RU2799373C1 - Система для введения суспензий в капилляр при проведении биолабораторных исследований - Google Patents
Система для введения суспензий в капилляр при проведении биолабораторных исследований Download PDFInfo
- Publication number
- RU2799373C1 RU2799373C1 RU2022134346A RU2022134346A RU2799373C1 RU 2799373 C1 RU2799373 C1 RU 2799373C1 RU 2022134346 A RU2022134346 A RU 2022134346A RU 2022134346 A RU2022134346 A RU 2022134346A RU 2799373 C1 RU2799373 C1 RU 2799373C1
- Authority
- RU
- Russia
- Prior art keywords
- capillary
- studies
- suspensions
- valve
- pipetting device
- Prior art date
Links
- 239000000725 suspension Substances 0.000 title claims abstract description 17
- 239000012528 membrane Substances 0.000 claims abstract description 5
- 230000003612 virological effect Effects 0.000 abstract description 10
- 230000015572 biosynthetic process Effects 0.000 abstract description 6
- 238000005259 measurement Methods 0.000 abstract description 5
- 239000000126 substance Substances 0.000 abstract description 3
- 230000000694 effects Effects 0.000 abstract description 2
- 238000005516 engineering process Methods 0.000 abstract description 2
- 239000007788 liquid Substances 0.000 description 13
- 239000000523 sample Substances 0.000 description 9
- 238000012360 testing method Methods 0.000 description 4
- 230000005499 meniscus Effects 0.000 description 2
- 239000002245 particle Substances 0.000 description 2
- 238000012546 transfer Methods 0.000 description 2
- 238000000333 X-ray scattering Methods 0.000 description 1
- 239000012472 biological sample Substances 0.000 description 1
- 239000003153 chemical reaction reagent Substances 0.000 description 1
- 238000004140 cleaning Methods 0.000 description 1
- 238000013461 design Methods 0.000 description 1
- 239000000645 desinfectant Substances 0.000 description 1
- 238000010586 diagram Methods 0.000 description 1
- 238000003018 immunoassay Methods 0.000 description 1
- 208000015181 infectious disease Diseases 0.000 description 1
- 238000000034 method Methods 0.000 description 1
- 238000005086 pumping Methods 0.000 description 1
- 238000011160 research Methods 0.000 description 1
- 238000005070 sampling Methods 0.000 description 1
- 238000000235 small-angle X-ray scattering Methods 0.000 description 1
Images
Abstract
Изобретение относится к области медицинских технологий для химических и физических лабораторий, предназначено для введения вирусных суспензий и может быть использовано для проведения синхротронных и нейтронных исследований. Система включает пипетирующее устройство, содержащее последовательно установленные электронный блок управления, электродвигатель и всасывающий механизм, на нижнем конце пипетирующего устройства закреплен наконечник с иглой, снабженный клапаном, а под ним расположена вакуумная камера с мембранной крышкой, внутри которой зафиксирован капилляр, и на ее боковой поверхности установлен запорный клапан, соединенный с вакуумным насосом. Техническим результатом изобретения является доставка вирусной суспензии в капилляр без образования пузырьков газа и неоднородностей и повышение достоверности измерений. 1 ил., 1 табл.
Description
Изобретение относится к области медицинских технологий для химических и физических лабораторий, предназначено для введения вирусных суспензий, и может быть использовано для проведения синхротронных и нейтронных исследований.
Известен «Капилляр» (Заявка WO2008114063A1, МПК B01L 3/00, дата приоритета 21/03/2007, опубликована 25/09/2008. Устройство содержит смесительный лабиринт, датчик, два микроканала (капилляров) с входным и выходным отверстием, что обеспечивает поток жидкости без образования воздушных пузырьков. Перемещение жидкости в данном устройстве предлагается несколькими способами: гидравлическим, электрическим и вакуумированием. В данном устройстве техническим решением для перемещения жидкости является особое строение капиллярного канала за счет шероховатости одной из стенок капилляра, а также соотношения ширины к диаметру (10:100). Данное техническое решение предназначено для смешивания образца и реагента для иммунологического анализа.
Известно «Устройство для перекачки жидкости и метод работы устройства для перекачки жидкости» (Заявка CN106999937A, МПК B01L 3/02 (2006.01), дата приоритета 04/12/2014, опубликована 12/05/2020»). Устройство содержит: электронную пипетку; электронное управляющее оборудование, контролирующее всасывание; пипетку-ретранслятор; наконечник; плунжер; контейнер для сброса жидкости. Данное устройство имеет недостаток в виде ограничения по выходной мощности двигателя (составляющее электронное управляющее оборудование). При перекачке образца с высоким коэффициентом вязкости возможна перегрузка и превышение скорости работы, что может привести к ошибке измерения.
Из наиболее близких аналогов известно «Дозатор с функциональной проверкой (Заявка US20200209274A1, МПК B01L 3/0227 (2006.01), дата приоритета 27/07/2017, опубликована 02/07/2020). Дозатор содержит пипетирующее устройство с электронным блоком управления, электродвигателем, всасывающим механизмом и датчиком давления. Данное устройство предназначено для точной дозировки, для транспортировки проб жидкости (исследуемого образца) в небольших объемах, а также для переноса жидкости между различными контейнерами для проб. Устройство имеет возможность работы с жидкостями с высоким коэффициентом вязкости. Недостатком устройства является диаметр всасывающего канала, который больше диаметра капилляра, что не решает проблемы введения суспензии в капилляр без образования пузырьков газа. К тому же, одноразовое использование данного устройства невозможно, так как из-за конструктивных особенностей чистка после введения вирусной суспензии будет осложнена.
Решается задача введения вирусной суспензии в капилляр без образования пузырьков газа для получения достоверных результатов при синхротронных исследованиях и возможности замены зараженного вирусными частицами элементов.
Технический результат заключается в доставке вирусной суспензии в капилляр без образования пузырьков газа и неоднородностей, что позволяет повысить достоверность измерений.
Сущность заключается в том, что система для введения суспензий в капилляр при проведении биолабораторных исследований включает пипетирующее устройство, содержащее последовательно установленные электронный блок управления, электродвигатель и всасывающий механизм, при этом на нижнем конце пипетирующего устройства установлен наконечник с иглой, снабженный клапаном. Нижерасположена вакуумная камера с мембраной крышкой, внутри которой зафиксирован капилляр, а на ее боковой поверхности имеется запорный клапан, соединяющийся с вакуумным насосом
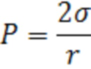
При введении жидкости в капилляр могут образовываться пузырьки газа, которые будут препятствовать дальнейшему продвижению суспензии по сосуду. Негативное действие газовых пузырьков обусловлено явлением поверхностного натяжения: под вогнутым мениском жидкости возникает избыточное давление (давление Лапласа), величина которого:
Где σ - коэффициент поверхностного натяжения; r - радиус сосуда. При коэффициенте вязкости σ = 0,065 Н/м и радиусе сосуда r = 1*10-3 м, возникает давление P = 65 Па, которое препятствует продвижению жидкости. Вакуум (Рв = 1 Па) в камере и капилляре позволяет сделать вогнутый мениск выпуклым, что меняет направление действия давления Лапласа и способствует продвижению жидкости.
Сущность поясняется фигурой, на которой представлена схема системы для введения суспензий в капилляр при проведении биолабораторных исследований.
Система содержит пипетирующее устройство 1 включает электронный блок управления 2, подключенный к электродвигателю 3, который напрямую связан с всасывающем механизмом 4. На нижнем конце пипетирующего устройства расположен наконечник с иглой 5, на боковой поверхности которого имеется клапан 6. Наконечник с иглой 5 проходит насквозь мембранную крышку 7 вакуумной камеры 8, в которой расположен в капилляр 9, закрепленный фиксаторами 10. На боковой поверхности вакуумной камеры 8, установлен запирающий клапан 11, через который подключается вакуумный насос 12.
Устройство работает следующим образом:
Открывают запирающий клапан 11 на боковой поверхности вакуумной камеры 8. Через запирающий клапан 11 подключают вакуумный насос 12, при работе которого создаётся разряженная среда в вакуумной камере 8. После этого закрывают запирающий клапан 11 и выключают вакуумный насос 12. Открывают клапан 6 и в наконечник с иглой 5 набирают исследуемый образец при помощи всасывающего механизма 4, работа которого осуществляется с помощью электродвигателя 3, контролируемого электронным блоком управления 2. После забора образца клапан наконечника 6 закрывают. Далее, наконечник с иглой 5 вводят в вакуумную камеру 8 через мембраную крышку 7 в капилляр 9. Капилляр 9 размещён в вакуумной камере 8 и закреплен на фиксаторах 10. Наконечник с иглой 5 отсоединяют от пипетирующего устройства 1. При открытии клапана 6 наконечника 5 исследуемый образец закачивают в капилляр 9 под действием отрицательного давления. Крышку 7 отсоединяют от вакуумной камеры 8 и утилизируют вместе с наконечником с иглой 5 в дезинфицирующем растворе. При необходимости капилляр с исследуемым образцом герметично запаивают, и он может быть извлечён из вакуумной камеры 8.
Таким образом, система для введения суспензий в капилляр при проведении биолабораторных исследований позволила ввести вирусную суспензию в капилляр 9 без образования пузырьков газа для исследования методом малоуглового рентгеновского рассеяния на станции БиоМУР (КИСИ-Курчатов). Биологические образцы, содержащие вирусные частицы несут высокие риски заражения персонала, поэтому необходима герметичная система, позволяющая обезопасить рабочую группу от инфицирования при введении образца в капилляр. При этом обязательным требованием является однородность образцов в капилляре 9 для достоверных и воспроизводимых результатов. Пипетирующее устройство 1 для введения суспензий в капилляр 9 для биолабораторных исследований позволило получить однородные образцы без пузырьков газа и повысить достоверность результатов измерений, о чём свидетельствует снижение среднеквадратического отклонения (СКО) при измерении интенсивности рассеянных рентгеновских лучей на станции БиоМУР (см. таблицу 1).
| Таблица 1 - Результаты измерений рассеяния рентгеновских лучей на станции БиоМУР. | ||
| Полученные образцы | Среднее значение интенсивности рассеяния (q=2) | СКО (I) |
| Без использования пипетирующего устройства | 2,117 | 0,028 |
| С использованием пипетирующего устройства | 2,120 | 0,019 |
Также, использование системы для введения суспензий в капилляр при проведении биолабораторных исследований позволило значительно снизить риски для персонала при работе с вирусными суспензиями, поскольку исключается возможность вытекания образца из капилляра.
Claims (1)
- Система для введения суспензий в капилляр при проведении биолабораторных исследований, включающая пипетирующее устройство, содержащее последовательно установленные электронный блок управления, электродвигатель и всасывающий механизм, отличающаяся тем, что на нижнем конце пипетирующего устройства закреплен наконечник с иглой, снабженный клапаном, а под ним расположена вакуумная камера с мембранной крышкой, внутри которой зафиксирован капилляр, и на ее боковой поверхности установлен запорный клапан, соединенный с вакуумным насосом.
Publications (1)
| Publication Number | Publication Date |
|---|---|
| RU2799373C1 true RU2799373C1 (ru) | 2023-07-05 |
Family
ID=
Citations (6)
| Publication number | Priority date | Publication date | Assignee | Title |
|---|---|---|---|---|
| US4091677A (en) * | 1976-12-23 | 1978-05-30 | Nichiryo Co., Ltd. | Pipetting apparatus |
| RU2102758C1 (ru) * | 1989-11-17 | 1998-01-20 | Лаборатуар Мерк-Клевено | Устройства для автоматического проведения иммуноанализа за несколько последовательных этапов по меньшей мере одного биологического вещества из множества биологических образцов, способ и реактив для применения указанных устройств |
| CN105492910A (zh) * | 2013-08-09 | 2016-04-13 | 诺维茨公司 | 制备包括已取得试样预分析工具的细胞容器的方法和装置 |
| US10466263B2 (en) * | 2015-08-11 | 2019-11-05 | Siemens Healthcare Diagnostics Products Gmbh | Pipetting device having two temperature sensors |
| US20200209274A1 (en) * | 2017-07-27 | 2020-07-02 | Eppendorf Ag | Pipetting device with functional checking and method for functional checking of a pipetting device |
| US11311872B2 (en) * | 2016-07-22 | 2022-04-26 | Tecan Trading Ag | Pipetting device comprising a fluid volume sensor and fluid processing system |
Patent Citations (6)
| Publication number | Priority date | Publication date | Assignee | Title |
|---|---|---|---|---|
| US4091677A (en) * | 1976-12-23 | 1978-05-30 | Nichiryo Co., Ltd. | Pipetting apparatus |
| RU2102758C1 (ru) * | 1989-11-17 | 1998-01-20 | Лаборатуар Мерк-Клевено | Устройства для автоматического проведения иммуноанализа за несколько последовательных этапов по меньшей мере одного биологического вещества из множества биологических образцов, способ и реактив для применения указанных устройств |
| CN105492910A (zh) * | 2013-08-09 | 2016-04-13 | 诺维茨公司 | 制备包括已取得试样预分析工具的细胞容器的方法和装置 |
| US10466263B2 (en) * | 2015-08-11 | 2019-11-05 | Siemens Healthcare Diagnostics Products Gmbh | Pipetting device having two temperature sensors |
| US11311872B2 (en) * | 2016-07-22 | 2022-04-26 | Tecan Trading Ag | Pipetting device comprising a fluid volume sensor and fluid processing system |
| US20200209274A1 (en) * | 2017-07-27 | 2020-07-02 | Eppendorf Ag | Pipetting device with functional checking and method for functional checking of a pipetting device |
Similar Documents
| Publication | Publication Date | Title |
|---|---|---|
| US20250249449A1 (en) | Automated microscopic cell analysis | |
| EP3482189B1 (en) | Automated microscopic cell analysis | |
| CN105784571B (zh) | 一种特定反应蛋白crp的双池子测量方法及装置 | |
| JP6778271B2 (ja) | 生体流体試料を分注し、および/または、分析するための装置およびシステム | |
| CN108732135A (zh) | 一种血液细胞及蛋白分析装置 | |
| CN103712902B (zh) | 采用单一负压源和管道流量调节器的血细胞分析仪 | |
| US7661326B2 (en) | Apparatus for aspirating and dispensing liquids in an automated analyzer | |
| SE513881C2 (sv) | Förfarande och anordning för analys av vätskeprover | |
| US3865549A (en) | Auto-analytical apparatus and analytical methods | |
| US3273402A (en) | Specimen sampling and diluting apparatus | |
| RU2799373C1 (ru) | Система для введения суспензий в капилляр при проведении биолабораторных исследований | |
| EP2722663A1 (en) | Sensor chip used in specimen detection device and specimen detection device using sensor chip | |
| US3186235A (en) | Sample supply means for analysis apparatus | |
| EP1264637A1 (en) | Laboratory microchip device for chemical processing or analysis | |
| CN211577039U (zh) | 一种微流控阻抗式生物在线检测装置 | |
| CN217033590U (zh) | 一种微量铀分析仪 | |
| RU76131U1 (ru) | Устройство для отбора проб и дозирования порций радиоактивного раствора | |
| CN217688681U (zh) | 一种样本分析仪 | |
| US20030022382A1 (en) | Apparatus for the analysis for blood samples | |
| CN114323783B (zh) | 一种采样方法、采样组件以及样本分析仪 | |
| CN218455654U (zh) | 一种自动化光学水质监测仪器测试系统 | |
| CN219675824U (zh) | 一种液体测汞仪分析系统 | |
| CN203758886U (zh) | 采用单一负压源和管道流量调节器的血细胞分析仪 | |
| CN221484951U (zh) | 一种用于醛酮化合物采样的现场洗脱装置 | |
| RU29373U1 (ru) | Устройство для отбора проб и дозирования порций радиоактивного раствора |