EP1664674B1 - Verfahren und system zur bestimmung der aktualposition eines handhaltbaren messgerätes im raum - Google Patents
Verfahren und system zur bestimmung der aktualposition eines handhaltbaren messgerätes im raum Download PDFInfo
- Publication number
- EP1664674B1 EP1664674B1 EP04765447.0A EP04765447A EP1664674B1 EP 1664674 B1 EP1664674 B1 EP 1664674B1 EP 04765447 A EP04765447 A EP 04765447A EP 1664674 B1 EP1664674 B1 EP 1664674B1
- Authority
- EP
- European Patent Office
- Prior art keywords
- reference points
- measuring
- measuring appliance
- component
- location information
- Prior art date
- Legal status (The legal status is an assumption and is not a legal conclusion. Google has not performed a legal analysis and makes no representation as to the accuracy of the status listed.)
- Expired - Lifetime
Links
- 238000000034 method Methods 0.000 title claims description 67
- 238000005259 measurement Methods 0.000 claims description 75
- 230000005855 radiation Effects 0.000 claims description 26
- 238000001514 detection method Methods 0.000 claims description 22
- 238000012545 processing Methods 0.000 claims description 14
- 238000009795 derivation Methods 0.000 claims description 8
- 230000000694 effects Effects 0.000 claims description 6
- 230000003287 optical effect Effects 0.000 claims description 6
- 238000002310 reflectometry Methods 0.000 claims description 4
- 230000000704 physical effect Effects 0.000 claims description 3
- 230000003595 spectral effect Effects 0.000 claims description 3
- 238000003672 processing method Methods 0.000 claims 2
- 239000011888 foil Substances 0.000 claims 1
- 238000005070 sampling Methods 0.000 claims 1
- 239000013598 vector Substances 0.000 description 12
- 238000010276 construction Methods 0.000 description 11
- 230000008569 process Effects 0.000 description 4
- 238000013459 approach Methods 0.000 description 3
- 230000008859 change Effects 0.000 description 3
- 238000012937 correction Methods 0.000 description 3
- 238000011161 development Methods 0.000 description 3
- 238000003754 machining Methods 0.000 description 3
- 238000012795 verification Methods 0.000 description 3
- 230000008901 benefit Effects 0.000 description 2
- 238000004364 calculation method Methods 0.000 description 2
- 238000013461 design Methods 0.000 description 2
- 238000005516 engineering process Methods 0.000 description 2
- 230000002349 favourable effect Effects 0.000 description 2
- 238000001454 recorded image Methods 0.000 description 2
- 230000000007 visual effect Effects 0.000 description 2
- 206010069633 Decreased eye contact Diseases 0.000 description 1
- 230000001133 acceleration Effects 0.000 description 1
- 230000009471 action Effects 0.000 description 1
- 238000004891 communication Methods 0.000 description 1
- 230000000295 complement effect Effects 0.000 description 1
- 238000005520 cutting process Methods 0.000 description 1
- 230000001419 dependent effect Effects 0.000 description 1
- 238000005553 drilling Methods 0.000 description 1
- 230000005484 gravity Effects 0.000 description 1
- 238000009439 industrial construction Methods 0.000 description 1
- 230000003993 interaction Effects 0.000 description 1
- 238000004519 manufacturing process Methods 0.000 description 1
- 239000011159 matrix material Substances 0.000 description 1
- 239000000203 mixture Substances 0.000 description 1
- 238000012544 monitoring process Methods 0.000 description 1
- 238000012883 sequential measurement Methods 0.000 description 1
- 238000004904 shortening Methods 0.000 description 1
- 238000005476 soldering Methods 0.000 description 1
- 238000003860 storage Methods 0.000 description 1
- 239000000758 substrate Substances 0.000 description 1
- 238000010408 sweeping Methods 0.000 description 1
- 230000002123 temporal effect Effects 0.000 description 1
Images
Classifications
-
- G—PHYSICS
- G01—MEASURING; TESTING
- G01C—MEASURING DISTANCES, LEVELS OR BEARINGS; SURVEYING; NAVIGATION; GYROSCOPIC INSTRUMENTS; PHOTOGRAMMETRY OR VIDEOGRAMMETRY
- G01C15/00—Surveying instruments or accessories not provided for in groups G01C1/00 - G01C13/00
- G01C15/002—Active optical surveying means
-
- G—PHYSICS
- G01—MEASURING; TESTING
- G01S—RADIO DIRECTION-FINDING; RADIO NAVIGATION; DETERMINING DISTANCE OR VELOCITY BY USE OF RADIO WAVES; LOCATING OR PRESENCE-DETECTING BY USE OF THE REFLECTION OR RERADIATION OF RADIO WAVES; ANALOGOUS ARRANGEMENTS USING OTHER WAVES
- G01S17/00—Systems using the reflection or reradiation of electromagnetic waves other than radio waves, e.g. lidar systems
- G01S17/02—Systems using the reflection of electromagnetic waves other than radio waves
- G01S17/06—Systems determining position data of a target
Definitions
- the invention relates to a method for determining the position of a hand-held measuring device in the space according to claim 1, a use of the method for correcting deviations of an inertial sensors based positioning and orientation measuring device according to claim 14, a hand-held measuring device according to the preamble of claim 15, a local A positioning system according to claim 27 and a use of the method according to claim 29.
- positioning systems are global positioning systems such as GPS, GLONASS or the European Galileo system under development. These systems are based on the most undisturbed reception of Satellite signals, which can also be shadowed by obstacles and thus limited in their usability. In the immediate vicinity of obstacles can be limited or completely impossible due to their shading effect, the reception of the signals, so that a position determination with this system is no longer possible. These restrictions relate in particular to indoor measurements of buildings in which the reception of a number of satellites required for positioning is generally precluded. Another problem is that global positioning systems do not always provide the required accuracy of position determination or require increased effort, eg by using a reference station or longer measurement times.
- the determination of the orientation of a measuring device with such systems is possible, for example, by the use of two receiving antennas. If the position of the base line or of the antennas with respect to the device axis is known, the orientation of the measuring device can be deduced. In order to determine the still indefinite rotation about the axis of the device, a tilt sensor can be used.
- Another example is the position determination of a reflector-bearing instrument with a theodolite or tachymeter.
- a direction and distance measurement with the total station to the geodetic instrument can be determined at a known position of the tachymeter and the position of the instrument.
- a quasi-continuous position determination can be achieved.
- Prerequisite for the measurement is here the Visual connection between the two components. If this connection is interrupted, eg by vegetation or buildings in the field of vision, the type of position determination fails.
- only one instrument can be tracked by a motorized tachymeter at the same time, so that, for example, many vehicles on a construction site also require a large number of theodolites to be used.
- the determination of the actual position is carried out subsequently by a measurement to the reference points, from which conclusions about the own location or the actual position can be derived.
- Geodetic instrument only has a capacity for distance measurement or a measurement of angles can not be performed with the required precision or speed.
- the position determination must be carried out solely by distance measurements.
- the distances to several points are measured with a known position and with known methods, such as those used for example in photogrammetry, the determination of the actual position can be done.
- An example of this are correlation methods or correlation calculations.
- the number of points required depends on their position and the intended accuracy of the measurement. As a rule, apart from particularly favorable constellations, at least 3 or 4 points are required. If, in addition, an angle is taken into account, eg by additionally detecting the angle with respect to the horizontal, the number of points can be reduced to two.
- the number of points actually required depends on the location of the known points and possibly possible restrictions to reduce ambiguity.
- the three known positions define a plane at which the actual position to be determined can be mirrored.
- two possible positions of which but usually a position for plausibility reasons, for example because they would be below the surface, or excluded due to simple further information, such as the distinction between north and south, which also met by a simple magnetic compass can be.
- An unambiguous determination with three known points is possible if favorable geometrical conditions exist. This is the case, for example, if the sought position lies on a connecting line between two known points.
- the orientation of a structure in space can in principle be determined by carrying out measurements of two or three points of the structure, whereby only five degrees of freedom can be determined by measuring only two points. Due to the spatial dimensions of hand-held devices, however, such an approach prohibits in practice.
- a robotic system for moving in an extended plane that determines its own position and orientation by referencing known, reflective points.
- the robot system uses a scanner system with a rangefinder, which can be moved around a vertical axis, measures the distance and angle to the reference points and determines the current position.
- An object of the present invention is to provide a method and a device or a system that enables a determination of the actual position and the orientation of a hand-held measuring device even in heavily intersected terrain or indoors.
- Another task is to shorten the periods of time between the necessary measurements.
- a further object is the provision of a local positioning and orientation system in which the electronics necessary for determining the position in space are always carried along with the unit to be determined in their position and thus, in its interpretation, has a high degree of independence from the number of users.
- Another task is the simplification and shortening of the measurements to determine actual position and actual orientation.
- Another object of the invention is to enable automatic identification and measurement of the reference points.
- Another object of the invention is to enable automatic determination and verification of processing points between defined start and end points.
- a further object of the present invention is to provide a method, a handheld measuring device or a positioning and orientation system, which allows a continuous, preferably in the background, correction of the measurements of positioning and orientation systems of other operating principles.
- the invention relates to a method and a positioning device or system for determining the Actual position, in particular in connection with the use of a geodetic instrument.
- a number of reference points is determined in a first method step, designed and measured detectable.
- This set of reference points is chosen so that, if possible, at least two of the reference points can be detected from each point of the area to be used.
- a measurement of the positions of these reference points can be made by well known techniques of surveying, e.g. using a total positioning system, a global positioning system or by aerial photogrammetry. If the reference points are in closed spaces, these can also be measured, for example, with hand-held distance meters, either from several known positions, the distance to the same reference point is recorded or other information, such as. can be used from angle measurements. In principle, an already measured trigonometric point can also be selected as the reference point. However, the reference points can also be measured with the positioning device according to the invention relative to a predetermined starting point on which the positioning device is initially placed.
- the reference points are defined by attaching specially designed elements.
- cooperative objectives such as triple prisms, reflective films or other reflectors commonly used in surveying technology can be used.
- a combination of precise definition of the reference point with a good recognizability from different directions offers the use of spherical elements. These may be formed, for example, as reflective balls or else as half or quarter spheres. Due to the shape and the reflectivity of the surface, incident laser radiation is reflected back equally for all directions of incidence. Due to the fixed radius, the distance to the defined point can be calculated exactly. In addition, due to the center of gravity of the reflection on the surface of the sphere or of the spherical segment, the position of the reference point can also be determined for angle measurements with sufficient accuracy.
- the positioning device has at least one radiation source for emitting laser radiation.
- This laser radiation is detected again after its emission and subsequent reflection on a surface and evaluated in a receiver, wherein a distance measurement is carried out according to the phase measurement principle or the principle of pulse transit time measurement.
- a distance measurement is carried out according to the phase measurement principle or the principle of pulse transit time measurement.
- a device is for example from the EP 0 738 899 B1 known.
- Another principle for distance measurement which can be used according to the invention is described in US Pat WO 2004/074773 described.
- the laser beam is guided in a scanning movement over at least one space segment, space segment, number of reference points and orientation of the detected space segment must be coordinated so that for a distance measurement at least two of the reference points in a space segment or a reference point located in one of two space segments are.
- different scanning movements for the space segment can be selected.
- a rosette-shaped scanning of a circular scanned or detected space segment when using mutually rotatable prisms as a controlling element of a scanner, a rosette-shaped scanning of a circular scanned or detected space segment.
- the reference points can in principle be detected by the space segment sweeping over an area and detecting, identifying and missing reference points entering or entering the space segment.
- one or more reference points can always be tracked using components for independent scanning of multiple space segments. This means that the space segment is always aligned to the reference point, so that a constant identification of reference points can be omitted or limited to a verification.
- the reference points can be distinguished from the background by their reflectivity, so that their position can already be determined from the fluctuation in the intensity of the reflected radiation. From the combination of emission direction and intensity maximum Both distance and the direction to the reference point can be derived as position information.
- images are additionally recorded by the positioning device associated with the distances.
- These can consist of complete images of a captured field of view or else, for example, of partial images or sections in which the reference points are located and the position information is derived from the position in the image.
- CMOS cameras With CCD and CMOS cameras, a large number of suitable sensors are available for taking pictures, which can also be supplemented with suitable optical components and can also be integrated into devices in miniaturized form in the form of a wide-angle endoscope.
- the measured distances are assigned to the location information, e.g. consist of angles that can be derived from the number of pixels located between two identified reference points.
- the actual spatial actual position as well as the orientation with regard to the emission axis of the radiation relative to a reference axis of the measuring device can now be obtained.
- well-known methods of photogrammetry and image processing can be used.
- the linking of image and distance information offers a number of advantages over the sequential measurement of individual points. Due to the simultaneous or timely capture and visual arrangement of the measurements Association problems avoided.
- the detection of the spatial arrangement or sequence of measurements provides additional information that can be used for the subsequent determination of the current position or actual orientation.
- the identification of the reference points and thus the linkage of the positioning information recorded by the position information with the position of a specific reference point can be done in various ways.
- the elements defining a reference point can be made distinguishable, so that a detected reference point can be uniquely identified without any further references to other reference points.
- An example of such a configuration of the physical properties is the imposition of a diffractive structure on a reflective sphere.
- this can also be unambiguously designed, for example, in terms of its spectral reflectivity. If such a designed element is detected by a laser beam having two wavelengths, the element can be identified on the basis of the typical intensity ratio of the reflection.
- the reference points can be stochastically distributed or in the form of special arrangements, such as e.g. a mathematical M sequence.
- this information can be used to identify the reference points detected in the space segment.
- a coarse search can be used for the automatic detection of reference points, which suggests an orientation of the measuring device to the user or one for detecting the space segment Aligns appropriate component of the meter so that no interaction with the user is required.
- the position of the components of a scanner system can also be measured so that the direction of the measurement beam relative to the device axis is also known during the detection and measurement of a reference point.
- the necessary quantities can be reduced to a single parameter. If, for example, the scanning movement is known, then this can be parameterized in terms of time, so that it is possible to conclude from the time of a measurement on the then current emission or reception direction.
- the determination of the position in space as a position and orientation measurement Thus, basically only the measurement of a further, also device-internal size is required.
- a measuring device will usually have further measuring functionalities which permit use as a geodetic instrument or which are integrated in such a device.
- a hand-held measuring device can be designed to be usable in the field of construction by integrating a further laser rangefinder or by providing the already existing distance measuring functionality for further measurements.
- distances in buildings can be measured without the need for separate position determination and position storage for each measurement.
- the measured directional distances are automatically assigned to the position taken during the measurement as vector quantities and stored or transmitted.
- further measurements can be carried out in parallel.
- Such an embodiment may also be used to perform the initial determination and measurement of the reference points.
- reference points are defined on at least partial areas of the area to be used or measured from visible points and designed to be detectable by suitable elements. Subsequently, the positions of the reference points are measured from a known initial position by recording the angle and distance. If no angle measuring functionality is available, a pure distance measurement of several known ones can be used instead Initial positions are used to derive the positions of the reference points.
- a further use according to the invention consists in the combination with a positioning and / or orientation measuring system of a different mode of operation.
- This further system can now have a supporting function or be supported by itself.
- inertial sensors that measure, for example, rotation and linear accelerations, often drifts that lead to the deviation of the measured actual position from the true position.
- a positioning system according to the invention offers a suitable correction functionality which corrects deviations again at certain time intervals by determining the actual position in accordance with the invention.
- the periods lying between the steps performed according to the invention can be supported by a position determination by means of inertial sensors.
- the temporary loss of the detection of reference points can be bridged, so that either the number of reference points can be reduced and / or the range accessible to the measurements can be extended for a short time.
- Such a hybrid positioning device can thus compensate for the short-term loss of visual contact to reference points, so that the application area is generally increased and the device is designed to be more robust in terms of its use. The same considerations apply analogously to orientation measuring systems.
- the term "positioning device”, "orientation measuring device” or “handheld measuring device” is to be understood in general as always a measuring instrument or an instrument that is used in connection with geodetic measurements or the machine guidance, such as a pole or a location or direction determination of a construction machine.
- the invention relates to methods and devices for position and / or orientation determination for a measurement or verification of spatial reference data.
- a geodetic instrument handheld distance meter as well as theodolites and so-called total stations are understood as total stations with electronic angle measurement and electro-optical rangefinder.
- the invention is suitable for use in specialized devices with similar functionality, for example in military directional circuits or in industrial construction or process monitoring or machine positioning or guidance.
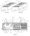
- Fig.1 By way of example, the first step of a method according to the invention for positioning a construction machine is illustrated.
- a total station 1 as a geodetic surveying instrument mounted on a construction site on adjacent buildings reference points 2a are measured and determined in their spatial position.
- This definition of the reference points 2a at elevated positions allows good visibility and accountability of much of the construction site.
- the location of the total station 1 is known as the initial position of the method.
- the position determination of the reference points 2a can also be carried out with other devices or methods.
- the position determination of the reference points can also be carried out with a positioning device according to the invention, which is located at a known initial position. As far as points exist whose position is known anyway, can These are designed detectable as reference points and used in the inventive method.
- Fig.2 shows by way of example and purely schematically the second and third steps of a method according to the invention for positioning the construction machine 3.
- a positioning device 4a is mounted, which detects a space segment 5, in which in the general case of an angular and distance measurement at least two reference points 2a 'should be. If this space segment 5 detects fewer than two reference points 2a ', it may be necessary to change the detected space segment 5 in terms of its size or orientation.
- at least three reference points 2a 'located in the space segment 5 must be detected and their distances measured to the positioning device 4a. The actual position is derived from the measured values.
- FIG. 3 The starting situation for another field of application of the method according to the invention is described in Figure 3 shown using the example of a use in a building interior.
- reference points 2b are applied before the start of a surveying job and these are measured in their position.
- This can be done, for example, with a hand-held rangefinder as a measuring device with inclination and direction meter.
- the positions of the reference points 2b are successively derived from a known initial position by measuring inclination angle, direction and distance.
- Figure 4 shows the representation of the subsequent steps of the inventive method for determining the position in an interior of a building.
- An inventive measuring device 4b detects a space segment 5 'in which at least two reference points 2b' are detected.
- the two reference points 2b 'detected and scanned in the space segment 5' are measured by the measuring device 4b with respect to their distances and angles of inclination.
- alternative sets of sizes may also be used to determine the current position and / or actual orientation, such as in Fig.2 presented and based purely on distance measurements approach, but at least three reference points would have to be measured in terms of their distance.
- the actual position of the positioning device 4b can be deduced, taking into account the absolute positions of the reference points 2b '.
- the representation is purely schematic, so that the size ratios of the objects shown are not to be considered as true to scale.
- FIG. 5 the illustration of an exemplary scanning movement takes place during the automatic detection and derivation of location information.
- the space segment 5 ' is detected as far as possible with a laser beam in a scanning movement 6.
- a movement about two axes will take place for scanning larger space segments.
- the laser beam is guided with a conical detection area in a rosette-shaped scanning movement 6 over the space segment 5 'with a circular cross-section, wherein the position of the device used for the scanning movement 6 component is detected.
- a high-intensity reflection is generated, which is used for detecting the reference point 2b' use, for example by using a filter or a threshold-dependent detection of reflections.
- the laser beam is parallel to a measurement of the distance to the reference point 2b '. If the passage through the scanning movement 6 is rapid compared to a movement of the spatial segment 5 ', the position of the reference point 2b' can be deduced from the temporal position of the received reflections since the parameters of the scanning movement 6 and their time course are known.
- 6a-b shows the representation of suitable scanning movements for a method according to the invention.
- 6a shows a further rosette-shaped scanning movement 6 'with a lower degree of coverage of a completely detected circular space segment.
- other forms of scanning movement 6 can also be used according to the invention, for example a rectangular space segment, which corresponds for example to a matrix of pixels 7, can be filled by a zigzag scanning movement 6". If the scanning movement is known, then this can also be parameterized, for example, with the time or a position of the shaft of a common drive motor, which drives all partial movement of the scanning process together, as a parameter.
- the meter 4c in a second embodiment has two trackers, each for tracking Reference points 2b are formed. Each of the two trackers independently searches for a space segment 5 "in which a detectable reference point 2b 'is contained.” After the detection of the reference point 2b', it is constantly tracked and the space segment 5 "thus remains constantly aligned with the respective associated reference point 2b ' , Despite the in Fig.7a and Fig.7b shown different positions of the measuring device 4c always takes place the detection of the same reference points 2b ', so that a change and a new identification of reference points is not necessary.
- Figure 8 illustrates the mathematical conditions for a way to derive the actual position AP of the movable measuring device from the location information and the positions of the first and second reference point 2b '. From the positioning device located at the actual position AP, the first distance A together with the associated inclination angle ⁇ and the second distance B together with the associated inclination angle ⁇ are measured at both reference points 2b '. From the knowledge of these quantities, the actual position AP can be unambiguously derived, except for reflection at a vertical plane through the two reference points 2b '. Alternatively, instead of measuring the second distance B, the angle ⁇ between the two reference points can also be measured or derived from a recorded image. Even from these sizes, the actual position - also up to the reflection - can be clearly derived. If, in addition, the angles with respect to a device axis are known, the orientation of the measuring device can also be determined.
- Figure 9 schematically shows the use of a method according to the invention in combination with a further positioning or orientation measuring device.
- the measuring device is moved along a trajectory T, wherein the measuring device is equipped with inertial sensors as a further positioning or orientation measuring device, which continuously carries out a position or orientation determination. Due to drift effects, this indicates an apparent position or orientation along the first interpolation path IP1 whose development after a time interval is again corrected by a determination of a first actual position AP1 or an actual orientation by means of the method according to the invention.
- the development of the apparent positions on the second interpolation path IP2 and the third interpolation path IP3 are successively corrected at intervals by the second actual position AP2 and third actual position AP3 or the actual orientations measured with the method according to the invention.
- FIG. 10a illustrated measuring device 4b as a first embodiment has a housing 8, on the top of which keys 10 are provided for the input of data and control commands. In a display panel 11, the display of measurement results.
- the emission of laser radiation and the detection of the space segment take place by means of a radiation-permeable hood 9 located on the measuring device 4b. Due to the curvature of the hood 9, solid-angle regions lying laterally of the measuring device 4b can also be detected.
- FIG. 10B A second embodiment of the measuring device 4c is shown.
- the measuring instrument 4c has two radiation-permeable hoods 9 'through which an emission of laser radiation and the detection of one spatial segment takes place. Emission and capture are controlled by trackers that enable automated target tracking of reference points.
- FIG 11 shows the representation of components of the first embodiment of a measuring device 4b according to the invention with a housing 8 and the components integrated therein.
- keys 10 and a display panel 11 for input and output of data and control instructions.
- laser radiation L is emitted, which is guided via deflecting elements 13 on a rotatable prism pair 14 as a control component. Due to the rotatable prism pair 14, the angle at which the Laser radiation L strikes a mirror 15, periodically varies, so that a rosette-shaped scanning movement of the measuring device 4b emitted by the hood 9 laser beam L results. In this case, the position of the components used for the emission for deriving the actual orientation can be continuously recorded.
- the laser radiation reflected back from a target, in particular a reference point is returned via the same beam path to the radiation source 12, into which a receiver for measuring the distance is structurally integrated.
- the radiation reflected back from a reference point located within the detection range EB is also guided via a optical system embodied as an endoscope 16 to a camera 17 as an image-receiving component.
- a detection of the reference points and their identification with methods of image processing is made possible parallel to the distance measurement.
- an angle measurement can be carried out here by counting the pixels lying between two reference points.
- the inventive measuring device 4b has a computing unit 20 with a measuring component for automatically detecting detectably designed reference points and for deriving location information of the reference points and a position component for deriving the actual position and actual orientation of the measuring device 4b from the location information of the reference points.
- the meter may also have inertial sensors 21.
- the measuring device 4b may have a second radiation source 18, also designed as a rangefinder, with which distance measurements for targets to be recorded are possible.
- the combination of measuring device 4b and conventional rangefinder allows an automatic linking of distance information and actual position or actual orientation, thus simplifying and accelerating the entire surveying process.
- Figure 12 explains the inventive use of the inventive method for determining machining positions BP.
- Positioning device are each a start position SP and an end position EP on a workpiece to be machined, which is exemplified here by a blockboard 22, set. Examples of the machining of workpieces are the hammering of nails into walls or the drilling of holes.
- a laterally attached to the meter 4d bar 23 with a marking opening the achieved processing positions BP can be marked on the block 22 Tischler. In this case, a falling apart of the marking opening and reference point of the position determination in the measuring device 4d can be taken into account.
- the distance defined by starting position SP and end position EP is subdivided into predetermined sections by a computing component in measuring device 4d. These sections can be determined both equidistantly and according to a more complex pattern. Subsequently, the measuring device 4d is guided over the Tischlerplatte 22, wherein a display signals each reaching one of the predetermined processing positions BP. This can then be marked for further processing steps.
- the meter 4d may be equipped with rollers or sliding segments similar to a computer mouse.
- Figure 13 explains basic mathematical relationships for deriving the location of the moveable gauge in space.
- the two reference points must not be vertically stacked, and in either case, there are two solutions to the position, symmetrical to the plane containing the two reference points and perpendicular to the horizontal plane.
- This ambiguity can be solved in practice in various ways, e.g. by a directional meter, for example a compass, which does not have to be set to high accuracy requirements, or by Apriori knowledge about the lineup.
- a directional meter for example a compass
- the reference points on a wall and the object can not measure through the wall or at startup is known on which side of the plane of symmetry the object is and it is then tracked and thus can drive through the plane of symmetry.
- the two reference points must not be vertically stacked on top of each other, and in addition the reference point to which the distance is measured may not be the same (vertical) height are like the object, otherwise the elevation of the reference point at which the distance was not measured is zero for all points of the latitude. In the best case, there are again two symmetric solutions for the position.
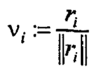
- a three-dimensional position d can be derived.
- a three-dimensional position determination serves a triangle, spanned by the vectors d , x 1 , x 2 , where Figure 13 represents the figure lying in the plane of this triangle.
- H ⁇ 1 2 - y 2
- ⁇ denotes the vector product and e 3 is the vertical basis vector of the geodesic coordinate system.
- the vector e 2 is horizontal.
- ⁇ E 1 , e 2 , e 3 ⁇ is a space-fixed orthonormal tripod and ⁇ e 1 , e 2 , e 3 ⁇ an object-fixed.
- v ⁇ i v ⁇ i 1 v ⁇ i 2 v ⁇ i 3 T ⁇ R 3
Landscapes
- Physics & Mathematics (AREA)
- Engineering & Computer Science (AREA)
- General Physics & Mathematics (AREA)
- Radar, Positioning & Navigation (AREA)
- Remote Sensing (AREA)
- Electromagnetism (AREA)
- Computer Networks & Wireless Communication (AREA)
- Length Measuring Devices By Optical Means (AREA)
Description
- Die Erfindung betrifft ein Verfahren zur Bestimmung der Lage eines handhaltbaren Messgerätes im Raum nach Anspruch 1, eine Verwendung des Verfahrens zur Korrektur von Abweichungen einer auf Inertialsensoren basierenden Positionierungs- und Orientierungsmessvorrichtung nach Anspruch 14, ein handhaltbares Messgerät nach dem Oberbegriff des Anspruchs 15, ein lokales Lagebestimmungssystem nach Anspruch 27 sowie eine Verwendung des Verfahrens nach Anspruch 29.
- In vielen geodätischen Anwendungen werden Verfahren und Systeme zur Positions- und/oder Orientierungsbestimmung eines geodätischen Instrumentes verwendet. Von einer mit einem solchen System bestimmten Position aus werden dann meist weitere Messungen durchgeführt, die mit der Position verknüpft sind und zumeist auch die Kenntnis der Orientierung des Messgerätes im Raum benötigen. Für solche Anwendungen sind zur eindeutigen Festlegung der absoluten Lage im Raum die 6 Freiheitsgrade des handhaltbaren Messgerätes zu bestimmen. Die Problemstellung beinhaltet somit die Bestimmung von Position und Orientierung als zwei grundsätzlich getrennt lösbare Aufgaben, die aber für viele Anwendungen verknüpft durchgeführt werden müssen. Im Regelfall werden somit sowohl Position als auch Orientierung eines handhaltbaren Messgerätes benötigt.
- Ein Beispiel für Positionsbestimmungssysteme sind globale Positionierungssysteme wie z.B. GPS, GLONASS oder das im Aufbau befindliche europäische Galileo-System. Diese Systeme basieren auf dem möglichst ungestörten Empfang von Satellitensignalen, die allerdings auch durch Hindernisse abgeschattet und somit in ihrer Nutzbarkeit eingeschränkt werden können. Im unmittelbaren Nahbereich von Hindernissen kann aufgrund deren abschattender Wirkung der Empfang der Signale eingeschränkt oder vollständig unmöglich sein, so dass eine Positionsbestimmung mit diesem System nicht mehr möglich ist. Diese Einschränkungen betreffen insbesondere Messungen in Innenräumen von Gebäuden, in denen der Empfang einer zur Positionierung benötigten Anzahl von Satelliten im Regelfall auszuschliessen ist. Eine weitere Problematik besteht darin, dass globale Positionierungssysteme nicht immer die benötigte Genauigkeit der Positionsbestimmung bereitstellen bzw. einen erhöhten Aufwand erfordern, z.B. durch Nutzung einer Referenzstation oder längere Messzeiten.
- Die Bestimmung der Orientierung eines Messgerätes mit solchen Systemen ist beispielsweise durch die Nutzung von zwei Empfangsantennen möglich. Ist die Lage der Basislinie bzw. der Antennen bezüglich der Geräteachse bekannt, kann auf die Orientierung des Messgerätes geschlossen werden. Um die damit noch unbestimmte Drehung um die Geräteachse zu bestimmen, kann ein Neigungssensor verwendet werden.
- Ein weiteres Beispiel stellt die Positionsbestimmung eines reflektortragenden Instrumentes mit einem Theodoliten bzw. Tachymeter dar. Durch eine Richtungs- und Entfernungsmessung mit dem Tachymeter zu dem geodätischen Instrument kann bei bekannter Position des Tachymeters auch die Position des Instruments bestimmt werden. In Verbindung mit einer automatisierten Zielerkennung und Zielverfolgung kann eine quasi-kontinuierliche Positionsbestimmung erreicht werden. Voraussetzung für die Messung ist hier die Sichtverbindung zwischen den beiden Komponenten. Erfolgt eine Unterbrechung dieser Verbindung, z.B. durch Bewuchs oder Gebäude im Sichtbereich, versagt die Art der Positionsbestimmung. Auch kann von einem motorisierten Tachymeter zeitgleich stets nur ein Instrument verfolgt werden, so dass z.B. bei vielen Fahrzeugen auf einer Baustelle auch eine grosse Anzahl von Theodoliten verwendet werden muss. Die Verwendung einer grossen Zahl von Theodoliten, die praktisch den gesamten zu vermessenden Bereich ohne Lücken im sichtbaren Bereich abdecken, verbietet sich meist aufgrund des Aufwandes an Gerät und Personal. Ausserdem bedingt eine solche Lösung eine hohe Komplexität sowie eine ständige Kommunikation zur Steuerung des Messvorganges.
- Um die Aktualposition als gegenwärtigen Standort des Instruments unter allen Bedingungen mit der benötigten Genauigkeit zu ermöglichen, sind Verfahren bekannt, die auf einer Bestimmung der eigenen Position gegenüber hinsichtlich ihrer Position bekannten Objekten als Referenzobjekten bzw. Referenzpunkten beruhen. Ein Beispiel hierfür stellt das klassische Verfahren des Rückwärtsschnittes dar. Sollen nun Aktualpositionen für ein geodätisches Instrument bzw. ein dafür geeignetes Positionierungsgerät aus der Kenntnis von Referenzpunkten abgeleitet werden, so müssen die Referenzpunkte vorher festgelegt und mit hinreichender Genauigkeit vermessen werden.
- Die Bestimmung der Aktualposition erfolgt nachfolgend durch eine Messung zu den Referenzpunkten, aus der Rückschlüsse über den eigenen Standort bzw. die Aktualposition abgeleitet werden können. In vielen Fällen verfügt ein geodätisches Instrument nur über eine Fähigkeit zur Entfernungsmessung bzw. ist eine Messung von Winkeln nicht mit der benötigten Präzision oder Geschwindigkeit durchzuführen. In diesen Fällen muss die Positionsbestimmung allein durch Entfernungsmessungen durchgeführt werden. Hierzu werden die Entfernungen zu mehreren Punkten mit bekannter Position gemessen und mit bekannten Verfahren, wie sie beispielsweise auch in der Photogrammetrie verwendet werden, kann die Bestimmung der Aktualposition erfolgen. Ein Beispiel hierfür stellen Korrelationsverfahren bzw. Korrelationsrechnungen dar. Dabei ist die Zahl der benötigen Punkte abhängig von deren Lage und der beabsichtigten Genauigkeit der Messung. Im Regelfall werden aber, abgesehen von besonders günstigen Konstellationen, mindestens 3 oder 4 Punkte benötigt. Wird zusätzlich ein Winkel berücksichtigt, z.B. indem zusätzlich der Winkel gegenüber der Horizontalen erfasst wird, kann die Zahl der Punkte auf zwei reduziert werden.
- Die jeweils tatsächlich benötigte Zahl an Punkten ist abhängig von der Lage der bekannten Punkte und ggf. möglicher Einschränkungen zur Reduzierung einer Mehrdeutigkeit. Bei drei Entfernungsmessungen zu den verschiedenen Referenzpunkten wird durch die drei bekannten Positionen eine Ebene definiert, an der die zu bestimmende Aktualposition gespiegelt werden kann. Als Lösung ergeben sich zwei mögliche Positionen, von denen aber meist eine Position aus Plausibilitätsgründen, z.B. weil sie unter der Erdoberfläche liegen würde, oder aufgrund einfacher weiterer Informationen ausgeschlossen werden, wie z.B. der Unterscheidung zwischen Nord und Süd, die auch durch einen einfachen Magnetkompass getroffen werden kann. Eine eindeutige Bestimmung mit drei bekannten Punkten ist möglich, wenn günstige geometrische Verhältnisse vorliegen. Dies ist beispielsweise der Fall, wenn die gesuchte Position auf einer Verbindungsgeraden zwischen zwei bekannten Punkten liegt.
- Auch mit geodätischen Geräten kann neben der Position prinzipiell die Orientierung einer Struktur im Raum bestimmt werden, indem Messungen von zwei oder drei Punkten der Struktur durchgeführt werden, wobei durch Messung von nur zwei Punkten jedoch nur 5 Freiheitsgrade bestimmt werden können. Aufgrund der räumlichen Abmessungen handhaltbarer Geräte verbietet sich jedoch ein solcher Ansatz in der Praxis.
- Zudem ist trotz dieser grundsätzlich bekannten Möglichkeit der Bestimmung einer Aktualposition die Durchführung mit geodätischen Instrumenten des Stands der Technik prohibitiv komplex und erfordert aufgrund der notwendigen Messungen stets eine Unterbrechung der ansonsten ablaufenden Tätigkeit. Insbesondere ist es nicht möglich, aus einer fortlaufenden Bewegung heraus ständig Messungen durchzuführen oder gar die Bestimmung der Aktualposition nach diesem Prinzip zur Korrektur von Fehlern andersgearteter Positionierungssysteme zu verwenden.
- Aus der
US 5,467,273 ist ein Robotersystem für Bewegungen in einer ausgedehnten Ebene bekannt, das die eigene Position und Orientierung durch Referenzierung bezüglich bekannter, reflektierender Punkte bestimmt. Hierfür nutzt das Robotersystem ein um eine vertikale Achse bewegbares Scannersystem mit Entfernungsmesser, das Entfernung und Winkel zu den Referenzpunkten misst und daraus die aktuelle Position bestimmt. - Aufgrund der Einschränkung der Bewegung in einer Ebene ist hier die Orts- und Richtungsbestimmung jedoch wenig komplex und nicht ohne weiteres auf eine dreidimensionale Problemstellung übertragbar. Zudem sind die für die Steuerung eines Robotersystems dieses Typs benötigten Genauigkeiten signifikant geringer als die von geodätischen Applikationen.
- Von besonderer Relevanz ist hierbei die Zahl der für eine Messung mit vorgegebener Genauigkeit benötigten Referenzpunkte. Diese soll, insbesondere bei einer anfänglichen Anbringung und Vermessung von solchen Punkten, möglichst gering sein. Um die Zahl von benötigten Referenzpunkten gering zu halten ist daher eine sorgfältige Auswahl der Anbringungsgeometrie und der zu messenden Grössen notwendig.
- Eine Aufgabe der vorliegenden Erfindung besteht darin, ein Verfahren und eine Vorrichtung bzw. ein System bereitzustellen, das eine Bestimmung der Aktualposition sowie der Orientierung eines handhaltbaren Messgerätes selbst in stark durchschnittenem Gelände oder in Innenräumen ermöglicht.
- Eine weitere Aufgabe ist die Verkürzung der zwischen den notwendigen Messungen liegenden Zeiträume.
- Eine weitere Aufgabe ist die Bereitstellung eines lokalen Positionierungs- und Orientierungssystems, bei dem die zur Bestimmung der Lage im Raum notwendige Elektronik stets mit der in ihrer Lage zu bestimmenden Einheit mitgeführt werden kann und das somit in seiner Auslegung eine weitgehende Unabhängigkeit von der Zahl der Benutzer besitzt.
- Die Erhöhung der Bestimmungsgenauigkeit von Aktualposition und Aktualorientierung ist eine weitere Aufgabe der vorliegenden Erfindung.
- Eine weitere Aufgabe ist die Vereinfachung und Verkürzung der Messungen zur Bestimmung von Aktualposition und Aktualorientierung.
- Eine weitere Aufgabe der Erfindung besteht darin, eine automatische Identifizierung und Vermessung der Referenzpunkte zu ermöglichen.
- Eine weitere Aufgabe der Erfindung besteht darin, eine automatische Bestimmung und Überprüfung von Bearbeitungspunkten zwischen definierten Start- und Endpunkten zu ermöglichen.
- Eine weitere Aufgabe der vorliegenden Erfindung besteht darin, ein Verfahren, ein handhaltbares Messgerät bzw. ein Positionierungs- und Orientierungssystem bereitzustellen, das eine fortlaufende, vorzugsweise im Hintergrund ablaufende Korrektur der Messungen von Positionierungs- und Orientierungssystemen anderer Funktionsprinzipien erlaubt.
- Diese Aufgaben werden erfindungsgemäss durch Merkmale der Ansprüche 1, 14, 15, 27 bzw. 29 oder durch Merkmale der Unteransprüche gelöst.
- Die Erfindung betrifft ein Verfahren und ein Positionierungsgerät bzw. -system zur Bestimmung der Aktualposition, insbesondere in Zusammenhang mit der Verwendung eines geodätischen Instrumentes.
- Hierfür wird in einem ersten Verfahrensschritt eine Zahl von Referenzpunkten festgelegt, detektierbar gestaltet und vermessen. Diese Menge von Referenzpunkten wird so gewählt, dass nach Möglichkeit von jedem Punkt des zu nutzenden Bereichs aus wenigsten zwei der Referenzpunkte erfasst werden können. Eine Vermessung der Positionen dieser Referenzpunkte kann mit allgemein bekannten Verfahren der Vermessungstechnik erfolgen, so z.B. mittels einem Total Positioning System, einem globalen Positionierungssystem oder auch durch Luftbildphotogrammetrie. Befinden sich die Referenzpunkte in geschlossenen Räumen können diese beispielsweise auch mit handgehaltene Distanzmessern vermessen werden, wobei entweder von mehreren bekannten Positionen die Entfernung zu demselben Referenzpunkt aufgenommen wird oder aber weitere Informationen, wie z.B. aus Winkelmessungen genutzt werden können. Grundsätzlich kann auch ein bereits eingemessener trigonometrischer Punkt als Referenzpunkt gewählt werden. Die Referenzpunkte können aber auch mit dem erfindungsgemässen Positionierungsgerät relativ zu einem vorgegebenen Ausgangspunkt, auf dem das Positionierungsgerät anfänglich placiert wird, vermessen werden.
- Um die Referenzpunkte detektierbar zu gestalten, werden diese durch Anbringen von speziell gestalteten Elementen definiert. Hierzu können kooperative Ziele wie z.B. Tripelprismen, reflektierende Folien oder andere in der Vermessungstechnik übliche Reflektoren verwendet werden. Eine Kombination von genauer Festlegung des Referenzpunkt mit einer guten Erkennbarkeit aus verschiedenen Richtungen bietet die Verwendung von sphärischen Elementen. Diese können beispielsweise als reflektierende Kugeln oder aber auch als Halb- oder Viertelkugeln ausgebildet sein. Durch die Form und das Reflexionsvermögen der Oberfläche wird einfallende Laserstrahlung für alle Einfallsrichtungen gleichermassen zurückreflektiert. Aufgrund des fixen Radius kann die Entfernung zum definierten Punkt genau berechnet werden. Ausserdem kann aufgrund des Schwerpunktes der Reflexion auf der Oberfläche der Kugel bzw. des Kugelsegments die Lage des Referenzpunkts auch für Winkelmessungen mit hinreichender Genauigkeit bestimmt werden.
- Insbesondere im Zusammenhang mit einer längerfristigen Nutzung eines Areals, z.B. einer Grossbaustelle, bietet es sich an, durch Anlage einer Vielzahl von Referenzpunkten ein aus den meisten Teilbereichen einsehbares Netz von bekannten Positionen zu definieren, das die Basis dieses lokalen Positionierungssystems darstellt und aufgrund der Vorteile einer längeren Nutzungsdauer auch mit höherem Aufwand eingemessen werden kann.
- Das erfindungsgemässe Positionierungsgerät verfügt über wenigstens eine Strahlungsquelle zur Emission von Laserstrahlung. Diese Laserstrahlung wird nach ihrer Aussendung und nachfolgenden Reflexion an einer Oberfläche wieder erfasst und in einem Empfänger ausgewertet, wobei eine Entfernungsmessung nach dem Phasenmessprinzip oder dem Prinzip der Pulslaufzeitmessung durchgeführt wird. Eine solche Vorrichtung ist beispielsweise aus der
EP 0 738 899 B1 bekannt. Ein weiteres erfindungsgemäss verwendbares Prinzip zur Entfernungsmessung wird in derWO 2004/074773 beschrieben. - Der Laserstrahl wird in einer Abtastbewegung über wenigstens ein Raumsegment geführt, wobei Raumsegment, Zahl der Referenzpunkte und Ausrichtung des erfassten Raumsegments so aufeinander abgestimmt sein müssen, dass behufs einer Entfernungsmessung mindestens zwei der Referenzpunkte in einem Raumsegment oder jeweils ein Referenzpunkt in einem von zwei Raumsegmenten gelegen sind. Je nach konkret gewählter Realisierung einer Ausführungsform können verschiedene Abtastbewegungen für das Raumsegment gewählt werden. So bietet sich z.B. bei der Nutzung gegeneinander rotierbarer Prismen als steuerndes Element eines Scanners eine rosettenförmige Abtastung eines kreisrunden abgetasteten bzw. erfassten Raumsegments an.
- Die Referenzpunkte können grundsätzlich erfasst werden, indem das Raumsegment einen Bereich überstreicht und in das Raumsegment eintretende bzw. darin gelegene Referenzpunkte erfasst, identifiziert und vermisst. Daneben können unter Verwendung von Komponenten zur unabhängigen Abtastung von mehreren Raumsegmenten auch stets ein bzw. mehrere Referenzpunkte verfolgt werden. Dies bedeutet, dass das Raumsegment stets auf den Referenzpunkt ausgerichtet wird, so dass eine ständige Identifizierung von Referenzpunkten entfallen bzw. auf eine Verifikation beschränkt werden kann.
- Die Referenzpunkte können anhand ihres Reflexionsvermögens vom Hintergrund unterschieden werden, so dass deren Position bereits aus der Schwankung in der Intensität der reflektierten Strahlung bestimmt werden kann. Aus der Verknüpfung von Emissionsrichtung und Intensitätsmaximum können sowohl Entfernung als auch die Richtung zum Referenzpunkt als Lageinformation abgeleitet werden.
- Vorteilhafterweise können jedoch auch Verfahren der Bildaufnahme und Bildverarbeitung verwendet werden. Mit den Entfernungen verknüpft werden in diesem Fall zusätzlich Bilder durch das Positionierungsgerät aufgenommen. Diese können aus vollständigen Bildern eines erfassten Sichtbereichs oder aber beispielsweise aus Teilbildern oder Ausschnitten bestehen, in denen die Referenzpunkte lokalisiert und aus der Lage im Bild die Lageinformationen abgeleitet werden. Zur Aufnahme von Bildern steht mit CCD- und CMOS-Kameras eine Vielzahl von geeigneten Sensoren zur Verfügung, die auch mit geeigneten optischen Komponenten ergänzt werden können und in Form eines Weitwinkelendoskops auch in miniaturisierter Form in Geräten integrierbar sind. Die gemessenen Entfernungen werden den Lageinformationen zugeordnet, die z.B. aus Winkeln bestehen, die anhand der Zahl der zwischen zwei identifizierten Referenzpunkten gelegenen Bildpunkte abgeleitet werden können.
- Aus den Entfernungen oder den mit den jeweiligen Winkeln verknüpften Entfernungen kann nun die tatsächliche räumliche Aktualposition sowie bei Kenntnis der Emissionsachse der Strahlung gegenüber einer Referenzachse des Messgerätes auch die Orientierung erhalten werden. Zur Ableitung dieser Information können allgemein bekannte Verfahren der Photogrammetrie und der Bildverarbeitung verwendet werden. Die Verknüpfung von Bild- und Entfernungsinformation bietet gegenüber der sequentiellen Vermessung einzelner Punkte eine Vielzahl von Vorteilen. Aufgrund der zeitgleichen oder zeitnahen Erfassung und bildlichen Anordnung der Messungen werden Zuordnungsprobleme vermieden. Darüber hinaus bietet bereits die Erfassung der räumlichen Anordnung bzw. Abfolge der Messungen eine Zusatzinformation, die zur nachfolgenden Bestimmung der Aktualposition oder Aktualorientierung herangezogen werden kann.
- Im Vergleich zu bekannten Verfahren, die eine Lage in der Ebene bestimmen, ergeben sich bei dreidimensionalen Problemstellungen mathematisch komplexere Beschreibungen.
- In zwei Dimensionen wird eine Drehlage durch einen einzigen Winkel beschrieben, die entsprechende Drehgruppe SO(2) ist kommutativ und isomorph zum Einheitskreis S1 (mit komplexer Multiplikation als Gruppenoperation).
- In drei Dimensionen hingegen wird eine Drehlage durch einen Punkt in der 3-dimensionalen Liegruppe SO(3) beschrieben, welche nicht-kommutativ ist und als 3-dimensionale Mannigfaltigkeit eine wesentlich kompliziertere Topologie aufweist, insbesondere nicht homöomorph zur 3-dimensionale Einheitssphäre S3 ist.
- Die Identifizierung der Referenzpunkte und damit die Verknüpfung der vom Positionierungsgerät aufgenommenen von Lageinformation mit der Position eines speziellen Referenzpunktes kann auf verschiedene Weise erfolgen. Zum einen können die einen Referenzpunkt definierenden Elemente unterscheidbar ausgestaltet werden, so dass ein erfasster Referenzpunkt ohne weitere Bezugnahmen zu anderen Referenzpunkten eindeutig identifiziert werden kann. Hierfür besteht die Möglichkeit des Aufbringens eines Codes, der z.B. wie ein Barcode in dem aufgenommenen Bild erkennbar und auswertbar ist, oder auch die spezielle Gestaltung der physikalischen Eigenschaften eines Elementes. Ein Beispiel für eine solche Gestaltung der physikalischen Eigenschaften stellt das Aufprägen einer diffraktiven Struktur auf eine reflektierende Kugel dar. Dieses kann aber beispielsweise auch in seinem spektralen Reflexionsvermögen eindeutig ausgelegt werden. Wird ein solchermassen gestaltetes Element von einem Laserstrahl mit zwei Wellenlängen erfasst, so kann anhand des typischen Intensitätsverhältnisses der Reflexion eine Identifikation des Elements erfolgen.
- Darüber hinaus bieten aber gerade Verfahren der Bildverarbeitung die Möglichkeit, Elemente auch ohne deren individuelle Gestaltung zu verwenden, indem auch die Anordnung der Elemente zueinander berücksichtigt wird. Da die räumliche Position aller Referenzpunkte bekannt ist, kann die aus einem erfassten Bild abgeleitete Lage der Referenzpunkte zueinander verwendet werden, um eine Identifizierung der einzelnen Punkte zu ermöglichen. Hierzu ist es vorteilhaft, wenn aus nur wenigen Referenzpunkten und deren Lage zueinander zweifelsfrei eine Zuordnung zu Positionen erfolgen kann. Zur Gewährleistung einer guten Identifizierbarkeit auch bei nur kleinen erfassten Teilmengen können die Referenzpunkte stochastisch verteilt oder in Form spezieller Anordnungen, wie z.B. einer mathematischen M-Sequenz, plaziert werden.
- Werden im Messgerät weitere Komponenten zur Ortsbestimmung verwendet, wie z.B. Inertialsensoren, die eine Veränderung bezüglich einer bekannten Startposition registrieren, so kann auch diese Information, ggf. zusammen mit einer Richtungs- oder Neigungsmessung, zur Identifikation der im Raumsegment erfassten Referenzpunkte genutzt werden.
- Wird nur eine geringe Anzahl von Referenzpunkten verwendet oder ist deren Festlegung bzw. Anbringung nur in einem eingeschränkten Bereich möglich oder sinnvoll, kann ein Grobsuchlauf zur automatischen Erfassung von Referenzpunkten verwendet werden, der dem Benutzer eine Ausrichtung des Messgerätes vorschlägt oder aber eine zur Erfassung des Raumsegments geeignete Komponente des Messgerätes ausrichtet, so dass keine Interaktion mit dem Benutzer erforderlich ist.
- Um neben der Orts- bzw. Positionsbestimmung des Messgerätes eine Ausrichtungs- bzw. Orientierungsbestimmung durchführen zu können, muss eine Verknüpfung zwischen der Messung zu den Referenzpunkten und ausgezeichneten Geräteachsen erfolgen. Insofern werden neben den gemessenen Distanzen auch Richtungen zu den Referenzpunkten als vektorielle Grössen benötigt. Diese können beispielsweise aus den für die Positionsbestimmung genutzten Neigungsmessungen abgeleitet werden.
- Alternativ oder ergänzend kann jedoch auch die Stellung der Komponenten eines Scannersystems gemessen werden, so dass bei der Erfassung und Vermessung eines Referenzpunktes auch die Richtung des Messstrahls relativ zur Geräteachse bekannt ist. Die hierfür notwendigen Grössen können auf einen einzigen Parameter reduziert werden. Ist beispielsweise die Abtastbewegung bekannt, so kann diese zeitlich parametrisiert werden, so dass aus dem Zeitpunkt einer Messung auf die dann aktuelle Emissions- bzw. Empfangsrichtung geschlossen werden kann. Die Bestimmung der Lage im Raum als Positions- und Orientierungsmessung bedarf somit grundsätzlich nur der Messung einer weiteren, zudem geräteinternen Grösse.
- Ein erfindungsgemässes Messgerät wird zumeist weitere Messfunktionalitäten aufweisen, die eine Verwendung als geodätisches Instrument erlauben oder aber in ein solches Gerät integriert sind. Beispielsweise kann ein solches handhaltbares Messgerät zur Vermessung im Baubereich verwendbar gestaltet werden, indem ein weiterer Laserentfernungsmesser integriert oder aber die ohnehin bereits erfindungsgemäss vorhandene Entfernungsmessfunktionalität für weitere Messungen bereitgestellt wird. Mit einer solchen Ausführungsform können Distanzen in Gebäuden vermessen werden, ohne dass bei jeder Messung eine separate Positionsbestimmung und Positionsspeicherung erfolgen muss. Die gemessenen richtungsbehafteten Distanzen werden automatisch der bei der Messung eingenommenen Position als vektorielle Grössen zugeordnet und gespeichert bzw. übertragen. Darüber hinaus können parallel auch noch weitere Messungen durchgeführt werden.
- Eine solche Ausführungsform kann auch verwendet werden, um die anfängliche Festlegung und Vermessung der Referenzpunkte durchzuführen. Hierfür werden an zumindest von Teilbereichen des zu nutzenden bzw. vermessenden Bereichs aus einsehbaren Stellen Referenzpunkte festgelegt und durch geeignete Elemente detektierbar gestaltet. Nachfolgend werden die Positionen der Referenzpunkte von einer bekannten Initialposition aus durch Aufnahme von Winkel und Entfernung vermessen. Steht keine Winkelmessfunktionalität zur Verfügung, kann statt dessen auch eine reine Entfernungsmessung von mehreren bekannten Initialpositionen zur Ableitung der Positionen der Referenzpunkte verwendet werden.
- Eine weitere erfindungsgemässe Nutzung besteht in der Kombination mit einem Positionierungs- und/oder Orientierungsmesssystem anderer Funktionsweise. Dieses weitere System kann nun unterstützende Funktion besitzen oder aber selbst unterstützt werden. So weisen Inertialsensoren, die beispielsweise Dreharten und lineare Beschleunigungen messen, häufig Driften auf, die zur Abweichung der gemessenen Aktualposition von der wahren Position führen. Ein erfindungsgemässes Positionierungssystem bietet eine geeignete Korrekturfunktionalität, die Abweichungen in gewissen Zeitabständen durch erfindungsgemässe Bestimmungen der Aktualposition wieder korrigiert. Auf der anderen Seite können die zwischen den erfindungsgemäss durchgeführten Schritten liegenden Zeiträume durch eine Positionsbestimmung mittels Inertialsensoren gestützt werden. Auch kann durch ein weiteres Positionierungssystem der zeitweilige Verlust der Erfassung von Referenzpunkten überbrückt werden, so dass entweder die Zahl der Referenzpunkte verringert und/oder der Messungen zugängliche Bereich kurzzeitig ausgedehnt werden können. Ein solches hybrid angelegtes Positionierungsgerät kann damit auch den kurzzeitigen Verlust einer Sichtverbindung zu Referenzpunkten kompensieren, so dass der Einsatzbereich allgemein vergrössert und das Gerät hinsichtlich seiner Nutzung robuster ausgelegt ist. Die gleichen Überlegungen gelten analog für Orientierungsmesssysteme.
- Aufgrund der Abmessungen von geodätischen Instrumenten wie auch deren Bauteile und der geringen Strahlquerschnitte ist die hochgenaue und stabile Positionierung ein kritisches Erfordernis. Vorteilhafterweise können daher alle Komponenten der Strahlungsquelle, Strahlführung und der steuernden und auswertenden Komponenten auf einer gemeinsamen Grundplatte angebracht oder auf einem gemeinsamen Substrat realisiert werden. Ein hinsichtlich Montageanforderungen und der notwendigen Montagegenauigkeit besonders geeignetes optisches Bauelement bzw. Bauteil als Komponenten sowie ein Gesamtsystem werden in der
DE 195 33 426 A1 undEP 1 127 287 B1 beschrieben. In der sowie in der zum Anmeldezeitpunkt noch nicht veröffentlichten europäischen Patentanmeldung Nr.WO 99/26754 werden geeignete Verfahren zur Lötbefestigung miniaturisierter Bauteile auf einer Grundplatte dargestellt. Ein geeignetes Verfahren zum Fixieren eines miniaturisierten Bauteils auf einer Trägerplatte, insbesondere zur Feinadjustierung von optischen Komponenten, ist beispielsweise in der zum Anmeldezeitpunkt noch nicht veröffentlichten europäischen Patentanmeldung Nr.02026648 beschrieben.02026650 - Unter dem Begriff "Positionierungsgerät", "Orientierungsmessgerät" bzw. " handhaltbares Messgerät" soll in diesem Zusammenhang verallgemeinernd stets ein Messinstrument oder ein Instrument verstanden werden, das in Zusammenhang mit geodätischen Messungen oder der Maschinenführung verwendet wird, wie z.B. ein Lotstock oder eine Orts- bzw. Richtungsbestimmung einer Baumaschine. Generell betrifft die Erfindung Verfahren und Vorrichtungen zur Positions- und/oder Orientierungsbestimmung für eine Messung oder Überprüfung von Daten mit räumlichem Bezug. Insbesondere sollen hier unter einem geodätischen Instrument handgehaltene Distanzmesser, sowie Theodoliten und auch sogenannte Totalstationen als Tachymeter mit elektronischer Winkelmessung und elektrooptischem Entfernungsmesser verstanden werden. Gleichermassen ist die Erfindung zur Verwendung in spezialisierten Vorrichtungen mit ähnlicher Funktionalität geeignet, z.B. in militärischen Richtkreisen oder in der industriellen Bauwerks- oder Prozessüberwachung bzw. Maschinenpositionierung oder -führung.
- Das erfindungsgemässe Verfahren und ein erfindungsgemässes handhaltbares Messgerät bzw. ein erfindungsgemässes lokales Positionierungs- und Orientierungssystem werden nachfolgend anhand von in der Zeichnung schematisch dargestellten Ausführungsbeispielen rein beispielhaft näher beschrieben. Im einzelnen zeigen
- Fig.1
- die Darstellung einer möglichen Ausführungsform des ersten Schrittes des erfindungsgemässen Verfahrens zur Positionierung einer Baumaschine;
- Fig.2
- die Darstellung einer möglichen Ausführungsform des zweiten und dritten Schrittes des erfindungsgemässen Verfahrens zur Positionierung einer Baumaschine;
- Fig.3
- die Ausgangssituation zur Nutzung des erfindungsgemässen Verfahrens in einem Innenraum eines Gebäudes;
- Fig.4
- die Darstellung einer möglichen Ausführungsform des zweiten und dritten Schrittes des erfindungsgemässen Verfahrens zur Lagebestimmung in einem Innenraum eines Gebäudes mit der Erfassung nur eines Raumsegments;
- Fig.5
- die Darstellung eines Beispiel der Abtastbewegung beim automatischen Detektieren und Ableiten von Lageinformationen für einen ersten und einen zweiten Referenzpunkt;
- Fig.6a-b
- die Darstellung von geeigneten Abtastbewegungen für ein erfindungsgemässes Verfahren;
- Fig.7a-b
- die Darstellung einer weiteren möglichen Ausführungsform des zweiten und dritten Schrittes des erfindungsgemässen Verfahrens zur Lagebestimmung in einem Innenraum eines Gebäudes mit einer voneinander unabhängigen Erfassung von zwei Raumsegmenten;
- Fig.8
- die Darstellung der mathematischen Bedingungen zum Ableiten der Aktualposition und Aktualorientierung des bewegbaren Messgeräts aus den Lageinformationen und den Positionen des ersten und zweiten Referenzpunkts;
- Fig.9
- die Darstellung der Verwendung eines erfindungsgemässen Verfahrens in Kombination mit einer weiteren Positionierungs- oder Orientierungsmessvorrichtung;
- Fig.10a-b
- die Darstellung einer ersten und zweiten möglichen Ausführungsform eines erfindungsgemässen Messgeräts;
- Fig.11
- die Darstellung von Komponenten der ersten Ausführungsform eines erfindungsgemässen Messgeräts;
- Fig.12
- die Darstellung der erfindungsgemässen Verwendung eines erfindungsgemässen Verfahrens mit einer dritten Ausführungsform eines erfindungsgemässen Messgeräts zur Festlegung von Bearbeitungspositionen, und
- Fig.13
- die Darstellung von grundlegenden mathematischen Beziehungen zum Ableiten der Lage des bewegbaren Messgeräts im Raum.
- In
Fig.1 wird exemplarisch der erste Schritt eines erfindungsgemässen Verfahrens zur Positionierung einer Baumaschine dargestellt. Durch eine Totalstation 1 als geodätisches Vermessungsinstrument werden auf einer Baustelle an benachbarten Gebäuden angebrachte Referenzpunkte 2a vermessen und in ihrer räumlichen Position bestimmt. Diese Festlegung der Referenzpunkte 2a an erhöhten Positionen erlaubt eine gute Einseh- und Erfassbarkeit von weiten Teilen der Baustelle aus. Dabei ist der Standort der Totalstation 1 als Initialposition des Verfahrens bekannt. Grundsätzlich kann die Positionsbestimmung der Referenzpunkte 2a aber auch mit anderen Vorrichtungen oder Verfahren erfolgen. Insbesondere kann erfindungsgemäss die Positionsbestimmung der Referenzpunkte auch mit einem erfindungsgemässen Positionierungsgerät erfolgen, dass sich auf einer bekannten Initialposition befindet. Soweit Punkte existieren, deren Position ohnehin bekannt ist, können diese auch als Referenzpunkte detektierbar ausgestaltet und im erfindungsgemässen Verfahren genutzt werden. -
Fig.2 zeigt beispielhaft und rein schematisch den zweiten und dritten Schritt eines erfindungsgemässen Verfahrens zur Positionierung der Baumaschine 3. Auf der Baumaschine 3 ist eine Positionierungsgerät 4a angebracht, das ein Raumsegment 5 erfasst, in dem sich im allgemeinen Fall einer Winkel- und Entfernungsmessung wenigstens zwei Referenzpunkte 2a' befinden sollen. Erfasst dieses Raumsegment 5 weniger als zwei Referenzpunkte 2a', so kann es erforderlich sein, das erfasste Raumsegment 5 in seiner Grösse oder Ausrichtung zu verändern. Für ein rein auf Entfernungsmessungen basierendes lokales Positionierungssystem müssen jedoch mindestens drei im Raumsegment 5 befindliche Referenzpunkte 2a' erfasst und deren Distanzen zum Positionierungsgerät 4a gemessen werden. Aus den gemessenen Werten wird die Aktualposition abgeleitet. - Die Ausgangssituation für einen anderen Einsatzbereich des erfindungsgemässen Verfahrens wird in
Fig.3 am Beispiel einer Nutzung in einem Gebäudeinnenraum dargestellt. An den Wänden des Raumes werden vor Beginn eines Vermessungsauftrages Referenzpunkte 2b angebracht und diese in ihrer Position vermessen. Dies kann beispielsweise mit einem handgehaltenen Entfernungsmesser als Messgerät mit Neigungs- und Richtungsmesser erfolgen. Mit diesem Entfernungsmesser werden von einer bekannten Initialposition aus nacheinander die Positionen der Referenzpunkte 2b durch Messung von Neigungswinkel, Richtung und Entfernung abgeleitet. -
Fig.4 zeigt die Darstellung die nachfolgenden Schritte des erfindungsgemässen Verfahrens zur Lagebestimmung in einem Innenraum eines Gebäudes. Ein erfindungsgemässes Messgerät 4b erfasst ein Raumsegment 5', in dem mindestens zwei Referenzpunkte 2b' detektiert werden. Die im Raumsegment 5' erfassten und abgetasteten zwei Referenzpunkte 2b' werden hinsichtlich ihrer Distanzen und Neigungswinkel vom Messgerät 4b vermessen. Jedoch sind auch alternative Mengen von Grössen zur Bestimmung der Aktualposition und/oder Aktualorientierung verwendbar, wie z.B. der inFig.2 dargestellte und rein auf Distanzmessungen beruhende Ansatz, für den aber mindestens drei Referenzpunkte hinsichtlich ihrer Entfernung vermessen werden müssten. Aus den Distanzen und Neigungswinkeln als Ortsinformationen kann unter Berücksichtigung der absoluten Positionen der Referenzpunkte 2b' auf die Aktualposition des Positionierungsgerätes 4b geschlossen werden. Wie auch im folgenden erfolgt die Darstellung rein schematisch, so dass die Grössenverhältnisse der dargestellten Objekte nicht als massstäblich zu betrachten ist. - In
Fig.5 erfolgt die Darstellung einer beispielhaften Abtastbewegung beim automatischen Detektieren und Ableiten von Ortsinformationen. Das Raumsegment 5' wird mit einem Laserstrahl in einer Abtastbewegung 6 möglichst weitgehend erfasst. Zur Abtastung grösserer Raumsegmente wird dabei im Regelfall eine Bewegung um zwei Achsen erfolgen. In diesem Beispiel wird der Laserstrahl mit einem kegelförmigen Erfassungsbereich in einer rosettenförmigen Abtastbewegung 6 über das Raumsegment 5' mit kreisförmigen Querschnitt geführt, wobei die Stellung der für die Abtastbewegung 6 verwendeten Gerätekomponente erfasst wird. Beim Auftreffen des Laserstrahls auf einen der im Raumsegment 5' enthaltenen Referenzpunkte 2b' wird ein Reflex hoher Intensität erzeugt, der zur Detektion des Referenzpunktes 2b' Verwendung findet, z.B. durch Verwendung eines Filters oder einer schwellwertabhängigen Erfassung von Reflexen. Durch den Laserstrahl erfolgt parallel eine Messung der Entfernung zum Referenzpunkt 2b'. Ist das Durchlaufen der Abtastbewegung 6 schnell gegenüber einer Bewegung des Raumsegments 5' kann aus der zeitlichen Position der empfangenen Reflexe die Lage der Referenzpunkt 2b' zueinander geschlossen werden, da die Parameter der Abtastbewegung 6 und deren zeitlicher Verlauf bekannt sind. -
Fig.6a-b zeigt die Darstellung von geeigneten Abtastbewegungen für ein erfindungsgemässes Verfahren.Fig.6a zeigt eine weitere rosettenförmige Abtastbewegung 6' mit geringerem Überdeckungsgrad eines vollständig erfassten kreisförmigen Raumsegments. Allerdings können auch andere Formen der Abtastbewegung 6" erfindungsgemäss verwendet werden. Beispielsweise kann ein rechteckförmiges Raumsegment, das beispielsweise einer Matrix aus Bildpunkten 7 entspricht, durch eine zick-zackförmige Abtastbewegung 6" ausgefüllt werden. Ist die Abtastbewegung bekannt, so kann diese auch parametrisiert werden, z.B. mit der Zeit oder einer Stellung der Welle eines gemeinsamen Antriebsmotors, der alle Teilbewegung des Abtastvorgangs gemeinsam antreibt, als Parameter. - In
Fig.7a-b wird eine beispielhafte Verwendung von zwei Raumsegmenten 5" beim automatischen Detektieren und Ableiten von Ortsinformationen dargestellt. - Das Messgerät 4c in einer zweiten Ausführungsform verfügt über zwei Tracker, die jeweils zur Verfolgung von Referenzpunkten 2b ausgebildet sind. Jeder der beiden Tracker sucht unabhängig vom anderen ein Raumsegment 5", in dem ein detektierbarer Referenzpunkt 2b' enthalten ist. Nach der Erfassung des Referenzpunktes 2b' wird dieser ständig verfolgt und das Raumsegment 5" bleibt somit ständig auf den jeweils zugeordneten Referenzpunkt 2b' ausgerichtet. Trotz der in
Fig.7a und Fig.7b dargestellten unterschiedlichen Positionen des Messgeräts 4c erfolgt stets die Erfassung der gleichen Referenzpunkte 2b', so dass ein Wechsel und eine erneute Identifizierung von Referenzpunkten nicht notwendig ist. -
Fig.8 veranschaulicht die mathematischen Bedingungen für eine Möglichkeit zum Ableiten der Aktualposition AP des bewegbaren Messgeräts aus den Ortsinformationen und den Positionen des ersten und zweiten Referenzpunkts 2b'. Vom an der Aktualposition AP befindlichen Positionierungsgerät aus werden die erste Distanz A zusammen mit dem zugehörigen Neigungswinkel α und die zweite Distanz B zusammen mit dem zugehörigen Neigungswinkel β zu beiden Referenzpunkten 2b' gemessen. Aus der Kenntnis dieser Grössen kann die Aktualposition AP - bis auf Spiegelung an einer Vertikalebene durch die beiden Referenzpunkte 2b' - eindeutig abgeleitet werden. Alternativ kann auch statt der Messung der zweiten Distanz B der Winkel γ zwischen den beiden Referenzpunkten gemessen bzw. aus einem aufgenommenen Bild abgeleitet werden. Auch aus diesen Grössen kann die Aktualposition - ebenfalls bis auf die Spiegelung - eindeutig abgeleitet werden. Sind zudem die Winkel gegenüber einer Geräteachse bekannt, so kann auch die Orientierung des Messgerätes bestimmt werden. -
Fig.9 zeigt schematisch die Verwendung eines erfindungsgemässen Verfahrens in Kombination mit einer weiteren Positionierungs- oder Orientierungsmessvorrichtung. Ausgehend von einer ersten Position, von der aus eine Messung zu Referenzpunkten stattgefunden hat, wird das Messgerät entlang einer Trajektorie T bewegt, wobei das Messgerät mit Inertialsensoren als weiterer Positionierungs- oder Orientierungsmessvorrichtung ausgestattet ist, die fortlaufend eine Positions- oder Ausrichtungsbestimmung vornimmt. Aufgrund von Drifteffekten wird hierdurch eine scheinbare Position oder Ausrichtung entlang des ersten Interpolationspfades IP1 angegeben, deren Entwicklung nach einem Zeitintervall wieder durch eine Bestimmung einer ersten Aktualposition AP1 bzw. einer Aktualorientierung mittels des erfindungsgemässen Verfahrens korrigiert wird. - Beim Durchlaufen der Trajektorie werden in Zeitintervallen nacheinander die Entwicklung der scheinbaren Positionen auf dem zweiten Interpolationspfad IP2 und dem dritten Interpolationspfad IP3 durch die mit dem erfindungsgemässen Verfahren gemessene zweite Aktualposition AP2 und dritte Aktualposition AP3 bzw. den Aktualorientierungen korrigiert. Durch die Kombination der beiden Verfahren können entweder zwischen den Messungen des erfindungsgemässen Verfahrens liegende Lagen abgeleitet, nicht mit Referenzpunkten versehene Bereiche überwunden werden oder aber eine Korrektur der auf Inertialsensoren basierten Vorrichtung erfolgen. Darüber hinaus werden durch eine solche Kombination eine Erweiterung des Einsatzbereichs und eine Erleichterung der Handhabung realisiert.
- In
Fig.10a-b sind zwei mögliche Ausführungsformen des erfindungsgemässen Messgeräts gegenständlich dargestellt. - Das in
Fig.10a dargestellte Messgerät 4b als erste Ausführungsform weist ein Gehäuse 8 auf, auf dessen Oberseite Tasten 10 zur Eingabe von Daten und Steuerbefehlen angebracht sind. In einem Anzeigefeld 11 erfolgt die Darstellung von Messergebnissen. Die Emission von Laserstrahlung und die Erfassung des Raumsegments erfolgen durch eine auf dem Messgerät 4b befindliche, strahlungsdurchlässige Haube 9. Durch die Wölbung der Haube 9 können auch seitwärts des Messgeräts 4b liegende Raumwinkelbereiche erfasst werden. - In
Fig.10b wird eine zweite Ausführungsform des Messgeräts 4c gezeigt. Neben Gehäuse 8 Tasten 10 zur Eingabe von Daten und Steuerbefehlen und einem Anzeigefeld 11 verfügt das Messgerät 4c über zwei strahlungsdurchlässige Hauben 9' durch die eine Emission von Laserstrahlung und die Erfassung jeweils eines Raumsegments erfolgt. Die Emission und Erfassung werden durch Tracker gesteuert, die eine automatisierte Zielverfolgung von Referenzpunkten ermöglichen. -
Fig.11 zeigt die Darstellung von Komponenten der ersten Ausführungsform eines erfindungsgemässen Messgeräts 4b mit einem Gehäuse 8 und den darin integrierten Komponenten. Auf dem Gehäuse 8 befinden sich Tasten 10 und ein Anzeigefeld 11 zur Ein- und Ausgabe von Daten und Steueranweisungen. Von einer ersten Strahlungsquelle 12 wird Laserstrahlung L emittiert, die über Umlenkelemente 13 auf ein rotierbares Prismenpaar 14 als Steuerkomponente geführt wird. Durch das rotierbare Prismenpaar 14 wird der Winkel, unter dem die Laserstrahlung L auf einen Spiegel 15 trifft, periodisch variiert, so dass eine rosettenförmige Abtastbewegung des vom Messgerät 4b durch die Haube 9 emittierten Laserstrahls L resultiert. Dabei kann die Stellung der zur Emission verwendeten Komponenten zur Ableitung der Aktualorientierung fortlaufend erfasst werden. Die von einem Ziel, insbesondere einem Referenzpunkt zurückreflektierte Laserstrahlung wird über den gleichen Strahlgang zur Strahlungsquelle 12 zurückgeführt, in die hier eine Empfänger zur Entfernungsmessung baulich integriert ist. - Die von einem innerhalb des Erfassungsbereichs EB liegenden Referenzpunkt zurückreflektierte Strahlung wird ausserdem über ein als Endoskop 16 ausgebildetes optisches System auf eine Kamera 17 als bildaufnehmender Komponente geführt. Durch diese Kamera 17 wird parallel zur Entfernungsmessung eine Erfassung der Referenzpunkte und deren Identifikation mit Verfahren der Bildverarbeitung ermöglicht. Insbesondere kann hier eine Winkelmessung durch eine Abzählung der zwischen zwei Referenzpunkten liegenden Bildpunkte durchgeführt werden.
- Zur Steuerung und Datenverarbeitung verfügt das erfindungsgemässe Messgerät 4b über eine Recheneinheit 20 mit Messkomponente zum automatischen Detektieren detektierbar gestalteter Referenzpunkte und zum Ableiten von Ortsinformationen der Referenzpunkte und einer Lagekomponente zur Ableitung der Aktualposition und Aktualorientierung des Messgeräts 4b aus den Ortsinformationen der Referenzpunkte.
- Gegebenenfalls kann das Messgerät auch über Inertialsensoren 21 verfügen.
- Um eine gleichzeitige Funktionalität als geodätisches Instrument bereitzustellen, kann das Messgerät 4b über eine zweite, ebenfalls als Entfernungsmesser ausgebildete Strahlungsquelle 18 verfügen, mit der Distanzmessungen zu aufzunehmenden Zielen möglich sind. Durch die Kombination von Messgerät 4b und herkömmlichem Entfernungsmesser kann eine automatische Verknüpfung von Entfernungsinformation und Aktualposition bzw. Aktualorientierung erfolgen und somit der gesamte Vermessungsvorgang vereinfacht und beschleunigt werden.
- Es versteht sich, dass diese dargestellten Figuren nur Beispiele möglicher vorrichtungs- und verfahrensseitiger Ausführungsformen darstellen. So können die genutzten Komponenten in
Fig.10 auch in anderen Zusammenstellungen und Abfolgen erfindungsgemäss verwendet werden. Darüber hinaus liegt es im Handeln des Fachmanns ergänzende oder alternative optische Komponenten, beispielsweise mit diffraktiver Wirkung, sowie allgemein in der Laserphysik bzw. -technik verwendete Komponenten gleicher oder ähnlicher Wirkung bzw. Funktionalität zu verwenden. In derFig.10 werden notwendige elektronische Steuer-, Stellungsmess- und Versorgungsanteile sowie Montagekomponenten lediglich aus Gründen der Anschaulichkeit nicht dargestellt. -
Fig.12 erläutert die erfindungsgemässe Verwendung des erfindungsgemässen Verfahrens zur Festlegung von Bearbeitungspositionen BP. Mit einer dritten Ausführungsform des erfindungsgemässen Messgerätes 4d als Positionierungsgerät werden jeweils eine Startposition SP und eine Endposition EP auf einem zu bearbeitenden Werkstück, das hier exemplarisch durch eine Tischlerplatte 22 dargestellt wird, festgelegt. Beispiele für die Bearbeitung von Werkstücken stellen das Einschlagen von Nägeln in Wände oder das Bohren von Löchern dar. Durch eine seitlich am Messgerät 4d angebrachte Leiste 23 mit einer Markieröffnung können die erreichten Bearbeitungspositionen BP auf der Tischlerplatte 22 markiert werden. Dabei kann ein Auseinanderfallen von Markieröffnung und Bezugspunkt der Positionsbestimmung im Messgerät 4d kalkulatorisch berücksichtigt werden. Die durch Startposition SP und Endposition EP definierte Strecke wird durch eine Rechenkomponente im Messgerät 4d in vorbestimmte Abschnitte unterteilt. Diese Abschnitte können sowohl äquidistant als auch nach einem komplexeren Muster bestimmt werden. Nachfolgend wird das Messgerät 4d über die Tischlerplatte 22 geführt, wobei eine Anzeige jeweils das Erreichen einer der vorbestimmten Bearbeitungspositionen BP signalisiert. Diese kann dann für weitere Bearbeitungsschritte markiert werden. Für eine solche Anwendung kann das Messgerät 4d ähnlich einer Computermaus mit Rollen oder Gleitsegmenten ausgestattet werden. -
Fig.13 erläutert grundlegende mathematische Beziehungen zum Ableiten der Lage des bewegbaren Messgeräts im Raum. - Zur Messung der Position bei einer Lagebestimmung sind hinsichtlich der Auswahl von aufzunehmenden Messwerten grundsätzlich drei Minimalvarianten möglich.
- 1. Messung der Distanzen zu zwei Referenzpunkten und Messung der Elevation eines der Referenzpunkte.
- 2. Messung von Distanz und Elevation zu einem der zwei Referenzpunkte und Messung des Zwischenwinkels der beiden Referenzpunkte.
- In beiden Fällen dürfen die zwei Referenzpunkte nicht vertikal übereinander stehen und in beiden Fällen gibt es im günstigen Fall zwei Lösungen für die Position, nämlich symmetrisch zur Ebene, die die zwei Referenzpunkte enthält und senkrecht auf der Horizontalebene steht.
- Diese Uneindeutigkeit lässt sich praktisch auf verschiedene Arten beheben, z.B. durch einen Richtungsmesser, bspw. einen Kompass, wobei an diesen keine hohen Genauigkeitsanforderungen gestellt werden müssen, oder durch Apriori-Wissen über die Aufstellung. So sind z.B. die Referenzpunkte an einer Wand und das Objekt kann nicht durch die Wand hindurchmessen oder beim Aufstart ist bekannt, auf welcher Seite der Symmetrieebene das Objekt steht und es wird dann verfolgt und kann somit auch durch die Symmetrieebene hindurch fahren.
- Die Punkte mit konstanter Distanz und Elevation zu einem Referenzpunkt liegen somit auf einem Breitenkreis der Kugel mit dem Referenzpunkt als Zentrum und der Distanz als Radius.
- 3. Messung der Elevationen beider Referenzpunkte und Messung der Distanz zu einem der Referenzpunkte.
- Auch hier dürfen die zwei Referenzpunkte nicht vertikal übereinander stehen und zusätzlich darf der Referenzpunkt, zu dem die Distanz gemessen wird nicht auf der gleichen (vertikalen) Höhe liegen wie das Objekt, da sonst die Elevation des Referenzpunkts, zu dem die Distanz nicht gemessen wurde für alle Punkte des Breitenkreises null ist. Im günstigen Fall gibt es wieder zwei symmetrische Lösungen für die Position.
- Um eine für geodätische Anwendungen hinreichende Genauigkeit zu erhalten, kann es vorteilhaft sein, zu beiden Referenzpunkten Distanz und Elevation zu messen. Für diesen Ansatz folgt aufgrund der Redundanz eine höhere Genauigkeit. Eine Messung von Distanz und Elevation zu einem der zwei Referenzpunkte und Messung des Zwischenwinkels der beiden Referenzpunkte besitzt jedoch aufgrund der notwendigen Messung des Zwischenwinkels eine erhöhte Hardwarekomplexität.
- Im Folgenden wird erläutert, wie im Minimalfall einer Bestimmung von nur zwei Distanzen ρ1, ρ2 zu zwei Referenzpunkten (Ortsvektoren x 1, x 2) und der Elevation α1 zum ersten Referenzpunkt eine dreidimensionale Position d ableitbar ist. Als Ausgangspunkt für die Betrachtung des allgemeinen dreidimensionalen Falls einer Positionsbestimmung dient ein Dreieck, aufgespannt durch die Vektoren d, x 1, x 2, wobei
Fig.13 die in der Ebene dieses Dreiecks liegende Figur darstellt. -
- In
Fig.13 ist y < 0, in einem Fall, in dem die Höhe innerhalb des Dreiecks liegt, ist y > 0. - Alle nach Verwendung der gemessenen Distanzen noch in Frage kommenden Positionen d liegen nun auf dem Kreis in der Ebene senkrecht auf x 2 - x 1, mit Zentrum der Höhenfusspunkt und Radius h. Um diesen Kreis analytisch einfach zu beschreiben, wird das folgende der Situation angepasste orthonormale Dreibein eingeführt:
- Dabei bezeichnet × das Vektorprodukt und e 3 ist der vertikale Basisvektor des geodätischen Koordinatensystems. Der Vektor
e 2 ist also horizontal. Die noch in Frage kommenden Positionsvektoren d auf dem besagten Kreis lassen sich damit wie folgt beschreiben:
wobei der Winkel ϕ ein noch unbekannter Parameter ist. Er muss durch die gemessene Elevation α1 bestimmt werden. Es gilt
wobei die dritte Komponente der Vektoren mit dem Superscript 3 geschrieben ist. Zusammen mit Gleichung (3) ergibt sich die Bedingung
welche im allgemeinen zwei Lösungen für ϕ zulässt. Die Lösungen von Gleichung (5) können zum Beispiel numerisch bestimmt werden. Werden diese in (3) eingesetzt, so folgen die beiden möglichen Positionen. Gleichung (5) kann auch explizit gelöst werden: Sie hat die Form
mit
Wird
gesetzt, so gilt A·c+B·s+C=0, c 2 + s 2 = 1. -
- Einsetzen in c 2+s 2=1 zeigt, dass nur entweder die beiden oberen oder die beiden unteren Wahlen der Vorzeichen in (9) zulässig sind, es folgen somit zwei Lösungen.
- Somit werden zur expliziten Berechnung des Positionsvektors d also der Reihe nach die Gleichungen (1), (2), (7), (9), und (3) verwendet.
- Für die parallele Bestimmung von Ort und Ausrichtung müssen 6 Freiheitsgrade bestimmt werden. In den untenstehenden Gleichungen werden Vektorkomponenten als Superscripts geschrieben, wobei
den Richtungsvektor zum i-ten Referenzpunkt darstellt und die von einem Neigungssensor gemessene Projektion von e 3 auf die vone 1 ande 2 aufgespannte Ebene gemäss
bezeichnet wird. Dabei ist {e 1,e 2,e 3} ein raumfestes orthonormales Dreibein und {e 1,e 2,e 3} ein objektfestes. Es gelten weiterhin folgende Beziehungen: -
-
-
- In den Figuren sind die Verfahrensschritte, Gebäude und verwendeten Instrumente rein schematisch dargestellt. Insbesondere können aus den Darstellungen keine Grössenverhältnisse oder Details der Bildverarbeitung bzw. Vermessung der Referenzpunkte entnommen werden. Die nur exemplarisch als Referenzpunkte dargestellten Punkte stehen stellvertreterid auch für komplexere Strukturen bzw. die einen Punkt detektierbar gestaltenden Elemente.
Claims (29)
- Verfahren zur Bestimmung einer Lage (AP, AP1, AP2, AP3) eines handhaltbaren Messgeräts (4a,4b,4c,4d) im Raum, mit• einer Menge detektierbar gestalteter Referenzpunkte (2a,2a',2b,2b'), wobei die Menge wenigstens zwei Referenzpunkte (2a,2a',2b,2b') aufweist, und• dem handhaltbaren Messgerät (4a,4b,4c,4d), welches zum Detektieren und Messen der Referenzpunkte (2a,2a',2b,2b') mittels Laserstrahlung (L) ausgebildet ist,wobei einzelne oder mehrere der Schritte wiederholt werden können.
mit den Schritten- Ableiten der Positionen der Referenzpunkte (2a,2a',2b,2b'), insbesondere durch Vermessen der Referenzpunkte (2a,2a',2b,2b') von wenigstens einer bekannten Initialposition aus,- Automatisches Detektieren und Ableiten von Ortsinformationen bezüglich wenigstens eines ersten und eines zweiten Referenzpunkts (2a',2b') aus der Menge durch das Messgerät (4a,4b,4c,4d), wobei
o wenigstens ein Raumsegment (5, 5', 5") automatisch in einer Abtastbewegung (6, 6', 6") mit der Laserstrahlung (L) abgetastet wird und der erste und zweite Referenzpunkt (2a',2b') detektiert werden, und
o die Ortsinformationen für wenigstens den detektierten ersten und zweiten Referenzpunkt (2a',2b') abgeleitet werden durch Messen wenigstens• der Entfernung (A) zwischen Messgerät (4a,4b,4c,4d) und erstem Referenzpunkt (2a',2b') und• der Entfernung (B) zwischen Messgerät (4a,4b,4c,4d) und zweitem Referenzpunkt und/oder des Winkels (γ) zwischen erstem und zweitem Referenzpunkt (2a',2b'),• sowie- des Neigungswinkels (α,β) zum erstem oder zum zweiten Referenzpunkt (2a',2b') oder- mindestens einer Entfernung zu einem dritten Referenzpunkt (2a',2b'),- Ableiten einer Aktualposition (AP,AP1,AP2,AP3) des Messgeräts (4a,4b,4c,4d) aus den Ortsinformationen und den Positionen wenigstens des ersten und zweiten Referenzpunkts (2a',2b'), - Verfahren nach Anspruch 1,
dadurch gekennzeichnet, dass
beim Automatischen Detektieren und Ableiten von Ortsinformationen wenigstens• eine Neigung des Messgerätes und/oder• eine Emissionsrichtung der Laserstrahlung mittelbar oder unmittelbar bestimmt und eine Aktualorientierung des Messgerätes abgeleitet wird. - Verfahren nach Anspruch 2,
dadurch gekennzeichnet, dass
die Emissionsrichtung durch Parametrisierung einer definierten Trajektorie bestimmt wird. - Verfahren nach einem der vorangehenden Ansprüche,
dadurch gekennzeichnet, dass
der erste und zweite Referenzpunkt (2a',2b') anhand ihres Reflexionsvermögens der Laserstrahlung (L) detektiert werden, insbesondere durch Verwendung von kooperativen Zielen zur Festlegung der Referenzpunkte (2a,2a',2b,2b'). - Verfahren nach einem der vorangehenden Ansprüche,
dadurch gekennzeichnet, dass
beim automatischen Detektieren die Referenzpunkte (2a',2b') voneinander unterschieden werden, insbesondere durch ein Erkennen von jedem Referenzpunkt (2a,2a',2b,2b') zugeordneten individuellen Codes oder individueller physikalischer Eigenschaften, vorzugsweise aufgrund spektraler Selektierbarkeit. - Verfahren nach einem der vorangehenden Ansprüche,
dadurch gekennzeichnet, dass
beim automatischen Detektieren und Ableiten von Ortsinformationen eine Aufnahme von Bildern erfolgt. - Verfahren nach Anspruch 6,
dadurch gekennzeichnet, dass
der erste und/oder zweite Referenzpunkt (2a',2b') unter Verwendung von Verfahren der Bildverarbeitung detektiert werden. - Verfahren nach Anspruch 6 oder 7,
dadurch gekennzeichnet, dass
die Ortsinformationen für wenigstens den detektierten ersten und zweiten Referenzpunkt (2a',2b') unter Verwendung von Verfahren der Bildverarbeitung abgeleitet werden. - Verfahren nach einem der vorangehenden Ansprüche,
dadurch gekennzeichnet, dass
die Abtastbewegung (6, 6', 6") scannend erfolgt, insbesondere rosettenförmig oder zick-zackförmig. - Verfahren nach einem der vorangehenden Ansprüche,
dadurch gekennzeichnet, dass
beim automatischen Detektieren eine automatische Zielverfolgung wenigstens eines der Referenzpunkte (2a,2a',2b,2b') erfolgt. - Verfahren nach einem der vorangehenden Ansprüche,
dadurch gekennzeichnet, dass
die Ortsinformationen und/oder die Ausrichtungsinformation für wenigstens den detektierten ersten und zweiten Referenzpunkt (2a',2b') zeitgleich abgeleitet werden. - Verfahren nach einem der vorangehenden Ansprüche,
dadurch gekennzeichnet, dass
ein zusätzliches Ableiten der Aktualposition (AP,AP1,AP2,AP3) und/oder der Aktualorientierung mittels Inertialsensoren (21) erfolgt, insbesondere zur Interpolation der Aktualposition (AP,AP1,AP2,AP3) und/oder der Aktualorientierung. - Verfahren nach einem der vorangehenden Ansprüche,
dadurch gekennzeichnet, dass
das Messen der Entfernung nach einem der folgenden Prinzipien erfolgt• Phasenmessung,• Pulslaufzeitmessung,• Pulslaufzeitmessung mit Schwellwertbestimmung,• Pulslaufzeitmessung mit HF-Sampling. - Verwendung eines Verfahrens nach einem der vorangehenden Ansprüche zur Korrektur von Abweichungen, insbesondere Drifteffekten, einer auf Inertialsensoren (21) basierenden Positionierungs- und/oder Orientierungsmessvorrichtung.
- Handhaltbares Messgerät (4a,4b,4c,4d) für ein Verfahren nach einem der Ansprüche 1 bis 13, mit- wenigstens einer Strahlungsquelle (12) zur Erzeugung von Laserstrahlung (L),- wenigstens einer Meßkomponente zum automatischen Detektieren detektierbar gestalteter Referenzpunkte (2a,2a',2b,2b') und zum Ableiten von Ortsinformationen der Referenzpunkte (2a,2a',2b,2b'), mit einem Empfänger für die Laserstrahlung (L), wobei der Empfänger zur Distanzmessung ausgebildet ist und wobei die Meßkomponente ggf. auch zum Ableiten der Positionen der Referenzpunkte (2a,2a',2b,2b') geeignet ist, gekennzeichnet durch• wenigstens eine Steuerkomponente (14) zur Veränderung der Emissionsrichtung der Laserstrahlung (L), wobei die Steuerkomponente (14) so ausgelegt ist, dass wenigstens ein Raumsegment (5, 5', 5") automatisch mit Laserstrahlung (L) in einer Bewegung um zwei Achsen abtastbar ist, und• einer Positionskomponente zur Ableitung der Aktualposition (AP,AP1,AP2,AP3) des Messgeräts (4a,4b,4c,4d) aus den Ortsinformationen der Referenzpunkte (2a,2a',2b,2b').
- Handhaltbares Messgerät (4a,4b,4c,4d) nach Anspruch 15,
dadurch gekennzeichnet, dass
die Meßkomponente zur Messung von Winkeln (α,β,γ), insbesondere• zwischen zwei Referenzpunkten (2a,2a',2b,2b'),• zwischen einem Referenzpunkt (2a,2a',2b,2b') und der Horizontalen und/oder• zwischen dem Messgerät und der Horizontalen ausgebildet ist. - Messgerät (4a,4b,4c,4d) nach Anspruch 15 oder 16,
dadurch gekennzeichnet, dass
die Meßkomponente zur Bestimmung der Emissionsrichtung der Laserstrahlung gegenüber einer Achse des Messgerätes ausgebildet ist. - Messgerät (4a,4b,4c,4d) nach Anspruch 15, 16 oder 17,
gekennzeichnet durch
Inertialsensoren (21). - Messgerät (4a,4b,4c,4d) nach einem der Ansprüche 15 bis 18,
dadurch gekennzeichnet, dass
die Steuerkomponente (14) als Scanner ausgebildet ist, insbesondere als Scanner mit drehbaren Prismen oder Spiegeln. - Messgerät (4a,4b,4c,4d) nach einem der Ansprüche 15 bis 19,
dadurch gekennzeichnet, dass
die Meßkomponente eine bildaufnehmende Komponente (17) aufweist, insbesondere eine CCD- oder CMOS-Kamera, vorzugsweise als Weitwinkel-Kamera. - Messgerät (4a,4b,4c,4d) nach einem der Ansprüche 15 bis 20,
dadurch gekennzeichnet, dass
die Meßkomponente eine scannend abtastende Detektionskomponente aufweist, insbesondere mit einem als Endoskop (16) ausgebildeten koaxialen optischen System. - Messgerät (4a,4b,4c,4d) nach einem der Ansprüche 15 bis 21,
gekennzeichnet durch
einen weiteren Entfernungsmesser (18). - Messgerät (4a,4b,4c,4d) nach Anspruch 15 bis 22,
dadurch gekennzeichnet, dass die Steuerkomponente (14) so ausgebildet ist, dass das Raumsegment (5, 5', 5") in seiner Ausdehnung veränderbar ist. - Messgerät (4c) nach Anspruch 15 bis 23,
dadurch gekennzeichnet, dass
die Steuerkomponente (14) so ausgebildet ist, dass wenigstens zwei Raumsegmente (5") unabhängig voneinander abtastbar sind, insbesondere durch zwei Tracker zur Zielverfolgung. - Messgerät (4a,4b,4c,4d) nach einem der Ansprüche 15 bis 24,
gekennzeichnet durch
eine Anzeige zur Bestätigung, dass das Messgerät (4a,4b,4c,4d) eine vorbestimmte Position eingenommen hat. - Messgerät (4a,4b,4c,4d) nach Anspruch 25,
gekennzeichnet durch
eine Rechenkomponente zur Ableitung von vorbestimmten Positionen, insbesondere durch Festlegung einer Startposition (SP) und einer Endposition (EP) zwischen denen Bearbeitungspositionen (BP) nach einem vorgegebenen Schema durch die Rechenkomponente automatisch ableitbar sind. - Lokales Lagebestimmungssystem mit einem Messgerät (4a,4b,4c,4d) nach der Ansprüche 15 bis 26 und wenigstens zwei Reflektoren zur Festlegung von detektierbar gestalteten Referenzpunkten (2a,2a',2b,2b').
- Lokales Lagebestimmungssystem nach Anspruch 27,
dadurch gekennzeichnet, dass
wenigstens einer der Reflektoren als eines der folgenden, Elemente, insbesondere als mit einer Codierung oder einer spektralen Selektierbarkeit versehenes Element, ausgebildet ist- Glassphären, insbesondere als Voll- oder Halbkugel,- retroreflektive Folie,- Tripelprisma. - Verwendung des Verfahrens nach einem der Ansprüche 1 bis 13 zur Markierung von Bearbeitungspositionen, wobei- durch das Verfahren eine erste Aktualposition als Startposition und eine zweite Aktualposition als Endposition definiert werden und- zwischen Startposition und Endposition Bearbeitungspositionen nach einem vorgegebenem Schema automatisch abgeleitet werden, so dass durch das Verfahren das Einnehmen einer Bearbeitungspositionen verifiziert werden kann.
Priority Applications (1)
| Application Number | Priority Date | Filing Date | Title |
|---|---|---|---|
| EP04765447.0A EP1664674B1 (de) | 2003-09-22 | 2004-09-21 | Verfahren und system zur bestimmung der aktualposition eines handhaltbaren messgerätes im raum |
Applications Claiming Priority (3)
| Application Number | Priority Date | Filing Date | Title |
|---|---|---|---|
| EP03021134A EP1517117A1 (de) | 2003-09-22 | 2003-09-22 | Verfahren und System zur Bestimmung einer Aktualposition eines Positionierungsgerätes |
| PCT/EP2004/010571 WO2005031259A1 (de) | 2003-09-22 | 2004-09-21 | Verfahren und system zur bestimmung der lage eines handhaltbaren messgerätes im raum |
| EP04765447.0A EP1664674B1 (de) | 2003-09-22 | 2004-09-21 | Verfahren und system zur bestimmung der aktualposition eines handhaltbaren messgerätes im raum |
Publications (2)
| Publication Number | Publication Date |
|---|---|
| EP1664674A1 EP1664674A1 (de) | 2006-06-07 |
| EP1664674B1 true EP1664674B1 (de) | 2013-04-17 |
Family
ID=34178437
Family Applications (2)
| Application Number | Title | Priority Date | Filing Date |
|---|---|---|---|
| EP03021134A Withdrawn EP1517117A1 (de) | 2003-09-22 | 2003-09-22 | Verfahren und System zur Bestimmung einer Aktualposition eines Positionierungsgerätes |
| EP04765447.0A Expired - Lifetime EP1664674B1 (de) | 2003-09-22 | 2004-09-21 | Verfahren und system zur bestimmung der aktualposition eines handhaltbaren messgerätes im raum |
Family Applications Before (1)
| Application Number | Title | Priority Date | Filing Date |
|---|---|---|---|
| EP03021134A Withdrawn EP1517117A1 (de) | 2003-09-22 | 2003-09-22 | Verfahren und System zur Bestimmung einer Aktualposition eines Positionierungsgerätes |
Country Status (7)
| Country | Link |
|---|---|
| US (1) | US7742176B2 (de) |
| EP (2) | EP1517117A1 (de) |
| JP (1) | JP2007506109A (de) |
| CN (1) | CN100580373C (de) |
| AU (1) | AU2004276459B2 (de) |
| CA (1) | CA2539903C (de) |
| WO (1) | WO2005031259A1 (de) |
Cited By (2)
| Publication number | Priority date | Publication date | Assignee | Title |
|---|---|---|---|---|
| EP3182065A1 (de) | 2015-12-14 | 2017-06-21 | Leica Geosystems AG | Handhaltbares entfernungsmessgerät und verfahren zum erfassen relativer positionen |
| DE102021206971A1 (de) | 2021-07-02 | 2023-01-05 | Carl Zeiss Meditec Ag | Verfahren und System zur optischen Lageerfassung zumindest eines Instruments in einem Operationssaal |
Families Citing this family (172)
| Publication number | Priority date | Publication date | Assignee | Title |
|---|---|---|---|---|
| EP1669776A1 (de) * | 2004-12-11 | 2006-06-14 | Leica Geosystems AG | Handhaltbares Vermessungsgerät und Vermessungsverfahren für ein solches Vermessungsgerät |
| EP1703300A1 (de) | 2005-03-17 | 2006-09-20 | Leica Geosystems AG | Verfahren und System zur Bestimmung von Position und Orientierung eines Objekts |
| EP1724609A1 (de) * | 2005-05-18 | 2006-11-22 | Leica Geosystems AG | Verfahren zur Lagebestimmung einer Empfängereinheit |
| AU2006263327B2 (en) * | 2005-06-27 | 2011-01-20 | Geo-Pioneers Ltd | Apparatus and method for evaluating data points against cadastral regulations |
| US20070065004A1 (en) * | 2005-08-01 | 2007-03-22 | Topcon Corporation | Three-dimensional measurement system and method of the same, and color-coded mark |
| EP1990607A1 (de) * | 2007-05-10 | 2008-11-12 | Leica Geosystems AG | Positionsbestimmungsverfahren für ein geodätisches Vermessungsgerät |
| EP2040030A1 (de) * | 2007-09-24 | 2009-03-25 | Leica Geosystems AG | Positionsbestimmungsverfahren |
| JP5207719B2 (ja) * | 2007-12-05 | 2013-06-12 | 株式会社トプコン | カラーコード付き標識、カラーコード抽出手段及び三次元計測システム |
| JP5143059B2 (ja) * | 2009-03-10 | 2013-02-13 | キヤノン株式会社 | 画像処理装置及びその制御方法並びにプログラム |
| DE102009029026A1 (de) * | 2009-08-31 | 2011-03-03 | Robert Bosch Gmbh | Vorrichtung zur optischen Distanzmessung sowie Verfahren zur Justierung einer solchen Vorrichtung |
| EP2405237A1 (de) | 2010-07-07 | 2012-01-11 | Leica Geosystems AG | Zielpunkterkennungsverfahren und Landvermessungsinstrument |
| JP5623226B2 (ja) * | 2010-09-30 | 2014-11-12 | 株式会社トプコン | 測定方法及び測定装置 |
| JP5611022B2 (ja) * | 2010-12-20 | 2014-10-22 | キヤノン株式会社 | 三次元計測装置及び三次元計測方法 |
| DE102011005277A1 (de) * | 2010-12-28 | 2012-06-28 | Robert Bosch Gmbh | Handgehaltenes Laserentfernungsmessgerät |
| EP2477000A1 (de) * | 2011-01-14 | 2012-07-18 | Leica Geosystems AG | Vermessungsgerät mit einer automatischen Darstellungswechsel-Funktionalität |
| EP2502712A1 (de) | 2011-03-23 | 2012-09-26 | Hexagon Technology Center GmbH | Arbeitswerkzeugpositionierungssystem |
| EP2570769A1 (de) * | 2011-09-13 | 2013-03-20 | Hexagon Technology Center GmbH | Geodätisches Vermessungssystem und Verfahren mit multipler Zielverfolgungsfunktionalität |
| US9222771B2 (en) | 2011-10-17 | 2015-12-29 | Kla-Tencor Corp. | Acquisition of information for a construction site |
| CN102589649B (zh) * | 2012-01-19 | 2013-09-25 | 河北联合大学 | 双色激光料位计 |
| NL2008597C2 (nl) * | 2012-04-03 | 2013-10-07 | Goconnectit B V | Werkwijze en meetinrichting voor het bepalen van de positie van een doellocatie ten opzichte van een object. |
| US11871901B2 (en) | 2012-05-20 | 2024-01-16 | Cilag Gmbh International | Method for situational awareness for surgical network or surgical network connected device capable of adjusting function based on a sensed situation or usage |
| EP2669707B1 (de) * | 2012-05-29 | 2019-07-24 | Leica Geosystems AG | Verfahren und handhaltbares Entfernungsmessgerät zur indirekten Entfernungsmessung mittels bildgestützter Winkelbestimmungsfunktion |
| US8873892B2 (en) * | 2012-08-21 | 2014-10-28 | Cognex Corporation | Trainable handheld optical character recognition systems and methods |
| DE102013110581B4 (de) | 2013-09-24 | 2018-10-11 | Faro Technologies, Inc. | Verfahren zum optischen Abtasten und Vermessen einer Umgebung und Vorrichtung hierzu |
| EP2918972B1 (de) * | 2014-03-14 | 2019-10-09 | Leica Geosystems AG | Verfahren und handhaltbares Entfernungsmessgerät zum Erzeugen eines Raummodells |
| US11504192B2 (en) | 2014-10-30 | 2022-11-22 | Cilag Gmbh International | Method of hub communication with surgical instrument systems |
| JP6073944B2 (ja) * | 2015-02-24 | 2017-02-01 | 株式会社パスコ | レーザ計測システム、反射ターゲット体及びレーザ計測方法 |
| IL237971A (en) | 2015-03-26 | 2016-10-31 | Gandelsman Mark | A device and method for determining relative orientation between two different locations |
| US9970762B2 (en) * | 2015-06-01 | 2018-05-15 | Leica Geosystems Ag | Target point detection method |
| EP3182157B1 (de) | 2015-12-14 | 2020-04-15 | Leica Geosystems AG | Verfahren zur erzeugung eines räumlichen modells mit einer tragbaren distanzmessungsvorrichtung |
| KR102584374B1 (ko) | 2016-03-14 | 2023-09-27 | 콜리브리 | 준수 모니터링을 위한 시각적 인식을 갖는 구강 위생 시스템 |
| CN109789526B (zh) * | 2016-09-19 | 2021-11-16 | 苏州宝时得电动工具有限公司 | 手持式工具系统 |
| CN108259782A (zh) * | 2016-12-28 | 2018-07-06 | 株式会社理光 | 图像处理装置、摄影系统、图像处理方法 |
| CN107044827B (zh) * | 2017-04-17 | 2023-06-27 | 杭州市特种设备检测研究院 | 电梯井道顶部和底坑空间无线检测系统及无线检测方法 |
| KR101858488B1 (ko) * | 2017-05-30 | 2018-06-27 | 홍을표 | 구 형상의 좌표계 장치와 그를 이용한 lbs 위치 정보 산출 방법, 어플리케이션 및 서버 |
| US11051836B2 (en) | 2017-10-30 | 2021-07-06 | Cilag Gmbh International | Surgical clip applier comprising an empty clip cartridge lockout |
| US11801098B2 (en) | 2017-10-30 | 2023-10-31 | Cilag Gmbh International | Method of hub communication with surgical instrument systems |
| US11317919B2 (en) | 2017-10-30 | 2022-05-03 | Cilag Gmbh International | Clip applier comprising a clip crimping system |
| US11564756B2 (en) | 2017-10-30 | 2023-01-31 | Cilag Gmbh International | Method of hub communication with surgical instrument systems |
| US11911045B2 (en) | 2017-10-30 | 2024-02-27 | Cllag GmbH International | Method for operating a powered articulating multi-clip applier |
| US11510741B2 (en) | 2017-10-30 | 2022-11-29 | Cilag Gmbh International | Method for producing a surgical instrument comprising a smart electrical system |
| US11291510B2 (en) | 2017-10-30 | 2022-04-05 | Cilag Gmbh International | Method of hub communication with surgical instrument systems |
| US11141160B2 (en) | 2017-10-30 | 2021-10-12 | Cilag Gmbh International | Clip applier comprising a motor controller |
| US11229436B2 (en) | 2017-10-30 | 2022-01-25 | Cilag Gmbh International | Surgical system comprising a surgical tool and a surgical hub |
| US11311342B2 (en) | 2017-10-30 | 2022-04-26 | Cilag Gmbh International | Method for communicating with surgical instrument systems |
| US11257589B2 (en) | 2017-12-28 | 2022-02-22 | Cilag Gmbh International | Real-time analysis of comprehensive cost of all instrumentation used in surgery utilizing data fluidity to track instruments through stocking and in-house processes |
| US20190201113A1 (en) | 2017-12-28 | 2019-07-04 | Ethicon Llc | Controls for robot-assisted surgical platforms |
| US11969216B2 (en) | 2017-12-28 | 2024-04-30 | Cilag Gmbh International | Surgical network recommendations from real time analysis of procedure variables against a baseline highlighting differences from the optimal solution |
| US11678881B2 (en) | 2017-12-28 | 2023-06-20 | Cilag Gmbh International | Spatial awareness of surgical hubs in operating rooms |
| US10944728B2 (en) | 2017-12-28 | 2021-03-09 | Ethicon Llc | Interactive surgical systems with encrypted communication capabilities |
| US11540855B2 (en) | 2017-12-28 | 2023-01-03 | Cilag Gmbh International | Controlling activation of an ultrasonic surgical instrument according to the presence of tissue |
| US11419667B2 (en) | 2017-12-28 | 2022-08-23 | Cilag Gmbh International | Ultrasonic energy device which varies pressure applied by clamp arm to provide threshold control pressure at a cut progression location |
| US20190201112A1 (en) | 2017-12-28 | 2019-07-04 | Ethicon Llc | Computer implemented interactive surgical systems |
| US10932872B2 (en) | 2017-12-28 | 2021-03-02 | Ethicon Llc | Cloud-based medical analytics for linking of local usage trends with the resource acquisition behaviors of larger data set |
| US11179175B2 (en) | 2017-12-28 | 2021-11-23 | Cilag Gmbh International | Controlling an ultrasonic surgical instrument according to tissue location |
| US11529187B2 (en) | 2017-12-28 | 2022-12-20 | Cilag Gmbh International | Surgical evacuation sensor arrangements |
| US11602393B2 (en) | 2017-12-28 | 2023-03-14 | Cilag Gmbh International | Surgical evacuation sensing and generator control |
| US11832840B2 (en) | 2017-12-28 | 2023-12-05 | Cilag Gmbh International | Surgical instrument having a flexible circuit |
| US11051876B2 (en) | 2017-12-28 | 2021-07-06 | Cilag Gmbh International | Surgical evacuation flow paths |
| US12376855B2 (en) | 2017-12-28 | 2025-08-05 | Cilag Gmbh International | Safety systems for smart powered surgical stapling |
| US11559308B2 (en) | 2017-12-28 | 2023-01-24 | Cilag Gmbh International | Method for smart energy device infrastructure |
| US11324557B2 (en) | 2017-12-28 | 2022-05-10 | Cilag Gmbh International | Surgical instrument with a sensing array |
| US11857152B2 (en) | 2017-12-28 | 2024-01-02 | Cilag Gmbh International | Surgical hub spatial awareness to determine devices in operating theater |
| US11109866B2 (en) | 2017-12-28 | 2021-09-07 | Cilag Gmbh International | Method for circular stapler control algorithm adjustment based on situational awareness |
| US11864728B2 (en) | 2017-12-28 | 2024-01-09 | Cilag Gmbh International | Characterization of tissue irregularities through the use of mono-chromatic light refractivity |
| US11464559B2 (en) | 2017-12-28 | 2022-10-11 | Cilag Gmbh International | Estimating state of ultrasonic end effector and control system therefor |
| US11589888B2 (en) | 2017-12-28 | 2023-02-28 | Cilag Gmbh International | Method for controlling smart energy devices |
| US11056244B2 (en) | 2017-12-28 | 2021-07-06 | Cilag Gmbh International | Automated data scaling, alignment, and organizing based on predefined parameters within surgical networks |
| US11744604B2 (en) | 2017-12-28 | 2023-09-05 | Cilag Gmbh International | Surgical instrument with a hardware-only control circuit |
| US11818052B2 (en) | 2017-12-28 | 2023-11-14 | Cilag Gmbh International | Surgical network determination of prioritization of communication, interaction, or processing based on system or device needs |
| US11179208B2 (en) | 2017-12-28 | 2021-11-23 | Cilag Gmbh International | Cloud-based medical analytics for security and authentication trends and reactive measures |
| US11132462B2 (en) | 2017-12-28 | 2021-09-28 | Cilag Gmbh International | Data stripping method to interrogate patient records and create anonymized record |
| US20190206569A1 (en) | 2017-12-28 | 2019-07-04 | Ethicon Llc | Method of cloud based data analytics for use with the hub |
| US12096916B2 (en) | 2017-12-28 | 2024-09-24 | Cilag Gmbh International | Method of sensing particulate from smoke evacuated from a patient, adjusting the pump speed based on the sensed information, and communicating the functional parameters of the system to the hub |
| US10595887B2 (en) | 2017-12-28 | 2020-03-24 | Ethicon Llc | Systems for adjusting end effector parameters based on perioperative information |
| US11424027B2 (en) | 2017-12-28 | 2022-08-23 | Cilag Gmbh International | Method for operating surgical instrument systems |
| US11571234B2 (en) | 2017-12-28 | 2023-02-07 | Cilag Gmbh International | Temperature control of ultrasonic end effector and control system therefor |
| US11308075B2 (en) | 2017-12-28 | 2022-04-19 | Cilag Gmbh International | Surgical network, instrument, and cloud responses based on validation of received dataset and authentication of its source and integrity |
| US11633237B2 (en) | 2017-12-28 | 2023-04-25 | Cilag Gmbh International | Usage and technique analysis of surgeon / staff performance against a baseline to optimize device utilization and performance for both current and future procedures |
| US11076921B2 (en) | 2017-12-28 | 2021-08-03 | Cilag Gmbh International | Adaptive control program updates for surgical hubs |
| US11311306B2 (en) | 2017-12-28 | 2022-04-26 | Cilag Gmbh International | Surgical systems for detecting end effector tissue distribution irregularities |
| US11213359B2 (en) | 2017-12-28 | 2022-01-04 | Cilag Gmbh International | Controllers for robot-assisted surgical platforms |
| WO2019133144A1 (en) | 2017-12-28 | 2019-07-04 | Ethicon Llc | Detection and escalation of security responses of surgical instruments to increasing severity threats |
| US11069012B2 (en) | 2017-12-28 | 2021-07-20 | Cilag Gmbh International | Interactive surgical systems with condition handling of devices and data capabilities |
| US11234756B2 (en) | 2017-12-28 | 2022-02-01 | Cilag Gmbh International | Powered surgical tool with predefined adjustable control algorithm for controlling end effector parameter |
| US11364075B2 (en) | 2017-12-28 | 2022-06-21 | Cilag Gmbh International | Radio frequency energy device for delivering combined electrical signals |
| US11304720B2 (en) | 2017-12-28 | 2022-04-19 | Cilag Gmbh International | Activation of energy devices |
| US11410259B2 (en) | 2017-12-28 | 2022-08-09 | Cilag Gmbh International | Adaptive control program updates for surgical devices |
| US11998193B2 (en) | 2017-12-28 | 2024-06-04 | Cilag Gmbh International | Method for usage of the shroud as an aspect of sensing or controlling a powered surgical device, and a control algorithm to adjust its default operation |
| US11786245B2 (en) | 2017-12-28 | 2023-10-17 | Cilag Gmbh International | Surgical systems with prioritized data transmission capabilities |
| US11446052B2 (en) | 2017-12-28 | 2022-09-20 | Cilag Gmbh International | Variation of radio frequency and ultrasonic power level in cooperation with varying clamp arm pressure to achieve predefined heat flux or power applied to tissue |
| US11672605B2 (en) | 2017-12-28 | 2023-06-13 | Cilag Gmbh International | Sterile field interactive control displays |
| US11896443B2 (en) | 2017-12-28 | 2024-02-13 | Cilag Gmbh International | Control of a surgical system through a surgical barrier |
| US11612444B2 (en) | 2017-12-28 | 2023-03-28 | Cilag Gmbh International | Adjustment of a surgical device function based on situational awareness |
| US11423007B2 (en) | 2017-12-28 | 2022-08-23 | Cilag Gmbh International | Adjustment of device control programs based on stratified contextual data in addition to the data |
| US11096693B2 (en) | 2017-12-28 | 2021-08-24 | Cilag Gmbh International | Adjustment of staple height of at least one row of staples based on the sensed tissue thickness or force in closing |
| JP2021509061A (ja) | 2017-12-28 | 2021-03-18 | エシコン エルエルシーEthicon LLC | 状況認識に基づく外科用デバイスの機能の調節 |
| US11576677B2 (en) | 2017-12-28 | 2023-02-14 | Cilag Gmbh International | Method of hub communication, processing, display, and cloud analytics |
| US12396806B2 (en) | 2017-12-28 | 2025-08-26 | Cilag Gmbh International | Adjustment of a surgical device function based on situational awareness |
| US11304745B2 (en) | 2017-12-28 | 2022-04-19 | Cilag Gmbh International | Surgical evacuation sensing and display |
| US20190201090A1 (en) | 2017-12-28 | 2019-07-04 | Ethicon Llc | Capacitive coupled return path pad with separable array elements |
| US11291495B2 (en) | 2017-12-28 | 2022-04-05 | Cilag Gmbh International | Interruption of energy due to inadvertent capacitive coupling |
| US10892995B2 (en) | 2017-12-28 | 2021-01-12 | Ethicon Llc | Surgical network determination of prioritization of communication, interaction, or processing based on system or device needs |
| US11304763B2 (en) | 2017-12-28 | 2022-04-19 | Cilag Gmbh International | Image capturing of the areas outside the abdomen to improve placement and control of a surgical device in use |
| US11273001B2 (en) | 2017-12-28 | 2022-03-15 | Cilag Gmbh International | Surgical hub and modular device response adjustment based on situational awareness |
| US11266468B2 (en) | 2017-12-28 | 2022-03-08 | Cilag Gmbh International | Cooperative utilization of data derived from secondary sources by intelligent surgical hubs |
| US11832899B2 (en) | 2017-12-28 | 2023-12-05 | Cilag Gmbh International | Surgical systems with autonomously adjustable control programs |
| US10892899B2 (en) | 2017-12-28 | 2021-01-12 | Ethicon Llc | Self describing data packets generated at an issuing instrument |
| US11432885B2 (en) | 2017-12-28 | 2022-09-06 | Cilag Gmbh International | Sensing arrangements for robot-assisted surgical platforms |
| US11160605B2 (en) | 2017-12-28 | 2021-11-02 | Cilag Gmbh International | Surgical evacuation sensing and motor control |
| US11147607B2 (en) | 2017-12-28 | 2021-10-19 | Cilag Gmbh International | Bipolar combination device that automatically adjusts pressure based on energy modality |
| US11896322B2 (en) | 2017-12-28 | 2024-02-13 | Cilag Gmbh International | Sensing the patient position and contact utilizing the mono-polar return pad electrode to provide situational awareness to the hub |
| US10943454B2 (en) | 2017-12-28 | 2021-03-09 | Ethicon Llc | Detection and escalation of security responses of surgical instruments to increasing severity threats |
| US11903601B2 (en) | 2017-12-28 | 2024-02-20 | Cilag Gmbh International | Surgical instrument comprising a plurality of drive systems |
| US11284936B2 (en) | 2017-12-28 | 2022-03-29 | Cilag Gmbh International | Surgical instrument having a flexible electrode |
| US11666331B2 (en) | 2017-12-28 | 2023-06-06 | Cilag Gmbh International | Systems for detecting proximity of surgical end effector to cancerous tissue |
| US11786251B2 (en) | 2017-12-28 | 2023-10-17 | Cilag Gmbh International | Method for adaptive control schemes for surgical network control and interaction |
| US11659023B2 (en) | 2017-12-28 | 2023-05-23 | Cilag Gmbh International | Method of hub communication |
| US12458351B2 (en) | 2017-12-28 | 2025-11-04 | Cilag Gmbh International | Variable output cartridge sensor assembly |
| US11464535B2 (en) | 2017-12-28 | 2022-10-11 | Cilag Gmbh International | Detection of end effector emersion in liquid |
| US11166772B2 (en) | 2017-12-28 | 2021-11-09 | Cilag Gmbh International | Surgical hub coordination of control and communication of operating room devices |
| US11100631B2 (en) | 2017-12-28 | 2021-08-24 | Cilag Gmbh International | Use of laser light and red-green-blue coloration to determine properties of back scattered light |
| US11389164B2 (en) | 2017-12-28 | 2022-07-19 | Cilag Gmbh International | Method of using reinforced flexible circuits with multiple sensors to optimize performance of radio frequency devices |
| US10966791B2 (en) | 2017-12-28 | 2021-04-06 | Ethicon Llc | Cloud-based medical analytics for medical facility segmented individualization of instrument function |
| US11304699B2 (en) | 2017-12-28 | 2022-04-19 | Cilag Gmbh International | Method for adaptive control schemes for surgical network control and interaction |
| US11376002B2 (en) | 2017-12-28 | 2022-07-05 | Cilag Gmbh International | Surgical instrument cartridge sensor assemblies |
| US11419630B2 (en) | 2017-12-28 | 2022-08-23 | Cilag Gmbh International | Surgical system distributed processing |
| US12062442B2 (en) | 2017-12-28 | 2024-08-13 | Cilag Gmbh International | Method for operating surgical instrument systems |
| US10987178B2 (en) * | 2017-12-28 | 2021-04-27 | Ethicon Llc | Surgical hub control arrangements |
| US11771487B2 (en) | 2017-12-28 | 2023-10-03 | Cilag Gmbh International | Mechanisms for controlling different electromechanical systems of an electrosurgical instrument |
| US11253315B2 (en) | 2017-12-28 | 2022-02-22 | Cilag Gmbh International | Increasing radio frequency to create pad-less monopolar loop |
| US10849697B2 (en) | 2017-12-28 | 2020-12-01 | Ethicon Llc | Cloud interface for coupled surgical devices |
| US11317937B2 (en) | 2018-03-08 | 2022-05-03 | Cilag Gmbh International | Determining the state of an ultrasonic end effector |
| US10758310B2 (en) | 2017-12-28 | 2020-09-01 | Ethicon Llc | Wireless pairing of a surgical device with another device within a sterile surgical field based on the usage and situational awareness of devices |
| US11278281B2 (en) | 2017-12-28 | 2022-03-22 | Cilag Gmbh International | Interactive surgical system |
| US11202570B2 (en) | 2017-12-28 | 2021-12-21 | Cilag Gmbh International | Communication hub and storage device for storing parameters and status of a surgical device to be shared with cloud based analytics systems |
| US11937769B2 (en) | 2017-12-28 | 2024-03-26 | Cilag Gmbh International | Method of hub communication, processing, storage and display |
| US11969142B2 (en) | 2017-12-28 | 2024-04-30 | Cilag Gmbh International | Method of compressing tissue within a stapling device and simultaneously displaying the location of the tissue within the jaws |
| US10898622B2 (en) | 2017-12-28 | 2021-01-26 | Ethicon Llc | Surgical evacuation system with a communication circuit for communication between a filter and a smoke evacuation device |
| US11559307B2 (en) | 2017-12-28 | 2023-01-24 | Cilag Gmbh International | Method of robotic hub communication, detection, and control |
| US12127729B2 (en) | 2017-12-28 | 2024-10-29 | Cilag Gmbh International | Method for smoke evacuation for surgical hub |
| US10918310B2 (en) | 2018-01-03 | 2021-02-16 | Biosense Webster (Israel) Ltd. | Fast anatomical mapping (FAM) using volume filling |
| US11986233B2 (en) | 2018-03-08 | 2024-05-21 | Cilag Gmbh International | Adjustment of complex impedance to compensate for lost power in an articulating ultrasonic device |
| US11399858B2 (en) | 2018-03-08 | 2022-08-02 | Cilag Gmbh International | Application of smart blade technology |
| US11259830B2 (en) | 2018-03-08 | 2022-03-01 | Cilag Gmbh International | Methods for controlling temperature in ultrasonic device |
| US12303159B2 (en) | 2018-03-08 | 2025-05-20 | Cilag Gmbh International | Methods for estimating and controlling state of ultrasonic end effector |
| US11471156B2 (en) | 2018-03-28 | 2022-10-18 | Cilag Gmbh International | Surgical stapling devices with improved rotary driven closure systems |
| US11207067B2 (en) | 2018-03-28 | 2021-12-28 | Cilag Gmbh International | Surgical stapling device with separate rotary driven closure and firing systems and firing member that engages both jaws while firing |
| US11096688B2 (en) | 2018-03-28 | 2021-08-24 | Cilag Gmbh International | Rotary driven firing members with different anvil and channel engagement features |
| US11259806B2 (en) | 2018-03-28 | 2022-03-01 | Cilag Gmbh International | Surgical stapling devices with features for blocking advancement of a camming assembly of an incompatible cartridge installed therein |
| US10973520B2 (en) | 2018-03-28 | 2021-04-13 | Ethicon Llc | Surgical staple cartridge with firing member driven camming assembly that has an onboard tissue cutting feature |
| US11129611B2 (en) | 2018-03-28 | 2021-09-28 | Cilag Gmbh International | Surgical staplers with arrangements for maintaining a firing member thereof in a locked configuration unless a compatible cartridge has been installed therein |
| US11090047B2 (en) | 2018-03-28 | 2021-08-17 | Cilag Gmbh International | Surgical instrument comprising an adaptive control system |
| US11219453B2 (en) | 2018-03-28 | 2022-01-11 | Cilag Gmbh International | Surgical stapling devices with cartridge compatible closure and firing lockout arrangements |
| US11278280B2 (en) | 2018-03-28 | 2022-03-22 | Cilag Gmbh International | Surgical instrument comprising a jaw closure lockout |
| JP7032846B2 (ja) | 2018-05-01 | 2022-03-09 | 株式会社トプコン | 測量装置 |
| JP6709471B2 (ja) * | 2018-08-02 | 2020-06-17 | クモノスコーポレーション株式会社 | 三次元レーザー光走査装置 |
| KR102203438B1 (ko) * | 2018-12-26 | 2021-01-14 | 엘지전자 주식회사 | 이동 로봇 및 이동 로봇의 제어방법 |
| US11357503B2 (en) | 2019-02-19 | 2022-06-14 | Cilag Gmbh International | Staple cartridge retainers with frangible retention features and methods of using same |
| US11298130B2 (en) | 2019-02-19 | 2022-04-12 | Cilag Gmbh International | Staple cartridge retainer with frangible authentication key |
| US11317915B2 (en) | 2019-02-19 | 2022-05-03 | Cilag Gmbh International | Universal cartridge based key feature that unlocks multiple lockout arrangements in different surgical staplers |
| US11464511B2 (en) | 2019-02-19 | 2022-10-11 | Cilag Gmbh International | Surgical staple cartridges with movable authentication key arrangements |
| US11369377B2 (en) | 2019-02-19 | 2022-06-28 | Cilag Gmbh International | Surgical stapling assembly with cartridge based retainer configured to unlock a firing lockout |
| USD950728S1 (en) | 2019-06-25 | 2022-05-03 | Cilag Gmbh International | Surgical staple cartridge |
| USD964564S1 (en) | 2019-06-25 | 2022-09-20 | Cilag Gmbh International | Surgical staple cartridge retainer with a closure system authentication key |
| USD952144S1 (en) | 2019-06-25 | 2022-05-17 | Cilag Gmbh International | Surgical staple cartridge retainer with firing system authentication key |
| FI20196023A1 (en) * | 2019-11-27 | 2021-05-28 | Novatron Oy | Method for determining the position and orientation of a machine |
| DE102020002994B4 (de) * | 2020-05-19 | 2023-03-30 | Daimler Truck AG | Verfahren zur Messung eines Abstandes zwischen einem Objekt und einem optischen Sensor, Steuereinrichtung zur Durchführung eines solchen Verfahrens, Abstandsmessvorrichtung mit einer solchen Steuereinrichtung und Kraftfahrzeug mit einer solchen Abstandsmessvorrichtung |
| EP3995856A1 (de) * | 2020-11-05 | 2022-05-11 | Hilti Aktiengesellschaft | Verfahren zur positionsmessung, positionsmesssysteme und markierung |
| CN113008179A (zh) * | 2021-02-25 | 2021-06-22 | 北京现代汽车有限公司 | 工位器具的精度检测方法和装置 |
| WO2023285565A1 (en) * | 2021-07-15 | 2023-01-19 | Sony Group Corporation | Image processing device, image processing method and light scanner system |
| KR102645943B1 (ko) * | 2021-08-23 | 2024-03-12 | 주식회사 지메디텍 | 내시경 렌즈 위치 및 시선각도 결정 장치 및 그의 제어 방법 |
Family Cites Families (14)
| Publication number | Priority date | Publication date | Assignee | Title |
|---|---|---|---|---|
| EP0063127A1 (de) * | 1980-10-21 | 1982-10-27 | ARATO, Laszlo | Verfahren und anlage zur ermittlung der bewegungskoordinaten für den richtungsgesteuerten arbeitsablauf eines ortsbeweglichen körpers |
| GB2218590B (en) * | 1988-05-13 | 1992-05-20 | Gen Electric Co Plc | Automated vehicle control |
| JPH0690042B2 (ja) * | 1988-05-13 | 1994-11-14 | 本田技研工業株式会社 | 自走車の位置制御装置 |
| DE69119500T2 (de) * | 1990-07-18 | 1996-11-14 | Spectra Physics Laserplane Inc | System und Verfahren zur dreidimensionalen Positionserfassung |
| US5260770A (en) * | 1991-05-01 | 1993-11-09 | Honda Giken Kogyo Kabushiki Kaisha | System for detecting the position of observation spot |
| IL100633A (en) * | 1992-01-12 | 1999-04-11 | Israel State | Large area movement robot |
| FR2721395B1 (fr) * | 1994-06-17 | 1996-08-14 | Homer Eaton | Procédé de repérage positionnel d'un trièdre dans l'espace et dispositif pour la mise en Óoeuvre de ce procédé. |
| JP3599805B2 (ja) * | 1994-12-09 | 2004-12-08 | 株式会社トプコン | 測量機 |
| AUPP299498A0 (en) * | 1998-04-15 | 1998-05-07 | Commonwealth Scientific And Industrial Research Organisation | Method of tracking and sensing position of objects |
| US6400447B1 (en) * | 2000-03-11 | 2002-06-04 | Trimble Navigation, Ltd | Differentiation of targets in optical station based on the strength of the reflected signal |
| JP3626141B2 (ja) * | 2001-08-10 | 2005-03-02 | 株式会社ソキア | 撮像装置を備えた自動視準測量機 |
| EP1329690A1 (de) * | 2002-01-22 | 2003-07-23 | Leica Geosystems AG | Verfahren und Vorrichtung zum automatischen Auffinden von Zielmarken |
| EP1424884A1 (de) | 2002-11-29 | 2004-06-02 | Leica Geosystems AG | Verfahren zur Montage miniaturisierter Bauteile auf einer Trägerplatte |
| EP1424156A1 (de) | 2002-11-29 | 2004-06-02 | Leica Geosystems AG | Verfahren zum Löten von Miniaturbauteilen auf eine Trägerplatte |
-
2003
- 2003-09-22 EP EP03021134A patent/EP1517117A1/de not_active Withdrawn
-
2004
- 2004-09-21 JP JP2006527334A patent/JP2007506109A/ja not_active Withdrawn
- 2004-09-21 CA CA2539903A patent/CA2539903C/en not_active Expired - Fee Related
- 2004-09-21 EP EP04765447.0A patent/EP1664674B1/de not_active Expired - Lifetime
- 2004-09-21 WO PCT/EP2004/010571 patent/WO2005031259A1/de not_active Ceased
- 2004-09-21 AU AU2004276459A patent/AU2004276459B2/en not_active Ceased
- 2004-09-21 US US10/595,185 patent/US7742176B2/en active Active
- 2004-09-21 CN CN200480027480A patent/CN100580373C/zh not_active Expired - Fee Related
Cited By (4)
| Publication number | Priority date | Publication date | Assignee | Title |
|---|---|---|---|---|
| EP3182065A1 (de) | 2015-12-14 | 2017-06-21 | Leica Geosystems AG | Handhaltbares entfernungsmessgerät und verfahren zum erfassen relativer positionen |
| US10162057B2 (en) | 2015-12-14 | 2018-12-25 | Leica Geosystems Ag | Portable distance measuring device and method for capturing relative positions |
| DE102021206971A1 (de) | 2021-07-02 | 2023-01-05 | Carl Zeiss Meditec Ag | Verfahren und System zur optischen Lageerfassung zumindest eines Instruments in einem Operationssaal |
| US12367604B2 (en) | 2021-07-02 | 2025-07-22 | Carl Zeiss Meditec Ag | Method and system for optically detecting the pose of at least one instrument in an operating theater |
Also Published As
| Publication number | Publication date |
|---|---|
| EP1664674A1 (de) | 2006-06-07 |
| EP1517117A1 (de) | 2005-03-23 |
| WO2005031259A1 (de) | 2005-04-07 |
| JP2007506109A (ja) | 2007-03-15 |
| CN1856693A (zh) | 2006-11-01 |
| AU2004276459B2 (en) | 2009-07-16 |
| AU2004276459A1 (en) | 2005-04-07 |
| CN100580373C (zh) | 2010-01-13 |
| US7742176B2 (en) | 2010-06-22 |
| US20070064246A1 (en) | 2007-03-22 |
| CA2539903A1 (en) | 2005-04-07 |
| CA2539903C (en) | 2013-12-17 |
Similar Documents
| Publication | Publication Date | Title |
|---|---|---|
| EP1664674B1 (de) | Verfahren und system zur bestimmung der aktualposition eines handhaltbaren messgerätes im raum | |
| EP1606581B1 (de) | VERFAHREN UND VORRICHTUNG ZUR BILDVERARBEITUNG IN EINEM GEOD&Auml;TISCHEN MESSGER T | |
| EP2810019B1 (de) | Vermessungssystem mit einem vermessungsgerät und einem scanmodul | |
| EP1673589B1 (de) | Verfahren und vorrichtung zur bestimmung der aktualposition eines geodätischen instrumentes | |
| EP1549909B1 (de) | Elektronische anzeige- und steuervorrichtung für ein messgerät | |
| EP2918972B1 (de) | Verfahren und handhaltbares Entfernungsmessgerät zum Erzeugen eines Raummodells | |
| EP2742323B1 (de) | Vermessungsgerät und verfahren mit einer auf der ausrichtung einer fernbedieneinheit basierenden und skalierbaren anzielfunktionalität | |
| EP1882196B1 (de) | Verfahren und system zur lagebestimmung einer empfängereinheit | |
| EP2707745B1 (de) | Kalibrierverfahren für ein gerät mit scanfunktionalität | |
| EP2787321B1 (de) | Oberflächenbestimmung für Objekte mittels geodätisch genauem Einzelpunktbestimmen und Scannen | |
| EP2806248B1 (de) | Verfahren zur Kalibrierung einer Erfassungseinrichtung und Erfassungseinrichtung | |
| EP2669707B1 (de) | Verfahren und handhaltbares Entfernungsmessgerät zur indirekten Entfernungsmessung mittels bildgestützter Winkelbestimmungsfunktion | |
| EP3660451A1 (de) | Intelligentes stationierungs-modul | |
| WO2008058788A1 (de) | Verfahren zur bildbasierten vermessung | |
| DE102006008312A1 (de) | Überwachungssystem | |
| DE19812609C2 (de) | Verfahren zur Bestimmung der Position und Drehlage eines Objektes | |
| WO1998043113A1 (de) | Messverfahren unter einbeziehung der lasertechnik für dreidimensionale objekte | |
| DE102017218281A1 (de) | Zweidimensionales kartierungssystem und betriebsverfahren | |
| DE102014205640B4 (de) | Vermessung mittels mobilem Gerät | |
| EP2607841A2 (de) | Optisches System | |
| DE102016119150A1 (de) | Registrierungsberechnung zwischen dreidimensionalen (3D) Abtastungen auf Basis zweidimensionaler (2D) Abtastungsdaten von einem 3D-Scanner | |
| DE10130623C1 (de) | Verfahren zur Bestimmung der Zustandsgrößen eines starren Körpers im Raum mittels eines Videometers | |
| EP4020373A1 (de) | Verfahren zum ermitteln eines 3d-modells einer umgebung | |
| DE19610756A1 (de) | Verfahren und Vorrichtung zur Vermessung, Markierung, Konstruktion, zur Dokumentation, Simulation und zum Scanning | |
| DE19812431A1 (de) | Meßverfahren unter Einbeziehung der Lasertechnik für dreidimensionale Objekte |
Legal Events
| Date | Code | Title | Description |
|---|---|---|---|
| PUAI | Public reference made under article 153(3) epc to a published international application that has entered the european phase |
Free format text: ORIGINAL CODE: 0009012 |
|
| 17P | Request for examination filed |
Effective date: 20060322 |
|
| AK | Designated contracting states |
Kind code of ref document: A1 Designated state(s): AT BE BG CH CY CZ DE DK EE ES FI FR GB GR HU IE IT LI LU MC NL PL PT RO SE SI SK TR |
|
| DAX | Request for extension of the european patent (deleted) | ||
| 17Q | First examination report despatched |
Effective date: 20071107 |
|
| GRAP | Despatch of communication of intention to grant a patent |
Free format text: ORIGINAL CODE: EPIDOSNIGR1 |
|
| GRAS | Grant fee paid |
Free format text: ORIGINAL CODE: EPIDOSNIGR3 |
|
| GRAA | (expected) grant |
Free format text: ORIGINAL CODE: 0009210 |
|
| AK | Designated contracting states |
Kind code of ref document: B1 Designated state(s): AT BE BG CH CY CZ DE DK EE ES FI FR GB GR HU IE IT LI LU MC NL PL PT RO SE SI SK TR |
|
| REG | Reference to a national code |
Ref country code: GB Ref legal event code: FG4D Free format text: NOT ENGLISH |
|
| REG | Reference to a national code |
Ref country code: CH Ref legal event code: EP |
|
| REG | Reference to a national code |
Ref country code: IE Ref legal event code: FG4D Free format text: LANGUAGE OF EP DOCUMENT: GERMAN |
|
| REG | Reference to a national code |
Ref country code: AT Ref legal event code: REF Ref document number: 607567 Country of ref document: AT Kind code of ref document: T Effective date: 20130515 |
|
| REG | Reference to a national code |
Ref country code: DE Ref legal event code: R096 Ref document number: 502004014125 Country of ref document: DE Effective date: 20130613 |
|
| REG | Reference to a national code |
Ref country code: CH Ref legal event code: NV Representative=s name: KAMINSKI HARMANN PATENTANWAELTE EST., LI |
|
| REG | Reference to a national code |
Ref country code: SE Ref legal event code: TRGR |
|
| REG | Reference to a national code |
Ref country code: NL Ref legal event code: T3 |
|
| PG25 | Lapsed in a contracting state [announced via postgrant information from national office to epo] |
Ref country code: SI Free format text: LAPSE BECAUSE OF FAILURE TO SUBMIT A TRANSLATION OF THE DESCRIPTION OR TO PAY THE FEE WITHIN THE PRESCRIBED TIME-LIMIT Effective date: 20130417 Ref country code: FI Free format text: LAPSE BECAUSE OF FAILURE TO SUBMIT A TRANSLATION OF THE DESCRIPTION OR TO PAY THE FEE WITHIN THE PRESCRIBED TIME-LIMIT Effective date: 20130417 Ref country code: GR Free format text: LAPSE BECAUSE OF FAILURE TO SUBMIT A TRANSLATION OF THE DESCRIPTION OR TO PAY THE FEE WITHIN THE PRESCRIBED TIME-LIMIT Effective date: 20130718 Ref country code: ES Free format text: LAPSE BECAUSE OF FAILURE TO SUBMIT A TRANSLATION OF THE DESCRIPTION OR TO PAY THE FEE WITHIN THE PRESCRIBED TIME-LIMIT Effective date: 20130728 Ref country code: PT Free format text: LAPSE BECAUSE OF FAILURE TO SUBMIT A TRANSLATION OF THE DESCRIPTION OR TO PAY THE FEE WITHIN THE PRESCRIBED TIME-LIMIT Effective date: 20130819 |
|
| PG25 | Lapsed in a contracting state [announced via postgrant information from national office to epo] |
Ref country code: PL Free format text: LAPSE BECAUSE OF FAILURE TO SUBMIT A TRANSLATION OF THE DESCRIPTION OR TO PAY THE FEE WITHIN THE PRESCRIBED TIME-LIMIT Effective date: 20130417 Ref country code: BG Free format text: LAPSE BECAUSE OF FAILURE TO SUBMIT A TRANSLATION OF THE DESCRIPTION OR TO PAY THE FEE WITHIN THE PRESCRIBED TIME-LIMIT Effective date: 20130717 Ref country code: CY Free format text: LAPSE BECAUSE OF FAILURE TO SUBMIT A TRANSLATION OF THE DESCRIPTION OR TO PAY THE FEE WITHIN THE PRESCRIBED TIME-LIMIT Effective date: 20130417 |
|
| PG25 | Lapsed in a contracting state [announced via postgrant information from national office to epo] |
Ref country code: SK Free format text: LAPSE BECAUSE OF FAILURE TO SUBMIT A TRANSLATION OF THE DESCRIPTION OR TO PAY THE FEE WITHIN THE PRESCRIBED TIME-LIMIT Effective date: 20130417 Ref country code: DK Free format text: LAPSE BECAUSE OF FAILURE TO SUBMIT A TRANSLATION OF THE DESCRIPTION OR TO PAY THE FEE WITHIN THE PRESCRIBED TIME-LIMIT Effective date: 20130417 Ref country code: CZ Free format text: LAPSE BECAUSE OF FAILURE TO SUBMIT A TRANSLATION OF THE DESCRIPTION OR TO PAY THE FEE WITHIN THE PRESCRIBED TIME-LIMIT Effective date: 20130417 Ref country code: EE Free format text: LAPSE BECAUSE OF FAILURE TO SUBMIT A TRANSLATION OF THE DESCRIPTION OR TO PAY THE FEE WITHIN THE PRESCRIBED TIME-LIMIT Effective date: 20130417 |
|
| PLBE | No opposition filed within time limit |
Free format text: ORIGINAL CODE: 0009261 |
|
| STAA | Information on the status of an ep patent application or granted ep patent |
Free format text: STATUS: NO OPPOSITION FILED WITHIN TIME LIMIT |
|
| PG25 | Lapsed in a contracting state [announced via postgrant information from national office to epo] |
Ref country code: RO Free format text: LAPSE BECAUSE OF FAILURE TO SUBMIT A TRANSLATION OF THE DESCRIPTION OR TO PAY THE FEE WITHIN THE PRESCRIBED TIME-LIMIT Effective date: 20130417 Ref country code: IT Free format text: LAPSE BECAUSE OF FAILURE TO SUBMIT A TRANSLATION OF THE DESCRIPTION OR TO PAY THE FEE WITHIN THE PRESCRIBED TIME-LIMIT Effective date: 20130417 |
|
| 26N | No opposition filed |
Effective date: 20140120 |
|
| BERE | Be: lapsed |
Owner name: LEICA GEOSYSTEMS A.G. Effective date: 20130930 |
|
| PG25 | Lapsed in a contracting state [announced via postgrant information from national office to epo] |
Ref country code: MC Free format text: LAPSE BECAUSE OF FAILURE TO SUBMIT A TRANSLATION OF THE DESCRIPTION OR TO PAY THE FEE WITHIN THE PRESCRIBED TIME-LIMIT Effective date: 20130417 |
|
| REG | Reference to a national code |
Ref country code: DE Ref legal event code: R097 Ref document number: 502004014125 Country of ref document: DE Effective date: 20140120 |
|
| REG | Reference to a national code |
Ref country code: IE Ref legal event code: MM4A |
|
| PG25 | Lapsed in a contracting state [announced via postgrant information from national office to epo] |
Ref country code: IE Free format text: LAPSE BECAUSE OF NON-PAYMENT OF DUE FEES Effective date: 20130921 Ref country code: BE Free format text: LAPSE BECAUSE OF NON-PAYMENT OF DUE FEES Effective date: 20130930 |
|
| REG | Reference to a national code |
Ref country code: AT Ref legal event code: MM01 Ref document number: 607567 Country of ref document: AT Kind code of ref document: T Effective date: 20130921 |
|
| PG25 | Lapsed in a contracting state [announced via postgrant information from national office to epo] |
Ref country code: AT Free format text: LAPSE BECAUSE OF NON-PAYMENT OF DUE FEES Effective date: 20130921 |
|
| PG25 | Lapsed in a contracting state [announced via postgrant information from national office to epo] |
Ref country code: TR Free format text: LAPSE BECAUSE OF FAILURE TO SUBMIT A TRANSLATION OF THE DESCRIPTION OR TO PAY THE FEE WITHIN THE PRESCRIBED TIME-LIMIT Effective date: 20130417 |
|
| PG25 | Lapsed in a contracting state [announced via postgrant information from national office to epo] |
Ref country code: HU Free format text: LAPSE BECAUSE OF FAILURE TO SUBMIT A TRANSLATION OF THE DESCRIPTION OR TO PAY THE FEE WITHIN THE PRESCRIBED TIME-LIMIT; INVALID AB INITIO Effective date: 20040921 Ref country code: LU Free format text: LAPSE BECAUSE OF NON-PAYMENT OF DUE FEES Effective date: 20130921 |
|
| REG | Reference to a national code |
Ref country code: FR Ref legal event code: PLFP Year of fee payment: 13 |
|
| REG | Reference to a national code |
Ref country code: FR Ref legal event code: PLFP Year of fee payment: 14 |
|
| REG | Reference to a national code |
Ref country code: FR Ref legal event code: PLFP Year of fee payment: 15 |
|
| PGFP | Annual fee paid to national office [announced via postgrant information from national office to epo] |
Ref country code: NL Payment date: 20190918 Year of fee payment: 16 Ref country code: SE Payment date: 20190918 Year of fee payment: 16 |
|
| PGFP | Annual fee paid to national office [announced via postgrant information from national office to epo] |
Ref country code: GB Payment date: 20190920 Year of fee payment: 16 |
|
| PGFP | Annual fee paid to national office [announced via postgrant information from national office to epo] |
Ref country code: CH Payment date: 20190919 Year of fee payment: 16 |
|
| REG | Reference to a national code |
Ref country code: CH Ref legal event code: PL |
|
| REG | Reference to a national code |
Ref country code: NL Ref legal event code: MM Effective date: 20201001 |
|
| GBPC | Gb: european patent ceased through non-payment of renewal fee |
Effective date: 20200921 |
|
| PG25 | Lapsed in a contracting state [announced via postgrant information from national office to epo] |
Ref country code: NL Free format text: LAPSE BECAUSE OF NON-PAYMENT OF DUE FEES Effective date: 20201001 |
|
| PG25 | Lapsed in a contracting state [announced via postgrant information from national office to epo] |
Ref country code: SE Free format text: LAPSE BECAUSE OF NON-PAYMENT OF DUE FEES Effective date: 20200922 Ref country code: LI Free format text: LAPSE BECAUSE OF NON-PAYMENT OF DUE FEES Effective date: 20200930 Ref country code: GB Free format text: LAPSE BECAUSE OF NON-PAYMENT OF DUE FEES Effective date: 20200921 Ref country code: CH Free format text: LAPSE BECAUSE OF NON-PAYMENT OF DUE FEES Effective date: 20200930 |
|
| REG | Reference to a national code |
Ref country code: SE Ref legal event code: EUG |
|
| PGFP | Annual fee paid to national office [announced via postgrant information from national office to epo] |
Ref country code: DE Payment date: 20220620 Year of fee payment: 19 |
|
| PGFP | Annual fee paid to national office [announced via postgrant information from national office to epo] |
Ref country code: FR Payment date: 20220922 Year of fee payment: 19 |
|
| REG | Reference to a national code |
Ref country code: DE Ref legal event code: R119 Ref document number: 502004014125 Country of ref document: DE |
|
| PG25 | Lapsed in a contracting state [announced via postgrant information from national office to epo] |
Ref country code: FR Free format text: LAPSE BECAUSE OF NON-PAYMENT OF DUE FEES Effective date: 20230930 Ref country code: DE Free format text: LAPSE BECAUSE OF NON-PAYMENT OF DUE FEES Effective date: 20240403 |















