RU2483333C2 - Обработка изображения на основе объема исследования - Google Patents
Обработка изображения на основе объема исследования Download PDFInfo
- Publication number
- RU2483333C2 RU2483333C2 RU2010127859/28A RU2010127859A RU2483333C2 RU 2483333 C2 RU2483333 C2 RU 2483333C2 RU 2010127859/28 A RU2010127859/28 A RU 2010127859/28A RU 2010127859 A RU2010127859 A RU 2010127859A RU 2483333 C2 RU2483333 C2 RU 2483333C2
- Authority
- RU
- Russia
- Prior art keywords
- depth
- boundary
- effective
- specified
- study
- Prior art date
Links
- 238000012545 processing Methods 0.000 title claims abstract description 13
- 238000011835 investigation Methods 0.000 title abstract description 6
- 230000015572 biosynthetic process Effects 0.000 claims abstract description 80
- 238000000034 method Methods 0.000 claims abstract description 45
- 238000004458 analytical method Methods 0.000 claims description 17
- 238000012937 correction Methods 0.000 claims description 15
- 238000000354 decomposition reaction Methods 0.000 claims description 3
- 238000011156 evaluation Methods 0.000 claims description 2
- 230000000694 effects Effects 0.000 abstract description 10
- 239000000126 substance Substances 0.000 abstract 1
- 238000005755 formation reaction Methods 0.000 description 50
- 238000005553 drilling Methods 0.000 description 14
- 239000004927 clay Substances 0.000 description 13
- 238000005259 measurement Methods 0.000 description 13
- 238000012805 post-processing Methods 0.000 description 13
- 238000011160 research Methods 0.000 description 11
- 230000005855 radiation Effects 0.000 description 7
- 230000008859 change Effects 0.000 description 6
- 239000000203 mixture Substances 0.000 description 6
- 230000008901 benefit Effects 0.000 description 5
- 230000008569 process Effects 0.000 description 5
- 238000004519 manufacturing process Methods 0.000 description 4
- 239000011435 rock Substances 0.000 description 4
- 238000004364 calculation method Methods 0.000 description 3
- 238000001739 density measurement Methods 0.000 description 3
- 238000001514 detection method Methods 0.000 description 3
- 238000011049 filling Methods 0.000 description 3
- 229930195733 hydrocarbon Natural products 0.000 description 3
- 150000002430 hydrocarbons Chemical class 0.000 description 3
- 239000000463 material Substances 0.000 description 3
- 230000004044 response Effects 0.000 description 3
- 238000004088 simulation Methods 0.000 description 3
- 239000004215 Carbon black (E152) Substances 0.000 description 2
- 238000011161 development Methods 0.000 description 2
- 238000010586 diagram Methods 0.000 description 2
- 239000012530 fluid Substances 0.000 description 2
- 230000005251 gamma ray Effects 0.000 description 2
- 238000012986 modification Methods 0.000 description 2
- 230000004048 modification Effects 0.000 description 2
- 238000012360 testing method Methods 0.000 description 2
- 238000000342 Monte Carlo simulation Methods 0.000 description 1
- 230000009471 action Effects 0.000 description 1
- 238000010276 construction Methods 0.000 description 1
- 230000003247 decreasing effect Effects 0.000 description 1
- 230000001419 dependent effect Effects 0.000 description 1
- 238000013461 design Methods 0.000 description 1
- 238000006073 displacement reaction Methods 0.000 description 1
- 238000000605 extraction Methods 0.000 description 1
- 238000011010 flushing procedure Methods 0.000 description 1
- 230000006872 improvement Effects 0.000 description 1
- 229910052500 inorganic mineral Inorganic materials 0.000 description 1
- 238000012804 iterative process Methods 0.000 description 1
- 239000011707 mineral Substances 0.000 description 1
- 238000002156 mixing Methods 0.000 description 1
- 230000008520 organization Effects 0.000 description 1
- 239000002245 particle Substances 0.000 description 1
- 238000003672 processing method Methods 0.000 description 1
- 238000011867 re-evaluation Methods 0.000 description 1
- 239000000523 sample Substances 0.000 description 1
- 239000004576 sand Substances 0.000 description 1
- 239000013049 sediment Substances 0.000 description 1
- 230000035945 sensitivity Effects 0.000 description 1
- 238000006467 substitution reaction Methods 0.000 description 1
Images
Classifications
-
- G—PHYSICS
- G01—MEASURING; TESTING
- G01V—GEOPHYSICS; GRAVITATIONAL MEASUREMENTS; DETECTING MASSES OR OBJECTS; TAGS
- G01V5/00—Prospecting or detecting by the use of ionising radiation, e.g. of natural or induced radioactivity
- G01V5/04—Prospecting or detecting by the use of ionising radiation, e.g. of natural or induced radioactivity specially adapted for well-logging
- G01V5/08—Prospecting or detecting by the use of ionising radiation, e.g. of natural or induced radioactivity specially adapted for well-logging using primary nuclear radiation sources or X-rays
- G01V5/12—Prospecting or detecting by the use of ionising radiation, e.g. of natural or induced radioactivity specially adapted for well-logging using primary nuclear radiation sources or X-rays using gamma or X-ray sources
- G01V5/125—Prospecting or detecting by the use of ionising radiation, e.g. of natural or induced radioactivity specially adapted for well-logging using primary nuclear radiation sources or X-rays using gamma or X-ray sources and detecting the secondary gamma- or X-rays in different places along the bore hole
Landscapes
- Physics & Mathematics (AREA)
- High Energy & Nuclear Physics (AREA)
- Life Sciences & Earth Sciences (AREA)
- General Life Sciences & Earth Sciences (AREA)
- General Physics & Mathematics (AREA)
- Geophysics (AREA)
- Geophysics And Detection Of Objects (AREA)
- Image Processing (AREA)
Abstract
Использование: изобретение относится к обработке изображения или результатов исследований в скважине на основе объема исследования. Сущность: в предложенных способах точная информация о пласте обеспечивается независимо от геометрии пласта и буровой скважины, в том числе информация, увязанная с крутыми наклонными и горизонтальными скважинами. Согласно осуществлениям при выполнении обработки данных каротажа или изображения, таких, какие могут быть получены прибором плотностного каротажа или другим прибором, оценивают параметры или признаки пласта (например, плотность и угол наклона), используя исходные данные, получаемые прибором. Затем указанные выше оценки можно итерационно уточнить, используя информацию об эффективном объеме исследования. Согласно осуществлениям для коррекции пространственного положения признаков пласта глубинные границы из информации о пласте, получаемые прибором, сдвигают как функцию азимута, используя информацию об эффективном объеме исследования. Обработку данных о параметрах или признаках пласта, обеспечиваемую осуществлениями, можно использовать применительно к различным конфигурациям приборов, включая конфигурации с зазором между стенкой буровой скважины и прибором и без него. Технический результат: оценка глубины границы пласта на основании скважинных каротажных данных, которые обеспечивают данные о параметрах пласта для множества азимутальных углов, в котором указанную глубину границы пласта оценивают для каждого из указанных азимутальных углов. 3 н. и 22 з.п. ф-лы, 10 ил.
Description
Перекрестная ссылка на родственную заявку
По этой заявке испрашивается приоритет предварительной заявки №61/005591, поданной 6 декабря 2007 года.
Область техники, к которой относится изобретение
Изобретение относится к обработке изображения или каротажной информации, а более конкретно, к обработке изображения или результатов исследований в скважине на основе объема исследования.
Предшествующий уровень техники
При геологической разведке желательно получать информацию, относящуюся к различным пластам и структурам, которые существуют под земной поверхностью. В соответствии с этим различные датчики, зонды и испытательное оборудование (собирательно называемые «приборами») используют для определения геологических пластов, плотности, пористости, состава и т.д. при поиске запасов углеводородов. Например, двухдетекторные компенсированные приборы плотностного каротажа, в которых источник гамма-излучения и два соответствующих детектора или датчика применяются для сбора геологических данных, широко используют при разведке на нефть и газ с 1980-х годов.
Двухдетекторные компенсированные приборы плотностного каротажа часто используют при каротаже в процессе бурильных работ с тем, чтобы получать информацию, относящуюся к геологическим структурам, без необходимости удаления бурильной колонны. При работе двухдетекторный компенсированный прибор плотностного каротажа используют для выполнения измерений во множестве разделенных по азимуту на бины секторов (например, в 16 бинированных секторах), чтобы получать диаграмму плотностного каротажа, обеспечивающую наблюдение в пределах 360° вокруг буровой скважины.
В конфигурации двухдетекторного компенсированного прибора плотностного каротажа в процессе бурения источник и детекторы располагают на боковой стенке утяжеленной бурильной трубы, чтобы исключить ослабление гамма-излучения бурильной трубой. Следовательно, источник и детекторы располагают вне центра или эксцентрично относительно центра буровой скважины.
Хотя по изображениям плотности, регистрируемым с использованием указанных выше двухдетекторных компенсированных приборов плотностного каротажа в процессе бурения, можно выявлять осадочную структуру пласта, проходимого буровой скважиной, прежде не обращали внимания на влияние пласта (например, осадочных напластований) и геометрии буровой скважины на измерение плотности. Например, во многих способах постобработки, используемых применительно к двухдетекторным компенсированным приборам плотностного каротажа, предполагается одномерное изменение плотности пласта. В широко используемом способе Δρ компенсации плотности пласт предполагается бесконечно толстым, и следовательно, предполагается одномерное радиальное изменение. Аналогичным образом в обычно используемом способе α-обработки, применяемом для повышения разрешения по вертикали, предполагается одномерное изменение по вертикали.
Такие одномерные приближения обычно обеспечивают приемлемые результаты применительно к буровым скважинам с вертикальной геометрией, проходящим сквозь пласты с горизонтальной геометрией (например, горизонтальные осадочные слои). Однако было обнаружено, что такие известные способы постобработки с компенсацией плотности приводят к значительной погрешности, и выгоды, вытекающие из α-обработки, уменьшаются, по мере того как относительный наклон между буровой скважиной и пластом возрастает. Например, погрешности оценки объемной плотности (при плотностном гамма-каротаже) и обнаружения границы слоя проявляются при крутых наклонных и горизонтальных скважинах и точно так же при скважинах, проходящих сквозь осадочные слои, имеющие заметный наклон слоя. Эксцентричность и азимутальное вращение во время бурения двухдетекторных компенсированных приборов плотностного каротажа в процессе бурения делают трудной интерпретацию отклика прибора применительно к буровой скважине и пласту, особенно в крутых наклонных и горизонтальных скважинах.
Краткое изложение сущности изобретения
В одном общем аспекте способ содержит оценивание глубины границы пласта на основании скважинных каротажных данных, при этом указанные скважинные каротажные данные обеспечивают данные о параметрах пласта для множества азимутальных углов, в котором указанную глубину границы пласта оценивают для каждого из указанных азимутальных углов. Информацию об эффективном объеме исследования анализируют, чтобы определить эффективную глубину (ΔD) исследования и эффективный сдвиг (Δh) по высоте поверхности границы пласта, связанные с глубиной границы пласта. Оценку глубины границы пласта уточняют, используя по меньшей мере одно из эффективной глубины (ΔD) исследования и эффективного сдвига (Δh) по высоте.
Реализации этого аспекта могут включать в себя один или несколько из следующих признаков. Например, одно или несколько из глубины границы пласта, эффективной глубины исследования, эффективного сдвига по высоте можно использовать для создания или изменения планов освоения месторождения и/или добычи углеводородов из подземной области на основании планов освоения месторождения. Настоящее изобретение касается систем и способов, которыми обеспечивается точная информация о пласте независимо от геометрии пласта и буровой скважины. Осуществлениями изобретения обеспечивается точная коррекция применительно к крутым наклонным и горизонтальным скважинам и другим скважинам, в которых угол между нормалью из плоскости пласта (например, осадочного слоя) и осью буровой скважины отличается от нулевого (то есть имеется относительный наклон между буровой скважиной и пластом), а также обычным вертикальным скважинам, имеющим крутой угол простирания на границах пласта. В дополнение к этому осуществлениями изобретения обеспечивается повышение разрешения применительно к скважинам, имеющим большой относительный наклон между буровой скважиной и пластом, а также скважинам, имеющим более крутой угол простирания на границах пласта. Указанная выше коррекция может обеспечиваться относительно различных параметров или признаков скважины, таких как геологические пласты, плотность, пористость, состав и т.д., представленных в данных скважинного каротажа или изображения. Постобработку данных, получаемых прибором плотностного каротажа, таким как двухдетекторный компенсированный прибор плотностного каротажа в процессе бурения, выполняют согласно осуществлениям изобретения для точного определения плотности и геометрии пласта. При выполнении постобработки данных прибора плотностного каротажа согласно осуществлениям изобретения плотность пласта и угол наклона оценивают, используя исходные данные, получаемые прибором плотностного каротажа. Предпочтительно после этого итерационно уточнять указанные выше оценки плотности и угла наклона, используя эффективный объем представляющей интерес информации. Например, глубинные границы (например, измеренную глубину) из информации о пласте, получаемой прибором плотностного каротажа, сдвигают как функцию азимута для коррекции пространственного положения признаков пласта, используя указанную выше информацию об эффективном объеме исследования. Такие способы постобработки, как реализуемые согласно осуществлениям изобретения, обеспечивают точную плотность и повышение разрешения (например, угла наклона границы пласта) применительно к скважинам, имеющим большой относительный угол наклона между буровой скважиной и нормалью из плоскости пласта, а также скважинам, имеющим более крутой угол простирания на границах пласта.
Постобработку данных прибора плотностного каротажа, обеспечиваемую осуществлениями изобретения, можно использовать применительно к различным конфигурациям приборов. Например, указанные выше способы постобработки можно использовать для получения точной плотности и повышения разрешения применительно к приборам плотностного каротажа, в которых датчики приборов расположены вплотную к стенке буровой скважины (то есть зазор отсутствует). Точно так же указанные выше способы постобработки, приспособленные для получения параметра зазора (например, поправочной постоянной Δρс плотности), можно использовать для получения точной плотности и повышения разрешения применительно к приборам плотностного каротажа, в которых датчики приборов расположены на расстоянии от ствола буровой скважины (то есть зазор имеется).
Изложенным выше широко обрисованы признаки и технические преимущества настоящего изобретения, чтобы можно было лучше понять подробное описание изобретения, которое следует ниже. В дальнейшем будут описаны признаки и преимущества изобретения, которые образуют объект формулы изобретения. Специалистам в данной области техники должно быть понятно, что концепцию и раскрытые конкретные осуществления можно легко использовать как основу для модификации или проектирования других конструкций для достижения тех же задач настоящего изобретения. Кроме того, специалисты в данной области техники должны представлять себе, что такие эквивалентные конструкции не отклоняются от сущности и объема изобретения, изложенных в прилагаемой формуле изобретения. Новые признаки, которые считаются характеристикой изобретения, в части организации и методики работы, наряду с дальнейшими объектами и преимуществами, станут более понятными из нижеследующего описания при рассмотрении его в сочетании с сопровождающими чертежами. Однако следует ясно понимать, что каждый из чертежей представлен только для иллюстрации и описания и не предполагается толкование его как пределов настоящего изобретения.
Краткое описание чертежей
Теперь для более полного понимания настоящего изобретения обратимся к нижеследующему описанию в сочетании с сопровождающими чертежами, на которых:
фиг.1 - вид части системы бурения, которую можно использовать для сбора данных о плотности, обрабатываемых согласно осуществлениям изобретения;
фиг.2 - диаграммы плотностного каротажа и изображение плотности, которые могут следовать из данных о плотности, собираемых системой бурения из фиг.1;
фиг.3А-3С - схематическое представление оценивания относительного наклона на основании изображения плотности;
фиг.4 - развернутый график плотности из буровой скважины, на котором графически представлен сдвиг по высоте границы осадочного слоя;
фиг.5 - иллюстрация плотности вмещающей породы и плотности заполнения с использованием анализа геометрических коэффициентов;
фиг.6 - информация диаграммы плотностного каротажа и изображение плотности, скорректированные за влияния эффективной глубины исследования и эффективного сдвига по высоте поверхности наклона границы слоя, связанных с эффективной глубиной исследования, согласно осуществлению изобретения;
фиг.7 - блок-схема последовательности действий для получения скорректированной информации диаграммы плотностного каротажа и изображения плотности из фиг.6 согласно осуществлению настоящего изобретения;
фиг.8 - иллюстрация определения зазора или постоянной плотности глинистой корки, используемого при осуществлении блок-схемы последовательности действий из фиг.7.
Изобретение будет описано применительно к предпочтительным осуществлениям. Однако в той степени, в какой нижеследующее подробное описание является специфическим для конкретного осуществления или конкретного использования изобретения, оно предполагается только иллюстративным и не должно толковаться как ограничивающее объем изобретения. И наоборот, оно предполагается охватывающим все варианты, модификации и эквиваленты, которые могут быть включены в рамки сущности и объема изобретения, определенного прилагаемой формулой изобретения.
Подробное описание изобретения
Краткое описание работы типичного двухдетекторного компенсированного прибора плотностного каротажа в процессе бурения и данных, собираемых им (то есть скважинных каротажных данных, в частности данных плотностного каротажа), дается для содействия пониманию концепций настоящего изобретения. Должно быть понятно, что настоящее изобретение можно использовать применительно к постобработке данных, получаемых приборами плотностного каротажа, а также другими приборами, а не типичным двухдетекторным компенсированным прибором плотностного каротажа в процессе бурения. Например, осуществления настоящего изобретения можно использовать применительно к конфигурациям спускаемых на кабеле приборов. Аналогично этому осуществления изобретения можно использовать применительно к приборам, обеспечивающим данные каротажа или изображения (то есть скважинные каротажные данные), содержащие геологические пласты, плотность, пористость, состав и т.д. или сочетания из них.
На фиг.1 показана часть системы бурения, которую можно использовать для геологической разведки различных пластов и структур, которые существуют под земной поверхностью, и/или для достижения месторождений полезных ископаемых, таких как запасы углеводородов. Система бурения из фиг.1 включает в себя бурильную колонну 100, расположенную в буровой скважине 120. Хотя это не показано на чертеже, бурильная колонна 100 обычно содержит буровое долото на дистальном конце и буровую установку, включающую в себя буровую вышку, буровую лебедку и верхний привод, расположенные над бурильной колонной, для обеспечения вращательного (бурильного) и линейного (с введением и извлечением) перемещения бурильной колонны. Должно быть понятно, что хотя для упрощения чертежа показан промежуток (зазор) между стенками буровой скважины 120 и боковыми поверхностями бурильной колонны 100, в некоторых конфигурациях может не быть или по существу может не быть зазора между стенками буровой скважины 120 и боковыми поверхностями бурильной колонны 100. Кроме того, промежуток между стенками буровой скважины 120 и боковыми поверхностями бурильной колонны 100 может быть заполнен средой, такой как «буровой раствор» (промывочная жидкость или проппанты).
Бурильная колонна 100 содержит прибор 110 плотностного каротажа, используемый для сбора информации о плотности применительно к пласту 140, показанному в виде, включающем в себя осадочные слои 141-145, разделенные соответствующими границами 146-149 слоев. Осадочные слои 141-145 могут содержать различные пластовые среды, например, осадочные слои 141, 143 и 145 содержат глинистый сланец, а осадочные слои 142 и 144 содержат песок. Прибор 100 плотностного каротажа из показанного осуществления представляет собой двухдетекторный прибор плотностного каротажа и поэтому включает в себя дальний от источника детектор 111, ближний к источнику детектор 112 и источник 113. Согласно осуществлениям источник 113 представляет собой источник гамма-излучения. В таком осуществлении дальний от источника детектор 111 и ближний к источнику детектор 112 представляют собой детекторы гамма-излучения, используемые для обнаружения гамма-излучения, как испускаемого от источника 113, так и рассеиваемого пластом 140. Распространение лучей от источника к детекторам представлено на фиг.1 пунктирными линиями 115 и 116 между источником 113 и каждым из дальнего от источника детектора 111 и ближнего к источнику детектора 112, соответственно.
При работе бурильная колонна 100 и, следовательно, прибор 110 плотностного каротажа вращаются, так что множество азимутальных «видов» представляются для источника и датчиков прибора 110 плотностного каротажа. Например, поворот бурильной колонны 100 можно представить 16 шагами по 22,5° для получения видов на пласт 140, центрированных относительно 11,25°, 33,75°, 56,25°, 78,75°, 101,25°, 123,75°, 146,25°, 168,75°, 191,25°, 213,75°, 236,25°, 258,75°, 281,25°, 303,75°, 326,25° и 348,75°. Конечно, согласно осуществлениям изобретения в зависимости от апертуры, обеспечиваемой прибором 110 плотностного каротажа, можно использовать меньшее или большее количество азимутальных шагов. При этом каротажное оборудование 130, такое, которое может содержать процессор на базе системы управления, имеющей запоминающее устройство, сохраняющее набор инструкций, определяющих описанный в этой заявке процесс сбора, хранения и обработки информации от прибора 100 плотностного каротажа, можно использовать в сочетании с прибором 110 плотностного каротажа для выполнения измерений во множестве бинированных по азимуту секторов (например, в 16 бинированных секторах), чтобы получать диаграмму плотностного каротажа, обеспечивающую вид в пределах 360° вокруг буровой скважины 120 на конкретной глубине замера. Должно быть понятно, что при желании полный вид в пределах 360° можно не получать. Например, можно получать вид в пределах 180°, при этом вид в пределах остальных 180° можно оценивать или можно не оценивать как зеркальное отображение полученного вида.
Значения плотности пласта можно оценивать как функцию скорости счета, например скорости (N) счета гамма-излучения, обеспечиваемой каждым из дальнего от источника детектора 111 и ближнего к источнику детектора. В приведенном выше примере скорости счета ближним к источнику и дальним от источника детекторами регистрируют и бинируют в 16 равномерно расположенных угловых секторов при вращении приборной колонны вокруг буровой скважины. Затем эти бинированные скорости счета можно обработать для вычисления компенсированных значений плотности в индивидуальных секторах.
При традиционном оценивании плотности предполагают, что пласт является бесконечно толстым (то есть однородным) в горизонтальном и вертикальном направлениях. В соответствии с этим способы, такие как широко используемый способ Δρ компенсации плотности, обеспечивают компенсацию за влияние смещения буровой скважины в каждом бине или азимутальном виде путем вычисления компенсированной плотности (ρкомп) как функции оценки плотности (ρLS) дальним от источника детектором, которая основана на скорости (NLS) счета дальнего от источника детектора, и функции разности между оценкой плотности дальним от источника детектором и оценкой плотности (ρSS) ближним к источнику детектором, которая основана на скорости (NSS) счета ближнего к источнику детектора, при этом эта разность обозначается как Δρ. Эти соотношения отражены ниже в следующих уравнениях:
Компенсированные плотности, вычисленные для каждого бина, обычно кодируют цветом и наносят на 16-дорожечный чертеж для получения изображения плотности (например, «развернутого» вида плотности пласта из буровой скважины).
Как можно понять, благодаря лучевому распространению трасс, представленных на фиг.1, упомянутый выше способ Δρ компенсации плотности может быть использован для получения относительно точной оценки плотности, которая является компенсированной за влияние смещения буровой скважины, в тех случаях, когда пласт является по существу однородным (то есть бесконечно толстым в горизонтальном и вертикальном направлениях) на глубине измерения. Однако каротажные диаграммы плотности, обеспечиваемые такими приборами плотностного каротажа, в последнее время находят многие применения, помимо геоуправления в реальном времени и выбора интервалов заканчивания скважин, в которых погрешности оценивания плотности, связанные с неоднородностью пласта, становятся значительными.
Изображения плотности из многих сложных коллекторов начали использовать для оценивания ската или наклона слоя (например, угла от горизонтали границы слоя 144 или границы слоя 145) и толщины (например, толщины осадочного слоя 142, определяемого границами 146 и 147 слоя). Однако в случаях крутых наклонных и горизонтальных скважин современная отраслевая практика построения изображений плотности с использованием данных о компенсированной плотности с ближнего к источнику и дальнего от источника детекторов и вычисления информации о наклоне может быть проблематичной. В частности, ко времени настоящего изобретения было обнаружено, что объем исследования (объем пласта, влияющего на измерение плотности) прибором плотностного каротажа, изменяющиеся углы между осью буровой скважины и плоскостями напластования и толщина слоя по-разному влияют на данные, собираемые на ближнем к источнику и дальнем от источника детекторах.
На фиг.2 показаны результаты моделирования методом Монте-Карло (МММК) для N частиц вычислений компенсированной плотности с использованием уравнений (1) и (2), приведенных выше, применительно к информации диаграммы плотностного каротажа, которую можно получить прибором плотностного каротажа, таким как прибор 110 плотностного каротажа, для пласта, имеющего осадочные слои из чередующихся сред, такие как показанные на фиг.1, расположенные в плоскостях, имеющих угол наклона 80° относительно скважины. Результаты моделирования на фиг.2 получены в отсутствии зазора между буровой скважиной и прибором, так что область плотности (ρ2) заполнения является бесконечно малой (например, глинистая корка отсутствует), и поэтому показана измеренная плотность вмещающей горной породы или плотность (ρ1) пласта (то есть Δρ должно быть равно нулю всюду). На фиг.2 в 8 графах слева направо представлены данные о плотности на азимутальных видах от 11,25° до 168,75° с приращениями по 22,5° на различных глубинах измерения. Линиями 201а-201h на соответствующем азимутальном виде представлена модельная плотность, при этом прямоугольные выступы соответствуют изменению плотности по причине чередования моделируемых осадочных слоев. Линиями 202а-202h на соответствующем азимутальном виде представлена плотность (ρSS) на ближнем к источнику детекторе (БД), определенная по полученной моделированием скорости (NSS) счета ближнего к источнику детектора. Линиями 203а-203h на соответствующем азимутальном виде представлена плотность (ρLS) на дальнем от источника детекторе (ДД), определенная по полученной моделированием скорости (NLS) счета дальнего от источника детектора. Линиями 204а-204h на соответствующем азимутальном виде представлена вычисленная компенсация (Δρ) плотности, определенная согласно уравнению (1). Линиями 205а-205h на соответствующем азимутальном виде представлена вычисленная компенсированная плотность (ρкомп), определенная согласно уравнению (2). Изображением, показанным справа на фиг.2, представлено изображение плотности (например развернутый вид плотности пласта из буровой скважины), полученное с использованием упомянутых выше данных о плотности.
Вычисленная компенсированная плотность (ρкомп) имеет значительные погрешности на границах слоев. В частности, в показанном примере имеются значительные, смещенные вверх глубинные отклики для ρLS и (ρкомп) от азимута 11,25° до 101,25° и смещенные вниз глубинные отклики для ρLS и (ρкомп) от азимута 110, 25° до 168,75°. Поэтому изображения плотности, создаваемые на основании таких каротажных диаграмм ρLS и (ρкомп), будут некорректными. В частности, плотность пласта на конкретных измеренных глубинах будет некорректной, а геометрия пласта будет некорректно представленной.
Обнаружено, что ошибочное формирование Δρ, при котором вычисления Δρ приводят к неправильным знакам (то есть значение Δρ является отрицательным, когда оно должно быть положительным, и наоборот) на границах слоев, обусловлено по меньшей мере частично различными разрешением по вертикали и глубиной исследования между дальним от источника детектором и ближним к источнику детектором. Этим будет вноситься значительная погрешность плотности в тех случаях, когда процесс компенсации применяют, как показано в приведенном выше примере, к данным о плотности с двух детекторов из крутых наклонных или горизонтальных скважин.
Осуществлениями настоящего изобретения обеспечивается точная информация о плотности независимо от геометрии пласта и буровой скважины. В соответствии с этим точная информация о плотности и, следовательно, точные изображения плотности могут быть получены применительно к крутым наклонным и горизонтальным скважинам и другим скважинам, в которых угол между нормалью плоскости пласта (например, осадочного слоя) и осью буровой скважины является отличным от нуля (то есть относительный наклон между буровой скважиной и пластом), а также к обычным вертикальным скважинам, имеющим крутой угол простирания на границах пласта. В дополнение к этому осуществлениями изобретения обеспечивается повышение разрешения применительно к скважинам, имеющим большой относительный наклон между буровой скважиной и пластом, а также скважинам, имеющим более крутой угол на границах пласта.
Обычно предполагается, что точка измерения для пары источник/детектор (например, для источника 113 и ближнего к источнику детектора 112 и источника 113 и дальнего от источника детектора 111) является срединной точкой между источником и детектором. Это предположение может обеспечивать приемлемые результаты в вертикальной скважине при горизонтальной геометрии слоя. Однако в крутых наклонных и горизонтальных скважинах границы слоев, обозначаемые точками перегиба каротажных диаграмм с ближнего к источнику и дальнего от источника детекторов, при пересечении прибором границы осадочного слоя появляются на опережающем месте по глубине, когда азимут прибора близок к нулю, и на месте дальше по глубине, когда азимут прибора близок к 180°. Это происходит потому, что прибором плотностного каротажа граница слоя выявляется не по глубине стенки ствола буровой скважины, а по глубине, которая определяется эффективным объемом исследования. Постобработку данных, получаемых прибором плотностного каротажа, таким как прибор 110 плотностного каротажа из фиг.1, выполняют согласно осуществлениям изобретения, используя анализ эффективного объема изобретения, чтобы точно определить плотность и геометрию пласта. Например, при выполнении постобработки данных прибора плотностного каротажа согласно осуществлениям изобретения глубинные границы (например, измеренную глубину) из информации о пласте, предоставляемой прибором плотностного каротажа, сдвигают в зависимости от азимута для коррекции пространственного положения признаков пласта, используя информацию об эффективном объеме исследования. Предпочтительно итерационно уточнять получаемые оценки плотности и угол наклона.
Объем исследования содержит область, просматриваемую или из которой ведутся подсчеты ближним к источнику и дальним от источника детекторами, и тем самым соответствует области под соответствующей одной из пунктирных линий 115 и 116. В соответствии с этим эффективный объем исследования двухдетекторным прибором плотностного каротажа, таким как прибор 110 плотностного каротажа, зависит от разнесения детекторов и свойств пласта и поэтому может быть оценен как функция указанного выше. Кроме того, эффективный объем исследования можно разложить в рамках известных концепций в членах радиальной глубины исследования, разрешения по вертикали и азимутальной апертуры (или Δφ), связанных с бининговыми измерениями прибора (например, азимутальной апертурой прибора 110). В вертикальной скважине радиальная глубина исследования влияет на измерение объемной плотности и разрешение по вертикали (эквивалентно осевому геометрическому коэффициенту), влияет на обнаружение границ слоев. Однако в крутых наклонных и горизонтальных скважинах радиальная глубина исследования (эквивалентно радиальному геометрическому коэффициенту) и разрешение по вертикали (эквивалентно осевому геометрическому коэффициенту) влияют на измерения плотности и обнаружение границ осадочных слоев. При большем угле наклона осадочного слоя существует более значительное влияние со стороны радиальной глубины исследования на осевое разрешение и оценку плотности.
На фиг.3А-3С показаны концепции анализа эффективного объема исследования, используемого согласно осуществлениям изобретения. На фиг.3А-3С представлена буровая скважина 120, где плоскостью 340 обозначена плоскость границы осадочного слоя, такой как любая из границ 146-149 осадочных слоев, показанных на фиг.1, а плоскостью 350 обозначена плоскость, ортогональная к прибору 110 плотностного каротажа, такая, которая может соответствовать плоскости наблюдения прибора плотностного каротажа. Линией 310 обозначена радиальная глубина исследования прибора 110 плотностного каротажа. Хотя для упрощения чертежей на фиг.3А-3С представлена только одна линия радиальной глубины исследования, должно быть понятно, что каждому из дальнего от источника детектора 111 и ближнего к источнику детектора 112 соответствует особая радиальная глубина исследования. Линией 320 обозначена радиальная глубина исследования прибора 110 плотностного каротажа в плоскости границы осадочных слоев. И опять, хотя для упрощения чертежей на фиг.3А и 3С представлена только одна линия радиальной глубины исследования в плоскости границы осадочных слоев, должно быть понятно, что каждому из дальнего от источника детектора 111 и ближнего к источнику детектора 112 соответствует особая радиальная глубина исследования в плоскости границы слоев.
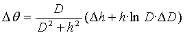
На фиг.3А-3С h представляет высоту поверхности наклона границы осадочного слоя над плоскостью наблюдения прибора плотностного каротажа на соответствующем азимутальном виде. Согласно этому h соответствует высоте синусоидальной линии на изображении плотности, имеющем конкретную границу осадочного слоя. D представляет диаметр буровой скважины, который является известным, и ΔD является эффективной глубиной исследования, которую можно оценивать на основании конфигурации прибора. В соответствии с этим, как можно видеть на фиг.3А-3С, Δh является эффективным сдвигом по высоте поверхности наклона границы осадочного слоя, связанным с эффективной глубиной исследования.
Упомянутый выше сдвиг по высоте границы осадочного слоя представлен графически на развернутом графике плотности, определенной из буровой скважины, показанном на фиг.4, где линией 410 представлено изображение плотности (например, ρSS, ρLS или ρкомп), «наблюдаемое» прибором плотностного каротажа (то есть на радиальной глубине исследования), тогда как линией 420 представлено изображение плотности (например, ρSS, ρLS или ρкомп), сдвинутое к стенке буровой скважины (то есть без сдвига радиальной глубины исследования, как это обычно бывает в предположении, что точка измерения для пары источник/детектор представляет собой срединную точку между источником и детектором). Сдвиг по высоте в крутых наклонных и горизонтальных скважинах является более очевидным относительно ρLS и ρкомп, поскольку ΔD больше для ρLS и ρкомп, чем для ρSS (что можно понять по эффективным областям исследования, обозначенным линиями 115 и 116 на фиг.1).
Было обнаружено, что такой сдвиг по высоте поверхности наклона границы осадочных слоев вносит значительную погрешность в изображение плотности, описанное выше относительно фиг.2. В частности, при сравнении диаграмм плотностного каротажа (линий 202а-202h, 203a-203h, 204a-204h и 205a-205h) с моделью плотности (линиями 201а-201h, которые представляют модель плотности пласта и поэтому соответствующим образом сдвинуты в зависимости от азимута при данном наклоне осадочного слоя) можно заметить значительные погрешности в связи с несоответствием глубины, обусловленным наклоном и эффективным объемом исследования. Следовательно, ΔD представляет собой параметр для определения положения по глубине, где каждым детектором обнаруживается граница осадочных слоев, и поэтому используется согласно осуществлениям изобретения для оценивания угла наклона границы осадочных слоев.
На основании связей, показанных на фиг.3А-3С, эффективный объем исследования (ЭОИ), используемый согласно осуществлениям изобретения, можно разложить, как показано ниже, в членах радиальной глубины исследования, разрешения по вертикали и азимутальной апертуры (Δφ):
где ΔD является функцией радиальной глубины исследования, Δφ определяется апертурой прибора плотностного каротажа; Δh является функцией радиальной глубины исследования и разрешения по вертикали. Таким эффективным объемом исследования унифицируется и определяется в пространстве разрешение прибора плотностного каротажа как функция радиальной глубины исследования, осевого разрешения и азимутальной апертуры. Благодаря изложенному выше исключается смешение влияния разрешения по вертикали прибора в вертикальной скважине и горизонтальном слое и влияния глубины исследования в крутых наклонных и горизонтальных скважинах.
Значение эффективного объема исследования можно оценить в зависимости от разнесения детекторов и свойств пласта. Анализ геометрических коэффициентов (то есть осевых и/или радиальных геометрических коэффициентов можно использовать при определении влияний свойств пласта на эффективную область исследования. Геометрические коэффициенты для двухдетекторного прибора плотностного каротажа, такого как прибор 110 плотностного каротажа, наряду с любым конкретным радиусом, начинающимся на передней поверхности прибора, и излучением с нее, можно определить в соответствии со следующим выражением:
В приведенном выше уравнении ρ1 представляет собой плотность вмещающей горной породы (например, плотность пласта), и ρ2 представляет собой плотность заполнения (то есть плотность заполнения в зазоре или глинистой корки), показанные на фиг.5, которые по существу соответствуют ρSS и ρLS. Указанные выше геометрические коэффициенты используют при анализе на основе измеренной плотности для оценивания эффективной области исследования. В частности, было обнаружено, что в случае плотности вмещающей горной породы и плотности заполнения в пределах от 1,66 до 2,65 г/см3 (например, плотностей глинистой корки и подземного пласта, обычно связанных с разведкой на нефть и газ) радиальные глубины при G(r)=0,5 являются почти постоянными и поэтому по существу не зависят от конкретных, известных из опыта плотностей. То есть было определено, что чувствительность радиального геометрического коэффициента G(r) к контрасту плотности пласта является небольшой и поэтому радиальная глубина исследования пренебрежимо мало зависит от изменения плотности. В результате было установлено, что радиальная глубина при G(r)=0,5 эквивалентна отраслевой стандартной глубине исследования (например, 50% вклада в счет детектора вносится с этой глубины и 50% вклада в счет детектора вносится из участка вне этой глубины). В соответствии с этим согласно осуществлениям изобретения эффективную область исследования можно оценивать на основании указанных выше геометрических коэффициентов и информации о плотности (используя, например, исходные вычисления плотности (ρSS, ρLS и/или ρкопм) из каротажных диаграмм плотности).
Относительную оценку (θ) угла наклона границы осадочных слоев, показанную на фиг.3С, можно вычислить следующим образом:
Как рассматривалось выше, h является амплитудой синусоидальной линии (например, высотой поверхности наклона) из изображения плотности, D является диаметром буровой скважины, ΔD является эффективной глубиной исследования, которая представляет собой функцию радиальной глубины исследования, Δh является эффективным сдвигом по высоте (например, глубиной в глубине замера) границы поверхности наклона. В предположении небольшой погрешности ΔD и Δh погрешность (Δθ) оценки можно выразить в виде:
На основании изложенного выше расстояние между фактическим местоположением границы осадочных слоев и границей осадочных слоев, получаемое по диаграмме плотностного каротажа, или Δh, представляет собой эффективный сдвиг по высоте (например, глубину в замере глубины) границы поверхности наклона, показанный на фиг.3А-3С. Пересечение идеализированного эффективного объема исследования, указанное в уравнении (3), при заданном ΔD с границей слоев дает геометрическое соотношение для определения Δh для каждого детектора (например, ΔhSS и ΔhLS). При развертывании стенки буровой скважины в плоскую поверхность, показанную на фиг.4, значение Δh для каждого детектора можно оценить в зависимости от азимутального поворота при заданном угле наклона с помощью:
В приведенном выше уравнении α является азимутом передней стороны прибора плотностного каротажа (то есть направлением обзора прибора плотностного каротажа), β является простиранием (то есть азимутом пересечения наклонного слоя с горизонтальной плоскостью) наклонного слоя (или искривленной буровой скважины), и θ является относительным наклоном между буровой скважиной и слоем пласта. Из изложенного выше можно видеть, что осуществления настоящего изобретения можно использовать для графического построения границ осадочных слоев в зависимости от азимута.
На фиг.6 показано, в каких местах ρLS, ρSS и ρкомп из примера, показанного на фиг.2, были сдвинуты после использования приведенных выше уравнений для решения относительно Δh. В частности, на фигуре показаны сдвиги ρLS на ΔhLS и ρSS на ΔhSS, так что ρкомп сдвигается на соответствующую величину Δh. На фиг.6, как и на фиг.2, на 8 диаграммах, показанных слева направо, представлены данные о плотности на азимутальных видах 11,25°-168,75° с приращением по 22,5° на различных измеренных глубинах. Линиями 201a-201h представлена модельная плотность на соответствующем азимутальном виде, при этом прямоугольные выступы соответствуют изменению плотности в результате чередования моделируемых осадочных слоев. Линиями 602a-602h представлена плотность (ρSS) на ближнем к источнику детекторе (БД), сдвинутая на ΔhSS. Линиями 603a-603h представлена плотность (ρLS) на дальнем от источника детекторе (ДД), сдвинутая на ΔhLS.
Из сравнения линий 604a-604h из фиг.6 (после коррекции за влияние анализа эффективного объема исследования) с линиями 204a-204h из фиг.2 (до коррекции) видно, что величина Δρ существенно снизилась и стала состоятельной на протяжении всех азимутальных секторов. Как можно понять, линии 602a-602h и 603a-603h более близко соответствуют прямоугольным выступам модельной плотности на линиях 201а и 201h, чем это делают линии 202a-202h и 203a-203h из фиг.2. Аналогичным образом компенсированная плотность ρкомп на линиях 605a-605h, вычисленная на основании плотности (ρLS) на дальнем от источника детекторе и плотности (ρSS) на ближнем от источника детекторе, сдвинутых на соответствующие сдвиги (ΔhLS и ΔhSS) по высоте, более близко соответствует прямоугольным выступам модельной плотности на линиях 201a-201h, чем это делают линии 205a-205h из фиг.2. В соответствии с этим точка перегиба на каротажных диаграммах дальнего от источника детектора и ближнего к источнику детектора, а также компенсированная плотность, вычисляемая по ней, совмещается с фактическими границами осадочных слоев, вследствие чего это приводит к более точной информации о пласте независимо от геометрии пласта и буровой скважины. Кроме того, результирующее синусоидальное изображение компенсированной плотности имеет меньшую высоту (h) после применения коррекции за влияние ΔD, что приводит к более точной оценке наклона.
Имея описанные выше концепции настоящего изобретения, на фиг.7 показана блок-схема последовательности действий, предоставляющая дополнительные подробности способа согласно предпочтительному осуществлению настоящего изобретения. Хотя для упрощения представленных концепций в рассмотренных выше примерах предполагалось отсутствие зазора или глинистой корки, в осуществлении из фиг.7 обеспечивается компенсация при наличии и отсутствии зазора или глинистой корки.
В блоке 701 (фиг.7) прибор 110 плотностного каротажа и каротажное оборудование 130 используют для сбора азимутальных каротажных данных об объемной плотности. Эти каротажные данные можно использовать при построении исходного (не корректированного в соответствии с Δh) изображения плотности, например, в течение работы каротажного оборудования 130 или другой, основанной на процессоре системы. В блоке 702 угол наклона осадочного слоя и границы осадочных слоев оценивают, используя исходные данные плотностного каротажа (например, данные дальнего от источника детектора (ДД) и ближнего к источнику детектора (БД)), описанные выше. В дополнение к этому в показанном осуществлении также вычисляют Δρ на основании исходных данных плотностного каротажа, применяя уравнение (1), чтобы использовать при ослаблении влияний зазора или глинистой корки.
В блоке 703 определяют, указывает ли вычисленное значение Δρ на наличие зазора или глинистой корки. Например, в случае, если Δρ является по существу постоянным положительным или отрицательным значением на всем протяжении участка пласта, который не пересекает границу осадочного слоя (см. фиг.8), то, вероятно, что это значение Δρ связано с зазором или глинистой коркой. Если определяют, что существует зазор или глинистая корка, то в блоке 707 постоянное значение Δρ, связанное с Δρс, вычитают из данных ближнего к источнику детектора и дальнего от источника детектора (например, ρSS и ρLS), чтобы исключить влияния зазора или глинистой корки, и в блоке 704 продолжают обработку. Если определяют, что зазора или глинистой корки нет, то обработку также продолжают в блоке 704 показанного осуществления.
В блоке 704 анализ эффективного объема исследования (ЭОИ) согласно настоящему изобретению с использованием ΔD и Δh, поясненных выше, обеспечивает коррекцию данных ближнего к источнику детектора и дальнего от источника детектора в зависимости от относительного наклона, азимута и угла простирания. В блоке 704 иллюстрируемым осуществлением изобретения обеспечивается повышение разрешения по вертикали путем изменения знака (+/-) Δρ и добавления этого значения к ρLS. Как можно видеть по линиям 201а и 203а и линиям 201h и 203h, добавление Δρ, имеющего измененный знак, к ρLS обеспечивает сдвиг замера глубины на ρLS.
В блоке 705 угол наклона осадочного слоя повторно оценивают на основании скорректированных данных ближнего к источнику детектора и дальнего от источника детектора. Хотя в данном случае повторное оценивание угла наклона на основании данных ближнего к источнику детектора и дальнего от источника детектора показано как отдельный этап, должно быть понятно, что такое повторное оценивание может быть выполнено как обработка, показанная в блоке 704.
В блоке 706 определяют, должны ли применяться к каротажным плотностным данным дальнейшие итерации анализа эффективного объема исследования и коррекции. Например, когда данные корректируют, итерационное улучшение результатов становится меньше, так что дальнейшие итерации не обеспечивают получения значительно улучшенных результатов. В соответствии с этим в осуществлениях изобретения, в которых используют итерационный процесс, выполняют действие, чтобы определить, требуются ли дальнейшие итерации анализа эффективного объема исследования. В иллюстрируемом осуществлении вычисляют погрешность оценки (Δθ) наклона, показанную в уравнении (6), и сравнивают эту погрешность оценки наклона с разностью оцененного угла наклона из текущей итерации и оцененного угла наклона из предшествующей итерации, чтобы определить, должны ли проводиться дальнейшие итерации. Если погрешность оценки наклона меньше или равна разности оцененного угла наклона из текущей итерации и оцененного угла наклона из предшествующей итерации или заданного порогового значения, а объемная плотность для этих итераций пересекает границу осадочного пласта, обработку продолжают согласно блоку 709 для выполнения дальнейшей итерации.
В блоке 709 скорректированные данные ближнего к источнику детектора (БД) и дальнего от источника детектора (ДД) используют для получения улучшенного изображения плотности и новой оценки угла наклона. После этого обработку возвращают к блоку 704 для анализа эффективного объема исследования (ЭОИ), описанного выше.
Если анализ погрешности оценки наклона, выполненный в блоке 706, не показывает, что дальнейшие итерации требуются, обработку продолжают в блоке 708, при этом конечные данные ближнего к источнику детектора и дальнего от источника детектора используют для получения конечного улучшенного изображения плотности. В случаях, когда в блоке 703 определяют наличие зазора или глинистой корки, компенсированную плотность (ρкомп) вычисляют в блоке 708 иллюстрируемого осуществления путем добавления Δρс, которое было вычтено в блоке 707 для исключения влияний зазора и глинистой корки, к конечному скорректированному ρLS. В соответствии с этим постобработка данных прибора плотностного каротажа, предусмотренная в осуществлениях изобретения, может быть использована для получения точной плотности и повышения разрешения применительно к приборам плотностного каротажа, в которых датчики приборов расположены вплотную к стенке буровой скважины (то есть зазор отсутствует). Аналогичным образом приведенные выше способы постобработки, приспособленные для ввода параметра зазора (например, поправочной постоянной Δρс плотности), можно использовать для получения точной плотности и повышения разрешения применительно к приборам плотностного каротажа, в которых датчики приборов расположены на расстоянии от стенки буровой скважины (то есть зазор имеется).
Как показано выше, основанная на эффективном объеме исследования, зависящая от азимута и угла наклона коррекция ΔD и Δh, предусмотренная согласно осуществлениям изобретения, приводит к получению улучшенных компенсированных диаграмм плотностного каротажа и изображений плотности при более точных наклоне и границах слоя. Хотя в этой заявке изобретение описано при обращении к осуществлениям с использованием двухдетекторных приборов плотностного гамма-каротажа, концепции изобретения можно применять к другим конфигурациям приборов плотностного каротажа, таким как двухдетекторные, спускаемые на кабеле приборы и приборы нейтронного каротажа в процессе бурения. Аналогично этому концепции настоящего изобретения не ограничены конфигурациями двухдетекторных приборов плотностного каротажа. Например, коррекцию ΔD и Δh, показанную в этом изобретении, можно применять к изображениям, получаемым одним детектором, для построения улучшенного компенсированного изображения при намного более точной оценке границ слоев и угла наклона. Поэтому должно быть понятно, что концепции настоящего изобретения можно использовать применительно к любым приборам и измерениям, в которых встречаются проблемы, связанные с глубиной и точкой измерения, обусловленные эффективным объемом исследования.
Хотя настоящее изобретение и его преимущества были описаны подробно, должно быть понятно, что различные изменения, замены и варианты могут быть сделаны в этой заявке без отступления от сущности и объема изобретения, определяемого прилагаемой формулой изобретения. Кроме того, объем настоящего изобретения не должен ограничиваться конкретными осуществлениями процессов, устройств, технологий изготовления, составами материалов, средствами, способами и этапами, рассмотренными в описании. Специалист в данной области техники может без труда понять на основании раскрытия настоящего изобретения, что процессы, устройства, технологии изготовления, составы материалов, средства, способы или этапы, существующие в настоящее время или которые будут разработаны позднее, выполняющие по существу ту же самую функцию или позволяющие получать по существу такой же результат, как и соответствующие осуществления, описанные в этой заявке, можно использовать в соответствии с настоящим изобретением. В соответствии с этим предполагается, что такие процессы, устройства, технологии изготовления, составы материалов, средства, способы или этапы включены в объем прилагаемой формулы изобретения.
Claims (25)
1. Способ оценки глубины границы пласта, заключающийся в том, что:
оценивают глубину границы пласта на основании скважинных каротажных данных, при этом указанные скважинные каротажные данные обеспечивают данные о параметрах пласта для множества азимутальных углов, причем указанную глубину границы пласта оценивают для каждого из указанных азимутальных углов;
анализируют информацию об эффективном объеме исследования, чтобы определить эффективную глубину (ΔD) исследования и эффективный сдвиг (Δh) по высоте поверхности границы пласта, связанные с указанной глубиной границы пласта; и
уточняют указанную оценку глубины границы пласта, используя по меньшей мере одно из указанной эффективной глубины (ΔD) исследования и указанного эффективного сдвига (Δh) по высоте.
оценивают глубину границы пласта на основании скважинных каротажных данных, при этом указанные скважинные каротажные данные обеспечивают данные о параметрах пласта для множества азимутальных углов, причем указанную глубину границы пласта оценивают для каждого из указанных азимутальных углов;
анализируют информацию об эффективном объеме исследования, чтобы определить эффективную глубину (ΔD) исследования и эффективный сдвиг (Δh) по высоте поверхности границы пласта, связанные с указанной глубиной границы пласта; и
уточняют указанную оценку глубины границы пласта, используя по меньшей мере одно из указанной эффективной глубины (ΔD) исследования и указанного эффективного сдвига (Δh) по высоте.
2. Способ по п.1, в котором указанные скважинные каротажные данные, используемые при оценивании указанной глубины границы пласта, содержат исходные данные плотностного каротажа, при этом указанные исходные данные плотностного каротажа не скорректированы за влияние наклона границы пласта.
3. Способ по п.1, в котором указанный анализ информации об эффективном объеме исследования содержит:
определение значения эффективного объема исследования как функции геометрических коэффициентов и указанных скважинных каротажных данных.
определение значения эффективного объема исследования как функции геометрических коэффициентов и указанных скважинных каротажных данных.
4. Способ по п.1, в котором указанный анализ информации об эффективном объеме исследования содержит:
разложение указанной информации об эффективном объеме исследования в членах радиальной глубины исследования, разрешения по вертикали и азимутальной апертуры.
разложение указанной информации об эффективном объеме исследования в членах радиальной глубины исследования, разрешения по вертикали и азимутальной апертуры.
5. Способ по п.1, в котором указанное уточнение указанной оценки глубины границы пласта содержит:
повторное оценивание указанной глубины границы пласта на основании скорректированных скважинных каротажных данных, при этом указанные скорректированные скважинные каротажные данные содержат указанные скважинные каротажные данные, имеющие указанное по меньшей мере одно из указанной эффективной глубины (ΔD) исследования и указанного эффективного сдвига (Δh) по высоте, применяемое для этого.
повторное оценивание указанной глубины границы пласта на основании скорректированных скважинных каротажных данных, при этом указанные скорректированные скважинные каротажные данные содержат указанные скважинные каротажные данные, имеющие указанное по меньшей мере одно из указанной эффективной глубины (ΔD) исследования и указанного эффективного сдвига (Δh) по высоте, применяемое для этого.
6. Способ по п.1, дополнительно содержащий:
оценивание угла наклона границы пласта на основании указанных скважинных каротажных данных; и
уточнение указанной оценки угла наклона границы пласта при использовании по меньшей мере одного из указанной эффективной глубины (ΔD) исследования и указанного эффективного сдвига (Δh) по высоте.
оценивание угла наклона границы пласта на основании указанных скважинных каротажных данных; и
уточнение указанной оценки угла наклона границы пласта при использовании по меньшей мере одного из указанной эффективной глубины (ΔD) исследования и указанного эффективного сдвига (Δh) по высоте.
7. Способ по п.6, в котором указанное уточнение указанной оценки угла наклона границы пласта содержит:
повторное оценивание указанного угла наклона границы пласта на основании скорректированных скважинных каротажных данных, при этом указанные скорректированные скважинные каротажные данные содержат указанные скважинные каротажные данные, имеющие указанное по меньшей мере одно из указанной эффективной глубины (ΔD) исследования и указанного эффективного сдвига (Δh) по высоте, применяемое для этого.
повторное оценивание указанного угла наклона границы пласта на основании скорректированных скважинных каротажных данных, при этом указанные скорректированные скважинные каротажные данные содержат указанные скважинные каротажные данные, имеющие указанное по меньшей мере одно из указанной эффективной глубины (ΔD) исследования и указанного эффективного сдвига (Δh) по высоте, применяемое для этого.
8. Способ по п.1, дополнительно содержащий:
вычитание поправочной постоянной (Δρc) плотности из указанных скважинных каротажных данных до указанного анализа указанной информации об эффективном объеме исследования.
вычитание поправочной постоянной (Δρc) плотности из указанных скважинных каротажных данных до указанного анализа указанной информации об эффективном объеме исследования.
9. Способ по п.8, дополнительно содержащий:
добавление указанной поправочной постоянной (Δρc) плотности к скорректированным скважинным каротажным данным до получения конечной оценки глубины границы пласта на основании указанной уточненной оценки глубины границы пласта.
добавление указанной поправочной постоянной (Δρc) плотности к скорректированным скважинным каротажным данным до получения конечной оценки глубины границы пласта на основании указанной уточненной оценки глубины границы пласта.
10. Способ оценки угла наклона границы пласта, заключающийся в том, что:
оценивают угол наклона границы пласта на основании скважинных каротажных данных, при этом указанные скважинные каротажные данные обеспечивают данные о параметрах пласта для множества азимутальных углов;
анализируют информацию об эффективном объеме исследования, чтобы определить эффективную глубину (ΔD) исследования и эффективный сдвиг (Δh) по высоте поверхности наклона границы пласта, связанные с указанным углом наклона границы пласта; и
уточняют указанную оценку угла наклона границы пласта, используя по меньшей мере одно из указанной эффективной глубины (ΔD) исследования и указанного эффективного сдвига (Δh) по высоте.
оценивают угол наклона границы пласта на основании скважинных каротажных данных, при этом указанные скважинные каротажные данные обеспечивают данные о параметрах пласта для множества азимутальных углов;
анализируют информацию об эффективном объеме исследования, чтобы определить эффективную глубину (ΔD) исследования и эффективный сдвиг (Δh) по высоте поверхности наклона границы пласта, связанные с указанным углом наклона границы пласта; и
уточняют указанную оценку угла наклона границы пласта, используя по меньшей мере одно из указанной эффективной глубины (ΔD) исследования и указанного эффективного сдвига (Δh) по высоте.
11. Способ по п.10, в котором указанные скважинные каротажные данные, используемые при оценивании указанного угла наклона границы пласта, содержат исходные данные плотностного каротажа, при этом указанные исходные данные плотностного каротажа не скорректированы за влияние наклона границы пласта.
12. Способ по п.10, в котором указанный анализ информации об эффективном объеме исследования содержит:
определение значения эффективного объема исследования как функции геометрических коэффициентов и указанных скважинных каротажных данных.
определение значения эффективного объема исследования как функции геометрических коэффициентов и указанных скважинных каротажных данных.
13. Способ по п.10, в котором указанный анализ информации об эффективном объеме исследования содержит:
разложение указанной информации об эффективном объеме исследования в членах радиальной глубины исследования, разрешения по вертикали и азимутальной апертуры.
разложение указанной информации об эффективном объеме исследования в членах радиальной глубины исследования, разрешения по вертикали и азимутальной апертуры.
14. Способ по п.10, в котором указанное уточнение указанной оценки угла наклона границы пласта содержит:
повторное оценивание указанного угла наклона границы пласта на основании скорректированных скважинных каротажных данных, при этом указанные скорректированные скважинные каротажные данные содержат указанные скважинные каротажные данные, имеющие указанное по меньшей мере одно из указанной эффективной глубины (ΔD) исследования и указанного эффективного сдвига (Δh) по высоте, применяемое для этого.
повторное оценивание указанного угла наклона границы пласта на основании скорректированных скважинных каротажных данных, при этом указанные скорректированные скважинные каротажные данные содержат указанные скважинные каротажные данные, имеющие указанное по меньшей мере одно из указанной эффективной глубины (ΔD) исследования и указанного эффективного сдвига (Δh) по высоте, применяемое для этого.
15. Способ по п.10, дополнительно содержащий:
оценивание глубины границы пласта для каждого из указанных азимутальных углов на основании указанных скважинных каротажных данных; и
уточнение указанной оценки глубины границы пласта при использовании по меньшей мере одного из указанной эффективной глубины (ΔD) исследования и указанного эффективного сдвига (Δh) по высоте.
оценивание глубины границы пласта для каждого из указанных азимутальных углов на основании указанных скважинных каротажных данных; и
уточнение указанной оценки глубины границы пласта при использовании по меньшей мере одного из указанной эффективной глубины (ΔD) исследования и указанного эффективного сдвига (Δh) по высоте.
16. Способ по п.15, в котором указанное уточнение указанной оценки глубины границы пласта содержит:
повторное оценивание указанной глубины границы пласта на основании скорректированных скважинных каротажных данных, при этом указанные скорректированные скважинные каротажные данные содержат указанные скважинные каротажные данные, имеющие указанное по меньшей мере одно из указанной эффективной глубины (ΔD) исследования и указанного эффективного сдвига (Δh) по высоте, применяемое для этого.
повторное оценивание указанной глубины границы пласта на основании скорректированных скважинных каротажных данных, при этом указанные скорректированные скважинные каротажные данные содержат указанные скважинные каротажные данные, имеющие указанное по меньшей мере одно из указанной эффективной глубины (ΔD) исследования и указанного эффективного сдвига (Δh) по высоте, применяемое для этого.
17. Способ по п.10, дополнительно содержащий:
вычитание поправочной постоянной (Δρc) плотности из указанных скважинных каротажных данных до указанного анализа указанной информации об эффективном объеме исследования.
вычитание поправочной постоянной (Δρc) плотности из указанных скважинных каротажных данных до указанного анализа указанной информации об эффективном объеме исследования.
18. Способ по п.17, дополнительно содержащий:
добавление указанной поправочной постоянной (Δρc) плотности к скорректированным скважинным каротажным данным до получения конечной оценки угла наклона границы пласта на основании указанной уточненной оценки угла наклона границы пласта.
добавление указанной поправочной постоянной (Δρc) плотности к скорректированным скважинным каротажным данным до получения конечной оценки угла наклона границы пласта на основании указанной уточненной оценки угла наклона границы пласта.
19. Считываемый компьютером носитель, содержащий выполняемую компьютером программу, при выполнении которой компьютер выполняет способ обработки скважинных каротажных данных, при этом указанная программа содержит:
программу для определения эффективного сдвига (Δh) по высоте поверхности наклона границы пласта, представленного скважинными каротажными данными, при этом указанный эффективный сдвиг (Δh) по высоте определяется с использованием по меньшей мере части указанных скважинных каротажных данных; и
программу для коррекции по меньшей мере одного из угла наклона границы пласта и глубины границы пласта с использованием указанного эффективного сдвига (Δh) по высоте, в котором указанный угол наклона границы пласта и указанная глубина границы пласта определяются на основании указанных скважинных каротажных данных.
программу для определения эффективного сдвига (Δh) по высоте поверхности наклона границы пласта, представленного скважинными каротажными данными, при этом указанный эффективный сдвиг (Δh) по высоте определяется с использованием по меньшей мере части указанных скважинных каротажных данных; и
программу для коррекции по меньшей мере одного из угла наклона границы пласта и глубины границы пласта с использованием указанного эффективного сдвига (Δh) по высоте, в котором указанный угол наклона границы пласта и указанная глубина границы пласта определяются на основании указанных скважинных каротажных данных.
20. Считываемый компьютером носитель по п.19, в котором указанный эффективный сдвиг (Δh) по высоте связан с эффективной глубиной (ΔD) исследования.
21. Считываемый компьютером носитель по п.19, в котором указанная программа для коррекции указанного по меньшей мере одного из указанного угла наклона границы пласта и указанной глубины границы пласта содержит:
программу для итерационного уточнения указанного по меньшей мере одного из указанного угла наклона границы пласта и указанной глубины границы пласта.
программу для итерационного уточнения указанного по меньшей мере одного из указанного угла наклона границы пласта и указанной глубины границы пласта.
22. Считываемый компьютером носитель по п.19, в котором указанная программа для определения эффективного сдвига (Δh) по высоте содержит:
программу для вычисления указанного эффективного сдвига (Δh) по высоте с использованием информации об эффективном объеме исследования.
программу для вычисления указанного эффективного сдвига (Δh) по высоте с использованием информации об эффективном объеме исследования.
23. Считываемый компьютером носитель по п.22, в котором указанная информация об эффективном объеме исследования содержит радиальную глубину исследования.
24. Считываемый компьютером носитель по п.22, в котором указанная информация об эффективном объеме исследования содержит азимутальную апертуру.
25. Считываемый компьютером носитель по п.19, в котором указанная программа для коррекции указанного по меньшей мере одного из указанного угла наклона границы пласта и указанной глубины границы пласта корректирует указанный угол наклона границы пласта и указанную глубину границы пласта.
Applications Claiming Priority (3)
| Application Number | Priority Date | Filing Date | Title |
|---|---|---|---|
| US559107P | 2007-12-06 | 2007-12-06 | |
| US61/005,591 | 2007-12-06 | ||
| PCT/US2008/079571 WO2009073277A1 (en) | 2007-12-06 | 2008-10-10 | Volume of investigation based image processing |
Publications (2)
| Publication Number | Publication Date |
|---|---|
| RU2010127859A RU2010127859A (ru) | 2012-01-20 |
| RU2483333C2 true RU2483333C2 (ru) | 2013-05-27 |
Family
ID=40718086
Family Applications (1)
| Application Number | Title | Priority Date | Filing Date |
|---|---|---|---|
| RU2010127859/28A RU2483333C2 (ru) | 2007-12-06 | 2008-10-10 | Обработка изображения на основе объема исследования |
Country Status (8)
| Country | Link |
|---|---|
| US (1) | US8527204B2 (ru) |
| EP (1) | EP2223163A4 (ru) |
| AU (1) | AU2008331710B2 (ru) |
| BR (1) | BRPI0820955B1 (ru) |
| CA (1) | CA2701815A1 (ru) |
| MY (1) | MY151715A (ru) |
| RU (1) | RU2483333C2 (ru) |
| WO (1) | WO2009073277A1 (ru) |
Families Citing this family (10)
| Publication number | Priority date | Publication date | Assignee | Title |
|---|---|---|---|---|
| US8228758B2 (en) * | 2009-01-21 | 2012-07-24 | Schlumberger Technology Corporation | Image generation of a wellbore |
| US9043153B2 (en) | 2011-03-15 | 2015-05-26 | Schlumberger Technology Corporation | Maximum depth of investigation of measurements in a formation |
| WO2014160994A1 (en) * | 2013-03-29 | 2014-10-02 | Services Petroliers Schlumberger | Image symmetry for dip determination |
| US20150120199A1 (en) * | 2013-10-31 | 2015-04-30 | Matthew S. Casey | Multiple Domain Processing For Combining Reservoir Models and Seismic Data |
| GB2542037B (en) * | 2014-05-20 | 2020-12-16 | Halliburton Energy Services Inc | Improving well survey performance |
| US10192007B2 (en) | 2014-12-05 | 2019-01-29 | General Electric Company | System and method for estimating material density |
| US20180059276A1 (en) * | 2016-08-25 | 2018-03-01 | Waveseis LLC | System and method for focusing seismic images |
| CN110320572B (zh) * | 2018-03-29 | 2021-04-23 | 中国石油化工股份有限公司 | 一种识别沉积相的方法及系统 |
| CN110320573B (zh) * | 2018-03-29 | 2021-05-25 | 中国石油化工股份有限公司 | 一种反映储层产能的测井参数构建方法及系统 |
| CN109633781B (zh) * | 2018-08-16 | 2021-03-02 | 清能艾科(深圳)能源技术有限公司 | 地质属性获取方法及装置、电子设备、存储介质 |
Citations (4)
| Publication number | Priority date | Publication date | Assignee | Title |
|---|---|---|---|---|
| US5091644A (en) * | 1991-01-15 | 1992-02-25 | Teleco Oilfield Services Inc. | Method for analyzing formation data from a formation evaluation MWD logging tool |
| GB2280955A (en) * | 1993-08-12 | 1995-02-15 | Schlumberger Ltd | Correcting formation density measurements for non-source gamma radiation |
| EP0864884A2 (en) * | 1997-03-06 | 1998-09-16 | Schlumberger Limited | Method for determining formation density and formation photo-electric factor with a multi-detector-gamma-ray tool |
| RU2304292C2 (ru) * | 2002-03-04 | 2007-08-10 | Бейкер Хьюз Инкорпорейтед | Способ определения положения пласта по результатам многокомпонентного индукционного каротажа в горизонтальной скважине |
Family Cites Families (10)
| Publication number | Priority date | Publication date | Assignee | Title |
|---|---|---|---|---|
| US2712081A (en) * | 1955-06-28 | Method for neutron well logging x | ||
| US2957990A (en) * | 1956-01-03 | 1960-10-25 | Pan American Petroleum Corp | Well formation density logging |
| US6237404B1 (en) * | 1998-02-27 | 2001-05-29 | Schlumberger Technology Corporation | Apparatus and method for determining a drilling mode to optimize formation evaluation measurements |
| US6307199B1 (en) * | 1999-05-12 | 2001-10-23 | Schlumberger Technology Corporation | Compensation of errors in logging-while-drilling density measurements |
| US7114565B2 (en) * | 2002-07-30 | 2006-10-03 | Baker Hughes Incorporated | Measurement-while-drilling assembly using real-time toolface oriented measurements |
| US6795774B2 (en) * | 2002-10-30 | 2004-09-21 | Halliburton Energy Services, Inc. | Method for asymptotic dipping correction |
| US20060131016A1 (en) * | 2004-06-12 | 2006-06-22 | Ivan Snoga | Apparatus and method for determining the dip of an underground formation in a cased or uncased borehole |
| US7647182B2 (en) * | 2004-07-15 | 2010-01-12 | Baker Hughes Incorporated | Apparent dip angle calculation and image compression based on region of interest |
| CA2650598A1 (en) * | 2006-04-26 | 2007-11-08 | Baker Hughes Incorporated | Method and apparatus for correcting underestimation of formation anisotropy ratio |
| CN101479732A (zh) * | 2006-05-10 | 2009-07-08 | 贝克休斯公司 | 多分量测量在深水沉积的地质描绘中的使用 |
-
2008
- 2008-10-10 WO PCT/US2008/079571 patent/WO2009073277A1/en not_active Ceased
- 2008-10-10 AU AU2008331710A patent/AU2008331710B2/en not_active Ceased
- 2008-10-10 US US12/678,040 patent/US8527204B2/en active Active
- 2008-10-10 BR BRPI0820955-3A patent/BRPI0820955B1/pt not_active IP Right Cessation
- 2008-10-10 CA CA2701815A patent/CA2701815A1/en not_active Abandoned
- 2008-10-10 RU RU2010127859/28A patent/RU2483333C2/ru active
- 2008-10-10 EP EP08857750.7A patent/EP2223163A4/en not_active Withdrawn
- 2008-12-01 MY MYPI20084877 patent/MY151715A/en unknown
Patent Citations (4)
| Publication number | Priority date | Publication date | Assignee | Title |
|---|---|---|---|---|
| US5091644A (en) * | 1991-01-15 | 1992-02-25 | Teleco Oilfield Services Inc. | Method for analyzing formation data from a formation evaluation MWD logging tool |
| GB2280955A (en) * | 1993-08-12 | 1995-02-15 | Schlumberger Ltd | Correcting formation density measurements for non-source gamma radiation |
| EP0864884A2 (en) * | 1997-03-06 | 1998-09-16 | Schlumberger Limited | Method for determining formation density and formation photo-electric factor with a multi-detector-gamma-ray tool |
| RU2304292C2 (ru) * | 2002-03-04 | 2007-08-10 | Бейкер Хьюз Инкорпорейтед | Способ определения положения пласта по результатам многокомпонентного индукционного каротажа в горизонтальной скважине |
Non-Patent Citations (2)
| Title |
|---|
| Echezona Anthony Uzoh B.S., “ Quantitative Studies of Relative Dip Angle and Bed-Thikness Effects on LWD Density Images Acquired in High-Angle and Horizontal Wells”, The University of Texas at Austin, August 2007, p.1-9, 11-15, 34, 36, 47-50. * |
| Echezona Anthony Uzoh B.S., " Quantitative Studies of Relative Dip Angle and Bed-Thikness Effects on LWD Density Images Acquired in High-Angle and Horizontal Wells", The University of Texas at Austin, August 2007, p.1-9, 11-15, 34, 36, 47-50. * |
Also Published As
| Publication number | Publication date |
|---|---|
| RU2010127859A (ru) | 2012-01-20 |
| US20100228484A1 (en) | 2010-09-09 |
| MY151715A (en) | 2014-06-30 |
| WO2009073277A1 (en) | 2009-06-11 |
| BRPI0820955A2 (pt) | 2015-07-07 |
| AU2008331710A1 (en) | 2009-06-11 |
| BRPI0820955B1 (pt) | 2019-07-09 |
| AU2008331710B2 (en) | 2013-07-25 |
| EP2223163A4 (en) | 2017-03-22 |
| EP2223163A1 (en) | 2010-09-01 |
| US8527204B2 (en) | 2013-09-03 |
| CA2701815A1 (en) | 2009-06-11 |
Similar Documents
| Publication | Publication Date | Title |
|---|---|---|
| RU2483333C2 (ru) | Обработка изображения на основе объема исследования | |
| EP3111041B1 (en) | Automatic method for three-dimensional structural interpretation of borehole images acquired in high-angle and horizontal wells | |
| BR112018010004B1 (pt) | Método e aparelho para ajuste de um parâmetro físico de uma operação de poço | |
| US9110188B2 (en) | Detecting bed boundary locations based on gradients determined from measurements from multiple tool depths in a wellbore | |
| EP2834682B1 (en) | Formation volumetric evaluation using normalized differential data | |
| US7663968B2 (en) | Method of processing geological data | |
| EA007587B1 (ru) | Устройство и способ определения удельного сопротивления с помощью направленной электромагнитной волны | |
| BR112019018396B1 (pt) | Método e sistema para executar uma operação de perfuração em uma formação de terra | |
| WO2017082897A1 (en) | Method for computing lithofacies probability using lithology proximity models | |
| BR112018072718B1 (pt) | Método e aparelho para estimativa de um parâmetro invertido de uma formação subsuperficial | |
| US20130268201A1 (en) | Formation compositional evaluation using normalized differential data | |
| Peters et al. | Criteria to determine borehole formation temperatures for calibration of basin and petroleum system models | |
| US8600115B2 (en) | Borehole image reconstruction using inversion and tool spatial sensitivity functions | |
| CA3036911A1 (en) | Multi-z horizon auto-tracking | |
| US11841476B2 (en) | Methods and systems of determining parameters characterizing porous media from data gathered by a plurality of different tools | |
| CN112384829B (zh) | 地质地层中子孔隙率系统 | |
| WO2017142719A1 (en) | Calibrating seismic data using measurements made during drilling operations | |
| CN119923577A (zh) | 钻井时的裂缝表征 | |
| US20250224529A1 (en) | Method for validating paleogeographic models using seismic data | |
| EP2113795A1 (en) | Volume Of Investigation Based Image Processing | |
| WO2025175409A1 (en) | Method and system for rock physics-based grid refinement of grid in forward stratigraphic modeling | |
| US20230349286A1 (en) | Geologic formation characterization | |
| Nayvelt et al. | Reducing seismic positioning uncertainty with “simple” tilted transverse isotropy earth models—Gulf of Mexico Lobster field case study |