JP2010034097A - 発光素子、表示装置および電子機器 - Google Patents
発光素子、表示装置および電子機器 Download PDFInfo
- Publication number
- JP2010034097A JP2010034097A JP2008191526A JP2008191526A JP2010034097A JP 2010034097 A JP2010034097 A JP 2010034097A JP 2008191526 A JP2008191526 A JP 2008191526A JP 2008191526 A JP2008191526 A JP 2008191526A JP 2010034097 A JP2010034097 A JP 2010034097A
- Authority
- JP
- Japan
- Prior art keywords
- layer
- light emitting
- hole injection
- light
- hole transport
- Prior art date
- Legal status (The legal status is an assumption and is not a legal conclusion. Google has not performed a legal analysis and makes no representation as to the accuracy of the status listed.)
- Granted
Links
Images
Landscapes
- Electroluminescent Light Sources (AREA)
- Devices For Indicating Variable Information By Combining Individual Elements (AREA)
Abstract
【解決手段】発光素子1は、正孔注入層4と正孔輸送層6との層間にこれらに接するように設けられ、正孔輸送層6との接触により電子および正孔を発生させるキャリア発生材料を含んで構成されたキャリア発生層5を有し、正孔注入層4を構成する正孔注入材料の最高被占軌道のエネルギー準位をHHIL[eV]とし、正孔輸送層6を構成する正孔輸送材料の最高被占軌道のエネルギー準位をHHTL[eV]としたとき、|HHIL|>|HHTL|なる関係を満たす。
【選択図】図2
Description
かかる発光素子では、電荷発生層が正孔輸送層および正孔注入層との接触によりキャリア(正孔および電子)を発生させる。そのため、発光素子の発光効率を高め、発光素子の駆動電圧を低減することができる。また、かかる発光素子では、キャリア発生層が陽極に直接接しないので、高温下や長期使用によっても、キャリア発生層の結晶化による発光素子の特性変化を防止することができる。
本発明の発光素子は、陰極と、
陽極と、
前記陰極と前記陽極との間に設けられ、発光材料を含んで構成された少なくとも1つの発光層を備える発光部と、
前記発光部と前記陽極との間に設けられ、正孔注入材料を含んで構成された正孔注入層と、
前記正孔注入層と前記発光部との間に設けられ、正孔輸送材料を含んで構成された正孔輸送層と、
前記正孔注入層と前記正孔輸送層との層間にこれらに接するように設けられ、前記正孔輸送層との接触により電子および正孔を発生させるキャリア発生材料を含んで構成されたキャリア発生層とを有し、
前記正孔注入材料の最高被占軌道のエネルギー準位をHHIL[eV]とし、前記正孔輸送材料の最高被占軌道のエネルギー準位をHHTL[eV]としたとき、
|HHIL|>|HHTL|なる関係を満たすことを特徴とする。
これにより、キャリア発生層と正孔輸送層との相互作用がより強くなるので、キャリア発生層がその正孔輸送層との界面付近で正孔注入層との界面付近よりも多くの正孔および電子をより確実に発生させることができる。
このような化合物は、正孔注入性を有しつつ、最高被占軌道のエネルギー準位を−5.1eV以上、すなわちその絶対値を5.1eV以下とすることができる。
本発明の発光素子では、前記正孔注入材料の分子量は、400〜1000であることが好ましい。
これにより、正孔注入材料の最高被占軌道のエネルギー準位を最適化しつつ、正孔注入層を気相成膜法により簡単かつ安定に成膜することができる。
このような化合物は、正孔輸送性を有しつつ、最高被占軌道のエネルギー準位を−5.3eV以下、その絶対値を5.3eV以上とすることができる。
本発明の発光素子では、前記正孔輸送材料の分子量は、400〜1000であることが好ましい。
これにより、正孔輸送材料の最高被占軌道のエネルギー準位を最適化しつつ、正孔輸送層を気相成膜法により簡単かつ安定に成膜することができる。
|HHIL|<|HHHAT|なる関係を満たすことが好ましい。
これにより、正孔注入層からキャリア発生層への正孔の輸送を円滑なものとすることができる。
これにより、発光素子の駆動電圧を抑えつつ、正孔注入層からキャリア発生層への正孔の輸送を円滑なものとすることができる。
|HHTL|>|LHHAT|なる関係を満たすことが好ましい。
これにより、キャリア発生層と正孔輸送層との相互作用を強めることができる。
本発明の発光素子では、前記正孔輸送材料の最高被占軌道のエネルギー準位の絶対値|HHTL|と、前記キャリア発生材料の最低空軌道のエネルギー準位の絶対値|LHHAT|とは、0.3eV≦|HHTL|−|LHHAT|≦1.5eVなる関係を満たすことが好ましい。
これにより、キャリア発生層と正孔輸送層との相互作用をより確実に強めることができる。
このような化合物は、キャリア発生材料の機能に優れている。
本発明の表示装置は、本発明の発光素子を備えることを特徴とする。
このような表示装置は、熱的安定性および耐久性に優れたものとしつつ、発光効率を高め、駆動電圧を低減することができる。
本発明の電子機器は、本発明の表示装置を備えることを特徴とする。
このような電子機器は、熱的安定性および耐久性に優れたものとしつつ、発光効率を高め、駆動電圧を低減することができる。
図1は、本発明の実施形態にかかる発光素子の縦断面を模式的に示す図、図2は、図1に示す発光素子の要部のエネルギー準位を示す図である。なお、以下では、説明の都合上、図1中の上側を「上」、下側を「下」として説明を行う。
言い換えすれば、発光素子1は、正孔注入層4とキャリア発生層5と正孔輸送層6と発光層7と電子輸送層8と電子注入層9とがこの順に積層で積層された積層体12が2つの電極間(陽極3と陰極10との間)に介挿されて構成されている。
このような発光素子1にあっては、発光層7に対し、陰極10側から電子が供給(注入)されるとともに、陽極3側から正孔が供給(注入)される。そして、発光層7では、正孔と電子とが再結合し、この再結合に際して放出されたエネルギーによりエキシトン(励起子)が生成し、エキシトンが基底状態に戻る際にエネルギー(蛍光やりん光)を放出(発光)する。
基板2の構成材料としては、例えば、ポリエチレンテレフタレート、ポリエチレンナフタレート、ポリプロピレン、シクロオレフィンポリマー、ポリアミド、ポリエーテルサルフォン、ポリメチルメタクリレート、ポリカーボネート、ポリアリレートのような樹脂材料や、石英ガラス、ソーダガラスのようなガラス材料等が挙げられ、これらのうちの1種または2種以上を組み合わせて用いることができる。
なお、発光素子1が基板2と反対側から光を取り出す構成(トップエミッション型)の場合、基板2には、透明基板および不透明基板のいずれも用いることができる。
不透明基板としては、例えば、アルミナのようなセラミックス材料で構成された基板、ステンレス鋼のような金属基板の表面に酸化膜(絶縁膜)を形成したもの、樹脂材料で構成された基板等が挙げられる。
(陽極)
陽極3は、後述する正孔注入層4に正孔を注入する電極である。この陽極3の構成材料としては、仕事関数が大きく、導電性に優れる材料を用いるのが好ましい。
陽極3の構成材料としては、例えば、ITO(Indium Tin Oxide)、IZO(Indium Zinc Oxide)、In3O3、SnO2、Sb含有SnO2、Al含有ZnO等の酸化物、Au、Pt、Ag、Cuまたはこれらを含む合金等が挙げられ、これらのうちの1種または2種以上を組み合わせて用いることができる。
このような陽極3の平均厚さは、特に限定されないが、10〜200nm程度であるのが好ましく、50〜150nm程度であるのがより好ましい。
正孔注入層4は、陽極3からの正孔注入効率を向上させる機能を有するものである。
特に、正孔注入層4は、正孔注入材料を含んで構成されており、その正孔注入材料の最高被占軌道(HOMO)のエネルギー準位の絶対値は、図2に示すように、後述する正孔輸送材料の最高被占軌道(HOMO)のエネルギー準位の絶対値よりも大きい。なお、図2では、上側よりも下側のほうがエネルギー準位の絶対値が大きい。
キャリア発生層5については後に詳述するが、|HHIL|および|HHTL|が前述したような関係を有していると、キャリア発生層5と正孔注入層4との相互作用よりもキャリア発生層5と正孔輸送層6との相互作用を強くすることができる。そのため、キャリア発生層5がその正孔輸送層6との界面付近で正孔注入層4との界面付近よりも多くの正孔および電子を発生させることができる。その結果、キャリア発生層5で発生した正孔および電子を発光層7の発光に効果的に寄与させて、発光効率を高め、駆動電圧を低減することができる。
かかる分子量を有するテトラアリールベンジジンまたはその誘導体としては、例えば、上記化1の他、下記化2〜5に示すような化合物等が挙げられる。
なお、正孔注入層4中には、前述したような正孔注入材料以外の材料が含まれていてもよい。
キャリア発生層5は、後述する正孔輸送層6との接触によりキャリア(正孔および電子)を発生させる機能を有するものである。
このようなキャリア発生層5は、正孔輸送層6との接触により電子および正孔を発生させるキャリア発生材料を含んで構成されている。
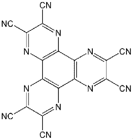
このようなキャリア発生材料(キャリア発生層5の構成材料)としては、前述したような機能を発揮し得るものであれば、特に限定されないが、下記化6で示すような化合物、すなわちヘキサアザトリフェニレン誘導体を用いるのが好ましい。
また、キャリア発生材料の最高被占軌道(HOMO)のエネルギー準位をHHHAT[eV]としたとき、図2に示すように、
|HHIL|<|HHHAT|なる関係を満たすのが好ましい。これにより、正孔注入層4からキャリア発生層5への正孔の輸送を円滑なものとすることができる。
|HHTL|>|LHHAT|なる関係を満たすのが好ましい。これにより、キャリア発生材料の最低空軌道(LUMO)のエネルギー準位が正孔注入材料の最高被占軌道(HOMO)のエネルギー準位よりも正孔輸送材料の最高被占軌道(HOMO)のエネルギー準位に近くなるため、キャリア発生層5が正孔注入層4よりも正孔輸送層6から電子を引き抜き易くなる。そのため、キャリア発生層5と正孔輸送層6との相互作用を強めることができる。
このような観点から、キャリア発生材料としては、前述したような化6に示す化合物において、Rはニトリル基であるのが好ましい。すなわち、キャリア発生材料としては、下記化7に示すようなヘキニトリルヘキサアザトリフェニレンを用いるのが好ましい。
正孔輸送層6は、陽極3から正孔注入層4を介して注入された正孔を発光層7まで輸送する機能を有するものである。
このような正孔輸送層6は、正孔輸送材料を含んで構成されており、その正孔輸送材料の最高被占軌道(HOMO)のエネルギー準位の絶対値は、図2に示すように、前述した正孔注入材料の最高被占軌道(HOMO)のエネルギー準位の絶対値よりも小さい。
これにより、前述したように、キャリア発生層5と正孔注入層4との相互作用よりもキャリア発生層5と正孔輸送層6との相互作用を強くすることができる。そのため、キャリア発生層5がその正孔輸送層6との界面付近で正孔注入層4との界面付近よりも多くの正孔および電子を発生させることができる。その結果、キャリア発生層5で発生した正孔および電子を発光層7の発光に効果的に寄与させて、発光効率を高め、駆動電圧を低減することができる。
かかる分子量を有するテトラアリールジアミノベンゼンまたはその誘導体としては、例えば、上記化8の他、下記化9〜17に示すような化合物等が挙げられる。
このような正孔輸送層6の平均厚さは、特に限定されないが、10〜150nm程度であるのが好ましく、10〜100nm程度であるのがより好ましい。
この発光層7は、発光材料を含んで構成されている。より具体的には、発光層7は、発光材料と、この発光材料をゲスト材料とするホスト材料とを含んで構成されている。このような発光層7は、例えば、ゲスト材料である発光材料をドーパントとしてホスト材料にドープすることにより形成することができる。
このような発光材料としては、特に限定されず、各種蛍光材料、各種燐光材料を1種または2種以上を組み合わせて用いることができる。
このようなホスト材料としては、用いる発光材料に対して前述したような機能を発揮するものであれば、特に限定されないが、例えば、発光材料が蛍光材料を含む場合、ジスチリルアリーレン誘導体、下記化19に示すビスp−ビフェニリルナフタセン等のテトラセン誘導体(ナフタセン誘導体)、下記化20に示すビス−オルト−ビフェニリルペリレン等のペリレン誘導体、ジスチリルベンゼン誘導体、ジスチリルアミン誘導体、トリス(8−キノリノラト)アルミニウム錯体(Alq3)等のキノリノラト系金属錯体、アントラセン誘導体、ジアントラセン誘導体、トリフェニルアミンの4量体等のトリアリールアミン誘導体、オキサジアゾール誘導体、シロール誘導体、ジカルバゾール誘導体、オリゴチオフェン誘導体、ベンゾピラン誘導体、トリアゾール誘導体、ベンゾオキサゾール誘導体、ベンゾチアゾール誘導体、キノリン誘導体、4,4’−ビス(2,2’−ジフェニルビニル)ビフェニル(DPVBi)等が挙げられ、これらのうち1種を単独でまたは2種以上を組み合わせて用いることもできる。特に、ホスト材料としては、発光材料が青色または緑色の場合にはアントラセン誘導体、ジアントラセン誘導体が好ましく、発光材料が赤色の場合にはナフタセン誘導体、ペリレン誘導体が好ましい。
前述したような発光材料(ゲスト材料)およびホスト材料を用いる場合、発光層7中における発光材料の含有量(ドープ量)は、0.1〜10wt%であるのが好ましく、1〜5wt%であるのがより好ましい。発光材料の含有量をこのような範囲内とすることで、発光効率を最適化することができる。
なお、本実施形態では、発光部が1層の発光層を備えるものを例に説明しているが、発光部には、複数の発光層が設けられていてもよい。この場合、複数の発光層の発光色が互いに同じであっても異なっていてもよい。例えば、発光部が赤色の発光層と青色の発光層と緑色の発光層との3層の発光層を備える場合や、発光層が青色の発光層と黄色の発光層との2層の発光層を備える場合、発光部全体で白色発光させることができる。また、発光部が複数の発光層を有する場合、発光層同士の間に中間層が設けられていてもよい。
電子輸送層8は、陰極10から電子注入層9を介して注入された電子を発光層7に輸送する機能を有するものである。
電子輸送層8の構成材料(電子輸送性材料)としては、例えば、トリス(8−キノリノラト)アルミニウム(Alq3)等の8−キノリノールなしいその誘導体を配位子とする有機金属錯体などのキノリン誘導体、オキサジアゾール誘導体、ペリレン誘導体、ピリジン誘導体、ピリミジン誘導体、キノキサリン誘導体、ジフェニルキノン誘導体、ニトロ置換フルオレン誘導体等が挙げられ、これらのうちの1種または2種以上を組み合わせて用いることができる。
電子輸送層8の平均厚さは、特に限定されないが、0.5〜100nm程度であるのが好ましく、1〜50nm程度であるのがより好ましい。
電子注入層9は、陰極10からの電子注入効率を向上させる機能を有するものである。
この電子注入層9の構成材料(電子注入材料)としては、例えば、各種の無機絶縁材料、各種の無機半導体材料が挙げられる。
このような無機絶縁材料としては、例えば、アルカリ金属カルコゲナイド(酸化物、硫化物、セレン化物、テルル化物)、アルカリ土類金属カルコゲナイド、アルカリ金属のハロゲン化物およびアルカリ土類金属のハロゲン化物等が挙げられ、これらのうちの1種または2種以上を組み合わせて用いることができる。これらを主材料として電子注入層9を構成することにより、電子注入性をより向上させることができる。特にアルカリ金属化合物(アルカリ金属カルコゲナイド、アルカリ金属のハロゲン化物等)は仕事関数が非常に小さく、これを用いて電子注入層9を構成することにより、発光素子1は、高い輝度が得られるものとなる。
アルカリ土類金属カルコゲナイドとしては、例えば、CaO、BaO、SrO、BeO、BaS、MgO、CaSe等が挙げられる。
アルカリ金属のハロゲン化物としては、例えば、CsF、LiF、NaF、KF、LiCl、KCl、NaCl等が挙げられる。
アルカリ土類金属のハロゲン化物としては、例えば、CaF2、BaF2、SrF2、MgF2、BeF2等が挙げられる。
電子注入層9の平均厚さは、特に限定されないが、0.1〜1000nm程度であるのが好ましく、0.2〜100nm程度であるのがより好ましく、0.2〜50nm程度であるのがさらに好ましい。
陰極10は、前述した電子注入層9を介して電子輸送層8に電子を注入する電極である。この陰極10の構成材料としては、仕事関数の小さい材料を用いるのが好ましい。
陰極10の構成材料としては、例えば、Li、Mg、Ca、Sr、La、Ce、Er、Eu、Sc、Y、Yb、Ag、Cu、Al、Cs、Rbまたはこれらを含む合金等が挙げられ、これらのうちの1種または2種以上を組み合わせて(例えば、複数層の積層体等)用いることができる。
このような陰極10の平均厚さは、特に限定されないが、100〜10000nm程度であるのが好ましく、200〜500nm程度であるのがより好ましい。
なお、本実施形態の発光素子1は、ボトムエミッション型であるため、陰極10に、光透過性は、特に要求されない。
封止部材11は、陽極3、積層体12、および陰極10を覆うように設けられ、これらを気密的に封止し、酸素や水分を遮断する機能を有する。封止部材11を設けることにより、発光素子1の信頼性の向上や、変質・劣化の防止(耐久性向上)等の効果が得られる。
また、封止部材11は、平板状として、基板2と対向させ、これらの間を、例えば熱硬化性樹脂等のシール材で封止するようにしてもよい。
[1] まず、基板2を用意し、この基板2上に陽極3を形成する。
陽極3は、例えば、プラズマCVD、熱CVDのような化学蒸着法(CVD)、真空蒸着等の乾式メッキ法、電解メッキ等の湿式メッキ法、溶射法、ゾル・ゲル法、MOD法、金属箔の接合等を用いて形成することができる。
正孔注入層4は、例えば、CVD法や、真空蒸着、スパッタリング等の乾式メッキ法等を用いた気相プロセスにより形成することができる。
また、正孔注入層4は、例えば、正孔注入材料を溶媒に溶解または分散媒に分散してなる正孔注入層形成用材料を、陽極3上に供給した後、乾燥(脱溶媒または脱分散媒)することによっても形成することができる。
正孔注入層形成用材料の調製に用いる溶媒または分散媒としては、例えば、各種無機溶媒や、各種有機溶媒、または、これらを含む混合溶媒等が挙げられる。
また、本工程に先立って、陽極3の上面には、酸素プラズマ処理を施すようにしてもよい。これにより、陽極3の上面を親液性を付与すること、陽極3の上面に付着する有機物を除去(洗浄)すること、陽極3の上面付近の仕事関数を調整すること等を行うことができる。
ここで、酸素プラズマ処理の条件としては、例えば、プラズマパワー100〜800W程度、酸素ガス流量50〜100mL/min程度、被処理部材(陽極3)の搬送速度0.5〜10mm/sec程度、基板2の温度70〜90℃程度とするのが好ましい。
キャリア発生層5は、例えば、CVD法や、真空蒸着、スパッタリング等の乾式メッキ法等を用いた気相プロセスにより形成することができる。
また、キャリア発生材料を溶媒に溶解または分散媒に分散してなるキャリア発生層形成用材料を、正孔注入層4上に供給した後、乾燥(脱溶媒または脱分散媒)することによっても形成することができる。
正孔輸送層6は、例えば、CVD法や、真空蒸着、スパッタリング等の乾式メッキ法等を用いた気相プロセスにより形成することができる。
また、正孔輸送性材料を溶媒に溶解または分散媒に分散してなる正孔輸送層形成用材料を、キャリア発生層5上に供給した後、乾燥(脱溶媒または脱分散媒)することによっても形成することができる。
発光層7は、例えば、CVD法や、真空蒸着、スパッタリング等の乾式メッキ法等を用いた気相プロセスにより形成することができる。
[6] 次に、発光層7上に、電子輸送層8を形成する。
電子輸送層8は、例えば、CVD法や、真空蒸着、スパッタリング等の乾式メッキ法等を用いた気相プロセスにより形成することができる。
また、電子輸送層8は、例えば、電子輸送性材料を溶媒に溶解または分散媒に分散してなる電子輸送層形成用材料を、発光層7上に供給した後、乾燥(脱溶媒または脱分散媒)することによっても形成することができる。
電子注入層9の構成材料として無機材料を用いる場合、電子注入層9は、例えば、CVD法や、真空蒸着、スパッタリング等の乾式メッキ法等を用いた気相プロセス、無機微粒子インクの塗布および焼成等を用いて形成することができる。
[8] 次に、電子注入層9上に、陰極10を形成する。
陰極10は、例えば、真空蒸着法、スパッタリング法、金属箔の接合、金属微粒子インクの塗布および焼成等を用いて形成することができる。
以上のような工程を経て、発光素子1が得られる。
最後に、得られた発光素子1を覆うように封止部材11を被せ、基板2に接合する。
なお、ディスプレイ装置の駆動方式としては、特に限定されず、アクティブマトリックス方式、パッシブマトリックス方式のいずれであってもよい。
図3は、本発明の表示装置を適用したディスプレイ装置の実施形態を示す縦断面図である。
図3に示すディスプレイ装置100は、基板21と、複数のサブ画素100B、100G、100Rに対応して設けられた複数の発光素子1および複数のカラーフィルタ19と、各発光素子1をそれぞれ駆動するための複数の駆動用トランジスタ24とを有している。ここで、ディスプレイ装置100は、トップエミッション構造のディスプレイパネルである。
各駆動用トランジスタ24は、シリコンからなる半導体層241と、半導体層241上に形成されたゲート絶縁層242と、ゲート絶縁層242上に形成されたゲート電極243と、ソース電極244と、ドレイン電極245とを有している。
発光素子1は、平坦化層22上に、反射膜32、腐食防止膜33、陽極3、積層体(有機EL発光部)12、陰極10、陰極カバー34がこの順に積層されている。本実施形態では、各発光素子1の陽極3は、画素電極を構成し、各駆動用トランジスタ24のドレイン電極245に導電部(配線)27により電気的に接続されている。また、各発光素子1の陰極10は、共通電極とされている。
互いに隣接する2つの発光素子1同士の間には、隔壁31が設けられている。また、これらの発光素子1上には、これらを覆うように、エポキシ樹脂で構成されたエポキシ層35が形成されている。
各カラーフィルタ19は、前述したエポキシ層35上に、各発光素子1に対応して設けられている。
このような複数のカラーフィルタ19を複数の発光素子1と組み合わせて用いることで、フルカラー画像を表示することができる。
また、互いに隣接する2つのカラーフィルタ19同士の間には、遮光層36が形成されている。これにより、意図しないサブ画素100が発光するのを防止することができる。
そして、複数のカラーフィルタ19および遮光層36上には、これらを覆うように封止基板20が設けられている。
このようなディスプレイ装置100(本発明の表示装置)は、各種の電子機器に組み込むことができる。このような電子機器は、前述したような表示装置を用いているため、熱的安定性および耐久性に優れたものとしつつ、発光効率を高め、駆動電圧を低減することができる。そのため、高品位な画像を長期にわたり表示することができる。
この図において、パーソナルコンピュータ1100は、キーボード1102を備えた本体部1104と、表示部を備える表示ユニット1106とにより構成され、表示ユニット1106は、本体部1104に対しヒンジ構造部を介して回動可能に支持されている。
このパーソナルコンピュータ1100において、表示ユニット1106が備える表示部が前述のディスプレイ装置100で構成されている。
この図において、携帯電話機1200は、複数の操作ボタン1202、受話口1204および送話口1206とともに、表示部を備えている。
携帯電話機1200において、この表示部が前述のディスプレイ装置100で構成されている。
ここで、通常のカメラは、被写体の光像により銀塩写真フィルムを感光するのに対し、ディジタルスチルカメラ1300は、被写体の光像をCCD(Charge Coupled Device)などの撮像素子により光電変換して撮像信号(画像信号)を生成する。
ディジタルスチルカメラ1300において、この表示部が前述のディスプレイ装置100で構成されている。
また、ケース1302の正面側(図示の構成では裏面側)には、光学レンズ(撮像光学系)やCCDなどを含む受光ユニット1304が設けられている。
撮影者が表示部に表示された被写体像を確認し、シャッタボタン1306を押下すると、その時点におけるCCDの撮像信号が、回路基板1308のメモリに転送・格納される。
以上、本発明の発光素子、表示装置および電子機器を、図示の実施形態に基づいて説明したが、本発明はこれらに限定されるものでない。
1.発光素子の製造
(実施例1)
<1> まず、平均厚さ0.5mmの透明なガラス基板を用意した。次に、この基板上に、スパッタ法により、平均厚さ100nmのITO電極(陽極)を形成した。
そして、基板をアセトン、2−プロパノールの順に浸漬し、超音波洗浄した後、酸素プラズマ処理を施した。
<3> 次に、正孔注入層上に、前述した化7で表わされる化合物を真空蒸着法により蒸着させ、平均厚さ30nmのキャリア発生層を形成した。
<4> 次に、キャリア発生層上に、前述した化14で表わされる化合物を真空蒸着法により蒸着させ、平均厚さ30nmの正孔輸送層を形成した。
ここで、発光材料(ゲスト材料)として前述した化18で表わされる化合物を用い、ホスト材料として前述した化19で表わされる化合物を用いた。また、発光層中の発光材料(ドーパント)の含有量(ドープ濃度)は、1.5wt%とした。
<6> 次に、発光層上に、トリス(8−キノリノラト)アルミニウム(Alq3)を真空蒸着法により成膜し、平均厚さ20nmの電子輸送層を形成した。
<8> 次に、電子注入層上に、Alを真空蒸着法により成膜した。これにより、Alで構成される平均厚さ150nmの陰極を形成した。
<9> 次に、形成した各層を覆うように、ガラス製の保護カバー(封止部材)を被せ、エポキシ樹脂により固定、封止した。
以上の工程により、図1に示すような発光素子を製造した。
前述した化17で表わされる化合物をキャリア発生材料として用いた以外は、前述した実施例1と同様にして発光素子を製造した。
(比較例1)
正孔注入層を省略するとともに、前述した化2で表わされる化合物を正孔輸送材料として用いて正孔輸送層を形成した以外は、前述した実施例1と同様にして発光素子を製造した。
ここで、正孔輸送層の平均厚さは、35nmであった。
前述した化14で表わされる化合物を正孔注入材料として用いて正孔注入層を形成するとともに、前述した化2で表わされる化合物を正孔輸送材料として用いて正孔輸送層を形成した以外は、前述した実施例1と同様にして発光素子を製造した。
(比較例3)
キャリア発生層を省略した以外は、前述した比較例2と同様にして発光素子を製造した。
2−1.発光効率の評価
各実施例および各比較例について、直流電源を用いて発光素子に20mA/cm2の定電流を流し、輝度計を用いて輝度(初期の輝度)を測定した。その結果を表1に示す。また、各実施例および各比較例について、上記輝度測定時における駆動電圧も表1に示す。
各実施例および各比較例について、発光素子を95℃の環境下に100時間放置した後、直流電源を用いて発光素子に20mA/cm2の定電流を流し、その発光状態を目視により観察した。その結果を表1に示す。
2−3.発光寿命の評価
各実施例および各比較例について、直流電源を用いて発光素子に100mA/cm2の定電流を流しつづけ、その間、輝度計を用いて輝度を測定し、その輝度が初期の輝度の70%となる時間(LT70)を測定した。その結果を表1に示す。なお、各実施例および各比較例において、80℃環境下および室温(25℃)環境下のそれぞれの環境下で、半減期の値を測定した。
表1から明らかなように、各実施例の発光素子は、各比較例の発光素子に比し、熱安定性に優れていることがわかる。また、各実施例の発光素子は、各比較例の発光素子に比し、長寿命であり、特に、高温環境下での駆動においても、室温環境下での駆動における寿命とほぼ同等の寿命を有していた。
Claims (13)
- 陰極と、
陽極と、
前記陰極と前記陽極との間に設けられ、発光材料を含んで構成された少なくとも1つの発光層を備える発光部と、
前記発光部と前記陽極との間に設けられ、正孔注入材料を含んで構成された正孔注入層と、
前記正孔注入層と前記発光部との間に設けられ、正孔輸送材料を含んで構成された正孔輸送層と、
前記正孔注入層と前記正孔輸送層との層間にこれらに接するように設けられ、前記正孔輸送層との接触により電子および正孔を発生させるキャリア発生材料を含んで構成されたキャリア発生層とを有し、
前記正孔注入材料の最高被占軌道のエネルギー準位をHHIL[eV]とし、前記正孔輸送材料の最高被占軌道のエネルギー準位をHHTL[eV]としたとき、
|HHIL|>|HHTL|なる関係を満たすことを特徴とする発光素子。 - 前記正孔注入材料の最高被占軌道のエネルギー準位の絶対値|HHIL|と、前記正孔輸送材料の最高被占軌道のエネルギー準位の絶対値|HHTL|とは、0.3eV≦|HHIL|−|HHTL|≦1eVなる関係を満たす請求項1に記載の発光素子。
- 前記正孔注入材料は、テトラアリールベンジジンまたはその誘導体である請求項1または2に記載の発光素子。
- 前記正孔注入材料の分子量は、400〜1000である請求項3に記載の発光素子。
- 前記正孔輸送材料は、テトラアリールジアミノベンゼンまたはその誘導体である請求項1ないし4のいずれかに記載の発光素子。
- 前記正孔輸送材料の分子量は、400〜1000である請求項5に記載の発光素子。
- 前記キャリア発生材料の最高被占軌道のエネルギー準位をHHHAT[eV]としたとき、
|HHIL|<|HHHAT|なる関係を満たす請求項1ないし6のいずれかに記載の発光素子。 - 前記正孔注入材料の最高被占軌道のエネルギー準位の絶対値|HHIL|と、前記キャリア発生材料の最高被占軌道のエネルギー準位の絶対値|HHHAT|とは、3eV≦|HHHAT|−|HHIL|≦5eVなる関係を満たす請求項7に記載の発光素子。
- 前記キャリア発生材料の最低空軌道のエネルギー準位をLHHAT[eV]としたとき、
|HHTL|>|LHHAT|なる関係を満たす請求項7または8に記載の発光素子。 - 前記正孔輸送材料の最高被占軌道のエネルギー準位の絶対値|HHTL|と、前記キャリア発生材料の最低空軌道のエネルギー準位の絶対値|LHHAT|とは、0.3eV≦|HHTL|−|LHHAT|≦1.5eVなる関係を満たす請求項9に記載の発光素子。
- 前記キャリア発生材料は、ヘキサアザトリフェニレン誘導体である請求項7ないし10のいずれかに記載の発光素子。
- 請求項1ないし11のいずれかに記載の発光素子を備えることを特徴とする表示装置。
- 請求項12に記載の表示装置を備えることを特徴とする電子機器。
Priority Applications (1)
| Application Number | Priority Date | Filing Date | Title |
|---|---|---|---|
| JP2008191526A JP5098871B2 (ja) | 2008-07-24 | 2008-07-24 | 発光素子、表示装置および電子機器 |
Applications Claiming Priority (1)
| Application Number | Priority Date | Filing Date | Title |
|---|---|---|---|
| JP2008191526A JP5098871B2 (ja) | 2008-07-24 | 2008-07-24 | 発光素子、表示装置および電子機器 |
Publications (2)
| Publication Number | Publication Date |
|---|---|
| JP2010034097A true JP2010034097A (ja) | 2010-02-12 |
| JP5098871B2 JP5098871B2 (ja) | 2012-12-12 |
Family
ID=41738266
Family Applications (1)
| Application Number | Title | Priority Date | Filing Date |
|---|---|---|---|
| JP2008191526A Active JP5098871B2 (ja) | 2008-07-24 | 2008-07-24 | 発光素子、表示装置および電子機器 |
Country Status (1)
| Country | Link |
|---|---|
| JP (1) | JP5098871B2 (ja) |
Cited By (3)
| Publication number | Priority date | Publication date | Assignee | Title |
|---|---|---|---|---|
| CN102298457A (zh) * | 2010-06-25 | 2011-12-28 | 棨研科技有限公司 | 电子黑板 |
| KR101910331B1 (ko) * | 2010-03-25 | 2018-10-19 | 유니버셜 디스플레이 코포레이션 | 용액 처리 가능한 도핑된 트리아릴아민 정공 주입 물질 |
| CN114792759A (zh) * | 2021-01-25 | 2022-07-26 | 云谷(固安)科技有限公司 | 材料筛选方法、发光器件以及显示面板 |
Citations (5)
| Publication number | Priority date | Publication date | Assignee | Title |
|---|---|---|---|---|
| JP2000196140A (ja) * | 1998-12-28 | 2000-07-14 | Sharp Corp | 有機エレクトロルミネッセンス素子とその製造法 |
| JP2006049394A (ja) * | 2004-07-30 | 2006-02-16 | Sanyo Electric Co Ltd | 有機エレクトロルミネッセント素子及び有機エレクトロルミネッセント表示装置 |
| JP2007012946A (ja) * | 2005-06-30 | 2007-01-18 | Sanyo Electric Co Ltd | 有機エレクトロルミネッセンス素子およびそれを備える表示装置又は発光装置 |
| JP2007173779A (ja) * | 2005-12-20 | 2007-07-05 | Samsung Sdi Co Ltd | 有機電界発光表示素子およびその製造方法 |
| JP2009239265A (ja) * | 2008-03-03 | 2009-10-15 | Idemitsu Kosan Co Ltd | 有機電界発光素子 |
-
2008
- 2008-07-24 JP JP2008191526A patent/JP5098871B2/ja active Active
Patent Citations (5)
| Publication number | Priority date | Publication date | Assignee | Title |
|---|---|---|---|---|
| JP2000196140A (ja) * | 1998-12-28 | 2000-07-14 | Sharp Corp | 有機エレクトロルミネッセンス素子とその製造法 |
| JP2006049394A (ja) * | 2004-07-30 | 2006-02-16 | Sanyo Electric Co Ltd | 有機エレクトロルミネッセント素子及び有機エレクトロルミネッセント表示装置 |
| JP2007012946A (ja) * | 2005-06-30 | 2007-01-18 | Sanyo Electric Co Ltd | 有機エレクトロルミネッセンス素子およびそれを備える表示装置又は発光装置 |
| JP2007173779A (ja) * | 2005-12-20 | 2007-07-05 | Samsung Sdi Co Ltd | 有機電界発光表示素子およびその製造方法 |
| JP2009239265A (ja) * | 2008-03-03 | 2009-10-15 | Idemitsu Kosan Co Ltd | 有機電界発光素子 |
Cited By (3)
| Publication number | Priority date | Publication date | Assignee | Title |
|---|---|---|---|---|
| KR101910331B1 (ko) * | 2010-03-25 | 2018-10-19 | 유니버셜 디스플레이 코포레이션 | 용액 처리 가능한 도핑된 트리아릴아민 정공 주입 물질 |
| CN102298457A (zh) * | 2010-06-25 | 2011-12-28 | 棨研科技有限公司 | 电子黑板 |
| CN114792759A (zh) * | 2021-01-25 | 2022-07-26 | 云谷(固安)科技有限公司 | 材料筛选方法、发光器件以及显示面板 |
Also Published As
| Publication number | Publication date |
|---|---|
| JP5098871B2 (ja) | 2012-12-12 |
Similar Documents
| Publication | Publication Date | Title |
|---|---|---|
| JP5402134B2 (ja) | 発光素子、発光装置、表示装置および電子機器 | |
| JP4967952B2 (ja) | 発光素子、表示装置および電子機器 | |
| JP5573127B2 (ja) | 発光素子、表示装置および電子機器 | |
| JP5728930B2 (ja) | 発光素子、表示装置および電子機器 | |
| JP5772085B2 (ja) | 発光素子、発光装置、表示装置および電子機器 | |
| JP5077055B2 (ja) | 発光素子、表示装置および電子機器 | |
| JP5229026B2 (ja) | 発光素子、発光装置、表示装置および電子機器 | |
| JP5573102B2 (ja) | 発光素子、発光装置、表示装置および電子機器 | |
| JP6432149B2 (ja) | 発光素子、発光装置、表示装置および電子機器 | |
| JP2012038523A (ja) | 発光素子、発光装置、表示装置および電子機器 | |
| JP2012186392A (ja) | 発光素子、発光装置、表示装置および電子機器 | |
| JP2012186091A (ja) | 発光素子、発光装置、表示装置および電子機器 | |
| JP5803648B2 (ja) | 発光素子、発光装置、表示装置および電子機器 | |
| JP2012186257A (ja) | 発光素子、発光装置、表示装置および電子機器 | |
| JP5672077B2 (ja) | 発光素子、発光装置、表示装置および電子機器 | |
| JP5098871B2 (ja) | 発光素子、表示装置および電子機器 | |
| JP5601100B2 (ja) | 発光素子、発光装置、表示装置および電子機器 | |
| JP5434159B2 (ja) | 発光素子、発光装置、表示装置および電子機器 | |
| JP2015201279A (ja) | 発光素子、発光装置、表示装置および電子機器 | |
| JP6435625B2 (ja) | 発光素子、発光装置、表示装置および電子機器 | |
| JP5304910B2 (ja) | 発光素子、表示装置および電子機器 | |
| JP5533497B2 (ja) | 発光素子、発光装置、表示装置および電子機器 | |
| JP6446813B2 (ja) | 発光素子、発光装置、表示装置および電子機器 | |
| JP2012059419A (ja) | 発光素子、表示装置および電子機器 | |
| JP2010225689A (ja) | 発光素子、発光装置、表示装置および電子機器 |
Legal Events
| Date | Code | Title | Description |
|---|---|---|---|
| A621 | Written request for application examination |
Free format text: JAPANESE INTERMEDIATE CODE: A621 Effective date: 20110525 |
|
| A131 | Notification of reasons for refusal |
Free format text: JAPANESE INTERMEDIATE CODE: A131 Effective date: 20120228 |
|
| TRDD | Decision of grant or rejection written | ||
| A01 | Written decision to grant a patent or to grant a registration (utility model) |
Free format text: JAPANESE INTERMEDIATE CODE: A01 Effective date: 20120828 |
|
| A01 | Written decision to grant a patent or to grant a registration (utility model) |
Free format text: JAPANESE INTERMEDIATE CODE: A01 |
|
| A61 | First payment of annual fees (during grant procedure) |
Free format text: JAPANESE INTERMEDIATE CODE: A61 Effective date: 20120910 |
|
| FPAY | Renewal fee payment (event date is renewal date of database) |
Free format text: PAYMENT UNTIL: 20151005 Year of fee payment: 3 |
|
| R150 | Certificate of patent or registration of utility model |
Free format text: JAPANESE INTERMEDIATE CODE: R150 Ref document number: 5098871 Country of ref document: JP |
|
| S531 | Written request for registration of change of domicile |
Free format text: JAPANESE INTERMEDIATE CODE: R313531 |
|
| R350 | Written notification of registration of transfer |
Free format text: JAPANESE INTERMEDIATE CODE: R350 |
|
| R250 | Receipt of annual fees |
Free format text: JAPANESE INTERMEDIATE CODE: R250 |
|
| S111 | Request for change of ownership or part of ownership |
Free format text: JAPANESE INTERMEDIATE CODE: R313113 |
|
| R350 | Written notification of registration of transfer |
Free format text: JAPANESE INTERMEDIATE CODE: R350 |
|
| R250 | Receipt of annual fees |
Free format text: JAPANESE INTERMEDIATE CODE: R250 |
