EP2853411A1 - Sicherheitselement mit Linsenrasterbild - Google Patents
Sicherheitselement mit Linsenrasterbild Download PDFInfo
- Publication number
- EP2853411A1 EP2853411A1 EP14003244.2A EP14003244A EP2853411A1 EP 2853411 A1 EP2853411 A1 EP 2853411A1 EP 14003244 A EP14003244 A EP 14003244A EP 2853411 A1 EP2853411 A1 EP 2853411A1
- Authority
- EP
- European Patent Office
- Prior art keywords
- reflective facets
- security element
- type
- inclination
- facets
- Prior art date
- Legal status (The legal status is an assumption and is not a legal conclusion. Google has not performed a legal analysis and makes no representation as to the accuracy of the status listed.)
- Granted
Links
Images
Classifications
-
- B—PERFORMING OPERATIONS; TRANSPORTING
- B42—BOOKBINDING; ALBUMS; FILES; SPECIAL PRINTED MATTER
- B42D—BOOKS; BOOK COVERS; LOOSE LEAVES; PRINTED MATTER CHARACTERISED BY IDENTIFICATION OR SECURITY FEATURES; PRINTED MATTER OF SPECIAL FORMAT OR STYLE NOT OTHERWISE PROVIDED FOR; DEVICES FOR USE THEREWITH AND NOT OTHERWISE PROVIDED FOR; MOVABLE-STRIP WRITING OR READING APPARATUS
- B42D25/00—Information-bearing cards or sheet-like structures characterised by identification or security features; Manufacture thereof
- B42D25/30—Identification or security features, e.g. for preventing forgery
- B42D25/324—Reliefs
-
- B—PERFORMING OPERATIONS; TRANSPORTING
- B42—BOOKBINDING; ALBUMS; FILES; SPECIAL PRINTED MATTER
- B42D—BOOKS; BOOK COVERS; LOOSE LEAVES; PRINTED MATTER CHARACTERISED BY IDENTIFICATION OR SECURITY FEATURES; PRINTED MATTER OF SPECIAL FORMAT OR STYLE NOT OTHERWISE PROVIDED FOR; DEVICES FOR USE THEREWITH AND NOT OTHERWISE PROVIDED FOR; MOVABLE-STRIP WRITING OR READING APPARATUS
- B42D25/00—Information-bearing cards or sheet-like structures characterised by identification or security features; Manufacture thereof
- B42D25/30—Identification or security features, e.g. for preventing forgery
- B42D25/36—Identification or security features, e.g. for preventing forgery comprising special materials
- B42D25/373—Metallic materials
Definitions
- the invention relates to a security element for securing security papers, documents of value and other data carriers, having a representation arrangement for displaying one or more reference images whose motifs are each formed by visually recognizable, contrasting image regions.
- the invention also relates to a method for producing such a security element, and to a data carrier equipped with a security element.
- Data carriers such as valuables or identity documents, but also other valuables, such as branded articles, are often provided with security elements for securing purposes, which permit verification of the authenticity of the data carrier and at the same time serve as protection against unauthorized reproduction.
- Data carriers in the context of the present invention are in particular banknotes, stocks, bonds, certificates, vouchers, checks, high-quality admission tickets, but also other forgery-prone papers, such as passports and other identity documents, credit cards, health cards, as well as product security elements such as labels, seals, packaging and the like.
- the term "data carrier” in the following includes all such objects, documents and product protection means.
- Security elements with viewing-angle-dependent effects play a special role in the authentication of authenticity since they can not be reproduced even with the most modern copiers.
- the security elements are equipped with optically variable elements that give the viewer a different image impression under different viewing angles and, for example, depending on the viewing angle, a different color or brightness impression and / or a show another graphic motive.
- the security elements may include a tilt or swap image, a motion image, or a stereo image.
- moiré magnification arrangements For some time, so-called moiré magnification arrangements and other micro-optical representational arrangements have also been used as security features.
- the basic operation of Moire magnification arrangements is described in the article " The moire magnifier ", MC Hutley, R. Hunt, RF Stevens and P. Savander, Pure Appl. Opt. 3 (1994), pp. 133-142 , described.
- moiré magnification thereafter refers to a phenomenon that occurs when viewing a raster of identical image objects through a lenticular of approximately the same pitch. As with any pair of similar rasters, this results in a moire pattern consisting of a periodic arrangement of enlarged and possibly rotated images of the elements of the image raster.
- the invention has for its object to provide a security element of the type mentioned, which combines a high security against counterfeiting with a high-contrast appearance and is less limited in terms of the manufacturing process.
- the display arrangement of the above-mentioned security element comprises a lenticular and spaced from the lenticular motif image showing the predetermined target images when viewed with the lenticular, wherein the lenticular grid is formed of a plurality of spherical or aspherical microlenses and the motif image of a Plurality of unit cells is formed.
- f is the focal length of the microlens
- h is the height of the microlens at the apex
- R is the radius of curvature in the center of the microlens
- r is the lens radius of the microlens
- the reflective facets of the second type have an inclination ⁇ 2 given by ⁇ 1 - ⁇ 2 > 10 ⁇ ° ,
- the display arrangement of the generic security element comprises a lenticular screen and a spaced apart from the lenticular motif image showing the predetermined target images when viewed with the lenticular grid, wherein the lenticular grid is formed of a plurality of cylindrical microlenses, which are arranged in a grid by which a coordinate system having a first coordinate axis defined by the focal lines of the cylindrical microlenses and a second coordinate axis perpendicular to the first coordinate axis and the motif image formed by a plurality of unit cells is formed.
- f is the focal length of the cylindrical microlens
- h is the height of the cylindrical microlens at the apex
- R is the radius of curvature in the center of the cylindrical microlens
- r is the lens radius of the cylindrical microlens (or 2r the extension of the cylindrical microlens in the direction of the second coordinate axis)
- the reflective facets of the second type have an inclination whose component ⁇ 2 is given in the direction of the second coordinate axis by ⁇ 1 - ⁇ 2 > 10 ⁇ °
- the orientation of the facets is determined here by the inclination and the azimuth angle of the reflective facets.
- the orientation of the facets can also be determined by other parameters. In particular, these are two mutually orthogonal parameters, such. B. the two components of the normal vector of each facet.
- the motif image of the representation arrangement is preferably in the focal plane of the microlenses.
- the inclination ⁇ 2 of the reflective facets of the second type is given by
- the inclination ⁇ 2 of the reflective facets of the second type can be zero.
- the reflective facets in particular the reflective facets of the first type, form a periodic or aperiodic sawtooth grid.
- aperiodic gratings diffraction effects, in particular color effects, such as e.g. diffractive Motherinstreuung be suppressed.
- aperiodic gratings it is also possible to avoid unwanted moiré effects, such as those that can arise when superimposing periodic gratings and lenticular grids.
- the grating period of the reflective facets is preferably between 2.5 ⁇ m and 100 ⁇ m, preferably between 3 ⁇ m and 15 ⁇ m.
- the grating period of the reflective facets of the first and / or second type continues in each case over all unit cells with the same phase.
- the grating period and the phase of the grating of the reflective facets of the first and / or the second type may be the same for all unit cells, respectively.
- the design of all lattices with the same phase and period may be particularly advantageous in their manufacture, for example, when the lattices of the reflective facets of the first and the second type have opposite inclinations. Alternatively, can, for.
- the grating period and / or the phase of the grating of the reflective facets of the first and / or the second type of unit cell to unit cell different.
- the grating period and / or the phase of the reflective facets of the first and / or the second type may have a substantially random variation at least in regions.
- the reflective facets of the first and / or the second type per unit cell have multiple facets with the same inclination.
- the inclination and / or the azimuth angle of the reflective facets of the second type have an essentially random variation at least in regions.
- the differently oriented reflective facets create a kind of glittering effect, which can enhance the contrast to the reflective facets of the first kind.
- the chosen formulation takes account of the fact that a random variation can also be realized for example by means of computer-generated "random numbers", strictly speaking, they are deterministic.
- the structure depth and / or optionally the grating period of the reflective facets of the second type can be varied.
- the inclination of the reflective facets of the first and / or second type may also change continuously, at least in some areas. This can be used, for example, to create running effects or appearing three-dimensionally arched.
- the facets are preferably formed as substantially planar surface pieces, which facilitates the production.
- the chosen formulation, according to which the facets are formed as essentially flat surface pieces, takes account of the fact that in practice production-related generally never perfectly flat surface pieces can be produced.
- the facets may alternatively also be formed as curved (eg concave, convex or wavy) patches. The curvature of the patches is expediently low.
- the number of reflective facets can in particular be selected so that a maximum predetermined facet height or structural depth of the facets is not exceeded.
- the facets have a structure depth of 0 ⁇ m to 10 ⁇ m, preferably of 1.5 ⁇ m to 4 ⁇ m.
- the diameter of the spherical or aspherical microlenses or the extent of the cylindrical microlenses in the transverse direction is advantageously between 5 .mu.m and 100 .mu.m, preferably between 10 .mu.m and 30 .mu.m.
- the expansion of the cylindrical microlenses in the direction of the first coordinate axis is expediently more than 250 ⁇ m, preferably more than 500 ⁇ m, particularly preferably more than 2 mm.
- a reflective or reflection-increasing coating can be formed on the facets at least in regions.
- Reflection-enhancing coatings in the context of the invention are also coatings that increase the reflectance, for example, only from about 20% to about 50%, such as semitransparent layers, whereas in reflective coatings a very high Reflectance is present.
- the reflective or reflection-enhancing coating may be a metallic coating, for example vapor-deposited. In particular aluminum, gold, silver, copper, palladium, chromium, nickel and / or tungsten and their alloys can be used as the coating material.
- the reflective or reflection-enhancing coating may be formed by a coating with a high refractive index material.
- the reflective or reflection-enhancing coating may be formed only in regions, preferably in the form of patterns, characters or a coding, which form a macroscopic additional motif visible to the naked eye without aids, in particular without magnification by the microlenses.
- a color-shifting layer may be formed on the facets at least in regions.
- regions of different color-shifting layers can also be formed on the facets.
- Both the reflection-enhancing coating and the color-shifting layer may be in the form of patterns, characters or codes and / or have recesses in the form of patterns, characters or codes.
- the color-shifting layer can be designed in particular as a thin-layer system or thin-film interference coating.
- a layer sequence metal layer / dielectric layer / metal layer or a layer sequence of at least three dielectric layers, wherein the refractive index of the middle layer is less than the refractive index of the other two layers can be realized.
- the dielectric material for example, ZnS, SiO 2 , TiO 2 , MgF 2 can be used.
- the color-shifting layer can also be formed as interference filter, thin semitransparent metal layer with selective transmission by plasmon resonance effects, nanoparticles, etc.
- the color-shifting layer can in particular also be realized as a liquid-crystal layer.
- a thin-film system with a reflector / dielectric / absorber structure is also possible.
- an additional structuring preferably a diffractive structure, a structure having a matting or scattering effect, and / or a nanostructuring, in particular by colored sub-wavelength structures reflecting into the zeroth diffraction order, is provided on a part of the reflective facets.
- a non-diffractive matt structure may be provided on the reflective facets of the second type.
- the arrangement of the microlenses can expediently be provided with a protective layer whose refractive index preferably deviates by at least 0.3 from the refractive index of the microlenses.
- the focal length of the lenses changes due to the protective layer, which must be taken into account in the dimensioning of the lens radii of curvature and / or the thickness of the spacer layer.
- a protective layer also prevents the lenses from easily being molded for counterfeiting purposes.
- the representation arrangement itself can be an arrangement for the unscaled representation of target images and in particular a change image, a motion image, a pump image, a morph image or a stereo image, but with advantage also a micro-optical representation arrangement, in particular a Moiré magnification device, Moire-type magnification device or modulo magnification device.
- the basic principle of such micro-optical representation arrangements is in the documents WO 2007/076952 .
- WO 2009/000529 and WO 2009/000528 whose disclosure content is included in this description in this respect. All of these micro-optical magnification arrangements contain a motif image with micromotif image parts which, when viewed with a suitably coordinated viewing grid, reconstructs a predetermined target image.
- both the raster of the image objects and the lenticular grid are usually produced by UV embossing on opposite sides of a carrier film.
- the thickness of the carrier film is dimensioned such that, taking into account the two residual coating thicknesses, the image objects are located exactly in the focal plane of the microlenses.
- the moiré-magnified image becomes blurred if the position of the image objects deviates too far from the focal plane.
- the motif image can also lie in a plane (parallel) which deviates slightly from the focal plane of the microlenses.
- the angular ranges in which transitions take place between different target images increase at the expense of the angular ranges in each of which only one target image is visible.
- the sharpness of the target images which is significantly more important for the visual appearance, is not affected by the deviation.
- This effect can also be used specifically to the thickness of the carrier film or a spacer layer and thus the total thickness of the security element continue to reduce. It should be borne in mind that deviations of the motif image plane from the focal plane here also lead to a fanning out of the radiation beams of the reflected radiation and thus may possibly reduce the contrast.
- each of the elementary cells is divided into two or more subareas.
- Each of these sub-areas is assigned to exactly one of the target images and each contains an unscaled section of the target image to which the sub-area is assigned.
- the subareas of the various unit cells can merge in unscaled systems with cylindrical lenses to form contiguous strips.
- the relative position of the microlenses and the partial surface of the unit cells each define a viewing angle range from which the target image to which the partial surface is assigned is shown unscaled when viewed.
- the illustrated target images are each visible from a certain viewing angle range around a central viewing direction, the size of this visibility region being given in particular by the size of the partial surfaces.
- this indication includes the visibility range determined by the finite size of the partial areas around this viewing direction.
- the security element is advantageously a security thread, a tear thread, a security tape, a security strip, a patch or a label for application to a security paper, document of value or the like.
- the invention also includes a data carrier equipped with a security element of the type described above.
- the security element may in particular be embedded in the data carrier or applied to the data carrier.
- FIG. 1 shows a schematic representation of a banknote 10, which is provided with a security element according to the invention in the form of a glued transfer element 12.
- the transfer element 12 represents a moire magnification arrangement, which presents a target image 14 to the viewer.
- the target image 14 shows a motif that is formed by visually recognizable and contrasting image areas 16 and 17, respectively.
- the motif of the target image is formed by shiny metallic, dark appearing letters "PL” in front of a likewise shiny metallic, but bright appearing background (shown here by the black letters "PL” in front of white background). It is understood that in practice mostly complex motifs, for example the denomination of the banknote, geometric patterns, portraits, architectural, technical or nature motives are used. The motifs can also be present in particular in the form of screened half-tone representations.
- the invention is not limited in any way to Moire magnification arrangements.
- the invention can be applied to all display arrangements with a contrasting reflective motif layer, in particular also in moire-type magnification arrangements, modulo magnification arrangements, or also in change pictures, motion pictures, pump pictures, morph pictures or stereo pictures of unscaled representing systems.
- the invention is also not limited to the banknote transfer elements used for illustration, but may also be used, for example, in security threads, wide security strips or cover sheets placed over a window area or through opening of a document.
- the microlenses or the reflective facets are applied to or introduced into different sides of an at least partially transparent banknote substrate, for example a substrate made of polymeric material.
- FIG. 2 schematically shows the structure of a security element 20 according to the invention, for example a transfer element, in cross section. Shown here are, as in the other figures, only necessary for the explanation of the principle of operation parts of the structure.
- the security element 20 of Fig. 2 has a carrier 22 in the form of a transparent plastic film, for example, about 20 microns thick PET film.
- the microlenses 24 form on the surface of the carrier film 22 a two-dimensional Bravais grid with a preselected symmetry.
- the Bravais grating for example, have a hexagonal lattice symmetry. However, other, in particular lower symmetries and thus more general forms, such as the symmetry of a parallelogram grating, are also possible. There may also be regions of different symmetries or Bravais lattice.
- a motif layer 26 is formed, which contains a divided into a plurality of unit cells 28 motif image with microimage regions 29A and 29B.
- the arrangement of the unit cells 28 also forms a two-dimensional Bravais grating with a preselected symmetry.
- the Bravais grating of the unit cells 28 differs slightly in its orientation and / or in the size of its grating parameters from the Bravais grating of the microlenses 24. Depending on the nature and size of the difference arises when viewing the motif image an enlarged picture of the microimage areas.
- the optical thickness of the carrier film 22 and the focal length of the microlenses 24 are matched to one another such that the motif layer 26 is located approximately at a distance from the lens focal length or in the focal plane.
- the carrier foil 22 thus forms an optical spacer layer which ensures a desired, constant spacing of the microlenses 24 and the motif layer 26 with the motif image.
- the motif image 26 When the motif image 26 is viewed with the lenticular grid, the motif is reconstructed from the imaged microimage regions 29A, 29B arranged in the unit cells 28, whereby the motif can float in front of and / or behind the image plane or lie in the image plane, depending on the design of the presentation arrangement.
- the security element 20 typically includes further layers 32, such as protective, masking or other functional layers, which are not essential to the present invention and therefore will not be described further.
- a protective layer (not shown here) may also be provided on the microlenses, the refractive index of which preferably deviates by at least 0.3 from the refractive index of the microlenses.
- Moiré magnification arrangements showing different colored motifs are known.
- the motif parts lying in the individual microimage regions 29A, 29B are printed, for example, in the desired shape.
- the peculiarity of the depiction arrangements described here consists in the fact that the motif of the target image 14 is formed by contrasting, differently reflecting image areas 16, 17.
- those in the individual microimage areas 29A, 29B lying subject parts of the target image 14 according to the invention formed by differently oriented reliefs. In order to ensure a sufficient contrast, the procedure is as follows.
- FIGS. 3 to 7 The structure and the basic mode of operation of a security element 20 according to the invention, for example of the transfer element 12 of FIG Fig. 1 , is now referring to the FIGS. 3 to 7 described in more detail.
- FIG. 3 the basic structure of a representation arrangement 40 according to the invention is shown.
- idealized (spherical or cylindrical) lenses the beam path of the right or left marginal rays for the case of vertical incidence of light (corresponding to vertical plan view) is shown by way of example. It is further assumed that the micromirrors are located in the focal plane of the lenses.
- sections of the display assembly 40 are each arranged under a microlens, formed as micromirrors facets 42-1 and 42-2 of a first and a second type shown in a section through the yz plane.
- the micromirrors 42 - 1, 42 - 2 each have a reflection surface 44 - 1, 44 - 2, which is the optically effective surface of the facet and whose orientation is determined by the indication of the inclination.
- Fig. 3 (a) shows the case that the reflection surface 44-2 of the micromirror 42-2 is not inclined against the surface of the lens assembly. For the micromirror shown ⁇ is therefore equal to zero.
- the incident radiation (light rays L1, L2) in this case is reflected in the same direction from which it entered.
- the light beams L1, L2 leave the lens assembly through the lens through which they have also fallen and are all reflected back in the same direction.
- the reflection surface of the micromirror 42-1 is against the surface of the lens arrangement (and in the case of cylindrical lenses perpendicular to the longitudinal direction of the cylindrical lenses or in the direction of curvature of the cylindrical lenses) with the inclination
- the inclination ⁇ of the micromirror 42-1 has no influence on the direction of propagation in this part of the radiation (see light beam L1: after leaving the lens, the propagation direction essentially corresponds to the propagation direction of the radiation in the direction of propagation FIG. 3 (a) illustrated case, wherein the light beam L1 exits only slightly offset in comparison).
- some of the radiation here the light beam L2 passes the lens after reflection at the micromirror 42-1 and exits the arrangement for example through an adjacent lens.
- the propagation direction of the light beams is changed.
- the light beam L2 propagates in a direction determined by refraction at the surface of the first lens, tilt of the micromirror with respect to the surface of the lens assembly, and refraction at the surface of an adjacent (and not shown) second lens.
- the area of facet 42-1 or the area of facet 42-2 appears lighter or darker depends ultimately on how the environment is illuminated.
- An observer looks into a solid angle of the environment that is more or less fanned out by refraction of the light rays on the surface of the lenses, reflection on the facets and refraction on the surface of the lenses.
- the brightness of the environment in this solid angle range dictates whether the associated area appears bright or dark to the viewer.
- the larger the solid angle range the larger the range over which the brightness of the environment is practically averaged and the weaker the contrast.
- the beam path of the rays which are incident perpendicularly in the center or in the edge region of the lens is shown (light rays L3, L4, L5). It is further assumed that the micromirror or the facet 42-1 is located in the focal plane of the (idealized spherical) lens 24.
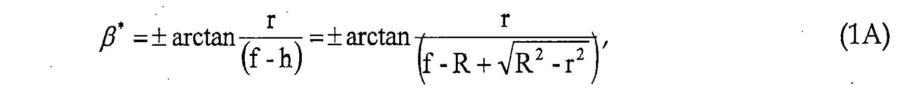
- a micromirror must be inclined at approximately the angle ⁇ * to the horizontal, so that the light rays L3, L4, L5 incident through the overlying microlens 24 (perpendicularly) no longer return there, but are deflected into an area adjacent to this lens.
- f the focal length of the microlens
- h the height of the microlens at the apex
- R the radius of curvature in the center of the microlens
- r the lens radius of the microlens.
- the use of reflective facets with inclinations greater than ⁇ 1 can at least no longer substantially increase the contrast with respect to facets of a second type with a lower inclination ⁇ 2 or with an inclination ⁇ 2 equal to zero. Also, the use of such reflective facets - with significantly larger inclinations - be associated with difficulties in manufacturing.
- the reflective facets of the second type have according to the invention an inclination ⁇ 2 , which is given by
- the motif image 26 is composed according to the invention of a plurality of identical unit cells 28, of which some in some FIG. 5 are shown in a schematic manner, wherein, as in the other figures, only the parts of the structure required for the explanation of the principle of operation are shown.
- the unit cells 28 of the motif image 26, as explained above, are arranged next to one another in a grid, matching the grid of the microlenses 24.
- unit cells 28 are arranged here for the sake of simplicity as well as the microlenses 24 in a hexagonal grid.
- the motif image 26 contains two types of reflective facets 33-1 and 33-2, which differ in their orientation and, when viewed with the lenticular grid, produce the visually recognizable, contrasting image areas of the target image 14.
- the facets 33-1 form a first microimage region 29A, for example a foreground
- the facets 33-2 form a second microimage region 29B, for example a background.
- the invention is not limited to the subdivision into two types of facets. Rather, other types of facets may be provided with different orientation, for example, to produce different light-dark effects or to generate a grayscale image.
- FIG. 6 is the sectional view taken along the line VI-VI of FIG. 5 represented, wherein the representation in FIG. 6 as well as in the other figures is not true to scale, but partly greatly exaggerated for better presentation. Furthermore, to simplify the illustration in FIG. 6 as well as in FIG. 7 an optional existing reflective or high refractive coating on the facets 33-1, 33-2 not shown.
- the motif layer comprises a embossing layer 36 applied to the carrier 22, in which the reflective facets 33-1, 33-2 are formed.
- the embossed layer 36 structured in this way is preferably coated with a reflective or reflection-enhancing coating.
- a metal for example aluminum, can be vapor-deposited over the full area, so that a full-surface metal coating is formed.
- the inclination ⁇ 1 is the same for all facets 33-1 and in the exemplary embodiment is 21 °.
- the grating period of the facets 33-1 forming a periodic sawtooth grid is preferably between 2.5 ⁇ m and 100 ⁇ m and in particular between 3 ⁇ m and 20 ⁇ m. For example, the grating period is 4 ⁇ m.
- the inclination ⁇ 2 of the facets 33-2 of the second type is 0 °.
- the facets 33-1 form a foreground, here the letter "A", the facets 33-2 a background.
- the facets 33-1 or the facets 33-2 appear bright when viewed through the lenticular.
- the viewer can therefore perceive a contrast change in the subject, ie previously bright-appearing image areas of the subject then appear dark, previously dark appearing image areas of the subject appear bright after tilting.
- the grating period and the phase of the grating are identical for each unit cell 28, respectively, as shown in FIGS.
- the grating period of the facets 33 - 1 can also continue over all elementary cells 28 with the same phase, whereby, for example, unwanted effects caused by moire magnification of the boundaries of the facets 33 - 1 can be prevented.
- FIG. 7 shows another way to increase the light-dark contrast.
- the second image area of the target image 14 can also be formed by a plurality of reflective facets 33-2.
- the reflective facets 33-2 can have different orientations, whereby a kind of glittering effect can be realized.
- the facets 33-2 differ in their inclinations ⁇ 2 .
- the inclinations ⁇ 2 of the facets 33-2 must also be at least 10 ° smaller than those of the facets 33-1 and may for example be between 0 ° and 5 °
- the inclination ⁇ 1 of the first type facets 33-1 is the same for all facets 33-1 and is 23 °, for example.
- the azimuth angle of the facets 33-2 of the second type may additionally or alternatively also vary.
- the inclination ⁇ 2 and / or the azimuth angle of Reflective facets 33-2 of the second type at least partially on a substantially random variation and therefore reflect light in different directions slightly different from the light incident direction. The glittering effect thus produced further increases the contrast with the reflective facets 33-1.
- the reflective or reflection-enhancing coating can also be present only in regions, in particular in the form of patterns, characters or a coding.
- the facets provided with a metal coating can be partially metallized or demetallized in the form of a symbol or a value number.
- the regional removal of the reflective or reflection-enhancing coating in the individual partial surfaces can, for example, also be effected by laser ablation of the coating through the lenses.
- a part of the facets may additionally be provided with a further, finer structuring.
- Such structuring is formed, for example, by nanostructuring, in particular by colored subwavelength structures which reflect into the zeroth diffraction order.
- other structures such as nanostructures such as moth-eye structures, or diffractive microrelief structures carrying holographic information are also possible.
- the reflectivity of the facets 33-2 of the second type can be advantageously influenced by non-diffractive matt structures, while the use of a nanostructuring such as, for B. moth-eye structures in the facets 33-1 of the first type has proved advantageous.
Landscapes
- Credit Cards Or The Like (AREA)
- Diffracting Gratings Or Hologram Optical Elements (AREA)
Abstract
Description
- Die Erfindung betrifft ein Sicherheitselement zur Absicherung von Sicherheitspapieren, Wertdokumenten und anderen Datenträgern, mit einer Darstellungsanordnung zur Darstellung eines oder mehrerer Sollbilder, deren Motive jeweils durch visuell erkennbare, kontrastierende Bildbereiche gebildet sind. Die Erfindung betrifft auch ein Verfahren zum Herstellen eines derartigen Sicherheitselements, sowie einen mit einem Sicherheitselement ausgestatteten Datenträger.
- Datenträger, wie etwa Wert- oder Ausweisdokumente, aber auch andere Wertgegenstände wie etwa Markenartikel, werden zur Absicherung oft mit Sicherheitselementen versehen, die eine Überprüfung der Echtheit des Datenträgers gestatten und die zugleich als Schutz vor unerlaubter Reproduktion dienen. Datenträger im Sinne der vorliegenden Erfindung sind insbesondere Banknoten, Aktien, Anleihen, Urkunden, Gutscheine, Schecks, hochwertige Eintrittskarten, aber auch andere fälschungsgefährdete Papiere, wie Pässe und sonstige Ausweisdokumente, Kreditkarten, Gesundheitskarten, sowie Produktsicherungselemente wie Etiketten, Siegel, Verpackungen und dergleichen. Der Begriff "Datenträger" schließt im Folgenden alle derartigen Gegenstände, Dokumente und Produktsicherungsmittel ein.
- Eine besondere Rolle bei der Echtheitsabsicherung spielen Sicherheitselemente mit betrachtungswinkelabhängigen Effekten, da diese selbst mit modernsten Kopiergeräten nicht reproduziert werden können. Die Sicherheitselemente werden dabei mit optisch variablen Elementen ausgestattet, die dem Betrachter unter unterschiedlichen Betrachtungswinkeln einen unterschiedlichen Bildeindruck vermitteln und beispielsweise je nach Betrachtungswinkel einen anderen Farb- oder Helligkeitseindruck und/ oder ein anderes graphisches Motiv zeigen. Beispielsweise können die Sicherheitselemente ein Kipp- oder Wechselbild, ein Bewegungsbild oder ein Stereobild enthalten.
- In diesem Zusammenhang ist es auch bekannt, Datenträger, beispielsweise Ausweiskarten, zur Absicherung mit lasergravierten Kippbildern zu versehen. Dabei werden zwei oder mehr verschiedene Kennzeichnungen, beispielsweise eine Seriennummer und ein Ablaufdatum, unter unterschiedlichen Winkeln durch eine Anordnung zylindrischer Linsen in die Karte lasergraviert. Die Laserstrahlung erzeugt dabei eine lokale Schwärzung des Kartenkörpers, die die eingravierten Kennzeichnungen visuell sichtbar macht. Bei der Betrachtung ist je nach Blickwinkel nur die jeweils aus dieser Richtung eingravierte Kennzeichnung sichtbar, so dass durch eine Verkippung der Karte senkrecht zur Achse der Zylinderlinsen ein optisch variabler Kippeffekt entsteht.
- Seit einiger Zeit werden auch sogenannte Moiré-Vergrößerungsanordnungen und andere mikrooptische Darstellungsanordnungen als Sicherheitsmerkmale eingesetzt. Die prinzipielle Funktionsweise von Moire-Vergrößerungsanordnungen ist in dem Artikel "The moire magnifier", M.C. Hutley, R. Hunt, R.F. Stevens and P. Savander, Pure Appl. Opt. 3 (1994), pp. 133-142, beschrieben. Kurz gesagt bezeichnet Moiré-Vergrößerung danach ein Phänomen, das bei der Betrachtung eines Rasters aus identischen Bildobjekten durch ein Linsenraster mit annähernd demselben Rastermaß auftritt. Wie bei jedem Paar ähnlicher Raster ergibt sich dabei ein Moiremuster, das aus einer periodischen Anordnung vergrößerter und gegebenenfalls gedrehter Bilder der Elemente des Bildrasters besteht.
- Der Einsatz von reflektiven Reliefmustern bei Wechselbildanordnungen mit zylindrischen Linsen ist bekannt, wie z. B. in der
US 4,417,784 A1 beschrieben ist. Je nach Neigung der in Form von ebenen Mikrospiegeln ausgebildeten nebeneinander angeordneten Abschnitte des Reliefmusters werden diese hell oder dunkel wahrgenommen. Um einen ausreichenden Kontrast zu erzielen, werden zur Erzeugung von dunklen Abschnitten Mikrospiegel mit vergleichsweise großen Neigungen vorgeschlagen. Die Herstellung solcher Strukturen, insbesondere auch die Replizierung und die Prägung von Strukturen mit hohem Aspektverhältnis (das Aspektverhältnis ist das Verhältnis von maximaler Tiefe zu minimaler lateraler Ausdehnung) ist allerdings nicht ganz unproblematisch. - Davon ausgehend liegt der Erfindung die Aufgabe zugrunde, ein Sicherheitselement der eingangs genannten Art anzugeben, das eine hohe Fälschungssicherheit mit einem kontrastreichen Erscheinungsbild verbindet und das hinsichtlich des Herstellverfahrens weniger eingeschränkt ist.
- Diese Aufgabe wird durch die Merkmale der unabhängigen Ansprüche gelöst. Weiterbildungen der Erfindung sind Gegenstand der Unteransprüche.
- Gemäß der Erfindung enthält die Darstellungsanordnung des eingangs genannten Sicherheitselements ein Linsenraster und ein von dem Linsenraster beabstandet angeordnetes Motivbild, das bei Betrachtung mit dem Linsenraster die vorbestimmten Sollbilder zeigt, wobei das Linsenraster aus einer Mehrzahl von sphärischen oder asphärischen Mikrolinsen gebildet ist und das Motivbild aus einer Mehrzahl von Elementarzellen gebildet ist. Weiter umfasst das Motivbild erfindungsgemäß eine Mehrzahl von reflektiven Facetten mindestens einer ersten und einer zweiten Art, die sich hinsichtlich ihrer Neigung unterscheiden und die bei Betrachtung mit dem Linsenraster die visuell erkennbaren, kontrastierenden Bildbereiche der Sollbilder erzeugen, wobei die reflektiven Facetten der ersten Art eine Neigung β1 aufweisen, die gegeben ist durch
mit
wobei f die Brennweite der Mikrolinse, h die Höhe der Mikrolinse im Scheitel, R den Krümmungsradius im Zentrum der Mikrolinse und r den Linsenradius der Mikrolinse darstellen, und die reflektiven Facetten der zweiten Art eine Neigung β2 aufweisen, die gegeben ist durch - In einem zweiten Aspekt enthält die Darstellungsanordnung des gattungsgemäßen Sicherheitselements ein Linsenraster und ein von dem Linsenraster beabstandet angeordnetes Motivbild, das bei Betrachtung mit dem Linsenraster die vorbestimmten Sollbilder zeigt, wobei das Linsenraster aus einer Mehrzahl von zylindrischen Mikrolinsen gebildet ist, die in einem Raster angeordnet sind, durch welches ein Koordinatensystem mit einer ersten Koordinatenachse, die durch die Brennpunktlinien der zylindrischen Mikrolinsen bestimmt ist, und einer zweiten Koordinatenachse aufgespannt ist, die senkrecht auf der ersten Koordinatenachse steht, und das Motivbild aus einer Mehrzahl von Elementarzellen gebildet ist. Weiter umfasst das Motivbild eine Mehrzahl von reflektiven Facetten mindestens einer ersten und einer zweiten Art, die sich hinsichtlich ihrer Neigung unterscheiden und die bei Betrachtung mit dem Linsenraster die visuell erkennbaren, kontrastierenden Bildbereiche der Sollbilder erzeugen, wobei die reflektiven Facetten der ersten Art eine Neigung aufweisen, deren Komponente β1 in Richtung der zweiten Koordinatenachse gegeben ist durch:
mit
wobei f die Brennweite der zylindrischen Mikrolinse, h die Höhe der zylindrischen Mikrolinse im Scheitel, R den Krümmungsradius im Zentrum der zylindrischen Mikrolinse und r den Linsenradius der zylindrischen Mikrolinse (bzw. 2r die Ausdehnung der zylindrischen Mikrolinse in Richtung der zweiten Koordinatenachse) darstellen, und die reflektiven Facetten der zweiten Art eine Neigung aufweisen, deren Komponente β2 in Richtung der zweiten Koordinatenachse gegeben ist durch - Es wurde festgestellt, dass eine signifikante Kontrasterhöhung für geneigte, mit einem Linsenraster betrachtete reflektive Facetten nur bis etwa zu dem mit vorstehender Beziehung (1A) berechneten Winkel stattfindet. Durch den Einsatz von reflektiven Facetten mit größeren Neigungen als β1 hingegen lässt sich der Kontrast gegenüber Facetten mit geringer Neigung bzw. Facetten mit einer Neigung gleich null zumindest nicht mehr wesentlich weiter erhöhen. Motivbilder mit reflektiven Facetten, die nach vorstehenden Beziehungen (1A) bzw. (1B) gestaltet sind, ermöglichen damit kontrastreiche Darstellungen bei einer gleichzeitig einfachen Herstellbarkeit, wie nachfolgend noch genauer erläutert ist.
- Die Orientierung der Facetten wird hier durch die Neigung und den Azimut-Winkel der reflektiven Facetten bestimmt. Natürlich kann die Orientierung der Facetten auch durch andere Parameter bestimmt sein. Insbesondere handelt es sich dabei um zwei zueinander orthogonale Parameter, wie z. B. die zwei Komponenten des Normalenvektors der jeweiligen Facette.
- Das Motivbild der Darstellungsanordnung liegt vorzugsweise in der Fokusebene der Mikrolinsen.
- Bei einer vorteilhaften Ausgestaltung ist die Neigung β2 der reflektiven Facetten der zweiten Art gegeben durch |β 1 - β 2| > 15°. Insbesondere kann die Neigung β2 der reflektiven Facetten der zweiten Art null sein.
- Mit Vorteil bilden die reflektiven Facetten, insbesondere die reflektiven Facetten der ersten Art ein periodisches oder aperiodisches Sägezahngitter. Bei aperiodischen Gittern können in vorteilhafter Weise Beugungseffekte, insbesondere Farbeffekte, wie z.B. diffraktive Farbeinstreuung, unterdrückt werden. Des Weiteren lassen sich mit aperiodischen Gittern auch unerwünschte Moire-Effekte vermeiden, wie sie bei der Überlagerung periodischer Gitter und Linsenraster entstehen können. Die Gitterperiode der reflektiven Facetten liegt vorzugsweise zwischen 2,5 µm und 100 µm, bevorzugt zwischen 3 µm und 15 µm.
- In vorteilhaften Ausgestaltungen setzt sich die Gitterperiode der reflektiven Facetten der ersten und/oder der zweiten Art jeweils über alle Elementarzellen hinweg mit derselben Phase fort. Ebenfalls mit Vorteil können die Gitterperiode und die Phase des Gitters der reflektiven Facetten der ersten und/oder der zweiten Art jeweils für alle Elementarzellen gleich sein. Die Ausgestaltung aller Gitter mit gleicher Phase und Periode (beide Arten und in allen Elementarzellen) kann insbesondere bei deren Herstellung von Vorteil sein, beispielsweise, wenn die Gitter der reflektiven Facetten der ersten und der zweiten Art entgegengesetzte Neigungen haben. Alternativ können sich, z. B. zur Vermeidung unerwünschter Moire-Effekte, die Gitterperiode und/ oder die Phase des Gitters der reflektiven Facetten der ersten und/ oder der zweiten Art von Elementarzelle zu Elementarzelle unterscheiden. Insbesondere können die Gitterperiode und/oder die Phase der reflektiven Facetten der ersten und/ oder der zweiten Art zumindest bereichsweise eine im Wesentlichen zufällige Variation aufweisen.
- Bei einer ebenfalls vorteilhaften Ausgestaltung weisen die reflektiven Facetten der ersten und/ oder der zweiten Art je Elementarzelle mehrere Facetten mit gleicher Neigung auf.
- Mit Vorteil weisen die Neigung und/ oder der Azimutwinkel der reflektiven Facetten der zweiten Art zumindest bereichsweise eine im Wesentlichen zufällige Variation auf. Die auf diese Weise unterschiedlich orientierten reflektiven Facetten bewirken eine Art Glitzereffekt, der den Kontrast zu den reflektiven Facetten der ersten Art noch verstärken kann.
- Die gewählte Formulierung, nach der die Gitterperiode, die Phase, die Neigung und/ oder der Azimutwinkel der Facetten bereichsweise eine im Wesentlichen zufällige Variation aufweisen, trägt dabei der Tatsache Rechnung, dass eine zufällige Variation auch beispielsweise mithilfe computergenerierter "Zufallszahlen" realisiert werden kann, die streng genommen deterministisch sind.
- Mit Vorteil kann zusätzlich oder alternativ auch die Strukturtiefe und/ oder gegebenenfalls die Gitterperiode der reflektiven Facetten der zweiten Art variiert werden.
- Die Neigung der reflektiven Facetten der ersten und/ oder zweiten Art kann sich auch zumindest bereichsweise kontinuierlich ändern. Damit lassen sich beispielsweise Laufeffekte oder dreidimensional gewölbt erscheinende Darstellungen erzeugen.
- Die Facetten sind bevorzugt als im Wesentlichen ebene Flächenstücke ausgebildet, was die Herstellung erleichtert. Die gewählte Formulierung, nach der die Facetten als im Wesentlichen ebene Flächenstücke ausgebildet sind, trägt dabei der Tatsache Rechnung, dass sich in der Praxis herstellungsbedingt in der Regel nie perfekt ebene Flächenstücke herstellen lassen. Die Facetten können alternativ auch als gekrümmte (z. B. konkave, konvexe oder gewellte) Flächenstücke ausgebildet sein. Die Krümmung der Flächenstücke ist dabei zweckmäßig gering.
- Bei dem erfindungsgemäßen Sicherheitselement kann die Anzahl der reflektiven Facetten insbesondere so gewählt sein, dass eine maximale vorgegebene Facettenhöhe bzw. Strukturtiefe der Facetten nicht überschritten wird. Die Facetten weisen insbesondere eine Strukturtiefe von 0 µm bis 10 µm, bevorzugt von 1,5 µm bis 4 µm auf.
- Der Durchmesser der sphärischen oder asphärischen Mikrolinsen bzw. die Ausdehnung der zylindrischen Mikrolinsen in Querrichtung beträgt mit Vorteil zwischen 5 µm und 100 µm, bevorzugt zwischen 10 µm und 30 µm. Die Ausdehnung der zylindrischen Mikrolinsen in Richtung der ersten Koordinatenachse beträgt zweckmäßig mehr als 250 µm, bevorzugt mehr als 500 µm, besonders bevorzugt mehr als 2 mm.
- Bei dem erfindungsgemäßen Sicherheitselement kann auf den Facetten zumindest bereichsweise eine reflektierende oder reflexionserhöhende Beschichtung ausgebildet sein. Reflexionserhöhende Beschichtungen im Sinne der Erfindung sind auch Beschichtungen, die den Reflexionsgrad beispielsweise nur von etwa 20% auf etwa 50% erhöhen, wie z.B. semitransparente Schichten, wohingegen bei reflektierenden Beschichtungen ein sehr hoher Reflexionsgrad vorliegt. Die reflektierende oder reflexionserhöhende Beschichtung kann eine metallische Beschichtung sein, die beispielsweise aufgedampft ist. Als Beschichtungsmaterial kann insbesondere Aluminium, Gold, Silber, Kupfer, Palladium, Chrom, Nickel und/oder Wolfram sowie deren Legierungen verwendet werden. Alternativ kann die reflektierende oder reflexionserhöhende Beschichtung durch eine Beschichtung mit einem Material mit hohem Brechungsindex gebildet werden.
- In vorteilhaften Ausgestaltungen kann die reflektierende oder reflexionserhöhende Beschichtung nur bereichsweise, vorzugsweise in Form von Mustern, Zeichen oder einer Codierung ausgebildet sein, das/die ein makroskopisches, mit bloßem Auge ohne Hilfsmittel, insbesondere ohne Vergrößerung durch die Mikrolinsen, sichtbares zusätzliches Motiv bilden.
- Insbesondere kann auf den Facetten zumindest bereichsweise eine farbkippende Schicht ausgebildet sein. Gemäß einer vorteilhaften Ausgestaltung können auch bereichsweise unterschiedliche farbkippende Schichten auf den Facetten ausgebildet sein. Sowohl die reflexionserhöhende Beschichtung als auch die farbkippende Schicht können in Form von Mustern, Zeichen oder Codierungen vorliegen und/ oder Aussparungen in Form von Mustern, Zeichen oder Codierungen aufweisen.
- Die farbkippende Schicht kann insbesondere als Dünnschichtsystem bzw. Dünnfilm-Interferenzbeschichtung ausgebildet sein. Dabei kann z.B. eine Schichtfolge Metallschicht/ dielektrische Schicht/ Metallschicht oder eine Schichtfolge aus mindestens drei dielektrischen Schichten, wobei die Brechzahl der mittleren Schicht geringer ist als die Brechzahl der beiden anderen Schichten, verwirklicht werden. Als dielektrisches Material kann z.B. ZnS, SiO2, TiO2, MgF2 verwendet werden.
- Die farbkippende Schicht kann auch als Interferenzfilter, dünne semitransparente Metallschicht mit selektiver Transmission durch Plasmonenresonanzeffekte, Nanopartikel, etc. ausgebildet sein. Die farbkippende Schicht kann insbesondere auch als Flüssigkristallschicht realisiert sein. Auch ein Dünnfilmsystem mit einem Aufbau Reflektor/Dielektrikum/Absorber ist möglich.
- In weiteren vorteilhaften Ausgestaltungen ist auf einem Teil der reflektiven Facetten eine zusätzliche Strukturierung, bevorzugt eine diffraktive Struktur, eine Struktur mit mattierender oder streuender Wirkung und/ oder eine Nanostrukturierung, insbesondere durch farbige Subwellenlängenstrukturen, die in die nullte Beugungsordnung reflektieren, vorgesehen. Insbesondere kann auf den reflektiven Facetten der zweiten Art eine nicht beugende Mattstruktur vorgesehen sein.
- Die Anordnung der Mikrolinsen kann zweckmäßig mit einer Schutzschicht versehen sein, deren Brechungsindex vorzugsweise um mindestens 0,3 von dem Brechungsindex der Mikrolinsen abweicht. In diesem Fall ändert sich durch die Schutzschicht die Brennweite der Linsen, was bei der Dimensionierung der Linsen-Krümmungsradien und/ oder der Dicke der Abstandsschicht berücksichtigt werden muss. Neben dem Schutz vor Umwelteinflüssen verhindert eine derartige Schutzschicht auch, dass sich die Linsen zu Fälschungszwecken leicht abformen lassen.
- Die Darstellungsanordnung selbst kann eine Anordnung zur unskalierten Darstellung von Sollbildern und insbesondere ein Wechselbild, ein Bewegungsbild, ein Pumpbild, ein Morphbild oder ein Stereobild sein, aber mit Vorteil auch eine mikrooptische Darstellungsanordnung, insbesondere eine Moiré-Vergrößerungsanordnung, eine Vergrößerungsanordnung vom Moire-Typ oder eine Modulo-Vergrößerungsanordnung. Das Grundprinzip solcher mikrooptischen Darstellungsanordnungen ist in den Druckschriften
WO 2007/076952 ,WO 2009/000529 undWO 2009/000528 erläutert, deren Offenbarungsgehalt insoweit in die vorliegende Beschreibung aufgenommen wird. Alle diese mikrooptischen Vergrößerungsanordnungen enthalten ein Motivbild mit Mikromotivbildteilen, das bei Betrachtung mit einem geeignet abgestimmten Betrachtungsraster ein vorgegebenes Sollbild rekonstruiert. - Bei mikrooptischen Darstellungsanordnungen wie Moiré-Vergrößerungsanordnungen werden üblicherweise sowohl das Raster der Bildobjekte als auch das Linsenraster durch UV-Prägungen auf gegenüberliegenden Seiten einer Trägerfolie hergestellt. Die Dicke der Trägerfolie ist dabei so bemessen, dass sich die Bildobjekte unter Berücksichtigung der beiden Restlackdicken genau in der Fokusebene der Mikrolinsen befinden. Das Moiré-vergrößerte Bild wird allerdings unscharf, wenn die Position der Bildobjekte zu weit von der Fokusebene abweicht.
- Das Motivbild kann bei unskaliert darstellenden Systemen, beispielsweise bei nicht vergrößernden Wechselbildern, auch in einer von der Fokusebene der Mikrolinsen geringfügig abweichenden (parallelen) Ebene liegen. In diesem Fall vergrößern sich lediglich die Winkelbereiche, in denen Übergänge zwischen verschiedenen Sollbildern stattfinden, auf Kosten der Winkelbereiche, in denen jeweils nur ein Sollbild sichtbar ist. Die für das visuelle Erscheinungsbild wesentlich bedeutsamere Schärfe der Sollbilder wird dagegen von der Abweichung nicht beeinträchtigt.
- Dieser Effekt kann auch gezielt dazu genutzt werden, um die Dicke der Trägerfolie bzw. einer Abstandsschicht und damit die Gesamtdicke des Sicherheitselements weiter zu reduzieren. Dabei sollte berücksichtigt werden, dass Abweichungen der Motivbildebene von der Fokusebene hier auch zu einer Auffächerung der Strahlenbündel der reflektierten Strahlung führen und damit gegebenenfalls den Kontrast abschwächen können.
- In einer vorteilhaften Ausgestaltung ist bei einem Sicherheitselement mit einer Darstellungsanordnung zur unskalierten Darstellung von Sollbildern jede der Elementarzellen in zwei oder mehr Teilflächen zerlegt. Dabei ist jede dieser Teilflächen genau einem der Sollbilder zugeordnet und enthält jeweils einen unskalierten Ausschnitt des Sollbilds, dem die Teilfläche zugeordnet ist. Die Teilflächen der verschiedenen Elementarzellen können bei unskaliert darstellenden Systemen mit Zylinderlinsen zu zusammenhängenden Streifen verschmelzen.
- Die relative Lage der Mikrolinsen und der Teilfläche der Elementarzellen legen jeweils einen Betrachtungswinkelbereich fest, aus der das Sollbild, dem die Teilfläche zugeordnet ist, bei der Betrachtung unskaliert gezeigt ist. Die dargestellten Sollbilder sind dabei jeweils aus einem gewissen Betrachtungswinkelbereich um eine zentrale Betrachtungsrichtung herum sichtbar, wobei die Größe dieses Sichtbarkeitsbereichs insbesondere durch die Größe der Teilflächen gegeben ist. Abkürzend wird im Rahmen dieser Beschreibung manchmal von einer Betrachtungsrichtung gesprochen, wobei es sich versteht, dass diese Angabe den durch die endliche Größe der Teilflächen bestimmten Sichtbarkeitsbereich um diese Betrachtungsrichtung herum mit einschließt.
- Das Sicherheitselement ist mit Vorteil ein Sicherheitsfaden, ein Aufreißfaden, ein Sicherheitsband, ein Sicherheitsstreifen, ein Patch oder ein Etikett zum Aufbringen auf ein Sicherheitspapier, Wertdokument oder dergleichen.
- Die Erfindung enthält auch einen Datenträger, der mit einem Sicherheitselement der oben beschriebenen Art ausgestattet ist. Das Sicherheitselement kann dabei insbesondere in den Datenträger eingebettet sein oder auf den Datenträger aufgebracht sein.
- Die Erfindung enthält weiter ein Verfahren zum Herstellen eines Sicherheitselements mit einer Darstellungsanordnung zur Darstellung eines oder mehrerer Sollbilder, deren Motive jeweils durch visuell erkennbare, kontrastierende Bildbereiche gebildet sind, bei dem
- zur Erzeugung einer Darstellungsanordnung ein Motivbild beabstandet von einem Linsenraster angeordnet wird, so dass das Motivbild bei Betrachtung mit dem Linsenraster die vorbestimmten Sollbilder zeigt, wobei
- das Linsenraster aus einer Mehrzahl von sphärischen oder asphärischen Mikrolinsen gebildet wird und
- das Motivbild aus einer Mehrzahl von Elementarzellen gebildet wird, wobei das Motivbild eine Mehrzahl von reflektiven Facetten mindestens einer ersten und einer zweiten Art umfasst, die sich hinsichtlich ihrer Neigung unterscheiden und die bei Betrachtung mit dem Linsenraster die visuell erkennbaren, kontrastierenden Bildbereiche der Sollbilder erzeugen, wobei
- die reflektiven Facetten der ersten Art eine Neigung β1 aufweisen, die gegeben ist durch
mit
wobei f die Brennweite der Mikrolinse, h die Höhe der Mikrolinse im Scheitel, R den Krümmungsradius im Zentrum der Mikrolinse und r den Linsenradius der Mikrolinse darstellen, und - die reflektiven Facetten der zweiten Art eine Neigung β2 aufweisen, die gegeben ist durch |β 1 - β2| > 10°.
- Daneben enthält die Erfindung auch ein Verfahren zum Herstellen eines Sicherheitselements mit einer Darstellungsanordnung zur Darstellung eines oder mehrerer Sollbilder, deren Motive jeweils durch visuell erkennbare, kontrastierende Bildbereiche gebildet sind, bei dem
- zur Erzeugung einer Darstellungsanordnung ein Motivbild beabstandet von einem Linsenraster angeordnet wird, so dass das Motivbild bei Betrachtung mit dem Linsenraster die vorbestimmten Sollbilder zeigt, wobei
- das Linsenraster aus einer Mehrzahl von zylindrischen Mikrolinsen gebildet wird, die in einem Raster angeordnet sind, durch welches ein Koordinatensystem mit einer ersten Koordinatenachse, die durch die Brennpunktlinien der zylindrischen Mikrolinsen bestimmt ist, und einer zweiten Koordinatenachse aufgespannt ist, die senkrecht auf der ersten Koordinatenachse steht,
- das Motivbild aus einer Mehrzahl von Elementarzellen gebildet wird, wobei das Motivbild eine Mehrzahl von reflektiven Facetten mindestens einer ersten und einer zweiten Art umfasst, die sich hinsichtlich ihrer Neigung unterscheiden und die bei Betrachtung mit dem Linsenraster die visuell erkennbaren, kontrastierenden Bildbereiche der Sollbilder erzeugen, wobei
- die reflektiven Facetten der ersten Art eine Neigung aufweisen, deren Komponente β1 in Richtung der zweiten Koordinatenachse gegeben ist durch
mit
wobei f die Brennweite der zylindrischen Mikrolinse, h die Höhe der zylinderischen Mikrolinse im Scheitel, R den Krümmungsradius im Zentrum der zylindrischen Mikrolinse und r den Linsenradius der zylindrischen Mikrolinse darstellen, und - die reflektiven Facetten der zweiten Art eine Neigung aufweisen, deren Komponente β2 in Richtung der zweiten Koordinatenachse gegeben ist durch |β 1-β 2| >10°.
- Es versteht sich, dass die vorstehend genannten und die nachstehend noch zu erläuternden Merkmale nicht nur in den angegebenen Kombinationen, sondern auch in anderen Kombinationen oder in Alleinstellung einsetzbar sind, ohne den Rahmen der vorliegenden Erfindung zu verlassen.
- Weitere Ausführungsbeispiele sowie Vorteile der Erfindung werden nachfolgend anhand der Figuren erläutert, bei deren Darstellung auf eine maßstabs- und proportionsgetreue Wiedergabe verzichtet wurde, um die Anschaulichkeit zu erhöhen.
- Es zeigen:
- Fig.1
- eine schematische Darstellung einer Banknote mit einem erfindungsgemäßen Sicherheitselement, das eine Moire-Vergrößerungsanordnung enthält,
- Fig. 2
- schematisch den Aufbau eines erfindungsgemäßen Sicherheitselements, beispielsweise eines Transferelements im Querschnitt,
- Fig. 3
- schematisch die Wirkungsweise von Mikrospiegeln, wie sie in erfindungsgemäßen Darstellungsanordnungen eingesetzt werden, wobei (a) und (b) jeweils eine Querschnittsansicht einer Moiré-Vergrößerungsanordnung zeigen,
- Fig. 4
- schematisch die Verhältnisse bei der Betrachtung einer erfindungsgemäßen Darstellungsanordnung zur Definition der auftretenden Größen,
- Fig. 5
- schematisch einen Ausschnitt eines erfindungsgemäßen Sicherheitselements, beispielsweise des Transferelements der
Fig. 1 , in Aufsicht, - Fig. 6
- eine schematische Querschnittsansicht des Sicherheitselements entlang der Linie VI-VI in
Figur 5 , und - Fig. 7
- schematisch eine Querschnittsansicht des Motivbilds eines weiteren erfindungsgemäßen Sicherheitselements.
- Die Erfindung wird nun am Beispiel von Sicherheitselementen für Banknoten und andere Wertdokumente erläutert.
Figur 1 zeigt dazu eine schematische Darstellung einer Banknote 10, die mit einem erfindungsgemäßen Sicherheitselement in Form eines aufgeklebten Transferelements 12 versehen ist. Das Transferelement 12 stellt im Ausführungsbeispiel eine Moire-Vergrößerungsanordnung dar, die dem Betrachter ein Sollbild 14 präsentiert. Das Sollbild 14 zeigt ein Motiv, das durch visuell erkennbare und kontrastierende Bildbereiche 16 bzw. 17 gebildet ist. - Im Ausführungsbeispiel ist das Motiv des Sollbilds durch metallisch glänzende, dunkel erscheinende Buchstaben "PL" vor einem ebenfalls metallisch glänzenden, aber hell erscheinenden Hintergrund gebildet (hier dargestellt durch die schwarzen Buchstaben "PL" vor weißem Hintergrund). Es versteht sich, dass in der Praxis zumeist komplexere Motive, beispielsweise die Denomination der Banknote, geometrische Muster, Portraits, architektonische, technische oder Naturmotive verwendet werden. Die Motive können dabei insbesondere auch in Form von gerasterten Halbtondarstellungen vorliegen.
- Die Erfindung ist allerdings nicht in irgendeiner Weise auf Moire-Vergrößerungsanordnungen beschränkt. Vielmehr kann die Erfindung bei allen Darstellungsanordnungen mit einer kontrastierenden reflektiven Motivschicht Anwendung finden, insbesondere auch bei Vergrößerungsanordnungen vom Moire-Typ, Modulo-Vergrößerungsanordnungen, oder auch bei Wechselbildern, Bewegungsbildern, Pumpbilder, Morphbildern oder Stereobildern unskaliert darstellender Systeme.
- Die Erfindung ist auch nicht auf die zur Illustration verwendeten Transferelemente bei Banknoten beschränkt, sondern kann beispielsweise auch bei Sicherheitsfäden, breiten Sicherheitsstreifen oder Abdeckfolien eingesetzt werden, die über einem Fensterbereich oder einer durchgehenden Öffnung eines Dokuments angeordnet sind. Insbesondere ist es auch denkbar, dass die Mikrolinsen bzw. die reflektiven Facetten auf unterschiedlichen Seiten eines zumindest bereichsweise transparenten Banknotensubstrats, beispielsweise eines Substrats aus polymerem Material, aufgebracht bzw. in ein solches eingebracht sind.
-
Figur 2 zeigt schematisch den Aufbau eines erfindungsgemäßen Sicherheitselements 20, beispielsweise eines Transferelements, im Querschnitt. Dargestellt sind hier, wie auch in den weiteren Figuren, nur die für die Erläuterung des Funktionsprinzips erforderlichen Teile des Aufbaus. - Das Sicherheitselement 20 der
Fig. 2 weist einen Träger 22 in Form einer transparenten Kunststofffolie, beispielsweise einer etwa 20 µm dicken PET-Folie auf. Die Oberseite des Trägers 22 ist im Ausführungsbeispiel mit einem Betrachtungsraster in Form einer rasterförmigen Anordnung von sphärisch oder asphärisch ausgestalteten Mikrolinsen 24 versehen, deren Durchmesser d im Ausführungsbeispiel d = 20 µm beträgt. Die Mikrolinsen 24 bilden auf der Oberfläche der Trägerfolie 22 ein zweidimensionales Bravais-Gitter mit einer vorgewählten Symmetrie. Das Bravais-Gitter kann beispielsweise eine hexagonale Gittersymmetrie aufweisen. Möglich sind jedoch auch andere, insbesondere niedrigere Symmetrien und damit allgemeinere Formen, wie etwa die Symmetrie eines Parallelogramm-Gitters. Es können auch bereichsweise unterschiedliche Symmetrien bzw. Bravais-Gitter vorliegen. - Der Abstand benachbarter Mikrolinsen 24 ist vorzugsweise so gering wie möglich gewählt, um eine möglichst hohe Flächendeckung und damit eine kontrastreiche Darstellung zu gewährleisten. Auf der Unterseite des Trägers 22 ist eine Motivschicht 26 ausgebildet, die ein in eine Mehrzahl von Elementarzellen 28 eingeteiltes Motivbild mit Mikrobildbereichen 29A und 29B enthält. Die Anordnung der Elementarzellen 28 bildet ebenfalls ein zweidimensionales Bravais-Gitter mit einer vorgewählten Symmetrie.
- Im Fall einer Moire-Vergrößerungsanordnung unterscheidet sich dabei das Bravais-Gitter der Elementarzellen 28 in seiner Ausrichtung und/ oder in der Größe seiner Gitterparameter geringfügig von dem Bravais-Gitter der Mikrolinsen 24. Je nach Art und Größe des Unterschieds entsteht bei der Betrachtung des Motivbilds ein vergrößertes Bild der Mikrobildbereiche.
- Die optische Dicke der Trägerfolie 22 und die Brennweite der Mikrolinsen 24 sind so aufeinander abgestimmt, dass sich die Motivschicht 26 etwa im Abstand der Linsenbrennweite bzw. in der Fokusebene befindet. Die Trägerfolie 22 bildet somit eine optische Abstandsschicht, die einen gewünschten, konstanten Abstand der Mikrolinsen 24 und der Motivschicht 26 mit dem Motivbild gewährleistet.
- Bei Betrachtung des Motivbilds 26 mit dem Linsenraster wird das Motiv aus den in den Elementarzellen 28 angeordneten abgebildeten Mikrobildbereichen 29A, 29B rekonstruiert, wobei das Motiv je nach Auslegung der Darstellungsanordnung vor und/oder hinter der Bildebene schweben oder in der Bildebene liegen kann.
- Wie in
Fig. 2 gezeigt, enthält das Sicherheitselement 20 typischerweise weitere Schichten 32, wie etwa Schutz-, Abdeck- oder weitere Funktionsschichten, die für die vorliegende Erfindung jedoch nicht wesentlich sind und daher nicht näher beschrieben werden. Auch auf den Mikrolinsen kann eine (hier nicht gezeigte) Schutzschicht vorgesehen sein, deren Brechungsindex vorzugsweise um mindestens 0,3 von dem Brechungsindex der Mikrolinsen abweicht. - Moiré-Vergrößerungsanordnungen, die verschiedenfarbige Motive zeigen, sind bekannt. Um die verschiedenfarbigen Motive zu erzeugen, werden die in den einzelnen Mikrobildbereichen 29A, 29B liegenden Motivteile beispielsweise in der gewünschten Form aufgedruckt. Die Besonderheit der hier beschriebenen Darstellungsanordnungen besteht nun darin, dass das Motiv des Sollbilds 14 durch kontrastierende, unterschiedlich reflektierende Bildbereiche 16,17 gebildet ist. Um ein Motiv mit unterschiedlichen Reflexionseigenschaften zu erzeugen, werden die in den einzelnen Mikrobildbereichen 29A, 29B liegenden Motivteile des Sollbilds 14 erfindungsgemäß durch unterschiedlich orientierte Reliefs gebildet. Um dabei einen ausreichenden Kontrast zu gewährleisten, wird wie folgt vorgegangen.
- Der Aufbau und die prinzipielle Funktionsweise eines erfindungsgemäßen Sicherheitselements 20, beispielsweise des Transferelements 12 der
Fig. 1 , wird nun mit Bezug auf dieFiguren 3 bis 7 näher beschrieben. - In
Figur 3 ist der prinzipielle Aufbau einer erfindungsgemäßen Darstellungsanordnung 40 gezeigt. Dort ist unter der Annahme idealisierter (sphärischer oder zylindrischer) Linsen exemplarisch der Strahlengang der rechten bzw. linken Randstrahlen für den Fall senkrechten Lichteinfalls (entspricht senkrechter Aufsicht) eingezeichnet. Ferner wird vorausgesetzt, dass sich die Mikrospiegel in der Brennebene der Linsen befinden. - In den in
Figur 3 gezeigten Ausschnitten der Darstellungsanordnung 40 sind jeweils unter einer Mikrolinse angeordnete, als Mikrospiegel ausgebildete Facetten 42-1 und 42-2 einer ersten und einer zweiten Art in einem Schnitt durch die y-z-Ebene gezeigt. Die Mikrospiegel 42-1, 42-2 weisen jeweils eine Reflexionsfläche 44-1, 44-2 auf, die die optisch wirksame Fläche der Facette ist und deren Orientierung durch die Angabe der Neigung bestimmt ist. -
Fig. 3(a) zeigt den Fall, dass die Reflexionsfläche 44-2 des Mikrospiegels 42-2 nicht gegen die Oberfläche der Linsenanordnung geneigt ist. Für den gezeigten Mikrospiegel ist β daher gleich null. Die einfallende Strahlung (Lichtstrahlen L1, L2) wird in diesem Fall in dieselbe Richtung zurückgeworfen, aus der sie eingetreten ist. Die Lichtstrahlen L1, L2 verlassen die Linsenanordnung durch die Linse, durch die sie auch eingefallen sind, und werden alle in dieselbe Richtung zurückgeworfen. - Bei dem in
Fig. 3(b) gezeigten Fall ist die Reflexionsfläche des Mikrospiegels 42-1 gegen die Oberfläche der Linsenanordnung (und im Fall von Zylinderlinsen senkrecht zur Längsrichtung der Zylinderlinsen bzw. in Krümmungsrichtung der Zylinderlinsen) mit der Neigung |β|> 0 ° geneigt. - Wie in
Fig. 3(b) dargestellt, verlässt der Teil der Strahlung, der nach der Reflexion an dem Mikrospiegel 42-1 die Linsenanordnung durch die Linse verlässt, durch die er eingefallen ist, die Linsenanordnung ebenfalls senkrecht nach oben. Die Neigung β des Mikrospiegels 42-1 hat bei diesem Teil der Strahlung keinen Einfluss auf Ausbreitungsrichtung (siehe Lichtstrahl L1: nach Verlassen der Linse entspricht die Ausbreitungsrichtung im Wesentlichen der Ausbreitungsrichtung der Strahlung in dem inFigur 3(a) dargestellten Fall, wobei der Lichtstrahl L1 im Vergleich hierzu lediglich etwas versetzt austritt). Ein Teil der Strahlung (hier der Lichtstrahl L2) läuft nach Reflexion an dem Mikrospiegel 42-1 jedoch an der Linse vorbei und verlässt die Anordnung beispielsweise durch eine benachbarte Linse. In diesem Fall wird die Ausbreitungsrichtung der Lichtstrahlen verändert. Nach Verlassen breitet sich der Lichtstrahl L2 in eine Richtung aus, die durch Brechung an der Oberfläche der ersten Linse, Neigung des Mikrospiegels in Bezug auf die Oberfläche der Linsenanordnung und Brechung an der Oberfläche einer benachbarten (und hier nicht gezeigten) zweiten Linse bestimmt ist. - Auf diese Weise entsteht ein Kontrast gegenüber dem in
Fig. 3(a) gezeigten Fall, bei dem die Reflexionsfläche des Mikrospiegels nicht gegen die Oberfläche der Linsenanordnung geneigt ist (β = 0°). Ein Teil der Strahlung (beispielhaft Lichtstrahl L1) verhält sich zwar praktisch wie in dem inFig. 3(a) gezeigten einfachsten Fall. Bei dem verbleibenden Teil der Strahlung wird hingegen die Ausbreitungsrichtung verändert. Bei Betrachtung aus Richtung der senkrecht einfallenden Lichtstrahlen erscheint die Darstellungsanordnung daher im Bereich der Facette 42-1 dunkler als im Bereich der Facette 42-2. Erfindungsgemäß ist nun vorgesehen, diesen Teil der Strahlung und damit den Kontrast zu erhöhen. - Ob der Bereich der Facette 42-1 oder der Bereich der Facette 42-2 heller bzw. dunkler erscheint, hängt letztendlich davon ab, wie die Umgebung ausgeleuchtet ist. Ein Betrachter blickt in einen durch Brechung der Lichtstrahlen an der Oberfläche der Linsen, Reflexion an den Facetten und erneute Brechung an der Oberfläche der Linsen mehr oder weniger weit aufgefächerten Raumwinkelbereich der Umgebung. Die Helligkeit der Umgebung in diesem Raumwinkelbereich gibt vor, ob der zugehörige Bereich dem Betrachter hell oder dunkel erscheint. Je größer der Raumwinkelbereich ist, desto größer ist der Bereich, über den die Helligkeit der Umgebung praktisch gemittelt wird und desto schwächer ist der Kontrast.
- In der schematischen Darstellung in
Figur 4 ist exemplarisch der Strahlengang der im Zentrum bzw. im Randbereich der Linse senkrecht einfallenden Strahlen eingezeichnet (Lichtstrahlen L3, L4, L5). Dabei wird weiter vorausgesetzt, dass sich der Mikrospiegel bzw. die Facette 42-1 in der Fokusebene der (idealisierten sphärischen) Linse 24 befindet. - Wie in
Figur 4 veranschaulicht, muss ein Mikrospiegel etwa im Winkel β* gegen die Horizontale geneigt sein, damit die durch die darüber liegende Mikrolinse 24 (senkrecht) einfallenden Lichtstrahlen L3, L4, L5 nicht mehr dorthin zurückgelangen, sondern in einen Bereich neben dieser Linse abgelenkt werden. - Es gilt daher näherungsweise:
wobei f die Brennweite der Mikrolinse, h die Höhe der Mikrolinse im Scheitel, R den Krümmungsradius im Zentrum der Mikrolinse und r den Linsenradius der Mikrolinse darstellen. Für die Neigung β1 der reflektiven Facetten 42-1 der ersten Art kann daher angenommen werden:
d. h. die reflektiven Facetten der ersten Art können erfindungsgemäß auch eine Neigung β1 aufweisen, die um weniger als ± 15 % von β* abweicht. - Die vorstehende Bedingung gilt auch für zylindrische Mikrolinsen, bei denen die reflektiven Facetten eine Neigung β1 in einer senkrecht zu den Brennpunktlinien bzw. parallel zur zweiten Koordinatenachse verlaufenden Richtung aufweisen, wobei R hier den Krümmungsradius im Zentrum der zylindrischen Mikrolinse und r den Linsenradius der zylindrischen Mikrolinse darstellen.
-
- Bei einem Linsendurchmesser d = 22 µm (bzw. r = 11 µm) und einem Krümmungsradius R = 12 µm im Zentrum der Mikrolinse ergibt sich daraus eine Neigung β* = 21°. Die Neigung β1 der reflektiven Facetten der ersten Art kann entsprechend zwischen 17,85° und 21,15° liegen.
- Ohne an diese Erklärung gebunden zu sein, findet für Neigungen bis zu diesem Wert eine kontinuierliche Erhöhung des Anteils der neben die Linse reflektierten Strahlung und entsprechend eine Kontrasterhöhung gegenüber nicht oder nur geringfügig geneigten reflektiven Facetten bei Betrachtung mit einem Linsenraster statt. Ab etwa einer Neigung β* werden die durch die darüber liegende Mikrolinse einfallenden Lichtstrahlen L3, L4, L5 zumindest bei senkrechter Betrachtung zu einem überwiegenden Teil in einen Bereich neben diese Linse abgelenkt bzw. reflektiert.
- Weiter wurde festgestellt, dass sich durch den Einsatz von reflektiven Facetten mit größeren Neigungen als β1 der Kontrast gegenüber Facetten einer zweiten Art mit geringerer Neigung β2 bzw. mit einer Neigung β2 gleich null zumindest nicht mehr wesentlich erhöhen lässt. Auch kann der Einsatz solcher reflektiven Facetten - bei deutlich größeren Neigungen - mit Schwierigkeiten bei der Herstellung verbunden sein. Für einen optimalen Kontrast weisen die reflektiven Facetten der zweiten Art dabei erfindungsgemäß eine Neigung β2 auf, die gegeben ist durch |β 1 - β 2| > 10°, also um mindestens 10 ° kleiner ist als die Neigung β1.
- Motivbilder mit reflektiven Facetten einer ersten und zweiten Art, die nach vorstehenden Bedingungen gestaltet sind, ermöglichen damit einen ausreichenden Kontrast bei einer durch eine minimale Prägehöhe bedingten einfachen Herstellbarkeit. Insbesondere lassen sich dadurch Schwierigkeiten, die beispielsweise daraus resultieren, dass Facetten große Aspektverhältnisse, insbesondere Aspektverhältnisse > 1, also eine im Vergleich zur Strukturweite große Strukturtiefe aufweisen, bei der Herstellung vermeiden oder zumindest reduzieren.
- Das Motivbild 26 ist erfindungsgemäß aus einer Mehrzahl von identischen Elementarzellen 28 zusammengesetzt, von denen ausschnittsweise einige in
Figur 5 in schematischer Weise gezeigt sind, wobei, wie auch in den weiteren Figuren, nur die für die Erläuterung des Funktionsprinzips erforderlichen Teile des Aufbaus dargestellt sind. - Für die exemplarisch geschilderte Moiré-Vergrößerungsanordnung des Sicherheitselements 30 werden die Elementarzellen 28 des Motivbilds 26 wie vorstehend erläutert passend zum Raster der Mikrolinsen 24 in einem Raster nebeneinander angeordnet. Die in
Figur 5 gezeigten Elementarzellen 28 sind hier der Einfachheit halber ebenso wie die Mikrolinsen 24 in einem Hexagonalraster angeordnet. - Das Motivbild 26 enthält zwei Arten von reflektiven Facetten 33-1 und 33-2, die sich in ihrer Orientierung unterscheiden und die bei Betrachtung mit dem Linsenraster die visuell erkennbaren, kontrastierenden Bildbereiche des Sollbilds 14 erzeugen. Die Facetten 33-1 bilden dabei einen ersten Mikrobildbereich 29A, beispielsweise einen Vordergrund, die Facetten 33-2 einen zweiten Mikrobildbereich 29B, beispielsweise einen Hintergrund.
- Die Erfindung ist nicht auf die Unterteilung in zwei Arten von Facetten beschränkt. Vielmehr können auch weitere Arten von Facetten mit unterschiedlicher Orientierung vorgesehen sein, beispielsweise zur Erzeugung verschiedener Hell-Dunkel-Effekte oder auch zur Erzeugung eines Graustufenbilds.
- In
Figur 6 ist die Schnittansicht entlang der Linie VI-VI vonFigur 5 dargestellt, wobei die Darstellung inFigur 6 sowie auch in den anderen Figuren nicht maßstabsgetreu ist, sondern teilweise zur besseren Darstellbarkeit stark übertrieben ist. Ferner ist zur Vereinfachung der Darstellung inFigur 6 sowie auch inFigur 7 eine optional vorhandene reflektierende oder hochbrechende Beschichtung auf den Facetten 33-1,33-2 nicht eingezeichnet. - Mit Bezug auf
Figur 6 umfasst die Motivschicht eine auf den Träger 22 aufgebrachte Prägeschicht 36, in der die reflektiven Facetten 33-1,33-2 ausgebildet sind: Die so strukturierte Prägeschicht 36 ist dabei bevorzugt mit einer reflektierenden oder reflexionserhöhenden Beschichtung beschichtet. Auf die Prägeschicht 36 kann vollflächig ein Metall, beispielsweise Aluminium aufgedampft werden, so dass eine vollflächige Metallbeschichtung entsteht. - Wie in
Figur 6 gezeigt, ist die Neigung β1 für alle Facetten 33-1 gleich und beträgt im Ausführungsbeispiel 21°. Die Gitterperiode der ein periodisches Sägezahngitter bildenden Facetten 33-1 liegt bevorzugt zwischen 2,5 µm und 100 µm und insbesondere zwischen 3 µm und 20 µm. Beispielsweise beträgt die Gitterperiode 4 µm. Die Neigung β2 der Facetten 33-2 der zweiten Art beträgt 0°. Im Ausführungsbeispiel bilden die Facetten 33-1 einen Vordergrund, hier den Buchstaben "A", die Facetten 33-2 einen Hintergrund. - Je nach Betrachtungs- bzw. Beleuchtungssituation erscheinen die Facetten 33-1 oder die Facetten 33-2 bei Betrachtung durch das Linsenraster hell. Beim Kippen des Sicherheitselements in einer parallel zur Neigung β1 der Facette 33-1 verlaufenden Richtung (bzw. im Falle von zylindrischen Mikrolinsen in einer parallel zur zweiten Koordinatenachse verlaufenden Richtung) kann der Betrachter daher bei dem Motiv einen Kontrastwechsel wahrnehmen, d. h. vorher hell erscheinende Bildbereiche des Motivs erscheinen dann dunkel, vorher dunkel erscheinende Bildbereiche des Motivs erscheinen nach dem Kippen hell.
- Bei den in
Figur 6 gezeigten Facetten 33-1 sind die Gitterperiode und die Phase des Gitters jeweils für alle Elementarzellen 28 identisch. In einer hier nicht gezeigten Alternative kann sich die Gitterperiode der Facetten 33-1 aber auch über alle Elementarzellen 28 hinweg mit derselben Phase fortsetzen, wodurch sich beispielsweise nicht erwünschte, durch eine Moiré-Vergrößerung der Grenzen der Facetten 33-1 bedingte Effekte verhindern lassen. -
Figur 7 zeigt eine weitere Möglichkeit, den Hell-Dunkel-Kontrast zu steigern. Wie dort exemplarisch anhand der Querschnittsansicht einiger Elementarzellen des Motivbilds dargestellt und wie insbesondere der Detailansicht zu entnehmen ist, kann auch der zweite Bildbereich des Sollbilds 14 durch eine Mehrzahl von reflektiven Facetten 33-2 gebildet werden. Die reflektiven Facetten 33-2 können dabei unterschiedliche Orientierungen aufweisen, wodurch sich eine Art Glitzereffekt realisieren lässt. Im Ausführungsbeispiel unterscheiden sich die Facetten 33-2 in ihren Neigungen β2. Um einen ausreichenden Kontrast zu den Facetten 33-1 der ersten Art zu gewährleisten, müssen die Neigungen β2 der Facetten 33-2 dabei außerdem um mindestens 10° geringer sein als die der Facetten 33-1 und können beispielsweise zwischen 0° und 5° variieren, während die Neigung β1 der Facetten 33-1 der ersten Art beispielsweise für alle Facetten 33-1 gleich ist und 23° beträgt. - Bei einer alternativen, hier nicht gezeigten Gestaltung kann zusätzlich oder alternativ auch der Azimutwinkel der Facetten 33-2 der zweiten Art variieren. Vorzugsweise weisen die Neigung β2 und/oder der Azimutwinkel der reflektiven Facetten 33-2 der zweiten Art dabei zumindest bereichsweise eine im Wesentlichen zufällige Variation auf und reflektieren Licht daher in von der Lichteinfallsrichtung geringfügig abweichende unterschiedliche Richtungen. Der auf diese Weise bewirkte Glitzereffekt erhöht den Kontrast zu den reflektiven Facetten 33-1 noch weiter.
- In weiteren Ausgestaltungen kann die reflektierende oder reflexionserhöhende Beschichtung auch nur bereichsweise, insbesondere in Form von Mustern, Zeichen oder einer Codierung, vorliegen. So können die mit einer Metallbeschichtung versehenen Facetten bereichsweise in Form eines Symbols oder einer Wertzahl metallisiert oder demetallisiert sein.
- Solche Effekte sind ungewöhnlich und für einen Betrachter überraschend und führen daher zu einem visuell attraktiven und auffälligen Gesamteindruck mit hohem Aufmerksamkeits- und Wiedererkennungswert.
- Ein mögliches Herstellungsverfahren für solche nur bereichsweise beschichtete Facetten ist in der
WO 2011/138039 A1 beschrieben. Um Beschichtungsfehler zu vermeiden, die beispielsweise bei großen zusammenhängenden Vertiefungsbereichen durch die unerwünschte Entfernung bzw. Übertragung der Beschichtung entstehen können, sind zwischen den Teilbereichen optional noch Stützstrukturen in Form kleiner erhabener Elemente, insbesondere Stege oder Stützpfeiler, vorgesehen. - Die bereichsweise Entfernung der reflektierenden oder reflexionserhöhenden Beschichtung in den einzelnen Teilflächen kann aber beispielsweise auch per Laserablation der Beschichtung durch die Linsen erfolgen.
- In weiteren, hier nicht gezeigten Ausgestaltungen kann ein Teil der Facetten zusätzlich mit einer weiteren, feineren Strukturierung versehen sein. Eine derartige Strukturierung wird beispielsweise durch eine Nanostrukturierung, insbesondere durch farbige Subwellenlängenstrukturen, die in die nullte Beugungsordnung reflektieren, gebildet. Natürlich sind auch andere Strukturen, beispielsweise Nanostrukturen wie Mottenaugenstrukturen, oder diffraktive Mikroreliefstrukturen, die eine holographische Information tragen, möglich. So kann insbesondere die Reflektivität der Facetten 33-2 der zweiten Art durch nicht beugende Mattstrukturen vorteilhaft beeinflusst werden, während sich der Einsatz einer Nanostrukturierung wie z. B. Mottenaugenstrukturen bei den Facetten 33-1 der ersten Art als vorteilhaft erwiesen hat.
-
- 10
- Banknote
- 12
- Transferelement
- 14
- Sollbild
- 16
- Bildbereich des Sollbilds
- 17
- Bildbereich des Sollbilds
- 19
- Kipprichtung
- 20
- Sicherheitselement
- 22
- Träger
- 24
- Mikrolinsen
- 26
- Motivschicht
- 28
- Elementarzellen
- 29A, 29B
- Mikrobildbereich
- 30
- Sicherheitselement
- 32
- weitere Schichten
- 33-1,33-2
- Facette
- 36
- Prägeschicht
- 40
- Darstellungsanordnung
- 42-1,42-2
- Facette
- 44-1,44-2
- Reflexionsfläche
- 50
- Sicherheitselement
- d
- Linsendurchmesser
- f
- Brennweite
- L1, L2, L3, L4, L5
- Strahlung
- r
- Linsenradius
- R
- Krümmungsradius
- β, β*, β1, β2
- Neigung
Claims (20)
- Sicherheitselement zur Absicherung von Sicherheitspapieren, Wertdokumenten und anderen Datenträgern, mit einer Darstellungsanordnung zur Darstellung eines oder mehrerer Sollbilder, deren Motive jeweils durch visuell erkennbare, kontrastierende Bildbereiche gebildet sind, wobei- die Darstellungsanordnung ein Linsenraster und ein von dem Linsenraster beabstandet angeordnetes Motivbild enthält, das bei Betrachtung mit dem Linsenraster die vorbestimmten Sollbilder zeigt, wobei- das Linsenraster aus einer Mehrzahl von sphärischen oder asphärischen Mikrolinsen gebildet ist und- das Motivbild aus einer Mehrzahl von Elementarzellen gebildet ist,
dadurch gekennzeichnet, dass- das Motivbild eine Mehrzahl von reflektiven Facetten mindestens einer ersten und einer zweiten Art umfasst, die sich hinsichtlich ihrer Neigung unterscheiden und die bei Betrachtung mit dem Linsenraster die visuell erkennbaren, kontrastierenden Bildbereiche der Sollbilder erzeugen, wobei- die reflektiven Facetten der ersten Art eine Neigung β1 aufweisen, die gegeben ist durch mit
wobei f die Brennweite der Mikrolinse, R den Krümmungsradius im Zentrum der Mikrolinse und r den Linsenradius der Mikrolinse darstellen, und- die reflektiven Facetten der zweiten Art eine Neigung β2 aufweisen, die gegeben ist durch |β 1 - β 2| > 10°. - Sicherheitselement zur Absicherung von Sicherheitspapieren, Wertdokumenten und anderen Datenträgern, mit einer Darstellungsanordnung zur Darstellung eines oder mehrerer Sollbilder, deren Motive jeweils durch visuell erkennbare, kontrastierende Bildbereiche gebildet sind, wobei- die Darstellungsanordnung ein Linsenraster und ein von dem Linsenraster beabstandet angeordnetes Motivbild enthält, das bei Betrachtung mit dem Linsenraster die vorbestimmten Sollbilder zeigt, wobei- das Linsenraster aus einer Mehrzahl von zylindrischen Mikrolinsen gebildet ist, die in einem Raster angeordnet sind, durch welches ein Koordinatensystem mit einer ersten Koordinatenachse, die durch die Brennpunktlinien der zylindrischen Mikrolinsen bestimmt ist, und einer zweiten Koordinatenachse aufgespannt ist, die senkrecht auf der ersten Koordinatenachse steht,- das Motivbild aus einer Mehrzahl von Elementarzellen gebildet ist,
dadurch gekennzeichnet, dass- das Motivbild eine Mehrzahl von reflektiven Facetten mindestens einer ersten und einer zweiten Art umfasst, die sich hinsichtlich ihrer Neigung unterscheiden und die bei Betrachtung mit dem Linsenraster die visuell erkennbaren, kontrastierenden Bildbereiche der Sollbilder erzeugen, wobei- die reflektiven Facetten der ersten Art eine Neigung aufweisen, deren Komponente β1 in Richtung der zweiten Koordinatenachse gegeben ist durch mit
wobei f die Brennweite der zylindrischen Mikrolinse, R den Krümmungsradius im Zentrum der zylindrischen Mikrolinse und r den Linsenradius der zylindrischen Mikrolinse darstellen, und- die reflektiven Facetten der zweiten Art eine Neigung aufweisen, deren Komponente β2 in Richtung der zweiten Koordinatenachse gegeben ist durch |β 1-β 2| > 10°. - Sicherheitselement nach Anspruch 1 oder 2, dadurch gekennzeichnet, dass die Neigung β2 der reflektiven Facetten der zweiten Art gegeben ist durch|β 1 - β 2| >15°, wobei die Neigung β2 der reflektiven Facetten der zweiten Art bevorzugt null ist.
- Sicherheitselement nach einem der obigen Ansprüche, dadurch gekennzeichnet, dass die reflektiven Facetten insbesondere der ersten Art ein periodisches oder aperiodisches Sägezahngitter bilden.
- Sicherheitselement nach Anspruch 4, dadurch gekennzeichnet, dass die Gitterperiode der reflektiven Facetten zwischen 2,5 µm und 100 µm, bevorzugt zwischen 3 µm und 15 µm liegt.
- Sicherheitselement nach Anspruch 4 oder 5, dadurch gekennzeichnet, dass sich die Gitterperiode der reflektiven Facetten der ersten und/oder zweiten Art jeweils über alle Elementarzellen hinweg mit derselben Phase fortsetzt oder dass die Gitterperiode und die Phase des Gitters der reflektiven Facetten der ersten und/ oder zweiten Art jeweils für alle Elementarzellen gleich sind oder dass sich die Gitterperiode und/oder die Phase der reflektiven Facetten der ersten und/ oder zweiten Art von Elementarzelle zu Elementarzelle unterscheiden.
- Sicherheitselement nach Anspruch 6, dadurch gekennzeichnet, dass die Gitterperiode und/oder die Phase der reflektiven Facetten der ersten und/oder der zweiten Art zumindest bereichsweise eine im Wesentlichen zufällige Variation aufweisen.
- Sicherheitselement nach einem der obigen Ansprüche, dadurch gekennzeichnet, dass die reflektiven Facetten der ersten und/ oder der zweiten Art je Elementarzelle mehrere Facetten mit gleicher Neigung aufweisen.
- Sicherheitselement nach einem der obigen Ansprüche, dadurch gekennzeichnet, dass die Neigung, der Azimutwinkel, die Strukturtiefe und/ oder gegebenenfalls die Gitterperiode der reflektiven Facetten der zweiten Art zumindest bereichsweise eine im Wesentlichen zufällige Variation aufweisen.
- Sicherheitselement nach einem der obigen Ansprüche, dadurch gekennzeichnet, dass die reflektiven Facetten als im Wesentlichen ebene Flächenstücke ausgebildet sind.
- Sicherheitselement nach einem der obigen Ansprüche, dadurch gekennzeichnet, dass die reflektiven Facetten eine Strukturtiefe von 0 µm bis 10 µm, bevorzugt von 1,5 µm bis 4 µm aufweisen.
- Sicherheitselement nach einem der obigen Ansprüche, dadurch gekennzeichnet, dass der Durchmesser der sphärischen oder asphärischen Mikrolinsen bzw. die Ausdehnung der zylindrischen Mikrolinsen in Querrichtung zwischen 5 µm und 100 µm, vorzugsweise zwischen 10 µm und 30 µm beträgt.
- Sicherheitselement nach einem der Ansprüche 2 bis 12, dadurch gekennzeichnet, dass die Ausdehnung der zylindrischen Mikrolinsen in Richtung der ersten Koordinatenachse mehr als 250 µm, bevorzugt mehr als 500 µm, besonders bevorzugt mehr als 2 mm beträgt.
- Sicherheitselement nach einem der obigen Ansprüche, dadurch gekennzeichnet, dass auf den reflektiven Facetten zumindest bereichsweise eine reflektierende oder reflexionserhöhende Beschichtung ausgebildet ist, insbesondere, dass die reflektierende oder reflexionserhöhende Beschichtung bereichsweise, vorzugsweise in Form von Mustern, Zeichen oder einer Codierung, ausgebildet ist.
- Sicherheitselement nach einem der obigen Ansprüche, dadurch gekennzeichnet, dass auf den reflektiven Facetten zumindest bereichsweise eine farbkippende Beschichtung ausgebildet ist.
- Sicherheitselement nach einem der obigen Ansprüche, dadurch gekennzeichnet, dass auf einem Teil der reflektiven Facetten eine zusätzliche Strukturierung, bevorzugt eine diffraktive Struktur, eine Struktur mit mattierender oder streuender Wirkung und/ oder eine Nanostrukturierung vorgesehen ist.
- Sicherheitselement nach einem der obigen Ansprüche, dadurch gekennzeichnet, dass das Sicherheitselement ein Sicherheitsfaden, ein Aufreißfaden, ein Sicherheitsband, ein Sicherheitsstreifen, ein Patch oder ein Etikett zum Aufbringen auf ein Sicherheitspapier, Wertdokument oder dergleichen ist.
- Datenträger mit einem Sicherheitselement nach einem der Ansprüche 1 bis 17.
- Verfahren zum Herstellen eines Sicherheitselements mit einer Darstellungsanordnung zur Darstellung eines oder mehrerer Sollbilder, deren Motive jeweils durch visuell erkennbare, kontrastierende Bildbereiche gebildet sind, bei dem- zur Erzeugung einer Darstellungsanordnung ein Motivbild beabstandet von einem Linsenraster angeordnet wird, so dass das Motivbild bei Betrachtung mit dem Linsenraster die vorbestimmten Sollbilder zeigt, wobei- das Linsenraster aus einer Mehrzahl von sphärischen oder asphärischen Mikrolinsen gebildet wird und- das Motivbild aus einer Mehrzahl von Elementarzellen gebildet wird, wobei das Motivbild eine Mehrzahl von reflektiven Facetten mindestens einer ersten und einer zweiten Art umfasst, die sich hinsichtlich ihrer Neigung unterscheiden und die bei Betrachtung mit dem Linsenraster die visuell erkennbaren, kontrastierenden Bildbereiche der Sollbilder erzeugen, wobei- die reflektiven Facetten der ersten Art eine Neigung β1 aufweisen, die gegeben ist durch
mit
wobei f die Brennweite der Mikrolinse, R den Krümmungsradius im Zentrum der Mikrolinse und r den Linsenradius der Mikrolinse darstellen, und- die reflektiven Facetten der zweiten Art eine Neigung β2 aufweisen, die gegeben ist durch |β 1 - β 2| >10°. - Verfahren zum Herstellen eines Sicherheitselements mit einer Darstellungsanordnung zur Darstellung eines oder mehrerer Sollbilder, deren Motive jeweils durch visuell erkennbare, kontrastierende Bildbereiche gebildet sind, bei dem- zur Erzeugung einer Darstellungsanordnung ein Motivbild beabstandet von einem Linsenraster angeordnet wird, so dass das Motivbild bei Betrachtung mit dem Linsenraster die vorbestimmten Sollbilder zeigt, wobei- das Linsenraster aus einer Mehrzahl von zylindrischen Mikrolinsen gebildet wird, die in einem Raster angeordnet sind, durch welches ein Koordinatensystem mit einer ersten Koordinatenachse, die durch die Brennpunktlinien der zylindrischen Mikrolinsen bestimmt ist, und einer zweiten Koordinatenachse aufgespannt ist, die senkrecht auf der ersten Koordinatenachse steht,- das Motivbild aus einer Mehrzahl von Elementarzellen gebildet wird, wobei das Motivbild eine Mehrzahl von reflektiven Facetten mindestens einer ersten und einer zweiten Art umfasst, die sich hinsichtlich ihrer Neigung unterscheiden und die bei Betrachtung mit dem Linsenraster die visuell erkennbaren, kontrastierenden Bildbereiche der Sollbilder erzeugen, wobei- die reflektiven Facetten der ersten Art eine Neigung aufweisen, deren Komponente β1 in Richtung der zweiten Koordinatenachse gegeben ist durch
mit
wobei f die Brennweite der zylindrischen Mikrolinse, R den Krümmungsradius im Zentrum der zylindrischen Mikrolinse und r den Linsenradius der zylindrischen Mikrolinse darstellen, und- die reflektiven Facetten der zweiten Art eine Neigung aufweisen, deren Komponente β2 in Richtung der zweiten Koordinatenachse gegeben ist durch |β 1-β 2| >10°.
Applications Claiming Priority (1)
| Application Number | Priority Date | Filing Date | Title |
|---|---|---|---|
| DE102013016041.3A DE102013016041A1 (de) | 2013-09-26 | 2013-09-26 | Sicherheitselement mit Linsenrasterbild |
Publications (2)
| Publication Number | Publication Date |
|---|---|
| EP2853411A1 true EP2853411A1 (de) | 2015-04-01 |
| EP2853411B1 EP2853411B1 (de) | 2018-01-10 |
Family
ID=51627916
Family Applications (1)
| Application Number | Title | Priority Date | Filing Date |
|---|---|---|---|
| EP14003244.2A Active EP2853411B1 (de) | 2013-09-26 | 2014-09-18 | Sicherheitselement mit Linsenrasterbild |
Country Status (2)
| Country | Link |
|---|---|
| EP (1) | EP2853411B1 (de) |
| DE (1) | DE102013016041A1 (de) |
Cited By (13)
| Publication number | Priority date | Publication date | Assignee | Title |
|---|---|---|---|---|
| US10252563B2 (en) | 2015-07-13 | 2019-04-09 | Wavefront Technology, Inc. | Optical products, masters for fabricating optical products, and methods for manufacturing masters and optical products |
| US10850550B2 (en) | 2016-04-22 | 2020-12-01 | Wavefront Technology, Inc. | Optical switch devices |
| US10859851B2 (en) | 2014-10-24 | 2020-12-08 | Wavefront Technology, Inc. | Optical products, masters for fabricating optical products, and methods for manufacturing masters and optical products |
| CN112572019A (zh) * | 2019-09-30 | 2021-03-30 | 中钞特种防伪科技有限公司 | 光学防伪元件及防伪产品 |
| WO2021078406A1 (de) | 2019-10-24 | 2021-04-29 | Giesecke+Devrient Currency Technology Gmbh | Sicherheitselement mit maschinenlesbarem ir-code |
| WO2021078407A1 (de) | 2019-10-24 | 2021-04-29 | Giesecke+Devrient Currency Technology Gmbh | Sicherheitselement und wertdokument mit visuell und maschinell prüfbaren sicherheitsmerkmalen, die in räumlicher beziehung zueinander stehen |
| CN112848742A (zh) * | 2019-11-27 | 2021-05-28 | 中钞特种防伪科技有限公司 | 光学防伪元件及光学防伪产品 |
| US11113919B2 (en) | 2017-10-20 | 2021-09-07 | Wavefront Technology, Inc. | Optical switch devices |
| US11221448B2 (en) | 2019-04-19 | 2022-01-11 | Wavefront Technology, Inc. | Animated optical security feature |
| CN116018275A (zh) * | 2020-07-22 | 2023-04-25 | 捷德货币技术有限责任公司 | 具有与倾斜相关的视觉对象表现的防伪特征 |
| CN116852892A (zh) * | 2023-07-10 | 2023-10-10 | 深圳市深大极光科技股份有限公司 | 一种光学防伪元件及其制备方法 |
| US12253691B2 (en) | 2020-10-07 | 2025-03-18 | Wavefront Technology, Inc. | Optical products, masters for fabricating optical products, and methods for manufacturing masters and optical products |
| US12360391B2 (en) | 2020-10-07 | 2025-07-15 | Wavefront Technology, Inc. | Optical products, masters for fabricating optical products, and methods for manufacturing masters and optical products |
Families Citing this family (1)
| Publication number | Priority date | Publication date | Assignee | Title |
|---|---|---|---|---|
| DE102021002335A1 (de) * | 2021-05-03 | 2022-12-01 | Giesecke+Devrient Currency Technology Gmbh | Optisch variables sicherheitselement und wertdokument mit dem optisch variablen sicherheitselement |
Citations (6)
| Publication number | Priority date | Publication date | Assignee | Title |
|---|---|---|---|---|
| US4417784A (en) | 1981-02-19 | 1983-11-29 | Rca Corporation | Multiple image encoding using surface relief structures as authenticating device for sheet-material authenticated item |
| WO2007076952A2 (de) | 2005-12-23 | 2007-07-12 | Giesecke & Devrient Gmbh | Sicherheitselement |
| WO2009000528A1 (de) | 2007-06-25 | 2008-12-31 | Giesecke & Devrient Gmbh | Darstellungsanordnung |
| DE102008062475A1 (de) * | 2008-12-16 | 2010-06-17 | Giesecke & Devrient Gmbh | Sicherheitselement und Sicherheitspapier |
| WO2011138039A1 (de) | 2010-05-07 | 2011-11-10 | Giesecke & Devrient Gmbh | Verfahren zur erzeugung einer mikrostruktur auf einem träger |
| US20120319395A1 (en) * | 2009-12-04 | 2012-12-20 | Giesecke & Devrient Gmbh | Security element, value document comprising such a security element and method for producing such a security element |
-
2013
- 2013-09-26 DE DE102013016041.3A patent/DE102013016041A1/de not_active Withdrawn
-
2014
- 2014-09-18 EP EP14003244.2A patent/EP2853411B1/de active Active
Patent Citations (7)
| Publication number | Priority date | Publication date | Assignee | Title |
|---|---|---|---|---|
| US4417784A (en) | 1981-02-19 | 1983-11-29 | Rca Corporation | Multiple image encoding using surface relief structures as authenticating device for sheet-material authenticated item |
| WO2007076952A2 (de) | 2005-12-23 | 2007-07-12 | Giesecke & Devrient Gmbh | Sicherheitselement |
| WO2009000528A1 (de) | 2007-06-25 | 2008-12-31 | Giesecke & Devrient Gmbh | Darstellungsanordnung |
| WO2009000529A2 (de) | 2007-06-25 | 2008-12-31 | Giesecke & Devrient Gmbh | Sicherheitselement |
| DE102008062475A1 (de) * | 2008-12-16 | 2010-06-17 | Giesecke & Devrient Gmbh | Sicherheitselement und Sicherheitspapier |
| US20120319395A1 (en) * | 2009-12-04 | 2012-12-20 | Giesecke & Devrient Gmbh | Security element, value document comprising such a security element and method for producing such a security element |
| WO2011138039A1 (de) | 2010-05-07 | 2011-11-10 | Giesecke & Devrient Gmbh | Verfahren zur erzeugung einer mikrostruktur auf einem träger |
Non-Patent Citations (1)
| Title |
|---|
| M.C. HUTLEY; R. HUNT; R.F. STEVENS; P. SAVANDER: "The moire magnifier", PURE APPL. OPT., vol. 3, 1994, pages 133 - 142, XP002637758 |
Cited By (23)
| Publication number | Priority date | Publication date | Assignee | Title |
|---|---|---|---|---|
| US10859851B2 (en) | 2014-10-24 | 2020-12-08 | Wavefront Technology, Inc. | Optical products, masters for fabricating optical products, and methods for manufacturing masters and optical products |
| US12078821B2 (en) | 2014-10-24 | 2024-09-03 | Wavefront Technology, Inc. | Optical products, masters for fabricating optical products, and methods for manufacturing masters and optical products |
| US12397576B2 (en) | 2015-07-13 | 2025-08-26 | Wavefront Technology, Inc. | Optical products, masters for fabricating optical products, and methods for manufacturing masters and optical products |
| US10252563B2 (en) | 2015-07-13 | 2019-04-09 | Wavefront Technology, Inc. | Optical products, masters for fabricating optical products, and methods for manufacturing masters and optical products |
| US11590790B2 (en) | 2015-07-13 | 2023-02-28 | Wavefront Technology, Inc. | Optical products, masters for fabricating optical products, and methods for manufacturing masters and optical products |
| US11618275B2 (en) | 2016-04-22 | 2023-04-04 | Wavefront Technology, Inc. | Optical switch devices |
| US10850550B2 (en) | 2016-04-22 | 2020-12-01 | Wavefront Technology, Inc. | Optical switch devices |
| US12269288B2 (en) | 2016-04-22 | 2025-04-08 | Wavefront Technology, Inc. | Optical switch devices |
| US12223794B2 (en) | 2017-10-20 | 2025-02-11 | Wavefront Technology, Inc. | Optical switch devices |
| US11113919B2 (en) | 2017-10-20 | 2021-09-07 | Wavefront Technology, Inc. | Optical switch devices |
| US11861966B2 (en) | 2017-10-20 | 2024-01-02 | Wavefront Technology, Inc. | Optical switch devices |
| US11221448B2 (en) | 2019-04-19 | 2022-01-11 | Wavefront Technology, Inc. | Animated optical security feature |
| CN112572019A (zh) * | 2019-09-30 | 2021-03-30 | 中钞特种防伪科技有限公司 | 光学防伪元件及防伪产品 |
| WO2021078407A1 (de) | 2019-10-24 | 2021-04-29 | Giesecke+Devrient Currency Technology Gmbh | Sicherheitselement und wertdokument mit visuell und maschinell prüfbaren sicherheitsmerkmalen, die in räumlicher beziehung zueinander stehen |
| US12128703B2 (en) | 2019-10-24 | 2024-10-29 | Giesecke+Devrient Currency Technology Gmbh | Security element having machine-readable IR code |
| WO2021078406A1 (de) | 2019-10-24 | 2021-04-29 | Giesecke+Devrient Currency Technology Gmbh | Sicherheitselement mit maschinenlesbarem ir-code |
| WO2021103670A1 (zh) * | 2019-11-27 | 2021-06-03 | 中钞特种防伪科技有限公司 | 光学防伪元件及光学防伪产品 |
| CN112848742A (zh) * | 2019-11-27 | 2021-05-28 | 中钞特种防伪科技有限公司 | 光学防伪元件及光学防伪产品 |
| CN116018275A (zh) * | 2020-07-22 | 2023-04-25 | 捷德货币技术有限责任公司 | 具有与倾斜相关的视觉对象表现的防伪特征 |
| US12253691B2 (en) | 2020-10-07 | 2025-03-18 | Wavefront Technology, Inc. | Optical products, masters for fabricating optical products, and methods for manufacturing masters and optical products |
| US12360391B2 (en) | 2020-10-07 | 2025-07-15 | Wavefront Technology, Inc. | Optical products, masters for fabricating optical products, and methods for manufacturing masters and optical products |
| CN116852892A (zh) * | 2023-07-10 | 2023-10-10 | 深圳市深大极光科技股份有限公司 | 一种光学防伪元件及其制备方法 |
| CN116852892B (zh) * | 2023-07-10 | 2024-06-07 | 深圳市深大极光科技股份有限公司 | 一种光学防伪元件及其制备方法 |
Also Published As
| Publication number | Publication date |
|---|---|
| EP2853411B1 (de) | 2018-01-10 |
| DE102013016041A1 (de) | 2015-03-26 |
Similar Documents
| Publication | Publication Date | Title |
|---|---|---|
| EP2853411B1 (de) | Sicherheitselement mit Linsenrasterbild | |
| EP3216620B1 (de) | Sicherheitselement, wertdokument mit einem solchen sicherheitselement sowie herstellungsverfahren eines sicherheitselementes | |
| EP2934904B1 (de) | Sicherheitselement mit linsenrasterbild | |
| EP2451650B2 (de) | Mehrschichtkörper | |
| EP2040934B1 (de) | Sicherheitselement | |
| EP1853763B2 (de) | Sicherheitselement und verfahren zu seiner herstellung | |
| EP3339048B1 (de) | Sicherheitselement mit reflektivem flächenbereich | |
| EP3581395B1 (de) | Mehrschichtkörper | |
| DE102007023560B4 (de) | Mehrschichtkörper | |
| EP2951031B1 (de) | Sicherheitselement mit rinnen- oder rippenförmigen strukturelementen | |
| EP3291997B1 (de) | Optisch variables sicherheitselement | |
| DE102008046128B4 (de) | Optisch variables Sicherheitselement mit Mattbereich | |
| EP2385902B1 (de) | Sicherheitselement und sicherheitspapier | |
| EP2889152B1 (de) | Sicherheitselement zur Darstellung zumindest einer optisch variablen Information | |
| EP2897812B1 (de) | Sicherheitselement mit darstellungsanordnung | |
| DE102009022612A1 (de) | Sicherheitselement, Sicherheitssystem und Herstellungsverfahren dafür | |
| DE102010050031A1 (de) | Sicherheitselement und Verfahren zur Herstellung eines Sicherheitselements | |
| EP3606765B1 (de) | Sicherheitselement mit reliefstruktur und herstellungsverfahren hierfür | |
| DE102023121166A1 (de) | Optisch variables Durchsichtssicherheitselement, Datenträger und Herstellungsverfahren |
Legal Events
| Date | Code | Title | Description |
|---|---|---|---|
| PUAI | Public reference made under article 153(3) epc to a published international application that has entered the european phase |
Free format text: ORIGINAL CODE: 0009012 |
|
| 17P | Request for examination filed |
Effective date: 20140918 |
|
| AK | Designated contracting states |
Kind code of ref document: A1 Designated state(s): AL AT BE BG CH CY CZ DE DK EE ES FI FR GB GR HR HU IE IS IT LI LT LU LV MC MK MT NL NO PL PT RO RS SE SI SK SM TR |
|
| AX | Request for extension of the european patent |
Extension state: BA ME |
|
| R17P | Request for examination filed (corrected) |
Effective date: 20151001 |
|
| RBV | Designated contracting states (corrected) |
Designated state(s): AL AT BE BG CH CY CZ DE DK EE ES FI FR GB GR HR HU IE IS IT LI LT LU LV MC MK MT NL NO PL PT RO RS SE SI SK SM TR |
|
| GRAP | Despatch of communication of intention to grant a patent |
Free format text: ORIGINAL CODE: EPIDOSNIGR1 |
|
| RIC1 | Information provided on ipc code assigned before grant |
Ipc: B42D 25/324 20140101ALI20170703BHEP Ipc: B42D 25/342 20140101ALI20170703BHEP Ipc: B42D 25/373 20140101ALI20170703BHEP Ipc: B42D 25/29 20140101AFI20170703BHEP |
|
| RAP1 | Party data changed (applicant data changed or rights of an application transferred) |
Owner name: GIESECKE+DEVRIENT CURRENCY TECHNOLOGY GMBH |
|
| INTG | Intention to grant announced |
Effective date: 20170726 |
|
| GRAS | Grant fee paid |
Free format text: ORIGINAL CODE: EPIDOSNIGR3 |
|
| GRAA | (expected) grant |
Free format text: ORIGINAL CODE: 0009210 |
|
| AK | Designated contracting states |
Kind code of ref document: B1 Designated state(s): AL AT BE BG CH CY CZ DE DK EE ES FI FR GB GR HR HU IE IS IT LI LT LU LV MC MK MT NL NO PL PT RO RS SE SI SK SM TR |
|
| REG | Reference to a national code |
Ref country code: CH Ref legal event code: EP Ref country code: AT Ref legal event code: REF Ref document number: 961952 Country of ref document: AT Kind code of ref document: T Effective date: 20180115 |
|
| REG | Reference to a national code |
Ref country code: IE Ref legal event code: FG4D Free format text: LANGUAGE OF EP DOCUMENT: GERMAN |
|
| REG | Reference to a national code |
Ref country code: DE Ref legal event code: R096 Ref document number: 502014006924 Country of ref document: DE Ref country code: CH Ref legal event code: NV Representative=s name: RENTSCH PARTNER AG, CH |
|
| REG | Reference to a national code |
Ref country code: NL Ref legal event code: MP Effective date: 20180110 |
|
| PG25 | Lapsed in a contracting state [announced via postgrant information from national office to epo] |
Ref country code: NL Free format text: LAPSE BECAUSE OF FAILURE TO SUBMIT A TRANSLATION OF THE DESCRIPTION OR TO PAY THE FEE WITHIN THE PRESCRIBED TIME-LIMIT Effective date: 20180110 |
|
| PG25 | Lapsed in a contracting state [announced via postgrant information from national office to epo] |
Ref country code: ES Free format text: LAPSE BECAUSE OF FAILURE TO SUBMIT A TRANSLATION OF THE DESCRIPTION OR TO PAY THE FEE WITHIN THE PRESCRIBED TIME-LIMIT Effective date: 20180110 Ref country code: LT Free format text: LAPSE BECAUSE OF FAILURE TO SUBMIT A TRANSLATION OF THE DESCRIPTION OR TO PAY THE FEE WITHIN THE PRESCRIBED TIME-LIMIT Effective date: 20180110 Ref country code: CY Free format text: LAPSE BECAUSE OF FAILURE TO SUBMIT A TRANSLATION OF THE DESCRIPTION OR TO PAY THE FEE WITHIN THE PRESCRIBED TIME-LIMIT Effective date: 20180110 Ref country code: FI Free format text: LAPSE BECAUSE OF FAILURE TO SUBMIT A TRANSLATION OF THE DESCRIPTION OR TO PAY THE FEE WITHIN THE PRESCRIBED TIME-LIMIT Effective date: 20180110 Ref country code: HR Free format text: LAPSE BECAUSE OF FAILURE TO SUBMIT A TRANSLATION OF THE DESCRIPTION OR TO PAY THE FEE WITHIN THE PRESCRIBED TIME-LIMIT Effective date: 20180110 Ref country code: NO Free format text: LAPSE BECAUSE OF FAILURE TO SUBMIT A TRANSLATION OF THE DESCRIPTION OR TO PAY THE FEE WITHIN THE PRESCRIBED TIME-LIMIT Effective date: 20180410 |
|
| PG25 | Lapsed in a contracting state [announced via postgrant information from national office to epo] |
Ref country code: GR Free format text: LAPSE BECAUSE OF FAILURE TO SUBMIT A TRANSLATION OF THE DESCRIPTION OR TO PAY THE FEE WITHIN THE PRESCRIBED TIME-LIMIT Effective date: 20180411 Ref country code: PL Free format text: LAPSE BECAUSE OF FAILURE TO SUBMIT A TRANSLATION OF THE DESCRIPTION OR TO PAY THE FEE WITHIN THE PRESCRIBED TIME-LIMIT Effective date: 20180110 Ref country code: RS Free format text: LAPSE BECAUSE OF FAILURE TO SUBMIT A TRANSLATION OF THE DESCRIPTION OR TO PAY THE FEE WITHIN THE PRESCRIBED TIME-LIMIT Effective date: 20180110 Ref country code: BG Free format text: LAPSE BECAUSE OF FAILURE TO SUBMIT A TRANSLATION OF THE DESCRIPTION OR TO PAY THE FEE WITHIN THE PRESCRIBED TIME-LIMIT Effective date: 20180410 Ref country code: LV Free format text: LAPSE BECAUSE OF FAILURE TO SUBMIT A TRANSLATION OF THE DESCRIPTION OR TO PAY THE FEE WITHIN THE PRESCRIBED TIME-LIMIT Effective date: 20180110 Ref country code: IS Free format text: LAPSE BECAUSE OF FAILURE TO SUBMIT A TRANSLATION OF THE DESCRIPTION OR TO PAY THE FEE WITHIN THE PRESCRIBED TIME-LIMIT Effective date: 20180510 Ref country code: SE Free format text: LAPSE BECAUSE OF FAILURE TO SUBMIT A TRANSLATION OF THE DESCRIPTION OR TO PAY THE FEE WITHIN THE PRESCRIBED TIME-LIMIT Effective date: 20180110 |
|
| REG | Reference to a national code |
Ref country code: FR Ref legal event code: PLFP Year of fee payment: 5 |
|
| PG25 | Lapsed in a contracting state [announced via postgrant information from national office to epo] |
Ref country code: MT Free format text: LAPSE BECAUSE OF FAILURE TO SUBMIT A TRANSLATION OF THE DESCRIPTION OR TO PAY THE FEE WITHIN THE PRESCRIBED TIME-LIMIT Effective date: 20180110 |
|
| REG | Reference to a national code |
Ref country code: DE Ref legal event code: R097 Ref document number: 502014006924 Country of ref document: DE |
|
| PG25 | Lapsed in a contracting state [announced via postgrant information from national office to epo] |
Ref country code: AL Free format text: LAPSE BECAUSE OF FAILURE TO SUBMIT A TRANSLATION OF THE DESCRIPTION OR TO PAY THE FEE WITHIN THE PRESCRIBED TIME-LIMIT Effective date: 20180110 Ref country code: EE Free format text: LAPSE BECAUSE OF FAILURE TO SUBMIT A TRANSLATION OF THE DESCRIPTION OR TO PAY THE FEE WITHIN THE PRESCRIBED TIME-LIMIT Effective date: 20180110 Ref country code: IT Free format text: LAPSE BECAUSE OF FAILURE TO SUBMIT A TRANSLATION OF THE DESCRIPTION OR TO PAY THE FEE WITHIN THE PRESCRIBED TIME-LIMIT Effective date: 20180110 |
|
| PLBE | No opposition filed within time limit |
Free format text: ORIGINAL CODE: 0009261 |
|
| STAA | Information on the status of an ep patent application or granted ep patent |
Free format text: STATUS: NO OPPOSITION FILED WITHIN TIME LIMIT |
|
| PG25 | Lapsed in a contracting state [announced via postgrant information from national office to epo] |
Ref country code: DK Free format text: LAPSE BECAUSE OF FAILURE TO SUBMIT A TRANSLATION OF THE DESCRIPTION OR TO PAY THE FEE WITHIN THE PRESCRIBED TIME-LIMIT Effective date: 20180110 Ref country code: SM Free format text: LAPSE BECAUSE OF FAILURE TO SUBMIT A TRANSLATION OF THE DESCRIPTION OR TO PAY THE FEE WITHIN THE PRESCRIBED TIME-LIMIT Effective date: 20180110 Ref country code: CZ Free format text: LAPSE BECAUSE OF FAILURE TO SUBMIT A TRANSLATION OF THE DESCRIPTION OR TO PAY THE FEE WITHIN THE PRESCRIBED TIME-LIMIT Effective date: 20180110 Ref country code: SK Free format text: LAPSE BECAUSE OF FAILURE TO SUBMIT A TRANSLATION OF THE DESCRIPTION OR TO PAY THE FEE WITHIN THE PRESCRIBED TIME-LIMIT Effective date: 20180110 |
|
| 26N | No opposition filed |
Effective date: 20181011 |
|
| PG25 | Lapsed in a contracting state [announced via postgrant information from national office to epo] |
Ref country code: SI Free format text: LAPSE BECAUSE OF FAILURE TO SUBMIT A TRANSLATION OF THE DESCRIPTION OR TO PAY THE FEE WITHIN THE PRESCRIBED TIME-LIMIT Effective date: 20180110 |
|
| PG25 | Lapsed in a contracting state [announced via postgrant information from national office to epo] |
Ref country code: MC Free format text: LAPSE BECAUSE OF FAILURE TO SUBMIT A TRANSLATION OF THE DESCRIPTION OR TO PAY THE FEE WITHIN THE PRESCRIBED TIME-LIMIT Effective date: 20180110 |
|
| REG | Reference to a national code |
Ref country code: BE Ref legal event code: MM Effective date: 20180930 |
|
| REG | Reference to a national code |
Ref country code: IE Ref legal event code: MM4A |
|
| PG25 | Lapsed in a contracting state [announced via postgrant information from national office to epo] |
Ref country code: LU Free format text: LAPSE BECAUSE OF NON-PAYMENT OF DUE FEES Effective date: 20180918 |
|
| PG25 | Lapsed in a contracting state [announced via postgrant information from national office to epo] |
Ref country code: IE Free format text: LAPSE BECAUSE OF NON-PAYMENT OF DUE FEES Effective date: 20180918 |
|
| PG25 | Lapsed in a contracting state [announced via postgrant information from national office to epo] |
Ref country code: BE Free format text: LAPSE BECAUSE OF NON-PAYMENT OF DUE FEES Effective date: 20180930 |
|
| PG25 | Lapsed in a contracting state [announced via postgrant information from national office to epo] |
Ref country code: TR Free format text: LAPSE BECAUSE OF FAILURE TO SUBMIT A TRANSLATION OF THE DESCRIPTION OR TO PAY THE FEE WITHIN THE PRESCRIBED TIME-LIMIT Effective date: 20180110 |
|
| PG25 | Lapsed in a contracting state [announced via postgrant information from national office to epo] |
Ref country code: PT Free format text: LAPSE BECAUSE OF FAILURE TO SUBMIT A TRANSLATION OF THE DESCRIPTION OR TO PAY THE FEE WITHIN THE PRESCRIBED TIME-LIMIT Effective date: 20180110 Ref country code: HU Free format text: LAPSE BECAUSE OF FAILURE TO SUBMIT A TRANSLATION OF THE DESCRIPTION OR TO PAY THE FEE WITHIN THE PRESCRIBED TIME-LIMIT; INVALID AB INITIO Effective date: 20140918 |
|
| PG25 | Lapsed in a contracting state [announced via postgrant information from national office to epo] |
Ref country code: MK Free format text: LAPSE BECAUSE OF NON-PAYMENT OF DUE FEES Effective date: 20180110 Ref country code: RO Free format text: LAPSE BECAUSE OF FAILURE TO SUBMIT A TRANSLATION OF THE DESCRIPTION OR TO PAY THE FEE WITHIN THE PRESCRIBED TIME-LIMIT Effective date: 20180110 |
|
| P01 | Opt-out of the competence of the unified patent court (upc) registered |
Effective date: 20230520 |
|
| PGFP | Annual fee paid to national office [announced via postgrant information from national office to epo] |
Ref country code: CH Payment date: 20241001 Year of fee payment: 11 |
|
| REG | Reference to a national code |
Ref country code: CH Ref legal event code: U11 Free format text: ST27 STATUS EVENT CODE: U-0-0-U10-U11 (AS PROVIDED BY THE NATIONAL OFFICE) Effective date: 20251001 |
|
| PGFP | Annual fee paid to national office [announced via postgrant information from national office to epo] |
Ref country code: DE Payment date: 20250919 Year of fee payment: 12 |
|
| PGFP | Annual fee paid to national office [announced via postgrant information from national office to epo] |
Ref country code: GB Payment date: 20250923 Year of fee payment: 12 |
|
| PGFP | Annual fee paid to national office [announced via postgrant information from national office to epo] |
Ref country code: FR Payment date: 20250925 Year of fee payment: 12 Ref country code: AT Payment date: 20250918 Year of fee payment: 12 |















