EP1107226A2 - Active acoustic attenuation system based on overall system test modeling - Google Patents

Active acoustic attenuation system based on overall system test modeling Download PDF

Info

Publication number
EP1107226A2
EP1107226A2 EP00310643A EP00310643A EP1107226A2 EP 1107226 A2 EP1107226 A2 EP 1107226A2 EP 00310643 A EP00310643 A EP 00310643A EP 00310643 A EP00310643 A EP 00310643A EP 1107226 A2 EP1107226 A2 EP 1107226A2
Authority
EP
European Patent Office
Prior art keywords
model
test
control model
control
atest
Prior art date
Legal status (The legal status is an assumption and is not a legal conclusion. Google has not performed a legal analysis and makes no representation as to the accuracy of the status listed.)
Withdrawn
Application number
EP00310643A
Other languages
German (de)
French (fr)
Other versions
EP1107226A3 (en
Inventor
Trevor A. Laak
Current Assignee (The listed assignees may be inaccurate. Google has not performed a legal analysis and makes no representation or warranty as to the accuracy of the list.)
Digisonix LLC
Original Assignee
Digisonix LLC
Priority date (The priority date is an assumption and is not a legal conclusion. Google has not performed a legal analysis and makes no representation as to the accuracy of the date listed.)
Filing date
Publication date
Application filed by Digisonix LLC filed Critical Digisonix LLC
Publication of EP1107226A2 publication Critical patent/EP1107226A2/en
Publication of EP1107226A3 publication Critical patent/EP1107226A3/en
Withdrawn legal-status Critical Current

Links

Images

Classifications

    • GPHYSICS
    • G10MUSICAL INSTRUMENTS; ACOUSTICS
    • G10KSOUND-PRODUCING DEVICES; METHODS OR DEVICES FOR PROTECTING AGAINST, OR FOR DAMPING, NOISE OR OTHER ACOUSTIC WAVES IN GENERAL; ACOUSTICS NOT OTHERWISE PROVIDED FOR
    • G10K11/00Methods or devices for transmitting, conducting or directing sound in general; Methods or devices for protecting against, or for damping, noise or other acoustic waves in general
    • G10K11/16Methods or devices for protecting against, or for damping, noise or other acoustic waves in general
    • G10K11/175Methods or devices for protecting against, or for damping, noise or other acoustic waves in general using interference effects; Masking sound
    • G10K11/178Methods or devices for protecting against, or for damping, noise or other acoustic waves in general using interference effects; Masking sound by electro-acoustically regenerating the original acoustic waves in anti-phase
    • G10K11/1781Methods or devices for protecting against, or for damping, noise or other acoustic waves in general using interference effects; Masking sound by electro-acoustically regenerating the original acoustic waves in anti-phase characterised by the analysis of input or output signals, e.g. frequency range, modes, transfer functions
    • G10K11/17813Methods or devices for protecting against, or for damping, noise or other acoustic waves in general using interference effects; Masking sound by electro-acoustically regenerating the original acoustic waves in anti-phase characterised by the analysis of input or output signals, e.g. frequency range, modes, transfer functions characterised by the analysis of the acoustic paths, e.g. estimating, calibrating or testing of transfer functions or cross-terms
    • G10K11/17815Methods or devices for protecting against, or for damping, noise or other acoustic waves in general using interference effects; Masking sound by electro-acoustically regenerating the original acoustic waves in anti-phase characterised by the analysis of input or output signals, e.g. frequency range, modes, transfer functions characterised by the analysis of the acoustic paths, e.g. estimating, calibrating or testing of transfer functions or cross-terms between the reference signals and the error signals, i.e. primary path
    • GPHYSICS
    • G10MUSICAL INSTRUMENTS; ACOUSTICS
    • G10KSOUND-PRODUCING DEVICES; METHODS OR DEVICES FOR PROTECTING AGAINST, OR FOR DAMPING, NOISE OR OTHER ACOUSTIC WAVES IN GENERAL; ACOUSTICS NOT OTHERWISE PROVIDED FOR
    • G10K11/00Methods or devices for transmitting, conducting or directing sound in general; Methods or devices for protecting against, or for damping, noise or other acoustic waves in general
    • G10K11/16Methods or devices for protecting against, or for damping, noise or other acoustic waves in general
    • G10K11/175Methods or devices for protecting against, or for damping, noise or other acoustic waves in general using interference effects; Masking sound
    • G10K11/178Methods or devices for protecting against, or for damping, noise or other acoustic waves in general using interference effects; Masking sound by electro-acoustically regenerating the original acoustic waves in anti-phase
    • G10K11/1781Methods or devices for protecting against, or for damping, noise or other acoustic waves in general using interference effects; Masking sound by electro-acoustically regenerating the original acoustic waves in anti-phase characterised by the analysis of input or output signals, e.g. frequency range, modes, transfer functions
    • G10K11/17813Methods or devices for protecting against, or for damping, noise or other acoustic waves in general using interference effects; Masking sound by electro-acoustically regenerating the original acoustic waves in anti-phase characterised by the analysis of input or output signals, e.g. frequency range, modes, transfer functions characterised by the analysis of the acoustic paths, e.g. estimating, calibrating or testing of transfer functions or cross-terms
    • G10K11/17817Methods or devices for protecting against, or for damping, noise or other acoustic waves in general using interference effects; Masking sound by electro-acoustically regenerating the original acoustic waves in anti-phase characterised by the analysis of input or output signals, e.g. frequency range, modes, transfer functions characterised by the analysis of the acoustic paths, e.g. estimating, calibrating or testing of transfer functions or cross-terms between the output signals and the error signals, i.e. secondary path
    • GPHYSICS
    • G10MUSICAL INSTRUMENTS; ACOUSTICS
    • G10KSOUND-PRODUCING DEVICES; METHODS OR DEVICES FOR PROTECTING AGAINST, OR FOR DAMPING, NOISE OR OTHER ACOUSTIC WAVES IN GENERAL; ACOUSTICS NOT OTHERWISE PROVIDED FOR
    • G10K11/00Methods or devices for transmitting, conducting or directing sound in general; Methods or devices for protecting against, or for damping, noise or other acoustic waves in general
    • G10K11/16Methods or devices for protecting against, or for damping, noise or other acoustic waves in general
    • G10K11/175Methods or devices for protecting against, or for damping, noise or other acoustic waves in general using interference effects; Masking sound
    • G10K11/178Methods or devices for protecting against, or for damping, noise or other acoustic waves in general using interference effects; Masking sound by electro-acoustically regenerating the original acoustic waves in anti-phase
    • G10K11/1781Methods or devices for protecting against, or for damping, noise or other acoustic waves in general using interference effects; Masking sound by electro-acoustically regenerating the original acoustic waves in anti-phase characterised by the analysis of input or output signals, e.g. frequency range, modes, transfer functions
    • G10K11/17821Methods or devices for protecting against, or for damping, noise or other acoustic waves in general using interference effects; Masking sound by electro-acoustically regenerating the original acoustic waves in anti-phase characterised by the analysis of input or output signals, e.g. frequency range, modes, transfer functions characterised by the analysis of the input signals only
    • G10K11/17823Reference signals, e.g. ambient acoustic environment
    • GPHYSICS
    • G10MUSICAL INSTRUMENTS; ACOUSTICS
    • G10KSOUND-PRODUCING DEVICES; METHODS OR DEVICES FOR PROTECTING AGAINST, OR FOR DAMPING, NOISE OR OTHER ACOUSTIC WAVES IN GENERAL; ACOUSTICS NOT OTHERWISE PROVIDED FOR
    • G10K11/00Methods or devices for transmitting, conducting or directing sound in general; Methods or devices for protecting against, or for damping, noise or other acoustic waves in general
    • G10K11/16Methods or devices for protecting against, or for damping, noise or other acoustic waves in general
    • G10K11/175Methods or devices for protecting against, or for damping, noise or other acoustic waves in general using interference effects; Masking sound
    • G10K11/178Methods or devices for protecting against, or for damping, noise or other acoustic waves in general using interference effects; Masking sound by electro-acoustically regenerating the original acoustic waves in anti-phase
    • G10K11/1781Methods or devices for protecting against, or for damping, noise or other acoustic waves in general using interference effects; Masking sound by electro-acoustically regenerating the original acoustic waves in anti-phase characterised by the analysis of input or output signals, e.g. frequency range, modes, transfer functions
    • G10K11/17821Methods or devices for protecting against, or for damping, noise or other acoustic waves in general using interference effects; Masking sound by electro-acoustically regenerating the original acoustic waves in anti-phase characterised by the analysis of input or output signals, e.g. frequency range, modes, transfer functions characterised by the analysis of the input signals only
    • G10K11/17825Error signals
    • GPHYSICS
    • G10MUSICAL INSTRUMENTS; ACOUSTICS
    • G10KSOUND-PRODUCING DEVICES; METHODS OR DEVICES FOR PROTECTING AGAINST, OR FOR DAMPING, NOISE OR OTHER ACOUSTIC WAVES IN GENERAL; ACOUSTICS NOT OTHERWISE PROVIDED FOR
    • G10K11/00Methods or devices for transmitting, conducting or directing sound in general; Methods or devices for protecting against, or for damping, noise or other acoustic waves in general
    • G10K11/16Methods or devices for protecting against, or for damping, noise or other acoustic waves in general
    • G10K11/175Methods or devices for protecting against, or for damping, noise or other acoustic waves in general using interference effects; Masking sound
    • G10K11/178Methods or devices for protecting against, or for damping, noise or other acoustic waves in general using interference effects; Masking sound by electro-acoustically regenerating the original acoustic waves in anti-phase
    • G10K11/1785Methods, e.g. algorithms; Devices
    • G10K11/17853Methods, e.g. algorithms; Devices of the filter
    • G10K11/17854Methods, e.g. algorithms; Devices of the filter the filter being an adaptive filter
    • GPHYSICS
    • G10MUSICAL INSTRUMENTS; ACOUSTICS
    • G10KSOUND-PRODUCING DEVICES; METHODS OR DEVICES FOR PROTECTING AGAINST, OR FOR DAMPING, NOISE OR OTHER ACOUSTIC WAVES IN GENERAL; ACOUSTICS NOT OTHERWISE PROVIDED FOR
    • G10K11/00Methods or devices for transmitting, conducting or directing sound in general; Methods or devices for protecting against, or for damping, noise or other acoustic waves in general
    • G10K11/16Methods or devices for protecting against, or for damping, noise or other acoustic waves in general
    • G10K11/175Methods or devices for protecting against, or for damping, noise or other acoustic waves in general using interference effects; Masking sound
    • G10K11/178Methods or devices for protecting against, or for damping, noise or other acoustic waves in general using interference effects; Masking sound by electro-acoustically regenerating the original acoustic waves in anti-phase
    • G10K11/1787General system configurations
    • G10K11/17879General system configurations using both a reference signal and an error signal
    • G10K11/17881General system configurations using both a reference signal and an error signal the reference signal being an acoustic signal, e.g. recorded with a microphone
    • GPHYSICS
    • G10MUSICAL INSTRUMENTS; ACOUSTICS
    • G10KSOUND-PRODUCING DEVICES; METHODS OR DEVICES FOR PROTECTING AGAINST, OR FOR DAMPING, NOISE OR OTHER ACOUSTIC WAVES IN GENERAL; ACOUSTICS NOT OTHERWISE PROVIDED FOR
    • G10K11/00Methods or devices for transmitting, conducting or directing sound in general; Methods or devices for protecting against, or for damping, noise or other acoustic waves in general
    • G10K11/16Methods or devices for protecting against, or for damping, noise or other acoustic waves in general
    • G10K11/175Methods or devices for protecting against, or for damping, noise or other acoustic waves in general using interference effects; Masking sound
    • G10K11/178Methods or devices for protecting against, or for damping, noise or other acoustic waves in general using interference effects; Masking sound by electro-acoustically regenerating the original acoustic waves in anti-phase
    • G10K11/1787General system configurations
    • G10K11/17879General system configurations using both a reference signal and an error signal
    • G10K11/17883General system configurations using both a reference signal and an error signal the reference signal being derived from a machine operating condition, e.g. engine RPM or vehicle speed

Definitions

  • the invention relates generally to active acoustic attenuation systems that are designed to actively cancel tonal disturbances.
  • the invention uses a novel method of determining a system control model, thereby improving system stability, sound quality and performance in tonal applications.
  • Active acoustic attenuation involves the injection of a canceling acoustic wave to destructively interfere with and cancel a system input acoustic wave, thus yielding a system output.
  • a control model inputs a reference signal and in turn supplies a correction signal to an output transducer (e.g., a loudspeaker in a sound application or a shaker in a vibration application).
  • the output transducer injects the canceling acoustic wave or secondary input in order to destructively interfere with the system input so that the system output is zero or some other desired value.
  • the system output acoustic wave is sensed with an error sensor such as a microphone in a sound system, or an accelerometer in a vibration system.
  • C path modeling of the auxiliary path (SE) is used to account for delays and phase shifts.
  • C modeling is often accomplished on-line by injecting low levels of random noise and using LMS techniques for the on-line C path modeling.
  • the use of adaptive control algorithms such as the LMS or the RLMS and the use of random noise in C path modeling can be very effective.
  • these techniques have disadvantages, particularly when attenuation of acoustic energy is intended only at discrete frequencies where tonal disturbances exist.
  • C path modeling is undesirable in tonal systems because the addition of the random noise is usually noticeable.
  • the random noise component added for C path modeling is typically vastly different in character than the tonal disturbance, thus making it very obvious when C path modeling is being performed.
  • the added random noise is intrusive and objectionable.
  • a strong disturbance tone corrupts the C path modeling process at the frequency of the disturbance, which is precisely the frequency where a good model is required. The corruption occurs because the signal-to-noise ratio at the required frequency is poor.
  • C path modeling can be done using a very small adaptation step size and adapting over a long time period. However, this is generally undesirable.
  • Another method used to overcome the model corruption problem is to use an active line enhancer or ALE.
  • An ALE removes the disturbance tone from the modeling process, but this adds complexity to the overall algorithm.
  • a third reason to avoid MIMO LMS-type adaptive models is the possibility that such models may get stuck in local, non-optimum minimum solutions. Even when local minimum do not exist, regions of very shallow gradient in the error surface can result in extremely long adaptation times.
  • the preferred embodiment of the invention is an active acoustic attenuation system that is intended to attenuate relatively stationary tonal disturbances.
  • the system has a control model A that is not a continuously adapting control filter. Rather, the system uses an overall system test model Q that adaptively models the entire system from the system input sensor to the error sensor, including the physical acoustic path PE and the control path A(SE).
  • the overall system test model Q is implemented when the system is in test mode in order to initially determine and intermittently update the control model A.
  • the control model A When the system is in attenuation mode, the control model A inputs a reference signal from an input sensor and outputs a correction signal which drives an output transducer. The output transducer outputs secondary input that combines with the system input to yield the system output. The control model A does not adapt and does not input an error signal while the system is operating to attenuate a tonal disturbance.
  • the overall system test model Q adaptively models the entire system including the control model A and the output transducer. To do this, a first set of test values for adjustable control parameters Atest(1) in the control model A are selected, and the system is operated in test mode so that the overall system test model Q adapts to a solution Q(1) based on the test control model Atest(1).
  • the overall system test model Q receives the reference signal as model input and receives a combination of the Q model output signal and the error signal as an error input. Then, a second set of test values Atest(2) are selected, and the system is again operated in test mode so that the overall system test model Q adapts to a solution Q(2) based on the test control model Atest(2).
  • an optimum value for the control model A is then determined from Atest(1), Atest(2), Q(1), and Q(2), e.g., using linear algebra techniques.
  • the system then operates in an attenuation mode in which the control model A is non-adapting to attenuate tonal disturbances. Intermittently, or whenever the acoustic energy represented by the error signal exceeds a threshold value, the control parameters in the control model A are updated by switching the system into test mode as described above.
  • the technique is simple but also effective for relatively stationary tonal disturbances.
  • the system automatically handles situations where the reference signal contains acoustic feedback from the output transducer (e.g. canceling loudspeaker).
  • Benefits of the system include simplicity, stability, sound quality (no need for the addition of random noise), performance (avoidance of adaptation difficulties with LMS-type algorithms) and straightforward constraint application.
  • the invention can also be implemented in multiple input, multiple output and multiple error (MIMO) systems.
  • the present invention is applicable to sound attenuation systems, wherein the actuator is a loudspeaker, and the error sensor is a microphone.
  • the input sensor may measure the rotational position of a machine causing the tonal disturbance.
  • the input sensor may be a microphone, the system further comprising a phase-lock-loop circuit which inputs the reference signal outputting the input sensor before the reference signal inputs the overall system test model Q.
  • the invention is also applicable to vibration control systems, wherein the error sensor is an accelerometer, and the actuator is an electromechanical shaker.
  • an active acoustic attenuation system having a single system input and a single system output
  • a method of attenuating tonal disturbances in the system comprising the steps of:
  • the method may involve intermittently recalculating the values of the control parameters of the control model A in order to update the control model A by intermittently repeating steps a) through f) recited.
  • control parameters for control model A may be represented by a phasor having a magnitude element and a phase element and updated versions of control model A may be recalculated by selecting subsequent test values for the adjustable control parameters in the test control models Atest(1) and Atest(2), the subsequent test values being selected by modifying the magnitude or phase of the adjustable control parameters of the current model A, and again operating the system in test mode.
  • control parameters for control model A may be represented by a phasor having a magnitude element and a phase element
  • test values for the test control models Atest(1) and Atest(2) which are selected for updating the control model A may be selected such that the magnitude element of Atest(1) has the same magnitude as the magnitude element of the current version of the control model A and the phase element of Atest (1) is shifted with respect to the phase element of the then current version of control model A, and such that the magnitude element of Atest(2) is the same magnitude as the magnitude element of the then current version of control model A and the phase element of Atest(2) is shifted from the phase element of the then current version of control model A, and also shifted in a direction opposite to the selected value for Atest(1).
  • control parameters for control model A may be represented by a phasor having a magnitude element and a phase element
  • test values for the test control models Atest(1) and Atest(2) which are selected for updating the control model A may be selected such that the magnitude element of Atest(1) has the same magnitude as the magnitude element of the current version of the control model A and the phase element of Atest (1) is shifted with respect to the phase element of the then current version of control model A, and such that the magnitude element of Atest(2) is the same magnitude as the magnitude element of the then current version of control model A and the phase element of Atest(2) is also equal to the phase element of the then current version of control model A.
  • control parameters for the control model A may be represented by a complex number having an in-phase component and a quadrature component
  • test values for the test control models Atest(1) and Atest(2) which are selected for updating the control model A may be selected by making relatively small changes to the in-phase component and the quadrature component of the current version of the control model A.
  • the method may alternatively involve recalculating the value of the control parameters in the control model A when the error signal represents an amount of acoustic energy in the system output that exceeds a preselected value, the recalculation of the values of the control parameters for the control model A being accomplished by repeating steps a) through f).
  • an active acoustic attenuation system having a system input and a system output, the system comprising:
  • the adaptive parameters for the n x m model channels for control model A are determined in accordance with the following steps:
  • the adjustable control parameters for the channels A ji for the control model A may be represented by a phasor having a magnitude element and a phase element.
  • Updated versions of the channels Aji for the control model A may be recalculated by selecting subsequent test values for the adjustable control parameters in the channels Atestji(g) for the test control model channels, and said subsequent test values may be selected by modifying the magnitude or phase of the current version of the control parameters for the respective channel model A ji .
  • the adjustable control parameters for the channels A ji for the control model A may each be represented by a complex number having an in-phase component and a quadrature component.
  • the system may be designed to attenuate sound, the output transducers being loudspeakers, and the error sensors being microphones.
  • At least one of the input sensors may sense rotational position.
  • At least one of the output transducers may be an electromechanical shaker.
  • an active acoustic attenuation system having a system input and a system output
  • a method of attenuating tonal disturbances comprising the steps of:
  • the channels A ji of the control model A may be calculated by solving a set of linear equations relating to test values for the channels of the overall system test model Qki(g) and the channels of the test control model Atestji(g) to determine unknown acoustic and electrical paths in the system.
  • the method may further comprise the step of filtering each reference signal through a phase-lock-loop circuit before the reference signal inputs the respective channel for the overall system test model Q.
  • the values of the control parameters for the control model channels A ji may be recalculated intermittently.
  • the value of the control parameters for the control model A may be recalculated when an amount of acoustic energy in the system output represented by the error signals exceeds a preselected threshold value.
  • the adjustable control parameters for the channels Aji for the control model A may each include two phasor elements, a magnitude element and a phase element, and updated versions of the channels Aji for the control model A may be recalculated by selecting subsequent test values for the adjustable control parameters and the channels Atestji(g) for the test control model channels, and said subsequent test values may be selected by modifying the magnitude or phase of the current version of the control parameters for the respective channel model Aji.
  • Fig. 1 is a schematic illustration of SISO active acoustic attenuation system implementing an adaptive FIR filter as is known in the art in which the input sensor is a tachometer.
  • Fig. 2 is a block diagram illustrating the acoustic paths and control paths in the prior art SISO system shown in Fig. 1.
  • Fig. 3a is a block diagram illustrating acoustic paths and control paths in a SISO system designed in accordance with the invention, when the system is operating in attenuation mode to cancel a tonal disturbance.
  • Fig. 3b is a block diagram illustrating acoustic paths and control paths in a SISO system designed in accordance with the invention, and when the system is operating in test mode to determine an optimum value for control model A.
  • Figs. 4a and 4b are phasor diagrams illustrating the calculation of control parameters A(r, ⁇ ) for control model A.
  • Fig. 5 is a schematic illustration showing a prior art SISO active acoustic attenuation system implementing an adaptive LMS filter, which is similar to the system shown in Fig. 1 except that the input sensor in Fig. 5 is a microphone.
  • Fig. 6a is a block diagram illustrating acoustic paths and control paths in a SISO system designed in accordance with the invention in which the input sensor is exposed to acoustic feedback, and when the system is operating in attenuation mode to cancel a tonal disturbance.
  • Fig. 6b is a block diagram illustrating acoustic paths and control paths in a SISO system designed in accordance with the invention in which the input sensor is exposed to acoustic feedback, and when the system is operating in test mode to determine an optimum value for control model A.
  • Fig. 7a is a block diagram illustrating acoustic paths and control paths in a MIMO system designed in accordance with the invention when the system is operating in attenuation mode to cancel one or more tonal disturbances.
  • Fig. 7b is a schematic illustration showing the operation of a multiple input, multiple output, multiple error (MIMO) system in accordance with the invention, when the system is operating in test mode to determine optimal values for control parameters in channels of control model A.
  • MIMO multiple input, multiple output, multiple error
  • Fig 1 shows an active acoustic attenuation system 10 with a feed forward adaptive control system implementing a filtered-X LMS update as is known in the art.
  • an input sensor 12 generates a reference signal x(k) that is processed by adaptive A filter 14 to generate a correction signal y(k).
  • the correction signal y(k) is transmitted to an output transducer 18.
  • the output transducer 18 outputs a secondary input (i.e. a canceling acoustic wave) that combines with the system input (i.e. an input acoustic wave) to yield the system output (i.e. an output acoustic wave).
  • An error sensor 20 senses the system output and generates an error signal e(k) in response thereto.
  • the purpose of the prior art system 10 shown in Fig. 1 is to cancel acoustic tones (i.e. tonal disturbances) propagating through duct 22, which are generated by fan 24.
  • the input sensor 12 is a tachometer which senses the rotational speed of the fan, and is isolated from acoustic feedback.
  • the output transducer 18 in Fig. 1 is a loudspeaker which injects a canceling acoustic wave into the duct 22.
  • the adaptive A filter 14 is typically a transversal finite impulse response (FIR) filter, or possibly an infinite impulse response (IIR) filter as described in U.S. Patent Nos. 4,677,676 and 4,677,677.
  • FIR transversal finite impulse response
  • IIR infinite impulse response
  • Fig. 2 illustrates the acoustic paths and control paths in the system 10 shown in Fig. 1.
  • block PE represents the acoustic path between the input sensor 12 and the error sensor 20
  • block SE represents the auxiliary path from the output of control model A to the error sensor 20.
  • Summing junction 20 in Fig. 2 represents the error sensor 20 shown in Fig. 1.
  • the acoustic path PE and the auxiliary path SE while relatively stable, tend to change over relatively long periods of time.
  • the multiplier 28 combines the filtered regressor signal x'(k) with the error signal e(k) to provide error input to the adaptive control filter A via line 30.
  • the invention eliminates the need for directly modeling the auxiliary path SE (i.e., eliminates the need for filtering a regressor signal with a C model copy 26), and also avoids the use of adaptive FIR or IIR filters, both of which may unnecessarily complicate and possibly compromise system performance when the system is designed to cancel tonal disturbances in contrast to broadband acoustic energy.
  • the prior art system 10f shown in Fig. 5 is similar in many respects to the system 10 shown in Fig. 1 except that the input sensor 12f shown in Fig. 5 is a microphone, rather than a tachometer 12. Analytically, one of the primary differences between the system 10 shown in Fig. 1 and the system 10a shown in Fig. 5 is that the input microphone 12f in Fig. 5 is exposed to acoustic feedback from the output transducer 18. It is well known in the art (e.g. U.S. Patent Nos. 4,677,676 and 4,677,677) that the filtered-X FIR and filtered-U IIR methods are capable of accommodating acoustic feedback from the output transducer 18 to the input sensor 12a. In other respects, the prior art system 10a shown in Fig. 5 is similar to the prior art system 10 shown in Figs. 1 and 2.
  • Figs. 3a and 3b are block diagrams illustrating a SISO active acoustic attenuation system 100 that operates in accordance with the invention.
  • the illustrated system is one in which the input sensor is isolated from acoustic feedback from the output transducer 18, such as a sensor sensing rotational position of a fan.
  • Fig. 3a illustrates the system operating in attenuation mode and is identified by reference numeral 100a
  • Fig. 3b illustrates the system operating in test mode and is identified by reference numeral 100t.
  • the system 100a attenuates tonal disturbances in the system input when PE and SE are relatively stationary, and when a suitable reference signal x(k) is available.
  • the reference signal x(k) inputs control model A which processes the signal and outputs a correction signal y(k) to the output transducer.
  • the control model A contains adjustable control parameters which can be represented as a phasor having a magnitude element and a phase element; or alternatively a single complex number having an in-phase component and a quadrature component.
  • Block PE represents a transfer function of the physical system without any control from the input sensor 12 to the error sensor 20.
  • the input sensor 12 preferably measures rotational position of the fan.
  • Block SE represents a transfer function from the output of the control model A to the error sensor 20.
  • the solution for control model A is calculated directly from the transfer functions PE and SE.
  • PE is a p x m complex matrix
  • SE is a p x n complex matrix, where m is the number of reference signals, n is the number of correction signals, and p is the number of error signals.
  • the pseudo inverse of SE is an n x p complex matrix and control model A is an n x m complex matrix. More details of the preferred MIMO system are discussed below in connection with Figs. 7a and 7b.
  • Equation (1) For direct calculation of Equation (1) to be effective, accurate estimates of PE and SE are required at the disturbance frequency. Estimates of PE and SE, and in turn the values for the adjustable control parameters in control model A, are preferably calculated and recalculated from time to time by operating the system in test mode as shown in Fig. 3b.
  • the block Q represents an adaptive model that models the overall system from the input sensor 12 to the error sensor 20 including the uncontrolled physical path PE as well as the control path, blocks Atest and SE.
  • a first set of test values Atest(1) are selected for the control parameters for control model A. This is represented in Fig. 3b by block Atest.
  • the system 100t is then operated in test mode to adaptively determine a solution Q(1) for the overall test model Q.
  • model Q receives the reference signal x(k) as model input.
  • Summer 29 inputs the model output from the Q model as well as the error signal e(k), and outputs a signal in line 31 that inputs the Q model as error input.
  • Adaptation of overall system test model Q in the test mode is generally a much safer and more reliable process than continuously adapting a control model using the LMS algorithm since controller output is not directly affected by possible instabilities in the Q model.
  • the following set of linear equations is solved to determine PE and SE:
  • the optimum value for the control model A is determined by using the solutions for PE and SE from Equation (3) to solve Equation (1).
  • the system is then operated to cancel the tonal disturbance using the optimum value for control model A.
  • control model A it may be desirable to recalculate the optimum value for control model A in order to accommodate changes in PE or SE over time. It may be desirable to recalculate control model A at prescheduled intervals, or when the acoustic energy in the system output represented by the error signal exceeds a preselected threshold value.
  • the control parameters are represented as phasors.
  • the control parameters can also take other forms, such as a complex number having an in-phase component and a quadrature component, however, phasor representation is particularly well suited for illustration.
  • the phasor labeled A(r, ⁇ ) initial represents the initially determined optimum value for the control parameters in control model A as determined by solving Equations (3) and (1) as previously described.
  • Figs. 6a and 6b the technique is also valid when the reference signal x(k) contains acoustic feedback from the output transducer 18 (see Fig. 5).
  • prior art techniques are able to accommodate acoustic feedback to an input microphone 12f, such as shown in Fig. 5.
  • Fig. 6a shows a system 101a in accordance with the invention operating to cancel tonal disturbances in the system input
  • Fig. 6b shows the system 101t operating in test mode to determine the optimum value for control model A.
  • acoustic feedback from the output transducer to the input microphone is represented by block SF and summing junction 32.
  • the tonal disturbance in the system input is represented by v(k) whereas the reference signal that inputs the control model A in Fig. 6a is x(k).
  • the reference signal that inputs the test control model Atest and the overall system test model Q in Fig. 6b is x(k).
  • the reference signal x(k) should be a clean sine wave in order for this technique to be effective.
  • input sensors that are exposed to acoustic feedback at the disturbance frequency also tend to pick up other noise signals.
  • the noise can corrupt the overall system modeling process for test model Q, and result in non-optimal performance. This is particularly important in MIMO systems since small errors in Q model channels can result in large errors in the calculated optimal control model channels A.
  • a phase-lock-loop circuit and a gain control circuit should normally be used to clean and normalize the reference signal x(k).
  • the invention is most useful for attenuating tonal disturbances in systems having little if any physical change over time.
  • the invention is also useful in systems having long periods of nearly stationary behavior with short periods of rapidly varying characteristics. In such cases, adaptation is preferably disabled during the rapidly changing periods.
  • Applications such as industrial silencing of fans and blowers are logical, as well as aerospace and large engine sound and vibration applications which run for significant periods of time at the same or similar throttle settings.
  • a 1 x 2 x 2 MIMO system 200a is illustrated in attenuation mode to cancel tonal disturbances in the system input (Fig. 7a), and in test mode (200t in Fig. 7b). While Figs. 7a and 7b show the system 200 with one input sensor, two output transducers 18a, 18b and two error sensors 20a, 20b, the invention can generally be implemented in a system having m reference signals x(k), n correction signals, and p error signals. In such a system, there are m x p acoustic paths PE, and n x p auxiliary paths SE. As shown in Fig.
  • the control model A has n x m model channels A 11 , A 21 .
  • Each model channel A 11 , A 21 inputs one of the m reference signals x(k) and outputs one of n correction signals y(k).
  • the system output is monitored by p error sensors, each outputting an error signal.
  • a generalized MIMO system there are n x p auxiliary paths SE.
  • Fig. 7a which is a 1 x 2 x 2 system, there are four auxiliary paths identified as SE 11 , SE 12 , SE 21 , and SE 22 .
  • the system 200t must be operated in test mode in order to solve for the values of the various PE and SE paths. Analytically, this is done in a similar manner as with a SISO system. Test values are chosen for Atestl 1 and Atest21, and the system is operated to adaptively determine values for model channels Q(1) 1 and Q(2) 1 for the respective Atest values. Also, similar to the SISO system, additional sets of test values for Atestl 1 and Atest21 are selected to determine additional solutions for Q 11 and Q 21 .
  • the test In a MIMO system, the test must be repeated at least m + n / m number of times to accumulate a sufficient number of linear equations in order to solve for each of the PE and SE paths necessary for determining the optimum value of the channels in the control model A.
  • MIMO embodiment of the invention has been described in accordance with a 1 x 2 x 2 system by way of example, it should be apparent to those skilled in the art that the system has general applicability to MIMO systems having the dimensions m x n x p.
  • MIMO system 200 illustrated in Figs. 7a and 7b does not specifically illustrate that the system is capable of accommodating acoustic feedback in the reference signals x(k) from the output transducers, the system would normally be capable of accommodating acoustic feedback in the reference signal.
  • the operation is similar to that illustrated with respect to the SISO system shown in Figs. 6a and 6b.

Landscapes

  • Physics & Mathematics (AREA)
  • Engineering & Computer Science (AREA)
  • Acoustics & Sound (AREA)
  • Multimedia (AREA)
  • Soundproofing, Sound Blocking, And Sound Damping (AREA)
  • Measurement Of Mechanical Vibrations Or Ultrasonic Waves (AREA)

Abstract

An active acoustic attenuation system for attenuating tonal disturbances uses an overall system test model Q to determine adjustable control parameters in the control model A. The overall system test model Q is an adaptive model which receives a system reference signal as model input and receives a combination of its model output signal and the output of an error sensor as error input. In the preferred SISO embodiment, the system is operated in test mode to determine optimum values for the control model A. A first version of a test control model Atest(1) is selected which includes a first set of test values for adjustable control parameters in the control model A. The system is operated in test mode to adaptively determine a first solution of the overall test model Q(1). Then, a second version of a test control model Atest(2) which includes a second set of test values for adjustable control parameters in the control model A is selected. The system is again operated in test mode to adaptively determine a second solution of the overall test model Q(2). The values Atest(1), Atest(2), Q(1), and Q(2) are then used to solve a set of linear equations to determine the optimum value of the control model A ( A = -PE / SE), where PE represents an acoustic path between the input sensor and the error sensor and SE is the auxiliary path between the output of the control model A and the error sensor. Multiple input, multiple output (MIMO) embodiments of the invention are also disclosed.

Description

FIELD OF THE INVENTION
The invention relates generally to active acoustic attenuation systems that are designed to actively cancel tonal disturbances. In particular, the invention uses a novel method of determining a system control model, thereby improving system stability, sound quality and performance in tonal applications.
BACKGROUND OF THE INVENTION
Active acoustic attenuation involves the injection of a canceling acoustic wave to destructively interfere with and cancel a system input acoustic wave, thus yielding a system output. A control model inputs a reference signal and in turn supplies a correction signal to an output transducer (e.g., a loudspeaker in a sound application or a shaker in a vibration application). The output transducer injects the canceling acoustic wave or secondary input in order to destructively interfere with the system input so that the system output is zero or some other desired value. The system output acoustic wave is sensed with an error sensor such as a microphone in a sound system, or an accelerometer in a vibration system.
Most active sound or vibration control systems use an adaptive control model such as the filtered-X least means square (LMS) or the filtered-U recursive least means square (RLMS) update methods as described in U.S. Patent No. 4,677,676. These systems typically use an adaptive transversal finite impulse response (FIR) filter or an infinite impulse response (IIR) filter. An error input signal, which depends at least in part on the error signal from the error sensor, is supplied to the adaptive control filter. Adaptive parameters in the adaptive control filter are updated in relation to the error input signal. A convergence factor or step size parameter is normally selected to ensure conversions of the adaptive control filter. In these systems, it is important to account for the delay and phase shifts in the auxiliary path (i.e. speaker-error path (SE) in a sound control system) when updating the adaptive control filter model. In the above-referenced filtered-X LMS and filtered-U RLMS methods, C path modeling of the auxiliary path (SE) is used to account for delays and phase shifts. C modeling is often accomplished on-line by injecting low levels of random noise and using LMS techniques for the on-line C path modeling. The use of adaptive control algorithms such as the LMS or the RLMS and the use of random noise in C path modeling can be very effective. However, these techniques have disadvantages, particularly when attenuation of acoustic energy is intended only at discrete frequencies where tonal disturbances exist. For example, the use of random noise C path modeling is undesirable in tonal systems because the addition of the random noise is usually noticeable. The random noise component added for C path modeling is typically vastly different in character than the tonal disturbance, thus making it very obvious when C path modeling is being performed. Often the added random noise is intrusive and objectionable. In addition, a strong disturbance tone corrupts the C path modeling process at the frequency of the disturbance, which is precisely the frequency where a good model is required. The corruption occurs because the signal-to-noise ratio at the required frequency is poor. To overcome this problem, C path modeling can be done using a very small adaptation step size and adapting over a long time period. However, this is generally undesirable. Another method used to overcome the model corruption problem is to use an active line enhancer or ALE. An ALE removes the disturbance tone from the modeling process, but this adds complexity to the overall algorithm.
The use of continuously adaptive algorithms such as the LMS or RLMS is often undesirable in tonal systems for several additional reasons. First, the possibility of instability exists during each and every adaptation cycle. Stability problems are especially prevalent when acoustic feedback is present. Instability is unacceptable, so continuous stability monitoring is required. Stability monitoring can be complex and is often ineffective. Second, constraint calculations (such as power limiting) are often complicated, especially in multiple input, multiple output, multiple error (MIMO) systems. Adapting with constraints can result in very slow adaptation rates near the optimal, constrained solution.
A third reason to avoid MIMO LMS-type adaptive models is the possibility that such models may get stuck in local, non-optimum minimum solutions. Even when local minimum do not exist, regions of very shallow gradient in the error surface can result in extremely long adaptation times.
For the above reasons, it is desirable to provide a tonal cancellation system that does not require random noise C path modeling, and does not require the use of a continuously adapting control model.
SUMMARY OF THE INVENTION
Some aspects of the present invention are set out in the accompanying claims.
The preferred embodiment of the invention is an active acoustic attenuation system that is intended to attenuate relatively stationary tonal disturbances. The system has a control model A that is not a continuously adapting control filter. Rather, the system uses an overall system test model Q that adaptively models the entire system from the system input sensor to the error sensor, including the physical acoustic path PE and the control path A(SE). The overall system test model Q is implemented when the system is in test mode in order to initially determine and intermittently update the control model A.
When the system is in attenuation mode, the control model A inputs a reference signal from an input sensor and outputs a correction signal which drives an output transducer. The output transducer outputs secondary input that combines with the system input to yield the system output. The control model A does not adapt and does not input an error signal while the system is operating to attenuate a tonal disturbance. When the system is in test mode, the overall system test model Q adaptively models the entire system including the control model A and the output transducer. To do this, a first set of test values for adjustable control parameters Atest(1) in the control model A are selected, and the system is operated in test mode so that the overall system test model Q adapts to a solution Q(1) based on the test control model Atest(1). The overall system test model Q receives the reference signal as model input and receives a combination of the Q model output signal and the error signal as an error input. Then, a second set of test values Atest(2) are selected, and the system is again operated in test mode so that the overall system test model Q adapts to a solution Q(2) based on the test control model Atest(2). In a SISO system, an optimum value for the control model A is then determined from Atest(1), Atest(2), Q(1), and Q(2), e.g., using linear algebra techniques. The system then operates in an attenuation mode in which the control model A is non-adapting to attenuate tonal disturbances. Intermittently, or whenever the acoustic energy represented by the error signal exceeds a threshold value, the control parameters in the control model A are updated by switching the system into test mode as described above.
The technique is simple but also effective for relatively stationary tonal disturbances. In addition, the system automatically handles situations where the reference signal contains acoustic feedback from the output transducer (e.g. canceling loudspeaker). Benefits of the system include simplicity, stability, sound quality (no need for the addition of random noise), performance (avoidance of adaptation difficulties with LMS-type algorithms) and straightforward constraint application. The invention can also be implemented in multiple input, multiple output and multiple error (MIMO) systems.
The present invention is applicable to sound attenuation systems, wherein the actuator is a loudspeaker, and the error sensor is a microphone. The input sensor may measure the rotational position of a machine causing the tonal disturbance. Alternatively, the input sensor may be a microphone, the system further comprising a phase-lock-loop circuit which inputs the reference signal outputting the input sensor before the reference signal inputs the overall system test model Q.
The invention is also applicable to vibration control systems, wherein the error sensor is an accelerometer, and the actuator is an electromechanical shaker.
According to a further independent aspect of the invention, in an active acoustic attenuation system having a single system input and a single system output, there is provided a method of attenuating tonal disturbances in the system, the method comprising the steps of:
  • providing a reference signal representing a tonal disturbance in the system input;
  • processing the reference signal through a control model A to generate a correction signal;
  • generating a secondary input in response to the correction signal;
  • combining the secondary input with the system input to yield the system output;
  • sensing the system output and generating an error signal in response thereto; and
  • determining control parameters of the control model A in the following manner:
  • a) providing an overall system test model Q that adaptively models the entire system from the system input to the system output;
  • b) selecting a first version of a test control model Atest(1) which includes a first set of test values for control parameters in the control model A;
  • c) operating the system in test mode with the control model A set to Atest(1) to adaptively determine a first solution of the overall system test model Q(1);
  • d) selecting a second version of a test control model Atest(2) which includes a second set of test values for control parameters in the control model A;
  • e) operating the system in test mode with the control model A set equal to Atest(2) to adaptively determine a second solution of the overall system test model Q(2); and
  • f) using Q(1), Q(2), Atest(1) and Atest (2) to calculate the control parameters used in control model A.
  • The control model A may be calculated by solving the following set of linear equations:
    Figure 00050001
    where PE represents an acoustic path between the input sensor and the error sensor and SE represents an auxiliary path between the output of the control model A and the error sensor, and the control model A is determined in accordance with the following expression: A = - PE SE .
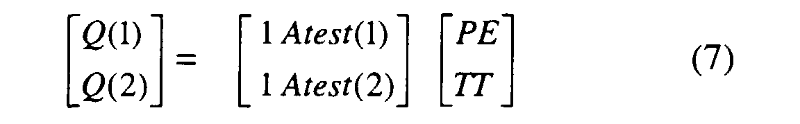
    Alternatively, the control model A may be calculated by solving the following set of linear equations:
    Figure 00060001
    where PE represents an acoustic path between the input sensor and the error sensor, a variable TT = SE - (SF) (PE), SE represents an auxiliary path between the output of the control model A and the error sensor, SF represents an auxiliary path between the output of the control model A and the input sensor, and the control model A is determined in accordance with the following expression: A = -PE TT .
    The method may involve intermittently recalculating the values of the control parameters of the control model A in order to update the control model A by intermittently repeating steps a) through f) recited.
    The control parameters for control model A may be represented by a phasor having a magnitude element and a phase element and updated versions of control model A may be recalculated by selecting subsequent test values for the adjustable control parameters in the test control models Atest(1) and Atest(2), the subsequent test values being selected by modifying the magnitude or phase of the adjustable control parameters of the current model A, and again operating the system in test mode.
    Alternatively, the control parameters for control model A may be represented by a phasor having a magnitude element and a phase element, and test values for the test control models Atest(1) and Atest(2) which are selected for updating the control model A may be selected such that the magnitude element of Atest(1) has the same magnitude as the magnitude element of the current version of the control model A and the phase element of Atest (1) is shifted with respect to the phase element of the then current version of control model A, and such that the magnitude element of Atest(2) is the same magnitude as the magnitude element of the then current version of control model A and the phase element of Atest(2) is shifted from the phase element of the then current version of control model A, and also shifted in a direction opposite to the selected value for Atest(1).
    Alternatively, the control parameters for control model A may be represented by a phasor having a magnitude element and a phase element, and test values for the test control models Atest(1) and Atest(2) which are selected for updating the control model A may be selected such that the magnitude element of Atest(1) has the same magnitude as the magnitude element of the current version of the control model A and the phase element of Atest (1) is shifted with respect to the phase element of the then current version of control model A, and such that the magnitude element of Atest(2) is the same magnitude as the magnitude element of the then current version of control model A and the phase element of Atest(2) is also equal to the phase element of the then current version of control model A.
    Alternatively, the control parameters for the control model A may be represented by a complex number having an in-phase component and a quadrature component, and test values for the test control models Atest(1) and Atest(2) which are selected for updating the control model A may be selected by making relatively small changes to the in-phase component and the quadrature component of the current version of the control model A.
    The method may alternatively involve recalculating the value of the control parameters in the control model A when the error signal represents an amount of acoustic energy in the system output that exceeds a preselected value, the recalculation of the values of the control parameters for the control model A being accomplished by repeating steps a) through f).
    The initial test values for the test control models Atest(1) and Atest(2) are selected such that Atest(1) = 0 and Atest(2) may be selected to satisfy the power limit requirements for the system.
    According to a further independent aspect of the invention, there is provided an active acoustic attenuation system having a system input and a system output, the system comprising:
  • at least one input sensor generating a reference signal wherein m represents the number of reference signals generated;
  • a control model A having n x m model channels Aji, each model channel inputting one of the m reference signals and outputting one of n correction signals;
  • a plurality of n output transducers each receiving one of the n correction signals and outputting a secondary input that combines with the system input to yield the system output;
  • a plurality of p error sensors, each error sensor sensing the system output and outputting an error signal;
  • an overall system test model Q that models the system between the system input and the system output, the overall system test model Q having p x m channels, each channel inputting one of m reference signals and outputting one of p channel output signals; and
  • a plurality of p summers each receiving one of the p error signals and one of the p channel output signals and outputting an adaptive update signal which is received by the overall system test model Q as error input, wherein values for control parameters for the n x m model channels Aji for control model A are calculated directly from multiple solutions for the overall system test model Q.
  • Preferably, the adaptive parameters for the n x m model channels for control model A are determined in accordance with the following steps:
  • a) selecting a version of a test control model channel for each of the n x m channels in the control model A, said test control model channel Atestji(g) including a set of test values for adjustable control parameters in the respective test control model channel wherein i represents the index of reference signal that inputs the respective control model channel, j represents the index of correction signal that outputs the respective control model channel, and g identifies the test mode sampling;
  • b) operating the system in test mode with the n x m control model channels for control model A set equal to Atestji(1) to adaptively determine a first set of solutions for the p x m channels of the overall system test model Q, wherein Qki(g) represents solutions for the Q model channel inputting the ith reference signal and outputting a signal which combines with the kth error signal for the gth test mode sampling;
  • c) determining the number of test mode samplings required to mathematically determine values for the n x m model channels for the control model A, wherein the minimum number of test mode samplings is given by the following expression: m + n m ;
  • d) repeating steps a) and b) for at least m + n / m test mode samplings; and
  • e) using Atestji(g) and Qki(g) to calculate the control parameters for the channels Aji in the control model A.
  • The adjustable control parameters for the channels Aji for the control model A may be represented by a phasor having a magnitude element and a phase element.
    Updated versions of the channels Aji for the control model A may be recalculated by selecting subsequent test values for the adjustable control parameters in the channels Atestji(g) for the test control model channels, and said subsequent test values may be selected by modifying the magnitude or phase of the current version of the control parameters for the respective channel model Aji.
    The adjustable control parameters for the channels Aji for the control model A may each be represented by a complex number having an in-phase component and a quadrature component.
    The system may be designed to attenuate sound, the output transducers being loudspeakers, and the error sensors being microphones.
    At least one of the input sensors may sense rotational position.
    There may be at least one input sensor which is a microphone.
    At least one of the output transducers may be an electromechanical shaker.
    According to a still further independent aspect of the invention, in an active acoustic attenuation system having a system input and a system output, there is provided a method of attenuating tonal disturbances, the method comprising the steps of:
  • providing at least one reference signal representative of the tonal disturbance in the system input, wherein m represents the number of individual reference signals generated;
  • processing each of the m reference signals through appropriate control model channels Aji to generate a plurality of n correction signals;
  • generating a secondary input for each of the n correction signals;
  • combining the secondary input with the system input to yield the system output;
  • sensing the system output and generating a plurality of p error signals in response thereto;
  • determining control parameters of the control model channels Aji in the following manner:
  • a) selecting a version of a test control model channel for each of the n x m channels in the control model A, said test control model channel Atestji(g) including a set of test values for adjustable control parameters in the respective test control model channel wherein i represents the index of the reference signal that inputs the channel, j represents the index of correction signal that outputs the channel and g identifies the test mode sampling;
  • b) operating the system in test mode with the n x m control model channels for control model A set equal to Atestji(1) to adaptively determine a first set of solutions of the p x m channels of the overall system test model Q, wherein Qki(g) represents the solutions for Q model channel inputting the ith reference signal and outputting a signal that is combined with the kth error signal for the gth test mode sampling;
  • c) determining the number of test mode samplings g required to mathematically determine values for the n x m model channels for the control model A, wherein the minimum number of test mode samplings given by the following expression: m + n m ;
  • d) repeating steps a) and b) for at least m + n / m test mode samplings; and
  • e) using Atestji(g) and Qki(g) to calculate the control parameters for the channels Aji in the control model A.
  • The channels Aji of the control model A may be calculated by solving a set of linear equations relating to test values for the channels of the overall system test model Qki(g) and the channels of the test control model Atestji(g) to determine unknown acoustic and electrical paths in the system.
    The method may further comprise the step of filtering each reference signal through a phase-lock-loop circuit before the reference signal inputs the respective channel for the overall system test model Q.
    The values of the control parameters for the control model channels Aji may be recalculated intermittently.
    The value of the control parameters for the control model A may be recalculated when an amount of acoustic energy in the system output represented by the error signals exceeds a preselected threshold value.
    The adjustable control parameters for the channels Aji for the control model A may each include two phasor elements, a magnitude element and a phase element, and updated versions of the channels Aji for the control model A may be recalculated by selecting subsequent test values for the adjustable control parameters and the channels Atestji(g) for the test control model channels, and said subsequent test values may be selected by modifying the magnitude or phase of the current version of the control parameters for the respective channel model Aji.
    Other features and advantages of the invention will be apparent to those skilled in the art upon inspecting the drawings and the following description thereof.
    BRIEF DESCRIPTION OF THE DRAWINGS
    Fig. 1 is a schematic illustration of SISO active acoustic attenuation system implementing an adaptive FIR filter as is known in the art in which the input sensor is a tachometer.
    Fig. 2 is a block diagram illustrating the acoustic paths and control paths in the prior art SISO system shown in Fig. 1.
    Fig. 3a is a block diagram illustrating acoustic paths and control paths in a SISO system designed in accordance with the invention, when the system is operating in attenuation mode to cancel a tonal disturbance.
    Fig. 3b is a block diagram illustrating acoustic paths and control paths in a SISO system designed in accordance with the invention, and when the system is operating in test mode to determine an optimum value for control model A.
    Figs. 4a and 4b are phasor diagrams illustrating the calculation of control parameters A(r,) for control model A.
    Fig. 5 is a schematic illustration showing a prior art SISO active acoustic attenuation system implementing an adaptive LMS filter, which is similar to the system shown in Fig. 1 except that the input sensor in Fig. 5 is a microphone.
    Fig. 6a is a block diagram illustrating acoustic paths and control paths in a SISO system designed in accordance with the invention in which the input sensor is exposed to acoustic feedback, and when the system is operating in attenuation mode to cancel a tonal disturbance.
    Fig. 6b is a block diagram illustrating acoustic paths and control paths in a SISO system designed in accordance with the invention in which the input sensor is exposed to acoustic feedback, and when the system is operating in test mode to determine an optimum value for control model A.
    Fig. 7a is a block diagram illustrating acoustic paths and control paths in a MIMO system designed in accordance with the invention when the system is operating in attenuation mode to cancel one or more tonal disturbances.
    Fig. 7b is a schematic illustration showing the operation of a multiple input, multiple output, multiple error (MIMO) system in accordance with the invention, when the system is operating in test mode to determine optimal values for control parameters in channels of control model A.
    DETAILED DESCRIPTION OF THE DRAWINGS Prior Art (Figs. 1, 2, 5)
    Fig 1 shows an active acoustic attenuation system 10 with a feed forward adaptive control system implementing a filtered-X LMS update as is known in the art. In the system 10 shown in Fig. 1, an input sensor 12 generates a reference signal x(k) that is processed by adaptive A filter 14 to generate a correction signal y(k). The correction signal y(k) is transmitted to an output transducer 18. The output transducer 18 outputs a secondary input (i.e. a canceling acoustic wave) that combines with the system input (i.e. an input acoustic wave) to yield the system output (i.e. an output acoustic wave). An error sensor 20 senses the system output and generates an error signal e(k) in response thereto. The purpose of the prior art system 10 shown in Fig. 1 is to cancel acoustic tones (i.e. tonal disturbances) propagating through duct 22, which are generated by fan 24. In Fig. 1, the input sensor 12 is a tachometer which senses the rotational speed of the fan, and is isolated from acoustic feedback. The output transducer 18 in Fig. 1 is a loudspeaker which injects a canceling acoustic wave into the duct 22.
    In the prior art acoustic attenuation system 10 shown in Fig. 1, the adaptive A filter 14 is typically a transversal finite impulse response (FIR) filter, or possibly an infinite impulse response (IIR) filter as described in U.S. Patent Nos. 4,677,676 and 4,677,677.
    Fig. 2 illustrates the acoustic paths and control paths in the system 10 shown in Fig. 1. In Fig. 2, block PE represents the acoustic path between the input sensor 12 and the error sensor 20, and block SE represents the auxiliary path from the output of control model A to the error sensor 20. Summing junction 20 in Fig. 2 represents the error sensor 20 shown in Fig. 1. Typically, the acoustic path PE and the auxiliary path SE while relatively stable, tend to change over relatively long periods of time. As mentioned, when using prior art FIR or IIR adaptive control filters for model A, it is important to account for propagation delay and phase shifts in the auxiliary path SE in order to assure convergence. Typically, this has been accomplished by implementing the filtered-X LMS or filtered-U RLMS methods in which a copy of the C model, block 26, is used to filter the reference signal x(k) in order provide a filtered regressor signal x'(k) to multiplier 28. The multiplier 28 combines the filtered regressor signal x'(k) with the error signal e(k) to provide error input to the adaptive control filter A via line 30. As mentioned, the invention eliminates the need for directly modeling the auxiliary path SE (i.e., eliminates the need for filtering a regressor signal with a C model copy 26), and also avoids the use of adaptive FIR or IIR filters, both of which may unnecessarily complicate and possibly compromise system performance when the system is designed to cancel tonal disturbances in contrast to broadband acoustic energy.
    The prior art system 10f shown in Fig. 5 is similar in many respects to the system 10 shown in Fig. 1 except that the input sensor 12f shown in Fig. 5 is a microphone, rather than a tachometer 12. Analytically, one of the primary differences between the system 10 shown in Fig. 1 and the system 10a shown in Fig. 5 is that the input microphone 12f in Fig. 5 is exposed to acoustic feedback from the output transducer 18. It is well known in the art (e.g. U.S. Patent Nos. 4,677,676 and 4,677,677) that the filtered-X FIR and filtered-U IIR methods are capable of accommodating acoustic feedback from the output transducer 18 to the input sensor 12a. In other respects, the prior art system 10a shown in Fig. 5 is similar to the prior art system 10 shown in Figs. 1 and 2.
    Present Invention
    Figs. 3a and 3b are block diagrams illustrating a SISO active acoustic attenuation system 100 that operates in accordance with the invention. In Figs. 3a and 3b, the illustrated system is one in which the input sensor is isolated from acoustic feedback from the output transducer 18, such as a sensor sensing rotational position of a fan. Fig. 3a illustrates the system operating in attenuation mode and is identified by reference numeral 100a, whereas Fig. 3b illustrates the system operating in test mode and is identified by reference numeral 100t.
    Referring to Fig. 3a, the system 100a attenuates tonal disturbances in the system input when PE and SE are relatively stationary, and when a suitable reference signal x(k) is available. The reference signal x(k) inputs control model A which processes the signal and outputs a correction signal y(k) to the output transducer. The control model A contains adjustable control parameters which can be represented as a phasor having a magnitude element and a phase element; or alternatively a single complex number having an in-phase component and a quadrature component. Block PE represents a transfer function of the physical system without any control from the input sensor 12 to the error sensor 20. The input sensor 12 preferably measures rotational position of the fan. Block SE represents a transfer function from the output of the control model A to the error sensor 20. Instead of adapting the control model A using an algorithm such as LMS or RLMS, the solution for control model A is calculated directly from the transfer functions PE and SE. For single tone SISO systems, the following expression represents the optimum value of control model A: A = - PE SE where PE and SE are single complex values. For single tone MIMO systems, PE is a p x m complex matrix and SE is a p x n complex matrix, where m is the number of reference signals, n is the number of correction signals, and p is the number of error signals. The pseudo inverse of SE is an n x p complex matrix and control model A is an n x m complex matrix. More details of the preferred MIMO system are discussed below in connection with Figs. 7a and 7b.
    For direct calculation of Equation (1) to be effective, accurate estimates of PE and SE are required at the disturbance frequency. Estimates of PE and SE, and in turn the values for the adjustable control parameters in control model A, are preferably calculated and recalculated from time to time by operating the system in test mode as shown in Fig. 3b.
    In Fig. 3b, the block Q represents an adaptive model that models the overall system from the input sensor 12 to the error sensor 20 including the uncontrolled physical path PE as well as the control path, blocks Atest and SE. In order to operate the system 100t in test mode, a first set of test values Atest(1) are selected for the control parameters for control model A. This is represented in Fig. 3b by block Atest. The system 100t is then operated in test mode to adaptively determine a solution Q(1) for the overall test model Q. In this regard, model Q receives the reference signal x(k) as model input. Summer 29 inputs the model output from the Q model as well as the error signal e(k), and outputs a signal in line 31 that inputs the Q model as error input. Adaptation of overall system test model Q in the test mode is generally a much safer and more reliable process than continuously adapting a control model using the LMS algorithm since controller output is not directly affected by possible instabilities in the Q model.
    In test mode, the system 100t shown in Fig. 3b is represented by the following equation: Q = PE + (Atest)SE Equation 2 contains two unknowns, PE and SE, which must be determined to solve for control model A in accordance with Equation (1). Therefore, for a single tone SISO system 100t , the system is operated in test mode at least twice. In order to determine PE and SE, the system 100t is first operated using a first version of the test control model Atest(1) to adaptively determine a first solution Q(1) of the overall system test model Q. The system is then operated in test mode using a second version of the test control model Atest(2) to adaptively determine a second solution Q(2) of the overall system test model Q. Using the values for Atest(1), Q(1), Atest(2), and Q(2), the following set of linear equations is solved to determine PE and SE:
    Figure 00160001
    The optimum value for the control model A is determined by using the solutions for PE and SE from Equation (3) to solve Equation (1). The system is then operated to cancel the tonal disturbance using the optimum value for control model A.
    It is important that the physical system remain essentially unaltered while Q is being determined for all sets of Atest. This includes disturbance frequency changes since a change in frequency implies a change in the single frequency model of a stationary system.
    Intermittently, it may be desirable to recalculate the optimum value for control model A in order to accommodate changes in PE or SE over time. It may be desirable to recalculate control model A at prescheduled intervals, or when the acoustic energy in the system output represented by the error signal exceeds a preselected threshold value.
    In Figs. 4a and 4b, the control parameters are represented as phasors. The control parameters can also take other forms, such as a complex number having an in-phase component and a quadrature component, however, phasor representation is particularly well suited for illustration. Fig. 4a shows the preferred manner in selecting initial test values for the control parameters in the test control model Atest. At initial start-up, it has been found effective to set Atest(1)initial= 0 in order to determine Q(1), and set Atest(2)initial to an arbitrary magnitude and phase in order to determine Q(2). In Fig. 4a, the phasor labeled A(r, )initial represents the initially determined optimum value for the control parameters in control model A as determined by solving Equations (3) and (1) as previously described. When it is necessary or desirable to recalculate the control parameters A(r, 9) in the control model A, it has been found effective to merely modify the magnitude and/or phase of the then current version of the control model A (e.g. A(r, )initial) to select new test values Atest(1) and Atest(2) for readjusting the control model A. This is shown in Fig. 4b. Although the updated versions of Atest(1) and Atest(2) could be selected arbitrarily, it has been found that noticeability of adaptation is reduced without degrading adaptation accuracy by shifting only 5° to 15° from the current version of A, i.e. A(r, )initial in Fig. 4b. The values Atest(1) and Atest(2) are used to determine new values for Q(1) and Q(2) respectively in order to solve Equations (3) and (1) for an updated control model A, i.e., A(r, ) in Fig. 4b.
    Referring now to Figs. 6a and 6b, the technique is also valid when the reference signal x(k) contains acoustic feedback from the output transducer 18 (see Fig. 5). As previously described, prior art techniques are able to accommodate acoustic feedback to an input microphone 12f, such as shown in Fig. 5. Fig. 6a shows a system 101a in accordance with the invention operating to cancel tonal disturbances in the system input, and Fig. 6b shows the system 101t operating in test mode to determine the optimum value for control model A. In Figs. 6a and 6b, acoustic feedback from the output transducer to the input microphone is represented by block SF and summing junction 32. Note that the tonal disturbance in the system input is represented by v(k) whereas the reference signal that inputs the control model A in Fig. 6a is x(k). Likewise, the reference signal that inputs the test control model Atest and the overall system test model Q in Fig. 6b is x(k). The relationship between the tonal disturbance v(k) and the reference signal x(k) is represented by the following expression: x(k) = v(k) + x(k)(A)(SF) The model output for Q is given by the following expression: (x)(Q) = (v)(PE) + (x)(Atest)(SE) Therefore, solving Equations (4) and (5) for Q results in: Q = PE - Atest (TT) where TT is a temporary variable given by TT = SE - (SF)(PE). In an analogous fashion as described with respect to the system 100t illustrated in Figs. 3a and 3b, the values for Q(1) and Q(2) as well as the optimum value for control model A is preferably calculated in accordance with Equations (7 )and (8):
    Figure 00180001
    A = -PE TT
    Referring generally to the systems shown in Figs. 3a through 6b, it should be noted that the reference signal x(k) should be a clean sine wave in order for this technique to be effective. In general, input sensors that are exposed to acoustic feedback at the disturbance frequency also tend to pick up other noise signals. The noise can corrupt the overall system modeling process for test model Q, and result in non-optimal performance. This is particularly important in MIMO systems since small errors in Q model channels can result in large errors in the calculated optimal control model channels A. To minimize these types of problems, it may be useful to use a phase-lock-loop circuit on the reference signal x(k) to clean the tone. In systems having acoustic feedback, a phase-lock-loop circuit and a gain control circuit should normally be used to clean and normalize the reference signal x(k).
    The invention is most useful for attenuating tonal disturbances in systems having little if any physical change over time. The invention is also useful in systems having long periods of nearly stationary behavior with short periods of rapidly varying characteristics. In such cases, adaptation is preferably disabled during the rapidly changing periods. Applications such as industrial silencing of fans and blowers are logical, as well as aerospace and large engine sound and vibration applications which run for significant periods of time at the same or similar throttle settings.
    Referring to Figs. 7a and 7b, a 1 x 2 x 2 MIMO system 200a is illustrated in attenuation mode to cancel tonal disturbances in the system input (Fig. 7a), and in test mode (200t in Fig. 7b). While Figs. 7a and 7b show the system 200 with one input sensor, two output transducers 18a, 18b and two error sensors 20a, 20b, the invention can generally be implemented in a system having m reference signals x(k), n correction signals, and p error signals. In such a system, there are m x p acoustic paths PE, and n x p auxiliary paths SE. As shown in Fig. 7a, the control model A has n x m model channels A11, A21. Each model channel A11, A21 inputs one of the m reference signals x(k) and outputs one of n correction signals y(k). There are n output transducers which each receive one of the n correction signals y(k), and each outputting a secondary input that combines with the system input to yield the system output. The system output is monitored by p error sensors, each outputting an error signal. In a generalized MIMO system there are n x p auxiliary paths SE. In Fig. 7a, which is a 1 x 2 x 2 system, there are four auxiliary paths identified as SE11, SE12, SE21, and SE22. As in the SISO system, the system 200t must be operated in test mode in order to solve for the values of the various PE and SE paths. Analytically, this is done in a similar manner as with a SISO system. Test values are chosen for Atestl 1 and Atest21, and the system is operated to adaptively determine values for model channels Q(1)1 and Q(2)1 for the respective Atest values. Also, similar to the SISO system, additional sets of test values for Atestl 1 and Atest21 are selected to determine additional solutions for Q11 and Q21. In a MIMO system, the test must be repeated at least m + n / m number of times to accumulate a sufficient number of linear equations in order to solve for each of the PE and SE paths necessary for determining the optimum value of the channels in the control model A. Using the 1 x 2 x 2 system 200 shown in Figs. 7a and 7b, it is necessary to run the system in test mode on three occasions (i.e. m + n / m = 1 + 2 / 1) in order to yield Atestl 1(1), Atest 21(1), Q(1)1(1), Q(2)1(1); Atest11(2), Atest21(2), Q(1)1(2), Q(2)1(2); and Atestl 1(3), Atest 21(3) Q(1)1(3), Q(2)1(3). The set of linear equations for a 1 x 2 x 2 MIMO system that needs to be solved to determine the PE and SE paths is represented in matrix form below:
    Figure 00200001
    wherein Atestji(g) represents the test values for control parameters for the A model channel which receives the ith reference signal and outputs the jth correction signal for the gth test mode sampling, and Qki(g) represents the channel for the Q model that receives the ith reference signal and its output is combined with the kth error signal to generate an update signal for the gth test mode sampling. After the set of Equation (9) is solved to determine the paths PE and SE, the optimum control parameters for the channels of control model A are determined in accordance with equation 10:
    Figure 00200002
    While the MIMO embodiment of the invention has been described in accordance with a 1 x 2 x 2 system by way of example, it should be apparent to those skilled in the art that the system has general applicability to MIMO systems having the dimensions m x n x p. Also, while the MIMO system 200 illustrated in Figs. 7a and 7b does not specifically illustrate that the system is capable of accommodating acoustic feedback in the reference signals x(k) from the output transducers, the system would normally be capable of accommodating acoustic feedback in the reference signal. In this regard, the operation is similar to that illustrated with respect to the SISO system shown in Figs. 6a and 6b.
    While the invention has been described in accordance with a preferred embodiment for SISO applications and another preferred embodiment for MIMO applications, it should be recognized that various alternatives and modifications are possible within the scope of the invention. For example, while the drawings and the description specifically illustrate a sound cancellation system for attenuating discrete tonal disturbances, it should be apparent that the invention can be easily applied to vibration applications and/or combined sound and vibration applications. In vibration applications, the output transducer would typically be an electromechanical shaker or an electromagnetic actuator, rather than a loudspeaker. Also, the error sensors would typically be accelerometers instead of microphones. On the other hand, tachometer input sensors are often useful in vibration systems, although accelerometers can be used as well. The term acoustic as used herein is intended to cover both sound and vibration applications.
    In addition, the scope of the invention should be interpreted by reviewing the following claims which particularly point out and distinctly claim the invention.

    Claims (19)

    1. An active acoustic attenuation system for attenuating tonal disturbances, the system having a system input and a system output and comprising:
      a system input sensor that outputs a reference signal;
      a control model A that inputs the reference signal and outputs a correction signal, the control model A containing adjustable control parameters;
      an actuator that receives the correction signal and outputs a secondary input which combines with the system input to yield the system output;
      an error sensor that senses the system output and generates an error signal in response thereto;
      an overall system test model Q that models the system between the system input sensor and the error sensor, the overall system test model Q being an adaptive model that receives the reference signal as model input, that outputs a model output signal, and that receives a combination of the model output signal and the error signal as an error input;
         wherein values for the adjustable control parameters in the control model A are calculated directly from at least two solutions of the overall system test model Q.
    2. An active acoustic attenuation system for attenuating tonal disturbances as recited in claim 1 wherein the control model A is determined in accordance with the following steps:
      a) selecting a first version of a test control model Atest(1) which includes a first set of test values for the adjustable control parameters in the control model A;
      b) operating the system in test mode with the control model A set equal to Atest( 1) to adaptively determine a first solution of the overall test model Q(1);
      c) selecting a second version of a test control model Atest(2) which includes a second set of test values for the adjustable control parameters in the control model A;
      d) operating the system in test mode with the control model A set equal to Atest(2) to adaptively determine a second solution of the overall test model Q(2); and
      e) using the first version of the test control model Atest(1), the first solution of the overall system test model Q(1), the second solution of the test control model Atest(2) and the second version of the overall system test model Q(2) to calculate the values of the adjustable parameters used in the control model A during system operation.
    3. An active acoustic attenuation system for attenuating tonal disturbances as recited in claim 2 wherein the control model A is calculated by solving the following set of linear equations:
      Figure 00230001
      where PE represents an acoustic path between the input sensor and the error sensor and SE represents an auxiliary path between the output of the control model A and the error sensor, and the control model A is determined in accordance with the following expression: A = -PE SE .
    4. An active acoustic attenuation system for attenuating tonal disturbances as recited in claim 2 wherein the control model A is calculated by solving the following set of linear equations:
      Figure 00230002
      where PE represents an acoustic path between the input sensor and the error sensor, a variable TT = SE - (SF) (PE), SE represents an auxiliary path between the output of the control model A and the error sensor, SF represents an auxiliary path between the output of the control model A and the input sensor, and the control model A is determined in accordance with the following expression: A = -PE TT .
    5. An active acoustic attenuation system for attenuating tonal disturbances as recited in claim 1 further comprising:
         a phase-lock-loop circuit that filters the reference signal before the reference signal inputs the overall system test model Q.
    6. An active acoustic attenuation system for attenuating tonal disturbances as recited in claim 1 wherein the values for the adjustable control parameters in the control model A are recalculated intermittently in order to assure system performance over long periods of time.
    7. An active acoustic attenuation system for attenuating tonal disturbances as recited in claim 1 wherein the values for the adjustable control parameters in the control model A are recalculated when the error signal represents an amount of acoustic energy in the system output that exceeds a preselected threshold value.
    8. An active acoustic attenuation system for attenuating tonal disturbances as recited in claim 2 wherein the adjustable control parameters for the control model A is represented by a phasor having a magnitude element and a phase element.
    9. An active acoustic attenuation system for attenuating tonal disturbances as recited in claim 2 wherein the adjustable control parameters for the control model A includes a complex number having an in-phase component and a quadrature component.
    10. An active acoustic attenuation system for attenuating tonal disturbances as recited in claim 8 wherein updated versions of control model A are recalculated by selecting subsequent test values for the adjustable control parameters in the test control models Atest(1) and Atest(2), the subsequent test values being selected by modifying the magnitude or the phase of the adjustable control parameters of the current control model A, and again operating the system in test mode as recited in steps a) through e) recited in claim 2 to determine an updated version of control model A.
    11. An active acoustic attenuation system for attenuating tonal disturbances as recited in claim 10 wherein initial values for the test control models Atest(1) and Atest(2) are selected such that Atest(1)initial = 0 and Atest(2)initial is selected arbitrarily within power limit requirements for the system.
    12. An active acoustic attenuation system for attenuating tonal disturbances as recited in claim 10 wherein subsequent test values for the adjustable control parameters in the test control models Atest(1) and Atest(2) are selected such that Atest(1) has the same magnitude and phase as the then current version of control model A and the phase element of the test value for the adjustable control parameter for the subsequent version of the test control model Atest(2) is shifted from the then current value of the adjustable control parameter for the control model A.
    13. An active acoustic attenuation system for attenuating tonal disturbances as recited in claim 10 wherein subsequent test values for the adjustable control parameters in the test control models Atest(1) and Atest(2) are selected such that the magnitude element of Atest(1) has the same magnitude as the magnitude element of the current control model A and the phase element of Atest(1) is shifted from the phase element of the then current control model A and the magnitude element of Atest(2) is the same as the magnitude element of the then current control model A and the phase element of Atest(2) is shifted from the phase element of the then current control model A and in a different direction than the phase element for Atest(1) is shifted.
    14. An active acoustic attenuation system having a system input and a system output, the system comprising:
      at least one input sensor generating a reference signal wherein m represents the number of reference signals generated;
      a control model A having n x m model channels Aji, each model channel inputting one of the m reference signals and outputting one of n correction signals;
      a plurality of n output transducers each receiving one of the n correction signals and outputting a secondary input that combines with the system input to yield the system output;
      a plurality of p error sensors, each error sensor sensing the system output and outputting an error signal;
      an overall system test model Q that models the system between the system input and the system output, the overall system test model Q having p x m channels, each channel inputting one of m reference signals and outputting one of p channel output signals; and
      a plurality of p summers each receiving one of the p error signals and one of the p channel output signals and outputting an adaptive update signal which is received by the overall system test model Q as error input, wherein values for control parameters for the n x m model channels Aji for control model A are calculated directly from multiple solutions for the overall system test model Q.
    15. An active acoustic attenuation system as recited in claim 14 wherein the adaptive parameters for the n x m model channels for control model A are determined in accordance with the following steps:
      a) selecting a version of a test control model channel for each of the n x m channels in the control model A, said test control model channel Atestji(g) including a set of test values for adjustable control parameters in the respective test control model channel wherein i represents the index of reference signal that inputs the respective control model channel, j represents the index of correction signal that outputs the respective control model channel, and g identifies the test mode sampling;
      b) operating the system in test mode with the n x m control model channels for control model A set equal to Atestji(1) to adaptively determine a first set of solutions for the p x m channels of the overall system test model Q, wherein Qki(g) represents solutions for the Q model channel inputting the ith reference signal and outputting a signal which combines with the kth error signal for the gth test mode sampling;
      c) determining the number of test mode samplings required to mathematically determine values for the n x m model channels for the control model A, wherein the minimum number of test mode samplings is given by the following expression: m + n m ;
      d) repeating steps a) and b) for at least m + n / m test mode samplings; m and
      e) using Atestji(g) and Qki(g) to calculate the control parameters for the channels Aji in the control model A.
    16. An active acoustic attenuation system as recited in claim 14 wherein the channels Aji of the control model A are calculated by solving a set of linear equations relating the test values for the channels of the overall system test model Qki(g) and the channels for the test control model Atestji(g) to determine unknown acoustic and electrical paths in the system.
    17. An active acoustic attenuation system as recited in claim 14 wherein the reference signal generated from each input sensor is filtered by a phase-lock-loop circuit before the reference signal inputs the respective channel for the overall system test model Q.
    18. An active acoustic attenuation system as recited in claim 14 wherein the values for the control parameters in the channels Aji for the control model A are recalculated intermittently.
    19. An active acoustic attenuation system as recited in claim 14 wherein the values for the control models in the channels Aji for the control model A are recalculated when an amount of acoustic energy represented by the error signals exceeds a preselected threshold value.
    EP00310643A 1999-12-01 2000-11-30 Active acoustic attenuation system based on overall system test modeling Withdrawn EP1107226A3 (en)

    Applications Claiming Priority (2)

    Application Number Priority Date Filing Date Title
    US45221399A 1999-12-01 1999-12-01
    US452213 1999-12-01

    Publications (2)

    Publication Number Publication Date
    EP1107226A2 true EP1107226A2 (en) 2001-06-13
    EP1107226A3 EP1107226A3 (en) 2003-05-02

    Family

    ID=23795556

    Family Applications (1)

    Application Number Title Priority Date Filing Date
    EP00310643A Withdrawn EP1107226A3 (en) 1999-12-01 2000-11-30 Active acoustic attenuation system based on overall system test modeling

    Country Status (2)

    Country Link
    EP (1) EP1107226A3 (en)
    AU (1) AU7149300A (en)

    Cited By (1)

    * Cited by examiner, † Cited by third party
    Publication number Priority date Publication date Assignee Title
    WO2006050699A1 (en) * 2004-11-09 2006-05-18 Schaeffler Kg Method for determining and damping the sound transmission function of a bearing system

    Family Cites Families (3)

    * Cited by examiner, † Cited by third party
    Publication number Priority date Publication date Assignee Title
    US5625684A (en) * 1993-02-04 1997-04-29 Local Silence, Inc. Active noise suppression system for telephone handsets and method
    US5844996A (en) * 1993-02-04 1998-12-01 Sleep Solutions, Inc. Active electronic noise suppression system and method for reducing snoring noise
    CA2148962C (en) * 1994-05-23 2000-03-28 Douglas G. Pedersen Coherence optimized active adaptive control system

    Cited By (1)

    * Cited by examiner, † Cited by third party
    Publication number Priority date Publication date Assignee Title
    WO2006050699A1 (en) * 2004-11-09 2006-05-18 Schaeffler Kg Method for determining and damping the sound transmission function of a bearing system

    Also Published As

    Publication number Publication date
    AU7149300A (en) 2001-06-21
    EP1107226A3 (en) 2003-05-02

    Similar Documents

    Publication Publication Date Title
    EP0521868B1 (en) Digital virtual earth active cancellation system
    EP2242044B1 (en) System for active noise control with an infinite impulse response filter
    US6847721B2 (en) Active noise control system with on-line secondary path modeling
    EP0721179B1 (en) Adaptive tonal control system with constrained output and adaptation
    CA2122108C (en) Multiple adaptive filter active noise canceller
    JP3346198B2 (en) Active silencer
    JP5255087B2 (en) Adaptive noise control
    JP5640063B2 (en) Adjustable active noise control
    EP0712115B1 (en) Active noise and vibration control system accounting for time varying plant, using residual signal to create probe signal
    EP0773531B1 (en) Frequency selective active adaptive control system
    EP0654901B1 (en) System for the rapid convergence of an adaptive filter in the generation of a time variant signal for cancellation of a primary signal
    JPH0567948A (en) Adaptive digital filter
    EP0742971A1 (en) Adaptative feedforward and feedback control system
    EP0555585A2 (en) Correlated active attenuation system with error and correction signal input
    CN116438597A (en) Systems and methods for adapting estimated secondary paths
    CN113470607A (en) Active vibration noise reduction system
    Kim et al. Delayed-X LMS algorithm: An efficient ANC algorithm utilizing robustness of cancellation path model
    EP0525456B1 (en) System using plurality of adaptive digital filters
    EP1107226A2 (en) Active acoustic attenuation system based on overall system test modeling
    EP1308926B1 (en) Active noise cancellation using frequency response control
    EP1107225A2 (en) Active acoustic attenuation system in which regressor filter is determined from overall system test model
    EP0530523B1 (en) Active silencer with improved method of selecting coefficient sequence
    KR19990042877A (en) Method of controlling active noise of automobile
    JP4516774B2 (en) Vibration control system
    JPH09171388A (en) Adaptive filter

    Legal Events

    Date Code Title Description
    PUAI Public reference made under article 153(3) epc to a published international application that has entered the european phase

    Free format text: ORIGINAL CODE: 0009012

    AK Designated contracting states

    Kind code of ref document: A2

    Designated state(s): AT BE CH CY DE DK ES FI FR GB GR IE IT LI LU MC NL PT SE TR

    AX Request for extension of the european patent

    Free format text: AL;LT;LV;MK;RO;SI

    PUAL Search report despatched

    Free format text: ORIGINAL CODE: 0009013

    AK Designated contracting states

    Designated state(s): AT BE CH CY DE DK ES FI FR GB GR IE IT LI LU MC NL PT SE TR

    AX Request for extension of the european patent

    Extension state: AL LT LV MK RO SI

    17P Request for examination filed

    Effective date: 20030616

    R17P Request for examination filed (corrected)

    Effective date: 20030708

    AKX Designation fees paid

    Designated state(s): DE GB

    17Q First examination report despatched

    Effective date: 20041019

    STAA Information on the status of an ep patent application or granted ep patent

    Free format text: STATUS: THE APPLICATION IS DEEMED TO BE WITHDRAWN

    18D Application deemed to be withdrawn

    Effective date: 20050301