA-N 0.000 description 5
- QHUOOCKNNURZSL-IHRRRGAJSA-N Arg-Tyr-Ser Chemical compound [H]N[C@@H](CCCNC(N)=N)C(=O)N[C@@H](CC1=CC=C(O)C=C1)C(=O)N[C@@H](CO)C(O)=O QHUOOCKNNURZSL-IHRRRGAJSA-N 0.000 description 5
- WHUUTDBJXJRKMK-UHFFFAOYSA-N Glutamic acid Natural products OC(=O)C(N)CCC(O)=O WHUUTDBJXJRKMK-UHFFFAOYSA-N 0.000 description 5
- XLXPYSDGMXTTNQ-UHFFFAOYSA-N Ile-Phe-Leu Natural products CCC(C)C(N)C(=O)NC(C(=O)NC(CC(C)C)C(O)=O)CC1=CC=CC=C1 XLXPYSDGMXTTNQ-UHFFFAOYSA-N 0.000 description 5
- SITWEMZOJNKJCH-UHFFFAOYSA-N L-alanine-L-arginine Natural products CC(N)C(=O)NC(C(O)=O)CCCNC(N)=N SITWEMZOJNKJCH-UHFFFAOYSA-N 0.000 description 5
- QVFGXCVIXXBFHO-AVGNSLFASA-N Leu-Glu-Leu Chemical compound CC(C)C[C@H](N)C(=O)N[C@@H](CCC(O)=O)C(=O)N[C@@H](CC(C)C)C(O)=O QVFGXCVIXXBFHO-AVGNSLFASA-N 0.000 description 5
- UBZGNBKMIJHOHL-BZSNNMDCSA-N Leu-Leu-Phe Chemical compound CC(C)C[C@H]([NH3+])C(=O)N[C@@H](CC(C)C)C(=O)N[C@H](C([O-])=O)CC1=CC=CC=C1 UBZGNBKMIJHOHL-BZSNNMDCSA-N 0.000 description 5
- IDGZVZJLYFTXSL-DCAQKATOSA-N Leu-Ser-Arg Chemical compound CC(C)C[C@H](N)C(=O)N[C@@H](CO)C(=O)N[C@H](C(O)=O)CCCN=C(N)N IDGZVZJLYFTXSL-DCAQKATOSA-N 0.000 description 5
- NZYNRRGJJVSSTJ-GUBZILKMSA-N Val-Ser-Val Chemical compound CC(C)[C@H](N)C(=O)N[C@@H](CO)C(=O)N[C@@H](C(C)C)C(O)=O NZYNRRGJJVSSTJ-GUBZILKMSA-N 0.000 description 5
- GXBMIBRIOWHPDT-UHFFFAOYSA-N Vasopressin Natural products N1C(=O)C(CC=2C=C(O)C=CC=2)NC(=O)C(N)CSSCC(C(=O)N2C(CCC2)C(=O)NC(CCCN=C(N)N)C(=O)NCC(N)=O)NC(=O)C(CC(N)=O)NC(=O)C(CCC(N)=O)NC(=O)C1CC1=CC=CC=C1 GXBMIBRIOWHPDT-UHFFFAOYSA-N 0.000 description 5
- 108010004977 Vasopressins Proteins 0.000 description 5
- 102000002852 Vasopressins Human genes 0.000 description 5
- KBZOIRJILGZLEJ-LGYYRGKSSA-N argipressin Chemical compound C([C@H]1C(=O)N[C@@H](CCC(N)=O)C(=O)N[C@@H](CC(N)=O)C(=O)N[C@@H](CSSC[C@@H](C(N[C@@H](CC=2C=CC(O)=CC=2)C(=O)N1)=O)N)C(=O)N1[C@@H](CCC1)C(=O)N[C@@H](CCCN=C(N)N)C(=O)NCC(N)=O)C1=CC=CC=C1 KBZOIRJILGZLEJ-LGYYRGKSSA-N 0.000 description 5
- 108010077245 asparaginyl-proline Proteins 0.000 description 5
- 210000004556 brain Anatomy 0.000 description 5
- 238000012217 deletion Methods 0.000 description 5
- 230000037430 deletion Effects 0.000 description 5
- 235000013922 glutamic acid Nutrition 0.000 description 5
- 239000004220 glutamic acid Substances 0.000 description 5
- 125000000291 glutamic acid group Chemical group N[C@@H](CCC(O)=O)C(=O)* 0.000 description 5
- VPZXBVLAVMBEQI-UHFFFAOYSA-N glycyl-DL-alpha-alanine Natural products OC(=O)C(C)NC(=O)CN VPZXBVLAVMBEQI-UHFFFAOYSA-N 0.000 description 5
- 238000012216 screening Methods 0.000 description 5
- 108010048818 seryl-histidine Proteins 0.000 description 5
- 238000012360 testing method Methods 0.000 description 5
- 108010061238 threonyl-glycine Proteins 0.000 description 5
- 229960003726 vasopressin Drugs 0.000 description 5
- FOHXUHGZZKETFI-JBDRJPRFSA-N Ala-Ile-Cys Chemical compound CC[C@H](C)[C@@H](C(=O)N[C@@H](CS)C(=O)O)NC(=O)[C@H](C)N FOHXUHGZZKETFI-JBDRJPRFSA-N 0.000 description 4
- VNYMOTCMNHJGTG-JBDRJPRFSA-N Ala-Ile-Ser Chemical compound [H]N[C@@H](C)C(=O)N[C@@H]([C@@H](C)CC)C(=O)N[C@@H](CO)C(O)=O VNYMOTCMNHJGTG-JBDRJPRFSA-N 0.000 description 4
- CCDFBRZVTDDJNM-GUBZILKMSA-N Ala-Leu-Glu Chemical compound [H]N[C@@H](C)C(=O)N[C@@H](CC(C)C)C(=O)N[C@@H](CCC(O)=O)C(O)=O CCDFBRZVTDDJNM-GUBZILKMSA-N 0.000 description 4
- LTTLSZVJTDSACD-OWLDWWDNSA-N Ala-Thr-Trp Chemical compound [H]N[C@@H](C)C(=O)N[C@@H]([C@@H](C)O)C(=O)N[C@@H](CC1=CNC2=C1C=CC=C2)C(O)=O LTTLSZVJTDSACD-OWLDWWDNSA-N 0.000 description 4
- INXWADWANGLMPJ-JYJNAYRXSA-N Arg-Phe-Arg Chemical compound NC(=N)NCCC[C@H](N)C(=O)N[C@H](C(=O)N[C@@H](CCCNC(N)=N)C(O)=O)CC1=CC=CC=C1 INXWADWANGLMPJ-JYJNAYRXSA-N 0.000 description 4
- XAJRHVUUVUPFQL-ACZMJKKPSA-N Asp-Glu-Asp Chemical compound OC(=O)C[C@H](N)C(=O)N[C@@H](CCC(O)=O)C(=O)N[C@@H](CC(O)=O)C(O)=O XAJRHVUUVUPFQL-ACZMJKKPSA-N 0.000 description 4
- 102000055006 Calcitonin Human genes 0.000 description 4
- 108060001064 Calcitonin Proteins 0.000 description 4
- 241000282465 Canis Species 0.000 description 4
- HEDRZPFGACZZDS-UHFFFAOYSA-N Chloroform Chemical compound ClC(Cl)Cl HEDRZPFGACZZDS-UHFFFAOYSA-N 0.000 description 4
- 108010022152 Corticotropin-Releasing Hormone Proteins 0.000 description 4
- 102000012289 Corticotropin-Releasing Hormone Human genes 0.000 description 4
- 239000000055 Corticotropin-Releasing Hormone Substances 0.000 description 4
- 102000003951 Erythropoietin Human genes 0.000 description 4
- 108090000394 Erythropoietin Proteins 0.000 description 4
- 108091006027 G proteins Proteins 0.000 description 4
- 102000030782 GTP binding Human genes 0.000 description 4
- 108091000058 GTP-Binding Proteins 0.000 description 4
- 102000051325 Glucagon Human genes 0.000 description 4
- 108060003199 Glucagon Proteins 0.000 description 4
- GYAUWXXORNTCHU-QWRGUYRKSA-N Gly-Cys-Tyr Chemical compound NCC(=O)N[C@@H](CS)C(=O)N[C@H](C(O)=O)CC1=CC=C(O)C=C1 GYAUWXXORNTCHU-QWRGUYRKSA-N 0.000 description 4
- XPJBQTCXPJNIFE-ZETCQYMHSA-N Gly-Gly-Leu Chemical compound CC(C)C[C@@H](C(O)=O)NC(=O)CNC(=O)CN XPJBQTCXPJNIFE-ZETCQYMHSA-N 0.000 description 4
- RCFDOSNHHZGBOY-UHFFFAOYSA-N L-isoleucyl-L-alanine Natural products CCC(C)C(N)C(=O)NC(C)C(O)=O RCFDOSNHHZGBOY-UHFFFAOYSA-N 0.000 description 4
- OGCQGUIWMSBHRZ-CIUDSAMLSA-N Leu-Asn-Ser Chemical compound [H]N[C@@H](CC(C)C)C(=O)N[C@@H](CC(N)=O)C(=O)N[C@@H](CO)C(O)=O OGCQGUIWMSBHRZ-CIUDSAMLSA-N 0.000 description 4
- HYIFFZAQXPUEAU-QWRGUYRKSA-N Leu-Gly-Leu Chemical compound CC(C)C[C@H](N)C(=O)NCC(=O)N[C@H](C(O)=O)CC(C)C HYIFFZAQXPUEAU-QWRGUYRKSA-N 0.000 description 4
- BGZCJDGBBUUBHA-KKUMJFAQSA-N Leu-Lys-Leu Chemical compound CC(C)C[C@H](N)C(=O)N[C@@H](CCCCN)C(=O)N[C@@H](CC(C)C)C(O)=O BGZCJDGBBUUBHA-KKUMJFAQSA-N 0.000 description 4
- FLNPJLDPGMLWAU-UWVGGRQHSA-N Leu-Met-Gly Chemical compound OC(=O)CNC(=O)[C@H](CCSC)NC(=O)[C@@H](N)CC(C)C FLNPJLDPGMLWAU-UWVGGRQHSA-N 0.000 description 4
- RGUXWMDNCPMQFB-YUMQZZPRSA-N Leu-Ser-Gly Chemical compound CC(C)C[C@H](N)C(=O)N[C@@H](CO)C(=O)NCC(O)=O RGUXWMDNCPMQFB-YUMQZZPRSA-N 0.000 description 4
- SJDQOYTYNGZZJX-SRVKXCTJSA-N Met-Glu-Leu Chemical compound CSCC[C@H](N)C(=O)N[C@@H](CCC(O)=O)C(=O)N[C@@H](CC(C)C)C(O)=O SJDQOYTYNGZZJX-SRVKXCTJSA-N 0.000 description 4
- TXKWKTWYTIAZSV-KKUMJFAQSA-N Phe-Leu-Cys Chemical compound CC(C)C[C@@H](C(=O)N[C@@H](CS)C(=O)O)NC(=O)[C@H](CC1=CC=CC=C1)N TXKWKTWYTIAZSV-KKUMJFAQSA-N 0.000 description 4
- 108010086019 Secretin Proteins 0.000 description 4
- 102100037505 Secretin Human genes 0.000 description 4
- IAORETPTUDBBGV-CIUDSAMLSA-N Ser-Leu-Cys Chemical compound CC(C)C[C@@H](C(=O)N[C@@H](CS)C(=O)O)NC(=O)[C@H](CO)N IAORETPTUDBBGV-CIUDSAMLSA-N 0.000 description 4
- JZRYFUGREMECBH-XPUUQOCRSA-N Ser-Val-Gly Chemical compound [H]N[C@@H](CO)C(=O)N[C@@H](C(C)C)C(=O)NCC(O)=O JZRYFUGREMECBH-XPUUQOCRSA-N 0.000 description 4
- YEDSOSIKVUMIJE-DCAQKATOSA-N Ser-Val-Leu Chemical compound [H]N[C@@H](CO)C(=O)N[C@@H](C(C)C)C(=O)N[C@@H](CC(C)C)C(O)=O YEDSOSIKVUMIJE-DCAQKATOSA-N 0.000 description 4
- MTCFGRXMJLQNBG-UHFFFAOYSA-N Serine Natural products OCC(N)C(O)=O MTCFGRXMJLQNBG-UHFFFAOYSA-N 0.000 description 4
- KZTLZZQTJMCGIP-ZJDVBMNYSA-N Thr-Val-Thr Chemical compound [H]N[C@@H]([C@@H](C)O)C(=O)N[C@@H](C(C)C)C(=O)N[C@@H]([C@@H](C)O)C(O)=O KZTLZZQTJMCGIP-ZJDVBMNYSA-N 0.000 description 4
- 108010064997 VPY tripeptide Proteins 0.000 description 4
- WOCYUGQDXPTQPY-FXQIFTODSA-N Val-Ala-Cys Chemical compound C[C@@H](C(=O)N[C@@H](CS)C(=O)O)NC(=O)[C@H](C(C)C)N WOCYUGQDXPTQPY-FXQIFTODSA-N 0.000 description 4
- LTFLDDDGWOVIHY-NAKRPEOUSA-N Val-Ala-Ile Chemical compound CC[C@H](C)[C@@H](C(=O)O)NC(=O)[C@H](C)NC(=O)[C@H](C(C)C)N LTFLDDDGWOVIHY-NAKRPEOUSA-N 0.000 description 4
- UMPVMAYCLYMYGA-ONGXEEELSA-N Val-Leu-Gly Chemical compound CC(C)[C@H](N)C(=O)N[C@@H](CC(C)C)C(=O)NCC(O)=O UMPVMAYCLYMYGA-ONGXEEELSA-N 0.000 description 4
- NGXQOQNXSGOYOI-BQFCYCMXSA-N Val-Trp-Gln Chemical compound C1=CC=C2C(C[C@H](NC(=O)[C@@H](N)C(C)C)C(=O)N[C@@H](CCC(N)=O)C(O)=O)=CNC2=C1 NGXQOQNXSGOYOI-BQFCYCMXSA-N 0.000 description 4
- 150000001557 benzodiazepines Chemical class 0.000 description 4
- 230000015572 biosynthetic process Effects 0.000 description 4
- 229960004015 calcitonin Drugs 0.000 description 4
- BBBFJLBPOGFECG-VJVYQDLKSA-N calcitonin Chemical compound N([C@H](C(=O)N[C@@H](CC(C)C)C(=O)NCC(=O)N[C@@H](CCCCN)C(=O)N[C@@H](CC(C)C)C(=O)N[C@@H](CO)C(=O)N[C@@H](CCC(N)=O)C(=O)N[C@@H](CCC(O)=O)C(=O)N[C@@H](CC(C)C)C(=O)N[C@@H](CC=1NC=NC=1)C(=O)N[C@@H](CCCCN)C(=O)N[C@@H](CC(C)C)C(=O)N[C@@H](CCC(N)=O)C(=O)N[C@@H]([C@@H](C)O)C(=O)N[C@@H](CC=1C=CC(O)=CC=1)C(=O)N1[C@@H](CCC1)C(=O)N[C@@H](CCCNC(N)=N)C(=O)N[C@@H]([C@@H](C)O)C(=O)N[C@@H](CC(N)=O)C(=O)N[C@@H]([C@@H](C)O)C(=O)NCC(=O)N[C@@H](CO)C(=O)NCC(=O)N[C@@H]([C@@H](C)O)C(=O)N1[C@@H](CCC1)C(N)=O)C(C)C)C(=O)[C@@H]1CSSC[C@H](N)C(=O)N[C@@H](CO)C(=O)N[C@@H](CC(N)=O)C(=O)N[C@@H](CC(C)C)C(=O)N[C@@H](CO)C(=O)N[C@@H]([C@@H](C)O)C(=O)N1 BBBFJLBPOGFECG-VJVYQDLKSA-N 0.000 description 4
- 230000037011 constitutive activity Effects 0.000 description 4
- 229940041967 corticotropin-releasing hormone Drugs 0.000 description 4
- KLVRDXBAMSPYKH-RKYZNNDCSA-N corticotropin-releasing hormone (human) Chemical compound C([C@@H](C(=O)N[C@@H](CO)C(=O)N[C@@H](CC(N)=O)C(=O)N[C@@H](CCCNC(N)=N)C(=O)N[C@@H](CCCCN)C(=O)N[C@@H](CC(C)C)C(=O)N[C@@H](CCSC)C(=O)N[C@@H](CCC(O)=O)C(=O)N[C@H](C(=O)N[C@@H]([C@@H](C)CC)C(N)=O)[C@@H](C)CC)NC(=O)[C@H](C)NC(=O)[C@H](CCC(N)=O)NC(=O)[C@H](CCC(N)=O)NC(=O)[C@H](C)NC(=O)[C@H](CC(C)C)NC(=O)[C@H](CCC(N)=O)NC(=O)[C@H](CCC(O)=O)NC(=O)[C@H](C)NC(=O)[C@H](CCCNC(N)=N)NC(=O)[C@H](C)NC(=O)[C@H](CCSC)NC(=O)[C@H](CCC(O)=O)NC(=O)[C@H](CC(C)C)NC(=O)[C@@H](NC(=O)[C@H](CCC(O)=O)NC(=O)[C@H](CCCNC(N)=N)NC(=O)[C@H](CC(C)C)NC(=O)[C@H](CC(C)C)NC(=O)[C@H](CC=1N=CNC=1)NC(=O)[C@H](CC=1C=CC=CC=1)NC(=O)[C@@H](NC(=O)[C@H](CC(C)C)NC(=O)[C@H](CC(O)=O)NC(=O)[C@H](CC(C)C)NC(=O)[C@H](CO)NC(=O)[C@@H](NC(=O)[C@H]1N(CCC1)C(=O)[C@H]1N(CCC1)C(=O)[C@H](CCC(O)=O)NC(=O)[C@H](CCC(O)=O)NC(=O)[C@@H](N)CO)[C@@H](C)CC)C(C)C)C(C)C)C1=CNC=N1 KLVRDXBAMSPYKH-RKYZNNDCSA-N 0.000 description 4
- 108010004073 cysteinylcysteine Proteins 0.000 description 4
- 230000001419 dependent effect Effects 0.000 description 4
- 229940105423 erythropoietin Drugs 0.000 description 4
- DEFVIWRASFVYLL-UHFFFAOYSA-N ethylene glycol bis(2-aminoethyl)tetraacetic acid Chemical compound OC(=O)CN(CC(O)=O)CCOCCOCCN(CC(O)=O)CC(O)=O DEFVIWRASFVYLL-UHFFFAOYSA-N 0.000 description 4
- MASNOZXLGMXCHN-ZLPAWPGGSA-N glucagon Chemical compound C([C@@H](C(=O)N[C@H](C(=O)N[C@@H](CCC(N)=O)C(=O)N[C@@H](CC=1C2=CC=CC=C2NC=1)C(=O)N[C@@H](CC(C)C)C(=O)N[C@@H](CCSC)C(=O)N[C@@H](CC(N)=O)C(=O)N[C@@H]([C@@H](C)O)C(O)=O)C(C)C)NC(=O)[C@H](CC(O)=O)NC(=O)[C@H](CCC(N)=O)NC(=O)[C@H](C)NC(=O)[C@H](CCCNC(N)=N)NC(=O)[C@H](CCCNC(N)=N)NC(=O)[C@H](CO)NC(=O)[C@H](CC(O)=O)NC(=O)[C@H](CC(C)C)NC(=O)[C@H](CC=1C=CC(O)=CC=1)NC(=O)[C@H](CCCCN)NC(=O)[C@H](CO)NC(=O)[C@H](CC=1C=CC(O)=CC=1)NC(=O)[C@H](CC(O)=O)NC(=O)[C@H](CO)NC(=O)[C@@H](NC(=O)[C@H](CC=1C=CC=CC=1)NC(=O)[C@@H](NC(=O)CNC(=O)[C@H](CCC(N)=O)NC(=O)[C@H](CO)NC(=O)[C@@H](N)CC=1NC=NC=1)[C@@H](C)O)[C@@H](C)O)C1=CC=CC=C1 MASNOZXLGMXCHN-ZLPAWPGGSA-N 0.000 description 4
- 229960004666 glucagon Drugs 0.000 description 4
- 108010078144 glutaminyl-glycine Proteins 0.000 description 4
- 108010091871 leucylmethionine Proteins 0.000 description 4
- 108010005942 methionylglycine Proteins 0.000 description 4
- 230000004048 modification Effects 0.000 description 4
- 238000012986 modification Methods 0.000 description 4
- 230000037361 pathway Effects 0.000 description 4
- YBYRMVIVWMBXKQ-UHFFFAOYSA-N phenylmethanesulfonyl fluoride Chemical compound FS(=O)(=O)CC1=CC=CC=C1 YBYRMVIVWMBXKQ-UHFFFAOYSA-N 0.000 description 4
- 229920001184 polypeptide Polymers 0.000 description 4
- OXCMYAYHXIHQOA-UHFFFAOYSA-N potassium;[2-butyl-5-chloro-3-[[4-[2-(1,2,4-triaza-3-azanidacyclopenta-1,4-dien-5-yl)phenyl]phenyl]methyl]imidazol-4-yl]methanol Chemical compound [K+].CCCCC1=NC(Cl)=C(CO)N1CC1=CC=C(C=2C(=CC=CC=2)C2=N[N-]N=N2)C=C1 OXCMYAYHXIHQOA-UHFFFAOYSA-N 0.000 description 4
- 102000004196 processed proteins & peptides Human genes 0.000 description 4
- 108010014614 prolyl-glycyl-proline Proteins 0.000 description 4
- 108010077112 prolyl-proline Proteins 0.000 description 4
- 229960002101 secretin Drugs 0.000 description 4
- OWMZNFCDEHGFEP-NFBCVYDUSA-N secretin human Chemical compound C([C@@H](C(=O)N[C@H](C(=O)N[C@@H](CO)C(=O)N[C@@H](CCC(O)=O)C(=O)N[C@@H](CC(C)C)C(=O)N[C@@H](CO)C(=O)N[C@@H](CCCNC(N)=N)C(=O)N[C@@H](CC(C)C)C(=O)N[C@@H](CCCNC(N)=N)C(=O)N[C@@H](CCC(O)=O)C(=O)NCC(=O)N[C@@H](C)C(=O)N[C@@H](CCCNC(N)=N)C(=O)N[C@@H](CC(C)C)C(=O)N[C@@H](CCC(N)=O)C(=O)N[C@@H](CCCNC(N)=N)C(=O)N[C@@H](CC(C)C)C(=O)N[C@@H](CC(C)C)C(=O)N[C@@H](CCC(N)=O)C(=O)NCC(=O)N[C@@H](CC(C)C)C(=O)N[C@@H](C(C)C)C(N)=O)[C@@H](C)O)NC(=O)[C@@H](NC(=O)CNC(=O)[C@H](CC(O)=O)NC(=O)[C@H](CO)NC(=O)[C@@H](N)CC=1NC=NC=1)[C@@H](C)O)C1=CC=CC=C1 OWMZNFCDEHGFEP-NFBCVYDUSA-N 0.000 description 4
- 235000004400 serine Nutrition 0.000 description 4
- 238000001356 surgical procedure Methods 0.000 description 4
- WRDANSJTFOHBPI-FXQIFTODSA-N Ala-Arg-Cys Chemical compound C[C@@H](C(=O)N[C@@H](CCCN=C(N)N)C(=O)N[C@@H](CS)C(=O)O)N WRDANSJTFOHBPI-FXQIFTODSA-N 0.000 description 3
- NYDBKUNVSALYPX-NAKRPEOUSA-N Ala-Ile-Arg Chemical compound C[C@H](N)C(=O)N[C@@H]([C@@H](C)CC)C(=O)N[C@H](C(O)=O)CCCN=C(N)N NYDBKUNVSALYPX-NAKRPEOUSA-N 0.000 description 3
- 108010064733 Angiotensins Proteins 0.000 description 3
- 102000015427 Angiotensins Human genes 0.000 description 3
- 208000019901 Anxiety disease Diseases 0.000 description 3
- LVMUGODRNHFGRA-AVGNSLFASA-N Arg-Leu-Arg Chemical compound NC(N)=NCCC[C@H](N)C(=O)N[C@@H](CC(C)C)C(=O)N[C@@H](CCCN=C(N)N)C(O)=O LVMUGODRNHFGRA-AVGNSLFASA-N 0.000 description 3
- COXMUHNBYCVVRG-DCAQKATOSA-N Arg-Leu-Ser Chemical compound [H]N[C@@H](CCCNC(N)=N)C(=O)N[C@@H](CC(C)C)C(=O)N[C@@H](CO)C(O)=O COXMUHNBYCVVRG-DCAQKATOSA-N 0.000 description 3
- YCYXHLZRUSJITQ-SRVKXCTJSA-N Arg-Pro-Pro Chemical compound NC(=N)NCCC[C@H](N)C(=O)N1CCC[C@H]1C(=O)N1[C@H](C(O)=O)CCC1 YCYXHLZRUSJITQ-SRVKXCTJSA-N 0.000 description 3
- FMYQECOAIFGQGU-CYDGBPFRSA-N Arg-Val-Ile Chemical compound [H]N[C@@H](CCCNC(N)=N)C(=O)N[C@@H](C(C)C)C(=O)N[C@@H]([C@@H](C)CC)C(O)=O FMYQECOAIFGQGU-CYDGBPFRSA-N 0.000 description 3
- UTSMXMABBPFVJP-SZMVWBNQSA-N Arg-Val-Trp Chemical compound CC(C)[C@@H](C(=O)N[C@@H](CC1=CNC2=CC=CC=C21)C(=O)O)NC(=O)[C@H](CCCN=C(N)N)N UTSMXMABBPFVJP-SZMVWBNQSA-N 0.000 description 3
- QQEWINYJRFBLNN-DLOVCJGASA-N Asn-Ala-Phe Chemical compound NC(=O)C[C@H](N)C(=O)N[C@@H](C)C(=O)N[C@H](C(O)=O)CC1=CC=CC=C1 QQEWINYJRFBLNN-DLOVCJGASA-N 0.000 description 3
- POOCJCRBHHMAOS-FXQIFTODSA-N Asn-Arg-Ser Chemical compound [H]N[C@@H](CC(N)=O)C(=O)N[C@@H](CCCNC(N)=N)C(=O)N[C@@H](CO)C(O)=O POOCJCRBHHMAOS-FXQIFTODSA-N 0.000 description 3
- DJIMLSXHXKWADV-CIUDSAMLSA-N Asn-Leu-Ser Chemical compound OC[C@@H](C(O)=O)NC(=O)[C@H](CC(C)C)NC(=O)[C@@H](N)CC(N)=O DJIMLSXHXKWADV-CIUDSAMLSA-N 0.000 description 3
- ALHMNHZJBYBYHS-DCAQKATOSA-N Asn-Lys-Arg Chemical compound [H]N[C@@H](CC(N)=O)C(=O)N[C@@H](CCCCN)C(=O)N[C@@H](CCCNC(N)=N)C(O)=O ALHMNHZJBYBYHS-DCAQKATOSA-N 0.000 description 3
- UJGRZQYSNYTCAX-SRVKXCTJSA-N Asp-Leu-Leu Chemical compound CC(C)C[C@@H](C(O)=O)NC(=O)[C@H](CC(C)C)NC(=O)[C@@H](N)CC(O)=O UJGRZQYSNYTCAX-SRVKXCTJSA-N 0.000 description 3
- 108010051479 Bombesin Proteins 0.000 description 3
- 102000013585 Bombesin Human genes 0.000 description 3
- 101800004538 Bradykinin Proteins 0.000 description 3
- 102400000967 Bradykinin Human genes 0.000 description 3
- 102400000140 C5a anaphylatoxin Human genes 0.000 description 3
- 101800001654 C5a anaphylatoxin Proteins 0.000 description 3
- HTLZVHNRZJPSMI-UHFFFAOYSA-N CCN1CCCCC1 Chemical compound CCN1CCCCC1 HTLZVHNRZJPSMI-UHFFFAOYSA-N 0.000 description 3
- 101100505161 Caenorhabditis elegans mel-32 gene Proteins 0.000 description 3
- 241000282472 Canis lupus familiaris Species 0.000 description 3
- 108010012236 Chemokines Proteins 0.000 description 3
- 102000019034 Chemokines Human genes 0.000 description 3
- JRZMCSIUYGSJKP-ZKWXMUAHSA-N Cys-Val-Asn Chemical compound SC[C@H](N)C(=O)N[C@@H](C(C)C)C(=O)N[C@@H](CC(N)=O)C(O)=O JRZMCSIUYGSJKP-ZKWXMUAHSA-N 0.000 description 3
- 102000002045 Endothelin Human genes 0.000 description 3
- 108050009340 Endothelin Proteins 0.000 description 3
- 108700012941 GNRH1 Proteins 0.000 description 3
- 102400001370 Galanin Human genes 0.000 description 3
- 101800002068 Galanin Proteins 0.000 description 3
- 102000004862 Gastrin releasing peptide Human genes 0.000 description 3
- 108090001053 Gastrin releasing peptide Proteins 0.000 description 3
- INKFLNZBTSNFON-CIUDSAMLSA-N Gln-Ala-Arg Chemical compound NC(=O)CC[C@H](N)C(=O)N[C@@H](C)C(=O)N[C@@H](CCCN=C(N)N)C(O)=O INKFLNZBTSNFON-CIUDSAMLSA-N 0.000 description 3
- MLZRSFQRBDNJON-GUBZILKMSA-N Gln-Ala-Lys Chemical compound C[C@@H](C(=O)N[C@@H](CCCCN)C(=O)O)NC(=O)[C@H](CCC(=O)N)N MLZRSFQRBDNJON-GUBZILKMSA-N 0.000 description 3
- NYCVMJGIJYQWDO-CIUDSAMLSA-N Gln-Ser-Arg Chemical compound [H]N[C@@H](CCC(N)=O)C(=O)N[C@@H](CO)C(=O)N[C@@H](CCCNC(N)=N)C(O)=O NYCVMJGIJYQWDO-CIUDSAMLSA-N 0.000 description 3
- XMWNHGKDDIFXQJ-NWLDYVSISA-N Gln-Thr-Trp Chemical compound C[C@H]([C@@H](C(=O)N[C@@H](CC1=CNC2=CC=CC=C21)C(=O)O)NC(=O)[C@H](CCC(=O)N)N)O XMWNHGKDDIFXQJ-NWLDYVSISA-N 0.000 description 3
- HVYWQYLBVXMXSV-GUBZILKMSA-N Glu-Leu-Ala Chemical compound [H]N[C@@H](CCC(O)=O)C(=O)N[C@@H](CC(C)C)C(=O)N[C@@H](C)C(O)=O HVYWQYLBVXMXSV-GUBZILKMSA-N 0.000 description 3
- UHPAZODVFFYEEL-QWRGUYRKSA-N Gly-Leu-Leu Chemical compound CC(C)C[C@@H](C(O)=O)NC(=O)[C@H](CC(C)C)NC(=O)CN UHPAZODVFFYEEL-QWRGUYRKSA-N 0.000 description 3
- NSVOVKWEKGEOQB-LURJTMIESA-N Gly-Pro-Gly Chemical compound NCC(=O)N1CCC[C@H]1C(=O)NCC(O)=O NSVOVKWEKGEOQB-LURJTMIESA-N 0.000 description 3
- SBVMXEZQJVUARN-XPUUQOCRSA-N Gly-Val-Ser Chemical compound NCC(=O)N[C@@H](C(C)C)C(=O)N[C@@H](CO)C(O)=O SBVMXEZQJVUARN-XPUUQOCRSA-N 0.000 description 3
- KSOBNUBCYHGUKH-UWVGGRQHSA-N Gly-Val-Val Chemical compound CC(C)[C@@H](C(O)=O)NC(=O)[C@H](C(C)C)NC(=O)CN KSOBNUBCYHGUKH-UWVGGRQHSA-N 0.000 description 3
- 102000003886 Glycoproteins Human genes 0.000 description 3
- 108090000288 Glycoproteins Proteins 0.000 description 3
- QXZGBUJJYSLZLT-UHFFFAOYSA-N H-Arg-Pro-Pro-Gly-Phe-Ser-Pro-Phe-Arg-OH Natural products NC(N)=NCCCC(N)C(=O)N1CCCC1C(=O)N1C(C(=O)NCC(=O)NC(CC=2C=CC=CC=2)C(=O)NC(CO)C(=O)N2C(CCC2)C(=O)NC(CC=2C=CC=CC=2)C(=O)NC(CCCN=C(N)N)C(O)=O)CCC1 QXZGBUJJYSLZLT-UHFFFAOYSA-N 0.000 description 3
- BIAKMWKJMQLZOJ-ZKWXMUAHSA-N His-Ala-Ala Chemical compound C[C@H](NC(=O)[C@H](C)NC(=O)[C@@H](N)Cc1cnc[nH]1)C(O)=O BIAKMWKJMQLZOJ-ZKWXMUAHSA-N 0.000 description 3
- 101000946804 Homo sapiens Cholecystokinin receptor type A Proteins 0.000 description 3
- CMNMPCTVCWWYHY-MXAVVETBSA-N Ile-His-Leu Chemical compound CC[C@H](C)[C@@H](C(=O)N[C@@H](CC1=CN=CN1)C(=O)N[C@@H](CC(C)C)C(=O)O)N CMNMPCTVCWWYHY-MXAVVETBSA-N 0.000 description 3
- 108010041872 Islet Amyloid Polypeptide Proteins 0.000 description 3
- 102000036770 Islet Amyloid Polypeptide Human genes 0.000 description 3
- CKLJMWTZIZZHCS-REOHCLBHSA-N L-aspartic acid Chemical compound OC(=O)[C@@H](N)CC(O)=O CKLJMWTZIZZHCS-REOHCLBHSA-N 0.000 description 3
- ZDXPYRJPNDTMRX-VKHMYHEASA-N L-glutamine Chemical compound OC(=O)[C@@H](N)CCC(N)=O ZDXPYRJPNDTMRX-VKHMYHEASA-N 0.000 description 3
- 102000016267 Leptin Human genes 0.000 description 3
- 108010092277 Leptin Proteins 0.000 description 3
- SEMUSFOBZGKBGW-YTFOTSKYSA-N Leu-Ile-Ile Chemical compound [H]N[C@@H](CC(C)C)C(=O)N[C@@H]([C@@H](C)CC)C(=O)N[C@@H]([C@@H](C)CC)C(O)=O SEMUSFOBZGKBGW-YTFOTSKYSA-N 0.000 description 3
- HRTRLSRYZZKPCO-BJDJZHNGSA-N Leu-Ile-Ser Chemical compound [H]N[C@@H](CC(C)C)C(=O)N[C@@H]([C@@H](C)CC)C(=O)N[C@@H](CO)C(O)=O HRTRLSRYZZKPCO-BJDJZHNGSA-N 0.000 description 3
- XVZCXCTYGHPNEM-UHFFFAOYSA-N Leu-Leu-Pro Natural products CC(C)CC(N)C(=O)NC(CC(C)C)C(=O)N1CCCC1C(O)=O XVZCXCTYGHPNEM-UHFFFAOYSA-N 0.000 description 3
- RRVCZCNFXIFGRA-DCAQKATOSA-N Leu-Pro-Asn Chemical compound [H]N[C@@H](CC(C)C)C(=O)N1CCC[C@H]1C(=O)N[C@@H](CC(N)=O)C(O)=O RRVCZCNFXIFGRA-DCAQKATOSA-N 0.000 description 3
- SQUFDMCWMFOEBA-KKUMJFAQSA-N Leu-Ser-Tyr Chemical compound CC(C)C[C@H](N)C(=O)N[C@@H](CO)C(=O)N[C@H](C(O)=O)CC1=CC=C(O)C=C1 SQUFDMCWMFOEBA-KKUMJFAQSA-N 0.000 description 3
- 108010008364 Melanocortins Proteins 0.000 description 3
- 101710151321 Melanostatin Proteins 0.000 description 3
- JZNGSNMTXAHMSV-AVGNSLFASA-N Met-His-Arg Chemical compound CSCC[C@@H](C(=O)N[C@@H](CC1=CN=CN1)C(=O)N[C@@H](CCCN=C(N)N)C(=O)O)N JZNGSNMTXAHMSV-AVGNSLFASA-N 0.000 description 3
- VYDLZDRMOFYOGV-TUAOUCFPSA-N Met-Val-Pro Chemical compound CC(C)[C@@H](C(=O)N1CCC[C@@H]1C(=O)O)NC(=O)[C@H](CCSC)N VYDLZDRMOFYOGV-TUAOUCFPSA-N 0.000 description 3
- OKKJLVBELUTLKV-UHFFFAOYSA-N Methanol Chemical compound OC OKKJLVBELUTLKV-UHFFFAOYSA-N 0.000 description 3
- 206010027646 Miosis Diseases 0.000 description 3
- 108010008211 N-Formylmethionine Leucyl-Phenylalanine Proteins 0.000 description 3
- XZFYRXDAULDNFX-UHFFFAOYSA-N N-L-cysteinyl-L-phenylalanine Natural products SCC(N)C(=O)NC(C(O)=O)CC1=CC=CC=C1 XZFYRXDAULDNFX-UHFFFAOYSA-N 0.000 description 3
- 108010079364 N-glycylalanine Proteins 0.000 description 3
- 102400000064 Neuropeptide Y Human genes 0.000 description 3
- 102400001103 Neurotensin Human genes 0.000 description 3
- 101800001814 Neurotensin Proteins 0.000 description 3
- 102400000050 Oxytocin Human genes 0.000 description 3
- 101800000989 Oxytocin Proteins 0.000 description 3
- XNOPRXBHLZRZKH-UHFFFAOYSA-N Oxytocin Natural products N1C(=O)C(N)CSSCC(C(=O)N2C(CCC2)C(=O)NC(CC(C)C)C(=O)NCC(N)=O)NC(=O)C(CC(N)=O)NC(=O)C(CCC(N)=O)NC(=O)C(C(C)CC)NC(=O)C1CC1=CC=C(O)C=C1 XNOPRXBHLZRZKH-UHFFFAOYSA-N 0.000 description 3
- 102000003982 Parathyroid hormone Human genes 0.000 description 3
- 108090000445 Parathyroid hormone Proteins 0.000 description 3
- CSYVXYQDIVCQNU-QWRGUYRKSA-N Phe-Asp-Gly Chemical compound [H]N[C@@H](CC1=CC=CC=C1)C(=O)N[C@@H](CC(O)=O)C(=O)NCC(O)=O CSYVXYQDIVCQNU-QWRGUYRKSA-N 0.000 description 3
- QPVFUAUFEBPIPT-CDMKHQONSA-N Phe-Gly-Thr Chemical compound [H]N[C@@H](CC1=CC=CC=C1)C(=O)NCC(=O)N[C@@H]([C@@H](C)O)C(O)=O QPVFUAUFEBPIPT-CDMKHQONSA-N 0.000 description 3
- YTILBRIUASDGBL-BZSNNMDCSA-N Phe-Leu-Leu Chemical compound CC(C)C[C@@H](C(O)=O)NC(=O)[C@H](CC(C)C)NC(=O)[C@@H](N)CC1=CC=CC=C1 YTILBRIUASDGBL-BZSNNMDCSA-N 0.000 description 3
- KPEIBEPEUAZWNS-ULQDDVLXSA-N Phe-Leu-Met Chemical compound CSCC[C@@H](C(O)=O)NC(=O)[C@H](CC(C)C)NC(=O)[C@@H](N)CC1=CC=CC=C1 KPEIBEPEUAZWNS-ULQDDVLXSA-N 0.000 description 3
- ZUGXSSFMTXKHJS-ZLUOBGJFSA-N Ser-Ala-Ala Chemical compound [H]N[C@@H](CO)C(=O)N[C@@H](C)C(=O)N[C@@H](C)C(O)=O ZUGXSSFMTXKHJS-ZLUOBGJFSA-N 0.000 description 3
- MWMKFWJYRRGXOR-ZLUOBGJFSA-N Ser-Ala-Asn Chemical compound N[C@H](C(=O)N[C@H](C(=O)N[C@H](C(=O)O)CC(N)=O)C)CO MWMKFWJYRRGXOR-ZLUOBGJFSA-N 0.000 description 3
- UIGMAMGZOJVTDN-WHFBIAKZSA-N Ser-Gly-Ser Chemical compound OC[C@H](N)C(=O)NCC(=O)N[C@@H](CO)C(O)=O UIGMAMGZOJVTDN-WHFBIAKZSA-N 0.000 description 3
- FYUIFUJFNCLUIX-XVYDVKMFSA-N Ser-His-Ala Chemical compound [H]N[C@@H](CO)C(=O)N[C@@H](CC1=CNC=N1)C(=O)N[C@@H](C)C(O)=O FYUIFUJFNCLUIX-XVYDVKMFSA-N 0.000 description 3
- FUMGHWDRRFCKEP-CIUDSAMLSA-N Ser-Leu-Ala Chemical compound [H]N[C@@H](CO)C(=O)N[C@@H](CC(C)C)C(=O)N[C@@H](C)C(O)=O FUMGHWDRRFCKEP-CIUDSAMLSA-N 0.000 description 3
- NADLKBTYNKUJEP-KATARQTJSA-N Ser-Thr-Leu Chemical compound [H]N[C@@H](CO)C(=O)N[C@@H]([C@@H](C)O)C(=O)N[C@@H](CC(C)C)C(O)=O NADLKBTYNKUJEP-KATARQTJSA-N 0.000 description 3
- JGUWRQWULDWNCM-FXQIFTODSA-N Ser-Val-Ser Chemical compound [H]N[C@@H](CO)C(=O)N[C@@H](C(C)C)C(=O)N[C@@H](CO)C(O)=O JGUWRQWULDWNCM-FXQIFTODSA-N 0.000 description 3
- HEMHJVSKTPXQMS-UHFFFAOYSA-M Sodium hydroxide Chemical compound [OH-].[Na+] HEMHJVSKTPXQMS-UHFFFAOYSA-M 0.000 description 3
- 108010056088 Somatostatin Proteins 0.000 description 3
- 102000005157 Somatostatin Human genes 0.000 description 3
- 102000003141 Tachykinin Human genes 0.000 description 3
- UKBSDLHIKIXJKH-HJGDQZAQSA-N Thr-Arg-Glu Chemical compound [H]N[C@@H]([C@@H](C)O)C(=O)N[C@@H](CCCNC(N)=N)C(=O)N[C@@H](CCC(O)=O)C(O)=O UKBSDLHIKIXJKH-HJGDQZAQSA-N 0.000 description 3
- CEXFELBFVHLYDZ-XGEHTFHBSA-N Thr-Arg-Ser Chemical compound [H]N[C@@H]([C@@H](C)O)C(=O)N[C@@H](CCCNC(N)=N)C(=O)N[C@@H](CO)C(O)=O CEXFELBFVHLYDZ-XGEHTFHBSA-N 0.000 description 3
- VRUFCJZQDACGLH-UVOCVTCTSA-N Thr-Leu-Thr Chemical compound [H]N[C@@H]([C@@H](C)O)C(=O)N[C@@H](CC(C)C)C(=O)N[C@@H]([C@@H](C)O)C(O)=O VRUFCJZQDACGLH-UVOCVTCTSA-N 0.000 description 3
- HSQXHRIRJSFDOH-URLPEUOOSA-N Thr-Phe-Ile Chemical compound [H]N[C@@H]([C@@H](C)O)C(=O)N[C@@H](CC1=CC=CC=C1)C(=O)N[C@@H]([C@@H](C)CC)C(O)=O HSQXHRIRJSFDOH-URLPEUOOSA-N 0.000 description 3
- 108090000190 Thrombin Proteins 0.000 description 3
- 102000003911 Thyrotropin Receptors Human genes 0.000 description 3
- 108090000253 Thyrotropin Receptors Proteins 0.000 description 3
- GWBWCGITOYODER-YTQUADARSA-N Trp-Leu-Pro Chemical compound CC(C)C[C@@H](C(=O)N1CCC[C@@H]1C(=O)O)NC(=O)[C@H](CC2=CNC3=CC=CC=C32)N GWBWCGITOYODER-YTQUADARSA-N 0.000 description 3
- DXYWRYQRKPIGGU-BPNCWPANSA-N Tyr-Ala-Val Chemical compound CC(C)[C@@H](C(O)=O)NC(=O)[C@H](C)NC(=O)[C@@H](N)CC1=CC=C(O)C=C1 DXYWRYQRKPIGGU-BPNCWPANSA-N 0.000 description 3
- BVDHHLMIZFCAAU-BZSNNMDCSA-N Tyr-Cys-Phe Chemical compound [H]N[C@@H](CC1=CC=C(O)C=C1)C(=O)N[C@@H](CS)C(=O)N[C@@H](CC1=CC=CC=C1)C(O)=O BVDHHLMIZFCAAU-BZSNNMDCSA-N 0.000 description 3
- DAOREBHZAKCOEN-ULQDDVLXSA-N Tyr-Leu-Met Chemical compound [H]N[C@@H](CC1=CC=C(O)C=C1)C(=O)N[C@@H](CC(C)C)C(=O)N[C@@H](CCSC)C(O)=O DAOREBHZAKCOEN-ULQDDVLXSA-N 0.000 description 3
- RGYCVIZZTUBSSG-JYJNAYRXSA-N Tyr-Pro-Val Chemical compound [H]N[C@@H](CC1=CC=C(O)C=C1)C(=O)N1CCC[C@H]1C(=O)N[C@@H](C(C)C)C(O)=O RGYCVIZZTUBSSG-JYJNAYRXSA-N 0.000 description 3
- XEYUMGGWQCIWAR-XVKPBYJWSA-N Val-Gln-Gly Chemical compound CC(C)[C@@H](C(=O)N[C@@H](CCC(=O)N)C(=O)NCC(=O)O)N XEYUMGGWQCIWAR-XVKPBYJWSA-N 0.000 description 3
- PQSNETRGCRUOGP-KKHAAJSZSA-N Val-Thr-Asn Chemical compound CC(C)[C@H](N)C(=O)N[C@@H]([C@@H](C)O)C(=O)N[C@H](C(O)=O)CC(N)=O PQSNETRGCRUOGP-KKHAAJSZSA-N 0.000 description 3
- 238000009825 accumulation Methods 0.000 description 3
- 230000002411 adverse Effects 0.000 description 3
- 108700007275 alfa 2(125-129) interferon Proteins 0.000 description 3
- 230000036506 anxiety Effects 0.000 description 3
- 108010029539 arginyl-prolyl-proline Proteins 0.000 description 3
- 108010060035 arginylproline Proteins 0.000 description 3
- 235000003704 aspartic acid Nutrition 0.000 description 3
- 230000008901 benefit Effects 0.000 description 3
- OQFSQFPPLPISGP-UHFFFAOYSA-N beta-carboxyaspartic acid Natural products OC(=O)C(N)C(C(O)=O)C(O)=O OQFSQFPPLPISGP-UHFFFAOYSA-N 0.000 description 3
- DNDCVAGJPBKION-DOPDSADYSA-N bombesin Chemical compound C([C@@H](C(=O)N[C@@H](CC(C)C)C(=O)N[C@@H](CCSC)C(N)=O)NC(=O)CNC(=O)[C@@H](NC(=O)[C@H](C)NC(=O)[C@H](CC=1NC2=CC=CC=C2C=1)NC(=O)[C@H](CCC(N)=O)NC(=O)[C@H](CC(N)=O)NC(=O)CNC(=O)[C@H](CC(C)C)NC(=O)[C@H](CCCNC(N)=N)NC(=O)[C@H](CCC(N)=O)NC(=O)[C@H]1NC(=O)CC1)C(C)C)C1=CN=CN1 DNDCVAGJPBKION-DOPDSADYSA-N 0.000 description 3
- QXZGBUJJYSLZLT-FDISYFBBSA-N bradykinin Chemical compound NC(=N)NCCC[C@H](N)C(=O)N1CCC[C@H]1C(=O)N1[C@H](C(=O)NCC(=O)N[C@@H](CC=2C=CC=CC=2)C(=O)N[C@@H](CO)C(=O)N2[C@@H](CCC2)C(=O)N[C@@H](CC=2C=CC=CC=2)C(=O)N[C@@H](CCCNC(N)=N)C(O)=O)CCC1 QXZGBUJJYSLZLT-FDISYFBBSA-N 0.000 description 3
- 208000015114 central nervous system disease Diseases 0.000 description 3
- 238000007385 chemical modification Methods 0.000 description 3
- 230000002860 competitive effect Effects 0.000 description 3
- 230000001086 cytosolic effect Effects 0.000 description 3
- ZUBDGKVDJUIMQQ-UBFCDGJISA-N endothelin-1 Chemical compound C([C@@H](C(=O)N[C@@H](CC(C)C)C(=O)N[C@@H](CC(O)=O)C(=O)N[C@@H]([C@@H](C)CC)C(=O)N[C@@H]([C@@H](C)CC)C(=O)N[C@@H](CC=1C2=CC=CC=C2NC=1)C(O)=O)NC(=O)[C@H]1NC(=O)[C@H](CC=2C=CC=CC=2)NC(=O)[C@@H](CC=2C=CC(O)=CC=2)NC(=O)[C@H](C(C)C)NC(=O)[C@H]2CSSC[C@@H](C(N[C@H](CO)C(=O)N[C@@H](CO)C(=O)N[C@H](CC(C)C)C(=O)N[C@@H](CCSC)C(=O)N[C@H](CC(O)=O)C(=O)N[C@@H](CCCCN)C(=O)N[C@@H](CCC(O)=O)C(=O)N2)=O)NC(=O)[C@@H](CO)NC(=O)[C@H](N)CSSC1)C1=CNC=N1 ZUBDGKVDJUIMQQ-UBFCDGJISA-N 0.000 description 3
- 239000013604 expression vector Substances 0.000 description 3
- PUBCCFNQJQKCNC-XKNFJVFFSA-N gastrin-releasingpeptide Chemical compound C([C@@H](C(=O)N[C@@H](CC(C)C)C(=O)N[C@@H](CCSC)C(N)=O)NC(=O)CNC(=O)[C@@H](NC(=O)[C@H](C)NC(=O)[C@H](CC=1C2=CC=CC=C2NC=1)NC(=O)[C@H](CC=1N=CNC=1)NC(=O)[C@H](CC(N)=O)NC(=O)CNC(=O)[C@H](CCCN=C(N)N)NC(=O)[C@H]1N(CCC1)C(=O)[C@H](CC=1C=CC(O)=CC=1)NC(=O)[C@H](CCSC)NC(=O)[C@H](CCCCN)NC(=O)[C@@H](NC(=O)[C@H](CC(C)C)NC(=O)[C@@H](NC(=O)[C@@H](NC(=O)CNC(=O)CNC(=O)CNC(=O)[C@H](C)NC(=O)[C@H]1N(CCC1)C(=O)[C@H](CC(C)C)NC(=O)[C@H]1N(CCC1)C(=O)[C@@H](N)C(C)C)[C@@H](C)O)C(C)C)[C@@H](C)O)C(C)C)C1=CNC=N1 PUBCCFNQJQKCNC-XKNFJVFFSA-N 0.000 description 3
- ZDXPYRJPNDTMRX-UHFFFAOYSA-N glutamine Natural products OC(=O)C(N)CCC(N)=O ZDXPYRJPNDTMRX-UHFFFAOYSA-N 0.000 description 3
- 235000004554 glutamine Nutrition 0.000 description 3
- 108010083327 glycyl-prolyl-arginyl-valine Proteins 0.000 description 3
- 108010089804 glycyl-threonine Proteins 0.000 description 3
- 108010025306 histidylleucine Proteins 0.000 description 3
- 229940088597 hormone Drugs 0.000 description 3
- 239000005556 hormone Substances 0.000 description 3
- 238000011534 incubation Methods 0.000 description 3
- 230000005764 inhibitory process Effects 0.000 description 3
- 229960000367 inositol Drugs 0.000 description 3
- 229940039781 leptin Drugs 0.000 description 3
- NRYBAZVQPHGZNS-ZSOCWYAHSA-N leptin Chemical compound O=C([C@H](CO)NC(=O)[C@H](CC(C)C)NC(=O)[C@H](CC(O)=O)NC(=O)[C@H](CC(C)C)NC(=O)[C@H](CCC(N)=O)NC(=O)[C@H](CC=1C2=CC=CC=C2NC=1)NC(=O)[C@H](CC(C)C)NC(=O)[C@@H](NC(=O)[C@H](CC(O)=O)NC(=O)[C@H](CCC(N)=O)NC(=O)[C@H](CC(C)C)NC(=O)[C@H](CO)NC(=O)CNC(=O)[C@H](CCC(N)=O)NC(=O)[C@@H](N)CC(C)C)CCSC)N1CCC[C@H]1C(=O)NCC(=O)N[C@@H](CS)C(O)=O NRYBAZVQPHGZNS-ZSOCWYAHSA-N 0.000 description 3
- 108010057821 leucylproline Proteins 0.000 description 3
- 238000005259 measurement Methods 0.000 description 3
- 239000002865 melanocortin Substances 0.000 description 3
- 230000003547 miosis Effects 0.000 description 3
- SLZIZIJTGAYEKK-CIJSCKBQSA-N molport-023-220-247 Chemical compound C([C@@H](C(=O)N[C@@H](C)C(=O)N[C@@H]([C@@H](C)CC)C(=O)N[C@@H](CC(O)=O)C(=O)N[C@@H](CC(N)=O)C(=O)N[C@@H](CC=1N=CNC=1)C(=O)N[C@@H](CCCNC(N)=N)C(=O)N[C@@H](CO)C(=O)N[C@@H](CC=1C=CC=CC=1)C(=O)N[C@@H](CC=1N=CNC=1)C(=O)N[C@@H](CC(O)=O)C(=O)N[C@@H](CCCCN)C(=O)N[C@@H](CC=1C=CC(O)=CC=1)C(=O)NCC(=O)N[C@@H](CC(C)C)C(=O)N[C@@H](C)C(N)=O)NC(=O)[C@H]1N(CCC1)C(=O)CNC(=O)[C@H](CC(C)C)NC(=O)[C@H](CC(C)C)NC(=O)[C@H](CC=1C=CC(O)=CC=1)NC(=O)CNC(=O)[C@H](C)NC(=O)[C@H](CO)NC(=O)[C@H](CC(N)=O)NC(=O)[C@H](CC(C)C)NC(=O)[C@@H](NC(=O)[C@H](CC=1C2=CC=CC=C2NC=1)NC(=O)CN)[C@@H](C)O)C1=CNC=N1 SLZIZIJTGAYEKK-CIJSCKBQSA-N 0.000 description 3
- 238000002703 mutagenesis Methods 0.000 description 3
- 231100000350 mutagenesis Toxicity 0.000 description 3
- PCJGZPGTCUMMOT-ISULXFBGSA-N neurotensin Chemical compound C([C@@H](C(=O)N[C@@H]([C@@H](C)CC)C(=O)N[C@@H](CC(C)C)C(O)=O)NC(=O)[C@H]1N(CCC1)C(=O)[C@H](CCCN=C(N)N)NC(=O)[C@H](CCCN=C(N)N)NC(=O)[C@H]1N(CCC1)C(=O)[C@H](CCCCN)NC(=O)[C@H](CC(N)=O)NC(=O)[C@H](CCC(O)=O)NC(=O)[C@H](CC=1C=CC(O)=CC=1)NC(=O)[C@H](CC(C)C)NC(=O)[C@H]1NC(=O)CC1)C1=CC=C(O)C=C1 PCJGZPGTCUMMOT-ISULXFBGSA-N 0.000 description 3
- URPYMXQQVHTUDU-OFGSCBOVSA-N nucleopeptide y Chemical compound C([C@@H](C(=O)N[C@@H]([C@@H](C)CC)C(=O)N[C@@H](CC(N)=O)C(=O)N[C@@H](CC(C)C)C(=O)N[C@@H]([C@@H](C)CC)C(=O)N[C@@H]([C@@H](C)O)C(=O)N[C@@H](CCCNC(N)=N)C(=O)N[C@@H](CCC(N)=O)C(=O)N[C@@H](CCCNC(N)=N)C(=O)N[C@@H](CC=1C=CC(O)=CC=1)C(N)=O)NC(=O)[C@H](CC=1NC=NC=1)NC(=O)[C@H](CCCNC(N)=N)NC(=O)[C@H](CC(C)C)NC(=O)[C@H](C)NC(=O)[C@H](CO)NC(=O)[C@H](CC=1C=CC(O)=CC=1)NC(=O)[C@H](CC=1C=CC(O)=CC=1)NC(=O)[C@H](CCCNC(N)=N)NC(=O)[C@H](C)NC(=O)[C@H](CC(C)C)NC(=O)[C@H](CC(O)=O)NC(=O)[C@H](CCC(O)=O)NC(=O)[C@H](C)NC(=O)[C@H]1N(CCC1)C(=O)[C@H](C)NC(=O)[C@H](CC(O)=O)NC(=O)[C@H](CCC(O)=O)NC(=O)CNC(=O)[C@H]1N(CCC1)C(=O)[C@H](CC(N)=O)NC(=O)[C@H](CC(O)=O)NC(=O)[C@H]1N(CCC1)C(=O)[C@H](CCCCN)NC(=O)[C@H](CO)NC(=O)[C@H]1N(CCC1)C(=O)[C@@H](N)CC=1C=CC(O)=CC=1)C1=CC=C(O)C=C1 URPYMXQQVHTUDU-OFGSCBOVSA-N 0.000 description 3
- 229960001723 oxytocin Drugs 0.000 description 3
- XNOPRXBHLZRZKH-DSZYJQQASA-N oxytocin Chemical compound C([C@H]1C(=O)N[C@H](C(N[C@@H](CCC(N)=O)C(=O)N[C@@H](CC(N)=O)C(=O)N[C@@H](CSSC[C@H](N)C(=O)N1)C(=O)N1[C@@H](CCC1)C(=O)N[C@@H](CC(C)C)C(=O)NCC(N)=O)=O)[C@@H](C)CC)C1=CC=C(O)C=C1 XNOPRXBHLZRZKH-DSZYJQQASA-N 0.000 description 3
- 230000000849 parathyroid Effects 0.000 description 3
- 229960001319 parathyroid hormone Drugs 0.000 description 3
- 239000000199 parathyroid hormone Substances 0.000 description 3
- 208000006155 precocious puberty Diseases 0.000 description 3
- 108010020755 prolyl-glycyl-glycine Proteins 0.000 description 3
- 108010031719 prolyl-serine Proteins 0.000 description 3
- XNSAINXGIQZQOO-SRVKXCTJSA-N protirelin Chemical compound NC(=O)[C@@H]1CCCN1C(=O)[C@@H](NC(=O)[C@H]1NC(=O)CC1)CC1=CN=CN1 XNSAINXGIQZQOO-SRVKXCTJSA-N 0.000 description 3
- 238000011160 research Methods 0.000 description 3
- 238000002864 sequence alignment Methods 0.000 description 3
- 229960000553 somatostatin Drugs 0.000 description 3
- NHXLMOGPVYXJNR-ATOGVRKGSA-N somatostatin Chemical compound C([C@H]1C(=O)N[C@H](C(N[C@@H](CO)C(=O)N[C@@H](CSSC[C@@H](C(=O)N[C@@H](CCCCN)C(=O)N[C@@H](CC(N)=O)C(=O)N[C@@H](CC=2C=CC=CC=2)C(=O)N[C@@H](CC=2C=CC=CC=2)C(=O)N[C@@H](CC=2C3=CC=CC=C3NC=2)C(=O)N[C@@H](CCCCN)C(=O)N[C@H](C(=O)N1)[C@@H](C)O)NC(=O)CNC(=O)[C@H](C)N)C(O)=O)=O)[C@H](O)C)C1=CC=CC=C1 NHXLMOGPVYXJNR-ATOGVRKGSA-N 0.000 description 3
- 241000894007 species Species 0.000 description 3
- 108060008037 tachykinin Proteins 0.000 description 3
- 230000001225 therapeutic effect Effects 0.000 description 3
- 229960004072 thrombin Drugs 0.000 description 3
- 229950001470 thyrotrophin Drugs 0.000 description 3
- 229940034199 thyrotropin-releasing hormone Drugs 0.000 description 3
- IKWHIGGRTYBSIW-OBJOEFQTSA-N (2s)-2-[[(2s)-2-[[(2s)-1-(2-aminoacetyl)pyrrolidine-2-carbonyl]amino]-5-(diaminomethylideneamino)pentanoyl]amino]-3-methylbutanoic acid Chemical compound NC(N)=NCCC[C@@H](C(=O)N[C@@H](C(C)C)C(O)=O)NC(=O)[C@@H]1CCCN1C(=O)CN IKWHIGGRTYBSIW-OBJOEFQTSA-N 0.000 description 2
- NCYCYZXNIZJOKI-IOUUIBBYSA-N 11-cis-retinal Chemical compound O=C/C=C(\C)/C=C\C=C(/C)\C=C\C1=C(C)CCCC1(C)C NCYCYZXNIZJOKI-IOUUIBBYSA-N 0.000 description 2
- ZOOGRGPOEVQQDX-UUOKFMHZSA-N 3',5'-cyclic GMP Chemical compound C([C@H]1O2)OP(O)(=O)O[C@H]1[C@@H](O)[C@@H]2N1C(N=C(NC2=O)N)=C2N=C1 ZOOGRGPOEVQQDX-UUOKFMHZSA-N 0.000 description 2
- JBVSSSZFNTXJDX-YTLHQDLWSA-N Ala-Ala-Thr Chemical compound C[C@@H](O)[C@@H](C(O)=O)NC(=O)[C@H](C)NC(=O)[C@H](C)N JBVSSSZFNTXJDX-YTLHQDLWSA-N 0.000 description 2
- GORKKVHIBWAQHM-GCJQMDKQSA-N Ala-Asn-Thr Chemical compound [H]N[C@@H](C)C(=O)N[C@@H](CC(N)=O)C(=O)N[C@@H]([C@@H](C)O)C(O)=O GORKKVHIBWAQHM-GCJQMDKQSA-N 0.000 description 2
- CXZFXHGJJPVUJE-CIUDSAMLSA-N Ala-Cys-Leu Chemical compound C[C@@H](C(=O)N[C@@H](CS)C(=O)N[C@@H](CC(C)C)C(=O)O)N CXZFXHGJJPVUJE-CIUDSAMLSA-N 0.000 description 2
- SOBIAADAMRHGKH-CIUDSAMLSA-N Ala-Leu-Ser Chemical compound [H]N[C@@H](C)C(=O)N[C@@H](CC(C)C)C(=O)N[C@@H](CO)C(O)=O SOBIAADAMRHGKH-CIUDSAMLSA-N 0.000 description 2
- PMQXMXAASGFUDX-SRVKXCTJSA-N Ala-Lys-Leu Chemical compound CC(C)C[C@@H](C(O)=O)NC(=O)[C@@H](NC(=O)[C@H](C)N)CCCCN PMQXMXAASGFUDX-SRVKXCTJSA-N 0.000 description 2
- VCSABYLVNWQYQE-SRVKXCTJSA-N Ala-Lys-Lys Chemical compound NCCCC[C@H](NC(=O)[C@@H](N)C)C(=O)N[C@@H](CCCCN)C(O)=O VCSABYLVNWQYQE-SRVKXCTJSA-N 0.000 description 2
- QGZKDVFQNNGYKY-UHFFFAOYSA-O Ammonium Chemical compound [NH4+] QGZKDVFQNNGYKY-UHFFFAOYSA-O 0.000 description 2
- NKBQZKVMKJJDLX-SRVKXCTJSA-N Arg-Glu-Leu Chemical compound [H]N[C@@H](CCCNC(N)=N)C(=O)N[C@@H](CCC(O)=O)C(=O)N[C@@H](CC(C)C)C(O)=O NKBQZKVMKJJDLX-SRVKXCTJSA-N 0.000 description 2
- AQPVUEJJARLJHB-BQBZGAKWSA-N Arg-Gly-Ala Chemical compound OC(=O)[C@H](C)NC(=O)CNC(=O)[C@@H](N)CCCN=C(N)N AQPVUEJJARLJHB-BQBZGAKWSA-N 0.000 description 2
- NVUIWHJLPSZZQC-CYDGBPFRSA-N Arg-Ile-Arg Chemical compound NC(N)=NCCC[C@H](N)C(=O)N[C@@H]([C@@H](C)CC)C(=O)N[C@@H](CCCN=C(N)N)C(O)=O NVUIWHJLPSZZQC-CYDGBPFRSA-N 0.000 description 2
- HGKHPCFTRQDHCU-IUCAKERBSA-N Arg-Pro-Gly Chemical compound NC(N)=NCCC[C@H](N)C(=O)N1CCC[C@H]1C(=O)NCC(O)=O HGKHPCFTRQDHCU-IUCAKERBSA-N 0.000 description 2
- ISVACHFCVRKIDG-SRVKXCTJSA-N Arg-Val-Arg Chemical compound NC(N)=NCCC[C@H](N)C(=O)N[C@@H](C(C)C)C(=O)N[C@@H](CCCN=C(N)N)C(O)=O ISVACHFCVRKIDG-SRVKXCTJSA-N 0.000 description 2
- NJSNXIOKBHPFMB-GMOBBJLQSA-N Asn-Pro-Ile Chemical compound CC[C@H](C)[C@@H](C(=O)O)NC(=O)[C@@H]1CCCN1C(=O)[C@H](CC(=O)N)N NJSNXIOKBHPFMB-GMOBBJLQSA-N 0.000 description 2
- JBDLMLZNDRLDIX-HJGDQZAQSA-N Asn-Thr-Leu Chemical compound [H]N[C@@H](CC(N)=O)C(=O)N[C@@H]([C@@H](C)O)C(=O)N[C@@H](CC(C)C)C(O)=O JBDLMLZNDRLDIX-HJGDQZAQSA-N 0.000 description 2
- QRULNKJGYQQZMW-ZLUOBGJFSA-N Asp-Asn-Asp Chemical compound OC(=O)C[C@H](N)C(=O)N[C@@H](CC(N)=O)C(=O)N[C@@H](CC(O)=O)C(O)=O QRULNKJGYQQZMW-ZLUOBGJFSA-N 0.000 description 2
- CUQDCPXNZPDYFQ-ZLUOBGJFSA-N Asp-Ser-Asp Chemical compound [H]N[C@@H](CC(O)=O)C(=O)N[C@@H](CO)C(=O)N[C@@H](CC(O)=O)C(O)=O CUQDCPXNZPDYFQ-ZLUOBGJFSA-N 0.000 description 2
- 208000003174 Brain Neoplasms Diseases 0.000 description 2
- SBORMUFGKSCGEN-XHNCKOQMSA-N Cys-Glu-Pro Chemical compound C1C[C@@H](N(C1)C(=O)[C@H](CCC(=O)O)NC(=O)[C@H](CS)N)C(=O)O SBORMUFGKSCGEN-XHNCKOQMSA-N 0.000 description 2
- ZOKPRHVIFAUJPV-GUBZILKMSA-N Cys-Pro-Arg Chemical compound C1C[C@H](N(C1)C(=O)[C@H](CS)N)C(=O)N[C@@H](CCCN=C(N)N)C(=O)O ZOKPRHVIFAUJPV-GUBZILKMSA-N 0.000 description 2
- LFQSCWFLJHTTHZ-UHFFFAOYSA-N Ethanol Chemical compound CCO LFQSCWFLJHTTHZ-UHFFFAOYSA-N 0.000 description 2
- 102000003688 G-Protein-Coupled Receptors Human genes 0.000 description 2
- 108090000045 G-Protein-Coupled Receptors Proteins 0.000 description 2
- DTCCMDYODDPHBG-ACZMJKKPSA-N Gln-Ala-Cys Chemical compound [H]N[C@@H](CCC(N)=O)C(=O)N[C@@H](C)C(=O)N[C@@H](CS)C(O)=O DTCCMDYODDPHBG-ACZMJKKPSA-N 0.000 description 2
- YPFFHGRJCUBXPX-NHCYSSNCSA-N Gln-Pro-Val Chemical compound CC(C)[C@H](NC(=O)[C@@H]1CCCN1C(=O)[C@@H](N)CCC(N)=O)C(O)=O YPFFHGRJCUBXPX-NHCYSSNCSA-N 0.000 description 2
- DYVMTEWCGAVKSE-HJGDQZAQSA-N Gln-Thr-Arg Chemical compound C[C@H]([C@@H](C(=O)N[C@@H](CCCN=C(N)N)C(=O)O)NC(=O)[C@H](CCC(=O)N)N)O DYVMTEWCGAVKSE-HJGDQZAQSA-N 0.000 description 2
- KEBACWCLVOXFNC-DCAQKATOSA-N Glu-Arg-Met Chemical compound [H]N[C@@H](CCC(O)=O)C(=O)N[C@@H](CCCNC(N)=N)C(=O)N[C@@H](CCSC)C(O)=O KEBACWCLVOXFNC-DCAQKATOSA-N 0.000 description 2
- IOUQWHIEQYQVFD-JYJNAYRXSA-N Glu-Leu-Tyr Chemical compound [H]N[C@@H](CCC(O)=O)C(=O)N[C@@H](CC(C)C)C(=O)N[C@@H](CC1=CC=C(O)C=C1)C(O)=O IOUQWHIEQYQVFD-JYJNAYRXSA-N 0.000 description 2
- QXPRJQPCFXMCIY-NKWVEPMBSA-N Gly-Ala-Pro Chemical compound C[C@@H](C(=O)N1CCC[C@@H]1C(=O)O)NC(=O)CN QXPRJQPCFXMCIY-NKWVEPMBSA-N 0.000 description 2
- LJPIRKICOISLKN-WHFBIAKZSA-N Gly-Ala-Ser Chemical compound NCC(=O)N[C@@H](C)C(=O)N[C@@H](CO)C(O)=O LJPIRKICOISLKN-WHFBIAKZSA-N 0.000 description 2
- GRIRDMVMJJDZKV-RCOVLWMOSA-N Gly-Asn-Val Chemical compound [H]NCC(=O)N[C@@H](CC(N)=O)C(=O)N[C@@H](C(C)C)C(O)=O GRIRDMVMJJDZKV-RCOVLWMOSA-N 0.000 description 2
- BMWFDYIYBAFROD-WPRPVWTQSA-N Gly-Pro-Val Chemical compound CC(C)[C@@H](C(O)=O)NC(=O)[C@@H]1CCCN1C(=O)CN BMWFDYIYBAFROD-WPRPVWTQSA-N 0.000 description 2
- YOBGUCWZPXJHTN-BQBZGAKWSA-N Gly-Ser-Arg Chemical compound NCC(=O)N[C@@H](CO)C(=O)N[C@H](C(O)=O)CCCN=C(N)N YOBGUCWZPXJHTN-BQBZGAKWSA-N 0.000 description 2
- IALQAMYQJBZNSK-WHFBIAKZSA-N Gly-Ser-Asn Chemical compound [H]NCC(=O)N[C@@H](CO)C(=O)N[C@@H](CC(N)=O)C(O)=O IALQAMYQJBZNSK-WHFBIAKZSA-N 0.000 description 2
- DHMQDGOQFOQNFH-UHFFFAOYSA-N Glycine Chemical compound NCC(O)=O DHMQDGOQFOQNFH-UHFFFAOYSA-N 0.000 description 2
- UAELWXJFLZBKQS-WHOFXGATSA-N Ile-Phe-Gly Chemical compound CC[C@H](C)[C@H](N)C(=O)N[C@@H](Cc1ccccc1)C(=O)NCC(O)=O UAELWXJFLZBKQS-WHOFXGATSA-N 0.000 description 2
- XLXPYSDGMXTTNQ-DKIMLUQUSA-N Ile-Phe-Leu Chemical compound CC[C@H](C)[C@H](N)C(=O)N[C@@H](Cc1ccccc1)C(=O)N[C@@H](CC(C)C)C(O)=O XLXPYSDGMXTTNQ-DKIMLUQUSA-N 0.000 description 2
- KCTIFOCXAIUQQK-QXEWZRGKSA-N Ile-Pro-Gly Chemical compound CC[C@H](C)[C@H](N)C(=O)N1CCC[C@H]1C(=O)NCC(O)=O KCTIFOCXAIUQQK-QXEWZRGKSA-N 0.000 description 2
- JHNJNTMTZHEDLJ-NAKRPEOUSA-N Ile-Ser-Arg Chemical compound CC[C@H](C)[C@H](N)C(=O)N[C@@H](CO)C(=O)N[C@@H](CCCN=C(N)N)C(O)=O JHNJNTMTZHEDLJ-NAKRPEOUSA-N 0.000 description 2
- ZDNNDIJTUHQCAM-MXAVVETBSA-N Ile-Ser-Phe Chemical compound CC[C@H](C)[C@@H](C(=O)N[C@@H](CO)C(=O)N[C@@H](CC1=CC=CC=C1)C(=O)O)N ZDNNDIJTUHQCAM-MXAVVETBSA-N 0.000 description 2
- RQJUKVXWAKJDBW-SVSWQMSJSA-N Ile-Ser-Thr Chemical compound CC[C@H](C)[C@@H](C(=O)N[C@@H](CO)C(=O)N[C@@H]([C@@H](C)O)C(=O)O)N RQJUKVXWAKJDBW-SVSWQMSJSA-N 0.000 description 2
- ANTFEOSJMAUGIB-KNZXXDILSA-N Ile-Thr-Pro Chemical compound CC[C@H](C)[C@@H](C(=O)N[C@@H]([C@@H](C)O)C(=O)N1CCC[C@@H]1C(=O)O)N ANTFEOSJMAUGIB-KNZXXDILSA-N 0.000 description 2
- CIPFCGZLFXVXBG-FTSGZOCFSA-N Inositol 1,3,4,5-tetraphosphate Chemical compound O[C@H]1C(OP(O)(O)=O)[C@H](O)[C@@H](OP(O)(O)=O)C(OP(O)(O)=O)[C@H]1OP(O)(O)=O CIPFCGZLFXVXBG-FTSGZOCFSA-N 0.000 description 2
- 102000003746 Insulin Receptor Human genes 0.000 description 2
- 108010001127 Insulin Receptor Proteins 0.000 description 2
- PMGDADKJMCOXHX-UHFFFAOYSA-N L-Arginyl-L-glutamin-acetat Natural products NC(=N)NCCCC(N)C(=O)NC(CCC(N)=O)C(O)=O PMGDADKJMCOXHX-UHFFFAOYSA-N 0.000 description 2
- UGTHTQWIQKEDEH-BQBZGAKWSA-N L-alanyl-L-prolylglycine zwitterion Chemical compound C[C@H](N)C(=O)N1CCC[C@H]1C(=O)NCC(O)=O UGTHTQWIQKEDEH-BQBZGAKWSA-N 0.000 description 2
- SENJXOPIZNYLHU-UHFFFAOYSA-N L-leucyl-L-arginine Natural products CC(C)CC(N)C(=O)NC(C(O)=O)CCCN=C(N)N SENJXOPIZNYLHU-UHFFFAOYSA-N 0.000 description 2
- DXYBNWJZJVSZAE-GUBZILKMSA-N Leu-Gln-Cys Chemical compound CC(C)C[C@@H](C(=O)N[C@@H](CCC(=O)N)C(=O)N[C@@H](CS)C(=O)O)N DXYBNWJZJVSZAE-GUBZILKMSA-N 0.000 description 2
- RVVBWTWPNFDYBE-SRVKXCTJSA-N Leu-Glu-Arg Chemical compound [H]N[C@@H](CC(C)C)C(=O)N[C@@H](CCC(O)=O)C(=O)N[C@@H](CCCNC(N)=N)C(O)=O RVVBWTWPNFDYBE-SRVKXCTJSA-N 0.000 description 2
- PRZVBIAOPFGAQF-SRVKXCTJSA-N Leu-Glu-Met Chemical compound [H]N[C@@H](CC(C)C)C(=O)N[C@@H](CCC(O)=O)C(=O)N[C@@H](CCSC)C(O)=O PRZVBIAOPFGAQF-SRVKXCTJSA-N 0.000 description 2
- AVEGDIAXTDVBJS-XUXIUFHCSA-N Leu-Ile-Arg Chemical compound [H]N[C@@H](CC(C)C)C(=O)N[C@@H]([C@@H](C)CC)C(=O)N[C@@H](CCCNC(N)=N)C(O)=O AVEGDIAXTDVBJS-XUXIUFHCSA-N 0.000 description 2
- FAELBUXXFQLUAX-AJNGGQMLSA-N Leu-Leu-Ile Chemical compound CC[C@H](C)[C@@H](C(O)=O)NC(=O)[C@H](CC(C)C)NC(=O)[C@@H](N)CC(C)C FAELBUXXFQLUAX-AJNGGQMLSA-N 0.000 description 2
- PPQRKXHCLYCBSP-IHRRRGAJSA-N Leu-Leu-Met Chemical compound CC(C)C[C@@H](C(=O)N[C@@H](CC(C)C)C(=O)N[C@@H](CCSC)C(=O)O)N PPQRKXHCLYCBSP-IHRRRGAJSA-N 0.000 description 2
- DRWMRVFCKKXHCH-BZSNNMDCSA-N Leu-Phe-Leu Chemical compound CC(C)C[C@H]([NH3+])C(=O)N[C@H](C(=O)N[C@@H](CC(C)C)C([O-])=O)CC1=CC=CC=C1 DRWMRVFCKKXHCH-BZSNNMDCSA-N 0.000 description 2
- XOWMDXHFSBCAKQ-SRVKXCTJSA-N Leu-Ser-Leu Chemical compound CC(C)C[C@H](N)C(=O)N[C@@H](CO)C(=O)N[C@H](C(O)=O)CC(C)C XOWMDXHFSBCAKQ-SRVKXCTJSA-N 0.000 description 2
- JGAMUXDWYSXYLM-SRVKXCTJSA-N Lys-Arg-Glu Chemical compound [H]N[C@@H](CCCCN)C(=O)N[C@@H](CCCNC(N)=N)C(=O)N[C@@H](CCC(O)=O)C(O)=O JGAMUXDWYSXYLM-SRVKXCTJSA-N 0.000 description 2
- 241000700167 Mastomys natalensis Species 0.000 description 2
- DTICLBJHRYSJLH-GUBZILKMSA-N Met-Ala-Val Chemical compound CSCC[C@H](N)C(=O)N[C@@H](C)C(=O)N[C@@H](C(C)C)C(O)=O DTICLBJHRYSJLH-GUBZILKMSA-N 0.000 description 2
- NKDSBBBPGIVWEI-RCWTZXSCSA-N Met-Arg-Thr Chemical compound [H]N[C@@H](CCSC)C(=O)N[C@@H](CCCNC(N)=N)C(=O)N[C@@H]([C@@H](C)O)C(O)=O NKDSBBBPGIVWEI-RCWTZXSCSA-N 0.000 description 2
- SXWQMBGNFXAGAT-FJXKBIBVSA-N Met-Gly-Thr Chemical compound CSCC[C@H](N)C(=O)NCC(=O)N[C@@H]([C@@H](C)O)C(O)=O SXWQMBGNFXAGAT-FJXKBIBVSA-N 0.000 description 2
- OSZTUONKUMCWEP-XUXIUFHCSA-N Met-Leu-Ile Chemical compound CC[C@H](C)[C@@H](C(O)=O)NC(=O)[C@H](CC(C)C)NC(=O)[C@@H](N)CCSC OSZTUONKUMCWEP-XUXIUFHCSA-N 0.000 description 2
- SITLTJHOQZFJGG-UHFFFAOYSA-N N-L-alpha-glutamyl-L-valine Natural products CC(C)C(C(O)=O)NC(=O)C(N)CCC(O)=O SITLTJHOQZFJGG-UHFFFAOYSA-N 0.000 description 2
- 108010002311 N-glycylglutamic acid Proteins 0.000 description 2
- 108090000189 Neuropeptides Proteins 0.000 description 2
- 101100342977 Neurospora crassa (strain ATCC 24698 / 74-OR23-1A / CBS 708.71 / DSM 1257 / FGSC 987) leu-1 gene Proteins 0.000 description 2
- 208000018737 Parkinson disease Diseases 0.000 description 2
- 229940083963 Peptide antagonist Drugs 0.000 description 2
- MECSIDWUTYRHRJ-KKUMJFAQSA-N Phe-Asn-Leu Chemical compound [H]N[C@@H](CC1=CC=CC=C1)C(=O)N[C@@H](CC(N)=O)C(=O)N[C@@H](CC(C)C)C(O)=O MECSIDWUTYRHRJ-KKUMJFAQSA-N 0.000 description 2
- ONORAGIFHNAADN-LLLHUVSDSA-N Phe-Ile-Pro Chemical compound CC[C@H](C)[C@@H](C(=O)N1CCC[C@@H]1C(=O)O)NC(=O)[C@H](CC2=CC=CC=C2)N ONORAGIFHNAADN-LLLHUVSDSA-N 0.000 description 2
- QTVUPXHPSXZJKH-ULQDDVLXSA-N Phe-Met-His Chemical compound CSCC[C@@H](C(=O)N[C@@H](CC1=CN=CN1)C(=O)O)NC(=O)[C@H](CC2=CC=CC=C2)N QTVUPXHPSXZJKH-ULQDDVLXSA-N 0.000 description 2
- GRIRJQGZZJVANI-CYDGBPFRSA-N Pro-Arg-Ile Chemical compound CC[C@H](C)[C@@H](C(=O)O)NC(=O)[C@H](CCCN=C(N)N)NC(=O)[C@@H]1CCCN1 GRIRJQGZZJVANI-CYDGBPFRSA-N 0.000 description 2
- ICTZKEXYDDZZFP-SRVKXCTJSA-N Pro-Arg-Pro Chemical compound N([C@@H](CCCN=C(N)N)C(=O)N1[C@@H](CCC1)C(O)=O)C(=O)[C@@H]1CCCN1 ICTZKEXYDDZZFP-SRVKXCTJSA-N 0.000 description 2
- CYQQWUPHIZVCNY-GUBZILKMSA-N Pro-Arg-Ser Chemical compound [H]N1CCC[C@H]1C(=O)N[C@@H](CCCNC(N)=N)C(=O)N[C@@H](CO)C(O)=O CYQQWUPHIZVCNY-GUBZILKMSA-N 0.000 description 2
- HAAQQNHQZBOWFO-LURJTMIESA-N Pro-Gly-Gly Chemical compound OC(=O)CNC(=O)CNC(=O)[C@@H]1CCCN1 HAAQQNHQZBOWFO-LURJTMIESA-N 0.000 description 2
- UREQLMJCKFLLHM-NAKRPEOUSA-N Pro-Ile-Ser Chemical compound [H]N1CCC[C@H]1C(=O)N[C@@H]([C@@H](C)CC)C(=O)N[C@@H](CO)C(O)=O UREQLMJCKFLLHM-NAKRPEOUSA-N 0.000 description 2
- SUENWIFTSTWUKD-AVGNSLFASA-N Pro-Leu-Val Chemical compound [H]N1CCC[C@H]1C(=O)N[C@@H](CC(C)C)C(=O)N[C@@H](C(C)C)C(O)=O SUENWIFTSTWUKD-AVGNSLFASA-N 0.000 description 2
- JLMZKEQFMVORMA-SRVKXCTJSA-N Pro-Pro-Arg Chemical compound NC(N)=NCCC[C@@H](C(O)=O)NC(=O)[C@@H]1CCCN1C(=O)[C@H]1NCCC1 JLMZKEQFMVORMA-SRVKXCTJSA-N 0.000 description 2
- 241000700157 Rattus norvegicus Species 0.000 description 2
- 101001002337 Rattus norvegicus Gastrin/cholecystokinin type B receptor Proteins 0.000 description 2
- 208000006265 Renal cell carcinoma Diseases 0.000 description 2
- 102100040756 Rhodopsin Human genes 0.000 description 2
- 108090000820 Rhodopsin Proteins 0.000 description 2
- YUSRGTQIPCJNHQ-CIUDSAMLSA-N Ser-Arg-Glu Chemical compound [H]N[C@@H](CO)C(=O)N[C@@H](CCCNC(N)=N)C(=O)N[C@@H](CCC(O)=O)C(O)=O YUSRGTQIPCJNHQ-CIUDSAMLSA-N 0.000 description 2
- WDXYVIIVDIDOSX-DCAQKATOSA-N Ser-Arg-Leu Chemical compound CC(C)C[C@@H](C(O)=O)NC(=O)[C@@H](NC(=O)[C@@H](N)CO)CCCN=C(N)N WDXYVIIVDIDOSX-DCAQKATOSA-N 0.000 description 2
- HBOABDXGTMMDSE-GUBZILKMSA-N Ser-Arg-Val Chemical compound [H]N[C@@H](CO)C(=O)N[C@@H](CCCNC(N)=N)C(=O)N[C@@H](C(C)C)C(O)=O HBOABDXGTMMDSE-GUBZILKMSA-N 0.000 description 2
- BNFVPSRLHHPQKS-WHFBIAKZSA-N Ser-Asp-Gly Chemical compound [H]N[C@@H](CO)C(=O)N[C@@H](CC(O)=O)C(=O)NCC(O)=O BNFVPSRLHHPQKS-WHFBIAKZSA-N 0.000 description 2
- SWIQQMYVHIXPEK-FXQIFTODSA-N Ser-Cys-Val Chemical compound [H]N[C@@H](CO)C(=O)N[C@@H](CS)C(=O)N[C@@H](C(C)C)C(O)=O SWIQQMYVHIXPEK-FXQIFTODSA-N 0.000 description 2
- UQFYNFTYDHUIMI-WHFBIAKZSA-N Ser-Gly-Ala Chemical compound OC(=O)[C@H](C)NC(=O)CNC(=O)[C@@H](N)CO UQFYNFTYDHUIMI-WHFBIAKZSA-N 0.000 description 2
- YUJLIIRMIAGMCQ-CIUDSAMLSA-N Ser-Leu-Ser Chemical compound [H]N[C@@H](CO)C(=O)N[C@@H](CC(C)C)C(=O)N[C@@H](CO)C(O)=O YUJLIIRMIAGMCQ-CIUDSAMLSA-N 0.000 description 2
- KZPRPBLHYMZIMH-MXAVVETBSA-N Ser-Phe-Ile Chemical compound [H]N[C@@H](CO)C(=O)N[C@@H](CC1=CC=CC=C1)C(=O)N[C@@H]([C@@H](C)CC)C(O)=O KZPRPBLHYMZIMH-MXAVVETBSA-N 0.000 description 2
- PIQRHJQWEPWFJG-UWJYBYFXSA-N Ser-Tyr-Ala Chemical compound [H]N[C@@H](CO)C(=O)N[C@@H](CC1=CC=C(O)C=C1)C(=O)N[C@@H](C)C(O)=O PIQRHJQWEPWFJG-UWJYBYFXSA-N 0.000 description 2
- VUVCRYXYUUPGSB-GLLZPBPUSA-N Thr-Gln-Glu Chemical compound C[C@H]([C@@H](C(=O)N[C@@H](CCC(=O)N)C(=O)N[C@@H](CCC(=O)O)C(=O)O)N)O VUVCRYXYUUPGSB-GLLZPBPUSA-N 0.000 description 2
- RFKVQLIXNVEOMB-WEDXCCLWSA-N Thr-Leu-Gly Chemical compound C[C@H]([C@@H](C(=O)N[C@@H](CC(C)C)C(=O)NCC(=O)O)N)O RFKVQLIXNVEOMB-WEDXCCLWSA-N 0.000 description 2
- FLPZMPOZGYPBEN-PPCPHDFISA-N Thr-Leu-Ile Chemical compound [H]N[C@@H]([C@@H](C)O)C(=O)N[C@@H](CC(C)C)C(=O)N[C@@H]([C@@H](C)CC)C(O)=O FLPZMPOZGYPBEN-PPCPHDFISA-N 0.000 description 2
- MXDOAJQRJBMGMO-FJXKBIBVSA-N Thr-Pro-Gly Chemical compound C[C@@H](O)[C@H](N)C(=O)N1CCC[C@H]1C(=O)NCC(O)=O MXDOAJQRJBMGMO-FJXKBIBVSA-N 0.000 description 2
- KERCOYANYUPLHJ-XGEHTFHBSA-N Thr-Pro-Ser Chemical compound C[C@@H](O)[C@H](N)C(=O)N1CCC[C@H]1C(=O)N[C@@H](CO)C(O)=O KERCOYANYUPLHJ-XGEHTFHBSA-N 0.000 description 2
- 208000024770 Thyroid neoplasm Diseases 0.000 description 2
- HOJPPPKZWFRTHJ-PJODQICGSA-N Trp-Arg-Ala Chemical compound C[C@@H](C(=O)O)NC(=O)[C@H](CCCN=C(N)N)NC(=O)[C@H](CC1=CNC2=CC=CC=C21)N HOJPPPKZWFRTHJ-PJODQICGSA-N 0.000 description 2
- OJKVFAWXPGCJMF-BPUTZDHNSA-N Trp-Pro-Ser Chemical compound C1C[C@H](N(C1)C(=O)[C@H](CC2=CNC3=CC=CC=C32)N)C(=O)N[C@@H](CO)C(=O)O OJKVFAWXPGCJMF-BPUTZDHNSA-N 0.000 description 2
- 102000014384 Type C Phospholipases Human genes 0.000 description 2
- 108010079194 Type C Phospholipases Proteins 0.000 description 2
- RYSNTWVRSLCAJZ-RYUDHWBXSA-N Tyr-Gln-Gly Chemical compound OC(=O)CNC(=O)[C@H](CCC(N)=O)NC(=O)[C@@H](N)CC1=CC=C(O)C=C1 RYSNTWVRSLCAJZ-RYUDHWBXSA-N 0.000 description 2
- CNLKDWSAORJEMW-KWQFWETISA-N Tyr-Gly-Ala Chemical compound [H]N[C@@H](CC1=CC=C(O)C=C1)C(=O)NCC(=O)N[C@@H](C)C(O)=O CNLKDWSAORJEMW-KWQFWETISA-N 0.000 description 2
- SOAUMCDLIUGXJJ-SRVKXCTJSA-N Tyr-Ser-Asn Chemical compound [H]N[C@@H](CC1=CC=C(O)C=C1)C(=O)N[C@@H](CO)C(=O)N[C@@H](CC(N)=O)C(O)=O SOAUMCDLIUGXJJ-SRVKXCTJSA-N 0.000 description 2
- WQOHKVRQDLNDIL-YJRXYDGGSA-N Tyr-Thr-Ser Chemical compound [H]N[C@@H](CC1=CC=C(O)C=C1)C(=O)N[C@@H]([C@@H](C)O)C(=O)N[C@@H](CO)C(O)=O WQOHKVRQDLNDIL-YJRXYDGGSA-N 0.000 description 2
- KLQPIEVIKOQRAW-IZPVPAKOSA-N Tyr-Thr-Thr Chemical compound C[C@H]([C@@H](C(=O)N[C@@H]([C@@H](C)O)C(=O)O)NC(=O)[C@H](CC1=CC=C(C=C1)O)N)O KLQPIEVIKOQRAW-IZPVPAKOSA-N 0.000 description 2
- VFOHXOLPLACADK-GVXVVHGQSA-N Val-Gln-Leu Chemical compound CC(C)C[C@@H](C(=O)O)NC(=O)[C@H](CCC(=O)N)NC(=O)[C@H](C(C)C)N VFOHXOLPLACADK-GVXVVHGQSA-N 0.000 description 2
- KDKLLPMFFGYQJD-CYDGBPFRSA-N Val-Ile-Arg Chemical compound CC[C@H](C)[C@@H](C(=O)N[C@@H](CCCN=C(N)N)C(=O)O)NC(=O)[C@H](C(C)C)N KDKLLPMFFGYQJD-CYDGBPFRSA-N 0.000 description 2
- PYPZMFDMCCWNST-NAKRPEOUSA-N Val-Ile-Cys Chemical compound CC[C@H](C)[C@@H](C(=O)N[C@@H](CS)C(=O)O)NC(=O)[C@H](C(C)C)N PYPZMFDMCCWNST-NAKRPEOUSA-N 0.000 description 2
- APQIVBCUIUDSMB-OSUNSFLBSA-N Val-Ile-Thr Chemical compound CC[C@H](C)[C@@H](C(=O)N[C@@H]([C@@H](C)O)C(=O)O)NC(=O)[C@H](C(C)C)N APQIVBCUIUDSMB-OSUNSFLBSA-N 0.000 description 2
- DJQIUOKSNRBTSV-CYDGBPFRSA-N Val-Ile-Val Chemical compound CC[C@H](C)[C@@H](C(=O)N[C@@H](C(C)C)C(=O)O)NC(=O)[C@H](C(C)C)N DJQIUOKSNRBTSV-CYDGBPFRSA-N 0.000 description 2
- ZZGPVSZDZQRJQY-ULQDDVLXSA-N Val-Leu-Phe Chemical compound CC(C)C[C@H](NC(=O)[C@@H](N)C(C)C)C(=O)N[C@@H](Cc1ccccc1)C(O)=O ZZGPVSZDZQRJQY-ULQDDVLXSA-N 0.000 description 2
- DEGUERSKQBRZMZ-FXQIFTODSA-N Val-Ser-Ala Chemical compound CC(C)[C@H](N)C(=O)N[C@@H](CO)C(=O)N[C@@H](C)C(O)=O DEGUERSKQBRZMZ-FXQIFTODSA-N 0.000 description 2
- LTTQCQRTSHJPPL-ZKWXMUAHSA-N Val-Ser-Asp Chemical compound CC(C)[C@@H](C(=O)N[C@@H](CO)C(=O)N[C@@H](CC(=O)O)C(=O)O)N LTTQCQRTSHJPPL-ZKWXMUAHSA-N 0.000 description 2
- VHIZXDZMTDVFGX-DCAQKATOSA-N Val-Ser-Leu Chemical compound CC(C)C[C@@H](C(=O)O)NC(=O)[C@H](CO)NC(=O)[C@H](C(C)C)N VHIZXDZMTDVFGX-DCAQKATOSA-N 0.000 description 2
- UJMCYJKPDFQLHX-XGEHTFHBSA-N Val-Ser-Thr Chemical compound C[C@H]([C@@H](C(=O)O)NC(=O)[C@H](CO)NC(=O)[C@H](C(C)C)N)O UJMCYJKPDFQLHX-XGEHTFHBSA-N 0.000 description 2
- CFIBZQOLUDURST-IHRRRGAJSA-N Val-Tyr-Cys Chemical compound CC(C)[C@@H](C(=O)N[C@@H](CC1=CC=C(C=C1)O)C(=O)N[C@@H](CS)C(=O)O)N CFIBZQOLUDURST-IHRRRGAJSA-N 0.000 description 2
- IECQJCJNPJVUSB-IHRRRGAJSA-N Val-Tyr-Ser Chemical compound CC(C)[C@H](N)C(=O)N[C@@H](Cc1ccc(O)cc1)C(=O)N[C@@H](CO)C(O)=O IECQJCJNPJVUSB-IHRRRGAJSA-N 0.000 description 2
- ODUHAIXFXFACDY-SRVKXCTJSA-N Val-Val-Met Chemical compound CSCC[C@@H](C(O)=O)NC(=O)[C@H](C(C)C)NC(=O)[C@@H](N)C(C)C ODUHAIXFXFACDY-SRVKXCTJSA-N 0.000 description 2
- KZSNJWFQEVHDMF-UHFFFAOYSA-N Valine Natural products CC(C)C(N)C(O)=O KZSNJWFQEVHDMF-UHFFFAOYSA-N 0.000 description 2
- BUFLLCUFNHESEH-UHFFFAOYSA-N [5-(2-amino-6-oxo-3h-purin-9-yl)-4-hydroxy-2-[[hydroxy(phosphonooxy)phosphoryl]oxymethyl]oxolan-3-yl] phosphono hydrogen phosphate Chemical compound C1=2NC(N)=NC(=O)C=2N=CN1C1OC(COP(O)(=O)OP(O)(O)=O)C(OP(O)(=O)OP(O)(O)=O)C1O BUFLLCUFNHESEH-UHFFFAOYSA-N 0.000 description 2
- 125000003295 alanine group Chemical group N[C@@H](C)C(=O)* 0.000 description 2
- 108010076324 alanyl-glycyl-glycine Proteins 0.000 description 2
- 108010005233 alanylglutamic acid Proteins 0.000 description 2
- 108010011559 alanylphenylalanine Proteins 0.000 description 2
- 125000000217 alkyl group Chemical group 0.000 description 2
- 230000004075 alteration Effects 0.000 description 2
- 230000036592 analgesia Effects 0.000 description 2
- 108010013835 arginine glutamate Proteins 0.000 description 2
- 108010008355 arginyl-glutamine Proteins 0.000 description 2
- 108010052670 arginyl-glutamyl-glutamic acid Proteins 0.000 description 2
- 108010009111 arginyl-glycyl-glutamic acid Proteins 0.000 description 2
- 125000003118 aryl group Chemical group 0.000 description 2
- 108010093581 aspartyl-proline Proteins 0.000 description 2
- 108010038633 aspartylglutamate Proteins 0.000 description 2
- 229940053197 benzodiazepine derivative antiepileptics Drugs 0.000 description 2
- 230000037396 body weight Effects 0.000 description 2
- 239000000872 buffer Substances 0.000 description 2
- 210000004899 c-terminal region Anatomy 0.000 description 2
- 210000004978 chinese hamster ovary cell Anatomy 0.000 description 2
- ZPUCINDJVBIVPJ-LJISPDSOSA-N cocaine Chemical compound O([C@H]1C[C@@H]2CC[C@@H](N2C)[C@H]1C(=O)OC)C(=O)C1=CC=CC=C1 ZPUCINDJVBIVPJ-LJISPDSOSA-N 0.000 description 2
- 206010012601 diabetes mellitus Diseases 0.000 description 2
- 238000010586 diagram Methods 0.000 description 2
- LOKCTEFSRHRXRJ-UHFFFAOYSA-I dipotassium trisodium dihydrogen phosphate hydrogen phosphate dichloride Chemical compound P(=O)(O)(O)[O-].[K+].P(=O)(O)([O-])[O-].[Na+].[Na+].[Cl-].[K+].[Cl-].[Na+] LOKCTEFSRHRXRJ-UHFFFAOYSA-I 0.000 description 2
- VYFYYTLLBUKUHU-UHFFFAOYSA-N dopamine Chemical compound NCCC1=CC=C(O)C(O)=C1 VYFYYTLLBUKUHU-UHFFFAOYSA-N 0.000 description 2
- 108010006664 gamma-glutamyl-glycyl-glycine Proteins 0.000 description 2
- 108010063718 gamma-glutamylaspartic acid Proteins 0.000 description 2
- 210000001035 gastrointestinal tract Anatomy 0.000 description 2
- 108010042598 glutamyl-aspartyl-glycine Proteins 0.000 description 2
- 108010049041 glutamylalanine Proteins 0.000 description 2
- 108010090037 glycyl-alanyl-isoleucine Proteins 0.000 description 2
- 108010084264 glycyl-glycyl-cysteine Proteins 0.000 description 2
- XKUKSGPZAADMRA-UHFFFAOYSA-N glycyl-glycyl-glycine Chemical compound NCC(=O)NCC(=O)NCC(O)=O XKUKSGPZAADMRA-UHFFFAOYSA-N 0.000 description 2
- 108010082286 glycyl-seryl-alanine Proteins 0.000 description 2
- 108010037850 glycylvaline Proteins 0.000 description 2
- 238000001727 in vivo Methods 0.000 description 2
- CDAISMWEOUEBRE-GPIVLXJGSA-N inositol Chemical compound O[C@H]1[C@H](O)[C@@H](O)[C@H](O)[C@H](O)[C@@H]1O CDAISMWEOUEBRE-GPIVLXJGSA-N 0.000 description 2
- NOESYZHRGYRDHS-UHFFFAOYSA-N insulin Chemical compound N1C(=O)C(NC(=O)C(CCC(N)=O)NC(=O)C(CCC(O)=O)NC(=O)C(C(C)C)NC(=O)C(NC(=O)CN)C(C)CC)CSSCC(C(NC(CO)C(=O)NC(CC(C)C)C(=O)NC(CC=2C=CC(O)=CC=2)C(=O)NC(CCC(N)=O)C(=O)NC(CC(C)C)C(=O)NC(CCC(O)=O)C(=O)NC(CC(N)=O)C(=O)NC(CC=2C=CC(O)=CC=2)C(=O)NC(CSSCC(NC(=O)C(C(C)C)NC(=O)C(CC(C)C)NC(=O)C(CC=2C=CC(O)=CC=2)NC(=O)C(CC(C)C)NC(=O)C(C)NC(=O)C(CCC(O)=O)NC(=O)C(C(C)C)NC(=O)C(CC(C)C)NC(=O)C(CC=2NC=NC=2)NC(=O)C(CO)NC(=O)CNC2=O)C(=O)NCC(=O)NC(CCC(O)=O)C(=O)NC(CCCNC(N)=N)C(=O)NCC(=O)NC(CC=3C=CC=CC=3)C(=O)NC(CC=3C=CC=CC=3)C(=O)NC(CC=3C=CC(O)=CC=3)C(=O)NC(C(C)O)C(=O)N3C(CCC3)C(=O)NC(CCCCN)C(=O)NC(C)C(O)=O)C(=O)NC(CC(N)=O)C(O)=O)=O)NC(=O)C(C(C)CC)NC(=O)C(CO)NC(=O)C(C(C)O)NC(=O)C1CSSCC2NC(=O)C(CC(C)C)NC(=O)C(NC(=O)C(CCC(N)=O)NC(=O)C(CC(N)=O)NC(=O)C(NC(=O)C(N)CC=1C=CC=CC=1)C(C)C)CC1=CN=CN1 NOESYZHRGYRDHS-UHFFFAOYSA-N 0.000 description 2
- 230000004068 intracellular signaling Effects 0.000 description 2
- 150000002611 lead compounds Chemical class 0.000 description 2
- 108010051673 leucyl-glycyl-phenylalanine Proteins 0.000 description 2
- 108010034529 leucyl-lysine Proteins 0.000 description 2
- 108010000761 leucylarginine Proteins 0.000 description 2
- 108010012058 leucyltyrosine Proteins 0.000 description 2
- 108010076718 lysyl-glutamyl-tryptophan Proteins 0.000 description 2
- 108010009298 lysylglutamic acid Proteins 0.000 description 2
- 108010056582 methionylglutamic acid Proteins 0.000 description 2
- 239000002581 neurotoxin Substances 0.000 description 2
- 231100000618 neurotoxin Toxicity 0.000 description 2
- BKIMMITUMNQMOS-UHFFFAOYSA-N nonane Chemical compound CCCCCCCCC BKIMMITUMNQMOS-UHFFFAOYSA-N 0.000 description 2
- 108020004707 nucleic acids Proteins 0.000 description 2
- 102000039446 nucleic acids Human genes 0.000 description 2
- 230000000771 oncological effect Effects 0.000 description 2
- 210000001711 oxyntic cell Anatomy 0.000 description 2
- 230000036407 pain Effects 0.000 description 2
- 108010018625 phenylalanylarginine Proteins 0.000 description 2
- 239000002953 phosphate buffered saline Substances 0.000 description 2
- 230000001766 physiological effect Effects 0.000 description 2
- 239000013641 positive control Substances 0.000 description 2
- 230000036515 potency Effects 0.000 description 2
- 238000002360 preparation method Methods 0.000 description 2
- 230000008569 process Effects 0.000 description 2
- 108010004914 prolylarginine Proteins 0.000 description 2
- 239000002287 radioligand Substances 0.000 description 2
- 230000009467 reduction Effects 0.000 description 2
- 229930195734 saturated hydrocarbon Natural products 0.000 description 2
- CDAISMWEOUEBRE-UHFFFAOYSA-N scyllo-inosotol Natural products OC1C(O)C(O)C(O)C(O)C1O CDAISMWEOUEBRE-UHFFFAOYSA-N 0.000 description 2
- 230000028327 secretion Effects 0.000 description 2
- QZAYGJVTTNCVMB-UHFFFAOYSA-N serotonin Chemical compound C1=C(O)C=C2C(CCN)=CNC2=C1 QZAYGJVTTNCVMB-UHFFFAOYSA-N 0.000 description 2
- 230000019491 signal transduction Effects 0.000 description 2
- 210000000278 spinal cord Anatomy 0.000 description 2
- 230000035882 stress Effects 0.000 description 2
- 239000000126 substance Substances 0.000 description 2
- 230000009897 systematic effect Effects 0.000 description 2
- 238000001890 transfection Methods 0.000 description 2
- IBIDRSSEHFLGSD-UHFFFAOYSA-N valinyl-arginine Natural products CC(C)C(N)C(=O)NC(C(O)=O)CCCN=C(N)N IBIDRSSEHFLGSD-UHFFFAOYSA-N 0.000 description 2
- 239000013598 vector Substances 0.000 description 2
- SNICXCGAKADSCV-JTQLQIEISA-N (-)-Nicotine Chemical compound CN1CCC[C@H]1C1=CC=CN=C1 SNICXCGAKADSCV-JTQLQIEISA-N 0.000 description 1
- WXPZDDCNKXMOMC-AVGNSLFASA-N (2s)-1-[(2s)-2-[[(2s)-1-(2-aminoacetyl)pyrrolidine-2-carbonyl]amino]-5-(diaminomethylideneamino)pentanoyl]pyrrolidine-2-carboxylic acid Chemical compound NCC(=O)N1CCC[C@H]1C(=O)N[C@@H](CCCNC(N)=N)C(=O)N1[C@H](C(O)=O)CCC1 WXPZDDCNKXMOMC-AVGNSLFASA-N 0.000 description 1
- XVZCXCTYGHPNEM-IHRRRGAJSA-N (2s)-1-[(2s)-2-[[(2s)-2-amino-4-methylpentanoyl]amino]-4-methylpentanoyl]pyrrolidine-2-carboxylic acid Chemical compound CC(C)C[C@H](N)C(=O)N[C@@H](CC(C)C)C(=O)N1CCC[C@H]1C(O)=O XVZCXCTYGHPNEM-IHRRRGAJSA-N 0.000 description 1
- ZWZOCNTYMUOGPQ-UHFFFAOYSA-N 2-[[2-[[1-(2-amino-3-methylpentanoyl)pyrrolidine-2-carbonyl]amino]acetyl]amino]-3-methylpentanoic acid Chemical compound CCC(C)C(N)C(=O)N1CCCC1C(=O)NCC(=O)NC(C(C)CC)C(O)=O ZWZOCNTYMUOGPQ-UHFFFAOYSA-N 0.000 description 1
- MKRXAIMALGQSHI-UHFFFAOYSA-N 2-[[2-[[2-[(2-amino-3-methylpentanoyl)amino]-3-methylpentanoyl]amino]-3-methylbutanoyl]amino]-3-methylbutanoic acid Chemical compound CCC(C)C(N)C(=O)NC(C(C)CC)C(=O)NC(C(C)C)C(=O)NC(C(C)C)C(O)=O MKRXAIMALGQSHI-UHFFFAOYSA-N 0.000 description 1
- FWMNVWWHGCHHJJ-SKKKGAJSSA-N 4-amino-1-[(2r)-6-amino-2-[[(2r)-2-[[(2r)-2-[[(2r)-2-amino-3-phenylpropanoyl]amino]-3-phenylpropanoyl]amino]-4-methylpentanoyl]amino]hexanoyl]piperidine-4-carboxylic acid Chemical compound C([C@H](C(=O)N[C@H](CC(C)C)C(=O)N[C@H](CCCCN)C(=O)N1CCC(N)(CC1)C(O)=O)NC(=O)[C@H](N)CC=1C=CC=CC=1)C1=CC=CC=C1 FWMNVWWHGCHHJJ-SKKKGAJSSA-N 0.000 description 1
- 108010036211 5-HT-moduline Proteins 0.000 description 1
- CXRCVCURMBFFOL-FXQIFTODSA-N Ala-Ala-Pro Chemical compound C[C@H](N)C(=O)N[C@@H](C)C(=O)N1CCC[C@H]1C(O)=O CXRCVCURMBFFOL-FXQIFTODSA-N 0.000 description 1
- DVWVZSJAYIJZFI-FXQIFTODSA-N Ala-Arg-Asn Chemical compound [H]N[C@@H](C)C(=O)N[C@@H](CCCNC(N)=N)C(=O)N[C@@H](CC(N)=O)C(O)=O DVWVZSJAYIJZFI-FXQIFTODSA-N 0.000 description 1
- UCIYCBSJBQGDGM-LPEHRKFASA-N Ala-Arg-Pro Chemical compound C[C@@H](C(=O)N[C@@H](CCCN=C(N)N)C(=O)N1CCC[C@@H]1C(=O)O)N UCIYCBSJBQGDGM-LPEHRKFASA-N 0.000 description 1
- PJNSIUPOXFBHDM-GUBZILKMSA-N Ala-Arg-Val Chemical compound [H]N[C@@H](C)C(=O)N[C@@H](CCCNC(N)=N)C(=O)N[C@@H](C(C)C)C(O)=O PJNSIUPOXFBHDM-GUBZILKMSA-N 0.000 description 1
- NXSFUECZFORGOG-CIUDSAMLSA-N Ala-Asn-Leu Chemical compound [H]N[C@@H](C)C(=O)N[C@@H](CC(N)=O)C(=O)N[C@@H](CC(C)C)C(O)=O NXSFUECZFORGOG-CIUDSAMLSA-N 0.000 description 1
- JYEBJTDTPNKQJG-FXQIFTODSA-N Ala-Asn-Met Chemical compound C[C@@H](C(=O)N[C@@H](CC(=O)N)C(=O)N[C@@H](CCSC)C(=O)O)N JYEBJTDTPNKQJG-FXQIFTODSA-N 0.000 description 1
- MIPWEZAIMPYQST-FXQIFTODSA-N Ala-Cys-Val Chemical compound [H]N[C@@H](C)C(=O)N[C@@H](CS)C(=O)N[C@@H](C(C)C)C(O)=O MIPWEZAIMPYQST-FXQIFTODSA-N 0.000 description 1
- IFTVANMRTIHKML-WDSKDSINSA-N Ala-Gln-Gly Chemical compound C[C@H](N)C(=O)N[C@@H](CCC(N)=O)C(=O)NCC(O)=O IFTVANMRTIHKML-WDSKDSINSA-N 0.000 description 1
- NWVVKQZOVSTDBQ-CIUDSAMLSA-N Ala-Glu-Arg Chemical compound [H]N[C@@H](C)C(=O)N[C@@H](CCC(O)=O)C(=O)N[C@@H](CCCNC(N)=N)C(O)=O NWVVKQZOVSTDBQ-CIUDSAMLSA-N 0.000 description 1
- NHLAEBFGWPXFGI-WHFBIAKZSA-N Ala-Gly-Asn Chemical compound C[C@@H](C(=O)NCC(=O)N[C@@H](CC(=O)N)C(=O)O)N NHLAEBFGWPXFGI-WHFBIAKZSA-N 0.000 description 1
- BEMGNWZECGIJOI-WDSKDSINSA-N Ala-Gly-Glu Chemical compound [H]N[C@@H](C)C(=O)NCC(=O)N[C@@H](CCC(O)=O)C(O)=O BEMGNWZECGIJOI-WDSKDSINSA-N 0.000 description 1
- ZPXCNXMJEZKRLU-LSJOCFKGSA-N Ala-His-Arg Chemical compound NC(N)=NCCC[C@@H](C(O)=O)NC(=O)[C@@H](NC(=O)[C@@H](N)C)CC1=CN=CN1 ZPXCNXMJEZKRLU-LSJOCFKGSA-N 0.000 description 1
- SHKGHIFSEAGTNL-DLOVCJGASA-N Ala-His-Lys Chemical compound NCCCC[C@@H](C(O)=O)NC(=O)[C@@H](NC(=O)[C@@H](N)C)CC1=CN=CN1 SHKGHIFSEAGTNL-DLOVCJGASA-N 0.000 description 1
- HJGZVLLLBJLXFC-LSJOCFKGSA-N Ala-His-Val Chemical compound [H]N[C@@H](C)C(=O)N[C@@H](CC1=CNC=N1)C(=O)N[C@@H](C(C)C)C(O)=O HJGZVLLLBJLXFC-LSJOCFKGSA-N 0.000 description 1
- SUMYEVXWCAYLLJ-GUBZILKMSA-N Ala-Leu-Gln Chemical compound [H]N[C@@H](C)C(=O)N[C@@H](CC(C)C)C(=O)N[C@@H](CCC(N)=O)C(O)=O SUMYEVXWCAYLLJ-GUBZILKMSA-N 0.000 description 1
- ZKEHTYWGPMMGBC-XUXIUFHCSA-N Ala-Leu-Leu-Ser Chemical compound C[C@H](N)C(=O)N[C@@H](CC(C)C)C(=O)N[C@@H](CC(C)C)C(=O)N[C@@H](CO)C(O)=O ZKEHTYWGPMMGBC-XUXIUFHCSA-N 0.000 description 1
- OYJCVIGKMXUVKB-GARJFASQSA-N Ala-Leu-Pro Chemical compound C[C@@H](C(=O)N[C@@H](CC(C)C)C(=O)N1CCC[C@@H]1C(=O)O)N OYJCVIGKMXUVKB-GARJFASQSA-N 0.000 description 1
- MEFILNJXAVSUTO-JXUBOQSCSA-N Ala-Leu-Thr Chemical compound C[C@H](N)C(=O)N[C@@H](CC(C)C)C(=O)N[C@@H]([C@@H](C)O)C(O)=O MEFILNJXAVSUTO-JXUBOQSCSA-N 0.000 description 1
- MFMDKJIPHSWSBM-GUBZILKMSA-N Ala-Lys-Glu Chemical compound [H]N[C@@H](C)C(=O)N[C@@H](CCCCN)C(=O)N[C@@H](CCC(O)=O)C(O)=O MFMDKJIPHSWSBM-GUBZILKMSA-N 0.000 description 1
- NLOMBWNGESDVJU-GUBZILKMSA-N Ala-Met-Arg Chemical compound [H]N[C@@H](C)C(=O)N[C@@H](CCSC)C(=O)N[C@@H](CCCNC(N)=N)C(O)=O NLOMBWNGESDVJU-GUBZILKMSA-N 0.000 description 1
- SBYABBIDCYVZFF-BJDJZHNGSA-N Ala-Met-Gln-Gln Chemical compound CSCC[C@H](NC(=O)[C@H](C)N)C(=O)N[C@@H](CCC(N)=O)C(=O)N[C@@H](CCC(N)=O)C(O)=O SBYABBIDCYVZFF-BJDJZHNGSA-N 0.000 description 1
- DGLQWAFPIXDKRL-UBHSHLNASA-N Ala-Met-Phe Chemical compound C[C@@H](C(=O)N[C@@H](CCSC)C(=O)N[C@@H](CC1=CC=CC=C1)C(=O)O)N DGLQWAFPIXDKRL-UBHSHLNASA-N 0.000 description 1
- ZBLQIYPCUWZSRZ-QEJZJMRPSA-N Ala-Phe-Leu Chemical compound CC(C)C[C@@H](C(O)=O)NC(=O)[C@@H](NC(=O)[C@H](C)N)CC1=CC=CC=C1 ZBLQIYPCUWZSRZ-QEJZJMRPSA-N 0.000 description 1
- WQLDNOCHHRISMS-NAKRPEOUSA-N Ala-Pro-Ile Chemical compound [H]N[C@@H](C)C(=O)N1CCC[C@H]1C(=O)N[C@@H]([C@@H](C)CC)C(O)=O WQLDNOCHHRISMS-NAKRPEOUSA-N 0.000 description 1
- ADSGHMXEAZJJNF-DCAQKATOSA-N Ala-Pro-Leu Chemical compound CC(C)C[C@@H](C(O)=O)NC(=O)[C@@H]1CCCN1C(=O)[C@H](C)N ADSGHMXEAZJJNF-DCAQKATOSA-N 0.000 description 1
- YYAVDNKUWLAFCV-ACZMJKKPSA-N Ala-Ser-Gln Chemical compound [H]N[C@@H](C)C(=O)N[C@@H](CO)C(=O)N[C@@H](CCC(N)=O)C(O)=O YYAVDNKUWLAFCV-ACZMJKKPSA-N 0.000 description 1
- HOVPGJUNRLMIOZ-CIUDSAMLSA-N Ala-Ser-Leu Chemical compound CC(C)C[C@@H](C(O)=O)NC(=O)[C@H](CO)NC(=O)[C@H](C)N HOVPGJUNRLMIOZ-CIUDSAMLSA-N 0.000 description 1
- ARHJJAAWNWOACN-FXQIFTODSA-N Ala-Ser-Val Chemical compound [H]N[C@@H](C)C(=O)N[C@@H](CO)C(=O)N[C@@H](C(C)C)C(O)=O ARHJJAAWNWOACN-FXQIFTODSA-N 0.000 description 1
- AETQNIIFKCMVHP-UVBJJODRSA-N Ala-Trp-Arg Chemical compound [H]N[C@@H](C)C(=O)N[C@@H](CC1=CNC2=C1C=CC=C2)C(=O)N[C@@H](CCCNC(N)=N)C(O)=O AETQNIIFKCMVHP-UVBJJODRSA-N 0.000 description 1
- YCTIYBUTCKNOTI-UWJYBYFXSA-N Ala-Tyr-Asp Chemical compound C[C@@H](C(=O)N[C@@H](CC1=CC=C(C=C1)O)C(=O)N[C@@H](CC(=O)O)C(=O)O)N YCTIYBUTCKNOTI-UWJYBYFXSA-N 0.000 description 1
- JNJHNBXBGNJESC-KKXDTOCCSA-N Ala-Tyr-Phe Chemical compound [H]N[C@@H](C)C(=O)N[C@@H](CC1=CC=C(O)C=C1)C(=O)N[C@@H](CC1=CC=CC=C1)C(O)=O JNJHNBXBGNJESC-KKXDTOCCSA-N 0.000 description 1
- ZCUFMRIQCPNOHZ-NRPADANISA-N Ala-Val-Gln Chemical compound C[C@@H](C(=O)N[C@@H](C(C)C)C(=O)N[C@@H](CCC(=O)N)C(=O)O)N ZCUFMRIQCPNOHZ-NRPADANISA-N 0.000 description 1
- VHAQSYHSDKERBS-XPUUQOCRSA-N Ala-Val-Gly Chemical compound C[C@H](N)C(=O)N[C@@H](C(C)C)C(=O)NCC(O)=O VHAQSYHSDKERBS-XPUUQOCRSA-N 0.000 description 1
- LYILPUNCKACNGF-NAKRPEOUSA-N Ala-Val-Ile Chemical compound CC[C@H](C)[C@@H](C(O)=O)NC(=O)[C@H](C(C)C)NC(=O)[C@H](C)N LYILPUNCKACNGF-NAKRPEOUSA-N 0.000 description 1
- 208000024827 Alzheimer disease Diseases 0.000 description 1
- 206010002091 Anaesthesia Diseases 0.000 description 1
- 206010002660 Anoxia Diseases 0.000 description 1
- 241000976983 Anoxia Species 0.000 description 1
- SGYSTDWPNPKJPP-GUBZILKMSA-N Arg-Ala-Arg Chemical compound NC(=N)NCCC[C@H](N)C(=O)N[C@@H](C)C(=O)N[C@@H](CCCNC(N)=N)C(O)=O SGYSTDWPNPKJPP-GUBZILKMSA-N 0.000 description 1
- DFCIPNHFKOQAME-FXQIFTODSA-N Arg-Ala-Asn Chemical compound [H]N[C@@H](CCCNC(N)=N)C(=O)N[C@@H](C)C(=O)N[C@@H](CC(N)=O)C(O)=O DFCIPNHFKOQAME-FXQIFTODSA-N 0.000 description 1
- KWKQGHSSNHPGOW-BQBZGAKWSA-N Arg-Ala-Gly Chemical compound [H]N[C@@H](CCCNC(N)=N)C(=O)N[C@@H](C)C(=O)NCC(O)=O KWKQGHSSNHPGOW-BQBZGAKWSA-N 0.000 description 1
- SBVJJNJLFWSJOV-UBHSHLNASA-N Arg-Ala-Phe Chemical compound NC(=N)NCCC[C@H](N)C(=O)N[C@@H](C)C(=O)N[C@H](C(O)=O)CC1=CC=CC=C1 SBVJJNJLFWSJOV-UBHSHLNASA-N 0.000 description 1
- CPSHGRGUPZBMOK-CIUDSAMLSA-N Arg-Asn-Gln Chemical compound [H]N[C@@H](CCCNC(N)=N)C(=O)N[C@@H](CC(N)=O)C(=O)N[C@@H](CCC(N)=O)C(O)=O CPSHGRGUPZBMOK-CIUDSAMLSA-N 0.000 description 1
- KWTVWJPNHAOREN-IHRRRGAJSA-N Arg-Asn-Phe Chemical compound [H]N[C@@H](CCCNC(N)=N)C(=O)N[C@@H](CC(N)=O)C(=O)N[C@@H](CC1=CC=CC=C1)C(O)=O KWTVWJPNHAOREN-IHRRRGAJSA-N 0.000 description 1
- YSUVMPICYVWRBX-VEVYYDQMSA-N Arg-Asp-Thr Chemical compound [H]N[C@@H](CCCNC(N)=N)C(=O)N[C@@H](CC(O)=O)C(=O)N[C@@H]([C@@H](C)O)C(O)=O YSUVMPICYVWRBX-VEVYYDQMSA-N 0.000 description 1
- RYRQZJVFDVWURI-SRVKXCTJSA-N Arg-Gln-His Chemical compound C1=C(NC=N1)C[C@@H](C(=O)O)NC(=O)[C@H](CCC(=O)N)NC(=O)[C@H](CCCN=C(N)N)N RYRQZJVFDVWURI-SRVKXCTJSA-N 0.000 description 1
- YHQGEARSFILVHL-HJGDQZAQSA-N Arg-Gln-Thr Chemical compound C[C@H]([C@@H](C(=O)O)NC(=O)[C@H](CCC(=O)N)NC(=O)[C@H](CCCN=C(N)N)N)O YHQGEARSFILVHL-HJGDQZAQSA-N 0.000 description 1
- AUFHLLPVPSMEOG-YUMQZZPRSA-N Arg-Gly-Glu Chemical compound NC(N)=NCCC[C@H](N)C(=O)NCC(=O)N[C@@H](CCC(O)=O)C(O)=O AUFHLLPVPSMEOG-YUMQZZPRSA-N 0.000 description 1
- CYXCAHZVPFREJD-LURJTMIESA-N Arg-Gly-Gly Chemical compound NC(=N)NCCC[C@H](N)C(=O)NCC(=O)NCC(O)=O CYXCAHZVPFREJD-LURJTMIESA-N 0.000 description 1
- KRQSPVKUISQQFS-FJXKBIBVSA-N Arg-Gly-Thr Chemical compound C[C@@H](O)[C@@H](C(O)=O)NC(=O)CNC(=O)[C@@H](N)CCCN=C(N)N KRQSPVKUISQQFS-FJXKBIBVSA-N 0.000 description 1
- FRMQITGHXMUNDF-GMOBBJLQSA-N Arg-Ile-Asn Chemical compound CC[C@H](C)[C@@H](C(=O)N[C@@H](CC(=O)N)C(=O)O)NC(=O)[C@H](CCCN=C(N)N)N FRMQITGHXMUNDF-GMOBBJLQSA-N 0.000 description 1
- LLUGJARLJCGLAR-CYDGBPFRSA-N Arg-Ile-Val Chemical compound CC[C@H](C)[C@@H](C(=O)N[C@@H](C(C)C)C(=O)O)NC(=O)[C@H](CCCN=C(N)N)N LLUGJARLJCGLAR-CYDGBPFRSA-N 0.000 description 1
- YBZMTKUDWXZLIX-UWVGGRQHSA-N Arg-Leu-Gly Chemical compound [H]N[C@@H](CCCNC(N)=N)C(=O)N[C@@H](CC(C)C)C(=O)NCC(O)=O YBZMTKUDWXZLIX-UWVGGRQHSA-N 0.000 description 1
- CLICCYPMVFGUOF-IHRRRGAJSA-N Arg-Lys-Leu Chemical compound [H]N[C@@H](CCCNC(N)=N)C(=O)N[C@@H](CCCCN)C(=O)N[C@@H](CC(C)C)C(O)=O CLICCYPMVFGUOF-IHRRRGAJSA-N 0.000 description 1
- BTJVOUQWFXABOI-IHRRRGAJSA-N Arg-Lys-Lys Chemical compound NCCCC[C@@H](C(O)=O)NC(=O)[C@H](CCCCN)NC(=O)[C@@H](N)CCCNC(N)=N BTJVOUQWFXABOI-IHRRRGAJSA-N 0.000 description 1
- GRRXPUAICOGISM-RWMBFGLXSA-N Arg-Lys-Pro Chemical compound C1C[C@@H](N(C1)C(=O)[C@H](CCCCN)NC(=O)[C@H](CCCN=C(N)N)N)C(=O)O GRRXPUAICOGISM-RWMBFGLXSA-N 0.000 description 1
- OISWSORSLQOGFV-AVGNSLFASA-N Arg-Met-Leu Chemical compound CC(C)C[C@@H](C(O)=O)NC(=O)[C@H](CCSC)NC(=O)[C@@H](N)CCCN=C(N)N OISWSORSLQOGFV-AVGNSLFASA-N 0.000 description 1
- FKQITMVNILRUCQ-IHRRRGAJSA-N Arg-Phe-Asp Chemical compound [H]N[C@@H](CCCNC(N)=N)C(=O)N[C@@H](CC1=CC=CC=C1)C(=O)N[C@@H](CC(O)=O)C(O)=O FKQITMVNILRUCQ-IHRRRGAJSA-N 0.000 description 1
- BSYKSCBTTQKOJG-GUBZILKMSA-N Arg-Pro-Ala Chemical compound [H]N[C@@H](CCCNC(N)=N)C(=O)N1CCC[C@H]1C(=O)N[C@@H](C)C(O)=O BSYKSCBTTQKOJG-GUBZILKMSA-N 0.000 description 1
- WKPXXXUSUHAXDE-SRVKXCTJSA-N Arg-Pro-Arg Chemical compound NC(N)=NCCC[C@H](N)C(=O)N1CCC[C@H]1C(=O)N[C@@H](CCCN=C(N)N)C(O)=O WKPXXXUSUHAXDE-SRVKXCTJSA-N 0.000 description 1
- DNBMCNQKNOKOSD-DCAQKATOSA-N Arg-Pro-Gln Chemical compound NC(N)=NCCC[C@H](N)C(=O)N1CCC[C@H]1C(=O)N[C@@H](CCC(N)=O)C(O)=O DNBMCNQKNOKOSD-DCAQKATOSA-N 0.000 description 1
- OWSMKCJUBAPHED-JYJNAYRXSA-N Arg-Pro-Tyr Chemical compound NC(N)=NCCC[C@H](N)C(=O)N1CCC[C@H]1C(=O)N[C@H](C(O)=O)CC1=CC=C(O)C=C1 OWSMKCJUBAPHED-JYJNAYRXSA-N 0.000 description 1
- VUGWHBXPMAHEGZ-SRVKXCTJSA-N Arg-Pro-Val Chemical compound CC(C)[C@@H](C(O)=O)NC(=O)[C@@H]1CCCN1C(=O)[C@@H](N)CCCN=C(N)N VUGWHBXPMAHEGZ-SRVKXCTJSA-N 0.000 description 1
- VRTWYUYCJGNFES-CIUDSAMLSA-N Arg-Ser-Gln Chemical compound [H]N[C@@H](CCCNC(N)=N)C(=O)N[C@@H](CO)C(=O)N[C@@H](CCC(N)=O)C(O)=O VRTWYUYCJGNFES-CIUDSAMLSA-N 0.000 description 1
- YNSUUAOAFCVINY-OSUNSFLBSA-N Arg-Thr-Ile Chemical compound [H]N[C@@H](CCCNC(N)=N)C(=O)N[C@@H]([C@@H](C)O)C(=O)N[C@@H]([C@@H](C)CC)C(O)=O YNSUUAOAFCVINY-OSUNSFLBSA-N 0.000 description 1
- PYDIIVKGTBRIEL-SZMVWBNQSA-N Arg-Trp-Pro Chemical compound [H]N[C@@H](CCCNC(N)=N)C(=O)N[C@@H](CC1=CNC2=C1C=CC=C2)C(=O)N1CCC[C@H]1C(O)=O PYDIIVKGTBRIEL-SZMVWBNQSA-N 0.000 description 1
- PJOPLXOCKACMLK-KKUMJFAQSA-N Arg-Tyr-Glu Chemical compound [H]N[C@@H](CCCNC(N)=N)C(=O)N[C@@H](CC1=CC=C(O)C=C1)C(=O)N[C@@H](CCC(O)=O)C(O)=O PJOPLXOCKACMLK-KKUMJFAQSA-N 0.000 description 1
- LLQIAIUAKGNOSE-NHCYSSNCSA-N Arg-Val-Gln Chemical compound NC(=O)CC[C@@H](C(O)=O)NC(=O)[C@H](C(C)C)NC(=O)[C@@H](N)CCCN=C(N)N LLQIAIUAKGNOSE-NHCYSSNCSA-N 0.000 description 1
- VYZBPPBKFCHCIS-WPRPVWTQSA-N Arg-Val-Gly Chemical compound OC(=O)CNC(=O)[C@H](C(C)C)NC(=O)[C@@H](N)CCCN=C(N)N VYZBPPBKFCHCIS-WPRPVWTQSA-N 0.000 description 1
- NTXNUXPCNRDMAF-WFBYXXMGSA-N Asn-Ala-Trp Chemical compound C1=CC=C2C(C[C@H](NC(=O)[C@@H](NC(=O)[C@@H](N)CC(N)=O)C)C(O)=O)=CNC2=C1 NTXNUXPCNRDMAF-WFBYXXMGSA-N 0.000 description 1
- ACRYGQFHAQHDSF-ZLUOBGJFSA-N Asn-Asn-Asn Chemical compound NC(=O)C[C@H](N)C(=O)N[C@@H](CC(N)=O)C(=O)N[C@@H](CC(N)=O)C(O)=O ACRYGQFHAQHDSF-ZLUOBGJFSA-N 0.000 description 1
- RCENDENBBJFJHZ-ACZMJKKPSA-N Asn-Asn-Gln Chemical compound [H]N[C@@H](CC(N)=O)C(=O)N[C@@H](CC(N)=O)C(=O)N[C@@H](CCC(N)=O)C(O)=O RCENDENBBJFJHZ-ACZMJKKPSA-N 0.000 description 1
- IYVSIZAXNLOKFQ-BYULHYEWSA-N Asn-Asp-Val Chemical compound [H]N[C@@H](CC(N)=O)C(=O)N[C@@H](CC(O)=O)C(=O)N[C@@H](C(C)C)C(O)=O IYVSIZAXNLOKFQ-BYULHYEWSA-N 0.000 description 1
- FAEFJTCTNZTPHX-ACZMJKKPSA-N Asn-Gln-Ala Chemical compound [H]N[C@@H](CC(N)=O)C(=O)N[C@@H](CCC(N)=O)C(=O)N[C@@H](C)C(O)=O FAEFJTCTNZTPHX-ACZMJKKPSA-N 0.000 description 1
- GFFRWIJAFFMQGM-NUMRIWBASA-N Asn-Glu-Thr Chemical compound [H]N[C@@H](CC(N)=O)C(=O)N[C@@H](CCC(O)=O)C(=O)N[C@@H]([C@@H](C)O)C(O)=O GFFRWIJAFFMQGM-NUMRIWBASA-N 0.000 description 1
- DDPXDCKYWDGZAL-BQBZGAKWSA-N Asn-Gly-Arg Chemical compound NC(=O)C[C@H](N)C(=O)NCC(=O)N[C@H](C(O)=O)CCCN=C(N)N DDPXDCKYWDGZAL-BQBZGAKWSA-N 0.000 description 1
- OOWSBIOUKIUWLO-RCOVLWMOSA-N Asn-Gly-Val Chemical compound [H]N[C@@H](CC(N)=O)C(=O)NCC(=O)N[C@@H](C(C)C)C(O)=O OOWSBIOUKIUWLO-RCOVLWMOSA-N 0.000 description 1
- ZMUQQMGITUJQTI-CIUDSAMLSA-N Asn-Leu-Asn Chemical compound [H]N[C@@H](CC(N)=O)C(=O)N[C@@H](CC(C)C)C(=O)N[C@@H](CC(N)=O)C(O)=O ZMUQQMGITUJQTI-CIUDSAMLSA-N 0.000 description 1
- GLWFAWNYGWBMOC-SRVKXCTJSA-N Asn-Leu-Leu Chemical compound [H]N[C@@H](CC(N)=O)C(=O)N[C@@H](CC(C)C)C(=O)N[C@@H](CC(C)C)C(O)=O GLWFAWNYGWBMOC-SRVKXCTJSA-N 0.000 description 1
- UBGGJTMETLEXJD-DCAQKATOSA-N Asn-Leu-Met Chemical compound [H]N[C@@H](CC(N)=O)C(=O)N[C@@H](CC(C)C)C(=O)N[C@@H](CCSC)C(O)=O UBGGJTMETLEXJD-DCAQKATOSA-N 0.000 description 1
- FHETWELNCBMRMG-HJGDQZAQSA-N Asn-Leu-Thr Chemical compound [H]N[C@@H](CC(N)=O)C(=O)N[C@@H](CC(C)C)C(=O)N[C@@H]([C@@H](C)O)C(O)=O FHETWELNCBMRMG-HJGDQZAQSA-N 0.000 description 1
- NCFJQJRLQJEECD-NHCYSSNCSA-N Asn-Leu-Val Chemical compound [H]N[C@@H](CC(N)=O)C(=O)N[C@@H](CC(C)C)C(=O)N[C@@H](C(C)C)C(O)=O NCFJQJRLQJEECD-NHCYSSNCSA-N 0.000 description 1
- AEZCCDMZZJOGII-DCAQKATOSA-N Asn-Met-Leu Chemical compound [H]N[C@@H](CC(N)=O)C(=O)N[C@@H](CCSC)C(=O)N[C@@H](CC(C)C)C(O)=O AEZCCDMZZJOGII-DCAQKATOSA-N 0.000 description 1
- BYLSYQASFJJBCL-DCAQKATOSA-N Asn-Pro-Leu Chemical compound [H]N[C@@H](CC(N)=O)C(=O)N1CCC[C@H]1C(=O)N[C@@H](CC(C)C)C(O)=O BYLSYQASFJJBCL-DCAQKATOSA-N 0.000 description 1
- GZXOUBTUAUAVHD-ACZMJKKPSA-N Asn-Ser-Glu Chemical compound NC(=O)C[C@H](N)C(=O)N[C@@H](CO)C(=O)N[C@H](C(O)=O)CCC(O)=O GZXOUBTUAUAVHD-ACZMJKKPSA-N 0.000 description 1
- SNYCNNPOFYBCEK-ZLUOBGJFSA-N Asn-Ser-Ser Chemical compound [H]N[C@@H](CC(N)=O)C(=O)N[C@@H](CO)C(=O)N[C@@H](CO)C(O)=O SNYCNNPOFYBCEK-ZLUOBGJFSA-N 0.000 description 1
- XIDSGDJNUJRUHE-VEVYYDQMSA-N Asn-Thr-Met Chemical compound [H]N[C@@H](CC(N)=O)C(=O)N[C@@H]([C@@H](C)O)C(=O)N[C@@H](CCSC)C(O)=O XIDSGDJNUJRUHE-VEVYYDQMSA-N 0.000 description 1
- NJIKKGUVGUBICV-ZLUOBGJFSA-N Asp-Ala-Ser Chemical compound OC[C@@H](C(O)=O)NC(=O)[C@H](C)NC(=O)[C@@H](N)CC(O)=O NJIKKGUVGUBICV-ZLUOBGJFSA-N 0.000 description 1
- OERMIMJQPQUIPK-FXQIFTODSA-N Asp-Arg-Ala Chemical compound [H]N[C@@H](CC(O)=O)C(=O)N[C@@H](CCCNC(N)=N)C(=O)N[C@@H](C)C(O)=O OERMIMJQPQUIPK-FXQIFTODSA-N 0.000 description 1
- PDECQIHABNQRHN-GUBZILKMSA-N Asp-Glu-Leu Chemical compound CC(C)C[C@@H](C(O)=O)NC(=O)[C@H](CCC(O)=O)NC(=O)[C@@H](N)CC(O)=O PDECQIHABNQRHN-GUBZILKMSA-N 0.000 description 1
- YNCHFVRXEQFPBY-BQBZGAKWSA-N Asp-Gly-Arg Chemical compound OC(=O)C[C@H](N)C(=O)NCC(=O)N[C@H](C(O)=O)CCCN=C(N)N YNCHFVRXEQFPBY-BQBZGAKWSA-N 0.000 description 1
- BIVYLQMZPHDUIH-WHFBIAKZSA-N Asp-Gly-Cys Chemical compound C([C@@H](C(=O)NCC(=O)N[C@@H](CS)C(=O)O)N)C(=O)O BIVYLQMZPHDUIH-WHFBIAKZSA-N 0.000 description 1
- CLUMZOKVGUWUFD-CIUDSAMLSA-N Asp-Leu-Asn Chemical compound OC(=O)C[C@H](N)C(=O)N[C@@H](CC(C)C)C(=O)N[C@@H](CC(N)=O)C(O)=O CLUMZOKVGUWUFD-CIUDSAMLSA-N 0.000 description 1
- KFAFUJMGHVVYRC-DCAQKATOSA-N Asp-Leu-Met Chemical compound [H]N[C@@H](CC(O)=O)C(=O)N[C@@H](CC(C)C)C(=O)N[C@@H](CCSC)C(O)=O KFAFUJMGHVVYRC-DCAQKATOSA-N 0.000 description 1
- PCJOFZYFFMBZKC-PCBIJLKTSA-N Asp-Phe-Ile Chemical compound [H]N[C@@H](CC(O)=O)C(=O)N[C@@H](CC1=CC=CC=C1)C(=O)N[C@@H]([C@@H](C)CC)C(O)=O PCJOFZYFFMBZKC-PCBIJLKTSA-N 0.000 description 1
- BKOIIURTQAJHAT-GUBZILKMSA-N Asp-Pro-Pro Chemical compound OC(=O)C[C@H](N)C(=O)N1CCC[C@H]1C(=O)N1[C@H](C(O)=O)CCC1 BKOIIURTQAJHAT-GUBZILKMSA-N 0.000 description 1
- BRRPVTUFESPTCP-ACZMJKKPSA-N Asp-Ser-Glu Chemical compound OC(=O)C[C@H](N)C(=O)N[C@@H](CO)C(=O)N[C@H](C(O)=O)CCC(O)=O BRRPVTUFESPTCP-ACZMJKKPSA-N 0.000 description 1
- QSFHZPQUAAQHAQ-CIUDSAMLSA-N Asp-Ser-Leu Chemical compound [H]N[C@@H](CC(O)=O)C(=O)N[C@@H](CO)C(=O)N[C@@H](CC(C)C)C(O)=O QSFHZPQUAAQHAQ-CIUDSAMLSA-N 0.000 description 1
- MGSVBZIBCCKGCY-ZLUOBGJFSA-N Asp-Ser-Ser Chemical compound [H]N[C@@H](CC(O)=O)C(=O)N[C@@H](CO)C(=O)N[C@@H](CO)C(O)=O MGSVBZIBCCKGCY-ZLUOBGJFSA-N 0.000 description 1
- IQCJOIHDVFJQFV-LKXGYXEUSA-N Asp-Thr-Cys Chemical compound C[C@H]([C@@H](C(=O)N[C@@H](CS)C(=O)O)NC(=O)[C@H](CC(=O)O)N)O IQCJOIHDVFJQFV-LKXGYXEUSA-N 0.000 description 1
- QOCFFCUFZGDHTP-NUMRIWBASA-N Asp-Thr-Gln Chemical compound [H]N[C@@H](CC(O)=O)C(=O)N[C@@H]([C@@H](C)O)C(=O)N[C@@H](CCC(N)=O)C(O)=O QOCFFCUFZGDHTP-NUMRIWBASA-N 0.000 description 1
- ZUNMTUPRQMWMHX-LSJOCFKGSA-N Asp-Val-Val Chemical compound [H]N[C@@H](CC(O)=O)C(=O)N[C@@H](C(C)C)C(=O)N[C@@H](C(C)C)C(O)=O ZUNMTUPRQMWMHX-LSJOCFKGSA-N 0.000 description 1
- BVKZGUZCCUSVTD-UHFFFAOYSA-M Bicarbonate Chemical compound OC([O-])=O BVKZGUZCCUSVTD-UHFFFAOYSA-M 0.000 description 1
- 102400000948 Big gastrin Human genes 0.000 description 1
- 101800000285 Big gastrin Proteins 0.000 description 1
- 108091003079 Bovine Serum Albumin Proteins 0.000 description 1
- 229940123406 CCK B receptor antagonist Drugs 0.000 description 1
- 101100505076 Caenorhabditis elegans gly-2 gene Proteins 0.000 description 1
- 208000002177 Cataract Diseases 0.000 description 1
- 206010008120 Cerebral ischaemia Diseases 0.000 description 1
- 108091006146 Channels Proteins 0.000 description 1
- 108091035707 Consensus sequence Proteins 0.000 description 1
- 241000699802 Cricetulus griseus Species 0.000 description 1
- AMRLSQGGERHDHJ-FXQIFTODSA-N Cys-Ala-Arg Chemical compound [H]N[C@@H](CS)C(=O)N[C@@H](C)C(=O)N[C@@H](CCCNC(N)=N)C(O)=O AMRLSQGGERHDHJ-FXQIFTODSA-N 0.000 description 1
- SZQCDCKIGWQAQN-FXQIFTODSA-N Cys-Arg-Ala Chemical compound [H]N[C@@H](CS)C(=O)N[C@@H](CCCNC(N)=N)C(=O)N[C@@H](C)C(O)=O SZQCDCKIGWQAQN-FXQIFTODSA-N 0.000 description 1
- JTNKVWLMDHIUOG-IHRRRGAJSA-N Cys-Arg-Phe Chemical compound [H]N[C@@H](CS)C(=O)N[C@@H](CCCNC(N)=N)C(=O)N[C@@H](CC1=CC=CC=C1)C(O)=O JTNKVWLMDHIUOG-IHRRRGAJSA-N 0.000 description 1
- QLCPDGRAEJSYQM-LPEHRKFASA-N Cys-Arg-Pro Chemical compound C1C[C@@H](N(C1)C(=O)[C@H](CCCN=C(N)N)NC(=O)[C@H](CS)N)C(=O)O QLCPDGRAEJSYQM-LPEHRKFASA-N 0.000 description 1
- BIVLWXQGXJLGKG-BIIVOSGPSA-N Cys-Asp-Pro Chemical compound C1C[C@@H](N(C1)C(=O)[C@H](CC(=O)O)NC(=O)[C@H](CS)N)C(=O)O BIVLWXQGXJLGKG-BIIVOSGPSA-N 0.000 description 1
- BMHBJCVEXUBGFI-BIIVOSGPSA-N Cys-Cys-Pro Chemical compound C1C[C@@H](N(C1)C(=O)[C@H](CS)NC(=O)[C@H](CS)N)C(=O)O BMHBJCVEXUBGFI-BIIVOSGPSA-N 0.000 description 1
- HNNGTYHNYDOSKV-FXQIFTODSA-N Cys-Cys-Val Chemical compound CC(C)[C@@H](C(=O)O)NC(=O)[C@H](CS)NC(=O)[C@H](CS)N HNNGTYHNYDOSKV-FXQIFTODSA-N 0.000 description 1
- KABHAOSDMIYXTR-GUBZILKMSA-N Cys-Glu-Leu Chemical compound CC(C)C[C@@H](C(=O)O)NC(=O)[C@H](CCC(=O)O)NC(=O)[C@H](CS)N KABHAOSDMIYXTR-GUBZILKMSA-N 0.000 description 1
- BLGNLNRBABWDST-CIUDSAMLSA-N Cys-Leu-Asp Chemical compound CC(C)C[C@@H](C(=O)N[C@@H](CC(=O)O)C(=O)O)NC(=O)[C@H](CS)N BLGNLNRBABWDST-CIUDSAMLSA-N 0.000 description 1
- SRIRHERUAMYIOQ-CIUDSAMLSA-N Cys-Leu-Ser Chemical compound [H]N[C@@H](CS)C(=O)N[C@@H](CC(C)C)C(=O)N[C@@H](CO)C(O)=O SRIRHERUAMYIOQ-CIUDSAMLSA-N 0.000 description 1
- SCOPAVYZWHPDBA-DCAQKATOSA-N Cys-Met-His Chemical compound CSCC[C@@H](C(=O)N[C@@H](CC1=CN=CN1)C(=O)O)NC(=O)[C@H](CS)N SCOPAVYZWHPDBA-DCAQKATOSA-N 0.000 description 1
- ZHCCYSDALWJITB-SRVKXCTJSA-N Cys-Phe-Cys Chemical compound N[C@@H](CS)C(=O)N[C@@H](Cc1ccccc1)C(=O)N[C@@H](CS)C(O)=O ZHCCYSDALWJITB-SRVKXCTJSA-N 0.000 description 1
- BSGXXYRIDXUEOM-IHRRRGAJSA-N Cys-Phe-Met Chemical compound CSCC[C@@H](C(=O)O)NC(=O)[C@H](CC1=CC=CC=C1)NC(=O)[C@H](CS)N BSGXXYRIDXUEOM-IHRRRGAJSA-N 0.000 description 1
- CAXGCBSRJLADPD-FXQIFTODSA-N Cys-Pro-Asn Chemical compound [H]N[C@@H](CS)C(=O)N1CCC[C@H]1C(=O)N[C@@H](CC(N)=O)C(O)=O CAXGCBSRJLADPD-FXQIFTODSA-N 0.000 description 1
- IQXSTXKVEMRMMB-XAVMHZPKSA-N Cys-Thr-Pro Chemical compound C[C@H]([C@@H](C(=O)N1CCC[C@@H]1C(=O)O)NC(=O)[C@H](CS)N)O IQXSTXKVEMRMMB-XAVMHZPKSA-N 0.000 description 1
- QAFSMQPTMRDQCK-BPUTZDHNSA-N Cys-Trp-Met Chemical compound C1=CC=C2C(C[C@@H](C(=O)N[C@@H](CCSC)C(O)=O)NC(=O)[C@@H](N)CS)=CNC2=C1 QAFSMQPTMRDQCK-BPUTZDHNSA-N 0.000 description 1
- UGPCUUWZXRMCIJ-KKUMJFAQSA-N Cys-Tyr-Leu Chemical compound CC(C)C[C@@H](C(=O)O)NC(=O)[C@H](CC1=CC=C(C=C1)O)NC(=O)[C@H](CS)N UGPCUUWZXRMCIJ-KKUMJFAQSA-N 0.000 description 1
- UOEYKPDDHSFMLI-DCAQKATOSA-N Cys-Val-His Chemical compound CC(C)[C@@H](C(=O)N[C@@H](CC1=CN=CN1)C(=O)O)NC(=O)[C@H](CS)N UOEYKPDDHSFMLI-DCAQKATOSA-N 0.000 description 1
- MMWCIQZXVOZEGG-XJTPDSDZSA-N D-myo-Inositol 1,4,5-trisphosphate Chemical compound O[C@@H]1[C@H](O)[C@@H](OP(O)(O)=O)[C@H](OP(O)(O)=O)[C@@H](O)[C@@H]1OP(O)(O)=O MMWCIQZXVOZEGG-XJTPDSDZSA-N 0.000 description 1
- 206010013647 Drowning Diseases 0.000 description 1
- 206010013654 Drug abuse Diseases 0.000 description 1
- 102000004190 Enzymes Human genes 0.000 description 1
- 108090000790 Enzymes Proteins 0.000 description 1
- 102000008175 FSH Receptors Human genes 0.000 description 1
- 108010060374 FSH Receptors Proteins 0.000 description 1
- 208000018522 Gastrointestinal disease Diseases 0.000 description 1
- 206010061459 Gastrointestinal ulcer Diseases 0.000 description 1
- 201000004311 Gilles de la Tourette syndrome Diseases 0.000 description 1
- 208000010412 Glaucoma Diseases 0.000 description 1
- OVQXQLWWJSNYFV-XEGUGMAKSA-N Gln-Ala-Trp Chemical compound C1=CC=C2C(C[C@H](NC(=O)[C@@H](NC(=O)[C@@H](N)CCC(N)=O)C)C(O)=O)=CNC2=C1 OVQXQLWWJSNYFV-XEGUGMAKSA-N 0.000 description 1
- ZPDVKYLJTOFQJV-WDSKDSINSA-N Gln-Asn-Gly Chemical compound [H]N[C@@H](CCC(N)=O)C(=O)N[C@@H](CC(N)=O)C(=O)NCC(O)=O ZPDVKYLJTOFQJV-WDSKDSINSA-N 0.000 description 1
- ZBKUIQNCRIYVGH-SDDRHHMPSA-N Gln-Leu-Pro Chemical compound CC(C)C[C@@H](C(=O)N1CCC[C@@H]1C(=O)O)NC(=O)[C@H](CCC(=O)N)N ZBKUIQNCRIYVGH-SDDRHHMPSA-N 0.000 description 1
- YPMDZWPZFOZYFG-GUBZILKMSA-N Gln-Leu-Ser Chemical compound [H]N[C@@H](CCC(N)=O)C(=O)N[C@@H](CC(C)C)C(=O)N[C@@H](CO)C(O)=O YPMDZWPZFOZYFG-GUBZILKMSA-N 0.000 description 1
- JRHPEMVLTRADLJ-AVGNSLFASA-N Gln-Lys-Lys Chemical compound C(CCN)C[C@@H](C(=O)N[C@@H](CCCCN)C(=O)O)NC(=O)[C@H](CCC(=O)N)N JRHPEMVLTRADLJ-AVGNSLFASA-N 0.000 description 1
- FNAJNWPDTIXYJN-CIUDSAMLSA-N Gln-Pro-Ala Chemical compound OC(=O)[C@H](C)NC(=O)[C@@H]1CCCN1C(=O)[C@@H](N)CCC(N)=O FNAJNWPDTIXYJN-CIUDSAMLSA-N 0.000 description 1
- VNTGPISAOMAXRK-CIUDSAMLSA-N Gln-Pro-Ser Chemical compound [H]N[C@@H](CCC(N)=O)C(=O)N1CCC[C@H]1C(=O)N[C@@H](CO)C(O)=O VNTGPISAOMAXRK-CIUDSAMLSA-N 0.000 description 1
- KUBFPYIMAGXGBT-ACZMJKKPSA-N Gln-Ser-Ala Chemical compound [H]N[C@@H](CCC(N)=O)C(=O)N[C@@H](CO)C(=O)N[C@@H](C)C(O)=O KUBFPYIMAGXGBT-ACZMJKKPSA-N 0.000 description 1
- PAOHIZNRJNIXQY-XQXXSGGOSA-N Gln-Thr-Ala Chemical compound [H]N[C@@H](CCC(N)=O)C(=O)N[C@@H]([C@@H](C)O)C(=O)N[C@@H](C)C(O)=O PAOHIZNRJNIXQY-XQXXSGGOSA-N 0.000 description 1
- OUBUHIODTNUUTC-WDCWCFNPSA-N Gln-Thr-Lys Chemical compound C[C@H]([C@@H](C(=O)N[C@@H](CCCCN)C(=O)O)NC(=O)[C@H](CCC(=O)N)N)O OUBUHIODTNUUTC-WDCWCFNPSA-N 0.000 description 1
- ZFBBMCKQSNJZSN-AUTRQRHGSA-N Gln-Val-Gln Chemical compound [H]N[C@@H](CCC(N)=O)C(=O)N[C@@H](C(C)C)C(=O)N[C@@H](CCC(N)=O)C(O)=O ZFBBMCKQSNJZSN-AUTRQRHGSA-N 0.000 description 1
- JJKKWYQVHRUSDG-GUBZILKMSA-N Glu-Ala-Lys Chemical compound [H]N[C@@H](CCC(O)=O)C(=O)N[C@@H](C)C(=O)N[C@@H](CCCCN)C(O)=O JJKKWYQVHRUSDG-GUBZILKMSA-N 0.000 description 1
- YYOBUPFZLKQUAX-FXQIFTODSA-N Glu-Asn-Glu Chemical compound [H]N[C@@H](CCC(O)=O)C(=O)N[C@@H](CC(N)=O)C(=O)N[C@@H](CCC(O)=O)C(O)=O YYOBUPFZLKQUAX-FXQIFTODSA-N 0.000 description 1
- SBYVDRJAXWSXQL-AVGNSLFASA-N Glu-Asn-Phe Chemical compound [H]N[C@@H](CCC(O)=O)C(=O)N[C@@H](CC(N)=O)C(=O)N[C@@H](CC1=CC=CC=C1)C(O)=O SBYVDRJAXWSXQL-AVGNSLFASA-N 0.000 description 1
- DSPQRJXOIXHOHK-WDSKDSINSA-N Glu-Asp-Gly Chemical compound OC(=O)CC[C@H](N)C(=O)N[C@@H](CC(O)=O)C(=O)NCC(O)=O DSPQRJXOIXHOHK-WDSKDSINSA-N 0.000 description 1
- CKOFNWCLWRYUHK-XHNCKOQMSA-N Glu-Asp-Pro Chemical compound C1C[C@@H](N(C1)C(=O)[C@H](CC(=O)O)NC(=O)[C@H](CCC(=O)O)N)C(=O)O CKOFNWCLWRYUHK-XHNCKOQMSA-N 0.000 description 1
- ILGFBUGLBSAQQB-GUBZILKMSA-N Glu-Glu-Arg Chemical compound [H]N[C@@H](CCC(O)=O)C(=O)N[C@@H](CCC(O)=O)C(=O)N[C@@H](CCCNC(N)=N)C(O)=O ILGFBUGLBSAQQB-GUBZILKMSA-N 0.000 description 1
- BUZMZDDKFCSKOT-CIUDSAMLSA-N Glu-Glu-Glu Chemical compound OC(=O)CC[C@H](N)C(=O)N[C@@H](CCC(O)=O)C(=O)N[C@@H](CCC(O)=O)C(O)=O BUZMZDDKFCSKOT-CIUDSAMLSA-N 0.000 description 1
- SJPMNHCEWPTRBR-BQBZGAKWSA-N Glu-Glu-Gly Chemical compound OC(=O)CC[C@H](N)C(=O)N[C@@H](CCC(O)=O)C(=O)NCC(O)=O SJPMNHCEWPTRBR-BQBZGAKWSA-N 0.000 description 1
- MTAOBYXRYJZRGQ-WDSKDSINSA-N Glu-Gly-Asp Chemical compound OC(=O)CC[C@H](N)C(=O)NCC(=O)N[C@@H](CC(O)=O)C(O)=O MTAOBYXRYJZRGQ-WDSKDSINSA-N 0.000 description 1
- DNPCBMNFQVTHMA-DCAQKATOSA-N Glu-Leu-Gln Chemical compound [H]N[C@@H](CCC(O)=O)C(=O)N[C@@H](CC(C)C)C(=O)N[C@@H](CCC(N)=O)C(O)=O DNPCBMNFQVTHMA-DCAQKATOSA-N 0.000 description 1
- IRXNJYPKBVERCW-DCAQKATOSA-N Glu-Leu-Glu Chemical compound [H]N[C@@H](CCC(O)=O)C(=O)N[C@@H](CC(C)C)C(=O)N[C@@H](CCC(O)=O)C(O)=O IRXNJYPKBVERCW-DCAQKATOSA-N 0.000 description 1
- NJCALAAIGREHDR-WDCWCFNPSA-N Glu-Leu-Thr Chemical compound [H]N[C@@H](CCC(O)=O)C(=O)N[C@@H](CC(C)C)C(=O)N[C@@H]([C@@H](C)O)C(O)=O NJCALAAIGREHDR-WDCWCFNPSA-N 0.000 description 1
- YGLCLCMAYUYZSG-AVGNSLFASA-N Glu-Lys-His Chemical compound OC(=O)CC[C@H](N)C(=O)N[C@@H](CCCCN)C(=O)N[C@H](C(O)=O)CC1=CN=CN1 YGLCLCMAYUYZSG-AVGNSLFASA-N 0.000 description 1
- HRBYTAIBKPNZKQ-AVGNSLFASA-N Glu-Lys-Lys Chemical compound NCCCC[C@@H](C(O)=O)NC(=O)[C@H](CCCCN)NC(=O)[C@@H](N)CCC(O)=O HRBYTAIBKPNZKQ-AVGNSLFASA-N 0.000 description 1
- HQOGXFLBAKJUMH-CIUDSAMLSA-N Glu-Met-Ser Chemical compound CSCC[C@@H](C(=O)N[C@@H](CO)C(=O)O)NC(=O)[C@H](CCC(=O)O)N HQOGXFLBAKJUMH-CIUDSAMLSA-N 0.000 description 1
- YHOJJFFTSMWVGR-HJGDQZAQSA-N Glu-Met-Thr Chemical compound [H]N[C@@H](CCC(O)=O)C(=O)N[C@@H](CCSC)C(=O)N[C@@H]([C@@H](C)O)C(O)=O YHOJJFFTSMWVGR-HJGDQZAQSA-N 0.000 description 1
- DCBSZJJHOTXMHY-DCAQKATOSA-N Glu-Pro-Pro Chemical compound OC(=O)CC[C@H](N)C(=O)N1CCC[C@H]1C(=O)N1[C@H](C(O)=O)CCC1 DCBSZJJHOTXMHY-DCAQKATOSA-N 0.000 description 1
- LWYUQLZOIORFFJ-XKBZYTNZSA-N Glu-Thr-Cys Chemical compound C[C@H]([C@@H](C(=O)N[C@@H](CS)C(=O)O)NC(=O)[C@H](CCC(=O)O)N)O LWYUQLZOIORFFJ-XKBZYTNZSA-N 0.000 description 1
- GPSHCSTUYOQPAI-JHEQGTHGSA-N Glu-Thr-Gly Chemical compound [H]N[C@@H](CCC(O)=O)C(=O)N[C@@H]([C@@H](C)O)C(=O)NCC(O)=O GPSHCSTUYOQPAI-JHEQGTHGSA-N 0.000 description 1
- FGGKGJHCVMYGCD-UKJIMTQDSA-N Glu-Val-Ile Chemical compound [H]N[C@@H](CCC(O)=O)C(=O)N[C@@H](C(C)C)C(=O)N[C@@H]([C@@H](C)CC)C(O)=O FGGKGJHCVMYGCD-UKJIMTQDSA-N 0.000 description 1
- UGVQELHRNUDMAA-BYPYZUCNSA-N Gly-Ala-Gly Chemical compound [NH3+]CC(=O)N[C@@H](C)C(=O)NCC([O-])=O UGVQELHRNUDMAA-BYPYZUCNSA-N 0.000 description 1
- VSVZIEVNUYDAFR-YUMQZZPRSA-N Gly-Ala-Leu Chemical compound CC(C)C[C@@H](C(O)=O)NC(=O)[C@H](C)NC(=O)CN VSVZIEVNUYDAFR-YUMQZZPRSA-N 0.000 description 1
- FMVLWTYYODVFRG-BQBZGAKWSA-N Gly-Asn-Met Chemical compound CSCC[C@@H](C(=O)O)NC(=O)[C@H](CC(=O)N)NC(=O)CN FMVLWTYYODVFRG-BQBZGAKWSA-N 0.000 description 1
- FMNHBTKMRFVGRO-FOHZUACHSA-N Gly-Asn-Thr Chemical compound C[C@@H](O)[C@@H](C(O)=O)NC(=O)[C@H](CC(N)=O)NC(=O)CN FMNHBTKMRFVGRO-FOHZUACHSA-N 0.000 description 1
- LCNXZQROPKFGQK-WHFBIAKZSA-N Gly-Asp-Ser Chemical compound NCC(=O)N[C@@H](CC(O)=O)C(=O)N[C@@H](CO)C(O)=O LCNXZQROPKFGQK-WHFBIAKZSA-N 0.000 description 1
- YZACQYVWLCQWBT-BQBZGAKWSA-N Gly-Cys-Arg Chemical compound [H]NCC(=O)N[C@@H](CS)C(=O)N[C@@H](CCCNC(N)=N)C(O)=O YZACQYVWLCQWBT-BQBZGAKWSA-N 0.000 description 1
- HDNXXTBKOJKWNN-WDSKDSINSA-N Gly-Glu-Asn Chemical compound NCC(=O)N[C@@H](CCC(O)=O)C(=O)N[C@@H](CC(N)=O)C(O)=O HDNXXTBKOJKWNN-WDSKDSINSA-N 0.000 description 1
- FIQQRCFQXGLOSZ-WDSKDSINSA-N Gly-Glu-Asp Chemical compound [H]NCC(=O)N[C@@H](CCC(O)=O)C(=O)N[C@@H](CC(O)=O)C(O)=O FIQQRCFQXGLOSZ-WDSKDSINSA-N 0.000 description 1
- SOEATRRYCIPEHA-BQBZGAKWSA-N Gly-Glu-Glu Chemical compound [H]NCC(=O)N[C@@H](CCC(O)=O)C(=O)N[C@@H](CCC(O)=O)C(O)=O SOEATRRYCIPEHA-BQBZGAKWSA-N 0.000 description 1
- CCQOOWAONKGYKQ-BYPYZUCNSA-N Gly-Gly-Ala Chemical compound OC(=O)[C@H](C)NC(=O)CNC(=O)CN CCQOOWAONKGYKQ-BYPYZUCNSA-N 0.000 description 1
- IDOGEHIWMJMAHT-BYPYZUCNSA-N Gly-Gly-Cys Chemical compound NCC(=O)NCC(=O)N[C@@H](CS)C(O)=O IDOGEHIWMJMAHT-BYPYZUCNSA-N 0.000 description 1
- YWAQATDNEKZFFK-BYPYZUCNSA-N Gly-Gly-Ser Chemical compound NCC(=O)NCC(=O)N[C@@H](CO)C(O)=O YWAQATDNEKZFFK-BYPYZUCNSA-N 0.000 description 1
- VIIBEIQMLJEUJG-LAEOZQHASA-N Gly-Ile-Gln Chemical compound [H]NCC(=O)N[C@@H]([C@@H](C)CC)C(=O)N[C@@H](CCC(N)=O)C(O)=O VIIBEIQMLJEUJG-LAEOZQHASA-N 0.000 description 1
- NSTUFLGQJCOCDL-UWVGGRQHSA-N Gly-Leu-Arg Chemical compound NCC(=O)N[C@@H](CC(C)C)C(=O)N[C@H](C(O)=O)CCCN=C(N)N NSTUFLGQJCOCDL-UWVGGRQHSA-N 0.000 description 1
- ULZCYBYDTUMHNF-IUCAKERBSA-N Gly-Leu-Glu Chemical compound NCC(=O)N[C@@H](CC(C)C)C(=O)N[C@@H](CCC(O)=O)C(O)=O ULZCYBYDTUMHNF-IUCAKERBSA-N 0.000 description 1
- LRQXRHGQEVWGPV-NHCYSSNCSA-N Gly-Leu-Ile Chemical compound CC[C@H](C)[C@@H](C(O)=O)NC(=O)[C@H](CC(C)C)NC(=O)CN LRQXRHGQEVWGPV-NHCYSSNCSA-N 0.000 description 1
- OOCFXNOVSLSHAB-IUCAKERBSA-N Gly-Pro-Pro Chemical compound NCC(=O)N1CCC[C@H]1C(=O)N1[C@H](C(O)=O)CCC1 OOCFXNOVSLSHAB-IUCAKERBSA-N 0.000 description 1
- JQFILXICXLDTRR-FBCQKBJTSA-N Gly-Thr-Gly Chemical compound NCC(=O)N[C@@H]([C@H](O)C)C(=O)NCC(O)=O JQFILXICXLDTRR-FBCQKBJTSA-N 0.000 description 1
- RHRLHXQWHCNJKR-PMVVWTBXSA-N Gly-Thr-His Chemical compound NCC(=O)N[C@@H]([C@H](O)C)C(=O)N[C@H](C(O)=O)CC1=CN=CN1 RHRLHXQWHCNJKR-PMVVWTBXSA-N 0.000 description 1
- MYXNLWDWWOTERK-BHNWBGBOSA-N Gly-Thr-Pro Chemical compound C[C@H]([C@@H](C(=O)N1CCC[C@@H]1C(=O)O)NC(=O)CN)O MYXNLWDWWOTERK-BHNWBGBOSA-N 0.000 description 1
- FFALDIDGPLUDKV-ZDLURKLDSA-N Gly-Thr-Ser Chemical compound [H]NCC(=O)N[C@@H]([C@@H](C)O)C(=O)N[C@@H](CO)C(O)=O FFALDIDGPLUDKV-ZDLURKLDSA-N 0.000 description 1
- TVTZEOHWHUVYCG-KYNKHSRBSA-N Gly-Thr-Thr Chemical compound [H]NCC(=O)N[C@@H]([C@@H](C)O)C(=O)N[C@@H]([C@@H](C)O)C(O)=O TVTZEOHWHUVYCG-KYNKHSRBSA-N 0.000 description 1
- CUVBTVWFVIIDOC-YEPSODPASA-N Gly-Thr-Val Chemical compound CC(C)[C@@H](C(O)=O)NC(=O)[C@H]([C@@H](C)O)NC(=O)CN CUVBTVWFVIIDOC-YEPSODPASA-N 0.000 description 1
- GJHWILMUOANXTG-WPRPVWTQSA-N Gly-Val-Arg Chemical compound [H]NCC(=O)N[C@@H](C(C)C)C(=O)N[C@@H](CCCNC(N)=N)C(O)=O GJHWILMUOANXTG-WPRPVWTQSA-N 0.000 description 1
- 239000004471 Glycine Substances 0.000 description 1
- 206010019196 Head injury Diseases 0.000 description 1
- 208000010496 Heart Arrest Diseases 0.000 description 1
- SQUHHTBVTRBESD-UHFFFAOYSA-N Hexa-Ac-myo-Inositol Natural products CC(=O)OC1C(OC(C)=O)C(OC(C)=O)C(OC(C)=O)C(OC(C)=O)C1OC(C)=O SQUHHTBVTRBESD-UHFFFAOYSA-N 0.000 description 1
- VSLXGYMEHVAJBH-DLOVCJGASA-N His-Ala-Leu Chemical compound [H]N[C@@H](CC1=CNC=N1)C(=O)N[C@@H](C)C(=O)N[C@@H](CC(C)C)C(O)=O VSLXGYMEHVAJBH-DLOVCJGASA-N 0.000 description 1
- TVQGUFGDVODUIF-LSJOCFKGSA-N His-Arg-Ala Chemical compound C[C@@H](C(=O)O)NC(=O)[C@H](CCCN=C(N)N)NC(=O)[C@H](CC1=CN=CN1)N TVQGUFGDVODUIF-LSJOCFKGSA-N 0.000 description 1
- VYMGAXSNYUFVCK-GUBZILKMSA-N His-Gln-Asn Chemical compound C1=C(NC=N1)C[C@@H](C(=O)N[C@@H](CCC(=O)N)C(=O)N[C@@H](CC(=O)N)C(=O)O)N VYMGAXSNYUFVCK-GUBZILKMSA-N 0.000 description 1
- NJZGEXYLSFGPHG-GUBZILKMSA-N His-Gln-Cys Chemical compound C1=C(NC=N1)C[C@@H](C(=O)N[C@@H](CCC(=O)N)C(=O)N[C@@H](CS)C(=O)O)N NJZGEXYLSFGPHG-GUBZILKMSA-N 0.000 description 1
- YAALVYQFVJNXIV-KKUMJFAQSA-N His-Leu-Leu Chemical compound CC(C)C[C@@H](C(O)=O)NC(=O)[C@H](CC(C)C)NC(=O)[C@@H](N)CC1=CN=CN1 YAALVYQFVJNXIV-KKUMJFAQSA-N 0.000 description 1
- FJCGVRRVBKYYOU-DCAQKATOSA-N His-Met-Ser Chemical compound CSCC[C@@H](C(=O)N[C@@H](CO)C(=O)O)NC(=O)[C@H](CC1=CN=CN1)N FJCGVRRVBKYYOU-DCAQKATOSA-N 0.000 description 1
- RLAOTFTXBFQJDV-KKUMJFAQSA-N His-Phe-Asp Chemical compound C([C@H](N)C(=O)N[C@@H](CC=1C=CC=CC=1)C(=O)N[C@@H](CC(O)=O)C(O)=O)C1=CN=CN1 RLAOTFTXBFQJDV-KKUMJFAQSA-N 0.000 description 1
- QCBYAHHNOHBXIH-UWVGGRQHSA-N His-Pro-Gly Chemical compound C([C@H](N)C(=O)N1[C@@H](CCC1)C(=O)NCC(O)=O)C1=CN=CN1 QCBYAHHNOHBXIH-UWVGGRQHSA-N 0.000 description 1
- GBMSSORHVHAYLU-QTKMDUPCSA-N His-Val-Thr Chemical compound C[C@H]([C@@H](C(=O)O)NC(=O)[C@H](C(C)C)NC(=O)[C@H](CC1=CN=CN1)N)O GBMSSORHVHAYLU-QTKMDUPCSA-N 0.000 description 1
- 208000023105 Huntington disease Diseases 0.000 description 1
- 208000013016 Hypoglycemia Diseases 0.000 description 1
- 206010021143 Hypoxia Diseases 0.000 description 1
- NKVZTQVGUNLLQW-JBDRJPRFSA-N Ile-Ala-Ala Chemical compound CC[C@H](C)[C@@H](C(=O)N[C@@H](C)C(=O)N[C@@H](C)C(=O)O)N NKVZTQVGUNLLQW-JBDRJPRFSA-N 0.000 description 1
- RWIKBYVJQAJYDP-BJDJZHNGSA-N Ile-Ala-Lys Chemical compound CC[C@H](C)[C@H](N)C(=O)N[C@@H](C)C(=O)N[C@H](C(O)=O)CCCCN RWIKBYVJQAJYDP-BJDJZHNGSA-N 0.000 description 1
- HDOYNXLPTRQLAD-JBDRJPRFSA-N Ile-Ala-Ser Chemical compound CC[C@H](C)[C@@H](C(=O)N[C@@H](C)C(=O)N[C@@H](CO)C(=O)O)N HDOYNXLPTRQLAD-JBDRJPRFSA-N 0.000 description 1
- MKWSZEHGHSLNPF-NAKRPEOUSA-N Ile-Ala-Val Chemical compound CC[C@H](C)[C@@H](C(=O)N[C@@H](C)C(=O)N[C@@H](C(C)C)C(=O)O)N MKWSZEHGHSLNPF-NAKRPEOUSA-N 0.000 description 1
- TZCGZYWNIDZZMR-UHFFFAOYSA-N Ile-Arg-Ala Natural products CCC(C)C(N)C(=O)NC(C(=O)NC(C)C(O)=O)CCCN=C(N)N TZCGZYWNIDZZMR-UHFFFAOYSA-N 0.000 description 1
- ATXGFMOBVKSOMK-PEDHHIEDSA-N Ile-Arg-Ile Chemical compound CC[C@H](C)[C@@H](C(=O)N[C@@H](CCCN=C(N)N)C(=O)N[C@@H]([C@@H](C)CC)C(=O)O)N ATXGFMOBVKSOMK-PEDHHIEDSA-N 0.000 description 1
- UNDGQKWQNSTPPW-CYDGBPFRSA-N Ile-Arg-Met Chemical compound CC[C@H](C)[C@@H](C(=O)N[C@@H](CCCN=C(N)N)C(=O)N[C@@H](CCSC)C(=O)O)N UNDGQKWQNSTPPW-CYDGBPFRSA-N 0.000 description 1
- NULSANWBUWLTKN-NAKRPEOUSA-N Ile-Arg-Ser Chemical compound CC[C@H](C)[C@@H](C(=O)N[C@@H](CCCN=C(N)N)C(=O)N[C@@H](CO)C(=O)O)N NULSANWBUWLTKN-NAKRPEOUSA-N 0.000 description 1
- SJIGTGZVQGLMGG-NAKRPEOUSA-N Ile-Cys-Arg Chemical compound N[C@@H]([C@@H](C)CC)C(=O)N[C@@H](CS)C(=O)N[C@@H](CCCNC(N)=N)C(=O)O SJIGTGZVQGLMGG-NAKRPEOUSA-N 0.000 description 1
- FADXGVVLSPPEQY-GHCJXIJMSA-N Ile-Cys-Asn Chemical compound CC[C@H](C)[C@@H](C(=O)N[C@@H](CS)C(=O)N[C@@H](CC(=O)N)C(=O)O)N FADXGVVLSPPEQY-GHCJXIJMSA-N 0.000 description 1
- AWTDTFXPVCTHAK-BJDJZHNGSA-N Ile-Cys-Lys Chemical compound CC[C@H](C)[C@@H](C(=O)N[C@@H](CS)C(=O)N[C@@H](CCCCN)C(=O)O)N AWTDTFXPVCTHAK-BJDJZHNGSA-N 0.000 description 1
- DVRDRICMWUSCBN-UKJIMTQDSA-N Ile-Gln-Val Chemical compound CC[C@H](C)[C@@H](C(=O)N[C@@H](CCC(=O)N)C(=O)N[C@@H](C(C)C)C(=O)O)N DVRDRICMWUSCBN-UKJIMTQDSA-N 0.000 description 1
- JDAWAWXGAUZPNJ-ZPFDUUQYSA-N Ile-Glu-Arg Chemical compound CC[C@H](C)[C@@H](C(=O)N[C@@H](CCC(=O)O)C(=O)N[C@@H](CCCN=C(N)N)C(=O)O)N JDAWAWXGAUZPNJ-ZPFDUUQYSA-N 0.000 description 1
- CDGLBYSAZFIIJO-RCOVLWMOSA-N Ile-Gly-Gly Chemical compound CC[C@H](C)[C@H]([NH3+])C(=O)NCC(=O)NCC([O-])=O CDGLBYSAZFIIJO-RCOVLWMOSA-N 0.000 description 1
- DMSVBUWGDLYNLC-IAVJCBSLSA-N Ile-Ile-Phe Chemical compound CC[C@H](C)[C@H](N)C(=O)N[C@@H]([C@@H](C)CC)C(=O)N[C@H](C(O)=O)CC1=CC=CC=C1 DMSVBUWGDLYNLC-IAVJCBSLSA-N 0.000 description 1
- QZZIBQZLWBOOJH-PEDHHIEDSA-N Ile-Ile-Val Chemical compound N[C@@H]([C@@H](C)CC)C(=O)N[C@@H]([C@@H](C)CC)C(=O)N[C@@H](C(C)C)C(=O)O QZZIBQZLWBOOJH-PEDHHIEDSA-N 0.000 description 1
- KLBVGHCGHUNHEA-BJDJZHNGSA-N Ile-Leu-Ala Chemical compound CC[C@H](C)[C@@H](C(=O)N[C@@H](CC(C)C)C(=O)N[C@@H](C)C(=O)O)N KLBVGHCGHUNHEA-BJDJZHNGSA-N 0.000 description 1
- OUUCIIJSBIBCHB-ZPFDUUQYSA-N Ile-Leu-Asp Chemical compound CC[C@H](C)[C@H](N)C(=O)N[C@@H](CC(C)C)C(=O)N[C@@H](CC(O)=O)C(O)=O OUUCIIJSBIBCHB-ZPFDUUQYSA-N 0.000 description 1
- HPCFRQWLTRDGHT-AJNGGQMLSA-N Ile-Leu-Leu Chemical compound CC[C@H](C)[C@H](N)C(=O)N[C@@H](CC(C)C)C(=O)N[C@@H](CC(C)C)C(O)=O HPCFRQWLTRDGHT-AJNGGQMLSA-N 0.000 description 1
- IDMNOFVUXYYZPF-DKIMLUQUSA-N Ile-Lys-Phe Chemical compound CC[C@H](C)[C@@H](C(=O)N[C@@H](CCCCN)C(=O)N[C@@H](CC1=CC=CC=C1)C(=O)O)N IDMNOFVUXYYZPF-DKIMLUQUSA-N 0.000 description 1
- GLYJPWIRLBAIJH-UHFFFAOYSA-N Ile-Lys-Pro Natural products CCC(C)C(N)C(=O)NC(CCCCN)C(=O)N1CCCC1C(O)=O GLYJPWIRLBAIJH-UHFFFAOYSA-N 0.000 description 1
- MSASLZGZQAXVFP-PEDHHIEDSA-N Ile-Met-Ile Chemical compound CC[C@H](C)[C@@H](C(=O)N[C@@H](CCSC)C(=O)N[C@@H]([C@@H](C)CC)C(=O)O)N MSASLZGZQAXVFP-PEDHHIEDSA-N 0.000 description 1
- BKPPWVSPSIUXHZ-OSUNSFLBSA-N Ile-Met-Thr Chemical compound CC[C@H](C)[C@@H](C(=O)N[C@@H](CCSC)C(=O)N[C@@H]([C@@H](C)O)C(=O)O)N BKPPWVSPSIUXHZ-OSUNSFLBSA-N 0.000 description 1
- XQLGNKLSPYCRMZ-HJWJTTGWSA-N Ile-Phe-Val Chemical compound CC[C@H](C)[C@@H](C(=O)N[C@@H](CC1=CC=CC=C1)C(=O)N[C@@H](C(C)C)C(=O)O)N XQLGNKLSPYCRMZ-HJWJTTGWSA-N 0.000 description 1
- XHBYEMIUENPZLY-GMOBBJLQSA-N Ile-Pro-Asn Chemical compound CC[C@H](C)[C@H](N)C(=O)N1CCC[C@H]1C(=O)N[C@@H](CC(N)=O)C(O)=O XHBYEMIUENPZLY-GMOBBJLQSA-N 0.000 description 1
- YKZAMJXNJUWFIK-JBDRJPRFSA-N Ile-Ser-Ala Chemical compound CC[C@H](C)[C@@H](C(=O)N[C@@H](CO)C(=O)N[C@@H](C)C(=O)O)N YKZAMJXNJUWFIK-JBDRJPRFSA-N 0.000 description 1
- PMAOIIWHZHAPBT-HJPIBITLSA-N Ile-Tyr-Cys Chemical compound CC[C@H](C)[C@@H](C(=O)N[C@@H](CC1=CC=C(C=C1)O)C(=O)N[C@@H](CS)C(=O)O)N PMAOIIWHZHAPBT-HJPIBITLSA-N 0.000 description 1
- YJRSIJZUIUANHO-NAKRPEOUSA-N Ile-Val-Ala Chemical compound CC[C@H](C)[C@@H](C(=O)N[C@@H](C(C)C)C(=O)N[C@@H](C)C(=O)O)N YJRSIJZUIUANHO-NAKRPEOUSA-N 0.000 description 1
- ZSESFIFAYQEKRD-CYDGBPFRSA-N Ile-Val-Met Chemical compound CC[C@H](C)[C@@H](C(=O)N[C@@H](C(C)C)C(=O)N[C@@H](CCSC)C(=O)O)N ZSESFIFAYQEKRD-CYDGBPFRSA-N 0.000 description 1
- YHFPHRUWZMEOIX-CYDGBPFRSA-N Ile-Val-Val Chemical compound CC[C@H](C)[C@@H](C(=O)N[C@@H](C(C)C)C(=O)N[C@@H](C(C)C)C(=O)O)N YHFPHRUWZMEOIX-CYDGBPFRSA-N 0.000 description 1
- 108090001061 Insulin Proteins 0.000 description 1
- 102000004877 Insulin Human genes 0.000 description 1
- 108010065920 Insulin Lispro Proteins 0.000 description 1
- 108090000862 Ion Channels Proteins 0.000 description 1
- 102000004310 Ion Channels Human genes 0.000 description 1
- 208000008839 Kidney Neoplasms Diseases 0.000 description 1
- WHUUTDBJXJRKMK-VKHMYHEASA-N L-glutamic acid Chemical compound OC(=O)[C@@H](N)CCC(O)=O WHUUTDBJXJRKMK-VKHMYHEASA-N 0.000 description 1
- LHSGPCFBGJHPCY-UHFFFAOYSA-N L-leucine-L-tyrosine Natural products CC(C)CC(N)C(=O)NC(C(O)=O)CC1=CC=C(O)C=C1 LHSGPCFBGJHPCY-UHFFFAOYSA-N 0.000 description 1
- OUYCCCASQSFEME-QMMMGPOBSA-N L-tyrosine Chemical compound OC(=O)[C@@H](N)CC1=CC=C(O)C=C1 OUYCCCASQSFEME-QMMMGPOBSA-N 0.000 description 1
- KZSNJWFQEVHDMF-BYPYZUCNSA-N L-valine Chemical compound CC(C)[C@H](N)C(O)=O KZSNJWFQEVHDMF-BYPYZUCNSA-N 0.000 description 1
- WNGVUZWBXZKQES-YUMQZZPRSA-N Leu-Ala-Gly Chemical compound CC(C)C[C@H](N)C(=O)N[C@@H](C)C(=O)NCC(O)=O WNGVUZWBXZKQES-YUMQZZPRSA-N 0.000 description 1
- GRZSCTXVCDUIPO-SRVKXCTJSA-N Leu-Arg-Gln Chemical compound [H]N[C@@H](CC(C)C)C(=O)N[C@@H](CCCNC(N)=N)C(=O)N[C@@H](CCC(N)=O)C(O)=O GRZSCTXVCDUIPO-SRVKXCTJSA-N 0.000 description 1
- VKOAHIRLIUESLU-ULQDDVLXSA-N Leu-Arg-Phe Chemical compound [H]N[C@@H](CC(C)C)C(=O)N[C@@H](CCCNC(N)=N)C(=O)N[C@@H](CC1=CC=CC=C1)C(O)=O VKOAHIRLIUESLU-ULQDDVLXSA-N 0.000 description 1
- UCOCBWDBHCUPQP-DCAQKATOSA-N Leu-Arg-Ser Chemical compound CC(C)C[C@H](N)C(=O)N[C@@H](CCCNC(N)=N)C(=O)N[C@@H](CO)C(O)=O UCOCBWDBHCUPQP-DCAQKATOSA-N 0.000 description 1
- STAVRDQLZOTNKJ-RHYQMDGZSA-N Leu-Arg-Thr Chemical compound [H]N[C@@H](CC(C)C)C(=O)N[C@@H](CCCNC(N)=N)C(=O)N[C@@H]([C@@H](C)O)C(O)=O STAVRDQLZOTNKJ-RHYQMDGZSA-N 0.000 description 1
- IGUOAYLTQJLPPD-DCAQKATOSA-N Leu-Asn-Arg Chemical compound CC(C)C[C@H](N)C(=O)N[C@@H](CC(N)=O)C(=O)N[C@H](C(O)=O)CCCN=C(N)N IGUOAYLTQJLPPD-DCAQKATOSA-N 0.000 description 1
- POJPZSMTTMLSTG-SRVKXCTJSA-N Leu-Asn-Lys Chemical compound CC(C)C[C@@H](C(=O)N[C@@H](CC(=O)N)C(=O)N[C@@H](CCCCN)C(=O)O)N POJPZSMTTMLSTG-SRVKXCTJSA-N 0.000 description 1
- PJYSOYLLTJKZHC-GUBZILKMSA-N Leu-Asp-Gln Chemical compound CC(C)C[C@H](N)C(=O)N[C@@H](CC(O)=O)C(=O)N[C@H](C(O)=O)CCC(N)=O PJYSOYLLTJKZHC-GUBZILKMSA-N 0.000 description 1
- CLVUXCBGKUECIT-HJGDQZAQSA-N Leu-Asp-Thr Chemical compound [H]N[C@@H](CC(C)C)C(=O)N[C@@H](CC(O)=O)C(=O)N[C@@H]([C@@H](C)O)C(O)=O CLVUXCBGKUECIT-HJGDQZAQSA-N 0.000 description 1
- NFHJQETXTSDZSI-DCAQKATOSA-N Leu-Cys-Arg Chemical compound CC(C)C[C@H](N)C(=O)N[C@@H](CS)C(=O)N[C@@H](CCCN=C(N)N)C(O)=O NFHJQETXTSDZSI-DCAQKATOSA-N 0.000 description 1
- PPBKJAQJAUHZKX-SRVKXCTJSA-N Leu-Cys-Leu Chemical compound CC(C)C[C@H](N)C(=O)N[C@@H](CS)C(=O)N[C@H](C(O)=O)CC(C)C PPBKJAQJAUHZKX-SRVKXCTJSA-N 0.000 description 1
- RSFGIMMPWAXNML-MNXVOIDGSA-N Leu-Gln-Ile Chemical compound [H]N[C@@H](CC(C)C)C(=O)N[C@@H](CCC(N)=O)C(=O)N[C@@H]([C@@H](C)CC)C(O)=O RSFGIMMPWAXNML-MNXVOIDGSA-N 0.000 description 1
- FQZPTCNSNPWHLJ-AVGNSLFASA-N Leu-Gln-Lys Chemical compound CC(C)C[C@H](N)C(=O)N[C@@H](CCC(N)=O)C(=O)N[C@@H](CCCCN)C(O)=O FQZPTCNSNPWHLJ-AVGNSLFASA-N 0.000 description 1
- GPICTNQYKHHHTH-GUBZILKMSA-N Leu-Gln-Ser Chemical compound CC(C)C[C@H](N)C(=O)N[C@@H](CCC(N)=O)C(=O)N[C@@H](CO)C(O)=O GPICTNQYKHHHTH-GUBZILKMSA-N 0.000 description 1
- ZFNLIDNJUWNIJL-WDCWCFNPSA-N Leu-Glu-Thr Chemical compound [H]N[C@@H](CC(C)C)C(=O)N[C@@H](CCC(O)=O)C(=O)N[C@@H]([C@@H](C)O)C(O)=O ZFNLIDNJUWNIJL-WDCWCFNPSA-N 0.000 description 1
- KEVYYIMVELOXCT-KBPBESRZSA-N Leu-Gly-Phe Chemical compound CC(C)C[C@H]([NH3+])C(=O)NCC(=O)N[C@H](C([O-])=O)CC1=CC=CC=C1 KEVYYIMVELOXCT-KBPBESRZSA-N 0.000 description 1
- YFBBUHJJUXXZOF-UWVGGRQHSA-N Leu-Gly-Pro Chemical compound CC(C)C[C@H](N)C(=O)NCC(=O)N1CCC[C@H]1C(O)=O YFBBUHJJUXXZOF-UWVGGRQHSA-N 0.000 description 1
- KXODZBLFVFSLAI-AVGNSLFASA-N Leu-His-Glu Chemical compound OC(=O)CC[C@@H](C(O)=O)NC(=O)[C@@H](NC(=O)[C@@H](N)CC(C)C)CC1=CN=CN1 KXODZBLFVFSLAI-AVGNSLFASA-N 0.000 description 1
- OMHLATXVNQSALM-FQUUOJAGSA-N Leu-Ile-Pro Chemical compound CC[C@H](C)[C@@H](C(=O)N1CCC[C@@H]1C(=O)O)NC(=O)[C@H](CC(C)C)N OMHLATXVNQSALM-FQUUOJAGSA-N 0.000 description 1
- JKSIBWITFMQTOA-XUXIUFHCSA-N Leu-Ile-Val Chemical compound [H]N[C@@H](CC(C)C)C(=O)N[C@@H]([C@@H](C)CC)C(=O)N[C@@H](C(C)C)C(O)=O JKSIBWITFMQTOA-XUXIUFHCSA-N 0.000 description 1
- QNBVTHNJGCOVFA-AVGNSLFASA-N Leu-Leu-Glu Chemical compound CC(C)C[C@H](N)C(=O)N[C@@H](CC(C)C)C(=O)N[C@H](C(O)=O)CCC(O)=O QNBVTHNJGCOVFA-AVGNSLFASA-N 0.000 description 1
- LXKNSJLSGPNHSK-KKUMJFAQSA-N Leu-Leu-Lys Chemical compound CC(C)C[C@@H](C(=O)N[C@@H](CC(C)C)C(=O)N[C@@H](CCCCN)C(=O)O)N LXKNSJLSGPNHSK-KKUMJFAQSA-N 0.000 description 1
- LZHJZLHSRGWBBE-IHRRRGAJSA-N Leu-Lys-Val Chemical compound [H]N[C@@H](CC(C)C)C(=O)N[C@@H](CCCCN)C(=O)N[C@@H](C(C)C)C(O)=O LZHJZLHSRGWBBE-IHRRRGAJSA-N 0.000 description 1
- CPONGMJGVIAWEH-DCAQKATOSA-N Leu-Met-Ala Chemical compound CSCC[C@H](NC(=O)[C@@H](N)CC(C)C)C(=O)N[C@@H](C)C(O)=O CPONGMJGVIAWEH-DCAQKATOSA-N 0.000 description 1
- ARRIJPQRBWRNLT-DCAQKATOSA-N Leu-Met-Asn Chemical compound CC(C)C[C@@H](C(=O)N[C@@H](CCSC)C(=O)N[C@@H](CC(=O)N)C(=O)O)N ARRIJPQRBWRNLT-DCAQKATOSA-N 0.000 description 1
- DDVHDMSBLRAKNV-IHRRRGAJSA-N Leu-Met-Leu Chemical compound [H]N[C@@H](CC(C)C)C(=O)N[C@@H](CCSC)C(=O)N[C@@H](CC(C)C)C(O)=O DDVHDMSBLRAKNV-IHRRRGAJSA-N 0.000 description 1
- HDHQQEDVWQGBEE-DCAQKATOSA-N Leu-Met-Ser Chemical compound [H]N[C@@H](CC(C)C)C(=O)N[C@@H](CCSC)C(=O)N[C@@H](CO)C(O)=O HDHQQEDVWQGBEE-DCAQKATOSA-N 0.000 description 1
- YESNGRDJQWDYLH-KKUMJFAQSA-N Leu-Phe-Cys Chemical compound CC(C)C[C@@H](C(=O)N[C@@H](CC1=CC=CC=C1)C(=O)N[C@@H](CS)C(=O)O)N YESNGRDJQWDYLH-KKUMJFAQSA-N 0.000 description 1
- QMKFDEUJGYNFMC-AVGNSLFASA-N Leu-Pro-Arg Chemical compound CC(C)C[C@H](N)C(=O)N1CCC[C@H]1C(=O)N[C@@H](CCCN=C(N)N)C(O)=O QMKFDEUJGYNFMC-AVGNSLFASA-N 0.000 description 1
- BMVFXOQHDQZAQU-DCAQKATOSA-N Leu-Pro-Asp Chemical compound CC(C)C[C@@H](C(=O)N1CCC[C@H]1C(=O)N[C@@H](CC(=O)O)C(=O)O)N BMVFXOQHDQZAQU-DCAQKATOSA-N 0.000 description 1
- UCBPDSYUVAAHCD-UWVGGRQHSA-N Leu-Pro-Gly Chemical compound CC(C)C[C@H](N)C(=O)N1CCC[C@H]1C(=O)NCC(O)=O UCBPDSYUVAAHCD-UWVGGRQHSA-N 0.000 description 1
- KWLWZYMNUZJKMZ-IHRRRGAJSA-N Leu-Pro-Leu Chemical compound CC(C)C[C@H](N)C(=O)N1CCC[C@H]1C(=O)N[C@@H](CC(C)C)C(O)=O KWLWZYMNUZJKMZ-IHRRRGAJSA-N 0.000 description 1
- KZZCOWMDDXDKSS-CIUDSAMLSA-N Leu-Ser-Asn Chemical compound [H]N[C@@H](CC(C)C)C(=O)N[C@@H](CO)C(=O)N[C@@H](CC(N)=O)C(O)=O KZZCOWMDDXDKSS-CIUDSAMLSA-N 0.000 description 1
- KIZIOFNVSOSKJI-CIUDSAMLSA-N Leu-Ser-Cys Chemical compound CC(C)C[C@@H](C(=O)N[C@@H](CO)C(=O)N[C@@H](CS)C(=O)O)N KIZIOFNVSOSKJI-CIUDSAMLSA-N 0.000 description 1
- AMSSKPUHBUQBOQ-SRVKXCTJSA-N Leu-Ser-Lys Chemical compound CC(C)C[C@@H](C(=O)N[C@@H](CO)C(=O)N[C@@H](CCCCN)C(=O)O)N AMSSKPUHBUQBOQ-SRVKXCTJSA-N 0.000 description 1
- PPGBXYKMUMHFBF-KATARQTJSA-N Leu-Ser-Thr Chemical compound [H]N[C@@H](CC(C)C)C(=O)N[C@@H](CO)C(=O)N[C@@H]([C@@H](C)O)C(O)=O PPGBXYKMUMHFBF-KATARQTJSA-N 0.000 description 1
- SVBJIZVVYJYGLA-DCAQKATOSA-N Leu-Ser-Val Chemical compound [H]N[C@@H](CC(C)C)C(=O)N[C@@H](CO)C(=O)N[C@@H](C(C)C)C(O)=O SVBJIZVVYJYGLA-DCAQKATOSA-N 0.000 description 1
- LJBVRCDPWOJOEK-PPCPHDFISA-N Leu-Thr-Ile Chemical compound [H]N[C@@H](CC(C)C)C(=O)N[C@@H]([C@@H](C)O)C(=O)N[C@@H]([C@@H](C)CC)C(O)=O LJBVRCDPWOJOEK-PPCPHDFISA-N 0.000 description 1
- HQBOMRTVKVKFMN-WDSOQIARSA-N Leu-Trp-Val Chemical compound [H]N[C@@H](CC(C)C)C(=O)N[C@@H](CC1=CNC2=C1C=CC=C2)C(=O)N[C@@H](C(C)C)C(O)=O HQBOMRTVKVKFMN-WDSOQIARSA-N 0.000 description 1
- UCRJTSIIAYHOHE-ULQDDVLXSA-N Leu-Tyr-Arg Chemical compound CC(C)C[C@@H](C(=O)N[C@@H](CC1=CC=C(C=C1)O)C(=O)N[C@@H](CCCN=C(N)N)C(=O)O)N UCRJTSIIAYHOHE-ULQDDVLXSA-N 0.000 description 1
- JGKHAFUAPZCCDU-BZSNNMDCSA-N Leu-Tyr-Leu Chemical compound CC(C)C[C@H]([NH3+])C(=O)N[C@H](C(=O)N[C@@H](CC(C)C)C([O-])=O)CC1=CC=C(O)C=C1 JGKHAFUAPZCCDU-BZSNNMDCSA-N 0.000 description 1
- VUBIPAHVHMZHCM-KKUMJFAQSA-N Leu-Tyr-Ser Chemical compound CC(C)C[C@H](N)C(=O)N[C@H](C(=O)N[C@@H](CO)C(O)=O)CC1=CC=C(O)C=C1 VUBIPAHVHMZHCM-KKUMJFAQSA-N 0.000 description 1
- XZNJZXJZBMBGGS-NHCYSSNCSA-N Leu-Val-Asn Chemical compound [H]N[C@@H](CC(C)C)C(=O)N[C@@H](C(C)C)C(=O)N[C@@H](CC(N)=O)C(O)=O XZNJZXJZBMBGGS-NHCYSSNCSA-N 0.000 description 1
- AIMGJYMCTAABEN-GVXVVHGQSA-N Leu-Val-Glu Chemical compound [H]N[C@@H](CC(C)C)C(=O)N[C@@H](C(C)C)C(=O)N[C@@H](CCC(O)=O)C(O)=O AIMGJYMCTAABEN-GVXVVHGQSA-N 0.000 description 1
- FDBTVENULFNTAL-XQQFMLRXSA-N Leu-Val-Pro Chemical compound CC(C)C[C@@H](C(=O)N[C@@H](C(C)C)C(=O)N1CCC[C@@H]1C(=O)O)N FDBTVENULFNTAL-XQQFMLRXSA-N 0.000 description 1
- NTXYXFDMIHXTHE-WDSOQIARSA-N Leu-Val-Trp Chemical compound C1=CC=C2C(C[C@H](NC(=O)[C@H](C(C)C)NC(=O)[C@@H](N)CC(C)C)C(O)=O)=CNC2=C1 NTXYXFDMIHXTHE-WDSOQIARSA-N 0.000 description 1
- 108060001084 Luciferase Proteins 0.000 description 1
- CLBGMWIYPYAZPR-AVGNSLFASA-N Lys-Arg-Arg Chemical compound NCCCC[C@H](N)C(=O)N[C@@H](CCCN=C(N)N)C(=O)N[C@@H](CCCN=C(N)N)C(O)=O CLBGMWIYPYAZPR-AVGNSLFASA-N 0.000 description 1
- YNNPKXBBRZVIRX-IHRRRGAJSA-N Lys-Arg-Leu Chemical compound [H]N[C@@H](CCCCN)C(=O)N[C@@H](CCCNC(N)=N)C(=O)N[C@@H](CC(C)C)C(O)=O YNNPKXBBRZVIRX-IHRRRGAJSA-N 0.000 description 1
- WALVCOOOKULCQM-ULQDDVLXSA-N Lys-Arg-Phe Chemical compound [H]N[C@@H](CCCCN)C(=O)N[C@@H](CCCNC(N)=N)C(=O)N[C@@H](CC1=CC=CC=C1)C(O)=O WALVCOOOKULCQM-ULQDDVLXSA-N 0.000 description 1
- FLCMXEFCTLXBTL-DCAQKATOSA-N Lys-Asp-Arg Chemical compound C(CCN)C[C@@H](C(=O)N[C@@H](CC(=O)O)C(=O)N[C@@H](CCCN=C(N)N)C(=O)O)N FLCMXEFCTLXBTL-DCAQKATOSA-N 0.000 description 1
- QIJVAFLRMVBHMU-KKUMJFAQSA-N Lys-Asp-Phe Chemical compound [H]N[C@@H](CCCCN)C(=O)N[C@@H](CC(O)=O)C(=O)N[C@@H](CC1=CC=CC=C1)C(O)=O QIJVAFLRMVBHMU-KKUMJFAQSA-N 0.000 description 1
- GHOIOYHDDKXIDX-SZMVWBNQSA-N Lys-Glu-Trp Chemical compound C1=CC=C2C(C[C@H](NC(=O)[C@H](CCC(O)=O)NC(=O)[C@@H](N)CCCCN)C(O)=O)=CNC2=C1 GHOIOYHDDKXIDX-SZMVWBNQSA-N 0.000 description 1
- SKRGVGLIRUGANF-AVGNSLFASA-N Lys-Leu-Glu Chemical compound [H]N[C@@H](CCCCN)C(=O)N[C@@H](CC(C)C)C(=O)N[C@@H](CCC(O)=O)C(O)=O SKRGVGLIRUGANF-AVGNSLFASA-N 0.000 description 1
- AIRZWUMAHCDDHR-KKUMJFAQSA-N Lys-Leu-Leu Chemical compound [H]N[C@@H](CCCCN)C(=O)N[C@@H](CC(C)C)C(=O)N[C@@H](CC(C)C)C(O)=O AIRZWUMAHCDDHR-KKUMJFAQSA-N 0.000 description 1
- YDDDRTIPNTWGIG-SRVKXCTJSA-N Lys-Lys-Ser Chemical compound [H]N[C@@H](CCCCN)C(=O)N[C@@H](CCCCN)C(=O)N[C@@H](CO)C(O)=O YDDDRTIPNTWGIG-SRVKXCTJSA-N 0.000 description 1
- ZJSZPXISKMDJKQ-JYJNAYRXSA-N Lys-Phe-Glu Chemical compound NCCCC[C@H](N)C(=O)N[C@H](C(=O)N[C@@H](CCC(O)=O)C(O)=O)CC1=CC=CC=C1 ZJSZPXISKMDJKQ-JYJNAYRXSA-N 0.000 description 1
- JCVOHUKUYSYBAD-DCAQKATOSA-N Lys-Pro-Cys Chemical compound C1C[C@H](N(C1)C(=O)[C@H](CCCCN)N)C(=O)N[C@@H](CS)C(=O)O JCVOHUKUYSYBAD-DCAQKATOSA-N 0.000 description 1
- HYSVGEAWTGPMOA-IHRRRGAJSA-N Lys-Pro-Leu Chemical compound [H]N[C@@H](CCCCN)C(=O)N1CCC[C@H]1C(=O)N[C@@H](CC(C)C)C(O)=O HYSVGEAWTGPMOA-IHRRRGAJSA-N 0.000 description 1
- TVHCDSBMFQYPNA-RHYQMDGZSA-N Lys-Thr-Arg Chemical compound [H]N[C@@H](CCCCN)C(=O)N[C@@H]([C@@H](C)O)C(=O)N[C@@H](CCCNC(N)=N)C(O)=O TVHCDSBMFQYPNA-RHYQMDGZSA-N 0.000 description 1
- CAVRAQIDHUPECU-UVOCVTCTSA-N Lys-Thr-Thr Chemical compound [H]N[C@@H](CCCCN)C(=O)N[C@@H]([C@@H](C)O)C(=O)N[C@@H]([C@@H](C)O)C(O)=O CAVRAQIDHUPECU-UVOCVTCTSA-N 0.000 description 1
- HUKLXYYPZWPXCC-KZVJFYERSA-N Met-Ala-Thr Chemical compound CSCC[C@H](N)C(=O)N[C@@H](C)C(=O)N[C@@H]([C@@H](C)O)C(O)=O HUKLXYYPZWPXCC-KZVJFYERSA-N 0.000 description 1
- DRXODWRPPUFIAY-DCAQKATOSA-N Met-Asn-Lys Chemical compound CSCC[C@H](N)C(=O)N[C@@H](CC(N)=O)C(=O)N[C@H](C(O)=O)CCCCN DRXODWRPPUFIAY-DCAQKATOSA-N 0.000 description 1
- FVKRQMQQFGBXHV-QXEWZRGKSA-N Met-Asp-Val Chemical compound CSCC[C@H](N)C(=O)N[C@@H](CC(O)=O)C(=O)N[C@@H](C(C)C)C(O)=O FVKRQMQQFGBXHV-QXEWZRGKSA-N 0.000 description 1
- JUXONJROIXKHEV-GUBZILKMSA-N Met-Cys-Arg Chemical compound CSCC[C@H](N)C(=O)N[C@@H](CS)C(=O)N[C@H](C(O)=O)CCCNC(N)=N JUXONJROIXKHEV-GUBZILKMSA-N 0.000 description 1
- JYCQGAGDJQYEDB-GUBZILKMSA-N Met-Gln-Gln Chemical compound CSCC[C@H](N)C(=O)N[C@@H](CCC(N)=O)C(=O)N[C@@H](CCC(N)=O)C(O)=O JYCQGAGDJQYEDB-GUBZILKMSA-N 0.000 description 1
- HLQWFLJOJRFXHO-CIUDSAMLSA-N Met-Glu-Ser Chemical compound [H]N[C@@H](CCSC)C(=O)N[C@@H](CCC(O)=O)C(=O)N[C@@H](CO)C(O)=O HLQWFLJOJRFXHO-CIUDSAMLSA-N 0.000 description 1
- MYAPQOBHGWJZOM-UWVGGRQHSA-N Met-Gly-Leu Chemical compound CSCC[C@H](N)C(=O)NCC(=O)N[C@H](C(O)=O)CC(C)C MYAPQOBHGWJZOM-UWVGGRQHSA-N 0.000 description 1
- DBXMFHGGHMXYHY-DCAQKATOSA-N Met-Leu-Ser Chemical compound CSCC[C@H](N)C(=O)N[C@@H](CC(C)C)C(=O)N[C@@H](CO)C(O)=O DBXMFHGGHMXYHY-DCAQKATOSA-N 0.000 description 1
- XGIQKEAKUSPCBU-SRVKXCTJSA-N Met-Met-Val Chemical compound CC(C)[C@@H](C(=O)O)NC(=O)[C@H](CCSC)NC(=O)[C@H](CCSC)N XGIQKEAKUSPCBU-SRVKXCTJSA-N 0.000 description 1
- QLESZRANMSYLCZ-CYDGBPFRSA-N Met-Pro-Ile Chemical compound [H]N[C@@H](CCSC)C(=O)N1CCC[C@H]1C(=O)N[C@@H]([C@@H](C)CC)C(O)=O QLESZRANMSYLCZ-CYDGBPFRSA-N 0.000 description 1
- LHXFNWBNRBWMNV-DCAQKATOSA-N Met-Ser-His Chemical compound CSCC[C@@H](C(=O)N[C@@H](CO)C(=O)N[C@@H](CC1=CN=CN1)C(=O)O)N LHXFNWBNRBWMNV-DCAQKATOSA-N 0.000 description 1
- DBMLDOWSVHMQQN-XGEHTFHBSA-N Met-Ser-Thr Chemical compound CSCC[C@H](N)C(=O)N[C@@H](CO)C(=O)N[C@@H]([C@@H](C)O)C(O)=O DBMLDOWSVHMQQN-XGEHTFHBSA-N 0.000 description 1
- NDJSSFWDYDUQID-YTWAJWBKSA-N Met-Thr-Pro Chemical compound C[C@H]([C@@H](C(=O)N1CCC[C@@H]1C(=O)O)NC(=O)[C@H](CCSC)N)O NDJSSFWDYDUQID-YTWAJWBKSA-N 0.000 description 1
- PNHRPOWKRRJATF-IHRRRGAJSA-N Met-Tyr-Ser Chemical compound CSCC[C@H](N)C(=O)N[C@H](C(=O)N[C@@H](CO)C(O)=O)CC1=CC=C(O)C=C1 PNHRPOWKRRJATF-IHRRRGAJSA-N 0.000 description 1
- YGNUDKAPJARTEM-GUBZILKMSA-N Met-Val-Ala Chemical compound CSCC[C@H](N)C(=O)N[C@@H](C(C)C)C(=O)N[C@@H](C)C(O)=O YGNUDKAPJARTEM-GUBZILKMSA-N 0.000 description 1
- 241001465754 Metazoa Species 0.000 description 1
- 206010073150 Multiple endocrine neoplasia Type 1 Diseases 0.000 description 1
- 208000001089 Multiple system atrophy Diseases 0.000 description 1
- 241000699666 Mus <mouse, genus> Species 0.000 description 1
- 101001002340 Mus musculus Gastrin/cholecystokinin type B receptor Proteins 0.000 description 1
- AUEJLPRZGVVDNU-UHFFFAOYSA-N N-L-tyrosyl-L-leucine Natural products CC(C)CC(C(O)=O)NC(=O)C(N)CC1=CC=C(O)C=C1 AUEJLPRZGVVDNU-UHFFFAOYSA-N 0.000 description 1
- 108010047562 NGR peptide Proteins 0.000 description 1
- 206010028923 Neonatal asphyxia Diseases 0.000 description 1
- 208000037212 Neonatal hypoxic and ischemic brain injury Diseases 0.000 description 1
- 208000012902 Nervous system disease Diseases 0.000 description 1
- 206010052399 Neuroendocrine tumour Diseases 0.000 description 1
- 208000025966 Neurological disease Diseases 0.000 description 1
- 102000003797 Neuropeptides Human genes 0.000 description 1
- 208000008589 Obesity Diseases 0.000 description 1
- 229910019142 PO4 Inorganic materials 0.000 description 1
- 206010033645 Pancreatitis Diseases 0.000 description 1
- 206010033647 Pancreatitis acute Diseases 0.000 description 1
- 206010033664 Panic attack Diseases 0.000 description 1
- 102000006461 Parathyroid Hormone Receptors Human genes 0.000 description 1
- 108010058828 Parathyroid Hormone Receptors Proteins 0.000 description 1
- 108010079943 Pentagastrin Proteins 0.000 description 1
- 208000008469 Peptic Ulcer Diseases 0.000 description 1
- 229940122985 Peptide agonist Drugs 0.000 description 1
- XWBJLKDCHJVKAK-KKUMJFAQSA-N Phe-Arg-Gln Chemical compound C1=CC=C(C=C1)C[C@@H](C(=O)N[C@@H](CCCN=C(N)N)C(=O)N[C@@H](CCC(=O)N)C(=O)O)N XWBJLKDCHJVKAK-KKUMJFAQSA-N 0.000 description 1
- YYRCPTVAPLQRNC-ULQDDVLXSA-N Phe-Arg-Lys Chemical compound NCCCC[C@@H](C(O)=O)NC(=O)[C@H](CCCNC(N)=N)NC(=O)[C@@H](N)CC1=CC=CC=C1 YYRCPTVAPLQRNC-ULQDDVLXSA-N 0.000 description 1
- HQVPQHLNOVTLDD-IHRRRGAJSA-N Phe-Cys-Met Chemical compound CSCC[C@@H](C(=O)O)NC(=O)[C@H](CS)NC(=O)[C@H](CC1=CC=CC=C1)N HQVPQHLNOVTLDD-IHRRRGAJSA-N 0.000 description 1
- XXAOSEUPEMQJOF-KKUMJFAQSA-N Phe-Glu-Met Chemical compound CSCC[C@@H](C(O)=O)NC(=O)[C@H](CCC(O)=O)NC(=O)[C@@H](N)CC1=CC=CC=C1 XXAOSEUPEMQJOF-KKUMJFAQSA-N 0.000 description 1
- WPTYDQPGBMDUBI-QWRGUYRKSA-N Phe-Gly-Asn Chemical compound N[C@@H](Cc1ccccc1)C(=O)NCC(=O)N[C@@H](CC(N)=O)C(O)=O WPTYDQPGBMDUBI-QWRGUYRKSA-N 0.000 description 1
- BIYWZVCPZIFGPY-QWRGUYRKSA-N Phe-Gly-Ser Chemical compound [H]N[C@@H](CC1=CC=CC=C1)C(=O)NCC(=O)N[C@@H](CO)C(O)=O BIYWZVCPZIFGPY-QWRGUYRKSA-N 0.000 description 1
- RGZYXNFHYRFNNS-MXAVVETBSA-N Phe-Ile-Cys Chemical compound CC[C@H](C)[C@@H](C(=O)N[C@@H](CS)C(=O)O)NC(=O)[C@H](CC1=CC=CC=C1)N RGZYXNFHYRFNNS-MXAVVETBSA-N 0.000 description 1
- HTXVATDVCRFORF-MGHWNKPDSA-N Phe-Ile-His Chemical compound CC[C@H](C)[C@@H](C(=O)N[C@@H](CC1=CN=CN1)C(=O)O)NC(=O)[C@H](CC2=CC=CC=C2)N HTXVATDVCRFORF-MGHWNKPDSA-N 0.000 description 1
- DVOCGBNHAUHKHJ-DKIMLUQUSA-N Phe-Ile-Leu Chemical compound [H]N[C@@H](CC1=CC=CC=C1)C(=O)N[C@@H]([C@@H](C)CC)C(=O)N[C@@H](CC(C)C)C(O)=O DVOCGBNHAUHKHJ-DKIMLUQUSA-N 0.000 description 1
- BWTKUQPNOMMKMA-FIRPJDEBSA-N Phe-Ile-Phe Chemical compound C([C@H](N)C(=O)N[C@@H]([C@@H](C)CC)C(=O)N[C@@H](CC=1C=CC=CC=1)C(O)=O)C1=CC=CC=C1 BWTKUQPNOMMKMA-FIRPJDEBSA-N 0.000 description 1
- SMFGCTXUBWEPKM-KBPBESRZSA-N Phe-Leu-Gly Chemical compound OC(=O)CNC(=O)[C@H](CC(C)C)NC(=O)[C@@H](N)CC1=CC=CC=C1 SMFGCTXUBWEPKM-KBPBESRZSA-N 0.000 description 1
- SZYBZVANEAOIPE-UBHSHLNASA-N Phe-Met-Ala Chemical compound [H]N[C@@H](CC1=CC=CC=C1)C(=O)N[C@@H](CCSC)C(=O)N[C@@H](C)C(O)=O SZYBZVANEAOIPE-UBHSHLNASA-N 0.000 description 1
- YOFKMVUAZGPFCF-IHRRRGAJSA-N Phe-Met-Asn Chemical compound [H]N[C@@H](CC1=CC=CC=C1)C(=O)N[C@@H](CCSC)C(=O)N[C@@H](CC(N)=O)C(O)=O YOFKMVUAZGPFCF-IHRRRGAJSA-N 0.000 description 1
- AXIOGMQCDYVTNY-ACRUOGEOSA-N Phe-Phe-Leu Chemical compound C([C@@H](C(=O)N[C@@H](CC(C)C)C(O)=O)NC(=O)[C@@H](N)CC=1C=CC=CC=1)C1=CC=CC=C1 AXIOGMQCDYVTNY-ACRUOGEOSA-N 0.000 description 1
- YVXPUUOTMVBKDO-IHRRRGAJSA-N Phe-Pro-Cys Chemical compound C1C[C@H](N(C1)C(=O)[C@H](CC2=CC=CC=C2)N)C(=O)N[C@@H](CS)C(=O)O YVXPUUOTMVBKDO-IHRRRGAJSA-N 0.000 description 1
- FKFCKDROTNIVSO-JYJNAYRXSA-N Phe-Pro-Met Chemical compound [H]N[C@@H](CC1=CC=CC=C1)C(=O)N1CCC[C@H]1C(=O)N[C@@H](CCSC)C(O)=O FKFCKDROTNIVSO-JYJNAYRXSA-N 0.000 description 1
- AFNJAQVMTIQTCB-DLOVCJGASA-N Phe-Ser-Ala Chemical compound OC(=O)[C@H](C)NC(=O)[C@H](CO)NC(=O)[C@@H](N)CC1=CC=CC=C1 AFNJAQVMTIQTCB-DLOVCJGASA-N 0.000 description 1
- XNMYNGDKJNOKHH-BZSNNMDCSA-N Phe-Ser-Tyr Chemical compound [H]N[C@@H](CC1=CC=CC=C1)C(=O)N[C@@H](CO)C(=O)N[C@@H](CC1=CC=C(O)C=C1)C(O)=O XNMYNGDKJNOKHH-BZSNNMDCSA-N 0.000 description 1
- FGWUALWGCZJQDJ-URLPEUOOSA-N Phe-Thr-Ile Chemical compound [H]N[C@@H](CC1=CC=CC=C1)C(=O)N[C@@H]([C@@H](C)O)C(=O)N[C@@H]([C@@H](C)CC)C(O)=O FGWUALWGCZJQDJ-URLPEUOOSA-N 0.000 description 1
- PTDAGKJHZBGDKD-OEAJRASXSA-N Phe-Thr-Lys Chemical compound C[C@H]([C@@H](C(=O)N[C@@H](CCCCN)C(=O)O)NC(=O)[C@H](CC1=CC=CC=C1)N)O PTDAGKJHZBGDKD-OEAJRASXSA-N 0.000 description 1
- VIIRRNQMMIHYHQ-XHSDSOJGSA-N Phe-Val-Pro Chemical compound CC(C)[C@@H](C(=O)N1CCC[C@@H]1C(=O)O)NC(=O)[C@H](CC2=CC=CC=C2)N VIIRRNQMMIHYHQ-XHSDSOJGSA-N 0.000 description 1
- 102000045595 Phosphoprotein Phosphatases Human genes 0.000 description 1
- 108700019535 Phosphoprotein Phosphatases Proteins 0.000 description 1
- 208000005374 Poisoning Diseases 0.000 description 1
- CGBYDGAJHSOGFQ-LPEHRKFASA-N Pro-Ala-Pro Chemical compound C[C@@H](C(=O)N1CCC[C@@H]1C(=O)O)NC(=O)[C@@H]2CCCN2 CGBYDGAJHSOGFQ-LPEHRKFASA-N 0.000 description 1
- NHDVNAKDACFHPX-GUBZILKMSA-N Pro-Arg-Ala Chemical compound [H]N1CCC[C@H]1C(=O)N[C@@H](CCCNC(N)=N)C(=O)N[C@@H](C)C(O)=O NHDVNAKDACFHPX-GUBZILKMSA-N 0.000 description 1
- VCYJKOLZYPYGJV-AVGNSLFASA-N Pro-Arg-Leu Chemical compound [H]N1CCC[C@H]1C(=O)N[C@@H](CCCNC(N)=N)C(=O)N[C@@H](CC(C)C)C(O)=O VCYJKOLZYPYGJV-AVGNSLFASA-N 0.000 description 1
- XROLYVMNVIKVEM-BQBZGAKWSA-N Pro-Asn-Gly Chemical compound [H]N1CCC[C@H]1C(=O)N[C@@H](CC(N)=O)C(=O)NCC(O)=O XROLYVMNVIKVEM-BQBZGAKWSA-N 0.000 description 1
- AMBLXEMWFARNNQ-DCAQKATOSA-N Pro-Asn-Leu Chemical compound CC(C)C[C@@H](C(=O)O)NC(=O)[C@H](CC(=O)N)NC(=O)[C@@H]1CCCN1 AMBLXEMWFARNNQ-DCAQKATOSA-N 0.000 description 1
- TXPUNZXZDVJUJQ-LPEHRKFASA-N Pro-Asn-Pro Chemical compound C1C[C@H](NC1)C(=O)N[C@@H](CC(=O)N)C(=O)N2CCC[C@@H]2C(=O)O TXPUNZXZDVJUJQ-LPEHRKFASA-N 0.000 description 1
- VJLJGKQAOQJXJG-CIUDSAMLSA-N Pro-Asp-Glu Chemical compound [H]N1CCC[C@H]1C(=O)N[C@@H](CC(O)=O)C(=O)N[C@@H](CCC(O)=O)C(O)=O VJLJGKQAOQJXJG-CIUDSAMLSA-N 0.000 description 1
- WFLWKEUBTSOFMP-FXQIFTODSA-N Pro-Cys-Cys Chemical compound OC(=O)[C@H](CS)NC(=O)[C@H](CS)NC(=O)[C@@H]1CCCN1 WFLWKEUBTSOFMP-FXQIFTODSA-N 0.000 description 1
- LCWXSALTPTZKNM-CIUDSAMLSA-N Pro-Cys-Glu Chemical compound C1C[C@H](NC1)C(=O)N[C@@H](CS)C(=O)N[C@@H](CCC(=O)O)C(=O)O LCWXSALTPTZKNM-CIUDSAMLSA-N 0.000 description 1
- NMELOOXSGDRBRU-YUMQZZPRSA-N Pro-Glu-Gly Chemical compound OC(=O)CNC(=O)[C@H](CCC(=O)O)NC(=O)[C@@H]1CCCN1 NMELOOXSGDRBRU-YUMQZZPRSA-N 0.000 description 1
- FKLSMYYLJHYPHH-UWVGGRQHSA-N Pro-Gly-Leu Chemical compound [H]N1CCC[C@H]1C(=O)NCC(=O)N[C@@H](CC(C)C)C(O)=O FKLSMYYLJHYPHH-UWVGGRQHSA-N 0.000 description 1
- BCNRNJWSRFDPTQ-HJWJTTGWSA-N Pro-Ile-Phe Chemical compound [H]N1CCC[C@H]1C(=O)N[C@@H]([C@@H](C)CC)C(=O)N[C@@H](CC1=CC=CC=C1)C(O)=O BCNRNJWSRFDPTQ-HJWJTTGWSA-N 0.000 description 1
- RYJRPPUATSKNAY-STECZYCISA-N Pro-Ile-Tyr Chemical compound CC[C@H](C)[C@@H](C(=O)N[C@@H](CC1=CC=C(C=C1)O)C(=O)O)NC(=O)[C@@H]2CCCN2 RYJRPPUATSKNAY-STECZYCISA-N 0.000 description 1
- BRJGUPWVFXKBQI-XUXIUFHCSA-N Pro-Leu-Ile Chemical compound [H]N1CCC[C@H]1C(=O)N[C@@H](CC(C)C)C(=O)N[C@@H]([C@@H](C)CC)C(O)=O BRJGUPWVFXKBQI-XUXIUFHCSA-N 0.000 description 1
- MCWHYUWXVNRXFV-RWMBFGLXSA-N Pro-Leu-Pro Chemical compound CC(C)C[C@@H](C(=O)N1CCC[C@@H]1C(=O)O)NC(=O)[C@@H]2CCCN2 MCWHYUWXVNRXFV-RWMBFGLXSA-N 0.000 description 1
- FYKUEXMZYFIZKA-DCAQKATOSA-N Pro-Pro-Gln Chemical compound [H]N1CCC[C@H]1C(=O)N1CCC[C@H]1C(=O)N[C@@H](CCC(N)=O)C(O)=O FYKUEXMZYFIZKA-DCAQKATOSA-N 0.000 description 1
- RCYUBVHMVUHEBM-RCWTZXSCSA-N Pro-Pro-Thr Chemical compound [H]N1CCC[C@H]1C(=O)N1CCC[C@H]1C(=O)N[C@@H]([C@@H](C)O)C(O)=O RCYUBVHMVUHEBM-RCWTZXSCSA-N 0.000 description 1
- POQFNPILEQEODH-FXQIFTODSA-N Pro-Ser-Ala Chemical compound [H]N1CCC[C@H]1C(=O)N[C@@H](CO)C(=O)N[C@@H](C)C(O)=O POQFNPILEQEODH-FXQIFTODSA-N 0.000 description 1
- GMJDSFYVTAMIBF-FXQIFTODSA-N Pro-Ser-Asp Chemical compound [H]N1CCC[C@H]1C(=O)N[C@@H](CO)C(=O)N[C@@H](CC(O)=O)C(O)=O GMJDSFYVTAMIBF-FXQIFTODSA-N 0.000 description 1
- ITUDDXVFGFEKPD-NAKRPEOUSA-N Pro-Ser-Ile Chemical compound [H]N1CCC[C@H]1C(=O)N[C@@H](CO)C(=O)N[C@@H]([C@@H](C)CC)C(O)=O ITUDDXVFGFEKPD-NAKRPEOUSA-N 0.000 description 1
- SXJOPONICMGFCR-DCAQKATOSA-N Pro-Ser-Lys Chemical compound C1C[C@H](NC1)C(=O)N[C@@H](CO)C(=O)N[C@@H](CCCCN)C(=O)O SXJOPONICMGFCR-DCAQKATOSA-N 0.000 description 1
- SNGZLPOXVRTNMB-LPEHRKFASA-N Pro-Ser-Pro Chemical compound C1C[C@H](NC1)C(=O)N[C@@H](CO)C(=O)N2CCC[C@@H]2C(=O)O SNGZLPOXVRTNMB-LPEHRKFASA-N 0.000 description 1
- KWMZPPWYBVZIER-XGEHTFHBSA-N Pro-Ser-Thr Chemical compound [H]N1CCC[C@H]1C(=O)N[C@@H](CO)C(=O)N[C@@H]([C@@H](C)O)C(O)=O KWMZPPWYBVZIER-XGEHTFHBSA-N 0.000 description 1
- PRKWBYCXBBSLSK-GUBZILKMSA-N Pro-Ser-Val Chemical compound [H]N1CCC[C@H]1C(=O)N[C@@H](CO)C(=O)N[C@@H](C(C)C)C(O)=O PRKWBYCXBBSLSK-GUBZILKMSA-N 0.000 description 1
- HRIXMVRZRGFKNQ-HJGDQZAQSA-N Pro-Thr-Gln Chemical compound [H]N1CCC[C@H]1C(=O)N[C@@H]([C@@H](C)O)C(=O)N[C@@H](CCC(N)=O)C(O)=O HRIXMVRZRGFKNQ-HJGDQZAQSA-N 0.000 description 1
- AIOWVDNPESPXRB-YTWAJWBKSA-N Pro-Thr-Pro Chemical compound C[C@H]([C@@H](C(=O)N1CCC[C@@H]1C(=O)O)NC(=O)[C@@H]2CCCN2)O AIOWVDNPESPXRB-YTWAJWBKSA-N 0.000 description 1
- YHUBAXGAAYULJY-ULQDDVLXSA-N Pro-Tyr-Leu Chemical compound [H]N1CCC[C@H]1C(=O)N[C@@H](CC1=CC=C(O)C=C1)C(=O)N[C@@H](CC(C)C)C(O)=O YHUBAXGAAYULJY-ULQDDVLXSA-N 0.000 description 1
- IALSFJSONJZBKB-HRCADAONSA-N Pro-Tyr-Pro Chemical compound C1C[C@H](NC1)C(=O)N[C@@H](CC2=CC=C(C=C2)O)C(=O)N3CCC[C@@H]3C(=O)O IALSFJSONJZBKB-HRCADAONSA-N 0.000 description 1
- UCTIUWKCVNGEFH-OBJOEFQTSA-N Pro-Val-Gly-Pro Chemical compound N([C@@H](C(C)C)C(=O)NCC(=O)N1[C@@H](CCC1)C(O)=O)C(=O)[C@@H]1CCCN1 UCTIUWKCVNGEFH-OBJOEFQTSA-N 0.000 description 1
- DGDCSVGVWWAJRS-AVGNSLFASA-N Pro-Val-His Chemical compound CC(C)[C@@H](C(=O)N[C@@H](CC1=CN=CN1)C(=O)O)NC(=O)[C@@H]2CCCN2 DGDCSVGVWWAJRS-AVGNSLFASA-N 0.000 description 1
- PGSWNLRYYONGPE-JYJNAYRXSA-N Pro-Val-Tyr Chemical compound [H]N1CCC[C@H]1C(=O)N[C@@H](C(C)C)C(=O)N[C@@H](CC1=CC=C(O)C=C1)C(O)=O PGSWNLRYYONGPE-JYJNAYRXSA-N 0.000 description 1
- 108010029485 Protein Isoforms Proteins 0.000 description 1
- 102000001708 Protein Isoforms Human genes 0.000 description 1
- 102000001253 Protein Kinase Human genes 0.000 description 1
- 206010037211 Psychomotor hyperactivity Diseases 0.000 description 1
- 208000028017 Psychotic disease Diseases 0.000 description 1
- 108700008625 Reporter Genes Proteins 0.000 description 1
- 238000012300 Sequence Analysis Methods 0.000 description 1
- FIXILCYTSAUERA-FXQIFTODSA-N Ser-Ala-Arg Chemical compound [H]N[C@@H](CO)C(=O)N[C@@H](C)C(=O)N[C@@H](CCCNC(N)=N)C(O)=O FIXILCYTSAUERA-FXQIFTODSA-N 0.000 description 1
- BKOKTRCZXRIQPX-ZLUOBGJFSA-N Ser-Ala-Cys Chemical compound C[C@@H](C(=O)N[C@@H](CS)C(=O)O)NC(=O)[C@H](CO)N BKOKTRCZXRIQPX-ZLUOBGJFSA-N 0.000 description 1
- BTKUIVBNGBFTTP-WHFBIAKZSA-N Ser-Ala-Gly Chemical compound [H]N[C@@H](CO)C(=O)N[C@@H](C)C(=O)NCC(O)=O BTKUIVBNGBFTTP-WHFBIAKZSA-N 0.000 description 1
- WTUJZHKANPDPIN-CIUDSAMLSA-N Ser-Ala-Lys Chemical compound C[C@@H](C(=O)N[C@@H](CCCCN)C(=O)O)NC(=O)[C@H](CO)N WTUJZHKANPDPIN-CIUDSAMLSA-N 0.000 description 1
- IDQFQFVEWMWRQQ-DLOVCJGASA-N Ser-Ala-Phe Chemical compound [H]N[C@@H](CO)C(=O)N[C@@H](C)C(=O)N[C@@H](CC1=CC=CC=C1)C(O)=O IDQFQFVEWMWRQQ-DLOVCJGASA-N 0.000 description 1
- BRKHVZNDAOMAHX-BIIVOSGPSA-N Ser-Ala-Pro Chemical compound C[C@@H](C(=O)N1CCC[C@@H]1C(=O)O)NC(=O)[C@H](CO)N BRKHVZNDAOMAHX-BIIVOSGPSA-N 0.000 description 1
- HBZBPFLJNDXRAY-FXQIFTODSA-N Ser-Ala-Val Chemical compound [H]N[C@@H](CO)C(=O)N[C@@H](C)C(=O)N[C@@H](C(C)C)C(O)=O HBZBPFLJNDXRAY-FXQIFTODSA-N 0.000 description 1
- NLQUOHDCLSFABG-GUBZILKMSA-N Ser-Arg-Arg Chemical compound NC(N)=NCCC[C@H](NC(=O)[C@H](CO)N)C(=O)N[C@@H](CCCN=C(N)N)C(O)=O NLQUOHDCLSFABG-GUBZILKMSA-N 0.000 description 1
- FIDMVVBUOCMMJG-CIUDSAMLSA-N Ser-Asn-Leu Chemical compound CC(C)C[C@@H](C(O)=O)NC(=O)[C@H](CC(N)=O)NC(=O)[C@@H](N)CO FIDMVVBUOCMMJG-CIUDSAMLSA-N 0.000 description 1
- RDFQNDHEHVSONI-ZLUOBGJFSA-N Ser-Asn-Ser Chemical compound OC[C@H](N)C(=O)N[C@@H](CC(N)=O)C(=O)N[C@@H](CO)C(O)=O RDFQNDHEHVSONI-ZLUOBGJFSA-N 0.000 description 1
- BGOWRLSWJCVYAQ-CIUDSAMLSA-N Ser-Asp-Leu Chemical compound [H]N[C@@H](CO)C(=O)N[C@@H](CC(O)=O)C(=O)N[C@@H](CC(C)C)C(O)=O BGOWRLSWJCVYAQ-CIUDSAMLSA-N 0.000 description 1
- MMAPOBOTRUVNKJ-ZLUOBGJFSA-N Ser-Asp-Ser Chemical compound C([C@@H](C(=O)N[C@@H](CO)C(=O)O)NC(=O)[C@H](CO)N)C(=O)O MMAPOBOTRUVNKJ-ZLUOBGJFSA-N 0.000 description 1
- BLPYXIXXCFVIIF-FXQIFTODSA-N Ser-Cys-Arg Chemical compound C(C[C@@H](C(=O)O)NC(=O)[C@H](CS)NC(=O)[C@H](CO)N)CN=C(N)N BLPYXIXXCFVIIF-FXQIFTODSA-N 0.000 description 1
- INCNPLPRPOYTJI-JBDRJPRFSA-N Ser-Cys-Ile Chemical compound CC[C@H](C)[C@@H](C(=O)O)NC(=O)[C@H](CS)NC(=O)[C@H](CO)N INCNPLPRPOYTJI-JBDRJPRFSA-N 0.000 description 1
- GZBKRJVCRMZAST-XKBZYTNZSA-N Ser-Glu-Thr Chemical compound [H]N[C@@H](CO)C(=O)N[C@@H](CCC(O)=O)C(=O)N[C@@H]([C@@H](C)O)C(O)=O GZBKRJVCRMZAST-XKBZYTNZSA-N 0.000 description 1
- MUARUIBTKQJKFY-WHFBIAKZSA-N Ser-Gly-Asp Chemical compound [H]N[C@@H](CO)C(=O)NCC(=O)N[C@@H](CC(O)=O)C(O)=O MUARUIBTKQJKFY-WHFBIAKZSA-N 0.000 description 1
- WSTIOCFMWXNOCX-YUMQZZPRSA-N Ser-Gly-Lys Chemical compound C(CCN)C[C@@H](C(=O)O)NC(=O)CNC(=O)[C@H](CO)N WSTIOCFMWXNOCX-YUMQZZPRSA-N 0.000 description 1
- SFTZTYBXIXLRGQ-JBDRJPRFSA-N Ser-Ile-Ala Chemical compound [H]N[C@@H](CO)C(=O)N[C@@H]([C@@H](C)CC)C(=O)N[C@@H](C)C(O)=O SFTZTYBXIXLRGQ-JBDRJPRFSA-N 0.000 description 1
- XNCUYZKGQOCOQH-YUMQZZPRSA-N Ser-Leu-Gly Chemical compound [H]N[C@@H](CO)C(=O)N[C@@H](CC(C)C)C(=O)NCC(O)=O XNCUYZKGQOCOQH-YUMQZZPRSA-N 0.000 description 1
- HEUVHBXOVZONPU-BJDJZHNGSA-N Ser-Leu-Ile Chemical compound [H]N[C@@H](CO)C(=O)N[C@@H](CC(C)C)C(=O)N[C@@H]([C@@H](C)CC)C(O)=O HEUVHBXOVZONPU-BJDJZHNGSA-N 0.000 description 1
- GVMUJUPXFQFBBZ-GUBZILKMSA-N Ser-Lys-Glu Chemical compound [H]N[C@@H](CO)C(=O)N[C@@H](CCCCN)C(=O)N[C@@H](CCC(O)=O)C(O)=O GVMUJUPXFQFBBZ-GUBZILKMSA-N 0.000 description 1
- FBLNYDYPCLFTSP-IXOXFDKPSA-N Ser-Phe-Thr Chemical compound [H]N[C@@H](CO)C(=O)N[C@@H](CC1=CC=CC=C1)C(=O)N[C@@H]([C@@H](C)O)C(O)=O FBLNYDYPCLFTSP-IXOXFDKPSA-N 0.000 description 1
- ADJDNJCSPNFFPI-FXQIFTODSA-N Ser-Pro-Ala Chemical compound OC(=O)[C@H](C)NC(=O)[C@@H]1CCCN1C(=O)[C@@H](N)CO ADJDNJCSPNFFPI-FXQIFTODSA-N 0.000 description 1
- HHJFMHQYEAAOBM-ZLUOBGJFSA-N Ser-Ser-Ala Chemical compound [H]N[C@@H](CO)C(=O)N[C@@H](CO)C(=O)N[C@@H](C)C(O)=O HHJFMHQYEAAOBM-ZLUOBGJFSA-N 0.000 description 1
- KQNDIKOYWZTZIX-FXQIFTODSA-N Ser-Ser-Arg Chemical compound OC[C@H](N)C(=O)N[C@@H](CO)C(=O)N[C@H](C(O)=O)CCCNC(N)=N KQNDIKOYWZTZIX-FXQIFTODSA-N 0.000 description 1
- JCLAFVNDBJMLBC-JBDRJPRFSA-N Ser-Ser-Ile Chemical compound [H]N[C@@H](CO)C(=O)N[C@@H](CO)C(=O)N[C@@H]([C@@H](C)CC)C(O)=O JCLAFVNDBJMLBC-JBDRJPRFSA-N 0.000 description 1
- PYTKULIABVRXSC-BWBBJGPYSA-N Ser-Ser-Thr Chemical compound [H]N[C@@H](CO)C(=O)N[C@@H](CO)C(=O)N[C@@H]([C@@H](C)O)C(O)=O PYTKULIABVRXSC-BWBBJGPYSA-N 0.000 description 1
- SQHKXWODKJDZRC-LKXGYXEUSA-N Ser-Thr-Asn Chemical compound [H]N[C@@H](CO)C(=O)N[C@@H]([C@@H](C)O)C(=O)N[C@@H](CC(N)=O)C(O)=O SQHKXWODKJDZRC-LKXGYXEUSA-N 0.000 description 1
- ZSDXEKUKQAKZFE-XAVMHZPKSA-N Ser-Thr-Pro Chemical compound C[C@H]([C@@H](C(=O)N1CCC[C@@H]1C(=O)O)NC(=O)[C@H](CO)N)O ZSDXEKUKQAKZFE-XAVMHZPKSA-N 0.000 description 1
- FZNNGIHSIPKFRE-QEJZJMRPSA-N Ser-Trp-Gln Chemical compound [H]N[C@@H](CO)C(=O)N[C@@H](CC1=CNC2=C1C=CC=C2)C(=O)N[C@@H](CCC(N)=O)C(O)=O FZNNGIHSIPKFRE-QEJZJMRPSA-N 0.000 description 1
- VVKVHAOOUGNDPJ-SRVKXCTJSA-N Ser-Tyr-Ser Chemical compound [H]N[C@@H](CO)C(=O)N[C@@H](CC1=CC=C(O)C=C1)C(=O)N[C@@H](CO)C(O)=O VVKVHAOOUGNDPJ-SRVKXCTJSA-N 0.000 description 1
- OQSQCUWQOIHECT-YJRXYDGGSA-N Ser-Tyr-Thr Chemical compound [H]N[C@@H](CO)C(=O)N[C@@H](CC1=CC=C(O)C=C1)C(=O)N[C@@H]([C@@H](C)O)C(O)=O OQSQCUWQOIHECT-YJRXYDGGSA-N 0.000 description 1
- PMTWIUBUQRGCSB-FXQIFTODSA-N Ser-Val-Ala Chemical compound [H]N[C@@H](CO)C(=O)N[C@@H](C(C)C)C(=O)N[C@@H](C)C(O)=O PMTWIUBUQRGCSB-FXQIFTODSA-N 0.000 description 1
- 208000006011 Stroke Diseases 0.000 description 1
- 206010043118 Tardive Dyskinesia Diseases 0.000 description 1
- DFTCYYILCSQGIZ-GCJQMDKQSA-N Thr-Ala-Asn Chemical compound [H]N[C@@H]([C@@H](C)O)C(=O)N[C@@H](C)C(=O)N[C@@H](CC(N)=O)C(O)=O DFTCYYILCSQGIZ-GCJQMDKQSA-N 0.000 description 1
- STGXWWBXWXZOER-MBLNEYKQSA-N Thr-Ala-His Chemical compound C[C@@H](O)[C@H](N)C(=O)N[C@@H](C)C(=O)N[C@H](C(O)=O)CC1=CN=CN1 STGXWWBXWXZOER-MBLNEYKQSA-N 0.000 description 1
- LVHHEVGYAZGXDE-KDXUFGMBSA-N Thr-Ala-Pro Chemical compound C[C@H]([C@@H](C(=O)N[C@@H](C)C(=O)N1CCC[C@@H]1C(=O)O)N)O LVHHEVGYAZGXDE-KDXUFGMBSA-N 0.000 description 1
- DWYAUVCQDTZIJI-VZFHVOOUSA-N Thr-Ala-Ser Chemical compound C[C@@H](O)[C@H](N)C(=O)N[C@@H](C)C(=O)N[C@@H](CO)C(O)=O DWYAUVCQDTZIJI-VZFHVOOUSA-N 0.000 description 1
- XSLXHSYIVPGEER-KZVJFYERSA-N Thr-Ala-Val Chemical compound [H]N[C@@H]([C@@H](C)O)C(=O)N[C@@H](C)C(=O)N[C@@H](C(C)C)C(O)=O XSLXHSYIVPGEER-KZVJFYERSA-N 0.000 description 1
- OJRNZRROAIAHDL-LKXGYXEUSA-N Thr-Asn-Ser Chemical compound [H]N[C@@H]([C@@H](C)O)C(=O)N[C@@H](CC(N)=O)C(=O)N[C@@H](CO)C(O)=O OJRNZRROAIAHDL-LKXGYXEUSA-N 0.000 description 1
- SLUWOCTZVGMURC-BFHQHQDPSA-N Thr-Gly-Ala Chemical compound C[C@@H](O)[C@H](N)C(=O)NCC(=O)N[C@@H](C)C(O)=O SLUWOCTZVGMURC-BFHQHQDPSA-N 0.000 description 1
- MSIYNSBKKVMGFO-BHNWBGBOSA-N Thr-Gly-Pro Chemical compound C[C@H]([C@@H](C(=O)NCC(=O)N1CCC[C@@H]1C(=O)O)N)O MSIYNSBKKVMGFO-BHNWBGBOSA-N 0.000 description 1
- WPAKPLPGQNUXGN-OSUNSFLBSA-N Thr-Ile-Arg Chemical compound [H]N[C@@H]([C@@H](C)O)C(=O)N[C@@H]([C@@H](C)CC)C(=O)N[C@@H](CCCNC(N)=N)C(O)=O WPAKPLPGQNUXGN-OSUNSFLBSA-N 0.000 description 1
- YJCVECXVYHZOBK-KNZXXDILSA-N Thr-Ile-Pro Chemical compound CC[C@H](C)[C@@H](C(=O)N1CCC[C@@H]1C(=O)O)NC(=O)[C@H]([C@@H](C)O)N YJCVECXVYHZOBK-KNZXXDILSA-N 0.000 description 1
- FQPDRTDDEZXCEC-SVSWQMSJSA-N Thr-Ile-Ser Chemical compound [H]N[C@@H]([C@@H](C)O)C(=O)N[C@@H]([C@@H](C)CC)C(=O)N[C@@H](CO)C(O)=O FQPDRTDDEZXCEC-SVSWQMSJSA-N 0.000 description 1
- IMDMLDSVUSMAEJ-HJGDQZAQSA-N Thr-Leu-Asn Chemical compound [H]N[C@@H]([C@@H](C)O)C(=O)N[C@@H](CC(C)C)C(=O)N[C@@H](CC(N)=O)C(O)=O IMDMLDSVUSMAEJ-HJGDQZAQSA-N 0.000 description 1
- MEJHFIOYJHTWMK-VOAKCMCISA-N Thr-Leu-Leu Chemical compound CC(C)C[C@@H](C(O)=O)NC(=O)[C@H](CC(C)C)NC(=O)[C@@H](N)[C@@H](C)O MEJHFIOYJHTWMK-VOAKCMCISA-N 0.000 description 1
- PRNGXSILMXSWQQ-OEAJRASXSA-N Thr-Leu-Phe Chemical compound [H]N[C@@H]([C@@H](C)O)C(=O)N[C@@H](CC(C)C)C(=O)N[C@@H](CC1=CC=CC=C1)C(O)=O PRNGXSILMXSWQQ-OEAJRASXSA-N 0.000 description 1
- BDGBHYCAZJPLHX-HJGDQZAQSA-N Thr-Lys-Asn Chemical compound [H]N[C@@H]([C@@H](C)O)C(=O)N[C@@H](CCCCN)C(=O)N[C@@H](CC(N)=O)C(O)=O BDGBHYCAZJPLHX-HJGDQZAQSA-N 0.000 description 1
- DCRHJDRLCFMEBI-RHYQMDGZSA-N Thr-Lys-Met Chemical compound [H]N[C@@H]([C@@H](C)O)C(=O)N[C@@H](CCCCN)C(=O)N[C@@H](CCSC)C(O)=O DCRHJDRLCFMEBI-RHYQMDGZSA-N 0.000 description 1
- XSEPSRUDSPHMPX-KATARQTJSA-N Thr-Lys-Ser Chemical compound [H]N[C@@H]([C@@H](C)O)C(=O)N[C@@H](CCCCN)C(=O)N[C@@H](CO)C(O)=O XSEPSRUDSPHMPX-KATARQTJSA-N 0.000 description 1
- GUHLYMZJVXUIPO-RCWTZXSCSA-N Thr-Met-Val Chemical compound [H]N[C@@H]([C@@H](C)O)C(=O)N[C@@H](CCSC)C(=O)N[C@@H](C(C)C)C(O)=O GUHLYMZJVXUIPO-RCWTZXSCSA-N 0.000 description 1
- KZURUCDWKDEAFZ-XVSYOHENSA-N Thr-Phe-Asn Chemical compound C[C@H]([C@@H](C(=O)N[C@@H](CC1=CC=CC=C1)C(=O)N[C@@H](CC(=O)N)C(=O)O)N)O KZURUCDWKDEAFZ-XVSYOHENSA-N 0.000 description 1
- WNQJTLATMXYSEL-OEAJRASXSA-N Thr-Phe-Leu Chemical compound [H]N[C@@H]([C@@H](C)O)C(=O)N[C@@H](CC1=CC=CC=C1)C(=O)N[C@@H](CC(C)C)C(O)=O WNQJTLATMXYSEL-OEAJRASXSA-N 0.000 description 1
- ABWNZPOIUJMNKT-IXOXFDKPSA-N Thr-Phe-Ser Chemical compound [H]N[C@@H]([C@@H](C)O)C(=O)N[C@@H](CC1=CC=CC=C1)C(=O)N[C@@H](CO)C(O)=O ABWNZPOIUJMNKT-IXOXFDKPSA-N 0.000 description 1
- VTMGKRABARCZAX-OSUNSFLBSA-N Thr-Pro-Ile Chemical compound CC[C@H](C)[C@@H](C(O)=O)NC(=O)[C@@H]1CCCN1C(=O)[C@@H](N)[C@@H](C)O VTMGKRABARCZAX-OSUNSFLBSA-N 0.000 description 1
- GVMXJJAJLIEASL-ZJDVBMNYSA-N Thr-Pro-Thr Chemical compound C[C@@H](O)[C@H](N)C(=O)N1CCC[C@H]1C(=O)N[C@@H]([C@@H](C)O)C(O)=O GVMXJJAJLIEASL-ZJDVBMNYSA-N 0.000 description 1
- FWTFAZKJORVTIR-VZFHVOOUSA-N Thr-Ser-Ala Chemical compound [H]N[C@@H]([C@@H](C)O)C(=O)N[C@@H](CO)C(=O)N[C@@H](C)C(O)=O FWTFAZKJORVTIR-VZFHVOOUSA-N 0.000 description 1
- NHQVWACSJZJCGJ-FLBSBUHZSA-N Thr-Thr-Ile Chemical compound [H]N[C@@H]([C@@H](C)O)C(=O)N[C@@H]([C@@H](C)O)C(=O)N[C@@H]([C@@H](C)CC)C(O)=O NHQVWACSJZJCGJ-FLBSBUHZSA-N 0.000 description 1
- BBPCSGKKPJUYRB-UVOCVTCTSA-N Thr-Thr-Leu Chemical compound [H]N[C@@H]([C@@H](C)O)C(=O)N[C@@H]([C@@H](C)O)C(=O)N[C@@H](CC(C)C)C(O)=O BBPCSGKKPJUYRB-UVOCVTCTSA-N 0.000 description 1
- ZESGVALRVJIVLZ-VFCFLDTKSA-N Thr-Thr-Pro Chemical compound C[C@H]([C@@H](C(=O)N[C@@H]([C@@H](C)O)C(=O)N1CCC[C@@H]1C(=O)O)N)O ZESGVALRVJIVLZ-VFCFLDTKSA-N 0.000 description 1
- ZMYCLHFLHRVOEA-HEIBUPTGSA-N Thr-Thr-Ser Chemical compound C[C@@H](O)[C@H](N)C(=O)N[C@@H]([C@@H](C)O)C(=O)N[C@@H](CO)C(O)=O ZMYCLHFLHRVOEA-HEIBUPTGSA-N 0.000 description 1
- COYHRQWNJDJCNA-NUJDXYNKSA-N Thr-Thr-Thr Chemical compound C[C@@H](O)[C@H](N)C(=O)N[C@@H]([C@@H](C)O)C(=O)N[C@@H]([C@@H](C)O)C(O)=O COYHRQWNJDJCNA-NUJDXYNKSA-N 0.000 description 1
- LECUEEHKUFYOOV-ZJDVBMNYSA-N Thr-Thr-Val Chemical compound CC(C)[C@@H](C(O)=O)NC(=O)[C@H]([C@@H](C)O)NC(=O)[C@@H](N)[C@@H](C)O LECUEEHKUFYOOV-ZJDVBMNYSA-N 0.000 description 1
- DKNYWNPPSZCWCJ-GBALPHGKSA-N Thr-Trp-Cys Chemical compound C[C@H]([C@@H](C(=O)N[C@@H](CC1=CNC2=CC=CC=C21)C(=O)N[C@@H](CS)C(=O)O)N)O DKNYWNPPSZCWCJ-GBALPHGKSA-N 0.000 description 1
- NLWDSYKZUPRMBJ-IEGACIPQSA-N Thr-Trp-Leu Chemical compound C[C@H]([C@@H](C(=O)N[C@@H](CC1=CNC2=CC=CC=C21)C(=O)N[C@@H](CC(C)C)C(=O)O)N)O NLWDSYKZUPRMBJ-IEGACIPQSA-N 0.000 description 1
- IJKNKFJZOJCKRR-GBALPHGKSA-N Thr-Trp-Ser Chemical compound C1=CC=C2C(C[C@H](NC(=O)[C@@H](N)[C@H](O)C)C(=O)N[C@@H](CO)C(O)=O)=CNC2=C1 IJKNKFJZOJCKRR-GBALPHGKSA-N 0.000 description 1
- XVHAUVJXBFGUPC-RPTUDFQQSA-N Thr-Tyr-Phe Chemical compound [H]N[C@@H]([C@@H](C)O)C(=O)N[C@@H](CC1=CC=C(O)C=C1)C(=O)N[C@@H](CC1=CC=CC=C1)C(O)=O XVHAUVJXBFGUPC-RPTUDFQQSA-N 0.000 description 1
- VYVBSMCZNHOZGD-RCWTZXSCSA-N Thr-Val-Val Chemical compound [H]N[C@@H]([C@@H](C)O)C(=O)N[C@@H](C(C)C)C(=O)N[C@@H](C(C)C)C(O)=O VYVBSMCZNHOZGD-RCWTZXSCSA-N 0.000 description 1
- 208000000323 Tourette Syndrome Diseases 0.000 description 1
- 208000016620 Tourette disease Diseases 0.000 description 1
- ADBFWLXCCKIXBQ-XIRDDKMYSA-N Trp-Asn-Leu Chemical compound CC(C)C[C@@H](C(=O)O)NC(=O)[C@H](CC(=O)N)NC(=O)[C@H](CC1=CNC2=CC=CC=C21)N ADBFWLXCCKIXBQ-XIRDDKMYSA-N 0.000 description 1
- BSSJIVIFAJKLEK-XIRDDKMYSA-N Trp-Cys-Leu Chemical compound CC(C)C[C@@H](C(=O)O)NC(=O)[C@H](CS)NC(=O)[C@H](CC1=CNC2=CC=CC=C21)N BSSJIVIFAJKLEK-XIRDDKMYSA-N 0.000 description 1
- DXHHCIYKHRKBOC-BHYGNILZSA-N Trp-Gln-Pro Chemical compound C1C[C@@H](N(C1)C(=O)[C@H](CCC(=O)N)NC(=O)[C@H](CC2=CNC3=CC=CC=C32)N)C(=O)O DXHHCIYKHRKBOC-BHYGNILZSA-N 0.000 description 1
- NOBINHCGDUHOBV-NAZCDGGXSA-N Trp-His-Thr Chemical compound [H]N[C@@H](CC1=CNC2=C1C=CC=C2)C(=O)N[C@@H](CC1=CNC=N1)C(=O)N[C@@H]([C@@H](C)O)C(O)=O NOBINHCGDUHOBV-NAZCDGGXSA-N 0.000 description 1
- NLLARHRWSFNEMH-NUTKFTJISA-N Trp-Lys-Ala Chemical compound C[C@@H](C(=O)O)NC(=O)[C@H](CCCCN)NC(=O)[C@H](CC1=CNC2=CC=CC=C21)N NLLARHRWSFNEMH-NUTKFTJISA-N 0.000 description 1
- BOESUSAIMQGVJD-RYQLBKOJSA-N Trp-Met-Pro Chemical compound CSCC[C@@H](C(=O)N1CCC[C@@H]1C(=O)O)NC(=O)[C@H](CC2=CNC3=CC=CC=C32)N BOESUSAIMQGVJD-RYQLBKOJSA-N 0.000 description 1
- QUIXRGCMQOXUSV-SZMVWBNQSA-N Trp-Pro-Pro Chemical compound O=C([C@@H]1CCCN1C(=O)[C@H](CC=1C2=CC=CC=C2NC=1)N)N1CCC[C@H]1C(O)=O QUIXRGCMQOXUSV-SZMVWBNQSA-N 0.000 description 1
- NMOIRIIIUVELLY-WDSOQIARSA-N Trp-Val-Leu Chemical compound C1=CC=C2C(C[C@H](N)C(=O)N[C@H](C(=O)N[C@@H](CC(C)C)C(O)=O)C(C)C)=CNC2=C1 NMOIRIIIUVELLY-WDSOQIARSA-N 0.000 description 1
- 206010067584 Type 1 diabetes mellitus Diseases 0.000 description 1
- LGEYOIQBBIPHQN-UWJYBYFXSA-N Tyr-Ala-Ser Chemical compound OC[C@@H](C(O)=O)NC(=O)[C@H](C)NC(=O)[C@@H](N)CC1=CC=C(O)C=C1 LGEYOIQBBIPHQN-UWJYBYFXSA-N 0.000 description 1
- QYSBJAUCUKHSLU-JYJNAYRXSA-N Tyr-Arg-Val Chemical compound [H]N[C@@H](CC1=CC=C(O)C=C1)C(=O)N[C@@H](CCCNC(N)=N)C(=O)N[C@@H](C(C)C)C(O)=O QYSBJAUCUKHSLU-JYJNAYRXSA-N 0.000 description 1
- MNMYOSZWCKYEDI-JRQIVUDYSA-N Tyr-Asp-Thr Chemical compound [H]N[C@@H](CC1=CC=C(O)C=C1)C(=O)N[C@@H](CC(O)=O)C(=O)N[C@@H]([C@@H](C)O)C(O)=O MNMYOSZWCKYEDI-JRQIVUDYSA-N 0.000 description 1
- HKYTWJOWZTWBQB-AVGNSLFASA-N Tyr-Glu-Asp Chemical compound OC(=O)C[C@@H](C(O)=O)NC(=O)[C@H](CCC(O)=O)NC(=O)[C@@H](N)CC1=CC=C(O)C=C1 HKYTWJOWZTWBQB-AVGNSLFASA-N 0.000 description 1
- DWAMXBFJNZIHMC-KBPBESRZSA-N Tyr-Leu-Gly Chemical compound [H]N[C@@H](CC1=CC=C(O)C=C1)C(=O)N[C@@H](CC(C)C)C(=O)NCC(O)=O DWAMXBFJNZIHMC-KBPBESRZSA-N 0.000 description 1
- WPRVVBVWIUWLOH-UFYCRDLUSA-N Tyr-Phe-Met Chemical compound CSCC[C@@H](C(=O)O)NC(=O)[C@H](CC1=CC=CC=C1)NC(=O)[C@H](CC2=CC=C(C=C2)O)N WPRVVBVWIUWLOH-UFYCRDLUSA-N 0.000 description 1
- BCOBSVIZMQXKFY-KKUMJFAQSA-N Tyr-Ser-His Chemical compound C1=CC(=CC=C1C[C@@H](C(=O)N[C@@H](CO)C(=O)N[C@@H](CC2=CN=CN2)C(=O)O)N)O BCOBSVIZMQXKFY-KKUMJFAQSA-N 0.000 description 1
- KLOZTPOXVVRVAQ-DZKIICNBSA-N Tyr-Val-Gln Chemical compound NC(=O)CC[C@@H](C(O)=O)NC(=O)[C@H](C(C)C)NC(=O)[C@@H](N)CC1=CC=C(O)C=C1 KLOZTPOXVVRVAQ-DZKIICNBSA-N 0.000 description 1
- HZWPGKAKGYJWCI-ULQDDVLXSA-N Tyr-Val-Leu Chemical compound CC(C)C[C@H](NC(=O)[C@@H](NC(=O)[C@@H](N)Cc1ccc(O)cc1)C(C)C)C(O)=O HZWPGKAKGYJWCI-ULQDDVLXSA-N 0.000 description 1
- 206010046851 Uveitis Diseases 0.000 description 1
- UUYCNAXCCDNULB-QXEWZRGKSA-N Val-Arg-Asn Chemical compound CC(C)[C@H](N)C(=O)N[C@@H](CCCN=C(N)N)C(=O)N[C@@H](CC(N)=O)C(O)=O UUYCNAXCCDNULB-QXEWZRGKSA-N 0.000 description 1
- JIODCDXKCJRMEH-NHCYSSNCSA-N Val-Arg-Gln Chemical compound CC(C)[C@@H](C(=O)N[C@@H](CCCN=C(N)N)C(=O)N[C@@H](CCC(=O)N)C(=O)O)N JIODCDXKCJRMEH-NHCYSSNCSA-N 0.000 description 1
- COYSIHFOCOMGCF-UHFFFAOYSA-N Val-Arg-Gly Natural products CC(C)C(N)C(=O)NC(C(=O)NCC(O)=O)CCCN=C(N)N COYSIHFOCOMGCF-UHFFFAOYSA-N 0.000 description 1
- IDKGBVZGNTYYCC-QXEWZRGKSA-N Val-Asn-Pro Chemical compound CC(C)[C@H](N)C(=O)N[C@@H](CC(N)=O)C(=O)N1CCC[C@H]1C(O)=O IDKGBVZGNTYYCC-QXEWZRGKSA-N 0.000 description 1
- PVPAOIGJYHVWBT-KKHAAJSZSA-N Val-Asn-Thr Chemical compound C[C@H]([C@@H](C(=O)O)NC(=O)[C@H](CC(=O)N)NC(=O)[C@H](C(C)C)N)O PVPAOIGJYHVWBT-KKHAAJSZSA-N 0.000 description 1
- YODDULVCGFQRFZ-ZKWXMUAHSA-N Val-Asp-Ser Chemical compound CC(C)[C@H](N)C(=O)N[C@@H](CC(O)=O)C(=O)N[C@@H](CO)C(O)=O YODDULVCGFQRFZ-ZKWXMUAHSA-N 0.000 description 1
- XIFAHCUNWWKUDE-DCAQKATOSA-N Val-Cys-Lys Chemical compound CC(C)[C@@H](C(=O)N[C@@H](CS)C(=O)N[C@@H](CCCCN)C(=O)O)N XIFAHCUNWWKUDE-DCAQKATOSA-N 0.000 description 1
- OPGWZDIYEYJVRX-AVGNSLFASA-N Val-His-Arg Chemical compound CC(C)[C@@H](C(=O)N[C@@H](CC1=CN=CN1)C(=O)N[C@@H](CCCN=C(N)N)C(=O)O)N OPGWZDIYEYJVRX-AVGNSLFASA-N 0.000 description 1
- SDSCOOZQQGUQFC-GVXVVHGQSA-N Val-His-Gln Chemical compound CC(C)[C@@H](C(=O)N[C@@H](CC1=CN=CN1)C(=O)N[C@@H](CCC(=O)N)C(=O)O)N SDSCOOZQQGUQFC-GVXVVHGQSA-N 0.000 description 1
- CPGJELLYDQEDRK-NAKRPEOUSA-N Val-Ile-Ala Chemical compound CC[C@H](C)[C@H](NC(=O)[C@@H](N)C(C)C)C(=O)N[C@@H](C)C(O)=O CPGJELLYDQEDRK-NAKRPEOUSA-N 0.000 description 1
- APEBUJBRGCMMHP-HJWJTTGWSA-N Val-Ile-Phe Chemical compound CC(C)[C@H](N)C(=O)N[C@@H]([C@@H](C)CC)C(=O)N[C@H](C(O)=O)CC1=CC=CC=C1 APEBUJBRGCMMHP-HJWJTTGWSA-N 0.000 description 1
- BMOFUVHDBROBSE-DCAQKATOSA-N Val-Leu-Cys Chemical compound CC(C)C[C@@H](C(=O)N[C@@H](CS)C(=O)O)NC(=O)[C@H](C(C)C)N BMOFUVHDBROBSE-DCAQKATOSA-N 0.000 description 1
- HGJRMXOWUWVUOA-GVXVVHGQSA-N Val-Leu-Gln Chemical compound CC(C)C[C@@H](C(=O)N[C@@H](CCC(=O)N)C(=O)O)NC(=O)[C@H](C(C)C)N HGJRMXOWUWVUOA-GVXVVHGQSA-N 0.000 description 1
- SVFRYKBZHUGKLP-QXEWZRGKSA-N Val-Met-Asn Chemical compound CC(C)[C@@H](C(=O)N[C@@H](CCSC)C(=O)N[C@@H](CC(=O)N)C(=O)O)N SVFRYKBZHUGKLP-QXEWZRGKSA-N 0.000 description 1
- QIVPZSWBBHRNBA-JYJNAYRXSA-N Val-Pro-Phe Chemical compound CC(C)[C@H](N)C(=O)N1CCC[C@H]1C(=O)N[C@@H](Cc1ccccc1)C(O)=O QIVPZSWBBHRNBA-JYJNAYRXSA-N 0.000 description 1
- QWCZXKIFPWPQHR-JYJNAYRXSA-N Val-Pro-Tyr Chemical compound CC(C)[C@H](N)C(=O)N1CCC[C@H]1C(=O)N[C@H](C(O)=O)CC1=CC=C(O)C=C1 QWCZXKIFPWPQHR-JYJNAYRXSA-N 0.000 description 1
- HWNYVQMOLCYHEA-IHRRRGAJSA-N Val-Ser-Tyr Chemical compound CC(C)[C@@H](C(=O)N[C@@H](CO)C(=O)N[C@@H](CC1=CC=C(C=C1)O)C(=O)O)N HWNYVQMOLCYHEA-IHRRRGAJSA-N 0.000 description 1
- LCHZBEUVGAVMKS-RHYQMDGZSA-N Val-Thr-Leu Chemical compound CC(C)C[C@H](NC(=O)[C@@H](NC(=O)[C@@H](N)C(C)C)[C@@H](C)O)C(O)=O LCHZBEUVGAVMKS-RHYQMDGZSA-N 0.000 description 1
- MIAZWUMFUURQNP-YDHLFZDLSA-N Val-Tyr-Asn Chemical compound CC(C)[C@@H](C(=O)N[C@@H](CC1=CC=C(C=C1)O)C(=O)N[C@@H](CC(=O)N)C(=O)O)N MIAZWUMFUURQNP-YDHLFZDLSA-N 0.000 description 1
- ZHWZDZFWBXWPDW-GUBZILKMSA-N Val-Val-Cys Chemical compound CC(C)[C@H](N)C(=O)N[C@@H](C(C)C)C(=O)N[C@@H](CS)C(O)=O ZHWZDZFWBXWPDW-GUBZILKMSA-N 0.000 description 1
- VVIZITNVZUAEMI-DLOVCJGASA-N Val-Val-Gln Chemical compound CC(C)[C@H](N)C(=O)N[C@@H](C(C)C)C(=O)N[C@H](C(O)=O)CCC(N)=O VVIZITNVZUAEMI-DLOVCJGASA-N 0.000 description 1
- IOUPEELXVYPCPG-UHFFFAOYSA-N Valylglycine Chemical compound CC(C)C(N)C(=O)NCC(O)=O IOUPEELXVYPCPG-UHFFFAOYSA-N 0.000 description 1
- 241000269368 Xenopus laevis Species 0.000 description 1
- 201000008629 Zollinger-Ellison syndrome Diseases 0.000 description 1
- MMWCIQZXVOZEGG-HOZKJCLWSA-N [(1S,2R,3S,4S,5R,6S)-2,3,5-trihydroxy-4,6-diphosphonooxycyclohexyl] dihydrogen phosphate Chemical compound O[C@H]1[C@@H](O)[C@H](OP(O)(O)=O)[C@@H](OP(O)(O)=O)[C@H](O)[C@H]1OP(O)(O)=O MMWCIQZXVOZEGG-HOZKJCLWSA-N 0.000 description 1
- 230000002159 abnormal effect Effects 0.000 description 1
- 108010081404 acein-2 Proteins 0.000 description 1
- 230000003213 activating effect Effects 0.000 description 1
- 201000003229 acute pancreatitis Diseases 0.000 description 1
- 208000009956 adenocarcinoma Diseases 0.000 description 1
- 102000030621 adenylate cyclase Human genes 0.000 description 1
- 108060000200 adenylate cyclase Proteins 0.000 description 1
- 210000004100 adrenal gland Anatomy 0.000 description 1
- 108010044940 alanylglutamine Proteins 0.000 description 1
- 108010047495 alanylglycine Proteins 0.000 description 1
- 108010070944 alanylhistidine Proteins 0.000 description 1
- 108010087924 alanylproline Proteins 0.000 description 1
- 150000001412 amines Chemical class 0.000 description 1
- 210000004727 amygdala Anatomy 0.000 description 1
- 206010002026 amyotrophic lateral sclerosis Diseases 0.000 description 1
- 230000037005 anaesthesia Effects 0.000 description 1
- 238000010171 animal model Methods 0.000 description 1
- 238000005349 anion exchange Methods 0.000 description 1
- 230000007953 anoxia Effects 0.000 description 1
- 235000019789 appetite Nutrition 0.000 description 1
- 230000036528 appetite Effects 0.000 description 1
- 235000021229 appetite regulation Nutrition 0.000 description 1
- 239000008346 aqueous phase Substances 0.000 description 1
- 108010068380 arginylarginine Proteins 0.000 description 1
- 108010062796 arginyllysine Proteins 0.000 description 1
- 125000006615 aromatic heterocyclic group Chemical group 0.000 description 1
- 125000000613 asparagine group Chemical group N[C@@H](CC(N)=O)C(=O)* 0.000 description 1
- 125000004429 atom Chemical group 0.000 description 1
- 210000004227 basal ganglia Anatomy 0.000 description 1
- 125000003310 benzodiazepinyl group Chemical group N1N=C(C=CC2=C1C=CC=C2)* 0.000 description 1
- 102000005936 beta-Galactosidase Human genes 0.000 description 1
- 108010005774 beta-Galactosidase Proteins 0.000 description 1
- 230000000035 biogenic effect Effects 0.000 description 1
- 230000004071 biological effect Effects 0.000 description 1
- 125000001246 bromo group Chemical group Br* 0.000 description 1
- 239000007853 buffer solution Substances 0.000 description 1
- 125000002837 carbocyclic group Chemical group 0.000 description 1
- 125000003178 carboxy group Chemical group [H]OC(*)=O 0.000 description 1
- 230000000747 cardiac effect Effects 0.000 description 1
- 210000000170 cell membrane Anatomy 0.000 description 1
- 239000013553 cell monolayer Substances 0.000 description 1
- 230000010307 cell transformation Effects 0.000 description 1
- 210000003169 central nervous system Anatomy 0.000 description 1
- 210000001638 cerebellum Anatomy 0.000 description 1
- 210000003710 cerebral cortex Anatomy 0.000 description 1
- 230000002490 cerebral effect Effects 0.000 description 1
- 206010008129 cerebral palsy Diseases 0.000 description 1
- 239000002738 chelating agent Substances 0.000 description 1
- 230000009920 chelation Effects 0.000 description 1
- 125000003636 chemical group Chemical group 0.000 description 1
- 125000001309 chloro group Chemical group Cl* 0.000 description 1
- 230000001684 chronic effect Effects 0.000 description 1
- 229960003920 cocaine Drugs 0.000 description 1
- 210000001072 colon Anatomy 0.000 description 1
- 239000002299 complementary DNA Substances 0.000 description 1
- 230000008602 contraction Effects 0.000 description 1
- 108010069495 cysteinyltyrosine Proteins 0.000 description 1
- 230000003247 decreasing effect Effects 0.000 description 1
- 238000000586 desensitisation Methods 0.000 description 1
- 238000013461 design Methods 0.000 description 1
- 238000001514 detection method Methods 0.000 description 1
- 238000011161 development Methods 0.000 description 1
- 229960003638 dopamine Drugs 0.000 description 1
- 231100000673 dose–response relationship Toxicity 0.000 description 1
- 238000009509 drug development Methods 0.000 description 1
- 208000000718 duodenal ulcer Diseases 0.000 description 1
- 239000000975 dye Substances 0.000 description 1
- 238000010828 elution Methods 0.000 description 1
- 210000004188 enterochromaffin-like cell Anatomy 0.000 description 1
- 230000007613 environmental effect Effects 0.000 description 1
- 229940088598 enzyme Drugs 0.000 description 1
- 206010015037 epilepsy Diseases 0.000 description 1
- 238000011067 equilibration Methods 0.000 description 1
- 210000003238 esophagus Anatomy 0.000 description 1
- 239000012894 fetal calf serum Substances 0.000 description 1
- 238000001914 filtration Methods 0.000 description 1
- 125000001153 fluoro group Chemical group F* 0.000 description 1
- YFHXZQPUBCBNIP-UHFFFAOYSA-N fura-2 Chemical compound CC1=CC=C(N(CC(O)=O)CC(O)=O)C(OCCOC=2C(=CC=3OC(=CC=3C=2)C=2OC(=CN=2)C(O)=O)N(CC(O)=O)CC(O)=O)=C1 YFHXZQPUBCBNIP-UHFFFAOYSA-N 0.000 description 1
- 210000000232 gallbladder Anatomy 0.000 description 1
- 208000017211 gastric neuroendocrine tumor G1 Diseases 0.000 description 1
- 108010066264 gastrin 17 Proteins 0.000 description 1
- GKDWRERMBNGKCZ-RNXBIMIWSA-N gastrin-17 Chemical compound C([C@@H](C(=O)NCC(=O)N[C@@H](CC=1C2=CC=CC=C2NC=1)C(=O)N[C@@H](CCSC)C(=O)N[C@@H](CC(O)=O)C(=O)N[C@@H](CC=1C=CC=CC=1)C(N)=O)NC(=O)[C@H](C)NC(=O)[C@H](CCC(O)=O)NC(=O)[C@H](CCC(O)=O)NC(=O)[C@H](CCC(O)=O)NC(=O)[C@H](CCC(O)=O)NC(=O)[C@H](CCC(O)=O)NC(=O)[C@H](CC(C)C)NC(=O)[C@H](CC=1C2=CC=CC=C2NC=1)NC(=O)[C@H]1N(CCC1)C(=O)CNC(=O)[C@H]1NC(=O)CC1)C1=CC=C(O)C=C1 GKDWRERMBNGKCZ-RNXBIMIWSA-N 0.000 description 1
- FMIHGWZLPSIAFY-WGFKALLTSA-N gastrin-34 Chemical compound C([C@@H](C(=O)NCC(=O)N[C@@H](CC=1C2=CC=CC=C2NC=1)C(=O)N[C@@H](CCSC)C(=O)N[C@@H](CC(O)=O)C(=O)N[C@@H](CC=1C=CC=CC=1)C(O)=O)NC(=O)[C@H](C)NC(=O)[C@H](CCC(O)=O)NC(=O)[C@H](CCC(O)=O)NC(=O)[C@H](CCC(O)=O)NC(=O)[C@H](CCC(O)=O)NC(=O)[C@H](CCC(O)=O)NC(=O)[C@H](CC(C)C)NC(=O)[C@H](CC=1C2=CC=CC=C2NC=1)NC(=O)[C@H]1N(CCC1)C(=O)CNC(=O)[C@H](CCC(N)=O)NC(=O)[C@H](CCCCN)NC(=O)[C@H](CCCCN)NC(=O)[C@H](CO)NC(=O)[C@H]1N(CCC1)C(=O)[C@H](CC(O)=O)NC(=O)[C@H](C)NC(=O)[C@@H](NC(=O)[C@H](CC(C)C)NC(=O)[C@H](CC=1N=CNC=1)NC(=O)[C@H]1N(CCC1)C(=O)[C@H]1N(CCC1)C(=O)CNC(=O)[C@H](CCC(N)=O)NC(=O)[C@H]1N(CCC1)C(=O)CNC(=O)[C@H](CC(C)C)NC(=O)[C@@H](N)CCC(N)=O)C(C)C)C1=CC=C(O)C=C1 FMIHGWZLPSIAFY-WGFKALLTSA-N 0.000 description 1
- 201000000052 gastrinoma Diseases 0.000 description 1
- 239000011521 glass Substances 0.000 description 1
- 230000002518 glial effect Effects 0.000 description 1
- 108010055341 glutamyl-glutamic acid Proteins 0.000 description 1
- 108010072405 glycyl-aspartyl-glycine Proteins 0.000 description 1
- 108010067216 glycyl-glycyl-glycine Proteins 0.000 description 1
- 108010017446 glycyl-prolyl-arginyl-proline Proteins 0.000 description 1
- 108010020688 glycylhistidine Proteins 0.000 description 1
- 108010077515 glycylproline Proteins 0.000 description 1
- 230000036541 health Effects 0.000 description 1
- 125000001072 heteroaryl group Chemical group 0.000 description 1
- 238000004128 high performance liquid chromatography Methods 0.000 description 1
- 230000007062 hydrolysis Effects 0.000 description 1
- 238000006460 hydrolysis reaction Methods 0.000 description 1
- FUKUFMFMCZIRNT-UHFFFAOYSA-N hydron;methanol;chloride Chemical compound Cl.OC FUKUFMFMCZIRNT-UHFFFAOYSA-N 0.000 description 1
- 238000002169 hydrotherapy Methods 0.000 description 1
- 125000004356 hydroxy functional group Chemical group O* 0.000 description 1
- 206010020718 hyperplasia Diseases 0.000 description 1
- 230000002102 hyperpolarization Effects 0.000 description 1
- 230000002218 hypoglycaemic effect Effects 0.000 description 1
- 238000002513 implantation Methods 0.000 description 1
- 238000000338 in vitro Methods 0.000 description 1
- 230000001939 inductive effect Effects 0.000 description 1
- 208000000509 infertility Diseases 0.000 description 1
- 230000036512 infertility Effects 0.000 description 1
- 231100000535 infertility Toxicity 0.000 description 1
- 239000003112 inhibitor Substances 0.000 description 1
- 230000002401 inhibitory effect Effects 0.000 description 1
- 208000014674 injury Diseases 0.000 description 1
- CIPFCGZLFXVXBG-ZIQZFLOESA-N inositol 1,3,4,5-tetrakisphosphate Chemical compound O[C@H]1[C@H](OP(O)(O)=O)[C@@H](O)[C@@H](OP(O)(O)=O)[C@H](OP(O)(O)=O)[C@@H]1OP(O)(O)=O CIPFCGZLFXVXBG-ZIQZFLOESA-N 0.000 description 1
- 238000003780 insertion Methods 0.000 description 1
- 230000037431 insertion Effects 0.000 description 1
- 229940125396 insulin Drugs 0.000 description 1
- 230000003993 interaction Effects 0.000 description 1
- 210000000936 intestine Anatomy 0.000 description 1
- 102000027411 intracellular receptors Human genes 0.000 description 1
- 108091008582 intracellular receptors Proteins 0.000 description 1
- 125000002346 iodo group Chemical group I* 0.000 description 1
- 201000004614 iritis Diseases 0.000 description 1
- 208000002551 irritable bowel syndrome Diseases 0.000 description 1
- 230000000302 ischemic effect Effects 0.000 description 1
- 108010027338 isoleucylcysteine Proteins 0.000 description 1
- 210000003292 kidney cell Anatomy 0.000 description 1
- 150000002632 lipids Chemical class 0.000 description 1
- 238000001638 lipofection Methods 0.000 description 1
- 238000005567 liquid scintillation counting Methods 0.000 description 1
- 210000004072 lung Anatomy 0.000 description 1
- 208000020816 lung neoplasm Diseases 0.000 description 1
- 208000037841 lung tumor Diseases 0.000 description 1
- 108010038320 lysylphenylalanine Proteins 0.000 description 1
- 230000001404 mediated effect Effects 0.000 description 1
- 230000028161 membrane depolarization Effects 0.000 description 1
- 239000002207 metabolite Substances 0.000 description 1
- 239000000203 mixture Substances 0.000 description 1
- 230000004899 motility Effects 0.000 description 1
- 208000015122 neurodegenerative disease Diseases 0.000 description 1
- 208000016065 neuroendocrine neoplasm Diseases 0.000 description 1
- 201000011519 neuroendocrine tumor Diseases 0.000 description 1
- 210000004498 neuroglial cell Anatomy 0.000 description 1
- 239000003176 neuroleptic agent Substances 0.000 description 1
- 230000000701 neuroleptic effect Effects 0.000 description 1
- 210000002569 neuron Anatomy 0.000 description 1
- 239000002858 neurotransmitter agent Substances 0.000 description 1
- 230000003472 neutralizing effect Effects 0.000 description 1
- 229960002715 nicotine Drugs 0.000 description 1
- SNICXCGAKADSCV-UHFFFAOYSA-N nicotine Natural products CN1CCCC1C1=CC=CN=C1 SNICXCGAKADSCV-UHFFFAOYSA-N 0.000 description 1
- 229910052757 nitrogen Inorganic materials 0.000 description 1
- 230000036963 noncompetitive effect Effects 0.000 description 1
- 230000000631 nonopiate Effects 0.000 description 1
- 239000002773 nucleotide Substances 0.000 description 1
- 125000003729 nucleotide group Chemical group 0.000 description 1
- 235000020824 obesity Nutrition 0.000 description 1
- 208000031237 olivopontocerebellar atrophy Diseases 0.000 description 1
- 229940127240 opiate Drugs 0.000 description 1
- 230000003287 optical effect Effects 0.000 description 1
- 210000001672 ovary Anatomy 0.000 description 1
- 230000008058 pain sensation Effects 0.000 description 1
- 210000000496 pancreas Anatomy 0.000 description 1
- 208000019906 panic disease Diseases 0.000 description 1
- 230000001575 pathological effect Effects 0.000 description 1
- 229960000444 pentagastrin Drugs 0.000 description 1
- ANRIQLNBZQLTFV-DZUOILHNSA-N pentagastrin Chemical compound C([C@H](NC(=O)[C@H](CC(O)=O)NC(=O)[C@@H](NC(=O)[C@H](CC=1[C]2C=CC=CC2=NC=1)NC(=O)CCNC(=O)OC(C)(C)C)CCSC)C(N)=O)C1=CC=CC=C1 ANRIQLNBZQLTFV-DZUOILHNSA-N 0.000 description 1
- 230000001175 peptic effect Effects 0.000 description 1
- 208000033300 perinatal asphyxia Diseases 0.000 description 1
- 230000002093 peripheral effect Effects 0.000 description 1
- 239000012071 phase Substances 0.000 description 1
- 108010073101 phenylalanylleucine Proteins 0.000 description 1
- 108010051242 phenylalanylserine Proteins 0.000 description 1
- 235000021317 phosphate Nutrition 0.000 description 1
- 150000003905 phosphatidylinositols Chemical class 0.000 description 1
- 230000001817 pituitary effect Effects 0.000 description 1
- 239000013612 plasmid Substances 0.000 description 1
- 239000013600 plasmid vector Substances 0.000 description 1
- 231100000572 poisoning Toxicity 0.000 description 1
- 230000000607 poisoning effect Effects 0.000 description 1
- 229920001467 poly(styrenesulfonates) Polymers 0.000 description 1
- 230000003449 preventive effect Effects 0.000 description 1
- 230000002035 prolonged effect Effects 0.000 description 1
- 108010079317 prolyl-tyrosine Proteins 0.000 description 1
- 108010053725 prolylvaline Proteins 0.000 description 1
- 108060006633 protein kinase Proteins 0.000 description 1
- 235000018102 proteins Nutrition 0.000 description 1
- 230000002685 pulmonary effect Effects 0.000 description 1
- 238000003653 radioligand binding assay Methods 0.000 description 1
- 229940044601 receptor agonist Drugs 0.000 description 1
- 239000000018 receptor agonist Substances 0.000 description 1
- 229940044551 receptor antagonist Drugs 0.000 description 1
- 239000002464 receptor antagonist Substances 0.000 description 1
- 238000001525 receptor binding assay Methods 0.000 description 1
- 239000002469 receptor inverse agonist Substances 0.000 description 1
- 230000002829 reductive effect Effects 0.000 description 1
- 238000010992 reflux Methods 0.000 description 1
- 230000001105 regulatory effect Effects 0.000 description 1
- 125000006413 ring segment Chemical group 0.000 description 1
- 235000019627 satiety Nutrition 0.000 description 1
- 230000036186 satiety Effects 0.000 description 1
- 201000000980 schizophrenia Diseases 0.000 description 1
- 238000000926 separation method Methods 0.000 description 1
- 229940076279 serotonin Drugs 0.000 description 1
- 108010007375 seryl-seryl-seryl-arginine Proteins 0.000 description 1
- 238000003567 signal transduction assay Methods 0.000 description 1
- 208000000649 small cell carcinoma Diseases 0.000 description 1
- 208000000587 small cell lung carcinoma Diseases 0.000 description 1
- 150000003384 small molecules Chemical class 0.000 description 1
- 238000001228 spectrum Methods 0.000 description 1
- 208000020431 spinal cord injury Diseases 0.000 description 1
- 230000002269 spontaneous effect Effects 0.000 description 1
- 230000000087 stabilizing effect Effects 0.000 description 1
- 230000004936 stimulating effect Effects 0.000 description 1
- 210000002784 stomach Anatomy 0.000 description 1
- 238000003860 storage Methods 0.000 description 1
- 238000002305 strong-anion-exchange chromatography Methods 0.000 description 1
- 208000011117 substance-related disease Diseases 0.000 description 1
- 230000002459 sustained effect Effects 0.000 description 1
- 208000024891 symptom Diseases 0.000 description 1
- 208000011580 syndromic disease Diseases 0.000 description 1
- 150000003536 tetrazoles Chemical group 0.000 description 1
- 238000002560 therapeutic procedure Methods 0.000 description 1
- 229960000874 thyrotropin Drugs 0.000 description 1
- 230000001748 thyrotropin Effects 0.000 description 1
- 230000002463 transducing effect Effects 0.000 description 1
- 230000001052 transient effect Effects 0.000 description 1
- 230000008733 trauma Effects 0.000 description 1
- 230000001960 triggered effect Effects 0.000 description 1
- 108010044292 tryptophyltyrosine Proteins 0.000 description 1
- 230000004614 tumor growth Effects 0.000 description 1
- 208000001072 type 2 diabetes mellitus Diseases 0.000 description 1
- OUYCCCASQSFEME-UHFFFAOYSA-N tyrosine Natural products OC(=O)C(N)CC1=CC=C(O)C=C1 OUYCCCASQSFEME-UHFFFAOYSA-N 0.000 description 1
- 108010078580 tyrosylleucine Proteins 0.000 description 1
- 239000004474 valine Substances 0.000 description 1
- 108010015385 valyl-prolyl-proline Proteins 0.000 description 1
- XLYOFNOQVPJJNP-UHFFFAOYSA-N water Substances O XLYOFNOQVPJJNP-UHFFFAOYSA-N 0.000 description 1
Images
Classifications
-
- C—CHEMISTRY; METALLURGY
- C12—BIOCHEMISTRY; BEER; SPIRITS; WINE; VINEGAR; MICROBIOLOGY; ENZYMOLOGY; MUTATION OR GENETIC ENGINEERING
- C12Q—MEASURING OR TESTING PROCESSES INVOLVING ENZYMES, NUCLEIC ACIDS OR MICROORGANISMS; COMPOSITIONS OR TEST PAPERS THEREFOR; PROCESSES OF PREPARING SUCH COMPOSITIONS; CONDITION-RESPONSIVE CONTROL IN MICROBIOLOGICAL OR ENZYMOLOGICAL PROCESSES
- C12Q1/00—Measuring or testing processes involving enzymes, nucleic acids or microorganisms; Compositions therefor; Processes of preparing such compositions
- C12Q1/02—Measuring or testing processes involving enzymes, nucleic acids or microorganisms; Compositions therefor; Processes of preparing such compositions involving viable microorganisms
-
- A—HUMAN NECESSITIES
- A61—MEDICAL OR VETERINARY SCIENCE; HYGIENE
- A61P—SPECIFIC THERAPEUTIC ACTIVITY OF CHEMICAL COMPOUNDS OR MEDICINAL PREPARATIONS
- A61P1/00—Drugs for disorders of the alimentary tract or the digestive system
-
- A—HUMAN NECESSITIES
- A61—MEDICAL OR VETERINARY SCIENCE; HYGIENE
- A61P—SPECIFIC THERAPEUTIC ACTIVITY OF CHEMICAL COMPOUNDS OR MEDICINAL PREPARATIONS
- A61P1/00—Drugs for disorders of the alimentary tract or the digestive system
- A61P1/04—Drugs for disorders of the alimentary tract or the digestive system for ulcers, gastritis or reflux esophagitis, e.g. antacids, inhibitors of acid secretion, mucosal protectants
-
- A—HUMAN NECESSITIES
- A61—MEDICAL OR VETERINARY SCIENCE; HYGIENE
- A61P—SPECIFIC THERAPEUTIC ACTIVITY OF CHEMICAL COMPOUNDS OR MEDICINAL PREPARATIONS
- A61P1/00—Drugs for disorders of the alimentary tract or the digestive system
- A61P1/18—Drugs for disorders of the alimentary tract or the digestive system for pancreatic disorders, e.g. pancreatic enzymes
-
- A—HUMAN NECESSITIES
- A61—MEDICAL OR VETERINARY SCIENCE; HYGIENE
- A61P—SPECIFIC THERAPEUTIC ACTIVITY OF CHEMICAL COMPOUNDS OR MEDICINAL PREPARATIONS
- A61P25/00—Drugs for disorders of the nervous system
- A61P25/14—Drugs for disorders of the nervous system for treating abnormal movements, e.g. chorea, dyskinesia
- A61P25/16—Anti-Parkinson drugs
-
- A—HUMAN NECESSITIES
- A61—MEDICAL OR VETERINARY SCIENCE; HYGIENE
- A61P—SPECIFIC THERAPEUTIC ACTIVITY OF CHEMICAL COMPOUNDS OR MEDICINAL PREPARATIONS
- A61P25/00—Drugs for disorders of the nervous system
- A61P25/18—Antipsychotics, i.e. neuroleptics; Drugs for mania or schizophrenia
-
- A—HUMAN NECESSITIES
- A61—MEDICAL OR VETERINARY SCIENCE; HYGIENE
- A61P—SPECIFIC THERAPEUTIC ACTIVITY OF CHEMICAL COMPOUNDS OR MEDICINAL PREPARATIONS
- A61P25/00—Drugs for disorders of the nervous system
- A61P25/24—Antidepressants
-
- A—HUMAN NECESSITIES
- A61—MEDICAL OR VETERINARY SCIENCE; HYGIENE
- A61P—SPECIFIC THERAPEUTIC ACTIVITY OF CHEMICAL COMPOUNDS OR MEDICINAL PREPARATIONS
- A61P35/00—Antineoplastic agents
-
- C—CHEMISTRY; METALLURGY
- C07—ORGANIC CHEMISTRY
- C07K—PEPTIDES
- C07K14/00—Peptides having more than 20 amino acids; Gastrins; Somatostatins; Melanotropins; Derivatives thereof
- C07K14/435—Peptides having more than 20 amino acids; Gastrins; Somatostatins; Melanotropins; Derivatives thereof from animals; from humans
- C07K14/705—Receptors; Cell surface antigens; Cell surface determinants
- C07K14/72—Receptors; Cell surface antigens; Cell surface determinants for hormones
-
- G—PHYSICS
- G01—MEASURING; TESTING
- G01N—INVESTIGATING OR ANALYSING MATERIALS BY DETERMINING THEIR CHEMICAL OR PHYSICAL PROPERTIES
- G01N33/00—Investigating or analysing materials by specific methods not covered by groups G01N1/00 - G01N31/00
- G01N33/48—Biological material, e.g. blood, urine; Haemocytometers
- G01N33/50—Chemical analysis of biological material, e.g. blood, urine; Testing involving biospecific ligand binding methods; Immunological testing
- G01N33/53—Immunoassay; Biospecific binding assay; Materials therefor
- G01N33/566—Immunoassay; Biospecific binding assay; Materials therefor using specific carrier or receptor proteins as ligand binding reagents where possible specific carrier or receptor proteins are classified with their target compounds
-
- G—PHYSICS
- G01—MEASURING; TESTING
- G01N—INVESTIGATING OR ANALYSING MATERIALS BY DETERMINING THEIR CHEMICAL OR PHYSICAL PROPERTIES
- G01N33/00—Investigating or analysing materials by specific methods not covered by groups G01N1/00 - G01N31/00
- G01N33/48—Biological material, e.g. blood, urine; Haemocytometers
- G01N33/50—Chemical analysis of biological material, e.g. blood, urine; Testing involving biospecific ligand binding methods; Immunological testing
- G01N33/74—Chemical analysis of biological material, e.g. blood, urine; Testing involving biospecific ligand binding methods; Immunological testing involving hormones or other non-cytokine intercellular protein regulatory factors such as growth factors, including receptors to hormones and growth factors
-
- A—HUMAN NECESSITIES
- A61—MEDICAL OR VETERINARY SCIENCE; HYGIENE
- A61K—PREPARATIONS FOR MEDICAL, DENTAL OR TOILETRY PURPOSES
- A61K38/00—Medicinal preparations containing peptides
-
- C—CHEMISTRY; METALLURGY
- C07—ORGANIC CHEMISTRY
- C07K—PEPTIDES
- C07K2319/00—Fusion polypeptide
-
- G—PHYSICS
- G01—MEASURING; TESTING
- G01N—INVESTIGATING OR ANALYSING MATERIALS BY DETERMINING THEIR CHEMICAL OR PHYSICAL PROPERTIES
- G01N2333/00—Assays involving biological materials from specific organisms or of a specific nature
- G01N2333/435—Assays involving biological materials from specific organisms or of a specific nature from animals; from humans
- G01N2333/705—Assays involving receptors, cell surface antigens or cell surface determinants
- G01N2333/72—Assays involving receptors, cell surface antigens or cell surface determinants for hormones
Definitions
- the invention relates to methods of identifying and using a compound that is an agonist to a peptide hormone receptor.
- CCK cholecystokinin
- CCK-A and CCK-B/gastrin Vanderhaeghen et al., Nature , 257:604-605, 1975; Dockray, Nature , 264:568-570, 1976; Rehfeld, J. Biol. Chem ., 253:4022-4030, 1978; Hill et al., Brain Res ., 526:276-283, 1990; Hill et al., J.
- the peripheral type receptor the CCK-A receptor
- the peripheral type receptor is located in discrete brain nuclei and, in certain species, the spinal cord, and is also involved in gallbladder contraction and pancreatic enzyme secretion.
- the CCK-B/gastrin receptor is most abundant in the cerebral cortex, cerebellum, basal ganglia, and amygdala of the brain, in parietal cells of the gastrointestinal tract, in ECL cells, as well as in kidney cells.
- CCK-B receptor antagonists have been postulated to modulate anxiety, panic attacks, analgesia, and satiety (Ravard et al., Trends Pharmacol. Sci ., 11:271-273, 1990; Singh et al., Proc. Natl. Acad. Sci. U.S.A ., 88:1130-1133, 1991; Faris et al., Science , 219:310-312, 1983; Dourish et al., Eur. J. Pharmacol ., 176:35-44, 1990; Wêtlak et al., Science , 256:830-833, 1992; Dourish et al., Science , 245:1509-1511, 1989).
- Applicants have developed a systematic screening assay for identifying an agonist specific for a peptide hormone receptor, e.g., a peptide, peptoid, or non-peptide agonist.
- the assay is based on applicants' recognition that a peptide hormone receptor able to amplify the intrinsic activity of a ligand, e.g., a constitutively active peptide hormone receptor, is useful as a screening vehicle for identifying a receptor-specific agonist.
- a receptor with a signaling activity higher than the corresponding human wild-type basal level of signaling activity is further useful for detecting the reduction in signaling activity induced by an inverse agonist.
- the receptor amplifies the signal generated when the ligand interacts with its receptor, relative to the signal generated when the ligand interacts with a human wild-type receptor.
- forms of a receptor with the ability to amplify receptor signaling are useful for efficiently screening positive and inverse agonists to the corresponding human wild-type form of the receptor.
- the invention features a method for determining whether a candidate compound is an agonist of a peptide hormone receptor.
- a candidate compound is exposed to a form of the peptide hormone receptor which has a greater, or an enhanced, ability to amplify the intrinsic activity of an agonist (hereafter,an ‘enhanced receptor’).
- the second messenger signaling activity of the enhanced receptor is measured in the presence of the candidate compound, and compared to the second messenger signaling activity of the enhanced receptor measured in the absence of the candidate compound. A change in second messenger signaling activity indicates that the candidate compound is an agonist.
- an increase in second messenger signaling activity indicates that the compound is either a full or partial positive agonist; a decrease in second messenger signaling activity indicates that the compound is an inverse (also termed a ‘negative’) agonist.
- the method can further comprise using the agonist to treat or to prevent a physiological disorder involving a peptide hormone receptor by administering to a mammal the identified agonist in an agonist-effective amount.
- Intrinsic activity is meant the ability of a ligand to activate a receptor, i.e., to act as an agonist.
- amplify is meant that the signal generated when the ligand interacts with the enhanced receptor is either higher for a positive agonist, or lower for an inverse agonist, than the signal produced when the same ligand interacts with a corresponding non-enhanced receptor, e.g., a wild-type human receptor.
- a ‘non-enhanced receptor,’ for the purposes of this invention, is a wild-type human receptor for the peptide hormone of interest.
- corresponding is meant the same type of peptide hormone receptor albeit in another form, e.g., a constitutively active mutant receptor.
- the corresponding wild-type form of a constitutively active mutant CCK-B/gastrin receptor would be a wild-type CCK-B/gastrin receptor; the human CCK-B/gastrin receptor is the corresponding human form of the rat CCK-B/gastrin receptor.
- An “agonist,” as used herein, includes a positive agonist, e.g., a full or a partial positive agonist, or a negative agonist, i.e., an inverse agonist.
- An agonist is a chemical substance that combines with a receptor so as to initiate an activity of the receptor; for a peptide hormone receptor, the agonist preferably alters a second messenger signaling activity.
- a positive agonist is a compound that enhances or increases an activity, e.g., a second messenger signaling activity, of a receptor.
- a “full agonist” refers to an agonist capable of activating the receptor to the maximum level of activity, e.g., a level of activity which is induced by a natural, i.e., an endogenous, peptide hormone.
- a “partial agonist” refers to a positive agonist with reduced intrinsic activity relative to a full agonist.
- a “peptoid” is a peptide-derived partial or full agonist (Horwell et al., Eur. J. Med. Chem ., 30 Suppl.:537S-550S, 1995; Horwell et al., J. Med. Chem ., 34:404-14, 1991).
- an “inverse agonist,” as used herein, has a negative intrinsic activity, and reduces the receptor's signaling activity relative to the signaling activity of the wild-type receptor measured in the absence of the inverse agonist.
- an “antagonist,” as used herein, refers to a chemical substance that inhibits the ability of an agonist to increase or decrease receptor activity.
- a ‘full,’ or ‘perfect’ antagonist has no intrinsic activity, and no effect on the receptor's basal activity (FIG. 1).
- Peptide-derived antagonists are, for the purposes herein, considered to be non-peptide ligands.
- FIG. 1 A diagram explaining the difference between full and partial agonists, inverse agonists, and antagonists is shown in FIG. 1 (see also Milligan et al., TIPS , 16:10-13, 1995).
- FIG. 1 the position of the equilibrium between an inactive state R and an active state R* varies with individual receptors and is altered by the presence of receptor ligands. Agonists function by stabilizing R* while inverse agonists preferentially stabilize R.
- a continuum of ligands between full agonists at the extreme right-hand side of the see-saw as these move the equilibrium furthest to the right
- full inverse agonists at the extreme left-hand side of the see-saw
- Antagonists which do not alter the position of the equilibrium, define the position of the fulcrum.
- An antagonist is, e.g., a competitive or a non-competitive inhibitor.
- Non-peptide ligands include, but are not limited to, benzodiazepines and derivatives thereof, e.g., azabicyclo[3.2.2]nonane benzodiazepine (“L-740,093”; see Castro Pineiro et al., WO 94/03437; Castro Pineiro et al., U.S. Pat. No. 5,521,175).
- L-740,093 S and L-740,093 R refer to the S-enantiomer and the R-enantiomer of L-740,093, respectively.
- useful peptide agonists include, but are not limited to, gastrin (e.g., sulphated (“gastrin II”) or unsulphated (“gastrin I”) forms of gastrin-17, or sulphated or unsulphated forms of gastrin-34), or cholecystokinin (CCK) (e.g., sulfated CCK-8 (CCK-8s), unsulphated CCK-8 (CCK-8d), CCK-4, or pentagastrin).
- gastrin e.g., sulphated (“gastrin II”) or unsulphated (“gastrin I”) forms of gastrin-17, or sulphated or unsulphated forms of gastrin-34
- CCK cholecystokinin
- Full agonists of the CCK-B/gastrin receptor include, but are not limited to, CCK-8s, and more preferably gastrin (gastrin I).
- An enhanced receptor may, but does not always, have a higher basal activity than the basal activity of a corresponding human wild-type receptor. Methods for measuring the activity of an enhanced receptor relative to the activity of a corresponding wild-type receptor are described and demonstrated below.
- enhanced receptors include synthetic mutant receptors, e.g., constitutively active mutant receptors; other mutant receptors with normal basal activity which amplify the intrinsic activity of a compound; naturally-occurring mutant receptors, e.g., those which cause a disease phenotype by virtue of their enhanced receptor activity, e.g., a naturally-occurring constitutively active receptor; and either constitutively active or wild-type non-human receptors, e.g., rat, mouse, mastomys, Xenopus, or canine receptors or hybrid variants thereof, which amplify an agonist signal to a greater extent than does the corresponding wild-type human receptor.
- synthetic mutant receptors e.g., constitutively active mutant receptors
- other mutant receptors with normal basal activity which amplify the intrinsic activity of a compound
- naturally-occurring mutant receptors e.g., those which cause a disease phenotype by virtue of their enhanced receptor activity, e.g.,
- the invention also features a method of isolating a form, e.g., a mutant form, of a peptide hormone receptor that is suitable for detecting agonist activity in a ligand, e.g., a peptide, peptoid, or non-peptide ligand.
- the method involves (a) exchanging a region of a functional domain of a first peptide hormone receptor with a corresponding region of a functional domain of a second peptide hormone receptor; and (b) measuring the ability of the first peptide hormone receptor to amplify an agonist signal relative to a corresponding wild-type human receptor.
- the functional domain can be an intracellular loop, parts of a transmembrane domain adjacent to an intracellular loop, a transmembrane domain, a region of a transmembrane domain distal to an intracellular loop, or an extracellular loop.
- a level of amplification by the first peptide hormone receptor that is greater than the level of amplification by the wild-type human receptor indicates that the first peptide hormone receptor is suitable for detecting agonist activity in a non-peptide ligand.
- the corresponding region can be between one and ten amino acids, e.g., a block of five to ten amino acids, or up to thirty or a hundred amino acids in length.
- the first and second peptide hormone receptors are preferably linked to different second messenger pathways.
- extracellular, intracellular, and transmembrane regions of the CCK-B/gastrin receptor are determined by sequence alignment with other receptors (FIG. 2), or by hydropathy analysis (Baldwin, EMBO J ., 12:1693-1703, 1993). Conformation receptor modelling is described further below.
- Another method of isolating a form of a peptide hormone receptor suitable for detecting agonist activity in a non-peptide ligand involves (a) constructing a series of mutant forms of the receptor by replacing an original amino acid with another amino acid, i.e., a replacement amino acid; and (b) measuring the ability of the resulting peptide hormone receptor mutant form to amplify an agonist signal relative to the level of amplification by a corresponding wild-type human receptor.
- An amplification in the peptide hormone receptor mutant form that is greater than the level of amplification of the corresponding wild-type human receptor indicates that the mutant form is suitable for detecting agonist activity in a non-peptide ligand.
- the replaced amino acid can lie in an intracellular domain of the receptor or in a region of a transmembrane domain flanking an intracellular portion of the receptor, e.g., the intracellular domain-proximal half of the transmembrane domain, or within, e.g., 8 or 10 amino acids of the intracellular domain.
- the replacement amino acid can be of the same type in each of the mutant constructs; alternatively, various types of amino acids can be substituted at random.
- the replacement amino acid can be of the same charge, or of a different charge, than the original amino acid, e.g., a negative amino acid can be exchanged for a positive amino acid, a positive amino acid can be exchanged for a negative amino acid, or a positive or negative amino acid can be exchanged for a neutral amino acid.
- the replacement amino acid is glutamine, glutamic acid, aspartic acid, or serine.
- Mutant peptide hormone receptors of the invention include, but are not limited to, the CCK-A receptor MHA21/35, and the mutant CCK-B/gastrin receptors MH40, MH128, MH156, MH162, MH31, MH131, MH13, MH130, MH129, and MH72.
- Plasmid manipulation, storage, and cell transformation can be performed by methods known to those of ordinary skill in the art. See, e.g., Ausubel et al. (eds.), Current Protocols in Molecular Biology , John Wiley & Sons, Inc., NY, 1988, 1995.
- the invention further features a method for the treatment or prevention of a physiological disorder involving a peptide hormone receptor that includes administering to a mammal, e.g., a human, a ligand which acts as an agonist on a peptide hormone receptor.
- the ligand is administered in an agonist-effective amount, i.e., in an amount that has a full or a partial inverse, or a full or a partial positive, agonist effect on a peptide hormone receptor.
- the peptide hormone receptor can be, but need not be limited to, a receptor specific for one of the following peptide hormones: amylin, angiotensin, bombesin, bradykinin, C5a anaphylatoxin, calcitonin, calcitonin-gene related peptide (CGRP), corticotropin releasing hormone (CRH), chemokines, cholecystokinin (CCK) (e.g., the CCK-A or the CCK-B/gastrin receptor), endothelin, erythropoietin (EPO), follicle stimulating hormone (FSH), formyl-methionyl peptides, galanin, gastrin, gastrin releasing peptide, glucagon, glucagon-like peptide 1, glycoprotein hormones, gonadotrophin-releasing hormone, insulin, leptin, luteinizing hormone (LH), melanocortins, neuropeptide
- An inverse agonist is particularly useful for treating or preventing a physiological disorder that results from enhanced basal activity of a peptide hormone receptor, e.g., a constitutively active receptor.
- a peptide hormone receptor e.g., a constitutively active receptor.
- an inverse agonist is useful for treating a neoplasm that results from, or is sustained or aggravated by, enhanced activity of a peptide hormone receptor, e.g., a naturally-occurring peptide hormone receptor.
- Examples include, but are not limited to, a CCK-B/gastrin related tumor, e.g., a neuroendocrine tumor, Zollinger Ellinger Syndrome, or a gastric carcinoid tumor; a TSH-related tumor; multiple endocrine neoplasia type I; a lung tumor, e.g., a small-cell carcinoma; a brain tumor, e.g., a brain tumor involving CCK; a kidney tumor, e.g., hypernephroma or renal cell carcinoma.
- a CCK-B/gastrin related tumor e.g., a neuroendocrine tumor, Zollinger Ellinger Syndrome, or a gastric carcinoid tumor
- TSH-related tumor multiple endocrine neoplasia type I
- a lung tumor e.g., a small-cell carcinoma
- a brain tumor e.g., a brain tumor involving CCK
- a kidney tumor e.g., hyper
- Agonists are particularly useful for treating a primary tumor, e.g., a tumor in a tissue that expresses a peptide hormone receptor, e.g., a tumor in the pancreas, the pituitary, or the adrenal gland.
- a primary tumor e.g., a tumor in a tissue that expresses a peptide hormone receptor, e.g., a tumor in the pancreas, the pituitary, or the adrenal gland.
- an inverse agonist of the LH receptor can be a useful compound for treating or preventing precocious puberty; an inverse agonist of the FSH receptor can be a useful compound for treating or preventing infertility; an inverse agonist of the TSH receptor can be a useful compound for treating or preventing thyroid adenomas.
- An inverse or positive agonist of the G-LP1 receptor can be a useful compound for treating or preventing obesity or diabetes, e.g., type-I or type-II diabetes.
- Non-peptide agonists are further useful for treating or preventing a disorder involving the gastrointestinal tract, or a disorder involving, e.g., sleep, anxiety, panic, appetite regulation, stress, or pain, or a disorder discussed below.
- a candidate compound useful in a method of treatment or prevention of a physiological disorder of the invention is a ligand that binds with specificity to a peptide hormone receptor, e.g., a peptide, peptoid, or non-peptide ligand, preferably a non-peptide ligand.
- a candidate compound is shown to be a positive or inverse agonist by a screening assay disclosed herein.
- Exemplified candidate compounds include the peptoid compounds ((see, e.g., Horwell et al., Eur. J. Med. Chem ., 30 Suppl.:537S-550S, 1995; Horwell et al., J. Med.
- Chem ., 34:404-14, 1991 the dipeptoid analogues of CCK (see, e.g., Horwell et al. J. Med. Chem ., 34:404-14, 1991); cyclic nucleotides and modified amino acids (see, e.g., Dethloff et al., Drug Metab ., 24:267-93, 1992), the benzodiazepine derivatives, e.g.., the compounds described in Bock et al., J. Med. Chem ., 33:450-55, 1990, or a derivative thereof.
- a benzodiazepine compound useful in a method of treatment or prevention of a physiological disorder resulting from a peptide hormone receptor is a benzodiazepine compound of formula (I):
- R 1 represents H, C 1-6 alkyl optionally substituted by one or more halo, C 3-7 cycloalkyl, cyclopropylmethyl, (CH 2 ) r imidazolyl, (CH 2 ) r triazolyl, CH 2 )) r tetrazolyl (where r is 1, 2 or 3), CH 2 CO 2 R 11 (where R 11 is C 1-4 alkyl) or CH 2 CONR 6 R 7 (where R 6 and R 7 each independently represents H or C 1-4 alkyl, or R 6 and R 7 together form a chain CH 2 p where p is 4 or 5;
- R 2 represents NHR 12 or (CH 2 ) q R 13 (where s is 0, 1, 2, or 3);
- R 3 represents C 1-6 alkyl, halo or NR 6 R 7 , where R 6 and R 7 are as previously defined;
- R 4 and R 5 each independently represents H, C 1-12 alkyl optionally substituted by NR 9 R 9 , (R 9 and R 9 , are as previously defined) or an azacyclic or azabicyclic group, C 4-9 cycloalkyl optionally substituted by one or more C 1-4 alkyl groups, C 4-9 cycloalkylC 1-4 alkyl optionally substituted in the cycloalkyl ring by one or more C 1-4 alkyl groups, optionally substituted aryl, optionally substituted arylC 1-6 alkyl or azacyclic or azabicyclic groups, or R 4 and R 5 together form the residue of an optionally substituted azacyclic or azabicyclic ring system;
- x is 0, 1, 2, or 3;
- R 12 represent a phenyl or pyridyl group optionally substituted by one or more substituents selected form C 1-6 alkyl, halo, hydroxy, C 1-4 alkoxy, (CH 2 )q-tetrazolyl optionally substituted in the tetrazole ring by C 1-4 alkyl, (CH 2 )q-imidazolyl, (CH 2 )q-triazolyl (qhere q is 0, 1, 2, or 3), 5-hydroxy-4-pyrone, NR 6 R 7 , NR 9 COR 11 , NR 9 CONR 9 ′R 11 (where R 9 and R 9 , are each independently H or C 1-4 alkyl and R 11 is as previously defined), SO(C 1-6 alkyl), SO 2 (C 1-6 alkyl), trifluoromethyl, CONHSO 2 R 8 , SO 2 NHCOR 8 (where R 8 is C 1-6 alkyl, optionally substituted aryl, 2,2-difluorocyclo
- R 12 represents a group:
- X 1 represents CH or N
- W represents CH 2 or NR 9 , where R 9 is as previously defined, and W 1 represents CH 2 , or W and W 1 each represent O; or
- R 12 represents phenyl substituted by a group:
- X 2 is O, S or NR 9 , where R 9 is as previously defined; z is a bond, O or S; m is 1, 2 or 3; n is 1, 2, or 3; and y is 0, 1, 2, or 3;
- R 13 represents a group:
- R 14 represents H or C 1-6 alkyl
- R 15 represents H, C 1-6 alkyl, halo or NR 6 R 7 , where R 6 and R 7 are as previously defined
- the dotted line represents an optional covalent bond
- pharmaceutically acceptable salts or prodrugs thereof with the provision that, when NR 4 R 5 represents an unsubstituted azacyclic ring system, R 2 does not represent NHR 12 where R 12 is optionally substituted phenyl or:
- Compounds of formula (I) are intended to embrace all possible racemers and isomers, including optical isomers, and mixtures thereof. Each expression, where occurring more than once in any structure, intended to be independent of its definition elsewhere in the same structure.
- the present invention includes within its scope prodrugs of the compounds of formula (I) above. In general, such prodrugs will be functional derivatives of the compounds of formula (I) which are readily convertible in vivo into the required compound of formula (I). Conventional procedures for the selection and preparation of suitable prodrug derivatives are described, for example, in “Design of Prodrugs” ed. H. Bungaard, Elsevier, 1985.
- alkyl means straight or branched chain saturated hydrocarbon;; halo includes fluoro, chloro, bromo, and iodo; as used herein, unless otherwise indicated, alkyl means straight or branched chain saturated hydrocarbon; azacyclic means non-aromatic nitrogen-containing monocyclic, and azabicyclic means non-aromatic nitrogen-containing bicyclic; aryl means optionally substituted carbocyclic or heterocyclic aromatic groups, especially phenyl; heteroaryl means aromatic rings preferably having r or 6 ring atoms and containing at least one atom selected from O, S, and N.
- Compounds of formula (I) are prepared according to the methods of WO 94/03437, hereby incorporated by reference.
- preferred agonists and their respective derivatives include, but are not limited to, L-740,093 [3(R,S)-Amino-1,3-dihydro-5-((1S,4S)-5-methyl-2,5-diazabicyclo[2,2,1]heptan-2-vl)-2H-1-propyl-1,4-benzodiazepin-2-one]; L-740,093 R [( ⁇ )-N-[5-(3-azabicyclo[3.2.2]nonan-3-yl)-2,3-dihydro-1-methyl-2-oxo-1H-1,4-benzodiazepin-3-yl]-N′-[3-methylphenyl]urea]; L-740.093 S [(+)-N-[5-(3-azabicyclo[3.2.2]nonan-3-yl)
- peptide hormone a polypeptide that interacts with a target cell by contacting an extracellular receptor, i.e., a “peptide hormone receptor.”
- a “peptide” is used loosely herein to refer to a molecule comprised, at least in part, of amino acid residues that are connected to each other by peptide bonds.
- a “mutant receptor” is understood to be a form of the receptor in which one or more amino acid residues in the corresponding receptor which predominates in nature, e.g., in a naturally-occurring wild-type receptor, have been either deleted or replaced with a different type of amino acid residue.
- a constitutively active receptor is meant a receptor with a higher basal activity level than the corresponding wild-type receptor, where “activity” refers to the spontaneous ability of a receptor to signal in the absence of further activation by a positive agonist.
- the basal activity of a constitutively active receptor can also be decreased by an inverse agonist.
- a “naturally-occurring” receptor refers to a form or sequence of the receptor as it exists in an animal, or to a form of the receptor that is synonymous with the sequence known to those skilled in the art as the “wild-type” sequence.
- wild-type receptor refers to the conventionally accepted “wild-type” amino acid consensus sequence of the receptor, or to a “naturally-occurring” receptor with normal physiological patterns of ligand binding and signaling.
- a “second messenger signaling activity” refers to production of an intracellular stimulus (including, but not limited to, cAMP, cGMP, ppGpp, inositol phosphate, or calcium ion) in response to activation of the receptor, or to activation of a protein in response to receptor activation, including but not limited to a kinase, a phosphatase, or to activation or inhibition of a membrane channel.
- Sequence identity refers to the subunit sequence similarity between two nucleic acid or polypeptide molecules. When a given position in both of the two molecules is occupied by the same nucleotide or amino acid residue, e.g., if a given position (as determined by conventionally known methods of sequence alignment) in each of two polypeptides is occupied by serine, then they are identical at that position.
- the identity between two sequences is a direct function of the number of matching or identical positions, e.g., if 90% of the positions in two polypeptide sequences are identical, e.g., 9 of 10, are matched, the two sequences share 90% sequence identity.
- Bioactivity refers to the ability of a peptide hormone receptor to bind to a ligand, e.g., an agonist or an antagonist, and to induce signaling.
- FIG. 1 is a schematic diagram showing the relationship between a full or partial agonist, an inverse agonist, and an antagonist.
- FIG. 2 is an illustration showing a multiple alignment of cloned CCK receptor deduced amino acid sequences: mastomys CCK-B (SEQ ID NO: 1), rat CCK-B (SEQ ID NO: 2), human CCK-B (SEQ ID NO: 3), canine CCK-B (SEQ ID NO: 4), human CCK-A (SEQ ID NO: 5), rat CCK-A (SEQ ID NO: 6), and xenopus CCK-XL (SEQ ID NO: 7).
- A marks the position in the hCCK-A receptor where an E to Q substitution results in an increase in PD 135,158 intrinsic activity without increasing basal receptor activity.
- ‘B’ marks the position in the hCCK-B receptor where an L to either S or E substitution results in an increase in basal activity.
- the corresponding L to S in the hCCK-A receptor does not result in an increase in basal activity.
- ‘C’ marks the position in the hCCK-B receptor where a V to E substitution results in an increase in basal activity.
- the corresponding I to E substitution in the human CCK-A receptor does not result in an increase in basal activity.
- the numbering shown is generic; each receptor is different based on deletions or insertions.
- FIG. 3 is a bar graph showing that the intrinsic activity of peptide, peptide-derived and non-peptide ligands at the wild-type CCK-B/gastrin receptor (top panel) is amplified in a constitutively active receptor mutant (bottom panel).
- FIG. 4 is an illustration of inositol phosphate production by the non-peptide agonist L-740,093.
- Top panel L-740,093 S stimulated inositol phosphate production in COS-7 cells expressing a constitutively active human CCK-B/gastrin receptor.
- Bottom panel YM022 antagonizes the partial agonist activity induced by 10 nM L-740,093-S.
- FIG. 5 is an illustration of the inhibition of inositol phosphate production of the non-peptide inverse agonist L-740,093R.
- Top panel L-740,093 R inhibits basal inositol phosphate production in COS-7 cells expressing a constitutively active human CCK-B/gastrin receptor.
- Bottom panel The inverse agonist activity induced by 10 nM L-740,093 R is partially abolished by YM022 in a concentration-dependent fashion.
- FIG. 7 is a competition binding curve showing the extent of 125 I-CCK-8 receptor binding. Binding of 125 I-CCK-8 to COS-7 cells, transiently transfected with hCCK-B-pcDNAI is shown in the presence of increasing concentrations of CCK-8, gastrin I, and CCK-4 (part A) and L-364,718 and L-365,260 (part B).
- FIG. 8 is a graph showing second messenger signaling (i.e., mobilization of intracellular calcium) in COS-7 cells that express the recombinant human brain CCK-B receptor with (part A, left panel) and without (part A, right panel) the addition of the calcium chelator, EGTA. This is paralleled by an increased production of inositol phosphate (part B).
- second messenger signaling i.e., mobilization of intracellular calcium
- EGTA calcium chelator
- FIG. 9 is a schematic representation of the seven transmembrane (TM) domain structure of the human CCK-B/gastrin receptor. The C-terminal domain of the third intracellular loop is highlighted in black.
- FIG. 10 is a bar graph of basal inositol phosphate accumulation in COS-7 cells transfected with wild-type CCK-B/gastrin receptor (WT), or with one of two constitutively active mutants (Mut.1, Mut.2).
- FIG. 11 is a bar graph showing a functional comparison of the CCK receptors human CCK-A (hCCK-A), human CCK-B (hCCK-B), dog CCK-B (dCCK-B), mouse CCK-B (mCCK-B), and the mastomys CCK receptor.
- FIG. 12 is a bar graph showing a comparison of the efficiency by which the agonists CCK-8, L-365,260, and PD136,450 stimulate inositol phosphate (IP) production when contacting a wild-type CCK-A receptor or a constitutively active CCK-A receptor (MHA21/35).
- IP inositol phosphate
- FIG. 13 is a graph showing the level of inositol phosphate (IP) response at varying concentrations of the peptoid PD 136,450, a partial positive agonist.
- IP inositol phosphate
- the signalling efficacy of ligands with lower intrinsic activity was logarithmically amplified when a constitutively active mutant receptor was used in the assay.
- the prototype benzodiazepine-derived non-peptide antagonist L-365,260 barely increased basal activity of the human wild-type CCK-B/gastrin receptor, but was identified as a partial agonist using the 325 L ⁇ E mutant MH162. Minor chemical modification of L-365,260 resulted in compounds which were pure antagonists (YM022), partial agonists (L-740,093 S) or inverse agonists (L-740,093 R).
- the process of discovering novel non-peptide agonists e.g., those with positive inverse or intrinsic activity, should be expedited by using enhanced receptors, e.g., constitutively active mutant receptors, in the screening assay.
- CCK-B/gastrin receptor The following example demonstrates the use of an enhanced peptide hormone receptor, the constitutive CCK-B/gastrin receptor MH162 ( 325 L ⁇ E), to screen for an agonist.
- the constitutively active CCK-B/gastrin receptor mutant MH162 ( 325 L ⁇ E) was transiently overexpressed in COS-7 cells. The fact that it was constitutively active was evident from ligand-independent production of inositol phosphate; the wild-type receptor, in contrast, exhibits only ligand-dependent inositol phosphate production. Both mutant and wild-type receptors induced similar inositol phosphate production when maximally stimulated with the peptide agonists CCK-8s or gastrin I (FIG. 3).
- the benzodiazepine L-365,260 had 62% efficacy when compared to the full agonist CCK-8s, and was on that basis identified as a partial agonist in the 325 L ⁇ E constitutively active mutant receptor MH162 (FIG. 3, right section). In fact, close re-examination of the function of L-365,260 with the wild-type CCK-B/gastrin receptor also revealed a barely detectable, yet significant, increase in inositol phosphate production that had not been seen with other non-peptide compounds.
- L-740,093 S was almost a full agonist in the 325 L ⁇ E CCK-B/gastrin receptor mutant MH162 (FIG. 3).
- L-740,093 S functions as a partial agonist (25% efficacy compared with CCK-8s).
- L-740,093 S is the first non-peptide agonist known to be specific to the CCK-B/gastrin receptor.
- L-740,093 S, L-740,093 R has properties opposite to those of the S enantiomer.
- L-740,093 R reduces the basal activity of the constitutively active receptor almost to wild-type levels, and is therefore acting as an inverse agonist.
- One advantage of the instant screening assay is its ability to distinguish between an agonist, e.g., an inverse agonist, and an antagonist.
- an agonist e.g., an inverse agonist
- an antagonist shows similar signalling activities with both enhanced and human wild-type receptor.
- a pure antagonist is further expected to attenuate the effects of both positive and inverse agonists.
- YM022 was also able to attenuate the inverse agonist activity of L-740,093 R on the constitutively active CCK-B/gastrin receptor (FIG. 5). In a concentration-dependent manner, YM022 partially restored basal activity to the constitutively active receptor which had been inhibited by 20 nM L-740,093 R. The fact that basal activity was not restored completely is explained by the fact that YM022 itself is a weak inverse agonist in this mutant rather than a pure receptor antagonist.
- the pA2 value measures the functional affinity of a competitive antagonist.
- pA 2 values are independent of which agonist concentrations are used to measure antagonist affinities.
- pA 2 values should also be independent of what specific agonist compounds are tested to assess antagonist affinities.
- the pA2 value is defined as the negative logarithm of the specific antagonist concentration which shifts the agonist concentration-response curve by a factor of two to the right. In other words, in the presence of a given antagonist concentration, one would need twice as much agonist as would be required in the absence of antagonist to induce the same effect.
- pA 2 values of competitive antagonists are typically assessed by Schift plots, but can also be measured by simplified ‘null’ methods (Lazareno et al., Trends in Pharmacol. Sci ., 14:237-239, 1993).
- the constitutively active mutant CCK-B receptor MH162 ( 325 L ⁇ E) amplified the intrinsic activity of peptide-derived partial agonists, called peptoids (Horwell et al., Eur. J. Med. Chem ., 30 Suppl.:537S-550S, 1995; Horwell et al., J. Med. Chem ., 34:404-14, 1991).
- the peptoids used in the following experiments were obtained by sequentially modifying CCK-4, which is a tetrapeptide comprising the four carboxyterminal amino acids of CCK.
- CCK-B/gastrin receptor Precedent with the constitutively active CCK-B/gastrin receptor illustrates a new strategy using mutant receptors as a ‘magnifying glass’ to screen for non-peptide lead compounds with some degree of intrinsic activity.
- the constitutively active 325 L ⁇ E mutant MH162 reliably enhanced detection of the intrinsic activity a compound possesses for stimulating the wild-type receptor (FIG. 6). This was true over the spectrum of peptide, ‘peptoid,’ and non-peptide ligands tested.
- CCK-A receptor In another example of using an enhanced receptor to identify an agonist, a CCK-A receptor mutant, MHA21/35 ( 138 E ⁇ Q and 303 ANLM ⁇ HVSA modifications of SEQ ID NO: 5), was used to test the peptoid compound PD 136,450.
- FIG. 12 illustrates the ability of the MHA 21/35 CCK-A mutant receptor to enhance the intrinsic agonist activity of the peptide CCK-8, the non-peptide L-365, 260, and the peptoid PD 136,450 relative to human wild-type CCK-A receptor.
- FIG. 13 illustrates the amplification of partial agonist efficacy by the constitutive CCK-A receptor MHA21/35 as a function of the concentration of peptoid agonist PD 136,450.
- A. Receptor Binding Assays The binding of a ligand to a CCK receptor, e.g., the CCK-A or the CCK-B/gastrin receptor, can be measured according to the following example. In this example, the binding affinity of a ligand to the human CCK-B/gastrin receptor is measured.
- COS-7 cells (1.5 ⁇ 10 6 ) were plated in 10-cm culture dishes (Nunc) and grown in Dulbecco's modified Eagle's medium containing 10% fetal calf serum in a 5% CO 2 , 95% air incubator at 37° C. After an overnight incubation, cells were transfected (Pacholczyk et al., Nature 350:350-354, 1991) with 5-7 ⁇ g of a pcDNA I expression vector containing hCCKB (HCCKB-pcDNA I). Twenty-four hours after transfection cells were split into 24-well dishes (2 ⁇ 10 4 cells/well) (Costar).
- Unlabeled agonists e.g., CCK-8s, unsulphated CCK-8 (CCK-8us), gastrin I, CCK-4 (Peninsula)
- antagonists L364,718 and L365,260 (Merck)
- affinities of all agonists and antagonists were confirmed by repeating the above assay using Chinese hamster ovary (CHO) cells stably transfected with human CCK-B/gastrin receptor cDNA.
- This CHO cell line was established by transfecting a hCCKB-pcDNAI Neo expression vector (Invitrogen) into CHO cells using a standard lipofection protocol (Bethesda Research Laboratories) followed by G418 selection.
- binding can be performed, e.g., for 60 min. at 22° C. (Kopin et al., Proc. Natl. Acad. Sci. USA , 89:3605-09, 1992). Separation of bound and free radioligand can be achieved by receptor-binding filtermat filtration (Klueppelberg, U. G., et al., 1989 , Biochemistry 28:3463-8).
- Binding of an agonist to a CCK receptor elicits an increase in the intracellular calcium concentration and in phosphatidylinositol hydrolysis.
- COS-7 cells transfected with hCCKB-pcDNAI were cultured in inositol-free Dulbecco's modified Eagle's medium (DMEM, GIBCO) which was supplemented with 10 ⁇ Ci/ml [ 3 H] myo-inositol (ARC) for 24 hours prior to analysis. After 1 hour of equilibration in modified Krebs-Ringer bicarbonate, the cells were stimulated with 10 ⁇ 7 M CCK-8s for 10 seconds and harvested in methanol-HCl.
- DMEM Dulbecco's modified Eagle's medium
- ARC myo-inositol
- the aqueous phase was extracted with chloroform, lyophilized, and analyzed for inositol 1,4,5-triphosphate (Ins-1,3,4,5-P 3 ) and inositol 1,3,4,5-tetrakisphosphate (Ins-1,3,4,5-P 4 ) by strong anion-exchange high performance liquid chromatography (Auger et al., Cell , 57:167-75, 1989).
- a simplified method for measuring total inositol phosphate content While the above method specifically assesses Ins(1,4,5)P 3 content, a simplified screening method can be used to test for the total concentration of inositol phosphate; the simplified method does not distinguish between specific isoforms. (This method was used to measure inositol phosphate generation for the experiments shown in FIGS. 3, 4, 5 , 6 , and 10 .)
- COS-7 cells transfected with receptor cDNA-pcDNAI were cultured in inositol-free, serum-free Dulbecco's modified Eagle's medium (DMEM, GIBCO), supplemented with 3 ⁇ Ci/ml 3 H-myo-inositol (NEN, 45-80 Ci/mmol), for 18 hours prior to analysis.
- DMEM Dulbecco's modified Eagle's medium
- NNN 3 H-myo-inositol
- second messenger signaling activity can be measured according to, e.g., cAMP, cGMP, ppGpp, or calcium ion production, or using as indicators, e.g., intracellular pH, pH-sensitive dyes, or expression of a reporter gene, e.g., a luciferase gene, or measuring channel activity or cell depolarization or hyperpolarization by electrophysiological techniques.
- the screening assay of the invention can be performed using peptide hormone receptors that have a higher activity than the corresponding human wild-type receptor.
- An enhanced basal activity amplifies the intrinsic activity of ligands, and is useful for detecting either activation of the receptor by a partial agonist, or inhibition by an inverse agonist.
- Receptors that do not have an enhanced basal activity relative to the corresponding wild-type receptor, but still amplify the intrinsic activity of a partial agonist, are also useful.
- Examples of peptide hormone receptors that are useful for screening non-peptide agonists include various forms of the receptors that interact with the following peptide hormones (along with references for their respective wild-type amino acid sequences): amylin, angiotensin, bombesin, bradykinin, C5a anaphylatoxin, calcitonin, calcitonin-gene related peptide (CGRP), chemokines, cholecystokinin (CCK), endothelin, follicle stimulating hormone (FSH), formyl-methionyl peptides, galanin, gastrin, gastrin releasing peptide, glucagon, glucagon-like peptide 1, glycoprotein hormones, gonadotrophin-releasing hormone, leptin, luteinizing hormone (LH), melanocortins, neuropeptide Y, neurotensin, opioid, oxytocin, parathyroid hormone, secretin,
- An enhanced receptor can further embrace a single transmembrane domain peptide hormone receptor, e.g., an insulin receptor.
- a single transmembrane domain peptide hormone receptor e.g., an insulin receptor.
- the wild-type amino acid sequences of the above peptide hormone receptors is available in, and/or referenced in, Watson and Arkinstall, The G - Protein Linked Receptor , Academic Press, NY., 1994.
- Forms of a peptide hormone receptor that are capable of amplifying the intrinsic activity of an agonist include, but are not limited to, the following forms of receptors:
- mutant human CCK-A receptor that enhances the intrinsic activity of the partial ‘peptoid’ agonist PD 135,158, yet causes no apparent increase in agonist-independent basal receptor activity, is the mutant CCK-A receptor MHA35.
- MHA35 was made by replacing amino acids 138-ERY-140 of the human wild-type CCK-A receptor with QRY in the vector pcDNAI. (See FIG. 2 for an illustration of the wild-type CCK-A receptor amino acid sequence.)
- CCK-A receptors in which one or more of residues 138 E, 305 L, and 312 I are replaced with any other amino acid residue, e.g., a serine, aspartic acid, glutamine, or glutamic acid residue.
- a constitutively active CCK-A receptor mutant was constructed by replacing five amino acids ( 138 E ⁇ Q and 303 ANLM ⁇ HVSA modifications of SEQ ID NO: 5); the resulting modified receptor is called MHA 21/35.
- Naturally-occurring Mutant Receptors including but not limited to naturally-occurring constitutively active mutant receptors, that are associated with a disease or other adverse phenotype, e.g., a phenotype that results from a constitutively active naturally-occurring mutant receptor.
- a disease or other adverse phenotype e.g., a phenotype that results from a constitutively active naturally-occurring mutant receptor.
- Examples include, but are not limited to, the following peptide hormone receptors:
- Mutant receptors of the invention can be constructed by altering the following amino acid residues of the LH receptor: the alanine residue at position 568 to another amino acid, e.g., to a valine (Latronico et al., J. Clin. Endo . & Meta ., 80(8):2490-94, 1995); the asparagine residue at position 578 to another amino acid, e.g., to a glycine or a tyrosine (Kosugi et al., Human Mol.
- FSH follicle stimulating hormone
- TSH thyroid stimulating hormone
- a naturally-occurring constitutively active parathyroid (PTH) receptor can result from a His to Arg substitution at conserved position 223 (Schipani et al., Science , 268:98-100, 1995).
- a constitutively active mutant G-LP1 receptor can be constructed by substituting alternative amino acids at the corresponding residues in related receptors, e.g., substituting another amino acid for the homologue His in the glucagon-like peptide 1 (G-LP1) receptor.
- G-LP1 glucagon-like peptide 1
- Non-peptide positive or inverse agonists identified in a screening assay employing any of the above-listed naturally occurring mutant receptors can be therapeutically useful against a corresponding adverse pnenotype.
- Strategy 1 Domain swapping with cAMP generating receptors results in constitutive receptor activity: A method for rapidly identifying constitutively active mutant receptors relies on exchanging functional domains between two receptors, the domains being, e.g., approximately 5-10 amino acids in length.
- One of the two receptors is a form of the receptor which is the main template of the desired mutant receptor, e.g., a wild-type receptor; the second receptor is a different peptide hormone receptor from the first.
- Candidate receptors are coupled to different signal transduction pathways, e.g., a signal via a same or different second messenger pathways, yet are closely related in their amino acid sequence. These criteria are based on the idea that stretches of amino acids which function normally in their native context can confer agonist-independent signaling when transplanted into a closely related receptor which is linked to a different second-messenger signaling pathway.
- the domain swapping strategy was used to identify constitutively active mutants of the CCK-B/gastrin receptor. A series of short segments in the third intracellular loop were sequentially replaced with homologous amino acid sequence from the vasopressin 2 receptor, which is the receptor most nearly identical in sequence to hCCK-B. Vasopressin 2 is also a good candidate for swapping domains with the CCK-B/gastrin receptor because it is, different from the latter, linked to the adenylate cyclase signaling pathway.
- Glutamic acid scanning mutagenesis identifies constitutively active receptors: In addition to, or as a substitute for, deletion analysis or domain swapping, mutant receptors can be made using a process applicants have named ‘amino acid scanning mutagenesis.’ Amino acid scanning mutagenesis involves sequentially replacing each amino acid found in either an intracellular loop or in the half of the transmembrane domain flanking the intracellular portion of the receptor. An experimental option is to change the charge of the amino acid, e.g., to exchange a negative for a positive amino acid, a positive for a negative amino acid, or a positive or negative amino acid for a neutral amino acid. Another option would be to exchange each amino acid, e.g., each neutral amino acid, with another neutral amino acid.
- Constitutively active receptors include an amino acid replacement at 325 L ⁇ E (MH162; SEQ ID NO: 19), and at 332 V ⁇ E (MH129; SEQ ID NO: 22). Each mutant was constructed in a pcDNAI vector as described above.
- FIG. 9 is a schematic representation of the seven transmembrane (TM) domain structure of the human CCK-B/gastrin receptor.
- two mutations were found to confer constitutive activity on the receptor.
- One of the mutations was constructed by glutamic acid substitution scanning (Mutant 1; MH129); a second mutation was constructed by domain swapping (Mutant 2; MH162).
- a third method for making a mutant receptor is to align the receptor of interest with a known constitutively active mutant receptor, including, but not limited to, peptide hormone, biogenic amine, rhodopsin, or other G-protein coupled receptors.
- a known constitutively active mutant receptor including, but not limited to, peptide hormone, biogenic amine, rhodopsin, or other G-protein coupled receptors.
- FIG. 2 An example of such an alignment is shown in FIG. 2.
- mutations which result in constitutive activity in the known mutant can be introduced into the corresponding position of the receptor of interest.
- known constitutively active mutant receptors include, but are not limited to, the follicle stimulating hormone (FSH) receptor, the thyroid stimulating hormone (TSH) receptor, and the luteinizing hormone receptor, e.g., a 568 Ala to Val mutation in the LH receptor (Latronico et al., J. Clin. Endo . & Meta ., 80(8):2490-94, 1995
- This method was employed to construct a CCK-A mutant receptor.
- a multiple alignment map was made which included the human and rat CCK-A sequences, the mastomys, rat, human, and canine CCK-B/gastrin receptor, and a Xenopus CCK-A/CCK-B intermediate receptor (CCK-XL; FIG. 2).
- conserved amino acids 138-ERY-140 of the CCK-A receptor were replaced with amino acids QRY, based on a known constitutively active rhodopsin mutant with enhanced transducing activation (Arnis et al., J. Biol. Chem ., 269:23879-81, 1994).
- the altered amino acid residues are positioned in transmembrane domain III and flank the second intracellular loop. Although the basal level of signaling was not increased, the intrinsic activity of the non-peptide ligand PD 135,158 was significantly increased.
- Strategy 4 Additional mutant receptors can be made by sequentially deleting intracellular portions of the receptor, and looking for an increase in basal activity, or for overactivity of a partial agonist, relative to the wild-type receptor.
- Peptide hormone receptors useful in the method of the invention can include non-human receptors which have the ability to amplify the intrinsic activity of non-peptide agonist as compared to the corresponding human wild-type receptor, or which have a higher basal level of activity than does the human wild-type receptor.
- basal levels of inositol phosphate production were measured for human CCK-A (hCCK-A), human CCK-B (hCCK-B), dog CCK-B (dCCK-B), mouse CCK-B (mCCK-B), and the mastomys CCK receptor (FIG. 11, part A), and expressed relative to the basal level of hCCK-B.
- Non-peptide agonists are useful as agonists for treating and preventing central nervous system disorders wherein CCK and/or gastrin receptors are involved.
- diseases include gastrointestinal ulcers such as peptic and duodenal ulcers, irritable bowel syndrome, gastroesophagenal reflux disease or excess pancreatic or gastrin secretion, acute pancreatitis, or motility disorders; central nervous system disorders, including central nervous system disorders caused by CCK interaction with dopamine, serotonin and other monoamine neurotransmitters, such as neuroleptic disorders, tardive dyskinesia, Parkinson's disease, psychosis, or Gilles de la Tourette syndrome; depression; schizophrenia; disorders of appetite regulatory systems; Zollinger-Ellison syndrome, antral and cell hyperplasia, or pain.
- Non-peptide agonists are further useful for:
- drugs include, but are not limited to, benzodiazepines, cocaine, alcohol, and nicotine;
- oncologic disorders wherein a CCK receptor may be involved.
- oncologic disorders include small cell adenocarcinomas and primary tumors of the central nervous system glial and neuronal cells. Examples include, but are not limited to, tumors of the lower esophagus, stomach, intestine, colon, and lung, including small cell lung carcinoma;
- neurodegenerative disorders arising as a consequence of a pathological condition, e.g., stroke, hypoglycemia, cerebral palsy, transient cerebral ischemic attack, cerebral ischaemia during cardiac pulmonary surgery or cardiac arrest, perinatal asphyxia, epilepsy, Huntington's chorea, Alzheimer's disease, amyotrophic lateral sclerosis, Parkinson's disease, Olivo-ponto-cerebellar atrophy, anoxia such as from drowning, spinal cord and head injury, and poisoning by neurotoxins, including environmental neurotoxins.
- a pathological condition e.g., stroke, hypoglycemia, cerebral palsy, transient cerebral ischemic attack, cerebral ischaemia during cardiac pulmonary surgery or cardiac arrest, perinatal asphyxia, epilepsy, Huntington's chorea, Alzheimer's disease, amyotrophic lateral sclerosis, Parkinson's disease, Olivo-ponto-cerebellar atrophy, anoxia such as from drowning, spinal cord and head injury, and poisoning by
- the compounds of formula (I) may further be used to induce miosis for therapeutic purposes after certain types of examination and intraocular surgery.
- An example of intraocular surgery would include cataract surgery with implantation of an artificial lens.
- the CCK inverse agonist compounds can be used to prevent miosis occurring in association with, e.g., ulceris, uveitis and trauma.
- agonist derivatives can be used to induce miosis, e.g., for the treatment of glaucoma.
- the present invention therefore provides a compound of formula (I) or a salt or prodrug thereof for use in the preparation of a medicament.
- the present invention also provides a compound of formula (I) for use in therapy.
- the present invention provides a method for the treatment or prevention of a physiological disorder involving CCK and/or gastrin receptor, which method comprises administration to a patient in need thereof of a CCK and/or gastrin receptor agonist or inverse agonist amount of a compound of formula (I).
- the daily dosage will normally be determined by the prescribing physician.
- the dosage generally will vary with the age, weight, and response of the individual patient, as well with as the severity of the patient's symptoms.
- an effective daily dosage will be in the range of from about 0.001 mg/kg to about 2 ⁇ g/kg of body weight; preferably, of from about 0.01 mg/kg to about 200 mg/kg, e.g., from about 0.1 mg/kg to about 100 mg/kg of body weight, administered in single or divided doses.
- One skilled in the art knows that in some cases it will be necessary to use dosages outside these limits.
- agonists of the invention are effective in the subnanomolar range (e.g., L-740,093 R) and in the 20 nM range (e.g., L-740,093 S).
- An agonist of the invention can be administered orally in single or divided doses, or systemically, or by other means known to one skilled in the art.
- the invention can further embrace additional methods of amplifying the activity of, so as to detect, an agonist or inverse agonist which affects the activity of a peptide hormone receptor.
- an amplification scheme can involve modifying an intracellular factor which is involved neutralizing the expression of a peptide hormone receptor regulator, e.g., either a G-protein or a molecule which acts as a downstream messenger.
- An amplification scheme can alternatively involve optimizing the kinetic conditions of a signal transduction assay which is used for detecting receptor signaling.
- the incubation time can be prolonged so as to detect agonist activity with a particular assay, e.g., a ⁇ -galactosidase assay, or shortened so as to avoid desensitization.
Landscapes
- Health & Medical Sciences (AREA)
- Life Sciences & Earth Sciences (AREA)
- Chemical & Material Sciences (AREA)
- Engineering & Computer Science (AREA)
- Organic Chemistry (AREA)
- General Health & Medical Sciences (AREA)
- Molecular Biology (AREA)
- Immunology (AREA)
- Medicinal Chemistry (AREA)
- Bioinformatics & Cheminformatics (AREA)
- Biomedical Technology (AREA)
- Biochemistry (AREA)
- Zoology (AREA)
- Proteomics, Peptides & Aminoacids (AREA)
- Veterinary Medicine (AREA)
- Animal Behavior & Ethology (AREA)
- Chemical Kinetics & Catalysis (AREA)
- General Chemical & Material Sciences (AREA)
- Nuclear Medicine, Radiotherapy & Molecular Imaging (AREA)
- Public Health (AREA)
- Pharmacology & Pharmacy (AREA)
- Analytical Chemistry (AREA)
- Biophysics (AREA)
- Biotechnology (AREA)
- Cell Biology (AREA)
- Hematology (AREA)
- Wood Science & Technology (AREA)
- Microbiology (AREA)
- Urology & Nephrology (AREA)
- Physics & Mathematics (AREA)
- Genetics & Genomics (AREA)
- Endocrinology (AREA)
- Neurology (AREA)
- Neurosurgery (AREA)
- General Engineering & Computer Science (AREA)
- Pathology (AREA)
- Gastroenterology & Hepatology (AREA)
- Toxicology (AREA)
- General Physics & Mathematics (AREA)
- Food Science & Technology (AREA)
Abstract
The invention features a method for determining whether a candidate compound is a non-peptide agonist of a peptide hormone receptor. In this method, a candidate compound is exposed to a form of the peptide hormone receptor, or to a protein that interacts with a peptide hormone receptor, which has an enhanced ability to amplify the intrinsic activity of a non-peptide agonist. The second messenger signaling activity of the enhanced receptor is measured in the presence of the candidate compound, and compared to the second messenger signaling activity of the wildtype receptor measured in the absence of the candidate compound. A change in second messenger signaling activity indicates that the candidate compound is an agonist. An increase in second messenger signaling activity indicates that the compound is either a full or partial positive agonist; a decrease in second messenger signaling activity indicates that the compound is an inverse (also termed a ‘negative’) agonist. The invention further embraces a method of using a peptide hormone receptor agonist for the treatment or prevention of a physiological disease, as well as particular enhanced receptors and the nucleic acid sequences which code for them.
Description
- This application is a divisional of U.S. application Ser. No. 09/004,349, filed Jan. 8, 1998 (now U.S. Pat. No. 6,566,080) which is a continuation of U.S. application Ser. No. 08/718,047, filed Sep. 3, 1996 (now abandoned) which is a continuation-in-part of U.S. application Ser. No. 08/570,157, filed Dec. 11, 1995 (now U.S. Pat. No. 5,750,353).
- [0002] This invention was made in part with Government funding under National Institute of Health grant #DK46767, and the Government therefore has certain rights in the invention.
- The invention relates to methods of identifying and using a compound that is an agonist to a peptide hormone receptor.
- Peptide hormone receptors are important targets for drug research because a considerable number of diseases and other adverse effects result from abnormal receptor activity. One peptide hormone of interest, cholecystokinin (CCK), is a neuropeptide with two distinct receptors: CCK-A and CCK-B/gastrin (Vanderhaeghen et al., Nature, 257:604-605, 1975; Dockray, Nature, 264:568-570, 1976; Rehfeld, J. Biol. Chem., 253:4022-4030, 1978; Hill et al., Brain Res., 526:276-283, 1990; Hill et al., J. Neurosci., 10:1070-1081, 1990; Woodruff et al., Neuropeptides, (Suppl.) 19:57-64, 1991). The peripheral type receptor, the CCK-A receptor, is located in discrete brain nuclei and, in certain species, the spinal cord, and is also involved in gallbladder contraction and pancreatic enzyme secretion. The CCK-B/gastrin receptor is most abundant in the cerebral cortex, cerebellum, basal ganglia, and amygdala of the brain, in parietal cells of the gastrointestinal tract, in ECL cells, as well as in kidney cells. CCK-B receptor antagonists have been postulated to modulate anxiety, panic attacks, analgesia, and satiety (Ravard et al., Trends Pharmacol. Sci., 11:271-273, 1990; Singh et al., Proc. Natl. Acad. Sci. U.S.A., 88:1130-1133, 1991; Faris et al., Science, 219:310-312, 1983; Dourish et al., Eur. J. Pharmacol., 176:35-44, 1990; Wiertelak et al., Science, 256:830-833, 1992; Dourish et al., Science, 245:1509-1511, 1989).
- Applicants have developed a systematic screening assay for identifying an agonist specific for a peptide hormone receptor, e.g., a peptide, peptoid, or non-peptide agonist. The assay is based on applicants' recognition that a peptide hormone receptor able to amplify the intrinsic activity of a ligand, e.g., a constitutively active peptide hormone receptor, is useful as a screening vehicle for identifying a receptor-specific agonist. A receptor with a signaling activity higher than the corresponding human wild-type basal level of signaling activity is further useful for detecting the reduction in signaling activity induced by an inverse agonist. In both cases, the receptor amplifies the signal generated when the ligand interacts with its receptor, relative to the signal generated when the ligand interacts with a human wild-type receptor. Thus, forms of a receptor with the ability to amplify receptor signaling are useful for efficiently screening positive and inverse agonists to the corresponding human wild-type form of the receptor.
- Accordingly, the invention features a method for determining whether a candidate compound is an agonist of a peptide hormone receptor. In this method, a candidate compound is exposed to a form of the peptide hormone receptor which has a greater, or an enhanced, ability to amplify the intrinsic activity of an agonist (hereafter,an ‘enhanced receptor’). The second messenger signaling activity of the enhanced receptor is measured in the presence of the candidate compound, and compared to the second messenger signaling activity of the enhanced receptor measured in the absence of the candidate compound. A change in second messenger signaling activity indicates that the candidate compound is an agonist. For example, an increase in second messenger signaling activity indicates that the compound is either a full or partial positive agonist; a decrease in second messenger signaling activity indicates that the compound is an inverse (also termed a ‘negative’) agonist. The method can further comprise using the agonist to treat or to prevent a physiological disorder involving a peptide hormone receptor by administering to a mammal the identified agonist in an agonist-effective amount.
- By “intrinsic activity” is meant the ability of a ligand to activate a receptor, i.e., to act as an agonist. By ‘amplify’ is meant that the signal generated when the ligand interacts with the enhanced receptor is either higher for a positive agonist, or lower for an inverse agonist, than the signal produced when the same ligand interacts with a corresponding non-enhanced receptor, e.g., a wild-type human receptor. A ‘non-enhanced receptor,’ for the purposes of this invention, is a wild-type human receptor for the peptide hormone of interest. By “corresponding” is meant the same type of peptide hormone receptor albeit in another form, e.g., a constitutively active mutant receptor. By way of example, the corresponding wild-type form of a constitutively active mutant CCK-B/gastrin receptor would be a wild-type CCK-B/gastrin receptor; the human CCK-B/gastrin receptor is the corresponding human form of the rat CCK-B/gastrin receptor.
- An “agonist,” as used herein, includes a positive agonist, e.g., a full or a partial positive agonist, or a negative agonist, i.e., an inverse agonist. An agonist is a chemical substance that combines with a receptor so as to initiate an activity of the receptor; for a peptide hormone receptor, the agonist preferably alters a second messenger signaling activity. A positive agonist is a compound that enhances or increases an activity, e.g., a second messenger signaling activity, of a receptor. A “full agonist” refers to an agonist capable of activating the receptor to the maximum level of activity, e.g., a level of activity which is induced by a natural, i.e., an endogenous, peptide hormone. A “partial agonist” refers to a positive agonist with reduced intrinsic activity relative to a full agonist. As used herein, a “peptoid” is a peptide-derived partial or full agonist (Horwell et al., Eur. J. Med. Chem., 30 Suppl.:537S-550S, 1995; Horwell et al., J. Med. Chem., 34:404-14, 1991).
- An “inverse agonist,” as used herein, has a negative intrinsic activity, and reduces the receptor's signaling activity relative to the signaling activity of the wild-type receptor measured in the absence of the inverse agonist. In contrast, an “antagonist,” as used herein, refers to a chemical substance that inhibits the ability of an agonist to increase or decrease receptor activity. A ‘full,’ or ‘perfect’ antagonist has no intrinsic activity, and no effect on the receptor's basal activity (FIG. 1). Peptide-derived antagonists are, for the purposes herein, considered to be non-peptide ligands.
- A diagram explaining the difference between full and partial agonists, inverse agonists, and antagonists is shown in FIG. 1 (see also Milligan et al., TIPS, 16:10-13, 1995). In FIG. 1, the position of the equilibrium between an inactive state R and an active state R* varies with individual receptors and is altered by the presence of receptor ligands. Agonists function by stabilizing R* while inverse agonists preferentially stabilize R. A continuum of ligands between full agonists (at the extreme right-hand side of the see-saw as these move the equilibrium furthest to the right) and full inverse agonists (at the extreme left-hand side of the see-saw) is expected to exist. Antagonists, which do not alter the position of the equilibrium, define the position of the fulcrum. An antagonist is, e.g., a competitive or a non-competitive inhibitor.
- Examples of peptide hormone receptor specific peptide and non-peptide agonists useful in the screening assay of the invention are described below. Non-peptide ligands include, but are not limited to, benzodiazepines and derivatives thereof, e.g., azabicyclo[3.2.2]nonane benzodiazepine (“L-740,093”; see Castro Pineiro et al., WO 94/03437; Castro Pineiro et al., U.S. Pat. No. 5,521,175). L-740,093 S and L-740,093 R refer to the S-enantiomer and the R-enantiomer of L-740,093, respectively. Where the peptide hormone receptor is a CCK-A receptor or a CCK-B/gastrin receptor, useful peptide agonists include, but are not limited to, gastrin (e.g., sulphated (“gastrin II”) or unsulphated (“gastrin I”) forms of gastrin-17, or sulphated or unsulphated forms of gastrin-34), or cholecystokinin (CCK) (e.g., sulfated CCK-8 (CCK-8s), unsulphated CCK-8 (CCK-8d), CCK-4, or pentagastrin). Full agonists of the CCK-B/gastrin receptor include, but are not limited to, CCK-8s, and more preferably gastrin (gastrin I).
- An enhanced receptor may, but does not always, have a higher basal activity than the basal activity of a corresponding human wild-type receptor. Methods for measuring the activity of an enhanced receptor relative to the activity of a corresponding wild-type receptor are described and demonstrated below. Examples of enhanced receptors include synthetic mutant receptors, e.g., constitutively active mutant receptors; other mutant receptors with normal basal activity which amplify the intrinsic activity of a compound; naturally-occurring mutant receptors, e.g., those which cause a disease phenotype by virtue of their enhanced receptor activity, e.g., a naturally-occurring constitutively active receptor; and either constitutively active or wild-type non-human receptors, e.g., rat, mouse, mastomys, Xenopus, or canine receptors or hybrid variants thereof, which amplify an agonist signal to a greater extent than does the corresponding wild-type human receptor.
- Further examples of peptide hormone receptors useful in the screening assay of the invention include, but are not limited to, receptors specific for the following peptide hormones: amylin, angiotensin, bombesin, bradykinin, C5a anaphylatoxin, calcitonin, calcitonin-gene related peptide (CGRP), corticotropin releasing hormone (CRH), chemokines, cholecystokinin (CCK), endothelin, erythropoietin (EPO), follicle stimulating hormone (FSH), formyl-methionyl peptides, galanin, gastrin, gastrin releasing peptide, glucagon, glucagon-
like peptide 1, glycoprotein hormones, gonadotrophin-releasing hormone, leptin, luteinizing hormone (LH), melanocortins, neuropeptide Y, neurotensin, opioid, oxytocin, parathyroid hormone, secretin, somatostatin, tachykinins, thrombin, thyrotrophin, thyrotrophin releasing hormone, vasoactive intestinal polypeptide (VIP), and vasopressin. An enhanced receptor can further embrace a single transmembrane domain peptide hormone receptor, e.g., an insulin receptor. - The invention also features a method of isolating a form, e.g., a mutant form, of a peptide hormone receptor that is suitable for detecting agonist activity in a ligand, e.g., a peptide, peptoid, or non-peptide ligand. The method involves (a) exchanging a region of a functional domain of a first peptide hormone receptor with a corresponding region of a functional domain of a second peptide hormone receptor; and (b) measuring the ability of the first peptide hormone receptor to amplify an agonist signal relative to a corresponding wild-type human receptor. The functional domain can be an intracellular loop, parts of a transmembrane domain adjacent to an intracellular loop, a transmembrane domain, a region of a transmembrane domain distal to an intracellular loop, or an extracellular loop. A level of amplification by the first peptide hormone receptor that is greater than the level of amplification by the wild-type human receptor indicates that the first peptide hormone receptor is suitable for detecting agonist activity in a non-peptide ligand. The corresponding region can be between one and ten amino acids, e.g., a block of five to ten amino acids, or up to thirty or a hundred amino acids in length. The first and second peptide hormone receptors are preferably linked to different second messenger pathways. Those skilled in the art know which particular amino acids of the peptide hormone receptors are considered to be within extracellular, intracellular (cytoplasmic), or transmembrane regions of the receptor. For example, extracellular, intracellular, and transmembrane regions of the CCK-B/gastrin receptor are determined by sequence alignment with other receptors (FIG. 2), or by hydropathy analysis (Baldwin, EMBO J., 12:1693-1703, 1993). Conformation receptor modelling is described further below.
- Another method of isolating a form of a peptide hormone receptor suitable for detecting agonist activity in a non-peptide ligand involves (a) constructing a series of mutant forms of the receptor by replacing an original amino acid with another amino acid, i.e., a replacement amino acid; and (b) measuring the ability of the resulting peptide hormone receptor mutant form to amplify an agonist signal relative to the level of amplification by a corresponding wild-type human receptor. An amplification in the peptide hormone receptor mutant form that is greater than the level of amplification of the corresponding wild-type human receptor indicates that the mutant form is suitable for detecting agonist activity in a non-peptide ligand. The replaced amino acid can lie in an intracellular domain of the receptor or in a region of a transmembrane domain flanking an intracellular portion of the receptor, e.g., the intracellular domain-proximal half of the transmembrane domain, or within, e.g., 8 or 10 amino acids of the intracellular domain. The replacement amino acid can be of the same type in each of the mutant constructs; alternatively, various types of amino acids can be substituted at random. The replacement amino acid can be of the same charge, or of a different charge, than the original amino acid, e.g., a negative amino acid can be exchanged for a positive amino acid, a positive amino acid can be exchanged for a negative amino acid, or a positive or negative amino acid can be exchanged for a neutral amino acid. Preferably, the replacement amino acid is glutamine, glutamic acid, aspartic acid, or serine.
- Also embraced are the various mutant peptide hormone receptors disclosed herein, and their respective nucleic acid coding sequences. Mutant peptide hormone receptors of the invention include, but are not limited to, the CCK-A receptor MHA21/35, and the mutant CCK-B/gastrin receptors MH40, MH128, MH156, MH162, MH31, MH131, MH13, MH130, MH129, and MH72. Plasmid manipulation, storage, and cell transformation can be performed by methods known to those of ordinary skill in the art. See, e.g., Ausubel et al. (eds.), Current Protocols in Molecular Biology, John Wiley & Sons, Inc., NY, 1988, 1995.
- With an efficient and rapid assay for identifying an agonist specific for a given peptide hormone receptor, those skilled in the art can identify agonists to serve as lead compounds for further pharmaceutical research. In particular, systematic chemical modifications can be made, and their effects can be further assessed using an enhanced receptors according to the method of the invention. By following such a development strategy the intrinsic activity of new agonists can be optimized so as to be useful therapeutically against a disease involving a peptide hormone receptor.
- Knowing that a particular ligand functions as a positive or inverse agonist, as opposed to an antagonist, facilitates identifying which ligand species is most likely to achieve a given physiological effect, or to achieve a physiological effect absent an unwanted side effect. Thus, the invention further features a method for the treatment or prevention of a physiological disorder involving a peptide hormone receptor that includes administering to a mammal, e.g., a human, a ligand which acts as an agonist on a peptide hormone receptor. The ligand is administered in an agonist-effective amount, i.e., in an amount that has a full or a partial inverse, or a full or a partial positive, agonist effect on a peptide hormone receptor. The peptide hormone receptor can be, but need not be limited to, a receptor specific for one of the following peptide hormones: amylin, angiotensin, bombesin, bradykinin, C5a anaphylatoxin, calcitonin, calcitonin-gene related peptide (CGRP), corticotropin releasing hormone (CRH), chemokines, cholecystokinin (CCK) (e.g., the CCK-A or the CCK-B/gastrin receptor), endothelin, erythropoietin (EPO), follicle stimulating hormone (FSH), formyl-methionyl peptides, galanin, gastrin, gastrin releasing peptide, glucagon, glucagon-
like peptide 1, glycoprotein hormones, gonadotrophin-releasing hormone, insulin, leptin, luteinizing hormone (LH), melanocortins, neuropeptide Y, neurotensin, opioid, oxytocin, parathyroid hormone, secretin, somatostatin, tachykinins, thrombin, thyrotrophin, thyrotrophin releasing hormone, vasoactive intestinal polypeptide (VIP), and vasopressin. - An inverse agonist is particularly useful for treating or preventing a physiological disorder that results from enhanced basal activity of a peptide hormone receptor, e.g., a constitutively active receptor. For example, an inverse agonist is useful for treating a neoplasm that results from, or is sustained or aggravated by, enhanced activity of a peptide hormone receptor, e.g., a naturally-occurring peptide hormone receptor. Examples include, but are not limited to, a CCK-B/gastrin related tumor, e.g., a neuroendocrine tumor, Zollinger Ellinger Syndrome, or a gastric carcinoid tumor; a TSH-related tumor; multiple endocrine neoplasia type I; a lung tumor, e.g., a small-cell carcinoma; a brain tumor, e.g., a brain tumor involving CCK; a kidney tumor, e.g., hypernephroma or renal cell carcinoma. Agonists are particularly useful for treating a primary tumor, e.g., a tumor in a tissue that expresses a peptide hormone receptor, e.g., a tumor in the pancreas, the pituitary, or the adrenal gland.
- In other embodiments of the invention, an inverse agonist of the LH receptor can be a useful compound for treating or preventing precocious puberty; an inverse agonist of the FSH receptor can be a useful compound for treating or preventing infertility; an inverse agonist of the TSH receptor can be a useful compound for treating or preventing thyroid adenomas. An inverse or positive agonist of the G-LP1 receptor can be a useful compound for treating or preventing obesity or diabetes, e.g., type-I or type-II diabetes.
- Non-peptide agonists are further useful for treating or preventing a disorder involving the gastrointestinal tract, or a disorder involving, e.g., sleep, anxiety, panic, appetite regulation, stress, or pain, or a disorder discussed below.
- A candidate compound useful in a method of treatment or prevention of a physiological disorder of the invention is a ligand that binds with specificity to a peptide hormone receptor, e.g., a peptide, peptoid, or non-peptide ligand, preferably a non-peptide ligand. A candidate compound is shown to be a positive or inverse agonist by a screening assay disclosed herein. Exemplified candidate compounds include the peptoid compounds ((see, e.g., Horwell et al., Eur. J. Med. Chem., 30 Suppl.:537S-550S, 1995; Horwell et al., J. Med. Chem., 34:404-14, 1991); the dipeptoid analogues of CCK (see, e.g., Horwell et al. J. Med. Chem., 34:404-14, 1991); cyclic nucleotides and modified amino acids (see, e.g., Dethloff et al., Drug Metab., 24:267-93, 1992), the benzodiazepine derivatives, e.g.., the compounds described in Bock et al., J. Med. Chem., 33:450-55, 1990, or a derivative thereof. Additional benzodiazepine derivatives having a peptide hormone receptor agonist activity are described in the following patents and patent applications, each of which is hereby incorporated by reference: EPA 167919, EPA 284256, EPA 434360, EPA 434364, EPA 434369, EPA 514125, EPA 51426, EPA 514133, EPA 508796, EPA 508797, EPA 508798, EPA 508799, EPA 523845, EPA 523846, EPA 559170, EPA 549039, EPA 667,334, WO 9211246, WO 93032078, WO 9308175, WO 9307131, WO 9317011, WO 9319053, WO 9308175, WO 9413648, WO 9403437, WO 9611689, and U.S. Pat. No. 5,521,175. Also encompassed are those compounds described in Henke et al., J. Med. Chem., 39:2655-58, 1996; or in Willson et al., J. Med. Chem., 39:3030-34, 1996 (both hereby incorporated by reference) which are shown to be inverse agonists.
-
- wherein:
- R 1 represents H, C1-6 alkyl optionally substituted by one or more halo, C3-7 cycloalkyl, cyclopropylmethyl, (CH2)rimidazolyl, (CH2)rtriazolyl, CH2))rtetrazolyl (where r is 1, 2 or 3), CH2CO2R11 (where R11 is C1-4alkyl) or CH2CONR6R7 (where R6 and R7 each independently represents H or C1-4alkyl, or R6 and R7 together form a chain CH2p where p is 4 or 5;
- R 2 represents NHR12 or (CH2)qR13 (where s is 0, 1, 2, or 3);
- R 3 represents C1-6alkyl, halo or NR6R7, where R6 and R7 are as previously defined;
- R 4 and R5 each independently represents H, C1-12alkyl optionally substituted by NR9R9, (R9 and R9, are as previously defined) or an azacyclic or azabicyclic group, C4-9cycloalkyl optionally substituted by one or more C1-4alkyl groups, C4-9cycloalkylC1-4alkyl optionally substituted in the cycloalkyl ring by one or more C1-4alkyl groups, optionally substituted aryl, optionally substituted arylC1-6alkyl or azacyclic or azabicyclic groups, or R4 and R5 together form the residue of an optionally substituted azacyclic or azabicyclic ring system;
- x is 0, 1, 2, or 3;
- R 12 represent a phenyl or pyridyl group optionally substituted by one or more substituents selected form C1-6alkyl, halo, hydroxy, C1-4alkoxy, (CH2)q-tetrazolyl optionally substituted in the tetrazole ring by C1-4alkyl, (CH2)q-imidazolyl, (CH2)q-triazolyl (qhere q is 0, 1, 2, or 3), 5-hydroxy-4-pyrone, NR6R7, NR9COR11, NR9CONR9′R11 (where R9 and R9, are each independently H or C1-4alkyl and R11 is as previously defined), SO(C1-6alkyl), SO2(C1-6alkyl), trifluoromethyl, CONHSO2R8, SO2NHCOR8 (where R8 is C1-6alkyl, optionally substituted aryl, 2,2-difluorocyclopropane or trifluoromethyl), SO2NHR10 (where R10 is a nitrogen containing heterocycle), B(OH)2, (CH2)qCO2H, where q is as previously defined; or
-
- where X 1 represents CH or N; W represents CH2 or NR9, where R9 is as previously defined, and W1 represents CH2, or W and W1 each represent O; or
-
- wherein X 2 is O, S or NR9, where R9 is as previously defined; z is a bond, O or S; m is 1, 2 or 3; n is 1, 2, or 3; and y is 0, 1, 2, or 3;
-
- where R 14 represents H or C1-6alkyl, R15 represents H, C1-6alkyl, halo or NR6R7, where R6 and R7 are as previously defined; and the dotted line represents an optional covalent bond; and pharmaceutically acceptable salts or prodrugs thereof, with the provision that, when NR4R5 represents an unsubstituted azacyclic ring system, R2 does not represent NHR12 where R12 is optionally substituted phenyl or:
- Compounds of formula (I) are intended to embrace all possible racemers and isomers, including optical isomers, and mixtures thereof. Each expression, where occurring more than once in any structure, intended to be independent of its definition elsewhere in the same structure. The present invention includes within its scope prodrugs of the compounds of formula (I) above. In general, such prodrugs will be functional derivatives of the compounds of formula (I) which are readily convertible in vivo into the required compound of formula (I). Conventional procedures for the selection and preparation of suitable prodrug derivatives are described, for example, in “Design of Prodrugs” ed. H. Bungaard, Elsevier, 1985.
- As used herein, unless otherwise indicated, alkyl means straight or branched chain saturated hydrocarbon;; halo includes fluoro, chloro, bromo, and iodo; as used herein, unless otherwise indicated, alkyl means straight or branched chain saturated hydrocarbon; azacyclic means non-aromatic nitrogen-containing monocyclic, and azabicyclic means non-aromatic nitrogen-containing bicyclic; aryl means optionally substituted carbocyclic or heterocyclic aromatic groups, especially phenyl; heteroaryl means aromatic rings preferably having r or 6 ring atoms and containing at least one atom selected from O, S, and N. Compounds of formula (I) are prepared according to the methods of WO 94/03437, hereby incorporated by reference.
- By using the screening assay of the invention, those skilled in the art can easily identify which candidate ligand is optimal for therapeutic or preventive use. For example, preferred agonists and their respective derivatives include, but are not limited to, L-740,093 [3(R,S)-Amino-1,3-dihydro-5-((1S,4S)-5-methyl-2,5-diazabicyclo[2,2,1]heptan-2-vl)-2H-1-propyl-1,4-benzodiazepin-2-one]; L-740,093 R [(−)-N-[5-(3-azabicyclo[3.2.2]nonan-3-yl)-2,3-dihydro-1-methyl-2-oxo-1H-1,4-benzodiazepin-3-yl]-N′-[3-methylphenyl]urea]; L-740.093 S [(+)-N-[5-(3-azabicyclo[3.2.2]nonan-3-yl)-2,3-dihydro-1-methyl-2-oxo-1H-1,4-benzodiazepin-3-yl]-N′-[3-methylphenyl]urea]; L-365,260 [3R(+)-N-(2,3-dihydro-1-methyl-2-oxo-5-phenyl-1H-1,4-benzodiazepine-3-yl)-N′-(3-methylphenylurea)]; and L-364,718.
- Other terms used in the various embodiments of the invention will be understood from the following definitions. For example, by a “peptide hormone” is meant a polypeptide that interacts with a target cell by contacting an extracellular receptor, i.e., a “peptide hormone receptor.” A “peptide” is used loosely herein to refer to a molecule comprised, at least in part, of amino acid residues that are connected to each other by peptide bonds. A “mutant receptor” is understood to be a form of the receptor in which one or more amino acid residues in the corresponding receptor which predominates in nature, e.g., in a naturally-occurring wild-type receptor, have been either deleted or replaced with a different type of amino acid residue. By a “constitutively active receptor” is meant a receptor with a higher basal activity level than the corresponding wild-type receptor, where “activity” refers to the spontaneous ability of a receptor to signal in the absence of further activation by a positive agonist. The basal activity of a constitutively active receptor can also be decreased by an inverse agonist. A “naturally-occurring” receptor refers to a form or sequence of the receptor as it exists in an animal, or to a form of the receptor that is synonymous with the sequence known to those skilled in the art as the “wild-type” sequence. Those skilled in the art will understand a “wild-type” receptor to refer to the conventionally accepted “wild-type” amino acid consensus sequence of the receptor, or to a “naturally-occurring” receptor with normal physiological patterns of ligand binding and signaling. A “second messenger signaling activity” refers to production of an intracellular stimulus (including, but not limited to, cAMP, cGMP, ppGpp, inositol phosphate, or calcium ion) in response to activation of the receptor, or to activation of a protein in response to receptor activation, including but not limited to a kinase, a phosphatase, or to activation or inhibition of a membrane channel.
- “Sequence identity,” as used herein, refers to the subunit sequence similarity between two nucleic acid or polypeptide molecules. When a given position in both of the two molecules is occupied by the same nucleotide or amino acid residue, e.g., if a given position (as determined by conventionally known methods of sequence alignment) in each of two polypeptides is occupied by serine, then they are identical at that position. The identity between two sequences is a direct function of the number of matching or identical positions, e.g., if 90% of the positions in two polypeptide sequences are identical, e.g., 9 of 10, are matched, the two sequences share 90% sequence identity. Methods of sequence analysis and alignment for the purpose of comparing the sequence identity of two comparison sequences are well known by those skilled in the art. “Biological activity,” as used herein, refers to the ability of a peptide hormone receptor to bind to a ligand, e.g., an agonist or an antagonist, and to induce signaling.
- Other features and advantages of the invention will be apparent from the following detailed description and from the claims.
- We first briefly describe the drawings.
- FIG. 1 is a schematic diagram showing the relationship between a full or partial agonist, an inverse agonist, and an antagonist.
- FIG. 2 is an illustration showing a multiple alignment of cloned CCK receptor deduced amino acid sequences: mastomys CCK-B (SEQ ID NO: 1), rat CCK-B (SEQ ID NO: 2), human CCK-B (SEQ ID NO: 3), canine CCK-B (SEQ ID NO: 4), human CCK-A (SEQ ID NO: 5), rat CCK-A (SEQ ID NO: 6), and xenopus CCK-XL (SEQ ID NO: 7). ‘A’ marks the position in the hCCK-A receptor where an E to Q substitution results in an increase in PD 135,158 intrinsic activity without increasing basal receptor activity. ‘B’ marks the position in the hCCK-B receptor where an L to either S or E substitution results in an increase in basal activity. The corresponding L to S in the hCCK-A receptor does not result in an increase in basal activity. ‘C’ marks the position in the hCCK-B receptor where a V to E substitution results in an increase in basal activity. The corresponding I to E substitution in the human CCK-A receptor does not result in an increase in basal activity. The numbering shown is generic; each receptor is different based on deletions or insertions.
- FIG. 3 is a bar graph showing that the intrinsic activity of peptide, peptide-derived and non-peptide ligands at the wild-type CCK-B/gastrin receptor (top panel) is amplified in a constitutively active receptor mutant (bottom panel).
- FIG. 4 is an illustration of inositol phosphate production by the non-peptide agonist L-740,093. Top panel: L-740,093 S stimulated inositol phosphate production in COS-7 cells expressing a constitutively active human CCK-B/gastrin receptor. Bottom panel: YM022 antagonizes the partial agonist activity induced by 10 nM L-740,093-S.
- FIG. 5 is an illustration of the inhibition of inositol phosphate production of the non-peptide inverse agonist L-740,093R. Top panel: L-740,093 R inhibits basal inositol phosphate production in COS-7 cells expressing a constitutively active human CCK-B/gastrin receptor. Bottom panel: The inverse agonist activity induced by 10 nM L-740,093 R is partially abolished by YM022 in a concentration-dependent fashion.
- FIG. 6 is a comparison of intrinsic activities of CCK-B/gastrin receptor ligands utilizing the wild-type and the constitutively active receptors. Values for all compounds follow a logarithmic-linear correlation (r2=0.93).
- FIG. 7 is a competition binding curve showing the extent of 125I-CCK-8 receptor binding. Binding of 125I-CCK-8 to COS-7 cells, transiently transfected with hCCK-B-pcDNAI is shown in the presence of increasing concentrations of CCK-8, gastrin I, and CCK-4 (part A) and L-364,718 and L-365,260 (part B).
- FIG. 8 is a graph showing second messenger signaling (i.e., mobilization of intracellular calcium) in COS-7 cells that express the recombinant human brain CCK-B receptor with (part A, left panel) and without (part A, right panel) the addition of the calcium chelator, EGTA. This is paralleled by an increased production of inositol phosphate (part B).
- FIG. 9 is a schematic representation of the seven transmembrane (TM) domain structure of the human CCK-B/gastrin receptor. The C-terminal domain of the third intracellular loop is highlighted in black.
- FIG. 10 is a bar graph of basal inositol phosphate accumulation in COS-7 cells transfected with wild-type CCK-B/gastrin receptor (WT), or with one of two constitutively active mutants (Mut.1, Mut.2).
- FIG. 11 is a bar graph showing a functional comparison of the CCK receptors human CCK-A (hCCK-A), human CCK-B (hCCK-B), dog CCK-B (dCCK-B), mouse CCK-B (mCCK-B), and the mastomys CCK receptor.
- FIG. 12 is a bar graph showing a comparison of the efficiency by which the agonists CCK-8, L-365,260, and PD136,450 stimulate inositol phosphate (IP) production when contacting a wild-type CCK-A receptor or a constitutively active CCK-A receptor (MHA21/35).
- FIG. 13 is a graph showing the level of inositol phosphate (IP) response at varying concentrations of the peptoid PD 136,450, a partial positive agonist. ▪: mutant CCK-A receptor MHA21/35; ▾: wild-type human CCK-A receptor.
- Recent drug development efforts have yielded small molecules which competitively block G-protein coupled peptide hormone receptors by acting as antagonists. In contrast, very few non-peptide ligands have been identified which activate this family of receptors. Here, applicants demonstrate that chemical modifications of non-peptide ligands, known to act as antagonists for the CCK-B/gastrin receptor, can result in converting the ligands from antagonists to either positive agonists or to inverse agonists.
- Changes in the intrinsic activity of the ligand resulting from such modifications were detectable because applicants designed a screening assay which employed a constitutively active mutant of the human CCK-B/gastrin receptor ( 325L→E, MH162). Several peptide, peptoid and benzodiazepine-based nonpeptide ligands were tested in this assay, and evaluated for the ability to activate the recombinant wild-type or constitutively active mutant receptor, respectively. Full positive agonists had similar signaling efficacy in both receptors when compared to the intrinsic activity of the peptide agonist CCK-8s. The signalling efficacy of ligands with lower intrinsic activity was logarithmically amplified when a constitutively active mutant receptor was used in the assay. The prototype benzodiazepine-derived non-peptide antagonist L-365,260 barely increased basal activity of the human wild-type CCK-B/gastrin receptor, but was identified as a partial agonist using the 325L→E mutant MH162. Minor chemical modification of L-365,260 resulted in compounds which were pure antagonists (YM022), partial agonists (L-740,093 S) or inverse agonists (L-740,093 R). Thus, the process of discovering novel non-peptide agonists, e.g., those with positive inverse or intrinsic activity, should be expedited by using enhanced receptors, e.g., constitutively active mutant receptors, in the screening assay.
- I. Working Examples:
- A. CCK-B/gastrin receptor: The following example demonstrates the use of an enhanced peptide hormone receptor, the constitutive CCK-B/gastrin receptor MH162 ( 325L→E), to screen for an agonist.
- Using a constitutively active mutant of the human CCK-B/gastrin receptor it was discovered that several benzodiazepine-based putative non-peptide ‘antagonists’ had detectable intrinsic activity as agonists when binding to this receptor.
- The constitutively active CCK-B/gastrin receptor mutant MH162 ( 325L→E) was transiently overexpressed in COS-7 cells. The fact that it was constitutively active was evident from ligand-independent production of inositol phosphate; the wild-type receptor, in contrast, exhibits only ligand-dependent inositol phosphate production. Both mutant and wild-type receptors induced similar inositol phosphate production when maximally stimulated with the peptide agonists CCK-8s or gastrin I (FIG. 3). In contrast, the different intrinsic activities of three benzodiazepine-derived compounds, L-740,093 R, YM022 and L-365,260 were only detected by using the constitutive CCK-B receptor mutant MH162 in the assay. Each of these compounds was previously considered a prototype non-peptide antagonist of the wild-type CCK-B/gastrin receptor (Castro Pineiro et al., WO 94/03437; Lotti et al., Eur. J. Pharmacol., 162:273-280, 1989; Nashida et al., J. Pharmacol. Exp. Ther., 270:1256-61, 1994; Nashida et al., J. Pharmacol. Exp. Ther., 269:725-31, 1994). The intrinsic activity (percent maximal stimulation of inositol phosphate formation) of all compounds was tested at concentrations that were at least 100-fold higher than the corresponding receptor affinities.
- The benzodiazepine L-365,260 had 62% efficacy when compared to the full agonist CCK-8s, and was on that basis identified as a partial agonist in the 325L→E constitutively active mutant receptor MH162 (FIG. 3, right section). In fact, close re-examination of the function of L-365,260 with the wild-type CCK-B/gastrin receptor also revealed a barely detectable, yet significant, increase in inositol phosphate production that had not been seen with other non-peptide compounds.
- From the above results it was concluded that minor changes in the chemical groups attached to the benzodiazepine backbone can result in marked alterations in intrinsic activity of small non-peptide compounds. The stereochemistry of benzodiazepine-derived CCK receptor ligands is another feature which can alter binding affinity as well as receptor selectivity (Showell et al. J. Med. Chem. 37:719-721, 1994).
- The following additional observations confirmed that differences in ligand stereochemistry determine the functional properties of the CCK-B/gastrin receptor specific compounds. For example, it was noted that L-740,093 S was almost a full agonist in the 325L→E CCK-B/gastrin receptor mutant MH162 (FIG. 3). When tested with the human wild-type CCK-B/gastrin receptor, L-740,093 S functions as a partial agonist (25% efficacy compared with CCK-8s). As such, L-740,093 S is the first non-peptide agonist known to be specific to the CCK-B/gastrin receptor. The mirror image of L-740,093 S, L-740,093 R, has properties opposite to those of the S enantiomer. L-740,093 R reduces the basal activity of the constitutively active receptor almost to wild-type levels, and is therefore acting as an inverse agonist.
- One advantage of the instant screening assay is its ability to distinguish between an agonist, e.g., an inverse agonist, and an antagonist. When testing an agonist, the level of signaling activity observed with an enhanced form of a peptide hormone receptor (e.g., a constitutive receptor) differs from the activity observed with a human wild-type receptor. In contrast, an antagonist shows similar signalling activities with both enhanced and human wild-type receptor. A pure antagonist is further expected to attenuate the effects of both positive and inverse agonists.
- Of the compounds tested, YM022 came closest to being a ‘perfect’ antagonist, having almost no intrinsic activity on either the wild-type or the constitutively active CCK-B/gastrin receptor. In both the wild-type and the constitutively active receptors, YM022 blocked CCK-8s induced inositol phosphate production with almost identical affinity, reflected by similar pA2 values (9.78 and 9.37, respectively). Consistent with the functional classification of L-740,093 S as a non-peptide agonist, the inositol phosphate production induced by this compound could be blocked by YM022 (pA2=9.54; FIG. 4). YM022 was also able to attenuate the inverse agonist activity of L-740,093 R on the constitutively active CCK-B/gastrin receptor (FIG. 5). In a concentration-dependent manner, YM022 partially restored basal activity to the constitutively active receptor which had been inhibited by 20 nM L-740,093 R. The fact that basal activity was not restored completely is explained by the fact that YM022 itself is a weak inverse agonist in this mutant rather than a pure receptor antagonist.
- The pA2 value measures the functional affinity of a competitive antagonist. In contrast to IC 50 values (50% inhibitory concentration), pA2 values are independent of which agonist concentrations are used to measure antagonist affinities. Ideally, pA2 values should also be independent of what specific agonist compounds are tested to assess antagonist affinities. The pA2 value is defined as the negative logarithm of the specific antagonist concentration which shifts the agonist concentration-response curve by a factor of two to the right. In other words, in the presence of a given antagonist concentration, one would need twice as much agonist as would be required in the absence of antagonist to induce the same effect. pA2 values of competitive antagonists are typically assessed by Schift plots, but can also be measured by simplified ‘null’ methods (Lazareno et al., Trends in Pharmacol. Sci., 14:237-239, 1993).
- In addition to non-peptide ligands, the constitutively active mutant CCK-B receptor MH162 ( 325L→E) amplified the intrinsic activity of peptide-derived partial agonists, called peptoids (Horwell et al., Eur. J. Med. Chem., 30 Suppl.:537S-550S, 1995; Horwell et al., J. Med. Chem., 34:404-14, 1991). The peptoids used in the following experiments were obtained by sequentially modifying CCK-4, which is a tetrapeptide comprising the four carboxyterminal amino acids of CCK. Two prototype peptoid compounds, PD 135,158 and PD 136,450, were converted from partial agonists when tested in the presence of wild-type CCK-B/gastin receptor to almost full agonists in the presence of constitutively active CCK-B/gastrin receptor. Thus, peptide-derived as well as non-peptide compounds can exhibit an increased efficacy when tested with the constitutively active versus the wild-type CCK-B/gastrin receptor. Despite these marked alterations in efficacy, the ratio of wild-type versus mutant receptor affinities, as determined by 125I-CCK-8 competition binding experiments, fell within a two-fold range (Table 1A). There was no apparent correlation between the intrinsic activity of CCK-B/gastrin receptor ligands and potency shifts between the wild-type and the constitutively active receptors (Table 1B).
- The intrinsic activity of L-740,093 S was comparable to that observed for the ‘peptoid’ ligand PD 135,158, a compound that has been recently demonstrated to be a partial agonist in vivo (Ding et al., Gastroenterology, 109:1181-87, 1995).
- Precedent with the constitutively active CCK-B/gastrin receptor illustrates a new strategy using mutant receptors as a ‘magnifying glass’ to screen for non-peptide lead compounds with some degree of intrinsic activity. The constitutively active 325L→E mutant MH162 reliably enhanced detection of the intrinsic activity a compound possesses for stimulating the wild-type receptor (FIG. 6). This was true over the spectrum of peptide, ‘peptoid,’ and non-peptide ligands tested.
TABLE 1 A) 125I CCK-8 binding affinities of tested ligands Ratio Wild-type receptor MH162 Mutant (Wild-type/ Compound Ki (nM) Ki (nM) Mutant) Gastrin I 1.35 ± 0.28 0.80 ± 0.16 1.69 CCK-8s 0.12 ± 0.01 0.07 ± 0.01 1.71 PD 135, 158 2.25 ± 0.61 1.01 ± 0.19 2.23 PD 136, 4500.99 ± 0.1 0.59 ± 0.12 1.68 L-740, 093 R 0.19 ± 0.02 0.18 ± 0.04 1.06 YM022 0.07 ± 0.01 0.08 ± 0.01 0.88 L-364, 718 150 ± 42 170 ± 34 0.88 L-365, 158 7.16 ± 0.87 7.83 ± 1.51 0.91 L-740, 093 S 19.5 ± 1.5 16 ± 1.4 1.22 B) Signaling potencies of tested ligands Ratio Wild-type receptor MH162 Mutant (Wild-type/ Compound IC50 (nM) 95% C.I. IC50 (nM) 95% C.I. Mutant) Gastrin I 0.24 (0.12-0.48) 0.20 (0.06-0.69) 1.20 CCK-8s 0.14 (0.11-0.19) 0.15 (0.08-0.30) 0.93 PD 135, 158 1.05 (0.29-3.83) 1.01 (0.21-4.80) 1.04 PD 136, 4500.36 (0.04-3.35) 0.58 (0.23-1.46) 0.62 - B. CCK-A receptor: In another example of using an enhanced receptor to identify an agonist, a CCK-A receptor mutant, MHA21/35 ( 138E→Q and 303ANLM→HVSA modifications of SEQ ID NO: 5), was used to test the peptoid compound PD 136,450. FIG. 12 illustrates the ability of the MHA 21/35 CCK-A mutant receptor to enhance the intrinsic agonist activity of the peptide CCK-8, the non-peptide L-365, 260, and the peptoid PD 136,450 relative to human wild-type CCK-A receptor. FIG. 13 illustrates the amplification of partial agonist efficacy by the constitutive CCK-A receptor MHA21/35 as a function of the concentration of peptoid agonist PD 136,450.
- II. Receptor Binding and Activity Assays:
- A. Receptor Binding Assays: The binding of a ligand to a CCK receptor, e.g., the CCK-A or the CCK-B/gastrin receptor, can be measured according to the following example. In this example, the binding affinity of a ligand to the human CCK-B/gastrin receptor is measured.
- COS-7 cells (1.5×10 6) were plated in 10-cm culture dishes (Nunc) and grown in Dulbecco's modified Eagle's medium containing 10% fetal calf serum in a 5% CO2, 95% air incubator at 37° C. After an overnight incubation, cells were transfected (Pacholczyk et al., Nature 350:350-354, 1991) with 5-7 μg of a pcDNA I expression vector containing hCCKB (HCCKB-pcDNA I). Twenty-four hours after transfection cells were split into 24-well dishes (2×104 cells/well) (Costar). After an additional 24 hours, competition binding experiments were performed in Hank's buffer supplemented with 25 mM phenylmethylsulfonyl fluoride (PMSF). Twenty pM of 125I CCK-8 (DuPont-New England Nuclear) was used as radioligand. Equilibrium binding occurred after incubation for 80 min. at 37° C. Cell monolayers were then washed three times, hydrolyzed in 1 N NaOH, and the amount of radioactivity to the receptor was quantified. Unlabeled agonists (e.g., CCK-8s, unsulphated CCK-8 (CCK-8us), gastrin I, CCK-4 (Peninsula)) and antagonists (L364,718 and L365,260 (Merck)) were tested over the concentration range of 0.1 pM to 10 μM. All binding experiments were repeated three to five times.
- The competition data were analyzed using computer software which is specifically designed for the purpose of radioligand binding assays (Inplot 4.0, GraphPad, San Diego, Calif.). Analyses of competition and saturation binding data can also be performed using computerized non-linear curve fitting (McPherson, G. A., J Pharmacol Methods, 14:213-28, 1985).
- The affinities of all agonists and antagonists were confirmed by repeating the above assay using Chinese hamster ovary (CHO) cells stably transfected with human CCK-B/gastrin receptor cDNA. This CHO cell line was established by transfecting a hCCKB-pcDNAI Neo expression vector (Invitrogen) into CHO cells using a standard lipofection protocol (Bethesda Research Laboratories) followed by G418 selection.
- Where binding parameters are determined in isolated plasma membranes, binding can be performed, e.g., for 60 min. at 22° C. (Kopin et al., Proc. Natl. Acad. Sci. USA, 89:3605-09, 1992). Separation of bound and free radioligand can be achieved by receptor-binding filtermat filtration (Klueppelberg, U. G., et al., 1989, Biochemistry 28:3463-8).
- In order to compare the binding specificity of CCK-B/gastrin mutant receptors of the invention with the binding specificity typical of wild-type CCK-B/gastrin receptors see Matsumoto et al. ( Am J Physiol., 252:G143-G147, 1987) and Lee et al. (J. Biol. Chem., 268(11):8164-69, 1993).
- Comparison of binding affinity to that of a wild-type human CCK-B receptor: A base line value for binding of a radiolabelled ligand to a human wild-type receptor, e.g., the human CCK-B/gastrin receptor was determined (see Lee et al., J. Biol. Chem., 268(11):8164-69, 1993). Agonist affinities of the human brain CCK-B/gastrin receptor expressed in COS-7 cells were characterized (FIG. 7). The structurally related agonists CCK-8s, gastrin I, and CCK-4 all competed in a concentration-dependent manner for binding of 125I-CCK-8 to COS-7 cells expressing the recombinant receptor. The calculated IC50 values for CCK-8s, gastrin I, and CCK-4 are 0.14, 0.94, and 32 nM respectively (FIG. 7, part A). Similar 125I-CCK-8 competition curves were assessed with L-364,718 and L-365,260 (FIG. 7, part B), and revealed IC50 values of 145 and 3.8 nM, respectively. Untransfected cells showed no displaceable binding.
- B. Receptor Signaling Activity Assays:
- Binding of an agonist to a CCK receptor elicits an increase in the intracellular calcium concentration and in phosphatidylinositol hydrolysis.
- Measurement of [Ca 2+]: Forty-eight hours after transfection with hCCKB-pcDNAI, COS-7 cells were loaded with the Ca2+ fluorophore fura-2 in modified Krebs-Ringer bicarbonate buffer. Changes in the fluorescence emission ratios (340:380 nm) after stimulation of cells with 10−7M CCK-8s or 10−6M gastrin I were measured as previously described (Rajan et al., Diabetes, 38:874-80, 1989). Extracellular calcium can be chelated with EGTA (2.5 mM) to confirm that a gastrin-induced increase in [Ca2+] originates primarily from intracellular [Ca2+] pools.
- Measurement of Inositol phosphate Metabolites: COS-7 cells transfected with hCCKB-pcDNAI were cultured in inositol-free Dulbecco's modified Eagle's medium (DMEM, GIBCO) which was supplemented with 10 μCi/ml [ 3H] myo-inositol (ARC) for 24 hours prior to analysis. After 1 hour of equilibration in modified Krebs-Ringer bicarbonate, the cells were stimulated with 10−7M CCK-8s for 10 seconds and harvested in methanol-HCl. The aqueous phase was extracted with chloroform, lyophilized, and analyzed for
1,4,5-triphosphate (Ins-1,3,4,5-P3) andinositol 1,3,4,5-tetrakisphosphate (Ins-1,3,4,5-P4) by strong anion-exchange high performance liquid chromatography (Auger et al., Cell, 57:167-75, 1989).inositol - Comparison of signaling activity to that of a wild-type human CCK-B receptor: A baseline level of human wild-type CCK-B receptor second messenger signaling activity was measured in response to CCK-8s stimulation of COS-7 cells expressing the receptor (FIG. 8; see Lee et al., J. Biol. Chem., 268(11):8164-69, 1993). CCK-8s (10−7M) triggered a marked increase in free cytosolic calcium, [Ca2+]i (FIG. 8, part A, left panel). There was no change in free cytosolic calcium in cells transfected with the empty expression vector, pcDNAI. After chelation of extracellular calcium (1.5 mM Ca2+ in the buffer) by 2.5 mM EGTA, addition of CCK-8s (10−7 M) still transiently increased [Ca2+]i (FIG. 8, part A right panel), suggesting that the initial peak of the CCK-induced increase in [Ca2+]i originated primarily from intracellular Ca2+ pools. The arrows indicate the addition of CCK-8s (0.1 μM) or EGTA (2.5 mM). The pattern of [Ca2+]i response suggests that the binding of CCK-8s to the recombinant receptor triggers intracellular signaling through activation of phospholipase C. This was confirmed by measurement of inositol phosphate metabolites in hCCKB-pcDNA I-transfected COS-7
cells 10 seconds after CCK-8s stimulation (FIG. 8, part B). This time point was chosen because it immediately precedes the CCK-8-induced [Ca2+]i peak. CCK-8s (10−7M) increased the level of Ins-1,4,5-P3 by 453% over control, unstimulated hCCKB-pcDNA I-transfected COS-7 cells (n=3, p<0.001). The level of Ins-1,3,4,5-P4, an immediate metabolite of Ins-1,4,5,-P3, also increased by 186% over control (n=3, p<0.01). - A simplified method for measuring total inositol phosphate content: While the above method specifically assesses Ins(1,4,5)P 3 content, a simplified screening method can be used to test for the total concentration of inositol phosphate; the simplified method does not distinguish between specific isoforms. (This method was used to measure inositol phosphate generation for the experiments shown in FIGS. 3, 4, 5, 6, and 10.)
- COS-7 cells transfected with receptor cDNA-pcDNAI were cultured in inositol-free, serum-free Dulbecco's modified Eagle's medium (DMEM, GIBCO), supplemented with 3 μCi/ml 3H-myo-inositol (NEN, 45-80 Ci/mmol), for 18 hours prior to analysis. The cells were then washed twice with DMEM/10 mM LiCl2 and twice with phosphate-buffered saline/10 mM LiCl2. After stimulation with putative agonists in phosphate-buffered
saline 10/mM LiCl2 for 30 minutes at 37° C., cells were scraped in ice-cold methanol. Lipids were extracted with chloroform (Pfeiffer et al., FEBS Lett., 204:352-356, 1986). The upper phase was analyzed for inositol phosphates by strong anion exchange chromatography, using Dowex 1-X8 columns (BIORAD) and differential elution with water/60 mM ammonium fornate/2 M ammonium fornate. Eluted radioactivity was measured by liquid scintillation counting, and inositol phosphate content was expressed as a percentage of total 3H-radioactivity applied to the columns. - Further information on the second messenger pathways linked to the native parietal cell gastrin receptor can be obtained in the following references: Muallem, S. et al., 1984 , Biochim Biophys Acta 805:181-5; Chew, C. S. et al., 1986, Biochim Biophys Acta 888:116-25; Roche,S. et al., 1991, FEBS Letts., 282:147-51.
- In addition to inositol phosphate production, second messenger signaling activity can be measured according to, e.g., cAMP, cGMP, ppGpp, or calcium ion production, or using as indicators, e.g., intracellular pH, pH-sensitive dyes, or expression of a reporter gene, e.g., a luciferase gene, or measuring channel activity or cell depolarization or hyperpolarization by electrophysiological techniques.
- III. Suitable Peptide Hormone Receptors with the Ability to Amplify the Intrinsic Activity of a Non-peptide Agonist:
- The screening assay of the invention can be performed using peptide hormone receptors that have a higher activity than the corresponding human wild-type receptor. An enhanced basal activity amplifies the intrinsic activity of ligands, and is useful for detecting either activation of the receptor by a partial agonist, or inhibition by an inverse agonist. Receptors that do not have an enhanced basal activity relative to the corresponding wild-type receptor, but still amplify the intrinsic activity of a partial agonist, are also useful.
- Examples of peptide hormone receptors that are useful for screening non-peptide agonists include various forms of the receptors that interact with the following peptide hormones (along with references for their respective wild-type amino acid sequences): amylin, angiotensin, bombesin, bradykinin, C5a anaphylatoxin, calcitonin, calcitonin-gene related peptide (CGRP), chemokines, cholecystokinin (CCK), endothelin, follicle stimulating hormone (FSH), formyl-methionyl peptides, galanin, gastrin, gastrin releasing peptide, glucagon, glucagon-
like peptide 1, glycoprotein hormones, gonadotrophin-releasing hormone, leptin, luteinizing hormone (LH), melanocortins, neuropeptide Y, neurotensin, opioid, oxytocin, parathyroid hormone, secretin, somatostatin, tachykinins, thrombin, thyrotrophin, thyrotrophin releasing hormone, vasoactive intestinal polypeptide (VIP), and vasopressin. An enhanced receptor. can further embrace a single transmembrane domain peptide hormone receptor, e.g., an insulin receptor. The wild-type amino acid sequences of the above peptide hormone receptors is available in, and/or referenced in, Watson and Arkinstall, The G-Protein Linked Receptor, Academic Press, NY., 1994. - Forms of a peptide hormone receptor that are capable of amplifying the intrinsic activity of an agonist include, but are not limited to, the following forms of receptors:
- 1. Mutant peptide hormone receptors that are capable of amplifying the intrinsic activity of partial. agonists.
- An example is given of a mutant human CCK-A receptor that enhances the intrinsic activity of the partial ‘peptoid’ agonist PD 135,158, yet causes no apparent increase in agonist-independent basal receptor activity, is the mutant CCK-A receptor MHA35. MHA35 was made by replacing amino acids 138-ERY-140 of the human wild-type CCK-A receptor with QRY in the vector pcDNAI. (See FIG. 2 for an illustration of the wild-type CCK-A receptor amino acid sequence.)
- 2. CCK-A receptors in which one or more of residues 138E, 305L, and 312I are replaced with any other amino acid residue, e.g., a serine, aspartic acid, glutamine, or glutamic acid residue. For example, a constitutively active CCK-A receptor mutant was constructed by replacing five amino acids (138E→Q and 303ANLM→HVSA modifications of SEQ ID NO: 5); the resulting modified receptor is called MHA 21/35.
- 3. CCK-B/gastrin receptors in which one or more of residues 151E, 325L, and 332V are replaced with any other amino acid residue, e.g., a serine, aspartic acid, glutamine, or glutamic acid residue.
- 4. Naturally-occurring Mutant Receptors, including but not limited to naturally-occurring constitutively active mutant receptors, that are associated with a disease or other adverse phenotype, e.g., a phenotype that results from a constitutively active naturally-occurring mutant receptor. Examples include, but are not limited to, the following peptide hormone receptors:
- a) Point mutations in the luteinizing hormone (LH) receptor gene are responsible for some incidences of precocious puberty. Mutant receptors of the invention can be constructed by altering the following amino acid residues of the LH receptor: the alanine residue at position 568 to another amino acid, e.g., to a valine (Latronico et al., J. Clin. Endo. & Meta., 80(8):2490-94, 1995); the asparagine residue at position 578 to another amino acid, e.g., to a glycine or a tyrosine (Kosugi et al., Human Mol. Genet., 4(2):183-88, 1995; Laue et al., Proc. Natl. Acad. Sci. USA, 92(6):1906-10, 1995); the Met residue at position 571 to another amino acid, e.g., to an Ile, or the Thr residue at 577 to another amino acid residue, e.g., to an Ile (Kosugi et al., supra; Laue et al. supra); the Ile residue at position 542 to another amino acid, the Asp residue at position 564 to another amino acid, the Cys residue at position 581 to another amino acid, or the Asp residue at position 578 to another amino acid (Laue et al., supra); amino acid residues within
5 or 6, e.g., in the intracellular domain-proximal portion oftransmembrane helices transmembrane helix 6, or in intracellular loop 3 (Laue et al. supra). - Also embraced are mutations at the corresponding residues of the follicle stimulating hormone (FSH) receptor and the thyroid stimulating hormone (TSH) receptor (Latronico et al., supra).
- b) A naturally-occurring constitutively active parathyroid (PTH) receptor can result from a His to Arg substitution at conserved position 223 (Schipani et al., Science, 268:98-100, 1995). A constitutively active mutant G-LP1 receptor can be constructed by substituting alternative amino acids at the corresponding residues in related receptors, e.g., substituting another amino acid for the homologue His in the glucagon-like peptide 1 (G-LP1) receptor. A similar change in any of the receptors related to PTH or G-LP1 by amino acid homology including, but not limited to, secretin, vasoactive intestinal polypeptide, glucagon, G-LP1, and calcitonin.
- Non-peptide positive or inverse agonists identified in a screening assay employing any of the above-listed naturally occurring mutant receptors can be therapeutically useful against a corresponding adverse pnenotype.
- 5. Strategies to identify synthetic mutant receptors.
- Deletional analysis defines intracellular receptor domains important in second messenger signaling: Recombinant CCK-A and CCK-B/gastrin receptors are both coupled to phospholipase-C activation. Applicants hypothesized that the third intracellular loop of the CCK-B/gastrin receptor would include residues that are important in second messenger signaling. To test this hypothesis, a series of deletion mutants was made, each lacking between six and 55 amino acids located in the third intracellular loop. Each mutant receptor was expressed in COS-7 cells and was tested for [ 125I]CCK-8s binding and 3H inositol phosphate formation. Deletion of a twelve amino acid segment in the carboxy-terminal end of the third intracellular loop resulted in normal affinity and capacity for CCK-8s binding, but caused a 90% reduction of maximal CCK-8s induced inositol phosphate formation; all other receptors in this series signaled normally. The region containing the twelve amino acids that proved to functionally important was then screened for constitutively active point mutations, as described below.
- Strategy 1: Domain swapping with cAMP generating receptors results in constitutive receptor activity: A method for rapidly identifying constitutively active mutant receptors relies on exchanging functional domains between two receptors, the domains being, e.g., approximately 5-10 amino acids in length. One of the two receptors is a form of the receptor which is the main template of the desired mutant receptor, e.g., a wild-type receptor; the second receptor is a different peptide hormone receptor from the first. Candidate receptors are coupled to different signal transduction pathways, e.g., a signal via a same or different second messenger pathways, yet are closely related in their amino acid sequence. These criteria are based on the idea that stretches of amino acids which function normally in their native context can confer agonist-independent signaling when transplanted into a closely related receptor which is linked to a different second-messenger signaling pathway.
- The domain swapping strategy was used to identify constitutively active mutants of the CCK-B/gastrin receptor. A series of short segments in the third intracellular loop were sequentially replaced with homologous amino acid sequence from the
vasopressin 2 receptor, which is the receptor most nearly identical in sequence to hCCK-B. Vasopressin 2 is also a good candidate for swapping domains with the CCK-B/gastrin receptor because it is, different from the latter, linked to the adenylate cyclase signaling pathway.309 transmembrane domain VI 359 LT APGPGSGSRP TQAKLLAKKR VVRMLLVIVV LFFLCWLPVY SANTWR AFD AHVSA [MH40] SA [MH128] S [MH156] E [MH162] - When tested, a five amino acid substitution (QAKLL (SEQ ID NO: 13) to AHVSA (SEQ ID NO: 14)) into the homologous position of the CCK-B/gastrin receptor resulted in constitutive activity of the CCK-B/gastrin receptor. The QAKLL (SEQ ID NO: 13) to AHVSA (SEQ ID NO: 14) substitution caused an increased level of basal inositol phosphate formation to 290% of the wild-type CCK-B/gastrin receptor (FIG. 9, Mutant 2). In addition, mutations causing constitutive activity include replacement of LL to SA, L to S, and L to E.
- Strategy 2: Glutamic acid scanning mutagenesis identifies constitutively active receptors: In addition to, or as a substitute for, deletion analysis or domain swapping, mutant receptors can be made using a process applicants have named ‘amino acid scanning mutagenesis.’ Amino acid scanning mutagenesis involves sequentially replacing each amino acid found in either an intracellular loop or in the half of the transmembrane domain flanking the intracellular portion of the receptor. An experimental option is to change the charge of the amino acid, e.g., to exchange a negative for a positive amino acid, a positive for a negative amino acid, or a positive or negative amino acid for a neutral amino acid. Another option would be to exchange each amino acid, e.g., each neutral amino acid, with another neutral amino acid.
- In the case of the CCK-B/gastrin receptor, deletion analysis was initially used to define a functionally important twelve amino acid segment within the third intracellular loop which was important for second messenger signaling. Subsequently, each of the neutral amino acids within the 12 of this segment was replaced sequentially with another amino acid, preferably with glutamic acid. The scanning analysis technique revealed that one of the glutamic acid substitutions caused a 228% increase in the basal-level of inositol phosphate accumulation, relative to the wild-type value, in transiently transfected COS-7 cells (FIG. 9, Mutant 1).
- In this example, applicants focused on the region limited to the carboxy end of the third intracellular (IC) loop and the portion of the sixth transmembrane domain which flanks the third IC loop. Glutamic acid residues (E) were introduced in place of neutral amino acid residues.
309 359 25 LT APGPGSGSRP TQAKLLAKKR VVRMLLVIVV LFFLCWLPVY SANTWR AFD E E E EE - Constitutively active receptors include an amino acid replacement at 325L→E (MH162; SEQ ID NO: 19), and at 332V→E (MH129; SEQ ID NO: 22). Each mutant was constructed in a pcDNAI vector as described above.
- FIG. 9 is a schematic representation of the seven transmembrane (TM) domain structure of the human CCK-B/gastrin receptor. The C-terminal domain of the third intracellular loop, which is crucial for intracellular signaling, is highlighted in black. Within this segment, two mutations were found to confer constitutive activity on the receptor. One of the mutations was constructed by glutamic acid substitution scanning (
Mutant 1; MH129); a second mutation was constructed by domain swapping (Mutant 2; MH162). A bar graph showing the basal inositol phosphate accumulation in COS-7 cells, which had been transfected with the wild-type CCK-B/gastrin receptor or with two different constitutively active mutants, is shown in FIG. 10. - Strategy 3: A third method for making a mutant receptor is to align the receptor of interest with a known constitutively active mutant receptor, including, but not limited to, peptide hormone, biogenic amine, rhodopsin, or other G-protein coupled receptors. An example of such an alignment is shown in FIG. 2. Generally, mutations which result in constitutive activity in the known mutant can be introduced into the corresponding position of the receptor of interest. Examples of known constitutively active mutant receptors include, but are not limited to, the follicle stimulating hormone (FSH) receptor, the thyroid stimulating hormone (TSH) receptor, and the luteinizing hormone receptor, e.g., a 568 Ala to Val mutation in the LH receptor (Latronico et al., J. Clin. Endo. & Meta., 80(8):2490-94, 1995).
- This method, based on alignment, was employed to construct a CCK-A mutant receptor. A multiple alignment map was made which included the human and rat CCK-A sequences, the mastomys, rat, human, and canine CCK-B/gastrin receptor, and a Xenopus CCK-A/CCK-B intermediate receptor (CCK-XL; FIG. 2). Based on this map, conserved amino acids 138-ERY-140 of the CCK-A receptor were replaced with amino acids QRY, based on a known constitutively active rhodopsin mutant with enhanced transducing activation (Arnis et al., J. Biol. Chem., 269:23879-81, 1994). The altered amino acid residues are positioned in transmembrane domain III and flank the second intracellular loop. Although the basal level of signaling was not increased, the intrinsic activity of the non-peptide ligand PD 135,158 was significantly increased.
- Strategy 4: Additional mutant receptors can be made by sequentially deleting intracellular portions of the receptor, and looking for an increase in basal activity, or for overactivity of a partial agonist, relative to the wild-type receptor.
- Wild-type Receptors with Enhanced Basal Activity:
- Peptide hormone receptors useful in the method of the invention can include non-human receptors which have the ability to amplify the intrinsic activity of non-peptide agonist as compared to the corresponding human wild-type receptor, or which have a higher basal level of activity than does the human wild-type receptor.
- In FIG. 11, basal levels of inositol phosphate production were measured for human CCK-A (hCCK-A), human CCK-B (hCCK-B), dog CCK-B (dCCK-B), mouse CCK-B (mCCK-B), and the mastomys CCK receptor (FIG. 11, part A), and expressed relative to the basal level of hCCK-B.
- Single experiments were also performed for the rat CCK-B/gastrin receptor and for the related Xenopus CCK receptor (Table 2). The human 325L to E mutant served as a positive control (n=14).
TABLE 2 CCK-8s stimulated receptor basal (% of human basal) (% human basal) rat CCK-A 77 684 Xenopus CCK 74 442 MH162 231 ± 7 771 ± 36 - The wild-type human CCK-A and CCK-B/gastrin receptors induced only insignificant changes of basal inositol phosphate production in COS-7 cells (as compared to control cells transfected with the empty plasmid vector, pcDNAI). Similarly, the wild-type rat CCK-A and canine CCK-B/gastrin receptors, as well as the closely related Xenopus CCK receptor all appeared more or less functionally silent in the basal state. In contrast, the wild type mouse CCK-B/gastrin receptor and its homologue from mastomys natalensis significantly increased basal inositol phosphate production in COS-7 cells over pcDNAI controls. When compared with the slight basal activity of the wild type human CCK-B/gastrin receptor, it was estimated that the basal activities of the wild type mouse and mastomys homologues were 7- and 11-fold higher, respectively. For comparison, the 325L-E mutant of the human CCK-B/gastrin receptor appeared to be at least 16-fold more active than the human wild type receptor in its basal state. It should be noted that the described species differences in basal activities were clearly not related to different degrees of receptor expression, since the maximal response to stimulation with CCK-8s was comparable for all tested receptors (positive control).
- IV. Therapeutic Use.
- The ability to pharmacologically modulate wild-type or constitutively active receptor activity opens the door for a new class of clinically useful drugs. Enhanced receptors enable the discovery of drugs with the ability to act as agonists, thereby having advantages for treatment or prevention of a broad spectrum of diseases. Constitutively active mutants of the thyrotropin, luteinizing hormone, and parathyroid hormone receptors are already known to occur in nature (see above) and might provide a starting point for non-peptide agonist/inverse agonist screening. For example, drugs which silence constitutively active thyroid stimulating hormone receptors, which are implicated in the etiology of thyroid adenomas, could be used to inhibit tumor growth. Similarly, in patients with constitutively active luteinizing hormone receptors, inverse agonists could delay the onset of precocious puberty.
- Non-peptide agonists, including but not limited to the compounds of formula (I), are useful as agonists for treating and preventing central nervous system disorders wherein CCK and/or gastrin receptors are involved. Examples of such disease states include gastrointestinal diseases, including gastrointestinal ulcers such as peptic and duodenal ulcers, irritable bowel syndrome, gastroesophagenal reflux disease or excess pancreatic or gastrin secretion, acute pancreatitis, or motility disorders; central nervous system disorders, including central nervous system disorders caused by CCK interaction with dopamine, serotonin and other monoamine neurotransmitters, such as neuroleptic disorders, tardive dyskinesia, Parkinson's disease, psychosis, or Gilles de la Tourette syndrome; depression; schizophrenia; disorders of appetite regulatory systems; Zollinger-Ellison syndrome, antral and cell hyperplasia, or pain.
- Non-peptide agonists are further useful for:
- 1) the treatment or prevention of neurological disorders involving anxiety or panic, wherein a CCK and/or gastrin receptor is involved;
- 2) directly inducing analgesia, opiate or non-opiate mediated, as well as anesthesia or loss of the sensation of pain;
- 3) preventing or treating the withdrawal response produced by chronic treatment or abuse of drugs or alcohol. Such drugs include, but are not limited to, benzodiazepines, cocaine, alcohol, and nicotine;
- 4) the treatment of stress and its relationship with drug abuse;
- 5) the treating oncologic disorders wherein a CCK receptor may be involved. Examples of such oncologic disorders include small cell adenocarcinomas and primary tumors of the central nervous system glial and neuronal cells. Examples include, but are not limited to, tumors of the lower esophagus, stomach, intestine, colon, and lung, including small cell lung carcinoma;
- 6) the treating or preventing of neurodegenerative disorders arising as a consequence of a pathological condition, e.g., stroke, hypoglycemia, cerebral palsy, transient cerebral ischemic attack, cerebral ischaemia during cardiac pulmonary surgery or cardiac arrest, perinatal asphyxia, epilepsy, Huntington's chorea, Alzheimer's disease, amyotrophic lateral sclerosis, Parkinson's disease, Olivo-ponto-cerebellar atrophy, anoxia such as from drowning, spinal cord and head injury, and poisoning by neurotoxins, including environmental neurotoxins.
- The compounds of formula (I) may further be used to induce miosis for therapeutic purposes after certain types of examination and intraocular surgery. An example of intraocular surgery would include cataract surgery with implantation of an artificial lens. The CCK inverse agonist compounds can be used to prevent miosis occurring in association with, e.g., iritis, uveitis and trauma. Conversely, agonist derivatives can be used to induce miosis, e.g., for the treatment of glaucoma. The present invention therefore provides a compound of formula (I) or a salt or prodrug thereof for use in the preparation of a medicament.
- The present invention also provides a compound of formula (I) for use in therapy.
- In a further or alternative embodiment the present invention provides a method for the treatment or prevention of a physiological disorder involving CCK and/or gastrin receptor, which method comprises administration to a patient in need thereof of a CCK and/or gastrin receptor agonist or inverse agonist amount of a compound of formula (I).
- When a compound is used as an agonist or inverse agonist of a peptide hormone receptor in a human subject, the daily dosage will normally be determined by the prescribing physician. The dosage generally will vary with the age, weight, and response of the individual patient, as well with as the severity of the patient's symptoms. However, in most instances, an effective daily dosage will be in the range of from about 0.001 mg/kg to about 2 μg/kg of body weight; preferably, of from about 0.01 mg/kg to about 200 mg/kg, e.g., from about 0.1 mg/kg to about 100 mg/kg of body weight, administered in single or divided doses. One skilled in the art knows that in some cases it will be necessary to use dosages outside these limits.
- Further guidance from in vitro tests are instructive; e.g., agonists of the invention are effective in the subnanomolar range (e.g., L-740,093 R) and in the 20 nM range (e.g., L-740,093 S). An agonist of the invention can be administered orally in single or divided doses, or systemically, or by other means known to one skilled in the art.
- Other Embodiments
- The invention can further embrace additional methods of amplifying the activity of, so as to detect, an agonist or inverse agonist which affects the activity of a peptide hormone receptor. For example, an amplification scheme can involve modifying an intracellular factor which is involved neutralizing the expression of a peptide hormone receptor regulator, e.g., either a G-protein or a molecule which acts as a downstream messenger. An amplification scheme can alternatively involve optimizing the kinetic conditions of a signal transduction assay which is used for detecting receptor signaling. For example, the incubation time can be prolonged so as to detect agonist activity with a particular assay, e.g., a β-galactosidase assay, or shortened so as to avoid desensitization.
- Further information on peptide hormone receptor amino acid sequences, receptor-specific agonists and antagonists, receptor conformation, pharmacology, receptor-encoding genes, animal models for subsequent follow-up studies, and database accession numbers can be obtained from: Watson and Arkinstall, The G-Protein Linked Receptor, Academic Press, NY., 1994; see also, Kolakowski, L. F., “The G Protein-Coupled Receptor Database,” World-Wide-Web Site, GCRDB-WWW.
- From the above description, one skilled in the art can easily ascertain the essential characteristics of the present invention, and without departing from the spirit and scope thereof, can make various changes and modifications of the invention to adapt it to various usages and conditions.
- Other embodiments are within the following claims.
-
1 23 1 449 PRT Mastomys natalensis 1 Met Glu Leu Leu Lys Leu Asn Ser Ser Val Gln Gly Pro Gly Pro Gly 1 5 10 15 Ser Gly Ser Ser Leu Cys His Pro Gly Val Ser Leu Leu Asn Ser Ser 20 25 30 Ala Gly Asn Leu Ser Cys Glu Pro Pro Arg Ile Arg Gly Thr Gly Thr 35 40 45 Arg Glu Leu Glu Leu Ala Ile Arg Ile Thr Leu Tyr Ala Val Ile Phe 50 55 60 Leu Met Ser Ile Gly Gly Asn Met Leu Ile Ile Val Val Leu Gly Leu 65 70 75 80 Ser Arg Arg Leu Arg Thr Val Thr Asn Ala Phe Leu Leu Ser Leu Ala 85 90 95 Val Ser Asp Leu Leu Leu Ala Val Ala Cys Met Pro Phe Thr Leu Leu 100 105 110 Pro Asn Leu Met Gly Thr Phe Ile Phe Gly Thr Val Ile Cys Lys Ala 115 120 125 Val Ser Tyr Leu Met Gly Val Ser Val Ser Val Ser Thr Leu Asn Leu 130 135 140 Val Ala Ile Ala Leu Glu Arg Tyr Ser Ala Ile Cys Arg Pro Leu Gln 145 150 155 160 Ala Arg Val Trp Gln Thr Arg Ser His Ala Ala Arg Val Ile Leu Ala 165 170 175 Thr Trp Leu Leu Ser Gly Leu Leu Met Val Pro Tyr Pro Val Tyr Thr 180 185 190 Val Val Gln Pro Val Gly Pro Arg Val Leu Gln Cys Met His Arg Trp 195 200 205 Pro Ser Ala Arg Val Arg Gln Thr Trp Ser Val Leu Leu Leu Met Leu 210 215 220 Leu Phe Phe Ile Pro Gly Val Val Met Ala Val Ala Tyr Gly Leu Ile 225 230 235 240 Ser Arg Glu Leu Tyr Leu Gly Leu Arg Phe Asp Gly Asp Asn Asp Ser 245 250 255 Asp Thr Gln Ser Arg Val Arg Asn Gln Gly Gly Leu Pro Gly Gly Thr 260 265 270 Ala Pro Gly Pro Val His Gln Asn Gly Gly Cys Arg His Val Thr Val 275 280 285 Ala Gly Glu Asp Asn Asp Gly Cys Tyr Val Gln Leu Pro Arg Ser Arg 290 295 300 Leu Glu Met Thr Thr Leu Thr Thr Pro Thr Pro Gly Pro Gly Leu Ala 305 310 315 320 Ser Ala Asn Gln Ala Lys Leu Leu Ala Lys Lys Arg Val Val Arg Met 325 330 335 Leu Leu Val Ile Val Leu Leu Phe Phe Leu Cys Trp Leu Pro Ile Tyr 340 345 350 Ser Ala Asn Thr Trp Cys Ala Phe Asp Gly Pro Gly Ala Met Arg Ala 355 360 365 Leu Ser Gly Ala Pro Ile Ser Phe Ile His Leu Leu Ser Tyr Ala Ser 370 375 380 Ala Cys Val Asn Pro Leu Val Tyr Cys Phe Met His Arg Arg Phe Arg 385 390 395 400 Gln Ala Cys Leu Asp Thr Cys Ala Arg Cys Cys Pro Arg Pro Pro Arg 405 410 415 Ala Arg Pro Arg Pro Leu Pro Asp Glu Asp Pro Pro Thr Pro Ser Ile 420 425 430 Ala Ser Leu Ser Arg Leu Ser Tyr Thr Thr Ile Ser Thr Leu Gly Pro 435 440 445 Gly 2 451 PRT Rattus norvegicus 2 Met Glu Leu Leu Lys Leu Asn Arg Ser Val Gln Gly Pro Gly Pro Gly 1 5 10 15 Ser Gly Ser Ser Leu Cys Arg Pro Gly Val Ser Leu Leu Asn Ser Ser 20 25 30 Ser Ala Gly Asn Leu Ser Cys Asp Pro Pro Arg Ile Arg Gly Thr Gly 35 40 45 Thr Arg Glu Leu Glu Met Ala Ile Arg Ile Thr Leu Tyr Ala Val Ile 50 55 60 Phe Leu Met Ser Val Gly Gly Asn Val Leu Ile Ile Val Val Leu Gly 65 70 75 80 Leu Ser Arg Arg Leu Arg Thr Val Thr Asn Ala Phe Leu Leu Ser Leu 85 90 95 Ala Val Ser Asp Leu Leu Leu Ala Val Ala Cys Met Pro Phe Thr Leu 100 105 110 Leu Pro Asn Leu Met Gly Thr Phe Ile Phe Gly Thr Val Ile Cys Lys 115 120 125 Ala Ile Ser Tyr Leu Met Gly Val Ser Val Ser Val Ser Thr Leu Asn 130 135 140 Leu Val Ala Ile Ala Leu Glu Arg Tyr Ser Ala Ile Cys Arg Pro Leu 145 150 155 160 Gln Ala Arg Val Trp Gln Thr Arg Ser His Ala Ala Arg Val Ile Leu 165 170 175 Ala Thr Trp Leu Leu Ser Gly Leu Leu Met Val Pro Tyr Pro Val Tyr 180 185 190 Thr Met Val Gln Pro Val Gly Pro Arg Val Leu Gln Cys Met His Arg 195 200 205 Trp Pro Ser Ala Arg Val Gln Gln Thr Trp Ser Val Leu Leu Leu Leu 210 215 220 Leu Leu Phe Phe Ile Pro Gly Val Val Ile Ala Val Ala Tyr Gly Leu 225 230 235 240 Ile Ser Arg Glu Leu Tyr Leu Gly Leu His Phe Asp Gly Glu Asn Asp 245 250 255 Ser Glu Thr Gln Ser Arg Ala Arg Asn Gln Gly Gly Leu Pro Gly Gly 260 265 270 Ala Ala Pro Gly Pro Val His Gln Asn Gly Gly Cys Arg Pro Val Thr 275 280 285 Ser Val Ala Gly Glu Asp Ser Asp Gly Cys Cys Val Gln Leu Pro Arg 290 295 300 Ser Arg Leu Glu Met Thr Thr Leu Thr Thr Pro Thr Gly Pro Val Pro 305 310 315 320 Gly Pro Arg Pro Asn Gln Ala Lys Leu Leu Ala Lys Lys Arg Val Val 325 330 335 Arg Met Leu Leu Val Ile Val Leu Leu Phe Phe Leu Cys Trp Leu Pro 340 345 350 Val Tyr Ser Val Asn Thr Trp Arg Ala Phe Asp Gly Pro Gly Ala Gln 355 360 365 Arg Ala Leu Ser Gly Ala Pro Ile Ser Phe Ile His Leu Leu Ser Tyr 370 375 380 Val Ser Ala Cys Val Asn Pro Leu Val Tyr Cys Phe Met His Arg Arg 385 390 395 400 Phe Arg Gln Ala Cys Leu Asp Thr Cys Ala Arg Cys Cys Pro Arg Pro 405 410 415 Pro Arg Ala Arg Pro Gln Pro Leu Pro Asp Glu Asp Pro Pro Thr Pro 420 425 430 Ser Ile Ala Ser Leu Ser Arg Leu Ser Tyr Thr Thr Ile Ser Thr Leu 435 440 445 Gly Pro Gly 450 3 448 PRT Homo sapiens 3 Met Glu Leu Leu Lys Leu Asn Arg Ser Val Gln Gly Thr Gly Pro Gly 1 5 10 15 Pro Gly Ala Ser Leu Cys Arg Pro Gly Ala Pro Leu Leu Asn Ser Ser 20 25 30 Ser Val Gly Asn Leu Ser Cys Glu Pro Pro Arg Ile Arg Gly Ala Gly 35 40 45 Thr Arg Glu Leu Glu Leu Ala Ile Arg Ile Thr Leu Tyr Ala Val Ile 50 55 60 Phe Leu Met Ser Val Gly Gly Asn Met Leu Ile Ile Val Val Leu Gly 65 70 75 80 Leu Ser Arg Arg Leu Arg Thr Val Thr Asn Ala Phe Leu Leu Ser Leu 85 90 95 Ala Val Ser Asp Leu Leu Leu Ala Val Ala Cys Met Pro Phe Thr Leu 100 105 110 Leu Pro Asn Leu Met Gly Thr Phe Ile Phe Gly Thr Val Ile Cys Lys 115 120 125 Ala Val Ser Tyr Leu Met Gly Val Ser Val Ser Val Ser Thr Leu Ser 130 135 140 Leu Val Ala Ile Ala Leu Glu Arg Tyr Ser Ala Ile Cys Arg Pro Leu 145 150 155 160 Gln Ala Arg Val Trp Gln Thr Arg Ser His Ala Ala Arg Val Ile Val 165 170 175 Ala Thr Trp Leu Leu Ser Gly Leu Leu Met Val Pro Tyr Pro Val Tyr 180 185 190 Thr Val Val Gln Pro Val Gly Pro Arg Val Leu Gln Cys Val His Arg 195 200 205 Trp Pro Ser Ala Arg Val Arg Gln Thr Trp Ser Val Leu Leu Leu Leu 210 215 220 Leu Leu Phe Phe Ile Pro Gly Val Val Met Ala Val Ala Tyr Gly Leu 225 230 235 240 Ile Ser Arg Glu Leu Tyr Leu Gly Leu Arg Phe Asp Gly Asp Ser Asp 245 250 255 Ser Asp Ser Gln Ser Arg Val Arg Asn Gln Gly Gly Leu Pro Gly Ala 260 265 270 Val His Gln Asn Gly Arg Cys Arg Pro Glu Thr Gly Ala Val Gly Glu 275 280 285 Asp Ser Asp Gly Cys Tyr Val Gln Leu Pro Arg Ser Arg Pro Ala Leu 290 295 300 Glu Leu Thr Ala Leu Thr Ala Pro Gly Pro Gly Gly Ser Gly Ser Arg 305 310 315 320 Pro Thr Gln Ala Lys Leu Leu Ala Lys Lys Arg Val Val Arg Met Leu 325 330 335 Leu Val Ile Val Val Leu Phe Phe Leu Cys Trp Leu Pro Val Tyr Ser 340 345 350 Ala Asn Thr Trp Arg Ala Phe Asp Gly Pro Gly Ala His Arg Ala Leu 355 360 365 Ser Gly Ala Pro Ile Ser Phe Ile His Leu Leu Ser Tyr Ala Ser Ala 370 375 380 Cys Val Asn Pro Leu Val Tyr Cys Phe Met His Arg Arg Phe Arg Gln 385 390 395 400 Ala Cys Leu Glu Thr Cys Ala Arg Cys Cys Pro Arg Pro Pro Arg Ala 405 410 415 Arg Pro Arg Ala Leu Pro Asp Glu Asp Pro Pro Thr Pro Ser Ile Ala 420 425 430 Ser Leu Ser Arg Leu Ser Tyr Thr Thr Ile Ser Thr Leu Gly Pro Gly 435 440 445 4 453 PRT Canis familiaris 4 Met Glu Leu Leu Lys Leu Asn Arg Ser Ala Gln Gly Ser Gly Ala Gly 1 5 10 15 Pro Gly Ala Ser Leu Cys Arg Ala Gly Gly Ala Leu Leu Asn Ser Ser 20 25 30 Gly Ala Gly Asn Leu Ser Cys Glu Pro Pro Arg Leu Arg Gly Ala Gly 35 40 45 Thr Arg Glu Leu Glu Leu Ala Ile Arg Val Thr Leu Tyr Ala Val Ile 50 55 60 Phe Leu Met Ser Val Gly Gly Asn Val Leu Ile Ile Val Val Leu Gly 65 70 75 80 Leu Ser Arg Arg Leu Arg Thr Val Thr Asn Ala Phe Leu Leu Ser Leu 85 90 95 Ala Val Ser Asp Leu Leu Leu Ala Val Ala Cys Met Pro Phe Thr Leu 100 105 110 Leu Pro Asn Leu Met Gly Thr Phe Ile Phe Gly Thr Val Val Cys Lys 115 120 125 Ala Val Ser Tyr Leu Met Gly Val Ser Val Ser Val Ser Thr Leu Ser 130 135 140 Leu Val Ala Ile Ala Leu Glu Arg Tyr Ser Ala Ile Cys Arg Pro Leu 145 150 155 160 Gln Ala Arg Val Trp Gln Thr Arg Ser His Ala Ala Arg Val Ile Ile 165 170 175 Ala Thr Trp Met Leu Ser Gly Leu Leu Met Val Pro Tyr Pro Val Tyr 180 185 190 Thr Ala Val Gln Pro Ala Gly Gly Ala Arg Ala Leu Gln Cys Val His 195 200 205 Arg Trp Pro Ser Ala Arg Val Arg Gln Thr Trp Ser Val Leu Leu Leu 210 215 220 Leu Leu Leu Phe Phe Val Pro Gly Val Val Met Ala Val Ala Tyr Gly 225 230 235 240 Leu Ile Ser Arg Glu Leu Tyr Leu Gly Leu Arg Phe Asp Glu Asp Ser 245 250 255 Asp Ser Glu Ser Arg Val Arg Ser Gln Gly Gly Leu Arg Gly Gly Ala 260 265 270 Gly Pro Gly Pro Ala Pro Pro Asn Gly Ser Cys Arg Pro Glu Gly Gly 275 280 285 Leu Ala Gly Glu Asp Gly Asp Gly Cys Tyr Val Gln Leu Pro Arg Ser 290 295 300 Arg Gln Thr Leu Glu Leu Ser Ala Leu Thr Ala Pro Thr Pro Gly Pro 305 310 315 320 Gly Gly Gly Pro Arg Pro Tyr Gln Ala Lys Leu Leu Ala Lys Lys Arg 325 330 335 Val Val Arg Met Leu Leu Val Ile Val Val Leu Phe Phe Leu Cys Trp 340 345 350 Leu Pro Leu Tyr Ser Ala Asn Thr Trp Arg Ala Phe Asp Ser Ser Gly 355 360 365 Ala His Arg Ala Leu Ser Gly Ala Pro Ile Ser Phe Ile His Leu Leu 370 375 380 Ser Tyr Ala Ser Ala Cys Val Asn Pro Leu Val Tyr Cys Phe Met His 385 390 395 400 Arg Arg Phe Arg Gln Ala Cys Leu Glu Thr Cys Ala Arg Cys Cys Pro 405 410 415 Arg Pro Pro Arg Ala Arg Pro Arg Pro Leu Pro Asp Glu Asp Pro Pro 420 425 430 Thr Pro Ser Ile Ala Ser Leu Ser Arg Leu Ser Tyr Thr Thr Ile Ser 435 440 445 Thr Leu Gly Pro Gly 450 5 428 PRT Homo sapiens 5 Met Asp Val Val Asp Ser Leu Leu Val Asn Gly Ser Asn Ile Thr Pro 1 5 10 15 Pro Cys Glu Leu Gly Leu Glu Asn Glu Thr Leu Phe Cys Leu Asp Gln 20 25 30 Pro Arg Pro Ser Lys Glu Trp Gln Pro Ala Val Gln Ile Leu Leu Tyr 35 40 45 Ser Leu Ile Phe Leu Leu Ser Val Leu Gly Asn Thr Leu Val Ile Thr 50 55 60 Val Leu Ile Arg Asn Lys Arg Met Arg Thr Val Thr Asn Ile Phe Leu 65 70 75 80 Leu Ser Leu Ala Val Ser Asp Leu Met Leu Cys Leu Phe Cys Met Pro 85 90 95 Phe Asn Leu Ile Pro Asn Leu Leu Lys Asp Phe Ile Phe Gly Ser Ala 100 105 110 Val Cys Lys Thr Thr Thr Tyr Phe Met Gly Thr Ser Val Ser Val Ser 115 120 125 Thr Phe Asn Leu Val Ala Ile Ser Leu Glu Arg Tyr Gly Ala Ile Cys 130 135 140 Lys Pro Leu Gln Ser Arg Val Trp Gln Thr Lys Ser His Ala Leu Lys 145 150 155 160 Val Ile Ala Ala Thr Trp Cys Leu Ser Phe Thr Ile Met Thr Pro Tyr 165 170 175 Pro Ile Tyr Ser Asn Leu Val Pro Phe Thr Lys Asn Asn Asn Gln Thr 180 185 190 Ala Asn Met Cys Arg Phe Leu Leu Pro Asn Asp Val Met Gln Gln Ser 195 200 205 Trp His Thr Phe Leu Leu Leu Ile Leu Phe Leu Ile Pro Gly Ile Val 210 215 220 Met Met Val Ala Tyr Gly Leu Ile Ser Leu Glu Leu Tyr Gln Gly Ile 225 230 235 240 Lys Phe Glu Ala Ser Gln Lys Lys Ser Ala Lys Glu Arg Lys Pro Ser 245 250 255 Thr Thr Ser Ser Gly Lys Tyr Glu Asp Ser Asp Gly Cys Tyr Leu Gln 260 265 270 Lys Thr Arg Pro Pro Arg Lys Leu Glu Leu Arg Gln Leu Ser Thr Gly 275 280 285 Ser Ser Ser Arg Ala Asn Arg Ile Arg Ser Asn Ser Ser Ala Ala Asn 290 295 300 Leu Met Ala Lys Lys Arg Val Ile Arg Met Leu Ile Val Ile Val Val 305 310 315 320 Leu Phe Phe Leu Cys Trp Met Pro Ile Phe Ser Ala Asn Ala Trp Arg 325 330 335 Ala Tyr Asp Thr Ala Ser Ala Glu Arg Arg Leu Ser Gly Thr Pro Ile 340 345 350 Ser Phe Ile Leu Leu Leu Ser Tyr Thr Ser Ser Cys Val Asn Pro Ile 355 360 365 Ile Tyr Cys Phe Met Asn Lys Arg Phe Arg Leu Gly Phe Met Ala Thr 370 375 380 Phe Pro Cys Cys Pro Asn Pro Gly Pro Pro Gly Ala Arg Gly Glu Val 385 390 395 400 Gly Glu Glu Glu Glu Gly Gly Thr Thr Gly Ala Ser Leu Ser Arg Phe 405 410 415 Ser Tyr Ser His Met Ser Ala Ser Val Pro Pro Gln 420 425 6 443 PRT Rattus norvegicus 6 Met Ser His Ser Pro Ala Arg Gln His Leu Val Glu Ser Ser Arg Met 1 5 10 15 Asp Val Val Asp Ser Leu Leu Met Asn Gly Ser Asn Ile Thr Pro Pro 20 25 30 Cys Glu Leu Gly Leu Glu Asn Glu Thr Leu Phe Cys Leu Asp Gln Pro 35 40 45 Gln Pro Ser Lys Glu Trp Gln Ser Ala Leu Gln Ile Leu Leu Tyr Ser 50 55 60 Ile Ile Phe Leu Leu Ser Val Leu Gly Asn Thr Leu Val Ile Thr Val 65 70 75 80 Leu Ile Arg Asn Lys Arg Met Arg Thr Val Thr Asn Ile Phe Leu Leu 85 90 95 Ser Leu Ala Val Ser Asp Leu Met Leu Cys Phe Cys Met Pro Phe Asn 100 105 110 Leu Ile Pro Asn Leu Leu Lys Asp Phe Ile Phe Gly Ser Ala Val Cys 115 120 125 Lys Thr Thr Thr Tyr Phe Met Gly Thr Ser Val Ser Val Ser Thr Phe 130 135 140 Asn Leu Val Ala Ile Ser Leu Glu Arg Tyr Gly Ala Ile Cys Arg Pro 145 150 155 160 Leu Gln Ser Arg Val Trp Gln Thr Lys Ser His Ala Leu Lys Val Ile 165 170 175 Ala Ala Thr Trp Cys Leu Ser Phe Thr Ile Met Thr Pro Tyr Pro Ile 180 185 190 Tyr Ser Asn Leu Val Pro Phe Thr Lys Asn Asn Asn Gln Thr Ala Asn 195 200 205 Met Cys Arg Phe Leu Leu Pro Ser Asp Ala Met Gln Gln Ser Trp Gln 210 215 220 Thr Phe Leu Leu Leu Ile Leu Phe Leu Leu Pro Gly Ile Val Met Val 225 230 235 240 Val Ala Tyr Gly Leu Ile Ser Leu Glu Leu Tyr Gln Gly Ile Lys Phe 245 250 255 Asp Ala Ser Gln Lys Lys Ser Ala Lys Glu Lys Lys Pro Ser Thr Gly 260 265 270 Ser Ser Thr Arg Tyr Glu Asp Ser Asp Gly Cys Tyr Leu Gln Lys Ser 275 280 285 Arg Pro Pro Arg Lys Leu Glu Leu Gln Gln Leu Ser Ser Gly Ser Gly 290 295 300 Gly Ser Arg Leu Asn Arg Ile Arg Ser Ser Ser Ser Ala Ala Asn Leu 305 310 315 320 Ile Ala Lys Lys Arg Val Ile Arg Met Leu Ile Val Ile Val Val Leu 325 330 335 Phe Phe Leu Cys Trp Met Pro Ile Phe Ser Ala Asn Ala Trp Arg Ala 340 345 350 Tyr Asp Thr Val Ser Ala Glu Lys His Leu Ser Gly Thr Pro Ile Ser 355 360 365 Phe Ile Leu Leu Leu Ser Tyr Thr Ser Ser Cys Val Asn Pro Ile Ile 370 375 380 Tyr Cys Phe Met Asn Lys Arg Phe Arg Leu Gly Phe Met Ala Thr Phe 385 390 395 400 Pro Cys Cys Pro Asn Pro Gly Pro Pro Gly Val Arg Gly Glu Val Gly 405 410 415 Glu Glu Glu Asp Gly Arg Thr Ile Arg Ala Leu Leu Ser Arg Tyr Ser 420 425 430 Tyr Ser His Met Ser Thr Ser Ala Pro Pro Pro 435 440 7 453 PRT Xenopus laevis 7 Met Glu Ser Leu Arg Ser Leu Ser Asn Ile Ser Ala Leu His Glu Leu 1 5 10 15 Leu Cys Arg Tyr Ser Asn Leu Ser Gly Thr Leu Thr Trp Asn Leu Ser 20 25 30 Ser Thr Asn Gly Thr His Asn Leu Thr Thr Ala Asn Trp Pro Pro Trp 35 40 45 Asn Leu Asn Cys Thr Pro Ile Leu Asp Arg Lys Lys Pro Ser Pro Ser 50 55 60 Asp Leu Asn Leu Trp Val Arg Ile Val Met Tyr Ser Val Ile Phe Leu 65 70 75 80 Leu Ser Val Phe Gly Asn Thr Leu Ile Ile Ile Val Leu Val Met Asn 85 90 95 Lys Arg Leu Arg Thr Ile Thr Asn Ser Phe Leu Leu Ser Leu Ala Leu 100 105 110 Ser Asp Leu Met Val Ala Val Leu Cys Met Pro Phe Thr Leu Ile Pro 115 120 125 Asn Leu Met Glu Asn Phe Ile Phe Gly Glu Val Ile Cys Arg Ala Ala 130 135 140 Ala Tyr Phe Met Gly Leu Ser Val Ser Val Ser Thr Phe Asn Leu Val 145 150 155 160 Ala Ile Ser Ile Glu Arg Tyr Ser Ala Ile Cys Asn Pro Leu Xaa Ser 165 170 175 Arg Val Trp Gln Thr Arg Ser His Ala Tyr Arg Val Ile Ala Ala Thr 180 185 190 Trp Val Leu Ser Ser Ile Ile Met Ile Pro Tyr Leu Val Tyr Asn Lys 195 200 205 Thr Val Thr Phe Pro Met Lys Asp Arg Arg Val Gly His Gln Cys Arg 210 215 220 Leu Val Trp Pro Ser Lys Gln Val Gln Gln Ala Trp Tyr Val Leu Leu 225 230 235 240 Leu Thr Ile Leu Phe Phe Ile Pro Gly Val Val Met Ile Val Ala Tyr 245 250 255 Gly Leu Ile Ser Arg Glu Leu Tyr Arg Gly Ile Gln Phe Glu Met Asp 260 265 270 Leu Asn Lys Glu Ala Lys Ala His Lys Asn Gly Val Ser Thr Pro Thr 275 280 285 Thr Ile Pro Ser Gly Asp Glu Gly Asp Gly Cys Tyr Ile Gln Val Thr 290 295 300 Lys Arg Arg Asn Thr Met Glu Met Ser Thr Leu Thr Pro Ser Val Cys 305 310 315 320 Thr Lys Met Asp Arg Ala Arg Ile Asn Asn Ser Glu Ala Lys Leu Met 325 330 335 Ala Lys Lys Arg Val Ile Arg Met Leu Ile Val Ile Val Ala Met Phe 340 345 350 Phe Ile Cys Trp Met Pro Ile Phe Val Ala Asn Thr Trp Lys Ala Phe 355 360 365 Asp Glu Leu Ser Ala Phe Asn Thr Leu Thr Gly Ala Pro Ile Ser Phe 370 375 380 Ile His Leu Leu Ser Tyr Thr Ser Ala Cys Val Asn Pro Leu Ile Tyr 385 390 395 400 Cys Phe Met Asn Lys Arg Phe Arg Lys Ala Phe Leu Gly Thr Phe Ser 405 410 415 Ser Cys Ile Lys Pro Cys Arg Asn Phe Arg Asp Thr Asp Glu Asp Ile 420 425 430 Ala Ala Thr Gly Ala Ser Leu Ser Lys Phe Ser Tyr Thr Thr Val Ser 435 440 445 Ser Leu Gly Pro Ala 450 8 51 PRT Homo sapiens 8 Leu Thr Ala Pro Gly Pro Gly Ser Gly Ser Arg Pro Thr Gln Ala Lys 1 5 10 15 Leu Leu Ala Lys Lys Arg Val Val Arg Met Leu Leu Val Ile Val Val 20 25 30 Leu Phe Phe Leu Cys Trp Leu Pro Val Tyr Ser Ala Asn Thr Trp Arg 35 40 45 Ala Phe Asp 50 9 51 PRT Homo sapiens 9 Leu Thr Ala Pro Gly Pro Gly Ser Gly Ser Arg Pro Thr Ala His Val 1 5 10 15 Ser Ala Ala Lys Lys Arg Val Val Arg Met Leu Leu Val Ile Val Val 20 25 30 Leu Phe Phe Leu Cys Trp Leu Pro Val Tyr Ser Ala Asn Thr Trp Arg 35 40 45 Ala Phe Asp 50 10 51 PRT Homo sapiens 10 Leu Thr Ala Pro Gly Pro Gly Ser Gly Ser Arg Pro Thr Gln Ala Lys 1 5 10 15 Ser Ala Ala Lys Lys Arg Val Val Arg Met Leu Leu Val Ile Val Val 20 25 30 Leu Phe Phe Leu Cys Trp Leu Pro Val Tyr Ser Ala Asn Thr Trp Arg 35 40 45 Ala Phe Asp 50 11 51 PRT Homo sapiens 11 Leu Thr Ala Pro Gly Pro Gly Ser Gly Ser Arg Pro Thr Gln Ala Lys 1 5 10 15 Ser Leu Ala Lys Lys Arg Val Val Arg Met Leu Leu Val Ile Val Val 20 25 30 Leu Phe Phe Leu Cys Trp Leu Pro Val Tyr Ser Ala Asn Thr Trp Arg 35 40 45 Ala Phe Asp 50 12 51 PRT Homo sapiens 12 Leu Thr Ala Pro Gly Pro Gly Ser Gly Ser Arg Pro Thr Gln Ala Lys 1 5 10 15 Glu Leu Ala Lys Lys Arg Val Val Arg Met Leu Leu Val Ile Val Val 20 25 30 Leu Phe Phe Leu Cys Trp Leu Pro Val Tyr Ser Ala Asn Thr Trp Arg 35 40 45 Ala Phe Asp 50 13 5 PRT Homo sapiens 13 Gln Ala Lys Leu Leu 1 5 14 5 PRT Homo sapiens 14 Ala His Val Ser Ala 1 5 15 51 PRT Homo sapiens 15 Leu Thr Ala Pro Gly Pro Gly Ser Gly Ser Arg Pro Thr Gln Ala Lys 1 5 10 15 Leu Leu Ala Lys Lys Arg Val Val Arg Met Leu Leu Val Ile Val Val 20 25 30 Leu Phe Phe Leu Cys Trp Leu Pro Val Tyr Ser Ala Asn Thr Trp Arg 35 40 45 Ala Phe Asp 50 16 51 PRT Homo sapiens 16 Leu Thr Ala Pro Gly Pro Gly Ser Gly Ser Arg Pro Thr Gln Glu Lys 1 5 10 15 Glu Leu Glu Lys Lys Arg Glu Glu Arg Met Leu Leu Val Ile Val Val 20 25 30 Leu Phe Phe Leu Cys Trp Leu Pro Val Tyr Ser Ala Asn Thr Trp Arg 35 40 45 Ala Phe Asp 50 17 51 PRT Homo sapiens 17 Leu Thr Ala Pro Gly Pro Gly Ser Gly Ser Arg Pro Thr Gln Glu Lys 1 5 10 15 Leu Leu Ala Lys Lys Arg Val Val Arg Met Leu Leu Val Ile Val Val 20 25 30 Leu Phe Phe Leu Cys Trp Leu Pro Val Tyr Ser Ala Asn Thr Trp Arg 35 40 45 Ala Phe Asp 50 18 51 PRT Homo sapiens 18 Leu Thr Ala Pro Gly Pro Gly Ser Gly Ser Arg Pro Thr Gln Ala Glu 1 5 10 15 Leu Leu Ala Lys Lys Arg Val Val Arg Met Leu Leu Val Ile Val Val 20 25 30 Leu Phe Phe Leu Cys Trp Leu Pro Val Tyr Ser Ala Asn Thr Trp Arg 35 40 45 Ala Phe Asp 50 19 51 PRT Homo sapiens 19 Leu Thr Ala Pro Gly Pro Gly Ser Gly Ser Arg Pro Thr Gln Ala Lys 1 5 10 15 Glu Leu Ala Lys Lys Arg Val Val Arg Met Leu Leu Val Ile Val Val 20 25 30 Leu Phe Phe Leu Cys Trp Leu Pro Val Tyr Ser Ala Asn Thr Trp Arg 35 40 45 Ala Phe Asp 50 20 51 PRT Homo sapiens 20 Leu Thr Ala Pro Gly Pro Gly Ser Gly Ser Arg Pro Thr Gln Ala Lys 1 5 10 15 Leu Leu Glu Lys Lys Arg Val Val Arg Met Leu Leu Val Ile Val Val 20 25 30 Leu Phe Phe Leu Cys Trp Leu Pro Val Tyr Ser Ala Asn Thr Trp Arg 35 40 45 Ala Phe Asp 50 21 51 PRT Homo sapiens 21 Leu Thr Ala Pro Gly Pro Gly Ser Gly Ser Arg Pro Thr Gln Ala Lys 1 5 10 15 Leu Leu Ala Lys Lys Arg Glu Val Arg Met Leu Leu Val Ile Val Val 20 25 30 Leu Phe Phe Leu Cys Trp Leu Pro Val Tyr Ser Ala Asn Thr Trp Arg 35 40 45 Ala Phe Asp 50 22 51 PRT Homo sapiens 22 Leu Thr Ala Pro Gly Pro Gly Ser Gly Ser Arg Pro Thr Gln Ala Lys 1 5 10 15 Leu Leu Ala Lys Lys Arg Val Glu Arg Met Leu Leu Val Ile Val Val 20 25 30 Leu Phe Phe Leu Cys Trp Leu Pro Val Tyr Ser Ala Asn Thr Trp Arg 35 40 45 Ala Phe Asp 50 23 51 PRT Homo sapiens 23 Leu Thr Ala Pro Gly Pro Gly Ser Gly Ser Arg Pro Thr Gln Ala Lys 1 5 10 15 Leu Leu Ala Lys Lys Arg Glu Glu Arg Met Leu Leu Val Ile Val Val 20 25 30 Leu Phe Phe Leu Cys Trp Leu Pro Val Tyr Ser Ala Asn Thr Trp Arg 35 40 45 Ala Phe Asp 50
Claims (12)
1. A method for treating or preventing a physiological disorder involving a CCK or gastrin peptide hormone receptor, said method comprising administering to a mammal an agonist-effective amount of a compound of formula (I):
wherein:
R1 represents H, C1-6 alkyl optionally substituted by one or more halo groups, C3-7 cycloalkyl, cyclopropylmethyl, (CH2)rimidazolyl, (CH2)rtriazolyl, (CH2)rtetrazolyl, where r is 1, 2 or 3, CH2CO2R11, where R11 is C1-4alkyl, or CH2CONR6R7, where R6 and R7 each independently represent H or C1-4alkyl, or R6 and R7 together form a chain CH2(p) where p is 4 or 5;
R2 represents NHR12 or (CH2)sR13, where s is 0, 1, 2, or 3;
R3 represents C1-6alkyl, halo, or NR6R7, where R6 and R7 are as previously defined;
R4 and R5 each independently represent H, C1-12alkyl optionally substituted by NR9R9′, where R9 and R9, are each independently H or C1-4alkyl, an azacyclic or azabicyclic group, C4-9cycloalkyl optionally substituted by one or more C1-4alkyl groups, C4-9cycloalkyl, C1-4alkyl optionally substituted in the cycloalkyl ring by one or more C1-4alkyl groups, optionally substituted aryl, optionally substituted arylC1-6alkyl or azacyclic or azabicyclic groups, or R4 and R5 together form the residue of an optionally substituted azacyclic or azabicyclic ring system;
x is 0, 1, 2, or 3;
R12 represents a phenyl or pyridyl group optionally substituted by one or more substituents selected form C1-6alkyl, halo, hydroxy, C1-4alkoxy, (CH2)q-tetrazolyl optionally substituted in the tetrazole ring by C1-4alkyl, (CH2)q-imidazolyl, (CH2)q-triazolyl, where q is 0, 1, 2, or 3, 5-hydroxy-4-pyrone, NR6R7, NR9COR11, NR9CONR9′R11, where R6, R7, R9, R9′, and R11 are each as previously defined, SO(C1-6alkyl), SO2(C1-6alkyl), trifluoromethyl, CONHSO2R8 or SO2NHCOR8, where R8 is C1-6alkyl, optionally substituted aryl, 2,2-difluorocyclopropane or trifluoromethyl, SO2NHR10, where R10 is a nitrogen containing heterocycle, B(OH)2, (CH2)qCO2H, where q is as previously defined; or
R12 represents a group:
where X1 represents CH or N; W represents CH2 or NR9, where R9 is as previously defined, and W1 represents CH2, or W and W1 each represent O; or
R12 represents phenyl substituted by a group:
wherein X2 is O, S, or NR9, where R9 is as previously defined; z is a bond, O, or S; m is 1, 2 or 3; n is 1, 2, or 3; and y is 0, 1, 2, or 3;
R13 represents a group:
where R14 represents H or C1-6alkyl; R15 represents H, C1-6alkyl, halo or NR6R7, where R6 and R7 are as previously defined; and the dotted line represents an optional covalent bond; and pharmaceutically acceptable salts or prodrugs thereof,
with the provision that, when NR4R5 represents an unsubstituted azacyclic ring system, R2 does not represent NHR12 where R12 is optionally substituted phenyl or:
where W and W1 are as previously defined.
2. The method of claim 1 , wherein said compound is 3(R,S)-Amino-1,3-dihydro-5-((1S,4S)-5-methyl-2,5-diazabicyclo[2,2,1]heptan-2-vl)-2H-1-propyl-1,4-benzodiazepin-2-one.
3. The method of claim 1 , wherein said compound is (−)-N-[5-(3-azabicyclo[3,2,2]nonan-3-yl)-2,3-dihydro-1-methyl-2-oxo-1H-1,4-benzodiazepin-3-yl]-N′-[3-methylphenyl]-urea.
4. The method of claim 1 , wherein said compound is (+)-N-[5-(3-azabicyclo[3,2,2]nonan-3-yl)-2,3-dihydro-1-methyl-2-oxo-1H-1,4-benzodiazepin-3-yl]-N′-[3-methylphenyl]-urea.
5. The method of claim 1 , wherein said peptide hormone receptor is the CCK-B/gastrin receptor.
6. The method of claim 1 , wherein said peptide hormone receptor is the CCK-A receptor.
7. The method of claim 1 , wherein said physiological disorder is a neoplasm.
8. The method of claim 1 , wherein said neoplasm is a primary tumor.
9. A compound of formula (I):
wherein:
R1 represents H, C1-6 alkyl optionally substituted by one or more halo groups, C3-7 cycloalkyl, cyclopropylmethyl, (CH2)rimidazolyl, (CH2)rtriazolyl, (CH2)rtetrazolyl, where r is 1, 2 or 3, CH2CO2R11, where R11 is C1-4alkyl, or CH2CONR6R7, where R6 and R7 each independently represent H or C1-4alkyl, or R6 and R7 together form a chain CH2(p) where p is 4 or 5;
R2 represents NHR12 or (CH2)sR13, where s is 0, 1, 2, or 3;
R3 represents C1-6alkyl, halo, or NR6R7, where R6 and R7 are as previously defined;
R4 and R5 each independently represent H, C1-12alkyl optionally substituted by NR9R9′, where R9 and R9, are each independently H or C1-4alkyl, an azacyclic or azabicyclic group, C4-9cycloalkyl optionally substituted by one or more C1-4alkyl groups, C4-9cycloalkyl, C1-4alkyl optionally substituted in the cycloalkyl ring by one or more C1-4alkyl groups, optionally substituted aryl, optionally substituted arylC1-6alkyl or azacyclic or azabicyclic groups, or R4 and R5 together form the residue of an optionally substituted azacyclic or azabicyclic ring system;
x is 0, 1, 2, or 3;
R12 represents a phenyl or pyridyl group optionally substituted by one or more substituents selected form C1-6alkyl, halo, hydroxy, C1-4alkoxy, (CH2)q-tetrazolyl optionally substituted in the tetrazole ring by C1-4alkyl, (CH2)q-imidazolyl, (CH2)q-triazolyl, where q is 0, 1, 2, or 3, 5-hydroxy-4-pyrone, NR6R7, NR9COR11, NR9CONR9′R11, where R6, R7, R9, R9′, and R11 are each as previously defined, SO(C1-6alkyl), SO2(C1-6alkyl), trifluoromethyl, CONHSO2R8 or SO2NHCOR8, where R8 is C1-6alkyl, optionally substituted aryl, 2,2-difluorocyclopropane or trifluoromethyl, SO2NHR10, where R10 is a nitrogen containing heterocycle, B(OH)2, (CH2)qCO2H, where q is as previously defined; or
R12 represents a group:
where X1 represents CH or N; W represents CH2 or NR9, where R9 is as previously defined, and W1 represents CH2, or W and W1 each represent O; or
R12 represents phenyl substituted by a group:
wherein X2 is O, S, or NR9, where R9 is as previously defined; z is a bond, O, or S; m is 1, 2 or 3; n is 1, 2, or 3; and y is 0, 1, 2, or 3;
R13 represents a group:
where R14 represents H or C1-6alkyl; R15 represents H, C1-6alkyl, halo or NR6R7, where R6 and R7 are as previously defined; and the dotted line represents an optional covalent bond; and pharmaceutically acceptable salts or prodrugs thereof,
with the provision that, when NR4R5 represents an unsubstituted azacyclic ring system, R2 does not represent NHR12 where R12 is optionally substituted phenyl or:
where W and W1 are as previously defined.
10. The method of claim 9 , wherein said compound is 3(R,S)-Amino-1,3-dihydro-5-((1S,4S)-5-methyl-2,5-diazabicyclo[2,2,1]heptan-2-vl)-2H-1-propyl-1,4-benzodiazepin-2-one.
11. The method of claim 9 , wherein said compound is (−)-N-[5-(3-azabicyclo[3,2,2]nonan-3-yl)-2,3-dihydro-1-methyl-2-oxo-1H-1,4-benzodiazepin-3-yl]-N′-[3-methylphenyl]-urea.
12. The method of claim 9 , wherein said compound is (+)-N-[5-(3-azabicyclo[3,2,2]nonan-3-yl)-2,3-dihydro-1-methyl-2-oxo-1H-1,4-benzodiazepin-3-yl]-N′-[3-methylphenyl]-urea.
Priority Applications (1)
| Application Number | Priority Date | Filing Date | Title |
|---|---|---|---|
| US10/441,757 US20030191114A1 (en) | 1995-12-11 | 2003-05-20 | Assay for and uses of peptide hormone receptor agonists |
Applications Claiming Priority (4)
| Application Number | Priority Date | Filing Date | Title |
|---|---|---|---|
| US08/570,157 US5750353A (en) | 1995-12-11 | 1995-12-11 | Assay for non-peptide agonists to peptide hormone receptors |
| US71804796A | 1996-09-03 | 1996-09-03 | |
| US09/004,349 US6566080B1 (en) | 1995-12-11 | 1998-01-08 | Assay for and uses of peptide hormone receptor agonists |
| US10/441,757 US20030191114A1 (en) | 1995-12-11 | 2003-05-20 | Assay for and uses of peptide hormone receptor agonists |
Related Parent Applications (1)
| Application Number | Title | Priority Date | Filing Date |
|---|---|---|---|
| US09/004,349 Division US6566080B1 (en) | 1995-12-11 | 1998-01-08 | Assay for and uses of peptide hormone receptor agonists |
Publications (1)
| Publication Number | Publication Date |
|---|---|
| US20030191114A1 true US20030191114A1 (en) | 2003-10-09 |
Family
ID=27075258
Family Applications (2)
| Application Number | Title | Priority Date | Filing Date |
|---|---|---|---|
| US09/004,349 Expired - Fee Related US6566080B1 (en) | 1995-12-11 | 1998-01-08 | Assay for and uses of peptide hormone receptor agonists |
| US10/441,757 Abandoned US20030191114A1 (en) | 1995-12-11 | 2003-05-20 | Assay for and uses of peptide hormone receptor agonists |
Family Applications Before (1)
| Application Number | Title | Priority Date | Filing Date |
|---|---|---|---|
| US09/004,349 Expired - Fee Related US6566080B1 (en) | 1995-12-11 | 1998-01-08 | Assay for and uses of peptide hormone receptor agonists |
Country Status (9)
| Country | Link |
|---|---|
| US (2) | US6566080B1 (en) |
| EP (1) | EP0869975B1 (en) |
| JP (1) | JP4442930B2 (en) |
| KR (1) | KR100561963B1 (en) |
| AU (1) | AU715611B2 (en) |
| CA (1) | CA2239293A1 (en) |
| DE (1) | DE69637211T2 (en) |
| IL (2) | IL124808A0 (en) |
| WO (1) | WO1997021731A1 (en) |
Cited By (1)
| Publication number | Priority date | Publication date | Assignee | Title |
|---|---|---|---|---|
| US20080199888A1 (en) * | 2002-01-23 | 2008-08-21 | Liaw Chen W | Non-endogenous, constitutively activated versions of human G protein coupled receptor: FSHR |
Families Citing this family (19)
| Publication number | Priority date | Publication date | Assignee | Title |
|---|---|---|---|---|
| CA2239293A1 (en) * | 1995-12-11 | 1997-06-19 | New England Medical Center Hosptials, Inc. | Assay for and uses of peptide hormone receptor ligands |
| US7119190B2 (en) | 1997-04-14 | 2006-10-10 | Arena Pharmaceuticals, Inc. | Endogenous and non-endogenous versions of human G protein-coupled receptors |
| EP0965041B1 (en) * | 1997-04-14 | 2009-02-18 | Arena Pharmaceuticals, Inc. | A method of identifying modulators of cell surface membrane receptors useful in the treatment of disease |
| US6555339B1 (en) * | 1997-04-14 | 2003-04-29 | Arena Pharmaceuticals, Inc. | Non-endogenous, constitutively activated human protein-coupled receptors |
| IT1293533B1 (en) * | 1997-07-14 | 1999-03-01 | Angeletti P Ist Richerche Bio | METHOD FOR THE SELECTION OF MOLECULES ABLE TO MIMIC, INHIBIT OR ENHANCE THE EFFECTS OF THE INTERACTION BETWEEN LEPTIN AND CELLS THAT |
| IL142153A0 (en) * | 1998-10-13 | 2002-03-10 | Arena Pharm Inc | Non-endogenous, constitutively activated human g protein-coupled receptors |
| US7816492B2 (en) | 1998-11-20 | 2010-10-19 | Arena Pharmaceuticals, Inc. | Human G protein-coupled receptors |
| US20030017528A1 (en) | 1998-11-20 | 2003-01-23 | Ruoping Chen | Human orphan G protein-coupled receptors |
| USRE42190E1 (en) | 1998-11-20 | 2011-03-01 | Arena Pharmaceuticals, Inc. | Method of identifying a compound for inhibiting or stimulating human G protein-coupled receptors |
| US20050148018A1 (en) | 1999-10-07 | 2005-07-07 | David Weiner | Methods of identifying inverse agonists of the serotonin 2A receptor |
| IL149569A0 (en) * | 1999-11-17 | 2002-11-10 | Arena Pharm Inc | Endogenous and non-endogenous versions of human g protein-coupled receptors |
| US20050106137A1 (en) * | 2000-05-05 | 2005-05-19 | Stephen Grimes | Chimeric peptide immunogens |
| CA2452844A1 (en) * | 2001-05-03 | 2002-11-14 | New England Medical Center Hosptials, Inc. | Dose response-based methods for identifying receptors having alterations in signaling |
| WO2002090924A2 (en) * | 2001-05-03 | 2002-11-14 | New England Medical Center Hospitals, Inc. | Mutation induced optimization of receptor signal to noise ratio |
| US6902902B2 (en) | 2001-11-27 | 2005-06-07 | Arena Pharmaceuticals, Inc. | Human G protein-coupled receptors and modulators thereof for the treatment of metabolic-related disorders |
| WO2003106694A2 (en) * | 2002-06-13 | 2003-12-24 | New England Medical Center Hospitals, Inc. | Rapid methods for assessing therapeutic activity using animals expressing constitutively active g protein-coupled receptors |
| US20080051315A1 (en) * | 2003-12-11 | 2008-02-28 | Eric Kandel | Grp Receptor-Related Methods for the Treating and Preventing Fear-Related Disorders |
| WO2005075672A1 (en) * | 2004-01-28 | 2005-08-18 | Bayer Healthcare Ag | Diagnostics and therapeutics for diseases associated with human cholecystokinin receptor b (cckbr) |
| PL3071206T3 (en) | 2013-11-22 | 2022-01-17 | CL BioSciences LLC | Gastrin antagonists (eg yf476, netazepide) for treatment and prevention of osteoporosis |
Citations (5)
| Publication number | Priority date | Publication date | Assignee | Title |
|---|---|---|---|---|
| US5521175A (en) * | 1992-07-29 | 1996-05-28 | Merck Sharp & Dohme Ltd. | Benzodiazepine derivatives |
| US5750353A (en) * | 1995-12-11 | 1998-05-12 | New England Medical Center Hospitals, Inc. | Assay for non-peptide agonists to peptide hormone receptors |
| US5879896A (en) * | 1993-08-10 | 1999-03-09 | Takeda Chemical Industries, Ltd. | Method of screening for inhibitors of human thyrotropin releasing hormone (TRH) receptor |
| US5882944A (en) * | 1993-06-23 | 1999-03-16 | The Regents Of The University Of California | Methods for G protein coupled receptor activity screening |
| US6566080B1 (en) * | 1995-12-11 | 2003-05-20 | New England Medical Center | Assay for and uses of peptide hormone receptor agonists |
Family Cites Families (13)
| Publication number | Priority date | Publication date | Assignee | Title |
|---|---|---|---|---|
| US4684646A (en) * | 1984-06-26 | 1987-08-04 | Merck & Co., Inc. | 2-acylaminomethyl-1,4-benzodiazepine derivatives as CCK-antagonists |
| GB9201180D0 (en) | 1992-01-21 | 1992-03-11 | Glaxo Group Ltd | Chemical compounds |
| US5319073A (en) * | 1992-02-07 | 1994-06-07 | The United States Of America, As Represented By The Department Of Health & Human Services | Method of purifying cholecystokinin receptor protein |
| PT652871E (en) * | 1992-07-29 | 2002-03-28 | Merck Sharp & Dohme | BENZODIAZEPINE DERIVATIVES |
| GB9307833D0 (en) | 1993-04-15 | 1993-06-02 | Glaxo Inc | Modulators of cholecystokinin and gastrin |
| AU7112094A (en) * | 1993-06-23 | 1995-01-17 | Regents Of The University Of California, The | Compositions and methods for anti-addictive narcotic analgesis acivity screening and treatments |
| WO1995006117A1 (en) | 1993-08-20 | 1995-03-02 | Smithkline Beecham Plc | Human 5-ht2 receptor |
| US5677184A (en) | 1994-04-19 | 1997-10-14 | Takeda Chemical Industries, Ltd. | CHO cells that express human LH-RH receptor |
| ATE210447T1 (en) | 1994-10-14 | 2001-12-15 | Glaxo Wellcome Spa | USE OF CCK-B RECEPTOR ANTAGONISTS TO TREAT SLEEP DISORDERS |
| GB9420747D0 (en) | 1994-10-14 | 1994-11-30 | Glaxo Inc | 1,5 benzodiazepine derivatives |
| AU8019494A (en) | 1994-10-17 | 1996-05-06 | Human Genome Sciences, Inc. | Human endothelin-bombesin receptor |
| EP0812329A4 (en) | 1995-02-17 | 2001-08-29 | Human Genome Sciences Inc | Human g-protein coupled receptor |
| EP0817800A4 (en) | 1995-03-30 | 1999-06-16 | Human Genome Sciences Inc | Human g-protein coupled receptors |
-
1996
- 1996-12-11 CA CA002239293A patent/CA2239293A1/en not_active Abandoned
- 1996-12-11 WO PCT/US1996/019958 patent/WO1997021731A1/en not_active Ceased
- 1996-12-11 DE DE69637211T patent/DE69637211T2/en not_active Expired - Lifetime
- 1996-12-11 EP EP96944823A patent/EP0869975B1/en not_active Expired - Lifetime
- 1996-12-11 JP JP52224897A patent/JP4442930B2/en not_active Expired - Fee Related
- 1996-12-11 KR KR1019980704401A patent/KR100561963B1/en not_active Expired - Fee Related
- 1996-12-11 AU AU13343/97A patent/AU715611B2/en not_active Ceased
- 1996-12-11 IL IL12480896A patent/IL124808A0/en unknown
-
1998
- 1998-01-08 US US09/004,349 patent/US6566080B1/en not_active Expired - Fee Related
- 1998-06-08 IL IL124808A patent/IL124808A/en not_active IP Right Cessation
-
2003
- 2003-05-20 US US10/441,757 patent/US20030191114A1/en not_active Abandoned
Patent Citations (6)
| Publication number | Priority date | Publication date | Assignee | Title |
|---|---|---|---|---|
| US5521175A (en) * | 1992-07-29 | 1996-05-28 | Merck Sharp & Dohme Ltd. | Benzodiazepine derivatives |
| US5882944A (en) * | 1993-06-23 | 1999-03-16 | The Regents Of The University Of California | Methods for G protein coupled receptor activity screening |
| US5879896A (en) * | 1993-08-10 | 1999-03-09 | Takeda Chemical Industries, Ltd. | Method of screening for inhibitors of human thyrotropin releasing hormone (TRH) receptor |
| US5750353A (en) * | 1995-12-11 | 1998-05-12 | New England Medical Center Hospitals, Inc. | Assay for non-peptide agonists to peptide hormone receptors |
| US6376198B1 (en) * | 1995-12-11 | 2002-04-23 | New England Medical Center Hospitals, Inc. | Assay for non-peptide agonists to peptide hormone receptors |
| US6566080B1 (en) * | 1995-12-11 | 2003-05-20 | New England Medical Center | Assay for and uses of peptide hormone receptor agonists |
Cited By (2)
| Publication number | Priority date | Publication date | Assignee | Title |
|---|---|---|---|---|
| US20080199888A1 (en) * | 2002-01-23 | 2008-08-21 | Liaw Chen W | Non-endogenous, constitutively activated versions of human G protein coupled receptor: FSHR |
| US20100317046A1 (en) * | 2002-01-23 | 2010-12-16 | Liaw Chen W | Non-Endogenous, Constitutively Activated Versions of Human G Protein Coupled Receptor: FSHR |
Also Published As
| Publication number | Publication date |
|---|---|
| EP0869975A4 (en) | 1998-12-02 |
| CA2239293A1 (en) | 1997-06-19 |
| JP2000510324A (en) | 2000-08-15 |
| JP4684344B2 (en) | 2011-05-18 |
| JP4442930B2 (en) | 2010-03-31 |
| KR100561963B1 (en) | 2006-11-30 |
| DE69637211D1 (en) | 2007-09-27 |
| JP2010032525A (en) | 2010-02-12 |
| KR19990072092A (en) | 1999-09-27 |
| AU1334397A (en) | 1997-07-03 |
| EP0869975B1 (en) | 2007-08-15 |
| IL124808A0 (en) | 1999-01-26 |
| AU715611B2 (en) | 2000-02-03 |
| US6566080B1 (en) | 2003-05-20 |
| EP0869975A1 (en) | 1998-10-14 |
| WO1997021731A1 (en) | 1997-06-19 |
| IL124808A (en) | 2006-08-20 |
| DE69637211T2 (en) | 2008-05-08 |
Similar Documents
| Publication | Publication Date | Title |
|---|---|---|
| US6566080B1 (en) | Assay for and uses of peptide hormone receptor agonists | |
| US6376198B1 (en) | Assay for non-peptide agonists to peptide hormone receptors | |
| JP2004121225A (en) | Parathyroid hormone receptor and DNA encoding it | |
| US20200247866A1 (en) | Teneurin c-terminal associated peptides (tcap) and methods and uses thereof | |
| US6599718B1 (en) | Growth hormone secretagogue related receptors and nucleic acids | |
| EP0965041B1 (en) | A method of identifying modulators of cell surface membrane receptors useful in the treatment of disease | |
| EP0845529A2 (en) | Human G-protein coupled receptor protein cloned form fetal brain CDNA library | |
| JP4684344B6 (en) | Assay methods for peptide hormone receptor ligands and uses thereof | |
| US20010053848A1 (en) | Hetero-oligomeric G protein-coupled receptors as novel drug targets | |
| EP1693456A1 (en) | Gene encoding g protein-coupled receptor and gene product thereof | |
| WO2002026824A2 (en) | A novel human g-protein coupled receptor, hgprbmy5, expressed highly in brain and ovarian tissues | |
| AU665601B2 (en) | CDNAs encoding the gastrin and CCK-B receptors | |
| WO1998024818A1 (en) | Novel trh receptor | |
| Deecher et al. | Discrimination of galanin receptor subtypes in RINm5F cells by structurally different galanin radioligands | |
| Bullock | Molecular characterization of a constitutively active mutant dopamine D2 receptor and two prokineticin receptors | |
| Wilson | Biochemical and physiological consequences of mutation of a conserved aspartate in the alpha (2A)-adrenergic receptor | |
| JP2001309792A (en) | Method for screening | |
| Leung | Growth hormone secretagogue receptors: Cell signalling and receptor oligomerization |
Legal Events
| Date | Code | Title | Description |
|---|---|---|---|
| STCB | Information on status: application discontinuation |
Free format text: ABANDONED -- FAILURE TO RESPOND TO AN OFFICE ACTION |














