ES2755497T3 - Sistema de control de glucosa en sangre - Google Patents
Sistema de control de glucosa en sangre Download PDFInfo
- Publication number
- ES2755497T3 ES2755497T3 ES11785841T ES11785841T ES2755497T3 ES 2755497 T3 ES2755497 T3 ES 2755497T3 ES 11785841 T ES11785841 T ES 11785841T ES 11785841 T ES11785841 T ES 11785841T ES 2755497 T3 ES2755497 T3 ES 2755497T3
- Authority
- ES
- Spain
- Prior art keywords
- insulin
- infusion rate
- basal
- glucose
- nominal
- Prior art date
- Legal status (The legal status is an assumption and is not a legal conclusion. Google has not performed a legal analysis and makes no representation as to the accuracy of the status listed.)
- Active
Links
- WQZGKKKJIJFFOK-GASJEMHNSA-N Glucose Natural products OC[C@H]1OC(O)[C@H](O)[C@@H](O)[C@@H]1O WQZGKKKJIJFFOK-GASJEMHNSA-N 0.000 title claims abstract description 95
- 239000008103 glucose Substances 0.000 title claims abstract description 95
- 238000012544 monitoring process Methods 0.000 title abstract description 7
- 239000008280 blood Substances 0.000 title description 20
- 210000004369 blood Anatomy 0.000 title description 20
- NOESYZHRGYRDHS-UHFFFAOYSA-N insulin Chemical compound N1C(=O)C(NC(=O)C(CCC(N)=O)NC(=O)C(CCC(O)=O)NC(=O)C(C(C)C)NC(=O)C(NC(=O)CN)C(C)CC)CSSCC(C(NC(CO)C(=O)NC(CC(C)C)C(=O)NC(CC=2C=CC(O)=CC=2)C(=O)NC(CCC(N)=O)C(=O)NC(CC(C)C)C(=O)NC(CCC(O)=O)C(=O)NC(CC(N)=O)C(=O)NC(CC=2C=CC(O)=CC=2)C(=O)NC(CSSCC(NC(=O)C(C(C)C)NC(=O)C(CC(C)C)NC(=O)C(CC=2C=CC(O)=CC=2)NC(=O)C(CC(C)C)NC(=O)C(C)NC(=O)C(CCC(O)=O)NC(=O)C(C(C)C)NC(=O)C(CC(C)C)NC(=O)C(CC=2NC=NC=2)NC(=O)C(CO)NC(=O)CNC2=O)C(=O)NCC(=O)NC(CCC(O)=O)C(=O)NC(CCCNC(N)=N)C(=O)NCC(=O)NC(CC=3C=CC=CC=3)C(=O)NC(CC=3C=CC=CC=3)C(=O)NC(CC=3C=CC(O)=CC=3)C(=O)NC(C(C)O)C(=O)N3C(CCC3)C(=O)NC(CCCCN)C(=O)NC(C)C(O)=O)C(=O)NC(CC(N)=O)C(O)=O)=O)NC(=O)C(C(C)CC)NC(=O)C(CO)NC(=O)C(C(C)O)NC(=O)C1CSSCC2NC(=O)C(CC(C)C)NC(=O)C(NC(=O)C(CCC(N)=O)NC(=O)C(CC(N)=O)NC(=O)C(NC(=O)C(N)CC=1C=CC=CC=1)C(C)C)CC1=CN=CN1 NOESYZHRGYRDHS-UHFFFAOYSA-N 0.000 claims abstract description 263
- 102000004877 Insulin Human genes 0.000 claims abstract description 131
- 108090001061 Insulin Proteins 0.000 claims abstract description 131
- 229940125396 insulin Drugs 0.000 claims abstract description 131
- 238000001802 infusion Methods 0.000 claims abstract description 114
- 230000004044 response Effects 0.000 claims abstract description 22
- 230000001419 dependent effect Effects 0.000 claims abstract description 5
- 238000000034 method Methods 0.000 claims description 54
- 239000003795 chemical substances by application Substances 0.000 claims description 17
- 230000009471 action Effects 0.000 claims description 12
- 230000001517 counterregulatory effect Effects 0.000 claims description 11
- 230000000694 effects Effects 0.000 claims description 11
- 238000004364 calculation method Methods 0.000 claims description 4
- 230000001105 regulatory effect Effects 0.000 claims description 4
- 230000002776 aggregation Effects 0.000 claims description 3
- 238000004220 aggregation Methods 0.000 claims description 3
- 230000004048 modification Effects 0.000 claims description 3
- 238000012986 modification Methods 0.000 claims description 3
- MASNOZXLGMXCHN-ZLPAWPGGSA-N glucagon Chemical compound C([C@@H](C(=O)N[C@H](C(=O)N[C@@H](CCC(N)=O)C(=O)N[C@@H](CC=1C2=CC=CC=C2NC=1)C(=O)N[C@@H](CC(C)C)C(=O)N[C@@H](CCSC)C(=O)N[C@@H](CC(N)=O)C(=O)N[C@@H]([C@@H](C)O)C(O)=O)C(C)C)NC(=O)[C@H](CC(O)=O)NC(=O)[C@H](CCC(N)=O)NC(=O)[C@H](C)NC(=O)[C@H](CCCNC(N)=N)NC(=O)[C@H](CCCNC(N)=N)NC(=O)[C@H](CO)NC(=O)[C@H](CC(O)=O)NC(=O)[C@H](CC(C)C)NC(=O)[C@H](CC=1C=CC(O)=CC=1)NC(=O)[C@H](CCCCN)NC(=O)[C@H](CO)NC(=O)[C@H](CC=1C=CC(O)=CC=1)NC(=O)[C@H](CC(O)=O)NC(=O)[C@H](CO)NC(=O)[C@@H](NC(=O)[C@H](CC=1C=CC=CC=1)NC(=O)[C@@H](NC(=O)CNC(=O)[C@H](CCC(N)=O)NC(=O)[C@H](CO)NC(=O)[C@@H](N)CC=1NC=NC=1)[C@@H](C)O)[C@@H](C)O)C1=CC=CC=C1 MASNOZXLGMXCHN-ZLPAWPGGSA-N 0.000 description 49
- 102000051325 Glucagon Human genes 0.000 description 48
- 108060003199 Glucagon Proteins 0.000 description 48
- 229960004666 glucagon Drugs 0.000 description 48
- 238000009825 accumulation Methods 0.000 description 16
- 230000006870 function Effects 0.000 description 16
- 235000012054 meals Nutrition 0.000 description 16
- 238000011217 control strategy Methods 0.000 description 11
- 230000006978 adaptation Effects 0.000 description 8
- 238000009472 formulation Methods 0.000 description 7
- 239000000203 mixture Substances 0.000 description 7
- 238000005070 sampling Methods 0.000 description 7
- 238000007920 subcutaneous administration Methods 0.000 description 6
- 238000002560 therapeutic procedure Methods 0.000 description 5
- 238000013459 approach Methods 0.000 description 4
- 238000013528 artificial neural network Methods 0.000 description 4
- 238000004422 calculation algorithm Methods 0.000 description 4
- 238000010586 diagram Methods 0.000 description 4
- 235000013305 food Nutrition 0.000 description 4
- 230000007774 longterm Effects 0.000 description 4
- 238000005259 measurement Methods 0.000 description 4
- 230000002503 metabolic effect Effects 0.000 description 4
- 230000003190 augmentative effect Effects 0.000 description 3
- 150000001720 carbohydrates Chemical class 0.000 description 3
- 235000014633 carbohydrates Nutrition 0.000 description 3
- 230000008859 change Effects 0.000 description 3
- 238000004590 computer program Methods 0.000 description 3
- 235000012631 food intake Nutrition 0.000 description 3
- 230000003054 hormonal effect Effects 0.000 description 3
- 201000001421 hyperglycemia Diseases 0.000 description 3
- 239000007924 injection Substances 0.000 description 3
- 238000002347 injection Methods 0.000 description 3
- 230000002608 insulinlike Effects 0.000 description 3
- 238000001990 intravenous administration Methods 0.000 description 3
- 230000037081 physical activity Effects 0.000 description 3
- 238000012545 processing Methods 0.000 description 3
- 230000007704 transition Effects 0.000 description 3
- 241001465754 Metazoa Species 0.000 description 2
- 239000000654 additive Substances 0.000 description 2
- 230000000996 additive effect Effects 0.000 description 2
- 206010012601 diabetes mellitus Diseases 0.000 description 2
- 201000010099 disease Diseases 0.000 description 2
- 208000037265 diseases, disorders, signs and symptoms Diseases 0.000 description 2
- 230000002996 emotional effect Effects 0.000 description 2
- 210000003722 extracellular fluid Anatomy 0.000 description 2
- 230000003287 optical effect Effects 0.000 description 2
- 230000000291 postprandial effect Effects 0.000 description 2
- 239000007929 subcutaneous injection Substances 0.000 description 2
- 238000010254 subcutaneous injection Methods 0.000 description 2
- -1 ( t) Chemical compound 0.000 description 1
- OKTJSMMVPCPJKN-UHFFFAOYSA-N Carbon Chemical compound [C] OKTJSMMVPCPJKN-UHFFFAOYSA-N 0.000 description 1
- 101000976075 Homo sapiens Insulin Proteins 0.000 description 1
- 108010092217 Long-Acting Insulin Proteins 0.000 description 1
- 102000016261 Long-Acting Insulin Human genes 0.000 description 1
- 229940100066 Long-acting insulin Drugs 0.000 description 1
- 229940123452 Rapid-acting insulin Drugs 0.000 description 1
- 206010070834 Sensitisation Diseases 0.000 description 1
- 108010026951 Short-Acting Insulin Proteins 0.000 description 1
- 206010067584 Type 1 diabetes mellitus Diseases 0.000 description 1
- 238000010521 absorption reaction Methods 0.000 description 1
- 230000003044 adaptive effect Effects 0.000 description 1
- 230000032683 aging Effects 0.000 description 1
- 230000008901 benefit Effects 0.000 description 1
- 229910052799 carbon Inorganic materials 0.000 description 1
- 230000002060 circadian Effects 0.000 description 1
- 238000004891 communication Methods 0.000 description 1
- 239000000470 constituent Substances 0.000 description 1
- 230000003247 decreasing effect Effects 0.000 description 1
- 230000003111 delayed effect Effects 0.000 description 1
- 238000001514 detection method Methods 0.000 description 1
- 238000012377 drug delivery Methods 0.000 description 1
- 230000009977 dual effect Effects 0.000 description 1
- 230000002641 glycemic effect Effects 0.000 description 1
- 230000036541 health Effects 0.000 description 1
- 230000003345 hyperglycaemic effect Effects 0.000 description 1
- 230000006872 improvement Effects 0.000 description 1
- 238000010348 incorporation Methods 0.000 description 1
- PBGKTOXHQIOBKM-FHFVDXKLSA-N insulin (human) Chemical compound C([C@@H](C(=O)N[C@@H](CC(C)C)C(=O)N[C@H]1CSSC[C@H]2C(=O)N[C@H](C(=O)N[C@@H](CO)C(=O)N[C@H](C(=O)N[C@H](C(N[C@@H](CO)C(=O)N[C@@H](CC(C)C)C(=O)N[C@@H](CC=3C=CC(O)=CC=3)C(=O)N[C@@H](CCC(N)=O)C(=O)N[C@@H](CC(C)C)C(=O)N[C@@H](CCC(O)=O)C(=O)N[C@@H](CC(N)=O)C(=O)N[C@@H](CC=3C=CC(O)=CC=3)C(=O)N[C@@H](CSSC[C@H](NC(=O)[C@H](C(C)C)NC(=O)[C@H](CC(C)C)NC(=O)[C@H](CC=3C=CC(O)=CC=3)NC(=O)[C@H](CC(C)C)NC(=O)[C@H](C)NC(=O)[C@H](CCC(O)=O)NC(=O)[C@H](C(C)C)NC(=O)[C@H](CC(C)C)NC(=O)[C@H](CC=3NC=NC=3)NC(=O)[C@H](CO)NC(=O)CNC1=O)C(=O)NCC(=O)N[C@@H](CCC(O)=O)C(=O)N[C@@H](CCCNC(N)=N)C(=O)NCC(=O)N[C@@H](CC=1C=CC=CC=1)C(=O)N[C@@H](CC=1C=CC=CC=1)C(=O)N[C@@H](CC=1C=CC(O)=CC=1)C(=O)N[C@@H]([C@@H](C)O)C(=O)N1[C@@H](CCC1)C(=O)N[C@@H](CCCCN)C(=O)N[C@@H]([C@@H](C)O)C(O)=O)C(=O)N[C@@H](CC(N)=O)C(O)=O)=O)CSSC[C@@H](C(N2)=O)NC(=O)[C@H](CCC(N)=O)NC(=O)[C@H](CCC(O)=O)NC(=O)[C@H](C(C)C)NC(=O)[C@@H](NC(=O)CN)[C@@H](C)CC)[C@@H](C)CC)[C@@H](C)O)NC(=O)[C@H](CCC(N)=O)NC(=O)[C@H](CC(N)=O)NC(=O)[C@@H](NC(=O)[C@@H](N)CC=1C=CC=CC=1)C(C)C)C1=CN=CN1 PBGKTOXHQIOBKM-FHFVDXKLSA-N 0.000 description 1
- 238000007918 intramuscular administration Methods 0.000 description 1
- 238000007912 intraperitoneal administration Methods 0.000 description 1
- 230000007246 mechanism Effects 0.000 description 1
- 230000009245 menopause Effects 0.000 description 1
- 238000012806 monitoring device Methods 0.000 description 1
- 238000005457 optimization Methods 0.000 description 1
- 239000004065 semiconductor Substances 0.000 description 1
- 230000008313 sensitization Effects 0.000 description 1
- 230000001235 sensitizing effect Effects 0.000 description 1
- 239000000243 solution Substances 0.000 description 1
- 239000000126 substance Substances 0.000 description 1
- 230000001052 transient effect Effects 0.000 description 1
- 230000001960 triggered effect Effects 0.000 description 1
Classifications
-
- A—HUMAN NECESSITIES
- A61—MEDICAL OR VETERINARY SCIENCE; HYGIENE
- A61M—DEVICES FOR INTRODUCING MEDIA INTO, OR ONTO, THE BODY; DEVICES FOR TRANSDUCING BODY MEDIA OR FOR TAKING MEDIA FROM THE BODY; DEVICES FOR PRODUCING OR ENDING SLEEP OR STUPOR
- A61M5/00—Devices for bringing media into the body in a subcutaneous, intra-vascular or intramuscular way; Accessories therefor, e.g. filling or cleaning devices, arm-rests
- A61M5/14—Infusion devices, e.g. infusing by gravity; Blood infusion; Accessories therefor
- A61M5/168—Means for controlling media flow to the body or for metering media to the body, e.g. drip meters, counters ; Monitoring media flow to the body
- A61M5/172—Means for controlling media flow to the body or for metering media to the body, e.g. drip meters, counters ; Monitoring media flow to the body electrical or electronic
- A61M5/1723—Means for controlling media flow to the body or for metering media to the body, e.g. drip meters, counters ; Monitoring media flow to the body electrical or electronic using feedback of body parameters, e.g. blood-sugar, pressure
-
- A—HUMAN NECESSITIES
- A61—MEDICAL OR VETERINARY SCIENCE; HYGIENE
- A61M—DEVICES FOR INTRODUCING MEDIA INTO, OR ONTO, THE BODY; DEVICES FOR TRANSDUCING BODY MEDIA OR FOR TAKING MEDIA FROM THE BODY; DEVICES FOR PRODUCING OR ENDING SLEEP OR STUPOR
- A61M5/00—Devices for bringing media into the body in a subcutaneous, intra-vascular or intramuscular way; Accessories therefor, e.g. filling or cleaning devices, arm-rests
- A61M5/14—Infusion devices, e.g. infusing by gravity; Blood infusion; Accessories therefor
- A61M5/142—Pressure infusion, e.g. using pumps
- A61M5/14244—Pressure infusion, e.g. using pumps adapted to be carried by the patient, e.g. portable on the body
-
- A—HUMAN NECESSITIES
- A61—MEDICAL OR VETERINARY SCIENCE; HYGIENE
- A61M—DEVICES FOR INTRODUCING MEDIA INTO, OR ONTO, THE BODY; DEVICES FOR TRANSDUCING BODY MEDIA OR FOR TAKING MEDIA FROM THE BODY; DEVICES FOR PRODUCING OR ENDING SLEEP OR STUPOR
- A61M5/00—Devices for bringing media into the body in a subcutaneous, intra-vascular or intramuscular way; Accessories therefor, e.g. filling or cleaning devices, arm-rests
- A61M5/14—Infusion devices, e.g. infusing by gravity; Blood infusion; Accessories therefor
- A61M5/142—Pressure infusion, e.g. using pumps
- A61M5/14244—Pressure infusion, e.g. using pumps adapted to be carried by the patient, e.g. portable on the body
- A61M5/14248—Pressure infusion, e.g. using pumps adapted to be carried by the patient, e.g. portable on the body of the skin patch type
-
- G—PHYSICS
- G16—INFORMATION AND COMMUNICATION TECHNOLOGY [ICT] SPECIALLY ADAPTED FOR SPECIFIC APPLICATION FIELDS
- G16H—HEALTHCARE INFORMATICS, i.e. INFORMATION AND COMMUNICATION TECHNOLOGY [ICT] SPECIALLY ADAPTED FOR THE HANDLING OR PROCESSING OF MEDICAL OR HEALTHCARE DATA
- G16H20/00—ICT specially adapted for therapies or health-improving plans, e.g. for handling prescriptions, for steering therapy or for monitoring patient compliance
- G16H20/10—ICT specially adapted for therapies or health-improving plans, e.g. for handling prescriptions, for steering therapy or for monitoring patient compliance relating to drugs or medications, e.g. for ensuring correct administration to patients
- G16H20/13—ICT specially adapted for therapies or health-improving plans, e.g. for handling prescriptions, for steering therapy or for monitoring patient compliance relating to drugs or medications, e.g. for ensuring correct administration to patients delivered from dispensers
-
- G—PHYSICS
- G16—INFORMATION AND COMMUNICATION TECHNOLOGY [ICT] SPECIALLY ADAPTED FOR SPECIFIC APPLICATION FIELDS
- G16H—HEALTHCARE INFORMATICS, i.e. INFORMATION AND COMMUNICATION TECHNOLOGY [ICT] SPECIALLY ADAPTED FOR THE HANDLING OR PROCESSING OF MEDICAL OR HEALTHCARE DATA
- G16H20/00—ICT specially adapted for therapies or health-improving plans, e.g. for handling prescriptions, for steering therapy or for monitoring patient compliance
- G16H20/10—ICT specially adapted for therapies or health-improving plans, e.g. for handling prescriptions, for steering therapy or for monitoring patient compliance relating to drugs or medications, e.g. for ensuring correct administration to patients
- G16H20/17—ICT specially adapted for therapies or health-improving plans, e.g. for handling prescriptions, for steering therapy or for monitoring patient compliance relating to drugs or medications, e.g. for ensuring correct administration to patients delivered via infusion or injection
-
- G—PHYSICS
- G16—INFORMATION AND COMMUNICATION TECHNOLOGY [ICT] SPECIALLY ADAPTED FOR SPECIFIC APPLICATION FIELDS
- G16H—HEALTHCARE INFORMATICS, i.e. INFORMATION AND COMMUNICATION TECHNOLOGY [ICT] SPECIALLY ADAPTED FOR THE HANDLING OR PROCESSING OF MEDICAL OR HEALTHCARE DATA
- G16H40/00—ICT specially adapted for the management or administration of healthcare resources or facilities; ICT specially adapted for the management or operation of medical equipment or devices
- G16H40/60—ICT specially adapted for the management or administration of healthcare resources or facilities; ICT specially adapted for the management or operation of medical equipment or devices for the operation of medical equipment or devices
- G16H40/63—ICT specially adapted for the management or administration of healthcare resources or facilities; ICT specially adapted for the management or operation of medical equipment or devices for the operation of medical equipment or devices for local operation
-
- G—PHYSICS
- G16—INFORMATION AND COMMUNICATION TECHNOLOGY [ICT] SPECIALLY ADAPTED FOR SPECIFIC APPLICATION FIELDS
- G16H—HEALTHCARE INFORMATICS, i.e. INFORMATION AND COMMUNICATION TECHNOLOGY [ICT] SPECIALLY ADAPTED FOR THE HANDLING OR PROCESSING OF MEDICAL OR HEALTHCARE DATA
- G16H50/00—ICT specially adapted for medical diagnosis, medical simulation or medical data mining; ICT specially adapted for detecting, monitoring or modelling epidemics or pandemics
- G16H50/50—ICT specially adapted for medical diagnosis, medical simulation or medical data mining; ICT specially adapted for detecting, monitoring or modelling epidemics or pandemics for simulation or modelling of medical disorders
-
- G—PHYSICS
- G16—INFORMATION AND COMMUNICATION TECHNOLOGY [ICT] SPECIALLY ADAPTED FOR SPECIFIC APPLICATION FIELDS
- G16Z—INFORMATION AND COMMUNICATION TECHNOLOGY [ICT] SPECIALLY ADAPTED FOR SPECIFIC APPLICATION FIELDS, NOT OTHERWISE PROVIDED FOR
- G16Z99/00—Subject matter not provided for in other main groups of this subclass
-
- A—HUMAN NECESSITIES
- A61—MEDICAL OR VETERINARY SCIENCE; HYGIENE
- A61M—DEVICES FOR INTRODUCING MEDIA INTO, OR ONTO, THE BODY; DEVICES FOR TRANSDUCING BODY MEDIA OR FOR TAKING MEDIA FROM THE BODY; DEVICES FOR PRODUCING OR ENDING SLEEP OR STUPOR
- A61M5/00—Devices for bringing media into the body in a subcutaneous, intra-vascular or intramuscular way; Accessories therefor, e.g. filling or cleaning devices, arm-rests
- A61M5/14—Infusion devices, e.g. infusing by gravity; Blood infusion; Accessories therefor
- A61M2005/1401—Functional features
- A61M2005/1402—Priming
-
- A—HUMAN NECESSITIES
- A61—MEDICAL OR VETERINARY SCIENCE; HYGIENE
- A61M—DEVICES FOR INTRODUCING MEDIA INTO, OR ONTO, THE BODY; DEVICES FOR TRANSDUCING BODY MEDIA OR FOR TAKING MEDIA FROM THE BODY; DEVICES FOR PRODUCING OR ENDING SLEEP OR STUPOR
- A61M5/00—Devices for bringing media into the body in a subcutaneous, intra-vascular or intramuscular way; Accessories therefor, e.g. filling or cleaning devices, arm-rests
- A61M5/14—Infusion devices, e.g. infusing by gravity; Blood infusion; Accessories therefor
- A61M5/142—Pressure infusion, e.g. using pumps
- A61M2005/14208—Pressure infusion, e.g. using pumps with a programmable infusion control system, characterised by the infusion program
-
- A—HUMAN NECESSITIES
- A61—MEDICAL OR VETERINARY SCIENCE; HYGIENE
- A61M—DEVICES FOR INTRODUCING MEDIA INTO, OR ONTO, THE BODY; DEVICES FOR TRANSDUCING BODY MEDIA OR FOR TAKING MEDIA FROM THE BODY; DEVICES FOR PRODUCING OR ENDING SLEEP OR STUPOR
- A61M2202/00—Special media to be introduced, removed or treated
- A61M2202/07—Proteins
-
- A—HUMAN NECESSITIES
- A61—MEDICAL OR VETERINARY SCIENCE; HYGIENE
- A61M—DEVICES FOR INTRODUCING MEDIA INTO, OR ONTO, THE BODY; DEVICES FOR TRANSDUCING BODY MEDIA OR FOR TAKING MEDIA FROM THE BODY; DEVICES FOR PRODUCING OR ENDING SLEEP OR STUPOR
- A61M2205/00—General characteristics of the apparatus
- A61M2205/50—General characteristics of the apparatus with microprocessors or computers
- A61M2205/52—General characteristics of the apparatus with microprocessors or computers with memories providing a history of measured variating parameters of apparatus or patient
-
- A—HUMAN NECESSITIES
- A61—MEDICAL OR VETERINARY SCIENCE; HYGIENE
- A61M—DEVICES FOR INTRODUCING MEDIA INTO, OR ONTO, THE BODY; DEVICES FOR TRANSDUCING BODY MEDIA OR FOR TAKING MEDIA FROM THE BODY; DEVICES FOR PRODUCING OR ENDING SLEEP OR STUPOR
- A61M2230/00—Measuring parameters of the user
- A61M2230/20—Blood composition characteristics
- A61M2230/201—Glucose concentration
Landscapes
- Health & Medical Sciences (AREA)
- Engineering & Computer Science (AREA)
- Public Health (AREA)
- General Health & Medical Sciences (AREA)
- Biomedical Technology (AREA)
- Medical Informatics (AREA)
- Epidemiology (AREA)
- Primary Health Care (AREA)
- Anesthesiology (AREA)
- Animal Behavior & Ethology (AREA)
- Life Sciences & Earth Sciences (AREA)
- Veterinary Medicine (AREA)
- Hematology (AREA)
- Heart & Thoracic Surgery (AREA)
- Vascular Medicine (AREA)
- Chemical & Material Sciences (AREA)
- Medicinal Chemistry (AREA)
- Bioinformatics & Cheminformatics (AREA)
- Diabetes (AREA)
- Data Mining & Analysis (AREA)
- Databases & Information Systems (AREA)
- Pathology (AREA)
- Business, Economics & Management (AREA)
- General Business, Economics & Management (AREA)
- Dermatology (AREA)
- Infusion, Injection, And Reservoir Apparatuses (AREA)
- External Artificial Organs (AREA)
Abstract
Un sistema de control de glucosa dirigido por sensor, que comprende: un sensor de glucosa (16) operativo para medir continuamente el nivel de glucosa de un sujeto y generar una señal de nivel de glucosa correspondiente (19); un dispositivo de administración de insulina (14-2) operativo en respuesta a una señal de control de dosis de insulina (42) para infundir insulina al sujeto; y un controlador (18) operativo para generar la señal de control de dosis de insulina en respuesta a la señal de nivel de glucosa al: modular (46) una velocidad de infusión basal de insulina alrededor de una velocidad de infusión basal nominal en respuesta a variaciones a corto plazo del nivel de glucosa que se producen en el orden de segundos a minutos; y ajustar continuamente (48) la velocidad de infusión basal nominal de modo que la velocidad de infusión basal nominal es dependiente de una media móvil, a lo largo de un intervalo de tiempo que está en el orden de horas, de la velocidad de infusión basal modulada, ajustándose la velocidad de infusión basal nominal durante un plazo más largo que un corto plazo en el que la velocidad de infusión basal se modula, en donde modular la velocidad de infusión basal de insulina está restringido para que esté dentro de valores mínimos y máximos alrededor de la velocidad de infusión basal nominal.
Description
DESCRIPCIÓN
Sistema de control de glucosa en sangre
Antecedentes
Las terapias de insulina de estándar de atención para regular la glucosa en sangre en diabetes típicamente implican o bien múltiples inyecciones subcutáneas diarias o bien infusión subcutánea con una bomba de insulina. En el caso de la primera, se usan inyecciones en embolada diarias de formulaciones de insulina de acción prolongada, que se libera lentamente en el torrente sanguíneo, para proporcionar el requisito de insulina metabólica basal del sujeto y se usan inyecciones en embolada de formulaciones de insulina de acción rápida, que se absorben rápidamente en el torrente sanguíneo, para proporcionar insulina para comidas o para tratar la hiperglucemia. En el caso de la terapia con bomba de insulina, o bien se usa insulina humana recombinante regular o, más típicamente, se usa una de varias formulaciones de insulina de acción rápida para proporcionar terapia tanto basal como en embolada. En este caso, una velocidad de infusión de insulina basal preprogramada (o un “perfil” diario preprogramado que contiene varias velocidades de infusión de insulina basal diferentes que varían a lo largo del día) se prescribe y administra automáticamente por la bomba de insulina a lo largo del día, y se administran inyecciones en embolada individuales para insulina para comidas o para tratar hiperglucemia con la bomba de insulina manualmente por el sujeto según se necesite. La velocidad de infusión de insulina basal preprogramada (o perfil de velocidad de infusión de insulina basal diaria preprogramado) se puede cambiar a (o temporalmente anular con) una velocidad de infusión diferente por el sujeto, pero una vez implementada, ejecutará la velocidad de infusión prescrita sin conocimiento de, o respecto a, niveles de glucosa instantáneos de un dispositivo de seguimiento de glucosa continuo.
Celemns & Hough (patente en EE UU 4.464.170) introdujeron la idea de usar datos de sensor de glucosa (obtenidos de un dispositivo capaz de muestrear con frecuencia los niveles de concentración de glucosa en sangre) para modular la velocidad de infusión basal relativa a una velocidad de infusión de insulina basal previamente prescrita durante la operación en línea de un sistema de control de glucosa autónomo. Su estrategia intenta controlar el cambio en la glucosa en sangre lejos de un valor de glucosa en sangre de punto de ajuste al considerar la pendiente del ajuste por mínimos cuadrados a valores de glucosa en sangre pasados. El método se describe en el contexto de infusión de insulina intravenosa en un ámbito hospitalario e implícitamente asume que la insulina administrada por el controlador aparece instantáneamente en la sangre.
El documento US 2008/0208113 A1 divulga un algoritmo adaptativo aumentado que utiliza control predictivo por modelo para control de glucosa en bucle cerrado en diabetes de tipo 1.
Compendio
Según la invención, se proporcionan un sistema de control de glucosa dirigido por sensor y un método como se enumera en las reivindicaciones independientes. Las reivindicaciones dependientes definen las formas de realización.
Se divulgan técnicas para la adaptación de ciertos parámetros de administración de fármacos que controlan la administración de insulina en un sistema de control de glucosa en sangre. En un aspecto, una técnica proporciona adaptación relativamente a largo plazo de una velocidad de infusión basal nominal alrededor de la cual la infusión de insulina basal se modula automáticamente. El uso del método puede proporcionar no solo una pauta de control diario adaptada a un paciente individual, sino una que también se puede adaptar a cambios a más largo plazo en las necesidades de un paciente tal como las que pueden surgir de crecimiento, enfermedad, fluctuaciones hormonales, actividad física, envejecimiento, etc. También se divulga otra técnica que proporciona adaptación similar del tamaño de la insulina en embolada proporcionada a las horas de las comidas, que ofrece el potencial de un mejor control glucémico global en individuos y que también proporciona la adaptación a cambios a más largo plazo en las necesidades de un paciente. Ambas técnicas pueden emplear cálculos de adaptaciones que usan una ventana de horizonte errante de valores recientes del parámetro adaptado. En aún otro aspecto, el sistema también administra dosis de un agente contrarregulador tal como glucagón al sujeto en respuesta, al menos en parte, a información sobre la acumulación estimada de insulina exógenamente infundida (ya sea por vía subcutánea, intramuscular, intraperitoneal o intravenosa) y/o el efecto que la insulina pudiera tener sobre los niveles de glucosa (ya sea la concentración de glucosa en sangre o la concentración de glucosa en líquido intersticial).
Breve descripción de los dibujos
Lo anterior y otros objetos, características y ventajas serán aparentes a partir de la siguiente descripción de formas de realización particulares de la invención, como se ilustra en los dibujos acompañantes en los que caracteres de referencia similares se refieren a las mismas partes a lo largo de las diferentes vistas. Los dibujos no están necesariamente a escala, en su lugar el énfasis se coloca en ilustrar los principios de varias formas de realización de la invención.
La figura 1 es un diagrama de bloques de un sistema de control de glucosa en sangre;
La figura 2 es un diagrama de bloques de un controlador;
La figura 3 es un diagrama de flujo de un primer método de operación del sistema;
Las figuras 4-5 son diagramas de ondas que representan ciertos resultados de operación según la figura 3; y
Las figuras 6-7 son diagramas de flujo de métodos adicionales de operación del sistema.
Descripción detallada
La figura 1 ilustra un sistema de control automatizado 10 para regular el nivel de glucosa en sangre de un sujeto animal (sujeto) 12, que puede ser un ser humano. El sujeto 12 recibe dosis de insulina de uno o más dispositivos de administración 14, por ejemplo, bomba(s) de infusión acoplada(s) por catéter(es) a un espacio subcutáneo del sujeto 12. Como se describe posteriormente, los dispositivos de administración 14 también pueden administrar un agente contrarregulador tal como glucagón para el control del nivel de glucosa en sangre en ciertas circunstancias. Para la administración tanto de insulina como de glucagón, los dispositivos de administración 14 preferiblemente son mecanismos de infusión dirigidos mecánicamente que tienen cartuchos duales para insulina y glucagón, respectivamente. En la presente descripción, se hace referencia a glucagón específicamente, pero se debe entender que esto es solo por conveniencia y que se pueden usar otros agentes contrarreguladores. Similarmente, el término “ insulina” en el presente documento se debe entender como que abarca todas las formas de sustancias similares a insulina incluyendo insulina humana o animal natural, así como insulina sintética en cualquiera de una variedad de formas (comúnmente denominadas un “análogos de insulina”).
Un sensor de glucosa 16 está operativamente acoplado al sujeto 12 para muestrear continuamente un nivel de glucosa del sujeto 12. La detección se puede lograr en una variedad de maneras. Un controlador 18 controla la operación del/de los dispositivo(s) de administración 14 como función de una señal del nivel de glucosa 19 del sensor de glucosa 16 y sujeto a parámetros de entrada programados (PARAMS) 20 que pueden ser proporcionados por el paciente/usuario. Una característica de la técnica divulgada es su capacidad para funcionar sin recibir información explícita respecto a las comidas que el sujeto 12 ha ingerido o cualquier otra información de “prealimentación”. Un parámetro de entrada necesario es el peso del sujeto 12. Otro parámetro externamente suministrado es un “punto de ajuste” que, como se describe posteriormente, establece un nivel de glucosa en sangre diana que el sistema 10 trata de mantener.
El controlador 18 es un dispositivo eléctrico con sistemas de circuitos de control que proporciona funcionalidad de operación como se describe en el presente documento. En una forma de realización, el controlador 18 se puede realizar como un dispositivo computarizado que tiene sistemas de circuitos de procesamiento de instrucciones de ordenador que ejecuta uno o más programas informáticos que incluye cada uno conjuntos respectivos de instrucciones informáticas. En este caso, el sistema de circuitos de procesamiento en general incluirá uno o más procesadores junto con sistemas de circuidos de memoria y entrada/salida acoplados al/a los procesador(es), donde la memoria almacena instrucciones de programa informático y datos y el sistema de circuitos de entrada/salida interactúa(n) con dispositivos externos tal como el sensor de glucosa 16 y dispositivo(s) de administración 14.
La figura 2 muestra la estructura del controlador 18. Incluye cuatro controladores separados, es decir, un controlador de glucagón 22, controlador de insulina basal 24, controlador de insulina correctiva 26, y controlador de insulina de sensibilización 28. El controlador de insulina basal 24 incluye un controlador de velocidad nominal 30 y un controlador modulador 32. Como se muestra, el controlador de glucagón 22 genera una señal de control de dosis de glucagón 34 proporcionada a un dispositivo de administración de glucagón 14-1. Las respectivas salidas 36-40 de los controladores 24-28 se combinan para formar una señal de control de la dosis de insulina global 42 proporcionada al/a los dispositivo(s) de administración de insulina 14-2. Como se muestra, la señal de salida 36 misma está formada por una combinación de las respectivas salidas del controlador de velocidad nominal 30 y controlador de modulación 32. El/Los dispositivo(s) de administración de insulina 14-2 pueden incluir dispositivos adaptados para administrar diferentes tipos y/o cantidades de insulina, la configuración exacta es conocida por y está bajo el control de los controladores 24-28. Para facilidad de descripción la colección de uno o más dispositivos de administración de insulina 14-2 se denomina posteriormente en singular como un dispositivo de administración de insulina 14-2.
También se muestran en la figura 2 señales de entrada/salida de los varios controladores, incluyendo la señal del nivel de glucosa 19 y parámetros 20, así como un conjunto de señales intercontroladores 44. Las señales intercontroladores 44 permiten la comunicación de información de un controlador, donde la información se desarrolla o genera, a otro controlador donde la información se usa para la función de control de ese controlador. Se proporcionan detalles en la descripción de las funciones de control posteriormente.
El controlador correctivo 26 regula el nivel de glucosa en sangre usando una función de coste de MPC de una manera descrita en el documento US 2008/0208113 A1.
En referencia a la técnica de Clemens & Hough a la que se ha hecho referencia anteriormente, mientras que este enfoque puede tener utilidad práctica en el ámbito de la infusión intravenosa de insulina, es susceptible al aumento
incontrolado de dosificación de insulina en un ámbito de paciente ambulante donde la infusión de insulina se produciría probablemente por vía subcutánea produciendo absorción retrasada de insulina en la sangre. Tal enfoque se tendría potencialmente que anular con frecuencia para limitar el aumento de la dosificación de insulina en tal ámbito. Otra limitación del método es que solo captura una escala de tiempo (igual al tiempo asociado con la obtención de un número fijo de niveles de glucosa pasados consecutivos); no explica variaciones a largo plazo en el requisito de insulina basal del sujeto.
Más que depender solo en la velocidad de infusión de insulina basal previamente descrita, que es particularmente vulnerable a un aumento fuera de control de la dosificación de insulina siempre que se usa administración subcutánea de insulina, un método alternativo (denominado en el presente documento método 1) modula la velocidad de infusión de insulina basal alrededor de una velocidad de infusión basal “nominal” fijada, que de determina antes de iniciar la operación en línea del sistema de control de glucosa (por ejemplo, basada en el peso del sujeto o basada en resultados de control de bucle abierto o cerrado previos en el sujeto). Esto se puede describir como sigue: Mediante cualquier forma por la que la infusión de insulina automatizada se pueda controlar en línea (tal como mediante una estrategia de control predictivo por modelo, una estrategia de control proporcional-integral-derivado, lógica difusa, redes neurales, o alguna otra estrategia de control), se puede añadir una velocidad de infusión basal de insulina administrada cuando dosis control o correctivas de insulina no se indican de otra manera. La infusión de velocidad basal típicamente usa dosis menores, pero más frecuentes que las dosis de carga o control usadas para tratar comidas o desviaciones hiperglucémicas en los niveles de concentración de glucosa. Una velocidad de infusión basal nominal fijada se puede prescribir inicialmente (es decir, justo antes de iniciar la operación en línea de control de bucle cerrado) y después modular mediante su algoritmo de control propio, o se puede prescribir de antemano en forma de un perfil de velocidad de infusión basal fijado que sigue el mismo patrón día a día (o semana a semana), y después se modula en línea. La velocidad de infusión de insulina basal se modula automáticamente alrededor de la velocidad de infusión nominal fijada usando cualquiera de una variedad de estrategias de control que incluyen, pero no están limitadas a, control predictivo por modelo, control proporcional-integral-derivado, lógica difusa, redes neurales, etc.
Como otra distinción del método descrito por Clemens & Hough, la modulación de la velocidad de infusión de insulina basal descrita aquí debe estar restringida a caer dentro de valores mínimos y máximos alrededor de la velocidad de infusión basal nominal de modo que se prevenga un aumento fuera de control de la dosificación de insulina. El valor máximo puede ser, por ejemplo, algún múltiplo constante de la velocidad de infusión basal nominal fijada.
Aunque el método 1 representa una mejora sobre la técnica de Clemens & Hough al prevenir el aumento fuera de control de la dosificación de insulina mediante la restricción de la velocidad de infusión basal instantánea máxima, solo captura una escala de tiempo, es decir, esa que se asocia con el intervalo de muestreo entre medidas de glucosa. El método 1 se puede mejorar adicionalmente con un método alternativo (en el presente documento denominado método 2) que permite a la velocidad de infusión basal nominal misma variar a lo largo del tiempo, lo que, a su vez, permite que la velocidad de infusión basal instantánea herede una segunda escala de tiempo más larga capaz de capturar variaciones fisiológicas en el requisito de insulina metabólica basal del sujeto. Mientras que la velocidad de infusión basal instantánea puede cambiar rápidamente en la escala de tiempo muy corto asociada con el intervalo de muestreo entre medidas de glucosa, la introducción de una velocidad de infusión basal nominal que varía a lo largo del tiempo más lentamente que la velocidad de infusión basal instantánea proporciona un segundo grado de libertad que puede capturar el cambio fisiológico en el requisito de insulina metabólica basal de un sujeto mientras que aun restringe la velocidad de infusión basal instantánea máxima a que sea algún múltiplo constante de la velocidad de infusión basal nominal, y previene mediante ello el aumento fuera de control de la dosificación de insulina basal.
En particular, en referencia a la figura 3, el controlador de insulina basal 24 genera la señal de control de dosis de insulina 42 a través de su señal de salida 36 en respuesta a la señal del nivel de glucosa 19. En 46, el controlador 24 modula una velocidad de infusión basal de insulina alrededor de una velocidad de infusión basal nominal en respuesta a variaciones a corto plazo del nivel de glucosa que se producen en el orden de segundos a minutos (denominado un “intervalo de muestreo” posteriormente). En 48, el controlador 24 ajusta continuamente la velocidad de infusión basal nominal basado en una relación matemática entre la velocidad de infusión basal modulada y la velocidad de infusión basal nominal a lo largo de un término más largo que el corto plazo (por ejemplo, intervalo de muestreo) asociado con la modulación de la velocidad de infusión basal.
Como un ejemplo de una forma de realización del método 2, la velocidad de infusión basal nominal de insulina (o un agente similar a insulina) se puede prescribir inicialmente a t = 0 como jo. Entonces, la velocidad de infusión basal nominal, jü(t), se puede empezar a calcular en línea (y actualizar en cada intervalo de muestreo St) como un múltiplo escalar del valor promedio integral móvil de la velocidad de infusión basal instantánea, j ( t ) > 0, a lo largo del intervalo de tiempo, At, de modo que
donde a es un parámetro de ajuste. Alternativamente, la implementación se podría realizar en tiempo discreto, donde k es el índice de la etapa de tiempo actual, St es el tamaño de la etapa de tiempo discreto (es decir, un aumento de índice de 1), y N = At/St es el tamaño del intervalo de tiempo, dando la forma alternativa para la velocidad de infusión basal nominal dinámica instantánea de:
Se permite que la velocidad de infusión basal instantánea, j( t), o j k en tiempo discreto, se module alrededor del valor nominal dinámico instantáneo, j ( t ), o j k en tiempo discreto. Específicamente, j( t), (o j k ) se puede aumentar o disminuir cuando el nivel de glucosa sube o cae por debajo de un valor de glucosa de punto de ajuste o un intervalo fijado de valores de glucosa. La modulación de j ( t ) alrededor d e j( t ) (o j k alrededor d e j fc) también puede estar afectada por la velocidad de aumento o disminución del nivel de glucosa. También se podrían emplear métodos de control más sofisticados para determinar la modulación de j ( t ) alrededor de j ( t ) (o j k alrededor de j k ), tal como, pero no limitado a, usar una estrategia de control predictivo por modelo, una estrategia de control proporcional-integralderivado, lógica difusa, redes neurales, o alguna otra estrategia de control.
Las figuras 4 y 5 proporcionan una ilustración del efecto del método de la figura 3. La figura 4 muestra una velocidad de infusión basal modulada 49 alrededor de una velocidad de infusión basal nominal constante fijada 51. La figura 5 muestra una velocidad de infusión basal modulada 49' alrededor de una velocidad de infusión basal nominal continuamente adaptada 51'.
Por tanto, el método 2 ofrece un enfoque que es capaz tanto de prevenir el aumento fuera de control de la dosificación de insulina (al restringir que la velocidad de infusión basal instantánea máxima sea algún múltiplo constante de la velocidad de infusión basal nominal dinámica), así como de capturar múltiples escalas de tiempo para la adaptación. En particular, se permite que j ( t ) (o j k ) varíe rápidamente en línea a lo largo de una escala de tiempo St (que podría estar en el orden de minutos en tiempo real y O(1) en tiempo discreto), mientras que j ( t ) (o j k ) alrededor de la que se modula j ( t ) (o j k ), varía más lentamente en línea a lo largo de una escala de tiempo At (que está en el orden de horas en tiempo real y O(N) en tiempo discreto).
El enfoque según el método 2 ajusta la velocidad de infusión basal nominal dinámica instantánea, j ( t ) (o ), igual a un múltiplo constante del valor nominal promedio a lo largo de algún intervalo de tiempo errante, At (o N). En una forma de realización alternativa (denominada en el presente documento método 3), la velocidad de infusión basal nominal dinámica instantánea se puede adaptar en línea de modo que imponga una razón constante a la lo largo del intervalo At (o N) entre todas las velocidades de infusión basales instantáneas moduladas, j ( t ) (o j k ), y sus correspondientes velocidades de infusión basales nominales dinámicas promedio móviles, j ( t ) (o j k ). En otras palabras, para imponer tal razón constante de ¡5, entonces
o en tiempo discreto,
De la misma manera que se ha descrito anteriormente para el método 2, en el método 3, se permite que la velocidad de infusión basal instantánea, j ( t ) (o j k ), se module alrededor del valor nominal dinámico instantáneo, j ( t ) (o j k en tiempo discreto).
En cualquier implementación, es decir, según o bien el método 2 (ecuaciones (1) y (2)) o el método 3 (ecuaciones (3) y (4)), la velocidad de infusión basal nominal dinámica determinada se puede limitar entre un valor mínimo global, j L, y un valor máximo global, j H, es decir, j L < j ( t ) < j H en las ecuaciones (1) y (3) o j L < j k < j H en las ecuaciones (2) y (4). La implementación del método 2 o el método 3 descritos anteriormente también podría empezar a tomar efecto en línea gradualmente (por ejemplo, linealmente) desde t = 0 (o k = 0) hasta que se alcanza en línea el tamaño de intervalo, At (o N).
Los métodos 2 o 3 se pueden aplicar igualmente para adaptar en línea un perfil de velocidad basal nominal que incluya un conjunto de diferentes niveles de velocidad basal nominal que se podrían prescribir para diferentes periodos de tiempo del día o para diferentes días, o ambos. Los niveles de velocidad basal nominal individuales en un perfil (diario
o semidiario) podrían ser de diferentes duraciones de tiempo y sus duraciones o sus tiempos de inicio y final también podrían variar de día a día. Los niveles de velocidad basal nominal individuales se podrían prescribir globalmente para todos los individuos o se podrían prescribir de forma diferente para diferentes individuos, y se podrían basar en resultados de control previos (por ejemplo, marcos de bucle abierto o bucle cerrado para cada sujeto individual).
Un ejemplo de esta forma de realización es usar el método anterior para adaptar una jo inicialmente prescrita: = jo (t) (o Jok en tiempo discreto) que se podría representar como una función por partes. Como tal, las ecuaciones (1) o (3) en tiempo real (o las ecuaciones (2) y (4) en tiempo discreto) se podrían aplicar a cada uno de los niveles de velocidad basal nominal individual dentro de la función por partes. En el punto de tiempo entre niveles de velocidad basal nominal consecutivos, la transición se podría producir como un salto discontinuo del nivel de velocidad basal nominal del periodo de tiempo transcurrido al nivel de velocidad basal nominal del periodo de tiempo introducido. Alternativamente, la transición se podría producir de una manera gradual (por ejemplo, linealmente) durante un cierto periodo de tiempo que podría ser fijo o variable. Además, los antecedentes de adaptación previa de niveles de velocidad basal nominal individual se podrían heredar tras encontrar posteriormente el mismo o un periodo de tiempo solapante o punto de tiempo (por ejemplo, el día siguiente o después de un número de días). La velocidad de infusión basal instantánea en línea podría después ser una modulación basada en el nivel de velocidad basal nominal actual correspondiente al periodo de tiempo actual en línea, o basada en niveles de velocidad basal nominal adyacentes durante una transición entre niveles de velocidad basal nominal en línea.
Todos los métodos descritos anteriormente se podrían usar en los ámbitos hospitalario (por ejemplo, unidades de cuidados intensivos o salas generales) o ambulatorio y se podrían usar en el contexto de un sistema de control de glucosa en sangre autónomo o semiautónomo de bucle cerrado. Los métodos también podrían usar en sistema de bucle abierto donde solo la velocidad de infusión basal se controla automáticamente y todas las otras dosis se administran manualmente. En cualquier caso, la modulación de la velocidad de infusión basal instantánea, j ( t ) (o J k ), y adaptaciones a largo plazo de esas modulaciones alrededor de la velocidad de infusión basal nominal dinámica promedio móvil, ^ ( í ) (o ^ fe), implicaría un sistema de infusión aumentado por sensor que es capaz de responder a medidas de glucosa frecuentes (típicamente cada 5-15 minutos) de un monitor de glucosa continuo u otro dispositivo de medida de glucosa. Otra utilidad implica utilizar las velocidades de infusión basales obtenidas con cualquiera de estos métodos en línea en un sistema de infusión aumentado por sensor para informar los ajustes de perfil de velocidad basal de bucle abierto que se pudieran prescribir para el sujeto cuando el sistema no está (temporal o permanentemente) dirigido por el sensor de glucosa, tal como durante periodos de interrupciones temporales o caídas en la señal del sensor de glucosa, o para terapia de infusión de insulina de bucle abierto.
En otro aspecto, se muestra un método para adaptar automáticamente dosis de insulina o agentes similares a insulina infundidos (sea por vía subcutánea, intramuscular, intraperitoneal o intravenosa) donde las dosis se pretenden para compensar parcialmente o por completo por el consumo de alimentos (hidratos de carbono). Las dosis se pueden administrar antes de, durante o después del consumo de alimentos, o se podrían dividir a través de estos tiempos. El método de adaptación en línea puede ajustar automáticamente estas dosis de insulina de las comidas en una base individual y puede ajustarlas automáticamente a lo largo del tiempo para responder a cambios a largo plazo en el requisito de insulina del individuo, tal como podría suceder durante un periodo de semanas, meses, o años debido a cambios en el desarrollo (por ejemplo, debido a cambios hormonales que se producen durante la pubertad o menopausia), o como podría suceder durante un periodo de horas, días, o semanas debido a cambios transitorios (por ejemplo, debido a fluctuaciones hormonales circadianas, enfermedad intercurrente, actividad física, o estado emocional).
Las terapias de insulina de estándar de atención para regular la glucosa en sangre en diabetes típicamente implican o bien múltiples inyecciones subcutáneas diarias o infusión subcutánea con una bomba de insulina. Típicamente, se administran combinaciones de insulina “basal y en embolada” para cumplir el requisito de insulina metabólica basal del sujeto, así como para regular la hiperglucemia; se añaden dosis “en embolada de comida” adicionales (también denominadas en el presente documento “dosis de carga”) para proporcionar insulina para el consumo de alimentos. Las dosis de insulina que se pretende que compensen las comidas habitualmente se estiman en una base individual basada en la cantidad y contenido (hidratos de carbono y otros) del alimento, junto con una estimación de la denominada “razón de insulina respecto a hidratos de carbono” del individuo, entre otros factores tal como el tiempo del día, actividad física, estado de salud, estado emocional, etc. La cantidad correcta de insulina en embolada para comidas, por tanto, podría variar significativamente entre individuos, así como dentro de un individuo. Además, la cantidad de insulina en embolada para comidas con frecuencia es un determinante principal del cómo de bien un individuo es capaz de controlar su glucosa en sangre. Se proporciona un método que ajustaría de forma automática y continua la dosis de insulina de las comidas (pretendida para compensar parcialmente o por completo por el consumo de alimentos), basado en la respuesta del individuo a dosis de comidas previas.
En particular, con referencia a la figura 6, en 50 el controlador de insulina de sensibilización 28 administra continuamente dosis de carga de insulina en los tiempos respectivos, cada dosis de carga es de una cantidad respectiva y tiene un intervalo de acción prescrito. En 52, el controlador 28 recibe información (por ejemplo, de los otros controladores 24-26 a través de señales 44) respecto a las cantidades totales de insulina administrada durante los intervalos de acción prescritos, cada cantidad total incluye una agregación de la dosis total administrada en respuesta a una señal de nivel de glucosa. En 54, el controlador 28 adapta automáticamente las cantidades de las
dosis de carga en respuesta a una relación matemática, a lo largo de los respetivos periodos que abarca cada uno múltiples intervalos de acción prescritos, entre las cantidades de las dosis de carga y las cantidades totales de insulina administrada durante los intervalos de acción prescritos.
Como un ejemplo de una forma de realización del método de la figura 6, el bolo del tiempo de la comida dinámico instantáneo eficaz (que se puede separar en un número de dosis), Bm(t) (o B™ en tiempo discreto), correspondiente a la comida m (o correspondiente al intervalo de tiempo m) en cualquier día determinado t (o k en tiempo discreto), se puede adaptar en línea para imponer, de media, a lo largo de un horizonte de tiempo de At (o N en tiempo discreto) días (por ejemplo, 1 semana o 1 mes de duración) una cierta proporción diana, p m, entre las magnitudes de Bm(t) (o B™) y su correspondiente cantidad de insulina total alrededor de esa comida (o intervalo de tiempo), Pm(t), (o P™), donde Pm(t) = Bm(t) + Cm(t) (o P™ = B™ C™), donde Cm(t) (o C™) incluye toda la insulina prandial y posprandial (diferente de Bm( t) (o B™)) que se dio por el sistema de control para esa comida (o correspondiente al intervalo de tiempo) m, computada a lo largo de un cierto intervalo de tiempo prandial y posprandial de St horas (por ejemplo, 5 horas). En otras palabras, para imponer (de media) una razón (por ejemplo, el 50-75%) entre Bm( t) y la dosificación global Pm(t) alrededor de la comida (o intervalo de tiempo) m el día t+1, entonces
o en tiempo discreto,
Las razones diana, fím, también se pueden variar a lo largo del tiempo, es decir, ¡3m: = Pm(t) (o S^™). Además, se podrían usar diferentes intervalos de tiempo St en las computaciones de Cm(r) (o CJn) para diferentes comidas m (o diferentes intervalos de tiempo m) del día. Además, la implementación podría empezar a tomar efecto gradualmente en línea (por ejemplo, linealmente o por etapas) desde el primer día a t = 1 (o k = 1) hasta que se alcanza el tamaño de intervalo At (o N) en línea. Alternativamente, el método puede tomar su efecto completo desde el inicio mientras se usa transitoriamente n = 1, 2, 3, ... en lugar del tamaño de intervalo entero pretendido N, hasta que n alcanza N, después de lo cual la implementación sigue su forma estacionaria de un “promedio móvil” a lo largo de su “horizonte errante” entero N. Por último, la longitud del intervalo At (o N) también se podría hacer variable con m y/o tiempo t (o k).
El método descrito anteriormente se podría usar en los ámbitos hospitalario (por ejemplo, unidades de cuidados intensivos o salas generales) o ambulatorio y se podría usar en el contexto de un sistema de control de glucosa de bucle cerrado autónomo o semiautónomo. La retroalimentación a partir del uso de esto método durante el control autónomo o semiautónomo también se podría usar para informar a sistemas de bucle abierto, que se pueden o no aumentar con un sensor de glucosa en línea.
En otro aspecto, se muestra un método para modular automáticamente la dosis de glucagón infundido (ya sea por vía subcutánea, intramuscular, intraperitoneal o intravenosa) que depende en parte en información sobre la acumulación estimada de insulina exógenamente infundida infundido (ya sea por vía subcutánea, intramuscular, intraperitoneal o intravenosa) y/o el efecto que esa insulina podría tener sobre los niveles de glucosa (ya sea la concentración de glucosa en sangre o la concentración de glucosa en líquido intersticial). Mediante cualquier manera por la que la infusión automatizada de glucagón se pueda controlar en línea (tal como mediante una estrategia de control predictivo por modelo, una estrategia de control proporcional-integral-derivado, o alguna otra estrategia de control), se puede derivar una formulación matemática mediante la cual la dosis de control de glucagón depende de alguna manera en la acumulación estimada de insulina exógenamente infundida. Específicamente, la formulación particular empleada produciría que la velocidad de infusión de glucagón (o cantidad de administración) sea mayor en momentos cuando la acumulación de insulina infundida es relativamente más alta de lo que lo sería en momentos cuando la acumulación de insulina infundida es relativamente menor.
En particular, con referencia a la figura 7, en 56 el controlador de glucagón 24 genera la señal de control de dosis del agente contrarregulador 34 al realizar un cálculo que genera (1) un valor de control de dosis bruto basado en la señal del nivel de glucosa, y en 58 genera (2) la señal de control de dosis del agente contrarregulador como una modificación del valor de control de dosis bruto basado en una estimación de un efecto de la insulina exógenamente infundida.
Como un ejemplo del método de la figura 7, el glucagón se podría controlar usando una estrategia de control proporcional-derivada (PD) donde la dosis de control así determinada se ajustaría usando un factor multiplicador que es proporcional a (ya sea de forma lineal o no lineal) la acumulación estimada de insulina exógenamente infundida. Siempre que la concentración de glucosa cae por debajo de algún punto de ajuste, o siempre que la concentración de
glucosa cae por debajo de algún valor umbral, p, con un descenso suficientemente rápido, una dosis de glucagón Gdosis(t), se podría desencadenar como sigue:
Gd0sis(t) = / ( i e(í)){fcpG8 - y t ) + kd(yt_i - y t )/Ts); 0 < Gdosis(t) < Gmax, (7)
donde Gmax es la dosis de glucagón admisible máxima (que puede ser infinita), t es en tiempo discreto, kp es la ganancia proporcional, kd es la ganancia derivada, Ts es el periodo de muestreo, ie(t) es la acumulación estimada de insulina exógenamente infundida, y f(ie(t)) es alguna función especificada de ie(t) que tiene unidades de Gdcs¡s(t). Un ejemplo de f(ie(t)) podría ser una función sigmoidal que está cerca de la unidad cuando ie(t) es menor que algún factor por algún valor nominal o basal estimado del nivel de insulina en plasma y después empieza a aumentar significativamente según ie(t) supera este valor nominal. Alternativamente, en otra forma de realización, la dependencia de Gdcs¡s(t) en ie(t) podría aparecer de una manera aditiva, mediante la introducción de un parámetro de ganancia adicional, ki, de modo que
G d o s is ( t ) = kp(p — y t ) kd(y t_1 - y t ) / Ts kdie(t ) ; 0 < <3dosis (t) < Gmax, (8)
donde ki podría desparecer cuando ie (t) es menor que algún factor por algún valor nominal o basal estimado del nivel de insulina en plasma.
Las variaciones de los ejemplos anteriores podrían incluir un término aditivo Gpendiente (t), que se deduce de Gdcs¡s (t), y que representa una estimación del glucagón estimado pendiente de dosis recientes. Esto se podría computar, por ejemplo, con una función tal como
donde G1/2 es una estimación de la semivida promedio de las dosis subcutáneas de glucagón. Nótese que la Gpendente (t) estimada limita la acumulación subcutánea innecesaria de glucagón. Por tanto, incluir Gpendiente (t) en las ecuaciones (7) y (8) podría proporcionar las formas alternativas dadas por
Gdos is (0 = f { i e(t) ){k p(P - y t ) kd(yt_ 1 - y t ) / Ts - Gp e n d ie n te (í)}; 0 < Gdosis (t) < Gmax, (10)
^ d o s is ( '^) kp(fí y¿) kd(y¡-_i y t) / 7s kdie(t ) ^ p e n d ie n te (0; 0 < Gdosis (t) < Gmax, (11)
Alternativamente, Gpendiente (t) podría aparecer de una manera aditiva, mediante la introducción de un parámetro de ganancia adicional, kg, de modo que Gpendiente (t) en las ecuaciones (10) y (11) se podría sustituir por kgge (t), donde ge (t) es la acumulación estimada de glucagón exógenamente infundido.
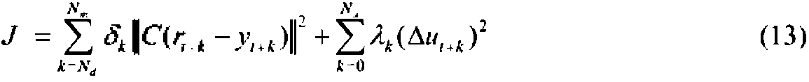
En aún otra forma de realización, la dosis control de glucagón, Gdosis (t), puede emplear una estrategia de control predictivo por modelo (MPC), donde la modulación de la dosis de glucagón debido a la acumulación estimada de insulina exógenamente infundida, ie (t), se podría alcanzar usando una función de ajuste externa (similar a la función f(ie (t)) en la ecuación (7)). Por ejemplo, la dosis de control de glucagón se podría computar como:
G d o s is (t) = g ( i e (t ) ' ) u t ; 0 < Gdosis (t) < Gmax, (12)
donde ut es la señal de dosis de glucagón del MPC y g(ie (t)) es un ajuste externo que es similar o idéntica a f(ie (t)) en que es alguna función que está cerca de la unidad cuando ie (t) es menor que algún factor por algún valor nominal o basal estimado del nivel de insulina en plasma y es significativamente mayor cuando ie (t) supera este valor nominal. Un ejemplo para computar ut es usando una función de coste de MPC tal como:
donde ut indica la señal de dosis de glucagón de MPC, y t la señal de concentración de glucosa, r t la señal de punto de ajuste de referencia, Nd y Nm son respectivamente los límites de horizonte de coste de predicción mínimo y máximo (salida), Nu la unión del horizonte control, m la ponderación sobre el error de predicción, y An la ponderación sobre las señales de control. La señal de la concentración de glucosa, y t, y de la dosis de glucagón, ut, también podrían estar relacionadas por el modelo objeto. Tras resolver la ecuación (13) para la señal de dosis de glucagón de MPC, ut, se podría aplicar después el ajuste externo con g(ie (t)) según la ecuación (12) para computar la dosis control de glucagón Gdosis (t). Alternativamente, la dosis control de glucagón Gdcs¡s (t), se podría basar en la señal de dosis de glucagón de MPC, ut, y una incorporación del efecto de ie (t) de una manera aditiva, mediante la introducción de un parámetro de ganancia, ki , de modo que
donde fc podría desaparecer siempre que ¡e (t) sea menor que algún factor por algún valor nominal o basal estimado del nivel de insulina en plasma.
Además, la dosis control de glucagón, Gdoss (t), también puede considerar la acumulación de glucagón de dosis de glucagón pasadas. Esto se podría manejar al computar una cantidad Gpend¡ente (t) similar a la descrita en la ecuación (9) y computar la dosis control de glucagón según
^ d o s is ( '^) ^ ( ^ e (^) ){^£ ^ p e n d ie n te (^)}i 0 — Gdos¡s (t) — Gmax, (15)
o
Alternativamente, Gpend¡ente (t) podría aparecer de una manera aditiva, mediante la introducción de un parámetro de ganancia adicional, kg, de modo que Gpend¡ente (t) en las ecuaciones (15) y (16) se podría sustituir por kgge (t), donde ge (t) es la acumulación estimada de glucagón exógenamente infundido.
Otra opción para responder a la acumulación de glucagón de dosis pasadas es aumentando la función de coste de MPC en la ecuación (13) con una formulación matemática que estima la acumulación de glucagón exógeno de una manera similar a lo descrito en la publicación de patente en EE UU 2008/0208113A1. Tal aumento podría considerar la acumulación de glucagón tanto en el/los sitio(s) de administración, así como en plasma y se podría basar en la farmacocinética del glucagón administrado correspondiente al método o vía de administración, así como a los constituyentes específicos presentes en la solución de glucagón, incluyendo el tipo de glucagón o análogo de glucagón mismo. Con tal aumento en efecto, la señal de dosis de glucagón de MPC, ut, se convierte en señal de dosis de glucagón de MPC aumentada, g 't . La señal de dosis de glucagón de MPC aumentada, g 't , podría sustituir a la señal de dosis de glucagón de MPC, g t, en las ecuaciones tanto (12) como (14) para proporcionar la dosis control de glucagón, Gdos¡s (t).
Otras señales de control podrían sustituir a la señal de dosis de glucagón de MPC, ut, en las ecuaciones (12), (14), (15), o (16) y se podría basar en otro algoritmo tal como una red neural, o una lógica difusa, o un algoritmo de optimización estándar.
En todas las formulaciones anteriores, la función ¡e (t) se puede computar mediante cualquier manera por la cual la acumulación de insulina exógenamente infundida se pudiera estimar.
Se apreciará que la presente invención puede estar representada como un sistema global tal como se muestra en la figura 1, como un método global, como un controlador tal como se muestra en la figura 2, y como métodos realizados por un controlador tal como se muestra en las figuras 3-5. Con respecto a los métodos realizados por un controlador, los métodos se pueden llevar a cabo mediante instrucciones de programa informático ejecutadas por hardware controlador genérico incluyendo memoria, una unidad de procesamiento o ejecución, y sistemas de circuitos de entrada/salida. Las instrucciones se pueden proporcionar al controlador de un medio legible por ordenador tal como memoria semiconductora, memoria magnética (por ejemplo, disco magnético), memoria óptica (por ejemplo, disco óptico tal como CD, DVD), etc.
Mientras que varias formas de realización de la invención se han mostrado y descrito en particular, los expertos en la materia entenderán que se pueden hacer varios cambios en forma y detalles en los mismos sin separarse del ámbito de la invención definida por las reivindicaciones adjuntas.
Claims (14)
1. Un sistema de control de glucosa dirigido por sensor, que comprende:
un sensor de glucosa (16) operativo para medir continuamente el nivel de glucosa de un sujeto y generar una señal de nivel de glucosa correspondiente (19);
un dispositivo de administración de insulina (14-2) operativo en respuesta a una señal de control de dosis de insulina (42) para infundir insulina al sujeto; y
un controlador (18) operativo para generar la señal de control de dosis de insulina en respuesta a la señal de nivel de glucosa al:
modular (46) una velocidad de infusión basal de insulina alrededor de una velocidad de infusión basal nominal en respuesta a variaciones a corto plazo del nivel de glucosa que se producen en el orden de segundos a minutos; y
ajustar continuamente (48) la velocidad de infusión basal nominal de modo que la velocidad de infusión basal nominal es dependiente de una media móvil, a lo largo de un intervalo de tiempo que está en el orden de horas, de la velocidad de infusión basal modulada, ajustándose la velocidad de infusión basal nominal durante un plazo más largo que un corto plazo en el que la velocidad de infusión basal se modula,
en donde modular la velocidad de infusión basal de insulina está restringido para que esté dentro de valores mínimos y máximos alrededor de la velocidad de infusión basal nominal.
2. Un sistema de control de glucosa dirigido por sensor según la reivindicación 1, en donde el plazo más largo se define por una ventana de tiempo de horizonte en retroceso que se extiende hacia atrás desde un tiempo presente por una cantidad predeterminada de tiempo.
3. Un sistema de control de glucosa dirigido por sensor según la reivindicación 1, que es un sistema de control autónomo o semiautónomo en el que el controlador (18) incluye
un controlador de insulina basal (24) adaptado para modular la velocidad de infusión basal y ajustar continuamente la velocidad de infusión basal nominal y
un controlador de insulina correctiva (26) que genera la señal de control de dosis de insulina en respuesta a la señal del nivel de glucosa para administrar dosis correctivas de insulina de modo que se regula la señal de nivel de glucosa.
4. Un sistema de control de glucosa dirigido por sensor según la reivindicación 1, en donde la modulación de la velocidad de infusión basal de insulina está limitada a un intervalo entre valores límite mínimo y máximo predeterminados que determinan la modulación real de la velocidad de infusión basal cuando un valor de modulación bruto calculado está fuera del intervalo.
5. Un sistema de control de glucosa dirigido por sensor según la reivindicación 4, en donde el valor límite máximo tiene una relación matemática predeterminada respecto a la velocidad de infusión basal nominal.
6. Un sistema de control de glucosa dirigido por sensor según la reivindicación 1, en donde ajustar continuamente la velocidad de infusión basal nominal incluye calcular una media integral o sumada móvil de la velocidad de infusión basal modulada durante el plazo más largo.
7. Un sistema de control de glucosa dirigido por sensor según la reivindicación 1, en donde ajustar continuamente la velocidad de infusión basal nominal incluye calcular una razón de la velocidad de infusión basal modulada respecto a la velocidad de infusión basal nominal durante el plazo más largo.
8. Un sistema de control de glucosa dirigido por sensor según la reivindicación 7, en donde ajustar continuamente la velocidad de infusión basal nominal incluye calcular la razón de la velocidad de infusión basal modulada respecto a la velocidad de infusión basal nominal como una media integral o sumada móvil de razones de los correspondientes valores instantáneos de cada velocidad durante el plazo más largo.
9. Un sistema de control de glucosa dirigido por sensor según la reivindicación 7, en donde ajustar continuamente la velocidad de infusión basal nominal incluye calcular la razón de la velocidad de infusión basal modulada respecto a la velocidad de infusión basal nominal como una media integral o sumada móvil de razones ponderadas de los correspondientes valores instantáneos de cada velocidad durante el plazo más largo.
10. Un sistema de control de glucosa dirigido por sensor según la reivindicación 1, en donde el controlador es además operativo para generar la señal de control de dosis de insulina en respuesta a la señal de nivel de glucosa al:
administrar continuamente (50) dosis de carga de insulina en tiempos respectivos, cada dosis de carga siendo una cantidad respectiva y teniendo un intervalo de acción prescrito;
recibir (52) información respecto a las cantidades totales de insulina administrada durante los intervalos de acción prescritos, cada cantidad total incluyendo una agregación de dosis totales administradas en respuesta a la señal de nivel de glucosa; y
adaptar automáticamente (54) las cantidades de las dosis de carga en respuesta a una relación matemática, durante periodos respectivos que abarca cada uno múltiples intervalos de acción prescritos, entre las cantidades de las dosis de carga y las cantidades totales de insulina administrada durante los intervalos de acción prescritos.
11. Un sistema de control de glucosa dirigido por sensor según la reivindicación 1, que comprende además un dispositivo de administración de un agente contrarregulador (14-1) operativo para infundir un agente contrarregulador en el sujeto en respuesta a una señal de control de dosis del agente contrarregulador (34), y en donde el controlador es operativo para generar la señal de control de dosis del agente contrarregulador realizando un cálculo que genera (i) un valor de control de dosis bruto basado en la señal del nivel de glucosa, y (ii) la señal de control de dosis del agente contrarregulador como una modificación del valor de control de dosis bruto basado en una estimación de un efecto de insulina infundida en el sujeto mediante el dispositivo de administración de insulina.
12. Un método de operar un controlador para un sistema de control de glucosa dirigido por sensor que incluye un sensor de glucosa (16) y un dispositivo de administración de insulina (14-2), el sensor de glucosa operativo para medir continuamente el nivel de glucosa de un sujeto y generar una correspondiente señal de nivel de glucosa (19), el dispositivo de administración de insulina operativo en respuesta a una señal de control de dosis de insulina (42) para infundir insulina al sujeto, que comprende:
modular (46) una velocidad de infusión basal de insulina alrededor de una velocidad de infusión basal nominal en respuesta a variaciones a corto plazo del nivel de glucosa que se producen en el orden de segundos a minutos como se indica por la señal de nivel de glucosa;
ajustar continuamente (48) la velocidad de infusión basal nominal de modo que la velocidad de infusión basal nominal sea dependiente de una media móvil, a lo largo de un intervalo de tiempo que está en el orden de horas, de la velocidad de infusión basal modulada, ajustándose la velocidad de infusión basal nominal durante un plazo más largo que un corto plazo en el que la velocidad de infusión basal se modula,
en donde modular la velocidad de infusión basal de insulina está restringido a estar dentro de valores mínimos y máximos alrededor de la velocidad de infusión basal nominal; y
generar la señal de control de dosis de insulina según la velocidad de infusión basal modulada.
13. Un método según la reivindicación 12, que además incluye:
administrar continuamente (50) dosis de carga de insulina en tiempos respectivos, cada dosis de carga siendo de una cantidad respectiva y teniendo un intervalo de acción prescrito;
recibir (52) información respecto a las cantidades totales de insulina administrada durante los intervalos de acción prescritos, cada cantidad total incluyendo una agregación de dosis totales administradas en respuesta a la señal de nivel de glucosa; y
adaptar automáticamente (54) las cantidades de las dosis de carga en respuesta a una relación matemática, durante periodos respectivos que abarca cada uno múltiples intervalos de acción prescritos, entre las cantidades de la dosis de carga y las cantidades totales de insulina administrada durante los intervalos de acción prescritos.
14. Un método según la reivindicación 12, en donde el sistema de control de glucosa dirigido por sensor incluye además un dispositivo de administración de un agente contrarregulador (14-1) operativo para infundir un agente contrarregulador en el sujeto en respuesta a una señal de control de dosis del agente contrarregulador (34), y que incluye además generar la señal de control de dosis del agente contrarregulador realizando un cálculo que genera (i) un valor de control de dosis bruto basado en la señal del nivel de glucosa, y (ii) la señal de control de dosis del agente contrarregulador como una modificación del valor de control de dosis bruto basado en una estimación de un efecto de insulina infundida en el sujeto mediante el dispositivo de administración de insulina.
Applications Claiming Priority (3)
| Application Number | Priority Date | Filing Date | Title |
|---|---|---|---|
| US40863910P | 2010-10-31 | 2010-10-31 | |
| US201161470210P | 2011-03-31 | 2011-03-31 | |
| PCT/US2011/058688 WO2012058694A2 (en) | 2010-10-31 | 2011-10-31 | Blood glucose control system |
Publications (1)
| Publication Number | Publication Date |
|---|---|
| ES2755497T3 true ES2755497T3 (es) | 2020-04-22 |
Family
ID=45003057
Family Applications (1)
| Application Number | Title | Priority Date | Filing Date |
|---|---|---|---|
| ES11785841T Active ES2755497T3 (es) | 2010-10-31 | 2011-10-31 | Sistema de control de glucosa en sangre |
Country Status (6)
| Country | Link |
|---|---|
| US (3) | US9833570B2 (es) |
| EP (2) | EP2633456B1 (es) |
| JP (2) | JP6047097B2 (es) |
| CA (1) | CA2816314C (es) |
| ES (1) | ES2755497T3 (es) |
| WO (1) | WO2012058694A2 (es) |
Families Citing this family (78)
| Publication number | Priority date | Publication date | Assignee | Title |
|---|---|---|---|---|
| US7618369B2 (en) | 2006-10-02 | 2009-11-17 | Abbott Diabetes Care Inc. | Method and system for dynamically updating calibration parameters for an analyte sensor |
| US7653425B2 (en) | 2006-08-09 | 2010-01-26 | Abbott Diabetes Care Inc. | Method and system for providing calibration of an analyte sensor in an analyte monitoring system |
| US8346335B2 (en) | 2008-03-28 | 2013-01-01 | Abbott Diabetes Care Inc. | Analyte sensor calibration management |
| US20080199894A1 (en) | 2007-02-15 | 2008-08-21 | Abbott Diabetes Care, Inc. | Device and method for automatic data acquisition and/or detection |
| US9125548B2 (en) | 2007-05-14 | 2015-09-08 | Abbott Diabetes Care Inc. | Method and apparatus for providing data processing and control in a medical communication system |
| US8103471B2 (en) | 2007-05-14 | 2012-01-24 | Abbott Diabetes Care Inc. | Method and apparatus for providing data processing and control in a medical communication system |
| US8239166B2 (en) | 2007-05-14 | 2012-08-07 | Abbott Diabetes Care Inc. | Method and apparatus for providing data processing and control in a medical communication system |
| US8600681B2 (en) | 2007-05-14 | 2013-12-03 | Abbott Diabetes Care Inc. | Method and apparatus for providing data processing and control in a medical communication system |
| US8591410B2 (en) | 2008-05-30 | 2013-11-26 | Abbott Diabetes Care Inc. | Method and apparatus for providing glycemic control |
| US8924159B2 (en) | 2008-05-30 | 2014-12-30 | Abbott Diabetes Care Inc. | Method and apparatus for providing glycemic control |
| US8986208B2 (en) | 2008-09-30 | 2015-03-24 | Abbott Diabetes Care Inc. | Analyte sensor sensitivity attenuation mitigation |
| WO2010135646A1 (en) | 2009-05-22 | 2010-11-25 | Abbott Diabetes Care Inc. | Usability features for integrated insulin delivery system |
| EP2473422A4 (en) | 2009-08-31 | 2014-09-17 | Abbott Diabetes Care Inc | DISPLAYS FOR MEDICAL DEVICE |
| WO2011041469A1 (en) | 2009-09-29 | 2011-04-07 | Abbott Diabetes Care Inc. | Method and apparatus for providing notification function in analyte monitoring systems |
| ES2755497T3 (es) | 2010-10-31 | 2020-04-22 | Univ Boston | Sistema de control de glucosa en sangre |
| US8710993B2 (en) | 2011-11-23 | 2014-04-29 | Abbott Diabetes Care Inc. | Mitigating single point failure of devices in an analyte monitoring system and methods thereof |
| US9878096B2 (en) | 2012-08-30 | 2018-01-30 | Medtronic Minimed, Inc. | Generation of target glucose values for a closed-loop operating mode of an insulin infusion system |
| US10130767B2 (en) | 2012-08-30 | 2018-11-20 | Medtronic Minimed, Inc. | Sensor model supervisor for a closed-loop insulin infusion system |
| US9662445B2 (en) | 2012-08-30 | 2017-05-30 | Medtronic Minimed, Inc. | Regulating entry into a closed-loop operating mode of an insulin infusion system |
| US9364609B2 (en) | 2012-08-30 | 2016-06-14 | Medtronic Minimed, Inc. | Insulin on board compensation for a closed-loop insulin infusion system |
| US9849239B2 (en) | 2012-08-30 | 2017-12-26 | Medtronic Minimed, Inc. | Generation and application of an insulin limit for a closed-loop operating mode of an insulin infusion system |
| US9623179B2 (en) | 2012-08-30 | 2017-04-18 | Medtronic Minimed, Inc. | Safeguarding techniques for a closed-loop insulin infusion system |
| EP3395252A1 (en) | 2012-08-30 | 2018-10-31 | Abbott Diabetes Care, Inc. | Dropout detection in continuous analyte monitoring data during data excursions |
| EP2897070A1 (en) * | 2012-08-30 | 2015-07-22 | Medtronic MiniMed, Inc. | Safeguarding techniques for a closed-loop insulin infusion system |
| US10496797B2 (en) | 2012-08-30 | 2019-12-03 | Medtronic Minimed, Inc. | Blood glucose validation for a closed-loop operating mode of an insulin infusion system |
| US9897565B1 (en) | 2012-09-11 | 2018-02-20 | Aseko, Inc. | System and method for optimizing insulin dosages for diabetic subjects |
| US9171343B1 (en) | 2012-09-11 | 2015-10-27 | Aseko, Inc. | Means and method for improved glycemic control for diabetic patients |
| WO2014052136A1 (en) | 2012-09-26 | 2014-04-03 | Abbott Diabetes Care Inc. | Method and apparatus for improving lag correction during in vivo measurement of analyte concentration with analyte concentration variability and range data |
| WO2014060634A1 (en) | 2012-10-16 | 2014-04-24 | Wärtsilä Finland Oy | Method of handling a unit in a marine vessel and an assembly in a marine vessel |
| US9833191B2 (en) | 2012-11-07 | 2017-12-05 | Bigfoot Biomedical, Inc. | Computer-based diabetes management |
| US9907909B2 (en) * | 2012-12-20 | 2018-03-06 | Animas Corporation | Method and system for a hybrid control-to-target and control-to-range model predictive control of an artificial pancreas |
| US9795737B2 (en) * | 2013-03-15 | 2017-10-24 | Animas Corporation | Method and system for closed-loop control of an artificial pancreas |
| JP2016525381A (ja) * | 2013-05-27 | 2016-08-25 | ノボ・ノルデイスク・エー/エス | 用量プリセット機能を備えた薬剤送達装置及びシステム |
| CN105555340A (zh) * | 2013-09-20 | 2016-05-04 | 赛诺菲-安万特德国有限公司 | 有条件要求的预备注射 |
| JP6243546B2 (ja) | 2014-01-31 | 2017-12-06 | トラスティーズ オブ ボストン ユニバーシティ | 先行する期間に基づくオフライングルコースレベル制御 |
| US9486580B2 (en) | 2014-01-31 | 2016-11-08 | Aseko, Inc. | Insulin management |
| US9898585B2 (en) | 2014-01-31 | 2018-02-20 | Aseko, Inc. | Method and system for insulin management |
| EP3154607B1 (en) | 2014-06-10 | 2023-12-20 | Insulet Corporation | Insulin delivery systems and methods |
| WO2016061308A1 (en) | 2014-10-17 | 2016-04-21 | Kahlbaugh Bradley E | Human metabolic condition management |
| US11081226B2 (en) | 2014-10-27 | 2021-08-03 | Aseko, Inc. | Method and controller for administering recommended insulin dosages to a patient |
| EP3050023B1 (en) | 2014-10-27 | 2021-08-25 | Aseko, Inc. | Subcutaneous outpatient management |
| US10842934B2 (en) | 2015-08-07 | 2020-11-24 | Trustees Of Boston University | Glucose control system with automatic adaptation of glucose target |
| JP6858751B2 (ja) | 2015-08-20 | 2021-04-14 | アセコー インコーポレイテッド | 糖尿病管理療法アドバイザ |
| CN108495665B (zh) | 2016-01-14 | 2021-04-09 | 比格福特生物医药公司 | 调整胰岛素输送速率 |
| US12383166B2 (en) | 2016-05-23 | 2025-08-12 | Insulet Corporation | Insulin delivery system and methods with risk-based set points |
| JP6756030B2 (ja) | 2016-07-08 | 2020-09-16 | ノボ・ノルデイスク・エー/エス | 適応的目標グルコース値による基礎滴定 |
| US10272201B2 (en) * | 2016-12-22 | 2019-04-30 | Medtronic Minimed, Inc. | Insertion site monitoring methods and related infusion devices and systems |
| US10583250B2 (en) | 2017-01-13 | 2020-03-10 | Bigfoot Biomedical, Inc. | System and method for adjusting insulin delivery |
| US10758675B2 (en) | 2017-01-13 | 2020-09-01 | Bigfoot Biomedical, Inc. | System and method for adjusting insulin delivery |
| EP3568859B1 (en) | 2017-01-13 | 2025-12-10 | Insulet Corporation | Insulin delivery methods, systems and devices |
| WO2018132723A1 (en) | 2017-01-13 | 2018-07-19 | Mazlish Bryan | Insulin delivery methods, systems and devices |
| US10881792B2 (en) | 2017-01-13 | 2021-01-05 | Bigfoot Biomedical, Inc. | System and method for adjusting insulin delivery |
| US10500334B2 (en) | 2017-01-13 | 2019-12-10 | Bigfoot Biomedical, Inc. | System and method for adjusting insulin delivery |
| WO2018147483A1 (ko) * | 2017-02-09 | 2018-08-16 | 최규동 | 연속 혈당 감지를 이용한 인슐린 투여 시스템 |
| US11850285B2 (en) | 2017-03-07 | 2023-12-26 | North Carolina State University | Insulin-responsive glucagon delivery patch |
| US11596330B2 (en) | 2017-03-21 | 2023-03-07 | Abbott Diabetes Care Inc. | Methods, devices and system for providing diabetic condition diagnosis and therapy |
| ES2903174T3 (es) | 2017-05-05 | 2022-03-31 | Lilly Co Eli | Control de bucle cerrado de glucosa fisiológica |
| EP3438858A1 (en) | 2017-08-02 | 2019-02-06 | Diabeloop | Closed-loop blood glucose control systems and methods |
| CN118217478A (zh) | 2017-12-21 | 2024-06-21 | 益首药物治疗股份公司 | 生理葡萄糖的闭环控制 |
| JP2021528758A (ja) | 2018-06-22 | 2021-10-21 | イーライ リリー アンド カンパニー | インスリンとプラムリンタイドの送達システム、方法、およびデバイス |
| US20220225931A1 (en) * | 2019-06-05 | 2022-07-21 | Sanofi | Medical devices and methods for administering basal insulin dose and bolus insulin dose |
| AU2020314752A1 (en) | 2019-07-16 | 2022-02-24 | Beta Bionics, Inc. | Blood glucose control system |
| US11957876B2 (en) | 2019-07-16 | 2024-04-16 | Beta Bionics, Inc. | Glucose control system with automated backup therapy protocol generation |
| MX2022000670A (es) | 2019-07-16 | 2022-05-20 | Beta Bionics Inc | Sistema de control de glucosa en sangre. |
| JP7730109B2 (ja) | 2019-10-04 | 2025-08-27 | ベータ バイオニクス,インコーポレイテッド | 血糖制御システム |
| WO2022140204A1 (en) | 2020-12-21 | 2022-06-30 | Beta Bionics, Inc. | Medicament pumps and control systems thereof |
| USD1032624S1 (en) | 2020-03-10 | 2024-06-25 | Beta Bionics, Inc. | Display screen with animated graphical user interface |
| US11278661B2 (en) | 2020-03-10 | 2022-03-22 | Beta Bionics, Inc. | Infusion system and components thereof |
| USD1032623S1 (en) | 2020-03-10 | 2024-06-25 | Beta Bionics, Inc. | Display screen with animated graphical user interface |
| US20220265143A1 (en) | 2020-12-07 | 2022-08-25 | Beta Bionics, Inc. | Ambulatory medicament pumps with selective alarm muting |
| US20220199218A1 (en) | 2020-12-07 | 2022-06-23 | Beta Bionics, Inc. | Ambulatory medicament pump with integrated medicament ordering interface |
| US20220189603A1 (en) | 2020-12-07 | 2022-06-16 | Beta Bionics, Inc. | Medicament pumps and control systems for managing glucose control therapy data of a subject |
| US11497852B2 (en) | 2020-12-21 | 2022-11-15 | Beta Bionics, Inc. | Ambulatory medicament device with power saving mode |
| US12465686B2 (en) | 2021-03-25 | 2025-11-11 | Beta Bionics, Inc. | Emergency medicament dose control |
| EP4355387A1 (en) * | 2021-06-14 | 2024-04-24 | Insulet Corporation | Hybrid injection-pump insulin delivery |
| WO2023070251A1 (en) * | 2021-10-25 | 2023-05-04 | Medtrum Technologies Inc. | Closed-loop artificial pancreas insulin infusion control system |
| CN114903648B (zh) * | 2022-05-09 | 2022-11-22 | 北京理工大学 | 一种基于eso和模型预测控制的双激素人工胰腺控制器 |
| WO2025054131A1 (en) * | 2023-09-05 | 2025-03-13 | University Of Houston System | Linear time-varying (ltv) model predictive control (mpc) of an artificial pancreas with data-driven neural multi-step ahead affine blood glucose predictors |
Family Cites Families (104)
| Publication number | Priority date | Publication date | Assignee | Title |
|---|---|---|---|---|
| US6241704B1 (en) | 1901-11-22 | 2001-06-05 | Sims Deltec, Inc. | Drug pump systems and methods |
| US4280494A (en) | 1979-06-26 | 1981-07-28 | Cosgrove Robert J Jun | System for automatic feedback-controlled administration of drugs |
| US4464170A (en) | 1982-09-29 | 1984-08-07 | Miles Laboratories, Inc. | Blood glucose control apparatus and method |
| WO1989001794A1 (en) | 1987-08-28 | 1989-03-09 | Regents Of The University Of Minnesota | Metabolic sensor for a drug delivery system |
| US5665065A (en) | 1995-05-26 | 1997-09-09 | Minimed Inc. | Medication infusion device with blood glucose data input |
| US6554798B1 (en) | 1998-08-18 | 2003-04-29 | Medtronic Minimed, Inc. | External infusion device with remote programming, bolus estimator and/or vibration alarm capabilities |
| US6669663B1 (en) | 1999-04-30 | 2003-12-30 | Medtronic, Inc. | Closed loop medicament pump |
| US6925393B1 (en) | 1999-11-18 | 2005-08-02 | Roche Diagnostics Gmbh | System for the extrapolation of glucose concentration |
| DE10006044A1 (de) | 2000-02-10 | 2001-08-16 | Roche Diagnostics Gmbh | Anordnung und Verfahren zur Dosierung eines die Blutglukose eines Patienten regulierenden Hormons |
| US6572542B1 (en) | 2000-03-03 | 2003-06-03 | Medtronic, Inc. | System and method for monitoring and controlling the glycemic state of a patient |
| AU2001292946A1 (en) | 2000-09-26 | 2002-04-08 | Advantage 3D Llc | Method and system for generation, storage and distribution of omni-directional object views |
| US20030073609A1 (en) | 2001-06-29 | 2003-04-17 | Pinkerton Thomas C. | Enhanced pharmacokinetic profile of intradermally delivered substances |
| US6544212B2 (en) | 2001-07-31 | 2003-04-08 | Roche Diagnostics Corporation | Diabetes management system |
| US6827702B2 (en) | 2001-09-07 | 2004-12-07 | Medtronic Minimed, Inc. | Safety limits for closed-loop infusion pump control |
| GB0206792D0 (en) | 2002-03-22 | 2002-05-01 | Leuven K U Res & Dev | Normoglycemia |
| US20040010207A1 (en) | 2002-07-15 | 2004-01-15 | Flaherty J. Christopher | Self-contained, automatic transcutaneous physiologic sensing system |
| WO2005061041A1 (en) | 2002-10-11 | 2005-07-07 | Becton, Dickinson And Company | Insulin delivery system with sensor |
| US7655618B2 (en) | 2002-12-27 | 2010-02-02 | Diobex, Inc. | Compositions and methods for the prevention and control of insulin-induced hypoglycemia |
| CA2519249C (en) * | 2003-03-19 | 2012-11-27 | Harry Hebblewhite | Method and system for determining insulin dosing schedules and carbohydrate-to-insulin ratios in diabetic patients |
| WO2004084820A2 (en) | 2003-03-19 | 2004-10-07 | Harry Hebblewhite | Method and system for determining insulin dosing schedules and carbohydrate-to-insulin ratios in diabetic patients |
| US20040253736A1 (en) | 2003-06-06 | 2004-12-16 | Phil Stout | Analytical device with prediction module and related methods |
| US7591801B2 (en) | 2004-02-26 | 2009-09-22 | Dexcom, Inc. | Integrated delivery device for continuous glucose sensor |
| DE102004011135A1 (de) | 2004-03-08 | 2005-09-29 | Disetronic Licensing Ag | Verfahren und Vorrichtung zum Berechnen einer Bolusmenge |
| US7651845B2 (en) | 2004-05-13 | 2010-01-26 | The Regents Of The University Of California | Method and apparatus for glucose control and insulin dosing for diabetics |
| US7727147B1 (en) | 2004-05-14 | 2010-06-01 | Flint Hills Scientific Llc | Method and system for implantable glucose monitoring and control of a glycemic state of a subject |
| US7547281B2 (en) * | 2005-02-01 | 2009-06-16 | Medtronic Minimed, Inc. | Algorithm sensor augmented bolus estimator for semi-closed loop infusion system |
| EP1881786B1 (en) | 2005-05-13 | 2017-11-15 | Trustees of Boston University | Fully automated control system for type 1 diabetes |
| US20060272652A1 (en) | 2005-06-03 | 2006-12-07 | Medtronic Minimed, Inc. | Virtual patient software system for educating and treating individuals with diabetes |
| US20060276771A1 (en) | 2005-06-06 | 2006-12-07 | Galley Paul J | System and method providing for user intervention in a diabetes control arrangement |
| US7766829B2 (en) | 2005-11-04 | 2010-08-03 | Abbott Diabetes Care Inc. | Method and system for providing basal profile modification in analyte monitoring and management systems |
| CN100446724C (zh) | 2005-11-28 | 2008-12-31 | 中国科学院电子学研究所 | 用于闭环胰岛素注射的无创血糖仪 |
| US9392969B2 (en) | 2008-08-31 | 2016-07-19 | Abbott Diabetes Care Inc. | Closed loop control and signal attenuation detection |
| JP4918285B2 (ja) | 2006-05-24 | 2012-04-18 | シスメックス株式会社 | 生体器官の機能のシミュレーションシステム及びそのプログラム |
| WO2007149533A2 (en) | 2006-06-19 | 2007-12-27 | Dose Safety | System, method and article for controlling the dispensing of insulin |
| US20110054391A1 (en) | 2006-07-28 | 2011-03-03 | Ward W Kenneth | Analyte sensing and response system |
| US8721584B2 (en) * | 2006-11-02 | 2014-05-13 | The University Of North Carolina At Chapel Hill | Methods and systems for determining an intravenous insulin infusion rate to correct hyperglycemia of a patient, to maintain euglycemia of a patient, and to prevent hypoglycemia of a patient |
| US7654127B2 (en) | 2006-12-21 | 2010-02-02 | Lifescan, Inc. | Malfunction detection in infusion pumps |
| US7946985B2 (en) | 2006-12-29 | 2011-05-24 | Medtronic Minimed, Inc. | Method and system for providing sensor redundancy |
| US7734323B2 (en) * | 2007-01-24 | 2010-06-08 | Smiths Medical Asd, Inc. | Correction factor testing using frequent blood glucose input |
| US10154804B2 (en) | 2007-01-31 | 2018-12-18 | Medtronic Minimed, Inc. | Model predictive method and system for controlling and supervising insulin infusion |
| WO2008114254A1 (en) | 2007-03-19 | 2008-09-25 | Medingo Ltd. | User interface for selecting bolus doses in a drug delivery device |
| EP1983456B1 (de) * | 2007-04-19 | 2013-08-14 | F.Hoffmann-La Roche Ag | Verfahren zum Einstellen eines Basalratenprofils für eine Insulinpumpe |
| US20080269714A1 (en) * | 2007-04-25 | 2008-10-30 | Medtronic Minimed, Inc. | Closed loop/semi-closed loop therapy modification system |
| US20100145262A1 (en) | 2007-05-03 | 2010-06-10 | Novo Nordisk A/S | Safety system for insulin delivery advisory algorithms |
| US7751907B2 (en) | 2007-05-24 | 2010-07-06 | Smiths Medical Asd, Inc. | Expert system for insulin pump therapy |
| ES2576639T3 (es) | 2007-06-20 | 2016-07-08 | F.Hoffmann-La Roche Ag | Método y dispositivo para evaluar la relación de hidratos de carbono con respecto a insulina |
| EP4276851A3 (en) * | 2007-06-21 | 2024-01-24 | University Of Virginia Patent Foundation | Lqg artificial pancreas control system and related method |
| DK2167168T3 (en) | 2007-06-25 | 2017-06-06 | Hoffmann La Roche | INDIVIDUALIZED BASAL INSULIN ADMINISTRATION SYSTEM |
| CA2687562C (en) | 2007-06-27 | 2015-11-24 | F. Hoffmann-La Roche Ag | System and method for developing patient specific therapies based on modeling of patient physiology |
| JP5410284B2 (ja) | 2007-09-07 | 2014-02-05 | テルモ株式会社 | 血糖値測定装置及び処方情報処理方法 |
| US8377031B2 (en) | 2007-10-23 | 2013-02-19 | Abbott Diabetes Care Inc. | Closed loop control system with safety parameters and methods |
| WO2009059187A1 (en) | 2007-11-02 | 2009-05-07 | University Of Virginia Patent Foundation | Predictive control based system and method for control of insulin delivery in diabetes using glucose sensing |
| US8290559B2 (en) | 2007-12-17 | 2012-10-16 | Dexcom, Inc. | Systems and methods for processing sensor data |
| US20090164239A1 (en) | 2007-12-19 | 2009-06-25 | Abbott Diabetes Care, Inc. | Dynamic Display Of Glucose Information |
| US20090177154A1 (en) | 2008-01-08 | 2009-07-09 | Michael Blomquist | Insulin pump with convenience features |
| US20090177142A1 (en) | 2008-01-09 | 2009-07-09 | Smiths Medical Md, Inc | Insulin pump with add-on modules |
| WO2009146119A2 (en) | 2008-04-04 | 2009-12-03 | Hygieia, Inc. | System for optimizing a patient's insulin dosage regimen |
| CN201186082Y (zh) | 2008-05-05 | 2009-01-28 | 王安宇 | 胰岛素、葡萄糖智能输入装置 |
| US7959598B2 (en) | 2008-08-20 | 2011-06-14 | Asante Solutions, Inc. | Infusion pump systems and methods |
| US8622988B2 (en) | 2008-08-31 | 2014-01-07 | Abbott Diabetes Care Inc. | Variable rate closed loop control and methods |
| US8527208B2 (en) | 2008-11-17 | 2013-09-03 | Roche Diagnostics International Ag | Prandial blood glucose excursion optimization method via computation of time-varying optimal insulin profiles and system thereof |
| EP2393415B1 (en) | 2009-02-04 | 2015-11-25 | Sanofi-Aventis Deutschland GmbH | Medical system and method for providing information for glycemic control |
| JP5783912B2 (ja) | 2009-02-04 | 2015-09-24 | サノフィ−アベンティス・ドイチュラント・ゲゼルシャフト・ミット・ベシュレンクテル・ハフツング | 血糖応答情報に基づく血糖コントロールを提供するための医療システム及び方法 |
| US8562587B2 (en) | 2009-02-25 | 2013-10-22 | University Of Virginia Patent Foundation | CGM-based prevention of hypoglycemia via hypoglycemia risk assessment and smooth reduction of insulin delivery |
| CA2752637A1 (en) | 2009-02-26 | 2010-09-02 | Eran Atlas | Method and system for automatic monitoring of diabetes related treatments |
| US20100256466A1 (en) * | 2009-04-02 | 2010-10-07 | Avraham Shekalim | Metabolite Management System |
| JP2012527981A (ja) | 2009-05-29 | 2012-11-12 | ユニバーシティ オブ バージニア パテント ファウンデーション | 糖尿病の開ループおよび閉ループ制御のためのシステムコーディネータおよびモジュールアーキテクチャ |
| FI3936032T3 (fi) | 2009-07-23 | 2024-08-14 | Abbott Diabetes Care Inc | Glukoositasojen fysiologiseen säätelyyn liittyvien tietojen reaaliaikainen hallinta |
| WO2011014851A1 (en) | 2009-07-31 | 2011-02-03 | Abbott Diabetes Care Inc. | Method and apparatus for providing analyte monitoring system calibration accuracy |
| US20120245556A1 (en) | 2009-09-01 | 2012-09-27 | University Of Virginia Patent Foundation | System, Method and Computer Program Product For Adjustment of Insulin Delivery in Diabetes Using Nominal Open-Loop Profiles |
| DK2477613T3 (da) | 2009-09-18 | 2017-11-13 | Hoffmann La Roche | Anordninger, systemer og fremgangsmåder til kvantificering af bolusdoser ifølge brugerparametre |
| KR20120102048A (ko) | 2009-09-30 | 2012-09-17 | 모르 리서치 애플리케이션즈 리미티드 | 인슐린 전달의 관리를 위한 모니터링 장치 |
| US8690820B2 (en) | 2009-10-06 | 2014-04-08 | Illinois Institute Of Technology | Automatic insulin pumps using recursive multivariable models and adaptive control algorithms |
| US20120277723A1 (en) | 2009-11-04 | 2012-11-01 | Aimedics Pty Ltd | System and method for the integration of fused-data hypoglycaemia alarms into closed-loop glycaemic control systems |
| WO2011100624A1 (en) | 2010-02-11 | 2011-08-18 | The Regents Of The University Of California | Systems, devices and methods to deliver biological factors or drugs to a subject |
| US8579879B2 (en) | 2010-02-19 | 2013-11-12 | Medtronic Minimed, Inc. | Closed-loop glucose control startup |
| EP3593711B8 (en) | 2010-03-26 | 2021-07-28 | University Of Virginia Patent Foundation | System for improving the accuracy of glucose sensors using insulin delivery observation in diabetes |
| ES2755497T3 (es) | 2010-10-31 | 2020-04-22 | Univ Boston | Sistema de control de glucosa en sangre |
| US9445757B2 (en) | 2010-12-29 | 2016-09-20 | Medtronic Minimed, Inc. | Glycemic health metric determination and application |
| US10610154B2 (en) | 2011-06-23 | 2020-04-07 | University Of Virginia Patent Foundation | Unified platform for monitoring and control of blood glucose levels in diabetic patients |
| GB2493712B (en) | 2011-08-12 | 2014-07-02 | Gene Onyx Ltd | Insulin pump |
| US10694983B2 (en) | 2012-01-19 | 2020-06-30 | Medtronic Minimed, Inc. | Method and/or system for assessing a patient's glycemic response |
| US9238100B2 (en) | 2012-06-07 | 2016-01-19 | Tandem Diabetes Care, Inc. | Device and method for training users of ambulatory medical devices |
| US9662445B2 (en) | 2012-08-30 | 2017-05-30 | Medtronic Minimed, Inc. | Regulating entry into a closed-loop operating mode of an insulin infusion system |
| US9901677B2 (en) | 2012-10-16 | 2018-02-27 | Bigfoot Biomedical, Inc. | Infusion pump system and methods |
| US9486578B2 (en) | 2012-12-07 | 2016-11-08 | Animas Corporation | Method and system for tuning a closed-loop controller for an artificial pancreas |
| US9907909B2 (en) | 2012-12-20 | 2018-03-06 | Animas Corporation | Method and system for a hybrid control-to-target and control-to-range model predictive control of an artificial pancreas |
| US9351670B2 (en) | 2012-12-31 | 2016-05-31 | Abbott Diabetes Care Inc. | Glycemic risk determination based on variability of glucose levels |
| US10507284B2 (en) | 2013-01-14 | 2019-12-17 | The Regents Of The University Of California | Daily periodic target-zone modulation in the model predictive control problem for artificial pancreas for type I diabetes applications |
| US9492608B2 (en) | 2013-03-15 | 2016-11-15 | Tandem Diabetes Care, Inc. | Method and device utilizing insulin delivery protocols |
| EP3030140B1 (en) | 2013-08-05 | 2019-06-19 | Hygieia, Inc. | Systems and devices for alleviating glucotoxicity and restoring pancreatic beta-cell function in advanced diabetes mellitus |
| EP2851823A1 (en) | 2013-09-20 | 2015-03-25 | Sanofi-Aventis Deutschland GmbH | Data management unit for supporting health control |
| US9486580B2 (en) | 2014-01-31 | 2016-11-08 | Aseko, Inc. | Insulin management |
| JP6243546B2 (ja) | 2014-01-31 | 2017-12-06 | トラスティーズ オブ ボストン ユニバーシティ | 先行する期間に基づくオフライングルコースレベル制御 |
| US9399096B2 (en) | 2014-02-06 | 2016-07-26 | Medtronic Minimed, Inc. | Automatic closed-loop control adjustments and infusion systems incorporating same |
| EP3154607B1 (en) | 2014-06-10 | 2023-12-20 | Insulet Corporation | Insulin delivery systems and methods |
| CN104667379B (zh) | 2015-03-06 | 2017-08-15 | 上海交通大学 | 动态闭环控制的胰岛素泵 |
| CN104667368B (zh) | 2015-03-06 | 2017-08-15 | 上海交通大学 | 控制与计算分离的胰岛素泵动态控制实现方法 |
| US10569016B2 (en) | 2015-12-29 | 2020-02-25 | Tandem Diabetes Care, Inc. | System and method for switching between closed loop and open loop control of an ambulatory infusion pump |
| CN108495665B (zh) | 2016-01-14 | 2021-04-09 | 比格福特生物医药公司 | 调整胰岛素输送速率 |
| US20200254240A1 (en) | 2016-05-15 | 2020-08-13 | Biolinq, Inc. | Devices and Methods For The Incorporation Of A Microneedle Array Analyte-Selective Sensor Into An Infusion Set, Patch Pump, Or Automated Therapeutic Delivery System |
| WO2018011766A1 (en) | 2016-07-15 | 2018-01-18 | Universität Bern | Estimation of insulin based on reinforcement learning |
| EP3568859B1 (en) | 2017-01-13 | 2025-12-10 | Insulet Corporation | Insulin delivery methods, systems and devices |
| CN112236826B (zh) | 2018-05-04 | 2024-08-13 | 英赛罗公司 | 基于控制算法的药物输送系统的安全约束 |
-
2011
- 2011-10-31 ES ES11785841T patent/ES2755497T3/es active Active
- 2011-10-31 WO PCT/US2011/058688 patent/WO2012058694A2/en not_active Ceased
- 2011-10-31 JP JP2013536917A patent/JP6047097B2/ja active Active
- 2011-10-31 EP EP11785841.5A patent/EP2633456B1/en active Active
- 2011-10-31 EP EP19190669.2A patent/EP3594961A1/en active Pending
- 2011-10-31 CA CA2816314A patent/CA2816314C/en active Active
-
2013
- 2013-04-25 US US13/870,634 patent/US9833570B2/en active Active
-
2015
- 2015-12-04 JP JP2015237886A patent/JP6378164B2/ja active Active
-
2016
- 2016-12-15 US US15/380,516 patent/US10188795B2/en not_active Ceased
-
2021
- 2021-01-28 US US17/160,506 patent/USRE50080E1/en active Active
Also Published As
| Publication number | Publication date |
|---|---|
| EP2633456A1 (en) | 2013-09-04 |
| EP3594961A1 (en) | 2020-01-15 |
| US20170095612A1 (en) | 2017-04-06 |
| JP2016047388A (ja) | 2016-04-07 |
| US10188795B2 (en) | 2019-01-29 |
| JP6047097B2 (ja) | 2016-12-21 |
| JP6378164B2 (ja) | 2018-08-22 |
| CA2816314C (en) | 2018-03-06 |
| US9833570B2 (en) | 2017-12-05 |
| WO2012058694A2 (en) | 2012-05-03 |
| US20130245547A1 (en) | 2013-09-19 |
| USRE50080E1 (en) | 2024-08-20 |
| CA2816314A1 (en) | 2012-05-03 |
| JP2014500051A (ja) | 2014-01-09 |
| EP2633456B1 (en) | 2019-09-04 |
Similar Documents
| Publication | Publication Date | Title |
|---|---|---|
| ES2755497T3 (es) | Sistema de control de glucosa en sangre | |
| USRE50075E1 (en) | Glucose level control system with offline control based on preceding periods of online control | |
| JP7171814B2 (ja) | インスリン・デリバリ量の調節 | |
| US11605461B2 (en) | Risk-based control-to-range blood glucose diabetes management device | |
| ES2939640T3 (es) | Seguridad contra fallos en control por intervalo | |
| ES2663302T3 (es) | Sistema para el control de lazo cerrado de un páncreas artificial | |
| ES2906640T3 (es) | Agresividad en control por intervalo | |
| BR112018074903B1 (pt) | Étodo para a determinação de um ajuste da taxa basal de insulina em um sistema contínuo de monitoramento de glicose de uma pessoa com diabetes e dispositivo de gerenciamento de glicose no sangue | |
| HK1234480B (en) | Offline glucose control based on preceding periods | |
| HK1234480A1 (en) | Offline glucose control based on preceding periods |








