JP7621619B2 - アレルギー反応に伴う症状の予防若しくは抑制又は治療用の医薬組成物 - Google Patents
アレルギー反応に伴う症状の予防若しくは抑制又は治療用の医薬組成物 Download PDFInfo
- Publication number
- JP7621619B2 JP7621619B2 JP2022541524A JP2022541524A JP7621619B2 JP 7621619 B2 JP7621619 B2 JP 7621619B2 JP 2022541524 A JP2022541524 A JP 2022541524A JP 2022541524 A JP2022541524 A JP 2022541524A JP 7621619 B2 JP7621619 B2 JP 7621619B2
- Authority
- JP
- Japan
- Prior art keywords
- group
- phenyl
- carbon atoms
- compound
- dione
- Prior art date
- Legal status (The legal status is an assumption and is not a legal conclusion. Google has not performed a legal analysis and makes no representation as to the accuracy of the status listed.)
- Active
Links
Images
Classifications
-
- A—HUMAN NECESSITIES
- A61—MEDICAL OR VETERINARY SCIENCE; HYGIENE
- A61K—PREPARATIONS FOR MEDICAL, DENTAL OR TOILETRY PURPOSES
- A61K31/00—Medicinal preparations containing organic active ingredients
- A61K31/33—Heterocyclic compounds
- A61K31/395—Heterocyclic compounds having nitrogen as a ring hetero atom, e.g. guanethidine or rifamycins
- A61K31/55—Heterocyclic compounds having nitrogen as a ring hetero atom, e.g. guanethidine or rifamycins having seven-membered rings, e.g. azelastine, pentylenetetrazole
- A61K31/551—Heterocyclic compounds having nitrogen as a ring hetero atom, e.g. guanethidine or rifamycins having seven-membered rings, e.g. azelastine, pentylenetetrazole having two nitrogen atoms, e.g. dilazep
- A61K31/5513—1,4-Benzodiazepines, e.g. diazepam or clozapine
-
- A—HUMAN NECESSITIES
- A61—MEDICAL OR VETERINARY SCIENCE; HYGIENE
- A61K—PREPARATIONS FOR MEDICAL, DENTAL OR TOILETRY PURPOSES
- A61K45/00—Medicinal preparations containing active ingredients not provided for in groups A61K31/00 - A61K41/00
-
- A—HUMAN NECESSITIES
- A61—MEDICAL OR VETERINARY SCIENCE; HYGIENE
- A61P—SPECIFIC THERAPEUTIC ACTIVITY OF CHEMICAL COMPOUNDS OR MEDICINAL PREPARATIONS
- A61P37/00—Drugs for immunological or allergic disorders
- A61P37/08—Antiallergic agents
Landscapes
- Health & Medical Sciences (AREA)
- Chemical & Material Sciences (AREA)
- Medicinal Chemistry (AREA)
- Pharmacology & Pharmacy (AREA)
- Life Sciences & Earth Sciences (AREA)
- Animal Behavior & Ethology (AREA)
- General Health & Medical Sciences (AREA)
- Public Health (AREA)
- Veterinary Medicine (AREA)
- Epidemiology (AREA)
- Pulmonology (AREA)
- Engineering & Computer Science (AREA)
- Bioinformatics & Cheminformatics (AREA)
- Chemical Kinetics & Catalysis (AREA)
- General Chemical & Material Sciences (AREA)
- Nuclear Medicine, Radiotherapy & Molecular Imaging (AREA)
- Organic Chemistry (AREA)
- Immunology (AREA)
- Pharmaceuticals Containing Other Organic And Inorganic Compounds (AREA)
- Nitrogen Condensed Heterocyclic Rings (AREA)
- Medicines That Contain Protein Lipid Enzymes And Other Medicines (AREA)
Description
本願は、2020年8月3日に、日本に出願された特願2020-131412号に基づき優先権を主張し、その内容をここに援用する。
通年性アレルギー性鼻炎では、軽症例に対しては、病型に関わらず第二世代抗ヒスタミン薬、ケミカルメディエーター遊離抑制薬、2 型ヘルパーT 細胞(Th2)サイトカイン阻害薬のいずれか一つを第一選択する。中等症例に対しては、くしゃみ・鼻漏型では、(1)第二世代抗ヒスタミン薬、(2)ケミカルメディエーター遊離抑制薬、又は(3)鼻噴霧用ステロイド薬のいずれか一つを選択し、必要に応じて(1)又は(2)に(3)を併用するとなっている。重症例で、くしゃみ、鼻漏が特に強い場合には、鼻噴霧用ステロイド薬に第二世代抗ヒスタミン薬を併用し、鼻閉が強い患者では鼻噴霧ステロイド薬に抗ロイコトリエン薬等を併用するとなっている。花粉症の薬物治療においては、例年強い花粉症症状を示す患者では初期療法を勧め、予想される花粉飛散量と、最も症状が強い時期における病型、重症度を基に用いる薬剤を選択するとされている。したがって、くしゃみ・鼻漏型では、第二世代抗ヒスタミン薬、ケミカルメディエーター遊離抑制薬を、鼻閉型では抗ロイコトリエン薬等を用い、花粉飛散量の増加とともに、症状の増悪がみられる場合には早めに鼻噴霧用ステロイド薬を追加し、病型に合わせて治療内容をステップアップするとされている。
しかしながら、特許文献1において実施例に記載のある化合物は、例えば、ParoxetineやFluoxetine等の選択的セロトニン再取り込み阻害剤であり、ベンゾジアゼピン誘導体化合物である本願化合物とは全く異なる構造である。また、神経損傷(L5脊髄神経損傷モデル)を施した神経因性疼痛病態モデルを用いた実験結果のみが示され、P2X4受容体アンタゴニストにアレルギーの治療効果があることは判っていない。
本発明の医薬組成物は、アレルギー性疾患の予防若しくは抑制又は治療に有用な医薬組成物として用いることができる。
本発明の医薬組成物は、I型アレルギー反応に伴う症状の予防若しくは抑制又は治療に有用な医薬組成物として用いることができる。
本発明の医薬組成物は、アナフィラキシーショックの予防又は治療に有用な医薬組成物として用いることができる。
本発明の医薬組成物は、アレルギー性鼻炎の予防又は治療に有用な医薬組成物として用いることができる。
本発明の医薬組成物は、気管支喘息の予防又は治療に有用な医薬組成物として用いることができる。
本発明の医薬組成物は、アレルギー性皮膚炎の予防又は治療に有用な医薬組成物として用いることができる。
本発明の医薬組成物は、アナフィラキシーショックの抑制に有用な医薬組成物として用いることができる。
本発明の医薬組成物は、花粉症の予防又は治療に有用な医薬組成物として用いることができる。
本発明の医薬組成物は、蕁麻疹の予防又は治療に有用な医薬組成物として用いることができる。
本発明の医薬組成物は、アトピー性皮膚炎の予防又は治療に有用な医薬組成物として用いることができる。
本発明の医薬組成物は、炎症を伴う、前記アレルギー反応に伴う症状の予防若しくは抑制又は治療のための医薬組成物として用いることができる。
本発明の医薬組成物は、マスト細胞内の分泌顆粒の細胞外放出を伴う、前記アレルギー反応に伴う症状の予防若しくは抑制又は治療のための医薬組成物として用いることができる。
本明細書において、「予防」とは、 「病的な」又は「異常な」症状、状態又は疾患の発症を未然に防止すること、及びそのための行為又は手段を含む概念である。
本明細書において、「治療」とは、「病的な」又は「異常な」症状、状態又は疾患を、消失、完治、治癒又は寛解させること、及びそのための行為又は手段を含み、「病的な」又は「異常な」症状、状態又は疾患の悪化を抑制すること、及びそのための行為又は手段を含み、また、改善を含む概念である。ここで、「改善」とは、「病的な」又は「異常な」症状、状態又は疾患を、「健常な」又は「正常な」状態に近づけること又はそのための行為若しくは手段、及び「健常な」又は「正常な」状態にすること又はそのための行為若しくは手段を含む概念である。したがって、1つの実施態様において、「改善」とは、「病的な」又は「異常な」症状又は状態の指標となる数値が、前記「改善」に従って、小さくなるか、又は大きくなって、正常な値に近づくか、又は正常な値となることを含む。また、「抑制」とは、症状、状態又は疾患の悪化又は進行を、停止又は減速させること、及びそのための行為又は手段を含み、また、前記症状、状態又は疾患を改善すること、又はそのための行為若しくは手段を含む概念である。ここで、「改善」とは前記の意味を有する。前記「症状、状態又は疾患の悪化又は進行」は、「病的な」又は「異常な」症状、状態又は疾患の悪化又は進行、及び「健常な」又は「正常な」状態から、「病的な」又は「異常な」症状、状態又は疾患への悪化又は進行を含む。1つの実施態様において、「抑制」とは、症状、状態又は疾患の悪化又は進行を、停止又は減速させること、又はそのための行為若しくは手段である。別の実施態様において、「抑制」とは、症状、状態又は疾患の悪化又は進行を、停止又は減速させることである。
1つの実施態様において、「治療」とは、「病的な」又は「異常な」症状、状態又は疾患を、消失、完治、治癒又は寛解させること、及びそのための行為又は手段である。別の実施態様において、「治療」とは、「病的な」又は「異常な」症状、状態又は疾患を、消失、完治、治癒又は寛解させることである。
本明細書において、前記症状、状態若しくは疾患若しくはそれらの指標となる数値、又は状態若しくは機能は、本発明が提供する医薬の投与前と投与後で比較するか、又はプラセボ若しくは本発明が提供する医薬を含まないコントロールの投与群と本発明が提供する医薬の投与群とを比較して評価され得る。
下記に示す表中などに用いられる略号は以下のとおりである。Me:メチル基、Et:エチル基、Pr:n-プロピル基、iPr:イソプロピル基、tBu:tert-ブチル基、Ac:アセチル基、Ph:フェニル基。
下記に示す表中などにおいて、置換基をその置換位置の位置番号とともに記す場合がある。また、化学式において、見かけ上同一の位置番号を区別するため、便宜的に一方の位置番号にプライム「’」を付して表示する場合があるが、化合物名において、一義的に構造を特定し得る限り、前記プライムを用いることなく位置番号を表記することがある。
(式中、R1Aは水素原子、炭素数1~8のアルキル基、炭素数2~8のアルケニル基、1~3のハロゲン原子で置換された炭素数1~8のアルキル基又はフェニル基で置換された炭素数1~3のアルキル基を表し、
R2A及びR3Aは同一又は異なっていてもよく水素原子、炭素数1~8のアルキル基、炭素数1~8のアルコキシ基、1~3のハロゲン原子で置換された炭素数1~8のアルキル基、1~3のハロゲン原子で置換された炭素数1~8のアルコキシ基、ハロゲン原子、ヒドロキシル基、ニトロ基、シアノ基、アミノ基、炭素数1~8のアルキルアミノ基、炭素数2~8のジアルキルアミノ基、炭素数2~8のアシルアミノ基、1~3のハロゲン原子で置換された炭素数2~8のアシルアミノ基、炭素数1~8のアルキルスルホニルアミノ基、カルボキシル基、炭素数2~8のアシル基、アルコキシカルボニル基(アルコキシ部分の炭素数は1~8。)、カルバモイル基、炭素数1~8のアルキルチオ基、炭素数1~8のアルキルスルフィニル基、炭素数1~8のアルキルスルホニル基、又はスルファモイル基を表し、
R4A及びR5Aは同一又は異なっていてもよく水素原子、炭素数1~8のアルキル基、1~3のハロゲン原子で置換された炭素数1~8のアルキル基又はフェニル基で置換された炭素数1~3のアルキル基を表し、
そして、WAは置換基を有していてもよい環構成元素として窒素原子を1~4個含む5又は6員環の複素環を表す。)で表される化合物又はその薬学的に許容される塩。
R1Aの炭素数2~8のアルケニル基としては、アリル基等が挙げられる。
R1A、R2A、R3A、R4A及びR5A又はR11A、R12A、R13A、R14A及びR15Aの1~3のハロゲン原子で置換された炭素数1~8のアルキル基としては、1~3個のフッ素原子、塩素原子若しくは臭素原子等のハロゲン原子により置換されたメチル基、エチル基、プロピル基、イソプロピル基、ブチル基又はt-ブチル基等が挙げられ、好ましくはトリフルオロメチル基、クロロメチル基、2-クロロエチル基、2-ブロモエチル基又は2-フルオロエチル基等が挙げられる。
R1A、R4A及びR5Aのフェニル基で置換された炭素数1~3のアルキル基としては、ベンジル基等が挙げられる。
R2A及びR3Aの炭素数1~8のアルコキシ基としては、メトキシ基、エトキシ基、プロポキシ基、イソプロポキシ基、ブトキシ基、i-ブトキシ基、t-ブトキシ基、ペンチルオキシ基又はヘキシルオキシ基等が挙げられる。
R2A及びR3Aのハロゲン原子としては、フッ素原子、塩素原子、又は臭素原子等が挙げられる。
R2A及びR3Aの炭素数1~8のアルキルアミノ基としては、メチルアミノ基、エチルアミノ基等が挙げられる。
R2A及びR3Aの炭素数1~8のジアルキルアミノ基としては、ジメチルアミノ基、ジエチルアミノ基等が挙げられる。
R2A及びR3Aの炭素数2~8のアシルアミノ基としては、アセチルアミノ基が挙げられる。
R2A及びR3Aの1~3のハロゲン原子で置換された炭素数2~8のアシルアミノ基としては、トリフルオロメチルカルボニルアミノ基が挙げられる。
R2A及びR3Aの炭素数2~8のアシル基としては、アセチル基が挙げられる。
R2A及びR3Aのアルコキシカルボニル基(アルコキシ部分の炭素数1~8)としては、メトキシカルボニル基、エトキシカルボニル基等が挙げられる。
R2A及びR3Aの炭素数1~8のアルキルチオ基としては、メチルチオ基が挙げられる。
R2A及びR3Aの炭素数1~8のアルキルスルフィニル基としては、メチルスルフィニル基が挙げられる。
R2A及びR3Aの炭素数1~8のアルキルスルホニル基としては、メチルスルホニル基が挙げられる。
WAの置換基を有していてもよい環構成元素として窒素原子を1~4個含む5又は6員環の複素環が有していてもよい置換基としては、メチル基、エチル基等の炭素数1~8のアルキル基、トリフルオロメチル基等の1~3のハロゲン原子で置換された炭素数1~8のアルキル基、フッ素原子等のハロゲン原子、シアノ基、オキソ基、チオキソ基等が挙げられる。
一般式(A)中のR2A及びR3Aは、R2A、R3Aが置換しているベンゼン環に、同一又は異なったものが1~3個存在していてもよい。
(A-2)WAが置換基として炭素数1~8のアルキル基、1~3のハロゲン原子で置換された炭素数1~8のアルキル基、ハロゲン原子、シアノ基、オキソ基、チオキソ基から選ばれるものを有していてもよいテトラゾール、1,2,4-トリアゾール、1,2,3-トリアゾール、1,2,4-オキサジアゾール、ピラゾール又はイミダゾールである(A-1)に記載の化合物。
(A-3)WAが置換基として炭素数1~8のアルキル基、1~3のハロゲン原子で置換された炭素数1~8のアルキル基、ハロゲン原子、シアノ基から選ばれるものを有していてもよいテトラゾール、1,2,4-トリアゾール又は1,2,3-トリアゾールである(A-1)又は(A-2)に記載の化合物。
(A-4)WAが5-オキソ-1,2,4-オキサジアゾール又は5-チオキソ-1,2,4-オキサジアゾールである(A-1)ないし(A-3)のいずれかに記載の化合物。
(A-5)WAがテトラゾールである(A-1)ないし(A-4)のいずれかに記載の化合物。
(A-7)R1Aが水素原子である(A-1)ないし(A-6)のいずれかに記載の化合物。
(A-8)R4Aが水素原子で、R5Aが水素原子又は炭素数1~8のアルキル基である(A-1)ないし(A-7)のいずれかに記載の化合物。
(A-9)R4A及びR5Aが共に水素原子である(A-1)ないし(A-8)のいずれかに記載の化合物。
(A-10)R2Aが水素原子、炭素数1~8のアルキル基、炭素数1~8のアルコキシ基、1~3のハロゲン原子で置換された炭素数1~8のアルキル基、1~3のハロゲン原子で置換された炭素数1~8のアルコキシ基、ハロゲン原子、ヒドロキシル基、ニトロ基、シアノ基、アミノ基、カルボキシル基、炭素数2~8のアシル基、アルコキシカルボニル基(アルコキシ部分の炭素数は1~8。)である(A-1)ないし(A-9)のいずれかに記載の化合物。
(A-11)R2Aが水素原子である(A-1)ないし(A-10)のいずれかに記載の化合物。
(A-12)R3Aが水素原子、炭素数1~8のアルキル基、炭素数1~8のアルコキシ基、1~3のハロゲン原子で置換された炭素数1~8のアルキル基、1~3のハロゲン原子で置換された炭素数1~8のアルコキシ基、ハロゲン原子、ヒドロキシル基、ニトロ基、シアノ基、アミノ基、カルボキシル基、炭素数2~8のアシル基、アルコキシカルボニル基(アルコキシ部分の炭素数は1~8。)である(A-1)ないし(A-11)のいずれかに記載の化合物。
(A-13)R3Aが水素原子である(A-1)ないし(A-12)のいずれかに記載の化合物。
一般式(A)で表される化合物の薬学的に許容される塩としては、例えば、一般式(A)のR2A、R3Aがアミノ基等の場合は、塩酸塩等が挙げられる。更に一般式(A)のR2A、R3Aがカルボキシル基の場合は、ナトリウム、カリウム、リチウム等のアルカリ金属塩が挙げられる。
<代表化合物A-100>
(式中、R1A、R4A、R5A及びWA並びにWAの置換位置は表1~3に記載のとおりである。)
表1~3において、WAの置換位置は、ベンゼン環上の置換位置を示す。すなわち、表中の2位、3位及び4位は、代表化合物A-100の式中の2’位、3’位及び4’位にそれぞれ対応する。
(式中、R1A、R2A、R4A、R5A及びWA並びにWAの置換位置は表4及び5に記載のとおり)
表4及び5において、WAの置換位置は、ベンゼン環上の置換位置を示す。すなわち、表中の2位、3位及び4位は、代表化合物A-200の式中の2’位、3’位及び4’位にそれぞれ対応する。
(式中、R1A、R2A、R3A、R4A、R5A及びWA並びにWAの置換位置は表6及び7に記載のとおり)
表6及び7において、WAの置換位置は、ベンゼン環上の置換位置を示す。すなわち、表中の3位及び4位は、代表化合物A-300の式中の3’位及び4’位にそれぞれ対応する。
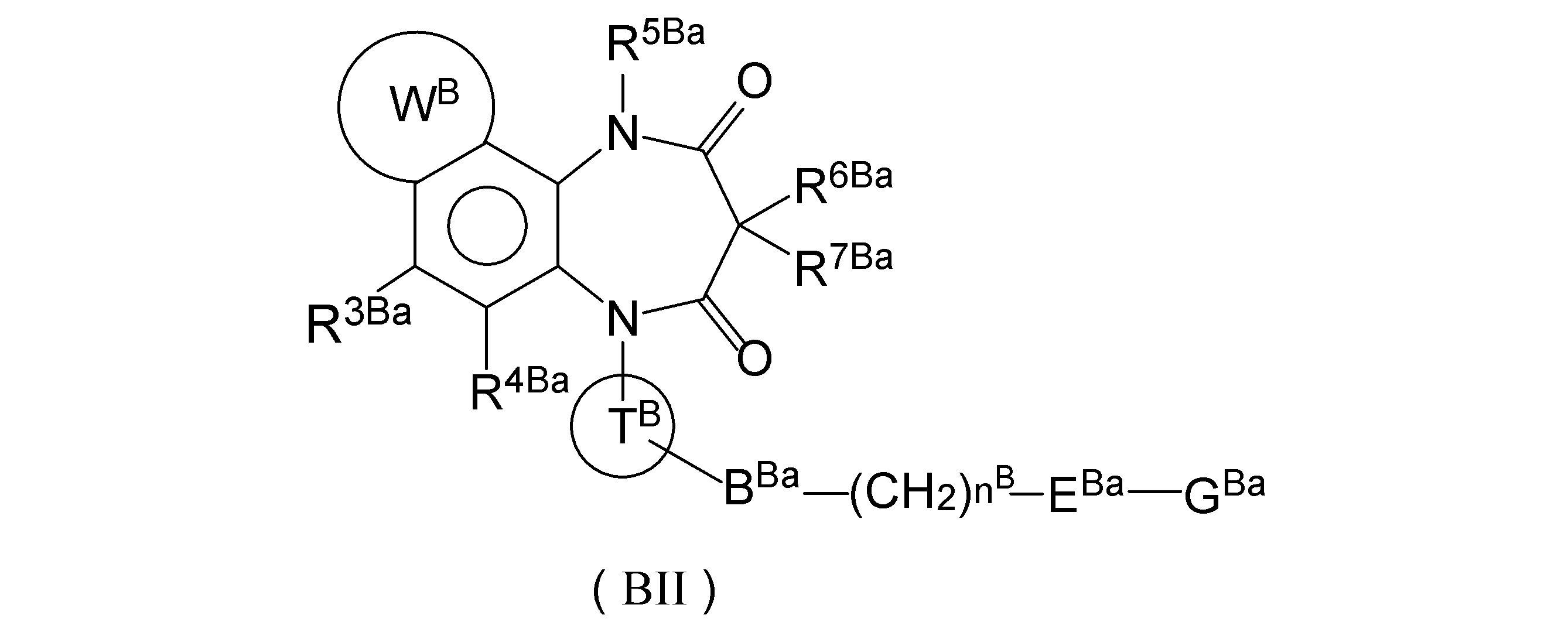
(式中、R1B及びR2Bは同一又は異なっていてもよく水素原子、炭素数1~8のアルキル基、炭素数3~8のシクロアルキル基、炭素数2~8のアルケニル基、炭素数1~8のアルコキシ基、1~3のハロゲン原子で置換された炭素数1~8のアルキル基、1~3のハロゲン原子で置換された炭素数1~8のアルコキシ基、ハロゲン原子、ヒドロキシル基、ニトロ基、シアノ基、アミノ基、炭素数1~8のアルキルアミノ基、炭素数2~8のジアルキルアミノ基、炭素数2~8のアシルアミノ基、カルボキシル基、炭素数2~8のアシル基、アルコキシカルボニル基(アルコキシ部分の炭素数は1~8。)、置換基を有していてもよいフェニル基、置換基を有していてもよいピリジル基、若しくはアラルキル基(アリール部分の炭素数は、6~10で、アルキレン部分の炭素数は1~8)を表すか、又は
R1BとR2Bが一緒になって、それらが結合しているベンゼン環と一緒になってナフタレン環、キノリン環、イソキノリン環、テトラヒドロナフタレン環、インダン環、テトラヒドロキノリン環又はテトラヒドロイソキノリン環から選択される縮合環を形成してもよく、そしてR1BとR2Bが一緒になって、R1BとR2Bがそれぞれ結合している炭素原子からなる環には、1~4個の同一又は異なってもよい炭素数1~8のアルキル基、炭素数3~8のシクロアルキル基、炭素数2~8のアルケニル基、炭素数1~8のアルコキシ基、1~3のハロゲン原子で置換された炭素数1~8のアルキル基、1~3のハロゲン原子で置換された炭素数1~8のアルコキシ基、ハロゲン原子、ヒドロキシル基、ニトロ基、シアノ基、アミノ基、炭素数1~8のアルキルアミノ基、炭素数2~8のジアルキルアミノ基、炭素数2~8のアシルアミノ基、カルボキシル基、炭素数2~8のアシル基、アルコキシカルボニル基(アルコキシ部分の炭素数は1~8。)、又はアラルキル基(アリール部分の炭素数は、6~10で、アルキレン部分の炭素数は1~8)から選択される置換基で置換されていてもよく、
R3B及びR4Bは同一又は異なっていてもよく、水素原子、炭素数1~8のアルキル基、炭素数2~8のアルケニル基、炭素数1~8のアルコキシ基、1~3のハロゲン原子で置換された炭素数1~8のアルキル基、1~3のハロゲン原子で置換された炭素数1~8のアルコキシ基、ハロゲン原子、ヒドロキシル基、ニトロ基、シアノ基、アミノ基、炭素数1~8のアルキルアミノ基、炭素数2~8のジアルキルアミノ基、炭素数2~8のアシルアミノ基、カルボキシル基、炭素数2~8のアシル基、アルコキシカルボニル基(アルコキシ部分の炭素数は1~8。)、又はアラルキル基(アリール部分の炭素数は、6~10で、アルキレン部分の炭素数は1~8)を表し、
R5Bは水素原子、炭素数1~8のアルキル基、炭素数2~8のアルケニル基、1~3のハロゲン原子で置換された炭素数1~8のアルキル基、水酸基で置換された炭素数1~8のアルキル基又はアラルキル基(アリール部分の炭素数は、6~10で、アルキレン部分の炭素数は1~8)を表し、
R6B及びR7Bは同一又は異なっていてもよく、水素原子、炭素数1~8のアルキル基、炭素数2~8のアルケニル基、炭素数1~8のアルコキシ基、1~3のハロゲン原子で置換された炭素数1~8のアルキル基、1~3のハロゲン原子で置換された炭素数1~8のアルコキシ基、ハロゲン原子、ヒドロキシル基又はアミノ基を表し、
XBはC、CH又はNを表し、
YBはN、NH又はC(=O)を表し、
但し、XBがNのとき、YBはN,NHでなく、
また、XBがC,CHのとき、YBはC(=O)でなく、
実線と破線からなる二重線は、単結合又は二重結合を表し、
ZBは酸素原子又は硫黄原子を表し、
ABは、置換基として、炭素数1~8のアルキル基、炭素数2~8のアルケニル基、炭素数1~8のアルコキシ基、1~3のハロゲン原子で置換された炭素数1~8のアルキル基、1~3のハロゲン原子で置換された炭素数1~8のアルコキシ基、ハロゲン原子、ヒドロキシル基、ニトロ基、シアノ基、アミノ基、炭素数1~8のアルキルアミノ基、炭素数2~8のジアルキルアミノ基、アラルキル基(アリール部分の炭素数は、6~10で、アルキレン部分の炭素数は1~8)、フェニル基又はピリジル基から選択される同一又は異なっていてもよい置換基を1~4個有していてもよいベンゼン環、ピリジン環、チオフェン環、ピリミジン環、ナフタレン環、キノリン環、若しくはインドール環を表すか、又は結合手を表し、
BBはN(R8B)C(=O)、NHCONH、CON(R9B)、NHC(=S)NH、N(R10B)SO2、SO2N(R11B)又はOSO2を表し、
ここで、R8B、R9B、R10B及びR11Bは、水素原子、炭素数1~8のアルキル基、1~3のハロゲン原子で置換された炭素数1~8のアルキル基、水酸基で置換された炭素数1~8のアルキル基又はアラルキル基(アリール部分の炭素数は、6~10で、アルキレン部分の炭素数は1~8)を表し、
DBは、置換基として炭素数1~8のアルキル基、炭素数2~8のアルケニル基、1~3のハロゲン原子で置換された炭素数1~8のアルキル基、水酸基で置換された炭素数1~8のアルキル基又はアラルキル基(アリール部分の炭素数は、6~10で、アルキレン部分の炭素数は1~8)から選択される同一又は異なっていてもよい置換基を1~4個有していてもよく、更に二重結合を有していてもよい炭素数1~6のアルキレン鎖、又は結合手を表し、
EBは、O、S、NR12B、又は結合手を表し、
ここで、R12Bは水素原子、炭素数1~8のアルキル基、炭素数2~8のアルケニル基、1~3のハロゲン原子で置換された炭素数1~8のアルキル基、水酸基で置換された炭素数1~8のアルキル基、又はアラルキル基(アリール部分の炭素数は、6~10で、アルキレン部分の炭素数は1~8)を表し、
GBは、置換基として炭素数1~8のアルキル基、炭素数2~8のアルケニル基、炭素数1~8のアルコキシ基、1~3のハロゲン原子で置換された炭素数1~8のアルキル基、1~3のハロゲン原子で置換された炭素数1~8のアルコキシ基、ハロゲン原子、ヒドロキシル基、ニトロ基、シアノ基、アミノ基、炭素数1~8のアルキルアミノ基、炭素数2~8のジアルキルアミノ基、炭素数2~8のアシル基、メチレンジオキシ基、カルボキシル基、炭素数1~6のアルキルスルフィニル基、炭素数1~6のアルキルチオ基、炭素数1~6のアルキルスルホニル基、アラルキル基(アリール部分の炭素数は、6~10で、アルキレン部分の炭素数は1~8)、置換基を有していてもよいフェニル基、置換基を有していてもよいピリジル基、置換基を有していてもよいイミダゾリル基、置換基を有していてもよいオキサゾリル基、又は置換基を有していてもよいチアゾリル基から選択される同一又は異なる置換基を1~4個有していてもよいピペラジン、ピペリジン、モルホリン、シクロヘキサン、ベンゼン、ナフタレン、キノリン、キノキサリン、ベンズイミダゾール、チオフェン、イミダゾール、チアゾール、オキサゾール、インドール、ベンゾフラン、ピロール、ピリジン又はピリミジンを表し、
そして、mBは0~5の整数を表す。
但し、R1BとR2Bが一緒になって環を形成しない場合で、XBがC、YBがNで、実線と破線からなる二重線が二重結合で、ZBが酸素原子で、ABがベンゼン環で、mBが0で、BBがC(=O)NHで、EBが結合手でGBがフェニル基の場合を除く。)で表される化合物又はその薬学的に許容される塩。
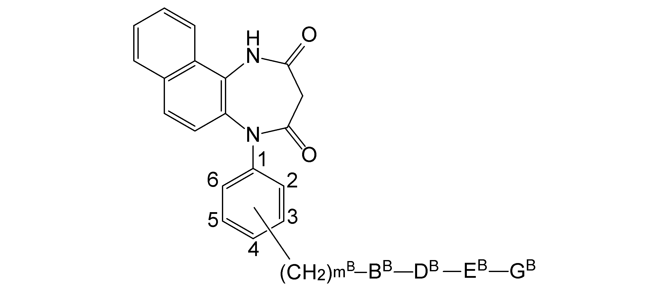
(式中、
は、ナフタレン環、キノリン環、イソキノリン環、テトラヒドロナフタレン環、インダン環、テトラヒドロキノリン環又はテトラヒドロイソキノリン環を表し、
そしてこれらの環は1~4個の同一又は異なってもよい炭素数1~8のアルキル基、炭素数2~8のアルケニル基、炭素数1~8のアルコキシ基、1~3のハロゲン原子で置換された炭素数1~8のアルキル基、1~3のハロゲン原子で置換された炭素数1~8のアルコキシ基、ハロゲン原子、ヒドロキシル基、ニトロ基、シアノ基、アミノ基、炭素数1~8のアルキルアミノ基、炭素数2~8のジアルキルアミノ基、炭素数2~8のアシルアミノ基、カルボキシル基、炭素数2~8のアシル基、アルコキシカルボニル基(アルコキシ部分の炭素数は1~8。)、又はアラルキル基(アリール部分の炭素数は、6~10で、アルキレン部分の炭素数は1~8)から選択される置換基で置換されていてもよく、
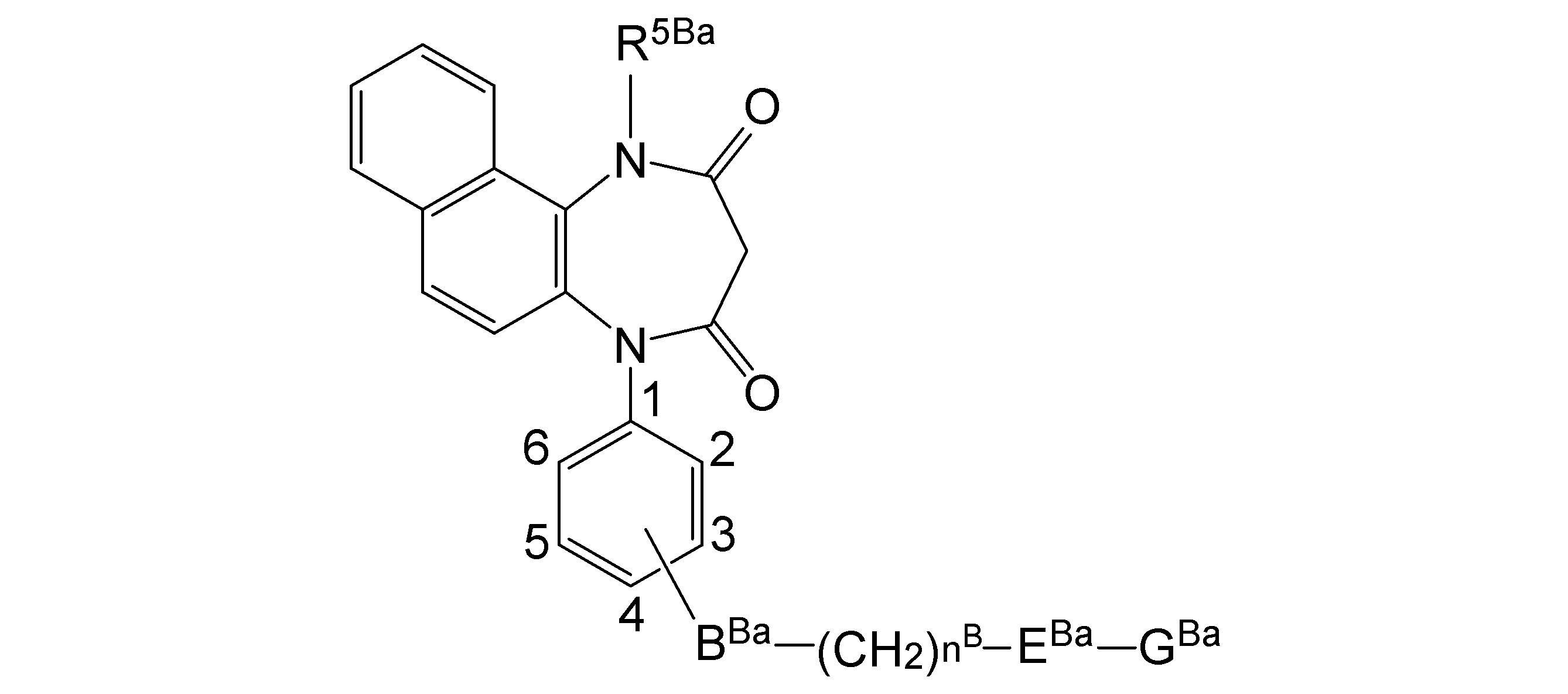
R3Ba及びR4Baは同一又は異なっていてもよく水素原子、炭素数1~8のアルキル基、炭素数2~8のアルケニル基、炭素数1~8のアルコキシ基、1~3のハロゲン原子で置換された炭素数1~8のアルキル基、1~3のハロゲン原子で置換された炭素数1~8のアルコキシ基、ハロゲン原子、ヒドロキシル基、ニトロ基、シアノ基、アミノ基、炭素数1~8のアルキルアミノ基、炭素数2~8のジアルキルアミノ基、炭素数2~8のアシルアミノ基、カルボキシル基、炭素数2~8のアシル基、アルコキシカルボニル基(アルコキシ部分の炭素数は1~8。)、又はアラルキル基(アリール部分の炭素数は、6~10で、アルキレン部分の炭素数は1~8)を表し、
R5Baは水素原子、炭素数1~8のアルキル基、炭素数2~8のアルケニル基、1~3のハロゲン原子で置換された炭素数1~8のアルキル基、水酸基で置換された炭素数1~8のアルキル基又はアラルキル基(アリール部分の炭素数は、6~10で、アルキレン部分の炭素数は1~8)を表し、
R6Ba及びR7Baは同一又は異なっていてもよく水素原子、炭素数1~8のアルキル基、炭素数2~8のアルケニル基、炭素数1~8のアルコキシ基、1~3のハロゲン原子で置換された炭素数1~8のアルキル基、1~3のハロゲン原子で置換された炭素数1~8のアルコキシ基、ハロゲン原子、ヒドロキシル基、又はアミノ基を表し、
は、置換基として、炭素数1~8のアルキル基、炭素数2~8のアルケニル基、炭素数1~8のアルコキシ基、1~3のハロゲン原子で置換された炭素数1~8のアルキル基、1~3のハロゲン原子で置換された炭素数1~8のアルコキシ基、ハロゲン原子、ヒドロキシル基、ニトロ基、シアノ基、アミノ基、炭素数1~8のアルキルアミノ基、炭素数2~8のジアルキルアミノ基、アラルキル基(アリール部分の炭素数は、6~10で、アルキレン部分の炭素数は1~8)、フェニル基、又はピリジル基から選択される同一又は異なっていてもよい置換基を1~4個有していてもよいベンゼン環、ピリジン環、チオフェン環、ピリミジン環、ナフタレン環、キノリン環、又はインドール環を表し、
BBaはN(R8Ba)C(=O)、NHCONH,CON(R9Ba)、NHC(=S)NH、N(R10Ba)SO2、SO2N(R11Ba)、又はOSO2を表し、
ここで、R8Ba、R9Ba、R10Ba及びR11Baは、水素原子、炭素数1~8のアルキル基、1~3のハロゲン原子で置換された炭素数1~8のアルキル基、水酸基で置換された炭素数1~8のアルキル基又はアラルキル基(アリール部分の炭素数は、6~10で、アルキレン部分の炭素数は1~8)を表し、
EBaは、O、S、NR12Ba又は結合手を表し、
ここで、R12Baは水素原子、炭素数1~8のアルキル基、炭素数2~8のアルケニル基、1~3のハロゲン原子で置換された炭素数1~8のアルキル基、水酸基で置換された炭素数1~8のアルキル基又はアラルキル基(アリール部分の炭素数は、6~10で、アルキレン部分の炭素数は1~8)を表し、
GBaは、置換基として炭素数1~8のアルキル基、炭素数2~8のアルケニル基、炭素数1~8のアルコキシ基、1~3のハロゲン原子で置換された炭素数1~8のアルキル基、1~3のハロゲン原子で置換された炭素数1~8のアルコキシ基、ハロゲン原子、ヒドロキシル基、ニトロ基、シアノ基、アミノ基、炭素数1~8のアルキルアミノ基、炭素数2~8のジアルキルアミノ基、炭素数2~8のアシル基、メチレンジオキシ基、カルボキシル基、炭素数1~6のアルキルスルフィニル基、炭素数1~6のアルキルチオ基、炭素数1~6のアルキルスルホニル基、アラルキル基(アリール部分の炭素数は、6~10で、アルキレン部分の炭素数は1~8)、置換基を有していてもよいフェニル基、置換基を有していてもよいピリジル基、置換基を有していてもよいイミダゾリル基、置換基を有していてもよいオキサゾリル基、又は置換基を有していてもよいチアゾリル基から選択される同一又は異なる置換基を1~4個有していてもよいピペラジン、ピペリジン、モルホリン、シクロヘキサン、ベンゼン、ナフタレン、キノリン、キノキサリン、ベンズイミダゾール、チオフェン、イミダゾール、チアゾール、オキサゾール、インドール、ベンゾフラン、ピロール、ピリジン又はピリミジンを表し、
そして、nBは0~5の整数を表す。)で表される化合物又はその薬学的に許容される塩。
炭素数1~8のアルキル基としては、メチル基、エチル基、プロピル基、イソプロピル基、ブチル基、i-ブチル基、t-ブチル基、ペンチル基又はヘキシル基等が挙げられる。
炭素数3~8のシクロアルキル基としては、シクロプロピル基、シクロヘキシル基等が挙げられる。
炭素数2~8のアルケニル基としては、アリル基等が挙げられる。
炭素数1~8のアルコキシ基としては、メトキシ基、エトキシ基、プロポキシ基、イソプロポキシ基、ブトキシ基、i-ブトキシ基、t-ブトキシ基、ペンチルオキシ基又はヘキシルオキシ基等が挙げられる。
1~3のハロゲン原子で置換された炭素数1~8のアルコキシ基としては、1~3個のフッ素原子、塩素原子若しくは臭素原子等のハロゲン原子により置換されたメトキシ基、エトキシ基、プロポキシ基、イソプロポキシ基、ブトキシ基又はt-ブトキシ基等が挙げられ、好ましくはトリフルオロメトキシ基、クロロメトキシ基、2-クロロエトキシ基、2-ブロモエトキシ基又は2-フルオロエトキシ基等が挙げられる。
ハロゲン原子としては、フッ素原子、塩素原子、又は臭素原子等が挙げられる。
炭素数2~8のジアルキルアミノ基としては、ジメチルアミノ基、ジエチルアミノ基等が挙げられる。
炭素数2~8のアシルアミノ基としては、アセチルアミノ基が挙げられる。
炭素数2~8のアシル基としては、アセチル基等が挙げられる。
アラルキル基(アリール部分の炭素数は、6~10で、アルキレン部分の炭素数は1~8)としては、ベンジル基等が挙げられる。
水酸基で置換された炭素数1~8のアルキル基としては、2-ヒドロキシエチル基等が挙げられる。
炭素数1~6のアルキルチオ基としては、メチルチオ基等が挙げられる。
炭素数1~6のアルキルスルホニル基としては、メタンスルホニル基等が挙げられる。
(B-1-1)
R1B及びR2Bが同一又は異なっていてもよく水素原子、炭素数1~8のアルキル基、炭素数2~8のアルケニル基、炭素数1~8のアルコキシ基、1~3のハロゲン原子で置換された炭素数1~8のアルキル基、1~3のハロゲン原子で置換された炭素数1~8のアルコキシ基、ハロゲン原子、ヒドロキシル基、ニトロ基、シアノ基、アミノ基、置換基を有していてもよいフェニル基、置換基を有していてもよいピリジル基又はアラルキル基(アリール部分の炭素数は、6~10で、アルキレン部分の炭素数は1~8)である上記(B-1)に記載の化合物。
R1BとR2Bが一緒になって、それらが結合しているベンゼン環と一緒になってナフタレン環、又はテトラヒドロナフタレン環を形成し、そしてR1BとR2Bが一緒になって、R1BとR2Bがそれぞれ結合している炭素原子から形成されるベンゼン環又はシクロヘキセン環は、炭素数1~8のアルキル基、炭素数2~8のアルケニル基、炭素数1~8のアルコキシ基、1~3のハロゲン原子で置換された炭素数1~8のアルキル基、1~3のハロゲン原子で置換された炭素数1~8のアルコキシ基、ハロゲン原子、ヒドロキシル基、ニトロ基、シアノ基、アミノ基、炭素数1~8のアルキルアミノ基、炭素数2~8のジアルキルアミノ基、炭素数2~8のアシルアミノ基、カルボキシル基、炭素数2~8のアシル基、アルコキシカルボニル基(アルコキシ部分の炭素数は1~8。)、又はアラルキル基(アリール部分の炭素数は、6~10で、アルキレン部分の炭素数は1~8)から選択される1~4個の同一又は異なってもよい置換基で置換されていてもよい上記(B-1)又は(B-1-1)に記載の化合物。
(B-1-3)
R1BとR2Bが一緒になって、それらが結合しているベンゼン環と一緒になってナフタレン環を形成し、そしてR1BとR2Bが一緒になって、R1BとR2Bがそれぞれ結合している炭素原子から形成されるベンゼン環は、炭素数1~8のアルキル基、炭素数2~8のアルケニル基、炭素数1~8のアルコキシ基、1~3のハロゲン原子で置換された炭素数1~8のアルキル基、1~3のハロゲン原子で置換された炭素数1~8のアルコキシ基、ハロゲン原子、ヒドロキシル基、アミノ基から選択される1~4個の同一又は異なってもよい置換基で置換されていてもよい上記(B-1)又は(B-1-1)に記載の化合物。
(B-1-4)
R1BとR2Bが一緒になって、それらが結合しているベンゼン環と一緒になってナフタレン環、又はテトラヒドロナフタレン環を形成する上記(B-1)又は(B-1-1)に記載の化合物。
R3B及びR4Bが同一又は異なっていてもよく、水素原子、炭素数1~8のアルキル基、炭素数2~8のアルケニル基、炭素数1~8のアルコキシ基、1~3のハロゲン原子で置換された炭素数1~8のアルキル基、1~3のハロゲン原子で置換された炭素数1~8のアルコキシ基、ハロゲン原子、ヒドロキシル基、ニトロ基、シアノ基、アミノ基、又はアラルキル基(アリール部分の炭素数は、6~10で、アルキレン部分の炭素数は1~8)である、上記(B-1)又は(B-1-1)ないし(B-1-4)のいずれかに記載の化合物。
(B-1-6)
R5Bが水素原子、炭素数1~8のアルキル基又はアラルキル基(アリール部分の炭素数は、6~10で、アルキレン部分の炭素数は1~8)である、(B-1)又は(B-1-1)ないし(B-1-5)のいずれかに記載の化合物。
(B-1-7)
R5Bが水素原子である上記(B-1)又は(B-1-1)ないし(B-1-6)のいずれかに記載の化合物。
(B-1-8)
R6B及びR7Bが同一又は異なっていてもよく水素原子、炭素数1~8のアルキル基、炭素数1~8のアルコキシ基、1~3のハロゲン原子で置換された炭素数1~8のアルキル基、又は1~3のハロゲン原子で置換された炭素数1~8のアルコキシ基である上記(B-1)又は(B-1-1)ないし(B-1-7)のいずれかに記載の化合物又はその薬学的に許容される塩。
(B-1-9)
R6B及びR7Bが共に水素原子である上記(B-1)又は(B-1-1)ないし(B-1-8)のいずれかに記載の化合物。
R3B、R4B、R5B、R6B及びR7Bが水素原子である上記(B-1)又は(B-1-1)ないし(B-1-9)のいずれかに記載の化合物。
XBがNで、YBがC(=O)で、実線と破線からなる二重線が、単結合である上記(B-1)又は(B-1-1)ないし(B-1-10)のいずれかに記載の化合物。
(B-1-12)
XBがCで、YBがNで、実線と破線からなる二重線が、二重結合である上記(B-1)又は(B-1-1)ないし(B-1-11)のいずれかに記載の化合物。
(B-1-13)
ZBが酸素原子である上記(B-1)又は(B-1-1)ないし(B-1-12)のいずれかに記載の化合物。
ABが置換基として炭素数1~8のアルキル基、炭素数2~8のアルケニル基、炭素数1~8のアルコキシ基、1~3のハロゲン原子で置換された炭素数1~8のアルキル基、1~3のハロゲン原子で置換された炭素数1~8のアルコキシ基、ハロゲン原子、ヒドロキシル基、ニトロ基、シアノ基、アミノ基、炭素数1~8のアルキルアミノ基、炭素数2~8のジアルキルアミノ基、アラルキル基(アリール部分の炭素数は、6~10で、アルキレン部分の炭素数は1~8)、フェニル基又はピリジル基から選択される同一又は異なっていてもよい置換基を1~4個有していてもよいフェニル基、又はピリジル基である上記(B-1)又は(B-1-1)ないし(B-1-13)のいずれかに記載の化合物。
(B-1-15)
ABが置換基として炭素数1~8のアルキル基、炭素数2~8のアルケニル基、炭素数1~8のアルコキシ基、1~3のハロゲン原子で置換された炭素数1~8のアルキル基、1~3のハロゲン原子で置換された炭素数1~8のアルコキシ基、ハロゲン原子、ヒドロキシル基、ニトロ基、シアノ基、又はアミノ基から選択される同一又は異なっていてもよい置換基を1~4個有していてもよいフェニル基である上記(B-1)又は(B-1-1)ないし(B-1-14)のいずれかに記載の化合物。
ABがフェニル基、又はピリジル基である上記(B-1)又は(B-1-1)ないし(B-1-15)のいずれかに記載の化合物。
(B-1-17)
ABが結合手である上記(B-1)又は(B-1-1)ないし(B-1-16)のいずれかに記載の化合物。
BBがNHC(=O)、NHCONH,CONH,NHC(=S)NH,NHSO2,SO2NH又はOSO2である上記(B-1)又は(B-1-1)ないし(B-1-17)のいずれかに記載の化合物。
(B-1-19)
BBがNHC(=O)、NHCONH又はNHSO2である上記(B-1)又は(B-1-1)ないし(B-1-18)のいずれかに記載の化合物。
BBがNHC(=O)又はNHSO2である上記(B-1)又は(B-1-1)ないし(B-1-19)のいずれかに記載の化合物。
(B-1-21)
BBがNHC(=O)である上記(B-1)又は(B-1-1)ないし(B-1-20)のいずれかに記載の化合物。
(B-1-22)
DBが、置換基として炭素数1~8のアルキル基、又は1~3のハロゲン原子で置換された炭素数1~8のアルキル基から選択される同一又は異なっていてもよい置換基を1~4個有していてもよく、更に二重結合を有していてもよい炭素数1~6のアルキレン鎖である上記(B-1)又は(B-1-1)ないし(B-1-21)のいずれかに記載の化合物。
(B-1-23)
DBが結合手である上記(B-1)又は(B-1-1)ないし(B-1-22)のいずれかに記載の化合物。
DBが置換基として炭素数1~8のアルキル基、炭素数2~8のアルケニル基から選択される同一又は異なっていてもよい置換基を1~4個有している上記(B-1)又は(B-1-1)ないし(B-1-23)のいずれかに記載の化合物。
(B-1-25)
DBが置換基として炭素数1~3のアルキル基、炭素数2~3のアルケニル基から選択される同一又は異なっていてもよい置換基を1~4個有している上記(B-1)又は(B-1-1)ないし(B-1-24)のいずれかに記載の化合物。
(B-1-26)
EBが結合手である上記(B-1)又は(B-1-1)ないし(B-1-25)のいずれかに記載の化合物。
GBが置換基として炭素数1~8のアルキル基、炭素数2~8のアルケニル基、炭素数1~8のアルコキシ基、1~3のハロゲン原子で置換された炭素数1~8のアルキル基、1~3のハロゲン原子で置換された炭素数1~8のアルコキシ基、ハロゲン原子、ヒドロキシル基、ニトロ基、シアノ基、アミノ基、炭素数1~8のアルキルアミノ基、炭素数2~8のジアルキルアミノ基、炭素数2~8のアシル基、メチレンジオキシ基、カルボキシル基、炭素数1~6のアルキルスルフィニル基、炭素数1~6のアルキルチオ基、又は炭素数1~6のアルキルスルホニル基から選択される同一又は異なる置換基を1~4個有していてもよいピペラジン、ピペリジン、モルホリン、シクロヘキサン、ベンゼン、ナフタレン、キノリン、キノキサリン、ベンズイミダゾール、チオフェン、イミダゾール、チアゾール、オキサゾール、インドール、ベンゾフラン、ピロール、ピリジン又はピリミジンである上記(B-1)又は(B-1-1)ないし(B-1-26)のいずれかに記載の化合物。
(B-1-28)
GBが置換基として炭素数1~8のアルキル基、炭素数2~8のアルケニル基、炭素数1~8のアルコキシ基、1~3のハロゲン原子で置換された炭素数1~8のアルキル基、1~3のハロゲン原子で置換された炭素数1~8のアルコキシ基、ハロゲン原子、ヒドロキシル基、ニトロ基、シアノ基、アミノ基、炭素数1~8のアルキルアミノ基、炭素数2~8のジアルキルアミノ基、炭素数2~8のアシル基、メチレンジオキシ基、カルボキシル基、炭素数1~6のアルキルスルフィニル基、炭素数1~6のアルキルチオ基、又は炭素数1~6のアルキルスルホニル基から選択される同一又は異なる置換基を1~4個有していてもよいベンゼンである上記(B-1)又は(B-1-1)ないし(B-1-27)のいずれかに記載の化合物。
GBが置換基として炭素数1~8のアルキル基、炭素数2~8のアルケニル基、炭素数1~8のアルコキシ基、1~3のハロゲン原子で置換された炭素数1~8のアルキル基、ハロゲン原子、ヒドロキシル基、ニトロ基、アミノ基、炭素数2~8のジアルキルアミノ基、カルボキシル基、炭素数1~6のアルキルスルフィニル基、炭素数1~6のアルキルチオ基、炭素数1~6のアルキルスルホニル基から選択される同一又は異なる置換基を1~4個有していてもよいベンゼン又はピリジンである上記(B-1)又は(B-1-1)ないし(B-1-28)のいずれかに記載の化合物。
GBが置換基として1~3のハロゲン原子で置換された炭素数1~8のアルキル基、ハロゲン原子、ヒドロキシル基、から選択される同一又は異なる置換基を1~4個有していてもよいベンゼンである上記(B-1)又は(B-1-1)ないし(B-1-29)のいずれかに記載の化合物。
mBが0である上記(B-1)又は(B-1-1)ないし(B-1-30)のいずれかに記載の化合物。
ABがベンゼン環であり、mBが0であり、BBがNHC(=O)又はNHSO2であり、DBが炭素数1~3のアルキル基又は結合手であり、EBが結合手であり、GBが置換基として炭素数1~8のアルキル基、1~3のハロゲン原子で置換された炭素数1~8のアルキル基、ハロゲン原子、ヒドロキシル基、から選択される同一又は異なる置換基を1~4個有していてもよいベンゼンである上記(B-1)又は(B-1-1)ないし(B-1-31)のいずれかに記載の化合物。
ABがベンゼン環であり、mBが0であり、BBがNHC(=O)であり、DBが結合手であり、EBが結合手であり、GBが置換基として1~3のハロゲン原子で置換された炭素数1~8のアルキル基、ハロゲン原子、ヒドロキシル基、から選択される同一又は異なる置換基を1~4個有していてもよいベンゼンである上記(B-1)又は(B-1-1)ないし(B-1-32)のいずれかに記載の化合物。
(B-1-34)
R1BとR2Bが一緒になって、それらが結合しているベンゼン環と一緒になってナフタレン環を形成し、R3B、R4B、R5B、R6B及びR7Bは水素原子を表し、XBがNで、YBがC(=O)で、実線と破線からなる二重線が単結合を表し、ZBが酸素原子を表し、ABはベンゼン環を表し、mBは0を表し、BBはNHC(=O)又はNHSO2を表し、DBは炭素数1~3のアルキル基又は結合手を表し、EBは結合手を表し、GBは置換基として炭素数1~8のアルキル基、1~3のハロゲン原子で置換された炭素数1~8のアルキル基、ハロゲン原子、ヒドロキシル基、から選択される同一又は異なる置換基を1~4個有していてもよいベンゼンである上記(B-1)又は(B-1-1)ないし(B-1-33)の何れか1に記載の化合物。
(B-1-35)
上記の一般式(BI)において、R1BとR2Bが一緒になって、それらが結合しているベンゼン環と一緒になってナフタレン環を形成し、R3B、R4B、R5B、R6B及びR7Bは水素原子を表し、XBがNで、YBがC(=O)で、実線と破線からなる二重線が単結合を表し、ZBが酸素原子を表し、ABはベンゼン環を表し、mBは0を表し、BBはNHC(=O)を表し、DBは結合手を表し、EBは結合手を表し、GBは置換基として1~3のハロゲン原子で置換された炭素数1~8のアルキル基、ハロゲン原子、ヒドロキシル基、から選択される同一又は異なる置換基を1~4個有していてもよいベンゼンである(B-1)又は(B-1-1)ないし(B-1-34)の何れか1に記載の化合物。
(B-2-1)
が、置換基として炭素数1~8のアルキル基、炭素数2~8のアルケニル基、炭素数1~8のアルコキシ基、1~3のハロゲン原子で置換された炭素数1~8のアルキル基、1~3のハロゲン原子で置換された炭素数1~8のアルコキシ基、ハロゲン原子、ヒドロキシル基、ニトロ基、シアノ基、アミノ基、炭素数1~8のアルキルアミノ基、炭素数2~8のジアルキルアミノ基、炭素数2~8のアシルアミノ基、カルボキシル基、炭素数2~8のアシル基、アルコキシカルボニル基(アルコキシ部分の炭素数は1~8。)、又はアラルキル基(アリール部分の炭素数は、6~10で、アルキレン部分の炭素数は1~8)から選択される1~4個の同一又は異なってもよい置換基で置換されていてもよいナフタレン環又はテトラヒドロナフタレン環である上記(B-2)に記載の化合物。
(B-2-2)
が、置換基として炭素数1~8のアルキル基、炭素数2~8のアルケニル基、炭素数1~8のアルコキシ基、1~3のハロゲン原子で置換された炭素数1~8のアルキル基、1~3のハロゲン原子で置換された炭素数1~8のアルコキシ基、ハロゲン原子、ヒドロキシル基、アミノ基から選択される1~4個の同一又は異なってもよい置換基で置換されていてもよいナフタレン環である上記(B-2)又は(B-2-1)に記載の化合物。
R3Ba及びR4Baが同一又は異なっていてもよく、水素原子、炭素数1~8のアルキル基、炭素数2~8のアルケニル基、炭素数1~8のアルコキシ基、1~3のハロゲン原子で置換された炭素数1~8のアルキル基、1~3のハロゲン原子で置換された炭素数1~8のアルコキシ基、ハロゲン原子、ヒドロキシル基、ニトロ基、シアノ基、アミノ基、又はアラルキル基(アリール部分の炭素数は、6~10で、アルキレン部分の炭素数は1~8)である上記(B-2)又は(B-2-1)ないし(B-2-2)のいずれかに記載の化合物。
(B-2-4)
R5Baが水素原子、炭素数1~8のアルキル基又はアラルキル基(アリール部分の炭素数は、6~10で、アルキレン部分の炭素数は1~8)である上記(B-2)又は(B-2-1)ないし(B-2-3)のいずれかに記載の化合物。
(B-2-5)
R5Baが水素原子である上記(B-2)又は(B-2-1)ないし(B-2-4)のいずれかに記載の化合物。
(B-2-6)
R6Ba及びR7Baが同一又は異なっていてもよく水素原子、炭素数1~8のアルキル基、炭素数1~8のアルコキシ基、1~3のハロゲン原子で置換された炭素数1~8のアルキル基、又は1~3のハロゲン原子で置換された炭素数1~8のアルコキシ基である上記(B-2)又は(B-2-1)ないし(B-2-5)のいずれかに記載の化合物。
(B-2-7)
R6Ba及びR7Baが共に水素原子である上記(B-2)又は(B-2-1)ないし(B-2-6)のいずれかに記載の化合物。
が置換基として炭素数1~8のアルキル基、炭素数2~8のアルケニル基、炭素数1~8のアルコキシ基、1~3のハロゲン原子で置換された炭素数1~8のアルキル基、1~3のハロゲン原子で置換された炭素数1~8のアルコキシ基、ハロゲン原子、ヒドロキシル基、ニトロ基、シアノ基、アミノ基、炭素数1~8のアルキルアミノ基、炭素数2~8のジアルキルアミノ基、アラルキル基(アリール部分の炭素数は、6~10で、アルキレン部分の炭素数は1~8)、フェニル基又はピリジル基から選択される同一又は異なっていてもよい置換基を1~4個有していてもよいフェニル基、又はピリジル基である上記(B-2)又は(B-2-1)~(B-2-7)のいずれかに記載の化合物。
(B-2-9)
が置換基として炭素数1~8のアルキル基、炭素数2~8のアルケニル基、炭素数1~8のアルコキシ基、1~3のハロゲン原子で置換された炭素数1~8のアルキル基、1~3のハロゲン原子で置換された炭素数1~8のアルコキシ基、ハロゲン原子、ヒドロキシル基、ニトロ基、シアノ基、又はアミノ基から選択される同一又は異なっていてもよい置換基を1~4個有していてもよいフェニル基である上記(B-2)又は(B-2-1)~(B-2-8)のいずれかに記載の化合物。
(B-2-10)
が結合手である上記(B-2)又は(B-2-1)~(B-2-9)のいずれかに記載の化合物。
BBaがNHC(=O)、NHCONH,CONH,NHC(=S)NH,NHSO2,SO2NH又はOSO2である上記(B-2)又は(B-2-1)~(B-2-10)のいずれかに記載の化合物。
(B-2-12)
BBaがNHC(=O)、NHCONH又はNHSO2である上記(B-2)又は(B-2-1)~(B-2-11)のいずれかに記載の化合物。
(B-2-13)
EBaが結合手である上記(B-2)又は(B-2-1)~(B-2-12)のいずれかに記載の化合物。
GBaが置換基として炭素数1~8のアルキル基、炭素数2~8のアルケニル基、炭素数1~8のアルコキシ基、1~3のハロゲン原子で置換された炭素数1~8のアルキル基、1~3のハロゲン原子で置換された炭素数1~8のアルコキシ基、ハロゲン原子、ヒドロキシル基、ニトロ基、シアノ基、アミノ基、炭素数1~8のアルキルアミノ基、炭素数2~8のジアルキルアミノ基、炭素数2~8のアシル基、メチレンジオキシ基、カルボキシル基、炭素数1~6のアルキルスルフィニル基、炭素数1~6のアルキルチオ基、又は炭素数1~6のアルキルスルホニル基から選択される同一又は異なる置換基を1~4個有していてもよいピペラジン、ピペリジン、モルホリン、シクロヘキサン、ベンゼン、ナフタレン、キノリン、キノキサリン、ベンズイミダゾール、チオフェン、イミダゾール、チアゾール、オキサゾール、インドール、ベンゾフラン、ピロール、ピリジン又はピリミジンである上記(B-2)又は(B-2-1)~(B-2-13)のいずれかに記載の化合物。
(B-2-15)
GBaが置換基として炭素数1~8のアルキル基、炭素数2~8のアルケニル基、炭素数1~8のアルコキシ基、1~3のハロゲン原子で置換された炭素数1~8のアルキル基、1~3のハロゲン原子で置換された炭素数1~8のアルコキシ基、ハロゲン原子、ヒドロキシル基、ニトロ基、シアノ基、アミノ基、炭素数1~8のアルキルアミノ基、炭素数2~8のジアルキルアミノ基、炭素数2~8のアシル基、メチレンジオキシ基、カルボキシル基、炭素数1~6のアルキルスルフィニル基、炭素数1~6のアルキルチオ基、又は炭素数1~6のアルキルスルホニル基から選択される同一又は異なる置換基を1~4個有していてもよいベンゼンである上記(B-2)又は(B-2-1)~(B-2-14)のいずれかに記載の化合物。
nBが0である上記(B-2)又は(B-2-1)~(B-2-15)のいずれかに記載の化合物。
(化合物A1) 5-[3-(1H-テトラゾール-5-イル)フェニル]-1H-ナフト[1,2-b][1,4]ジアゼピン-2,4(3H,5H)-ジオン;
(化合物A2) 5-[3-(1H-テトラゾール-5-イル)フェニル]-1H-ナフト[1,2-b][1,4]ジアゼピン-2,4(3H,5H)-ジオン ナトリウム塩;
(化合物A3) 5-[3-(1H-テトラゾール-5-イル)フェニル]-1H-ナフト[1,2-b][1,4]ジアゼピン-2,4(3H,5H)-ジオン カリウム塩;
(化合物A4) 5-[4-(1H-テトラゾール-5-イル)フェニル]-1H-ナフト[1,2-b][1,4]ジアゼピン-2,4(3H,5H)-ジオン;
(化合物A5) 5-[4-(1H-テトラゾール-5-イル)フェニル]-1H-ナフト[1,2-b][1,4]ジアゼピン-2,4(3H,5H)-ジオン ナトリウム塩;
(化合物A6) 1-メチル-5-[3-(1H-テトラゾール-5-イル)フェニル]-1H-ナフト[1,2-b][1,4]ジアゼピン-2,4(3H,5H)-ジオン;
(化合物A7) 1,3-ジメチル-5-[3-(1H-テトラゾール-5-イル)フェニル]-1H-ナフト[1,2-b][1,4]ジアゼピン-2,4(3H,5H)-ジオン;
(化合物A8) 5-[2-クロロ-5-(1H-テトラゾール-5-イル)フェニル]-1H-ナフト[1,2-b][1,4]ジアゼピン-2,4(3H,5H)-ジオン;
(化合物A9) 5-[2-クロロ-5-(1H-テトラゾール-5-イル)フェニル]-1H-ナフト[1,2-b][1,4]ジアゼピン-2,4(3H,5H)-ジオン ナトリウム塩;
(化合物A10) 5-[2-メチル-5-(1H-テトラゾール-5-イル)フェニル]-1H-ナフト[1,2-b][1,4]ジアゼピン-2,4(3H,5H)-ジオン;
(化合物A12) 5-[2-ブロモ-5-(1H-テトラゾール-5-イル)フェニル]-1H-ナフト[1,2-b][1,4]ジアゼピン-2,4(3H,5H)-ジオン;
(化合物A13) 5-[3-(2-メチル-2H-テトラゾール-5-イル)フェニル]-1H-ナフト[1,2-b][1,4]ジアゼピン-2,4(3H,5H)-ジオン;
(化合物A14) 5-[3-(1-メチル-1H-テトラゾール-5-イル)フェニル]-1H-ナフト[1,2-b][1,4]ジアゼピン-2,4(3H,5H)-ジオン;
(化合物A15) 5-[3-(5-オキソ-4H-[1,2,4]オキサジアゾール-3-イル)フェニル]-1H-ナフト[1,2-b][1,4]ジアゼピン-2,4(3H,5H)-ジオン;
(化合物A16) 5-[3-(5-チオキソ-4H―[1,2,4]オキサジアゾール-3-イル)フェニル]-1H-ナフト[1,2-b][1,4]ジアゼピン-2,4(3H,5H)-ジオン;
(化合物A17) 5-[3-(5-チオキソ-4H―[1,2,4]オキサジアゾール-3-イル)フェニル]-1H-ナフト[1,2-b][1,4]ジアゼピン-2,4(3H,5H)-ジオン ナトリウム塩;
(化合物A18) 5-[3-(オキサゾール-2-イル)フェニル]-1H-ナフト[1,2-b][1,4]ジアゼピン-2,4(3H,5H)-ジオン;
(化合物A19) 5-[3-(1H-ピラゾール-4-イル)フェニル]-1H-ナフト[1,2-b][1,4]ジアゼピン-2,4(3H,5H)-ジオン;
(化合物A20) 5-[4-フルオロ-3-(1H-テトラゾール-5-イル)フェニル]-1H-ナフト[1,2-b][1,4]ジアゼピン-2,4(3H,5H)-ジオン;
(化合物A21) 5-[4-フルオロ-3-(1H-テトラゾール-5-イル)フェニル]-1H-ナフト[1,2-b][1,4]ジアゼピン-2,4(3H,5H)-ジオン ナトリウム塩;
(化合物B2) 5-[4-[2-(トリフルオロメチル)ベンゾイル]アミノフェニル]-1H-ナフト[1,2-b][1,4]ジアゼピン-2,4(3H,5H)-ジオン;
(化合物B3) 5-[4-(3-ブロモベンゾイル)アミノフェニル]-1H-ナフト[1,2-b][1,4]ジアゼピン-2,4(3H,5H)-ジオン;
(化合物B4) 5-[4-[4-(トリフルオロメチル)ベンゾイル]アミノフェニル]-1H-ナフト[1,2-b][1,4]ジアゼピン-2,4(3H,5H)-ジオン;
(化合物B5) 5-[4-(2-メチルベンゾイル)アミノフェニル]-1H-ナフト[1,2-b][1,4]ジアゼピン-2,4(3H,5H)-ジオン;
(化合物B6) 5-[4-(2,6-ジメチルベンゾイルアミノ)フェニル]-1H-ナフト[1,2-b][1,4]ジアゼピン-2,4(3H,5H)-ジオン;
(化合物B7) 5-[4-(2,6-ジクロロベンゾイル)アミノフェニル]-1H-ナフト[1,2-b][1,4]ジアゼピン-2,4(3H,5H)-ジオン;
(化合物B8) 5-[4-(3-クロロベンゾイル)アミノフェニル]-1H-ナフト[1,2-b][1,4]ジアゼピン-2,4(3H,5H)-ジオン;
(化合物B9) 5-[4-(2-フェニルアセチルアミノ)フェニル]-1H-ナフト[1,2-b][1,4]ジアゼピン-2,4(3H,5H)-ジオン;
(化合物B10) 1-[4-(2,4-ジオキソ-1,2,3,4-テトラヒドロナフト[1,2-b][1,4]ジアゼピン-5-イル)フェニル]-3-フェニルチオ尿素;
(化合物B12) 5-[4-(2-メトキシベンゾイルアミノ)フェニル]-1H-ナフト[1,2-b][1,4]ジアゼピン-2,4(3H,5H)-ジオン;
(化合物B13) 5-[4-[(2-クロロフェニルアセチル)アミノ]フェニル]-1H-ナフト[1,2-b][1,4]ジアゼピン-2,4(3H,5H)-ジオン;
(化合物B14) 5-[4-(2,3-ジメチルベンゾイルアミノ)フェニル]-1H-ナフト[1,2-b][1,4]ジアゼピン-2,4(3H,5H)-ジオン;
(化合物B15) 5-[4-(2,5-ジメチルベンゾイルアミノ)フェニル]-1H-ナフト[1,2-b][1,4]ジアゼピン-2,4(3H,5H)-ジオン;
(化合物B16) 5-[4-(5-ブロモ-2-クロロベンゾイルアミノ)フェニル]-1H-ナフト[1,2-b][1,4]ジアゼピン-2,4(3H,5H)-ジオン;
(化合物B17) 5-[4-(2,4-ジクロロベンゾイルアミノ)フェニル]-1H-ナフト[1,2-b][1,4]ジアゼピン-2,4(3H,5H)-ジオン;
(化合物B18) 5-[4-(2-ヒドロキシベンゾイルアミノ)フェニル]-1H-ナフト[1,2-b][1,4]ジアゼピン-2,4(3H,5H)-ジオン;
(化合物B19) 5-[4-(2,3-ジヒドロキシベンゾイルアミノ)フェニル]-1H-ナフト[1,2-b][1,4]ジアゼピン-2,4(3H,5H)-ジオン;
(化合物B20) 1-[4-(2,4-ジオキソ-1,2,3,4-テトラヒドロナフト[1,2-b][1,4]ジアゼピン-5-イル)フェニル]-3-フェニル尿素;
(化合物B22) 5-[4-[(2-メトキシフェニルアセチル)アミノ]フェニル]-1H-ナフト[1,2-b][1,4]ジアゼピン-2,4(3H,5H)-ジオン;
(化合物B23) 5-[4-[(2-ヒドロキシフェニルアセチル)アミノ]フェニル]-1H-ナフト[1,2-b][1,4]ジアゼピン-2,4(3H,5H)-ジオン;
(化合物B24) 1-(2-クロロフェニル)-3-[4-(2,4-ジオキソ-1,2,3,4-テトラヒドロナフト[1,2-b][1,4]ジアゼピン-5-イル)フェニル]チオ尿素;
(化合物B25) 5-[4-[3-(トリフルオロメチル)ベンゾイルアミノ]フェニル]-1H-ナフト[1,2-b][1,4]ジアゼピン-2,4(3H,5H)-ジオン;
(化合物B26) 5-[4-[2-[2-(トリフルオロメチル)フェニル]アセチルアミノ]フェニル]-1H-ナフト[1,2-b][1,4]ジアゼピン-2,4(3H,5H)-ジオン;
(化合物B27) 1-(2-クロロフェニル)-3-[4-(2,4-ジオキソ-1,2,3,4-テトラヒドロナフト[1,2-b][1,4]ジアゼピン-5-イル)フェニル]尿素;
(化合物B28) 5-[4-[(2-フェニルプロピオニル)アミノ]フェニル]-1H-ナフト[1,2-b][1,4]ジアゼピン-2,4(3H,5H)-ジオン;
(化合物B29) 5-[4-(2-クロロ-3-メトキシベンゾイルアミノ)フェニル]-1H-ナフト[1,2-b][1,4]ジアゼピン-2,4(3H,5H)-ジオン;
(化合物B30) 5-[4-(3-フェニルプロピオニルアミノ)フェニル]-1H-ナフト[1,2-b][1,4]ジアゼピン-2,4(3H,5H)-ジオン;
(化合物B32) 5-[4-(2-クロロ-3-ヒドロキシベンゾイルアミノ)フェニル]-1H-ナフト[1,2-b][1,4]ジアゼピン-2,4(3H,5H)-ジオン;
(化合物B33) 5-[4-[(2-メチル-2-フェニルプロピオニル)アミノ]フェニル]-1H-ナフト[1,2-b][1,4]ジアゼピン-2,4(3H,5H)-ジオン;
(化合物B34) 5-[4-(2-フェノキシアセチルアミノ)フェニル]-1H-ナフト[1,2-b][1,4]ジアゼピン-2,4(3H,5H)-ジオン;
(化合物B35) 5-[4-[2-(2-クロロ-4-メトキシフェニル)アセチルアミノ]フェニル]-1H-ナフト[1,2-b][1,4]ジアゼピン-2,4(3H,5H)-ジオン;
(化合物B36) 5-[4-[(1-メチル-1H-イミダゾール-2-カルボニル)アミノ]フェニル]-1H-ナフト[1,2-b][1,4]ジアゼピン-2,4(3H,5H)-ジオン;
(化合物B37) 5-[4-[2-(2,4-ジクロロフェニル)アセチルアミノ]フェニル]-1H-ナフト[1,2-b][1,4]ジアゼピン-2,4(3H,5H)-ジオン;
(化合物B38) 5-[4-[2-(2-クロロ-4-ヒドロキシフェニル)アセチルアミノ]フェニル]-1H-ナフト[1,2-b][1,4]ジアゼピン-2,4(3H,5H)-ジオン;
(化合物B39) 5-[4-(3-フェニルプロペニルアミノ)フェニル]-1H-ナフト[1,2-b][1,4]ジアゼピン-2,4(3H,5H)-ジオン;
(化合物B40) 5-[4-[(3-ピリジルアセチル)アミノ]フェニル]-1H-ナフト[1,2-b][1,4]ジアゼピン-2,4(3H,5H)-ジオン 塩酸塩;
(化合物B42) 1-[4-(2,3-ジメチルベンゾイルアミノ)フェニル]-7-メトキシ-1H-1,5-ベンゾジアゼピン-2,4(3H,5H)-ジオン;
(化合物B43) 5-[4-[(ベンゾイルアミノ)メチル]フェニル]-1H-ナフト[1,2-b][1,4]ジアゼピン-2,4(3H,5H)-ジオン;
(化合物B44) 5-[4-[(2-クロロベンゾイルアミノ)メチル]フェニル]-1H-ナフト[1,2-b][1,4]ジアゼピン-2,4(3H,5H)-ジオン;
(化合物B45) 1-[4-(2,3-ジメチルベンゾイルアミノ)フェニル]-7-ヒドロキシ-1H-1,5-ベンゾジアゼピン-2,4(3H,5H)-ジオン;
(化合物B46) 5-[4-(2-クロロベンゾイルアミノ)フェニル]-1H-ナフト[1,2-b][1,4]ジアゼピン-2,4(3H,5H)-ジオン;
(化合物B47) 5-[4-(2-ブロモベンゾイルアミノ)フェニル]-1H-ナフト[1,2-b][1,4]ジアゼピン-2,4(3H,5H)-ジオン;
(化合物B48) 5-[4-(2-ヨードベンゾイルアミノ)フェニル]-1H-ナフト[1,2-b][1,4]ジアゼピン-2,4(3H,5H)-ジオン;
(化合物B49) 5-[4-(2,3-ジメチルベンゾイルアミノ)-3-フルオロフェニル]-1H-ナフト[1,2-b][1,4]ジアゼピン-2,4(3H,5H)-ジオン;
(化合物B50) 5-[4-[2-(2-メチルフェニル)アセチルアミノ]フェニル]-1H-ナフト[1,2-b][1,4]ジアゼピン-2,4(3H,5H)-ジオン;
(化合物B52) 5-[4-[(5-メチルチオフェン-2イル)カルボニルアミノ]フェニル]-1H-ナフト[1,2-b][1,4]ジアゼピン-2,4(3H,5H)-ジオン;
(化合物B53) 5-[3-[(2-クロロフェニルアセチル)アミノ]フェニル]-1H-ナフト[1,2-b][1,4]ジアゼピン-2,4(3H,5H)-ジオン;
(化合物B54) 5-[4-[(2,4,6-トリメチルベンゾイル)アミノ]フェニル]-1H-ナフト[1,2-b][1,4]ジアゼピン-2,4(3H,5H)-ジオン;
(化合物B55) 5-[4-(シクロヘキシルカルボニルアミノ)フェニル]-1,2,3,4,8,9,10,11-オクタヒドロナフト[1,2-b][1,4]ジアゼピン-2,4(3H,5H)-ジオン;
(化合物B56) 1-[4-(2,3-ジメチルベンゾイル)アミノフェニル]-6-メチル-1H-1,5-ベンゾジアゼピン-2,4(3H,5H)-ジオン;
(化合物B57) 5-[4-[(2-エチルベンゾイル)アミノ]フェニル]-1H-ナフト[1,2-b][1,4]ジアゼピン-2,4(3H,5H)-ジオン;
(化合物B58) 5-[4-[(6-メチルピリジン-2-イル)カルボニルアミノ]フェニル]-1,2,3,4,8,9,10,11-オクタヒドロナフト[1,2-b][1,4]ジアゼピン-2,4(3H,5H)-ジオン;
(化合物B59) 5-[4-[(2-メチルピリジン-3-イル)カルボニルアミノ]フェニル]-1,2,3,4,8,9,10,11-オクタヒドロナフト[1,2-b][1,4]ジアゼピン-2,4(3H,5H)-ジオン;
(化合物B60) 1-[4-(2,4-ジオキソ-1,2,3,4-テトラヒドロナフト[1,2-b][1,4]ジアゼピン-5-イル)フェニル]-3-(2-メチルフェニル)チオ尿素;
(化合物B62) 5-[4-(2,3-ジクロロベンゾイル)アミノフェニル]-1,2,3,4,8,9,10,11-オクタヒドロナフト[1,2-b][1,4]ジアゼピン-2,4(3H,5H)-ジオン;
(化合物B63) 5-[4-(2,3-ジメチルベンゾイルアミノ)-3-ヒドロキシフェニル]-1H-ナフト[1,2-b][1,4]ジアゼピン-2,4(3H,5H)-ジオン;
(化合物B64) 5-[4-(2-クロロ-3-メトキシベンゾイルアミノ)フェニル]-1,3-ジヒドロナフト[1,2-e]-1,4-ジアゼピン-2-オン;
(化合物B65) 5-[4-[(4-ジメチルアミノベンゾイル)アミノ]フェニル]-1H-ナフト[1,2-b][1,4]ジアゼピン-2,4(3H,5H)-ジオン;
(化合物B66) 5-[4-[2-(2,4-ジクロロフェノキシ)アセチルアミノ]フェニル]-1H-ナフト[1,2-b][1,4]ジアゼピン-2,4(3H,5H)-ジオン;
(化合物B67) 5-[4-[2-(2-メチルフェノキシ)アセチルアミノ]フェニル]-1H-ナフト[1,2-b][1,4]ジアゼピン-2,4(3H,5H)-ジオン;
(化合物B68) N-[4-(2,4-ジオキソ-1,2,3,4-テトラハイドロナフト[1,2-b][1,4]ジアゼピン-5-イル)ブチル]-2-クロロ-3-メトキシベンズアミド;
(化合物B69) 5-[4-(2-クロロ-3-ヒドロキシベンゾイルアミノ)フェニル]-1,3-ジヒドロナフト[1,2-e]-1,4-ジアゼピン-2-オン;
(化合物B70) 5-[4-(2-アセチルベンゾイルアミノ)フェニル]-1H-ナフト[1,2-b][1,4]ジアゼピン-2,4(3H,5H)-ジオン;
(化合物B72) 5-[2-(2-ヨードベンゾイル)アミノエチル]-1H-ナフト[1,2-b][1,4]ジアゼピン-2,4(3H,5H)-ジオン;
(化合物B73) 5-[3-[(2-ヨードベンゾイル)アミノ]フェニル]-1H-ナフト[1,2-b][1,4]ジアゼピン-2,4(3H,5H)-ジオン;
(化合物B74) 6,7-ジメチル-1-[4-(2-ヨードベンゾイル)アミノフェニル]-1H-1,5-ベンゾジアゼピン-2,4(3H,5H)-ジオン;
(化合物B75) 5-[4-[(1-メチルピペリジン-4-イル)カルボニルアミノ]フェニル]-1H-ナフト[1,2-b][1,4]ジアゼピン-2,4(3H,5H)-ジオン 塩酸塩;
(化合物B76) 5-[4-[(ベンゾフラン-2-イル)カルボニルアミノ]フェニル]-1H-ナフト[1,2-b][1,4]ジアゼピン-2,4(3H,5H)-ジオン;
(化合物B77) 5-[4-[(1-メチル-1H-インドール-3-イル)カルボニルアミノ]フェニル]-1H-ナフト[1,2-b][1,4]ジアゼピン-2,4(3H,5H)-ジオン;
(化合物B78) 5-[4-(2-プロペニルベンゾイルアミノ)フェニル]-1H-ナフト[1,2-b][1,4]ジアゼピン-2,4(3H,5H)-ジオン;
(化合物B79) 5-[4-(2-プロピルベンゾイルアミノ)フェニル]-1H-ナフト[1,2-b][1,4]ジアゼピン-2,4(3H,5H)-ジオン;
(化合物B80) 5-[3-フルオロ-4-(2-ヨードベンゾイルアミノ)フェニル]-1H-ナフト[1,2-b][1,4]ジアゼピン-2,4(3H,5H)-ジオン;
(化合物B82) 5-[4-[(2-イソプロポキシベンゾイル)アミノ]フェニル]-1H-ナフト[1,2-b][1,4]ジアゼピン-2,4(3H,5H)-ジオン;
(化合物B83) 5-[4-[(3-メチルチオフェン-2-イル)カルボニルアミノ]フェニル]-1H-ナフト[1,2-b][1,4]ジアゼピン-2,4(3H,5H)-ジオン;
(化合物B84) 5-[4-(2-フェノキシプロピオニルアミノ)フェニル]-1H-ナフト[1,2-b][1,4]ジアゼピン-2,4(3H,5H)-ジオン;
(化合物B85) 5-[4-[2-(4-クロロ-2-メチルフェノキシ)アセチルアミノ]フェニル]-1H-ナフト[1,2-b][1,4]ジアゼピン-2,4(3H,5H)-ジオン;
(化合物B86) 5-[4-[(4-フルオロ-2-トリフルオロメチル)ベンゾイル]アミノフェニル]-1H-ナフト[1,2-b][1,4]ジアゼピン-2,4(3H,5H)-ジオン;
(化合物B87) 5-[4-(4-フルオロ-2-メトキシベンゾイル)アミノフェニル]-1H-ナフト[1,2-b][1,4]ジアゼピン-2,4(3H,5H)-ジオン;
(化合物B88) 5-[4-(4-フルオロ-2-ヒドロオキシベンゾイル)アミノフェニル]-1H-ナフト[1,2-b][1,4]ジアゼピン-2,4(3H,5H)-ジオン;
(化合物B89) 5-[3-[(2-ヨードフェニルアセチル)アミノ]フェニル]-1H-ナフト[1,2-b][1,4]ジアゼピン-2,4(3H,5H)-ジオン;
(化合物B90) 5-[4-(2-メチル-2-フェノキシプロピオニルアミノ)フェニル]-1H-ナフト[1,2-b][1,4]ジアゼピン-2,4(3H,5H)-ジオン;
(化合物B92) 5-[4-[(3-ジメチルアミノベンゾイル)アミノ]フェニル]-1H-ナフト[1,2-b][1,4]ジアゼピン-2,4(3H,5H)-ジオン;
(化合物B93) 5-[4-(4-ヨード-2-メトキシベンゾイルアミノ)フェニル]-1H-ナフト[1,2-b][1,4]ジアゼピン-2,4(3H,5H)-ジオン;
(化合物B94) 5-[4-(6-フルオロ-2-メトキシベンゾイルアミノ)フェニル]-1H-ナフト[1,2-b][1,4]ジアゼピン-2,4(3H,5H)-ジオン;
(化合物B95) 5-[4-(2-ヒドロキシ-4-ヨードベンゾイルアミノ)フェニル]-1H-ナフト[1,2-b][1,4]ジアゼピン-2,4(3H,5H)-ジオン;
(化合物B96) 5-[4-(6-フルオロ-2-ヒドロキシベンゾイルアミノ)フェニル]-1H-ナフト[1,2-b][1,4]ジアゼピン-2,4(3H,5H)-ジオン;
(化合物B97) 5-[4-(2-フルオロベンゾイル)アミノフェニル]-1H-ナフト[1,2-b][1,4]ジアゼピン-2,4(3H,5H)-ジオン;
(化合物B98) 5-[4-[(2-ジメチルアミノベンゾイル)アミノ]フェニル]-1H-ナフト[1,2-b][1,4]ジアゼピン-2,4(3H,5H)-ジオン;
(化合物B99) 5-[4-(2-メトキシ-6-メチルベンゾイルアミノ)フェニル]-1H-ナフト[1,2-b][1,4]ジアゼピン-2,4(3H,5H)-ジオン;
(化合物B100) 5-[4-(2-ヒドロキシ-6-メチルベンゾイルアミノ)フェニル]-1H-ナフト[1,2-b][1,4]ジアゼピン-2,4(3H,5H)-ジオン;
(化合物B102) 5-(4-フェニルカルバモイルフェニル)-1H-ナフト[1,2-b][1,4]ジアゼピン-2,4(3H,5H)-ジオン;
(化合物B103) 5-(4-ベンジルカルバモイルフェニル)-1H-ナフト[1,2-b][1,4]ジアゼピン-2,4(3H,5H)-ジオン;
(化合物B104) 5-[4-[3-(2-メチルフェニル)プロぺノイルアミノ]フェニル]-1H-ナフト[1,2-b][1,4]ジアゼピン-2,4(3H,5H)-ジオン;
(化合物B105) 5-[4-[3-(2-クロロフェニル)プロピオニルアミノ]フェニル]-1H-ナフト[1,2-b][1,4]ジアゼピン-2,4(3H,5H)-ジオン;
(化合物B106) 5-[4-(2-ヨードベンゾイル)アミノフェニル]-1,2,3,4,8,9,10,11-オクタヒドロナフト[1,2-b][1,4]ジアゼピン-2,4(3H,5H)-ジオン;
(化合物B107) 5-[4-[(1-メチル-1H-ピロール-2-イルアセチル)アミノ]フェニル]-1,2,3,4,8,9,10,11-オクタヒドロナフト[1,2-b][1,4]ジアゼピン-2,4(3H,5H)-ジオン;
(化合物B108) 5-[4-(2-クロロベンジル)カルバモイルフェニル]-1H-ナフト[1,2-b][1,4]ジアゼピン-2,4(3H,5H)-ジオン;
(化合物B109) 5-[4-[3-(2-クロロフェニル)プロぺノイルアミノ]フェニル]-1H-ナフト[1,2-b][1,4]ジアゼピン-2,4(3H,5H)-ジオン;
(化合物B110) 5-[4-(2-クロロフェニル)カルバモイルフェニル]-1H-ナフト[1,2-b][1,4]ジアゼピン-2,4(3H,5H)-ジオン;
(化合物B112) 5-[4-(6-ブロモ-2-メトキシベンゾイルアミノ)フェニル]-1H-ナフト[1,2-b][1,4]ジアゼピン-2,4(3H,5H)-ジオン;
(化合物B113) 5-[4-[(2-tert-ブチルベンゾイル)アミノ]フェニル]-1,2,3,4,8,9,10,11-オクタヒドロナフト[1,2-b][1,4]ジアゼピン-2,4(3H,5H)-ジオン;
(化合物B114) 5-[2-(2-ヨードベンゾイル)アミノピリジン-5-イル]-1H-ナフト[1,2-b][1,4]ジアゼピン-2,4(3H,5H)-ジオン;
(化合物B115) 5-[4-(6-ブロモ-2-ヒドロキシベンゾイルアミノ)フェニル]-1H-ナフト[1,2-b][1,4]ジアゼピン-2,4(3H,5H)-ジオン;
(化合物B116) 5-[4-(6-クロロ-2-メトキシベンゾイルアミノ)フェニル]-1H-ナフト[1,2-b][1,4]ジアゼピン-2,4(3H,5H)-ジオン;
(化合物B117) 5-[4-(2-ヨードベンゾイルアミノ)フェニル]-1H-[1,4]ジアゼピノ[2,3-h]キノリン-2,4(3H,5H)-ジオン;
(化合物B118) 5-[4-(6-クロロ-2-ヒドロキシベンゾイルアミノ)フェニル]-1H-ナフト[1,2-b][1,4]ジアゼピン-2,4(3H,5H)-ジオン;
(化合物B119) 5-[4-(2-ヒドロキシ-6-メトキシベンゾイルアミノ)フェニル]-1H-ナフト[1,2-b][1,4]ジアゼピン-2,4(3H,5H)-ジオン;
(化合物B120) 5-[4-[2-メトキシ-6-(トリフルオロメチル)ベンゾイルアミノ]フェニル]-1H-ナフト[1,2-b][1,4]ジアゼピン-2,4(3H,5H)-ジオン;
(化合物B122) 5-[4-[(2-イソプロペニルベンゾイル)アミノ]フェニル]-1,2,3,4,8,9,10,11-オクタヒドロナフト[1,2-b][1,4]ジアゼピン-2,4(3H,5H)-ジオン;
(化合物B123) 5-[4-[(2-イソプロピルベンゾイル)アミノ]フェニル]-1,2,3,4,8,9,10,11-オクタヒドロナフト[1,2-b][1,4]ジアゼピン-2,4(3H,5H)-ジオン;
(化合物B124) 5-[4-[2-クロロ-5-(メチルチオ)ベンゾイルアミノ]フェニル]-1H-ナフト[1,2-b][1,4]ジアゼピン-2,4(3H,5H)-ジオン;
(化合物B125) 5-[4-[2-(メチルチオ)ベンゾイルアミノ]フェニル]-1H-ナフト[1,2-b][1,4]ジアゼピン-2,4(3H,5H)-ジオン;
(化合物B126) 5-[4-[3-(メチルチオ)ベンゾイルアミノ]フェニル]-1H-ナフト[1,2-b][1,4]ジアゼピン-2,4(3H,5H)-ジオン;
(化合物B127) 5-[4-[2-エチル-6-メトキシベンゾイルアミノ]フェニル]-1H-ナフト[1,2-b][1,4]ジアゼピン-2,4(3H,5H)-ジオン;
(化合物B128) 5-[4-(3-メタンスルホニルベンゾイルアミノ)フェニル]-1H-ナフト[1,2-b][1,4]ジアゼピン-2,4(3H,5H)-ジオン;
(化合物B129) 6-エチル-1-[4-(2-ヨードベンゾイル)アミノフェニル]-1H-1,5-ベンゾジアゼピン-2,4(3H,5H)-ジオン;
(化合物B130) 5-[4-[2-エチル-6-ヒドロキシベンゾイルアミノ]フェニル]-1H-ナフト[1,2-b][1,4]ジアゼピン-2,4(3H,5H)-ジオン;
(化合物B132) 5-[4-(2-クロロ-5-メタンスルフィニルベンゾイルアミノ)フェニル]-1H-ナフト[1,2-b][1,4]ジアゼピン-2,4(3H,5H)-ジオン;
(化合物B133) 5-[4-(2-メタンスルフィニルベンゾイルアミノ)フェニル]-1H-ナフト[1,2-b][1,4]ジアゼピン-2,4(3H,5H)-ジオン;
(化合物B134) 5-[4-[[2-(4-モルホリニル)アセチル]アミノ]フェニル]-1,2,3,4,8,9,10,11-オクタヒドロナフト[1,2-b][1,4]ジアゼピン-2,4(3H,5H)-ジオン 塩酸塩;
(化合物B135) 5-[4-(2-クロロ-6-メトキシベンゾイルアミノ)フェニル]-1,3-ジヒドロナフト[1,2-e]-1,4-ジアゼピン-2-オン;
(化合物B136) 5-[4-[[(3-クロロピリジン-2-イル)カルボニル]アミノ]フェニル]-1H-ナフト[1,2-b][1,4]ジアゼピン-2,4(3H,5H)-ジオン;
(化合物B137) 5-[4-(2-クロロ-6-ヒドロキシベンゾイルアミノ)フェニル]-1,3-ジヒドロナフト[1,2-e]-1,4-ジアゼピン-2-オン;
(化合物B138) 5-[4-(3-クロロ-2-メトキシベンゾイルアミノ)フェニル]-1H-ナフト[1,2-b][1,4]ジアゼピン-2,4(3H,5H)-ジオン;
(化合物B139) 5-[4-[(3-メチルピリジン-2-イル)カルボニルアミノ]フェニル]-1H-ナフト[1,2-b][1,4]ジアゼピン-2,4(3H,5H)-ジオン;
(化合物B140) 5-[4-[[(3-クロロピリジン-2-イル)カルボニル]アミノ]フェニル]-1,2,3,4,8,9,10,11-オクタヒドロナフト[1,2-b][1,4]ジアゼピン-2,4(3H,5H)-ジオン;
(化合物B142) 5-[4-[[(3-ヒドロキシピリジン-2-イル)カルボニル]アミノ]フェニル]-1H-ナフト[1,2-b][1,4]ジアゼピン-2,4(3H,5H)-ジオン;
(化合物B143) 5-[4-[(3-ビニルピリジン-2-イル)カルボニルアミノ]フェニル]-1H-ナフト[1,2-b][1,4]ジアゼピン-2,4(3H,5H)-ジオン;
(化合物B144) 5-[4-[(3-エチルピリジン-2-イル)カルボニルアミノ]フェニル]-1H-ナフト[1,2-b][1,4]ジアゼピン-2,4(3H,5H)-ジオン;
(化合物B145) N-[4-(2,4-ジオキソ-1,2,3,4-テトラヒドロナフト-[1,2-b][1,4]-ジアゼピン-5-イル)フェニル]-2-ニトロベンゼンスルホンアミド;
(化合物B146) N-[4-(2,4-ジオキソ-1,2,3,4-テトラヒドロナフト[1,2-b][1,4]ジアゼピン-5-イル)フェニル]ベンゼンスルホンアミド;
(化合物B147) 3-ブロモ-N-[4-(2,4-ジオキソ-1,2,3,4-テトラヒドロナフト[1,2-b][1,4]ジアゼピン-5-イル)フェニル]ベンゼンスルホンアミド;
(化合物B148) N-[4-(2,4-ジオキソ-1,2,3,4-テトラヒドロナフト[1,2-b][1,4]ジアゼピン-5-イル)フェニル]-3-メトキシベンゼンスルホンアミド;
(化合物B149) N-[3-(2-オキソ-2,3-ジヒドロ-1H-ナフト[1,2-e][1,4]ジアゼピン-5-イル)フェニル]ベンゼンスルホンアミド;
(化合物B150) N-[3-(2,4-ジオキソ-1,2,3,4-テトラヒドロナフト-[1,2-b][1,4]-ジアゼピン-5-イル)フェニル]-2-ニトロベンゼンスルホンアミド;
(化合物B152) N-[4-(2,4-ジオキソ-1,2,3,4,8,9,10,11-オクタヒドロ-ナフト[1,2-b][1,4]-ジアゼピン-5-イル)フェニル]-N-メチル-2-ニトロベンゼンスルホンアミド;
(化合物B153) N-[3-(2,4-ジオキソ-1,2,3,4-テトラヒドロナフト-[1,2-b][1,4]-ジアゼピン-5-イル)フェニル]-N-メチル-2-ニトロベンゼンスルホンアミド;
(化合物B154) 4-(2,4-ジオキソ-1,2,3,4,8,9,10,11-オクタヒドロナフト[1,2-b][1,4]ジアゼピン-5-イル)-N-フェニルベンゼンスルホンアミド;
(化合物B155) N-[3-(2,4-ジオキソ-1,2,3,4-テトラヒドロナフト[1,2-b]-[1,4]ジアゼピン-5-イル)フェニル]-2-ナフタレンスルホンアミド;
(化合物B156) N-[3-(2,4-ジオキソ-1,2,3,4-テトラヒドロナフト[1,2-b]-[1,4]ジアゼピン-5-イル)フェニル]-1-ナフタレンスルホンアミド;
(化合物B157) N-[4-(2,4-ジオキソ-1,2,3,4-テトラヒドロナフト[1,2-b][1,4]ジアゼピン-5イル)フェニル]シクロヘキサンスルホンアミド;
(化合物B158) N-[4-(2,4-ジオキソ-1,2,3,4-テトラヒドロナフト[1,2-b][1,4]ジアゼピン-5イル)フェニル]-3-ピリジンスルホンアミド 塩酸塩;
(化合物B159) N-[4-(2,4-ジオキソ-1,2,3,4-テトラヒドロナフト[1,2-b][1,4]ジアゼピン-5-イル)フェニル]-4-イソプロピルベンゼンスルホンアミド;
(化合物B160) N-[4-(2,4-ジオキソ-1,2,3,4-テトラヒドロナフト[1,2-b][1,4]ジアゼピン-5-イル)フェニル]フェニルメタンスルホンアミド;
(化合物B162) N-[4-(2,4-ジオキソ-1,2,3,4-テトラヒドロナフト[1,2-b][1,4]ジアゼピン-5イル)フェニル]-2-ナフタレンスルホンアミド;
(化合物B163) 4-(2,4-ジオキソ-1,2,3,4,8,9,10,11-オクタヒドロナフト-[1,2-b][1,4]ジアゼピン-5-イル)フェニル 3-ブロモベンゼン-スルホネート;
(化合物B164) N-ベンジル-N-[4-(1-ベンジル-2,4-ジオキソ-1,2,3,4-テトラヒドロナフト[1,2-b][1,4]ジアゼピン-5イル)フェニル]-2-ニトロベンゼンスルホンアミド;
(化合物B165) N-ベンジル-N-[4-(2,4-ジオキソ-1,2,3,4-テトラヒドロナフト[1,2-b][1,4]ジアゼピン-5イル)フェニル]-2-ニトロベンゼンスルホンアミド;
(化合物B166) 3-ブロモ-N-[4-(2,4-ジオキソ-1,2,3,4-テトラヒドロナフト[1,2-b][1,4]ジアゼピン-5-イル)フェニル]-N-メチルベンゼンスルホンアミド;
(化合物B167) N-[4-(2,4-ジオキソ-1,2,3,4-テトラヒドロナフト-[1,2-b][1,4]-ジアゼピン-5-イル)フェニル]-N-メチル-2-ニトロベンゼンスルホンアミド;
(化合物B168) N-[4-(2,4-ジオキソ-1,2,3,4-テトラヒドロナフト-[1,2-b][1,4]-ジアゼピン-5-イル)フェニル]-N-(2-ヒドロキシエチル)-2-ニトロベンゼンスルホンアミド;
(化合物B169) N-[4-(7-クロロ-2,4-ジオキソ-2,3,4,5-テトラヒドロ-1H-ベンゾ[b][1,4]ジアゼピン-1-イル)フェニル]ベンゼンスルホンアミド;
(化合物B170) N-[4-(7-ブロモ-2,4-ジオキソ-2,3,4,5-テトラヒドロ-1H-ベンゾ[b][1,4]ジアゼピン-1-イル)フェニル]ベンゼンスルホンアミド;
(化合物B172) N-[4-(2,4-ジオキソ-2,3,4,5-テトラヒドロ-1H-ベンゾ[b][1,4]ジアゼピン-1-イル)フェニル]ベンゼンスルホンアミド;
(化合物B173) 1-(2-クロロフェニル)-N-[4-(2,4-ジオキソ-1,2,3,4-テトラヒドロナフト[1,2-b][1,4]ジアゼピン-5-イル)フェニル]メタンスルホンアミド;
(化合物B174) 1-(3-ブロモフェニル)-N-[4-(2,4-ジオキソ-1,2,3,4-テトラヒドロナフト[1,2-b][1,4]ジアゼピン-5-イル)フェニル]メタンスルホンアミド;
(化合物B175) N-[4-(2,4-ジオキソ-1,2,3,4-テトラヒドロナフト-[1,2-b][1,4]-ジアゼピン-5-イル)フェニル]-2-トリフルオロメチルベンゼンスルホンアミド;
(化合物B176) N-[4-(7-ブロモ-6-メチル-2,4-ジオキソ-2,3,4,5-テトラヒドロ-1H-ベンゾ[b][1,4]ジアゼピン-1-イル)フェニル]ベンゼンスルホンアミド;
(化合物B177) 1-(2-クロロフェニル)-N-[4-(2,4-ジオキソ-1,2,3,4,8,9,10,11-オクタヒドロナフト[1,2-b][1,4]ジアゼピン-5-イル)フェニル]メタンスルホンアミド;
(化合物B178) 3-ブロモ-N-[4-(2,4-ジオキソ-1,2,3,4,8,9,10,11-オクタヒドロナフト[1,2-b][1,4]ジアゼピン-5-イル)フェニル]ベンゼンスルホンアミド;
(化合物B179) N-[4-(2,4-ジオキソ-1,2,3,4,8,9,10,11-オクタヒドロナフト[1,2-b][1,4]ジアゼピン-5-イル)フェニル]-3-メトキシベンゼンスルホンアミド;
(化合物B180) 1-(2-ブロモフェニル)-N-[4-(2,4-ジオキソ-1,2,3,4-テトラヒドロナフト[1,2-b][1,4]ジアゼピン-5-イル)フェニル]メタンスルホンアミド;
(化合物B182) N-[4-(2,4-ジオキソ-1,2,3,4-テトラヒドロナフト[1,2-b][1,4]ジアゼピン-5-イル)フェニル]-1-(2-ニトロフェニル)メタンスルホンアミド;
(化合物B183) N-[4-(2,4-ジオキソ-1,2,3,4-テトラヒドロナフト[1,2-b][1,4]ジアゼピン-5-イル)フェニル]-2-フェニルエタンスルホンアミド;
(化合物B184) 1-(2,3-ジクロロフェニル)-N-[4-(2,4-ジオキソ-1,2,3,4,8,9,10,11-オクタヒドロナフト[1,2-b][1,4]ジアゼピン-5-イル)フェニル]メタンスルホンアミド;
(化合物B185) 1-(2-クロロフェニル)-N-[4-(2,4-ジオキソ-7-メトキシ-1H-ベンゾ[1,2-b][1,4]ジアゼピン-1-イル)フェニル]メタンスルホンアミド;
(化合物B186) 1-(2-クロロフェニル)-N-[4-(2,4-ジオキソ-7-ヒドロキシ-1H-ベンゾ[1,2-b][1,4]ジアゼピン-1-イル)フェニル]メタンスルホンアミド;
(化合物B187) 1-(4-クロロフェニル)-N-[4-(2,4-ジオキソ-1,2,3,4-テトラヒドロナフト[1,2-b][1,4]ジアゼピン-5-イル)フェニル]メタンスルホンアミド;
(化合物B188) 1-(2-クロロフェニル)-N-[4-(2,4-ジオキソ-1,2,3,4-テトラヒドロナフト[1,2-b][1,4]ジアゼピン-5-イル)ベンジル]メタンスルホンアミド;
(化合物B189) 1-(2-クロロフェニル)-N-[4-(2,4-ジオキソ-1,2,3,4-テトラヒドロナフト[1,2-b][1,4]ジアゼピン-5-イル)-2-メトキシフェニル]メタンスルホンアミド;
(化合物B190) 1-(2-クロロフェニル)-N-[4-(2,4-ジオキソ-1,2,3,4-テトラヒドロナフト[1,2-b][1,4]ジアゼピン-5-イル)-2-ヒドロキシフェニル]メタンスルホンアミド;
(化合物B192) 1-(2-クロロフェニル)-N-[4-(2,4-ジオキソ-6-メチル-1H-ベンゾ[1,2-b][1,4]ジアゼピン-1-イル)フェニル]メタンスルホンアミド;
(化合物B193) 1-(2-クロロフェニル)-N-[3-(2,4-ジオキシ-1,2,3,4-テトラヒドロナフト[1,2-b][1,4]ジアゼピン-5-イル)プロピル]メタンスルホンアミド;
(化合物B194) 1-(2-クロロフェニル)-N-[2-(2,4-ジオキソ-1,2,3,4-テトラヒドロナフト[1,2-b][1,4]ジアゼピン-5-イル)エチル]メタンスルホンアミド;
(化合物B195) N-[4-(2,4-ジオキソ-1,2,3,4,8,9,10,11-オクタヒドロナフト[1,2-b][1,4]ジアゼピン-5-イル)フェニル]-1-(2-ヨードフェニル)メタンスルホンアミド;
(化合物B196) 1-(2-クロロフェニル)-N-[4-(2,4-ジオキソ-1,2,3,4,8,9,10,11-オクタヒドロナフト[1,2-b][1,4]ジアゼピン-5-イル)フェニル]-N-メチルメタンスルホンアミド;
(化合物B197) 1-(2-クロロフェニル)-N-[4-(2-オキソ-2,3-ジハイドロ-1H-ナフト[1,2-e][1,4]ジアゼピン-5-イル)フェニル]メタンスルホンアミド;
(化合物B198) 1-[2-(トリフルオロメチル)フェニル]-N-[4-(2,4-ジオキソ-1,2,3,4-テトラヒドロナフト[1,2-b][1,4]ジアゼピン-5-イル)フェニル]フェニル-N-メチルメタンスルホンアミド;
(化合物B199) 1-(2-エチルフェニル)-N-[4-(2,4-ジオキソ-1,2,3,4-テトラヒドロナフト[1,2-b][1,4]ジアゼピン-5-イル)フェニル]フェニル-N-メチルメタンスルホンアミド;
(化合物B200) 1-(2,3-ジメチルフェニル)-N-[4-(2,4-ジオキソ-1,2,3,4-テトラヒドロナフト[1,2-b][1,4]ジアゼピン-5-イル)フェニル]フェニル-N-メチルメタンスルホンアミド;
(化合物B202) 1-(2-ニトロフェニル)-N-[4-(2,4-ジオキソ-1,2,3,4-テトラヒドロナフト[1,2-b][1,4]ジアゼピン-5-イル)フェニル]フェニル-N-メチルメタンスルホンアミド;
(化合物B203) 1-(2-アミノフェニル)-N-[4-(2,4-ジオキソ-1,2,3,4-テトラヒドロナフト[1,2-b][1,4]ジアゼピン-5-イル)フェニル]フェニル-N-メチルメタンスルホンアミド;
(化合物B204) 1-(2-ジメチルアミノフェニル)-N-[4-(2,4-ジオキソ-1,2,3,4-テトラヒドロナフト[1,2-b][1,4]ジアゼピン-5-イル)フェニル]フェニル-N-メチルメタンスルホンアミド;
(化合物B205) 5-[4-[(ピリジン-4-イル)カルボニルアミノ]フェニル]-1H-ナフト[1,2-b][1,4]ジアゼピン-2,4(3H,5H)-ジオン 塩酸塩;
(化合物B206) 5-[4-[2-[(ピリジン-3-イル)オキシ]アセチルアミノ]フェニル]-1H-ナフト[1,2-b][1,4]ジアゼピン-2,4(3H,5H)-ジオン 塩酸塩;
(化合物B207) 5-[4-[(ピリジン-3-イル)カルボニルアミノ]フェニル]-1H-ナフト[1,2-b][1,4]ジアゼピン-2,4(3H,5H)-ジオン 塩酸塩;
(化合物B208) 5-[4-[(2-メチルピリジン-3-イル)カルボニルアミノ]フェニル]-1H-ナフト[1,2-b][1,4]ジアゼピン-2,4(3H,5H)-ジオン 塩酸塩;
(化合物B209) 5-[4-[(2-クロロピリジン-3-イル)カルボニルアミノ]フェニル]-1H-ナフト[1,2-b][1,4]ジアゼピン-2,4(3H,5H)-ジオン;
(化合物B210) 5-[4-[2-[(ピリジン-2-イル)オキシ]アセチルアミノ]フェニル]-1H-ナフト[1,2-b][1,4]ジアゼピン-2,4(3H,5H)-ジオン;
(化合物B212) 5-[4-[(2-クロロピリジン-3-イル)カルボニルアミノ]フェニル]-1H-[1,4]ジアゼピノ[2,3-f]イソキノリン-2,4(3H,5H)-ジオン;
(化合物B213) 5-[4-[(2-クロロピリジン-3-イル)カルボニルアミノ]フェニル]-8,9,10,11-テトラヒドロ-1H-[1,4]ジアゼピノ[2,3-f]イソキノリン-2,4(3H,5H)-ジオン;及び
(化合物B214) 5-[4-[(2-イソプロピルベンゾイル)アミノ]フェニル]-1H-ナフト[1,2-b][1,4]ジアゼピン-2,4(3H,5H)-ジオン。
さらに本発明の医薬組成物は、アレルギー反応に伴う症状における炎症の予防若しくは抑制又は減少のために用いることができる。また本発明の医薬組成物は、アレルギー反応に伴う症状におけるマスト細胞内の分泌顆粒の細胞外放出抑制のために用いることができる。
本発明の医薬組成物は、炎症を伴う、前記アレルギー反応に伴う症状の予防若しくは抑制又は治療に用いることができる。
本発明の医薬組成物は、マスト細胞内の分泌顆粒の細胞外放出を伴う、前記アレルギー反応に伴う症状の予防若しくは抑制又は治療に用いることができる。
これらのアレルギー反応に伴う症状はいずれも本発明の医薬組成物の適用対象となる。もっとも、本発明の医薬組成物の適用対象はこれらに限定されることはない。
すなわち、本発明の医薬組成物は、前記有効成分と薬学的に許容される添加剤とを含む医薬組成物として提供され得る。
上記組み合わせは、本発明の医薬組成物に一つの他の活性物質のみならず、2又はそれ以上の他の活性物質を組み合わせたものを包含する。本発明の医薬組成物と、上記の各種アレルギー反応に伴う症状の治療薬又は予防薬から選ばれた1、2又はそれ以上の活性物質との組み合わせには多くの例が存在する。
<1a>アレルギー反応に伴う症状の予防若しくは抑制又は治療の方法であって、それが必要な対象(例えばヒトを含む哺乳類動物)に、P2X4受容体拮抗作用を有する化合物(例えば、一般式(A)ないし(BII)で示される化合物)又はその薬学的に許容される塩の予防若しくは抑制又は治療の有効量を投与することを含む前記方法;
<2a>前記アレルギー反応に伴う症状が、アレルギー性疾患である、<1a>に記載の方法;
<3a>前記アレルギー反応に伴う症状が、I型アレルギー反応に伴う症状である、<1a>又は<2a>に記載の方法;
<4a>前記アレルギー反応に伴う症状が、アナフィラキシーショックである、<1a>から<3a>のいずれか1に記載の方法;
<5a>前記アレルギー反応に伴う症状が、アレルギー性鼻炎である、<1a>から<3a>のいずれか1に記載の方法;
<6a>前記アレルギー反応に伴う症状が、気管支喘息である、<1a>から<3a>のいずれか1に記載の方法;
<7a>前記アレルギー反応に伴う症状が、アレルギー性皮膚炎である、<1a>から<3a>のいずれか1に記載の方法;
<8a>前記アレルギー反応に伴う症状が、花粉症である、<1a>から<3a>のいずれか1に記載の方法;
<9a>前記アレルギー反応に伴う症状が、蕁麻疹である、<1a>から<3a>のいずれか1に記載の方法;
<10a>前記アレルギー反応に伴う症状が、アトピー性皮膚炎である、<1a>から<3a>のいずれか1に記載の方法;
<11a>前記アレルギー反応が、炎症を伴うアレルギー反応である、<1a>に記載の方法;及び
<12a>前記アレルギー反応が、マスト細胞内の分泌顆粒の細胞外放出を伴うアレルギー反応である、<1a>に記載の方法。
<1b>アレルギー反応に伴う症状の予防若しくは抑制又は治療に使用するためのP2X4受容体拮抗作用を有する化合物(例えば、一般式(A)ないし(BII)で示される化合物)又はその薬学的に許容される塩;
<2b>前記アレルギー反応に伴う症状が、アレルギー性疾患である、<1b>に記載の使用のための化合物又はその薬学的に許容される塩;
<3b>前記アレルギー反応に伴う症状が、I型アレルギー反応に伴う症状である、<1b>又は<2b>に記載の使用のための化合物又はその薬学的に許容される塩;
<4b>前記アレルギー反応に伴う症状が、アナフィラキシーショックである、<1b>から<3b>のいずれか1に記載の使用のための化合物又はその薬学的に許容される塩;
<5b>前記アレルギー反応に伴う症状が、アレルギー性鼻炎である、<1b>から<3b>のいずれか1に記載の使用のための化合物又はその薬学的に許容される塩;
<6b>前記アレルギー反応に伴う症状が、気管支喘息である、<1b>から<3b>のいずれか1に記載の使用のための化合物又はその薬学的に許容される塩;
<7b>前記アレルギー反応に伴う症状が、アレルギー性皮膚炎である、<1b>から<3b>のいずれか1に記載の使用のための化合物又はその薬学的に許容される塩;
<8b>前記アレルギー反応に伴う症状が、花粉症である、<1b>から<3b>のいずれか1に記載の使用のための化合物又はその薬学的に許容される塩;
<9b>前記アレルギー反応に伴う症状が、蕁麻疹である、<1b>から<3b>のいずれか1に記載の使用のための化合物又はその薬学的に許容される塩;
<10b>前記アレルギー反応に伴う症状が、アトピー性皮膚炎である、<1b>から<3b>のいずれか1に記載の使用のための化合物又はその薬学的に許容される塩;
<11b>前記アレルギー反応が、炎症を伴うアレルギー反応である、<1b>に記載の使用のための化合物又はその薬学的に許容される塩;及び
<12b>前記アレルギー反応が、マスト細胞内の分泌顆粒の細胞外放出を伴うアレルギー反応である、<1b>に記載の使用のための化合物又はその薬学的に許容される塩。
<1c>アレルギー反応に伴う症状の予防若しくは抑制又は治療のための医薬組成物を製造するためのP2X4受容体拮抗作用を有する化合物(例えば、一般式(A)ないし(BII)で示される化合物)又はその薬学的に許容される塩の使用;
<2c>前記アレルギー反応に伴う症状が、アレルギー性疾患である、<1c>に記載の使用;
<3c>前記アレルギー反応に伴う症状が、I型アレルギー反応に伴う症状である、<1c>又は<2c>に記載の使用;
<4c>前記アレルギー反応に伴う症状が、アナフィラキシーショックである、<1c>から<3c>のいずれか1に記載の使用;
<5c>前記アレルギー反応に伴う症状が、アレルギー性鼻炎である、<1c>から<3c>のいずれか1に記載の使用;
<6c>前記アレルギー反応に伴う症状が、気管支喘息である、<1c>から<3c>のいずれか1に記載の使用;
<7c>前記アレルギー反応に伴う症状が、アレルギー性皮膚炎である、<1c>から<3c>のいずれか1に記載の使用;
<8c>前記アレルギー反応に伴う症状が、花粉症である、<1c>から<3c>のいずれか1に記載の使用;
<9c>前記アレルギー反応に伴う症状が、蕁麻疹である、<1c>から<3c>のいずれか1に記載の使用;
<10c>前記アレルギー反応に伴う症状が、アトピー性皮膚炎である、<1c>から<3c>のいずれか1に記載の使用;
<11c>前記アレルギー反応が、炎症を伴うアレルギー反応である、<1c>に記載の使用;及び
<12c>前記アレルギー反応が、マスト細胞内の分泌顆粒の細胞外放出を伴うアレルギー反応である、<1c>に記載の使用。
以下の実施例では、P2X4受容体アンタゴニストとして、
5-[3-(5-チオキソ-4H―[1,2,4]オキサジアゾール-3-イル)フェニル]-1H-ナフト[1,2-b][1,4]ジアゼピン-2,4(3H,5H)-ジオン ナトリウム塩(WO2010/093061、実施例14の塩:以下便宜上「化合物A」と呼ぶ)、及び5-[4-(2-ヨードベンゾイルアミノ)フェニル]-1H-ナフト[1,2-b][1,4]ジアゼピン-2,4(3H,5H)-ジオン(WO2013/105608、実施例48の化合物:以下「化合物B」と呼ぶ)、並びに以下に示すその他の化合物を用いた:
5-[3-(1H-テトラゾール-5-イル)フェニル]-1H-ナフト[1,2-b][1,4]ジアゼピン-2,4(3H,5H)-ジオン ナトリウム塩;5-[4-[2-(トリフルオロメチル)ベンゾイル]アミノフェニル]-1H-ナフト[1,2-b][1,4]ジアゼピン-2,4(3H,5H)-ジオン;5-[4-[(2-クロロフェニルアセチル)アミノ]フェニル]-1H-ナフト[1,2-b][1,4]ジアゼピン-2,4(3H,5H)-ジオン;1-[4-(2,4-ジオキソ-1,2,3,4-テトラヒドロナフト[1,2-b][1,4]ジアゼピン-5-イル)フェニル]-3-フェニル尿素;5-[4-[(2-エチルベンゾイル)アミノ]フェニル]-1H-ナフト[1,2-b][1,4]ジアゼピン-2,4(3H,5H)-ジオン;5-[4-(2-tert-ブチルベンゾイルアミノ)フェニル]-1H-ナフト[1,2-b][1,4]ジアゼピン-2,4(3H,5H)-ジオン;5-[4-(2-ヨードベンゾイル)アミノフェニル]-1,2,3,4,8,9,10,11-オクタヒドロナフト[1,2-b][1,4]ジアゼピン-2,4(3H,5H)-ジオン;5-[4-(6-クロロ-2-ヒドロキシベンゾイルアミノ)フェニル]-1H-ナフト[1,2-b][1,4]ジアゼピン-2,4(3H,5H)-ジオン;N-[4-(2,4-ジオキソ-1,2,3,4-テトラヒドロナフト[1,2-b][1,4]ジアゼピン-5-イル)フェニル]ベンゼンスルホンアミド;1-(2-クロロフェニル)-N-[4-(2,4-ジオキソ-1,2,3,4-テトラヒドロナフト[1,2-b][1,4]ジアゼピン-5-イル)フェニル]メタンスルホンアミド;1-(2-クロロフェニル)-N-[4-(2,4-ジオキソ-1,2,3,4,8,9,10,11-オクタヒドロナフト[1,2-b][1,4]ジアゼピン-5-イル)フェニル]メタンスルホンアミド;1-(2-ブロモフェニル)-N-[4-(2,4-ジオキソ-1,2,3,4-テトラヒドロナフト[1,2-b][1,4]ジアゼピン-5-イル)フェニル]メタンスルホンアミド;N-[4-(2,4-ジオキソ-1,2,3,4-テトラヒドロナフト[1,2-b][1,4]ジアゼピン-5-イル)フェニル]-1-(2-メチルフェニル)メタンスルホンアミド;N-[4-(2,4-ジオキソ-1,2,3,4-テトラヒドロナフト[1,2-b][1,4]ジアゼピン-5-イル)フェニル]-2-フェニルエタンスルホンアミド;1-(2-クロロフェニル)-N-[4-(2,4-ジオキソ-1,2,3,4,8,9,10,11-オクタヒドロナフト[1,2-b][1,4]ジアゼピン-5-イル)フェニル]-N-メチルメタンスルホンアミド;1-(2-クロロフェニル)-N-[4-(2-オキソ-2,3-ジハイドロ-1H-ナフト[1,2-e][1,4]ジアゼピン-5-イル)フェニル]メタンスルホンアミド;5-[4-[(2-メチルピリジン-3-イル)カルボニルアミノ]フェニル]-1H-ナフト[1,2-b][1,4]ジアゼピン-2,4(3H,5H)-ジオン 塩酸塩;5-[4-[(2-クロロピリジン-3-イル)カルボニルアミノ]フェニル]-1H-ナフト[1,2-b][1,4]ジアゼピン-2,4(3H,5H)-ジオン;5-[4-[2-[(ピリジン-2-イル)オキシ]アセチルアミノ]フェニル]-1H-ナフト[1,2-b][1,4]ジアゼピン-2,4(3H,5H)-ジオン及び5-[4-[(2-イソプロピルベンゾイル)アミノ]フェニル]-1H-ナフト[1,2-b][1,4]ジアゼピン-2,4(3H,5H)-ジオン。
(試験方法)
本発明の有効成分である化合物のP2X4受容体拮抗作用を測定した。ATP受容体(ヒトP2X4)を1321N1細胞に導入し、P2X4受容体安定発現系として使用した。P2X4受容体発現細胞を96ウェルプレートに播種し、37℃,5%CO2条件下で24時間培養してカルシウム測定に使用した。カルシウム蛍光指示薬であるFura-2 AMをカルシウムイメージング用細胞外液に溶解させ、播種した細胞に処置し、室温で45分間静置することで細胞内にFura-2AMを取り込ませた。測定にはマイクロプレートリーダであるEnVision(PerkinElmer)を使用した。キセノンランプから照射される光を340nm及び380nmのフィルターにそれぞれ透過させ、細胞に照射した際に発する510nmの蛍光F340及びF380を観測し、レシオ値F340/F380の変化を細胞内カルシウム変化の指標とした。測定は、ATP最終濃度1μMになるように各ウェルに添加し、ATP誘発細胞内カルシウム応答を経時的に観察することで行った。被験物質の阻害活性は被験物質をATP添加15分間前処置することにより測定し、被験物質非存在下の場合との比較により算出した。結果を以下の表29に示す。
IgEで感作した骨髄由来マスト細胞(bone marrow-derived mast cell、本明細書において、BMMCという)をジニトロフェニル結合ヒト血清アルブミン(2,4-Dinitrophenyl-Human Serum Albumin、本明細書において、DNP-HSAという)(10 ng/mL)とATP(0.1 mM)の共刺激することで起こる脱顆粒反応に対するP2X4受容体拮抗作用のある化合物A又はBの抑制効果を観察した。なお、前記脱顆粒反応は、β-hexosaminidaseの放出率を指標に脱顆粒率を求めて行った。β-hexosaminidaseの放出率の測定は以下の(脱顆粒実験)のとおり行った。
雄性C57BL/6Jマウス(7~8週齢、日本エスエルシー株式会社製)の大腿骨より骨髄を回収した。赤血球を溶血させ10%FBS(ウシ胎児血清)、ペニシリン(100 unit/ml)、ストレプトマイシン(100 μg/ml)、リコンビナントマウスIL-3(10 ng/ml、peprotech社製)を含む培地で14日間培養した。15日目より幹細胞因子(Stem cell factor:SCF)(10 ng/ml)を培地に加え、35~42日間培養し実験に用いた。細胞がマスト細胞に分化しているかをc-KITとFcεRIの発現の程度によって確認した。なお、当該確認は、FACSCant II(BD Biosciences社製)を用いた。
BMMCの培養液に抗DNP-IgE抗体(clone : SPE-7、Sigma aldrich社製)を50 ng/mlになるように加え一晩感作した。前記BMMCをPBS(-)で洗浄し、Krebs Ringer-HEPES Buffer(NaCl 130 mM、KCl 4.7 mM、NaHCO3 4.0 mM、KH2P4 1.2 mM、Glucose 11.5 mM、HEPES 10 mM、CaCl2・H2O 1.8 mM)に1 × 106 cell/mlになるよう懸濁し実験に用いた。
次いで、IgEで感作した前記BMMCに、化合物A(1 μM, 3 μM, 又は10 μM)、化合物B(1 μM, 3 μM, 又は10 μM)又はコントロールとして0.1% DMSOを加えて室温で10分間プレインキュベーションした。
この後、それぞれの前記BMMCを次の4群に調整した。
(1)前記BMMCに何も加えない群、
(2)前記BMMCにATPのみを加えた群、
(3)前記BMMCに抗原としてDNP-HSA (10 ng/ml)のみを加えた群及び
(4)前記BMMCにATPとDNP-HSA (10 ng/ml) の混合液を同時に加えた群。
上記4群は、それぞれ37℃で5分間刺激し、氷上で急冷した後、遠心分離を行い、反応を停止した。上清を回収した後、沈殿した細胞は0.1 % triton X-100で溶解した。上清と細胞溶解液(50 μL)をβ-hexosaminidaseの基質である10 mM 4-Nitrophenyl N-acetyl-β-D-glucosaminide(Sigma aldrich社製)/ 50 mM クエン酸バッファー(pH 4.5、50 μL)と混合し、37℃で30分間インキュベーションした。50 mM 炭酸バッファー(pH 10.0、100 μL)を加えて反応を停止し、吸光マイクロプレートリーダSunrise(TECAN社製)で405/655の吸光度を測定した。β-hexosaminidaseの放出率は以下の式より求めた。
β-hexosaminidase放出率=上清吸光度/(上清吸光度+細胞溶解駅吸光度)×100
なお、本実施例における検体数はいずれもn=3で行い、本実施例における有意差は、図1及び図2の図面中の「*」若しくは「**」にて示しており、それぞれP<0.05、P<0.01であったことを示す。また、図1及び図2の図面における「*」若しくは「**」はそれぞれ、同じ群におけるコントロールと比較した結果、有意差があることを示す。
化合物Aについて
(1)ないし(3)のATP及びDNP-HSA (10 ng/ml)の共刺激を加えていない群は、β-hexosaminidaseの放出率が化合物Aを投与したBMMCとコントロールのBMMCのいずれも10%未満であった(図1(1)ないし(3))。これに対して(4)のATP及びDNP-HSA (10 ng/ml)の共刺激を加えた群におけるコントロールのBMMCは、β-hexosaminidaseの放出率が25%程度であった(図1(4))。しかしながら、同群において化合物AをプレインキュベーションしたBMMCは、前記コントロールのBMMCと比較して化合物Aの用量依存的にβ-hexosaminidaseの放出率が減少し、1 μM、3 μM及び10 μMのいずれの濃度においてもその放出率が有意に減少した(図1(4))。
(1)ないし(3)のATP及びDNP-HSA (10 ng/ml)の共刺激を加えていない群は、β-hexosaminidaseの放出率が化合物Bを投与したBMMCとコントロールのBMMCのいずれも10%程度から15%程度であった(図2(1)ないし(3))。これに対して(4)のATP及びDNP-HSA (10 ng/ml)の共刺激を加えた群におけるコントロールのBMMCは、β-hexosaminidaseの放出率が30%を超えた(図2(4))。しかしながら、同群において化合物BをプレインキュベーションしたBMMCは、前記コントロールのBMMCと比較して化合物Bの用量依存的にβ-hexosaminidaseの放出率が減少し、3 μMと10 μMの化合物BをプレインキュベーションしたBMMCでは、その放出率が有意に減少した(図2(4))。
あらかじめIgEを感作したマウスに、P2X4受容体拮抗作用のある化合物A又はBを投与した群とそうでない群を用意し、それぞれの群のマウスに受動的皮膚アナフィラキシー(Passive cutaneous anaphylaxis、本明細書において、PCAという)を惹起させることで、PCAに対する抑制効果を測定した。
麻酔下のマウスに、IgEを100 ng/20 μL右耳に皮下投与して感作させた。左耳には生理食塩水のみを投与した。
なお前記マウスは、雄性C57BL/6Jマウス(10~11週齢、日本エスエルシー株式会社製)を用いた。
前記IgE感作マウスに、生理食塩水に含有させた化合物A(10 mg/kg)を、DNP-HSA投与の30分前に腹腔内投与した。なお、DNP-HSA投与は尾静脈投与にて行い、前記IgE感作マウスの作製から24時間後となるように調整した。
また、別の前記IgE感作マウスには、DMSO : 65%KolliphorEL(BASF SE社製):注射用水を1 : 1 : 8で調整した溶媒(以下、溶媒Bという)に含有させた化合物B(10 mg/kg)を、DNP-HSA投与の1時間前に腹腔内投与した。なお、65%KolliphorELの濃度は、エタノールと少量の注射用水(又は水)を用いて調製した。また、DNP-HSA投与は前記IgE感作マウスの作製から24時間後となるように調整した。
また、さらに別の前記IgE感作マウスには、化合物Aのコントロールとして生理食塩水を投与した群(vehicle群)と、化合物Bのコントロールとして溶媒Bを投与した群(vehicle群)を用意した。
前記IgE感作マウスの作製から24時間後に、0.5% Evans blueを含んだ100 ng/200 μL(生理食塩水)のDNP-HSAを尾静脈投与することによりアナフィラキシーを惹起させることでPCAモデルマウスを作製した。
前記PCAモデルマウスは浮腫によって血管内からEvans Blueを含んだ体液が耳介に移動するため、DNP-HSAを尾静脈投与した場合の耳介中のEvans Blue量の変化を測定することで、PCAに対する化合物A又はBの効果を測定した。
前記PCAモデルマウスは、DNP-HSA投与30分後に安楽死させ、耳介を回収し重量を測定した。回収した耳介は細かく切り刻み、ホルムアミド中(1 mL)で一晩加熱(65℃)しEvans blueを抽出した。抽出したEvans blueと検量線の吸光度(620 nm)を吸光マイクロプレートリーダ Sunrise(TECAN)で測定し、濃度を算出した。
なお、本実施例における検体数はいずれもn=5で行い、本実施例における有意差は、図3の図面中の「*」にて示しており、P<0.05であったことを示す。また、図3の図面における「*」は、それぞれの化合物を投与した群が、化合物を投与していない群(vehicle群)と比較した結果、有意差があることを示す。
化合物B(10 mg/kg)を前処置した後、DNP-HSAを尾静脈投与すると、耳介重量あたりのEvans Blueの増加を有意に抑制した。
また、化合物B(10 mg/kg)の前処置は、経口投与した場合であっても腹腔内投与と同様に耳介重量あたりのEvans Blueの増加を有意に抑制した(図示せず)。
あらかじめIgEで感作したマウスにP2X4受容体拮抗作用のある化合物A又はBを投与した群とそうでない群を用意し、それぞれの群のマウスに受動的全身アナフィラキシー(Passive systemic anaphylaxis、本明細書において、PSAという)を惹起させることで、PSAに対する抑制効果を測定した。
麻酔下のマウスに、IgEを10 μg/200 μL(生理食塩水)尾静脈投与して感作させた。
なお前記マウスは、雄性C57BL/6Jマウス(7~8週齢又は10~11週齢、日本エスエルシー株式会社製)を用いた。
前記IgE感作マウスに、生理食塩水に含有させた化合物A(10 mg/kg)をDNP-HSA投与の30分前に腹腔内投与した。なお、DNP-HSA投与は前記IgE感作マウスの作製から24時間後となるように調整した。
また、別の前記IgE感作マウスに、溶媒Bに含有させた化合物B(10 mg/kg)をDNP-HAS投与の1時間前に腹腔内投与した。なお、DNP-HSA投与は前記IgE感作マウスの作製から24時間後となるように調整した。
また、別の前記IgE感作マウスは、化合物Aのコントロールとして生理食塩水を投与した群(vehicle群)と、化合物Bのコントロールとして溶媒Bを投与した群(vehicle群)を用意した。
前記IgE感作マウスの作製から24時間後に、非麻酔下のマウスに100 ng/200 μL(生理食塩水)のDNP-HSAを尾静脈投与することによってPSAモデルマウスを作製し、アナフィラキシーを惹起させた。
前記PSAモデルマウスは全身アナフィラキシーを惹起することで、体温の急激な低下が引き起こされる。そのため、DNP-HSAを尾静脈投与した場合の体温の変化を測定することで、受動的全身アナフィラキシーに対する化合物A又はBのその効果を測定した。
前記体温変化の測定は、DNP-HSA投与時を0分とし、0分から投与後60分まで5分毎に直腸体温をBAT-7001H Thermometer(PHYSITEMP INSTRUMENTS INS)で測定した。
なお、本実施例における検体数は化合物Aの群はn=7、化合物Aのコントロール群はn=8、化合物B群とそのコントロール群はn=9で行い、本実施例における有意差は、図4及び図5の図面中の「*」にて示しており、P<0.05であったことを示す。また、図4及び図5の図面における「*」は、それぞれの化合物を投与した群が、それぞれのコントロール群(vehicle群)と比較した結果、有意差があることを示す。
前記IgE感作マウスに化合物A又はBで前処置した後、DNP-HSAを尾静脈投与すると、いずれも有意な体温低下抑制作用が観察された。また、化合物Aにおける体温低下抑制作用は、少なくとも35分間にわたって有意差があり、60分経過した時点でもその効果が持続していた。
IgEで感作したBMMCをDNP-HSA(10 ng/mL)とATP(0.1 mM)の共刺激することで起こる脱顆粒反応と、プロスタグランジンE2(Prostaglandin E2、本明細書において、PGE2という)(1 μg/mL)とATP(0.1 mM)の共刺激することで起こる脱顆粒反応のそれぞれに対する化合物Aの抑制効果を観察した。
なお、前記脱顆粒反応は、β-hexosaminidaseの放出率を指標に脱顆粒率を求めて行った。β-hexosaminidaseの放出率の測定は以下の(脱顆粒実験)のとおり行った。
(BMMCの調整)
実施例2に記載の方法に準拠して行った。
(脱顆粒実験)
BMMCの培養液に抗DNP-IgE抗体(clone : SPE-7、Sigma aldrich社製)を50 ng/mlになるように加え一晩感作した。前記BMMCをPBS(-)で洗浄し、Krebs Ringer-HEPES Buffer(NaCl 130 mM、KCl 4.7 mM、NaHCO3 4.0 mM、KH2P4 1.2 mM、Glucose 11.5 mM、HEPES 10 mM、CaCl2・H2O 1.8 mM)に1 × 106 cell/mlになるよう懸濁し実験に用いた。
次いで、IgEで感作した前記BMMCに、化合物A(1 μM, 3 μM, 又は10 μM)又はコントロールとして0.1% DMSOを加えて室温で10分間プレインキュベーションした。
この後、それぞれの前記BMMCを次の6群に調整した。なお、以下の括弧書きの数字は、図6中の括弧書き数字と一致する。
(1)前記BMMCに何も加えない群、
(2)前記BMMCにATPのみを加えた群、
(3)前記BMMCにPGE2 (1 μM)のみを加えた群
(4)前記BMMCにATPとPGE2 (1 μM) の混合液を同時に加えた群
(5)前記BMMCに抗原としてDNP-HSA (10 ng/ml)のみを加えた群及び
(6)前記BMMCにATPとDNP-HSA (10 ng/ml) の混合液を同時に加えた群。
上記6群は、それぞれ37℃で5分間刺激し、氷上で急冷した後、遠心分離を行い、反応を停止した。上清を回収した後、沈殿した細胞は0.1 % triton X-100で溶解した。上清と細胞溶解液(50 μL)をβ-hexosaminidaseの基質である10 mM 4-Nitrophenyl N-acetyl-β-D-glucosaminide(Sigma aldrich社製)/ 50 mM クエン酸バッファー(pH 4.5、50 μL)と混合し、37℃で30分間インキュベーションした。50 mM 炭酸バッファー(pH 10.0、100 μL)を加えて反応を停止し、吸光マイクロプレートリーダSunrise(TECAN社製)で405/655の吸光度を測定した。β-hexosaminidaseの放出率は以下の式より求めた。
β-hexosaminidase放出率=上清吸光度/(上清吸光度+細胞溶解駅吸光度)×100
(1)ないし(3)のATP(0.1 mM)及びPGE2 (1 μM)の共刺激を加えていない群は、β-hexosaminidaseの放出率が化合物Aを投与したBMMCとコントロールのBMMCのいずれも5%未満であった(図6(1)ないし(3))。これに対して(4)のATP(0.1 mM)及びPGE2(1 μM)の共刺激を加えた群におけるコントロールのBMMCは、β-hexosaminidaseの放出率が15%程度であった(図6(4))。しかしながら、同群において化合物AをプレインキュベーションしたBMMCは、前記コントロールのBMMCと比較して化合物Aの用量依存的にβ-hexosaminidaseの放出率が減少し、1 μM、3 μM及び10 μMのいずれの濃度においてもその放出率が有意に減少した(図6(4))。
なお、本実施例における検体数はいずれもn=3で行い、本実施例における有意差は、図6の図面中の「*」若しくは「**」にて示しており、それぞれP<0.05、P<0.01(Dunnett)であったことを示す。また、図6の図面における「*」若しくは「**」はそれぞれ、同じ群におけるコントロールと比較した結果、有意差があることを示す。
(試験方法)
BMMCsは新鮮な培養液で洗浄し、刺激薬(100 μM ATP、1 μM PGE2、100 μM ATP + 1 μM PGE2)存在下及び非存在下で3時間反応させた。
群分けは、以下に示すとおりであり、図7~9の表記中の括弧書き数字と一致する。
(1)前記BMMCに何も加えない群、
(2)前記BMMCにATPのみを加えた群、
(3)前記BMMCにPGE2のみを加えた群、
(4)前記BMMCにATPとPGE2の混合液を同時に加えた群。
化合物Aの作用は10 μMの濃度で5分間前処理し観察した。反応液中に放出されたサイトカイン(interleukin (IL)-6, IL-13 and TNF-α)はELISA kits (Invitrogen)で測定した。
なお、本実施例における検体数はいずれもn=3で行い、本実施例における有意差は、図7~9の図面中の「**」にて示しており、P<0.01であったことを示す。また、前記有意差は、図7~9の図面におけるは化合物A非投与群におけると比較した結果であることを示す。
結果を図7~9に示す。
ATPによるIL-6、IL-13及びTNF-αの放出増大が、化合物Aにより抑制されたことが示された。この結果から、本願化合物は、アレルギー性皮膚炎や、アレルギー性気管支喘息などに有効であることが示唆された。
Claims (10)
- P2X4受容体拮抗作用を有する化合物又はその薬学的に許容される塩を有効成分として含む、アレルギー反応に伴う症状の予防若しくは抑制又は治療のための医薬組成物であって、
前記化合物又はその薬学的に許容される塩が、
(A2) 5-[3-(1H-テトラゾール-5-イル)フェニル]-1H-ナフト[1,2-b][1,4]ジアゼピン-2,4(3H,5H)-ジオン ナトリウム塩;
(A17) 5-[3-(5-チオキソ-4H―[1,2,4]オキサジアゾール-3-イル)フェニル]-1H-ナフト[1,2-b][1,4]ジアゼピン-2,4(3H,5H)-ジオン ナトリウム塩;
(B2) 5-[4-[2-(トリフルオロメチル)ベンゾイル]アミノフェニル]-1H-ナフト[1,2-b][1,4]ジアゼピン-2,4(3H,5H)-ジオン;
(B13) 5-[4-[(2-クロロフェニルアセチル)アミノ]フェニル]-1H-ナフト[1,2-b][1,4]ジアゼピン-2,4(3H,5H)-ジオン;
(B20) 1-[4-(2,4-ジオキソ-1,2,3,4-テトラヒドロナフト[1,2-b][1,4]ジアゼピン-5-イル)フェニル]-3-フェニル尿素;
(B48) 5-[4-(2-ヨードベンゾイルアミノ)フェニル]-1H-ナフト[1,2-b][1,4]ジアゼピン-2,4(3H,5H)-ジオン;
(B57) 5-[4-[(2-エチルベンゾイル)アミノ]フェニル]-1H-ナフト[1,2-b][1,4]ジアゼピン-2,4(3H,5H)-ジオン;
(B71) 5-[4-(2-tert-ブチルベンゾイルアミノ)フェニル]-1H-ナフト[1,2-b][1,4]ジアゼピン-2,4(3H,5H)-ジオン;
(B106) 5-[4-(2-ヨードベンゾイル)アミノフェニル]-1,2,3,4,8,9,10,11-オクタヒドロナフト[1,2-b][1,4]ジアゼピン-2,4(3H,5H)-ジオン;
(B118) 5-[4-(6-クロロ-2-ヒドロキシベンゾイルアミノ)フェニル]-1H-ナフト[1,2-b][1,4]ジアゼピン-2,4(3H,5H)-ジオン;
(B146) N-[4-(2,4-ジオキソ-1,2,3,4-テトラヒドロナフト[1,2-b][1,4]ジアゼピン-5-イル)フェニル]ベンゼンスルホンアミド;
(B173) 1-(2-クロロフェニル)-N-[4-(2,4-ジオキソ-1,2,3,4-テトラヒドロナフト[1,2-b][1,4]ジアゼピン-5-イル)フェニル]メタンスルホンアミド;
(B177) 1-(2-クロロフェニル)-N-[4-(2,4-ジオキソ-1,2,3,4,8,9,10,11-オクタヒドロナフト[1,2-b][1,4]ジアゼピン-5-イル)フェニル]メタンスルホンアミド;
(B180) 1-(2-ブロモフェニル)-N-[4-(2,4-ジオキソ-1,2,3,4-テトラヒドロナフト[1,2-b][1,4]ジアゼピン-5-イル)フェニル]メタンスルホンアミド;
(B181) N-[4-(2,4-ジオキソ-1,2,3,4-テトラヒドロナフト[1,2-b][1,4]ジアゼピン-5-イル)フェニル]-1-(2-メチルフェニル)メタンスルホンアミド;
(B183) N-[4-(2,4-ジオキソ-1,2,3,4-テトラヒドロナフト[1,2-b][1,4]ジアゼピン-5-イル)フェニル]-2-フェニルエタンスルホンアミド;
(B196) 1-(2-クロロフェニル)-N-[4-(2,4-ジオキソ-1,2,3,4,8,9,10,11-オクタヒドロナフト[1,2-b][1,4]ジアゼピン-5-イル)フェニル]-N-メチルメタンスルホンアミド;
(B197) 1-(2-クロロフェニル)-N-[4-(2-オキソ-2,3-ジハイドロ-1H-ナフト[1,2-e][1,4]ジアゼピン-5-イル)フェニル]メタンスルホンアミド;
(B208) 5-[4-[(2-メチルピリジン-3-イル)カルボニルアミノ]フェニル]-1H-ナフト[1,2-b][1,4]ジアゼピン-2,4(3H,5H)-ジオン 塩酸塩;
(B209) 5-[4-[(2-クロロピリジン-3-イル)カルボニルアミノ]フェニル]-1H-ナフト[1,2-b][1,4]ジアゼピン-2,4(3H,5H)-ジオン;
(B210) 5-[4-[2-[(ピリジン-2-イル)オキシ]アセチルアミノ]フェニル]-1H-ナフト[1,2-b][1,4]ジアゼピン-2,4(3H,5H)-ジオン;及び
(B214) 5-[4-[(2-イソプロピルベンゾイル)アミノ]フェニル]-1H-ナフト[1,2-b][1,4]ジアゼピン-2,4(3H,5H)-ジオンからなる群から選ばれる化合物又はその薬学的に許容される塩であり、
前記アレルギー反応に伴う症状が、アレルギー性咳嗽、アトピー性咳嗽及び喘息による咳嗽を除く症状である医薬組成物。 - 前記アレルギー反応に伴う症状が、アレルギー性疾患である請求項1に記載の医薬組成物。
- 前記アレルギー反応に伴う症状が、I型アレルギー反応に伴う症状である請求項1又は2に記載の医薬組成物。
- 前記アレルギー反応に伴う症状が、アナフィラキシーショックである請求項1ないし3のいずれか1項に記載の医薬組成物。
- 前記アレルギー反応に伴う症状が、アレルギー性鼻炎である請求項1ないし3のいずれか1項に記載の医薬組成物。
- 前記アレルギー反応に伴う症状が、気管支喘息(但し、咳嗽の症状を除く)である請求項1ないし3のいずれか1項に記載の医薬組成物。
- 前記アレルギー反応に伴う症状が、アレルギー性皮膚炎である請求項1ないし3のいずれか1項に記載の医薬組成物。
- 前記アレルギー反応に伴う症状が、花粉症である請求項1ないし3のいずれか1項に記載の医薬組成物。
- 前記アレルギー反応に伴う症状が、蕁麻疹である請求項1ないし3のいずれか1項に記載の医薬組成物。
- 前記アレルギー反応に伴う症状が、アトピー性皮膚炎である請求項1ないし3のいずれか1項に記載の医薬組成物。
Priority Applications (1)
| Application Number | Priority Date | Filing Date | Title |
|---|---|---|---|
| JP2024174989A JP2025000995A (ja) | 2020-08-03 | 2024-10-04 | アレルギー反応に伴う症状の予防若しくは抑制又は治療用の医薬組成物 |
Applications Claiming Priority (3)
| Application Number | Priority Date | Filing Date | Title |
|---|---|---|---|
| JP2020131412 | 2020-08-03 | ||
| JP2020131412 | 2020-08-03 | ||
| PCT/JP2021/028553 WO2022030428A1 (ja) | 2020-08-03 | 2021-08-02 | アレルギー反応に伴う症状の予防若しくは抑制又は治療用の医薬組成物 |
Related Child Applications (1)
| Application Number | Title | Priority Date | Filing Date |
|---|---|---|---|
| JP2024174989A Division JP2025000995A (ja) | 2020-08-03 | 2024-10-04 | アレルギー反応に伴う症状の予防若しくは抑制又は治療用の医薬組成物 |
Publications (2)
| Publication Number | Publication Date |
|---|---|
| JPWO2022030428A1 JPWO2022030428A1 (ja) | 2022-02-10 |
| JP7621619B2 true JP7621619B2 (ja) | 2025-01-27 |
Family
ID=80118061
Family Applications (2)
| Application Number | Title | Priority Date | Filing Date |
|---|---|---|---|
| JP2022541524A Active JP7621619B2 (ja) | 2020-08-03 | 2021-08-02 | アレルギー反応に伴う症状の予防若しくは抑制又は治療用の医薬組成物 |
| JP2024174989A Withdrawn JP2025000995A (ja) | 2020-08-03 | 2024-10-04 | アレルギー反応に伴う症状の予防若しくは抑制又は治療用の医薬組成物 |
Family Applications After (1)
| Application Number | Title | Priority Date | Filing Date |
|---|---|---|---|
| JP2024174989A Withdrawn JP2025000995A (ja) | 2020-08-03 | 2024-10-04 | アレルギー反応に伴う症状の予防若しくは抑制又は治療用の医薬組成物 |
Country Status (8)
| Country | Link |
|---|---|
| US (1) | US20230277552A1 (ja) |
| EP (1) | EP4190356A4 (ja) |
| JP (2) | JP7621619B2 (ja) |
| KR (1) | KR20230041005A (ja) |
| CN (1) | CN116437928A (ja) |
| AU (1) | AU2021320957B2 (ja) |
| CA (1) | CA3186937A1 (ja) |
| WO (1) | WO2022030428A1 (ja) |
Families Citing this family (4)
| Publication number | Priority date | Publication date | Assignee | Title |
|---|---|---|---|---|
| EP4410310A4 (en) * | 2021-09-30 | 2025-10-22 | Nippon Chemiphar Co | PROPHYLACTIC OR THERAPEUTIC AGENT FOR RESPIRATORY DISEASES |
| JP2025041993A (ja) * | 2022-02-17 | 2025-03-27 | 国立大学法人鳥取大学 | 子宮内膜症又は子宮腺筋症の予防又は治療剤 |
| AU2023244778A1 (en) | 2022-03-31 | 2024-10-17 | Nippon Chemiphar Co., Ltd. | Pharmaceutical composition for preventing or suppressing or treating symptoms accompanying pseudo-allergic reactions |
| TW202448478A (zh) | 2023-02-24 | 2024-12-16 | 日商日本化美化股份有限公司 | 具有p2x4受體拮抗作用之化合物的固體分散體 |
Citations (2)
| Publication number | Priority date | Publication date | Assignee | Title |
|---|---|---|---|---|
| WO2005107804A1 (ja) | 2004-05-06 | 2005-11-17 | Ono Pharmaceutical Co., Ltd. | 呼吸器疾患治療剤 |
| WO2019177117A1 (ja) | 2018-03-14 | 2019-09-19 | 日本ケミファ株式会社 | 咳嗽の治療のための医薬 |
Family Cites Families (22)
| Publication number | Priority date | Publication date | Assignee | Title |
|---|---|---|---|---|
| WO2005035516A1 (ja) * | 2003-10-10 | 2005-04-21 | Ono Pharmaceutical Co., Ltd. | 新規縮合複素環化合物およびその用途 |
| CA2614096C (en) | 2005-06-30 | 2014-08-12 | Albemarle Corporation | Brominated styrenic polymers and their preparation |
| JPWO2008020651A1 (ja) | 2006-08-17 | 2010-01-07 | 国立大学法人九州大学 | P2x4受容体アンタゴニスト |
| CN101541768A (zh) | 2006-08-25 | 2009-09-23 | 日本化学医药株式会社 | P2x4受体拮抗剂 |
| KR20080023847A (ko) | 2006-09-12 | 2008-03-17 | 세메스 주식회사 | 반도체 제조 설비의 고주파 발생 장치 및 그 방법 |
| JP5252477B2 (ja) | 2007-11-07 | 2013-07-31 | 住友化学株式会社 | 偏光板 |
| KR101727761B1 (ko) | 2009-02-16 | 2017-04-17 | 닛뽕 케미파 가부시키가이샤 | 디아제핀디온 유도체 |
| US8810562B2 (en) | 2009-05-19 | 2014-08-19 | Advanced Micro Devices, Inc. | Hierarchical lossless compression |
| KR101890441B1 (ko) | 2010-07-13 | 2018-08-21 | 닛뽕 케미파 가부시키가이샤 | P2x4 수용체 길항제 |
| EP2631229B1 (en) | 2010-07-29 | 2014-12-03 | Nippon Chemiphar Co., Ltd. | P2x4 receptor antagonist |
| CA2802475C (en) | 2010-07-30 | 2016-11-08 | Novartis Ag | Method for making uv-absorbing ophthalmic lenses |
| KR101890443B1 (ko) | 2010-08-03 | 2018-09-28 | 닛뽕 케미파 가부시키가이샤 | P2x4 수용체 길항제 |
| KR101161153B1 (ko) | 2010-08-20 | 2012-07-11 | 송은화 | 방향제가 구비된 전동식 디퓨져 |
| KR101191251B1 (ko) | 2011-12-02 | 2012-10-16 | 영남대학교 산학협력단 | 3단계 동적 분류를 통한 10기가급 대용량 플로우 생성 및 제어방법 |
| JP6207399B2 (ja) | 2012-01-13 | 2017-10-04 | 日本ケミファ株式会社 | P2x4受容体拮抗剤 |
| JP6257938B2 (ja) | 2013-07-04 | 2018-01-10 | コンビ株式会社 | 乳母車 |
| JP6242614B2 (ja) | 2013-07-04 | 2017-12-06 | コンビ株式会社 | 乳母車 |
| JP6357475B2 (ja) | 2013-07-12 | 2018-07-11 | 日本ケミファ株式会社 | P2x4受容体拮抗剤 |
| JPWO2015005467A1 (ja) | 2013-07-12 | 2017-03-02 | 日本ケミファ株式会社 | P2x4受容体拮抗剤 |
| US11918589B2 (en) * | 2016-04-28 | 2024-03-05 | Nippon Chemiphar Co., Ltd. | Medicament for treatment of multiple sclerosis |
| WO2020050253A1 (ja) * | 2018-09-03 | 2020-03-12 | 日本ケミファ株式会社 | 糖尿病性末梢神経障害のための医薬 |
| JP7112351B2 (ja) | 2019-02-26 | 2022-08-03 | 株式会社Subaru | インパクト工具 |
-
2021
- 2021-08-02 JP JP2022541524A patent/JP7621619B2/ja active Active
- 2021-08-02 CA CA3186937A patent/CA3186937A1/en active Pending
- 2021-08-02 WO PCT/JP2021/028553 patent/WO2022030428A1/ja not_active Ceased
- 2021-08-02 EP EP21853600.1A patent/EP4190356A4/en active Pending
- 2021-08-02 US US18/007,054 patent/US20230277552A1/en active Pending
- 2021-08-02 CN CN202180067741.XA patent/CN116437928A/zh active Pending
- 2021-08-02 KR KR1020237003474A patent/KR20230041005A/ko active Pending
- 2021-08-02 AU AU2021320957A patent/AU2021320957B2/en active Active
-
2024
- 2024-10-04 JP JP2024174989A patent/JP2025000995A/ja not_active Withdrawn
Patent Citations (2)
| Publication number | Priority date | Publication date | Assignee | Title |
|---|---|---|---|---|
| WO2005107804A1 (ja) | 2004-05-06 | 2005-11-17 | Ono Pharmaceutical Co., Ltd. | 呼吸器疾患治療剤 |
| WO2019177117A1 (ja) | 2018-03-14 | 2019-09-19 | 日本ケミファ株式会社 | 咳嗽の治療のための医薬 |
Non-Patent Citations (3)
| Title |
|---|
| CHEN, H. et al.,Effect of P2X4R on airway inflammation and airway remodeling in allergic airway challenge in mice.,MOLECULAR MEDICINE REPORTS,2016年,Vol.13,pp.697-704 |
| HU, B. et al.,5-BDBD ameliorates an OVA-induced allergic asthma by the reduction of Th2 cytokines production,Iranian Journal of Basic Medical Sciences,2018年,Vol.21, No.4,pp.364-369 |
| YOSHIDA, K. et al.,Co-Stimulation of Purinergic P2X4 and Prostanoid EP3 Receptors Triggers Synergistic Degranulation in,International Journal of Molecular Sciences,2019年,Vol.20,Article No.5157 |
Also Published As
| Publication number | Publication date |
|---|---|
| EP4190356A4 (en) | 2024-11-06 |
| KR20230041005A (ko) | 2023-03-23 |
| JP2025000995A (ja) | 2025-01-07 |
| AU2021320957B2 (en) | 2025-01-30 |
| AU2021320957A1 (en) | 2023-03-02 |
| EP4190356A1 (en) | 2023-06-07 |
| CA3186937A1 (en) | 2022-02-10 |
| WO2022030428A1 (ja) | 2022-02-10 |
| CN116437928A (zh) | 2023-07-14 |
| JPWO2022030428A1 (ja) | 2022-02-10 |
| US20230277552A1 (en) | 2023-09-07 |
Similar Documents
| Publication | Publication Date | Title |
|---|---|---|
| JP7621619B2 (ja) | アレルギー反応に伴う症状の予防若しくは抑制又は治療用の医薬組成物 | |
| US12233071B2 (en) | Medicament for treating cough | |
| JP2025000981A (ja) | 過敏性腸症候群又は炎症性腸疾患の予防又は治療のための医薬 | |
| JP2005533788A (ja) | Pdeiv阻害剤および抗うつ薬または不安解消薬の組み合わせによるうつ病および不安の治療 | |
| US20250241927A1 (en) | Medicament comprising a p2x4 receptor antagonist for preventing or treating nociceptive pain and/or visceral pain | |
| JP2008525509A (ja) | 片頭痛治療のための、他の片頭痛治療薬と組合せた選択されたcgrpアンタゴニストの使用 | |
| CN115942938B (zh) | 用于预防或治疗肠易激综合征或炎性肠病的药物 | |
| US20250375456A1 (en) | Agent for preventing or treating respiratory disease | |
| JP2025041993A (ja) | 子宮内膜症又は子宮腺筋症の予防又は治療剤 | |
| WO2025205829A1 (ja) | 脳動脈瘤の予防又は治療用の医薬組成物 |
Legal Events
| Date | Code | Title | Description |
|---|---|---|---|
| A521 | Request for written amendment filed |
Free format text: JAPANESE INTERMEDIATE CODE: A821 Effective date: 20221227 |
|
| A621 | Written request for application examination |
Free format text: JAPANESE INTERMEDIATE CODE: A621 Effective date: 20230313 |
|
| A131 | Notification of reasons for refusal |
Free format text: JAPANESE INTERMEDIATE CODE: A131 Effective date: 20240312 |
|
| A521 | Request for written amendment filed |
Free format text: JAPANESE INTERMEDIATE CODE: A523 Effective date: 20240425 |
|
| A02 | Decision of refusal |
Free format text: JAPANESE INTERMEDIATE CODE: A02 Effective date: 20240709 |
|
| A521 | Request for written amendment filed |
Free format text: JAPANESE INTERMEDIATE CODE: A523 Effective date: 20241004 |
|
| A521 | Request for written amendment filed |
Free format text: JAPANESE INTERMEDIATE CODE: A821 Effective date: 20241004 |
|
| A911 | Transfer to examiner for re-examination before appeal (zenchi) |
Free format text: JAPANESE INTERMEDIATE CODE: A911 Effective date: 20241024 |
|
| TRDD | Decision of grant or rejection written | ||
| A01 | Written decision to grant a patent or to grant a registration (utility model) |
Free format text: JAPANESE INTERMEDIATE CODE: A01 Effective date: 20241210 |
|
| A61 | First payment of annual fees (during grant procedure) |
Free format text: JAPANESE INTERMEDIATE CODE: A61 Effective date: 20250106 |
|
| R150 | Certificate of patent or registration of utility model |
Ref document number: 7621619 Country of ref document: JP Free format text: JAPANESE INTERMEDIATE CODE: R150 |




















































