JP7421237B2 - 無線通信システムのデータ伝送方法、受信方法、及びそれを利用する装置 - Google Patents

無線通信システムのデータ伝送方法、受信方法、及びそれを利用する装置 Download PDF

Info

Publication number
JP7421237B2
JP7421237B2 JP2022142229A JP2022142229A JP7421237B2 JP 7421237 B2 JP7421237 B2 JP 7421237B2 JP 2022142229 A JP2022142229 A JP 2022142229A JP 2022142229 A JP2022142229 A JP 2022142229A JP 7421237 B2 JP7421237 B2 JP 7421237B2
Authority
JP
Japan
Prior art keywords
time
terminal
physical data
data channel
resource
Prior art date
Legal status (The legal status is an assumption and is not a legal conclusion. Google has not performed a legal analysis and makes no representation as to the accuracy of the status listed.)
Active
Application number
JP2022142229A
Other languages
English (en)
Other versions
JP2022172323A (ja
JP2022172323A5 (ja
Inventor
キョンジュン・チェ
ミンソク・ノ
ジンサム・カク
Original Assignee
ウィルス インスティテュート オブ スタンダーズ アンド テクノロジー インコーポレイティド
Priority date (The priority date is an assumption and is not a legal conclusion. Google has not performed a legal analysis and makes no representation as to the accuracy of the date listed.)
Filing date
Publication date
Priority claimed from KR1020170115232A external-priority patent/KR20190028148A/ko
Application filed by ウィルス インスティテュート オブ スタンダーズ アンド テクノロジー インコーポレイティド filed Critical ウィルス インスティテュート オブ スタンダーズ アンド テクノロジー インコーポレイティド
Publication of JP2022172323A publication Critical patent/JP2022172323A/ja
Publication of JP2022172323A5 publication Critical patent/JP2022172323A5/ja
Application granted granted Critical
Publication of JP7421237B2 publication Critical patent/JP7421237B2/ja
Active legal-status Critical Current
Anticipated expiration legal-status Critical

Links

Classifications

    • HELECTRICITY
    • H04ELECTRIC COMMUNICATION TECHNIQUE
    • H04LTRANSMISSION OF DIGITAL INFORMATION, e.g. TELEGRAPHIC COMMUNICATION
    • H04L5/00Arrangements affording multiple use of the transmission path
    • H04L5/0001Arrangements for dividing the transmission path
    • H04L5/0003Two-dimensional division
    • H04L5/0005Time-frequency
    • HELECTRICITY
    • H04ELECTRIC COMMUNICATION TECHNIQUE
    • H04WWIRELESS COMMUNICATION NETWORKS
    • H04W72/00Local resource management
    • H04W72/20Control channels or signalling for resource management
    • HELECTRICITY
    • H04ELECTRIC COMMUNICATION TECHNIQUE
    • H04LTRANSMISSION OF DIGITAL INFORMATION, e.g. TELEGRAPHIC COMMUNICATION
    • H04L1/00Arrangements for detecting or preventing errors in the information received
    • H04L1/0001Systems modifying transmission characteristics according to link quality, e.g. power backoff
    • H04L1/0009Systems modifying transmission characteristics according to link quality, e.g. power backoff by adapting the channel coding
    • H04L1/0013Rate matching, e.g. puncturing or repetition of code symbols
    • HELECTRICITY
    • H04ELECTRIC COMMUNICATION TECHNIQUE
    • H04LTRANSMISSION OF DIGITAL INFORMATION, e.g. TELEGRAPHIC COMMUNICATION
    • H04L1/00Arrangements for detecting or preventing errors in the information received
    • H04L1/004Arrangements for detecting or preventing errors in the information received by using forward error control
    • H04L1/0056Systems characterized by the type of code used
    • H04L1/0067Rate matching
    • HELECTRICITY
    • H04ELECTRIC COMMUNICATION TECHNIQUE
    • H04LTRANSMISSION OF DIGITAL INFORMATION, e.g. TELEGRAPHIC COMMUNICATION
    • H04L5/00Arrangements affording multiple use of the transmission path
    • H04L5/0001Arrangements for dividing the transmission path
    • H04L5/0003Two-dimensional division
    • H04L5/0005Time-frequency
    • H04L5/0007Time-frequency the frequencies being orthogonal, e.g. OFDM(A) or DMT
    • HELECTRICITY
    • H04ELECTRIC COMMUNICATION TECHNIQUE
    • H04LTRANSMISSION OF DIGITAL INFORMATION, e.g. TELEGRAPHIC COMMUNICATION
    • H04L5/00Arrangements affording multiple use of the transmission path
    • H04L5/0001Arrangements for dividing the transmission path
    • H04L5/0003Two-dimensional division
    • H04L5/0005Time-frequency
    • H04L5/0007Time-frequency the frequencies being orthogonal, e.g. OFDM(A) or DMT
    • H04L5/001Time-frequency the frequencies being orthogonal, e.g. OFDM(A) or DMT the frequencies being arranged in component carriers
    • HELECTRICITY
    • H04ELECTRIC COMMUNICATION TECHNIQUE
    • H04LTRANSMISSION OF DIGITAL INFORMATION, e.g. TELEGRAPHIC COMMUNICATION
    • H04L5/00Arrangements affording multiple use of the transmission path
    • H04L5/003Arrangements for allocating sub-channels of the transmission path
    • H04L5/0044Allocation of payload; Allocation of data channels, e.g. PDSCH or PUSCH
    • HELECTRICITY
    • H04ELECTRIC COMMUNICATION TECHNIQUE
    • H04LTRANSMISSION OF DIGITAL INFORMATION, e.g. TELEGRAPHIC COMMUNICATION
    • H04L5/00Arrangements affording multiple use of the transmission path
    • H04L5/003Arrangements for allocating sub-channels of the transmission path
    • H04L5/0048Allocation of pilot signals, i.e. of signals known to the receiver
    • HELECTRICITY
    • H04ELECTRIC COMMUNICATION TECHNIQUE
    • H04LTRANSMISSION OF DIGITAL INFORMATION, e.g. TELEGRAPHIC COMMUNICATION
    • H04L5/00Arrangements affording multiple use of the transmission path
    • H04L5/003Arrangements for allocating sub-channels of the transmission path
    • H04L5/0048Allocation of pilot signals, i.e. of signals known to the receiver
    • H04L5/005Allocation of pilot signals, i.e. of signals known to the receiver of common pilots, i.e. pilots destined for multiple users or terminals
    • HELECTRICITY
    • H04ELECTRIC COMMUNICATION TECHNIQUE
    • H04LTRANSMISSION OF DIGITAL INFORMATION, e.g. TELEGRAPHIC COMMUNICATION
    • H04L5/00Arrangements affording multiple use of the transmission path
    • H04L5/003Arrangements for allocating sub-channels of the transmission path
    • H04L5/0048Allocation of pilot signals, i.e. of signals known to the receiver
    • H04L5/0051Allocation of pilot signals, i.e. of signals known to the receiver of dedicated pilots, i.e. pilots destined for a single user or terminal
    • HELECTRICITY
    • H04ELECTRIC COMMUNICATION TECHNIQUE
    • H04LTRANSMISSION OF DIGITAL INFORMATION, e.g. TELEGRAPHIC COMMUNICATION
    • H04L5/00Arrangements affording multiple use of the transmission path
    • H04L5/003Arrangements for allocating sub-channels of the transmission path
    • H04L5/0053Allocation of signalling, i.e. of overhead other than pilot signals
    • HELECTRICITY
    • H04ELECTRIC COMMUNICATION TECHNIQUE
    • H04LTRANSMISSION OF DIGITAL INFORMATION, e.g. TELEGRAPHIC COMMUNICATION
    • H04L5/00Arrangements affording multiple use of the transmission path
    • H04L5/003Arrangements for allocating sub-channels of the transmission path
    • H04L5/0053Allocation of signalling, i.e. of overhead other than pilot signals
    • H04L5/0055Physical resource allocation for ACK/NACK
    • HELECTRICITY
    • H04ELECTRIC COMMUNICATION TECHNIQUE
    • H04LTRANSMISSION OF DIGITAL INFORMATION, e.g. TELEGRAPHIC COMMUNICATION
    • H04L5/00Arrangements affording multiple use of the transmission path
    • H04L5/003Arrangements for allocating sub-channels of the transmission path
    • H04L5/0053Allocation of signalling, i.e. of overhead other than pilot signals
    • H04L5/0057Physical resource allocation for CQI
    • HELECTRICITY
    • H04ELECTRIC COMMUNICATION TECHNIQUE
    • H04LTRANSMISSION OF DIGITAL INFORMATION, e.g. TELEGRAPHIC COMMUNICATION
    • H04L5/00Arrangements affording multiple use of the transmission path
    • H04L5/0091Signalling for the administration of the divided path, e.g. signalling of configuration information
    • HELECTRICITY
    • H04ELECTRIC COMMUNICATION TECHNIQUE
    • H04LTRANSMISSION OF DIGITAL INFORMATION, e.g. TELEGRAPHIC COMMUNICATION
    • H04L5/00Arrangements affording multiple use of the transmission path
    • H04L5/0091Signalling for the administration of the divided path, e.g. signalling of configuration information
    • H04L5/0094Indication of how sub-channels of the path are allocated
    • HELECTRICITY
    • H04ELECTRIC COMMUNICATION TECHNIQUE
    • H04WWIRELESS COMMUNICATION NETWORKS
    • H04W72/00Local resource management
    • H04W72/04Wireless resource allocation
    • H04W72/044Wireless resource allocation based on the type of the allocated resource
    • HELECTRICITY
    • H04ELECTRIC COMMUNICATION TECHNIQUE
    • H04WWIRELESS COMMUNICATION NETWORKS
    • H04W72/00Local resource management
    • H04W72/04Wireless resource allocation
    • H04W72/044Wireless resource allocation based on the type of the allocated resource
    • H04W72/0446Resources in time domain, e.g. slots or frames
    • HELECTRICITY
    • H04ELECTRIC COMMUNICATION TECHNIQUE
    • H04WWIRELESS COMMUNICATION NETWORKS
    • H04W72/00Local resource management
    • H04W72/04Wireless resource allocation
    • H04W72/044Wireless resource allocation based on the type of the allocated resource
    • H04W72/0453Resources in frequency domain, e.g. a carrier in FDMA
    • HELECTRICITY
    • H04ELECTRIC COMMUNICATION TECHNIQUE
    • H04WWIRELESS COMMUNICATION NETWORKS
    • H04W72/00Local resource management
    • H04W72/12Wireless traffic scheduling
    • H04W72/1263Mapping of traffic onto schedule, e.g. scheduled allocation or multiplexing of flows
    • HELECTRICITY
    • H04ELECTRIC COMMUNICATION TECHNIQUE
    • H04WWIRELESS COMMUNICATION NETWORKS
    • H04W72/00Local resource management
    • H04W72/12Wireless traffic scheduling
    • H04W72/1263Mapping of traffic onto schedule, e.g. scheduled allocation or multiplexing of flows
    • H04W72/1273Mapping of traffic onto schedule, e.g. scheduled allocation or multiplexing of flows of downlink data flows
    • HELECTRICITY
    • H04ELECTRIC COMMUNICATION TECHNIQUE
    • H04WWIRELESS COMMUNICATION NETWORKS
    • H04W72/00Local resource management
    • H04W72/20Control channels or signalling for resource management
    • H04W72/23Control channels or signalling for resource management in the downlink direction of a wireless link, i.e. towards a terminal
    • H04W72/232Control channels or signalling for resource management in the downlink direction of a wireless link, i.e. towards a terminal the control data signalling from the physical layer, e.g. DCI signalling
    • HELECTRICITY
    • H04ELECTRIC COMMUNICATION TECHNIQUE
    • H04WWIRELESS COMMUNICATION NETWORKS
    • H04W74/00Wireless channel access
    • H04W74/08Non-scheduled access, e.g. ALOHA
    • H04W74/0833Random access procedures, e.g. with 4-step access
    • HELECTRICITY
    • H04ELECTRIC COMMUNICATION TECHNIQUE
    • H04WWIRELESS COMMUNICATION NETWORKS
    • H04W72/00Local resource management
    • H04W72/20Control channels or signalling for resource management
    • H04W72/23Control channels or signalling for resource management in the downlink direction of a wireless link, i.e. towards a terminal
    • YGENERAL TAGGING OF NEW TECHNOLOGICAL DEVELOPMENTS; GENERAL TAGGING OF CROSS-SECTIONAL TECHNOLOGIES SPANNING OVER SEVERAL SECTIONS OF THE IPC; TECHNICAL SUBJECTS COVERED BY FORMER USPC CROSS-REFERENCE ART COLLECTIONS [XRACs] AND DIGESTS
    • Y02TECHNOLOGIES OR APPLICATIONS FOR MITIGATION OR ADAPTATION AGAINST CLIMATE CHANGE
    • Y02DCLIMATE CHANGE MITIGATION TECHNOLOGIES IN INFORMATION AND COMMUNICATION TECHNOLOGIES [ICT], I.E. INFORMATION AND COMMUNICATION TECHNOLOGIES AIMING AT THE REDUCTION OF THEIR OWN ENERGY USE
    • Y02D30/00Reducing energy consumption in communication networks
    • Y02D30/70Reducing energy consumption in communication networks in wireless communication networks

Landscapes

  • Engineering & Computer Science (AREA)
  • Signal Processing (AREA)
  • Computer Networks & Wireless Communication (AREA)
  • Quality & Reliability (AREA)
  • Mobile Radio Communication Systems (AREA)
  • Radar Systems Or Details Thereof (AREA)
  • Electroluminescent Light Sources (AREA)
  • Communication Control (AREA)

Description

本発明は無線通信システムに関する。詳しくは、本発明は無線通信システムのデータ伝送方法、受信方法、及びそれを利用する装置に関する。
4G(4th generation)通信システムの商用化後、増加する無線データトラフィック需要を充足するために、新たな5G(5th generation)通信システムを開発するための努力が行われている。5G通信システムは、4Gネットワーク以降(beyond 4G network)の通信システム、LTEシステム以降(post LTE)のシステム、またはNR(new radio)システムと称されている。高いデータ伝送率を達成するために、5G通信システムは、6GHz以上の超高周波(mmWave)帯域を使用して運用されるシステムを含み、また、カバレッジを確保し得る側面から6GHz以下の周波数帯域を使用して運用される通信システムを含んで、基地局と端末における具現が考慮されている。
3GPP(登録商標、以下同様)(3rd generation partnership project) NRシステムは、ネットワークスペクトルの効率を向上させて、通信事業者が与えられた帯域幅でより多くのデータ及び音声サービスを提供し得るようにする。よって、3GPP NRシステムは、大容量音声支援以外にも、高速データ及びメディア伝送に対する要求を充足するように設計される。NRシステムの長所は、同じプラットフォームで高い処理量、低い待機時間、FDD(frequency division duplex)、及びTDD(time division duplex)支援、向上された最終ユーザ環境、及び簡単なアーキテクチャで低い運営コストを有するという点である。
より効率的なデータ処理のために、NRシステムのダイナミックTDDは、セルのユーザのデータトラフィック方向に応じて上りリンク及び下りリンクに使用し得るOFDM(orthogoal frequency division multiplexing)シンボルの数を可変する方式を使用する。例えば、セルの下りリンクトラフィックが上りリンクトラフィックより多ければ、基地局はスロット(またはサブフレーム)に多数の下りリンクOFDMシンボルを割り当てる。スロット構成に関する情報は端末に伝送されるべきである。
超高周波帯域における電波の経路損失の緩和、及び電波の伝達距離の増加のために、5G通信システムではビームフォーミング(beamforming)、巨大配列体重入出力(massive MIMO)、全次元多重入出力(full dimension MIMO、FD-MIMO)、アレイアンテナ(array antenna)、アナログビームフォーミング(analog beam-forming)、アナログビームフォーミングとデジタルビームフォーミングを組み合わせるハイブリッドビームフォーミング、及び大規模アンテナ(large scale antenna)技術が論議されている。また、システムネットワークを改善するために、5G通信システムでは進化した小型セル、改善された小型セル(advanced small cell)、クラウド無線アクセスネットワーク(cloud radio access network:cloud RAN)、超高密度ネットワーク(ultra-dense network)、機器間通信(device to device communication:D2D)、車両を利用する通信(vehicle to everything communication:V2X)、無線バックホール(wireless backhaul)、非地上波ネットワーク通信(non-terrestrial network communication、NTN)、移動ネットワーク(moving network)、協力通信(cooperative communication)、CoMP(coordinated multi-points)、及び受信干渉除去(interference cancellation)などに関する技術開発が行われている。その他、5Gシステムでは進歩したコーディング変調(advanced coding modulation:ACM)方式のFQAM(hybrid FSK and QAM modulation)及びSWSC(sliding window superposition coding)と、進歩したアクセス技術であるFBMC(filter bank multi-carrier)、NOMA(non-orthogonal multiple access)、及びSCMA(sparse code multiple access)などが開発されている。
一方、インターネットは人間が情報を生成し消費する人間中心の連結網において、物など分散された構成要素間に情報を交換し処理するIoT(Internet of Things、モノのインターネット)網に進化している。クラウドサーバなどとの連結を介したビックデータ(big data)処理技術などがIoT技術に結合されたIoE(Internet of Everything)技術も台頭している。IoTを具現するために、センシング技術、有無線通信及びネットワークインフラ、サービスインタフェース技術、及び保安技術などのような技術要素が要求されており、最近は物間の連結のためのセンサネットワーク、マシンツーマシン(machine to machine、M2M)、MTC(machine type communication)などの技術が研究されている。IoT環境では、連結された物から生成されたデータを収集、分析して、人間の生活に新たな価値を生み出す知能型IT(internet technology)サービスが提供される。IoTは、従来のIT技術と多様な産業間の融合及び複合を介し、スマートホーム、スマートビル、スマートシティ、スマートカーまたはコネクテッドカー、スマートグリッド、ヘルスケア、スマート家電、先端医療サービスなどの分野に応用される。
そこで、5G通信システムをIoT網に適用するための様々な試みが行われている。例えば、センサネットワーク、マシンツーマシン、MTCなどの技術が、5G通信技術であるビームフォーミング、MIMO、及びアレイアンテナなどの技法によって具現されている。上述したビックデータ処理技術として、クラウド無線アクセスネットワーク(cloud RAN)の適用も5G技術とIoT技術の融合の一例といえる。一般に、移動通信システムは、ユーザの活動性を保障しながら音声サービスを提供するために開発された。
しかし、移動通信システムは次第に音声だけでなくデータサービスまでサービス領域を拡張しており、現在は高速のデータサービスを提供する程度にまで発展している。しかし、現在サービス提供中の移動通信システムでは、資源不足現象及びユーザの高速サービスの要求のため、より発展した移動通信システムが要求されている。
本発明の一実施例の目的は、無線通信システムにおいて効率的に信号を伝送する方法、及びそのための装置を提供することである。また、本発明の一実施例の目的は、無線通信システムのデータ伝送方法、受信方法、及びそれを利用する装置を提供することである。
本発明の一実施例による無線通信システムの端末は、通信モジュールと、前記通信モジュールを制御するプロセッサと、を含む。前記プロセッサは、前記無線通信システムの基地局から前記通信モジュールを介してRRC(radio resource control)信号を受信し、前記RRC信号が指示する少なくとも一つのリソース-セット(set)に当たる時間-周波数資源を判断し、前記通信モジュールを介して前記基地局から物理制御チャネルを受信し、前記物理制御チャネルによって前記端末の物理データチャネルの受信がスケジューリングされる時間-周波数資源領域を判断し、前記端末の物理データチャネルの受信がスケジューリングされる時間-周波数資源と前記少なくとも一つのリソース-セットがオーバーラップされる時間-周波数資源に基づいて物理データチャネルを受信する。この際、前記リソース-セットは時間-周波数資源のセットである。
前記オーバーラップされる時間-周波数資源は複数のサブ-リソース-セットに区分される。前記プロセッサは、前記物理制御チャネルから前記複数のサブ-リソース-セット別に前記物理データチャネル受信不可能可否を示すレートマッチング指示子を獲得し、前記レートマッチング指示子によって前記サブ-リソース-セット別にサブ-リソース-セットに当たる時間-周波数資源で前記物理データチャネル受信不可能可否を判断し、前記物理データチャネルを受信する。
前記サブ-リソース-セットは、前記オーバーラップされる時間-周波数資源のうち、時間領域で区分なしに、周波数領域を基準に分けられる。
前記少なくとも一つのリソース-セットそれぞれは互いに異なるインデックスによって識別される。前記レートマッチング指示子は複数のビットからなり、前記複数のビットそれぞれが指示するサブ-リソース-セットは前記インデックスに基づいて決定される。
前記端末の前記物理データチャネル受信がスケジューリングされる時間-周波数資源と前記少なくとも一つのリソース-セットがいずれもオーバーラップされなければ、前記プロセッサは前記レートマッチング指示子とは関係なく、前記端末の前記物理データチャネルの受信がスケジューリングされる時間-周波数資源領域で前記物理データチャネルを受信する。
前記物理制御チャネルは第1スロットで受信される。前記物理データチャネルが受信される第2スロットで物理データチャネルがスケジューリングされる時間-周波数資源と前記少なくとも一つのリソース-セットがオーバーラップされれば、前記プロセッサは前記第2スロットで物理データチャネルがスケジューリングされる時間-周波数資源から、前記物理データチャネルがスケジューリングされる時間-周波数資源と前記少なくとも一つのリソース-セットがオーバーラップされる時間-周波数資源を除いた時間-周波数資源で前記物理データチャネルを受信するためのレートマッチングを行う。この際、前記第1スロットと前記第2スロットは互いに異なるスロットである。
本発明の一実施例による無線通信システムの端末は、通信モジュールと、前記通信モジュールを制御するプロセッサと、を含む。前記プロセッサは物理制御チャネルを受信し、前記物理制御チャネルによって前記端末の物理データチャネルの受信が複数のスロットにスケジューリングされれば、前記物理データチャネルが伝送される全てのスロットで同じOFDM(orthogonal frequency division multiplexing)シンボルの位置に基づいて前記物理データチャネルを受信する。
前記物理制御チャネルは第1スロットで伝送される。前記プロセッサは前記無線通信システムの基地局から前記通信モジュールを介してRRC信号を受信し、前記RRC信号が指示する少なくとも一つのリソース-セットに当たる時間-周波数資源を判断し、前記複数のスロットに含まれた第2スロットで前記物理データチャネルがスケジューリングされる時間-周波数資源と前記少なくとも一つのリソース-セットがオーバーラップされれば、前記第2スロットで前記物理データチャネルがスケジューリングされる時間-周波数資源から、前記第2スロットで前記物理データチャネルがスケジューリングされる時間-周波数資源と前記少なくとも一つのリソース-セットがオーバーラップされる時間-周波数資源が除かれた時間-周波数資源で前記物理データチャネルを受信するためのレートマッチングを行う。前記第1スロットと前記第2スロットは互いに異なるスロットである。
前記複数のスロットそれぞれにおいて、物理データチャネル受信が不可能なリソースセットに当たる時間-周波数資源の位置は同じである。前記プロセッサは、前記複数のスロットそれぞれにスケジューリングされる前記物理データチャネルに当たる時間-周波数資源から前記位置に当たる時間-周波数資源が除かれた時間-周波数資源で物理データチャネルを受信するためのレートマッチングを行う。
前記OFDMシンボル位置は、前記物理制御チャネルによって指示される。
本発明の一実施例による無線通信システムの端末の動作方法は、前記無線通信システムの基地局から前記通信モジュールを介してRRC信号を受信するステップと、前記RRC信号が指示する少なくとも一つのリソース-セットに当たる時間-周波数資源を判断するステップと、前記通信モジュールを介して前記基地局から物理制御チャネルを受信するステップと、前記物理制御チャネルによって前記端末の物理データチャネルの受信がスケジューリングされる時間-周波数資源領域を判断するステップと、前記端末の物理データチャネルの受信がスケジューリングされる時間-周波数資源と前記少なくとも一つのリソース-セットがオーバーラップされる時間-周波数資源に基づいて物理データチャネルを受信するステップと、を含む。前記リソース-セットは時間-周波数資源のセットである。
前記オーバーラップされる時間-周波数資源は複数のサブ-リソース-セットに区分される。前記物理制御チャネルによって前記端末の物理データチャネルの受信がスケジューリングされる時間-周波数資源領域を判断するステップは、前記物理制御チャネルから前記複数のサブ-リソース-セット別に前記物理データチャネル受信不可能可否を示すレートマッチング指示子を獲得するステップを含む。前記物理データチャネルを受信するステップは、前記レートマッチング指示子によって前記サブ-リソース-セット別にサブ-リソース-セットに当たる時間-周波数資源で前記物理データチャネル受信不可能可否を判断し、前記物理データチャネルを受信するステップを含む。
前記サブ-リソース-セットは、前記オーバーラップされる時間-周波数資源のうち、時間領域で区分なしに、周波数領域を基準に分けられる。
前記少なくとも一つのリソース-セットそれぞれは互いに異なるインデックスによって識別される。前記レートマッチング指示子は複数のビットからなり、前記複数のビットそれぞれが指示するサブ-リソース-セットは前記インデックスに基づいて決定される。
前記物理データチャネルを受信するステップは、前記端末の前記物理データチャネル受信がスケジューリングされる時間-周波数資源と前記少なくとも一つのリソース-セットがいずれもオーバーラップされなければ、前記レートマッチング指示子とは関係なく、前記端末の前記物理データチャネルの受信がスケジューリングされる時間-周波数資源領域で前記物理データチャネルを受信するステップを含む。
前記物理制御チャネルは第1スロットで伝送される。前記物理データチャネルを受信するステップは、前記物理データチャネルが伝送れる第2スロットで物理データチャネルがスケジューリングされる時間-周波数資源と前記少なくとも一つのリソース-セットがオーバーラップされれば、前記第2スロットで物理データチャネルがスケジューリングされる時間-周波数資源から、前記物理データチャネルがスケジューリングされる時間-周波数資源と前記少なくとも一つのリソース-セットがオーバーラップされる時間-周波数資源を除いた時間-周波数資源で前記物理データチャネルを受信するためのレートマッチングを行うステップを含む。前記第1スロットと前記第2スロットは互いに異なるスロットである。
本発明の一実施例による無線通信システムの端末の動作方法は、物理制御チャネルを受信するステップと、前記物理制御チャネルによって前記端末の物理データチャネルの受信が複数のスロットにスケジューリングされれば、前記物理データチャネルが伝送される全てのスロットで同じOFDMシンボルの位置に基づいて前記物理データチャネルを受信するステップと、を含む。
前記物理制御チャネルは第1スロットで伝送される。前記動作方法は、前記無線通信システムの基地局から前記通信モジュールを介してRRC信号を受信し、前記RRC信号が指示する少なくとも一つのリソース-セットに当たる時間-周波数資源を判断するステップを更に含む。
前記物理データチャネルを受信するステップは、前記複数のスロットに含まれた第2スロットで前記物理データチャネルがスケジューリングされる時間-周波数資源と前記少なくとも一つのリソース-セットがオーバーラップされれば、前記第2スロットで物理データチャネルがスケジューリングされる時間-周波数資源から、前記第2スロットで前記物理データチャネルがスケジューリングされる時間-周波数資源と前記少なくとも一つのリソース-セットがオーバーラップされる時間-周波数資源が除かれた時間-周波数資源で前記物理データチャネルを受信するためのレートマッチングを行うステップを含む。前記第1スロットと前記第2スロットは互いに異なるスロットである。
前記複数のスロットそれぞれにおいて、物理データチャネル受信が不可能なリソースセットに当たる時間-周波数資源の位置は同じである。前記物理データチャネルを受信するステップは、前記スロットそれぞれにスケジューリングされる前記物理データチャネルに当たる時間-周波数資源から前記位置に当たる時間-周波数資源が除かれた時間-周波数資源で物理データチャネルを受信するためのレートマッチングを行う。
前記OFDMシンボル位置は、前記物理制御チャネルによって指示される。
本発明の一実施例は、無線通信システムにおいて効率的に信号を伝送する方法、受信する方法、及びそれを利用する装置を提供する。
本発明から得られる効果は以上で言及した効果に限らず、言及していない他の効果は、以下の記載から本発明が属する技術分野で通常の知識を有する者に明確に理解されるはずである。
無線通信システムで使用される無線フレーム構造の一例を示す図である。 無線通信システムにおける下りリンク(downlink、DL)/上りリンク(uplink、UL)スロット構造の一例を示す図である。 3GPPシステムに利用される物理チャネルと該当物理チャンネルを利用した一般的な信号伝送方法を説明する図である。 3GPP NRシステムにおける初期セルアクセスのためのSS/PBCHブロックを示す図である。 3GPP NRシステムにおける制御情報及び制御チャネル伝送のための手順を示す図である。 3GPP NRシステムにおけるPDCCH(physical downlink control channel)が伝送されるCORESET(control resource set)を示す図である。 3GPP NRシステムにおけるPDCCH探索空間を設定する方法を示す図である。 キャリア集成(carrier aggregation)を説明する概念図である。 単一キャリア通信と多重キャリア通信を説明するための図である。 クロスキャリアスケジューリング技法が適用される例を示す図である。 本発明の一実施例による端末と基地局の構成をそれぞれ示すブロック図である。 本発明の実施例による無線通信システムで使用されるリソース-セットを示す図である。 本発明の実施例による無線通信システムにおいてPDSCHが伝送される時間-周波数資源領域を示す図である。 本発明の実施例による無線通信システムにおいてPDSCHが伝送される時間-周波数資源領域を示す図である。 本発明の実施例による無線通信システムの端末が端末に設定されたRESETでPDSCHを受信することを示す図である。 本発明の実施例による無線通信システムの端末が端末に設定されたRESETでPDSCHを受信することを示す図である。 本発明の実施例による無線通信システムにおいてクロス-スロットスケジューリングが行われる際、端末がPDSCHを受信することを示す図である。 本発明の実施例による無線通信システムにおいてスロット-結合基盤スケジューリングが行われる際、端末がPDSCHを受信することを示す図である。 本発明の実施例による無線通信システムにおいてスロット-結合基盤スケジューリングが行われる際、端末がPDSCHを受信することを示す図である。 本発明の実施例による無線通信システムで使用されるサブ-リソース-セットの例を示す図である。 本発明の実施例による無線通信システムにおいて端末がオーバーラップ-リソース-セットに基づいてPDSCHを受信することを示す図である。 互いに異なるRESETが占めると指示された時間-周波数資源がオーバーラップされる場合を示す図である。 互いに異なるRESETが占めると指示された時間-周波数資源がオーバーラップされる場合を示す図である。 互いに異なるRESETが占めると指示された時間-周波数資源がオーバーラップされる場合を示す図である。 本発明の実施例による無線通信システムで使用されるスロット構成を示す図である。 本発明の実施例による無線通信システムにおいて端末特定PDCCHが端末にスケジューリングされた資源を指示することを示す図である。 本発明の実施例による無線通信システムにおいて基地局が端末に2つのRIVを伝送して端末にスケジューリングされた時間-周波数資源領域を指示することを示す図である。 本発明の実施例による無線通信システムにおいて基地局が端末に2つのRIVを伝送して端末にスケジューリングされた時間-周波数資源領域を指示することを示す図である。 本発明の他の実施例による無線通信システムにおいてRRC信号の6ビットが示す端末にスケジューリングされた物理データチャネルに当たるOFDMシンボルを示す図である。 本発明の他の実施例による無線通信システムにおいてRRC信号の6ビットが示す端末にスケジューリングされた物理データチャネルに当たるOFDMシンボルを示す図である。 本発明の他の実施例による無線通信システムにおいてRRC信号の6ビットが示す端末にスケジューリングされた物理データチャネルに当たるOFDMシンボルを示す図である。 本発明の他の実施例による無線通信システムにおいてRRC信号の6ビットが示す端末にスケジューリングされた物理データチャネルに当たるOFDMシンボルを示す図である。 本発明の他の実施例による無線通信システムにおいてRRC信号の6ビットが示す端末にスケジューリングされた物理データチャネルに当たるOFDMシンボルを示す図である。
本明細書で使用される用語は本発明における機能を考慮してできるだけ現在広く使用されている一般的な用語を選択しているが、これは当分野に携わる技術者の意図、慣例、または新たな技術の出現などによって異なり得る。また、特定の場合は出願人が任意に選択したものもあるが、この場合、該当する発明の説明部分でその意味を記載する。よって、本明細書で使用される用語は、単なる用語の名称ではなく、その用語の有する実質的意味と本明細書全般にわたる内容に基づいて解析すべきであることを明らかにする。
明細書全体において、ある構成が他の構成を「連結」されているという際、これは「直接連結」されている場合だけでなく、その中間の他の構成要素を介在して「電気的に連結」されていることも含む。また、ある構成が特定構成要素を「含む」という際、これは特に反対する記載がない限り、他の構成要素を除くのではなく、他の構成要素を更に含むことを意味する。加えて、特定臨海を基準にする「以上」または「以下」という限定事項は、実施例によってそれぞれ「超過」または「未満」に適切に代替されてもよい。
以下の技術はCDMA(code division multiple access)、FDMA(frequency division multiple access)、TDMA(time division multiple access)、OFDMA(orthogonal frequency division multiple access)、SC-FDMA(single carrier frequency division multiple access)などのような多様な無線接続システムに使用される。CDMAは、UTRA(Universal Terrestrial Radio Access)やCDMA2000のような無線技術(radio technology)で具現される。TDMAは、GSM(登録商標)(Global System for Mobile communications)/GPRS(General Packet Radio Service)/EDGE(Enhanced Data Rates for GSM(登録商標) Evolution)のような無線技術で具現される。OFDMAは、IEEE802.11(Wi-Fi)、IEEE802.16(WiMAX)、IEEE802-20、E-UTRA(Evolved UTRA)などのような無線技術で具現される。UTRAは、UMTS(Universal Mobile Telecommunication System)の一部である。3GPP LTE(Long term evolution)はE-UTRAを使用するE-UMTS(Evolved UMTS)の一部であり、LTE-A(Advanced)は3GPP LTEの進化したバージョンである。3GPP NRはLTE/LTE-Aとは別途に設計されたシステムであって、IMT-2020の要求条件であるeMBB(enhanced Mobile BroadBand)、URLLC(Ultra-Reliable and Low Latency Communication)、及びmMTC(massive Machine Type Communication)サービスを支援するためのシステムである。説明を明確にするために3GPP NRを中心に説明するが、本発明の技術的思想はこれに限らない。
図1は、無線通信システムで使用される無線フレーム構造の一例を示す図である。
図1を参照すると、3GPP NRシステムで使用される無線フレーム(またはラジオフレーム)は、10ms(Δfmax/100)*T)の長さを有する。また、無線フレームは10個の均等な大きさのサブフレーム(subfame、SF)からなる。ここで、Δfmax=480*10Hz、N=4096、T=1/(Δfref*Nf,ref)、Δfref=15*10Hz、Nf,ref=2048である。一つのフレーム内の10個のサブフレームにそれぞれ0から9までの番号が与えられる。それぞれのサブフレームは1msの長さを有し、サブキャリア間隔(subcarrier spacing)によって一つまたは複数のスロットからなる。より詳しくは、3GPP NRシステムで使用し得るサブキャリア間隔は15*2μkHzである。μはサブキャリア間隔構成因子(subcarrier spacing configuration)であって、μ=0~4の値を有する。つまり、15kHz、30kHz、60kHz、120kHz、または240kHzがサブキャリア間隔として使用される。1ms長さのサブフレームは2μ個のスロットからなる。この際、各スロットの長さは2-μmsである。一つのサブフレーム内の2μ個のスロットは、それぞれ0から2μ-1までの番号が与えられる。また、一つの無線フレーム内のスロットは、それぞれ0から10*2μ-1までの番号が与えられる。時間資源は、無線フレーム番号(または無線フレームインデックスともいう)、サブフレーム番号(またはサブフレームインデックスともいう)、スロット番号(またはスロットインデックス)のうち少なくともいずれか一つによって区分される。
図2は、無線通信システムにおける下りリンク(DL)/上りリンク(UL)スロット構造の一例を示す図である。特に、図2は3GPP NRシステムの資源格子(resource grid)構造を示す。
アンテナポート当たり一つの資源格子がある。図2を参照すると、スロットは時間ドメインで複数のOFDMシンボルを含み、周波数ドメインで複数の資源ブロック(resource block、RB)を含む。OFDMシンボルは、一つのシンボル区間も意味する。特別な説明がない限り、OFDMシンボルは簡単にシンボルと称される。一つのRBは周波数領域で連続した12個のサブキャリアを含む。図2を参照すると、各スロットから伝送される信号はNsize、μ grid、x*NRB SC個のサブキャリア(subcarrier)とNslot symb個のOFDMシンボルからなる資源格子で表現される。ここで、下りリンク資源格子であればx=DLであり、上りリンク資源格子であればx=ULである。Nsize、μ grid、xはサブキャリア間隔構成因子μによる資源ブロック(RB)の個数を示し(xはDLまたはUL)、Nslot symbはスロット内のOFDMシンボルの個数を示す。NRB SCは一つのRBを構成するサブキャリアの個数であって、NRB SC=12である。OFDMシンボルは、多重アクセス方式によってCP-OFDM(cyclic prefix OFDM)シンボル、またはDFT-S-OFDM(discrete Fourier transform spread OFDM)シンボルと称される。
一つのスロットに含まれるOFDMシンボルの数は、CP(cyclic prefix)の長さに応じて異なり得る。例えば、正規(normal)CPであれば一つのスロットが14個のOFDMシンボルを含むが、拡張(extended)CPであれば一つのスロットが12個のOFDMシンボルを含む。具体的な実施例において、拡張CPは60kHzのサブキャリア間隔でのみ使用される。図2では説明の便宜上、一つのスロットが14OFDMシンボルからなる場合を例示したが、本発明の実施例は他の個数のOFDMシンボルを有するスロットでも同じ方式で適用される。図2を参照すると、各OFDMシンボルは、周波数ドメインで、Nsize、μ grid、x*NRB SC個のサブキャリアを含む。サブキャリアの類型は、データを伝送するためのデータサブキャリア、参照信号(reference signal)を伝送するための参照信号サブキャリア、ガードバンド(guard band)に分けられる。キャリア周波数は中心周波数(center frequency、fc)ともいう。
一つのRBは、周波数ドメインでNRB SC個(例えば、12個)の連続するサブキャリアによって定義される。ちなみに、一つのOFDMシンボルと一つのサブキャリアからなる資源を資源要素(resource element、RE)またはトーン(tone)と称する。よって、一つのRBはNslot symb*NRB SC個の資源要素からなる。資源格子内の各資源要素は、一つのスロット内のインデックス対(k、l)によって固有に定義される。kは周波数ドメインで0からNsize、μ grid、x*NRB SC-1まで与えられるインデックスであり、lは時間ドメインで0からNslot symb-1まで与えられるインデックスである。
端末が基地局から信号を受信するか基地局信号を伝送するためには、端末の時間/周波数同期を基地局の時間/周波数同期と合わせるべきである。基地局と端末が同期化しなければ、端末がDL信号の復調及びUL信号の伝送を正確な時点に行うのに必要な時間及び周波数パラメータを決定できないためである。
TDD(time division duplex)またはアンペアドスペクトル(unpaired spectrum)で動作する無線フレームの各シンボルは、下りリンクシンボル(DL symbol)、上りリンクシンボル(UL symbol)、またはフレキシブルシンボル(flexible symbol)のうち少なくともいずれか一つからなる。FDD(frequency division duplex)またはペアドスペクトル(paired spectrum)で下りリンクキャリアで動作する無線フレームは、下りリンクシンボルまたはフレキシブルシンボルからなり、上りリンクキャリアで動作する無線フレームは、上りリンクシンボルまたはフレキシブルシンボルからなる。下りリンクシンボルでは下りリンク伝送はできるが上りリンク伝送はできず、上りリンクシンボルでは上りリンク伝送はできるが下りリンク伝送はできない。フレキシブルシンボルは、信号に応じて下りリンクで使用されるか上りリンクで使用されるかが決定される。
各シンボルのタイプ(type)に関する情報、つまり、下りリンクシンボル、上りリンクシンボル、及びフレキシブルシンボルのうちいずれか一つを示す情報は、セル特定(cell-specificまたはcommon)RRC信号からなる。また、各シンボルのタイプに関する情報は、追加に特定端末(UE-specificまたはdedicated)RRC信号からなる。基地局は、セル特定RRC信号を使用し、i)セル特定スロット構成の周期、ii)セル特定スロット構成の周期の最初から下りリンクシンボルのみを有するスロットの数、iii)下りリンクシンボルのみを有するスロットの直後のスロットの最初のシンボルから下りリンクシンボルの数、iv)セル特定スロット構成の周期の最後から上りリンクシンボルのみを有するスロットの数、v)上りリンクシンボルのみを有するスロットの直前のスロットの最後のシンボルから上りリンクシンボルの数を知らせる。ここで、上りリンクシンボルと下りリンクシンボルのいずれにも構成されていないシンボルはフレキシブルシンボルである。
シンボルタイプに関する情報が端末特定RRC信号からなれば、基地局はフレキシブルシンボルが下りリンクシンボルなのかまたは上りリンクシンボルなのかを、セル特定RRC信号でシグナリングする。この際、端末特定RRC信号は、セル特定RRC信号からなる下りリンクシンボルまたは上りリンクシンボルを他のシンボルタイプに変更することができない。特定端末RRC信号は、各スロットごとに該当スロットのNslot symbシンボルのうち下りリンクシンボルの数、該当スロットのNslot symbシンボルのうち上りリンクシンボルの数をシグナリングする。この際、スロットの下りリンクシンボルはスロットの最初のシンボルからi番目のシンボルまで連続的に構成される。また、スロットの上りリンクシンボルはスロットのj番目のシンボルから最後のシンボルまで連続的に構成される(ここで、i<j)。スロットにおいて、上りリンクシンボルと下りリンクシンボルのいずれにも構成されていないシンボルはフレキシブルシンボルである。
前記のようなRRC信号からなるシンボルのタイプをセミ-スタティック(semi-static)DL/UL構成と称する。上述したRRC信号からなるセミ-スタティックDL/UL構成において、フレキシブルシンボルは物理下りリンク制御チャネル(PDCCH)で伝送されるダイナミックSFI(slot format information)を介して下りリンクシンボル、上りリンクシンボル、またはフレキシブルシンボルに指示される。この際、RRC信号からなる下りリンクシンボルまたは上りリンクシンボルは、他のシンボルタイプに変更されない。表1は、基地局が端末に指示するダイナミックSFIを例示する。

Figure 0007421237000001
表1において、Dは下りリンクシンボルを、Uは上りリンクシンボルを、Xはフレキシブルシンボルを示す。表1に示したように、一つのスロットで最大2回のDL/ULスイッチング(switching)が許容される。
図3は、3GPPシステム(例えば、NR)に利用される物理チャネルと、該当物理チャンネルを利用した一般的な信号伝送方法を説明する図である。
端末の電源がつくか端末が新しくセルに進入すれば、端末は初期セル探索作業を行うS101。詳しくは、端末は初期セル探索で基地局と同期を合わせる。このために、端末は基地局から主同期信号(primary synchronization signal、PSS)及び副同期信号(secondary synchronization signal、SSS)を受信して基地局と同期を合わせ、セルIDなどの情報を獲得する。次に、端末は基地局から物理放送チャネルを受信し、セル内の放送情報を獲得する。
初期セル探索を終えた端末は、物理下りリンク制御チャネル(PDCCH)及び前記PDCCHに乗せられている情報によって物理下りリンク共有チャネル(physical downlink shared channel、PDSCH)を受信することで、初期セル探索を介して獲得したシステム情報より詳しいシステム情報を獲得するS102。ここで、端末が伝達されたシステム情報はRRCで物理階層(physical layer)で端末が正しく動作するためのセル-共通システム情報であり、リメイニングシステム情報(remaining system information)またはシステム情報ブロック(system information block、SIB)1と称される。
端末が基地局に最初にアクセスするか信号伝送のための無線資源がなければ(端末がRRC_IDLEモードであれば)、端末は基地局に対して任意のアクセス過程を行うS103乃至S106。まず、端末は物理任意アクセスチャネル(physical random access channel、PRACH)を介してプリアンブルを伝送しS103、基地局からPDCCH及び対応するPDSCHを介してプリアンブルに対する応答メッセージを受信するS104。端末に有効なランダムアクセス応答メッセージが受信されれば、端末は基地局からPDCCHを介して伝達された上りリンクグラントから指示した物理上りリンク共有チャネル(physical uplink shared channel、PUSCH)を介して自らの識別子などを含むデータを基地局に伝送するS105。次に、端末は衝突を解決するために基地局の指示としてPDCCHの受信を待つ。端末が自らの識別子を介してPDCCHの受信に成功すればS106、ランダムアクセス過程は終了される。端末はランダムアクセス過程の間、RRC階層で物理階層で端末が正しく動作するために必要な端末-特定システム情報を獲得する。端末がRRC階層から端末-特定システム情報を獲得すれば、端末はRRC連結モード(RRC_CONNECTED mode)に進入する。
RRC階層は、端末と無線アクセスネットワーク(Raido Access Network、RAN)との間を制御するためのメッセージの生成及び管理に使用される。より詳しくは、基地局と端末はRRC階層でセル内の全ての端末に必要なセルシステム情報の放送(broadcasting)、ページング(paging)メッセージの伝達管理、移動性管理及びハンドオーバー、端末の測定報告とそれに対する制御、端末能力管理及び機管理を含む保管管理を行う。一般に、RRC階層で伝達する信号(以下、RRC信号)の更新(update)は、物理階層で送受信周期(つまり、transmission time interval、TTI)より長いため、RRC信号は長い周期の間変化せずに維持される。
上述した手順後、端末は一般的な上り/下りリンク信号伝送手順としてPDCCH/PDSCH受信S107、及び物理上りリンク共有チャネル(PUSCH)/物理上りリンク制御チャネル(physical uplink control channel、PUCCH)を伝送S108する。特に、端末は、PDCCHを介して下りリンク制御情報(downlink control information、DCI)を受信する。DCIは、端末に対する資源割当情報のような制御情報を含む。また、DCIは使用目的に応じてフォーマットが異なり得る。端末が上りリンクを介して基地局に伝送する上りリンク制御情報(uplink control information、UCI)は、下りリンク/上りリンクACK/NACK信号、CQI(channel quality indicator)、PMI(precoding matrix index)、RI(rank indicator)などを含む。ここで、CQI、PMI、及びRIは、CSI(channel state information)に含まれる。3GPP NRシステムの場合、端末はPUSCH及び/またはPUCCHを介して上述したHARQ-ACKとCSIなどの制御情報を伝送する。
図4は、3GPP NRシステムにおける初期セルアクセスのためのSS/PBCHブロックを示す図である。
端末は、電源が入るか新しくセルにアクセスしようとする際、セルとの時間及び周波数同期を獲得し、初期セル探索過程を行う。端末は、セル探索過程でセルの物理セル識別子(physical cell identity)Ncell IDを検出する。このために、端末は基地局から同期信号、例えば、主同期信号(PSS)及び副同期信号(SSS)を受信して基地局と同期を合わせる。この際、端末はセル識別子(identity、ID)などの情報を獲得する。
図4(a)を参照して、同期信号(synchronization signal、SS)をより詳しく説明する。同期信号はPSSとSSSに分けられる。PSSは、OFDMシンボル同期、スロット同期のような時間ドメイン同期及び/または周波数ドメイン同期を得るために使用される。SSSは、フレーム同期、セルグループIDを得るために使用される。図4(a)と表2を参照すると、SS/PBCHブロックは周波数軸に連続した20RBs(=240サブキャリア)からなり、時間軸に連続した4OFDMシンボルからなる。この際、SS/PBCHブロックにおいて、PSSは最初のOFDMシンボル、SSSは3番目のOFDMシンボルで56~182番目のサブキャリアを介して伝送される。ここで、SS/PBCHブロックの最も低いサブキャリアインデックスを0から付ける。PSSが伝送される最初のOFDMシンボルにおいて、残りのサブキャリア、つまり、0~55、183~239番目のサブキャリアを介しては基地局が信号を伝送しない。また、SSSが伝送される3番目のOFDMシンボルにおいて、48~55、183~191番目のサブキャリアを介しては基地局が信号を伝送しない。基地局は、SS/PBCHブロックにおいて、前記信号を除いた残りのREを介してPBCH(physical broadcast channel)を伝送する。

Figure 0007421237000002
SSは3つのPSSとSSSの組み合わせを介して計1008個の固有の物理階層セル識別子(physical layer cell ID)を、詳しくは、それぞれの物理階層セルIDはたった一つの物理-階層セル-識別子グループの部分になるように、各グループが3つの固有の識別子を含む336個の物理-階層セル-識別子グループにグルーピングされる。よって、物理階層セルID Ncell ID=3N(1) ID+N(2) IDは、物理-階層セル-識別子グループを示す0から335までの範囲内のインデックスN(1) IDと、前記物理-階層セル-識別子グループ内の物理-階層識別子を示す0から2までのインデックスN(2) IDによって固有に定義される。端末はPSSを検出し、3つの固有の物理-階層識別子のうち一つを識別する。また、端末はSSSを検出し、前記物理-階層識別子に連関する336個の物理階層セルIDのうち一つを識別する。この際、PSSのシーケンスdPSS(n)は以下のようである。

Figure 0007421237000003
ここで、

Figure 0007421237000004
であり、

Figure 0007421237000005
に与えられる。
また、SSSのシーケンスdSSS(n)は以下のようである。

Figure 0007421237000006
ここで、

Figure 0007421237000007
であり、

Figure 0007421237000008
に与えられる。
10ms長さの無線フレームは、5ms長さの2つの半フレームに分けられる。図4(b)を参照して、各半フレーム内でSS/PBCHブロックが伝送されるスロットについて説明する。SS/PBCHブロックが伝送されるスロットは、ケースA、B、C、D、Eのうちいずれか一つである。ケースAにおいて、サブキャリア間隔は15kHzであり、SS/PBCHブロックの開始時点は{2、8}+14*n番目のシンボルである。この際、3GHz以下のキャリア周波数において、n=0、1である。また、3GHz超過6GHz以下のキャリア周波数において、n=0、1、2、3である。ケースBにおいて、サブキャリア間隔は30kHzであり、SS/PBCHブロックの開始時点は{4、8、16、20}+28*n番目のシンボルである。この際、3GHz以下のキャリア周波数において、n=0である。また、3GHz超過6GHz以下のキャリア周波数において、n=0、1である。ケースCにおいて、サブキャリア間隔は30kHzであり、SS/PBCHブロックの開始時点は{2、8}+14*n番目のシンボルである。この際、3GHz以下のキャリア周波数において、n=0、1である。また、3GHz超過6GHz以下のキャリア周波数において、n=0、1、2、3である。ケースDにおいて、サブキャリア間隔は120kHzであり、SS/PBCHブロックの開始時点は{4、8、16、20}+28*n番目のシンボルである。この際、6GHz以上のキャリア周波数において、n=0、1、2、3、5、6、7、8、10、11、12、13、15、16、17、18である。ケースEにおいて、サブキャリア間隔は240kHzであり、SS/PBCHブロックの開始時点は{8、12、16、20、32、36、40、44}+56*n番目のシンボルである。この際、6GHz以上のキャリア周波数において、n=0、1、2、3、5、6、7、8である。
図5は、3GPP NRシステムにおける制御情報及び制御チャネル伝送のための手順を示す図である。図5(a)を参照すると、基地局は制御情報(例えば、DCI)にRNTI(radio network temporary identifier)でマスク(例えば、XOR演算)されたCRC(cyclic redundancy check)を付加するS202。基地局は、各制御情報の目的/対象に応じて決定されるRNTI値でCRCをスクランブルする。一つ以上の端末が使用する共通RNTIは、SI-RNTI(system information RNTI)、P-RNTI(paging RNTI)、RA-RNTI(random access RNTI)、及びTPC-RNTI(transmit power control RNTI)のうち少なくともいずれか一つを含む。また、端末-特定RNTIは、C-RNTI(cell temporary RNTI)及びCS-RNTIのうち少なくともいずれか一つを含む。次に、基地局はチャネルエンコーディング(例えば、polar coding)を行ったS204後、PDCCH伝送のために使用された資源(ら)の量に合わせてレート-マッチング(rate-matching)をするS206。次に、基地局はCCE(control channel element)基盤のPDCCH構造に基づいて、DCI(ら)を多重化するS208。また、基地局は、多重化されたDCI(ら)に対してスクランブリング、モジュレーション(例えば、QPSK)、インターリービングなどの追加過程S210を適用した後、伝送しようとする資源にマッピングする。CCEはPDCCHのための基本資源単位であり、一つのCCEは複数(例えば、6つ)のREG(resource element group)からなる。一つのREGは複数(例えば、12個)のREからなる。一つのPDCCHのために使用されたCCEの個数を集成レベル(aggregation level)と定義する。3GPP NRシステムでは、1、2、4、8、または16の集成レベルを使用する。図5(b)はCCE集成レベルとPDCCHの多重化に関する図であり、一つのPDCCHのために使用されたCCE集成レベルの種類とそれによる制御領域で伝送されるCCE(ら)を示す。
図6は、3GPP NRシステムにおけるPDCCHが伝送されるCORESETを示す図である。
CORESETは、端末のための制御信号であるPDCCHが伝送される時間-周波数資源である。また、後述する探索空間(search space)は一つのCORESETにマッピングされる。よって、端末はPDCCHを受信するために全ての周波数帯域をモニタリングするのではなく、CORESETと指定された時間-周波数領域をモニタリングして、CORESETにマッピングされたPDCCHをデコーディングする。基地局は、端末にセル別に一つまたは複数のCORESETを構成する。CORESETは、時間軸に最大3つまでの連続したシンボルからなる。また、CORESETは周波数軸に連続した6つのPRBの単位からなる。図5の実施例において、CORESET#1は連続的なPRBからなり、CORESET#2とCORESET#3は不連続的なPRBからなる。CORESETは、スロット内のいかなるシンボルにも位置し得る。例えば、図5の実施例において、CORESET#1はスロットの最初のシンボルから始まり、CORESET#2はスロットの5番目のシンボルから始まり、CORESET#9はスロットの9番目のシンボルから始まる。
図7は、3GPP NRシステムにおけるPDCCH探索空間を設定する方法を示す図である。
端末にPDCCHを伝送するために、各CORESETには少なくとも一つ以上の探索空間が存在する。本発明の実施例において、探索空間は端末のPDCCHが伝送される全ての時間-周波数資源(以下、PDCCH候補)の集合である。探索空間は、3GPP NRの端末が共通に探索すべき共通探索空間(common search space)と、特定端末が探索すべき端末-特定探索空間(terminal-specific or UE-specific search space)を含む。共通探索空間では、同一基地局に属するセルにおける全ての端末が共通に探すように設定されているPDCCHをモニタリングする。また、端末-特定探索空間は、端末に応じて互いに異なる探索空間の位置で、各端末に割り当てられたPDCCHをモニタリングするように端末別に設定される。端末-特定探索空間の場合、PDCCHが割り当てられる制限された制御領域のため、端末間の探索空間が部分的に重なって割り当てられている可能性がある。PDCCHをモニタリングすることは、探索空間内のPDCCH候補をブラインドデコーディングすることを含む。ブラインドデコーディングに成功した場合をPDCCHが(成功的に)検出/受信されたと表現し、ブラインドデコーディングに失敗した場合をPDCCHが未検出/未受信されたと表現か、成功的に検出/受信されていないと表現する。
説明の便宜上、一つ以上の端末に下りリンク制御情報を伝送するために、一つ以上の端末が既に知っているグループ共通(group common、GC)RNTIでスクランブルされたPDCCHをグループ共通(GC)PDCCH、または共通PDCCHと称する。また、一つの特定端末に上りリンクスケジューリング情報または下りリンクスケジューリング情報を伝送するために、特定端末が既に知っている端末-特定RNTIでスクランブルされたPDCCHを端末-特定PDCCHと称する。前記共通PDCCHは共通探索空間に含まれ、端末-特定PDCCHは共通探索空間または端末-特定PDCCHに含まれる。
基地局は、PDCCHを介して伝送チャネルであるPCH(paging channel)及びDL-SCH(downlink-shared channel)の資源割当に関する情報(つまり、DL Grant)、またはUL-SCH(uplink-shared channel)の資源割当とHARQ(hybrid automatic repeat request)に関する情報(つまり、UL Grant)を各端末または端末グループに知らせる。基地局は、PCH伝送ブロック、及びDL-SCH伝送ブロックをPDSCHを介して伝送する。基地局は、特定制御情報または特定サービスデータを除いたデータをPDSCHを介して伝送する。また、端末は、特定制御情報または特定サービスデータを除いたデータをPDSCHを介して受信する。
基地局は、PDSCHのデータがいかなる端末(一つまたは複数の端末)に伝送されるのか、該当端末がいかにPDSCHデータを受信しデコーディングすべきなのかに関する情報をPDCCHに含ませて伝送する。例えば、特定PDCCHを介して伝送されるDCIが「A」というRNTIでCRCマスキングされており、そのDCIが「B」という無線資源(例えば、周波数位置)にPDSCHが割り当てられていることを指示し、「C」という伝送形式情報(例えば、伝送ブロックのサイズ、変調方式、コーディング情報など)を指示すると仮定する。端末は、自らが有するRNTI情報を利用してPDCCHをモニタリングする。この場合、「A」RNTIを使用してPDCCHをブラインドデコーディングする端末があれば、該当端末はPDCCHを受信し、受信したPDCCHの情報を介して「B」と「C」によって指示されるPDSCHを受信する。
表3は、無線通信システムで使用されるPUCCHの一実施例を示す。

Figure 0007421237000009
PUCCHは、以下の上りリンク制御情報(UCI)を伝送するのに使用される。
-SR(Scheduling Request):上りリンクUL-SCH資源を要請するのに使用される情報である。
-HARQ-ACK:(DL SPS releaseを指示する)PDCCHに対する応答及び/またはPDSCH上の上りリンク伝送ブロック(transport block、TB)に対する応答である。HARQ-ACKは、PDCCHまたはPDSCHを介して伝送された情報の受信可否を示す。HARQ-ACK応答は、ポジティブACK(簡単に、ACK)、ネガティブACK(以下、NACK)、DTX(Discontinuous Transmission)、またはNACK/DTXを含む。ここで、HARQ-ACKという用語は、HARQ-ACK/NACK、ACK/NACKと混用される。一般に、ACKはビット値1で表され、NACKはビット値0で表される。
-CSI:下りリンクチャネルに対するフィードバック情報である。基地局が伝送するCSI-RS(Reference Signal)に基づいて端末が生成する。MIMO(multiple input multiple output)-関連フィードバック情報は、RI及びPMIを含む。CSIは、CSIが示す情報に応じてCSIパート1とCSIパート2に分けられる。
3GPP NRシステムでは、多様なサービスシナリオと多様なチャネル環境、及びフレーム構造を支援するために、5つのPUCCHフォーマットが使用される。
PUCCHフォーマット0は、1ビットまたは2ビットHARQ-ACK情報またはSRを伝達するフォーマットである。PUCCHフォーマット0は、時間軸に1つまたは2つのOFDMシンボルと、周波数軸に1つのPRBを介して伝送される。PUCCHフォーマット0が2つのOFDMシンボルで伝送されれば、2つのシンボルに同じシーケンスが互いに異なるRBで伝送される。この際、シーケンスはPUCCHフォマード0に使用されるベースシーケンス(base sequence)からサイクリックシフト(cyclic shift、CS)されたシーケンスである。これを介し、端末は周波数ダイバーシティゲイン(diversity gain)を得る。詳しくは、端末はMbitビットUCI(Mbit=1or2)によってサイクリックシフト(CS)値mcsを決定する。また、長さが12のベースシーケンスを決められたCS値mcsに基づいてサイクリックシフトしたシーケンスを1つのOFDMシンボル及び1つのRBの12個のREsにマッピングして伝送する。端末が使用可能なサイクリックシフトの数が12個で、Mbit=1であれば、1bit UCI0と1は、それぞれサイクリックシフト値の差が6である2つのサイクリックシフトされたシーケンスにマッピングされる。また、Mbit=2であれば、2bits UCI00、01、11、10は、それぞれサイクリックシフト値の差が3である4つのサイクリックシフトされたシーケンスにマッピングされる。
PUCCHフォーマット1は、1ビットまたは2ビットHARQ-ACK情報またはSRを伝達する。PUCCHフォーマット1は、時間軸に連続的なOFDMシンボルと、周波数軸に1つのPRBを介して伝送される。ここで、PUCCHフォーマット1が占めるOFDMシンボルの数は4~14のうち一つである。より詳しくは、Mbit=1であるUCIはBPSKでモジュレーションされる。端末は、Mbit=2であるUCIをQPSK(quadrature phase shift keying)でモジュレーションされる。モジュレーションされた複素数シンボル(complex valued symbol)d(0)に長さ12のシーケンスをかけて信号を得る。この際、シーケンスはPUCCHフォマード0に使用されるベースシーケンスである。端末は、得られた信号をPUCCHフォーマット1が割り当てられた偶数番目のOFDMシンボルに、時間軸OCC(orthogonal cover code)でスプレディング(spreading)して伝送する。PUCCHフォーマット1は、使用するOCCの長さに応じて同じRBで多重化される互いに異なる端末の最大数が決められる。PUCCHフォーマット1の奇数番目OFDMシンボルには、DMRS(demodulation reference signal)がOCCでスプレディングされてマッピングされる。
PUCCHフォーマット2は、2ビットを超過するUCIを伝達する。PUCCHフォーマット2は、時間軸に1つまたは2つのOFDMシンボルと、周波数軸に1つまたは複数個のRBを介して伝送される。PUCCHフォーマット2が2つのOFDMシンボルで伝送されれば、2つのOFDMシンボルを介して同じシーケンスが互いに異なるRBで伝送される。ここで、シーケンスは複数のモジュレーションされた複素数シンボルd(0)、…、d(Msymbol-1)である。ここで、MsymbolはMbit/2である。これを介し、端末は周波数ダイバーシティゲインを得る。より詳しくは、MbitビットUCI(Mbit>2)はビット-レベルスクランブリングされ、QPSKモジュレーションされて1つまたは2つのOFDMシンボル(ら)のRB(ら)にマッピングされる。ここで、RBの数は1~16のうち一つである。
PUCCHフォーマット3またはPUCCHフォーマット4は、2ビットを超過するUCIを伝達する。PUCCHフォーマット3またはPUCCHフォーマット4は、時間軸に連続的なOFDMシンボルと、周波数軸に1つのPRBを介して伝送される。PUCCHフォーマット3またはPUCCHフォーマット4が占めるOFDMシンボルの数は4~14のうち一つである。詳しくは、端末は、MbitビットUCI(Mbit>2)をπ/2-BPSK(Binary Phase Shift Keying)またはQPSKでモジュレーションし、複素数シンボルd(0)~d(Msymb-1)を生成する。ここで、π/2-BPSKを使用するとMsymb=Mbitであり、QPSKを使用するとMsymb=Mbit/2である。端末は、PUCCHフォーマット3にブロック-単位スプレディングを適用しない。但し、端末は、PUCCHフォーマット4が2つまたは4つの多重化容量(multiplexing capacity)を有するように、長さ-12のPreDFT-OCCを使用して1つのRB(つまり、12subcarriers)にブロック-単位スプレディングを適用してもよい。端末は、スプレディングされた信号を伝送プリコーディング(transmit precoding)(またはDFT-precoding)し、各REにマッピングして、スプレディングされた信号を伝送する。
この際、PUCCHフォーマット2、PUCCHフォーマット3、またはPUCCHフォーマット4が占めるRBの数は、端末が伝送するUCIの長さと最大コードレート(code rate)に応じて決定される。端末がPUCCHフォーマット2を使用すれば、端末はPUCCHを介してHARQ-ACK情報及びCSI情報を共に伝送する。もし、端末が伝送し得るRBの数がPUCCHフォーマット2、PUCCHフォーマット3、またはPUCCHフォーマット4が使用し得る最大RBの数より大きければ、端末はUCI情報の優先順位に応じて一部のUCI情報は伝送せず、残りのUCI情報のみ伝送する。
PUCCHフォーマット1、PUCCHフォーマット3、またはPUCCHフォーマット4がスロット内で周波数ホッピング(frequency hopping)を指示するように、RRC信号を介して構成される。周波数ホッピングが構成される際、周波数ホッピングするRBのインデックスはRRC信号からなる。PUCCHフォーマット1、PUCCHフォーマット3、またはPUCCHフォーマット4が時間軸でN個のOFDMシンボルにわたって伝送されれば、最初のホップ(hop)はfloor(N/2)個のOFDMシンボルを有し、2番目のホップはceil(N/2)個のOFDMシンボルを有する。
PUCCHフォーマット1、PUCCHフォーマット3、またはPUCCHフォーマット4は、複数のスロットに繰り返し伝送さ得るように構成される。この際、PUCCHが繰り返し伝送されるスロットの個数KはRRC信号によって構成される。繰り返し伝送されるPUCCHは、各スロット内で同じ位置のOFDMシンボルから始まり、同じ長さを有するべきである。端末がPUCCHを伝送すべきスロットのOFDMシンボルのうちいずれか一つのOFDMシンボルでもRRC信号によってDLシンボルと指示されれば、端末はPUCCHを該当スロットから伝送せず、次のスロットに延期して伝送する。
一方、3GPP NRシステムにおいて、端末はキャリア(またはセル)の帯域幅より小さいか同じ帯域幅を利用して送受信を行う。そのために、端末はキャリア帯域幅のうち一部の連続的な帯域幅からなるBWP(bandwidth part)を構成される。TDDに応じて動作するかまたはアンペアドスペクトルで動作する端末は、一つのキャリア(またはセル)に最大4つのDL/UL BWPペア(pairs)を構成される。また、端末は一つのDL/UL BWPペアを活性化する。FDDに応じて動作するかまたはペアドスペクトルで動作する端末は、下りリンクキャリア(またはセル)に最大4つのDL BWPを構成され、上りリンクキャリア(またはセル)に最大4つのUL BWPを構成される。端末は、各キャリア(またはセル)ごとに一つのDL BWPとUL BWPを活性化する。端末は、活性化されたBWP以外の時間-周波数資源から受信するか送信しなくてもよい。活性化されたBWPをアクティブBWPと称する。
基地局は、端末が構成されたBWPのうち活性化されたBWPをDCIを介して指示する。DCIを介して指示したBWPは活性化され、他の構成されたBWP(ら)は非活性化される。TDDで動作するキャリア(またはセル)において、基地局は端末のDL/UL BWPペアを変えるために、PDSCHまたはPUSCHをスケジューリングするDCIに活性化されるBWPを指示するBPI(bandwidth part indicator)を含ませる。端末は、PDSCHまたはPUSCHをスケジューリングするDCIを受信し、BPIに基づいて活性化されるDL/UL BWPペアを識別する。FDDで動作する下りリンクキャリア(またはセル)の場合、基地局は端末のDL BWPを変えるために、PDSCHをスケジューリングするDCIに活性化されるBWPを知らせるBPIを含ませる。FDDで動作する上りリンクキャリア(またはセル)の場合、基地局は端末のUL BWPを変えるために、PUSCHをスケジューリングするDCIに活性化されるBWPを指示するBPIを含ませる。
図8は、キャリア集成を説明する概念図である。
キャリア集成とは、無線通信システムがより広い周波数帯域を使用するために、端末が上りリンク資源(またはコンポーネントキャリア)及び/または下りリンク資源(またはコンポーネントキャリア)からなる周波数ブロック、または(論理的意味の)セルを複数個使用して一つの大きい論理周波数帯域で使用する方法を意味する。一つのコンポーネントキャリアは、PCell(Primary cell)またはSCell(Secondary Cell)、またはPSCell(Primary SCell)という用語で称される。但し、以下では説明の便宜上、コンポーネントキャリアという用語に統一する。
図8を参照すると、3GPP NRシステムの一例示として、全体システム帯域は最大16個のコンポーネントキャリアを含み、それぞれのコンポーネントキャリアは最大400MHzの帯域幅を有する。コンポーネントキャリアは、一つ以上の物理的に連続するサブキャリアを含む。図8ではそれぞれのコンポーネントキャリアがいずれも同じ帯域幅を有するように示したが、これは例示に過ぎず、それぞれのコンポーネントキャリアは互いに異なる帯域幅を有してもよい。また、それぞれのコンポーネントキャリアは周波数軸で互いに隣接しているように示したが、前記図面は論理的な概念で示したものであって、それぞれのコンポーネントキャリアは物理的に互いに隣接してもよく、離れていてもよい。
それぞれのコンポーネントキャリアにおいて、互いに異なる中心周波数が使用される。また、物理的に隣接したコンポーネントキャリアにおいて、共通した一つの中心周波数が使用される。図8の実施例において、全てのコンポーネントキャリアが物理的に隣接していると仮定すれば、全てのコンポーネントキャリアで中心周波数Aが使用される。また、それぞれのコンポーネントキャリアが物理的に隣接していないと仮定すれば、コンポーネントキャリアそれぞれにおいて中心周波数A、中心周波数Bが使用される。
キャリア集成で全体のシステム帯域が拡張されれば、各端末との通信に使用される周波数帯域はコンポーネントキャリア単位に定義される。端末Aは全体のシステム帯域である100MHzを使用し、5つのコンポーネントキャリアをいずれも使用して通信を行う。端末B~Bは20MHzの帯域幅のみを使用し、一つのコンポーネントキャリアを使用して通信を行う。端末C及びCは40MHzの帯域幅のみを使用し、それぞれ2つのコンポーネントキャリアを利用して通信を行う。2つのコンポーネントキャリアは、論理/物理的に隣接するか隣接しない。図8の実施例では、端末Cが隣接していない2つのコンポーネントキャリアを使用し、端末Cが隣接した2つのコンポーネントキャリアを使用する場合を示す。
図9は、端末キャリア通信と多重キャリア通信を説明するための図である。特に、図9(a)は単一キャリアのサブフレーム構造を示し、図9(b)は多重キャリアのサブフレーム構造を示す。
図9(a)を参照すると、一般的な無線通信システムはFDDモードの場合一つのDL帯域とそれに対応する一つのUL帯域を介してデータ伝送または受信を行う。他の具体的な実施例において、無線通信システムはTDDモードの場合、無線フレームを時間ドメインで上りリンク時間ユニットと下りリンク時間ユニットに区分し、上り/下りリンク時間ユニットを介してデータ伝送または受信を行う。図9(b)を参照すると、UL及びDLにそれぞれ3つの20MHzコンポーネントキャリア(component carrier、CC)が集まって、60MHzの帯域幅が支援される。それぞれのCCは、周波数ドメインで互いに隣接するか非-隣接する。図9(b)は、便宜上UL CCの帯域幅とDL CCの帯域幅がいずれも同じで対称な場合を示したが、各CCの帯域幅は独立的に決められてもよい。また、UL CCの個数とDL CCの個数が異なる非対称のキャリア集成も可能である。RRCを介して特定端末に割当/構成されたDL/UL CCを特定端末のサービング(serving)DL/UL CCと称する。
基地局は、端末のサービングCCのうち一部または全部と活性化(activate)するか一部のCCを非活性化(deactivate)して、端末と通信を行う。基地局は、活性化/非活性化されるCCを変更してもよく、活性化/非活性化されるCCの個数を変更してもよい。基地局が端末に利用可能なCCをセル-特定または端末-特定に割り当てると、端末に対するCC割当が全面的に再構成されるか端末がハンドオーバー(handover)しない限り、一旦割り当てられたCCのうち少なくとも一つは非活性化されなくてもよい。端末に非活性化されない一つのCを主CC(primary CC、PCC)またはPCell(primary cell)と称し、基地局が自由に活性化/非活性化されるCCを副CC(secondary CC、SCC)またはSCell(secondary cell)と称する。
一方、3GPP NRは無線資源を管理するためにセル(cell)の概念を使用する。セルは、下りリンク資源と上りリンク資源の組み合わせ、つまり、DL CCとUL CCの組み合わせと定義される。セルは、DL資源単独、またはDL資源とUL資源の組み合わせからなる。キャリア集成が支援されれば、DL資源(または、DL CC)のキャリア周波数とUL資源(または、UL CC)のキャリア周波数との間のリンケージ(linkage)はシステム情報によって指示される。キャリア周波数とは、各セルまたはCCの中心周波数を意味する。PCCに対応するセルをPCellと称し、SCCに対応するセルをSCellと称する。下りリンクにおいてPCellに対応するキャリアはDL PCCであり、上りリンクにおいてPCellに対応するキャリアはUL PCCである。類似して、下りリンクにおいてSCellに対応するキャリアはDL SCCであり、上りリンクにおいてSCellに対応するキャリアはUL SCCである。端末性能(capacity)に応じて、サービングセル(ら)は一つのPCellと0以上のSCellからなる。RRC_CONNECTED状態にあるがキャリア集成が設定されていないか、キャリア集成を支援しないUEの場合、PCellのみからなるサービングセルがたった一つ存在する。
上述したように、キャリア集成で使用されるセルという用語は、一つの基地局または一つのアンテナグループによって通信サービスが提供される一定の地理的領域を称するセルという用語とは区分される。つまり、一つのコンポーネントキャリアは、スケジューリングセル、スケジュールドセル、PCell、SCell、またはPSCellという用語で称される。但し、一定の地理的領域を称するセルとキャリア集成のセルを区分するために、本発明ではキャリア集成のセルをCCと称し、地理的領域のセルをセルと称する。
図10は、クロスキャリアスケジューリング技法が適用される例を示す図である。クロスキャリアスケジューリングが設定されれば、第1CCを介して伝送される制御チャネルはキャリア指示子フィールド(carrier indicator field、CIF)を利用して、第1CCまたは第2CCを介して伝送されるデータチャネルをスケジューリングする。CIFはDCI内に含まれる。言い換えると、スケジューリングセル(scheduling cell)が設定され、スケジューリングセルのPDCCH領域から伝送されるDLグラント/ULグラントは、被スケジューリングセル(scheduled cell)のPDSCH/PUSCHをスケジューリングする。つまり、複数のコンポーネントキャリアに対する検索領域がスケジューリングセルのPDCCH領域が存在する。PCellは基本的にスケジューリングセルであり、特定SCellが上位階層によってスケジューリングセルと指定される。
図10の実施例では、3つのDL CCが併合されていると仮定する。ここで、DLコンポーネントキャリア#0はDL PCC(または、PCell)と仮定し、DLコンポーネントキャリア#1及びDLコンポーネントキャリア#2はDL SCC(または、SCell)と仮定する。また、DL PCCがPDCCHモニタリングCCと設定されていると仮定する。端末-特定(または端末-グループ-特定、またはセル-特定)上位階層シグナリングによってクロスキャリアスケジューリングを構成しなければCIFがディスエーブル(disable)となり、それぞれのDL CCはNR PDCCH規則に従ってCIFなしに自らのPDSCHをスケジューリングするPDCCHのみを伝送する(ノン-クロス-キャリアスケジューリング、セルフ-キャリアスケジューリング)。それに対し、端末-特定(または端末-グループ-特定、またはセル-特定)上位階層シグナリングによってクロスキャリアスケジューリングを構成すればCIFがイネーブル(ensable)となり、特定のCC(例えば、DL PCC)はCIFを利用してDL CC AのPDSCHをスケジューリングするPDCCHのみならず、他のCCのPDSCHをスケジューリングするPDCCHも伝送する(クロス-キャリアスケジューリング)。それに対し、他のDL CCではPDCCHが伝送されない。よって、端末は端末にクロスキャリアスケジューリングが構成されているのか否かに応じて、CIFを含まないPDCCHをモニタリングしてセルフキャリアスケジューリングされたPDSCHを受信するか、CIFを含むPDCCHをモニタリングしてクロスキャリアスケジューリングされたPDSCHを受信する。
一方、図9及び図10は、3GPP LTE-Aシステムのサブフレーム構造を例示しているが、これと同じまたは類似した構成が3GPP NRシステムにも適用可能である。但し、3GPP NRシステムにおいて、図9及び図10のサブフレームはスロットに切り替えられる。
図11は、本開示の一実施例による端末と基地局の構成をそれぞれ示すブロック図である。本開示の実施例において、端末は携帯性と移動性が保障される多様な種類の無線通信装置、またはコンピューティング装置で具現される。端末はUE(User Equipment)、STA(Station)、MS(Mobile Subscriber)などと称される。また、本開示の実施例において、基地局はサービス地域に当たるセル(例えば、マクロセル、フェムトセル、ピコセルなど)を制御及び管掌し、信号の送り出し、チャネルの指定、チャネルの監視、自己診断、中継などの機能を行う。基地局は、gNB(next Generation NodeB)またはAP(Access Point)などと称される。
図示したように、本開示の一実施例による端末100は、プロセッサ110、通信モジュール120、メモリ130、ユーザインタフェース140、及びディスプレイユニット150を含む。
まず、プロセッサ110は多様な命令またはプログラムを実行し、端末100内部のデータをプロセッシングする。また、プロセッサ110は端末100の各ユニットを含む全体動作を制御し、ユニット間のデータの送受信を制御する。ここで、プロセッサ110は、本開示で説明した実施例による動作を行うように構成される。例えば、プロセッサ110はスロット構成情報を受信し、それに基づいてスロットの構成を判断して、判断されたスロット構成に応じて通信を行ってもよい。
次に、通信モジュール120は、無線通信網を利用した無線通信、及び無線LANを利用した無線LAN接続を行う統合モジュールである。そのために、通信モジュール120は、セルラー通信インターフェースカード121、122、及び非免許帯域通信インターフェースカード123のような複数のネットワークインターフェースカード(network interface card、NIC)を内蔵または外装の形に備える。図面において、通信モジュール120は一体型統合モジュールと図示されているが、それぞれのネットワークインターフェースカードは図面とは異なって、回路構成または用途に応じて独立して配置されてもよい。
セルラー通信インターフェースカード121は、移動通信網を介して基地局200、外部ディバイス、サーバのうち少なくとも一つと無線信号を送受信し、プロセッサ110の命令に基づいて第1周波数帯域によるセルラー通信サービスを提供する。一実施例によると、セルラー通信インターフェースカード121は、6GHz未満の周波数帯域を利用する少なくとも一つのNICモジュールを含む。セルラー通信インターフェースカード121の少なくとも一つのNICモジュールは、該当NICモジュールが支援する6GHz未満の周波数帯域のセルラー通信規格またはプロトコールに応じて、独立して基地局200、外部ディバイス、サーバのうち少なくとも一つとセルラー通信を行う。
セルラー通信インターフェースカード122は、移動通信網を介して基地局200、外部ディバイス、サーバのうち少なくとも一つと無線信号を送受信し、プロセッサ110の命令に基づいて第2周波数帯域によるセルラー通信サービスを提供する。一実施例によると、セルラー通信インターフェースカード122は、6GHz以上の周波数帯域を利用する少なくとも一つのNICモジュールを含む。セルラー通信インターフェースカード122の少なくとも一つのNICモジュールは、該当NICモジュールが支援する6GHz以上の周波数帯域のセルラー通信規格またはプロトコールに応じて、独立して基地局200、外部ディバイス、サーバのうち少なくとも一つとセルラー通信を行う。
非免許帯域通信インターフェースカード123は、非免許帯域である第3周波数帯域を介して基地局200、外部ディバイス、サーバのうち少なくとも一つと無線信号を送受信し、プロセッサ110の命令に基づいて非免許帯域の通信サービスを提供する。非免許帯域通信インターフェースカード123は、非免許帯域を利用する少なくとも一つのNICモジュールを含む。例えば、非免許帯域は2.4GHzまたは5GHzの帯域であってもよい。非免許帯域通信インターフェースカード123の少なくとも一つのNICモジュールは、該当NICモジュールが支援する周波数帯域の非免許帯域通信規格またはプロトコールに応じて、独立してまたは従属して基地局200、外部ディバイス、サーバのうち少なくとも一つと無線通信を行う。
次に、メモリ130は、端末100で使用される制御プログラム及びそれによる各種データを貯蔵する。このような制御プログラムには、端末100が基地局200、外部ディバイス、サーバのうち少なくとも一つと無線通信を行うのに必要な所定のプログラムが含まれる。
次に、ユーザインタフェース140は、端末100に備えられた多様な形態の入/出力手段を含む。つまり、ユーザインタフェース部140は多様な入力手段を利用してユーザの入力を受信し、プロセッサ110は受信されたユーザ入力に基づいて端末100を制御する。また、ユーザインタフェース140は、多様な出力手段を利用してプロセッサ110の命令に基づく出力を行う。
次に、ディスプレイユニット150は、ディスプレイ画面に多様なイメージを出力する。前記ディスプレイユニット150は、プロセッサ110によって実行されるコンテンツ、またはプロセッサ110の制御命令に基づいたユーザインタフェースなどの多様なディスプレイオブジェクトを出力する。
また、本開示の実施例による基地局200は、プロセッサ210、通信モジュール220、及びメモリ230を含む。
まず、プロセッサ210は多様な命令またはプログラムを実行し、基地局200内部のデータをプロセッシングする。また、プロセッサ210は基地局200の各ユニットを含む全体動作を制御し、ユニット間のデータの送受信を制御する。ここで、プロセッサ210は、本開示で説明した実施例による動作を行うように構成される。例えば、プロセッサ210はスロット構成情報をシグナリングし、シグナリングしたスロット構成に応じて通信を行ってもよい。
次に、通信モジュール220は、無線通信網を利用した無線通信、及び無線LANを利用した無線LANアクセスを行う統合モジュールである。そのために、通信モジュール120は、セルラー通信インターフェースカード221、222、及び非免許帯域通信インターフェースカード223のような複数のネットワークインターフェースカードを内蔵または外装の形に備える。図面において、通信モジュール220は一体型統合モジュールと図示されているが、それぞれのネットワークインターフェースカードは図面とは異なって、回路構成または用途に応じて独立して配置されてもよい。
セルラー通信インターフェースカード221は、移動通信網を介して上述した端末100、外部ディバイス、サーバのうち少なくとも一つと無線信号を送受信し、プロセッサ210の命令に基づいて第1周波数帯域によるセルラー通信サービスを提供する。一実施例によると、セルラー通信インターフェースカード221は、6GHz未満の周波数帯域を利用する少なくとも一つのNICモジュールを含む。セルラー通信インターフェースカード221の少なくとも一つのNICモジュールは、該当NICモジュールが支援する6GHz未満の周波数帯域のセルラー通信規格またはプロトコールに応じて、独立して端末100、外部ディバイス、サーバのうち少なくとも一つとセルラー通信を行う。
セルラー通信インターフェースカード222は、移動通信網を介してした端末100、外部ディバイス、サーバのうち少なくとも一つと無線信号を送受信し、プロセッサ210の命令に基づいて第2周波数帯域によるセルラー通信サービスを提供する。一実施例によると、セルラー通信インターフェースカード222は、6GHz以上の周波数帯域を利用する少なくとも一つのNICモジュールを含む。セルラー通信インターフェースカード222の少なくとも一つのNICモジュールは、該当NICモジュールが支援する6GHz以上の周波数帯域のセルラー通信規格またはプロトコールに応じて、独立して端末100、外部ディバイス、サーバのうち少なくとも一つとセルラー通信を行う。
非免許帯域通信インターフェースカード223は、非免許帯域である第3周波数帯域を介して端末100、外部ディバイス、サーバのうち少なくとも一つと無線信号を送受信し、プロセッサ210の命令に基づいて非免許帯域の通信サービスを提供する。非免許帯域通信インターフェースカード223は、非免許帯域を利用する少なくとも一つのNICモジュールを含む。例えば、非免許帯域は2.4GHzまたは5GHzの帯域であってもよい。非免許帯域通信インターフェースカード223の少なくとも一つのNICモジュールは、該当NICモジュールが支援する周波数帯域の非免許帯域通信規格またはプロトコールに応じて、独立してまたは従属して端末100、外部ディバイス、サーバのうち少なくとも一つと無線通信を行う。
図11に示した端末100及び基地局200は本開示の一実施例によるブロック図であって、分離して示したブロックはディバイスのエレメントを論理的に区別して図示したものである。よって、上述したディバイスのエレメントは、ディバイスの設計に応じて一つのチップまたは複数のチップで取り付けられる。また、端末100の一部の構成、例えば、ユーザインタフェース部140及びディスプレイユニット150などは端末100に選択的に備えられてもよい。また、ユーザインタフェース140及びディスプレイユニット150などは、基地局200に必要によって追加に備えられてもよい。
図12は、本発明の実施例による無線通信システムで使用されるリソース-セットを示す図である。
基地局は、端末が物理データチャネルの受信に使用し得るのかを指示するための時間-周波数資源のセットであるリソース-セット(Resource Set、RESET)を使用する。詳しくは、基地局は、端末が物理データチャネルの受信に使用できない時間-周波数資源をシグナリングするためのリソース-セットを使用する。端末は、少なくとも初期セルアクセスのためのRRC信号を介し、少なくとも一つのRESETに当たる時間-周波数資源を判断する。具体的な実施例において、基地局はDCIのフィールドを使用してどのRESETで端末が物理データチャネルを受信できないのかを指示する。説明の便宜上、RESETが物理データチャネルの受信に使用可能であるのかを指示するDCIのフィールドをRESETフィールドと称する。物理データチャネルの受信にレートマッチングが使用されれば、RESETフィールドはレートマッチング指示子(rate-matching indicator)と称される。また、物理データチャネルの受信にパンクチュアリングが使用されれば、RESETフィールドはパンクチュアリング指示子(puncturing indicator)と称される。基地局はRRC信号を使用して一つまたは複数のRESETを指示する。詳しくは、基地局はRRC信号を使用してRESETに当たる時間-周波数資源を指示する。また、基地局はL1シグナリングまたは物理データチャネルをスケジューリングするDCIを使用し、一つまたは複数個のRESETが物理データチャネルの受信に使用不可能であるのかを指示する。この際、基地局は一つまたは複数個のRESETが物理データチャネルの受信に使用可能であるのかを指示するためのDCIのフィールドの長さをRRC信号を使用してシグナリングする。また、基地局のRESET設定に応じて、RESETは上述したCORESETの全体または一部を含む。詳しくは、RESETはCORESET単位で指定される。例えば、RESETは単一CORESETまたは複数のCORESET単位で指定されてもよい。
端末は、端末の物理データチャネルの受信がスケジューリングされた時間-周波数資源と物理データチャネルの受信に使用不可能と指示されたRESETに当たる時間-周波数資源がオーバーラップされる時間-周波数資源に基づいて物理データチャネルを受信する。この際、端末が物理データチャネルの受信がスケジューリングされた時間-周波数資源は、物理制御チャネルのDCIによって端末の物理データチャネルの受信がスケジューリングされた時間-周波数資源を示す。詳しくは、物理データチャネルをスケジューリングするDCIは、物理データチャネルの受信がスケジューリングされる時間-周波数資源の時間領域情報と周波数領域情報を介し、端末に物理データチャネルの受信がスケジューリングされる時間-周波数資源を指示する。この際、時間領域情報は物理データチャネルの受信がスケジューリングされるスロットの開始OFDMシンボルのインデックスを含む。また、物理データチャネルをスケジューリングするDCIは、端末の物理データチャネルの受信がスケジューリングされる時間-周波数資源は端末の物理データチャネルの受信がスケジューリングされる周波数帯域を示す情報を使用して指示する。この際、物理データチャネルの受信がスケジューリングされる周波数帯域を示す情報は、PRBまたはPRBグループ(group)単位で指示される。詳しくは、端末は、物理データチャネルの受信がスケジューリングされた時間-周波数資源のうちチャネルの受信に使用不可能と指示されたRESETを除いた残りの時間-周波数資源を物理データチャネルを受信する資源として判断する。端末は、物理データチャネルをスケジューリングするDCIによって端末の物理データチャネルの受信がスケジューリングされた時間-周波数資源を判断する。これを介し、端末はRRC信号と設定されたRESETに当たる時間-周波数資源とDCIで指示した物理データチャネルの受信がスケジューリングされた時間-周波数資源がオーバーラップされた時間-周波数資源を判断する。説明の便宜上、端末に設定されたRESETに当たる時間-周波数資源と物理データチャネルの受信がスケジューリングされた時間-周波数資源がオーバーラップされた時間-周波数資源をオーバーラップ-リソース-セット(overlapped-resource set、overlapped-RESET)と称する。物理データチャネルの受信に使用可能なRESETに当たる時間-周波数資源と物理データチャネルの受信がスケジューリングされた時間-周波数資源がオーバーラップされなければ、端末は物理データチャネルの受信がスケジューリングされた時間-周波数資源全部で物理データチャネルの受信が可能であると判断する。詳しくは、物理データチャネルの受信に使用可能なRESETに当たる時間-周波数資源と物理データチャネルの受信がスケジューリングされた時間-周波数資源がオーバーラップされれば、端末は物理データチャネルをスケジューリングするDCIで伝送されるRESETフィールドに基づいてレートマッチング行い、物理データチャネルを受信する。この際、端末は、物理データチャネルがスケジューリングされる時間-周波数資源でRESETフィールドが物理データチャネルの受信が不可能であると指示するRESETに当たる時間-周波数資源を除いた時間-周波数資源でレートマッチングを行い、物理データチャネルを受信する。他の具体的な実施例において、物理データチャネルの受信に使用不可能なRESETに当たる時間-周波数資源と物理データチャネルの受信がスケジューリングされた時間-周波数資源がオーバーラップされれば、端末はRESETフィールドに基づいてパンクチュアリングを行う。この際、端末は、物理データチャネルがスケジューリングされる時間-周波数資源でRESETフィールドが物理データチャネルの受信が不可能であると指示するRESETに当たる時間-周波数資源をパンクチュアリングし、物理データチャネルを受信する。また、物理データチャネルの受信に使用不可能なRESETに当たる時間-周波数資源と物理データチャネルの受信がスケジューリングされた時間-周波数資源がオーバーラップされなければ、端末はRESETフィールドの値に関係なく物理データチャネルの受信がスケジューリングされた時間-周波数資源全部で物理データチャネルの受信が可能であると判断する。
前記説明によって、端末にRRC信号に応じて物理データチャネルの受信に使用不可能な時間-周波数資源が設定され、端末はDCIで指示する該当時間-周波数のうち実際に物理データチャネルの受信に使用不可能な時間-周波数資源を判断する。もし、基地局がRRC信号のみで物理データチャネルの受信に使用不可能な時間-周波数資源を設定すれば、資源の使用可能可否は時間が過ぎると共に変更されるため、該当資源が実際に物理データチャネルの受信に使用可能な状況にあっても常にその資源を使用できない可能性がある。よって、周波数容量(special efficiency)が低下する恐れがある。もし、基地局がDCIのみで物理データチャネルの受信に使用してはいけない時間-周波数資源を指示すれば、基地局はDCIを介してその都度物理データチャネルの受信が不可能な時間-周波数資源に関する全ての情報をシグナリングしなければならないため、物理制御チャネルのオーバーヘッドが増加する恐れがある。よって、本発明の方式によって、基地局はRRC信号でDCIの組み合わせを介して周波数容量を増加するか、物理制御チャネルのオーバーヘッドを減少させる。
図12の実施例において、RRC信号によってn番目のスロットに第1RESET(RESET#1)と第2RESET(RESET#2)が設定される。図12(a)の実施例において、DCIによって端末のPDSCH受信がスケジューリングされた時間-周波数資源と第1RESET(RESET#1)の一部がオーバーラップされる。よって、端末はDCIによって端末のPDSCH受信がスケジューリングされた時間-周波数資源と第1RESET(RESET#1)がオーバーラップされる時間-周波数資源をオーバーラップ-リソース-セットと判断する。図12(b)の実施例において、DCIによって端末のPDSCH受信がスケジューリングされた時間-周波数資源と第1RESET(RESET#1)の一部がオーバーラップされる。また、DCIによって端末のPDSCH受信がスケジューリングされた時間-周波数資源と第2RESET(RESET#2)の一部がオーバーラップされる。よって、端末はDCIによって端末のPDSCH受信がスケジューリングされた時間-周波数資源と第1RESET(RESET#1)及び第2RESET(RESET#2)がそれぞれオーバーラップされる時間-周波数資源をオーバーラップ-リソース-セットと判断する。
端末は、端末に設定(configure)されていないRESETが現在のスロットで占める時間-周波数資源を判断することができないか、別途のシグナリングを介してのみ判断することができる。また、端末は未来のスロットで端末に設定されたRESETが物理データチャネルを受信できるのかを判断することが難しい可能性がある。また、端末は未来のスロットで端末に設定されたRESETに含まれたCORESETに動的に(dymanically)割り当てられる物理制御チャネルが占める時間-周波数資源を判断することが難しい可能性がある。結局、端末は端末が物理データチャネルを受信すべき時間-周波数資源を判断することが難しい可能性がある。よって、端末は物理データチャネルの伝送が始まるOFDMシンボルの位置を示す開始シンボル情報を基地局から受信する。詳しくは、端末は物理データチャネルをスケジューリングするDCIを介して基地局から開始シンボル情報を受信する。物理データチャネルの伝送が始まる開始シンボルと指定可能なOFDMシンボルの位置がK個であれば、基地局はceil(logK)ビットを使用して開始シンボル情報を伝送する。この際、ceil(x)はxと同じであるか大きい数のうち最も小さい整数を示す。この際、開始シンボルはスロット別に指定される。また、端末は開始シンボル情報に基づいて物理データチャネルの伝送が始まるOFDMシンボルの位置を判断する。例えば、開始シンボルと指定可能なOFDMシンボルがスロットの最初のOFDMシンボルから4番目のOFDMシンボルのうちいずれか一つであれば、基地局はDCIの2ビットを使用して開始シンボル情報を伝送する。この際、DCIの開始シンボル情報に当たる2ビットの値が00であれば、端末は開始シンボルをスロットの最初のOFDMシンボルと判断する。また、DCIの開始シンボル情報に当たる2ビットの値が01であれば、端末は開始シンボルをスロットの2番目のOFDMシンボルと判断する。また、DCIの開始シンボル情報に当たる2ビットの値が10であれば、端末は開始シンボルをスロットの3番目のOFDMシンボルと判断する。また、DCIの開始シンボル情報に当たる2ビットの値が11であれば、端末は開始シンボルをスロットの4番目のOFDMシンボルと判断する。端末は開始シンボル情報に基づいて物理データチャネルを受信する。詳しくは、端末は開始シンボル情報に基づいて物理データチャネルの受信を始める時間-周波数資源を決定する。図13乃至図24を介して、端末がデータチャネルを受信する方法について説明する。詳しくは、端末が物理データチャネルを受信する時間-周波数資源を判断する方法について説明する。
図13は、本発明の実施例による無線通信システムにおいてPDSCHが伝送される時間-周波数資源領域を示す図である。
基地局は、端末にシグナリングされる開始シンボル情報を開始シンボル情報に当たるスロットで物理データチャネルがスケジューリングされた時間-周波数資源とオーバーラップされるRESET(s)に基づいて決定する。詳しくは、基地局は開始シンボル情報に当たるスロットで物理データチャネルがスケジューリングされた時間-周波数資源とオーバーラップされるRESET(s)に当たる時間-周波数資源のうち最も遅い時間資源(つまり、RESET(s)の最後のOFDMシンボル)に基づいて決定する。この際、基地局は、RRC設定(configuration)を介して端末に設定されたRESETの時間-周波数資源に基づいて端末に設定された物理データチャネルを受信不可能なRESETとオーバーラップしないように物理データチャネルの開始シンボル情報を決定する。物理データチャネルがスケジューリングされた周波数帯域に当たる時間-周波数資源とRESETがオーバーラップされなければ、基地局は該当周波数帯域の最初のOFDMシンボルから物理データチャネル伝送を始める。詳しくは、RESETが設定されていない周波数帯域がスロットにあれば、基地局は該当周波数帯域の最初のOFDMシンボルから物理データチャネル伝送を始める。図12は、n番目のスロットの7個のOFDMシンボルを示す。図12の実施例において、n番目のスロットには第1RESET(RESET#1)及び第2RESET(RESET#2)が設定される。周波数領域において、端末のPDSCH受信がスケジューリングされた時間-周波数資源と第1RESET(RESET#1)はオーバーラップされるが、第2RESET(RESET#2)はオーバーラップされない。また、第1RESET(RESET#1)はn番目のスロットの2番目のOFDMシンボルで終了するため、基地局はn番目のスロットの3番目のシンボルからPDSCH伝送を始める。この際、基地局はDCIの開始シンボル情報を示すフィールドの値を10に設定する。
端末の物理データチャネル受信がスケジューリングされた時間-周波数資源のうち少なくとも一部がRESETとオーバーラップされれば、基地局は該当RESETの最後のOFDMシンボルの次のOFDMシンボルを開始シンボルと指定する。端末は、端末に設定された物理データチャネルを受信不可能なRESETに当たるOFDMシンボルでは物理データチャネルの受信を期待しない。また、端末は、端末に設定された物理データチャネルを受信不可能なRESETの最後のOFDMシンボルの次のOFDMシンボルから物理データチャネルの受信を期待する。詳しくは、端末は、端末に設定された物理データチャネルを受信不可能なRESETの最後のOFDMシンボルの次のOFDMシンボルから物理データチャネルを受信する。
このような実施例の場合、他の用途に使用されない時間-周波数資源であるにもかかわらず、物理データチャネルの伝送に使用できない可能性がある。時間-周波数資源を最大に活用するために、端末は、端末の物理データチャネルの受信がスケジューリングされた周波数帯域のうち端末に設定された物理データチャネルを受信不可能なRESETとオーバーラップされる周波数帯域と、端末に物理データチャネルを受信不可能な設定されたRESETとオーバーラップされない帯域を区分して、物理データチャネルの受信開始時点を判断する。また、基地局は、端末に設定されていないRESET(s)に当たるOFDMシンボルのうち最後のOFDMシンボルに基づいて開始シンボル情報を指定する。それについては図14を介して説明する。
図14は、本発明の実施例による無線通信システムにおいてPDSCHが伝送される時間-周波数資源領域を示す図である。
上述したように、端末は、端末の物理データチャネルの受信がスケジューリングされた周波数帯域のうち端末に設定された物理データチャネルを受信不可能なRESETとオーバーラップされる周波数帯域と、端末に設定されたRESETとオーバーラップされない周波数帯域を区分して、物理データチャネルの受信開始時点を判断する。また、基地局は、端末に設定されていないRESET(s)に当たるOFDMシンボルのうち最後のOFDMシンボルに基づいて開始シンボル情報を指定する。詳しくは、基地局は、端末に設定されていないRESET(s)に当たるOFDMシンボルのうち最後のOFDMシンボルの次のOFDMシンボルを開始シンボルと指示する。具体的な実施例において、端末の物理データチャネルの受信がスケジューリングされた周波数帯域のうち、端末に設定された物理データチャネルの受信が不可能なRESETとオーバーラップされる周波数帯域において、端末は端末に設定された物理データチャネルの受信が不可能なRESETの最後のOFDMシンボルの次のOFDMシンボルから物理データチャネルの受信を期待する。また、物理データチャネルの受信がスケジューリングされた周波数帯域のうち、端末に設定された物理データチャネルの受信が不可能なRESETとオーバーラップされない周波数帯域において、端末は開始シンボル情報が指示するOFDMシンボルから物理データチャネルの受信を期待する。物理データチャネルの開始シンボルを指示する理由は、端末は端末に設定された物理データチャネルの受信が不可能なRESETは判断できるが、他の端末に設定されたRESETを判断することはできないためである。
図14は、n番目のスロットの7個のOFDMシンボルを示す。図14の実施例において、n番目のスロットには第1RESET(CORESET#1)及び第2RESET(CORESET#2)が設定される。この際、第1RESET(CORESET#1)は、端末に設定されたPDSCHの受信が不可能なRESETであり、第2RESET(RESET#2)は、他の端末に設定されたRESETである。端末のPDSCH受信がスケジューリングされた第1RESET(RESET#1)はオーバーラップされるが、第2RESET(RESET#2)はオーバーラップされない。この際、第1RESET(RESET#1)の最後のOFDMシンボルはn番目のスロットの2番目のOFDMシンボルである。また、第2RESET(RESET#2)の最後のOFDMシンボルはn番目のスロットの最初のOFDMシンボルである。図14(a)の実施例において、基地局は、端末に設定されていない第2RESET(RESET#2)の最後のシンボルの次のOFDMシンボルである2番目のOFDMシンボルを開始シンボルと指定する。この際、開始シンボル情報に当たるDCIフィールドの値は01である。端末のPDSCH受信がスケジューリングされた周波数帯域のうち第1RESET(RESET#1)とオーバーラップされる周波数帯域において、端末は第1RESET(RESET#1)の最初のOFDMシンボルの次のOFDMシンボルからPDSCH受信を始める。また、端末のPDSCH受信がスケジューリングされた周波数帯域のうち第1RESET(RESET#1)とオーバーラップされない周波数帯域において、端末は開始シンボル情報が指示するOFDMシンボルである2番目のOFDMシンボルからPDSCH受信を始める。
他の具体的な実施例において、基地局は、端末の物理データチャネルの受信がスケジューリングされた時間-周波数資源と端末に設定されていないRESET(s)がオーバーラップされれば、端末に設定されていないRESET(s)の最後のOFDMシンボルの次のOFDMシンボルを開始シンボルと指示する。端末の物理データチャネル受信がスケジューリングされた時間-周波数資源とオーバーラップされる、端末に設定されていないRESETがなければ、基地局はスロットの最初のOFDMシンボルを開始シンボルと指定する。図14(b)の実施例において、端末のPDSCH受信がスケジューリングされたPRBとオーバーラップされ、端末に設定されていないRESETがないため、基地局は最初のOFDMシンボルを開始シンボルと指定する。この際、開始シンボルに当たるDCIフィールドの値は00である。端末のPDSCH受信がスケジューリングされた周波数帯域のうち第1RESET(RESET#1)とオーバーラップされる周波数帯域において、端末は第1RESET(RESET#1)の最後のOFDMシンボルの次のOFDMシンボルからPDSCHモニタリングを始める。また、端末のPDSCH受信がスケジューリングされた周波数帯域のうち第1RESET(RESET#1)とオーバーラップされない周波数帯域において、端末は開始シンボル情報が指示するOFDMシンボルである最初のOFDMシンボルからPDSCH受信を始める。
RESETが含むCORESETに当たる時間-周波数資源のうち一部のみが物理データチャネルの伝送に使用される。また、端末は、端末に設定された物理データチャネルの受信が不可能なRESETに当たる時間-周波数資源のうち、端末の物理制御チャネルが伝送される時間-周波数資源を判断する。よって、RESETに当たる時間-周波数資源のうち、物理制御チャネルの伝送に使用されない周波数資源は物理データチャネルの伝送に使用される。この際、端末は、端末に設定された物理データチャネルの受信が不可能なRESETに当たる時間-周波数資源のうち、物理制御チャネルを受信した時間-周波数資源で物理データチャネルが伝送されないことを仮定する。端末は、該当時間-周波数資源を除いて残りの時間-周波数資源でレートマッチングを行うか、該当時間-周波数資源をパンクチュアリングして物理データチャネルを受信する。それについては、図15乃至図16を介して説明する。
図15乃至図16は、本発明の実施例による無線通信システムの端末が端末に設定されたRESETでPDSCHを受信することを示す図である。
端末に設定された物理データチャネルの受信が不可能なRESETとオーバーラップされるのか否かとは関係なく、端末は端末の物理データチャネルの受信がスケジューリングされた周波数帯域で開始シンボル情報が指示するOFDMシンボルから物理データチャネルを受信する。この際、端末は、端末に設定されたRESETがCORESETを含み、そのCORESETで物理制御チャネルを受信すれば、その物理制御チャネルの伝送に使用される時間-周波数資源をパンクチュアリングして物理データチャネルを受信する。また、端末に設定されたRESETがCORESETを含み、端末が該当CORESETで物理制御チャネルを受信すれば、端末は該当物理制御チャネルの伝送に使用される時間-周波数資源を除いた残りの時間-周波数資源でレートマッチングを行って物理データチャネルを受信する。
図15乃至図16は、n番目のスロットの7個のOFDMシンボルを示す。図15乃至図16の実施例において、n番目のスロットには第1RESET(RESET#1)及び第2RESET(RESET#2)が設定される。この際、第1RESET(RESET#1)は、端末に設定されたPDSCHの受信が不可能なRESETであり、第2RESET(RESET#1)は、他の端末に設定されたRESETである。端末のPDSCH受信がスケジューリングされたPRBと第1RESET(RESET#1)はオーバーラップされるが、第2RESET(RESET#2)はオーバーラップされない。この際、第1RESET(RESET#1)の最後のOFDMシンボルはn番目のスロットの2番目のOFDMシンボルである。また、第2RESET(RESET#2)の最後のOFDMシンボルはn番目のスロットの最初のOFDMシンボルである。図15の実施例において、端末のPDSCH受信がスケジューリングされた周波数帯域で開始シンボル情報が指示する2番目のOFDMシンボルからPDSCHを受信する。この際、端末は、端末に設定されたRESETでPDCCHの伝送に使用されるPRBをパンクチュアリングしてPDSCHを受信する。
他の具体的な実施例において、端末は物理データチャネルの受信がスケジューリングされた周波数帯域のうち、端末に設定された物理データチャネルの受信が不可能なRESETとオーバーラップされる周波数帯域の最初のOFDMシンボルから物理データチャネルを受信する。この際、端末は、端末に設定されたRESETで物理制御チャネルの伝送に使用される時間-周波数資源をパンクチュアリングして物理データチャネルを受信する。また、端末は端末に設定されたRESETで物理制御チャネルの伝送に使用される時間-周波数資源を除いた残りの時間-周波数資源でレートマッチングを行って物理データチャネルを受信する。物理データチャネルの受信がスケジューリングされた周波数帯域のうち、端末に設定された物理データチャネルの受信が不可能なRESETとオーバーラップされない周波数帯域において、端末は開始シンボル情報が指示するOFDMシンボルから物理データチャネルを受信する。
図16の実施例において、端末は、端末のPDSCHの受信がスケジューリングされた周波数帯域のうち、端末に設定されたPDSCHの受信が不可能なRESETとオーバーラップされる周波数帯域の最初のOFDMシンボルからPDSCHを受信する。この際、端末は、端末に設定されたPDSCHの受信が不可能なRESETでPDCCHの伝送に使用されるPRBをパンクチュアリングしてPDSCHを受信する。また、端末は、端末に設定されたPDSCHの受信が不可能なRESETでPDCCHの伝送に使用されるPRBを除いた残りの時間-周波数資源でレートマッチングを行い、PDSCHを受信する。また、端末のPDSCH受信がスケジューリングされた周波数帯域のうち端末に設定されたPDSCHの受信が不可能なRESETとオーバーラップされない周波数帯域において、端末は開始シンボル情報が指示する2番目のOFDMシンボルからPDSCHをモニタリングする。
このような実施例において、基地局は図13乃至図14を介して説明した実施例によって開始シンボルを設定する。
基地局は一つのスロットを複数の周波数帯域に区分し、複数の周波数帯域それぞれに開始シンボルをシグナリングする。基地局は、複数の開始シンボルにそれぞれ当たる複数の開始シンボル情報をDCIを介してシグナリングする。この際、端末は複数の開始シンボル情報に基づいて物理データチャネルを受信する。一つのスロットにおいて、複数のRESET(s)が設定され、複数のRESET(s)が互いに異なるPRBとOFDMシンボルに設定されるためである。この際、基地局は、該当周波数帯域で端末の物理データチャネルの受信がスケジューリングされた時間-周波数資源とオーバーラップされる物理データチャネルの受信が不可能なRESET(s)の最後のOFDMシンボルのうち最も遅いOFDMシンボルに基づいて該当周波数帯域の開始シンボルを設定する。詳しくは、基地局は、該当周波数帯域で端末の物理データチャネルの受信がスケジューリングされた時間-周波数資源とオーバーラップされる物理データチャネルの受信が不可能なRESET(s)の最後のOFDMシンボルのうち最も遅いOFDMシンボルの次のOFDMシンボルを該当周波数帯域の開始シンボルと設定する。この際、該当周波数帯域で端末の物理データチャネルの受信がスケジューリングされた時間-周波数資源とオーバーラップされる物理データチャネルの受信が不可能なRESET(s)がなければ、基地局は最初のOFDMシンボルを該当周波数帯域の開始シンボルと設定する。
また、端末は、該当周波数帯域において、端末に設定された物理データチャネルの受信が不可能なRESETまたは端末に伝送される物理データチャネルとオーバーラップされる端末の物理データチャネルの受信がスケジューリングされた時間-周波数資源に基づいて物理データチャネルの受信を始める。具体的な実施例において、端末は該当周波数帯域の開始シンボルとは関係なく、該当周波数帯域で端末の物理データチャネルの受信がスケジューリングされた時間-周波数資源とオーバーラップされる端末に設定された物理データチャネルの受信が不可能なRESETの最後のOFDMシンボルの次のOFDMシンボルから物理データチャネルを受信する。他の具体的な実施例において、端末は該当周波数帯域の開始シンボルとは関係なく、該当周波数帯域で端末の物理データチャネルの受信がスケジューリングされた時間-周波数資源とオーバーラップされる端末に伝送される物理制御チャネルの最後のOFDMシンボルの次のOFDMシンボルから物理データチャネルを受信する。
基地局は、物理制御チャネルと該当物理制御チャネルによってスケジューリングされた物理データチャネルを互いに異なるスロットを介して伝送する。このようなスケジューリング方式をクロス-スロット(cross-slot)スケジューリングと称する。例えば、基地局はn番目のスロットのCORESETで物理制御チャネルを伝送する。この際、物理制御チャネルはn+k番目のスロットの物理データチャネルをスケジューリングする。この際、nは自然数であり、kは1より大きい自然数である。端末に設定されたCORESETにマッピングされる物理制御チャネルが占める(occupy)時間-周波数資源の位置はスロットごとに異なり得る。基地局の物理制御チャネル割当によってCORESETが物理データチャネルに使用されるのか否かが決められるため、該当CORESETを含むRESETが物理データチャネルの受信が不可能であるのか否かはスロットごとに異なり得る。よって、クロス-スロットスケジューリングが行われる際、基地局または端末がクロス-スロットスケジューリングよってスケジューリングされる物理データチャネルが伝送されるスロットで物理データチャネルの伝送に使用される時間-周波数資源を判断することが難しい可能性がある。よって、クロス-スロットスケジューリングが使用される際、物理データチャネルに当たる開始シンボルの設定方法及びシグナリング方法が問題になる。それについては図17を介して説明する。
図17は、本発明の実施例による無線通信システムにおいてクロス-スロットスケジューリングが行われる際、端末がPDSCHを受信することを示す図である。
クロス-スロットスケジューリングによって物理データチャネルがスケジューリングされれば、開始シンボルの位置は物理データチャネルが伝送されるスロットの特定OFDMシンボルと固定される。この際、特定OFDMシンボルは端末に設定されたRESETの最後のOFDMシンボルに基づいて設定される。詳しくは、特定OFDMシンボルは端末に設定されたRESETの最後のOFDMシンボルの次のOFDMシンボルである。例えば、端末に設定されたRESETの最後のシンボルが該当スロットの3番目のOFDMシンボルであれば、特定OFDMシンボルは4番目のOFDMシンボルである。基地局は、特定OFDMシンボルをRRC信号または周期的に伝送されるシステム情報を介してシグナリングする。この際、端末は、RRC信号またはシステム情報に基づいてクロス-スロットスケジューリングによってスケジューリングされた物理データチャネルに当たる開始シンボルを判断する。また、クロス-スロットスケジューリングによってスケジューリングされた物理データチャネルに当たる開始シンボルは、複数の周波数帯域別に設定される。詳しくは、クロス-スロットスケジューリングによってスケジューリングされた物理データチャネルに当たる開始シンボルは、PRB別にまたは連続した特定個数のPRBごとに設定される。他の具体的な実施例において、クロス-スロットスケジューリングによってスケジューリングされた物理データチャネルに当たる開始シンボルは、セルの全ての全ての周波数帯域に共通に設定される。また他の具体的な実施例において、基地局はクロス-スロットスケジューリングを行う物理制御チャネルのDCIを介して開始シンボルをシグナリングする。
端末は、クロス-スロットスケジューリングによって物理データチャネルがスケジューリングされる時間-周波数資源から、物理データチャネルがスケジューリングされる時間-周波数資源とRESETがオーバーラップされる時間-周波数資源が除かれた時間-周波数資源でレートマッチングを行って物理データチャネルを受信する。また、端末は、クロス-スロットスケジューリングによって物理データチャネルがスケジューリングされる時間-周波数資源で、物理データチャネルがスケジューリングされる時間-周波数資源とRESETがオーバーラップされる時間-周波数資源をパンクチュアリングして物理データチャネルを受信する。その他、端末が物理データチャネルを受信する動作は図17の以前に説明した実施例が適用される。
上述したように、物理データチャネルをスケジューリングするDCIは、RESETフィールドを使用してRESETが物理データチャネルの受信に使用されるのか否かを指示する。この際、RESETフィールドは前記用途ではない他の用途で使用される。詳しくは、クロス-スロットスケジューリングによって物理データチャネルがスケジューリングされれば、RESETフィールドはどのスロットに物理データチャネルがスケジューリングされるのかを指示する。クロス-スロットスケジューリングによって未来のスロットに物理データチャネルがスケジューリングされれば、クローズスケジューリングの際に基地局が物理データチャンネルがスケジューリングされるスロットでどのRESETが使用できないのかを判断することが難しいためである。RESETフィールドが他の用途に使用されれば、端末は設定されたRESETに当たる時間-周波数資源が物理データチャネルに使用できないと仮定する。
図17の実施例において、n番目のスロットで伝送されるPDCCHはn+1番目のスロットで伝送されるPDSCHをスケジューリングする。該当セル内の全ての周波数帯域でクロス-スロットスケジューリングによってスケジューリングされたPDSCHを受信する際に使用される開始シンボルの位置は、PDSCHと周波数帯域で重なるRESET#1の最後のシンボルの次のシンボルである3番目のOFDMシンボルである。よって、端末はn+1番目のスロットから3番目のスロットからPDSCHの受信を始める。また、RESETフィールドはPDSCHがn+1番目のスロットにスケジューリングされることを指示する。よって、端末はn+1番目のスロットから3番目のスロットからPDSCHの受信を始める。
基地局は、一つの物理制御チャネルを使用して複数のスロットで伝送されるPDSCHをスケジューリングする。このようなスケジューリング方式をスロット-結合(slot-aggregation)基盤スケジューリングと称する。例えば、基地局はn番目のスロットのRESETで物理制御チャネルを伝送する。この際、物理制御チャネルはn番目のスロット、n+1番目のスロット、…、n+k番目のスロットの物理データチャネルをスケジューリングする。この際、nは自然数であり、kは1より大きい自然数である。端末に設定されたRESETにマッピングされる物理制御チャネルが占める時間-周波数資源の位置はスロットごとに異なり得る。よって、スロット-結合基盤スケジューリングが行われる際、基地局または端末がスロット-結合基盤スケジューリングよってスケジューリングされる物理データチャネルが伝送されるスロットで物理データチャネルが伝送に使用可能な時間-周波数資源を判断することが難しい可能性がある。よって、スロット-結合基盤スケジューリングが使用される際、物理制御チャネルに当たる開始シンボルの設定方法及びシグナリング方法が問題になる。それについては、図18乃至図19を介して説明する。
図18乃至図19は、本発明の実施例による無線通信システムにおいてスロット-結合基盤スケジューリングが行われる際、端末がPDSCHを受信することを示す図である。
物理データチャネルが複数の未来のスロットにスケジューリングされれば、端末は該当複数のスロットで同じOFDMシンボルの位置に基づいて物理データチャネルの受信を始める。詳しくは、スロット-結合基盤スケジューリングによって物理データチャネルがスケジューリングされれば、端末はスロット-結合基盤スケジューリングスケジューリングによってスケジューリングされる物理データチャネルが伝送される全てのスロットで同じOFDMシンボルの位置に基づいて物理データチャネルの受信を始める。詳しくは、スロット-結合基盤スケジューリングによって物理データチャネルがスケジューリングされれば、スロット-結合基盤スケジューリングスケジューリングによってスケジューリングされる物理データチャネルが伝送される全てのスロットに当たる開始シンボルの位置は、該当物理データチャネルが伝送されるスロットの同じ特定OFDMシンボルと設定される。この際、特定OFDMシンボルは各スロットでRESETが位置し得る最後のOFDMシンボルに基づいて設定される。詳しくは、特定OFDMシンボルは端末に設定されたRESETの最後のOFDMシンボルの次のOFDMシンボルである。例えば、設定されたRESETの最後のシンボルが該当スロットの3番目のOFDMシンボルであれば、特定OFDMシンボルは4番目のOFDMシンボルである。基地局は、特定OFDMシンボルをRRC信号または周期的に伝送されるシステム情報を介してシグナリングする。この際、端末は、RRC信号またはシステム情報に基づいてスロット-結合基盤スケジューリングによってスケジューリングされた物理データチャネルが伝送される全てのスロットに当たる開始シンボルを判断する。また、スロット-結合基盤スケジューリングによってスケジューリングされた物理データチャネルが伝送される全てのスロットに当たる開始シンボルは、複数の周波数帯域別に設定される。詳しくは、スロット-結合基盤スケジューリングによってスケジューリングされた物理データチャネルが伝送される全てのスロットに当たる開始シンボルは、PRB別にまたは連続した特定個数のPRBごとに設定される。他の具体的な実施例において、スロット-結合基盤スケジューリングによってスケジューリングされた物理データチャネルに伝送される全てのスロットに当たる開始シンボルは、セルの全ての周波数帯域に共通に設定される。また他の具体的な実施例において、基地局はスロット-結合基盤スケジューリングを行う物理制御チャネルのDCIを介して開始シンボルをシグナリングする。
複数の未来のスロットに物理データチャネルがスケジューリングされれば、端末が複数の未来のスロットそれぞれで同じリセットで物理データチャネルを受信する。詳しくは、RESETフィールドはスロット-結合基盤スケジューリングスケジューリングによってスケジューリングされる物理データチャネルが伝送される全てのスロットに同じく適用される。他の具体的な実施例において、スロット-結合基盤スケジューリングをする物理制御チャネルのDCIはスロット-結合基盤スケジューリングによってスケジューリングされる物理データチャネルが伝送される全てのスロットのうちいずれか一つのスロットに当たる開始シンボルを指示する。RESETフィールドは、スロット-結合基盤スケジューリングによってスケジューリングされる物理データチャネルが伝送される複数のスロットのうちいずれか一つのスロットでRESETが物理データチャネルの受信に使用可能であるのか否かを指示する。この際、いずれか一つのスロットは物理データチャネルをスケジューリングするDCIを含む物理制御チャネルが伝送されるスロットである。スロット-結合基盤スケジューリングが使用されれば、端末はスロット-結合基盤スケジューリングによってスケジューリングされる物理データチャネルが伝送されるスロットのうち、RESETフィールドが指示しないスロットでRESETに当たる時間-周波数資源で物理データチャネルの受信に使用できないと仮定する。
図18の実施例において、n番目のスロットで伝送されるPDCCHはn番目のスロットで伝送されるPDSCHとn+1番目のスロットで伝送されるPDSCHをスケジューリングする。該当セル内の全ての周波数帯域でスロット-結合基盤スケジューリングによってスケジューリングされたPDSCHを受信する際に使用される開始シンボルの位置は3番目のOFDMシンボルである。よって、端末はn番目のスロットとn+1番目のスロットから3番目のスロットからPDSCHの受信を始める。
上述した実施例では、スロット-結合基盤スケジューリングによってスケジューリングされる物理データチャネルが伝送される全てのスロットに当たる開始シンボルの位置は同じである。他の具体的な実施例において、スロット-結合基盤スケジューリングをする物理制御チャネルのDCIはスロット-結合基盤スケジューリングによってスケジューリングされる物理データチャネルが伝送される全てのスロットのうちいずれか一つのスロットに当たる開始シンボルを指示する。詳しくは、スロット-結合基盤スケジューリングをする物理制御チャネルのDCIはスロット-結合基盤スケジューリングによってスケジューリングされる物理データチャネルが伝送される全てのスロットのうち最初のスロットに当たる開始シンボルを指示する。他の具体的な実施例において、スロット-結合基盤スケジューリングをする物理制御チャネルのDCIはスロット-結合基盤スケジューリングをする物理制御チャネルが伝送されるスロットの開始シンボルを指示する。このような実施例において、スロット-結合基盤スケジューリングをする物理制御チャネルのDCIによって開始シンボルの位置が指示されない物理データチャネルが伝送されるスロットの開始シンボルは、いずれも同じ特定OFDMシンボルと固定される。説明の便宜上、スロット-結合基盤スケジューリングをする物理制御チャネルのDCIによって開始シンボルの位置が指示されない物理データチャネルに当たる開始シンボルを残りの開始シンボルと称する。残りの開始シンボルの位置を設定する方法及びシグナリングする方法には、スロット-結合基盤スケジューリングによってスケジューリングされる物理データチャネルが伝送される全てのスロットに当たる開始シンボルの位置が同じ実施例で説明した実施例が同じく適用される。詳しくは、特定OFDMシンボルは設定されたRESETの最後のOFDMシンボルに基づいて設定される。詳しくは、特定OFDMシンボルは端末に設定されたRESETの最後のOFDMシンボルの次のOFDMシンボルである。基地局は、特定OFDMシンボルをRRC信号または周期的に伝送されるシステム情報を介してシグナリングする。この際、端末はRRC信号またはシステム情報に基づいて残りの開始シンボルの位置を判断する。また、残りの開始シンボルは複数の周波数帯域別に設定される。詳しくは、残りの開始シンボルはPRB別にまたは連続した特定個数のPRBごとに設定される。他の具体的な実施例において、残りの開始シンボルはセルの全ての全ての周波数帯域に共通に設定される。
図19の実施例においてn番目のスロットで伝送されるPDCCHはn番目のスロットで伝送されるPDSCHとn+1番目のスロットで伝送されるPDSCHをスケジューリングする。この際、PDCCHはn番目のスロットの開始シンボルを最初のOFDMシンボルと指示する。また、PDCCHに開始シンボルが指示されていない残りのPDSCHを受信する際に使用される開始シンボルの位置は2番目のOFDMシンボルである。よって、端末はn番目のスロットで最初のOFDMシンボルからPDSCHのモニタリングを始め、n+1番目のスロットでは2番目のOFDMシンボルからPDSCHモニタリングを始める。
スロット-結合基盤スケジューリングをする物理制御チャネルが伝送されたスロット以降のスロットにおいて、端末は、スロット-結合基盤スケジューリングによって物理データチャネルがスケジューリングされる時間-周波数資源から、物理データチャネルがスケジューリングされる時間-周波数資源とRESETがオーバーラップされる時間-周波数資源が除かれた時間-周波数資源でレートマッチングを行って物理データチャネルを受信する。上述したように、RESETフィールドの値がスロット-結合基盤スケジューリングをする物理制御チャネルが伝送されたスロットの以降のスロットにも適用される。この際、端末は、スロット-結合基盤スケジューリングによって物理データチャネルがスケジューリングされる時間-周波数資源から、物理データチャネルがスケジューリングされる時間-周波数資源と物理データチャネルの受信が不可能なRESETがオーバーラップされる時間-周波数資源が除かれた時間-周波数資源でレートマッチングを行う。また、スロット-結合基盤スケジューリングをする物理制御チャネルが伝送されたスロット以降のスロットにおいて、端末は、スロット-結合基盤スケジューリングによって物理データチャネルがスケジューリングされる時間-周波数資源で、物理データチャネルがスケジューリングされる時間-周波数資源とRESETがオーバーラップされ時間-周波数資源をパンクチュアリングして物理データチャネルを受信する。上述したように、RESETフィールドの値がスロット-結合基盤スケジューリングをする物理制御チャネルが伝送されたスロットの以降のスロットにも適用される。この際、端末は、スロット-結合基盤スケジューリングによって物理データチャネルがスケジューリングされる時間-周波数資源で、物理データチャネルがスケジューリングされる時間-周波数資源と物理データチャネルの受信が不可能なリセットがオーバーラップされる時間-周波数資源をパンクチュアリングする。その他、端末が物理データチャネルを受信する動作は図17の以前に説明した実施例が適用される。
基地局は、オーバーラップ-リソース-セットを複数のサブ-リソース-セットに区分し、サブ-リソース-セットそれぞれが物理データチャネルの受信に使用不可能であるのかを指示する。また、端末は、サブ-リソース-セットそれぞれが物理データチャネルの受信に使用不可能であるのかを判断する。詳しくは、端末はN個のサブ-リソース-セットを指示するNビットのフィールドを含むDCIを基地局から受信する。この際、Nビットフィールドのビットそれぞれは、N個のサブ-リソース-セットそれぞれが物理データチャネルの受信に使用不可能であるのかを示す。それについては図20を介して説明する。
図20は、本発明の実施例による無線通信システムで使用されるサブ-リソース-セットの例を示す図である。
上述したように、基地局は、Nビットフィールドを使用してサブ-リソース-セットが物理データチャネルの受信に使用されるのか否かを指示する。説明の便宜上、このフィールドをサブ-リソース-セットビットマップと称する。一つのオーバーラップ-リソース-セットが存在すれば、該当オーバーラップ-リソース-セットがN個のサブ-リソース-セットに区分される。この際、サブ-リソース-セットビットマップのビットそれぞれは、N個のサブ-リソース-セットそれぞれが物理データチャネルの受信に使用可能であるのかを指示する。オーバーラップ-リソース-セットの個数がNより小さければ、オーバーラップ-リソース-セットそれぞれは少なくとも一つのサブ-リソース-セットに設定される。オーバーラップ-リソース-セットの個数がNより大きければ、複数のオーバーラップ-リソース-セットが一つのサブ-リソース-セットに設定される。また、オーバーラップ-リソース-セットの個数がNであれば、N個のオーバーラップ-リソース-セットそれぞれは一つのサブ-リソース-セットに設定される。
一つのオーバーラップ-リソース-セットを複数のサブ-リソース-セットに設定する際、サブ-リソース-セットは周波数領域での区分なしに時間領域を基準に設定される。この際、サブ-リソース-セットはオーバーラップ-リソース-セットが占めるOFDMシンボルを基準に設定される。図20(a)は、時間領域を基準に設定されたサブ-リソース-セットの一例を示す。
また、一つのオーバーラップ-リソース-セットを複数のサブ-リソース-セットに設定する際、サブ-リソース-セットは時間領域での区分なしに周波数領域を基準に設定される。この際、サブ-リソース-セットはオーバーラップ-リソース-セットが占めるPRBを基準に設定される。この際、サブ-リソース-セットは連続したPRBのみを含む。他の具体的な実施例において、サブ-リソース-セットは不連続なPRBを含む。具体的な実施例において、オーバーラップ-リソース-セットをM個のサブ-リソース-セットに設定する。この際、オーバーラップ-リソース-セットがX個のPRBを占めれば、M-1個のサブ-リソース-セットはfloor(X/M)PRBを占めるように設定され、1つのサブ-リソース-セットはX-(M-1)*floor(X/M)PRBを占めるように設定される。この際、floor(x)はxと同じであるか小さい数のうち最も大きい自然数を示す。図20(b)、図20(d)は、周波数領域を基準に設定されたサブ-リソース-セットの一例を示す。
また、一つのオーバーラップ-リソース-セットを複数のサブ-リソース-セットに設定する際、サブ-リソース-セットは時間-周波数領域を基準に設定される。この際、サブ-リソース-セットはオーバーラップ-リソース-セットが占めるOFDMシンボル及びPRBを基準に設定される。この際、サブ-リソース-セットは連続したPRBのみを含む。他の具体的な実施例において、サブ-リソース-セットは不連続なPRBを含む。図20(c)、図20(e)は、時間-周波数領域を基準に設定されたサブ-リソース-セットの一例を示す。
オーバーラップ-リソース-セットの複数のRESETを含めば、複数のRESETが優先的にサブ-リソース-セットに設定される。詳しくは、複数のRESETに優先的にオーバーラップ-リソース-セットビットマップのビットを割り当てる。
他の具体的な実施例において、基地局はオーバーラップ-リソース-セットとは関係なく、端末の物理データチャネルの受信がスケジューリングされた時間-周波数資源を区分し、区分された資源が物理データチャネルの受信に使用可能であるのかをシグナリングする。詳しくは、端末の物理データチャネルの受信がスケジューリングされた時間-周波数資源を周波数領域を基準に均等に2個に区分する。この際、基地局はL1シグナリングのNビットフィールドまたはDCIのNビットフィールドを使用し、端末の物理データチャネルの受信に使用可能であるのかをシグナリングする。端末は、L1シグナリングのNビットフィールドまたはDCIのNビットフィールドの値に基づいて物理データチャネルの受信に使用可能な時間-周波数資源を判断する。
図21は、本発明の実施例による無線通信システムにおいて端末がオーバーラップ-リソース-セットに基づいてPDSCHを受信することを示す図である。
端末は、上述したように、物理データチャネルをスケジューリングするDCIが含むサブ-リソース-セットビットマップでサブ-リソース-セットでPDSCHが伝送されると指示されれば、端末はサブ-リソース-セットで物理データチャネルを受信する。サブ-リソース-セットに当たる時間-周波数領域でPDCCHが受信されれば、端末は物理制御チャネルが占める時間-周波数領域をパンクチュアリングして物理データチャネルを受信する。また、サブ-リソース-セットに当たる時間-周波数領域に物理制御チャネルが受信されれば、端末は物理制御チャネルが占める時間-周波数領域を除いた残りのサブ-リソース-セットでレートマッチングを行って物理データチャネルを受信する。図21の実施例において、RRC信号によってn番目のスロットに第1RESET(RESET#1)と第2RESET(RESET#2)が設定される。図21の実施例において、DCIによって端末のPDSCH受信がスケジューリングされた時間-周波数資源と第1RESET(RESET#1)の一部がオーバーラップされる。また、DCIは第1RESET(RESET#1)がPDSCHの受信が不可能であると指示しない。よって、端末はDCIによって端末のPDSCH受信がスケジューリングされた時間-周波数資源と第1RESET(RESET#1)がオーバーラップされる時間-周波数資源をオーバーラップ-リソース-セットと判断する。この際、オーバーラップ-リソース-セットに当たる時間-周波数資源を介してPDCCHが受信される。端末は、PDCCHが占める時間-周波数領域をパンクチュアリングしてPDSCHを受信する。また、端末は、PDCCHが占める時間-周波数領域を除いた残りのオーバーラップ-リソース-セットでレートマッチングを行ってPDSCHを受信する。
上述したように、基地局はRRC信号を使用してRESETを設定する。基地局がRRC信号を使用してRESETを設定する際、基地局が少なくとも一つのRESETに当たる時間-周波数資源を指示する方法が問題になる。それについては、図22乃至図24を介して説明する。
基地局は、RESETが占めるPRBのインデックス、RESETが占めるOFDMシンボルインデックスをシグナリングして、RESETに当たる時間-周波数資源を指示する。RESETが連続した時間-周波数資源を占めれば、基地局は一つの指示値を使用して連続した時間-周波数資源を指示する。この際、指示値はRIV(resource indication value)と称し、このような指示方式をRIV方式と称する。詳しくは、基地局は連続した資源の開始位置と連続した資源の個数を組み合わせて一つのRIVを生成する。詳しくは、RESETが連続したOFDMシンボルを占めれば、基地局はOFDMシンボルの開始インデックスと最後のOFDMシンボルのインデックスを使用してRIVを生成する。また、RESETが連続したRPBと連続したOFDMシンボルを占めれば、基地局はPRBのインデックスに基づいて一つのRIVを生成し、OFDMシンボルのインデックスに基づいて一つのRIVを生成する。この際、基地局は2つのRIV値を伝送する。他の具体的な実施例において、2つのRIVをエンコーディングして一つの値を生成する。この際、基地局は生成した一つの値のみを伝送してRESETが占める時間-周波数資源をシグナリングする。RIVを生成する方法については、図27乃至図30を介して詳しく説明する。
RESETが占める時間-周波数資源が非連続であれば、基地局はビットマップを使用してRESETが占める時間-周波数資源をシグナリングする。また、基地局がRESETが占める時間-周波数資源をシグナリングする際、基地局はRESETに当たるモニタリング周期を共にシグナリングする。例えば、RESETのモニタリング周期が2スロットであれば、端末は2スロットごとに該当RESETが存在すると判断する。また、基地局がRESETが占める時間-周波数資源をシグナリングする際、基地局はRESETが含むCORESETに関する情報をシグナリングする。CORESETに関する情報は、REG(resource element group)バンドリング(bundling)に関する情報とCCE(control channel element)-to-REGマッピングに関する情報のうち少なくともいずれか一つを含む。
基地局は、RESETとRESETを指示するL1-シグナリングのビットフィールドとの間の連結関係をシグナリングする必要がある。この際、ビットフィールドは上述したRESETフィールドである。基地局は、RESETに当たるL1-シグナリングのビットフィールドインデックスを指示し、RESETとRESETを指示するL1-シグナリングのビットフィールドとの間の連結関係をシグナリングする。L1-シグナリングは物理データチャネルをスケジューリングするDCIである。また、L1-シグナリングは物理データチャネルが伝送されるスロットで伝送されるグループ-共通DCIである。具体的な実施例において、基地局は、物理データチャネル割当情報とは関係なく、RESETとRESETを指示するL1-シグナリングのビットフィールドとの間の連結関係をシグナリングする。例えば、RESETフィールドがnビットである。基地局がRESETフィールドのi番目のビットがRESETが物理データの受信に使用不可能であるのかを指示することをシグナリングするために、基地局は該当RESETを設定するRRC信号を介してiをシグナリングする。RESETフィールドのi番目のビットの値が1であれば、端末は該当RESETに当たる時間-周波数資源が物理データチャネルの受信に使用不可能であると判断する。また、RESETフィールドのi番目のビットの値が0であれば、端末は該当RESETに当たる時間-周波数資源で物理データチャネルを受信すると判断する。物理データチャネルがスケジューリングされる時間-周波数資源とオーバーラップされないRESETに当たるRESETフィールドのビットは他の用途に使用される。この際、物理データチャネルがスケジューリングされる時間-周波数資源は、RA(Resource Allocation)フィールドによって指示される。詳しくは、他のRESETに当たる時間-周波数資源が物理データチャネルの受信に使用不可能であるのかを示す。例えば、RESETフィールドの最初のビットが第1RESET(RESET#1)と第2RESET(RESET#2)で物理データチャネルの受信可能可否を指示し、2番目のビットが第3RESET(RESET#3)と第4RESET(RESET#4)で物理データチャネルの受信可能可否を指示する。この際、第1RESET(RESET#1)と第2RESET(RESET#2)は物理データチャネルがスケジューリングされる時間-周波数資源とオーバーラップされる。第3RESET(RESET#3)と第4RESET(RESET#4)は物理データチャネルがスケジューリングされる時間-周波数資源とオーバーラップされない。この際、RESETフィールドの最初のビットは第1RESET(RESET#1)と第2RESET(RESET#2)で物理データチャネルの受信可能可否を指示せず、第1RESET(RESET#1)で物理データチャネルの受信可能可否を指示する。また、RESETフィールドの2番目のビットは第3RESET(RESET#3)と第4RESET(RESET#4)で物理データチャネルの受信可能可否を指示せず、第2RESET(RESET#2)で物理データチャネルの受信可能可否を指示する。RESETフィールドのいずれか一つのビットが指示する全てのRESETが物理データチャネルがスケジューリングされる時間-周波数資源とオーバーラップされなければ、該当ビットは特定CORESETまたはCORESETを含むRESETが物理データチャネルの受信に使用されるのかを示す。
他の具体的な実施例において、基地局は、物理データチャネルがスケジューリングされる時間-周波数資源に基づき、RESETとRESETを指示するL1-シグナリングのビットフィールドとの間の連結関係をシグナリングする。例えば、基地局は端末にRESETに当たる時間-周波数資源情報をシグナリングする。この際、端末は、上述したオーバーラップ-リソース-セットとL1-シグナリングとの連結関係をRRC信号を使用してシグナリングする。または、基地局は、オーバーラップ-リソース-セットとL1-シグナリングとの連結関係を黙示的にシグナリングする。詳しくは、オーバーラップ-リソース-セットが複数のサブ-リソース-セットに区分されれば、RESET(s)それぞれは互いに異なるインデックスによって識別される。この際、レートマッチング指示子を構成する複数のビットのうちサブ-リソース-セットを指示するビットは、RESETを識別するインデックスに基づいて決定される。具体的な実施例において、端末はサブ-リソース-セットを順番にRESETフィールドのビットにマッピングする。例えば、j番目のサブ-リソース-セットはRESETフィールドの(j mod B)+1番目のビットにマッピングされる。この際、BはRESETフィールドのビット数を示す。また、X mod YはXをYで割ったときの余りの値を示す。
互いに異なるRESETに当たる時間-周波数資源がオーバーラップされる。この際、端末がRESETに当たる時間-周波数資源で物理データチャネルを受信する方法が問題になる。それについては、図22乃至図24を介して説明する。
図22乃至図24は、互いに異なるRESETが占めると指示された時間-周波数資源がオーバーラップされる場合を示す図である。
基地局が端末にRESETを設定する際、端末はRESETが互いにオーバーラップされないと仮定する。詳しくは、互いに異なるRESETに当たる時間-周波数資源がオーバーラップされれば、端末は該当時間-周波数資源がいずれか一つのRESETに含まれ、残りのRESETには含まれないと判断する。詳しくは、端末はRESETの優先順位に応じてRESET(s)でオーバーラップされる時間-周波数資源がいずれか一つのRESETに含まれると判断する。この際、RESETの優先順位はRRC信号で明示的に指示される。他の具体的な実施例において、RESETの優先順位はRRC信号でRESETが設定される順に応じて決定される。他の具体的な実施例において、RESETの優先順位はRESETがマッピングされるRESETフィールドのビットインデックスによって決定される。また、端末が物理制御チャネルを受信するためにモニタリングするCORESETを含むRESETの優先順位は常に最も高い。また、端末がPDCCHを受信したCORESETを含むRESETの優先順位は常に最も高い。
図22の実施例において、第1RESET(RESET#1)が占めると指示された時間-周波数資源と第2RESET(RESET#2)が占めると指示された時間-周波数資源がオーバーラップされる。図22(a)の実施例において、第2RESET(RESET#2)の優先順位が第1RESET(RESET#1)の優先順位より高い。よって、第1RESET(RESET#1)が占めると指示された時間-周波数資源と第2RESET(RESET#2)が占めると指示された時間-周波数資源がオーバーラップされる時間-周波数資源は第2RESET(RESET#2)に含まれ、第1RESET(RESET#1)には含まれない。図22(b)の実施例において、第1RESET(RESET#1)の優先順位が第2RESET(RESET#2)の優先順位より高い。よって、第1RESET(RESET#1)が占めると指示された時間-周波数資源と第2RESET(RESET#2)が占めると指示された時間-周波数資源がオーバーラップされる時間-周波数資源は第1RESET(RESET#1)に含まれ、第2RESET(RESET#2)には含まれない。
他の具体的な実施例において、基地局が端末にRESETを設定する際、端末はRESETが互いにオーバーラップされると仮定する。この際、互いに異なるRESETに当たるRESETフィールドのビットが互いに異なる情報を指示すれば問題になる。例えば、第1RESETに当たるL1-シグナリングのビットフィールドのビットが第1RESETで物理データチャネルの受信に使用不可能であるのかを指示し、第2RESETに当たるL1-シグナリングのビットフィールドのビットのビットが第2RESETで物理データチャネルの受信に使用可能であると指示する。この際、端末はいずれか一つの情報を優先する。詳しくは、物理データチャネルの受信に使用可能であることを指示する情報を優先する。図23に乃至図24の実施例において、図23(a)で示したように、第1RESET(RESET#1)が占めると指示された時間-周波数資源と第2RESET(RESET#2)が占めると指示された時間-周波数資源がオーバーラップされる。図23(b)の実施例において、RESETフィールドは、第1RESET(RESET#1)がPDSCHの受信に使用不可能であることを指示し、第2RESET(RESET#2)でPDSCHの受信に使用不可能ではないことを指示する。よって、端末は、第1RESET(RESET#1)と第2RESET(RESET#2)がオーバーラップされる時間-周波数資源を含んで第2RESET(RESET#2)でPDSCHを受信する。図23(c)の実施例において、RESETフィールドは、第1RESET(RESET#1)がPDSCHの受信に使用不可能ではないことを指示し、第2RESET(RESET#2)でPDSCHの受信に使用不可能であることを指示する。よって、端末は、第1RESET(RESET#1)と第2RESET(RESET#2)がオーバーラップされる時間-周波数資源を含んで第1RESET(RESET#1)でPDSCHを受信する。
詳しくは、物理データチャネルの受信に使用不可能であることを指示する情報を優先する。図24(a)の実施例において、RESETフィールドは、第1RESET(RESET#1)がPDSCHの受信に使用不可能であることを指示し、第2RESET(RESET#2)でPDSCHの受信に使用不可能ではないことを指示する。よって、端末は、第1RESET(RESET#1)と第2RESET(RESET#2)がオーバーラップされる時間-周波数資源を除いて第2RESET(RESET#2)でPDSCHを受信する。図24(b)の実施例において、RESETフィールドは、第1RESET(RESET#1)がPDSCHの受信に使用不可能ではないことを指示し、第2RESET(RESET#2)でPDSCHの受信に使用不可能であることを指示する。よって、端末は、第1RESET(RESET#1)と第2RESET(RESET#2)がオーバーラップされる時間-周波数資源を除いて第1RESET(RESET#1)でPDSCHを受信する。
また、互いに異なるRESETがオーバーラップされ、互いに異なるRESETに当たるL1-シグナリングビットフィールドが互いに異なる情報を指示すれば、端末はRRC信号に基づいて物理データチャネルの受信が不可能であることを指示する情報を優先するのか、物理データチャネルの受信が可能であることを指示する情報を優先するのかを判断する。また、端末はRESET別にどの情報を優先するのかを独立的に判断する。端末は、第1RESETに当たる時間-周波数資源では物理データチャネルの受信が不可能であることを指示する情報を優先し、第2RESETに当たる時間-周波数資源では物理データチャネルの受信が可能であることを指示する情報を優先する。
図25は、本発明の実施例による無線通信システムで使用されるスロット構成を示す図である。
一つのスロットは7個のOFDMシンボルを含む。他の具体的な実施例において、一つのスロットは14個のOFDMシンボルを含む。スロットはDL伝送に使用されるDLシンボルを含む。また、スロットはUL伝送に使用されるULシンボルを含む。また、スロットはDL伝送からUL伝送に変更されるか、UL伝送からDL伝送に変更される際、DL伝送またはUL伝送に使用されないギャップ(GAP)シンボルを含む。基地局と端末が伝送モードから受信モードに、または受信モードから伝送モードに変更するための時間が必要であるためである。ギャップシンボルは一つのOFDMシンボルである。また、ギャップシンボルはDL制御情報を伝送する一つのOFDMシンボルを含む。
図25は、8つのスロット構成を示す。Format0において、スロットはDLシンボル(DL)のみを含む。Format1において、スロットは6つのDLシンボル(DL)と一つのギャップシンボル(GP)を含む。Format2において、スロットは5つのDLシンボル(DL)、一つのギャップシンボル(GP)、及び一つのULシンボル(UL)を含む。Format3において、スロットは4つのDLシンボル(DL)、一つのギャップシンボル(GP)、及び2つのULシンボル(UL)を含む。Format4において、スロットは3つのDLシンボル(DL)、一つのギャップシンボル(GP)、及び3つのULシンボル(UL)を含む。Format5において、スロットは2つのDLシンボル(DL)、一つのギャップシンボル(GP)、及び4つのULシンボル(UL)を含む。Format6において、スロットは一つのDLシンボル(DL)、一つのギャップシンボル(GP)、及び5つのULシンボル(UL)を含む。Format7において、スロットは6つのULシンボル(UL)と1つのギャップシンボル(GP)を含む。Format8において、スロットはULシンボル(UL)のみを含む。説明の便宜上、Format0のようにDLシンボルのみを含むスロットをDLオンリースロットと称し、Format7ようにULシンボルのみを含むスロットをULオンリースロットと称し、Format1乃至Format6のようにDLシンボルとULシンボル両方を含むスロットはハイブリッドスロットと称する。ULオンリースリットではないスロットでは、PDCCH伝送のためのCORESETが設定される。この際、CORESETでグループ-共通(group-common)PDCCHと端末-特定(UE-specific)PDCCHが伝送される。一つ以上の端末がグループ-共通PDCCHを受信する。また、グループ-共通PDCCHはスロット構成を示すスロット構成情報を含む。この際、グループ-共通PDCCHはPDCCHが伝送されるスロットのスロット構成情報を含む。また、グループ-共通PDCCHはPDCCHが伝送されるスロットのみならず、PDCCHが伝送されるスロットの次のスロット構成情報を含む。また、グループ-共通PDCCHはPDCCHが伝送されるスロットのみならず、N個の未来のスロットのスロット構成情報を含む。この際、未来のスロットはPDCCHが伝送されるスロットより遅い時間に当たるスロットである。また、Nは1以上の自然数である。Nは動的に変更される。また、NはRRC信号によって設定される。また、RRC信号に設定されたセット内で基地局が端末に動的に指示(indicate)される。
図26乃至図33を介して、スロット構成情報をシグナリングする方法について説明する。
図26は、本発明の実施例による無線通信システムにおいて端末特定PDCCHが端末にスケジューリングされた資源を指示することを示す図である。
図26の実施例において、第1端末UE1のための端末特定PDCCHは第1端末UE1のPDSCHの受信がスケジューリングされた時間-周波数資源を指示する。また、第2端末UE2のための端末特定PDCCHは第2端末UE2のPUSCHの受信がスケジューリングされた時間-周波数資源を指示する。この際、基地局は一つの指示値を使用して連続した時間-周波数資源を指示する。詳しくは、LTEシステムにおいて、基地局は一つの指示値を使用して連続した時間-周波数資源を指示する。この際、指示値はRIVと称し、このような指示方式をRIV方式と称する。詳しくは、RIVは連続した資源の開始位置と連続した資源の個数を示す。端末は、RIVに基づいて端末に割り当てられた連続した資源の開始位置と該当資源の数を判断する。
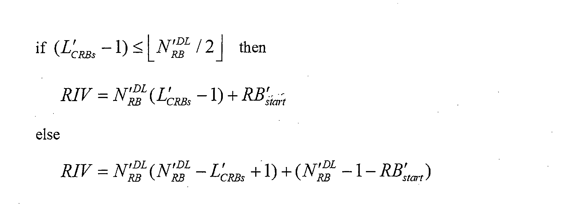
LTEシステムの第2タイプ(type-2)資源割当において、RIVは以下のように使用される。PDCCCHのDCIフォーマットが1A、1B、及び1Dのうちいずれか一つであるか、EPDCCHのDCIフォーマットが1A、1B、及び1Dのうちいずれか一つであるか、MPDCCHのDCIフォーマットが6-1Aであれば、DCIはRIVを含む。基地局は、RIVを使用して端末の物理データチャネルの受信がスケジューリングされた、周波数領域で連続した資源を指示する。この際、端末はDCIが含むRIVに基づいてDCIがスケジューリングする周波数領域で連続した資源の開始RBであるRBstartと連続した資源のRB個数であるLCRBsを獲得する。よって、基地局は以下の数式によってRIVの値を決定する。

Figure 0007421237000010
この際、NDL RBはDL伝送のための資源割当に使用される総RBの数である。UL伝送に第2タイプ(type-2)資源割当方式が使用されれば、NDL RBはUL伝送のための資源割当に使用される総RBの数であるNUL RBに置換される。
PDCCHのフォーマットが1Cであれば、基地局は第2タイプ(type-2)資源割当方式に従って複数のRB単位に端末にスケジューリングされた資源を指示する。

Figure 0007421237000011
は複数のRBの個数を示す。この際、基地局が設定可能なRIVが示す連続した資源の開始位置は以下のようである。

Figure 0007421237000012
また、基地局が設定可能なRIVが示す連続した資源の連続したRBの個数は以下のようである。

Figure 0007421237000013
この際、基地局は以下の数式によってRIVの値を決定する。

Figure 0007421237000014
この際、NDL RBはDL伝送のための資源割当に使用される総RBの数である。UL伝送に第2タイプ(type-2)資源割当方式が使用されれば、NDL RBはUL伝送のための資源割当に使用される総RBの数であるNUL RBに置換される。
基地局は、RIVを使用して端末の物理データチャネルの受信がスケジューリングされた、時間領域で連続した資源を指示する。この際、端末はDCIが含むRIVに基づいてDCIがスケジューリングする周波数領域で連続した資源の開始OFDMシンボルであるSstartと連続した資源のOFDMシンボルの個数であるLsymbolsを獲得する。Sstartはスロット内の位置と解釈される。例えば、Sstart=0であれば、Sstartはスロットの最初のOFDMシンボルを示す。NsymbolがDCIがスケジューリングする端末の物理データチャネルの受信が割り当てられたシンボルの総数であれば、RIVの値は以下の数式によって決められる。

Figure 0007421237000015
基地局は、複数のOFDMシンボル単位で端末にスケジューリングされた資源を指示する。

Figure 0007421237000016
は複数のOFDMシンボルの個数を示す。この際、基地局が設定可能なRIVが示す連続した資源の開始位置は以下のようである。

Figure 0007421237000017
また、基地局が設定可能なRIVが示す連続した資源の連続したOFDMシンボルの個数は以下のようである。

Figure 0007421237000018
基地局は以下の数式によってRIVの値を設定する。

Figure 0007421237000019
図27は、本発明の実施例による無線通信システムにおいて基地局が端末に2つのRIVを伝送して端末にスケジューリングされた時間-周波数資源領域を指示することを示す図である。
基地局は、上述したように、RIVを利用して端末のPDSCHの受信がスケジューリングされた時間-周波数資源、または端末のPUSCH伝送がスケジューリングされた時間-周波数資源を指示する。この際、端末はRIVが指示する時間-周波数資源でPDSCHを受信するかPUSCHを伝送する。基地局は、周波数領域のRIVの値と時間領域のRIVの値を使用して端末にスケジューリングされた資源を指示する。詳しくは、基地局は、周波数領域のRIVの値と時間領域のRIVの値を独立的に指示し、端末にスケジューリングされた時間-周波数資源を指示する。説明の便宜上、周波数領域のRIVをRIVfreqと表し、時間領域のRIVをRIVtimeと表す。具体的な実施例において、基地局は、PDSCH受信のスケジューリングのためにRIVfreqとRIVtime、の2つのRIVを含むDCI伝送し、PDSCHが割り当てられた時間-周波数資源を指示する。
図27の実施例において、基地局はDCIを介してRIVfreqとRIVtimeをそれぞれ伝送する。この際、端末は上述した実施例によってRIVfreqとRIVtimeが指示する時間周波数領域を判断する。詳しくは、端末は上述した実施例によって、RIVfreqからLCRB及びRBstartを獲得する。また、端末はRIVtimeからLsymbolsとSstartを獲得する。
RIVが示す最大値がQであれば、RIVを表現するためのビットの長さは

Figure 0007421237000020
である。基地局が端末にスケジューリングするのに使用可能な最大のRBの個数が6つで、最大のOFDMシンボルの個数が9つであれば、RIVfreqの値は0から20のうちいずれか一つである。この際、RIVtimeの値は0から44のうちいずれか一つである。よって、RIVfreqを指示するために5ビットが必要であり、RIVtimeを指示するために6ビットが必要である。よって、端末にスケジューリングされた時間-周波数資源を指示するために総11ビットが必要である。複数のRIVを一つのRIVにエンコーディングできれば、RIVを伝送するために使用されるビット数を減らすことができる。それについては図28を介して説明する。
図28は、本発明の実施例による無線通信システムにおいて基地局が端末に2つのRIVを伝送して端末にスケジューリングされた時間-周波数資源領域を指示することを示す図である。
基地局は、一つのRIVを伝送して端末にスケジューリングされた時間-周波数資源を指示する。この際、一つのRIVが2つのRIV(RIV、RIV)をエンコーディングして生成した値である。2つのRIVは、上述したRIVfreqとRIVtimeである。RIVが有する最大値をRIV maxと表す。また、2つのRIVをエンコーディングして精製したRIVを最終RIV(RIVtotal)と称する。基地局は、以下の数式によって最終RIV(RIVtotal)の値を決定する。

Figure 0007421237000021
また、端末は最終RIV(RIVtotal)から以下の数式によってRIVとRIVを獲得する。

Figure 0007421237000022
この際、RIVはRIVfreqである。また、RIVはRIVtimeである。基地局が一つのRB単位で端末に時間-周波数資源をスケジューリングすれば、RIVfreqの最大値であるRIVfreq maxは以下の数式によって決定される。

Figure 0007421237000023
基地局が複数のRB単位で端末に時間-周波数資源をスケジューリングし、複数のRBの個数を

Figure 0007421237000024
で表せれば、RIVfreq maxは以下の数式によって決定される。

Figure 0007421237000025
この際、

Figure 0007421237000026
である。また、NDL RBはDL伝送のための資源割当に使用される総RBの数である。UL伝送のための資源のためにRIVが使用されれば、NDL RBはUL伝送のための資源割当に使用される総RBの数であるNUL RBに置換される。
この際、RIVはRIVtimeである。また、RIVはRIVfreqである。基地局が一つのOFDM単位で端末に時間-周波数資源をスケジューリングすれば、RIVtimeの最大値であるRIVtime maxは以下の数式によって決定される。

Figure 0007421237000027
基地局が複数のOFDMシンボル単位で端末に時間-周波数資源をスケジューリングし、複数のRBの個数を

Figure 0007421237000028
で表せれば、RIVfreq maxは以下の数式によって決定される。

Figure 0007421237000029
この際、

Figure 0007421237000030
である。
図28の実施例において、基地局は端末特定PDCCHのDCIを介して一つの最終RIV(RIVtotal)を伝送する。端末は、上述した実施例によって最終RIV(RIVtotal)からRIVtimeとRIVfreqを獲得する。端末は、IVfreqをからLCRB及びRBstartを獲得する。また、端末はRIVtimeからLsymbolsとSstartを獲得する。
他の具体的な実施例において、基地局は3つ以上のRIVをエンコーディングして一つの最終RIV(RIVtotal)を生成し、DCIを使用して最終RIV(RIVtotal)を伝送する。この際、基地局はRIVを2つずつ順次にエンコーディングして最終RIV(RIVtotal)を生成する。例えば、基地局が3つのRIV(RIV、RIV、RIV)をエンコーディングして最終RIV(RIVtotal)を生成してもよい。この際、基地局は2つのRIV(RIV、RIV)を先にエンコーディングして中間RIVを生成する。次に、基地局は中間RIVと残りの一つのRIV(RIV)をエンコーディングして最終RIV(RIVtotal)を生成する。
このような実施例を介して、基地局はRIV伝送に使用されるビット数を減らす。例えば、端末がスケジューリング可能なRBが6つで、端末がスケジューリング可能なOFDMシンボルが9つであるとする。この際、RIVfreqは0から20のうちいずれか一つの値を有する。また、RIVtimeは0から44のうちいずれか一つの値を有する。上述した実施例のように、RIVfreqとRIVtimeをエンコーディングして最終RIV(RIVtotal)を生成すれば、最終RIV(RIVtotal)は0から944のうち一つの値を有する。よって、最終RIV(RIVtotal)を伝送するために10ビットが必要となる。詳しくは、RIVこのような実施例によると、基地局がRIVfreqとRIVtimeをそれぞれ伝送する場合よりRIV伝送に使用されるDCIのビットを1ビットだけ減らすことができる。表4は、RIVfreqとRIVtimeをそれぞれ伝送する場合、端末がスケジューリング可能なRBの個数とOFDMシンボルの個数に応じてRIVに所要されるDCIのビット数を示す。また、表5は、RIVfreqとRIVtimeをエンコーディングして最終RIV(RIVtotal)を伝送する場合、端末がスケジューリング可能なRBの個数とOFDMシンボルの個数に応じてRIV伝送に所要されるDCIのビット数を示す。表4と表5を介し、複数のRIVをエンコーディングして最終RIV(RIVtotal)を伝送する場合、RIV伝送に所要されるDCIのビット数を減らすことができることが分かる。

Figure 0007421237000031

Figure 0007421237000032
上述した実施例において、最終RIV(RIVtotal)の生成及び最終RIV(RIVtotal)の伝送がDCIにスケジューリングされる時間-周波数資源を指示する場合に対してのみ説明した。しかし、上述した実施例はこれに対してのみ限らず、RIVを使用して時間-周波数資源を指示する場合にも適用可能である。例えば、基地局がRRC信号を介して時間-周波数資源をスケジューリングする際に上述した実施例が適用されてもよい。また、基地局が端末にプリエンプション(preemption)された時間-周波数資源を指示する際に上述した実施例が適用される。この際、プリエンプションされた時間-周波数資源は、端末に既にスケジューリングされる時間-周波数資源のうち一部の資源が前記端末にスケジューリングされていないことを示す。
基地局は、端末にスケジューリングする時間資源を以下の実施例によって指示する。詳しくは、基地局はRRC信号を使用して端末にスケジューリングされた物理データチャネルと時間資源のマッピングを示す時間資源マッピングテーブルを設定する。この際、RRC信号は端末-特定RRC信号である。また、基地局は、端末の物理データチャネルの受信または物理データチャネルの伝送をスケジューリングするDCIが含むいずれか一つのフィールドを使用してマッピングテーブルのステートをシグナリングする。端末は、RRC信号に基づいて基地局が設定する時間資源のマッピングテーブルを判断し、端末の物理データチャネルの受信または物理データチャネルの伝送をスケジューリングするDCIが含むいずれか一つのフィールドに基づいて該当データチャネルがスケジューリングされた時間資源領域を判断する。時間資源マッピングテーブルのステートの個数は16である。この際、DCIが含むいずれか一つのフィールドは4ビットである。時間資源マッピングテーブルはHARQ-ACK伝送スロットを指示するK1値、物理データチャネルが伝送されるスロット、物理データチャネルが伝送されるスロットで物理データチャネルがスケジューリングされる最初のOFDMシンボルと物理データチャネルがスケジューリングされるOFDMシンボルの個数、及び物理データチャネルのマッピングタイプを含む。この際、物理データチャネルのマッピングタイプは、DMRS(demodulation reference signal)の位置が物理データチャネルの位置とは関係なく決定されるのかを示す。具体的な実施例において、基地局はRRC信号の6ビットを使用して物理データチャネルが伝送されるスロット及び物理データチャネルが伝送されるスロットで、物理データチャネルがスケジューリング最初のOFDMシンボルと物理データチャネルがスケジューリングされるOFDMシンボルの個数を設定する。例えば、6ビットのうち2ビットは物理データチャネルが伝送されるスロットを示す。物理データチャネルが伝送されるスロットを示す2ビットはK0と称する。K0は、端末がDCIを受信したスロットと端末にスケジューリングされた物理データチャネルが伝送されるスロットとの間のインデックスの差を示す。K0が有する値は、00、01、10、及び11のうちいずれか一つである。K0の値が0であれば、端末がDCIを受信したスロットと端末にスケジューリングされた物理データチャネルが伝送されるスロットは同じである。また、6ビットのうち4ビットは、物理データチャネルが伝送されるスロットで物理データチャネルがスケジューリングされる最初のOFDMシンボルと物理データチャネルがスケジューリングされるOFDMシンボルの個数を示す。この際、物理データチャネルがスケジューリングされるOFDMシンボルの個数は2、4、7、及び14のうちいずれか一つである。詳しくは、4ビットは物理データチャネルがスケジューリングされる最初のOFDMシンボルと物理データチャネルがスケジューリングされるOFDMシンボルの個数に下記表6のようにマッピングされる。

Figure 0007421237000033
一つのスロットのOFDMシンボルインデックスを0から15に設定すると、各ステートは以下のようなOFDMシンボルを示す。ステートの値が示すOFDMシンボルは以下のようである。0:{0、1}、1:{2、3}、2:{4、5}、3:{6、7}、4:{8、9}、5:{10、11}、6:{12、13}、7:{0、1、2、3}、8:{2、3、4、5}、9:{4、5、6、7}、10:{6、7、8、9}、11:{8、9、10、11}、12:{10、11、12、13}、13:{0、1、2、3、4、5、6}、14:{7、8、9、10、11、12、13}、15:{0、1、2、3、4、5、6、7、8、9、10、11、12、13、14}。この際、X:{Y}においてXはステートの値を示し、YはXステートが指示するOFDMシンボルを示す。
他の具体的な実施例において、6ビットのうち1ビットは物理データチャネルが伝送されるスロットを示す。物理データチャネルが伝送されるスロットを示す1ビットはK0と称する。K0は、端末がDCIを受信したスロットと端末にスケジューリングされた物理データチャネルが伝送されるスロットとの間のインデックスの差を示す。K0が有する値は、0及び1のうちいずれか一つである。K0の値が0であれば、端末がDCIを受信したスロットと端末にスケジューリングされた物理データチャネルが伝送されるスロットは同じである。K0の値が1であれば、端末がDCIを受信したスロットのインデックスと端末にスケジューリングされた物理データチャネルが伝送されるスロットのインデックスの差はEである。この際、Eは1とは異なる自然数に固定される。また、6ビットのうち5ビットは、物理データチャネルが伝送されるスロットで物理データチャネルがスケジューリングされる最初のOFDMシンボルと物理データチャネルがスケジューリングされるOFDMシンボルの個数を示す。この際、物理データチャネルがスケジューリングされるOFDMシンボルの個数は1、2、4、7、及び14のうちいずれか一つである。詳しくは、5ビットは物理データチャネルがスケジューリングされる最初のOFDMシンボルと物理データチャネルがスケジューリングされるOFDMシンボルの個数に下記表7のようにマッピングされる。

Figure 0007421237000034
0:{0、1}、1:{2、3}、2:{4、5}、3:{6、7}、4:{8、9}、5:{10、11}、6:{12、13}、7:{0、1、2、3}、8:{2、3、4、5}、9:{4、5、6、7}、10:{6、7、8、9}、11:{8、9、10、11}、12:{10、11、12、13}、13:{0、1、2、3、4、5、6}、14:{7、8、9、10、11、12、13}、15:{0、1、2、3、4、5、6、7、8、9、10、11、12、13、14}、16:{0}、17:{1}、18:{2}、19:{3}、20:{4}、21:{5}、22:{6}、23:{7}、24:{8}、25:{9}、26:{10}、27:{11}、28:{12}、29:{13}。この際、X:{Y}においてXはステートの値を示し、YはXステートが指示するOFDMシンボルを示す。また、ステートの値30と31はリザーブされる。ステートの値30と31は、それぞれセミ-スタティック(semi-static)に設定された全てのDLシンボルとセミ-スタティックに設定された全てのアンノウン(unknown)シンボルを示す。この際、アンノウンシンボルはULシンボルまたはDLシンボルと設定されていないシンボルを示す。また、ステートの値30と31は、それぞれセミ-スタティックに設定された全てのDLシンボルとセミ-スタティックに設定された全てのアンノウンシンボルのうち、スロット最後から指定された個数だけのOFDMシンボルを除いた全てのOFDMシンボルを示す。この際、指定された個数は固定された数である。例えば、指定された個数は1であってもよい。また、指定された個数は端末ごとに別途に指定される。詳しくは、指定された個数はRRC信号によって端末別に設定される。
他の具体的な実施例において、6ビットのうち1ビットは物理データチャネルが伝送されるスロットのリファレンス位置を示す。この際、1ビットは物理データチャネルが伝送されるスロットのリファレンス位置がスロットの最初のOFDMシンボルであるのか、またはCORESETのすぐ次のOFDMシンボルであるのかを示す。6ビットのうち5ビットは、物理データチャネルがスケジューリングされる物理データチャネルがスケジューリングされるOFDMシンボルの個数である。6ビットのうち1ビットがスロットの開始時点を示し、6ビットのうち5ビットが指示するOFDM開始シンボルのインデックスがAであれば、物理データチャネルはAから物理データチャネルが伝送されるOFDMシンボルの個数に当たるOFDMシンボルで伝送される。6ビットのうち1ビットCORESETのすぐ次のOFDMシンボルを示し、6ビットのうち5ビットが指示するOFDM開始シンボルのインデックスがAであれば、物理データチャネルはA+Bから物理データチャネルが伝送されるOFDMシンボルの個数に当たるOFDMシンボルで伝送される。この際、BはCORESETのすぐ次のOFDMシンボルに当たるOFDMシンボルのインデックスである。
図29乃至図33は、本発明の他の実施例による無線通信システムにおいてRRC信号の6ビットが示す端末にスケジューリングされた物理データチャネルに当たるOFDMシンボルを示す図である。
具体的な実施例において、端末にスケジューリングされた物理データチャネルを示すために基地局が使用するRRC信号の6ビットは、物理データチャネルがスケジューリングされたOFDMシンボルの個数が1である14個のステート、物理データチャネルがスケジューリングされたOFDMシンボルの個数が7である2つのステート、物理データチャネルがスケジューリングされたOFDMシンボルの個数が2の倍数である28個のステートを指示する。この際、物理データチャネルがスケジューリングされたOFDMシンボルの個数が2の倍数であるステートは、14個のOFDMシンボルを2つずつ束ねて指示するRIV方式に従う。具体的な実施例によると、6ビットが示すOFDMシンボルは図29のようである。
他の具体的な実施例において、端末にスケジューリングされた物理データチャネルを示すために基地局が使用するRRC信号の6ビットは、物理データチャネルがスケジューリングされたOFDMシンボルの個数が1である14個のステート、物理データチャネルがスケジューリングされたOFDMシンボルの個数が7である8つのステート、物理データチャネルがスケジューリングされたOFDMシンボルの個数が2の倍数である28個のステートを指示する。この際、物理データチャネルがスケジューリングされたOFDMシンボルの個数が2の倍数であるステートは、偶数のOFDMシンボルインデックスから始まることを示す。具体的な実施例によると、6ビットが示すOFDMシンボルは図30のようである。
また他の具体的な実施例において、端末にスケジューリングされた物理データチャネルを示すために基地局が使用するRRC信号の6ビットは、物理データチャネルがスケジューリングされたOFDMシンボルの個数が1である14個のステート、物理データチャネルがスケジューリングされたOFDMシンボルの個数が2の倍数である49個のステートを指示する。この際、物理データチャネルがスケジューリングされたOFDMシンボルの個数が2の倍数であるステート49個のうち、28個のステートは偶数のOFDMシンボルインデックスから21個ステートは奇数のOFDMシンボルインデックスから始まることを示す。具体的な実施例によると、6ビットが示すOFDMシンボルは図31のようである。
更に他の具体的な実施例において、端末にスケジューリングされた物理データチャネルを示すために基地局が使用するRRC信号の6ビットは、物理データチャネルがスケジューリングされたOFDMシンボルの個数が1である14個のステート、物理データチャネルがスケジューリングされたOFDMシンボルの個数が2の倍数である48個のステートを指示する。この際、物理データチャネルがスケジューリングされたOFDMシンボルの個数が2の倍数であるステート48個のうち、28個のステートは偶数のOFDMシンボルインデックスから20個ステートは奇数のOFDMシンボルインデックスから始まることを示す。具体的な実施例によると、6ビットが示すOFDMシンボルは図32のようである。
他の具体的な実施例において、端末にスケジューリングされた物理データチャネルを示すために基地局が使用するRRC信号の6ビットは、物理データチャネルがスケジューリングされたOFDMシンボルの個数が1である14個のステート、物理データチャネルが物理データチャネルがスケジューリングされたOFDMシンボルの個数が7である8個のステート、物理データチャネルがスケジューリングされたOFDMシンボルの個数が2である13個のステート、物理データチャネルがスケジューリングされたOFDMシンボルの個数が4である11個のステート、物理データチャネルがスケジューリングされたOFDMシンボルの個数が14である一つのステート、物理データチャネルがスケジューリングされたOFDMシンボルの個数が3である4個のステート、物理データチャネルがスケジューリングされたOFDMシンボルの個数が5である2個のステート、物理データチャネルがスケジューリングされたOFDMシンボルの個数が6である2個のステート、物理データチャネルがスケジューリングされたOFDMシンボルの個数が8である一つのステート、物理データチャネルがスケジューリングされたOFDMシンボルの個数が9である一つのステート、物理データチャネルがスケジューリングされたOFDMシンボルの個数が10である一つのステート、物理データチャネルがスケジューリングされたOFDMシンボルの個数が11である一つのステート、物理データチャネルがスケジューリングされたOFDMシンボルの個数が12である一つのステート、及び物理データチャネルがスケジューリングされたOFDMシンボルの個数が13である一つのステートを指示する。この際、物理データチャネルがスケジューリングされたOFDMシンボルの個数が2であるステートは、いずれも3の倍数に当たるOFDMシンボルインデックスから始まる。具体的な実施例によると、6ビットが示すOFDMシンボルは図33のようである。
他の具体的な実施例において、端末にスケジューリングされた物理データチャネルを示すために基地局が使用するRRC信号の6ビットは、物理データチャネルがスケジューリングされたOFDMシンボルの個数が1である14個のステート、物理データチャネルがスケジューリングされたOFDMシンボルの個数が7である8個のステート、物理データチャネルがスケジューリングされたOFDMシンボルの個数が2である13個のステート、物理データチャネルがスケジューリングされたOFDMシンボルの個数が4である11個のステート、物理データチャネルがスケジューリングされたOFDMシンボルの個数が14である一つのステート、物理データチャネルがスケジューリングされたOFDMシンボルの個数が5である10個のステート、及び物理データチャネルがスケジューリングされたOFDMシンボルの個数が8である7個のステートを指示する。この際、物理データチャネルがスケジューリングされたOFDMシンボルの個数が1であるステートは、可能な全てのOFDMシンボルインデックスから始まることを示す。
また他の具体的な実施例において、端末にスケジューリングされた物理データチャネルを示すために基地局が使用するRRC信号の6ビットは、物理データチャネルがスケジューリングされたOFDMシンボルの個数が1である14個のステート、物理データチャネルがスケジューリングされたOFDMシンボルの個数が7である8個のステート、物理データチャネルがスケジューリングされたOFDMシンボルの個数が2である13個のステート、物理データチャネルがスケジューリングされたOFDMシンボルの個数が4である11個のステート、物理データチャネルがスケジューリングされたOFDMシンボルの個数が14である一つのステート、物理データチャネルがスケジューリングされたOFDMシンボルの個数が3である12個のステート、及び物理データチャネルがスケジューリングされたOFDMシンボルの個数が10である5個のステートを指示する。この際、物理データチャネルがスケジューリングされたOFDMシンボルの個数が1であるステートは、可能な全てのOFDMシンボルインデックスから始まることを示す。
更に他の具体的な実施例において、端末にスケジューリングされた物理データチャネルを示すために基地局が使用するRRC信号の6ビットは、物理データチャネルがスケジューリングされたOFDMシンボルの個数が1である14個のステート、物理データチャネルがスケジューリングされたOFDMシンボルの個数が7である8個のステート、物理データチャネルがスケジューリングされたOFDMシンボルの個数が2である13個のステート、物理データチャネルがスケジューリングされたOFDMシンボルの個数が4である11個のステート、物理データチャネルがスケジューリングされたOFDMシンボルの個数が14である一つのステート、物理データチャネルがスケジューリングされたOFDMシンボルの個数が6である9個のステート、物理データチャネルがスケジューリングされたOFDMシンボルの個数が9である6個のステート、及び物理データチャネルがスケジューリングされたOFDMシンボルの個数が11ある2個のステートを指示する。この際、物理データチャネルがスケジューリングされたOFDMシンボルの個数が1であるステートは、可能な全てのOFDMシンボルインデックスから始まることを示す。
前記でRIVを使用して端末にスケジューリングされた時間-周波数資源を示す方法を説明した。基地局は、RIVを使用して端末にスケジューリングされた、時間領域で連続した資源を指示する。この際、基地局は端末にスケジューリングされた連続した資源の開始シンボルの位置をリファレンスOFDMシンボルのインデックスを使用して指示する。RIVが指示する開始OFDMシンボルのインデックスは、端末にスケジューリングされた時間-周波数資源の開始OFDMシンボルからリファレンスOFDMシンボルのインデックスを引いた値である。詳しくは、基地局はRRC信号を使用してリファレンスOFDMシンボルのインデックスをシグナリングする。また、基地局は以下の数式によってRIVの値を決定する。

Figure 0007421237000035
symbolsは、端末にスケジューリングされた時間資源のOFDMシンボルの個数を示す。また、SstartはリファレンスOFDMシンボルのインデックスを基準に獲得した端末にスケジューリングされた時間資源の開始OFDMシンボルのインデックスである。よって、端末にスケジューリングされた時間資源のOFDMシンボルインデックスは以下の数式によって獲得される。

start=Sstart’+R
この際、RはリファレンスOFDMシンボルのインデックスである。このようにリファレンスOFDMシンボルを使用すれば、端末がデータチャネルを受信するために用意すべきメモリの大きさを減らすことができる。また、このような実施例はRIVを伝送するのに使用されるフィールドのビット数を減らすことができる。
前記で基地局がRRC信号を使用してリファレンスOFDMシンボルのインデックスを設定するとした。他の具体的な実施例において、端末はリファレンスOFDMシンボルのインデックスをスロットの最初のOFDMシンボルと仮定する。また他の具体的な実施例において、端末は、端末の物理データチャネルの受信をスケジューリングするDCIが伝送されたCORESETに基づいてリファレンスOFDMシンボルのインデックスを判断する。例えば、端末は、端末の物理データチャネルの受信をスケジューリングするDCIが伝送されたCORESETの最初のOFDMシンボルインデックスをリファレンスOFDMシンボルのインデックスと判断する。更に他の具体的な実施例において、端末は、端末に時間資源をスケジューリングするDCIが伝送されたCORESETの最後のOFDMシンボルのすぐ次のOFDMシンボルのインデックスをリファレンスOFDMシンボルのインデックスと判断する。端末に端末の物理データチャネルの受信をスケジューリングするDCIが伝送されたCORESETの最初のOFDMシンボルのインデックスがKで、CORESETが占める時間資源に当たるOFDMシンボルの個数がAであるとすれば、リファレンスOFDMシンボルのインデックスはK+Aである。RRC信号を介し、リファレンスOFDMシンボルのインデックスがシグナリングされる際よりRRC信号の伝送に必要なビット数を減らすことができる。
更に他の具体的な実施例において、端末は、端末の物理データチャネルの受信をスケジューリングするDCIが伝送されたCORESETと上述したK0値によってリファレンスOFDMシンボルのインデックスを判断する。K0はPDSCHがスケジューリングされるスロットを示す。K0=0であれば、端末に端末の物理データチャネルの受信をスケジューリングするDCIと該当物理データチャネルが同じスロットで伝送されることを示す。また、K0=1であれば、端末に端末の物理データチャネルの受信をスケジューリングするDCIが伝送されるスロットのすぐ次のスロットに該当物理データチャネルが伝送されることを示す。具体的な実施例において、K0が0より大きければ、端末はリファレンスOFDMシンボルのインデックスを0と判断する。また、K0が0と同じであれば、端末はリファレンスOFDMシンボルのインデックスを端末の物理データチャネルの受信をスケジューリングするDCIが伝送されたCORESETの最初のOFDMシンボルと判断する。他の具体的な実施例において、K0が0と同じであれば、端末はリファレンスOFDMシンボルのインデックスを端末の物理データチャネルの受信をスケジューリングするDCIが伝送されたCORESETの最初のOFDMシンボルのインデックスにCORESETが占める時間資源に当たるOFDMシンボルの個数を足した値と判断する。このような実施例において、端末はクロス-スケジューリングが行われる際と行われない際に異なる動作を行って、RIV伝送に必要なビットの数を減らすことができる。また、RRC信号を介し、リファレンスOFDMシンボルのインデックスがシグナリングされる際よりRRC信号の伝送に必要なビット数を減らすことができる。
更に他の具体的な実施例において、端末は、端末が受信する物理データチャネルのマッピングタイプに基づいてリファレンスOFDMシンボルのインデックスを判断する。この際、物理データチャネルのマッピングタイプは、DMRSの位置が物理データチャネルの位置とは関係なく決定されるのかを示す。また、端末が受信する物理チャネルはPDSCHである。詳しくは、物理データチャネルのマッピングタイプはタイプAとタイプBに区分される。タイプAは、DMRSの位置がスロット内でOFDMシンボルのインデックス2または3に固定されることを示す。この際、DMRSの位置はPBCHによって指示される。また、タイプBは最初のDMRSが物理データチャネルの最初のOFDMシンボルに位置することを示す。物理データチャネルのマッピングタイプがタイプAであれば、端末はリファレンスOFDMシンボルのインデックスを0と判断する。また、物理データチャネルのマッピングタイプがタイプBであれば、端末はリファレンスOFDMシンボルのインデックスを端末の物理データチャネルの受信をスケジューリングするDCIが伝送されたCORESETの最初のOFDMシンボルのインデックスと判断する。更に具体的な実施例において、物理データチャネルのマッピングタイプがタイプBであれば、端末はリファレンスOFDMシンボルのインデックスを端末の物理データチャネルの受信をスケジューリングするDCIが伝送されたCORESETの最初のOFDMシンボルのインデックスに該当CORESETが占める時間資源に当たるOFDMシンボルの個数を足した値と判断する。
更に他の具体的な実施例において、端末は、端末の物理データチャネルの受信をスケジューリングするDCIの位置に基づいてリファレンスOFDMシンボルのインデックスを判断する。詳しくは、端末の物理データチャネルの受信をスケジューリングするDCIが予め指定されたOFDMシンボルの以前に位置すれば、端末はリファレンスOFDMシンボルのインデックスを0と判断する。また、端末の物理データチャネルの受信をスケジューリングするDCIが予め指定されたOFDMシンボルの以前に位置すれば、端末はリファレンスOFDMシンボルのインデックスを端末の物理データチャネルの受信をスケジューリングするDCIが伝送されたCORESETの最初のOFDMシンボルのインデックスと判断する。更に他の具体的な実施例において、端末の物理データチャネルの受信をスケジューリングするDCIが予め指定されたOFDMシンボルの以前に位置すれば、端末はリファレンスOFDMシンボルのインデックスを端末の物理データチャネルの受信をスケジューリングするDCIが伝送されたCORESETの最初のOFDMシンボルのインデックスに該当CORESETが占める時間資源に当たるOFDMシンボルの個数を足した値と判断する。予め指定されたOFDMシンボルの位置は、PBCHによって設定された端末が受信する物理データチャネルのマッピングタイプがタイプAである場合のDMRSの位置と同じである。詳しくは、物理データチャネルのマッピングタイプがタイプAで、PBCHがDMRSの位置として2番目のOFDMシンボルを指示すれば、予め指定されたOFDMシンボルの位置は2番目OFDMシンボルである。また、物理データチャネルのマッピングタイプがタイプAで、PBCHがDMRSの位置として3番目のOFDMシンボルを指示すれば、予め指定されたOFDMシンボルの位置は3番目OFDMシンボルである。
更に他の具体的な実施例において、端末は、端末の物理データチャネルの受信をスケジューリングするDCIが伝送されたCORESETと上述したK0値、及び端末の物理データチャネルの受信をスケジューリングするDCIが予め指定されたOFDMシンボルの以前に位置するのかに基づいてリファレンスOFDMシンボルのインデックスを判断する。K0はPDSCHがスケジューリングされるスロットを示す。具体的な実施例において、K0が0より大きいか、端末の物理データチャネルの受信をスケジューリングするDCIが予め指定されたOFDMシンボルの以前に位置すれば、端末はリファレンスOFDMシンボルのインデックスを0と判断する。また、K0が0と同じで、端末の物理データチャネルの受信をスケジューリングするDCIが予め指定されたOFDMシンボルの以前に位置しなければ、端末はリファレンスOFDMシンボルのインデックスを端末の物理データチャネルの受信をスケジューリングするDCIが伝送されたCORESETの最初のOFDMシンボルと判断する。更に他の具体的な実施例において、K0が0と同じで、端末の物理データチャネルの受信をスケジューリングするDCIが予め指定されたOFDMシンボルの以前に位置しなければ、端末はリファレンスOFDMシンボルのインデックスを端末の物理データチャネルの受信をスケジューリングするDCIが伝送されたCORESETの最初のOFDMシンボルのインデックスにCORESETが占める時間資源に当たるOFDMシンボルの個数を足した値と判断する。このような実施例において、端末はクロス-スケジューリングが行われる際と行われない際に異なる動作を行って、RIV伝送に必要なビットの数を減らすことができる。また、RRC信号を介し、リファレンスOFDMシンボルのインデックスがシグナリングされる際よりRRC信号の伝送に必要なビット数を減らすことができる。
更に他の具体的な実施例において、端末は、端末がモニタリングするCORESETに基づいてリファレンスOFDMシンボルのインデックスを判断する。詳しくは、一つのスロットに端末がモニタリングするCORESETが複数で設定されれば、端末はリファレンスOFDMシンボルのインデックスを複数のCORESETが占めるOFDMシンボルのうち最も先のOFDMシンボルと判断する。端末が基地局が複数のCORESETのうちどのCORESETを介して物理制御チャネルを伝送するのかを判断することが難しいためである。このような実施例を介し、端末は複数のCORESETのうちどのCORESETで物理制御チャネルが伝送されても物理データチャネルを受信することができる。
更に他の具体的な実施例において、端末の物理データチャネルの受信をスケジューリングDCIが伝送されるCORESETが該当物理データチャネルが伝送されるスロットとは異なるスロットに位置すれば、端末はリファレンスOFDMシンボルのインデックスを0と判断する。また、端末の物理データチャネルの受信をスケジューリングするDCIが伝送されるCORESETが該当物理データチャネルが伝送されるスロットと同じスロットに位置すれば、端末はリファレンスOFDMシンボルのインデックスを端末の物理データチャネルの受信をスケジューリングするDCIが伝送されたCORESETの最初のOFDMシンボルと判断する。更に他の具体的な実施例において、端末の物理データチャネルの受信をスケジューリングするDCIが伝送されるCORESETが該当物理データチャネルが伝送されるスロットと同じスロットに位置すれば、端末はリファレンスOFDMシンボルのインデックスを端末の物理データチャネルの受信をスケジューリングするDCIが伝送されたCORESETの最初のOFDMシンボルのインデックスにCORESETが占める時間資源に当たるOFDMシンボルの個数を足した値と判断する。
また、DCIが端末の物理データチャネルの受信をスケジューリングする際、端末は、端末の物理データチャネルの受信がスケジューリングされる時間-周波数資源の最初のOFDMシンボルと最後のOFDMシンボルが互いに異なるスロットに位置することを期待しない。詳しくは、端末は、端末の物理データチャネルの受信がスケジューリングされる時間-周波数資源の最後のOFDMシンボルを、端末の物理データチャネルの受信がスケジューリングされる時間-周波数資源の開始OFDMシンボルが位置するスロットの最後のOFDMシンボルまたは最後のOFDMシンボルの以前のシンボルと判断する。例えば、スロットが含むOFDMシンボルの個数が14で、DCIが端末の物理データチャネルの受信がスケジューリングされる時間-周波数資源の最後のOFDMシンボルを7番目のOFDMシンボルと指示する。この際、DCIが指示する端末の物理データチャネルの受信がスケジューリングされる時間-周波数資源が占めるOFDMシンボルの個数が7であれば、端末は、端末の物理データチャネルの受信がスケジューリングされるOFDMシンボルを7番目のOFDMシンボルから14番目のOFDMシンボルまでと判断する。上述した実施例において、端末が受信する物理データチャネルはPDSCHである。
上述した基地局が端末にスケジューリングされた連続した資源の開始シンボルの位置リファレンスOFDMシンボルのインデックスを使用して指示する実施例は、基地局が端末の物理チャネル伝送をスケジューリングする場合にも適用される。詳しくは、端末は、リファレンスOFDMシンボルのインデックスをスロットの最初のOFDMシンボルと判断する。端末の物理チャネル伝送に関して言及するOFDMシンボルはDFT-S-OFDMシンボルである。
更に他の具体的な実施例において、端末は、端末が伝送する物理データチャネルのマッピングタイプに基づいてリファレンスOFDMシンボルのインデックスを判断する。この際、端末が伝送する物理データチャネルのマッピングタイプは、DMRSの位置が物理データチャネルの位置と関係なく決定されるのかを示す。また、端末が伝送する物理チャネルはPUSCHである。また、端末が伝送する物理データチャネルのマッピングタイプは、RRC信号で伝送されるUL-DMRS-config-typeを介して設定される。詳しくは、物理データチャネルのマッピングタイプはタイプAとタイプBに区分される。タイプAは、最初のDMRSの位置がスロット内で固定されることを示す。また、タイプBは最初のDMRSが物理データチャネルの最初のOFDMシンボルに位置することを示す。物理データチャネルのマッピングタイプがタイプAであれば、端末はリファレンスOFDMシンボルのインデックスを物理データチャネルに当たる最初のOFDMシンボルのインデックスと判断する。物理データチャネルのマッピングタイプがタイプBであれば、端末はリファレンスOFDMシンボルのインデックスを0と判断する。
更に他の具体的な実施例において、端末は、端末が伝送する物理データチャネルのマッピングタイプとUL伝送のウェーブフォームに基づいてリファレンスOFDMシンボルのインデックスを判断する。端末は、CP-OFDM及びDFT-S-OFDMのうちいずれか一つを使用してUL伝送を行う。基地局はRRC信号を使用して、端末がCP-OFDM及びDFT-S-OFDMのうちいずれか一つを使用するのかを決定する。物理データチャネルのマッピングタイプがタイプBであれば、端末はリファレンスOFDMシンボルのインデックスを0と判断する。物理データチャネルのマッピングタイプがタイプAで、端末がDFT-S-OFDMウェーブフォームを使用するように設定されれば、端末はリファレンスOFDMシンボルのインデックスを最初のDMRSが位置するOFDMシンボルの次のOFDMシンボルのインデックスと判断する。UL DMRSで使用されるDFT-S-OFDMシンボルは物理データチャネルUL伝送に使用できない可能性があるためである。また、物理データチャネルのマッピングタイプがタイプAで、端末がCP-OFDMウェーブフォームを使用するように設定されれば、端末はリファレンスOFDMシンボルのインデックスを最初のDMRSが位置するOFDMシンボルのインデックスと判断する。
更に他の具体的な実施例において、端末はセミ-スタティックに設定されたシンボル構成に基づいてリファレンスOFDMシンボルのインデックスを判断する。詳しくは、端末は、リファレンスOFDMシンボルのインデックスを端末の物理データチャネルがスケジューリングされたスロットでDLシンボルのすぐ次のアンノウンシンボルのインデックスと判断する。更に他の具体的な実施例において、端末は、リファレンスOFDMシンボルのインデックスを端末の物理データチャネルがスケジューリングされたスロットでDLシンボルのすぐ次のアンノウンシンボルのインデックスにギャップシンボルの数だけ足した値と判断する。ギャップシンボルの数は、TA(timing advance)値とOFDMシンボルの長さに基づいて決定される。更に他の具体的な実施例において、ギャップシンボルの数は基地局によって設定される。また、アンノウンシンボルにDLデータチャネルがスケジューリングされれば、端末はアンノウンシンボルをDLシンボルとみなす。また、アンノウンシンボルにULデータチャネルがスケジューリングされれば、端末はアンノウンシンボルをULシンボルとみなす。
また、DCIが端末の物理データチャネルの伝送をスケジューリングする際、端末は、端末の物理データチャネルの伝送がスケジューリングされる時間-周波数資源の最初のOFDMシンボルと最後のOFDMシンボルが互いに異なるスロットに位置することを期待しない。詳しくは、端末は、端末の物理データチャネルの伝送がスケジューリングされる時間-周波数資源の最後のOFDMシンボルを、端末の物理データチャネルの伝送がスケジューリングされる時間-周波数資源の開始OFDMシンボルが位置するスロットの最後のOFDMシンボルまたは最後のOFDMシンボルの以前のシンボルと判断する。例えば、スロットが含むOFDMシンボルの個数が14で、DCIが端末の物理データチャネルの伝送がスケジューリングされる時間-周波数資源の最後のOFDMシンボルを7番目のOFDMシンボルと指示する。この際、DCIが指示する端末の物理データチャネルの伝送がスケジューリングされる時間-周波数資源が占めるOFDMシンボルの個数が7であれば、端末は、端末の物理データチャネルの伝送がスケジューリングされるOFDMシンボルを7番目のOFDMシンボルから14番目のOFDMシンボルまでと判断する。上述した実施例において、端末が伝送する物理データチャネルはPUSCHである。
上述した実施例において、物理データチャネルはPDSCHまたはPUSCHを含む。また、物理制御チャネルはPDCCHまたはPUCCHを含む。また、PUSCH、PDCCH、PUCCH、及びPDCCHを例に挙げて説明した実施例において、他の種類のデータチャネル及び制御チャネルが適用されてもよい。
本発明の方法及びシステムを特定実施例に関して説明したが、それらの構成要素または動作の一部または全部は、汎用ハードウェアアーキテクチャを有するコンピューティングシステムを使用して具現される。
上述した本発明の説明は例示のためのものであって、本発明が属する技術分野における通常の知識を有する者は、本発明の技術的思想や必須的特徴を変更せずも他の具体的な形態に容易に変更可能であることを理解できるはずである。よって、上述した実施例は全ての面で例示的なものであり、限定的なものであると理解すべきである。例えば、単一型として説明されている各構成要素は分散されて実施されてもよく、同じく分散されていると説明されている構成要素も結合された形態で実施されてもよい。
本発明の範囲は、上述した詳細な説明よりは後述する特許請求の範囲によって示され、特許請求の範囲の意味及び範囲、そしてその均等概念から導き出される全ての変更または変形された形態が本発明の範囲に含まれると解釈すべきである。
110 プロセッサ
121 セルラー通信インターフェースカード(第1周波数バンド)
122 セルラー通信インターフェースカード(第2周波数バンド)
123 無線LANインターフェースカード(第2周波数バンド)
130 メモリ
140 ユーザインタフェース
150 ディスプレイユニット
210 プロセッサ
221 セルラー通信インターフェースカード(第1周波数バンド)
222 セルラー通信インターフェースカード(第2周波数バンド)
223 無線LANインターフェースカード(第2周波数バンド)
230 メモリ

Claims (8)

  1. 無線通信システムの端末であって、前記端末は、
    通信モジュールと、
    前記通信モジュールを制御するように構成されたプロセッサと、を含み、
    前記プロセッサは、
    前記無線通信システムの基地局から前記通信モジュールを介してRRC(radio resource control)信号を受信し、
    前記RRC信号が指示する少なくとも一つのリソース-セット(set)に当たる第1の時間-周波数資源を判断し、前記少なくとも一つのリソースセットは、互いに異なるインデックスによってそれぞれ識別され、
    前記通信モジュールを介して前記基地局から物理制御チャネルを受信し、前記物理制御チャネルは物理データチャネルを複数のスロットにスケジューリングし、
    前記物理制御チャネルによって前記端末の物理データチャネルの受信がスケジューリングされる第2の時間-周波数資源を判断し、前記第1の時間-周波数資源は前記第2の時間-周波数資源とオーバーラップし、前記オーバーラップする時間-周波数資源は複数のサブ-リソース-セットを含み、
    前記物理制御チャネルからレートマッチング指示子を獲得し、前記レートマッチング指示子は複数のビットを含み、前記複数のビットのそれぞれは前記複数のサブ-リソース-セット別に前記物理データチャネル受信不可能可否を示し、前記レートマッチング指示子における特定のリソースセットに含まれるサブリソースセットを指示するビットは、前記特定のリソースセットのインデックスに基づいて決定され、
    前記レートマッチング指示子によって前記物理データチャネルを受信し、
    前記リソース-セットは時間-周波数資源のセットである
    ように構成される、端末。
  2. 前記サブ-リソース-セットは前記オーバーラップされる時間-周波数資源のうち、時間領域で区分なしに、周波数領域を基準に分けられる、請求項1に記載の端末。
  3. 前記第2の時間-周波数資源と前記少なくとも一つのリソースセットがいずれもオーバーラップしなければ、前記プロセッサは前記レートマッチング指示子とは関係なく、前記第2の時間-周波数資源で前記物理データチャネルを受信するように構成される、請求項1に記載の端末。
  4. 前記物理制御チャネルは第1スロットで受信され、
    前記物理データチャネルが受信される第2スロットで第2の時間-周波数と前記少なくとも一つのリソースセットがオーバーラップすれば、前記プロセッサは前記第2スロットで物理データチャネルがスケジューリングされる時間-周波数資源から、前記物理データチャネルがスケジューリングされる時間-周波数と前記少なくとも一つのリソース-セットがオーバーラップする時間-周波数資源を除いた時間-周波数資源で前記物理データチャネルを受信するためのレートマッチングを行うように構成され、
    前記第1スロットと前記第2スロットは互いに異なるスロットである
    請求項1に記載の端末。
  5. 無線通信システムの端末の動作方法であって、前記方法は、
    前記無線通信システムの基地局からRRC(radio resource control)信号を受信するステップであって、前記少なくとも一つのリソースセット
    は、互いに異なるインデックスによってそれぞれ識別される、ステップと、
    前記RRC信号が指示する少なくとも一つのリソース-セット(set)に当たる第1の時間-周波数資源を判断するステップと、
    前記基地局から物理制御チャネルを受信するステップであって、前記物理制御チャネルは物理データチャネルを複数のスロットにスケジューリングする、ステップと、
    前記物理制御チャネルによって前記端末の物理データチャネルの受信がスケジューリングされる第2の時間-周波数資源を判断するステップであって、前記第1の時間-周波数資源は前記第2の時間-周波数資源とオーバーラップし、前記オーバーラップする時間-周波数資源は複数のサブ-リソース-セットを含む、ステップと、
    前記物理制御チャネルからレートマッチング指示子を獲得するステップであって、前記レートマッチング指示子は複数のビットを含み、前記複数のビットのそれぞれで前記物理データチャネル受信は、前記複数のサブ-リソース-セット別に不可能可否を示し、前記レートマッチング指示子における特定のリソースセットに含まれるサブリソースセットを指示するビットは、前記特定のリソースセットのインデックスに基づいて決定される、ステップと、
    前記レートマッチング指示子によって前記物理データチャネルを受信するステップと
    を含み、
    前記リソース-セットは時間-周波数資源のセットである、動作方法。
  6. 前記サブ-リソース-セットは前記オーバーラップされる時間-周波数資源のうち、時間領域で区分なしに、周波数領域を基準に分けられる、請求項5に記載の動作方法。
  7. 前記物理データチャネルを受信する前記ステップは、前記第2の時間-周波数資源と前記少なくとも一つのリソースセットがいずれもオーバーラップしなければ、前記レートマッチング指示子とは関係なく、前記第2の時間-周波数資源で前記物理データチャネルを受信するステップを含む、請求項5に記載の動作方法。
  8. 前記物理制御チャネルは第1スロットで受信され、
    前記物理データチャネルを受信する前記ステップは、前記物理データチャネルが受信される第2スロットで第2の時間-周波数と前記少なくとも一つのリソースセットがオーバーラップすれば、前記第2スロットで物理データチャネルがスケジューリングされる時間-周波数資源から、前記物理データチャネルがスケジューリングされる時間-周波数と前記少なくとも一つのリソース-セットがオーバーラップする時間-周波数資源を除いた時間-周波数資源で前記物理データチャネルを受信するためのレートマッチングを行うステップを含み、
    前記第1スロットと前記第2スロットは互いに異なるスロットである
    請求項5に記載の動作方法。
JP2022142229A 2017-09-08 2022-09-07 無線通信システムのデータ伝送方法、受信方法、及びそれを利用する装置 Active JP7421237B2 (ja)

Applications Claiming Priority (10)

Application Number Priority Date Filing Date Title
KR10-2017-0115232 2017-09-08
KR1020170115232A KR20190028148A (ko) 2017-09-08 2017-09-08 무선 통신시스템의 데이터 송신 및 수신방법, 장치 및 시스템
KR20170119178 2017-09-17
KR10-2017-0119178 2017-09-17
KR10-2017-0163637 2017-11-30
KR20170163637 2017-11-30
KR20180004324 2018-01-12
KR10-2018-0004324 2018-01-12
PCT/KR2018/010576 WO2019050371A1 (ko) 2017-09-08 2018-09-10 무선 통신 시스템의 데이터 전송 방법, 수신 방법 및 이를 이용하는 장치
JP2020513789A JP7142960B2 (ja) 2017-09-08 2018-09-10 無線通信システムのデータ伝送方法、受信方法、及びそれを利用する装置

Related Parent Applications (1)

Application Number Title Priority Date Filing Date
JP2020513789A Division JP7142960B2 (ja) 2017-09-08 2018-09-10 無線通信システムのデータ伝送方法、受信方法、及びそれを利用する装置

Publications (3)

Publication Number Publication Date
JP2022172323A JP2022172323A (ja) 2022-11-15
JP2022172323A5 JP2022172323A5 (ja) 2022-12-15
JP7421237B2 true JP7421237B2 (ja) 2024-01-24

Family

ID=65635084

Family Applications (5)

Application Number Title Priority Date Filing Date
JP2020513789A Active JP7142960B2 (ja) 2017-09-08 2018-09-10 無線通信システムのデータ伝送方法、受信方法、及びそれを利用する装置
JP2022142230A Active JP7421238B2 (ja) 2017-09-08 2022-09-07 無線通信システムのデータ伝送方法、受信方法、及びそれを利用する装置
JP2022142229A Active JP7421237B2 (ja) 2017-09-08 2022-09-07 無線通信システムのデータ伝送方法、受信方法、及びそれを利用する装置
JP2024000224A Active JP7678617B2 (ja) 2017-09-08 2024-01-04 無線通信システムのデータ伝送方法、受信方法、及びそれを利用する装置
JP2025072423A Pending JP2025105814A (ja) 2017-09-08 2025-04-24 無線通信システムのデータ伝送方法、受信方法、及びそれを利用する装置

Family Applications Before (2)

Application Number Title Priority Date Filing Date
JP2020513789A Active JP7142960B2 (ja) 2017-09-08 2018-09-10 無線通信システムのデータ伝送方法、受信方法、及びそれを利用する装置
JP2022142230A Active JP7421238B2 (ja) 2017-09-08 2022-09-07 無線通信システムのデータ伝送方法、受信方法、及びそれを利用する装置

Family Applications After (2)

Application Number Title Priority Date Filing Date
JP2024000224A Active JP7678617B2 (ja) 2017-09-08 2024-01-04 無線通信システムのデータ伝送方法、受信方法、及びそれを利用する装置
JP2025072423A Pending JP2025105814A (ja) 2017-09-08 2025-04-24 無線通信システムのデータ伝送方法、受信方法、及びそれを利用する装置

Country Status (9)

Country Link
US (5) US11304181B2 (ja)
EP (4) EP4608032A3 (ja)
JP (5) JP7142960B2 (ja)
KR (5) KR102650205B1 (ja)
CN (5) CN111183608B (ja)
ES (2) ES2937950T3 (ja)
FI (2) FI3681079T3 (ja)
PL (2) PL3681079T3 (ja)
WO (1) WO2019050371A1 (ja)

Families Citing this family (28)

* Cited by examiner, † Cited by third party
Publication number Priority date Publication date Assignee Title
CN108430107B (zh) * 2017-02-11 2024-03-05 华为技术有限公司 数据传输方法、装置及系统
KR102674803B1 (ko) 2017-06-16 2024-06-14 주식회사 윌러스표준기술연구소 무선 통신 시스템에서 데이터 채널 및 제어 채널의 송수신 방법, 장치, 및 시스템
EP4608032A3 (en) 2017-09-08 2025-09-17 Wilus Institute of Standards and Technology Inc. Data transmission method and reception method for wireless communication system and device using same
KR102424636B1 (ko) * 2017-09-30 2022-07-22 광동 오포 모바일 텔레커뮤니케이션즈 코포레이션 리미티드 채널 자원의 지시 방법, 단말 기기 및 네트워크 기기
CN109600844B (zh) 2017-09-30 2021-08-24 中兴通讯股份有限公司 确定时频资源的方法及装置
CN109818895B (zh) * 2017-11-17 2022-04-29 中兴通讯股份有限公司 确定序列组的方法及装置,确定循环移位的方法及装置
US11528103B2 (en) * 2017-12-29 2022-12-13 Beijing Xiaomi Mobile Software Co., Ltd. Transmitting method and device and receiving method and device
WO2019157726A1 (zh) * 2018-02-14 2019-08-22 Oppo广东移动通信有限公司 资源上报的方法、终端设备和网络设备
CN110351839B (zh) 2018-04-04 2023-03-28 华为技术有限公司 通信方法及装置
US20190313385A1 (en) 2018-04-05 2019-10-10 Qualcomm Incorporated Compact dci for urllc
US11405943B2 (en) * 2018-09-28 2022-08-02 Apple Inc. Cross-slot scheduling for New Radio
JP7424379B2 (ja) * 2018-12-20 2024-01-30 ソニーグループ株式会社 通信デバイス、インフラストラクチャ機器および方法
WO2020194240A1 (en) * 2019-03-26 2020-10-01 Telefonaktiebolaget Lm Ericsson (Publ) Systems and methods for radio operation with reduced bandwidth
GB2582662B (en) 2019-03-29 2021-10-06 Samsung Electronics Co Ltd Improvements in and relating to non-terrestrial networks
CN110574401B (zh) * 2019-07-30 2022-11-22 北京小米移动软件有限公司 信息配置方法及装置、信道估计方法及装置和发送设备
US12238770B2 (en) * 2019-08-15 2025-02-25 Lg Electronics Inc. Method, transmission device, and recording medium for transmitting transport block in unlicensed band
WO2021062747A1 (zh) * 2019-09-30 2021-04-08 华为技术有限公司 调度方法和装置
CN112929137B (zh) 2019-12-06 2022-12-02 大唐移动通信设备有限公司 一种上行信道传输方法、终端及基站
CN113271672B (zh) * 2020-02-14 2023-08-04 华为技术有限公司 Dl sps资源的确定方法和装置
US11671994B2 (en) * 2020-04-10 2023-06-06 Qualcomm Incorporated Reusing PDSCH TCI and QCL for dynamic coresets
US11671995B2 (en) * 2020-04-17 2023-06-06 Qualcomm Incorporated Time domain resource allocation-based HARQ-ACK feedback generation
WO2022006740A1 (en) * 2020-07-07 2022-01-13 Qualcomm Incorporated Interlaced waveform for control resource set (coreset)
CN114071724B (zh) * 2020-07-30 2024-04-19 中国联合网络通信集团有限公司 一种通信方法和装置
CN112153625B (zh) * 2020-09-29 2021-10-26 上海豹云网络信息服务有限公司 基于区块链系统的保险事故大数据传输方法及系统
CN115190593A (zh) * 2021-04-01 2022-10-14 华为技术有限公司 一种确定资源的方法和装置
CN117957801A (zh) * 2021-08-05 2024-04-30 北京小米移动软件有限公司 使用参考小区的波束管理
CN114641075B (zh) * 2022-03-16 2025-02-28 深圳市科思科技股份有限公司 数据传输方法、装置、终端设备及存储介质
KR20240124012A (ko) * 2023-02-08 2024-08-16 삼성전자주식회사 무선 통신 시스템에서 자원 할당 방법 및 장치

Citations (1)

* Cited by examiner, † Cited by third party
Publication number Priority date Publication date Assignee Title
JP2015508956A (ja) 2012-01-27 2015-03-23 インターデイジタル パテント ホールディングス インコーポレイテッド マルチキャリアベースおよび/または疑似照合ネットワークにおいてepdcchを提供するためのシステムおよび/または方法

Family Cites Families (36)

* Cited by examiner, † Cited by third party
Publication number Priority date Publication date Assignee Title
KR101697596B1 (ko) 2009-01-29 2017-01-18 엘지전자 주식회사 전송 전력을 제어하는 방법 및 이를 위한 장치
AU2011210153B2 (en) * 2010-01-26 2014-12-18 Lg Electronics Inc. Method and apparatus for allocating resources in a wireless communication system
CN105721113A (zh) * 2011-01-30 2016-06-29 广东新岸线计算机系统芯片有限公司 一种在无线通信系统中实现用户调度的方法和无线通信系统
CN103037520A (zh) * 2011-03-25 2013-04-10 北京新岸线无线技术有限公司 一种资源调度方法和设备
EP2720428B1 (en) * 2011-06-08 2021-12-15 LG Electronics Inc. Method and device for information transmission in wireless communication system
US8584393B2 (en) * 2011-07-13 2013-11-19 Laser Devices, Inc. Accessory bracket for firearm mount
JP6081470B2 (ja) * 2011-10-20 2017-02-15 サムスン エレクトロニクス カンパニー リミテッド 無線通信システムにおける制御情報の送受信方法及び装置
US9113463B2 (en) * 2011-11-04 2015-08-18 Qualcomm Incorporated Resource management for enhanced PDCCH
US9019921B2 (en) * 2012-02-22 2015-04-28 Lg Electronics Inc. Method and apparatus for transmitting data between wireless devices in wireless communication system
CN103621162B (zh) * 2012-05-10 2018-04-10 太阳专利信托公司 无线通信终端
CN103491637B (zh) * 2012-06-12 2017-03-29 电信科学技术研究院 一种pdsch传输资源的确定方法及装置
US9456358B2 (en) * 2012-08-13 2016-09-27 Qualcomm Incorporated Method and apparatus for indicating active channel state information reference signal (CSI-RS) configurations
KR20200090973A (ko) * 2012-10-04 2020-07-29 엘지전자 주식회사 무선 통신 시스템에서 안테나 포트 관계를 고려한 하향링크 신호 송수신 방법 및 장치
US9591632B2 (en) 2012-11-06 2017-03-07 Lg Electronics Inc. Method and apparatus for transmitting and receiving data in a wireless communication system
US9871636B2 (en) * 2013-01-18 2018-01-16 Qualcomm Incorporated Enhanced control channel element (ECCE) based physical downlink shared channel (PDSCH) resource allocation for long-term evolution (LTE)
CN104852778B (zh) * 2014-02-18 2020-03-13 中兴通讯股份有限公司 一种开销信息传输方法,基站、终端和系统
US10219265B2 (en) * 2014-08-01 2019-02-26 Lg Electronics Inc. Downlink signal reception method and user equipment, and downlink signal transmission method and base station
WO2016069144A1 (en) * 2014-09-24 2016-05-06 Interdigital Patent Holdings, Inc. Channel usage indication and synchronization for lte operation in unlicensed bands
EP3226633B1 (en) * 2014-12-31 2022-08-24 Huawei Technologies Co., Ltd. User device, access network device and feedback information sending and receiving methods
US11818717B2 (en) * 2014-12-31 2023-11-14 Texas Instruments Incorporated Method and apparatus for uplink control signaling with massive Carrier Aggregation
WO2016114593A1 (ko) * 2015-01-13 2016-07-21 엘지전자 주식회사 상향링크 신호 전송 방법 및 사용자기기와, 상향링크 신호 수신 방법 및 기지국
US9775141B2 (en) * 2015-07-14 2017-09-26 Motorola Mobility Llc Method and apparatus for reducing latency of LTE uplink transmissions
KR102412484B1 (ko) * 2015-08-06 2022-06-24 씨스코 시스템즈, 인코포레이티드 상향링크 제어 채널의 자원을 동적으로 할당하는 장치 및 방법
CN114727400B (zh) * 2015-08-11 2025-07-29 三菱电机株式会社 通信系统
PT3372034T (pt) * 2015-11-03 2020-12-24 Ericsson Telefon Ab L M Métodos e aparelhos para escalonamento em ligação ascendente
US11129152B2 (en) * 2016-02-04 2021-09-21 Lg Electronics Inc. Method and user equipment for receiving dowlink control information, and method and base station for transmitting dowlink control information
WO2017162438A1 (en) 2016-03-22 2017-09-28 Telefonaktiebolaget Lm Ericsson (Publ) Dynamic demodulation indication
US11477771B2 (en) * 2016-04-05 2022-10-18 Qualcomm Incorporated Indicating start and stop symbols of PDSCH and PUSCH through PDCCH
CN106788931B (zh) * 2016-09-30 2019-01-04 展讯通信(上海)有限公司 通信系统中信息传输的方法及基站、用户设备
AU2017394052B2 (en) * 2017-01-23 2020-12-03 Huawei Technologies Co., Ltd. Data transmission method and apparatus
KR20190051730A (ko) * 2017-11-07 2019-05-15 주식회사 윌러스표준기술연구소 단말과 기지국 간 데이터 전송을 위한 다중화 방법과 그에 따른 제어신호의 전송 및 수신방법, 장치 및 시스템
WO2018164474A1 (ko) * 2017-03-08 2018-09-13 삼성전자 주식회사 무선 셀룰라 통신 시스템에서 제어 및 데이터 정보 자원 매핑 방법 및 장치
CN108632005B (zh) * 2017-03-24 2023-12-15 华为技术有限公司 一种参考信号传输方法、装置及系统
KR20180108342A (ko) * 2017-03-24 2018-10-04 주식회사 윌러스표준기술연구소 무선 통신시스템의 제어채널의 전송 및 수신방법, 장치 및 시스템
KR20190027705A (ko) * 2017-09-07 2019-03-15 엘지전자 주식회사 무선 통신 시스템에서 자원 할당 방법 및 상기 방법을 이용하는 장치
EP4608032A3 (en) * 2017-09-08 2025-09-17 Wilus Institute of Standards and Technology Inc. Data transmission method and reception method for wireless communication system and device using same

Patent Citations (1)

* Cited by examiner, † Cited by third party
Publication number Priority date Publication date Assignee Title
JP2015508956A (ja) 2012-01-27 2015-03-23 インターデイジタル パテント ホールディングス インコーポレイテッド マルチキャリアベースおよび/または疑似照合ネットワークにおいてepdcchを提供するためのシステムおよび/または方法

Non-Patent Citations (2)

* Cited by examiner, † Cited by third party
Title
Nokia, Nokia Shanghai Bell, ZTE, Ericsson,Resource sharing between PDCCH and PDSCH in NR[online],3GPP TSG RAN WG1 #90 R1-1714098,Internet<URL:http://www.3gpp.org/ftp/tsg_ran/WG1_RL1/TSGR1_90/Docs/R1-1714098.zip>,2017年08月25日,1-4頁
Samsung,Multiplexing NR-PDCCH and PDSCH[online],3GPP TSG RAN WG1 #90 R1-1713615,Internet<URL:http://www.3gpp.org/ftp/tsg_ran/WG1_RL1/TSGR1_90/Docs/R1-1713615.zip>,2017年08月25日,1-4頁

Also Published As

Publication number Publication date
JP2025105814A (ja) 2025-07-10
JP2022172324A (ja) 2022-11-15
CN111183608B (zh) 2022-11-15
CN119583026A (zh) 2025-03-07
FI3681079T3 (fi) 2023-03-22
KR20250153310A (ko) 2025-10-24
CN115765947B (zh) 2025-03-04
EP3681079B1 (en) 2022-12-07
KR102650205B1 (ko) 2024-03-22
EP3681079A1 (en) 2020-07-15
EP4373191B1 (en) 2026-01-28
PL4164166T3 (pl) 2025-03-17
US11832255B2 (en) 2023-11-28
US20240236992A1 (en) 2024-07-11
US20260012948A1 (en) 2026-01-08
CN115765947A (zh) 2023-03-07
US20200213989A1 (en) 2020-07-02
KR20200040837A (ko) 2020-04-20
CN111183608A (zh) 2020-05-19
US12004161B2 (en) 2024-06-04
US20220191854A1 (en) 2022-06-16
PL3681079T3 (pl) 2023-03-27
EP3681079A4 (en) 2021-06-09
KR102568599B1 (ko) 2023-08-21
EP4164166A1 (en) 2023-04-12
CN115720135B (zh) 2025-03-04
JP2022172323A (ja) 2022-11-15
JP2020533861A (ja) 2020-11-19
KR20230005418A (ko) 2023-01-09
FI4164166T3 (fi) 2025-01-21
US12418914B2 (en) 2025-09-16
EP4608032A2 (en) 2025-08-27
KR20240042164A (ko) 2024-04-01
EP4373191A2 (en) 2024-05-22
JP7142960B2 (ja) 2022-09-28
ES2937950T3 (es) 2023-04-03
JP2024026622A (ja) 2024-02-28
US11304181B2 (en) 2022-04-12
JP7421238B2 (ja) 2024-01-24
CN115720135A (zh) 2023-02-28
EP4608032A3 (en) 2025-09-17
US20220264549A1 (en) 2022-08-18
KR102481201B1 (ko) 2022-12-27
CN115765946A (zh) 2023-03-07
KR20230124769A (ko) 2023-08-25
EP4164166B1 (en) 2024-10-23
EP4373191A3 (en) 2024-07-17
ES3005312T3 (en) 2025-03-14
JP7678617B2 (ja) 2025-05-16
WO2019050371A1 (ko) 2019-03-14
CN115765946B (zh) 2025-03-21

Similar Documents

Publication Publication Date Title
JP7421237B2 (ja) 無線通信システムのデータ伝送方法、受信方法、及びそれを利用する装置
JP7761961B2 (ja) 無線通信システムのharq-ackコードブック生成方法及びこれを用いる装置
JP7754537B2 (ja) ワイヤレス通信システムのリソース割振り方法、デバイス、およびシステム
KR102805041B1 (ko) 무선 통신 시스템의 상향링크 제어 정보 전송 방법 및 이를 이용하는 장치
KR102903139B1 (ko) 무선 통신 시스템의 상향 링크 제어 정보 멀티플렉싱 방법 및 이를 이용하는 장치
JP7701078B2 (ja) 無線通信システムにおける上りリンク送信取消方法、装置及びシステム
KR102864658B1 (ko) 무선 통신 시스템의 물리 제어 채널 수신 방법 및 이를 이용하는 장치
KR20230006046A (ko) 무선 통신 시스템의 채널 다중화 방법, 다중화된 채널 전송 방법 및 이를 이용하는 장치

Legal Events

Date Code Title Description
A521 Request for written amendment filed

Free format text: JAPANESE INTERMEDIATE CODE: A523

Effective date: 20220907

A621 Written request for application examination

Free format text: JAPANESE INTERMEDIATE CODE: A621

Effective date: 20220907

A521 Request for written amendment filed

Free format text: JAPANESE INTERMEDIATE CODE: A523

Effective date: 20221207

TRDD Decision of grant or rejection written
A01 Written decision to grant a patent or to grant a registration (utility model)

Free format text: JAPANESE INTERMEDIATE CODE: A01

Effective date: 20231204

A61 First payment of annual fees (during grant procedure)

Free format text: JAPANESE INTERMEDIATE CODE: A61

Effective date: 20240104

R150 Certificate of patent or registration of utility model

Ref document number: 7421237

Country of ref document: JP

Free format text: JAPANESE INTERMEDIATE CODE: R150