EP0000338A2 - Isoxazolo(5,4-c)pyridine derivatives, their preparation and pharmaceutical compositions containing them - Google Patents
Isoxazolo(5,4-c)pyridine derivatives, their preparation and pharmaceutical compositions containing them Download PDFInfo
- Publication number
- EP0000338A2 EP0000338A2 EP78100191A EP78100191A EP0000338A2 EP 0000338 A2 EP0000338 A2 EP 0000338A2 EP 78100191 A EP78100191 A EP 78100191A EP 78100191 A EP78100191 A EP 78100191A EP 0000338 A2 EP0000338 A2 EP 0000338A2
- Authority
- EP
- European Patent Office
- Prior art keywords
- group
- hydrogen
- general formula
- compound
- compounds
- Prior art date
- Legal status (The legal status is an assumption and is not a legal conclusion. Google has not performed a legal analysis and makes no representation as to the accuracy of the status listed.)
- Granted
Links
- 239000008194 pharmaceutical composition Substances 0.000 title claims abstract description 5
- 238000002360 preparation method Methods 0.000 title claims description 8
- WXTRHHSZKLAHHV-UHFFFAOYSA-N [1,2]oxazolo[5,4-c]pyridine Chemical class N1=CC=C2C=NOC2=C1 WXTRHHSZKLAHHV-UHFFFAOYSA-N 0.000 title abstract 2
- 150000001875 compounds Chemical class 0.000 claims abstract description 80
- 229910052739 hydrogen Inorganic materials 0.000 claims abstract description 47
- 150000003839 salts Chemical class 0.000 claims abstract description 35
- 239000001257 hydrogen Substances 0.000 claims abstract description 34
- 238000006243 chemical reaction Methods 0.000 claims abstract description 19
- UFHFLCQGNIYNRP-UHFFFAOYSA-N Hydrogen Chemical compound [H][H] UFHFLCQGNIYNRP-UHFFFAOYSA-N 0.000 claims abstract description 15
- 150000002431 hydrogen Chemical class 0.000 claims abstract description 15
- 125000001997 phenyl group Chemical group [H]C1=C([H])C([H])=C(*)C([H])=C1[H] 0.000 claims abstract description 11
- 230000007062 hydrolysis Effects 0.000 claims abstract description 9
- 238000006460 hydrolysis reaction Methods 0.000 claims abstract description 9
- 125000002887 hydroxy group Chemical group [H]O* 0.000 claims abstract description 6
- 125000003884 phenylalkyl group Chemical group 0.000 claims abstract description 5
- 239000004480 active ingredient Substances 0.000 claims abstract description 4
- 125000004435 hydrogen atom Chemical group [H]* 0.000 claims abstract description 4
- 239000002249 anxiolytic agent Substances 0.000 claims abstract 2
- 239000003176 neuroleptic agent Substances 0.000 claims abstract 2
- 230000000701 neuroleptic effect Effects 0.000 claims abstract 2
- 229940125890 compound Ia Drugs 0.000 claims description 23
- 239000002253 acid Substances 0.000 claims description 16
- 125000000217 alkyl group Chemical group 0.000 claims description 12
- 229910052736 halogen Inorganic materials 0.000 claims description 10
- 150000002367 halogens Chemical class 0.000 claims description 10
- 125000003545 alkoxy group Chemical group 0.000 claims description 8
- AVXURJPOCDRRFD-UHFFFAOYSA-N Hydroxylamine Chemical compound ON AVXURJPOCDRRFD-UHFFFAOYSA-N 0.000 claims description 6
- NEAQRZUHTPSBBM-UHFFFAOYSA-N 2-hydroxy-3,3-dimethyl-7-nitro-4h-isoquinolin-1-one Chemical compound C1=C([N+]([O-])=O)C=C2C(=O)N(O)C(C)(C)CC2=C1 NEAQRZUHTPSBBM-UHFFFAOYSA-N 0.000 claims description 5
- ZXRVKCBLGJOCEE-UHFFFAOYSA-N Gaboxadol Chemical group C1NCCC2=C1ONC2=O ZXRVKCBLGJOCEE-UHFFFAOYSA-N 0.000 claims description 4
- 150000002148 esters Chemical class 0.000 claims description 4
- 125000004209 (C1-C8) alkyl group Chemical group 0.000 claims description 3
- 238000007363 ring formation reaction Methods 0.000 claims description 3
- 238000004519 manufacturing process Methods 0.000 claims description 2
- 125000001820 oxy group Chemical group [*:1]O[*:2] 0.000 claims description 2
- 239000000546 pharmaceutical excipient Substances 0.000 claims description 2
- 125000000218 acetic acid group Chemical group C(C)(=O)* 0.000 claims 3
- 239000003937 drug carrier Substances 0.000 claims 1
- BTCSSZJGUNDROE-UHFFFAOYSA-N gamma-aminobutyric acid Chemical compound NCCCC(O)=O BTCSSZJGUNDROE-UHFFFAOYSA-N 0.000 abstract description 39
- 230000000694 effects Effects 0.000 abstract description 15
- 239000000543 intermediate Substances 0.000 abstract description 9
- 125000002777 acetyl group Chemical group [H]C([H])([H])C(*)=O 0.000 abstract description 5
- 125000004043 oxo group Chemical group O=* 0.000 abstract description 3
- 125000006239 protecting group Chemical group 0.000 abstract description 2
- 125000004178 (C1-C4) alkyl group Chemical group 0.000 abstract 1
- ZJQHPWUVQPJPQT-UHFFFAOYSA-N muscimol Chemical compound NCC1=CC(=O)NO1 ZJQHPWUVQPJPQT-UHFFFAOYSA-N 0.000 description 28
- 239000000203 mixture Substances 0.000 description 24
- OKKJLVBELUTLKV-UHFFFAOYSA-N Methanol Chemical compound OC OKKJLVBELUTLKV-UHFFFAOYSA-N 0.000 description 21
- OGNSCSPNOLGXSM-UHFFFAOYSA-N (+/-)-DABA Natural products NCCC(N)C(O)=O OGNSCSPNOLGXSM-UHFFFAOYSA-N 0.000 description 19
- LFQSCWFLJHTTHZ-UHFFFAOYSA-N Ethanol Chemical compound CCO LFQSCWFLJHTTHZ-UHFFFAOYSA-N 0.000 description 19
- 229960003692 gamma aminobutyric acid Drugs 0.000 description 19
- XLYOFNOQVPJJNP-UHFFFAOYSA-N water Substances O XLYOFNOQVPJJNP-UHFFFAOYSA-N 0.000 description 17
- XEKOWRVHYACXOJ-UHFFFAOYSA-N Ethyl acetate Chemical compound CCOC(C)=O XEKOWRVHYACXOJ-UHFFFAOYSA-N 0.000 description 15
- 239000000243 solution Substances 0.000 description 15
- QTBSBXVTEAMEQO-UHFFFAOYSA-N Acetic acid Chemical compound CC(O)=O QTBSBXVTEAMEQO-UHFFFAOYSA-N 0.000 description 13
- UHOVQNZJYSORNB-UHFFFAOYSA-N Benzene Chemical compound C1=CC=CC=C1 UHOVQNZJYSORNB-UHFFFAOYSA-N 0.000 description 12
- 239000003477 4 aminobutyric acid receptor stimulating agent Substances 0.000 description 10
- HEDRZPFGACZZDS-UHFFFAOYSA-N Chloroform Chemical compound ClC(Cl)Cl HEDRZPFGACZZDS-UHFFFAOYSA-N 0.000 description 10
- 210000004556 brain Anatomy 0.000 description 10
- CPELXLSAUQHCOX-UHFFFAOYSA-N Hydrogen bromide Chemical compound Br CPELXLSAUQHCOX-UHFFFAOYSA-N 0.000 description 9
- ZMANZCXQSJIPKH-UHFFFAOYSA-N Triethylamine Chemical compound CCN(CC)CC ZMANZCXQSJIPKH-UHFFFAOYSA-N 0.000 description 9
- -1 butyl 3-hydroxy-4,5,6,7-tetrahydroisoxazolo[5,4-c]pyridine--6-carboxylate Chemical compound 0.000 description 9
- 239000002904 solvent Substances 0.000 description 9
- 230000015572 biosynthetic process Effects 0.000 description 8
- 208000037265 diseases, disorders, signs and symptoms Diseases 0.000 description 8
- 238000002474 experimental method Methods 0.000 description 8
- 238000000034 method Methods 0.000 description 8
- 239000002585 base Substances 0.000 description 7
- 201000010099 disease Diseases 0.000 description 7
- 239000003480 eluent Substances 0.000 description 7
- 230000003389 potentiating effect Effects 0.000 description 7
- 239000000126 substance Substances 0.000 description 7
- YMWUJEATGCHHMB-UHFFFAOYSA-N Dichloromethane Chemical compound ClCCl YMWUJEATGCHHMB-UHFFFAOYSA-N 0.000 description 6
- VEXZGXHMUGYJMC-UHFFFAOYSA-N Hydrochloric acid Chemical compound Cl VEXZGXHMUGYJMC-UHFFFAOYSA-N 0.000 description 6
- 241000700159 Rattus Species 0.000 description 6
- VYPSYNLAJGMNEJ-UHFFFAOYSA-N Silicium dioxide Chemical compound O=[Si]=O VYPSYNLAJGMNEJ-UHFFFAOYSA-N 0.000 description 6
- HEMHJVSKTPXQMS-UHFFFAOYSA-M Sodium hydroxide Chemical compound [OH-].[Na+] HEMHJVSKTPXQMS-UHFFFAOYSA-M 0.000 description 6
- 229960000583 acetic acid Drugs 0.000 description 6
- 238000001704 evaporation Methods 0.000 description 6
- 230000008020 evaporation Effects 0.000 description 6
- 229960003350 isoniazid Drugs 0.000 description 6
- QRXWMOHMRWLFEY-UHFFFAOYSA-N isoniazide Chemical compound NNC(=O)C1=CC=NC=C1 QRXWMOHMRWLFEY-UHFFFAOYSA-N 0.000 description 6
- BDAGIHXWWSANSR-UHFFFAOYSA-N methanoic acid Natural products OC=O BDAGIHXWWSANSR-UHFFFAOYSA-N 0.000 description 6
- 238000005160 1H NMR spectroscopy Methods 0.000 description 5
- 239000013078 crystal Substances 0.000 description 5
- 125000001495 ethyl group Chemical group [H]C([H])([H])C([H])([H])* 0.000 description 5
- 239000012362 glacial acetic acid Substances 0.000 description 5
- 230000007257 malfunction Effects 0.000 description 5
- CNEXRJOZCQIOAP-UHFFFAOYSA-N methyl 3-oxo-5,7-dihydro-4h-[1,2]oxazolo[5,4-c]pyridine-6-carboxylate Chemical compound C1N(C(=O)OC)CCC2=C1ONC2=O CNEXRJOZCQIOAP-UHFFFAOYSA-N 0.000 description 5
- 239000000741 silica gel Substances 0.000 description 5
- 229910002027 silica gel Inorganic materials 0.000 description 5
- 238000003756 stirring Methods 0.000 description 5
- 238000003786 synthesis reaction Methods 0.000 description 5
- 238000012360 testing method Methods 0.000 description 5
- RTZKZFJDLAIYFH-UHFFFAOYSA-N Diethyl ether Chemical compound CCOCC RTZKZFJDLAIYFH-UHFFFAOYSA-N 0.000 description 4
- 239000005977 Ethylene Substances 0.000 description 4
- 241000699670 Mus sp. Species 0.000 description 4
- DHKHKXVYLBGOIT-UHFFFAOYSA-N acetaldehyde Diethyl Acetal Natural products CCOC(C)OCC DHKHKXVYLBGOIT-UHFFFAOYSA-N 0.000 description 4
- 239000003795 chemical substances by application Substances 0.000 description 4
- 238000004440 column chromatography Methods 0.000 description 4
- 229910000042 hydrogen bromide Inorganic materials 0.000 description 4
- 238000002347 injection Methods 0.000 description 4
- 239000007924 injection Substances 0.000 description 4
- BQJCRHHNABKAKU-KBQPJGBKSA-N morphine Chemical compound O([C@H]1[C@H](C=C[C@H]23)O)C4=C5[C@@]12CCN(C)[C@@H]3CC5=CC=C4O BQJCRHHNABKAKU-KBQPJGBKSA-N 0.000 description 4
- VLTRZXGMWDSKGL-UHFFFAOYSA-N perchloric acid Chemical compound OCl(=O)(=O)=O VLTRZXGMWDSKGL-UHFFFAOYSA-N 0.000 description 4
- BWHMMNNQKKPAPP-UHFFFAOYSA-L potassium carbonate Chemical compound [K+].[K+].[O-]C([O-])=O BWHMMNNQKKPAPP-UHFFFAOYSA-L 0.000 description 4
- VZGDMQKNWNREIO-UHFFFAOYSA-N tetrachloromethane Chemical compound ClC(Cl)(Cl)Cl VZGDMQKNWNREIO-UHFFFAOYSA-N 0.000 description 4
- 206010010904 Convulsion Diseases 0.000 description 3
- LYCAIKOWRPUZTN-UHFFFAOYSA-N Ethylene glycol Chemical compound OCCO LYCAIKOWRPUZTN-UHFFFAOYSA-N 0.000 description 3
- 241000282414 Homo sapiens Species 0.000 description 3
- 208000023105 Huntington disease Diseases 0.000 description 3
- KDLHZDBZIXYQEI-UHFFFAOYSA-N Palladium Chemical compound [Pd] KDLHZDBZIXYQEI-UHFFFAOYSA-N 0.000 description 3
- KWYUFKZDYYNOTN-UHFFFAOYSA-M Potassium hydroxide Chemical compound [OH-].[K+] KWYUFKZDYYNOTN-UHFFFAOYSA-M 0.000 description 3
- 230000008485 antagonism Effects 0.000 description 3
- XRIVRYRXJYCJTQ-UHFFFAOYSA-N benzene;ethyl acetate;formic acid Chemical compound OC=O.CCOC(C)=O.C1=CC=CC=C1 XRIVRYRXJYCJTQ-UHFFFAOYSA-N 0.000 description 3
- 239000000969 carrier Substances 0.000 description 3
- 239000003054 catalyst Substances 0.000 description 3
- 238000001816 cooling Methods 0.000 description 3
- 235000019253 formic acid Nutrition 0.000 description 3
- 125000002485 formyl group Chemical group [H]C(*)=O 0.000 description 3
- 238000011065 in-situ storage Methods 0.000 description 3
- 230000005764 inhibitory process Effects 0.000 description 3
- 230000003993 interaction Effects 0.000 description 3
- 230000000144 pharmacologic effect Effects 0.000 description 3
- 239000012071 phase Substances 0.000 description 3
- 230000001225 therapeutic effect Effects 0.000 description 3
- 125000002221 trityl group Chemical group [H]C1=C([H])C([H])=C([H])C([H])=C1C([*])(C1=C(C(=C(C(=C1[H])[H])[H])[H])[H])C1=C([H])C([H])=C([H])C([H])=C1[H] 0.000 description 3
- RLJKFAMYSYWMND-GRTNUQQKSA-M (6r)-6-[(5s)-6,6-dimethyl-7,8-dihydro-5h-[1,3]dioxolo[4,5-g]isoquinolin-6-ium-5-yl]-6h-furo[3,4-g][1,3]benzodioxol-8-one;chloride Chemical compound [Cl-].O([C@H]1[C@@H]2C3=CC=4OCOC=4C=C3CC[N+]2(C)C)C(=O)C2=C1C=CC1=C2OCO1 RLJKFAMYSYWMND-GRTNUQQKSA-M 0.000 description 2
- UPVZCNRBPOAABW-UHFFFAOYSA-N 4,5,6,7-tetrahydro-[1,2]oxazolo[5,4-c]pyridin-6-ium-3-olate;hydrobromide Chemical compound Br.C1NCCC2=C1ONC2=O UPVZCNRBPOAABW-UHFFFAOYSA-N 0.000 description 2
- OSWFIVFLDKOXQC-UHFFFAOYSA-N 4-(3-methoxyphenyl)aniline Chemical compound COC1=CC=CC(C=2C=CC(N)=CC=2)=C1 OSWFIVFLDKOXQC-UHFFFAOYSA-N 0.000 description 2
- PTKLDHADMDDGDN-UHFFFAOYSA-N 4-o-ethyl 1-o-methyl 3-oxopiperidine-1,4-dicarboxylate Chemical compound CCOC(=O)C1CCN(C(=O)OC)CC1=O PTKLDHADMDDGDN-UHFFFAOYSA-N 0.000 description 2
- WFDIJRYMOXRFFG-UHFFFAOYSA-N Acetic anhydride Chemical compound CC(=O)OC(C)=O WFDIJRYMOXRFFG-UHFFFAOYSA-N 0.000 description 2
- 0 CC(C(C*=NCC1)=C1ONC)O Chemical compound CC(C(C*=NCC1)=C1ONC)O 0.000 description 2
- BVKZGUZCCUSVTD-UHFFFAOYSA-L Carbonate Chemical compound [O-]C([O-])=O BVKZGUZCCUSVTD-UHFFFAOYSA-L 0.000 description 2
- 102000005915 GABA Receptors Human genes 0.000 description 2
- 108010005551 GABA Receptors Proteins 0.000 description 2
- 229940091860 GABA uptake inhibitor Drugs 0.000 description 2
- DGAQECJNVWCQMB-PUAWFVPOSA-M Ilexoside XXIX Chemical compound C[C@@H]1CC[C@@]2(CC[C@@]3(C(=CC[C@H]4[C@]3(CC[C@@H]5[C@@]4(CC[C@@H](C5(C)C)OS(=O)(=O)[O-])C)C)[C@@H]2[C@]1(C)O)C)C(=O)O[C@H]6[C@@H]([C@H]([C@@H]([C@H](O6)CO)O)O)O.[Na+] DGAQECJNVWCQMB-PUAWFVPOSA-M 0.000 description 2
- CSNNHWWHGAXBCP-UHFFFAOYSA-L Magnesium sulfate Chemical compound [Mg+2].[O-][S+2]([O-])([O-])[O-] CSNNHWWHGAXBCP-UHFFFAOYSA-L 0.000 description 2
- 241001465754 Metazoa Species 0.000 description 2
- 239000007832 Na2SO4 Substances 0.000 description 2
- 208000027089 Parkinsonian disease Diseases 0.000 description 2
- 206010034010 Parkinsonism Diseases 0.000 description 2
- 102000006877 Pituitary Hormones Human genes 0.000 description 2
- 108010047386 Pituitary Hormones Proteins 0.000 description 2
- CDBYLPFSWZWCQE-UHFFFAOYSA-L Sodium Carbonate Chemical compound [Na+].[Na+].[O-]C([O-])=O CDBYLPFSWZWCQE-UHFFFAOYSA-L 0.000 description 2
- PMZURENOXWZQFD-UHFFFAOYSA-L Sodium Sulfate Chemical compound [Na+].[Na+].[O-]S([O-])(=O)=O PMZURENOXWZQFD-UHFFFAOYSA-L 0.000 description 2
- FAPWRFPIFSIZLT-UHFFFAOYSA-M Sodium chloride Chemical compound [Na+].[Cl-] FAPWRFPIFSIZLT-UHFFFAOYSA-M 0.000 description 2
- XSQUKJJJFZCRTK-UHFFFAOYSA-N Urea Chemical compound NC(N)=O XSQUKJJJFZCRTK-UHFFFAOYSA-N 0.000 description 2
- 206010047141 Vasodilatation Diseases 0.000 description 2
- 125000004036 acetal group Chemical group 0.000 description 2
- 150000001242 acetic acid derivatives Chemical class 0.000 description 2
- 239000003513 alkali Substances 0.000 description 2
- 239000000538 analytical sample Substances 0.000 description 2
- 210000003169 central nervous system Anatomy 0.000 description 2
- 230000036461 convulsion Effects 0.000 description 2
- 239000002178 crystalline material Substances 0.000 description 2
- 238000004821 distillation Methods 0.000 description 2
- 239000003814 drug Substances 0.000 description 2
- 206010015037 epilepsy Diseases 0.000 description 2
- 238000000605 extraction Methods 0.000 description 2
- 238000001914 filtration Methods 0.000 description 2
- 239000002843 gaba uptake inhibitor Substances 0.000 description 2
- LNEPOXFFQSENCJ-UHFFFAOYSA-N haloperidol Chemical compound C1CC(O)(C=2C=CC(Cl)=CC=2)CCN1CCCC(=O)C1=CC=C(F)C=C1 LNEPOXFFQSENCJ-UHFFFAOYSA-N 0.000 description 2
- 238000005984 hydrogenation reaction Methods 0.000 description 2
- WTDHULULXKLSOZ-UHFFFAOYSA-N hydroxylamine hydrochloride Substances Cl.ON WTDHULULXKLSOZ-UHFFFAOYSA-N 0.000 description 2
- WCYJQVALWQMJGE-UHFFFAOYSA-M hydroxylammonium chloride Chemical compound [Cl-].O[NH3+] WCYJQVALWQMJGE-UHFFFAOYSA-M 0.000 description 2
- 239000000960 hypophysis hormone Substances 0.000 description 2
- 239000003112 inhibitor Substances 0.000 description 2
- 230000002401 inhibitory effect Effects 0.000 description 2
- 231100001231 less toxic Toxicity 0.000 description 2
- 239000007788 liquid Substances 0.000 description 2
- 239000012528 membrane Substances 0.000 description 2
- XMJHPCRAQCTCFT-UHFFFAOYSA-N methyl chloroformate Chemical compound COC(Cl)=O XMJHPCRAQCTCFT-UHFFFAOYSA-N 0.000 description 2
- 150000007522 mineralic acids Chemical class 0.000 description 2
- 229960005181 morphine Drugs 0.000 description 2
- 230000004899 motility Effects 0.000 description 2
- 210000002569 neuron Anatomy 0.000 description 2
- 229910052757 nitrogen Inorganic materials 0.000 description 2
- 239000003960 organic solvent Substances 0.000 description 2
- BASFCYQUMIYNBI-UHFFFAOYSA-N platinum Chemical compound [Pt] BASFCYQUMIYNBI-UHFFFAOYSA-N 0.000 description 2
- 229910000027 potassium carbonate Inorganic materials 0.000 description 2
- 230000008569 process Effects 0.000 description 2
- 230000002035 prolonged effect Effects 0.000 description 2
- 239000011541 reaction mixture Substances 0.000 description 2
- 201000000980 schizophrenia Diseases 0.000 description 2
- 239000011734 sodium Substances 0.000 description 2
- 229910052708 sodium Inorganic materials 0.000 description 2
- 229910052938 sodium sulfate Inorganic materials 0.000 description 2
- 239000007787 solid Substances 0.000 description 2
- 230000024883 vasodilation Effects 0.000 description 2
- SAYKMHTWACXVTA-UHFFFAOYSA-N (4-chlorophenyl) 3-oxo-5,7-dihydro-4h-[1,2]oxazolo[5,4-c]pyridine-6-carboxylate Chemical compound C1CC=2C(O)=NOC=2CN1C(=O)OC1=CC=C(Cl)C=C1 SAYKMHTWACXVTA-UHFFFAOYSA-N 0.000 description 1
- AGJQVFLJZJQFQN-UHFFFAOYSA-N (4-methoxyphenyl) 3-oxo-5,7-dihydro-4h-[1,2]oxazolo[5,4-c]pyridine-6-carboxylate Chemical compound C1=CC(OC)=CC=C1OC(=O)N1CC(ON=C2O)=C2CC1 AGJQVFLJZJQFQN-UHFFFAOYSA-N 0.000 description 1
- DNUTZBZXLPWRJG-UHFFFAOYSA-N 1-Piperidine carboxylic acid Chemical compound OC(=O)N1CCCCC1 DNUTZBZXLPWRJG-UHFFFAOYSA-N 0.000 description 1
- LBLYYCQCTBFVLH-UHFFFAOYSA-N 2-Methylbenzenesulfonic acid Chemical compound CC1=CC=CC=C1S(O)(=O)=O LBLYYCQCTBFVLH-UHFFFAOYSA-N 0.000 description 1
- KPGXRSRHYNQIFN-UHFFFAOYSA-N 2-oxoglutaric acid Chemical compound OC(=O)CCC(=O)C(O)=O KPGXRSRHYNQIFN-UHFFFAOYSA-N 0.000 description 1
- BMYNFMYTOJXKLE-UHFFFAOYSA-N 3-azaniumyl-2-hydroxypropanoate Chemical compound NCC(O)C(O)=O BMYNFMYTOJXKLE-UHFFFAOYSA-N 0.000 description 1
- 239000003148 4 aminobutyric acid receptor blocking agent Substances 0.000 description 1
- SXXLKZCNJHJYFL-UHFFFAOYSA-N 4,5,6,7-tetrahydro-[1,2]oxazolo[4,5-c]pyridin-5-ium-3-olate Chemical compound C1CNCC2=C1ONC2=O SXXLKZCNJHJYFL-UHFFFAOYSA-N 0.000 description 1
- SUVBRZKUTWNOCL-UHFFFAOYSA-N 5,6,7,8-tetrahydro-4h-[1,2]oxazolo[4,5-c]azepin-3-one Chemical compound C1CCNCC2=C1ONC2=O SUVBRZKUTWNOCL-UHFFFAOYSA-N 0.000 description 1
- KHTRGFVHYPWHIZ-UHFFFAOYSA-N 5,6,7,8-tetrahydro-4h-[1,2]oxazolo[4,5-d]azepin-6-ium-3-olate Chemical compound C1CNCCC2=C1ONC2=O KHTRGFVHYPWHIZ-UHFFFAOYSA-N 0.000 description 1
- HYBBVAMRGGFGKS-UHFFFAOYSA-N 5,6,7,8-tetrahydro-4h-[1,2]oxazolo[5,4-c]azepin-3-one Chemical compound C1NCCCC2=C1ON=C2O HYBBVAMRGGFGKS-UHFFFAOYSA-N 0.000 description 1
- DKDHATUEBIYRFB-UHFFFAOYSA-N 6-acetyl-5,7-dihydro-4h-[1,2]oxazolo[5,4-c]pyridin-3-one Chemical compound C1N(C(=O)C)CCC2=C1ON=C2O DKDHATUEBIYRFB-UHFFFAOYSA-N 0.000 description 1
- PQJUJGAVDBINPI-UHFFFAOYSA-N 9H-thioxanthene Chemical compound C1=CC=C2CC3=CC=CC=C3SC2=C1 PQJUJGAVDBINPI-UHFFFAOYSA-N 0.000 description 1
- 244000215068 Acacia senegal Species 0.000 description 1
- 235000006491 Acacia senegal Nutrition 0.000 description 1
- GUBGYTABKSRVRQ-XLOQQCSPSA-N Alpha-Lactose Chemical compound O[C@@H]1[C@@H](O)[C@@H](O)[C@@H](CO)O[C@H]1O[C@@H]1[C@@H](CO)O[C@H](O)[C@H](O)[C@H]1O GUBGYTABKSRVRQ-XLOQQCSPSA-N 0.000 description 1
- 241000134916 Amanita Species 0.000 description 1
- 241000134914 Amanita muscaria Species 0.000 description 1
- QGZKDVFQNNGYKY-UHFFFAOYSA-O Ammonium Chemical compound [NH4+] QGZKDVFQNNGYKY-UHFFFAOYSA-O 0.000 description 1
- LSNNMFCWUKXFEE-UHFFFAOYSA-M Bisulfite Chemical compound OS([O-])=O LSNNMFCWUKXFEE-UHFFFAOYSA-M 0.000 description 1
- WKBOTKDWSSQWDR-UHFFFAOYSA-N Bromine atom Chemical compound [Br] WKBOTKDWSSQWDR-UHFFFAOYSA-N 0.000 description 1
- COVZYZSDYWQREU-UHFFFAOYSA-N Busulfan Chemical compound CS(=O)(=O)OCCCCOS(C)(=O)=O COVZYZSDYWQREU-UHFFFAOYSA-N 0.000 description 1
- OYPRJOBELJOOCE-UHFFFAOYSA-N Calcium Chemical compound [Ca] OYPRJOBELJOOCE-UHFFFAOYSA-N 0.000 description 1
- ZAMOUSCENKQFHK-UHFFFAOYSA-N Chlorine atom Chemical compound [Cl] ZAMOUSCENKQFHK-UHFFFAOYSA-N 0.000 description 1
- FKLJPTJMIBLJAV-UHFFFAOYSA-N Compound IV Chemical compound O1N=C(C)C=C1CCCCCCCOC1=CC=C(C=2OCCN=2)C=C1 FKLJPTJMIBLJAV-UHFFFAOYSA-N 0.000 description 1
- 229920002261 Corn starch Polymers 0.000 description 1
- 241000557626 Corvus corax Species 0.000 description 1
- FBPFZTCFMRRESA-KVTDHHQDSA-N D-Mannitol Chemical compound OC[C@@H](O)[C@@H](O)[C@H](O)[C@H](O)CO FBPFZTCFMRRESA-KVTDHHQDSA-N 0.000 description 1
- IAZDPXIOMUYVGZ-WFGJKAKNSA-N DMSO-d6 Substances [2H]C([2H])([2H])S(=O)C([2H])([2H])[2H] IAZDPXIOMUYVGZ-WFGJKAKNSA-N 0.000 description 1
- 208000032538 Depersonalisation Diseases 0.000 description 1
- 206010012422 Derealisation Diseases 0.000 description 1
- BWLUMTFWVZZZND-UHFFFAOYSA-N Dibenzylamine Chemical compound C=1C=CC=CC=1CNCC1=CC=CC=C1 BWLUMTFWVZZZND-UHFFFAOYSA-N 0.000 description 1
- QOSSAOTZNIDXMA-UHFFFAOYSA-N Dicylcohexylcarbodiimide Chemical compound C1CCCCC1N=C=NC1CCCCC1 QOSSAOTZNIDXMA-UHFFFAOYSA-N 0.000 description 1
- 239000004150 EU approved colour Substances 0.000 description 1
- 102000004190 Enzymes Human genes 0.000 description 1
- 108090000790 Enzymes Proteins 0.000 description 1
- OTMSDBZUPAUEDD-UHFFFAOYSA-N Ethane Chemical compound CC OTMSDBZUPAUEDD-UHFFFAOYSA-N 0.000 description 1
- 241000282326 Felis catus Species 0.000 description 1
- 108010010803 Gelatin Proteins 0.000 description 1
- WQZGKKKJIJFFOK-GASJEMHNSA-N Glucose Natural products OC[C@H]1OC(O)[C@H](O)[C@@H](O)[C@@H]1O WQZGKKKJIJFFOK-GASJEMHNSA-N 0.000 description 1
- 208000034308 Grand mal convulsion Diseases 0.000 description 1
- 229920000084 Gum arabic Polymers 0.000 description 1
- 108010076876 Keratins Proteins 0.000 description 1
- 102000011782 Keratins Human genes 0.000 description 1
- 229930195714 L-glutamate Natural products 0.000 description 1
- WHUUTDBJXJRKMK-VKHMYHEASA-N L-glutamic acid Chemical compound OC(=O)[C@@H](N)CCC(O)=O WHUUTDBJXJRKMK-VKHMYHEASA-N 0.000 description 1
- GUBGYTABKSRVRQ-QKKXKWKRSA-N Lactose Natural products OC[C@H]1O[C@@H](O[C@H]2[C@H](O)[C@@H](O)C(O)O[C@@H]2CO)[C@H](O)[C@@H](O)[C@H]1O GUBGYTABKSRVRQ-QKKXKWKRSA-N 0.000 description 1
- 229920004011 Macrolon® Polymers 0.000 description 1
- 241000124008 Mammalia Species 0.000 description 1
- 229930195725 Mannitol Natural products 0.000 description 1
- DUGOZIWVEXMGBE-UHFFFAOYSA-N Methylphenidate Chemical compound C=1C=CC=CC=1C(C(=O)OC)C1CCCCN1 DUGOZIWVEXMGBE-UHFFFAOYSA-N 0.000 description 1
- HTLZVHNRZJPSMI-UHFFFAOYSA-N N-ethylpiperidine Chemical compound CCN1CCCCC1 HTLZVHNRZJPSMI-UHFFFAOYSA-N 0.000 description 1
- INECCWXQRVOTEG-UHFFFAOYSA-N Oc1n[o]c2c1CCCC2 Chemical compound Oc1n[o]c2c1CCCC2 INECCWXQRVOTEG-UHFFFAOYSA-N 0.000 description 1
- ZLMJMSJWJFRBEC-UHFFFAOYSA-N Potassium Chemical compound [K] ZLMJMSJWJFRBEC-UHFFFAOYSA-N 0.000 description 1
- 102000003946 Prolactin Human genes 0.000 description 1
- 108010057464 Prolactin Proteins 0.000 description 1
- 239000007868 Raney catalyst Substances 0.000 description 1
- 229910000564 Raney nickel Inorganic materials 0.000 description 1
- NPXOKRUENSOPAO-UHFFFAOYSA-N Raney nickel Chemical compound [Al].[Ni] NPXOKRUENSOPAO-UHFFFAOYSA-N 0.000 description 1
- 229920002472 Starch Polymers 0.000 description 1
- 206010042008 Stereotypy Diseases 0.000 description 1
- 102000003929 Transaminases Human genes 0.000 description 1
- 108090000340 Transaminases Proteins 0.000 description 1
- HEDRZPFGACZZDS-MICDWDOJSA-N Trichloro(2H)methane Chemical compound [2H]C(Cl)(Cl)Cl HEDRZPFGACZZDS-MICDWDOJSA-N 0.000 description 1
- GSEJCLTVZPLZKY-UHFFFAOYSA-N Triethanolamine Chemical compound OCCN(CCO)CCO GSEJCLTVZPLZKY-UHFFFAOYSA-N 0.000 description 1
- 238000001761 Van der Waerden test Methods 0.000 description 1
- 235000010489 acacia gum Nutrition 0.000 description 1
- PQLVXDKIJBQVDF-UHFFFAOYSA-N acetic acid;hydrate Chemical compound O.CC(O)=O PQLVXDKIJBQVDF-UHFFFAOYSA-N 0.000 description 1
- WETWJCDKMRHUPV-UHFFFAOYSA-N acetyl chloride Chemical compound CC(Cl)=O WETWJCDKMRHUPV-UHFFFAOYSA-N 0.000 description 1
- 239000012346 acetyl chloride Substances 0.000 description 1
- 230000002378 acidificating effect Effects 0.000 description 1
- 150000007513 acids Chemical class 0.000 description 1
- 230000009471 action Effects 0.000 description 1
- 125000004453 alkoxycarbonyl group Chemical group 0.000 description 1
- 159000000013 aluminium salts Chemical class 0.000 description 1
- 150000001408 amides Chemical class 0.000 description 1
- 150000001412 amines Chemical class 0.000 description 1
- 150000003863 ammonium salts Chemical class 0.000 description 1
- 230000036592 analgesia Effects 0.000 description 1
- 238000004458 analytical method Methods 0.000 description 1
- 230000001773 anti-convulsant effect Effects 0.000 description 1
- 239000007864 aqueous solution Substances 0.000 description 1
- 239000007900 aqueous suspension Substances 0.000 description 1
- 125000003710 aryl alkyl group Chemical group 0.000 description 1
- 125000004391 aryl sulfonyl group Chemical group 0.000 description 1
- 239000012752 auxiliary agent Substances 0.000 description 1
- 125000000852 azido group Chemical group *N=[N+]=[N-] 0.000 description 1
- 230000006399 behavior Effects 0.000 description 1
- WIRUZQNBHNAMAB-UHFFFAOYSA-N benzene;cyclohexane Chemical compound C1CCCCC1.C1=CC=CC=C1 WIRUZQNBHNAMAB-UHFFFAOYSA-N 0.000 description 1
- WVHBHPATSLQXGC-UHFFFAOYSA-N benzene;ethanol Chemical compound CCO.C1=CC=CC=C1 WVHBHPATSLQXGC-UHFFFAOYSA-N 0.000 description 1
- 229940049706 benzodiazepine Drugs 0.000 description 1
- 150000001557 benzodiazepines Chemical class 0.000 description 1
- WPYMKLBDIGXBTP-UHFFFAOYSA-N benzoic acid group Chemical group C(C1=CC=CC=C1)(=O)O WPYMKLBDIGXBTP-UHFFFAOYSA-N 0.000 description 1
- CQUNWGOVZDCUEC-UHFFFAOYSA-N benzyl 3-oxo-5,7-dihydro-4h-[1,2]oxazolo[5,4-c]pyridine-6-carboxylate Chemical compound C1CC=2C(O)=NOC=2CN1C(=O)OCC1=CC=CC=C1 CQUNWGOVZDCUEC-UHFFFAOYSA-N 0.000 description 1
- 125000001797 benzyl group Chemical group [H]C1=C([H])C([H])=C(C([H])=C1[H])C([H])([H])* 0.000 description 1
- 125000001584 benzyloxycarbonyl group Chemical group C(=O)(OCC1=CC=CC=C1)* 0.000 description 1
- WQZGKKKJIJFFOK-VFUOTHLCSA-N beta-D-glucose Chemical compound OC[C@H]1O[C@@H](O)[C@H](O)[C@@H](O)[C@@H]1O WQZGKKKJIJFFOK-VFUOTHLCSA-N 0.000 description 1
- 230000002146 bilateral effect Effects 0.000 description 1
- 230000008499 blood brain barrier function Effects 0.000 description 1
- 210000001218 blood-brain barrier Anatomy 0.000 description 1
- 238000009835 boiling Methods 0.000 description 1
- GDTBXPJZTBHREO-UHFFFAOYSA-N bromine Substances BrBr GDTBXPJZTBHREO-UHFFFAOYSA-N 0.000 description 1
- 229910052794 bromium Inorganic materials 0.000 description 1
- LGUHADBEXWHGIZ-UHFFFAOYSA-N butyl n-diazocarbamate Chemical compound CCCCOC(=O)N=[N+]=[N-] LGUHADBEXWHGIZ-UHFFFAOYSA-N 0.000 description 1
- 125000004744 butyloxycarbonyl group Chemical group 0.000 description 1
- FFSAXUULYPJSKH-UHFFFAOYSA-N butyrophenone Chemical class CCCC(=O)C1=CC=CC=C1 FFSAXUULYPJSKH-UHFFFAOYSA-N 0.000 description 1
- 239000011575 calcium Substances 0.000 description 1
- 229910052791 calcium Inorganic materials 0.000 description 1
- 238000004364 calculation method Methods 0.000 description 1
- 239000002775 capsule Substances 0.000 description 1
- 239000007963 capsule composition Substances 0.000 description 1
- 239000004202 carbamide Substances 0.000 description 1
- 229910052799 carbon Inorganic materials 0.000 description 1
- 125000004432 carbon atom Chemical group C* 0.000 description 1
- PFKFTWBEEFSNDU-UHFFFAOYSA-N carbonyldiimidazole Chemical compound C1=CN=CN1C(=O)N1C=CN=C1 PFKFTWBEEFSNDU-UHFFFAOYSA-N 0.000 description 1
- 150000001735 carboxylic acids Chemical class 0.000 description 1
- 210000004027 cell Anatomy 0.000 description 1
- 230000002490 cerebral effect Effects 0.000 description 1
- 239000003153 chemical reaction reagent Substances 0.000 description 1
- 239000000460 chlorine Substances 0.000 description 1
- 229910052801 chlorine Inorganic materials 0.000 description 1
- AOGYCOYQMAVAFD-UHFFFAOYSA-N chlorocarbonic acid Chemical compound OC(Cl)=O AOGYCOYQMAVAFD-UHFFFAOYSA-N 0.000 description 1
- ZPEIMTDSQAKGNT-UHFFFAOYSA-N chlorpromazine Chemical compound C1=C(Cl)C=C2N(CCCN(C)C)C3=CC=CC=C3SC2=C1 ZPEIMTDSQAKGNT-UHFFFAOYSA-N 0.000 description 1
- 239000008119 colloidal silica Substances 0.000 description 1
- 238000004040 coloring Methods 0.000 description 1
- 239000008120 corn starch Substances 0.000 description 1
- 239000012043 crude product Substances 0.000 description 1
- 238000002425 crystallisation Methods 0.000 description 1
- 230000008025 crystallization Effects 0.000 description 1
- 238000000354 decomposition reaction Methods 0.000 description 1
- 230000003247 decreasing effect Effects 0.000 description 1
- 230000000994 depressogenic effect Effects 0.000 description 1
- 238000011161 development Methods 0.000 description 1
- AAOVKJBEBIDNHE-UHFFFAOYSA-N diazepam Chemical compound N=1CC(=O)N(C)C2=CC=C(Cl)C=C2C=1C1=CC=CC=C1 AAOVKJBEBIDNHE-UHFFFAOYSA-N 0.000 description 1
- 229960003529 diazepam Drugs 0.000 description 1
- GXGAKHNRMVGRPK-UHFFFAOYSA-N dimagnesium;dioxido-bis[[oxido(oxo)silyl]oxy]silane Chemical compound [Mg+2].[Mg+2].[O-][Si](=O)O[Si]([O-])([O-])O[Si]([O-])=O GXGAKHNRMVGRPK-UHFFFAOYSA-N 0.000 description 1
- 229960003638 dopamine Drugs 0.000 description 1
- 239000003136 dopamine receptor stimulating agent Substances 0.000 description 1
- 238000000921 elemental analysis Methods 0.000 description 1
- 239000000839 emulsion Substances 0.000 description 1
- 125000003754 ethoxycarbonyl group Chemical group C(=O)(OCC)* 0.000 description 1
- MDKXBBPLEGPIRI-UHFFFAOYSA-N ethoxyethane;methanol Chemical compound OC.CCOCC MDKXBBPLEGPIRI-UHFFFAOYSA-N 0.000 description 1
- VCEIKKVLKZUXGH-UHFFFAOYSA-N ethyl 3-oxo-5,7-dihydro-4h-[1,2]oxazolo[5,4-c]pyridine-6-carboxylate Chemical compound C1N(C(=O)OCC)CCC2=C1ONC2=O VCEIKKVLKZUXGH-UHFFFAOYSA-N 0.000 description 1
- BNMXDQXGFBXOQQ-UHFFFAOYSA-N ethyl acetate;formic acid;methanol Chemical compound OC.OC=O.CCOC(C)=O BNMXDQXGFBXOQQ-UHFFFAOYSA-N 0.000 description 1
- 239000000706 filtrate Substances 0.000 description 1
- 239000000796 flavoring agent Substances 0.000 description 1
- 239000008273 gelatin Substances 0.000 description 1
- 229920000159 gelatin Polymers 0.000 description 1
- 235000019322 gelatine Nutrition 0.000 description 1
- 235000011852 gelatine desserts Nutrition 0.000 description 1
- 239000008103 glucose Substances 0.000 description 1
- 230000035929 gnawing Effects 0.000 description 1
- 229940093915 gynecological organic acid Drugs 0.000 description 1
- 229960003878 haloperidol Drugs 0.000 description 1
- 238000010438 heat treatment Methods 0.000 description 1
- 230000035873 hypermotility Effects 0.000 description 1
- 238000000338 in vitro Methods 0.000 description 1
- 238000001727 in vivo Methods 0.000 description 1
- 239000012442 inert solvent Substances 0.000 description 1
- 210000001153 interneuron Anatomy 0.000 description 1
- 229910052740 iodine Inorganic materials 0.000 description 1
- 238000002955 isolation Methods 0.000 description 1
- 239000008101 lactose Substances 0.000 description 1
- 239000000391 magnesium silicate Substances 0.000 description 1
- 229910052943 magnesium sulfate Inorganic materials 0.000 description 1
- 229940099273 magnesium trisilicate Drugs 0.000 description 1
- 229910000386 magnesium trisilicate Inorganic materials 0.000 description 1
- 235000019793 magnesium trisilicate Nutrition 0.000 description 1
- 239000000594 mannitol Substances 0.000 description 1
- 235000010355 mannitol Nutrition 0.000 description 1
- 229910052751 metal Inorganic materials 0.000 description 1
- 239000002184 metal Substances 0.000 description 1
- 125000001160 methoxycarbonyl group Chemical group [H]C([H])([H])OC(*)=O 0.000 description 1
- NCUAPTITERLUEK-UHFFFAOYSA-N methyl 4-[2-(hydroxyamino)-1,3-dioxolan-2-yl]-3-oxopiperidine-1-carboxylate Chemical compound O=C1CN(C(=O)OC)CCC1C1(NO)OCCO1 NCUAPTITERLUEK-UHFFFAOYSA-N 0.000 description 1
- 125000002496 methyl group Chemical group [H]C([H])([H])* 0.000 description 1
- 229960001344 methylphenidate Drugs 0.000 description 1
- 230000004048 modification Effects 0.000 description 1
- 238000012986 modification Methods 0.000 description 1
- 230000001095 motoneuron effect Effects 0.000 description 1
- 230000003533 narcotic effect Effects 0.000 description 1
- 210000000653 nervous system Anatomy 0.000 description 1
- 230000000926 neurological effect Effects 0.000 description 1
- 239000002858 neurotransmitter agent Substances 0.000 description 1
- 125000004433 nitrogen atom Chemical group N* 0.000 description 1
- 231100000252 nontoxic Toxicity 0.000 description 1
- 230000003000 nontoxic effect Effects 0.000 description 1
- 150000007524 organic acids Chemical class 0.000 description 1
- 235000005985 organic acids Nutrition 0.000 description 1
- 239000012074 organic phase Substances 0.000 description 1
- 229910052763 palladium Inorganic materials 0.000 description 1
- WLJNZVDCPSBLRP-UHFFFAOYSA-N pamoic acid Chemical compound C1=CC=C2C(CC=3C4=CC=CC=C4C=C(C=3O)C(=O)O)=C(O)C(C(O)=O)=CC2=C1 WLJNZVDCPSBLRP-UHFFFAOYSA-N 0.000 description 1
- 239000006072 paste Substances 0.000 description 1
- 239000008188 pellet Substances 0.000 description 1
- 230000035515 penetration Effects 0.000 description 1
- 239000000825 pharmaceutical preparation Substances 0.000 description 1
- 150000002990 phenothiazines Chemical class 0.000 description 1
- AUFAGLNNDMGKIO-UHFFFAOYSA-N phenyl 3-oxo-5,7-dihydro-4h-[1,2]oxazolo[5,4-c]pyridine-6-carboxylate Chemical compound C1CC=2C(O)=NOC=2CN1C(=O)OC1=CC=CC=C1 AUFAGLNNDMGKIO-UHFFFAOYSA-N 0.000 description 1
- 125000000286 phenylethyl group Chemical group [H]C1=C([H])C([H])=C(C([H])=C1[H])C([H])([H])C([H])([H])* 0.000 description 1
- UYWQUFXKFGHYNT-UHFFFAOYSA-N phenylmethyl ester of formic acid Natural products O=COCC1=CC=CC=C1 UYWQUFXKFGHYNT-UHFFFAOYSA-N 0.000 description 1
- 235000011007 phosphoric acid Nutrition 0.000 description 1
- 150000003016 phosphoric acids Chemical class 0.000 description 1
- 229910052697 platinum Inorganic materials 0.000 description 1
- 230000001242 postsynaptic effect Effects 0.000 description 1
- 239000011591 potassium Substances 0.000 description 1
- 229910052700 potassium Inorganic materials 0.000 description 1
- 229920001592 potato starch Polymers 0.000 description 1
- 239000002244 precipitate Substances 0.000 description 1
- 239000003755 preservative agent Substances 0.000 description 1
- MFDFERRIHVXMIY-UHFFFAOYSA-N procaine Chemical compound CCN(CC)CCOC(=O)C1=CC=C(N)C=C1 MFDFERRIHVXMIY-UHFFFAOYSA-N 0.000 description 1
- 229960004919 procaine Drugs 0.000 description 1
- 229940097325 prolactin Drugs 0.000 description 1
- 125000004742 propyloxycarbonyl group Chemical group 0.000 description 1
- 230000035484 reaction time Effects 0.000 description 1
- 102000005962 receptors Human genes 0.000 description 1
- 108020003175 receptors Proteins 0.000 description 1
- 238000001953 recrystallisation Methods 0.000 description 1
- 230000002829 reductive effect Effects 0.000 description 1
- 238000010992 reflux Methods 0.000 description 1
- 238000011160 research Methods 0.000 description 1
- 229920006395 saturated elastomer Polymers 0.000 description 1
- 230000028327 secretion Effects 0.000 description 1
- 229910000029 sodium carbonate Inorganic materials 0.000 description 1
- 239000011780 sodium chloride Substances 0.000 description 1
- HWEXKRHYVOGVDA-UHFFFAOYSA-M sodium;3-trimethylsilylpropane-1-sulfonate Chemical compound [Na+].C[Si](C)(C)CCCS([O-])(=O)=O HWEXKRHYVOGVDA-UHFFFAOYSA-M 0.000 description 1
- QGMRQYFBGABWDR-UHFFFAOYSA-N sodium;5-ethyl-5-pentan-2-yl-1,3-diazinane-2,4,6-trione Chemical compound [Na+].CCCC(C)C1(CC)C(=O)NC(=O)NC1=O QGMRQYFBGABWDR-UHFFFAOYSA-N 0.000 description 1
- 241000894007 species Species 0.000 description 1
- 239000003381 stabilizer Substances 0.000 description 1
- 230000000087 stabilizing effect Effects 0.000 description 1
- 239000008107 starch Substances 0.000 description 1
- 235000019698 starch Nutrition 0.000 description 1
- 239000007858 starting material Substances 0.000 description 1
- 210000003523 substantia nigra Anatomy 0.000 description 1
- 150000003460 sulfonic acids Chemical class 0.000 description 1
- 239000000829 suppository Substances 0.000 description 1
- 238000013268 sustained release Methods 0.000 description 1
- 239000012730 sustained-release form Substances 0.000 description 1
- 239000003826 tablet Substances 0.000 description 1
- 239000007916 tablet composition Substances 0.000 description 1
- 239000000454 talc Substances 0.000 description 1
- 229910052623 talc Inorganic materials 0.000 description 1
- 235000012222 talc Nutrition 0.000 description 1
- 150000003512 tertiary amines Chemical class 0.000 description 1
- 125000001412 tetrahydropyranyl group Chemical group 0.000 description 1
- 230000008719 thickening Effects 0.000 description 1
- 239000002562 thickening agent Substances 0.000 description 1
- JOXIMZWYDAKGHI-UHFFFAOYSA-N toluene-4-sulfonic acid Chemical compound CC1=CC=C(S(O)(=O)=O)C=C1 JOXIMZWYDAKGHI-UHFFFAOYSA-N 0.000 description 1
- 231100000331 toxic Toxicity 0.000 description 1
- 231100000816 toxic dose Toxicity 0.000 description 1
- 230000002588 toxic effect Effects 0.000 description 1
- 231100000419 toxicity Toxicity 0.000 description 1
- 230000001988 toxicity Effects 0.000 description 1
- 238000005406 washing Methods 0.000 description 1
Classifications
-
- C—CHEMISTRY; METALLURGY
- C07—ORGANIC CHEMISTRY
- C07D—HETEROCYCLIC COMPOUNDS
- C07D491/00—Heterocyclic compounds containing in the condensed ring system both one or more rings having oxygen atoms as the only ring hetero atoms and one or more rings having nitrogen atoms as the only ring hetero atoms, not provided for by groups C07D451/00 - C07D459/00, C07D463/00, C07D477/00 or C07D489/00
- C07D491/02—Heterocyclic compounds containing in the condensed ring system both one or more rings having oxygen atoms as the only ring hetero atoms and one or more rings having nitrogen atoms as the only ring hetero atoms, not provided for by groups C07D451/00 - C07D459/00, C07D463/00, C07D477/00 or C07D489/00 in which the condensed system contains two hetero rings
- C07D491/10—Spiro-condensed systems
-
- A—HUMAN NECESSITIES
- A61—MEDICAL OR VETERINARY SCIENCE; HYGIENE
- A61P—SPECIFIC THERAPEUTIC ACTIVITY OF CHEMICAL COMPOUNDS OR MEDICINAL PREPARATIONS
- A61P25/00—Drugs for disorders of the nervous system
-
- A—HUMAN NECESSITIES
- A61—MEDICAL OR VETERINARY SCIENCE; HYGIENE
- A61P—SPECIFIC THERAPEUTIC ACTIVITY OF CHEMICAL COMPOUNDS OR MEDICINAL PREPARATIONS
- A61P25/00—Drugs for disorders of the nervous system
- A61P25/08—Antiepileptics; Anticonvulsants
-
- A—HUMAN NECESSITIES
- A61—MEDICAL OR VETERINARY SCIENCE; HYGIENE
- A61P—SPECIFIC THERAPEUTIC ACTIVITY OF CHEMICAL COMPOUNDS OR MEDICINAL PREPARATIONS
- A61P9/00—Drugs for disorders of the cardiovascular system
- A61P9/10—Drugs for disorders of the cardiovascular system for treating ischaemic or atherosclerotic diseases, e.g. antianginal drugs, coronary vasodilators, drugs for myocardial infarction, retinopathy, cerebrovascula insufficiency, renal arteriosclerosis
-
- C—CHEMISTRY; METALLURGY
- C07—ORGANIC CHEMISTRY
- C07D—HETEROCYCLIC COMPOUNDS
- C07D211/00—Heterocyclic compounds containing hydrogenated pyridine rings, not condensed with other rings
- C07D211/04—Heterocyclic compounds containing hydrogenated pyridine rings, not condensed with other rings with only hydrogen or carbon atoms directly attached to the ring nitrogen atom
- C07D211/06—Heterocyclic compounds containing hydrogenated pyridine rings, not condensed with other rings with only hydrogen or carbon atoms directly attached to the ring nitrogen atom having no double bonds between ring members or between ring members and non-ring members
- C07D211/36—Heterocyclic compounds containing hydrogenated pyridine rings, not condensed with other rings with only hydrogen or carbon atoms directly attached to the ring nitrogen atom having no double bonds between ring members or between ring members and non-ring members with hetero atoms or with carbon atoms having three bonds to hetero atoms with at the most one bond to halogen, e.g. ester or nitrile radicals, directly attached to ring carbon atoms
- C07D211/60—Carbon atoms having three bonds to hetero atoms with at the most one bond to halogen, e.g. ester or nitrile radicals
- C07D211/62—Carbon atoms having three bonds to hetero atoms with at the most one bond to halogen, e.g. ester or nitrile radicals attached in position 4
-
- C—CHEMISTRY; METALLURGY
- C07—ORGANIC CHEMISTRY
- C07D—HETEROCYCLIC COMPOUNDS
- C07D211/00—Heterocyclic compounds containing hydrogenated pyridine rings, not condensed with other rings
- C07D211/04—Heterocyclic compounds containing hydrogenated pyridine rings, not condensed with other rings with only hydrogen or carbon atoms directly attached to the ring nitrogen atom
- C07D211/68—Heterocyclic compounds containing hydrogenated pyridine rings, not condensed with other rings with only hydrogen or carbon atoms directly attached to the ring nitrogen atom having one double bond between ring members or between a ring member and a non-ring member
- C07D211/72—Heterocyclic compounds containing hydrogenated pyridine rings, not condensed with other rings with only hydrogen or carbon atoms directly attached to the ring nitrogen atom having one double bond between ring members or between a ring member and a non-ring member with hetero atoms or with carbon atoms having three bonds to hetero atoms, with at the most one bond to halogen, directly attached to ring carbon atoms
- C07D211/78—Carbon atoms having three bonds to hetero atoms with at the most one bond to halogen
-
- Y—GENERAL TAGGING OF NEW TECHNOLOGICAL DEVELOPMENTS; GENERAL TAGGING OF CROSS-SECTIONAL TECHNOLOGIES SPANNING OVER SEVERAL SECTIONS OF THE IPC; TECHNICAL SUBJECTS COVERED BY FORMER USPC CROSS-REFERENCE ART COLLECTIONS [XRACs] AND DIGESTS
- Y02—TECHNOLOGIES OR APPLICATIONS FOR MITIGATION OR ADAPTATION AGAINST CLIMATE CHANGE
- Y02P—CLIMATE CHANGE MITIGATION TECHNOLOGIES IN THE PRODUCTION OR PROCESSING OF GOODS
- Y02P20/00—Technologies relating to chemical industry
- Y02P20/50—Improvements relating to the production of bulk chemicals
- Y02P20/55—Design of synthesis routes, e.g. reducing the use of auxiliary or protecting groups
Definitions
- GABA gamma-aminobutyric acid
- CNS central nervous system
- muscimol of the formula (a substance found in fly amanita (Amanita muscaria)) has various interesting pharmacological properties and especially shows an inhibition of motoric functions. Later, it was reported that muscimol is a very potent GABA agonist with respect to bicuculline--sensitive postsynaptic receptors (Johnston et al., Biochem. Pharmacol.
- agents influencing the GABA system are therefore under consideration and research for the therapeutical treatment of such GABA system malfunction-related diseases. It is also under consideration to administer agents influencing the GABA system against diseases in which malfunctions of the pituitary hormones are involved, e.g. diseases where a decreased secretion of prolactin is involved, and it is, furthermore, contemplated that such agents may be useful against artereoschlerotic diseases in the brain where a vasodilatation is desired.
- muscimol has toxic effects, such as narcotic effects (derealisation and depersonalisation), and the difference between the effective dose and the toxic dose of muscimol is very small (Arzneiffenaba, 1968, 18, 311 - 315), which may limit or prevent the therapeutic use of muscimol.
- various muscimol-analogues or muscimol-like substances have been synthesized and tested (P.
- the present invention relates to novel compounds showing GABA--related activity, to salts thereof with acids or bases, and to pharmaceutical compositions containing the novel compounds or a salt thereof as an active ingredient. Moreover, the present invention relates to methods for the preparation of the novel compounds and salts thereof and to a method for the treatment of neurological and psychiatrical disorders, such as epilepsy, parkinsonism, schizophrenia and Huntington's chorea, or diseases in which malfunctions of the pituitary hormones are involved, or artereoschlerotic diseases in the brain where a vasodilatation is desired, by administering a therapeutically active amount of the novel compound or a non-toxic salt thereof to a living animal body including human beings.
- neurological and psychiatrical disorders such as epilepsy, parkinsonism, schizophrenia and Huntington's chorea, or diseases in which malfunctions of the pituitary hormones are involved, or artereoschlerotic diseases in the brain where a vasodilatation is desired, by administer
- the novel compound of the formula Ia (4,5,6,7-tetrahydroisoxazolo[5,4-c]pyridine-3-ol) is well tolerated and is a very potent GABA agonist having a very specific activity, being inactive as a GABA-uptake inhibitor. Particulars concerning the activity of this compound are given in the section "Test Results” below.
- the potent, specific GABA agonist activity of the compound Ia is especially remarkable on the background of the fact that the known very closely related compounds, that is, 5,6,7,8-tetrahydro-4H-isoxazolo-[4,5-c]-azepine-3-ol (P. Krogsgaard-Larsen, Acta Chem. Scand. B 31, 1977, 584 - 588, and P. Krogsgaard-Larsen and G.A.R. Johnston, J. Neurochem., 1978, 30, 1377 - 1382). 5,6,7,8-tetrahydro-4H-isoxazolo-[5,4-c]-azepine-3-ol (P.
- the present invention is not to be limited by any theory, it is believed that the remarkable selective activity of the compound Ia is ascribable to the particular position of the nitrogen atom in the 6-membered ring in relation to the acidic hydroxy group in the 5-membered ring.
- the present invention therefore relates to the novel compound Ia and to derivatives thereof which upon administration will be decomposed in situ to yield the parent compound Ia, in particular compounds of the general formula I wherein R" is hydrogen, acetyl or a group of the general formula VII wherein R 5 is C 1-8 alkyl; phenyl; phenyl substituted in the 4- position with halogen, lower alkoxy, or lower alkyl; or phenylalkyl such as benzyl or phenylethyl in which the phenyl group may be substituted in the 4-position with halogen, lower alkoxy, or lower alkyl; and salts thereof.
- R" is hydrogen, acetyl or a group of the general formula VII wherein R 5 is C 1-8 alkyl; phenyl; phenyl substituted in the 4- position with halogen, lower alkoxy, or lower alkyl; or phenylalkyl such as benzyl or phenylethyl in which
- the compounds I the only species showing pronounced GABA agonist activity in the brain is the compound Ia.
- the groups R" which are different from hydrogen may enhance the penetration of the compounds into the brain in that they may enhance the ability of the compounds to pass the blood- brain barrier, and will thereafter be split off in situ to yield the parent compound.
- a prolonged effect of Ia may be obtained via decomposition in situ of compounds wherein R" is different from hydrogen, to yield the parent compound.
- lower alkyl and “lower alkoxy” designate such groups containing 1 - 4 carbon atoms.
- the compounds of the general formula I may exist in a tautomeric form, as shown by the formula I' and in the present specification and claims, the formula I is to be understood as covering also this tautomeric form and mixtures of the two tautomeric forms.
- salts of the compound of the formula Ia are acid addition salts thereof, such as pharmaceutically acceptable salts with inorganic acids, e.g. hydrochloric, hydrobromic, nitric, sulfuric, phosphoric acids and the like, or with organic acids, such as organic carboxylic acids, e.g. acetic, propionic, glycolic, malonic, succinic, maleic, fumaric, malic, tartaric, citric, glucuronic, benzoic, pamoic acid and the like, or organic sulfonic acids, e.g.
- salts may be prepared by procedures known per se, e.g. by adding the acid in question to the base, preferably in a solvent.
- Compounds of formula I may form pharmaceutically acceptable salts with bases, such as metal salts, e.g. sodium, potassium, calcium or aluminium salts, and ammonium and substituted ammonium salts, e.g. salts of amines such as triethylamine, triethanolamine, ethylpiperidine, procaine, dibenzylamine and the like.
- the compound Ia was tested in microelectrophoretic experiments. Experiments were performed on lumbar dorsal horn interneurones and Renshaw cells of cats anaesthetized with pentobarbitone sodium. The approximate potency of the depressant actions of the compound was assessed relative to that of GABA on the basis of electrophoretic currents required to produce equal and submaximal inhibitions of the firin of the central neurones. The inhibitory action of Ia on central neurones was antagonized by the specific GABA antagonist bicu- culline methochloride (BMC).
- BMC bicu- culline methochloride
- the compound Ia did not interact with the GABA uptake system at concentrations of 5 x 10 4 M, and it did not interact with the GABA metabolizing enzymes GABA:2-oxo-glutarate aminotransferase and L-glutamate 1-carboxylase at concentrations of 10 -3 M.
- the compound Ia is a specific and very potent GABA agonist.
- compound Ia is considerably less toxic than muscimol.
- Ia was shown to be weaker than muscimol.
- I a was found to be weaker than muscimol.
- test compound is injected i.p. in the doses 0, 1/2, 1/8 and 1/32 of the determined “i.v. LD 50 ".
- doses 0, 1/4, 1/16 and 1/64 of the determined "i.p. LD 50 " are used.
- mice are used for each dose level.
- isoniazide 300 mg/kg is injected s.c. This dose of isoniazide induces intermittent tonic clonic seizures within 60 minutes.
- compound Ia has been shown to be a potent GABA agonist.
- Compound Ia is weaker than muscimol but considerably less toxic.
- the compounds of formula I may be prepared by
- Compound IVa in reaction scheme I is a key intermediate in the above synthesis and in other syntheses of the compounds of the present invention. Similar key intermediates may contain other hydrolysable N-protecting groups and other lower alkyl groups, and hence, in its broad concept, this novel key intermediate of the present invention has the general formula IV in which Alk is a lower alkyl group and Z is hydrogen or an amino--protecting group readily removable, e.g. by hydrolysis, suitably a group R" (as defined above) or a trityl or formyl group.
- Z are the following: hydrogen, methoxycarbonyl, ethoxycarbonyl, propyloxycarbonyl, tert.butyloxycarbonyl, benzyloxycarbonyl, p-chlorobenzyloxycarbonyl, trityl, formyl, acetyl.
- novel intermediates according to the present invention are the compounds of the formulae VIIIa and IXa in reaction scheme I, and also the generic classes which they represent, which is, compounds of the general formula VIII' in which Z is as defined above, T is a group convertible, by hydrolysis, into an oxy group, e.g., an acetal group such as ethylene dioxy, and Q is a leaving group which, on reaction with hydroxylamine, forms a hydroxamic acid group, examples of Q being halogen, especially chlorine and bromine, hydroxy, the residue of an acid, the residue of an activated amide, the residue of an activated ester, lower alkoxy, and the like, and compounds of the general formula IX' in which Z and T are as defined above, and also, at the stage of compound Va (which is both a compound of the general formula I and an intermediate for the preparation of compounds of the general formula I), an intermediate may be used which in generalized form has the formula V above.
- T is a group convertible, by hydrolysis, into an oxy group,
- An interesting aspect of the present invention is the compound Ia as intermediate in the preparation of compounds of formula I in which R" is different from hydrogen.
- the present invention also relates to the total sequence of synthesis stages IV ⁇ VIII' ⁇ IX' ⁇ V ⁇ I and to the final stages thereof, i.e., VIII' ⁇ IX' ⁇ V ⁇ I and IX' ⁇ V ⁇ I.
- the conversion of ethyl l-benzyl-3-oxy-piperidine-4-carboxylate into the intermediate IV as exemplified by IVa is usually performed in lower alkanols, e.g. ethanol or ethanol/water.
- the removal of the N-benzyl group may be effected with gaseous hydrogen in the presence of a hydrogenation catalyst, e.g. platinum, palladium or Raney nickel.
- the alkyl 3-oxy-piperidine-4-carboxylate formed is dissolved, e.g. in water, and treated with an acid acceptor, e.g. alkali carbonate, and an ester of chloroformic acid, e.g. methyl chloroformate.
- the temperature is kept near 0°C during the reaction.
- the compound IV is isolated by extraction into an organic solvent followed by evaporation of the solvent.
- the formation of the compound of formula VIII' as exemplified by the ethylene acetal VIIIa is usually performed in a solvent, e.g. benzene, which forms an azeotropic mixture with water.
- a solvent e.g. benzene
- the reaction is preferably carried out at reflux temperature and with a strong acid, e.g. a sulfonic acid as catalyst.
- the hydroxamic acid IX' as exemplified by IXa is synthesized by reacting VIIIa with hydroxylamine, preferably in water or a lower alcohol, e.g. methanol and usually at a temperature between -20°C and room temperature, preferably at 0 - 10°C.
- the compound may be isolated and purified by a manner known per se, e.g. column chromatography.
- Q in formula VIII' is a halogen or the residue of an acid
- the reaction is effected in the presence of a base.
- a condensing agent e.g. dicyclohexyl carbodiimide or carbonyldiimidazole.
- solvent an iner
- the hydrolysis of the acetal group of IXa or, quite generally, the conversion of T in compounds of formula IX' into an oxo group, followed by cyclization to a compound of formula V as exemplified by Va may be effected by an aqueous solution of a strong acid optionally also containing acetic acid, e.g. concentrated hydrochloric acid or 70% perchloric acid at a temperature between 0°C and 100°C, preferably at 50 - 80°C.
- the compound V may be isolated by extraction with an organic solvent or by evaporation of the water.
- the compound can be purified by column chromatography or by crystallization.
- Removal of the protecting group Z and/or W in compound V may be effected with a strong inorganic acid, e.g. hydrochloric or hydrobromic acid, in a solvent, e.g. glacial acetic acid or water, or a mixture of water and glacial acetic acid.
- a strong inorganic acid e.g. hydrochloric or hydrobromic acid
- the temperature may be kept between room temperature and the boiling point of the solvent.
- the reaction time is usually short, e.g. less than 1 hour.
- the Ia salt may be isolated by evaporation of the solvent.
- the Ia salt may be transformed into Ia by treatment with a base, e.g. a tertiary amine, in a solvent, usually a mixture of water and a lower alkanol.
- Compound Ia may be transformed into another salt as described above.
- reaction of a compound of the general formula IV as exemplified by IVa with hydroxylamine may give a mixture of a compound of the general formula V and the corresponding isomeric compound V as exemplified by Va and VIa.
- the reaction may be effected at a temperature between -30°C and 50°C, preferably between -30 and -lO o C.
- the solvent is usually water or a lower alkanol or mixtures thereof.
- reaction scheme II although yielding a mixture of two isomers, is nevertheless advantageous. It is very time-saving in that it avoids the protection of the oxo group in compounds of the general formula IV and the subsequent hydroxamic acid formation.
- the compounds formed in the reaction of IV with hydroxylamine, as exemplified by Va and VIa, are easily separated by manners known per se, e.g. by column chromatography.
- the introduction of the group R" may be performed by manners known per se.
- R" is a group of the above formula VII
- the introduction may be performed by treatment of compound Ia with the appropriate. formic acid ester of the general formula X'- -OR 5 wherein X' is a leaving group, especially halogen, azido, etc., in the presence of an acid acceptor, for example an alkali carbonate.
- an acid acceptor for example an alkali carbonate.
- the BOC-derivative can be made by means of tert.butyl azidoformate.
- R" is acetyl
- a reactive derivative of acetic acid e.g. acetyl chloride or acetanhydride may be used for the introduction of the group R".
- the compounds of the formula I, and salts thereof may be formulated for administration in any convenient way by analogy with other pharmaceuticals.
- compositions comprising the compounds of the invention may be in the form of pharmaceutical preparations, e.g. in solid, semisolid or liquid form, which contain the active compound of the invention in admixture with a pharmaceutical organic or inorganic carrier or excipient suitable for enteral or parenteral application.
- the active ingredient may, e.g., be formulated with the usual carriers for tablets, pellets, capsules, suppositories, solutions, emulsions, aqueous suspensions and other suitable administration forms.
- Examples of carriers are glucose, lactose, gum acacia, gelatin, mannitol, starch paste, magnesium trisilicate, talc, corn starch, keratin, colloidal silica, potato starch, urea, and other carriers suitable for use in manufacturing compositions in solid, semisolid, or liquid form, and in addition auxiliary, stabilizing, thickening, colouring, flavouring, and preservative agents can be contained in the composition of this invention.
- the active compound is included in the compositions of the invention in an amount sufficient to produce the desired therapeutical effect upon administration.
- the dosage or therapeutically effective quantity of the compound varies and also depends upon the age and condition of each individual patient being treated.
- a preferred tablet or capsule formulation for oral administration contains 0.1 - 200 mg, preferably 1 - 100, especially 5 - 50, mg of a compound of the formula I or a salt thereof per unit dosage which may be administeret 1 - 4 times per day or as a sustained release composition.
- Injection preparations preferably contain 0.1 - 200 mg, preferably 1 - 100, especially 5 - 50, mg of a compound of the formula I or a salt thereof per unit dosage.
- a preferred injected dose is about 0.5 to 2 ml.
- the invention also relates to the use of the compounds of the general formula I and salts thereof in medicaments for treating GABA system malfunction-related diseases, and a process of treating GABA system malfunction-related diseases in human beings by administering, to the human being, an effective dose of a compound of the general formula I, or a salt thereof.
- compositions and the above-mentioned uses it may be suitable or preferred to combine the compounds of the general formula I or a salt thereof with minor tranquillizers such as benzodiazepines or neuroleptics, for example butyrophenones such as haloperidol, phenothiazines such as chloropromazine, thioxanthene, and the like.
- minor tranquillizers such as benzodiazepines or neuroleptics, for example butyrophenones such as haloperidol, phenothiazines such as chloropromazine, thioxanthene, and the like.
- the neuroleptics are suitably administered in their effective amounts or, in a preferred embodiment in lower amounts than the amounts in which they would be effective when used alone.
- IXa (1.9 g; 29%) as a crystalline and TLC-pure substance [R F : 0.23; eluent: ethyl acetate-methanol-formic acid (90:9:1)].
- An analytical sample was recrystallized (ethanol-benzene) to give IXa as colourless crystals, m.p. 150.0--152.0°C.
Landscapes
- Chemical & Material Sciences (AREA)
- Organic Chemistry (AREA)
- Health & Medical Sciences (AREA)
- Engineering & Computer Science (AREA)
- Bioinformatics & Cheminformatics (AREA)
- Life Sciences & Earth Sciences (AREA)
- General Health & Medical Sciences (AREA)
- Veterinary Medicine (AREA)
- Chemical Kinetics & Catalysis (AREA)
- General Chemical & Material Sciences (AREA)
- Medicinal Chemistry (AREA)
- Nuclear Medicine, Radiotherapy & Molecular Imaging (AREA)
- Public Health (AREA)
- Pharmacology & Pharmacy (AREA)
- Animal Behavior & Ethology (AREA)
- Biomedical Technology (AREA)
- Neurosurgery (AREA)
- Neurology (AREA)
- Cardiology (AREA)
- Urology & Nephrology (AREA)
- Vascular Medicine (AREA)
- Heart & Thoracic Surgery (AREA)
- Pain & Pain Management (AREA)
- Pharmaceuticals Containing Other Organic And Inorganic Compounds (AREA)
- Nitrogen And Oxygen Or Sulfur-Condensed Heterocyclic Ring Systems (AREA)
- Acyclic And Carbocyclic Compounds In Medicinal Compositions (AREA)
- Pyridine Compounds (AREA)
- Organic Low-Molecular-Weight Compounds And Preparation Thereof (AREA)
- Hydrogenated Pyridines (AREA)
Abstract
Description
- GABA (gamma-aminobutyric acid) is known to be a neurotransmitter in the central nervous system (CNS) in mammals. GABA is found predominantly in the brain where it is a dominant inhibitory transmitter (Curtis, D.R. and Johnston, G.A.R., Ergebn. Physiol., 1974, 69, 97 - 188).
- It has been reported (Arzneimittelforschung, 1968, 18, 311 - 315) that muscimol of the formula
(a substance found in fly amanita (Amanita muscaria)) has various interesting pharmacological properties and especially shows an inhibition of motoric functions. Later, it was reported that muscimol is a very potent GABA agonist with respect to bicuculline--sensitive postsynaptic receptors (Johnston et al., Biochem. Pharmacol. , 1968, 17, 2488, and Curtis et al.,Brain Res., 1971, 32, 69 - 96), but it also shows activity as an inhibitor of the high affinity uptake of GABA in rat brain slices (Johnston, Psycho- pharmacologia, 1971, 22, 230 - 233). Reduced function in the GABA system is believed to be related to the etiology of parkinsonism, epilepsy, Huntington's chorea (Thomas N. Chase and Judith R. Walters, GABA in Nervous System Function, edited by E. Roberts, T.N. Chase, and D.B. Tower, Raven Press, New York, 1976, 497-513) and schizophrenia, and administration of agents influencing the GABA system is therefore under consideration and research for the therapeutical treatment of such GABA system malfunction-related diseases. It is also under consideration to administer agents influencing the GABA system against diseases in which malfunctions of the pituitary hormones are involved, e.g. diseases where a decreased secretion of prolactin is involved, and it is, furthermore, contemplated that such agents may be useful against artereoschlerotic diseases in the brain where a vasodilatation is desired. However, unfortunately, muscimol has toxic effects, such as narcotic effects (derealisation and depersonalisation), and the difference between the effective dose and the toxic dose of muscimol is very small (Arzneimittelforschung, 1968, 18, 311 - 315), which may limit or prevent the therapeutic use of muscimol. Furthermore, it would be highly desirable to provide a substance having a more specific GABA activity than muscimol which, as mentioned above, shows considerable GABA-uptake inhibitor activity in addition to its GABA agonist activity. In an attempt to establish a structure/activity relation, various muscimol-analogues or muscimol-like substances have been synthesized and tested (P. Krogsgaard-Larsen et al., Journal of Neurochemistry, 1975, 25, 797 - 802 and 803 - 809). However, none of the compounds tested showed a GABA agonist activity of the same potency as that of muscimol. - The present invention relates to novel compounds showing GABA--related activity, to salts thereof with acids or bases, and to pharmaceutical compositions containing the novel compounds or a salt thereof as an active ingredient. Moreover, the present invention relates to methods for the preparation of the novel compounds and salts thereof and to a method for the treatment of neurological and psychiatrical disorders, such as epilepsy, parkinsonism, schizophrenia and Huntington's chorea, or diseases in which malfunctions of the pituitary hormones are involved, or artereoschlerotic diseases in the brain where a vasodilatation is desired, by administering a therapeutically active amount of the novel compound or a non-toxic salt thereof to a living animal body including human beings.
- According to the present invention, it has now been found that the novel compound of the formula Ia
(4,5,6,7-tetrahydroisoxazolo[5,4-c]pyridine-3-ol) is well tolerated and is a very potent GABA agonist having a very specific activity, being inactive as a GABA-uptake inhibitor. Particulars concerning the activity of this compound are given in the section "Test Results" below. - The potent, specific GABA agonist activity of the compound Ia is especially remarkable on the background of the fact that the known very closely related compounds, that is,
5,6,7,8-tetrahydro-4H-isoxazolo-[4,5-c]-azepine-3-ol (P. Krogsgaard-Larsen, Acta Chem. Scand. B 31, 1977, 584 - 588, and P. Krogsgaard-Larsen and G.A.R. Johnston, J. Neurochem., 1978, 30, 1377 - 1382). 5,6,7,8-tetrahydro-4H-isoxazolo-[5,4-c]-azepine-3-ol (P. Krogsgaard-Larsen, Acta Chem. Scand. B 31, 1977, 584 - 588, and P. Kroqs- gaard-Larsen and G.A.R. Johnston, J. Neurochem., 1978, 30, 1377 - 1382). 5,6,7,8-tetrahydro-4H-isoxazolo-[4,5-d]-azepine-3-ol (P. Krogsgaard-Larsen et al., J. Neurochem., 1975, 25, 803, and P. Krogsgaard-Larsen and G.A.R. Johnston, J. Neurochem., 1978 , 30, 1377 - 1382). 4,5,6,7-tetrahydroisoxazolo[4,5-c]-pyridine-3-ol (P. Krogsgaard-Larsen et al., J. Neurochem., 1975, 25, 803, and P Krogsgaard-Larsen and G.A.R. Johnston, J. Neurochem., 1978 30, 1377 - 1382). do not show such potent and specific GABA agonist activity. - Although the present invention is not to be limited by any theory, it is believed that the remarkable selective activity of the compound Ia is ascribable to the particular position of the nitrogen atom in the 6-membered ring in relation to the acidic hydroxy group in the 5-membered ring.
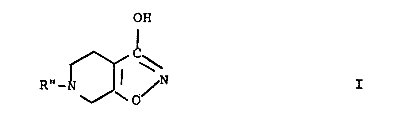
- The present invention therefore relates to the novel compound Ia and to derivatives thereof which upon administration will be decomposed in situ to yield the parent compound Ia, in particular compounds of the general formula I
wherein R" is hydrogen, acetyl or a group of the general formula VII wherein R5 is C1-8 alkyl; phenyl; phenyl substituted in the 4- position with halogen, lower alkoxy, or lower alkyl; or phenylalkyl such as benzyl or phenylethyl in which the phenyl group may be substituted in the 4-position with halogen, lower alkoxy, or lower alkyl; and salts thereof. - It is believed that among the compounds I, the only species showing pronounced GABA agonist activity in the brain is the compound Ia. However, the groups R" which are different from hydrogen may enhance the penetration of the compounds into the brain in that they may enhance the ability of the compounds to pass the blood- brain barrier, and will thereafter be split off in situ to yield the parent compound. Also, a prolonged effect of Ia may be obtained via decomposition in situ of compounds wherein R" is different from hydrogen, to yield the parent compound.
- In the present specification, "lower alkyl" and "lower alkoxy" designate such groups containing 1 - 4 carbon atoms.
-
- Examples of compounds of the general formula I in which R" is different from hydrogen, are:
- 6-acetyl-4,5,6,7-tetrahydroisoxazolo[5,4-c]pyridine-3-ol,
- methyl 3-hydroxy-4,5,6,7-tetrahydroisoxazolo[5,4-c]pyridine-6--carboxylate,
- ethyl 3-hydroxy-4,5,6,7-tetrahydroisoxazolo[5,4-c]pyridine-6--carboxylate,
- tert.butyl 3-hydroxy-4,5,6,7-tetrahydroisoxazolo[5,4-c]pyridine--6-carboxylate,
- phenyl 3-hydroxy-4,5,6,7-tetrahydroisoxazolo[5,4-c]pyridine-6--carboxylate,
- 4-chlorophenyl 3-hydroxy-4,5,6,7-tetrahydroisoxazolo[5,4-c]pyridine-6-carboxylate,
- 4-methoxyphenyl 3-hydroxy-4,5,6,7-tetrahydroisoxazolo[5,4-c]pyridine-6-carboxylate,
- benzyl 3-hydroxy-4,5,6,7-tetrahydroisoxazolo[5,4-c]pyridine-6--carboxylate,
- Examples of salts of the compound of the formula Ia are acid addition salts thereof, such as pharmaceutically acceptable salts with inorganic acids, e.g. hydrochloric, hydrobromic, nitric, sulfuric, phosphoric acids and the like, or with organic acids, such as organic carboxylic acids, e.g. acetic, propionic, glycolic, malonic, succinic, maleic, fumaric, malic, tartaric, citric, glucuronic, benzoic, pamoic acid and the like, or organic sulfonic acids, e.g. methane sulfonic, ethane sulfonic, benzene sulfonic, toluene sulfonic acid and the like, which salts may be prepared by procedures known per se, e.g. by adding the acid in question to the base, preferably in a solvent. Compounds of formula I may form pharmaceutically acceptable salts with bases, such as metal salts, e.g. sodium, potassium, calcium or aluminium salts, and ammonium and substituted ammonium salts, e.g. salts of amines such as triethylamine, triethanolamine, ethylpiperidine, procaine, dibenzylamine and the like.
- In order to study the interactions of the compound Ia with the central GABA receptors in vitro, the compound Ia was tested in affinity binding experiments. The affinity binding (sodium-independent binding) of GABA to membranes isolated from rat brains was studied as described by Enna, S.J. and Snyder, S.H., Brain Res., 1975, 100, 81 - 97. IC50 values, inhibitor concentrations causing 50% inhibition of GABA binding were determined.
- *) In earlier studies 2.6 - 0.6/uM was found. The value stated (0.13 - 0.005/uM)is based on studies of 5 different concentrations of Ia, each determined in triplicate, and the stated IC50 value is calculated by log-probit analysis. The difference between the two IC50 values determined for Ia is the result of the development of an improved technique for the preparation of rat brain membranes.
- In order to study the interactions of the compound Ia with the central GABA receptors in vivo, the compound Ia was tested in microelectrophoretic experiments. Experiments were performed on lumbar dorsal horn interneurones and Renshaw cells of cats anaesthetized with pentobarbitone sodium. The approximate potency of the depressant actions of the compound was assessed relative to that of GABA on the basis of electrophoretic currents required to produce equal and submaximal inhibitions of the firin of the central neurones. The inhibitory action of Ia on central neurones was antagonized by the specific GABA antagonist bicu- culline methochloride (BMC).
- The compound Ia did not interact with the GABA uptake system at concentrations of 5 x 104 M, and it did not interact with the GABA metabolizing enzymes GABA:2-oxo-glutarate aminotransferase and L-glutamate 1-carboxylase at concentrations of 10-3 M.
- Based on the above-mentioned experiments, the compound Ia is a specific and very potent GABA agonist.
- Compound Ia has been compared with muscimol, the most potent GABA agonist so far known, in a series of pharmacological experiments:
-
- Thus, compound Ia is considerably less toxic than muscimol.
- Injections into Substantia Nigra in Rats.
- a) Bilateral injections. 0.1, 0.5, and 1.0µg of Ia,HBr have been injected. The rats showed a pronounced stereo- typic behaviour.
- Ia was shown to be weaker than muscimol.
- b) Unilateral injections. 0.1 and 0.5µg of Ia,Hbr have been injected. The rats showed a strong and prolonged contralateral turning.
- Ia was found to be weaker than muscimol.
- a) Potentiation of methylphenidate-induced gnawing (Scheel-Krüger et al.: Muscimol differentially facilitates stereotypy but antagonizes motility induced by dopaminergic drugs. A complex GABA--DOPAMINE interaction. Life Sciences, 1978, Vol. 22, 75 - 84).
-
- b) Antagonism of morphine-induced motility (Christensen et al.: Muscimol antagonizes morphine hypermotility without potentiation of analgesia. European J. Pharmacol., 1978, 48, 459 - 462).
-
- c) Antagonism of isoniazide-induced convulsions (Modification (mice; two times lower concentration of isoniazide) of Mao et al.: Evidence for an involvement of GABA in the mediation of cerebellar c-GMP decrease and the anticonvulsant action of diazepam. Naunyn-Smiedeberg's Arch. Pharmacol. 1975, 289, 369 - 378).
-
- Conditions and procedure for isoniazide antagonism test:
- Mice, male, 20 - 25 g.
- Isoniazide 300 mg/kg s.c.
- Macrolon cages type II.
- The test compound is injected i.p. in the doses 0, 1/2, 1/8 and 1/32 of the determined "i.v. LD50". In case of insoluble substances, the doses 0, 1/4, 1/16 and 1/64 of the determined "i.p. LD50" are used. Five mice are used for each dose level. Immediately after administration of test substance, isoniazide 300 mg/kg is injected s.c. This dose of isoniazide induces intermittent tonic clonic seizures within 60 minutes.
- The calculations are performed as an "on line procedure" on the EDP-terminal. The results are recorded as % increase in time until convulsions occur and in addition the least dose (MED) which shows significant effect (minimal effective dose, calculated by means of van der Waerden-test).
- Based on these experiments, compound Ia has been shown to be a potent GABA agonist. Compound Ia is weaker than muscimol but considerably less toxic.
- The compounds of formula I may be prepared by
- a) subjecting a compound of the general formula V
in which Z is hydrogen or an amino-protecting group readily removable, e.g. by hydrolysis, suitably a group R" as defined above or a trityl or formyl group, and W is hydrogen or a group readily removable, e.g. by hydrolysis, to yield the free hydroxy group, such as a lower alkyl group, aralkyl, tetrahydropyranyl, acetyl, arylsulfonyl, or lower alkoxycarbonyl, with the proviso that at least one of Z and W in formula V is different from hydrogen; to removal of any group W different from hydrogen and any group Z different from R" and, if desired, removal of any group Z which falls under the definition of R"; if desired, converting the compound of formula Ia, if obtained as a salt thereof, into the zwitterion form thereof by treatment with a base or into another salt, and, if desired, converting the compound Ia, when obtained, into a compound I in which R" is different from hydrogen, by treatment with a reactive derivative of acetic acid or with an ester of the general formula wherein X' is a leaving group, and R5 is as defined above, or - b) for the preparation of a compound of the general formula I in which R" is different from hydrogen, subjecting a compound of the general formula IX"
in which R" is as defined above, except hydrogen, to hydrolysis and cyclization, and -
- Compound IVa in reaction scheme I is a key intermediate in the above synthesis and in other syntheses of the compounds of the present invention. Similar key intermediates may contain other hydrolysable N-protecting groups and other lower alkyl groups, and hence, in its broad concept, this novel key intermediate of the present invention has the general formula IV
in which Alk is a lower alkyl group and Z is hydrogen or an amino--protecting group readily removable, e.g. by hydrolysis, suitably a group R" (as defined above) or a trityl or formyl group. Hence, specific examples of Z are the following: hydrogen, methoxycarbonyl, ethoxycarbonyl, propyloxycarbonyl, tert.butyloxycarbonyl, benzyloxycarbonyl, p-chlorobenzyloxycarbonyl, trityl, formyl, acetyl. Other novel intermediates according to the present invention are the compounds of the formulae VIIIa and IXa in reaction scheme I, and also the generic classes which they represent, which is, compounds of the general formula VIII' in which Z is as defined above, T is a group convertible, by hydrolysis, into an oxy group, e.g.,
an acetal group such as ethylene dioxy, and Q is a leaving group which, on reaction with hydroxylamine, forms a hydroxamic acid group, examples of Q being halogen, especially chlorine and bromine, hydroxy, the residue of an acid, the residue of an activated amide, the residue of an activated ester, lower alkoxy, and the like, and compounds of the general formula IX' in which Z and T are as defined above, and also, at the stage of compound Va (which is both a compound of the general formula I and an intermediate for the preparation of compounds of the general formula I), an intermediate may be used which in generalized form has the formula V above. - An interesting aspect of the present invention is the compound Ia as intermediate in the preparation of compounds of formula I in which R" is different from hydrogen.
- The present invention also relates to the total sequence of synthesis stages IV → VIII' → IX' → V → I and to the final stages thereof, i.e., VIII'→ IX' → V → I and IX' → V → I.
- The conversion of ethyl l-benzyl-3-oxy-piperidine-4-carboxylate into the intermediate IV as exemplified by IVa, is usually performed in lower alkanols, e.g. ethanol or ethanol/water. The removal of the N-benzyl group may be effected with gaseous hydrogen in the presence of a hydrogenation catalyst, e.g. platinum, palladium or Raney nickel. The alkyl 3-oxy-piperidine-4-carboxylate formed is dissolved, e.g. in water, and treated with an acid acceptor, e.g. alkali carbonate, and an ester of chloroformic acid, e.g. methyl chloroformate. The temperature is kept near 0°C during the reaction. The compound IV is isolated by extraction into an organic solvent followed by evaporation of the solvent.
- The formation of the compound of formula VIII' as exemplified by the ethylene acetal VIIIa is usually performed in a solvent, e.g. benzene, which forms an azeotropic mixture with water. The reaction is preferably carried out at reflux temperature and with a strong acid, e.g. a sulfonic acid as catalyst.
- The hydroxamic acid IX' as exemplified by IXa is synthesized by reacting VIIIa with hydroxylamine, preferably in water or a lower alcohol, e.g. methanol and usually at a temperature between -20°C and room temperature, preferably at 0 - 10°C. The compound may be isolated and purified by a manner known per se, e.g. column chromatography. When Q in formula VIII' is a halogen or the residue of an acid, the reaction is effected in the presence of a base. Alternatively, the piperidine carboxylic acid itself (VIII', Q=OH) may be reacted with hydroxylamine in the presence of a condensing agent, e.g. dicyclohexyl carbodiimide or carbonyldiimidazole. As solvent, an inert solvent, e.g. methylene chloride or chloroform can be used.
- The hydrolysis of the acetal group of IXa or, quite generally, the conversion of T in compounds of formula IX' into an oxo group, followed by cyclization to a compound of formula V as exemplified by Va may be effected by an aqueous solution of a strong acid optionally also containing acetic acid, e.g. concentrated hydrochloric acid or 70% perchloric acid at a temperature between 0°C and 100°C, preferably at 50 - 80°C. The compound V may be isolated by extraction with an organic solvent or by evaporation of the water. The compound can be purified by column chromatography or by crystallization.
- Removal of the protecting group Z and/or W in compound V may be effected with a strong inorganic acid, e.g. hydrochloric or hydrobromic acid, in a solvent, e.g. glacial acetic acid or water, or a mixture of water and glacial acetic acid. The temperature may be kept between room temperature and the boiling point of the solvent. The reaction time is usually short, e.g. less than 1 hour. The Ia salt may be isolated by evaporation of the solvent. The Ia salt may be transformed into Ia by treatment with a base, e.g. a tertiary amine, in a solvent, usually a mixture of water and a lower alkanol.
- Compound Ia may be transformed into another salt as described above.
-
- The reaction of a compound of the general formula IV as exemplified by IVa with hydroxylamine may give a mixture of a compound of the general formula V and the corresponding isomeric compound V as exemplified by Va and VIa. The reaction may be effected at a temperature between -30°C and 50°C, preferably between -30 and -lOoC. The solvent is usually water or a lower alkanol or mixtures thereof.
- The process illustrated in reaction scheme II, although yielding a mixture of two isomers, is nevertheless advantageous. It is very time-saving in that it avoids the protection of the oxo group in compounds of the general formula IV and the subsequent hydroxamic acid formation. The compounds formed in the reaction of IV with hydroxylamine, as exemplified by Va and VIa, are easily separated by manners known per se, e.g. by column chromatography.
- When it is desired to prepare compounds of the general formula I in which R" is different from hydrogen, one may either omit the removal of the group Z if the group Z has the same identity as the desired group R", or one may introduce such group R" into the compound of the general formula Ia.
- The introduction of the group R" may be performed by manners known per se. Thus, for example, when R" is a group of the above formula VII, the introduction may be performed by treatment of compound Ia with the appropriate. formic acid ester of the general formula X'--OR5 wherein X' is a leaving group, especially halogen, azido, etc., in the presence of an acid acceptor, for example an alkali carbonate. For example, the BOC-derivative can be made by means of tert.butyl azidoformate. When R" is acetyl, a reactive derivative of acetic acid, e.g. acetyl chloride or acetanhydride may be used for the introduction of the group R".
- The compounds of the formula I, and salts thereof may be formulated for administration in any convenient way by analogy with other pharmaceuticals.
- Thus, the composition comprising the compounds of the invention may be in the form of pharmaceutical preparations, e.g. in solid, semisolid or liquid form, which contain the active compound of the invention in admixture with a pharmaceutical organic or inorganic carrier or excipient suitable for enteral or parenteral application. The active ingredient may, e.g., be formulated with the usual carriers for tablets, pellets, capsules, suppositories, solutions, emulsions, aqueous suspensions and other suitable administration forms. Examples of carriers are glucose, lactose, gum acacia, gelatin, mannitol, starch paste, magnesium trisilicate, talc, corn starch, keratin, colloidal silica, potato starch, urea, and other carriers suitable for use in manufacturing compositions in solid, semisolid, or liquid form, and in addition auxiliary, stabilizing, thickening, colouring, flavouring, and preservative agents can be contained in the composition of this invention.
- The active compound is included in the compositions of the invention in an amount sufficient to produce the desired therapeutical effect upon administration. The dosage or therapeutically effective quantity of the compound varies and also depends upon the age and condition of each individual patient being treated.
- A preferred tablet or capsule formulation for oral administration contains 0.1 - 200 mg, preferably 1 - 100, especially 5 - 50, mg of a compound of the formula I or a salt thereof per unit dosage which may be administeret 1 - 4 times per day or as a sustained release composition.
- Injection preparations preferably contain 0.1 - 200 mg, preferably 1 - 100, especially 5 - 50, mg of a compound of the formula I or a salt thereof per unit dosage. A preferred injected dose is about 0.5 to 2 ml.
- The invention also relates to the use of the compounds of the general formula I and salts thereof in medicaments for treating GABA system malfunction-related diseases, and a process of treating GABA system malfunction-related diseases in human beings by administering, to the human being, an effective dose of a compound of the general formula I, or a salt thereof.
- In the above-mentioned compositions and the above-mentioned uses, it may be suitable or preferred to combine the compounds of the general formula I or a salt thereof with minor tranquillizers such as benzodiazepines or neuroleptics, for example butyrophenones such as haloperidol, phenothiazines such as chloropromazine, thioxanthene, and the like. In such combinations, compositions and combined usages, the neuroleptics are suitably administered in their effective amounts or, in a preferred embodiment in lower amounts than the amounts in which they would be effective when used alone.
- The invention is further illustrated by the below working examples. All compounds prepared according to the working examples have been subjected to elemental analysis for C, H, N and halogen, when present, and all agreed within ± 0.3% with the calculated values.
- A solution of ethyl l-benzyl-3-oxopiperidine-4-carboxylate (Iselin, B.M. and Hoffmann, K., Helv.Chim. Acta, 1954, 37, 178) (14.0 g; 47 mmol) in aqueous ethanol (300 ml; 50%) was hydrogenated (ca. 300 kPa) in a PARR hydrogenation apparatus by using a 10% Pd-C catalyst (1.4 g). The reaction mixture was filtered and evaporated to dryness in vacuo. To an ice cooled solution of the residue in water (50 ml) was added with stirring an iced solution of potassium carbonate (19.4 g; 140 mmol) in water (20 ml) followed by addition of methyl chloroformate (11.3 g; 120 mmol). Stirring was continued at 0°C for 30 minutes and at 25°C for 30 minutes. The mixture was extracted with three 100 ml portions of ether. The combined and dried (Na2SO4) ether phases were evaporated in vacuo to give 10.0 g of crude product. Ball--tube distillation at 40--130 Pa (oven temperature 170°C) gave IVa (9.0 g; 84%) as a colourless oil, which slowly crystallized, m.p. 36--38°C. IR (film): 2980--2850 (several bands, m-s), 1700 (s), 1655 (s), 1620 (m) cm-1. 1H NMR (CCl4): δ 12.3 (1 H, s), 4.13 (q, J 7 Hz) and 4.0--3.9 (m) (a total of 4 H), 3,62 (3 H, s), 3,43 (2 H, t, J 6 Hz), 2.4--2.1 (2 H, m), 1.30 (3 H, t, J 7 Hz).
- A mixture of ethyl 1-methoxycarbonyl-3-oxopiperidine-4-carboxylate (9.0 g; 39 mmol), ethylene glycol (100 ml), 4-toluenesulfonic acid (0.7 g), and benzene (500 ml) was refluxed for 6 days using a Dean-Stark water separator. The mixture was washed with aqueous sodium carbonate (300 ml; 1 M), water (300 ml), and saturated aqueous sodium chloride (300 ml). The organic phase was dried (K2CO3) and evaporated in vacuo to give 8.6 g of an oil. CC [silica gel (Woelm 0.063--0.1 mm): 350 g; eluents: methylene chloride to which ethyl acetate (20--35%) was added] followed by ball-tube distillation at 40 Pa (oven temperature 170°C) gave VIIIa (7.0 g; 65%) as a colourless oil. IR (film): 2970 (s), 2900 (s), 1730 (s) cm-1. 1H NMR (CCl4): δ 4.05 (q, J 7 Hz) and 3.92 (s) (a total of 6 H), 3.60 (s) and 3.7--3.0 (m) (a total of 7 H), 2.8--2.5 (1 H, t), 2.2--l.6 (2 H, m), 1.23 (3 H, t, J 7 Hz).
- To a stirred and iced solution of potassium hydroxide (7.3 g; 130 mmol) in methanol (30 ml) was added hydroxylammonium chloride (6.9 g; 100 mmol). After stirring at 0°C for further 30 minutes a solution of ethyl l-methoxycarbonyl-3-oxopiperidine-4-carboxylate ethylene acetal (6.8 g; 25 mmol) in methanol (20 ml) was added, and the mixture was left at 8°C for 8 days. Upon addition of glacial acetic acid (15 ml) and filtration the filtrate was evaporated in vacuo to give a treacly mass. CC [silica gel (Woelm 0.063--0.1 mm): 250 g; eluents: ethyl acetate to which methanol (15--26%) and formic acid (1%) was added] afforded IXa (1.9 g; 29%) as a crystalline and TLC-pure substance [RF: 0.23; eluent: ethyl acetate-methanol-formic acid (90:9:1)]. An analytical sample was recrystallized (ethanol-benzene) to give IXa as colourless crystals, m.p. 150.0--152.0°C. IR (KBr): 3700--3350 (m), 3280 (m), 3210 (s), 3055 (w), 3000--2870 (several bands, w-m), 1690 (s), 1640 (s), 1550 (w) cm-1. 1H NMR [CDCl3-DMSO-d6 (1:1): δ 10.5--10.1 (1 H, m), 4.9--4.3 (1 H, m), 3.93 (s), 3.60 (s), and 4.1--3.1 (m) (a total of 11 H), 2.8--2.6 (1 H, m), 2.2--l.8 (2 H, m).
- A solution of l-methoxycarbonyl-3-oxopiperidine-4-carbohydroxamic acid ethylene acetal (750 mg; 2.9 mmol) in concentrated hydrochloric acid (13 ml) was heated to 70°C for 10 minutes. The mixture was evaporated in vacuo to give a black oil. CC [silica gel (Woelm 0.063--0.1 mm): 60 g; eluents: benzene to which ethyl acetate (40--70%) and formic acid (1%) was added] gave crystalline and TLC-pure Va (244 mg; 43%) [RF: 0.27; eluent: benzene-ethyl acetate-formic acid (50:50:1)]. An analytical sample was recrystallized (benzene--cyclohexane) to give pure Va as colourless crystals, m.p. 136.0--138.0°C. IR (KBr): 3700--3300 (m), 3300--2500 (several bands, w-m), 1655 (s), 1525 (m), 1490 (s) cm-1.
- UV [methanol (log ε)]: 212 (3.64) nm. 1H NMR (CDC13): δ 10.6 (1 H, s), 4.43 (2 H, s), 3.70 (s) and 3.8--3.5 (t) (a total of 5 H), 2.6--2.3 (2 H, t).
- A solution of methyl 3-hydroxy-4,5,6,7-tetrahydroisoxazolo[5,4-c]-pyridine-6-carboxylate (309 mg; 1.6 mmol) in a solution of hydrogen bromide in glacial acetic acid (3 ml; 43%) was refluxed for 15 minutes. Upon evaporation to dryness in vacuo the residue was treated with the same reagent (3 ml) for further 15 minutes. Evaporation of the reaction mixture to dryness in vacuo and recrystallization (methanol-ether) of the residue gave Ia (salt) (193 mg; 56%) as faintly reddish crystals, m.p. 162--163°C (decomp.). IR (KBr): 3700--3300 (m), 3070 (s), 3000-2300 (several bands, m-s), 1670 (m), 1580 (m), 1525 (s), 1505 (w) cm-1. UV (methanol): <210 nm. 1H NMR [D2O (sodium 3-(trimethylsilyl)-propanesulfonate was used as an internal standard)]: δ4.77 (ca. 5 H, s), 4.43 (2 H, t, J 1 Hz), 3.7--3.4 (2 H, q, J 6 and 7 Hz), 3.0--2.7 (2 H, t).
- To a solution of 3-hydroxy-4,5,6,7-tetrahydroisoxazolo[5,4-c]pyridinium bromide (77 mg; 0.35 mmol) in water (0.6 ml) was added a solution of triethylamine (39 mg; 0.39 mmol) in ethanol (0.6 ml). The mixture was left at 25°C for 2 hours. Ia (42 mg; 86%) was isolated as colourless crystals, m.p. 242--244°C (decomp.). IR (KBr): 3700--2900 (s), 2900--1900 (several bands, m-s), 1670 (s), 1625 (m) cm-1. UV [methanol (log ε)]: 212 (3.64) nm. pKA values (H20, 25°C): 4.44 ± 0.03, 8.48 ± 0.04.
- To an iced solution of sodium hydroxide (9.6 g; 0.24 mol) and hydroxylammonium chloride (8.34 g:, 0.12 mol) in water (100 ml) was added with stirring ethyl l-methoxycarbonyl-3-oxopiperidine--4-carboxylate (22.9 g; 0,1 mol). Upon standing at 5°C for 5 hours the solution was evaporated to dryness in vacuo. The residue was dissolved in concentrated hydrochlorid acid (75 ml) and heated to 70°C for 10 minutes. The mixture was evaporated in vacuo to the formation of a black residue, which was extracted with three 100 ml portions of chloroform. The combined chloroform phases were dried (Na2SO4) and evaporated in vacuo to the formation of a black semisolid residue. TLC ((silica gel F254)' eluent: benzene-ethyl acetate-formic acid (25:25:1)) showed the presence of two compounds with R- values 0.31 and 0.16 corresponding to Va and VIa, respectively. Column chromatography (silica gel: 300 g; eluent: benzene-ethyl acetate-formic acid (30:20:1)) lead to Va and VIa.
- A solution of the hydroxamic acid (IXa) (10 g) in perchloric acid (70%; 35 ml) was heated to 60°C for 30 minutes. Upon cooling, NaOH (40 ml; 28%) was added with stirring and cooling. The mixture was extracted with three 50 ml portions of chloroform. The combined and dried (MgSO4) chloroform phases were filtered and evaporated to dryness in vacuo to form a residue which was dissolved in ethyl acetate (50 ml). Upon standing and cooling, Va was isolated as crystals (6.3 g; 82%). Isolation and washing twice with 30 ml portions of ethyl acetate yielded crystalline Va, m.p. 139 - 141°C.
- Instead of heating to 60°C for 30 minutes, the same result may be achieved on standing at ambient temperature for 16 hours.
- 4,5,6,7-Tetrahydroisoxazolo[5,4-c]pyridine-3-ol zwitterion (Ia).
- A solution of methyl 3-hydroxy-4,5,6,7-tetrahydroisoxazolo[5,4-c]-pyridine-6-carboxylate (Va) (37 g) in hydrogen bromide in glacial acetic acid (33% HBr, 250 ml) was left for 16 hours at ambient temperature. Evaporation to dryness in vacuo gave the HBr salt of Ia as a yellowish crystalline material, which was dissolved in a mixture of water (100 ml) and ethanol (200 ml). Triethylamine was added until pH 6.5, which caused Ia zwitterion to crystallize. Upon standing for 3 hours at 5°C and filtration, the precipitate was washed on the filter with a mixture of water (25 ml) and ethanol (50 ml) to give the zwitterion (26 g; 95%) as a white crystalline material, m.p. 242 - 2440C (decomp.).
and salts thereof with bases.
if desired, converting a resulting compound in which R" is different from hydrogen, into a salt thereof.
Claims (9)
characterized in that it is 4,5,6,7-tetrahydroisoxazolo[5,4-c]-pyridine-3-ol, or a salt thereof.
group may be substituted in the 4-position with halogen, lower alkoxy, or lower alkyl; and salts thereof,
characterized by
to removal of any group W different from hydrogen and any group Z different from R" and, if desired, removal of any group Z which falls under the definition of R"; if desired, converting the compound of formula Ia, if obtained as a salt thereof, into the zwitterion form thereof by treatment with a base or into another salt, and, if desired, converting the compound Ia, when obtained, into a compound I in which R" is different from hydrogen, by treatment with a reactive derivative of acetic acid or with an ester of the general formula
if desired, converting a resulting compound in which R" is different from hydrogen into a salt thereof.
Applications Claiming Priority (2)
| Application Number | Priority Date | Filing Date | Title |
|---|---|---|---|
| GB2574077 | 1977-06-20 | ||
| GB2574077 | 1977-06-20 |
Related Child Applications (2)
| Application Number | Title | Priority Date | Filing Date |
|---|---|---|---|
| EP80106497.3 Division-Into | 1980-10-23 | ||
| EP80106498.1 Division-Into | 1980-10-23 |
Publications (3)
| Publication Number | Publication Date |
|---|---|
| EP0000338A2 true EP0000338A2 (en) | 1979-01-24 |
| EP0000338A3 EP0000338A3 (en) | 1979-06-27 |
| EP0000338B1 EP0000338B1 (en) | 1981-11-25 |
Family
ID=10232513
Family Applications (4)
| Application Number | Title | Priority Date | Filing Date |
|---|---|---|---|
| EP78100191A Expired EP0000338B1 (en) | 1977-06-20 | 1978-06-19 | Isoxazolo(5,4-c)pyridine derivatives, their preparation and pharmaceutical compositions containing them |
| EP80106498A Withdrawn EP0028017A1 (en) | 1977-06-20 | 1978-06-19 | 3-Piperidinone-4-carboxylic acid derivatives |
| EP80106497A Withdrawn EP0027279A1 (en) | 1977-06-20 | 1978-06-19 | Isoxazolo(5,4-C)pyridines |
| EP78100190A Withdrawn EP0000167A1 (en) | 1977-06-20 | 1978-06-19 | 1,2,3,6-Tetrahydroisonicotinic acid and derivatives thereof, methods and starting products for their preparation, and pharmaceutical compositions containing them. |
Family Applications After (3)
| Application Number | Title | Priority Date | Filing Date |
|---|---|---|---|
| EP80106498A Withdrawn EP0028017A1 (en) | 1977-06-20 | 1978-06-19 | 3-Piperidinone-4-carboxylic acid derivatives |
| EP80106497A Withdrawn EP0027279A1 (en) | 1977-06-20 | 1978-06-19 | Isoxazolo(5,4-C)pyridines |
| EP78100190A Withdrawn EP0000167A1 (en) | 1977-06-20 | 1978-06-19 | 1,2,3,6-Tetrahydroisonicotinic acid and derivatives thereof, methods and starting products for their preparation, and pharmaceutical compositions containing them. |
Country Status (14)
| Country | Link |
|---|---|
| US (2) | US4278676A (en) |
| EP (4) | EP0000338B1 (en) |
| JP (2) | JPS5436275A (en) |
| AT (1) | AT368505B (en) |
| AU (2) | AU3724478A (en) |
| CA (1) | CA1107736A (en) |
| DK (2) | DK270278A (en) |
| ES (2) | ES470913A1 (en) |
| FI (2) | FI64376C (en) |
| IE (1) | IE47200B1 (en) |
| IT (2) | IT1159739B (en) |
| NO (3) | NO152049C (en) |
| NZ (1) | NZ187615A (en) |
| ZA (2) | ZA783493B (en) |
Cited By (18)
| Publication number | Priority date | Publication date | Assignee | Title |
|---|---|---|---|---|
| FR2494692A1 (en) * | 1980-11-27 | 1982-05-28 | Kefalas As | NEW 4,5,6,7-TETRAHYDROISOXAZOLO (5,4-C) 3-SUBSTITUTED PYRIDINES, PROCESS FOR THEIR PREPARATION AND PHARMACEUTICAL COMPOSITIONS CONTAINING THEM |
| FR2494691A1 (en) * | 1980-11-27 | 1982-05-28 | Kefalas As | NEWS 2-ACYL 4,5,6,7-TETRAHYDROISOXAZOLO (5,4-C) PYRIDINONES-3 USEFUL AS MEDICINAL PRODUCTS, PROCESS FOR THEIR PREPARATION AND PHARMACEUTICAL COMPOSITIONS CONTAINING THEM |
| EP0126654A1 (en) * | 1983-05-24 | 1984-11-28 | H. Lundbeck A/S | Tetrahydroisoxazolo(4,5-c)pyridine derivatives and preparation thereof |
| EP0350051A1 (en) * | 1988-07-06 | 1990-01-10 | Bristol-Myers Squibb Company | Thaz derivatives for enhancemet of cerebral function |
| WO2005023820A1 (en) * | 2003-09-05 | 2005-03-17 | H. Lundbeck A/S | Method for the manufacture of thip |
| WO2005073237A3 (en) * | 2004-01-30 | 2005-10-20 | Merck Sharp & Dohme | Polymorphic forms of a gabaa agonist |
| WO2006118897A1 (en) * | 2005-04-29 | 2006-11-09 | H.Lundbeck A/S | Acid and base salt forms of gaboxadol |
| EP1848420A4 (en) * | 2005-01-28 | 2008-01-23 | Merck & Co Inc | POLYMORPHIC FORMS OF A GABAA AGONIST |
| EP2145620A2 (en) | 2003-06-25 | 2010-01-20 | H. Lundbeck A/S | Gaboxadol for treating depression and other affective disorders |
| US9339495B2 (en) | 2014-06-06 | 2016-05-17 | Ovid Therapeutics Inc | Methods of increasing tonic inhibition and treating secondary insomnia |
| WO2016150953A1 (en) | 2015-03-24 | 2016-09-29 | H. Lundbeck A/S | Manufacture of 4,5,6,7-tetrahydroisozaxolo[5,4-c]pyridin-3-ol |
| WO2017015049A1 (en) | 2015-07-17 | 2017-01-26 | Ovid Therapeutics Inc. | Methods of treating developmental disorders with gaboxadol |
| US9682069B2 (en) | 2015-07-17 | 2017-06-20 | Ovid Therapeutics Inc | Methods of treating Dravet syndrome |
| WO2018144827A1 (en) | 2017-02-03 | 2018-08-09 | Ovid Therapeutics Inc. | Use of gaboxadol in the treatment of tinnitus |
| US10363246B1 (en) | 2016-08-11 | 2019-07-30 | Ovid Therapeutics Inc. | Methods and compositions for treatment of epileptic disorders |
| US10765666B2 (en) | 2018-09-20 | 2020-09-08 | Ovid Therapeutics Inc | Use of gaboxadol for the treatment of Tourette syndrome, tics and stuttering |
| US10813918B2 (en) | 2017-08-04 | 2020-10-27 | Ovid Therapeutics Inc. | Use of Gaboxadol in the treatment of diabetes and related conditions |
| US11690829B2 (en) | 2018-12-17 | 2023-07-04 | Ovid Therapeutics Inc. | Use of gaboxadol for the treatment of non-24 hour sleep-wake disorder |
Families Citing this family (28)
| Publication number | Priority date | Publication date | Assignee | Title |
|---|---|---|---|---|
| EP0083378A1 (en) * | 1981-12-22 | 1983-07-13 | Chugai Seiyaku Kabushiki Kaisha | Tetrahydronicotinamide derivatives, a process for producing the same and a pharmaceutical composition comprising the same |
| IT1228426B (en) * | 1987-07-20 | 1991-06-17 | Ausimont Spa | HETEROCYCLIC PEROXIDE |
| CN1043051C (en) * | 1994-07-22 | 1999-04-21 | 国际壳牌研究有限公司 | Process for producing a hydrowax |
| US20050234093A1 (en) * | 2003-06-25 | 2005-10-20 | H. Lundbeck A/S | Treatment of depression and other affective disorders |
| DK1691811T3 (en) | 2003-12-11 | 2014-10-20 | Sunovion Pharmaceuticals Inc | COMBINATION OF A SEDATIVE AND NEUROTRANSMITTER MODULATOR AND METHODS FOR IMPROVING SLEEP QUALITY AND TREATMENT OF DEPRESSION |
| US20050137222A1 (en) * | 2003-12-18 | 2005-06-23 | H. Lundbeck A/S | Treatment of insomnia in human patients |
| WO2005063248A1 (en) * | 2003-12-22 | 2005-07-14 | Sepracor Inc. | Modafinil combination therapy for improving sleep quality |
| WO2005063297A2 (en) * | 2003-12-24 | 2005-07-14 | Sepracor Inc. | Melatonin combination therapy for improving sleep quality |
| WO2005079851A2 (en) * | 2004-02-18 | 2005-09-01 | Sepracor, Inc. | Dopamine-agonist combination therapy with sedatives for improving sleep quality |
| GB0417558D0 (en) * | 2004-08-06 | 2004-09-08 | Merck Sharp & Dohme | Novel combination therapy |
| EP2258359A3 (en) | 2005-08-26 | 2011-04-06 | Braincells, Inc. | Neurogenesis by muscarinic receptor modulation with sabcomelin |
| CA2620333A1 (en) | 2005-08-26 | 2007-03-01 | Braincells, Inc. | Neurogenesis by muscarinic receptor modulation |
| AU2006304787A1 (en) | 2005-10-21 | 2007-04-26 | Braincells, Inc. | Modulation of neurogenesis by PDE inhibition |
| EP2314289A1 (en) | 2005-10-31 | 2011-04-27 | Braincells, Inc. | Gaba receptor mediated modulation of neurogenesis |
| US20070203216A1 (en) * | 2006-02-14 | 2007-08-30 | Bjarke Ebert | Method of treating inflammatory diseases |
| US20100216734A1 (en) | 2006-03-08 | 2010-08-26 | Braincells, Inc. | Modulation of neurogenesis by nootropic agents |
| EP2021000A2 (en) | 2006-05-09 | 2009-02-11 | Braincells, Inc. | Neurogenesis by modulating angiotensin |
| JP2009536667A (en) | 2006-05-09 | 2009-10-15 | ブレインセルス,インコーポレイティド | 5HT receptor-mediated neurogenesis |
| MX2009002496A (en) | 2006-09-08 | 2009-07-10 | Braincells Inc | Combinations containing a 4-acylaminopyridine derivative. |
| US20100193652A1 (en) * | 2009-02-02 | 2010-08-05 | William Stajos | Wall Display System And Method Of Providing The Same |
| US20100216805A1 (en) | 2009-02-25 | 2010-08-26 | Braincells, Inc. | Modulation of neurogenesis using d-cycloserine combinations |
| US8784835B2 (en) * | 2012-07-02 | 2014-07-22 | Trent Austin | Method for producing muscimol and/or reducing ibotenic acid from amanita tissue |
| CN104974175A (en) * | 2014-04-11 | 2015-10-14 | 天津药物研究院 | Preparation method of aminomethyl hydroxyisooxazole analogue |
| US9399034B1 (en) | 2015-08-11 | 2016-07-26 | Ovid Therapeutics Inc | Methods of sedation during critical care treatment |
| US20180338959A1 (en) | 2017-05-24 | 2018-11-29 | Ovid Therapeutics Inc. | Treatment of depressive disorders |
| AU2019384157A1 (en) | 2018-11-21 | 2021-06-17 | Certego Therapeutics Inc. | Gaboxadol for reducing risk of suicide and rapid relief of depression |
| WO2021236876A2 (en) | 2020-05-20 | 2021-11-25 | Certego Therapeutics Inc. | Ring deuterated gaboxadol and its use for the treatment of psychiatric disorders |
| CN114292224B (en) * | 2022-03-07 | 2022-05-20 | 中国农业科学院农产品加工研究所 | A kind of cannabidiol-2-(N-acetyl) pipecolate and application thereof |
Family Cites Families (5)
| Publication number | Priority date | Publication date | Assignee | Title |
|---|---|---|---|---|
| US2784190A (en) * | 1952-03-28 | 1957-03-05 | Upjohn Co | Alkyl piperidinepropionates |
| CA762455A (en) * | 1962-03-22 | 1967-07-04 | Dr. Karl Thomae Gesellschaft Mit Beschrankter Haftung | Pyrido-pyrimidines |
| US3381016A (en) * | 1966-03-04 | 1968-04-30 | Upjohn Co | Isoxazolo[5, 4-b]pyridine derivatives and a method for their preparation |
| DE2221770A1 (en) * | 1972-05-04 | 1973-11-15 | Bayer Ag | 1,2,5,6-tetrahydropyridines - prepd from corresp 1-benzyl tetrahydropyridines and phosgene |
| DK62791A (en) * | 1991-04-09 | 1992-11-09 | Tulip Int As | PROCEDURE FOR SALTING MEAT AND PLANT FOR USE IN EXERCISE OF THE PROCEDURE |
-
1978
- 1978-06-15 DK DK270278A patent/DK270278A/en unknown
- 1978-06-15 DK DK270378A patent/DK270378A/en unknown
- 1978-06-19 NZ NZ187615A patent/NZ187615A/en unknown
- 1978-06-19 US US05/917,118 patent/US4278676A/en not_active Expired - Lifetime
- 1978-06-19 EP EP78100191A patent/EP0000338B1/en not_active Expired
- 1978-06-19 ES ES470913A patent/ES470913A1/en not_active Expired
- 1978-06-19 EP EP80106498A patent/EP0028017A1/en not_active Withdrawn
- 1978-06-19 NO NO782127A patent/NO152049C/en unknown
- 1978-06-19 NO NO782128A patent/NO782128L/en unknown
- 1978-06-19 EP EP80106497A patent/EP0027279A1/en not_active Withdrawn
- 1978-06-19 ES ES470912A patent/ES470912A1/en not_active Expired
- 1978-06-19 FI FI781954A patent/FI64376C/en not_active IP Right Cessation
- 1978-06-19 AU AU37244/78A patent/AU3724478A/en active Pending
- 1978-06-19 ZA ZA00783493A patent/ZA783493B/en unknown
- 1978-06-19 EP EP78100190A patent/EP0000167A1/en not_active Withdrawn
- 1978-06-19 ZA ZA00783492A patent/ZA783492B/en unknown
- 1978-06-19 IE IE1234/78A patent/IE47200B1/en unknown
- 1978-06-19 FI FI781955A patent/FI781955A7/en not_active Application Discontinuation
- 1978-06-20 JP JP7479978A patent/JPS5436275A/en active Pending
- 1978-06-20 IT IT68450/78A patent/IT1159739B/en active
- 1978-06-20 JP JP7480078A patent/JPS5436290A/en active Pending
- 1978-06-20 AU AU37298/78A patent/AU521040B2/en not_active Expired
- 1978-06-20 IT IT7868449A patent/IT7868449A0/en unknown
- 1978-06-20 AT AT0448678A patent/AT368505B/en not_active IP Right Cessation
- 1978-06-20 CA CA305,798A patent/CA1107736A/en not_active Expired
-
1979
- 1979-09-03 NO NO792839A patent/NO792839L/en unknown
- 1979-12-17 US US06/104,080 patent/US4301287A/en not_active Expired - Lifetime
Non-Patent Citations (4)
| Title |
|---|
| ACTA CHEMICA SCANDINAVICA B28, Pages 533-38 (1974) * |
| CHEMICAL ABSTRACTS 84, 159505z (1976) * |
| CHEMICAL ABSTRACTS 88, 37672p (1978) & Acta Chemica Scandinavica B31 (7), 584-8 (1977) * |
| NATUR (London) 268 (5615) 53-5 (1977) * |
Cited By (43)
| Publication number | Priority date | Publication date | Assignee | Title |
|---|---|---|---|---|
| FR2494691A1 (en) * | 1980-11-27 | 1982-05-28 | Kefalas As | NEWS 2-ACYL 4,5,6,7-TETRAHYDROISOXAZOLO (5,4-C) PYRIDINONES-3 USEFUL AS MEDICINAL PRODUCTS, PROCESS FOR THEIR PREPARATION AND PHARMACEUTICAL COMPOSITIONS CONTAINING THEM |
| FR2494692A1 (en) * | 1980-11-27 | 1982-05-28 | Kefalas As | NEW 4,5,6,7-TETRAHYDROISOXAZOLO (5,4-C) 3-SUBSTITUTED PYRIDINES, PROCESS FOR THEIR PREPARATION AND PHARMACEUTICAL COMPOSITIONS CONTAINING THEM |
| EP0126654A1 (en) * | 1983-05-24 | 1984-11-28 | H. Lundbeck A/S | Tetrahydroisoxazolo(4,5-c)pyridine derivatives and preparation thereof |
| EP0350051A1 (en) * | 1988-07-06 | 1990-01-10 | Bristol-Myers Squibb Company | Thaz derivatives for enhancemet of cerebral function |
| EP2145620A2 (en) | 2003-06-25 | 2010-01-20 | H. Lundbeck A/S | Gaboxadol for treating depression and other affective disorders |
| US7371863B2 (en) | 2003-09-05 | 2008-05-13 | H. Lundbeck A/S | Method for manufacture of THIP |
| WO2005023820A1 (en) * | 2003-09-05 | 2005-03-17 | H. Lundbeck A/S | Method for the manufacture of thip |
| AU2004270323B2 (en) * | 2003-09-05 | 2010-01-07 | H. Lundbeck A/S | Method for the manufacture of THIP |
| WO2005073237A3 (en) * | 2004-01-30 | 2005-10-20 | Merck Sharp & Dohme | Polymorphic forms of a gabaa agonist |
| EA009413B1 (en) * | 2004-01-30 | 2007-12-28 | Мерк Шарп Энд Домэ Лимитед | Polymorphic forms of gaboxadol, gabaagonist |
| EP2042505A1 (en) | 2004-01-30 | 2009-04-01 | H. Lundbeck A/S | Polymorphic forms of a GABAa agonist |
| US7262300B2 (en) | 2004-01-30 | 2007-08-28 | Merck Sharp & Dohme Ltd. | Polymorphic forms of a GABAA agonist |
| CN1914212B (en) * | 2004-01-30 | 2010-10-06 | H.隆德贝克有限公司 | Polymorphic forms of GABAA agonists |
| US8236958B2 (en) | 2004-01-30 | 2012-08-07 | H. Lundbeck A/S | Polymorphic forms of a GABAA agonist |
| EP1848420A4 (en) * | 2005-01-28 | 2008-01-23 | Merck & Co Inc | POLYMORPHIC FORMS OF A GABAA AGONIST |
| EP2292222A1 (en) | 2005-01-28 | 2011-03-09 | H. Lundbeck A/S | Polymorphic Forms of a GABAA Agonist |
| US8022084B2 (en) | 2005-01-28 | 2011-09-20 | H. Lundbeck A/S | Polymorphic forms of a GABAA agonist |
| US8193216B2 (en) | 2005-01-28 | 2012-06-05 | H. Lundbeck A/S | Polymorphic forms of a GABAA agonist |
| EP1906953A4 (en) * | 2005-04-29 | 2009-05-20 | Lundbeck & Co As H | FORMS OF ACID SALTS AND BASIC SALTS OF GABOXADOL |
| WO2006118897A1 (en) * | 2005-04-29 | 2006-11-09 | H.Lundbeck A/S | Acid and base salt forms of gaboxadol |
| US9339495B2 (en) | 2014-06-06 | 2016-05-17 | Ovid Therapeutics Inc | Methods of increasing tonic inhibition and treating secondary insomnia |
| US11278529B2 (en) | 2014-06-06 | 2022-03-22 | Ovid Therapeutics Inc. | Methods for treating aggression associated with Alzheimer's disease |
| US9446028B2 (en) | 2014-06-06 | 2016-09-20 | Ovid Therapeutics Inc | Methods of increasing tonic inhibition and treating fragile X syndrome and angelman syndrome |
| US9801864B2 (en) | 2014-06-06 | 2017-10-31 | Ovid Therapeutics Inc | Methods of increasing tonic inhibition and treating secondary insomnia |
| US9744159B2 (en) | 2014-06-06 | 2017-08-29 | Ovid Therapeutics Inc | Methods of treatment Rett syndrome |
| WO2016150953A1 (en) | 2015-03-24 | 2016-09-29 | H. Lundbeck A/S | Manufacture of 4,5,6,7-tetrahydroisozaxolo[5,4-c]pyridin-3-ol |
| US12465597B2 (en) * | 2015-07-17 | 2025-11-11 | Ovid Therapeutics Inc. | Methods of treating developmental disorders with gaboxadol |
| WO2017015049A1 (en) | 2015-07-17 | 2017-01-26 | Ovid Therapeutics Inc. | Methods of treating developmental disorders with gaboxadol |
| US11096929B2 (en) | 2015-07-17 | 2021-08-24 | Ovid Therapeutics Inc. | Methods of treating developmental disorders with gaboxadol |
| EP4541420A2 (en) | 2015-07-17 | 2025-04-23 | Ovid Therapeutics Inc. | Methods of treating developmental disorders with gaboxadol |
| US9682069B2 (en) | 2015-07-17 | 2017-06-20 | Ovid Therapeutics Inc | Methods of treating Dravet syndrome |
| US20230071127A1 (en) * | 2015-07-17 | 2023-03-09 | Ovid Therapeutics Inc. | Methods of treating developmental disorders with gaboxadol |
| EP3586845A1 (en) | 2016-08-11 | 2020-01-01 | Ovid Therapeutics, Inc. | Compositions for treatment of essential tremor |
| US10363246B1 (en) | 2016-08-11 | 2019-07-30 | Ovid Therapeutics Inc. | Methods and compositions for treatment of epileptic disorders |
| EP4233861A2 (en) | 2016-08-11 | 2023-08-30 | Ovid Therapeutics, Inc. | Compositions for treatment of essential tremor |
| US10188635B2 (en) | 2017-02-03 | 2019-01-29 | Ovid Therapeutics Inc. | Use of gaboxadol in the treatment of tinnitus |
| US10071083B2 (en) | 2017-02-03 | 2018-09-11 | Ovid Therapeutics Inc | Use of gaboxadol in the treatment of tinnitus |
| WO2018144827A1 (en) | 2017-02-03 | 2018-08-09 | Ovid Therapeutics Inc. | Use of gaboxadol in the treatment of tinnitus |
| US10813918B2 (en) | 2017-08-04 | 2020-10-27 | Ovid Therapeutics Inc. | Use of Gaboxadol in the treatment of diabetes and related conditions |
| US11291658B2 (en) | 2017-08-04 | 2022-04-05 | Ovid Therapeutics Inc. | Use of gaboxadol in the treatment of diabetes and related conditions |
| US11090293B2 (en) | 2018-09-20 | 2021-08-17 | Ovid Therapeutics Inc. | Use of gaboxadol for the treatment of Tourette syndrome, tics and stuttering |
| US10765666B2 (en) | 2018-09-20 | 2020-09-08 | Ovid Therapeutics Inc | Use of gaboxadol for the treatment of Tourette syndrome, tics and stuttering |
| US11690829B2 (en) | 2018-12-17 | 2023-07-04 | Ovid Therapeutics Inc. | Use of gaboxadol for the treatment of non-24 hour sleep-wake disorder |
Also Published As
| Publication number | Publication date |
|---|---|
| NO152049C (en) | 1985-07-24 |
| ES470913A1 (en) | 1979-02-01 |
| FI781954A7 (en) | 1978-12-21 |
| IE47200B1 (en) | 1984-01-11 |
| EP0000338A3 (en) | 1979-06-27 |
| NO782128L (en) | 1978-12-21 |
| JPS5436275A (en) | 1979-03-16 |
| ATA448678A (en) | 1982-02-15 |
| EP0000167A1 (en) | 1979-01-10 |
| EP0000338B1 (en) | 1981-11-25 |
| NO792839L (en) | 1978-12-21 |
| FI781955A7 (en) | 1978-12-21 |
| DK270378A (en) | 1978-12-21 |
| IE781234L (en) | 1978-12-20 |
| IT7868450A0 (en) | 1978-06-20 |
| AT368505B (en) | 1982-10-25 |
| DK270278A (en) | 1978-12-21 |
| AU3724478A (en) | 1980-01-03 |
| NO782127L (en) | 1978-12-21 |
| EP0028017A1 (en) | 1981-05-06 |
| EP0027279A1 (en) | 1981-04-22 |
| AU521040B2 (en) | 1982-03-11 |
| ZA783493B (en) | 1979-06-27 |
| IT7868449A0 (en) | 1978-06-20 |
| ZA783492B (en) | 1979-06-27 |
| US4301287A (en) | 1981-11-17 |
| US4278676A (en) | 1981-07-14 |
| ES470912A1 (en) | 1979-02-01 |
| FI64376C (en) | 1983-11-10 |
| CA1107736A (en) | 1981-08-25 |
| AU3729878A (en) | 1980-01-03 |
| NZ187615A (en) | 1981-12-15 |
| NO152049B (en) | 1985-04-15 |
| IT1159739B (en) | 1987-03-04 |
| JPS5436290A (en) | 1979-03-16 |
| FI64376B (en) | 1983-07-29 |
Similar Documents
| Publication | Publication Date | Title |
|---|---|---|
| EP0000338B1 (en) | Isoxazolo(5,4-c)pyridine derivatives, their preparation and pharmaceutical compositions containing them | |
| US4996210A (en) | Heterocyclic spiro compounds and methods for preparing the same | |
| KR0160979B1 (en) | N-phenyl-N- (4-piperidinyl) amide useful as an analgesic | |
| US6187782B1 (en) | Morphinane derivatives and medicinal use thereof | |
| IE850103L (en) | Xanthine derivatives | |
| PT96405B (en) | PROCESS FOR THE PREPARATION OF 3-AMINOPIPERIDINE DERIVATIVES AND HETEROCYCLES CONTAINING NITROGEN | |
| SU1308196A3 (en) | Method of producing 5,11-dihydro-11-(((1-methyl-4-piperidinyl)-amino)-carbonyl)-6h-dibenz (b,e) azepine-6-one or its salts | |
| CA2158952C (en) | 2-substituted morpholine and thiomorpholine derivatives as gaba-b antagonists | |
| US3864348A (en) | 1-Oxa-3,8-diaza spiro (4,5) decane compounds | |
| US4758559A (en) | Pyrrolo[1,2-a] [4,1]benzoxazepine derivatives useful as calmodulin and histamine inhibitors | |
| EP0126654B1 (en) | Tetrahydroisoxazolo(4,5-c)pyridine derivatives and preparation thereof | |
| CS203940B2 (en) | Process for preparing aryloktahydropyridines | |
| US4235921A (en) | Treating muscular spasms and convulsions with 3-azabicyclo[3.1.0]hexanes | |
| CA1125288A (en) | Heterocyclic compounds which are gaba-agonists and production of same | |
| CA1148150A (en) | Phenylmorphans, intermediates and method of preparation | |
| US4495178A (en) | Enkephalin analogs | |
| US4609657A (en) | Ergot peptide alkaloid derivatives, processes for their preparation and pharmaceutical compositions containing them | |
| US4332810A (en) | N-(Substituted)-2,5-ethano-8-hydroxy (or methoxy)-1,2,3,4,5,6-hexahydro-3 (or 4)-benzazocine centrally-acting analgesics | |
| US4376779A (en) | N-(Substituted)-2-aza-2'-hydroxy-5,6-benzotricyclo[6.3.01,8.04,11 ] undecane centrally-acting analgesics | |
| Chignell et al. | Structures Related to Morphine. XXVIII. 1 Alternative Syntheses of α-and β-2, 9-Dimethyl-2'-hydroxy-5-propyl-6, 7-benzomorphan | |
| EP0020885A1 (en) | Derivatives of 2-hydroxy-6,9-methano-11-amino-5,6,7,8,9,10-hexahydro-benzocyclooctene, process for their preparation and pharmaceutical compositions containing the same | |
| US4113877A (en) | Substituted 2-aminomethylphenyl sulfamates | |
| US4341904A (en) | Derivatives of 2-hydroxy-6,9-methano-11-amino-5,6,7,8,9,10-hexahydro-benzocyclooctene | |
| US4010161A (en) | Piperazinoethyl-N-(2,3-dimethyl-5-oxo-1-phenyl-3Δ-pyrazolin-4-yl)carbamates | |
| CA1267898A (en) | Substituted benzoic acid alkylene bridged piperidyl amides |
Legal Events
| Date | Code | Title | Description |
|---|---|---|---|
| PUAI | Public reference made under article 153(3) epc to a published international application that has entered the european phase |
Free format text: ORIGINAL CODE: 0009012 |
|
| AK | Designated contracting states |
Designated state(s): BE CH DE FR GB LU NL SE |
|
| PUAL | Search report despatched |
Free format text: ORIGINAL CODE: 0009013 |
|
| AK | Designated contracting states |
Designated state(s): BE CH DE FR GB LU NL SE |
|
| 17P | Request for examination filed | ||
| GRAA | (expected) grant |
Free format text: ORIGINAL CODE: 0009210 |
|
| AK | Designated contracting states |
Designated state(s): BE CH DE FR GB LU NL SE |
|
| REF | Corresponds to: |
Ref document number: 2861342 Country of ref document: DE Date of ref document: 19820128 |
|
| PG25 | Lapsed in a contracting state [announced via postgrant information from national office to epo] |
Ref country code: LU Free format text: LAPSE BECAUSE OF NON-PAYMENT OF DUE FEES Effective date: 19820630 |
|
| PGFP | Annual fee paid to national office [announced via postgrant information from national office to epo] |
Ref country code: LU Payment date: 19830609 Year of fee payment: 6 |
|
| PGFP | Annual fee paid to national office [announced via postgrant information from national office to epo] |
Ref country code: CH Payment date: 19840612 Year of fee payment: 7 |
|
| PGFP | Annual fee paid to national office [announced via postgrant information from national office to epo] |
Ref country code: FR Payment date: 19840629 Year of fee payment: 7 |
|
| PGFP | Annual fee paid to national office [announced via postgrant information from national office to epo] |
Ref country code: SE Payment date: 19840630 Year of fee payment: 7 Ref country code: BE Payment date: 19840630 Year of fee payment: 7 |
|
| PGFP | Annual fee paid to national office [announced via postgrant information from national office to epo] |
Ref country code: DE Payment date: 19840730 Year of fee payment: 7 |
|
| PGFP | Annual fee paid to national office [announced via postgrant information from national office to epo] |
Ref country code: NL Payment date: 19860630 Year of fee payment: 9 |
|
| PG25 | Lapsed in a contracting state [announced via postgrant information from national office to epo] |
Ref country code: SE Effective date: 19870620 |
|
| PG25 | Lapsed in a contracting state [announced via postgrant information from national office to epo] |
Ref country code: CH Effective date: 19870630 |
|
| BERE | Be: lapsed |
Owner name: H. LUNDBECK & CO. A/S Effective date: 19870630 |
|
| PG25 | Lapsed in a contracting state [announced via postgrant information from national office to epo] |
Ref country code: NL Effective date: 19880101 |
|
| NLV4 | Nl: lapsed or anulled due to non-payment of the annual fee | ||
| PG25 | Lapsed in a contracting state [announced via postgrant information from national office to epo] |
Ref country code: FR Free format text: LAPSE BECAUSE OF NON-PAYMENT OF DUE FEES Effective date: 19880226 |
|
| REG | Reference to a national code |
Ref country code: CH Ref legal event code: PL |
|
| PG25 | Lapsed in a contracting state [announced via postgrant information from national office to epo] |
Ref country code: DE Effective date: 19880301 |
|
| GBPC | Gb: european patent ceased through non-payment of renewal fee | ||
| REG | Reference to a national code |
Ref country code: FR Ref legal event code: ST |
|
| PG25 | Lapsed in a contracting state [announced via postgrant information from national office to epo] |
Ref country code: GB Effective date: 19881117 |
|
| PG25 | Lapsed in a contracting state [announced via postgrant information from national office to epo] |
Ref country code: BE Effective date: 19890630 |
|
| EUG | Se: european patent has lapsed |
Ref document number: 78100191.2 Effective date: 19880711 |
|
| PLBE | No opposition filed within time limit |
Free format text: ORIGINAL CODE: 0009261 |
|
| STAA | Information on the status of an ep patent application or granted ep patent |
Free format text: STATUS: NO OPPOSITION FILED WITHIN TIME LIMIT |




































