KR20180098130A - Novel compound and organic light emitting device comprising the same - Google Patents
Novel compound and organic light emitting device comprising the same Download PDFInfo
- Publication number
- KR20180098130A KR20180098130A KR1020180009506A KR20180009506A KR20180098130A KR 20180098130 A KR20180098130 A KR 20180098130A KR 1020180009506 A KR1020180009506 A KR 1020180009506A KR 20180009506 A KR20180009506 A KR 20180009506A KR 20180098130 A KR20180098130 A KR 20180098130A
- Authority
- KR
- South Korea
- Prior art keywords
- group
- compound
- substituted
- unsubstituted
- light emitting
- Prior art date
- Legal status (The legal status is an assumption and is not a legal conclusion. Google has not performed a legal analysis and makes no representation as to the accuracy of the status listed.)
- Granted
Links
- 0 CN(*)CCCC* Chemical compound CN(*)CCCC* 0.000 description 2
- PAYRUJLWNCNPSJ-UHFFFAOYSA-N Nc1ccccc1 Chemical compound Nc1ccccc1 PAYRUJLWNCNPSJ-UHFFFAOYSA-N 0.000 description 2
- ZRLAPJYGKZPWNG-UHFFFAOYSA-N Cc(cccc1)c1-[n]1c(cccc2)c2c2c1cccc2 Chemical compound Cc(cccc1)c1-[n]1c(cccc2)c2c2c1cccc2 ZRLAPJYGKZPWNG-UHFFFAOYSA-N 0.000 description 1
- BOQIYKRMCXKGMY-UHFFFAOYSA-N Clc(cc1)ccc1-c(cc1)ccc1-c(cccc1)c1-[n]1c2ccccc2c2ccccc12 Chemical compound Clc(cc1)ccc1-c(cc1)ccc1-c(cccc1)c1-[n]1c2ccccc2c2ccccc12 BOQIYKRMCXKGMY-UHFFFAOYSA-N 0.000 description 1
- FHMUKVVBOGEZFI-UHFFFAOYSA-N Clc(cc1)ccc1-c(cccc1)c1-[n]1c2ccccc2c2c1cccc2 Chemical compound Clc(cc1)ccc1-c(cccc1)c1-[n]1c2ccccc2c2c1cccc2 FHMUKVVBOGEZFI-UHFFFAOYSA-N 0.000 description 1
- DKHNGUNXLDCATP-UHFFFAOYSA-N N#Cc1nc(c(nc2C#N)c(c(nc3C#N)c4nc3C#N)nc2C#N)c4nc1C#N Chemical compound N#Cc1nc(c(nc2C#N)c(c(nc3C#N)c4nc3C#N)nc2C#N)c4nc1C#N DKHNGUNXLDCATP-UHFFFAOYSA-N 0.000 description 1
- BYXBGOHPFHSDFZ-UHFFFAOYSA-N c(cc1)ccc1N(c(cc1)ccc1-c(cc1)ccc1-c(cccc1)c1-[n]1c2ccccc2c2c1cccc2)c(cc1)ccc1-c(cc1)ccc1-c(cccc1)c1-[n]1c2ccccc2c2c1cccc2 Chemical compound c(cc1)ccc1N(c(cc1)ccc1-c(cc1)ccc1-c(cccc1)c1-[n]1c2ccccc2c2c1cccc2)c(cc1)ccc1-c(cc1)ccc1-c(cccc1)c1-[n]1c2ccccc2c2c1cccc2 BYXBGOHPFHSDFZ-UHFFFAOYSA-N 0.000 description 1
- DYLHUPNVPHZXRL-UHFFFAOYSA-N c(cc1)ccc1N(c(cc1)ccc1-c(cccc1)c1-[n]1c2ccccc2c2c1cccc2)c(cc1)ccc1-c(cccc1)c1-[n]1c2ccccc2c2c1cccc2 Chemical compound c(cc1)ccc1N(c(cc1)ccc1-c(cccc1)c1-[n]1c2ccccc2c2c1cccc2)c(cc1)ccc1-c(cccc1)c1-[n]1c2ccccc2c2c1cccc2 DYLHUPNVPHZXRL-UHFFFAOYSA-N 0.000 description 1
- ZFRXIVZEMJLKIL-UHFFFAOYSA-N c(cc1)ccc1N(c(cc1)ccc1-c1cc(-[n]2c(cccc3)c3c3c2cccc3)ccc1)c(cc1)ccc1-c1cc(-[n]2c(cccc3)c3c3c2cccc3)ccc1 Chemical compound c(cc1)ccc1N(c(cc1)ccc1-c1cc(-[n]2c(cccc3)c3c3c2cccc3)ccc1)c(cc1)ccc1-c1cc(-[n]2c(cccc3)c3c3c2cccc3)ccc1 ZFRXIVZEMJLKIL-UHFFFAOYSA-N 0.000 description 1
- HRDBNBPRHOYYLO-UHFFFAOYSA-N c1ccc(C(c2c-3cccc2)(c2c-3c(N(c(cc3)ccc3-c(cc3)ccc3-[n]3c4ccccc4c4c3cccc4)c(cc3)ccc3-c3cc(-[n]4c5ccccc5c5c4cccc5)ccc3)ccc2)c2ccccc2)cc1 Chemical compound c1ccc(C(c2c-3cccc2)(c2c-3c(N(c(cc3)ccc3-c(cc3)ccc3-[n]3c4ccccc4c4c3cccc4)c(cc3)ccc3-c3cc(-[n]4c5ccccc5c5c4cccc5)ccc3)ccc2)c2ccccc2)cc1 HRDBNBPRHOYYLO-UHFFFAOYSA-N 0.000 description 1
Images
Classifications
-
- C—CHEMISTRY; METALLURGY
- C07—ORGANIC CHEMISTRY
- C07D—HETEROCYCLIC COMPOUNDS
- C07D209/00—Heterocyclic compounds containing five-membered rings, condensed with other rings, with one nitrogen atom as the only ring hetero atom
- C07D209/56—Ring systems containing three or more rings
- C07D209/80—[b, c]- or [b, d]-condensed
- C07D209/82—Carbazoles; Hydrogenated carbazoles
-
- C—CHEMISTRY; METALLURGY
- C07—ORGANIC CHEMISTRY
- C07D—HETEROCYCLIC COMPOUNDS
- C07D403/00—Heterocyclic compounds containing two or more hetero rings, having nitrogen atoms as the only ring hetero atoms, not provided for by group C07D401/00
- C07D403/02—Heterocyclic compounds containing two or more hetero rings, having nitrogen atoms as the only ring hetero atoms, not provided for by group C07D401/00 containing two hetero rings
- C07D403/10—Heterocyclic compounds containing two or more hetero rings, having nitrogen atoms as the only ring hetero atoms, not provided for by group C07D401/00 containing two hetero rings linked by a carbon chain containing aromatic rings
-
- C—CHEMISTRY; METALLURGY
- C07—ORGANIC CHEMISTRY
- C07D—HETEROCYCLIC COMPOUNDS
- C07D403/00—Heterocyclic compounds containing two or more hetero rings, having nitrogen atoms as the only ring hetero atoms, not provided for by group C07D401/00
- C07D403/02—Heterocyclic compounds containing two or more hetero rings, having nitrogen atoms as the only ring hetero atoms, not provided for by group C07D401/00 containing two hetero rings
- C07D403/12—Heterocyclic compounds containing two or more hetero rings, having nitrogen atoms as the only ring hetero atoms, not provided for by group C07D401/00 containing two hetero rings linked by a chain containing hetero atoms as chain links
-
- H01L51/006—
-
- H01L51/0072—
-
- H01L51/5012—
-
- H01L51/5048—
-
- H—ELECTRICITY
- H10—SEMICONDUCTOR DEVICES; ELECTRIC SOLID-STATE DEVICES NOT OTHERWISE PROVIDED FOR
- H10K—ORGANIC ELECTRIC SOLID-STATE DEVICES
- H10K50/00—Organic light-emitting devices
- H10K50/10—OLEDs or polymer light-emitting diodes [PLED]
- H10K50/11—OLEDs or polymer light-emitting diodes [PLED] characterised by the electroluminescent [EL] layers
-
- H—ELECTRICITY
- H10—SEMICONDUCTOR DEVICES; ELECTRIC SOLID-STATE DEVICES NOT OTHERWISE PROVIDED FOR
- H10K—ORGANIC ELECTRIC SOLID-STATE DEVICES
- H10K50/00—Organic light-emitting devices
- H10K50/10—OLEDs or polymer light-emitting diodes [PLED]
- H10K50/14—Carrier transporting layers
-
- H—ELECTRICITY
- H10—SEMICONDUCTOR DEVICES; ELECTRIC SOLID-STATE DEVICES NOT OTHERWISE PROVIDED FOR
- H10K—ORGANIC ELECTRIC SOLID-STATE DEVICES
- H10K85/00—Organic materials used in the body or electrodes of devices covered by this subclass
- H10K85/60—Organic compounds having low molecular weight
- H10K85/631—Amine compounds having at least two aryl rest on at least one amine-nitrogen atom, e.g. triphenylamine
- H10K85/633—Amine compounds having at least two aryl rest on at least one amine-nitrogen atom, e.g. triphenylamine comprising polycyclic condensed aromatic hydrocarbons as substituents on the nitrogen atom
-
- H—ELECTRICITY
- H10—SEMICONDUCTOR DEVICES; ELECTRIC SOLID-STATE DEVICES NOT OTHERWISE PROVIDED FOR
- H10K—ORGANIC ELECTRIC SOLID-STATE DEVICES
- H10K85/00—Organic materials used in the body or electrodes of devices covered by this subclass
- H10K85/60—Organic compounds having low molecular weight
- H10K85/649—Aromatic compounds comprising a hetero atom
- H10K85/657—Polycyclic condensed heteroaromatic hydrocarbons
- H10K85/6572—Polycyclic condensed heteroaromatic hydrocarbons comprising only nitrogen in the heteroaromatic polycondensed ring system, e.g. phenanthroline or carbazole
Landscapes
- Chemical & Material Sciences (AREA)
- Organic Chemistry (AREA)
- Physics & Mathematics (AREA)
- Optics & Photonics (AREA)
- Spectroscopy & Molecular Physics (AREA)
- Engineering & Computer Science (AREA)
- Materials Engineering (AREA)
- Electroluminescent Light Sources (AREA)
Abstract
Description
본 발명은 신규한 화합물 및 이를 포함하는 유기 발광 소자에 관한 것이다. The present invention relates to a novel compound and an organic light emitting device comprising the same.
일반적으로 유기 발광 현상이란 유기 물질을 이용하여 전기에너지를 빛에너지로 전환시켜주는 현상을 말한다. 유기 발광 현상을 이용하는 유기 발광 소자는 넓은 시야각, 우수한 콘트라스트, 빠른 응답 시간을 가지며, 휘도, 구동 전압 및 응답 속도 특성이 우수하여 많은 연구가 진행되고 있다. In general, organic light emission phenomenon refers to a phenomenon in which an organic material is used to convert electric energy into light energy. The organic light emitting device using the organic light emitting phenomenon has a wide viewing angle, excellent contrast, fast response time, excellent characteristics of luminance, driving voltage and response speed, and much research has been conducted.
유기 발광 소자는 일반적으로 양극과 음극 및 상기 양극과 음극 사이에 유기물층을 포함하는 구조를 가진다. 상기 유기물층은 유기 발광 소자의 효율과 안정성을 높이기 위하여 각기 다른 물질로 구성된 다층의 구조로 이루어진 경우가 많으며, 예컨대 정공주입층, 정공수송층, 발광층, 전자수송층, 전자주입층 등으로 이루어질 수 있다. 이러한 유기 발광 소자의 구조에서 두 전극 사이에 전압을 걸어주게 되면 양극에서는 정공이, 음극에서는 전자가 유기물층에 주입되게 되고, 주입된 정공과 전자가 만났을 때 엑시톤(exciton)이 형성되며, 이 엑시톤이 다시 바닥상태로 떨어질 때 빛이 나게 된다. The organic light emitting device generally has a structure including an anode and a cathode, and an organic layer between the anode and the cathode. In order to increase the efficiency and stability of the organic light emitting device, the organic material layer may have a multilayer structure composed of different materials. For example, the organic material layer may include a hole injection layer, a hole transport layer, a light emitting layer, an electron transport layer, and an electron injection layer. When a voltage is applied between the two electrodes in the structure of such an organic light emitting device, holes are injected in the anode, electrons are injected into the organic layer in the cathode, excitons are formed when injected holes and electrons meet, When it falls back to the ground state, the light comes out.
상기와 같은 유기 발광 소자에 사용되는 유기물에 대하여 새로운 재료의 개발이 지속적으로 요구되고 있다.There is a continuing need for the development of new materials for the organic materials used in such organic light emitting devices.
본 발명은 신규한 화합물 및 이를 포함하는 유기 발광 소자에 관한 것이다. The present invention relates to a novel compound and an organic light emitting device comprising the same.
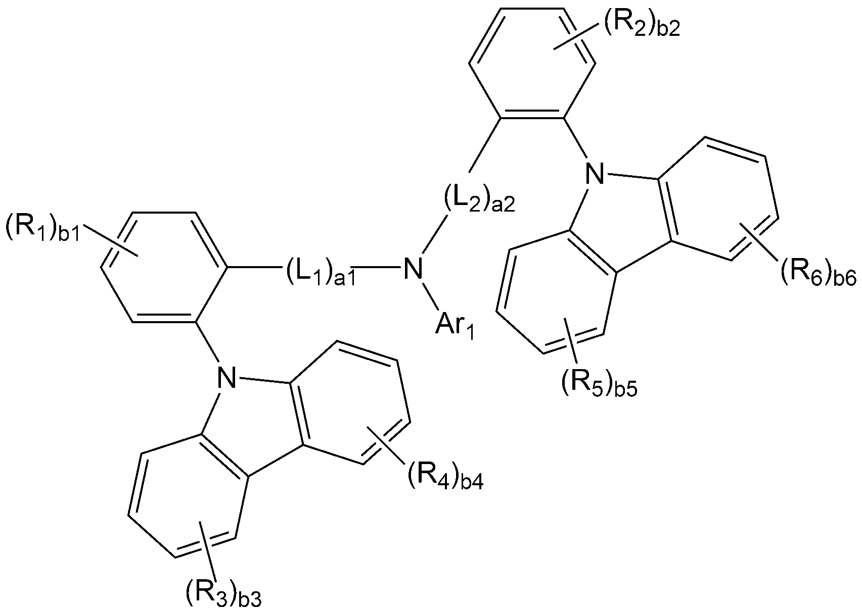
본 발명은 하기 화학식 1로 표시되는 화합물을 제공한다:The present invention provides a compound represented by the following formula (1): < EMI ID =
[화학식 1] [Chemical Formula 1]
상기 화학식 1에서, In Formula 1,
L1 및 L2는 각각 독립적으로, 단일 결합; 또는 치환 또는 비치환된 C6-60 아릴렌이고,L 1 and L 2 are each independently a single bond; Or substituted or unsubstituted C 6-60 arylene,
Ar1은 치환 또는 비치환된 C6-60 아릴이고, Ar 1 is substituted or unsubstituted C 6-60 aryl,
R1 내지 R6은 각각 독립적으로, 수소; 중수소; 할로겐; 시아노; 니트로; 아미노; 치환 또는 비치환된 C1-60 알킬; 치환 또는 비치환된 C1-60 할로알킬; 치환 또는 비치환된 C1-60 알콕시; 치환 또는 비치환된 C1-60 할로알콕시; 치환 또는 비치환된 C3-60 사이클로알킬; 치환 또는 비치환된 C2-60 알케닐; 치환 또는 비치환된 C6-60 아릴; 치환 또는 비치환된 C6-60 아릴옥시; 또는 치환 또는 비치환된 N, O 및 S로 구성되는 군으로부터 선택되는 헤테로원자를 1개 이상 포함하는 C2-60 헤테로아릴이고,R 1 to R 6 are each independently hydrogen; heavy hydrogen; halogen; Cyano; Nitro; Amino; Substituted or unsubstituted C 1-6 alkyl; Substituted or unsubstituted C 1-6 haloalkyl; Substituted or unsubstituted C 1-60 alkoxy; Substituted or unsubstituted C 1-60 haloalkoxy; Substituted or unsubstituted C 3-60 cycloalkyl; Substituted or unsubstituted C 2-60 alkenyl; Substituted or unsubstituted C 6-60 aryl; Substituted or unsubstituted C 6-60 aryloxy; Or substituted or unsubstituted C 2-60 heteroaryl containing at least one heteroatom selected from the group consisting of N, O and S,
a1 및 a2는 각각 독립적으로, 0 내지 2의 정수이고,a1 and a2 are each independently an integer of 0 to 2,
b1 내지 b6은 각각 독립적으로, 0 내지 3의 정수이다.b1 to b6 each independently represent an integer of 0 to 3;
또한, 본 발명은 제1 전극; 상기 제1 전극과 대향하여 구비된 제2 전극; 및 상기 제1 전극과 상기 제2 전극 사이에 구비된 1층 이상의 유기물층을 포함하는 유기 발광 소자로서, 상기 유기물층 중 1층 이상은 상기 화학식 1로 표시되는 화합물을 포함하는, 유기 발광 소자를 제공한다.The present invention also provides a plasma display panel comprising: a first electrode; A second electrode facing the first electrode; And at least one organic compound layer disposed between the first electrode and the second electrode, wherein at least one of the organic compound layers includes a compound represented by
상술한 화학식 1로 표시되는 화합물은 유기 발광 소자의 유기물층의 재료로서 사용될 수 있으며, 유기 발광 소자에서 효율의 향상, 낮은 구동전압 및/또는 수명 특성을 향상시킬 수 있다. The compound represented by the general formula (1) can be used as a material of an organic material layer of an organic light emitting device and can improve the efficiency, the driving voltage and / or the lifetime of the organic light emitting device.
도 1은 기판(1), 양극(2), 발광층(3), 음극(4)으로 이루어진 유기 발광 소자의 예를 도시한 것이다.
도 2는 기판 (1), 양극(2), 정공주입층(5), 정공수송층(6), 발광층(7), 전자수송층(8) 및 음극(4)로 이루어진 유기 발광 소자의 예를 도시한 것이다.Fig. 1 shows an example of an organic light-emitting device comprising a
2 shows an example of an organic light emitting element comprising a
이하, 본 발명의 이해를 돕기 위하여 보다 상세히 설명한다.Hereinafter, the present invention will be described in detail in order to facilitate understanding of the present invention.
본 명세서에서, 는 다른 치환기에 연결되는 결합을 의미하고, 단일 결합은 L1 및 L2로 표시되는 부분에 별도의 원자가 존재하지 않은 경우를 의미한다. In the present specification, Means a bond connected to another substituent, and a single bond means a case where no separate atom exists in a portion represented by L 1 and L 2 .
본 명세서에서 "치환 또는 비치환된" 이라는 용어는 중수소; 할로겐기; 시아노기; 니트릴기; 니트로기; 히드록시기; 카보닐기; 에스테르기; 이미드기; 아미노기; 포스핀옥사이드기; 알콕시기; 아릴옥시기; 알킬티옥시기; 아릴티옥시기; 알킬술폭시기; 아릴술폭시기; 실릴기; 붕소기; 알킬기; 사이클로알킬기; 알케닐기; 아릴기; 아르알킬기; 아르알케닐기; 알킬아릴기; 알킬아민기; 아랄킬아민기; 헤테로아릴아민기; 아릴아민기; 아릴포스핀기; 또는 N, O 및 S 원자 중 1개 이상을 포함하는 헤테로아릴로 이루어진 군에서 선택된 1개 이상의 치환기로 치환 또는 비치환되거나, 상기 예시된 치환기 중 2 이상의 치환기가 연결된 치환 또는 비치환된 것을 의미한다. 예컨대, "2 이상의 치환기가 연결된 치환기"는 바이페닐기일 수 있다. 즉, 바이페닐기는 아릴기일 수도 있고, 2개의 페닐기가 연결된 치환기로 해석될 수도 있다.As used herein, the term " substituted or unsubstituted " A halogen group; Cyano; A nitrile group; A nitro group; A hydroxy group; A carbonyl group; An ester group; Imide; An amino group; Phosphine oxide groups; An alkoxy group; An aryloxy group; An alkyloxy group; Arylthioxy group; An alkylsulfoxy group; Arylsulfoxy group; Silyl group; Boron group; An alkyl group; Cycloalkyl groups; An alkenyl group; An aryl group; Aralkyl groups; An aralkenyl group; An alkylaryl group; An alkylamine group; An aralkylamine group; A heteroarylamine group; An arylamine group; Arylphosphine groups; Or heteroaryl containing at least one of N, O and S atoms, or a substituted or unsubstituted one in which at least two of the above-exemplified substituents are connected . For example, " a substituent to which at least two substituents are connected " may be a biphenyl group. That is, the biphenyl group may be an aryl group, or may be interpreted as a substituent in which two phenyl groups are connected.
본 명세서에서 카보닐기의 탄소수는 특별히 한정되지 않으나, 탄소수 1 내지 40인 것이 바람직하다. 구체적으로 하기와 같은 구조의 화합물이 될 수 있으나, 이에 한정되는 것은 아니다.In the present specification, the carbon number of the carbonyl group is not particularly limited, but it is preferably 1 to 40 carbon atoms. Specifically, it may be a compound having the following structure, but is not limited thereto.
본 명세서에 있어서, 에스테르기는 에스테르기의 산소가 탄소수 1 내지 25의 직쇄, 분지쇄 또는 고리쇄 알킬기 또는 탄소수 6 내지 25의 아릴기로 치환될 수 있다. 구체적으로, 하기 구조식의 화합물이 될 수 있으나, 이에 한정되는 것은 아니다.In the present specification, the ester group may be substituted with a straight-chain, branched or cyclic alkyl group having 1 to 25 carbon atoms or an aryl group having 6 to 25 carbon atoms in the ester group. Specifically, it may be a compound of the following structural formula, but is not limited thereto.
본 명세서에 있어서, 이미드기의 탄소수는 특별히 한정되지 않으나, 탄소수 1 내지 25인 것이 바람직하다. 구체적으로 하기와 같은 구조의 화합물이 될 수 있으나, 이에 한정되는 것은 아니다.In the present specification, the number of carbon atoms of the imide group is not particularly limited, but is preferably 1 to 25 carbon atoms. Specifically, it may be a compound having the following structure, but is not limited thereto.
본 명세서에 있어서, 실릴기는 구체적으로 트리메틸실릴기, 트리에틸실릴기, t-부틸디메틸실릴기, 비닐디메틸실릴기, 프로필디메틸실릴기, 트리페닐실릴기, 디페닐실릴기, 페닐실릴기 등이 있으나 이에 한정되지 않는다. In the present specification, the silyl group specifically includes a trimethylsilyl group, a triethylsilyl group, a t-butyldimethylsilyl group, a vinyldimethylsilyl group, a propyldimethylsilyl group, a triphenylsilyl group, a diphenylsilyl group, But are not limited thereto.
본 명세서에 있어서, 붕소기는 구체적으로 트리메틸붕소기, 트리에틸붕소기, t-부틸디메틸붕소기, 트리페닐붕소기, 페닐붕소기 등이 있으나 이에 한정되지 않는다.In the present specification, the boron group specifically includes, but is not limited to, a trimethylboron group, a triethylboron group, a t-butyldimethylboron group, a triphenylboron group, and a phenylboron group.
본 명세서에 있어서, 할로겐기의 예로는 불소, 염소, 브롬 또는 요오드가 있다.In the present specification, examples of the halogen group include fluorine, chlorine, bromine or iodine.
본 명세서에 있어서, 상기 알킬기는 직쇄 또는 분지쇄일 수 있고, 탄소수는 특별히 한정되지 않으나 1 내지 40인 것이 바람직하다. 일 실시상태에 따르면, 상기 알킬기의 탄소수는 1 내지 20이다. 또 하나의 실시상태에 따르면, 상기 알킬기의 탄소수는 1 내지 10이다. 또 하나의 실시상태에 따르면, 상기 알킬기의 탄소수는 1 내지 6이다. 알킬기의 구체적인 예로는 메틸, 에틸, 프로필, n-프로필, 이소프로필, 부틸, n-부틸, 이소부틸, tert-부틸, sec-부틸, 1-메틸-부틸, 1-에틸-부틸, 펜틸, n-펜틸, 이소펜틸, 네오펜틸, tert-펜틸, 헥실, n-헥실, 1-메틸펜틸, 2-메틸펜틸, 4-메틸-2-펜틸, 3,3-디메틸부틸, 2-에틸부틸, 헵틸, n-헵틸, 1-메틸헥실, 사이클로펜틸메틸, 사이클로헥틸메틸, 옥틸, n-옥틸, tert-옥틸, 1-메틸헵틸, 2-에틸헥실, 2-프로필펜틸, n-노닐, 2,2-디메틸헵틸, 1-에틸-프로필, 1,1-디메틸-프로필, 이소헥실, 2-메틸펜틸, 4-메틸헥실, 5-메틸헥실 등이 있으나, 이들에 한정되지 않는다.In the present specification, the alkyl group may be linear or branched, and the number of carbon atoms is not particularly limited, but is preferably 1 to 40. According to one embodiment, the alkyl group has 1 to 20 carbon atoms. According to another embodiment, the alkyl group has 1 to 10 carbon atoms. According to another embodiment, the alkyl group has 1 to 6 carbon atoms. Specific examples of the alkyl group include a methyl group, an ethyl group, a propyl group, an isopropyl group, a n-butyl group, an isobutyl group, a tert-butyl group, But are not limited to, pentyl, isopentyl, neopentyl, tert-pentyl, hexyl, n-hexyl, 1-methylpentyl, , n-heptyl, 1-methylhexyl, cyclopentylmethyl, cyclohexylmethyl, octyl, n-octyl, tert-octyl, 1-methylheptyl, But are not limited to, dimethylheptyl, 1-ethyl-propyl, 1,1-dimethyl-propyl, isohexyl, 2-methylpentyl, 4-methylhexyl and 5-methylhexyl.
본 명세서에 있어서, 상기 알케닐기는 직쇄 또는 분지쇄일 수 있고, 탄소수는 특별히 한정되지 않으나, 2 내지 40인 것이 바람직하다. 일 실시상태에 따르면, 상기 알케닐기의 탄소수는 2 내지 20이다. 또 하나의 실시상태에 따르면, 상기 알케닐기의 탄소수는 2 내지 10이다. 또 하나의 실시상태에 따르면, 상기 알케닐기의 탄소수는 2 내지 6이다. 구체적인 예로는 비닐, 1-프로페닐, 이소프로페닐, 1-부테닐, 2-부테닐, 3-부테닐, 1-펜테닐, 2-펜테닐, 3-펜테닐, 3-메틸-1-부테닐, 1,3-부타디에닐, 알릴, 1-페닐비닐-1-일, 2-페닐비닐-1-일, 2,2-디페닐비닐-1-일, 2-페닐-2-(나프틸-1-일)비닐-1-일, 2,2-비스(디페닐-1-일)비닐-1-일, 스틸베닐기, 스티레닐기 등이 있으나 이들에 한정되지 않는다.In the present specification, the alkenyl group may be straight-chain or branched, and the number of carbon atoms is not particularly limited, but is preferably 2 to 40. According to one embodiment, the alkenyl group has 2 to 20 carbon atoms. According to another embodiment, the alkenyl group has 2 to 10 carbon atoms. According to another embodiment, the alkenyl group has 2 to 6 carbon atoms. Specific examples include vinyl, 1-propenyl, isopropenyl, 1-butenyl, 2-butenyl, 3-butenyl, 1-pentenyl, Butenyl, allyl, 1-phenylvinyl-1-yl, 2-phenylvinyl-1-yl, (Diphenyl-1-yl) vinyl-1-yl, stilbenyl, stilenyl, and the like.
본 명세서에 있어서, 사이클로알킬기는 특별히 한정되지 않으나, 탄소수 3 내지 60인 것이 바람직하며, 일 실시상태에 따르면, 상기 사이클로알킬기의 탄소수는 3 내지 30이다. 또 하나의 실시상태에 따르면, 상기 사이클로알킬기의 탄소수는 3 내지 20이다. 또 하나의 실시상태에 따르면, 상기 사이클로알킬기의 탄소수는 3 내지 6이다. 구체적으로 사이클로프로필, 사이클로부틸, 사이클로펜틸, 3-메틸사이클로펜틸, 2,3-디메틸사이클로펜틸, 사이클로헥실, 3-메틸사이클로헥실, 4-메틸사이클로헥실, 2,3-디메틸사이클로헥실, 3,4,5-트리메틸사이클로헥실, 4-tert-부틸사이클로헥실, 사이클로헵틸, 사이클로옥틸 등이 있으나, 이에 한정되지 않는다.In the present specification, the cycloalkyl group is not particularly limited, but preferably has 3 to 60 carbon atoms. According to one embodiment, the cycloalkyl group has 3 to 30 carbon atoms. According to another embodiment, the cycloalkyl group has 3 to 20 carbon atoms. According to another embodiment, the cycloalkyl group has 3 to 6 carbon atoms. Specific examples include cyclopropyl, cyclobutyl, cyclopentyl, 3-methylcyclopentyl, 2,3-dimethylcyclopentyl, cyclohexyl, 3-methylcyclohexyl, 4-methylcyclohexyl, 2,3- 4,5-trimethylcyclohexyl, 4-tert-butylcyclohexyl, cycloheptyl, cyclooctyl, and the like, but are not limited thereto.
본 명세서에 있어서, 아릴기는 특별히 한정되지 않으나 탄소수 6 내지 60인 것이 바람직하며, 단환식 아릴기 또는 다환식 아릴기일 수 있다. 일 실시상태에 따르면, 상기 아릴기의 탄소수는 6 내지 30이다. 일 실시상태에 따르면, 상기 아릴기의 탄소수는 6 내지 20이다. 상기 아릴기가 단환식 아릴기로는 페닐기, 바이페닐기, 터페닐기 등이 될 수 있으나, 이에 한정되는 것은 아니다. 상기 다환식 아릴기로는 나프틸기, 안트라세닐기, 페난트릴기, 파이레닐기, 페릴레닐기, 크라이세닐기, 플루오레닐기 등이 될 수 있으나, 이에 한정되는 것은 아니다.In the present specification, the aryl group is not particularly limited, but preferably has 6 to 60 carbon atoms, and may be a monocyclic aryl group or a polycyclic aryl group. According to one embodiment, the aryl group has 6 to 30 carbon atoms. According to one embodiment, the aryl group has 6 to 20 carbon atoms. The aryl group may be a phenyl group, a biphenyl group, a terphenyl group or the like as the monocyclic aryl group, but is not limited thereto. Examples of the polycyclic aryl group include, but are not limited to, a naphthyl group, an anthracenyl group, a phenanthryl group, a pyrenyl group, a perylenyl group, a klycenyl group and a fluorenyl group.
본 명세서에 있어서, 플루오레닐기는 치환될 수 있고, 치환기 2개가 서로 결합하여 스피로 구조를 형성할 수 있다. 상기 플루오레닐기가 치환되는 경우, 등이 될 수 있다. 다만, 이에 한정되는 것은 아니다.In the present specification, a fluorenyl group may be substituted, and two substituents may be bonded to each other to form a spiro structure. When the fluorenyl group is substituted, And the like. However, the present invention is not limited thereto.
본 명세서에 있어서, 헤테로아릴은 이종 원소로 O, N, Si 및 S 중 1개 이상을 포함하는 헤테로아릴로서, 탄소수는 특별히 한정되지 않으나, 탄소수 2 내지 60인 것이 바람직하다. 헤테로아릴의 예로는 티오펜기, 퓨란기, 피롤기, 이미다졸기, 티아졸기, 옥사졸기, 옥사디아졸기, 트리아졸기, 피리딜기, 비피리딜기, 피리미딜기, 트리아진기, 트리아졸기, 아크리딜기, 피리다진기, 피라지닐기, 퀴놀리닐기, 퀴나졸린기, 퀴녹살리닐기, 프탈라지닐기, 피리도 피리미디닐기, 피리도 피라지닐기, 피라지노 피라지닐기, 이소퀴놀린기, 인돌기, 카바졸기, 벤조옥사졸기, 벤조이미다졸기, 벤조티아졸기, 벤조카바졸기, 벤조티오펜기, 디벤조티오펜기, 벤조퓨라닐기, 페난쓰롤린기(phenanthroline), 티아졸릴기, 이소옥사졸릴기, 옥사디아졸릴기, 티아디아졸릴기, 벤조티아졸릴기, 페노티아지닐기 및 디벤조퓨라닐기 등이 있으나, 이들에만 한정되는 것은 아니다.In the present specification, heteroaryl is heteroaryl containing at least one of O, N, Si and S as a hetero atom, and the number of carbon atoms is not particularly limited, but is preferably 2 to 60 carbon atoms. Examples of the heteroaryl include a thiophene group, a furane group, a furyl group, an imidazole group, a thiazole group, an oxazole group, an oxadiazole group, a triazole group, a pyridyl group, a bipyridyl group, a pyrimidyl group, A pyridazinyl group, a pyrazinopyranyl group, an isoquinoline group, a pyridazinyl group, a pyrazinyl group, a pyrazinyl group, a pyrazinyl group, a pyrazinyl group, a quinolinyl group, a quinazolinyl group, a quinoxalinyl group, a phthalazinyl group, a pyridopyrimidinyl group, A benzothiazole group, a benzothiophene group, a benzofuranyl group, a phenanthroline group, a thiazolyl group, an isohexyl group, a thiazolyl group, an isothiazolyl group, An oxazolyl group, an oxadiazolyl group, a thiadiazolyl group, a benzothiazolyl group, a phenothiazinyl group, and a dibenzofuranyl group, but is not limited thereto.
본 명세서에 있어서, 아르알킬기, 아르알케닐기, 알킬아릴기, 아릴아민기 중의 아릴기는 전술한 아릴기의 예시와 같다. 본 명세서에 있어서, 아르알킬기, 알킬아릴기, 알킬아민기 중 알킬기는 전술한 알킬기의 예시와 같다. 본 명세서에 있어서, 헤테로아릴아민 중 헤테로아릴은 전술한 헤테로아릴에 관한 설명이 적용될 수 있다. 본 명세서에 있어서, 아르알케닐기 중 알케닐기는 전술한 알케닐기의 예시와 같다. 본 명세서에 있어서, 아릴렌은 2가기인 것을 제외하고는 전술한 아릴기에 관한 설명이 적용될 수 있다. 본 명세서에 있어서, 헤테로아릴렌은 2가기인 것을 제외하고는 전술한 헤테로아릴에 관한 설명이 적용될 수 있다. 본 명세서에 있어서, 탄화수소 고리는 1가기가 아니고, 2개의 치환기가 결합하여 형성한 것을 제외하고는 전술한 아릴기 또는 사이클로알킬기에 관한 설명이 적용될 수 있다. 본 명세서에 있어서, 헤테로고리는 1가기가 아니고, 2개의 치환기가 결합하여 형성한 것을 제외하고는 전술한 헤테로아릴에 관한 설명이 적용될 수 있다.In the present specification, the aryl group in the aralkyl group, the aralkenyl group, the alkylaryl group and the arylamine group is the same as the aforementioned aryl group. In the present specification, the alkyl group in the aralkyl group, the alkylaryl group, and the alkylamine group is the same as the alkyl group described above. In the present specification, the heteroaryl among the heteroarylamines can be applied to the heteroaryl described above. In the present specification, the alkenyl group in the aralkenyl group is the same as the above-mentioned alkenyl group. In the present specification, the description of the aryl group described above can be applied except that arylene is a divalent group. In this specification, the description of the above-mentioned heteroaryl can be applied except that the heteroarylene is a divalent. In the present specification, the description of the above-mentioned aryl group or cycloalkyl group can be applied except that the hydrocarbon ring is not a monovalent group and two substituents are bonded to each other. In the present specification, the description of heteroaryl described above can be applied, except that the heterocycle is not monovalent and two substituents are bonded to each other.
한편, 본 발명은 상기 화학식 1로 표시되는 화합물을 제공한다.The present invention also provides a compound represented by the above formula (1).
상기 화학식 1에서, L1 및 L2는 각각 독립적으로, 치환 또는 비치환된 페닐렌, 치환 또는 비치환된 바이페닐렌, 치환 또는 비치환된 나프틸렌, 치환 또는 비치환된 페난트레닐렌, 치환 또는 비치환된 안트라세닐렌, 치환 또는 비치환된 플루오란테닐렌, 치환 또는 비치환된 트리페닐레닐렌, 치환 또는 비치환된 파이레닐렌, 치환 또는 비치환된 카바졸일렌, 치환 또는 비치환된 플루오레닐렌, 또는 치환 또는 비치환된 스파이로-플루오레닐렌일 수 있다.In
예를 들어, L1 및 L2는 각각 독립적으로, 단일 결합, 또는 하기로 구성되는 군으로부터 선택되는 어느 하나일 수 있다: For example, L 1 and L 2 may each independently be a single bond,
. .
구체적으로 예를 들어, L1 및 L2는 각각 독립적으로, 단일 결합, 또는 하기로 구성되는 군으로부터 선택되는 어느 하나일 수 있다:Specifically, for example, L 1 and L 2 may each independently be a single bond,
. .
또한, Ar1은 치환 또는 비치환된 C6-20 아릴; 또는 치환 또는 비치환된 O 또는 S의 헤테로원자를 1개 내지 3개 포함하는 C2-20 헤테로아릴일 수 있다.Ar 1 is substituted or unsubstituted C 6-20 aryl; Or a C 2-20 heteroaryl containing 1 to 3 hetero atoms of substituted or unsubstituted O or S.
예를 들어, Ar1은 각각 독립적으로, 하기로 구성되는 군으로부터 선택되는 어느 하나일 수 있다: For example, Ar 1 may each independently be selected from the group consisting of:
상기에서,In the above,
L은 각각 독립적으로, 단일 결합; 또는 치환 또는 비치환된 C6-60 아릴렌이고,L each independently represent a single bond; Or substituted or unsubstituted C 6-60 arylene,
Y1은 O, S, 또는 CZ4Z5이고,Y 1 is O, S, or CZ 4 Z 5 ,
Z1 내지 Z5는 각각 독립적으로, 수소; 중수소; 할로겐; 시아노; 니트로; 아미노; C1-20 알킬; C1-20 할로알킬; C6-20 아릴; O 또는 S의 헤테로원자를 1개 이상 포함하는 C2-20 헤테로아릴이고,Z 1 to Z 5 each independently represent hydrogen; heavy hydrogen; halogen; Cyano; Nitro; Amino; C 1-20 alkyl; C 1-20 haloalkyl; C 6-20 aryl; Lt ; / RTI > heteroaryl containing one or more heteroatoms of O or S,
n1 내지 n3는 각각 독립적으로, 0 내지 3의 정수이다.n1 to n3 each independently represent an integer of 0 to 3;
이때, Z1 내지 Z3은 각각 독립적으로, 수소, 중수소, 페닐, 또는 바이페닐이고,Wherein Z 1 to Z 3 are each independently hydrogen, deuterium, phenyl, or biphenyl,
Z4 및 Z5는 각각 독립적으로, 메틸 또는 페닐이고, Z 4 and Z 5 are each independently methyl or phenyl,
n1 내지 n3는 각각 독립적으로, 0, 1, 또는 2이다. n1 to n3 each independently represent 0, 1, or 2;
구체적으로 예를 들어, Ar1은 하기로 구성되는 군으로부터 선택되는 어느 하나일 수 있다: Specifically, for example, Ar < 1 > may be any one selected from the group consisting of:
Ar1은 하기로 구성되는 군으로부터 선택되는 어느 하나인, 화합물:Ar 1 is any one selected from the group consisting of:
. .
또한, a1 및 a2는 각각 독립적으로, 1 또는 2일 수 있다.Also, a1 and a2 may be independently 1 or 2, respectively.
또한, R1 내지 R6은 각각 독립적으로, 수소; 중수소; 할로겐; 시아노; 니트로; C1-20 알킬; 또는 C6-20 아릴일 수 있다.Also, R 1 to R 6 are each independently hydrogen; heavy hydrogen; halogen; Cyano; Nitro; C 1-20 alkyl; Or C 6-20 aryl.
예를 들어, R1 내지 R6은 각각 독립적으로, 수소, 중수소, 할로겐, 시아노, 니트로, 메틸, 또는 페닐일 수 있고, b1 내지 b6은 각각 독립적으로, 0 또는 1일 수 있다.For example, R 1 to R 6 may each independently be hydrogen, deuterium, halogen, cyano, nitro, methyl, or phenyl, and
이때, a1은 L1의 개수를 나타낸 것으로서, a1이 2 이상일 경우, 2 이상의 L1은 서로 동일하거나 상이할 수 있다. b1 내지 b6 및 n1 내지 n3에 대한 설명은 상기 a1에 대한 설명 및 상기 화학식 1의 구조를 참조하여 이해될 수 있다.In this case, a1 represents the number of L 1 , and when a 1 is 2 or more,
한편, 상기 화합물은 하기 화학식 1A, 1B로 또는 1C 표시될 수 있다: On the other hand, the compound may be represented by the following general formula (1A), (1B) or (1C):
[화학식 1A] ≪ EMI ID =
[화학식 1B]≪ RTI ID = 0.0 &
[화학식 1C][Chemical Formula 1C]
상기 화학식 1A, 1B 및 1C에서,In the above formulas (1A), (1B) and (1C)
Ar1에 대한 설명은 상기 화학식 1에서 정의한 바와 같다.The definition of Ar1 is as defined in the above formula (1).
예를 들어, 상기 화합물은 하기 화합물로 구성되는 군으로부터 선택되는 어느 하나일 수 있다: For example, the compound may be any one selected from the group consisting of the following compounds:
..
상기 화학식 1로 표시되는 화합물은, 2개의 카바졸기의 9번 위치에 결합된 페닐과 링커(혹은 질소 원자)가 ortho 위치로 연결된 구조를 가짐으로써, 이를 이용한 유기 발광 소자는 2개의 카바졸기의 9번 위치에 결합된 페닐과 링커(혹은 질소 원자)가 meta 또는 para 위치로 연결된 구조를 갖는 화합물을 채용한 유기 발광 소자에 비하여, 고효율, 저 구동 전압, 고휘도 및 장수명 등을 가질 수 있다. The compound represented by
또한, 상기 화학식 1로 표시되는 화합물은 하기 반응식 1과 같은 제조 방법으로 제조할 수 있다. 상기 제조 방법은 후술할 제조예에서 보다 구체화될 수 있다. The compound represented by the formula (1) can be prepared by the following reaction scheme (1). The above production method can be more specific in the production example to be described later.
[반응식 1][Reaction Scheme 1]
식 중에서, L1, L2, Ar1 , a1 및 a2는 전술한 바와 같고, 추가적인 치환기가 더 포함될 수 있다.In the formula, L 1 , L 2 , Ar 1 , a 1 and a 2 are as described above, and further substituents may be further included.
상기 반응은, 상기 화학식 1-a로 표시되는 화합물과 상기 화학식 1-b로 표시되는 화합물을 반응시켜 상기 화학식 A로 표시되는 화합물을(본원의 화학식 1로 표시되는 화합물에 대응) 제조하는 단계이다. 상기 반응은 스즈키 커플링 반응으로서, 팔라듐 촉매와 염기 존재하에 수행하는 것이 바람직하며, 스즈키 커플링 반응을 위한 반응기는 당업계에 알려진 바에 따라 변경이 가능하다. The above reaction is a step of reacting the compound represented by the formula 1-a and the compound represented by the formula 1-b to prepare the compound represented by the formula A (corresponding to the compound represented by the formula 1) . The reaction is preferably carried out in the presence of a palladium catalyst and a base as a Suzuki coupling reaction, and the reactor for the Suzuki coupling reaction can be modified as known in the art.
또한, 본원의 화학식 1로 표시되는 화합물은 상기 반응식 1을 참고하여 제조하고자 하는 화합물의 구조에 맞추어 출발 물질을 적절히 대체하여 제조할 수 있다. In addition, the compound represented by the formula (1) can be prepared by appropriately substituting the starting material according to the structure of the compound to be prepared with reference to the
한편, 본 발명은 상기 화학식 1로 표시되는 화합물을 포함하는 유기 발광 소자를 제공한다. 일례로, 본 발명은 제1 전극; 상기 제1 전극과 대향하여 구비된 제2 전극; 및 상기 제1 전극과 상기 제2 전극 사이에 구비된 1층 이상의 유기물층을 포함하는 유기 발광 소자로서, 상기 유기물층 중 1층 이상은 상기 화학식 1로 표시되는 화합물을 포함하는, 유기 발광 소자를 제공한다. Meanwhile, the present invention provides an organic light emitting device comprising the compound represented by
본 발명의 유기 발광 소자의 유기물층 은 단층 구조로 이루어질 수도 있으나, 2층 이상의 유기물층이 적층된 다층 구조로 이루어질 수 있다. 예컨대, 본 발명의 유기 발광 소자는 유기물층 으로서 정공주입층, 정공수송층, 발광층, 전자수송층, 전자주입층 등을 포함하는 구조를 가질 수 있다. 그러나 유기 발광 소자의 구조는 이에 한정되지 않고 더 적은 수의 유기층을 포함할 수 있다.The organic material layer of the organic light emitting device of the present invention may have a single layer structure, but may have a multilayer structure in which two or more organic material layers are stacked. For example, the organic light emitting device of the present invention may have a structure including a hole injecting layer, a hole transporting layer, a light emitting layer, an electron transporting layer, and an electron injecting layer as an organic material layer. However, the structure of the organic light emitting device is not limited thereto and may include a smaller number of organic layers.
본 발명의 유기 발광 소자의 유기물 층은 단층 구조로 이루어질 수도 있으나, 2층 이상의 유기물층이 적층된 다층 구조로 이루어질 수 있다. 예컨대, 본 발명의 유기 발광 소자는 유기물 층으로서 발광층 이외에, 상기 제1전극과 상기 발광층 사이의 정공주입층 및 정공수송층, 및 상기 발광층과 상기 제2전극 사이의 전자수송층 및 전자주입층을 더 포함하는 구조를 가질 수 있다. 그러나 유기 발광 소자의 구조는 이에 한정되지 않고 더 적은 수 또는 더 많은 수의 유기층을 포함할 수 있다.The organic material layer of the organic light emitting device of the present invention may have a single layer structure, but may have a multilayer structure in which two or more organic material layers are stacked. For example, in the organic light emitting device of the present invention, in addition to the light emitting layer as the organic material layer, a hole injecting layer and a hole transporting layer between the first electrode and the light emitting layer, and an electron transporting layer and an electron injecting layer between the light emitting layer and the second electrode are further included . ≪ / RTI > However, the structure of the organic light emitting device is not limited thereto, and may include fewer or more organic layers.
또한, 본 발명에 따른 유기 발광 소자는, 기판 상에 양극, 1층 이상의 유기물층 및 음극이 순차적으로 적층된 구조(normal type)의 유기 발광 소자일 수 있다. 또한, 본 발명에 따른 유기 발광 소자는 기판 상에 음극, 1층 이상의 유기물층 및 양극이 순차적으로 적층된 역방향 구조(inverted type)의 유기 발광 소자일 수 있다. 예컨대, 본 발명의 일실시예에 따른 유기 발광 소자의 구조는 도 1 및 2에 예시되어 있다.The organic light emitting device according to the present invention may be a normal type organic light emitting device in which an anode, at least one organic layer, and a cathode are sequentially stacked on a substrate. In addition, the organic light emitting device according to the present invention may be an inverted type organic light emitting device in which an anode, one or more organic compound layers and an anode are sequentially stacked on a substrate. For example, the structure of an organic light emitting diode according to an embodiment of the present invention is illustrated in FIGS.
도 1은 기판(1), 양극(2), 발광층(3), 음극(4)으로 이루어진 유기 발광 소자의 예를 도시한 것이다. 이와 같은 구조에 있어서, 상기 화학식 1로 표시되는 화합물은 상기 발광층에 포함될 수 있다. Fig. 1 shows an example of an organic light-emitting device comprising a
도 2는 기판 (1), 양극(2), 정공주입층(5), 정공수송층(6), 발광층(7), 전자수송층(8) 및 음극(4)로 이루어진 유기 발광 소자의 예를 도시한 것이다. 이와 같은 구조에 있어서, 상기 화학식 1로 표시되는 화합물은 상기 정공주입층, 정공수송층, 발광층 및 전자수송층 중 1층 이상에 포함될 수 있다. 2 shows an example of an organic light emitting element comprising a
본 발명에 따른 유기 발광 소자는, 상기 유기물층 중 1층 이상이 상기 화학식 1로 표시되는 화합물을 포함하는 것을 제외하고는 당 기술분야에 알려져 있는 재료와 방법으로 제조될 수 있다. 또한, 상기 유기 발광 소자가 복수개의 유기물층을 포함하는 경우, 상기 유기물층은 동일한 물질 또는 다른 물질로 형성될 수 있다. The organic light emitting device according to the present invention may be manufactured by materials and methods known in the art, except that at least one of the organic layers includes the compound represented by
예컨대, 본 발명에 따른 유기 발광 소자는 기판 상에 제1 전극, 유기물층 및 제2 전극을 순차적으로 적층시켜 제조할 수 있다. 이때, 스퍼터링법(sputtering)이나 전자빔 증발법(e-beam evaporation)과 같은 PVD(physical Vapor Deposition)방법을 이용하여, 기판 상에 금속 또는 전도성을 가지는 금속 산화물 또는 이들의 합금을 증착시켜 양극을 형성하고, 그 위에 정공 주입층, 정공 수송층, 발광층 및 전자수송층을 포함하는 유기물층을 형성한 후, 그 위에 음극으로 사용할 수 있는 물질을 증착시켜 제조할 수 있다. 이와 같은 방법 외에도, 기판 상에 음극 물질부터 유기물층, 양극 물질을 차례로 증착시켜 유기 발광 소자를 만들 수 있다. For example, the organic light emitting device according to the present invention can be manufactured by sequentially laminating a first electrode, an organic material layer, and a second electrode on a substrate. At this time, a metal or a metal oxide having conductivity or an alloy thereof is deposited on the substrate using a PVD (physical vapor deposition) method such as sputtering or e-beam evaporation to form an anode Forming an organic material layer including a hole injection layer, a hole transporting layer, a light emitting layer and an electron transporting layer on the organic material layer, and then depositing a material usable as a cathode on the organic material layer. In addition to such a method, an organic light emitting device can be formed by sequentially depositing a cathode material, an organic material layer, and a cathode material on a substrate.
또한, 상기 화학식 1로 표시되는 화합물은 유기 발광 소자의 제조시 진공 증착법 뿐만 아니라 용액 도포법에 의하여 유기물층으로 형성될 수 있다. 여기서, 용액 도포법이라 함은 스핀 코팅, 딥코팅, 닥터 블레이딩, 잉크젯 프린팅, 스크린 프린팅, 스프레이법, 롤 코팅 등을 의미하지만, 이들만으로 한정되는 것은 아니다.The compound represented by
이와 같은 방법 외에도, 기판 상에 음극 물질로부터 유기물층, 양극 물질을 차례로 증착시켜 유기 발광 소자를 제조할 수 있다(WO 2003/012890). 다만, 제조 방법이 이에 한정되는 것은 아니다. In addition to such a method, an organic light emitting device can be manufactured by sequentially depositing an organic material layer and a cathode material from a cathode material on a substrate (WO 2003/012890). However, the manufacturing method is not limited thereto.
일례로, 상기 제1 전극은 양극이고, 상기 제2 전극은 음극이거나, 또는 상기 제1 전극은 음극이고, 상기 제2 전극은 양극이다.In one example, the first electrode is an anode, the second electrode is a cathode, or the first electrode is a cathode and the second electrode is a cathode.
상기 양극 물질로는 통상 유기물층으로 정공 주입이 원활할 수 있도록 일함수가 큰 물질이 바람직하다. 상기 양극 물질의 구체적인 예로는 바나듐, 크롬, 구리, 아연, 금과 같은 금속 또는 이들의 합금; 아연 산화물, 인듐 산화물, 인듐주석 산화물(ITO), 인듐아연 산화물(IZO)과 같은 금속 산화물; ZnO:Al 또는 SNO2:Sb와 같은 금속과 산화물의 조합; 폴리(3-메틸티오펜), 폴리[3,4-(에틸렌-1,2-디옥시)티오펜](PEDOT), 폴리피롤 및 폴리아닐린과 같은 전도성 고분자 등이 있으나, 이들에만 한정되는 것은 아니다. As the anode material, a material having a large work function is preferably used so that hole injection can be smoothly conducted into the organic material layer. Specific examples of the positive electrode material include metals such as vanadium, chromium, copper, zinc, and gold, or alloys thereof; Metal oxides such as zinc oxide, indium oxide, indium tin oxide (ITO), and indium zinc oxide (IZO); ZnO: Al or SNO 2: a combination of a metal and an oxide such as Sb; Conductive polymers such as poly (3-methylthiophene), poly [3,4- (ethylene-1,2-dioxy) thiophene] (PEDOT), polypyrrole and polyaniline.
상기 음극 물질로는 통상 유기물층으로 전자 주입이 용이하도록 일함수가 작은 물질인 것이 바람직하다. 상기 음극 물질의 구체적인 예로는 마그네슘, 칼슘, 나트륨, 칼륨, 티타늄, 인듐, 이트륨, 리튬, 가돌리늄, 알루미늄, 은, 주석 및 납과 같은 금속 또는 이들의 합금; LiF/Al 또는 LiO2/Al과 같은 다층 구조 물질 등이 있으나, 이들에만 한정되는 것은 아니다. The negative electrode material is preferably a material having a small work function to facilitate electron injection into the organic material layer. Specific examples of the negative electrode material include metals such as magnesium, calcium, sodium, potassium, titanium, indium, yttrium, lithium, gadolinium, aluminum, silver, tin and lead or alloys thereof; Layer structure materials such as LiF / Al or LiO 2 / Al, but are not limited thereto.
상기 정공주입층은 전극으로부터 정공을 주입하는 층으로, 정공 주입 물질로는 정공을 수송하는 능력을 가져 양극에서의 정공 주입효과, 발광층 또는 발광재료에 대하여 우수한 정공 주입 효과를 갖고, 발광층에서 생성된 여기자의 전자주입층 또는 전자주입재료에의 이동을 방지하며, 또한, 박막 형성 능력이 우수한 화합물이 바람직하다. 정공 주입 물질의 HOMO(highest occupied molecular orbital)가 양극 물질의 일함수와 주변 유기물층의 HOMO 사이인 것이 바람직하다. 정공 주입 물질의 구체적인 예로는 금속 포피린(porphyrin), 올리고티오펜, 아릴아민 계열의 유기물, 헥사니트릴헥사아자트리페닐렌 계열의 유기물, 퀴나크리돈(quinacridone)계열의 유기물, 페릴렌(perylene) 계열의 유기물, 안트라퀴논 및 폴리아닐린과 폴리티오펜 계열의 전도성 고분자 등이 있으나, 이들에만 한정 되는 것은 아니다. The hole injecting layer is a layer for injecting holes from an electrode. The hole injecting material has a hole injecting effect, and has a hole injecting effect on the light emitting layer or a light emitting material. A compound which prevents the migration of excitons to the electron injecting layer or the electron injecting material and is also excellent in the thin film forming ability is preferable. It is preferable that the highest occupied molecular orbital (HOMO) of the hole injecting material be between the work function of the anode material and the HOMO of the surrounding organic layer. Specific examples of the hole injecting material include metal porphyrin, oligothiophene, arylamine-based organic materials, hexanitrile hexaazatriphenylene-based organic materials, quinacridone-based organic materials, and perylene- , Anthraquinone, polyaniline and polythiophene-based conductive polymers, but the present invention is not limited thereto.
상기 정공수송층은 정공주입층으로부터 정공을 수취하여 발광층까지 정공을 수송하는 층으로, 정공 수송 물질로는 양극이나 정공 주입층으로부터 정공을 수송받아 발광층으로 옮겨줄 수 있는 물질로 정공에 대한 이동성이 큰 물질이 적합하다. 구체적인 예로는 아릴아민 계열의 유기물, 전도성 고분자, 및 공액 부분과 비공액 부분이 함께 있는 블록 공중합체 등이 있으나, 이들에만 한정되는 것은 아니다. The hole transport layer is a layer that transports holes from the hole injection layer to the light emitting layer. The hole transport material is a material capable of transporting holes from the anode or the hole injection layer to the light emitting layer. The material is suitable. Specific examples include arylamine-based organic materials, conductive polymers, and block copolymers having a conjugated portion and a non-conjugated portion together, but are not limited thereto.
상기 발광 물질로는 정공 수송층과 전자 수송층으로부터 정공과 전자를 각각 수송받아 결합시킴으로써 가시광선 영역의 빛을 낼 수 있는 물질로서, 형광이나 인광에 대한 양자 효율이 좋은 물질이 바람직하다. 구체적인 예로 8-히드록시-퀴놀린 알루미늄 착물(Alq3); 카르바졸 계열 화합물; 이량체화 스티릴(dimerized styryl) 화합물; BAlq; 10-히드록시벤조 퀴놀린-금속 화합물; 벤족사졸, 벤즈티아졸 및 벤즈이미다졸 계열의 화합물; 폴리(p-페닐렌비닐렌)(PPV) 계열의 고분자; 스피로(spiro) 화합물; 폴리플루오렌, 루브렌 등이 있으나, 이들에만 한정되는 것은 아니다. The light emitting material is preferably a material capable of emitting light in the visible light region by transporting and receiving holes and electrons from the hole transporting layer and the electron transporting layer, respectively, and having good quantum efficiency for fluorescence or phosphorescence. Specific examples include 8-hydroxy-quinoline aluminum complex (Alq 3 ); Carbazole-based compounds; Dimerized styryl compounds; BAlq; 10-hydroxybenzoquinoline-metal compounds; Compounds of the benzoxazole, benzothiazole and benzimidazole series; Polymers of poly (p-phenylenevinylene) (PPV) series; Spiro compounds; Polyfluorene, rubrene, and the like, but are not limited thereto.
상기 발광층은 상술한 바와 같이 호스트 재료 및 도펀트 재료를 포함할 수 있다. 호스트 재료는 축합 방향족환 유도체 또는 헤테로환 함유 화합물 등을 더 포함할 수 있다. 구체적으로 축합 방향족환 유도체로는 안트라센 유도체, 피렌 유도체, 나프탈렌 유도체, 펜타센 유도체, 페난트렌 화합물, 플루오란텐 화합물 등이 있고, 헤테로환 함유 화합물로는 카바졸 유도체, 디벤조퓨란 유도체, 래더형 퓨란 화합물, 피리미딘 유도체 등이 있으나, 이에 한정되지 않는다. The light emitting layer may include a host material and a dopant material as described above. The host material may further include a condensed aromatic ring derivative or a heterocyclic compound. Specific examples of the condensed aromatic ring derivatives include anthracene derivatives, pyrene derivatives, naphthalene derivatives, pentacene derivatives, phenanthrene compounds, and fluoranthene compounds. Examples of the heterocycle-containing compounds include carbazole derivatives, dibenzofuran derivatives, Furan compounds, pyrimidine derivatives, and the like, but are not limited thereto.
도펀트 재료로는 방향족 아민 유도체, 스트릴아민 화합물, 붕소 착체, 플루오란텐 화합물, 금속 착체 등이 있다. 구체적으로 방향족 아민 유도체로는 치환 또는 비치환된 아릴아미노기를 갖는 축합 방향족환 유도체로서, 아릴아미노기를 갖는 피렌, 안트라센, 크리센, 페리플란텐 등이 있으며, 스티릴아민 화합물로는 치환 또는 비치환된 아릴아민에 적어도 1개의 아릴비닐기가 치환되어 있는 화합물로, 아릴기, 실릴기, 알킬기, 사이클로알킬기 및 아릴아미노기로 이루어진 군에서 1 또는 2 이상 선택되는 치환기가 치환 또는 비치환된다. 구체적으로 스티릴아민, 스티릴디아민, 스티릴트리아민, 스티릴테트라아민 등이 있으나, 이에 한정되지 않는다. 또한, 금속 착체로는 이리듐 착체, 백금 착체 등이 있으나, 이에 한정되지 않는다.Examples of the dopant material include aromatic amine derivatives, styrylamine compounds, boron complexes, fluoranthene compounds, and metal complexes. Specific examples of the aromatic amine derivatives include condensed aromatic ring derivatives having substituted or unsubstituted arylamino groups, and examples thereof include pyrene, anthracene, chrysene, and peripherrhene having an arylamino group. Examples of the styrylamine compound include substituted or unsubstituted Wherein at least one aryl vinyl group is substituted with at least one aryl vinyl group, and at least one substituent selected from the group consisting of an aryl group, a silyl group, an alkyl group, a cycloalkyl group and an arylamino group is substituted or unsubstituted. Specific examples thereof include, but are not limited to, styrylamine, styryldiamine, styryltriamine, styryltetraamine, and the like. Examples of the metal complex include iridium complex, platinum complex, and the like, but are not limited thereto.
상기 전자수송층은 전자주입층으로부터 전자를 수취하여 발광층까지 전자를 수송하는 층으로, 전자 수송 물질로는 음극으로부터 전자를 잘 주입 받아 발광층으로 옮겨줄 수 있는 물질로서, 전자에 대한 이동성이 큰 물질이 적합하다. 구체적인 예로는 8-히드록시퀴놀린의 Al 착물; Alq3를 포함한 착물; 유기 라디칼 화합물; 히드록시플라본-금속 착물 등이 있으나, 이들에만 한정되는 것은 아니다. 전자 수송층은 종래기술에 따라 사용된 바와 같이 임의의 원하는 캐소드 물질과 함께 사용할 수 있다. 특히, 적절한 캐소드 물질의 예는 낮은 일함수를 가지고 알루미늄층 또는 실버층이 뒤따르는 통상적인 물질이다. 구체적으로 세슘, 바륨, 칼슘, 이테르븀 및 사마륨이고, 각 경우 알루미늄 층 또는 실버층이 뒤따른다.The electron transporting layer is a layer that receives electrons from the electron injecting layer and transports electrons to the light emitting layer. The electron transporting material is a material capable of transferring electrons from the cathode well to the light emitting layer. Suitable. Specific examples include an Al complex of 8-hydroxyquinoline; Complexes containing Alq 3 ; Organic radical compounds; Hydroxyflavone-metal complexes, and the like, but are not limited thereto. The electron transporting layer can be used with any desired cathode material as used according to the prior art. In particular, an example of a suitable cathode material is a conventional material having a low work function followed by an aluminum layer or a silver layer. Specifically cesium, barium, calcium, ytterbium and samarium, in each case followed by an aluminum layer or a silver layer.
상기 전자주입층은 전극으로부터 전자를 주입하는 층으로, 전자를 수송하는 능력을 갖고, 음극으로부터의 전자 주입 효과, 발광층 또는 발광 재료에 대하여 우수한 전자주입 효과를 가지며, 발광층에서 생성된 여기자의 정공주입층에의 이동을 방지하고, 또한, 박막형성능력이 우수한 화합물이 바람직하다. 구체적으로는 플루오레논, 안트라퀴노다이메탄, 다이페노퀴논, 티오피란 다이옥사이드, 옥사졸, 옥사다이아졸, 트리아졸, 이미다졸, 페릴렌테트라카복실산, 프레오레닐리덴 메탄, 안트론 등과 그들의 유도체, 금속 착체 화합물 및 질소 함유 5원환 유도체 등이 있으나, 이에 한정되지 않는다. The electron injection layer is a layer for injecting electrons from the electrode. The electron injection layer has an ability to transport electrons, has an electron injection effect from the cathode, and has an excellent electron injection effect with respect to the light emitting layer or the light emitting material. A compound which prevents migration to a layer and is excellent in a thin film forming ability is preferable. Specific examples thereof include fluorenone, anthraquinodimethane, diphenoquinone, thiopyran dioxide, oxazole, oxadiazole, triazole, imidazole, perylenetetracarboxylic acid, preorenylidene methane, A nitrogen-containing 5-membered ring derivative, and the like, but are not limited thereto.
상기 금속 착체 화합물로서는 8-하이드록시퀴놀리나토 리튬, 비스(8-하이드록시퀴놀리나토)아연, 비스(8-하이드록시퀴놀리나토)구리, 비스(8-하이드록시퀴놀리나토)망간, 트리스(8-하이드록시퀴놀리나토)알루미늄, 트리스(2-메틸-8-하이드록시퀴놀리나토)알루미늄, 트리스(8-하이드록시퀴놀리나토)갈륨, 비스(10-하이드록시벤조[h]퀴놀리나토)베릴륨, 비스(10-하이드록시벤조[h]퀴놀리나토)아연, 비스(2-메틸-8-퀴놀리나토)클로로갈륨, 비스(2-메틸-8-퀴놀리나토)(o-크레졸라토)갈륨, 비스(2-메틸-8-퀴놀리나토)(1-나프톨라토)알루미늄, 비스(2-메틸-8-퀴놀리나토)(2-나프톨라토)갈륨 등이 있으나, 이에 한정되지 않는다.Examples of the metal complex compound include 8-hydroxyquinolinato lithium, bis (8-hydroxyquinolinato) zinc, bis (8-hydroxyquinolinato) copper, bis (8- Tris (8-hydroxyquinolinato) aluminum, tris (2-methyl-8-hydroxyquinolinato) aluminum, tris (8- hydroxyquinolinato) gallium, bis (10- Quinolinato) beryllium, bis (10-hydroxybenzo [h] quinolinato) zinc, bis (2-methyl-8- quinolinato) chlorogallium, bis (2-methyl-8-quinolinato) (2-naphtholato) gallium, and the like, But is not limited thereto.
본 발명에 따른 유기 발광 소자는 사용되는 재료에 따라 전면 발광형, 후면 발광형 또는 양면 발광형일 수 있다.The organic light emitting device according to the present invention may be a front emission type, a back emission type, or a both-sided emission type, depending on the material used.
또한, 상기 화학식 1로 표시되는 화합물은 유기 발광 소자 외에도 유기 태양 전지 또는 유기 트랜지스터에 포함될 수 있다.In addition, the compound represented by
상기 화학식 1로 표시되는 화합물 및 이를 포함하는 유기 발광 소자의 제조를 이하 실시예에서 구체적으로 설명한다. 그러나 하기 실시예는 본 발명을 예시하기 위한 것이며, 본 발명의 범위가 이들에 의하여 한정되는 것은 아니다.The preparation of the compound represented by
제조예Manufacturing example
제조예Manufacturing example
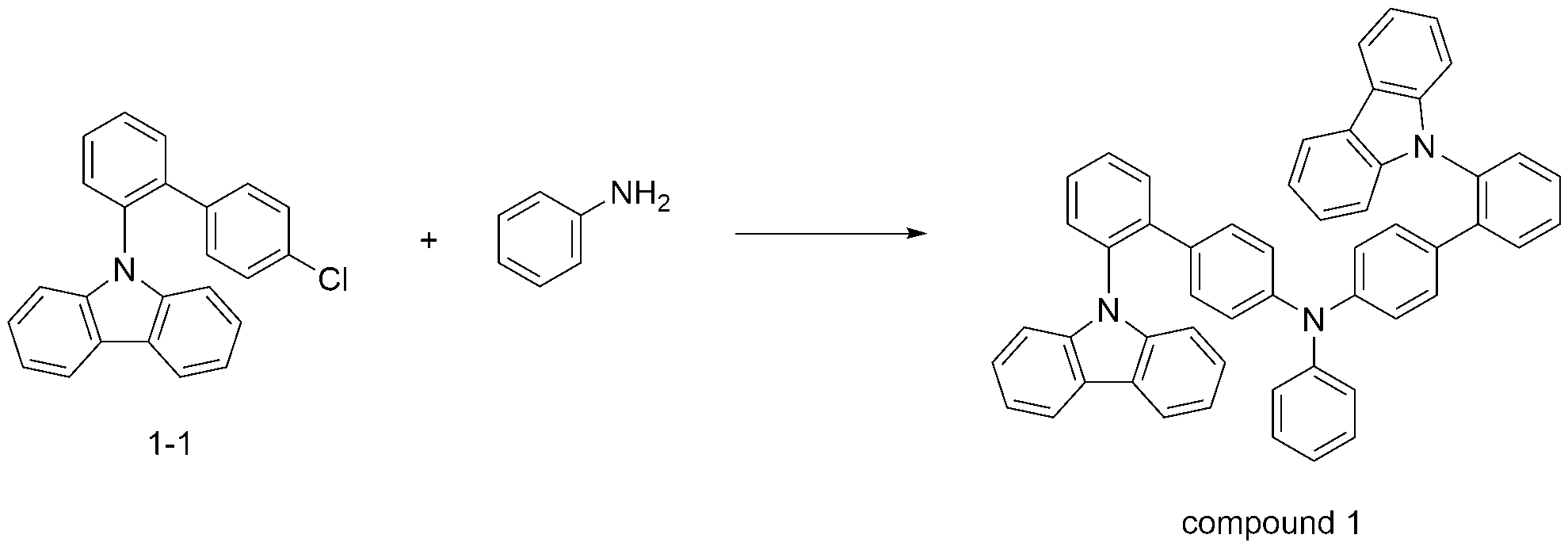
1: 화합물 1의 합성 1: Synthesis of
[반응식 1-1A][Reaction Scheme 1-1A]
[반응식 1-1B][Reaction Scheme 1-1B]
9-(2-bromophenyl)-9H-carbazole(3.0g, 9.34mmol), (4-chlorophenyl)boronic acid(1.49 g, 9.53mmol), 및 테트라키스(트리페닐포스핀)팔라듐 2 mol%를 테트라하이드로퓨란(20 ml)에 넣고 탄산칼륨(18.68 mmol)을 물(10 ml)에 녹여 혼합하였다. 80℃에서 6시간 교반한 후 반응 종결하고 상온으로 식혀 물과 유기층 분리하였다. 유기층만 회수한 후, 무수 황산 마그네슘을 넣고 교반하고, silica pad 여과 후 감압 하에서 용액 농축하고 컬럼 정제하여 중간체 1-1(2.57g, 수율 78%)을 제조하였다.2 mol% of 9- (2-bromophenyl) -9H-carbazole (3.0 g, 9.34 mmol), (4-chlorophenyl) boronic acid (1.49 g, 9.53 mmol) and tetrakis (triphenylphosphine) Was added to furan (20 ml), and potassium carbonate (18.68 mmol) was dissolved in water (10 ml) and mixed. After stirring at 80 ° C for 6 hours, the reaction was terminated and the reaction mixture was cooled to room temperature to separate water and an organic layer. After recovering only the organic layer, anhydrous magnesium sulfate was added thereto, and the mixture was stirred. The mixture was filtered through a silica pad, concentrated under reduced pressure, and purified by column to obtain Intermediate 1-1 (2.57 g, yield 78%).
중간체 1-1 (2.57 g, 7.28 mmol), aniline (0.34 g, 3.64 mmol), 및 NaOt-Bu(0.84 g, 8.74 mmol)을 톨루엔(30 ml)에 넣은 후 교반하면서 110 °C 로 온도를 높였다. 승온한 후 환류되기 시작하면 비스(트리-터트-부틸포스핀)팔라듐(36 mg, 0.07 mmol)을 천천히 떨어뜨리며 넣었다. 5시간 동안 반응시킨 후 온도를 상온으로 낮추고 감압 하에서 농축한 후 컬럼 정제하여 화합물 1 (1.8 g, 수율 68 %)을 제조하였다.Intermediate 1-1 (2.57 g, 7.28 mmol), aniline (0.34 g, 3.64 mmol) and NaOt-Bu (0.84 g, 8.74 mmol) were added to toluene (30 ml) . After the temperature was elevated, reflux was begun and bis (tri-tert-butylphosphine) palladium (36 mg, 0.07 mmol) was slowly added dropwise. After the reaction was carried out for 5 hours, the temperature was lowered to room temperature, the reaction mixture was concentrated under reduced pressure and then subjected to column purification to prepare Compound 1 (1.8 g, yield 68%).
MS: [M+H]+= 728 MS: [M + H] < + > = 728
제조예Manufacturing example
2: 화합물 2의 합성 2: Synthesis of
[반응식 1-2][Reaction Scheme 1-2]
9-(2-bromophenyl)-9H-carbazole (5g, 15.58mmol)을 무수 테트라하이드로퓨란 100ml에 완전히 녹이고 -78°C로 냉각한다. 여기에 1.6 M n-뷰틸리튬 (10.7ml, 17.14mmol)을 천천히 적가한 후 두 시간 교반한다. 트리-아이소프로필 보레이트 (8.8g, 46.74mmol) 천천히 투입한 후 저온에서 한 시간 교반하고 상온으로 서서히 온도를 높인다. 반응이 종결되면 암모늄 클로라이드 수용액을 넣고 ?칭한 후 층분리하고 유기층만 받아 감압 하에서 농축한 후 컬럼 정제하여 화합물 중간체 2-1 (3.17 g, 수율 71 %)을 제조하였다.9- (2-bromophenyl) -9H-carbazole (5 g, 15.58 mmol) is completely dissolved in 100 ml of anhydrous tetrahydrofuran and cooled to -78 ° C. 1.6 M n-Butyllithium (10.7 ml, 17.14 mmol) was slowly added dropwise thereto, followed by stirring for two hours. Tri-isopropyl borate (8.8 g, 46.74 mmol) was slowly added thereto, stirred at low temperature for one hour, and gradually increased to room temperature. After completion of the reaction, an aqueous ammonium chloride solution was added thereto, followed by layer separation. The organic layer was separated, concentrated under reduced pressure, and then subjected to column purification to prepare Compound Intermediate 2-1 (3.17 g, yield 71%).
중간체 2-1 (3.17g, 11.04mmol)과 N,N-bis(4-bromophenyl)-[1,1'-biphenyl]-4-amine(2.6g, 5.52mmol)을 이용한 것 외에는 상기 중간체 1-1의 합성과 동일한 방법으로 반응하고 정제하여 화합물 2 (3.02g, 수율68%)를 제조하였다.Intermediate 2-1 (3.17 g, 11.04 mmol) was reacted with N, N-bis (4-bromophenyl) - [1,1'- biphenyl] -4-amine (2.6 g, 5.52 mmol) 1, the compound 2 (3.02 g, yield 68%) was prepared.
MS: [M+H]+= 804MS: [M + H] < + > = 804
제조예Manufacturing example
3: 화합물 3의 합성 3: Synthesis of
[반응식 1-3][Reaction 1 - 3]
중간체 1-1 (5g, 14.16mmol)과 [1,1'-biphenyl]-2-amine (1.2g, 7.08mmol)을 이용한 것 외에는 상기 화합물1의 합성과 동일한 방법으로 반응하고 정제하여 화합물 3 (3.30g, 수율58%)을 제조하였다.The reaction and purification were carried out in the same manner as in the synthesis of the
MS: [M+H]+= 804MS: [M + H] < + > = 804
제조예Manufacturing example
4: 화합물 4의 합성 4: Synthesis of
[반응식 1-4A][Reaction Scheme 1-4A]
[반응식 1-4B][Reaction Scheme 1-4B]
중간체 2-1 (5g, 17.41mmol)과 bis(4-bromophenyl)amine (2.83g, 8.71mmol)을 이용한 것 외에는 상기 중간체 1-1의 합성과 동일한 방법으로 반응하고 정제하여 중간체 4-1 (4.54g, 수율80%)을 제조하였다.The reaction and purification were carried out in the same manner as in the synthesis of Intermediate 1-1 except that Intermediate 2-1 (5 g, 17.41 mmol) and bis (4-bromophenyl) amine (2.83 g, 8.71 mmol) g, yield 80%).
중간체 4-1 (4.54g, 6.97mmol)과 2-bromotriphenylene (2.13g, 6.97mmol)을 이용한 것 외에는 상기 화합물1의 합성과 동일한 방법으로 반응하고 정제하여 화합물 4 (3.91g, 수율64%)를 제조하였다 The reaction and purification were carried out in the same manner as in the synthesis of the
MS: [M+H]+= 878MS: [M + H] < + > = 878
제조예Manufacturing example
5: 화합물 5의 합성 5: Synthesis of
[반응식 1-5][Reaction Scheme 1-5]
중간체 4-1 (5.00g, 7.68mmol)과 2-(4-bromophenyl)-9,9-dimethyl-9H-fluorene (2.67g, 7.68mmol)을 이용한 것 외에는 상기 화합물1의 합성과 동일한 방법으로 반응하고 정제하여 화합물 5 (4.66g, 수율66%)를 제조하였다(4-bromophenyl) -9,9-dimethyl-9H-fluorene (2.67 g, 7.68 mmol) was used in place of Intermediate 4-1 (5.00 g, 7.68 mmol) To give Compound 5 (4.66 g, yield 66%)
MS: [M+H]+= 920MS: [M + H] < + > = 920
제조예Manufacturing example
6: 화합물 6의 합성 6: Synthesis of
[반응식 1-6][Reaction Scheme 1-6]
중간체 4-1 (5.00g, 7.68mmol)과 4-bromo-9,9-diphenyl-9H-fluorene (3.04g, 7.68mmol)을 이용한 것 외에는 상기 화합물1의 합성과 동일한 방법으로 반응하고 정제하여 화합물 6 (4.38g, 수율59%)을 제조하였다The reaction and purification were carried out in the same manner as in the synthesis of the
MS: [M+H]+= 968MS: [M + H] < + > = 968
제조예Manufacturing example
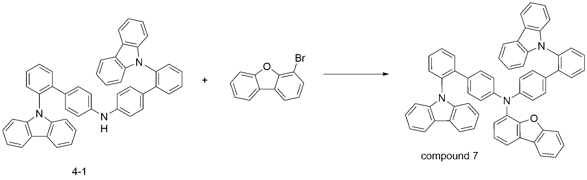
7: 화합물 7의 합성 7: Synthesis of
[반응식 1-7][Reaction Scheme 1-7]
중간체 4-1 (5.00g, 7.68mmol)과 4-bromodibenzo[b,d]furan (1.89g, 7.68mmol)을 이용한 것 외에는 상기 화합물1의 합성과 동일한 방법으로 반응하고 정제하여 화합물 7 (4.14g, 수율66%)을 제조하였다The reaction and purification were carried out in the same manner as in the synthesis of the
MS: [M+H]+= 818MS: [M + H] < + > = 818
제조예Manufacturing example
8: 화합물 8의 합성 8: Synthesis of
[반응식 1-8][Reaction Scheme 1-8]
중간체 4-1 (5.00g, 7.68mmol)과 1-bromodibenzo[b,d]thiophene (2.01g, 7.68mmol)을 이용한 것 외에는 상기 화합물1의 합성과 동일한 방법으로 반응하고 정제하여 화합물 8 (3.97g, 수율62%)을 제조하였다The reaction and purification were carried out in the same manner as in the synthesis of the
MS: [M+H]+= 834MS: [M + H] < + > = 834
제조예Manufacturing example 9: 화합물 9의 합성 9: Synthesis of Compound 9
[반응식 1-9A][Reaction Scheme 1-9A]
[반응식 1-9B][Reaction Scheme 1-9B]
[반응식 1-9C][Reaction Scheme 1-9C]
중간체 2-1 (5g, 17.41mmol)과 4-bromo-N-phenylaniline (4.21g, 17.07mmol)을 이용한 것 외에는 상기 중간체 1-1의 합성과 동일한 방법으로 반응하고 정제하여 중간체 9-1 (5.6g, 수율 80%)을 제조하였다.The reaction and purification were carried out in the same manner as in the synthesis of Intermediate 1-1 except that Intermediate 2-1 (5 g, 17.41 mmol) and 4-bromo-N-phenylaniline (4.21 g, 17.07 mmol) g, yield 80%).
중간체 2-1 (5g, 17.41mmol)과 4'-chloro-4-bromo-biphenyl (4.53g, 17.07mmol)을 이용한 것 외에는 상기 중간체 1-1의 합성과 동일한 방법으로 반응하고 정제하여 중간체 9-2 (5.64g, 수율 77%)를 제조하였다. The reaction and purification were carried out in the same manner as in the synthesis of Intermediate 1-1 except that Intermediate 2-1 (5 g, 17.41 mmol) and 4'-chloro-4-bromo-biphenyl (4.53 g, 17.07 mmol) 2 (5.64 g, yield 77%).
중간체 9-1 (5.39g, 13.14mmol)과 중간체 9-2(5.64g, 13.14mmol)를 이용한 것 외에는 상기 화합물 1의 합성과 동일한 방법으로 반응하고 정제하여 화합물 9 (5.81g, 수율55%)를 제조하였다 The reaction and purification were carried out in the same manner as in the synthesis of the
MS: [M+H]+= 814MS: [M + H] < + > = 814
제조예Manufacturing example 10: 화합물 10의 합성 10: Synthesis of Compound 10
[반응식 1-10][Reaction Scheme 1-10]
중간체 9-2 (5.0g, 11.65mmol)와 aniline (0.54g, 5.83mmol)을 이용한 것 외에는 상기 화합물 1의 합성과 동일한 방법으로 반응하고 정제하여 화합물 10 (3.64g, 수율71%)을 제조하였다Compound 10 (3.64 g, yield 71%) was prepared by reacting and purifying the same method as the synthesis of
MS: [M+H]+= 880MS: [M + H] < + > = 880
실험예Experimental Example
실험예Experimental Example 1-1 1-1
ITO(indium tin oxide)가 1,000Å의 두께로 박막 코팅된 유리 기판을 세제를 녹인 증류수에 넣고 초음파로 세척하였다. 이 때, 세제로는 피셔사(Fischer Co.) 제품을 사용하였으며, 증류수로는 밀러포어사(Millipore Co.) 제품의 필터(Filter)로 2차로 걸러진 증류수를 사용하였다. ITO를 30분간 세척한 후 증류수로 2회 반복하여 초음파 세척을 10분간 진행하였다. 증류수 세척이 끝난 후, 이소프로필알콜, 아세톤, 메탄올의 용제로 초음파 세척을 하고 건조시킨 후 플라즈마 세정기로 수송시켰다. 또한, 산소 플라즈마를 이용하여 상기 기판을 5분간 세정한 후 진공 증착기로 기판을 수송시켰다.The glass substrate coated with ITO (indium tin oxide) thin film with a thickness of 1,000 Å was immersed in distilled water containing detergent and washed with ultrasonic waves. In this case, Fischer Co. was used as a detergent, and distilled water filtered by a filter of Millipore Co. was used as distilled water. The ITO was washed for 30 minutes and then washed twice with distilled water and ultrasonically cleaned for 10 minutes. After the distilled water was washed, it was ultrasonically washed with a solvent of isopropyl alcohol, acetone, and methanol, dried, and then transported to a plasma cleaner. Further, the substrate was cleaned using oxygen plasma for 5 minutes, and then the substrate was transported by a vacuum evaporator.
이렇게 준비된 ITO 투명 전극 위에 하기 화학식의 헥사니트릴 헥사아자트리페닐렌 (hexaazatriphenylene; HAT)를 500Å의 두께로 열 진공 증착하여 정공 주입층을 형성하였다. On this ITO transparent electrode, hexanitrile hexaazatriphenylene (HAT) of the following chemical formula was thermally vacuum deposited to a thickness of 500 Å to form a hole injection layer.
[HAT][LINE]
상기 정공주입층 위에 정공을 수송하는 물질인 하기 화합물 1을 진공 증착하여 정공수송층을 형성하였다. The following
[화합물 1][Compound 1]
이어서, 상기 정공수송층 위에 막 두께 100Å으로 하기 EB 1(TCTA)을 진공 증착하여 전자차단층을 형성하였다.Subsequently, an EB1 (TCTA) film having a thickness of 100 ANGSTROM was vacuum deposited on the hole transport layer to form an electron blocking layer.
[EB 1][EB 1]
이어서, 상기 전자차단층 위에 막 두께 300Å으로 아래와 같은 BH와 BD를 25:1의 중량비로 진공증착하여 발광층을 형성하였다. Subsequently, BH and BD were vacuum deposited on the electron blocking layer to a thickness of 300 ANGSTROM at a weight ratio of 25: 1 to form a light emitting layer.
[BH] [BD][BH] [BD]
상기 발광층 위에 하기 화합물 ET1과 LiQ(Lithium Quinolate)를 1:1의 중량비로 진공 증착하여 300Å의 두께로 전자 주입 및 수송층을 형성하였다.On the light emitting layer, the following compound ET1 and LiQ (Lithium Quinolate) were vacuum deposited at a weight ratio of 1: 1 to form an electron injection and transport layer having a thickness of 300 Å.
[ET1] [LiQ][ET1] [LiQ]
상기 전자 주입 및 수송층 위에 순차적으로 12Å두께로 리튬플로라이드(LiF)와 2,000Å 두께로 알루미늄을 증착하여 음극을 형성하였다. Lithium fluoride (LiF) and aluminum were deposited to a thickness of 2000 Å on the electron injecting and transporting layer sequentially to form a cathode.
상기의 과정에서 유기물의 증착속도는 0.4 내지 0.7Å/sec를 유지하였고, 음극의 리튬플로라이드는 0.3Å/sec, 알루미늄은 2Å/sec의 증착 속도를 유지하였으며, 증착시 진공도는 2 ⅹ 10-7 내지 5 ⅹ 10-6 torr를 유지하여, 유기 발광 소자를 제작하였다.Was maintained at a vapor deposition rate of 0.4 to 0.7Å / sec for organic material in the above process, the lithium fluoride of the cathode was 0.3Å / sec, aluminum is deposited at a rate of 2Å / sec, the degree of vacuum upon deposition ⅹ 2 10 - 7 to 5 x 10 < -6 > torr to produce an organic light emitting device.
실험예Experimental Example 1-2 내지 1-10 1-2 to 1-10
상기 실험예 1-1에서 화합물 1 대신 상기 화합물 2 내지 10을 각각 사용한 것을 제외하고는 실험예 1-1과 동일한 방법으로 유기 발광 소자를 제작하였다.An organic light emitting device was fabricated in the same manner as in Experimental Example 1-1, except that
비교 compare 실험예Experimental Example 1-1 내지 1-3 1-1 to 1-3
상기 실험예 1-1에서 화합물 1 대신 하기 HT 1 내지 HT 3을 사용한 것을 제외하고는 실험예 1-1과 동일한 방법으로 유기 발광 소자를 제작하였다.An organic light emitting device was fabricated in the same manner as in Experimental Example 1-1, except that HT1 to HT3 were used instead of
[HT 1][HT 1]
[HT 2][HT 2]
[HT 3][HT 3]
(정공수송층)compound
(Hole transport layer)
(V@10mA/cm2)Voltage
(V @ 10 mA / cm 2 )
(cd/A@10mA/cm2)efficiency
(cd / A @ 10mA / cm 2)
(x,y)Color coordinates
(x, y)
상기 표 1에서 보는 바와 같이, 실험예 1-1 내지 1-10의 화합물을 유기 발광 소자에서 정공수송층으로 사용하였을 때, 비교예 1-1 내지 1-3에 비하여 저전압 및 고효율의 특성을 나타내는 것을 알 수 있다. As shown in Table 1, when the compounds of Experimental Examples 1-1 to 1-10 were used as the hole transporting layer in the organic light emitting device, those exhibiting low voltage and high efficiency characteristics as compared with Comparative Examples 1-1 to 1-3 Able to know.
실험예Experimental Example 2-1 2-1
ITO(indium tin oxide)가 1,000Å의 두께로 박막 코팅된 유리 기판을 세제를 녹인 증류수에 넣고 초음파로 세척하였다. 이 때, 세제로는 피셔사(Fischer Co.) 제품을 사용하였으며, 증류수로는 밀러포어사(Millipore Co.) 제품의 필터(Filter)로 2차로 걸러진 증류수를 사용하였다. ITO를 30분간 세척한 후 증류수로 2회 반복하여 초음파 세척을 10분간 진행하였다. 증류수 세척이 끝난 후, 이소프로필알콜, 아세톤, 메탄올의 용제로 초음파 세척을 하고 건조시킨 후 플라즈마 세정기로 수송시켰다. 또한, 산소 플라즈마를 이용하여 상기 기판을 5분간 세정한 후 진공 증착기로 기판을 수송시켰다.The glass substrate coated with ITO (indium tin oxide) thin film with a thickness of 1,000 Å was immersed in distilled water containing detergent and washed with ultrasonic waves. In this case, Fischer Co. was used as a detergent, and distilled water filtered by a filter of Millipore Co. was used as distilled water. The ITO was washed for 30 minutes and then washed twice with distilled water and ultrasonically cleaned for 10 minutes. After the distilled water was washed, it was ultrasonically washed with a solvent of isopropyl alcohol, acetone, and methanol, dried, and then transported to a plasma cleaner. Further, the substrate was cleaned using oxygen plasma for 5 minutes, and then the substrate was transported by a vacuum evaporator.
이렇게 준비된 ITO 투명 전극 위에 하기 화학식의 헥사니트릴 헥사아자트리페닐렌 (hexaazatriphenylene; HAT)를 500Å의 두께로 열 진공 증착하여 정공주입층을 형성하였다. On this ITO transparent electrode, hexanitrile hexaazatriphenylene (HAT) of the following chemical formula was thermally vacuum deposited to a thickness of 500 Å to form a hole injection layer.
[HAT][LINE]
그 위에 정공을 수송하는 하기 화합물 1(400Å)을 진공 증착한 후 발광층으로 호스트 RH와 도판트 RD를 300Å의 두께로 진공 증착 하였다. Compound (1) (400 Å) for transporting holes was vacuum-deposited thereon, and host RH and dopant RD were vacuum deposited to a thickness of 300 Å as a light emitting layer.
[화합물 1][Compound 1]
[RH] [RD][RH] [RD]
이어서, 하기 화합물 E1 (300Å)을 전자 주입 및 수송층으로 순차적으로 열진공 증착하였다.Subsequently, the following compound E1 (300 ANGSTROM) was sequentially vacuum deposited by electron injection and transport layer.
[E1][E1]
상기 전자수송층 위에 순차적으로 12Å 두께의 리튬 플루오라이드(LiF)와 2,000Å 두께의 알루미늄을 증착하여 음극을 형성하여, 유기 발광 소자를 제조하였다.Lithium fluoride (LiF) having a thickness of 12 Å and aluminum having a thickness of 2,000 Å were sequentially deposited on the electron transporting layer to form a cathode, thereby preparing an organic light emitting device.
상기의 과정에서 유기물의 증착속도는 1 Å/sec를 유지하였고, LiF는 0.2 Å/sec, 알루미늄은 3 내지 7 Å/sec의 증착속도를 유지하였다In the above process, the deposition rate of the organic material was maintained at 1 Å / sec, the deposition rate of LiF was 0.2 Å / sec, and the deposition rate of aluminum was maintained at 3 to 7 Å / sec
실험예Experimental Example 2-2 내지 2-10 2-2 to 2-10
상기 실험예 2-1에서 화합물 1 대신 상기 화합물 2 내지 10를 각각 사용한 것을 제외하고는 실험예 2-1과 동일한 방법으로 유기 발광 소자를 제작하였다.An organic light emitting device was prepared in the same manner as in Experimental Example 2-1, except that
비교 compare 실험예Experimental Example 2-1 내지 2-3 2-1 to 2-3
상기 실험예 2-1에서 화합물 1 대신 하기 HT 1 내지 HT 3을 각각 사용한 것을 제외하고는 실험예 2-1과 동일한 방법으로 유기 발광 소자를 제작하였다.An organic light emitting device was fabricated in the same manner as in Experimental Example 2-1 except that
[HT 1][HT 1]
[HT 2][HT 2]
[HT 3][HT 3]
(정공수송층)compound
(Hole transport layer)
(V@10mA/cm2)Voltage
(V @ 10 mA / cm 2 )
(cd/A@10mA/cm2)efficiency
(cd / A @ 10mA / cm 2)
(x,y)Color coordinates
(x, y)
상기 표 2에서 보는 바와 같이, 실험예 2-1 내지 2-10의 화합물을 유기 발광 소자에서 정공수송층으로 사용하였을 때, 비교예 2-1 내지 2-3에 비하여 저전압 및 고효율의 특성을 나타내는 것을 알 수 있다As shown in Table 2, when the compounds of Experimental Examples 2-1 to 2-10 were used as a hole transporting layer in an organic light emitting device, those exhibiting characteristics of low voltage and high efficiency as compared with Comparative Examples 2-1 to 2-3 Able to know
실험예Experimental Example 3-1 3-1
ITO(indium tin oxide)가 1,000Å의 두께로 박막 코팅된 유리 기판을 세제를 녹인 증류수에 넣고 초음파로 세척하였다. 이 때, 세제로는 피셔사(Fischer Co.) 제품을 사용하였으며, 증류수로는 밀러포어사(Millipore Co.) 제품의 필터(Filter)로 2차로 걸러진 증류수를 사용하였다. ITO를 30분간 세척한 후 증류수로 2회 반복하여 초음파 세척을 10분간 진행하였다. 증류수 세척이 끝난 후, 이소프로필알콜, 아세톤, 메탄올의 용제로 초음파 세척을 하고 건조시킨 후 플라즈마 세정기로 수송시켰다. 또한, 산소 플라즈마를 이용하여 상기 기판을 5분간 세정한 후 진공 증착기로 기판을 수송시켰다.The glass substrate coated with ITO (indium tin oxide) thin film with a thickness of 1,000 Å was immersed in distilled water containing detergent and washed with ultrasonic waves. In this case, Fischer Co. was used as a detergent, and distilled water filtered by a filter of Millipore Co. was used as distilled water. The ITO was washed for 30 minutes and then washed twice with distilled water and ultrasonically cleaned for 10 minutes. After the distilled water was washed, it was ultrasonically washed with a solvent of isopropyl alcohol, acetone, and methanol, dried, and then transported to a plasma cleaner. Further, the substrate was cleaned using oxygen plasma for 5 minutes, and then the substrate was transported by a vacuum evaporator.
이렇게 준비된 ITO 투명 전극 위에 하기 화학식의 헥사니트릴 헥사아자트리페닐렌 (hexaazatriphenylene; HAT)를 500Å의 두께로 열 진공 증착하여 정공 주입층을 형성하였다. On this ITO transparent electrode, hexanitrile hexaazatriphenylene (HAT) of the following chemical formula was thermally vacuum deposited to a thickness of 500 Å to form a hole injection layer.
[HAT][LINE]
상기 정공주입층 위에 정공을 수송하는 물질인 하기 HT 1-1을 진공 증착하여 정공수송층을 형성하였다. HT 1-1, which is a material for transporting holes, was vacuum-deposited on the hole injection layer to form a hole transport layer.
[HT 1-1][HT 1-1]
이어서, 상기 정공수송층 위에 막 두께 100Å으로 하기 화합물 1을 진공 증착하여 전자차단층을 형성하였다.Subsequently, the following
[화합물 1][Compound 1]
이어서, 상기 전자차단층 위에 막 두께 300Å으로 아래와 같은 BH와 BD를 25:1의 중량비로 진공증착하여 발광층을 형성하였다. Subsequently, BH and BD were vacuum deposited on the electron blocking layer to a thickness of 300 ANGSTROM at a weight ratio of 25: 1 to form a light emitting layer.
[BH] [BD][BH] [BD]
상기 발광층 위에 하기 화합물 ET1과 LiQ(Lithium Quinolate)를 1:1의 중량비로 진공 증착하여 300Å의 두께로 전자 주입 및 수송층을 형성하였다.On the light emitting layer, the following compound ET1 and LiQ (Lithium Quinolate) were vacuum deposited at a weight ratio of 1: 1 to form an electron injection and transport layer having a thickness of 300 Å.
[ET1] [LiQ][ET1] [LiQ]
상기 전자 주입 및 수송층 위에 순차적으로 12Å두께로 리튬플로라이드(LiF)와 2,000Å 두께로 알루미늄을 증착하여 음극을 형성하였다. Lithium fluoride (LiF) and aluminum were deposited to a thickness of 2000 Å on the electron injecting and transporting layer sequentially to form a cathode.
상기의 과정에서 유기물의 증착속도는 0.4 내지 0.7Å/sec를 유지하였고, 음극의 리튬플로라이드는 0.3Å/sec, 알루미늄은 2Å/sec의 증착 속도를 유지하였으며, 증착시 진공도는 2 ⅹ 10-7 내지 5 ⅹ 10-6 torr를 유지하여, 유기 발광 소자를 제작하였다.Was maintained at a vapor deposition rate of 0.4 to 0.7Å / sec for organic material in the above process, the lithium fluoride of the cathode was 0.3Å / sec, aluminum is deposited at a rate of 2Å / sec, the degree of vacuum upon deposition ⅹ 2 10 - 7 to 5 x 10 < -6 > torr to produce an organic light emitting device.
실험예Experimental Example 3-2 내지 3-10 3-2 to 3-10
상기 실험예 3-1에서 화합물 1 대신 상기 화합물 2 내지 10을 각각 사용한 것을 제외하고는 실험예 3-1과 동일한 방법으로 유기 발광 소자를 제작하였다.An organic light emitting device was fabricated in the same manner as in Experimental Example 3-1, except that
비교 compare 실험예Experimental Example 3-1 내지 3-3 3-1 to 3-3
상기 실험예 3-1에서 화합물 1 대신 하기 EB 1 내지 EB 3을 사용한 것을 제외하고는 실험예 3-1과 동일한 방법으로 유기 발광 소자를 제작하였다.An organic light emitting device was fabricated in the same manner as in Experimental Example 3-1 except that the following
[EB 1][EB 1]
[EB 2][EB 2]
[EB 3][EB 3]
(전자저지층)compound
(Electronic blocking layer)
(V@10mA/cm2)Voltage
(V @ 10 mA / cm 2 )
(cd/A@10mA/cm2)efficiency
(cd / A @ 10mA / cm 2)
(x,y)Color coordinates
(x, y)
상기 표 3에서 보는 바와 같이, 실험예 3-1 내지 3-10의 화합물을 유기 발광 소자에서 전자저지층으로 사용하였을 때, 비교예 3-1 내지 3-3에 비하여 저전압 및 고효율의 특성을 나타내는 것을 알 수 있다.As shown in Table 3, when the compounds of Experimental Examples 3-1 to 3-10 were used as the electron blocking layer in the organic light emitting device, the characteristics of low voltage and high efficiency were shown compared with Comparative Examples 3-1 to 3-3 .
1: 기판
2: 양극
3: 발광층
4: 음극
5: 정공주입층
6: 정공수송층
7: 발광층
8: 전자수송층1: substrate 2: anode
3: light emitting layer 4: cathode
5: Hole injection layer 6: Hole transport layer
7: light emitting layer 8: electron transporting layer
Claims (10)
[화학식 1]
상기 화학식 1에서,
L1 및 L2는 각각 독립적으로, 단일 결합; 또는 치환 또는 비치환된 C6-60 아릴렌이고,
Ar1은 치환 또는 비치환된 C6-60 아릴; 또는 치환 또는 비치환된 N, O 및 S로 구성되는 군으로부터 선택되는 헤테로원자를 1개 내지 3개 포함하는 C2-60 헤테로아릴이고,
R1 내지 R6은 각각 독립적으로, 수소; 중수소; 할로겐; 시아노; 니트로; 아미노; 치환 또는 비치환된 C1-60 알킬; 치환 또는 비치환된 C1-60 할로알킬; 치환 또는 비치환된 C1-60 알콕시; 치환 또는 비치환된 C1-60 할로알콕시; 치환 또는 비치환된 C3-60 사이클로알킬; 치환 또는 비치환된 C2-60 알케닐; 치환 또는 비치환된 C6-60 아릴; 치환 또는 비치환된 C6-60 아릴옥시; 또는 치환 또는 비치환된 N, O 및 S로 구성되는 군으로부터 선택되는 헤테로원자를 1개 이상 포함하는 C2-60 헤테로아릴이고,
a1 및 a2는 각각 독립적으로, 0 내지 2의 정수이고,
b1 내지 b6은 각각 독립적으로, 0 내지 3의 정수이다.
A compound represented by the following formula (1):
[Chemical Formula 1]
In Formula 1,
L 1 and L 2 are each independently a single bond; Or substituted or unsubstituted C 6-60 arylene,
Ar 1 is substituted or unsubstituted C 6-60 aryl; Or substituted or unsubstituted C 2-60 heteroaryl containing 1 to 3 heteroatoms selected from the group consisting of N, O and S,
R 1 to R 6 are each independently hydrogen; heavy hydrogen; halogen; Cyano; Nitro; Amino; Substituted or unsubstituted C 1-6 alkyl; Substituted or unsubstituted C 1-6 haloalkyl; Substituted or unsubstituted C 1-60 alkoxy; Substituted or unsubstituted C 1-60 haloalkoxy; Substituted or unsubstituted C 3-60 cycloalkyl; Substituted or unsubstituted C 2-60 alkenyl; Substituted or unsubstituted C 6-60 aryl; Substituted or unsubstituted C 6-60 aryloxy; Or substituted or unsubstituted C 2-60 heteroaryl containing at least one heteroatom selected from the group consisting of N, O and S,
a1 and a2 are each independently an integer of 0 to 2,
b1 to b6 each independently represent an integer of 0 to 3;
L1 및 L2는 각각 독립적으로, 단일 결합, 또는 하기로 구성되는 군으로부터 선택되는 어느 하나인, 화합물:
.
The method according to claim 1,
L 1 and L 2 are each independently selected from the group consisting of a single bond or a group consisting of:
.
L1 및 L2는 각각 독립적으로, 단일 결합, 또는 하기로 구성되는 군으로부터 선택되는 어느 하나인, 화합물:
.
3. The method of claim 2,
L 1 and L 2 are each independently selected from the group consisting of a single bond or a group consisting of:
.
Ar1은 하기로 구성되는 군으로부터 선택되는 어느 하나인, 화합물:
상기에서,
L은 각각 독립적으로, 단일 결합; 또는 치환 또는 비치환된 C6-60 아릴렌이고,
Y1은 O, S, 또는 CZ4Z5이고,
Z1 내지 Z5는 각각 독립적으로, 수소; 중수소; 할로겐; 시아노; 니트로; 아미노; C1-20 알킬; C1-20 할로알킬; C6-20 아릴; O 또는 S의 헤테로원자를 1개 이상 포함하는 C2-20 헤테로아릴이고,
n1 내지 n3는 각각 독립적으로, 0 내지 3의 정수이다.
The method according to claim 1,
Ar 1 is any one selected from the group consisting of:
In the above,
L each independently represent a single bond; Or substituted or unsubstituted C 6-60 arylene,
Y 1 is O, S, or CZ 4 Z 5 ,
Z 1 to Z 5 each independently represent hydrogen; heavy hydrogen; halogen; Cyano; Nitro; Amino; C 1-20 alkyl; C 1-20 haloalkyl; C 6-20 aryl; Lt ; / RTI > heteroaryl containing one or more heteroatoms of O or S,
n1 to n3 each independently represent an integer of 0 to 3;
Ar1은 하기로 구성되는 군으로부터 선택되는 어느 하나인, 화합물:
.
5. The method of claim 4,
Ar 1 is any one selected from the group consisting of:
.
R1 내지 R6은 수소; 중수소; 할로겐; 시아노; 니트로; C1-20 알킬; 또는 C6-20 아릴인, 화합물.
The method according to claim 1,
R 1 to R 6 are hydrogen; heavy hydrogen; halogen; Cyano; Nitro; C 1-20 alkyl; Or C 6-20 aryl.
a1 및 a2는 각각 독립적으로, 1 또는 2이고,
b1 내지 b6은 각각 독립적으로, 0 또는 1인, 화합물.
The method according to claim 1,
a1 and a2 are each independently 1 or 2,
and b1 to b6 each independently represent 0 or 1. [
상기 화합물은 하기 화학식 1A, 1B 및 1C 중 어느 하나로 표시되는, 화합물:
[화학식 1A]
[화학식 1B]
[화학식 1C]
상기 화학식 1A, 1B 및 1C에서,
Ar1에 대한 설명은 제1항에서 정의한 바와 같다.
The method according to claim 1,
Wherein said compound is represented by any one of the following general formulas (1A), (1B) and (1C):
≪ EMI ID =
≪ RTI ID = 0.0 &
[Chemical Formula 1C]
In the above formulas (1A), (1B) and (1C)
The definition of Ar 1 is the same as defined in claim 1.
상기 화합물은 하기 화합물로 구성되는 군으로부터 선택되는 어느 하나인, 화합물:
.
The method according to claim 1,
Wherein said compound is any one selected from the group consisting of the following compounds:
.
Priority Applications (2)
| Application Number | Priority Date | Filing Date | Title |
|---|---|---|---|
| CN201880002837.6A CN109476597B (en) | 2017-02-24 | 2018-01-26 | Novel compound and organic light-emitting element using same |
| PCT/KR2018/001181 WO2018155826A1 (en) | 2017-02-24 | 2018-01-26 | Novel compound and organic light emitting element using same |
Applications Claiming Priority (2)
| Application Number | Priority Date | Filing Date | Title |
|---|---|---|---|
| KR1020170025002 | 2017-02-24 | ||
| KR20170025002 | 2017-02-24 |
Publications (2)
| Publication Number | Publication Date |
|---|---|
| KR20180098130A true KR20180098130A (en) | 2018-09-03 |
| KR102021584B1 KR102021584B1 (en) | 2019-09-16 |
Family
ID=63600956
Family Applications (1)
| Application Number | Title | Priority Date | Filing Date |
|---|---|---|---|
| KR1020180009506A Active KR102021584B1 (en) | 2017-02-24 | 2018-01-25 | Novel compound and organic light emitting device comprising the same |
Country Status (2)
| Country | Link |
|---|---|
| KR (1) | KR102021584B1 (en) |
| CN (1) | CN109476597B (en) |
Cited By (11)
| Publication number | Priority date | Publication date | Assignee | Title |
|---|---|---|---|---|
| KR20190126791A (en) * | 2017-03-08 | 2019-11-12 | 이데미쓰 고산 가부시키가이샤 | Compounds, Materials for Organic Electroluminescent Devices, Organic Electroluminescent Devices, and Electronic Devices |
| KR20190126790A (en) * | 2017-03-08 | 2019-11-12 | 이데미쓰 고산 가부시키가이샤 | Compounds, Materials for Organic Electroluminescent Devices, Organic Electroluminescent Devices, and Electronic Devices |
| WO2020159266A1 (en) * | 2019-01-30 | 2020-08-06 | 엘티소재주식회사 | Compound, organic optoelectronic device, and display device |
| WO2020251342A1 (en) * | 2019-06-14 | 2020-12-17 | 주식회사 엘지화학 | Novel compound and organic light emitting device comprising same |
| KR20200143227A (en) * | 2019-06-14 | 2020-12-23 | 주식회사 엘지화학 | Novel compound and organic light emitting device comprising the same |
| JP2021014452A (en) * | 2019-07-12 | 2021-02-12 | 株式会社半導体エネルギー研究所 | Organic compounds, light emitting devices, light receiving devices, light emitting devices, light emitting modules, electronic devices, and lighting devices |
| WO2021162227A1 (en) * | 2020-02-13 | 2021-08-19 | 주식회사 엘지화학 | Novel compound and organic light-emitting device using same |
| KR20210103386A (en) * | 2020-02-13 | 2021-08-23 | 주식회사 엘지화학 | Novel compound and organic light emitting device comprising the same |
| WO2022010305A1 (en) * | 2020-07-09 | 2022-01-13 | 덕산네오룩스 주식회사 | Compound for organic electronic element, organic electronic element using same, and electronic device thereof |
| KR20220050806A (en) * | 2020-10-16 | 2022-04-25 | 주식회사 엘지화학 | Compound and organic light emitting device comprising same |
| KR20230173035A (en) * | 2022-06-15 | 2023-12-26 | 주식회사 엘지화학 | Compound and organic light emitting device comprising the same |
Families Citing this family (2)
| Publication number | Priority date | Publication date | Assignee | Title |
|---|---|---|---|---|
| CN112913042B (en) * | 2019-05-02 | 2023-11-14 | 株式会社Lg化学 | organic light emitting devices |
| US20230023811A1 (en) * | 2019-09-26 | 2023-01-26 | Idemitsu Kosan Co.,Ltd. | Compound, material for organic electroluminescent elements, organic electroluminescent element, and electronic device |
Citations (3)
| Publication number | Priority date | Publication date | Assignee | Title |
|---|---|---|---|---|
| KR20000051826A (en) | 1999-01-27 | 2000-08-16 | 성재갑 | New organomattalic complex molecule for the fabrication of organic light emitting diodes |
| KR20160091198A (en) * | 2015-01-23 | 2016-08-02 | 삼성에스디아이 주식회사 | Organic optoelectric device and display device |
| KR20160129710A (en) * | 2015-04-29 | 2016-11-09 | 삼성디스플레이 주식회사 | Organic light emitting device |
Family Cites Families (6)
| Publication number | Priority date | Publication date | Assignee | Title |
|---|---|---|---|---|
| JPH10330361A (en) * | 1997-06-03 | 1998-12-15 | Doujin Kagaku Kenkyusho:Kk | Triphenylamine derivative |
| WO2014079527A1 (en) * | 2012-11-23 | 2014-05-30 | Merck Patent Gmbh | Materials for electronic devices |
| KR101639867B1 (en) * | 2013-07-08 | 2016-07-14 | 주식회사 엘지화학 | Hetero-cyclic compound and organic light emitting device comprising the same |
| KR102199210B1 (en) * | 2014-03-20 | 2021-01-07 | 삼성디스플레이 주식회사 | Organometallic compound and organic light emitting diode comprising the same |
| KR20150132660A (en) * | 2014-05-15 | 2015-11-26 | 삼성디스플레이 주식회사 | Organic light-emitting device |
| US11895909B2 (en) * | 2015-04-29 | 2024-02-06 | Samsung Display Co., Ltd. | Organic light-emitting device |
-
2018
- 2018-01-25 KR KR1020180009506A patent/KR102021584B1/en active Active
- 2018-01-26 CN CN201880002837.6A patent/CN109476597B/en active Active
Patent Citations (3)
| Publication number | Priority date | Publication date | Assignee | Title |
|---|---|---|---|---|
| KR20000051826A (en) | 1999-01-27 | 2000-08-16 | 성재갑 | New organomattalic complex molecule for the fabrication of organic light emitting diodes |
| KR20160091198A (en) * | 2015-01-23 | 2016-08-02 | 삼성에스디아이 주식회사 | Organic optoelectric device and display device |
| KR20160129710A (en) * | 2015-04-29 | 2016-11-09 | 삼성디스플레이 주식회사 | Organic light emitting device |
Cited By (16)
| Publication number | Priority date | Publication date | Assignee | Title |
|---|---|---|---|---|
| KR20190126790A (en) * | 2017-03-08 | 2019-11-12 | 이데미쓰 고산 가부시키가이샤 | Compounds, Materials for Organic Electroluminescent Devices, Organic Electroluminescent Devices, and Electronic Devices |
| KR20190126791A (en) * | 2017-03-08 | 2019-11-12 | 이데미쓰 고산 가부시키가이샤 | Compounds, Materials for Organic Electroluminescent Devices, Organic Electroluminescent Devices, and Electronic Devices |
| US11479544B2 (en) | 2017-03-08 | 2022-10-25 | Idemitsu Kosan Co., Ltd. | Compound, material for organic electroluminescence element, organic electroluminescence element, and electronic device |
| JP2022519189A (en) * | 2019-01-30 | 2022-03-22 | エルティー・マテリアルズ・カンパニー・リミテッド | Compounds, organic optoelectronic devices and display devices |
| WO2020159266A1 (en) * | 2019-01-30 | 2020-08-06 | 엘티소재주식회사 | Compound, organic optoelectronic device, and display device |
| TWI887228B (en) * | 2019-01-30 | 2025-06-21 | 南韓商Lt素材股份有限公司 | Compound, organic optoelectronic device and display device |
| US12065406B2 (en) | 2019-01-30 | 2024-08-20 | Lt Materials Co., Ltd. | Compound, organic optoelectronic device and display device |
| KR20200143227A (en) * | 2019-06-14 | 2020-12-23 | 주식회사 엘지화학 | Novel compound and organic light emitting device comprising the same |
| CN113498412A (en) * | 2019-06-14 | 2021-10-12 | 株式会社Lg化学 | Novel compound and organic light emitting device comprising same |
| WO2020251342A1 (en) * | 2019-06-14 | 2020-12-17 | 주식회사 엘지화학 | Novel compound and organic light emitting device comprising same |
| JP2021014452A (en) * | 2019-07-12 | 2021-02-12 | 株式会社半導体エネルギー研究所 | Organic compounds, light emitting devices, light receiving devices, light emitting devices, light emitting modules, electronic devices, and lighting devices |
| KR20210103386A (en) * | 2020-02-13 | 2021-08-23 | 주식회사 엘지화학 | Novel compound and organic light emitting device comprising the same |
| WO2021162227A1 (en) * | 2020-02-13 | 2021-08-19 | 주식회사 엘지화학 | Novel compound and organic light-emitting device using same |
| WO2022010305A1 (en) * | 2020-07-09 | 2022-01-13 | 덕산네오룩스 주식회사 | Compound for organic electronic element, organic electronic element using same, and electronic device thereof |
| KR20220050806A (en) * | 2020-10-16 | 2022-04-25 | 주식회사 엘지화학 | Compound and organic light emitting device comprising same |
| KR20230173035A (en) * | 2022-06-15 | 2023-12-26 | 주식회사 엘지화학 | Compound and organic light emitting device comprising the same |
Also Published As
| Publication number | Publication date |
|---|---|
| KR102021584B1 (en) | 2019-09-16 |
| CN109476597B (en) | 2022-09-20 |
| CN109476597A (en) | 2019-03-15 |
Similar Documents
| Publication | Publication Date | Title |
|---|---|---|
| KR101961334B1 (en) | Novel hetero-cyclic compound and organic light emitting device comprising the same | |
| KR102021584B1 (en) | Novel compound and organic light emitting device comprising the same | |
| KR101857704B1 (en) | Novel hetero-cyclic compound and organic light emitting device comprising the same | |
| KR101967383B1 (en) | Novel amine-based compound and organic light emitting device comprising the same | |
| KR101891263B1 (en) | Novel hetero-cyclic compound and organic light emitting device comprising the same | |
| KR101937996B1 (en) | Novel hetero-cyclic compound and organic light emitting device comprising the same | |
| KR20180127909A (en) | Novel hetero ring compound and organic light emitting device comprising the same | |
| KR20190006448A (en) | Novel hetero-cyclic compound and organic light emitting device comprising the same | |
| KR20180083299A (en) | Novel organic light emitting material and organic light emitting device comprising the same | |
| KR20180127835A (en) | Novel compound and organic light emitting device comprising the same | |
| KR20180120569A (en) | Novel compound and organic light emitting device comprising the same | |
| KR20200129989A (en) | Organic light emitting device | |
| KR20190121283A (en) | Organic light emitting device | |
| KR102078301B1 (en) | Novel compound and organic light emitting device comprising the same | |
| KR20190053698A (en) | Novel hetero-cyclic compound and organic light emitting device comprising the same | |
| KR101994448B1 (en) | Novel hetero-cyclic compound and organic light emitting device comprising the same | |
| KR101868516B1 (en) | Novel hetero-cyclic compound and organic light emitting device comprising the same | |
| KR20190027708A (en) | Novel phenanthrene compound and organic light emitting device comprising the same | |
| KR20210095562A (en) | Organic light emitting device | |
| KR20180104579A (en) | Novel hetero-cyclic compound and organic light emitting device comprising the same | |
| KR20200068568A (en) | Novel compound and organic light emitting device comprising the same | |
| KR102623893B1 (en) | Novel compound and organic light emitting device comprising the same | |
| KR20180133236A (en) | Novel compound and organic light emitting device comprising the same | |
| KR20190043992A (en) | Novel compound and organic light emitting device comprising the same | |
| KR20210047251A (en) | Novel compound and organic light emitting device comprising the same |
Legal Events
| Date | Code | Title | Description |
|---|---|---|---|
| A201 | Request for examination | ||
| PA0109 | Patent application |
Patent event code: PA01091R01D Comment text: Patent Application Patent event date: 20180125 |
|
| PA0201 | Request for examination | ||
| PG1501 | Laying open of application | ||
| E902 | Notification of reason for refusal | ||
| PE0902 | Notice of grounds for rejection |
Comment text: Notification of reason for refusal Patent event date: 20190214 Patent event code: PE09021S01D |
|
| E701 | Decision to grant or registration of patent right | ||
| PE0701 | Decision of registration |
Patent event code: PE07011S01D Comment text: Decision to Grant Registration Patent event date: 20190826 |
|
| GRNT | Written decision to grant | ||
| PR0701 | Registration of establishment |
Comment text: Registration of Establishment Patent event date: 20190906 Patent event code: PR07011E01D |
|
| PR1002 | Payment of registration fee |
Payment date: 20190906 End annual number: 3 Start annual number: 1 |
|
| PG1601 | Publication of registration | ||
| PR1001 | Payment of annual fee |
Payment date: 20220824 Start annual number: 4 End annual number: 4 |
|
| PR1001 | Payment of annual fee |
Payment date: 20230627 Start annual number: 5 End annual number: 5 |
|
| PR1001 | Payment of annual fee |
Payment date: 20250623 Start annual number: 7 End annual number: 7 |














































































