RU2762559C1 - Теплостойкое низковязкое связующее для изготовления изделий методами вакуумной инфузии и пропитки под давлением и способ его получения - Google Patents
Теплостойкое низковязкое связующее для изготовления изделий методами вакуумной инфузии и пропитки под давлением и способ его получения Download PDFInfo
- Publication number
- RU2762559C1 RU2762559C1 RU2021110966A RU2021110966A RU2762559C1 RU 2762559 C1 RU2762559 C1 RU 2762559C1 RU 2021110966 A RU2021110966 A RU 2021110966A RU 2021110966 A RU2021110966 A RU 2021110966A RU 2762559 C1 RU2762559 C1 RU 2762559C1
- Authority
- RU
- Russia
- Prior art keywords
- binder
- heat
- resistant low
- epoxy
- viscosity
- Prior art date
Links
- 239000011230 binding agent Substances 0.000 title claims abstract description 86
- 238000004519 manufacturing process Methods 0.000 title claims abstract description 30
- 238000005470 impregnation Methods 0.000 title claims abstract description 17
- 238000009755 vacuum infusion Methods 0.000 title claims abstract description 15
- 238000000034 method Methods 0.000 title claims description 35
- 239000000203 mixture Substances 0.000 claims abstract description 62
- 239000004593 Epoxy Substances 0.000 claims abstract description 41
- 229920006391 phthalonitrile polymer Polymers 0.000 claims abstract description 32
- XQZYPMVTSDWCCE-UHFFFAOYSA-N phthalonitrile Chemical compound N#CC1=CC=CC=C1C#N XQZYPMVTSDWCCE-UHFFFAOYSA-N 0.000 claims abstract description 31
- 239000004848 polyfunctional curative Substances 0.000 claims abstract description 27
- 239000000178 monomer Substances 0.000 claims abstract description 24
- 239000003822 epoxy resin Substances 0.000 claims abstract description 19
- 229920000647 polyepoxide Polymers 0.000 claims abstract description 19
- 229920003986 novolac Polymers 0.000 claims abstract description 16
- PYGKDFLMCGZPHX-UHFFFAOYSA-N tris(oxiran-2-ylmethyl) phosphate Chemical compound C1OC1COP(OCC1OC1)(=O)OCC1CO1 PYGKDFLMCGZPHX-UHFFFAOYSA-N 0.000 claims abstract description 15
- PISLZQACAJMAIO-UHFFFAOYSA-N 2,4-diethyl-6-methylbenzene-1,3-diamine Chemical compound CCC1=CC(C)=C(N)C(CC)=C1N PISLZQACAJMAIO-UHFFFAOYSA-N 0.000 claims abstract description 11
- 150000004982 aromatic amines Chemical class 0.000 claims abstract description 11
- 238000003756 stirring Methods 0.000 claims abstract description 3
- 239000002131 composite material Substances 0.000 abstract description 13
- 229920000642 polymer Polymers 0.000 abstract description 9
- 239000000126 substance Substances 0.000 abstract description 3
- 230000000694 effects Effects 0.000 abstract description 2
- 238000001746 injection moulding Methods 0.000 abstract 1
- 229920005989 resin Polymers 0.000 description 20
- 239000011347 resin Substances 0.000 description 20
- 239000000047 product Substances 0.000 description 12
- 239000003085 diluting agent Substances 0.000 description 9
- 239000000945 filler Substances 0.000 description 9
- 238000010438 heat treatment Methods 0.000 description 9
- OKTJSMMVPCPJKN-UHFFFAOYSA-N Carbon Chemical compound [C] OKTJSMMVPCPJKN-UHFFFAOYSA-N 0.000 description 6
- 229910052799 carbon Inorganic materials 0.000 description 6
- 239000012634 fragment Substances 0.000 description 6
- 125000003118 aryl group Chemical group 0.000 description 5
- 239000004918 carbon fiber reinforced polymer Substances 0.000 description 5
- 238000006243 chemical reaction Methods 0.000 description 5
- GYZLOYUZLJXAJU-UHFFFAOYSA-N diglycidyl ether Chemical compound C1OC1COCC1CO1 GYZLOYUZLJXAJU-UHFFFAOYSA-N 0.000 description 5
- 238000002156 mixing Methods 0.000 description 5
- BPSIOYPQMFLKFR-UHFFFAOYSA-N trimethoxy-[3-(oxiran-2-ylmethoxy)propyl]silane Chemical compound CO[Si](OC)(OC)CCCOCC1CO1 BPSIOYPQMFLKFR-UHFFFAOYSA-N 0.000 description 5
- RNLHGQLZWXBQNY-UHFFFAOYSA-N 3-(aminomethyl)-3,5,5-trimethylcyclohexan-1-amine Chemical compound CC1(C)CC(N)CC(C)(CN)C1 RNLHGQLZWXBQNY-UHFFFAOYSA-N 0.000 description 4
- RTZKZFJDLAIYFH-UHFFFAOYSA-N Diethyl ether Chemical compound CCOCC RTZKZFJDLAIYFH-UHFFFAOYSA-N 0.000 description 4
- 150000001412 amines Chemical class 0.000 description 4
- IISBACLAFKSPIT-UHFFFAOYSA-N bisphenol A Chemical compound C=1C=C(O)C=CC=1C(C)(C)C1=CC=C(O)C=C1 IISBACLAFKSPIT-UHFFFAOYSA-N 0.000 description 4
- 239000011521 glass Substances 0.000 description 4
- LNEPOXFFQSENCJ-UHFFFAOYSA-N haloperidol Chemical compound C1CC(O)(C=2C=CC(Cl)=CC=2)CCN1CCCC(=O)C1=CC=C(F)C=C1 LNEPOXFFQSENCJ-UHFFFAOYSA-N 0.000 description 4
- 238000001802 infusion Methods 0.000 description 4
- 239000004033 plastic Substances 0.000 description 4
- 229920003023 plastic Polymers 0.000 description 4
- YBRVSVVVWCFQMG-UHFFFAOYSA-N 4,4'-diaminodiphenylmethane Chemical compound C1=CC(N)=CC=C1CC1=CC=C(N)C=C1 YBRVSVVVWCFQMG-UHFFFAOYSA-N 0.000 description 3
- 229920000049 Carbon (fiber) Polymers 0.000 description 3
- OAICVXFJPJFONN-UHFFFAOYSA-N Phosphorus Chemical compound [P] OAICVXFJPJFONN-UHFFFAOYSA-N 0.000 description 3
- 239000002253 acid Substances 0.000 description 3
- 150000004984 aromatic diamines Chemical class 0.000 description 3
- 239000003086 colorant Substances 0.000 description 3
- 239000004744 fabric Substances 0.000 description 3
- 239000000835 fiber Substances 0.000 description 3
- 125000003055 glycidyl group Chemical group C(C1CO1)* 0.000 description 3
- 125000002887 hydroxy group Chemical group [H]O* 0.000 description 3
- 239000000463 material Substances 0.000 description 3
- 239000003607 modifier Substances 0.000 description 3
- 229910052698 phosphorus Inorganic materials 0.000 description 3
- 239000011574 phosphorus Substances 0.000 description 3
- 238000011417 postcuring Methods 0.000 description 3
- 239000000843 powder Substances 0.000 description 3
- 230000003014 reinforcing effect Effects 0.000 description 3
- XLYOFNOQVPJJNP-UHFFFAOYSA-N water Substances O XLYOFNOQVPJJNP-UHFFFAOYSA-N 0.000 description 3
- WZCQRUWWHSTZEM-UHFFFAOYSA-N 1,3-phenylenediamine Chemical compound NC1=CC=CC(N)=C1 WZCQRUWWHSTZEM-UHFFFAOYSA-N 0.000 description 2
- STMDPCBYJCIZOD-UHFFFAOYSA-N 2-(2,4-dinitroanilino)-4-methylpentanoic acid Chemical compound CC(C)CC(C(O)=O)NC1=CC=C([N+]([O-])=O)C=C1[N+]([O-])=O STMDPCBYJCIZOD-UHFFFAOYSA-N 0.000 description 2
- IGSBHTZEJMPDSZ-UHFFFAOYSA-N 4-[(4-amino-3-methylcyclohexyl)methyl]-2-methylcyclohexan-1-amine Chemical compound C1CC(N)C(C)CC1CC1CC(C)C(N)CC1 IGSBHTZEJMPDSZ-UHFFFAOYSA-N 0.000 description 2
- DZIHTWJGPDVSGE-UHFFFAOYSA-N 4-[(4-aminocyclohexyl)methyl]cyclohexan-1-amine Chemical compound C1CC(N)CCC1CC1CCC(N)CC1 DZIHTWJGPDVSGE-UHFFFAOYSA-N 0.000 description 2
- PLIKAWJENQZMHA-UHFFFAOYSA-N 4-aminophenol Chemical compound NC1=CC=C(O)C=C1 PLIKAWJENQZMHA-UHFFFAOYSA-N 0.000 description 2
- ISAFELXXRFPXKQ-UHFFFAOYSA-N 7-oxa-8-azabicyclo[4.2.0]octa-1,3,5-triene Chemical compound C1=CC=C2ONC2=C1 ISAFELXXRFPXKQ-UHFFFAOYSA-N 0.000 description 2
- CSCPPACGZOOCGX-UHFFFAOYSA-N Acetone Chemical compound CC(C)=O CSCPPACGZOOCGX-UHFFFAOYSA-N 0.000 description 2
- BRLQWZUYTZBJKN-UHFFFAOYSA-N Epichlorohydrin Chemical compound ClCC1CO1 BRLQWZUYTZBJKN-UHFFFAOYSA-N 0.000 description 2
- 239000004721 Polyphenylene oxide Substances 0.000 description 2
- 239000012298 atmosphere Substances 0.000 description 2
- 238000005452 bending Methods 0.000 description 2
- 239000004917 carbon fiber Substances 0.000 description 2
- 239000007795 chemical reaction product Substances 0.000 description 2
- SSJXIUAHEKJCMH-UHFFFAOYSA-N cyclohexane-1,2-diamine Chemical compound NC1CCCCC1N SSJXIUAHEKJCMH-UHFFFAOYSA-N 0.000 description 2
- 238000005516 engineering process Methods 0.000 description 2
- 238000001704 evaporation Methods 0.000 description 2
- 230000008020 evaporation Effects 0.000 description 2
- 238000000605 extraction Methods 0.000 description 2
- 239000000706 filtrate Substances 0.000 description 2
- 229940018564 m-phenylenediamine Drugs 0.000 description 2
- VNWKTOKETHGBQD-UHFFFAOYSA-N methane Chemical compound C VNWKTOKETHGBQD-UHFFFAOYSA-N 0.000 description 2
- 150000003017 phosphorus Chemical class 0.000 description 2
- 229920003192 poly(bis maleimide) Polymers 0.000 description 2
- 229920000570 polyether Polymers 0.000 description 2
- 239000003505 polymerization initiator Substances 0.000 description 2
- 238000006116 polymerization reaction Methods 0.000 description 2
- HBGPNLPABVUVKZ-POTXQNELSA-N (1r,3as,4s,5ar,5br,7r,7ar,11ar,11br,13as,13br)-4,7-dihydroxy-3a,5a,5b,8,8,11a-hexamethyl-1-prop-1-en-2-yl-2,3,4,5,6,7,7a,10,11,11b,12,13,13a,13b-tetradecahydro-1h-cyclopenta[a]chrysen-9-one Chemical compound C([C@@]12C)CC(=O)C(C)(C)[C@@H]1[C@H](O)C[C@]([C@]1(C)C[C@@H]3O)(C)[C@@H]2CC[C@H]1[C@@H]1[C@]3(C)CC[C@H]1C(=C)C HBGPNLPABVUVKZ-POTXQNELSA-N 0.000 description 1
- XQUPVDVFXZDTLT-UHFFFAOYSA-N 1-[4-[[4-(2,5-dioxopyrrol-1-yl)phenyl]methyl]phenyl]pyrrole-2,5-dione Chemical compound O=C1C=CC(=O)N1C(C=C1)=CC=C1CC1=CC=C(N2C(C=CC2=O)=O)C=C1 XQUPVDVFXZDTLT-UHFFFAOYSA-N 0.000 description 1
- PFRGGOIBYLYVKM-UHFFFAOYSA-N 15alpha-hydroxylup-20(29)-en-3-one Natural products CC(=C)C1CCC2(C)CC(O)C3(C)C(CCC4C5(C)CCC(=O)C(C)(C)C5CCC34C)C12 PFRGGOIBYLYVKM-UHFFFAOYSA-N 0.000 description 1
- HMJABSHICSLDNC-UHFFFAOYSA-N 4-(2-hydroxyphenoxy)benzene-1,2-dicarbonitrile Chemical compound C(#N)C=1C=C(OC2=C(C=CC=C2)O)C=CC=1C#N HMJABSHICSLDNC-UHFFFAOYSA-N 0.000 description 1
- LYWFSUDTBIKKKK-UHFFFAOYSA-N 4-(3-hydroxyphenoxy)benzene-1,2-dicarbonitrile Chemical compound OC1=CC=CC(OC=2C=C(C(C#N)=CC=2)C#N)=C1 LYWFSUDTBIKKKK-UHFFFAOYSA-N 0.000 description 1
- MIZUAXOBQGRUHO-UHFFFAOYSA-N 4-(4-hydroxyphenoxy)benzene-1,2-dicarbonitrile Chemical compound C1=CC(O)=CC=C1OC1=CC=C(C#N)C(C#N)=C1 MIZUAXOBQGRUHO-UHFFFAOYSA-N 0.000 description 1
- ZPLCXHWYPWVJDL-UHFFFAOYSA-N 4-[(4-hydroxyphenyl)methyl]-1,3-oxazolidin-2-one Chemical compound C1=CC(O)=CC=C1CC1NC(=O)OC1 ZPLCXHWYPWVJDL-UHFFFAOYSA-N 0.000 description 1
- MQJKPEGWNLWLTK-UHFFFAOYSA-N Dapsone Chemical compound C1=CC(N)=CC=C1S(=O)(=O)C1=CC=C(N)C=C1 MQJKPEGWNLWLTK-UHFFFAOYSA-N 0.000 description 1
- SOKRNBGSNZXYIO-UHFFFAOYSA-N Resinone Natural products CC(=C)C1CCC2(C)C(O)CC3(C)C(CCC4C5(C)CCC(=O)C(C)(C)C5CCC34C)C12 SOKRNBGSNZXYIO-UHFFFAOYSA-N 0.000 description 1
- 125000001931 aliphatic group Chemical group 0.000 description 1
- 125000000217 alkyl group Chemical group 0.000 description 1
- 229910000147 aluminium phosphate Inorganic materials 0.000 description 1
- 238000004458 analytical method Methods 0.000 description 1
- 125000004104 aryloxy group Chemical group 0.000 description 1
- HSCPDMJPJJSHDA-UHFFFAOYSA-N benzylbenzene;pyrrole-2,5-dione Chemical compound O=C1NC(=O)C=C1.O=C1NC(=O)C=C1.C=1C=CC=CC=1CC1=CC=CC=C1 HSCPDMJPJJSHDA-UHFFFAOYSA-N 0.000 description 1
- 229960001506 brilliant green Drugs 0.000 description 1
- HXCILVUBKWANLN-UHFFFAOYSA-N brilliant green cation Chemical compound C1=CC(N(CC)CC)=CC=C1C(C=1C=CC=CC=1)=C1C=CC(=[N+](CC)CC)C=C1 HXCILVUBKWANLN-UHFFFAOYSA-N 0.000 description 1
- WERYXYBDKMZEQL-UHFFFAOYSA-N butane-1,4-diol Chemical compound OCCCCO WERYXYBDKMZEQL-UHFFFAOYSA-N 0.000 description 1
- 239000003795 chemical substances by application Substances 0.000 description 1
- 238000012669 compression test Methods 0.000 description 1
- 238000001816 cooling Methods 0.000 description 1
- -1 dibutylamine-9,10-anthracenedione Chemical compound 0.000 description 1
- 239000000975 dye Substances 0.000 description 1
- 239000012765 fibrous filler Substances 0.000 description 1
- 238000001914 filtration Methods 0.000 description 1
- 238000009472 formulation Methods 0.000 description 1
- 230000009477 glass transition Effects 0.000 description 1
- 239000011346 highly viscous material Substances 0.000 description 1
- 239000007788 liquid Substances 0.000 description 1
- CEQFOVLGLXCDCX-WUKNDPDISA-N methyl red Chemical compound C1=CC(N(C)C)=CC=C1\N=N\C1=CC=CC=C1C(O)=O CEQFOVLGLXCDCX-WUKNDPDISA-N 0.000 description 1
- 238000000465 moulding Methods 0.000 description 1
- 125000004957 naphthylene group Chemical group 0.000 description 1
- 125000000843 phenylene group Chemical group C1(=C(C=CC=C1)*)* 0.000 description 1
- NBIIXXVUZAFLBC-UHFFFAOYSA-N phosphoric acid Substances OP(O)(O)=O NBIIXXVUZAFLBC-UHFFFAOYSA-N 0.000 description 1
- 238000002360 preparation method Methods 0.000 description 1
- 239000002990 reinforced plastic Substances 0.000 description 1
- 239000012783 reinforcing fiber Substances 0.000 description 1
- 239000012763 reinforcing filler Substances 0.000 description 1
- 239000012779 reinforcing material Substances 0.000 description 1
- 238000007789 sealing Methods 0.000 description 1
- 239000002904 solvent Substances 0.000 description 1
- 230000003068 static effect Effects 0.000 description 1
- 238000009864 tensile test Methods 0.000 description 1
- 238000010998 test method Methods 0.000 description 1
- 230000008646 thermal stress Effects 0.000 description 1
- 238000005406 washing Methods 0.000 description 1
- 238000009736 wetting Methods 0.000 description 1
Images
Classifications
-
- C—CHEMISTRY; METALLURGY
- C08—ORGANIC MACROMOLECULAR COMPOUNDS; THEIR PREPARATION OR CHEMICAL WORKING-UP; COMPOSITIONS BASED THEREON
- C08K—Use of inorganic or non-macromolecular organic substances as compounding ingredients
- C08K5/00—Use of organic ingredients
- C08K5/04—Oxygen-containing compounds
- C08K5/15—Heterocyclic compounds having oxygen in the ring
- C08K5/151—Heterocyclic compounds having oxygen in the ring having one oxygen atom in the ring
- C08K5/1515—Three-membered rings
-
- C—CHEMISTRY; METALLURGY
- C08—ORGANIC MACROMOLECULAR COMPOUNDS; THEIR PREPARATION OR CHEMICAL WORKING-UP; COMPOSITIONS BASED THEREON
- C08K—Use of inorganic or non-macromolecular organic substances as compounding ingredients
- C08K5/00—Use of organic ingredients
- C08K5/16—Nitrogen-containing compounds
- C08K5/315—Compounds containing carbon-to-nitrogen triple bonds
-
- C—CHEMISTRY; METALLURGY
- C08—ORGANIC MACROMOLECULAR COMPOUNDS; THEIR PREPARATION OR CHEMICAL WORKING-UP; COMPOSITIONS BASED THEREON
- C08K—Use of inorganic or non-macromolecular organic substances as compounding ingredients
- C08K5/00—Use of organic ingredients
- C08K5/49—Phosphorus-containing compounds
- C08K5/51—Phosphorus bound to oxygen
- C08K5/53—Phosphorus bound to oxygen bound to oxygen and to carbon only
- C08K5/5317—Phosphonic compounds, e.g. R—P(:O)(OR')2
- C08K5/5333—Esters of phosphonic acids
- C08K5/5373—Esters of phosphonic acids containing heterocyclic rings not representing cyclic esters of phosphonic acids
-
- C—CHEMISTRY; METALLURGY
- C08—ORGANIC MACROMOLECULAR COMPOUNDS; THEIR PREPARATION OR CHEMICAL WORKING-UP; COMPOSITIONS BASED THEREON
- C08L—COMPOSITIONS OF MACROMOLECULAR COMPOUNDS
- C08L63/00—Compositions of epoxy resins; Compositions of derivatives of epoxy resins
- C08L63/04—Epoxynovolacs
Landscapes
- Chemical & Material Sciences (AREA)
- Health & Medical Sciences (AREA)
- Chemical Kinetics & Catalysis (AREA)
- Medicinal Chemistry (AREA)
- Polymers & Plastics (AREA)
- Organic Chemistry (AREA)
- Epoxy Resins (AREA)
Abstract
Изобретение относится к составу и способу получения теплостойкого низковязкого связующего и предназначено для изготовления полимерного композиционного материала методом вакуумной инфузии или литья под давлением и может найти применение в аэрокосмической, автомобильной, судостроительной и других отраслях промышленности. Теплостойкое низковязкое связующее для изготовления изделий методами вакуумной инфузии и пропитки под давлением включает эпоксидную смолу, триглицидилфосфат, ароматический аминный отвердитель, в качестве эпоксидной смолы выбрана эпоксиноволачная смола, в качестве ароматического аминного отвердителя выбран диэтилтолуолдиамин, и связующее дополнительно содержит фталонитрильный мономер. Также изобретение относится к способу получения указанного теплостойкого низковязкого связующего, который заключается в том, что сначала готовят первую смесь, для чего к 100 мас.ч. триглицидилфосфата добавляют 10–90 мас.ч. фталонитрильного мономера, полученную смесь нагревают до температуры 80 °С при тщательном перемешивании; затем готовят вторую смесь, для чего к 20-60 мас.ч. эпоксиноволачной смолы добавляют стехиометрическое количество отвердителя диэтилтолуолдиамина, полученную смесь тщательно перемешивают; полученные смеси соединяют, тщательно перемешивают и отверждают по следующему режиму: 2 часа при 100 °С, 2 часа при 150 °С, 2 часа при 250 °С. Изобретение позволяет получить теплостойкое низковязкое связующее с высокой теплостойкостью и низкой вязкостью. 2 н.п. ф-лы, 2 ил.
Description
Изобретение относится к составу и способу получения связующего и предназначено для изготовления полимерного композиционного материала (ПКМ) методом вакуумной инфузии или пропитки под давлением. Может найти применение в аэрокосмической, автомобильной, судостроительной и других отраслях промышленности.
Известен способ получения углепластиков на основе термостойкого связующего [Пат. RU 2572139]. Сущностью является способ получения углепластика на основе термостойкого связующего, в котором на поверхности волокнистого углеродного наполнителя размещают связующее в виде порошка, расплавляют связующее, пропитывают им наполнитель и из пропитанного связующим наполнителя формуют углепластик в прессформе, отличающийся тем, что в качестве связующего используют фталонитрильное связующее, а в качестве наполнителя - углеродную равнопрочную или однонаправленную ткань, формируют преформу (преформа — заготовка из сухого армирующего материала (угле-, стекло-, органоволокна или ткани) или вакуумной инфузией. Результатом является изделие из композиционного материала путем наложения слоев наполнителя друг на друга с их взаимной фиксацией с помощью раствора цианового эфира в ацетоне в количестве 3-10 мас. % цианового эфира к массе указанного наполнителя, укладывают преформу в прессформу, размещают связующее в виде порошка на поверхности преформы или между слоями наполнителя и проводят вакуумную пропитку преформы расплавленным связующим при температуре связующего 185-205 °C в течение 30-60 мин, затем из преформы формуют углепластик в прессформе в режиме ступенчатого нагревания с последующей термообработкой углепластика в инертной атмосфере. Способ получения углепластика, отличающийся тем, что размещают связующее в виде порошка на поверхности преформы или между ее слоями в соотношении 1,0-1,3 к массе наполнителя. Способ получения углепластика, отличающийся тем, что в качестве связующего используют фталонитрильное связующее, а углепластик формуют в прессформе в режиме ступенчатого нагревания до температуры 300°C с последующей термообработкой в инертной атмосфере при температуре 350-400°C.
Недостатком известного изобретения является невозможность использования данного фталонитрильного связующего для получения композиционного материала методом инфузии и пропитки под давлением по причине того, что связующее находится в порошкообразном состоянии.
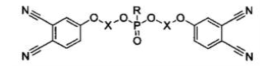
Из исследованного уровня техники заявителем выявлено изобретение по патенту RU 2638307 «Модифицированный фосфорорганическими фрагментами мономера фталонитрила, способ его получения, связующее на его основе и препрег». Сущностью является модифицированный фосфорорганическими фрагментами мономер фталонитрила, характеризующийся общей формулой
где R - радикал, выбранный из группы, включающей арил, алкил, арилокси или алкилокси заместители;
X - двухвалентный арильный заместитель, выбранный из группы, включающей фенилены и нафтилены.
Мономер фталонитрила, характеризующийся тем, что в качестве R содержит радикал, выбранный из группы, включающей ОСН3, ОС6Н5, ОС10Н7, С6Н5. Способ получения модифицированного фосфорорганическими фрагментами мономера фталонитрила в соответствии с п. 1 формулы, характеризующийся тем, что осуществляют реакционное взаимодействие, по меньшей мере, одного гидроксилсодержащего фталонитрила и фосфорсодержащего вещества, выбранного из группы, включающей алкил- или арилфосфорную кислоту, алкил- или арилфосфористую кислоту, дихлорангидрид алкил- или арилфосфорной кислоты и дихлорангидрид алкил- или арилфосфористой кислоты с последующим извлечением из продуктов реакционного взаимодействия целевого продукта в виде модифицированного фосфорорганическими фрагментами мономера фталонитрила. Способ по п. 3, характеризующийся тем, что в качестве гидроксилсодержащего фталонитрила используют фталонитрил, выбранный из группы, включающей (4-(2-гидроксифенокси)фталонитрил, 4-(3-гидроксифенокси)фталонитрил и 4-(4-гидроксифенокси)фталонитрил). Способ по п. 3, характеризующийся тем, что перед реакционным взаимодействием упомянутый гидроксилсодержащий фталонитрил смешивают с приемлемым растворителем. Способ по п. 3, характеризующийся тем, что реакционное взаимодействие осуществляют в присутствии основания. Способ по п. 3, характеризующийся тем, что извлечение целевого продукта осуществляют путем последовательно проводимых фильтрации продуктов реакционного взаимодействия с получением фильтрата, последующего упаривания фильтрата, растворения продукта упаривания, промывки раствора водой и выделения из него целевого продукта. Связующее, характеризующееся тем, что включает модифицированный фосфорорганическими фрагментами мономер фталонитрила в соответствии с пп. 1 и 2 формулы и ароматический диамин в качестве инициатора полимеризации. Связующее по п. 8, характеризующееся тем, что содержит ароматический диамин в количестве до 20 мас.%. Связующее по п. 8, характеризующееся тем, что его используют в качестве связующего для получения полимерных композиционных материалов по инфузионным технологиям. Препрег, характеризующийся тем, что выполнен из связующего в соответствии с любым из пп. 8-10 формулы и армирующего элемента. Препрег по п. 11, характеризующийся тем, что в качестве армирующего элемента содержит элемент, выбранный из группы, включающей углеродные направленные ленты, углеродные ткани, стеклоткани, стеклянные однонаправленные ленты, углеродные рубленые волокна, стеклянные рубленные волокна.
Таким образом, в известном техническом решении описаны модифицированный фосфорорганическими фрагментами мономер фталонитрила, способ его получения, связующее на его основе и препрег. Связующее характеризуется тем, что включает мономер фталонитрила и ароматический диамин в качестве инициатора полимеризации.
Недостатком известного технического решения в отношении состава является высокая вязкость (по собственным данным) и высокие температуры отверждения (200-375 °С) вследствие чего известное техническое решение обладает более низкими потребительскими свойствами, так как данное связующее не позволяет качественно и быстро пропитать армирующий наполнитель методами вакуумной инфузии и пропитки под давлением. Высокие температуры отверждения данного связующего могут привести к большим термическим напряжениям, возникающим в композите, что ухудшает прочностные характеристики изделия.
Известно изобретение по патенту RU 2606443 «Эпоксидная композиция для изготовления изделий из полимерных композиционных материалов методом вакуумной инфузии», сущностью является эпоксидная композиция для полимерных композиционных материалов, содержащая эпоксидную основу, включающую эпоксидную смолу и активный разбавитель - алифатический диглицидиловый эфир, и отверждающую систему на основе смеси аминных отвердителей - полиэфирамина и изофорондиамина, отличающаяся тем, что эпоксидная основа в качестве эпоксидной смолы содержит одну или смесь смол на основе бисфенола А молекулярной массой от 340 до 430, а в качестве активного разбавителя дополнительно содержит ароматический глицидиловый эфир, соотношение полиэфирамина и изофорондиамина в отверждающей системе составляет, масс. %: изофорондиамин - 60,0-90,0; полиэфирамин -10,0-40,0. Эпоксидная композиция по п. 1, отличающаяся тем, что содержание в эпоксидной основе эпоксидной смолы или смеси смол на основе бисфенола А, в масс. %, составляет: 50,0-90,0. Эпоксидная композиция по п. 1, отличающаяся тем, что содержание в эпоксидной основе алифатического глицидилового эфира, в масс. %, составляет: 3,0-7,0. Эпоксидная композиция по п. 1, отличающаяся тем, что содержание в эпоксидной основе ароматического глицидилового эфира, в масс. %, составляет: 3,0-47,0. Эпоксидная композиция по п. 1, отличающаяся тем, что соотношение эпоксидной основы и отверждающей системы в конечной композиции составляет, масс. ч. - 100:(22-33). Эпоксидная композиция по п. 1, отличающаяся тем, что дополнительно содержит краситель в отверждающей системе в количестве 0,0001-0,0010 масс. %. Эпоксидная композиция по п. 6, отличающаяся тем, что используют один из следующих красителей: Метиловый красный, Зелень бриллиантовая или Бромтимоловый синий.
Недостатком известного технического решения является невысокая теплостойкость (Tg = 101-110 °С), что значительно снижает верхний предел эксплуатации композиционных материалов на его основе.
Известно изобретение по патенту RU 2688539 «Эпоксидное связующее для изготовления крупногабаритных композитных изделий, включая оснастку, и способ изготовления крупногабаритной композитной оснастки», сущностью является эпоксидное связующее для изготовления крупногабаритных композитных изделий, включая оснастку, из полимерных композиционных материалов методом вакуумной инфузии, содержащее смесь двух эпоксидных смол и циклоалифатический отвердитель, где первая смола в смеси представляет собой эпоксианилиновую смолу, вторая смола представляет смолу, выбранную из группы, включающей эпоксипарааминофенольную и эпоксиметааминофенольную смолы, а циклоалифатический отвердитель представляет собой отвердитель, выбранный из группы, включающей 3-аминометил-3,5,5-триметилциклогексиламин, 1,2-диаминоциклогексан, 4,4'-диаминодициклогексил метан, 2,2'-диметил-4,4'-метиленбис(циклогексиламин) при следующем соотношении компонентов, мас.ч.:
| Смесь двух эпоксидных смол | 100 |
| Циклоалифатический отвердитель | 57-63 |
где содержание первой смолы в упомянутой смеси двух эпоксидных смол составляет 5-25 мас.ч., а содержание второй смолы - 75-95 мас.ч. Связующее по п. 1, которое дополнительно содержит активный разбавитель. Связующее по п. 2, которое в качестве активного разбавителя содержит диглицидиловый эфир бутандиола-1,4 в количестве до 5 мас.ч. Связующее по п. 1, которое дополнительно содержит окрашивающий агент. Связующее по п. 4, которое в качестве окрашивающего агента содержит дибутиламин-9,10-антрацендион в количестве до 0,5 мас.ч. Способ изготовления крупногабаритной оснастки из полимерного композитного материала, включающий сборку на поверхности мастер-модели преформы из армирующего волокнистого наполнителя, вспомогательных материалов и средств, обеспечивающих последующую пропитку упомянутого наполнителя связующим методом вакуумной инфузии; изготовление связующего в соответствии с любым из предшествующих пунктов формулы; герметизацию преформы со стадии (а) с последующей пропиткой армирующего волокнистого наполнителя связующим со стадии (б) методом вакуумной инфузии; предварительное отверждение связующего на мастер-модели в интервале температур от комнатной до 30°С с получением полуфабриката оснастки; удаление полуфабриката оснастки с мастер-модели; постотверждение полуфабриката оснастки при температуре, не превышающей 200°С с получением оснастки. Способ по п. 6, в котором связующее на стадии (б) изготавливают путем смешения компонентов при давлении, не превышающем 10 мм рт.ст. Способ по п. 6, в котором связующее изготавливают непосредственно перед пропиткой преформы на стадии (в). Способ по п. 6, в котором предварительное отверждение на стадии (г) проводят в течение 12-48 ч. Способ по п. 6, в котором постотверждение на стадии (е) проводят при температуре 160-200°С.Способ по п. 6, в котором нагрев для постотверждения проводят ступенчато в 7-9 ступеней со скоростью нагрева, не превышающей 1°С/мин, и выдержкой на каждой ступени в течение 2-6 ч. Способ по п. 6, в котором охлаждение на стадии (е) осуществляют со скоростью, не превышающей 5 °С/мин.
Более коротко, первая смола в смеси представляет собой эпоксианилиновую смолу, вторая смола представляет смолу, выбранную из группы, включающей эпоксипарааминофенольную и эпоксиметааминофенольную смолы. Циклоалифатический отвердитель представляет собой отвердитель, выбранный из группы, включающей 3-аминометил-3,5,5-триметилциклогексиламин, 1,2-диаминоциклогексан, 4,4'-диаминодициклогексилметан, 2,2'-диметил-4,4'-метиленбис(циклогексиламин).
Недостатком известного технического решения является высокая активность связующего при комнатной температуре, что значительно усложняет его использование для изготовления изделий методами вакуумной инфузии и пропитки под давлением, т.к. при изготовлении изделий возникают затруднения в процессе формования в силу быстрого отверждения состава.
Известно изобретение по патенту RU 2590563 «Теплостойкое эпокидное связующее для изготовления изделий методом пропитки под давлением», сущностью является теплостойкое эпоксидное связующее для изготовления изделий методом пропитки под давлением, содержащее эпоксидную полифункциональную смолу N,N,N′,N′-тетраглицидил-4,4′-диамино-3,3′-дихлордифениленметан с динамической вязкостью при 50°C не более 10,0 Па·с, эпоксибисмалеимидную смолу, содержащую 25 масс. частей 44′ бисмалеимиддифенилметана и отвердитель - 4,4′-диаминодифенилсульфон, отличающееся тем, что связующее дополнительно содержит один из нижеперечисленных активных разбавителей:
- 3-глицидилоксипропилтриметоксисилан;
- смесь 3-глицидилоксипропилтриметоксисилана с продуктом полимеризации эпихлоргидрина в соотношении 1:1;
- смесь 3-глицидилоксипропилтриметоксисилана с аллилглицидиловым эфиром в соотношении 2:3,
при следующем соотношении компонентов, мас.%:
| эпоксидная полифункциональная смола | 35,2-36,6 |
| эпоксибисмалеимидная смола | 35,2-36,6 |
| 4,4′-диаминодифенилсульфон | 22,0-22,9 |
| активный разбавитель: | |
| 3-глицидилоксипропилтриметоксисилан | 3,9-5,4 |
| смесь 3-глицидилоксипропилтриметоксисилана с продуктом полимеризации эпихлоргидрина в соотношении 1:1 | 5,4-6,9 |
| смесь 3-глицидилоксипропилтриметоксисилана с аллилглицидиловым эфиром в соотношении 2:3 | 6,9-7,6 |
Недостатком известного технического решения является сложный состав связующего, что усложняет и повышает длительность и трудоемкость его приготовления (дозирование, смешение).
Наиболее близким по технической сущности и достигаемому техническому результату, выбранное заявителем в качестве прототипа, является изобретение по патенту RU 2141493 «Связующее для армированных пластиков», сущностью является связующее для армированных пластиков, включающее эпоксидиановую смолу, ароматический аминный отвердитель и активный разбавитель, отличающееся тем, что в качестве активного разбавителя оно содержит глицидиловые эфиры кислот фосфора общей формулы
при следующем соотношении компонентов, вес.ч.:
| Эпоксидиановая смола | 100 |
| Глицидиловые эфиры кислот фосфора | 10 – 25 |
Ароматический аминный отвердитель - стехиометрическое количество.
Более коротко, связующее включает эпоксидиановую смолу, ароматический аминный отвердитель и активный разбавитель. В качестве эпоксидиановых смол использовались смолы марок ЭД-24, ЭД-22, ЭД-20, ЭД-18 [ГОСТ 10587-84] и другие олигомеры данного ряда. В качестве аминных отвердителей использовали: 4,4'-диаминодифенилметан (ДАДФМ), 3,3'-дихлор,4,4'-диаминодифенилметан ("диамет-х"), м-фенилендиамин (МФДА). В качестве активного разбавителя связующее содержит глицидиловые эфиры кислот фосфора.
Недостатками прототипа по отношению к составу являются:
- недостаточно высокая теплостойкость связующего (200°С);
- недостаточно низкая вязкость связующего (1500-10000 сП), что затрудняет его применение для инфузионных процессов и пропитки под давлением.
Задачей и техническим результатом заявленного технического решения является разработка состава теплостойкого низковязкого связующего для изготовления изделий методами вакуумной инфузии и пропитки под давлением и способа его получения, устраняющая недостатки прототипа, а именно:
- повышение теплостойкости связующего;
- снижение вязкости связующего для инфузионных процессов и пропитки под давлением.
Сущностью заявленного технического решения является теплостойкое низковязкое связующее для изготовления изделий методами вакуумной инфузии и пропитки под давлением, включающая эпоксидную смолу, триглицидилфосфат, ароматический аминный отвердитель, отличающееся тем, что в качестве эпоксидной смолы выбрана эпоксиноволачная смола, в качестве ароматического аминного отвердителя выбран диэтилтолуолдиамин, и связующее дополнительно содержит фталонитрильный мономер, при следующем соотношении компонентов, мас.ч.:
| эпоксиноволачная смола | 20-60 |
| триглицидилфосфат | 100 |
| фталонитрильный мономер | 10-90 |
| диэтилтолуолдиамин | стехиометрическое количество |
Способ получения теплостойкого низковязкого связующего по п.1, заключающийся в том, что сначала готовят первую смесь, для чего к 100 мас. частям триглицидилфосфата добавляют 10–90 мас. частей фталонитрильного мономера полученную смесь нагревают до температуры 80 °С при тщательном перемешивании; затем готовят вторую смесь, для чего к 20-60 мас. частям эпоксиноволачной смолы добавляют стехиометрическое количество отвердителя диэтилтолуолдиамина, полученную смесь тщательно перемешивают; полученные смеси соединяют, тщательно перемешивают и отверждают по следующему режиму: 2 часа – при 100 °С, 2 часа – при 150 °С, 2 часа – 250 °С.
Получают заявленное связующее.
Заявленная последовательность действий не выявлена из уровня техники.
Заявленное техническое решение иллюстрируется Фиг.1 – Фиг.2.
На Фиг.1 представлена Таблица 1, в которой приведены составы заявленного теплостойкого низковязкого связующего и связующего по прототипу.
На Фиг.2 представлена Таблица 2, в которой приведены свойства заявленного теплостойкого низковязкого связующего и связующего по прототипу.
Далее заявителем приведено описание заявленного технического решения.
Для достижения поставленного технического результата разработано теплостойкое низковязкое связующее, содержащее эпоксидную смолу, триглицидилфосфат, ароматический отвердитель и мономер фталонитрила в качестве модификатора при следующем соотношении компонентов, мас.ч.:
| эпоксиноволачная смола | – 20-60 |
| триглицидилфосфат | – 100 |
| фталонитрильный мономер | – 10-90 |
| диэтилтолуолдиамин | – стехиометрическое количество. |
Далее заявителем приведено описание отдельных компонентов заявленного теплостойкого низковязкого связующего.
Известно, что применение эпоксиноволачных смол способствует получению полимеров с высокой теплостойкостью. В качестве эпоксидной смолы использовали эпоксиноволачные смолы DER-354, DEN 425, DEN 431 (Olin).
Для материалов, перерабатываемых методами вакуумной инфузии или пропитки под давлением, особо важными являются реологические характеристики связующих. Для снижения вязкости и снижения горючести эпоксидных композиций вводили фосфорсодержащий эпоксидный олигомер - триглицидилфосфат, представляющий собой низковязкую прозрачную жидкость.
В качестве ароматического аминного отвердителя использовали диэтилтолуолдиамин марки DEH-650 (Dow Chemical Company).
Известно, что полимеры на основе фталонитрилов характеризуются высокими значениями теплостойкости. В качестве модификатора использовали фталонитрильные мономеры PN-3M (ИТЕКМА, г.Москва) и ВСН-31 (ФГУП ВИАМ, г. Москва).
Количество отвердителя рассчитывали, исходя из эпоксидного числа смолы и стехиометрического коэффициента отвердителя.
Далее заявителем приведено описание заявленного способа получения теплостойкого низковязкого связующего.
Фталонитрильный мономер является очень высоковязким веществом. Поэтому для оптимизации процесса смешивания компонентов и достижения более высокой гомогенности смеси целесообразно проводить смешение компонентов следующим образом.
Сначала готовят первую смесь, для чего к 100 массовым частям триглицидилфосфата добавляют 10-90 массовых частей фталонитрильного мономера, смесь перемешивают при помощи лабораторного смесителя, нагревая на водяной бане при температуре 80°С.
Затем готовят вторую смесь, для чего к 20-60 массовым частям эпоксиноволачной смолы добавляют стехиометрическое количество отвердителя диэтилтолуолдиамина, полученную смесь тщательно перемешивают.
Далее полученные смеси соединяют, тщательно перемешивают и отверждают по следующему режиму: 100 °С - 2 часа, 150 °С - 2 часа, 250 °С - 2 часа.
Получают заявленное связующее.
Режим получения теплостойкого низковязкого связующего и режим его отверждения подобран заявителем опытным путем.
Вязкость составов определяли на ротационном динамическом реометре DHR-2 (TA Instruments). Температуру стеклования и модуль упругости отвержденных образцов определяли методом динамического механического анализа на приборе DMA 242 E (NETZSCH) при скорости нагрева 5 К/мин.
Прочность на сжатие отвержденных образцов определяли по ГОСТ 4651-2014 «Пластмассы. Метод испытания на сжатие».
Прочность на растяжение определяли по ГОСТ 11262-2017 «Пластмассы. Метод испытания на растяжение». Прочность на изгиб определяли по ГОСТ 4648-2014 «Пластмассы. Метод испытания на статический изгиб».
Далее заявителем приведены примеры осуществления заявленного технического решения.
Пример 1. Получение теплостойкого низковязкого связующего с содержанием эпоксиноволачной смолы 20 мас.ч., фталонитрильного мономера 10 мас.ч.
Сначала готовят первую смесь, для чего к 100 мас. частям триглицидилфосфата добавляют 10-90 массовых частей фталонитрильного мономера. Полученную смесь перемешивают при помощи лабораторного смесителя, нагревая на водяной бане при температуре 80 °С.
Затем готовят вторую смесь, для чего к 20 мас. частям эпоксиноволачной смолы добавляют стехиометрическое количество отвердителя диэтилтолуолдиамина, полученную смесь тщательно перемешивают.
Полученные смеси соединяют, тщательно перемешивают перемешивают и отверждают по следующему режиму: 2 часа – при 100 °С, 2 часа – при 150 °С, 2 часа – 250 °С.
Получают заявленное теплостойкое низковязкое связующее.
Примеры 2 – 10. Получение теплостойкого низковязкого связующего с содержанием эпоксиноволачная смолы 20-60 мас.ч., фталонитрильного мономера 10–90 мас.ч.
Проводят последовательность действий по Примеру 1, отличающееся тем, что меняют количество эпоксиноволачной смолы и фталонитрильного мономера в интервале заявленных значений.
Результаты приведены в Таблице 1 на Фиг.1. В Таблице 1 также приведены данные по прототипу для сравнения.
Из данных, приведенных в Таблице 1, видно, что получены составы заявленного теплостойкого низковязкого связующего во всем интервале заявленных значений содержания компонентов.
В Таблице 2 на Фиг. 2 приведены свойства полученного по Примерам 1 – 10 теплостойкого низковязкого связующего и связующего по прототипу для сравнения.
Как видно из Таблицы 2, заявленное теплостойкое низковязкое связующее (Примеры 1 – 10) имеет:
- более высокую по сравнению с прототипом теплостойкость – повышена с 155-200 °С до 200-235 °С, то есть повышение составляет в среднем 40 °С,
- получены достаточно высокие физико-механические свойства (прочность на сжатие, растяжение и изгиб) сопоставимые с показателями прототипа;
- верхние и нижний интервалы вязкости сдвинуты в область более низких значений по сравнению с показателями прототипа.
Таким образом, из описанного выше можно сделать вывод, что заявителем достигнуты поставленные задачи и заявленный технический результат, превышающий технический результат прототипа, а именно:
- разработан состав теплостойкого низковязкого связующего, включающий эпоксидную смолу, триглицидилфосфат, ароматический аминный отвердитель,
- разработан способ получения связующего, включающий смешение компонентов, в состав которых входят эпоксидная смола, триглицидилфосфат, ароматический аминный отвердитель и модификатор;
- показано, что заявленное связующее имеет более высокую по сравнению с прототипом теплостойкость, более низкую вязкость и сопоставимые с прототипом физико-механические свойства.
Заявленный технический результат достигнут тем, что подобран такой оптимальный состав компонентов и способ их смешения, что позволило получить связующее с низкой вязкостью, высокой теплостойкостью.
Заявленное техническое решение соответствует условию патентоспособности «новизна», предъявляемому к изобретениям, так как на дату предоставления заявочных материалов заявителем из исследованного уровня техники не выявлены источники, обладающие совокупность признаков, идентичными совокупности признаков заявленного технического решения.
Заявленное техническое решение соответствует условию патентоспособности «изобретательский уровень», предъявляемому к изобретениям, т. к. совокупность заявленных признаков обеспечивает получение неочевидных для специалиста технических результатов, превышающих технический результат прототипа. Заявителем из исследованного уровня техники не выявлены составы, в которых одновременно использовались бы заявленные компоненты в заявленном соотношении и в заявленном назначении, а именно – в составе теплостойкого низковязкого связующего. При этом соотношение компонентов было подобрано заявителем опытным путем. В выявленных источниках также отсутствует последовательность действий заявленного способа, следовательно, заявленный способ не является очевидным для специалиста в анализируемой области техники.
Заявленное техническое решение соответствует условию патентоспособности «промышленная применимость» предъявляемому к изобретениям, т.к. заявленный состав может быть получен посредством использования известных компонентов с применением стандартного оборудования и известных приемов.
Claims (3)
1. Теплостойкое низковязкое связующее для изготовления изделий методами вакуумной инфузии и пропитки под давлением, включающее эпоксидную смолу, триглицидилфосфат, ароматический аминный отвердитель, отличающееся тем, что в качестве эпоксидной смолы выбрана эпоксиноволачная смола, в качестве ароматического аминного отвердителя выбран диэтилтолуолдиамин, и связующее дополнительно содержит фталонитрильный мономер, при следующем соотношении компонентов, мас.ч.:
2. Способ получения теплостойкого низковязкого связующего по п.1, заключающийся в том, что сначала готовят первую смесь, для чего к 100 мас.ч. триглицидилфосфата добавляют 10–90 мас.ч. фталонитрильного мономера, полученную смесь нагревают до температуры 80 °С при тщательном перемешивании; затем готовят вторую смесь, для чего к 20-60 мас.ч. эпоксиноволачной смолы добавляют стехиометрическое количество отвердителя диэтилтолуолдиамина, полученную смесь тщательно перемешивают; полученные смеси соединяют, тщательно перемешивают и отверждают по следующему режиму: 2 часа при 100 °С, 2 часа при 150 °С, 2 часа при 250 °С.
Priority Applications (1)
| Application Number | Priority Date | Filing Date | Title |
|---|---|---|---|
| RU2021110966A RU2762559C1 (ru) | 2021-04-19 | 2021-04-19 | Теплостойкое низковязкое связующее для изготовления изделий методами вакуумной инфузии и пропитки под давлением и способ его получения |
Applications Claiming Priority (1)
| Application Number | Priority Date | Filing Date | Title |
|---|---|---|---|
| RU2021110966A RU2762559C1 (ru) | 2021-04-19 | 2021-04-19 | Теплостойкое низковязкое связующее для изготовления изделий методами вакуумной инфузии и пропитки под давлением и способ его получения |
Publications (1)
| Publication Number | Publication Date |
|---|---|
| RU2762559C1 true RU2762559C1 (ru) | 2021-12-21 |
Family
ID=80039330
Family Applications (1)
| Application Number | Title | Priority Date | Filing Date |
|---|---|---|---|
| RU2021110966A RU2762559C1 (ru) | 2021-04-19 | 2021-04-19 | Теплостойкое низковязкое связующее для изготовления изделий методами вакуумной инфузии и пропитки под давлением и способ его получения |
Country Status (1)
| Country | Link |
|---|---|
| RU (1) | RU2762559C1 (ru) |
Citations (5)
| Publication number | Priority date | Publication date | Assignee | Title |
|---|---|---|---|---|
| RU2141493C1 (ru) * | 1998-05-07 | 1999-11-20 | Казанский государственный технический университет им.А.Н.Туполева | Связующее для армированных пластиков |
| RU2572139C1 (ru) * | 2014-06-10 | 2015-12-27 | Федеральное государственное унитарное предприятие "Всероссийский научно-исследовательский институт авиационных материалов" (ФГУП "ВИАМ") | Способ получения углепластиков на основе термостойкого связующего |
| RU2590563C1 (ru) * | 2015-04-23 | 2016-07-10 | Федеральное государственное унитарное предприятие "Всероссийский научно-исследовательский институт авиационных материалов" (ФГУП "ВИАМ") | Теплостойкое эпоксидное связующее для изготовления изделий методом пропитки под давлением |
| RU2606443C1 (ru) * | 2015-10-13 | 2017-01-10 | Федеральное государственное унитарное предприятие "Всероссийский научно-исследовательский институт авиационных материалов" (ФГУП "ВИАМ") | Эпоксидная композиция для изготовления изделий из полимерных композиционных материалов методом вакуумной инфузии |
| RU2688539C1 (ru) * | 2018-11-15 | 2019-05-21 | Общество с ограниченной ответственностью "Инновационные технологии и материалы" (ООО "ИТЕКМА") | Эпоксидное связующее для изготовления крупногабаритных композитных изделий, включая оснастку, и способ изготовления крупногабаритной композитной оснастки |
-
2021
- 2021-04-19 RU RU2021110966A patent/RU2762559C1/ru active
Patent Citations (5)
| Publication number | Priority date | Publication date | Assignee | Title |
|---|---|---|---|---|
| RU2141493C1 (ru) * | 1998-05-07 | 1999-11-20 | Казанский государственный технический университет им.А.Н.Туполева | Связующее для армированных пластиков |
| RU2572139C1 (ru) * | 2014-06-10 | 2015-12-27 | Федеральное государственное унитарное предприятие "Всероссийский научно-исследовательский институт авиационных материалов" (ФГУП "ВИАМ") | Способ получения углепластиков на основе термостойкого связующего |
| RU2590563C1 (ru) * | 2015-04-23 | 2016-07-10 | Федеральное государственное унитарное предприятие "Всероссийский научно-исследовательский институт авиационных материалов" (ФГУП "ВИАМ") | Теплостойкое эпоксидное связующее для изготовления изделий методом пропитки под давлением |
| RU2606443C1 (ru) * | 2015-10-13 | 2017-01-10 | Федеральное государственное унитарное предприятие "Всероссийский научно-исследовательский институт авиационных материалов" (ФГУП "ВИАМ") | Эпоксидная композиция для изготовления изделий из полимерных композиционных материалов методом вакуумной инфузии |
| RU2688539C1 (ru) * | 2018-11-15 | 2019-05-21 | Общество с ограниченной ответственностью "Инновационные технологии и материалы" (ООО "ИТЕКМА") | Эпоксидное связующее для изготовления крупногабаритных композитных изделий, включая оснастку, и способ изготовления крупногабаритной композитной оснастки |
Similar Documents
| Publication | Publication Date | Title |
|---|---|---|
| EP0161576B1 (en) | Epoxy resin composition | |
| EP3233438B1 (en) | Modified resin systems suitable for liquid resin infusion | |
| EP0262891B1 (en) | Resin composition of thermosetting resin and thermoplastic resin | |
| US4510272A (en) | Bis-maleimide-epoxy compositions and prepregs | |
| EP0311349B1 (en) | Polymer composition | |
| US6379799B1 (en) | Low moisture absorption epoxy resin systems with alkylated diamine hardeners | |
| Xiang et al. | A novel high performance RTM resin based on benzoxazine | |
| JPS60155223A (ja) | 熱可塑性変性エポキシ組成物 | |
| KR101878128B1 (ko) | 에폭시 수지 조성물, 프리프레그 및 섬유 강화 복합 재료 | |
| CN106589837A (zh) | 中低温固化的耐热环氧树脂碳纤维复合材料及其制备方法 | |
| KR20200071120A (ko) | 수지 조성물 및 수지 주입 공정 | |
| US5231150A (en) | Polymer composition | |
| RU2762559C1 (ru) | Теплостойкое низковязкое связующее для изготовления изделий методами вакуумной инфузии и пропитки под давлением и способ его получения | |
| US5434224A (en) | Thermoset and polyarylsulfone resin system that forms an interpenetrating network | |
| WO2023176935A1 (ja) | Rtm用エポキシ樹脂組成物、樹脂硬化物、繊維強化複合材料およびその製造方法 | |
| US5599628A (en) | Accelerated cycloaliphatic epoxide/aromatic amine resin systems | |
| CN111875793A (zh) | 一种复合材料用邻苯二甲腈树脂及其制备方法 | |
| EP0455755B1 (en) | Epoxy matrix toughened with polyimide thermoplastic resin | |
| RU2427598C2 (ru) | Состав эпоксибисмалеимидного связующего для препрегов, препрег и изделие | |
| US4839446A (en) | Thermosetting bis oxazoline-polyphenol based resins for resin transfer molding which contain a monooxazine or monooxazoline diluent | |
| RU2606443C1 (ru) | Эпоксидная композиция для изготовления изделий из полимерных композиционных материалов методом вакуумной инфузии | |
| EP3320013B1 (en) | Stable high glass transition temperature epoxy resin system for making composites | |
| JPS619417A (ja) | 付加ポリイミド組成物 | |
| JP7558506B2 (ja) | 繊維強化樹脂材料、繊維強化樹脂成形体、およびそれらの製造方法 | |
| IE49199B1 (en) | Thermosetting compositions based on a prepolymer with an imide group and on an epoxy resin |

