JP7204231B2 - 信頼度が低い、または信頼度が皆無の当事者間での価値転送を円滑化する装置、システム、または方法 - Google Patents
信頼度が低い、または信頼度が皆無の当事者間での価値転送を円滑化する装置、システム、または方法 Download PDFInfo
- Publication number
- JP7204231B2 JP7204231B2 JP2020209670A JP2020209670A JP7204231B2 JP 7204231 B2 JP7204231 B2 JP 7204231B2 JP 2020209670 A JP2020209670 A JP 2020209670A JP 2020209670 A JP2020209670 A JP 2020209670A JP 7204231 B2 JP7204231 B2 JP 7204231B2
- Authority
- JP
- Japan
- Prior art keywords
- client
- transaction record
- key pair
- private key
- key
- Prior art date
- Legal status (The legal status is an assumption and is not a legal conclusion. Google has not performed a legal analysis and makes no representation as to the accuracy of the status listed.)
- Active
Links
Images
Classifications
-
- H—ELECTRICITY
- H04—ELECTRIC COMMUNICATION TECHNIQUE
- H04L—TRANSMISSION OF DIGITAL INFORMATION, e.g. TELEGRAPHIC COMMUNICATION
- H04L9/00—Cryptographic mechanisms or cryptographic arrangements for secret or secure communications; Network security protocols
- H04L9/32—Cryptographic mechanisms or cryptographic arrangements for secret or secure communications; Network security protocols including means for verifying the identity or authority of a user of the system or for message authentication, e.g. authorization, entity authentication, data integrity or data verification, non-repudiation, key authentication or verification of credentials
- H04L9/3247—Cryptographic mechanisms or cryptographic arrangements for secret or secure communications; Network security protocols including means for verifying the identity or authority of a user of the system or for message authentication, e.g. authorization, entity authentication, data integrity or data verification, non-repudiation, key authentication or verification of credentials involving digital signatures
-
- G—PHYSICS
- G06—COMPUTING OR CALCULATING; COUNTING
- G06Q—INFORMATION AND COMMUNICATION TECHNOLOGY [ICT] SPECIALLY ADAPTED FOR ADMINISTRATIVE, COMMERCIAL, FINANCIAL, MANAGERIAL OR SUPERVISORY PURPOSES; SYSTEMS OR METHODS SPECIALLY ADAPTED FOR ADMINISTRATIVE, COMMERCIAL, FINANCIAL, MANAGERIAL OR SUPERVISORY PURPOSES, NOT OTHERWISE PROVIDED FOR
- G06Q20/00—Payment architectures, schemes or protocols
- G06Q20/02—Payment architectures, schemes or protocols involving a neutral party, e.g. certification authority, notary or trusted third party [TTP]
-
- G—PHYSICS
- G06—COMPUTING OR CALCULATING; COUNTING
- G06Q—INFORMATION AND COMMUNICATION TECHNOLOGY [ICT] SPECIALLY ADAPTED FOR ADMINISTRATIVE, COMMERCIAL, FINANCIAL, MANAGERIAL OR SUPERVISORY PURPOSES; SYSTEMS OR METHODS SPECIALLY ADAPTED FOR ADMINISTRATIVE, COMMERCIAL, FINANCIAL, MANAGERIAL OR SUPERVISORY PURPOSES, NOT OTHERWISE PROVIDED FOR
- G06Q20/00—Payment architectures, schemes or protocols
- G06Q20/04—Payment circuits
- G06Q20/06—Private payment circuits, e.g. involving electronic currency used among participants of a common payment scheme
- G06Q20/065—Private payment circuits, e.g. involving electronic currency used among participants of a common payment scheme using e-cash
-
- G—PHYSICS
- G06—COMPUTING OR CALCULATING; COUNTING
- G06Q—INFORMATION AND COMMUNICATION TECHNOLOGY [ICT] SPECIALLY ADAPTED FOR ADMINISTRATIVE, COMMERCIAL, FINANCIAL, MANAGERIAL OR SUPERVISORY PURPOSES; SYSTEMS OR METHODS SPECIALLY ADAPTED FOR ADMINISTRATIVE, COMMERCIAL, FINANCIAL, MANAGERIAL OR SUPERVISORY PURPOSES, NOT OTHERWISE PROVIDED FOR
- G06Q20/00—Payment architectures, schemes or protocols
- G06Q20/08—Payment architectures
- G06Q20/10—Payment architectures specially adapted for electronic funds transfer [EFT] systems; specially adapted for home banking systems
-
- G—PHYSICS
- G06—COMPUTING OR CALCULATING; COUNTING
- G06Q—INFORMATION AND COMMUNICATION TECHNOLOGY [ICT] SPECIALLY ADAPTED FOR ADMINISTRATIVE, COMMERCIAL, FINANCIAL, MANAGERIAL OR SUPERVISORY PURPOSES; SYSTEMS OR METHODS SPECIALLY ADAPTED FOR ADMINISTRATIVE, COMMERCIAL, FINANCIAL, MANAGERIAL OR SUPERVISORY PURPOSES, NOT OTHERWISE PROVIDED FOR
- G06Q40/00—Finance; Insurance; Tax strategies; Processing of corporate or income taxes
- G06Q40/02—Banking, e.g. interest calculation or account maintenance
-
- H—ELECTRICITY
- H04—ELECTRIC COMMUNICATION TECHNIQUE
- H04L—TRANSMISSION OF DIGITAL INFORMATION, e.g. TELEGRAPHIC COMMUNICATION
- H04L9/00—Cryptographic mechanisms or cryptographic arrangements for secret or secure communications; Network security protocols
- H04L9/40—Network security protocols
-
- H—ELECTRICITY
- H04—ELECTRIC COMMUNICATION TECHNIQUE
- H04L—TRANSMISSION OF DIGITAL INFORMATION, e.g. TELEGRAPHIC COMMUNICATION
- H04L2209/00—Additional information or applications relating to cryptographic mechanisms or cryptographic arrangements for secret or secure communication H04L9/00
- H04L2209/56—Financial cryptography, e.g. electronic payment or e-cash
-
- H—ELECTRICITY
- H04—ELECTRIC COMMUNICATION TECHNIQUE
- H04L—TRANSMISSION OF DIGITAL INFORMATION, e.g. TELEGRAPHIC COMMUNICATION
- H04L9/00—Cryptographic mechanisms or cryptographic arrangements for secret or secure communications; Network security protocols
- H04L9/50—Cryptographic mechanisms or cryptographic arrangements for secret or secure communications; Network security protocols using hash chains, e.g. blockchains or hash trees
Landscapes
- Engineering & Computer Science (AREA)
- Business, Economics & Management (AREA)
- Accounting & Taxation (AREA)
- Finance (AREA)
- Computer Security & Cryptography (AREA)
- Theoretical Computer Science (AREA)
- Strategic Management (AREA)
- Physics & Mathematics (AREA)
- General Business, Economics & Management (AREA)
- General Physics & Mathematics (AREA)
- Development Economics (AREA)
- Economics (AREA)
- Computer Networks & Wireless Communication (AREA)
- Signal Processing (AREA)
- Marketing (AREA)
- Technology Law (AREA)
- Financial Or Insurance-Related Operations Such As Payment And Settlement (AREA)
- Information Retrieval, Db Structures And Fs Structures Therefor (AREA)
Description
本出願は2014年5月9日に出願された米国仮出願第61/990,795号への優先権を主張する。この出願は、本明細書に完了に記載されているかのように、この段落で言及された全ての出願の開示内容が参照によって本願に組み込まれる。
図を含むこの文書の全ての内容は米国および他国の法律に基づく著作権保護の対象であり、所有者は公的な政府記録に表示されているとおり、この文書の複製またはその開示に異論を唱えない。その他の権利はすべて著作者に帰属する。
このコストは規模の経済によって減少することもよくあるが、今日でも取引相手、仲介業者、納品後の支払いにおける失敗、保証人の失敗、エスクローなどによるリスクに対する緩衝にはかなりの経費がかかる。
階で割り振ることができる。それは当事者の一人が全てまたは多い割合を負担することもできる、また、図4および図5に示す各実施形態において、複数の支払い出力の金額の計算は、ある当事者にとってプラスであり、他の当事者に負である差(δ)を含む。図5に示す支払い取引において例えれば、第二の元本がスワップの有効期限前に使い尽くされると担保からの金額の配分が必要である。言い換えれば:
1.第一のクライアントが以下の条件を備えるオファーを送信する。条件とは、以下のものを含む。
(a)基本の証券及び見積もり証券とのうちの少なくとも一つを含むデータソースへの参照、
(b)元本額、
(c)有効期限のタイムスタンプ、
(d)任意選択で名義資産への参照、
(e)任意選択で担保金額、
(f)任意選択で支払い機能。
例えば以下のように表現できる。
2.任意選択でファシリテータはオファーの態様(例えば、ファシリテータが用語を解釈できる、有効期限が許容範囲内にあるなど)を検証する。検証が認められない場合、ファシリテータはオファーを拒否することができ、任意選択でエラーメッセージを第一のクライアントに送信することもできる。
3.第二のクライアントは、ファシリテータからオファーを回収する。
4.第一のクライアントは、転送メカニズムへの取引IDを含む第一のソース取引記録を作成する。
5.第二のクライアントは、転送メカニズムへの取引IDを含む第二のソース取引記録を作成する。
6.第二のクライアントは、第二のソース取引記録の取引IDを任意選択でファシリテータを介して第一のクライアントに送信する(例えば同じメッセージ内で、オファーID、オファーハッシュ等を介して)。別の実施形態では、第一のクライアントは、第一のソース取引記録の取引IDを第二のクライアントに送信し、その後のステップは、この実施形態の以下を反映する。
7.第二のクライアントおよびファシリテータのうちの一人は、第二のパブリックキーを、オファーに関連付けられた方法で第一のクライアントに送信する。
8.第一のクライアントは、完了コミット取引記録を作成するために、未完了のコミット取引記録の第一の元本入力に署名(すなわち、暗号署名を計算してそれに関連付け)する。未完了のコミット取引記録は、以下のものを含む。
(a)第一のソース取引から第一の元本金額を受け取るための第一の元本入力、
(b)第二のソース取引から第二の元本金額を受け取るための第二の元本入力コミット額
(c)(i)第一のパブリックキー、(ii)第二のパブリックキー、(iii)ファシリテータのパブリックキーのうちの二つのプライベートキーの署名を必要とすることを条件に含むコミット出力。
未完了のコミット取引記録の例:
9.第一のクライアントは、場合によってはファシリテータを介して、第二のクライアントに未完了のコミット取引記録を送信する。ファシリテータは任意選択で初期コミット取引記録の態様(例えば、初期コミット取引記録が第一当事者によって署名され、第一元本額および第二元本額がそれぞれ条件を満たしているなど)を検証する。検証が認められなかった場合、ファシリテータは第一のコミット取引を拒否することができ、場合によっては第一のクライアントにエラーメッセージが表示される。ファシリテータは任意選択で第二のクライアントにオファーおよび初期コミット取引記録を送信する。
10.第二のクライアントは任意選択で未完了のコミット取引記録が第一の当事者によって署名されたかなどを検証する。
11.第二のクライアントは未完了のコミット取引記録に署名することによって完了コミット取引記録を作成し、任意選択で固定メモリに保存する。完了コミット取引記録には、以下のものを含む。
(a)第一の原本取引から第一の元本金額を受け取るための第一の元本入力、
(b)前記第二のソース取引から第二の元本金額を受け取るための第二の元本入力、
(c)コミット額と(i)第一のパブリックキー(ii)第二のパブリックキー。(iii)ファシリテータのパブリックキーのうちの二つのプライベートキーの署名を必要とすることを条件に含むコミット出力。
完了コミット取引記録の例:
12.第二のクライアントは、以下のものを含む未完了の払い戻し取引記録に署名する。
(a)有効期限タイムスタンプ後のロックタイム、
(b)コミット取引記録からコミット額を受け取るための入力、
(c)第一の払い戻し額と、第一当事者の承認を必要とする第一の条件を含む第一の払い戻し出力、
(d)第二払い戻し額と、第二の当事者の承認を必要とする条件とを含む第二の払い戻し出力。
未完了の払い戻し取引の例
13.第二のクライアントは第一のクライアントに場合によってはファシリテータを介して、完了コミット取引記録および未完了の払い戻し取引記録を送信する。ファシリテータは任意選択で完了コミット取引記録および未完了の払い戻し取引記録を検証する。(例えば第一当事者および第二当事者によって完了払い戻し取引記録が署名されているか、未完了の小切手の払い戻し取引記録が第二当事者によって署名されているか、未完了の払い戻し取引記録と完了コミット取引記録額の記述が同等であるか、未完了の払い戻し額が第一元本額以下であること、小額払い戻し取引記録の第二払い戻し額が第二元本額以下であること、ロックタイムが有効期限のタイムスタンプの後であることなど)妥当性の検証が認められなかった場合、ファシリテータは払い戻し取引記録または完了コミット取引記録を拒否することができ、任意選択で第二のクライアントにエラーメッセージを送ることもできる。ファシリテータは任意選択で、完了コミット取引記録および未完了の払い戻し取引記録を第一のクライアントに送信する。
14.第一のクライアントは任意選択で完了コミット取引記録が期待通りであり、第一の当事者および第二の当事者によって署名されたこと、初期払い戻し取引記録が期待通りであり、第二の当事者によって署名されたこと等を確認する。
15.第一のクライアントは任意選択で完了コミット取引記録のコピーを固定メモリに保存する。
16.第一のクライアントは任意選択で完了払い戻し取引記録を作成し、そのコピーを固定メモリに保存する。完了払い戻し取引記録には、
(a)有効期限タイムスタンプ後のロックタイム、
(b)完了コミット取引からコミット額を受け取るための入力、
(c)第一の払い戻し金額と第一の当事者の承認を必要とする第一の条件を含む第一の払い戻し出力と、第二払い戻し金額と、第二当事者の承認を必要とする条件を含む第二払い戻し出力、
が含まれている。
完了払い戻し取引記録の例
17.第一クライアントは、場合によってはファシリテータを介して、第二のクライアントに完了払い戻し取引記録を送信する。ファシリテータは任意選択で完了払い戻し取引記録の態様を検証する(例えば、両方の当事者によって署名されていること、完了払い戻し取引記録が他の方法で修正されていないこと、完了コミット取引記録の条件と同様であることなど)。検証が失敗した場合、ファシリテータは、完了払い戻し取引の記録を拒否するか任意選択で第一のクライアントへエラーメッセージを送信することができる。ファシリテータは任意選択で完了払い戻し取引記録を第二のクライアントに送信する。
18.第二のクライアントは任意選択で完了払い戻し取引記録が予想通りであり、第一の当事者および第二の当事者によって署名されたことを検証する。
19.完了コミット取引と完了払い戻し取引の両方を作成または受信した後、第一のクライアントはソース取引を実行するための第一のソース取引記録を転送メカニズムに送信する。
20.完了コミット取引と完了払い戻し取引の両方を作成または受信した後、第二のクライアントは第二のソース取引を実行するために第二のソース取引記録を転送メカニズムに提出する。
21.第一のソース取引と第二のソース取引の両方が転送メカニズムに提出されたことを確認した後、第一のクライアントと第二のクライアントの一方または両方が、コミット取引を実行するための完了コミット取引記録を提出する。
22.有効期限タイムスタンプ時もしくはその後、または条件によって定義される時点及び完了払い戻し取引記録のロックタイムの前に、ファシリテータは任意選択で一つ以上のデータソース(例えば、公的に取引された金融商品の最新の価格、オファーが受諾された時点での商品の価格など)を参考にし、第一の支払い額及び第二の支払額を決定するための条件を計算する。一実施形態では、データソースは、外部データフィード、内部データベース、他のデータソースなどを含む。
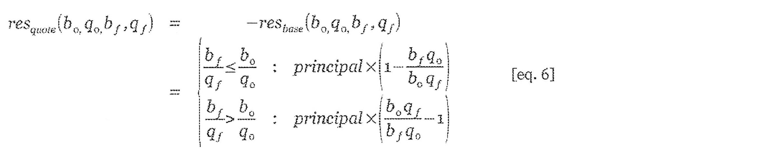
例示的な実施形態では、時間tが与えられると、データソースはt時点での基準資産、見積もり商品、基準資産としての名目資産bt、資産qtまたは基礎計量器の見積もり(例えば、基礎計器または見積もり計器が名目上の資産である場合)を行う。
上記の例に続くと、基本商品は米ドル、見積もりは豪ドル、資産はビットコインとなる。b0は、取引が開始された時点のビットコインの米ドルの価値であり、bfは、貿易が完了した時点のビットコインの米ドルの値である。q0は貿易が開始された時点のビットコインの豪ドルの値であり、qfは貿易が完了した時点のビットコインの豪ドルの値である。ファシリテータが第一の支払い額および第二の支払い額を計算するために使用する計算は、resbase(b0,q0、bf、qf)を含む。典型的な実施形態では、当事者の損失は、相手方の利益に比例し、以下のことを暗示する。すなわち、以下のことを意味する:
23.ファシリテータは、
(a)コミット取引からコミット額を受け取るための入力、
(b)第一の支払い金額と第一の当事者の承認を必要とする第一の条件を含む第一の支払い出力、
(c)第二の支払い額と、第二の当事者の承認を必要とする条件を含む第二の支払い額出力と、
(d)第三者の承認を必要とする手数料および条件
を含む任意の第三の支払い出力を含む小切手取引記録に署名する。典型的には第一の支払い額、第二の支払い額および任意の手数料金額の合計は完了コミット取引のコミット額以下である。
支払い取引記録の例:
24.ファシリテータは、第一クライアントと第二のクライアントの両方に未完了の取引記録を送信する。双方が相手側が完了払い戻し取引記録を提出する前に単独で支払い取引記録を転送メカニズムに検証、署名、提出することができる。
1.第一クライアントは第二のクライアントにオファーを送信する。
2.第一クライアントはファシリテータにオファーを送信する。
3.ファシリテータは、完了コミット取引記録を作成するための未完了コミット取引記録を第一クライアントに送信する。未完了コミット取引記録には、
(a)第一ソース取引から第一元本金額を受け取るための第一元本の入力と、
(b)(i)第一の当事者、(ii)第二の当事者、(iii)ファシリテータの三者のうち二者の承認を必要とする条件の第一のコミット額を含む第一の入力、
が含まれる。
4.ファシリテータは、完了コミット取引記録を作成するための第二の未完了コミット取引記録を第二のクライアントに送信し、第二の未完了コミット取引記録は
(a)第二のソース取引から第二の元本金額を受け取るための第二の元本入力及び、
(b)(i)第一の当事者、(ii)第二の当事者、(iii)ファシリテータの三者のうち二者の承認を必要とする条件の第二のコミット額を含む第一の入力が含まれる。
5.第一クライアントは第一ソース取引記録に署名する。
6.第一クライアントは未完了のコミット取引記録に署名する(例えば、SIGHASH_SINGLE | SIGHASH_ANYONECANPAYで)。
第一の未完了コミット取引記録の例
7.第一のクライアントは第一の未完了コミット取引記録をファシリテータに送信する。8.第二のクライアントは第二のソース取引記録に署名する。
9.第二のクライアントは第二の未完了コミット取引記録を完了し、署名する(例えば、SIGHASH_SINGLE | SIGHASH_ANYONECANPAYで)。
第二の未完了コミット取引記録の例:
10.第二のクライアントは第二の未完了コミット取引記録をファシリテータに送信する。
11.ファシリテータは、第一の未完了取引記録と第二の未完了コミット取引記録から完了コミット取引記録を作成し、完了コミット取引記録は、
(a)第一ソース取引から第一元本金額を受け取るための第一元本入力と及び
(b)第一コミット額と (i) 第一の当事者(ii) 第二の当事者(iii)ファシリテータのうち二者の承認を必要とする条件の第一のコミット額が含まれるコミット出力
(c)第二のソース取引から第二の元本金額を受け取るための第二の元本入力及び
(d)第二のコミット額及び(i)第一の当事者(ii)第二の当事者(iii)ファシリテータのうち二者の承認を必要とする条件の第二のコミット出力
から構成される。
完了コミット取引記録例
別の実施形態では、ファシリテータが第一の未完了コミット取引記録や第二の未完了コミット取引記録を送信する前に第一のクライアントは第一のソース取引記録の取引IDをファシリテータに提供し、第二のクライアントは第二のソース取引記録の取引IDをファシリテータに提供する。ファシリテータは、第二の未完了コミット取引記録と同一の第一未完了コミット取引記録を作成し、各々は、プレースホルダシグネチャを有する第一の元本入力と、プレースホルダシグネチャを有する第二の元本入力を含む。それぞれの未完了コミット取引記録がそれぞれのクライアントに送信されると、クライアントはそれぞれの署名された未完了コミット取引記録をファシリテータに返送する前に、それぞれの元本入力に(例えば、SIGHASH_ALL | SIGHASH_ANYONECANPAYで)署名する。ファシリテータは、署名された未完了のコミット取引記録を収集し、署名された入力を完了コミット取引記録に統合する。このような実施形態では、第一のコミット出力および第二のコミット出力を統合することができ、対応する支払い取引記録および払い戻し取引記録は、それぞれの第二の入力を省略することができる。
12.ファシリテータは、完了したコミット取引記録を、任意選択で固定メモリに格納する第一のクライアントに送信する。
13.ファシリテータは、完了したコミット取引記録を第二のクライアントに送信し、第二のクライアントは、選択的に固定メモリにそれを保存する。
14.第一のクライアントは、以下を含む未完了の払い戻し取引記録に署名する(例えば、SIGHASH_ALL | SIGHASH_ANYONECANPAY又はSIGHASH_SINGLE | SIGHASH_ANYONECANPAYで)。
(a)有効期限タイムスタンプ後のロックタイム、
(b)第一コミット取引からコミット額を受け取るための第一の入力、
(c)第二コミット取引からコミット額を受け取るための第二の入力、
(d)第一の払い戻し金額と第一の当事者の承認を必要とする第一の条件を含む第一の払い戻し出力、
(e)第二払い戻し金額と第二当事者の承認を必要とする条件を含む第二払い戻し出力。
未完了払い戻し取引記録の例
15.第一のクライアントは、未完了払い戻し取引記録及び完了払い戻し取引記録を第二のクライアントに送信する。
16.第二のクライアントは未完了払い戻し取引記録から完了払い戻し取引記録を作成し(例えば、SIGHASH_ALL | SIGHASH_ANYONECANPAY又はSIGHASH_SINGLE | SIGHASH_ANYONECANPAYで署名する)固定メモリに保存する。
完了払い戻し取引記録の例
17.第二のクライアントは、完了払い戻し取引記録を第一のクライアントに送信する。
18.完了コミット取引記録と完了払い戻し取引記録の両方を作成または受信した後、第一のクライアントは、第一のソース取引記録を転送メカニズムに提出する。
19.完了コミット取引記録と完了払い戻し取引記録の両方を作成または受信した後、第二のクライアントは、第二のソース取引記録を転送メカニズムに提出する。
20.第一のソース取引記録と第二のソース取引記録の両方が提出されたことを確認した後、第一のクライアントと第二のクライアントの一方または両方が完了コミット取引記録を提出する。
21.タイムスタンプの有効期限際またはその後、または条件によって決められた所定の時点で完了払い戻し取引記録のロックタイムの前に、ファシリテータは、第一と第二の支払い額を決定するための条件に従って計算を実行し、任意選択で、計算に使用するために一つ以上のデータソースから情報を要求する。
22.ファシリテータは、未完了の支払い取引記録に署名する。(例えば、SIGHASH_ALL | SIGHASH_ANYONECANPAY又はSIGHASH_SINGLE | SIGHASH_ANYONECANPAYで)
未完了の支払い取引記録の例:
23.ファシリテータは、第一のクライアントと第二のクライアントの両方に未完了支払い取引記録を送信し、そのいずれかが先の例示的実施形態のようにそれを提出することができる。
1.ファシリテータは撤退額を決定するための条件に沿って計算を実行し、任意選択でその計算のために一つ以上のデータソースからの情報を要求する。
2.ファシリテータは、
(a)コミット取引から金額を受け取るための第一入力、
(b)ソース取引からエントリ金額を受け取るためのエントリ入力、
(c)撤退金額と第一の当事者の承認が必要な条件を含む撤退出力、
(d)代理金額と(i)第二当事者(ii)第三当事者(iii)ファシリテータのうちの二人からの承認が必要な第二の条件を含んだ代理出力、
を含む未完了の代理取引記録を作成する。
未完了の代理取引記録の例:
3.ファシリテータは、第一当事者と第三当事者に未完了の代理取引記録を送信する。
4.第一当事者は第一の未完了の代理取引記録に署名することによって署名された未完成代理取引記録を作成し(例えば、SIGHASH_ALL | SIGHASH_ANYONECANPAYによって署名して)、ファシリテータへ第一の未完了の代理取引記録を送信する。
5.第三当事者は 未完了の代理取引記録に署名することによって(例えば、SIGHASH_ALL | SIGHASH_ANYONECANPAYによって署名して)、第二の未完了の代理取引記録を作成し、第二の署名された代理取引記録をファシリテータに送信する。
6.ファシリテータは完了した代理取引記録(例えば、ID:9c8b...4794)を第一と第二の未完了の代理取引記録を使って作成する。
7.ファシリテータは、
(a)有効期限タイムスタンプ後のロックタイム、
(b)代理取引から代理金額を受け取るための入力、
(c)第一の払い戻し金額と第二の当事者の承認が必要な条件が含まれる第一の払い戻し出力及び、
(d)第二の払い戻し金額と第三の当事者の承認が必要な条件が含まれる第二の払い戻し出力、
を含む未完了の代理払い戻し取引記録に署名する。
未完了の代理払い戻し取引記録の例:
9.ファシリテータは、完全な代用還付取引記録を転送メカニズムに提出する。
1.第一のクライアントが、
(a)データソースへの1つ以上の参照を含む支払い条件、データソースへの1つまたは複数の参照を含む支払い機能、およびデータソースへの1つ以上の参照を含む支払い条件、
(b)元本金額、
(c)期限タイムスタンプ、
(d)任意の第一の担保金額、
(e)任意の第二の担保金額、
を含む条件を含むオファーを作成する。
条件例:
2.第一のクライアントは、第一のソース取引記録に署名する。
3.(a)第一のソース取引から第一の金額を受け取るための第一の入力と、
(b)任意選択で第二のソース取引から第二の金額を受け取るための第二の入力と、
(c)コミット金額と(i)第一の当事者(ii)第二の当事者(iii)第三の当事者のうち二人の承認が必要な条件を含むコミット出力、
が含まれる第一の未完了のコミット取引記録を作成する。
4.第一のクライアントは任意選択でオファーをファシリテータに送信し、ファシリテータはオファーを検証する。(有効期限のタイムスタンプが許容範囲内であることや、条件を解釈することができることなど)検証が失敗した場合、ファシリテータは、必要に応じてオファーを拒否することができ、任意選択でエラーメッセージをクライアントに送信することができる。
5.第一のクライアントは、第二のクライアントにオファーを送信する。
6.第二のクライアントはソース取引記録を作成する。第二のクライアントは未完了のコミット取引記録を第一のクライアントに送信する。
7.第一のクライアントは未完了のコミット取引記録に署名する(例えば、SIGHASH_ALL | SIGHASH_ANYONECANPAYで)ことによって完成したコミット取引記録を作成し、任意選択で完全なコミット取引記録を固定のメモリに保管する。
完全なコミット取引記録の例:
(a)有効期限のタイムスタンプ以降のロックタイム、
(b)コミット取引からのコミット金額を受け取るための入力、
(c)第一の有効期限額と第一の当事者の承認を必要とする条件からなる第一の有効期限出力、
(d)任意選択として、第二の有効期限額と第二の当事者の承認を必要とする条件からなる第二の有効期限出力。
完了有効期限取引記録の例:
9.第一のクライアントは、完了コミット取引と未完了有効期限取引記録を第二のクライアントへ送信し、第二クライアントはそれを任意選択で固定メモリに保管する。
10.第二のクライアントは未完了有効期限取引記録に署名することで完了有効期限取引記録を作成し、完了有効期限取引記録を任意選択で固定メモリに保管する。
11.第二のクライアントは第一のクライアントに完了した有効期限取引記録を送信する。
12.完了有効期限取引記録及び完了コミット取引記録を作成もしくは受け取った後、第一のクライアントは第一のソース取引を行うために、転送メカニズムに第一のソース取引記録を提出する。
13.第二のクライアントは完了有効期限取引記録及び完了コミット取引記録を作成もしくは受け取った後、第二のソース取引を行うために、転送メカニズムに第二のソース取引記録を提出する。
14.第一のソース取引記録と第二のソース取引記録の両方が提出されたことを確認したのち、第一または第二のクライアントの一方または両方は、完全なコミットトラ取引記録を転送メカニズムに送り、コミット取引を実行する。
15.条件により定義された時点もしくは第一及び第二のクライアントからの問い合わせ(任意選択で完全コミット取引記録、コミット取引への参照、および条件のうち
の一つ以上を提供する)により、有効期限取引記録の完全なロックタイムの前にファシリテータは第一の支払額、任意選択で第二の支払額の計算を実行し、任意選択で計算に使うための情報をデータソースに要求することもある。(例えば予定された出荷が荷送人に送付されたかどうかなど)これは外部のAPIや内部データベースの照会などで可能である。
典型的な実施形態では、支払い金額は残っている担保がそれぞれの提供側に戻され、元本が提供側(支払人)から取引先(受取人)に移転するようなものである。
16.ファシリテータは、
(a)コミット取引からコミット額を受け取るための入力と、
(b)第一の支払い額と、第二の当事者の承認を必要とする第一の条件とを含む第一の支払い出力と、
(c)第二の支払い額と、第一の当事者の承認を必要とする条件を含む第二の支払額出力と、
(d)第三者の承認を必要とする条件とを含む第三の支払い出力と、
であって、典型的には、第一の支払い額、第二の支払い額、および任意の料金額の合計がコミットからコミット額を超えないものを含む、未完了の取引または取引記録に署名する。
未完了支払い取引記録の例:
17.前述の実施例のように、ファシリテータは転送メカニズムにそれに署名し、いずれも提出することができる第一のクライアントと第二のクライアントの両方に未完了支払い取引記録を送信する。
1.一実施形態では、第一のクライアント(提供者)は、関連データを含むオファー取引記録と、任意選択で第一当事者およびファシリテータのうちの一人の承認を必要とするオファー額および条件を含むオファー出力を作成する。関連データは、条件の一つまたは両方と条件に対する参照を含む。任意選択で関連データは、ファシリテータへの参照(例えば、ドメイン名、支払いアドレス、D&B番号、URIなど)を含む。任意選択で第一のクライアントは転送メカニズムにそれを提出する前に、条件、関連データ、オファー取引記録を検証のために(例えば、ファシリテータが用語を解釈することができ、ファシリテータが適切に特定されていることを確実にするために)ファシリテータに送信する。別の実施形態では、第一のクライアントの要求で、ファシリテータは完了オファー取引記録を作成するための第一の未完了オファー取引記録(署名された入力を含まないなど)を作成し、第一のクライアントは任意選択でファシリテータ提供のリファレンス(該当する場合)などで利用可能かどうか、ファシリテータは正確に未完了オファー取引記録を作成したかなどを検証する。
未完了オファー取引記録の例:
この例示的な実施形態では、ファシリテータは、条件のハッシュの最初に「666163737761703a」をつけ、それは8バイトのASCII文字列「facswap:」の16進数である。これは必ずしも必要ではないが、取引が特定の「タイプ」であると認識される便利な手段であり、ネットワーク参加者による監視に役立つ。
別の実施形態のオファー取引記録の例:
いくつかの部分(入力やプレースホルダなど)には読みやすさを助けるために省略記号を省略していることに留意されたい。別の実施形態では親取引に通常存在するであろう出力スクリプトを隠すためにPay-to-Script Hash(P2SH)が使用されている。このような実施形態では、実際の出力スクリプトは、他の何らかの手段を介して必要な参加者に送信される。
2.ある実施形態では、第一のクライアントが未完了のコミット取引記録を作成し、もう一つの実施形態ではファシリテータが完了コミット取引記録を作成しており、第一のコミット入力がオファー取引からオファー額を受けとるためのものであり、第二の入力がまだ見つかっていないソース取引から金額を受け取るためのであるものを除いた前述の実施形態のようである。
3.第一のクライアントは、未完了オファー取引記録に署名することによって完了オファー取引記録を作成し、 オファー取引を実行するためにそれを転送メカニズムに提出する。
4.ファシリテータは転送メカニズムからオファー取引を受信する。
5.第二のクライアントは、ファシリテータにパブリックキーを送信する。
6.ファシリテータは、パブリックキーを未完了コミット取引記録に追加し、第一コミット取引記録を第二のクライアントに送信する。
7.第二のクライアントは取引IDを有するソース取引記録に署名する。
8.第二のクライアントは、取引IDを未完了コミット取引記録に追加して署名する。
未完了コミット記録取引記録の例:
9.第二のクライアントは、署名された未完了コミット取引記録をファシリテータに送信する。
10.第一のクライアント及び任意選択で(許可されている場合)ファシリテータは 未完了のコミット取引記録に署名することによって完了コミット取引記録(ID:6996 ... ec3dなど)を作成し、任意選択で固定メモリに完了取引記録を保管する。
11.ファシリテータは、未完了の払い戻しや有効期限取引記録を作成し、未完了の払い戻しや有効期限取引記録を第二のクライアントに送信する。
12.第二のクライアントは、未完了の払い戻しまたは有効期限取引記録に署名し、署名された未完了の払い戻しまたは有効期限取引記録をファシリテータに送信する。
13.第一クライアント及び任意選択で(許可されている場合)ファシリテータは、払い戻し取引記録に署名することにより完了払い戻しまたは有効期限取引記録を作成し、完了払い戻し取引または完了有効期限取引記録を固定メモリに格納する。
14.ファシリテータは、完了コミット取引記録を送信し、完了払い戻しまたは完了有効期限取引記録を第二のクライアントに送信する。
15.第二のクライアントは、ソース取引を実行するためにソース取引記録を転送メカニズムに提出する。
16.ソース取引が提出されたことを確認した後、第一のクライアント、第二のクライアント、およびファシリテータのうちの一人、数人、または全員は、完了コミット取引記録を転送メカニズムに提出し、その後のプロセスは前述の実施形態と類似している。
これらは便宜上提供される用語の簡単な説明である。定義を限定することを意図するものではなく、当技術分野で理解されているか、または本明細書の他の箇所に記載されている任意の特徴、特性、挙動、実施形態を補足するものである。
Claims (40)
- 転送メカニズムによる、第一のクライアントを利用する第一の当事者と、第二のクライアントを利用する第二の当事者との間の価値転送を円滑化するシステムであって、前記転送メカニズムは、ファシリテータ、前記第一のクライアント、および第二のクライアントによってそれぞれコンピュータネットワークを介してアクセス可能な分散型デジタル通貨を含み、前記システムは、前記ファシリテータ、前記第一のクライアント、および前記第二のクライアントを含み、
a.前記ファシリテータは、
i.取引記録セクタと第一の非対称キーペアを保管する第一のキーペアセクタとを有する第一のメモリであって、前記第一の非対称キーペアは、第一のプライベートキーおよび第一のパブリックキーを有する、第一のメモリと、
ii.支払額を決定するために使用する条件を受け取る第一のネットワークインターフェースであって、前記条件は、
A.第一の元本額および第二の元本額の少なくとも1つと、
B.第一のデータソースおよび第二のデータソースの少なくとも1つへの参照であって、前記第一のデータソースは、第一の証券に関するデータを保管する第一のデータベースを含み、前記第二のデータソースは、第二の証券に関するデータを保管する第二のデータベースを有する、前記参照と、
C.支払条件と、
D.有効期限タイムスタンプと、を含む、第一のネットワークインターフェースと、を含み、
b.前記第一のクライアントは、
i.第二の非対称キーペアを保管する第二のキーペアセクタを有する第二のメモリであって、前記第二の非対称キーペアは、第二のプライベートキーおよび第二のパブリックキーを有する、第二のメモリと、
ii.第二のネットワークインターフェースと、
iii.前記第二のメモリおよび前記第二のネットワークインターフェースに結合された第二のコンピュータプロセッサであって、
A.前記第二のキーペアセクタから前記第二のプライベートキーを読み取り、
B.前記第二のプライベートキーを使用して第一のソース取引記録を作成し、署名し、
C.未完了のコミット取引記録を作成し、前記未完了のコミット取引記録は、
I.前記第一のデータソースおよび前記第二のデータソースの少なくとも1つからの値と、
II.コミット額と、
III.前記ファシリテータ、前記第一のクライアント、および前記第二のクライアントの少なくとも2つの承認を必要とする条件と、
を含み、
D.前記第二のプライベートキーを使用して前記未完了のコミット取引記録に署名することによって完全なコミット取引記録を作成し、
E.未完了の有効期限取引記録を作成し、前記未完了の有効期限取引記録は、
I.前記有効期限タイムスタンプ以降のロックタイムと、
II.前記コミット額と、
III.第一の有効期限額と、前記第一のクライアントの承認を必要とする第一の条件とを含む、第一の有効期限出力と、を含み、
F.前記第二のプライベートキーを使用して前記未完了の有効期限取引記録に署名し、
G.前記完全なコミット取引記録および前記未完了の有効期限取引記録を前記第二のクライアントへ送信し、
c.前記第二のクライアントは、
i.第三の非対称キーペアを保管する第三のキーペアセクタを有する第三のメモリであって、前記第三の非対称キーペアは、第三のプライベートキーおよび第三のパブリックキーを有する、第三のメモリと、
ii.第三のネットワークインターフェースと、
iii.前記第三のメモリおよび前記第三のネットワークインターフェースに結合された第三のコンピュータプロセッサであって、
A.前記未完了の有効期限取引記録を読み取り、
B.前記第三のキーペアセクタから前記第三のプライベートキーを読み取り、
C.前記第三のプライベートキーを使用して前記未完了の有効期限取引記録に署名することによって、完全な有効期限取引記録を作成し、
D.前記完全な有効期限取引記録を前記第一のクライアントへ送信する、ように構成され、
前記ファシリテータの第一のコンピュータプロセッサは、
A.アプリケーションプログラムインターフェース(API)を介して、前記第一のデータソースおよび前記第二のデータソースの少なくとも1つから前記支払条件を満たすことを検出すると、支払機能を以下に適用して、一つ以上の支払額を計算し、
I.前記第一の元本額および前記第二の元本額の少なくとも1つと、
II.前記第一のデータソースおよび前記第二のデータソースの少なくとも1つからの前記値と、
B.前記第一のキーペアセクタから前記第一のプライベートキーを読み取り、
C.前記第一のプライベートキーを使用して未完了の支払取引記録を作成し、署名し、前記未完了の支払取引は、
I.前記コミット取引から受け取った前記コミット額と、
II.前記一つ以上の支払額と、
を含み、
D.前記署名された未完了の支払取引記録を前記第一のクライアントと前記第二のクライアントに発行することによって、前記第一のクライアントと前記第二のクライアントの少なくとも1つが、完全な支払取引記録を作成する、ように構成され、
前記ファシリテータ、前記第一のクライアント、および前記第二のクライアントは、前記第一のネットワークインターフェース、前記第二のネットワークインターフェース、および前記第三のネットワークインターフェースをそれぞれ介して、前記コンピュータネットワークに結合されている、システム。 - 前記支払条件は、
i.前記第一のデータソースおよび前記第二のデータソースの少なくとも1つに対する質問からの結果と、
ii.予想される場所におけるデータの有無の観察と、
iii.予想される値の組の中または予想されパターンに一致するかどうかの決定と、
iv.デジタル機器からの信号を受信し、信号値が予想される範囲または許容値内であることを検証することと、
を含む、請求項1に記載のシステム。 - 前記第三のコンピュータプロセッサが、第二のソース取引記録を作成し、署名し、前記第二のソース取引記録を前記転送メカニズムに提出することによって、前記第二のソース取引を有効にするようにさらに構成される、請求項1に記載のシステム。
- 前記第二のコンピュータプロセッサは、前記第二のメモリ中に前記完全なコミット取引記録を保管するように、さらに構成され、
前記第三のコンピュータプロセッサは、前記第三のメモリ中に前記完全なコミット取引記録を保管し、前記第三のメモリ中に前記完全な有効期限取引記録を保管するように、さらに構成された、請求項1に記載のシステム。 - 前記未完了の有効期限取引記録は、第二の有効期限額および前記第二のクライアントの承認を必要とする条件と、を含む第二の有効期限出力を、さらに含む、請求項1に記載のシステム。
- 前記一つ以上の支払額は、
i.第一の支払額と前記第二のクライアントの承認を必要とする条件と、
ii.第二の支払額と前記第一のクライアントの承認を必要とする条件と、
iii.手数料額と第三者の承認を必要とする条件と、
のうち少なくとも1つを含む、請求項1に記載のシステム。 - 前記第一のコンピュータプロセッサは、
a.前記第一のプライベートキーを使用して、未完了の払い戻し取引記録を作成し、署名することであって、前記未完了の払い戻し取引記録は、
i.前記コミット取引から受け取った前記コミット額と、
ii.払い戻し額と、
を含み、
b.前記未完了の払い戻し取引記録を前記第一のクライアントおよび前記第二のクライアントの少なくとも1つに発行する、
ようにさらに構成され、
前記第二のコンピュータプロセッサまたは前記第三のコンピュータプロセッサは、
前記未完了の払い戻し取引記録から完全な払い戻し取引記録を作成し、前記完全な払い戻し取引記録は、前記第一のクライアントまたは前記第二のクライアントが完全に失敗した事象が発生した場合でも資金を回収することができるように払い戻し取引を作成するために使用される、請求項1に記載のシステム。 - 転送メカニズムによる、第一のクライアントを利用する第一の当事者と、第二のクライアントを利用する第二の当事者との間の価値転送を円滑化する方法であって、前記転送メカニズムは、ファシリテータ、前記第一のクライアント、および第二のクライアントによってそれぞれコンピュータネットワークを介してアクセス可能な分散型デジタル通貨を含み、前記方法は、
a.第一の非対称キーペアを前記ファシリテータによって保管することであって、前記第一の非対称キーペアは、第一のプライベートキーおよび第一のパブリックキーを含み、
b.支払額を決定するための条件を前記ファシリテータによって受け取ることであって、前記条件は、
A.第一の元本額および第二の元本額の少なくとも1つと、
B.第一のデータソースおよび第二のデータソースの少なくとも1つへの参照であって、前記第一のデータソースは、第一の証券に関するデータを保管する第一のデータベースを含み、前記第二のデータソースは、第二の証券に関するデータを保管する第二のデータベースを有する、前記参照と、
C.支払条件と、
D.有効期限タイムスタンプと、を含み、
c.前記第一のクライアントによって、第二の非対称キーペアを保管することであって、前記第二の非対称キーペアは、第二のプライベートキーおよび第二のパブリックキーを有し、
d.前記第一のクライアントによって、第二のキーペアセクタから前記第二のプライベートキーを読み取ることと、
e.前記第一のクライアントによって、前記第二のプライベートキーを使用して第一のソース取引記録を作成し、署名することと、
f.前記第一のクライアントによって、以下を含む未完了のコミット取引記録を作成することと、
I.前記第一のデータソースおよび前記第二のデータソースの少なくとも1つからの値と、
II.コミット額と、
III.前記ファシリテータ、前記第一のクライアント、および前記第二のクライアントの少なくとも2つの承認を必要とする条件と、
g.前記第一のクライアントによって、前記第二のプライベートキーを使用して前記未完了のコミット取引記録に署名することと、
h.以下を含む未完了の有効期限取引記録を作成することと、
I.前記有効期限タイムスタンプ以降のロックタイムと、
II.コミット額と、
III.前記ファシリテータ、前記第一のクライアント、および前記第二のクライアントの少なくとも2つの承認を必要とする条件と、
i.前記第二のプライベートキーを使用して前記未完了の有効期限取引記録に署名することと、
j.完全なコミット取引記録および前記未完了の有効期限取引記録を前記第二のクライアントへ送信することと、
k.前記第二のクライアントによって、第三の非対称キーペアを保管することであって、前記第三の非対称キーペアは、第三のプライベートキーおよび第三のパブリックキーを有し、
l.前記第二のクライアントによって、前記未完了の有効期限取引記録を読み取ることと、
m.前記第二のクライアントによって、第三のキーペアセクタから前記第三のプライベートキーを読み取ることと、
n.前記第二のクライアントによって、前記第三のプライベートキーを使用して前記未完了の有効期限取引記録に署名することによって、完全な有効期限取引記録を作成することと、
o.前記第二のクライアントによって、前記完全な有効期限取引記録を前記第一のクライアントへ送信することと、
p.前記第一のクライアントによって、第一のソース取引記録を前記転送メカニズムに送り、前記第一のソース取引を有効にすることと、
q.前記第一のクライアントによって、前記完全なコミット取引記録を前記転送メカニズムに送り、前記コミット取引を有効にすることと、
r.前記ファシリテータによって、アプリケーションプログラムインターフェース(API)を介して、前記第一のデータソースおよび前記第二のデータソースの少なくとも1つから前記支払条件を満たすことを検出すると、支払機能を以下に適用して、一つ以上の支払額を計算することと、
I.前記第一の元本額および前記第二の元本額の少なくとも1つと、
II.前記第一のデータソースおよび前記第二のデータソースの少なくとも1つからの前記値と、
s.前記ファシリテータによって、第一のキーペアセクタから前記第一のプライベートキーを読み取ることと、
t.前記ファシリテータによって、前記第一のプライベートキーを使用して、以下を含む未完了の支払取引記録を作成し、署名することと、
I.前記コミット取引から受け取った前記コミット額と、
II.前記一つ以上の支払額と、
u.前記ファシリテータによって、前記署名された未完了の支払取引記録を前記第一のクライアントと前記第二のクライアントに発行することによって、前記第一のクライアントと前記第二のクライアントの少なくとも1つが、完全な支払取引記録を作成することと、
を含み、
前記ファシリテータ、前記第一のクライアント、および前記第二のクライアントは、第一のネットワークインターフェース、第二のネットワークインターフェース、および第三のネットワークインターフェースをそれぞれ介して、前記コンピュータネットワークに結合されている、方法。 - 前記支払条件は、
i.前記第一のデータソースおよび前記第二のデータソースの少なくとも1つに対する質問からの結果と、
ii.予想される場所におけるデータの有無の観察と、
iii.予想される値の組の中または予想されパターンに一致するかどうかの決定と、
iv.デジタル機器からの信号を受信し、信号値が予想される範囲または許容値内であることを検証すること、
を含む、請求項8に記載の方法。 - 前記第二のクライアントによって、第二のソース取引記録を作成し、署名し、
前記第二のクライアントによって、前記第二のソース取引記録を前記転送メカニズムに提出することによって、前記第二のソース取引を有効にすることを、さらに含む、請求項8に記載の方法。 - 前記第一のクライアントによって、前記第二のメモリ中に前記完全なコミット取引を保管し、
前記第二のクライアントによって、前記第三のメモリ中に前記完全なコミット取引を保管し、前記第三のメモリ中に前記完全な有効期限取引記録を保管することを、さらに含む、請求項8に記載の方法。 - 前記未完了の有効期限取引記録は、第二の有効期限額および前記第二のクライアントの承認を必要とする条件を含む第二の有効期限出力を、さらに含む、請求項8に記載の方法。
- 前記一つ以上の支払額は、
i.第一の支払額と前記第二のクライアントの承認を必要とする条件と
ii.第二の支払額と前記第一のクライアントの承認を必要とする条件と
iii.手数料額、および第三者の承認を必要とする条件と、
のうち少なくとも1つを含む、請求項8に記載の方法。 - 前記方法は、
a.前記第一のプライベートキーを使用して、未完了の払い戻し取引記録を作成し、署名し、前記未完了の払い戻し取引記録は、
i.前記コミット取引から受け取った前記コミット額と、
ii.払い戻し額と、を含み、
b.前記未完了の払い戻し取引記録を前記第一のクライアントおよび第二のクライアントの少なくとも1つに発行し、
c.前記未完了の払い戻し取引記録から完全な払い戻し取引記録を作成し、前記完全な払い戻し取引記録は、前記第一のクライアントまたは前記第二のクライアントが完全に失敗した事象が発生した場合でも資金を回収することができるように払い戻し取引を作成するために使用される、
を含む、請求項8に記載の方法。 - 転送メカニズムによる、第一のクライアントを利用する第一の当事者と、第二のクライアントを利用する第二の当事者との間の価値転送を円滑化するシステムであって、前記転送メカニズムは、ファシリテータ、前記第一のクライアント、および第二のクライアントによってそれぞれコンピュータネットワークを介してアクセス可能な分散型デジタル通貨を含み、前記システムは、前記ファシリテータ、前記第一のクライアント、および前記第二のクライアントを含み、
a.前記ファシリテータは、
i.取引記録セクタと第一の非対称キーペアを保管する第一のキーペアセクタとを有する第一のメモリであって、前記第一の非対称キーペアは、第一のプライベートキーおよび第一のパブリックキーを有する、第一のメモリと、
ii.支払額を決定するための条件を受け取る第一のネットワークインターフェースであって、前記条件は、
A.第一の元本額および第二の元本額の少なくとも1つと、
B.第一のデータソースおよび第二のデータソースの少なくとも1つへの参照と、前記第一のデータソースは、第一の証券に関するデータを保管する第一のデータベースを含み、前記第二のデータソースは、第二の証券に関するデータを保管する第二のデータベースを有する、
を含む、第一のネットワークインターフェースと、
iii.前記第一のメモリおよび前記第一のネットワークインターフェースに結合された第一のコンピュータプロセッサであって、
A.支払機能を、
前記第一の元本額および前記第二の元本額の少なくとも1つ、および
前記第一のデータソースおよび前記第二のデータソースの少なくとも1つからの値に適用することにより、一つ以上の支払額を計算し、
B.前記第一のキーペアセクタから前記第一のプライベートキーを読み取り、
C.前記第一のプライベートキーから第一の暗号署名を計算し、
D.未完了の支払取引記録を作成し、前記未完了の支払取引記録は、
I.コミット取引から受け取るコミット額
II.前記一つ以上の支払額、および
III.前記第一の暗号署名、を含む、
E.前記未完了の支払取引記録を前記第一のクライアントまたは前記第二のクライアントの少なくとも1つに発行する、第一のコンピュータプロセッサと、
を含み、
b.前記第一のクライアントは、
i.第二の非対称キーペアを保管する第二のキーペアセクタを有する第二のメモリであって、前記第二の非対称キーペアは、第二のプライベートキーおよび第二のパブリックキーを有する、第二のメモリと、
ii.第二のネットワークインターフェースと、
iii.前記第二のメモリおよび前記第二のネットワークインターフェースに結合された第二のコンピュータプロセッサであって、
A.前記第二のキーペアセクタから前記第二のプライベートキーを読み取り、
B.前記未完了の支払取引記録を読み取り、
C.前記第二のプライベートキーから第二の暗号署名を計算し、
D.完了した支払取引記録を作成し、前記完了した支払取引記録は、
I.前記コミット額、
II.前記一つ以上の支払額、
III.前記第一の暗号署名、および
IV.前記第二の暗号署名、を含む、
E.前記完了した支払取引記録を前記転送メカニズムに提出することにより支払取引を作成する、第二のコンピュータプロセッサと、
を含み、
c.前記第二のクライアントは、
i.第三の非対称キーペアを保管する第三のキーペアセクタを有する第三のメモリであって、前記第三の非対称キーペアは、第三のプライベートキーおよび第三のパブリックキーを有する、第三のメモリと、
ii.第三のネットワークインターフェースと、
iii.前記第三のメモリおよび前記第三のネットワークインターフェースに結合された第三のコンピュータプロセッサであって、前記第三のキーペアセクタから前記第三のプライベートキーを読み取る、第三のコンピュータプロセッサと、を含み、
前記ファシリテータ、前記第一のクライアント、および前記第二のクライアントは、前記第一のネットワークインターフェース、前記第二のネットワークインターフェース、および前記第三のネットワークインターフェースをそれぞれ介して前記コンピュータネットワークに結合されている、
システム。 - 前記第一のコンピュータプロセッサは、
a.前記第一のプライベートキーから第三の暗号署名を作成し、
b.以下を有する未完了の払い戻し取引記録を作成し、
i.前記コミット取引から受け取った前記コミット額と、
ii.払い戻し額と、
iii.前記第三の暗号署名と、
c.前記未完了の払い戻し取引記録を前記第一のクライアントまたは前記第二のクライアントの少なくとも1つに発行する、
ようにさらに構成され、
前記第二のコンピュータプロセッサまたは第三のコンピュータプロセッサは、前記未完了の払い戻し取引記録から完全な払い戻し取引記録を作成するようにさらに構成され、前記完全な払い戻し取引記録は、前記第一のクライアントまたは前記第二のクライアントが、完全に失敗した事象が発生した場合でも資金を回収できるによう払い戻し取引を作成するために使用される、請求項15に記載のシステム。 - 転送メカニズムによる、第一のクライアントを利用する第一の当事者と、第二のクライアントを利用する第二の当事者との間の価値転送を、円滑化するシステムによって実行される方法であって、前記転送メカニズムが、ファシリテータ、前記第一のクライアント、および第二のクライアントによってそれぞれコンピュータネットワークを介してアクセス可能な分散型デジタル通貨を含む、方法であって、
a.前記第一のクライアントが、第一の非対称キーペアを第一のメモリの第一のキーペアセクタに保管するステップであって、前記第一の非対称キーペアは、第一のパブリックキーおよび第一のプライベートキーを有する、ステップと、
b.前記ファシリテータが、第二の非対称キーペアを第二のメモリの第二のキーペアセクタに保管するステップであって、前記第二の非対称キーペアは、第二のパブリックキーおよび第二のプライベートキーを有する、ステップと、
c.前記ファシリテータが、第三の非対称キーペアを前記第二のキーペアセクタに保管するステップであって、前記第三の非対称キーペアは、第三のパブリックキーおよび第三のプライベートキーを有する、ステップと、
d.前記第一のクライアントが、第四の非対称キーペアを第三のメモリの第三のキーペアセクタに保管するステップであって、前記第四の非対称キーペアは、第四のパブリックキーおよび第四のプライベートキーを有する、ステップと、
e.前記第一のクライアントが、ネットワークインターフェースを介して支払額を決定するための条件を送信するステップであって、前記条件は、
i.第一の元本額および第二の元本額の少なくとも1つと、
ii.第一のデータソースおよび第二のデータソースの少なくとも1つへの参照と、前記第一のデータソースは、証券に関するデータを保管する第一のデータベースを含み、前記第二のデータソースは、第二の証券に関するデータを保管する第二のデータベースを有する、
を含む、ステップと、
f.前記ファシリテータが、前記条件を第二のネットワークインターフェースを介して受け取るステップと、
g.前記ファシリテータが、支払機能を、
i.前記第一の元本額および前記第二の元本額の少なくとも1つ、および
ii.前記第一のデータソースおよび前記第二のデータソースの少なくとも1つからの値、に適用することにより、一つ以上の支払額を計算するステップと、
h.前記第一のクライアントが、前記第一のキーペアセクタから前記第一のプライベートキーを読み取るステップと、
i.前記ファシリテータが、前記第一のプライベートキーから第一の暗号署名を計算するステップと、
j.前記第一のクライアントが、第一の元本取引記録を作成するステップであって、前記第一の元本取引記録は、
i.前記第一の元本額、および
ii.前記第一の暗号署名、を含む、ステップと、
k.前記第一のクライアントが、前記第一の元本取引記録を前記転送メカニズムに提出することにより第一の元本取引を作成するステップと、
l.前記ファシリテータが、前記第二のキーペアセクタから前記第二のプライベートキーを読み取るステップと、
m.前記ファシリテータが、前記第二のプライベートキーから第二の暗号署名を計算するステップと、
n.前記ファシリテータが、コミット取引記録を作成するステップであって、前記コミット取引記録は、
i.前記第一の元本額、
ii.コミット額、および
iii.前記第二の暗号署名、を含む、ステップと、
o.前記ファシリテータが、前記コミット取引記録を前記転送メカニズムに提出することによりコミット取引を作成するステップと、
p.前記ファシリテータが、前記第一のデータソースから前記証券の値を引き出すステップと、
q.前記ファシリテータが、前記第二のキーペアセクタから前記第三のプライベートキーを読み取るステップと、
r.前記ファシリテータが、前記第二のプライベートキーから第三の暗号署名を計算するステップと、
s.前記ファシリテータが、未完了の支払取引記録を作成するステップであって、前記未完了の支払取引記録は、
i.前記コミット取引から受け取る前記コミット額、
ii.前記一つ以上の支払額、および
iii.前記第三の暗号署名、を含む、ステップと、
t.前記ファシリテータが、前記未完了の支払取引記録を前記第一のクライアントまたは前記第二のクライアントの少なくとも1つに発行するステップと、
u.前記第一のクライアントが、前記未完了の支払取引記録を読み取るステップと、
v.前記第一のクライアントが、前記第三のキーペアセクタから前記第四のプライベートキーを読み取るステップと、
w.前記第一のクライアントが、前記第四のプライベートキーから第四の暗号署名を計算するステップと、
x.前記第一のクライアントが、完了した支払取引記録を作成するステップであって、前記完了した支払取引記録は、
i.前記コミット額、
ii.前記一つ以上の支払額、
iii.前記第三の暗号署名、および
iv.前記第四の暗号署名、を含む、ステップと、
y.前記第一のクライアントが、前記完了した支払取引記録を前記転送メカニズムに提出することにより支払取引を作成するステップと、
を有する、方法。 - 前記方法は、
a.前記ファシリテータによって、前記第一のプライベートキーから第三の暗号署名を計算することと、
b.以下を有する未完了の払い戻し取引記録を作成することと、
i.前記コミット取引から受け取った前記コミット額と、
ii.払い戻し額と、
iii.前記第三の暗号署名と、
c.前記未完了の払い戻し取引記録を前記第一のクライアントおよび前記第二のクライアントの少なくとも1つに発行することと、
d.前記未完了の払い戻し取引記録から完全な払い戻し取引記録を作成することであって、前記完全な払い戻し取引記録は、前記第一のクライアントまたは前記第二のクライアントが、完全に失敗した事象が発生した場合でも資金を回収できるによう払い戻し取引を作成するために使用される、
をさらに含む、請求項17に記載の方法。 - 前記条件は、有効期限タイムスタンプをさらに含み、前記有効期限タイムスタンプは、いつ前記条件が失効するかを示す日時によって指定されか、または前記有効期限タイムスタンプは、前記条件が失効しないことを示す無限に設定される、請求項17に記載の方法。
- 転送メカニズムによる、第一のクライアントを利用する第一の当事者と、第二のクライアントを利用する第二の当事者との間の価値転送を円滑化する装置であって、前記転送メカニズムが、前記装置、前記第一のクライアント、および第二のクライアントによってそれぞれコンピュータネットワークを介してアクセス可能な分散型デジタル通貨を含む、装置であって、
a.取引記録セクタと第一の非対称キーペアを保管する第一のキーペアセクタとを有する第一のメモリであって、前記第一の非対称キーペアは、第一のプライベートキーおよび第一のパブリックキーを有する、第一のメモリと、
b.支払額を決定するための条件を受け取る第一のネットワークインターフェースであって、前記条件は、
i.第一の元本額および第二の元本額の少なくとも1つと、
ii.第一のデータソースおよび第二のデータソースの少なくとも1つへの参照と、前記第一のデータソースは、第一の証券に関するデータを保管する第一のデータベースを有し、前記第二のデータソースは、第二の証券に関するデータを保管する第二のデータベースを有する、を含む、第一のネットワークインターフェースと、
c.前記第一のメモリおよび前記第一のネットワークインターフェースに結合された第一のコンピュータプロセッサであって、
i.支払機能を、
A.前記第一の元本額および前記第二の元本額の少なくとも1つ、および
B.前記第一のデータソースおよび前記第二のデータソースの少なくとも1つからの値、に適用することにより、一つ以上の支払額を計算し、
ii.前記第一のキーペアセクタから前記第一のプライベートキーを読み取り、
iii.前記第一のプライベートキーから第一の暗号署名を計算し、
iv.未完了の支払取引記録を作成し、前記未完了の支払取引記録は、
A.コミット取引から受け取るコミット額、
B.前記一つ以上の支払額、および
C.前記第一の暗号署名、を含む、
v.前記未完了の支払取引記録を前記第一のクライアントおよび前記第二のクライアントの少なくとも1つに発行する、第一のコンピュータプロセッサと、
を有し、
前記装置、前記第一のクライアント、および前記第二のクライアントは、前記第一のネットワークインターフェース、第二のネットワークインターフェース、および第三のネットワークインターフェースをそれぞれ介して前記コンピュータネットワークに結合されており、
前記未完了の支払取引記録は、完全な支払取引記録を前記転送メカニズムに送ることによって完全な支払取引を作成するために前記第一のクライアントおよび前記第二のクライアントの少なくとも1つによって使用され、
前記完全な支払取引記録は、
A.前記コミット額と、
B.前記一つ以上の支払額と、
C.前記第一の暗号署名と、
D.前記第一のクライアントに保管された第二のプライベートキーから計算された第二の暗号署名と、含む、装置。 - 前記第一のコンピュータプロセッサは、
a.前記第一のプライベートキーから第三の暗号署名を計算し、
b.以下を含む未完了の払い戻し取引記録を作成し、
i.前記コミット取引から受け取った前記コミット額と、
ii.払い戻し額と、
iii.前記第三の暗号署名と、
iv.ロックタイムと、
c.前記未完了の払い戻し取引記録を前記第一のクライアントまたは前記第二のクライアントの少なくとも1つに発行する、
ようにさらに構成され、
前記未完了の払い戻し取引記録は、前記第一のクライアントおよび/または前記第二のクライアントが、完全に失敗した事象が発生した場合でも資金を回収できるように払い戻し取引を作成することに使用される、請求項20に記載の装置。 - 前記条件は、有効期限タイムスタンプをさらに含み、前記有効期限タイムスタンプは、いつ前記条件が失効するかを示す日時によって指定されか、または前記有効期限タイムスタンプは、前記条件が失効しないことを示す無限に設定される、請求項20に記載の装置。
- 転送メカニズムによる、第一のクライアントを利用する第一の当事者と、第二のクライアントを利用する第二の当事者との間の価値転送を円滑化する装置であって、前記転送メカニズムが、前記装置、前記第一のクライアント、および第二のクライアントによってそれぞれコンピュータネットワークを介してアクセス可能な分散型デジタル通貨を含む、装置であって、
a.取引記録セクタと第一の非対称キーペアを記憶する第一のキーペアセクタとを有する第一のメモリであって、前記第一の非対称キーペアは、第一のプライベートキーおよび第一のパブリックキーを有する、第一のメモリと、
b.支払額を決定するための条件を受け取る第一のネットワークインターフェースであって、前記条件は、
i.第一の元本額および第二の元本額の少なくとも一方と、
ii.第一のデータソースおよび第二のデータソースの少なくとも一方への参照と、前記第一のデータソースは、第一の証券に関するデータを記憶する第一のデータベースを有し、前記第二のデータソースは、第二の証券に関するデータを記憶する第二のデータベースを有する、
iii.有効期限タイムスタンプと、を含む、第一のネットワークインターフェースと、
c.前記第一のメモリおよび前記第一のネットワークインターフェースに結合された第一のコンピュータプロセッサであって、
i.支払機能を、
A.前記第一の元本額および前記第二の元本額の少なくとも一方、および
B.前記第一のデータソースおよび前記第二のデータソースの少なくとも一方からの値、に適用することにより、一つ以上の支払額を計算し、
ii.前記第一のキーペアセクタから前記第一のプライベートキーを読み取り、
iii.前記第一のプライベートキーから第一の暗号署名を計算し、
iv.未完了の支払取引記録を作成し、前記未完了の支払取引記録は、
A.約定取引から受け取る約定額、
B.前記一つ以上の支払額、および
C.前記第一の暗号署名、を含む、
v.前記未完了の支払取引記録を前記第一のクライアントおよび前記第二のクライアントの少なくとも一方に発行する、第一のコンピュータプロセッサと、
を有する、
ここで、前記第一のクライアントは、
a.第二の非対称キーペアを記憶する第二のキーペアセクタを有する第二のメモリであって、前記第二の非対称キーペアは、第二のプライベートキーおよび第二のパブリックキーを有する、第二のメモリと、
b.第二のネットワークインターフェースと、
c.前記第二のメモリおよび前記第二のネットワークインターフェースに結合された第二のコンピュータプロセッサであって、
i.前記第二のキーペアセクタから前記第二のプライベートキーを読み取り、
ii.前記未完了の支払取引記録を読み取り、
iii.前記第二のプライベートキーから第二の暗号署名を計算し、
iv.完了した支払取引記録を作成し、前記完了した支払取引記録は、
A.前記約定額、
B.前記一つ以上の支払額、
C.前記第一の暗号署名、および
D.前記第二の暗号署名、を含む、
v.前記完了した支払取引記録を前記転送メカニズムに提出することにより支払取引を作成する、第二のコンピュータプロセッサと、を有し、
前記第二のクライアントは、
a.第三の非対称キーペアを記憶する第三のキーペアセクタを有する第三のメモリであって、前記第三の非対称キーペアは、第三のプライベートキーおよび第三のパブリックキーを有する、第三のメモリと、
b.第三のネットワークインターフェースと、
c.前記第三のメモリおよび前記第三のネットワークインターフェースに結合された第三のコンピュータプロセッサであって、前記第三のキーペアセクタから前記第三のプライベートキーを読み取る、第三のコンピュータプロセッサと、を有し、
前記装置、前記第一のクライアント、および前記第二のクライアントは、前記第一のネットワークインターフェース、前記第二のネットワークインターフェース、および前記第三のネットワークインターフェースをそれぞれ介して前記コンピュータネットワークに結合されており、
前記第一のコンピュータプロセッサは、更に、
a.前記第一のプライベートキーから第三の暗号署名を計算し、
b.未完了の払戻取引記録を作成し、前記未完了の払戻取引記録は、
i.前記約定取引から受け取る前記約定額、
ii.払戻額、
iii.前記第三の暗号署名、および
iv.ロックタイム、を含む、
c.前記未完了の払戻取引記録を前記第一のクライアントまたは前記第二のクライアントの少なくとも一方に発行し、
a.前記第一のキーペアセクタは、更に、第四の非対称キーペアを記憶し、前記第四の非対称キーペアは、第四のプライベートキーおよび第四のパブリックキーを有する、
b.前記第一のコンピュータプロセッサは、更に、
i.前記第一のキーペアセクタから前記第四のプライベートキーを読み取り、
ii.前記第四のプライベートキーから第四の暗号署名を計算し、
iii.約定取引記録を作成し、前記約定取引記録は、
A.前記第一の元本額、
B.前記約定額、および
C.前記第四の暗号署名、を含む、
iv.前記約定取引記録を前記転送メカニズムに提出することにより前記約定取引を作成し、
前記第一の非対称キーペアは、前記第四の非対称キーペアと同一であり、前記第一のプライベートキーは、前記第四のプライベートキーと同一であり、前記第一のパブリックキーは、前記第四のパブリックキーと同一であり、
a.前記第一のデータソースまたは前記第二のデータソースへの前記参照は、基本証券への参照または見積証券への参照の少なくとも一方を含み、
b.前記第一のコンピュータプロセッサは、更に、前記有効期限タイムスタンプ以降に前記支払額を計算する、
装置。 - 転送メカニズムによる、第一のクライアントを利用する第一の当事者と、第二のクライアントを利用する第二の当事者との間の価値転送を円滑化する装置であって、前記転送メカニズムが、前記装置、前記第一のクライアント、および第二のクライアントによってそれぞれコンピュータネットワークを介してアクセス可能な分散型デジタル通貨を含む、装置であって、
a.取引記録セクタと第一の非対称キーペアを記憶する第一のキーペアセクタとを有する第一のメモリであって、前記第一の非対称キーペアは、第一のプライベートキーおよび第一のパブリックキーを有する、第一のメモリと、
b.支払額を決定するための条件を受け取る第一のネットワークインターフェースであって、前記条件は、
i.第一の元本額および第二の元本額の少なくとも一方と、
ii.第一のデータソースおよび第二のデータソースの少なくとも一方への参照と、前記第一のデータソースは、第一の証券に関するデータを記憶する第一のデータベースを有し、前記第二のデータソースは、第二の証券に関するデータを記憶する第二のデータベースを有する、
iii.有効期限タイムスタンプと、を含む、第一のネットワークインターフェースと、
c.前記第一のメモリおよび前記第一のネットワークインターフェースに結合された第一のコンピュータプロセッサであって、
i.支払機能を、
A.前記第一の元本額および前記第二の元本額の少なくとも一方、および
B.前記第一のデータソースおよび前記第二のデータソースの少なくとも一方からの値、に適用することにより、一つ以上の支払額を計算し、
ii.前記第一のキーペアセクタから前記第一のプライベートキーを読み取り、
iii.前記第一のプライベートキーから第一の暗号署名を計算し、
iv.未完了の支払取引記録を作成し、前記未完了の支払取引記録は、
A.約定取引から受け取る約定額、
B.前記一つ以上の支払額、および
C.前記第一の暗号署名、を含む、
v.前記未完了の支払取引記録を前記第一のクライアントまたは前記第二のクライアントの少なくとも一方に発行する、第一のコンピュータプロセッサと、
を有する、
ここで、前記第一のクライアントは、
a.第二の非対称キーペアを記憶する第二のキーペアセクタを有する第二のメモリであって、前記第二の非対称キーペアは、第二のプライベートキーおよび第二のパブリックキーを有する、第二のメモリと、
b.第二のネットワークインターフェースと、
c.前記第二のメモリおよび前記第二のネットワークインターフェースに結合された第二のコンピュータプロセッサであって、
i.前記第二のキーペアセクタから前記第二のプライベートキーを読み取り、
ii.前記未完了の支払取引記録を読み取り、
iii.前記第二のプライベートキーから第二の暗号署名を計算し、
iv.完了した支払取引記録を作成し、前記完了した支払取引記録は、
A.前記約定額、
B.前記一つ以上の支払額、
C.前記第一の暗号署名、および
D.前記第二の暗号署名、を含む、
v.前記完了した支払取引記録を前記転送メカニズムに提出することにより支払取引を作成する、第二のコンピュータプロセッサと、を有し、
前記第二のクライアントは、
a.第三の非対称キーペアを記憶する第三のキーペアセクタを有する第三のメモリであって、前記第三の非対称キーペアは、第三のプライベートキーおよび第三のパブリックキーを有する、第三のメモリと、
b.第三のネットワークインターフェースと、
c.前記第三のメモリおよび前記第三のネットワークインターフェースに結合された第三のコンピュータプロセッサであって、前記第三のキーペアセクタから前記第三のプライベートキーを読み取る、第三のコンピュータプロセッサと、を有し、
前記装置、前記第一のクライアント、および前記第二のクライアントは、前記第一のネットワークインターフェース、前記第二のネットワークインターフェース、および前記第三のネットワークインターフェースをそれぞれ介して前記コンピュータネットワークに結合されており、
前記第一のコンピュータプロセッサは、前記支払機能を
i.前記第一の元本額、および
ii.前記第一の証券の前記値
に適用することにより、前記一つ以上の支払額を計算し、
a.前記第一のキーペアセクタは、更に、第四の非対称キーペアを記憶し、前記第四の非対称キーペアは、第四のプライベートキーおよび第四のパブリックキーを有する、
b.前記第一のコンピュータプロセッサは、更に、
i.前記第一のキーペアセクタから前記第四のプライベートキーを読み取り、
ii.前記第四のプライベートキーから第三の暗号署名を計算し、
iii.約定取引記録を作成し、前記約定取引記録は、
A.前記第一の元本額、
B.前記約定額、および
C.前記第三の暗号署名、を含む、
iv.前記約定取引記録を前記転送メカニズムに提出することにより前記約定取引を作成し、
前記第一の非対称キーペアは、前記第四の非対称キーペアと同一であり、前記第一のプライベートキーは、前記第四のプライベートキーと同一であり、前記第一のパブリックキーは、前記第四のパブリックキーと同一であり、
a.前記第一のデータソースまたは前記第二のデータソースへの前記参照は、基本証券への参照または見積証券への参照の少なくとも一方を含み、
b.前記第一のコンピュータプロセッサは、更に、前記有効期限タイムスタンプ以降に前記支払額を計算する、
装置。 - 転送メカニズムによる、第一のクライアントを利用する第一の当事者と、第二のクライアントを利用する第二の当事者との間の価値転送を円滑化する装置であって、前記転送メカニズムが、前記装置、前記第一のクライアント、および第二のクライアントによってそれぞれコンピュータネットワークを介してアクセス可能な分散型デジタル通貨を含む、装置であって、
a.取引記録セクタと第一の非対称キーペアを記憶する第一のキーペアセクタとを有する第一のメモリであって、前記第一の非対称キーペアは、第一のプライベートキーおよび第一のパブリックキーを有する、第一のメモリと、
b.支払額を決定するための条件を受け取る第一のネットワークインターフェースであって、前記条件は、
i.第一の元本額および第二の元本額の少なくとも一方と、
ii.第一のデータソースおよび第二のデータソースの少なくとも一方への参照と、前記第一のデータソースは、第一の証券に関するデータを記憶する第一のデータベースを有し、前記第二のデータソースは、第二の証券に関するデータを記憶する第二のデータベースを有する、
iii.有効期限タイムスタンプと、を含む、第一のネットワークインターフェースと、
c.前記第一のメモリおよび前記第一のネットワークインターフェースに結合された第一のコンピュータプロセッサであって、
i.支払機能を、
A.前記第一の元本額および前記第二の元本額の少なくとも一方、および
B.前記第一のデータソースおよび前記第二のデータソースの少なくとも一方からの値、に適用することにより、一つ以上の支払額を計算し、
ii.前記第一のキーペアセクタから前記第一のプライベートキーを読み取り、
iii.前記第一のプライベートキーから第一の暗号署名を計算し、
iv.未完了の支払取引記録を作成し、前記未完了の支払取引記録は、
A.約定取引から受け取る約定額、
B.前記一つ以上の支払額、および
C.前記第一の暗号署名、を含む、
v.前記未完了の支払取引記録を前記第一のクライアントまたは前記第二のクライアントの少なくとも一方に発行する、第一のコンピュータプロセッサと、
を有する、
ここで、前記第一のクライアントは、
a.第二の非対称キーペアを記憶する第二のキーペアセクタを有する第二のメモリであって、前記第二の非対称キーペアは、第二のプライベートキーおよび第二のパブリックキーを有する、第二のメモリと、
b.第二のネットワークインターフェースと、
c.前記第二のメモリおよび前記第二のネットワークインターフェースに結合された第二のコンピュータプロセッサであって、
i.前記第二のキーペアセクタから前記第二のプライベートキーを読み取り、
ii.前記未完了の支払取引記録を読み取り、
iii.前記第二のプライベートキーから第二の暗号署名を計算し、
iv.完了した支払取引記録を作成し、前記完了した支払取引記録は、
A.前記約定額、
B.前記一つ以上の支払額、
C.前記第一の暗号署名、および
D.前記第二の暗号署名、を含む、
v.前記完了した支払取引記録を前記転送メカニズムに提出することにより支払取引を作成する、第二のコンピュータプロセッサと、を有し、
前記第二のクライアントは、
a.第三の非対称キーペアを記憶する第三のキーペアセクタを有する第三のメモリであって、前記第三の非対称キーペアは、第三のプライベートキーおよび第三のパブリックキーを有する、第三のメモリと、
b.第三のネットワークインターフェースと、
c.前記第三のメモリおよび前記第三のネットワークインターフェースに結合された第三のコンピュータプロセッサであって、前記第三のキーペアセクタから前記第三のプライベートキーを読み取る、第三のコンピュータプロセッサと、を有し、
前記装置、前記第一のクライアント、および前記第二のクライアントは、前記第一のネットワークインターフェース、前記第二のネットワークインターフェース、および前記第三のネットワークインターフェースをそれぞれ介して前記コンピュータネットワークに結合されており、
前記第一のコンピュータプロセッサは、前記支払機能を
i.前記第一の元本額、および
ii.前記第一の証券の前記値
に適用することにより、前記一つ以上の支払額を計算し、
前記第一のコンピュータプロセッサは、更に、
a.前記第一のプライベートキーから第三の暗号署名を計算し、
b.未完了の払戻取引記録を作成し、前記未完了の払戻取引記録は、
i.前記約定取引から受け取る前記約定額、
ii.払戻額、
iii.前記第三の暗号署名、および
iv.ロックタイム、を含む、
c.前記未完了の払戻取引記録を前記第一のクライアントまたは前記第二のクライアントの少なくとも一方に発行する、
装置。 - a.前記第一のキーペアセクタは、更に、第四の非対称キーペアを記憶し、前記第四の非対称キーペアは、第四のプライベートキーおよび第四のパブリックキーを有する、
b.前記第一のコンピュータプロセッサは、更に、
i.前記第一のキーペアセクタから前記第四のプライベートキーを読み取り、
ii.前記第四のプライベートキーから第四の暗号署名を計算し、
iii.約定取引記録を作成し、前記約定取引記録は、
A.前記第一の元本額、
B.前記約定額、および
C.前記第四の暗号署名、を含む、
iv.前記約定取引記録を前記転送メカニズムに提出することにより前記約定取引を作成する、
請求項25に記載の装置。 - 前記第一の非対称キーペアは、前記第四の非対称キーペアと同一であり、前記第一のプライベートキーは、前記第四のプライベートキーと同一であり、前記第一のパブリックキーは、前記第四のパブリックキーと同一である、
請求項26に記載の装置。 - a.前記第一のデータソースまたは前記第二のデータソースへの前記参照は、基本証券への参照および見積証券への参照の少なくとも一方を含み、
b.前記第一のコンピュータプロセッサは、更に、前記有効期限タイムスタンプ以降に前記支払額を計算する、
請求項26に記載の装置。 - a.前記第一のキーペアセクタは、更に、第四の非対称キーペアを記憶し、前記第四の非対称キーペアは、第四のプライベートキーおよび第四のパブリックキーを有する、
b.前記第一のコンピュータプロセッサは、更に、
i.前記第一のキーペアセクタから前記第四のプライベートキーを読み取り、
ii.前記第四のプライベートキーから第四の暗号署名を計算し、
iii.約定取引記録を作成し、前記約定取引記録は、
A.前記第一の元本額、
B.前記約定額、および
C.前記第四の暗号署名、を含む、
iv.前記約定取引記録を前記転送メカニズムに提出することにより前記約定取引を作成し、
前記第一の非対称キーペアは、前記第四の非対称キーペアと同一であり、前記第一のプライベートキーは、前記第四のプライベートキーと同一であり、前記第一のパブリックキーは、前記第四のパブリックキーと同一であり、
a.前記第一のデータソースまたは前記第二のデータソースへの前記参照は、基本証券への参照および見積証券への参照の少なくとも一方を含み、
b.前記第一のコンピュータプロセッサは、更に、前記有効期限タイムスタンプ以降に前記支払額を計算する、
請求項25に記載の装置。 - 転送メカニズムによる、第一のクライアントを利用する第一の当事者と、第二のクライアントを利用する第二の当事者との間の価値転送を円滑化するシステムであって、前記転送メカニズムは、ファシリテータ、前記第一のクライアント、および第二のクライアントによってそれぞれコンピュータネットワークを介してアクセス可能な分散型デジタル通貨を含み、前記システムは、前記ファシリテータ、前記第一のクライアント、および前記第二のクライアントを有し、
a.前記ファシリテータは、
i.取引記録セクタと第一の非対称キーペアを記憶する第一のキーペアセクタとを有する第一のメモリであって、前記第一の非対称キーペアは、第一のプライベートキーおよび第一のパブリックキーを有する、第一のメモリと、
ii.支払額を決定するための条件を受け取る第一のネットワークインターフェースであって、前記条件は、
A.第一の元本額および第二の元本額の少なくとも一方と、
B.第一のデータソースおよび第二のデータソースの少なくとも一方への参照と、前記第一のデータソースは、第一の証券に関するデータを記憶する第一のデータベースを有し、前記第二のデータソースは、第二の証券に関するデータを記憶する第二のデータベースを有する、
C.有効期限タイムスタンプと、を含む、第一のネットワークインターフェースと、
iii.前記第一のメモリおよび前記第一のネットワークインターフェースに結合された第一のコンピュータプロセッサであって、
A.支払機能を、
前記第一の元本額および前記第二の元本額の少なくとも一方、および
前記第一のデータソースおよび前記第二のデータソースの少なくとも一方からの値
に適用することにより、一つ以上の支払額を計算し、
B.前記第一のキーペアセクタから前記第一のプライベートキーを読み取り、
C.前記第一のプライベートキーから第一の暗号署名を計算し、
D.未完了の支払取引記録を作成し、前記未完了の支払取引記録は、
I.約定取引から受け取る約定額
II.前記一つ以上の支払額、および
III.前記第一の暗号署名、を含む、
E.前記未完了の支払取引記録を前記第一のクライアントまたは前記第二のクライアントの少なくとも一方に発行する、第一のコンピュータプロセッサと、
を有し、
b.前記第一のクライアントは、
i.第二の非対称キーペアを記憶する第二のキーペアセクタを有する第二のメモリであって、前記第二の非対称キーペアは、第二のプライベートキーおよび第二のパブリックキーを有する、第二のメモリと、
ii.第二のネットワークインターフェースと、
iii.前記第二のメモリおよび前記第二のネットワークインターフェースに結合された第二のコンピュータプロセッサであって、
A.前記第二のキーペアセクタから前記第二のプライベートキーを読み取り、
B.前記未完了の支払取引記録を読み取り、
C.前記第二のプライベートキーから第二の暗号署名を計算し、
D.完了した支払取引記録を作成し、前記完了した支払取引記録は、
I.前記約定額、
II.前記一つ以上の支払額、
III.前記第一の暗号署名、および
IV.前記第二の暗号署名、を含む、
E.前記完了した支払取引記録を前記転送メカニズムに提出することにより支払取引を作成する、第二のコンピュータプロセッサと、
を有し、
c.前記第二のクライアントは、
i.第三の非対称キーペアを記憶する第三のキーペアセクタを有する第三のメモリであって、前記第三の非対称キーペアは、第三のプライベートキーおよび第三のパブリックキーを有する、第三のメモリと、
ii.第三のネットワークインターフェースと、
iii.前記第三のメモリおよび前記第三のネットワークインターフェースに結合された第三のコンピュータプロセッサであって、前記第三のキーペアセクタから前記第三のプライベートキーを読み取る、第三のコンピュータプロセッサと、を有し、
前記ファシリテータ、前記第一のクライアント、および前記第二のクライアントは、前記第一のネットワークインターフェース、前記第二のネットワークインターフェース、および前記第三のネットワークインターフェースをそれぞれ介して前記コンピュータネットワークに結合されており、
前記第一のコンピュータプロセッサは、更に、
a.前記第一のプライベートキーから第三の暗号署名を計算し、
b.未完了の払戻取引記録を作成し、前記未完了の払戻取引記録は、
i.前記約定取引から受け取る前記約定額、
ii.払戻額、および
iii.前記第三の暗号署名、を含む、
c.前記未完了の払戻取引記録を前記第一のクライアントまたは前記第二のクライアントの少なくとも一方に発行し、
a.前記第一のキーペアセクタは、更に、第四の非対称キーペアを記憶し、前記第四の非対称キーペアは、第四のプライベートキーおよび第四のパブリックキーを有する、
b.前記第一のコンピュータプロセッサは、更に、
i.前記支払機能を
A.前記第一の元本額、および
B.前記第一の証券の前記値、
に適用することにより、前記一つ以上の支払額を計算し、
ii.前記第一のキーペアセクタから前記第四のプライベートキーを読み取り、
iii.前記第四のプライベートキーから第四の暗号署名を計算し、
iv.約定取引記録を作成し、前記約定取引記録は、
A.前記第一の元本額、
B.前記約定額、および
C.前記第四の暗号署名、を含む、
v.前記約定取引記録を前記転送メカニズムに提出することにより前記約定取引を作成し、
前記第二のコンピュータプロセッサは、
a.前記第二のプライベートキーから第五の暗号署名を計算し、
b.第一の元本取引記録を作成し、前記第一の元本取引記録は、
i.前記第一の元本額、および
ii.前記第五の暗号署名、を含む、
c.前記第一の元本取引記録を前記転送メカニズムに提出することにより第一の元本取引を作成する、
システム。 - a.前記第一のデータソースまたは前記第二のデータソースへの前記参照は、基本証券への参照および見積証券への参照の少なくとも一方を含み、
b.前記第一のコンピュータプロセッサは、更に、前記有効期限タイムスタンプ以降に前記支払額を計算する、
請求項30に記載のシステム。 - 前記第三のコンピュータプロセッサは、更に、
i.前記第三のプライベートキーから第六の暗号署名を計算し、
ii.第二の元本取引記録を作成し、前記第二の元本取引記録は、
A.前記第二の元本額、および
B.前記第六の暗号署名、を含む、
iii.前記第二の元本取引記録を前記転送メカニズムに提出することにより第二の元本取引を作成し、
請求項30に記載のシステム。 - a.前記第一のデータソースまたは前記第二のデータソースへの前記参照は、基本証券への参照および見積証券への参照の少なくとも一方を含み、
b.前記第一のコンピュータプロセッサは、更に、前記有効期限タイムスタンプ以降に前記支払額を計算し、
c.前記第三のコンピュータプロセッサは、更に、
i.前記第三のプライベートキーから第六の暗号署名を計算し、
ii.第二の元本取引記録を作成し、前記第二の元本取引記録は、
A.前記第二の元本額、および
B.前記第六の暗号署名、を含む、
iii.前記第二の元本取引記録を前記転送メカニズムに提出することにより第二の元本取引を作成し、
請求項30に記載のシステム。 - 転送メカニズムによる、第一のクライアントを利用する第一の当事者と、第二のクライアントを利用する第二の当事者との間の価値転送を円滑化するシステムであって、前記転送メカニズムは、ファシリテータ、前記第一のクライアント、および第二のクライアントによってそれぞれコンピュータネットワークを介してアクセス可能な分散型デジタル通貨を含み、前記システムは、前記ファシリテータ、前記第一のクライアント、および前記第二のクライアントを有し、
a.前記ファシリテータは、
i.取引記録セクタと第一の非対称キーペアを記憶する第一のキーペアセクタとを有する第一のメモリであって、前記第一の非対称キーペアは、第一のプライベートキーおよび第一のパブリックキーを有する、第一のメモリと、
ii.支払額を決定するための条件を受け取る第一のネットワークインターフェースであって、前記条件は、
A.第一の元本額および第二の元本額の少なくとも一方と、
B.第一のデータソースおよび第二のデータソースの少なくとも一方への参照と、前記第一のデータソースは、第一の証券に関するデータを記憶する第一のデータベースを有し、前記第二のデータソースは、第二の証券に関するデータを記憶する第二のデータベースを有する、
C.有効期限タイムスタンプと、を含む、第一のネットワークインターフェースと、
iii.前記第一のメモリおよび前記第一のネットワークインターフェースに結合された第一のコンピュータプロセッサであって、
A.支払機能を、
前記第一の元本額および前記第二の元本額の少なくとも一方、および
前記第一のデータソースおよび前記第二のデータソースの少なくとも一方からの値
に適用することにより、一つ以上の支払額を計算し、
B.前記第一のキーペアセクタから前記第一のプライベートキーを読み取り、
C.前記第一のプライベートキーから第一の暗号署名を計算し、
D.未完了の支払取引記録を作成し、前記未完了の支払取引記録は、
I.約定取引から受け取る約定額
II.前記一つ以上の支払額、および
III.前記第一の暗号署名、を含む、
E.前記未完了の支払取引記録を前記第一のクライアントまたは前記第二のクライアントの少なくとも一方に発行する、第一のコンピュータプロセッサと、
を有し、
b.前記第一のクライアントは、
i.第二の非対称キーペアを記憶する第二のキーペアセクタを有する第二のメモリであって、前記第二の非対称キーペアは、第二のプライベートキーおよび第二のパブリックキーを有する、第二のメモリと、
ii.第二のネットワークインターフェースと、
iii.前記第二のメモリおよび前記第二のネットワークインターフェースに結合された第二のコンピュータプロセッサであって、
A.前記第二のキーペアセクタから前記第二のプライベートキーを読み取り、
B.前記未完了の支払取引記録を読み取り、
C.前記第二のプライベートキーから第二の暗号署名を計算し、
D.完了した支払取引記録を作成し、前記完了した支払取引記録は、
I.前記約定額、
II.前記一つ以上の支払額、
III.前記第一の暗号署名、および
IV.前記第二の暗号署名、を含む、
E.前記完了した支払取引記録を前記転送メカニズムに提出することにより支払取引を作成する、第二のコンピュータプロセッサと、
を有し、
c.前記第二のクライアントは、
i.第三の非対称キーペアを記憶する第三のキーペアセクタを有する第三のメモリであって、前記第三の非対称キーペアは、第三のプライベートキーおよび第三のパブリックキーを有する、第三のメモリと、
ii.第三のネットワークインターフェースと、
iii.前記第三のメモリおよび前記第三のネットワークインターフェースに結合された第三のコンピュータプロセッサであって、前記第三のキーペアセクタから前記第三のプライベートキーを読み取る、第三のコンピュータプロセッサと、を有し、
前記ファシリテータ、前記第一のクライアント、および前記第二のクライアントは、前記第一のネットワークインターフェース、前記第二のネットワークインターフェース、および前記第三のネットワークインターフェースをそれぞれ介して前記コンピュータネットワークに結合されており、
前記ファシリテータと前記第一のクライアントは、同一の装置であり、
前記第一のコンピュータプロセッサと前記第二のコンピュータプロセッサは、同一のプロセッサであり、
前記第一のメモリと前記第二のメモリは、同一のメモリであり、
前記第一のネットワークインターフェースと前記第二のネットワークインターフェースは、同一のネットワークインターフェースであり、
前記第一のコンピュータプロセッサは、更に、
a.前記第一のプライベートキーから第三の暗号署名を計算し、
b.未完了の払戻取引記録を作成し、前記未完了の払戻取引記録は、
i.前記約定取引から受け取る前記約定額、
ii.払戻額、および
iii.前記第三の暗号署名、を含む、
c.前記未完了の払戻取引記録を前記第一のクライアントおよび前記第二のクライアントの少なくとも一方に発行する、
システム。 - a.前記第一のデータソースまたは前記第二のデータソースへの前記参照は、基本証券への参照および見積証券への参照の少なくとも一方を含み、
b.前記第一のコンピュータプロセッサは、更に、前記有効期限タイムスタンプ以降に前記支払額を計算し、
c.前記第二のコンピュータプロセッサは、更に、
i.前記第二のプライベートキーから第四の暗号署名を計算し、
ii.第一の元本取引記録を作成し、前記第一の元本取引記録は、
A.前記第一の元本額、および
B.前記第四の暗号署名、を含む、
iii.前記第一の元本取引記録を前記転送メカニズムに提出することにより第一の元本取引を作成し、
d.前記第三のコンピュータプロセッサは、更に、
i.前記第三のプライベートキーから第五の暗号署名を計算し、
ii.第二の元本取引記録を作成し、前記第二の元本取引記録は、
A.前記第二の元本額、および
B.前記第五の暗号署名、を含む、
iii.前記第二の元本取引記録を前記転送メカニズムに提出することにより第二の元本取引を作成する、
請求項34に記載のシステム。 - 転送メカニズムによる、第一のクライアントを利用する第一の当事者と、第二のクライアントを利用する第二の当事者との間の価値転送を円滑化するシステムであって、前記転送メカニズムは、ファシリテータ、前記第一のクライアント、および第二のクライアントによってそれぞれコンピュータネットワークを介してアクセス可能な分散型デジタル通貨を含み、前記システムは、前記ファシリテータ、前記第一のクライアント、および前記第二のクライアントを有し、
a.前記ファシリテータは、
i.取引記録セクタと第一の非対称キーペアを記憶する第一のキーペアセクタとを有する第一のメモリであって、前記第一の非対称キーペアは、第一のプライベートキーおよび第一のパブリックキーを有する、第一のメモリと、
ii.支払額を決定するための条件を受け取る第一のネットワークインターフェースであって、前記条件は、
A.第一の元本額および第二の元本額の少なくとも一方と、
B.第一のデータソースおよび第二のデータソースの少なくとも一方への参照と、前記第一のデータソースは、第一の証券に関するデータを記憶する第一のデータベースを有し、前記第二のデータソースは、第二の証券に関するデータを記憶する第二のデータベースを有する、
C.有効期限タイムスタンプと、を含む、第一のネットワークインターフェースと、
iii.前記第一のメモリおよび前記第一のネットワークインターフェースに結合された第一のコンピュータプロセッサであって、
A.支払機能を、
前記第一の元本額および前記第二の元本額の少なくとも一方、および
前記第一のデータソースおよび前記第二のデータソースの少なくとも一方からの値
に適用することにより、一つ以上の支払額を計算し、
B.前記第一のキーペアセクタから前記第一のプライベートキーを読み取り、
C.前記第一のプライベートキーから第一の暗号署名を計算し、
D.未完了の支払取引記録を作成し、前記未完了の支払取引記録は、
I.約定取引から受け取る約定額
II.前記一つ以上の支払額、および
III.前記第一の暗号署名、を含む、
E.前記未完了の支払取引記録を前記第一のクライアントまたは前記第二のクライアントの少なくとも一方に発行する、第一のコンピュータプロセッサと、
を有し、
b.前記第一のクライアントは、
i.第二の非対称キーペアを記憶する第二のキーペアセクタを有する第二のメモリであって、前記第二の非対称キーペアは、第二のプライベートキーおよび第二のパブリックキーを有する、第二のメモリと、
ii.第二のネットワークインターフェースと、
iii.前記第二のメモリおよび前記第二のネットワークインターフェースに結合された第二のコンピュータプロセッサであって、
A.前記第二のキーペアセクタから前記第二のプライベートキーを読み取り、
B.前記未完了の支払取引記録を読み取り、
C.前記第二のプライベートキーから第二の暗号署名を計算し、
D.完了した支払取引記録を作成し、前記完了した支払取引記録は、
I.前記約定額、
II.前記一つ以上の支払額、
III.前記第一の暗号署名、および
IV.前記第二の暗号署名、を含む、
E.前記完了した支払取引記録を前記転送メカニズムに提出することにより支払取引を作成する、第二のコンピュータプロセッサと、
を有し、
c.前記第二のクライアントは、
i.第三の非対称キーペアを記憶する第三のキーペアセクタを有する第三のメモリであって、前記第三の非対称キーペアは、第三のプライベートキーおよび第三のパブリックキーを有する、第三のメモリと、
ii.第三のネットワークインターフェースと、
iii.前記第三のメモリおよび前記第三のネットワークインターフェースに結合された第三のコンピュータプロセッサであって、前記第三のキーペアセクタから前記第三のプライベートキーを読み取る、第三のコンピュータプロセッサと、を有し、
前記ファシリテータ、前記第一のクライアント、および前記第二のクライアントは、前記第一のネットワークインターフェース、前記第二のネットワークインターフェース、および前記第三のネットワークインターフェースをそれぞれ介して前記コンピュータネットワークに結合されており、
前記ファシリテータと前記第一のクライアントは、同一の装置であり、
前記第一のコンピュータプロセッサと前記第二のコンピュータプロセッサは、同一のプロセッサであり、
前記第一のメモリと前記第二のメモリは、同一のメモリであり、
前記第一のネットワークインターフェースと前記第二のネットワークインターフェースは、同一のネットワークインターフェースである、
a.前記第一のキーペアセクタは、更に、第四の非対称キーペアを記憶し、前記第四の非対称キーペアは、第四のプライベートキーおよび第四のパブリックキーを有する、
b.前記第一のコンピュータプロセッサは、更に、
i.前記支払機能を
A.前記第一の元本額、および
B.前記第一の証券の前記値、
に適用することにより、前記一つ以上の支払額を計算し、
ii.前記第一のキーペアセクタから前記第四のプライベートキーを読み取り、
iii.前記第四のプライベートキーから第三の暗号署名を計算し、
iv.約定取引記録を作成し、前記約定取引記録は、
A.前記第一の元本額、
B.前記約定額、および
C.前記第三の暗号署名、を含む、
v.前記約定取引記録を前記転送メカニズムに提出することにより前記約定取引を作成し、
前記第二のコンピュータプロセッサは、
a.前記第二のプライベートキーから第四の暗号署名を計算し、
b.第一の元本取引記録を作成し、前記第一の元本取引記録は、
i.前記第一の元本額、および
ii.前記第四の暗号署名、を含む、
c.前記第一の元本取引記録を前記転送メカニズムに提出することにより第一の元本取引を作成し、
a.前記第一のデータソースまたは前記第二のデータソースへの前記参照は、基本証券への参照および見積証券への参照の少なくとも一方を含み、
b.前記第一のコンピュータプロセッサは、更に、前記有効期限タイムスタンプ以降に前記支払額を計算し、
a.前記第三のコンピュータプロセッサは、更に、
i.前記第三のプライベートキーから第五の暗号署名を計算し、
ii.第二の元本取引記録を作成し、前記第二の元本取引記録は、
A.前記第二の元本額、および
B.前記第五の暗号署名、を含む、
iii.前記第二の元本取引記録を前記転送メカニズムに提出することにより第二の元本取引を作成する、
システム。 - 転送メカニズムによる、第一のクライアントを利用する第一の当事者と、第二のクライアントを利用する第二の当事者との間の価値転送を、円滑化するシステムによって実行される方法であって、前記転送メカニズムが、ファシリテータ、前記第一のクライアント、および第二のクライアントによってそれぞれコンピュータネットワークを介してアクセス可能な分散型デジタル通貨を含む、方法であって、
前記第一のクライアントが、第一の非対称キーペアを第一のメモリの第一のキーペアセクタに記憶するステップであって、前記第一の非対称キーペアは、第一のパブリックキーおよび第一のプライベートキーを有する、ステップと、
前記ファシリテータが、第二の非対称キーペアを第二のメモリの第二のキーペアセクタに記憶するステップであって、前記第二の非対称キーペアは、第二のパブリックキーおよび第二のプライベートキーを有する、ステップと、
前記ファシリテータが、第三の非対称キーペアを前記第二のキーペアセクタに記憶するステップであって、前記第三の非対称キーペアは、第三のパブリックキーおよび第三のプライベートキーを有する、ステップと、
前記第一のクライアントが、第四の非対称キーペアを第三のメモリの第三のキーペアセクタに記憶するステップであって、前記第四の非対称キーペアは、第四のパブリックキーおよび第四のプライベートキーを有する、ステップと、
前記第一のクライアントが、ネットワークインターフェースを介して支払額を決定するための条件を送信するステップであって、前記条件は、
i.第一の元本額および第二の元本額の少なくとも一方と、
ii.第一のデータソースおよび第二のデータソースの少なくとも一方への参照と、前記第一のデータソースは、証券に関するデータを記憶する第一のデータベースを有し、前記第二のデータソースは、第二の証券に関するデータを記憶する第二のデータベースを有する、
iii.有効期限タイムスタンプと、を含む、ステップと、
前記ファシリテータが、前記条件を第二のネットワークインターフェースを介して受け取るステップと、
前記ファシリテータが、支払機能を、
i.前記第一の元本額および前記第二の元本額の少なくとも一方、および
ii.前記第一のデータソースおよび前記第二のデータソースの少なくとも一方からの値、に適用することにより、一つ以上の支払額を計算するステップと、
前記第一のクライアントが、前記第一のキーペアセクタから前記第一のプライベートキーを読み取るステップと、
前記ファシリテータが、前記第一のプライベートキーから第一の暗号署名を計算するステップと、
前記第一のクライアントが、第一の元本取引記録を作成するステップであって、前記第一の元本取引記録は、
i.前記第一の元本額、および
ii.前記第一の暗号署名、を含む、ステップと、
前記第一のクライアントが、前記第一の元本取引記録を前記転送メカニズムに提出することにより第一の元本取引を作成するステップと、
前記ファシリテータが、前記第二のキーペアセクタから前記第二のプライベートキーを読み取るステップと、
前記ファシリテータが、前記第二のプライベートキーから第二の暗号署名を計算するステップと、
前記ファシリテータが、約定取引記録を作成するステップであって、前記約定取引記録は、
i.前記第一の元本額、
ii.約定額、および
iii.前記第二の暗号署名、を含む、ステップと、
前記ファシリテータが、前記約定取引記録を前記転送メカニズムに提出することにより約定取引を作成するステップと、
前記ファシリテータが、前記第一のデータソースから前記証券の値を引き出すステップと、
前記ファシリテータが、前記第二のキーペアセクタから前記第三のプライベートキーを読み取るステップと、
前記ファシリテータが、前記第二のプライベートキーから第三の暗号署名を計算するステップと、
前記ファシリテータが、未完了の支払取引記録を作成するステップであって、前記未完了の支払取引記録は、
i.前記約定取引から受け取る前記約定額、
ii.前記一つ以上の支払額、および
iii.前記第三の暗号署名、を含む、ステップと、
前記ファシリテータが、前記未完了の支払取引記録を前記第一のクライアントおよび前記第二のクライアントの少なくとも一方に発行するステップと、
前記第一のクライアントが、前記未完了の支払取引記録を読み取るステップと、
前記第一のクライアントが、前記第三のキーペアセクタから前記第四のプライベートキーを読み取るステップと、
前記第一のクライアントが、前記第四のプライベートキーから第四の暗号署名を計算するステップと、
前記第一のクライアントが、完了した支払取引記録を作成するステップであって、前記完了した支払取引記録は、
i.前記約定額、
ii.前記一つ以上の支払額、
iii.前記第三の暗号署名、および
iv.前記第四の暗号署名、を含む、ステップと、
前記第一のクライアントが、前記完了した支払取引記録を前記転送メカニズムに提出することにより支払取引を作成するステップと、
前記ファシリテータが、前記第三のプライベートキーから第五の暗号署名を計算するステップと、
前記ファシリテータが、未完了の払戻取引記録を作成するステップであって、前記未完了の払戻取引記録は、
i.前記約定取引から受け取る前記約定額、
ii.払戻額、
iii.前記第五の暗号署名、および
iv.ロックタイム、を含む、ステップと、
前記ファシリテータが、前記未完了の払戻取引記録を発行するステップと、
a.前記第二の非対称キーペアと前記第三の非対称キーペアは、同一のキーペアであり、前記第二のプライベートキーと前記第三のプライベートキーは、同一のキーであり、前記第二のパブリックキーと前記第三のパブリックキーは、同一のキーである、
b.前記第一の非対称キーペアと前記第四の非対称キーペアは、同一のキーペアであり、前記第一のプライベートキーと前記第四のプライベートキーは、同一のキーであり、前記第一のパブリックキーと前記第四のパブリックキーは、同一のキーである、
c.前記第一のメモリと前記第三のメモリは、同一のメモリであり、前記第一のキーペアセクタと前記第三のキーペアセクタは、同一のセクタである、
の少なくとも一つである、方法。 - 前記第二のクライアントが、第五の非対称キーペアを第四のメモリの第四のキーペアセクタに記憶するステップであって、前記第五の非対称キーペアは、第五のプライベートキーおよび第五のパブリックキーを有する、ステップと、
前記第二のクライアントが、前記第四のキーペアセクタから前記第五のプライベートキーを読み取るステップと、
前記第二のクライアントが、前記第五のプライベートキーから第五の暗号署名を計算するステップと、
前記第二のクライアントが、第二の元本取引記録を作成するステップであって、前記第二の元本取引記録は、
i.前記第二の元本額、および
ii.前記第五の暗号署名、を含む、ステップと、
前記第二のクライアントが、前記第二の元本取引記録を前記転送メカニズムに提出することにより第二の元本取引を作成するステップと、
前記ファシリテータが、前記支払機能を、
i.前記証券の前記値、ならびに
A.前記第一の元本額、または
B.前記第二の元本額、の少なくとも一方
に適用することにより、一つ以上の支払額を計算するステップと、
を更に有する
請求項37に記載の方法。 - 転送メカニズムによる、第一のクライアントを利用する第一の当事者と、第二のクライアントを利用する第二の当事者との間の価値転送を、円滑化するシステムによって実行される方法であって、前記転送メカニズムが、ファシリテータ、前記第一のクライアント、および第二のクライアントによってそれぞれコンピュータネットワークを介してアクセス可能な分散型デジタル通貨を含む、方法であって、
前記第一のクライアントが、第一の非対称キーペアを第一のメモリの第一のキーペアセクタに記憶するステップであって、前記第一の非対称キーペアは、第一のパブリックキーおよび第一のプライベートキーを有する、ステップと、
前記ファシリテータが、第二の非対称キーペアを第二のメモリの第二のキーペアセクタに記憶するステップであって、前記第二の非対称キーペアは、第二のパブリックキーおよび第二のプライベートキーを有する、ステップと、
前記ファシリテータが、第三の非対称キーペアを前記第二のキーペアセクタに記憶するステップであって、前記第三の非対称キーペアは、第三のパブリックキーおよび第三のプライベートキーを有する、ステップと、
前記第一のクライアントが、第四の非対称キーペアを第三のメモリの第三のキーペアセクタに記憶するステップであって、前記第四の非対称キーペアは、第四のパブリックキーおよび第四のプライベートキーを有する、ステップと、
前記第一のクライアントが、ネットワークインターフェースを介して支払額を決定するための条件を送信するステップであって、前記条件は、
i.第一の元本額および第二の元本額の少なくとも一方と、
ii.第一のデータソースおよび第二のデータソースの少なくとも一方への参照と、前記第一のデータソースは、証券に関するデータを記憶する第一のデータベースを有し、前記第二のデータソースは、第二の証券に関するデータを記憶する第二のデータベースを有する、
iii.有効期限タイムスタンプと、を含む、ステップと、
前記ファシリテータが、前記条件を第二のネットワークインターフェースを介して受け取るステップと、
前記ファシリテータが、支払機能を、
i.前記第一の元本額および前記第二の元本額の少なくとも一方、および
ii.前記第一のデータソースおよび前記第二のデータソースの少なくとも一方からの値、に適用することにより、一つ以上の支払額を計算するステップと、
前記第一のクライアントが、前記第一のキーペアセクタから前記第一のプライベートキーを読み取るステップと、
前記ファシリテータが、前記第一のプライベートキーから第一の暗号署名を計算するステップと、
前記第一のクライアントが、第一の元本取引記録を作成するステップであって、前記第一の元本取引記録は、
i.前記第一の元本額、および
ii.前記第一の暗号署名、を含む、ステップと、
前記第一のクライアントが、前記第一の元本取引記録を前記転送メカニズムに提出することにより第一の元本取引を作成するステップと、
前記ファシリテータが、前記第二のキーペアセクタから前記第二のプライベートキーを読み取るステップと、
前記ファシリテータが、前記第二のプライベートキーから第二の暗号署名を計算するステップと、
前記ファシリテータが、約定取引記録を作成するステップであって、前記約定取引記録は、
i.前記第一の元本額、
ii.約定額、および
iii.前記第二の暗号署名、を含む、ステップと、
前記ファシリテータが、前記約定取引記録を前記転送メカニズムに提出することにより約定取引を作成するステップと、
前記ファシリテータが、前記第一のデータソースから前記証券の値を引き出すステップと、
前記ファシリテータが、前記第二のキーペアセクタから前記第三のプライベートキーを読み取るステップと、
前記ファシリテータが、前記第二のプライベートキーから第三の暗号署名を計算するステップと、
前記ファシリテータが、未完了の支払取引記録を作成するステップであって、前記未完了の支払取引記録は、
i.前記約定取引から受け取る前記約定額、
ii.前記一つ以上の支払額、および
iii.前記第三の暗号署名、を含む、ステップと、
前記ファシリテータが、前記未完了の支払取引記録を前記第一のクライアントおよび前記第二のクライアントの少なくとも一方に発行するステップと、
前記第一のクライアントが、前記未完了の支払取引記録を読み取るステップと、
前記第一のクライアントが、前記第三のキーペアセクタから前記第四のプライベートキーを読み取るステップと、
前記第一のクライアントが、前記第四のプライベートキーから第四の暗号署名を計算するステップと、
前記第一のクライアントが、完了した支払取引記録を作成するステップであって、前記完了した支払取引記録は、
i.前記約定額、
ii.前記一つ以上の支払額、
iii.前記第三の暗号署名、および
iv.前記第四の暗号署名、を含む、ステップと、
前記第一のクライアントが、前記完了した支払取引記録を前記転送メカニズムに提出することにより支払取引を作成するステップと、
前記第二のクライアントが、第五の非対称キーペアを第四のメモリの第四のキーペアセクタに記憶するステップであって、前記第五の非対称キーペアは、第五のプライベートキーおよび第五のパブリックキーを有する、ステップと、
前記第二のクライアントが、前記第四のキーペアセクタから前記第五のプライベートキーを読み取るステップと、
前記第二のクライアントが、前記第五のプライベートキーから第五の暗号署名を計算するステップと、
前記第二のクライアントが、第二の元本取引記録を作成するステップであって、前記第二の元本取引記録は、
i.前記第二の元本額、および
ii.前記第五の暗号署名、を含む、ステップと、
前記第二のクライアントが、前記第二の元本取引記録を前記転送メカニズムに提出することにより第二の元本取引を作成するステップと、
前記ファシリテータが、前記支払機能を、
i.前記証券の前記値、ならびに
A.前記第一の元本額、または
B.前記第二の元本額、の少なくとも一方
に適用することにより、一つ以上の支払額を計算するステップと、
前記ファシリテータが、前記第三のプライベートキーから第六の暗号署名を計算するステップと、
前記ファシリテータが、未完了の払戻取引記録を作成するステップであって、前記未完了の払戻取引記録は、
i.前記約定取引から受け取る前記約定額、
ii.一つ以上の払戻額、
iii.前記第六の暗号署名、および
iv.ロックタイム、を含む、ステップと、
前記ファシリテータが、前記未完了の払戻取引記録を発行するステップと、
を含み、
a.前記第二の非対称キーペアと前記第三の非対称キーペアは、同一の非対称キーペアであり、前記第二のプライベートキーと前記第三のプライベートキーは、同一のプライベートキーであり、前記第二のパブリックキーと前記第三のパブリックキーは、同一のパブリックキーである、
b.前記第一の非対称キーペアと前記第四の非対称キーペアは、同一のキーペアであり、前記第一のプライベートキーと前記第四のプライベートキーは、同一のプライベートキーであり、前記第一のパブリックキーと前記第四のパブリックキーは、同一のパブリックキーである、
c.前記第五の非対称キーペアと前記第四の非対称キーペアは、同一の非対称キーペアであり、前記第五のプライベートキーと前記第四のプライベートキーは、同一のプライベートキーであり、前記第五のパブリックキーと前記第四のパブリックキーは、同一のパブリックキーである、
d.前記第一のメモリと前記第三のメモリは、同一のメモリであり、前記第一のキーペアセクタと前記第三のキーペアセクタは、同一のキーペアセクタである、
e.前記第四のメモリと前記第三のメモリは、同一のメモリであり、前記第四のキーペアセクタと前記第三のキーペアセクタは、同一のキーペアセクタである、
の少なくとも一つである、
方法。 - 転送メカニズムによる、第一のクライアントを利用する第一の当事者と、第二のクライアントを利用する第二の当事者との間の価値転送を、円滑化するシステムによって実行される方法であって、前記転送メカニズムが、ファシリテータ、前記第一のクライアント、および第二のクライアントによってそれぞれコンピュータネットワークを介してアクセス可能な分散型デジタル通貨を含む、方法であって、
前記第一のクライアントが、第一の非対称キーペアを第一のメモリの第一のキーペアセクタに記憶するステップであって、前記第一の非対称キーペアは、第一のパブリックキーおよび第一のプライベートキーを有する、ステップと、
前記ファシリテータが、第二の非対称キーペアを第二のメモリの第二のキーペアセクタに記憶するステップであって、前記第二の非対称キーペアは、第二のパブリックキーおよび第二のプライベートキーを有する、ステップと、
前記ファシリテータが、第三の非対称キーペアを前記第二のキーペアセクタに記憶するステップであって、前記第三の非対称キーペアは、第三のパブリックキーおよび第三のプライベートキーを有する、ステップと、
前記第一のクライアントが、第四の非対称キーペアを第三のメモリの第三のキーペアセクタに記憶するステップであって、前記第四の非対称キーペアは、第四のパブリックキーおよび第四のプライベートキーを有する、ステップと、
前記第一のクライアントが、ネットワークインターフェースを介して支払額を決定するための条件を送信するステップであって、前記条件は、
i.第一の元本額および第二の元本額の少なくとも一方と、
ii.第一のデータソースおよび第二のデータソースの少なくとも一方への参照と、前記第一のデータソースは、証券に関するデータを記憶する第一のデータベースを有し、前記第二のデータソースは、第二の証券に関するデータを記憶する第二のデータベースを有する、
iii.有効期限タイムスタンプと、を含む、ステップと、
前記ファシリテータが、前記条件を第二のネットワークインターフェースを介して受け取るステップと、
前記ファシリテータが、支払機能を、
i.前記第一の元本額および前記第二の元本額の少なくとも一方、および
ii.前記第一のデータソースおよび前記第二のデータソースの少なくとも一方からの値、に適用することにより、一つ以上の支払額を計算するステップと、
前記第一のクライアントが、前記第一のキーペアセクタから前記第一のプライベートキーを読み取るステップと、
前記ファシリテータが、前記第一のプライベートキーから第一の暗号署名を計算するステップと、
前記第一のクライアントが、第一の元本取引記録を作成するステップであって、前記第一の元本取引記録は、
i.前記第一の元本額、および
ii.前記第一の暗号署名、を含む、ステップと、
k.前記第一のクライアントが、前記第一の元本取引記録を前記転送メカニズムに提出することにより第一の元本取引を作成するステップと、
前記ファシリテータが、前記第二のキーペアセクタから前記第二のプライベートキーを読み取るステップと、
前記ファシリテータが、前記第二のプライベートキーから第二の暗号署名を計算するステップと、
前記ファシリテータが、約定取引記録を作成するステップであって、前記約定取引記録は、
i.前記第一の元本額、
ii.約定額、および
iii.前記第二の暗号署名、を含む、ステップと、
前記ファシリテータが、前記約定取引記録を前記転送メカニズムに提出することにより約定取引を作成するステップと、
前記ファシリテータが、前記第一のデータソースから前記証券の値を引き出すステップと、
前記ファシリテータが、前記第二のキーペアセクタから前記第三のプライベートキーを読み取るステップと、
前記ファシリテータが、前記第二のプライベートキーから第三の暗号署名を計算するステップと、
前記ファシリテータが、未完了の支払取引記録を作成するステップであって、前記未完了の支払取引記録は、
i.前記約定取引から受け取る前記約定額、
ii.前記一つ以上の支払額、および
iii.前記第三の暗号署名、を含む、ステップと、
前記ファシリテータが、前記未完了の支払取引記録を前記第一のクライアントおよび前記第二のクライアントの少なくとも一方に発行するステップと、
前記第一のクライアントが、前記未完了の支払取引記録を読み取るステップと、
前記第一のクライアントが、前記第三のキーペアセクタから前記第四のプライベートキーを読み取るステップと、
前記第一のクライアントが、前記第四のプライベートキーから第四の暗号署名を計算するステップと、
前記第一のクライアントが、完了した支払取引記録を作成するステップであって、前記完了した支払取引記録は、
i.前記約定額、
ii.前記一つ以上の支払額、
iii.前記第三の暗号署名、および
iv.前記第四の暗号署名、を含む、ステップと、
前記第一のクライアントが、前記完了した支払取引記録を前記転送メカニズムに提出することにより支払取引を作成するステップと、
前記ファシリテータが、前記第三のプライベートキーから第五の暗号署名を計算するステップと、
前記ファシリテータが、未完了の払戻取引記録を作成するステップであって、前記未完了の払戻取引記録は、
i.前記約定取引から受け取る前記約定額、
ii.払戻額、
iii.前記第五の暗号署名、および
iv.ロックタイム、を含む、ステップと、
前記ファシリテータが、前記未完了の払戻取引記録を発行するステップと、
前記第二のクライアントが、第五の非対称キーペアを第四のメモリの第四のキーペアセクタに記憶するステップであって、前記第五の非対称キーペアは、第五のプライベートキーおよび第五のパブリックキーを有する、ステップと、
前記第二のクライアントが、前記第四のキーペアセクタから前記第五のプライベートキーを読み取るステップと、
前記第二のクライアントが、前記第五のプライベートキーから第六の暗号署名を計算するステップと、
前記第二のクライアントが、第二の元本取引記録を作成するステップであって、前記第二の元本取引記録は、
i.前記第二の元本額、および
ii.前記第六の暗号署名、を含む、ステップと、
前記第二のクライアントが、前記第二の元本取引記録を前記転送メカニズムに提出することにより第二の元本取引を作成するステップと、
前記ファシリテータが、前記支払機能を、
i.前記証券の前記値、ならびに
A.前記第一の元本額、または
B.前記第二の元本額、の少なくとも一方
に適用することにより、一つ以上の支払額を計算するステップと、
を含み、
a.前記第二の非対称キーペアと前記第三の非対称キーペアは、同一の非対称キーペアであり、前記第二のプライベートキーと前記第三のプライベートキーは、同一のプライベートキーであり、前記第二のパブリックキーと前記第三のパブリックキーは、同一のパブリックキーである、
b.前記第一の非対称キーペアと前記第四の非対称キーペアは、同一のキーペアであり、前記第一のプライベートキーと前記第四のプライベートキーは、同一のプライベートキーであり、前記第一のパブリックキーと前記第四のパブリックキーは、同一のパブリックキーである、
c.前記第五の非対称キーペアと前記第四の非対称キーペアは、同一の非対称キーペアであり、前記第五のプライベートキーと前記第四のプライベートキーは、同一のプライベートキーであり、前記第五のパブリックキーと前記第四のパブリックキーは、同一のパブリックキーである、
d.前記第一のメモリと前記第三のメモリは、同一のメモリであり、前記第一のキーペアセクタと前記第三のキーペアセクタは、同一のキーペアセクタである、
e.前記第四のメモリと前記第三のメモリは、同一のメモリであり、前記第四のキーペアセクタと前記第三のキーペアセクタは、同一のキーペアセクタである、
方法。
Priority Applications (3)
| Application Number | Priority Date | Filing Date | Title |
|---|---|---|---|
| JP2022054364A JP7533974B2 (ja) | 2014-05-09 | 2022-03-29 | 信頼度が低い、または信頼度が皆無の当事者間での価値転送を円滑化する装置、システム、または方法 |
| JP2022113831A JP7736305B2 (ja) | 2014-05-09 | 2022-07-15 | 信頼度が低い、または信頼度が皆無の当事者間での価値転送を円滑化する装置、システム、または方法 |
| JP2022204311A JP7533983B2 (ja) | 2014-05-09 | 2022-12-21 | 信頼度が低い、または信頼度が皆無の当事者間での価値転送を円滑化する装置、システム、または方法 |
Applications Claiming Priority (2)
| Application Number | Priority Date | Filing Date | Title |
|---|---|---|---|
| US201461990795P | 2014-05-09 | 2014-05-09 | |
| US61/990,795 | 2014-05-09 |
Related Parent Applications (1)
| Application Number | Title | Priority Date | Filing Date |
|---|---|---|---|
| JP2017511157A Division JP6813477B2 (ja) | 2014-05-09 | 2015-05-05 | 信頼度が低い、または信頼度が皆無の当事者間での価値転送を円滑化する装置、システム、または方法 |
Related Child Applications (2)
| Application Number | Title | Priority Date | Filing Date |
|---|---|---|---|
| JP2022054364A Division JP7533974B2 (ja) | 2014-05-09 | 2022-03-29 | 信頼度が低い、または信頼度が皆無の当事者間での価値転送を円滑化する装置、システム、または方法 |
| JP2022204311A Division JP7533983B2 (ja) | 2014-05-09 | 2022-12-21 | 信頼度が低い、または信頼度が皆無の当事者間での価値転送を円滑化する装置、システム、または方法 |
Publications (3)
| Publication Number | Publication Date |
|---|---|
| JP2021061021A JP2021061021A (ja) | 2021-04-15 |
| JP2021061021A5 JP2021061021A5 (ja) | 2021-05-27 |
| JP7204231B2 true JP7204231B2 (ja) | 2023-01-16 |
Family
ID=54392890
Family Applications (5)
| Application Number | Title | Priority Date | Filing Date |
|---|---|---|---|
| JP2017511157A Active JP6813477B2 (ja) | 2014-05-09 | 2015-05-05 | 信頼度が低い、または信頼度が皆無の当事者間での価値転送を円滑化する装置、システム、または方法 |
| JP2020209670A Active JP7204231B2 (ja) | 2014-05-09 | 2020-12-17 | 信頼度が低い、または信頼度が皆無の当事者間での価値転送を円滑化する装置、システム、または方法 |
| JP2022054364A Active JP7533974B2 (ja) | 2014-05-09 | 2022-03-29 | 信頼度が低い、または信頼度が皆無の当事者間での価値転送を円滑化する装置、システム、または方法 |
| JP2022113831A Active JP7736305B2 (ja) | 2014-05-09 | 2022-07-15 | 信頼度が低い、または信頼度が皆無の当事者間での価値転送を円滑化する装置、システム、または方法 |
| JP2022204311A Active JP7533983B2 (ja) | 2014-05-09 | 2022-12-21 | 信頼度が低い、または信頼度が皆無の当事者間での価値転送を円滑化する装置、システム、または方法 |
Family Applications Before (1)
| Application Number | Title | Priority Date | Filing Date |
|---|---|---|---|
| JP2017511157A Active JP6813477B2 (ja) | 2014-05-09 | 2015-05-05 | 信頼度が低い、または信頼度が皆無の当事者間での価値転送を円滑化する装置、システム、または方法 |
Family Applications After (3)
| Application Number | Title | Priority Date | Filing Date |
|---|---|---|---|
| JP2022054364A Active JP7533974B2 (ja) | 2014-05-09 | 2022-03-29 | 信頼度が低い、または信頼度が皆無の当事者間での価値転送を円滑化する装置、システム、または方法 |
| JP2022113831A Active JP7736305B2 (ja) | 2014-05-09 | 2022-07-15 | 信頼度が低い、または信頼度が皆無の当事者間での価値転送を円滑化する装置、システム、または方法 |
| JP2022204311A Active JP7533983B2 (ja) | 2014-05-09 | 2022-12-21 | 信頼度が低い、または信頼度が皆無の当事者間での価値転送を円滑化する装置、システム、または方法 |
Country Status (5)
| Country | Link |
|---|---|
| US (4) | US11196566B2 (ja) |
| EP (3) | EP4148642B1 (ja) |
| JP (5) | JP6813477B2 (ja) |
| CN (1) | CN106664292A (ja) |
| WO (1) | WO2015171580A1 (ja) |
Families Citing this family (155)
| Publication number | Priority date | Publication date | Assignee | Title |
|---|---|---|---|---|
| US10565645B1 (en) | 2014-05-20 | 2020-02-18 | Wells Fargo Bank, N.A. | Systems and methods for operating a math-based currency exchange |
| US11170351B1 (en) | 2014-05-20 | 2021-11-09 | Wells Fargo Bank, N.A. | Systems and methods for identity verification of math-based currency account holders |
| US11270274B1 (en) | 2014-05-20 | 2022-03-08 | Wells Fargo Bank, N.A. | Mobile wallet using math based currency systems and methods |
| US11037110B1 (en) | 2014-05-20 | 2021-06-15 | Wells Fargo Bank, N.A. | Math based currency point of sale systems and methods |
| US10909509B1 (en) | 2014-05-20 | 2021-02-02 | Wells Fargo Bank, N.A. | Infrastructure for maintaining math-based currency accounts |
| US11062278B1 (en) | 2014-05-20 | 2021-07-13 | Wells Fargo Bank, N.A. | Systems and methods for math-based currency credit transactions |
| US10970684B1 (en) | 2014-05-20 | 2021-04-06 | Wells Fargo Bank, N.A. | Systems and methods for maintaining deposits of math-based currency |
| US11176524B1 (en) | 2014-05-20 | 2021-11-16 | Wells Fargo Bank, N.A. | Math based currency credit card |
| US10409827B2 (en) * | 2014-10-31 | 2019-09-10 | 21, Inc. | Digital currency mining circuitry having shared processing logic |
| US11386415B2 (en) | 2015-05-20 | 2022-07-12 | Ripple Luxembourg S.A. | Hold condition in a resource transfer system |
| US11481771B2 (en) | 2015-05-20 | 2022-10-25 | Ripple Luxembourg S.A. | One way functions in a resource transfer system |
| US10740732B2 (en) | 2015-05-20 | 2020-08-11 | Ripple Luxembourg S.A. | Resource transfer system |
| US11367072B2 (en) | 2015-05-20 | 2022-06-21 | Ripple Luxembourg S.A. | Private networks and content requests in a resource transfer system |
| US11392944B2 (en) * | 2015-05-20 | 2022-07-19 | Ripple Luxembourg S.A. | Transfer costs in a resource transfer system |
| US11392955B2 (en) * | 2015-05-20 | 2022-07-19 | Ripple Luxembourg S.A. | Temporary consensus networks in a resource transfer system |
| CN106296196A (zh) * | 2015-06-05 | 2017-01-04 | 地气股份有限公司 | 数字货币交易签章方法与系统及其数字货币交易装置 |
| CA2991211C (en) | 2015-07-02 | 2024-02-20 | Nasdaq, Inc. | Systems and methods of secure provenance for distributed transaction databases |
| US10719816B1 (en) | 2015-11-19 | 2020-07-21 | Wells Fargo Bank, N.A. | Systems and methods for math-based currency escrow transactions |
| US11562353B2 (en) * | 2015-11-24 | 2023-01-24 | Mastercard International Incorporated | Method and system for gross settlement by use of an opaque blockchain |
| US10230756B2 (en) | 2015-11-25 | 2019-03-12 | International Business Machines Corporation | Resisting replay attacks efficiently in a permissioned and privacy-preserving blockchain network |
| KR101678795B1 (ko) * | 2015-11-30 | 2016-11-22 | 전삼구 | 블록체인 인증을 이용하는 IoT 기반 사물 관리 시스템 및 방법 |
| US10652319B2 (en) * | 2015-12-16 | 2020-05-12 | Dell Products L.P. | Method and system for forming compute clusters using block chains |
| CN108701325B (zh) * | 2015-12-21 | 2022-11-22 | 星茶瓦公司 | 自调节交易系统以及用于该系统的方法 |
| EP3305828B1 (en) * | 2015-12-24 | 2019-11-20 | Mitsubishi Chemical Corporation | Polyester polyol, polyurethane resin, and production processes therefor |
| GB2604540B (en) | 2016-02-03 | 2023-01-11 | Luther Systems | System and method for secure management of digital contracts |
| EP3848883B1 (en) | 2016-02-22 | 2024-03-06 | Royal Bank Of Canada | Electronic document platform |
| MX2018009356A (es) | 2016-02-23 | 2018-12-19 | Nchain Holdings Ltd | Determinacion de un secreto comun para el intercambio seguro de informacion y claves criptograficas deterministas y jerarquicas. |
| JP6925346B2 (ja) | 2016-02-23 | 2021-08-25 | エヌチェーン ホールディングス リミテッドNchain Holdings Limited | ブロックチェーンベースのトークナイゼーションを用いた交換 |
| WO2017145005A1 (en) | 2016-02-23 | 2017-08-31 | nChain Holdings Limited | Blockchain implemented counting system and method for use in secure voting and distribution |
| EA201891829A1 (ru) | 2016-02-23 | 2019-02-28 | Нчейн Холдингс Лимитед | Способ и система для эффективного перевода криптовалюты, связанной с заработной платой, в блокчейне для создания способа и системы автоматизированной выплаты заработной платы на основе смарт-контрактов |
| JP6528008B2 (ja) | 2016-02-23 | 2019-06-12 | エヌチェーン ホールディングス リミテッドNchain Holdings Limited | 秘密共有のための楕円曲線暗号化を利用したパーソナルデバイスセキュリティ |
| US12107952B2 (en) * | 2016-02-23 | 2024-10-01 | Nchain Licensing Ag | Methods and systems for efficient transfer of entities on a peer-to-peer distributed ledger using the blockchain |
| JP6799061B2 (ja) | 2016-02-23 | 2020-12-09 | エヌチェーン ホールディングス リミテッドNchain Holdings Limited | ウォレット管理システムと併せたブロックチェーンベースのシステムのための暗号鍵のセキュアなマルチパーティ損失耐性のある記憶及び転送 |
| MX2018010059A (es) * | 2016-02-23 | 2019-01-21 | Nchain Holdings Ltd | Metodo implementado por cadena de bloques para el control y distribucion de contenido digital. |
| PL3257191T3 (pl) | 2016-02-23 | 2019-01-31 | Nchain Holdings Ltd | Rejestr i zautomatyzowany sposób zarządzania łańcuchem bloków - egzekwowane umowy inteligentne |
| WO2017145017A1 (en) * | 2016-02-23 | 2017-08-31 | nChain Holdings Limited | Methods and systems for the efficient transfer of entities on a blockchain |
| BR112018016825A2 (pt) | 2016-02-23 | 2018-12-26 | Nchain Holdings Ltd | métodos para transferir, criar e resgatar um primeiro token associado ou não a um ativo digital, criar um terceiro token, programa de computador e dispositivo |
| BR112018016819A2 (pt) | 2016-02-23 | 2018-12-26 | Nchain Holdings Ltd | método e sistemas para proteger um recurso digital controlado utilizando uma tabela de dispersão e livro-razão distribuídos e um blockchain |
| CN116957790A (zh) | 2016-02-23 | 2023-10-27 | 区块链控股有限公司 | 一种实现区块链上交换的通证化方法及系统 |
| WO2017145018A1 (en) | 2016-02-23 | 2017-08-31 | nChain Holdings Limited | A method and system for the secure transfer of entities on a blockchain |
| CN109314636B (zh) | 2016-02-23 | 2022-01-11 | 区块链控股有限公司 | 用于从区块链中安全提取数据的密码方法和系统 |
| SG10202011640TA (en) | 2016-02-23 | 2021-01-28 | Nchain Holdings Ltd | System and method for controlling asset-related actions via a blockchain |
| US20200327498A1 (en) * | 2016-03-21 | 2020-10-15 | National Ict Australia Limited | Business Process Execution on a Blockchain Platform |
| GB201605032D0 (en) * | 2016-03-24 | 2016-05-11 | Eitc Holdings Ltd | Recording multiple transactions on a peer-to-peer distributed ledger |
| EP4195127B1 (en) * | 2016-04-11 | 2025-08-20 | nChain Licensing AG | Computer-implemented methods and systems for validating tokens for blockchain-based cryptocurrencies |
| CN117151853A (zh) | 2016-04-11 | 2023-12-01 | 区块链控股有限公司 | 用于区块链上的安全点对点通信的方法 |
| WO2017187398A1 (en) * | 2016-04-29 | 2017-11-02 | nChain Holdings Limited | Implementing logic gate functionality using a blockchain |
| GB201607477D0 (en) * | 2016-04-29 | 2016-06-15 | Eitc Holdings Ltd | A method and system for controlling the performance of a contract using a distributed hash table and a peer to peer distributed ledger |
| WO2017189027A1 (en) * | 2016-04-29 | 2017-11-02 | Digital Asset Holdings | Digital asset modeling |
| US10333705B2 (en) | 2016-04-30 | 2019-06-25 | Civic Technologies, Inc. | Methods and apparatus for providing attestation of information using a centralized or distributed ledger |
| JP6628188B2 (ja) * | 2016-05-10 | 2020-01-08 | 日本電信電話株式会社 | 決済システム、決済方法、トランザクション生成装置及びトランザクション生成プログラム |
| GB2552453A (en) * | 2016-05-23 | 2018-01-31 | Maidsafe Found | Method of creating a data chain in a data structure that can be cryptographically proven to contain valid data |
| US10341309B1 (en) | 2016-06-13 | 2019-07-02 | Allstate Insurance Company | Cryptographically protecting data transferred between spatially distributed computing devices using an intermediary database |
| GB201611698D0 (en) | 2016-07-05 | 2016-08-17 | Eitc Holdings Ltd | Blockchain-implemented control method and system |
| EP3488405B1 (en) * | 2016-07-25 | 2025-12-17 | Tbcasoft, Inc. | Digital property management on a distributed transaction consensus network |
| GB201613109D0 (en) * | 2016-07-29 | 2016-09-14 | Eitc Holdings Ltd | Computer implemented method and system |
| US11405395B2 (en) * | 2016-07-29 | 2022-08-02 | Nchain Licensing Ag | Accessing an internet of things device using blockchain metadata |
| EP3491598B1 (en) * | 2016-07-29 | 2023-09-20 | nChain Licensing AG | Blockchain-implemented method and system |
| JP6703918B2 (ja) * | 2016-08-31 | 2020-06-03 | ヤフー株式会社 | 生成プログラム、生成装置及び生成方法 |
| US10282558B2 (en) | 2016-09-02 | 2019-05-07 | The Toronto-Dominion Bank | System and method for maintaining a segregated database in a multiple distributed ledger system |
| US11601498B2 (en) | 2016-09-12 | 2023-03-07 | Baton Systems, Inc. | Reconciliation of data stored on permissioned database storage across independent computing nodes |
| WO2018049358A1 (en) * | 2016-09-12 | 2018-03-15 | Baton Systems, Inc. | Financial management systems and methods |
| US10565570B2 (en) | 2016-09-27 | 2020-02-18 | The Toronto-Dominion Bank | Processing network architecture with companion database |
| US10587628B2 (en) | 2016-09-29 | 2020-03-10 | Microsoft Technology Licensing, Llc | Verifiable outsourced ledgers |
| US11128603B2 (en) * | 2016-09-30 | 2021-09-21 | Nec Corporation | Method and system for providing a transaction forwarding service in blockchain implementations |
| US11651359B2 (en) | 2016-10-05 | 2023-05-16 | The Toronto-Dominion Bank | Distributed electronic ledger with metadata |
| US20180101846A1 (en) * | 2016-10-11 | 2018-04-12 | Fujitsu Limited | Selective signature system |
| WO2018078519A1 (en) | 2016-10-25 | 2018-05-03 | nChain Holdings Limited | Method and system for directing an exchange associated with an anonymously held token on a blockchain |
| US10657526B2 (en) | 2016-10-28 | 2020-05-19 | International Business Machines Corporation | System and method to dynamically setup a private sub-blockchain based on agility of transaction processing |
| JP2018077714A (ja) * | 2016-11-10 | 2018-05-17 | 株式会社野村総合研究所 | 取引管理プログラム、取引管理システム、及び取引管理方法 |
| WO2018116106A1 (en) | 2016-12-21 | 2018-06-28 | nChain Holdings Limited | Computer-implemented systems and methods to enable complex functionality on a blockchain while preserving security-based restrictions on script size and opcode limits |
| GB201701589D0 (en) | 2017-01-31 | 2017-03-15 | Nchain Holdings Ltd | Computer-implemented system and method |
| CN106941487B (zh) | 2017-02-24 | 2021-01-05 | 创新先进技术有限公司 | 一种数据发送方法及装置 |
| CN110546663A (zh) * | 2017-03-08 | 2019-12-06 | 锡克拜控股有限公司 | 用于在数据库中登记信息的高级方法、系统和装置 |
| GB201705749D0 (en) | 2017-04-10 | 2017-05-24 | Nchain Holdings Ltd | Computer-implemented system and method |
| US11887115B2 (en) * | 2017-04-17 | 2024-01-30 | Jeff STOLLMAN | Systems and methods to validate transactions for inclusion in electronic blockchains |
| GB201706071D0 (en) * | 2017-04-18 | 2017-05-31 | Nchain Holdings Ltd | Computer-implemented system and method |
| GB201706132D0 (en) * | 2017-04-18 | 2017-05-31 | Nchain Holdings Ltd | Computer-implemented system and method |
| US11238460B2 (en) | 2017-04-28 | 2022-02-01 | Mastercard International Incorporated | Method and system for implementing chargebacks on a distributed ledger system |
| GB201707168D0 (en) | 2017-05-05 | 2017-06-21 | Nchain Holdings Ltd | Computer-implemented system and method |
| GB201707788D0 (en) * | 2017-05-15 | 2017-06-28 | Nchain Holdings Ltd | Computer-implemented system and method |
| KR102612799B1 (ko) | 2017-05-22 | 2023-12-13 | 엔체인 홀딩스 리미티드 | 종료 조건을 가진 복제가능 스마트 계약 |
| JP7072587B2 (ja) * | 2017-06-14 | 2022-05-20 | エヌチェーン ホールディングス リミテッド | ブロックチェーン・ネットワークにおける暗号座礁リソースを回避又は削減するシステム及び方法 |
| GB201709518D0 (en) * | 2017-06-15 | 2017-08-02 | Nchain Holdings Ltd | Computer-implemented system and method |
| GB201709760D0 (en) | 2017-06-19 | 2017-08-02 | Nchain Holdings Ltd | Computer-Implemented system and method |
| US11397943B2 (en) | 2017-06-20 | 2022-07-26 | Nchain Holdings Ltd. | System and method of multi-round token distribution using a blockchain network |
| US20190026672A1 (en) * | 2017-07-24 | 2019-01-24 | One Network Enterprises, Inc. | System and computer program for implementing an improved blockchain for use a value chain |
| GB201713046D0 (en) * | 2017-08-15 | 2017-09-27 | Nchain Holdings Ltd | Computer-implemented system and method |
| EP4513411A3 (en) | 2017-08-29 | 2025-04-09 | nChain Licensing AG | Concurrent state machine processing using a blockchain |
| GB201713800D0 (en) * | 2017-08-29 | 2017-10-11 | Nchain Holdings Ltd | Computer-implemented system and method |
| JP7264878B6 (ja) * | 2017-09-08 | 2024-02-15 | エヌチェーン ライセンシング アーゲー | ブロックチェーンにおけるリソースを保護する改善された時間ロック技術 |
| GB201714987D0 (en) * | 2017-09-18 | 2017-11-01 | Nchain Holdings Ltd | Computer-implemented system and method |
| KR102809216B1 (ko) * | 2017-11-09 | 2025-05-15 | 엔체인 홀딩스 리미티드 | 중재자 컴퓨터 시스템을 이용하여 컴퓨터 프로그램의 정확한 실행을 보장하기 위한 시스템 및 방법 |
| US20190156923A1 (en) | 2017-11-17 | 2019-05-23 | LunaPBC | Personal, omic, and phenotype data community aggregation platform |
| US20190156363A1 (en) * | 2017-11-17 | 2019-05-23 | Richard Postrel | Implementation of a loyalty program and exchange system utilizing a blockchain |
| US11861619B1 (en) * | 2017-11-30 | 2024-01-02 | Worldpay, Llc | Systems and methods for payment transactions, alerts, dispute settlement, and settlement payments, using multiple blockchains |
| JP6688779B2 (ja) * | 2017-12-04 | 2020-04-28 | 株式会社A.L.I.Technologies | マイニング処理の分散管理システム及びその方法 |
| GB201720767D0 (en) * | 2017-12-13 | 2018-01-24 | Barker Trevor | Computer-implemented system and method |
| US11126737B2 (en) * | 2018-01-09 | 2021-09-21 | Randy Friedman | System and method of decentralized services to make federated raw data sets self-governing for secure sharing and commingling |
| CN108494729B (zh) * | 2018-02-07 | 2019-05-07 | 北京卓讯科信技术有限公司 | 一种零信任模型实现系统 |
| GB201802063D0 (en) * | 2018-02-08 | 2018-03-28 | Nchain Holdings Ltd | Computer-implemented methods and systems |
| US20210097610A1 (en) * | 2018-02-08 | 2021-04-01 | 2Bc Innovations, Llc | Utilizing blockchain-encoded records for rived longevity-contingent instruments |
| GB201802148D0 (en) | 2018-02-09 | 2018-03-28 | Nchain Holdings Ltd | Computer-implemented system and method |
| US11951400B2 (en) * | 2018-03-14 | 2024-04-09 | Sony Interactive Entertainment LLC | Secure decentralized video game transaction platform |
| US11017036B2 (en) * | 2018-03-14 | 2021-05-25 | Bjorn Markus Jakobsson | Publicly verifiable proofs of space |
| GB201805633D0 (en) * | 2018-04-05 | 2018-05-23 | Nchain Holdings Ltd | Computer implemented method and system |
| GB201806112D0 (en) * | 2018-04-13 | 2018-05-30 | Nchain Holdings Ltd | Computer-implemented system and method |
| JP2019191729A (ja) * | 2018-04-20 | 2019-10-31 | 昭博 富岡 | 数値の表示方法及び数値表示装置 |
| WO2019210310A1 (en) * | 2018-04-27 | 2019-10-31 | SharesPost, Inc. | Global liquidity and settlement system |
| US11775479B2 (en) | 2018-05-24 | 2023-10-03 | Luther Systems Us Incorporated | System and method for efficient and secure private similarity detection for large private document repositories |
| US10691648B2 (en) | 2018-07-03 | 2020-06-23 | International Business Machines Corporation | Controlling volatility via blockchain |
| GB201811263D0 (en) * | 2018-07-10 | 2018-08-29 | Netmaster Solutions Ltd | A method and system for managing digital using a blockchain |
| CN109242485B (zh) * | 2018-08-13 | 2020-07-10 | 阿里巴巴集团控股有限公司 | 区块链交易方法及装置、电子设备 |
| US20200082405A1 (en) * | 2018-09-12 | 2020-03-12 | NEC Laboratories Europe GmbH | Method and system for client support in a blockchain network |
| US11966917B2 (en) * | 2018-09-12 | 2024-04-23 | Bitclave Pte. Ltd. | Systems and methods for providing personal rewards in a trustless ecosystem |
| US11138572B2 (en) * | 2018-09-26 | 2021-10-05 | Mastercard International Incorporated | Method and system for dispute resolution in a public blockchain |
| JP6712733B2 (ja) * | 2018-09-26 | 2020-06-24 | 株式会社リップル・マーク | 仮想通貨を用いて貿易取引の管理を行う為の貿易取引管理システム、貿易取引管理方法および貿易取引管理プログラム |
| US11226971B2 (en) | 2018-10-03 | 2022-01-18 | International Business Machines Corporation | Blockchain implementing reliability database |
| US11314749B2 (en) | 2018-10-03 | 2022-04-26 | International Business Machines Corporation | Blockchain implementing reliability database |
| US11243917B2 (en) | 2018-10-03 | 2022-02-08 | International Business Machines Corporation | Blockchain implementing reliability database |
| CN109614438A (zh) | 2018-10-24 | 2019-04-12 | 阿里巴巴集团控股有限公司 | 一种基于区块链的理赔方法和装置 |
| US20200134615A1 (en) * | 2018-10-31 | 2020-04-30 | Zhongwei Wu | System and methods for creating, transfering, and invoking a transferable promise |
| US20200134606A1 (en) * | 2018-10-31 | 2020-04-30 | EMC IP Holding Company LLC | Asset management in asset-based blockchain system |
| GB2583993B (en) | 2018-11-19 | 2023-08-02 | Luther Systems Ltd | Immutable ledger with efficient and secure data destruction, system and method |
| SG11202104620SA (en) | 2018-11-27 | 2021-06-29 | Nchain Holdings Ltd | Computer implemented system and method for storing data on a blockchain |
| JP2022523621A (ja) | 2018-12-28 | 2022-04-26 | ルナピービーシー | コミュニティデータの集約、完成、修正、および使用 |
| KR20210116552A (ko) * | 2019-01-15 | 2021-09-27 | 블록체인 에이직스 인크. | 블록체인 헤더 검증에서의 동적 변환 |
| JP2020129752A (ja) * | 2019-02-08 | 2020-08-27 | 株式会社メルカリ | プログラム、情報処理装置、及び情報処理方法 |
| US11151525B2 (en) * | 2019-03-05 | 2021-10-19 | Coinbase, Inc. | Systems and methods for withdrawal consolidation |
| US11763275B2 (en) * | 2019-03-05 | 2023-09-19 | Coinbase, Inc. | System and method for cryptocurrency point of sale |
| US11108553B2 (en) * | 2019-04-05 | 2021-08-31 | International Business Machines Corporation | Database transaction guaranteed commitment |
| US11537592B1 (en) | 2019-04-22 | 2022-12-27 | Wells Fargo Bank, N.A. | Metadata management through blockchain technology |
| US11676143B2 (en) | 2019-05-16 | 2023-06-13 | Coinbase, Inc. | Systems and methods for blockchain transaction management |
| US10790990B2 (en) * | 2019-06-26 | 2020-09-29 | Alibaba Group Holding Limited | Ring signature-based anonymous transaction |
| GB2587202A (en) * | 2019-09-17 | 2021-03-24 | Nchain Holdings Ltd | Allocation of a digital asset using blockchain transactions |
| JP2020057427A (ja) * | 2019-12-23 | 2020-04-09 | 株式会社A.L.I.Technologies | マイニング処理の分散管理システム及びその方法 |
| EP4168964A4 (en) | 2020-06-17 | 2024-06-05 | Coinbase Inc. | CRYPTOCURRENCY CONVERSION SYSTEMS AND METHODS |
| CN111478772B (zh) | 2020-06-22 | 2020-10-16 | 杭州趣链科技有限公司 | 一种流水线友好的签名和验签方法、设备及存储介质 |
| CN114511306B (zh) * | 2020-11-17 | 2024-11-05 | 如般量子科技有限公司 | 基于数字货币的一次性密钥匿名双离线交易方法及系统 |
| US11874827B2 (en) | 2020-12-30 | 2024-01-16 | Luther Systems Us Incorporated | System and method for automatic, rapid, and auditable updates of digital contracts |
| US12014368B2 (en) | 2021-01-21 | 2024-06-18 | Bank Of America Corporation | System for analyzing and resolving disputed data records |
| US20220284008A1 (en) * | 2021-03-02 | 2022-09-08 | Mastercard International Incorporated | Method and system of implementing partitioned blockchain |
| US12294656B2 (en) | 2021-03-12 | 2025-05-06 | Michael Ira Kanovitz | Authenticated modification of blockchain-based data |
| WO2022211000A1 (ja) * | 2021-03-31 | 2022-10-06 | 長瀬産業株式会社 | 水溶性ポリマーの製造方法、および吸水性樹脂の製造方法 |
| US11741426B2 (en) | 2021-05-07 | 2023-08-29 | Sony Interactive Entertainment Inc. | Tracking unique video game digital media assets using tokens on a distributed ledger |
| US20230208648A1 (en) * | 2021-12-29 | 2023-06-29 | International Business Machines Corporation | Htlc with proof of elapsed time |
| US20230342460A1 (en) * | 2022-04-25 | 2023-10-26 | Palo Alto Networks, Inc. | Malware detection for documents with deep mutual learning |
| US12541591B2 (en) | 2022-04-25 | 2026-02-03 | Palo Alto Networks, Inc. | Malware detection for documents using knowledge distillation assisted learning |
| CN114584405B (zh) * | 2022-05-07 | 2022-08-02 | 国网浙江省电力有限公司电力科学研究院 | 一种电力终端安全防护方法及系统 |
| WO2024242670A1 (en) * | 2023-05-23 | 2024-11-28 | Marathon Digital Holdings | Systems and methods for decreasing counterparty settlement risk |
| US12299758B2 (en) | 2022-05-31 | 2025-05-13 | Sony Interactive Entertainment LLC | Secure matchmaking, asset transfer, and usability reconfiguration platform |
| CN115499508B (zh) * | 2022-09-14 | 2026-01-09 | 中国银行股份有限公司 | 一种pos安全控制系统及方法 |
| US12432218B1 (en) | 2023-04-17 | 2025-09-30 | Xage Security, Inc. | Zero-trust cybersecurity enforcement in operational technology systems |
| EP4407548A3 (en) * | 2024-05-21 | 2024-11-20 | Oxinus Holding Limited | Method and system for providing a secure transaction process |
| JP7811423B1 (ja) | 2025-10-10 | 2026-02-05 | Wea Japan株式会社 | 払い戻しシステム及び払い戻し方法 |
Citations (2)
| Publication number | Priority date | Publication date | Assignee | Title |
|---|---|---|---|---|
| JP2002230448A (ja) | 1995-04-21 | 2002-08-16 | Citibank Na | 電子マネーシステム |
| WO2013127713A1 (en) | 2012-03-02 | 2013-09-06 | Alcatel Lucent | Decentralized electronic transfer system |
Family Cites Families (21)
| Publication number | Priority date | Publication date | Assignee | Title |
|---|---|---|---|---|
| US5453601A (en) * | 1991-11-15 | 1995-09-26 | Citibank, N.A. | Electronic-monetary system |
| US7028187B1 (en) * | 1991-11-15 | 2006-04-11 | Citibank, N.A. | Electronic transaction apparatus for electronic commerce |
| US7143290B1 (en) * | 1995-02-13 | 2006-11-28 | Intertrust Technologies Corporation | Trusted and secure techniques, systems and methods for item delivery and execution |
| US7003480B2 (en) * | 1997-02-27 | 2006-02-21 | Microsoft Corporation | GUMP: grand unified meta-protocol for simple standards-based electronic commerce transactions |
| US7546275B1 (en) * | 2000-07-20 | 2009-06-09 | International Business Machines Corporation | Decentralized electronic certified payment |
| CA2445573A1 (en) * | 2001-04-27 | 2002-11-07 | Massachusetts Institute Of Technology | Method and system for micropayment transactions |
| US7660988B2 (en) * | 2002-03-18 | 2010-02-09 | Cognomina, Inc. | Electronic notary |
| US8229859B2 (en) | 2007-04-19 | 2012-07-24 | Gideon Samid | Bit currency: transactional trust tools |
| CN101490687B (zh) * | 2006-07-07 | 2012-04-18 | 桑迪士克股份有限公司 | 使用身份对象的控制系统及方法 |
| MX2010000619A (es) * | 2007-07-17 | 2010-05-17 | William Howard Peirson Jr | Sistemas y procesos para obtener y manejar firmas electronicas para documentos de transacciones de bienes raices. |
| WO2015074007A1 (en) * | 2013-11-15 | 2015-05-21 | Leaf Healthcare, Inc. | Prevention and treatment of bed exits, falls, and other conditions |
| CN101616146A (zh) * | 2009-07-28 | 2009-12-30 | 西安电子科技大学 | 基于第三方的数字签名认证系统及认证方法 |
| US20130166455A1 (en) * | 2011-12-23 | 2013-06-27 | Douglas Feigelson | Creating and using digital currency |
| US20130179337A1 (en) * | 2012-01-09 | 2013-07-11 | Walter Ochynski | Account free possession and transfer of electronic money |
| US20130212388A1 (en) * | 2012-02-13 | 2013-08-15 | Alephcloud Systems, Inc. | Providing trustworthy workflow across trust boundaries |
| CN102801710B (zh) * | 2012-07-04 | 2016-03-02 | 北京天龙融和软件有限公司 | 一种网络交易方法和系统 |
| US9892460B1 (en) * | 2013-06-28 | 2018-02-13 | Winklevoss Ip, Llc | Systems, methods, and program products for operating exchange traded products holding digital math-based assets |
| US9595034B2 (en) * | 2013-10-25 | 2017-03-14 | Stellenbosch University | System and method for monitoring third party access to a restricted item |
| FR3018378A1 (fr) * | 2014-03-12 | 2015-09-11 | Enrico Maim | Systeme et procede transactionnels a architecture repartie fondees sur des transactions de transferts d'unites de compte entre adresses |
| WO2015142765A1 (en) * | 2014-03-17 | 2015-09-24 | Coinbase, Inc | Bitcoin host computer system |
| US9672499B2 (en) * | 2014-04-02 | 2017-06-06 | Modernity Financial Holdings, Ltd. | Data analytic and security mechanism for implementing a hot wallet service |
-
2015
- 2015-05-05 EP EP22168050.7A patent/EP4148642B1/en active Active
- 2015-05-05 CN CN201580024338.3A patent/CN106664292A/zh active Pending
- 2015-05-05 EP EP15789330.6A patent/EP3140979A4/en not_active Ceased
- 2015-05-05 EP EP25224960.2A patent/EP4693151A2/en active Pending
- 2015-05-05 JP JP2017511157A patent/JP6813477B2/ja active Active
- 2015-05-05 US US15/309,612 patent/US11196566B2/en active Active - Reinstated
- 2015-05-05 WO PCT/US2015/029196 patent/WO2015171580A1/en not_active Ceased
-
2020
- 2020-12-17 JP JP2020209670A patent/JP7204231B2/ja active Active
-
2021
- 2021-10-29 US US17/452,782 patent/US11895246B2/en active Active
-
2022
- 2022-03-29 JP JP2022054364A patent/JP7533974B2/ja active Active
- 2022-07-15 JP JP2022113831A patent/JP7736305B2/ja active Active
- 2022-12-21 JP JP2022204311A patent/JP7533983B2/ja active Active
-
2024
- 2024-02-02 US US18/430,909 patent/US12231579B2/en active Active
-
2025
- 2025-01-18 US US19/031,916 patent/US20250168013A1/en active Pending
Patent Citations (2)
| Publication number | Priority date | Publication date | Assignee | Title |
|---|---|---|---|---|
| JP2002230448A (ja) | 1995-04-21 | 2002-08-16 | Citibank Na | 電子マネーシステム |
| WO2013127713A1 (en) | 2012-03-02 | 2013-09-06 | Alcatel Lucent | Decentralized electronic transfer system |
Also Published As
| Publication number | Publication date |
|---|---|
| JP2023036786A (ja) | 2023-03-14 |
| JP7533974B2 (ja) | 2024-08-14 |
| JP7533983B2 (ja) | 2024-08-14 |
| US20250168013A1 (en) | 2025-05-22 |
| JP2022137242A (ja) | 2022-09-21 |
| EP4148642A1 (en) | 2023-03-15 |
| EP3140979A1 (en) | 2017-03-15 |
| EP4148642B1 (en) | 2025-12-24 |
| JP6813477B2 (ja) | 2021-01-13 |
| US12231579B2 (en) | 2025-02-18 |
| US11895246B2 (en) | 2024-02-06 |
| US20240179011A1 (en) | 2024-05-30 |
| JP2022088536A (ja) | 2022-06-14 |
| JP7736305B2 (ja) | 2025-09-09 |
| EP4693151A2 (en) | 2026-02-11 |
| CN106664292A (zh) | 2017-05-10 |
| EP3140979A4 (en) | 2017-12-27 |
| US20220052857A1 (en) | 2022-02-17 |
| US20170187535A1 (en) | 2017-06-29 |
| WO2015171580A1 (en) | 2015-11-12 |
| JP2021061021A (ja) | 2021-04-15 |
| US11196566B2 (en) | 2021-12-07 |
| JP2017515252A (ja) | 2017-06-08 |
Similar Documents
| Publication | Publication Date | Title |
|---|---|---|
| JP7204231B2 (ja) | 信頼度が低い、または信頼度が皆無の当事者間での価値転送を円滑化する装置、システム、または方法 | |
| US11995067B2 (en) | Systems and methods for blockchain rule synchronization | |
| JP7139499B6 (ja) | ブロックチェーン上のセキュアなピアツーピア通信の方法 | |
| US20190340607A1 (en) | System for central authority-permissioned transfer of blockchain tokens | |
| JP2022547130A (ja) | ブロックチェーンベースの記録プロセスを提供するシステムおよび方法 | |
| US20180268483A1 (en) | Programmable asset systems and methods | |
| CN114096978A (zh) | 数字资产管理系统和方法 | |
| WO2022020609A1 (en) | Method and system for defining, creating, managing, and transacting multiple classes of digital objects | |
| EP4135259B1 (en) | Delegated off-chain payments using cryptocurrencies | |
| WO2023201359A2 (en) | Method, controller, and computer readable medium for detecting expiration of a unique cryptographic identifier on a distributed transfer network | |
| HK40091419A (en) | Devices, systems, and methods for facilitating low trust and zero trust value transfers | |
| US12493871B1 (en) | Systems, methods, and program products for non-custodial trading of digital assets on a digital asset exchange | |
| KR20240151445A (ko) | 재산권 증명 nft와 분할 토큰을 이용한 재산권 분할 거래 방법 및 시스템 |
Legal Events
| Date | Code | Title | Description |
|---|---|---|---|
| A521 | Request for written amendment filed |
Free format text: JAPANESE INTERMEDIATE CODE: A523 Effective date: 20210115 |
|
| A621 | Written request for application examination |
Free format text: JAPANESE INTERMEDIATE CODE: A621 Effective date: 20210115 |
|
| A521 | Request for written amendment filed |
Free format text: JAPANESE INTERMEDIATE CODE: A523 Effective date: 20210303 |
|
| A711 | Notification of change in applicant |
Free format text: JAPANESE INTERMEDIATE CODE: A711 Effective date: 20210708 |
|
| A521 | Request for written amendment filed |
Free format text: JAPANESE INTERMEDIATE CODE: A821 Effective date: 20210708 |
|
| A521 | Request for written amendment filed |
Free format text: JAPANESE INTERMEDIATE CODE: A523 Effective date: 20211207 |
|
| A131 | Notification of reasons for refusal |
Free format text: JAPANESE INTERMEDIATE CODE: A131 Effective date: 20220329 |
|
| A521 | Request for written amendment filed |
Free format text: JAPANESE INTERMEDIATE CODE: A523 Effective date: 20220627 |
|
| TRDD | Decision of grant or rejection written | ||
| A01 | Written decision to grant a patent or to grant a registration (utility model) |
Free format text: JAPANESE INTERMEDIATE CODE: A01 Effective date: 20221025 |
|
| A601 | Written request for extension of time |
Free format text: JAPANESE INTERMEDIATE CODE: A601 Effective date: 20221122 |
|
| A61 | First payment of annual fees (during grant procedure) |
Free format text: JAPANESE INTERMEDIATE CODE: A61 Effective date: 20221221 |
|
| R150 | Certificate of patent or registration of utility model |
Ref document number: 7204231 Country of ref document: JP Free format text: JAPANESE INTERMEDIATE CODE: R150 |
|
| S111 | Request for change of ownership or part of ownership |
Free format text: JAPANESE INTERMEDIATE CODE: R313113 |
|
| R350 | Written notification of registration of transfer |
Free format text: JAPANESE INTERMEDIATE CODE: R350 |
|
| R250 | Receipt of annual fees |
Free format text: JAPANESE INTERMEDIATE CODE: R250 |


























