EP0245785A2 - 1-Aralkylpyrazole - Google Patents
1-Aralkylpyrazole Download PDFInfo
- Publication number
- EP0245785A2 EP0245785A2 EP87106653A EP87106653A EP0245785A2 EP 0245785 A2 EP0245785 A2 EP 0245785A2 EP 87106653 A EP87106653 A EP 87106653A EP 87106653 A EP87106653 A EP 87106653A EP 0245785 A2 EP0245785 A2 EP 0245785A2
- Authority
- EP
- European Patent Office
- Prior art keywords
- formula
- alkyl
- hydrogen
- meaning given
- carbon atoms
- Prior art date
- Legal status (The legal status is an assumption and is not a legal conclusion. Google has not performed a legal analysis and makes no representation as to the accuracy of the status listed.)
- Withdrawn
Links
Classifications
-
- C—CHEMISTRY; METALLURGY
- C07—ORGANIC CHEMISTRY
- C07D—HETEROCYCLIC COMPOUNDS
- C07D403/00—Heterocyclic compounds containing two or more hetero rings, having nitrogen atoms as the only ring hetero atoms, not provided for by group C07D401/00
- C07D403/02—Heterocyclic compounds containing two or more hetero rings, having nitrogen atoms as the only ring hetero atoms, not provided for by group C07D401/00 containing two hetero rings
- C07D403/04—Heterocyclic compounds containing two or more hetero rings, having nitrogen atoms as the only ring hetero atoms, not provided for by group C07D401/00 containing two hetero rings directly linked by a ring-member-to-ring-member bond
-
- C—CHEMISTRY; METALLURGY
- C07—ORGANIC CHEMISTRY
- C07D—HETEROCYCLIC COMPOUNDS
- C07D231/00—Heterocyclic compounds containing 1,2-diazole or hydrogenated 1,2-diazole rings
- C07D231/02—Heterocyclic compounds containing 1,2-diazole or hydrogenated 1,2-diazole rings not condensed with other rings
- C07D231/10—Heterocyclic compounds containing 1,2-diazole or hydrogenated 1,2-diazole rings not condensed with other rings having two or three double bonds between ring members or between ring members and non-ring members
- C07D231/14—Heterocyclic compounds containing 1,2-diazole or hydrogenated 1,2-diazole rings not condensed with other rings having two or three double bonds between ring members or between ring members and non-ring members with hetero atoms or with carbon atoms having three bonds to hetero atoms with at the most one bond to halogen, e.g. ester or nitrile radicals, directly attached to ring carbon atoms
- C07D231/44—Oxygen and nitrogen or sulfur and nitrogen atoms
Definitions
- the present invention relates to new 1-aralkylpyrazoles, several processes for their preparation, their use as pesticides, in particular as acaricides, and new intermediates for their preparation and processes for their preparation.
- pyrazole derivatives such as 1-cyclohexyl-5- [N, N- (dimethyl) carbamoyloxy] -3-methylthiomethyl-pyrazole, 1-cyclohexyl-5- [N, N- (dimethyl) -carbamoyloxy] -3-methylsulfinylmethyl-pyrazole or 1-cyclohexyl-5- [N, N- (dimethyl) -carbamoyloxy] -3-methylsulfonylmethyl-pyrazole have acaricidal properties (see, for example, DE-OS 28 39 270).
- the 1-aralkylpyrazoles of the general formula (I) according to the invention show a considerably better acaricidal activity than the pyrazole derivatives known from the prior art, such as, for example, the compounds 1-cyclohexyl-5- [N, N- (dimethyl) carbamoyloxy ] -3-methylthiomethyl-pyrazole, 1-cyclohexyl-5- [N, N- (dimethyl) carbamoyloxy] -3-methylsulfinylmethyl-pyrazole and 1-cyclohexyl-5- [N, N- (dimethyl) carbamoyloxy] - 3-methylsulfonylmethyl-pyrazole, which are chemically obvious compounds.
- the 1-aralkypyrazoles according to the invention are generally defined by the formula (I).
- Ar represents phenylalkyl with 1 to 4 carbon atoms in the straight-chain or branched alkyl part, which is optionally monosubstituted to trisubstituted in the same or different ways, where the following may be mentioned as substituents of the phenyl radical: halogen, haloalkyl or haloalkoxy, each preferably having 1 or 2 carbon atoms and 1 to 5 identical or different halogen atoms (especially fluorine or chlorine), R1 represents alkyl having 1 to 8 carbon atoms, R2 for hydrogen, C1-C8-alkyl, haloalkyl having 1 or 2 carbon atoms and 1 to 5 identical or different halogen atoms (in particular fluorine or chlorine) or for optionally up to three times the same or different substituted benzyl, the following may be mentioned as phenyl substituents:
- reaction sequence of process (b) according to the invention can be represented by the following scheme:
- reaction sequence of process (d) according to the invention can be represented by the following scheme:
- aralkylhydrazines required as starting materials for carrying out process (a) according to the invention are generally defined by the formula (II).
- Ar preferably represents those radicals which have already been associated with the description of the substances of the formula (I ) were mentioned as preferred for this substituent.
- the aralkylhydrazines of the formula (II) are generally known compounds of organic chemistry.
- the 1,1, -dicyanethylene derivatives of the formula (III) are also known (see, for example, Chem. Ber. 95 , 2861, 2871 (1962)).
- the reaction according to process variant (a) is preferably carried out in organic solvents, in particular in alcohols, cyclic ethers (such as tetrahydrofuran), aromatic hydrocarbons (such as benzene and toluene), open-chain ethers (such as diethyl ether) or chlorinated hydrocarbons such as methylene chloride or chloroform.
- the reaction temperatures are preferably 0 to 60 ° C., in particular 10 to 30 ° C.
- the reaction time is generally approx. 2 to approx. 20 hours.
- molar amounts of the starting components (II) and (III) are combined in the solvent and the mixture is stirred at room temperature and normal pressure. The mixture is then preferably concentrated on a rotary evaporator and recrystallized from a suitable solvent.
- the starting compounds of the formula (IV) are generally known compounds of organic chemistry.
- Carboxylic acid esters, carboxylic acids and carboxylic acid halides (in particular carboxylic acid chlorides) are suitable here.
- the two components (Ia) and (IV) are reacted in a conventional manner, preferably in an organic solvent, in particular in cyclic ethers such as tetrahydrofuran, halogenated hydrocarbons such as methylene chloride or chloroform, acid nitriles such as acetonitrile or aromatic hydrocarbons such as benzene or Toluene.
- Bases such as organic amines or pyridine are preferably added.
- the reaction temperature is about 0 to about 50 ° C, the reaction time is about 5 to about 40 hours.
- the reaction is preferably carried out at normal pressure.
- the work-up is carried out in the usual manner, which has already been specified in variant a).
- reaction variant (c) molar amounts up to three times the excess of dialkyl sulfate known per se are reacted with the compounds of the formula (V).
- the reaction is preferably carried out in an organic solvent, in particular in halogenated hydrocarbons such as methylene chloride or chloroform.
- the reaction temperatures are from approx. 10 ° C to approx. 40 ° C, the reaction time is approx. 2 to approx. 40 hours.
- bases especially inorganic bases such as KOH, NaOH, Na2CO3 added.
- catalysts are optionally used for the reaction acceleration used. Ammonium salts are preferred as catalysts.
- the reaction preferably takes place in the organic solvent with the addition of an aqueous solution of the base and of the dialkyl sulfate. After stirring and concentration, the residue is recrystallized from a suitable organic solvent.
- reaction variant (d) the compound of the formula (VI) is preferably reacted without a solvent with the molar amount up to a 20-fold excess of the amine of the formula (VII).
- the reaction temperature is about 0 to about 50 ° C and the reaction time is about 5 to about 100 hours.
- the components are combined, concentrated at the end of the reaction time and the reaction product of the formula (Id) is preferably separated off by column chromatography.
- Bromoform also serves as a solvent.
- the nitrite used is preferably tert-butyl nitrite, isoamyl nitrite or neopentyl nitrite in a molar to 1.5 molar amount.
- the mixture is stirred for 1 to 30 hours at 10 to 30 ° C, concentrated, takes up in an organic solvent, preferably a halogenated hydrocarbon and in particular in methylene chloride, washed with NaHCO3 solution, separated, dried and concentrated and optionally recrystallized from a suitable solvent.
- Another method for the preparation of starting materials of the formula (VI) consists in reacting the pyrazole of the formula Ia as follows:
- a halogenated hydrocarbon such as chloroform is preferably used as the solvent.
- the above-mentioned nitrites were used.
- the one to 1.7 molar amount is added to nitrite and bromine in each case for about 10 to about 30 hours at a temperature of about 10 to about 50 ° C., the mixture is concentrated, the mixture is taken with chlorinated hydrocarbon, especially methylene chloride, shakes with bicarbonate solution (especially sodium bicarbonate solution), the organic phase dries, concentrates and optionally recrystallizes from a suitable organic solvent.
- 1-arylalkyl-4-cyano-pyrazoles of the formula (Id) are reacted with an oxidizing agent, preferably with a peracid and in particular with 3-chloroperbenzoic acid.
- an oxidizing agent preferably with a peracid and in particular with 3-chloroperbenzoic acid.
- Polar organic solvents in particular acetonitrile, methylene chloride or chloroform, were used as solvents.
- the reaction temperature is preferably 0 to 40 ° C, the reaction time is generally 2 to 25 hours.
- the reactants are combined under the reaction conditions listed above. After the reaction has ended, the mixture is concentrated, preferably washed with an aqueous bicarbonate solution (preferably sodium bicarbonate), shaken out with a polar organic solvent (for example with methylene chloride), the organic phase is dried and concentrated.
- aqueous bicarbonate solution preferably sodium bicarbonate
- a polar organic solvent for example with methylene chloride
- the reaction product can be further purified from the concentrated phase using customary methods (e.g. crystallization or distillation).
- the active substances are suitable for combating animal pests, in particular arachnids, which occur in agriculture, in forests, in the protection of stored goods and materials, and in the hygiene sector. They are effective against normally sensitive and resistant species as well as against all or individual stages of development.
- the pests mentioned above include: From the order of the Isopoda, for example Oniscus asellus, Armadillidium vulgare, Porcellio scaber. From the order of the Diplopoda, for example, Blaniulus guttulatus. From the order of the Chilopoda, for example, Geophilus carpophagus and Scutigera spec.
- Symphyla for example, Scutigerella immaculata.
- Thysanura for example Lepisma saccharina.
- Collembola for example Onychiurus armatus.
- Orthoptera for example Blatta orientalis, Periplaneta americana, Leucophaea maderae, Blattella germanica, Acheta domesticus, Gryllotalpa spp., Locusta migratoria migratorioides, Melanoplus differentialis, Schistocerca gregaria.
- Dermaptera for example, Forficula auricularia.
- Anoplura for example Phylloxera vastatrix, Pemphigus spp., Pediculus humanus corporis, Haematopinus spp., Linognathus spp. From the order of the Mallophaga, for example Trichodectes spp., Damalinea spp. From the order of the Thysanoptera, for example Hercinothrips f
- Hymenoptera From the order of the Hymenoptera, for example Diprion spp., Hoplocampa spp., Lasius spp., Monomorium pharaonis, Vespa spp. From the order of the Diptera, for example Aedes spp., Anopheles spp., Culex spp., Drosophila melanogaster, Musca spp., Fannia spp., Calliphora erythrocephala, Lucilia spp., Chrysomyia spp., Cuterebra spp., Gastrophilus spp., Hyppobosca ., Stomoxys spp., Oestrus spp., Hypoderma spp., Tabanus spp., Tannia spp., Bibio hortulanus, Oscinella frit, Phrobia spp., Pegomyia hyoscyami, Ceratitis capita
- Siphonaptera for example Xenopsylla cheopis, Ceratophyllus spp.
- Arachnida for example Scorpio maurus, Latrodectus mactans.
- Acarina for example Acarus siro, Argas spp., Ornithodoros spp., Dermanyssus gallinae, Eriophyes ribis, Phyllocoptruta oleivora, Boophilus spp., Rhipicephalus spp., Amblyomma spp., Hyalomma spp., Ixodes spp., Psoroptes, Chorioptes spp., Sarcoptes spp., Tarsonemus spp., Bryobia praetiosa, Panonychus spp., Tetranychus spp.,
- the plant parasitic nematodes include Pratylenchus spp., Radopholus similis, Ditylenchus dipsaci, Tylenchulus semipenetrans, Heterodera spp., Meloidogyne spp., Aphelenchoides spp., Longidorus spp., Xiphinema spp., Trichodorus spp.
- the active compounds according to the invention also have a good fungicidal action against Pyricularia oryzae on rice.
- the active compounds can be converted into the customary formulations, such as solutions, emulsions, suspensions, powders, foams, pastes, granules, aerosols, active substance-impregnated natural and synthetic substances, very fine encapsulations in polymeric substances and in coating compositions for seeds, furthermore in formulations with fuel sets, such as smoking cartridges, cans, spirals, etc., as well as ULV cold and warm mist formulations.
- customary formulations such as solutions, emulsions, suspensions, powders, foams, pastes, granules, aerosols, active substance-impregnated natural and synthetic substances, very fine encapsulations in polymeric substances and in coating compositions for seeds, furthermore in formulations with fuel sets, such as smoking cartridges, cans, spirals, etc., as well as ULV cold and warm mist formulations.
- formulations are prepared in a known manner, for example by mixing the active ingredients with extenders, that is to say liquid solvents, pressurized liquefied gases and / or solid carriers, optionally using surface-active agents, that is to say emulsifiers and / or dispersants and / or foam-generating agents. If water is used as an extender, organic solvents can, for example, also be used as auxiliary solvents.
- extenders that is to say liquid solvents, pressurized liquefied gases and / or solid carriers, optionally using surface-active agents, that is to say emulsifiers and / or dispersants and / or foam-generating agents.
- surface-active agents that is to say emulsifiers and / or dispersants and / or foam-generating agents.
- organic solvents can, for example, also be used as auxiliary solvents.
- liquid solvents aromatics, such as xylene, toluene, or alkylnaphthalenes, chlorinated aromatics or chlorinated aliphatic hydrocarbons, such as chlorobenzenes, chlorethylenes or methylene chloride, aliphatic hydrocarbons, such as cyclohexane or paraffins, for example petroleum fractions, alcohols, such as butanol or glycol, and their ethers and esters, ketones, such as acetone, methyl ethyl ketone, methyl isobutyl ketone or cyclohexanone, strongly polar solvents, such as dimethylformamide and dimethyl sulfoxide, and water;
- Liquefied gaseous extenders or carriers mean liquids which are gaseous at normal temperature and under normal pressure, for example aerosol propellants, such as halogenated hydrocarbons and butane, propane, nitrogen and carbon dioxide;
- Solid carrier materials are suitable: for example natural rock powders
- emulsifiers and / or foam-generating agents are: for example nonionic and anionic emulsifiers, such as polyoxyethylene fatty acid esters, polyoxyethylene fatty alcohol ethers, for example alkylaryl polyglycol ethers, alkyl sulfonates, alkyl sulfates, aryl sulfonates and protein hydrolyzates;
- suitable emulsifiers and / or foam-generating agents are: for example nonionic and anionic emulsifiers, such as polyoxyethylene fatty acid esters, polyoxyethylene fatty alcohol ethers, for example alkylaryl polyglycol ethers, alkyl sulfonates, alkyl sulfates, aryl sulfonates and protein hydrolyzates;
- dispersants for example lignin sulfite waste liquor and methyl cellulose.
- adhesives such as carboxymethyl cellulose, natural and synthetic powdery, granular or latex-shaped polymers are used, such as gum arabic, polyvinyl alcohol, polyvinyl acetate.
- Dyes such as inorganic pigments, e.g. Iron oxide, titanium oxide, ferrocyan blue and organic dyes such as alizarin, azo and metal phthalicyanine dyes and trace nutrients such as salts of iron, manganese, boron, copper, cobalt, molybdenum and zinc can be used.
- the formulations generally contain between 0.1 and 95% by weight of active compound, preferably between 0.5 and 90%.
- the active compounds according to the invention can be present in their commercially available formulations and in the use forms prepared from these formulations in a mixture with other active compounds, such as insecticides, attractants, sterilants, acaricides, nematicides, fungicides, growth-regulating substances or herbicides.
- Insecticides include, for example, phosphoric acid esters, carbamates, carboxylic acid esters, chlorinated hydrocarbons, phenylureas, substances produced by microorganisms, etc.
- the active compounds according to the invention can furthermore be present in their commercially available formulations and in the use forms prepared from these formulations in a mixture with synergists.
- Synergists are compounds by which the action of the active ingredients is increased without the added synergist itself having to be active.
- the active substance content of the use forms prepared from the commercially available formulations can vary within wide ranges.
- the active substance concentration of the use forms can be from 0.0000001 to 95% by weight of active substance, preferably between 0.0001 and 1% by weight.
- the application takes place in a customary manner adapted to the application forms.
- the active ingredients When used against hygiene pests and pests of stored products, the active ingredients are distinguished by an excellent residual action on wood and clay and by a good stability to alkali on limed substrates.
- active compound 1 part by weight of active compound is mixed with the stated amount of solvent and the stated amount of emulsifier, and the concentrate is diluted with water to the desired concentration.
- Bean plants Phaseolus vulgaris
- Bean plants which are severely affected by all stages of development of the common spider mite or bean spider mite (Tetranychus urticae)
- the kill is determined in%. 100% means that all spider mites have been killed; 0% means that no spider mites have been killed.
Landscapes
- Chemical & Material Sciences (AREA)
- Organic Chemistry (AREA)
- Plural Heterocyclic Compounds (AREA)
- Agricultural Chemicals And Associated Chemicals (AREA)
Abstract
Description
- Die vorliegende Erfindung betrifft neue 1-Aralkylpyrazole, mehrere Verfahren zu ihrer Herstellung, ihre Verwendung als Schädlingsbekämpfungsmitel, insbesondere als Akarizide sowie neue Zwischenprodukte zu ihrer Herstellung und Verfahren zu deren Herstellung.
- Es ist bereits bekannt, daß Pyrazolderivate, wie beispielsweise das 1-Cyclohexyl-5-[N,N-(dimethyl)-carbamoyloxy]-3-methylthiomethyl-pyrazol, das 1-Cyclohexyl-5-[N,N-(dimethyl)-carbamoyloxy]-3-methylsulfinylmethyl-pyrazol oder das 1-Cyclohexyl-5-[N,N-(dimethyl)-carbamoyloxy]-3-methylsulfonylmethyl-pyrazol akarizide Eigenschaften besitzen (vgl. z.B. DE-OS 28 39 270).
- Die Wirkungshöhe bzw. die Wirkungsdauer dieser Verbindungen sind jedoch insbesondere bei bestimmten Spinnenmilbenarten oder bei niedrigen Anwendungskonzentrationen nicht immer völlig zufriedenstellend.
- Es wurden neue 1-Aralkylpyrazole der Formel (I)
gefunden, in welcher
Ar für gegebenenfalls substituiertes Aralkyl steht,
R¹ für Alkyl steht,
R² für Wasserstoff, Alkyl, Halogenalkyl, gegebenenfalls substituiertes Benzyl oder für die Reste -COR⁴, -COOR⁴, -NR⁵R⁶, -CONR⁵R⁶ steht,
wobei
R⁴ für Wasserstoff, Alkyl, Halogenalkyl, Alkoxyalkyl und
R⁵ und R⁶ für Wasserstoff und/oder Alkyl steht,
R³ für Wasserstoff oder Alkyl steht oder
R² und R³ gemeinsam für die Gruppierungen -CO-(CH₂)m-, -(CH₂) oder -CH=CH-CH=CH- stehen, wobei
m für die Zahlen 2, 3, 4 oder 5 steht und
n für die Zahlen 0, 1 oder 2 steht. - Man erhält 1-Aralkylpyrazole der Formel (I)
in welcher
Ar für gegebenenfalls substituiertes Aralkyl steht,
R¹ für Alkyl steht,
R² für Wasserstoff, Alkyl, Halogenalkyl, gegebenenfalls substituiertes Benzyl oder für die Reste -COR⁴, -COOR⁴, -NR⁵R⁶, -CONR⁵R⁶ steht,
wobei
R⁴ für Wasserstoff, Alkyl, Halogenalkyl, Alkoxyalkyl und
R⁵ und R⁶ für Wasserstoff und/oder Alkyl steht,
R³ für Wasserstoff oder Alkyl steht oder
R² und R³ gemeinsam für die Gruppierungen -CO-(CH₂)m-, -(CH₂)m- oder -CH=CH-CH=CH- stehen, wobei
m für die Zahlen 2, 3, 4 oder 5 steht und
n für die Zahlen 0, 1 oder 2 steht,
wenn man - (a) zum Erhalt von Verbindungen der Formel (Ia)
in welcher
R¹ und Ar die unter Formel (I) gegebene Bedeutung besitzen,
Aralkylhydrazine der Formel (II)
Ar-NH-NH₂ (II)
in welcher
Ar die oben angegebene Bedeutung besitzt
oder deren Säureadditionssalze mit 1,1-Dicyanethylen-Derivaten der Formel (III) in welcher
R¹ die oben angegebene Bedeutung besitzt,
gegebenenfalls in Gegenwart eines Lösungsmittels umsetzt,
oder wenn man - (b) zum Erhalt von Verbindungen der Formel (Ib)
in welcher
Ar, R¹ und R⁴ die unter Formel (I) angegebene Bedeutung besitzen,
1-Arylalkyl-4-cyan-5-amino-pyrazole der Formel (Ia) in welcher
Ar und R¹ die oben angegebene Bedeutung besitzen
mit Verbindungen der Formel
X-CO-R4 (IV)wobei
X = aktivierte Abgangsgruppe (wie Alkoxy, OH, Halogen) umsetzt,
oder wenn man - (c) zum Erhalt von Verbindungen der Formel (Ic)
worin
Ar, R¹ die oben angegebene Bedeutung haben,
R⁷ für Wasserstoff oder -COR⁴ steht und
R⁸ für Alkyl steht,
Verbindungen der Formel (V) in welcher
Ar, R¹ und R⁷ die oben angegebene Bedeutung besitzen,
mit Dialkylsulfat umsetzt,
oder wenn man - (d) zum Erhalt von Verbindungen der Formel (Id)
in welcher
Ar, R¹, R² und R³ die unter Formel (I) angegebene Bedeutung besitzen,
1-Arylalkyl-4-cyan-5-brom-pyrazole der Formel in welcher
Ar und R¹ die oben angegebene Bedeutung besitzen,
mit Aminen der Formel umsetzt,
oder wenn man - (e) zum Erhalt von Verbindungen der Formel (Ie)
in welcher
Ar, R¹, R² und R³ die oben angegebene Bedeutung besitzen,
1-Arylalkyl-4-cyan-pyrazole der Formel (Id) in welcher
Ar, R¹, R² und R³ die oben angegebene Bedeutung haben,
mit äquimolaren Mengen eines Oxidationsmittels umsetzt,
oder wenn man - (f) zum Erhalt von Verbindungen der Formel (If)
in welcher
Ar, R¹, R² und R³ die oben angegebene Bedeutung haben,
1-Arylalkyl-4-cyan-pyrazole der Formel (Id) mit mindestens der zweifach molaren Menge eines Oxidationsmittels umsetzt. - Schließlich wurde gefunden, daß die neuen 1-Aralkylpyrazole der allgemeinen Formel (I) pestizide und insbesondere akarizide Eigenschaften besitzen.
- Überraschenderweise zeigen die erfindungsgemäßen 1-Aralkylpyrazole der allgemeinen Formel (I) eine erheblich bessere akarizide Wirksamkeit als die aus dem Stand der Technik bekannten Pyrazol-Derivate, wie beispielsweise die Verbindungen 1-Cyclohexyl-5-[N,N-(dimethyl)-carbamoyloxy]-3-methylthiomethyl-pyrazol, 1-Cyclohexyl-5-[N,N-(dimethyl)-carbamoyloxy]-3-methylsulfinylmethyl-pyrazol und 1-Cyclohexyl-5-[N,N-(dimethyl)-carbamoyloxy]-3-methylsulfonylmethyl-pyrazol, welche chemisch naheliegende Verbindungen sind.
- Die erfindungsgemäßen 1-Aralkypyrazole sind durch die Formel (I) allgemein definiert. Bevorzugt sind Verbindungen der Formel (I), bei welchen
Ar für gegebenenfalls einfach bis dreifach, gleich oder verschieden substituiertes Phenylalkyl mit 1 bis 4 Kohlenstoffatomen im geradkettigen oder verzweigten Alkylteil steht, wobei als Substituenten des Phenylrestes genannt seien: Halogen, Halogenalkyl oder Halogenalkoxy mit jeweils vorzugsweise 1 oder 2 Kohlenstoffatomen und 1 bis 5 gleichen oder verschiedenen Halogenatomen (insbesondere Fluor oder Chlor) steht,
R¹ für Alkyl mit 1 bis 8 Kohlenstoffatomen steht,
R² für Wasserstoff, C₁-C₈-Alkyl, Halogenalkyl mit 1 oder 2 Kohlenstoffatomen und 1 bis 5 gleichen oder verschiedenen Halogenatomen (insbesondere Fluor oder Chlor) oder für gegebenenfalls einfach bis dreifach gleich oder verschieden substituiertes Benzyl steht, wobei als Phenylsubstituenten vorzugsweise genannt seien: Halogen, Alkyl mit 1 bis 4 Kohlenstoffatomen und Halogenalkyl mit 1 bis 2 Kohlenstoffatomen und 1 bis 5 gleichen oder verschiedenen Halogenatomen, sowie für die Reste -COR⁴, -COOR⁴, -NR⁵R⁶, -CONR⁵R⁶ steht, wobei
R⁴ für Wasserstoff, C₁-C₈-Alkyl, Halogenalkyl mit 1 oder 2 Kohlenstoffatomen und 1 bis 5 gleichen oder verschiedenen Halogenatomen (insbesondere Fluor oder Chlor) oder Alkoxyalkyl mit 1 bis 4 Kohlenstoffatomen in jedem Alkylteil steht
und wobei
R⁵ und R⁶ für Wasserstoff oder C₁-C₄-Alkyl stehen,
R³ für Wasserstoff oder C₁-C₈-Alkyl steht, oder
R² und R³ gemeinsam für die Gruppierungen -CO-(CH₂)m-, -(CH₂)m- oder -CH=CH-CH=CH- stehen, wobei
m für die Zahlen 2, 3, 4 oder 5 steht und
n für die Zahlen 0, 1 oder 2 steht. - Besonders bevorzugt sind 1-Aralkylpyrazole der Formel (I), in welcher
Ar für jeweils gegebenenfalls einfach oder zweifach, gleich oder verschieden durch Chlor oder Trifluormethyl substituiertes Benzyl, 1-Phenylethyl oder 2-Phenylethyl steht,
R¹ für Alkyl mit 1 bis 4 Kohlenstoffatomen steht,
R² für Wasserstoff, C₁-C₄-Alkyl oder für gegebenenfalls einfach oder zweifach, gleich oder verschieden substituiertes Benzyl steht, wobei als Phenylsubstituenten genannt seien: Fluor, Chlor, Brom, Methyl, Ethyl, Isopropyl und Trifluormethyl; sowie für die Reste -NR⁵R⁶, -COR⁴, -COOR⁴ und -CONR⁵R⁶ steht, wobei
R⁴ für Wasserstoff, C₁-C₄-Alkyl oder Alkoxyalkyl mit 1 bis 2 Kohlenstoffatomen in jedem Alkylteil steht und
R⁵ und R⁶ für Wasserstoff oder C₁-C₄-Alkyl stehen,
R³ für Wasserstoff oder C₁-C₄-Alkyl steht oder
R² und R³ gemeinsam für die Gruppierungen -CO-(CH₂)m-, -(CH₂)m- oder -CH=CH-CH=CH- stehen, wobei
m für die Zahlen 2, 3, 4 oder 5 steht und
n für die Zahlen 0, 1 oder 2 steht. -
-
-
-
-
-
-
- Die zur Durchführung des erfindungsgemäßen Verfahrens (a) als Ausgangsstoffe benötigten Aralkylhydrazine sind durch die Formel (II) allgemein definiert, In dieser Formel (II) steht Ar vorzugsweise für diejenigen Reste, die bereits im Zusammenhang mit der Beschreibung der erfindungsgemäßen Stoffe der Formel (I) als bevorzugt für diesen Substituenten genannt wurden.
- Die Aralkylhydrazine der Formel (II) sind allgemein bekannte Verbindungen der organischen Chemie. Die 1,1,-Dicyanethylen-Derivate der Formel (III) sind ebenfalls bekannt (siehe z.B. Chem. Ber. 95, 2861, 2871 (1962)).
- Die Umsetzung gemäß Verfahrensvariante (a) wird vorzugsweise in organischen Lösungsmitteln insbesondere in Alkoholen, cyclischen Ethern (wie Tetrahydrofuran), aromatischen Kohlenwasserstoffen (wie Benzol und Toluol), offenkettigen Ethern (wie Diethylether) oder chlorierten Kohlenwasserstoffen wie Methylenchlorid oder Chloroform durchgeführt. Die Reaktionstemperaturen betragen vorzugsweise 0 bis 60° C, insbesondere 10 bis 30° C. Die Reaktionszeit beträgt im allgemeinen ca. 2 bis ca. 20 Stunden.
- Im allgemeinen werden molare Mengen der Ausgangskomponenten (II) und (III) im Lösungsmittel zusammengegeben und man rührt bei Raumtemperatur und Normaldruck. Anschließend engt man vorzugsweise am Rotationsverdampfer ein und kristallisiert aus einem geeigneten Lösungsmittel um.
- Bei der Reaktionsvariante (b) sind die Ausgangsverbindungen der Formel (IV) allgemein bekannte Verbindungen der organischen Chemie. Es kommen hier Carbonsäureester, Carbonsäuren und Carbonsäurehalogenide (insbesondere Carbonsäurechloride) in Frage.
- Man setzt die beiden Komponenten (Ia) und (IV) in an sich üblicher Art und Weise um, vorzugsweise in einem organischen Lösungsmittel insbesondere in cyclischen Ethern, wie Tetrahydrofuran, halogenierten Kohlenwasserstoffen wie Methylenchlorid oder Chloroform, Säurenitrilen wie Acetonitril oder aromatischen Kohlenwasserstoffen wie Benzol oder Toluol. Man setzt vorzugsweise Basen wie organische Amine oder auch Pyridin zu. Die Umsetzungstemperatur beträgt ca. 0 bis ca. 50° C, die Reaktionszeit beträgt ca. 5 bis ca. 40 Stunden. Vorzugsweise wird bei Normaldruck umgesetzt. Die Aufarbeitung erfolgt in üblicher, bereits bei Variante a) angegebener Art und Weise.
- Bei der Reaktionsvariante (c) setzt man molare Mengen bis zum dreifachen Überschuß an an sich bekanntem Dialkylsulfat mit den Verbindungen der Formel (V) um. Die Umsetzung geschieht vorzugsweise in einem organischen Lösungsmittel, insbesondere in halogenierten Kohlenwasserstoffen wie Methylenchlorid oder Chloroform. Die Reaktionstemperaturen betragen von ca. 10° C bis ca. 40° C, die Reaktionszeit beträgt ca. 2 bis ca. 40 Stunden.
- Es wurden hierbei äquivalente Mengen an Basen, insbesondere anorganischen Basen wie KOH, NaOH, Na₂CO₃ zugesetzt. Ferner werden gegebenenfalls Katalysatoren zur Reaktions beschleunigung eingesetzt. Als Katalysatoren kommen vorzugsweise Ammoniumsalze in Frage.
- Die Umsetzung findet vorzugsweise im organischen Lösungsmittel unter Zusatz einer wäßrigen Lösung der Base sowie des Dialkylsulfats statt. Nach dem Rühren und Einengen wird aus einem geeigneten organischen Lösungsmittel umkristallisiert.
- Bei der Reaktionsvariante (d) setzt man vorzugsweise ohne Lösungsmittel die Verbindung der Formel (VI) mit der molaren Menge bis zum 20-fachen Überschuß an Amin der Formel (VII) um. Die Umsetzungstemperatur beträgt ca. 0 bis ca. 50° C und die Reaktionszeit beträgt ca. 5 bis ca. 100 Stunden. Die Komponenten werden zusammengegeben, nach Abschluß der Reaktionszeit eingeengt und das Reaktionsprodukt der Formel (Id) wird vorzugsweise säulenchromatographisch abgetrennt.
- Die bei der Herstellungsvariante (d) eingesetzten Ausgangsprodukte der Formel (VI) sind neu.
-
- Bromoform dient hierbei gleichzeitig als Lösungsmittel. Als Nitrit wird vorzugsweise tert.-Butylnitrit, Isoamylnitrit oder Neopentylnitrit in jeweils molarer bis 1,5molarer Menge eingesetzt. Man rührt 1 bis 30 Stunden bei 10 bis 30° C, engt ein, nimmt in einem organischen Lösungsmittel vorzugsweise einen halogenierten Kohlenwasserstoff und insbesondere in Methylenchlorid auf, weäscht mit NaHCO₃-Lösung, trennt, trocknet und engt ein und kristallisiert gegebenenfalls aus einem geeigneten Lösungsmittel um.
-
- Hierbei dient als Lösungsmittel vorzugsweise ein halogenierter Kohlenwasserstoff wie Chloroform. Als Nitrite wurden die obengenannten eingesetzt. Man setzt an Nitrit und an Brom jeweils die ein- bis 1,7-molare Menge während ca. 10 bis ca. 30 Stunden bei einer Temperatur von ca. 10 bis ca. 50° C zu, engt ein, nimmt mit chloriertem Kohlenwasserstoff, insbesondere Methylenchlorid auf, schüttelt mit Bicarbonatlösung (insbesondere Natriumbicarbonatlösung aus) trocknet die organische Phase, engt ein und kristallisiert gegebenenfalls aus einem geeigneten organischen Lösungsmittel um.
- Bei der Reaktionsvariante (e) setzt man 1-Arylalkyl-4-cyan-pyrazole der Formel (Id) mit einem Oxidationsmittel, vorzugsweise mit einer Persäure und insbesondere mit 3-Chlor-perbenzoesäure um. Als Lösungsmittel wurden polare organische Lösungsmittel, insbesondere Acetonitril, Methylenchlorid oder Chloroform verwendet. Die Reaktionstemperatur beträgt vorzugsweise 0 bis 40°C, die Reaktionsdauer im allgemeinen 2 bis 25 Stunden. Zur Herstellung des Sulfoxids (n=1) setzt man äquimolare Mengen des Oxidationsmittels, vorzugsweise der Persäure zu, für die Herstellung der Sulfone (n=2) benötigt man einen mindestens 2-molaren Überschuß an Oxidationsmittel (vorzugsweise Persäure). Die Reaktionspartner werden unter den oben aufgeführten Reaktionsbedingungen zusammengegeben. Nach Ablauf der Reaktion engt man ein, wäscht vorzugsweise mit einer wäßrigen Bicarbonatlösung (vorzugsweise Natriumbicarbonat), schüttelt mit einem polaren organischen Lösungsmittel (beispielsweise mit Methylenchlorid) aus, trocknet die organische Phase und engt ein. Aus der eingeengten Phase kann das Reaktionsprodukt nach üblichen Methoden (z.B. Kristallisation oder Destillation) noch weiter gereinigt werden.
- Die Wirkstoffe eignen sich bei guter Pflanzenverträglichkeit und günstiger Warmblütertoxizität zur Bekämpfung von tierischen Schädlingen, insbesondere Spinnentiere, die in der Landwirtschaft, in Forsten, im Vorrats- und Materialschutz sowie auf dem Hygienesektor vorkommen. Sie sind gegen normal sensible und resistente Arten sowie gegen alle oder einzelne Entwicklungsstadien wirksam. Zu den oben erwähnten Schädlingen gehören:
Aus der Ordnung der Isopoda z.B. Oniscus asellus, Armadillidium vulgare, Porcellio scaber.
Aus der Ordnung der Diplopoda z.B. Blaniulus guttulatus.
Aus der Ordnung der Chilopoda z.B. Geophilus carpophagus, Scutigera spec.
Aus der Ordnung der Symphyla z.B. Scutigerella immaculata.
Aus der Ordnung der Thysanura z.B. Lepisma saccharina.
Aus der Ordnung der Collembola z.B. Onychiurus armatus.
Aus der Ordnung der Orthoptera z.B. Blatta orientalis, Periplaneta americana, Leucophaea maderae, Blattella germanica, Acheta domesticus, Gryllotalpa spp., Locusta migratoria migratorioides, Melanoplus differentialis, Schistocerca gregaria.
Aus der Ordnung der Dermaptera z.B. Forficula auricularia.
Aus der Ordnung der Isoptera z.B. Reticulitermes spp..
Aus der Ordnung der Anoplura z.B. Phylloxera vastatrix, Pemphigus spp., Pediculus humanus corporis, Haematopinus spp., Linognathus spp.
Aus der Ordnung der Mallophaga z.B. Trichodectes spp., Damalinea spp.
Aus der Ordnung der Thysanoptera z.B. Hercinothrips femoralis, Thrips tabaci. - Aus der Ordnung der Heteroptera z.B. Eurygaster spp., Dysdercus intermedius, Piesma quadrata, Cimex lectularius, Rhodnius prolixus, Triatoma spp.
Aus der Ordnung der Homoptera z.B. Aleurodes brassicae, Bemisia tabaci, Trialeurodes vaporariorum, Aphis gossypii, Brevicoryne brassicae, Cryptomyzus ribis, Aphis fabae, Doralis pomi, Eriosoma lanigerum, Hyalopterus arundinis, Macrosiphum avenae, Myzus spp., Phorodon humuli, Rhopalosiphum padi, Empoasca spp., Euscelis bilobatus, Nephotettix cincticeps, Lecanium corni, Saissetia oleae, Laodelphax striatellus, Nilaparvata lugens, Aonidiella aurantii, Aspidiotus hederae, Pseudococcus spp. Psylla spp.
Aus der Ordnung der Lepidoptera z.B. Pectinophora gossypiella, Bupalus piniarius, Cheimatobia brumata, Lithocolletis blancardella, Hyponomeuta padella, Plutella maculipennis, Malacosoma neustria, Euproctis chrysorrhoea, Lymantria spp., Bucculatrix thurberiella, Phyllocnistis citrella, Agrotis spp., Euxoa spp., Feltia spp.., Earias insulana, Heliothis spp., Spodoptera exigua, Mamestra brassicae, Panolis flammea, Prodenia litura, Spodoptera spp., Trichoplusiani, Carpocapsa pomonella, Pieris spp., Chilo spp., Pyrausta nubilalis, Ephestia kuehniella, Galleria mellonella, Tineola bisselliella, Tinea pellionella, Hofmannophila pseudospretella, Cacoecia podana, Capua reticulana, Choristoneura fumiferana, Clysia ambiguella, Homona magnanima, Tortrix viridana. - Aus der Ordnung der Coleoptera z.B.Anobium punctatum, Rhizopertha dominica, Acanthoscelides obtectus, Hylotrupes bajulus, Agelastica alni, Leptinotarsa decemlineata, Phaedon cochleariae, Diabrotica spp., Psylliodes chrysocephala, Epilachna varivestis, Atomaria spp., Oryzaephilus surinamensis, Anthonomus spp., Sitophilus spp., Otiorrhynchus sulcatus, Cosmopolites sordidus, Ceuthorrhynchus assimilis, Hypera postica, Dermestes spp., Trogoderma spp., Anthrenus spp., Attagenus spp., Lyctus spp., Meligethes aeneus, Ptinus spp., Niptus hololeucus, Gibbium psylloides, Tribolium spp., Tenebrio molitor, Agriotes spp., Conoderus spp., Melolontha melolontha, Amphimallon solstitialis, Costelytra zealandica.
Aus der Ordnung der Hymenoptera z.B. Diprion spp., Hoplocampa spp., Lasius spp., Monomorium pharaonis, Vespa spp.
Aus der Ordnung der Diptera z.B. Aedes spp., Anopheles spp., Culex spp., Drosophila melanogaster, Musca spp., Fannia spp., Calliphora erythrocephala, Lucilia spp., Chrysomyia spp., Cuterebra spp., Gastrophilus spp., Hyppobosca spp., Stomoxys spp., Oestrus spp., Hypoderma spp., Tabanus spp., Tannia spp., Bibio hortulanus, Oscinella frit, Phrobia spp., Pegomyia hyoscyami, Ceratitis capitata, Dacus oleae, Tipula paludosa. - Aus der Ordnung der Siphonaptera z.B. Xenopsylla cheopis, Ceratophyllus spp.,
Aus der Ordnung der Arachnida z.B. Scorpio maurus, Latrodectus mactans.
Aus der Ordnung der Acarina z.B. Acarus siro, Argas spp., Ornithodoros spp., Dermanyssus gallinae, Eriophyes ribis, Phyllocoptruta oleivora, Boophilus spp., Rhipicephalus spp., Amblyomma spp., Hyalomma spp., Ixodes spp., Psoroptes spp., Chorioptes spp., Sarcoptes spp., Tarsonemus spp., Bryobia praetiosa, Panonychus spp., Tetranychus spp., - Zu den pflanzenparasitären Nematoden gehören Pratylenchus spp., Radopholus similis, Ditylenchus dipsaci, Tylenchulus semipenetrans, Heterodera spp., Meloidogyne spp., Aphelenchoides spp., Longidorus spp., Xiphinema spp., Trichodorus spp.,
- Die erfindungsgemäßen Wirkstoffe weisen auch eine gute fungizide Wirkung gegen Pyricularia oryzae am Reis auf.
- Die Wirkstoffe können in die üblichen Formulierungen übergeführt werden, wie Lösungen, Emulsionen, Suspensionen, Pulver, Schäume, Pasten, Granulate, Aerosole, Wirkstoffimprägnierte Natur- und synthetische Stoffe, Feinstverkapselungen in polymeren Stoffen und in Hüllmassen für Saatgut, ferner in Formulierungen mit Brennsätzen, wie Räucherpatronen, -dosen, -spiralen u.ä., sowie ULV-Kalt- und Warmnebel-Formulierungen.
- Diese Formulierungen werden in bekannter Weise hergestellt, z.B. durch Vermischen der Wirkstoffe mit Streckmitteln, also flüssigen Lösungsmitteln, unter Druck stehenden verflüssigten Gasen und/oder festen Trägerstoffen, gegebenenfalls unter Verwendung von oberflächenaktiven Mitteln, also Emulgiermitteln und/oder Dispergiermitteln und/oder schaumerzeugenden Mitteln. Im Falle der Benutzung von Wasser als Streckmittel können z.B. auch organische Lösungsmittel als Hilfslösungsmittel verwendet werden. Als flüssige Lösungsmittel kommen im wesentlichen in Frage: Aromaten, wie Xylol, Toluol, oder Alkylnaphthaline, chlorierte Aromaten oder chlorierte aliphatische Kohlenwasserstoffe, wie Chlorbenzole, Chlorethylene oder Methylenchlorid, aliphatische Kohlenwasserstoffe, wie Cyclohexan oder Paraffine, z.B. Erdölfraktionen, Alkohole, wie Butanol oder Glykol sowie deren Ether und Ester, Ketone, wie Aceton, Methylethylketon, Methylisobutylketon oder Cyclohexanon, stark polare Lösungsmittel, wie Dimethylformamid und Diemthylsulfoxid, sowie Wasser; mit verflüssigten gasförmigen Streckmitteln oder Trägerstoffen sind solche Flüssigkeiten gemeint, welche bei normaler Temperatur und unter Normaldruck gasförmig sind, z.B. Aerosol-Treibgas, wie Halogenkohlenwasserstoffe sowie Butan, Propan, Stickstoff und Kohlendioxid; als feste Trägerstoffe kommen in Frage: z.B. natürliche Gesteinsmehle, wie Kaoline, Tonerden, Talkum, Kreide, Quarz, Attapulgut, Montmorillonit oder Diatomeenerde und synthetische Gesteinsmehle, wie hochdisperse Keiselsäure, Aluminiumoxid und Silikate; als feste Trägerstoffe für Granulate kommen in Frage; z.B. gebrochene und fraktionierte natürliche Gesteine wie Calcit, Marmor, Bims, Sepiolith, Dolomit sowie synthetische Granulate aus anorganischen und organischen Mehlen sowie Granulate aus organischem Material wie Sägemehl. Kokosnußschalen, Maiskolben und Tabakstengel; als Emulgier- und/oder schaumerzeugende Mittel kommen in Frage: z.B. nichtionogene und anionische Emulgatoren, wie Polyoxyethylen-Fettsäure-Ester, Polyoxyethylen-Fettalkohol-Ether, z.B. Alkylarylpolyglykol-Ether, Alkylsulfonate, Alkylsulfate, Arylsulfonate sowie Eiweißhydrolysate; als Dispergiermittel kommen in Frage: z.B. Lignin-Sulfitablaugen und Methylcellulose.
- Es können in den Formulierungen Haftmittel wie Carboxymethylcellulose, natürliche und synthetische pulverige, körnige oder latexförmige Polymere verwendet werden, wie Gummiarabicum, Polyvinylalkohol, Polyvinylacetat.
- Es können Farbstoffe wie anorganische Pigmente, z.B. Eisenoxid, Titanoxid, Ferrocyanblau und organische Farbstoffe, wie Alizarin-, Azo- und Metallphthalicyaninfarbstoffe und Spurennährstoffe wie Salze von Eisen, Mangan, Bor, Kupfer, Kobalt, Molybdän und Zink verwendet werden.
- Die Formulierungen enthalten im allgemeinen zwischen 0,1 und 95 Gew.-% Wirkstoff, vorzugsweise zwischen 0,5 und 90 %.
- Die erfindungsgemäßen Wirkstoffe können in ihren handelsüblichen Formulierungen sowie in den aus diesen Formulierungen bereiteten Anwendungsformen in Mischung mit anderen Wirkstoffen, wie Insektiziden, Lockstoffen, Sterilantien, Akariziden, Nematiziden, Fungiziden, wachstumsregulierenden Stoffen oder Herbiziden vorliegen. Zu den Insektiziden zählen beispielsweise Phosphorsäureester, Carbamate, Carbonsäureester, chlorierte Kohlenwasserstoffe, Phenylharnstoffe, durch Mikroorganismen hergestellte Stoffe u.a..
- Die erfindungsgemäßen Wirkstoffe können ferner in ihren handelsüblichen Formulierungen sowie in den aus diesen Formulierungen bereiteten Anwendungsformen in Mischung mit Synergisten vorliegen. Synergisten sind Verbindungen, durch die die Wirkung der Wirkstoffe gesteigert wird, ohne daß der zugesetzte Synergist selbst aktiv wirksam sein muß.
- Der Wirkstoffgehalt der aus den handelsüblichen Formulierungen bereiteten Anwendungsformen kann in weiten Bereichen variieren. Die Wirkstoffkonzentration der Anwendungsformen kann von 0,0000001 bis zu 95 Gew.-% Wirkstoff, vorzugsweise zwischen 0,0001 und 1 Gew.-% liegen.
- Die Anwendung geschieht in einer den Anwendungsformen angepaßten üblichen Weise.
- Bei der Anwendung gegen Hygiene- und Vorratsschädlinge zeichnen sich die Wirkstoffe durch eine hervorragende Residualwirkung auf Holz und Ton sowie durch eine gute Alkalistabilität auf gekälkten Unterlagen aus.
-
- 8,5 g 1,1-Dicyano-2,2-bis-(methylmercapto)-ethylen und 9,5 g 3-Trifluormethyl-benzylhydrazin werden in 100 ml Ethanol zusammengegeben. Man rührt 15 Stunden lang bei 20° C und verdampft das Lösungsmittel am Rotationsverdampfer. Der Rückstand wird im Petrolether verrieben. Man erhält 12,4 g (80 % der Theorie) 1-(3-Trifluormethylbenzyl)-3-methylmercapto-4-cyano-5-amino-pyrazol vom Schmelzpunkt 142° C.
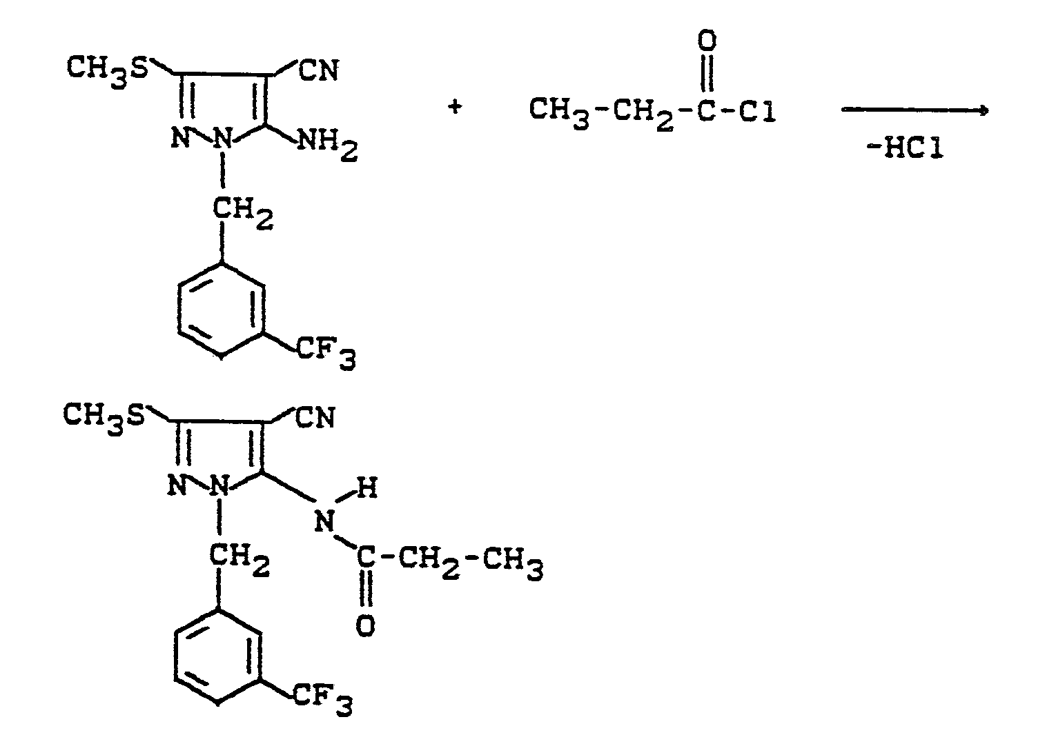
-
- 3,2 g 1-(3-Trifluormethylbenzyl)-3-methylmercapto-4-cyan-5-amino-pyrazol und 2 g Propionsäurechlorid werden in 50 ml Chloroform gelöst, auf 0°C abgekühlt und mit 1 ml Pyridin versetzt. Nach 20-stündigem Rühren bei 20°C wird zum Chloroform 50 ml Ethanol zugegeben, mit 15 ml Ammoniumhydroxid-Lösung (25 %ig) alkalisch gestellt, bis zur Trockne eingeengt, in Chloroform aufgenommen, mit verdünnter Salzsäure und mit Wasser gewaschen, die Chloroformphase mit Natriumsulfat getrocknet und die organische Phase am Rotationsverdampfer eingeengt. Ausbeute: 2,8 g 1-(3-Trifluormethylbenzyl)-3-methylmercapto-4-cyano-5-propionylamino-pyrazol (76 % der Theorie), Schmelzpunkt: 181°C.
-
- Zu einer Lösung aus 3,7 g 1-(3-Trifluormethylbenzyl)-3-methylmercapto-4-cyan-5-propionylaminopyrazol in 50 ml Chloroform und 0,1 g Tributylbenzylammoniumchlorid sowie 1,3 g Dimethylsulfat, gibt man 50 ml einer 40 %igen wäßrigen Kaliumhydroxidlösung. Nach 72 Stunden Rühren bei 20°C wird die organische Phase abgetrennt und mit Wasser gewaschen, mit wasserfreiem Natriumsulfat getrocknet und eingeengt. Man erhält 3,4 g (90 % der Theorie) 1-(3-Trifluormethylbenzyl)-3-methyl-mercapto-4-cyan-5-N-methyl-N-propionyl-amino-pyrazol als ölige Substanz.
NMR-Spektraldaten: 3H 3,1 (s)
2H 1,5-2,1 (m)
3H 0,9 (t) -
- Zu 3,8 g 1-(3-Trifluormethylbenzyl)-3-methylmercapto-4-cyan-5-brompyrazol werden 10 ml Dimethylamin gegeben und 72 Stunden lang bei 20°C gerührt. Überschüssiges Amin wird im Rotationsverdampfer entfernt und das rohe Endprodukt über eine Kieselgel-Säule gereinigt (Laufmittel: Gemisch Ethylether/Cyclohexan 2:1)).
Man erhält 3,0 g (88 % der Theorie) 1-(3-Trifluormethylbenzyl)-3-methylmercapto-4-cyan-5-dimethylamino-pyrazol. -
- 6,7 g 1-(3-Trifluormethylbenzyl)-3-methylmercapto-4-cyan-5-aminopyrazol sowie 2,3 ml tert.-Butylnitrit werden in 50 ml Bromoform 1 Stunde lang gerührt. Überschüssiges Bromoform wird abdestilliert, der Rückstand wird mit 50 ml Chloroform aufgenommen, mit Natriumbicarbonatlösung gewaschen, die organische Phase mit wasserfreiem Natriumsulfat getrocknet und anschließend wird am Rotationsverdampfer eingeengt.
Man erhält 8,2 g (praktisch quantitative Ausbeute) 1-(3-Trifluormethylbenzyl-3-methylmercapto-4-cyan-5-brompyrazol als ölige Substanz (¹H-NMR: CH₃S: 2,6 ppm (s)). -
- 2,7 g 1-(3-Trifluormethylbenzyl)-3-methylmercapto-4-cyan-5-amino-pyrazol werden in 30 ml Chloroform gelöst. Zu dieser Lösung tropft man eine Mischung aus 1,8 g 3-Chlorperbenzoesäure und 20 ml Chloroform bei 20°C zu und rührt 15 Stunden nach. Anschließend wird mit gesättigter Natriumhydrogencarbonat-Lösung, 2 %iger Natriumthiosulfat-Lösung und nochmals mit gesättigter wäßriger Natriumhydrogencarbonat-Lösung gewaschen. Die organische Phase wird mit wasserfreiem Natriumsulfat getrocknet, eingeengt und in Petrolether verrieben. Man erhält 2,2 g (75 % der Theorie) 1-(3-Trifluormethylbenzyl)-3-methylsulfinyl-4-cyan-5-amino-pyrazol vom Schmelzpunkt 143°C.
-
- 2,7 g 1-(3-Trifluormethylbenzyl)-3-methylmercapto-4-cyan-5-aminopyrazol werden in 30 ml Chloroform gelöst. Zu dieser Lösung werden unter Rühren 3,6 g in 20 ml Chloroform gelöste 3-Chlor-perbenzoesäure bei 20°C zugetropft. Man rührt 15 Stunden nach. Anschließen wird mit gesättigter Natriumhydrogencarbonat-Lösung, 2 %iger Natriumthiosulfat-Lösung und nochmals mit gesättigter wäßriger Natriumhydrogencarbonatlösung gewaschen. Die organische Phase wird mit wasserfreiem Natriumsulfat getrocknet, eingeengt und im Petrolether verrieben. Man erhält 2,9 g (97 % der Theorie) 1-(3-Trifluormethylbenzyl)-3-methylsulfonyl-4-cyan-5-aminopyrazol vom Schmelzpunkt 110°C.
- In Analogie zu den vorgenannten Beispielen lassen sich u.a. herstellen:
-
- Lösungsmittel: 7 Gewichtsteile Dimethylformamid
Emulgator: 1 Gewichtsteil Alkylarylpolyglykolether - Zur Herstellung einer zweckmäßigen Wirkstoffzubereitung vermischt man 1 Gewichtsteil Wirkstoff mit der angegebenen Menge Lösungsmittel und der angegebenen Menge Emulgator und verdünnt das Konzentrat mit Wasser auf die gewünschte Konzentration.
- Bohnenpflanzen (Phaseolus vulgaris), die stark von allen Entwicklungsstadien der gemeinen Spinnmilbe oder Bohnenspinnmilbe (Tetranychus urticae) befallen sind, werden durch Tauchen in die Wirkstoffzubereitung der gewünschten Konzentration behandelt.
- Nach der gewünschten Zeit wird die Abtötung in % bestimmt. Dabei bedeutet 100 %, daß alle Spinnmilben abgetötet wurden; 0 % bedeutet, daß keine Spinnmilben abgetötet wurden.
- Bei diesem Test zeigen z.B. die folgenden Verbindungen der Herstellungsbeispiele überlegene Wirksamkeit gegenüber dem Stand der Technik: Verbindungen aus den Beispielen Nr. 1, 8, 13, 4, 3, 14, 5, 6, 15, 16, 19, 20.
Claims (9)
Ar für gegebenenfalls substituiertes Aralkyl steht,
R¹ für Alkyl steht,
R² für Wasserstoff, Alkyl, Halogenalkyl, gegebenenfalls substituiertes Benzyl oder für die Reste -COR⁴, -COOR⁴, -NR⁵R⁶, -CONR⁵R⁶ steht,
wobei
R⁴ für Wasserstoff, Alkyl, Halogenalkyl, Alkoxyalkyl und
R⁵ und R⁶ für Wasserstoff und/oder Alkyl steht,
R³ für Wasserstoff oder Alkyl steht oder
R² und R³ gemeinsam für die Gruppierungen -CO-(CH₂)m-, -(CH₂) oder -CH=CH-CH=CH- stehen, wobei
m für die Zahlen 2, 3, 4 oder 5 steht und
n für die Zahlen 0, 1 oder 2 steht
Ar für gegebenenfalls einfach bis dreifach, gleich oder verschieden substituiertes Phenylalkyl mit 1 bis 4 Kohlenstoffatomen im geradkettigen oder verzweigten Alkylteil steht, wobei als Substituenten des Phenylrestes genannt seien: Halogen, Halogenalkyl oder Halogenalkoxy mit jeweils vorzugsweise 1 oder 2 Kohlenstoffatomen und 1 bis 5 gleichen oder verschiedenen Halogenatomen,
R¹ für Alkyl mit 1 bis 8 Kohlenstoffatomen steht,
R² für Wasserstoff, C₁-C₈-Alkyl, Halogenalkyl mit 1 oder 2 Kohlenstoffatomen und 1 bis 5 gleichen oder verschiedenen Halogenatomen oder für gegebenenfalls einfach bis dreifach, gleich oder verschieden substituiertes Benzyl steht, wobei als Phenylsubstituenten vorzugsweise genannt seien: Halogen, Alkyl mit 1 bis 4 Kohlenstoffatomen und Halogenalkyl mit 1 bis 2 Kohlenstoffatomen und 1 bis 5 gleichen oder verschiedenen Halogenatomen, sowie für die Reste
-COR⁴, -COOR⁴, -NR⁵R⁶, -CONR⁵R⁶ steht, wobei
R⁴ für Wasserstoff, C₁-C₈-Alkyl, Halogenalkyl mit 1 oder 2 Kohlenstoffatomen und 1 bis 5 gleichen oder verschiedenen Halogenatomen oder Alkoxyalkyl mit 1 bis 4 Kohlenstoffatomen in jedem Alkylteil steht
und wobei
R⁵ und R⁶ für Wasserstoff oder C₁-C₄-Alkyl stehen,
R³ für Wasserstoff oder C₁-C₈-Alkyl steht, oder
R² und R³ gemeinsam für die Gruppierungen -CO-(CH₂)m- -(CH₂)m- oder -CH=CH-CH=CH- stehen, wobei
m für die Zahlen 2, 3, 4 oder 5 steht und
n für die Zahlen 0, 1 oder 2 steht.
Ar für jeweils gegebenenfalls einfach oder zweifach, gleich oder verschieden durch Chlor oder Trifluormethyl substituiertes Benzyl, 1-Phenylethyl oder 2-Phenylethyl steht,
R¹ für Alkyl mit 1 bis 4 Kohlenstoffatomen steht,
R² für Wasserstoff, C₁-C₄-Alkyl oder für gegebenenfalls einfach oder zweifach, gleich oder verschieden substituiertes Benzyl steht, wobei als Phenylsubstituenten genannt seien: Fluor, Chlor, Brom, Methyl, Ethyl, Isopropyl und Trifluormethyl; sowie für die Reste -NR⁵R⁶, -COR⁴, -COOR⁴ und -CONR⁵R⁶ steht, wobeiR⁴ für Wasserstoff, C₁-C₄-Alkyl oder Alkoxyalkyl mit 1 bis 2 Kohlenstoffatomen in jedem Alkylteil steht und
R⁵ und R⁶ für Wasserstoff oder C₁-C₄-Alkyl stehen
R³ für Wasserstoff oder C₁-C₄-Alkyl steht oder
R² und R³ gemeinsam für die Gruppierungen -CO-(CH₂)m- -(CH₂)m- oder -CH=CH-CH=CH- stehen, wobei
m für die Zahlen 2, 3, 4 oder 5 steht und
n für die Zahlen 0, 1 oder 2 steht.
Ar für gegebenenfalls substituiertes Aralkyl steht,
R¹ für Alkyl steht,
R² für Wasserstoff, Alkyl, Halogenalkyl, gegebenenfalls substituiertes Benzyl, oder für die Reste -COR⁴, -COOR⁴, -NR⁵R⁶, -CONR⁵R⁶ steht,
wobei
R⁴ für Wasserstoff, Alkyl, Halogenalkyl, Alkoxyalkyl und
R⁵ und R⁶ für Wasserstoff und/oder Alkyl steht,
R³ für Wasserstoff oder Alkyl steht oder
R² und R³ gemeinsam für die Gruppierungen -CO-(CH₂)m-, -(CH₂)m oder -CH=CH-CH=CH- stehen, wobei
m für die Zahlen 2, 3, 4 oder 5 steht und
n für die Zahlen 0, 1 oder 2 steht,
dadurch gekennzeichnet, daß man
R¹ und Ar die unter Formel (I) gegebene Bedeutung besitzen,
Aralkylhydrazine der Formel (II)
Ar-NH-NH₂ (II)
in welcher
Ar die oben angegebene Bedeutung besitzt
oder deren Säureadditionssalze mit 1,1-Dicyanethylen-Derivaten der Formel (III)
R¹ die oben angegebene Bedeutung besitzt,
gegebenenfalls in Gegenwart eines Lösungsmittels umsetzt,
oder daß man
Ar, R¹ und R⁴ die unter Formel (I) angegebene Bedeutung besitzen,
1-Arylalkyl-4-cyan-5-amino-pyrazole der Formel (Ia)
Ar und R¹ die oben angegebene Bedeutung besitzen
mit Verbindungen der Formel
X-CO-R⁴ (IV)
wobei
X = aktivierte Abgangsgruppe (wie Alkoxy, OH, Halogen) umsetzt,
oder daß man
Ar, R¹ die oben angegebene Bedeutung haben,
R⁷ für Wasserstoff oder -COR⁴ steht und
R⁸ für Alkyl steht,
Verbindungen der Formel (V)
Ar, R¹ und R⁷ die oben angegebene Bedeutung besitzen,
mit Dialkylsulfat umsetzt,
oder daß man
Ar, R¹, R² und R³ die unter Formel (I) angegebene Bedeutung besitzen,
1-Arylalkyl-4-cyan-5-brom-pyrazole der Formel
Ar und R¹ die oben angegebene Bedeutung besitzen,
mit Aminen der Formel
oder daß man
Ar, R¹, R² und R³ die oben angegebene Bedeutung besitzen,
1-Arylalkyl-4-cyan-pyrazole der Formel (Id)
Ar, R¹, R² und R³ die oben angegebene Bedeutung haben,
mit äquimolaren Mengen eines Oxidationsmittels umsetzt,
oder daß man
Applications Claiming Priority (2)
| Application Number | Priority Date | Filing Date | Title |
|---|---|---|---|
| DE19863616681 DE3616681A1 (de) | 1986-05-16 | 1986-05-16 | 1-aralkylpyrazole |
| DE3616681 | 1986-05-16 |
Publications (2)
| Publication Number | Publication Date |
|---|---|
| EP0245785A2 true EP0245785A2 (de) | 1987-11-19 |
| EP0245785A3 EP0245785A3 (de) | 1990-03-28 |
Family
ID=6301053
Family Applications (1)
| Application Number | Title | Priority Date | Filing Date |
|---|---|---|---|
| EP87106653A Withdrawn EP0245785A3 (de) | 1986-05-16 | 1987-05-07 | 1-Aralkylpyrazole |
Country Status (9)
| Country | Link |
|---|---|
| US (1) | US4845089A (de) |
| EP (1) | EP0245785A3 (de) |
| JP (1) | JPS62273958A (de) |
| AU (1) | AU7310987A (de) |
| DE (1) | DE3616681A1 (de) |
| DK (1) | DK246587A (de) |
| HU (1) | HUT45692A (de) |
| IL (1) | IL82507A0 (de) |
| ZA (1) | ZA873490B (de) |
Cited By (8)
| Publication number | Priority date | Publication date | Assignee | Title |
|---|---|---|---|---|
| EP0295117A1 (de) * | 1987-06-12 | 1988-12-14 | Rhone-Poulenc Agriculture Limited | N-Phenylpyrazol-Derivate |
| EP0297490A1 (de) * | 1987-07-01 | 1989-01-04 | Schering Aktiengesellschaft | 6,7-Dihydro-pyrazolo(1,5-a) (1,3,5)triazin-2-sulfonsäureamide, Verfahren zu ihrer Herstellung und ihre Verwendung als Mittel mit herbizider und pflanzenwuchsregulierender Wirkung |
| EP0352944A1 (de) * | 1988-07-15 | 1990-01-31 | Rhone-Poulenc Agriculture Limited | N-Phenylpyrazol-Derivate |
| FR2696904A1 (fr) * | 1992-10-20 | 1994-04-22 | Rhone Poulenc Agrochimie | Procédé de traitement agrochimique du riz et semences de riz traitées. |
| FR2696905A1 (fr) * | 1992-10-20 | 1994-04-22 | Rhone Poulenc Agrochimie | Procédé de traitement agrochimique des bananiers. |
| FR2696906A1 (fr) * | 1992-10-20 | 1994-04-22 | Rhone Poulenc Agrochimie | Procédé de traitement agrochimique du riz et semences ainsi traitées. |
| EP0811615A1 (de) * | 1996-06-03 | 1997-12-10 | Rhone-Poulenc Agrochimie | 1-Aryl-5-(substituiertes Alkyl(thio)amido)pyrazole und ihre Verwendung als Pestizide |
| WO1998024437A1 (en) * | 1996-12-04 | 1998-06-11 | Eli Lilly And Company | Pyrazoles as human non-pancreatic secretory phospholipase a2 inhibitors |
Families Citing this family (35)
| Publication number | Priority date | Publication date | Assignee | Title |
|---|---|---|---|---|
| US6426333B1 (en) | 1996-09-19 | 2002-07-30 | Merial | Spot-on formulations for combating parasites |
| US6372774B1 (en) | 1985-12-20 | 2002-04-16 | Rhone-Poulenc Agriculture Ltd. | Derivatives of N-phenylpyrazoles |
| US5547974A (en) * | 1985-12-20 | 1996-08-20 | Rhone-Poulenc Agriculture Ltd. | Derivatives of N-phenylpyrazoles |
| US5232940A (en) * | 1985-12-20 | 1993-08-03 | Hatton Leslie R | Derivatives of N-phenylpyrazoles |
| DE3712072A1 (de) * | 1987-04-09 | 1988-10-20 | Bayer Ag | 1-aralkylpyrazole |
| US5556873A (en) * | 1993-02-24 | 1996-09-17 | Rhone-Poulenc Inc. | Pesticidal 1-aryl-5-(substituted alkyl (thio) amido)pyrazoles |
| US6998131B2 (en) * | 1996-09-19 | 2006-02-14 | Merial Limited | Spot-on formulations for combating parasites |
| EP3203318A1 (de) | 2013-02-12 | 2017-08-09 | CARBON3D, Inc. | Kontinuierliches drucken mit einer flüssigen zwischenschicht |
| KR20150117274A (ko) | 2013-02-12 | 2015-10-19 | 카본3디, 인크. | 3차원 제작을 위한 방법 및 장치 |
| US10232605B2 (en) | 2014-03-21 | 2019-03-19 | Carbon, Inc. | Method for three-dimensional fabrication with gas injection through carrier |
| WO2015195909A1 (en) | 2014-06-20 | 2015-12-23 | Carbon3D, Inc. | Three-dimensional printing using tiled light engines |
| WO2015195920A1 (en) | 2014-06-20 | 2015-12-23 | Carbon3D, Inc. | Three-dimensional printing method using increased light intensity and apparatus therefore |
| MX2016017099A (es) | 2014-06-20 | 2017-08-07 | Carbon Inc | Impresion tridimensional con alimentacion reciproca de liquido polimerizable. |
| EP3158399B1 (de) | 2014-06-23 | 2022-10-26 | Carbon, Inc. | Polyurethanharze mit mehreren mechanismen zum härten zur verwendung bei der herstellung dreidimensionaler objekte |
| WO2016025579A1 (en) | 2014-08-12 | 2016-02-18 | Carbon3D, Inc. | Three-dimensional printing with build plates having a smooth or patterned surface and related methods |
| US20170355132A1 (en) | 2014-12-31 | 2017-12-14 | Carbon, Inc. | Three-dimensional printing of objects with breathing orifices |
| WO2016112084A1 (en) | 2015-01-06 | 2016-07-14 | Carbon3D, Inc. | Build plate for three dimensional printing having a rough or patterned surface |
| WO2016112090A1 (en) | 2015-01-07 | 2016-07-14 | Carbon3D, Inc. | Microfluidic devices and methods of making the same |
| WO2016115236A1 (en) | 2015-01-13 | 2016-07-21 | Carbon3D, Inc. | Three-dimensional printing with build plates having surface topologies for increasing permeability and related methods |
| EP3250368A1 (de) | 2015-01-30 | 2017-12-06 | Carbon, Inc. | Bauplatten für clip-druckverfahren mit durchlässigen folien und zugehörige verfahren, systeme und vorrichtungen |
| WO2016126779A1 (en) | 2015-02-05 | 2016-08-11 | Carbon3D, Inc. | Method of additive manufacturing by fabrication through multiple zones |
| US20180029292A1 (en) | 2015-03-05 | 2018-02-01 | Carbon, Inc. | Continuous liquid interface production with sequential patterned exposure |
| WO2016140888A1 (en) | 2015-03-05 | 2016-09-09 | Carbon3D, Inc. | Fabrication of three dimensional objects with variable slice thickness |
| WO2016140886A1 (en) | 2015-03-05 | 2016-09-09 | Carbon3D, Inc. | Fabrication of three dimensional objects with multiple operating modes |
| WO2016145050A1 (en) | 2015-03-10 | 2016-09-15 | Carbon3D, Inc. | Microfluidic devices having flexible features and methods of making the same |
| WO2016149151A1 (en) | 2015-03-13 | 2016-09-22 | Carbon3D, Inc. | Three-dimensional printing with concurrent delivery of different polymerizable liquids |
| US10792856B2 (en) | 2015-03-13 | 2020-10-06 | Carbon, Inc. | Three-dimensional printing with flexible build plates |
| WO2016149097A1 (en) | 2015-03-13 | 2016-09-22 | Carbon3D, Inc. | Three-dimensional printing with reduced pressure build plate unit |
| US11220051B2 (en) | 2015-09-25 | 2022-01-11 | Carbon, Inc. | Build plate assemblies for continuous liquid interphase printing having lighting panels and related methods, systems and devices |
| WO2017112682A1 (en) | 2015-12-22 | 2017-06-29 | Carbon, Inc. | Fabrication of compound products from multiple intermediates by additive manufacturing with dual cure resins |
| US10538031B2 (en) | 2015-12-22 | 2020-01-21 | Carbon, Inc. | Dual cure additive manufacturing of rigid intermediates that generate semi-rigid, flexible, or elastic final products |
| WO2017112521A1 (en) | 2015-12-22 | 2017-06-29 | Carbon, Inc. | Production of flexible products by additive manufacturing with dual cure resins |
| US10647054B2 (en) | 2015-12-22 | 2020-05-12 | Carbon, Inc. | Accelerants for additive manufacturing with dual cure resins |
| EP3341792A1 (de) | 2015-12-22 | 2018-07-04 | Carbon, Inc. | Doppelvorläufer-harzsysteme zur generativen fertigung mit doppelhärtungsharzen |
| US11014299B2 (en) | 2016-07-01 | 2021-05-25 | Carbon, Inc. | Three-dimensional printing with build plates having reduced pressure and/or channels for increased fluid flow |
Family Cites Families (4)
| Publication number | Priority date | Publication date | Assignee | Title |
|---|---|---|---|---|
| US2998426A (en) * | 1959-11-02 | 1961-08-29 | Du Pont | Certain amine, cyano pyrazoles |
| MA19540A1 (fr) * | 1981-07-17 | 1983-04-01 | May & Baker Ltd | Derives du n-phenylpyrazole |
| GB2123420B (en) * | 1982-07-15 | 1986-03-26 | May And Barker Limited | Herbicidal n-phenylpyrazole derivatives |
| US4622330A (en) * | 1982-12-20 | 1986-11-11 | Merck & Co., Inc. | Antiprotozoal 3-amino or substituted amino pyrazoles |
-
1986
- 1986-05-16 DE DE19863616681 patent/DE3616681A1/de not_active Withdrawn
-
1987
- 1987-05-07 EP EP87106653A patent/EP0245785A3/de not_active Withdrawn
- 1987-05-12 JP JP62113702A patent/JPS62273958A/ja active Pending
- 1987-05-13 US US07/049,748 patent/US4845089A/en not_active Expired - Fee Related
- 1987-05-13 IL IL82507A patent/IL82507A0/xx unknown
- 1987-05-14 DK DK246587A patent/DK246587A/da not_active Application Discontinuation
- 1987-05-15 HU HU872185A patent/HUT45692A/hu unknown
- 1987-05-15 ZA ZA873490A patent/ZA873490B/xx unknown
- 1987-05-15 AU AU73109/87A patent/AU7310987A/en not_active Abandoned
Cited By (12)
| Publication number | Priority date | Publication date | Assignee | Title |
|---|---|---|---|---|
| EP0295117A1 (de) * | 1987-06-12 | 1988-12-14 | Rhone-Poulenc Agriculture Limited | N-Phenylpyrazol-Derivate |
| EP0967206A1 (de) * | 1987-06-12 | 1999-12-29 | Rhone Poulenc Agriculture Ltd. | N-Phenylpyrazolderivate |
| EP0297490A1 (de) * | 1987-07-01 | 1989-01-04 | Schering Aktiengesellschaft | 6,7-Dihydro-pyrazolo(1,5-a) (1,3,5)triazin-2-sulfonsäureamide, Verfahren zu ihrer Herstellung und ihre Verwendung als Mittel mit herbizider und pflanzenwuchsregulierender Wirkung |
| EP0352944A1 (de) * | 1988-07-15 | 1990-01-31 | Rhone-Poulenc Agriculture Limited | N-Phenylpyrazol-Derivate |
| FR2696904A1 (fr) * | 1992-10-20 | 1994-04-22 | Rhone Poulenc Agrochimie | Procédé de traitement agrochimique du riz et semences de riz traitées. |
| FR2696905A1 (fr) * | 1992-10-20 | 1994-04-22 | Rhone Poulenc Agrochimie | Procédé de traitement agrochimique des bananiers. |
| FR2696906A1 (fr) * | 1992-10-20 | 1994-04-22 | Rhone Poulenc Agrochimie | Procédé de traitement agrochimique du riz et semences ainsi traitées. |
| US5716977A (en) * | 1992-10-20 | 1998-02-10 | Rhone-Poulenc Agrochimie | Process for the agrochemical treatment of rice and seeds thus treated |
| US5965597A (en) * | 1992-10-20 | 1999-10-12 | Rhone-Poulenc Agrochimie | Process for the agrochemical treatment of rice and seeds thus treated |
| US6032414A (en) * | 1992-10-20 | 2000-03-07 | Rhone-Poulenc Agrochimie | Nursery boxes for rice seed |
| EP0811615A1 (de) * | 1996-06-03 | 1997-12-10 | Rhone-Poulenc Agrochimie | 1-Aryl-5-(substituiertes Alkyl(thio)amido)pyrazole und ihre Verwendung als Pestizide |
| WO1998024437A1 (en) * | 1996-12-04 | 1998-06-11 | Eli Lilly And Company | Pyrazoles as human non-pancreatic secretory phospholipase a2 inhibitors |
Also Published As
| Publication number | Publication date |
|---|---|
| IL82507A0 (en) | 1987-11-30 |
| AU7310987A (en) | 1987-11-19 |
| DK246587A (da) | 1987-11-17 |
| EP0245785A3 (de) | 1990-03-28 |
| ZA873490B (en) | 1987-11-09 |
| US4845089A (en) | 1989-07-04 |
| DK246587D0 (da) | 1987-05-14 |
| JPS62273958A (ja) | 1987-11-28 |
| HUT45692A (en) | 1988-08-29 |
| DE3616681A1 (de) | 1987-11-19 |
Similar Documents
| Publication | Publication Date | Title |
|---|---|---|
| EP0245785A2 (de) | 1-Aralkylpyrazole | |
| EP0128350B1 (de) | Pyrimidylphosphorsäure-Derivate und ihre Verwendung als Schädlingsbekämpfungsmittel | |
| EP0023326B1 (de) | N-Methyl-0-pyrazol(4)yl-carbaminsäureester, Verfahren zu ihrer Herstellung und ihre Verwendung als Schädlingsbekämpfungsmittel | |
| EP0087000B1 (de) | N-Oxalylderivate von N-Methylcarbamaten, Verfahren zu ihrer Herstellung und ihre Verwendung als Schädlingsbekämpfungsmittel | |
| EP0591806A1 (de) | Substituierte 2-Arylpyrrole | |
| EP0029515B1 (de) | Fluor-substituierte 2,2,3,3-Tetramethyl-cyclopropan-1-carbonsäure-benzylester, Verfahren zu ihrer Herstellung und ihre Verwendung in Schädlingsbekämpfungsmitteln | |
| DE3012642A1 (de) | 3-carbamoyl-4-hydroxy-cumarine, verfahren zu ihrer herstellung als schaedlingsbekaepfungsmittel | |
| EP0069881A1 (de) | S-Azolyl-methyl-di(tri)-thiophosphorsäureester, Verfahren zu ihrer Herstellung und ihre Verwendung als Schädlingsbekämpfungsmittel | |
| EP0658562B1 (de) | Phosphorsäure-Derivate als Schädlingsbekämpfungsmittel | |
| EP0305837B1 (de) | Thionophosphonsäureester | |
| EP0683770A1 (de) | Substituierte tetrahydropyridazincarboxamide | |
| EP0515941A1 (de) | Substituierte 2-Arylpyrrole | |
| EP0287854A1 (de) | 1-Aralkylpyrazole | |
| EP0050283B1 (de) | Hydroxamsäureester, Verfahren zu ihrer Herstellung, ihre Verwendung in Schädlingsbekämpfungsmitteln und Zwischenprodukte dafür | |
| EP0642303B1 (de) | Substituierte 2-arylpyrrole | |
| EP0076961A1 (de) | Substituierte Vinylcyclopropancarbonsäure-(6-phenoxy-2-pyridinyl)-methylester, Verfahren zu ihrer Herstellung sowie ihre Verwendung als Schädlingsbekämpfungsmittel | |
| EP0529451A1 (de) | Substituierte Pyrazoline als Schädlungsbekämpfungsmittel | |
| DE3003019A1 (de) | N,n-dimethyl-o-(4,6-dihydro-2h-thieno (3,4-c) pyrazol-3-yl)-carbaminsaeure-ester sowie deren 5-oxide und 5,5-dioxide, verfahren zu deren herstellung und ihre verwendung in schaedlingsbekaempfungsmitteln | |
| EP0595845A1 (de) | Insektizide und akarizide pflanzenschutzmittel enthaltend substituierte 1,2,4-oxadiazolderivate | |
| EP0118822B1 (de) | Substituierte Hydroxy-malonsäureamidthioamide, Verfahren zu ihrer Herstellung sowie ihre Verwendung als Schädlingsbekämpfungsmittel | |
| EP0010612B1 (de) | N-iso-Propyl-S-(1,6-dihydro-6-(thi)oxo-pyridazin(1)-yl-methyl)-thiolphosphorsäure-esteramide, Verfahren zu ihrer Herstellung und ihre Verwendung als Schädlingsbekämpfungsmittel | |
| EP0185282A2 (de) | Pyridyl-thionophosphorsäureester | |
| EP0532918A1 (de) | Substituierte Pyrazoline als Schädlungsbekämfungsmittel | |
| EP0087561B1 (de) | N,N-Dimethyl-0-(1-carbamoyl-5-pyrazolyl)-carbaminsäureester, Verfahren zu ihrer Herstellung und ihre Verwendung als Schädlingsbekämpfungsmittel | |
| EP0003301A1 (de) | N-Sulfenylierte Carbamoyl-oxime, Verfahren zu ihrer Herstellung und ihre Verwendung als Insektizide, Akarizide und Nematozide |
Legal Events
| Date | Code | Title | Description |
|---|---|---|---|
| PUAI | Public reference made under article 153(3) epc to a published international application that has entered the european phase |
Free format text: ORIGINAL CODE: 0009012 |
|
| 17P | Request for examination filed |
Effective date: 19870507 |
|
| AK | Designated contracting states |
Kind code of ref document: A2 Designated state(s): AT BE CH DE ES FR GB GR IT LI NL |
|
| PUAL | Search report despatched |
Free format text: ORIGINAL CODE: 0009013 |
|
| AK | Designated contracting states |
Kind code of ref document: A3 Designated state(s): AT BE CH DE ES FR GB GR IT LI NL |
|
| STAA | Information on the status of an ep patent application or granted ep patent |
Free format text: STATUS: THE APPLICATION HAS BEEN WITHDRAWN |
|
| 18W | Application withdrawn |
Withdrawal date: 19910207 |
|
| RIN1 | Information on inventor provided before grant (corrected) |
Inventor name: LINDIG, MARKUS, DR. Inventor name: BECKER, BENEDIKT, DR. |

















































