WO2018098280A1 - Degradation of protein kinases by conjugation of protein kinase inhibitors with e3 ligase ligand and methods of use - Google Patents

Degradation of protein kinases by conjugation of protein kinase inhibitors with e3 ligase ligand and methods of use Download PDF

Info

Publication number
WO2018098280A1
WO2018098280A1 PCT/US2017/063017 US2017063017W WO2018098280A1 WO 2018098280 A1 WO2018098280 A1 WO 2018098280A1 US 2017063017 W US2017063017 W US 2017063017W WO 2018098280 A1 WO2018098280 A1 WO 2018098280A1
Authority
WO
WIPO (PCT)
Prior art keywords
alkyl
bifunctional compound
independently
halogen
haloalkyl
Prior art date
Legal status (The legal status is an assumption and is not a legal conclusion. Google has not performed a legal analysis and makes no representation as to the accuracy of the status listed.)
Ceased
Application number
PCT/US2017/063017
Other languages
French (fr)
Inventor
James Bradner
Dennis BUCKLEY
Mette ISHOEY
Georg Winter
Current Assignee (The listed assignees may be inaccurate. Google has not performed a legal analysis and makes no representation or warranty as to the accuracy of the list.)
Dana Farber Cancer Institute Inc
Original Assignee
Dana Farber Cancer Institute Inc
Priority date (The priority date is an assumption and is not a legal conclusion. Google has not performed a legal analysis and makes no representation as to the accuracy of the date listed.)
Filing date
Publication date
Application filed by Dana Farber Cancer Institute Inc filed Critical Dana Farber Cancer Institute Inc
Priority to US16/343,977 priority Critical patent/US10899768B2/en
Priority to AU2017363257A priority patent/AU2017363257B2/en
Priority to EP17873287.1A priority patent/EP3544957B1/en
Priority to CA3042301A priority patent/CA3042301A1/en
Publication of WO2018098280A1 publication Critical patent/WO2018098280A1/en
Anticipated expiration legal-status Critical
Priority to US17/096,026 priority patent/US11578075B2/en
Priority to US18/082,195 priority patent/US20230131952A1/en
Ceased legal-status Critical Current

Links

Classifications

    • CCHEMISTRY; METALLURGY
    • C07ORGANIC CHEMISTRY
    • C07DHETEROCYCLIC COMPOUNDS
    • C07D209/00Heterocyclic compounds containing five-membered rings, condensed with other rings, with one nitrogen atom as the only ring hetero atom
    • C07D209/02Heterocyclic compounds containing five-membered rings, condensed with other rings, with one nitrogen atom as the only ring hetero atom condensed with one carbocyclic ring
    • C07D209/04Indoles; Hydrogenated indoles
    • C07D209/30Indoles; Hydrogenated indoles with hetero atoms or with carbon atoms having three bonds to hetero atoms with at the most one bond to halogen, directly attached to carbon atoms of the hetero ring
    • C07D209/32Oxygen atoms
    • C07D209/34Oxygen atoms in position 2
    • AHUMAN NECESSITIES
    • A61MEDICAL OR VETERINARY SCIENCE; HYGIENE
    • A61KPREPARATIONS FOR MEDICAL, DENTAL OR TOILETRY PURPOSES
    • A61K45/00Medicinal preparations containing active ingredients not provided for in groups A61K31/00 - A61K41/00
    • A61K45/06Mixtures of active ingredients without chemical characterisation, e.g. antiphlogistics and cardiaca
    • AHUMAN NECESSITIES
    • A61MEDICAL OR VETERINARY SCIENCE; HYGIENE
    • A61KPREPARATIONS FOR MEDICAL, DENTAL OR TOILETRY PURPOSES
    • A61K47/00Medicinal preparations characterised by the non-active ingredients used, e.g. carriers or inert additives; Targeting or modifying agents chemically bound to the active ingredient
    • A61K47/50Medicinal preparations characterised by the non-active ingredients used, e.g. carriers or inert additives; Targeting or modifying agents chemically bound to the active ingredient the non-active ingredient being chemically bound to the active ingredient, e.g. polymer-drug conjugates
    • A61K47/51Medicinal preparations characterised by the non-active ingredients used, e.g. carriers or inert additives; Targeting or modifying agents chemically bound to the active ingredient the non-active ingredient being chemically bound to the active ingredient, e.g. polymer-drug conjugates the non-active ingredient being a modifying agent
    • A61K47/54Medicinal preparations characterised by the non-active ingredients used, e.g. carriers or inert additives; Targeting or modifying agents chemically bound to the active ingredient the non-active ingredient being chemically bound to the active ingredient, e.g. polymer-drug conjugates the non-active ingredient being a modifying agent the modifying agent being an organic compound
    • A61K47/545Heterocyclic compounds
    • AHUMAN NECESSITIES
    • A61MEDICAL OR VETERINARY SCIENCE; HYGIENE
    • A61KPREPARATIONS FOR MEDICAL, DENTAL OR TOILETRY PURPOSES
    • A61K47/00Medicinal preparations characterised by the non-active ingredients used, e.g. carriers or inert additives; Targeting or modifying agents chemically bound to the active ingredient
    • A61K47/50Medicinal preparations characterised by the non-active ingredients used, e.g. carriers or inert additives; Targeting or modifying agents chemically bound to the active ingredient the non-active ingredient being chemically bound to the active ingredient, e.g. polymer-drug conjugates
    • A61K47/51Medicinal preparations characterised by the non-active ingredients used, e.g. carriers or inert additives; Targeting or modifying agents chemically bound to the active ingredient the non-active ingredient being chemically bound to the active ingredient, e.g. polymer-drug conjugates the non-active ingredient being a modifying agent
    • A61K47/54Medicinal preparations characterised by the non-active ingredients used, e.g. carriers or inert additives; Targeting or modifying agents chemically bound to the active ingredient the non-active ingredient being chemically bound to the active ingredient, e.g. polymer-drug conjugates the non-active ingredient being a modifying agent the modifying agent being an organic compound
    • A61K47/555Medicinal preparations characterised by the non-active ingredients used, e.g. carriers or inert additives; Targeting or modifying agents chemically bound to the active ingredient the non-active ingredient being chemically bound to the active ingredient, e.g. polymer-drug conjugates the non-active ingredient being a modifying agent the modifying agent being an organic compound pre-targeting systems involving an organic compound, other than a peptide, protein or antibody, for targeting specific cells
    • AHUMAN NECESSITIES
    • A61MEDICAL OR VETERINARY SCIENCE; HYGIENE
    • A61PSPECIFIC THERAPEUTIC ACTIVITY OF CHEMICAL COMPOUNDS OR MEDICINAL PREPARATIONS
    • A61P35/00Antineoplastic agents
    • CCHEMISTRY; METALLURGY
    • C07ORGANIC CHEMISTRY
    • C07DHETEROCYCLIC COMPOUNDS
    • C07D401/00Heterocyclic compounds containing two or more hetero rings, having nitrogen atoms as the only ring hetero atoms, at least one ring being a six-membered ring with only one nitrogen atom
    • C07D401/14Heterocyclic compounds containing two or more hetero rings, having nitrogen atoms as the only ring hetero atoms, at least one ring being a six-membered ring with only one nitrogen atom containing three or more hetero rings
    • CCHEMISTRY; METALLURGY
    • C07ORGANIC CHEMISTRY
    • C07DHETEROCYCLIC COMPOUNDS
    • C07D417/00Heterocyclic compounds containing two or more hetero rings, at least one ring having nitrogen and sulfur atoms as the only ring hetero atoms, not provided for by group C07D415/00
    • C07D417/14Heterocyclic compounds containing two or more hetero rings, at least one ring having nitrogen and sulfur atoms as the only ring hetero atoms, not provided for by group C07D415/00 containing three or more hetero rings
    • CCHEMISTRY; METALLURGY
    • C07ORGANIC CHEMISTRY
    • C07DHETEROCYCLIC COMPOUNDS
    • C07D471/00Heterocyclic compounds containing nitrogen atoms as the only ring hetero atoms in the condensed system, at least one ring being a six-membered ring with one nitrogen atom, not provided for by groups C07D451/00 - C07D463/00
    • C07D471/02Heterocyclic compounds containing nitrogen atoms as the only ring hetero atoms in the condensed system, at least one ring being a six-membered ring with one nitrogen atom, not provided for by groups C07D451/00 - C07D463/00 in which the condensed system contains two hetero rings
    • C07D471/04Ortho-condensed systems
    • CCHEMISTRY; METALLURGY
    • C07ORGANIC CHEMISTRY
    • C07DHETEROCYCLIC COMPOUNDS
    • C07D487/00Heterocyclic compounds containing nitrogen atoms as the only ring hetero atoms in the condensed system, not provided for by groups C07D451/00 - C07D477/00
    • C07D487/02Heterocyclic compounds containing nitrogen atoms as the only ring hetero atoms in the condensed system, not provided for by groups C07D451/00 - C07D477/00 in which the condensed system contains two hetero rings
    • C07D487/04Ortho-condensed systems
    • CCHEMISTRY; METALLURGY
    • C07ORGANIC CHEMISTRY
    • C07DHETEROCYCLIC COMPOUNDS
    • C07D495/00Heterocyclic compounds containing in the condensed system at least one hetero ring having sulfur atoms as the only ring hetero atoms
    • C07D495/02Heterocyclic compounds containing in the condensed system at least one hetero ring having sulfur atoms as the only ring hetero atoms in which the condensed system contains two hetero rings
    • C07D495/04Ortho-condensed systems
    • CCHEMISTRY; METALLURGY
    • C07ORGANIC CHEMISTRY
    • C07DHETEROCYCLIC COMPOUNDS
    • C07D513/00Heterocyclic compounds containing in the condensed system at least one hetero ring having nitrogen and sulfur atoms as the only ring hetero atoms, not provided for in groups C07D463/00, C07D477/00 or C07D499/00 - C07D507/00
    • C07D513/02Heterocyclic compounds containing in the condensed system at least one hetero ring having nitrogen and sulfur atoms as the only ring hetero atoms, not provided for in groups C07D463/00, C07D477/00 or C07D499/00 - C07D507/00 in which the condensed system contains two hetero rings
    • C07D513/04Ortho-condensed systems

Definitions

  • UPP Ubiquitin-Proteasome Pathway
  • E3 ubiquitin ligases comprise over 500 different proteins and are categorized into multiple classes defined by the structural element of their E3 functional activity. For example, cereblon (CRBN) interacts with damaged DNA binding protein 1 and forms an E3 ubiquitin ligase complex with Cullin 4 in which the proteins recognized by CRBN are ubiquitinated and degraded by proteasomes.
  • Various immunomodulatory drugs e.g., thalidomide and lenalidomide, binds to CRBN and modulates CRBN's role in the ubiquitination and degradation of protein factors involved in maintaining regular cellular function.
  • Bifunctional compounds composed of a target protein-binding moiety and an E3 ubiquitin ligase-binding moiety have been shown to induce proteasome-mediated degradation of selected proteins. These drug-like molecules offer the possibility of temporal control over protein expression, and could be useful as biochemical reagents for the treatment of diseases.
  • Protein kinases are a class of enzymes that catalyze the transfer of the terminal phosphate of adenosine triphosphate to amino acid residues such as tyrosine, serine, and threonine residues on protein substrates. Protein kinases are a large family of proteins which play a critical role in the regulation of a wide variety of cellular processes and functions. Protein kinases can be broken down into two classes, the protein tyrosine kinases and the serine-threonine kinases.
  • PTKs Protein tyrosine kinases
  • RPTKs receptor tyrosine kinases
  • STKs serine/threonine kinases
  • STKs are enzymes which phosphorylate serine and/or threonine residues in peptides.
  • the protein kinase families include, for example, kinases such as Abl, Ack, AIE2, Akt, ALK, ALK2, ALK3, AIM1, ARK2, ARK1, AURA, Aurora-A, Aurora-B, Aurora-C, bcr-abl, Blk, BRAF, Brk, BTAK, Btk, c-fms, c-kit, c-met, c-src, CDK1, CDK2, CDK3, CDK4, CDK5, CDK6, CDK7, CDK8, CDK9, CDK10, cRafl, CSK, EGFR, ErbB2, ErbB3, ErbB4, Erk, Fak, Frk, Fes, Fps, FGFR1, FGFR2, FGFR3, FGFR4, FGFR5, Fgr, flt-1, Fps, Frk, Fyn, Hck, IGF-1R, IRR, INS-R, Jak, KDR/FLK
  • the present application relates to novel bifunctional compounds, which function to recruit targeted proteins to E3 ubiquitin ligase for degradation, and methods of preparation and uses thereof.
  • the bifunctional com ound is of Formula X:
  • Targeting Ligand is capable of binding to at least one targeted protein, such as a protein kinase
  • the Linker is a group that covalently binds to the Targeting Ligand and the Degron; and the Degron is capable of binding to a ubiquitin ligase, such as an E3 ubiquitin ligase (e.g., cereblon).
  • a ubiquitin ligase such as an E3 ubiquitin ligase (e.g., cereblon).
  • the present application also relates to targeted degradation of proteins through the use of bifunctional compounds, including bifunctional compounds that link an E3 ubiquitin ligase- binding moiety to a ligand that binds the targeted proteins.
  • the present application also relates to a bifunctional compound of Formula I, II, III, IV, V, or VI:
  • A, B 1 , B 2 , B 3 , B 4 , B 5 , B 6 , B 7 , R 1 -R 4 , R 6 -R 8 , R 12 -R 14 , R 17 , R 18 , R 21 -R 24 , R 27 -R 30 , X 1 , X 2 , X3, X4, Y1, n1, n2, q1, q2, r1, s2, s3, s4, and s5 are each as defined herein;
  • the Linker is a group that covalently binds to and the degron in Formula (I); and the degron in Formula (II); and the degron in Formula (III); and
  • the Degron is capable of binding to a ubiquitin ligase, such as an E3 ubiquitin ligase (e.g., cereblon); and
  • Targeting Ligand is capable of binding to at least one targeted proteins, such a protein kinase.
  • the present application further relates to a Degron of Formula D1 or D2:
  • the Linker is covalently bonded to a Degron via the next to Q1, and covalently bonded to a Targeting Ligand via the next to Z 1 .
  • the present application also relates to a pharmaceutical composition
  • a pharmaceutical composition comprising a therapeutically effective amount of a bifunctional compound of the application, or an
  • Another aspect of the present application relates to a method of inhibiting at least one protein kinase.
  • the method comprises administering to a subject in need thereof an effective amount of a bifunctional compound of the application, or an enantiomer, diastereomer, or stereoisomer, or pharmaceutically acceptable salt thereof, or a pharmaceutical composition of the application.
  • the bifunctional compound inhibits more than one protein kinase.
  • the protein kinase is a protein tyrosine kinase.
  • the protein kinase is a serine-threonine kinase.
  • Another aspect of the present application relates to a method of modulating (e.g., decreasing) the amount of at least one protein kinase.
  • the method comprises administering to a subject in need thereof a therapeutically effective amount of a bifunctional compound of the application, or an enantiomer, diastereomer, or stereoisomer, or pharmaceutically acceptable salt thereof, or a pharmaceutical composition of the application.
  • the bifunctional compound modulates more than one protein kinase.
  • the protein kinase is a protein tyrosine kinase.
  • the protein kinase is a serine- threonine kinase.
  • Another aspect of the present application relates to a method of inhibiting a protein tyrosine kinase.
  • the method comprises administering to a subject in need thereof an effective amount of a bifunctional compound of the application, or an enantiomer, diastereomer, or stereoisomer, or pharmaceutically acceptable salt thereof, or a pharmaceutical composition of the application.
  • Another aspect of the present application relates to a method of inhibiting a serine- threonine kinase.
  • the method comprises administering to a subj ect in need thereof an effective amount of a bifunctional compound of the application, or an enantiomer, diastereomer, or stereoisomer, or pharmaceutically acceptable salt thereof, or a pharmaceutical composition of the application.
  • Another aspect of the present application relates to a method of modulating a protein tyrosine kinase.
  • the method comprises administering to a subject in need thereof an effective amount of a bifunctional compound of the application, or an enantiomer, diastereomer, or stereoisomer, or pharmaceutically acceptable salt thereof, or a pharmaceutical composition of the application.
  • Another aspect of the present application relates to a method of modulating a serine- threonine kinase.
  • the method comprises administering to a subj ect in need thereof an effective amount of a bifunctional compound of the application, or an enantiomer, diastereomer, or stereoisomer, or pharmaceutically acceptable salt thereof, or a pharmaceutical composition of the application.
  • Another aspect of the present application relates to a method of treating or preventing a disease (e.g., a disease in which one or more protein kinases (e.g., a protein tyrosine kinase or a serine-threonine kinase) play a role).
  • the method comprises administering to a subject in need thereof an effective amount of a bifunctional compound of the application, or an enantiomer, diastereomer, or stereoisomer, or pharmaceutically acceptable salt thereof, or a pharmaceutical composition of the application.
  • the disease is protein kinase mediated disorder.
  • the disease is a proliferative disease (e.g., a proliferative disease in which one or more protein kinases play a role).
  • the method treats or prevents a disease in which a protein tyrosine kinase plays a role. In other embodiments, the method treats or prevents a disease in which a serine-threonine kinase plays a role.
  • Another aspect of the present application relates to a method of treating or preventing cancer in a subject, wherein the cancer cell comprises an activated protein kinase (or one or more protein kinases) or wherein the subject is identified as being in need of protein kinase inhibition for the treatment or prevention of cancer.
  • the method comprises administering to the subject an effective amount of a bifunctional compound of the application, or an enantiomer, diastereomer, or stereoisomer, or pharmaceutically acceptable thereof, or a pharmaceutical composition of the application.
  • the cell comprises more than one activated protein kinase.
  • the activated protein kinase is a protein tyrosine kinase.
  • the activated protein kinase is a serine-threonine kinase.
  • Another aspect of the present application relates to a method of treating or preventing cancer in a subject, wherein the cancer cell comprises an activated protein tyrosine kinase or wherein the subject is identified as being in need of inhibition of a protein tyrosine kinase for the treatment or prevention of cancer.
  • the method comprises administering to the subject an effective amount of a bifunctional compound of the application, or an enantiomer, diastereomer, or stereoisomer, or pharmaceutically acceptable thereof, or a pharmaceutical composition of the application.
  • Another aspect of the present application relates to a method of treating or preventing cancer in a subject, wherein the cancer cell comprises an activated serine-threonine kinase or wherein the subject is identified as being in need of inhibition of a serine-threonine kinase for the treatment or prevention of cancer.
  • the method comprises administering to the subject an effective amount of a bifunctional compound of the application, or an enantiomer, diastereomer, or stereoisomer, or pharmaceutically acceptable thereof, or a pharmaceutical composition of the application.
  • kits comprising a bifunctional compound capable of inhibiting protein kinase activity of at least one protein kinase, selected from a bifunctional compound of the application, or an enantiomer, diastereomer, or
  • bifunctional compound inhibits more than one protein kinase. In some embodiments, the bifunctional compound inhibits a protein tyrosine kinase. In other embodiments, the bifunctional compound inhibits a serine-threonine kinase.
  • kits comprising a bifunctional compound capable of inhibiting protein tyrosine kinase activity, selected from a bifunctional compound of the application, or an enantiomer, diastereomer, or stereoisomer, or
  • kits comprising a bifunctional compound capable of inhibiting serine-threonine kinase activity, selected from a bifunctional compound of the application, or an enantiomer, diastereomer, or stereoisomer, or
  • kits comprising a bifunctional compound capable of modulating (e.g., decreasing) the amount of at least one protein kinase, selected from a bifunctional compound of the application, or an enantiomer, diastereomer, or stereoisomer, or pharmaceutically acceptable salt thereof.
  • the bifunctional compound modulates more than one protein kinase.
  • the bifunctional compound modulates a protein tyrosine kinase.
  • the bifunctional compound modulates a serine-threonine kinase.
  • kits comprising a bifunctional compound capable of modulating (e.g., decreasing) the amount of a protein tyrosine kinase, selected from a bifunctional compound of the application, or an enantiomer, diastereomer, or stereoisomer, or pharmaceutically acceptable salt thereof.
  • kits comprising a bifunctional compound capable of modulating (e.g., decreasing) the amount of a serine-threonine kinase, selected from a bifunctional compound of the application, or an enantiomer, diastereomer, or stereoisomer, or pharmaceutically acceptable salt thereof.
  • Another aspect of the present application relates to use of a bifunctional compound of the application, or an enantiomer, diastereomer, or stereoisomer, or pharmaceutically acceptable salt thereof, or a pharmaceutical composition of the application, in the manufacture of a medicament for inhibiting at least one protein kinase or for modulating (e.g., decreasing) the amount of protein kinase.
  • the bifunctional compound inhibits more than one protein kinase.
  • the bifunctional compound inhibits a protein tyrosine kinase.
  • the bifunctional compound inhibits a serine-threonine kinase.
  • Another aspect of the present application relates to use of a bifunctional compound of the application, or an enantiomer, diastereomer, or stereoisomer, or pharmaceutically acceptable salt thereof, or a pharmaceutical composition of the application, in the manufacture of a medicament for inhibiting a protein tyrosine kinase or for modulating (e.g., decreasing) the amount of a protein tyrosine kinase.
  • Another aspect of the present application relates to use of a bifunctional compound of the application, or an enantiomer, diastereomer, or stereoisomer, or pharmaceutically acceptable salt thereof, or a pharmaceutical composition of the application, in the manufacture of a medicament for inhibiting a serine-threonine kinase or for modulating (e.g., decreasing) the amount of a serine-threonine kinase.
  • a disease e.g., a disease in which one or more protein kinases play a role
  • the disease is protein kinase mediated disorder.
  • the disease is a proliferative disease (e.g., a proliferative disease in which one or more protein kinases play a role).
  • the disease is a protein tyrosine kinase mediated disorder.
  • the disease is a serine-threonine kinase mediated disorder.
  • Another aspect of the present application relates to use of a bifunctional compound of the application, or an enantiomer, diastereomer, or stereoisomer, or pharmaceutically acceptable salt thereof, or a pharmaceutical composition of the application, in the manufacture of a medicament for treating or preventing cancer in a subject, wherein the cancer cell comprises at least one activated protein kinase or wherein the subject is identified as being in need of inhibition of at least one protein kinase for the treatment or prevention of cancer.
  • Another aspect of the present application relates to use of a bifunctional compound of the application, or an enantiomer, diastereomer, or stereoisomer, or pharmaceutically acceptable salt thereof, or a pharmaceutical composition of the application, in the manufacture of a medicament for treating or preventing cancer in a subject, wherein the cancer cell comprises an activated protein tyrosine kinase or wherein the subject is identified as being in need of inhibition of a protein tyrosine kinase for the treatment or prevention of cancer.
  • Another aspect of the present application relates to use of a bifunctional compound of the application, or an enantiomer, diastereomer, or stereoisomer, or pharmaceutically acceptable salt thereof, or a pharmaceutical composition of the application, in the manufacture of a medicament for treating or preventing cancer in a subject, wherein the cancer cell comprises an activated serine-threonine kinase or wherein the subject is identified as being in need of inhibition of a serine-threonine kinase for the treatment or prevention of cancer.
  • Another aspect of the present application relates to a bifunctional compound of the application, or an enantiomer, diastereomer, or stereoisomer, or pharmaceutically acceptable salt thereof, or a pharmaceutical composition of the application, for inhibiting at least one protein kinase or modulating (e.g., decreasing) the amount of at least one protein kinase.
  • Another aspect of the present application relates to a bifunctional compound of the application, or an enantiomer, diastereomer, or stereoisomer, or pharmaceutically acceptable salt thereof, or a pharmaceutical composition of the application, for inhibiting a protein tyrosine kinase or modulating (e.g., decreasing) the amount of at least one protein tyrosine kinase.
  • Another aspect of the present application relates to a bifunctional compound of the application, or an enantiomer, diastereomer, or stereoisomer, or pharmaceutically acceptable salt thereof, or a pharmaceutical composition of the application, for inhibiting a serine-threonine kinase or modulating (e.g., decreasing) the amount of at least one serine-threonine kinase.
  • a disease e.g., a disease in which one or more protein kinases plays a role
  • the disease is protein kinase mediated disorder.
  • the disease is a proliferative disease (e.g., a proliferative disease in which one or more protein kinases play a role).
  • the protein kinase is a protein tyrosine kinase. In other embodiments, the protein kinase is a serine-threonine kinase.
  • Another aspect of the present application relates to a bifunctional compound of the application, or an enantiomer, diastereomer, or stereoisomer, or pharmaceutically acceptable salt thereof, or a pharmaceutical composition of the application, for treating or preventing cancer in a subject, wherein the cancer cell comprises at least one activated protein kinase or wherein the subject is identified as being in need of inhibition of at least one protein kinase for the treatment or prevention of cancer.
  • Another aspect of the present application relates to a bifunctional compound of the application, or an enantiomer, diastereomer, or stereoisomer, or pharmaceutically acceptable salt thereof, or a pharmaceutical composition of the application, for treating or preventing cancer in a subject, wherein the cancer cell comprises an activated protein tyrosine kinase or wherein the subject is identified as being in need of inhibition of a protein tyrosine kinase for the treatment or prevention of cancer.
  • Another aspect of the present application relates to a bifunctional compound of the application, or an enantiomer, diastereomer, or stereoisomer, or pharmaceutically acceptable salt thereof, or a pharmaceutical composition of the application, for treating or preventing cancer in a subject, wherein the cancer cell comprises an activated serine-threonine kinase or wherein the subject is identified as being in need of inhibition of a serine-threonine kinase for the treatment or prevention of cancer.
  • the present application provides inhibitors of protein kinases that are therapeutic agents in the treatment or prevention of diseases such as cancer and metastasis.
  • the present application further provides compounds and compositions with an improved efficacy and/or safety profile relative to known protein kinase inhibitors.
  • the present application also provides agents with novel mechanisms of action toward protein kinases in the treatment of various types of diseases including cancer and metastasis.
  • the compounds and methods of the present application address unmet needs in the treatment of diseases or disorders in which pathogenic or oncogenic endogenous proteins (e.g., protein kinases) play a role, such as cancer.
  • pathogenic or oncogenic endogenous proteins e.g., protein kinases
  • FIG.1 is a heatmap displaying viability (as approximated by ATP luminescence measurement using CellTiter-Glo assay) of various cells treated with representative compounds of the present application, based on results from 10-point dose-response experiments after 72 h treatment with the compounds. Experiments were performed in quadruplicates.
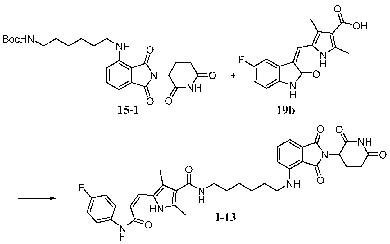
  • FIG.2A-2N are graphs showing the percentage viability (relative to DMSO/vehicle controls) of various cells treated with Sunitinib, Compound I-2, Compound I-7, Compound I-10, Compound I-11, Compound I-6, Compound I-13, or Compound I-37: FIG.2A: DNA41, FIG.
  • FIG.2B HBP-ALL
  • FIG.2C HSB2
  • FIG.2D JURKAT
  • FIG.2E KOPTK1
  • FIG.2F MOLT4
  • FIG.2G MOLT4-CRBN -/-
  • FIG.2H MOLT16
  • FIG.2I CCRF-CEM
  • FIG.2J P12- ICHIKAWA
  • FIG.2K PF382
  • FIG.2L RPMI-8402
  • FIG.2M SKW3
  • FIG.2N SUPT11.
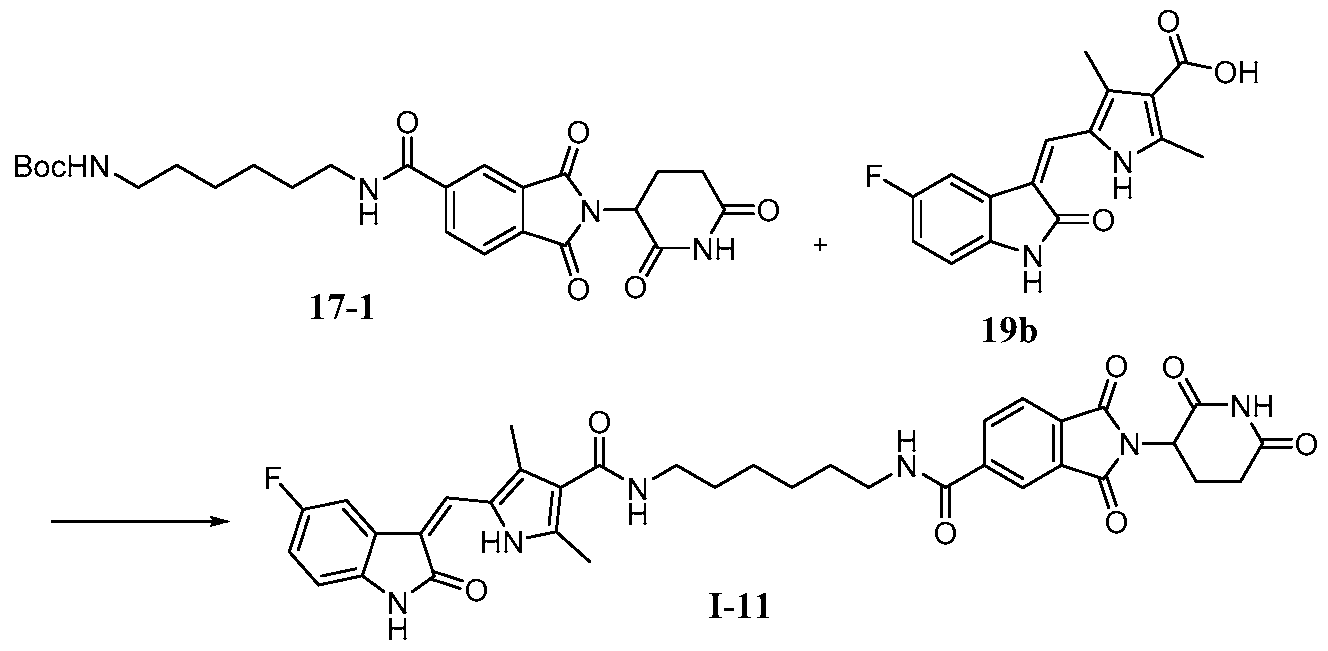
  • the results were from 10-point dose-response experiments after 72 h treatment with the compounds. Experiments were performed in quadruplicates. DETAILED DESCRIPTION
  • the present application relates to bifunctional compounds having utility as modulators of ubiquitination and proteosomal degradation of targeted proteins, especially compounds comprising a moiety capable of binding to a polypeptide or a protein that is degraded and/or otherwise inhibited by the bifunctional compounds of the present application.
  • the present application is directed to compounds which contain a moiety, e.g., a small molecule moiety (e.g., having a molecular weight of below 2,000, 1,000, 500, or 200 Daltons), such as a thalidomide-like moiety, which is capable of binding to an E3 ubiquitin ligase, such as cereblon, and a ligand that is capable of binding to a target protein, in such a way that the target protein is placed in proximity to the ubiquitin ligase to effect degradation (and/or inhibition) of that protein.
  • a moiety e.g., a small molecule moiety (e.g., having a molecular weight of below 2,000, 1,000, 500, or 200 Daltons), such as a thalidomide-like moiety, which is capable of binding to an E3 ubiquitin ligase, such as cereblon, and a ligand that is capable of binding to a target protein, in such a way that the target
  • the compounds of the present application can be used in methods to treat a variety of diseases including , but not limited to, metabolic disorders, bone diseases (e.g., osteoporosis, Paget's Disease, etc.), inflammation (e.g., rheumatoid arthritis and other inflammatory disorders) and cancer (e.g., solid tumors and leukemias, mediated by one or more kinases (e.g., protein kinase), or by dysregulation of a kinase (e.g., protein kinase), including, among others, advanced cases and cases which are resistant to one or more other treatments.
  • kinases e.g., protein kinase
  • dysregulation of a kinase e.g., protein kinase
  • the present application provides a bifunctional compound of Formula X:
  • Targeting Ligand is capable of binding to at least one targeted protein, such as a protein kinase
  • the Linker is a group that covalently binds to the Targeting Ligand and the Degron; and the Degron is capable of binding to a ubiquitin ligase, such as an E3 ubiquitin ligase (e.g., cereblon).
  • a ubiquitin ligase such as an E3 ubiquitin ligase (e.g., cereblon).
  • the present application provides a compound of Formula I:
  • R1, R2, R3, R4, X1, n1, and n2 are each as defined herein;
  • the Linker is a group that covalently binds to and the Degron
  • the Degron is capable of binding to a ubiquitin ligase, such as an E3 ubiquitin ligase (e.g., cereblon); and
  • Targeting Ligand is capable of binding to at least one targeted proteins, such a protein kinase.
  • A, R 6 , R 7 , R 8 , X 2 , X 3 , q1, and q2 are each as defined herein;
  • the Linker is a group that covalently binds to and the Degron;
  • the Degron is capable of binding to a ubiquitin ligase, such as an E3 ubiquitin ligase (e.g., cereblon); and
  • Targeting Ligand is capable of binding to at least one targeted proteins, such a protein kinase.
  • B 1 , B 2 , R 12 , R 13 , R 14 , and r1 are each as defined herein;
  • the Linker is a group that covalently binds to and the Degron;
  • the Degron is capable of binding to a ubiquitin ligase, such as an E3 ubiquitin ligase (e.g., cereblon); and
  • Targeting Ligand is capable of binding to at least one targeted proteins, such a protein kinase.
  • Linker is a group that covalently binds to and the Degron
  • the Degron is capable of binding to a ubiquitin ligase, such as an E3 ubiquitin ligase (e.g., cereblon); and
  • Targeting Ligand is capable of binding to at least one targeted proteins, such a protein kinase.
  • R21, R22, R23, R24, Y1, and s2 are each as defined herein;
  • the Linker is a group that covalently binds to and the Degron
  • the Degron is capable of binding to a ubiquitin ligase, such as an E3 ubiquitin ligase (e.g., cereblon); and
  • Targeting Ligand is capable of binding to at least one targeted proteins, such a protein kinase.
  • B 6 , B 7 , R 27 , R 28 , R 29 , R 30 , X 4 , s3, s4, and s5 are each as defined herein;
  • the Linker is a group that covalently binds to and the Degron
  • the Degron is capable of binding to a ubiquitin ligase, such as an E3 ubiquitin ligase (e.g., cereblon); and
  • Targeting Ligand is capable of binding to at least one targeted proteins, such a protein kinase.
  • the present application further relates to a Degron of Formula D1:
  • R 37 , R 38 , R 39 , R 40 , Y, Z 3 , q, and v are each as defined herein, and the Degron covalently binds to a Linker via
  • the present application further relates to a De ron of Formula D2:
  • the Linker is covalently bonded to a Degron via the next to Q1, and covalently bonded to a Targeting Ligand via the next to Z 1 .
  • Targeting Ligand (or target protein moiety or target protein ligand or ligand) is a small molecule which is capable of binding to a target protein of interest, such a protein kinase.
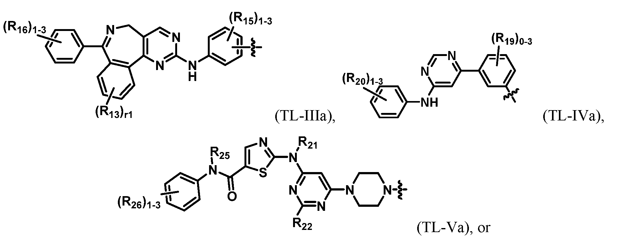
  • a Targeting Ligand is a compound of Formula TL-I:
  • X 1 is NR 5 or O
  • each R1 and each R4 are independently (C1-C4) alkyl, (C1-C4) haloalkyl, (C1-C4) alkoxy, (C1-C4) haloalkoxy, halogen, OH, or NH2;
  • R 2 and R 3 are each independently H, (C 1 -C 4 ) alkyl, or (C 1 -C 4 ) haloalkyl;
  • R 5 is H, (C 1 -C 4 ) alkyl, (C 1 -C 4 ) haloalkyl, or C(O)(C 1 -C 4 ) alkyl;
  • n1 0, 1, 2 or 3;
  • n2 is 0, 1, or 2;
  • Targeting Ligand is bonded to the Linker via the next to
  • X 1 is NR 5 . In another embodiment, X 1 is O.
  • each R1 is independently (C1-C3) alkyl, (C1-C3) haloalkyl, (C1-C3) alkoxy, (C 1 -C 3 ) haloalkoxy, halogen, OH, or NH 2 .
  • each R 1 is independently (C1-C3) alkyl, (C1-C3) haloalkyl, (C1-C3) alkoxy, or (C1-C3) haloalkoxy.
  • each R 1 is independently halogen, OH, or NH 2 .
  • each R 1 is independently (C 1 -C 3 ) alkoxy or (C 1 -C 3 ) haloalkoxy.
  • each R 1 is independently (C1-C3) alkyl, (C1-C3) haloalkyl, or halogen. In other embodiments, each R1 is independently (C1-C3) alkyl or halogen. In other embodiments, each R1 is independently methyl, ethyl, n-propyl, i-propyl, or halogen. In other embodiments, each R 1 is independently methyl, ethyl, n-propyl, i-propyl, F, or Cl. In other embodiments, each R1 is independently F or Cl. In other embodiments, at least one R1 is F.
  • R 2 is H, (C 1 -C 3 ) alkyl, or (C 1 -C 3 ) haloalkyl.
  • R 2 is H or (C 1 -C 4 ) alkyl. In other embodiments, R 2 is H, methyl, ethyl, n-propyl, or i-propyl. In other embodiments, R2 is H, methyl or ethyl. In other embodiments, R2 is (C1- C 4 ) alkyl. In other embodiments, R 2 is methyl, ethyl, n-propyl, or i-propyl. In other
  • R 2 is methyl or ethyl. In other embodiments, R 2 is (C 1 -C 4 ) alkyl or (C 1 -C 4 ) haloalkyl. In other embodiments, R2 is H.
  • R3 is H, (C1-C3) alkyl, or (C1-C3) haloalkyl.
  • R 3 is H or (C 1 -C 4 ) alkyl. In other embodiments, R 3 is H, methyl, ethyl, n-propyl, or i-propyl. In other embodiments, R3 is H, methyl or ethyl. In other embodiments, R3 is (C1- C4) alkyl. In other embodiments, R3 is methyl, ethyl, n-propyl, or i-propyl. In other
  • R 3 is methyl or ethyl. In other embodiments, R 3 is (C 1 -C 4 ) alkyl or (C 1 -C 4 ) haloalkyl. In other embodiments, R3 is H.
  • each R4 is independently (C1-C3) alkyl, (C1-C3) haloalkyl, (C1-C3) alkoxy, (C 1 -C 3 ) haloalkoxy, halogen, OH, or NH 2 . In other embodiments, each R 4 is
  • each R4 is independently (C 1 -C 3 ) alkyl, (C 1 -C 3 ) haloalkyl, (C 1 -C 3 ) alkoxy, or (C 1 -C 3 ) haloalkoxy.
  • each R4 is independently halogen, OH, or NH2.
  • each R4 is independently (C 1 -C 3 ) alkoxy or (C 1 -C 3 ) haloalkoxy.
  • each R 4 is independently (C 1 -C 3 ) alkyl or (C 1 -C 3 ) haloalkyl.
  • each R 4 is
  • each R4 is independently methyl, ethyl, n-propyl, i-propyl, or (C1-C3) haloalkyl.
  • each R4 is independently methyl, ethyl, n-propyl, or i-propyl.
  • each R4 is methyl or ethyl.
  • at least one R 4 is methyl.
  • at least two R4 are methyl.
  • R5 is H, (C1-C3) alkyl, (C1-C3) haloalkyl, or C(O)(C1-C3) alkyl.
  • R 5 is (C 1 -C 3 ) alkyl, (C 1 -C 3 ) haloalkyl, or C(O)(C 1 -C 3 ) alkyl. In other embodiments, R 5 is (C 1 -C 3 ) haloalkyl or C(O)(C 1 -C 3 ) alkyl. In other embodiments, R 5 is H or (C1-C3) alkyl. In other embodiments, R5 is H, methyl, ethyl, n-propyl, or i-propyl. In other embodiments, R5 is H, methyl, or ethyl. In other embodiments, R5 is H.
  • n1 is 0. In other embodiments, n1 is 1. In other embodiments, n1 is 2. In other embodiments, n1 is 3. In other embodiments, n1 is 0 or 1. In other embodiments, n1 is 1 or 2. In other embodiments, n1 is 2 or 3. In other embodiments, n1 is 0, 1, or 2. In other embodiments, n1 is 1, 2, or 3.
  • n2 is 0. In other embodiments, n2 is 1. In other embodiments, n2 is 2. In other embodiments, n2 is 0 or 1. In other embodiments, n2 is 1 or 2.
  • any of the groups described herein for any of X 1 , R 1 , R 2 , R 3 , R 4 , R 5 , n1, and n2 can be combined with any of the groups described herein for one or more of the remainder of X 1 , R 1 , R2, R3, R4, R5, n1, and n2, and may further be combined with any of the groups described herein for the Linker.
  • X1 is NR5 and R5 is H.
  • X1 is NR5 and R5 is (C1-C3) alkyl.
  • X 1 is NR 5 and R 5 is methyl.
  • X1 is NR5, R5 is H, and R3 is H.
  • X1 is NR5
  • R5 is (C1-C3) alkyl
  • R3 is H.
  • X 1 is NR 5
  • R 5 is methyl
  • R 3 is H.
  • X 1 is NR 5
  • R 5 is H
  • R 3 is H
  • R 2 is H.
  • X1 is NR5
  • R5 is (C1-C3) alkyl
  • R3 is H
  • R2 is H.
  • X 1 is NR 5
  • R 5 is methyl
  • R 3 is H
  • R 2 is H.
  • X 1 is NR 5 , R 5 is H, R 3 is H, R 2 is H, and at least one R 1 is halogen.
  • X1 is NR5, R5 is H, R3 is H, R2 is H, and at least one R1 is F.
  • X 1 is NR 5 , R 5 is (C 1 -C 3 ) alkyl, R 3 is H, R 2 is H, and at least one R1 is halogen.
  • X1 is NR5, R5 is (C1-C3) alkyl, R3 is H, R2 is H, and at least one R 1 is F.
  • X 1 is NR 5 , R 5 is methyl, R 3 is H, R 2 is H, and at least one R 1 is halogen.
  • X1 is NR5, R5 is methyl, R3 is H, R2 is H, and at least one R1 is F.
  • X1 is NR5 and R3 is H.
  • X1 is NR5, R3 is H, and R2 is H.
  • X 1 is NR 5 , R 3 is H, R 2 is H, and at least one R 1 is halogen.
  • X 1 is NR 5 , R 3 is H, R 2 is H, and at least one R 1 is F.
  • X1 is NR5 and at least one R1 is halogen.
  • X 1 is NR 5 and at least one R 1 is F.
  • X 1 is NR 5 and R 2 is H.
  • X1 is O and R3 is H.
  • X1 is O
  • R3 is H
  • R2 is H
  • X 1 is O
  • R 3 is H
  • R 2 is H
  • at least one R 1 is halogen.
  • X1 is O
  • R3 is H
  • R2 is H
  • at least one R1 is F.
  • X1 is O
  • R2 is H
  • at least one R1 is halogen
  • X 1 is O
  • R 2 is H
  • at least one R 1 is F
  • X1 is O and at least one R1 is halogen.
  • X1 is O and at least one R1 is F.
  • X 1 is O and R 2 is H.
  • X 1 is O
  • R 2 is H
  • at least one R 1 is halogen
  • X1 is O
  • R2 is H
  • at least one R1 is F.
  • R 1 , R 2 , R 3 , R 5 , and X 1 are each as defined, where applicable, in any one of (1)-(33), and n1 is 1.
  • R1, R2, R3, R5, and X1 are each as defined, where applicable, in any one of (1)-(33), and n1 is 2.
  • R 1 , R 2 , R 3 , R 5 , n1, and X 1 are each as defined, where applicable, in any one of (1)-(35), and n2 is 1.
  • R1, R2, R3, R5, n1, and X1 are each as defined, where applicable, in any one of (1)-(35), and n2 is 2.
  • R 1 , R 2 , R 3 , R 5 , n1, n2, and X 1 are each as defined, where applicable, in any one of (1)-(37), and each R4 is independently (C1-C3) alkyl.
  • R1, R2, R3, R5, n1, n2, and X1 are each as defined, where applicable, in any one of (1)-(37), and at least one R 4 is methyl.
  • the compound of Formula TL-I is of Formula TL-Ia:
  • R 1 , R 3 , R 4 , n1, and n2 are each as defined above in Formula TL-I.
  • R3 is H.
  • R 3 is H and at least one R 1 is halogen.
  • R3 is H and at least one R1 is F.
  • R1 and R3 are each as defined, where applicable, in any one of (1)-(4), and n1 is 1.
  • R 1 and R 3 are each as defined, where applicable, in any one of (1)-(4), and n1 is 2.
  • R 1 and R 3 are each as defined, where applicable, in any one of (1)-(5), and n2 is 1.
  • R1 and R3 are each as defined, where applicable, in any one of (1)-(5), and n2 is 2.
  • R 1 , R 3 , n1, and n2 are each as defined, where applicable, in any one of (1)-(7), and each R4 is independently (C1-C3) alkyl.
  • R1, R3, n1, and n2 are each as defined, where applicable, in any one of (1)-(7), and at least one R 4 is methyl.
  • R 1 , R 3 , R 4 , n1, and n2 can each be selected from any of the groups and combined as described above in Formula TL-I or TL-Ia.
  • a Targeting Ligand is a compound of Formula TL-II:
  • A is (C 6 -C 10 ) aryl or 5- or 6-membered heteroaryl comprising 1-3 heteroatoms selected from N, S, and O, wherein the aryl or heteroaryl are optionally substituted with one to three R 9 ;
  • each R 6 is independently (C 1 -C 4 ) alkyl, (C 1 -C 4 ) haloalkyl, (C 1 -C 4 ) alkoxy, (C 1 -C 4 ) haloalkoxy, halogen, OH, NH2, (C1-C4) alkylamino, (C1-C4) dialkylamino, NHS(O)2(C1-C4) alkyl, or N((C1-C4) alkyl)S(O)2(C1-C4) alkyl;
  • R 7 is H, (C 1 -C 4 ) alkyl, or (C 1 -C 4 ) haloalkyl;
  • each R 8 and each R 9 are independently (C 1 -C 4 ) alkyl, (C 1 -C 4 ) haloalkyl, (C 1 -C 4 ) alkoxy, (C1-C4) haloalkoxy, halogen, OH, or NH2;
  • R 10 is H or (C 1 -C 4 ) alkyl
  • R 11 is (C 1 -C 4 ) alkyl, (C 1 -C 4 ) haloalkyl, (C 1 -C 4 ) alkoxy, (C 1 -C 4 ) haloalkoxy, halogen, OH, or NH2;
  • q1 is 0, 1, 2, 3, or 4;
  • q2 is 0, 1, or 2; wherein the Targeting Ligand is bonded to the Linker via the next to .
  • A is (C 6 -C 10 ) aryl optionally substituted with one to three R 9 .
  • A is 5- or 6-membered heteroaryl comprising 1-3 heteroatoms selected from N, S, and O, optionally substituted with one to three R9.
  • A is 5- membered heteroaryl comprising 1-3 heteroatoms selected from N, S, and O, optionally substituted with one to three R9.
  • A is 6-membered heteroaryl comprising 1-3 heteroatoms selected from N, S, and O, optionally substituted with one to three R9.
  • A is phenyl optionally substituted with one to three R 9 . In other embodiments, A is phenyl.
  • X2 is S. In other embodiments, X2 is NR10. In other embodiments, X 2 is O or NR 10 . In other embodiments, X 2 is S or NR 10 . In other embodiments, X 2 is O or S. In other embodiments, X 2 is O.
  • X3 is N. In other embodiments, X3 is CR11.
  • each R6 is independently (C1-C3) alkyl, (C1-C3) haloalkyl, (C1-C3) alkoxy, (C 1 -C 3 ) haloalkoxy, halogen, OH, NH 2 , (C 1 -C 3 ) alkylamino, (C 1 -C 3 ) dialkylamino, NHS(O)2(C1-C4) alkyl, or N((C1-C4) alkyl)S(O)2(C1-C4) alkyl.
  • each R6 is independently (C1-C3) alkyl, (C1-C3) haloalkyl, (C1-C3) alkoxy, (C1-C3) haloalkoxy, halogen, OH, or NH 2 .
  • each R 6 is independently (C 1 -C 3 ) alkyl, (C 1 -C 3 ) haloalkyl, (C 1 -C 3 ) alkoxy, or (C 1 -C 3 ) haloalkoxy.
  • each R 6 is independently halogen, OH, or NH2.
  • each R6 is independently (C1-C3) alkoxy or (C1-C3) haloalkoxy.
  • each R 6 is independently halogen, OH, NH 2 , (C 1 -C 3 ) alkylamino, (C 1 -C 3 ) dialkylamino, NHS(O) 2 (C 1 -C 4 ) alkyl or N((C 1 -C 4 ) alkyl)S(O) 2 (C 1 -C 4 ) alkyl.
  • each R6 is independently OH, NH2, (C1-C3) alkylamino, or (C1-C3) dialkylamino.
  • each R6 is independently NHS(O)2(C1-C4) alkyl or N((C1- C 4 ) alkyl)S(O) 2 (C 1 -C 4 ) alkyl.
  • each R 6 is independently (C 1 -C 3 ) alkyl or (C1-C3) haloalkyl.
  • each R6 is independently (C1-C3) alkyl, (C1-C3) haloalkyl, or halogen.
  • each R6 is independently methyl, ethyl, n-propyl, i- propyl, or (C 1 -C 3 ) haloalkyl.
  • each R 6 is independently halogen,
  • each R6 is independently halogen or NHS(O)2(C1-C4) alkyl. In other embodiments, each R6 is
  • each R 6 is independently F or NHS(O) 2 (C 1 -C 4 ) alkyl.
  • R7 is H, (C1-C3) alkyl, or (C1-C3) haloalkyl.
  • R 7 is H or (C 1 -C 4 ) alkyl. In other embodiments, R 7 is H, methyl, ethyl, n-propyl, or i-propyl. In other embodiments, R 7 is H, methyl or ethyl. In other embodiments, R 7 is (C 1 - C4) alkyl. In other embodiments, R7 is methyl, ethyl, n-propyl, or i-propyl. In other
  • R7 is methyl or ethyl. In other embodiments, R7 is (C1-C4) alkyl or (C1-C4) haloalkyl. In other embodiments, R 7 is H.
  • each R8 is independently (C1-C3) alkyl, (C1-C3) haloalkyl, (C1-C3) alkoxy, (C1-C3) haloalkoxy, halogen, OH, or NH2. In other embodiments, each R8 is independently (C1-C3) alkyl, (C1-C3) haloalkyl, (C1-C3) alkoxy, or (C1-C3) haloalkoxy. In other embodiments, each R 8 is independently halogen, OH, or NH 2 . In other embodiments, each R 8 is independently (C 1 -C 3 ) alkoxy or (C 1 -C 3 ) haloalkoxy.
  • each R 8 is independently (C1-C3) alkyl, (C1-C3) haloalkyl, or halogen. In other embodiments, each R8 is independently (C1-C3) alkyl or halogen. In other embodiments, each R8 is independently methyl, ethyl, n-propyl, i-propyl, or halogen.
  • each R9 is independently (C1-C3) alkyl, (C1-C3) haloalkyl, (C1-C3) alkoxy, (C1-C3) haloalkoxy, halogen, OH, or NH2. In other embodiments, each R9 is
  • each R 9 is independently (C 1 -C 3 ) alkyl, (C 1 -C 3 ) haloalkyl, (C 1 -C 3 ) alkoxy, or (C 1 -C 3 ) haloalkoxy.
  • each R 9 is independently halogen, OH, or NH 2 .
  • each R 9 is independently (C1-C3) alkoxy or (C1-C3) haloalkoxy.
  • each R9 is independently (C 1 -C 3 ) alkyl, (C 1 -C 3 ) haloalkyl, or halogen.
  • each R 9 is independently (C 1 -C 3 ) alkyl or halogen.
  • each R 9 is independently methyl, ethyl, n-propyl, i-propyl, or halogen.
  • R10 is H or (C1-C3) alkyl. In other embodiments, R10 is (C1-C3) alkyl. In other embodiments, R 10 is methyl, ethyl, n-propyl, or i-propyl. In other embodiments, R10 is methyl or ethyl. In other embodiments, R10 is H, methyl, or ethyl. In other embodiments, R10 is H.
  • R 11 is (C 1 -C 3 ) alkyl, (C 1 -C 3 ) haloalkyl, (C 1 -C 3 ) alkoxy, (C 1 -C 3 ) haloalkoxy, halogen, OH, or NH2.
  • R11 is (C1-C3) alkyl, (C1-C3) haloalkyl, (C1-C3) alkoxy, or (C1-C3) haloalkoxy.
  • R11 is halogen, OH, or NH2.
  • R 11 is (C 1 -C 3 ) alkoxy or (C 1 -C 3 ) haloalkoxy.
  • R 11 is (C 1 -C 3 ) alkyl, (C 1 -C 3 ) haloalkyl, or halogen. In other embodiments, R 11 is (C 1 -C 3 ) alkyl or halogen. In other embodiments, R11 is methyl, ethyl, n-propyl, i-propyl, or halogen.
  • q1 is 0. In other embodiments, q1 is 1. In other embodiments, q1 is 2. In other embodiments, q1 is 3. In other embodiments, q1 is 4. In other embodiments, q1 is 0 or 1. In other embodiments, q1 is 1 or 2. In other embodiments, q1 is 2 or 3. In other embodiments, q1 is 3 or 4. In other embodiments, q1 is 0, 1, or 2. In other embodiments, q1 is 1, 2, or 3. In other embodiments, q1 is 2, 3, or 4. In other embodiments, q1 is 0, 1, 2, or 3. In other embodiments, q1 is 1, 2, 3, or 4. In some embodiments, q2 is 0. In other embodiments, q2 is 1. In other embodiments, q2 is 2. In other embodiments, q2 is 0 or 1. In other embodiments, q2 is 1 or 2.
  • any of the groups described herein for any of A, X 2 , X 3 , R 6 , R 7 , R 8 , R 9 , R 10 , R 11 , q1, and q2 can be combined with any of the groups described herein for one or more of the remainder of A, X2, X3, R6, R7, R8, R9, R10, R11, q1, and q2, and may further be combined with any of the groups described herein for the Linker.
  • X2 is O and X3 is N.
  • X 2 is O
  • X 3 is N
  • A is (C 6 -C 10 ) aryl optionally substituted with one to three R 9 .
  • X2 is O
  • X3 is N
  • A is (C6-C10) aryl optionally substituted with one to three R 9
  • R 7 is H.
  • X 2 is O
  • X 3 is N
  • A is (C 6 -C 10 ) aryl optionally substituted with one to three R9
  • R7 is H
  • each R6 is independently halogen or NHS(O)2(C1-C4) alkyl.
  • X 2 is O
  • X 3 is N
  • A is (C 6 -C 10 ) aryl optionally substituted with one to three R9
  • R7 is (C1-C3) alkyl.
  • X2 is O
  • X3 is N
  • A is (C6-C10) aryl optionally substituted with one to three R 9
  • R 7 is (C 1 -C 3 ) alkyl
  • each R 6 is independently halogen or NHS(O)2(C1-C4) alkyl.
  • X2 is O
  • X3 is N
  • A is (C6-C10) aryl optionally substituted with one to three R 9
  • R 7 is methyl.
  • X 2 is O
  • X 3 is N
  • A is (C 6 -C 10 ) aryl optionally substituted with one to three R9
  • R7 is methyl
  • each R6 is independently halogen or NHS(O)2(C1- C 4 ) alkyl.
  • X 2 is O
  • X 3 is N
  • A is phenyl optionally substituted with one to three R9.
  • X2 is O
  • X3 is N
  • A is phenyl optionally substituted with one to three R 9
  • R 7 is H.
  • X2 is O
  • X3 is N
  • A is phenyl optionally substituted with one to three R9
  • R7 is H
  • each R6 is independently halogen or NHS(O)2(C1-C4) alkyl.
  • X2 is O
  • X3 is N
  • A is phenyl optionally substituted with one to three R 9
  • R 7 is (C 1 -C 3 ) alkyl.
  • X 2 is O
  • X 3 is N
  • A is phenyl optionally substituted with one to three R9
  • R7 is (C1-C3) alkyl
  • each R6 is independently halogen or NHS(O)2(C1-C4) alkyl.
  • X 2 is O
  • X 3 is N
  • A is phenyl optionally substituted with one to three R9
  • R7 is methyl
  • X2 is O
  • X3 is N
  • A is phenyl optionally substituted with one to three R 9
  • R 7 is methyl
  • each R 6 is independently halogen or NHS(O) 2 (C 1 -C 4 ) alkyl.
  • X 2 is O
  • X 3 is N
  • A is phenyl.
  • X2 is O
  • X3 is N
  • A is phenyl
  • R7 is H.
  • X 2 is O
  • X 3 is N
  • A is phenyl
  • R 7 is H
  • each R 6 is independently halogen or NHS(O) 2 (C 1 -C 4 ) alkyl.
  • X2 is O
  • X3 is N
  • A is phenyl
  • R7 is (C1-C3) alkyl.
  • X2 is O
  • X3 is N
  • A is phenyl
  • R7 is (C1-C3) alkyl
  • each R6 is independently halogen or NHS(O) 2 (C 1 -C 4 ) alkyl.
  • X2 is O
  • X3 is N
  • A is phenyl
  • R7 is methyl
  • X2 is O
  • X3 is N
  • A is phenyl
  • R7 is methyl
  • each R6 is independently halogen or NHS(O) 2 (C 1 -C 4 ) alkyl.
  • X2 is O
  • X3 is N
  • A is 5- or 6-membered heteroaryl comprising 1-3 heteroatoms selected from N, S, and O, optionally substituted with one to three R 9 .
  • X 2 is O
  • X 3 is N
  • A is 5- or 6-membered heteroaryl comprising 1-3 heteroatoms selected from N, S, and O, optionally substituted with one to three R 9
  • R 7 is H.
  • X 2 is O
  • X 3 is N
  • A is 5- or 6-membered heteroaryl comprising 1-3 heteroatoms selected from N, S, and O, optionally substituted with one to three R9
  • R7 is H
  • each R6 is independently halogen or NHS(O)2(C1-C4) alkyl.
  • X 2 is O
  • X 3 is N
  • A is 5- or 6-membered heteroaryl comprising 1-3 heteroatoms selected from N, S, and O, optionally substituted with one to three R9
  • R7 is (C1-C3) alkyl.
  • X2 is O
  • X3 is N
  • A is 5- or 6-membered heteroaryl comprising 1-3 heteroatoms selected from N, S, and O, optionally substituted with one to three R 9
  • R 7 is (C 1 -C 3 ) alkyl
  • each R 6 is independently halogen or NHS(O) 2 (C 1 -C 4 ) alkyl.
  • X2 is O
  • X3 is N
  • A is 5- or 6-membered heteroaryl comprising 1-3 heteroatoms selected from N, S, and O, optionally substituted with one to three R9
  • R7 is methyl.
  • X2 is O
  • X3 is N
  • A is 5- or 6-membered heteroaryl comprising 1-3 heteroatoms selected from N, S, and O, optionally substituted with one to three R 9
  • R 7 is methyl
  • each R 6 is independently halogen or NHS(O) 2 (C 1 -C 4 ) alkyl.
  • X2 is O
  • X3 is N
  • A is 5-membered heteroaryl comprising 1-3 heteroatoms selected from N, S, and O, optionally substituted with one to three R 9 .
  • X 2 is O
  • X 3 is N
  • A is 5-membered heteroaryl comprising 1-3 heteroatoms selected from N, S, and O, optionally substituted with one to three R9
  • R7 is H.
  • X 2 is O
  • X 3 is N
  • A is 5-membered heteroaryl comprising 1-3 heteroatoms selected from N, S, and O, optionally substituted with one to three R9
  • R7 is H
  • each R6 is independently halogen or NHS(O)2(C1-C4) alkyl.
  • X 2 is O
  • X 3 is N
  • A is 5-membered heteroaryl comprising 1-3 heteroatoms selected from N, S, and O, optionally substituted with one to three R9
  • R7 is (C1-C3) alkyl.
  • X 2 is O
  • X 3 is N
  • A is 5-membered heteroaryl comprising 1-3 heteroatoms selected from N, S, and O, optionally substituted with one to three R 9
  • R 7 is (C1-C3) alkyl
  • each R6 is independently halogen or NHS(O)2(C1-C4) alkyl.
  • X 2 is O
  • X 3 is N
  • A is 5-membered heteroaryl comprising 1-3 heteroatoms selected from N, S, and O, optionally substituted with one to three R 9
  • R7 is methyl.
  • X2 is O
  • X3 is N
  • A is 5-membered heteroaryl comprising 1-3 heteroatoms selected from N, S, and O, optionally substituted with one to three R 9
  • R 7 is methyl
  • each R6 is independently halogen or NHS(O)2(C1-C4) alkyl.
  • X2 is O
  • X3 is N
  • A is 6-membered heteroaryl comprising 1-3 heteroatoms selected from N, S, and O, optionally substituted with one to three R 9 .
  • X 2 is O
  • X 3 is N
  • A is 6-membered heteroaryl comprising 1-3 heteroatoms selected from N, S, and O, optionally substituted with one to three R9
  • R7 is H.
  • X 2 is O
  • X 3 is N
  • A is 6-membered heteroaryl comprising 1-3 heteroatoms selected from N, S, and O, optionally substituted with one to three R9
  • R7 is H
  • each R6 is independently halogen or NHS(O)2(C1-C4) alkyl.
  • X 2 is O
  • X 3 is N
  • A is 6-membered heteroaryl comprising 1-3 heteroatoms selected from N, S, and O, optionally substituted with one to three R 9
  • R7 is (C1-C3) alkyl.
  • X 2 is O
  • X 3 is N
  • A is 6-membered heteroaryl comprising 1-3 heteroatoms selected from N, S, and O, optionally substituted with one to three R 9
  • R 7 is (C1-C3) alkyl
  • each R6 is independently halogen or NHS(O)2(C1-C4) alkyl.
  • X2 is O
  • X3 is N
  • A is 6-membered heteroaryl comprising 1-3 heteroatoms selected from N, S, and O, optionally substituted with one to three R 9
  • R7 is methyl.
  • X2 is O
  • X3 is N
  • A is 6-membered heteroaryl comprising 1-3 heteroatoms selected from N, S, and O, optionally substituted with one to three R 9
  • R 7 is methyl
  • each R6 is independently halogen or NHS(O)2(C1-C4) alkyl.
  • X2 is O and X3 is CR11.
  • X 2 is O
  • X 3 is CR 11
  • A is (C 6 -C 10 ) aryl optionally substituted with one to three R 9 .
  • X2 is O
  • X3 is CR11
  • A is (C6-C10) aryl optionally substituted with one to three R 9
  • R 7 is H.
  • X 2 is O
  • X 3 is CR 11
  • A is (C 6 -C 10 ) aryl optionally substituted with one to three R9
  • R7 is H
  • each R6 is independently halogen or NHS(O)2(C1-C4) alkyl.
  • X 2 is O
  • X 3 is CR 11
  • A is (C 6 -C 10 ) aryl optionally substituted with one to three R9
  • R7 is (C1-C3) alkyl.
  • X2 is O
  • X3 is CR11
  • A is (C6-C10) aryl optionally substituted with one to three R 9
  • R 7 is (C 1 -C 3 ) alkyl
  • each R 6 is independently halogen or NHS(O) 2 (C 1 -C 4 ) alkyl.
  • X2 is O
  • X3 is CR11
  • A is (C6-C10) aryl optionally substituted with one to three R9
  • R7 is methyl.
  • X 2 is O
  • X 3 is CR 11
  • A is (C 6 -C 10 ) aryl optionally substituted with one to three R9
  • R7 is methyl
  • each R6 is independently halogen or NHS(O)2(C1- C4) alkyl.
  • X 2 is O
  • X 3 is CR 11
  • A is phenyl optionally substituted with one to three R 9 .
  • X2 is O
  • X3 is CR11
  • A is phenyl optionally substituted with one to three R 9
  • R 7 is H.
  • X 2 is O
  • X 3 is CR 11
  • A is phenyl optionally substituted with one to three R9
  • R7 is H
  • each R6 is independently halogen or NHS(O)2(C1-C4) alkyl.
  • X2 is O
  • X3 is CR11
  • A is phenyl optionally substituted with one to three R 9
  • R 7 is (C 1 -C 3 ) alkyl.
  • X2 is O
  • X3 is CR11
  • A is phenyl optionally substituted with one to three R9
  • R7 is (C1-C3) alkyl
  • each R6 is independently halogen or
  • X2 is O
  • X3 is CR11
  • A is phenyl optionally substituted with one to three R9
  • R7 is methyl
  • X 2 is O
  • X 3 is CR 11
  • A is phenyl optionally substituted with one to three R 9
  • R 7 is methyl
  • each R 6 is independently halogen or NHS(O) 2 (C 1 -C 4 ) alkyl.
  • X 2 is O
  • X 3 is CR 11
  • A is phenyl
  • X 2 is O
  • X 3 is CR 11
  • A is phenyl
  • R 7 is H.
  • X2 is O
  • X3 is CR11
  • A is phenyl
  • R7 is H
  • each R6 is independently halogen or NHS(O)2(C1-C4) alkyl.
  • X 2 is O
  • X 3 is CR 11
  • A is phenyl
  • R 7 is (C 1 -C 3 ) alkyl.
  • X2 is O
  • X3 is CR11
  • A is phenyl
  • R7 is (C1-C3) alkyl
  • each R6 is independently halogen or NHS(O)2(C1-C4) alkyl.
  • X2 is O
  • X3 is CR11
  • A is phenyl
  • R7 is methyl.
  • X 2 is O
  • X 3 is CR 11
  • A is phenyl
  • R 7 is methyl
  • each R 6 is independently halogen or NHS(O) 2 (C 1 -C 4 ) alkyl.
  • X2 is O
  • X3 is CR11
  • A is 5- or 6-membered heteroaryl comprising 1-3 heteroatoms selected from N, S, and O, optionally substituted with one to three R 9 .
  • X2 is O
  • X3 is CR11
  • A is 5- or 6-membered heteroaryl comprising 1-3 heteroatoms selected from N, S, and O, optionally substituted with one to three R 9
  • R 7 is H.
  • X 2 is O
  • X 3 is CR 11
  • A is 5- or 6-membered heteroaryl comprising 1-3 heteroatoms selected from N, S, and O, optionally substituted with one to three R 9
  • R 7 is H
  • each R 6 is independently halogen or NHS(O) 2 (C 1 -C 4 ) alkyl.
  • X 2 is O
  • X 3 is CR 11
  • A is 5- or 6-membered heteroaryl comprising 1-3 heteroatoms selected from N, S, and O, optionally substituted with one to three R9
  • R7 is (C1-C3) alkyl.
  • X 2 is O
  • X 3 is CR 11
  • A is 5- or 6-membered heteroaryl comprising 1-3 heteroatoms selected from N, S, and O, optionally substituted with one to three R9
  • R7 is (C1-C3) alkyl
  • each R6 is independently halogen or NHS(O)2(C1-C4) alkyl.
  • X2 is O
  • X3 is CR11
  • A is 5- or 6-membered heteroaryl comprising 1-3 heteroatoms selected from N, S, and O, optionally substituted with one to three R 9
  • R 7 is methyl.
  • X 2 is O
  • X 3 is CR 11
  • A is 5- or 6-membered heteroaryl comprising 1-3 heteroatoms selected from N, S, and O, optionally substituted with one to three R 9
  • R 7 is methyl
  • each R 6 is independently halogen or NHS(O) 2 (C 1 -C 4 ) alkyl.
  • X 2 is O
  • X 3 is CR 11
  • A is 5-membered heteroaryl comprising 1-3 heteroatoms selected from N, S, and O, optionally substituted with one to three R9.
  • X 2 is O
  • X 3 is CR 11
  • A is 5-membered heteroaryl comprising 1-3 heteroatoms selected from N, S, and O, optionally substituted with one to three R9
  • R7 is H.
  • X2 is O
  • X3 is CR11
  • A is 5-membered heteroaryl comprising 1-3 heteroatoms selected from N, S, and O, optionally substituted with one to three R 9
  • R 7 is H
  • each R 6 is independently halogen or NHS(O) 2 (C 1 -C 4 ) alkyl.
  • X2 is O
  • X3 is CR11
  • A is 5-membered heteroaryl comprising 1-3 heteroatoms selected from N, S, and O, optionally substituted with one to three R9
  • R 7 is (C 1 -C 3 ) alkyl.
  • X2 is O
  • X3 is CR11
  • A is 5-membered heteroaryl comprising 1-3 heteroatoms selected from N, S, and O, optionally substituted with one to three R9
  • R7 is (C 1 -C 3 ) alkyl
  • each R 6 is independently halogen or NHS(O) 2 (C 1 -C 4 ) alkyl.
  • X 2 is O
  • X 3 is CR 11
  • A is 5-membered heteroaryl comprising 1-3 heteroatoms selected from N, S, and O, optionally substituted with one to three R9
  • R 7 is methyl.
  • X 2 is O
  • X 3 is CR 11
  • A is 5-membered heteroaryl comprising 1-3 heteroatoms selected from N, S, and O, optionally substituted with one to three R9
  • R7 is methyl
  • each R6 is independently halogen or NHS(O)2(C1-C4) alkyl.
  • X 2 is O
  • X 3 is CR 11
  • A is 6-membered heteroaryl comprising 1-3 heteroatoms selected from N, S, and O, optionally substituted with one to three R9.
  • X 2 is O
  • X 3 is CR 11
  • A is 6-membered heteroaryl comprising 1-3 heteroatoms selected from N, S, and O, optionally substituted with one to three R9
  • R7 is H.
  • X 2 is O
  • X 3 is CR 11
  • A is 6-membered heteroaryl comprising 1-3 heteroatoms selected from N, S, and O, optionally substituted with one to three R 9
  • R 7 is H
  • each R6 is independently halogen or NHS(O)2(C1-C4) alkyl.
  • X 2 is O
  • X 3 is CR 11
  • A is 6-membered heteroaryl comprising 1-3 heteroatoms selected from N, S, and O, optionally substituted with one to three R 9
  • R7 is (C1-C3) alkyl.
  • X2 is O
  • X3 is CR11
  • A is 6-membered heteroaryl comprising 1-3 heteroatoms selected from N, S, and O, optionally substituted with one to three R 9
  • R 7 is (C1-C3) alkyl
  • each R6 is independently halogen or NHS(O)2(C1-C4) alkyl.
  • X2 is O
  • X3 is CR11
  • A is 6-membered heteroaryl comprising 1-3 heteroatoms selected from N, S, and O, optionally substituted with one to three R 9
  • R 7 is methyl.
  • X2 is O
  • X3 is CR11
  • A is 6-membered heteroaryl comprising 1-3 heteroatoms selected from N, S, and O, optionally substituted with one to three R9
  • R7 is methyl
  • each R 6 is independently halogen or NHS(O) 2 (C 1 -C 4 ) alkyl.
  • A, R6, R7, X2, and X3 are each as defined, where applicable, in any one of (1)-(86), and q1 is 1.
  • A, R 6 , R 7 , X 2 , and X 3 are each as defined, where applicable, in any one of (1)-(86), and q1 is 2.
  • A, R6, R7, X2, and X3 are each as defined, where applicable, in any one of (1)-(86), and q1 is 3.
  • A, R 6 , R 7 , X 2 , X 3 , and q1 are each as defined, where applicable, in any one of (1)-(89), and q2 is 0.
  • A, R6, R7, X2, X3, and q1 are each as defined, where applicable, in any one of (1)-(89), and q2 is 1.
  • A, R6, R7, X2, X3, and q1 are each as defined, where applicable, in any one of (1)-(89), and q2 is 2.
  • R6, R7, R8, R9, q1, and q2 are each as defined above in Formula TL-II.
  • R 7 is H.
  • R7 is (C1-C3) alkyl.
  • R7 is methyl
  • R 7 is H, and each R 6 is independently halogen or
  • R7 is (C1-C3) alkyl, and each R6 is independently halogen or NHS(O) 2 (C 1 -C 4 ) alkyl.
  • R 7 is methyl, and each R 6 is independently halogen or
  • R6 and R7 are each as defined, where applicable, in any one of (1)-(6), and q1 is 1.
  • R6 and R7 are each as defined, where applicable, in any one of (1)-(6), and q1 is 2.
  • R 6 and R 7 are each as defined, where applicable, in any one of (1)-(6), and q1 is 3.
  • R6, R7, and q1 are each as defined, where applicable, in any one of (1)-(9), and q2 is 0.
  • R 6 , R 7 , and q1 are each as defined, where applicable, in any one of (1)-(9), and q2 is 1.
  • R6, R7, and q1 are each as defined, where applicable, in any one of (1)-(9), and q2 is 2.
  • R6, R7, R8, R9, q1, and q2 can each be selected from any of the groups and combined as described above in Formula TL-II or TL-IIa.
  • a Targeting Ligand is a compound of Formula TL-III:
  • B 1 is (C 6 -C 10 ) aryl or 5- or 6-membered heteroaryl comprising 1-3 heteroatoms selected from N, S, and O, wherein the aryl or heteroaryl are optionally substituted with one to three R 15 ;
  • B2 is (C6-C10) aryl or 5- or 6-membered heteroaryl comprising 1-3 heteroatoms selected from N, S, and O, wherein the aryl or heteroaryl are optionally substituted with one to three R 16 ;
  • R 12 is H or (C 1 -C 4 ) alkyl; each R13 is independently (C1-C4) alkyl, (C1-C4) haloalkyl, (C1-C4) alkoxy, (C1-C4) haloalkoxy, halogen, OH, or NH 2 ;
  • R 14 is H, (C 1 -C 4 ) alkyl, or (C 1 -C 4 ) haloalkyl;
  • each R15 and each R16 are independently (C1-C4) alkyl, (C1-C4) haloalkyl, (C1-C4) alkoxy, (C1-C4) haloalkoxy, halogen, OH, or NH2; and
  • r1 is 0, 1, 2, 3 or 4; wherein the Targeting Ligand is bonded to the Linker via the next to .
  • B 1 is (C 6 -C 10 ) aryl optionally substituted with one to three R 15 . In some embodiments, B1 is (C6-C10) aryl substituted with one to three R15. In other embodiments, B1 is 5- or 6-membered heteroaryl comprising 1-3 heteroatoms selected from N, S, and O, optionally substituted with one to three R 15 . In other embodiments, B 1 is 5- or 6-membered heteroaryl comprising 1-3 heteroatoms selected from N, S, and O, substituted with one to three R15. In other embodiments, B1 is 5-membered heteroaryl comprising 1-3 heteroatoms selected from N, S, and O, optionally substituted with one to three R 15 . In other embodiments, B 1 is 5- membered heteroaryl comprising 1-3 heteroatoms selected from N, S, and O, substituted with one to three R15. In other embodiments, B1 is 6-membered heteroaryl comprising 1-3
  • B 1 is 6-membered heteroaryl comprising 1-3 heteroatoms selected from N, S, and O, substituted with one to three R15.
  • B1 is phenyl optionally substituted with one to three R15.
  • B1 is phenyl substituted with one to three R15.
  • B 2 is (C 6 -C 10 ) aryl optionally substituted with one to three R 16 .
  • B2 is (C6-C10) aryl substituted with one to three R16.
  • B2 is 5- or 6-membered heteroaryl comprising 1-3 heteroatoms selected from N, S, and O, optionally substituted with one to three R 16 .
  • B 2 is 5- or 6-membered heteroaryl comprising 1-3 heteroatoms selected from N, S, and O, substituted with one to three R16.
  • B2 is 5-membered heteroaryl comprising 1-3 heteroatoms selected from N, S, and O, optionally substituted with one to three R16.
  • B2 is 5- membered heteroaryl comprising 1-3 heteroatoms selected from N, S, and O, substituted with one to three R16.
  • B2 is 6-membered heteroaryl comprising 1-3
  • B2 is 6-membered heteroaryl comprising 1-3 heteroatoms selected from N, S, and O, substituted with one to three R 16 .
  • B 2 is phenyl optionally substituted with one to three R 16 .
  • B 2 is phenyl substituted with one to three R 16 .
  • R12 is H or (C1-C3) alkyl. In other embodiments, R12 is (C1-C3) alkyl. In other embodiments, R12 is methyl, ethyl, n-propyl, or i-propyl. In other embodiments, R 12 is methyl or ethyl. In other embodiments, R 12 is H, methyl, or ethyl. In other embodiments, R12 is H.
  • each R13 is independently (C1-C3) alkyl, (C1-C3) haloalkyl, (C1- C 3 ) alkoxy, (C 1 -C 3 ) haloalkoxy, halogen, OH, or NH 2 .
  • each R 13 is independently (C 1 -C 3 ) alkyl, (C 1 -C 3 ) haloalkyl, (C 1 -C 3 ) alkoxy, or (C 1 -C 3 ) haloalkoxy.
  • each R13 is independently halogen, OH, or NH2.
  • each R13 is independently (C 1 -C 3 ) alkoxy or (C 1 -C 3 ) haloalkoxy. In other embodiments, each R 13 is independently (C 1 -C 3 ) alkyl, (C 1 -C 3 ) haloalkyl, or halogen. In other embodiments, each R 13 is independently (C1-C3) alkyl or halogen. In other embodiments, each R13 is independently (C1- C3) alkyl. In other embodiments, each R13 is independently methyl, ethyl, n-propyl, i-propyl, or halogen.
  • each R 13 is independently methyl, ethyl, n-propyl, i-propyl, F, or Cl. In other embodiments, each R13 is independently halogen. In other embodiments, each R13 is independently F or Cl. In other embodiments, at least one R13 is Cl.
  • R 14 is H, (C 1 -C 3 ) alkyl, or (C 1 -C 3 ) haloalkyl.
  • R14 is H or (C1-C4) alkyl. In other embodiments, R14 is H, methyl, ethyl, n-propyl, or i-propyl. In other embodiments, R14 is H, methyl or ethyl. In other embodiments, R14 is (C1- C 4 ) alkyl. In other embodiments, R 14 is methyl, ethyl, n-propyl, or i-propyl. In other
  • R 14 is methyl or ethyl. In other embodiments, R 14 is (C 1 -C 4 ) alkyl or (C 1 -C 4 ) haloalkyl. In other embodiments, R14 is H.
  • each R 15 is independently (C 1 -C 3 ) alkyl, (C 1 -C 3 ) haloalkyl, (C 1 - C 3 ) alkoxy, (C 1 -C 3 ) haloalkoxy, halogen, OH, or NH 2 .
  • each R 15 is independently (C1-C3) alkyl, (C1-C3) haloalkyl, (C1-C3) alkoxy, or (C1-C3) haloalkoxy.
  • each R15 is independently halogen, OH, or NH2.
  • each R15 is independently (C 1 -C 3 ) alkyl or (C 1 -C 3 ) alkoxy.
  • each R 15 is
  • each R15 is independently (C1-C3) alkoxy or (C1-C3) haloalkoxy.
  • each R15 is independently (C1-C3) alkyl, (C1-C3) haloalkyl, or halogen.
  • each R15 is independently (C1-C3) alkyl or halogen.
  • each R15 is independently methyl, ethyl, n-propyl, i-propyl, or halogen.
  • each R 15 is independently (C 1 -C 3 ) alkoxy.
  • each R 15 is independently methoxy, ethoxy, n-propoxy, or i-propoxy.
  • each R15 is independently methoxy or ethoxy. In other embodiments, at least one R15 is methoxy.
  • each R 16 is independently (C 1 -C 3 ) alkyl, (C 1 -C 3 ) haloalkyl, (C 1 - C3) alkoxy, (C1-C3) haloalkoxy, halogen, OH, or NH2. In other embodiments, each R16 is independently (C1-C3) alkyl, (C1-C3) haloalkyl, (C1-C3) alkoxy, or (C1-C3) haloalkoxy. In other embodiments, each R 16 is independently halogen, OH, or NH 2 . In other embodiments, each R 16 is independently (C 1 -C 3 ) alkyl or (C 1 -C 3 ) alkoxy. In other embodiments, each R 16 is
  • each R16 is independently (C 1-C3) alkoxy or (C1-C3) haloalkoxy.
  • each R16 is independently (C 1 -C 3 ) alkyl, (C 1 -C 3 ) haloalkyl, or halogen.
  • each R 16 is independently (C 1 -C 3 ) alkyl or halogen.
  • each R 16 is independently methyl, ethyl, n-propyl, i-propyl, or halogen.
  • each R16 is independently (C1-C3) alkoxy or halogen.
  • each R16 is independently methoxy, ethoxy, n-propoxy, i-propoxy, F, Cl, Br, or I. In other embodiments, each R 16 is independently methoxy, ethoxy, n-propoxy, i-propoxy, F or Cl. In other embodiments, each R16 is independently methoxy or ethoxy. In other embodiments, each R16 is independently methoxy, ethoxy, Fl, or Cl. In other embodiments, each R 16 is independently methoxy or F. In other embodiments, at least one R16 is methoxy and at least one R16 is F.
  • r1 is 0. In other embodiments, r1 is 1. In other embodiments, r1 is 2. In other embodiments, r1 is 3. In other embodiments, r1 is 4. In other embodiments, r1 is 0 or 1. In other embodiments, r1 is 1 or 2. In other embodiments, r1 is 2 or 3. In other
  • r1 is 3 or 4. In other embodiments, r1 is 0, 1, or 2. In other embodiments, r1 is 1, 2, or 3. In other embodiments, r1 is 2, 3, or 4.
  • any of the groups described herein for any of B 1 , B 2 , R 12 , R 13 , R 14 , R 15 , R 16 , and r1 can be combined with any of the groups described herein for one or more of the remainder of B1, B2, R12, R13, R14, R15, R16, and r1, and may further be combined with any of the groups described herein for the Linker.
  • R12 is H and R14 is H.
  • R12 is H, R14 is H, and B1 is (C6-C10) aryl optionally substituted with one to three R 15 .
  • R 12 is H
  • R 14 is H
  • B 1 is phenyl optionally substituted with one to three R15.
  • R12 is H
  • R14 is H
  • B1 is (C6-C10) aryl substituted with one to three R 15 .
  • R12 is H
  • R14 is H
  • B1 is phenyl substituted with one to three R15.
  • R 12 is H, R 14 is H, B 1 is (C 6 -C 10 ) aryl optionally substituted with one to three R 15 , and B 2 is (C 6 -C 10 ) aryl optionally substituted with one to three R 16 .
  • R12 is H, R14 is H, B1 is phenyl optionally substituted with one to three R 15 , and B 2 is (C 6 -C 10 ) aryl optionally substituted with one to three R 16 .
  • R 12 is H, R 14 is H, B 1 is (C 6 -C 10 ) aryl optionally substituted with one to three R15, and B2 is phenyl optionally substituted with one to three R16.
  • R12 is H
  • R14 is H
  • B1 is phenyl optionally substituted with one to three R 15
  • B 2 is phenyl optionally substituted with one to three R 16 .
  • R12 is H
  • R14 is H
  • B1 is (C6-C10) aryl substituted with one to three R15
  • B2 is (C6-C10) aryl optionally substituted with one to three R16.
  • R 12 is H
  • R 14 is H
  • B 1 is phenyl substituted with one to three R15
  • B2 is (C6-C10) aryl optionally substituted with one to three R16.
  • R12 is H
  • R14 is H
  • B1 is (C6-C10) aryl substituted with one to three R 15
  • B 2 is phenyl optionally substituted with one to three R 16 .
  • R 12 is H
  • R 14 is H
  • B 1 is phenyl substituted with one to three R15
  • B2 is phenyl optionally substituted with one to three R16.
  • R 12 is H
  • R 14 is H
  • B 1 is (C 6 -C 10 ) aryl substituted with one to three R 15
  • B 2 is (C 6 -C 10 ) aryl substituted with one to three R 16 .
  • R12 is H
  • R14 is H
  • B1 is phenyl substituted with one to three R15
  • B2 is (C6-C10) aryl substituted with one to three R16.
  • R 12 is H
  • R 14 is H
  • B 1 is (C 6 -C 10 ) aryl substituted with one to three R15
  • B2 is phenyl substituted with one to three R16.
  • R12 is H
  • R14 is H
  • B1 is phenyl substituted with one to three R 15
  • B 2 is phenyl substituted with one to three R 16 .
  • B 1 , B 2 , R 12 , and R 14 are each as defined, where applicable, in any one of (1)-(17), and at least one R13 is halogen.
  • B1, B2, R12, and R14 are each as defined, where applicable, in any one of (1)-(17), and at least one R 13 is Cl.
  • B1, B2, R12, R13, and R14 are each as defined, where applicable, in any one of (1)-(19), and r1 is 0.
  • B 1 , B 2 , R 12 , R 13 , and R 14 are each as defined, where applicable, in any one of (1)-(19), and r1 is 1.
  • B1, B2, R12, R13, and R14 are each as defined, where applicable, in any one of (1)-(19), and r1 is 2.
  • B 1 , B 2 , R 12 , R 13 , R 14 , and r1 are each as defined, where applicable, in any one of (1)-(22), and at least one R15 is (C1-C3) alkoxy.
  • B1, B2, R12, R13, R14, and r1 are each as defined, where applicable, in any one of (1)-(22), and at least one R 15 is methoxy.
  • B1, B2, R12, R13, R14, R15, and r1 are each as defined, where applicable, in any one of (1)-(24), and at least one R16 is (C1-C3) alkoxy or halogen.
  • B 1 , B 2 , R 12 , R 13 , R 14 , R 15 , and r1 are each as defined, where applicable, in any one of (1)-(24), and at least one R16 is methoxy or halogen.
  • B1, B2, R12, R13, R14, R15, and r1 are each as defined, where applicable, in any one of (1)-(24), and each R 16 is independently methoxy or F.
  • B 1 , B 2 , R 12 , R 13 , R 14 , R 15 , and r1 are each as defined, where applicable, in any one of (1)-(24), and at least one R16 is methoxy and at least one R16 is F.
  • the compound of Formula TL-III is of Formula TL-IIIa:
  • At least one R 13 is halogen.
  • At least one R 13 is Cl.
  • R13 is halogen and r1 is 1.
  • R13 is Cl and r1 is 1.
  • At least one R 13 is halogen and r1 is 2.
  • At least one R13 is Cl and r1 is 2.
  • R13 and r1 are each as defined, where applicable, in any one of (1)-(6), and at least one R 15 is (C 1 -C 3 ) alkoxy.
  • R 13 and r1 are each as defined, where applicable, in any one of (1)-(6), and at least one R15 is methoxy.
  • R 13 , R 15 , and r1 are each as defined, where applicable, in any one of (1)-(8), and at least one R 16 is (C 1 -C 3 ) alkoxy or halogen.
  • R13, R15, and r1 are each as defined, where applicable, in any one of (1)-(8), and at least one R16 is methoxy or halogen.
  • R 13 , R 15 , and r1 are each as defined, where applicable, in any one of (1)-(8), and at least one R16 is methoxy or F.
  • R13, R15, and r1 are each as defined, where applicable, in any one of (1)-(8), and at least one R 16 is methoxy and at least one R 16 is F.
  • R13, R15, R16, and r1 can each be selected from any of the groups and combined as described above in Formula TL-III or TL-IIIa.
  • a Targeting Ligand is a compound of Formula TL-IV:
  • B 3 is (C 6 -C 10 ) aryl or 5- or 6-membered heteroaryl comprising 1-3 heteroatoms selected from N, S, and O, wherein the aryl or heteroaryl are optionally substituted with one to three R 19 ;
  • B4 is (C6-C10) aryl or 5- or 6-membered heteroaryl comprising 1-3 heteroatoms selected from N, S, and O, wherein the aryl or heteroaryl are optionally substituted with one to three R 20 ;
  • R17 is H or (C1-C4) alkyl;
  • R 18 is H, (C 1 -C 4 ) alkyl, (C 1 -C 4 ) haloalkyl, (C 1 -C 4 ) alkoxy, (C 1 -C 4 ) haloalkoxy, halogen, OH, or NH 2 ; or
  • each R19 and each R20 are independently (C1-C4) alkyl, (C1-C4) haloalkyl, (C1-C4) alkoxy, (C1-C4) haloalkoxy, halogen, OH, or NH2; wherein the Targeting Ligand is bonded to the Linker via the next to
  • B3 is (C6-C10) aryl optionally substituted with one to three R19. In some embodiments, B 3 is (C 6 -C 10 ) aryl substituted with one to three R 19 . In other embodiments, B3 is 5- or 6-membered heteroaryl comprising 1-3 heteroatoms selected from N, S, and O, optionally substituted with one to three R19. In other embodiments, B3 is 5- or 6-membered heteroaryl comprising 1-3 heteroatoms selected from N, S, and O, substituted with one to three R19. In other embodiments, B3 is 5-membered heteroaryl comprising 1-3 heteroatoms selected from N, S, and O, optionally substituted with one to three R19. In other embodiments, B3 is 5- membered heteroaryl comprising 1-3 heteroatoms selected from N, S, and O, substituted with one to three R 19 . In other embodiments, B 3 is 6-membered heteroaryl comprising 1-3
  • B3 is 6-membered heteroaryl comprising 1-3 heteroatoms selected from N, S, and O, substituted with one to three R 19 .
  • B 3 is phenyl optionally substituted with one to three R19. In other embodiments, B3 is phenyl.
  • B4 is (C6-C10) aryl optionally substituted with one to three R20. In some embodiments, B 4 is (C 6 -C 10 ) aryl substituted with one to three R 20 . In other embodiments, B4 is 5- or 6-membered heteroaryl comprising 1-3 heteroatoms selected from N, S, and O, optionally substituted with one to three R20. In other embodiments, B4 is 5- or 6-membered heteroaryl comprising 1-3 heteroatoms selected from N, S, and O, substituted with one to three R 20 . In other embodiments, B 4 is 5-membered heteroaryl comprising 1-3 heteroatoms selected from N, S, and O, optionally substituted with one to three R20. In other embodiments, B4 is 5- membered heteroaryl comprising 1-3 heteroatoms selected from N, S, and O, substituted with one to three R 20 . In other embodiments, B 4 is 6-membered heteroaryl comprising 1-3
  • B4 is 6-membered heteroaryl comprising 1-3 heteroatoms selected from N, S, and O, substituted with one to three R20.
  • B4 is phenyl optionally substituted with one to three R 20 .
  • B 4 is phenyl substituted with one to three R 20 .
  • B 4 is phenyl substituted with one or two R 20 .
  • R17 is H or (C1-C3) alkyl. In other embodiments, R17 is (C1-C3) alkyl. In other embodiments, R17 is methyl, ethyl, n-propyl, or i-propyl. In other embodiments, R 17 is methyl or ethyl. In other embodiments, R 17 is H, methyl, or ethyl. In other embodiments, R17 is H.
  • R18 is H, (C1-C3) alkyl, (C1-C3) haloalkyl, (C1-C3) alkoxy, (C1-C3) haloalkoxy, halogen, OH, or NH 2 .
  • R 18 is (C 1 -C 3 ) alkyl, (C 1 -C 3 ) haloalkyl, (C 1 -C 3 ) alkoxy, (C 1 -C 3 ) haloalkoxy, halogen, OH, or NH 2 .
  • R 18 is H, (C 1 - C3) alkyl, (C1-C3) haloalkyl, (C1-C3) alkoxy, or (C1-C3) haloalkoxy. In other embodiments, R18 is H, (C 1 -C 3 ) alkyl, or (C 1 -C 3 ) haloalkyl. In other embodiments, R 18 is (C 1 -C 3 ) alkoxy or (C 1 -C 3 ) haloalkoxy. In other embodiments, R 18 is H or (C 1 -C 3 ) alkyl. In other embodiments, R 18 is H, methyl, ethyl, n-propyl, or i-propyl. In other embodiments, R18 is methyl, ethyl, n-propyl, or i- propyl. In other embodiments, R18 is H.
  • each R 19 is independently (C 1 -C 3 ) alkyl, (C 1 -C 3 ) haloalkyl, (C 1 - C3) alkoxy, (C1-C3) haloalkoxy, halogen, OH, or NH2.
  • each R19 is independently (C1-C3) alkyl, (C1-C3) haloalkyl, (C1-C3) alkoxy, or (C1-C3) haloalkoxy.
  • each R 19 is independently halogen, OH, or NH 2 .
  • each R 19 is independently (C1-C3) alkoxy or (C1-C3) haloalkoxy.
  • each R19 is independently (C1-C3) alkyl, (C1-C3) haloalkyl, or halogen. In other embodiments, each R19 is independently (C 1 -C 3 ) alkyl (e.g., methyl, ethyl, n-propyl, i-propyl) or halogen.
  • each R 20 is independently (C 1 -C 3 ) alkyl, (C 1 -C 3 ) haloalkyl, (C 1 - C3) alkoxy, (C1-C3) haloalkoxy, halogen, OH, or NH2.
  • each R20 is independently (C 1 -C 3 ) alkyl, (C 1 -C 3 ) haloalkyl, (C 1 -C 3 ) alkoxy, or (C 1 -C 3 ) haloalkoxy.
  • each R 20 is independently halogen, OH, or NH 2 .
  • each R 20 is independently (C1-C3) alkyl, (C1-C3) haloalkyl, or halogen. In other embodiments, each R20 is independently (C1-C3) alkyl (e.g., methyl, ethyl, n-propyl, i-propyl) or halogen. In other embodiments, each R 20 is independently (C 1 -C 3 ) alkoxy or (C 1 -C 3 ) haloalkoxy. In other embodiments, each R20 is independently (C1-C2) alkoxy or (C1-C2) haloalkoxy. In other embodiments, each R20 is independently (C1-C3) haloalkoxy. In other embodiments, each R20 is independently OCF 3 , OCF 2 , or OCH 2 F. In other embodiments, at least one R 20 is OCF 3 .
  • any of the groups described herein for any of B 3 , B 4 , R 17 , R 18 , R 19 , and R 20 can be combined with any of the groups described herein for one or more of the remainder of B3, B4, R17, R18, R19, and R20, and may further be combined with any of the groups described herein for the Linker.
  • R17 is H and R18 is H.
  • R 17 is H
  • R 18 is H
  • B 3 is (C 6 -C 10 ) aryl optionally substituted with one to three R 19 .
  • R17 is H
  • R18 is H
  • B3 is phenyl optionally substituted with one to three R 19 .
  • R 17 is H
  • R 18 is H
  • B 3 is phenyl
  • R17 is methyl and R18 is H.
  • R17 is methyl
  • R18 is H
  • B3 is (C6-C10) aryl optionally substituted with one to three R 19 .
  • R17 is methyl
  • R18 is H
  • B3 is phenyl optionally substituted with one to three R19.
  • R 17 is methyl
  • R 18 is H
  • B 3 is phenyl
  • B3 is (C6-C10) aryl and B4 is (C6-C10) aryl substituted with one or two R20.
  • B 3 is (C 6 -C 10 ) aryl optionally substituted with one to three R 19 and B 4 is (C 6 -C 10 ) aryl substituted with one or two R 20 .
  • B3 is (C6-C10) aryl optionally substituted with one to three R 19 and B 4 is phenyl substituted with one or two R 20 .
  • B 3 is phenyl optionally substituted with one to three R 19 and B4 is phenyl substituted with one or two R20.
  • B3 is phenyl and B4 is phenyl substituted with one or two R20.
  • B 3 is 5- or 6-membered heteroaryl comprising 1-3
  • B3 is 5- or 6-membered heteroaryl comprising 1-3 heteroatoms selected from N, S, and O and B 4 is (C 6 -C 10 ) aryl substituted with one or two R 20 .
  • B3 is 5-membered heteroaryl comprising 1-3 heteroatoms selected from N, S, and O, optionally substituted with one to three R19, and B4 is (C6-C10) aryl substituted with one or two R 20 .
  • B3 is 5-membered heteroaryl comprising 1-3 heteroatoms selected from N, S, and O and B4 is (C6-C10) aryl substituted with one or two R20.
  • B 3 is 6-membered heteroaryl comprising 1-3 heteroatoms selected from N, S, and O, optionally substituted with one to three R 19
  • B 4 is (C 6 -C 10 ) aryl substituted with one or two R20.
  • B 3 is 6-membered heteroaryl comprising 1-3 heteroatoms selected from N, S, and O and B 4 is (C 6 -C 10 ) aryl substituted with one or two R 20 .
  • B3, B4, R17, and R18 are each as defined, where applicable, in any one of (1)-(19), and at least one R20 is (C1-C4) haloalkoxy.
  • B 3 , B 4 , R 17 , and R 18 are each as defined, where applicable, in any one of (1)-(19), and at least one R20 is (C1-C2) haloalkoxy.
  • B3, B4, R17, and R18 are each as defined, where applicable, in any one of (1)-(19), and at least one R 20 is OCF 3 .
  • B3 and B4 are each as defined, where applicable, in any one of (9)-(22), and R17 is H.
  • B 3 and B 4 are each as defined, where applicable, in any one of (9)-(22), and R 17 is methyl.
  • B3 and B4 are each as defined, where applicable, in any one of (9)-(24), and R 18 is H.
  • B 3 and B 4 are each as defined, where applicable, in any one of (9)-(24), and R18 is methyl.
  • the compound of Formula TL-IV is of Formula TL-IVa:
  • R 19 and R 20 are each as defined above in Formula TL-IV.
  • At least one R20 is (C1-C2) haloalkoxy.
  • At least one R 20 is (C 1 -C 2 ) haloalkoxy.
  • At least one R20 is OCF3.
  • R19 and R20 can each be selected from any of the groups and combined as described above in Formula TL-IV or TL-IVa.
  • a Targeting Ligand is a compound of Formula TL-V:
  • B5 is (C6-C10) aryl or 5- or 6-membered heteroaryl comprising 1-3 heteroatoms selected from N, S, and O, wherein the aryl or heteroaryl are optionally substituted with one to three R26;
  • Y 1 is C(O)NR 25 or NR 25 C(O);
  • R21 is H, (C1-C4) alkyl, or (C1-C4) haloalkyl
  • R22 and R23 are each independently H, (C1-C4) alkyl, (C1-C4) haloalkyl, (C1-C4) alkoxy, (C 1 -C 4 ) haloalkoxy, halogen, OH, or NH 2 ;
  • each R 24 is independently (C 1 -C 4 ) alkyl, (C 1 -C 4 ) haloalkyl, (C 1 -C 4 ) alkoxy, (C 1 -C 4 ) haloalkoxy, halogen, or C(O)(C1-C4) alkyl;
  • R 25 is H, (C 1 -C 4 ) alkyl, or (C 1 -C 4 ) haloalkyl;
  • each R 26 is independently (C 1 -C 4 ) alkyl, (C 1 -C 4 ) haloalkyl, (C 1 -C 4 ) alkoxy, (C 1 -C 4 ) haloalkoxy, halogen, OH, or NH2; and
  • s2 is 0, 1, 2, or 3; wherein the Targeting Ligand is bonded to the Linker via the
  • B 5 is (C 6 -C 10 ) aryl optionally substituted with one to three R 26 .
  • B5 is (C6-C10) aryl substituted with one to three R26.
  • B5 is 5- or 6-membered heteroaryl comprising 1-3 heteroatoms selected from N, S, and O, optionally substituted with one to three R 26 .
  • B 5 is 5- or 6-membered heteroaryl comprising 1-3 heteroatoms selected from N, S, and O, substituted with one to three R26.
  • B5 is 5-membered heteroaryl comprising 1-3 heteroatoms selected from N, S, and O, optionally substituted with one to three R 26 .
  • B 5 is 5- membered heteroaryl comprising 1-3 heteroatoms selected from N, S, and O, substituted with one to three R26.
  • B5 is 6-membered heteroaryl comprising 1-3
  • B 5 is 6-membered heteroaryl comprising 1-3 heteroatoms selected from N, S, and O, substituted with one to three R26.
  • B5 is phenyl optionally substituted with one to three R26.
  • B5 is phenyl substituted with one to three R26.
  • B 5 is phenyl substituted with one or two R 26 .
  • Y 1 is C(O)NR 25 . In other embodiments, Y 1 is NR 25 C(O).
  • R21 is H, (C1-C3) alkyl, or (C1-C3) haloalkyl.
  • R 21 is (C 1 -C 3 ) alkyl, or (C 1 -C 3 ) haloalkyl. In other embodiments, R 21 is H or (C 1 - C 3 ) alkyl. In other embodiments, R 21 is (C 1 -C 3 ) alkyl. In other embodiments, R 21 is methyl, ethyl, n-propyl, or i-propyl. In other embodiments, R21 is H.
  • R22 is H, (C1-C3) alkyl, (C1-C3) haloalkyl, (C1-C3) alkoxy, (C1-C3) haloalkoxy, halogen, OH, or NH 2 .
  • R 22 is (C 1 -C 3 ) alkyl, (C 1 -C 3 ) haloalkyl, (C1-C3) alkoxy, (C1-C3) haloalkoxy, halogen, OH, or NH2.
  • R22 is H, (C1- C3) alkyl, (C1-C3) haloalkyl, (C1-C3) alkoxy, or (C1-C3) haloalkoxy. In other embodiments, R22 is H, (C 1 -C 3 ) alkyl, or (C 1 -C 3 ) haloalkyl. In other embodiments, R 22 is (C 1 -C 3 ) alkoxy, or (C 1 - C3) haloalkoxy. In other embodiments, R22 is H or (C1-C3) alkyl. In other embodiments, R22 is H, methyl, ethyl, n-propyl, or i-propyl.
  • R22 is methyl, ethyl, n-propyl, or i-propyl. In other embodiments, R 22 is H. In other embodiments, R 22 is methyl or ethyl. In other embodiments, R 22 is methyl. In some embodiments, R23 is H, (C1-C3) alkyl, (C1-C3) haloalkyl, (C1-C3) alkoxy, (C1-C3) haloalkoxy, halogen, OH, or NH 2 .
  • R 23 is (C 1 -C 3 ) alkyl, (C 1 -C 3 ) haloalkyl, (C 1 -C 3 ) alkoxy, (C 1 -C 3 ) haloalkoxy, halogen, OH, or NH 2 .
  • R 23 is H, (C 1 - C3) alkyl, (C1-C3) haloalkyl, (C1-C3) alkoxy, or (C1-C3) haloalkoxy.
  • R23 is H, (C1-C3) alkyl, or (C1-C3) haloalkyl.
  • R23 is (C1-C3) alkoxy, or (C1- C 3 ) haloalkoxy. In other embodiments, R 23 is H or (C 1 -C 3 ) alkyl. In other embodiments, R 23 is H, methyl, ethyl, n-propyl, or i-propyl. In other embodiments, R23 is methyl, ethyl, n-propyl, or i-propyl. In other embodiments, R23 is H.
  • each R 24 is independently (C 1 -C 3 ) alkyl, (C 1 -C 3 ) haloalkyl, (C 1 -C 3 ) alkoxy, (C 1 -C 3 ) haloalkoxy, halogen, or C(O)(C 1 -C 3 ) alkyl.
  • each R 24 is independently (C1-C3) alkyl, (C1-C3) haloalkyl, (C1-C3) alkoxy, or (C1-C3) haloalkoxy.
  • each R 24 is independently (C 1 -C 3 ) alkyl or (C 1 -C 3 ) haloalkyl.
  • each R 24 is independently (C 1 -C 3 ) alkoxy or (C 1 -C 3 ) haloalkoxy. In other embodiments, each R24 is independently halogen or C(O)(C1-C3) alkyl. In other embodiments, each R24 is independently (C1-C3) alkyl, (C1-C3) haloalkyl, halogen, or C(O)(C1-C3) alkyl. In other embodiments, each R 24 is independently (C 1 -C 3 ) alkyl, halogen, or C(O)(C 1 -C 3 ) alkyl. In other embodiments, each R24 is independently (C1-C3) alkyl, (C1-C3) haloalkyl, or C(O)(C1-C3) alkyl.
  • R 25 is H, (C 1 -C 3 ) alkyl, or (C 1 -C 3 ) haloalkyl.
  • R25 is (C1-C3) alkyl or (C1-C3) haloalkyl. In other embodiments, R25 is H or (C1- C3) alkyl. In other embodiments, R25 is (C1-C3) alkyl. In other embodiments, R25 is methyl, ethyl, n-propyl, or i-propyl. In other embodiments, R 25 is H.
  • each R 26 is independently (C 1 -C 3 ) alkyl, (C 1 -C 3 ) haloalkyl, (C 1 - C3) alkoxy, (C1-C3) haloalkoxy, halogen, OH, or NH2.
  • each R26 is independently (C 1 -C 3 ) alkyl, (C 1 -C 3 ) haloalkyl, (C 1 -C 3 ) alkoxy, or (C 1 -C 3 ) haloalkoxy.
  • each R 26 is independently halogen, OH, or NH 2 .
  • each R 26 is independently (C1-C3) alkyl or (C1-C3) haloalkyl. In other embodiments, each R26 is independently (C1-C3) alkoxy or (C1-C3) haloalkoxy. In other embodiments, each R26 is independently (C 1 -C 3 ) alkyl or halogen. In other embodiments, each R 26 is independently methyl, ethyl, n-propyl, i-propyl, F, Cl, Br, or I. In other embodiments, each R26 is
  • each R26 is independently methyl, ethyl, n-propyl, i-propyl, F or Cl. In other embodiments, each R26 is independently methyl, ethyl, n-propyl, i-propyl, or Cl. In other embodiments, each R26 is independently methyl, ethyl, or Cl. In other embodiments, each R 26 is independently methyl or Cl. In other embodiments, at least one R 26 is methyl and at least one R 26 is Cl.
  • s2 is 0. In other embodiments, s2 is 1. In other embodiments, s2 is 2. In other embodiments, s2 is 3. In other embodiments, s2 is 0 or 1. In other embodiments, s2 is 1 or 2. In other embodiments, s2 is 2 or 3. In other embodiments, s2 is 0, 1, or 2. In other embodiments, s2 is 1, 2, or 3.
  • any of the groups described herein for any of B5, Y1, R21, R22, R23, R24, R25, R26, and s2 can be combined with any of the groups described herein for one or more of the remainder of B 5 , Y 1 , R 21 , R 22 , R 23 , R 24 , R 25 , R 26 , and s2, and may further be combined with any of the groups described herein for the Linker.
  • R 21 is H and R 23 is H.
  • R21 is methyl and R23 is H.
  • R21 is H and R23 is methyl.
  • R 21 is methyl and R 23 is methyl.
  • R21 is H and R22 is H.
  • R21 is methyl and R22 is H.
  • R 21 is H and R 22 is methyl.
  • R21 is methyl and R22 is methyl.
  • R21 is H
  • R23 is H
  • R22 is methyl
  • R 21 is methyl
  • R 23 is H
  • R 22 is methyl
  • Y 1 is C(O)NR 25 and R 25 is H.
  • Y1 is NR25C(O) and R25 is H.
  • Y 1 is C(O)NR 25, R 25 is H, and R 21 is H.
  • Y 1 is NR 25 C(O), R 25 is H, and R 21 is H.
  • Y1 is C(O)NR25
  • R25 is H
  • R23 is H
  • Y1 is NR25C(O), R25 is H, and R23 is H.
  • Y 1 is C(O)NR 25, R 25 is H, and R 22 is methyl.
  • Y1 is NR25C(O), R25 is H, and R22 is methyl.
  • Y1 is C(O)NR25 and B5 is (C6-C10) aryl optionally substituted with one to three R 26 .
  • Y 1 is NR 25 C(O) and B 5 is (C 6 -C 10 ) aryl optionally substituted with one to three R26.
  • Y1 is C(O)NR25 and B5 is (C6-C10) aryl substituted with one to three R 26 .
  • Y1 is NR25C(O) and B5 is (C6-C10) aryl substituted with one to three R26.
  • Y 1 is C(O)NR 25 and B 5 is phenyl optionally substituted with one to three R 26 .
  • Y1 is NR25C(O) and B5 is phenyl optionally substituted with one to three R 26 .
  • Y 1 is C(O)NR 25 and B 5 is phenyl substituted with one to three R26.
  • Y1 is NR25C(O) and B5 is phenyl substituted with one to three R 26 .
  • R21, R22, and R23 are each as defined, where applicable, in any one of (1)-(10), and Y1 is C(O)NR25.
  • R 21 , R 22 , and R 23 are each as defined, where applicable, in any one of (1)-(10), and Y1 is NR25C(O).
  • R21, R22, R23, and Y1 are each as defined, where applicable, in any one of (1)-(10) and (27)-(28), and R 25 is H.
  • Y 1 and B 5 are each as defined, where applicable, in any one of (19)-(26), and R25 is H
  • Y 1 , B 5, and R 25 are each as defined, where applicable, in any one of (19)-(26) and (29)-(30), and R 21 is H.
  • Y1, B5, and R25 are each as defined, where applicable, in any one of (19)-(26) and (29)-(30), and R21 is methyl.
  • Y 1 , B 5, R 21 , and R 25 are each as defined, where applicable, in any one of (19)-(26) and (29)-(32), and R23 is H.
  • Y1, B5, R21, R23, and R25 are each as defined, where applicable, in any one of (19)-(26) and (29)-(33), and R 22 is methyl.
  • Y 1 , B 5, R 21 , R 23 , and R 25 are each as defined, where applicable, in any one of (19)-(26) and (29)-(33), and R22 is H.
  • Y1, B5, R21, R22, R23, and R25 are each as defined, where applicable, in any one of (19)-(26) and (29)-(35), and R 26 is (C 1 -C 4 ) alkyl or halogen.
  • Y1, B5, R21, R22, R23, and R25 are each as defined, where applicable, in any one of (19)-(26) and (29)-(35), and R26 is methyl or Cl.
  • Y 1 , B 5, R 21 , R 22 , R 23 , R 25 , and R 26 are each as defined, where applicable, in any one of (1)-(37), and s2 is 0.
  • Y1, B5, R21, R22, R23, R25, and R26 are each as defined, where applicable, in any one of (1)-(37), and s2 is 1.
  • the compound of Formula TL-V is of Formula TL-Va:
  • R21, R22, R25, and R26 are each as defined above in Formula TL-V.
  • R 21 is H and R 22 is H.
  • R21 is methyl and R22 is H.
  • R 21 is H and R 22 is methyl.
  • R 21 is methyl and R 22 is methyl.
  • R25 is H.
  • R 25 is H and R 21 is H.
  • R 25 is H and R 21 is methyl.
  • R25 is H
  • R21 is H
  • R22 is methyl
  • R25 is H
  • R21 is methyl
  • R22 is methyl
  • R 25 is H
  • R 21 is H
  • R 22 is H
  • R25 is H, R21 is methyl, and R22 is H.
  • R21, R22, and R25 are each as defined, where applicable, in any one of (1)-(11), and at least one R 26 is (C 1 -C 4 ) alkyl or halogen.
  • R 21 , R 22 , and R 25 are each as defined, where applicable, in any one of (1)-(11), and at least one R26 is (C1-C2) alkyl or halogen.
  • R21, R22, and R25 are each as defined, where applicable, in any one of (1)-(11), and at least one R 26 is methyl or Cl.
  • R21, R22, R25, and R26 can each be selected from any of the groups and combined as described above in Formula TL-V or TL-Va.
  • a Targeting Ligand is a compound of Formula TL-VI:
  • B6 is (C6-C10) aryl or 5- or 6-membered heteroaryl comprising 1-3 heteroatoms selected from N, S, and O, wherein the aryl or heteroaryl are optionally substituted with one to three R 31 ;
  • B 7 is (C 6 -C 10 ) aryl or 5- or 6-membered heteroaryl comprising 1-3 heteroatoms selected from N, S, and O, wherein the aryl or heteroaryl are optionally substituted with one to three R32;
  • X4 is O or NR33
  • R 27 and R 28 are each independently H, (C 1 -C 4 ) alkyl, or (C 1 -C 4 ) haloalkyl;
  • each R29 is independently (C1-C4) alkyl, (C1-C4) haloalkyl, (C1-C4) alkoxy, (C1-C4) haloalkoxy, halogen, OH, or NH2;
  • each R 30 is independently (C 1 -C 4 ) alkyl, (C 1 -C 4 ) haloalkyl, (C 1 -C 4 ) alkoxy, (C 1 -C 4 ) haloalkoxy, halogen, or C(O)(C 1 -C 4 ) alkyl;
  • each R31 and each R32 are independently (C1-C4) alkyl, (C1-C4) haloalkyl, (C1-C4) alkoxy, (C 1 -C 4 ) haloalkoxy, halogen, OH, or NH 2 ;
  • R 33 is H, (C 1 -C 4 ) alkyl, or (C 1 -C 4 ) haloalkyl;
  • s3 and s4 are each independently 0, 1, 2, or 3;
  • s5 is 1 or 2; wherein the Targeting Ligand is bonded to the Linker via the
  • B 6 is (C 6 -C 10 ) aryl optionally substituted with one to three R 31 . In some embodiments, B6 is (C6-C10) aryl substituted with one to three R31. In other embodiments, B6 is 5- or 6-membered heteroaryl comprising 1-3 heteroatoms selected from N, S, and O, optionally substituted with one to three R 31 . In other embodiments, B 6 is 5- or 6-membered heteroaryl comprising 1-3 heteroatoms selected from N, S, and O, substituted with one to three R31. In other embodiments, B6 is 5-membered heteroaryl comprising 1-3 heteroatoms selected from N, S, and O, optionally substituted with one to three R 31 . In other embodiments, B 6 is 5- membered heteroaryl comprising 1-3 heteroatoms selected from N, S, and O, substituted with one to three R31. In other embodiments, B6 is 6-membered heteroaryl comprising 1-3
  • B 6 is 6-membered heteroaryl comprising 1-3 heteroatoms selected from N, S, and O, substituted with one to three R31.
  • B6 is phenyl substituted with one to three R31.
  • B6 is phenyl optionally substituted with one to three R31.
  • B 6 is phenyl.
  • B 7 is (C 6 -C 10 ) aryl optionally substituted with one to three R 32 . In some embodiments, B7 is (C6-C10) aryl substituted with one to three R32. In other embodiments, B 7 is phenyl optionally substituted with one to three R 32 . In other embodiments, B 7 is phenyl substituted with one to three R 32 . In other embodiments, B 7 is phenyl. In other embodiments, B 7 is 5- or 6-membered heteroaryl comprising 1-3 heteroatoms selected from N, S, and O, optionally substituted with one to three R32.
  • B7 is 5- or 6-membered heteroaryl comprising 1-3 heteroatoms selected from N, S, and O, substituted with one to three R32. In other embodiments, B7 is 6-membered heteroaryl comprising 1-3 heteroatoms selected from N, S, and O, optionally substituted with one to three R32. In other embodiments, B7 is 6- membered heteroaryl comprising 1-3 heteroatoms selected from N, S, and O, substituted with one to three R32. In other embodiments, B7 is 5-membered heteroaryl comprising 1-3
  • B 7 is 5-membered heteroaryl comprising 1-3 heteroatoms selected from N, S, and O, substituted with one to three R 32 .
  • B 7 is isoxazolyl optionally substituted with one to three R32.
  • B7 is isoxazolyl substituted with one to three R 32 .
  • B 7 is isoxazolyl substituted with one or two R 32 .
  • X 4 is O. In other embodiments, X 4 is NR 33 .
  • R27 is H, (C1-C3) alkyl, or (C1-C3) haloalkyl.
  • R27 is (C1-C3) alkyl, or (C1-C3) haloalkyl. In other embodiments, R27 is H or (C1- C 3 ) alkyl. In other embodiments, R 27 is (C 1 -C 3 ) alkyl. In other embodiments, R 27 is methyl, ethyl, n-propyl, or i-propyl. In other embodiments, R27 is H.
  • R28 is H, (C1-C3) alkyl, or (C1-C3) haloalkyl.
  • R 28 is (C 1 -C 3 ) alkyl, or (C 1 -C 3 ) haloalkyl. In other embodiments, R 28 is H or (C 1 - C 3 ) alkyl. In other embodiments, R 28 is (C 1 -C 3 ) alkyl. In other embodiments, R 28 is methyl, ethyl, n-propyl, or i-propyl. In other embodiments, R28 is H.
  • each R 29 is independently (C 1 -C 3 ) alkyl, (C 1 -C 3 ) haloalkyl, (C 1 - C 3 ) alkoxy, (C 1 -C 3 ) haloalkoxy, halogen, OH, or NH 2 .
  • each R 29 is independently (C1-C3) alkyl, (C1-C3) haloalkyl, (C1-C3) alkoxy, or (C1-C3) haloalkoxy.
  • each R29 is independently halogen, OH, or NH2.
  • each R29 is independently (C 1 -C 3 ) alkyl or (C 1 -C 3 ) haloalkyl. In other embodiments, each R 29 is independently (C1-C3) alkoxy or (C1-C3) haloalkoxy. In other embodiments, each R29 is independently (C1-C3) alkyl, (C1-C3) haloalkyl, or halogen. In other embodiments, each R29 is independently (C 1 -C 3 ) alkyl or (C 1 -C 3 ) alkoxy. In other embodiments, each R 29 is independently (C1-C3) haloalkyl or (C1-C3) haloalkoxy.
  • each R29 is independently halogen, (C1-C3) alkoxy or (C1-C3) haloalkoxy. In other embodiments, each R29 is independently (C 1 -C 3 ) alkyl or halogen.
  • each R 30 is independently (C 1 -C 3 ) alkyl, (C 1 -C 3 ) haloalkyl, (C 1 -C 3 ) alkoxy, (C1-C3) haloalkoxy, halogen, or C(O)(C1-C3) alkyl.
  • each R30 is independently (C 1 -C 3 ) alkyl, (C 1 -C 3 ) haloalkyl, (C 1 -C 3 ) alkoxy, or (C 1 -C 3 ) haloalkoxy.
  • each R 30 is independently (C 1 -C 3 ) alkyl or (C 1 -C 3 ) haloalkyl.
  • each R 30 is independently (C 1 -C 3 ) alkyl or (C 1 -C 3 ) haloalkyl.
  • each R30 is independently (C1-C3) alkoxy or (C1-C3) haloalkoxy. In other embodiments, each R30 is independently halogen or C(O)(C1-C3) alkyl. In other embodiments, each R 30 is independently (C 1 -C 3 ) alkyl, (C 1 -C 3 ) haloalkyl, halogen, or C(O)(C 1 -C 3 ) alkyl. In other embodiments, each R30 is independently (C1-C3) alkyl, halogen, or C(O)(C1-C3) alkyl. In other embodiments, each R30 is independently (C1-C3) alkyl, (C1-C3) haloalkyl, or C(O)(C1-C3) alkyl.
  • each R 31 is independently (C 1 -C 3 ) alkyl, (C 1 -C 3 ) haloalkyl, (C 1 -C 3 ) alkoxy, (C1-C3) haloalkoxy, halogen, OH, or NH2.
  • each R31 is independently (C1-C3) alkyl, (C1-C3) haloalkyl, (C1-C3) alkoxy, or (C1-C3) haloalkoxy.
  • each R 31 is independently halogen, OH, or NH 2 .
  • each R 31 is independently (C1-C3) alkyl or (C1-C3) haloalkyl.
  • each R31 is independently (C1-C3) alkoxy or (C1-C3) haloalkoxy. In other embodiments, each R31 is independently (C 1 -C 3 ) alkyl, (C 1 -C 3 ) haloalkyl, or halogen. In other embodiments, each R 31 is independently (C 1 -C 3 ) alkyl or (C 1 -C 3 ) alkoxy. In other embodiments, each R 31 is independently (C1-C3) haloalkyl or (C1-C3) haloalkoxy. In other embodiments, each R31 is independently halogen, (C 1 -C 3 ) alkoxy or (C 1 -C 3 ) haloalkoxy. In other embodiments, each R 31 is independently (C 1 -C 3 ) alkyl or halogen.
  • each R32 is independently (C1-C3) alkyl, (C1-C3) haloalkyl, (C1-C3) alkoxy, (C1-C3) haloalkoxy, halogen, OH, or NH2. In other embodiments, each R32 is independently (C 1 -C 3 ) alkyl, (C 1 -C 3 ) haloalkyl, (C 1 -C 3 ) alkoxy, or (C 1 -C 3 ) haloalkoxy. In other embodiments, each R32 is independently halogen, OH, or NH2. In other embodiments, each R32 is independently (C1-C3) alkyl or (C1-C3) haloalkyl.
  • each R32 is independently (C 1 -C 3 ) alkoxy or (C 1 -C 3 ) haloalkoxy. In other embodiments, each R 32 is independently (C1-C3) alkyl, (C1-C3) haloalkyl, or halogen. In other embodiments, each R32 is independently (C1-C3) alkyl or (C1-C3) alkoxy. In other embodiments, each R32 is independently (C 1 -C 3 ) haloalkyl or (C 1 -C 3 ) haloalkoxy. In other embodiments, each R 32 is independently halogen, (C 1 -C 3 ) alkoxy or (C 1 -C 3 ) haloalkoxy.
  • each R 32 is independently (C1-C3) alkyl or halogen. In other embodiments, each R32 is independently methyl, ethyl, n- propyl, i-propyl, F, Cl, Br, or I. In other embodiments, each R 32 is independently methyl, ethyl, n-propyl, or i-propyl. In other embodiments, at least one R 32 is i-propyl.
  • R33 is H, (C1-C3) alkyl, or (C1-C3) haloalkyl.
  • R33 is (C1-C3) alkyl or (C1-C3) haloalkyl. In other embodiments, R33 is H or (C1- C 3 ) alkyl. In other embodiments, R 33 is (C 1 -C 3 ) alkyl. In other embodiments, R 33 is methyl, ethyl, n-propyl, or i-propyl. In other embodiments, R33 is H. In some embodiments, s3 is 0. In other embodiments, s3 is 1. In other embodiments, s3 is 2. In other embodiments, s3 is 3. In other embodiments, s3 is 0 or 1. In other embodiments, s3 is 1 or 2. In other embodiments, s3 is 2 or 3. In other embodiments, s3 is 0, 1, or 2. In other embodiments, s3 is 1, 2, or 3.
  • s4 is 0. In other embodiments, s4 is 1. In other embodiments, s4 is 2. In other embodiments, s4 is 3. In other embodiments, s4 is 0 or 1. In other embodiments, s4 is 1 or 2. In other embodiments, s4 is 2 or 3. In other embodiments, s4 is 0, 1, or 2. In other embodiments, s4 is 1, 2, or 3.
  • s5 is 1. In other embodiments, s5 is 2.
  • any of the groups described herein for any of B 6 , B 7 , X 4 , R 27 , R 28 , R 29 , R 30 , R 31 , R 32 , R 33 , s3, s4, and s5 can be combined with any of the groups described herein for one or more of the remainder of B 6 , B 7 , X 4 , R 27 , R 28 , R 29 , R 30 , R 31 , R 32 , R 33 , s3, s4, and s5, and may further be combined with any of the groups described herein for the Linker.
  • R27 is H and R28 is H.
  • R 27 is methyl and R 28 is H.
  • R27 is H and R28 is methyl.
  • R27 is methyl and R28 is methyl.
  • R 27 is H and X 4 is O.
  • R27 is methyl and X4 is NR33.
  • R28 is H and X4 is O.
  • R 28 is methyl and X 4 is NR 33 .
  • R 27 is H
  • R 28 is H
  • X 4 is O
  • R27 is H
  • R28 is H
  • X4 is NR33.
  • B 6 is (C 6 -C 10 ) aryl optionally substituted with one to three R 31 and X 4 is O.
  • B6 is (C6-C10) aryl optionally substituted with one to three R31 and X4 is NR33.
  • B 6 is (C 6 -C 10 ) aryl and X 4 is O.
  • B6 is (C6-C10) aryl and X4 is NR33.
  • B6 is phenyl optionally substituted with one to three R31 and X 4 is O.
  • B 6 is phenyl optionally substituted with one to three R 31 and X4 is NR33.
  • B6 is phenyl and X4 is O.
  • B 6 is phenyl and X 4 is NR 33 .
  • B6 is (C6-C10) aryl optionally substituted with one to three R31 and B7 is 5-membered heteroaryl comprising 1-3 heteroatoms selected from N, S, and O, optionally substituted with one to three R 32 .
  • B 6 is (C 6 -C 10 ) aryl optionally substituted with one to three R31 and B7 is 5-membered heteroaryl comprising 1-3 heteroatoms selected from N, S, and O, substituted with one to three R 32 .
  • B 6 is (C 6 -C 10 ) aryl and B 7 is 5-membered heteroaryl comprising 1-3 heteroatoms selected from N, S, and O, optionally substituted with one to three R32.
  • B 6 is (C 6 -C 10 ) aryl and B 7 is 5-membered heteroaryl comprising 1-3 heteroatoms selected from N, S, and O, substituted with one to three R32.
  • B6 is phenyl optionally substituted with one to three R31and B 7 is 5-membered heteroaryl comprising 1-3 heteroatoms selected from N, S, and O, optionally substituted with one to three R32.
  • B6 is phenyl optionally substituted with one to three R31and B 7 is 5-membered heteroaryl comprising 1-3 heteroatoms selected from N, S, and O, substituted with one to three R 32 .
  • B6 is phenyl and B7 is 5-membered heteroaryl comprising 1-3 heteroatoms selected from N, S, and O, optionally substituted with one to three R 32 .
  • B 6 is phenyl and B 7 is 5-membered heteroaryl comprising 1-3 heteroatoms selected from N, S, and O, substituted with one to three R32.
  • B6 is (C6-C10) aryl optionally substituted with one to three R 31 and B 7 is isoxazolyl optionally substituted with one to three R 32 .
  • B6 is (C6-C10) aryl optionally substituted with one to three R31 and B7 is isoxazolyl substituted with one to three R32.
  • B6 is (C6-C10) aryl and B7 is isoxazolyl optionally substituted with one to three R 32 .
  • B 6 is (C 6 -C 10 ) aryl and B 7 is isoxazolyl substituted with one to three R32.
  • B6 is phenyl optionally substituted with one to three R31 and B 7 is isoxazolyl optionally substituted with one to three R 32 .
  • B6 is phenyl optionally substituted with one to three R31 and B7 is isoxazolyl substituted with one to three R32.
  • B 6 is phenyl and B 7 is isoxazolyl optionally substituted with one to three R 32 .
  • B6 is phenyl and B7 is isoxazolyl substituted with one to three R 32 .
  • R 27 , R 28 , and X 4 are each as defined, where applicable, in any one of (1)-(10), and B6 is (C6-C10) aryl optionally substituted with one to three R31.
  • R27, R28, and X4 are each as defined, where applicable, in any one of (1)-(10), and B 6 is (C 6 -C 10 ) aryl.
  • R27, R28, and X4 are each as defined, where applicable, in any one of (1)-(10), and B6 is phenyl optionally substituted with one to three R31.
  • R 27 , R 28 , and X 4 are each as defined, where applicable, in any one of (1)-(10), and B6 is phenyl.
  • B6, R27, R28, and X4 are each as defined, where applicable, in any one of (1)-(10) and (35)-(38), and B 7 is 5- or 6-membered heteroaryl comprising 1-3 heteroatoms selected from N, S, and O, optionally substituted with one to three R 32 .
  • B6, R27, R28, and X4 are each as defined, where applicable, in any one of (1)-(10) and (35)-(38), and B 7 is 5- or 6-membered heteroaryl comprising 1-3 heteroatoms selected from N, S, and O, substituted with one to three R 32 .
  • B6, R27, R28, and X4 are each as defined, where applicable, in any one of (1)-(10) and (35)-(38), and B7 is 5-membered heteroaryl comprising 1-3 heteroatoms selected from N, S, and O, optionally substituted with one to three R 32 .
  • B6, R27, R28, and X4 are each as defined, where applicable, in any one of (1)-(10) and (35)-(38), and B 7 is 5-membered heteroaryl comprising 1-3 heteroatoms selected from N, S, and O, substituted with one to three R 32 .
  • B6, R27, R28, and X4 are each as defined, where applicable, in any one of (1)-(10) and (35)-(38), and B7 is isoxazolyl optionally substituted with one to three R 32 .
  • B6, R27, R28, and X4 are each as defined, where applicable, in any one of (1)-(10) and (35)-(38), and B7 is isoxazolyl substituted with one to three R32.
  • B 6 , R 27 , R 28 , and X 4 are each as defined, where applicable, in any one of (1)-(10) and (35)-(38), and B 7 is isoxazolyl substituted with one to two R 32 .
  • B6 and B7 are each as defined, where applicable, in any one of (11)-(34), and R 27 is H.
  • B 6 and B 7 are each as defined, where applicable, in any one of (11)-(34), and R27 is methyl.
  • B6, B7, and R27 are each as defined, where applicable, in any one of (11)-(34) and (46)-(47), and R 28 is H.
  • B6, B7, and R27 are each as defined, where applicable, in any one of (11)-(34) and (46)-(47), and R28 is methyl.
  • B 6 , B 7, R 27, and R 28 are each as defined, where applicable, in any one of (11)-(34) and (46)-(49), and X4 is O.
  • B6, B7, R27, and R28 are each as defined, where applicable, in any one of (11)-(34) and (46)-(49), and X 4 is NR 33 .
  • B 6 , B 7, R 27, R 28 , and X 4 are each as defined, where applicable, in any one of (1)-(51), and s3 is 0.
  • B 6 , B 7 , R 27 , R 28 , and X 4 are each as defined, where applicable, in any one of (1)-(51), and s3 is 1.
  • B6, B7, R27, R28, X4, and s3 are each as defined, where applicable, in any one of (1)-(53), and s4 is 0.
  • B 6 , B 7 , R 27 , R 28 , X 4 , and s3 are each as defined, where applicable, in any one of (1)-(53), and s4 is 1.
  • B6, B7, R27, R28, X4, s3, and s4 are each as defined, where applicable, in any one of (1)-(55), and s5 is 0.
  • B 6 , B 7 , R 27 , R 28 , X 4 , s3 , and s4 are each as defined, where applicable, in any one of (1)-(55), and s5 is 1.
  • B6, B7, R27, R28, X4, s3, s4, and s5 are each as defined, where applicable, in any one of (1)-(57), and R 32 is (C 1 -C 4 ) alkyl.
  • B6, B7, R27, R28, X4, s3, s4, and s5 are each as defined, where applicable, in any one of (1)-(57), and R32 is (C1-C3) alkyl.
  • B 6 , B 7 , R 27 , R 28 , X 4 , s3, s4, and s5 are each as defined, where applicable, in any one of (1)-(57), and R 32 is isopropyl.
  • the compound of Formula TL-VI is of Formula TL-VIa:
  • R27, R28, R29, R31, R32, and s3 are each as defined above in Formula TL-VI.
  • R 27 is H and R 28 is H.
  • R27 is methyl and R28 is H.
  • R 27 is H and R 28 is methyl.
  • R 27 is methyl and R 28 is methyl.
  • R27 and R28 are each as defined, where applicable, in any one of (1)-(4), and s3 is 0.
  • R 27 and R 28 are each as defined, where applicable, in any one of (1)-(4) and s3 is 1.
  • R27, R28, and s3 are each as defined, where applicable, in any one of (1)-(6), and R 32 is (C 1 -C 4 ) alkyl.
  • R27, R28, and s3 are each as defined, where applicable, in any one of (1)-(6), and R32 is (C1-C3) alkyl.
  • R27, R28, and s3 are each as defined, where applicable, in any one of (1)-(6), and R 32 is isopropyl.
  • R 27 , R 28 , R 32 , and s3 can each be selected from any of the groups and combined as described above in Formula TL-VI or TL-VIa.
  • the Degron serves to link a targeted protein, through a Linker and a Targeting Ligand, to a ubiquitin ligase for proteosomal degradation.
  • the Degron is capable of binding to a ubiquitin ligase, such as an E3 ubiquitin ligase.
  • the Degron is capable of binding to cereblon.
  • the Degron is of Formula D1:
  • Y is a bond, (CH2)1-6, (CH2)0-6-O, (CH2)0-6-C(O)NR35, (CH2)0-6-NR35C(O), (CH2)0-6-NH, or (CH 2 ) 0-6 -NR 36 ;
  • Z 3 is C(O) or C(R 37 ) 2 ;
  • R35 is H or C1-C6 alkyl
  • R36 is C1-C6 alkyl or C(O)-C1-C6 alkyl
  • each R 37 is independently H or C 1 -C 3 alkyl
  • each R38 is independently C1-C3 alkyl
  • R39 is H, deuterium, C1-C3 alkyl, F, or Cl;
  • each R 40 is independently halogen, OH, C 1 -C 6 alkyl, or C 1 -C 6 alkoxy;
  • q 0, 1, or 2;
  • v 0, 1, 2, or 3; wherein the Degron is covalently bonded to the Linker via
  • Z3 is C(O).
  • Z 3 is C(O) or CH 2 .
  • Z 3 is C(R 37 ) 2 ; and each R 37 is H. In one embodiment, Z 3 is C(R 37 ) 2 ; and one of R37 is H, and the other is C1-C3 alkyl selected from methyl, ethyl, and propyl. In one embodiment, Z3 is C(R37)2; and each R37 is independently selected from methyl, ethyl, and propyl.
  • Y is a bond
  • Y is a bond, O, or NH.
  • Y is (CH2)1, (CH2)2, (CH2)3, (CH2)4, (CH2)5, or (CH2)6. In one embodiment, Y is (CH 2 ) 1 , (CH 2 ) 2 , or (CH 2 ) 3 . In one embodiment, Y is (CH 2 ) 1 or (CH 2 ) 2 .
  • Y is O, CH2-O, (CH2)2-O, (CH2)3-O, (CH2)4-O, (CH2)5-O, or (CH2)6- O. In one embodiment, Y is O, CH2-O, (CH2)2-O, or (CH2)3-O. In one embodiment, Y is O or CH 2 -O. In one embodiment, Y is O.
  • Y is C(O)NR 35 , CH 2 -C(O)NR 35 , (CH 2 ) 2 -C(O)NR 35 , (CH 2 ) 3 - C(O)NR35, (CH2)4-C(O)NR35, (CH2)5-C(O)NR35, or (CH2)6-C(O)NR35.
  • Y is C(O)R 35 , CH 2 -C(O)NR 35 , (CH 2 ) 2 -C(O)NR 35 , or (CH 2 ) 3 -C(O)NR 35 .
  • Y is C(O)NR 35 or CH 2 -C(O)NR 35 .
  • Y is C(O)NR 35 .
  • Y is NR35C(O), CH2-NR35C(O), (CH2)2-NR35C(O), (CH2)3- NR35C(O), (CH2)4-NR35C(O), (CH2)5-NR35C(O), or (CH2)6-NR35C(O).
  • Y is NR 35 C(O), CH 2 -NR 35 C(O), (CH 2 ) 2 -NR 35 C(O), or (CH 2 ) 3 -NR 35 C(O).
  • Y is NR35C(O) or CH2-NR35C(O).
  • Y is NR35C(O).
  • R35 is H. In one embodiment, R35 is selected from methyl, ethyl, propyl, butyl, i-butyl, t-butyl, pentyl, i-pentyl, and hexyl. In one embodiment, R 35 is C 1 -C 3 alkyl selected from methyl, ethyl, and propyl.
  • Y is NH, CH2-NH, (CH2)2-NH, (CH2)3-NH, (CH2)4-NH, (CH2)5-NH, or (CH 2 ) 6 -NH. In one embodiment, Y is NH, CH 2 -NH, (CH 2 ) 2 -NH, or (CH 2 ) 3 -NH. In one embodiment, Y is NH or CH 2 -NH. In one embodiment, Y is NH.
  • Y is NR36, CH2-NR36, (CH2)2-NR36, (CH2)3-NR36, (CH2)4-NR36, (CH 2 ) 5 -NR 36 , or (CH 2 ) 6 -NR 36 .
  • Y is NR 36 , CH 2 -NR 36 , (CH 2 ) 2 -NR 36 , or (CH 2 ) 3 -NR 36 .
  • Y is NR 36 or CH 2 -NR 36 .
  • Y is NR 36 .
  • R36 is selected from methyl, ethyl, propyl, butyl, i-butyl, t-butyl, pentyl, i-pentyl, and hexyl.
  • R36 is C1-C3 alkyl selected from methyl, ethyl, and propyl.
  • R36 is selected from C(O)-methyl, C(O)-ethyl, C(O)-propyl, C(O)- butyl, C(O)-i-butyl, C(O)-t-butyl, C(O)-pentyl, C(O)-i-pentyl, and C(O)-hexyl.
  • R 36 is C(O)-C 1 -C 3 alkyl selected from C(O)-methyl, C(O)-ethyl, and C(O)-propyl.
  • R37 is H.
  • R37 is C1-C3 alkyl selected from methyl, ethyl, and propyl. In one embodiment, R 37 is methyl.
  • q is 0.
  • q is 1.
  • q is 2.
  • each R 38 is independently C 1 -C 3 alkyl selected from methyl, ethyl, and propyl.
  • v is 0.
  • v is 1.
  • v is 2.
  • v is 3.
  • each R 40 is independently selected from halogen (e.g., F, Cl, Br, and I), OH, C1-C6 alkyl (e.g., methyl, ethyl, propyl, butyl, i-butyl, t-butyl, pentyl, i-pentyl, and hexyl), and C1-C6 alkoxy (e.g., methoxy, ethoxy, propoxy, butoxy, i-butoxy, t-butoxy, and pentoxy).
  • each R 40 is independently selected from F, Cl, OH, methyl, ethyl, propyl, butyl, i-butyl, t-butyl, methoxy, and ethoxy.
  • R39 is H, deuterium, or C1-C3 alkyl. In another embodiment, R39 is H or C 1 -C 3 alkyl. In a further embodiment, R 39 is in the (S) or (R) configuration. In a further embodiment, R 39 is in the (S) configuration. In one embodiment, the compound comprises a racemic mixture of (S)-R39 and (R)-R39.
  • R 39 is H.
  • R 39 is deuterium
  • R39 is C1-C3 alkyl selected from methyl, ethyl, and propyl. In one embodiment, R39 is methyl.
  • R 39 is F or Cl. In a further embodiment, R 39 is in the (S) or (R) configuration. In a further embodiment, R39 is in the (R) configuration. In one embodiment, the compound comprises a racemic mixture of (S)-R39 and (R)-R39. In one embodiment, R39 is F.
  • any of the groups described herein for any of Y, Z3, R35, R36, R37, R38, R39, R40, q and v can be combined with any of the groups described herein for one or more of the remainder of Y, Z 3 , R 35 , R 36 , R 37 , R 38 , R 39 , R 40 , q and v, and may further be combined with any of the groups described herein for the Linker.
  • Z 3 is C(O) and Y is a bond.
  • Z3 is C(O) and Y is NH.
  • Z3 is C(O) and Y is (CH2)0-6-O. In a further embodiment, Y is O. (4) In one embodiment, Z 3 is C(O); Y is a bond; and q and v are each 0.
  • Z 3 is C(O); Y is NH; and q and v are each 0.
  • Z3 is C(O); Y is (CH2)0-6-O; and q and v are each 0. In a further embodiment, Y is O.
  • Z 3 is C(O); Y is a bond; and R 37 is H.
  • Z3 is C(O); Y is a bond; and R37 is H.
  • Z3 is C(O); Y is NH; and R37 is H.
  • Z 3 is C(O); Y is NH; and R 39 is H.
  • Z3 is C(O); Y is a bond; R37 is H; and R39 is H.
  • Z3 is C(O); Y is NH; R37 is H; and R39 is H.
  • Z 3 is C(O); Y is (CH 2 ) 0-6 -O; and R 37 is H. In a further embodiment, Y is O.
  • Z3 is C(O); Y is (CH2)0-6-O; and R39 is H.
  • Y is O.
  • Z 3 is C(O); Y is (CH 2 ) 0-6 -O; R 37 is H; and R 39 is H.
  • Y is O.
  • q and v are each 0; and Y, Z 3 , R 37 , and R 39 are each as
  • Z3 is CH2 and Y is a bond.
  • Z3 is CH2 and Y is NH.
  • Z 3 is CH 2 and Y is (CH 2 ) 0-6 -O. In a further embodiment, Y is O.
  • Z3 is CH2; Y is a bond; and q and v are each 0.
  • Z3 is CH2; Y is NH; and q and v are each 0.
  • Z 3 is CH 2 ; Y is (CH 2 ) 0-6 -O; and q and v are each 0. In a
  • Y is O.
  • Z3 is CH2; Y is a bond; and R37 is H.
  • Z3 is CH2; Y is a bond; and R39 is H.
  • Z 3 is CH 2 ; Y is NH; and R 37 is H.
  • Z3 is CH2; Y is NH; and R39 is H.
  • Z3 is CH2; Y is a bond; R37 is H; and R39 is H.
  • Z 3 is CH 2 ; Y is NH; R 37 is H; and R 39 is H.
  • Z 3 is CH 2 ; Y is (CH 2 ) 0-6 -O; and R 37 is H. In a further embodiment, Y is O.
  • Z 3 is CH 2 ; Y is (CH 2 ) 0-6 -O; and R 39 is H.
  • Y is O.
  • Z3 is CH2; Y is (CH2)0-6-O; R37 is H; and R39 is H.
  • Y is O.
  • q and v are each 0; and Y, Z 3 , R 37 , and R 39 are each as
  • the Degron is of Formula D1a, D1b, D1c, D1d, D1e, D1f, D1g, D1h, D1i, D1j, D1k, or D1l:
  • Y, R38, R40, q, and v are each as defined above in Formula D1, and can be selected from any moieties or combinations thereof described above.
  • Y is a bond, O, or NH. In one embodiment, Y is a bond. In one embodiment, Y is O. In one embodiment, Y is NH.
  • the Degron is of Formula D2:
  • each R 41 is independently C 1 -C 3 alkyl
  • q' is 0, 1, 2, 3 or 4;
  • R42 is H or C1-C3 alkyl
  • h r in the Degron is covalently bonded to another moiety (e.g., a compound, or a Linker) via
  • q' is 0.
  • q' is 1. In one embodiment, q' is 2.
  • q' is 3.
  • each R 41 is independently C 1 -C 3 alkyl selected from methyl, ethyl, and propyl.
  • R42 is methyl, ethyl, or propyl. In one embodiment, R42 is methyl. In one embodiment, the Degron is of Formula D2a:
  • each R41 is independently C1-C3 alkyl
  • q' is 0, 1, 2, 3 or 4;
  • R 42 is H or C 1 -C 3 alkyl
  • the Degron is covalently bonded to another moiety (e.g., a compound, or a Linker) via
  • q' is 0.
  • q' is 1.
  • q' is 2.
  • q' is 3.
  • each R41 is independently C1-C3 alkyl selected from methyl, ethyl, and propyl.
  • R 42 is methyl, ethyl, or propyl. In one embodiment, R 42 is methyl. In one embodiment, the Degron is of Formula D2b:
  • each R 41 is independently C 1 -C 3 alkyl
  • q' is 0, 1, 2, 3 or 4;
  • R42 is H or C1-C3 alkyl
  • the Degron is covalently bonded to another moiety (e.g., a compound, or a Linker) via
  • q' is 0.
  • q' is 1.
  • q' is 2.
  • q' is 3.
  • each R 41 is independently C 1 -C 3 alkyl selected from methyl, ethyl, and propyl.
  • R42 is methyl, ethyl, or propyl. In one embodiment, R42 is methyl. In one embodiment, the Degron is of Formula D2c:
  • h r in the Degron is covalently bonded to another moiety (e.g., a compound, or a Linker) via
  • the Degron is of Formula D2d:
  • n the Degron is covalently bonded to another moiety (e.g., a compound, or a Linker) via
  • the Linker is a bond, a carbon chain, carbocyclic ring, or heterocyclic ring that serves to link a Targeting Ligand with a Degron.
  • the carbon chain optionally comprises one, two, three, or more heteroatoms selected from N, O, and S.
  • the carbon chain comprises only saturated chain carbon atoms.
  • the carbon chain optionally comprises two or more unsaturated chain carbon atoms (e.g.,
  • one or more chain carbon atoms in the carbon chain are optionally substituted with one or more substituents (e.g., oxo, C1-C6 alkyl, C2-C6 alkenyl, C2-C6 alkynyl, C 1 -C 3 alkoxy, OH, halogen, NH 2 , NH(C 1 -C 3 alkyl), N(C 1 -C 3 alkyl) 2 , CN, C 3 -C 8 cycloalkyl, heterocyclyl, phenyl, and heteroaryl).
  • substituents e.g., oxo, C1-C6 alkyl, C2-C6 alkenyl, C2-C6 alkynyl, C 1 -C 3 alkoxy, OH, halogen, NH 2 , NH(C 1 -C 3 alkyl), N(C 1 -C 3 alkyl) 2 , CN, C 3 -C 8 cycloalkyl,
  • the Linker comprises at least 5 chain atoms (e.g., C, O, N, and S). In one embodiment, the Linker comprises less than 25 chain atoms (e.g., C, O, N, and S). In one embodiment, the Linker comprises less than 20 chain atoms (e.g., C, O, N, and S). In one embodiment, the Linker comprises 4, 5, 6, 7, 8, 9, 10, 11, 12, 13, 14, 15, 16, 17, 18, 19, 20, 21, 22, 23, or 24 chain atoms (e.g., C, O, N, and S). In one embodiment, the Linker comprises 5, 6, 7, 8, 9, 10, 11, 12, 13, 14, 15, 16, 17, 18, 19, 20, 21, 22, 23, or 24 chain atoms (e.g., C, O, N, and S).
  • the Linker comprises 5, 7, 9, 11, 13, 15, 17, or 19 chain atoms (e.g., C, O, N, and S). In one embodiment, the Linker comprises 5, 7, 9, or 11 chain atoms (e.g., C, O, N, and S). In one embodiment, the Linker comprises 11, 13, 15, 17, or 19 chain atoms (e.g., C, O, N, and S). In one embodiment, the Linker comprises 11, 13, 15, 17, 19, 21, or 23 chain atoms (e.g., C, O, N, and S). In one embodiment, the Linker comprises 6, 8, 10, 12, 14, 16, 18, 20, 22, or 24 chain atoms (e.g., C, O, N, and S).
  • the Linker comprises 6, 8, 10, 12, 14, 16, 18, or 20 chain atoms (e.g., C, O, N, and S). In one embodiment, the Linker comprises 6, 8, 10, or 12 chain atoms (e.g., C, O, N, and S). In one embodiment, the Linker comprises 12, 14, 16, 18, or 20 chain atoms (e.g., C, O, N, and S).
  • the Linker comprises from 11 to 19 chain atoms (e.g., C, O, N, and S).
  • the Linker is a carbon chain optionally substituted with non-bulky substituents (e.g., oxo, C 1 -C 6 alkyl, C 2 -C 6 alkenyl, C 2 -C 6 alkynyl, C 1 -C 3 alkoxy, OH, halogen, NH 2 , NH(C 1 -C 3 alkyl), N(C 1 -C 3 alkyl) 2 , and CN).
  • non-bulky substituents e.g., oxo, C 1 -C 6 alkyl, C 2 -C 6 alkenyl, C 2 -C 6 alkynyl, C 1 -C 3 alkoxy, OH, halogen, NH 2 , NH(C 1 -C 3 alkyl), N(C 1 -C 3 alkyl) 2 , and CN).
  • the non-bulky substitution is located on the chain carbon atom proximal to the Degron (e.g., the carbon atom is separated from the carbon atom to which the Degron is bonded by at least 3, 4, or 5 chain atoms in the Linker). In one embodiment, the non-bulky substitution is located on the chain carbon atom proximal to the Targeting Ligand (e.g., the carbon atom is separated from the carbon atom to which the Degron is bonded by at least 3, 4, or 5 chain atoms in the Linker).
  • the Linker is of Formula L1:
  • p1 is an integer selected from 0 to 12;
  • p2 is an integer selected from 0 to 12;
  • p3 is an integer selected from 1 to 6;
  • each W is independently absent, CH 2 , O, S, or NR 34 ;
  • Z1 is absent, C(O), CH2, O, (CH2)jNR34, O(CH2)jC(O)NR34, C(O)NR34, (CH2)jC(O)NR34, NR 34 C(O), (CH 2 ) j NR 34 C(O), C(O)NR 34 (CH 2 ) j C(O)NR 34 , C(O)(CH 2 ) j C(O)NR 34 ,
  • each R34 is independently H or C1-C3 alkyl
  • j is 1, 2, or 3;
  • k is 1, 2, or 3;
  • Q1 is absent, C(O), NHC(O)(CH2)0-1, OCH2C(O), O(CH2)1-2, or wherein the Linker is covalently bonded to a Degron via the next to Q1, and covalently bonded to a Targeting Ligand via the next to Z 1 .
  • the total number of chain atoms in the Linker is less than 30. In a further embodiment, the total number of chain atoms in the Linker is less than 20.
  • p1 is an integer selected from 0 to 10.
  • p1 is an integer selected from 1 to 10.
  • p1 is selected from 1, 2, 3, 4, 5, and 6.
  • p1 is 0, 1, 3, or 5.
  • p1 is 0, 1, 2, or 3.
  • p1 is 0.
  • p1 is 1.
  • p1 is 2.
  • p1 is 3.
  • p1 is 4.
  • p1 is 5.
  • p2 is an integer selected from 0 to 10. (13) In one embodiment, p2 is selected from 0, 1, 2, 3, 4, 5, and 6. (14) In one embodiment, p2 is 0, 1, 2, or 3.
  • p2 is 0.
  • p2 is 1.
  • p2 is 2.
  • p2 is 3.
  • p3 is an integer selected from 1 to 5. (20) In one embodiment, p3 is 2, 3, 4, or 5.
  • p3 is 0, 1, 2, or 3.
  • p3 is 0.
  • p3 is 1.
  • p3 is 2.
  • p3 is 3.
  • p3 is 4.
  • At least one W is CH2.
  • At least one W is O.
  • At least one W is S.
  • At least one W is NH.
  • at least one W is NR34; and each R34 is independently C1-C3 alkyl selected from methyl, ethyl, and propyl.
  • each W is O.
  • each W is CH2.
  • j is 1, 2, or 3.
  • j is 1.
  • j is 2.
  • j 3.
  • j is 2 or 3.
  • j is 1 or 2.
  • k is 1, 2, or 3.
  • k is 1.
  • k is 2.
  • k is 3.
  • k is 2 or 3.
  • k is 1 or 2.
  • Q1 is absent.
  • Q1 is NHC(O)CH2.
  • Q 1 is O(CH 2 ) 1-2 .
  • Q1 is OCH2.
  • Q1 is OCH2CH2.
  • Q 1 is OCH 2 C(O).
  • Q 1 is C(O).
  • Z1 is absent.
  • Z 1 is O(CH 2 ) j C(O)NR 34 ; and R 34 is C 1 -C 3 alkyl selected from methyl, ethyl, and propyl.
  • Z1 is O(CH2)jC(O)NR34; and R34 is H.
  • Z1 is O(CH2)jC(O)NR34; R34 is C1-C3 alkyl selected from methyl, ethyl, and propyl; and j is 1.
  • Z1 is O(CH2)jC(O)NR34; R34 is H; and j is 1.
  • Z1 is O(CH2)jC(O)NR34; R34 is C1-C3 alkyl selected from methyl, ethyl, and propyl; and j is 2.
  • Z 1 is O(CH 2 ) j C(O)NR 34 ; R 34 is H; and j is 2.
  • Z1 is O(CH2)jC(O)NR34; R34 is C1-C3 alkyl selected from methyl, ethyl, and propyl; and j is 3.
  • Z 1 is O(CH 2 ) j C(O)NR 34 ; and R 34 is H; and j is 3.
  • Z1 is C(O)NR34; and R34 is H.
  • Z1 is C(O)NR34; and R34 is C1-C3 alkyl selected from methyl, ethyl, and propyl.
  • Z 1 is (CH 2 ) j C(O)NR 34 ; and R 34 is H.
  • Z1 is (CH2)jC(O)NR34; and R34 is C1-C3 alkyl selected from methyl, ethyl, and propyl.
  • Z 1 is (CH 2 ) j C(O)NR 34 ; R 34 is H; and j is 1.
  • Z1 is (CH2)jC(O)NR34; R34 is C1-C3 alkyl selected from methyl, ethyl, and propyl; and j is 1
  • Z 1 is (CH 2 ) j C(O)NR 34 ; R 34 is H; and j is 2.
  • Z1 is (CH2)jC(O)NR34; R34 is C1-C3 alkyl selected from methyl, ethyl, and propyl; and j is 2.
  • Z 1 is (CH 2 ) j C(O)NR 34 ; R 34 is H; and j is 3.
  • Z1 is (CH2)jC(O)NR34; R34 is C1-C3 alkyl selected from methyl, ethyl, and propyl; and j is 3.
  • Z 1 is NR 34 C(O); and R 34 is H.
  • Z 1 is NR 34 C(O); and R 34 is C 1 -C 3 alkyl selected from methyl, ethyl, and propyl.
  • Z 1 is (CH 2 ) j NR 34 C(O); and R 34 is H.
  • Z 1 is (CH 2 ) j NR 34 C(O); and R 34 is C 1 -C 3 alkyl selected from methyl, ethyl, and propyl.
  • Z1 is (CH2)jNR34C(O); R34 is H; and j is 1.
  • Z 1 is (CH 2 ) j NR 34 C(O); R 34 is C 1 -C 3 alkyl selected from methyl, ethyl, and propyl; and j is 1
  • Z1 is (CH2)jNR34C(O); R34 is H; and j is 2.
  • Z1 is (CH2)jNR34C(O); R34 is C1-C3 alkyl selected from methyl, ethyl, and propyl; and j is 2.
  • Z 1 is (CH 2 ) j NR 34 C(O); R 34 is H; and j is 3.
  • Z1 is (CH2)jNR34C(O); R34 is C1-C3 alkyl selected from methyl, ethyl, and propyl; and j is 3.
  • Z 1 is (CH 2 ) k NR 34 (CH 2 ) j C(O)NR 34 ; and each R 34 is independently H or C1-C3 alkyl selected from methyl, ethyl, and propyl.
  • Z1 is (CH2)kNR34(CH2)jC(O)NR34; and one of R34 is H and one of R 34 is C 1 -C 3 alkyl selected from methyl, ethyl, and propyl.
  • Z 1 is (CH 2 ) k NR 34 (CH 2 ) j C(O)NH.
  • Z1 is (CH2)kNR34(CH2)jC(O)NR34; each R34 is independently H or C 1 -C 3 alkyl selected from methyl, ethyl, and propyl; and j is 1.
  • Z 1 is (CH 2 ) k NR 34 (CH 2 ) j C(O)NR 34 ; each R 34 is independently H or C1-C3 alkyl selected from methyl, ethyl, and propyl; and k is 1.
  • Z1 is (CH2)kNR34(CH2)jC(O)NR34; each R34 is independently H or C 1 -C 3 alkyl selected from methyl, ethyl, and propyl; j is 1; and k is 1.
  • Z1 is (CH2)kNR34(CH2)jC(O)NR34; one of R34 is H and one of R34 is C1-C3 alkyl selected from methyl, ethyl, and propyl; and j is 1.
  • Z1 is (CH 2 ) k NR 34 (CH 2 )C(O)NH.
  • Z1 is (CH2)kNR34(CH2)jC(O)NR34; one of R34 is H and one of R34 is C1-C3 alkyl selected from methyl, ethyl, and propyl; and k is 1.
  • Z1 is (CH 2 )NR 34 (CH 2 ) j C(O)NH.
  • Z 1 is (CH 2 ) k NR 34 (CH 2 ) j C(O)NR 34 ; one of R 34 is H and one of R 34 is C1-C3 alkyl selected from methyl, ethyl, and propyl; j is 1; and k is 1.
  • Z1 is (CH 2 )NR 34 (CH 2 )C(O)NH.
  • Z 1 is (CH 2 )N(CH 3 )(CH 2 )C(O)NH.
  • Z 1 is (CH 2 ) k NR 34 (CH 2 ) j C(O)NR 34 ; each R 34 is independently H or C1-C3 alkyl selected from methyl, ethyl, and propyl; and j is 2.
  • Z1 is (CH2)kNR34(CH2)jC(O)NR34; each R34 is independently H or C 1 -C 3 alkyl selected from methyl, ethyl, and propyl; and k is 2.
  • Z1 is (CH2)kNR34(CH2)jC(O)NR34; one of R34 is H and one of R34 is C 1 -C 3 alkyl selected from methyl, ethyl, and propyl; and j is 2.
  • Z 1 is (CH 2 ) k NR 34 (CH 2 ) 2 C(O)NH.
  • Z1 is (CH2)kNR34(CH2)jC(O)NR34; one of R34 is H and one of R34 is C1-C3 alkyl selected from methyl, ethyl, and propyl; and k is 2. In one embodiment, Z1 is (CH 2 ) 2 NR 34 (CH 2 ) j C(O)NH.
  • Z1 is (CH2)kNR34(CH2)jC(O)NR34; each R34 is independently H or C1-C3 alkyl selected from methyl, ethyl, and propyl; and j is 3.
  • Z 1 is (CH 2 ) k NR 34 (CH 2 ) j C(O)NR 34 ; each R 34 is independently H or C 1 -C 3 alkyl selected from methyl, ethyl, and propyl; and k is 3.
  • Z1 is (CH2)kNR34(CH2)jC(O)NR34; one of R34 is H and one of R34 is C 1 -C 3 alkyl selected from methyl, ethyl, and propyl; and j is 3.
  • Z 1 is (CH 2 ) k NR 34 (CH 2 ) 3 C(O)NH.
  • Z1 is (CH2)kNR34(CH2)jC(O)NR34; one of R34 is H and one of R34 is C1-C3 alkyl selected from methyl, ethyl, and propyl; and k is 3.
  • Z1 is (CH 2 ) 3 NR 34 (CH 2 ) j C(O)NH.
  • Z1 is NR34(CH2)jC(O)NR34; and each R34 is independently H or C1- C3 alkyl selected from methyl, ethyl, and propyl.
  • Z 1 is NR 34 (CH 2 ) j C(O)NR 34 ; and each R 34 is H.
  • Z1 is NR34(CH2)jC(O)NR34; one of R34 is H and one of R34 is C1-C3 alkyl selected from methyl, ethyl, and propyl; and j is 1.
  • Z 1 is NR 34 (CH 2 ) j C(O)NR 34 ; R 34 is H; and j is 1.
  • Z 1 is NR 34 (CH 2 ) j C(O)NR 34 ; one of R 34 is H and one of R 34 is C 1 -C 3 alkyl selected from methyl, ethyl, and propyl; and j is 2.
  • Z 1 is NR 34 (CH 2 ) j C(O)NR 34 ; R 34 is H; and j is 2.
  • Z 1 is NR 34 (CH 2 ) j C(O)NR 34 ; one of R 34 is H and one of R 34 is C 1 -C 3 alkyl selected from methyl, ethyl, and propyl; and j is 3.
  • Z1 is C(O)NR34(CH2)jC(O)NR34; and each R34 is H.
  • Z 1 is C(O)NR 34 (CH 2 ) j C(O)NR 34 ; and one of R 34 is H and one of R 34 is C1-C3 alkyl selected from methyl, ethyl, and propyl.
  • Z1 is C(O)NR34(CH2)jC(O)NR34; and each R34 is independently H or C 1 -C 3 alkyl selected from methyl, ethyl, and propyl.
  • Z 1 is C(O)NR 34 (CH 2 ) j C(O)NR 34 ; each R 34 is H; and j is 1.
  • Z1 is C(O)NR34(CH2)jC(O)NR34; one of R34 is H and one of R34 is C1-C3 alkyl selected from methyl, ethyl, and propyl; and j is 1.
  • Z 1 is C(O)NR 34 (CH 2 ) j C(O)NR 34 ; each R 34 is independently H or C 1 - C3 alkyl selected from methyl, ethyl, and propyl; and j is 1.
  • Z1 is C(O)NR34(CH2)jC(O)NR34; each R34 is H; and j is 2.
  • Z 1 is C(O)NR 34 (CH 2 ) j C(O)NR 34 ; one of R 34 is H; and one of R 34 is C 1 -C 3 alkyl selected from methyl, ethyl, and propyl, and j is 2.
  • Z1 is C(O)NR34(CH2)jC(O)NR34; each R34 is independently H or C1- C 3 alkyl selected from methyl, ethyl, and propyl; and j is 2.
  • Z 1 is C(O)NR 34 (CH 2 ) j C(O)NR 34 ; each R 34 is H, and j is 3.
  • Z1 is C(O)NR34(CH2)jC(O)NR34; one of R34 is H and one of R34 is C1-C3 alkyl selected from methyl, ethyl, and propyl; and j is 3.
  • Z 1 is C(O)NR 34 (CH 2 ) j C(O)NR 34 ; each R 34 is independently H or C 1 - C3 alkyl selected from methyl, ethyl, and propyl; and j is 3.
  • Z1 is C(O)(CH2)jC(O)NR34; and R34 is H.
  • Z 1 is C(O)(CH 2 ) j C(O)NR 34 ; and R 34 is H or C 1 -C 3 alkyl selected from methyl, ethyl, and propyl.
  • Z1 is C(O)(CH2)jC(O)NR34; and R34 is C1-C3 alkyl selected from methyl, ethyl, and propyl.
  • Z 1 is C(O)(CH 2 ) j C(O)NR 34 ; R 34 is H; and j is 1.
  • Z1 is C(O)(CH2)jC(O)NR34;
  • R34 is H or C1-C3 alkyl selected from methyl, ethyl, and propyl; and
  • j is 1.
  • Z 1 is C(O)(CH 2 ) j C(O)NR 34 ;
  • R 34 is C 1 -C 3 alkyl selected from methyl, ethyl, and propyl; and j is 1.
  • Z1 is C(O)(CH2)jC(O)NR34; R34 is H; and j is 2.
  • Z 1 is C(O)(CH 2 ) j C(O)NR 34 ;
  • R 34 is H or C 1 -C 3 alkyl selected from methyl, ethyl, and propyl; and j is 2.
  • Z1 is C(O)(CH2)jC(O)NR34;
  • R34 is C1-C3 alkyl selected from methyl, ethyl, and propyl; and j is 2.
  • Z 1 is C(O)(CH 2 ) j C(O)NR 34 ; R 34 is H; and j is 3.
  • Z1 is C(O)(CH2)jC(O)NR34;
  • R34 is H or C1-C3 alkyl selected from methyl, ethyl, and propyl; and
  • j is 3.
  • Z 1 is C(O)(CH 2 ) j C(O)NR 34 ;
  • R 34 is C 1 -C 3 alkyl selected from methyl, ethyl, and propyl; and j is 3.
  • Z1 is C(O)NR34 and p3 is 1.
  • Z 1 is C(O)NR 34 and p3 is 2.
  • Z 1 is C(O)NR 34 and p3 is 3.
  • Z1 is C(O)NR34, p3 is 1, and p1 is 1-8.
  • Z 1 is C(O)NR 34 , p3 is 1, and p1 is 1.
  • Z 1 is C(O)NR 34 , p3 is 1, and p1 is 2.
  • Z1 is C(O)NR34, p3 is 1, and p1 is 3.
  • Z1 is C(O)NR34, p3 is 2, and p1 is 1-8.
  • Z 1 is C(O)NR 34 , p3 is 2, and p1 is 1.
  • Z1 is C(O)NR34, p3 is 2, and p1 is 2.
  • Z1 is C(O)NR34, p3 is 2, and p1 is 3.
  • Z 1 is C(O)NR 34 , p3 is 3, and p1 is 1-8.
  • Z1 is C(O)NR34, p3 is 3, and p1 is 1.
  • Z1 is C(O)NR34, p3 is 3, and p1 is 2.
  • Z 1 is C(O)NR 34 , p3 is 3, and p1 is 2.
  • Z 1 is C(O)NR 34 (CH 2 ) 1 C(O)NR 34 and p3 is 1.
  • Z1 is C(O)NR34(CH2)1C(O)NR34 and p3 is 2.
  • Z 1 is C(O)NR 34 (CH 2 ) 1 C(O)NR 34 and p3 is 3.
  • Z 1 is C(O)NR 34 (CH 2 ) 2 C(O)NR 34 and p3 is 1.
  • Z1 is C(O)NR34(CH2)2C(O)NR34 and p3 is 2.
  • Z1 is C(O)NR34(CH2)2C(O)NR34 and p3 is 3.
  • Z 1 is C(O)NR 34 (CH 2 ) 3 C(O)NR 34 and p3 is 1.
  • Z1 is C(O)NR34(CH2)3C(O)NR34 and p3 is 2.
  • Z1 is C(O)NR34(CH2)3C(O)NR34 and p3 is 3. (153) In one embodiment, Z1 is C(O)NR34(CH2)1C(O)NR34, p3 is 1, and p1 is 1-8. (154) In one embodiment, Z 1 is C(O)NR 34 (CH 2 ) 1 C(O)NR 34 , p3 is 1, and p1 is 1. (155) In one embodiment, Z 1 is C(O)NR 34 (CH 2 ) 1 C(O)NR 34 , p3 is 1, and p1 is 2. (156) In one embodiment, Z1 is C(O)NR34(CH2)1C(O)NR34, p3 is 1, and p1 is 3.
  • Z1 is C(O)NR34(CH2)1C(O)NR34, p3 is 2, and p1 is 1-8.
  • Z 1 is C(O)NR 34 (CH 2 ) 1 C(O)NR 34 , p3 is 2, and p1 is 1.
  • Z1 is C(O)NR34(CH2)1C(O)NR34, p3 is 2, and p1 is 2.
  • Z1 is C(O)NR34(CH2)1C(O)NR34, p3 is 2, and p1 is 3.
  • Z 1 is C(O)NR 34 (CH 2 ) 1 C(O)NR 34 , p3 is 3, and p1 is 1-8.
  • Z 1 is C(O)NR 34 (CH 2 ) 1 C(O)NR 34 , p3 is 3, and p1 is 1.
  • Z1 is C(O)NR34(CH2)1C(O)NR34, p3 is 3, and p1 is 2.
  • Z 1 is C(O)NR 34 (CH 2 ) 1 C(O)NR 34 , p3 is 3, and p1 is 3.
  • Z 1 is C(O)NR 34 (CH 2 ) 2 C(O)NR 34 , p3 is 1, and p1 is 1-8.
  • Z1 is C(O)NR34(CH2)2C(O)NR34, p3 is 1, and p1 is 1.
  • Z1 is C(O)NR34(CH2)2C(O)NR34, p3 is 1, and p1 is 2.
  • Z 1 is C(O)NR 34 (CH 2 ) 2 C(O)NR 34 , p3 is 1, and p1 is 3.
  • Z1 is C(O)NR34(CH2)2C(O)NR34, p3 is 2, and p1 is 1-8. (170) In one embodiment, Z1 is C(O)NR34(CH2)2C(O)NR34, p3 is 2, and p1 is 1. (171) In one embodiment, Z 1 is C(O)NR 34 (CH 2 ) 2 C(O)NR 34 , p3 is 2, and p1 is 2. (172) In one embodiment, Z1 is C(O)NR34(CH2)2C(O)NR34, p3 is 2, and p1 is 3.
  • Z1 is C(O)NR34(CH2)2C(O)NR34, p3 is 3, and p1 is 1-8.
  • Z 1 is C(O)NR 34 (CH 2 ) 2 C(O)NR 34 , p3 is 3, and p1 is 1.
  • Z 1 is C(O)NR 34 (CH 2 ) 2 C(O)NR 34 , p3 is 3, and p1 is 2.
  • Z1 is C(O)NR34(CH2)2C(O)NR34, p3 is 3, and p1 is 3.
  • Z 1 is C(O)NR 34 (CH 2 ) 3 C(O)NR 34 , p3 is 1, and p1 is 1-8.
  • Z 1 is C(O)NR 34 (CH 2 ) 3 C(O)NR 34 , p3 is 1, and p1 is 1.
  • Z1 is C(O)NR34(CH2)3C(O)NR34, p3 is 1, and p1 is 2.
  • Z1 is C(O)NR34(CH2)3C(O)NR34, p3 is 1, and p1 is 3.
  • Z 1 is C(O)NR 34 (CH 2 ) 3 C(O)NR 34 , p3 is 2, and p1 is 1-8.
  • Z1 is C(O)NR34(CH2)3C(O)NR34, p3 is 2, and p1 is 1.
  • Z1 is C(O)NR34(CH2)3C(O)NR34, p3 is 2, and p1 is 2.
  • Z1 is C(O)NR34(CH2)3C(O)NR34, p3 is 2, and p1 is 3.
  • Z 1 is C(O)NR 34 (CH 2 ) 3 C(O)NR 34 , p3 is 3, and p1 is 1-8.
  • Z 6 In one embodiment, Z 1 is C(O)NR 34 (CH 2 ) 3 C(O)NR 34 , p3 is 3, and p1 is 1.
  • Z1 is C(O)NR34(CH2)3C(O)NR34, p3 is 3, and p1 is 2.
  • Z1 is C(O)NR34(CH2)3C(O)NR34, p3 is 3, and p1 is 3. (189) In one embodiment, Z 1 is (CH 2 ) 1 NR 34 C(O) and p3 is 1.
  • Z1 is (CH2)1NR34C(O) and p3 is 2.
  • Z1 is (CH2)1NR34C(O) and p3 is 3.
  • Z 1 is (CH 2 ) 2 NR 34 C(O) and p3 is 1.
  • Z 1 is (CH 2 ) 2 NR 34 C(O) and p3 is 2.
  • Z1 is (CH2)2NR34C(O) and p3 is 3.
  • Z 1 is (CH 2 ) 3 NR 34 C(O) and p3 is 1.
  • Z 1 is (CH 2 ) 3 NR 34 C(O) and p3 is 2.
  • Z1 is (CH2)3NR34C(O) and p3 is 3.
  • Z1 is (CH2)1NR34C(O), p3 is 1, and p1 is 1-8.
  • Z 1 is (CH 2 ) 1 NR 34 C(O), p3 is 1, and p1 is 1.
  • Z1 is (CH2)1NR34C(O), p3 is 1, and p1 is 2.
  • Z1 is (CH2)1NR34C(O), p3 is 1, and p1 is 3.
  • Z 1 is (CH 2 ) 1 NR 34 C(O), p3 is 2, and p1 is 1-8.
  • Z1 is (CH2)1NR34C(O), p3 is 2, and p1 is 1.
  • Z1 is (CH2)1NR34C(O), p3 is 2, and p1 is 2.
  • Z 1 is (CH 2 ) 1 NR 34 C(O), p3 is 2, and p1 is 3.
  • Z 1 is (CH 2 ) 1 NR 34 C(O), p3 is 3, and p1 is 1-8.
  • Z1 is (CH2)1NR34C(O), p3 is 3, and p1 is 1.
  • Z 1 is (CH 2 ) 1 NR 34 C(O), p3 is 3, and p1 is 2.
  • Z 1 is (CH 2 ) 1 NR 34 C(O), p3 is 3, and p1 is 3.
  • Z1 is (CH2)2NR34C(O), p3 is 1, and p1 is 1-8.
  • Z1 is (CH2)2NR34C(O), p3 is 1, and p1 is 1.
  • Z 1 is (CH 2 ) 2 NR 34 C(O), p3 is 1, and p1 is 2.
  • Z1 is (CH2)2NR34C(O), p3 is 1, and p1 is 3.
  • Z1 is (CH2)2NR34C(O), p3 is 2, and p1 is 1-8.
  • Z1 is (CH2)2NR34C(O), p3 is 2, and p1 is 1.
  • Z 1 is (CH 2 ) 2 NR 34 C(O), p3 is 2, and p1 is 2.
  • Z 1 is (CH 2 ) 2 NR 34 C(O), p3 is 2, and p1 is 3.
  • Z1 is (CH2)2NR34C(O), p3 is 3, and p1 is 1-8.
  • Z1 is (CH2)2NR34C(O), p3 is 3, and p1 is 1.
  • Z 1 is (CH 2 ) 2 NR 34 C(O), p3 is 3, and p1 is 2.
  • Z1 is (CH2)2NR34C(O), p3 is 3, and p1 is 3.
  • Z1 is (CH2)3NR34C(O), p3 is 1, and p1 is 1-8.
  • Z 1 is (CH 2 ) 3 NR 34 C(O), p3 is 1, and p1 is 1.
  • Z 1 is (CH 2 ) 3 NR 34 C(O), p3 is 1, and p1 is 2.
  • Z1 is (CH2)3NR34C(O), p3 is 1, and p1 is 3.
  • Z 1 is (CH 2 ) 3 NR 34 C(O), p3 is 2, and p1 is 1-8.
  • Z 1 is (CH 2 ) 3 NR 34 C(O), p3 is 2, and p1 is 1.
  • Z1 is (CH2)3NR34C(O), p3 is 2, and p1 is 2.
  • Z1 is (CH2)3NR34C(O), p3 is 2, and p1 is 3.
  • Z 1 is (CH 2 ) 3 NR 34 C(O), p3 is 3, and p1 is 1-8.
  • Z1 is (CH2)3NR34C(O), p3 is 3, and p1 is 1.
  • Z1 is (CH2)3NR34C(O), p3 is 3, and p1 is 2.
  • Z 1 is (CH 2 ) 3 NR 34 C(O), p3 is 3, and p1 is 3.
  • Z1 is C(O)(CH2)1C(O)NR34 and p3 is 1.
  • Z1 is C(O)(CH2)1C(O)NR34 and p3 is 2.
  • Z 1 is C(O)(CH 2 ) 1 C(O)NR 34 and p3 is 3.
  • Z 1 is C(O)(CH 2 ) 2 C(O)NR 34 and p3 is 1.
  • Z1 is C(O)(CH2)2C(O)NR34 and p3 is 2.
  • Z 1 is C(O)(CH 2 ) 2 C(O)NR 34 and p3 is 3.
  • Z 1 is C(O)(CH 2 ) 3 C(O)NR 34 and p3 is 1.
  • Z1 is C(O)(CH2)3C(O)NR34 and p3 is 2.
  • Z1 is C(O)(CH2)3C(O)NR34 and p3 is 3.
  • Z 1 is C(O)(CH 2 ) 1 C(O)NR 34 , p3 is 1, and p1 is 1-8.
  • Z1 is C(O)(CH2)1C(O)NR34, p3 is 1, and p1 is 1.
  • Z1 is C(O)(CH2)1C(O)NR34, p3 is 1, and p1 is 2.
  • Z1 is C(O)(CH2)1C(O)NR34, p3 is 1, and p1 is 3.
  • Z 1 is C(O)(CH 2 ) 1 C(O)NR 34 , p3 is 2, and p1 is 1-8.
  • Z 1 is C(O)(CH 2 ) 1 C(O)NR 34 , p3 is 2, and p1 is 1.
  • Z1 is C(O)(CH2)1C(O)NR34, p3 is 2, and p1 is 2.
  • Z1 is C(O)(CH2)1C(O)NR34, p3 is 2, and p1 is 3.
  • Z 1 is C(O)(CH 2 ) 1 C(O)NR 34 , p3 is 3, and p1 is 1-8.
  • Z1 is C(O)(CH2)1C(O)NR34, p3 is 3, and p1 is 1.
  • Z1 is C(O)(CH2)1C(O)NR34, p3 is 3, and p1 is 2.
  • Z 1 is C(O)(CH 2 ) 1 C(O)NR 34 , p3 is 3, and p1 is 3.
  • Z 1 is C(O)(CH 2 ) 2 C(O)NR 34 , p3 is 1, and p1 is 1-8.
  • Z1 is C(O)(CH2)2C(O)NR34, p3 is 1, and p1 is 1.
  • Z 1 is C(O)(CH 2 ) 2 C(O)NR 34 , p3 is 1, and p1 is 2.
  • Z 1 is C(O)(CH 2 ) 2 C(O)NR 34 , p3 is 1, and p1 is 3.
  • Z1 is C(O)(CH2)2C(O)NR34, p3 is 2, and p1 is 1-8.
  • Z1 is C(O)(CH2)2C(O)NR34, p3 is 2, and p1 is 1.
  • 261 In one embodiment, Z 1 is C(O)(CH 2 ) 2 C(O)NR 34 , p3 is 2, and p1 is 2.
  • Z1 is C(O)(CH2)2C(O)NR34, p3 is 2, and p1 is 3.
  • Z1 is C(O)(CH2)2C(O)NR34, p3 is 3, and p1 is 1-8.
  • Z 1 is C(O)(CH 2 ) 2 C(O)NR 34 , p3 is 3, and p1 is 1.
  • Z1 is C(O)(CH2)2C(O)NR34, p3 is 3, and p1 is 2.
  • Z1 is C(O)(CH2)2C(O)NR34, p3 is 3, and p1 is 3.
  • Z 1 is C(O)(CH 2 ) 3 C(O)NR 34 , p3 is 1, and p1 is 1-8.
  • Z 1 is C(O)(CH 2 ) 3 C(O)NR 34 , p3 is 1, and p1 is 1.
  • Z1 is C(O)(CH2)3C(O)NR34, p3 is 1, and p1 is 2.
  • Z 1 is C(O)(CH 2 ) 3 C(O)NR 34 , p3 is 1, and p1 is 3.
  • Z 1 is C(O)(CH 2 ) 3 C(O)NR 34 , p3 is 2, and p1 is 1-8.
  • Z1 is C(O)(CH2)3C(O)NR34, p3 is 2, and p1 is 1.
  • Z1 is C(O)(CH2)3C(O)NR34, p3 is 2, and p1 is 2.
  • Z 1 is C(O)(CH 2 ) 3 C(O)NR 34 , p3 is 2, and p1 is 3.
  • Z1 is C(O)(CH2)3C(O)NR34, p3 is 3, and p1 is 1-8.
  • Z1 is C(O)(CH2)3C(O)NR34, p3 is 3, and p1 is 1.
  • Z1 is C(O)(CH2)3C(O)NR34, p3 is 3, and p1 is 2.
  • Z 1 is C(O)(CH 2 ) 3 C(O)NR 34 , p3 is 3, and p1 is 3.
  • p1, p3, and Z 1 are each as defined, where applicable, in any one of (1)-(26) and (34)-(278), and W is O.
  • p1, p3, and Z1 are each as defined, where applicable, in any one of (1)-(26) and (34)-(278), and W is S.
  • p1, p3, and Z1 are each as defined, where applicable, in any one of (1)-(26) and (34)-(278), and W is CH2.
  • p1, p3, and Z 1 are each as defined, where applicable, in any one of (1)-(26) and (34)-(278), and W is NR 34 .
  • p1, p3, W, and Z1 are each as defined, where applicable, in any one of (1)-(14) and (19)-(282), and p2 is 0.
  • p1, p3, W, and Z 1 are each as defined, where applicable, in any one of (1)-(14) and (19)-(282), and p2 is 1.
  • p1, p3, W, and Z1 are each as defined, where applicable, in any one of (1)-(14) and (19)-(282), and p2 is 2.
  • p1, p3, W, and Z1 are each as defined, where applicable, in any one of (1)-(14) and (19)-(282), and p2 is 3.
  • p1, p2, p3, W, and Z 1 are each as defined, where applicable, in any one of (1)-(53) and (129)-(286), and R34 is H.
  • p1, p2, p3, W, and Z1 are each as defined, where applicable, in any one of (1)-(53) and (129)-(286), and R 34 is H or C 1 -C 3 alkyl selected from methyl, ethyl, and propyl.
  • p1, p2, p3, W, and Z1 are each as defined, where applicable, in any one of (1)-(53) and (129)-(286), and R 34 is C 1 -C 3 alkyl selected from methyl, ethyl, and propyl.
  • p1, p2, p3, R34, W, and Z1 are each as defined, where applicable, in any one of (1)-(289), and Q1 is absent.
  • p1, p2, p3, R 34 , W, and Z 1 are each as defined, where applicable, in any one of (1)-(289), and Q1 is NHC(O)CH2 (292)
  • p1, p2, p3, R34, W, and Z1 are each as defined, where applicable, in any one of (1)-(289), and Q 1 is O(CH 2 ) 1-2 .
  • p1, p2, p3, R 34 , W, and Z 1 are each as defined, where applicable, in any one of (1)-(289), and Q1 is O(CH2).
  • p1, p2, p3, R34, W, and Z1 are each as defined, where applicable, in any one of (1)-(289), and Q 1 is O(CH 2 CH 2 ).
  • p1, p2, p3, R34, W, and Z1 are each as defined, where applicable, in any one of (1)-(289), and Q1 is C(O).
  • p1, p2, p3, R 34 , W, and Z 1 are each as defined, where applicable, in any one of (1)-(289), and Q 1 is OCH 2 C(O).
  • p1, p2, p3, R34, W, and Z1 are each as defined, where applicable, in any one of (1)-(289), and Q 1 is NHC(O).

Landscapes

  • Chemical & Material Sciences (AREA)
  • Organic Chemistry (AREA)
  • Health & Medical Sciences (AREA)
  • Life Sciences & Earth Sciences (AREA)
  • Medicinal Chemistry (AREA)
  • Pharmacology & Pharmacy (AREA)
  • Animal Behavior & Ethology (AREA)
  • General Health & Medical Sciences (AREA)
  • Public Health (AREA)
  • Veterinary Medicine (AREA)
  • Epidemiology (AREA)
  • Engineering & Computer Science (AREA)
  • Bioinformatics & Cheminformatics (AREA)
  • Molecular Biology (AREA)
  • Immunology (AREA)
  • Nuclear Medicine, Radiotherapy & Molecular Imaging (AREA)
  • Chemical Kinetics & Catalysis (AREA)
  • General Chemical & Material Sciences (AREA)
  • Pharmaceuticals Containing Other Organic And Inorganic Compounds (AREA)

Abstract

The present application provides bifunctional compounds of Formula (X): Targeting Ligand or an enantiomer, diastereomer, or stereoisomer thereof, or pharmaceutically acceptable salt, hydrate, solvate, or prodrug thereof, which act as protein degradation inducing moieties for protein kinases. The present application also relates to methods for the targeted degradation of one or more protein kinases through the use of the bifunctional compounds that link a ubiquitin ligase-binding moiety to a ligand that is capable of binding to one or more protein kinases which can be utilized in the treatment of disorders modulated by protein kinases.

Description

DEGRADATION OF PROTEIN KINASES BY CONJUGATION OF PROTEIN KINASE INHIBITORS WITH
E3 LLGASE LLGAND AND METHODS OF USE
RELATED APPLICATION
This application claims priority to, and the benefit of, U.S. Application No. 62/425,587, filed on November 22, 2016, the entire contents of which are incorporated herein by reference.
BACKGROUND
Ubiquitin-Proteasome Pathway (UPP) is a critical pathway that regulates proteins and degrades misfolded or abnormal proteins. UPP is central to multiple cellular processes, and if defective or imbalanced, leads to pathogenesis of a variety of diseases. The covalent attachment of ubiquitin to specific protein substrates is achieved through the action of E3 ubiquitin ligases. These ligases comprise over 500 different proteins and are categorized into multiple classes defined by the structural element of their E3 functional activity. For example, cereblon (CRBN) interacts with damaged DNA binding protein 1 and forms an E3 ubiquitin ligase complex with Cullin 4 in which the proteins recognized by CRBN are ubiquitinated and degraded by proteasomes. Various immunomodulatory drugs (EVIiDs), e.g., thalidomide and lenalidomide, binds to CRBN and modulates CRBN's role in the ubiquitination and degradation of protein factors involved in maintaining regular cellular function.
Bifunctional compounds composed of a target protein-binding moiety and an E3 ubiquitin ligase-binding moiety have been shown to induce proteasome-mediated degradation of selected proteins. These drug-like molecules offer the possibility of temporal control over protein expression, and could be useful as biochemical reagents for the treatment of diseases.
Protein kinases are a class of enzymes that catalyze the transfer of the terminal phosphate of adenosine triphosphate to amino acid residues such as tyrosine, serine, and threonine residues on protein substrates. Protein kinases are a large family of proteins which play a critical role in the regulation of a wide variety of cellular processes and functions. Protein kinases can be broken down into two classes, the protein tyrosine kinases and the serine-threonine kinases. Protein tyrosine kinases (PTKs) are enzymes which phosphorylate tyrosine residues in peptides and proteins and which play a key role in the regulation of cell signaling including cell proliferation and cell differentiation. PTKs include receptor tyrosine kinases (RPTKs) and non- receptor tyrosine kinases. Enhanced activity of PTKs has been implicated in a variety of malignant and nonmalignant proliferative diseases. The serine/threonine kinases, STKs, are the most common of the cytosolic kinases. STKs are enzymes which phosphorylate serine and/or threonine residues in peptides.
The protein kinase families include, for example, kinases such as Abl, Ack, AIE2, Akt, ALK, ALK2, ALK3, AIM1, ARK2, ARK1, AURA, Aurora-A, Aurora-B, Aurora-C, bcr-abl, Blk, BRAF, Brk, BTAK, Btk, c-fms, c-kit, c-met, c-src, CDK1, CDK2, CDK3, CDK4, CDK5, CDK6, CDK7, CDK8, CDK9, CDK10, cRafl, CSK, EGFR, ErbB2, ErbB3, ErbB4, Erk, Fak, Frk, Fes, Fps, FGFR1, FGFR2, FGFR3, FGFR4, FGFR5, Fgr, flt-1, Fps, Frk, Fyn, Hck, IGF-1R, IRR, INS-R, Jak, KDR/FLK-l,, Lck, Lyn, MEK, p38, PDGFR, PIK, PKC, PYK2, ros, Src, STK12, STK13, STK15, STK16, Syk, tie, tie2, TRK, VEGF, Yrk, and Zap70. Abnormal protein kinase activity has been related to numerous disorders, including psoriasis, cancers, bone disorders, metabolic disorders, inflammatory disorders, and other diseases.
Compounds which inhibit protein kinases via alternative strategies, such as through degradation of protein kinases, have the potential to be more potent than known inhibitors of protein kinases and are needed. The present application addresses the need. SUMMARY
The present application relates to novel bifunctional compounds, which function to recruit targeted proteins to E3 ubiquitin ligase for degradation, and methods of preparation and uses thereof. The bifunctional com ound is of Formula X:
Figure imgf000004_0001
wherein:
the Targeting Ligand is capable of binding to at least one targeted protein, such as a protein kinase;
the Linker is a group that covalently binds to the Targeting Ligand and the Degron; and the Degron is capable of binding to a ubiquitin ligase, such as an E3 ubiquitin ligase (e.g., cereblon).
The present application also relates to targeted degradation of proteins through the use of bifunctional compounds, including bifunctional compounds that link an E3 ubiquitin ligase- binding moiety to a ligand that binds the targeted proteins. The present application also relates to a bifunctional compound of Formula I, II, III, IV, V, or VI:
Figure imgf000005_0001
Targeting Ligand
Figure imgf000005_0002
Targeting Ligand
Figure imgf000005_0003
Targeting Ligand
Figure imgf000005_0004
Targeting Ligand
Figure imgf000005_0005
Targeting Ligand
Figure imgf000006_0001
(V ),
Targeting Ligand
or an enantiomer, diastereomer, stereoisomer, or pharmaceutically acceptable salt thereof, wherein:
A, B1, B2, B3, B4, B5, B6, B7, R1-R4, R6-R8, R12-R14, R17, R18, R21-R24, R27-R30, X1, X2, X3, X4, Y1, n1, n2, q1, q2, r1, s2, s3, s4, and s5 are each as defined herein;
the Linker is a group that covalently binds to
Figure imgf000006_0002
and the degron in Formula (I); and the degron in Formula (II);
Figure imgf000006_0003
and the degron in Formula (III);
Figure imgf000006_0004
and
the degron in Formula (IV); and the degron in Formula (V); or
Figure imgf000006_0005
and the
Figure imgf000006_0006
degron in Formula (VI);
the Degron is capable of binding to a ubiquitin ligase, such as an E3 ubiquitin ligase (e.g., cereblon); and
the Targeting Ligand is capable of binding to at least one targeted proteins, such a protein kinase.
The present application further relates to a Degron of Formula D1 or D2:
Figure imgf000006_0007
or an enantiomer, diastereomer, or stereoisomer thereof, wherein Y, Z3, R37, R38, R39, R40, R41, R42, v, q, and q' are each as defined herein, and the Degron covalently binds to a Linker
Figure imgf000006_0008
The present application further relates to a Linker of Formula L1:
Figure imgf000007_0001
( )
or an enantiomer, diastereomer, or stereoisomer thereof, wherein p1, p2, p3, W, Q1, and Z1, are each as defined herein, the Linker is covalently bonded to a Degron via the
Figure imgf000007_0002
next to Q1, and covalently bonded to a Targeting Ligand via the
Figure imgf000007_0003
next to Z1.
The present application also relates to a pharmaceutical composition comprising a therapeutically effective amount of a bifunctional compound of the application, or an
enantiomer, diastereomer, or stereoisomer, or pharmaceutically acceptable salt thereof, and a pharmaceutically acceptable carrier.
Another aspect of the present application relates to a method of inhibiting at least one protein kinase. The method comprises administering to a subject in need thereof an effective amount of a bifunctional compound of the application, or an enantiomer, diastereomer, or stereoisomer, or pharmaceutically acceptable salt thereof, or a pharmaceutical composition of the application. In some embodiments, the bifunctional compound inhibits more than one protein kinase. In some embodiments, the protein kinase is a protein tyrosine kinase. In other embodiments, the protein kinase is a serine-threonine kinase.
Another aspect of the present application relates to a method of modulating (e.g., decreasing) the amount of at least one protein kinase. The method comprises administering to a subject in need thereof a therapeutically effective amount of a bifunctional compound of the application, or an enantiomer, diastereomer, or stereoisomer, or pharmaceutically acceptable salt thereof, or a pharmaceutical composition of the application. In some embodiments, the bifunctional compound modulates more than one protein kinase. In some embodiments, the protein kinase is a protein tyrosine kinase. In other embodiments, the protein kinase is a serine- threonine kinase.
Another aspect of the present application relates to a method of inhibiting a protein tyrosine kinase. The method comprises administering to a subject in need thereof an effective amount of a bifunctional compound of the application, or an enantiomer, diastereomer, or stereoisomer, or pharmaceutically acceptable salt thereof, or a pharmaceutical composition of the application.
Another aspect of the present application relates to a method of inhibiting a serine- threonine kinase. The method comprises administering to a subj ect in need thereof an effective amount of a bifunctional compound of the application, or an enantiomer, diastereomer, or stereoisomer, or pharmaceutically acceptable salt thereof, or a pharmaceutical composition of the application.
Another aspect of the present application relates to a method of modulating a protein tyrosine kinase. The method comprises administering to a subject in need thereof an effective amount of a bifunctional compound of the application, or an enantiomer, diastereomer, or stereoisomer, or pharmaceutically acceptable salt thereof, or a pharmaceutical composition of the application.
Another aspect of the present application relates to a method of modulating a serine- threonine kinase. The method comprises administering to a subj ect in need thereof an effective amount of a bifunctional compound of the application, or an enantiomer, diastereomer, or stereoisomer, or pharmaceutically acceptable salt thereof, or a pharmaceutical composition of the application.
Another aspect of the present application relates to a method of treating or preventing a disease (e.g., a disease in which one or more protein kinases (e.g., a protein tyrosine kinase or a serine-threonine kinase) play a role). The method comprises administering to a subject in need thereof an effective amount of a bifunctional compound of the application, or an enantiomer, diastereomer, or stereoisomer, or pharmaceutically acceptable salt thereof, or a pharmaceutical composition of the application. In one aspect, the disease is protein kinase mediated disorder. In one aspect, the disease is a proliferative disease (e.g., a proliferative disease in which one or more protein kinases play a role). In some embodiments, the method treats or prevents a disease in which a protein tyrosine kinase plays a role. In other embodiments, the method treats or prevents a disease in which a serine-threonine kinase plays a role.
Another aspect of the present application relates to a method of treating or preventing cancer in a subject, wherein the cancer cell comprises an activated protein kinase (or one or more protein kinases) or wherein the subject is identified as being in need of protein kinase inhibition for the treatment or prevention of cancer. The method comprises administering to the subject an effective amount of a bifunctional compound of the application, or an enantiomer, diastereomer, or stereoisomer, or pharmaceutically acceptable thereof, or a pharmaceutical composition of the application. In some embodiments, the cell comprises more than one activated protein kinase. In some embodiments, the activated protein kinase is a protein tyrosine kinase. In other embodiments, the activated protein kinase is a serine-threonine kinase.
Another aspect of the present application relates to a method of treating or preventing cancer in a subject, wherein the cancer cell comprises an activated protein tyrosine kinase or wherein the subject is identified as being in need of inhibition of a protein tyrosine kinase for the treatment or prevention of cancer. The method comprises administering to the subject an effective amount of a bifunctional compound of the application, or an enantiomer, diastereomer, or stereoisomer, or pharmaceutically acceptable thereof, or a pharmaceutical composition of the application.
Another aspect of the present application relates to a method of treating or preventing cancer in a subject, wherein the cancer cell comprises an activated serine-threonine kinase or wherein the subject is identified as being in need of inhibition of a serine-threonine kinase for the treatment or prevention of cancer. The method comprises administering to the subject an effective amount of a bifunctional compound of the application, or an enantiomer, diastereomer, or stereoisomer, or pharmaceutically acceptable thereof, or a pharmaceutical composition of the application.
Another aspect of the present application relates to a kit comprising a bifunctional compound capable of inhibiting protein kinase activity of at least one protein kinase, selected from a bifunctional compound of the application, or an enantiomer, diastereomer, or
stereoisomer, or pharmaceutically acceptable salt thereof. In some embodiments, the
bifunctional compound inhibits more than one protein kinase. In some embodiments, the bifunctional compound inhibits a protein tyrosine kinase. In other embodiments, the bifunctional compound inhibits a serine-threonine kinase.
Another aspect of the present application relates to a kit comprising a bifunctional compound capable of inhibiting protein tyrosine kinase activity, selected from a bifunctional compound of the application, or an enantiomer, diastereomer, or stereoisomer, or
pharmaceutically acceptable salt thereof. Another aspect of the present application relates to a kit comprising a bifunctional compound capable of inhibiting serine-threonine kinase activity, selected from a bifunctional compound of the application, or an enantiomer, diastereomer, or stereoisomer, or
pharmaceutically acceptable salt thereof.
Another aspect of the present application relates to a kit comprising a bifunctional compound capable of modulating (e.g., decreasing) the amount of at least one protein kinase, selected from a bifunctional compound of the application, or an enantiomer, diastereomer, or stereoisomer, or pharmaceutically acceptable salt thereof. In some embodiments, the bifunctional compound modulates more than one protein kinase. In some embodiments, the bifunctional compound modulates a protein tyrosine kinase. In other embodiments, the bifunctional compound modulates a serine-threonine kinase.
Another aspect of the present application relates to a kit comprising a bifunctional compound capable of modulating (e.g., decreasing) the amount of a protein tyrosine kinase, selected from a bifunctional compound of the application, or an enantiomer, diastereomer, or stereoisomer, or pharmaceutically acceptable salt thereof.
Another aspect of the present application relates to a kit comprising a bifunctional compound capable of modulating (e.g., decreasing) the amount of a serine-threonine kinase, selected from a bifunctional compound of the application, or an enantiomer, diastereomer, or stereoisomer, or pharmaceutically acceptable salt thereof.
Another aspect of the present application relates to use of a bifunctional compound of the application, or an enantiomer, diastereomer, or stereoisomer, or pharmaceutically acceptable salt thereof, or a pharmaceutical composition of the application, in the manufacture of a medicament for inhibiting at least one protein kinase or for modulating (e.g., decreasing) the amount of protein kinase. In some embodiments, the bifunctional compound inhibits more than one protein kinase. In some embodiments, the bifunctional compound inhibits a protein tyrosine kinase. In some embodiments, the bifunctional compound inhibits a serine-threonine kinase.
Another aspect of the present application relates to use of a bifunctional compound of the application, or an enantiomer, diastereomer, or stereoisomer, or pharmaceutically acceptable salt thereof, or a pharmaceutical composition of the application, in the manufacture of a medicament for inhibiting a protein tyrosine kinase or for modulating (e.g., decreasing) the amount of a protein tyrosine kinase. Another aspect of the present application relates to use of a bifunctional compound of the application, or an enantiomer, diastereomer, or stereoisomer, or pharmaceutically acceptable salt thereof, or a pharmaceutical composition of the application, in the manufacture of a medicament for inhibiting a serine-threonine kinase or for modulating (e.g., decreasing) the amount of a serine-threonine kinase.
Another aspect of the present application relates to use of a bifunctional compound of the application, or an enantiomer, diastereomer, or stereoisomer, or pharmaceutically acceptable salt thereof, or a pharmaceutical composition of the application, in the manufacture of a medicament for treating or preventing a disease (e.g., a disease in which one or more protein kinases play a role). In one aspect, the disease is protein kinase mediated disorder. In one aspect, the disease is a proliferative disease (e.g., a proliferative disease in which one or more protein kinases play a role). In another aspect, the disease is a protein tyrosine kinase mediated disorder. In yet another aspect, the disease is a serine-threonine kinase mediated disorder.
Another aspect of the present application relates to use of a bifunctional compound of the application, or an enantiomer, diastereomer, or stereoisomer, or pharmaceutically acceptable salt thereof, or a pharmaceutical composition of the application, in the manufacture of a medicament for treating or preventing cancer in a subject, wherein the cancer cell comprises at least one activated protein kinase or wherein the subject is identified as being in need of inhibition of at least one protein kinase for the treatment or prevention of cancer.
Another aspect of the present application relates to use of a bifunctional compound of the application, or an enantiomer, diastereomer, or stereoisomer, or pharmaceutically acceptable salt thereof, or a pharmaceutical composition of the application, in the manufacture of a medicament for treating or preventing cancer in a subject, wherein the cancer cell comprises an activated protein tyrosine kinase or wherein the subject is identified as being in need of inhibition of a protein tyrosine kinase for the treatment or prevention of cancer.
Another aspect of the present application relates to use of a bifunctional compound of the application, or an enantiomer, diastereomer, or stereoisomer, or pharmaceutically acceptable salt thereof, or a pharmaceutical composition of the application, in the manufacture of a medicament for treating or preventing cancer in a subject, wherein the cancer cell comprises an activated serine-threonine kinase or wherein the subject is identified as being in need of inhibition of a serine-threonine kinase for the treatment or prevention of cancer. Another aspect of the present application relates to a bifunctional compound of the application, or an enantiomer, diastereomer, or stereoisomer, or pharmaceutically acceptable salt thereof, or a pharmaceutical composition of the application, for inhibiting at least one protein kinase or modulating (e.g., decreasing) the amount of at least one protein kinase.
Another aspect of the present application relates to a bifunctional compound of the application, or an enantiomer, diastereomer, or stereoisomer, or pharmaceutically acceptable salt thereof, or a pharmaceutical composition of the application, for inhibiting a protein tyrosine kinase or modulating (e.g., decreasing) the amount of at least one protein tyrosine kinase.
Another aspect of the present application relates to a bifunctional compound of the application, or an enantiomer, diastereomer, or stereoisomer, or pharmaceutically acceptable salt thereof, or a pharmaceutical composition of the application, for inhibiting a serine-threonine kinase or modulating (e.g., decreasing) the amount of at least one serine-threonine kinase.
Another aspect of the present application relates to a bifunctional compound of the application, or an enantiomer, diastereomer, or stereoisomer, or pharmaceutically acceptable salt thereof, or a pharmaceutical composition of the application, for treating or preventing a disease (e.g., a disease in which one or more protein kinases plays a role). In one aspect, the disease is protein kinase mediated disorder. In one aspect, the disease is a proliferative disease (e.g., a proliferative disease in which one or more protein kinases play a role). In some embodiments, the protein kinase is a protein tyrosine kinase. In other embodiments, the protein kinase is a serine-threonine kinase.
Another aspect of the present application relates to a bifunctional compound of the application, or an enantiomer, diastereomer, or stereoisomer, or pharmaceutically acceptable salt thereof, or a pharmaceutical composition of the application, for treating or preventing cancer in a subject, wherein the cancer cell comprises at least one activated protein kinase or wherein the subject is identified as being in need of inhibition of at least one protein kinase for the treatment or prevention of cancer.
Another aspect of the present application relates to a bifunctional compound of the application, or an enantiomer, diastereomer, or stereoisomer, or pharmaceutically acceptable salt thereof, or a pharmaceutical composition of the application, for treating or preventing cancer in a subject, wherein the cancer cell comprises an activated protein tyrosine kinase or wherein the subject is identified as being in need of inhibition of a protein tyrosine kinase for the treatment or prevention of cancer.
Another aspect of the present application relates to a bifunctional compound of the application, or an enantiomer, diastereomer, or stereoisomer, or pharmaceutically acceptable salt thereof, or a pharmaceutical composition of the application, for treating or preventing cancer in a subject, wherein the cancer cell comprises an activated serine-threonine kinase or wherein the subject is identified as being in need of inhibition of a serine-threonine kinase for the treatment or prevention of cancer.
The present application provides inhibitors of protein kinases that are therapeutic agents in the treatment or prevention of diseases such as cancer and metastasis.
The present application further provides compounds and compositions with an improved efficacy and/or safety profile relative to known protein kinase inhibitors. The present application also provides agents with novel mechanisms of action toward protein kinases in the treatment of various types of diseases including cancer and metastasis.
The compounds and methods of the present application address unmet needs in the treatment of diseases or disorders in which pathogenic or oncogenic endogenous proteins (e.g., protein kinases) play a role, such as cancer.
The details of the disclosure are set forth in the accompanying description below.
Although methods and materials similar or equivalent to those described herein can be used in the practice or testing of the present application, illustrative methods and materials are now described. In the case of conflict, the present specification, including definitions, will control. In addition, the materials, methods, and examples are illustrative only and are not intended to be limiting. Other features, objects, and advantages of the disclosure will be apparent from the description and from the claims. In the specification and the appended claims, the singular forms also include the plural unless the context clearly dictates otherwise. Unless defined otherwise, all technical and scientific terms used herein have the same meaning as commonly understood by one of ordinary skill in the art to which this disclosure belongs.
The contents of all references (including literature references, issued patents, published patent applications, and co-pending patent applications) cited throughout this application are hereby expressly incorporated herein in their entireties by reference. The references cited herein are not admitted to be prior art to the application. BRIEF DESCRIPTION OF THE DRAWINGS
FIG.1 is a heatmap displaying viability (as approximated by ATP luminescence measurement using CellTiter-Glo assay) of various cells treated with representative compounds of the present application, based on results from 10-point dose-response experiments after 72 h treatment with the compounds. Experiments were performed in quadruplicates.
FIG.2A-2N are graphs showing the percentage viability (relative to DMSO/vehicle controls) of various cells treated with Sunitinib, Compound I-2, Compound I-7, Compound I-10, Compound I-11, Compound I-6, Compound I-13, or Compound I-37: FIG.2A: DNA41, FIG. 2B: HBP-ALL, FIG.2C: HSB2, FIG.2D: JURKAT, FIG.2E: KOPTK1, FIG.2F: MOLT4, FIG.2G: MOLT4-CRBN-/-, FIG.2H: MOLT16, FIG.2I: CCRF-CEM, FIG.2J: P12- ICHIKAWA, FIG.2K: PF382, FIG.2L: RPMI-8402 FIG.2M: SKW3, and FIG.2N: SUPT11. The results were from 10-point dose-response experiments after 72 h treatment with the compounds. Experiments were performed in quadruplicates. DETAILED DESCRIPTION
Compounds of the Application
The present application relates to bifunctional compounds having utility as modulators of ubiquitination and proteosomal degradation of targeted proteins, especially compounds comprising a moiety capable of binding to a polypeptide or a protein that is degraded and/or otherwise inhibited by the bifunctional compounds of the present application. In particular, the present application is directed to compounds which contain a moiety, e.g., a small molecule moiety (e.g., having a molecular weight of below 2,000, 1,000, 500, or 200 Daltons), such as a thalidomide-like moiety, which is capable of binding to an E3 ubiquitin ligase, such as cereblon, and a ligand that is capable of binding to a target protein, in such a way that the target protein is placed in proximity to the ubiquitin ligase to effect degradation (and/or inhibition) of that protein.
The compounds of the present application can be used in methods to treat a variety of diseases including , but not limited to, metabolic disorders, bone diseases (e.g., osteoporosis, Paget's Disease, etc.), inflammation (e.g., rheumatoid arthritis and other inflammatory disorders) and cancer (e.g., solid tumors and leukemias, mediated by one or more kinases (e.g., protein kinase), or by dysregulation of a kinase (e.g., protein kinase), including, among others, advanced cases and cases which are resistant to one or more other treatments.
In one embodiment, the present application provides a bifunctional compound of Formula X:
Figure imgf000015_0003
wherein:
the Targeting Ligand is capable of binding to at least one targeted protein, such as a protein kinase;
the Linker is a group that covalently binds to the Targeting Ligand and the Degron; and the Degron is capable of binding to a ubiquitin ligase, such as an E3 ubiquitin ligase (e.g., cereblon).
In one embodiment, the present application provides a compound of Formula I:
Figure imgf000015_0001
Targeting Ligand
or an enantiomer, diastereomer, stereoisomer, or pharmaceutically acceptable salt thereof, wherein:
R1, R2, R3, R4, X1, n1, and n2 are each as defined herein;
the Linker is a group that covalently binds to
Figure imgf000015_0002
and the Degron;
the Degron is capable of binding to a ubiquitin ligase, such as an E3 ubiquitin ligase (e.g., cereblon); and
the Targeting Ligand is capable of binding to at least one targeted proteins, such a protein kinase.
In another embodiment, the present application provides a compound of Formula II:
Figure imgf000016_0001
Targeting Ligand
or an enantiomer, diastereomer, stereoisomer, or pharmaceutically acceptable salt thereof, wherein:
A, R6, R7, R8, X2, X3, q1, and q2 are each as defined herein; the Linker is a group that covalently binds to
Figure imgf000016_0002
and the Degron;
the Degron is capable of binding to a ubiquitin ligase, such as an E3 ubiquitin ligase (e.g., cereblon); and
the Targeting Ligand is capable of binding to at least one targeted proteins, such a protein kinase.
In another embodiment, the present application provides a compound of Formula III:
Figure imgf000016_0003
Targeting Ligand
or an enantiomer, diastereomer, stereoisomer, or pharmaceutically acceptable salt thereof, wherein:
B1, B2, R12, R13, R14, and r1 are each as defined herein; the Linker is a group that covalently binds to
Figure imgf000016_0004
and the Degron;
the Degron is capable of binding to a ubiquitin ligase, such as an E3 ubiquitin ligase (e.g., cereblon); and
the Targeting Ligand is capable of binding to at least one targeted proteins, such a protein kinase.
In another embodiment, the present application provides a compound of Formula IV:
Figure imgf000017_0001
Targeting Ligand
or an enantiomer, diastereomer, stereoisomer, or pharmaceutically acceptable salt thereof, wherein:
B3, B4, R17, and R18 are each as defined herein; the Linker is a group that covalently binds to
Figure imgf000017_0004
and the Degron;
the Degron is capable of binding to a ubiquitin ligase, such as an E3 ubiquitin ligase (e.g., cereblon); and
the Targeting Ligand is capable of binding to at least one targeted proteins, such a protein kinase.
In another embodiment, the present application provides a compound of Formula V:
Figure imgf000017_0002
Targeting Ligand
or an enantiomer, diastereomer, stereoisomer, or pharmaceutically acceptable salt thereof, wherein:
B5, R21, R22, R23, R24, Y1, and s2 are each as defined herein;
the Linker is a group that covalently binds to
Figure imgf000017_0003
and the Degron;
the Degron is capable of binding to a ubiquitin ligase, such as an E3 ubiquitin ligase (e.g., cereblon); and
the Targeting Ligand is capable of binding to at least one targeted proteins, such a protein kinase.
In another embodiment, the present application provides a compound of Formula VI:
Figure imgf000018_0001
Targeting Ligand
or an enantiomer, diastereomer, stereoisomer, or pharmaceutically acceptable salt thereof, wherein:
B6, B7, R27, R28, R29, R30, X4, s3, s4, and s5 are each as defined herein;
the Linker is a group that covalently binds to
Figure imgf000018_0004
and the Degron;
the Degron is capable of binding to a ubiquitin ligase, such as an E3 ubiquitin ligase (e.g., cereblon); and
the Targeting Ligand is capable of binding to at least one targeted proteins, such a protein kinase.
The present application further relates to a Degron of Formula D1:
Figure imgf000018_0002
or an enantiomer, diastereomer, or stereoisomer thereof, wherein R37, R38, R39, R40, Y, Z3, q, and v are each as defined herein, and the Degron covalently binds to a Linker via
Figure imgf000018_0005
The present application further relates to a De ron of Formula D2:
Figure imgf000018_0003
D2),
or an enantiomer, diastereomer, or stereoisomer thereof, wherein R41, R42, and q' are each as defined herein, and the Degron covalently binds to a Linker via
Figure imgf000018_0006
The present applic :
Figure imgf000019_0001
(L1),
or an enantiomer, diastereomer, or stereoisomer thereof, wherein p1, p2, p3, W, Q1, and Z1 are each as defined herein, the Linker is covalently bonded to a Degron via the
Figure imgf000019_0004
next to Q1, and covalently bonded to a Targeting Ligand via the
Figure imgf000019_0005
next to Z1.
Targeting Ligand
Targeting Ligand (TL) (or target protein moiety or target protein ligand or ligand) is a small molecule which is capable of binding to a target protein of interest, such a protein kinase.
In one embodiment, a Targeting Ligand is a compound of Formula TL-I:
Figure imgf000019_0002
or an enantiomer, diastereomer, stereoisomer, or pharmaceutically acceptable salt thereof, wherein:
X1 is NR5 or O;
each R1 and each R4 are independently (C1-C4) alkyl, (C1-C4) haloalkyl, (C1-C4) alkoxy, (C1-C4) haloalkoxy, halogen, OH, or NH2;
R2 and R3 are each independently H, (C1-C4) alkyl, or (C1-C4) haloalkyl;
R5 is H, (C1-C4) alkyl, (C1-C4) haloalkyl, or C(O)(C1-C4) alkyl;
n1 is 0, 1, 2 or 3; and
n2 is 0, 1, or 2;
wherein the Targeting Ligand is bonded to the Linker via the next to
Figure imgf000019_0003
Figure imgf000019_0006
In some embodiments, X1 is NR5. In another embodiment, X1 is O.
In some embodiments, each R1 is independently (C1-C3) alkyl, (C1-C3) haloalkyl, (C1-C3) alkoxy, (C1-C3) haloalkoxy, halogen, OH, or NH2. In other embodiments, each R1 is independently (C1-C3) alkyl, (C1-C3) haloalkyl, (C1-C3) alkoxy, or (C1-C3) haloalkoxy. In other embodiments, each R1 is independently halogen, OH, or NH2. In other embodiments, each R1 is independently (C1-C3) alkoxy or (C1-C3) haloalkoxy. In other embodiments, each R1 is independently (C1-C3) alkyl, (C1-C3) haloalkyl, or halogen. In other embodiments, each R1 is independently (C1-C3) alkyl or halogen. In other embodiments, each R1 is independently methyl, ethyl, n-propyl, i-propyl, or halogen. In other embodiments, each R1 is independently methyl, ethyl, n-propyl, i-propyl, F, or Cl. In other embodiments, each R1 is independently F or Cl. In other embodiments, at least one R1 is F.
In some embodiments, R2 is H, (C1-C3) alkyl, or (C1-C3) haloalkyl. In other
embodiments, R2 is H or (C1-C4) alkyl. In other embodiments, R2 is H, methyl, ethyl, n-propyl, or i-propyl. In other embodiments, R2 is H, methyl or ethyl. In other embodiments, R2 is (C1- C4) alkyl. In other embodiments, R2 is methyl, ethyl, n-propyl, or i-propyl. In other
embodiments, R2 is methyl or ethyl. In other embodiments, R2 is (C1-C4) alkyl or (C1-C4) haloalkyl. In other embodiments, R2 is H.
In some embodiments, R3 is H, (C1-C3) alkyl, or (C1-C3) haloalkyl. In other
embodiments, R3 is H or (C1-C4) alkyl. In other embodiments, R3 is H, methyl, ethyl, n-propyl, or i-propyl. In other embodiments, R3 is H, methyl or ethyl. In other embodiments, R3 is (C1- C4) alkyl. In other embodiments, R3 is methyl, ethyl, n-propyl, or i-propyl. In other
embodiments, R3 is methyl or ethyl. In other embodiments, R3 is (C1-C4) alkyl or (C1-C4) haloalkyl. In other embodiments, R3 is H.
In some embodiments, each R4 is independently (C1-C3) alkyl, (C1-C3) haloalkyl, (C1-C3) alkoxy, (C1-C3) haloalkoxy, halogen, OH, or NH2. In other embodiments, each R4 is
independently (C1-C3) alkyl, (C1-C3) haloalkyl, (C1-C3) alkoxy, or (C1-C3) haloalkoxy. In other embodiments, each R4 is independently halogen, OH, or NH2. In other embodiments, each R4 is independently (C1-C3) alkoxy or (C1-C3) haloalkoxy. In other embodiments, each R4 is independently (C1-C3) alkyl or (C1-C3) haloalkyl. In other embodiments, each R4 is
independently methyl, ethyl, n-propyl, i-propyl, or (C1-C3) haloalkyl. In other embodiments, each R4 is independently methyl, ethyl, n-propyl, or i-propyl. In other embodiments, each R4 is methyl or ethyl. In other embodiments, at least one R4 is methyl. In other embodiments, at least two R4 are methyl. In some embodiments, R5 is H, (C1-C3) alkyl, (C1-C3) haloalkyl, or C(O)(C1-C3) alkyl. In other embodiments, R5 is (C1-C3) alkyl, (C1-C3) haloalkyl, or C(O)(C1-C3) alkyl. In other embodiments, R5 is (C1-C3) haloalkyl or C(O)(C1-C3) alkyl. In other embodiments, R5 is H or (C1-C3) alkyl. In other embodiments, R5 is H, methyl, ethyl, n-propyl, or i-propyl. In other embodiments, R5 is H, methyl, or ethyl. In other embodiments, R5 is H.
In some embodiments, n1 is 0. In other embodiments, n1 is 1. In other embodiments, n1 is 2. In other embodiments, n1 is 3. In other embodiments, n1 is 0 or 1. In other embodiments, n1 is 1 or 2. In other embodiments, n1 is 2 or 3. In other embodiments, n1 is 0, 1, or 2. In other embodiments, n1 is 1, 2, or 3.
In some embodiments, n2 is 0. In other embodiments, n2 is 1. In other embodiments, n2 is 2. In other embodiments, n2 is 0 or 1. In other embodiments, n2 is 1 or 2.
Any of the groups described herein for any of X1, R1, R2, R3, R4, R5, n1, and n2 can be combined with any of the groups described herein for one or more of the remainder of X1, R1, R2, R3, R4, R5, n1, and n2, and may further be combined with any of the groups described herein for the Linker.
For a Targeting Ligand of Formula TL-I:
(1) In one embodiment, X1 is NR5 and R5 is H.
(2) In one embodiment, X1 is NR5 and R5 is (C1-C3) alkyl.
(3) In one embodiment, X1 is NR5 and R5 is methyl.
(4) In one embodiment, X1 is NR5, R5 is H, and R3 is H.
(5) In one embodiment, X1 is NR5, R5 is (C1-C3) alkyl, and R3 is H.
(6) In one embodiment, X1 is NR5, R5 is methyl, and R3 is H.
(7) In one embodiment, X1 is NR5, R5 is H, R3 is H, and R2 is H.
(8) In one embodiment, X1 is NR5, R5 is (C1-C3) alkyl, R3 is H, and R2 is H.
(9) In one embodiment, X1 is NR5, R5 is methyl, R3 is H, and R2 is H.
(10) In one embodiment, X1 is NR5, R5 is H, R3 is H, R2 is H, and at least one R1 is halogen.
(11) In one embodiment, X1 is NR5, R5 is H, R3 is H, R2 is H, and at least one R1 is F. (12) In one embodiment, X1 is NR5, R5 is (C1-C3) alkyl, R3 is H, R2 is H, and at least one R1 is halogen. (13) In one embodiment, X1 is NR5, R5 is (C1-C3) alkyl, R3 is H, R2 is H, and at least one R1 is F.
(14) In one embodiment, X1 is NR5, R5 is methyl, R3 is H, R2 is H, and at least one R1 is halogen.
(15) In one embodiment, X1 is NR5, R5 is methyl, R3 is H, R2 is H, and at least one R1 is F.
(16) In one embodiment, X1 is NR5 and R3 is H.
(17) In one embodiment, X1 is NR5, R3 is H, and R2 is H.
(18) In one embodiment, X1 is NR5, R3 is H, R2 is H, and at least one R1 is halogen. (19) In one embodiment, X1 is NR5, R3 is H, R2 is H, and at least one R1 is F.
(20) In one embodiment, X1 is NR5 and at least one R1 is halogen.
(21) In one embodiment, X1 is NR5 and at least one R1 is F.
(22) In one embodiment, X1 is NR5 and R2 is H.
(23) In one embodiment, X1 is O and R3 is H.
(24) In one embodiment, X1 is O, R3 is H, and R2 is H.
(25) In one embodiment, X1 is O, R3 is H, R2 is H, and at least one R1 is halogen. (26) In one embodiment, X1 is O, R3 is H, R2 is H, and at least one R1 is F.
(27) In one embodiment, X1 is O, R2 is H, and at least one R1 is halogen.
(28) In one embodiment, X1 is O, R2 is H, and at least one R1 is F.
(29) In one embodiment, X1 is O and at least one R1 is halogen.
(30) In one embodiment, X1 is O and at least one R1 is F.
(31) In one embodiment, X1 is O and R2 is H.
(32) In one embodiment, X1 is O, R2 is H, and at least one R1 is halogen.
(33) In one embodiment, X1 is O, R2 is H, and at least one R1 is F.
(34) In one embodiment, R1, R2, R3, R5, and X1 are each as defined, where applicable, in any one of (1)-(33), and n1 is 1.
(35) In one embodiment, R1, R2, R3, R5, and X1 are each as defined, where applicable, in any one of (1)-(33), and n1 is 2.
(36) In one embodiment, R1, R2, R3, R5, n1, and X1 are each as defined, where applicable, in any one of (1)-(35), and n2 is 1. (37) In one embodiment, R1, R2, R3, R5, n1, and X1 are each as defined, where applicable, in any one of (1)-(35), and n2 is 2.
(38) In one embodiment, R1, R2, R3, R5, n1, n2, and X1 are each as defined, where applicable, in any one of (1)-(37), and each R4 is independently (C1-C3) alkyl.
(39) In one embodiment, R1, R2, R3, R5, n1, n2, and X1 are each as defined, where applicable, in any one of (1)-(37), and at least one R4 is methyl.
In one embodiment, the compound of Formula TL-I is of Formula TL-Ia:
Figure imgf000023_0001
wherein R1, R3, R4, n1, and n2 are each as defined above in Formula TL-I.
For a Targeting Ligand of Formula TL-Ia:
(1) In one embodiment, R3 is H.
(2) In one embodiment, R3 is H and at least one R1 is halogen.
(3) In one embodiment, R3 is H and at least one R1 is F.
(4) In one embodiment, R1 and R3 are each as defined, where applicable, in any one of (1)-(4), and n1 is 1.
(5) In one embodiment, R1 and R3 are each as defined, where applicable, in any one of (1)-(4), and n1 is 2.
(6) In one embodiment, R1 and R3 are each as defined, where applicable, in any one of (1)-(5), and n2 is 1.
(7) In one embodiment, R1 and R3 are each as defined, where applicable, in any one of (1)-(5), and n2 is 2.
(8) In one embodiment, R1, R3, n1, and n2 are each as defined, where applicable, in any one of (1)-(7), and each R4 is independently (C1-C3) alkyl.
(9) In one embodiment, R1, R3, n1, and n2 are each as defined, where applicable, in any one of (1)-(7), and at least one R4 is methyl.
R1, R3, R4, n1, and n2 can each be selected from any of the groups and combined as described above in Formula TL-I or TL-Ia.
In another embodiment, a Targeting Ligand is a compound of Formula TL-II:
Figure imgf000024_0001
or an enantiomer, diastereomer, stereoisomer, or pharmaceutically acceptable salt thereof, wherein:
A is (C6-C10) aryl or 5- or 6-membered heteroaryl comprising 1-3 heteroatoms selected from N, S, and O, wherein the aryl or heteroaryl are optionally substituted with one to three R9;
Figure imgf000024_0002
each R6 is independently (C1-C4) alkyl, (C1-C4) haloalkyl, (C1-C4) alkoxy, (C1-C4) haloalkoxy, halogen, OH, NH2, (C1-C4) alkylamino, (C1-C4) dialkylamino, NHS(O)2(C1-C4) alkyl, or N((C1-C4) alkyl)S(O)2(C1-C4) alkyl;
R7 is H, (C1-C4) alkyl, or (C1-C4) haloalkyl;
each R8 and each R9 are independently (C1-C4) alkyl, (C1-C4) haloalkyl, (C1-C4) alkoxy, (C1-C4) haloalkoxy, halogen, OH, or NH2;
R10 is H or (C1-C4) alkyl;
R11 is (C1-C4) alkyl, (C1-C4) haloalkyl, (C1-C4) alkoxy, (C1-C4) haloalkoxy, halogen, OH, or NH2;
q1 is 0, 1, 2, 3, or 4; and
q2 is 0, 1, or 2; wherein the Targeting Ligand is bonded to the Linker via the next to .
In some embodiments, A is (C6-C10) aryl optionally substituted with one to three R9. In other embodiments, A is 5- or 6-membered heteroaryl comprising 1-3 heteroatoms selected from N, S, and O, optionally substituted with one to three R9. In other embodiments, A is 5- membered heteroaryl comprising 1-3 heteroatoms selected from N, S, and O, optionally substituted with one to three R9. In other embodiments, A is 6-membered heteroaryl comprising 1-3 heteroatoms selected from N, S, and O, optionally substituted with one to three R9. In other embodiments, A is phenyl optionally substituted with one to three R9. In other embodiments, A is phenyl. In some embodiments, X2 is S. In other embodiments, X2 is NR10. In other embodiments, X2 is O or NR10. In other embodiments, X2 is S or NR10. In other embodiments, X2 is O or S. In other embodiments, X2 is O.
In some embodiments, X3 is N. In other embodiments, X3 is CR11.
In some embodiments, each R6 is independently (C1-C3) alkyl, (C1-C3) haloalkyl, (C1-C3) alkoxy, (C1-C3) haloalkoxy, halogen, OH, NH2, (C1-C3) alkylamino, (C1-C3) dialkylamino, NHS(O)2(C1-C4) alkyl, or N((C1-C4) alkyl)S(O)2(C1-C4) alkyl. In other embodiments, each R6 is independently (C1-C3) alkyl, (C1-C3) haloalkyl, (C1-C3) alkoxy, (C1-C3) haloalkoxy, halogen, OH, or NH2. In other embodiments, each R6 is independently (C1-C3) alkyl, (C1-C3) haloalkyl, (C1-C3) alkoxy, or (C1-C3) haloalkoxy. In other embodiments, each R6 is independently halogen, OH, or NH2. In other embodiments, each R6 is independently (C1-C3) alkoxy or (C1-C3) haloalkoxy. In other embodiments, each R6 is independently halogen, OH, NH2, (C1-C3) alkylamino, (C1-C3) dialkylamino, NHS(O)2(C1-C4) alkyl or N((C1-C4) alkyl)S(O)2(C1-C4) alkyl. In other embodiments, each R6 is independently OH, NH2, (C1-C3) alkylamino, or (C1-C3) dialkylamino. In other embodiments, each R6 is independently NHS(O)2(C1-C4) alkyl or N((C1- C4) alkyl)S(O)2(C1-C4) alkyl. In other embodiments, each R6 is independently (C1-C3) alkyl or (C1-C3) haloalkyl. In other embodiments, each R6 is independently (C1-C3) alkyl, (C1-C3) haloalkyl, or halogen. In other embodiments, each R6 is independently methyl, ethyl, n-propyl, i- propyl, or (C1-C3) haloalkyl. In other embodiments, each R6 is independently halogen,
NHS(O)2(C1-C4) alkyl, or N((C1-C4) alkyl)S(O)2(C1-C4) alkyl. In other embodiments, each R6 is independently halogen or NHS(O)2(C1-C4) alkyl. In other embodiments, each R6 is
independently F, Cl, or NHS(O)2(C1-C4) alkyl. In other embodiments, each R6 is independently F or NHS(O)2(C1-C4) alkyl.
In some embodiments, R7 is H, (C1-C3) alkyl, or (C1-C3) haloalkyl. In other
embodiments, R7 is H or (C1-C4) alkyl. In other embodiments, R7 is H, methyl, ethyl, n-propyl, or i-propyl. In other embodiments, R7 is H, methyl or ethyl. In other embodiments, R7 is (C1- C4) alkyl. In other embodiments, R7 is methyl, ethyl, n-propyl, or i-propyl. In other
embodiments, R7 is methyl or ethyl. In other embodiments, R7 is (C1-C4) alkyl or (C1-C4) haloalkyl. In other embodiments, R7 is H.
In some embodiments, each R8 is independently (C1-C3) alkyl, (C1-C3) haloalkyl, (C1-C3) alkoxy, (C1-C3) haloalkoxy, halogen, OH, or NH2. In other embodiments, each R8 is independently (C1-C3) alkyl, (C1-C3) haloalkyl, (C1-C3) alkoxy, or (C1-C3) haloalkoxy. In other embodiments, each R8 is independently halogen, OH, or NH2. In other embodiments, each R8 is independently (C1-C3) alkoxy or (C1-C3) haloalkoxy. In other embodiments, each R8 is independently (C1-C3) alkyl, (C1-C3) haloalkyl, or halogen. In other embodiments, each R8 is independently (C1-C3) alkyl or halogen. In other embodiments, each R8 is independently methyl, ethyl, n-propyl, i-propyl, or halogen.
In some embodiments, each R9 is independently (C1-C3) alkyl, (C1-C3) haloalkyl, (C1-C3) alkoxy, (C1-C3) haloalkoxy, halogen, OH, or NH2. In other embodiments, each R9 is
independently (C1-C3) alkyl, (C1-C3) haloalkyl, (C1-C3) alkoxy, or (C1-C3) haloalkoxy. In other embodiments, each R9 is independently halogen, OH, or NH2. In other embodiments, each R9 is independently (C1-C3) alkoxy or (C1-C3) haloalkoxy. In other embodiments, each R9 is independently (C1-C3) alkyl, (C1-C3) haloalkyl, or halogen. In other embodiments, each R9 is independently (C1-C3) alkyl or halogen. In other embodiments, each R9 is independently methyl, ethyl, n-propyl, i-propyl, or halogen.
In some embodiments, R10 is H or (C1-C3) alkyl. In other embodiments, R10 is (C1-C3) alkyl. In other embodiments, R10 is methyl, ethyl, n-propyl, or i-propyl. In other embodiments, R10 is methyl or ethyl. In other embodiments, R10 is H, methyl, or ethyl. In other embodiments, R10 is H.
In some embodiments, R11 is (C1-C3) alkyl, (C1-C3) haloalkyl, (C1-C3) alkoxy, (C1-C3) haloalkoxy, halogen, OH, or NH2. In other embodiments, R11 is (C1-C3) alkyl, (C1-C3) haloalkyl, (C1-C3) alkoxy, or (C1-C3) haloalkoxy. In other embodiments, R11 is halogen, OH, or NH2. In other embodiments, R11 is (C1-C3) alkoxy or (C1-C3) haloalkoxy. In other embodiments, R11 is (C1-C3) alkyl, (C1-C3) haloalkyl, or halogen. In other embodiments, R11 is (C1-C3) alkyl or halogen. In other embodiments, R11 is methyl, ethyl, n-propyl, i-propyl, or halogen.
In some embodiments, q1 is 0. In other embodiments, q1 is 1. In other embodiments, q1 is 2. In other embodiments, q1 is 3. In other embodiments, q1 is 4. In other embodiments, q1 is 0 or 1. In other embodiments, q1 is 1 or 2. In other embodiments, q1 is 2 or 3. In other embodiments, q1 is 3 or 4. In other embodiments, q1 is 0, 1, or 2. In other embodiments, q1 is 1, 2, or 3. In other embodiments, q1 is 2, 3, or 4. In other embodiments, q1 is 0, 1, 2, or 3. In other embodiments, q1 is 1, 2, 3, or 4. In some embodiments, q2 is 0. In other embodiments, q2 is 1. In other embodiments, q2 is 2. In other embodiments, q2 is 0 or 1. In other embodiments, q2 is 1 or 2.
Any of the groups described herein for any of A, X2, X3, R6, R7, R8, R9, R10, R11, q1, and q2 can be combined with any of the groups described herein for one or more of the remainder of A, X2, X3, R6, R7, R8, R9, R10, R11, q1, and q2, and may further be combined with any of the groups described herein for the Linker.
For a Targeting Ligand of Formula TL-II:
(1) In one embodiment, X2 is O and X3 is N.
(2) In one embodiment, X2 is O, X3 is N, and A is (C6-C10) aryl optionally substituted with one to three R9.
(3) In one embodiment, X2 is O, X3 is N, A is (C6-C10) aryl optionally substituted with one to three R9, and R7 is H.
(4) In one embodiment, X2 is O, X3 is N, A is (C6-C10) aryl optionally substituted with one to three R9, R7 is H, and each R6 is independently halogen or NHS(O)2(C1-C4) alkyl.
(5) In one embodiment, X2 is O, X3 is N, A is (C6-C10) aryl optionally substituted with one to three R9, and R7 is (C1-C3) alkyl.
(6) In one embodiment, X2 is O, X3 is N, A is (C6-C10) aryl optionally substituted with one to three R9, R7 is (C1-C3) alkyl, and each R6 is independently halogen or NHS(O)2(C1-C4) alkyl.
(7) In one embodiment, X2 is O, X3 is N, A is (C6-C10) aryl optionally substituted with one to three R9, and R7 is methyl.
(8) In one embodiment, X2 is O, X3 is N, A is (C6-C10) aryl optionally substituted with one to three R9, R7 is methyl, and each R6 is independently halogen or NHS(O)2(C1- C4) alkyl.
(9) In one embodiment, X2 is O, X3 is N, and A is phenyl optionally substituted with one to three R9.
(10) In one embodiment, X2 is O, X3 is N, A is phenyl optionally substituted with one to three R9, and R7 is H.
(11) In one embodiment, X2 is O, X3 is N, A is phenyl optionally substituted with one to three R9, R7 is H, and each R6 is independently halogen or NHS(O)2(C1-C4) alkyl. (12) In one embodiment, X2 is O, X3 is N, A is phenyl optionally substituted with one to three R9, and R7 is (C1-C3) alkyl.
(13) In one embodiment, X2 is O, X3 is N, A is phenyl optionally substituted with one to three R9, R7 is (C1-C3) alkyl, and each R6 is independently halogen or NHS(O)2(C1-C4) alkyl.
(14) In one embodiment, X2 is O, X3 is N, A is phenyl optionally substituted with one to three R9, and R7 is methyl.
(15) In one embodiment, X2 is O, X3 is N, A is phenyl optionally substituted with one to three R9, R7 is methyl, and each R6 is independently halogen or NHS(O)2(C1-C4) alkyl. (16) In one embodiment, X2 is O, X3 is N, and A is phenyl.
(17) In one embodiment, X2 is O, X3 is N, A is phenyl, and R7 is H.
(18) In one embodiment, X2 is O, X3 is N, A is phenyl, R7 is H, and each R6 is independently halogen or NHS(O)2(C1-C4) alkyl.
(19) In one embodiment, X2 is O, X3 is N, A is phenyl, and R7 is (C1-C3) alkyl.
(20) In one embodiment, X2 is O, X3 is N, A is phenyl, R7 is (C1-C3) alkyl, and each R6 is independently halogen or NHS(O)2(C1-C4) alkyl.
(21) In one embodiment, X2 is O, X3 is N, A is phenyl, and R7 is methyl.
(22) In one embodiment, X2 is O, X3 is N, A is phenyl, R7 is methyl, and each R6 is independently halogen or NHS(O)2(C1-C4) alkyl.
(23) In one embodiment, X2 is O, X3 is N, and A is 5- or 6-membered heteroaryl comprising 1-3 heteroatoms selected from N, S, and O, optionally substituted with one to three R9.
(24) In one embodiment, X2 is O, X3 is N, A is 5- or 6-membered heteroaryl comprising 1-3 heteroatoms selected from N, S, and O, optionally substituted with one to three R9, and R7 is H.
(25) In one embodiment, X2 is O, X3 is N, A is 5- or 6-membered heteroaryl comprising 1-3 heteroatoms selected from N, S, and O, optionally substituted with one to three R9, R7 is H, and each R6 is independently halogen or NHS(O)2(C1-C4) alkyl.
(26) In one embodiment, X2 is O, X3 is N, A is 5- or 6-membered heteroaryl comprising 1-3 heteroatoms selected from N, S, and O, optionally substituted with one to three R9, and R7 is (C1-C3) alkyl. (27) In one embodiment, X2 is O, X3 is N, A is 5- or 6-membered heteroaryl comprising 1-3 heteroatoms selected from N, S, and O, optionally substituted with one to three R9, R7 is (C1-C3) alkyl, and each R6 is independently halogen or NHS(O)2(C1-C4) alkyl.
(28) In one embodiment, X2 is O, X3 is N, A is 5- or 6-membered heteroaryl comprising 1-3 heteroatoms selected from N, S, and O, optionally substituted with one to three R9, and R7 is methyl.
(29) In one embodiment, X2 is O, X3 is N, A is 5- or 6-membered heteroaryl comprising 1-3 heteroatoms selected from N, S, and O, optionally substituted with one to three R9, R7 is methyl, and each R6 is independently halogen or NHS(O)2(C1-C4) alkyl. (30) In one embodiment, X2 is O, X3 is N, and A is 5-membered heteroaryl comprising 1-3 heteroatoms selected from N, S, and O, optionally substituted with one to three R9. (31) In one embodiment, X2 is O, X3 is N, A is 5-membered heteroaryl comprising 1-3 heteroatoms selected from N, S, and O, optionally substituted with one to three R9, and R7 is H.
(32) In one embodiment, X2 is O, X3 is N, A is 5-membered heteroaryl comprising 1-3 heteroatoms selected from N, S, and O, optionally substituted with one to three R9, R7 is H, and each R6 is independently halogen or NHS(O)2(C1-C4) alkyl.
(33) In one embodiment, X2 is O, X3 is N, A is 5-membered heteroaryl comprising 1-3 heteroatoms selected from N, S, and O, optionally substituted with one to three R9, and R7 is (C1-C3) alkyl.
(34) In one embodiment, X2 is O, X3 is N, A is 5-membered heteroaryl comprising 1-3 heteroatoms selected from N, S, and O, optionally substituted with one to three R9, R7 is (C1-C3) alkyl, and each R6 is independently halogen or NHS(O)2(C1-C4) alkyl.
(35) In one embodiment, X2 is O, X3 is N, A is 5-membered heteroaryl comprising 1-3 heteroatoms selected from N, S, and O, optionally substituted with one to three R9, and R7 is methyl.
(36) In one embodiment, X2 is O, X3 is N, A is 5-membered heteroaryl comprising 1-3 heteroatoms selected from N, S, and O, optionally substituted with one to three R9, R7 is methyl, and each R6 is independently halogen or NHS(O)2(C1-C4) alkyl. (37) In one embodiment, X2 is O, X3 is N, and A is 6-membered heteroaryl comprising 1-3 heteroatoms selected from N, S, and O, optionally substituted with one to three R9. (38) In one embodiment, X2 is O, X3 is N, A is 6-membered heteroaryl comprising 1-3 heteroatoms selected from N, S, and O, optionally substituted with one to three R9, and R7 is H.
(39) In one embodiment, X2 is O, X3 is N, A is 6-membered heteroaryl comprising 1-3 heteroatoms selected from N, S, and O, optionally substituted with one to three R9, R7 is H, and each R6 is independently halogen or NHS(O)2(C1-C4) alkyl.
(40) In one embodiment, X2 is O, X3 is N, A is 6-membered heteroaryl comprising 1-3 heteroatoms selected from N, S, and O, optionally substituted with one to three R9, and R7 is (C1-C3) alkyl.
(41) In one embodiment, X2 is O, X3 is N, A is 6-membered heteroaryl comprising 1-3 heteroatoms selected from N, S, and O, optionally substituted with one to three R9, R7 is (C1-C3) alkyl, and each R6 is independently halogen or NHS(O)2(C1-C4) alkyl.
(42) In one embodiment, X2 is O, X3 is N, A is 6-membered heteroaryl comprising 1-3 heteroatoms selected from N, S, and O, optionally substituted with one to three R9, and R7 is methyl.
(43) In one embodiment, X2 is O, X3 is N, A is 6-membered heteroaryl comprising 1-3 heteroatoms selected from N, S, and O, optionally substituted with one to three R9, R7 is methyl, and each R6 is independently halogen or NHS(O)2(C1-C4) alkyl.
(44) In one embodiment, X2 is O and X3 is CR11.
(45) In one embodiment, X2 is O, X3 is CR11, and A is (C6-C10) aryl optionally substituted with one to three R9.
(46) In one embodiment, X2 is O, X3 is CR11, A is (C6-C10) aryl optionally substituted with one to three R9, and R7 is H.
(47) In one embodiment, X2 is O, X3 is CR11, A is (C6-C10) aryl optionally substituted with one to three R9, R7 is H, and each R6 is independently halogen or NHS(O)2(C1-C4) alkyl.
(48) In one embodiment, X2 is O, X3 is CR11, A is (C6-C10) aryl optionally substituted with one to three R9, and R7 is (C1-C3) alkyl. (49) In one embodiment, X2 is O, X3 is CR11, A is (C6-C10) aryl optionally substituted with one to three R9, R7 is (C1-C3) alkyl, and each R6 is independently halogen or NHS(O)2(C1-C4) alkyl.
(50) In one embodiment, X2 is O, X3 is CR11, A is (C6-C10) aryl optionally substituted with one to three R9, and R7 is methyl.
(51) In one embodiment, X2 is O, X3 is CR11, A is (C6-C10) aryl optionally substituted with one to three R9, R7 is methyl, and each R6 is independently halogen or NHS(O)2(C1- C4) alkyl.
(52) In one embodiment, X2 is O, X3 is CR11, and A is phenyl optionally substituted with one to three R9.
(53) In one embodiment, X2 is O, X3 is CR11, A is phenyl optionally substituted with one to three R9, and R7 is H.
(54) In one embodiment, X2 is O, X3 is CR11, A is phenyl optionally substituted with one to three R9, R7 is H, and each R6 is independently halogen or NHS(O)2(C1-C4) alkyl. (55) In one embodiment, X2 is O, X3 is CR11, A is phenyl optionally substituted with one to three R9, and R7 is (C1-C3) alkyl.
(56) In one embodiment, X2 is O, X3 is CR11, A is phenyl optionally substituted with one to three R9, R7 is (C1-C3) alkyl, and each R6 is independently halogen or
NHS(O)2(C1-C4) alkyl.
(57) In one embodiment, X2 is O, X3 is CR11, A is phenyl optionally substituted with one to three R9, and R7 is methyl.
(58) In one embodiment, X2 is O, X3 is CR11, A is phenyl optionally substituted with one to three R9, R7 is methyl, and each R6 is independently halogen or NHS(O)2(C1-C4) alkyl.
(59) In one embodiment, X2 is O, X3 is CR11, and A is phenyl.
(60) In one embodiment, X2 is O, X3 is CR11, A is phenyl, and R7 is H.
(61) In one embodiment, X2 is O, X3 is CR11, A is phenyl, R7 is H, and each R6 is independently halogen or NHS(O)2(C1-C4) alkyl.
(62) In one embodiment, X2 is O, X3 is CR11, A is phenyl, and R7 is (C1-C3) alkyl. (63) In one embodiment, X2 is O, X3 is CR11, A is phenyl, R7 is (C1-C3) alkyl, and each R6 is independently halogen or NHS(O)2(C1-C4) alkyl. (64) In one embodiment, X2 is O, X3 is CR11, A is phenyl, and R7 is methyl.
(65) In one embodiment, X2 is O, X3 is CR11, A is phenyl, R7 is methyl, and each R6 is independently halogen or NHS(O)2(C1-C4) alkyl.
(66) In one embodiment, X2 is O, X3 is CR11, and A is 5- or 6-membered heteroaryl comprising 1-3 heteroatoms selected from N, S, and O, optionally substituted with one to three R9.
(67) In one embodiment, X2 is O, X3 is CR11, A is 5- or 6-membered heteroaryl comprising 1-3 heteroatoms selected from N, S, and O, optionally substituted with one to three R9, and R7 is H.
(68) In one embodiment, X2 is O, X3 is CR11, A is 5- or 6-membered heteroaryl comprising 1-3 heteroatoms selected from N, S, and O, optionally substituted with one to three R9, R7 is H, and each R6 is independently halogen or NHS(O)2(C1-C4) alkyl.
(69) In one embodiment, X2 is O, X3 is CR11, A is 5- or 6-membered heteroaryl comprising 1-3 heteroatoms selected from N, S, and O, optionally substituted with one to three R9, and R7 is (C1-C3) alkyl.
(70) In one embodiment, X2 is O, X3 is CR11, A is 5- or 6-membered heteroaryl comprising 1-3 heteroatoms selected from N, S, and O, optionally substituted with one to three R9, R7 is (C1-C3) alkyl, and each R6 is independently halogen or NHS(O)2(C1-C4) alkyl.
(71) In one embodiment, X2 is O, X3 is CR11, A is 5- or 6-membered heteroaryl comprising 1-3 heteroatoms selected from N, S, and O, optionally substituted with one to three R9, and R7 is methyl.
(72) In one embodiment, X2 is O, X3 is CR11, A is 5- or 6-membered heteroaryl comprising 1-3 heteroatoms selected from N, S, and O, optionally substituted with one to three R9, R7 is methyl, and each R6 is independently halogen or NHS(O)2(C1-C4) alkyl. (73) In one embodiment, X2 is O, X3 is CR11, and A is 5-membered heteroaryl comprising 1-3 heteroatoms selected from N, S, and O, optionally substituted with one to three R9.
(74) In one embodiment, X2 is O, X3 is CR11, A is 5-membered heteroaryl comprising 1-3 heteroatoms selected from N, S, and O, optionally substituted with one to three R9, and R7 is H. (75) In one embodiment, X2 is O, X3 is CR11, A is 5-membered heteroaryl comprising 1-3 heteroatoms selected from N, S, and O, optionally substituted with one to three R9, R7 is H, and each R6 is independently halogen or NHS(O)2(C1-C4) alkyl.
(76) In one embodiment, X2 is O, X3 is CR11, A is 5-membered heteroaryl comprising 1-3 heteroatoms selected from N, S, and O, optionally substituted with one to three R9, and R7 is (C1-C3) alkyl.
(77) In one embodiment, X2 is O, X3 is CR11, A is 5-membered heteroaryl comprising 1-3 heteroatoms selected from N, S, and O, optionally substituted with one to three R9, R7 is (C1-C3) alkyl, and each R6 is independently halogen or NHS(O)2(C1-C4) alkyl.
(78) In one embodiment, X2 is O, X3 is CR11, A is 5-membered heteroaryl comprising 1-3 heteroatoms selected from N, S, and O, optionally substituted with one to three R9, and R7 is methyl.
(79) In one embodiment, X2 is O, X3 is CR11, A is 5-membered heteroaryl comprising 1-3 heteroatoms selected from N, S, and O, optionally substituted with one to three R9, R7 is methyl, and each R6 is independently halogen or NHS(O)2(C1-C4) alkyl.
(80) In one embodiment, X2 is O, X3 is CR11, and A is 6-membered heteroaryl comprising 1-3 heteroatoms selected from N, S, and O, optionally substituted with one to three R9.
(81) In one embodiment, X2 is O, X3 is CR11, A is 6-membered heteroaryl comprising 1-3 heteroatoms selected from N, S, and O, optionally substituted with one to three R9, and R7 is H.
(82) In one embodiment, X2 is O, X3 is CR11, A is 6-membered heteroaryl comprising 1-3 heteroatoms selected from N, S, and O, optionally substituted with one to three R9, R7 is H, and each R6 is independently halogen or NHS(O)2(C1-C4) alkyl.
(83) In one embodiment, X2 is O, X3 is CR11, A is 6-membered heteroaryl comprising 1-3 heteroatoms selected from N, S, and O, optionally substituted with one to three R9, and R7 is (C1-C3) alkyl.
(84) In one embodiment, X2 is O, X3 is CR11, A is 6-membered heteroaryl comprising 1-3 heteroatoms selected from N, S, and O, optionally substituted with one to three R9, R7 is (C1-C3) alkyl, and each R6 is independently halogen or NHS(O)2(C1-C4) alkyl. (85) In one embodiment, X2 is O, X3 is CR11, A is 6-membered heteroaryl comprising 1-3 heteroatoms selected from N, S, and O, optionally substituted with one to three R9, and R7 is methyl.
(86) In one embodiment, X2 is O, X3 is CR11, A is 6-membered heteroaryl comprising 1-3 heteroatoms selected from N, S, and O, optionally substituted with one to three R9, R7 is methyl, and each R6 is independently halogen or NHS(O)2(C1-C4) alkyl.
(87) In one embodiment, A, R6, R7, X2, and X3 are each as defined, where applicable, in any one of (1)-(86), and q1 is 1.
(88) In one embodiment, A, R6, R7, X2, and X3 are each as defined, where applicable, in any one of (1)-(86), and q1 is 2.
(89) In one embodiment, A, R6, R7, X2, and X3 are each as defined, where applicable, in any one of (1)-(86), and q1 is 3.
(90) In one embodiment, A, R6, R7, X2, X3, and q1 are each as defined, where applicable, in any one of (1)-(89), and q2 is 0.
(91) In one embodiment, A, R6, R7, X2, X3, and q1 are each as defined, where applicable, in any one of (1)-(89), and q2 is 1.
(92) In one embodiment, A, R6, R7, X2, X3, and q1 are each as defined, where applicable, in any one of (1)-(89), and q2 is 2.
In one embodiment the com ound of Formula TL-II is of Formula TL-IIa:
Figure imgf000034_0001
(TL-IIa),
wherein R6, R7, R8, R9, q1, and q2 are each as defined above in Formula TL-II.
For a Targeting Ligand of Formula TL-IIa:
(1) In one embodiment, R7 is H.
(2) In one embodiment, R7 is (C1-C3) alkyl.
(3) In one embodiment, R7 is methyl.
(4) In one embodiment, R7 is H, and each R6 is independently halogen or
NHS(O)2(C1-C4) alkyl. (5) In one embodiment, R7 is (C1-C3) alkyl, and each R6 is independently halogen or NHS(O)2(C1-C4) alkyl.
(6) In one embodiment, R7 is methyl, and each R6 is independently halogen or
NHS(O)2(C1-C4) alkyl.
(7) In one embodiment, R6 and R7 are each as defined, where applicable, in any one of (1)-(6), and q1 is 1.
(8) In one embodiment, R6 and R7 are each as defined, where applicable, in any one of (1)-(6), and q1 is 2.
(9) In one embodiment, R6 and R7 are each as defined, where applicable, in any one of (1)-(6), and q1 is 3.
(10) In one embodiment, R6, R7, and q1 are each as defined, where applicable, in any one of (1)-(9), and q2 is 0.
(11) In one embodiment, R6, R7, and q1 are each as defined, where applicable, in any one of (1)-(9), and q2 is 1.
(12) In one embodiment, R6, R7, and q1 are each as defined, where applicable, in any one of (1)-(9), and q2 is 2.
R6, R7, R8, R9, q1, and q2 can each be selected from any of the groups and combined as described above in Formula TL-II or TL-IIa.
In another embodiment, a Targeting Ligand is a compound of Formula TL-III:
Figure imgf000035_0001
or an enantiomer, diastereomer, stereoisomer, or pharmaceutically acceptable salt thereof, wherein:
B1 is (C6-C10) aryl or 5- or 6-membered heteroaryl comprising 1-3 heteroatoms selected from N, S, and O, wherein the aryl or heteroaryl are optionally substituted with one to three R15;
B2 is (C6-C10) aryl or 5- or 6-membered heteroaryl comprising 1-3 heteroatoms selected from N, S, and O, wherein the aryl or heteroaryl are optionally substituted with one to three R16;
R12 is H or (C1-C4) alkyl; each R13 is independently (C1-C4) alkyl, (C1-C4) haloalkyl, (C1-C4) alkoxy, (C1-C4) haloalkoxy, halogen, OH, or NH2;
R14 is H, (C1-C4) alkyl, or (C1-C4) haloalkyl;
each R15 and each R16 are independently (C1-C4) alkyl, (C1-C4) haloalkyl, (C1-C4) alkoxy, (C1-C4) haloalkoxy, halogen, OH, or NH2; and
r1 is 0, 1, 2, 3 or 4; wherein the Targeting Ligand is bonded to the Linker via the next to .
In some embodiments, B1 is (C6-C10) aryl optionally substituted with one to three R15. In some embodiments, B1 is (C6-C10) aryl substituted with one to three R15. In other embodiments, B1 is 5- or 6-membered heteroaryl comprising 1-3 heteroatoms selected from N, S, and O, optionally substituted with one to three R15. In other embodiments, B1 is 5- or 6-membered heteroaryl comprising 1-3 heteroatoms selected from N, S, and O, substituted with one to three R15. In other embodiments, B1 is 5-membered heteroaryl comprising 1-3 heteroatoms selected from N, S, and O, optionally substituted with one to three R15. In other embodiments, B1 is 5- membered heteroaryl comprising 1-3 heteroatoms selected from N, S, and O, substituted with one to three R15. In other embodiments, B1 is 6-membered heteroaryl comprising 1-3
heteroatoms selected from N, S, and O, optionally substituted with one to three R15. In other embodiments, B1 is 6-membered heteroaryl comprising 1-3 heteroatoms selected from N, S, and O, substituted with one to three R15. In other embodiments, B1 is phenyl optionally substituted with one to three R15. In other embodiments, B1 is phenyl substituted with one to three R15.
In some embodiments, B2 is (C6-C10) aryl optionally substituted with one to three R16. In some embodiments, B2 is (C6-C10) aryl substituted with one to three R16. In other embodiments, B2 is 5- or 6-membered heteroaryl comprising 1-3 heteroatoms selected from N, S, and O, optionally substituted with one to three R16. In other embodiments, B2 is 5- or 6-membered heteroaryl comprising 1-3 heteroatoms selected from N, S, and O, substituted with one to three R16. In other embodiments, B2 is 5-membered heteroaryl comprising 1-3 heteroatoms selected from N, S, and O, optionally substituted with one to three R16. In other embodiments, B2 is 5- membered heteroaryl comprising 1-3 heteroatoms selected from N, S, and O, substituted with one to three R16. In other embodiments, B2 is 6-membered heteroaryl comprising 1-3
heteroatoms selected from N, S, and O, optionally substituted with one to three R16. In other embodiments, B2 is 6-membered heteroaryl comprising 1-3 heteroatoms selected from N, S, and O, substituted with one to three R16. In other embodiments, B2 is phenyl optionally substituted with one to three R16. In other embodiments, B2 is phenyl substituted with one to three R16.
In some embodiments, R12 is H or (C1-C3) alkyl. In other embodiments, R12 is (C1-C3) alkyl. In other embodiments, R12 is methyl, ethyl, n-propyl, or i-propyl. In other embodiments, R12 is methyl or ethyl. In other embodiments, R12 is H, methyl, or ethyl. In other embodiments, R12 is H.
In some embodiments, each R13 is independently (C1-C3) alkyl, (C1-C3) haloalkyl, (C1- C3) alkoxy, (C1-C3) haloalkoxy, halogen, OH, or NH2. In other embodiments, each R13 is independently (C1-C3) alkyl, (C1-C3) haloalkyl, (C1-C3) alkoxy, or (C1-C3) haloalkoxy. In other embodiments, each R13 is independently halogen, OH, or NH2. In other embodiments, each R13 is independently (C1-C3) alkoxy or (C1-C3) haloalkoxy. In other embodiments, each R13 is independently (C1-C3) alkyl, (C1-C3) haloalkyl, or halogen. In other embodiments, each R13 is independently (C1-C3) alkyl or halogen. In other embodiments, each R13 is independently (C1- C3) alkyl. In other embodiments, each R13 is independently methyl, ethyl, n-propyl, i-propyl, or halogen. In other embodiments, each R13 is independently methyl, ethyl, n-propyl, i-propyl, F, or Cl. In other embodiments, each R13 is independently halogen. In other embodiments, each R13 is independently F or Cl. In other embodiments, at least one R13 is Cl.
In some embodiments, R14 is H, (C1-C3) alkyl, or (C1-C3) haloalkyl. In other
embodiments, R14 is H or (C1-C4) alkyl. In other embodiments, R14 is H, methyl, ethyl, n-propyl, or i-propyl. In other embodiments, R14 is H, methyl or ethyl. In other embodiments, R14 is (C1- C4) alkyl. In other embodiments, R14 is methyl, ethyl, n-propyl, or i-propyl. In other
embodiments, R14 is methyl or ethyl. In other embodiments, R14 is (C1-C4) alkyl or (C1-C4) haloalkyl. In other embodiments, R14 is H.
In some embodiments, each R15 is independently (C1-C3) alkyl, (C1-C3) haloalkyl, (C1- C3) alkoxy, (C1-C3) haloalkoxy, halogen, OH, or NH2. In other embodiments, each R15 is independently (C1-C3) alkyl, (C1-C3) haloalkyl, (C1-C3) alkoxy, or (C1-C3) haloalkoxy. In other embodiments, each R15 is independently halogen, OH, or NH2. In other embodiments, each R15 is independently (C1-C3) alkyl or (C1-C3) alkoxy. In other embodiments, each R15 is
independently (C1-C3) alkoxy or (C1-C3) haloalkoxy. In other embodiments, each R15 is independently (C1-C3) alkyl, (C1-C3) haloalkyl, or halogen. In other embodiments, each R15 is independently (C1-C3) alkyl or halogen. In other embodiments, each R15 is independently methyl, ethyl, n-propyl, i-propyl, or halogen. In other embodiments, each R15 is independently (C1-C3) alkoxy. In other embodiments, each R15 is independently methoxy, ethoxy, n-propoxy, or i-propoxy. In other embodiments, each R15 is independently methoxy or ethoxy. In other embodiments, at least one R15 is methoxy.
In some embodiments, each R16 is independently (C1-C3) alkyl, (C1-C3) haloalkyl, (C1- C3) alkoxy, (C1-C3) haloalkoxy, halogen, OH, or NH2. In other embodiments, each R16 is independently (C1-C3) alkyl, (C1-C3) haloalkyl, (C1-C3) alkoxy, or (C1-C3) haloalkoxy. In other embodiments, each R16 is independently halogen, OH, or NH2. In other embodiments, each R16 is independently (C1-C3) alkyl or (C1-C3) alkoxy. In other embodiments, each R16 is
independently (C1-C3) alkoxy or (C1-C3) haloalkoxy. In other embodiments, each R16 is independently (C1-C3) alkyl, (C1-C3) haloalkyl, or halogen. In other embodiments, each R16 is independently (C1-C3) alkyl or halogen. In other embodiments, each R16 is independently methyl, ethyl, n-propyl, i-propyl, or halogen. In other embodiments, each R16 is independently (C1-C3) alkoxy or halogen. In other embodiments, each R16 is independently methoxy, ethoxy, n-propoxy, i-propoxy, F, Cl, Br, or I. In other embodiments, each R16 is independently methoxy, ethoxy, n-propoxy, i-propoxy, F or Cl. In other embodiments, each R16 is independently methoxy or ethoxy. In other embodiments, each R16 is independently methoxy, ethoxy, Fl, or Cl. In other embodiments, each R16 is independently methoxy or F. In other embodiments, at least one R16 is methoxy and at least one R16 is F.
In some embodiments, r1 is 0. In other embodiments, r1 is 1. In other embodiments, r1 is 2. In other embodiments, r1 is 3. In other embodiments, r1 is 4. In other embodiments, r1 is 0 or 1. In other embodiments, r1 is 1 or 2. In other embodiments, r1 is 2 or 3. In other
embodiments, r1 is 3 or 4. In other embodiments, r1 is 0, 1, or 2. In other embodiments, r1 is 1, 2, or 3. In other embodiments, r1 is 2, 3, or 4.
Any of the groups described herein for any of B1, B2, R12, R13, R14, R15, R16, and r1 can be combined with any of the groups described herein for one or more of the remainder of B1, B2, R12, R13, R14, R15, R16, and r1, and may further be combined with any of the groups described herein for the Linker.
For a Targeting Ligand of Formula TL-III:
(1) In one embodiment, R12 is H and R14 is H. (2) In one embodiment, R12 is H, R14 is H, and B1 is (C6-C10) aryl optionally substituted with one to three R15.
(3) In one embodiment, R12 is H, R14 is H, and B1 is phenyl optionally substituted with one to three R15.
(4) In one embodiment, R12 is H, R14 is H, and B1 is (C6-C10) aryl substituted with one to three R15.
(5) In one embodiment, R12 is H, R14 is H, and B1 is phenyl substituted with one to three R15.
(6) In one embodiment, R12 is H, R14 is H, B1 is (C6-C10) aryl optionally substituted with one to three R15, and B2 is (C6-C10) aryl optionally substituted with one to three R16. (7) In one embodiment, R12 is H, R14 is H, B1 is phenyl optionally substituted with one to three R15, and B2 is (C6-C10) aryl optionally substituted with one to three R16. (8) In one embodiment, R12 is H, R14 is H, B1 is (C6-C10) aryl optionally substituted with one to three R15, and B2 is phenyl optionally substituted with one to three R16.
(9) In one embodiment, R12 is H, R14 is H, B1 is phenyl optionally substituted with one to three R15, and B2 is phenyl optionally substituted with one to three R16.
(10) In one embodiment, R12 is H, R14 is H, B1 is (C6-C10) aryl substituted with one to three R15, and B2 is (C6-C10) aryl optionally substituted with one to three R16.
(11) In one embodiment, R12 is H, R14 is H, B1 is phenyl substituted with one to three R15, and B2 is (C6-C10) aryl optionally substituted with one to three R16.
(12) In one embodiment, R12 is H, R14 is H, B1 is (C6-C10) aryl substituted with one to three R15, and B2 is phenyl optionally substituted with one to three R16.
(13) In one embodiment, R12 is H, R14 is H, B1 is phenyl substituted with one to three R15, and B2 is phenyl optionally substituted with one to three R16.
(14) In one embodiment, R12 is H, R14 is H, B1 is (C6-C10) aryl substituted with one to three R15, and B2 is (C6-C10) aryl substituted with one to three R16.
(15) In one embodiment, R12 is H, R14 is H, B1 is phenyl substituted with one to three R15, and B2 is (C6-C10) aryl substituted with one to three R16.
(16) In one embodiment, R12 is H, R14 is H, B1 is (C6-C10) aryl substituted with one to three R15, and B2 is phenyl substituted with one to three R16. (17) In one embodiment, R12 is H, R14 is H, B1 is phenyl substituted with one to three R15, and B2 is phenyl substituted with one to three R16.
(18) In one embodiment, B1, B2, R12, and R14 are each as defined, where applicable, in any one of (1)-(17), and at least one R13 is halogen.
(19) In one embodiment, B1, B2, R12, and R14 are each as defined, where applicable, in any one of (1)-(17), and at least one R13 is Cl.
(20) In one embodiment, B1, B2, R12, R13, and R14 are each as defined, where applicable, in any one of (1)-(19), and r1 is 0.
(21) In one embodiment, B1, B2, R12, R13, and R14 are each as defined, where applicable, in any one of (1)-(19), and r1 is 1.
(22) In one embodiment, B1, B2, R12, R13, and R14 are each as defined, where applicable, in any one of (1)-(19), and r1 is 2.
(23) In one embodiment, B1, B2, R12, R13, R14, and r1 are each as defined, where applicable, in any one of (1)-(22), and at least one R15 is (C1-C3) alkoxy.
(24) In one embodiment, B1, B2, R12, R13, R14, and r1 are each as defined, where applicable, in any one of (1)-(22), and at least one R15 is methoxy.
(25) In one embodiment, B1, B2, R12, R13, R14, R15, and r1 are each as defined, where applicable, in any one of (1)-(24), and at least one R16 is (C1-C3) alkoxy or halogen. (26) In one embodiment, B1, B2, R12, R13, R14, R15, and r1 are each as defined, where applicable, in any one of (1)-(24), and at least one R16 is methoxy or halogen.
(27) In one embodiment, B1, B2, R12, R13, R14, R15, and r1 are each as defined, where applicable, in any one of (1)-(24), and each R16 is independently methoxy or F.
(28) In one embodiment, B1, B2, R12, R13, R14, R15, and r1 are each as defined, where applicable, in any one of (1)-(24), and at least one R16 is methoxy and at least one R16 is F.
In one embodiment, the compound of Formula TL-III is of Formula TL-IIIa:
Figure imgf000040_0001
wherein R13, R15, R16, and r1 are each as defined above in Formula TL-III. For a Targeting Ligand of Formula TL-IIIa:
(1) In one embodiment, at least one R13 is halogen.
(2) In one embodiment, at least one R13 is Cl.
(3) In one embodiment, R13 is halogen and r1 is 1.
(4) In one embodiment, R13 is Cl and r1 is 1.
(5) In one embodiment, at least one R13 is halogen and r1 is 2.
(6) In one embodiment, at least one R13 is Cl and r1 is 2.
(7) In one embodiment, R13 and r1 are each as defined, where applicable, in any one of (1)-(6), and at least one R15 is (C1-C3) alkoxy.
(8) In one embodiment, R13 and r1 are each as defined, where applicable, in any one of (1)-(6), and at least one R15 is methoxy.
(9) In one embodiment, R13, R15, and r1 are each as defined, where applicable, in any one of (1)-(8), and at least one R16 is (C1-C3) alkoxy or halogen.
(10) In one embodiment, R13, R15, and r1 are each as defined, where applicable, in any one of (1)-(8), and at least one R16 is methoxy or halogen.
(11) In one embodiment, R13, R15, and r1 are each as defined, where applicable, in any one of (1)-(8), and at least one R16 is methoxy or F.
(12) In one embodiment, R13, R15, and r1 are each as defined, where applicable, in any one of (1)-(8), and at least one R16 is methoxy and at least one R16 is F.
R13, R15, R16, and r1 can each be selected from any of the groups and combined as described above in Formula TL-III or TL-IIIa.
In another embodiment, a Targeting Ligand is a compound of Formula TL-IV:
Figure imgf000041_0001
(TL-IV),
or an enantiomer, diastereomer, stereoisomer, or pharmaceutically acceptable salt thereof, wherein:
B3 is (C6-C10) aryl or 5- or 6-membered heteroaryl comprising 1-3 heteroatoms selected from N, S, and O, wherein the aryl or heteroaryl are optionally substituted with one to three R19;
B4 is (C6-C10) aryl or 5- or 6-membered heteroaryl comprising 1-3 heteroatoms selected from N, S, and O, wherein the aryl or heteroaryl are optionally substituted with one to three R20; R17 is H or (C1-C4) alkyl;
R18 is H, (C1-C4) alkyl, (C1-C4) haloalkyl, (C1-C4) alkoxy, (C1-C4) haloalkoxy, halogen, OH, or NH2; or
each R19 and each R20 are independently (C1-C4) alkyl, (C1-C4) haloalkyl, (C1-C4) alkoxy, (C1-C4) haloalkoxy, halogen, OH, or NH2; wherein the Targeting Ligand is bonded to the Linker via the
Figure imgf000042_0001
next to
Figure imgf000042_0002
In some embodiments, B3 is (C6-C10) aryl optionally substituted with one to three R19. In some embodiments, B3 is (C6-C10) aryl substituted with one to three R19. In other embodiments, B3 is 5- or 6-membered heteroaryl comprising 1-3 heteroatoms selected from N, S, and O, optionally substituted with one to three R19. In other embodiments, B3 is 5- or 6-membered heteroaryl comprising 1-3 heteroatoms selected from N, S, and O, substituted with one to three R19. In other embodiments, B3 is 5-membered heteroaryl comprising 1-3 heteroatoms selected from N, S, and O, optionally substituted with one to three R19. In other embodiments, B3 is 5- membered heteroaryl comprising 1-3 heteroatoms selected from N, S, and O, substituted with one to three R19. In other embodiments, B3 is 6-membered heteroaryl comprising 1-3
heteroatoms selected from N, S, and O, optionally substituted with one to three R19. In other embodiments, B3 is 6-membered heteroaryl comprising 1-3 heteroatoms selected from N, S, and O, substituted with one to three R19. In other embodiments, B3 is phenyl optionally substituted with one to three R19. In other embodiments, B3 is phenyl.
In some embodiments, B4 is (C6-C10) aryl optionally substituted with one to three R20. In some embodiments, B4 is (C6-C10) aryl substituted with one to three R20. In other embodiments, B4 is 5- or 6-membered heteroaryl comprising 1-3 heteroatoms selected from N, S, and O, optionally substituted with one to three R20. In other embodiments, B4 is 5- or 6-membered heteroaryl comprising 1-3 heteroatoms selected from N, S, and O, substituted with one to three R20. In other embodiments, B4 is 5-membered heteroaryl comprising 1-3 heteroatoms selected from N, S, and O, optionally substituted with one to three R20. In other embodiments, B4 is 5- membered heteroaryl comprising 1-3 heteroatoms selected from N, S, and O, substituted with one to three R20. In other embodiments, B4 is 6-membered heteroaryl comprising 1-3
heteroatoms selected from N, S, and O, optionally substituted with one to three R20. In other embodiments, B4 is 6-membered heteroaryl comprising 1-3 heteroatoms selected from N, S, and O, substituted with one to three R20. In other embodiments, B4 is phenyl optionally substituted with one to three R20. In other embodiments, B4 is phenyl substituted with one to three R20. In other embodiments, B4 is phenyl substituted with one or two R20.
In some embodiments, R17 is H or (C1-C3) alkyl. In other embodiments, R17 is (C1-C3) alkyl. In other embodiments, R17 is methyl, ethyl, n-propyl, or i-propyl. In other embodiments, R17 is methyl or ethyl. In other embodiments, R17 is H, methyl, or ethyl. In other embodiments, R17 is H.
In some embodiments, R18 is H, (C1-C3) alkyl, (C1-C3) haloalkyl, (C1-C3) alkoxy, (C1-C3) haloalkoxy, halogen, OH, or NH2. In other embodiments, R18 is (C1-C3) alkyl, (C1-C3) haloalkyl, (C1-C3) alkoxy, (C1-C3) haloalkoxy, halogen, OH, or NH2. In other embodiments, R18 is H, (C1- C3) alkyl, (C1-C3) haloalkyl, (C1-C3) alkoxy, or (C1-C3) haloalkoxy. In other embodiments, R18 is H, (C1-C3) alkyl, or (C1-C3) haloalkyl. In other embodiments, R18 is (C1-C3) alkoxy or (C1-C3) haloalkoxy. In other embodiments, R18 is H or (C1-C3) alkyl. In other embodiments, R18 is H, methyl, ethyl, n-propyl, or i-propyl. In other embodiments, R18 is methyl, ethyl, n-propyl, or i- propyl. In other embodiments, R18 is H.
In some embodiments, each R19 is independently (C1-C3) alkyl, (C1-C3) haloalkyl, (C1- C3) alkoxy, (C1-C3) haloalkoxy, halogen, OH, or NH2. In other embodiments, each R19 is independently (C1-C3) alkyl, (C1-C3) haloalkyl, (C1-C3) alkoxy, or (C1-C3) haloalkoxy. In other embodiments, each R19 is independently halogen, OH, or NH2. In other embodiments, each R19 is independently (C1-C3) alkoxy or (C1-C3) haloalkoxy. In other embodiments, each R19 is independently (C1-C3) alkyl, (C1-C3) haloalkyl, or halogen. In other embodiments, each R19 is independently (C1-C3) alkyl (e.g., methyl, ethyl, n-propyl, i-propyl) or halogen.
In some embodiments, each R20 is independently (C1-C3) alkyl, (C1-C3) haloalkyl, (C1- C3) alkoxy, (C1-C3) haloalkoxy, halogen, OH, or NH2. In other embodiments, each R20 is independently (C1-C3) alkyl, (C1-C3) haloalkyl, (C1-C3) alkoxy, or (C1-C3) haloalkoxy. In other embodiments, each R20 is independently halogen, OH, or NH2. In other embodiments, each R20 is independently (C1-C3) alkyl, (C1-C3) haloalkyl, or halogen. In other embodiments, each R20 is independently (C1-C3) alkyl (e.g., methyl, ethyl, n-propyl, i-propyl) or halogen. In other embodiments, each R20 is independently (C1-C3) alkoxy or (C1-C3) haloalkoxy. In other embodiments, each R20 is independently (C1-C2) alkoxy or (C1-C2) haloalkoxy. In other embodiments, each R20 is independently (C1-C3) haloalkoxy. In other embodiments, each R20 is independently OCF3, OCF2, or OCH2F. In other embodiments, at least one R20 is OCF3.
Any of the groups described herein for any of B3, B4, R17, R18, R19, and R20 can be combined with any of the groups described herein for one or more of the remainder of B3, B4, R17, R18, R19, and R20, and may further be combined with any of the groups described herein for the Linker.
For a Targeting Ligand of Formula TL-IV:
(1) In one embodiment, R17 is H and R18 is H.
(2) In one embodiment, R17 is H, R18 is H, and B3 is (C6-C10) aryl optionally substituted with one to three R19.
(3) In one embodiment, R17 is H, R18 is H, and B3 is phenyl optionally substituted with one to three R19.
(4) In one embodiment, R17 is H, R18 is H, and B3 is phenyl.
(5) In one embodiment, R17 is methyl and R18 is H.
(6) In one embodiment, R17 is methyl, R18 is H, and B3 is (C6-C10) aryl optionally substituted with one to three R19.
(7) In one embodiment, R17 is methyl, R18 is H, and B3 is phenyl optionally substituted with one to three R19.
(8) In one embodiment, R17 is methyl, R18 is H, and B3 is phenyl.
(9) In one embodiment, B3 is (C6-C10) aryl and B4 is (C6-C10) aryl substituted with one or two R20.
(10) In one embodiment, B3 is (C6-C10) aryl optionally substituted with one to three R19 and B4 is (C6-C10) aryl substituted with one or two R20.
(11) In one embodiment, B3 is (C6-C10) aryl optionally substituted with one to three R19 and B4 is phenyl substituted with one or two R20.
(12) In one embodiment, B3 is phenyl optionally substituted with one to three R19 and B4 is phenyl substituted with one or two R20.
(13) In one embodiment, B3 is phenyl and B4 is phenyl substituted with one or two R20. (14) In one embodiment, B3 is 5- or 6-membered heteroaryl comprising 1-3
heteroatoms selected from N, S, and O, optionally substituted with one to three R19, and B4 is (C6-C10) aryl substituted with one or two R20. (15) In one embodiment, B3 is 5- or 6-membered heteroaryl comprising 1-3 heteroatoms selected from N, S, and O and B4 is (C6-C10) aryl substituted with one or two R20.
(16) In one embodiment, B3 is 5-membered heteroaryl comprising 1-3 heteroatoms selected from N, S, and O, optionally substituted with one to three R19, and B4 is (C6-C10) aryl substituted with one or two R20.
(17) In one embodiment, B3 is 5-membered heteroaryl comprising 1-3 heteroatoms selected from N, S, and O and B4 is (C6-C10) aryl substituted with one or two R20.
(18) In one embodiment, B3 is 6-membered heteroaryl comprising 1-3 heteroatoms selected from N, S, and O, optionally substituted with one to three R19, and B4 is (C6-C10) aryl substituted with one or two R20.
(19) In one embodiment, B3 is 6-membered heteroaryl comprising 1-3 heteroatoms selected from N, S, and O and B4 is (C6-C10) aryl substituted with one or two R20.
(20) In one embodiment, B3, B4, R17, and R18 are each as defined, where applicable, in any one of (1)-(19), and at least one R20 is (C1-C4) haloalkoxy.
(21) In one embodiment, B3, B4, R17, and R18 are each as defined, where applicable, in any one of (1)-(19), and at least one R20 is (C1-C2) haloalkoxy.
(22) In one embodiment, B3, B4, R17, and R18 are each as defined, where applicable, in any one of (1)-(19), and at least one R20 is OCF3.
(23) In one embodiment, B3 and B4 are each as defined, where applicable, in any one of (9)-(22), and R17 is H.
(24) In one embodiment, B3 and B4 are each as defined, where applicable, in any one of (9)-(22), and R17 is methyl.
(25) In one embodiment, B3 and B4 are each as defined, where applicable, in any one of (9)-(24), and R18 is H.
(26) In one embodiment, B3 and B4 are each as defined, where applicable, in any one of (9)-(24), and R18 is methyl.
In one embodiment, the compound of Formula TL-IV is of Formula TL-IVa:
Figure imgf000046_0001
wherein R19 and R20 are each as defined above in Formula TL-IV.
For a Targeting Ligand of Formula TL-IVa:
(1) In one embodiment, at least one R20 is (C1-C2) haloalkoxy.
(2) In one embodiment, at least one R20 is (C1-C2) haloalkoxy.
(3) In one embodiment, at least one R20 is OCF3.
R19 and R20 can each be selected from any of the groups and combined as described above in Formula TL-IV or TL-IVa.
In another embodiment, a Targeting Ligand is a compound of Formula TL-V:
Figure imgf000046_0002
or an enantiomer, diastereomer, stereoisomer, or pharmaceutically acceptable salt thereof, wherein:
B5 is (C6-C10) aryl or 5- or 6-membered heteroaryl comprising 1-3 heteroatoms selected from N, S, and O, wherein the aryl or heteroaryl are optionally substituted with one to three R26;
Y1 is C(O)NR25 or NR25C(O);
R21 is H, (C1-C4) alkyl, or (C1-C4) haloalkyl;
R22 and R23 are each independently H, (C1-C4) alkyl, (C1-C4) haloalkyl, (C1-C4) alkoxy, (C1-C4) haloalkoxy, halogen, OH, or NH2;
each R24 is independently (C1-C4) alkyl, (C1-C4) haloalkyl, (C1-C4) alkoxy, (C1-C4) haloalkoxy, halogen, or C(O)(C1-C4) alkyl;
R25 is H, (C1-C4) alkyl, or (C1-C4) haloalkyl;
each R26 is independently (C1-C4) alkyl, (C1-C4) haloalkyl, (C1-C4) alkoxy, (C1-C4) haloalkoxy, halogen, OH, or NH2; and
s2 is 0, 1, 2, or 3; wherein the Targeting Ligand is bonded to the Linker via the
Figure imgf000047_0001
In some embodiments, B5 is (C6-C10) aryl optionally substituted with one to three R26. In some embodiments, B5 is (C6-C10) aryl substituted with one to three R26. In other embodiments, B5 is 5- or 6-membered heteroaryl comprising 1-3 heteroatoms selected from N, S, and O, optionally substituted with one to three R26. In other embodiments, B5 is 5- or 6-membered heteroaryl comprising 1-3 heteroatoms selected from N, S, and O, substituted with one to three R26. In other embodiments, B5 is 5-membered heteroaryl comprising 1-3 heteroatoms selected from N, S, and O, optionally substituted with one to three R26. In other embodiments, B5 is 5- membered heteroaryl comprising 1-3 heteroatoms selected from N, S, and O, substituted with one to three R26. In other embodiments, B5 is 6-membered heteroaryl comprising 1-3
heteroatoms selected from N, S, and O, optionally substituted with one to three R26. In other embodiments, B5 is 6-membered heteroaryl comprising 1-3 heteroatoms selected from N, S, and O, substituted with one to three R26. In other embodiments, B5 is phenyl optionally substituted with one to three R26. In other embodiments, B5 is phenyl substituted with one to three R26. In other embodiments, B5 is phenyl substituted with one or two R26.
In some embodiments, Y1 is C(O)NR25. In other embodiments, Y1 is NR25C(O).
In some embodiments, R21 is H, (C1-C3) alkyl, or (C1-C3) haloalkyl. In other
embodiments, R21 is (C1-C3) alkyl, or (C1-C3) haloalkyl. In other embodiments, R21 is H or (C1- C3) alkyl. In other embodiments, R21 is (C1-C3) alkyl. In other embodiments, R21 is methyl, ethyl, n-propyl, or i-propyl. In other embodiments, R21 is H.
In some embodiments, R22 is H, (C1-C3) alkyl, (C1-C3) haloalkyl, (C1-C3) alkoxy, (C1-C3) haloalkoxy, halogen, OH, or NH2. In other embodiments, R22 is (C1-C3) alkyl, (C1-C3) haloalkyl, (C1-C3) alkoxy, (C1-C3) haloalkoxy, halogen, OH, or NH2. In other embodiments, R22 is H, (C1- C3) alkyl, (C1-C3) haloalkyl, (C1-C3) alkoxy, or (C1-C3) haloalkoxy. In other embodiments, R22 is H, (C1-C3) alkyl, or (C1-C3) haloalkyl. In other embodiments, R22 is (C1-C3) alkoxy, or (C1- C3) haloalkoxy. In other embodiments, R22 is H or (C1-C3) alkyl. In other embodiments, R22 is H, methyl, ethyl, n-propyl, or i-propyl. In other embodiments, R22 is methyl, ethyl, n-propyl, or i-propyl. In other embodiments, R22 is H. In other embodiments, R22 is methyl or ethyl. In other embodiments, R22 is methyl. In some embodiments, R23 is H, (C1-C3) alkyl, (C1-C3) haloalkyl, (C1-C3) alkoxy, (C1-C3) haloalkoxy, halogen, OH, or NH2. In other embodiments, R23 is (C1-C3) alkyl, (C1-C3) haloalkyl, (C1-C3) alkoxy, (C1-C3) haloalkoxy, halogen, OH, or NH2. In other embodiments, R23 is H, (C1- C3) alkyl, (C1-C3) haloalkyl, (C1-C3) alkoxy, or (C1-C3) haloalkoxy. In other embodiments, R23 is H, (C1-C3) alkyl, or (C1-C3) haloalkyl. In other embodiments, R23 is (C1-C3) alkoxy, or (C1- C3) haloalkoxy. In other embodiments, R23 is H or (C1-C3) alkyl. In other embodiments, R23 is H, methyl, ethyl, n-propyl, or i-propyl. In other embodiments, R23 is methyl, ethyl, n-propyl, or i-propyl. In other embodiments, R23 is H.
In some embodiments, each R24 is independently (C1-C3) alkyl, (C1-C3) haloalkyl, (C1-C3) alkoxy, (C1-C3) haloalkoxy, halogen, or C(O)(C1-C3) alkyl. In other embodiments, each R24 is independently (C1-C3) alkyl, (C1-C3) haloalkyl, (C1-C3) alkoxy, or (C1-C3) haloalkoxy. In other embodiments, each R24 is independently (C1-C3) alkyl or (C1-C3) haloalkyl. In other
embodiments, each R24 is independently (C1-C3) alkoxy or (C1-C3) haloalkoxy. In other embodiments, each R24 is independently halogen or C(O)(C1-C3) alkyl. In other embodiments, each R24 is independently (C1-C3) alkyl, (C1-C3) haloalkyl, halogen, or C(O)(C1-C3) alkyl. In other embodiments, each R24 is independently (C1-C3) alkyl, halogen, or C(O)(C1-C3) alkyl. In other embodiments, each R24 is independently (C1-C3) alkyl, (C1-C3) haloalkyl, or C(O)(C1-C3) alkyl.
In some embodiments, R25 is H, (C1-C3) alkyl, or (C1-C3) haloalkyl. In other
embodiments, R25 is (C1-C3) alkyl or (C1-C3) haloalkyl. In other embodiments, R25 is H or (C1- C3) alkyl. In other embodiments, R25 is (C1-C3) alkyl. In other embodiments, R25 is methyl, ethyl, n-propyl, or i-propyl. In other embodiments, R25 is H.
In some embodiments, each R26 is independently (C1-C3) alkyl, (C1-C3) haloalkyl, (C1- C3) alkoxy, (C1-C3) haloalkoxy, halogen, OH, or NH2. In other embodiments, each R26 is independently (C1-C3) alkyl, (C1-C3) haloalkyl, (C1-C3) alkoxy, or (C1-C3) haloalkoxy. In other embodiments, each R26 is independently halogen, OH, or NH2. In other embodiments, each R26 is independently (C1-C3) alkyl or (C1-C3) haloalkyl. In other embodiments, each R26 is independently (C1-C3) alkoxy or (C1-C3) haloalkoxy. In other embodiments, each R26 is independently (C1-C3) alkyl or halogen. In other embodiments, each R26 is independently methyl, ethyl, n-propyl, i-propyl, F, Cl, Br, or I. In other embodiments, each R26 is
independently methyl, ethyl, n-propyl, i-propyl, F or Cl. In other embodiments, each R26 is independently methyl, ethyl, n-propyl, i-propyl, or Cl. In other embodiments, each R26 is independently methyl, ethyl, or Cl. In other embodiments, each R26 is independently methyl or Cl. In other embodiments, at least one R26 is methyl and at least one R26 is Cl.
In some embodiments, s2 is 0. In other embodiments, s2 is 1. In other embodiments, s2 is 2. In other embodiments, s2 is 3. In other embodiments, s2 is 0 or 1. In other embodiments, s2 is 1 or 2. In other embodiments, s2 is 2 or 3. In other embodiments, s2 is 0, 1, or 2. In other embodiments, s2 is 1, 2, or 3.
Any of the groups described herein for any of B5, Y1, R21, R22, R23, R24, R25, R26, and s2 can be combined with any of the groups described herein for one or more of the remainder of B5, Y1, R21, R22, R23, R24, R25, R26, and s2, and may further be combined with any of the groups described herein for the Linker.
For a Targeting Ligand of Formula TL-V:
(1) In one embodiment, R21 is H and R23 is H.
(2) In one embodiment, R21 is methyl and R23 is H.
(3) In one embodiment, R21 is H and R23 is methyl.
(4) In one embodiment, R21 is methyl and R23 is methyl.
(5) In one embodiment, R21 is H and R22 is H.
(6) In one embodiment, R21 is methyl and R22 is H.
(7) In one embodiment, R21 is H and R22 is methyl.
(8) In one embodiment, R21 is methyl and R22 is methyl.
(9) In one embodiment, R21 is H, R23 is H, and R22 is methyl.
(10) In one embodiment, R21 is methyl, R23 is H, and R22 is methyl.
(11) In one embodiment, Y1 is C(O)NR25 and R25 is H.
(12) In one embodiment, Y1 is NR25C(O) and R25 is H.
(13) In one embodiment, Y1 is C(O)NR25, R25 is H, and R21 is H.
(14) In one embodiment, Y1 is NR25C(O), R25 is H, and R21 is H.
(15) In one embodiment, Y1 is C(O)NR25, R25 is H, and R23 is H.
(16) In one embodiment, Y1 is NR25C(O), R25 is H, and R23 is H.
(17) In one embodiment, Y1 is C(O)NR25, R25 is H, and R22 is methyl.
(18) In one embodiment, Y1 is NR25C(O), R25 is H, and R22 is methyl. (19) In one embodiment, Y1 is C(O)NR25 and B5 is (C6-C10) aryl optionally substituted with one to three R26.
(20) In one embodiment, Y1 is NR25C(O) and B5 is (C6-C10) aryl optionally substituted with one to three R26.
(21) In one embodiment, Y1 is C(O)NR25 and B5 is (C6-C10) aryl substituted with one to three R26.
(22) In one embodiment, Y1 is NR25C(O) and B5 is (C6-C10) aryl substituted with one to three R26.
(23) In one embodiment, Y1 is C(O)NR25 and B5 is phenyl optionally substituted with one to three R26.
(24) In one embodiment, Y1 is NR25C(O) and B5 is phenyl optionally substituted with one to three R26.
(25) In one embodiment, Y1 is C(O)NR25 and B5 is phenyl substituted with one to three R26.
(26) In one embodiment, Y1 is NR25C(O) and B5 is phenyl substituted with one to three R26.
(27) In one embodiment, R21, R22, and R23 are each as defined, where applicable, in any one of (1)-(10), and Y1 is C(O)NR25.
(28) In one embodiment, R21, R22, and R23 are each as defined, where applicable, in any one of (1)-(10), and Y1 is NR25C(O).
(29) In one embodiment, R21, R22, R23, and Y1are each as defined, where applicable, in any one of (1)-(10) and (27)-(28), and R25 is H.
(30) In one embodiment, Y1 and B5 are each as defined, where applicable, in any one of (19)-(26), and R25 is H
(31) In one embodiment, Y1, B5, and R25 are each as defined, where applicable, in any one of (19)-(26) and (29)-(30), and R21 is H.
(32) In one embodiment, Y1, B5, and R25 are each as defined, where applicable, in any one of (19)-(26) and (29)-(30), and R21 is methyl.
(33) In one embodiment, Y1, B5, R21, and R25 are each as defined, where applicable, in any one of (19)-(26) and (29)-(32), and R23 is H. (34) In one embodiment, Y1, B5, R21, R23, and R25 are each as defined, where applicable, in any one of (19)-(26) and (29)-(33), and R22 is methyl.
(35) In one embodiment, Y1, B5, R21, R23, and R25 are each as defined, where applicable, in any one of (19)-(26) and (29)-(33), and R22 is H.
(36) In one embodiment, Y1, B5, R21, R22, R23, and R25 are each as defined, where applicable, in any one of (19)-(26) and (29)-(35), and R26 is (C1-C4) alkyl or halogen. (37) In one embodiment, Y1, B5, R21, R22, R23, and R25 are each as defined, where applicable, in any one of (19)-(26) and (29)-(35), and R26 is methyl or Cl.
(38) In one embodiment, Y1, B5, R21, R22, R23, R25, and R26 are each as defined, where applicable, in any one of (1)-(37), and s2 is 0.
(39) In one embodiment, Y1, B5, R21, R22, R23, R25, and R26 are each as defined, where applicable, in any one of (1)-(37), and s2 is 1.
In one embodiment, the compound of Formula TL-V is of Formula TL-Va:
Figure imgf000051_0001
wherein R21, R22, R25, and R26 are each as defined above in Formula TL-V.
For a Targeting Ligand of Formula TL-Va:
(1) In one embodiment, R21 is H and R22 is H.
(2) In one embodiment, R21 is methyl and R22 is H.
(3) In one embodiment, R21 is H and R22 is methyl.
(4) In one embodiment, R21 is methyl and R22 is methyl.
(5) In one embodiment, R25 is H.
(6) In one embodiment, R25 is H and R21 is H.
(7) In one embodiment, R25 is H and R21 is methyl.
(8) In one embodiment, R25 is H, R21 is H, and R22 is methyl.
(9) In one embodiment, R25 is H, R21 is methyl, and R22 is methyl.
(10) In one embodiment, R25 is H, R21 is H, and R22 is H.
(11) In one embodiment, R25 is H, R21 is methyl, and R22 is H. (12) In one embodiment, R21, R22, and R25 are each as defined, where applicable, in any one of (1)-(11), and at least one R26 is (C1-C4) alkyl or halogen. (13) In one embodiment, R21, R22, and R25 are each as defined, where applicable, in any one of (1)-(11), and at least one R26 is (C1-C2) alkyl or halogen. (14) In one embodiment, R21, R22, and R25 are each as defined, where applicable, in any one of (1)-(11), and at least one R26 is methyl or Cl.
R21, R22, R25, and R26 can each be selected from any of the groups and combined as described above in Formula TL-V or TL-Va.
In another embodiment, a Targeting Ligand is a compound of Formula TL-VI:
Figure imgf000052_0001
or an enantiomer, diastereomer, stereoisomer, or pharmaceutically acceptable salt thereof, wherein:
B6 is (C6-C10) aryl or 5- or 6-membered heteroaryl comprising 1-3 heteroatoms selected from N, S, and O, wherein the aryl or heteroaryl are optionally substituted with one to three R31;
B7 is (C6-C10) aryl or 5- or 6-membered heteroaryl comprising 1-3 heteroatoms selected from N, S, and O, wherein the aryl or heteroaryl are optionally substituted with one to three R32;
X4 is O or NR33;
R27 and R28 are each independently H, (C1-C4) alkyl, or (C1-C4) haloalkyl;
each R29 is independently (C1-C4) alkyl, (C1-C4) haloalkyl, (C1-C4) alkoxy, (C1-C4) haloalkoxy, halogen, OH, or NH2;
each R30 is independently (C1-C4) alkyl, (C1-C4) haloalkyl, (C1-C4) alkoxy, (C1-C4) haloalkoxy, halogen, or C(O)(C1-C4) alkyl;
each R31 and each R32 are independently (C1-C4) alkyl, (C1-C4) haloalkyl, (C1-C4) alkoxy, (C1-C4) haloalkoxy, halogen, OH, or NH2;
R33 is H, (C1-C4) alkyl, or (C1-C4) haloalkyl;
s3 and s4 are each independently 0, 1, 2, or 3; and
s5 is 1 or 2; wherein the Targeting Ligand is bonded to the Linker via the
Figure imgf000053_0001
In some embodiments, B6 is (C6-C10) aryl optionally substituted with one to three R31. In some embodiments, B6 is (C6-C10) aryl substituted with one to three R31. In other embodiments, B6 is 5- or 6-membered heteroaryl comprising 1-3 heteroatoms selected from N, S, and O, optionally substituted with one to three R31. In other embodiments, B6 is 5- or 6-membered heteroaryl comprising 1-3 heteroatoms selected from N, S, and O, substituted with one to three R31. In other embodiments, B6 is 5-membered heteroaryl comprising 1-3 heteroatoms selected from N, S, and O, optionally substituted with one to three R31. In other embodiments, B6 is 5- membered heteroaryl comprising 1-3 heteroatoms selected from N, S, and O, substituted with one to three R31. In other embodiments, B6 is 6-membered heteroaryl comprising 1-3
heteroatoms selected from N, S, and O, optionally substituted with one to three R31. In other embodiments, B6 is 6-membered heteroaryl comprising 1-3 heteroatoms selected from N, S, and O, substituted with one to three R31. In other embodiments, B6 is phenyl substituted with one to three R31. In other embodiments, B6 is phenyl optionally substituted with one to three R31. In other embodiments, B6 is phenyl.
In some embodiments, B7 is (C6-C10) aryl optionally substituted with one to three R32. In some embodiments, B7 is (C6-C10) aryl substituted with one to three R32. In other embodiments, B7 is phenyl optionally substituted with one to three R32. In other embodiments, B7 is phenyl substituted with one to three R32. In other embodiments, B7 is phenyl. In other embodiments, B7 is 5- or 6-membered heteroaryl comprising 1-3 heteroatoms selected from N, S, and O, optionally substituted with one to three R32. In other embodiments, B7 is 5- or 6-membered heteroaryl comprising 1-3 heteroatoms selected from N, S, and O, substituted with one to three R32. In other embodiments, B7 is 6-membered heteroaryl comprising 1-3 heteroatoms selected from N, S, and O, optionally substituted with one to three R32. In other embodiments, B7 is 6- membered heteroaryl comprising 1-3 heteroatoms selected from N, S, and O, substituted with one to three R32. In other embodiments, B7 is 5-membered heteroaryl comprising 1-3
heteroatoms selected from N, S, and O, optionally substituted with one to three R32. In other embodiments, B7 is 5-membered heteroaryl comprising 1-3 heteroatoms selected from N, S, and O, substituted with one to three R32. In other embodiments, B7 is isoxazolyl optionally substituted with one to three R32. In other embodiments, B7 is isoxazolyl substituted with one to three R32. In other embodiments, B7 is isoxazolyl substituted with one or two R32.
In some embodiments, X4 is O. In other embodiments, X4 is NR33.
In some embodiments, R27 is H, (C1-C3) alkyl, or (C1-C3) haloalkyl. In other
embodiments, R27 is (C1-C3) alkyl, or (C1-C3) haloalkyl. In other embodiments, R27 is H or (C1- C3) alkyl. In other embodiments, R27 is (C1-C3) alkyl. In other embodiments, R27 is methyl, ethyl, n-propyl, or i-propyl. In other embodiments, R27 is H.
In some embodiments, R28 is H, (C1-C3) alkyl, or (C1-C3) haloalkyl. In other
embodiments, R28 is (C1-C3) alkyl, or (C1-C3) haloalkyl. In other embodiments, R28 is H or (C1- C3) alkyl. In other embodiments, R28 is (C1-C3) alkyl. In other embodiments, R28 is methyl, ethyl, n-propyl, or i-propyl. In other embodiments, R28 is H.
In some embodiments, each R29 is independently (C1-C3) alkyl, (C1-C3) haloalkyl, (C1- C3) alkoxy, (C1-C3) haloalkoxy, halogen, OH, or NH2. In other embodiments, each R29 is independently (C1-C3) alkyl, (C1-C3) haloalkyl, (C1-C3) alkoxy, or (C1-C3) haloalkoxy. In other embodiments, each R29 is independently halogen, OH, or NH2. In other embodiments, each R29 is independently (C1-C3) alkyl or (C1-C3) haloalkyl. In other embodiments, each R29 is independently (C1-C3) alkoxy or (C1-C3) haloalkoxy. In other embodiments, each R29 is independently (C1-C3) alkyl, (C1-C3) haloalkyl, or halogen. In other embodiments, each R29 is independently (C1-C3) alkyl or (C1-C3) alkoxy. In other embodiments, each R29 is independently (C1-C3) haloalkyl or (C1-C3) haloalkoxy. In other embodiments, each R29 is independently halogen, (C1-C3) alkoxy or (C1-C3) haloalkoxy. In other embodiments, each R29 is independently (C1-C3) alkyl or halogen.
In some embodiments, each R30 is independently (C1-C3) alkyl, (C1-C3) haloalkyl, (C1-C3) alkoxy, (C1-C3) haloalkoxy, halogen, or C(O)(C1-C3) alkyl. In other embodiments, each R30 is independently (C1-C3) alkyl, (C1-C3) haloalkyl, (C1-C3) alkoxy, or (C1-C3) haloalkoxy. In other embodiments, each R30 is independently (C1-C3) alkyl or (C1-C3) haloalkyl. In other
embodiments, each R30 is independently (C1-C3) alkoxy or (C1-C3) haloalkoxy. In other embodiments, each R30 is independently halogen or C(O)(C1-C3) alkyl. In other embodiments, each R30 is independently (C1-C3) alkyl, (C1-C3) haloalkyl, halogen, or C(O)(C1-C3) alkyl. In other embodiments, each R30 is independently (C1-C3) alkyl, halogen, or C(O)(C1-C3) alkyl. In other embodiments, each R30 is independently (C1-C3) alkyl, (C1-C3) haloalkyl, or C(O)(C1-C3) alkyl.
In some embodiments, each R31 is independently (C1-C3) alkyl, (C1-C3) haloalkyl, (C1-C3) alkoxy, (C1-C3) haloalkoxy, halogen, OH, or NH2. In other embodiments, each R31 is independently (C1-C3) alkyl, (C1-C3) haloalkyl, (C1-C3) alkoxy, or (C1-C3) haloalkoxy. In other embodiments, each R31 is independently halogen, OH, or NH2. In other embodiments, each R31 is independently (C1-C3) alkyl or (C1-C3) haloalkyl. In other embodiments, each R31 is independently (C1-C3) alkoxy or (C1-C3) haloalkoxy. In other embodiments, each R31 is independently (C1-C3) alkyl, (C1-C3) haloalkyl, or halogen. In other embodiments, each R31 is independently (C1-C3) alkyl or (C1-C3) alkoxy. In other embodiments, each R31 is independently (C1-C3) haloalkyl or (C1-C3) haloalkoxy. In other embodiments, each R31 is independently halogen, (C1-C3) alkoxy or (C1-C3) haloalkoxy. In other embodiments, each R31 is independently (C1-C3) alkyl or halogen.
In some embodiments, each R32 is independently (C1-C3) alkyl, (C1-C3) haloalkyl, (C1-C3) alkoxy, (C1-C3) haloalkoxy, halogen, OH, or NH2. In other embodiments, each R32 is independently (C1-C3) alkyl, (C1-C3) haloalkyl, (C1-C3) alkoxy, or (C1-C3) haloalkoxy. In other embodiments, each R32 is independently halogen, OH, or NH2. In other embodiments, each R32 is independently (C1-C3) alkyl or (C1-C3) haloalkyl. In other embodiments, each R32 is independently (C1-C3) alkoxy or (C1-C3) haloalkoxy. In other embodiments, each R32 is independently (C1-C3) alkyl, (C1-C3) haloalkyl, or halogen. In other embodiments, each R32 is independently (C1-C3) alkyl or (C1-C3) alkoxy. In other embodiments, each R32 is independently (C1-C3) haloalkyl or (C1-C3) haloalkoxy. In other embodiments, each R32 is independently halogen, (C1-C3) alkoxy or (C1-C3) haloalkoxy. In other embodiments, each R32 is independently (C1-C3) alkyl or halogen. In other embodiments, each R32 is independently methyl, ethyl, n- propyl, i-propyl, F, Cl, Br, or I. In other embodiments, each R32 is independently methyl, ethyl, n-propyl, or i-propyl. In other embodiments, at least one R32 is i-propyl.
In some embodiments, R33 is H, (C1-C3) alkyl, or (C1-C3) haloalkyl. In other
embodiments, R33 is (C1-C3) alkyl or (C1-C3) haloalkyl. In other embodiments, R33 is H or (C1- C3) alkyl. In other embodiments, R33 is (C1-C3) alkyl. In other embodiments, R33 is methyl, ethyl, n-propyl, or i-propyl. In other embodiments, R33 is H. In some embodiments, s3 is 0. In other embodiments, s3 is 1. In other embodiments, s3 is 2. In other embodiments, s3 is 3. In other embodiments, s3 is 0 or 1. In other embodiments, s3 is 1 or 2. In other embodiments, s3 is 2 or 3. In other embodiments, s3 is 0, 1, or 2. In other embodiments, s3 is 1, 2, or 3.
In some embodiments, s4 is 0. In other embodiments, s4 is 1. In other embodiments, s4 is 2. In other embodiments, s4 is 3. In other embodiments, s4 is 0 or 1. In other embodiments, s4 is 1 or 2. In other embodiments, s4 is 2 or 3. In other embodiments, s4 is 0, 1, or 2. In other embodiments, s4 is 1, 2, or 3.
In some embodiments, s5 is 1. In other embodiments, s5 is 2.
Any of the groups described herein for any of B6, B7, X4, R27, R28, R29, R30, R31, R32, R33, s3, s4, and s5 can be combined with any of the groups described herein for one or more of the remainder of B6, B7, X4, R27, R28, R29, R30, R31, R32, R33, s3, s4, and s5, and may further be combined with any of the groups described herein for the Linker.
For a Targeting Ligand of Formula TL-VI:
(1) In one embodiment, R27 is H and R28 is H.
(2) In one embodiment, R27 is methyl and R28 is H.
(3) In one embodiment, R27 is H and R28 is methyl.
(4) In one embodiment, R27 is methyl and R28 is methyl.
(5) In one embodiment, R27 is H and X4 is O.
(6) In one embodiment, R27 is methyl and X4 is NR33.
(7) In one embodiment, R28 is H and X4 is O.
(8) In one embodiment, R28 is methyl and X4 is NR33.
(9) In one embodiment, R27 is H, R28 is H, and X4 is O.
(10) In one embodiment, R27 is H, R28 is H, and X4 is NR33.
(11) In one embodiment, B6 is (C6-C10) aryl optionally substituted with one to three R31 and X4 is O.
(12) In one embodiment, B6 is (C6-C10) aryl optionally substituted with one to three R31 and X4 is NR33.
(13) In one embodiment, B6 is (C6-C10) aryl and X4 is O.
(14) In one embodiment, B6 is (C6-C10) aryl and X4 is NR33. (15) In one embodiment, B6 is phenyl optionally substituted with one to three R31 and X4 is O.
(16) In one embodiment, B6 is phenyl optionally substituted with one to three R31 and X4 is NR33.
(17) In one embodiment, B6 is phenyl and X4 is O.
(18) In one embodiment, B6 is phenyl and X4 is NR33.
(19) In one embodiment, B6 is (C6-C10) aryl optionally substituted with one to three R31 and B7 is 5-membered heteroaryl comprising 1-3 heteroatoms selected from N, S, and O, optionally substituted with one to three R32.
(20) In one embodiment, B6 is (C6-C10) aryl optionally substituted with one to three R31 and B7 is 5-membered heteroaryl comprising 1-3 heteroatoms selected from N, S, and O, substituted with one to three R32.
(21) In one embodiment, B6 is (C6-C10) aryl and B7 is 5-membered heteroaryl comprising 1-3 heteroatoms selected from N, S, and O, optionally substituted with one to three R32.
(22) In one embodiment, B6 is (C6-C10) aryl and B7 is 5-membered heteroaryl comprising 1-3 heteroatoms selected from N, S, and O, substituted with one to three R32. (23) In one embodiment, B6 is phenyl optionally substituted with one to three R31and B7 is 5-membered heteroaryl comprising 1-3 heteroatoms selected from N, S, and O, optionally substituted with one to three R32.
(24) In one embodiment, B6 is phenyl optionally substituted with one to three R31and B7 is 5-membered heteroaryl comprising 1-3 heteroatoms selected from N, S, and O, substituted with one to three R32.
(25) In one embodiment, B6 is phenyl and B7 is 5-membered heteroaryl comprising 1-3 heteroatoms selected from N, S, and O, optionally substituted with one to three R32. (26) In one embodiment, B6 is phenyl and B7 is 5-membered heteroaryl comprising 1-3 heteroatoms selected from N, S, and O, substituted with one to three R32.
(27) In one embodiment, B6 is (C6-C10) aryl optionally substituted with one to three R31 and B7 is isoxazolyl optionally substituted with one to three R32.
(28) In one embodiment, B6 is (C6-C10) aryl optionally substituted with one to three R31 and B7 is isoxazolyl substituted with one to three R32. (29) In one embodiment, B6 is (C6-C10) aryl and B7 is isoxazolyl optionally substituted with one to three R32.
(30) In one embodiment, B6 is (C6-C10) aryl and B7 is isoxazolyl substituted with one to three R32.
(31) In one embodiment, B6 is phenyl optionally substituted with one to three R31 and B7 is isoxazolyl optionally substituted with one to three R32.
(32) In one embodiment, B6 is phenyl optionally substituted with one to three R31 and B7 is isoxazolyl substituted with one to three R32.
(33) In one embodiment, B6 is phenyl and B7 is isoxazolyl optionally substituted with one to three R32.
(34) In one embodiment, B6 is phenyl and B7 is isoxazolyl substituted with one to three R32.
(35) In one embodiment, R27, R28, and X4 are each as defined, where applicable, in any one of (1)-(10), and B6 is (C6-C10) aryl optionally substituted with one to three R31.
(36) In one embodiment, R27, R28, and X4 are each as defined, where applicable, in any one of (1)-(10), and B6 is (C6-C10) aryl.
(37) In one embodiment, R27, R28, and X4 are each as defined, where applicable, in any one of (1)-(10), and B6 is phenyl optionally substituted with one to three R31.
(38) In one embodiment, R27, R28, and X4 are each as defined, where applicable, in any one of (1)-(10), and B6 is phenyl.
(39) In one embodiment, B6, R27, R28, and X4 are each as defined, where applicable, in any one of (1)-(10) and (35)-(38), and B7 is 5- or 6-membered heteroaryl comprising 1-3 heteroatoms selected from N, S, and O, optionally substituted with one to three R32. (40) In one embodiment, B6, R27, R28, and X4 are each as defined, where applicable, in any one of (1)-(10) and (35)-(38), and B7 is 5- or 6-membered heteroaryl comprising 1-3 heteroatoms selected from N, S, and O, substituted with one to three R32.
(41) In one embodiment, B6, R27, R28, and X4 are each as defined, where applicable, in any one of (1)-(10) and (35)-(38), and B7 is 5-membered heteroaryl comprising 1-3 heteroatoms selected from N, S, and O, optionally substituted with one to three R32. (42) In one embodiment, B6, R27, R28, and X4 are each as defined, where applicable, in any one of (1)-(10) and (35)-(38), and B7 is 5-membered heteroaryl comprising 1-3 heteroatoms selected from N, S, and O, substituted with one to three R32.
(43) In one embodiment, B6, R27, R28, and X4 are each as defined, where applicable, in any one of (1)-(10) and (35)-(38), and B7 is isoxazolyl optionally substituted with one to three R32.
(44) In one embodiment, B6, R27, R28, and X4 are each as defined, where applicable, in any one of (1)-(10) and (35)-(38), and B7 is isoxazolyl substituted with one to three R32. (45) In one embodiment, B6, R27, R28, and X4 are each as defined, where applicable, in any one of (1)-(10) and (35)-(38), and B7 is isoxazolyl substituted with one to two R32. (46) In one embodiment, B6 and B7 are each as defined, where applicable, in any one of (11)-(34), and R27 is H.
(47) In one embodiment, B6 and B7 are each as defined, where applicable, in any one of (11)-(34), and R27 is methyl.
(48) In one embodiment, B6, B7, and R27 are each as defined, where applicable, in any one of (11)-(34) and (46)-(47), and R28 is H.
(49) In one embodiment, B6, B7, and R27 are each as defined, where applicable, in any one of (11)-(34) and (46)-(47), and R28 is methyl.
(50) In one embodiment, B6, B7, R27, and R28 are each as defined, where applicable, in any one of (11)-(34) and (46)-(49), and X4 is O.
(51) In one embodiment, B6, B7, R27, and R28 are each as defined, where applicable, in any one of (11)-(34) and (46)-(49), and X4 is NR33.
(52) In one embodiment, B6, B7, R27, R28, and X4 are each as defined, where applicable, in any one of (1)-(51), and s3 is 0.
(53) In one embodiment, B6, B7, R27, R28, and X4 are each as defined, where applicable, in any one of (1)-(51), and s3 is 1.
(54) In one embodiment, B6, B7, R27, R28, X4, and s3 are each as defined, where applicable, in any one of (1)-(53), and s4 is 0.
(55) In one embodiment, B6, B7, R27, R28, X4, and s3 are each as defined, where applicable, in any one of (1)-(53), and s4 is 1. (56) In one embodiment, B6, B7, R27, R28, X4, s3, and s4 are each as defined, where applicable, in any one of (1)-(55), and s5 is 0.
(57) In one embodiment, B6, B7, R27, R28, X4, s3, and s4 are each as defined, where applicable, in any one of (1)-(55), and s5 is 1.
(58) In one embodiment, B6, B7, R27, R28, X4, s3, s4, and s5 are each as defined, where applicable, in any one of (1)-(57), and R32 is (C1-C4) alkyl.
(59) In one embodiment, B6, B7, R27, R28, X4, s3, s4, and s5 are each as defined, where applicable, in any one of (1)-(57), and R32 is (C1-C3) alkyl.
(60) In one embodiment, B6, B7, R27, R28, X4, s3, s4, and s5 are each as defined, where applicable, in any one of (1)-(57), and R32 is isopropyl.
In one embodiment, the compound of Formula TL-VI is of Formula TL-VIa:
Figure imgf000060_0001
wherein R27, R28, R29, R31, R32, and s3 are each as defined above in Formula TL-VI.
For a Targeting Ligand of Formula TL-VIa:
(1) In one embodiment, R27 is H and R28 is H.
(2) In one embodiment, R27 is methyl and R28 is H.
(3) In one embodiment, R27 is H and R28 is methyl.
(4) In one embodiment, R27 is methyl and R28 is methyl.
(5) In one embodiment, R27 and R28 are each as defined, where applicable, in any one of (1)-(4), and s3 is 0.
(6) In one embodiment, R27 and R28 are each as defined, where applicable, in any one of (1)-(4) and s3 is 1.
(7) In one embodiment, R27, R28, and s3 are each as defined, where applicable, in any one of (1)-(6), and R32 is (C1-C4) alkyl.
(8) In one embodiment, R27, R28, and s3 are each as defined, where applicable, in any one of (1)-(6), and R32 is (C1-C3) alkyl. (9) In one embodiment, R27, R28, and s3 are each as defined, where applicable, in any one of (1)-(6), and R32 is isopropyl.
R27, R28, R32, and s3 can each be selected from any of the groups and combined as described above in Formula TL-VI or TL-VIa.
Degron
The Degron serves to link a targeted protein, through a Linker and a Targeting Ligand, to a ubiquitin ligase for proteosomal degradation. In one embodiment, the Degron is capable of binding to a ubiquitin ligase, such as an E3 ubiquitin ligase. In one embodiment, the Degron is capable of binding to cereblon.
In one embodiment, the Degron is of Formula D1:
Figure imgf000061_0001
or an enantiomer, diastereomer, or stereoisomer thereof, wherein:
Y is a bond, (CH2)1-6, (CH2)0-6-O, (CH2)0-6-C(O)NR35, (CH2)0-6-NR35C(O), (CH2)0-6-NH, or (CH2)0-6-NR36;
Z3 is C(O) or C(R37)2;
R35 is H or C1-C6 alkyl;
R36 is C1-C6 alkyl or C(O)-C1-C6 alkyl;
each R37 is independently H or C1-C3 alkyl;
each R38 is independently C1-C3 alkyl;
R39 is H, deuterium, C1-C3 alkyl, F, or Cl;
each R40 is independently halogen, OH, C1-C6 alkyl, or C1-C6 alkoxy;
q is 0, 1, or 2; and
v is 0, 1, 2, or 3; wherein the Degron is covalently bonded to the Linker via
Figure imgf000061_0002
In one embodiment, Z3 is C(O).
In one embodiment, Z3 is C(O) or CH2.
In one embodiment, Z3 is C(R37)2; and each R37 is H. In one embodiment, Z3 is C(R37)2; and one of R37 is H, and the other is C1-C3 alkyl selected from methyl, ethyl, and propyl. In one embodiment, Z3 is C(R37)2; and each R37 is independently selected from methyl, ethyl, and propyl.
In one embodiment, Y is a bond.
In one embodiment, Y is a bond, O, or NH.
In one embodiment, Y is (CH2)1, (CH2)2, (CH2)3, (CH2)4, (CH2)5, or (CH2)6. In one embodiment, Y is (CH2)1, (CH2)2, or (CH2)3. In one embodiment, Y is (CH2)1 or (CH2)2.
In one embodiment, Y is O, CH2-O, (CH2)2-O, (CH2)3-O, (CH2)4-O, (CH2)5-O, or (CH2)6- O. In one embodiment, Y is O, CH2-O, (CH2)2-O, or (CH2)3-O. In one embodiment, Y is O or CH2-O. In one embodiment, Y is O.
In one embodiment, Y is C(O)NR35, CH2-C(O)NR35, (CH2)2-C(O)NR35, (CH2)3- C(O)NR35, (CH2)4-C(O)NR35, (CH2)5-C(O)NR35, or (CH2)6-C(O)NR35. In one embodiment, Y is C(O)R35, CH2-C(O)NR35, (CH2)2-C(O)NR35, or (CH2)3-C(O)NR35. In one embodiment, Y is C(O)NR35 or CH2-C(O)NR35. In one embodiment, Y is C(O)NR35.
In one embodiment, Y is NR35C(O), CH2-NR35C(O), (CH2)2-NR35C(O), (CH2)3- NR35C(O), (CH2)4-NR35C(O), (CH2)5-NR35C(O), or (CH2)6-NR35C(O). In one embodiment, Y is NR35C(O), CH2-NR35C(O), (CH2)2-NR35C(O), or (CH2)3-NR35C(O). In one embodiment, Y is NR35C(O) or CH2-NR35C(O). In one embodiment, Y is NR35C(O).
In one embodiment, R35 is H. In one embodiment, R35 is selected from methyl, ethyl, propyl, butyl, i-butyl, t-butyl, pentyl, i-pentyl, and hexyl. In one embodiment, R35 is C1-C3 alkyl selected from methyl, ethyl, and propyl.
In one embodiment, Y is NH, CH2-NH, (CH2)2-NH, (CH2)3-NH, (CH2)4-NH, (CH2)5-NH, or (CH2)6-NH. In one embodiment, Y is NH, CH2-NH, (CH2)2-NH, or (CH2)3-NH. In one embodiment, Y is NH or CH2-NH. In one embodiment, Y is NH.
In one embodiment, Y is NR36, CH2-NR36, (CH2)2-NR36, (CH2)3-NR36, (CH2)4-NR36, (CH2)5-NR36, or (CH2)6-NR36. In one embodiment, Y is NR36, CH2-NR36, (CH2)2-NR36, or (CH2)3-NR36. In one embodiment, Y is NR36 or CH2-NR36. In one embodiment, Y is NR36.
In one embodiment, R36 is selected from methyl, ethyl, propyl, butyl, i-butyl, t-butyl, pentyl, i-pentyl, and hexyl. In one embodiment, R36 is C1-C3 alkyl selected from methyl, ethyl, and propyl. In one embodiment, R36 is selected from C(O)-methyl, C(O)-ethyl, C(O)-propyl, C(O)- butyl, C(O)-i-butyl, C(O)-t-butyl, C(O)-pentyl, C(O)-i-pentyl, and C(O)-hexyl. In one embodiment, R36 is C(O)-C1-C3 alkyl selected from C(O)-methyl, C(O)-ethyl, and C(O)-propyl.
In one embodiment, R37 is H.
In one embodiment, R37 is C1-C3 alkyl selected from methyl, ethyl, and propyl. In one embodiment, R37 is methyl.
In one embodiment, q is 0.
In one embodiment, q is 1.
In one embodiment, q is 2.
In one embodiment, each R38 is independently C1-C3 alkyl selected from methyl, ethyl, and propyl.
In one embodiment, v is 0.
In one embodiment, v is 1.
In one embodiment, v is 2.
In one embodiment, v is 3.
In one embodiment, each R40 is independently selected from halogen (e.g., F, Cl, Br, and I), OH, C1-C6 alkyl (e.g., methyl, ethyl, propyl, butyl, i-butyl, t-butyl, pentyl, i-pentyl, and hexyl), and C1-C6 alkoxy (e.g., methoxy, ethoxy, propoxy, butoxy, i-butoxy, t-butoxy, and pentoxy). In a further embodiment, each R40 is independently selected from F, Cl, OH, methyl, ethyl, propyl, butyl, i-butyl, t-butyl, methoxy, and ethoxy.
In one embodiment, R39 is H, deuterium, or C1-C3 alkyl. In another embodiment, R39 is H or C1-C3 alkyl. In a further embodiment, R39 is in the (S) or (R) configuration. In a further embodiment, R39 is in the (S) configuration. In one embodiment, the compound comprises a racemic mixture of (S)-R39 and (R)-R39.
In one embodiment, R39 is H.
In one embodiment, R39 is deuterium.
In one embodiment, R39 is C1-C3 alkyl selected from methyl, ethyl, and propyl. In one embodiment, R39 is methyl.
In one embodiment, R39 is F or Cl. In a further embodiment, R39 is in the (S) or (R) configuration. In a further embodiment, R39 is in the (R) configuration. In one embodiment, the compound comprises a racemic mixture of (S)-R39 and (R)-R39. In one embodiment, R39 is F. Any of the groups described herein for any of Y, Z3, R35, R36, R37, R38, R39, R40, q and v can be combined with any of the groups described herein for one or more of the remainder of Y, Z3, R35, R36, R37, R38, R39, R40, q and v, and may further be combined with any of the groups described herein for the Linker.
For a Degron of Formula D1:
(1) In one embodiment, Z3 is C(O) and Y is a bond.
(2) In one embodiment, Z3 is C(O) and Y is NH.
(3) In one embodiment, Z3 is C(O) and Y is (CH2)0-6-O. In a further embodiment, Y is O. (4) In one embodiment, Z3 is C(O); Y is a bond; and q and v are each 0.
(5) In one embodiment, Z3 is C(O); Y is NH; and q and v are each 0.
(6) In one embodiment, Z3 is C(O); Y is (CH2)0-6-O; and q and v are each 0. In a further embodiment, Y is O.
(7) In one embodiment, Z3 is C(O); Y is a bond; and R37 is H.
(8) In one embodiment, Z3 is C(O); Y is a bond; and R37 is H.
(9) In one embodiment, Z3 is C(O); Y is NH; and R37 is H.
(10) In one embodiment, Z3 is C(O); Y is NH; and R39 is H.
(11) In one embodiment, Z3 is C(O); Y is a bond; R37 is H; and R39 is H.
(12) In one embodiment, Z3 is C(O); Y is NH; R37 is H; and R39 is H.
(13) In one embodiment, Z3 is C(O); Y is (CH2)0-6-O; and R37 is H. In a further embodiment, Y is O.
(14) In one embodiment, Z3 is C(O); Y is (CH2)0-6-O; and R39 is H. In a further
embodiment, Y is O.
(15) In one embodiment, Z3 is C(O); Y is (CH2)0-6-O; R37 is H; and R39 is H. In a
further embodiment, Y is O.
(16) In one embodiment, q and v are each 0; and Y, Z3, R37, and R39 are each as
defined in any of (1)– (3) and (7)– (15).
(17) In one embodiment, Z3 is CH2 and Y is a bond.
(18) In one embodiment, Z3 is CH2 and Y is NH.
(19) In one embodiment, Z3 is CH2 and Y is (CH2)0-6-O. In a further embodiment, Y is O.
(20) In one embodiment, Z3 is CH2; Y is a bond; and q and v are each 0. (21) In one embodiment, Z3 is CH2; Y is NH; and q and v are each 0.
(22) In one embodiment, Z3 is CH2; Y is (CH2)0-6-O; and q and v are each 0. In a
further embodiment, Y is O.
(23) In one embodiment, Z3 is CH2; Y is a bond; and R37 is H.
(24) In one embodiment, Z3 is CH2; Y is a bond; and R39 is H.
(25) In one embodiment, Z3 is CH2; Y is NH; and R37 is H.
(26) In one embodiment, Z3 is CH2; Y is NH; and R39 is H.
(27) In one embodiment, Z3 is CH2; Y is a bond; R37 is H; and R39 is H.
(28) In one embodiment, Z3 is CH2; Y is NH; R37 is H; and R39 is H.
(29) In one embodiment, Z3 is CH2; Y is (CH2)0-6-O; and R37 is H. In a further embodiment, Y is O.
(30) In one embodiment, Z3 is CH2; Y is (CH2)0-6-O; and R39 is H. In a further
embodiment, Y is O.
(31) In one embodiment, Z3 is CH2; Y is (CH2)0-6-O; R37 is H; and R39 is H. In a
further embodiment, Y is O.
(32) In one embodiment, q and v are each 0; and Y, Z3, R37, and R39 are each as
defined in any of (17)– (19) and (23)– (31).
In one embodiment, the Degron is of Formula D1a, D1b, D1c, D1d, D1e, D1f, D1g, D1h, D1i, D1j, D1k, or D1l:
Figure imgf000065_0001
Figure imgf000066_0001
or an enantiomer, diastereomer, or stereoisomer thereof, wherein Y, R38, R40, q, and v are each as defined above in Formula D1, and can be selected from any moieties or combinations thereof described above.
In one embodiment, Y is a bond, O, or NH. In one embodiment, Y is a bond. In one embodiment, Y is O. In one embodiment, Y is NH.
In one embodiment, the Degron is of Formula D2:
Figure imgf000066_0002
or an enantiomer, diastereomer, or stereoisomer thereof, wherein:
each R41 is independently C1-C3 alkyl;
q' is 0, 1, 2, 3 or 4; and
R42 is H or C1-C3 alkyl,
h r in the Degron is covalently bonded to another moiety (e.g., a compound, or a Linker) via
Figure imgf000066_0003
In one embodiment, q' is 0.
In one embodiment, q' is 1. In one embodiment, q' is 2.
In one embodiment, q' is 3.
In one embodiment, each R41 is independently C1-C3 alkyl selected from methyl, ethyl, and propyl.
In one embodiment, R42 is methyl, ethyl, or propyl. In one embodiment, R42 is methyl. In one embodiment, the Degron is of Formula D2a:
Figure imgf000067_0001
or an enantiomer, diastereomer, or stereoisomer thereof, wherein:
each R41 is independently C1-C3 alkyl;
q' is 0, 1, 2, 3 or 4; and
R42 is H or C1-C3 alkyl,
n the Degron is covalently bonded to another moiety (e.g., a compound, or a Linker) via
Figure imgf000067_0002
In one embodiment, q' is 0.
In one embodiment, q' is 1.
In one embodiment, q' is 2.
In one embodiment, q' is 3.
In one embodiment, each R41 is independently C1-C3 alkyl selected from methyl, ethyl, and propyl.
In one embodiment, R42 is methyl, ethyl, or propyl. In one embodiment, R42 is methyl. In one embodiment, the Degron is of Formula D2b:
Figure imgf000067_0003
or an enantiomer, diastereomer, or stereoisomer thereof, wherein:
each R41 is independently C1-C3 alkyl;
q' is 0, 1, 2, 3 or 4; and
R42 is H or C1-C3 alkyl,
n the Degron is covalently bonded to another moiety (e.g., a compound, or a Linker) via
Figure imgf000068_0001
In one embodiment, q' is 0.
In one embodiment, q' is 1.
In one embodiment, q' is 2.
In one embodiment, q' is 3.
In one embodiment, each R41 is independently C1-C3 alkyl selected from methyl, ethyl, and propyl.
In one embodiment, R42 is methyl, ethyl, or propyl. In one embodiment, R42 is methyl. In one embodiment, the Degron is of Formula D2c:
Figure imgf000068_0002
or an enantiomer, diastereomer, or stereoisomer thereof, wherein:
h r in the Degron is covalently bonded to another moiety (e.g., a compound, or a Linker) via
Figure imgf000068_0003
In one embodiment, the Degron is of Formula D2d:
Figure imgf000068_0004
or an enantiomer, diastereomer, or stereoisomer thereof, wherein: n the Degron is covalently bonded to another moiety (e.g., a compound, or a Linker) via
Figure imgf000069_0001
Linker
The Linker is a bond, a carbon chain, carbocyclic ring, or heterocyclic ring that serves to link a Targeting Ligand with a Degron. In one embodiment, the carbon chain optionally comprises one, two, three, or more heteroatoms selected from N, O, and S. In one embodiment, the carbon chain comprises only saturated chain carbon atoms. In one embodiment, the carbon chain optionally comprises two or more unsaturated chain carbon atoms (e.g.,
Figure imgf000069_0003
Figure imgf000069_0002
). In one embodiment, one or more chain carbon atoms in the carbon chain are optionally substituted with one or more substituents (e.g., oxo, C1-C6 alkyl, C2-C6 alkenyl, C2-C6 alkynyl, C1-C3 alkoxy, OH, halogen, NH2, NH(C1-C3 alkyl), N(C1-C3 alkyl)2, CN, C3-C8 cycloalkyl, heterocyclyl, phenyl, and heteroaryl).
In one embodiment, the Linker comprises at least 5 chain atoms (e.g., C, O, N, and S). In one embodiment, the Linker comprises less than 25 chain atoms (e.g., C, O, N, and S). In one embodiment, the Linker comprises less than 20 chain atoms (e.g., C, O, N, and S). In one embodiment, the Linker comprises 4, 5, 6, 7, 8, 9, 10, 11, 12, 13, 14, 15, 16, 17, 18, 19, 20, 21, 22, 23, or 24 chain atoms (e.g., C, O, N, and S). In one embodiment, the Linker comprises 5, 6, 7, 8, 9, 10, 11, 12, 13, 14, 15, 16, 17, 18, 19, 20, 21, 22, 23, or 24 chain atoms (e.g., C, O, N, and S). In one embodiment, the Linker comprises 5, 7, 9, 11, 13, 15, 17, or 19 chain atoms (e.g., C, O, N, and S). In one embodiment, the Linker comprises 5, 7, 9, or 11 chain atoms (e.g., C, O, N, and S). In one embodiment, the Linker comprises 11, 13, 15, 17, or 19 chain atoms (e.g., C, O, N, and S). In one embodiment, the Linker comprises 11, 13, 15, 17, 19, 21, or 23 chain atoms (e.g., C, O, N, and S). In one embodiment, the Linker comprises 6, 8, 10, 12, 14, 16, 18, 20, 22, or 24 chain atoms (e.g., C, O, N, and S). In one embodiment, the Linker comprises 6, 8, 10, 12, 14, 16, 18, or 20 chain atoms (e.g., C, O, N, and S). In one embodiment, the Linker comprises 6, 8, 10, or 12 chain atoms (e.g., C, O, N, and S). In one embodiment, the Linker comprises 12, 14, 16, 18, or 20 chain atoms (e.g., C, O, N, and S).
In one embodiment, the Linker comprises from 11 to 19 chain atoms (e.g., C, O, N, and S). In one embodiment, the Linker is a carbon chain optionally substituted with non-bulky substituents (e.g., oxo, C1-C6 alkyl, C2-C6 alkenyl, C2-C6 alkynyl, C1-C3 alkoxy, OH, halogen, NH2, NH(C1-C3 alkyl), N(C1-C3 alkyl)2, and CN). In one embodiment, the non-bulky substitution is located on the chain carbon atom proximal to the Degron (e.g., the carbon atom is separated from the carbon atom to which the Degron is bonded by at least 3, 4, or 5 chain atoms in the Linker). In one embodiment, the non-bulky substitution is located on the chain carbon atom proximal to the Targeting Ligand (e.g., the carbon atom is separated from the carbon atom to which the Degron is bonded by at least 3, 4, or 5 chain atoms in the Linker).
In one embodiment the Linker is of Formula L1:
Figure imgf000070_0001
or an enantiomer, diastereomer, or stereoisomer thereof, wherein
p1 is an integer selected from 0 to 12;
p2 is an integer selected from 0 to 12;
p3 is an integer selected from 1 to 6;
each W is independently absent, CH2, O, S, or NR34;
Z1 is absent, C(O), CH2, O, (CH2)jNR34, O(CH2)jC(O)NR34, C(O)NR34, (CH2)jC(O)NR34, NR34C(O), (CH2)jNR34C(O), C(O)NR34(CH2)jC(O)NR34, C(O)(CH2)jC(O)NR34,
(CH2)kNR34(CH2)jC(O)NR34, or NR34(CH2)jC(O)NR34;
each R34 is independently H or C1-C3 alkyl;
j is 1, 2, or 3;
k is 1, 2, or 3; and
Q1 is absent, C(O), NHC(O)(CH2)0-1, OCH2C(O), O(CH2)1-2, or
Figure imgf000070_0002
wherein the Linker is covalently bonded to a Degron via the next to Q1, and covalently bonded to a Targeting Ligand via the next to Z1.
In one embodiment, the total number of chain atoms in the Linker is less than 30. In a further embodiment, the total number of chain atoms in the Linker is less than 20. For a Linker of Formula L1:
(1) In one embodiment, p1 is an integer selected from 0 to 10.
(2) In one embodiment, p1 is an integer selected from 1 to 10.
(3) In one embodiment, p1 is selected from 1, 2, 3, 4, 5, and 6.
(4) In one embodiment, p1 is 0, 1, 3, or 5.
(5) In one embodiment, p1 is 0, 1, 2, or 3.
(6) In one embodiment, p1 is 0.
(7) In one embodiment, p1 is 1.
(8) In one embodiment, p1 is 2.
(9) In one embodiment, p1 is 3.
(10) In one embodiment, p1 is 4.
(11) In one embodiment, p1 is 5.
(12) In one embodiment, p2 is an integer selected from 0 to 10. (13) In one embodiment, p2 is selected from 0, 1, 2, 3, 4, 5, and 6. (14) In one embodiment, p2 is 0, 1, 2, or 3.
(15) In one embodiment, p2 is 0.
(16) In one embodiment, p2 is 1.
(17) In one embodiment, p2 is 2.
(18) In one embodiment, p2 is 3.
(19) In one embodiment, p3 is an integer selected from 1 to 5. (20) In one embodiment, p3 is 2, 3, 4, or 5.
(21) In one embodiment, p3 is 0, 1, 2, or 3.
(22) In one embodiment, p3 is 0.
(23) In one embodiment, p3 is 1.
(24) In one embodiment, p3 is 2.
(25) In one embodiment, p3 is 3.
(26) In one embodiment, p3 is 4.
(27) In one embodiment, at least one W is CH2.
(28) In one embodiment, at least one W is O.
(29) In one embodiment, at least one W is S.
(30) In one embodiment, at least one W is NH. (31) In one embodiment, at least one W is NR34; and each R34 is independently C1-C3 alkyl selected from methyl, ethyl, and propyl.
(32) In one embodiment, each W is O.
(33) In one embodiment, each W is CH2.
(34) In one embodiment, j is 1, 2, or 3.
(35) In one embodiment, j is 1.
(36) In one embodiment, j is 2.
(37) In one embodiment, j is 3.
(38) In one embodiment, j is 2 or 3.
(39) In one embodiment, j is 1 or 2.
(40) In one embodiment, k is 1, 2, or 3.
(41) In one embodiment, k is 1.
(42) In one embodiment, k is 2.
(43) In one embodiment, k is 3.
(44) In one embodiment, k is 2 or 3.
(45) In one embodiment, k is 1 or 2.
(46) In one embodiment, Q1 is absent.
(47) In one embodiment, Q1 is NHC(O)CH2.
(48) In one embodiment, Q1 is O(CH2)1-2.
(49) In one embodiment, Q1 is OCH2.
(50) In one embodiment, Q1 is OCH2CH2.
(51) In one embodiment, Q1 is OCH2C(O).
(52) In one embodiment, Q1 is C(O).
(53) In one embodiment, Z1 is absent.
(54) In one embodiment, Z1 is O(CH2)jC(O)NR34; and R34 is C1-C3 alkyl selected from methyl, ethyl, and propyl.
(55) In one embodiment, Z1 is O(CH2)jC(O)NR34; and R34 is H.
(56) In one embodiment, Z1 is O(CH2)jC(O)NR34; R34 is C1-C3 alkyl selected from methyl, ethyl, and propyl; and j is 1.
(57) In one embodiment, Z1 is O(CH2)jC(O)NR34; R34 is H; and j is 1. (58) In one embodiment, Z1 is O(CH2)jC(O)NR34; R34 is C1-C3 alkyl selected from methyl, ethyl, and propyl; and j is 2.
(59) In one embodiment, Z1 is O(CH2)jC(O)NR34; R34 is H; and j is 2.
(60) In one embodiment, Z1 is O(CH2)jC(O)NR34; R34 is C1-C3 alkyl selected from methyl, ethyl, and propyl; and j is 3.
(61) In one embodiment, Z1 is O(CH2)jC(O)NR34; and R34 is H; and j is 3.
(62) In one embodiment, Z1 is C(O)NR34; and R34 is H.
(63) In one embodiment, Z1 is C(O)NR34; and R34 is C1-C3 alkyl selected from methyl, ethyl, and propyl.
(64) In one embodiment, Z1 is (CH2)jC(O)NR34; and R34 is H.
(65) In one embodiment, Z1 is (CH2)jC(O)NR34; and R34 is C1-C3 alkyl selected from methyl, ethyl, and propyl.
(66) In one embodiment, Z1 is (CH2)jC(O)NR34; R34 is H; and j is 1.
(67) In one embodiment, Z1 is (CH2)jC(O)NR34; R34 is C1-C3 alkyl selected from methyl, ethyl, and propyl; and j is 1
(68) In one embodiment, Z1 is (CH2)jC(O)NR34; R34 is H; and j is 2.
(69) In one embodiment, Z1 is (CH2)jC(O)NR34; R34 is C1-C3 alkyl selected from methyl, ethyl, and propyl; and j is 2.
(70) In one embodiment, Z1 is (CH2)jC(O)NR34; R34 is H; and j is 3.
(71) In one embodiment, Z1 is (CH2)jC(O)NR34; R34 is C1-C3 alkyl selected from methyl, ethyl, and propyl; and j is 3.
(72) In one embodiment, Z1 is NR34C(O); and R34 is H.
(73) In one embodiment, Z1 is NR34C(O); and R34 is C1-C3 alkyl selected from methyl, ethyl, and propyl.
(74) In one embodiment, Z1 is (CH2)jNR34C(O); and R34 is H.
(75) In one embodiment, Z1 is (CH2)jNR34C(O); and R34 is C1-C3 alkyl selected from methyl, ethyl, and propyl.
(76) In one embodiment, Z1 is (CH2)jNR34C(O); R34 is H; and j is 1.
(77) In one embodiment, Z1 is (CH2)jNR34C(O); R34 is C1-C3 alkyl selected from methyl, ethyl, and propyl; and j is 1
(78) In one embodiment, Z1 is (CH2)jNR34C(O); R34 is H; and j is 2. (79) In one embodiment, Z1 is (CH2)jNR34C(O); R34 is C1-C3 alkyl selected from methyl, ethyl, and propyl; and j is 2.
(80) In one embodiment, Z1 is (CH2)jNR34C(O); R34 is H; and j is 3.
(81) In one embodiment, Z1 is (CH2)jNR34C(O); R34 is C1-C3 alkyl selected from methyl, ethyl, and propyl; and j is 3.
(82) In one embodiment, Z1 is (CH2)kNR34(CH2)jC(O)NR34; and each R34 is independently H or C1-C3 alkyl selected from methyl, ethyl, and propyl.
(83) In one embodiment, Z1 is (CH2)kNR34(CH2)jC(O)NR34; and one of R34 is H and one of R34 is C1-C3 alkyl selected from methyl, ethyl, and propyl. In one embodiment, Z1 is (CH2)kNR34(CH2)jC(O)NH.
(84) In one embodiment, Z1 is (CH2)kNR34(CH2)jC(O)NR34; each R34 is independently H or C1-C3 alkyl selected from methyl, ethyl, and propyl; and j is 1.
(85) In one embodiment, Z1 is (CH2)kNR34(CH2)jC(O)NR34; each R34 is independently H or C1-C3 alkyl selected from methyl, ethyl, and propyl; and k is 1.
(86) In one embodiment, Z1 is (CH2)kNR34(CH2)jC(O)NR34; each R34 is independently H or C1-C3 alkyl selected from methyl, ethyl, and propyl; j is 1; and k is 1.
(87) In one embodiment, Z1 is (CH2)kNR34(CH2)jC(O)NR34; one of R34 is H and one of R34 is C1-C3 alkyl selected from methyl, ethyl, and propyl; and j is 1. In one embodiment, Z1 is (CH2)kNR34(CH2)C(O)NH.
(88) In one embodiment, Z1 is (CH2)kNR34(CH2)jC(O)NR34; one of R34 is H and one of R34 is C1-C3 alkyl selected from methyl, ethyl, and propyl; and k is 1. In one embodiment, Z1 is (CH2)NR34(CH2)jC(O)NH.
(89) In one embodiment, Z1 is (CH2)kNR34(CH2)jC(O)NR34; one of R34 is H and one of R34 is C1-C3 alkyl selected from methyl, ethyl, and propyl; j is 1; and k is 1. In one embodiment, Z1 is (CH2)NR34(CH2)C(O)NH. In one embodiment, Z1 is (CH2)N(CH3)(CH2)C(O)NH.
(90) In one embodiment, Z1 is (CH2)kNR34(CH2)jC(O)NR34; each R34 is independently H or C1-C3 alkyl selected from methyl, ethyl, and propyl; and j is 2.
(91) In one embodiment, Z1 is (CH2)kNR34(CH2)jC(O)NR34; each R34 is independently H or C1-C3 alkyl selected from methyl, ethyl, and propyl; and k is 2. (92) In one embodiment, Z1 is (CH2)kNR34(CH2)jC(O)NR34; one of R34 is H and one of R34 is C1-C3 alkyl selected from methyl, ethyl, and propyl; and j is 2. In one embodiment, Z1 is (CH2)kNR34(CH2)2C(O)NH.
(93) In one embodiment, Z1 is (CH2)kNR34(CH2)jC(O)NR34; one of R34 is H and one of R34 is C1-C3 alkyl selected from methyl, ethyl, and propyl; and k is 2. In one embodiment, Z1 is (CH2)2NR34(CH2)jC(O)NH.
(94) In one embodiment, Z1 is (CH2)kNR34(CH2)jC(O)NR34; each R34 is independently H or C1-C3 alkyl selected from methyl, ethyl, and propyl; and j is 3.
(95) In one embodiment, Z1 is (CH2)kNR34(CH2)jC(O)NR34; each R34 is independently H or C1-C3 alkyl selected from methyl, ethyl, and propyl; and k is 3.
(96) In one embodiment, Z1 is (CH2)kNR34(CH2)jC(O)NR34; one of R34 is H and one of R34 is C1-C3 alkyl selected from methyl, ethyl, and propyl; and j is 3. In one embodiment, Z1 is (CH2)kNR34(CH2)3C(O)NH.
(97) In one embodiment, Z1 is (CH2)kNR34(CH2)jC(O)NR34; one of R34 is H and one of R34 is C1-C3 alkyl selected from methyl, ethyl, and propyl; and k is 3. In one embodiment, Z1 is (CH2)3NR34(CH2)jC(O)NH.
(98) In one embodiment, Z1 is NR34(CH2)jC(O)NR34; and each R34 is independently H or C1- C3 alkyl selected from methyl, ethyl, and propyl.
(99) In one embodiment, Z1 is NR34(CH2)jC(O)NR34; and each R34 is H.
(100) In one embodiment, Z1 is NR34(CH2)jC(O)NR34; one of R34 is H and one of R34 is C1-C3 alkyl selected from methyl, ethyl, and propyl; and j is 1.
(101) In one embodiment, Z1 is NR34(CH2)jC(O)NR34; R34 is H; and j is 1.
(102) In one embodiment, Z1 is NR34(CH2)jC(O)NR34; one of R34 is H and one of R34 is C1-C3 alkyl selected from methyl, ethyl, and propyl; and j is 2.
(103) In one embodiment, Z1 is NR34(CH2)jC(O)NR34; R34 is H; and j is 2.
(104) In one embodiment, Z1 is NR34(CH2)jC(O)NR34; one of R34 is H and one of R34 is C1-C3 alkyl selected from methyl, ethyl, and propyl; and j is 3.
(105) In one embodiment, Z1 is C(O)NR34(CH2)jC(O)NR34; and each R34 is H.
(106) In one embodiment, Z1 is C(O)NR34(CH2)jC(O)NR34; and one of R34 is H and one of R34 is C1-C3 alkyl selected from methyl, ethyl, and propyl. (107) In one embodiment, Z1 is C(O)NR34(CH2)jC(O)NR34; and each R34 is independently H or C1-C3 alkyl selected from methyl, ethyl, and propyl.
(108) In one embodiment, Z1 is C(O)NR34(CH2)jC(O)NR34; each R34 is H; and j is 1.
(109) In one embodiment, Z1 is C(O)NR34(CH2)jC(O)NR34; one of R34 is H and one of R34 is C1-C3 alkyl selected from methyl, ethyl, and propyl; and j is 1.
(110) In one embodiment, Z1 is C(O)NR34(CH2)jC(O)NR34; each R34 is independently H or C1- C3 alkyl selected from methyl, ethyl, and propyl; and j is 1.
(111) In one embodiment, Z1 is C(O)NR34(CH2)jC(O)NR34; each R34 is H; and j is 2.
(112) In one embodiment, Z1 is C(O)NR34(CH2)jC(O)NR34; one of R34 is H; and one of R34 is C1-C3 alkyl selected from methyl, ethyl, and propyl, and j is 2.
(113) In one embodiment, Z1 is C(O)NR34(CH2)jC(O)NR34; each R34 is independently H or C1- C3 alkyl selected from methyl, ethyl, and propyl; and j is 2.
(114) In one embodiment, Z1 is C(O)NR34(CH2)jC(O)NR34; each R34 is H, and j is 3.
(115) In one embodiment, Z1 is C(O)NR34(CH2)jC(O)NR34; one of R34 is H and one of R34 is C1-C3 alkyl selected from methyl, ethyl, and propyl; and j is 3.
(116) In one embodiment, Z1 is C(O)NR34(CH2)jC(O)NR34; each R34 is independently H or C1- C3 alkyl selected from methyl, ethyl, and propyl; and j is 3.
(117) In one embodiment, Z1 is C(O)(CH2)jC(O)NR34; and R34 is H.
(118) In one embodiment, Z1 is C(O)(CH2)jC(O)NR34; and R34 is H or C1-C3 alkyl selected from methyl, ethyl, and propyl.
(119) In one embodiment, Z1 is C(O)(CH2)jC(O)NR34; and R34 is C1-C3 alkyl selected from methyl, ethyl, and propyl.
(120) In one embodiment, Z1 is C(O)(CH2)jC(O)NR34; R34 is H; and j is 1.
(121) In one embodiment, Z1 is C(O)(CH2)jC(O)NR34; R34 is H or C1-C3 alkyl selected from methyl, ethyl, and propyl; and j is 1.
(122) In one embodiment, Z1 is C(O)(CH2)jC(O)NR34; R34 is C1-C3 alkyl selected from methyl, ethyl, and propyl; and j is 1.
(123) In one embodiment, Z1 is C(O)(CH2)jC(O)NR34; R34 is H; and j is 2.
(124) In one embodiment, Z1 is C(O)(CH2)jC(O)NR34; R34 is H or C1-C3 alkyl selected from methyl, ethyl, and propyl; and j is 2. (125) In one embodiment, Z1 is C(O)(CH2)jC(O)NR34; R34 is C1-C3 alkyl selected from methyl, ethyl, and propyl; and j is 2.
(126) In one embodiment, Z1 is C(O)(CH2)jC(O)NR34; R34 is H; and j is 3.
(127) In one embodiment, Z1 is C(O)(CH2)jC(O)NR34; R34 is H or C1-C3 alkyl selected from methyl, ethyl, and propyl; and j is 3.
(128) In one embodiment, Z1 is C(O)(CH2)jC(O)NR34; R34 is C1-C3 alkyl selected from methyl, ethyl, and propyl; and j is 3.
(129) In one embodiment, Z1 is C(O)NR34 and p3 is 1.
(130) In one embodiment, Z1 is C(O)NR34 and p3 is 2.
(131) In one embodiment, Z1 is C(O)NR34 and p3 is 3.
(132) In one embodiment, Z1 is C(O)NR34, p3 is 1, and p1 is 1-8.
(133) In one embodiment, Z1 is C(O)NR34, p3 is 1, and p1 is 1.
(134) In one embodiment, Z1 is C(O)NR34, p3 is 1, and p1 is 2.
(135) In one embodiment, Z1 is C(O)NR34, p3 is 1, and p1 is 3.
(136) In one embodiment, Z1 is C(O)NR34, p3 is 2, and p1 is 1-8.
(137) In one embodiment, Z1 is C(O)NR34, p3 is 2, and p1 is 1.
(138) In one embodiment, Z1 is C(O)NR34, p3 is 2, and p1 is 2.
(139) In one embodiment, Z1 is C(O)NR34, p3 is 2, and p1 is 3.
(140) In one embodiment, Z1 is C(O)NR34, p3 is 3, and p1 is 1-8.
(141) In one embodiment, Z1 is C(O)NR34, p3 is 3, and p1 is 1.
(142) In one embodiment, Z1 is C(O)NR34, p3 is 3, and p1 is 2.
(143) In one embodiment, Z1 is C(O)NR34, p3 is 3, and p1 is 2.
(144) In one embodiment, Z1 is C(O)NR34(CH2)1C(O)NR34 and p3 is 1.
(145) In one embodiment, Z1 is C(O)NR34(CH2)1C(O)NR34 and p3 is 2.
(146) In one embodiment, Z1 is C(O)NR34(CH2)1C(O)NR34 and p3 is 3.
(147) In one embodiment, Z1 is C(O)NR34(CH2)2C(O)NR34 and p3 is 1.
(148) In one embodiment, Z1 is C(O)NR34(CH2)2C(O)NR34 and p3 is 2.
(149) In one embodiment, Z1 is C(O)NR34(CH2)2C(O)NR34 and p3 is 3.
(150) In one embodiment, Z1 is C(O)NR34(CH2)3C(O)NR34 and p3 is 1.
(151) In one embodiment, Z1 is C(O)NR34(CH2)3C(O)NR34 and p3 is 2.
(152) In one embodiment, Z1 is C(O)NR34(CH2)3C(O)NR34 and p3 is 3. (153) In one embodiment, Z1 is C(O)NR34(CH2)1C(O)NR34, p3 is 1, and p1 is 1-8. (154) In one embodiment, Z1 is C(O)NR34(CH2)1C(O)NR34, p3 is 1, and p1 is 1. (155) In one embodiment, Z1 is C(O)NR34(CH2)1C(O)NR34, p3 is 1, and p1 is 2. (156) In one embodiment, Z1 is C(O)NR34(CH2)1C(O)NR34, p3 is 1, and p1 is 3. (157) In one embodiment, Z1 is C(O)NR34(CH2)1C(O)NR34, p3 is 2, and p1 is 1-8. (158) In one embodiment, Z1 is C(O)NR34(CH2)1C(O)NR34, p3 is 2, and p1 is 1. (159) In one embodiment, Z1 is C(O)NR34(CH2)1C(O)NR34, p3 is 2, and p1 is 2. (160) In one embodiment, Z1 is C(O)NR34(CH2)1C(O)NR34, p3 is 2, and p1 is 3. (161) In one embodiment, Z1 is C(O)NR34(CH2)1C(O)NR34, p3 is 3, and p1 is 1-8. (162) In one embodiment, Z1 is C(O)NR34(CH2)1C(O)NR34, p3 is 3, and p1 is 1. (163) In one embodiment, Z1 is C(O)NR34(CH2)1C(O)NR34, p3 is 3, and p1 is 2. (164) In one embodiment, Z1 is C(O)NR34(CH2)1C(O)NR34, p3 is 3, and p1 is 3. (165) In one embodiment, Z1 is C(O)NR34(CH2)2C(O)NR34, p3 is 1, and p1 is 1-8. (166) In one embodiment, Z1 is C(O)NR34(CH2)2C(O)NR34, p3 is 1, and p1 is 1. (167) In one embodiment, Z1 is C(O)NR34(CH2)2C(O)NR34, p3 is 1, and p1 is 2. (168) In one embodiment, Z1 is C(O)NR34(CH2)2C(O)NR34, p3 is 1, and p1 is 3. (169) In one embodiment, Z1 is C(O)NR34(CH2)2C(O)NR34, p3 is 2, and p1 is 1-8. (170) In one embodiment, Z1 is C(O)NR34(CH2)2C(O)NR34, p3 is 2, and p1 is 1. (171) In one embodiment, Z1 is C(O)NR34(CH2)2C(O)NR34, p3 is 2, and p1 is 2. (172) In one embodiment, Z1 is C(O)NR34(CH2)2C(O)NR34, p3 is 2, and p1 is 3. (173) In one embodiment, Z1 is C(O)NR34(CH2)2C(O)NR34, p3 is 3, and p1 is 1-8. (174) In one embodiment, Z1 is C(O)NR34(CH2)2C(O)NR34, p3 is 3, and p1 is 1. (175) In one embodiment, Z1 is C(O)NR34(CH2)2C(O)NR34, p3 is 3, and p1 is 2. (176) In one embodiment, Z1 is C(O)NR34(CH2)2C(O)NR34, p3 is 3, and p1 is 3. (177) In one embodiment, Z1 is C(O)NR34(CH2)3C(O)NR34, p3 is 1, and p1 is 1-8. (178) In one embodiment, Z1 is C(O)NR34(CH2)3C(O)NR34, p3 is 1, and p1 is 1. (179) In one embodiment, Z1 is C(O)NR34(CH2)3C(O)NR34, p3 is 1, and p1 is 2. (180) In one embodiment, Z1 is C(O)NR34(CH2)3C(O)NR34, p3 is 1, and p1 is 3. (181) In one embodiment, Z1 is C(O)NR34(CH2)3C(O)NR34, p3 is 2, and p1 is 1-8. (182) In one embodiment, Z1 is C(O)NR34(CH2)3C(O)NR34, p3 is 2, and p1 is 1. (183) In one embodiment, Z1 is C(O)NR34(CH2)3C(O)NR34, p3 is 2, and p1 is 2. (184) In one embodiment, Z1 is C(O)NR34(CH2)3C(O)NR34, p3 is 2, and p1 is 3. (185) In one embodiment, Z1 is C(O)NR34(CH2)3C(O)NR34, p3 is 3, and p1 is 1-8. (186) In one embodiment, Z1 is C(O)NR34(CH2)3C(O)NR34, p3 is 3, and p1 is 1. (187) In one embodiment, Z1 is C(O)NR34(CH2)3C(O)NR34, p3 is 3, and p1 is 2. (188) In one embodiment, Z1 is C(O)NR34(CH2)3C(O)NR34, p3 is 3, and p1 is 3. (189) In one embodiment, Z1 is (CH2)1NR34C(O) and p3 is 1.
(190) In one embodiment, Z1 is (CH2)1NR34C(O) and p3 is 2.
(191) In one embodiment, Z1 is (CH2)1NR34C(O) and p3 is 3.
(192) In one embodiment, Z1 is (CH2)2NR34C(O) and p3 is 1.
(193) In one embodiment, Z1 is (CH2)2NR34C(O) and p3 is 2.
(194) In one embodiment, Z1 is (CH2)2NR34C(O) and p3 is 3.
(195) In one embodiment, Z1 is (CH2)3NR34C(O) and p3 is 1.
(196) In one embodiment, Z1 is (CH2)3NR34C(O) and p3 is 2.
(197) In one embodiment, Z1 is (CH2)3NR34C(O) and p3 is 3.
(198) In one embodiment, Z1 is (CH2)1NR34C(O), p3 is 1, and p1 is 1-8.
(199) In one embodiment, Z1 is (CH2)1NR34C(O), p3 is 1, and p1 is 1.
(200) In one embodiment, Z1 is (CH2)1NR34C(O), p3 is 1, and p1 is 2.
(201) In one embodiment, Z1 is (CH2)1NR34C(O), p3 is 1, and p1 is 3.
(202) In one embodiment, Z1 is (CH2)1NR34C(O), p3 is 2, and p1 is 1-8.
(203) In one embodiment, Z1 is (CH2)1NR34C(O), p3 is 2, and p1 is 1.
(204) In one embodiment, Z1 is (CH2)1NR34C(O), p3 is 2, and p1 is 2.
(205) In one embodiment, Z1 is (CH2)1NR34C(O), p3 is 2, and p1 is 3.
(206) In one embodiment, Z1 is (CH2)1NR34C(O), p3 is 3, and p1 is 1-8.
(207) In one embodiment, Z1 is (CH2)1NR34C(O), p3 is 3, and p1 is 1.
(208) In one embodiment, Z1 is (CH2)1NR34C(O), p3 is 3, and p1 is 2.
(209) In one embodiment, Z1 is (CH2)1NR34C(O), p3 is 3, and p1 is 3.
(210) In one embodiment, Z1 is (CH2)2NR34C(O), p3 is 1, and p1 is 1-8.
(211) In one embodiment, Z1 is (CH2)2NR34C(O), p3 is 1, and p1 is 1.
(212) In one embodiment, Z1 is (CH2)2NR34C(O), p3 is 1, and p1 is 2.
(213) In one embodiment, Z1 is (CH2)2NR34C(O), p3 is 1, and p1 is 3.
(214) In one embodiment, Z1 is (CH2)2NR34C(O), p3 is 2, and p1 is 1-8. (215) In one embodiment, Z1 is (CH2)2NR34C(O), p3 is 2, and p1 is 1.
(216) In one embodiment, Z1 is (CH2)2NR34C(O), p3 is 2, and p1 is 2.
(217) In one embodiment, Z1 is (CH2)2NR34C(O), p3 is 2, and p1 is 3.
(218) In one embodiment, Z1 is (CH2)2NR34C(O), p3 is 3, and p1 is 1-8. (219) In one embodiment, Z1 is (CH2)2NR34C(O), p3 is 3, and p1 is 1.
(220) In one embodiment, Z1 is (CH2)2NR34C(O), p3 is 3, and p1 is 2.
(221) In one embodiment, Z1 is (CH2)2NR34C(O), p3 is 3, and p1 is 3.
(222) In one embodiment, Z1 is (CH2)3NR34C(O), p3 is 1, and p1 is 1-8. (223) In one embodiment, Z1 is (CH2)3NR34C(O), p3 is 1, and p1 is 1.
(224) In one embodiment, Z1 is (CH2)3NR34C(O), p3 is 1, and p1 is 2.
(225) In one embodiment, Z1 is (CH2)3NR34C(O), p3 is 1, and p1 is 3.
(226) In one embodiment, Z1 is (CH2)3NR34C(O), p3 is 2, and p1 is 1-8. (227) In one embodiment, Z1 is (CH2)3NR34C(O), p3 is 2, and p1 is 1.
(228) In one embodiment, Z1 is (CH2)3NR34C(O), p3 is 2, and p1 is 2.
(229) In one embodiment, Z1 is (CH2)3NR34C(O), p3 is 2, and p1 is 3.
(230) In one embodiment, Z1 is (CH2)3NR34C(O), p3 is 3, and p1 is 1-8. (231) In one embodiment, Z1 is (CH2)3NR34C(O), p3 is 3, and p1 is 1.
(232) In one embodiment, Z1 is (CH2)3NR34C(O), p3 is 3, and p1 is 2.
(233) In one embodiment, Z1 is (CH2)3NR34C(O), p3 is 3, and p1 is 3.
(234) In one embodiment, Z1 is C(O)(CH2)1C(O)NR34 and p3 is 1.
(235) In one embodiment, Z1 is C(O)(CH2)1C(O)NR34 and p3 is 2.
(236) In one embodiment, Z1 is C(O)(CH2)1C(O)NR34 and p3 is 3.
(237) In one embodiment, Z1 is C(O)(CH2)2C(O)NR34 and p3 is 1.
(238) In one embodiment, Z1 is C(O)(CH2)2C(O)NR34 and p3 is 2.
(239) In one embodiment, Z1 is C(O)(CH2)2C(O)NR34 and p3 is 3.
(240) In one embodiment, Z1 is C(O)(CH2)3C(O)NR34 and p3 is 1.
(241) In one embodiment, Z1 is C(O)(CH2)3C(O)NR34 and p3 is 2.
(242) In one embodiment, Z1 is C(O)(CH2)3C(O)NR34 and p3 is 3.
(243) In one embodiment, Z1 is C(O)(CH2)1C(O)NR34, p3 is 1, and p1 is 1-8. (244) In one embodiment, Z1 is C(O)(CH2)1C(O)NR34, p3 is 1, and p1 is 1. (245) In one embodiment, Z1 is C(O)(CH2)1C(O)NR34, p3 is 1, and p1 is 2. (246) In one embodiment, Z1 is C(O)(CH2)1C(O)NR34, p3 is 1, and p1 is 3. (247) In one embodiment, Z1 is C(O)(CH2)1C(O)NR34, p3 is 2, and p1 is 1-8. (248) In one embodiment, Z1 is C(O)(CH2)1C(O)NR34, p3 is 2, and p1 is 1. (249) In one embodiment, Z1 is C(O)(CH2)1C(O)NR34, p3 is 2, and p1 is 2. (250) In one embodiment, Z1 is C(O)(CH2)1C(O)NR34, p3 is 2, and p1 is 3. (251) In one embodiment, Z1 is C(O)(CH2)1C(O)NR34, p3 is 3, and p1 is 1-8. (252) In one embodiment, Z1 is C(O)(CH2)1C(O)NR34, p3 is 3, and p1 is 1. (253) In one embodiment, Z1 is C(O)(CH2)1C(O)NR34, p3 is 3, and p1 is 2. (254) In one embodiment, Z1 is C(O)(CH2)1C(O)NR34, p3 is 3, and p1 is 3. (255) In one embodiment, Z1 is C(O)(CH2)2C(O)NR34, p3 is 1, and p1 is 1-8. (256) In one embodiment, Z1 is C(O)(CH2)2C(O)NR34, p3 is 1, and p1 is 1. (257) In one embodiment, Z1 is C(O)(CH2)2C(O)NR34, p3 is 1, and p1 is 2. (258) In one embodiment, Z1 is C(O)(CH2)2C(O)NR34, p3 is 1, and p1 is 3. (259) In one embodiment, Z1 is C(O)(CH2)2C(O)NR34, p3 is 2, and p1 is 1-8. (260) In one embodiment, Z1 is C(O)(CH2)2C(O)NR34, p3 is 2, and p1 is 1. (261) In one embodiment, Z1 is C(O)(CH2)2C(O)NR34, p3 is 2, and p1 is 2. (262) In one embodiment, Z1 is C(O)(CH2)2C(O)NR34, p3 is 2, and p1 is 3. (263) In one embodiment, Z1 is C(O)(CH2)2C(O)NR34, p3 is 3, and p1 is 1-8. (264) In one embodiment, Z1 is C(O)(CH2)2C(O)NR34, p3 is 3, and p1 is 1. (265) In one embodiment, Z1 is C(O)(CH2)2C(O)NR34, p3 is 3, and p1 is 2. (266) In one embodiment, Z1 is C(O)(CH2)2C(O)NR34, p3 is 3, and p1 is 3. (267) In one embodiment, Z1 is C(O)(CH2)3C(O)NR34, p3 is 1, and p1 is 1-8. (268) In one embodiment, Z1 is C(O)(CH2)3C(O)NR34, p3 is 1, and p1 is 1. (269) In one embodiment, Z1 is C(O)(CH2)3C(O)NR34, p3 is 1, and p1 is 2. (270) In one embodiment, Z1 is C(O)(CH2)3C(O)NR34, p3 is 1, and p1 is 3. (271) In one embodiment, Z1 is C(O)(CH2)3C(O)NR34, p3 is 2, and p1 is 1-8. (272) In one embodiment, Z1 is C(O)(CH2)3C(O)NR34, p3 is 2, and p1 is 1. (273) In one embodiment, Z1 is C(O)(CH2)3C(O)NR34, p3 is 2, and p1 is 2. (274) In one embodiment, Z1 is C(O)(CH2)3C(O)NR34, p3 is 2, and p1 is 3. (275) In one embodiment, Z1 is C(O)(CH2)3C(O)NR34, p3 is 3, and p1 is 1-8. (276) In one embodiment, Z1 is C(O)(CH2)3C(O)NR34, p3 is 3, and p1 is 1. (277) In one embodiment, Z1 is C(O)(CH2)3C(O)NR34, p3 is 3, and p1 is 2.
(278) In one embodiment, Z1 is C(O)(CH2)3C(O)NR34, p3 is 3, and p1 is 3.
(279) In one embodiment, p1, p3, and Z1 are each as defined, where applicable, in any one of (1)-(26) and (34)-(278), and W is O.
(280) In one embodiment, p1, p3, and Z1 are each as defined, where applicable, in any one of (1)-(26) and (34)-(278), and W is S.
(281) In one embodiment, p1, p3, and Z1 are each as defined, where applicable, in any one of (1)-(26) and (34)-(278), and W is CH2.
(282) In one embodiment, p1, p3, and Z1 are each as defined, where applicable, in any one of (1)-(26) and (34)-(278), and W is NR34.
(283) In one embodiment, p1, p3, W, and Z1 are each as defined, where applicable, in any one of (1)-(14) and (19)-(282), and p2 is 0.
(284) In one embodiment, p1, p3, W, and Z1 are each as defined, where applicable, in any one of (1)-(14) and (19)-(282), and p2 is 1.
(285) In one embodiment, p1, p3, W, and Z1 are each as defined, where applicable, in any one of (1)-(14) and (19)-(282), and p2 is 2.
(286) In one embodiment, p1, p3, W, and Z1 are each as defined, where applicable, in any one of (1)-(14) and (19)-(282), and p2 is 3.
(287) In one embodiment, p1, p2, p3, W, and Z1 are each as defined, where applicable, in any one of (1)-(53) and (129)-(286), and R34 is H.
(288) In one embodiment, p1, p2, p3, W, and Z1 are each as defined, where applicable, in any one of (1)-(53) and (129)-(286), and R34 is H or C1-C3 alkyl selected from methyl, ethyl, and propyl.
(289) In one embodiment, p1, p2, p3, W, and Z1 are each as defined, where applicable, in any one of (1)-(53) and (129)-(286), and R34 is C1-C3 alkyl selected from methyl, ethyl, and propyl.
(290) In one embodiment, p1, p2, p3, R34, W, and Z1 are each as defined, where applicable, in any one of (1)-(289), and Q1 is absent.
(291) In one embodiment, p1, p2, p3, R34, W, and Z1 are each as defined, where applicable, in any one of (1)-(289), and Q1 is NHC(O)CH2 (292) In one embodiment, p1, p2, p3, R34, W, and Z1 are each as defined, where applicable, in any one of (1)-(289), and Q1 is O(CH2)1-2.
(293) In one embodiment, p1, p2, p3, R34, W, and Z1 are each as defined, where applicable, in any one of (1)-(289), and Q1 is O(CH2).
(294) In one embodiment, p1, p2, p3, R34, W, and Z1 are each as defined, where applicable, in any one of (1)-(289), and Q1 is O(CH2CH2).
(295) In one embodiment, p1, p2, p3, R34, W, and Z1 are each as defined, where applicable, in any one of (1)-(289), and Q1 is C(O).
(296) In one embodiment, p1, p2, p3, R34, W, and Z1 are each as defined, where applicable, in any one of (1)-(289), and Q1 is OCH2C(O).
(297) In one embodiment, p1, p2, p3, R34, W, and Z1 are each as defined, where applicable, in any one of (1)-(289), and Q1 is NHC(O).
(298) In one embodiment, p1, p2, p3, R34, W, and Z1 are each as defined, where applicable, in any one of (1)-(289), and Q1 is NHC(O)(CH2).
(299) In one embodiment, p1, p2, p3, R34, W, and Z1 are each as defined, where applicable, in
any one of (1)-(289), and Q1 is
Figure imgf000083_0001
.
In one embodiment, the Linker–Targeting Ligand (TL) has the structure selected from Table L:
Table L:
Figure imgf000083_0002
Figure imgf000084_0001
Figure imgf000085_0001
Figure imgf000086_0001
d
Figure imgf000087_0001
wherein Z1, W, Q1, TL, p1, p2, and p3 are each as described above.
In one embodiment, the present application relates to the Degron-Linker (DL), wherein the Degron is of Formula D1, and the Linker is selected from L1a– L1gg. In one embodiment, the present application relates to the Degron-Linker (DL), wherein the Degron is of Formula D1, and the Linker is selected from L1a-L1c. In one embodiment, the Degron is of Formula D1, and the Linker is selected from L1d– L1f. In one embodiment, the Degron is of Formula D1, and the Linker is selected from L1g-L1i. In one embodiment, the Degron is of Formula D1, and the Linker is L1j-L1l. In one embodiment, the Degron is of Formula D1, and the Linker is L1m- L1o. In one embodiment, the Degron is of Formula D1, and the Linker is L1p-L1r. In one embodiment, the Degron is of Formula D1, and the Linker is L1s-L1u. In one embodiment, the Degron is of Formula D1, and the Linker is L1v-L1x. In one embodiment, the Degron is of Formula D1, and the Linker is L1y-L1aa. In one embodiment, the Degron is of Formula D1, and the Linker is L1bb-L1dd. In one embodiment, the Degron is of Formula D1, and the Linker is L1ee-L1gg.
In one embodiment, the present application relates to the Degron-Linker (DL), wherein the Degron is of Formula D1a, D1b, D1c, D1d, D1e, D1f, D1g, D1h, D1i, D1j, D1k, or D1l, and the Linker is selected from L1a– L1gg. In one embodiment, the present application relates to the Degron-Linker (DL), wherein the Degron is of Formula D1a, D1b, D1c, D1d, D1e, D1f, D1g, D1h, D1i, D1j, D1k, or D1l, and the Linker is selected from L1a-L1c. In one embodiment, the Degron is of Formula D1a, D1b, D1c, D1d, D1e, D1f, D1g, D1h, D1i, D1j, D1k, or D1l, and the Linker is selected from L1d– L1f. In one embodiment, the Degron is of Formula D1a, D1b, D1c, D1d, D1e, D1f, D1g, D1h, D1i, D1j, D1k, or D1l, and the Linker is selected from L1g-L1i. In one embodiment, the Degron is of Formula D1a, D1b, D1c, D1d, D1e, D1f, D1g, D1h, D1i, D1j, D1k, or D1l, and the Linker is L1j-L1l. In one embodiment, the Degron is of Formula D1a, D1b, D1c, D1d, D1e, D1f, D1g, D1h, D1i, D1j, D1k, or D1l, and the Linker is L1m- L1o. In one embodiment, the Degron is of Formula D1a, D1b, D1c, D1d, D1e, D1f, D1g, D1h, D1i, D1j, D1k, or D1l, and the Linker is L1p-L1r. In one embodiment, the Degron is of Formula D1a, D1b, D1c, D1d, D1e, D1f, D1g, D1h, D1i, D1j, D1k, or D1l, and the Linker is L1s-L1u. In one embodiment, the Degron is of Formula D1a, D1b, D1c, D1d, D1e, D1f, D1g, D1h, D1i, D1j, D1k, or D1l, and the Linker is L1v-L1x. In one embodiment, the Degron is of Formula D1a, D1b, D1c, D1d, D1e, D1f, D1g, D1h, D1i, D1j, D1k, or D1l, and the Linker is L1y-L1aa. In one embodiment, the Degron is of Formula D1a, D1b, D1c, D1d, D1e, D1f, D1g, D1h, D1i, D1j, D1k, or D1l, and the Linker is L1bb-L1dd. In one embodiment, the Degron is of Formula D1a, D1b, D1c, D1d, D1e, D1f, D1g, D1h, D1i, D1j, D1k, or D1l, and the Linker is L1ee-L1gg.
In one embodiment, the present application relates to the Degron-Linker (DL), wherein the Degron is of Formula D2, and the Linker is selected from L1a– L1gg. In one embodiment, the present application relates to the Degron-Linker (DL), wherein the Degron is of Formula D2, and the Linker is selected from L1a-L1c. In one embodiment, the Degron is of Formula D2, and the Linker is selected from L1d– L1f. In one embodiment, the Degron is of Formula D2, and the Linker is selected from L1g-L1i. In one embodiment, the Degron is of Formula D2, and the Linker is L1j-L1l. In one embodiment, the Degron is of Formula D2, and the Linker is L1m- L1o. In one embodiment, the Degron is of Formula D2, and the Linker is L1p-L1r. In one embodiment, the Degron is of Formula D2, and the Linker is L1s-L1u. In one embodiment, the Degron is of Formula D2, and the Linker is L1v-L1x. In one embodiment, the Degron is of Formula D2, and the Linker is L1y-L1aa. In one embodiment, the Degron is of Formula D2, and the Linker is L1bb-L1dd. In one embodiment, the Degron is of Formula D2, and the Linker is L1ee-L1gg.
In one embodiment, the present application relates to the Degron-Linker (DL), wherein the Degron is of Formula D2a or D2b, and the Linker is selected from L1a– L1gg. In one embodiment, the present application relates to the Degron-Linker (DL), wherein the Degron is of Formula D2a or D2b, and the Linker is selected from L1a-L1c. In one embodiment, the Degron is of Formula D2a or D2b, and the Linker is selected from L1d– L1f. In one embodiment, the Degron is of Formula D2a or D2b, and the Linker is selected from L1g-L1i. In one embodiment, the Degron is of Formula D2a or D2b, and the Linker is L1j-L1l. In one embodiment, the Degron is of Formula D2a or D2b, and the Linker is L1m- L1o. In one embodiment, the Degron is of Formula D2a or D2b, and the Linker is L1p-L1r. In one embodiment, the Degron is of Formula D2a or D2b, and the Linker is L1s-L1u. In one embodiment, the Degron is of Formula D2a or D2b, and the Linker is L1v-L1x. In one embodiment, the Degron is of Formula D2a or D2b, and the Linker is L1y-L1aa. In one embodiment, the Degron is of Formula D2a or D2b, and the Linker is L1bb-L1dd. In one embodiment, the Degron is of Formula D2a or D2b, and the Linker is L1ee-L1gg.
In one embodiment, the present application relates to the Degron-Linker (DL), wherein the Degron is of Formula D2c or D2d, and the Linker is selected from L1a– L1gg. In one embodiment, the present application relates to the Degron-Linker (DL), wherein the Degron is of Formula D2c or D2d, and the Linker is selected from L1a-L1c. In one embodiment, the Degron is of Formula D2c or D2d, and the Linker is selected from L1d– L1f. In one embodiment, the Degron is of Formula D2c or D2d, and the Linker is selected from L1g-L1i. In one embodiment, the Degron is of Formula D2c or D2d, and the Linker is L1j-L1l. In one embodiment, the Degron is of Formula D2c or D2d, and the Linker is L1m- L1o. In one embodiment, the Degron is of Formula D2c or D2d, and the Linker is L1p-L1r. In one embodiment, the Degron is of Formula D2c or D2d, and the Linker is L1s-L1u. In one embodiment, the Degron is of Formula D2c or D2d, and the Linker is L1v-L1x. In one embodiment, the Degron is of Formula D2c or D2d, and the Linker is L1y-L1aa. In one embodiment, the Degron is of Formula D2c or D2d, and the Linker is L1bb-L1dd. In one embodiment, the Degron is of Formula D2c or D2d, and the Linker is L1ee-L1gg.
In one embodiment, the Linker is designed and optimized based on SAR (structure- activity relationship) and X-ray crystallography of the Targeting Ligand with regard to the location of attachment for the Linker.
In one embodiment, the optimal Linker length and composition vary by the Targeting Ligand and can be estimated based upon X-ray structure of the Targeting Ligand bound to its target. Linker length and composition can be also modified to modulate metabolic stability and pharmacokinetic (PK) and pharmacodynamics (PD) parameters.
Some embodiments of present application relate to the bifunctional compounds having one of the following structures in Table A:
Table A
Figure imgf000090_0001
Figure imgf000091_0001
Figure imgf000092_0001
Figure imgf000093_0001
Figure imgf000094_0001
Figure imgf000095_0001
Figure imgf000096_0001
Figure imgf000097_0001
Some of the foregoing compounds can comprise one or more asymmetric centers, and thus can exist in various isomeric forms, e.g., stereoisomers and/or diastereomers. Accordingly, compounds of the application may be in the form of an individual enantiomer, diastereomer or geometric isomer, or may be in the form of a mixture of stereoisomers. In one embodiment, the compounds of the application are enantiopure compounds. In another embodiment, mixtures of stereoisomers or diastereomers are provided.
Furthermore, certain compounds, as described herein, may have one or more double bonds that can exist as either the Z or E isomer, unless otherwise indicated. The application additionally encompasses the compounds as individual Z/E isomers substantially free of other E/Z isomers and alternatively, as mixtures of various isomers.
In one embodiment, the present application relates to compounds that target proteins, such as protein kinases for degradation, which have numerous advantages over inhibitors of protein function (e.g., protein activity) and can a) overcome resistance in certain cases; b) prolong the kinetics of drug effect by destroying the protein, thus requiring resynthesis of the protein even after the compound has been metabolized; c) target all functions of a protein at once rather than a specific catalytic activity or binding event; d) expand the number of drug targets by including all proteins that a ligand can be developed for, rather than proteins whose activity (e.g., protein activity) can be affected by a small molecule inhibitor, antagonist or agonist; and e) have increased potency compared to inhibitors due to the possibility of the small molecule acting catalytically.
Some embodiments of the present application relate to degradation or loss of 30% to 100% of the target protein. Some embodiments relate to the loss of 50-100% of the target protein. Other embodiments relate to the loss of 75-95% of the targeted protein. A bifunctional compound of the present application (e.g., a bifunctional compound of any of the formulae described herein, or selected from any bifunctional compounds described herein) is capable of modulating (e.g., decreasing) the amount of a targeted protein (e.g., a protein kinase). A bifunctional compound of the present application (e.g., a bifunctional compound of any of the formulae described herein, or selected from any bifunctional compounds described herein) is also capable of degrading a targeted protein (e.g., a protein kinase) through the UPP pathway. Accordingly, a bifunctional compound of the present application (e.g., a bifunctional compound of any of the formulae described herein, or selected from any bifunctional compounds described herein) is capable of treating or preventing a disease or disorder in which a protein kinase plays a role. A bifunctional compound of the present application (e.g., a bifunctional compound of any of the formulae described herein, or selected from any bifunctional compounds described herein) is also capable of treating or preventing a disease or disorder in which a protein kinase plays a role or in which a protein kinase is deregulated (e.g., overexpressed).
Modulation of a protein kinase through UPP-mediated degradation by a bifunctional compound of the application, such as those described herein, provides a novel approach to the treatment, prevention, or amelioration of diseases or disorders in which a protein kinase plays a role including, but not limited to, cancer and metastasis, inflammation, arthritis, systemic lupus erthematosus, skin-related disorders, pulmonary disorders, cardiovascular disease, ischemia, neurodegenerative disorders, liver disease, gastrointestinal disorders, viral and bacterial infections, central nervous system disorders, Alzheimer's disease, Parkinson's disease,
Huntington's disease, amyotrophic lateral sclerosis, spinal cord injury, and peripheral neuropathy. Further, modulation of a protein kinase through UPP-mediated degradation by a bifunctional compound of the application, such as those described herein, also provides a new paradigm for treating, preventing, or ameliorating diseases or disorders in which a protein kinase is deregulated.
In one embodiment, a bifunctional compound of the present application (e.g., a bifunctional compound of any of the formulae described herein, or selected from any
bifunctional compounds described herein) is more efficacious in treating a disease or condition (e.g., cancer) than, or is capable of treating a disease or condition resistant to, the Targeting Ligand, when the Targeting Ligand is administered alone (e.g., not bonded to a Linker and a Degron). In one embodiment, a bifunctional compound of the present application (e.g., a bifunctional compound of any of the formulae described herein, or selected from any bifunctional compounds described herein) is capable of modulating (e.g., decreasing) the amount of a protein kinase, and thus is useful in treating a disease or condition (e.g., cancer) in which a protein kinase plays a role.
In one embodiment, the bifunctional compound of the present application that is more efficacious in treating a disease or condition than, or is capable of treating a disease or condition resistant to, the Targeting Ligand, when the Targeting Ligand is administered alone (e.g., not bonded to a Linker and a Degron), is more potent in inhibiting the growth of cells (e.g., cancer cells) or decreasing the viability of cells (e.g., cancer cells), than the Targeting Ligand, when the Targeting Ligand is administered alone (e.g., not bonded to a Linker and a Degron). In one embodiment, the bifunctional compound inhibits the growth of cells (e.g., cancer cells) or decreases the viability of cells (e.g., cancer cells) at an IC50 that is lower than the IC50 of the Targeting Ligand (when the Targeting Ligand is administered alone (e.g., not bonded to a Linker and a Degron)) for inhibiting the growth or decreasing the viability of the cells. In one embodiment, the IC50 of the bifunctional compound is at most 90%, 80%, 70%, 60%, 50%, 40%, 30%, 20%, 10%, 8%, 5%, 4%, 3%, 2%, 1%, 0.8%, 0.5%, 0.4%, 0.3%, 0.2%, or 0.1% of the IC50 of the Targeting Ligand. In one embodiment, the IC50 of the bifunctional compound is at most 50%, 40%, 30%, 20%, 10%, 8%, 5%, 4%, 3%, 2%, 1%, 0.8%, 0.5%, 0.4%, 0.3%, 0.2%, or 0.1% of the IC50 of the Targeting Ligand. In one embodiment, the IC50 of the bifunctional compound is at most 30%, 20%, 10%, 8%, 5%, 4%, 3%, 2%, 1%, 0.8%, 0.5%, 0.4%, 0.3%, 0.2%, or 0.1% of the IC50 of the Targeting Ligand. In one embodiment, the IC50 of the bifunctional compound is at most 10%, 8%, 5%, 4%, 3%, 2%, 1%, 0.8%, 0.5%, 0.4%, 0.3%, 0.2%, or 0.1% of the IC50 of the Targeting Ligand. In one embodiment, the IC50 of the bifunctional compound is at most 5%, 4%, 3%, 2%, 1%, 0.8%, 0.5%, 0.4%, 0.3%, 0.2%, or 0.1% of the IC50 of the Targeting Ligand. In one embodiment, the IC50 of the bifunctional compound is at most 2%, 1%, 0.8%, 0.5%, 0.4%, 0.3%, 0.2%, or 0.1% of the IC50 of the Targeting Ligand. In one embodiment, the IC50 of the bifunctional compound is at most 1%, 0.8%, 0.5%, 0.4%, 0.3%, 0.2%, or 0.1% of the IC50 of the Targeting Ligand. In one embodiment, the bifunctional compound inhibits the growth of cells (e.g., cancer cells) or decreases the viability of cells (e.g., cancer cells) at an Emax that is lower than the Emax of the Targeting Ligand (when the Targeting Ligand is administered alone (e.g., not bonded to a Linker and a Degron)) for inhibiting the growth or decreasing the viability of the cells. In one embodiment, the Emax of the bifunctional compound is at most 90%, 80%, 70%, 60%, 50%, 40%, 30%, 20%, 10%, 8%, 5%, 4%, 3%, 2%, or 1% of the Emax of the Targeting Ligand. In one embodiment, the Emax of the bifunctional compound is at most 50%, 40%, 30%, 20%, 10%, 8%, 5%, 4%, 3%, 2%, or 1% of the Emax of the Targeting Ligand. In one embodiment, the Emax of the bifunctional compound is at most 90%, 80%, 70%, 60%, 50%, 40%, 30%, 20%, or 10% of the Emax of the Targeting Ligand.
In some embodiments, the inhibition of a protein kinase activity is measured by IC50. In some embodiments, the inhibition of a protein kinase activity is measured by EC50. Potency of the inhibitor can be determined by EC50 value. A compound with a lower EC50 value, as determined under substantially similar conditions, is a more potent inhibitor relative to a compound with a higher EC50 value. In some embodiments, the substantially similar conditions comprise determining protein kinase-dependent cell proliferation, in vitro or in vivo (e.g., in cells expressing a protein kinase).
Potency of the inhibitor can also be determined by IC50 value. A compound with a lower IC50 value, as determined under substantially similar conditions, is a more potent inhibitor relative to a compound with a higher IC50 value. In some embodiments, the substantially similar conditions comprise determining protein kinase-dependent cell proliferation, in vitro or in vivo (e.g., in cells expressing a protein kinase).
In one embodiment, the bifunctional compounds of the present application are useful as anticancer agents, and thus may be useful in the treatment of cancer, by effecting tumor cell death or inhibiting the growth of tumor cells. In certain exemplary embodiments, the disclosed anticancer agents are useful in the treatment of cancers and other proliferative disorders, including, but not limited to breast cancer, cervical cancer, colon and rectal cancer, leukemia, lung cancer (e.g., non-small cell lung cancer), melanoma, multiple myeloma, non-Hodgkin's lymphoma, ovarian cancer, pancreatic cancer, prostate cancer, gastric cancer, leukemias (e.g., myeloid, lymphocytic, myelocytic and lymphoblastic leukemias), malignant melanomas, and T- cell lymphoma.
A“selective protein kinase inhibitor,” can be identified, for example, by comparing the ability of a compound to inhibit one protein kinase activity to its ability to inhibit other kinases. For example, a substance may be assayed for its ability to inhibit one protein kinase activity, as well as another protein kinase or other kinase. In some embodiments, the selectivity can be identified by measuring the EC50 or IC50 of the compounds.
The bifunctional compounds of the present disclosure can modulate and/or inhibit one of more kinases. In some embodiments, the bifunctional compounds of the present disclosure modulate and/or inhibit one protein kinase. In other embodiment, the bifunctional compounds of the present disclosure modulate and/or inhibit more than one kinase. In some embodiments, the bifunctional compounds of the present disclosure modulate and/or inhibit wild-type kinase. In other embodiments, the bifunctional compounds of the present disclosure modulate and/or inhibit a mutant protein kinase. In other embodiments, the bifunctional compounds of the present disclosure modulate and/or inhibit both a wild-type and mutant variant of a kinase.
In one aspect, the application provides a bifunctional compound comprising a protein kinase inhibitor (e.g., a protein tyrosine kinase inhibitor or a serine-threonine kinase inhibitor), wherein the bifunctional compound is a more potent inhibitor of a drug-resistant protein kinase mutant relative to a wild type protein kinase. For example, the compound can be at least about 2-fold, 3-fold, 5-fold, 10-fold, 25-fold, 50-fold or about 100-fold more potent at inhibiting the kinase activity of the drug-resistant protein kinase mutant relative to the compound's inhibition of wild type protein kinase activity. In some embodiments, the drug-resistant protein kinase mutant is resistant to Gleevec and other protein kinase inhibitor drugs. In some embodiments, the drug-resistant protein mutant comprises an activating mutation. In another aspect, the application provides a compound comprising a protein kinase inhibitor, wherein the bifunctional compound inhibits protein kinase activity of a drug-resistant protein kinase mutant harboring an activating mutation and a drug-resistance mutation with less than a 10-fold difference in potency relative to a protein kinase mutant harboring the activating mutation but not the drug-resistance mutation. In some embodiments, the difference in potency is less than about 9-fold, 8-fold, 7- fold, 6-fold, 5-fold, 4-fold, 3-fold or 2-fold.
Definitions
Listed below are definitions of various terms used in this application. These definitions apply to the terms as they are used throughout this specification and claims, unless otherwise limited in specific instances, either individually or as part of a larger group.
The term "alkyl," as used herein, refers to saturated, straight or branched-chain hydrocarbon radicals containing, in certain embodiments, between one and six carbon atoms. For example C1-C3 alkyl includes methyl, ethyl, n-propyl, and isopropyl. Examples of C1-C6 alkyl radicals include, but are not limited to, methyl, ethyl, propyl, isopropyl, n-butyl, tert-butyl, neopentyl, and n-hexyl radicals.
The term "alkoxy" refers to an -O-alkyl radical. For example C1-C3 alkoxy includes methoxy, ethoxy, n-propoxy, and isopropoxy. Examples of C1-C6 alkyl radicals include, but are not limited to, methoxy, ethoxy, propoxy, isopropoxy, n-butoxy, tert-butoxy, neopentoxy, and n- hexoxy radicals.
The terms "hal," "halo," and "halogen," as used herein, refer to an atom selected from fluorine, chlorine, bromine and iodine.
The term "aryl," as used herein, refers to a mono- or poly-cyclic carbocyclic ring system having one or more aromatic rings, fused or non-fused, including, but not limited to, phenyl, naphthyl, tetrahydronaphthyl, indanyl, indenyl and the like.
The term "aralkyl," as used herein, refers to an alkyl residue attached to an aryl ring. Examples include, but are not limited to, benzyl, phenethyl and the like.
The term "cycloalkyl," as used herein, denotes a monovalent group derived from a monocyclic or polycyclic saturated or partially unsaturated carbocyclic ring compound.
Examples of C3-C8 cycloalkyl include, but not limited to, cyclopropyl, cyclobutyl, cyclopentyl, cyclohexyl, cyclopentyl and cyclooctyl; and examples of C3-C12-cycloalkyl include, but not limited to, cyclopropyl, cyclobutyl, cyclopentyl, cyclohexyl, bicyclo [2.2.1] heptyl, and bicyclo [2.2.2] octyl. Also contemplated is a monovalent group derived from a monocyclic or polycyclic carbocyclic ring compound having at least one carbon-carbon double bond by the removal of a single hydrogen atom. Examples of such groups include, but are not limited to, cyclopropenyl, cyclobutenyl, cyclopentenyl, cyclohexenyl, cycloheptenyl, cyclooctenyl, and the like.
The term "heteroaryl," as used herein, refers to a mono- or poly-cyclic (e.g., bi-, or tri- cyclic or more) fused or non-fused, radical or ring system having at least one aromatic ring, having from five to ten ring atoms of which one ring atoms is selected from S, O, and N; zero, one, or two ring atoms are additional heteroatoms independently selected from S, O, and N; and the remaining ring atoms are carbon. Heteroaryl includes, but is not limited to, pyridinyl, pyrazinyl, pyrimidinyl, pyrrolyl, pyrazolyl, imidazolyl, thiazolyl, oxazolyl, isooxazolyl, thiadiazolyl, oxadiazolyl, thiophenyl, furanyl, quinolinyl, isoquinolinyl, benzimidazolyl, benzooxazolyl, quinoxalinyl, and the like. The term "heteroaralkyl," as used herein, refers to an alkyl residue attached to a heteroaryl ring. Examples include, but are not limited to, pyridinylmethyl, pyrimidinylethyl and the like.
The term“heterocyclyl,” or“heterocycloalkyl,” as used herein, refers to a non-aromatic 3-, 4-, 5-, 6- or 7-membered ring or a bi- or tri-cyclic group fused of non-fused system, where (i) each ring contains between one and three heteroatoms independently selected from oxygen, sulfur and nitrogen, (ii) each 5-membered ring has 0 to 1 double bonds and each 6-membered ring has 0 to 2 double bonds, (iii) the nitrogen and sulfur heteroatoms may optionally be oxidized, and (iv) the nitrogen heteroatom may optionally be quaternized. Representative heterocycloalkyl groups include, but are not limited to, [1,3]dioxolane, pyrrolidinyl, pyrazolinyl, pyrazolidinyl, imidazolinyl, imidazolidinyl, piperidinyl, piperazinyl, oxazolidinyl, isoxazolidinyl, morpholinyl, thiazolidinyl, isothiazolidinyl, and tetrahydrofuryl.
The term "alkylamino" refers to a group having the structure -NH(C1-C12 alkyl), e.g., - NH(C1-C6 alkyl), where C1-C12 alkyl is as previously defined.
The term "dialkylamino" refers to a group having the structure -N(C1-C12 alkyl)2, e.g., - NH(C1-C6 alkyl), where C1-C12 alkyl is as previously defined.
The term "acyl" includes residues derived from acids, including but not limited to carboxylic acids, carbamic acids, carbonic acids, sulfonic acids, and phosphorous acids.
Examples include aliphatic carbonyls, aromatic carbonyls, aliphatic sulfonyls, aromatic sulfinyls, aliphatic sulfinyls, aromatic phosphates and aliphatic phosphates. Examples of aliphatic carbonyls include, but are not limited to, acetyl, propionyl, 2-fluoroacetyl, butyryl, 2-hydroxy acetyl, and the like.
In accordance with the application, any of the aryls, substituted aryls, heteroaryls and substituted heteroaryls described herein, can be any aromatic group. Aromatic groups can be substituted or unsubstituted.
As described herein, compounds of the application may optionally be substituted with one or more substituents, such as are illustrated generally above, or as exemplified by particular classes, subclasses, and species of the application. It will be appreciated that the phrase
"optionally substituted" is used interchangeably with the phrase "substituted or unsubstituted." In general, the term "substituted", whether preceded by the term "optionally" or not, refers to the replacement of hydrogen radicals in a given structure with the radical of a specified substituent. Unless otherwise indicated, an optionally substituted group may have a substituent at each substitutable position of the group, and when more than one position in any given structure may be substituted with more than one substituent selected from a specified group, the substituent may be either the same or different at every position. The terms "optionally substituted", "optionally substituted alkyl," "optionally substituted "optionally substituted alkenyl," "optionally substituted alkynyl", "optionally substituted cycloalkyl," "optionally substituted cycloalkenyl," "optionally substituted aryl", "optionally substituted heteroaryl," "optionally substituted aralkyl", "optionally substituted heteroaralkyl," "optionally substituted heterocycloalkyl," and any other optionally substituted group as used herein, refer to groups that are substituted or unsubstituted by independent replacement of one, two, or three or more of the hydrogen atoms thereon with substituents including, but not limited to:
-F, -CI, -Br, -I, -OH, protected hydroxy, -NO2, -CN, -NH2, protected amino, -NH-C1-C12- alkyl, -NH-C2-C12-alkenyl, -NH-C2-C12-alkenyl, -NH -C3-C12-cycloalkyl,
-NH-aryl, -NH -heteroaryl, -NH -heterocycloalkyl, -dialkylamino, -diarylamino,
-diheteroarylamino, -O-C1-C12-alkyl, -O-C2-C12-alkenyl, -O-C2-C12-alkenyl,
-O-C3-C12-cycloalkyl, -O-aryl, -O-heteroaryl, -O-heterocycloalkyl, -C(O)-C1-C12-alkyl, -C(O)- C2-C12-alkenyl, -C(O)-C2-C12-alkenyl, -C(O)-C3-C12-cycloalkyl, -C(O)-aryl, -C(O)-heteroaryl, -C(O)-heterocycloalkyl, -CONH2, -CONH-C1-C12-alkyl, -CONH-C2-C12-alkenyl,
-CONH-C2-C12-alkenyl, -CONH-C3-C12-cycloalkyl, -CONH-aryl, -CONH-heteroaryl,
-CONH-heterocycloalkyl,-OCO2-C1-C12-alkyl, -OCO2-C2-C12-alkenyl, -OCO2-C2-C12-alkenyl, -OCO2-C3-C12-cycloalkyl, -OCO2-aryl, -OCO2-heteroaryl, -OCO2-heterocycloalkyl, -OCONH2, -OCONH-C1-C12-alkyl, -OCONH- C2-C12-alkenyl, -OCONH- C2-C12-alkenyl,
-OCONH-C3-C12-cycloalkyl, -OCONH-aryl, -OCONH-heteroaryl, -OCONH-heterocycloalkyl, -NHC(O)-C1-C12-alkyl, -NHC(O)-C2-C12-alkenyl, -NHC(O)-C2-C12-alkenyl,
-NHC(O)-C3-C12-cycloalkyl, -NHC(O)-aryl, -NHC(O)-heteroaryl, -NHC(O)-heterocycloalkyl, -NHCO2-C1-C12-alkyl, -NHCO2-C2-C12-alkenyl, -NHCO2-C2-C12-alkenyl,
-NHCO2-C3-C12-cycloalkyl, -NHCO2-aryl, -NHCO2-heteroaryl, -NHCO2- heterocycloalkyl, NHC(O)NH2, -NHC(O)NH-C1-C12-alkyl, -NHC(O)NH-C2-C12-alkenyl,
-NHC(O)NH-C2-C12-alkenyl, -NHC(O)NH-C3-C12-cycloalkyl, -NHC(O)NH-aryl,
-NHC(O)NH-heteroaryl, NHC(O)NH-heterocycloalkyl, -NHC(S)NH2,
-NHC(S)NH-C1-C12-alkyl, -NHC(S)NH-C2-C12-alkenyl,
-NHC(S)NH-C2-C12-alkenyl, -NHC(S)NH-C3-C12-cycloalkyl, -NHC(S)NH-aryl, -NHC(S)NH-heteroaryl, -NHC(S)NH-heterocycloalkyl, -NHC(NH)NH2,
-NHC(NH)NH- C1-C12-alkyl, -NHC(NH)NH-C2-C12-alkenyl, -NHC(NH)NH-C2-C12-alkenyl, -NHC(NH)NH-C3-C12-cycloalkyl, -NHC(NH)NH-aryl, -NHC(NH)NH-heteroaryl,
-NHC(NH)NHheterocycloalkyl, -NHC(NH)-C1-C12-alkyl, -NHC(NH)-C2-C12-alkenyl,
-NHC(NH)-C2-C12-alkenyl, -NHC(NH)-C3-C12-cycloalkyl, -NHC(NH)-aryl,
-NHC(NH)-heteroaryl, -NHC(NH)-heterocycloalkyl, -C(NH)NH-C1-C12-alkyl,
-C(NH)NH-C2-C12-alkenyl, -C(NH)NH-C2-C12-alkenyl, C(NH)NH-C3-C12-cycloalkyl,
-C(NH)NH-aryl, -C(NH)NH-heteroaryl, -C(NH)NHheterocycloalkyl,
-S(O)-C1-C12-alkyl,- S(O)-C2-C12-alkenyl,- S(O)-C2-C12-alkenyl,
-S(O)-C3-C12-cycloalkyl,- S(O)-aryl, -S(O)-heteroaryl, -S(O)-heterocycloalkyl -SO2NH2, -SO2NH-C1-C12-alkyl, -SO2NH-C2-C12-alkenyl, -SO2NH-C2-C12-alkenyl,
-SO2NH-C3-C12-cycloalkyl, -SO2NH-aryl, -SO2NH-heteroaryl, -SO2NH-heterocycloalkyl, -NHSO2-C1-C12-alkyl, -NHSO2-C2-C12-alkenyl,- NHSO2-C2-C12-alkenyl,
-NHSO2-C3-C12-cycloalkyl, -NHSO2-aryl, -NHSO2-heteroaryl, -NHSO2-heterocycloalkyl, -CH2NH2, -CH2SO2CH3, -aryl, -arylalkyl, -heteroaryl, -heteroarylalkyl, -heterocycloalkyl, -C3-C12-cycloalkyl, polyalkoxyalkyl, polyalkoxy, -methoxymethoxy, -methoxyethoxy, -SH, -S-C1-C12-alkyl, -S-C2-C12-alkenyl, -S-C2-C12-alkenyl, -S-C3-C12-cycloalkyl, -S-aryl,
-S-heteroaryl, -S-heterocycloalkyl, or methylthiomethyl.
It is understood that the aryls, heteroaryls, alkyls, and the like can be substituted.
The term "cancer" includes, but is not limited to, the following cancers: epidermoid Oral: buccal cavity, lip, tongue, mouth, pharynx; Cardiac: sarcoma (angiosarcoma, fibrosarcoma, rhabdomyosarcoma, liposarcoma), myxoma, rhabdomyoma, fibroma, lipoma, and teratoma; Lung: bronchogenic carcinoma (squamous cell or epidermoid, undifferentiated small cell, undifferentiated large cell, adenocarcinoma), alveolar (bronchiolar) carcinoma, bronchial adenoma, sarcoma, lymphoma, chondromatous hamartoma, mesothelioma; Gastrointestinal: esophagus (squamous cell carcinoma, larynx, adenocarcinoma, leiomyosarcoma, lymphoma), stomach (carcinoma, lymphoma, leiomyosarcoma), pancreas (ductal adenocarcinoma, insulinoma, glucagonoma, gastrinoma, carcinoid tumors, vipoma), small bowel or small intestines (adenocarcinoma, lymphoma, carcinoid tumors, Karposi's sarcoma, leiomyoma, hemangioma, lipoma, neurofibroma, fibroma), large bowel or large intestines (adenocarcinoma, tubular adenoma, villous adenoma, hamartoma, leiomyoma), colon, colon-rectum, colorectal, rectum; Genitourinary tract: kidney (adenocarcinoma, Wilm's tumor (nephroblastoma), lymphoma, leukemia), bladder and urethra (squamous cell carcinoma, transitional cell carcinoma, adenocarcinoma), prostate (adenocarcinoma, sarcoma), testis (seminoma, teratoma, embryonal carcinoma, teratocarcinoma, choriocarcinoma, sarcoma, interstitial cell carcinoma, fibroma, fibroadenoma, adenomatoid tumors, lipoma); Liver: hepatoma (hepatocellular carcinoma), cholangiocarcinoma, hepatoblastoma, angiosarcoma, hepatocellular adenoma, hemangioma, biliary passages; Bone: osteogenic sarcoma (osteosarcoma), fibrosarcoma, malignant fibrous histiocytoma, chondrosarcoma, Ewing's sarcoma, malignant lymphoma (reticulum cell sarcoma), multiple myeloma, malignant giant cell tumor chordoma,
osteochronfroma (osteocartilaginous exostoses), benign chondroma, chondroblastoma, chondromyxofibroma, osteoid osteoma and giant cell tumors; Nervous system: skull (osteoma, hemangioma, granuloma, xanthoma, osteitis deformans), meninges (meningioma,
meningiosarcoma, gliomatosis), brain (astrocytoma, medulloblastoma, glioma, ependymoma, germinoma (pinealoma), glioblastoma multiform, oligodendroglioma, schwannoma, retinoblastoma, congenital tumors), spinal cord neurofibroma, meningioma, glioma, sarcoma); Gynecological: uterus (endometrial carcinoma), cervix (cervical carcinoma, pre-tumor cervical dysplasia), ovaries (ovarian carcinoma (serous cystadenocarcinoma, mucinous
cystadenocarcinoma, unclassified carcinoma), granulosa-thecal cell tumors, Sertoli-Leydig cell tumors, dysgerminoma, malignant teratoma), vulva (squamous cell carcinoma, intraepithelial carcinoma, adenocarcinoma, fibrosarcoma, melanoma), vagina (clear cell carcinoma, squamous cell carcinoma, botryoid sarcoma (embryonal rhabdomyosarcoma), fallopian tubes (carcinoma), breast; Hematologic: blood (myeloid leukemia (acute and chronic), acute lymphoblastic leukemia, chronic lymphocytic leukemia, myeloproliferative diseases, multiple myeloma, myelodysplastic syndrome), Hodgkin's disease, non-Hodgkin's lymphoma (malignant lymphoma) hairy cell; lymphoid disorders; Skin: malignant melanoma, basal cell carcinoma, squamous cell carcinoma, Karposi's sarcoma, keratoacanthoma, moles dysplastic nevi, lipoma, angioma, dermatofibroma, keloids, psoriasis, Thyroid gland: papillary thyroid carcinoma, follicular thyroid carcinoma; medullary thyroid carcinoma, undifferentiated thyroid cancer, multiple endocrine neoplasia type 2A, multiple endocrine neoplasia type 2B, familial medullary thyroid cancer, pheochromocytoma, paraganglioma; and Adrenal glands: neuroblastoma. Thus, the term "cancerous cell" as provided herein, includes a cell afflicted by any one of the above- identified conditions.
The term "subject" as used herein refers to a mammal. A subject therefore refers to, for example, dogs, cats, horses, cows, pigs, guinea pigs, and the like. Preferably the subject is a human. When the subject is a human, the subject may be referred to herein as a patient.
"Treat", "treating" and "treatment" refer to a method of alleviating or abating a disease and/or its attendant symptoms.
As used herein,“preventing” or“prevent” describes reducing or eliminating the onset of the symptoms or complications of the disease, condition or disorder.
The term“targeted protein(s)” is used interchangeably with“target protein(s)”, unless the context clearly dictates otherwise. In some embodiments, a“targeted protein” is a protein kinase. In other embodiments, a targeted protein is one or more protein kinases. In other embodiments, the“targeted protein” is a protein tyrosine kinase. In other embodiments, the“targeted protein” is a serine-threonine kinase.
The terms“disease(s)”,“disorder(s)”, and“condition(s)” are used interchangeably, unless the context clearly dictates otherwise.
The term "therapeutically effective amount" of a bifunctional compound or
pharmaceutical composition of the application, as used herein, means a sufficient amount of the bifunctional compound or pharmaceutical composition so as to decrease the symptoms of a disorder in a subject. As is well understood in the medical arts a therapeutically effective amount of a bifunctional compound or pharmaceutical composition of this application will be at a reasonable benefit/risk ratio applicable to any medical treatment. It will be understood, however, that the total daily usage of the compounds and compositions of the present application will be decided by the attending physician within the scope of sound medical judgment. The specific inhibitory dose for any particular patient will depend upon a variety of factors including the disorder being treated and the severity of the disorder; the activity of the specific compound employed; the specific composition employed; the age, body weight, general health, sex and diet of the patient; the time of administration, route of administration, and rate of excretion of the specific compound employed; the duration of the treatment; drugs used in combination or coincidental with the specific compound employed; and like factors well known in the medical arts. As used herein, the term "pharmaceutically acceptable salt" refers to those salts of the compounds formed by the process of the present application which are, within the scope of sound medical judgment, suitable for use in contact with the tissues of humans and lower animals without undue toxicity, irritation, allergic response and the like, and are commensurate with a reasonable benefit/risk ratio. Pharmaceutically acceptable salts are well known in the art. For example, S. M. Berge, et al. describes pharmaceutically acceptable salts in detail in J.
Pharmaceutical Sciences, 66: 1-19 (1977). The salts can be prepared in situ during the final isolation and purification of the compounds of the application, or separately by reacting the free base or acid function with a suitable acid or base.
Examples of pharmaceutically acceptable salts include, but are not limited to, nontoxic acid addition salts: salts formed with inorganic acids such as hydrochloric acid, hydrobromic acid, phosphoric acid, sulfuric acid and perchloric acid, or with organic acids such as acetic acid, maleic acid, tartaric acid, citric acid, succinic acid or malonic acid. Other pharmaceutically acceptable salts include, but are not limited to, adipate, alginate, ascorbate, aspartate,
benzenesulfonate, benzoate, bisulfate, borate, butyrate, camphorate, camphorsulfonate, citrate, cyclopentanepropionate, digluconate, dodecylsulfate, ethanesulfonate, formate, fumarate, glucoheptonate, glycerophosphate, gluconate, hemisulfate, heptanoate, hexanoate, hydroiodide, 2-hydroxy-ethanesulfonate, lactobionate, lactate, laurate, lauryl sulfate, malate, maleate, malonate, methanesulfonate, 2-naphthalenesulfonate, nicotinate, nitrate, oleate, oxalate, palmitate, pamoate, pectinate, persulfate, 3-phenylpropionate, phosphate, picrate, pivalate, propionate, stearate, succinate, sulfate, tartrate, thiocyanate, p-toluenesulfonate, undecanoate, valerate salts, and the like. Representative alkali or alkaline earth metal salts include sodium, lithium, potassium, calcium, magnesium, and the like. Further pharmaceutically acceptable salts include, when appropriate, nontoxic ammonium, quaternary ammonium, and amine cations formed using counterions such as halide, hydroxide, carboxylate, sulfate, phosphate, nitrate, alkyl having from 1 to 6 carbon atoms, sulfonate and aryl sulfonate.
As used herein, the term "pharmaceutically acceptable ester" refers to esters of the bifunctional compounds formed by the process of the present application which hydrolyze in vivo and include those that break down readily in the human body to leave the parent compound or a salt thereof. Suitable ester groups include, for example, those derived from pharmaceutically acceptable aliphatic carboxylic acids, particularly alkanoic, alkenoic, cycloalkanoic and alkanedioic acids, in which each alkyl or alkenyl moiety advantageously has not more than 6 carbon atoms. Examples of particular esters include, but are not limited to, formates, acetates, propionates, butyrates, acrylates and ethylsuccinates.
The term "pharmaceutically acceptable prodrugs" as used herein, refers to those prodrugs of the bifunctional compounds formed by the process of the present application which are, within the scope of sound medical judgment, suitable for use in contact with the tissues of humans and lower animals with undue toxicity, irritation, allergic response, and the like, commensurate with a reasonable benefit/risk ratio, and effective for their intended use, as well as the zwitterionic forms, where possible, of the compounds of the present application. "Prodrug", as used herein, means a compound which is convertible in vivo by metabolic means (e.g., by hydrolysis) to afford any compound delineated by the formulae of the instant application.
Various forms of prodrugs are known in the art, for example, as discussed in Bundgaard, (ed.), Design of Prodrugs, Elsevier (1985); Widder, et al. (ed.), Methods in Enzymology, vol.4, Academic Press (1985); Krogsgaard-Larsen, et al., (ed). "Design and Application of Prodrugs, Textbook of Drug Design and Development, Chapter 5, 113-191 (1991); Bundgaard, et al., Journal of Drug Deliver Reviews, 8:1-38(1992); Bundgaard, J. of Pharmaceutical Sciences, 77:285 et seq. (1988); Higuchi and Stella (eds.) Prodrugs as Novel Drug Delivery Systems, American Chemical Society (1975); and Bernard Testa & Joachim Mayer, "Hydrolysis In Drug And Prodrug Metabolism: Chemistry, Biochemistry And Enzymology," John Wiley and Sons, Ltd. (2002).
This application also encompasses pharmaceutical compositions containing, and methods of treating disorders through administering, pharmaceutically acceptable prodrugs of bifunctional compounds of the application. For example, compounds of the application having free amino, amido, hydroxy or carboxylic groups can be converted into prodrugs. Prodrugs include compounds wherein an amino acid residue, or a polypeptide chain of two or more (e.g., two, three or four) amino acid residues is covalently joined through an amide or ester bond to a free amino, hydroxy or carboxylic acid group of compounds of the application. The amino acid residues include but are not limited to the 20 naturally occurring amino acids commonly designated by three letter symbols and also includes 4-hydroxyproline, hydroxylysine, demosine, isodemosine, 3-methylhistidine, norvalin, beta-alanine, gamma-aminobutyric acid, citrulline, homocysteine, homoserine, ornithine and methionine sulfone. Additional types of prodrugs are also encompassed. For instance, free carboxyl groups can be derivatized as amides or alkyl esters. Free hydroxy groups may be derivatized using groups including but not limited to hemisuccinates, phosphate esters, dimethylaminoacetates, and phosphoryloxymethyloxy carbonyls, as outlined in Advanced Drug Delivery Reviews, 1996, 19, 115. Carbamate prodrugs of hydroxy and amino groups are also included, as are carbonate prodrugs, sulfonate esters and sulfate esters of hydroxy groups. Derivatization of hydroxy groups as (acyloxy)methyl and (acyloxy)ethyl ethers wherein the acyl group may be an alkyl ester, optionally substituted with groups including but not limited to ether, amine and carboxylic acid functionalities, or where the acyl group is an amino acid ester as described above, are also encompassed. Prodrugs of this type are described in J. Med. Chem.1996, 39, 10. Free amines can also be derivatized as amides, sulfonamides or phosphonamides. All of these prodrug moieties may incorporate groups including but not limited to ether, amine and carboxylic acid functionalities.
The application also provides for a pharmaceutical composition comprising a
therapeutically effective amount of a bifunctional compound of the application, or an enantiomer, diastereomer, stereoisomer, or pharmaceutically acceptable salt thereof, and a pharmaceutically acceptable carrier.
In another aspect, the application provides a kit comprising a bifunctional compound capable of inhibiting protein kinase activity of at least one protein kinase selected from one or more compounds disclosed herein, or a pharmaceutically acceptable salt, hydrate, solvate, prodrug, stereoisomer, or tautomer thereof, optionally in combination with a second agent and instructions for use in treating cancer. In one embodiment, the bifunctional compound in the kit inhibits more than one protein kinase
In another aspect, the application provides a method of synthesizing a bifunctional compound disclosed herein.
The synthesis of the bifunctional compounds of the application can be found herein and in the Examples below.
Other embodiments are a method of making a bifunctional compound of any of the formulae herein using any one, or combination of, reactions delineated herein. The method can include the use of one or more intermediates or chemical reagents delineated herein.
Another aspect is an isotopically labeled bifunctional compound of any of the formulae delineated herein. Such compounds have one or more isotope atoms which may or may not be radioactive (e.g., 3H, 2H, 14C, 13C, 18F, 35S, 32P, 125I, and 131I) introduced into the bifunctional compound. Such compounds are useful for drug metabolism studies and diagnostics, as well as therapeutic applications.
A bifunctional compound of the application can be prepared as a pharmaceutically acceptable acid addition salt by reacting the free base form of the compound with a
pharmaceutically acceptable inorganic or organic acid. Alternatively, a pharmaceutically acceptable base addition salt of a bifunctional compound of the application can be prepared by reacting the free acid form of the bifunctional compound with a pharmaceutically acceptable inorganic or organic base.
Alternatively, the salt forms of the bifunctional compounds of the application can be prepared using salts of the starting materials or intermediates.
The free acid or free base forms of the bifunctional compounds of the application can be prepared from the corresponding base addition salt or acid addition salt from, respectively. For example, a bifunctional compound of the application in an acid addition salt form can be converted to the corresponding free base by treating with a suitable base (e.g., ammonium hydroxide solution, sodium hydroxide, and the like). A bifunctional compound of the application in a base addition salt form can be converted to the corresponding free acid by treating with a suitable acid (e.g., hydrochloric acid, etc.).
Prodrugs of the bifunctional compounds of the application can be prepared by methods known to those of ordinary skill in the art (e.g., for further details see Saulnier et al., (1994), Bioorganic and Medicinal Chemistry Letters, Vol.4, p.1985). For example, appropriate prodrugs can be prepared by reacting a non-derivatized bifunctional compound of the application with a suitable carbamylating agent (e.g., 1,1-acyloxyalkylcarbanochloridate, para-nitrophenyl carbonate, or the like).
Protected derivatives of the bifunctional compounds of the application can be made by means known to those of ordinary skill in the art. A detailed description of techniques applicable to the creation of protecting groups and their removal can be found in T. W. Greene, "Protecting Groups in Organic Chemistry", 3rd edition, John Wiley and Sons, Inc., 1999.
Compounds of the present application can be conveniently prepared or formed during the process of the application, as solvates (e.g., hydrates). Hydrates of bifunctional compounds of the present application can be conveniently prepared by recrystallization from an aqueous/organic solvent mixture, using organic solvents such as dioxin, tetrahydrofuran or methanol.
Acids and bases useful in the methods herein are known in the art. Acid catalysts are any acidic chemical, which can be inorganic (e.g., hydrochloric, sulfuric, nitric acids, aluminum trichloride) or organic (e.g., camphorsulfonic acid, p-toluenesulfonic acid, acetic acid, ytterbium triflate) in nature. Acids are useful in either catalytic or stoichiometric amounts to facilitate chemical reactions. Bases are any basic chemical, which can be inorganic (e.g., sodium bicarbonate, potassium hydroxide) or organic (e.g., triethylamine, pyridine) in nature. Bases are useful in either catalytic or stoichiometric amounts to facilitate chemical reactions.
Combinations of substituents and variables envisioned by this application are only those that result in the formation of stable compounds. The term "stable", as used herein, refers to compounds which possess stability sufficient to allow manufacture and which maintains the integrity of the compound for a sufficient period of time to be useful for the purposes detailed herein (e.g., therapeutic or prophylactic administration to a subject).
When any variable (e.g., R14) occurs more than one time in any constituent or formula for a compound, its definition at each occurrence is independent of its definition at every other occurrence. Thus, for example, if a group is shown to be substituted with one or more R14 moieties, then R14 at each occurrence is selected independently from the definition of R14. Also, combinations of substituents and/or variables are permissible, but only if such combinations result in stable compounds within a designated atom’s normal valency.
In addition, some of the compounds of this application have one or more double bonds, or one or more asymmetric centers. Such compounds can occur as racemates, racemic mixtures, single enantiomers, individual diastereomers, diastereomeric mixtures, and cis- or trans- or E- or Z- double isomeric forms, and other stereoisomeric forms that may be defined, in terms of absolute stereochemistry, as (R)- or (S)-, or as (D)- or (L)- for amino acids. When the compounds described herein contain olefinic double bonds or other centers of geometric asymmetry, and unless specified otherwise, it is intended that the compounds include both E and Z geometric isomers. The configuration of any carbon-carbon double bond appearing herein is selected for convenience only and is not intended to designate a particular configuration unless the text so states; thus a carbon-carbon double bond depicted arbitrarily herein as trans may be cis, trans, or a mixture of the two in any proportion. All such isomeric forms of such compounds are expressly included in the present application.
Optical isomers may be prepared from their respective optically active precursors by the procedures described herein, or by resolving the racemic mixtures. The resolution can be carried out in the presence of a resolving agent, by chromatography or by repeated crystallization or by some combination of these techniques which are known to those skilled in the art. Further details regarding resolutions can be found in Jacques, et al., Enantiomers, Racemates, and Resolutions (John Wiley & Sons, 1981).
“Isomerism” means compounds that have identical molecular formulae but differ in the sequence of bonding of their atoms or in the arrangement of their atoms in space. Isomers that differ in the arrangement of their atoms in space are termed“stereoisomers”. Stereoisomers that are not mirror images of one another are termed“diastereoisomers”, and stereoisomers that are non-superimposable mirror images of each other are termed“enantiomers” or sometimes optical isomers. A mixture containing equal amounts of individual enantiomeric forms of opposite chirality is termed a“racemic mixture”.
A carbon atom bonded to four non-identical substituents is termed a“chiral center”. “Chiral isomer” means a compound with at least one chiral center. Compounds with more than one chiral center may exist either as an individual diastereomer or as a mixture of diastereomers, termed“diastereomeric mixture”. When one chiral center is present, a stereoisomer may be characterized by the absolute configuration (R or S) of that chiral center. Absolute configuration refers to the arrangement in space of the substituents attached to the chiral center. The substituents attached to the chiral center under consideration are ranked in accordance with the Sequence Rule of Cahn, Ingold and Prelog. (Cahn et al., Angew. Chem. Inter. Edit.1966, 5, 385; errata 511; Cahn et al., Angew. Chem.1966, 78, 413; Cahn and Ingold, J. Chem. Soc.1951 (London), 612; Cahn et al., Experientia 1956, 12, 81; Cahn, J. Chem. Educ. 1964, 41, 116).
“Geometric isomer” means the diastereomers that owe their existence to hindered rotation about double bonds. These configurations are differentiated in their names by the prefixes cis and trans, or Z and E, which indicate that the groups are on the same or opposite side of the double bond in the molecule according to the Cahn-Ingold-Prelog rules. Furthermore, the structures and other compounds discussed in this application include all atropic isomers thereof.“Atropic isomers” are a type of stereoisomer in which the atoms of two isomers are arranged differently in space. Atropic isomers owe their existence to a restricted rotation caused by hindrance of rotation of large groups about a central bond. Such atropic isomers typically exist as a mixture, however as a result of recent advances in chromatography techniques; it has been possible to separate mixtures of two atropic isomers in select cases. “Tautomer” is one of two or more structural isomers that exist in equilibrium and is readily converted from one isomeric form to another. This conversion results in the formal migration of a hydrogen atom accompanied by a switch of adjacent conjugated double bonds. Tautomers exist as a mixture of a tautomeric set in solution. In solid form, usually one tautomer predominates. In solutions where tautomerization is possible, a chemical equilibrium of the tautomers will be reached. The exact ratio of the tautomers depends on several factors, including temperature, solvent and pH. The concept of tautomers that are interconvertable by
tautomerizations is called tautomerism.
Of the various types of tautomerism that are possible, two are commonly observed. In keto-enol tautomerism a simultaneous shift of electrons and a hydrogen atom occurs. Ring-chain tautomerism arises as a result of the aldehyde group (-CHO) in a sugar chain molecule reacting with one of the hydroxy groups (-OH) in the same molecule to give it a cyclic (ring-shaped) form as exhibited by glucose. Common tautomeric pairs are: ketone-enol, amide-nitrile, lactam- lactim, amide-imidic acid tautomerism in heterocyclic rings (e.g., in nucleobases such as guanine, thymine and cytosine), amine-enamine and enamine-enamine. The compounds of this application may also be represented in multiple tautomeric forms, in such instances, the application expressly includes all tautomeric forms of the compounds described herein (e.g., alkylation of a ring system may result in alkylation at multiple sites, the application expressly includes all such reaction products).
In the present application, the structural formula of the bifunctional compound represents a certain isomer for convenience in some cases, but the present application includes all isomers, such as geometrical isomers, optical isomers based on an asymmetrical carbon, stereoisomers, tautomers, and the like. In the present specification, the structural formula of the compound represents a certain isomer for convenience in some cases, but the present application includes all isomers, such as geometrical isomers, optical isomers based on an asymmetrical carbon, stereoisomers, tautomers, and the like.
Additionally, the compounds of the present application, for example, the salts of the bifunctional compounds, can exist in either hydrated or unhydrated (the anhydrous) form or as solvates with other solvent molecules. Non-limiting examples of hydrates include
monohydrates, dihydrates, etc. Non-limiting examples of solvates include ethanol solvates, acetone solvates, etc.
“Solvate” means solvent addition forms that contain either stoichiometric or non stoichiometric amounts of solvent. Some compounds have a tendency to trap a fixed molar ratio of solvent molecules in the crystalline solid state, thus forming a solvate. If the solvent is water the solvate formed is a hydrate; and if the solvent is alcohol, the solvate formed is an alcoholate. Hydrates are formed by the combination of one or more molecules of water with one molecule of the substance in which the water retains its molecular state as H2O.
The synthesized bifunctional compounds can be separated from a reaction mixture and further purified by a method such as column chromatography, high pressure liquid
chromatography, or recrystallization. As can be appreciated by the skilled artisan, further methods of synthesizing the bifunctional compounds of the formulae herein will be evident to those of ordinary skill in the art. Additionally, the various synthetic steps may be performed in an alternate sequence or order to give the desired compounds. In addition, the solvents, temperatures, reaction durations, etc. delineated herein are for purposes of illustration only and one of ordinary skill in the art will recognize that variation of the reaction conditions can produce the desired bridged macrocyclic products of the present application. Synthetic chemistry transformations and protecting group methodologies (protection and deprotection) useful in synthesizing the compounds described herein are known in the art and include, for example, those such as described in R. Larock, Comprehensive Organic Transformations, VCH Publishers (1989); T.W. Greene and P.G.M. Wuts, Protective Groups in Organic Synthesis, 2d. Ed., John Wiley and Sons (1991); L. Fieser and M. Fieser, Fieser and Fieser's Reagents for Organic Synthesis, John Wiley and Sons (1994); and L. Paquette, ed., Encyclopedia of Reagents for Organic Synthesis, John Wiley and Sons (1995), and subsequent editions thereof.
The compounds of this application may be modified by appending various functionalities via any synthetic means delineated herein to enhance selective biological properties. Such modifications are known in the art and include those which increase biological penetration into a given biological system (e.g., blood, lymphatic system, central nervous system), increase oral availability, increase solubility to allow administration by injection, alter metabolism and alter rate of excretion.
The compounds of the application are defined herein by their chemical structures and/or chemical names. Where a compound is referred to by both a chemical structure and a chemical name, and the chemical structure and chemical name conflict, the chemical structure is determinative of the compound's identity.
The recitation of a listing of chemical groups in any definition of a variable herein includes definitions of that variable as any single group or combination of listed groups. The recitation of an embodiment for a variable herein includes that embodiment as any single embodiment or in combination with any other embodiments or portions thereof.
Method of Synthesizing the Compounds
Compounds of the present application can be prepared in a variety of ways using commercially available starting materials, compounds known in the literature, or from readily prepared intermediates, by employing standard synthetic methods and procedures either known to those skilled in the art, or which will be apparent to the skilled artisan in light of the teachings herein. Standard synthetic methods and procedures for the preparation of organic molecules and functional group transformations and manipulations can be obtained from the relevant scientific literature or from standard textbooks in the field. Although not limited to any one or several sources, classic texts such as Smith, M. B., March, J., March’s Advanced Organic Chemistry: Reactions, Mechanisms, and Structure, 5th edition, John Wiley & Sons: New York, 2001; and Greene, T.W., Wuts, P.G. M., Protective Groups in Organic Synthesis, 3rd edition, John Wiley & Sons: New York, 1999, incorporated by reference herein, are useful and recognized reference textbooks of organic synthesis known to those in the art. The following descriptions of synthetic methods are designed to illustrate, but not to limit, general procedures for the preparation of compounds of the present application. The processes generally provide the desired final compound at or near the end of the overall process, although it may be desirable in certain instances to further convert the compound to a pharmaceutically acceptable salt, ester or prodrug thereof. Suitable synthetic routes are depicted in the schemes below. Those skilled in the art will recognize if a stereocenter exists in the compounds disclosed herein. Accordingly, the present application includes both possible stereoisomers (unless specified in the synthesis) and includes not only racemic compounds but the individual enantiomers and/or diastereomers as well. When a compound is desired as a single enantiomer or diastereomer, it may be obtained by stereospecific synthesis or by resolution of the final product or any convenient intermediate. Resolution of the final product, an intermediate, or a starting material may be affected by any suitable method known in the art. See, for example, "Stereochemistry of Organic Compounds" by E. L. Eliel, S. H. Wilen, and L. N. Mander (Wiley- lnterscience, 1994).
The compounds of the present application can be prepared in a number of ways well known to those skilled in the art of organic synthesis. By way of example, compounds of the present application can be synthesized using the methods described below, together with synthetic methods known in the art of synthetic organic chemistry, or variations thereon as appreciated by those skilled in the art. Preferred methods include but are not limited to those methods described below.
Compounds of the present application can be synthesized by following the steps outlined in General Scheme 1, 2, and 3 which comprise different sequences of assembling intermediates. Starting materials are either commercially available or made by known procedures in the reported literature or as illustrated.
General Scheme 1: Synthesis of Thalidomide-based Degronimids
Figure imgf000117_0001
wherein R37, R38, R39, R40, W, p1, q, and v are as defined herein above.
The general way of preparing representative compounds of the present application (e.g., Compound of formula (I) shown above) using intermediates 1a, 1b, 1c, 1d, 1e, 1f, and 1g is outlined in General Scheme 1. Reaction of 1a with 1b in the presence of potassium acetate (KOAc), an acid, e.g., acetic acid (AcOH), and optionally in a solvent, e.g., dimethylformamide (DMF), optionally at elevated temperature provides intermediate 1c. Reaction of 1d with fluoride 1c provides intermediate 1e. Deprotection of the 1e in the presence of TFA in a solvent, e.g., dichloromethane (DCM) or methanol (MeOH), provides 1f. Coupling of 1f and Target Ligand (TL) 1g under standard coupling conditions using a coupling reagent, e.g., 1-ethyl-3-(3- dimethylaminopropyl) carbodiimide (EDCI) and hydroxybenzotriazole, in a solvent, e.g., DCM or DMF, provides bifunctional compound of formula (I).
General Scheme 2: S nthesis of Thalidomide-based De ronimids
Figure imgf000118_0001
wherein R37, R38, R39, R40, W, p1, q, and v are as defined herein above.
The general way of preparing representative compounds of the present application (e.g., Compound of formula (I) shown above) using intermediates 1a, 1b, 1c, 1h, 1i, 1j, and 1k is outlined in General Scheme 2. Reaction of 1a with 1b in the presence of potassium acetate (KOAc), an acid, e.g., acetic acid (AcOH), and optionally in a solvent, e.g., dimethylformamide (DMF), optionally at elevated temperature provides intermediate 1c. Reaction of 1h with fluoride 1c provides intermediate 1i. Deprotection of the 1i in the presence of a strong acid (e.g., HCl) in a solvent, e.g., dioxane, provides 1j. Coupling of 1j and Target Ligand (TL) 1k under standard coupling conditions using a coupling reagent, e.g., 1-[Bis(dimethylamino)methylene]- 1H-1,2,3-triazolo[4,5-b]pyridinium 3-oxid hexafluorophosphate (HATU), and a base (e.g., N,N- diisopropylethylamine (DIPEA)) in a solvent, e.g., DCM or DMF, provides bifunctional compound of formula (I). General Scheme 3: Synthesis of VHL-based Degronimids
Figure imgf000119_0001
The general way of preparing representative compounds of the present application (e.g., Compound of formula (II) shown above) using intermediates 3a, 3b, 3c, and 3d is outlined in General Scheme 3. Reaction of 3a with 3b in the presence of potassium iodide (KI), a base, e.g., potassium carbonate (K2CO3), and in a solvent, e.g., acetone), followed by Boc deprotection in the presence of strong acid (e.g., hydrochloric acid (HCl) or trifluoroacetic acid (TFA)) in a solvent, e.g., dichloromethane (DCM) or methanol (MeOH) provides intermediate 3c. Coupling of amine 3d and Target Ligand 3c under standard coupling conditions using a coupling reagent, e.g., 1-ethyl-3-(3-dimethylaminopropyl) carbodiimide (EDCI) and hydroxybenzotriazole (HOBt), and a base (e.g., triethylamine (TEA)) in a solvent, e.g., DCM or DMF, provides bifunctional compound of formula (II) in shown in General Scheme 3.
Biological Assays
Cell Viability assay
Wild-type or cereblon null cells are treated with various concentrations of a bifunctional compound of the application and allowed to grow. Cells are then assayed to determine cell viability by measuring the amount of ATP present, which is an indicator of cell metabolic activity. Results are graphed as relative luminescent values.
Methods of the Application
In another aspect, the application provides a method of modulating a kinase, comprising contacting the kinase with a bifunctional compound disclosed herein, or an enantiomer, diastereomer, or stereoisomer thereof, or pharmaceutically acceptable salt, hydrate, solvate, or prodrug thereof, or with a pharmaceutical composition disclosed herein. In some embodiments, the kinase is a protein kinase. In some embodiments, the protein kinase is a protein tyrosine kinase. In other embodiments, the protein kinase is a serine-threonine kinase.
In another aspect, the application provides a method of modulating at least one kinase, comprising contacting the kinase with a bifunctional compound disclosed herein, or an enantiomer, diastereomer, or stereoisomer thereof, or pharmaceutically acceptable salt, hydrate, solvate, or prodrug thereof, or with a pharmaceutical composition disclosed herein. In some embodiments, the kinase is a protein kinase. In some embodiments, the protein kinase is a protein tyrosine kinase. In other embodiments, the protein kinase is a serine-threonine kinase. In some embodiments, the bifunctional compound modulates one protein kinase. In other embodiments, the bifunctional compound modulates more than one protein kinase.
In another aspect, the application provides a method of inhibiting a kinase, comprising contacting the kinase with a bifunctional compound disclosed herein, or an enantiomer, diastereomer, or stereoisomer thereof, or pharmaceutically acceptable salt, hydrate, solvate, or prodrug thereof, or with a pharmaceutical composition disclosed herein. In some embodiments, the kinase is a protein kinase. In some embodiments, the protein kinase is a protein tyrosine kinase. In other embodiments, the protein kinase is a serine-threonine kinase.
In still another aspect, the application provides a method of inhibiting a protein kinase, the method comprising administering to a subject in need thereof an effective amount of a bifunctional compound disclosed herein, or an enantiomer, diastereomer, or stereoisomer thereof, or pharmaceutically acceptable salt, hydrate, solvate, or prodrug thereof. In some embodiments, the protein kinase is a protein tyrosine kinase. In other embodiments, the protein kinase is a serine-threonine kinase. In some embodiments, the bifunctional compound modulates one protein kinase. In other embodiments, the bifunctional compound modulates more than one protein kinase.
In still another aspect, the application provides a method of inhibiting a protein tyrosine kinase, the method comprising administering to a subject in need thereof an effective amount of a bifunctional compound disclosed herein, or an enantiomer, diastereomer, or stereoisomer thereof, or pharmaceutically acceptable salt, hydrate, solvate, or prodrug thereof.
In another aspect, the application provides a method of inhibiting a serine-threonine kinase, the method comprising administering to a subject in need thereof an effective amount of a bifunctional compound disclosed herein, or an enantiomer, diastereomer, or stereoisomer thereof, or pharmaceutically acceptable salt, hydrate, solvate, or prodrug thereof.
In still another aspect, the application provides a method of inhibiting a protein kinase, the method comprising administering to a subject in need thereof an effective amount of a pharmaceutical composition comprising a bifunctional compound disclosed herein, or an enantiomer, diastereomer, or stereoisomer thereof, or pharmaceutically acceptable salt, hydrate, solvate, or prodrug thereof and a pharmaceutically acceptable carrier. In some embodiments, the protein kinase is a protein tyrosine kinase. In other embodiments, the protein kinase is a serine- threonine kinase.
In still another aspect, the application provides a method of inhibiting a protein tyrosine kinase, the method comprising administering to a subject in need thereof an effective amount of a pharmaceutical composition comprising a bifunctional compound disclosed herein, or an enantiomer, diastereomer, or stereoisomer thereof, or pharmaceutically acceptable salt, hydrate, solvate, or prodrug thereof and a pharmaceutically acceptable carrier.
In still another aspect, the application provides a method of inhibiting a serine-threonine kinase, the method comprising administering to a subject in need thereof an effective amount of a pharmaceutical composition comprising a bifunctional compound disclosed herein, or an enantiomer, diastereomer, or stereoisomer thereof, or pharmaceutically acceptable salt, hydrate, solvate, or prodrug thereof and a pharmaceutically acceptable carrier.
Another aspect of the application provides a method of treating or preventing a disease, the method comprising administering to a subject in need thereof an effective amount of a bifunctional compound disclosed herein, or an enantiomer, diastereomer, or stereoisomer thereof, or pharmaceutically acceptable salt, hydrate, solvate, or prodrug thereof. In some embodiments, the disease is mediated by a kinase. In some embodiments, the kinase is a protein kinase. In other embodiments, the kinase is a protein tyrosine kinase. In other embodiments, the kinase is a serine-threonine kinase.
Another aspect of the application provides a method of treating or preventing a disease, the method comprising administering to a subject in need thereof an effective amount of a pharmaceutical composition comprising a bifunctional compound disclosed herein, or an enantiomer, diastereomer, or stereoisomer thereof, or pharmaceutically acceptable salt, hydrate, solvate, or prodrug thereof and a pharmaceutically acceptable carrier. In some embodiments, the disease is mediated by a kinase. In some embodiments, the kinase is a protein kinase. In other embodiments, the kinase is a protein tyrosine kinase. In other embodiments, the kinase is a serine-threonine kinase.
In some embodiments, the disease is mediated by a protein tyrosine kinase (e.g., a protein tyrosine kinase plays a role in the initiation or development of the disease).
In some embodiments, the disease is mediated by a serine-threonine kinase (e.g., a serine- threonine kinase plays a role in the initiation or development of the disease).
In certain embodiments, the disease or disorder is cancer or a proliferation disease.
In further embodiments, the disease or disorder is lung cancer, colon cancer, breast cancer, prostate cancer, liver cancer, pancreas cancer, brain cancer, kidney cancer, ovarian cancer, stomach cancer, skin cancer, bone cancer, gastric cancer, breast cancer, pancreatic cancer, glioma, glioblastoma, hepatocellular carcinoma, papillary renal carcinoma, head and neck squamous cell carcinoma, leukemias, lymphomas, myelomas, or solid tumors.
In further embodiments, the disease or disorder is sarcoma. In further embodiments, the disease or disorder is sarcoma of the bones, muscles, tendons, cartilage, nerves, fat, or blood vessels. In further embodiments, the disease or disorder is soft tissue sarcoma, bone sarcoma, or osteosarcoma. In further embodiments, the disease or disorder is angiosarcoma, fibrosarcoma, liposarcoma, leiomyosarcoma, Karposi's sarcoma, osteosarcoma, gastrointestinal stromal tumor, Synovial sarcoma, Pleomorphic sarcoma, chondrosarcoma, Ewing's sarcoma, reticulum cell sarcoma, meningiosarcoma, botryoid sarcoma, rhabdomyosarcoma, or embryonal
rhabdomyosarcoma. In other embodiments, the disease or disorder is inflammation, arthritis, rheumatoid arthritis, spondyiarthropathies, gouty arthritis, osteoarthritis, juvenile arthritis, and other arthritic conditions, systemic lupus erthematosus (SLE), skin-related conditions, psoriasis, eczema, bums, dermatitis, neuroinflammation, allergy, pain, neuropathic pain, fever, pulmonary disorders, lung inflammation, adult respiratory distress syndrome, pulmonary sarcoisosis, asthma, silicosis, chronic pulmonary inflammatory disease, and chronic obstructive pulmonary disease (COPD), cardiovascular disease, arteriosclerosis, myocardial infarction (including post-myocardial infarction indications), thrombosis, congestive heart failure, cardiac reperfusion injury, as well as complications associated with hypertension and/or heart failure such as vascular organ damage, restenosis, cardiomyopathy, stroke including ischemic and hemorrhagic stroke, reperfusion injury, renal reperfusion injury, ischemia including stroke and brain ischemia, and ischemia resulting from cardiac/coronary bypass, neurodegenerative disorders, liver disease and nephritis, gastrointestinal conditions, inflammatory bowel disease, Crohn's disease, gastritis, irritable bowel syndrome, ulcerative colitis, ulcerative diseases, gastric ulcers, viral and bacterial infections, sepsis, septic shock, gram negative sepsis, malaria, meningitis, HIV infection, opportunistic infections, cachexia secondary to infection or malignancy, cachexia secondary to acquired immune deficiency syndrome (AIDS), AIDS, ARC (AIDS related complex), pneumonia, herpes virus, myalgias due to infection, influenza, autoimmune disease, graft vs. host reaction and allograft rejections, treatment of bone resorption diseases, osteoporosis, multiple sclerosis, cancer, leukemia, lymphoma, colorectal cancer, brain cancer, bone cancer, epithelial call-derived neoplasia (epithelial carcinoma), basal cell carcinoma, adenocarcinoma,
gastrointestinal cancer, lip cancer, mouth cancer, esophageal cancer, small bowel cancer, stomach cancer, colon cancer, liver cancer, bladder cancer, pancreas cancer, ovarian cancer, cervical cancer, lung cancer, breast cancer, skin cancer, squamous cell and/or basal cell cancers, prostate cancer, renal cell carcinoma, and other known cancers that affect epithelial cells throughout the body, chronic myelogenous leukemia (CML), acute myeloid leukemia (AML) and acute promyelocytic leukemia (APL), angiogenesis including neoplasia, metastasis, central nervous system disorders, central nervous system disorders having an inflammatory or apoptotic component, Alzheimer's disease, Parkinson's disease, Huntington's disease, amyotrophic lateral sclerosis, spinal cord injury, and peripheral neuropathy, or B-Cell Lymphoma. In further embodiments, the disease or disorder is inflammation, arthritis, rheumatoid arthritis, spondylarthropathies, gouty arthritis, osteoarthritis, juvenile arthritis, and other arthritic conditions, systemic lupus erthematosus (SLE), skin-related conditions, psoriasis, eczema, dermatitis, pain, pulmonary disorders, lung inflammation, adult respiratory distress syndrome, pulmonary sarcoisosis, asthma, chronic pulmonary inflammatory disease, and chronic obstructive pulmonary disease (COPD), cardiovascular disease, arteriosclerosis, myocardial infarction (including post-myocardial infarction indications), congestive heart failure, cardiac reperfusion injury, inflammatory bowel disease, Crohn's disease, gastritis, irritable bowel syndrome, leukemia or lymphoma.
Another aspect of the application provides a method of treating a kinase mediated disorder, the method comprising administering to a subject in need thereof an effective amount of a bifunctional compound disclosed herein, or an enantiomer, diastereomer, or stereoisomer thereof, or pharmaceutically acceptable salt, hydrate, solvate, or prodrug thereof. In some embodiments, the bifunctional compound is an inhibitor of a protein kinase. In other
embodiments, the bifunctional compound is an inhibitor of a protein tyrosine kinase. In other embodiments, the bifunctional compound is an inhibitor of a serine-threonine kinase. In other embodiments, the subject is administered an additional therapeutic agent. In other embodiments, the bifunctional compound and the additional therapeutic agent are administered simultaneously or sequentially.
Another aspect of the application provides a method of treating a kinase mediated disorder, the method comprising administering to a subject in need thereof an effective amount of a pharmaceutical composition comprising a bifunctional compound disclosed herein, or an enantiomer, diastereomer, or stereoisomer thereof, or pharmaceutically acceptable salt, hydrate, solvate, or prodrug thereof and a pharmaceutically acceptable carrier. In some embodiments, the bifunctional compound is an inhibitor of a protein kinase. In other embodiments, the
bifunctional compound is an inhibitor of a protein tyrosine kinase. In other embodiments, the bifunctional compound is an inhibitor of a serine-threonine kinase. In other embodiments, the subject is administered an additional therapeutic agent. In other embodiments, the
pharmaceutical composition comprising a bifunctional compound and the additional therapeutic agent are administered simultaneously or sequentially. In other embodiments, the disease or disorder is cancer. In further embodiments, the cancer is lung cancer, colon cancer, breast cancer, prostate cancer, liver cancer, pancreas cancer, brain cancer, kidney cancer, ovarian cancer, stomach cancer, skin cancer, bone cancer, gastric cancer, breast cancer, pancreatic cancer, glioma, glioblastoma, hepatocellular carcinoma, papillary renal carcinoma, head and neck squamous cell carcinoma, leukemias, lymphomas, myelomas, or solid tumors.
Another aspect of the present application relates to a method of treating or preventing a proliferative disease. The method comprises administering to a subject in need thereof an effective amount of a bifunctional compound of the application, or an enantiomer, diastereomer, or stereoisomer thereof, or pharmaceutically acceptable salt, hydrate, solvate, or prodrug thereof.
Another aspect of the present application relates to a method of treating or preventing a proliferative disease. The method comprises administering to a subject in need thereof an effective amount of a pharmaceutical composition comprising a bifunctional compound disclosed herein, or an enantiomer, diastereomer, or stereoisomer thereof, or pharmaceutically acceptable salt, hydrate, solvate, or prodrug thereof and a pharmaceutically acceptable carrier.
In another aspect, the application provides a method of treating or preventing cancer, wherein the cancer cell comprises activated protein kinase, comprising administering to a subject in need thereof an effective amount of a bifunctional compound disclosed herein, or an enantiomer, diastereomer, or stereoisomer thereof, or pharmaceutically acceptable salt, hydrate, solvate, or prodrug thereof. In some embodiments, the cell comprises one activated protein kinase. In other embodiments, the cell comprises more than one activated protein kinase. In other embodiments, the cell comprises an activated protein tyrosine kinase. In other
embodiments, the cell comprises more than one activated protein tyrosine kinase. In other embodiments, the cell comprises an activated serine-threonine kinase. In other embodiments, the cell comprises more than one activated serine-threonine kinase.
In another aspect, the application provides a method of treating or preventing cancer, wherein the cancer cell comprises an activated protein tyrosine kinase, comprising administering to a subject in need thereof an effective amount of a bifunctional compound disclosed herein, or an enantiomer, diastereomer, or stereoisomer thereof, or pharmaceutically acceptable salt, hydrate, solvate, or prodrug thereof. In another aspect, the application provides a method of treating or preventing cancer, wherein the cancer cell comprises an activated serine-threonine kinase, comprising administering to a subject in need thereof an effective amount of a bifunctional compound disclosed herein, or an enantiomer, diastereomer, or stereoisomer thereof, or pharmaceutically acceptable salt, hydrate, solvate, or prodrug thereof.
In another aspect, the application provides a method of treating or preventing cancer, wherein the cancer cell comprises activated protein kinase, comprising administering to a subject in need thereof an effective amount of a pharmaceutical composition comprising a bifunctional compound disclosed herein, or an enantiomer, diastereomer, or stereoisomer thereof, or pharmaceutically acceptable salt, hydrate, solvate, or prodrug thereof and a pharmaceutically acceptable carrier. In some embodiments, the cell comprises one activated protein kinase. In other embodiments, the cell comprises more than one activated protein kinase. In other embodiments, the cell comprises an activated protein tyrosine kinase. In other embodiments, the cell comprises more than one activated protein tyrosine kinase. In other embodiments, the cell comprises an activated serine-threonine kinase. In other embodiments, the cell comprises more than one activated serine-threonine kinase.
In another aspect, the application provides a method of treating or preventing cancer, wherein the cancer cell comprises an activated protein tyrosine kinase, comprising administering to a subject in need thereof an effective amount of a pharmaceutical composition comprising a bifunctional compound disclosed herein, or an enantiomer, diastereomer, or stereoisomer thereof, or pharmaceutically acceptable salt, hydrate, solvate, or prodrug thereof and a pharmaceutically acceptable carrier.
In another aspect, the application provides a method of treating or preventing cancer, wherein the cancer cell comprises an activated serine-threonine kinase, comprising administering to a subject in need thereof an effective amount of a pharmaceutical composition comprising a bifunctional compound disclosed herein, or an enantiomer, diastereomer, or stereoisomer thereof, or pharmaceutically acceptable salt, hydrate, solvate, or prodrug thereof and a pharmaceutically acceptable carrier.
In certain embodiments, the protein tyrosine kinase activation is selected from mutation of a protein tyrosine kinase, amplification of a protein tyrosine kinase, expression of a protein tyrosine kinase, and ligand mediated activation of a protein tyrosine kinase. In certain embodiments, the serine-threonine kinase activation is selected from mutation of a serine-threonine kinase, amplification of a serine-threonine kinase, expression of a serine- threonine kinase, and ligand mediated activation of a serine-threonine kinase.
Another aspect of the application provides a method of treating or preventing cancer in a subject, wherein the subject is identified as being in need of inhibition of at least one protein kinase for the treatment of cancer, comprising administering to the subject an effective amount of a bifunctional compound disclosed herein, or an enantiomer, diastereomer, or stereoisomer thereof, or pharmaceutically acceptable salt, hydrate, solvate, or prodrug thereof. In some embodiments, the protein kinase is a protein tyrosine kinase. In other embodiments, the protein kinase is a serine-threonine kinase.
Another aspect of the application provides a method of treating or preventing cancer in a subject, wherein the subject is identified as being in need of inhibition of a protein tyrosine kinase for the treatment of cancer, comprising administering to the subject an effective amount of a bifunctional compound disclosed herein, or an enantiomer, diastereomer, or stereoisomer thereof, or pharmaceutically acceptable salt, hydrate, solvate, or prodrug thereof.
Another aspect of the application provides a method of treating or preventing cancer in a subject, wherein the subject is identified as being in need of inhibition of a serine-threonine kinase for the treatment of cancer, comprising administering to the subject an effective amount of a bifunctional compound disclosed herein, or an enantiomer, diastereomer, or stereoisomer thereof, or pharmaceutically acceptable salt, hydrate, solvate, or prodrug thereof.
Another aspect of the application provides a method of treating or preventing cancer in a subject, wherein the subject is identified as being in need of inhibition of at least one protein kinase for the treatment of cancer, comprising administering to the subject an effective amount of a pharmaceutical composition comprising a bifunctional compound disclosed herein, or an enantiomer, diastereomer, or stereoisomer thereof, or pharmaceutically acceptable salt, hydrate, solvate, or prodrug thereof. In some embodiments, the protein kinase is a protein tyrosine kinase. In other embodiments, the protein kinase is a serine-threonine kinase.
Another aspect of the application provides a method of treating or preventing cancer in a subject, wherein the subject is identified as being in need of inhibition of a protein tyrosine kinase for the treatment of cancer, comprising administering to the subject an effective amount of a pharmaceutical composition comprising a bifunctional compound disclosed herein, or an enantiomer, diastereomer, or stereoisomer thereof, or pharmaceutically acceptable salt, hydrate, solvate, or prodrug thereof and a pharmaceutically acceptable carrier.
Another aspect of the application provides a method of treating or preventing cancer in a subject, wherein the subject is identified as being in need of inhibition of a serine-threonine kinase for the treatment of cancer, comprising administering to the subject an effective amount of a pharmaceutical composition comprising a bifunctional compound disclosed herein, or an enantiomer, diastereomer, or stereoisomer thereof, or pharmaceutically acceptable salt, hydrate, solvate, or prodrug thereof and a pharmaceutically acceptable carrier.
In certain embodiments, the application provides a method of treating any of the disorders described herein, wherein the subject is a human. In certain embodiments, the application provides a method of preventing any of the disorders described herein, wherein the subject is a human.
In another aspect, the application provides a bifunctional compound disclosed herein, or an enantiomer, diastereomer, or stereoisomer thereof, or pharmaceutically acceptable salt, hydrate, solvate, or prodrug thereof, for use in the manufacture of a medicament for treating or preventing a disease in which a protein kinase plays a role. In some embodiments, the protein kinase is a protein tyrosine kinase. In other embodiments, the protein kinase is a serine- threonine kinase.
In still another aspect, the application provides a bifunctional compound disclosed herein, or an enantiomer, diastereomer, or stereoisomer thereof, or pharmaceutically acceptable salt, hydrate, solvate, or prodrug thereof, for use in the manufacture of a medicament for treating or preventing a disease in which a protein tyrosine kinase plays a role.
In another aspect, the application provides a bifunctional compound disclosed herein, or an enantiomer, diastereomer, or stereoisomer thereof, or pharmaceutically acceptable salt, hydrate, solvate, or prodrug thereof, for use in the manufacture of a medicament for treating or preventing a disease in which a serine-threonine kinase plays a role.
In another aspect, the application provides a bifunctional compound of the application, or an enantiomer, diastereomer, or stereoisomer thereof, or pharmaceutically acceptable salt, hydrate, solvate, or prodrug thereof for use in treating or preventing a disease in which a protein kinase plays a role. In some embodiments, the protein kinase is a protein tyrosine kinase. In other embodiments, the protein kinase is a serine-threonine kinase. In still another aspect, the application provides a bifunctional compound of the application, or an enantiomer, diastereomer, or stereoisomer thereof, or pharmaceutically acceptable salt, hydrate, solvate, or prodrug thereof for use in treating or preventing a disease in which a protein tyrosine kinase plays a role.
In another aspect, the application provides a bifunctional compound of the application, or an enantiomer, diastereomer, or stereoisomer thereof, or pharmaceutically acceptable salt, hydrate, solvate, or prodrug thereof for use in treating or preventing a disease in which a serine- threonine kinase plays a role.
In another aspect, the application provides a pharmaceutical composition comprising a bifunctional compound disclosed herein, or an enantiomer, diastereomer, or stereoisomer thereof, or pharmaceutically acceptable salt, hydrate, solvate, or prodrug thereof and a pharmaceutically acceptable carrier, for use in the manufacture of a medicament for treating or preventing a disease in which a protein kinase plays a role. In some embodiments, the protein kinase is a protein tyrosine kinase. In other embodiments, the protein kinase is a serine-threonine kinase.
In another aspect, the application provides a pharmaceutical composition comprising a bifunctional compound disclosed herein, or an enantiomer, diastereomer, or stereoisomer thereof, or pharmaceutically acceptable salt, hydrate, solvate, or prodrug thereof and a pharmaceutically acceptable carrier, for use in the manufacture of a medicament for treating or preventing a disease in which a protein kinase plays a role. In some embodiments, the protein kinase is a protein tyrosine kinase. In other embodiments, the protein kinase is a serine-threonine kinase.
In still another aspect, the application provides a pharmaceutical composition comprising a bifunctional compound disclosed herein, or an enantiomer, diastereomer, or stereoisomer thereof, or pharmaceutically acceptable salt, hydrate, solvate, or prodrug thereof and a pharmaceutically acceptable carrier, for use in treating or preventing a disease in which protein tyrosine kinase plays a role.
In another aspect, the application provides a pharmaceutical composition comprising a bifunctional compound disclosed herein, or an enantiomer, diastereomer, or stereoisomer thereof, or pharmaceutically acceptable salt, hydrate, solvate, or prodrug thereof and a pharmaceutically acceptable carrier, for use in treating or preventing a disease in which serine-threonine kinase plays a role. In some embodiments, the bifunctional compounds of the application can modulate and/or inhibit one or more protein kinases including, but not limited to, Abl, Ack, AIE2, Akt, ALK, ALK2, ALK3, AIM1, ARK2, ARK1, AURA, Aurora-A, Aurora-B, Aurora-C, bcr-abl, Blk, BRAF, Brk, BTAK, Btk, c-fms, c-kit, c-met, c-src, CDK1, CDK2, CDK3, CDK4, CDK5, CDK6, CDK7, CDK8, CDK9, CDK10, cRafl, CSK, EGFR, ErbB2, ErbB3, ErbB4, Erk, Fak, Frk, Fes, Fps, FGFR1, FGFR2, FGFR3, FGFR4, FGFR5, Fgr, flt-1, Fps, Frk, Fyn, Hck, IGF-1R, IRR, INS-R, Jak, KDR/FLK-l,, Lck, Lyn, MEK, p38, PDGFR, PIK, PKC, PYK2, ros, Src, STK12, STK13, STK15, STK16, Syk, tie, tie2, TRK, VEGF, Yrk, and Zap70.
As inhibitors of protein kinases (e.g., protein tyrosine kinase, serine-threonine kinase, etc.), the bifunctional compounds and compositions of this application are particularly useful for treating or lessening the severity of a disease, condition, or disorder where a protein kinase is implicated in the disease, condition, or disorder. In one aspect, the present application provides a method for treating or lessening the severity of a disease, condition, or disorder where a protein kinase is implicated in the disease state. In another aspect, the present application provides a method for treating or lessening the severity of a protein kinase mediated disease, condition, or disorder where inhibition of enzymatic activity is implicated in the treatment of the disease. In another aspect, this application provides a method for treating or lessening the severity of a disease, condition, or disorder with bifunctional compounds that inhibit enzymatic activity by binding to the protein kinase. Another aspect provides a method for treating or lessening the severity of a protein kinase mediated disease, condition, or disorder by inhibiting enzymatic activity of the protein kinase with a protein kinase inhibitor.
In some embodiments, said method is used to treat or prevent a condition selected from autoimmune diseases, inflammatory diseases, proliferative and hyperproliferative diseases, immunologically-mediated diseases, bone diseases, metabolic diseases, neurological and neurodegenerative diseases, cardiovascular diseases, hormone related diseases, allergies, asthma, and Alzheimer's disease. In other embodiments, said condition is selected from a proliferative disorder and a neurodegenerative disorder.
One aspect of this application provides bifunctional compounds that are useful for the treatment of diseases, disorders, and conditions characterized by excessive or abnormal cell proliferation. Such diseases include, but are not limited to, a proliferative or hyperproliferative disease, and a neurodegenerative disease. Examples of proliferative and hyperproliferative diseases include, without limitation, cancer. The term "cancer" includes, but is not limited to, the following cancers: breast; ovary; cervix; prostate; testis, genitourinary tract; esophagus; larynx, glioblastoma; neuroblastoma; stomach; skin, keratoacanthoma; lung, epidermoid carcinoma, large cell carcinoma, small cell carcinoma, lung adenocarcinoma; bone; colon; colorectal;
adenoma; pancreas, adenocarcinoma; thyroid, follicular carcinoma, undifferentiated carcinoma, papillary carcinoma; seminoma; melanoma; sarcoma; bladder carcinoma; liver carcinoma and biliary passages; kidney carcinoma; myeloid disorders; lymphoid disorders, Hodgkin's, hairy cells; buccal cavity and pharynx (oral), lip, tongue, mouth, pharynx; small intestine;
colonrectum, large intestine, rectum, brain and central nervous system; chronic myeloid leukemia (CML), and leukemia. The term "cancer" includes, but is not limited to, the following cancers: myeloma, lymphoma, or a cancer selected from gastric, renal, or and the following cancers: head and neck, oropharangeal, non-small cell lung cancer (NSCLC), endometrial, hepatocarcinoma, Non-Hodgkins lymphoma, and pulmonary.
The term "cancer" refers to any cancer caused by the proliferation of malignant neoplastic cells, such as tumors, neoplasms, carcinomas, sarcomas, leukemias, lymphomas and the like. For example, cancers include, but are not limited to, mesothelioma, leukemias and lymphomas such as cutaneous T-cell lymphomas (CTCL), noncutaneous peripheral T-cell lymphomas, lymphomas associated with human T-cell lymphotrophic virus (HTLV) such as adult T-cell leukemia/lymphoma (ATLL), B-cell lymphoma, acute nonlymphocytic leukemias, chronic lymphocytic leukemia, chronic myelogenous leukemia, acute myelogenous leukemia, lymphomas, and multiple myeloma, non-Hodgkin lymphoma, acute lymphatic leukemia (ALL), chronic lymphatic leukemia (CLL), Hodgkin's lymphoma, Burkitt lymphoma, adult T-cell leukemia lymphoma, acute-myeloid leukemia (AML), chronic myeloid leukemia (CML), or hepatocellular carcinoma. Further examples include myelodisplastic syndrome, childhood solid tumors such as brain tumors, neuroblastoma, retinoblastoma, Wilms' tumor, bone tumors, and soft-tissue sarcomas, common solid tumors of adults such as head and neck cancers (e.g., oral, laryngeal, nasopharyngeal and esophageal), genitourinary cancers (e.g., prostate, bladder, renal, uterine, ovarian, testicular), lung cancer (e.g., small-cell and non-small cell), breast cancer, pancreatic cancer, melanoma and other skin cancers, stomach cancer, brain tumors, tumors related to Gorlin's syndrome (e.g., medulloblastoma, meningioma, etc.), and liver cancer.
Additional exemplary forms of cancer which may be treated by the subject bifunctional compounds include, but are not limited to, cancer of skeletal or smooth muscle, stomach cancer, cancer of the small intestine, rectum carcinoma, cancer of the salivary gland, endometrial cancer, adrenal cancer, anal cancer, rectal cancer, parathyroid cancer, and pituitary cancer.
Additional cancers that the bifunctional compounds described herein may be useful in preventing, treating and studying are, for example, colon carcinoma, familiary adenomatous polyposis carcinoma and hereditary non-polyposis colorectal cancer, or melanoma. Further, cancers include, but are not limited to, labial carcinoma, larynx carcinoma, hypopharynx carcinoma, tongue carcinoma, salivary gland carcinoma, gastric carcinoma, adenocarcinoma, thyroid cancer (medullary and papillary thyroid carcinoma), renal carcinoma, kidney
parenchyma carcinoma, cervix carcinoma, uterine corpus carcinoma, endometrium carcinoma, chorion carcinoma, testis carcinoma, urinary carcinoma, melanoma, brain tumors such as glioblastoma, astrocytoma, meningioma, medulloblastoma and peripheral neuroectodermal tumors, gall bladder carcinoma, bronchial carcinoma, multiple myeloma, basalioma, teratoma, retinoblastoma, choroidea melanoma, seminoma, rhabdomyosarcoma, craniopharyngeoma, osteosarcoma, chondrosarcoma, myosarcoma, liposarcoma, fibrosarcoma, Ewing sarcoma, and plasmocytoma. In one aspect of the application, the present application provides for the use of one or more bifunctional compounds of the application in the manufacture of a medicament for the treatment of cancer, including without limitation the various types of cancer disclosed herein.
In some embodiments, the bifunctional compounds of this application are useful for treating cancer, such as colorectal, thyroid, breast, and lung cancer; and myeloproliferative disorders, such as polycythemia vera, thrombocythemia, myeloid metaplasia with myelofibrosis, chronic myelogenous leukemia, chronic myelomonocytic leukemia, hypereosinophilic syndrome, juvenile myelomonocytic leukemia, and systemic mast cell disease. In some embodiments, the bifunctional compounds of this application are useful for treating hematopoietic disorders, in particular, acute-myelogenous leukemia (AML), chronic-myelogenous leukemia (CML), acute- promyelocytic leukemia, and acute lymphocytic leukemia (ALL).
This application further embraces the treatment or prevention of cell proliferative disorders such as hyperplasias, dysplasias and pre-cancerous lesions. Dysplasia is the earliest form of pre-cancerous lesion recognizable in a biopsy by a pathologist. The subject bifunctional compounds may be administered for the purpose of preventing said hyperplasias, dysplasias or pre-cancerous lesions from continuing to expand or from becoming cancerous. Examples of pre- cancerous lesions may occur in skin, esophageal tissue, breast and cervical intra-epithelial tissue.
Another aspect of this application provides a method for the treatment or lessening the severity of a disease selected from a proliferative or hyperproliterative disease, or a
neurodegenerative disease, comprising administering an effective amount of a bifunctional compound, or a pharmaceutically acceptable composition comprising a bifunctional compound, to a subject in need thereof.
As inhibitors of a protein kinase (e.g., protein tyrosine kinase, serine-threonine kinase, etc.), the compounds and compositions of this application are also useful in biological samples. One aspect of the application relates to inhibiting protein kinase activity in a biological sample, which method comprises contacting said biological sample with a bifunctional compound of the application or a composition comprising said bifunctional compound. The term "biological sample", as used herein, means an in vitro or an ex vivo sample, including, without limitation, cell cultures or extracts thereof; biopsied material obtained from a mammal or extracts thereof; and blood, saliva, urine, feces, semen, tears, or other body fluids or extracts thereof. Inhibition of protein kinase activity in a biological sample is useful for a variety of purposes that are known to one of skill in the art. Examples of such purposes include, but are not limited to, blood transfusion, organ- transplantation, and biological specimen storage.
Another aspect of this application relates to the study of protein kinases (e.g., protein tyrosine kinase, serine-threonine kinase, etc.) in biological and pathological phenomena; the study of intracellular signal transduction pathways mediated by such protein kinases; and the comparative evaluation of new protein kinase inhibitors. Examples of such uses include, but are not limited to, biological assays such as enzyme assays and cell-based assays.
The activity of the compounds and compositions of the present application as protein kinase (e.g., protein tyrosine kinase, serine-threonine, etc.) inhibitors may be assayed in vitro, in vivo, or in a cell line. In vitro assays include assays that determine inhibition of either the enzyme activity or ATPase activity of the activated kinase. Alternate in vitro assays quantitate the ability of the inhibitor to bind to the protein kinase and may be measured either by radio labelling the inhibitor prior to binding, isolating the inhibitor/protein kinase complex or inhibitor protein tyrosine kinase complex or serine-threonine kinase complex and determining the amount of radio label bound, or by running a competition experiment where new inhibitors are incubated with the kinase bound to known radioligands. Detailed conditions for assaying a compound utilized in this application as an inhibitor of various kinases are set forth in the Examples below.
In accordance with the foregoing, the present application further provides a method for preventing or treating any of the diseases or disorders described above in a subject in need of such treatment, which method comprises administering to said subject a therapeutically effective amount of a bifunctional compound of the application, or an enantiomer, diastereomer, or stereoisomer thereof, or pharmaceutically acceptable salt, hydrate, solvate, or prodrug thereof. For any of the above uses, the required dosage will vary depending on the mode of
administration, the particular condition to be treated and the effect desired.
Pharmaceutical Compositions
In another aspect, the application provides a pharmaceutical composition comprising a therapeutically effective amount of a bifunctional compound of the present application or an enantiomer, diastereomer, or stereoisomer thereof, or pharmaceutically acceptable salt, hydrate, solvate, or prodrug thereof, and a pharmaceutically acceptable carrier.
Bifunctional compounds of the application can be administered as pharmaceutical compositions by any conventional route, in particular enterally, e.g., orally, e.g., in the form of tablets or capsules, or parenterally, e.g., in the form of injectable solutions or suspensions, or topically, e.g., in the form of lotions, gels, ointments or creams, or in a nasal or suppository form. Pharmaceutical compositions comprising a compound of the present application in free form or in a pharmaceutically acceptable salt form in association with at least one pharmaceutically acceptable carrier or diluent can be manufactured in a conventional manner by mixing, granulating or coating methods. For example, oral compositions can be tablets or gelatin capsules comprising the active ingredient together with a) diluents, e.g., lactose, dextrose, sucrose, mannitol, sorbitol, cellulose and/or glycine; b) lubricants, e.g., silica, talcum, stearic acid, its magnesium or calcium salt and/or polyethyleneglycol; for tablets also c) binders, e.g., magnesium aluminum silicate, starch paste, gelatin, tragacanth, methylcellulose, sodium carboxymethylcellulose and or polyvinylpyrrolidone; if desired d) disintegrants, e.g., starches, agar, alginic acid or its sodium salt, or effervescent mixtures; and/or e) absorbents, colorants, flavors and sweeteners. Injectable compositions can be aqueous isotonic solutions or
suspensions, and suppositories can be prepared from fatty emulsions or suspensions. The compositions may be sterilized and/or contain adjuvants, such as preserving, stabilizing, wetting or emulsifying agents, solution promoters, salts for regulating the osmotic pressure and/or buffers. In addition, they may also contain other therapeutically valuable substances. Suitable formulations for transdermal applications include an effective amount of a compound of the present application with a carrier. A carrier can include absorbable pharmacologically acceptable solvents to assist passage through the skin of the host. For example, transdermal devices are in the form of a bandage comprising a backing member, a reservoir containing the compound optionally with carriers, optionally a rate controlling barrier to deliver the compound to the skin of the host at a controlled and predetermined rate over a prolonged period of time, and means to secure the device to the skin. Matrix transdermal formulations may also be used.
Suitable formulations for topical application, e.g., to the skin and eyes, are preferably aqueous solutions, ointments, creams or gels well-known in the art. Such may contain solubilizers, stabilizers, tonicity enhancing agents, buffers and preservatives.
The pharmaceutical compositions of the present application comprise a therapeutically effective amount of a compound of the present application formulated together with one or more pharmaceutically acceptable carriers. As used herein, the term "pharmaceutically acceptable carrier" means a non-toxic, inert solid, semi-solid or liquid filler, diluent, encapsulating material or formulation auxiliary of any type. Some examples of materials which can serve as
pharmaceutically acceptable carriers include, but are not limited to, ion exchangers, alumina, aluminum stearate, lecithin, serum proteins, such as human serum albumin, buffer substances such as phosphates, glycine, sorbic acid, or potassium sorbate, partial glyceride mixtures of saturated vegetable fatty acids, water, salts or electrolytes, such as protamine sulfate, disodium hydrogen phosphate, potassium hydrogen phosphate, sodium chloride, zinc salts, colloidal silica, magnesium trisilicate, polyvinyl pyrrolidone, polyacrylates, waxes, polyethylenepolyoxy propylene-block polymers, wool fat, sugars such as lactose, glucose and sucrose; starches such as corn starch and potato starch; cellulose and its derivatives such as sodium carboxymethyl cellulose, ethyl cellulose and cellulose acetate; powdered tragacanth; malt; gelatin; talc;
excipients such as cocoa butter and suppository waxes, oils such as peanut oil, cottonseed oil; safflower oil; sesame oil; olive oil; corn oil and soybean oil; glycols such a propylene glycol or polyethylene glycol; esters such as ethyl oleate and ethyl laurate, agar; buffering agents such as magnesium hydroxide and aluminum hydroxide; alginic acid; pyrogen-free water, isotonic saline; Ringer's solution; ethyl alcohol, and phosphate buffer solutions, as well as other non-toxic compatible lubricants such as sodium lauryl sulfate and magnesium stearate, as well as coloring agents, releasing agents, coating agents, sweetening, flavoring and perfuming agents,
preservatives and antioxidants can also be present in the composition, according to the judgment of the formulator.
The pharmaceutical compositions of this application can be administered to humans and other animals orally, rectally, parenterally, intracisternally, intravaginally, intraperitoneally, topically (as by powders, ointments, or drops), buccally, or as an oral or nasal spray.
Liquid dosage forms for oral administration include pharmaceutically acceptable emulsions, microemulsions, solutions, suspensions, syrups and elixirs. In addition to the active compounds, the liquid dosage forms may contain inert diluents commonly used in the art such as, for example, water or other solvents, solubilizing agents and emulsifiers such as ethyl alcohol, isopropyl alcohol, ethyl carbonate, ethyl acetate, benzyl alcohol, benzyl benzoate, propylene glycol, 1,3-butylene glycol, dimethylformamide, oils (in particular, cottonseed, groundnut, com, germ, olive, castor, and sesame oils), glycerol, tetrahydrofurfuryl alcohol, polyethylene glycols and fatty acid esters of sorbitan, and mixtures thereof. Besides inert diluents, the oral compositions can also include adjuvants such as wetting agents, emulsifying and suspending agents, sweetening, flavoring, and perfuming agents.
Injectable preparations, for example, sterile injectable aqueous, or oleaginous suspensions may be formulated according to the known art using suitable dispersing or wetting agents and suspending agents. The sterile injectable preparation may also be a sterile injectable solution, suspension or emulsion in a nontoxic parenterally acceptable diluent or solvent, for example, as a solution in 1,3-butanediol. Among the acceptable vehicles and solvents that may be employed are water, Ringer's solution, U.S.P. and isotonic sodium chloride solution. In addition, sterile, fixed oils are conventionally employed as a solvent or suspending medium. For this purpose any bland fixed oil can be employed including synthetic mono- or diglycerides. In addition, fatty acids such as oleic acid are used in the preparation of injectables.
In order to prolong the effect of a drug, it is often desirable to slow the absorption of the drug from subcutaneous or intramuscular injection. This may be accomplished by the use of a liquid suspension of crystalline or amorphous material with poor water solubility. The rate of absorption of the drug then depends upon its rate of dissolution which, in tum, may depend upon crystal size and crystalline form. Alternatively, delayed absorption of a parenterally administered drug form is accomplished by dissolving or suspending the drug in an oil vehicle.
Compositions for rectal or vaginal administration are preferably suppositories which can be prepared by mixing the compounds of this application with suitable non-irritating excipients or carriers such as cocoa butter, polyethylene glycol or a suppository wax which are solid at ambient temperature but liquid at body temperature and therefore melt in the rectum or vaginal cavity and release the active compound.
Solid compositions of a similar type may also be employed as fillers in soft and hard filled gelatin capsules using such excipients as lactose or milk sugar as well as high molecular weight polyethylene glycols and the like.
The active compounds can also be in micro-encapsulated form with one or more excipients as noted above. The solid dosage forms of tablets, dragees, capsules, pills, and granules can be prepared with coatings and shells such as enteric coatings, release controlling coatings and other coatings well known in the pharmaceutical formulating art. In such solid dosage forms the active compound may be admixed with at least one inert diluent such as sucrose, lactose or starch. Such dosage forms may also comprise, as is normal practice, additional substances other than inert diluents, e.g., tableting lubricants and other tableting aids such a magnesium stearate and microcrystalline cellulose. In the case of capsules, tablets and pills, the dosage forms may also comprise buffering agents.
Dosage forms for topical or transdermal administration of a compound of this application include ointments, pastes, creams, lotions, gels, powders, solutions, sprays, inhalants or patches. The active component is admixed under sterile conditions with a pharmaceutically acceptable carrier and any needed preservatives or buffers as may be required. Ophthalmic formulation, ear drops, eye ointments, powders and solutions are also contemplated as being within the scope of this application.
The ointments, pastes, creams and gels may contain, in addition to an active compound of this application, excipients such as animal and vegetable fats, oils, waxes, paraffins, starch, tragacanth, cellulose derivatives, polyethylene glycols, silicones, bentonites, silicic acid, talc and zinc oxide, or mixtures thereof.
Powders and sprays can contain, in addition to the compounds of this application, excipients such as lactose, talc, silicic acid, aluminum hydroxide, calcium silicates and polyamide powder, or mixtures of these substances. Sprays can additionally contain customary propellants such as chlorofluorohydrocarbons.
Transdermal patches have the added advantage of providing controlled delivery of a compound to the body. Such dosage forms can be made by dissolving or dispensing the compound in the proper medium. Absorption enhancers can also be used to increase the flux of the compound across the skin. The rate can be controlled by either providing a rate controlling membrane or by dispersing the compound in a polymer matrix or gel.
Compounds and compositions of the application can be administered in therapeutically effective amounts in a combinational therapy with one or more therapeutic agents
(pharmaceutical combinations) or modalities, e.g., an anti-proliferative, anti-cancer,
immunomodulatory or anti-inflammatory agent. Where the compounds of the application are administered in conjunction with other therapies, dosages of the co-administered compounds will of course vary depending on the type of co-drug employed, on the specific drug employed, on the condition being treated and so forth. Compounds and compositions of the application can be administered in therapeutically effective amounts in a combinational therapy with one or more therapeutic agents (pharmaceutical combinations) or modalities, e.g., anti-proliferative, anti- cancer, immunomodulatory or anti-inflammatory agent, and/or non-drug therapies, etc. For example, synergistic effects can occur with anti-proliferative, anti-cancer, immunomodulatory or anti-inflammatory substances. Where the compounds of the application are administered in conjunction with other therapies, dosages of the co-administered compounds will of course vary depending on the type of co-drug employed, on the specific drug employed, on the condition being treated and so forth.
Combination therapy includes the administration of the subject compounds in further combination with one or more other biologically active ingredients (such as, but not limited to, a second protein tyrosine kinase inhibitor, a second serine-threonine kinase inhibitor, a second and different antineoplastic agent, a kinase inhibitor and non-drug therapies (such as, but not limited to, surgery or radiation treatment). For instance, the compounds of the application can be used in combination with other pharmaceutically active compounds, preferably compounds that are able to enhance the effect of the compounds of the application. The compounds of the application can be administered simultaneously (as a single preparation or separate preparation) or sequentially to the other drug therapy or treatment modality. In general, a combination therapy envisions administration of two or more drugs during a single cycle or course of therapy.
In another aspect of the application, the compounds may be administered in combination with one or more separate pharmaceutical agents, e.g., a chemotherapeutic agent, an
immunotherapeutic agent, or an adjunctive therapeutic agent.
Examples
Analytical Methods, Materials, and Instrumentation
All reactions are monitored on a Waters Acquity UPLC/MS system (Waters PDA eλ Detector, QDa Detector, Sample manager– FL, Binary Solvent Manager) using Acquity
UPLC® BEH C18 column (2.1 x 50 mm, 1.7 µm particle size): solvent gradient = 90% A at 0 min, 1% A at 1.8 min; solvent A = 0.1% formic acid in Water; solvent B = 0.1% formic acid in Acetonitrile; flow rate : 0.6 mL/min. Reaction products are purified by flash column
chromatography using CombiFlash®Rf with Teledyne Isco RediSep®Rf High Performance Gold or Silicycle SiliaSepTM High Performance columns (4 g, 12 g, 24 g, 40 g, or 80 g), Waters HPLC system using SunFireTM Prep C18 column (19 x 100 mm, 5 µm particle size): solvent gradient = 80% A at 0 min, 5% A at 25 min; solvent A = 0.035% TFA in Water; solvent B = 0.035% TFA in MeOH; flow rate : 25 mL/min (Method A), and Waters Acquity UPLC/MS system (Waters PDA eλ Detector, QDa Detector, Sample manager– FL, Binary Solvent Manager) using Acquity UPLC® BEH C18 column (2.1 x 50 mm, 1.7 μm particle size): solvent gradient = 80% A at 0 min, 5% A at 2 min; solvent A = 0.1% formic acid in Water; solvent B = 0.1% formic acid in Acetonitrile; flow rate : 0.6 mL/min (method B). The purity of all compounds is over 95% and is analyzed with Waters LC/MS system. 1H NMR is obtained using a 500 MHz Bruker Avance III. Chemical shifts are reported relative to dimethyl sulfoxide (δ = 2.50) for 1H NMR. Data are reported as (br = broad, s = singlet, d = doublet, t = triplet, q = quartet, m = multiplet).
Abbreviations used in the following examples and elsewhere herein are:
AcOH acetic acid
br broad
DCM dichloromethane
DMAP 4-Dimethylaminopyridine
DMF N,N-dimethylformamide
DMSO dimethyl sulfoxide
DIPEA N,N-Diisopropylethylamine
EDCI 1-ethyl-3-(3-dimethylaminopropyl) carbodiimide equiv equivalents
ESI electrospray ionization
EtOAc ethyl acetate
Et3N triethylamine
Et3SiH triethylsilane
HCl hydrochloric acid
h hour(s)
HATU 1-[Bis(dimethylamino)methylene]-1H-1,2,3-triazolo[4,5- b]pyridinium 3-oxid hexafluorophosphate
HPLC high-performance liquid chromatography
LCMS liquid chromatography–mass spectrometry
m multiplet
MeOH methanol
MHz megahertz
min minutes
MS mass spectrometry
NaBH(OAc)3 Sodium triacetoxy borohydride
NMP N-methyl-2-pyrrolidone
NMR nuclear magnetic resonance
Pd(OAc)2 palladium (II) acetate
ppm parts per million
t-BuOH tert-Butyl alcohol TFA trifluoroacetic acid
THF tetrahydrofuran
TsCl 4-Toluenesulfonyl chloride
Example 1: Synthesis of 2-(2,6-dioxopiperidin-3-yl)-4-fluoroisoindoline-1,3-dione (2-1)
Figure imgf000141_0001
To a solution of 3-fluorophthalic anhydride (2a, 200 mg, 1.20 mmol, 1 equiv) in AcOH (4.0 mL, 0.3 M) was added 2,6-dioxopiperidin-3-amine hydrochloride (2b, 218 mg, 1.32 mmol, 1.1 equiv) and potassium acetate (366 mg, 3.73 mmol, 3.1 equiv). The reaction mixture was heated to 90 oC overnight and then diluted with water to 20 mL and cooled using an ice bath for 30 min. The resulting slurry was transferred to a Falcon tube, and centrifuged at 3500 rpm for 5 min. The supernatant was discarded and the black solid was transferred to a 250 mL round- bottomed flask with methanol and concentrated in vacuo. The residue was purified by flash column chromatography on silica gel (eluting with 2% MeOH in CH2Cl2, Rf = 0.3) to afford the title compound 2-1 as a white solid (288 mg, 86%). 1H NMR (500 MHz, DMSO-d6) δ 11.15 (s, 1H), 7.96 (ddd, J = 8.3, 7.3, 4.5 Hz, 1H), 7.82– 7.71 (m, 2H), 5.17 (dd, J = 13.0, 5.4 Hz, 1H), 2.90 (ddd, J = 17.1, 13.9, 5.4 Hz, 1H), 2.65– 2.47 (m, 2H), 2.10– 2.04 (m, 1H).13C NMR (126 MHz, DMSO-d6) δ 173.2, 170.1, 166.5, 164.4, 157.3 (d, JCF = 262.3 Hz), 138.5 (d, JCF = 7.9 Hz), 133.9, 123.5 (d, JCF = 19.6 Hz), 120.5 (d, JCF = 3.2 Hz), 117.5 (d, JCF = 12.4 Hz), 49.6, 31.4, 22.3. MS (ESI) [M+H]+: 277.3.
Example 2: 2-(2,6-dioxopiperidin-3-yl)-5-fluoroisoindoline-1,3-dione (3-1)
Figure imgf000141_0002
To a solution of 4-fluorophthalic anhydride (3a, 2.0 g, 12.0 mmol, 1 equiv) in AcOH (40.0 mL, 0.3 M) was added 2,6-dioxopiperidin-3-amine hydrochloride (2b, 2.2 g, 13.2 mmol) and potassium acetate (3.66 g, 37.3 mmol 3.1 equiv). The reaction mixture was heated to 90 oC overnight and then diluted with water to 20 mL and cooled using an ice bath for 30 min. The resulting slurry was transferred to a Falcon tube, and centrifuged at 3500 rpm for 5 min. The supernatant was discarded and the black solid was transferred to a 250 mL round-bottomed flask with methanol and concentrated in vacuo. The residue was purified by flash column
chromatography on silica gel (eluting with CH2Cl2:MeOH (15:1)) to afford the title compound 3- 1 as a white solid (2.93 g, 88%) following purification by flash column chromatography on silica gel (CH2Cl2:MeOH (15:1)). 1H NMR (500 MHz, DMSO-d6) δ 11.14 (s, 1H), 8.02 (dd, J = 8.3, 4.5 Hz, 1H), 7.86 (dd, J = 7.4, 2.3 Hz, 1H), 7.77– 7.68 (m, 1H), 5.17 (dd, J = 13.0, 5.4 Hz, 1H), 2.90 (ddd, J = 17.2, 13.9, 5.5 Hz, 1H), 2.66– 2.52 (m, 2H), 2.14– 2.03 (m, 1H).13C NMR (126 MHz, DMSO-d6) δ 172.7, 169.7, 166.2, 166.0 (d, JCF = 254.5 Hz), 165.9 (d, JCF = 3.1 Hz), 134.2 (d, JCF = 10.2 Hz), 127.4 (d, JCF = 2.7 Hz), 126.3 (d, JCF = 9.8 Hz), 121.7 (d, JCF = 23.8 Hz), 111.4 (d, JCF = 25.0 Hz), 49.2, 30.9, 21.9. MS (ESI) [M+H]+: 277.2.
Example 3: 2-(2,6-dioxopiperidin-3-yl)-1,3-dioxoisoindoline-5-carboxylic acid (4-1)
Figure imgf000142_0001
To a solution of 2,4-benzeetricarboxylic anhydride (4a, 200 mg, 1.04 mmol, 1 equiv) in AcOH (4.0 mL, 0.3 M) was added 3-aminopiperidine-2,6-dione hydrochloride (2b, 188 mg, 1.15 mmol, 1.1 equiv) and potassium acetate (297 mg, 3.22 mmol, 3.1 equiv). The reaction mixture was heated to 90 oC overnight and then diluted with water to 20 mL and cooled using an ice bath for 30 min. The resulting slurry was transferred to a Falcon tube, and centrifuged at 3500 rpm for 5 min. The supernatant was discarded and the black solid was transferred to a 250 mL round- bottomed flask with methanol and concentrated in vacuo. The residue was purified by flash column chromatography on silica gel (eluting with CH2Cl2:MeOH (9:1)) to afford the title compound 4-1 as a white solid (178 mg, 57%). 1H NMR (500 MHz, DMSO-d6) δ 11.14 (s, 1H), 8.40 (dd, J = 7.6, 1.4 Hz, 1H), 8.31 (d, J = 1.4 Hz, 1H), 7.98 (d, J = 7.7 Hz, 1H), 5.18 (dd, J = 12.8, 5.4 Hz, 1H), 2.90 (ddd, J = 16.9, 13.8, 5.4 Hz, 1H), 2.66– 2.51 (m, 2H), 2.11– 2.03 (m, 1H). MS (ESI) [M+H]+: 303.2. Example 4: tert-butyl (4-((2-(2,6-dioxopiperidin-3-yl)-1,3-dioxoisoindolin-5-yl)amino) butyl)carbamate 5-1
Figure imgf000143_0001
To a stirred solution of 2-(2,6-dioxopiperidin-3-yl)-5-fluoroisoindoline-1,3-dione (3-1, 100 mg, 0.362 mmol, 1 equiv) in NMP (1.8 mL, 0.2 M) was added DIPEA (126 μL, 0.724 mmol, 2 equiv) and N-boc-1,4-butanediamine (75 ^mg, 0.362 mmol, 1 equiv). The reaction mixture was heated to 90 oC overnight and then cooled to room temperature. EtOAc (50 mL) was added. The organic layer was washed with water (30 mL) and brine (3 x 30 mL), dried over Na2SO4, filtered, and concentrated in vacuo. The resulting residue was purified by flash column chromatography on silica gel (eluting with 0 to 5% MeOH in CH2Cl2) to give the title compound 5-1 as a yellow solid (25 mg, 16%). 1H NMR (500 MHz, CDCl3) δ 8.54 (s, 1H), 7.53 (d, J = 8.3 Hz, 1H), 6.90– 6.85 (m, 1H), 6.68 (d, J = 8.3 Hz, 1H), 4.92 (dd, J = 12.0, 5.4 Hz, 1H), 4.70 (s, 1H), 3.26– 3.08 (m, 4H), 2.93– 2.67 (m, 3H), 2.15– 2.06 (m, 1H), 1.72– 1.52 (m, 4H), 1.44 (s, 9H). MS (ESI) [M+H]+: 445.3.
Example 5: tert-butyl (5-((2-(2,6-dioxopiperidin-3-yl)-1,3-dioxoisoindolin-5-yl)amino) pentyl)carbamate 6-1
Figure imgf000143_0002
To a stirred solution of 2-(2,6-dioxopiperidin-3-yl)-5-fluoroisoindoline-1,3-dione (3-1, 100 mg, 0.362 mmol, 1 equiv) in NMP (1.8 mL, 0.2 M) was added DIPEA (126 μL, 0.724 mmol, 2 equiv) and N-boc-1,5-pentanediamine (81 ^mg, 0.362 mmol, 1 equiv). The reaction mixture was heated to 90 oC overnight and then cooled to room temperature. EtOAc (50 mL) was added. The organic layer was washed with water (30 mL) and brine (3 x 30 mL), dried over Na2SO4, filtered, and concentrated in vacuo. The residue was purified by flash column chromatography on silica gel (eluting with 0 to 5% MeOH in CH2Cl2) to give the title compound 6-1 as a yellow solid (39 mg, 23%). 1H NMR (500 MHz, CDCl3) δ 8.41 (s, 1H), 7.55 (d, J = 8.3 Hz, 1H), 6.90 (d, J = 2.1 Hz, 1H), 6.70 (dd, J = 8.4, 2.1 Hz, 1H), 4.95– 4.82 (m, 2H), 4.66– 4.55 (m, 1H), 3.23– 3.06 (m, 4H), 2.91– 2.67 (m, 3H), 2.10 (ddd, J = 10.5, 6.8, 3.3 Hz, 1H), 1.88– 1.77 (m, 2H), 1.71– 1.60 (m, 2H), 1.56– 1.48 (m, 2H), 1.43 (s, 9H). MS (ESI) [M+H]+: 459.3.
Example 6: tert-butyl (6-((2-(2,6-dioxopiperidin-3-yl)-1,3-dioxoisoindolin-5-yl)amino) hexyl)carbamate 7-1
Figure imgf000144_0001
To a stirred solution of 2-(2,6-dioxopiperidin-3-yl)-5-fluoroisoindoline-1,3-dione (3-1, 700 mg, 2.53 mmol, 1 equiv) in NMP (8.5 mL, 0.3 M) was added DIPEA (883 μL, 5.07 mmol, 2 equiv) and N-boc-1,6-hexanediamine (568 ^ μL, 2.53 mmol, 1 equiv). The reaction mixture was heated to 90 oC overnight and then cooled to room temperature. EtOAc (50 mL) and satd.
NaHCO3 (aq) (50 mL) were added. The aqueous phase was extracted with EtOAc (25 mL), and the combined organic layers were washed with water (2 x 30 mL) and brine (3 x 50 mL), dried over Na2SO4, filtered, and concentrated in vacuo. The residue was purified by flash column chromatography on silica gel (eluting with 0 to 10% MeOH in CH2Cl2) to give the title compound 7-1 as a yellow solid (258 mg, 22%). 1H NMR (500 MHz, CDCl3) δ 8.01 (s, 1H), 7.61 (d, J = 8.4 Hz, 1H), 6.97 (d, J = 2.1 Hz, 1H), 6.76 (dd, J = 8.3, 2.2 Hz, 1H), 4.93 (dd, J = 12.3, 5.3 Hz, 1H), 4.53 (s, 1H), 3.28– 3.17 (m, 2H), 3.17– 3.05 (m, 2H), 2.91– 2.69 (m, 3H), 2.17– 2.07 (m, 1H), 1.74– 1.57 (m, 2H), 1.56– 1.47 (m, 2H), 1.44 (s, 9H), 1.46– 1.27 (m, 4H). MS (ESI) [M+H]+: 473.2.
Example 7: tert-butyl (8-((2-(2,6-dioxopiperidin-3-yl)-1,3-dioxoisoindolin-5-yl)amino) octyl)carbamate (8-1)
Figure imgf000144_0002
To a stirred solution of 2-(2,6-dioxopiperidin-3-yl)-5-fluoroisoindoline-1,3-dione (3-1, 300 mg, 1.09 mmol, 1 equiv) in NMP (5.4 mL, 0.2 M) was added DIPEA (378 μL, 2.17 mmol, 2 equiv) and N-Boc-1,8-octanediamine (292 ^mg, 1.19 mmol, 1.1 equiv). The reaction mixture was heated to 90 oC overnight and then cooled to room temperature. EtOAc (50 mL) and satd.
NaHCO3 (aq) (50 mL) were added. The aqueous phase was extracted with EtOAc (25 mL), and the combined organic layers were washed with water (2 x 30 mL) and brine (3 x 50 mL), dried over Na2SO4, filtered, and concentrated in vacuo. The residue was purified by flash column chromatography on silica gel (eluting with 0 to 5% MeOH in CH2Cl2) to give the title compound 8-1 as a yellow solid (93 mg, 17%). 1H NMR (500 MHz, CDCl3) δ 8.46 (s, 1H), 7.56 (d, J = 8.3 Hz, 1H), 6.91 (d, J = 2.1 Hz, 1H), 6.70 (dd, J = 8.4, 2.2 Hz, 1H), 4.91 (dd, J = 12.2, 5.3 Hz, 1H), 4.76 (s, 1H), 4.56 (s, 1H), 3.20– 3.11 (m, 2H), 3.13– 3.00 (m, 2H), 2.91– 2.64 (m, 3H), 2.13– 2.04 (m, 1H), 1.62 (p, J = 7.2 Hz, 2H), 1.42 (s, 9H), 1.37– 1.24 (m, 10H). MS (ESI) [M+H]+: 501.4.
Example 8: tert-butyl (2-(2-((2-(2,6-dioxopiperidin-3-yl)-1,3-dioxoisoindolin-5-yl)amino) ethoxy)ethyl)-carbamate (9-1)
Figure imgf000145_0001
To a stirred solution of 2-(2,6-dioxopiperidin-3-yl)-5-fluoroisoindoline-1,3-dione (3-1, 100 mg, 0.362 mmol, 1 equiv) in NMP (1.8 mL, 0.2 M) was added DIPEA (126 μL, 0.724 mmol, 2 equiv) and tert-butyl (2-(2-aminoethoxy)ethyl)carbamate (74 ^mg, 0.362 mmol, 1 equiv). The reaction mixture was heated to 90 oC overnight and then cooled to room temperature.
EtOAc (50 mL) was added. The organic layer was washed with water (30 mL) and brine (3 x 30 mL), dried over Na2SO4, filtered, and concentrated in vacuo. The residue was purified by flash column chromatography on silica gel (eluting with 0 to 5% MeOH in CH2Cl2) to give the title compound 9-1 as a yellow solid (37 mg, 22%). 1H NMR (500 MHz, CDCl3) δ 8.70 (s, 1H), 7.60 – 7.47 (m, 1H), 6.99– 6.85 (m, 1H), 6.74 (d, J = 8.3 Hz, 1H), 5.06– 4.96 (m, 1H), 4.92 (dd, J = 12.0, 5.3 Hz, 1H), 3.72– 3.63 (m, 2H), 3.58– 3.48 (m, 2H), 3.33– 3.24 (m, 4H), 2.95– 2.66 (m, 3H), 2.09 (ddd, J = 10.5, 6.6, 3.2 Hz, 1H), 1.43 (s, 9H). MS (ESI) [M+H]+: 461.2. Example 9: tert-butyl (2-(2-(2-((2-(2,6-dioxopiperidin-3-yl)-1,3-dioxoisoindolin-5-yl)amino) ethoxy)ethoxy)ethyl)carbamate (10-1)
Figure imgf000146_0001
To a stirred solution of 2-(2,6-dioxopiperidin-3-yl)-5-fluoroisoindoline-1,3-dione (3-1, 100 mg, 0.362 mmol, 1 equiv) in NMP (1.8 mL, 0.2 M) was added DIPEA (126 μL, 0.724 mmol, 2 equiv) and tert-butyl (2-(2-(2-aminoethoxy)ethoxy)ethyl)-carbamate (99 ^mg, 0.362 mmol, 1 equiv). The reaction mixture was heated to 90 oC overnight and then cooled to room temperature. EtOAc (50 mL) was added. The organic layer was washed with water (30 mL) and brine (3 x 30 mL), dried over Na2SO4, filtered, and concentrated in vacuo. The residue was purified by flash column chromatography on silica gel (eluting with 0 to 5% MeOH in CH2Cl2) to give the title compound 10-1 as a yellow solid (25 mg, 14%). 1H NMR (500 MHz, CDCl3) δ 8.52 (s, 1H), 7.56 (d, J = 8.2 Hz, 1H), 6.95 (d, J = 2.2 Hz, 1H), 6.76 (dd, J = 8.5, 2.1 Hz, 1H), 5.14 (s, 1H), 5.02 (s, 1H), 4.91 (dd, J = 12.0, 5.4 Hz, 1H), 3.70 (h, J = 5.9 Hz, 2H), 3.66– 3.61 (m, 4H), 3.58– 3.52 (m, 2H), 3.43– 3.37 (m, 2H), 3.34– 3.28 (m, 2H), 2.90– 2.66 (m, 3H), 2.10 (ddd, J = 10.2, 7.1, 3.4 Hz, 1H), 1.42 (d, J = 4.2 Hz, 9H). MS (ESI) [M+H]+: 505.4.
Example 10: tert-butyl 4-(((2-(2,6-dioxopiperidin-3-yl)-1,3-dioxoisoindolin-5-yl)amino) methyl)benzoate 11-1
Figure imgf000146_0002
A stirred solution of 2-(2,6-dioxopiperidin-3-yl)-5-fluoroisoindoline-1,3-dione (3-1, 200 mg, 0.724 mmol, 1 equiv) in NMP (3.6 mL, 0.2 M) was added DIPEA (525 μL, 1.45 mmol, 2 equiv) and tert-butyl 4-(aminomethyl)benzoate (165 ^mg, 0.796 mmol, 1.1 equiv). The reaction mixture was heated to 90 oC overnight and then cooled to room temperature. EtOAc (50 mL) was added. The organic layer was washed with water (30 mL) and brine (3 x 30 mL), dried over Na2SO4, filtered, and concentrated in vacuo. The residue was purified by flash column chromatography on silica gel (eluting with 0 to 5% MeOH in CH2Cl2) to give the title compound 11-1 as a yellow solid (57 mg, 17%). MS (ESI) [M+H]+: 464.6.
Example 11: tert-butyl (8-(4-(((2-(2,6-dioxopiperidin-3-yl)-1,3-dioxoisoindolin-5-yl)amino) meth l benzamido oct l carbamate 12-1
Figure imgf000147_0001
To a solution of tert-butyl (8-(4-(((2-(2,6-dioxopiperidin-3-yl)-1,3-dioxoisoindolin-5- yl)amino)methyl)benz-amido)octyl)carbamate (11-1, 57 mg, 0.123 mmol, 1 equiv) was added (4M, dioxane, 300 μL). The reaction mixture was stirred at room temperature for 1 h and then concentrated in vacuo. The resulting residue was taken up in DMF (1.2 mL, 0.1 M) and N-boc- 1,8-octanediamine (30 mg, 0.123 mmol, 1 equiv), HATU (47 mg, 0.123 mmol, 1 equiv) and DIPEA (86 μL, 0.492 mmol, 4 equiv) were added. The reaction mixture was stirred at room temperature overnight and EtOAc (20 mL) was then added. The organic layer was washed with satd. NaHCO3 (aq) (20 mL), water (20 mL) and brine (3 x 15 mL), dried over Na2SO4, filtered, and concentrated in vacuo. The resulting crude residue was purified by flash column
chromatography on silica gel (eluting with 0 to 10% MeOH in CH2Cl2) to give the title compound 12-1 as a yellow solid (40 mg, 51%). MS (ESI) [M+H]+: 634.5.
Example 12: tert-butyl 4-(((2-(2,6-dioxopiperidin-3-yl)-1,3-dioxoisoindolin-4-yl)amino) methyl)benzoate (13-1)
Figure imgf000147_0002
To a stirred solution of 2-(2,6-dioxopiperidin-3-yl)-4-fluoroisoindoline-1,3-dione (2-1, 200 mg, 0.724 mmol, 1 equiv) in NMP (3.6 mL, 0.2 M) was added DIPEA (525 μL, 1.45 mmol, 2 equiv) and tert-butyl 4-(aminomethyl)benzoate (165 ^mg, 0.796 mmol, 1.1 equiv). The reaction mixture was heated to 90 oC overnight and then cooled to room temperature. EtOAc (50 mL) was added and the organic layer was washed with water (30 mL) and brine (3 x 30 mL), dried over Na2SO4, filtered, and concentrated in vacuo. The residue was purified by flash column chromatography on silica gel (eluting with 0 to 5% MeOH in CH2Cl2) to give the title compound 13-1 as a yellow solid (165 mg, 50%). MS (ESI) [M+H]+: 464.7.
Example 13: tert-butyl (8-(4-(((2-(2,6-dioxopiperidin-3-yl)-1,3-dioxoisoindolin-4-yl)amino) meth l benzamido oct l carbamate 14-1
Figure imgf000148_0001
To a solution of tert-butyl 4-(((2-(2,6-dioxopiperidin-3-yl)-1,3-dioxoisoindolin-4- yl)amino)methyl)benzoate (13-1, 165 mg, 0.363 mmol, 1 equiv) was added HCl (4M, dioxane, 300 μL). The reaction mixture was stirred at room temperature for 1 h and then concentrated in vacuo. The resulting residue was taken up in DMF (3.6 mL, 0.1 M) and N-boc-1,8- octanediamine (89 mg, 0.363 mmol, 1 equiv), HATU (138 mg, 0.363 mmol, 1 equiv) and DIPEA (253 μL, 1.45 mmol, 4 equiv) were added. The reaction mixture was stirred at room temperature overnight and EtOAc (20 mL) was then added. The organic layer was washed with satd.
NaHCO3 (aq) (20 mL), water (20 mL) and brine (3 x 15 mL), dried over Na2SO4, filtered, and concentrated in vacuo. The residue was purified by flash column chromatography on silica gel (eluting with 0 to 10% MeOH in CH2Cl2) to give the title compound 14-1 as a yellow solid (158 mg, 69%). MS (ESI) [M+H]+: 634.5.
Example 14: tert-butyl (6-((2-(2,6-dioxopiperidin-3-yl)-1,3-dioxoisoindolin-4-yl)amino) hexyl)carbamate 15-1
Figure imgf000148_0002
To a stirred solution of 2-(2,6-dioxopiperidin-3-yl)-4-fluoroisoindoline-1,3-dione (2-1, 100 mg, 0.362 mmol, 1 equiv) in NMP (1.8 mL, 0.2 M) was added DIPEA (126 μL, 0.724 mmol, 2 equiv) and N-boc-1,6-hexanediamine (86 ^mg, 0.398 mmol, 1.1 equiv). The reaction mixture was heated to 90 oC overnight and then cooled to room temperature. EtOAc (50 mL) was added and the organic layer was washed with water (50 mL) and brine (3 x 30 mL), dried over Na2SO4, filtered, and concentrated in vacuo. The residue was purified by flash column chromatography on silica gel (eluting with 0 to 5% MeOH in CH2Cl2) to give the title compound 15-1 as a yellow solid (95 mg, 56%). 1H NMR (500 MHz, CDCl3) δ 8.25 (s, 1H), 7.53– 7.46 (m, 1H), 7.08 (d, J = 7.1 Hz, 1H), 6.87 (d, J = 8.5 Hz, 1H), 6.22 (s, 1H), 4.91 (dd, J = 12.2, 5.3 Hz, 1H), 4.53 (s, 1H), 3.25 (t, J = 7.0 Hz, 2H), 3.10 (d, J = 8.0 Hz, 2H), 2.94– 2.66 (m, 3H), 2.19– 2.07 (m, 1H), 1.72– 1.61 (m, 2H), 1.53– 1.46 (m, 2H), 1.43 (s, 9H), 1.36 (q, J = 8.0 Hz, 4H). MS (ESI) [M+H]+: 473.4.
Example 15: tert-butyl (8-((2-(2,6-dioxopiperidin-3-yl)-1,3-dioxoisoindolin-4-yl)amino) octyl)carbamate (16-1)
Figure imgf000149_0001
To a stirred solution of 2-(2,6-dioxopiperidin-3-yl)-4-fluoroisoindoline-1,3-dione (2-1, 60 mg, 0.217 mmol, 1 equiv) in NMP (1.1 mL, 0.2 M) was added DIPEA (76 μL, 0.434 mmol, 2 equiv) and N-boc-1,8-octanediamine (58 ^mg, 0.239 mmol, 1.1 equiv). The reaction mixture was heated to 90 oC overnight and then cooled to room temperature. EtOAc (30 mL) and satd.
NaHCO3 (aq) (30 mL) were added and the aqueous phase was extracted with EtOAc (25 mL). The combined organic layers were washed with water (2 x 30 mL) and brine (3 x 50 mL), dried over Na2SO4, filtered, and concentrated in vacuo. The residue was purified by flash column chromatography on silica gel (eluting with 5% MeOH in CH2Cl2) to give the title compound 16- 1 as a yellow solid (93 mg, 17%). 1H NMR (500 MHz, CDCl3) δ 8.30 (s, 1H), 7.48 (dd, J = 8.5, 7.2 Hz, 1H), 7.07 (d, J = 7.1 Hz, 1H), 6.87 (d, J = 8.5 Hz, 1H), 6.29– 6.19 (m, 1H), 4.95– 4.85 (m, 1H), 4.53 (s, 1H), 3.30– 3.19 (m, 2H), 3.15– 3.02 (m, 2H), 2.92– 2.66 (m, 3H), 2.16– 2.07 (m, 1H), 1.64 (j, J = 12.7, 8.2, 4.8 Hz, 2H), 1.43 (s, 9H), 1.37– 1.24 (m, 10H). MS (ESI)
[M+H]+: 501.4.
Example 16: tert-butyl (6-(2-(2,6-dioxopiperidin-3-yl)-1,3-dioxoisoindoline-5-carboxamido) hexyl)carbamate (17-1)
Figure imgf000149_0002
To a solution of 2-(2,6-dioxopiperidin-3-yl)-1,3-dioxoisoindoline-5-carboxylic acid (4-1, 20 mg, 0.0662 mmol, 1 equiv) in DMF (662 μL, 0.1 M) was added N-boc-1,6-hexanediamine (14.3 mg, 0.0662 mmol, 1 equiv), HATU (25.2 mg, 0.0662 mmol, 1 equiv) and DIPEA (23 μL, 0.132 mmol, 2 equiv). The reaction mixture was stirred at room temperature overnight and then EtOAc (20 mL) was added. The organic layer was washed with satd. NaHCO3 (aq) (20 mL), water (20 mL) and brine (3 x 15 mL), dried over Na2SO4, filtered, and concentrated in vacuo. The residue was purified by flash column chromatography on silica gel (eluting with 0 to 10% MeOH in CH2Cl2) to give the title compound 17-1 as a white solid (19 mg, 56%). 1H NMR (400 MHz, CDCl3) δ 8.59 (s, 1H), 8.32– 8.18 (m, 2H), 7.91 (dd, J = 7.7, 0.8 Hz, 1H), 7.12 (s, 1H), 5.01 (dd, J = 12.2, 5.3 Hz, 1H), 4.63 (t, J = 6.3 Hz, 1H), 3.50– 3.38 (m, 2H), 3.17– 3.04 (m, 2H), 2.96– 2.72 (m, 3H), 2.25– 2.09 (m, 1H), 1.69– 1.54 (m, 2H), 1.51– 1.32 (m, 6H), 1.42 (s, 9H). MS (ESI) [M+H]+: 501.3.
Example 17: tert-butyl (8-(2-(2,6-dioxopiperidin-3-yl)-1,3-dioxoisoindoline-5-carboxamido) oct l carbamate 18-1
Figure imgf000150_0001
To a solution of 2-(2,6-dioxopiperidin-3-yl)-1,3-dioxoisoindoline-5-carboxylic acid (4-1, 20 mg, 0.0662 mmol, 1 equiv) in DMF (662 μL, 0.1 M) was added N-boc-1,8-octanediamine (16.2 mg, 0.0662 mmol, 1 equiv), HATU (25.2 mg, 0.0662 mmol, 1 equiv) and DIPEA (23 μL, 0.132 mmol, 2 equiv). The reaction mixture was stirred at room temperature overnight and then EtOAc (20 mL) was added. The organic layer was washed with satd. NaHCO3 (aq) (20 mL), water (20 mL) and brine (3 x 15 mL), dried over Na2SO4, filtered, and concentrated in vacuo. The residue was purified by flash column chromatography on silica gel (eluting with 0 to 10% MeOH in CH2Cl2) to give the title compound 18-1 as a white solid (19 mg, 54%). 1H NMR (400 MHz, CDCl3) δ 8.49 (s, 1H), 8.23 (dd, J = 7.8, 1.5 Hz, 1H), 8.19– 8.17 (m, 1H), 7.92 (dd, J = 7.7, 0.6 Hz, 1H), 6.71 (t, J = 5.6 Hz, 1H), 5.00 (dd, J = 12.3, 5.3 Hz, 1H), 4.55 (s, 1H), 3.55– 3.38 (m, 2H), 3.15– 3.02 (m, 2H), 2.98– 2.69 (m, 3H), 2.26– 2.15 (m, 1H), 1.68– 1.56 (m, 2H), 1.43 (s, 9H), 1.39– 1.23 (m, 10H). MS (ESI) [M+H]+: 529.4. Example 18: (Z)-N-(4-(2-((2-(2,6-dioxopiperidin-3-yl)-1,3-dioxoisoindolin-4-yl)oxy) acetamido)butyl)-5-((5-fluoro-2-oxoindolin-3-ylidene)methyl)-2,4-dimethyl-1H-pyrrole-3- carboxamide I-1
Figure imgf000151_0001
To a solution of N-(4-aminobutyl)-2-((2-(2,6-dioxopiperidin-3-yl)-1,3-dioxoisoindolin-4- yl)oxy)acetamide (19a, 8 mg, 0.02 mmol, 1 equiv) in DMF (200 μL, 0.1 M) in a 4 mL vial was added Sunitinib acid (19b, 6.0 mg, 0.02 mmol, 1 equiv), HATU (7.6 mg, 0.02 mmol, 1 equiv) and DIPEA (10.4 μL, 0.06 mmol, 2 equiv). The reaction mixture was stirred at room
temperature overnight, whereupon it was diluted with MeOH to 4 mL and filtered. The filtrate was purified by preparative HPLC to give the title compound I-1 as an orange solid (5 mg, 36%). 1H NMR (500 MHz, DMSO-d6) δ 13.67 (s, 1H), 11.11 (s, 1H), 10.88 (s, 1H), 8.00 (t, J = 5.7 Hz, 1H), 7.81 (dd, J = 8.5, 7.3 Hz, 1H), 7.75 (dd, J = 9.4, 2.6 Hz, 1H), 7.70 (s, 1H), 7.63 (t, J = 5.7 Hz, 1H), 7.49 (d, J = 7.2 Hz, 1H), 7.40 (d, J = 8.5 Hz, 1H), 6.95– 6.89 (m, 1H), 6.84 (dd, J = 8.5, 4.5 Hz, 1H), 5.12 (dd, J = 12.7, 5.4 Hz, 1H), 4.78 (s, 2H), 3.27– 3.14 (m, 4H), 2.89 (ddd, J = 16.5, 13.6, 5.3 Hz, 1H), 2.67– 2.52 (m, 2H), 2.41 (s, 3H), 2.39 (s, 3H), 2.10– 1.98 (m, 1H), 1.61– 1.42 (m, 4H). MS (ESI) [M+H]+: 685.5.
Example 19: (Z)-N-(8-(2-((2-(2,6-dioxopiperidin-3-yl)-1,3-dioxoisoindolin-4-yl)oxy) acetamido)octyl)-5-((5-fluoro-2-oxoindolin-3-ylidene)methyl)-2,4-dimethyl-1H-pyrrole-3- carboxamide (I-2)
Figure imgf000152_0001
To a solution of N-(8-aminooctyl)-2-((2-(2,6-dioxopiperidin-3-yl)-1,3-dioxoisoindolin-4- yl)oxy)acetamide (20a, 9.2 mg, 0.02 mmol, 1 equiv) in DMF (200 μL, 0.1 M) in a 4 mL vial was added Sunitinib acid (19b, 6.0 mg, 0.02 mmol, 1 equiv), HATU (7.6 mg, 0.02 mmol, 1 equiv) and DIPEA (10.4 μL, 0.06 mmol, 2 equiv). The reaction mixture was stirred at room
temperature overnight and then diluted with MeOH to 4 mL and filtered. The filtrate was purified by preparative HPLC to give the title compound I-2 as an orange solid (6 mg, 41%). 1H NMR (500 MHz, DMSO-d6) δ 13.66 (s, 1H), 11.11 (s, 1H), 10.88 (s, 1H), 7.97– 7.89 (m, 1H), 7.81 (dd, J = 8.6, 7.2 Hz, 1H), 7.75 (dd, J = 9.4, 2.6 Hz, 1H), 7.70 (s, 1H), 7.64– 7.58 (m, 1H), 7.49 (d, J = 7.2 Hz, 1H), 7.39 (d, J = 8.5 Hz, 1H), 6.96– 6.89 (m, 1H), 6.84 (dd, J = 8.4, 4.6 Hz, 1H), 5.12 (dd, J = 12.8, 5.4 Hz, 1H), 4.77 (s, 2H), 3.28– 3.05 (m, 4H), 2.90 (ddd, J = 16.8, 13.8, 5.4 Hz, 1H), 2.65– 2.52 (m, 2H), 2.42 (s, 3H), 2.40 (s, 3H), 2.09– 1.99 (m, 1H), 1.55– 1.39 (m, 4H), 1.35– 1.22 (m, 8H). MS (ESI) [M+H]+: 741.6.
Example 20: (Z)-N-(1-((2-(2,6-dioxopiperidin-3-yl)-1,3-dioxoisoindolin-4-yl)oxy)-2-oxo- 7,10,13-trioxa-3-azahexadecan-16-yl)-5-((5-fluoro-2-oxoindolin-3-ylidene)methyl)-2,4- dimethyl-1H-pyrrole-3-carboxamide (I-3)
Figure imgf000153_0001
To a solution of N-(3-(2-(2-(3-aminopropoxy)-ethoxy)ethoxy)propyl)-2-((2-(2,6- dioxopiperidin-3-yl)-1,3-dioxoisoindolin-4-yl)oxy)acetamide (21a, 10.7 mg, 0.02 mmol, 1 equiv) in DMF (200 μL, 0.1 M) in a 4 mL vial was added Sunitinib acid (19b, 6.0 mg, 0.02 mmol, 1 equiv), HATU (7.6 mg, 0.02 mmol, 1 equiv) and DIPEA (10.4 μL, 0.06 mmol, 2 equiv). The reaction mixture was stirred at room temperature overnight and then diluted with MeOH to 4 mL and filtered. The filtrate was purified by preparative HPLC to give the title compound I-3 as an orange solid (7 mg, 43%). 1H NMR (500 MHz, DMSO-d6) δ 13.67 (s, 1H), 11.11 (s, 1H), 10.87 (s, 1H), 7.94 (t, J = 5.8 Hz, 1H), 7.80 (dd, J = 8.5, 7.2 Hz, 1H), 7.75 (dd, J = 9.4, 2.6 Hz, 1H), 7.70 (s, 1H), 7.59 (t, J = 5.6 Hz, 1H), 7.48 (d, J = 7.3 Hz, 1H), 7.38 (d, J = 8.5 Hz, 1H), 6.96– 6.88 (m, 1H), 6.84 (dd, J = 8.4, 4.5 Hz, 1H), 5.11 (dd, J = 12.8, 5.5 Hz, 1H), 4.76 (s, 2H), 3.55– 3.43 (m, 10H), 3.40 (t, J = 6.3 Hz, 2H), 3.27 (q, J = 6.6 Hz, 2H), 3.20 (q, J = 6.6 Hz, 2H), 2.89 (ddd, J = 16.9, 13.8, 5.4 Hz, 1H), 2.68– 2.51 (m, 2H), 2.42 (s, 3H), 2.40 (s, 3H), 2.09– 1.98 (m, 1H), 1.79– 1.69 (m, 2H), 1.66 (t, J = 6.6 Hz, 2H). MS (ESI) [M+H]+: 817.8. Example 21: (Z)-N-(4-((2-(2,6-dioxopiperidin-3-yl)-1,3-dioxoisoindolin-5-yl)amino)butyl)- 5-((5-fluoro-2-oxoindolin-3-ylidene)methyl)-2,4-dimethyl-1H-pyrrole-3-carboxamide (I-4)
Figure imgf000154_0001
To a 4 mL vial containing tert-butyl (4-((2-(2,6-dioxopiperidin-3-yl)-1,3-dioxoisoindolin- 5-yl)amino)butyl)carbamate (5-1, 22.1 mg, 0.05 mmol, 1 equiv) was added 4M HCl in dioxane (300 μL), and the reaction mixture was stirred at room temperature for 1 h. Upon reaction completion (monitored by LCMS), the volatiles were removed in vacuo, and the residue was taken up in DMF (500 μL, 0.1 M). Sunitinib acid (19b, 14.9 mg, 0.05 mmol, 1 equiv), HATU (18.9 mg, 0.05 mmol, 1 equiv) and DIPEA (43.3 μL, 0.249 mmol, 4 equiv) were added and the reaction mixture was stirred at room temperature overnight and then diluted with MeOH to 4 mL and filtered. The filtrate was purified by preparative HPLC to give the title compound I-4 as an orange solid (4.3 mg, 14%). 1H NMR (500 MHz, Methanol-d4) δ 7.64 (d, J = 8.4 Hz, 1H), 7.56 (s, 1H), 7.47– 7.33 (m, 1H), 7.07 (d, J = 2.2 Hz, 1H), 7.01– 6.80 (m, 3H), 5.07 (dd, J = 12.3, 5.5 Hz, 1H), 3.56– 3.48 (m, 2H), 3.39– 3.31 (m, 2H), 2.97– 2.75 (m, 3H), 2.55 (s, 3H), 2.49 (s, 3H), 2.19 (dd, J = 7.7, 2.9 Hz, 1H), 1.96– 1.77 (m, 4H). MS (ESI) [M+H]+: 627.3.
Example 22: (Z)-N-(5-((2-(2,6-dioxopiperidin-3-yl)-1,3-dioxoisoindolin-5-yl)amino)pentyl)- 5-((5-fluoro-2-oxoindolin-3-ylidene)methyl)-2,4-dimethyl-1H-pyrrole-3-carboxamide (I-5)
Figure imgf000155_0001
To a 4 mL vial containing tert-butyl (5-((2-(2,6-dioxopiperidin-3-yl)-1,3-dioxoisoindolin- 5-yl)amino)pentyl)-carbamate (6-1, 14.9 mg, 0.0325 mmol, 1 equiv) was added 4M HCl in dioxane (300 μL), and the reaction mixture was stirred at room temperature for 1 h. Upon completion as monitored by LCMS, the volatiles were removed in vacuo, and the residue was taken up in DMF (325 μL, 0.1 M). Sunitinib acid (19b, 9.8 mg, 0.0325 mmol, 1 equiv), HATU (12.4 mg, 0.0325 mmol, 1 equiv) and DIPEA (28.3 μL, 0.162 mmol, 4 equiv) were then added. The reaction mixture was stirred at room temperature overnight and then diluted with MeOH to 4 mL and filtered. The filtrate was purified by preparative HPLC to give the title compound I-5 as an orange solid (3.3 mg, 16%). 1H NMR (500 MHz, Methanol-d4) δ 7.63– 7.53 (m, 2H), 7.40 (dt, J = 8.9, 1.5 Hz, 1H), 7.02 (d, J = 2.2 Hz, 1H), 6.95– 6.82 (m, 3H), 5.05 (dd, J = 12.5, 5.5 Hz, 1H), 3.44 (t, J = 6.9 Hz, 2H), 3.30 (t, J = 6.9 Hz, 2H), 2.91– 2.68 (m, 3H), 2.51 (s, 3H), 2.46 (s, 3H), 2.19– 2.07 (m, 1H), 1.83– 1.68 (m, 4H), 1.64– 1.53 (m, 2H). MS (ESI) [M+H]+:
641.4.
Example 23: (Z)-N-(6-((2-(2,6-dioxopiperidin-3-yl)-1,3-dioxoisoindolin-5-yl)amino)hexyl)- 5-((5-fluoro-2-oxoindolin-3-ylidene)methyl)-2,4-dimethyl-1H-pyrrole-3-carboxamide (I-6)
Figure imgf000156_0001
To a 4 mL vial containing tert-butyl (6-((2-(2,6-dioxopiperidin-3-yl)-1,3-dioxoisoindolin- 5-yl)amino)hexyl)carbamate (7-1, 19.1 mg, 0.0404 mmol, 1 equiv) was added 4M HCl in dioxane (300 μL), and the resulting mixture was stirred at room temperature for 1 h. Upon completion as monitored by LCMS, the volatiles were removed in vacuo, and the residue was taken up in DMF (202 μL, 0.2 M). Sunitinib acid (19b, 12.1 mg, 0.0404 mmol, 1 equiv), HATU (15.4 mg, 0.0250 mmol, 1 equiv) and DIPEA (21.1 μL, 0.121 mmol, 4 equiv) were added. The reaction mixture was stirred at room temperature overnight and then diluted with MeOH to 4 mL and filtered. The filtrate was purified by preparative HPLC to give the title compound I-6 as an orange solid (3.3 mg, 13%). 1H NMR (500 MHz, Methanol-d4) δ 7.61 (d, J = 8.4 Hz, 1H), 7.56 (s, 1H), 7.42– 7.37 (m, 1H), 7.03 (d, J = 2.2 Hz, 1H), 6.96– 6.85 (m, 3H), 5.06 (dd, J = 12.3, 5.4 Hz, 1H), 3.46 (t, J = 7.0 Hz, 2H), 3.29 (t, J = 7.0 Hz, 2H), 2.98– 2.72 (m, 3H), 2.54 (s, 3H), 2.50 (s, 3H), 2.16 (ddd, J = 10.5, 5.3, 2.8 Hz, 1H), 1.83– 1.69 (m, 4H), 1.65– 1.51 (m, 4H). MS (ESI) [M+H]+: 655.4.
Example 24: (Z)-N-(8-((2-(2,6-dioxopiperidin-3-yl)-1,3-dioxoisoindolin-5-yl)amino)octyl)-5- ((5-fluoro-2-oxoindolin-3-ylidene)methyl)-2,4-dimethyl-1H-pyrrole-3-carboxamide (I-7)
Figure imgf000157_0001
To a 4 mL vial containing tert-butyl (8-((2-(2,6-dioxopiperidin-3-yl)-1,3-dioxoisoindolin- 5-yl)amino)octyl)carbamate (8-1, 12.5 mg, 0.025 mmol, 1 equiv) was added 4M HCl in dioxane (300 μL), and the reaction mixture was stirred at room temperature for 1 h. Upon completion of as monitored by LCMS, the volatiles were removed in vacuo, and the residue was taken up in DMF (161 μL, 0.1 M). Sunitinib acid (19b, 7.5 mg, 0.025 mmol, 1 equiv), HATU (9.5 mg, 0.025 mmol, 1 equiv) and DIPEA (17.4 μL, 0.0999 mmol, 4 equiv) were added, and the reaction mixture was stirred at room temperature overnight. The reaction mixture was concentrated in vacuo, and the residue was purified by flash column chromatography on silica gel (eluting with 0 to 10% MeOH in CH2Cl2) to give the title compound I-7 as an orange solid (8 mg, 47%). 1H NMR (500 MHz, DMSO-d6) δ 13.67 (s, 1H), 11.05 (s, 1H), 10.88 (s, 1H), 7.76 (dd, J = 9.5, 2.6 Hz, 1H), 7.71 (s, 1H), 7.62 (t, J = 5.7 Hz, 1H), 7.56 (d, J = 8.4 Hz, 1H), 7.11 (t, J = 5.3 Hz, 1H), 6.97– 6.90 (m, 2H), 6.85 (ddt, J = 8.4, 2.9, 1.3 Hz, 2H), 5.03 (dd, J = 12.7, 5.4 Hz, 1H), 3.71– 3.53 (m, 2H), 3.26– 3.10 (m, 4H), 2.88 (ddd, J = 16.6, 13.7, 5.3 Hz, 1H), 2.63– 2.52 (m, 2H), 2.42 (s, 3H), 2.40 (s, 3H), 2.00 (ddd, J = 10.7, 5.8, 3.4 Hz, 1H), 1.63– 1.46 (m, 4H), 1.44– 1.31 (m, 6H). MS (ESI) [M+H]+: 683.6.
Example 25: (Z)-N-(2-(2-((2-(2,6-dioxopiperidin-3-yl)-1,3-dioxoisoindolin-5-yl)amino) ethoxy)ethyl)-5-((5-fluoro-2-oxoindolin-3-ylidene)methyl)-2,4-dimethyl-1H-pyrrole-3- carboxamide (I-8)
Figure imgf000158_0001
To a 4 mL vial containing 4 mL vial, tert-butyl (2-(2-((2-(2,6-dioxopiperidin-3-yl)-1,3- dioxoisoindolin-5-yl)amino)ethoxy)ethyl)carbamate (9-1, 16.2 mg, 0.0352 mmol, 1 equiv) was added 4M HCl in dioxane (300 μL), and the reaction mixture was stirred at room temperature for 1 h. Upon completion as monitored by LCMS, the volatiles were removed in vacuo, and the residue was taken up in DMF (352 μL, 0.1 M). Sunitinib acid (19b,10.6 mg, 0.0352 mmol, 1 equiv), HATU (13.4 mg, 0.0352 mmol, 1 equiv) and DIPEA (24.3 μL, 0.141 mmol, 4 equiv) were added. The reaction mixture was stirred at room temperature overnight and then diluted with MeOH to 4 mL and filtered. The filtrate was purified by preparative HPLC to give the title compound I-8 as an orange solid (3.1 mg, 14%). 1H NMR (500 MHz, Methanol-d4) δ 7.51– 7.43 (m, 2H), 7.36 (dd, J = 9.2, 2.6 Hz, 1H), 6.95 (d, J = 2.2 Hz, 1H), 6.83– 6.78 (m, 3H), 4.93 (dd, J = 12.4, 5.5 Hz, 1H), 3.69 (t, J = 5.2 Hz, 2H), 3.64 (t, J = 5.3 Hz, 2H), 3.55– 3.50 (m, 2H), 3.39 (t, J = 5.2 Hz, 2H), 2.79– 2.70 (m, 1H), 2.68– 2.56 (m, 2H), 2.39 (s, 3H), 2.33 (s, 3H), 2.04 – 1.95 (m, 1H). MS (ESI) [M+H]+: 643.4.
Example 26: (Z)-N-(2-(2-(2-((2-(2,6-dioxopiperidin-3-yl)-1,3-dioxoisoindolin-5-yl)amino) ethoxy)ethoxy)-ethyl)-5-((5-fluoro-2-oxoindolin-3-ylidene)methyl)-2,4-dimethyl-1H- pyrrole-3-carboxamide I-9
Figure imgf000159_0001
To a 4 mL vial containing tert-butyl (2-(2-(2-((2-(2,6-dioxopiperidin-3-yl)-1,3- dioxoisoindolin-5-yl)amino)ethoxy)ethoxy)ethyl)carbamate (10-1, 10.5 mg, 0.0208 mmol, 1 equiv) was added 4M HCl in dioxane (300 μL), and the reaction mixture was stirred at room temperature for 1 h. Upon completion as monitored by LCMS, the volatiles were removed in vacuo, and the residue was taken up in DMF (208 μL, 0.1 M). Sunitinib acid (19b, 6.3 mg, 0.0208 mmol, 1 equiv), HATU (7.9 mg, 0.0208 mmol, 1 equiv) and DIPEA (14.5 μL, 0.0832 mmol, 4 equiv) were added. The resulting mixture was stirred at room temperature overnight and then diluted with MeOH to 4 mL and filtered. The filtrate was purified by preparative HPLC to give the title compound I-9 as an orange solid (4.0 mg, 30%). 1H NMR (500 MHz, Methanol- d4) δ 7.52 (d, J = 8.3 Hz, 1H), 7.47 (s, 1H), 7.34 (dt, J = 8.9, 1.6 Hz, 1H), 6.99 (d, J = 2.1 Hz, 1H), 6.95– 6.90 (m, 2H), 6.83 (dd, J = 8.4, 2.2 Hz, 1H), 5.03 (dd, J = 12.5, 5.5 Hz, 1H), 3.80 (td, J = 5.2, 2.6 Hz, 10H), 3.68 (t, J = 5.2 Hz, 2H), 2.92– 2.74 (m, 3H), 2.58 (s, 3H), 2.52 (s, 3H), 2.22– 2.12 (m, 1H). MS (ESI) [M+H]+: 687.4.
Example 27: (Z)-2-(2,6-dioxopiperidin-3-yl)-N-(8-(5-((5-fluoro-2-oxoindolin-3-ylidene) methyl)-2,4-dimethyl-1H-pyrrole-3-carboxamido)octyl)-1,3-dioxoisoindoline-5- carboxamide (I-10)
Figure imgf000160_0001
To a 4 mL vial containing tert-butyl (8-(2-(2,6-dioxopiperidin-3-yl)-1,3- dioxoisoindoline-5-carboxamido)octyl)carbamate (18-1, 18.8 mg, 0.0356 mmol, 1 equiv) was added 4M HCl in dioxane (300 μL), and the reaction mixture was stirred at room temperature for 1 h. Upon completion as monitored by LCMS, the volatiles were removed in vacuo, and the residue was taken up in DMF (356 μL, 0.1 M). Sunitinib acid (19b, 10.7 mg, 0.0356 mmol, 1 equiv), HATU (13.5 mg, 0.0356 mmol, 1 equiv) and DIPEA (18.6 μL, 0.107 mmol, 4 equiv) were added, and the resulting mixture was stirred at room temperature overnight. The reaction mixture was then concentrated in vacuo, and the crude residue was purified by flash column chromatography on silica gel (luting with 0 to 10% MeOH in CH2Cl2) to give the title compound I-10 as an orange solid (10.8 mg, 43%). 1H NMR (500 MHz, DMSO-d6) δ 13.65 (s, 1H), 11.14 (s, 1H), 10.87 (s, 1H), 8.85 (t, J = 5.5 Hz, 1H), 8.41– 8.26 (m, 2H), 8.02 (d, J = 7.7 Hz, 1H), 7.75 (dd, J = 9.4, 2.6 Hz, 1H), 7.70 (s, 1H), 7.62 (t, J = 5.7 Hz, 1H), 6.92 (ddd, J = 9.6, 8.4, 2.6 Hz, 1H), 6.84 (dd, J = 8.5, 4.6 Hz, 1H), 5.19 (dd, J = 12.9, 5.5 Hz, 1H), 3.32– 3.25 (m, 2H), 3.20 (q, J = 6.6 Hz, 2H), 2.95– 2.84 (m, 1H), 2.67– 2.57 (m, 2H), 2.41 (s, 3H), 2.39 (s, 3H), 2.15– 2.03 (m, 1H), 1.53 (dd, J = 27.7, 6.7 Hz, 4H), 1.40– 1.29 (m, 8H). MS (ESI) [M+H]+: 711.4. Example 28: (Z)-2-(2,6-dioxopiperidin-3-yl)-N-(6-(5-((5-fluoro-2-oxoindolin-3- ylidene)methyl)-2,4-dimethyl-1H-pyrrole-3-carboxamido)hexyl)-1,3-dioxoisoindoline-5- carboxamide (I-11)
Figure imgf000161_0001
To a 4 mL vial containing tert-butyl (6-(2-(2,6-dioxopiperidin-3-yl)-1,3- dioxoisoindoline-5-carboxamido)hexyl)carbamate (17-1, 19.0 mg, 0.038 mmol, 1 equiv) was added 4M HCl in dioxane (300 μL), and the reaction mixture was stirred at room temperature for 1 h. Upon completion as monitored by LCMS, the volatiles were removed in vacuo, and the residue was taken up in DMF (380 μL, 0.1 M). Sunitinib acid (19b, 11.4 mg, 0.0380 mmol, 1 equiv), HATU (14.4 mg, 0.0380 mmol, 1 equiv) and DIPEA (19.8 μL, 0.114 mmol, 4 equiv) were added, and the resulting mixture was stirred at room temperature overnight. The reaction mixture was concentrated in vacuo, and the crude residue was purified by flash column chromatography on silica gel (eluting with 0 to 10% MeOH in CH2Cl2) to give the title compound I-11 as an orange solid (7.3 mg, 29%). 1H NMR (500 MHz, DMSO-d6) δ 13.66 (s, 1H), 11.14 (s, 1H), 10.88 (s, 1H), 8.86 (t, J = 5.5 Hz, 1H), 8.35 (d, J = 1.2 Hz, 1H), 8.33 (dd, J = 7.8, 1.5 Hz, 1H), 8.05– 8.00 (m, 1H), 7.75 (dd, J = 9.5, 2.7 Hz, 1H), 7.70 (s, 1H), 7.63 (t, J = 5.7 Hz, 1H), 6.92 (ddd, J = 9.6, 8.5, 2.6 Hz, 1H), 6.84 (dd, J = 8.5, 4.6 Hz, 1H), 5.19 (dd, J = 12.9, 5.5 Hz, 1H), 3.22 (q, J = 6.5 Hz, 2H), 3.14 (qd, J = 7.3, 4.3 Hz, 2H), 2.96– 2.84 (m, 1H), 2.68– 2.57 (m, 2H), 2.42 (s, 3H), 2.40 (s, 3H), 2.14– 2.03 (m, 1H), 1.66– 1.47 (m, 4H), 1.43– 1.32 (m, 4H). MS (ESI) [M+H]+: 684.4. Example 29: (Z)-N-(8-((2-(2,6-dioxopiperidin-3-yl)-1,3-dioxoisoindolin-4-yl)amino)octyl)-5- ((5-fluoro-2-oxoindolin-3-ylidene)methyl)-2,4-dimethyl-1H-pyrrole-3-carboxamide (I-12)
Figure imgf000162_0001
To a 4 mL vial containing tert-butyl(8-((2-(2,6-dioxopiperidin-3-yl)-1,3-dioxoisoindolin- 4-yl)amino)octyl)carbamate (16-1, 10.0 mg, 0.0 mmol, 1 equiv) was added 4M HCl in dioxane (300 μL), and the reaction mixture was stirred at room temperature for 1 h. Upon completion as monitored by LCMS, the volatiles were removed in vacuo, and the residue was taken up in DMF (200 μL, 0.1 M). Sunitinib acid (19b, 6.0 mg, 0.02 mmol, 1 equiv), HATU (7.6 mg, 0.02 mmol, 1 equiv) and DIPEA (10.4 μL, 0.06 mmol, 3 equiv) were added, and the resulting mixture was stirred at room temperature overnight. The reaction mixture was concentrated in vacuo, and the residue was purified by flash column chromatography on silica gel (eluting with 0 to 10% MeOH in CH2Cl2) to give the title compound I-12 as an orange solid (9 mg, 66%). 1H NMR (500 MHz, DMSO-d6) δ 13.66 (s, 1H), 11.09 (s, 1H), 10.88 (s, 1H), 7.76 (dd, J = 9.4, 2.6 Hz, 1H), 7.71 (s, 1H), 7.65– 7.56 (m, 2H), 7.10 (d, J = 8.6 Hz, 1H), 7.02 (d, J = 7.0 Hz, 1H), 6.93 (ddd, J = 9.6, 8.4, 2.6 Hz, 1H), 6.85 (ddd, J = 7.8, 5.0, 2.7 Hz, 1H), 6.54 (t, J = 5.9 Hz, 1H), 5.05 (dd, J = 12.7, 5.5 Hz, 1H), 3.31– 3.26 (m, 2H), 3.25– 3.18 (m, 2H), 2.95– 2.82 (m, 1H), 2.66– 2.53 (m, 2H), 2.42 (s, 3H), 2.40 (s, 3H), 2.08– 1.97 (m, 1H), 1.59 (t, J = 7.0 Hz, 4H), 1.55– 1.46 (m, 4H), 1.41 – 1.31 (m, 4H). MS (ESI) [M+H]+: 683.3. Example 30: Z)-N-(6-((2-(2,6-dioxopiperidin-3-yl)-1,3-dioxoisoindolin-4-yl)amino)hexyl)-5- ((5-fluoro-2-oxoindolin-3-ylidene)methyl)-2,4-dimethyl-1H-pyrrole-3-carboxamide (I-13)
Figure imgf000163_0001
To a 4 mL vial containing tert-butyl (6-((2-(2,6-dioxopiperidin-3-yl)-1,3-dioxoisoindolin- 4-yl)amino)hexyl)carbamate (15-1, 36.0 mg, 0.0762 mmol, 1 equiv) was added 4M HCl in dioxane (300 μL), and the reaction mixture was stirred at room temperature for 1 h. Upon completion as monitored by LCMS, the volatiles were removed in vacuo, and the residue was taken up in DMF (381 μL, 0.2 M). Sunitinib acid (19b, 22.9 mg, 0.0762 mmol, 1 equiv), HATU (29.0 mg, 0.0762 mmol, 1 equiv) and DIPEA (39.8 μL, 0.229 mmol, 3 equiv) were added, and the reaction mixture was stirred at room temperature overnight. The reaction mixture was concentrated in vacuo, and the crude residue was purified by flash column chromatography on silica gel (eluting with 0 to 10% MeOH in CH2Cl2) to give the title compound as I-13 an orange solid (9.9 mg, 20%). 1H NMR (500 MHz, DMSO-d6) δ 13.66 (s, 1H), 11.09 (s, 1H), 10.88 (s, 1H), 7.75 (dd, J = 9.4, 2.6 Hz, 1H), 7.70 (s, 1H), 7.64– 7.56 (m, 2H), 7.10 (d, J = 8.6 Hz, 1H), 7.02 (d, J = 7.0 Hz, 1H), 6.92 (ddd, J = 9.6, 8.5, 2.6 Hz, 1H), 6.84 (dd, J = 8.5, 4.5 Hz, 1H), 6.55 (t, J = 5.9 Hz, 1H), 5.05 (dd, J = 12.7, 5.4 Hz, 1H), 3.22 (q, J = 6.6 Hz, 2H), 3.18– 3.10 (m, 2H), 2.93– 2.83 (m, 1H), 2.68– 2.53 (m, 2H), 2.41 (s, 3H), 2.40 (s, 3H), 2.08– 1.99 (m, 1H), 1.56 (dt, J = 37.0, 6.9 Hz, 4H), 1.46– 1.33 (m, 4H). MS (ESI) [M+H]+: 655.4. Example 31: (Z)-N-(8-(4-(((2-(2,6-dioxopiperidin-3-yl)-1,3-dioxoisoindolin-4-yl)amino) methyl)benzamido)octyl)-5-((5-fluoro-2-oxoindolin-3-ylidene)methyl)-2,4-dimethyl-1H- pyrrole-3-carboxamide (I-14)
Figure imgf000164_0001
To a 4 mL vial containing tert-butyl(8-(4-(((2-(2,6-dioxopiperidin-3-yl)-1,3- dioxoisoindolin-4-yl)amino)methyl)benzamido)octyl)carbamate (14-1, 15 mg, 0.0237 mmol, 1 equiv) was added 4M HCl in dioxane (300 μL), and the reaction mixture was stirred at room temperature for 1 h. Upon completion as monitored by LCMS, the volatiles were removed in vacuo, and the residue was taken up in DMF (237 μL, 0.1 M). Sunitinib acid (19b, 7.1 mg, 0.0237 mmol, 1 equiv), HATU (9.0 mg, 0.0237 mmol, 1 equiv) and DIPEA (16.5 μL, 0.0947 mmol, 4 equiv) were added, and the reaction mixture was stirred at room temperature overnight. The resulting mixture was concentrated in vacuo, and the crude residue was purified by flash column chromatography on silica gel (eluting with 0 to 10% MeOH in CH2Cl2) to give the title compound I-14 as an orange solid (5.1 mg, 26%). MS (ESI) [M+H]+: 816.5.
Example 32: (Z)-N-(8-(4-(((2-(2,6-dioxopiperidin-3-yl)-1,3-dioxoisoindolin-5-yl)amino) methyl)benz-amido)octyl)-5-((5-fluoro-2-oxoindolin-3-ylidene)methyl)-2,4-dimethyl-1H- pyrrole-3-carboxamide (I-15)
Figure imgf000165_0001
To a 4 mL vial containing tert-butyl(8-(4-(((2-(2,6-dioxopiperidin-3-yl)-1,3- dioxoisoindolin-5-yl)amino)methyl)benzamido)octyl)carbamate (12-1, 13 mg, 0.0205 mmol, 1 equiv) was added 4M HCl in dioxane (300 μL), and the reaction mixture was stirred at room temperature for 1 h. Upon completion as monitored by LCMS, the volatiles were removed in vacuo, and the residue was taken up in DMF (205 μL, 0.1 M). Sunitinib acid (19b, 6.2 mg, 0.0205 mmol, 1 equiv), HATU (7.8 mg, 0.0205 mmol, 1 equiv) and DIPEA (14.3 μL, 0.0205 mmol, 4 equiv) were added, and the reaction mixture was stirred at room temperature overnight. The resulting mixture was concentrated in vacuo, and the crude residue was purified by flash column chromatography on silica gel (0→10% MeOH in CH2Cl2) to give the title compound I- 15 as an orange solid (4 mg, 26%). MS (ESI) [M+H]+: 816.6.
Example 33: Cell Viability Assay
Dose-ranging viability assays were performed using cellular ATP content as a proxy for cellular viability (ATPlite assay, Promega®). Bifunctional compounds of the application were incubated for 72 hours with DNA41, HBP-ALL, HSB2, JURKAT, KOPTK1, MOLT4, MOLT4- CRBN-/-, MOLT16, CCRF-CEM, P12-ICHIKAWA, PF382, RPMI-8402, SKW3, and SUPT11 cells. All experiments were conducted in quadruplicates. The resulting data were then converted to represent a single value per replicate (area under the curve, AUC) and shown as a heatmap. (FIG.1). The percentage viability (relative to controls) in the various cell lines treated with Sunitinib, Compound I-2, Compound I-6, Compound I-7, Compound I-10, Compound I-11, Compound I-13, or Compound I-37 is shown in FIGs.1 and 2A-2N. 
EQUIVALENTS
Those skilled in the art will recognize, or be able to ascertain using no more than routine experimentation, many equivalents to the specific embodiments and methods described herein. Such equivalents are intended to be encompassed by the scope of the present application.
All patents, patent applications, and literature references cited herein are hereby expressly incorporated by reference.

Claims

1. A bifunctional compound of Formula X:
Figure imgf000168_0003
wherein:
the Targeting Ligand (TL) is capable of binding to one or more protein kinases;
the Linker is a group that covalently binds to the Targeting Ligand and the Degron; and the Degron is capable of binding to a ubiquitin ligase. 2. The bifunctional compound of claim 1, wherein the Targeting Ligand is of Formula TL-I, TL-II, TL-III, TL-IV, TL-V, or TL-VI:
Figure imgf000168_0001
or an enantiomer, diastereomer, stereoisomer, or pharmaceutically acceptable salt thereof, wherein:
X1 is NR5 or O;
each R1 and each R4 are independently (C1-C4) alkyl, (C1-C4) haloalkyl, (C1-C4) alkoxy, (C1-C4) haloalkoxy, halogen, OH, or NH2;
R2 and R3 are each independently H, (C1-C4) alkyl, or (C1-C4) haloalkyl;
R5 is H, (C1-C4) alkyl, (C1-C4) haloalkyl, or C(O)(C1-C4) alkyl;
n1 is 0, 1, 2 or 3; and
n2 is 0, 1, or 2; or
Figure imgf000168_0002
or an enantiomer, diastereomer, stereoisomer, or pharmaceutically acceptable salt thereof, wherein: A is (C6-C10) aryl or 5- or 6-membered heteroaryl comprising 1-3 heteroatoms selected from N, S, and O, wherein the aryl or heteroaryl are optionally substituted with one to three R9;
X2 is O, S, or NR10;
X3 is N or CR11;
each R6 is independently (C1-C4) alkyl, (C1-C4) haloalkyl, (C1-C4) alkoxy, (C1-C4) haloalkoxy, halogen, OH, NH2, (C1-C4) alkylamino, (C1-C4) dialkylamino, NHS(O)2(C1-C4) alkyl, or N((C1-C4) alkyl)S(O)2(C1-C4) alkyl;
R7 is H, (C1-C4) alkyl, or (C1-C4) haloalkyl;
each R8 and each R9 are independently (C1-C4) alkyl, (C1-C4) haloalkyl, (C1-C4) alkoxy, (C1-C4) haloalkoxy, halogen, OH, or NH2;
R10 is H or (C1-C4) alkyl;
R11 is (C1-C4) alkyl, (C1-C4) haloalkyl, (C1-C4) alkoxy, (C1-C4) haloalkoxy, halogen, OH, or NH2;
q1 is 0, 1, 2, 3, or 4; and
q2 is 0, 1, or 2; or
Figure imgf000169_0001
or an enantiomer, diastereomer, stereoisomer, or pharmaceutically acceptable salt thereof, wherein:
B1 is (C6-C10) aryl or 5- or 6-membered heteroaryl comprising 1-3 heteroatoms selected from N, S, and O, wherein the aryl or heteroaryl are optionally substituted with one to three R15;
B2 is (C6-C10) aryl or 5- or 6-membered heteroaryl comprising 1-3 heteroatoms selected from N, S, and O, wherein the aryl or heteroaryl are optionally substituted with one to three R16;
R12 is H or (C1-C4) alkyl;
each R13 is independently (C1-C4) alkyl, (C1-C4) haloalkyl, (C1-C4) alkoxy, (C1-C4) haloalkoxy, halogen, OH, or NH2;
R14 is H, (C1-C4) alkyl, or (C1-C4) haloalkyl; each R15 and each R16 are independently (C1-C4) alkyl, (C1-C4) haloalkyl, (C1-C4) alkoxy, (C1-C4) haloalkoxy, halogen, OH, or NH2; and
r1 is 0, 1, 2, 3 or 4; or
Figure imgf000170_0001
(TL-IV),
or an enantiomer, diastereomer, stereoisomer, or pharmaceutically acceptable salt thereof, wherein:
B3 is (C6-C10) aryl or 5- or 6-membered heteroaryl comprising 1-3 heteroatoms selected from N, S, and O, wherein the aryl or heteroaryl are optionally substituted with one to three R19;
B4 is (C6-C10) aryl or 5- or 6-membered heteroaryl comprising 1-3 heteroatoms selected from N, S, and O, wherein the aryl or heteroaryl are optionally substituted with one to three R20;
R17 is H or (C1-C4) alkyl;
R18 is H, (C1-C4) alkyl, (C1-C4) haloalkyl, (C1-C4) alkoxy, (C1-C4) haloalkoxy, halogen, OH, or NH2; or
each R19 and each R20 are independently (C1-C4) alkyl, (C1-C4) haloalkyl, (C1-C4) alkoxy, (C1-C4) haloalkoxy, halogen, OH, or NH2; or
Figure imgf000170_0002
or an enantiomer, diastereomer, stereoisomer, or pharmaceutically acceptable salt thereof, wherein:
B5 is (C6-C10) aryl or 5- or 6-membered heteroaryl comprising 1-3 heteroatoms selected from N, S, and O, wherein the aryl or heteroaryl are optionally substituted with one to three R26;
Y1 is C(O)NR25 or NR25C(O);
R21 is H, (C1-C4) alkyl, or (C1-C4) haloalkyl;
R22 and R23 are each independently H, (C1-C4) alkyl, (C1-C4) haloalkyl, (C1-C4) alkoxy, (C1-C4) haloalkoxy, halogen, OH, or NH2; each R24 is independently (C1-C4) alkyl, (C1-C4) haloalkyl, (C1-C4) alkoxy, (C1-C4) haloalkoxy, halogen, or C(O)(C1-C4) alkyl;
R25 is H, (C1-C4) alkyl, or (C1-C4) haloalkyl;
each R26 is independently (C1-C4) alkyl, (C1-C4) haloalkyl, (C1-C4) alkoxy, (C1-C4) haloalkoxy, halogen, OH, or NH2; and
s2 is 0, 1, 2, or 3; or
Figure imgf000171_0001
or an enantiomer, diastereomer, stereoisomer, or pharmaceutically acceptable salt thereof, wherein:
B6 is (C6-C10) aryl or 5- or 6-membered heteroaryl comprising 1-3 heteroatoms selected from N, S, and O, wherein the aryl or heteroaryl are optionally substituted with one to three R31;
B7 is (C6-C10) aryl or 5- or 6-membered heteroaryl comprising 1-3 heteroatoms selected from N, S, and O, wherein the aryl or heteroaryl are optionally substituted with one to three R32;
X4 is O or NR33;
R27 and R28 are each independently H, (C1-C4) alkyl, or (C1-C4) haloalkyl;
each R29 is independently (C1-C4) alkyl, (C1-C4) haloalkyl, (C1-C4) alkoxy, (C1-C4) haloalkoxy, halogen, OH, or NH2;
each R30 is independently (C1-C4) alkyl, (C1-C4) haloalkyl, (C1-C4) alkoxy, (C1-C4) haloalkoxy, halogen, or C(O)(C1-C4) alkyl;
each R31 and each R32 are independently (C1-C4) alkyl, (C1-C4) haloalkyl, (C1-C4) alkoxy, (C1-C4) haloalkoxy, halogen, OH, or NH2;
R33 is H, (C1-C4) alkyl, or (C1-C4) haloalkyl;
s3 and s4 are each independently 0, 1,
2, or 3; and
s5 is 1 or 2; wherein the Targeting Ligand is bonded to the Linker via the
Figure imgf000172_0001
,
Figure imgf000172_0002
VI.
3. The bifunctional compound of claim 2, wherein the Targeting Ligand is of Formula TL-I.
4. The bifunctional compound of claim 3, wherein X1 is NR5.
5. The bifunctional compound of claim 3 or 4, wherein R5 is H.
6. The bifunctional compound of any one of the preceding claims, wherein R2 is H.
7. The bifunctional compound of any one of the preceding claims, wherein R3 is H.
8. The bifunctional compound of any one of the preceding claims, wherein n1 is 1.
9. The bifunctional compound of any one of the preceding claims, wherein n2 is 2.
10. The bifunctional compound of any one of the preceding claims, wherein each R1 is independently halogen.
11. The bifunctional compound of any one of the preceding claims, wherein each R4 is independently (C1-C4) alkyl.
12. The bifunctional compound of claim 2, wherein the Targeting Ligand is of Formula TL- II.
13. The bifunctional compound of claim 12, wherein X2 is O.
14. The bifunctional compound of claim 12 or 13, wherein X3 is N.
15. The bifunctional compound of any one of claims 12-14, wherein R7 is H.
16. The bifunctional compound of any one of claims 12-15, wherein A is phenyl
17. The bifunctional compound of any one of claims 12-16, wherein q1 is 3.
18. The bifunctional compound of any one of claims 12-17, wherein q2 is 0.
19. The bifunctional compound of any one of claims 12-18, wherein each R6 is independently halogen or NHS(O)2(C1-C4) alkyl.
20. The bifunctional compound of claim 2, wherein the Targeting Ligand is of Formula TL- III.
21. The bifunctional compound of claim 20, wherein R12 is H.
22. The bifunctional compound of claim 20 or 21, wherein R14 is H.
23. The bifunctional compound of any one of claims 20-22, wherein B1 is phenyl.
24. The bifunctional compound of any one of claims 20-23, wherein B2 is phenyl.
25. The bifunctional compound of any one of claims 20-24, wherein r1 is 1.
26. The bifunctional compound of any one of claims 20-25, wherein each R13 is
independently halogen.
27. The bifunctional compound of any one of claims 20-26, wherein each R15 is independently (C1-C4) alkoxy.
28. The bifunctional compound of any one of claims 20-27, wherein each R16 is
independently (C1-C4) alkoxy or halogen
29. The bifunctional compound of claim 2, wherein the Targeting Ligand is of Formula TL- IV.
30. The bifunctional compound of claim 29, wherein R17 is H.
31. The bifunctional compound of claim 29 or 30, wherein R18 is H.
32. The bifunctional compound of claims 29-31, wherein B3 is phenyl.
33. The bifunctional compound of claims 29-32, wherein B4 is phenyl.
34. The bifunctional compound of claims 29-33, wherein each R20 is independently (C1-C4) haloalkoxy.
35. The bifunctional compound of claim 2, wherein the Targeting Ligand is of Formula TL- V.
36. The bifunctional compound of claim 35, wherein R21 is H.
37. The bifunctional compound of claim 35 or 36, wherein R23 is H.
38. The bifunctional compound of claims 35-37, wherein R22 is (C1-C4) alkyl.
39. The bifunctional compound of claims 35-38, wherein Y1 is NR25C(O).
40. The bifunctional compound of claims 35-39, wherein B5 is phenyl and each R26 is independently (C1-C4) alkyl or halogen.
41. The bifunctional compound of claims 35-40, wherein s2 is 0.
42. The bifunctional compound of claim 2, wherein the Targeting Ligand is of Formula TL- VI.
43. The bifunctional compound of claim 42, wherein R27 is H.
44. The bifunctional compound of claim 42 or 43, wherein R28 is H.
45. The bifunctional compound of claims 42-44, wherein B6 is phenyl.
46. The bifunctional compound of claims 42-45, wherein s3 and s4 are each 0.
47. The bifunctional compound of claims 42-46, wherein s5 is 1.
48. The bifunctional compound of claims 42-47, wherein B7 is isoxazolyl.
49. The bifunctional compound of claims 42-48, wherein each R32 is independently (C1-C4) alkyl.
50. The bifunctional compound of claim 2, wherein the Targeting Ligand is of Formula TL- Ia, TL-IIa, TL-IIIa, TL-IVa, TL-Va, or TL-VIa:
Figure imgf000175_0001
Figure imgf000176_0001
Figure imgf000176_0002
51. The bifunctional compound of any one of claims 1-50, wherein the Linker is of Formula L1:
Figure imgf000176_0003
(L1),
or an enantiomer, diastereomer, or stereoisomer thereof, wherein
p1 is an integer selected from 0 to 12;
p2 is an integer selected from 0 to 12;
p3 is an integer selected from 1 to 6;
each W is independently absent, CH2, O, S, or NR34;
Z1 is absent, C(O), CH2, O, (CH2)jNR34, O(CH2)jC(O)NR34, C(O)NR34, (CH2)jC(O)NR34, NR34C(O), (CH2)jNR34C(O), C(O)NR34(CH2)jC(O)NR34, C(O)(CH2)jC(O)NR34,
(CH2)kNR34(CH2)jC(O)NR34, or NR34(CH2)jC(O)NR34;
each R34 is independently H or C1-C3 alkyl;
j is 1, 2, or 3;
k is 1, 2, or 3; and Q1 is absent, C(O), NHC(O)(CH2)0-1, OCH2C(O), O(CH2)1-2, or
Figure imgf000177_0001
wherein the Linker is covalently bonded to a Degron via the
Figure imgf000177_0003
next to Q1, and covalently bonded to a Targeting Ligand (TL) via the
Figure imgf000177_0004
next to Z1.
52. The bifunctional com ound of claim 51 wherein the Linker is selected from:
Figure imgf000177_0002
Figure imgf000178_0001
Figure imgf000179_0001
Figure imgf000180_0001
Figure imgf000181_0001
(L1gg).
53. The bifunctional compound of any one of claims 1-52, wherein the Degron is of Formula D1:
Figure imgf000181_0002
or an enantiomer, diastereomer, or stereoisomer thereof, wherein:
Y is a bond, (CH2)1-6, (CH2)0-6-O, (CH2)0-6-C(O)NR35, (CH2)0-6-NR35C(O), (CH2)0-6-NH, or (CH2)0-6-NR36;
Z3 is C(O) or C(R37)2;
R35 is H or C1-C6 alkyl;
R36 is C1-C6 alkyl or C(O)-C1-C6 alkyl;
each R37 is independently H or C1-C3 alkyl;
each R38 is independently C1-C3 alkyl;
R39 is H, deuterium, C1-C3 alkyl, F, or Cl;
each R40 is independently halogen, OH, C1-C6 alkyl, or C1-C6 alkoxy;
q is 0, 1, or 2; and
v is 0, 1, 2, or 3, wherein the Degron is covalently bonded to the Linker via
Figure imgf000181_0003
54. The bifunctional compound of claim 53, wherein Z3 is C(O) or CH2. 55. The bifunctional compound of claim 53 or 54, wherein Y is a bond, O, or NH. 56. The bifunctional compound of any one of claims 53-55, wherein the Degron is of Formula D1a, D1b, D1c, D1d, D1e, D1f, D1g, D1h, D1i, D1j, D1k, or D1l:
Figure imgf000182_0001
57. The bifunctional compound of any one of claims 1-52, wherein the Degron is of Formula D2:
Figure imgf000183_0001
(D2),
or an enantiomer, diastereomer, or stereoisomer thereof, wherein:
each R41 is independently C1-C3 alkyl;
q' is 0, 1, 2, 3 or 4; and
R42 is H or C1-C3 alkyl, wherein the Degron is covalently bonded to the Linker via
Figure imgf000183_0002
58. The bifunctional compound of claim 57, wherein R42 is methyl. 59. The bifunctional compound of claim 57, wherein the Degron is of Formula D2a, D2b, D2c, or D2d:
Figure imgf000183_0003
60. A pharmaceutical composition comprising a therapeutically effective amount of the bifunctional compound of any one of claims 1-59, or an enantiomer, diastereomer, stereoisomer, or pharmaceutically acceptable salt thereof, and a pharmaceutically acceptable carrier.
61. A method of inhibiting or modulating the amount of at least one protein kinase, comprising administering to a subject in need thereof an effective amount of a compound of any one of claims 1-59.
62. The method of claim 61, wherein the protein kinase is a protein tyrosine kinase or a serine-threonine kinase.
63. A method of treating or preventing a disease in which at least one protein kinase plays a role, comprising administering to a subject in need thereof an effective amount of a compound of any one of claims 1-59.
64. The method of claim 63, wherein the protein kinase is a protein tyrosine kinase or a serine-threonine kinase.
65. The method of claim 63, wherein the disease is cancer or a proliferation disease.
66. The method of claim 65, wherein the cancer is lung cancer, colon cancer, breast cancer, prostate cancer, liver cancer, pancreas cancer, brain cancer, kidney cancer, ovarian cancer, stomach cancer, skin cancer, bone cancer, gastric cancer, breast cancer, pancreatic cancer, glioma, glioblastoma, hepatocellular carcinoma, papillary renal carcinoma, head and neck squamous cell carcinoma, leukemias, lymphomas, myelomas, or solid tumors.
67. A method of inhibiting or modulating the amount of a protein kinase, comprising administering to a subject in need thereof an effective amount of a compound of any one of claims 1-59.
68. A method of inhibiting or modulating the amount of a protein tyrosine kinase, comprising administering to a subject in need thereof an effective amount of a compound of any one of claims 1-59.
69. A method of inhibiting or modulating the amount of a serine-threonine kinase, comprising administering to a subject in need thereof an effective amount of a compound of any one of claims 1-59.
70. Use of a bifunctional compound of any one of claims 1-59 in the manufacture of a medicament for treating or preventing a disease in which at least one protein kinase plays a role.
71. Use of a bifunctional compound of any one of claims 1-59 in the manufacture of a medicament for treating or preventing a disease in which at least one protein tyrosine kinase plays a role.
72. Use of a bifunctional compound of any one of claims 1-59 in the manufacture of a medicament for treating or preventing a disease in which at least one serine-threonine kinase plays a role.
73. A bifunctional compound of any one of claims 1-59 for treating or preventing a disease in which at least one protein kinase plays a role.
74. A bifunctional compound of any one of claims 1-59 for treating or preventing a disease in which at least one protein tyrosine kinase plays a role.
75. A bifunctional compound of any one of claims 1-59 for treating or preventing a disease in which at least one serine-threonine kinase plays a role.
PCT/US2017/063017 2016-11-22 2017-11-22 Degradation of protein kinases by conjugation of protein kinase inhibitors with e3 ligase ligand and methods of use Ceased WO2018098280A1 (en)

Priority Applications (6)

Application Number Priority Date Filing Date Title
US16/343,977 US10899768B2 (en) 2016-11-22 2017-11-22 Degradation of protein kinases by conjugation of protein kinase inhibitors with E3 ligase ligand and methods of use
AU2017363257A AU2017363257B2 (en) 2016-11-22 2017-11-22 Degradation of protein kinases by conjugation of protein kinase inhibitors with E3 ligase ligand and methods of use
EP17873287.1A EP3544957B1 (en) 2016-11-22 2017-11-22 Degradation of protein kinases by conjugation of protein kinase inhibitors with e3 ligase ligand and methods of use
CA3042301A CA3042301A1 (en) 2016-11-22 2017-11-22 Degradation of protein kinases by conjugation of protein kinase inhibitors with e3 ligase ligand and methods of use
US17/096,026 US11578075B2 (en) 2016-11-22 2020-11-12 Degradation of protein kinases by conjugation of protein kinase inhibitors with E3 ligase ligand and methods of use
US18/082,195 US20230131952A1 (en) 2016-11-22 2022-12-15 Degradation of protein kinases by conjugation of protein kinase inhibitors with e3 ligase ligand and methods of use

Applications Claiming Priority (2)

Application Number Priority Date Filing Date Title
US201662425587P 2016-11-22 2016-11-22
US62/425,587 2016-11-22

Related Child Applications (3)

Application Number Title Priority Date Filing Date
US16/343,977 A-371-Of-International US10899768B2 (en) 2016-11-22 2017-11-22 Degradation of protein kinases by conjugation of protein kinase inhibitors with E3 ligase ligand and methods of use
US17/096,026 Division US11578075B2 (en) 2016-11-22 2020-11-12 Degradation of protein kinases by conjugation of protein kinase inhibitors with E3 ligase ligand and methods of use
US17/096,026 Continuation US11578075B2 (en) 2016-11-22 2020-11-12 Degradation of protein kinases by conjugation of protein kinase inhibitors with E3 ligase ligand and methods of use

Publications (1)

Publication Number Publication Date
WO2018098280A1 true WO2018098280A1 (en) 2018-05-31

Family

ID=62195646

Family Applications (1)

Application Number Title Priority Date Filing Date
PCT/US2017/063017 Ceased WO2018098280A1 (en) 2016-11-22 2017-11-22 Degradation of protein kinases by conjugation of protein kinase inhibitors with e3 ligase ligand and methods of use

Country Status (5)

Country Link
US (3) US10899768B2 (en)
EP (1) EP3544957B1 (en)
AU (1) AU2017363257B2 (en)
CA (1) CA3042301A1 (en)
WO (1) WO2018098280A1 (en)

Cited By (73)

* Cited by examiner, † Cited by third party
Publication number Priority date Publication date Assignee Title
US10723717B2 (en) 2016-12-23 2020-07-28 Arvinas Operations, Inc. Compounds and methods for the targeted degradation of rapidly accelerated fibrosarcoma polypeptides
WO2020191369A1 (en) 2019-03-21 2020-09-24 Codiak Biosciences, Inc. Process for preparing extracellular vesicles
WO2020191377A1 (en) 2019-03-21 2020-09-24 Codiak Biosciences, Inc. Extracellular vesicle conjugates and uses thereof
US10806737B2 (en) 2016-12-23 2020-10-20 Arvinas Operations, Inc. Compounds and methods for the targeted degradation of fetal liver kinase polypeptides
WO2020263830A1 (en) 2019-06-25 2020-12-30 Gilead Sciences, Inc. Flt3l-fc fusion proteins and methods of use
WO2021018018A1 (en) * 2019-07-26 2021-02-04 Beigene, Ltd. Degradation of bruton's tyrosine kinase (btk) by conjugation of btk inidbitors with e3 ligase ligand and methods of use
CN112390852A (en) * 2019-08-14 2021-02-23 上海济煜医药科技有限公司 Compound as protein degradation agent and preparation method and application thereof
US11040027B2 (en) 2017-01-17 2021-06-22 Heparegenix Gmbh Protein kinase inhibitors for promoting liver regeneration or reducing or preventing hepatocyte death
WO2021129653A1 (en) * 2019-12-23 2021-07-01 上海济煜医药科技有限公司 Protein degradation agent compound preparation method and application
WO2021163064A2 (en) 2020-02-14 2021-08-19 Jounce Therapeutics, Inc. Antibodies and fusion proteins that bind to ccr8 and uses thereof
EP3878472A1 (en) * 2020-03-12 2021-09-15 Julius-Maximilians-Universitaet Wuerzburg Proteolysis targeting chimera (protac) for degradation of aurora a-kinase
US11149007B2 (en) 2018-12-19 2021-10-19 Celgene Corporation Substituted 3-((3-aminophenyl)amino)piperidine-2,6-dione compounds, compositions thereof, and methods of treatment therewith
WO2021222542A1 (en) * 2020-04-30 2021-11-04 President And Fellows Of Harvard College 5-amino-2-piperidinon-3-yl-1-oxoisoindoline derivatives for degradation of ikzf2 degraders
US11173211B2 (en) 2016-12-23 2021-11-16 Arvinas Operations, Inc. Compounds and methods for the targeted degradation of rapidly accelerated Fibrosarcoma polypeptides
WO2021237100A1 (en) 2020-05-21 2021-11-25 Codiak Biosciences, Inc. Methods of targeting extracellular vesicles to lung
WO2021255212A1 (en) * 2020-06-19 2021-12-23 F. Hoffmann-La Roche Ag Braf degraders
WO2022006412A3 (en) * 2020-07-02 2022-02-03 The Regents Of The University Of Colorado, A Body Corporate Conjugates of ampk inhibitors and protac degraders and related uses
WO2022066928A2 (en) 2020-09-23 2022-03-31 Codiak Biosciences, Inc. Process for preparing extracellular vesicles
CN114423463A (en) * 2019-05-06 2022-04-29 西奈山伊坎医学院 Heterobifunctional compounds as HPK1 degradants
US11325889B2 (en) 2018-12-19 2022-05-10 Celgene Corporation Substituted 3-((3-aminophenyl)amino)piperidine-2,6-dione compounds, compositions thereof, and methods of treatment therewith
US11358952B2 (en) 2018-04-23 2022-06-14 Celgene Corporation Substituted 4-aminoisoindoline-1,3-dione compounds, compositions thereof, and methods of treatment therewith
AU2019335516B2 (en) * 2018-09-07 2022-06-16 Arvinas Operations, Inc. Polycyclic compounds and methods for the targeted degradation of rapidly accelerated fibrosarcoma polypeptides
WO2022245671A1 (en) 2021-05-18 2022-11-24 Gilead Sciences, Inc. Methods of using flt3l-fc fusion proteins
US11597720B2 (en) 2016-12-01 2023-03-07 Arvinas Operations, Inc. Tetrahydronaphthalene and tetrahydroisoquinoline derivatives as estrogen receptor degraders
US11597768B2 (en) 2017-06-26 2023-03-07 Beigene, Ltd. Immunotherapy for hepatocellular carcinoma
WO2023076983A1 (en) 2021-10-28 2023-05-04 Gilead Sciences, Inc. Pyridizin-3(2h)-one derivatives
WO2023077030A1 (en) 2021-10-29 2023-05-04 Gilead Sciences, Inc. Cd73 compounds
WO2023122615A1 (en) 2021-12-22 2023-06-29 Gilead Sciences, Inc. Ikaros zinc finger family degraders and uses thereof
US11701357B2 (en) 2016-08-19 2023-07-18 Beigene Switzerland Gmbh Treatment of B cell cancers using a combination comprising Btk inhibitors
US11707452B2 (en) 2018-08-20 2023-07-25 Arvinas Operations, Inc. Modulators of alpha-synuclein proteolysis and associated methods of use
WO2023147418A1 (en) 2022-01-28 2023-08-03 Gilead Sciences, Inc. Parp7 inhibitors
EP4245756A1 (en) 2022-03-17 2023-09-20 Gilead Sciences, Inc. Ikaros zinc finger family degraders and uses thereof
US11786529B2 (en) 2017-11-29 2023-10-17 Beigene Switzerland Gmbh Treatment of indolent or aggressive B-cell lymphomas using a combination comprising BTK inhibitors
WO2023205719A1 (en) 2022-04-21 2023-10-26 Gilead Sciences, Inc. Kras g12d modulating compounds
WO2023205701A1 (en) 2022-04-20 2023-10-26 Kumquat Biosciences Inc. Macrocyclic heterocycles and uses thereof
WO2024006929A1 (en) 2022-07-01 2024-01-04 Gilead Sciences, Inc. Cd73 compounds
US11883393B2 (en) 2019-12-19 2024-01-30 Arvinas Operations, Inc. Compounds and methods for the targeted degradation of androgen receptor
US11912682B2 (en) 2021-01-13 2024-02-27 Monte Rosa Therapeutics, Inc. Isoindolinone compounds
US11912699B2 (en) 2019-07-17 2024-02-27 Arvinas Operations, Inc. Tau-protein targeting compounds and associated
US11952347B2 (en) 2016-10-11 2024-04-09 Arvinas Operations, Inc. Compounds and methods for the targeted degradation of androgen receptor
US11957759B1 (en) 2022-09-07 2024-04-16 Arvinas Operations, Inc. Rapidly accelerated fibrosarcoma (RAF) degrading compounds and associated methods of use
US11986532B2 (en) 2021-04-16 2024-05-21 Arvinas Operations, Inc. Modulators of BCL6 proteolysis and associated methods of use
WO2024137852A1 (en) 2022-12-22 2024-06-27 Gilead Sciences, Inc. Prmt5 inhibitors and uses thereof
US12043612B2 (en) 2020-05-09 2024-07-23 Arvinas Operations, Inc. Methods of manufacturing a bifunctional compound, ultrapure forms of the bifunctional compound, and dosage forms comprising the same
US20240269139A1 (en) * 2020-10-26 2024-08-15 Dana-Farber Cancer Institute, Inc. Compounds for targeted protein degradation of kinases
US12103924B2 (en) 2020-06-01 2024-10-01 Icahn School Of Medicine At Mount Sinai Mitogen-activated protein kinase kinase (MEK) degradation compounds and methods of use
US12110295B2 (en) 2018-06-21 2024-10-08 Icahn School Of Medicine At Mount Sinai WD40 repeat domain protein 5 (WDR5) degradation/disruption compounds and methods of use
WO2024215754A1 (en) 2023-04-11 2024-10-17 Gilead Sciences, Inc. Kras modulating compounds
WO2024220917A1 (en) 2023-04-21 2024-10-24 Gilead Sciences, Inc. Prmt5 inhibitors and uses thereof
WO2024217520A1 (en) * 2023-04-21 2024-10-24 南京中医药大学 Indolone flt3 protein degradation agent, and preparation method therefor and medical use thereof
RU2830173C2 (en) * 2018-09-07 2024-11-14 Эрвинэс Оперейшнс, Инк. Polycyclic compounds and methods for targeted degradation of polypeptides of fast accelerated fibrosarcoma
WO2024243441A1 (en) 2023-05-24 2024-11-28 Kumquat Biosciences Inc. Heterocyclic compounds and uses thereof
EP4126068A4 (en) * 2020-03-31 2024-12-04 Orum Therapeutics Inc. Conjugates
US12162859B2 (en) 2020-09-14 2024-12-10 Arvinas Operations, Inc. Crystalline and amorphous forms of a compound for the targeted degradation of estrogen receptor
US12180193B2 (en) 2020-08-28 2024-12-31 Arvinas Operations, Inc. Accelerating fibrosarcoma protein degrading compounds and associated methods of use
WO2025007000A1 (en) 2023-06-30 2025-01-02 Kumquat Biosciences Inc. Substituted condensed tricyclic amine compounds and uses thereof as ras inhibitors
WO2025006720A1 (en) 2023-06-30 2025-01-02 Gilead Sciences, Inc. Kras modulating compounds
US12208095B2 (en) 2019-08-26 2025-01-28 Arvinas Operations, Inc. Methods of treating breast cancer with tetrahydronaphthalene derivatives as estrogen receptor degraders
WO2025024811A1 (en) 2023-07-26 2025-01-30 Gilead Sciences, Inc. Parp7 inhibitors
WO2025024663A1 (en) 2023-07-26 2025-01-30 Gilead Sciences, Inc. Parp7 inhibitors
WO2025054530A1 (en) 2023-09-08 2025-03-13 Gilead Sciences, Inc. Pyrimidine-containing polycyclic derivatives as kras g12d modulating compounds
WO2025054347A1 (en) 2023-09-08 2025-03-13 Gilead Sciences, Inc. Kras g12d modulating compounds
US12274697B2 (en) 2016-10-28 2025-04-15 Icahn School Of Medicine At Mount Sinai Compositions and methods for treating EZH2-mediated cancer
WO2025096589A1 (en) 2023-11-03 2025-05-08 Gilead Sciences, Inc. Prmt5 inhibitors and uses thereof
WO2025096855A1 (en) 2023-11-02 2025-05-08 Kumquat Biosciences Inc. Degraders and uses thereof
US12310975B2 (en) 2019-10-17 2025-05-27 Arvinas Operations, Inc. Modulators of BCL6 proteolysis and associated methods of use
WO2025137640A1 (en) 2023-12-22 2025-06-26 Gilead Sciences, Inc. Azaspiro wrn inhibitors
US12441708B2 (en) 2017-01-31 2025-10-14 Arvinas Operations, Inc. Cereblon ligands and bifunctional compounds comprising the same
WO2025245003A1 (en) 2024-05-21 2025-11-27 Gilead Sciences, Inc. Prmt5 inhibitors and uses thereof
US12496301B2 (en) 2023-12-08 2025-12-16 Arvinas Operations, Inc. Use of androgen receptor degrader for the treatment of spinal and bulbar muscular atrophy
US12539292B2 (en) 2018-04-01 2026-02-03 Arvinas Operations, Inc. BRM targeting compounds and associated methods of use
WO2026039365A1 (en) 2024-08-12 2026-02-19 Gilead Sciences, Inc. Kras modulating compounds
US12606533B2 (en) 2023-09-29 2026-04-21 Daiichi Sankyo Company, Limited 3-phenylpropylamine derivative

Families Citing this family (5)

* Cited by examiner, † Cited by third party
Publication number Priority date Publication date Assignee Title
CN113801098B (en) 2020-06-12 2023-05-30 上海济煜医药科技有限公司 Phthalazinone compound, preparation method and medical application thereof
CN113717159A (en) * 2021-09-16 2021-11-30 中国药科大学 Indolone compounds and pharmaceutical composition, preparation method and application thereof
WO2023229535A1 (en) 2022-05-27 2023-11-30 Engine Biosciences Pte. Ltd. Bet polypeptide therapeutic agents for generating synthetic lethality in tumors
CN114853735B (en) * 2022-07-06 2022-10-21 北京鑫开元医药科技有限公司 Compound for target ubiquitination degradation of TRK and preparation method, composition and application thereof
WO2024158825A2 (en) 2023-01-23 2024-08-02 Engine Biosciences Pte. Ltd. Methods to modulate tau for treatment of tauopathies

Citations (7)

* Cited by examiner, † Cited by third party
Publication number Priority date Publication date Assignee Title
WO2009073153A2 (en) * 2007-11-28 2009-06-11 Dana Farber Cancer Institute Small molecule myristate inhibitors of bcr-abl and methods of use
WO2015143004A1 (en) * 2014-03-18 2015-09-24 Synta Pharmaceuticals Corp. Targeted therapeutics
US20150283178A1 (en) * 2014-04-07 2015-10-08 Carl H. June Treatment of cancer using anti-cd19 chimeric antigen receptor
WO2015160845A2 (en) 2014-04-14 2015-10-22 Arvinas, Inc. Imide-based modulators of proteolysis and associated methods of use
WO2016105518A1 (en) 2014-12-23 2016-06-30 Dana-Farber Cancer Institute, Inc. Methods to induce targeted protein degradation through bifunctional molecules
WO2016149668A1 (en) 2015-03-18 2016-09-22 Arvinas, Inc. Compounds and methods for the enhanced degradation of targeted proteins
US20170121321A1 (en) * 2015-11-02 2017-05-04 Yale University Proteolysis Targeting Chimera Compounds and Methods of Preparing and Using Same

Patent Citations (7)

* Cited by examiner, † Cited by third party
Publication number Priority date Publication date Assignee Title
WO2009073153A2 (en) * 2007-11-28 2009-06-11 Dana Farber Cancer Institute Small molecule myristate inhibitors of bcr-abl and methods of use
WO2015143004A1 (en) * 2014-03-18 2015-09-24 Synta Pharmaceuticals Corp. Targeted therapeutics
US20150283178A1 (en) * 2014-04-07 2015-10-08 Carl H. June Treatment of cancer using anti-cd19 chimeric antigen receptor
WO2015160845A2 (en) 2014-04-14 2015-10-22 Arvinas, Inc. Imide-based modulators of proteolysis and associated methods of use
WO2016105518A1 (en) 2014-12-23 2016-06-30 Dana-Farber Cancer Institute, Inc. Methods to induce targeted protein degradation through bifunctional molecules
WO2016149668A1 (en) 2015-03-18 2016-09-22 Arvinas, Inc. Compounds and methods for the enhanced degradation of targeted proteins
US20170121321A1 (en) * 2015-11-02 2017-05-04 Yale University Proteolysis Targeting Chimera Compounds and Methods of Preparing and Using Same

Non-Patent Citations (22)

* Cited by examiner, † Cited by third party
Title
"Encyclopedia of Reagents for Organic Synthesis", 1995, JOHN WILEY AND SONS
"Methods in Enzymology", vol. 4, 1985, ACADEMIC PRESS
"Prodrugs as Novel Drug Delivery Systems", 1975, AMERICAN CHEMICAL SOCIETY
ADVANCED DRUG DELIVERY REVIEWS, vol. 19, 1996, pages 1 15
BERNARD TESTAJOACHIM MAYER: "Hydrolysis In Drug And Prodrug Metabolism: Chemistry, Biochemistry And Enzymology", 2002, JOHN WILEY AND SONS, LTD.
BUNDGAARD ET AL., JOURNAL OF DRUG DELIVER REVIEWS, vol. 8, 1992, pages 1 - 38
BUNDGAARD, J. OF PHARMACEUTICAL SCIENCES, vol. 77, 1988, pages 285
CAHN ET AL., ANGEW. CHEM., vol. 78, 1966, pages 413
CAHN ET AL., EXPERIENTIA, vol. 12, 1956, pages 81
CAHN, J. CHEM. EDUC., vol. 41, 1964, pages 116
CAHNINGOLD, J. CHEM. SOC., 1951, pages 612
CHAO, Q. ET AL.: "Identification of N-(5-tert-Butyl-isoxazol-3-yl)-N'-{4-[7 -(2-morpholin-4- yl-ethoxy)imidazo[2,1-b][1,3]benzothiazol-2-yl]phenyl}urea Dihydrochloride (AC220), a Uniquely Potent, Selective, and Efficacious FMS -Like Tyrosine Kinase-3 (FLT3) Inhibitor", JOURNAL OF MEDICINAL CHEMISTRY, vol. 52, no. 23, 2009, pages 7808 - 7816, XP002615038 *
E. L. ELIELS. H. WILENL. N. MANDER: "Fieser and Fieser's Reagents for Organic Synthesis", 1994, JOHN WILEY AND SONS
GREENE, T.W.WUTS, P.G. M.: "Protective Groups in Organic Synthesis", 1999, JOHN WILEY AND SONS, INC.
J. MED. CHEM., vol. 39, 1996, pages 10
JACQUES ET AL.: "Enantiomers, Racemates, and Resolutions", 1981, JOHN WILEY & SONS
LAI, A. C. ET AL.: "Modular PROTAC Design for the Degradation of Oncogenic BCR-ABL", ANGEWANDTE CHEMIE , INTERNATIONAL EDITION, vol. 55, no. 2, 23 November 2015 (2015-11-23), pages 807 - 810, XP055388339 *
S. M. BERGE ET AL., J. PHARMACEUTICAL SCIENCES, vol. 66, 1977, pages 1 - 19
SAULNIER ET AL., BIOORGANIC AND MEDICINAL CHEMISTRY LETTERS, vol. 4, 1994, pages 1985
See also references of EP3544957A4
SMITH, M. B.MARCH, J.: "March 's Advanced Organic Chemistry: Reactions, Mechanisms, and Structure", 2001, JOHN WILEY & SONS
T.W. GREENEP.G.M. WUTS: "Design and Application of Prodrugs, Textbook of Drug Design and Development", 1991, JOHN WILEY AND SONS, pages: 113 - 191

Cited By (107)

* Cited by examiner, † Cited by third party
Publication number Priority date Publication date Assignee Title
US11701357B2 (en) 2016-08-19 2023-07-18 Beigene Switzerland Gmbh Treatment of B cell cancers using a combination comprising Btk inhibitors
US11964945B2 (en) 2016-10-11 2024-04-23 Arvinas Operations, Inc. Compounds and methods for the targeted degradation of androgen receptor
US12077509B2 (en) 2016-10-11 2024-09-03 Arvinas Operations, Inc. Compounds and methods for the targeted degradation of androgen receptor
US11952347B2 (en) 2016-10-11 2024-04-09 Arvinas Operations, Inc. Compounds and methods for the targeted degradation of androgen receptor
US12274697B2 (en) 2016-10-28 2025-04-15 Icahn School Of Medicine At Mount Sinai Compositions and methods for treating EZH2-mediated cancer
US12172981B2 (en) 2016-12-01 2024-12-24 Arvinas Operations, Inc. Tetrahydronaphthalene and tetrahydroisoquinoline derivatives as estrogen receptor degraders
US11597720B2 (en) 2016-12-01 2023-03-07 Arvinas Operations, Inc. Tetrahydronaphthalene and tetrahydroisoquinoline derivatives as estrogen receptor degraders
US11173211B2 (en) 2016-12-23 2021-11-16 Arvinas Operations, Inc. Compounds and methods for the targeted degradation of rapidly accelerated Fibrosarcoma polypeptides
US10806737B2 (en) 2016-12-23 2020-10-20 Arvinas Operations, Inc. Compounds and methods for the targeted degradation of fetal liver kinase polypeptides
US11986531B2 (en) 2016-12-23 2024-05-21 Arvinas Operations, Inc. Compounds and methods for the targeted degradation of rapidly accelerated fibrosarcoma polypeptides
US10723717B2 (en) 2016-12-23 2020-07-28 Arvinas Operations, Inc. Compounds and methods for the targeted degradation of rapidly accelerated fibrosarcoma polypeptides
EP3558994A4 (en) * 2016-12-23 2021-05-12 Arvinas Operations, Inc. COMPOUNDS AND METHODS FOR TARGETED DEGRADATION OF RAPIDLY ACCELERATED FIBROSARCOMA POLYPEPTIDES
US11040027B2 (en) 2017-01-17 2021-06-22 Heparegenix Gmbh Protein kinase inhibitors for promoting liver regeneration or reducing or preventing hepatocyte death
US12441708B2 (en) 2017-01-31 2025-10-14 Arvinas Operations, Inc. Cereblon ligands and bifunctional compounds comprising the same
US11597768B2 (en) 2017-06-26 2023-03-07 Beigene, Ltd. Immunotherapy for hepatocellular carcinoma
US11786529B2 (en) 2017-11-29 2023-10-17 Beigene Switzerland Gmbh Treatment of indolent or aggressive B-cell lymphomas using a combination comprising BTK inhibitors
US12539292B2 (en) 2018-04-01 2026-02-03 Arvinas Operations, Inc. BRM targeting compounds and associated methods of use
US11945804B2 (en) 2018-04-23 2024-04-02 Celgene Corporation Substituted 4-aminoisoindoline-1,3-dione compounds, compositions thereof, and methods of treatment therewith
US11358952B2 (en) 2018-04-23 2022-06-14 Celgene Corporation Substituted 4-aminoisoindoline-1,3-dione compounds, compositions thereof, and methods of treatment therewith
US12110295B2 (en) 2018-06-21 2024-10-08 Icahn School Of Medicine At Mount Sinai WD40 repeat domain protein 5 (WDR5) degradation/disruption compounds and methods of use
US12594264B2 (en) 2018-08-20 2026-04-07 Arvinas Operations, Inc. Modulators of alpha-synuclein proteolysis and associated methods of use
US11707452B2 (en) 2018-08-20 2023-07-25 Arvinas Operations, Inc. Modulators of alpha-synuclein proteolysis and associated methods of use
RU2830173C2 (en) * 2018-09-07 2024-11-14 Эрвинэс Оперейшнс, Инк. Polycyclic compounds and methods for targeted degradation of polypeptides of fast accelerated fibrosarcoma
AU2019335516B2 (en) * 2018-09-07 2022-06-16 Arvinas Operations, Inc. Polycyclic compounds and methods for the targeted degradation of rapidly accelerated fibrosarcoma polypeptides
US12404241B2 (en) 2018-12-19 2025-09-02 Celgene Corporation Substituted 3-((3-aminophenyl)amino)piperidine-2,6-dione compounds, compositions thereof, and methods of treatment therewith
US11873283B2 (en) 2018-12-19 2024-01-16 Celgene Corporation Substituted 3-((3-aminophenyl)amino)piperidine-2,6-dione compounds, compositions thereof, and methods of treatment therewith
US11325889B2 (en) 2018-12-19 2022-05-10 Celgene Corporation Substituted 3-((3-aminophenyl)amino)piperidine-2,6-dione compounds, compositions thereof, and methods of treatment therewith
US11149007B2 (en) 2018-12-19 2021-10-19 Celgene Corporation Substituted 3-((3-aminophenyl)amino)piperidine-2,6-dione compounds, compositions thereof, and methods of treatment therewith
EP4671268A2 (en) 2019-03-21 2025-12-31 Lonza Sales AG METHOD FOR THE PRODUCTION OF EXTRACELLULAR VESCLES
WO2020191377A1 (en) 2019-03-21 2020-09-24 Codiak Biosciences, Inc. Extracellular vesicle conjugates and uses thereof
WO2020191369A1 (en) 2019-03-21 2020-09-24 Codiak Biosciences, Inc. Process for preparing extracellular vesicles
JP2022531446A (en) * 2019-05-06 2022-07-06 アイカーン スクール オブ メディスン アット マウント シナイ Hetero-bifunctional compound as a degrading agent for HPK1
CN114423463B (en) * 2019-05-06 2025-09-26 西奈山伊坎医学院 Heterobifunctional compounds as degraders of HPK1
US12465648B2 (en) 2019-05-06 2025-11-11 Icahn School Of Medicine At Mount Sinai Heterobifunctional compounds as degraders of HPK1
JP7503851B2 (en) 2019-05-06 2024-06-21 アイカーン スクール オブ メディスン アット マウント シナイ Heterobifunctional compounds as degraders of HPK1
CN114423463A (en) * 2019-05-06 2022-04-29 西奈山伊坎医学院 Heterobifunctional compounds as HPK1 degradants
WO2020263830A1 (en) 2019-06-25 2020-12-30 Gilead Sciences, Inc. Flt3l-fc fusion proteins and methods of use
US12559486B2 (en) 2019-07-17 2026-02-24 Arvinas Operations, Inc. Tau-protein targeting compounds and associated methods of use
US11912699B2 (en) 2019-07-17 2024-02-27 Arvinas Operations, Inc. Tau-protein targeting compounds and associated
WO2021018018A1 (en) * 2019-07-26 2021-02-04 Beigene, Ltd. Degradation of bruton's tyrosine kinase (btk) by conjugation of btk inidbitors with e3 ligase ligand and methods of use
CN112390852A (en) * 2019-08-14 2021-02-23 上海济煜医药科技有限公司 Compound as protein degradation agent and preparation method and application thereof
US12208095B2 (en) 2019-08-26 2025-01-28 Arvinas Operations, Inc. Methods of treating breast cancer with tetrahydronaphthalene derivatives as estrogen receptor degraders
US12310975B2 (en) 2019-10-17 2025-05-27 Arvinas Operations, Inc. Modulators of BCL6 proteolysis and associated methods of use
US12427144B2 (en) 2019-12-19 2025-09-30 Arvinas Operations, Inc. Compounds and methods for the targeted degradation of androgen receptor
US11883393B2 (en) 2019-12-19 2024-01-30 Arvinas Operations, Inc. Compounds and methods for the targeted degradation of androgen receptor
CN113087704B (en) * 2019-12-23 2023-09-08 上海济煜医药科技有限公司 Preparation method and application of protein degradation agent compound
CN114829342A (en) * 2019-12-23 2022-07-29 上海济煜医药科技有限公司 Preparation method and application of protein degradation agent compound
CN113087704A (en) * 2019-12-23 2021-07-09 上海济煜医药科技有限公司 Preparation method and application of protein degradation agent compound
TWI755992B (en) * 2019-12-23 2022-02-21 大陸商上海濟煜醫藥科技有限公司 Manufacturing method and use of compound of protein degradation agent
US12441706B2 (en) * 2019-12-23 2025-10-14 Shanghai Jemincare Pharmaceuticals Co., Ltd. Protein degradation agent compound preparation method and application
WO2021129653A1 (en) * 2019-12-23 2021-07-01 上海济煜医药科技有限公司 Protein degradation agent compound preparation method and application
US20230111119A1 (en) * 2019-12-23 2023-04-13 Shanghai Jemincare Pharmaceuticals Co., Ltd. Protein degradation agent compound preparation method and application
US12297282B2 (en) 2020-02-14 2025-05-13 Gilead Sciences, Inc. Nucleic acids encoding, and methods of producing, antibodies that bind human chemokine (C—C motif) receptor 8 (CCR8)
WO2021163064A2 (en) 2020-02-14 2021-08-19 Jounce Therapeutics, Inc. Antibodies and fusion proteins that bind to ccr8 and uses thereof
US11692038B2 (en) 2020-02-14 2023-07-04 Gilead Sciences, Inc. Antibodies that bind chemokine (C-C motif) receptor 8 (CCR8)
US20230118911A1 (en) * 2020-03-12 2023-04-20 Julius-Maximilians-Universitaet Wuerzburg Proteolysis targeting chimera (protac) for degradation of aurora a-kinase
WO2021180787A1 (en) 2020-03-12 2021-09-16 Julius-Maximilians-Universitaet Wuerzburg Proteolysis targeting chimera (protac) for degradation of aurora a-kinase
EP3878472A1 (en) * 2020-03-12 2021-09-15 Julius-Maximilians-Universitaet Wuerzburg Proteolysis targeting chimera (protac) for degradation of aurora a-kinase
JP2023517939A (en) * 2020-03-12 2023-04-27 ユリウス・マクシミリアンス-ウニヴェルジテート・ヴュルツブルク Proteolysis-induced chimeric molecules (PROTAC) for degradation of Aurora A kinase
EP4126068A4 (en) * 2020-03-31 2024-12-04 Orum Therapeutics Inc. Conjugates
WO2021222542A1 (en) * 2020-04-30 2021-11-04 President And Fellows Of Harvard College 5-amino-2-piperidinon-3-yl-1-oxoisoindoline derivatives for degradation of ikzf2 degraders
US12043612B2 (en) 2020-05-09 2024-07-23 Arvinas Operations, Inc. Methods of manufacturing a bifunctional compound, ultrapure forms of the bifunctional compound, and dosage forms comprising the same
WO2021237100A1 (en) 2020-05-21 2021-11-25 Codiak Biosciences, Inc. Methods of targeting extracellular vesicles to lung
US12103924B2 (en) 2020-06-01 2024-10-01 Icahn School Of Medicine At Mount Sinai Mitogen-activated protein kinase kinase (MEK) degradation compounds and methods of use
WO2021255212A1 (en) * 2020-06-19 2021-12-23 F. Hoffmann-La Roche Ag Braf degraders
US12559492B2 (en) 2020-06-19 2026-02-24 C4 Therapeutics, Inc. BRAF degraders
WO2022006412A3 (en) * 2020-07-02 2022-02-03 The Regents Of The University Of Colorado, A Body Corporate Conjugates of ampk inhibitors and protac degraders and related uses
US12180193B2 (en) 2020-08-28 2024-12-31 Arvinas Operations, Inc. Accelerating fibrosarcoma protein degrading compounds and associated methods of use
US12162859B2 (en) 2020-09-14 2024-12-10 Arvinas Operations, Inc. Crystalline and amorphous forms of a compound for the targeted degradation of estrogen receptor
WO2022066928A2 (en) 2020-09-23 2022-03-31 Codiak Biosciences, Inc. Process for preparing extracellular vesicles
US20240269139A1 (en) * 2020-10-26 2024-08-15 Dana-Farber Cancer Institute, Inc. Compounds for targeted protein degradation of kinases
EP4232023A4 (en) * 2020-10-26 2025-11-12 Dana Farber Cancer Inst Inc LINKS TO TARGETED PROTEIN DECORDING OF KINASEN
US12391663B2 (en) 2021-01-13 2025-08-19 Monte Rosa Therapeutics Ag Isoindolinone compounds
US11912682B2 (en) 2021-01-13 2024-02-27 Monte Rosa Therapeutics, Inc. Isoindolinone compounds
US11986532B2 (en) 2021-04-16 2024-05-21 Arvinas Operations, Inc. Modulators of BCL6 proteolysis and associated methods of use
WO2022245671A1 (en) 2021-05-18 2022-11-24 Gilead Sciences, Inc. Methods of using flt3l-fc fusion proteins
WO2023076983A1 (en) 2021-10-28 2023-05-04 Gilead Sciences, Inc. Pyridizin-3(2h)-one derivatives
WO2023077030A1 (en) 2021-10-29 2023-05-04 Gilead Sciences, Inc. Cd73 compounds
EP4667056A1 (en) 2021-12-22 2025-12-24 Gilead Sciences, Inc. Ikaros zinc finger family degraders and uses thereof
WO2023122615A1 (en) 2021-12-22 2023-06-29 Gilead Sciences, Inc. Ikaros zinc finger family degraders and uses thereof
WO2023147418A1 (en) 2022-01-28 2023-08-03 Gilead Sciences, Inc. Parp7 inhibitors
WO2023178181A1 (en) 2022-03-17 2023-09-21 Gilead Sciences, Inc. Ikaros zinc finger family degraders and uses thereof
EP4464703A2 (en) 2022-03-17 2024-11-20 Gilead Sciences, Inc. Ikaros zinc finger family degraders and uses thereof
EP4245756A1 (en) 2022-03-17 2023-09-20 Gilead Sciences, Inc. Ikaros zinc finger family degraders and uses thereof
WO2023205701A1 (en) 2022-04-20 2023-10-26 Kumquat Biosciences Inc. Macrocyclic heterocycles and uses thereof
WO2023205719A1 (en) 2022-04-21 2023-10-26 Gilead Sciences, Inc. Kras g12d modulating compounds
WO2024006929A1 (en) 2022-07-01 2024-01-04 Gilead Sciences, Inc. Cd73 compounds
US12156916B2 (en) 2022-09-07 2024-12-03 Arvinas Operations, Inc. Rapid accelerated fibrosarcoma (RAF) degrading compounds and associated methods of use
US11957759B1 (en) 2022-09-07 2024-04-16 Arvinas Operations, Inc. Rapidly accelerated fibrosarcoma (RAF) degrading compounds and associated methods of use
WO2024137852A1 (en) 2022-12-22 2024-06-27 Gilead Sciences, Inc. Prmt5 inhibitors and uses thereof
WO2024215754A1 (en) 2023-04-11 2024-10-17 Gilead Sciences, Inc. Kras modulating compounds
WO2024220917A1 (en) 2023-04-21 2024-10-24 Gilead Sciences, Inc. Prmt5 inhibitors and uses thereof
WO2024217520A1 (en) * 2023-04-21 2024-10-24 南京中医药大学 Indolone flt3 protein degradation agent, and preparation method therefor and medical use thereof
WO2024243441A1 (en) 2023-05-24 2024-11-28 Kumquat Biosciences Inc. Heterocyclic compounds and uses thereof
WO2025007000A1 (en) 2023-06-30 2025-01-02 Kumquat Biosciences Inc. Substituted condensed tricyclic amine compounds and uses thereof as ras inhibitors
WO2025006720A1 (en) 2023-06-30 2025-01-02 Gilead Sciences, Inc. Kras modulating compounds
WO2025024663A1 (en) 2023-07-26 2025-01-30 Gilead Sciences, Inc. Parp7 inhibitors
WO2025024811A1 (en) 2023-07-26 2025-01-30 Gilead Sciences, Inc. Parp7 inhibitors
WO2025054347A1 (en) 2023-09-08 2025-03-13 Gilead Sciences, Inc. Kras g12d modulating compounds
WO2025054530A1 (en) 2023-09-08 2025-03-13 Gilead Sciences, Inc. Pyrimidine-containing polycyclic derivatives as kras g12d modulating compounds
US12606533B2 (en) 2023-09-29 2026-04-21 Daiichi Sankyo Company, Limited 3-phenylpropylamine derivative
WO2025096855A1 (en) 2023-11-02 2025-05-08 Kumquat Biosciences Inc. Degraders and uses thereof
WO2025096589A1 (en) 2023-11-03 2025-05-08 Gilead Sciences, Inc. Prmt5 inhibitors and uses thereof
US12496301B2 (en) 2023-12-08 2025-12-16 Arvinas Operations, Inc. Use of androgen receptor degrader for the treatment of spinal and bulbar muscular atrophy
WO2025137640A1 (en) 2023-12-22 2025-06-26 Gilead Sciences, Inc. Azaspiro wrn inhibitors
WO2025245003A1 (en) 2024-05-21 2025-11-27 Gilead Sciences, Inc. Prmt5 inhibitors and uses thereof
WO2026039365A1 (en) 2024-08-12 2026-02-19 Gilead Sciences, Inc. Kras modulating compounds

Also Published As

Publication number Publication date
EP3544957A1 (en) 2019-10-02
CA3042301A1 (en) 2018-05-31
US11578075B2 (en) 2023-02-14
EP3544957B1 (en) 2024-05-29
AU2017363257B2 (en) 2021-08-19
US20190263823A1 (en) 2019-08-29
US20230131952A1 (en) 2023-04-27
EP3544957A4 (en) 2020-09-02
US20210061811A1 (en) 2021-03-04
AU2017363257A1 (en) 2019-05-16
US10899768B2 (en) 2021-01-26

Similar Documents

Publication Publication Date Title
US11578075B2 (en) Degradation of protein kinases by conjugation of protein kinase inhibitors with E3 ligase ligand and methods of use
US12329821B2 (en) Degradation of bruton's tyrosine kinase (BTK) by conjugation of BTK inhibitors with E3 ligase ligand and methods of use
US10925868B2 (en) Degradation of protein kinases by conjugation of protein kinase inhibitors with E3 ligase ligand and methods of use
EP3544975B1 (en) Degradation of bruton's tyrosine kinase (btk) by conjugation of btk inhibitors with e3 ligase ligand and use
EP3445764B1 (en) Degradation of cyclin-dependent kinase 8 (cdk8) by conjugation of cdk8 inhibitors with e3 ligase ligand and methods of use
EP3445760B1 (en) Degradation of cyclin-dependent kinase 9 (cdk9) by conjugation of cdk9 inhibitors with e3 ligase ligand and methods of use
WO2017185031A1 (en) Degradation of cyclin-dependent kinase 4/6 (cdk4/6) by conjugation of cdk4/6 inhibitors with e3 ligase ligand and methods of use
AU2019210748A1 (en) Degradation of Bruton's tyrosine kinase (BTK) by conjugation of BTK inhibitors with E3 ligase ligand and methods of use
US11279707B2 (en) NEK inhibitors and methods of use
AU2019309909A1 (en) Degradation of cyclin-dependent kinase 4/6 (CDK4/6) by conjugation of CDK4/6 inhibitors with E3 ligase ligand and methods of use
HK40072593A (en) Degradation of cyclin-dependent kinase 8 (cdk8) by conjugation of cdk8 inhibitors with e3 ligase ligand and methods of use
HK40001231B (en) Degradation of cyclin-dependent kinase 8 (cdk8) by conjugation of cdk8 inhibitors with e3 ligase ligand and methods of use
HK40001231A (en) Degradation of cyclin-dependent kinase 8 (cdk8) by conjugation of cdk8 inhibitors with e3 ligase ligand and methods of use
HK40001697B (en) Degradation of cyclin-dependent kinase 9 (cdk9) by conjugation of cdk9 inhibitors with e3 ligase ligand and methods of use
HK40001697A (en) Degradation of cyclin-dependent kinase 9 (cdk9) by conjugation of cdk9 inhibitors with e3 ligase ligand and methods of use

Legal Events

Date Code Title Description
121 Ep: the epo has been informed by wipo that ep was designated in this application

Ref document number: 17873287

Country of ref document: EP

Kind code of ref document: A1

ENP Entry into the national phase

Ref document number: 3042301

Country of ref document: CA

ENP Entry into the national phase

Ref document number: 2017363257

Country of ref document: AU

Date of ref document: 20171122

Kind code of ref document: A

NENP Non-entry into the national phase

Ref country code: DE

ENP Entry into the national phase

Ref document number: 2017873287

Country of ref document: EP

Effective date: 20190624