ES2953404T3 - Método de formación de imágenes, aparato que implementa dicho método, programa informático y medio de almacenamiento legible por ordenador - Google Patents
Método de formación de imágenes, aparato que implementa dicho método, programa informático y medio de almacenamiento legible por ordenador Download PDFInfo
- Publication number
- ES2953404T3 ES2953404T3 ES15877375T ES15877375T ES2953404T3 ES 2953404 T3 ES2953404 T3 ES 2953404T3 ES 15877375 T ES15877375 T ES 15877375T ES 15877375 T ES15877375 T ES 15877375T ES 2953404 T3 ES2953404 T3 ES 2953404T3
- Authority
- ES
- Spain
- Prior art keywords
- image
- transmission
- beamforming
- index
- pixel
- Prior art date
- Legal status (The legal status is an assumption and is not a legal conclusion. Google has not performed a legal analysis and makes no representation as to the accuracy of the status listed.)
- Active
Links
- 238000000034 method Methods 0.000 title claims description 159
- 230000015572 biosynthetic process Effects 0.000 title claims description 15
- 238000004590 computer program Methods 0.000 title claims description 6
- 230000005540 biological transmission Effects 0.000 claims abstract description 130
- 239000013598 vector Substances 0.000 claims abstract description 110
- 238000003384 imaging method Methods 0.000 claims abstract description 36
- 239000011159 matrix material Substances 0.000 claims description 31
- 238000012545 processing Methods 0.000 claims description 19
- 238000002604 ultrasonography Methods 0.000 claims description 13
- 238000004364 calculation method Methods 0.000 claims description 12
- 239000008186 active pharmaceutical agent Substances 0.000 claims description 11
- 238000005311 autocorrelation function Methods 0.000 claims description 11
- 230000004044 response Effects 0.000 claims description 8
- 238000011156 evaluation Methods 0.000 claims description 6
- 230000010363 phase shift Effects 0.000 claims description 2
- 230000006870 function Effects 0.000 description 21
- 239000000523 sample Substances 0.000 description 6
- 238000012285 ultrasound imaging Methods 0.000 description 5
- 238000001308 synthesis method Methods 0.000 description 4
- 230000001960 triggered effect Effects 0.000 description 4
- 238000010586 diagram Methods 0.000 description 3
- 230000000694 effects Effects 0.000 description 3
- 238000012935 Averaging Methods 0.000 description 2
- 230000003044 adaptive effect Effects 0.000 description 2
- 230000003321 amplification Effects 0.000 description 2
- 239000000872 buffer Substances 0.000 description 2
- 239000000203 mixture Substances 0.000 description 2
- 238000003199 nucleic acid amplification method Methods 0.000 description 2
- 238000003491 array Methods 0.000 description 1
- 230000003247 decreasing effect Effects 0.000 description 1
- 238000002059 diagnostic imaging Methods 0.000 description 1
- 239000006185 dispersion Substances 0.000 description 1
- 238000002592 echocardiography Methods 0.000 description 1
- 238000005259 measurement Methods 0.000 description 1
- 239000002245 particle Substances 0.000 description 1
- 238000010189 synthetic method Methods 0.000 description 1
Classifications
-
- G—PHYSICS
- G01—MEASURING; TESTING
- G01S—RADIO DIRECTION-FINDING; RADIO NAVIGATION; DETERMINING DISTANCE OR VELOCITY BY USE OF RADIO WAVES; LOCATING OR PRESENCE-DETECTING BY USE OF THE REFLECTION OR RERADIATION OF RADIO WAVES; ANALOGOUS ARRANGEMENTS USING OTHER WAVES
- G01S15/00—Systems using the reflection or reradiation of acoustic waves, e.g. sonar systems
- G01S15/88—Sonar systems specially adapted for specific applications
- G01S15/89—Sonar systems specially adapted for specific applications for mapping or imaging
- G01S15/8906—Short-range imaging systems; Acoustic microscope systems using pulse-echo techniques
- G01S15/8997—Short-range imaging systems; Acoustic microscope systems using pulse-echo techniques using synthetic aperture techniques
-
- G—PHYSICS
- G01—MEASURING; TESTING
- G01S—RADIO DIRECTION-FINDING; RADIO NAVIGATION; DETERMINING DISTANCE OR VELOCITY BY USE OF RADIO WAVES; LOCATING OR PRESENCE-DETECTING BY USE OF THE REFLECTION OR RERADIATION OF RADIO WAVES; ANALOGOUS ARRANGEMENTS USING OTHER WAVES
- G01S7/00—Details of systems according to groups G01S13/00, G01S15/00, G01S17/00
- G01S7/52—Details of systems according to groups G01S13/00, G01S15/00, G01S17/00 of systems according to group G01S15/00
- G01S7/52017—Details of systems according to groups G01S13/00, G01S15/00, G01S17/00 of systems according to group G01S15/00 particularly adapted to short-range imaging
- G01S7/52019—Details of transmitters
- G01S7/5202—Details of transmitters for pulse systems
-
- G—PHYSICS
- G01—MEASURING; TESTING
- G01S—RADIO DIRECTION-FINDING; RADIO NAVIGATION; DETERMINING DISTANCE OR VELOCITY BY USE OF RADIO WAVES; LOCATING OR PRESENCE-DETECTING BY USE OF THE REFLECTION OR RERADIATION OF RADIO WAVES; ANALOGOUS ARRANGEMENTS USING OTHER WAVES
- G01S15/00—Systems using the reflection or reradiation of acoustic waves, e.g. sonar systems
- G01S15/88—Sonar systems specially adapted for specific applications
- G01S15/89—Sonar systems specially adapted for specific applications for mapping or imaging
- G01S15/8906—Short-range imaging systems; Acoustic microscope systems using pulse-echo techniques
- G01S15/8959—Short-range imaging systems; Acoustic microscope systems using pulse-echo techniques using coded signals for correlation purposes
-
- G—PHYSICS
- G01—MEASURING; TESTING
- G01S—RADIO DIRECTION-FINDING; RADIO NAVIGATION; DETERMINING DISTANCE OR VELOCITY BY USE OF RADIO WAVES; LOCATING OR PRESENCE-DETECTING BY USE OF THE REFLECTION OR RERADIATION OF RADIO WAVES; ANALOGOUS ARRANGEMENTS USING OTHER WAVES
- G01S7/00—Details of systems according to groups G01S13/00, G01S15/00, G01S17/00
- G01S7/52—Details of systems according to groups G01S13/00, G01S15/00, G01S17/00 of systems according to group G01S15/00
- G01S7/52017—Details of systems according to groups G01S13/00, G01S15/00, G01S17/00 of systems according to group G01S15/00 particularly adapted to short-range imaging
- G01S7/52046—Techniques for image enhancement involving transmitter or receiver
- G01S7/52049—Techniques for image enhancement involving transmitter or receiver using correction of medium-induced phase aberration
-
- G—PHYSICS
- G01—MEASURING; TESTING
- G01S—RADIO DIRECTION-FINDING; RADIO NAVIGATION; DETERMINING DISTANCE OR VELOCITY BY USE OF RADIO WAVES; LOCATING OR PRESENCE-DETECTING BY USE OF THE REFLECTION OR RERADIATION OF RADIO WAVES; ANALOGOUS ARRANGEMENTS USING OTHER WAVES
- G01S7/00—Details of systems according to groups G01S13/00, G01S15/00, G01S17/00
- G01S7/52—Details of systems according to groups G01S13/00, G01S15/00, G01S17/00 of systems according to group G01S15/00
- G01S7/52017—Details of systems according to groups G01S13/00, G01S15/00, G01S17/00 of systems according to group G01S15/00 particularly adapted to short-range imaging
- G01S7/52077—Details of systems according to groups G01S13/00, G01S15/00, G01S17/00 of systems according to group G01S15/00 particularly adapted to short-range imaging with means for elimination of unwanted signals, e.g. noise or interference
Landscapes
- Engineering & Computer Science (AREA)
- Physics & Mathematics (AREA)
- Radar, Positioning & Navigation (AREA)
- Remote Sensing (AREA)
- Computer Networks & Wireless Communication (AREA)
- General Physics & Mathematics (AREA)
- Acoustics & Sound (AREA)
- Ultra Sonic Daignosis Equipment (AREA)
- Measurement Of Velocity Or Position Using Acoustic Or Ultrasonic Waves (AREA)
- Manufacturing Optical Record Carriers (AREA)
- Holo Graphy (AREA)
- Debugging And Monitoring (AREA)
- Traffic Control Systems (AREA)
Abstract
Un método de obtención de imágenes para producir una imagen de una región dentro de un medio mediante una serie (2) de transductores, y que comprende un paso de transmisión (201) de una pluralidad de ondas dentro del medio, un paso de recepción (202) para adquirir un conjunto de datos, un paso de formación de haz (203) que proporciona una pluralidad de valores de píxeles formados por haz dependiendo de varios vectores de ponderación de transmisión, y un paso de combinación (204) para combinar los valores de píxeles formados por haz en un valor de píxel de cada píxel de la imagen. Los vectores de ponderación de transmisión (W Tn) son diferentes y ortogonales entre sí. (Traducción automática con Google Translate, sin valor legal)
Description
DESCRIPCIÓN
Método de formación de imágenes, aparato que implementa dicho método, programa informático y medio de almacenamiento legible por ordenador
Sector de la técnica
La presente invención se refiere a métodos de formación de imágenes y a aparatos que implementan dichos métodos, en particular, para formación de imágenes médicas.
Estado de la técnica
La presente invención se refiere más precisamente a un método de formación de imágenes para producir una imagen de una región dentro de un medio, y más precisamente a un método de formación de imágenes por ultrasonidos.
El método se implementa mediante una unidad de procesamiento conectada a una matriz de transductores en relación con dicho medio.
Este tipo de imagen producida por ondas de reflexión en respuesta a ondas incidentes suele incluir un ruido moteado que corresponde a fluctuaciones aleatorias en las ondas de reflexión de la región de interés. Este ruido moteado provoca dificultades para la interpretación de imágenes.
El ruido moteado puede reducirse promediando una pluralidad de imágenes porque cada imagen tiene un ruido moteado diferente al de otra imagen de dicha pluralidad.
Eventualmente, las imágenes para promediar se pueden obtener observando la región desde diferentes ángulos (composición espacial) o variando las frecuencias de la señal (composición de frecuencia).
Eventualmente, se puede aplicar una pluralidad de diferentes vectores de ponderación de recepción en la formación de haces de recepción para obtener imágenes promediadas.
Sin embargo, todos estos métodos aumentan el número de adquisiciones a realizar, reducen la velocidad de fotogramas y, a veces, reducen la resolución de la imagen producida.
Objetos de la invención
Un objeto de la presente invención es proporcionar otro método de formación de imágenes para producir una imagen de una región dentro de un medio que tenga un ruido moteado reducido y que no tenga los inconvenientes de los métodos de la técnica anterior.
Para este efecto, el método comprende las siguientes etapas:
(a) una etapa de transmisión en la que los transductores transmiten una primera pluralidad de ondas dentro del medio,
(b) una etapa de recepción en la que dichos transductores adquieren un conjunto de datos en respuesta a las ondas,
(c) una etapa de formación de haces en la que el conjunto de datos es procesado por una segunda pluralidad de procesos de formación de haces para proporcionar valores de píxeles formados por haz de al menos una porción de la imagen, usando cada proceso de formación de haces un vector de ponderación de transmisión en el cálculo del valor de píxel formado por haz, y
(d) una etapa de combinación en la que los valores de píxeles formados por haz de dicha segunda pluralidad se combinan para proporcionar un valor de píxel de un píxel dentro de la imagen, y
en donde los vectores de ponderación de transmisión son diferentes y ortogonales entre sí,
un vector de ponderación de transmisión de índice / que es ortogonal a un vector de ponderación de transmisión
de índice / el índice i siendo diferente del índice y , L siendo el número de componentes de los vectores de ponderación de transmisión (Wrn), en donde los vectores de ponderación de transmisión (Wrn) se aplican durante la etapa de formación de haces (c), y
- durante la etapa de formación de haces (c), el proceso de formación de haces es una formación de haces sintética en la que los valores de los píxeles formados por haces se calculan mediante la siguiente fórmula:
donde
DS(k, l, m) es una matriz del conjunto de datos,
Wr es un vector de ponderación de recepción,
t (x , z, l) es una función de retardo adaptada para el proceso de formación de haces,
I es un índice de un transductor en la matriz (2), comprendido entre I1 y I2, una abertura para la formación de haces de una línea,
m es el índice, comprendido entre 1 y M, M siendo la primera pluralidad que es el número de ondas transmitidas en el interior del medio,
Win es el vector de ponderación de transmisión,
x , z son coordenadas de un píxel dentro de la imagen.
Gracias a estas características, cada vector de ponderación de transmisión genera un ruido moteado no correlacionado, y la combinación de los datos ponderados permite calcular una imagen de la región que tiene un ruido moteado reducido.
En varias realizaciones del método de formación de imágenes, opcionalmente se pueden incorporar una y/u otra de las siguientes características.
De acuerdo con un aspecto del método, el proceso de formación de haces sintético se elige en una lista que comprende el proceso de formación de haces de la técnica de enfoque de apertura sintética (SAFT), proceso de formación de haces de SAFT de transductor virtual, proceso de formación de haces de SAFT espacialmente codificado, proceso de formación de haces sintéticos de onda circular, proceso de formación de haces sintéticos de ondas planas.
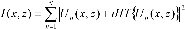
De acuerdo con un aspecto del método, los valores de píxel de la imagen se calculan durante la etapa de combinación (d) mediante la siguiente fórmula:
en la que
i es el número imaginario unitario complejo.
n es el índice, comprendido entre 1 y N, N siendo la segunda pluralidad que es el número de vectores de ponderación de transmisión,
|X es el módulo de X,
HT{X} es la transformada de Hilbert de X,
Un ( x , z) es un valor de píxel formado por haz de dicha segunda pluralidad.
De acuerdo con un aspecto del método, los vectores de ponderación de transmisión están determinados por una función ortogonal elegida en una lista que comprende una función de Riedel-Sidorenko, una función esferoidal alargada discreta y una función de Hadamard.
De acuerdo con un aspecto del método, los transductores son transductores de ultrasonidos que transmiten o reciben ondas de ultrasonidos, y el método produce una imagen de ultrasonidos de la región dentro del medio.
De acuerdo con un aspecto del método, comprende además las siguientes etapas:
- una etapa de formación de imágenes inicial en la que dicha unidad de procesamiento y matriz determina una primera imagen de la región,
- una etapa de evaluación en la que se determina un valor métrico para los píxeles de la primera imagen, - una etapa de formación de imágenes en la que, si el valor métrico está comprendido en un primer intervalo, se calcula un valor de píxel en la imagen sin usar un vector ponderado de transmisión, y si el valor métrico está comprendido en un segundo intervalo diferente de dicho primer intervalo, un valor de píxel en la imagen se calcula utilizando vectores de ponderación de transmisión, siendo dichos vectores de ponderación de transmisión diferentes y ortogonales entre sí.
De acuerdo con un aspecto del método, el valor métrico se determina para distinguir un píxel en la primera imagen
correspondiente a una señal reflectante significativa de un píxel en la primera imagen correspondiente a una señal moteada no significativa.
De acuerdo con un aspecto del método, el valor métrico se determina mediante un cálculo de una función de autocorrelación.
De acuerdo con un aspecto del método, el valor métrico es un valor medio de la función de autocorrelación para desfases comprendidos entre 10 y 30 grados.
Otro objeto de la invención es proporcionar un aparato que implemente dicho método de formación de imágenes. Dicho aparato para producir una imagen de una región dentro de un medio, comprende una unidad de procesamiento conectada a una matriz de transductores en relación con dicho medio, y en el que la matriz y la unidad de procesamiento implementan las siguientes etapas:
(a) una etapa de transmisión en la que los transductores transmiten una primera pluralidad de ondas dentro del medio,
(b) una etapa de recepción en la que dichos transductores adquieren un conjunto de datos en respuesta a las ondas, y en la que la unidad de procesamiento implementa la siguiente etapa:
(c) una etapa de formación de haces en la que el conjunto de datos es procesado por una segunda pluralidad de procesos de formación de haces para proporcionar valores de píxeles formados por haz de al menos una porción de la imagen, cada proceso de formación de haces ya sea usando un conjunto de datos correspondientes a ondas generadas con un vector de ponderación de transmisión, o usando un vector de ponderación de transmisión en el cálculo de los valores de píxeles formados por haces, y
(d) una etapa de combinación en el que los valores de píxeles formados por haz de dicha segunda pluralidad se combinan para proporcionar un valor de píxel de cada píxel de la imagen, y en el que los vectores de ponderación de transmisión son diferentes y ortogonales entre sí,
un vector de ponderación de transmisión de índice / que es ortogonal a un vector de ponderación de transmisión
de índice / el índice i siendo diferente del índice j, y , L siendo el número de componentes de los vectores de ponderación de transmisión (Wrn),
en donde los vectores de ponderación de transmisión (Wrn) se aplican durante la etapa de formación de haces (c), y
- durante la etapa de formación de haces (c), el proceso de formación de haces es una formación de haces sintética en la que los valores de los píxeles formados por haces se calculan mediante la siguiente fórmula:
donde
DS(k, l, m) es una matriz del conjunto de datos,
Wr es un vector de ponderación de recepción,
t ( x , z, l) es una función de retardo adaptada para el proceso de formación de haces,
I es un índice de un transductor en la matriz (2), comprendido entre I1 y I2, una abertura para la formación de haces de una línea, m es el índice, comprendido entre 1 y M, M siendo la primera pluralidad que es el número de ondas transmitidas en el interior del medio,
Wrn es el vector de ponderación de transmisión,
x , z son coordenadas de un píxel dentro de la imagen.
En diversas realizaciones del aparato, opcionalmente se pueden incorporar una y/u otra de las siguientes características.
De acuerdo con un aspecto del aparato, el proceso de formación de haces sintético se elige en una lista que comprende el proceso de formación de haces de la técnica de enfoque de apertura sintética (SAFT), proceso de formación de haces de SAFT de transductor virtual, proceso de formación de haces de SAFT espacialmente codificado, proceso de formación de haces sintéticos de onda circular, proceso de formación de haces sintéticos de ondas planas.
De acuerdo con un aspecto del aparato, implementa además las siguientes etapas:
- una etapa de formación de imágenes inicial en la que dicha unidad de procesamiento y matriz determina una primera imagen de la región, y
- una etapa de evaluación en la que se determina un valor métrico para los píxeles de la primera imagen, - una etapa de formación de imágenes en la que, si el valor métrico está comprendido en un primer intervalo, se calcula un valor de píxel en la imagen sin usar un vector ponderado de transmisión, y si el valor métrico está comprendido en un segundo intervalo diferente de dicho primer intervalo, un valor de píxel en la imagen se calcula utilizando vectores de ponderación de transmisión, siendo dichos vectores de ponderación de transmisión diferentes y ortogonales entre sí.
Otro objeto de la invención es proporcionar un programa informático que incluya instrucciones para ejecutar las etapas del método de formación de imágenes anterior cuando dicho programa es ejecutado por la unidad de procesamiento del aparato como se ha definido anteriormente.
Otro objeto de la invención es proporcionar un medio de almacenamiento legible por ordenador en el cual se almacena el programa informático como se definió anteriormente.
Descripción de las figuras
Otras características y ventajas de la invención serán evidentes a partir de la siguiente descripción detallada de su realización dada a modo de ejemplo no limitativo, con referencia a los dibujos adjuntos. En los dibujos:
- La figura 1 es un dibujo esquemático que muestra un aparato de formación de imágenes por ultrasonidos según una realización de la invención;
- La figura 2 ilustra un diagrama de bloques que muestra parte del aparato de la figura 1;
- La figura 3 es un diagrama que muestra un primer ejemplo de un método de formación de imágenes fuera del objeto de las reivindicaciones e implementado en el aparato de la figura 1;
- La figura 4 es un diagrama que muestra un ejemplo del método de formación de imágenes según la invención e implementado en el aparato de la figura 1;
- Las figuras 5a a 5c son primeros ejemplos de tres vectores de ponderación de transmisión que son ortogonales entre sí, correspondiendo dichos vectores a funciones de Riedel-Sidorenko;
- Las figuras 6a a 6c son segundos ejemplos de tres vectores de ponderación de transmisión que son ortogonales entre sí, correspondiendo dichos vectores a funciones esferoidales alargadas discretas;
- Las figuras 7a a 7c son terceros ejemplos de tres vectores de ponderación de transmisión que son ortogonales entre sí, correspondiendo dichos vectores a funciones de Hadamard;
- La figura 8 es un tercer ejemplo de un método de formación de imágenes de acuerdo con la invención, siendo dicho tercer ejemplo un método adaptativo;
- La figura 9 muestra un ejemplo de una imagen de decisión calculada para una muestra y correspondiente a decisiones de evaluación métrica en el método de la figura 8;
- La figura 10 muestra un ejemplo de una imagen calculada para la misma muestra que en la figura 9; y
- La figura 11 muestra un ejemplo de la función de autocorrelación utilizada en el tercer ejemplo del método de formación de imágenes de la figura 8.
Descripción detallada de la invención
En las figuras, las mismas referencias indican elementos idénticos o similares.
El aparato que se muestra en la figura 1 está adaptado para formar imágenes de una región 1, por ejemplo, tejidos vivos y, en particular, tejidos humanos de un paciente. El aparato puede incluir, por ejemplo:
- una matriz de transductores 2, por ejemplo, una matriz lineal que normalmente incluye unas pocas decenas de transductores (por ejemplo, de 100 a 300) yuxtapuestos a lo largo de un eje X (dirección horizontal o matriz X) como ya se conoce en las sondas habituales (la matriz 2 se adapta luego para realizar un transductor bidimensional (2D) de formación de imágenes de la región 1, pero la matriz 2 también podría ser una matriz bidimensional adaptada para realizar una formación de imágenes en 3D de la región 1);
- un compartimento electrónico 3 que controla la matriz de transductores y adquiere señales de la misma;
- un microordenador 4 para controlar el compartimento electrónico 3 y visualizar las imágenes obtenidas de la compartimento electrónica (en una variante, un solo dispositivo electrónico podría cumplir con todas las funcionalidades del compartimento electrónico 3 y del microordenador 4).
El eje Z de la figura 1 es un eje perpendicular al eje X y suele ser la dirección de los haces de ultrasonidos generados por los transductores de la matriz. Esta dirección se designa en el presente documento como dirección vertical o axial.
La matriz de transductores 2 también puede ser una matriz convexa que incluya una pluralidad de transductores alineados a lo largo de una línea curva.
Como se muestra en la figura 2 , el compartimento electrónico 3 puede incluir, por ejemplo:
- L convertidores analógico/digital 5 (NDi -NDl) conectados individualmente a los transductores L (T1-TL) de la matriz de transductores 2;
- L memorias intermedias 6 (B1-Bn) conectadas respectivamente a los n convertidores analógico/digital 5, - una unidad central de procesamiento 8 (CPU) que se comunica con las memorias intermedias 6 y el microordenador 4,
- una memoria 9 (MEM) conectada a la unidad central de procesamiento 8;
- un procesador de señal digital 10 (DSP) conectado a la unidad central de procesamiento 8.
El aparato descrito en este documento es un dispositivo para formación de imágenes de ultrasonidos, los transductores son transductores de ultrasonidos y el método implementado es para producir imágenes de ultrasonidos de la región 1.
Sin embargo, el aparato puede ser cualquier dispositivo de formación de imágenes que utilice otras ondas además de las ondas de ultrasonidos (ondas que tienen una longitud de onda diferente a una longitud de onda de ultrasonidos), estando entonces adaptados a dichas ondas los transductores y los componentes del compartimento electrónico. Las figuras 3 y 4 muestran dos ejemplos de implementación del método con el aparato de las figuras 1 y 2, por lo que el ejemplo de la figura 3 queda fuera del objeto de las reivindicaciones. Las etapas del método son controladas principalmente por la unidad central de procesamiento 8 eventualmente con la ayuda del procesador de señal digital 10, o cualquier otro medio.
El método incluye las siguientes etapas:
(a) una etapa de transmisión (101; 201) en la que los transductores transmiten una primera pluralidad de ondas dentro de la región del medio;
(b) una etapa de recepción (102; 202) en la que dichos transductores adquieren un conjunto de datos en respuesta a las ondas;
(c) una etapa de formación de haces (103; 203) en la que el conjunto de datos, que se adquiere durante la etapa de recepción, se procesa mediante una segunda pluralidad de procesos de formación de haces para proporcionar una segunda pluralidad de valores de píxeles formados por haz Un(x, z) para al menos una porción de la imagen, y
(d) una etapa de combinación (104; 204) en la que los N valores de píxeles formados por haz se combinan para proporcionar un valor de píxel de cada píxel en la imagen.
La primera pluralidad es el número de ondas transmitidas dentro de la región del medio para procesar la imagen. Se trata de una serie de disparos sucesivos de los transductores para generar dichas ondas.
La segunda pluralidad es el número de vectores de ponderación de transmisión. Wrn que se utiliza en el método. El método según la invención utiliza una segunda pluralidad (un número N) de transmisión de vectores de ponderación Wrn, que son diferentes entre sí.
Además, los vectores de ponderación de transmisión Wrn utilizados en el método son ortogonales entre sí, es decir:
para cualquier índice i, j que pertenecen a 1...N,
el índice / siendo diferente del índice j Wti. Wtj= 0.
El vector de ponderación de transmisión Wrn es un vector que comprende una serie de L componentes, correspondiendo cada componente a un coeficiente de amplificación a aplicar a la señal que normalmente se envía a un transductor de la matriz 2 durante la etapa de transmisión (a). Los componentes de los vectores de ponderación de transmisión Wrn se puede definir como valores menores o iguales a uno:
Wrn(l)<= 1, para l= 1 a L
Según una primera variante ajena al objeto de las reivindicaciones e ilustrada en la figura 3, el vector de ponderación de transmisión se aplica a las ondas transmitidas durante la etapa de transmisión a) (101) para proporcionar un conjunto de datos que comprende datos correspondientes a la pluralidad de vectores de ponderación de transmisión. A continuación, este conjunto de datos se utiliza durante la etapa de formación de haces c), cada proceso de formación de haces de esta etapa utiliza datos correspondientes a un vector de ponderación de transmisión específico (una onda
de transmisión específica).
En esta primera variante, la onda de amplitud transmitida en el medio puede ser pequeña debido al efecto de ponderación de cada vector de ponderación de transmisión y, por lo tanto, la relación señal/ruido del conjunto de datos recibido puede ser baja. Adicionalmente, esta primera variante requiere M*N transmisiones y adquisiciones de ondas, y por lo tanto, también reduce la velocidad de fotogramas de la imagen. Además, genera una imagen que tiene un ruido moteado que no es óptimo en la región escaneada general, ya que solo se adapta a la profundidad focal del haz.
Según la invención en una segunda variante ilustrada en la figura 4, el vector de ponderación de transmisión se aplica al conjunto de datos (no ponderados) dentro del cálculo de cada proceso de formación de haces durante la etapa de formación de haces (c) (203).
En ese caso, el efecto de ponderación de la primera variante se obtiene mediante un cálculo apropiado (suma) durante la etapa de formación de haces (c) (203), dicho cálculo utilizando una fórmula de formación de haces de transmisiónrecepción para cada proceso de formación de haces.
En esta segunda variante, la onda se transmite en el interior del medio con coeficientes de amplificación unitario (excepto coeficientes de ventana o apertura). Los coeficientes de ponderación de transmisión solo se aplican por cálculo sobre el conjunto de datos adquiridos durante la etapa de recepción (b).
Gracias a este proceso de formación de haces de transmisión-recepción, las amplitudes de las ondas que realmente se transmiten dentro del medio no disminuyen, y se conserva la relación señal/ruido (SNR) de las señales recibidas digitalizadas en el conjunto de datos.
En todas las variantes del método, la matriz de transductores 2 se pone en contacto con el medio del que se va a formar la imagen (por ejemplo, el cuerpo de un paciente).
El número de ondas transmitidas puede estar comprendido, por ejemplo, entre 2 y 100. La frecuencia de las ondas de ultrasonidos puede estar comprendida, por ejemplo, entre 0,5 y 100 MHz, por ejemplo, entre 1 y 10 MHz.
El número N de vectores de ponderación de transmisión W rn es por ejemplo un número pequeño, por ejemplo, comprendido entre 2 y 10, y, por ejemplo, N = 3. Hay muchas funciones ortogonales que se pueden usar para determinar dichos vectores de ponderación de transmisión W rn.
Las figuras 5a a 5c mostrar un primer ejemplo de 3 vectores de ponderación de transmisión W rn. En estas figuras, la abscisa es un índice del transductor y la ordenada es el valor del componente en cada vector.
Estos vectores de ponderación de transmisión W ri-3 son vectores de funciones de Riedel-Sidorenko que son ortogonales entre sí.
Las figuras 6a a 6c mostrar un segundo ejemplo de 3 vectores de ponderación de transmisión W rn usando funciones esferoidales alargadas discretas, también ortogonales entre sí.
Las figuras 7a a 7c muestran un segundo ejemplo de 3 vectores de ponderación de transmisión W rn utilizando las funciones de Hadamard, también ortogonales entre sí.
El número N de vectores de ponderación de transmisión es preferiblemente menor o igual al número de ondas transmitidas al medio (la primera pluralidad).
Demostración relativa al efecto de la invención
Gracias al uso de vectores de ponderación de transmisión ortogonales, el ruido moteado de la imagen se suaviza, porque cada vector de transmisión genera un moteado no correlacionado.
Esto se puede probar matemáticamente. Usamos en esta sección, el formalismo y las notaciones utilizadas en el documento "The van Cittert-Zernike theorem in pulse echo measurements", Raoul Mallart y Mathias Fink, J. Acoust. Soc. Am. 90(5), noviembre de 1991.
El campo de presión incidente en el punto X1 y a la frecuencia f viene dada por:
donde
O(X) es la función de apertura de transmisión de una abertura enfocada; y
X=(x,y,0), donde x,y son coordenadas en la imagen.
El objetivo de esta sección es mostrar que las aperturas de transmisión ortogonales Ok(X) y Oi(X) producen patrones de motas no correlacionados. El campo de presión dispersado por un dispersor individual ubicado en el punto X1 es una onda esférica.
El campo de presión recibido en el punto X0 se expresa como:
donde r01 = |X0-X1 |.
Se supone que el medio de dispersión es incoherente, es decir, su estructura es aleatoria y más fina que la longitud de onda más pequeña utilizada por el sistema de formación de imágenes. El medio no está resuelto y la autocorrelación de su función de dispersión Rm es de la forma:
donde x es el coeficiente de dispersión local en la vecindad de la coordenada del punto (x, z).
El campo presionado retrodispersó de todo el medio en respuesta a un pulso de Dirac detectado en el punto X0 es dado por:
La correlación cruzada Rki(X0, f) de los campos de presión Pk(X0, f) y Pi(Xq, f) viene dada por:
donde
E{.} indica expectativa matemática.
Se puede expresar el producto Pk(X0, f). Pi(Xc, f) con las ecuaciones anteriores, como:
Con las ecuaciones anteriores, se puede derivar que:
Así, la correlación cruzada de los campos de presión Pk(X0, f) y Pl(X0, f) viene dada por:
De la publicación citada anteriormente de Mallart et al., el campo de presión incidente en el punto Xi es entonces aproximadamente:
donde 9 k es un término de fase.
Para una abertura que se enfoca en la profundidad z, la función de apertura O(x) contiene el término de fase
Ok (x ) Ok ( x ) e x p x . x )
Si el producto de los campos incidentes se expresa como:
Y, inyectando la última ecuación en la anterior, se puede deducir que
La ecuación anterior muestra que, aberturas ortogonales, es decir j qUe son para qUe , produce los datos adquiridos no correlacionados, es decir, Rki(Xo,f) = 0.
Por lo tanto, la correlación cruzada de los campos de presión es nula y el ruido moteado no está correlacionado. En consecuencia, el método de la invención conduce a un ruido moteado reducido en comparación con el método de la técnica anterior. De hecho, el ruido moteado según el método es mínimo.
El método de la invención se puede aplicar a cualquier método de formación de imágenes por ultrasonidos. La siguiente descripción explicará algunos de ellos.
Ejemplo 1: Formación de imágenes convencionales
Un primer ejemplo no reivindicado correspondiente a un método de formación de imágenes convencional, generalmente llamada abertura de enfoque convencional o imagen en modo B convencional, ahora se explica.
Durante la etapa de transmisión (a), un numero de M ondas son transmitidas sucesivamente a la región por los transductores. Estas ondas son haces enfocados transmitidos dentro del medio según una dirección vertical (Z) sustancialmente perpendicular a la dirección del conjunto (X), y enfocados a una distancia focal (o profundidad focal) desde el conjunto de transductores 2.
Los M haces enfocados sucesivos se mueven transversalmente entre sí según una dirección lateral correspondiente a la dirección del conjunto (X), para escanear la región.
Cada haz enfocado también se repite N veces, es decir, un haz enfocado para cada vector de ponderación de transmisión Wm de índice n. El vector de ponderación de transmisión Wm se aplican directamente a los transductores: Cada componente del índice yo del vector de ponderación de transmisión se utiliza para amplificar o reducir la señal enviada al transductor de índice I de la matriz 2.
En este primer ejemplo, la primera pluralidad (el número de ondas transmitidas dentro del medio) es, por lo tanto, igual a MxN.
Cada onda se propaga dentro de la región, donde interactúa con partículas difusoras que reflejan las ondas de ultrasonidos. A continuación, se retrodispersa una onda como onda de reflexión (que incluye ecos) hacia la matriz de transductores 2.
Durante la etapa de recepción (b), cada onda de reflexión es recibida por los transductores, adquiridos o convertidos en datos por un convertidor de analógico a digital, y almacenados en una memoria. A continuación, todas las ondas de reflexión se almacenan en la memoria como un conjunto o grupo de datos.
El conjunto de datos de las ondas adquiridas se puede organizar como una matriz DS (k, l, m), donde
k es un índice de una muestra a lo largo del tiempo,
I es un índice de transductor entre la matriz,
m es un índice de la onda de transmisión entre el número de MxN ondas disparadas o transmitidas (el número correspondiente a la primera pluralidad).
Durante la etapa de formación de haces (c), una o varias líneas (líneas verticales o líneas axiales) de una imagen se calculan mediante un proceso de formación de haces. Estas líneas son paralelas a la dirección vertical o axial Z (dirección del haz focalizado), y están incluidas dentro del haz focalizado.
Para cada uno de los N vectores de ponderación de transmision Wrn, valores de píxeles formados por haz Un(x, z) de los píxeles dentro de las líneas se puede calcular mediante la siguiente fórmula de formación de haces, correspondiente a una formación de haces de recepción:
donde
DS(k,l,m) es una matriz que almacena todo el conjunto de datos, Wr es un vector de ponderación de recepción, T (x,z,l) es una función de retardo para el proceso de formación de haces, es decir, correspondiente al presente proceso convencional de formación de haces,
I es un índice de un transductor en la matriz 2, comprendido entre l1 y l2, una abertura para la formación de haces de una línea,
m es un índice que apunta a un vector de ponderación de transmisión único o determinado Wrn de índice n y correspondiente a un haz enfocado cerca de un punto que tiene coordenadas (x, z) dentro del medio, y x, z son coordenadas de un píxel dentro de la imagen.
Durante la etapa de combinación (d), los N (segunda pluralidad) valores de píxeles formados por haz Un(x,z) se calculan para cada vector de ponderación de transmisión y se combinan para proporcionar un valor de píxel I(x,z) de cada píxel dentro de la imagen.
A continuación, el valor de píxel I(x,z) se puede calcular mediante la siguiente fórmula de suma:
en la que
i es el número imaginario unitario complejo.
n es el índice, comprendido entre 1 y N, N siendo el número de vectores de ponderación de transmisión en la segunda pluralidad, |X| es el módulo de X,
HT{X} es la transformada de Hilbert de X,
Un(x, z) es el valor de píxel formado por haz para el índice n.
Desafortunadamente, el método anterior:
- requiere MXN transmisión y adquisición de ondas, y por lo tanto las etapas a) y b) pueden llevar algún tiempo, - genera una imagen con un ruido moteado que no es óptimo en la región escaneada general, ya que solo se adapta a la profundidad focal del haz.
Ejemplo 2 Formación de imágenes sintéticas
A continuación, se explica un segundo ejemplo correspondiente a un método de formación de imágenes sintéticas. Como método de imagen sintética, debe entenderse cualquier método sintético conocido, y al menos cualquier método de la siguiente lista:
1) Método de técnica de enfoque de apertura sintética (SAFT),
2) Método SAFT de transductor virtual,
3) Método SAFT codificado espacialmente,
4) Método sintético de onda circular, y
5) Método de síntesis de ondas planas.
1) El método SAFT se detalla, por ejemplo, en el documento publicado de J. A. Jensen, S. I. Nikolov, K. L. Gammelmark, M. H. Pedersen, "Synthetic Aperture Ultrasound Imaging", Ultrasonics 44, e5-e15, 2006.
Este método implementa:
- una etapa de transmisión (a) en la que se realiza (dispara) al menos una transmisión de una onda para cada transductor de la matriz 2: Cada transductor de la matriz 2 es excitado uno tras otro, y
- una etapa de recepción (b) en la que se adquieren todas las señales de los transductores, se registran (almacenado) en la memoria como un conjunto de datos.
El conjunto de datos también se puede organizar como una matriz. DS(k, l, m), generalmente llamado el "conjunto completo de datos", donde
k es un índice de una muestra a lo largo del tiempo,
I es un índice de transductor entre la matriz,
m es un índice de la onda de transmisión entre el número de ondas disparadas (el número correspondiente a la primera pluralidad).
Por lo tanto, el número M de ondas disparadas suele ser igual al número L de transductores en la matriz 2. Sin embargo, este número puede ser menor que este número L de transductores si no se utilizan todos los transductores de la matriz, o puede ser mayor que el número L de transductores si se promedia para algunos de ellos.
A continuación, la etapa de formación de haces (c) y la etapa de combinación (d) difieren del método SAFT conocido, y se explican a continuación.
Durante la etapa de formación de haces (c), los valores de píxeles formados por haz Un(x,z) se puede calcular mediante la siguiente fórmula de formación de haces que comprende una suma doble (una para el número de transductores utilizados con índice / y otra para el número de ondas transmitidas con índice m):
donde
DS(k,l,m) es una matriz de los conjuntos de datos,
Wr es un vector de ponderación de recepción,
T (x,z,l) es una función de retardo para el proceso de formación de haces, es decir, correspondiente al presente
proceso de formación de haces SAFT,
I es un índice de un transductor en la matriz 2, comprendido entre I1 y I2, una abertura para la formación de haces de una línea,
m es el índice, comprendido entre 1 y M, M siendo la primera pluralidad que es el número de ondas transmitidas dentro del medio,
Wrn es un vector de ponderación de transmisión de índice n,
x, z son coordenadas de un píxel dentro de la imagen.
Durante la etapa de combinación (d), los valores de píxeles formados por haz Un(x,z) calculado para todo el número n (segunda pluralidad) de vectores de ponderación de transmisión también se combinan para proporcionar un valor de píxel I(x,z) de cada píxel dentro de la imagen.
A continuación, el valor de píxel I(x,z) también se puede calcular con la misma fórmula de suma que se describió anteriormente:
Los vectores de ponderación de transmisión Wr siendo aplicado por cálculo durante la etapa de formación de haces (c), este método no necesita disparos adicionales (transmisión de ondas al medio).
La imagen producida con el método SAFT suele ser de alta calidad dentro de toda la región que se escanea: buena resolución y buen contraste. La relación señal/ruido (SNR) no es óptima, porque cada disparo usa solo un transducido de la matriz, y la energía de disparo es baja en comparación con otros métodos.
Gracias a los vectores de ponderación de transmisión ortogonal Wrn, el método SAFT modificado anteriormente es capaz de reducir el ruido moteado de la imagen.
2) El método SAFT del transductor virtual mejora el método SAFT en términos de relación señal/ruido. Este método se describe, por ejemplo, en el documento publicado de J. Kortbek, J. A. Jensen, K. L. Gammelmark, "Synthetic Aperture Sequential Beamforming", IEEE International Ultrasonics Symposium Proceedings, p.p. 966-969, 2008. En comparación con el método SAFT anterior, las ondas de transmisión no son generadas por un solo transductor de la matriz, sino por una pluralidad de transductores de la matriz de modo que la onda de transmisión sea un haz enfocado que se ha enfocado a una zona focal predeterminada dentro de la región.
A continuación, en este método SAFT de transductor virtual:
- durante la etapa de transmisión (a), una pluralidad de ondas de transmisión, cada una correspondiente a un haz enfocado a una zona focal dentro de la región es transmitido por una pluralidad de transductores, y
- durante la etapa de recepción (b), el conjunto de datos se adquiere para una pluralidad de zonas focales, y el conjunto de datos se puede organizar como una matriz DS(k, l, m), generalmente llamado el "conjunto completo de datos" equivalente al del método SAFT.
A continuación, la etapa de formación de haces (c) y la etapa de combinación (d) de la presente invención se aplican al método SAFT de transductor virtual y son idénticos o similares a los aplicados para el método SAFT modificado anterior.
Gracias a este método SAFT de transductor virtual modificado, usando una segunda pluralidad de vectores de ponderación de transmisión Wrn, la imagen producida tiene un ruido moteado reducido.
3) El método SAFT espacialmente codificado también mejora el método SAFT en términos de relación señal/ruido. En este método,
- durante la etapa de transmisión (a), se dispara una onda aplicando una matriz de transmisión TM a las señales de los transductores del método SAFT: Para cada uno de las M ondas de transmisión (la primera pluralidad), las señales a los transductores se multiplican por la matriz de transmisión TM, siendo dicha matriz de transmisión una matriz invertible, y
- durante la etapa de recepción (b), el conjunto de datos adquiridos en respuesta a las ondas de transmisión se almacena en una matriz de recepción RM(k, l, m) y la matriz del conjunto de datos DS(k, l, m) se puede obtener utilizando la matriz de recepción RM y la matriz de transmisión TM por la siguiente fórmula de inversión:
para k=1 a K.
La matriz SD del conjunto de datos es entonces equivalente al mismo descrito anteriormente en el método SAFT.
A continuación, la etapa de formación de haces (c) y la etapa de combinación (d) de la presente invención se aplican al método SAFT espacialmente codificado, y son similares a los aplicados para el método SAFT modificado anteriormente.
Gracias a este método SAFT espacialmente codificado modificado, usando una segunda pluralidad de vectores de ponderación de transmisión Wrn, la imagen producida tiene un ruido moteado reducido.
4) El método sintético de ondas circulares también mejora el método SAFT en términos de relación señal/ruido. También es similar al método SAFT del transductor virtual, pero difiere en que el haz enfocado se enfoca detrás de la matriz, lo que conduce a ondas circulares transmitidas dentro del medio.
Los detalles de este método se pueden encontrar en el documento publicado M. Couade, M. Pernot, M. Tanter, E. Messas, A. Bel, M. Ba, A.-A. Hagege, M. Fink, "Ultrafast Imaging of the Heart Using Circular Wave Synthetic Imaging with Phased Arrays", IEEE Ultrason. Symposium, páginas 515-518, 2009.
A continuación, la etapa de formación de haces (c) y la etapa de combinación (d) de la presente invención aplicados a este método de síntesis de ondas circulares son idénticos o similares a los aplicados para el método SAFT modificado anterior.
Gracias a este método de síntesis de ondas circulares modificadas, usando una segunda pluralidad de vectores de ponderación de transmisión Wrn, la imagen producida tiene un ruido moteado reducido.
5) El método sintético de ondas planas también mejora el método SAFT en términos de relación señal/ruido.
Los detalles de este método se pueden encontrar en la patente publicada US 6.551.246 o en la solicitud de patente publicada US 2009/0234230.
En este método:
- durante la etapa de transmisión (a), una primera pluralidad (M) de ondas planas se dispara en el medio, y - durante la etapa de recepción (b), se adquieren las señales de los transductores, se graban (almacen) en una memoria como una matriz SD(k, l, m) del conjunto de datos, siendo m el índice de la onda plana transmitida al medio.
Por lo tanto, el método difiere del método SAFT en que un número M de ondas planas es transmitida (emitida, disparada) dentro del medio.
A continuación, la etapa de formación de haces (c) y la etapa de combinación (d) de la presente invención se aplican a este método de síntesis de ondas planas, y son idénticos o similares a los aplicados para el método SAFT modificado anterior.
Durante la etapa de formación de haces (c), los valores de píxeles formados por haz Un(x,z) se puede calcular mediante la siguiente fórmula de formación de haces:
En el método sintético de ondas planas, cada onda plana está ponderada por un vector de ponderación de transmisión diferente Wrn.
En todo el proceso de formación de haces anterior, la función de retardo T (x,z,l,m) es una función bien conocida que depende de cada tipo de proceso de formación de haces y cada tipo de sonda (forma, dimensión).
De acuerdo con una tercera variante del método de formación de imágenes, que se ilustra en la figura 8 , el método de formación de imágenes no utiliza una pluralidad de vectores de ponderación de transmisión para todos los píxeles de la imagen. Gracias a esta función, la resolución lateral no se reduce para estos píxeles (sin la combinación de vectores de ponderación de transmisión), y el ruido moteado se reduce para los demás píxeles de la imagen (con la combinación de vectores de ponderación de transmisión).
En esta tercera variante, el método de formación de imágenes comprende además las siguientes etapas.
- una etapa de formación de imágenes (301) inicial en la que dicha unidad de procesamiento y matriz determina una primera imagen de la región,
- una etapa de evaluación (302) en la que se determina un valor métrico para los píxeles dentro de la primera imagen, - una etapa de formación de imágenes (303, 304, 305) en la que, si el valor métrico está comprendido en un primer intervalo, un valor de píxel en la imagen se calcula directamente sin usar una pluralidad de vectores ponderados de transmisión, y si el valor métrico está comprendido en un segundo intervalo diferente de dicho primer intervalo, un valor de píxel en la imagen se calcula usando una pluralidad (segunda pluralidad, N) de vectores de ponderación de transmisión, siendo dichos vectores de ponderación de transmisión diferentes y ortogonales entre sí en la (segunda) pluralidad.
A continuación, el método de formación de imágenes puede generar la imagen final 307 combinando los píxeles calculados en las etapas de formación de imágenes
(303, 304, 305). El valor de píxel de la imagen final se calcula en la etapa 304 sin usar vectores de ponderación de transmisión, o en la etapa 305 usando vectores de ponderación de transmisión de acuerdo con uno de los métodos explicados anteriormente.
Ventajosamente, el valor métrico se determina para distinguir un píxel en la primera imagen correspondiente a una señal reflectante significativa de un píxel en la primera imagen correspondiente a una señal moteada no significativa. Una señal reflectante significativa de un píxel en la primera imagen suele ser un píxel correspondiente a una ubicación dentro del medio que tiene un elemento reflector fuerte. En ese caso, el método de formación de imágenes no utiliza vectores de ponderación de transmisión que reducen la resolución lateral. Una señal de moteado no significativa de un píxel en la primera imagen suele ser un píxel que corresponde a una ubicación dentro del medio que no tiene un elemento reflector fuerte. Esta ubicación corresponde a una ubicación de ruido moteado en la imagen. En ese caso, el método de formación de imágenes puede utilizar vectores de ponderación de transmisión que reducen dicho ruido moteado que no es satisfactorio para el usuario y que no es significativo.
Las figuras 9 y 10 son un ejemplo de imágenes generadas por la tercera variante del método de formación de imágenes. La figura 9 es una imagen binaria 303 en la que los píxeles negros son píxeles sin ponderación de transmisión (etapa 304 del método) y los píxeles blancos son píxeles con ponderación de transmisión (etapa 305 del método). La figura 10 es la imagen final proporcionada por el método de formación de imágenes de la tercera variante 300.
Gracias al método adaptativo híbrido anterior, esta imagen 307 es una imagen que tiene un ruido moteado reducido y una buena resolución lateral.
El valor métrico se puede determinar a través de un cálculo de una función de autocorrelación R(9, x, z).
Por ejemplo, la función de autocorrelación puede ser determinada por:
donde E{} es un valor esperado matemático, y
DS(k, l, m) es una matriz de los conjuntos de datos,
k es un índice en el tiempo,
I es un índice de un transductor entre la matriz,
m es un índice de una onda transmitida (por ejemplo, una onda plana) para la formación de haces sintéticos, W r es un vector de ponderación de recepción,
t(x , z, l, m) es una función de retardo para el proceso de formación de haces, por ejemplo, correspondiente al proceso de formación de haces de ondas planas.
El retraso 9 es un ángulo que es una diferencia entre un primer ángulo correspondiente a un primer disparo de índice
m i y un segundo ángulo correspondiente a un segundo disparo de índice m2. El primer y segundo disparos son disparos de ondas planas y el primer y segundo ángulos son ángulos de dichas ondas planas en relación con el conjunto de transductores.
La figura 11 muestra dos ejemplos de tales funciones de autocorrelación: una primera curva de función de autocorrelación 401 establecida en una ubicación dentro del medio correspondiente a un reflector fuerte, y una segunda función de autocorrelación 402 establecida en una ubicación dentro del medio correspondiente a ruido moteado.
Las dos funciones de autocorrelación 401, 402 difieren en un intervalo de retardo comprendido entre 10 grados y 30 grados. Esta diferencia puede usarse para distinguir entre los dos tipos de píxeles en la primera imagen y elegir (etapa 303) entre el uso o no uso (etapas 304, 305) de los vectores de ponderación de transmisión para computar o calcular un píxel de la imagen final del método de formación de imágenes.
Claims (14)
1. Un método de formación de imágenes para producir una imagen de una región dentro de un medio, en donde dicho método es implementado por una unidad de procesamiento (8) conectada a una matriz (2) de transductores en relación con dicho medio, y dicho método comprende las siguientes etapas:
(a) una etapa de transmisión (101; 201) en la que los transductores transmiten una primera pluralidad de ondas en el interior del medio,
(b) una etapa de recepción (102; 202) en la que dichos transductores adquieren un conjunto de datos en respuesta a las ondas, estando el método caracterizado por que:
(c) una etapa de formación de haces (103; 203) en la que el conjunto de datos es procesado por una segunda pluralidad de procesos de formación de haces para proporcionar valores de píxeles formados por haces (Un(x,z)) de al menos una porción de la imagen, usando cada proceso de formación de haces un vector de ponderación de transmisión (Wrn) en el cálculo de los valores de píxeles formados por haz, y
(d) una etapa de combinación (104; 204) en la que los valores de píxeles formados por haz de dicha segunda pluralidad se combinan para proporcionar un valor de píxel ( I(x,z) ) de un píxel dentro de la imagen, y en donde los vectores de ponderación de transmisión (Wrn) son diferentes y ortogonales entre sí,
un vector de ponderación de transmisión de índice / que es ortogonal a un vector de ponderación de transmisión
de índice j, el índice i siendo diferente del índice j, y , L siendo el número de componentes de los vectores de ponderación de transmisión ( W rn),
en donde los vectores de ponderación de transmisión (Wrn) se aplican durante la etapa de formación de haces (c), y
- durante la etapa de formación de haces (c), el proceso de formación de haces es una formación de haces sintética en la que los valores de píxeles formados por haces (Un(x, z)) se calculan mediante la siguiente fórmula:
donde
DS(k, l, m) es una matriz del conjunto de datos,
Wr es un vector de ponderación de recepción,
t ( x , z, l) es una función de retardo adaptada para el proceso de formación de haces,
I es un índice de un transductor en la matriz (2), comprendido entre I1 y I2 , una abertura para la formación de haces de una línea, m es el índice, comprendido entre 1 y M, M siendo la primera pluralidad que es el número de ondas transmitidas en el interior del medio,
W rn es el vector de ponderación de transmisión, x , z son coordenadas de un píxel dentro de la imagen.
2. El método de acuerdo con la reivindicación 1, en donde el proceso de formación de haces sintético se elige en una lista que comprende el proceso de formación de haces de la técnica de enfoque de apertura sintética (SAFT), proceso de formación de haces de SAFT de transductor virtual, proceso de formación de haces de SAFT espacialmente codificado, proceso de formación de haces sintéticos de onda circular, proceso de formación de haces sintéticos de ondas planas.
3. El método de acuerdo con una cualquiera de las reivindicaciones 1 a 2, en donde los valores de píxel ( I(x,z) ) de la imagen se calculan durante la etapa de combinación (d) mediante la siguiente fórmula:
en la que
i es el número imaginario unitario complejo.
n es el índice, comprendido entre 1 y N, N siendo la segunda pluralidad que es el número de vectores de ponderación de transmisión,
|X| es el módulo de X ,
h T{X} es la transformada de Hilbert de X ,
U n (x, z) es un valor de píxel formado por haz de dicha segunda pluralidad.
4. El método de acuerdo con una cualquiera de las reivindicaciones 1 a 3, en donde los vectores de ponderación de transmisión ( W rn) están determinados por una función ortogonal elegida en una lista que comprende una función de Riedel-Sidorenko, una función esferoidal alargada discreta y una función de Hadamard.
5. El método de acuerdo con una cualquiera de las reivindicaciones 1 a 4, en donde los transductores son transductores de ultrasonidos que transmiten o reciben ondas de ultrasonidos, y el método produce una imagen de ultrasonidos de la región dentro del medio.
6. El método de formación de imágenes de acuerdo con una cualquiera de las reivindicaciones 1 a 5, que comprende además las siguientes etapas:
- una etapa de formación de imágenes (301) inicial en la que dicha unidad de procesamiento y matriz determina una primera imagen de la región,
- una etapa de evaluación (302) en la que se determina un valor métrico para los píxeles de la primera imagen, - una etapa de formación de imágenes (303, 304, 305) en la que, si el valor métrico está comprendido en un primer intervalo, se calcula un valor de píxel en la imagen sin usar un vector ponderado de transmisión, y si el valor métrico está comprendido en un segundo intervalo diferente de dicho primer intervalo, un valor de píxel en la imagen se calcula utilizando vectores de ponderación de transmisión, siendo dichos vectores de ponderación de transmisión diferentes y ortogonales entre sí.
7. El método de formación de imágenes de acuerdo con la reivindicación 6, en donde el valor métrico se determina para distinguir un píxel en la primera imagen correspondiente a una señal reflectante significativa de un píxel en la primera imagen correspondiente a una señal moteada no significativa.
8. El método de formación de imágenes de acuerdo con la reivindicación 6 o la reivindicación 7, en donde el valor métrico se determina mediante un cálculo de una función de autocorrelación.
9. El método de formación de imágenes de acuerdo con la reivindicación 8, en donde el valor métrico es un valor medio de la función de autocorrelación para desfases comprendidos entre 10 y 30 grados.
10. Un aparato para producir una imagen de una región dentro de un medio, que comprende una unidad de procesamiento (8) conectada a una matriz (2) de transductores en relación con dicho medio, y
en donde la matriz y la unidad de procesamiento implementan las siguientes etapas:
(a) una etapa de transmisión (101; 201) en la que los transductores transmiten una primera pluralidad de ondas en el interior del medio,
(b) una etapa de recepción (102; 202) en la que dichos transductores adquieren un conjunto de datos en respuesta a las ondas, y
en donde la unidad de procesamiento se caracterizado por que implementa las siguientes etapas:
(c) una etapa de formación de haces (103; 203) en el que el conjunto de datos es procesado por una segunda pluralidad de procesos de formación de haces para proporcionar valores de píxeles formados por haces (Un(x, z)) de al menos una porción de la imagen, usando cada proceso de formación de haces un vector de ponderación de transmisión (Wrn) en el cálculo de los valores de píxeles formados por haz, y
(d) una etapa de combinación (104; 204) en la que los valores de píxeles formados por haz de dicha segunda pluralidad se combinan para proporcionar un valor de píxel (I(x,z)) de cada píxel de la imagen, y
en donde los vectores de ponderación de transmisión (Wrn) son diferentes y ortogonales entre sí,
un vector de ponderación de transmisión de índice / que es ortogonal a un vector de ponderación de transmisión
de índice j, el índice / siendo diferente del índice j, y , L siendo el número de componentes de los vectores de ponderación de transmisión (Wrn),
en donde los vectores de ponderación de transmisión (Wrn) se aplican durante la etapa de formación de haces (c), y
- durante la etapa de formación de haces (c), el proceso de formación de haces es una formación de haces sintética en la que los valores de píxeles formados por haces (Un(x, z)) se calculan mediante la siguiente fórmula:
donde
DS(k, l, m) es una matriz del conjunto de datos,
Wr es un vector de ponderación de recepción,
t ( x , z, l) es una función de retardo adaptada para el proceso de formación de haces,
I es un índice de un transductor en la matriz (2), comprendido entre I1 y I2, una abertura para la formación de haces de una línea,
m es el índice, comprendido entre 1 y M, M siendo la primera pluralidad que es el número de ondas transmitidas en el interior del medio,
Win es el vector de ponderación de transmisión,
x, z son coordenadas de un píxel dentro de la imagen.
11. El aparato de acuerdo con la reivindicación 10, en donde el proceso de formación de haces sintético se elige en una lista que comprende el proceso de formación de haces de la técnica de enfoque de apertura sintética (SAFT), proceso de formación de haces de SAFT de transductor virtual, proceso de formación de haces de SAFT espacialmente codificado, proceso de formación de haces sintéticos de onda circular, proceso de formación de haces sintéticos de ondas planas.
12. El aparato de acuerdo con una cualquiera de las reivindicaciones 10 a 11, implementando además las siguientes etapas:
- una etapa de formación de imágenes (301) inicial en la que dicha unidad de procesamiento y matriz determina una primera imagen de la región, y
- una etapa de evaluación (302) en la que se determina un valor métrico para los píxeles de la primera imagen, - una etapa de formación de imágenes (303, 304, 305) en la que, si el valor métrico está comprendido en un primer intervalo, se calcula un valor de píxel en la imagen sin usar un vector ponderado de transmisión, y si el valor métrico está comprendido en un segundo intervalo diferente de dicho primer intervalo, un valor de píxel en la imagen se calcula utilizando vectores de ponderación de transmisión, siendo dichos vectores de ponderación de transmisión diferentes y ortogonales entre sí.
13. Un programa informático que incluye instrucciones para ejecutar las etapas del método según cualquiera de las reivindicaciones 1 a 9 cuando dicho programa es ejecutado por la unidad de procesamiento (8) del aparato según la reivindicación 10.
14. Un medio de almacenamiento legible por ordenador en el que está almacenado el programa informático de acuerdo con la reivindicación 13.
Applications Claiming Priority (1)
| Application Number | Priority Date | Filing Date | Title |
|---|---|---|---|
| PCT/IB2015/002652 WO2017093778A1 (en) | 2015-12-01 | 2015-12-01 | An imaging method, an apparatus implementing said method, a computer program and a computer-readable storage medium |
Publications (1)
| Publication Number | Publication Date |
|---|---|
| ES2953404T3 true ES2953404T3 (es) | 2023-11-10 |
Family
ID=56373079
Family Applications (1)
| Application Number | Title | Priority Date | Filing Date |
|---|---|---|---|
| ES15877375T Active ES2953404T3 (es) | 2015-12-01 | 2015-12-01 | Método de formación de imágenes, aparato que implementa dicho método, programa informático y medio de almacenamiento legible por ordenador |
Country Status (10)
| Country | Link |
|---|---|
| US (1) | US11487006B2 (es) |
| EP (2) | EP4235216A3 (es) |
| JP (1) | JP6734376B2 (es) |
| KR (1) | KR102452220B1 (es) |
| CN (1) | CN108700651B (es) |
| BR (1) | BR112018011282B1 (es) |
| CA (1) | CA3007284A1 (es) |
| ES (1) | ES2953404T3 (es) |
| IL (1) | IL259759B (es) |
| WO (1) | WO2017093778A1 (es) |
Families Citing this family (7)
| Publication number | Priority date | Publication date | Assignee | Title |
|---|---|---|---|---|
| WO2019213744A1 (en) * | 2018-05-09 | 2019-11-14 | Dalhousie University | Systems and methods of sparse orthogonal diverging wave ultrasound imaging |
| EP3936891A1 (en) | 2020-07-10 | 2022-01-12 | Supersonic Imagine | Method and system for estimating an ultrasound attenuation parameter |
| KR102550262B1 (ko) * | 2021-02-22 | 2023-07-03 | 광주과학기술원 | 무작위 간섭을 이용한 초음파 이미징 장치 및 그 방법 |
| FR3124597B1 (fr) * | 2021-06-25 | 2025-04-18 | Moduleus | Procédé et dispositif d'imagerie ultrasonore à adressage ligne-colonne |
| EP4155767A1 (en) * | 2021-09-24 | 2023-03-29 | SuperSonic Imagine | Method and system for processing a set of signals received by a transducer element |
| GB2624639B (en) * | 2022-11-22 | 2025-02-05 | Darkvision Tech Inc | Surface texture of manufactured parts |
| EP4394441A1 (en) | 2022-12-29 | 2024-07-03 | Supersonic Imagine | A beamforming method and system |
Family Cites Families (17)
| Publication number | Priority date | Publication date | Assignee | Title |
|---|---|---|---|---|
| US5851187A (en) * | 1997-10-01 | 1998-12-22 | General Electric Company | Method and apparatus for ultrasonic beamforming with spatially encoded transmits |
| US6048315A (en) * | 1998-09-28 | 2000-04-11 | General Electric Company | Method and apparatus for ultrasonic synthetic transmit aperture imaging using orthogonal complementary codes |
| US6213946B1 (en) * | 1998-12-24 | 2001-04-10 | Agilent Technologies, Inc. | Methods and apparatus for speckle reduction by orthogonal pulse compounding in medical ultrasound imaging |
| US6551246B1 (en) | 2000-03-06 | 2003-04-22 | Acuson Corporation | Method and apparatus for forming medical ultrasound images |
| US8317704B2 (en) * | 2006-05-12 | 2012-11-27 | Koninklijke Philips Electronics N.V. | Incoherent retrospective dynamic transmit focusing |
| US7782521B2 (en) * | 2007-05-31 | 2010-08-24 | Texas Instruments Incorporated | System and method for displaying images |
| US8641628B2 (en) * | 2007-09-26 | 2014-02-04 | Siemens Medical Solutions Usa, Inc. | Aperture synthesis using cMUTs |
| US9117439B2 (en) | 2008-03-13 | 2015-08-25 | Supersonic Imagine | Method and apparatus for ultrasound synthetic imagining |
| US9254116B2 (en) * | 2010-04-02 | 2016-02-09 | Duke University | Methods, systems and apparatuses for Van-Cittert Zernike imaging |
| CN102429684B (zh) * | 2010-09-28 | 2013-10-09 | 深圳迈瑞生物医疗电子股份有限公司 | 一种多普勒彩色血流成像方法和装置 |
| US8743657B1 (en) * | 2011-04-22 | 2014-06-03 | The United States Of America As Represented By The Secretary Of The Navy | Resolution analysis using vector components of a scattered acoustic intensity field |
| CN102393520B (zh) * | 2011-09-26 | 2013-07-31 | 哈尔滨工程大学 | 基于目标回波多普勒特性的声纳运动目标成像方法 |
| EP2574956A1 (en) * | 2011-09-30 | 2013-04-03 | GE Inspection Technologies Ltd | Ultrasound imaging system and method with side lobe suppression via coherency factor weighting |
| WO2013116807A1 (en) * | 2012-02-03 | 2013-08-08 | Los Alamos National Security, Llc | Systems and methods for synthetic aperture ultrasound tomography |
| JP6288998B2 (ja) | 2013-09-17 | 2018-03-07 | キヤノンメディカルシステムズ株式会社 | 超音波診断装置及び超音波イメージングプログラム |
| KR101844371B1 (ko) * | 2014-03-19 | 2018-04-02 | 삼성전자주식회사 | 영상 처리 방법 및 장치 |
| WO2016100284A1 (en) * | 2014-12-19 | 2016-06-23 | University Of Rochester | Ultrasound system for high-speed and high resolution imaging applications |
-
2015
- 2015-12-01 WO PCT/IB2015/002652 patent/WO2017093778A1/en not_active Ceased
- 2015-12-01 CN CN201580085761.4A patent/CN108700651B/zh active Active
- 2015-12-01 EP EP23178324.2A patent/EP4235216A3/en active Pending
- 2015-12-01 BR BR112018011282-8A patent/BR112018011282B1/pt active IP Right Grant
- 2015-12-01 US US15/780,914 patent/US11487006B2/en active Active
- 2015-12-01 KR KR1020187018427A patent/KR102452220B1/ko active Active
- 2015-12-01 ES ES15877375T patent/ES2953404T3/es active Active
- 2015-12-01 JP JP2018528759A patent/JP6734376B2/ja active Active
- 2015-12-01 CA CA3007284A patent/CA3007284A1/en not_active Abandoned
- 2015-12-01 IL IL259759A patent/IL259759B/en unknown
- 2015-12-01 EP EP15877375.4A patent/EP3384313B1/en active Active
Also Published As
| Publication number | Publication date |
|---|---|
| EP3384313B1 (en) | 2023-07-19 |
| EP4235216A3 (en) | 2023-10-25 |
| WO2017093778A1 (en) | 2017-06-08 |
| CN108700651A (zh) | 2018-10-23 |
| BR112018011282A2 (pt) | 2019-01-22 |
| US11487006B2 (en) | 2022-11-01 |
| JP2018535789A (ja) | 2018-12-06 |
| KR20180113501A (ko) | 2018-10-16 |
| CN108700651B (zh) | 2022-03-29 |
| IL259759B (en) | 2022-08-01 |
| EP3384313A1 (en) | 2018-10-10 |
| IL259759A (en) | 2018-07-31 |
| JP6734376B2 (ja) | 2020-08-05 |
| EP4235216A2 (en) | 2023-08-30 |
| BR112018011282B1 (pt) | 2024-01-30 |
| KR102452220B1 (ko) | 2022-10-07 |
| US20200256988A1 (en) | 2020-08-13 |
| CA3007284A1 (en) | 2017-06-08 |
Similar Documents
| Publication | Publication Date | Title |
|---|---|---|
| ES2953404T3 (es) | Método de formación de imágenes, aparato que implementa dicho método, programa informático y medio de almacenamiento legible por ordenador | |
| Montaldo et al. | Coherent plane-wave compounding for very high frame rate ultrasonography and transient elastography | |
| US9955943B2 (en) | Windowed time-reversal music technique for super-resolution ultrasound imaging | |
| ES2703326T3 (es) | Procedimiento de tratamiento de señales procedentes de una adquisición por sondeo ultrasónico, programa de ordenador y dispositivo de sondeo de ultrasonidos correspondientes | |
| US9504449B2 (en) | Ultrasonic imaging device with image acquisition rate optimization | |
| US12153131B2 (en) | Method and system for ultrasonic characterization of a medium | |
| JP5235477B2 (ja) | 超音波による画像形成方法及び超音波装置 | |
| US11768181B2 (en) | Method and system for ultrasonic characterization of a medium | |
| JP2009505771A (ja) | 実時間空間合成によるフローイメージングのための超音波画像形成システム及び方法 | |
| CN109259801B (zh) | 一种剪切波弹性成像方法及装置 | |
| Nili et al. | Improved Sub-Array Ultrasound Beamforming Using a Spatial Frequency Domain Analysis | |
| JP2004209246A (ja) | 組織で発生される高調波との広帯域周波数合成を用いた超音波スペックル低減の方法及び装置 | |
| Peralta et al. | Extension of coherent multi-transducer ultrasound imaging with diverging waves | |
| JP7470167B2 (ja) | 媒体の物理的特性を決定する方法及びシステム | |
| Gong et al. | Simulation studies of filtered spatial compounding (FSC) and filtered frequency compounding (FFC) in synthetic transmit aperture (STA) imaging | |
| KR20230043751A (ko) | 트랜스듀서 소자에 의해 수신된 신호 세트를 처리하기 위한 방법 및 시스템 | |
| Zheng et al. | Adaptive Virtual Source Imaging Using the Sequence Intensity Factor: Simulation and Experimental Study | |
| McAllister et al. | Evaluation of translating apertures based angular scatter imaging on a clinical imaging system | |
| Hyun et al. | Efficient strategies for estimating spatial coherence on matrix probes | |
| Kim et al. | Efficient array beamformer using spatial filtering for ultrasound B-mode imaging |
































