RU2419781C2 - Вибровискозиметрический датчик - Google Patents
Вибровискозиметрический датчик Download PDFInfo
- Publication number
- RU2419781C2 RU2419781C2 RU2008137896/28A RU2008137896A RU2419781C2 RU 2419781 C2 RU2419781 C2 RU 2419781C2 RU 2008137896/28 A RU2008137896/28 A RU 2008137896/28A RU 2008137896 A RU2008137896 A RU 2008137896A RU 2419781 C2 RU2419781 C2 RU 2419781C2
- Authority
- RU
- Russia
- Prior art keywords
- probe
- vibro
- vibrators
- sensor
- mechanical
- Prior art date
Links
Images
Landscapes
- Investigating Or Analysing Materials By Optical Means (AREA)
- Investigating Or Analyzing Materials By The Use Of Ultrasonic Waves (AREA)
- Investigating Or Analyzing Materials Using Thermal Means (AREA)
Abstract
Вибровискозиметрический датчик снижает нестабильность амплитуды и частоты механических колебаний зонда при исследовании жидкости постоянной вязкости. Вибровискозиметрический датчик содержит датчик текущего механического положения измерительного зонда. Также вибровискозиметрический датчик содержит механическую колебательную систему, жестко связанную через шток с измерительным сферическим зондом, снабженным термопарным измерителем температуры, и размещенную на жестком основании, на котором расположен электрический возбудитель колебаний механической колебательной системы. При этом основание расположено внутри внешнего термостатированного корпуса датчика и вибротермоизолировано от него. Причем механическая колебательная система выполнена из двух колебательных звеньев с высокой добротностью в виде рабочего и компенсирующего вибраторов, жестко закрепленных на основании с возможностью осуществлять колебания преимущественно коллинеарно и соосно и имеющих близкие или одинаковые резонансные частоты. При этом возбудитель размещен с возможностью силового взаимодействия только с рабочим вибратором, на котором жестко закреплен шток с измерительным зондом. Кроме того, механическая колебательная система выполнена в виде камертона с параллельно расположенными рабочим и компенсирующим вибраторами. Техническим результатом изобретения является уменьшить нестабильность амплитуды и частоты механических колебаний зонда при исследовании жидкости постоянной вязкости. 5 з.п. ф-лы, 6 ил.
Description
Изобретение относится к исследованию вибрационным методом с использованием измерительного сферического зонда малого диаметра сдвиговой вязкости небольших объемов жидкости с одновременным измерением ее текущей температуры в зоне измерения вязкости.
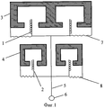
Известен вибровискозиметрический датчик со сферическим измерительным зондом, предназначенный для измерения сдвиговой вязкости небольших объемов жидкости [1. Г.С. Росин, Заводская лаборатория, 1960, 26, 6, 723-725; 2. Г.С. Росин, Заводская лаборатория, 1962, 28, 1, 72-74]. В нем используется частотно-фазовый метод измерения вязкости, то есть измеряется частота, при которой сдвиг фаз между возбуждающей силой и колебаниями равен π/2. Колебательная система датчика (фигура 1) состоит из силовой 1 и измерительной 2 катушек силового 3 и измерительного 4 электродинамических преобразователей, жестко соединенных штоком 5, сферического измерительного зонда 6 и двух упругих подвесок 7, 8, которые служат для поддержания и центрирования подвесной системы. Силовой и измерительный электродинамические преобразователи жестко закреплены на основании датчика (на фигуре не показано). Для возбуждения механических колебаний зонда через катушку силового преобразователя 1 подается ток от звукового генератора. В катушке измерительного электродинамического преобразователя 2 при движении колебательной системы возникает электродвижущая сила, пропорциональная по величине и фазе скорости движения зонда. Текущее значение амплитуды и фазы электродвижущей силы используется для вычисления текущей сдвиговой вязкости жидкости, в которой размещен измерительный зонд 6.
Недостатками данного известного решения являются: низкая чувствительность датчика, отсутствие возможности определения температуры жидкости в зоне измерения ее вязкости и зависимость показаний от температуры окружающей среды. Низкая чувствительность датчика не позволяет надежно регистрировать малые текущие изменения вязкости исследуемой жидкости. Зависимость показаний от температуры окружающей среды связана с отсутствием термостатирования корпуса вибровискозиметрического датчика, что приводит к нестабильности температурозависимых параметров колебательной системы, а следовательно, и характеристик выходного сигнала датчика.
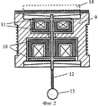
Наиболее близким по назначению и используемым средствам измерения является устройство для исследования теплофизических свойств жидкости по патенту РФ №2263305. В этом устройстве для исследования теплофизических свойств жидкости используется вибровискозиметрический датчик, содержащий датчик текущего механического положения измерительного зонда, механическую колебательную систему, жестко связанную через шток с измерительным сферическим зондом, выполненным из меди или серебра, размещенную на жестком основании, на котором расположен электрический возбудитель колебаний механической колебательной системы, при этом основание с колебательной системой и датчиком положения зонда расположено внутри внешнего термостатированного корпуса датчика и вибротермоизолировано от него.
Схема вибровискозиметрического датчика устройства по патенту 2263305 представлена на фигуре 2. Вибровискозиметр включает металлический внутренний корпус 9, в котором смонтированы электромагнитное устройство возбуждения 10 колебательной системы и датчик 11 положения колебательной системы. С якорем колебательной системы соединен капилляр 12, например, из стекла или керамики, который служит проводником механического воздействия от якоря к зонду 13, погружаемому в исследуемую жидкость и жестко закрепленному на конце указанного капилляра. Металлические проводники термопары, встроенной в шарик-зонд 13, пропущены через капилляр и выведены за пределы колебательной системы. Вибровискозиметр имеет систему термостатирования внутреннего корпуса 9, позволяющую поддерживать постоянную температуру элементов колебательной системы вне зависимости от температуры окружающей среды и температуры исследуемой жидкости. Термостатируемые элементы вибровискозиметра окружены термоизоляцией, которая одновременно обеспечивает виброизоляцию и демпфирование колебаний внутреннего корпуса вибровискозиметра. Окруженный слоем термоизоляции внутренний корпус 9 вибровискозиметра помещен в наружный корпус (не показан). Наружный корпус закреплен на устройстве позиционирования (на фигуре не показано), обеспечивающем возможность временного размещения шарикового зонда в заданном месте внутри кюветы. Электронный блок 14 вибровискозиметра обеспечивает возбуждение колебательной системы на ее резонансной частоте и задает амплитуду вынуждающей силы. При этом имеется возможность устанавливать амплитуду вынуждающей силы, не зависящей от амплитуды колебаний зонда вибровискозиметра.
Измерительный сферический зонд малого диаметра для вибровискозиметрии имеет ряд достоинств перед другими возможными геометриями зондов:
- возможность работы с пробами малого объема;
- локальность измерений;
- простота и симметрия геометрии допускает точный гидродинамический расчет механического взаимодействия зонда и жидкости;
- малая тепловая инерция зонда при выполнении его из металла с высокой температуропроводностью;
- возможность размещения в зонде термодатчика для обеспечения измерения температуры жидкости в зоне измерения ее вязкости.
Основным недостатком измерительного сферического зонда малого диаметра является небольшая площадь его поверхности, что приводит к уменьшению средней силы вязкого трения между зондом и жидкостью. Это приводит к снижению чувствительности и точности измерения вязкости жидкостей вискозиметрами с подобными зондами, повышает требования к качеству используемых колебательных систем и средств обработки информации.
В отличие от вибровискозиметрического датчика-аналога разработки Г.С. Росина в устройстве по патенту 2263305 существенно уменьшена зависимость характеристик выходного сигнала от изменения температуры окружающей среды, обеспечена возможность измерения температуры исследуемой жидкости в зоне измерения ее вязкости.
Недостатком прототипа, как и предыдущего решения-аналога, является заметная нестабильность амплитуды механических колебаний зонда при постоянстве амплитуды вынуждающей силы электрического возбудителя колебаний и постоянстве вязкости жидкости. Эта нестабильность в значительной степени связана с плохо контролируемой передачей энергии механических колебаний основания датчика во внешнюю среду, что не позволяет надежно регистрировать малые текущие изменения вязкости исследуемой жидкости с помощью сферического зонда малого диаметра (несколько миллиметров).
Техническая задача изобретения состоит в том, чтобы уменьшить нестабильность амплитуды и частоты механических колебаний зонда при исследовании жидкости постоянной вязкости.
Поставленная задача решена изобретением.
Предлагается вибровискозиметрический датчик, содержащий датчик текущего механического положения измерительного зонда, механическую колебательную систему, жестко связанную через шток с измерительным сферическим зондом, снабженным термопарным измерителем температуры, и размещенную на жестком основании, на котором расположен электрический возбудитель колебаний механической колебательной системы, при этом основание расположено внутри внешнего термостатированного корпуса датчика и вибротермоизолировано от него, отличающийся тем, что механическая колебательная система выполнена из двух колебательных звеньев с высокой добротностью в виде рабочего и компенсирующего вибраторов, жестко закрепленных на основании с возможностью осуществлять колебания преимущественно коллинеарно и соосно и имеющих близкие или одинаковые резонансные частоты, при этом возбудитель размещен с возможностью силового взаимодействия только с рабочим вибратором, на котором жестко закреплен шток с измерительным зондом. Компенсирующий вибратор выполнен с возможностью изменения его резонансной частоты путем изменения массы вибратора и/или жесткости его упругого элемента.
При практической реализации датчика его механическая колебательная система выполнена в виде камертона с параллельно расположенными рабочим и компенсирующим вибраторами.
При этом датчик положения вибраторов камертона жестко установлен на основании в пространственном промежутке между вибраторами камертона. В частности, между вибраторами камертона жестко на основании размещена консоль крепления оптического датчика, фотоприемник и излучатель которого размещены соосно с регулируемым оптическим зазором между обоими вибраторами. Регулируемый оптический зазор между обоими вибраторами образован зазором между соосными торцами регулировочных винтов рабочего и компенсирующего вибраторов.
Описание иллюстрируется фигурами. На фигурах 1, 2 представлены схемы вибровискозиметрических датчиков аналога и прототипа соответственно. Сущность изобретения представлена на фигурах 3-6, на которых изображены:
на фигуре 3 - расчетная модель вибровискозиметрического датчика,
на фигуре 4 - реальная обобщенная механическая модель вибровискозиметрического датчика,
на фигуре 5 - схематическая модель заявляемого вибровискозиметрического датчика,
на фигуре 6 - вариант конструктивного исполнения заявляемого вибровискозиметрического датчика.
Поясним физические и математические принципы, лежащие в основе заявляемого изобретения.
Рассмотрим упрощенную механическую модель вибровискозиметрического датчика, включающую в себя массивное основание 15 массой М с возбудителем колебаний 16 (например, электромагнитным), зонд 17 массой m1 и между ними - упругую безмассовую связь 18 с жесткостью k1. Пусть вибровискозиметрический датчик находится в свободном пространстве, как показано на фигуре 3.
Пусть со стороны основания 15 массой М на зонд 17 действует сила FM1=F0·sinωt, создаваемая возбудителем. Со стороны зонда 17 массой m1 на основание 15 будет встречно действовать такая же сила Fm1, то есть FM1=Fm1. При этом М·аM=m1·am1. Если зонд двигается с ускорением am1, то основание будет двигаться с ускорением:
Под действием силы FM1 зонд будет совершать механические колебания амплитудой h1 и частотой ω. В этом случае максимальная скорость его движения Vm1 будет равна:
Максимальная кинетическая энергия Em1, запасенная в зонде массой m1, будет равна:
Из (1) и (2) следует, что максимальная скорость движения основания VM будет равна:
Максимальная кинетическая энергия движения основания ЕM будет равна:
Таким образом, при конечном значении массы М общая энергия возбудителя будет перераспределяться между основанием и зондом в отношении m1:М. При М→∞ передача энергии от возбудителя на основание вибровискозиметрического датчика прекращается и энергия передается только вибрирующему зонду.
В реальных условиях вибровискозиметрический датчик не находится в свободном пространстве, а его основание 15 связано с бесконечной массой (землей) 19 через промежуточные конструктивные элементы: вибро- и термоизоляцию, внешний корпус, позиционер. Данные элементы в общем случае обладают как упругими (реактивными) свойствами, так и вибропоглощающими (активными) характеристиками.
Таким образом, реальная обобщенная механическая модель вибровискозиметрического датчика приобретет вид, показанный на фигуре 4, где 20 - комплексное механической сопротивление Z связи между основанием 15 и землей 19.
Величина Z определяет величину утечки энергии ЕM механического колебания основания вибровискозиметрического датчика. Это сопротивление может существенно зависеть от температуры окружающей среды, нестабильности во времени механических характеристик элементов вибро- и термоизоляции, конструктивных соединений.
Указанные обстоятельства приводят при постоянстве возбуждающей силы FM1 к нестабильности частоты и амплитуды h1 колебаний зонда 17 массой m1 во времени, т.е. ограничивают разрешающую способность и чувствительность вибровискозиметрического датчика.
Улучшить метрологические характеристики вибровискозиметрического датчика можно, уменьшив передачу энергии ЕM на основание 15 вибровискозиметрического датчика либо, во-первых, за счет значительного уменьшения отношения m1:M в рассмотренной механической модели, либо, во-вторых, за счет введения дополнительного колебательного звена, соединенного с основанием вибровискозиметрического датчика.
Рассмотрим подробнее вторую возможность, которая схематически представлена на фигуре 5 для вибродатчика в свободном пространстве.
В отличие от фигуры 3 здесь введен дополнительный элемент - «компенсатор» 21 с массой m2, имеющий упругую безмассовую связь 22 жесткостью k2 с основанием 15 массой M. Компенсатор выполнен с возможностью коллинеарных и соосных колебаний относительно колебаний зонда. Компенсатор размещается вне зоны силового действия возбудителя. При колебаниях зонда 17 массой m1 под действием возбуждающей силы FM1 с амплитудой h1 и частотой ω компенсатор тоже будет колебаться с данной частотой и амплитудой h2 за счет колебаний основания вибродатчика.
Резонансная частота ω1p колебаний зонда 17 будет равна:
Резонансная частота ω2р колебаний компенсатора 21 будет равна:
Пусть будут выполняться условия: ω=ω1p=ω2р; FM=F0·sinωt. Тогда зонд и компенсатор будут колебаться в противофазе с частотой ω. Из законов Ньютона следует, что FM1=-Fm1; FM2=-Fm2.
С учетом соосности рабочего и компенсирующего звеньев, то есть расположения векторов сил FM1 и FM2 на одной прямой,
Здесь FMΣ - суммарная сила, действующая на основание; аMΣ - суммарное ускорение основания.
При этом будет отсутствовать момент вращения основания под действием сил FM1 и FM2 ввиду обеспечения коллинеарных и соосных колебаний компенсатора 21 и зонда 17.
Определим максимальную кинетическую энергию ЕMΣ, передаваемую основанию от возбудителя при наличии компенсатора 21. Очевидно:
где Δh=h1-h2.
При высокой механической добротности компенсатора на резонансной частоте будет выполняться условие Δh<<h. Тогда максимальная скорость колебательного движения основания VMΣ будет равна:
А максимальная кинетическая энергия колебания основания EMΣ будет равна:
Из (4) и (11) получим:
Таким образом, передача колебательной энергии от возбудителя на основание вибровискозиметрического датчика резко уменьшается на резонансной частоте, при этом пропорционально уменьшается влияние на амплитуду и частоту колебаний зонда нестабильности комплексного механического сопротивления 20 связи Z между основанием 15 и землей 19.
Конструктивно подобное решение может быть реализовано, например, путем использования акустического камертона, жестко закрепленного на основании вибровискозиметрического датчика. На его рабочем вибраторе закрепляется сферический зонд, снабженный термопарным измерителем температуры (далее - вибротермозонд). Второй вибратор камертона выполняет функцию компенсатора. Компенсирующий вибратор выполнен с возможностью изменения или настройки его резонансной частоты на стадии изготовления прибора путем изменения массы вибратора или жесткости его упругого элемента. Вибраторы камертона расположены параллельно и жестко связаны опорой.
Возможная конструкция колебательной системы камертонного датчика с электромагнитным возбудителем колебаний, оптическим датчиком положения зонда и термопарным измерителем температуры зонда в несколько упрощенном виде представлена на фигуре 6.
Два вибратора датчика, рабочий 23 и компенсирующий 24, связаны с опорой 25 через упругие элементы 26 и 27 соответственно. Опора 25 жестко скреплена с основанием 28 датчика, на котором также закреплена обмотка электромагнитного возбудителя колебаний 29. Рабочий вибратор выполнен из ферромагнитного материала и является якорем возбудителя 29. С рабочим вибратором (якорем) 23 соединен элемент 30 крепления штока 31 вибротермозонда в виде стеклянного капилляра. 32 - вибротермозонд: медный или серебряный шарик со впаянной термопарой. Элемент 30 и капилляр 31 размещают по оси обмотки возбудителя колебаний, а оба вибратора размещают коллинеарно и соосно штоку (то есть однонаправлены по отношению к направлению действия вибраций). Компенсирующий вибратор выполнен с возможностью изменения массы посредством настроечных винтов 33. Оптический зазор 34 между вибраторами регулируется винтами 35. На опоре 25 укреплена консоль 36, на которой установлен оптический датчик положения с возможностью пропускания светового потока через оптический зазор 34.
При настройке обоих вибраторов камертона на одинаковую резонансную частоту передача энергии колебаний от вибраторов на опору и соответственно на основание вибротермодатчика резко уменьшается, что снижает влияние способа закрепления основания на внешнем корпусе вибровискозиметрического датчика на добротность колебательной системы, уменьшает уровень выходных шумов виброканала, обеспечивает повышение стабильности амплитуды и частоты измерительного канала вибровискозиметрического датчика.
Оптический датчик положения проходного типа размещен на консоли 36 внутри колебательной системы вибровискозиметрического датчика и состоит из излучателя и фотоприемника, расположенных соосно с оптическим зазором на противоположных сторонах консоли. Световой поток излучателя проходит через оптический зазор 34. Смещение любой из ветвей камертона изменяет ширину оптического зазора и соответственно величину светового потока, проходящего на фотоприемник.
Чувствительность датчика к положению рабочего либо компенсирующего вибратора камертона может независимо регулироваться положением настроечных винтов 35 регулировки оптического зазора 34, что облегчает процедуру настройки камертона в резонанс, позволяет при настройке определять независимо механическую добротность каждого из вибраторов камертона.
При выполнении элементов колебательной системы 23, 24 и 26, 27 одинаковыми резонансная частота колебаний компенсирующего вибратора будет заметно выше резонансной частоты колебаний рабочего вибратора. В данной конструкции геометрия и масса вибраторов 23 и 24 камертона существенно отличаются за счет наличия на рабочем вибраторе штока, зонда и термопары. Для достижения эффекта компенсации, то есть повышения стабильности амплитуды колебаний рабочего вибратора, необходимо иметь возможность понизить до требуемого значения резонансную частоту колебаний компенсирующего вибратора при окончательной настройке камертона. В данной конструкции это может быть достигнуто либо уменьшением толщины элемента 27, например, путем его дополнительной механической шлифовки, либо путем увеличения массы вибратора 24 через жесткое закрепление на нем дополнительных грузов, например настроечных винтов 33. Оба вибратора датчика, не идентичные по форме и массе, изготавливают так, чтобы их резонансные частоты были близки в той мере, чтобы можно было осуществить их настройку на одну резонансную частоту несложными средствами, предусмотренными конструкцией, например винтами 33. Для получения заметного компенсирующего эффекта механическая добротность обоих вибраторов камертона должна быть достаточно высокой, как показывает эксперимент, - не менее 100. Для этого при изготовлении упругих элементов 26, 27 должны использоваться материалы со стабильными упругими свойствами и малыми внутренними потерями (например, пружинная сталь, бериллиевая бронза, кварц и т.д.).
Как и в прототипе, данная колебательная система монтируется во внутреннем термостатированном корпусе. Окруженный слоем термоизоляции внутренний корпус вибровискозиметрического датчика помещен в наружный корпус. Наружный корпус закрепляется на устройстве позиционирования, обеспечивающем возможность размещения на время измерения сферического зонда в заданном месте внутри кюветы с исследуемой жидкостью.
В кювету с жидкостью малого объема опускают зонд 32 снабженным термопарным измерителем температуры. При постоянстве возбуждающей силы, действующей на резонансной частоте, амплитуда колебаний зонда уменьшается в силу вязкого трения жидкости. По изменению амплитуды колебаний, регистрируемой оптическим датчиком, определяют вязкость исследуемой жидкости при одновременном определении температуры жидкости в той же точке объема, что повышает точность измерений.
Предлагаемое в рассмотренной конструкции размещение оптического датчика положения на жесткой консоли, закрепленной на основании между вибраторами камертона, повышает чувствительность датчика положения, обеспечивает рациональное использование свободного пространства, позволяет автономно и удобно настраивать колебательную систему до закрепления ее внутри вибровискозиметрического датчика.
Предлагаемый вибровискозиметрический датчик, обеспечивая непрерывное измерение высокоточной величины амплитуды и частоты механических колебаний измерительного сферического зонда малого диаметра, а также текущей температуры жидкости в зоне измерения вязкости при работе с пробами жидкости малого объема, может успешно использоваться как в переносных компактных вибровискозиметрах, так и при инженерной реализации устройства-прототипа по патенту 2263305 «Динамический способ исследования теплофизических свойств жидкостей и устройство для исследования теплофизических свойств жидкостей».
Claims (6)
1. Вибровискозиметрический датчик, содержащий датчик текущего механического положения измерительного зонда, механическую колебательную систему, жестко связанную через шток с измерительным сферическим зондом, снабженным термопарным измерителем температуры, и размещенную на жестком основании, на котором расположен электрический возбудитель колебаний механической колебательной системы, при этом основание расположено внутри внешнего термостатированного корпуса датчика и вибротермоизолировано от него, отличающийся тем, что механическая колебательная система выполнена из двух колебательных звеньев с высокой добротностью в виде рабочего и компенсирующего вибраторов, жестко закрепленных на основании с возможностью осуществлять колебания преимущественно коллинеарно и соосно и имеющих близкие или одинаковые резонансные частоты, при этом возбудитель размещен с возможностью силового взаимодействия только с рабочим вибратором, на котором жестко закреплен шток с измерительным зондом.
2. Вибровискозиметрический датчик по п.1, отличающийся тем, что компенсирующий вибратор выполнен с возможностью изменения его резонансной частоты путем изменения массы вибратора и/или жесткости его упругого элемента.
3. Вибровискозиметрический датчик по п.1, отличающийся тем, что механическая колебательная система выполнена в виде камертона с параллельно расположенными рабочим и компенсирующим вибраторами.
4. Вибровискозиметрический датчик по п.3, отличающийся тем, что датчик положения вибраторов камертона жестко установлен на основании в пространственном промежутке между вибраторами камертона.
5. Вибровискозиметрический датчик по п.3, отличающийся тем, что между вибраторами камертона жестко на основании размещена консоль крепления оптического датчика положения вибраторов, фотоприемник и излучатель которого размещены соосно с регулируемым оптическим зазором между обоими вибраторами.
6. Вибровискозиметрический датчик по п.1, отличающийся тем, что регулируемый оптический зазор между обоими вибраторами образован зазором между соосными торцами регулировочных винтов рабочего и компенсирующего вибраторов.
Priority Applications (1)
| Application Number | Priority Date | Filing Date | Title |
|---|---|---|---|
| RU2008137896/28A RU2419781C2 (ru) | 2008-09-22 | 2008-09-22 | Вибровискозиметрический датчик |
Applications Claiming Priority (1)
| Application Number | Priority Date | Filing Date | Title |
|---|---|---|---|
| RU2008137896/28A RU2419781C2 (ru) | 2008-09-22 | 2008-09-22 | Вибровискозиметрический датчик |
Publications (2)
| Publication Number | Publication Date |
|---|---|
| RU2008137896A RU2008137896A (ru) | 2009-02-10 |
| RU2419781C2 true RU2419781C2 (ru) | 2011-05-27 |
Family
ID=40546454
Family Applications (1)
| Application Number | Title | Priority Date | Filing Date |
|---|---|---|---|
| RU2008137896/28A RU2419781C2 (ru) | 2008-09-22 | 2008-09-22 | Вибровискозиметрический датчик |
Country Status (1)
| Country | Link |
|---|---|
| RU (1) | RU2419781C2 (ru) |
Cited By (6)
| Publication number | Priority date | Publication date | Assignee | Title |
|---|---|---|---|---|
| RU2504757C2 (ru) * | 2012-04-28 | 2014-01-20 | Федеральное государственное бюджетное учреждение науки Институт радиотехники и электроники им. В.А. Котельникова Российской академии наук | Способ исследования теплофизических свойств жидкостей и устройство для его осуществления |
| RU2538014C1 (ru) * | 2013-07-09 | 2015-01-10 | Федеральное государственное бюджетное образовательное учреждение высшего профессионального образования "Астраханский государственный технический университет" | Устройство для измерения температуры в скважине |
| RU2574862C2 (ru) * | 2013-12-26 | 2016-02-10 | Федеральное государственное бюджетное учреждение науки Институт радиотехники и электроники им. В.А. Котельникова Российской академии наук | Вибровискозиметрический датчик |
| RU178305U1 (ru) * | 2017-10-24 | 2018-03-29 | Федеральное государственное казенное военное образовательное учреждение высшего профессионального образования "Военная академия материально-технического обеспечения имени генерала армии А.В. Хрулёва" Министерства обороны Российской Федерации | Устройство для определения эксплуатационной вибрации летательных аппаратов |
| RU180588U1 (ru) * | 2017-11-14 | 2018-06-19 | Федеральное государственное казенное военное образовательное учреждение высшего профессионального образования "Военная академия материально-технического обеспечения имени генерала армии А.В. Хрулёва" Министерства обороны Российской Федерации | Усовершенствованный вибротермодатчик камертонного типа |
| RU188748U1 (ru) * | 2018-12-28 | 2019-04-23 | Федеральное государственное казенное военное образовательное учреждение высшего профессионального образования "Военная академия материально-технического обеспечения имени генерала армии А.В. Хрулёва" Министерства обороны Российской Федерации | Вискозиметрический датчик для комплекса автоматизированной диагностики дизельных двигателей |
Citations (1)
| Publication number | Priority date | Publication date | Assignee | Title |
|---|---|---|---|---|
| US4283935A (en) * | 1979-03-19 | 1981-08-18 | President Of Kyoto University | Device for measuring thermal conductivity of liquid |
-
2008
- 2008-09-22 RU RU2008137896/28A patent/RU2419781C2/ru not_active IP Right Cessation
Patent Citations (1)
| Publication number | Priority date | Publication date | Assignee | Title |
|---|---|---|---|---|
| US4283935A (en) * | 1979-03-19 | 1981-08-18 | President Of Kyoto University | Device for measuring thermal conductivity of liquid |
Non-Patent Citations (1)
| Title |
|---|
| US 2005141587 A1 (MUHLIG PETER.), 30.06.2005. * |
Cited By (6)
| Publication number | Priority date | Publication date | Assignee | Title |
|---|---|---|---|---|
| RU2504757C2 (ru) * | 2012-04-28 | 2014-01-20 | Федеральное государственное бюджетное учреждение науки Институт радиотехники и электроники им. В.А. Котельникова Российской академии наук | Способ исследования теплофизических свойств жидкостей и устройство для его осуществления |
| RU2538014C1 (ru) * | 2013-07-09 | 2015-01-10 | Федеральное государственное бюджетное образовательное учреждение высшего профессионального образования "Астраханский государственный технический университет" | Устройство для измерения температуры в скважине |
| RU2574862C2 (ru) * | 2013-12-26 | 2016-02-10 | Федеральное государственное бюджетное учреждение науки Институт радиотехники и электроники им. В.А. Котельникова Российской академии наук | Вибровискозиметрический датчик |
| RU178305U1 (ru) * | 2017-10-24 | 2018-03-29 | Федеральное государственное казенное военное образовательное учреждение высшего профессионального образования "Военная академия материально-технического обеспечения имени генерала армии А.В. Хрулёва" Министерства обороны Российской Федерации | Устройство для определения эксплуатационной вибрации летательных аппаратов |
| RU180588U1 (ru) * | 2017-11-14 | 2018-06-19 | Федеральное государственное казенное военное образовательное учреждение высшего профессионального образования "Военная академия материально-технического обеспечения имени генерала армии А.В. Хрулёва" Министерства обороны Российской Федерации | Усовершенствованный вибротермодатчик камертонного типа |
| RU188748U1 (ru) * | 2018-12-28 | 2019-04-23 | Федеральное государственное казенное военное образовательное учреждение высшего профессионального образования "Военная академия материально-технического обеспечения имени генерала армии А.В. Хрулёва" Министерства обороны Российской Федерации | Вискозиметрический датчик для комплекса автоматизированной диагностики дизельных двигателей |
Also Published As
| Publication number | Publication date |
|---|---|
| RU2008137896A (ru) | 2009-02-10 |
Similar Documents
| Publication | Publication Date | Title |
|---|---|---|
| Heinisch et al. | Application of resonant steel tuning forks with circular and rectangular cross sections for precise mass density and viscosity measurements | |
| Cerimovic et al. | Sensing viscosity and density of glycerol–water mixtures utilizing a suspended plate MEMS resonator | |
| Reichel et al. | Analysis and experimental verification of a metallic suspended plate resonator for viscosity sensing | |
| RU2419781C2 (ru) | Вибровискозиметрический датчик | |
| JP2009541745A (ja) | 試験対象のサンプルを振動させる方法及び装置 | |
| Heinisch et al. | A u-shaped wire for viscosity and mass density sensing | |
| JP3314187B2 (ja) | 慣性質量測定器の力補償器 | |
| EP3894829B1 (en) | Planar vibratory viscometer, viscometer member, and related method | |
| JP2004012149A (ja) | 液体物性測定装置 | |
| RU2193769C2 (ru) | Способ измерения характеристик приповерхностного магнитного поля с использованием сканирующего зондового микроскопа | |
| SU682796A1 (ru) | Устройство дл измерени сдвиговой в зкости и упругости сред | |
| KR102840490B1 (ko) | 진동계 q를 계산하기 위한 방법 및 장치 | |
| RU2662948C1 (ru) | Необремененный вибровискозиметрический датчик | |
| Stifter et al. | MEMS heterodyne AMF detection with capacitive sensing | |
| RU2094772C1 (ru) | Датчик вязкости | |
| RU2373516C2 (ru) | Датчик вязкости | |
| Reichel et al. | Fluid property sensors | |
| Breuer et al. | A density and viscosity sensor utilizing a levitated permanent magnet | |
| RU2257566C2 (ru) | Датчик вязкости | |
| RU215504U1 (ru) | Устройство для определения вязкости жидкости | |
| Reichel et al. | Remote electromagnetic excitation of miniaturized in-plane plate resonators for sensing applications | |
| RU2094771C1 (ru) | Вибрационный датчик | |
| SU609078A1 (ru) | Вибрационное устройство дл определени физических свойств веществ | |
| SU717625A1 (ru) | Вибрационный измерительный преобразователь в зкости | |
| JP2025028773A (ja) | 試料測定装置及び試料測定方法 |
Legal Events
| Date | Code | Title | Description |
|---|---|---|---|
| MM4A | The patent is invalid due to non-payment of fees |
Effective date: 20110923 |
|
| NF4A | Reinstatement of patent |
Effective date: 20140720 |
|
| QB4A | Licence on use of patent |
Free format text: LICENCE Effective date: 20140822 |
|
| MM4A | The patent is invalid due to non-payment of fees |
Effective date: 20150923 |







