CN202903889U - 双路光伏逆变器对地绝缘电阻的无开关管检测系统 - Google Patents
双路光伏逆变器对地绝缘电阻的无开关管检测系统 Download PDFInfo
- Publication number
- CN202903889U CN202903889U CN 201220626637 CN201220626637U CN202903889U CN 202903889 U CN202903889 U CN 202903889U CN 201220626637 CN201220626637 CN 201220626637 CN 201220626637 U CN201220626637 U CN 201220626637U CN 202903889 U CN202903889 U CN 202903889U
- Authority
- CN
- China
- Prior art keywords
- resistance
- photovoltaic cell
- circuit
- insulation resistance
- diode
- Prior art date
- Legal status (The legal status is an assumption and is not a legal conclusion. Google has not performed a legal analysis and makes no representation as to the accuracy of the status listed.)
- Expired - Lifetime
Links
- 238000009413 insulation Methods 0.000 title claims abstract description 56
- 238000001514 detection method Methods 0.000 title claims abstract description 25
- 238000005070 sampling Methods 0.000 claims description 25
- 238000000034 method Methods 0.000 abstract description 12
- 238000004364 calculation method Methods 0.000 description 4
- 238000003491 array Methods 0.000 description 2
- 238000010586 diagram Methods 0.000 description 2
- 230000014509 gene expression Effects 0.000 description 2
- 230000009286 beneficial effect Effects 0.000 description 1
- 230000009977 dual effect Effects 0.000 description 1
- 239000000428 dust Substances 0.000 description 1
- 238000005516 engineering process Methods 0.000 description 1
- 230000003203 everyday effect Effects 0.000 description 1
- 238000010248 power generation Methods 0.000 description 1
Images
Landscapes
- Testing Of Short-Circuits, Discontinuities, Leakage, Or Incorrect Line Connections (AREA)
Abstract
本实用新型涉及双路输入光伏逆变器对地绝缘电阻检测技术领域,特别是指一种双路光伏逆变器对地绝缘电阻的无开关管检测系统及检测方法,在检测过程中通过控制两路光伏电池的短路/断路即可获得三个仅包含绝缘电阻R1+、绝缘电阻R2+和绝缘电阻R-三个未知量的方程式,同时利用二极管的单向导通性能,在两路光伏电池改变电压的同时,各个桥臂之间的电阻值也发生变化,因此三个方程式相互独立,即通过求解这三个方程式即可解得所需的各个绝缘电阻。与现有技术先比,本实用新型利用二极管的单向导通特性来改变各个桥臂之间的电阻值,无需使用开关管,有效降低了检测系统的成本以及逆变器的体积。
Description
技术领域
本实用新型涉及双路输入光伏逆变器对地绝缘电阻检测技术领域,特别是指一种双路光伏逆变器对地绝缘电阻的无开关管检测系统及检测方法。
背景技术
在光伏并网发电技术中,光伏电池的输出电压比较高,例如:大功率的光伏并网逆变器的光伏电池输出电压高达600V 以上,由于光伏电池的光伏电池板为露天放置,灰尘、雨雪、大雾等天气因素都会影响光伏电池的正极、负极对地(以下所称“对地”,均是指 “对于大地”,即Earth)绝缘的变化。而作为一种高压系统,光伏并网系统安全性能的一项关键指标就是绝缘程度的好坏,因此在光伏并网逆变器中增加对地绝缘电阻检测系统是必不可少的,光伏并网逆变器每天开机前需要进行光伏电池的对地绝缘电阻的检测,只有在绝缘电阻满足安规要求时才能够启动逆变器使光伏电池并网。
双路输入光伏并网逆变器是一种采用双路光伏电池板阵列输入的并网逆变器,其通常每路电池板阵列具有一个独立的正极,两路电池板阵列具有一个共同的负极。由于此种结构造成两路光伏电池板阵列对大地之间的绝缘电阻相互耦合,使得难以对其对地绝缘电阻进行准确和可靠地检测。
目前一般的检测方法是在两个光伏电池板的正极与大地PE之间、公关负极与大地PE之间并联电阻开关电路,通过微处理器控制该电阻开关电路的通断而形成多种不同的电路连接形式,即改变各个桥臂之间的电阻值。同时,微处理器采样不同电路连接形式下的相关电压参数,得到一组与对地绝缘电阻有关的关系式,然后根据这些关系式计算出所述对地绝缘电阻的准确值。该方法虽然可以获得对地绝缘电阻的准确值,但是需要三个电阻开关电路,其中的开关通常为MOSFET,三极管或继电器,再加上这些器件的驱动电路,其成本会比较大,同时也会造成逆变器体积偏大,而且随着光伏电池板阵列输入电压范围的提高,这些问题会更加突出,因此此方法难以得到实际应用。
还有一种方法是在光伏电池负极与大地PE之间串联电阻开关电路,通过开关的通断来改变各个桥臂之间的电阻值,同时通过控制光伏系统的升压电路中的开关管来改变光伏电池输入电压,以此建立三个独立的方程来计算各个绝缘电阻,该方法虽然有效减少了开关管的使用,但是通过建立方程组可以发现仅仅通过改变光伏电池输入电压是无法保证三个方程互相独立的,要想获得三个互相独立的方程至少必须改变各个桥臂之间的电阻一次,为此该方法同样设置了一路开关电路,因此前一检测方法的问题仍然没有得到彻底解决。
发明内容
本实用新型的目的在于避免上述现有技术中的不足之处而提供一种用于双路输入光伏逆变器的可准确检测光伏电池对地绝缘电阻且无须外加开关管的检测系统。
本实用新型的目的通过以下技术方案实现:
提供了一种双路光伏逆变器对地绝缘电阻的无开关管检测系统,包括获取待检的第一路光伏电池电压的PV1电压采样电路、获取待检的第二路光伏电池电压的PV2电压采样电路和获取两路光伏电池的公共负极PV-与地线之间的电压的PE电压采样电路,还包括对待检的第一路光伏电池的升压电路BOOST1电路的开关管和待检的第二路光伏电池的升压电路BOOST2电路的开关管进行控制的控制处理单元,所述控制处理单元获取PV1电压采样电路、PV2电压采样电路和PE电压采样电路的采样信号,其特征在于:还包括电阻R1、电阻R2、二极管D1和二极管D2,所述电阻R1和二极管D1串联后连接于第一路光伏电池正极PV1+与地线之间,所述电阻R2和二极管D2串联后连接于第二路光伏电池正极与地线之间。
其中,所述电阻R1和电阻R2电阻值相等。
其中,所述的地线与两路光伏电池的公共负极PV-之间设置有辅助采样电阻R3,所述电阻R3的电阻值与电阻R1和电阻相等。
其中,所述二极管D1使电流从第一路光伏电池正极PV1+流向地线;所述二极管D2使电流从第二路光伏电池正极流向地线。
一种采用权利要求1所述的双路光伏逆变器对地绝缘电阻的无开关管检测系统的对地绝缘电阻检测方法,包括步骤:
A、关闭BOOST1电路和BOOST2电路的开关管,获取第一路光伏电池电压UPV1、第二路光伏电池电压UPV2和此时地线对两路光伏电池的公共负极PV-的电压U1;
B、开通BOOST1电路的开关管使第一路光伏电池正极PV1+与公共负极PV-短路,关闭BOOST2电路的开关管,获取此时地线对两路光伏电池的公共负极PV-的电压U2;
C、开通BOOST2电路的开关管使第二路光伏电池正极PV2+与公共负极PV-短路,关闭BOOST1电路的开关管,获取此时地线对两路光伏电池的公共负极PV-的电压U3;
D、根据电压值UPV1、、UPV2、U1、U2、U3、电阻R1的电阻值和电阻R2的电阻值计算第一路光伏电池正极PV1+对地线的绝缘电阻R1+,第二路光伏电池正极PV2+对地线的绝缘电阻R2+,以及两路路光伏电池的公共负极PV-对地线的绝缘电阻R-。
还包括步骤E:判断绝缘电阻R1+、绝缘电阻R2+、绝缘电阻R-是否大于预设值,如是,则启动逆变器进行光伏并网;如否,则禁止启动逆变器并报警。
本实用新型的有益效果:在检测过程中,结合光伏系统的特点,控制处理单元通过控制两路光伏电池的升压电路中的开关管的通断,即可以分别使两路光伏电池的正负极短路或者断路,以此分别通过使仅有第一路光伏电池正负极短路,使仅有第二路光伏电池正负极短路和使两路光伏电池正负极均不短路即可获得三个仅包含第一路光伏电池正极PV1+对地线的绝缘电阻R1+、第二路光伏电池正极PV2+对地线的绝缘电阻R2+和以及两路路光伏电池的公共负极PV-对地线的绝缘电阻R-三个未知量的方程式,同时由于二极管的单向导通性能,在两路光伏电池改变电压的同时,各个桥臂之间的电阻值也发生变化,例如对于二极管D1,在第一路光伏电池正负极短路和断路两种情况下,DI在一种情况下导通,在另一种情况下截止,因此第一光伏电池正极PV1+与地线之间的电阻值在不同的电压情况下不同,因此三个方程式相互独立,即通过求解这三个方程式即可解得所需的各个绝缘电阻。与现有技术先比,本实用新型巧妙的利用二极管的单向导通特性来改变各个桥臂之间的电阻值,无需使用开关管,有效降低了检测系统的成本以及逆变器的体积。
附图说明
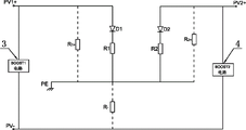
图1是本实用新型双路光伏逆变器对地绝缘电阻的无开关管检测系统的电路原理图。
图2是本实用新型双路光伏逆变器对地绝缘电阻的无开关管检测系统的实施例1的电路示意图。
具体实施方式
结合以下实施例对本实用新型作进一步描述。
实施例1
本实用新型双路光伏逆变器对地绝缘电阻的无开关管检测系统及检测方法方式之一,如图1至2所示,
包括用于获取待检的第一路光伏电池电压的PV1电压采样电路1、用于获取待检的第二路光伏电池电压的PV2电压采样电路2和用于获取两路光伏电池的公共负极PV-与地线之间的电压的PE电压采样电路6;
还包括控制处理单元5,所述控制处理单元5控制与第一路光伏电池的升压电路BOOST1电路3连接以控制BOOST1电路3的开关管通/断,与第二路光伏电池的升压电路BOOST2电路4连接以控制BOOST21电路的开关管通/端,同时还分别与PV1电压采样电路1、PV2电压采样电路2和PE电压采样电路6连接以获取各个电压采样电路的的采样信号并进行处理;
还包括电阻R1、电阻R2、二极管D1、二极管D2和采样电阻R3,所述电阻R1和二极管D1串联于第一路光伏电池正极PV1+与地线之间,所述电阻R2和二极管D2串联于第二路光伏电池正极与地线之间,采样电阻R3串联于地线与两路光伏电池的公共负极PV-之间,其中,电阻R1、电阻R2和采样电阻R3的电阻值均为R,所述二极管D1的正极与第一路光伏电池正极PV1+连接,负极经电阻与地线连接,所述二极管D2的正极与第二路光伏电池正极连接,负极经电阻与地线连接。
对于本实施例,其检测方法包括步骤:
A、关闭BOOST1电路3和BOOST2电路4的开关管时,获取第一路光伏电池电压UPV1、第二路光伏电池电压UPV2和此时地线对两路光伏电池的公共负极PV-的电压U1;
当关闭BOOST1电路3和BOOST2电路4的开关管时,第一路光伏电池正极PV1+和第二路光伏电池正极PV2+均未与公共负极PV-短路,此时有三种可能性:(1) U1<UPV1且U1<UPV2,此时二极管D1和二极管D2均导通,电阻R1和电阻R2均接入电路中;(2)U1<UPV1且U1>UPV2,此时二极管D2截止,二极管D1导通,电阻R2未接入电路中,电阻R1接入电路中;(3)U1>UPV1且U1<UPV2,此时二极管D1截止,二极管D2导通,电阻R1未接入电路中,电阻R2接入电路中。
B、开通BOOST1电路3的开关管使第一路光伏电池正极PV1+与公共负极PV-短路,关闭BOOST2电路4的开关管,获取此时地线对两路光伏电池的公共负极PV-的电压U2;
此时由于第一路光伏电池正极PV1+与公共负极PV-短路,所以第一路光伏电池正极PV1+电压低于地线,二极管D1截止,二极管D2导通,电阻R1未接入电路中,电阻R2接入电路中,此时如果步骤一中U1、UPV1和UPV2是第(1)或(2)种可能性,则第一路光伏电池正极PV1+与电线之间的电阻值产生了变化。
C、开通BOOST2电路4的开关管使第二路光伏电池正极PV2+与公共负极PV-短路,关闭BOOST1电路3的开关管,获取此时地线对两路光伏电池的公共负极PV-的电压U3;
此时由于第二路光伏电池正极PV2+与公共负极PV-短路,所以第二路光伏电池正极PV2+电压低于地线,二极管D2截止,二极管D1导通,电阻R2未接入电路中,电阻R1接入电路中,此时如果步骤一中U1、UPV1和UPV2是第(1)或(3)种可能性,则第二路光伏电池正极PV2+与电线之间的电阻值产生了变化。
D、根据电压值UPV1、UPV2、U1、U2、U3、电阻R1的电阻值和电阻R2的电阻值计算第一路光伏电池正极PV1+对地线的绝缘电阻R1+、第二路光伏电池正极PV2+对地线的绝缘电阻R2+以及两路路光伏电池的公共负极PV-对地线的绝缘电阻R-。
在计算过程中,相对于步骤A、B和C分别可以获得仅包含第一路光伏电池正极PV1+对地线的绝缘电阻R1+、第二路光伏电池正极PV2+对地线的绝缘电阻R2+和以及两路路光伏电池的公共负极PV-对地线的绝缘电阻R-三个未知量的方程式,同时由于在A、B和C三个步骤中桥臂(即第一路光伏电池正极PV1与电线之间的电阻或者第二路光伏电池正极PV2+与电线之间的电阻)的电阻值至少改变了一次,因此三个方程式是相互独立的,通过三个方程式即可解出三个未知量。
E、判断绝缘电阻R1+、绝缘电阻R2+、绝缘电阻R-是否大于预设值,如是,则启动逆变器进行光伏并网;如否,则禁止启动逆变器并报警。
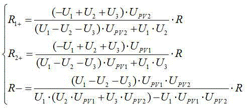
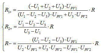
在本实施例中,第一路光伏电池正极PV1+对地线的绝缘电阻R1+、第二路光伏电池正极PV2+对地线的绝缘电阻R2+和两路路光伏电池的公共负极PV-对地线的绝缘电阻R-的计算方法如下:
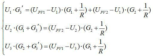
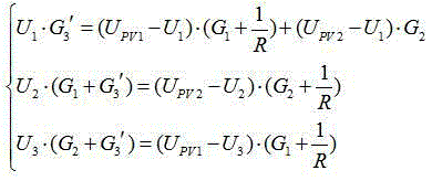
由于二极管D1和D2具有单向导电性,所以对于U1、UPV1和UPV2,可能存在U1<UPV1且U1<UPV2,U1>UPV1且U1<UPV2 或者U1<UPV1且U1>UPV2,因此计算过程需分为三种情况分别处理。
(1)、当U1<UPV1且U1<UPV2:
对于步骤A,根据基尔霍夫电路定律可建立第一个关系方程式:
对于步骤B,根据基尔霍夫电路定律可建立第二个关系方程式:
解方程组可得:
(2)、当U1<UPV1和U1>UPV2时:
对于步骤A,根据基尔霍夫电路定律可建立第一个关系方程式:
对于步骤B,根据基尔霍夫电路定律可建立第二个关系方程式:
对于步骤C,根据基尔霍夫电路定律可建立第三个关系方程式:
(8)
令,可得三元一次方程组:
解方程组可得:
(3)、当U1>UPV1和U1<UPV2时,其与情况(2)类似,在此不再赘述。
综上,即可计算得到R1+、R2+和R-的电阻值。
实施例2
本实用新型双路光伏逆变器对地绝缘电阻的无开关管检测系统及检测方法的具体实施方式之二,本实施例的主要技术方案与实施例1相同,在本实施例中未解释的特征,采用实施例1中的解释,在此不再进行赘述。本实施例与实施例1的区别在于,所述二极管D1负极与第一路光伏电池正极PV1+连接,正极经电阻R1与地线连接,所述二极管D2负极与第二路光伏电池正极连接,正极经电阻R2与地线连接。调整二极管D1和二极管D2的连接关系后,本系统的检测方法仍然与实施例1类似,仅在计算式相应的考虑二极管D1和二极管D2的导通条件即可。而由于调整二极管D1和二极管D2的连接关系后,同样可以达到在两路光伏电池改变电压的同时各个桥臂之间的电阻值由于二极管的单向导通特性而发生变化,因此同样可以建立三个独立的方程式构成方程组求解各个对地绝缘电阻。当然,所述二极管D1和二极管D2还可以是其他连接关系,例如二极管D1负极与第一路光伏电池正极PV1+连接,正极经电阻R1与地线连接,二极管D2正极与第二路光伏电池正极连接,负极经电阻R2与地线连接。只要能实现在不同的电压条件下改变桥臂电阻即可。
最后应当说明的是,以上实施例仅用以说明本实用新型的技术方案,而非对本实用新型保护范围的限制,尽管参照较佳实施例对本实用新型作了详细地说明,本领域的普通技术人员应当理解,可以对本实用新型的技术方案进行修改或者等同替换,而不脱离本实用新型技术方案的实质和范围。
Claims (4)
1.双路光伏逆变器对地绝缘电阻的无开关管检测系统,包括获取待检的第一路光伏电池电压的PV1电压采样电路、获取待检的第二路光伏电池电压的PV2电压采样电路和获取两路光伏电池的公共负极PV-与地线之间的电压的PE电压采样电路,还包括对待检的第一路光伏电池的升压电路BOOST1电路的开关管和待检的第二路光伏电池的升压电路BOOST2电路的开关管进行控制的控制处理单元,所述控制处理单元获取PV1电压采样电路、PV2电压采样电路和PE电压采样电路的采样信号,其特征在于:还包括电阻R1、电阻R2、二极管D1和二极管D2,所述电阻R1和二极管D1串联后连接于第一路光伏电池正极PV1+与地线之间,所述电阻R2和二极管D2串联后连接于第二路光伏电池正极与地线之间。
2.如权利要求1所述的双路光伏逆变器对地绝缘电阻的无开关管检测系统,其特征在于:所述电阻R1和电阻R2电阻值相等。
3.如权利要求1所述的一双路光伏逆变器对地绝缘电阻的无开关管检测系统,其特征在于:所述的地线与两路光伏电池的公共负极PV-之间设置有辅助采样电阻R3,所述电阻R3的电阻值与电阻R1和电阻相等。
4.如权利要求1所述的一双路光伏逆变器对地绝缘电阻的无开关管检测系统,其特征在于:所述二极管D1使电流从第一路光伏电池正极PV1+流向地线;所述二极管D2使电流从第二路光伏电池正极流向地线。
Priority Applications (1)
| Application Number | Priority Date | Filing Date | Title |
|---|---|---|---|
| CN 201220626637 CN202903889U (zh) | 2012-11-23 | 2012-11-23 | 双路光伏逆变器对地绝缘电阻的无开关管检测系统 |
Applications Claiming Priority (1)
| Application Number | Priority Date | Filing Date | Title |
|---|---|---|---|
| CN 201220626637 CN202903889U (zh) | 2012-11-23 | 2012-11-23 | 双路光伏逆变器对地绝缘电阻的无开关管检测系统 |
Publications (1)
| Publication Number | Publication Date |
|---|---|
| CN202903889U true CN202903889U (zh) | 2013-04-24 |
Family
ID=48124546
Family Applications (1)
| Application Number | Title | Priority Date | Filing Date |
|---|---|---|---|
| CN 201220626637 Expired - Lifetime CN202903889U (zh) | 2012-11-23 | 2012-11-23 | 双路光伏逆变器对地绝缘电阻的无开关管检测系统 |
Country Status (1)
| Country | Link |
|---|---|
| CN (1) | CN202903889U (zh) |
Cited By (7)
| Publication number | Priority date | Publication date | Assignee | Title |
|---|---|---|---|---|
| CN102967766A (zh) * | 2012-11-23 | 2013-03-13 | 广东易事特电源股份有限公司 | 双路光伏逆变器对地绝缘电阻的无开关管检测系统及方法 |
| CN104535839A (zh) * | 2014-12-24 | 2015-04-22 | 常熟开关制造有限公司(原常熟开关厂) | 光伏并网逆变器的绝缘阻抗检测方法及实现其的检测装置 |
| CN104977471A (zh) * | 2014-04-11 | 2015-10-14 | 艾默生网络能源有限公司 | 双路输入光伏逆变器对地绝缘阻抗检测系统、方法及装置 |
| CN105938162A (zh) * | 2016-06-24 | 2016-09-14 | 广州三晶电气股份有限公司 | 基于双路mppt光伏逆变器对地绝缘电阻检测系统及方法 |
| CN106093578A (zh) * | 2016-06-07 | 2016-11-09 | 浙江昱能科技有限公司 | 一种逆变器的绝缘电阻检测电路 |
| CN106603007A (zh) * | 2016-12-16 | 2017-04-26 | 阳光电源股份有限公司 | 光伏阵列对地绝缘阻抗检测电路 |
| WO2023029440A1 (zh) * | 2021-09-02 | 2023-03-09 | 深圳市中兴微电子技术有限公司 | 电阻阻值获取电路、方法和装置 |
-
2012
- 2012-11-23 CN CN 201220626637 patent/CN202903889U/zh not_active Expired - Lifetime
Cited By (12)
| Publication number | Priority date | Publication date | Assignee | Title |
|---|---|---|---|---|
| CN102967766A (zh) * | 2012-11-23 | 2013-03-13 | 广东易事特电源股份有限公司 | 双路光伏逆变器对地绝缘电阻的无开关管检测系统及方法 |
| CN102967766B (zh) * | 2012-11-23 | 2015-08-19 | 广东易事特电源股份有限公司 | 双路光伏逆变器对地绝缘电阻的无开关管检测系统及方法 |
| CN104977471A (zh) * | 2014-04-11 | 2015-10-14 | 艾默生网络能源有限公司 | 双路输入光伏逆变器对地绝缘阻抗检测系统、方法及装置 |
| CN104977471B (zh) * | 2014-04-11 | 2018-02-16 | 维谛技术有限公司 | 双路输入光伏逆变器对地绝缘阻抗检测系统、方法及装置 |
| CN104535839A (zh) * | 2014-12-24 | 2015-04-22 | 常熟开关制造有限公司(原常熟开关厂) | 光伏并网逆变器的绝缘阻抗检测方法及实现其的检测装置 |
| CN104535839B (zh) * | 2014-12-24 | 2017-05-17 | 常熟开关制造有限公司(原常熟开关厂) | 光伏并网逆变器的绝缘阻抗检测方法及实现其的检测装置 |
| CN106093578A (zh) * | 2016-06-07 | 2016-11-09 | 浙江昱能科技有限公司 | 一种逆变器的绝缘电阻检测电路 |
| CN105938162A (zh) * | 2016-06-24 | 2016-09-14 | 广州三晶电气股份有限公司 | 基于双路mppt光伏逆变器对地绝缘电阻检测系统及方法 |
| CN105938162B (zh) * | 2016-06-24 | 2018-07-17 | 广州三晶电气股份有限公司 | 基于双路mppt光伏逆变器对地绝缘电阻检测系统 |
| CN106603007A (zh) * | 2016-12-16 | 2017-04-26 | 阳光电源股份有限公司 | 光伏阵列对地绝缘阻抗检测电路 |
| CN106603007B (zh) * | 2016-12-16 | 2018-09-28 | 阳光电源股份有限公司 | 光伏阵列对地绝缘阻抗检测电路 |
| WO2023029440A1 (zh) * | 2021-09-02 | 2023-03-09 | 深圳市中兴微电子技术有限公司 | 电阻阻值获取电路、方法和装置 |
Similar Documents
| Publication | Publication Date | Title |
|---|---|---|
| CN102967766B (zh) | 双路光伏逆变器对地绝缘电阻的无开关管检测系统及方法 | |
| CN202903889U (zh) | 双路光伏逆变器对地绝缘电阻的无开关管检测系统 | |
| CN102621394B (zh) | 双支路输入光伏并网逆变器对地绝缘电阻检测系统及方法 | |
| CN103048544B (zh) | 一种光伏发电系统的绝缘阻抗监测方法 | |
| CN108427038A (zh) | 一种多路输入光伏逆变器对地绝缘阻抗检测方法 | |
| CN104535839B (zh) | 光伏并网逆变器的绝缘阻抗检测方法及实现其的检测装置 | |
| CN105356848B (zh) | 多路mppt输入光伏逆变器的绝缘阻抗检测装置及方法 | |
| CN202583327U (zh) | 一种双路mppt的光伏并网逆变器绝缘阻抗检测电路 | |
| CN102854395A (zh) | 一种直流电源对地绝缘电阻检测电路及其检测方法 | |
| CN206164112U (zh) | 一种用于光伏发电系统的抗电势诱导衰减装置 | |
| CN203119796U (zh) | 一种光伏汇流箱 | |
| CN202870176U (zh) | 一种直流接地电阻检测装置 | |
| CN103630745B (zh) | 一种高精度的多路共地直流电源绝缘电阻检测电路及方法 | |
| CN205280825U (zh) | 一种用于并网逆变器方阵的绝缘阻抗检测电路 | |
| CN103063927A (zh) | 光伏逆变器的对地阻抗检测电路及方法 | |
| CN104678175A (zh) | 一种光伏发电系统的方阵绝缘阻抗检测系统 | |
| CN104977471A (zh) | 双路输入光伏逆变器对地绝缘阻抗检测系统、方法及装置 | |
| CN204556734U (zh) | 光伏并网逆变器的绝缘阻抗检测装置 | |
| CN110166002B (zh) | 一种绝缘电阻检测电路、方法和应用其的光伏系统 | |
| CN203037745U (zh) | 双路光伏输入的绝缘阻抗检测电路 | |
| CN112666399A (zh) | 光伏阵列对地绝缘阻抗检测方法和装置 | |
| CN104242819A (zh) | 基于两种不同温度下电池电性参量预测光伏发电的方法 | |
| CN205283491U (zh) | 多模块逆变器直流侧绝缘监测装置及包含其的光伏系统 | |
| CN206259900U (zh) | 防热斑智能高效太阳能电池组件 | |
| CN104362976A (zh) | 一种利用遮蔽法检测光伏发电系统故障点的方法 |
Legal Events
| Date | Code | Title | Description |
|---|---|---|---|
| C14 | Grant of patent or utility model | ||
| GR01 | Patent grant | ||
| CX01 | Expiry of patent term | ||
| CX01 | Expiry of patent term |
Granted publication date: 20130424 |











