WO2017193034A1 - Modulators of the integrated stress pathway - Google Patents

Modulators of the integrated stress pathway Download PDF

Info

Publication number
WO2017193034A1
WO2017193034A1 PCT/US2017/031360 US2017031360W WO2017193034A1 WO 2017193034 A1 WO2017193034 A1 WO 2017193034A1 US 2017031360 W US2017031360 W US 2017031360W WO 2017193034 A1 WO2017193034 A1 WO 2017193034A1
Authority
WO
WIPO (PCT)
Prior art keywords
compound
formula
alkyl
disease
independently
Prior art date
Legal status (The legal status is an assumption and is not a legal conclusion. Google has not performed a legal analysis and makes no representation as to the accuracy of the status listed.)
Ceased
Application number
PCT/US2017/031360
Other languages
French (fr)
Inventor
Carmela SIDRAUSKI
Marina Pliushchev
Jennifer M. Frost
Lawrence A. Black
Xiangdong Xu
Ramzi Farath SWEIS
Lei Shi
Qinwei I. ZHANG
Yunsong Tong
Charles W. Hutchins
Seungwon CHUNG
Michael J. Dart
Current Assignee (The listed assignees may be inaccurate. Google has not performed a legal analysis and makes no representation or warranty as to the accuracy of the list.)
AbbVie Inc
Calico Life Sciences LLC
Original Assignee
AbbVie Inc
Calico Life Sciences LLC
Priority date (The priority date is an assumption and is not a legal conclusion. Google has not performed a legal analysis and makes no representation as to the accuracy of the date listed.)
Filing date
Publication date
Priority to PE2023001939A priority Critical patent/PE20231935A1/en
Priority to RU2018142740A priority patent/RU2769327C2/en
Priority to EP23213609.3A priority patent/EP4356971A3/en
Priority to HRP20240218TT priority patent/HRP20240218T1/en
Priority to KR1020257007932A priority patent/KR20250042188A/en
Priority to CN201780042069.2A priority patent/CN109641844B/en
Priority to SG11201809695TA priority patent/SG11201809695TA/en
Priority to PH1/2018/502329A priority patent/PH12018502329B1/en
Priority to MA44861A priority patent/MA44861B1/en
Priority to CA3023162A priority patent/CA3023162A1/en
Priority to BR112018072663-0A priority patent/BR112018072663A2/en
Priority to LTEPPCT/US2017/031360T priority patent/LT3452448T/en
Priority to US16/098,675 priority patent/US20190144440A1/en
Priority to CR20180574A priority patent/CR20180574A/en
Priority to ES17723899T priority patent/ES2973442T3/en
Priority to CN202211242583.XA priority patent/CN115947681B/en
Priority to DK17723899.5T priority patent/DK3452448T3/en
Priority to MX2021007146A priority patent/MX2021007146A/en
Priority to NZ747842A priority patent/NZ747842B2/en
Priority to AU2017260367A priority patent/AU2017260367B2/en
Priority to JP2019510575A priority patent/JP6997766B2/en
Priority to RS20240199A priority patent/RS65214B1/en
Priority to MYPI2018001857A priority patent/MY200943A/en
Priority to SI201731474T priority patent/SI3452448T1/en
Priority to UAA201812001A priority patent/UA125513C2/en
Priority to FIEP17723899.5T priority patent/FI3452448T3/en
Application filed by AbbVie Inc, Calico Life Sciences LLC filed Critical AbbVie Inc
Priority to CR20210372A priority patent/CR20210372A/en
Priority to KR1020187035249A priority patent/KR102512049B1/en
Priority to KR1020237009107A priority patent/KR102781404B1/en
Priority to PL17723899.5T priority patent/PL3452448T3/en
Priority to MX2018013495A priority patent/MX383652B/en
Priority to SM20240098T priority patent/SMT202400098T1/en
Priority to EP17723899.5A priority patent/EP3452448B1/en
Priority to MDE20190301T priority patent/MD3452448T2/en
Publication of WO2017193034A1 publication Critical patent/WO2017193034A1/en
Priority to IL262722A priority patent/IL262722B/en
Anticipated expiration legal-status Critical
Priority to CONC2018/0012946A priority patent/CO2018012946A2/en
Priority to US17/103,003 priority patent/US20220363678A1/en
Priority to DO2021000151A priority patent/DOP2021000151A/en
Priority to IL286693A priority patent/IL286693B1/en
Priority to JP2021204755A priority patent/JP7389786B2/en
Priority to AU2022200946A priority patent/AU2022200946B2/en
Priority to JP2023195552A priority patent/JP7755632B2/en
Priority to US18/648,195 priority patent/US20250122188A1/en
Priority to AU2024227527A priority patent/AU2024227527A1/en
Priority to IL323840A priority patent/IL323840A/en
Ceased legal-status Critical Current

Links

Classifications

    • AHUMAN NECESSITIES
    • A61MEDICAL OR VETERINARY SCIENCE; HYGIENE
    • A61KPREPARATIONS FOR MEDICAL, DENTAL OR TOILETRY PURPOSES
    • A61K31/00Medicinal preparations containing organic active ingredients
    • A61K31/33Heterocyclic compounds
    • A61K31/395Heterocyclic compounds having nitrogen as a ring hetero atom, e.g. guanethidine or rifamycins
    • A61K31/435Heterocyclic compounds having nitrogen as a ring hetero atom, e.g. guanethidine or rifamycins having six-membered rings with one nitrogen as the only ring hetero atom
    • A61K31/44Non condensed pyridines; Hydrogenated derivatives thereof
    • AHUMAN NECESSITIES
    • A61MEDICAL OR VETERINARY SCIENCE; HYGIENE
    • A61KPREPARATIONS FOR MEDICAL, DENTAL OR TOILETRY PURPOSES
    • A61K31/00Medicinal preparations containing organic active ingredients
    • A61K31/16Amides, e.g. hydroxamic acids
    • A61K31/165Amides, e.g. hydroxamic acids having aromatic rings, e.g. colchicine, atenolol, progabide
    • CCHEMISTRY; METALLURGY
    • C07ORGANIC CHEMISTRY
    • C07DHETEROCYCLIC COMPOUNDS
    • C07D471/00Heterocyclic compounds containing nitrogen atoms as the only ring hetero atoms in the condensed system, at least one ring being a six-membered ring with one nitrogen atom, not provided for by groups C07D451/00 - C07D463/00
    • C07D471/02Heterocyclic compounds containing nitrogen atoms as the only ring hetero atoms in the condensed system, at least one ring being a six-membered ring with one nitrogen atom, not provided for by groups C07D451/00 - C07D463/00 in which the condensed system contains two hetero rings
    • C07D471/04Ortho-condensed systems
    • AHUMAN NECESSITIES
    • A61MEDICAL OR VETERINARY SCIENCE; HYGIENE
    • A61KPREPARATIONS FOR MEDICAL, DENTAL OR TOILETRY PURPOSES
    • A61K31/00Medicinal preparations containing organic active ingredients
    • A61K31/16Amides, e.g. hydroxamic acids
    • A61K31/165Amides, e.g. hydroxamic acids having aromatic rings, e.g. colchicine, atenolol, progabide
    • A61K31/167Amides, e.g. hydroxamic acids having aromatic rings, e.g. colchicine, atenolol, progabide having the nitrogen of a carboxamide group directly attached to the aromatic ring, e.g. lidocaine, paracetamol
    • AHUMAN NECESSITIES
    • A61MEDICAL OR VETERINARY SCIENCE; HYGIENE
    • A61PSPECIFIC THERAPEUTIC ACTIVITY OF CHEMICAL COMPOUNDS OR MEDICINAL PREPARATIONS
    • A61P11/00Drugs for disorders of the respiratory system
    • AHUMAN NECESSITIES
    • A61MEDICAL OR VETERINARY SCIENCE; HYGIENE
    • A61PSPECIFIC THERAPEUTIC ACTIVITY OF CHEMICAL COMPOUNDS OR MEDICINAL PREPARATIONS
    • A61P17/00Drugs for dermatological disorders
    • A61P17/06Antipsoriatics
    • AHUMAN NECESSITIES
    • A61MEDICAL OR VETERINARY SCIENCE; HYGIENE
    • A61PSPECIFIC THERAPEUTIC ACTIVITY OF CHEMICAL COMPOUNDS OR MEDICINAL PREPARATIONS
    • A61P19/00Drugs for skeletal disorders
    • A61P19/02Drugs for skeletal disorders for joint disorders, e.g. arthritis, arthrosis
    • AHUMAN NECESSITIES
    • A61MEDICAL OR VETERINARY SCIENCE; HYGIENE
    • A61PSPECIFIC THERAPEUTIC ACTIVITY OF CHEMICAL COMPOUNDS OR MEDICINAL PREPARATIONS
    • A61P21/00Drugs for disorders of the muscular or neuromuscular system
    • A61P21/04Drugs for disorders of the muscular or neuromuscular system for myasthenia gravis
    • AHUMAN NECESSITIES
    • A61MEDICAL OR VETERINARY SCIENCE; HYGIENE
    • A61PSPECIFIC THERAPEUTIC ACTIVITY OF CHEMICAL COMPOUNDS OR MEDICINAL PREPARATIONS
    • A61P25/00Drugs for disorders of the nervous system
    • AHUMAN NECESSITIES
    • A61MEDICAL OR VETERINARY SCIENCE; HYGIENE
    • A61PSPECIFIC THERAPEUTIC ACTIVITY OF CHEMICAL COMPOUNDS OR MEDICINAL PREPARATIONS
    • A61P25/00Drugs for disorders of the nervous system
    • A61P25/28Drugs for disorders of the nervous system for treating neurodegenerative disorders of the central nervous system, e.g. nootropic agents, cognition enhancers, drugs for treating Alzheimer's disease or other forms of dementia
    • AHUMAN NECESSITIES
    • A61MEDICAL OR VETERINARY SCIENCE; HYGIENE
    • A61PSPECIFIC THERAPEUTIC ACTIVITY OF CHEMICAL COMPOUNDS OR MEDICINAL PREPARATIONS
    • A61P29/00Non-central analgesic, antipyretic or antiinflammatory agents, e.g. antirheumatic agents; Non-steroidal antiinflammatory drugs [NSAID]
    • AHUMAN NECESSITIES
    • A61MEDICAL OR VETERINARY SCIENCE; HYGIENE
    • A61PSPECIFIC THERAPEUTIC ACTIVITY OF CHEMICAL COMPOUNDS OR MEDICINAL PREPARATIONS
    • A61P3/00Drugs for disorders of the metabolism
    • AHUMAN NECESSITIES
    • A61MEDICAL OR VETERINARY SCIENCE; HYGIENE
    • A61PSPECIFIC THERAPEUTIC ACTIVITY OF CHEMICAL COMPOUNDS OR MEDICINAL PREPARATIONS
    • A61P3/00Drugs for disorders of the metabolism
    • A61P3/08Drugs for disorders of the metabolism for glucose homeostasis
    • A61P3/10Drugs for disorders of the metabolism for glucose homeostasis for hyperglycaemia, e.g. antidiabetics
    • AHUMAN NECESSITIES
    • A61MEDICAL OR VETERINARY SCIENCE; HYGIENE
    • A61PSPECIFIC THERAPEUTIC ACTIVITY OF CHEMICAL COMPOUNDS OR MEDICINAL PREPARATIONS
    • A61P35/00Antineoplastic agents
    • AHUMAN NECESSITIES
    • A61MEDICAL OR VETERINARY SCIENCE; HYGIENE
    • A61PSPECIFIC THERAPEUTIC ACTIVITY OF CHEMICAL COMPOUNDS OR MEDICINAL PREPARATIONS
    • A61P9/00Drugs for disorders of the cardiovascular system
    • A61P9/10Drugs for disorders of the cardiovascular system for treating ischaemic or atherosclerotic diseases, e.g. antianginal drugs, coronary vasodilators, drugs for myocardial infarction, retinopathy, cerebrovascula insufficiency, renal arteriosclerosis
    • CCHEMISTRY; METALLURGY
    • C07ORGANIC CHEMISTRY
    • C07CACYCLIC OR CARBOCYCLIC COMPOUNDS
    • C07C235/00Carboxylic acid amides, the carbon skeleton of the acid part being further substituted by oxygen atoms
    • C07C235/02Carboxylic acid amides, the carbon skeleton of the acid part being further substituted by oxygen atoms having carbon atoms of carboxamide groups bound to acyclic carbon atoms and singly-bound oxygen atoms bound to the same carbon skeleton
    • C07C235/04Carboxylic acid amides, the carbon skeleton of the acid part being further substituted by oxygen atoms having carbon atoms of carboxamide groups bound to acyclic carbon atoms and singly-bound oxygen atoms bound to the same carbon skeleton the carbon skeleton being acyclic and saturated
    • C07C235/18Carboxylic acid amides, the carbon skeleton of the acid part being further substituted by oxygen atoms having carbon atoms of carboxamide groups bound to acyclic carbon atoms and singly-bound oxygen atoms bound to the same carbon skeleton the carbon skeleton being acyclic and saturated having at least one of the singly-bound oxygen atoms further bound to a carbon atom of a six-membered aromatic ring, e.g. phenoxyacetamides
    • C07C235/22Carboxylic acid amides, the carbon skeleton of the acid part being further substituted by oxygen atoms having carbon atoms of carboxamide groups bound to acyclic carbon atoms and singly-bound oxygen atoms bound to the same carbon skeleton the carbon skeleton being acyclic and saturated having at least one of the singly-bound oxygen atoms further bound to a carbon atom of a six-membered aromatic ring, e.g. phenoxyacetamides having the nitrogen atom of at least one of the carboxamide groups bound to a carbon atom of a ring other than a six-membered aromatic ring
    • CCHEMISTRY; METALLURGY
    • C07ORGANIC CHEMISTRY
    • C07CACYCLIC OR CARBOCYCLIC COMPOUNDS
    • C07C311/00Amides of sulfonic acids, i.e. compounds having singly-bound oxygen atoms of sulfo groups replaced by nitrogen atoms, not being part of nitro or nitroso groups
    • C07C311/01Sulfonamides having sulfur atoms of sulfonamide groups bound to acyclic carbon atoms
    • C07C311/12Sulfonamides having sulfur atoms of sulfonamide groups bound to acyclic carbon atoms of an unsaturated carbon skeleton containing rings
    • C07C311/13Sulfonamides having sulfur atoms of sulfonamide groups bound to acyclic carbon atoms of an unsaturated carbon skeleton containing rings the carbon skeleton containing six-membered aromatic rings
    • CCHEMISTRY; METALLURGY
    • C07ORGANIC CHEMISTRY
    • C07CACYCLIC OR CARBOCYCLIC COMPOUNDS
    • C07C311/00Amides of sulfonic acids, i.e. compounds having singly-bound oxygen atoms of sulfo groups replaced by nitrogen atoms, not being part of nitro or nitroso groups
    • C07C311/22Sulfonamides, the carbon skeleton of the acid part being further substituted by singly-bound oxygen atoms
    • C07C311/23Sulfonamides, the carbon skeleton of the acid part being further substituted by singly-bound oxygen atoms having the sulfur atoms of the sulfonamide groups bound to acyclic carbon atoms
    • C07C311/24Sulfonamides, the carbon skeleton of the acid part being further substituted by singly-bound oxygen atoms having the sulfur atoms of the sulfonamide groups bound to acyclic carbon atoms of an acyclic saturated carbon skeleton
    • CCHEMISTRY; METALLURGY
    • C07ORGANIC CHEMISTRY
    • C07CACYCLIC OR CARBOCYCLIC COMPOUNDS
    • C07C317/00Sulfones; Sulfoxides
    • C07C317/16Sulfones; Sulfoxides having sulfone or sulfoxide groups and singly-bound oxygen atoms bound to the same carbon skeleton
    • C07C317/22Sulfones; Sulfoxides having sulfone or sulfoxide groups and singly-bound oxygen atoms bound to the same carbon skeleton with sulfone or sulfoxide groups bound to carbon atoms of six-membered aromatic rings of the carbon skeleton
    • CCHEMISTRY; METALLURGY
    • C07ORGANIC CHEMISTRY
    • C07DHETEROCYCLIC COMPOUNDS
    • C07D213/00Heterocyclic compounds containing six-membered rings, not condensed with other rings, with one nitrogen atom as the only ring hetero atom and three or more double bonds between ring members or between ring members and non-ring members
    • C07D213/02Heterocyclic compounds containing six-membered rings, not condensed with other rings, with one nitrogen atom as the only ring hetero atom and three or more double bonds between ring members or between ring members and non-ring members having three double bonds between ring members or between ring members and non-ring members
    • C07D213/04Heterocyclic compounds containing six-membered rings, not condensed with other rings, with one nitrogen atom as the only ring hetero atom and three or more double bonds between ring members or between ring members and non-ring members having three double bonds between ring members or between ring members and non-ring members having no bond between the ring nitrogen atom and a non-ring member or having only hydrogen or carbon atoms directly attached to the ring nitrogen atom
    • C07D213/24Heterocyclic compounds containing six-membered rings, not condensed with other rings, with one nitrogen atom as the only ring hetero atom and three or more double bonds between ring members or between ring members and non-ring members having three double bonds between ring members or between ring members and non-ring members having no bond between the ring nitrogen atom and a non-ring member or having only hydrogen or carbon atoms directly attached to the ring nitrogen atom with substituted hydrocarbon radicals attached to ring carbon atoms
    • C07D213/28Radicals substituted by singly-bound oxygen or sulphur atoms
    • C07D213/30Oxygen atoms
    • CCHEMISTRY; METALLURGY
    • C07ORGANIC CHEMISTRY
    • C07DHETEROCYCLIC COMPOUNDS
    • C07D213/00Heterocyclic compounds containing six-membered rings, not condensed with other rings, with one nitrogen atom as the only ring hetero atom and three or more double bonds between ring members or between ring members and non-ring members
    • C07D213/02Heterocyclic compounds containing six-membered rings, not condensed with other rings, with one nitrogen atom as the only ring hetero atom and three or more double bonds between ring members or between ring members and non-ring members having three double bonds between ring members or between ring members and non-ring members
    • C07D213/04Heterocyclic compounds containing six-membered rings, not condensed with other rings, with one nitrogen atom as the only ring hetero atom and three or more double bonds between ring members or between ring members and non-ring members having three double bonds between ring members or between ring members and non-ring members having no bond between the ring nitrogen atom and a non-ring member or having only hydrogen or carbon atoms directly attached to the ring nitrogen atom
    • C07D213/60Heterocyclic compounds containing six-membered rings, not condensed with other rings, with one nitrogen atom as the only ring hetero atom and three or more double bonds between ring members or between ring members and non-ring members having three double bonds between ring members or between ring members and non-ring members having no bond between the ring nitrogen atom and a non-ring member or having only hydrogen or carbon atoms directly attached to the ring nitrogen atom with hetero atoms or with carbon atoms having three bonds to hetero atoms with at the most one bond to halogen, e.g. ester or nitrile radicals, directly attached to ring carbon atoms
    • C07D213/62Oxygen or sulfur atoms
    • C07D213/63One oxygen atom
    • C07D213/64One oxygen atom attached in position 2 or 6
    • CCHEMISTRY; METALLURGY
    • C07ORGANIC CHEMISTRY
    • C07DHETEROCYCLIC COMPOUNDS
    • C07D213/00Heterocyclic compounds containing six-membered rings, not condensed with other rings, with one nitrogen atom as the only ring hetero atom and three or more double bonds between ring members or between ring members and non-ring members
    • C07D213/02Heterocyclic compounds containing six-membered rings, not condensed with other rings, with one nitrogen atom as the only ring hetero atom and three or more double bonds between ring members or between ring members and non-ring members having three double bonds between ring members or between ring members and non-ring members
    • C07D213/04Heterocyclic compounds containing six-membered rings, not condensed with other rings, with one nitrogen atom as the only ring hetero atom and three or more double bonds between ring members or between ring members and non-ring members having three double bonds between ring members or between ring members and non-ring members having no bond between the ring nitrogen atom and a non-ring member or having only hydrogen or carbon atoms directly attached to the ring nitrogen atom
    • C07D213/60Heterocyclic compounds containing six-membered rings, not condensed with other rings, with one nitrogen atom as the only ring hetero atom and three or more double bonds between ring members or between ring members and non-ring members having three double bonds between ring members or between ring members and non-ring members having no bond between the ring nitrogen atom and a non-ring member or having only hydrogen or carbon atoms directly attached to the ring nitrogen atom with hetero atoms or with carbon atoms having three bonds to hetero atoms with at the most one bond to halogen, e.g. ester or nitrile radicals, directly attached to ring carbon atoms
    • C07D213/62Oxygen or sulfur atoms
    • C07D213/63One oxygen atom
    • C07D213/65One oxygen atom attached in position 3 or 5
    • C07D213/66One oxygen atom attached in position 3 or 5 having in position 3 an oxygen atom and in each of the positions 4 and 5 a carbon atom bound to an oxygen, sulphur, or nitrogen atom, e.g. pyridoxal
    • CCHEMISTRY; METALLURGY
    • C07ORGANIC CHEMISTRY
    • C07DHETEROCYCLIC COMPOUNDS
    • C07D213/00Heterocyclic compounds containing six-membered rings, not condensed with other rings, with one nitrogen atom as the only ring hetero atom and three or more double bonds between ring members or between ring members and non-ring members
    • C07D213/02Heterocyclic compounds containing six-membered rings, not condensed with other rings, with one nitrogen atom as the only ring hetero atom and three or more double bonds between ring members or between ring members and non-ring members having three double bonds between ring members or between ring members and non-ring members
    • C07D213/04Heterocyclic compounds containing six-membered rings, not condensed with other rings, with one nitrogen atom as the only ring hetero atom and three or more double bonds between ring members or between ring members and non-ring members having three double bonds between ring members or between ring members and non-ring members having no bond between the ring nitrogen atom and a non-ring member or having only hydrogen or carbon atoms directly attached to the ring nitrogen atom
    • C07D213/60Heterocyclic compounds containing six-membered rings, not condensed with other rings, with one nitrogen atom as the only ring hetero atom and three or more double bonds between ring members or between ring members and non-ring members having three double bonds between ring members or between ring members and non-ring members having no bond between the ring nitrogen atom and a non-ring member or having only hydrogen or carbon atoms directly attached to the ring nitrogen atom with hetero atoms or with carbon atoms having three bonds to hetero atoms with at the most one bond to halogen, e.g. ester or nitrile radicals, directly attached to ring carbon atoms
    • C07D213/72Nitrogen atoms
    • C07D213/73Unsubstituted amino or imino radicals
    • CCHEMISTRY; METALLURGY
    • C07ORGANIC CHEMISTRY
    • C07DHETEROCYCLIC COMPOUNDS
    • C07D231/00Heterocyclic compounds containing 1,2-diazole or hydrogenated 1,2-diazole rings
    • C07D231/54Heterocyclic compounds containing 1,2-diazole or hydrogenated 1,2-diazole rings condensed with carbocyclic rings or ring systems
    • C07D231/56Benzopyrazoles; Hydrogenated benzopyrazoles
    • CCHEMISTRY; METALLURGY
    • C07ORGANIC CHEMISTRY
    • C07DHETEROCYCLIC COMPOUNDS
    • C07D237/00Heterocyclic compounds containing 1,2-diazine or hydrogenated 1,2-diazine rings
    • C07D237/02Heterocyclic compounds containing 1,2-diazine or hydrogenated 1,2-diazine rings not condensed with other rings
    • C07D237/06Heterocyclic compounds containing 1,2-diazine or hydrogenated 1,2-diazine rings not condensed with other rings having three double bonds between ring members or between ring members and non-ring members
    • C07D237/10Heterocyclic compounds containing 1,2-diazine or hydrogenated 1,2-diazine rings not condensed with other rings having three double bonds between ring members or between ring members and non-ring members with hetero atoms or with carbon atoms having three bonds to hetero atoms with at the most one bond to halogen, e.g. ester or nitrile radicals, directly attached to ring carbon atoms
    • C07D237/14Oxygen atoms
    • CCHEMISTRY; METALLURGY
    • C07ORGANIC CHEMISTRY
    • C07DHETEROCYCLIC COMPOUNDS
    • C07D237/00Heterocyclic compounds containing 1,2-diazine or hydrogenated 1,2-diazine rings
    • C07D237/02Heterocyclic compounds containing 1,2-diazine or hydrogenated 1,2-diazine rings not condensed with other rings
    • C07D237/06Heterocyclic compounds containing 1,2-diazine or hydrogenated 1,2-diazine rings not condensed with other rings having three double bonds between ring members or between ring members and non-ring members
    • C07D237/10Heterocyclic compounds containing 1,2-diazine or hydrogenated 1,2-diazine rings not condensed with other rings having three double bonds between ring members or between ring members and non-ring members with hetero atoms or with carbon atoms having three bonds to hetero atoms with at the most one bond to halogen, e.g. ester or nitrile radicals, directly attached to ring carbon atoms
    • C07D237/14Oxygen atoms
    • C07D237/16Two oxygen atoms
    • CCHEMISTRY; METALLURGY
    • C07ORGANIC CHEMISTRY
    • C07DHETEROCYCLIC COMPOUNDS
    • C07D241/00Heterocyclic compounds containing 1,4-diazine or hydrogenated 1,4-diazine rings
    • C07D241/02Heterocyclic compounds containing 1,4-diazine or hydrogenated 1,4-diazine rings not condensed with other rings
    • C07D241/10Heterocyclic compounds containing 1,4-diazine or hydrogenated 1,4-diazine rings not condensed with other rings having three double bonds between ring members or between ring members and non-ring members
    • C07D241/14Heterocyclic compounds containing 1,4-diazine or hydrogenated 1,4-diazine rings not condensed with other rings having three double bonds between ring members or between ring members and non-ring members with hetero atoms or with carbon atoms having three bonds to hetero atoms with at the most one bond to halogen, e.g. ester or nitrile radicals, directly attached to ring carbon atoms
    • C07D241/18Oxygen or sulfur atoms
    • CCHEMISTRY; METALLURGY
    • C07ORGANIC CHEMISTRY
    • C07DHETEROCYCLIC COMPOUNDS
    • C07D261/00Heterocyclic compounds containing 1,2-oxazole or hydrogenated 1,2-oxazole rings
    • C07D261/02Heterocyclic compounds containing 1,2-oxazole or hydrogenated 1,2-oxazole rings not condensed with other rings
    • C07D261/06Heterocyclic compounds containing 1,2-oxazole or hydrogenated 1,2-oxazole rings not condensed with other rings having two or more double bonds between ring members or between ring members and non-ring members
    • C07D261/08Heterocyclic compounds containing 1,2-oxazole or hydrogenated 1,2-oxazole rings not condensed with other rings having two or more double bonds between ring members or between ring members and non-ring members with only hydrogen atoms, hydrocarbon or substituted hydrocarbon radicals, directly attached to ring carbon atoms
    • CCHEMISTRY; METALLURGY
    • C07ORGANIC CHEMISTRY
    • C07DHETEROCYCLIC COMPOUNDS
    • C07D261/00Heterocyclic compounds containing 1,2-oxazole or hydrogenated 1,2-oxazole rings
    • C07D261/20Heterocyclic compounds containing 1,2-oxazole or hydrogenated 1,2-oxazole rings condensed with carbocyclic rings or ring systems
    • CCHEMISTRY; METALLURGY
    • C07ORGANIC CHEMISTRY
    • C07DHETEROCYCLIC COMPOUNDS
    • C07D271/00Heterocyclic compounds containing five-membered rings having two nitrogen atoms and one oxygen atom as the only ring hetero atoms
    • C07D271/02Heterocyclic compounds containing five-membered rings having two nitrogen atoms and one oxygen atom as the only ring hetero atoms not condensed with other rings
    • C07D271/101,3,4-Oxadiazoles; Hydrogenated 1,3,4-oxadiazoles
    • C07D271/1131,3,4-Oxadiazoles; Hydrogenated 1,3,4-oxadiazoles with oxygen, sulfur or nitrogen atoms, directly attached to ring carbon atoms, the nitrogen atoms not forming part of a nitro radical
    • CCHEMISTRY; METALLURGY
    • C07ORGANIC CHEMISTRY
    • C07DHETEROCYCLIC COMPOUNDS
    • C07D317/00Heterocyclic compounds containing five-membered rings having two oxygen atoms as the only ring hetero atoms
    • C07D317/08Heterocyclic compounds containing five-membered rings having two oxygen atoms as the only ring hetero atoms having the hetero atoms in positions 1 and 3
    • C07D317/44Heterocyclic compounds containing five-membered rings having two oxygen atoms as the only ring hetero atoms having the hetero atoms in positions 1 and 3 ortho- or peri-condensed with carbocyclic rings or ring systems
    • C07D317/46Heterocyclic compounds containing five-membered rings having two oxygen atoms as the only ring hetero atoms having the hetero atoms in positions 1 and 3 ortho- or peri-condensed with carbocyclic rings or ring systems condensed with one six-membered ring
    • C07D317/48Methylenedioxybenzenes or hydrogenated methylenedioxybenzenes, unsubstituted on the hetero ring
    • C07D317/62Methylenedioxybenzenes or hydrogenated methylenedioxybenzenes, unsubstituted on the hetero ring with hetero atoms or with carbon atoms having three bonds to hetero atoms with at the most one bond to halogen, e.g. ester or nitrile radicals, directly attached to atoms of the carbocyclic ring
    • C07D317/64Oxygen atoms
    • CCHEMISTRY; METALLURGY
    • C07ORGANIC CHEMISTRY
    • C07DHETEROCYCLIC COMPOUNDS
    • C07D401/00Heterocyclic compounds containing two or more hetero rings, having nitrogen atoms as the only ring hetero atoms, at least one ring being a six-membered ring with only one nitrogen atom
    • C07D401/02Heterocyclic compounds containing two or more hetero rings, having nitrogen atoms as the only ring hetero atoms, at least one ring being a six-membered ring with only one nitrogen atom containing two hetero rings
    • C07D401/04Heterocyclic compounds containing two or more hetero rings, having nitrogen atoms as the only ring hetero atoms, at least one ring being a six-membered ring with only one nitrogen atom containing two hetero rings directly linked by a ring-member-to-ring-member bond
    • CCHEMISTRY; METALLURGY
    • C07ORGANIC CHEMISTRY
    • C07DHETEROCYCLIC COMPOUNDS
    • C07D405/00Heterocyclic compounds containing both one or more hetero rings having oxygen atoms as the only ring hetero atoms, and one or more rings having nitrogen as the only ring hetero atom
    • C07D405/02Heterocyclic compounds containing both one or more hetero rings having oxygen atoms as the only ring hetero atoms, and one or more rings having nitrogen as the only ring hetero atom containing two hetero rings
    • C07D405/08Heterocyclic compounds containing both one or more hetero rings having oxygen atoms as the only ring hetero atoms, and one or more rings having nitrogen as the only ring hetero atom containing two hetero rings linked by a carbon chain containing alicyclic rings
    • CCHEMISTRY; METALLURGY
    • C07ORGANIC CHEMISTRY
    • C07CACYCLIC OR CARBOCYCLIC COMPOUNDS
    • C07C2602/00Systems containing two condensed rings
    • C07C2602/36Systems containing two condensed rings the rings having more than two atoms in common
    • C07C2602/38Systems containing two condensed rings the rings having more than two atoms in common the bicyclo ring system containing five carbon atoms
    • CCHEMISTRY; METALLURGY
    • C07ORGANIC CHEMISTRY
    • C07CACYCLIC OR CARBOCYCLIC COMPOUNDS
    • C07C2602/00Systems containing two condensed rings
    • C07C2602/36Systems containing two condensed rings the rings having more than two atoms in common
    • C07C2602/40Systems containing two condensed rings the rings having more than two atoms in common the bicyclo ring system containing six carbon atoms
    • CCHEMISTRY; METALLURGY
    • C07ORGANIC CHEMISTRY
    • C07CACYCLIC OR CARBOCYCLIC COMPOUNDS
    • C07C2602/00Systems containing two condensed rings
    • C07C2602/36Systems containing two condensed rings the rings having more than two atoms in common
    • C07C2602/42Systems containing two condensed rings the rings having more than two atoms in common the bicyclo ring system containing seven carbon atoms
    • CCHEMISTRY; METALLURGY
    • C07ORGANIC CHEMISTRY
    • C07CACYCLIC OR CARBOCYCLIC COMPOUNDS
    • C07C2602/00Systems containing two condensed rings
    • C07C2602/36Systems containing two condensed rings the rings having more than two atoms in common
    • C07C2602/44Systems containing two condensed rings the rings having more than two atoms in common the bicyclo ring system containing eight carbon atoms
    • CCHEMISTRY; METALLURGY
    • C07ORGANIC CHEMISTRY
    • C07CACYCLIC OR CARBOCYCLIC COMPOUNDS
    • C07C2603/00Systems containing at least three condensed rings
    • C07C2603/56Ring systems containing bridged rings
    • C07C2603/90Ring systems containing bridged rings containing more than four rings

Definitions

  • eIF2a In metazoa, diverse stress signals converge at a single phosphorylation event at serine 51 of a common effector, the translation initiation factor eIF2a.
  • This step is carried out by four eIF2a kinases in mammalian cells: PERK, which responds to an accumulation of unfolded proteins in the endoplasmic reticulum (ER), GCN2 to amino acid starvation and UV light, PKR to viral infection and metabolic stress, and HRI to heme deficiency.
  • ISR integrated stress response
  • eIF2a phosphorylation results in an attenuation of translation with consequences that allow cells to cope with the varied stresses (Wek, R.C. et al, Biochem Soc Trans (2006) 34(Pt 1):7-11).
  • eIF2 (which is comprised of three subunits, ⁇ , ⁇ and ⁇ ) binds GTP and the initiator Met- tRNA to form the ternary complex (eIF2-GTP-Met-tRNAi), which, in turn, associates with the 40S ribosomal subunit scanning the 5'UTR of mRNAs to select the initiating AUG codon.
  • eIF2 Upon phosphorylation of its a-subunit, eIF2 becomes a competitive inhibitor of its GTP- exchange factor (GEF), eIF2B (Hinnebusch, A.G and Lorsch, J.R. Cold Spring Harbor
  • eIF2B is a complex molecular machine, composed of five different subunits, eIF2Bl through eIF2B5.
  • eIF2B5 catalyzes the GDP/GTP exchange reaction and, together with a partially homologous subunit eIF2B3, constitutes the "catalytic core" (Williams, D.D. et al, J Biol Chem (2001) 276:24697-24703).
  • the three remaining subunits (eIF2Bl ,eIF2B2, and eIF2B4) are also highly homologous to one another and form a "regulatory sub-complex" that provides binding sites for eIF2B's substrate eIF2 (Dev, K.
  • eIF2B exists as a decamer (Bl 2 B2 2 B3 2 B4 2 B5 2 ) or dimer of two pentamers in cells (Gordiyenko, Y. et al, Nat Commun (2014) 5:3902; Wortham, N.C. et al, FASEB J (2014) 28:2225-2237).
  • Molecules such as ISRIB interact with and stabilize the eIF2B dimer conformation, thereby enhancing intrinsic GEF activity and making cells less sensitive to the cellular effects of phosphorylation of eIF2a (Sidrauski, C. et al, eLife (2015) e07314; Sekine, Y. et al, Science (2015) 348: 1027-1030).
  • small molecule therapeutics that can modulate eIF2B activity may have the potential to attenuate the PERK branch of the UPR and the overall ISR, and therefore may be used in the prevention and/or treatment of various diseases, such as a neurodegenerative disease, a leukodystrophy, cancer, an inflammatory disease, a musculoskeletal disease, or a metabolic disease.
  • various diseases such as a neurodegenerative disease, a leukodystrophy, cancer, an inflammatory disease, a musculoskeletal disease, or a metabolic disease.
  • the present invention features compounds, compositions, and methods for the modulation of eIF2B (e.g., activation of eIF2B) and the attenuation of the ISR signaling pathway.
  • eIF2B modulator e.g., an eIF2B activator
  • an eIF2B modulator comprising a compound of Formula (I) or a pharmaceutically acceptable salt, solvate, hydrate, tautomer, or stereoisomer thereof.
  • the present invention features methods of using a compound of Formula (I) or a pharmaceutically acceptable salt, solvate, hydrate, tautomer, or stereoisomer thereof for the treatment of a disease or disorder, e.g., a neurodegenerative disease, a leukodystrophy, cancer, an inflammatory disease, a musculoskeletal disease, a metabolic disease, or a disease or disorder associated with impaired function of eIF2B or components in the ISR pathway (e.g., eIF2 pathway).
  • a disease or disorder e.g., a neurodegenerative disease, a leukodystrophy, cancer, an inflammatory disease, a musculoskeletal disease, a metabolic disease, or a disease or disorder associated with impaired function of eIF2B or components in the ISR pathway (e.g., eIF2 pathway).
  • the present invention features a compound of Formula (I):
  • D is a bridged monocyclic cycloalkyl, bridged monocyclic heterocyclyl, or cubanyl, wherein each bridged monocyclic cycloalkyl, bridged monocyclic heterocyclyl, or cubanyl is optionally substituted with 1-4 R x groups;
  • L 1 and L 2 are each independently Ci-Ce alkylene, C2-C6 alkenylene, 2-7-membered heteroalkylene, O, or NR c , wherein each Ci-Ce alkylene, C 2 - Ce alkenylene, or 2-7-membered heteroalkylene is optionally substituted with 1-5 R x ;
  • R 1 and R 2 are each independently hydrogen, C1-C6 alkyl, C1-C6 alkoxy-Ci-C6 alkyl, hydroxy-Ci-C6 alkyl, silyloxy-Ci-C6 alky
  • each R Y is independently selected from the group consisting of hydrogen, C1-C6 alkyl, hydroxy-Ci-C6 alkyl, halo-Ci-C6 alkyl, halo-Ci-C6 alkoxy, amino-Ci-C6 alkyl, cyano-Ci-C6 alkyl, oxo, halo, cyano, -OR , -NR R , - NR B C(0)R D , -C(0)NR B R c , -C(0)R D , -C(0)OH, -C(0)OR D , -S(R F ) m , -S(0)R D , -S(0) 2 R D , and G 1 ; or 2 R Y groups on adjacent atoms, together with the atoms to which they are attached form a 3-7-member
  • heteroalkyl, or halo-Ci-C6 alkyl is optionally substituted with 1 -5 R ; each R is independently hydrogen, C1-C6 alkyl, or halo-Ci-C6 alkyl; each R F is independently hydrogen, C1-C6 alkyl, or halo; each R is independently aryl or 5-6 membered heteroaryl, wherein each aryl or 5-6 membered heteroaryl is optionally substituted with 1-5 R H ; each R H is independently C1-C6 alkyl or halo-Ci-C6 alkyl; m is 1, 3, or 5; and t is 0 or 1.
  • D is a bridged monocyclic cycloalkyl or cubanyl, each of which is optionally substituted with 1-4 R x groups.
  • D is a bridged 4-6 membered monocyclic cycloalkyl or cubanyl, each of which is optionally substituted with 1-4 R x groups.
  • D is selected from cubane, bicyclo[l. l. l]pentane, bicyclo[2.2.1]heptane, bicyclo[2.2.2]octane, bicyclo[2.1.1]hexane, or bicyclo[3.1.1]heptane, each of which is optionally substituted with 1-4 R x groups.
  • D is selected from cubane, bicyclo[l. l. l]pentane, bicyclo[2.2.2]octane, bicyclo[2.1.1]hexane, or bicyclo[3.1. l]heptane, each of which is optionally substituted with 1-4 R x groups.
  • D is selected from:
  • D is substituted with 1 R x .
  • R x is C1-C6 alkyl, oxo, halo, cyano, -OR A , -OS(0) 2 R D , -S(0) 2 R D , -SR E , NR B C(0)R D , -C(0)NR B R c , -C(0)R D , - C(0)OH, NR B R C , or G 2 (e.g., CH 3 , oxo, fluoro, OH, cyano, OCH 3 , NH 2 , N(CH 3 ) 2 ,
  • R x is oxo, -OR A , or NR B R C (e.g., OXO, OH, OCH 3 , N(CH 3 ) 2 , or OC(0)R D ).
  • G 2 is aryl or 5-6 membered heteroaryl (e.g., oxadiazolyl, or tetrazolyl).
  • D is substituted with 0 R x . In some embodiments, D is
  • At least one of L 1 and L 2 is independently 2-7-membered heteroalkylene, O, or NR C , wherein heteroalkylene is optionally substituted by 1 -5 R x . In some embodiments, at least one of L 1 and L 2 is independently 2-7-membered heteroalkylene optionally substituted by 1-5 R x . In some embodiments, both L 1 and L 2 are independently 2-7- membered heteroalkylene optionally substituted by 1-5 R x .
  • one of L 1 and L 2 is independently C1-C6 alkylene or C 2 -C6 alkenylene and the other of L 1 and L 2 is independently 2-7-membered heteroalkylene, and wherein each C1-C6 alkylene, C 2 -C6
  • both of L 1 and L 2 are C1-C6 alkylene or C 2 -C6 alkenylene, and wherein each Ci- Ce alkylene, and C 2 -C6 alkenylene is optionally substituted by 1 -5 R x .
  • both of L 1 and L 2 are C 2 -C6 alkenylene, optionally substituted by 1 -5 R x .
  • R x is C1-C6 alkyl, oxo, halo, cyano, -OR A , -OS(0) 2 R D , -
  • R x is oxo, -OR A , or NR B R C (e.g., oxo, OH, OCH 3 , N(CH 3 ) 2 , or OC(0)R D ).
  • G 2 is aryl or 5-6 membered heteroaryl (e.g., oxadiazolyl, or tetrazolyl).
  • L 1 is CH 2 0-*
  • t is 1. In some embodiments, t is 0.
  • R 1 and R 2 are each independently hydrogen, C1-C6 alkyl, hydroxyl-Ci-C6 alkyl, or silyloxy-Ci-C6 alkyl.
  • one ofR 1 and R 2 is independently hydrogen and the other of R 1 and R 2 is independently hydrogen, C1-C6 alkyl, Ci- Ce hydroxyl-Ci-C6 alkyl, or silyloxy-Ci-C6 alkyl.
  • R 1 and R 2 are each independently hydrogen, *-CH 3 , *-CH 2 CH 2 OH, or *-CH 2 CH 2 OSi(CH 3 ) 2 C(CH 3 ) 3 , and "*-" indicates the attachment point to the nitrogen atom.
  • one of R 1 and R 2 is independently hydrogen and the other of R 1 and R 2 is independently hydrogen, *-CH 3 , *- CH 2 CH 2 OH, or *-CH 2 CH 2 OSi(CH 3 ) 2 C(CH 3 ) 3 , and "*-" indicates the attachment point to the nitrogen atom.
  • R 1 and R 2 are each independently hydrogen.
  • each A and W is independently phenyl or 5-6-membered heteroaryl optionally substituted with 1-5 R Y .
  • A is phenyl and W is independently phenyl or heteroaryl.
  • each A and W is independently phenyl.
  • A is phenyl and W is heteroaryl (e.g., monocyclic heteroaryl or bicyclic heteroaryl).
  • W is a monocyclic heteroaryl.
  • W is a bicyclic heteroaryl.
  • W is a 10-membered heteroaryl, a 9-membered heteroaryl, a 6-membered heteroaryl, or a 5-membered heteroaryl. In some embodiments, W is a nitrogen-containing heteroaryl, an oxygen-containing heteroaryl, or a sulfur-containing heteroaryl.
  • each A and W is independently phenyl or 5-6-membered heteroaryl optionally substituted with 1-5 R Y
  • each R Y is independently C1-C6 alkyl, hydroxy-Ci-C6 alkyl, halo-Ci-C6 alkyl, halo-Ci-C6 alkoxy, amino-Ci-C6 alkyl, cyano-Ci-C6 alkyl, halo, cyano, -OR A , -NR B R C , -C(0)R D , -C(0)OH, -C(0)OR D , -S(R F ) m ,-S(0) 2 R D , or G 1 .
  • each of A and W is independently phenyl, pyridyl, pyrazinyl, pyridazinyl, pyridazinonyl, triazinyl, triazolyl, oxadiazolyl, or oxadiazolonyl, each of which is optionally substituted with 1-5 R Y groups
  • each of A and W is independently phenyl, pyridyl, pyrazinyl, pyridazinyl, pyridazinonyl, oxadiazolyl, or oxadiazolonyl, each of which is optionally substituted with 1-5 R Y groups.
  • each of A and W is independently selected from:
  • A is phenyl and W is phenyl or 5-6-membered heteroaryl, each of A and W is optionally substituted with 1-5 R Y , and each R Y is independently C1-C6 alkyl, hydroxy-Ci-C6 alkyl, halo-Ci-C6 alkyl, halo-Ci-C6 alkoxy, amino-Ci-C6 alkyl, cyano-Ci-
  • A is phenyl and W is phenyl, pyridyl, pyrazinyl, pyridazinyl, pyridazinonyl, oxadiazolyl, or oxadiazolonyl, each of which is optionally substituted with 1-5
  • A is phenyl and W is phenyl or 5-6-membered heteroaryl.
  • each of A and W is optionally substituted with 1-5 R Y , and each R Y is independently C1-C6 alkyl, hydroxy-Ci-C6 alkyl, halo-Ci-C6 alkyl, halo-Ci-C6 alkoxy, amino- Ci-C 6 alkyl, cyano-Ci-C 6 alkyl, halo, cyano, -OR A , -NR B R C , -C(0)R D , -C(0)OH, - C(0)OR D , -S(R F ) m ,-S(0) 2 R D , or G 1 .
  • each R Y is independently chloro, fluoro, iodo, CF 3 , CHF 2 , CH 2 CF 3 , CH 3 , CH 2 CH 3 , C(CH 3 ) 2 OH, OCH 3 , OCH 2 CH 3i OCF 3 , S(0) 2 CH 3 , S(0) 2 CH 2 CH 2 CH 3 , CN, N(CH 3 ) 2 , SF 5 , SCH 3 , NH 2 , C(CH) 3 , CH(CH 3 ) 2 , CH 2 CN, CH 2 NH 2 , CH(OH)CH 3 , C(OH)(CH 3 )CF 3 , S(0) 2 CH 3 , C(0)CH 3 , C(0)OCH 3 , C(0)OH, OCHF 2 or G 1 .
  • each R Y is independently chloro, fluoro, iodo, CF 3 , CH 3 , CH 2 CH 3 , OCH 3 , S(0) 2 CH 3 , CN, N(CH 3 ) 2 , SF 5 , NH 2 , C(CH) 3 , CH(CH 3 ) 2 , CH 2 CN, CH 2 NH 2 , CH(OH)CH 3 , C(0)CH 3 , C(0)OCH 3 , C(0)OH, OCHF 2 or G 1 .
  • each A and W is independently substituted with 2 R Y on adjacent atoms, and the 2 R Y , together with the atoms to which they are attached, form a 3-7- membered fused cycloalkyl, 3-7-membered fused heterocyclyl, fused aryl, or 5-6-membered fused heteroaryl ring optionally substituted with 1-5 R x .
  • 2 R Y together with the atoms to which they are attached form a pyrazolyl, pyrrolyl, isoxazolyl, thiophenyl, furanyl, or dioxolanyl ring, each of which is optionally substituted with 1-5 R x .
  • each R x is independently C1-C6 alkyl or halo (e.g., CH 3 or fluoro).
  • G 1 is cyclopropyl, isoxazolyl, piperidinyl, phenyl, or pyrazolyl, each of which is optionally substituted with 1-5 R z .
  • G 1 is cyclopropyl, isoxazolyl, or pyrazolyl, each of which is optionally substituted with 1-5 R z .
  • each R z is independently C1-C6 alkyl (e.g., CH 3 ) or halo (e.g., chloro).
  • each R z is independently C1-C6 alkyl (e.g., CH 3 ).
  • the present invention features a compound of Formula (I-a):
  • D is a bridged monocyclic cycloalkyl, bridged monocyclic heterocyclyl, or cubanyl, wherein each bridged monocyclic cycloalkyl, bridged monocyclic heterocyclyl, or cubanyl is optionally substituted with 1-4 R x groups;
  • L 1 and L 2 are each independently C1-C6 alkylene, C2-C6 alkenylene, or 2-7-membered heteroalkylene, wherein each C1-C6 alkylene, C2- Ce alkenylene, or 2-7-membered heteroalkylene is optionally substituted with 1-5 R x ;
  • R 1 and R 2 are each independently hydrogen, C1-C6 alkyl, C1-C6 alkoxy-Ci-C6 alkyl, hydroxy-Ci-C6 alkyl, silyloxy-Ci-C6 alkyl;
  • a and W are each independently
  • each R D is independently C1-C6 alkyl, 2-7-membered heteroalkyl, or halo-Ci-C6 alkyl, wherein each C1-C6 alkyl, 2-7- membered heteroalkyl, or halo-Ci-C6 alkyl is optionally substituted with 1-5 R G ;
  • each R E is independently hydrogen, C1-C6 alkyl, or halo-Ci-C6 alkyl;
  • each R F is independently hydrogen, C1-C6 alkyl, or halo;
  • each R G is independently aryl or 5-6 membered heteroaryl, wherein each aryl or 5-6 membered heteroaryl is optionally substituted with 1-5 R H ; each R H is
  • the compound of Formula (I) is a compound of Formula (I-b):
  • D is (l,2,3,4,6,7)-cubane, bicyclo[l . l . l]pentane, bicyclo[2.2.2]octane,
  • R 1 and R 2 are each independently hydrogen, CH 3 , CH 2 CH 2 OH, or CH 2 CH 2 OSi(CH 3 ) 2 C(CH 3 ) 3 ;
  • a and W are each independently phenyl, pyridyl, pyrazinyl, pyridazinyl, pyridazinonyl, triazinyl, thiazolyl, triazolyl, oxadiazolyl, or oxadiazolonyl, each of which is optionally substituted with 1 -5 R Y ; each R x is independently selected from CH 3 , oxo, fluoro, OH, cyano, OCH 3 , NH 2
  • the compound of Formula (I) is a compound of Formula (I-c):
  • the compound of Formula (I) is a compound of Formula (I-d):
  • the compound of Formula (I) is a compound of Formula (I-e):
  • the compound of Formula (I) is a compound of Formula (I-g):
  • the compound of Formula (I) is a compound of Formula (I-h):
  • the compound of Formula (I) is a compound of Formula (I-j): Formula (I-j)
  • the compound of Formula (I) is a compound of Formula (I-k):
  • the compound of Formula (I) is a compound of Formula (1-1):
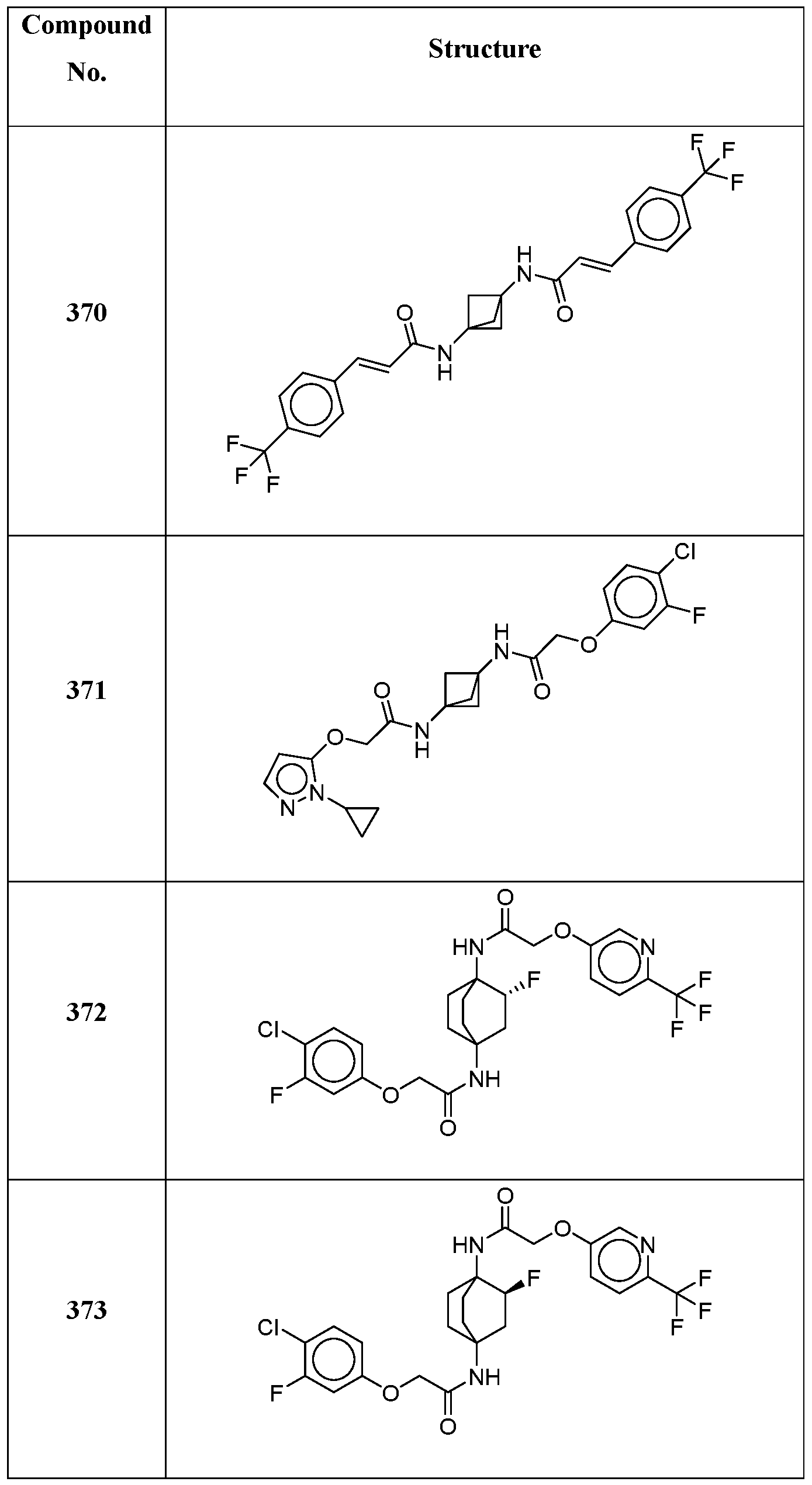
  • the compound is selected from any compound set forth in Table 1 or a pharmaceutically acceptable salt, solvate, hydrate, tautomer, or stereoisomer thereof.
  • the compound of Formula (I) (e.g., a compound of Formula (I- a), (I-b), (I-c), (I-d), (I-e), (I-f), (I-g), (I-h), (I-i), (I-j), (I-k) or (1-1)) or a pharmaceutically acceptable salt thereof is formulated as a pharmaceutically acceptable composition comprising a compound of any one of the preceding claims and a pharmaceutically acceptable carrier.
  • the present invention features a method of treating a
  • neurodegenerative disease a leukodystrophy
  • cancer an inflammatory disease
  • a neurodegenerative disease a leukodystrophy
  • musculoskeletal disease a metabolic disease, or a disease or disorder associated with impaired function of eIF2B or components in the ISR pathway (e.g., eIF2 pathway) in a subject
  • the method comprises administering a compound of Formula (I) or a pharmaceutically acceptable salt, solvate, hydrate, tautomer, or stereoisomer thereof, or a composition thereof, to a subject.
  • the method comprises the treatment of a neurodegenerative disease.
  • the neurodegenerative disease comprises vanishing white matter disease, childhood ataxia with CNS hypo-myelination, a leukodystrophy, a
  • the neurodegenerative disease comprises vanishing white matter disease.
  • the neurodegenerative disease comprises a psychiatric disease such as agoraphobia,
  • the neurodegenerative disease comprises a disease or disorder with symptoms of cognitive impairment or cognitive decline such as Alzheimer's disease, Parkinson's disease,
  • Huntington's disease schizophrenia, autism, frontotemporal dementia, dementia (e.g., HIV- associated dementia or Lewy body dementia), age related dementia, chronic traumatic encephalopathy, HIV -induced neurocognitive impairment, a HIV-associated neurocognitive disorder, a hypoxic injury (e.g., premature brain injury, chronic perinatal hypoxia), traumatic brain injury, or postoperative cognitive dysfunction.
  • dementia e.g., HIV-associated dementia or Lewy body dementia
  • age related dementia e.g., chronic traumatic encephalopathy
  • HIV -induced neurocognitive impairment HIV-associated neurocognitive disorder
  • a hypoxic injury e.g., premature brain injury, chronic perinatal hypoxia
  • traumatic brain injury traumatic brain injury
  • postoperative cognitive dysfunction e.g., the traumatic brain injury.
  • neurodegenerative disease comprises an intellectual disability syndrome.
  • the neurodegenerative disease comprises mild cognitive impairment.
  • the method comprises the treatment of cancer.
  • the cancer comprises pancreatic cancer, breast cancer, multiple myeloma, or a cancer of the secretory cells.
  • the method comprises the treatment of cancer in combination with a chemotherapeutic agent for the enhancement of memory (e.g., long term memory).
  • the method comprises the treatment of an inflammatory disease.
  • the inflammatory disease comprises postoperative cognitive dysfunction, traumatic brain injury, arthritis (e.g., rheumatoid arthritis, psoriatic arthritis, or juvenile idiopathic arthritis), systemic lupus erythematosus (SLE), myasthenia gravis, diabetes (e.g., juvenile onset diabetes or diabetes mellitus type 1), Guillain-Barre syndrome,
  • Hashimoto's encephalitis Hashimoto's thyroiditis, ankylosing spondylitis, psoriasis, Sjogren's syndrome, vasculitis, glomerulonephritis, auto-immune thyroiditis, Behcet's disease, Crohn's disease, ulcerative colitis, bullous pemphigoid, sarcoidosis, ichthyosis, Graves'
  • ophthalmopathy inflammatory bowel disease
  • Addison's disease vitiligo
  • asthma e.g., allergic asthma
  • acne vulgaris e.g., celiac disease
  • chronic prostatitis e.g., chronic prostatitis
  • pelvic inflammatory disease e.g., reperfusion injury
  • sarcoidosis e.g., transplant rejection
  • interstitial cystitis e.g., interstitial cystitis, or atopic dermatitis.
  • the method comprises the treatment of a musculoskeletal disease.
  • the musculoskeletal disease comprises muscular dystrophy, multiple sclerosis, Freidrich's ataxia, a muscle wasting disorder (e.g., muscle atrophy, sarcopenia, cachexia), inclusion body myopathy, progressive muscular atrophy, motor neuron disease, carpal tunnel syndrome, epicondylitis, tendinitis, back pain, muscle pain, muscle soreness, repetitive strain disorders, or paralysis.
  • a muscle wasting disorder e.g., muscle atrophy, sarcopenia, cachexia
  • inclusion body myopathy e.g., progressive muscular atrophy, motor neuron disease, carpal tunnel syndrome, epicondylitis, tendinitis, back pain, muscle pain, muscle soreness, repetitive strain disorders, or paralysis.
  • the method comprises the treatment of a metabolic disease.
  • the metabolic disease comprises non-alcoholic steatohepatitis (NASH), non-alcoholic fatty liver disease (NAFLD), liver fibrosis, obesity, heart disease, atherosclerosis, arthritis, cystinosis, phenylketonuria, proliferative retinopathy, or Kearns-Sayre disease.
  • NASH non-alcoholic steatohepatitis
  • NAFLD non-alcoholic fatty liver disease
  • liver fibrosis obesity, heart disease, atherosclerosis, arthritis, cystinosis, phenylketonuria, proliferative retinopathy, or Kearns-Sayre disease.
  • the present invention features a method of treating a disease or disorder related to modulation (e.g., a decrease) in eIF2B activity or level, modulation (e.g., a decrease) of eIF2a activity or level, modulation (e.g., an increase) in eIF2a phosphorylation, modulation (e.g., an increase) of phosphorylated eIF2a pathway activity, or modulation (e.g., an increase) of ISR activity in a subject, wherein the method comprises administering a compound of Formula (I) or a pharmaceutically acceptable salt, solvate, hydrate, tautomer, or stereoisomer thereof, or a composition thereof, to a subject.
  • the disease may be caused by a mutation to a gene or protein sequence related to a member of the eIF2 pathway (e.g., the eIF2a signaling pathway or ISR pathway).
  • the present invention features a method of treating a leukodystrophy such as vanishing white matter disease (VWMD) or childhood ataxia with central nervous system hypomyelination.
  • a leukodystrophy such as vanishing white matter disease (VWMD) or childhood ataxia with central nervous system hypomyelination.
  • the leukodystrophy is characterized by an amino acid mutation (e.g., an amino acid deletion, amino acid addition, or amino acid substitution) in a tRNA synthetase.
  • administration of a compound of Formula (I) enhances eIF2B activity in a subject with a leukodystrophy, such as vanishing white matter disease (VWMD) or childhood ataxia with central nervous system hypomyelination.
  • the present invention features a method of treating a disease or disorder related to an amino acid mutation (e.g., an amino acid deletion, amino acid addition, or amino acid substitution) in a gene or gene product (e.g., RNA or protein) that modulates (e.g., reduces) protein synthesis.
  • a gene or gene product e.g., RNA or protein
  • administration of a compound of Formula (I) enhances residual GEF activity of a mutant GEF complex in a subject.
  • the present invention features a composition for use in treating a neurodegenerative disease, a leukodystrophy, cancer, an inflammatory disease, a
  • composition comprises a compound of Formula (I) or a pharmaceutically acceptable salt, solvate, hydrate, tautomer, or stereoisomer thereof.
  • the neurodegenerative disease comprises vanishing white matter disease, childhood ataxia with CNS hypo-myelination, a leukodystrophy, a
  • the neurodegenerative disease comprises vanishing white matter disease.
  • the neurodegenerative disease comprises a psychiatric disease such as agoraphobia,
  • the neurodegenerative disease comprises a disease or disorder with symptoms of cognitive impairment or cognitive decline such as Alzheimer's disease, Parkinson's disease,
  • Huntington's disease schizophrenia, autism, frontotemporal dementia, dementia (e.g., HIV- associated dementia or Lewy body dementia), age related dementia, chronic traumatic encephalopathy, HIV -induced neurocognitive impairment, a HIV-associated neurocognitive disorder, a hypoxic injury (e.g., premature brain injury, chronic perinatal hypoxia), traumatic brain injury, or postoperative cognitive dysfunction.
  • dementia e.g., HIV-associated dementia or Lewy body dementia
  • age related dementia e.g., chronic traumatic encephalopathy
  • HIV -induced neurocognitive impairment HIV-associated neurocognitive disorder
  • a hypoxic injury e.g., premature brain injury, chronic perinatal hypoxia
  • traumatic brain injury traumatic brain injury
  • postoperative cognitive dysfunction e.g., the traumatic brain injury.
  • neurodegenerative disease comprises an intellectual disability syndrome.
  • the neurodegenerative disease comprises mild cognitive impairment.
  • the cancer comprises pancreatic cancer, breast cancer, multiple myeloma, or a cancer of the secretory cells.
  • the method comprises the treatment of cancer in combination with a chemotherapeutic agent for the enhancement of memory (e.g., long term memory).
  • the inflammatory disease comprises postoperative cognitive dysfunction, traumatic brain injury, arthritis (e.g., rheumatoid arthritis, psoriatic arthritis, or juvenile idiopathic arthritis), systemic lupus erythematosus (SLE), myasthenia gravis, diabetes (e.g., juvenile onset diabetes or diabetes mellitus type 1), Guillain-Barre syndrome,
  • Hashimoto's encephalitis Hashimoto's thyroiditis, ankylosing spondylitis, psoriasis, Sjogren's syndrome, vasculitis, glomerulonephritis, auto-immune thyroiditis, Behcet's disease, Crohn's disease, ulcerative colitis, bullous pemphigoid, sarcoidosis, ichthyosis, Graves'
  • ophthalmopathy inflammatory bowel disease
  • Addison's disease vitiligo
  • asthma e.g., allergic asthma
  • acne vulgaris e.g., celiac disease
  • chronic prostatitis e.g., chronic prostatitis
  • pelvic inflammatory disease e.g., reperfusion injury
  • sarcoidosis e.g., transplant rejection
  • interstitial cystitis e.g., interstitial cystitis, or atopic dermatitis.
  • the musculoskeletal disease comprises muscular dystrophy, multiple sclerosis, Freidrich's ataxia, a muscle wasting disorder (e.g., muscle atrophy, sarcopenia, cachexia), inclusion body myopathy, progressive muscular atrophy, motor neuron disease, carpal tunnel syndrome, epicondylitis, tendinitis, back pain, muscle pain, muscle soreness, repetitive strain disorders, or paralysis.
  • a muscle wasting disorder e.g., muscle atrophy, sarcopenia, cachexia
  • inclusion body myopathy e.g., progressive muscular atrophy, motor neuron disease, carpal tunnel syndrome, epicondylitis, tendinitis, back pain, muscle pain, muscle soreness, repetitive strain disorders, or paralysis.
  • the metabolic disease comprises non-alcoholic steatohepatitis
  • NASH non-alcoholic fatty liver disease
  • NASH non-alcoholic fatty liver disease
  • liver fibrosis obesity, heart disease, atherosclerosis, arthritis, cystinosis, phenylketonuria, proliferative retinopathy, or Kearns-Sayre disease.
  • the present invention features a composition for use in treating a disease or disorder related to modulation (e.g., a decrease) in eIF2B activity or level, modulation (e.g., a decrease) of eIF2a activity or level, modulation (e.g., an increase) in eIF2a phosphorylation, modulation (e.g., an increase) of phosphorylated eIF2a pathway activity, or modulation (e.g., an increase) of ISR activity in a subject, wherein the composition comprises a compound of Formula (I) or a pharmaceutically acceptable salt, solvate, hydrate, tautomer, or stereoisomer thereof.
  • the disease may be caused by a mutation to a gene or protein sequence related to a member of the eIF2 pathway (e.g., the eIF2a signaling pathway or ISR pathway).
  • the present invention features a composition for use in treating a leukodystrophy such as vanishing white matter disease (VWMD) or childhood ataxia with central nervous system hypomyelination.
  • a leukodystrophy such as vanishing white matter disease (VWMD) or childhood ataxia with central nervous system hypomyelination.
  • the leukodystrophy is characterized by an amino acid mutation (e.g., an amino acid deletion, amino acid addition, or amino acid substitution) in a tRNA synthetase.
  • the composition comprising a compound of Formula (I) enhances eIF2B activity in a subject with a
  • VWMD vanishing white matter disease
  • the present invention features a composition for use in treating a disease or disorder related to an amino acid mutation (e.g., an amino acid deletion, amino acid addition, or amino acid substitution) in a gene or gene product (e.g., RNA or protein) that modulates (e.g., reduces) protein synthesis.
  • a gene or gene product e.g., RNA or protein
  • the composition comprising a compound of Formula (I) enhances residual GEF activity of a mutant GEF complex in a subject.
  • the present invention features compounds, compositions, and methods comprising a compound of Formula (I) or a pharmaceutically acceptable salt, solvate, hydrate, tautomer, or stereoisomer thereof for use, e.g., in the modulation (e.g., activation) of eIF2B and the attenuation of the ISR signaling pathway.
  • a compound of Formula (I) or a pharmaceutically acceptable salt, solvate, hydrate, tautomer, or stereoisomer thereof for use, e.g., in the modulation (e.g., activation) of eIF2B and the attenuation of the ISR signaling pathway.
  • Compounds described herein can comprise one or more asymmetric centers, and thus can exist in various isomeric forms, e.g., enantiomers and/or diastereomers.
  • the compounds described herein can be in the form of an individual enantiomer, diastereomer or geometric isomer, or can be in the form of a mixture of stereoisomers, including racemic mixtures and mixtures enriched in one or more stereoisomer.
  • Isomers can be isolated from mixtures by methods known to those skilled in the art, including chiral high pressure liquid chromatography (HPLC) and the formation and crystallization of chiral salts; or preferred isomers can be prepared by asymmetric syntheses. See, for example, Jacques et al,
  • a pure enantiomeric compound is substantially free from other enantiomers or stereoisomers of the compound (i.e., in enantiomeric excess).
  • an "S” form of the compound is substantially free from the "R” form of the compound and is, thus, in enantiomeric excess of the "R” form.
  • enantiomerically pure or “pure enantiomer” denotes that the compound comprises more than 75% by weight, more than 80% by weight, more than 85% by weight, more than 90% by weight, more than 91% by weight, more than 92% by weight, more than 93% by weight, more than 94% by weight, more than 95% by weight, more than 96% by weight, more than 97% by weight, more than 98% by weight, more than 99% by weight, more than 99.5% by weight, or more than 99.9% by weight, of the enantiomer.
  • the weights are based upon total weight of all enantiomers or stereoisomers of the compound.
  • an enantiomerically pure compound can be present with other active or inactive ingredients.
  • a pharmaceutical composition comprising enantiomerically pure R-compound can comprise, for example, about 90% excipient and about 10% enantiomerically pure R-compound.
  • the enantiomerically pure R-compound in such compositions can, for example, comprise, at least about 95% by weight R-compound and at most about 5% by weight S-compound, by total weight of the compound.
  • a pharmaceutical composition comprising
  • enantiomerically pure S-compound can comprise, for example, about 90% excipient and about 10% enantiomerically pure S-compound.
  • the enantiomerically pure S-compound in such compositions can, for example, comprise, at least about 95% by weight S-compound and at most about 5% by weight R-compound, by total weight of the compound.
  • the active ingredient can be formulated with little or no excipient or carrier.
  • Compound described herein may also comprise one or more isotopic substitutions.
  • H may be in any isotopic form, including X H, 2 H (D or deuterium), and H (T or tritium);
  • C may be in any isotopic form, including 12 C, 1 C, and 14 C;
  • O may be in any isotopic form, including 16 0 and 18 0; and the like.
  • analogue means one analogue or more than one analogue.
  • Ci-Ce alkyl is intended to encompass, Ci, C 2 , C 3 , C 4 , C5, C 6 , C1-C5, C1-C4, C1-C3, C1-C2, C2-C6, C2-C5, C2-C4, C2-C3, C3-C6, C3-C5, C3-C4, C4-C6, C4-
  • Alkyl refers to a radical of a straight-chain or branched saturated hydrocarbon group having from 1 to 20 carbon atoms (“C1-C20 alkyl”). In some embodiments, an alkyl group has 1 to 12 carbon atoms (“C1-C12 alkyl”). In some embodiments, an alkyl group has 1 to 8 carbon atoms ("Ci-Cg alkyl”). In some embodiments, an alkyl group has 1 to 6 carbon atoms (“C1-C6 alkyl”). In some embodiments, an alkyl group has 1 to 5 carbon atoms (“C1-C5 alkyl”). In some embodiments, an alkyl group has 1 to 4 carbon atoms ("Ci-C4alkyl").
  • an alkyl group has 1 to 3 carbon atoms ("C1-C3 alkyl”). In some embodiments, an alkyl group has 1 to 2 carbon atoms (“C1-C2 alkyl”). In some embodiments, an alkyl group has 1 carbon atom (“Ci alkyl”). In some embodiments, an alkyl group has 2 to 6 carbon atoms (“C2-C 6 alkyl”).
  • Ci-Cealkyl groups include methyl (Ci), ethyl (C2), n-propyl (C 3 ), isopropyl (C 3 ), n-butyl (C4), tert-butyl (C4), sec-butyl (C4), iso-butyl (C4), n-pentyl (C5), 3- pentanyl (C 5 ), amyl (C 5 ), neopentyl (C 5 ), 3-methyl-2-butanyl (C 5 ), tertiary amyl (C 5 ), and n- hexyl (C 6 ).
  • alkyl groups include n-heptyl (C 7 ), n-octyl (Cg) and the like.
  • Each instance of an alkyl group may be independently optionally substituted, i.e., unsubstituted (an "unsubstituted alkyl") or substituted (a "substituted alkyl") with one or more substituents; e.g., for instance from 1 to 5 substituents, 1 to 3 substituents, or 1 substituent.
  • the alkyl group is unsubstituted Ci_io alkyl (e.g., -CH 3 ).
  • the alkyl group is substituted Ci_6 alkyl.
  • alkylene by itself or as part of another substituent, means, unless otherwise stated, a divalent radical derived from an alkyl, as exemplified, but not limited by, -
  • alkyl (or alkylene) group will have from 1 to 24 carbon atoms, with those groups having 10 or fewer carbon atoms being preferred in the present invention.
  • alkenylene by itself or as part of another substituent, means, unless otherwise stated, a divalent radical derived from an alkene.
  • An alkylene group may be described as, e.g., a Ci-C6-membered alkylene, wherein the term “membered” refers to the non-hydrogen atoms within the moiety.
  • Alkenyl refers to a radical of a straight-chain or branched hydrocarbon group having from 2 to 20 carbon atoms, one or more carbon-carbon double bonds, and no triple bonds ("C 2 - C2 0 alkenyl”). In some embodiments, an alkenyl group has 2 to 10 carbon atoms ("C2-C1 0 alkenyl”). In some embodiments, an alkenyl group has 2 to 8 carbon atoms (“C2-C8 alkenyl”). In some embodiments, an alkenyl group has 2 to 6 carbon atoms (“C2-C6 alkenyl”). In some embodiments, an alkenyl group has 2 to 5 carbon atoms (“C2-C5 alkenyl”).
  • an alkenyl group has 2 to 4 carbon atoms ("C 2 -C4 alkenyl”). In some embodiments, an alkenyl group has 2 to 3 carbon atoms ("C 2 -C3 alkenyl”). In some embodiments, an alkenyl group has 2 carbon atoms ("C 2 alkenyl”).
  • the one or more carbon- carbon double bonds can be internal (such as in 2-butenyl) or terminal (such as in 1-butenyl).
  • Examples of C 2 -C4 alkenyl groups include ethenyl (C 2 ), 1-propenyl (C 3 ), 2-propenyl (C 3 ), 1- butenyl (C 4 ), 2-butenyl (C 4 ), butadienyl (C 4 ), and the like.
  • Examples of C 2 -C6 alkenyl groups include the aforementioned C 2 ⁇ alkenyl groups as well as pentenyl (C5), pentadienyl (C5), hexenyl (C 6 ), and the like. Additional examples of alkenyl include heptenyl (C 7 ), octenyl (C 8 ), octatrienyl (C 8 ), and the like.
  • Each instance of an alkenyl group may be independently optionally substituted, i.e., unsubstituted (an "unsubstituted alkenyl") or substituted (a
  • substituted alkenyl with one or more substituents e.g., for instance from 1 to 5 substituents, 1 to 3 substituents, or 1 substituent.
  • the alkenyl group is unsubstituted C 2 -1 0 alkenyl.
  • the alkenyl group is substituted C 2 -6 alkenyl.
  • Aryl refers to a radical of a monocyclic or poly cyclic (e.g., bicyclic or tricyclic) 4n+2 aromatic ring system (e.g., having 6, 10, or 14 ⁇ electrons shared in a cyclic array) having 6-14 ring carbon atoms and zero heteroatoms provided in the aromatic ring system ("C 6 -C 14 aryl").
  • an aryl group has six ring carbon atoms ("C 6 aryl”; e.g., phenyl).
  • an aryl group has ten ring carbon atoms ("C 10 aryl”; e.g., naphthyl such as 1-naphthyl and 2-naphthyl). In some embodiments, an aryl group has fourteen ring carbon atoms ("C 14 aryl”; e.g., anthracyl).
  • An aryl group may be described as, e.g., a C6-C lo - membered aryl, wherein the term “membered” refers to the non-hydrogen ring atoms within the moiety.
  • Aryl groups include, but are not limited to, phenyl, naphthyl, indenyl, and
  • Each instance of an aryl group may be independently optionally substituted, i.e. , unsubstituted (an "unsubstituted aryl") or substituted (a "substituted aryl") with one or more substituents.
  • the aryl group is unsubstituted C6-C14 aryl.
  • the aryl group is substituted C6-C14 aryl.
  • an aryl group is substituted with one or more of groups selected from halo, Ci-Cg alkyl, halo-Ci-Cg alkyl, haloxy-Ci-Cg alkyl, cyano, hydroxy, alkoxy Ci-Cg alkyl, and amino.
  • R and R may be hydrogen and at least one of R and R is each independently selected from Ci-Cg alkyl, halo-Ci-Cg alkyl, 4-10 membered heterocyclyl, alkanoyl, alkoxy-Ci-Cg alkyl, heteroaryloxy, alkylamino, arylamino, heteroarylamino, NR 58 COR 59 , NR 58 SOR 59 NR 58 S0 2 R 59 , C(0)Oalkyl, C(0)Oaryl, CONR 58 R 59 , CONR 58 OR 59 , NR 58 R 59 , S0 2 NR 58 R 59 , S-alkyl, S(0)-alkyl, S(0) 2 -alkyl, S-aryl, S(0)-aryl, S(0 2 )-aryl; or R 5 and R 57 may be joined to form a cyclic ring (saturated or unsaturated) from 5 to 8 atom
  • each W is selected from C(R ) 2 , NR , O, and S; and each Y' is selected from carbonyl, NR 66 , O and S; and R 66 is independently hydrogen, Ci-Cg alkyl, C3-C1 0 cycloalkyl, 4-10 membered heterocyclyl, C6-C1 0 aryl, and 5-10 membered heteroaryl.
  • arylene and a “heteroarylene,” alone or as part of another substituent, mean a divalent radical derived from an aryl and heteroaryl, respectively.
  • heteroaryl groups include pyridinyl, pyrimidinyl, thiophenyl, thienyl, furanyl, indolyl, benzoxadiazolyl, benzodioxolyl, benzodioxanyl, thianaphthanyl, pyrrolopyridinyl, indazolyl, quinolinyl, quinoxalinyl, pyridopyrazinyl, quinazolinonyl, benzoisoxazolyl, imidazopyridinyl, benzofuranyl, benzothienyl, benzothiophenyl, phenyl, naphthyl, biphenyl, pyrrolyl, pyrazolyl, imidazolyl, pyrazinyl
  • Halo or halogen independently or as part of another substituent, mean, unless otherwise stated, a fluorine (F), chlorine (CI), bromine (Br), or iodine (I) atom.
  • halide by itself or as part of another substituent, refers to a fluoride, chloride, bromide, or iodide atom. In certain embodiments, the halo group is either fluorine or chlorine.
  • haloalkyl are meant to include monohaloalkyl and polyhaloalkyl.
  • halo-Ci-C6 alkyl includes, but is not limited to, fluoromethyl, difiuoromethyl, trifluoromethyl, 2,2,2-trifluoroethyl, 4-chlorobutyl, 3- bromopropyl, and the like.
  • heteroalkyl by itself or in combination with another term, means, unless otherwise stated, a non-cyclic stable straight or branched chain, or combinations thereof, including at least one carbon atom and at least one heteroatom selected from the group consisting of O, N, P, Si, and S, and wherein the nitrogen and sulfur atoms may optionally be oxidized, and the nitrogen heteroatom may optionally be quatemized.
  • the heteroatom(s) O, N, P, S, and Si may be placed at any interior position of the heteroalkyl group or at the position at which the alkyl group is attached to the remainder of the molecule.
  • heteroalkyl Up to two or three heteroatoms may be consecutive, such as, for example, -CH 2 - NH-OCH 3 and -CH 2 -0-Si(CH 3 ) 3 .
  • heteroalkyl is recited, followed by recitations of specific heteroalkyl groups, such as -CH 2 0, -NR B R C , or the like, it will be understood that the terms heteroalkyl and -CH 2 0 or -NR B R C are not redundant or mutually exclusive. Rather, the specific heteroalkyl groups are recited to add clarity. Thus, the term “heteroalkyl” should not be interpreted herein as excluding specific heteroalkyl groups, such as -CH 2 0, -NR B R C , or the like.
  • heteroalkylene by itself or as part of another substituent, means, unless otherwise stated, a divalent radical derived from heteroalkyl, as exemplified, but not limited by, -CH 2 0- and -CH 2 CH 2 0-.
  • a heteroalkylene group may be described as, e.g., a 2-7- membered heteroalkylene, wherein the term “membered” refers to the non-hydrogen atoms within the moiety.
  • heteroatoms can also occupy either or both of the chain termini (e.g., alkyleneoxy, alkylenedioxy, alkyleneamino, alkylenediamino, and the like).
  • heteroaryl refers to a radical of a 5-10 membered monocyclic or bicyclic 4n+2 aromatic ring system (e.g., having 6 or 10 ⁇ electrons shared in a cyclic array) having ring carbon atoms and 1-4 ring heteroatoms provided in the aromatic ring system, wherein each heteroatom is independently selected from nitrogen, oxygen and sulfur ("5-10 membered heteroaryl").
  • Heteroaryl bicyclic ring systems can include one or more heteroatoms in one or both rings.
  • Heteroaryl also includes ring systems wherein the heteroaryl ring, as defined above, is fused with one or more aryl groups wherein the point of attachment is either on the aryl or heteroaryl ring, and in such instances, the number of ring members designates the number of ring members in the fused (aryl/heteroaryl) ring system.
  • Bicyclic heteroaryl groups wherein one ring does not contain a heteroatom e.g., indolyl, quinolinyl, carbazolyl, and the like
  • the point of attachment can be on either ring, i.e., either the ring bearing a heteroatom (e.g., 2-indolyl) or the ring that does not contain a heteroatom (e.g., 5-indolyl).
  • a heteroaryl group may be described as, e.g., a 6-10- membered heteroaryl, wherein the term "membered" refers to the non-hydrogen ring atoms within the moiety.
  • a heteroaryl group is a 5-10 membered aromatic ring system having ring carbon atoms and 1-4 ring heteroatoms provided in the aromatic ring system, wherein each heteroatom is independently selected from nitrogen, oxygen, and sulfur ("5-10 membered heteroaryl").
  • a heteroaryl group is a 5-8 membered aromatic ring system having ring carbon atoms and 1-4 ring heteroatoms provided in the aromatic ring system, wherein each heteroatom is independently selected from nitrogen, oxygen, and sulfur ("5-8 membered heteroaryl").
  • a heteroaryl group is a 5-6 membered aromatic ring system having ring carbon atoms and 1-4 ring heteroatoms provided in the aromatic ring system, wherein each heteroatom is independently selected from nitrogen, oxygen, and sulfur ("5-6 membered heteroaryl").
  • the 5-6 membered heteroaryl has 1-3 ring heteroatoms selected from nitrogen, oxygen, and sulfur.
  • the 5-6 membered heteroaryl has 1-2 ring heteroatoms selected from nitrogen, oxygen, and sulfur.
  • the 5-6 membered heteroaryl has 1 ring heteroatom selected from nitrogen, oxygen, and sulfur.
  • Each instance of a heteroaryl group may be independently optionally substituted, i.e., unsubstituted (an "unsubstituted heteroaryl") or substituted (a "substituted heteroaryl") with one or more substituents.
  • the heteroaryl group is unsubstituted 5-14 membered heteroaryl.
  • the heteroaryl group is substituted 5-14 membered heteroaryl.
  • Exemplary 5-membered heteroaryl groups containing one heteroatom include, without limitation, pyrrolyl, furanyl and thiophenyl.
  • Exemplary 5-membered heteroaryl groups containing two heteroatoms include, without limitation, imidazolyl, pyrazolyl, oxazolyl, isoxazolyl, thiazolyl, and isothiazolyl.
  • Exemplary 5-membered heteroaryl groups containing three heteroatoms include, without limitation, triazolyl, oxadiazolyl, and thiadiazolyl.
  • Exemplary 5-membered heteroaryl groups containing four heteroatoms include, without limitation, tetrazolyl.
  • Exemplary 6-membered heteroaryl groups containing one heteroatom include, without limitation, pyridinyl.
  • Exemplary 6-membered heteroaryl groups containing two heteroatoms include, without limitation, pyridazinyl, pyrimidinyl, and pyrazinyl.
  • Exemplary 6-membered heteroaryl groups containing three or four heteroatoms include, without limitation, triazinyl and tetrazinyl, respectively.
  • Exemplary 7-membered heteroaryl groups containing one heteroatom include, without limitation, azepinyl, oxepinyl, and thiepinyl.
  • Exemplary 5,6-bicyclic heteroaryl groups include, without limitation, indolyl, isoindolyl, indazolyl, benzotriazolyl, benzothiophenyl, isobenzothiophenyl, benzofuranyl, benzoisofuranyl, benzimidazolyl, benzoxazolyl, benzisoxazolyl, benzoxadiazolyl, benzthiazolyl, benzisothiazolyl, benzthiadiazolyl, indolizinyl, and purinyl.
  • Exemplary 6,6- bicyclic heteroaryl groups include, without limitation, naphthyridinyl, pteridinyl, quinolinyl, isoquinolinyl, cinnolinyl, quinoxalinyl, phthalazinyl, and quinazolinyl.
  • each Y is selected from carbonyl, N, NR , O, and S; and R is independently hydrogen, Ci-Cg alkyl, C3-C10 cycloalkyl, 4-10 membered heterocyclyl, C6-C10 aryl, and 5-10 membered heteroaryl.
  • Cycloalkyl refers to a radical of a non-aromatic cyclic hydrocarbon group having from 3 to 10 ring carbon atoms ("C 3 -C1 0 cycloalkyl”) and zero heteroatoms in the non-aromatic ring system. In some embodiments, a cycloalkyl group has 3 to 8 ring carbon atoms ("C 3 - Cgcycloalkyl").
  • a cycloalkyl group has 3 to 6 ring carbon atoms ("C 3 - Ce cycloalkyl”). In some embodiments, a cycloalkyl group has 3 to 6 ring carbon atoms ("C 3 - Ce cycloalkyl”). In some embodiments, a cycloalkyl group has 5 to 10 ring carbon atoms ("C5- C1 0 cycloalkyl”).
  • a cycloalkyl group may be described as, e.g., a C4-C7-membered cycloalkyl, wherein the term “membered” refers to the non-hydrogen ring atoms within the moiety.
  • Exemplary C 3 -C6 cycloalkyl groups include, without limitation, cyclopropyl (C 3 ),
  • cyclopropenyl C 3
  • cyclobutyl C4
  • cyclobutenyl C4
  • cyclopentyl C5
  • cyclopentenyl C5
  • cyclohexyl Ce
  • cyclohexenyl Ce
  • cyclohexadienyl Ce
  • Exemplary C 3 -C8 cycloalkyl groups include, without limitation, the aforementioned C3-C6 cycloalkyl groups as well as cycloheptyl (C7), cycloheptenyl (C7), cycloheptadienyl (C7), cycloheptatrienyl (C7), cyclooctyl (Cg), cyclooctenyl (Cg), cubanyl (Cg), bicyclo[l . l . l]pentanyl (C5),
  • C 3 -C1 0 cycloalkyl groups include, without limitation, the aforementioned C 3 - Cg cycloalkyl groups as well as cyclononyl (C 9 ), cyclononenyl (C 9 ), cyclodecyl (C1 0 ), cyclodecenyl (C1 0 ), octahydro-lH-indenyl (C 9 ), decahydronaphthalenyl (C1 0 ),
  • the cycloalkyl group is either monocyclic (“monocyclic cycloalkyl”) or contain a fused, bridged or spiro ring system such as a bicyclic system (“bicyclic cycloalkyl”) and can be saturated or can be partially unsaturated.
  • Cycloalkyl also includes ring systems wherein the cycloalkyl ring, as defined above, is fused with one or more aryl groups wherein the point of attachment is on the cycloalkyl ring, and in such instances, the number of carbons continue to designate the number of carbons in the cycloalkyl ring system.
  • Each instance of a cycloalkyl group may be independently optionally substituted, i. e. , unsubstituted (an "unsubstituted cycloalkyl") or substituted (a "substituted cycloalkyl") with one or more substituents.
  • the cycloalkyl group is unsubstituted C 3 -C1 0 cycloalkyl. In certain embodiments, the cycloalkyl group is a substituted C 3 -C1 0 cycloalkyl.
  • cycloalkyl is a monocyclic, saturated cycloalkyl group having from 3 to 10 ring carbon atoms ("C 3 -C1 0 cycloalkyl”). In some embodiments, a cycloalkyl group has 3 to 8 ring carbon atoms ("C3-C8 cycloalkyl”). In some embodiments, a cycloalkyl group has 3 to 6 ring carbon atoms ("C3-C6 cycloalkyl”). In some embodiments, a cycloalkyl group has 5 to 6 ring carbon atoms ("C5-C6 cycloalkyl").
  • a cycloalkyl group has 5 to 10 ring carbon atoms ("C5-C1 0 cycloalkyl").
  • C5-C6 cycloalkyl groups include cyclopentyl (C5) and cyclohexyl (C5).
  • C3-C6 cycloalkyl groups include the aforementioned C5-C6 cycloalkyl groups as well as cyclopropyl (C 3 ) and cyclobut l (C4).
  • Examples of C3-C8 cycloalkyl groups include the aforementioned C3-C6 cycloalkyl groups as well as cycloheptyl (C7) and cyclooctyl (Cg).
  • each instance of a cycloalkyl group is independently unsubstituted (an "unsubstituted cycloalkyl") or substituted (a "substituted cycloalkyl") with one or more substituents.
  • the cycloalkyl group is unsubstituted C3-C1 0 cycloalkyl.
  • the cycloalkyl group is substituted C3-C1 0 cycloalkyl.
  • Heterocyclyl or “heterocyclic” refers to a radical of a 3- to 10-membered non- aromatic ring system having ring carbon atoms and 1 to 4 ring heteroatoms, wherein each heteroatom is independently selected from nitrogen, oxygen, sulfur, boron, phosphorus, and silicon ("3-10 membered heterocyclyl”).
  • the point of attachment can be a carbon or nitrogen atom, as valency permits.
  • a heterocyclyl group can either be monocyclic ("monocyclic heterocyclyl”) or a fused, bridged or spiro ring system such as a bicyclic system ("bicyclic heterocyclyl”), and can be saturated or can be partially unsaturated.
  • Heterocyclyl bicyclic ring systems can include one or more heteroatoms in one or both rings.
  • Heterocyclyl also includes ring systems wherein the heterocyclyl ring, as defined above, is fused with one or more cycloalkyl groups wherein the point of attachment is either on the cycloalkyl or heterocyclyl ring, or ring systems wherein the heterocyclyl ring, as defined above, is fused with one or more aryl or heteroaryl groups, wherein the point of attachment is on the heterocyclyl ring, and in such instances, the number of ring members continue to designate the number of ring members in the heterocyclyl ring system.
  • a heterocyclyl group may be described as, e.g., a 3-7-membered heterocyclyl, wherein the term “membered” refers to the non-hydrogen ring atoms, i.e., carbon, nitrogen, oxygen, sulfur, boron, phosphorus, and silicon, within the moiety.
  • Each instance of heterocyclyl may be independently optionally substituted, i.e. , unsubstituted (an "unsubstituted heterocyclyl") or substituted (a "substituted heterocyclyl”) with one or more substituents.
  • the heterocyclyl group is unsubstituted 3-10 membered heterocyclyl. In certain embodiments, the heterocyclyl group is substituted 3-10 membered heterocyclyl. In some embodiments, a heterocyclyl group is a 5-10 membered non-aromatic ring system having ring carbon atoms and 1-4 ring heteroatoms, wherein each heteroatom is independently selected from nitrogen, oxygen, sulfur, boron, phosphorus, and silicon ("5-10 membered heterocyclyl").
  • a heterocyclyl group is a 5-8 membered non-aromatic ring system having ring carbon atoms and 1-4 ring heteroatoms, wherein each heteroatom is independently selected from nitrogen, oxygen, and sulfur ("5-8 membered heterocyclyl").
  • a heterocyclyl group is a 5-6 membered non-aromatic ring system having ring carbon atoms and 1-4 ring heteroatoms, wherein each heteroatom is independently selected from nitrogen, oxygen, and sulfur ("5-6 membered heterocyclyl").
  • the 5-6 membered heterocyclyl has 1-3 ring heteroatoms selected from nitrogen, oxygen, and sulfur.
  • the 5-6 membered heterocyclyl has 1-2 ring heteroatoms selected from nitrogen, oxygen, and sulfur.
  • the 5-6 membered heterocyclyl has one ring heteroatom selected from nitrogen, oxygen, and sulfur.
  • Exemplary 3-membered heterocyclyl groups containing one heteroatom include, without limitation, azirdinyl, oxiranyl, thiorenyl.
  • Exemplary 4-membered heterocyclyl groups containing one heteroatom include, without limitation, azetidinyl, oxetanyl and thietanyl.
  • Exemplary 5-membered heterocyclyl groups containing one heteroatom include, without limitation, tetrahydrofuranyl, dihydrofuranyl, tetrahydrothiophenyl, dihydrothiophenyl, pyrrolidinyl, dihydropyrrolyl and pyrrolyl-2,5-dione.
  • Exemplary 5-membered heterocyclyl groups containing two heteroatoms include, without limitation, dioxolanyl, oxasulfuranyl, disulfuranyl, and oxazolidin-2-one.
  • Exemplary 5-membered heterocyclyl groups containing three heteroatoms include, without limitation, triazolinyl, oxadiazolinyl, and thiadiazolinyl.
  • Exemplary 6-membered heterocyclyl groups containing one heteroatom include, without limitation, piperidinyl, tetrahydropyranyl, dihydropyridinyl, and thianyl.
  • Exemplary 6- membered heterocyclyl groups containing two heteroatoms include, without limitation, piperazinyl, morpholinyl, dithianyl, dioxanyl. Exemplary 6-membered heterocyclyl groups containing two heteroatoms include, without limitation, triazinanyl. Exemplary 7-membered heterocyclyl groups containing one heteroatom include, without limitation, azepanyl, oxepanyl and thiepanyl. Exemplary 8-membered heterocyclyl groups containing one heteroatom include, without limitation, azocanyl, oxecanyl and thiocanyl.
  • Exemplary 5-membered heterocyclyl groups fused to a e aryl ring include, without limitation, indolinyl, isoindolinyl, dihydrobenzofuranyl, dihydrobenzothienyl, benzoxazolinonyl, and the like.
  • Exemplary 6-membered heterocyclyl groups fused to an aryl ring include, without limitation, tetrahydroquinolinyl, tetrahydroisoquinolinyl, and the like.
  • heterocyclyl groups are shown in the following illustrative examples:
  • each W is selected from CR , C(R ) 2 , NR , O, and S; and each Y is selected from NR 67 , O, and S; and R 67 is independently hydrogen, Ci-Cg alkyl, C3-C1 0 cycloalkyl, 4-10 membered heterocyclyl, C6-C1 0 aryl, and 5-10-membered heteroaryl.
  • These heterocyclyl rings may be optionally substituted with one or more groups selected from the group consisting of acyl, acylamino, acyloxy, alkoxy, alkoxycarbonyl, alkoxycarbonylamino, amino, substituted amino, aminocarbonyl (e. g.
  • Substituting groups include carbonyl or thiocarbonyl which provide, for example, lactam and urea derivatives.
  • Nonrogen-containing heterocyclyl means a 4- to 7- membered non-aromatic cyclic group containing at least one nitrogen atom, for example, but without limitation, morpholine, piperidine (e.g. 2-piperidinyl, 3-piperidinyl and 4-piperidinyl), pyrrolidine (e. g. 2-pyrrolidinyl and 3-pyrrolidinyl), azetidine, pyrrolidone, imidazoline, imidazolidinone, 2- pyrazoline, pyrazolidine, piperazine, and N-alkyl piperazines such as N-methyl piperazine. Particular examples include azetidine, piperidone and piperazone.
  • amino refers to the radical -NR R , wherein R and R are each independently hydrogen, Ci-Cg alkyl, C3-C1 0 cycloalkyl, 4-10 membered heterocyclyl, C6-C1 0 aryl, and 5- 10-membered heteroaryl. In some embodiments, amino refers to NH2.
  • Cyano refers to the radical -CN.
  • Haldroxy refers to the radical -OH.
  • Alkyl, alkenyl, alkynyl, cycloalkyl, heterocyclyl, aryl, and heteroaryl groups, as defined herein, are optionally substituted (e.g., "substituted” or “unsubstituted” alkyl, "substituted” or “unsubstituted” alkenyl, "substituted” or “unsubstituted” alkynyl, "substituted” or
  • substituted cycloalkyl, "substituted” or “unsubstituted” heterocyclyl, "substituted” or “unsubstituted” aryl or “substituted” or “unsubstituted” heteroaryl group).
  • substituted whether preceded by the term “optionally” or not, means that at least one hydrogen present on a group (e.g., a carbon or nitrogen atom) is replaced with a permissible substituent, e.g., a substituent which upon substitution results in a stable compound, e.g., a compound which does not spontaneously undergo transformation such as by rearrangement, cyclization, elimination, or other reaction.
  • a “substituted” group has a substituent at one or more substitutable positions of the group, and when more than one position in any given structure is substituted, the substituent is either the same or different at each position.
  • substituted is contemplated to include substitution with all permissible substituents of organic compounds, such as any of the substituents described herein that result in the formation of a stable compound.
  • the present invention contemplates any and all such combinations in order to arrive at a stable compound.
  • heteroatoms such as nitrogen may have hydrogen substituents and/or any suitable substituent as described herein which satisfy the valencies of the heteroatoms and results in the formation of a stable moiety.
  • Two or more substituents may optionally be joined to form aryl, heteroaryl, cycloalkyl, or heterocycloalkyl groups.
  • Such so-called ring-forming substituents are typically, though not necessarily, found attached to a cyclic base structure.
  • the ring-forming substituents are attached to adjacent members of the base structure.
  • two ring-forming substituents attached to adjacent members of a cyclic base structure create a fused ring structure.
  • the ring-forming substituents are attached to a single member of the base structure.
  • two ring-forming substituents attached to a single member of a cyclic base structure create a spirocyclic structure.
  • the ring-forming substituents are attached to non-adjacent members of the base structure.
  • a “counterion” or “anionic counterion” is a negatively charged group associated with a cationic quaternary amino group in order to maintain electronic neutrality.
  • exemplary counterions include halide ions (e.g., F , CP, Br , I ), N0 3 _ , C10 4 , Off “ , H 2 P0 4 , HS0 4 , sulfonate ions (e.g., methansulfonate, trifluoromethanesulfonate, p-toluenesulfonate, benzenesulfonate, 10-camphor sulfonate, naphthalene-2-sulfonate, naphthalene-l-sulfonic acid-5-sulfonate, ethan-l-sulfonic acid-2-sulfonate, and the like), and carboxylate ions (e.g., acetate, ethanoate, propanoate,
  • salts are meant to include salts of the active compounds that are prepared with relatively nontoxic acids or bases, depending on the particular substituents found on the compounds described herein.
  • base addition salts can be obtained by contacting the neutral form of such compounds with a sufficient amount of the desired base, either neat or in a suitable inert solvent.
  • pharmaceutically acceptable base addition salts include sodium, potassium, calcium, ammonium, organic amino, or magnesium salt, or a similar salt.
  • acid addition salts can be obtained by contacting the neutral form of such compounds with a sufficient amount of the desired acid, either neat or in a suitable inert solvent.
  • Examples of pharmaceutically acceptable acid addition salts include those derived from inorganic acids like hydrochloric, hydrobromic, nitric, carbonic, monohydrogencarbonic, phosphoric, monohydrogenphosphoric, dihydrogenphosphoric, sulfuric, monohydrogensulfuric, hydriodic, or phosphorous acids and the like, as well as the salts derived from relatively nontoxic organic acids like acetic, propionic, isobutyric, maleic, malonic, benzoic, succinic, suberic, fumaric, lactic, mandelic, phthalic, benzenesulfonic, p-tolylsulfonic, citric, tartaric, methanesulfonic, and the like.
  • inorganic acids like hydrochloric, hydrobromic, nitric, carbonic, monohydrogencarbonic, phosphoric, monohydrogenphosphoric, dihydrogenphosphoric, sulfuric, monohydrogensulfuric, hydriodic, or phosphorous acids and
  • salts of amino acids such as arginate and the like, and salts of organic acids like glucuronic or galactunoric acids and the like (see, e.g., Berge et al, Journal of Pharmaceutical Science 66: 1 -19 (1977)).
  • Certain specific compounds of the present invention contain both basic and acidic functionalities that allow the compounds to be converted into either base or acid addition salts.
  • Other pharmaceutically acceptable carriers known to those of skill in the art are suitable for the present invention. Salts tend to be more soluble in aqueous or other protonic solvents that are the corresponding free base forms.
  • the preparation may be a lyophilized powder in a first buffer, e.g., in 1 mM-50 mM histidine, 0. l%-2% sucrose, 2%-7% mannitol at a pH range of 4.5 to 5.5, that is combined with a second buffer prior to use.
  • the compounds of the present invention may exist as salts, such as with pharmaceutically acceptable acids.
  • the present invention includes such salts.
  • examples of such salts include hydrochlorides, hydrobromides, sulfates, methanesulfonates, nitrates, maleates, acetates, citrates, fumarates, tartrates (e.g., (+)-tartrates, (-)-tartrates, or mixtures thereof including racemic mixtures), succinates, benzoates, and salts with amino acids such as glutamic acid.
  • These salts may be prepared by methods known to those skilled in the art.
  • the neutral forms of the compounds are preferably regenerated by contacting the salt with a base or acid and isolating the parent compound in the conventional manner.
  • the parent form of the compound differs from the various salt forms in certain physical properties, such as solubility in polar solvents.
  • the present invention provides compounds, which are in a prodrug form.
  • Prodrugs of the compounds described herein are those compounds that readily undergo chemical changes under physiological conditions to provide the compounds of the present invention.
  • prodrugs can be converted to the compounds of the present invention by chemical or biochemical methods in an ex vivo environment. For example, prodrugs can be slowly converted to the compounds of the present invention when placed in a transdermal patch reservoir with a suitable enzyme or chemical reagent.
  • Certain compounds of the present invention can exist in unsolvated forms as well as solvated forms, including hydrated forms. In general, the solvated forms are equivalent to unsolvated forms and are encompassed within the scope of the present invention. Certain compounds of the present invention may exist in multiple crystalline or amorphous forms. In general, all physical forms are equivalent for the uses contemplated by the present invention and are intended to be within the scope of the present invention.
  • salt refers to acid or base salts of the compounds used in the methods of the present invention.
  • acceptable salts are mineral acid (hydrochloric acid, hydrobromic acid, phosphoric acid, and the like) salts, organic acid (acetic acid, propionic acid, glutamic acid, citric acid and the like) salts, quaternary ammonium (methyl iodide, ethyl iodide, and the like) salts.
  • Certain compounds of the present invention possess asymmetric carbon atoms (optical or chiral centers) or double bonds; the enantiomers, racemates, diastereomers, tautomers, geometric isomers, stereoisometric forms that may be defined, in terms of absolute stereochemistry, as (R)-or (S)- or, as (D)- or (L)- for amino acids, and individual isomers are encompassed within the scope of the present invention.
  • the compounds of the present invention do not include those which are known in art to be too unstable to synthesize and/or isolate.
  • the present invention is meant to include compounds in racemic and optically pure forms.
  • Optically active (R)- and (S)-, or (D)- and (L)-isomers may be prepared using chiral synthons or chiral reagents, or resolved using conventional techniques.
  • the compounds described herein contain olefinic bonds or other centers of geometric asymmetry, and unless specified otherwise, it is intended that the compounds include both E and Z geometric isomers.
  • isomers refers to compounds having the same number and kind of atoms, and hence the same molecular weight, but differing in respect to the structural arrangement or configuration of the atoms.
  • tautomer refers to one of two or more structural isomers which exist in equilibrium and which are readily converted from one isomeric form to another.
  • treating refers to any indicia of success in the treatment or amelioration of an injury, disease, pathology or condition, including any objective or subjective parameter such as abatement; remission; diminishing of symptoms or making the injury, pathology or condition more tolerable to the patient; slowing in the rate of degeneration or decline; making the final point of degeneration less debilitating; improving a patient's physical or mental well-being.
  • the treatment or amelioration of symptoms can be based on objective or subjective parameters; including the results of a physical examination, neuropsychiatric exams, and/or a psychiatric evaluation. For example, certain methods herein treat cancer (e.g.
  • pancreatic cancer breast cancer, multiple myeloma, cancers of secretory cells
  • neurodegenerative diseases e.g. Alzheimer's disease, Parkinson's disease, frontotemporal dementia
  • leukodystrophies e.g., vanishing white matter disease, childhood ataxia with CNS hypo-myelination
  • postsurgical cognitive dysfunction traumatic brain injury, intellectual disability syndromes, inflammatory diseases, musculoskeletal diseases, metabolic diseases, or diseases or disorders associated with impaired function of eIF2B or components in a signal transduction or signaling pathway including the ISR and decreased eIF2 pathway activity).
  • certain methods herein treat cancer by decreasing or reducing or preventing the occurrence, growth, metastasis, or progression of cancer or decreasing a symptom of cancer; treat neurodegeneration by improving mental wellbeing, increasing mental function, slowing the decrease of mental function, decreasing dementia, delaying the onset of dementia, improving cognitive skills, decreasing the loss of cognitive skills, improving memory, decreasing the degradation of memory, decreasing a symptom of neurodegeneration or extending survival; treat vanishing white matter disease by reducing a symptom of vanishing white matter disease or reducing the loss of white matter or reducing the loss of myelin or increasing the amount of myelin or increasing the amount of white matter; treat childhood ataxia with CNS hypo-myelination by decreasing a symptom of childhood ataxia with CNS hypo-myelination or increasing the level of myelin or decreasing the loss of myelin; treat an intellectual disability syndrome by decreasing a symptom of an intellectual disability syndrome, treat an inflammatory disease by treating a symptom of the inflammatory disease; treat a symptom
  • Symptoms of a disease, disorder, or condition described herein e.g., cancer a neurodegenerative disease, a leukodystrophy, an inflammatory disease, a musculoskeletal disease, a metabolic disease, or a condition or disease associated with impaired function of eIF2B or components in a signal transduction pathway including the eIF2 pathway, eIF2a phosphorylation, or ISR pathway
  • a disease, disorder, or condition described herein e.g., cancer a neurodegenerative disease, a leukodystrophy, an inflammatory disease, a musculoskeletal disease, a metabolic disease, or a condition or disease associated with impaired function of eIF2B or components in a signal transduction pathway including the eIF2 pathway, eIF2a phosphorylation, or ISR pathway
  • treating and conjugations thereof include prevention of an injury, pathology, condition, or disease (e.g. preventing the development of one or more symptoms of a disease, disorder, or condition described herein).
  • an “effective amount” is an amount sufficient to accomplish a stated purpose (e.g. achieve the effect for which it is administered, treat a disease, reduce enzyme activity, increase enzyme activity, or reduce one or more symptoms of a disease or condition).
  • An example of an “effective amount” is an amount sufficient to contribute to the treatment, prevention, or reduction of a symptom or symptoms of a disease, which could also be referred to as a "therapeutically effective amount.”
  • a “prophylactically effective amount” of a drug is an amount of a drug that, when administered to a subject, will have the intended prophylactic effect, e.g., preventing or delaying the onset (or reoccurrence) of an injury, disease, pathology or condition, or reducing the likelihood of the onset (or reoccurrence) of an injury, disease, pathology, or condition, or their symptoms.
  • a prophylactically effective amount may be administered in one or more administrations.
  • the exact amounts will depend on the purpose of the treatment, and will be ascertainable by one skilled in the art using known techniques (see, e.g., Lieberman, Pharmaceutical Dosage Forms (vols. 1-3, 1992); Lloyd, The Art, Science and Technology of Pharmaceutical Compounding (1999); Pickar, Dosage Calculations (1999); and Remington: The Science and Practice of Pharmacy, 20th Edition, 2003, Gennaro, Ed., Lippincott, Williams & Wilkins).
  • a “reduction” of a symptom or symptoms means decreasing of the severity or frequency of the symptom(s), or elimination of the symptom(s).
  • a disease e.g., a disease or disorder described herein, e.g., cancer, a neurodegenerative disease, a leukodystrophy, an inflammatory disease, a
  • musculoskeletal disease a metabolic disease, or a disease or disorder associated with impaired function of eIF2B or components in a signal transduction pathway including the eIF2 pathway, eIF2a phosphorylation, or ISR pathway
  • the disease is caused by (in whole or in part), or a symptom of the disease is caused by (in whole or in part) the substance or substance activity or function.
  • a symptom of a disease or condition associated with an impaired function of the eIF2B may be a symptom that results (entirely or partially) from a decrease in eIF2B activity (e.g.
  • a disease associated with decreased eIF2 activity or eIF2 pathway activity may be treated with an agent (e.g., compound as described herein) effective for increasing the level or activity of eIF2 or eIF2 pathway or a decrease in phosphorylated eIF2a activity or the ISR pathway.
  • an agent e.g., compound as described herein
  • a disease associated with phosphorylated eIF2a may be treated with an agent (e.g., compound as described herein) effective for decreasing the level of activity of phosphorylated eIF2a or a downstream component or effector of phosphorylated eIF2a.
  • a disease associated with eIF2a may be treated with an agent (e.g., compound as described herein) effective for increasing the level of activity of eIF2 or a downstream component or effector of eIF2.
  • Control or "control experiment” is used in accordance with its plain ordinary meaning and refers to an experiment in which the subjects or reagents of the experiment are treated as in a parallel experiment except for omission of a procedure, reagent, or variable of the experiment. In some instances, the control is used as a standard of comparison in evaluating experimental effects.
  • Contacting is used in accordance with its plain ordinary meaning and refers to the process of allowing at least two distinct species (e.g. chemical compounds including biomolecules, or cells) to become sufficiently proximal to react, interact or physically touch. It should be appreciated, however, that the resulting reaction product can be produced directly from a reaction between the added reagents or from an intermediate from one or more of the added reagents which can be produced in the reaction mixture.
  • the term "contacting” may include allowing two species to react, interact, or physically touch, wherein the two species may be a compound as described herein and a protein or enzyme (e.g. eIF2B, eIF2a, or a component of the eIF2 pathway or ISR pathway).
  • contacting includes allowing a compound described herein to interact with a protein or enzyme that is involved in a signaling pathway (e.g. eIF2B, eIF2a, or a component of the eIF2 pathway or ISR pathway).
  • a signaling pathway e.g. eIF2B, eIF2a, or a component of the eIF2 pathway or ISR pathway.
  • inhibition means negatively affecting (e.g., decreasing) the activity or function of the protein relative to the activity or function of the protein in the absence of the inhibitor.
  • inhibition refers to reduction of a disease or symptoms of disease.
  • inhibition refers to a reduction in the activity of a signal transduction pathway or signaling pathway.
  • inhibition includes, at least in part, partially or totally blocking stimulation, decreasing, preventing, or delaying activation, or inactivating, desensitizing, or down-regulating signal transduction or enzymatic activity or the amount of a protein.
  • inhibition refers to a decrease in the activity of a signal transduction pathway or signaling pathway (e.g., eIF2B, eIF2a, or a component of the eIF2 pathway, pathway activated by eIF2a phosphorylation, or ISR pathway).
  • a signal transduction pathway or signaling pathway e.g., eIF2B, eIF2a, or a component of the eIF2 pathway, pathway activated by eIF2a phosphorylation, or ISR pathway.
  • inhibition may include, at least in part, partially or totally decreasing stimulation, decreasing or reducing activation, or inactivating, desensitizing, or down-regulating signal transduction or enzymatic activity or the amount of a protein increased in a disease (e.g.
  • Inhibition may include, at least in part, partially or totally decreasing stimulation, decreasing or reducing activation, or deactivating, desensitizing, or down-regulating signal transduction or enzymatic activity or the amount of a protein (e.g.
  • eIF2B, eIF2a, or component of the eIF2 pathway or ISR pathway that may modulate the level of another protein or increase cell survival (e.g., decrease in phosphorylated eIF2a pathway activity may increase cell survival in cells that may or may not have an increase in phosphorylated eIF2a pathway activity relative to a non-disease control or decrease in eIF2a pathway activity may increase cell survival in cells that may or may not have an increase in eIF2a pathway activity relative to a non-disease control).
  • activation means positively affecting (e.g.
  • activation refers to an increase in the activity of a signal transduction pathway or signaling pathway (e.g. eIF2B, eIF2a, or component of the eIF2 pathway or ISR pathway).
  • activation may include, at least in part, partially or totally increasing stimulation, increasing or enabling activation, or activating, sensitizing, or up-regulating signal transduction or enzymatic activity or the amount of a protein decreased in a disease (e.g. level of eIF2B, eIF2a, or component of the eIF2 pathway or ISR pathway associated with cancer, a neurodegenerative disease, a
  • Activation may include, at least in part, partially or totally increasing stimulation, increasing or enabling activation, or activating, sensitizing, or up-regulating signal transduction or enzymatic activity or the amount of a protein (e.g., eIF2B, eIF2a, or component of the eIF2 pathway or ISR pathway) that may modulate the level of another protein or increase cell survival (e.g., increase in eIF2a activity may increase cell survival in cells that may or may not have a reduction in eIF2a activity relative to a non-disease control).
  • a protein e.g., eIF2B, eIF2a, or component of the eIF2 pathway or ISR pathway
  • increase in eIF2a activity may increase cell survival in cells that may or may not have a reduction in eIF2a activity relative to a non-disease control.
  • modulation refers to an increase or decrease in the level of a target molecule or the function of a target molecule.
  • modulation of eIF2B, eIF2a, or a component of the eIF2 pathway or ISR pathway may result in reduction of the severity of one or more symptoms of a disease associated with eIF2B, eIF2a, or a component of the eIF2 pathway or ISR pathway (e.g., cancer, a neurodegenerative disease, a leukodystrophy, an inflammatory disease, a musculoskeletal disease, or a metabolic disease) or a disease that is not caused by eIF2B, eIF2a, or a component of the eIF2 pathway or ISR pathway but may benefit from modulation of eIF2B, eIF2a, or a component of the eIF2 pathway or ISR pathway (e.g., decreasing in level or level of activity of eIF2B, eIF2a or a component
  • modulator refers to modulation of (e.g., an increase or decrease in) the level of a target molecule or the function of a target molecule.
  • a modulator of eIF2B, eIF2a, or component of the eIF2 pathway or ISR pathway is an anti-cancer agent.
  • a modulator of eIF2B, eIF2a, or component of the eIF2 pathway or ISR pathway is a neuroprotectant.
  • a modulator of eIF2B, eIF2a, or component of the eIF2 pathway or ISR pathway is a memory enhancing agent.
  • a modulator of eIF2B, eIF2a, or component of the eIF2 pathway or ISR pathway is a memory enhancing agent (e.g., a long term memory enhancing agent).
  • a modulator of eIF2B, eIF2a, or component of the eIF2 pathway or ISR pathway is an antiinflammatory agent. In some embodiments, a modulator of eIF2B, eIF2a, or component of the eIF2 pathway or ISR pathway is a pain-relieving agent.
  • a patient refers to a living organism suffering from or prone to a disease or condition that can be treated by administration of a compound or pharmaceutical composition, as provided herein.
  • Non-limiting examples include humans, other mammals, bovines, rats, mice, dogs, monkeys, goat, sheep, cows, deer, and other non-mammalian animals.
  • a patient is human.
  • a patient is a domesticated animal.
  • a patient is a dog.
  • a patient is a parrot.
  • a patient is livestock animal.
  • a patient is a mammal.
  • a patient is a cat.
  • a patient is a horse. In some embodiments, a patient is bovine. In some embodiments, a patient is a canine. In some embodiments, a patient is a feline. In some embodiments, a patient is an ape. In some embodiments, a patient is a monkey. In some embodiments, a patient is a mouse. In some embodiments, a patient is an experimental animal. In some embodiments, a patient is a rat. In some embodiments, a patient is a hamster. In some embodiments, a patient is a test animal. In some embodiments, a patient is a newborn animal. In some embodiments, a patient is a newborn human.
  • a patient is a newborn mammal. In some embodiments, a patient is an elderly animal. In some embodiments, a patient is an elderly human. In some embodiments, a patient is an elderly mammal. In some embodiments, a patient is a geriatric patient.
  • Disease", “disorder” or “condition” refers to a state of being or health status of a patient or subject capable of being treated with a compound, pharmaceutical composition, or method provided herein. In some embodiments, the compounds and methods described herein comprise reduction or elimination of one or more symptoms of the disease, disorder, or condition, e.g., through administration of a compound of Formula (I) or a pharmaceutically acceptable salt thereof.
  • signaling pathway refers to a series of interactions between cellular and optionally extra-cellular components (e.g. proteins, nucleic acids, small molecules, ions, lipids) that conveys a change in one component to one or more other components, which in turn may convey a change to additional components, which is optionally propagated to other signaling pathway components.
  • extra-cellular components e.g. proteins, nucleic acids, small molecules, ions, lipids
  • “Pharmaceutically acceptable excipient” and “pharmaceutically acceptable carrier” refer to a substance that aids the administration of an active agent to and absorption by a subject and can be included in the compositions of the present invention without causing a significant adverse toxicological effect on the patient.
  • Non-limiting examples of pharmaceutically acceptable excipients include water, NaCl, normal saline solutions, lactated Ringer's, normal sucrose, normal glucose, binders, fillers, disintegrants, lubricants, coatings, sweeteners, flavors, salt solutions (such as Ringer's solution), alcohols, oils, gelatins, carbohydrates such as lactose, amylose or starch, fatty acid esters, hydroxymethy cellulose, polyvinyl pyrrolidine, and colors, and the like.
  • Such preparations can be sterilized and, if desired, mixed with auxiliary agents such as lubricants, preservatives, stabilizers, wetting agents, emulsifiers, salts for influencing osmotic pressure, buffers, coloring, and/or aromatic substances and the like that do not deleteriously react with the compounds of the invention.
  • auxiliary agents such as lubricants, preservatives, stabilizers, wetting agents, emulsifiers, salts for influencing osmotic pressure, buffers, coloring, and/or aromatic substances and the like that do not deleteriously react with the compounds of the invention.
  • auxiliary agents such as lubricants, preservatives, stabilizers, wetting agents, emulsifiers, salts for influencing osmotic pressure, buffers, coloring, and/or aromatic substances and the like that do not deleteriously react with the compounds of the invention.
  • auxiliary agents such as lubricants, preservatives, stabilizers, wetting agents
  • preparation is intended to include the formulation of the active compound with encapsulating material as a carrier providing a capsule in which the active component with or without other carriers, is surrounded by a carrier, which is thus in association with it.
  • cachets and lozenges are included. Tablets, powders, capsules, pills, cachets, and lozenges can be used as solid dosage forms suitable for oral administration.
  • administering means oral administration, administration as a suppository, topical contact, intravenous, parenteral, intraperitoneal, intramuscular, intralesional, intrathecal, intracranial, intranasal or subcutaneous administration, or the implantation of a slow-release device, e.g., a mini-osmotic pump, to a subject.
  • Administration is by any route, including parenteral and transmucosal (e.g., buccal, sublingual, palatal, gingival, nasal, vaginal, rectal, or transdermal).
  • Parenteral administration includes, e.g., intravenous, intramuscular, intra-arterial, intradermal, subcutaneous, intraperitoneal, intraventricular, and intracranial.
  • Other modes of delivery include, but are not limited to, the use of liposomal formulations, intravenous infusion, transdermal patches, etc.
  • coadminister it is meant that a composition described herein is administered at the same time, just prior to, or just after the administration of one or more additional therapies (e.g., anticancer agent, chemotherapeutic, or treatment for a neurodegenerative disease).
  • additional therapies e.g., anticancer agent, chemotherapeutic, or treatment for a neurodegenerative disease.
  • the compound of the invention can be administered alone or can be coadministered to the patient.
  • Coadministration is meant to include simultaneous or sequential administration of the compound individually or in combination (more than one compound or agent).
  • the preparations can also be combined, when desired, with other active substances (e.g. to reduce metabolic degradation).
  • eIF2B refers to the heteropentameric eukaryotic translation initiation factor 2B.
  • eIF2B is composed of five subunits: eIF2Bl , eIF2B2, eIF2B3, eIF2B4 and eIF2B5.
  • eIF2Bl refers to the protein associated with Entrez gene 1967, OMIM 606686, Uniprot Q 14232, and/or RefSeq (protein) NP 00 I 405.
  • eIF2B2 refers to the protein associated with Entrez gene 8892, OMIM 606454, Uniprot P49770, and/or RefSeq (protein) NP_055054.
  • eIF2B3 refers to the protein associated with Entrez gene 8891, OMIM 606273, Uniprot
  • eIF2B4 refers to the protein associated with Entrez gene 8890, OMIM 606687, Uniprot Q9UI10, and/or RefSeq (protein) NP_751945.
  • eIF2B5 refers to the protein associated with Entrez gene 8893, OMIM 603945, Uniprot Q13144, and/or RefSeq (protein) NP_003898.
  • eIF2alpha eIF2a
  • eIF2a eIF2a
  • eIF2a eIF2a
  • eIF2alpha refers to the human protein. Included in the terms eIF2alpha”, “eIF2a”or “eIF2a” are the wildtype and mutant forms of the protein.
  • eIF2alpha refers to the protein associated with Entrez Gene 1965, OMIM 603907, UniProt P05198, and/or RefSeq (protein) NP_004085.
  • the reference numbers immediately above refer to the protein and associated nucleic acids known as of the date of filing of this application.
  • the present invention features a compound of Formula (I):
  • D is a bridged monocyclic cycloalkyl, bridged monocyclic heterocyclyl, or cubanyl, wherein each bridged monocyclic cycloalkyl, bridged monocyclic heterocyclyl, or cubanyl is optionally substituted with 1-4 R x groups;
  • L 1 and L 2 are each independently C1-C6 alkylene, C2-C6 alkenylene, 2-7-membered heteroalkylene, O, or NR , wherein each C1-C6 alkylene, C2-C6 alkenylene, or 2-7-membered heteroalkylene is optionally substituted with 1-5 R x ;
  • R 1 and R 2 are each independently hydrogen, C1-C6 alkyl, C1-C6 alkoxy-Ci-C6 alkyl, hydroxy-Ci-C6 alkyl, silyloxy-Ci-C6 alkyl
  • each R is independently hydrogen, C1-C6 alkyl, or halo-Ci-C6 alkyl
  • each R F is independently hydrogen, C1-C6 alkyl, or halo
  • each R is independently aryl or 5-6 membered heteroaryl, wherein each aryl or 5-6 membered heteroaryl is optionally substituted with 1-5 R H
  • each R H is
  • D is a bridged monocyclic cycloalkyl or cubanyl, each of which is optionally substituted with 1-4 R x groups.
  • D is a bridged 4-6 membered monocyclic cycloalkyl or cubanyl, each of which is optionally substituted with 1 -4 R x groups.
  • D is selected from cubane, bicyclo[l . l . l]pentane, bicyclo[2.2.1]heptane, bicyclo[2.2.2]octane, bicyclo[2.1.1]hexane, or bicyclo[3.1.1]heptane, each of which is optionally substituted with 1 -4 R x groups.
  • D is selected from cubane, bicyclo[l . l . l]pentane, bicyclo[2.2.2]octane, bicyclo[2.1.1]hexane, or bicyclo[3.1. l]heptane, each of which is optionally substituted with 1 -4 R x groups.
  • D is substituted with 1 R x .
  • R x is Ci-Ce alkyl, oxo, halo, cyano, -OR A , -OS(0) 2 R D , -S(0) 2 R D , -SR E , NR B C(0)R D , -C(0)NR B R c , -C(0)R D , - C(0)OH, NR B R C , or G 2 (e.g., CH 3 , oxo, fluoro, OH, cyano, OCH 3 , NH 2 , N(CH 3 ) 2 ,
  • R x is oxo, -OR A , or NR B R C (e.g., oxo, OH, OCH 3 , N(CH 3 ) 2 , or OC(0)R D ).
  • G 2 is aryl or 5-6 membered heteroaryl (e.g., oxadiazolyl, or tetrazolyl).
  • D is substituted with 0 R x . In some embodiments, D is
  • At least one of L 1 and L 2 is independently 2-7-membered heteroalkylene, O, or NR C , wherein heteroalkylene is optionally substituted by 1-5 R x . In some embodiments, at least one of L 1 and L 2 is independently 2-7-membered heteroalkylene optionally substituted by 1-5 R x . In some embodiments, both L 1 and L 2 are independently 2-7- membered heteroalkylene optionally substituted by 1-5 R x .
  • one of L 1 and L 2 is independently C1-C6 alkylene or C 2 -C6 alkenylene and the other of L 1 and L 2 is independently 2-7-membered heteroalkylene, and wherein each C1-C6 alkylene, C 2 -C6 alkenylene, and 2-7-membered heteroalkylene is optionally substituted by 1 -5 R x .
  • both of L 1 and L 2 are C1-C6 alkylene or C 2 -C6 alkenylene, and wherein each Ci- Ce alkylene, and C 2 -C6 alkenylene is optionally substituted by 1 -5 R x .
  • both of L 1 and L 2 are C 2 -C6 alkenylene, optionally substituted by 1 -5 R x .
  • each R x is independently C1-C6 alkyl, hydroxy-Ci-C6 alkyl, oxo, or -C(0)R D (e.g., CH 3 , OH, oxo, CH 2 OH, CH 2 OCH 3 , or C(0)CH 3 ).
  • each R x is independently Ci-C 6 alkyl, oxo, or -C(0)R D (e.g., CH 3 , oxo, or C(0)CH 3 ).
  • L 1 is CH 2 0-*
  • t is 1. In some embodiments, t is 0.
  • R 1 and R 2 are each independently hydrogen, C1-C6 alkyl, hydroxyl-Ci-C6 alkyl, or silyloxy-Ci-C6 alkyl.
  • one ofR 1 and R 2 is independently hydrogen and the other of R 1 and R 2 is independently hydrogen, C1-C6 alkyl, Ci- Ce hydroxyl-Ci-C6 alkyl, or silyloxy-Ci-C6 alkyl.
  • R 1 and R 2 are each independently hydrogen, *-CH 3 , *-CH 2 CH 2 OH, or *-CH 2 CH 2 OSi(CH 3 ) 2 C(CH 3 ) 3 , and "*-" indicates the attachment point to the nitrogen atom.
  • R 1 and R 2 are independently hydrogen and the other of R 1 and R 2 is independently hydrogen, *-CH 3 , *- CH 2 CH 2 OH, or *-CH 2 CH 2 OSi(CH 3 ) 2 C(CH 3 ) 3 , and "*-" indicates the attachment point to the nitrogen atom.
  • R 1 and R 2 are each independently hydrogen.
  • A is phenyl and W is independently phenyl or 5-6-membered heteroaryl.
  • each A and W is independently phenyl.
  • A is phenyl and W is 5-6-membered heteroaryl.
  • W is a monocyclic 5-6-membered heteroaryl.
  • 2 R Y groups on adjacent atoms of W, together with the atoms to which they are attached form a 3-7-membered fused cycloalkyl or heterocyclyl optionally substituted with 1-5 R x forming a bi cyclic heteroaryl.
  • W is a 10-membered heteroaryl, a 9- membered heteroaryl, a 6-membered heteroaryl, or a 5-membered heteroaryl.
  • W is a heteroaryl containing nitrogen, oxygen or sulfur as allowed by valence.
  • each A and W is independently phenyl or 5-6-membered heteroaryl optionally substituted with 1-5 R Y
  • each R Y is independently C 1 -C6 alkyl, hydroxy-Ci-C6 alkyl, halo-Ci-C6 alkyl, halo-Ci-C6 alkoxy, amino-Ci-C6 alkyl, cyano-Ci-C6 alkyl, halo, cyano, -OR A , -NR B R C , -C(0)R D , -C(0)OH, -C(0)OR D , -S(R F ) m ,-S(0) 2 R D , or G 1 .
  • each of A and W is independently phenyl, pyridyl, pyrazinyl, pyridazinyl, pyridazinonyl, triazinyl, triazolyl, oxadiazolyl, or oxadiazolonyl, each of which is optionally substituted with 1-5 R Y groups
  • each of A and W is independently phenyl, pyridyl, pyrazinyl, pyridazinyl, pyridazinonyl, oxadiazolyl, or oxadiazolonyl, each of which is optionally substituted with 1-5 R Y groups.
  • each of A and W is independently selected from:
  • A is phenyl and W is phenyl or 5-6-membered heteroaryl, each of A and W is optionally substituted with 1-5 R Y , and each R Y is independently C1-C6 alkyl, hydroxy-Ci-C6 alkyl, halo-Ci-C6 alkyl, halo-Ci-C6 alkoxy, amino-Ci-C6 alkyl, cyano-Ci-
  • A is phenyl and W is phenyl, pyridyl, pyrazinyl, pyridazinyl,
  • A is phenyl and W is phenyl or 5-6-membered heteroaryl.
  • each of A and W is optionally substituted with 1-5 R Y , and each R Y is independently C1-C6 alkyl, hydroxy-Ci-C6 alkyl, halo-Ci-C6 alkyl, halo-Ci-C6 alkoxy, amino- Ci-C 6 alkyl, cyano-Ci-C 6 alkyl, halo, cyano, -OR A , -NR B R C , -C(0)R D , -C(0)OH, - C(0)OR D , -S(R F ) m ,-S(0) 2 R D , or G 1 .
  • each R Y is independently chloro, fluoro, iodo, CF 3 , CHF 2 , CH 2 CF 3 , CH 3 , CH 2 CH 3 , C(CH 3 ) 2 OH, OCH 3 , OCH 2 CH 3i OCF 3 , S(0) 2 CH 3 , S(0) 2 CH 2 CH 2 CH 3 , CN, N(CH 3 ) 2 , SF 5 , SCH 3 , NH 2 , C(CH) 3 , CH(CH 3 ) 2 , CH 2 CN, CH 2 NH 2 , CH(OH)CH 3 , C(OH)(CH 3 )CF 3 , S(0) 2 CH 3 , C(0)CH 3 , C(0)OCH 3 , C(0)OH, OCHF 2 or G 1 .
  • each R Y is independently chloro, fluoro, iodo, CF 3 , CH 3 , CH 2 CH 3 , OCH 3 , S(0) 2 CH 3 , CN, N(CH 3 ) 2 , SF 5 , NH 2 , C(CH) 3 , CH(CH 3 ) 2 , CH 2 CN, CH 2 NH 2 , CH(OH)CH 3 , C(0)CH 3 , C(0)OCH 3 , C(0)OH, OCHF 2 or G 1 .
  • each A and W is independently substituted with 2 R Y on adjacent atoms, and the 2 R Y , together with the atoms to which they are attached, form a 3-7- membered fused cycloalkyl, 3-7-membered fused heterocyclyl, fused aryl, or 5-6-membered fused heteroaryl ring optionally substituted with 1-5 R x .
  • 2 R Y together with the atoms to which they are attached form a pyrazolyl, pyrrolyl, isoxazolyl, thiophenyl, furanyl, or dioxolanyl ring, each of which is optionally substituted with 1-5 R x .
  • each R x is independently C1-C6 alkyl or halo (e.g., CH 3 or fluoro).
  • G 1 is cyclopropyl, isoxazolyl, piperidinyl, phenyl, or pyrazolyl, each of which is optionally substituted with 1-5 R z .
  • G 1 is cyclopropyl, isoxazolyl, or pyrazolyl, each of which is optionally substituted with 1-5 R z .
  • each R z is independently C1-C6 alkyl (e.g., CH 3 ) or halo (e.g., chloro).
  • each R z is independently C1-C6 alkyl (e.g., CH 3 ).
  • the present invention features a compound of Formula (I-a):
  • D is a bridged monocyclic cycloalkyl, bridged monocyclic heterocyclyl, or cubanyl, wherein each bridged monocyclic cycloalkyl, bridged monocyclic heterocyclyl, or cubanyl is optionally substituted with 1-4 R x groups;
  • L 1 and L 2 are each independently C1-C6 alkylene, C2-C6 alkenylene, or 2-7-membered heteroalkylene, wherein each C1-C6 alkylene, C2- Ce alkenylene, or 2-7-membered heteroalkylene is optionally substituted with 1-5 R x ;
  • R 1 and R 2 are each independently hydrogen, C1-C6 alkyl, C1-C6 alkoxy-Ci-C6 alkyl, hydroxy-Ci-C6 alkyl, silyloxy-Ci-C6 alkyl;
  • a and W are each independently
  • each R D is independently C1-C6 alkyl, 2-7-membered heteroalkyl, or halo-Ci-C6 alkyl, wherein each C1-C6 alkyl, 2-7- membered heteroalkyl, or halo-Ci-C6 alkyl is optionally substituted with 1-5 R G ;
  • each R E is independently hydrogen, C1-C6 alkyl, or halo-Ci-C6 alkyl;
  • each R F is independently hydrogen, C1-C6 alkyl, or halo;
  • each R G is independently aryl or 5-6 membered heteroaryl, wherein each aryl or 5-6 membered heteroaryl is optionally substituted with 1-5 R H ; each R H is
  • D is a bridged monocyclic cycloalkyl or cubanyl, each of which is optionally substituted with 1-4 R x groups. In some embodiments, D is a bridged 4-6 membered monocyclic cycloalkyl or cubanyl, each of which is optionally substituted with 1 -4 R x groups. In some embodiments, D is selected from cubane, bicyclo[l . l . l]pentane, bicyclo[2.2.2]octane, bicyclo[2.1.1]hexane, or bicyclo[3.1.1]heptane, each of which is optionally substitute some embodiments, D is selected from:
  • D is selected
  • D is substituted with 1 R x .
  • R x is oxo, -OR A , or NR B R C (e.g., oxo, OH, OCH 3 , N(CH 3 ) 2 , or OC(0)R D ).
  • D is substituted with 0 R x .
  • D is
  • L 1 and L 2 is independently 2-7-membered heteroalkylene optionally substituted by 1 -5 R x . In some embodiments, both L 1 and L 2 are independently 2-7-membered heteroalkylene optionally substituted by 1 -5 R x . In some embodiments, one of L 1 and L 2 is independently Ci-Ce alkylene or C2-C6 alkenylene and the other of L 1 and L 2 is independently 2-7-membered heteroalkylene, and wherein each C1-C6 alkylene, C2-C6 alkenylene, and 2-7-membered heteroalkylene is optionally substituted by 1 -5 R x .
  • each R x is independently C1-C6 alkyl, oxo, or -C(0)R D (e.g., CH 3 , oxo, or C(0)CH 3 ).
  • L 1 is CH 2 0-*
  • t is 1. In some embodiments, t is 0.
  • R 1 and R 2 are each independently hydrogen, C1-C6 alkyl, hydroxyl-Ci-C6 alkyl, or silyloxy-Ci-C6 alkyl.
  • one ofR 1 and R 2 is independently hydrogen and the other of R 1 and R 2 is independently hydrogen, C1-C6 alkyl, Ci- Ce hydroxyl-Ci-C6 alkyl, or silyloxy-Ci-C6 alkyl.
  • R 1 and R 2 are each independently hydrogen, *-CH 3 , *-CH 2 CH 2 OH, or *-CH 2 CH 2 OSi(CH 3 ) 2 C(CH 3 ) 3 , and "*-" indicates the attachment point to the nitrogen atom.
  • one of R 1 and R 2 is independently hydrogen and the other of R 1 and R 2 is independently hydrogen, *-CH 3 , *- CH 2 CH 2 OH, or *-CH 2 CH 2 OSi(CH 3 ) 2 C(CH 3 ) 3 , and "*-" indicates the attachment point to the nitrogen atom.
  • R 1 and R 2 are each independently hydrogen.
  • each A and W is independently a phenyl or 5-6-membered heteroaryl optionally substituted with 1-5 R Y groups
  • each R Y is independently C1-C6 alkyl, hydroxy-Ci-C6 alkyl, halo-Ci-C6 alkyl, halo-Ci-C6 alkoxy, amino-Ci-C6 alkyl, cyano-Ci-C6 alkyl, halo, cyano, -OR A , -NR B R C , -C(0)R D , -C(0)OH, -C(0)OR D , -S(R F ) m ,-S(0) 2 R D , or G 1 .
  • each of A and W is independently phenyl, pyridyl, pyrazinyl, pyridazinyl, pyridazinonyl, oxadiazolyl, or oxadiazolonyl, each of which is optionally substituted with 1 -5 R Y groups.
  • each of A and W is independently selected from:
  • A is phenyl and W is phenyl or 5-6-membered heteroaryl, each of A and W is optionally substituted with 1-5 R Y , and each R Y is independently C1-C6 alkyl, hydroxy-Ci-C6 alkyl, halo-Ci-C6 alkyl, halo-Ci-C6 alkoxy, amino-Ci-C6 alkyl, cyano-Ci- C 6 alkyl, halo, cyano, -OR A , -NR B R C , -C(0)R D , -C(0)OH, -C(0)OR D , -S(R F ) m ,-S(0) 2 R D , or G 1 .
  • A is phenyl and W is phenyl, pyridyl, pyrazinyl, pyridazinyl, pyridazinonyl, oxadiazolyl, or oxadiazolonyl, each of which is optionally substituted with 1-5
  • each R is independently chloro, fluoro, iodo, CF 3 , CH 3 , CH 2 CH 3 , OCH 3 , S(0) 2 CH 3 , CN, N(CH 3 ) 2 , SF 5 , NH 2 , C(CH) 3 , CH(CH 3 ) 2 , CH 2 CN, CH 2 NH 2 , CH(OH)CH 3 , C(0)CH 3 , C(0)OCH 3 , C(0)OH, OCHF 2 or G 1 .
  • each A and W is independently substituted with 2 R Y on adjacent atoms, and the 2 R Y , together with the atoms to which they are attached, form a 3-7- membered fused cycloalkyl, 3-7-membered fused heterocyclyl, fused aryl, or 5-6-membered fused heteroaryl ring optionally substituted with 1-5 R x .
  • 2 R Y together with the atoms to which they are attached form a pyrazolyl, pyrrolyl, isoxazolyl, furanyl, or dioxolanyl ring, each of which is optionally substituted with 1-5 R x .
  • each R x is independently C1-C6 alkyl or halo (e.g., CH 3 or fluoro).
  • G 1 is cyclopropyl, isoxazolyl, or pyrazolyl, each of which is optionally substituted with 1-5 R z .
  • each R z is independently C1-C6 alkyl (e.g., CH 3 ).
  • the compound of Formula (I) is a compound of Formula (I-b):
  • D is (l,2,3,4,6,7)-cubane, bicyclo[l . l . l]pentane, bicyclo[2.2.2]octane,
  • R 1 and R 2 are each independently hydrogen, CH 3 , CH 2 CH 2 OH, or CH 2 CH 2 OSi(CH 3 ) 2 C(CH 3 ) 3 ;
  • a and W are each independently phenyl, pyridyl, pyrazinyl, pyridazinyl, pyridazinonyl, triazinyl, thiazolyl, triazolyl, oxadiazolyl, or oxadiazolonyl, each of which is optionally substituted with 1 -5 R Y ; each R x is independently selected from CH 3 , oxo, fluoro, OH, cyano, OCH 3 , NH 2
  • each R is CH 2 0 optionally substituted with 1 -5 R ; each R is independently pyridyl optionally substituted with 1-5 R H ; each R H is independently CF 3 ; each R z is independently CH 3 ; and t is 0 or 1.
  • the compound of Formula (I) is a compound of Formula (I-c):
  • R x is d-C6 alkyl, oxo, halo, cyano, -OR A , -OS(0) 2 R D , -
  • R x is oxo, -OR A , or NR B R C (e.g., oxo, OH, OCH 3 , N(CH 3 ) 2 , or OC(0)R D ).
  • G 2 is aryl or 5-6 membered heteroaryl (e.g., oxadiazolyl, or tetrazolyl).
  • At least one of L 1 and L 2 is independently 2-7-membered heteroalkylene, O, or NR C , wherein heteroalkylene is optionally substituted by 1-5 R x . In some embodiments, at least one of L 1 and L 2 is independently 2-7-membered heteroalkylene optionally substituted by 1-5 R x . In some embodiments, both L 1 and L 2 are independently 2-7- membered heteroalkylene optionally substituted by 1-5 R x .
  • one of L 1 and L 2 is independently Ci-Ce alkylene or C 2 -C6 alkenylene and the other of L 1 and L 2 is independently 2-7-membered heteroalkylene, and wherein each C1-C6 alkylene, C 2 -C6
  • both of L 1 and L 2 are C1-C6 alkylene or C 2 -C6 alkenylene, and wherein each Ci- Ce alkylene, and C 2 -C6 alkenylene is optionally substituted by 1 -5 R x .
  • both of L 1 and L 2 are C 2 -C6 alkenylene, optionally substituted by 1 -5 R x .
  • R x is C1-C6 alkyl, oxo, halo, cyano, -OR A , -OS(0) 2 R D , - S(0) 2 R D , -SR E , NR B C(0)R D , -C(0)NR B R c , -C(0)R D , -C(0)OH, NR B R C , or G 2 (e.g., CH 3 , oxo, fluoro, OH, cyano, OCH 3 , NH 2 , N(CH 3 ) 2 , NHC(0)CH 3 , OC(0)CH 3 , C(0)NH 2 ,
  • G 2 e.g., CH 3 , oxo, fluoro, OH, cyano, OCH 3 , NH 2 , N(CH 3 ) 2 , NHC(0)CH 3 , OC(0)CH 3 , C(0)NH 2 ,
  • R x is oxo, -OR A , or NR B R C (e.g., oxo, OH, OCH 3 , N(CH 3 ) 2 , or OC(0)R D ).
  • G 2 is aryl or 5-6 membered heteroaryl (e.g., oxadiazolyl, or tetrazolyl).
  • CH 2 CH 2 OCH 2 -* NHCH 2 -*, CH 2 NH-*, CH 2 N(CH 3 )-*, CH 2 N(CH 3 )C(0)-*, CH 2 N(C(0)CH 3 )- *, CH 2 CH(OH)-*, CH(OH)-*, CH(OH)CH 2 CH 2 -*, CH 2 CH(OH)-*, CH 2 NHC(0)-*, - NHC(0)OCH 2 -*, O-*, NH-*, S(0) 2 CH 2 -*, S(0) 2 CH 2 CH 2 -*, S(0) 2 CH 2 CH 2 0-*, or CH 2 C(0)- *, and "-*" indicates the attachment point to A and W, respectively.
  • L 1 is CH 2 0-*
  • t is 1. In some embodiments, t is 0.
  • R 1 and R 2 are each independently hydrogen, C1-C6 alkyl, hydroxyl-Ci-C6 alkyl, or silyloxy-Ci-C6 alkyl.
  • one ofR 1 and R 2 is independently hydrogen and the other of R 1 and R 2 is independently hydrogen, C1-C6 alkyl, Ci- Ce hydroxyl-Ci-C6 alkyl, or silyloxy-Ci-C6 alkyl.
  • R 1 and R 2 are each independently hydrogen, *-CH 3 , *-CH 2 CH 2 OH, or *-CH 2 CH 2 OSi(CH 3 ) 2 C(CH 3 ) 3 , and "*-" indicates the attachment point to the nitrogen atom.
  • one of R 1 and R 2 is independently hydrogen and the other of R 1 and R 2 is independently hydrogen, *-CH 3 , *- CH 2 CH 2 OH, or *-CH 2 CH 2 OSi(CH 3 ) 2 C(CH 3 ) 3 , and "*-" indicates the attachment point to the nitrogen atom.
  • R 1 and R 2 are each independently hydrogen.
  • A is phenyl and W is independently phenyl or 5-6-membered heteroaryl. In some embodiments, each A and W is independently phenyl. In some embodiments, A is phenyl and W is 5-6-membered heteroaryl. In some embodiments, W is a monocyclic 5-6-membered heteroaryl. In some embodiments, 2 R Y groups on adjacent atoms of W, together with the atoms to which they are attached form a 3-7-membered fused cycloalkyl or heterocyclyl optionally substituted with 1-5 R x forming a bi cyclic heteroaryl.
  • W is a 10-membered heteroaryl, a 9- membered heteroaryl, a 6-membered heteroaryl, or a 5-membered heteroaryl. In some embodiments, W is a heteroaryl containing nitrogen, oxygen or sulfur as allowed by valence.
  • each A and W is independently phenyl or 5-6-membered heteroaryl optionally substituted with 1-5 R Y
  • each R Y is independently C1-C6 alkyl, hydroxy-Ci-C6 alkyl, halo-Ci-C6 alkyl, halo-Ci-C6 alkoxy, amino-Ci-C6 alkyl, cyano-Ci-C6 alkyl, halo, cyano, -OR A , -NR B R C , -C(0)R D , -C(0)OH, -C(0)OR D , -S(R F ) m ,-S(0) 2 R D , or G 1 .
  • each of A and W is independently phenyl, pyridyl, pyrazinyl, pyridazinyl, pyridazinonyl, triazinyl, triazolyl, oxadiazolyl, or oxadiazolonyl, each of which is optionally substituted with 1-5 R Y groups
  • each of A and W is independently phenyl, pyridyl, pyrazinyl, pyridazinyl, pyridazinonyl, oxadiazolyl, or oxadiazolonyl, each of which is optionally substituted with 1-5 R Y groups.
  • each of A and W is independently selected from:
  • A is phenyl and W is phenyl or 5-6-membered heteroaryl, each of A and W is optionally substituted with 1-5 R Y , and each R Y is independently C1-C6 alkyl, hydroxy-Ci-C6 alkyl, halo-Ci-C6 alkyl, halo-Ci-C6 alkoxy, amino-Ci-C6 alkyl, cyano-Ci-
  • A is phenyl and W is phenyl, pyridyl, pyrazinyl, pyridazinyl, pyridazinonyl, oxadiazolyl, or oxadiazolonyl, each of which is optionally substituted with 1-5
  • A is phenyl and W is phenyl or 5-6-membered heteroaryl.
  • each of A and W is optionally substituted with 1-5 R Y , and each R Y is independently C1-C6 alkyl, hydroxy-Ci-C6 alkyl, halo-Ci-C6 alkyl, halo-Ci-C6 alkoxy, amino- Ci-C 6 alkyl, cyano-Ci-C 6 alkyl, halo, cyano, -OR A , -NR B R C , -C(0)R D , -C(0)OH, - C(0)OR D , -S(R F ) m ,-S(0) 2 R D , or G 1 .
  • each R Y is independently chloro, fluoro, iodo, CF 3 , CHF 2 , CH 2 CF 3 , CH 3 , CH 2 CH 3 , C(CH 3 ) 2 OH, OCH 3 , OCH 2 CH 3i OCF 3 , S(0) 2 CH 3 , S(0) 2 CH 2 CH 2 CH 3 , CN, N(CH 3 ) 2 , SF 5 , SCH 3 , NH 2 , C(CH) 3 , CH(CH 3 ) 2 , CH 2 CN, CH 2 NH 2 , CH(OH)CH 3 , C(OH)(CH 3 )CF 3 , S(0) 2 CH 3 , C(0)CH 3 , C(0)OCH 3 , C(0)OH, OCHF 2 or G 1 .
  • each R Y is independently chloro, fluoro, iodo, CF 3 , CH 3 , CH 2 CH 3 , OCH 3 , S(0) 2 CH 3 , CN, N(CH 3 ) 2 , SF 5 , NH 2 , C(CH) 3 , CH(CH 3 ) 2 , CH 2 CN, CH 2 NH 2 , CH(OH)CH 3 , C(0)CH 3 , C(0)OCH 3 , C(0)OH, OCHF 2 or G 1 .
  • each A and W is independently substituted with 2 R Y on adjacent atoms, and the 2 R Y , together with the atoms to which they are attached, form a 3-7- membered fused cycloalkyl, 3-7-membered fused heterocyclyl, fused aryl, or 5-6-membered fused heteroaryl ring optionally substituted with 1-5 R x .
  • 2 R Y together with the atoms to which they are attached form a pyrazolyl, pyrrolyl, isoxazolyl, thiophenyl, furanyl, or dioxolanyl ring, each of which is optionally substituted with 1-5 R x .
  • each R x is independently C1-C6 alkyl or halo (e.g., CH 3 or fluoro).
  • G 1 is cyclopropyl, isoxazolyl, piperidinyl, phenyl, or pyrazolyl, each of which is optionally substituted with 1-5 R z .
  • G 1 is cyclopropyl, isoxazolyl, or pyrazolyl, each of which is optionally substituted with 1-5 R z .
  • each R z is independently C1-C6 alkyl (e.g., CH 3 ) or halo (e.g., chloro).
  • each R z is independently C1-C6 alkyl (e.g., CH 3 ).
  • the compound of Formula (I) is a compound of Formula (I-c):
  • the compound of Formula (I) is a compound of Formula (I-e):
  • L 2 is C1-C6 alkylene, C2-C6 alkenylene, or 2-7-membered heteroalkylene optionally substituted by 1 -5 R x .
  • G 2 e.g., CH 3 , oxo, fluoro, OH, cyano, OCH 3 , NH 2 , N(
  • t is 1. In some embodiments, t is 0.
  • R 1 and R 2 are each independently hydrogen, C1-C6 alkyl, hydroxyl-Ci-C6 alkyl, or silyloxy-Ci-C6 alkyl. In some embodiments, one ofR 1 and R 2 is independently hydrogen and the other of R 1 and R 2 is independently hydrogen, C1-C6 alkyl, Ci- Ce hydroxyl-Ci-C6 alkyl, or silyloxy-Ci-C6 alkyl.
  • R 1 and R 2 are each independently hydrogen, *-CH 3 , *-CH 2 CH 2 OH, or *-CH 2 CH 2 OSi(CH3)2C(CH3)3, and "*-" indicates the attachment point to the nitrogen atom.
  • one of R 1 and R 2 is independently hydrogen and the other of R 1 and R 2 is independently hydrogen, *-CH 3 , *- CH2CH2OH, or *-CH 2 CH 2 OSi(CH3)2C(CH3)3, and "*-" indicates the attachment point to the nitrogen atom.
  • R 1 and R 2 are each independently hydrogen.
  • each A and W is independently a phenyl or heteroaryl optionally substituted with 1 -5 R Y groups. In some embodiments, each A and W is independently a phenyl or 5-6-membered heteroaryl optionally substituted with 1 -5 R Y groups, and each R Y is independently C1-C6 alkyl, hydroxy-Ci-C6 alkyl, halo-Ci-C6 alkyl, halo-Ci-C6 alkoxy, amino- Ci-C 6 alkyl, cyano-Ci-C 6 alkyl, halo, cyano, -OR A , -NR B R C , -C(0)R D , -C(0)OH, -C(0)OR D , -S(R F ) m ,-S(0) 2 R D , or G 1 .
  • each of A and W is independently phenyl, pyridyl, pyrazinyl, pyridazinyl, pyridazinonyl, oxadiazolyl, or oxadiazolonyl, each of which is optionally substituted with 1-5 R Y groups.
  • each of A and W is independently selected from:
  • A is phenyl and W is phenyl or 5-6-membered heteroan .
  • each of A and W is optionally substituted with 1-5 R , and each R is independently Ci-Ce alkyl, hydroxy-Ci-C 6 alkyl, halo-Ci-C 6 alkyl, halo-Ci-C 6 alkoxy, amino-Ci-C 6 alkyl, cyano-C i- C 6 alkyl, halo, cyano, -OR A , -NR B R C , -C(0)R D , -C(0)OH, -C(0)OR D , -S(R F ) m ,-S(0) 2 R D , or G 1 .
  • A is phenyl and W is phenyl, pyridyl, pyrazinyl, pyridazinyl, yridazinonyl, oxadiazolyl, or oxadiazolonyl, each of which is optionally substituted with 1-5
  • each R is independently chloro, fluoro, iodo, CF 3 , CHF 2 , CH 2 CF 3 , CH 3 , CH 2 CH 3 , C(CH 3 ) 2 OH, OCH 3 , OCH 2 CH 3i OCF 3 , S(0) 2 CH 3 , S(0) 2 CH 2 CH 2 CH 3 , CN, N(CH 3 ) 2 , SF 5 , SCH 3 , NH 2 , C(CH) 3 , CH(CH 3 ) 2 , CH 2 CN, CH 2 NH 2 , CH(OH)CH 3 , C(OH)(CH 3 )CF 3 , S(0) 2 CH 3 , C(0)CH 3 , C(0)OCH 3 , C(0)OH, OCHF 2 or G 1 .
  • each R is independently chloro, fluoro, iodo, CF 3 , CH 3 , CH 2 CH 3 , OCH 3 , S(0) 2 CH 3 , CN, N(CH 3 ) 2 , SF 5 , NH 2 , C(CH) 3 , CH(CH 3 ) 2 , CH 2 CN, CH 2 NH 2 , CH(OH)CH 3 , C(0)CH 3 , C(0)OCH 3 , C(0)OH, OCHF 2 or G 1 .
  • each A and W is independently substituted with 2 R Y on adjacent atoms, and the 2 R Y , together with the atoms to which they are attached, form a 3-7- membered fused cycloalkyl, 3-7-membered fused heterocyclyl, fused aryl, or 5-6-membered fused heteroaryl ring optionally substituted with 1-5 R x .
  • 2 R Y together with the atoms to which they are attached form a pyrazolyl, pyrrolyl, isoxazolyl, furanyl, or dioxolanyl ring, each of which is optionally substituted with 1-5 R x .
  • each R x is independently C1-C6 alkyl or halo (e.g., CH 3 or fluoro).
  • G 1 is cyclopropyl, isoxazolyl, piperidinyl, phenyl, or pyrazolyl, each of which is optionally substituted with 1-5 R z .
  • each R z is independently C1-C6 alkyl (e.g., CH 3 ) or halo (e.g., chloro).
  • L 2 is C1-C6 alkylene, C 2 -C6 alkenylene, or 2-7-membered heteroalkylene optionally substituted by 1-5 R x . In some embodiments, L 2 is 2-7-membered heteroalkylene, O, or NR , optionally substituted by 1-5 R .
  • each R is independently C1-C6 alkyl, oxo, halo, cyano, -OR", - OS(0) 2 R D , -S(0) 2 R D , -SR E , NR B C(0)R D , -C(0)NR B R c , -C(0)R D , -C(0)OH, NR B R C , or G 2 (e.g., CH 3 , oxo, fluoro, OH, cyano, OCH 3 , NH 2 , N(CH 3 ) 2 , NHC(0)CH 3 , OC(0)CH 3 , C(0)NH 2 , OS(0) 2 CH 3 , -S(0) 2 CH 3 , -S(0) 2 CH 2 CH 3 , C(0)OH, OC(0)R D , -C(0)CH 3 , or -SCH 3 ).
  • G 2 e.g., CH 3 , oxo, fluoro, OH, cyano, OCH 3 , NH 2
  • t is 1. In some embodiments, t is 0.
  • R 1 and R 2 are each independently hydrogen, Ci-Ce alkyl, hydroxyl-Ci-C6 alkyl, or silyloxy-Ci-C6 alkyl. In some embodiments, one ofR 1 and R 2 is independently hydrogen and the other of R 1 and R 2 is independently hydrogen, C1-C6 alkyl, Ci- Ce hydroxyl-Ci-C6 alkyl, or silyloxy-Ci-C6 alkyl. In some embodiments, R 1 and R 2 are each independently hydrogen, *-CH 3 , *-CH 2 CH 2 OH, or *-CH 2 CH 2 OSi(CH 3 ) 2 C(CH 3 ) 3 , and "*-" indicates the attachment point to the nitrogen atom.
  • one of R 1 and R 2 is independently hydrogen and the other of R 1 and R 2 is independently hydrogen, *-CH 3 , *- CH 2 CH 2 OH, or *-CH 2 CH 2 OSi(CH 3 ) 2 C(CH 3 ) 3 , and "*-" indicates the attachment point to the nitrogen atom.
  • R 1 and R 2 are each independently hydrogen.
  • each A and W is independently phenyl or 5-6-membered heteroaryl optionally substituted with 1-5 R Y
  • each R Y is independently C1-C6 alkyl, hydroxy-Ci-C6 alkyl, halo-Ci-C6 alkyl, halo-Ci-C6 alkoxy, amino-Ci-C6 alkyl, cyano-Ci-C6 alkyl, halo, cyano, -OR A , -NR B R C , -C(0)R D , -C(0)OH, -C(0)OR D , -S(R F ) m ,-S(0) 2 R D , or G 1 .
  • each of A and W is independently phenyl, pyridyl, pyrazinyl, pyridazinyl, pyridazinonyl, triazinyl, triazolyl, oxadiazolyl, or oxadiazolonyl, each of which is optionally substituted with 1-5 R Y groups
  • each of A and W is independently phenyl, pyridyl, pyrazinyl, pyridazinyl, pyridazinonyl, oxadiazolyl, or oxadiazolonyl, each of which is optionally substituted with 1 -5 R Y groups.
  • each of A and W is independently selected from:
  • A is phenyl and W is phenyl or 5-6-membered heteroaryl, each of A and W is optionally substituted with 1-5 R Y , and each R Y is independently C1-C6 alkyl, hydroxy-Ci-C6 alkyl, halo-Ci-C6 alkyl, halo-Ci-C6 alkoxy, amino-Ci-C6 alkyl, cyano-Ci- C 6 alkyl, halo, cyano, -OR A , -NR B R C , -C(0)R D , -C(0)OH, -C(0)OR D , -S(R F ) m ,-S(0) 2 R D , or G 1 .
  • A is phenyl and W is phenyl, pyridyl, pyrazinyl, pyridazinyl, pyridazinonyl, oxadiazolyl, or oxadiazolonyl, each of which is optionally substituted with 1-5
  • A is phenyl and W is phenyl or 5-6-membered heteroaryl.
  • each of A and W is optionally substituted with 1-5 R Y , and each R Y is independently C1-C6 alkyl, hydroxy-Ci-C6 alkyl, halo-Ci-C6 alkyl, halo-Ci-C6 alkoxy, amino- Ci-C 6 alkyl, cyano-Ci-C 6 alkyl, halo, cyano, -OR A , -NR B R C , -C(0)R D , -C(0)OH, - C(0)OR D , -S(R F ) m ,-S(0) 2 R D , or G 1 .
  • each R Y is independently chloro, fluoro, iodo, CF 3 , CHF 2 , CH 2 CF 3 , CH 3 , CH 2 CH 3 , C(CH 3 ) 2 OH, OCH 3 , OCH 2 CH 3i OCF 3 , S(0) 2 CH 3 , S(0) 2 CH 2 CH 2 CH 3 , CN, N(CH 3 ) 2 , SF 5 , SCH 3 , NH 2 , C(CH) 3 , CH(CH 3 ) 2 , CH 2 CN, CH 2 NH 2 , CH(OH)CH 3 , C(OH)(CH 3 )CF 3 , S(0) 2 CH 3 , C(0)CH 3 , C(0)OCH 3 , C(0)OH, OCHF 2 or G 1 .
  • each R Y is independently chloro, fluoro, iodo, CF 3 , CH 3 , CH 2 CH 3 , OCH 3 , S(0) 2 CH 3 , CN, N(CH 3 ) 2 , SF 5 , NH 2 , C(CH) 3 , CH(CH 3 ) 2 , CH 2 CN, CH 2 NH 2 , CH(OH)CH 3 , C(0)CH 3 , C(0)OCH 3 , C(0)OH, OCHF 2 or G 1 .
  • each A and W is independently substituted with 2 R on adjacent atoms, and the 2 R Y , together with the atoms to which they are attached, form a 3-7- membered fused cycloalkyl, 3-7-membered fused heterocyclyl, fused aryl, or 5-6-membered fused heteroaryl ring optionally substituted with 1-5 R x .
  • 2 R Y together with the atoms to which they are attached form a pyrazolyl, pyrrolyl, isoxazolyl, thiophenyl, furanyl, or dioxolanyl ring, each of which is optionally substituted with 1-5 R x .
  • each R x is independently C1-C6 alkyl or halo (e.g., CH 3 or fluoro).
  • G 1 is cyclopropyl, isoxazolyl, piperidinyl, phenyl, or pyrazolyl, each of which is optionally substituted with 1-5 R z .
  • G 1 is cyclopropyl, isoxazolyl, or pyrazolyl, each of which is optionally substituted with 1-5 R z .
  • each R z is independently C1-C6 alkyl (e.g., CH 3 ) or halo (e.g., chloro).
  • each R z is independently C1-C6 alkyl (e.g., CH3).
  • the compound of Formula (I) is a compound of Formula (I-g):
  • the compound of Formula (I) is a compound of Formula (I-h):
  • the compound of Formula (I) is a compound of Formula (I-i):
  • L 2 is C1-C6 alkylene, C2-C6 alkenylene, or 2-7-membered heteroalkylene optionally substituted by 1 -5 R x . In some embodiments, L 2 is 2-7-membered heteroalkylene, O, or NR , optionally substituted by 1 -5 R .
  • each R is independently Ci-Ce alkyl, oxo, halo, cyano, -OR", - OS(0) 2 R D , -S(0) 2 R D , -SR E , NR B C(0)R D , -C(0)NR B R c , -C(0)R D , -C(0)OH, NR B R C , or G 2 (e.g., CH 3 , oxo, fluoro, OH, cyano, OCH 3 , NH 2 , N(CH 3 ) 2 , NHC(0)CH 3 , OC(0)CH 3 , C(0)NH 2 , OS(0) 2 CH 3 , -S(0) 2 CH 3 , -S(0) 2 CH 2 CH 3 , C(0)OH, OC(0)R D , -C(0)CH 3 , or -SCH 3 ).
  • G 2 e.g., CH 3 , oxo, fluoro, OH, cyano, OCH 3 , NH 2
  • t is 1. In some embodiments, t is 0.
  • R 1 and R 2 are each independently hydrogen, C1-C6 alkyl, hydroxyl-Ci-C6 alkyl, or silyloxy-Ci-C6 alkyl.
  • one ofR 1 and R 2 is independently hydrogen and the other of R 1 and R 2 is independently hydrogen, C1-C6 alkyl, Ci- Ce hydroxyl-Ci-C6 alkyl, or silyloxy-Ci-C6 alkyl.
  • R 1 and R 2 are each independently hydrogen, *-CH 3 , *-CH 2 CH 2 OH, or *-CH 2 CH 2 OSi(CH 3 ) 2 C(CH 3 ) 3 , and "*-" indicates the attachment point to the nitrogen atom.
  • one of R 1 and R 2 is independently hydrogen and the other of R 1 and R 2 is independently hydrogen, *-CH 3 , *- CH 2 CH 2 OH, or *-CH 2 CH 2 OSi(CH3)2C(CH3)3, and "*-" indicates the attachment point to the nitrogen atom.
  • R 1 and R 2 are each independently hydrogen.
  • each A and W is independently phenyl or 5-6-membered heteroaryl optionally substituted with 1-5 R Y
  • each R Y is independently C1-C6 alkyl, hydroxy-Ci-C6 alkyl, halo-Ci-C6 alkyl, halo-Ci-C6 alkoxy, amino-Ci-C6 alkyl, cyano-Ci-C6 alkyl, halo, cyano, -OR A , -NR B R C , -C(0)R D , -C(0)OH, -C(0)OR D , -S(R F ) m ,-S(0) 2 R D , or G 1 .
  • each of A and W is independently phenyl, pyridyl, pyrazinyl, pyridazinyl, pyridazinonyl, triazinyl, triazolyl, oxadiazolyl, or oxadiazolonyl, each of which is optionally substituted with 1-5 R Y groups
  • each of A and W is independently phenyl, pyridyl, pyrazinyl, pyridazinyl, pyridazinonyl, oxadiazolyl, or oxadiazolonyl, each of which is optionally substituted with 1-5 R Y groups.
  • each of A and W is independently selected from:
  • A is phenyl and W is phenyl or 5-6-membered heteroaryl, each of A and W is optionally substituted with 1-5 R Y , and each R Y is independently C1-C6 alkyl, hydroxy-Ci-C6 alkyl, halo-Ci-C6 alkyl, halo-Ci-C6 alkoxy, amino-Ci-C6 alkyl, cyano-Ci-
  • A is phenyl and W is phenyl, pyridyl, pyrazinyl, pyridazinyl, pyridazinonyl, oxadiazolyl, or oxadiazolonyl, each of which is optionally substituted with 1-5
  • A is phenyl and W is phenyl or 5-6-membered heteroaryl.
  • each of A and W is optionally substituted with 1-5 R Y , and each R Y is independently C1-C6 alkyl, hydroxy-Ci-C6 alkyl, halo-Ci-C6 alkyl, halo-Ci-C6 alkoxy, amino- Ci-C 6 alkyl, cyano-Ci-C 6 alkyl, halo, cyano, -OR A , -NR B R C , -C(0)R D , -C(0)OH, - C(0)OR D , -S(R F ) m ,-S(0) 2 R D , or G 1 .
  • each R Y is independently chloro, fluoro, iodo, CF 3 , CHF 2 , CH 2 CF 3 , CH 3 , CH 2 CH 3 , C(CH 3 ) 2 OH, OCH 3 , OCH 2 CH 3i OCF 3 , S(0) 2 CH 3 , S(0) 2 CH 2 CH 2 CH 3 , CN, N(CH 3 ) 2 , SF 5 , SCH 3 , NH 2 , C(CH) 3 , CH(CH 3 ) 2 , CH 2 CN, CH 2 NH 2 , CH(OH)CH 3 , C(OH)(CH 3 )CF 3 , S(0) 2 CH 3 , C(0)CH 3 , C(0)OCH 3 , C(0)OH, OCHF 2 or G 1 .
  • each R Y is independently chloro, fluoro, iodo, CF 3 , CH 3 , CH 2 CH 3 , OCH 3 , S(0) 2 CH 3 , CN, N(CH 3 ) 2 , SF 5 , NH 2 , C(CH) 3 , CH(CH 3 ) 2 , CH 2 CN, CH 2 NH 2 , CH(OH)CH 3 , C(0)CH 3 , C(0)OCH 3 , C(0)OH, OCHF 2 or G 1 .
  • each A and W is independently substituted with 2 R Y on adjacent atoms, and the 2 R Y , together with the atoms to which they are attached, form a 3-7- membered fused cycloalkyl, 3-7-membered fused heterocyclyl, fused aryl, or 5-6-membered fused heteroaryl ring optionally substituted with 1-5 R x .
  • 2 R Y together with the atoms to which they are attached form a pyrazolyl, pyrrolyl, isoxazolyl, thiophenyl, furanyl, or dioxolanyl ring, each of which is optionally substituted with 1-5 R x .
  • each R x is independently C1-C6 alkyl or halo (e.g., CH 3 or fluoro).
  • G 1 is cyclopropyl, isoxazolyl, piperidinyl, phenyl, or pyrazolyl, each of which is optionally substituted with 1-5 R z .
  • G 1 is cyclopropyl, isoxazolyl, or pyrazolyl, each of which is optionally substituted with 1-5 R z .
  • each R z is independently C1-C6 alkyl (e.g., CH 3 ) or halo (e.g., chloro).
  • each R z is independently C1-C6 alkyl (e.g., CH 3 ).
  • the compound of Formula (I) is a compound of Formula (I-j):
  • the compound of Formula (I) is a compound of Formula (I-k):
  • the compound of Formula (I) is a compound of Formula (1-1):
  • L 1 and L 2 is independently 2-7-membered heteroalkylene optionally substituted by 1-5 R x .
  • both L 1 and L 2 are independently 2-7-memberedheteroalkylene optionally substituted by 1-5 R x .
  • one of L 1 and L 2 is independently C1-C6 alkylene or C2-C6 alkenylene and the other of L 1 and L 2 is independently 2-7-membered heteroalkylene, and wherein each C1-C6 alkylene, C2-C6 alkenylene, and 2-7-memberedheteroalkylene is optionally substituted by 1-5 R x .
  • each R x is independently C1-C6 alkyl, oxo, or -C(0)R D (e.g., CH 3 , oxo, or C(0)CH 3 ).
  • L 1 is CH 2 0-*
  • L 2 is independently selected from CH 2 0-*
  • each R is independently C1-C6 alkyl, oxo, halo, cyano, -OR", -
  • OS(0) 2 R D , -S(0) 2 R D , -SR E , NR B C(0)R D , -C(0)NR B R c , -C(0)R D , -C(0)OH, NR B R C , or G 2 e.g., CH 3 , oxo, fluoro, OH, cyano, OCH 3 , NH 2 , N(CH 3 ) 2 , NHC(0)CH 3 , OC(0)CH 3 , C(0)NH 2 , OS(0) 2 CH 3 , -S(0) 2 CH 3 , -S(0) 2 CH 2 CH 3 , C(0)OH, OC(0)R D , -C(0)CH 3 , or -SCH 3 ).
  • G 2 e.g., CH 3 , oxo, fluoro, OH, cyano, OCH 3 , NH 2 , N(CH 3 ) 2 , NHC(0)CH 3 , OC(0)CH 3 , C(0)NH 2 , OS
  • t is 1. In some embodiments, t is 0.
  • R 1 and R 2 are each independently hydrogen, C1-C6 alkyl, hydroxyl-Ci-C6 alkyl, or silyloxy-Ci-C6 alkyl.
  • one ofR 1 and R 2 is independently hydrogen and the other of R 1 and R 2 is independently hydrogen, C1-C6 alkyl, Ci- Ce hydroxyl-Ci-C6 alkyl, or silyloxy-Ci-C6 alkyl.
  • R 1 and R 2 are each independently hydrogen, *-CH 3 , *-CH 2 CH 2 OH, or *-CH 2 CH 2 OSi(CH 3 ) 2 C(CH 3 ) 3 , and "*-" indicates the attachment point to the nitrogen atom.
  • one of R 1 and R 2 is independently hydrogen and the other of R 1 and R 2 is independently hydrogen, *-CH 3 , *- CH 2 CH 2 OH, or *-CH 2 CH 2 OSi(CH 3 ) 2 C(CH 3 ) 3 , and "*-" indicates the attachment point to the nitrogen atom.
  • R 1 and R 2 are each independently hydrogen.
  • A is phenyl and W is independently phenyl or 5-6-membered heteroaryl. In some embodiments, each A and W is independently phenyl. In some embodiments, A is phenyl and W is 5-6-membered heteroaryl. In some embodiments, W is a monocyclic 5-6-membered heteroaryl. In some embodiments, 2 R Y groups on adjacent atoms of W, together with the atoms to which they are attached form a 3-7-membered fused cycloalkyl or heterocyclyl optionally substituted with 1-5 R x forming a bi cyclic heteroaryl.
  • W is a 10-membered heteroaryl, a 9- membered heteroaryl, a 6-membered heteroaryl, or a 5-membered heteroaryl. In some embodiments, W is a heteroaryl containing nitrogen, oxygen or sulfur as allowed by valence.
  • each A and W is independently phenyl or 5-6-membered heteroaryl optionally substituted with 1-5 R Y
  • each R Y is independently C1-C6 alkyl, hydroxy-Ci-C6 alkyl, halo-Ci-C6 alkyl, halo-Ci-C6 alkoxy, amino-Ci-C6 alkyl, cyano-Ci-C6 alkyl, halo, cyano, -OR A , -NR B R C , -C(0)R D , -C(0)OH, -C(0)OR D , -S(R F ) m ,-S(0) 2 R D , or G 1 .
  • each of A and W is independently phenyl, pyridyl, pyrazinyl, pyridazinyl, pyridazinonyl, triazinyl, triazolyl, oxadiazolyl, or oxadiazolonyl, each of which is optionally substituted with 1-5 R Y groups
  • each of A and W is independently phenyl, pyridyl, pyrazinyl, pyridazinyl, pyridazinonyl, oxadiazolyl, or oxadiazolonyl, each of which is optionally substituted with 1-5 R Y groups.
  • each of A and W is independently selected from:
  • A is phenyl and W is phenyl or 5-6-membered heteroaryl, each of A and W is optionally substituted with 1-5 R Y , and each R Y is independently C1-C6 alkyl, hydroxy-Ci-C6 alkyl, halo-Ci-C6 alkyl, halo-Ci-C6 alkoxy, amino-Ci-C6 alkyl, cyano-Ci-
  • A is phenyl and W is phenyl, pyridyl, pyrazinyl, pyridazinyl, pyridazinonyl, oxadiazolyl, or oxadiazolonyl, each of which is optionally substituted with 1-5
  • A is phenyl and W is phenyl or 5-6-membered heteroaryl.
  • each of A and W is optionally substituted with 1-5 R Y , and each R Y is independently C1-C6 alkyl, hydroxy-Ci-C6 alkyl, halo-Ci-C6 alkyl, halo-Ci-C6 alkoxy, amino- Ci-C 6 alkyl, cyano-Ci-C 6 alkyl, halo, cyano, -OR A , -NR B R C , -C(0)R D , -C(0)OH, - C(0)OR D , -S(R F ) m ,-S(0) 2 R D , or G 1 .
  • each R Y is independently chloro, fluoro, iodo, CF 3 , CHF 2 , CH 2 CF 3 , CH 3 , CH 2 CH 3 , C(CH 3 ) 2 OH, OCH 3 , OCH 2 CH 3i OCF 3 , S(0) 2 CH 3 , S(0) 2 CH 2 CH 2 CH 3 , CN, N(CH 3 ) 2 , SF 5 , SCH 3 , NH 2 , C(CH) 3 , CH(CH 3 ) 2 , CH 2 CN, CH 2 NH 2 , CH(OH)CH 3 , C(OH)(CH 3 )CF 3 , S(0) 2 CH 3 , C(0)CH 3 , C(0)OCH 3 , C(0)OH, OCHF 2 or G 1 .
  • each R Y is independently chloro, fluoro, iodo, CF 3 , CH 3 , CH 2 CH 3 , OCH 3 , S(0) 2 CH 3 , CN, N(CH 3 ) 2 , SF 5 , NH 2 , C(CH) 3 , CH(CH 3 ) 2 , CH 2 CN, CH 2 NH 2 , CH(OH)CH 3 , C(0)CH 3 , C(0)OCH 3 , C(0)OH, OCHF 2 or G 1 .
  • each A and W is independently substituted with 2 R Y on adjacent atoms, and the 2 R Y , together with the atoms to which they are attached, form a 3-7- membered fused cycloalkyl, 3-7-membered fused heterocyclyl, fused aryl, or 5-6-membered fused heteroaryl ring optionally substituted with 1-5 R x .
  • 2 R Y together with the atoms to which they are attached form a pyrazolyl, pyrrolyl, isoxazolyl, thiophenyl, furanyl, or dioxolanyl ring, each of which is optionally substituted with 1-5 R x .
  • each R x is independently C1-C6 alkyl or halo (e.g., CH 3 or fluoro).
  • G 1 is cyclopropyl, isoxazolyl, piperidinyl, phenyl, or pyrazolyl, each of which is optionally substituted with 1-5 R z .
  • G 1 is cyclopropyl, isoxazolyl, or pyrazolyl, each of which is optionally substituted with 1-5 R z .
  • each R z is independently C1-C6 alkyl (e.g., CH 3 ) or halo (e.g., chloro).
  • each R z is independently C1-C6 alkyl (e.g., CH 3 ).
  • the compound of Formula (I) (e.g., a compound of Formula (I- a), (I-b), (I-c), (I-d), (I-e), (I-f), (I-g), (I-h), (I-i), (I-j), (I-k) or (1-1)) or a pharmaceutically acceptable salt thereof is formulated as a pharmaceutically acceptable composition comprising a compound of any one of the preceding claims and a pharmaceutically acceptable carrier
  • the compound is selected from any compound set forth in Table
  • the compounds of the invention may be better understood in connection with the following synthetic schemes and methods which illustrate a means by which the compounds can be prepared.
  • the compounds of this invention can be prepared by a variety of synthetic procedures. Representative synthetic procedures are shown in, but not limited to, Schemes 1- 24.
  • the variables A, D, W, L 1 , L 2 , R 1 , and R 2 are defined as detailed herein, e.g., in the Summary
  • Scheme 1 Representative scheme for synthesis of exemplary compounds of the invention.
  • compounds of formula (3) when A and W are the same and L 1 and L 2 are the same, and which are representative of compounds of formula (I), can be prepared from compounds of formula (1).
  • Carboxylic acids of formula (2A) can be coupled with amines of formula (1) under amide bond forming conditions to provide compounds of formula (3).
  • Examples of conditions known to generate amides from a mixture of a carboxylic acid and an amine include, but are not limited to, adding a coupling reagent such as, but not limited to, N- (3-dimethylaminopropyl)-N-ethylcarbodiirnide or l-(3-dimethylaminopropyl)-3- ethylcarbodiimide (EDC, ED AC or EDCI) or the corresponding hydrochloride salt, 1,3- dicyclohexylcarbodiimide (DCC), bis(2-oxo-3-oxazolidinyl)phosphinic chloride (BOPC1), N- [(dimethylamino)-lH-l,2,3 riazolo-[4,5- )]pyridin-l-ylmethylene]-N-methylmethanarm hexafluorophosphate N-oxide or 2-(7-azabenzotriazol-l-yl)-
  • auxiliary-coupling reagents may facilitate the coupling reaction.
  • Auxiliary coupling reagents that are often used in the coupling reactions include but are not limited to (dimethylamino)pyridine (DMAP), l-hydroxy-7-azabenzotriazole (HO AT) and 1-hydroxybenzotriazole (HOBT).
  • DMAP dimethylamino
  • HO AT l-hydroxy-7-azabenzotriazole
  • HOBT 1-hydroxybenzotriazole
  • the reaction may be carried out optionally in the presence of a base such as, but not limited to, triethylamine, NN-diisopropylethylamine or pyridine.
  • the coupling reaction may be carried out in solvents such as, but not limited to, tetrahydrofuran, N,N-dimethylformamide, N,N-dimethylacetamide, dimethyl sulfoxide, dichloromethane, and ethyl acetate.
  • solvents such as, but not limited to, tetrahydrofuran, N,N-dimethylformamide, N,N-dimethylacetamide, dimethyl sulfoxide, dichloromethane, and ethyl acetate.
  • the reactions may be carried out at ambient temperature or heated. The heating can be accomplished either conventionally or with microwave irradiation.
  • acid chlorides of formula (2B) can be reacted with amines of formula (1), optionally in the presence of a base for example, a tertiary amine base such as, but not limited to, triethylamine or N,N-diisopropylethylamine or an aromatic base such as pyridine, at room temperature or heated in a solvent such as, but not limited to, dichloromethane to provide amides of formula (3).
  • a base for example, a tertiary amine base such as, but not limited to, triethylamine or N,N-diisopropylethylamine or an aromatic base such as pyridine
  • a solvent such as, but not limited to, dichloromethane to provide amides of formula (3).
  • Amines of formula (1) can also be coupled with acid chlorides of formula (2B) in a mixture of water and dichloromethane in the presence of a base such as but not limited to sodium hydroxide.
  • compounds of formula (3) when A and W are the same or different and L 1 and L 2 are the same or different, and which are representative of compounds of formula (I), can be prepared from compounds of formula (1).
  • Amines of formula (1) can be protected with a suitable protecting group (PG) to provide compounds of formula (4).
  • PG protecting group
  • amines of formula (1) can be treated with di-fer/-butyl dicarbonate at ambient temperature in a solvent such as, but not limited to, tetrahydrofuran to provide compounds of formula (4) wherein PG is C(0)OC(CH 3 ) 3 .
  • Carboxylic acids of formula (2A) or acid chlorides of formula (2B) can be coupled with amines of formula (4) under amide bond forming conditions described in Scheme 1 to provide compounds of formula (5).
  • the protecting group (PG) in formula (5) can be removed to provide compounds of formula (6).
  • BOC protecting groups can be removed using an acid such as, but not limited to, trifluoroacetic acid or hydrochloric acid in a solvent such as, but not limited to, methanol, 1,4-dioxane or dichloromethane, or mixtures thereof.
  • the reaction may be performed at ambient or an elevated temperature.
  • Carboxylic acids of formula (7 A) or acid chlorides of formula (7B) can be coupled with amines of formula (6) under amide bond forming conditions described in Scheme 1 to provide compounds of formula (3), which are representative of compounds of formula (I).
  • Scheme 3 Representative scheme for synthesis of exemplary compounds of the invention.
  • compounds of formula (9), which are representative of compounds of formula (I) when t is 0, can be prepared from compounds of formula (6) as shown in Scheme 4.
  • Amines of formula (6) can be reacted with bromides of formula (10), in the presence of a base such as, but not limited to, potassium carbonate, to provide compounds of formula (9).
  • the reaction is typically performed at an elevated temperature in a solvent such as, but not limited to, N ⁇ V-dimethylformamide or dimethyl sulfoxide.
  • Alcohols of formula (12A) can be reacted with compounds of formula (11) in the presence of a strong base, such as but not limited to sodium hydride, to provide compounds of formula (13).
  • a strong base such as but not limited to sodium hydride
  • the reaction is typically performed at ambient temperature in a solvent such as but not limited to N ⁇ V-dimethylformamide.
  • alcohols of formula (12A) can be reacted with compounds of formula (11) in the presence of a base, such as but not limited to potassium carbonate, optionally with the addition of a catalytic amount of potassium iodide, to provide compounds of formula (13).
  • the reaction is typically performed at an elevated temperature, optionally in a microwave, and in a solvent such as, but not limited to, acetonitrile, acetone, or mixtures thereof.
  • Alcohols of formula (12B), wherein n is 1-6 can be reacted with compounds of formula (11) in the presence of a strong base, such as but not limited to sodium hydride, to provide compounds of formula (14).
  • the reaction is typically performed at ambient temperature in a solvent, such as but not limited to, N,N- dimethylformamide.
  • compounds of formula (15) which are representative of compounds of formula (I) wherein t is 1 and L 2 is C2-C7 heteroalkylene, can be prepared from compounds of formula (6).
  • Amines of formula (6) can be treated with bis(trichloromethyl) carbonate, followed by alcohols of formula (12B), to provide compounds of formula (15).
  • the reaction is typically performed at ambient temperature in a solvent such as but not limited to tetrahydrofuran.
  • Compounds of formula (18), which are representative of compounds of formula (I) wherein t is 1 and R 2 is C1-C6 alkyl, C1-C6 alkoxy-Ci-C6 alkyl, hydroxy-Ci-C6 alkyl, or silyloxy-Ci-C6 alkyl, can be prepared from compounds of formula (6) as shown in Scheme 7.
  • Amines of formula (6) can be alkylated with an alkylating agent of formula (16) wherein X is a halide, in the presence of a base such as, but not limited to, potassium carbonate, to provide compounds of formula (17).
  • the reaction is typically performed at an elevated temperature in a solvent such as, but not limited to, N,N-dimethylformamide.
  • Carboxylic acids of formula (7 A) or acid chlorides of formula (7B) can be coupled with amines of formula (17) under amide bond forming conditions described in Scheme 1 to provide compounds of formula (18).
  • Scheme 8 Representative scheme for synthesis of exemplary compounds of the invention.
  • compounds of formula (20) which are representative of compounds of formula (I) wherein t is 1, can be prepared from amines of formula (6).
  • Amines of formula (6) can be reacted with chloroformates of formula (19) in the presence of a base such as, but not limited to, NN-diisopropylethylamine, to provide compounds of formula (20).
  • the reaction is typically performed at ambient temperature in a solvent such as but not limited to toluene, dichloromethane, or mixtures thereof.
  • reaction is typically performed at ambient temperature in a solvent such as, but not limited to, tetrahydrofuran, N ⁇ V-dimethylacetamide, N,N-dimethylformamide, or mixtures thereof.
  • a solvent such as, but not limited to, tetrahydrofuran, N ⁇ V-dimethylacetamide, N,N-dimethylformamide, or mixtures thereof.
  • compounds of formula (22) can be reacted with carboxylic acids of formula (7 A) or acid chlorides of formula (7B) under amide bond forming conditions described in Scheme 2 to provide compounds of formula (I).
  • compounds of formula (25) which are representative of compounds of formula (I) wherein t is 1, can be prepared from compounds of formula (6).
  • Amines of formula (6) which can be prepared as described in Scheme 2, can be reacted with 2- hydroxyacetic acid to provide compounds of formula (23) under amide bond forming conditions described in Scheme 2.
  • Compounds of formula (23) can be alkylated with an alkylating agent of formula (24), wherein X is a halide and n is 0-5, in the presence of a base such as but not limited to sodium hydride, to provide compounds of formula (25).
  • the reaction is typically performed at an elevated temperature in a solvent such as, but not limited to, tetrahydrofuran , N,N-dimethylformamide, or mixtures thereof.
  • Compounds of formula (28), which are representative of compounds of formula (I), wherein t is 1, can be prepared from compounds of formula (23) as shown in Scheme 11.
  • Compounds of formula (23), which can be prepared as described in Scheme 10 can be reacted with methyl 2-bromoacetate in the presence of a base such as, but not limited to, cesium carbonate to provide compounds of formula (26).
  • the reaction is typically performed at ambient temperature in a solvent such as, but not limited to, tetrahydrofuran.
  • Compounds of formula (26) can be treated with aqueous lithium hydroxide to provide compounds of formula (27).
  • the reaction is typically performed at ambient temperature in a solvent such as, but not limited to, tetrahydrofuran, methanol, or mixtures thereof.
  • Compounds of formula (27) can be treated with N-hydroxyacetimidamide in the presence of a coupling agent such as, but not limited to, l-[bis(dimethylamino)methylene]-lH-l ,2,3-triazolo[4,5-b]pyridinium 3-oxid hexafluorophosphate (HATU), and a base such as, but not limited to, triethylamine, to provide compounds of formula (28).
  • a coupling agent such as, but not limited to, l-[bis(dimethylamino)methylene]-lH-l ,2,3-triazolo[4,5-b]pyridinium 3-oxid hexafluorophosphate (HATU)
  • HATU l-[bis(dimethylamino)methylene]-lH-l ,2,3-triazolo[4,5-b]pyridinium 3-oxid hexafluorophosphate
  • base such as, but not limited to, trie
  • Scheme 12 Representative scheme for synthesis of exemplary compounds of the invention.
  • compounds of formula (30), which are representative of compounds of formula (I), can be prepared from compounds of formula (26).
  • Compounds of formula (26), which can be prepared as described in Scheme 1 can be treated with hydrazine monohydrate, to provide compounds of formula (29).
  • the reaction is typically performed at an elevated temperature in a solvent such as, but not limited to, ethanol.
  • Compounds of formula (29) can be treated with ⁇ , ⁇ -carbonyldiimidazole, to provide compounds of formula (30).
  • the reaction is typically performed at an elevated temperature in a solvent such as but not limited to 1 ,4-dioxane.
  • Scheme 13 describes the synthesis of compounds of formula (I) wherein D is a 2- oxobicyclo[2.2.2]octan-l-yl core.
  • Ethyl 4-amino-2-oxobicyclo[2.2.2]octane-l-carboxylate which can be prepared as described herein, can be reacted with carboxylic acids of formula (2A) or acid chlorides of formula (2B) under amide bond forming conditions described in Scheme 1 to provide compounds of formula (31).
  • Compounds of formula (31) can be treated with a methanolic solution of sodium hydroxide at ambient temperature to provide compounds of formula (32).
  • Acids of formula (32) can be treated with diphenylphosphoryl azide, in the presence of a base such as but not limited to triethylamine, followed by treatment with tert- butanol, to provide compounds of formula (33).
  • the reaction is typically performed at an elevated temperature in a solvent such as, but not limited to, toluene.
  • Compounds of formula (33) can be treated with an acid such as, but not limited to, hydrochloric acid at ambient temperature in a solvent such as, but not limited to, 1,4-dioxane, to provide compounds of formula (34).
  • Compounds of formula (34) can be reacted with carboxylic acids of formula (7 A) or acid chlorides of formula (7B) under amide bond forming conditions described in Scheme 2 to provide compounds of formula (I).
  • Compounds of formula (35) can be reacted with ethyl 2-hydroxy acetate in the presence of a strong base such as, but not limited to, potassium fert-butoxide to provide compounds of formula (36).
  • the reaction is typically performed at ambient temperature in a solvent such as, but not limited to, tetrahydrofuran.
  • Compounds of formula (36) can be treated with aqueous lithium hydroxide to provide compounds of formula (37).
  • the reaction is typically performed at ambient temperature in a solvent such as, but not limited to, tetrahydrofuran.
  • Alcohols of formula (38) can be reacted with fert-butyl 2-bromoacetate in the presence of a base such as, but not limited to, potassium carbonate to provide compounds of formula (39).
  • the reaction is typically performed at an elevated temperature in a solvent such as, but not limited to, N ⁇ V-dimethylformamide.
  • Compounds of formula (39) can be treated with an acid such as, but not limited to, hydrochloric acid to provide compounds of formula (37).
  • the reaction is typically performed at ambient temperature in a solvent such as, but not limited to, 1 ,4-dioxane.
  • Compounds of formula (40) can be reacted with ethyl 3-bromopropanoate in the presence of a strong base such as, but not limited to, sodium hydride, to provide compounds of formula (41).
  • a strong base such as, but not limited to, sodium hydride
  • the addition is typically performed at low temperature before warming to ambient temperature, in a solvent such as, but not limited to, tetrahydrofuran.
  • Compounds of formula (41) can be treated with aqueous sodium hydroxide to provide compounds of formula (42).
  • the reaction is typically performed at ambient temperature in a solvent such as, but not limited to, tetrahydrofuran.
  • Carboxylic acids of formula (43) can be reacted with sarcosine methyl ester, under amide bond forming conditions as described in Scheme 1 , to provide compounds of formula (44).
  • Compounds of formula (44) can be treated with aqueous sodium hydroxide to provide compounds of formula (45).
  • the reaction is typically performed at ambient temperature in a solvent such as, but not limited to, ethanol.
  • Scheme 15 Representative scheme for synthesis of exemplary compounds of the invention.
  • bromides of formula (47), which are representative of compounds of formula (10) and (24), can be prepared from alcohols of formula (46).
  • Compounds of formula (46) can be reacted with 1,2-dibromoethane in the presence of a base such as, but not limited to, potassium carbonate, to provide compounds of formula (47).
  • a base such as, but not limited to, potassium carbonate
  • the reaction is typically performed at elevated temperature in a solvent such as, but not limited to, acetonitrile.
  • Scheme 16 Representative scheme for synthesis of exemplary compounds of the invention.
  • compounds of formula (49), wherein A and W are the same or different and L 1 and L 2 are the same or different, and which are representative of compounds of formula (I), can be prepared from compounds of formula (48).
  • Carboxylic acids of formula (7 A) or acid chlorides of formula (7B) can be coupled with amines of formula (48) under amide bond forming conditions described in Scheme 1 to provide compounds of formula (49).
  • Ketones of formula (48) can also be reduced in the presence of a reducing agent such as, but not limited to sodium borohydride in solvents such as a mixture of methanol and
  • compounds of formula (52) can be transformed to compounds of formula (6) which in turn through the methods described in Schemes 2-8 and 10 can be converted to compounds of formula (I). Accordingly, carboxylic acids of formula (2A) or acid chlorides of formula (2B) can be coupled with amines of formula (50) under amide bond forming conditions described in Scheme 1 followed by ester hydrolysis using conditions known to one of skill in the art to provide compounds of formula (53).
  • Compounds of formula (53) can be reacted under Curtius reaction conditions such as treatment with diphenylphosphoryl azide and triethylamine in heated toluene followed by acid hydrolysis to give compounds of formula (6).
  • Scheme 18 Representative scheme for synthesis of exemplary compounds of the invention.
  • compounds of formula (6) can be converted to compounds of formula (57) which are representative of compounds of formula (I). Accordingly, compounds of formula (6) can be coupled with protected amino acids of formula (54), wherein PG is suitable amine protecting group, using the amide bond coupling conditions described in Scheme 1 to give compounds of formula (55).
  • the protecting group, PG, in compounds of formula (55) can be removed under conditions known to one of skill in the art to expose a primary amine that can be coupled with carboxylic acids of formula (56) using the amide bond coupling conditions described in Scheme 1 to give compounds of formula (57).
  • compounds of formula (6) can be converted to compounds of formula (59) which are representative of compounds of formula (I).
  • Compounds of formula (6) can be reacted with sulfonyl chlorides of formula (58) in the presence of a base, such as triethylamine, in an optionally warmed solvent, such as but not limited to N,N- dimethylformamide, to give compounds of formula (59).
  • Scheme 20 Representative scheme for synthesis of exemplary compounds of the invention.
  • compounds of formula (6) can be converted to compounds of formula (61) which are representative of compounds of formula (I).
  • Compounds of formula (6) can be reacted with isocyanates of formula (60) in the presence of pyridine to give compounds of formula (61).
  • compounds of formula (6) can be converted to compounds of formula (63) which are representative of compounds of formula (I).
  • Compounds of formula (6) can be reacted with carbanochloridates of formula (62) in the presence of a base, such as N,N- diisopropylethylamine, in a solvent, such as tetrahydrofuran, to give compounds of formula (63).
  • compounds of formula (64) can be transformed to compounds of formula (65) which are representative of compounds of formula (I).
  • Compounds of formula (64) can be reduced with indium(III) bromide and triethylsilane (Et 3 SiH) in warmed dichloromethane to give compounds of formula (65).
  • compounds of formula (66) can be converted to compounds of formula (1). Accordingly, the ester moiety of compounds of formula (66) can be hydrolyzed under conditions known to one of skill in the art to give the corresponding carboxylic acids.
  • the carboxylic acids can be treated under Curtius reaction conditions to complete the transformation to compounds of formula (67).
  • Compounds of formula (67) can be reacted with di-fert-butyl dicarbonate in the presence of a base to give the orthogonally protected bis-amine, (68).
  • Compounds of formula (68) can be converted to compounds of formula (1) under catalytic hydrogenation conditions in the presence of an acid, such as 4 M hydrochloric acid, in a solvent such as warmed dioxane.
  • Compounds of formula (1) can be used as described in Scheme 1 or Scheme 2.
  • Scheme 24 Representative scheme for synthesis of exemplary compounds of the invention.
  • compounds of formula (68) can be converted to compounds of formula (71).
  • Compounds of formula (68) can be reductively aminated to compounds of formula (69), wherein R 2b is optionally substituted C -C alkyl.
  • Compounds of formula (69) can be treated under acidic conditions known to one of skill in the art to selectively remove the fert-butoxy carbonyl protecting group and then couple the exposed amine with compounds of formula (2A) using amide bond forming reaction conditions described in Scheme 1 to give compounds of formula (70).
  • acid chlorides of formula (2B) can be coupled with the amines also as described in Scheme 1.
  • the benzyl protecting group of compounds of formula (70) can be removed under catalytic hydrogenation conditions, and then the revealed amine can be coupled with carboxylic acids of formula (7 A) to give compounds of formula (71).
  • Compounds of formula (71) can also be obtained by reaction with the corresponding acid chloride with the previously mentioned revealed amine using conditions also described in Scheme 1.
  • Compounds of formula (71) are representative of compounds of formula (I).
  • the present invention features pharmaceutical compositions comprising a compound of Formula (I) or a pharmaceutically acceptable salt, solvate, hydrate, tautomer, or stereoisomer thereof.
  • the pharmaceutical composition further comprises a pharmaceutically acceptable excipient.
  • the compound of Formula (I) or a pharmaceutically acceptable salt, solvate, hydrate, tautomer, stereoisomer thereof is provided in an effective amount in the pharmaceutical composition.
  • the effective amount is a therapeutically effective amount.
  • the effective amount is a prophylactically effective amount.
  • compositions described herein can be prepared by any method known in the art of pharmacology. In general, such preparatory methods include the steps of bringing the compound of Formula (I) (the "active ingredient") into association with a carrier and/or one or more other accessory ingredients, and then, if necessary and/or desirable, shaping and/or packaging the product into a desired single- or multi-dose unit.
  • Pharmaceutical compositions can be prepared, packaged, and/or sold in bulk, as a single unit dose, and/or as a plurality of single unit doses.
  • a "unit dose” is a discrete amount of the pharmaceutical composition comprising a predetermined amount of the active ingredient. The amount of the active ingredient is generally equal to the dosage of the active ingredient which would be administered to a subject and/or a convenient fraction of such a dosage such as, for example, one-half or one-third of such a dosage.
  • Relative amounts of a compound of Formula (I), the pharmaceutically acceptable excipient, and/or any additional ingredients in a pharmaceutical composition of the invention will vary, depending upon the identity, size, and/or condition of the subject treated and further depending upon the route by which the composition is to be administered.
  • the composition may comprise between 0.1% and 100% (w/w) of a compound of Formula (I).
  • pharmaceutically acceptable excipient refers to a non-toxic carrier, adjuvant, diluent, or vehicle that does not destroy the pharmacological activity of the compound with which it is formulated.
  • Pharmaceutically acceptable excipients useful in the manufacture of the pharmaceutical compositions of the invention are any of those that are well known in the art of pharmaceutical formulation and include inert diluents, dispersing and/or granulating agents, surface active agents and/or emulsifiers, disintegrating agents, binding agents, preservatives, buffering agents, lubricating agents, and/or oils.
  • compositions of the invention include, but are not limited to, ion exchangers, alumina, aluminum stearate, lecithin, serum proteins, such as human serum albumin, buffer substances such as phosphates, glycine, sorbic acid, potassium sorbate, partial glyceride mixtures of saturated vegetable fatty acids, water, salts or electrolytes, such as protamine sulfate, disodium hydrogen phosphate, potassium hydrogen phosphate, sodium chloride, zinc salts, colloidal silica, magnesium trisilicate, polyvinyl pyrrolidone, cellulose-based substances, polyethylene glycol, sodium
  • carboxymethylcellulose polyacrylates, waxes, polyethylene-polyoxypropylene-block polymers, polyethylene glycol and wool fat.
  • compositions of the present invention may be administered orally, parenterally
  • provided compounds or compositions are administrable intravenously and/or orally.
  • parenteral includes subcutaneous, intravenous, intramuscular, intraocular, intravitreal, intra-articular, intra-synovial, intrasternal, intrathecal, intrahepatic, intraperitoneal intralesional and intracranial injection or infusion techniques.
  • the compositions are administered orally, subcutaneously, intraperitoneally or intravenously.
  • Sterile injectable forms of the compositions of this invention may be aqueous or oleaginous suspension. These suspensions may be formulated according to techniques known in the art using suitable dispersing or wetting agents and suspending agents.
  • the sterile injectable preparation may also be a sterile injectable solution or suspension in a non-toxic parenterally acceptable diluent or solvent, for example as a solution in 1,3-butanediol.
  • acceptable vehicles and solvents that may be employed are water, Ringer's solution and isotonic sodium chloride solution.
  • sterile, fixed oils are conventionally employed as a solvent or suspending medium.
  • compositions of this invention may be orally administered in any orally acceptable dosage form including, but not limited to, capsules, tablets, aqueous suspensions or solutions.
  • carriers commonly used include lactose and com starch.
  • Lubricating agents such as magnesium stearate, are also typically added.
  • useful diluents include lactose and dried cornstarch.
  • aqueous suspensions are required for oral use, the active ingredient is combined with emulsifying and suspending agents. If desired, certain sweetening, flavoring or coloring agents may also be added.
  • a provided oral formulation is formulated for immediate release or sustained/delayed release.
  • the composition is suitable for buccal or sublingual administration, including tablets, lozenges and pastilles.
  • a compound of Formula (I) may also be in micro-encapsulated form.
  • compositions of the present invention can be delivered by trans dermally, by a topical route, formulated as applicator sticks, solutions, suspensions, emulsions, gels, creams, ointments, pastes, jellies, paints, powders, and aerosols.
  • Oral preparations include tablets, pills, powder, dragees, capsules, liquids, lozenges, cachets, gels, syrups, slurries, suspensions, etc., suitable for ingestion by the patient.
  • Solid form preparations include powders, tablets, pills, capsules, cachets, suppositories, and dispersible granules.
  • Liquid form preparations include solutions, suspensions, and emulsions, for example, water or water/propylene glycol solutions.
  • the compositions of the present invention may additionally include components to provide sustained release and/or comfort.
  • Such components include high molecular weight, anionic mucomimetic polymers, gelling polysaccharides and finely-divided drug carrier substrates. These components are discussed in greater detail in U. S. Patent Nos. 4,911 ,920; 5,403,841 ; 5,212, 162; and 4,861 ,760. The entire contents of these patents are incorporated herein by reference in their entirety for all purposes.
  • the compositions of the present invention can also be delivered as microspheres for slow release in the body.
  • microspheres can be administered via intradermal injection of drug-containing microspheres, which slowly release subcutaneous ly (see Rao, J. Biomater Sci. Polym. Ed. 7:623-645, 1995; as biodegradable and injectable gel formulations (see, e.g., Gao Pharm. Res. 12: 857-863, 1995); or, as microspheres for oral administration (see, e.g., Eyles, J. Pharm. Pharmacol. 49:669-674, 1997).
  • the formulations of the compositions of the present invention can be delivered by the use of liposomes which fuse with the cellular membrane or are endocytosed, i.e., by employing receptor ligands attached to the liposome, that bind to surface membrane protein receptors of the cell resulting in endocytosis.
  • liposomes particularly where the liposome surface carries receptor ligands specific for target cells, or are otherwise preferentially directed to a specific organ, one can focus the delivery of the compositions of the present invention into the target cells in vivo.
  • the compositions of the present invention can also be delivered as nanoparticles.
  • compositions of this invention may be administered in the form of suppositories for rectal administration.
  • Pharmaceutically acceptable compositions of this invention may also be administered topically, especially when the target of treatment includes areas or organs readily accessible by topical application, including diseases of the eye, the skin, or the lower intestinal tract. Suitable topical formulations are readily prepared for each of these areas or organs.
  • the absorption of the drug in order to prolong the effect of a drug, it is often desirable to slow the absorption of the drug from subcutaneous or intramuscular injection. This can be accomplished by the use of a liquid suspension of crystalline or amorphous material with poor water solubility. The rate of absorption of the drug then depends upon its rate of dissolution which, in turn, may depend upon crystal size and crystalline form. Alternatively, delayed absorption of a parenterally administered drug form is accomplished by dissolving or suspending the drug in an oil vehicle.
  • compositions suitable for administration to humans are principally directed to pharmaceutical compositions which are suitable for administration to humans, it will be understood by the skilled artisan that such compositions are generally suitable for administration to animals of all sorts. Modification of pharmaceutical compositions suitable for administration to humans in order to render the compositions suitable for administration to various animals is well understood, and the ordinarily skilled veterinary pharmacologist can design and/or perform such modification with ordinary experimentation.
  • compositions of the present invention are typically formulated in dosage unit form, e.g., single unit dosage form, for ease of administration and uniformity of dosage. It will be understood, however, that the total daily usage of the compositions of the present invention will be decided by the attending physician within the scope of sound medical judgment.
  • the specific therapeutically effective dose level for any particular subject or organism will depend upon a variety of factors including the disease being treated and the severity of the disorder; the activity of the specific active ingredient employed; the specific composition employed; the age, body weight, general health, sex and diet of the subject; the time of administration, route of administration, and rate of excretion of the specific active ingredient employed; the duration of the treatment; drugs used in combination or coincidental with the specific active ingredient employed; and like factors well known in the medical arts.
  • the exact amount of a compound required to achieve an effective amount will vary from subject to subject, depending, for example, on species, age, and general condition of a subject, severity of the side effects or disorder, identity of the particular compound(s), mode of administration, and the like.
  • the desired dosage can be delivered three times a day, two times a day, once a day, every other day, every third day, every week, every two weeks, every three weeks, or every four weeks.
  • the desired dosage can be delivered using multiple administrations (e.g. , two, three, four, five, six, seven, eight, nine, ten, eleven, twelve, thirteen, fourteen, or more administrations).
  • an effective amount of a compound of Formula (I) or a pharmaceutically acceptable salt, solvate, hydrate, tautomer, or stereoisomer thereof for administration one or more times a day may comprise about 0.0001 mg to about 5000 mg, e.g., from about 0.0001 mg to about 4000 mg, about 0.0001 mg to about 2000 mg, about 0.0001 mg to about 1000 mg, about 0.001 mg to about 1000 mg, about 0.01 mg to about 1000 mg, about 0.1 mg to about 1000 mg, about 1 mg to about 1000 mg, about 1 mg to about 100 mg, about 10 mg to about 1000 mg, or about 100 mg to about 1000 mg, of a compound per unit dosage form.
  • a compound of Formula (I) or a pharmaceutically acceptable salt, solvate, hydrate, tautomer, or stereoisomer thereof may be at dosage levels sufficient to deliver from about 0.001 mg/kg to about 1000 mg/kg, e.g., about 0.001 mg/kg to about 500 mg/kg, about 0.01 mg/kg to about 250 mg/kg, about 0.1 mg/kg to about 100 mg/kg, about 0.1 mg/kg to about 50 mg/kg, about 0.1 mg/kg to about 40 mg/kg, about 0.1 mg/kg to about 25 mg/kg, about 0.01 mg/kg to about 10 mg/kg, about 0.1 mg/kg to about 10 mg/kg, or about 1 mg/kg to about 50 mg/kg, of subject body weight per day, one or more times a day, to obtain the desired therapeutic effect.
  • dose ranges as described herein provide guidance for the administration of provided pharmaceutical compositions to an adult.
  • the amount to be administered to, for example, a child or an adolescent can be determined by a medical practitioner or person skilled in the art and can be lower or the same as that administered to an adult.
  • a compound or composition e.g., a compound of Formula (I) or a pharmaceutically acceptable salt, solvate, hydrate, tautomer, or stereoisomer thereof as described herein, can be administered in combination with one or more additional pharmaceutical agents.
  • the compounds or compositions can be administered in combination with additional pharmaceutical agents that improve their bioavailability, reduce and/or modify their metabolism, inhibit their excretion, and/or modify their distribution within the body.
  • the therapy employed may achieve a desired effect for the same disorder, and/or it may achieve different effects.
  • the compound or composition can be administered concurrently with, prior to, or subsequent to, one or more additional pharmaceutical agents, which may be useful as, e.g., combination therapies.
  • Pharmaceutical agents include therapeutically active agents.
  • Pharmaceutical agents also include prophylactically active agents.
  • Each additional pharmaceutical agent may be administered at a dose and/or on a time schedule determined for that pharmaceutical agent.
  • the additional pharmaceutical agents may also be administered together with each other and/or with the compound or composition described herein in a single dose or administered separately in different doses.
  • the particular combination to employ in a regimen will take into account compatibility of the inventive compound with the additional pharmaceutical agents and/or the desired therapeutic and/or prophylactic effect to be achieved.
  • it is expected that the additional pharmaceutical agents utilized in combination be utilized at levels that do not exceed the levels at which they are utilized individually. In some embodiments, the levels utilized in combination will be lower than those utilized individually.
  • Exemplary additional pharmaceutical agents include, but are not limited to, antiproliferative agents, anti-cancer agents, anti-diabetic agents, anti-inflammatory agents, immunosuppressant agents, and pain-relieving agents.
  • Pharmaceutical agents include small organic molecules such as drug compounds (e.g., compounds approved by the U.S.
  • CFR Code of Federal Regulations
  • proteins proteins, carbohydrates, monosaccharides, oligosaccharides, polysaccharides, nucleoproteins, mucoproteins, lipoproteins, synthetic polypeptides or proteins, small molecules linked to proteins, glycoproteins, steroids, nucleic acids, DNAs, RNAs, nucleotides, nucleosides, oligonucleotides, antisense oligonucleotides, lipids, hormones, vitamins, and cells.
  • CFR Code of Federal Regulations
  • compositions provided by the present invention include compositions wherein the active ingredient (e.g., compounds described herein, including embodiments or examples) is contained in a therapeutically effective amount, i.e., in an amount effective to achieve its intended purpose.
  • the actual amount effective for a particular application will depend, inter alia, on the condition being treated.
  • such compositions When administered in methods to treat a disease, such compositions will contain an amount of active ingredient effective to achieve the desired result, e.g., modulating the activity of a target molecule (e.g. eIF2B, eIF2 or component of eIF2a signal transduction pathway or component of phosphorylated eIF2a pathway or the ISR pathway), and/or reducing, eliminating, or slowing the progression of disease symptoms (e.g.
  • a target molecule e.g. eIF2B, eIF2 or component of eIF2a signal transduction pathway or component of phosphorylated eIF2a pathway or the ISR pathway
  • a neurodegenerative disease a leukodystrophy, an inflammatory disease, a musculoskeletal disease, a metabolic disease, or a disease or disorder associated with impaired function of eIF2B, eIF2a or a component of the eIF2 pathway or ISR pathway).
  • a therapeutically effective amount of a compound of the invention is well within the capabilities of those skilled in the art, especially in light of the detailed disclosure herein.
  • the dosage and frequency (single or multiple doses) administered to a mammal can vary depending upon a variety of factors, for example, whether the mammal suffers from another disease, and its route of administration; size, age, sex, health, body weight, body mass index, and diet of the recipient; nature and extent of symptoms of the disease being treated (e.g. a symptom of cancer, a neurodegenerative disease, a leukodystrophy, an inflammatory disease, a musculoskeletal disease, a metabolic disease, or a disease or disorder associated with impaired function of eIF2B, eIF2 a, or a component of the eIF2 pathway or ISR pathway), kind of concurrent treatment, complications from the disease being treated or other health-related problems.
  • Other therapeutic regimens or agents can be used in conjunction with the methods and compounds of Applicants' invention. Adjustment and manipulation of established dosages (e.g., frequency and duration) are well within the ability of those skilled in the art.
  • the therapeutically effective amount can be initially determined from cell culture assays.
  • Target concentrations will be those concentrations of active compound(s) that are capable of achieving the methods described herein, as measured using the methods described herein or known in the art.
  • therapeutically effective amounts for use in humans can also be determined from animal models.
  • a dose for humans can be formulated to achieve a concentration that has been found to be effective in animals.
  • the dosage in humans can be adjusted by monitoring compounds effectiveness and adjusting the dosage upwards or downwards, as described above. Adjusting the dose to achieve maximal efficacy in humans based on the methods described above and other methods is well within the capabilities of the ordinarily skilled artisan.
  • Dosages may be varied depending upon the requirements of the patient and the compound being employed.
  • the dose administered to a patient, in the context of the present invention should be sufficient to affect a beneficial therapeutic response in the patient over time.
  • the size of the dose also will be determined by the existence, nature, and extent of any adverse side-effects. Determination of the proper dosage for a particular situation is within the skill of the practitioner. Generally, treatment is initiated with smaller dosages which are less than the optimum dose of the compound. Thereafter, the dosage is increased by small increments until the optimum effect under circumstances is reached. Dosage amounts and intervals can be adjusted individually to provide levels of the administered compound effective for the particular clinical indication being treated. This will provide a therapeutic regimen that is commensurate with the severity of the individual's disease state.
  • an effective prophylactic or therapeutic treatment regimen can be planned that does not cause substantial toxicity and yet is effective to treat the clinical symptoms demonstrated by the particular patient.
  • This planning should involve the careful choice of active compound by considering factors such as compound potency, relative bioavailability, patient body weight, presence and severity of adverse side effects, preferred mode of administration and the toxicity profile of the selected agent.
  • kits e.g., pharmaceutical packs.
  • inventive kits may be useful for preventing and/or treating a disease (e.g., cancer, a neurodegenerative disease, a leukodystrophy, an inflammatory disease, a musculoskeletal disease, a metabolic disease, or other disease or condition described herein).
  • a disease e.g., cancer, a neurodegenerative disease, a leukodystrophy, an inflammatory disease, a musculoskeletal disease, a metabolic disease, or other disease or condition described herein.
  • kits provided may comprise an inventive pharmaceutical composition or compound and a container (e.g. , a vial, ampule, bottle, syringe, and/or dispenser package, or other suitable container).
  • a container e.g. , a vial, ampule, bottle, syringe, and/or dispenser package, or other suitable container.
  • provided kits may optionally further include a second container comprising a pharmaceutical excipient for dilution or suspension of an inventive pharmaceutical composition or compound.
  • the inventive pharmaceutical composition or compound e.g. , a vial, ampule, bottle, syringe, and/or dispenser package, or other suitable container.
  • compositions or compound provided in the container and the second container are combined to form one unit dosage form.
  • kits including a first container comprising a compound of Formula (I) or a pharmaceutically acceptable salt, solvate, hydrate, tautomer, or stereoisomer thereof, or a pharmaceutical composition thereof.
  • the kits are useful in preventing and/or treating a proliferative disease in a subject.
  • the kits further include instructions for administering a compound of Formula (I) or a pharmaceutically acceptable salt, solvate, hydrate, tautomer, or stereoisomer thereof, or a pharmaceutical composition thereof, to a subject to prevent and/or treat a disease described herein.
  • the present invention features compounds, compositions, and methods comprising a compound of Formula (I) or a pharmaceutically acceptable salt, solvate, hydrate, tautomer, or stereoisomer thereof.
  • the compounds, compositions, and methods are used in the prevention or treatment of a disease, disorder, or condition.
  • diseases, disorders, or conditions include, but are not limited to a neurodegenerative disease, a leukodystrophy, cancer, an inflammatory disease, a musculoskeletal disease, or a metabolic disease.
  • the disease, disorder, or condition is related to (e.g. caused by) modulation of (e.g., a decrease in) eIF2B activity or level, eIF2a activity or level, or a component of the eIF2 pathway or ISR pathway.
  • the disease, disorder, or condition is related to modulation of a signaling pathway related to a component of the eIF2 pathway or ISR pathway (e.g., phosphorylation of a component of the eIF2 pathway or ISR pathway).
  • the disease, disorder, or condition is related to (e.g. caused by) neurodegeneration.
  • the disease, disorder, or condition is related to (e.g. caused by) neural cell death or dysfunction.
  • the disease, disorder, or condition is related to (e.g. caused by) glial cell death or dysfunction. In some embodiments, the disease, disorder, or condition is related to (e.g. caused by) an increase in the level or activity of eIF2B, eIF2a, or a component of the eIF2 pathway or ISR pathway. In some embodiments, the disease, disorder, or condition is related to (e.g. caused by) a decrease in the level or activity of eIF2B, eIF2a, or a component of the eIF2 pathway or ISR pathway.
  • the disease may be caused by a mutation to a gene or protein sequence related to a member of the eIF2 pathway (e.g., eIF2B, eIF2a, or other component).
  • exemplary mutations include an amino acid mutation in the eIF2Bl, eIF2B2, eIF2B3, eIF2B4, eIF2B5 subunits.
  • an amino acid mutation e.g., an amino acid substitution, addition, or deletion
  • a particular protein may result in a structural change, e.g., a conformational or steric change, that affects the function of the protein.
  • amino acids in and around the active site or close to a binding site may be mutated such that the activity of the protein is impacted.
  • the amino acid mutation e.g., an amino acid substitution, addition, or deletion
  • the substitution of a serine residue with a threonine residue may not significantly impact the function of a protein.
  • amino acid mutation may be more dramatic, such as the substitution of a charged amino acid (e.g., aspartic acid or lysine) with a large, nonpolar amino acid (e.g., phenylalanine or tryptophan) and therefore may have a substantial impact on protein function.
  • a charged amino acid e.g., aspartic acid or lysine
  • nonpolar amino acid e.g., phenylalanine or tryptophan
  • the nature of the mutations that affect the structure of function of a gene or protein may be readily identified using standard sequencing techniques, e.g., deep sequencing techniques that are well known in the art.
  • a mutation in a member of the eIF2 pathway may affect binding or activity of a compound of Formula (I) or a pharmaceutically acceptable salt, solvate, hydrate, tautomer, or stereoisomer thereof and thereby modulate treatment of a particular disease, disorder, or condition, or a symptom thereof.
  • an eIF2 protein may comprise an amino acid mutation (e.g., an amino acid substitution, addition, or deletion) at an alanine, arginine, asparagine, aspartic acid, cysteine, glutamic acid, glutamine, glycine, histidine, isoleucine, leucine, lysine, methionine, phenylalanine, proline, serine, threonine, tryptophan, tyrosine, or valine residue.
  • amino acid mutation e.g., an amino acid substitution, addition, or deletion
  • an eIF2 protein may comprise an amino acid substitution at an alanine, arginine, asparagine, aspartic acid, cysteine, glutamic acid, glutamine, glycine, histidine, isoleucine, leucine, lysine, methionine, phenylalanine, proline, serine, threonine, tryptophan, tyrosine, or valine residue.
  • an eIF2 protein may comprise an amino acid addition at an alanine, arginine, asparagine, aspartic acid, cysteine, glutamic acid, glutamine, glycine, histidine, isoleucine, leucine, lysine, methionine, phenylalanine, proline, serine, threonine, tryptophan, tyrosine, or valine residue.
  • an eIF2 protein may comprise an amino acid deletion at an alanine, arginine, asparagine, aspartic acid, cysteine, glutamic acid, glutamine, glycine, histidine, isoleucine, leucine, lysine, methionine, phenylalanine, proline, serine, threonine, tryptophan, tyrosine, or valine residue.
  • the eIF2 protein may comprise an amino acid mutation (e.g., an amino acid substitution, addition, or deletion) at an alanine, arginine, asparagine, aspartic acid, cysteine, glutamic acid, glutamine, glycine, histidine, isoleucine, leucine, lysine, methionine, phenylalanine, proline, serine, threonine, tryptophan, tyrosine, or valine residue in the eIF2B l, eIF2B2, eIF2B3, eIF2B4, eIF2B5 subunits.
  • an amino acid mutation e.g., an amino acid substitution, addition, or deletion
  • the eIF2 protein may comprise an amino acid substitution at an alanine, arginine, asparagine, aspartic acid, cysteine, glutamic acid, glutamine, glycine, histidine, isoleucine, leucine, lysine, methionine, phenylalanine, proline, serine, threonine, tryptophan, tyrosine, or valine residue in the eIF2B l, eIF2B2, eIF2B3, eIF2B4, eIF2B5 subunits.
  • the eIF2 protein may comprise an amino acid addition at an alanine, arginine, asparagine, aspartic acid, cysteine, glutamic acid, glutamine, glycine, histidine, isoleucine, leucine, lysine, methionine, phenylalanine, proline, serine, threonine, tryptophan, tyrosine, or valine residue in the eIF2B l, eIF2B2, eIF2B3, eIF2B4, eIF2B5 subunits.
  • the eIF2 protein may comprise an amino acid deletion at an alanine, arginine, asparagine, aspartic acid, cysteine, glutamic acid, glutamine, glycine, histidine, isoleucine, leucine, lysine, methionine, phenylalanine, proline, serine, threonine, tryptophan, tyrosine, or valine residue in the eIF2B l, eIF2B2, eIF2B3, eIF2B4, eIF2B5 subunits.
  • Exemplary mutations include V183F (eIF2Bl subunit), H341 Q (eIF2B3), I346T (eIF2B3), R483W (eIF2B4), R113H (eIF2B5), and R195H (eIF2B5).
  • an amino acid mutation in a member of the eIF2 pathway (e.g., an eIF2B protein subunit) may affect binding or activity of a compound of Formula (I) or a pharmaceutically acceptable salt, solvate, hydrate, tautomer, or stereoisomer thereof and thereby modulate treatment of a particular disease, disorder, or condition, or a symptom thereof.
  • neurodegenerative Disease in some embodiments, the compound of Formula (I) or a pharmaceutically acceptable salt, solvate, hydrate, tautomer, or stereoisomer thereof is used to treat a neurodegenerative disease.
  • neurodegenerative disease refers to a disease or condition in which the function of a subject's nervous system becomes impaired.
  • Examples of a neurodegenerative disease that may be treated with a compound, pharmaceutical composition, or method described herein include Alexander's disease, Alper's disease, Alzheimer's disease, Amyotrophic lateral sclerosis, Ataxia telangiectasia, Batten disease (also known as Spielmeyer- Vogt-Sjogren-Batten disease), Bovine spongiform encephalopathy (BSE), Canavan disease, Cockayne syndrome, Corticobasal degeneration, Creutzfeldt-Jakob disease, Frontotemporal dementia, Gerstmann-Straussler-Scheinker syndrome, Huntington's disease, HIV-associated dementia, Kennedy's disease, Krabbe's disease, Kuru, Lewy body dementia, Machado-Joseph disease (Spinocerebellar ataxia type 3), Multiple system atrophy, Narcolepsy, Neuroborreliosis, Parkinson's disease, Pelizaeus-Merzbacher Disease, Pick's disease, Primary lateral s
  • the neurodegenerative disease comprises vanishing white matter disease, childhood ataxia with CNS hypo-myelination, a leukodystrophy, a
  • leukoencephalopathy a hypomyelinating or demyelinating disease, an intellectual disability syndrome, Alzheimer's disease, amyotrophic lateral sclerosis, Creutzfeldt-Jakob disease, Frontotemporal dementia, Gerstmann-Straussler-Scheinker disease, Huntington's disease, dementia (e.g., HIV-associated dementia or Lewy body dementia), Kuru, multiple sclerosis, Parkinson's disease, or a prion disease.
  • dementia e.g., HIV-associated dementia or Lewy body dementia
  • Kuru a sclerosis
  • Parkinson's disease or a prion disease.
  • the neurodegenerative disease comprises vanishing white matter disease, childhood ataxia with CNS hypo-myelination, a leukodystrophy, a
  • leukoencephalopathy a hypomyelinating or demyelinating disease, or an intellectual disability syndrome.
  • the neurodegenerative disease comprises a psychiatric disease such as agoraphobia, Alzheimer's disease, anorexia nervosa, amnesia, anxiety disorder, attention deficit disorder, bipolar disorder, body dysmorphic disorder, bulimia nervosa, claustrophobia, depression, delusions, Diogenes syndrome, dyspraxia, insomnia, Munchausen's syndrome, narcolepsy, narcissistic personality disorder, obsessive-compulsive disorder, psychosis, phobic disorder, schizophrenia, seasonal affective disorder, schizoid personality disorder, sleepwalking, social phobia, substance abuse, tardive dyskinesia, Tourette syndrome, or trichotillomania.
  • a psychiatric disease such as agoraphobia, Alzheimer's disease, anorexia nervosa, amnesia, anxiety disorder, attention deficit disorder, bipolar disorder, body dysmorphic disorder, bulimia nervosa, claustrophobia, depression,
  • the compound of Formula (I) or a pharmaceutically acceptable salt, solvate, hydrate, tautomer, or stereoisomer thereof is used to treat vanishing white matter disease.
  • Exemplary methods of treating vanishing white matter disease include, but are not limited to, reducing or eliminating a symptom of vanishing white matter disease, reducing the loss of white matter, reducing the loss of myelin, increasing the amount of myelin, or increasing the amount of white matter in a subject.
  • the compound of Formula (I) or a pharmaceutically acceptable salt, solvate, hydrate, tautomer, or stereoisomer thereof is used to treat childhood ataxia with CNS hypo-myelination.
  • Exemplary methods of treating childhood ataxia with CNS hypo- myelination include, but are not limited to, reducing or eliminating a symptom of childhood ataxia with CNS hypo-myelination, increasing the level of myelin, or decreasing the loss of myelin in a subject.
  • the compound of Formula (I) or a pharmaceutically acceptable salt, solvate, hydrate, tautomer, or stereoisomer thereof is used to treat an intellectual disability syndrome.
  • exemplary methods of treating an intellectual disability syndrome include, but are not limited to, reducing or eliminating a symptom of an intellectual disability syndrome.
  • the compound of Formula (I) or a pharmaceutically acceptable salt, solvate, hydrate, tautomer, or stereoisomer thereof is used to treat neurodegeneration.
  • exemplary methods of treating neurodegeneration include, but are not limited to, improvement of mental wellbeing, increasing mental function, slowing the decrease of mental function, decreasing dementia, delaying the onset of dementia, improving cognitive skills, decreasing the loss of cognitive skills, improving memory, decreasing the degradation of memory, or extending survival.
  • the compound of Formula (I) or a pharmaceutically acceptable salt, solvate, hydrate, tautomer, or stereoisomer thereof is used to treat a leukoencephalopathy or demyelinating disease.
  • leukoencephalopathies include, but are not limited to, progressive multifocal leukoencephalopathy, toxic leukoencephalopathy, leukoencephalopathy with vanishing white matter, leukoencephalopathy with neuroaxonal spheroids, reversible posterior leukoencephalopathy syndrome, hypertensive leukoencephalopathy, megalencephalic leukoencephalopathy with subcortical cysts, Charcot-Marie-Tooth disorder, and Devic's disease.
  • a leukoencephalopathy may comprise a demyelinating disease, which may be inherited or acquired.
  • an acquired demyelinating disease may be an inflammatory demyelinating disease (e.g., an infectious inflammatory demyelinating disease or a non-infectious inflammatory demyelinating disease), a toxic demyelinating disease, a metabolic demyelinating disease, a hypoxic demyelinating disease, a traumatic demyelinating disease, or an ischemic demyelinating disease (e.g., Binswanger's disease).
  • Exemplary methods of treating a leukoencephalopathy or demyelinating disease include, but are not limited to, reducing or eliminating a symptom of a leukoencephalopathy or demyelinating disease, reducing the loss of myelin, increasing the amount of myelin, reducing the loss of white matter in a subject, or increasing the amount of white matter in a subject.
  • the compound of Formula (I) or a pharmaceutically acceptable salt, solvate, hydrate, tautomer, or stereoisomer thereof is used to treat a traumatic injury or a toxin-induced injury to the nervous system (e.g., the brain).
  • traumatic brain injuries include, but are not limited to, a brain abscess, concussion, ischemia, brain bleeding, cranial fracture, diffuse axonal injury, locked-in syndrome, or injury relating to a traumatic force or blow to the nervous system or brain that causes damage to an organ or tissue.
  • Exemplary toxin-induced brain injuries include, but are not limited to, toxic encephalopathy, meningitis (e.g.
  • meningoencephalitis meningoencephalitis
  • encephalitis e.g., Japanese encephalitis, eastern equine encephalitis, West Nile encephalitis
  • Guillan-Barre syndrome Sydenham's chorea
  • rabies leprosy
  • neurosyphilis neurosyphilis
  • a chemical e.g., arsenic, lead, toluene, ethanol, manganese, fluoride, dichlorodiphenyltrichloroethane (DDT), dichlorodiphenyldichloroethylene (DDE), tetrachloroethylene, a polybrominated diphenyl ether, a pesticide, a sodium channel inhibitor, a potassium channel inhibitor, a chloride channel inhibitor, a calcium channel inhibitor, or a blood brain barrier inhibitor).
  • a chemical e.g., arsenic, lead, toluene, ethanol, manganese, fluoride, dichlorodipheny
  • the compound of Formula (I) or a pharmaceutically acceptable salt, solvate, hydrate, tautomer, or stereoisomer thereof is used to improve memory in a subject.
  • Induction of memory has been shown to be facilitated by decreased and impaired by increased eIF2a phosphorylation.
  • Regulators of translation such as compounds disclosed herein (e.g. a compound of Formula (I)), could serve as therapeutic agents that improve memory in human disorders associated with memory loss such as Alzheimer's disease and in other neurological disorders that activate the UPR or ISR in neurons and thus could have negative effects on memory consolidation such as Parkinson's disease, schizophrenia, amyotrophic lateral sclerosis and prion diseases.
  • the disease or condition is unsatisfactory memory (e.g., working memory, long term memory, short term memory, or memory consolidation)
  • the compound of Formula (I) or a pharmaceutically acceptable salt, solvate, hydrate, tautomer, or stereoisomer thereof aspect is used in a method to improve memory in a subject (e.g., working memory, long term memory, short term memory, or memory consolidation).
  • a subject e.g., working memory, long term memory, short term memory, or memory consolidation.
  • the subject is human.
  • the subject is a non-human mammal. In some embodiments, the subject is a domesticated animal. In some embodiments, the subject is a dog. In some embodiments, the subject is a bird. In some embodiments, the subject is a horse. In embodiments, the patient is a bovine. In some embodiments, the subject is a primate.
  • the compound of Formula (I) or a pharmaceutically acceptable salt, solvate, hydrate, tautomer, or stereoisomer thereof is used to treat cancer.
  • cancer refers to human cancers and carcinomas, sarcomas, adenocarcinomas, lymphomas, leukemias, melanomas, etc., including solid and lymphoid cancers, kidney, breast, lung, bladder, colon, ovarian, prostate, pancreas, stomach, brain, head and neck, skin, uterine, testicular, glioma, esophagus, liver cancer, including hepatocarcinoma, lymphoma, including B-acute lymphoblastic lymphoma, non-Hodgkin's lymphomas (e.g., Burkitt's, Small Cell, and Large Cell lymphomas), Hodgkin's lymphoma, leukemia (including AML, ALL, and CML), and/or multiple myelo
  • cancer refers to human cancers and
  • cancer refers to lung cancer, breast cancer, ovarian cancer, leukemia, lymphoma, melanoma, pancreatic cancer, sarcoma, bladder cancer, bone cancer, brain cancer, cervical cancer, colon cancer, esophageal cancer, gastric cancer, liver cancer, head and neck cancer, kidney cancer, myeloma, thyroid cancer, prostate cancer, metastatic cancer, or carcinoma.
  • cancer refers to all types of cancer, neoplasm or malignant tumors found in mammals, including leukemia, lymphoma, carcinomas and sarcomas.
  • Exemplary cancers that may be treated with a compound, pharmaceutical composition, or method provided herein include lymphoma, sarcoma, bladder cancer, bone cancer, brain tumor, cervical cancer, colon cancer, esophageal cancer, gastric cancer, head and neck cancer, kidney cancer, myeloma, thyroid cancer, leukemia, prostate cancer, breast cancer (e.g., ER positive, ER negative, chemotherapy resistant, herceptin resistant, HER2 positive, doxorubicin resistant, tamoxifen resistant, ductal carcinoma, lobular carcinoma, primary, metastatic), ovarian cancer, pancreatic cancer, liver cancer (e.g., hepatocellular carcinoma), lung cancer (e.g., non-small cell lung carcinoma, squamous cell lung carcinoma, adenocarcinoma, large cell lung carcinoma, small cell lung carcinoma, carcinoid, sarcoma), glioblastoma multiforme, glioma, or melanoma.
  • Additional examples include, cancer of the thyroid, endocrine system, brain, breast, cervix, colon, head & neck, liver, kidney, lung, non-small cell lung, melanoma, mesothelioma, ovary, sarcoma, stomach, uterus or Medulloblastoma, Hodgkin's Disease, Non-Hodgkin's Lymphoma, multiple myeloma, neuroblastoma, glioma, glioblastoma multiforme, ovarian cancer, rhabdomyosarcoma, primary thrombocytosis, primary macroglobulinemia, primary brain tumors, cancer, malignant pancreatic insulanoma, malignant carcinoid, urinary bladder cancer, premalignant skin lesions, testicular cancer, lymphomas, thyroid cancer,
  • neuroblastoma esophageal cancer, genitourinary tract cancer, malignant hypercalcemia, endometrial cancer, adrenal cortical cancer, neoplasms of the endocrine or exocrine pancreas, medullary thyroid cancer, medullary thyroid carcinoma, melanoma, colorectal cancer, papillary thyroid cancer, hepatocellular carcinoma, Paget' s Disease of the Nipple, Phyllodes Tumors, Lobular Carcinoma, Ductal Carcinoma, cancer of the pancreatic stellate cells, cancer of the hepatic stellate cells, or prostate cancer.
  • leukemia refers broadly to progressive, malignant diseases of the blood- forming organs and is generally characterized by a distorted proliferation and development of leukocytes and their precursors in the blood and bone marrow. Leukemia is generally clinically classified on the basis of (1) the duration and character of the disease-acute or chronic; (2) the type of cell involved; myeloid (myelogenous), lymphoid (lymphogenous), or monocytic; and (3) the increase or non-increase in the number abnormal cells in the blood-leukemic or aleukemic (subleukemic).
  • Exemplary leukemias that may be treated with a compound, pharmaceutical composition, or method provided herein include, for example, acute nonlymphocytic leukemia, chronic lymphocytic leukemia, acute granulocytic leukemia, chronic granulocytic leukemia, acute promyelocytic leukemia, adult T-cell leukemia, aleukemic leukemia, a leukocythemic leukemia, basophylic leukemia, blast cell leukemia, bovine leukemia, chronic myelocytic leukemia, leukemia cutis, embryonal leukemia, eosinophilic leukemia, Gross' leukemia, hairy-cell leukemia, hemoblastic leukemia, hemocytoblastic leukemia, histiocytic leukemia, stem cell leukemia, acute monocytic leukemia, leukopenic leukemia, lymphatic leukemia, lymphoblastic leukemia, lymphocytic leukemia, lymphogenous
  • megakaryocyte leukemia micromyeloblastic leukemia, monocytic leukemia, myeloblasts leukemia, myelocytic leukemia, myeloid granulocytic leukemia, myelomonocytic leukemia, Naegeli leukemia, plasma cell leukemia, multiple myeloma, plasmacytic leukemia, promyelocytic leukemia, Rieder cell leukemia, Schilling's leukemia, stem cell leukemia, subleukemic leukemia, or undifferentiated cell leukemia.
  • sarcoma generally refers to a tumor which is made up of a substance like the embryonic connective tissue and is generally composed of closely packed cells embedded in a fibrillar or homogeneous substance.
  • Sarcomas that may be treated with a compound, pharmaceutical composition, or method provided herein include a chondrosarcoma, fibrosarcoma, lymphosarcoma, melanosarcoma, myxosarcoma, osteosarcoma, Abemethy's sarcoma, adipose sarcoma, liposarcoma, alveolar soft part sarcoma, ameloblastic sarcoma, botryoid sarcoma, chloroma sarcoma, chorio carcinoma, embryonal sarcoma, Wilms' tumor sarcoma, endometrial sarcoma, stromal sarcoma, Ewing's sarcoma, fascial sar
  • immunoblastic sarcoma of T-cells Jensen's sarcoma, Kaposi's sarcoma, Kupffer cell sarcoma, angiosarcoma, leukosarcoma, malignant mesenchymoma sarcoma, parosteal sarcoma, reticulocytic sarcoma, Rous sarcoma, serocystic sarcoma, synovial sarcoma, or telangiectaltic sarcoma.
  • melanoma is taken to mean a tumor arising from the melanocytic system of the skin and other organs.
  • Melanomas that may be treated with a compound, pharmaceutical composition, or method provided herein include, for example, acral-lentiginous melanoma, amelanotic melanoma, benign juvenile melanoma, Cloudman's melanoma, S91 melanoma, Harding-Passey melanoma, juvenile melanoma, lentigo maligna melanoma, malignant melanoma, nodular melanoma, subungal melanoma, or superficial spreading melanoma.
  • carcinoma refers to a malignant new growth made up of epithelial cells tending to infiltrate the surrounding tissues and give rise to metastases.
  • exemplary carcinomas that may be treated with a compound, pharmaceutical composition, or method provided herein include, for example, medullary thyroid carcinoma, familial medullary thyroid carcinoma, acinar carcinoma, acinous carcinoma, adenocystic carcinoma, adenoid cystic carcinoma, carcinoma adenomatosum, carcinoma of adrenal cortex, alveolar carcinoma, alveolar cell carcinoma, basal cell carcinoma, carcinoma basocellulare, basaloid carcinoma, basosquamous cell carcinoma, bronchioalveolar carcinoma, bronchiolar carcinoma, bronchogenic carcinoma, cerebriform carcinoma, cholangiocellular carcinoma, chorionic carcinoma, colloid carcinoma, comedo carcinoma, corpus carcinoma, cribriform carcinoma, carcinoma en cuirasse, carcinoma cutaneum, cylindrical carcinoma, cylindrical cell carcinoma, duct carcinoma, ductal carcinoma, carcinoma durum, embryonal carcinoma
  • the compound of Formula (I) or a pharmaceutically acceptable salt, solvate, hydrate, tautomer, or stereoisomer thereof is used to treat pancreatic cancer, breast cancer, multiple myeloma, cancers of secretory cells.
  • certain methods herein treat cancer by decreasing or reducing or preventing the occurrence, growth, metastasis, or progression of cancer.
  • the methods described herein may be used to treat cancer by decreasing or eliminating a symptom of cancer.
  • the compound of Formula (I) or a pharmaceutically acceptable salt, solvate, hydrate, tautomer, or stereoisomer thereof may be used as a single agent in a composition or in combination with another agent in a composition to treat a cancer described herein (e.g., pancreatic cancer, breast cancer, multiple myeloma, cancers of secretory cells).
  • a cancer described herein e.g., pancreatic cancer, breast cancer, multiple myeloma, cancers of secretory cells.
  • the compound of Formula (I) or a pharmaceutically acceptable salt, solvate, hydrate, tautomer, or stereoisomer thereof is used to treat an inflammatory disease.
  • inflammatory disease refers to a disease or condition characterized by aberrant inflammation (e.g. an increased level of inflammation compared to a control such as a healthy person not suffering from a disease).
  • inflammatory diseases include postoperative cognitive dysfunction, arthritis (e.g., rheumatoid arthritis, psoriatic arthritis, juvenile idiopathic arthritis), systemic lupus erythematosus (SLE), myasthenia gravis, juvenile onset diabetes, diabetes mellitus type 1, Guillain-Barre syndrome, Hashimoto's encephalitis, Hashimoto's thyroiditis, ankylosing spondylitis, psoriasis, Sjogren's syndrome,vasculitis, glomerulonephritis, auto-immune thyroiditis, Behcet's disease, Crohn's disease, ulcerative colitis, bullous pemphigoid, sarcoidosis, ichthyosis, Graves' ophthalmopathy, inflammatory bowel disease, Addison's disease, Vitiligo, asthma (e.g., allergic asthma), acne vulgaris, celiac disease, chronic prostatitis, inflammatory bowel disease
  • IL-6 interleukin-6
  • IL-8 interleukin-8
  • IL-18 interleukin- 18
  • TNF-a tumor necrosis factor-alpha
  • CRP C-reactive protein
  • the inflammatory disease comprises postoperative cognitive dysfunction, arthritis (e.g., rheumatoid arthritis, psoriatic arthritis, or juvenile idiopathic arthritis), systemic lupus erythematosus (SLE), myasthenia gravis, diabetes (e.g., juvenile onset diabetes or diabetes mellitus type 1), Guillain-Barre syndrome, Hashimoto's encephalitis, Hashimoto's thyroiditis, ankylosing spondylitis, psoriasis, Sjogren's syndrome, vasculitis, glomerulonephritis, auto-immune thyroiditis, Behcet's disease, Crohn's disease, ulcerative colitis, bullous pemphigoid, sarcoidosis, ichthyosis, Graves' ophthalmopathy, inflammatory bowel disease, Addison's disease, vitiligo, asthma (e.g., allergic asthma), acne vulgaris, cel
  • the inflammatory disease comprises postoperative cognitive dysfunction, which refers to a decline in cognitive function (e.g. memory or executive function (e.g. working memory, reasoning, task flexibility, speed of processing, or problem solving)) following surgery.
  • cognitive function e.g. memory or executive function (e.g. working memory, reasoning, task flexibility, speed of processing, or problem solving)
  • the method of treatment is a method of prevention.
  • a method of treating postsurgical cognitive dysfunction may include preventing postsurgical cognitive dysfunction or a symptom of postsurgical cognitive dysfunction or reducing the severity of a symptom of postsurgical cognitive dysfunction by administering a compound described herein prior to surgery.
  • the compound of Formula (I) or a pharmaceutically acceptable salt, solvate, hydrate, tautomer, or stereoisomer thereof is used to treat an inflammatory disease (e.g., an inflammatory disease described herein) by decreasing or eliminating a symptom of of the disease.
  • an inflammatory disease e.g., an inflammatory disease described herein
  • the compound of Formula (I) or a pharmaceutically acceptable salt, solvate, hydrate, tautomer, or stereoisomer thereof may be used as a single agent in a composition or in combination with another agent in a composition to treat an inflammatory disease (e.g., an inflammatory disease described herein).
  • the compound of Formula (I) or a pharmaceutically acceptable salt, solvate, hydrate, tautomer, or stereoisomer thereof is used to treat a musculoskeletal disease.
  • musculoskeletal disease refers to a disease or condition in which the function of a subject's musculoskeletal system (e.g., muscles, ligaments, tendons, cartilage, or bones) becomes impaired.
  • Exemplary musculoskeletal diseases that may be treated with a compound of Formula (I) or a pharmaceutically acceptable salt, solvate, hydrate, tautomer, or stereoisomer thereof include muscular dystrophy (e.g., Duchenne muscular dystrophy, Becker muscular dystrophy, distal muscular dystrophy, congenital muscular dystrophy, Emery -Dreifuss muscular dystrophy, facioscapulohumeral muscular dystrophy, or myotonic muscular dystrophy), multiple sclerosis, amyotropic lateral sclerosis, primary lateral sclerosis, progressive muscular atrophy, progressive bulbar palsy, pseudobulbar palsy, spinal muscular atrophy, progressive spinobulbar muscular atrophy, spinal cord spasticity, spinal muscle atrophy, myasthenia gravis, neuralgia, fibromyalgia, Machado-Joseph disease, cramp fasciculation syndrome, Freidrich's ataxia, a muscle wasting disorder (e.g., muscle
  • the compound of Formula (I) or a pharmaceutically acceptable salt, solvate, hydrate, tautomer, or stereoisomer thereof is used to treat a musculoskeletal disease (e.g., a musculoskeletal disease described herein) by decreasing or eliminating a symptom of the disease.
  • the method of treatment comprises treatment of muscle pain or muscle stiffness associated with a musculoskeletal disease.
  • the compound of Formula (I) or a pharmaceutically acceptable salt, solvate, hydrate, tautomer, or stereoisomer thereof may be used as a single agent in a composition or in combination with another agent in a composition to treat a musculoskeletal disease (e.g., a musculoskeletal disease described herein).
  • a musculoskeletal disease e.g., a musculoskeletal disease described herein.
  • the compound of Formula (I) or a pharmaceutically acceptable salt, solvate, hydrate, tautomer, or stereoisomer thereof is used to treat metabolic disease.
  • metabolic disease refers to a disease or condition affecting a metabolic process in a subject.
  • Exemplary metabolic diseases that may be treated with a compound of Formula (I) or a pharmaceutically acceptable salt, solvate, hydrate, tautomer, or stereoisomer thereof include non-alcoholic steatohepatitis (NASH), non-alcoholic fatty liver disease (NAFLD), liver fibrosis, obesity, heart disease, atherosclerosis, arthritis, cystinosis, diabetes (e.g., Type I diabetes, Type II diabetes, or gestational diabetes), phenylketonuria, proliferative retinopathy, or Kearns-Sayre disease.
  • NASH non-alcoholic steatohepatitis
  • NAFLD non-alcoholic fatty liver disease
  • liver fibrosis obesity, heart disease, atherosclerosis, arthritis, cystinosis
  • diabetes e.g., Type I diabetes, Type II diabetes, or gestational diabetes
  • phenylketonuria e.g., Type I diabetes, Type II diabetes, or gestational diabetes
  • the compound of Formula (I) or a pharmaceutically acceptable salt, solvate, hydrate, tautomer, or stereoisomer thereof is used to treat a metabolic disease (e.g., a metabolic disease described herein) by decreasing or eliminating a symptom of the disease.
  • a metabolic disease e.g., a metabolic disease described herein
  • the method of treatment comprises decreasing or eliminating a symptom comprising elevated blood pressure, elevated blood sugar level, weight gain, fatigue, blurred vision, abdominal pain, flatulence, constipation, diarrhea, jaundice, and the like.
  • the compound of Formula (I) or a pharmaceutically acceptable salt, solvate, hydrate, tautomer, or stereoisomer thereof may be used as a single agent in a composition or in combination with another agent in a composition to treat a metabolic disease (e.g., a musculoskeletal disease described herein).
  • a metabolic disease e.g., a musculoskeletal disease described herein.
  • the compound of Formula (I) or a pharmaceutically acceptable salt, solvate, hydrate, tautomer, or stereoisomer thereof may be useful in applications where increasing protein production output is desirable, such as in vitro cell free systems for protein production.
  • the present invention features a method of increasing protein expression of a cell or in vitro expression system, the method including administering an effective amount of a compound to the cell or expression system, wherein the compound is a the compound of Formula (I) or a pharmaceutically acceptable salt, solvate, hydrate, tautomer, or stereoisomer thereof.
  • the method is a method of increasing protein expression by a cell and includes administering an effective amount of a compound described herein (e.g. the compound of Formula (I) or a pharmaceutically acceptable salt, solvate, hydrate, tautomer, or stereoisomer thereof) to the cell.
  • the method is a method of increasing protein expression by an in vitro protein expression system and includes administering an effective amount of a compound described herein (e.g. the compound of Formula (I) or a pharmaceutically acceptable salt, solvate, hydrate, tautomer, or stereoisomer thereof) to the in vitro (e.g. cell free) protein expression system.
  • a compound described herein e.g. the compound of Formula (I) or a pharmaceutically acceptable salt, solvate, hydrate, tautomer, or stereoisomer thereof
  • the present invention features a method of increasing protein expression in a disease, disorder, or condition characterized by aberrant or lowered levels of protein production (e.g., a leukodystrophy, a leukoencephalopathy, a hypomyelinating or demyelinating disease, muscle-wasting disease, or sarcopenia).
  • a leukodystrophy e.g., a leukodystrophy, a leukoencephalopathy, a hypomyelinating or demyelinating disease, muscle-wasting disease, or sarcopenia
  • the compounds set forth herein are provided as pharmaceutical compositions including a compound of Formula (I) or a pharmaceutically acceptable salt, solvate, hydrate, tautomer, or stereoisomer thereof and a pharmaceutically acceptable excipient.
  • a compound of Formula (I) or a pharmaceutically acceptable salt, solvate, hydrate, tautomer, or stereoisomer thereof is co-administered with a second agent (e.g. therapeutic agent).
  • a compound of Formula (I) or a pharmaceutically acceptable salt, solvate, hydrate, tautomer, or stereoisomer thereof is coadministered with a second agent (e.g. therapeutic agent), which is administered in a therapeutically effective amount.
  • the second agent is an agent for improving memory.
  • the present invention features a pharmaceutical composition
  • a pharmaceutical composition comprising a compound of Formula (I) or a pharmaceutically acceptable salt, solvate, hydrate, tautomer, or stereoisomer thereof as well as a second agent (e.g. a second therapeutic agent).
  • the pharmaceutical composition includes a second agent (e.g. a second therapeutic agent) in a therapeutically effective amount.
  • the second agent is an agent for treating cancer, a neurodegenerative disease, a leukodystrophy, an inflammatory disease, a musculoskeletal disease, a metabolic disease, or a disease or disorder associated with impaired function of eIF2B, eIF2a, or a component of the eIF2 pathway or ISR pathway.
  • the compounds described herein can be used in combination with one another, with other active agents known to be useful in treating cancer, a neurodegenerative disease, an inflammatory disease, a musculoskeletal disease, a metabolic disease, or a disease or disorder associated with impaired function of eIF2B, eIF2a, or a component of the eIF2 pathway or ISR pathway or with adjunctive agents that may not be effective alone, but may contribute to the efficacy of the active agent.
  • co-administration includes administering one active agent within 0.5, 1, 2, 4, 6, 8, 10, 12, 16, 20, or 24 hours of a second active agent.
  • Co-administration includes administering two active agents simultaneously, approximately simultaneously (e.g., within about 1, 5, 10, 15, 20, or 30 minutes of each other), or sequentially in any order.
  • co-administration can be accomplished by co-formulation, i.e., preparing a single pharmaceutical composition including both active agents.
  • the active agents can be formulated separately.
  • the active and/or adjunctive agents may be linked or conjugated to one another.
  • the compounds described herein may be combined with treatments for a cancer, a neurodegenerative disease, a leukodystrophy, an inflammatory disease, a musculoskeletal disease, a metabolic disease, or a disease or disorder associated with impaired function of eIF2B, eIF2a, or a component of the eIF2 pathway or ISR pathway.
  • the second agent is an anti-cancer agent. In embodiments, the second agent is a chemotherapeutic. In embodiments, the second agent is an agent for improving memory. In embodiments, the second agent is an agent for treating a neurodegenerative disease. In embodiments, the second agent is an agent for treating a leukodystrophy. In embodiments, the second agent is an agent for treating vanishing white matter disease. In embodiments, the second agent is an agent for treating childhood ataxia with CNS hypo- myelination. In embodiments, the second agent is an agent for treating an intellectual disability syndrome. In embodiments, the second agent is an agent for treating pancreatic cancer. In embodiments, the second agent is an agent for treating breast cancer.
  • the second agent is an agent for treating multiple myeloma. In embodiments, the second agent is an agent for treating myeloma. In embodiments, the second agent is an agent for treating a cancer of a secretory cell. In embodiments, the second agent is an agent for reducing eIF2a phosphorylation. In embodiments, the second agent is an agent for inhibiting a pathway activated by eIF2a phosphorylation. In embodiments, the second agent is an agent for inhibiting a pathway activated by eIF2a. In embodiments, the second agent is an agent for inhibiting the integrated stress response. In embodiments, the second agent is an anti- inflammatory agent. In embodiments, the second agent is an agent for treating postsurgical cognitive dysfunction.
  • the second agent is an agent for treating traumatic brain injury. In embodiments, the second agent is an agent for treating a musculoskeletal disease. In embodiments, the second agent is an agent for treating a metabolic disease. In embodiments, the second agent is an anti-diabetic agent.
  • Anti-cancer agent is used in accordance with its plain ordinary meaning and refers to a composition (e.g. compound, drug, antagonist, inhibitor, modulator) having antineoplastic properties or the ability to inhibit the growth or proliferation of cells.
  • an anti-cancer agent is a chemotherapeutic.
  • an anti-cancer agent is an agent identified herein having utility in methods of treating cancer.
  • an anticancer agent is an agent approved by the FDA or similar regulatory agency of a country other than the USA, for treating cancer. Examples of anti-cancer agents include, but are not limited to, MEK (e.g. MEK1, MEK2, or MEK1 and MEK2) inhibitors (e.g.
  • alkylating agents e.g., cyclophosphamide, ifosfamide, chlorambucil, busulfan, melphalan, mechlorethamine, uramustine, thiotepa, nitrosoureas, nitrogen mustards (e.g., mechloroethamine, cyclophosphamide, chlorambucil, meiphalan), ethylenimine and methylmelamines (e.g., hexamethlymelamine, thiotepa), alkyl sulfon
  • alkylating agents e.g., cyclophosphamide, ifosfamide, chlorambucil, busulfan, melphalan, mechlorethamine, uramustine, thiotepa, nitrosoureas, nitrogen mustards (e.g., mechloroethamine, cyclophosphamide, chlorambucil
  • antiestrogen antineoplaston; antisense oligonucleotides; aphidicolin glycinate; apoptosis gene modulators; apoptosis regulators; apurinic acid; ara-CDP-DL-PTBA; arginine deaminase; asulacrine; atamestane; atrimustine; axinastatin 1 ; axinastatin 2; axinastatin 3; azasetron;
  • chloroquinoxaline sulfonamide cicaprost; cis-porphyrin; cladribine; clomifene analogues; clotrimazole; collismycin A; collismycin B; combretastatin A4; combretastatin analogue;
  • conagenin crambescidin 816; crisnatol; cryptophycin 8; cryptophycin A derivatives; curacin A; cyclopentanthraquinones; cycloplatam; cypemycin; cytarabine ocfosfate; cytolytic factor;
  • cytostatin cytostatin; dacliximab; decitabine; dehydrodidemnin B; deslorelin; dexamethasone;
  • dexifosfamide dexrazoxane
  • dexverapamil diaziquone
  • didemnin B didox
  • diethylnorspermine dihydro-5-azacytidine; 9-dioxamycin; diphenyl spiromustine; docosanol; dolasetron; doxifluridine; droloxifene; dronabinol; duocarmycin SA; ebselen; ecomustine; edelfosine; edrecolomab; eflornithine; elemene; emitefur; epirubicin; epristeride; estramustine analogue; estrogen agonists; estrogen antagonists; etanidazole; etoposide phosphate;
  • iododoxorubicin ipomeanol, 4-; iroplact; irsogladine; isobengazole; isohomohalicondrin B; itasetron; jasplakinolide; kahalalide F; lamellarin-N triacetate; lanreotide; leinamycin;
  • lenograstim lentinan sulfate; leptolstatin; letrozole; leukemia inhibiting factor; leukocyte alpha interferon; leuprolide+estrogen+progesterone; leuprorelin; levamisole; liarozole; linear polyamine analogue; lipophilic disaccharide peptide; lipophilic platinum compounds;
  • mitomycin analogues mitonafide; mitotoxin fibroblast growth factor-saporin; mitoxantrone; mofarotene; molgramostim; monoclonal antibody, human chorionic gonadotrophin;
  • B mycobacterial cell wall extract; myriaporone; N-acetyldinaline; N-substituted benzamides; nafarelin; nagrestip; naloxone+pentazocine; napavin; naphterpin; nartograstim; nedaplatin; nemorubicin; neridronic acid; neutral endopeptidase; nilutamide; nisamycin; nitric oxide modulators; nitroxide antioxidant; nitrullyn; 06-benzylguanine; octreotide; okicenone;
  • oligonucleotides onapristone; ondansetron; ondansetron; oracin; oral cytokine inducer;
  • ormaplatin osaterone; oxaliplatin; oxaunomycin; palauamine; palmitoylrhizoxin; pamidronic acid; panaxytriol; panomifene; parabactin; pazelliptine; pegaspargase; peldesine; pentosan polysulfate sodium; pentostatin; pentrozole; perflubron; perfosfamide; perillyl alcohol;
  • phenazinomycin phenylacetate; phosphatase inhibitors; picibanil; pilocarpine hydrochloride; pirarubicin; piritrexim; placetin A; placetin B; plasminogen activator inhibitor; platinum complex; platinum compounds; platinum-triamine complex; porfimer sodium; porfiromycin; prednisone; propyl bis-acridone; prostaglandin J2; proteasome inhibitors; protein A-based immune modulator; protein kinase C inhibitor; protein kinase C inhibitors, microalgal; protein tyrosine phosphatase inhibitors; purine nucleoside phosphorylase inhibitors; purpurins;
  • pyrazoloacridine pyridoxylated hemoglobin polyoxyethylerie conjugate; raf antagonists; raltitrexed; ramosetron; ras famesyl protein transferase inhibitors; ras inhibitors; ras-GAP inhibitor; retelliptine demethylated; rhenium Re 186 etidronate; rhizoxin; ribozymes; RII retinamide; rogletimide; rohitukine; romurtide; roquinimex; rubiginone Bl; ruboxyl; safingol; saintopin; SarCNU; sarcophytol A; sargramostim; Sdi 1 mimetics; semustine; senescence derived inhibitor 1; sense oligonucleotides; signal transduction inhibitors; signal transduction modulators; single chain antigen-binding protein; sizofuran; so
  • spicamycin D spiromustine; splenopentin; spongistatin 1 ; squalamine; stem cell inhibitor; stem-cell division inhibitors; stipiamide; stromelysin inhibitors; sulfinosine; superactive vasoactive intestinal peptide antagonist; suradista; suramin; swainsonine; synthetic
  • glycosaminoglycans tallimustine; tamoxifen methiodide; tauromustine; tazarotene; tecogalan sodium; tegafur; tellurapyrylium; telomerase inhibitors; temoporfin; temozolomide; teniposide; tetrachlorodecaoxide; tetrazomine; thaliblastine; thiocoraline; thrombopoietin; thrombopoietin mimetic; thymalfasin; thymopoietin receptor agonist; thymotrinan; thyroid stimulating hormone; tin ethyl etiopurpurin; tirapazamine; titanocene bichloride; topsentin; toremifene; totipotent stem cell factor; translation inhibitors; tretinoin; triacetyluridine; triciribine;
  • trimetrexate triptorelin; tropisetron; turosteride; tyrosine kinase inhibitors; tyrphostins; UBC inhibitors; ubenimex; urogenital sinus-derived growth inhibitory factor; urokinase receptor antagonists; vapreotide; variolin B; vector system, erythrocyte gene therapy; velaresol;
  • veramine veramine
  • verdins verteporfin; vinorelbine; vinxaltine; vitaxin; vorozole; zanoterone;
  • Vinblastine Cisplatin, acivicin; aclarubicin; acodazole hydrochloride; acronine; adozelesin; aldesleukin; altretamine; ambomycin; ametantrone acetate; aminoglutethimide; amsacrine; anastrozole; anthramycin; asparaginase; asperlin; azacitidine; azetepa; azotomycin; batimastat; benzodepa; bicalutamide; bisantrene hydrochloride; bisnafide dimesylate; bizelesin; bleomycin sulfate; brequinar sodium; bropirimine; busulfan; cactinomycin; calusterone; caracemide; carbetimer; carboplatin; carmustine; carubicin hydrochloride; carzelesin; cedefingol;
  • chlorambucil cirolemycin; cladribine; crisnatol mesylate; cyclophosphamide; cytarabine; dacarbazine; daunorubicin hydrochloride; decitabine; dexormaplatin; dezaguanine;
  • letrozole leuprolide acetate; liarozole hydrochloride; lometrexol sodium; lomustine;
  • losoxantrone hydrochloride masoprocol; maytansine; mechlorethamine hydrochloride;
  • megestrol acetate melengestrol acetate; melphalan; menogaril; mercaptopurine; methotrexate; methotrexate sodium; metoprine; meturedepa; mitindomide; mitocarcin; mitocromin;
  • mitogillin mitomalcin; mitomycin; mitosper; mitotane; mitoxantrone hydrochloride;
  • mycophenolic acid nocodazoie; nogalamycin; ormaplatin; oxisuran; pegaspargase; peliomycin; pentamustine; peplomycin sulfate; perfosfamide; pipobroman; piposulfan; piroxantrone hydrochloride; plicamycin; plomestane; porfimer sodium; porfiromycin; prednimustine;
  • procarbazine hydrochloride procarbazine hydrochloride; puromycin; puromycin hydrochloride; pyrazofurin; riboprine; rogletimide; safingol; safingol hydrochloride; semustine; pumprazene; sparfosate sodium;
  • streptozocin streptozocin; sulofenur; talisomycin; tecogalan sodium; tegafur; teloxantrone hydrochloride; temoporfin; teniposide; teroxirone; testolactone; thiamiprine; thioguanine; thiotepa; tiazofurin; tirapazamine; toremifene citrate; trestolone acetate; triciribine phosphate; trimetrexate;
  • vapreotide verteporfin; vinblastine sulfate; vincristine sulfate; vindesine; vindesine sulfate; vinepidine sulfate; vinglycinate sulfate; vinleurosine sulfate; vinorelbine tartrate; vinrosidine sulfate; vinzolidine sulfate; vorozole; zeniplatin; zinostatin; zorubicin hydrochloride, agents that arrest cells in the G2-M phases and/or modulate the formation or stability of microtubules,
  • Taxol i.e. paclitaxel
  • Taxotere compounds comprising the taxane skeleton, Erbulozole
  • Vincristine Vincristine
  • NSC-639829 Discodermolide (i.e. as NVP-XX-A-296), ABT-751 (Abbott, i.e. E-7010), Altorhyrtins (e.g. Altorhyrtin A and Altorhyrtin C), Spongistatins (e.g.
  • Spongistatin 1 Spongistatin 1
  • Spongistatin 2 Spongistatin 3
  • Spongistatin 4 Spongistatin 5
  • Epothilones e.g. Epothilone A, Epothilone B, Epothilone C (i.e. desoxyepothilone A or dEpoA), Epothilone D (i.e.
  • Epothilone E Epothilone F
  • Epothilone B N-oxide Epothilone A N-oxide
  • 16-aza-epothilone B 21 -aminoepothilone B (i.e. BMS-310705)
  • 21 -hydroxy epothilone D i.e. Desoxyepothilone F and dEpoF
  • 26-fluoroepothilone i.e. NSC-654663
  • Soblidotin i.e. TZT- 1027
  • LS-4559-P Pulacia, i.e.
  • LS-4577 LS-4578 (Pharmacia, i.e. LS-477-P), LS-4477 (Pharmacia), LS-4559 (Pharmacia), RPR-1 12378 (Aventis), Vincristine sulfate, DZ-3358 (Daiichi), FR-182877 (Fujisawa, i.e. WS-9885B), GS-164 (Takeda), GS-198 (Takeda), KAR-2 (Hungarian Academy of Sciences), BSF-223651 (BASF, i.e.
  • ILX-651 and LU-223651 SAH- 49960 (Lilly /Novartis), SDZ-268970 (Lilly /Novartis), AM-97 (Armad/Kyowa Hakko), AM- 132 (Armad), AM- 138 (Armad/Kyowa Hakko), IDN-5005 (Indena), Cryptophycin 52 (i.e. LY- 355703), AC-7739 (Ajinomoto, i.e. AVE-8063A and CS-39.HC1), AC-7700 (Ajinomoto, i.e.
  • Myoseverin B D-43411 (Zentaris, i.e. D-81862), A-289099 (Abbott), A-318315 (Abbott), HTI-286 (i.e. SPA-110, trifluoroacetate salt) (Wyeth), D-82317 (Zentaris), D-82318 (Zentaris), SC-12983 (NCI), Resverastatin phosphate sodium, BPR-OY-007 (National Health Research Institutes), and SSR-25041 1 (Sanofi), steroids (e.g., dexamethasone), finasteride, aromatase inhibitors, gonadotropin-releasing hormone agonists (GnRH) such as goserelin or leuprolide, adrenocorticosteroids (e.g., prednisone), progestins (e.g., hydroxyprogesterone caproate, megestrol acetate, medroxyprogesterone
  • fluoxymesterone e.g., flutamide
  • immunostimulants e.g., Bacillus Calmette- Guerin (BCG), levamisole, interleukin-2, alpha-interferon, etc.
  • monoclonal antibodies e.g., anti-CD20, anti-HER2, anti-CD52, anti-HLA-DR, and anti-VEGF monoclonal antibodies
  • immunotoxins e.g., anti-CD33 monoclonal antibody-calicheamicin conjugate, anti-CD22 monoclonal antibody-pseudomonas exotoxin conjugate, etc.
  • radioimmunotherapy e.g., anti- CD20 monoclonal antibody conjugated to u Hn, 90 Y, or 131 I, etc.
  • triptolide e.g., anti- CD20 monoclonal antibody conjugated to u Hn, 90 Y, or 131 I, etc.
  • dacomitinib/PF299804 OSI-420/desmethyl erlotinib, AZD8931, AEE788, pelitinib/EKB-569, CUDC-101, WZ8040, WZ4002, WZ3146, AG-490, XL647, PD153035, BMS-599626), sorafenib, imatinib, sunitinib, dasatinib, or the like.
  • “Chemotherapeutic” or “chemotherapeutic agent” is used in accordance with its plain ordinary meaning and refers to a chemical composition or compound having antineoplastic properties or the ability to inhibit the growth or proliferation of cells.
  • immunotherapeutic agents including, but not limited to, immunostimulants (e.g., Bacillus Calmette-Guerin (BCG), levamisole, interleukin-2, alpha- interferon, etc.), monoclonal antibodies (e.g., anti-CD20, anti-HER2, anti-CD52, anti-HLA-DR, and anti-VEGF monoclonal antibodies), immunotoxins (e.g., anti-CD33 monoclonal antibody-calicheamicin conjugate, anti- CD22 monoclonal antibody -pseudomonas exotoxin conjugate, etc.), and
  • immunostimulants e.g., Bacillus Calmette-Guerin (BCG), levamisole, interleukin-2, alpha- interferon, etc.
  • monoclonal antibodies e.g., anti-CD20, anti-HER2, anti-CD52, anti-HLA-DR, and anti-VEGF monoclonal antibodies
  • immunotoxins e.g.,
  • radioimmunotherapy e.g., anti-CD20 monoclonal antibody conjugated to m In, 90 Y, or m I, etc.
  • the compounds described herein can be co-administered with conventional radiotherapeutic agents including, but not limited to, radionuclides such as 47 Sc, 64 Cu, 67 Cu, 89 Sr, 86 Y, 87 Y, 90 Y, 105 Rh, m Ag, m In, 117m Sn, 149 Pm, 15 Sm, 166 Ho, 177 Lu, 186 Re, 188 Re, 211 At, and 212 Bi, optionally conjugated to antibodies directed against tumor antigens.
  • radionuclides such as 47 Sc, 64 Cu, 67 Cu, 89 Sr, 86 Y, 87 Y, 90 Y, 105 Rh, m Ag, m In, 117m Sn, 149 Pm, 15 Sm, 166 Ho, 177 Lu, 186 Re, 188 Re, 211 At, and 212 Bi, optionally conjugated to antibodies directed against tumor antigens.
  • the second agent for use in combination with a compound (e.g., a compound of Formula (I)) or composition thereof described herein is an agent for use in treating a neurodegenerative disease, a leukodystrophy, an inflammatory disease, a
  • a second agent for use in combination with a compound (e.g., a compound of Formula (I)) or composition thereof described herein is an agent approved by the FDA or similar regulatory agency of a country other than the USA, for treating a disease, disorder, or condition described herein.
  • a second agent for use in treating a neurodegenerative disease, a leukodystrophy, an inflammatory disease, a musculoskeletal disease, or a metabolic disease includes, but is not limited to, an anti-psychotic drug, anti-depressive drug, anti-anxiety drug, analgesic, a stimulant, a sedative, a pain reliever, an anti-inflammatory agent, a benzodiazepine, a cholinesterase inhibitor, a non-steroidal anti-inflammatory drug (NSAID), a corticosteroid, a MAO inhibitor, a beta-blocker, a calcium channel blocker, an antacid, or other agent.
  • an anti-psychotic drug includes, but is not limited to, an anti-psychotic drug, anti-depressive drug, anti-anxiety drug, analgesic, a stimulant, a sedative, a pain reliever, an anti-inflammatory agent, a benzodiazepine, a cholinesterase inhibitor, a non
  • Exemplary second agents may include donepezil, galantamine, rivastigmine, memantine, levodopa, dopamine, pramipexole, ropinirole, rotigotine, doxapram, oxazepam, quetiapine, selegiline, rasagiline, entacapone, benztropine, trihexyphenidyl, riluzole, diazepam, chlorodiazepoxide, lorazepam, alprazolam, buspirone, gepirone, ispapirone, hydroxyzine, propranolol, hydroxyzine, midazolam, trifluoperazine, methylphenidate, atomoxetine, methylphenidate, pemoline, perphenazine, divalproex, valproic acid, sertraline, fluoxetine, citalopram, escitalopram, paroxetine, fluvoxamine, traz
  • Naturally derived agents or supplements may also be used in conjunction with a compound of Formula (I) or a composition thereof to treat a neurodegenerative disease, an inflammatory disease, a musculoskeletal disease, or a metabolic disease.
  • exemplary naturally derived agents or supplements include omega-3 fatty acids, carnitine, citicoline, curcumin, gingko, vitamin E, vitamin B (e.g., vitamin B5, vitamin B6, or vitamin B12), huperzine A, phosphatidylserine, rosemary, caffeine, melatonin, chamomile, St. John's wort, tryptophan, and the like.
  • APCI atmospheric pressure chemical ionization
  • DCI for desorption chemical ionization
  • DMSO for dimethyl sulfoxide
  • ESI electrospray ionization
  • HPLC high performance liquid chromatography
  • LC/MS liquid chromatography/mass spectrometry
  • MS for mass spectrum
  • NMR nuclear magnetic resonance
  • psi pounds per square inch
  • TLC thin-layer chromatography
  • Bicyclo[2.2.2]octane-l,4-diamine dihydrochloride (PharmaBlock, CAS#2277-93-2, 200 mg, 1.43 mmol) was dissolved in methanol (5 mL). The solution was basified with 50% aqueous sodium hydroxide. After stirring for 15 minutes (slight exotherm), the mixture was diluted with water and brine and extracted with dichloromethane (3 x 150 mL). The combined organic layers were dried Na 2 S0 4 ) and filtered. The filtrate was concentrated under reduced pressure to give the free base as a white solid.
  • Example 2B tert-butyl (4-(2-(4-chloro-3-fluorophenoxy)acetamido)bicyclo[2.2.2]octan-l- yl) carbamate
  • Example 2D 2-( 4-chloro-3-fluorophenoxy)-N-[ 4-(2- ⁇ [ 6-( trifluoromethyl)pyridin-3- yl ]oxy ⁇ acetamido)bicyclo[ 2.2.2 ]octan-l-yl Jacetamide
  • Example 3B N- ⁇ 3-[2-(4-chloro-3-fluorophenoxy)acetamido ]bicyclo[ 1.1.1 ]pentan-l-yl ⁇ -3-(4- chlorophenyl)propanamide
  • Example 3A was redissolved in dichloromethane (3 mL), and then a suspension of N- (3-airdnobicyclo[l . l . l]pentan-l-yl)-2-(4-chloro-3-fluorophenoxy)acetamide hydrochloride (Example 1 12A, 174 mg, 0.542 mmol) in dichloromethane (10 mL) was added to the reaction mixture. This mixture was stirred at ambient temperature under a dry nitrogen atmosphere and triethylamine (0.302 mL, 2.167 mmol) was introduced via syringe. The reaction mixture was stirred at ambient temperature for 20.5 hours. The reaction mixture was treated with aqueous citric acid.
  • Example 4A cubane-1 , 4-diamine dihydrochloride
  • the flask was fitted with a reflux condenser equipped with a calcium sulfate drying tube, and the reaction mixture was stirred at reflux for 16 hours. The reaction mixture was allowed to cool to ambient temperature, and then poured into saturated aqueous sodium bicarbonate (50 niL).
  • the precipitate was collected by filtration and washed with water.
  • the solid was dissolved in a hot mixture of dichloromethane, tetrahydrofuran, ethyl acetate, and ethanol. This warm solution was dried (MgSC ⁇ ) and filtered. The filtrate was concentrated under reduced pressure to give a beige solid that was treated with ether and collected by filtration.
  • the crude, bis-(Yer/-butoxy-carbonyl)-protected intermediate was suspended in methanol (30 mL) and treated with 4 M HC1 in dioxane (30 mL, 120 mmol, 47.4 equivalents). The reaction mixture was stirred at ambient temperature for 4 hours.
  • Example 4B N,N'-(pentacyclo[4.2.0.0 2 ' 5 .0 s ' 8 .0 4 ⁇ 7 ] octane- 1, 4-diyl)bis[2-(4- chlorophenoxyjacetamide ]
  • Example 5A methyl 3-(4-chloro-6-oxopyridazin-l(6H)-yl)propanoate
  • the reaction mixture was diluted with water, neutralized with aqueous citric acid, and extracted with ethyl acetate (twice). The combined organic layers were washed with brine, then dried (MgS04), and filtered. The filtrate was concentrated under reduced pressure to give a yellow oil that was purified by column chromatography on an Analogix® IntelliFlashTM-310 (Isco RediSep® 40 g silica gel cartridge, 70:30 to 65:35 heptane/ethyl acetate) to give the title intermediate as a clear, colorless oil (479 mg, 82% yield).
  • Example 5D N- ⁇ 3-[2-(4-chloro-3-fluorophenoxy)acetamido ]bicyclo[ 1.1.1 ]pentan-l-yl ⁇ -3-(4- chloro-6-oxopyridazin-l ( 6H)-yl)propanamide
  • IntelliFlashTM-310 (Isco RediSep® 12 g silica gel cartridge, 95:5 to 70:30
  • Example 6C N-(3-aminobicyclo[ 1.1.1 ]pentan-l-yl)-2-(3, 4-dichlorophenoxy)acetamide hydrochloride
  • Example 22A To Example 22A (3.45 g, 15 mmol) in dichloromethane (10 mL)/methanol (1 ml) was added 4 N HCl in dioxane (53.8 mL, 215 mmol). The mixture was stirred at ambient temperature for 1 hour and then concentrated to give 2.91 g of the title compound (100% yield) as a white solid.
  • reaction mixture was stirred 1 hour at room temperature.
  • the reaction mixture was then diluted with water and extracted with ethyl acetate.
  • the combined organic layers were washed with brine.
  • the organic layer was dried with MgS04, filtered and concentrated under reduced pressure.
  • the residue was purified by flash column chromatography on silica gel (24 g) and eluted with heptane and ethyl acetate (0 to 100%) to give 25 mg of the title compound (33.4% yield) as a white solid.
  • Example 112A To a suspension of Example 112A (30 mg, 0.093 mmol) in N,N-dimethylformamide (0.8 mL) were added N,N-diisopropylethylamine (0.049 mL, 0.280 mmol) and 2-((5- (trifluoromethyl)pyrazin-2-yl)oxy)acetic acid (22.82 mg, 0.103 mmol, Example 6B), followed by l-[bis(dimethylamino)methylene]-lH-l,2,3-triazolo[4,5- )]pyridinium 3-oxid
  • Example 9A tert-butyl (3-(2-(4-chloro-3-fluorophenoxy)acetamido)bicyclo[l. l. l]pentan-l- yl) carbamate
  • Example 9B N-(3-aminobicyclo[ 1.1.1 ]pentan-l-yl)-2-(4-chloro-3-fluorophenoxy)acetamide-2 Trifluoroacetic acid
  • Example 9E 2-(4-chloro-3-fluorophenoxy)-N-(3- ⁇ 2-[(lH-indazol-6-yl)oxy]acetamido ⁇ - bicyclo[ 1.1.1 ]pentan-l-yl)acetamide
  • Example 9B 0.1 g, 0.195 mmol
  • Example 9D 0.090 g, 0.293 mmol
  • dimethylacetamide 3 mL
  • N-ethyl-N- isopropylpropan-2-amine 0.136 mL, 0.780 mmol
  • 2-(3H-[l,2,3]triazolo[4,5- )]pyridin-3-yl)-l,l,3,3-tetramethylisouronium hexafluorophosphate(V) 0.078 g, 0.205 mmol
  • Example 10 A V-(bicyclo[l.l.l]pentane-l,3-diyl)bis ⁇ 2-[(lH-indazol-6-yl)oxy]acetamide ⁇ (Compound 109)
  • Example 10A tert-butyl (3-(2-((lH-indazol-6-yl)oxy)acetamido)bicyclo[l .1. IJpentan-l- yl) carbamate
  • N-ethyl-N-isopropylpropan-2-amine (0.26 mL, 1.51 mmol) followed by 2- (3H-[l,2,3]triazolo[4,5- )]pyridin-3-yl)-l,l,3,3-tetramethylisouronium hexafluorophosphate(V) (0.201 g, 0.530 mmol).
  • Example MB 2-((lH-indazol-6-yl)oxy)-N-(3-aminobicyclo [ 1.1.1 Jpentan-1 -yl)acetamide-3- trifluoroacetic acid
  • Example IOC N,N'-(bicyclo[ 1.1.1 Jpentane-1, 3-diyl)bis ⁇ 2-[ ( lH-indazol-6-yl)oxy]acetamide ⁇
  • N-ethyl-N- isopropylpropan-2-amine 0.17 mL, 0.98 mmol
  • 2-(3H-[l,2,3]triazolo[4,5-)]pyridin-3-yl)-l,l,3,3-tetramethylisouronium hexafluorophosphate(V) (0.065 g, 0.17 mmol).
  • Example 11A tert-butyl 2-((3-methylbenzo[d]isoxazol-6-yl)oxy)acetate
  • Example 11 C 2-( 4-chloro-3-fluorophenoxy)-N-( 3- ⁇ 2-[ ( 3-methyl-l, 2-benzoxazol-6- yl)oxy]acetamido ⁇ bicyclo[ 1.1.1 ] pentan- l-yl)acetamide
  • Example 9B To a mixture of the product of Example 9B (0.20 g, 0.390 mmol) and the product of Example 11B (0.204 g, 0.51 mmol) in dimethylacetamide (3 mL) was added N-ethyl-N- isopropylpropan-2-amine (0.272 mL, 1.56 mmol) followed by 2-(3H-[l,2,3]triazolo[4,5- )]pyridin-3-yl)-l,l,3,3-tetramethylisouronium hexafluorophosphate(V) (0.156 g, 0.410 mmol).
  • Example 12A tert-butyl 2-((4-fluoro-lH-indazol-6-yl)oxy)acetate
  • Example 12A To a solution of the product of Example 12A (0.81 g, 3.04 mmol) in CH 2 CI 2 (5 mL) at ambient temperature was added trifluoroacetic acid (2.34 mL, 30.4 mmol). This mixture was allowed to stir at ambient temperature for 4 hours and then was concentrated under reduced pressure. The residue was azeotroped with toluene to give solids which were re-precipitated from ethyl acetate/heptanes to give the title compound (1.31 g, 2.99 mmol, 98% yield).
  • Example 12C 2-(4-chloro-3-fluorophenoxy)-N-(3- ⁇ 2-[(4-fluoro-lH-indazol-6- yl)oxy]acetamido ⁇ bicyclo[ 1.1.1 Jpentan-1 -yljacetamide
  • Example 12B (0.14 g, 0.32 mmol) in N,N-dimethylformamide (3 mL) was added N-ethyl-N- isopropylpropan-2-amine (0.20 mL, 1.17 mmol) followed by 2-(3H-[l,2,3]triazolo[4,5- )]pyridin-3-yl)-l,l,3,3-tetramethylisouronium hexafluorophosphate(V) (0.18 g, 0.31 mmol). This mixture was allowed to stir at ambient temperature for 16 hours then was quenched with saturated, aqueous NaHCCb (10 mL) and diluted with CH2CI2 (10 mL).
  • Example 14A tert-butyl (3-(2-(4-chlorophenoxy)acetamido)bicyclo[l. l. l]pentan-l- yl) carbamate
  • Example 14B N-(3-aminobicyclo[ 1.1.1 ]pentan-l-yl)-2-(4-chlorophenoxy)acetamide
  • a solution of Example 14A (0.471 g, 1.148 mmol) in dioxane (3 mL) was treated with 4 N HC1 in dioxane (3 mL) and stirred at 25 °C for 20 hours. The reaction mixture was concentrated to provide 0.347 g (100%) of the title compound.
  • MS (APCI) m/z 267 (M+H) + .
  • Example 14C 2-(4-chlorophenoxy)-N-(3- ⁇ [2-(4-chlorophenoxy)ethyl]amino ⁇ bicyclo- [l. l. l]pentan-l-yl)acetamide
  • Example 14B A solution of Example 14B (0.1 g, 0.33 mmol) and 2-(4-chlorophenoxy)acetaldehyde (0.051 g, 0.3 mmol) in methanolic pH4 buffer (2 mL) was stirred at ambient temperature for 1 hour and then treated with sodium cyanoborohydrate (0.062 g, 0.99 mmol). The reaction mixture was stirred for 20 hours and then partitioned between dichloromethane (20 mL) and water (20 mL). The aqueous layer was extracted with dichloromethane (3 x 20 mL). The combined organic layers were washed with brine (2 x 30 mL), dried (Na 2 SC>4), filtered and concentrated under reduced pressure.
  • Example 16 2-(4-chlorophenoxy)-A/- ⁇ 3-[2-(4-methylphenoxy)acetamido]bicyclo- [l.l.l]pentan-l-yl ⁇ acetamide (Compound 115)
  • the title compound was prepared using the method described in Example 15 by replacing 2-(m-tolyloxy)acetic acid with 2-(/ tolyloxy)acetic acid (13.7 mg, 0.0801 mmol).
  • Example 22A tert-butyl (3-(2-(3, 4-dichlorophenoxy)acetamido)bicyclo[ 1.1.1 Jpentan-1- yl) carbamate
  • Example 22C 2-(4-chloro-3-fluorophenoxy)-N- ⁇ 3-[ 2-(3, 4-dichlorophenoxy)acetamido ]- bicyclo[ 1.1.1 Jpentan-l-yljacetamide
  • Example 24B N-(3- ⁇ [2-(4-chloro-2-fluorophenoxy)ethyl]amino ⁇ bicyclo[ 1.1.1 ]pentan-l-yl)-2- ( 3, 4-dichlorophenoxy)acetamide
  • Example 24A 0.05 g, 0.148 mmol
  • Example 22B 0.038 g, 0.148 mmol
  • potassium carbonate 0.051 g, 0.37 mmol
  • the reaction mixture was concentrated and purified on HPLC (Phenomenex® Luna® CI 8(2) 5 ⁇ 100 A AXIATM column 250 mm ⁇ 21.2 mm, flow rate 25 mL/minute, 10-80% gradient of acetonitrile in buffer (0.1% trifluoroacetic acid in water)) to provide the title compound.
  • Example 25B N-(3- ⁇ [2-(4-chloro-3-fluorophenoxy)ethyl]amino ⁇ bicyclo[l. l. l]pentan-l-yl)-2- ( 3, 4-dichlorophenoxy)acetamide

Landscapes

  • Chemical & Material Sciences (AREA)
  • Organic Chemistry (AREA)
  • Health & Medical Sciences (AREA)
  • Pharmacology & Pharmacy (AREA)
  • Veterinary Medicine (AREA)
  • Public Health (AREA)
  • General Health & Medical Sciences (AREA)
  • Animal Behavior & Ethology (AREA)
  • Medicinal Chemistry (AREA)
  • Life Sciences & Earth Sciences (AREA)
  • Engineering & Computer Science (AREA)
  • Bioinformatics & Cheminformatics (AREA)
  • Nuclear Medicine, Radiotherapy & Molecular Imaging (AREA)
  • General Chemical & Material Sciences (AREA)
  • Chemical Kinetics & Catalysis (AREA)
  • Neurology (AREA)
  • Neurosurgery (AREA)
  • Biomedical Technology (AREA)
  • Epidemiology (AREA)
  • Diabetes (AREA)
  • Psychiatry (AREA)
  • Hospice & Palliative Care (AREA)
  • Pain & Pain Management (AREA)
  • Hematology (AREA)
  • Rheumatology (AREA)
  • Obesity (AREA)
  • Orthopedic Medicine & Surgery (AREA)
  • Physical Education & Sports Medicine (AREA)
  • Emergency Medicine (AREA)
  • Dermatology (AREA)
  • Heart & Thoracic Surgery (AREA)
  • Cardiology (AREA)
  • Pulmonology (AREA)
  • Vascular Medicine (AREA)
  • Endocrinology (AREA)
  • Urology & Nephrology (AREA)
  • Immunology (AREA)
  • Pharmaceuticals Containing Other Organic And Inorganic Compounds (AREA)
  • Nitrogen Condensed Heterocyclic Rings (AREA)
  • Heterocyclic Carbon Compounds Containing A Hetero Ring Having Oxygen Or Sulfur (AREA)

Abstract

Provided herein are compounds, compositions, and methods useful for modulating the integrated stress response (ISR) and for treating related diseases; disorders and conditions.

Description

MODULATORS OF THE INTEGRATED STRESS PATHWAY
CROSS REFERENCE TO RELATED APPLICATION
This application claims priority to U. S. Application No. 62/332,278, filed May 5, 2016, which is incorporated herein by reference in its entirety.
BACKGROUND
In metazoa, diverse stress signals converge at a single phosphorylation event at serine 51 of a common effector, the translation initiation factor eIF2a. This step is carried out by four eIF2a kinases in mammalian cells: PERK, which responds to an accumulation of unfolded proteins in the endoplasmic reticulum (ER), GCN2 to amino acid starvation and UV light, PKR to viral infection and metabolic stress, and HRI to heme deficiency. This collection of signaling pathways has been termed the "integrated stress response" (ISR), as they converge on the same molecular event. eIF2a phosphorylation results in an attenuation of translation with consequences that allow cells to cope with the varied stresses (Wek, R.C. et al, Biochem Soc Trans (2006) 34(Pt 1):7-11).
eIF2 (which is comprised of three subunits, α, β and γ) binds GTP and the initiator Met- tRNA to form the ternary complex (eIF2-GTP-Met-tRNAi), which, in turn, associates with the 40S ribosomal subunit scanning the 5'UTR of mRNAs to select the initiating AUG codon. Upon phosphorylation of its a-subunit, eIF2 becomes a competitive inhibitor of its GTP- exchange factor (GEF), eIF2B (Hinnebusch, A.G and Lorsch, J.R. Cold Spring Harbor
Perspect Biol (2012) 4(10)). The tight and nonproductive binding of phosphorylated eIF2 to eIF2B prevents loading of the eIF2 complex with GTP, thus blocking ternary complex formation and reducing translation initiation (Krishnamoorthy, T. et al, Mol Cell Biol (2001) 21(15):5018-5030). Because eIF2B is less abundant than eIF2, phosphorylation of only a small fraction of the total eIF2 has a dramatic impact on eIF2B activity in cells.
eIF2B is a complex molecular machine, composed of five different subunits, eIF2Bl through eIF2B5. eIF2B5 catalyzes the GDP/GTP exchange reaction and, together with a partially homologous subunit eIF2B3, constitutes the "catalytic core" (Williams, D.D. et al, J Biol Chem (2001) 276:24697-24703). The three remaining subunits (eIF2Bl ,eIF2B2, and eIF2B4) are also highly homologous to one another and form a "regulatory sub-complex" that provides binding sites for eIF2B's substrate eIF2 (Dev, K. et εά, ΜοΙ Cell Biol (2010) 30:5218- 5233). The exchange of GDP with GTP in eIF2 is catalyzed by its dedicated guanine nucleotide exchange factor (GEF) eIF2B. eIF2B exists as a decamer (Bl2 B22 B32 B42 B52) or dimer of two pentamers in cells (Gordiyenko, Y. et al, Nat Commun (2014) 5:3902; Wortham, N.C. et al, FASEB J (2014) 28:2225-2237). Molecules such as ISRIB interact with and stabilize the eIF2B dimer conformation, thereby enhancing intrinsic GEF activity and making cells less sensitive to the cellular effects of phosphorylation of eIF2a (Sidrauski, C. et al, eLife (2015) e07314; Sekine, Y. et al, Science (2015) 348: 1027-1030). As such, small molecule therapeutics that can modulate eIF2B activity may have the potential to attenuate the PERK branch of the UPR and the overall ISR, and therefore may be used in the prevention and/or treatment of various diseases, such as a neurodegenerative disease, a leukodystrophy, cancer, an inflammatory disease, a musculoskeletal disease, or a metabolic disease. SUMMARY OF THE INVENTION
The present invention features compounds, compositions, and methods for the modulation of eIF2B (e.g., activation of eIF2B) and the attenuation of the ISR signaling pathway. In some embodiments, the present invention features an eIF2B modulator (e.g., an eIF2B activator) comprising a compound of Formula (I) or a pharmaceutically acceptable salt, solvate, hydrate, tautomer, or stereoisomer thereof. In other embodiments, the present invention features methods of using a compound of Formula (I) or a pharmaceutically acceptable salt, solvate, hydrate, tautomer, or stereoisomer thereof for the treatment of a disease or disorder, e.g., a neurodegenerative disease, a leukodystrophy, cancer, an inflammatory disease, a musculoskeletal disease, a metabolic disease, or a disease or disorder associated with impaired function of eIF2B or components in the ISR pathway (e.g., eIF2 pathway).
In one aspect, the present invention features a compound of Formula (I):
Figure imgf000003_0001
Formula (I)
or a pharmaceutically acceptable salt, solvate, hydrate, tautomer, or stereoisomer thereof, wherein D is a bridged monocyclic cycloalkyl, bridged monocyclic heterocyclyl, or cubanyl, wherein each bridged monocyclic cycloalkyl, bridged monocyclic heterocyclyl, or cubanyl is optionally substituted with 1-4 Rx groups; L1 and L2 are each independently Ci-Ce alkylene, C2-C6 alkenylene, 2-7-membered heteroalkylene, O, or NRc, wherein each Ci-Ce alkylene, C2- Ce alkenylene, or 2-7-membered heteroalkylene is optionally substituted with 1-5 Rx; R1 and R2 are each independently hydrogen, C1-C6 alkyl, C1-C6 alkoxy-Ci-C6 alkyl, hydroxy-Ci-C6 alkyl, silyloxy-Ci-C6 alkyl; A and W are each independently aryl or 5-6-membered heteroaryl, wherein each phenyl or 5-6-membered heteroaryl is optionally substituted with 1 -5 RY; each Rx is independently selected from the group consisting of C1-C6 alkyl, hydroxy-Ci-C6 alkyl, halo- C1-C6 alkyl, amino-Ci-C6 alkyl, cyano-Ci-C6 alkyl, C1-C6 alkoxy-Ci-C6 alkyl, oxo, halo, cyano, -ORA, -NRBRC, -NRBC(0)RD, -C(0)NRBRc, -C(0)RD, -C(0)OH, -C(0)ORD, -SRE, -
S(0)RD, -S(0)2RD, -OS(0)RD, -OS(0)2RD, and G2; each RY is independently selected from the group consisting of hydrogen, C1-C6 alkyl, hydroxy-Ci-C6 alkyl, halo-Ci-C6 alkyl, halo-Ci-C6 alkoxy, amino-Ci-C6 alkyl, cyano-Ci-C6 alkyl, oxo, halo, cyano, -OR , -NR R , - NRBC(0)RD, -C(0)NRBRc, -C(0)RD, -C(0)OH, -C(0)ORD, -S(RF)m, -S(0)RD, -S(0)2RD, and G1; or 2 RY groups on adjacent atoms, together with the atoms to which they are attached form a 3-7-membered fused cycloalkyl, heterocyclyl, aryl, or heteroaryl ring optionally substituted with 1 -5 Rx; each G1 and G2 is independently C3-C6 cycloalkyl, 4-7-membered heterocyclyl, aryl, or 5-6-membered heteroaryl, wherein each C3-C6 cycloalkyl, 4-7-membered heterocyclyl, aryl, or 5-6-membered heteroaryl is optionally substituted with 1 -3 Rz; each Rz is independently selected from the group consisting of C1-C6 alkyl, hydroxy-Ci-C6 alkyl, halo-Ci- C6 alkyl, halo, cyano, -ORA, -NRBRC, -NRBC(0)RD, -C(0)NRBRc, -C(0)RD, -C(0)OH, - C(0)ORD, and -S(0)2RD; each RA is independently hydrogen, Ci-C6 alkyl, halo-Ci-C6 alkyl, - C(0)NRBRc, -C(0)RD, -C(0)OH, or -C(0)ORD; each of RB and Rc is independently hydrogen or C1-C6 alkyl; or RB and Rc together with the atom to which they are attached form a 3-7- membered heterocyclyl ring optionally substituted with 1-3 Rz; each RD is independently C1-C6 alkyl, 2-7-membered heteroalkyl, or halo-Ci-C6 alkyl, wherein each C1-C6 alkyl, 2-7-membered
G E
heteroalkyl, or halo-Ci-C6 alkyl is optionally substituted with 1 -5 R ; each R is independently hydrogen, C1-C6 alkyl, or halo-Ci-C6 alkyl; each RF is independently hydrogen, C1-C6 alkyl, or halo; each R is independently aryl or 5-6 membered heteroaryl, wherein each aryl or 5-6 membered heteroaryl is optionally substituted with 1-5 RH; each RH is independently C1-C6 alkyl or halo-Ci-C6 alkyl; m is 1, 3, or 5; and t is 0 or 1. In some embodiments, D is a bridged monocyclic cycloalkyl or cubanyl, each of which is optionally substituted with 1-4 Rx groups. In some embodiments, D is a bridged 4-6 membered monocyclic cycloalkyl or cubanyl, each of which is optionally substituted with 1-4 Rx groups. In some embodiments, D is selected from cubane, bicyclo[l. l. l]pentane, bicyclo[2.2.1]heptane, bicyclo[2.2.2]octane, bicyclo[2.1.1]hexane, or bicyclo[3.1.1]heptane, each of which is optionally substituted with 1-4 Rx groups. In some embodiments, D is selected from cubane, bicyclo[l. l. l]pentane, bicyclo[2.2.2]octane, bicyclo[2.1.1]hexane, or bicyclo[3.1. l]heptane, each of which is optionally substituted with 1-4 Rx groups. In some
embodiments, D is selected from:
Figure imgf000005_0001
Figure imgf000005_0002
some embodiments, D is substituted with 1 Rx. In some embodiments, Rx is C1-C6 alkyl, oxo, halo, cyano, -ORA, -OS(0)2RD, -S(0)2RD, -SRE, NRBC(0)RD, -C(0)NRBRc, -C(0)RD, - C(0)OH, NRBRC, or G2 (e.g., CH3, oxo, fluoro, OH, cyano, OCH3, NH2, N(CH3)2,
NHC(0)CH3, OC(0)CH3, C(0)NH2, OS(0)2CH3, -S(0)2CH3, -S(0)2 CH2CH3, C(0)OH, OC(0)RD, -C(0)CH3, or -SCH3). In some embodiments, Rx is oxo, -ORA, or NRBRC (e.g., OXO, OH, OCH3, N(CH3)2, or OC(0)RD). In some embodiments, G2 is aryl or 5-6 membered heteroaryl (e.g., oxadiazolyl, or tetrazolyl).
embodiments, D is substituted with 0 Rx. In some embodiments, D is
Figure imgf000006_0001
In some embodiments, at least one of L1 and L2 is independently 2-7-membered heteroalkylene, O, or NRC, wherein heteroalkylene is optionally substituted by 1 -5 Rx. In some embodiments, at least one of L1 and L2 is independently 2-7-membered heteroalkylene optionally substituted by 1-5 Rx. In some embodiments, both L1 and L2 are independently 2-7- membered heteroalkylene optionally substituted by 1-5 Rx. In some embodiments, one of L1 and L2 is independently C1-C6 alkylene or C2-C6 alkenylene and the other of L1 and L2 is independently 2-7-membered heteroalkylene, and wherein each C1-C6 alkylene, C2-C6
alkenylene, and 2-7-membered heteroalkylene is optionally substituted by 1 -5 Rx. In some embodiments, both of L1 and L2 are C1-C6 alkylene or C2-C6 alkenylene, and wherein each Ci- Ce alkylene, and C2-C6 alkenylene is optionally substituted by 1 -5 Rx. In some embodiments, both of L1 and L2 are C2-C6 alkenylene, optionally substituted by 1 -5 Rx.
In some embodiments, Rx is C1-C6 alkyl, oxo, halo, cyano, -ORA, -OS(0)2RD, -
S(0)2RD, -SRE, NRBC(0)RD, -C(0)NRBRc, -C(0)RD, -C(0)OH, NRBRC, or G2 (e.g., CH3, oxo, fluoro, OH, cyano, OCH3, NH2, N(CH3)2, NHC(0)CH3, OC(0)CH3, C(0)NH2,
OS(0)2CH3, -S(0)2CH3, -S(0)2 CH2CH3, C(0)OH, OC(0)RD, -C(0)CH3, or -SCH3). In some embodiments, Rx is oxo, -ORA, or NRBRC (e.g., oxo, OH, OCH3, N(CH3)2, or OC(0)RD). In some embodiments, G2 is aryl or 5-6 membered heteroaryl (e.g., oxadiazolyl, or tetrazolyl).
In some embodiments, each of L1 and L2 is independently selected from CH20-*, CH2CH2-*, CH2CH2CH2-*, CH2-*, CH2C(0)-*, CH=CH-*, CH2CH20-*, CH2OCH2-*, CH2OCH2CH2-*, CH2CH2CH20-*, CH2CH2OCH2-*, NHCH2-*, CH2NH-*, CH2N(CH3)-*, CH2N(CH3)C(0)-*, CH2N(C(0)CH3)-*, CH2CH(OH)-*, CH(OH)-*, CH(OH)CH2CH2-*, CH2CH(OH)-*, CH2NHC(0)-*, NHC(0)OCH2-*, O-*, NH-*, S(0)2CH-*, S(0)2CH2CH2-*, S(0)2CH2CH20-*, or CH2C(0)-*, and "-*" indicates the attachment point to A and W, respectively. In some embodiments, each of L1 and L2 is independently selected from CH20-*, CH2CH2-*, CH2C(0)-*, CH=CH-*, CH2CH20-*, CH2OCH2-*, CH2OCH2CH2-*,
CH2CH2CH20-*, CH2CH2OCH2-*, CH2NH-*, CH2N(CH3)-*, CH2N(CH3)C(0)-*,
CH2N(C(0)CH3)-*, CH2CH(OH)-*, NHC(0)OCH2-*, or CH2C(0)-*, and "-*" indicates the attachment point to A and W, respectively. In some embodiments, L1 is independently selected from CH20-* and CH=CH-*, L2 is independently selected from CH20-*, CH2CH2-*, CH2-*, CH2C(0)-*, CH=CH-*, CH2CH20-*, CH2OCH2-*, CH2OCH2CH2-*, CH2CH2CH20-*, CH2CH2OCH2-*, NHCH2-*, CH2NH-*, CH2N(CH3)-*, CH2N(CH3)C(0)-*, CH2N(C(0)CH3)- *, CH2CH(OH)-*, CH(OH)-*, CH(OH)CH2CH2-*, CH2CH(OH)-*, CH2NHC(0)-*, -
NHC(0)OCH2-*, O-*, NH-*, S(0)2CH2-*, S(0)2CH2CH2-*, S(0)2CH2CH20-*, or CH2C(0)- *, and "-*" indicates the attachment point to A and W, respectively. In some embodiments, L1 is CH20-*, L2 is independently selected from CH20-*, CH2CH2-*, CH2C(0)-*, CH=CH-*, CH2CH20-*, CH2OCH2-*, CH2OCH2CH2-*, CH2CH2CH20-*, CH2CH2OCH2-*, CH2NH-*, CH2N(CH3)-*, CH2N(CH3)C(0)-*, CH2N(C(0)CH3)-*, CH2CH(OH)-*, NHC(0)OCH2-*, or CH2C(0)-*, and "-*" indicates the attachment point to A and W, respectively.
In some embodiments, t is 1. In some embodiments, t is 0.
In some embodiments, R1 and R2 are each independently hydrogen, C1-C6 alkyl, hydroxyl-Ci-C6 alkyl, or silyloxy-Ci-C6 alkyl. In some embodiments, one ofR1 and R2 is independently hydrogen and the other of R1 and R2 is independently hydrogen, C1-C6 alkyl, Ci- Ce hydroxyl-Ci-C6 alkyl, or silyloxy-Ci-C6 alkyl. In some embodiments, R1 and R2 are each independently hydrogen, *-CH3, *-CH2CH2OH, or *-CH2CH2OSi(CH3)2C(CH3)3, and "*-" indicates the attachment point to the nitrogen atom. In some embodiments, one of R1 and R2 is independently hydrogen and the other of R1 and R2 is independently hydrogen, *-CH3, *- CH2CH2OH, or *-CH2CH2OSi(CH3)2C(CH3)3, and "*-" indicates the attachment point to the nitrogen atom. In some embodiments, R1 and R2 are each independently hydrogen.
In some embodiments, each A and W is independently phenyl or 5-6-membered heteroaryl optionally substituted with 1-5 RY. In some embodiments, A is phenyl and W is independently phenyl or heteroaryl. In some embodiments, each A and W is independently phenyl. In some embodiments, A is phenyl and W is heteroaryl (e.g., monocyclic heteroaryl or bicyclic heteroaryl). In some embodiments, W is a monocyclic heteroaryl. In some embodiments, W is a bicyclic heteroaryl. In some embodiments, W is a 10-membered heteroaryl, a 9-membered heteroaryl, a 6-membered heteroaryl, or a 5-membered heteroaryl. In some embodiments, W is a nitrogen-containing heteroaryl, an oxygen-containing heteroaryl, or a sulfur-containing heteroaryl.
In some embodiments, each A and W is independently phenyl or 5-6-membered heteroaryl optionally substituted with 1-5 RY, and each RY is independently C1-C6 alkyl, hydroxy-Ci-C6 alkyl, halo-Ci-C6 alkyl, halo-Ci-C6 alkoxy, amino-Ci-C6 alkyl, cyano-Ci-C6 alkyl, halo, cyano, -ORA, -NRBRC, -C(0)RD, -C(0)OH, -C(0)ORD, -S(RF)m,-S(0)2RD, or G1. In some embodiments, each of A and W is independently phenyl, pyridyl, pyrazinyl, pyridazinyl, pyridazinonyl, triazinyl, triazolyl, oxadiazolyl, or oxadiazolonyl, each of which is optionally substituted with 1-5 RY groups In some embodiments, each of A and W is independently phenyl, pyridyl, pyrazinyl, pyridazinyl, pyridazinonyl, oxadiazolyl, or oxadiazolonyl, each of which is optionally substituted with 1-5 RY groups. In some embodiments, each of A and W is independently selected from:
Figure imgf000008_0001
Figure imgf000009_0001
Figure imgf000009_0002
. In some embodiments, A is phenyl and W is phenyl or 5-6-membered heteroaryl, each of A and W is optionally substituted with 1-5 RY, and each RY is independently C1-C6 alkyl, hydroxy-Ci-C6 alkyl, halo-Ci-C6 alkyl, halo-Ci-C6 alkoxy, amino-Ci-C6 alkyl, cyano-Ci-
C6 alkyl, halo, cyano, -ORA, -NRBRC, -C(0)RD, -C(0)OH, -C(0)ORD, -S(RF)m,-S(0)2RD, G1. In some embodiments, A is phenyl and W is phenyl, pyridyl, pyrazinyl, pyridazinyl, pyridazinonyl, oxadiazolyl, or oxadiazolonyl, each of which is optionally substituted with 1-5
Figure imgf000010_0001
Figure imgf000011_0001
In some embodiments, A is phenyl and W is phenyl or 5-6-membered heteroaryl. In some embodiments, each of A and W is optionally substituted with 1-5 RY, and each RY is independently C1-C6 alkyl, hydroxy-Ci-C6 alkyl, halo-Ci-C6 alkyl, halo-Ci-C6 alkoxy, amino- Ci-C6 alkyl, cyano-Ci-C6 alkyl, halo, cyano, -ORA, -NRBRC, -C(0)RD, -C(0)OH, - C(0)ORD, -S(RF)m,-S(0)2RD, or G1.
In some embodiments, each RY is independently chloro, fluoro, iodo, CF3, CHF2, CH2CF3, CH3, CH2CH3, C(CH3)2OH, OCH3, OCH2CH3i OCF3, S(0)2CH3, S(0)2CH2CH2CH3, CN, N(CH3)2, SF5, SCH3, NH2, C(CH)3, CH(CH3)2, CH2CN, CH2NH2, CH(OH)CH3, C(OH)(CH3)CF3, S(0)2CH3, C(0)CH3, C(0)OCH3, C(0)OH, OCHF2 or G1.
In some embodiments, each RY is independently chloro, fluoro, iodo, CF3, CH3, CH2CH3, OCH3, S(0)2CH3, CN, N(CH3)2, SF5, NH2, C(CH)3, CH(CH3)2, CH2CN, CH2NH2, CH(OH)CH3, C(0)CH3, C(0)OCH3, C(0)OH, OCHF2 or G1.
In some embodiments, each A and W is independently substituted with 2 RY on adjacent atoms, and the 2 RY, together with the atoms to which they are attached, form a 3-7- membered fused cycloalkyl, 3-7-membered fused heterocyclyl, fused aryl, or 5-6-membered fused heteroaryl ring optionally substituted with 1-5 Rx. In some embodiments, 2 RY together with the atoms to which they are attached form a pyrazolyl, pyrrolyl, isoxazolyl, thiophenyl, furanyl, or dioxolanyl ring, each of which is optionally substituted with 1-5 Rx. In some embodiments, each Rx is independently C1-C6 alkyl or halo (e.g., CH3 or fluoro).
In some embodiments, G1 is cyclopropyl, isoxazolyl, piperidinyl, phenyl, or pyrazolyl, each of which is optionally substituted with 1-5 Rz. In some embodiments, G1 is cyclopropyl, isoxazolyl, or pyrazolyl, each of which is optionally substituted with 1-5 Rz. In some embodiments, each Rz is independently C1-C6 alkyl (e.g., CH3) or halo (e.g., chloro). In some embodiments, each Rz is independently C1-C6 alkyl (e.g., CH3).
In one aspect, the present invention features a compound of Formula (I-a):
Figure imgf000012_0001
Formula (I-a)
or a pharmaceutically acceptable salt, solvate, hydrate, tautomer, or stereoisomer thereof, wherein D is a bridged monocyclic cycloalkyl, bridged monocyclic heterocyclyl, or cubanyl, wherein each bridged monocyclic cycloalkyl, bridged monocyclic heterocyclyl, or cubanyl is optionally substituted with 1-4 Rx groups; L1 and L2 are each independently C1-C6 alkylene, C2-C6 alkenylene, or 2-7-membered heteroalkylene, wherein each C1-C6 alkylene, C2- Ce alkenylene, or 2-7-membered heteroalkylene is optionally substituted with 1-5 Rx; R1 and R2 are each independently hydrogen, C1-C6 alkyl, C1-C6 alkoxy-Ci-C6 alkyl, hydroxy-Ci-C6 alkyl, silyloxy-Ci-C6 alkyl; A and W are each independently phenyl or 5-6-membered heteroaryl, wherein each phenyl or 5-6-membered heteroaryl is optionally substituted with 1 -5 RY; each Rx is independently selected from the group consisting of C1-C6 alkyl, hydroxy-Ci-C6 alkyl, halo- C1-C6 alkyl, amino-Ci-C6 alkyl, cyano-Ci-C6 alkyl, oxo, halo, cyano, -OR , -NR R , - NRBC(0)RD, -C(0)NRBRc, -C(0)RD, -C(0)OH, -C(0)ORD, -SRE, -S(0)RD, and -S(0)2RD; each RY is independently selected from the group consisting of hydrogen, C1-C6 alkyl, hydroxy - C1-C6 alkyl, halo-Ci-C6 alkyl, halo-Ci-C6 alkoxy, amino-Ci-C6 alkyl, cyano-Ci-C6 alkyl, oxo, halo, cyano, -ORA, -NRBRC, -NRBC(0)RD, -C(0)NRBRc, -C(0)RD, -C(0)OH, -C(0)ORD, - S(RF)m, -S(0)RD, -S(0)2RD, and G1; or 2 RY groups on adjacent atoms, together with the atoms to which they are attached form a 3-7-membered fused cycloalkyl, heterocyclyl, aryl, or heteroaryl ring optionally substituted with 1-5 Rx; each G1 is independently C3-C6 cycloalkyl, 4-7-membered heterocyclyl, aryl, or 5-6-membered heteroaryl, wherein each C3-C6 cycloalkyl, 4-7-membered heterocyclyl, aryl, or 5-6-membered heteroaryl is optionally substituted with 1 -3 Rz; each Rz is independently selected from the group consisting of C1-C6 alkyl, hydroxy-Ci-C6 alkyl, halo-Ci-C6 alkyl, halo, cyano, -ORA, -NRBRC, -NRBC(0)RD, -C(0)NRBRc, -C(0)RD, - C(0)OH, -C(0)ORD, and -S(0)2RD; each RA is independently hydrogen, Ci-C6 alkyl, halo-d- C6 alkyl, -C(0)NRBRc, -C(0)RD, -C(0)OH, or -C(0)ORD; each ofRB and Rc is independently
B C
hydrogen or C1-C6 alkyl; or R and R together with the atom to which they are attached form a 3-7-membered heterocyclyl ring optionally substituted with 1-3 Rz; each RD is independently C1-C6 alkyl, 2-7-membered heteroalkyl, or halo-Ci-C6 alkyl, wherein each C1-C6 alkyl, 2-7- membered heteroalkyl, or halo-Ci-C6 alkyl is optionally substituted with 1-5 RG; each RE is independently hydrogen, C1-C6 alkyl, or halo-Ci-C6 alkyl; each RF is independently hydrogen, C1-C6 alkyl, or halo; each RG is independently aryl or 5-6 membered heteroaryl, wherein each aryl or 5-6 membered heteroaryl is optionally substituted with 1-5 RH; each RH is
independently C1-C6 alkyl or halo-Ci-C6 alkyl; m is 1 , 3, or 5; and t is 0 or 1.
In some embodiments, the compound of Formula (I) is a compound of Formula (I-b):
Figure imgf000013_0001
Formula (I-b)
or a pharmaceutically acceptable salt, solvate, hydrate, tautomer, or stereoisomer thereof,
wherein D is (l,2,3,4,6,7)-cubane, bicyclo[l . l . l]pentane, bicyclo[2.2.2]octane,
bicyclo[2.1.1]hexane, bicyclo[2.2.1]heptane, or bicycle[3.1.1]heptane, each of which is optionally substituted with 1-4 Rx groups; L1 and L2 are each independently CH20-*, CH2CH2- *, CH2CH2CH2-*, CH2-*, CH2C(0)-*, CH=CH-*, CH2CH20-*, CH2OCH2-*, CH2OCH2CH2-*, CH2CH2CH20-*, CH2CH2OCH2-*, NHCH2-*, CH2NH-*, CH2N(CH3)-*, CH2N(CH3)C(0)-*, CH2N(C(0)CH3)-*, CH2CH(OH)-*, CH(OH)-*, CH(OH)CH2CH2-*, CH2CH(OH)-*,
CH2NHC(0)-*, NHC(0)OCH2-*, O-*, NH-*, S(0)2CH-*, S(0)2CH2CH2-*, S(0)2CH2CH20- *, or CH2C(0)-*, and "-*" indicates the attachment point to A and W, respectively; R1 and R2 are each independently hydrogen, CH3, CH2CH2OH, or CH2CH2OSi(CH3)2C(CH3)3; A and W are each independently phenyl, pyridyl, pyrazinyl, pyridazinyl, pyridazinonyl, triazinyl, thiazolyl, triazolyl, oxadiazolyl, or oxadiazolonyl, each of which is optionally substituted with 1 -5 RY; each Rx is independently selected from CH3, oxo, fluoro, OH, cyano, OCH3, NH2, N(CH3)2, NHC(0)CH3, OC(0)CH3, C(0)NH2, OS(0)2CH3, -S(0)2CH3, -S(0)2 CH2CH3, C(0)OH, OC(0)RD, -C(0)CH3, -SCH3, or G2; each RY is independently chloro, fluoro, iodo, CF3, CHF2, CH2CF3, CH3, CH2CH3, C(CH3)2OH, OCH3, OCH2CH3i OCF3, S(0)2CH3, S(0)2CH2CH2CH3, CN, N(CH3)2, SF5, SCH3, NH2, C(CH)3, CH(CH3)2, CH2CN, CH2NH2,
CH(OH)CH3, C(OH)(CH3)CF3, S(0)2CH3, C(0)CH3, C(0)OCH3, C(0)OH, OCHF2 or G1; or 2 RY groups on adjacent atoms, together with the atoms to which they are attached form a pyrazolyl, pyrrolyl, isoxazolyl, thiophenyl, furanyl, or dioxolanyl ring, each of which is optionally substituted with 1-2 Rx; G1 and G2 are cyclopropyl, isoxazolyl, phenyl, piperidinyl, oxadiazolyl, or tetrazolyl, or pyrazolyl, each of which is optionally substituted with 1-2 Rz; each RD is CH20 optionally substituted with 1-5 RG; each RG is independently pyridyl optionally substituted with 1-5 RH; each RH is independently CF3; each Rz is independently CH3; and t is 0 or 1.
In some embodiments, the compound of Formula (I) is a compound of Formula (I-c):
Figure imgf000014_0001
Formula (I-c)
or a pharmaceutically acceptable salt, solvate, hydrate, tautomer, or stereoisomer thereof, wherein each of L1, L2, R1, R2, A, W, Rx, and t is defined as for Formula (I).
In some embodiments, the compound of Formula (I) is a compound of Formula (I-d):
Figure imgf000014_0002
Formula (I-d)
or a pharmaceutically acceptable salt, solvate, hydrate, tautomer, or stereoisomer thereof, wherein each of L1, L2, A, and W, is defined as for Formula (I).
In some embodiments, the compound of Formula (I) is a compound of Formula (I-e):
Figure imgf000014_0003
Formula (I-e)
or a pharmaceutically acceptable salt, solvate, hydrate, tautomer, or stereoisomer thereof, wherein each of L2, A, W, R1, R2 and t is defined as for Formula (I).
In some e a (I-f):
Figure imgf000014_0004
Formula (I-f)
or a pharmaceutically acceptable salt, solvate, hydrate, tautomer, or stereoisomer thereof, wherein each of L2, W, RY, R1, R2 and t is defined as for Formula (I). In some embodiments, the compound of Formula (I) is a compound of Formula (I-g):
Figure imgf000015_0001
Formula (I-g)
or a pharmaceutically acceptable salt, solvate, hydrate, tautomer, or stereoisomer thereof, wherein each of L1, L2, R1, R2, A, W, Rx, and t is defined as for Formula (I).
In some embodiments, the compound of Formula (I) is a compound of Formula (I-h):
Figure imgf000015_0002
Formula (I-h)
or a pharmaceutically acceptable salt, solvate, hydrate, tautomer, or stereoisomer thereof, wherein each of L2, R1, R2, A, W, Rx, , and t is defined as for Formula (I).
In some e ormula (I-i):
Figure imgf000015_0003
Formula (I-i)
or a pharmaceutically acceptable salt, solvate, hydrate, tautomer, or stereoisomer thereof, wherein each of L2, R1, R2, W, Rx, RY, and t is defined as for Formula (I).
In some embodiments, the compound of Formula (I) is a compound of Formula (I-j):
Figure imgf000015_0004
Formula (I-j)
or a pharmaceutically acceptable salt, solvate, hydrate, tautomer, or stereoisomer thereof, wherein each of L1, L2, R1, R2, A, W, Rx, and t is defined as for Formula (I).
In some embodiments, the compound of Formula (I) is a compound of Formula (I-k):
Figure imgf000016_0001
Formula (I-k)
or a pharmaceutically acceptable salt, solvate, hydrate, tautomer, or stereoisomer thereof, wherein each of L2, R1, R2 , A, W, Rx, and t is defined as for Formula (I).
In some embodiments, the compound of Formula (I) is a compound of Formula (1-1):
Figure imgf000016_0002
Formula (1-1)
or a pharmaceutically acceptable salt, solvate, hydrate, tautomer, or stereoisomer thereof, wherein each of L2, R1, R2 W, Rx, RY, and t is defined as for Formula (I).
In some embodiments, the compound is selected from any compound set forth in Table 1 or a pharmaceutically acceptable salt, solvate, hydrate, tautomer, or stereoisomer thereof.
In some embodiments, the compound of Formula (I) (e.g., a compound of Formula (I- a), (I-b), (I-c), (I-d), (I-e), (I-f), (I-g), (I-h), (I-i), (I-j), (I-k) or (1-1)) or a pharmaceutically acceptable salt thereof is formulated as a pharmaceutically acceptable composition comprising a compound of any one of the preceding claims and a pharmaceutically acceptable carrier.
In another aspect, the present invention features a method of treating a
neurodegenerative disease, a leukodystrophy, cancer, an inflammatory disease, a
musculoskeletal disease, a metabolic disease, or a disease or disorder associated with impaired function of eIF2B or components in the ISR pathway (e.g., eIF2 pathway) in a subject, wherein the method comprises administering a compound of Formula (I) or a pharmaceutically acceptable salt, solvate, hydrate, tautomer, or stereoisomer thereof, or a composition thereof, to a subject.
In some embodiments, the method comprises the treatment of a neurodegenerative disease. In some embodiments, the neurodegenerative disease comprises vanishing white matter disease, childhood ataxia with CNS hypo-myelination, a leukodystrophy, a
leukoencephalopathy, hypomyelinating or demyelinating disease, an intellectual disability syndrome, Alzheimer's disease, amyotrophic lateral sclerosis, Creutzfeldt- Jakob disease, Frontotemporal dementia, Gerstmann-Straussler-Scheinker disease, Huntington's disease, dementia (e.g., HIV-associated dementia or Lewy body dementia), Kuru, Parkinson's disease, progressive nuclear palsy, a tauopathy, or a prion disease. In some embodiments, the neurodegenerative disease comprises vanishing white matter disease. In some embodiments, the neurodegenerative disease comprises a psychiatric disease such as agoraphobia,
Alzheimer's disease, anorexia nervosa, amnesia, anxiety disorder, bipolar disorder, body dysmorphic disorder, bulimia nervosa, claustrophobia, depression, delusions, Diogenes syndrome, dyspraxia, insomnia, Munchausen's syndrome, narcolepsy, narcissistic personality disorder, obsessive-compulsive disorder, psychosis, phobic disorder, schizophrenia, seasonal affective disorder, schizoid personality disorder, sleepwalking, social phobia, substance abuse, tardive dyskinesia, Tourette syndrome, or trichotillomania. In some embodiments, the neurodegenerative disease comprises a disease or disorder with symptoms of cognitive impairment or cognitive decline such as Alzheimer's disease, Parkinson's disease,
Huntington's disease, schizophrenia, autism, frontotemporal dementia, dementia (e.g., HIV- associated dementia or Lewy body dementia), age related dementia, chronic traumatic encephalopathy, HIV -induced neurocognitive impairment, a HIV-associated neurocognitive disorder, a hypoxic injury (e.g., premature brain injury, chronic perinatal hypoxia), traumatic brain injury, or postoperative cognitive dysfunction. In some embodiments, the
neurodegenerative disease comprises an intellectual disability syndrome. In some
embodiments, the neurodegenerative disease comprises mild cognitive impairment.
In some embodiments, the method comprises the treatment of cancer. In some embodiments, the cancer comprises pancreatic cancer, breast cancer, multiple myeloma, or a cancer of the secretory cells. In some embodiments, the method comprises the treatment of cancer in combination with a chemotherapeutic agent for the enhancement of memory (e.g., long term memory).
In some embodiments, the method comprises the treatment of an inflammatory disease. In some embodiments, the inflammatory disease comprises postoperative cognitive dysfunction, traumatic brain injury, arthritis (e.g., rheumatoid arthritis, psoriatic arthritis, or juvenile idiopathic arthritis), systemic lupus erythematosus (SLE), myasthenia gravis, diabetes (e.g., juvenile onset diabetes or diabetes mellitus type 1), Guillain-Barre syndrome,
Hashimoto's encephalitis, Hashimoto's thyroiditis, ankylosing spondylitis, psoriasis, Sjogren's syndrome, vasculitis, glomerulonephritis, auto-immune thyroiditis, Behcet's disease, Crohn's disease, ulcerative colitis, bullous pemphigoid, sarcoidosis, ichthyosis, Graves'
ophthalmopathy, inflammatory bowel disease, Addison's disease, vitiligo, asthma (e.g., allergic asthma), acne vulgaris, celiac disease, chronic prostatitis, pelvic inflammatory disease, reperfusion injury, sarcoidosis, transplant rejection, interstitial cystitis, or atopic dermatitis.
In some embodiments, the method comprises the treatment of a musculoskeletal disease. In some embodiments, the musculoskeletal disease comprises muscular dystrophy, multiple sclerosis, Freidrich's ataxia, a muscle wasting disorder (e.g., muscle atrophy, sarcopenia, cachexia), inclusion body myopathy, progressive muscular atrophy, motor neuron disease, carpal tunnel syndrome, epicondylitis, tendinitis, back pain, muscle pain, muscle soreness, repetitive strain disorders, or paralysis.
In some embodiments, the method comprises the treatment of a metabolic disease. In some embodiments, the metabolic disease comprises non-alcoholic steatohepatitis (NASH), non-alcoholic fatty liver disease (NAFLD), liver fibrosis, obesity, heart disease, atherosclerosis, arthritis, cystinosis, phenylketonuria, proliferative retinopathy, or Kearns-Sayre disease.
In another aspect, the present invention features a method of treating a disease or disorder related to modulation (e.g., a decrease) in eIF2B activity or level, modulation (e.g., a decrease) of eIF2a activity or level, modulation (e.g., an increase) in eIF2a phosphorylation, modulation (e.g., an increase) of phosphorylated eIF2a pathway activity, or modulation (e.g., an increase) of ISR activity in a subject, wherein the method comprises administering a compound of Formula (I) or a pharmaceutically acceptable salt, solvate, hydrate, tautomer, or stereoisomer thereof, or a composition thereof, to a subject. In some embodiments, the disease may be caused by a mutation to a gene or protein sequence related to a member of the eIF2 pathway (e.g., the eIF2a signaling pathway or ISR pathway).
In another aspect, the present invention features a method of treating a leukodystrophy such as vanishing white matter disease (VWMD) or childhood ataxia with central nervous system hypomyelination. In some embodiments, the leukodystrophy is characterized by an amino acid mutation (e.g., an amino acid deletion, amino acid addition, or amino acid substitution) in a tRNA synthetase. In some embodiments, administration of a compound of Formula (I) enhances eIF2B activity in a subject with a leukodystrophy, such as vanishing white matter disease (VWMD) or childhood ataxia with central nervous system hypomyelination.
In another aspect, the present invention features a method of treating a disease or disorder related to an amino acid mutation (e.g., an amino acid deletion, amino acid addition, or amino acid substitution) in a gene or gene product (e.g., RNA or protein) that modulates (e.g., reduces) protein synthesis. In some embodiments, administration of a compound of Formula (I) enhances residual GEF activity of a mutant GEF complex in a subject.
In another aspect, the present invention features a composition for use in treating a neurodegenerative disease, a leukodystrophy, cancer, an inflammatory disease, a
musculoskeletal disease, or a metabolic disease in a subject, wherein the composition comprises a compound of Formula (I) or a pharmaceutically acceptable salt, solvate, hydrate, tautomer, or stereoisomer thereof.
In some embodiments, the neurodegenerative disease comprises vanishing white matter disease, childhood ataxia with CNS hypo-myelination, a leukodystrophy, a
leukoencephalopathy, hypomyelinating or demyelinating disease, an intellectual disability syndrome, Alzheimer's disease, amyotrophic lateral sclerosis, Creutzfeldt- Jakob disease, Frontotemporal dementia, Gerstmann-Straussler-Scheinker disease, Huntington's disease, dementia (e.g., HIV-associated dementia or Lewy body dementia), Kuru, Parkinson's disease, progressive nuclear palsy, a tauopathy, or a prion disease. In some embodiments, the neurodegenerative disease comprises vanishing white matter disease. In some embodiments, the neurodegenerative disease comprises a psychiatric disease such as agoraphobia,
Alzheimer's disease, anorexia nervosa, amnesia, anxiety disorder, bipolar disorder, body dysmorphic disorder, bulimia nervosa, claustrophobia, depression, delusions, Diogenes syndrome, dyspraxia, insomnia, Munchausen's syndrome, narcolepsy, narcissistic personality disorder, obsessive-compulsive disorder, psychosis, phobic disorder, schizophrenia, seasonal affective disorder, schizoid personality disorder, sleepwalking, social phobia, substance abuse, tardive dyskinesia, Tourette syndrome, or trichotillomania. In some embodiments, the neurodegenerative disease comprises a disease or disorder with symptoms of cognitive impairment or cognitive decline such as Alzheimer's disease, Parkinson's disease,
Huntington's disease, schizophrenia, autism, frontotemporal dementia, dementia (e.g., HIV- associated dementia or Lewy body dementia), age related dementia, chronic traumatic encephalopathy, HIV -induced neurocognitive impairment, a HIV-associated neurocognitive disorder, a hypoxic injury (e.g., premature brain injury, chronic perinatal hypoxia), traumatic brain injury, or postoperative cognitive dysfunction. In some embodiments, the
neurodegenerative disease comprises an intellectual disability syndrome. In some
embodiments, the neurodegenerative disease comprises mild cognitive impairment.
In some embodiments, the cancer comprises pancreatic cancer, breast cancer, multiple myeloma, or a cancer of the secretory cells. In some embodiments, the method comprises the treatment of cancer in combination with a chemotherapeutic agent for the enhancement of memory (e.g., long term memory).
In some embodiments, the inflammatory disease comprises postoperative cognitive dysfunction, traumatic brain injury, arthritis (e.g., rheumatoid arthritis, psoriatic arthritis, or juvenile idiopathic arthritis), systemic lupus erythematosus (SLE), myasthenia gravis, diabetes (e.g., juvenile onset diabetes or diabetes mellitus type 1), Guillain-Barre syndrome,
Hashimoto's encephalitis, Hashimoto's thyroiditis, ankylosing spondylitis, psoriasis, Sjogren's syndrome, vasculitis, glomerulonephritis, auto-immune thyroiditis, Behcet's disease, Crohn's disease, ulcerative colitis, bullous pemphigoid, sarcoidosis, ichthyosis, Graves'
ophthalmopathy, inflammatory bowel disease, Addison's disease, vitiligo, asthma (e.g., allergic asthma), acne vulgaris, celiac disease, chronic prostatitis, pelvic inflammatory disease, reperfusion injury, sarcoidosis, transplant rejection, interstitial cystitis, or atopic dermatitis.
In some embodiments, the musculoskeletal disease comprises muscular dystrophy, multiple sclerosis, Freidrich's ataxia, a muscle wasting disorder (e.g., muscle atrophy, sarcopenia, cachexia), inclusion body myopathy, progressive muscular atrophy, motor neuron disease, carpal tunnel syndrome, epicondylitis, tendinitis, back pain, muscle pain, muscle soreness, repetitive strain disorders, or paralysis.
In some embodiments, the metabolic disease comprises non-alcoholic steatohepatitis
(NASH), non-alcoholic fatty liver disease (NAFLD), liver fibrosis, obesity, heart disease, atherosclerosis, arthritis, cystinosis, phenylketonuria, proliferative retinopathy, or Kearns-Sayre disease. In another aspect, the present invention features a composition for use in treating a disease or disorder related to modulation (e.g., a decrease) in eIF2B activity or level, modulation (e.g., a decrease) of eIF2a activity or level, modulation (e.g., an increase) in eIF2a phosphorylation, modulation (e.g., an increase) of phosphorylated eIF2a pathway activity, or modulation (e.g., an increase) of ISR activity in a subject, wherein the composition comprises a compound of Formula (I) or a pharmaceutically acceptable salt, solvate, hydrate, tautomer, or stereoisomer thereof. In some embodiments, the disease may be caused by a mutation to a gene or protein sequence related to a member of the eIF2 pathway (e.g., the eIF2a signaling pathway or ISR pathway).
In another aspect, the present invention features a composition for use in treating a leukodystrophy such as vanishing white matter disease (VWMD) or childhood ataxia with central nervous system hypomyelination. In some embodiments, the leukodystrophy is characterized by an amino acid mutation (e.g., an amino acid deletion, amino acid addition, or amino acid substitution) in a tRNA synthetase. In some embodiments, the composition comprising a compound of Formula (I) enhances eIF2B activity in a subject with a
leukodystrophy, such as vanishing white matter disease (VWMD) or childhood ataxia with central nervous system hypomyelination.
In another aspect, the present invention features a composition for use in treating a disease or disorder related to an amino acid mutation (e.g., an amino acid deletion, amino acid addition, or amino acid substitution) in a gene or gene product (e.g., RNA or protein) that modulates (e.g., reduces) protein synthesis. In some embodiments, the composition comprising a compound of Formula (I) enhances residual GEF activity of a mutant GEF complex in a subject.
DETAILED DESCRIPTION OF THE INVENTION
The present invention features compounds, compositions, and methods comprising a compound of Formula (I) or a pharmaceutically acceptable salt, solvate, hydrate, tautomer, or stereoisomer thereof for use, e.g., in the modulation (e.g., activation) of eIF2B and the attenuation of the ISR signaling pathway.
Definitions
Chemical Definitions
Definitions of specific functional groups and chemical terms are described in more detail below. The chemical elements are identified in accordance with the Periodic Table of the Elements, CAS version, Handbook of Chemistry and Physics, 75 Ed., inside cover, and specific functional groups are generally defined as described therein. Additionally, general principles of organic chemistry, as well as specific functional moieties and reactivity, are described in Thomas Sorrell, Organic Chemistry, University Science Books, Sausalito, 1999; Smith and March, March 's Advanced Organic Chemistry, 5th Edition, John Wiley & Sons, Inc., New York, 2001; Larock, Comprehensive Organic Transformations, VCH Publishers, Inc., New York, 1989; and Carruthers, Some Modern Methods of Organic Synthesis, 3rd Edition, Cambridge University Press, Cambridge, 1987.
The abbreviations used herein have their conventional meaning within the chemical and biological arts. The chemical structures and formulae set forth herein are constructed according to the standard rules of chemical valency known in the chemical arts.
Compounds described herein can comprise one or more asymmetric centers, and thus can exist in various isomeric forms, e.g., enantiomers and/or diastereomers. For example, the compounds described herein can be in the form of an individual enantiomer, diastereomer or geometric isomer, or can be in the form of a mixture of stereoisomers, including racemic mixtures and mixtures enriched in one or more stereoisomer. Isomers can be isolated from mixtures by methods known to those skilled in the art, including chiral high pressure liquid chromatography (HPLC) and the formation and crystallization of chiral salts; or preferred isomers can be prepared by asymmetric syntheses. See, for example, Jacques et al,
Enantiomers, Racemates and Resolutions (Wiley Interscience, New York, 1981); Wilen et al, Tetrahedron 33:2725 (1977); Eliel, Stereochemistry of Carbon Compounds (McGraw-Hill, NY, 1962); and Wilen, Tables of Resolving Agents and Optical Resolutions p. 268 (E.L. Eliel, Ed., Univ. of Notre Dame Press, Notre Dame, IN 1972). The invention additionally encompasses compounds described herein as individual isomers substantially free of other isomers, and alternatively, as mixtures of various isomers.
As used herein a pure enantiomeric compound is substantially free from other enantiomers or stereoisomers of the compound (i.e., in enantiomeric excess). In other words, an "S" form of the compound is substantially free from the "R" form of the compound and is, thus, in enantiomeric excess of the "R" form. The term "enantiomerically pure" or "pure enantiomer" denotes that the compound comprises more than 75% by weight, more than 80% by weight, more than 85% by weight, more than 90% by weight, more than 91% by weight, more than 92% by weight, more than 93% by weight, more than 94% by weight, more than 95% by weight, more than 96% by weight, more than 97% by weight, more than 98% by weight, more than 99% by weight, more than 99.5% by weight, or more than 99.9% by weight, of the enantiomer. In certain embodiments, the weights are based upon total weight of all enantiomers or stereoisomers of the compound.
In the compositions provided herein, an enantiomerically pure compound can be present with other active or inactive ingredients. For example, a pharmaceutical composition comprising enantiomerically pure R-compound can comprise, for example, about 90% excipient and about 10% enantiomerically pure R-compound. In certain embodiments, the enantiomerically pure R-compound in such compositions can, for example, comprise, at least about 95% by weight R-compound and at most about 5% by weight S-compound, by total weight of the compound. For example, a pharmaceutical composition comprising
enantiomerically pure S-compound can comprise, for example, about 90% excipient and about 10% enantiomerically pure S-compound. In certain embodiments, the enantiomerically pure S-compound in such compositions can, for example, comprise, at least about 95% by weight S-compound and at most about 5% by weight R-compound, by total weight of the compound. In certain embodiments, the active ingredient can be formulated with little or no excipient or carrier.
Compound described herein may also comprise one or more isotopic substitutions. For example, H may be in any isotopic form, including XH, 2H (D or deuterium), and H (T or tritium); C may be in any isotopic form, including 12C, 1 C, and 14C; O may be in any isotopic form, including 160 and 180; and the like.
The articles "a" and "an" may be used herein to refer to one or to more than one (i. e. at least one) of the grammatical objects of the article. By way of example "an analogue" means one analogue or more than one analogue.
When a range of values is listed, it is intended to encompass each value and sub-range within the range. For example "Ci-Ce alkyl" is intended to encompass, Ci, C2, C3, C4, C5, C6, C1-C5, C1-C4, C1-C3, C1-C2, C2-C6, C2-C5, C2-C4, C2-C3, C3-C6, C3-C5, C3-C4, C4-C6, C4-
C5, and C5-C6 alkyl.
The following terms are intended to have the meanings presented therewith below and are useful in understanding the description and intended scope of the present invention.
"Alkyl" refers to a radical of a straight-chain or branched saturated hydrocarbon group having from 1 to 20 carbon atoms ("C1-C20 alkyl"). In some embodiments, an alkyl group has 1 to 12 carbon atoms ("C1-C12 alkyl"). In some embodiments, an alkyl group has 1 to 8 carbon atoms ("Ci-Cg alkyl"). In some embodiments, an alkyl group has 1 to 6 carbon atoms ("C1-C6 alkyl"). In some embodiments, an alkyl group has 1 to 5 carbon atoms ("C1-C5 alkyl"). In some embodiments, an alkyl group has 1 to 4 carbon atoms ("Ci-C4alkyl"). In some embodiments, an alkyl group has 1 to 3 carbon atoms ("C1-C3 alkyl"). In some embodiments, an alkyl group has 1 to 2 carbon atoms ("C1-C2 alkyl"). In some embodiments, an alkyl group has 1 carbon atom ("Ci alkyl"). In some embodiments, an alkyl group has 2 to 6 carbon atoms ("C2-C6alkyl"). Examples of Ci-Cealkyl groups include methyl (Ci), ethyl (C2), n-propyl (C3), isopropyl (C3), n-butyl (C4), tert-butyl (C4), sec-butyl (C4), iso-butyl (C4), n-pentyl (C5), 3- pentanyl (C5), amyl (C5), neopentyl (C5), 3-methyl-2-butanyl (C5), tertiary amyl (C5), and n- hexyl (C6). Additional examples of alkyl groups include n-heptyl (C7), n-octyl (Cg) and the like. Each instance of an alkyl group may be independently optionally substituted, i.e., unsubstituted (an "unsubstituted alkyl") or substituted (a "substituted alkyl") with one or more substituents; e.g., for instance from 1 to 5 substituents, 1 to 3 substituents, or 1 substituent. In certain embodiments, the alkyl group is unsubstituted Ci_io alkyl (e.g., -CH3). In certain embodiments, the alkyl group is substituted Ci_6 alkyl. Common alkyl abbreviations include Me (-CH3), Et (-CH2CH3), iPr (-CH(CH3)2), nPr (-CH2CH2CH3), n-Bu (-CH2CH2CH2CH3), or i-Bu (-CH2CH(CH3)2).
The term "alkylene," by itself or as part of another substituent, means, unless otherwise stated, a divalent radical derived from an alkyl, as exemplified, but not limited by, -
CH2CH2CH2CH2-. Typically, an alkyl (or alkylene) group will have from 1 to 24 carbon atoms, with those groups having 10 or fewer carbon atoms being preferred in the present invention. The term "alkenylene," by itself or as part of another substituent, means, unless otherwise stated, a divalent radical derived from an alkene. An alkylene group may be described as, e.g., a Ci-C6-membered alkylene, wherein the term "membered" refers to the non-hydrogen atoms within the moiety.
"Alkenyl" refers to a radical of a straight-chain or branched hydrocarbon group having from 2 to 20 carbon atoms, one or more carbon-carbon double bonds, and no triple bonds ("C2- C20 alkenyl"). In some embodiments, an alkenyl group has 2 to 10 carbon atoms ("C2-C10 alkenyl"). In some embodiments, an alkenyl group has 2 to 8 carbon atoms ("C2-C8 alkenyl"). In some embodiments, an alkenyl group has 2 to 6 carbon atoms ("C2-C6 alkenyl"). In some embodiments, an alkenyl group has 2 to 5 carbon atoms ("C2-C5 alkenyl"). In some embodiments, an alkenyl group has 2 to 4 carbon atoms ("C2-C4 alkenyl"). In some embodiments, an alkenyl group has 2 to 3 carbon atoms ("C2-C3 alkenyl"). In some embodiments, an alkenyl group has 2 carbon atoms ("C2 alkenyl"). The one or more carbon- carbon double bonds can be internal (such as in 2-butenyl) or terminal (such as in 1-butenyl). Examples of C2-C4 alkenyl groups include ethenyl (C2), 1-propenyl (C3), 2-propenyl (C3), 1- butenyl (C4), 2-butenyl (C4), butadienyl (C4), and the like. Examples of C2-C6 alkenyl groups include the aforementioned C2^ alkenyl groups as well as pentenyl (C5), pentadienyl (C5), hexenyl (C6), and the like. Additional examples of alkenyl include heptenyl (C7), octenyl (C8), octatrienyl (C8), and the like. Each instance of an alkenyl group may be independently optionally substituted, i.e., unsubstituted (an "unsubstituted alkenyl") or substituted (a
"substituted alkenyl") with one or more substituents e.g., for instance from 1 to 5 substituents, 1 to 3 substituents, or 1 substituent. In certain embodiments, the alkenyl group is unsubstituted C2-10 alkenyl. In certain embodiments, the alkenyl group is substituted C2-6 alkenyl.
"Aryl" refers to a radical of a monocyclic or poly cyclic (e.g., bicyclic or tricyclic) 4n+2 aromatic ring system (e.g., having 6, 10, or 14 π electrons shared in a cyclic array) having 6-14 ring carbon atoms and zero heteroatoms provided in the aromatic ring system ("C6-C14 aryl"). In some embodiments, an aryl group has six ring carbon atoms ("C6 aryl"; e.g., phenyl). In some embodiments, an aryl group has ten ring carbon atoms ("C10 aryl"; e.g., naphthyl such as 1-naphthyl and 2-naphthyl). In some embodiments, an aryl group has fourteen ring carbon atoms ("C14 aryl"; e.g., anthracyl). An aryl group may be described as, e.g., a C6-Clo- membered aryl, wherein the term "membered" refers to the non-hydrogen ring atoms within the moiety. Aryl groups include, but are not limited to, phenyl, naphthyl, indenyl, and
tetrahydronaphthyl. Each instance of an aryl group may be independently optionally substituted, i.e. , unsubstituted (an "unsubstituted aryl") or substituted (a "substituted aryl") with one or more substituents. In certain embodiments, the aryl group is unsubstituted C6-C14 aryl. In certain embodiments, the aryl group is substituted C6-C14 aryl.
In certain embodiments, an aryl group is substituted with one or more of groups selected from halo, Ci-Cg alkyl, halo-Ci-Cg alkyl, haloxy-Ci-Cg alkyl, cyano, hydroxy, alkoxy Ci-Cg alkyl, and amino.
Examples of representative substituted aryls include the following
Figure imgf000026_0001
wherein one of R and R may be hydrogen and at least one of R and R is each independently selected from Ci-Cg alkyl, halo-Ci-Cg alkyl, 4-10 membered heterocyclyl, alkanoyl, alkoxy-Ci-Cg alkyl, heteroaryloxy, alkylamino, arylamino, heteroarylamino, NR58COR59, NR58SOR59NR58S02R59, C(0)Oalkyl, C(0)Oaryl, CONR58R59, CONR58OR59, NR58R59, S02NR58R59, S-alkyl, S(0)-alkyl, S(0)2-alkyl, S-aryl, S(0)-aryl, S(02)-aryl; or R5 and R57 may be joined to form a cyclic ring (saturated or unsaturated) from 5 to 8 atoms, optionally containing one or more heteroatoms selected from the group N, O, or S.
Other representative aryl groups having a fused heterocyclyl group include the followi
Figure imgf000026_0002
wherein each W is selected from C(R )2, NR , O, and S; and each Y' is selected from carbonyl, NR66, O and S; and R66 is independently hydrogen, Ci-Cg alkyl, C3-C10 cycloalkyl, 4-10 membered heterocyclyl, C6-C10 aryl, and 5-10 membered heteroaryl.
An "arylene" and a "heteroarylene," alone or as part of another substituent, mean a divalent radical derived from an aryl and heteroaryl, respectively. Non-limiting examples of heteroaryl groups include pyridinyl, pyrimidinyl, thiophenyl, thienyl, furanyl, indolyl, benzoxadiazolyl, benzodioxolyl, benzodioxanyl, thianaphthanyl, pyrrolopyridinyl, indazolyl, quinolinyl, quinoxalinyl, pyridopyrazinyl, quinazolinonyl, benzoisoxazolyl, imidazopyridinyl, benzofuranyl, benzothienyl, benzothiophenyl, phenyl, naphthyl, biphenyl, pyrrolyl, pyrazolyl, imidazolyl, pyrazinyl, oxazolyl, isoxazolyl, thiazolyl, furylthienyl, pyridyl, pyrimidyl, benzothiazolyl, purinyl, benzimidazolyl, isoquinolyl, thiadiazolyl, oxadiazolyl, pyrrolyl, diazolyl, triazolyl, tetrazolyl, benzothiadiazolyl, isothiazolyl, pyrazolopyrimidinyl, pyrrolopyrimidinyl, benzotriazolyl, benzoxazolyl, or quinolyl. The examples above may be substituted or unsubstituted and divalent radicals of each heteroaryl example above are non- limiting examples of heteroarylene.
"Halo" or "halogen," independently or as part of another substituent, mean, unless otherwise stated, a fluorine (F), chlorine (CI), bromine (Br), or iodine (I) atom. The term "halide" by itself or as part of another substituent, refers to a fluoride, chloride, bromide, or iodide atom. In certain embodiments, the halo group is either fluorine or chlorine.
Additionally, terms such as "haloalkyl" are meant to include monohaloalkyl and polyhaloalkyl. For example, the term "halo-Ci-C6 alkyl" includes, but is not limited to, fluoromethyl, difiuoromethyl, trifluoromethyl, 2,2,2-trifluoroethyl, 4-chlorobutyl, 3- bromopropyl, and the like.
The term "heteroalkyl," by itself or in combination with another term, means, unless otherwise stated, a non-cyclic stable straight or branched chain, or combinations thereof, including at least one carbon atom and at least one heteroatom selected from the group consisting of O, N, P, Si, and S, and wherein the nitrogen and sulfur atoms may optionally be oxidized, and the nitrogen heteroatom may optionally be quatemized. The heteroatom(s) O, N, P, S, and Si may be placed at any interior position of the heteroalkyl group or at the position at which the alkyl group is attached to the remainder of the molecule. Exemplary heteroalkyl groups include, but are not limited to: -CH2-CH2-0-CH3, -CH2-CH2-NH-CH3, -CH2-CH2- N(CH3)-CH3, -CH2-S-CH2-CH3, -CH2-CH2, -S(0)2, -S(0)-CH3, -S(0)2-CH2, -CH2-CH2-S(0)2- CH3, -CH=CH-0-CH3, -Si(CH3)3, -CH2-CH=N-OCH3, -CH=CH-N(CH3)-CH3, -0-CH3, and - 0-CH2-CH3. Up to two or three heteroatoms may be consecutive, such as, for example, -CH2- NH-OCH3 and -CH2-0-Si(CH3)3. Where "heteroalkyl" is recited, followed by recitations of specific heteroalkyl groups, such as -CH20, -NR B R C , or the like, it will be understood that the terms heteroalkyl and -CH20 or -NR B R C are not redundant or mutually exclusive. Rather, the specific heteroalkyl groups are recited to add clarity. Thus, the term "heteroalkyl" should not be interpreted herein as excluding specific heteroalkyl groups, such as -CH20, -NR B R C , or the like.
Similarly, the term "heteroalkylene," by itself or as part of another substituent, means, unless otherwise stated, a divalent radical derived from heteroalkyl, as exemplified, but not limited by, -CH20- and -CH2CH20-. A heteroalkylene group may be described as, e.g., a 2-7- membered heteroalkylene, wherein the term "membered" refers to the non-hydrogen atoms within the moiety. For heteroalkylene groups, heteroatoms can also occupy either or both of the chain termini (e.g., alkyleneoxy, alkylenedioxy, alkyleneamino, alkylenediamino, and the like). Still further, for alkylene and heteroalkylene linking groups, no orientation of the linking group is implied by the direction in which the formula of the linking group is written. For example, the formula -C(0)2R'- may represent both -C(0)2R'- and -R'C(0)2-. "Heteroaryl" refers to a radical of a 5-10 membered monocyclic or bicyclic 4n+2 aromatic ring system (e.g., having 6 or 10 π electrons shared in a cyclic array) having ring carbon atoms and 1-4 ring heteroatoms provided in the aromatic ring system, wherein each heteroatom is independently selected from nitrogen, oxygen and sulfur ("5-10 membered heteroaryl"). In heteroaryl groups that contain one or more nitrogen atoms, the point of attachment can be a carbon or nitrogen atom, as valency permits. Heteroaryl bicyclic ring systems can include one or more heteroatoms in one or both rings. "Heteroaryl" also includes ring systems wherein the heteroaryl ring, as defined above, is fused with one or more aryl groups wherein the point of attachment is either on the aryl or heteroaryl ring, and in such instances, the number of ring members designates the number of ring members in the fused (aryl/heteroaryl) ring system. Bicyclic heteroaryl groups wherein one ring does not contain a heteroatom (e.g., indolyl, quinolinyl, carbazolyl, and the like) the point of attachment can be on either ring, i.e., either the ring bearing a heteroatom (e.g., 2-indolyl) or the ring that does not contain a heteroatom (e.g., 5-indolyl). A heteroaryl group may be described as, e.g., a 6-10- membered heteroaryl, wherein the term "membered" refers to the non-hydrogen ring atoms within the moiety.
In some embodiments, a heteroaryl group is a 5-10 membered aromatic ring system having ring carbon atoms and 1-4 ring heteroatoms provided in the aromatic ring system, wherein each heteroatom is independently selected from nitrogen, oxygen, and sulfur ("5-10 membered heteroaryl"). In some embodiments, a heteroaryl group is a 5-8 membered aromatic ring system having ring carbon atoms and 1-4 ring heteroatoms provided in the aromatic ring system, wherein each heteroatom is independently selected from nitrogen, oxygen, and sulfur ("5-8 membered heteroaryl"). In some embodiments, a heteroaryl group is a 5-6 membered aromatic ring system having ring carbon atoms and 1-4 ring heteroatoms provided in the aromatic ring system, wherein each heteroatom is independently selected from nitrogen, oxygen, and sulfur ("5-6 membered heteroaryl"). In some embodiments, the 5-6 membered heteroaryl has 1-3 ring heteroatoms selected from nitrogen, oxygen, and sulfur. In some embodiments, the 5-6 membered heteroaryl has 1-2 ring heteroatoms selected from nitrogen, oxygen, and sulfur. In some embodiments, the 5-6 membered heteroaryl has 1 ring heteroatom selected from nitrogen, oxygen, and sulfur. Each instance of a heteroaryl group may be independently optionally substituted, i.e., unsubstituted (an "unsubstituted heteroaryl") or substituted (a "substituted heteroaryl") with one or more substituents. In certain embodiments, the heteroaryl group is unsubstituted 5-14 membered heteroaryl. In certain embodiments, the heteroaryl group is substituted 5-14 membered heteroaryl.
Exemplary 5-membered heteroaryl groups containing one heteroatom include, without limitation, pyrrolyl, furanyl and thiophenyl. Exemplary 5-membered heteroaryl groups containing two heteroatoms include, without limitation, imidazolyl, pyrazolyl, oxazolyl, isoxazolyl, thiazolyl, and isothiazolyl. Exemplary 5-membered heteroaryl groups containing three heteroatoms include, without limitation, triazolyl, oxadiazolyl, and thiadiazolyl.
Exemplary 5-membered heteroaryl groups containing four heteroatoms include, without limitation, tetrazolyl. Exemplary 6-membered heteroaryl groups containing one heteroatom include, without limitation, pyridinyl. Exemplary 6-membered heteroaryl groups containing two heteroatoms include, without limitation, pyridazinyl, pyrimidinyl, and pyrazinyl.
Exemplary 6-membered heteroaryl groups containing three or four heteroatoms include, without limitation, triazinyl and tetrazinyl, respectively. Exemplary 7-membered heteroaryl groups containing one heteroatom include, without limitation, azepinyl, oxepinyl, and thiepinyl. Exemplary 5,6-bicyclic heteroaryl groups include, without limitation, indolyl, isoindolyl, indazolyl, benzotriazolyl, benzothiophenyl, isobenzothiophenyl, benzofuranyl, benzoisofuranyl, benzimidazolyl, benzoxazolyl, benzisoxazolyl, benzoxadiazolyl, benzthiazolyl, benzisothiazolyl, benzthiadiazolyl, indolizinyl, and purinyl. Exemplary 6,6- bicyclic heteroaryl groups include, without limitation, naphthyridinyl, pteridinyl, quinolinyl, isoquinolinyl, cinnolinyl, quinoxalinyl, phthalazinyl, and quinazolinyl.
Examples of representative heteroaryls include the following formulae:
Figure imgf000029_0001
wherein each Y is selected from carbonyl, N, NR , O, and S; and R is independently hydrogen, Ci-Cg alkyl, C3-C10 cycloalkyl, 4-10 membered heterocyclyl, C6-C10 aryl, and 5-10 membered heteroaryl. "Cycloalkyl" refers to a radical of a non-aromatic cyclic hydrocarbon group having from 3 to 10 ring carbon atoms ("C3-C10 cycloalkyl") and zero heteroatoms in the non-aromatic ring system. In some embodiments, a cycloalkyl group has 3 to 8 ring carbon atoms ("C3- Cgcycloalkyl"). In some embodiments, a cycloalkyl group has 3 to 6 ring carbon atoms ("C3- Ce cycloalkyl"). In some embodiments, a cycloalkyl group has 3 to 6 ring carbon atoms ("C3- Ce cycloalkyl"). In some embodiments, a cycloalkyl group has 5 to 10 ring carbon atoms ("C5- C10 cycloalkyl"). A cycloalkyl group may be described as, e.g., a C4-C7-membered cycloalkyl, wherein the term "membered" refers to the non-hydrogen ring atoms within the moiety.
Exemplary C3-C6 cycloalkyl groups include, without limitation, cyclopropyl (C3),
cyclopropenyl (C3), cyclobutyl (C4), cyclobutenyl (C4), cyclopentyl (C5), cyclopentenyl (C5), cyclohexyl (Ce), cyclohexenyl (Ce), cyclohexadienyl (Ce), and the like. Exemplary C3-C8 cycloalkyl groups include, without limitation, the aforementioned C3-C6 cycloalkyl groups as well as cycloheptyl (C7), cycloheptenyl (C7), cycloheptadienyl (C7), cycloheptatrienyl (C7), cyclooctyl (Cg), cyclooctenyl (Cg), cubanyl (Cg), bicyclo[l . l . l]pentanyl (C5),
bicyclo[2.2.2]octanyl (C8), bicyclo[2.1.1]hexanyl (C6), bicyclo[3.1.1]heptanyl (C7), and the like. Exemplary C3-C10 cycloalkyl groups include, without limitation, the aforementioned C3- Cg cycloalkyl groups as well as cyclononyl (C9), cyclononenyl (C9), cyclodecyl (C10), cyclodecenyl (C10), octahydro-lH-indenyl (C9), decahydronaphthalenyl (C10),
spiro[4.5]decanyl (C10), and the like. As the foregoing examples illustrate, in certain embodiments, the cycloalkyl group is either monocyclic ("monocyclic cycloalkyl") or contain a fused, bridged or spiro ring system such as a bicyclic system ("bicyclic cycloalkyl") and can be saturated or can be partially unsaturated. "Cycloalkyl" also includes ring systems wherein the cycloalkyl ring, as defined above, is fused with one or more aryl groups wherein the point of attachment is on the cycloalkyl ring, and in such instances, the number of carbons continue to designate the number of carbons in the cycloalkyl ring system. Each instance of a cycloalkyl group may be independently optionally substituted, i. e. , unsubstituted (an "unsubstituted cycloalkyl") or substituted (a "substituted cycloalkyl") with one or more substituents. In certain embodiments, the cycloalkyl group is unsubstituted C3-C10 cycloalkyl. In certain embodiments, the cycloalkyl group is a substituted C3-C10 cycloalkyl.
In some embodiments, "cycloalkyl" is a monocyclic, saturated cycloalkyl group having from 3 to 10 ring carbon atoms ("C3-C10 cycloalkyl"). In some embodiments, a cycloalkyl group has 3 to 8 ring carbon atoms ("C3-C8 cycloalkyl"). In some embodiments, a cycloalkyl group has 3 to 6 ring carbon atoms ("C3-C6 cycloalkyl"). In some embodiments, a cycloalkyl group has 5 to 6 ring carbon atoms ("C5-C6 cycloalkyl"). In some embodiments, a cycloalkyl group has 5 to 10 ring carbon atoms ("C5-C10 cycloalkyl"). Examples of C5-C6 cycloalkyl groups include cyclopentyl (C5) and cyclohexyl (C5). Examples of C3-C6 cycloalkyl groups include the aforementioned C5-C6 cycloalkyl groups as well as cyclopropyl (C3) and cyclobut l (C4). Examples of C3-C8 cycloalkyl groups include the aforementioned C3-C6 cycloalkyl groups as well as cycloheptyl (C7) and cyclooctyl (Cg). Unless otherwise specified, each instance of a cycloalkyl group is independently unsubstituted (an "unsubstituted cycloalkyl") or substituted (a "substituted cycloalkyl") with one or more substituents. In certain embodiments, the cycloalkyl group is unsubstituted C3-C10 cycloalkyl. In certain embodiments, the cycloalkyl group is substituted C3-C10 cycloalkyl.
"Heterocyclyl" or "heterocyclic" refers to a radical of a 3- to 10-membered non- aromatic ring system having ring carbon atoms and 1 to 4 ring heteroatoms, wherein each heteroatom is independently selected from nitrogen, oxygen, sulfur, boron, phosphorus, and silicon ("3-10 membered heterocyclyl"). In heterocyclyl groups that contain one or more nitrogen atoms, the point of attachment can be a carbon or nitrogen atom, as valency permits. A heterocyclyl group can either be monocyclic ("monocyclic heterocyclyl") or a fused, bridged or spiro ring system such as a bicyclic system ("bicyclic heterocyclyl"), and can be saturated or can be partially unsaturated. Heterocyclyl bicyclic ring systems can include one or more heteroatoms in one or both rings. "Heterocyclyl" also includes ring systems wherein the heterocyclyl ring, as defined above, is fused with one or more cycloalkyl groups wherein the point of attachment is either on the cycloalkyl or heterocyclyl ring, or ring systems wherein the heterocyclyl ring, as defined above, is fused with one or more aryl or heteroaryl groups, wherein the point of attachment is on the heterocyclyl ring, and in such instances, the number of ring members continue to designate the number of ring members in the heterocyclyl ring system. A heterocyclyl group may be described as, e.g., a 3-7-membered heterocyclyl, wherein the term "membered" refers to the non-hydrogen ring atoms, i.e., carbon, nitrogen, oxygen, sulfur, boron, phosphorus, and silicon, within the moiety. Each instance of heterocyclyl may be independently optionally substituted, i.e. , unsubstituted (an "unsubstituted heterocyclyl") or substituted (a "substituted heterocyclyl") with one or more substituents. In certain
embodiments, the heterocyclyl group is unsubstituted 3-10 membered heterocyclyl. In certain embodiments, the heterocyclyl group is substituted 3-10 membered heterocyclyl. In some embodiments, a heterocyclyl group is a 5-10 membered non-aromatic ring system having ring carbon atoms and 1-4 ring heteroatoms, wherein each heteroatom is independently selected from nitrogen, oxygen, sulfur, boron, phosphorus, and silicon ("5-10 membered heterocyclyl"). In some embodiments, a heterocyclyl group is a 5-8 membered non-aromatic ring system having ring carbon atoms and 1-4 ring heteroatoms, wherein each heteroatom is independently selected from nitrogen, oxygen, and sulfur ("5-8 membered heterocyclyl"). In some embodiments, a heterocyclyl group is a 5-6 membered non-aromatic ring system having ring carbon atoms and 1-4 ring heteroatoms, wherein each heteroatom is independently selected from nitrogen, oxygen, and sulfur ("5-6 membered heterocyclyl"). In some embodiments, the 5-6 membered heterocyclyl has 1-3 ring heteroatoms selected from nitrogen, oxygen, and sulfur. In some embodiments, the 5-6 membered heterocyclyl has 1-2 ring heteroatoms selected from nitrogen, oxygen, and sulfur. In some embodiments, the 5-6 membered heterocyclyl has one ring heteroatom selected from nitrogen, oxygen, and sulfur.
Exemplary 3-membered heterocyclyl groups containing one heteroatom include, without limitation, azirdinyl, oxiranyl, thiorenyl. Exemplary 4-membered heterocyclyl groups containing one heteroatom include, without limitation, azetidinyl, oxetanyl and thietanyl. Exemplary 5-membered heterocyclyl groups containing one heteroatom include, without limitation, tetrahydrofuranyl, dihydrofuranyl, tetrahydrothiophenyl, dihydrothiophenyl, pyrrolidinyl, dihydropyrrolyl and pyrrolyl-2,5-dione. Exemplary 5-membered heterocyclyl groups containing two heteroatoms include, without limitation, dioxolanyl, oxasulfuranyl, disulfuranyl, and oxazolidin-2-one. Exemplary 5-membered heterocyclyl groups containing three heteroatoms include, without limitation, triazolinyl, oxadiazolinyl, and thiadiazolinyl. Exemplary 6-membered heterocyclyl groups containing one heteroatom include, without limitation, piperidinyl, tetrahydropyranyl, dihydropyridinyl, and thianyl. Exemplary 6- membered heterocyclyl groups containing two heteroatoms include, without limitation, piperazinyl, morpholinyl, dithianyl, dioxanyl. Exemplary 6-membered heterocyclyl groups containing two heteroatoms include, without limitation, triazinanyl. Exemplary 7-membered heterocyclyl groups containing one heteroatom include, without limitation, azepanyl, oxepanyl and thiepanyl. Exemplary 8-membered heterocyclyl groups containing one heteroatom include, without limitation, azocanyl, oxecanyl and thiocanyl. Exemplary 5-membered heterocyclyl groups fused to a e aryl ring (also referred to herein as a 5,6-bicyclic heterocyclic ring) include, without limitation, indolinyl, isoindolinyl, dihydrobenzofuranyl, dihydrobenzothienyl, benzoxazolinonyl, and the like. Exemplary 6-membered heterocyclyl groups fused to an aryl ring (also referred to herein as a 6,6-bicyclic heterocyclic ring) include, without limitation, tetrahydroquinolinyl, tetrahydroisoquinolinyl, and the like.
Particular examples of heterocyclyl groups are shown in the following illustrative examples:
Figure imgf000033_0001
wherein each W is selected from CR , C(R )2, NR , O, and S; and each Y is selected from NR67, O, and S; and R67 is independently hydrogen, Ci-Cg alkyl, C3-C10 cycloalkyl, 4-10 membered heterocyclyl, C6-C10 aryl, and 5-10-membered heteroaryl. These heterocyclyl rings may be optionally substituted with one or more groups selected from the group consisting of acyl, acylamino, acyloxy, alkoxy, alkoxycarbonyl, alkoxycarbonylamino, amino, substituted amino, aminocarbonyl (e. g. , amido), aminocarbonylamino, aminosulfonyl, sulfonylamino, aryl, aryloxy, azido, carboxyl, cyano, cycloalkyl, halogen, hydroxy, keto, nitro, thiol, -S-alkyl, -S- aryl, -S(0)-alkyl, -S(0)-aryl, -S(0)2-alkyl, and -S(0)2-aryl. Substituting groups include carbonyl or thiocarbonyl which provide, for example, lactam and urea derivatives.
"Nitrogen-containing heterocyclyl" group means a 4- to 7- membered non-aromatic cyclic group containing at least one nitrogen atom, for example, but without limitation, morpholine, piperidine (e.g. 2-piperidinyl, 3-piperidinyl and 4-piperidinyl), pyrrolidine (e. g. 2-pyrrolidinyl and 3-pyrrolidinyl), azetidine, pyrrolidone, imidazoline, imidazolidinone, 2- pyrazoline, pyrazolidine, piperazine, and N-alkyl piperazines such as N-methyl piperazine. Particular examples include azetidine, piperidone and piperazone.
1f\ 1 1f\ 1
"Amino" refers to the radical -NR R , wherein R and R are each independently hydrogen, Ci-Cg alkyl, C3-C10 cycloalkyl, 4-10 membered heterocyclyl, C6-C10 aryl, and 5- 10-membered heteroaryl. In some embodiments, amino refers to NH2.
"Cyano" refers to the radical -CN.
"Hydroxy" refers to the radical -OH. Alkyl, alkenyl, alkynyl, cycloalkyl, heterocyclyl, aryl, and heteroaryl groups, as defined herein, are optionally substituted (e.g., "substituted" or "unsubstituted" alkyl, "substituted" or "unsubstituted" alkenyl, "substituted" or "unsubstituted" alkynyl, "substituted" or
"unsubstituted" cycloalkyl, "substituted" or "unsubstituted" heterocyclyl, "substituted" or "unsubstituted" aryl or "substituted" or "unsubstituted" heteroaryl group). In general, the term "substituted", whether preceded by the term "optionally" or not, means that at least one hydrogen present on a group (e.g., a carbon or nitrogen atom) is replaced with a permissible substituent, e.g., a substituent which upon substitution results in a stable compound, e.g., a compound which does not spontaneously undergo transformation such as by rearrangement, cyclization, elimination, or other reaction. Unless otherwise indicated, a "substituted" group has a substituent at one or more substitutable positions of the group, and when more than one position in any given structure is substituted, the substituent is either the same or different at each position. The term "substituted" is contemplated to include substitution with all permissible substituents of organic compounds, such as any of the substituents described herein that result in the formation of a stable compound. The present invention contemplates any and all such combinations in order to arrive at a stable compound. For purposes of this invention, heteroatoms such as nitrogen may have hydrogen substituents and/or any suitable substituent as described herein which satisfy the valencies of the heteroatoms and results in the formation of a stable moiety.
Two or more substituents may optionally be joined to form aryl, heteroaryl, cycloalkyl, or heterocycloalkyl groups. Such so-called ring-forming substituents are typically, though not necessarily, found attached to a cyclic base structure. In one embodiment, the ring-forming substituents are attached to adjacent members of the base structure. For example, two ring- forming substituents attached to adjacent members of a cyclic base structure create a fused ring structure. In another embodiment, the ring-forming substituents are attached to a single member of the base structure. For example, two ring-forming substituents attached to a single member of a cyclic base structure create a spirocyclic structure. In yet another embodiment, the ring-forming substituents are attached to non-adjacent members of the base structure.
A "counterion" or "anionic counterion" is a negatively charged group associated with a cationic quaternary amino group in order to maintain electronic neutrality. Exemplary counterions include halide ions (e.g., F , CP, Br , I ), N03 _, C104 , Off", H2P04 , HS04 , sulfonate ions (e.g., methansulfonate, trifluoromethanesulfonate, p-toluenesulfonate, benzenesulfonate, 10-camphor sulfonate, naphthalene-2-sulfonate, naphthalene-l-sulfonic acid-5-sulfonate, ethan-l-sulfonic acid-2-sulfonate, and the like), and carboxylate ions (e.g., acetate, ethanoate, propanoate, benzoate, gly cerate, lactate, tartrate, glycolate, and the like).
The term "pharmaceutically acceptable salts" is meant to include salts of the active compounds that are prepared with relatively nontoxic acids or bases, depending on the particular substituents found on the compounds described herein. When compounds of the present invention contain relatively acidic functionalities, base addition salts can be obtained by contacting the neutral form of such compounds with a sufficient amount of the desired base, either neat or in a suitable inert solvent. Examples of pharmaceutically acceptable base addition salts include sodium, potassium, calcium, ammonium, organic amino, or magnesium salt, or a similar salt. When compounds of the present invention contain relatively basic functionalities, acid addition salts can be obtained by contacting the neutral form of such compounds with a sufficient amount of the desired acid, either neat or in a suitable inert solvent. Examples of pharmaceutically acceptable acid addition salts include those derived from inorganic acids like hydrochloric, hydrobromic, nitric, carbonic, monohydrogencarbonic, phosphoric, monohydrogenphosphoric, dihydrogenphosphoric, sulfuric, monohydrogensulfuric, hydriodic, or phosphorous acids and the like, as well as the salts derived from relatively nontoxic organic acids like acetic, propionic, isobutyric, maleic, malonic, benzoic, succinic, suberic, fumaric, lactic, mandelic, phthalic, benzenesulfonic, p-tolylsulfonic, citric, tartaric, methanesulfonic, and the like. Also included are salts of amino acids such as arginate and the like, and salts of organic acids like glucuronic or galactunoric acids and the like (see, e.g., Berge et al, Journal of Pharmaceutical Science 66: 1 -19 (1977)). Certain specific compounds of the present invention contain both basic and acidic functionalities that allow the compounds to be converted into either base or acid addition salts. Other pharmaceutically acceptable carriers known to those of skill in the art are suitable for the present invention. Salts tend to be more soluble in aqueous or other protonic solvents that are the corresponding free base forms. In other cases, the preparation may be a lyophilized powder in a first buffer, e.g., in 1 mM-50 mM histidine, 0. l%-2% sucrose, 2%-7% mannitol at a pH range of 4.5 to 5.5, that is combined with a second buffer prior to use.
Thus, the compounds of the present invention may exist as salts, such as with pharmaceutically acceptable acids. The present invention includes such salts. Examples of such salts include hydrochlorides, hydrobromides, sulfates, methanesulfonates, nitrates, maleates, acetates, citrates, fumarates, tartrates (e.g., (+)-tartrates, (-)-tartrates, or mixtures thereof including racemic mixtures), succinates, benzoates, and salts with amino acids such as glutamic acid. These salts may be prepared by methods known to those skilled in the art.
The neutral forms of the compounds are preferably regenerated by contacting the salt with a base or acid and isolating the parent compound in the conventional manner. The parent form of the compound differs from the various salt forms in certain physical properties, such as solubility in polar solvents.
In addition to salt forms, the present invention provides compounds, which are in a prodrug form. Prodrugs of the compounds described herein are those compounds that readily undergo chemical changes under physiological conditions to provide the compounds of the present invention. Additionally, prodrugs can be converted to the compounds of the present invention by chemical or biochemical methods in an ex vivo environment. For example, prodrugs can be slowly converted to the compounds of the present invention when placed in a transdermal patch reservoir with a suitable enzyme or chemical reagent.
Certain compounds of the present invention can exist in unsolvated forms as well as solvated forms, including hydrated forms. In general, the solvated forms are equivalent to unsolvated forms and are encompassed within the scope of the present invention. Certain compounds of the present invention may exist in multiple crystalline or amorphous forms. In general, all physical forms are equivalent for the uses contemplated by the present invention and are intended to be within the scope of the present invention.
As used herein, the term "salt" refers to acid or base salts of the compounds used in the methods of the present invention. Illustrative examples of acceptable salts are mineral acid (hydrochloric acid, hydrobromic acid, phosphoric acid, and the like) salts, organic acid (acetic acid, propionic acid, glutamic acid, citric acid and the like) salts, quaternary ammonium (methyl iodide, ethyl iodide, and the like) salts.
Certain compounds of the present invention possess asymmetric carbon atoms (optical or chiral centers) or double bonds; the enantiomers, racemates, diastereomers, tautomers, geometric isomers, stereoisometric forms that may be defined, in terms of absolute stereochemistry, as (R)-or (S)- or, as (D)- or (L)- for amino acids, and individual isomers are encompassed within the scope of the present invention. The compounds of the present invention do not include those which are known in art to be too unstable to synthesize and/or isolate. The present invention is meant to include compounds in racemic and optically pure forms. Optically active (R)- and (S)-, or (D)- and (L)-isomers may be prepared using chiral synthons or chiral reagents, or resolved using conventional techniques. When the compounds described herein contain olefinic bonds or other centers of geometric asymmetry, and unless specified otherwise, it is intended that the compounds include both E and Z geometric isomers.
As used herein, the term "isomers" refers to compounds having the same number and kind of atoms, and hence the same molecular weight, but differing in respect to the structural arrangement or configuration of the atoms.
The term "tautomer," as used herein, refers to one of two or more structural isomers which exist in equilibrium and which are readily converted from one isomeric form to another.
It will be apparent to one skilled in the art that certain compounds of this invention may exist in tautomeric forms, all such tautomeric forms of the compounds being within the scope of the invention.
The terms "treating" or "treatment" refers to any indicia of success in the treatment or amelioration of an injury, disease, pathology or condition, including any objective or subjective parameter such as abatement; remission; diminishing of symptoms or making the injury, pathology or condition more tolerable to the patient; slowing in the rate of degeneration or decline; making the final point of degeneration less debilitating; improving a patient's physical or mental well-being. The treatment or amelioration of symptoms can be based on objective or subjective parameters; including the results of a physical examination, neuropsychiatric exams, and/or a psychiatric evaluation. For example, certain methods herein treat cancer (e.g.
pancreatic cancer, breast cancer, multiple myeloma, cancers of secretory cells),
neurodegenerative diseases (e.g. Alzheimer's disease, Parkinson's disease, frontotemporal dementia), leukodystrophies (e.g., vanishing white matter disease, childhood ataxia with CNS hypo-myelination), postsurgical cognitive dysfunction, traumatic brain injury, intellectual disability syndromes, inflammatory diseases, musculoskeletal diseases, metabolic diseases, or diseases or disorders associated with impaired function of eIF2B or components in a signal transduction or signaling pathway including the ISR and decreased eIF2 pathway activity). For example certain methods herein treat cancer by decreasing or reducing or preventing the occurrence, growth, metastasis, or progression of cancer or decreasing a symptom of cancer; treat neurodegeneration by improving mental wellbeing, increasing mental function, slowing the decrease of mental function, decreasing dementia, delaying the onset of dementia, improving cognitive skills, decreasing the loss of cognitive skills, improving memory, decreasing the degradation of memory, decreasing a symptom of neurodegeneration or extending survival; treat vanishing white matter disease by reducing a symptom of vanishing white matter disease or reducing the loss of white matter or reducing the loss of myelin or increasing the amount of myelin or increasing the amount of white matter; treat childhood ataxia with CNS hypo-myelination by decreasing a symptom of childhood ataxia with CNS hypo-myelination or increasing the level of myelin or decreasing the loss of myelin; treat an intellectual disability syndrome by decreasing a symptom of an intellectual disability syndrome, treat an inflammatory disease by treating a symptom of the inflammatory disease; treat a musculoskeletal disease by treating a symptom of the musculoskeletal disease; or treat a metabolic disease by treating a symptom of the metabolic disease. Symptoms of a disease, disorder, or condition described herein (e.g., cancer a neurodegenerative disease, a leukodystrophy, an inflammatory disease, a musculoskeletal disease, a metabolic disease, or a condition or disease associated with impaired function of eIF2B or components in a signal transduction pathway including the eIF2 pathway, eIF2a phosphorylation, or ISR pathway) would be known or may be determined by a person of ordinary skill in the art. The term
"treating" and conjugations thereof, include prevention of an injury, pathology, condition, or disease (e.g. preventing the development of one or more symptoms of a disease, disorder, or condition described herein).
An "effective amount" is an amount sufficient to accomplish a stated purpose (e.g. achieve the effect for which it is administered, treat a disease, reduce enzyme activity, increase enzyme activity, or reduce one or more symptoms of a disease or condition). An example of an "effective amount" is an amount sufficient to contribute to the treatment, prevention, or reduction of a symptom or symptoms of a disease, which could also be referred to as a "therapeutically effective amount." A "prophylactically effective amount" of a drug is an amount of a drug that, when administered to a subject, will have the intended prophylactic effect, e.g., preventing or delaying the onset (or reoccurrence) of an injury, disease, pathology or condition, or reducing the likelihood of the onset (or reoccurrence) of an injury, disease, pathology, or condition, or their symptoms. The full prophylactic effect does not necessarily occur by administration of one dose, and may occur only after administration of a series of doses. Thus, a prophylactically effective amount may be administered in one or more administrations. The exact amounts will depend on the purpose of the treatment, and will be ascertainable by one skilled in the art using known techniques (see, e.g., Lieberman, Pharmaceutical Dosage Forms (vols. 1-3, 1992); Lloyd, The Art, Science and Technology of Pharmaceutical Compounding (1999); Pickar, Dosage Calculations (1999); and Remington: The Science and Practice of Pharmacy, 20th Edition, 2003, Gennaro, Ed., Lippincott, Williams & Wilkins).
A "reduction" of a symptom or symptoms (and grammatical equivalents of this phrase) means decreasing of the severity or frequency of the symptom(s), or elimination of the symptom(s).
The term "associated" or "associated with" in the context of a substance or substance activity or function associated with a disease (e.g., a disease or disorder described herein, e.g., cancer, a neurodegenerative disease, a leukodystrophy, an inflammatory disease, a
musculoskeletal disease, a metabolic disease, or a disease or disorder associated with impaired function of eIF2B or components in a signal transduction pathway including the eIF2 pathway, eIF2a phosphorylation, or ISR pathway) means that the disease is caused by (in whole or in part), or a symptom of the disease is caused by (in whole or in part) the substance or substance activity or function. For example, a symptom of a disease or condition associated with an impaired function of the eIF2B may be a symptom that results (entirely or partially) from a decrease in eIF2B activity (e.g. decrease in eIF2B activity or levels, increase in eIF2a phosphorylation or activity of phosphorylated eIF2a or reduced eIF2 activity or increase in activity of phosphorylated eIF2a signal transduction or the ISR signalling pathway). As used herein, what is described as being associated with a disease, if a causative agent, could be a target for treatment of the disease. For example, a disease associated with decreased eIF2 activity or eIF2 pathway activity, may be treated with an agent (e.g., compound as described herein) effective for increasing the level or activity of eIF2 or eIF2 pathway or a decrease in phosphorylated eIF2a activity or the ISR pathway. For example, a disease associated with phosphorylated eIF2a may be treated with an agent (e.g., compound as described herein) effective for decreasing the level of activity of phosphorylated eIF2a or a downstream component or effector of phosphorylated eIF2a. For example, a disease associated with eIF2a, may be treated with an agent (e.g., compound as described herein) effective for increasing the level of activity of eIF2 or a downstream component or effector of eIF2.
"Control" or "control experiment" is used in accordance with its plain ordinary meaning and refers to an experiment in which the subjects or reagents of the experiment are treated as in a parallel experiment except for omission of a procedure, reagent, or variable of the experiment. In some instances, the control is used as a standard of comparison in evaluating experimental effects.
"Contacting" is used in accordance with its plain ordinary meaning and refers to the process of allowing at least two distinct species (e.g. chemical compounds including biomolecules, or cells) to become sufficiently proximal to react, interact or physically touch. It should be appreciated, however, that the resulting reaction product can be produced directly from a reaction between the added reagents or from an intermediate from one or more of the added reagents which can be produced in the reaction mixture. The term "contacting" may include allowing two species to react, interact, or physically touch, wherein the two species may be a compound as described herein and a protein or enzyme (e.g. eIF2B, eIF2a, or a component of the eIF2 pathway or ISR pathway). In some embodiments contacting includes allowing a compound described herein to interact with a protein or enzyme that is involved in a signaling pathway (e.g. eIF2B, eIF2a, or a component of the eIF2 pathway or ISR pathway).
As defined herein, the term "inhibition", "inhibit", "inhibiting" and the like in reference to a protein-inhibitor (e.g., antagonist) interaction means negatively affecting (e.g., decreasing) the activity or function of the protein relative to the activity or function of the protein in the absence of the inhibitor. In some embodiments, inhibition refers to reduction of a disease or symptoms of disease. In some embodiments, inhibition refers to a reduction in the activity of a signal transduction pathway or signaling pathway. Thus, inhibition includes, at least in part, partially or totally blocking stimulation, decreasing, preventing, or delaying activation, or inactivating, desensitizing, or down-regulating signal transduction or enzymatic activity or the amount of a protein. In some embodiments, inhibition refers to a decrease in the activity of a signal transduction pathway or signaling pathway (e.g., eIF2B, eIF2a, or a component of the eIF2 pathway, pathway activated by eIF2a phosphorylation, or ISR pathway). Thus, inhibition may include, at least in part, partially or totally decreasing stimulation, decreasing or reducing activation, or inactivating, desensitizing, or down-regulating signal transduction or enzymatic activity or the amount of a protein increased in a disease (e.g. eIF2B, eIF2a, or a component of the eIF2 pathway or ISR pathway, wherein each is associated with cancer, a neurodegenerative disease, a leukodystrophy, an inflammatory disease, a musculoskeletal disease, or a metabolic disease). Inhibition may include, at least in part, partially or totally decreasing stimulation, decreasing or reducing activation, or deactivating, desensitizing, or down-regulating signal transduction or enzymatic activity or the amount of a protein (e.g. eIF2B, eIF2a, or component of the eIF2 pathway or ISR pathway) that may modulate the level of another protein or increase cell survival (e.g., decrease in phosphorylated eIF2a pathway activity may increase cell survival in cells that may or may not have an increase in phosphorylated eIF2a pathway activity relative to a non-disease control or decrease in eIF2a pathway activity may increase cell survival in cells that may or may not have an increase in eIF2a pathway activity relative to a non-disease control).
As defined herein, the term "activation", "activate", "activating" and the like in reference to a protein-activator (e.g. agonist) interaction means positively affecting (e.g.
increasing) the activity or function of the protein (e.g. eIF2B, eIF2a, or component of the eIF2 pathway or ISR pathway) relative to the activity or function of the protein in the absence of the activator (e.g. compound described herein). In some embodiments, activation refers to an increase in the activity of a signal transduction pathway or signaling pathway (e.g. eIF2B, eIF2a, or component of the eIF2 pathway or ISR pathway). Thus, activation may include, at least in part, partially or totally increasing stimulation, increasing or enabling activation, or activating, sensitizing, or up-regulating signal transduction or enzymatic activity or the amount of a protein decreased in a disease (e.g. level of eIF2B, eIF2a, or component of the eIF2 pathway or ISR pathway associated with cancer, a neurodegenerative disease, a
leukodystrophy, an inflammatory disease, a musculoskeletal disease, or a metabolic disease). Activation may include, at least in part, partially or totally increasing stimulation, increasing or enabling activation, or activating, sensitizing, or up-regulating signal transduction or enzymatic activity or the amount of a protein (e.g., eIF2B, eIF2a, or component of the eIF2 pathway or ISR pathway) that may modulate the level of another protein or increase cell survival (e.g., increase in eIF2a activity may increase cell survival in cells that may or may not have a reduction in eIF2a activity relative to a non-disease control).
The term "modulation" refers to an increase or decrease in the level of a target molecule or the function of a target molecule. In some embodiments, modulation of eIF2B, eIF2a, or a component of the eIF2 pathway or ISR pathway may result in reduction of the severity of one or more symptoms of a disease associated with eIF2B, eIF2a, or a component of the eIF2 pathway or ISR pathway (e.g., cancer, a neurodegenerative disease, a leukodystrophy, an inflammatory disease, a musculoskeletal disease, or a metabolic disease) or a disease that is not caused by eIF2B, eIF2a, or a component of the eIF2 pathway or ISR pathway but may benefit from modulation of eIF2B, eIF2a, or a component of the eIF2 pathway or ISR pathway (e.g., decreasing in level or level of activity of eIF2B, eIF2a or a component of the eIF2 pathway).
The term "modulator" as used herein refers to modulation of (e.g., an increase or decrease in) the level of a target molecule or the function of a target molecule. In
embodiments, a modulator of eIF2B, eIF2a, or component of the eIF2 pathway or ISR pathway is an anti-cancer agent. In embodiments, a modulator of eIF2B, eIF2a, or component of the eIF2 pathway or ISR pathway is a neuroprotectant. In embodiments, a modulator of eIF2B, eIF2a, or component of the eIF2 pathway or ISR pathway is a memory enhancing agent. In embodiments, a modulator of eIF2B, eIF2a, or component of the eIF2 pathway or ISR pathway is a memory enhancing agent (e.g., a long term memory enhancing agent). In embodiments, a modulator of eIF2B, eIF2a, or component of the eIF2 pathway or ISR pathway is an antiinflammatory agent. In some embodiments, a modulator of eIF2B, eIF2a, or component of the eIF2 pathway or ISR pathway is a pain-relieving agent.
"Patient" or "subject in need thereof refers to a living organism suffering from or prone to a disease or condition that can be treated by administration of a compound or pharmaceutical composition, as provided herein. Non-limiting examples include humans, other mammals, bovines, rats, mice, dogs, monkeys, goat, sheep, cows, deer, and other non-mammalian animals. In some embodiments, a patient is human. In some embodiments, a patient is a domesticated animal. In some embodiments, a patient is a dog. In some embodiments, a patient is a parrot. In some embodiments, a patient is livestock animal. In some embodiments, a patient is a mammal. In some embodiments, a patient is a cat. In some embodiments, a patient is a horse. In some embodiments, a patient is bovine. In some embodiments, a patient is a canine. In some embodiments, a patient is a feline. In some embodiments, a patient is an ape. In some embodiments, a patient is a monkey. In some embodiments, a patient is a mouse. In some embodiments, a patient is an experimental animal. In some embodiments, a patient is a rat. In some embodiments, a patient is a hamster. In some embodiments, a patient is a test animal. In some embodiments, a patient is a newborn animal. In some embodiments, a patient is a newborn human. In some embodiments, a patient is a newborn mammal. In some embodiments, a patient is an elderly animal. In some embodiments, a patient is an elderly human. In some embodiments, a patient is an elderly mammal. In some embodiments, a patient is a geriatric patient. "Disease", "disorder" or "condition" refers to a state of being or health status of a patient or subject capable of being treated with a compound, pharmaceutical composition, or method provided herein. In some embodiments, the compounds and methods described herein comprise reduction or elimination of one or more symptoms of the disease, disorder, or condition, e.g., through administration of a compound of Formula (I) or a pharmaceutically acceptable salt thereof.
The term "signaling pathway" as used herein refers to a series of interactions between cellular and optionally extra-cellular components (e.g. proteins, nucleic acids, small molecules, ions, lipids) that conveys a change in one component to one or more other components, which in turn may convey a change to additional components, which is optionally propagated to other signaling pathway components.
"Pharmaceutically acceptable excipient" and "pharmaceutically acceptable carrier" refer to a substance that aids the administration of an active agent to and absorption by a subject and can be included in the compositions of the present invention without causing a significant adverse toxicological effect on the patient. Non-limiting examples of pharmaceutically acceptable excipients include water, NaCl, normal saline solutions, lactated Ringer's, normal sucrose, normal glucose, binders, fillers, disintegrants, lubricants, coatings, sweeteners, flavors, salt solutions (such as Ringer's solution), alcohols, oils, gelatins, carbohydrates such as lactose, amylose or starch, fatty acid esters, hydroxymethy cellulose, polyvinyl pyrrolidine, and colors, and the like. Such preparations can be sterilized and, if desired, mixed with auxiliary agents such as lubricants, preservatives, stabilizers, wetting agents, emulsifiers, salts for influencing osmotic pressure, buffers, coloring, and/or aromatic substances and the like that do not deleteriously react with the compounds of the invention. One of skill in the art will recognize that other pharmaceutical excipients are useful in the present invention.
The term "preparation" is intended to include the formulation of the active compound with encapsulating material as a carrier providing a capsule in which the active component with or without other carriers, is surrounded by a carrier, which is thus in association with it.
Similarly, cachets and lozenges are included. Tablets, powders, capsules, pills, cachets, and lozenges can be used as solid dosage forms suitable for oral administration.
As used herein, the term "administering" means oral administration, administration as a suppository, topical contact, intravenous, parenteral, intraperitoneal, intramuscular, intralesional, intrathecal, intracranial, intranasal or subcutaneous administration, or the implantation of a slow-release device, e.g., a mini-osmotic pump, to a subject. Administration is by any route, including parenteral and transmucosal (e.g., buccal, sublingual, palatal, gingival, nasal, vaginal, rectal, or transdermal). Parenteral administration includes, e.g., intravenous, intramuscular, intra-arterial, intradermal, subcutaneous, intraperitoneal, intraventricular, and intracranial. Other modes of delivery include, but are not limited to, the use of liposomal formulations, intravenous infusion, transdermal patches, etc. By "coadminister" it is meant that a composition described herein is administered at the same time, just prior to, or just after the administration of one or more additional therapies (e.g., anticancer agent, chemotherapeutic, or treatment for a neurodegenerative disease). The compound of the invention can be administered alone or can be coadministered to the patient.
Coadministration is meant to include simultaneous or sequential administration of the compound individually or in combination (more than one compound or agent). Thus, the preparations can also be combined, when desired, with other active substances (e.g. to reduce metabolic degradation).
The term "eIF2B" as used herein refers to the heteropentameric eukaryotic translation initiation factor 2B. eIF2B is composed of five subunits: eIF2Bl , eIF2B2, eIF2B3, eIF2B4 and eIF2B5. eIF2Bl refers to the protein associated with Entrez gene 1967, OMIM 606686, Uniprot Q 14232, and/or RefSeq (protein) NP 00 I 405. eIF2B2 refers to the protein associated with Entrez gene 8892, OMIM 606454, Uniprot P49770, and/or RefSeq (protein) NP_055054. eIF2B3 refers to the protein associated with Entrez gene 8891, OMIM 606273, Uniprot
Q9NR50, and/or RefSeq (protein) NP_065098. eIF2B4 refers to the protein associated with Entrez gene 8890, OMIM 606687, Uniprot Q9UI10, and/or RefSeq (protein) NP_751945. eIF2B5 refers to the protein associated with Entrez gene 8893, OMIM 603945, Uniprot Q13144, and/or RefSeq (protein) NP_003898.
The terms "eIF2alpha", "eIF2a"or "eIF2a" are interchangeable and refer to the protein
"eukaryotic translation initiation factor 2 alpha subunit eIF2S l ". In embodiments, "eIF2alpha", "eIF2a"or "eIF2a" refer to the human protein. Included in the terms eIF2alpha", "eIF2a"or "eIF2a" are the wildtype and mutant forms of the protein. In embodiments, " eIF2alpha", "eIF2a"or "eIF2a" refer to the protein associated with Entrez Gene 1965, OMIM 603907, UniProt P05198, and/or RefSeq (protein) NP_004085. In embodiments, the reference numbers immediately above refer to the protein and associated nucleic acids known as of the date of filing of this application. Compounds
In one aspect, the present invention features a compound of Formula (I):
Figure imgf000045_0001
Formula (I)
or a pharmaceutically acceptable salt, solvate, hydrate, tautomer, or stereoisomer thereof, wherein D is a bridged monocyclic cycloalkyl, bridged monocyclic heterocyclyl, or cubanyl, wherein each bridged monocyclic cycloalkyl, bridged monocyclic heterocyclyl, or cubanyl is optionally substituted with 1-4 Rx groups; L1 and L2 are each independently C1-C6 alkylene, C2-C6 alkenylene, 2-7-membered heteroalkylene, O, or NR , wherein each C1-C6 alkylene, C2-C6 alkenylene, or 2-7-membered heteroalkylene is optionally substituted with 1-5 Rx; R1 and R2 are each independently hydrogen, C1-C6 alkyl, C1-C6 alkoxy-Ci-C6 alkyl, hydroxy-Ci-C6 alkyl, silyloxy-Ci-C6 alkyl; A and W are each independently aryl or 5-6- membered heteroaryl, wherein each phenyl or 5-6-membered heteroaryl is optionally substituted with 1-5 RY; each Rxis independently selected from the group consisting of C1-C6 alkyl, hydroxy-Ci-C6 alkyl, halo-Ci-C6 alkyl, amino-Ci-C6 alkyl, cyano-Ci-C6 alkyl, oxo, halo, cyano, -ORA, -NRBRC, -NRBC(0)RD, -C(0)NRBRc, -C(0)RD, -C(0)OH, -C(0)ORD, -SRE, -S(0)RD, -S(0)2RD, -OS(0)RD, -OS(0)2RD, and phenyl, 5-6-membered heteroaryl; each RY is independently selected from the group consisting of hydrogen, C1-C6 alkyl, hydroxy-Ci-C6 alkyl, halo-Ci-C6 alkyl, halo-Ci-C6 alkoxy, amino-Ci-C6 alkyl, cyano-Ci-C6 alkyl, oxo, halo, cyano, -ORA, -NRBRC, -NRBC(0)RD, -C(0)NRBRc, -C(0)RD, -C(0)OH, -C(0)ORD, - S(RF)m, -S(0)RD, -S(0)2RD, and G1; or 2 RY groups on adjacent atoms, together with the atoms to which they are attached form a 3-7-membered fused cycloalkyl, heterocyclyl, aryl, or heteroaryl ring optionally substituted with 1-5 Rx; each G1 is independently C3-C6 cycloalkyl, 4-7-membered heterocyclyl, aryl, or 5-6-membered heteroaryl, wherein each C3-C6 cycloalkyl, 4-7-membered heterocyclyl, aryl, or 5-6-membered heteroaryl is optionally substituted with 1-3 Rz; each Rz is independently selected from the group consisting of C1-C6 alkyl, hydroxy-Ci-C6 alkyl, halo-Ci-C6 alkyl, halo, cyano, -ORA, -NRBRC, -NRBC(0)RD, -C(0)NRBRc, -C(0)RD, - C(0)OH, -C(0)ORD, and -S(0)2RD; each RAis independently hydrogen, Ci-C6 alkyl, halo-Ci- C6 alkyl, -C(0)NRBRc, -C(0)RD, -C(0)OH, or -C(0)ORD; each of RB and Rc is independently hydrogen or Ci-Ce alkyl; or RB and Rc together with the atom to which they are attached form a 3-7-membered heterocyclyl ring optionally substituted with 1-3 Rz; each RD is independently C1-C6 alkyl, 2-7-membered heteroalkyl, or halo-Ci-C6 alkyl, wherein each C1-C6 alkyl, 2-7-
G E
membered heteroalkyl, or halo-Ci-C6 alkyl is optionally substituted with 1-5 R ; each R is independently hydrogen, C1-C6 alkyl, or halo-Ci-C6 alkyl; each RF is independently hydrogen, C1-C6 alkyl, or halo; each R is independently aryl or 5-6 membered heteroaryl, wherein each aryl or 5-6 membered heteroaryl is optionally substituted with 1-5 RH; each RH is
independently C1-C6 alkyl or halo-Ci-C6 alkyl; m is 1 , 3, or 5; and t is 0 or 1.
In some embodiments, D is a bridged monocyclic cycloalkyl or cubanyl, each of which is optionally substituted with 1-4 Rx groups. In some embodiments, D is a bridged 4-6 membered monocyclic cycloalkyl or cubanyl, each of which is optionally substituted with 1 -4 Rx groups. In some embodiments, D is selected from cubane, bicyclo[l . l . l]pentane, bicyclo[2.2.1]heptane, bicyclo[2.2.2]octane, bicyclo[2.1.1]hexane, or bicyclo[3.1.1]heptane, each of which is optionally substituted with 1 -4 Rx groups. In some embodiments, D is selected from cubane, bicyclo[l . l . l]pentane, bicyclo[2.2.2]octane, bicyclo[2.1.1]hexane, or bicyclo[3.1. l]heptane, each of which is optionally substituted with 1 -4 Rx groups. In some
Figure imgf000046_0001
Figure imgf000047_0001
some embodiments, D is substituted with 1 Rx. In some embodiments, Rx is Ci-Ce alkyl, oxo, halo, cyano, -ORA, -OS(0)2RD, -S(0)2RD, -SRE, NRBC(0)RD, -C(0)NRBRc, -C(0)RD, - C(0)OH, NRBRC, or G2 (e.g., CH3, oxo, fluoro, OH, cyano, OCH3, NH2, N(CH3)2,
NHC(0)CH3, OC(0)CH3, C(0)NH2, OS(0)2CH3, -S(0)2CH3, -S(0)2 CH2CH3, C(0)OH, OC(0)RD, -C(0)CH3, or -SCH3). In some embodiments, Rx is oxo, -ORA, or NRBRC (e.g., oxo, OH, OCH3, N(CH3)2, or OC(0)RD). In some embodiments, G2 is aryl or 5-6 membered heteroaryl (e.g., oxadiazolyl, or tetrazolyl).
embodiments, D is substituted with 0 Rx. In some embodiments, D is
Figure imgf000047_0002
In some embodiments, at least one of L1 and L2 is independently 2-7-membered heteroalkylene, O, or NRC, wherein heteroalkylene is optionally substituted by 1-5 Rx. In some embodiments, at least one of L1 and L2 is independently 2-7-membered heteroalkylene optionally substituted by 1-5 Rx. In some embodiments, both L1 and L2 are independently 2-7- membered heteroalkylene optionally substituted by 1-5 Rx. In some embodiments, one of L1 and L2 is independently C1-C6 alkylene or C2-C6 alkenylene and the other of L1 and L2 is independently 2-7-membered heteroalkylene, and wherein each C1-C6 alkylene, C2-C6 alkenylene, and 2-7-membered heteroalkylene is optionally substituted by 1 -5 Rx. In some embodiments, both of L1 and L2 are C1-C6 alkylene or C2-C6 alkenylene, and wherein each Ci- Ce alkylene, and C2-C6 alkenylene is optionally substituted by 1 -5 Rx. In some embodiments, both of L1 and L2 are C2-C6 alkenylene, optionally substituted by 1 -5 Rx.
In some embodiments, each Rx is independently C1-C6 alkyl, hydroxy-Ci-C6 alkyl, oxo, or -C(0)RD (e.g., CH3, OH, oxo, CH2OH, CH2OCH3, or C(0)CH3). In some embodiments, each Rx is independently Ci-C6 alkyl, oxo, or -C(0)RD (e.g., CH3, oxo, or C(0)CH3). In some embodiments, each of L1 and L2 is independently selected from CH20-*, CH2CH2-*, CH2CH2CH2-*, CH2-*, CH2C(0)-*, CH=CH-*, CH2CH20-*, CH2OCH2-*, CH2OCH2CH2-*, CH2CH2CH20-*, CH2CH2OCH2-*, NHCH2-*, CH2NH-*, CH2N(CH3)-*, CH2N(CH3)C(0)-*, CH2N(C(0)CH3)-*, CH2CH(OH)-*, CH(OH)-*, CH(OH)CH2CH2-*, CH2CH(OH)-*, CH2NHC(0)-*, NHC(0)OCH2-*, O-*, NH-*, S(0)2CH-*, S(0)2CH2CH2-*, S(0)2CH2CH20-*, or CH2C(0)-*, and "-*" indicates the attachment point to A and W, respectively. In some embodiments, each of L1 and L2 is independently selected from CH20-*, CH2CH2-*, CH2C(0)-*, CH=CH-*, CH2CH20-*, CH2OCH2-*, CH2OCH2CH2-*,
CH2CH2CH20-*, CH2CH2OCH2-*, CH2NH-*, CH2N(CH3)-*, CH2N(CH3)C(0)-*,
CH2N(C(0)CH3)-*, CH2CH(OH)-*, NHC(0)OCH2-*, or CH2C(0)-*, and "-*" indicates the attachment point to A and W, respectively. In some embodiments, L1 is independently selected from CH20-* and CH=CH-*, L2 is independently selected from CH20-*, CH2CH2-*, CH2-*, CH2C(0)-*, CH=CH-*, CH2CH20-*, CH2OCH2-*, CH2OCH2CH2-*, CH2CH2CH20-*, CH2CH2OCH2-*, NHCH2-*, CH2NH-*, CH2N(CH3)-*, CH2N(CH3)C(0)-*, CH2N(C(0)CH3)- *, CH2CH(OH)-*, CH(OH)-*, CH(OH)CH2CH2-*, CH2CH(OH)-*, CH2NHC(0)-*, -
NHC(0)OCH2-*, O-*, NH-*, S(0)2CH2-*, S(0)2CH2CH2-*, S(0)2CH2CH20-*, or CH2C(0)- *, and "-*" indicates the attachment point to A and W, respectively. In some embodiments, L1 is CH20-*, L2 is independently selected from CH20-*, CH2CH2-*, CH2C(0)-*, CH=CH-*, CH2CH20-*, CH2OCH2-*, CH2OCH2CH2-*, CH2CH2CH20-*, CH2CH2OCH2-*, CH2NH-*, CH2N(CH3)-*, CH2N(CH3)C(0)-*, CH2N(C(0)CH3)-*, CH2CH(OH)-*, NHC(0)OCH2-*, or CH2C(0)-*, and "-*" indicates the attachment point to A and W, respectively.
In some embodiments, t is 1. In some embodiments, t is 0.
In some embodiments, R1 and R2 are each independently hydrogen, C1-C6 alkyl, hydroxyl-Ci-C6 alkyl, or silyloxy-Ci-C6 alkyl. In some embodiments, one ofR1 and R2 is independently hydrogen and the other of R1 and R2 is independently hydrogen, C1-C6 alkyl, Ci- Ce hydroxyl-Ci-C6 alkyl, or silyloxy-Ci-C6 alkyl. In some embodiments, R1 and R2 are each independently hydrogen, *-CH3, *-CH2CH2OH, or *-CH2CH2OSi(CH3)2C(CH3)3, and "*-" indicates the attachment point to the nitrogen atom. In some embodiments, one of R1 and R2 is independently hydrogen and the other of R1 and R2 is independently hydrogen, *-CH3, *- CH2CH2OH, or *-CH2CH2OSi(CH3)2C(CH3)3, and "*-" indicates the attachment point to the nitrogen atom. In some embodiments, R1 and R2 are each independently hydrogen. In some embodiments, A is phenyl and W is independently phenyl or 5-6-membered heteroaryl. In some embodiments, each A and W is independently phenyl. In some embodiments, A is phenyl and W is 5-6-membered heteroaryl.
In some embodiments, W is a monocyclic 5-6-membered heteroaryl. In some embodiments, 2 RY groups on adjacent atoms of W, together with the atoms to which they are attached form a 3-7-membered fused cycloalkyl or heterocyclyl optionally substituted with 1-5 Rx forming a bi cyclic heteroaryl. In some embodiments, W is a 10-membered heteroaryl, a 9- membered heteroaryl, a 6-membered heteroaryl, or a 5-membered heteroaryl. In some embodiments, W is a heteroaryl containing nitrogen, oxygen or sulfur as allowed by valence.
In some embodiments, each A and W is independently phenyl or 5-6-membered heteroaryl optionally substituted with 1-5 RY, and each RY is independently C1-C6 alkyl, hydroxy-Ci-C6 alkyl, halo-Ci-C6 alkyl, halo-Ci-C6 alkoxy, amino-Ci-C6 alkyl, cyano-Ci-C6 alkyl, halo, cyano, -ORA, -NRBRC, -C(0)RD, -C(0)OH, -C(0)ORD, -S(RF)m,-S(0)2RD, or G1. In some embodiments, each of A and W is independently phenyl, pyridyl, pyrazinyl, pyridazinyl, pyridazinonyl, triazinyl, triazolyl, oxadiazolyl, or oxadiazolonyl, each of which is optionally substituted with 1-5 RY groups In some embodiments, each of A and W is independently phenyl, pyridyl, pyrazinyl, pyridazinyl, pyridazinonyl, oxadiazolyl, or oxadiazolonyl, each of which is optionally substituted with 1-5 RY groups. In some embodiments, each of A and W is independently selected from:
Figure imgf000049_0001
Figure imgf000050_0001
Figure imgf000050_0002
. In some embodiments, A is phenyl and W is phenyl or 5-6-membered heteroaryl, each of A and W is optionally substituted with 1-5 RY, and each RY is independently C1-C6 alkyl, hydroxy-Ci-C6 alkyl, halo-Ci-C6 alkyl, halo-Ci-C6 alkoxy, amino-Ci-C6 alkyl, cyano-Ci-
C6 alkyl, halo, cyano, -ORA, -NRBRC, -C(0)RD, -C(0)OH, -C(0)ORD, -S(RF)m,-S(0)2RD, or G1. In some embodiments, A is phenyl and W is phenyl, pyridyl, pyrazinyl, pyridazinyl,
Figure imgf000051_0001
Figure imgf000052_0001
In some embodiments, A is phenyl and W is phenyl or 5-6-membered heteroaryl. In some embodiments, each of A and W is optionally substituted with 1-5 RY, and each RY is independently C1-C6 alkyl, hydroxy-Ci-C6 alkyl, halo-Ci-C6 alkyl, halo-Ci-C6 alkoxy, amino- Ci-C6 alkyl, cyano-Ci-C6 alkyl, halo, cyano, -ORA, -NRBRC, -C(0)RD, -C(0)OH, - C(0)ORD, -S(RF)m,-S(0)2RD, or G1.
In some embodiments, each RY is independently chloro, fluoro, iodo, CF3, CHF2, CH2CF3, CH3, CH2CH3, C(CH3)2OH, OCH3, OCH2CH3i OCF3, S(0)2CH3, S(0)2CH2CH2CH3, CN, N(CH3)2, SF5, SCH3, NH2, C(CH)3, CH(CH3)2, CH2CN, CH2NH2, CH(OH)CH3, C(OH)(CH3)CF3, S(0)2CH3, C(0)CH3, C(0)OCH3, C(0)OH, OCHF2 or G1.
In some embodiments, each RY is independently chloro, fluoro, iodo, CF3, CH3, CH2CH3, OCH3, S(0)2CH3, CN, N(CH3)2, SF5, NH2, C(CH)3, CH(CH3)2, CH2CN, CH2NH2, CH(OH)CH3, C(0)CH3, C(0)OCH3, C(0)OH, OCHF2 or G1.
In some embodiments, each A and W is independently substituted with 2 RY on adjacent atoms, and the 2 RY, together with the atoms to which they are attached, form a 3-7- membered fused cycloalkyl, 3-7-membered fused heterocyclyl, fused aryl, or 5-6-membered fused heteroaryl ring optionally substituted with 1-5 Rx. In some embodiments, 2 RY together with the atoms to which they are attached form a pyrazolyl, pyrrolyl, isoxazolyl, thiophenyl, furanyl, or dioxolanyl ring, each of which is optionally substituted with 1-5 Rx. In some embodiments, each Rx is independently C1-C6 alkyl or halo (e.g., CH3 or fluoro).
In some embodiments, G1 is cyclopropyl, isoxazolyl, piperidinyl, phenyl, or pyrazolyl, each of which is optionally substituted with 1-5 Rz. In some embodiments, G1 is cyclopropyl, isoxazolyl, or pyrazolyl, each of which is optionally substituted with 1-5 Rz. In some embodiments, each Rz is independently C1-C6 alkyl (e.g., CH3) or halo (e.g., chloro). In some embodiments, each Rz is independently C1-C6 alkyl (e.g., CH3).
In another aspect, the present invention features a compound of Formula (I-a):
Figure imgf000053_0001
Formula (I-a)
or a pharmaceutically acceptable salt, solvate, hydrate, tautomer, or stereoisomer thereof, wherein D is a bridged monocyclic cycloalkyl, bridged monocyclic heterocyclyl, or cubanyl, wherein each bridged monocyclic cycloalkyl, bridged monocyclic heterocyclyl, or cubanyl is optionally substituted with 1-4 Rx groups; L1 and L2 are each independently C1-C6 alkylene, C2-C6 alkenylene, or 2-7-membered heteroalkylene, wherein each C1-C6 alkylene, C2- Ce alkenylene, or 2-7-membered heteroalkylene is optionally substituted with 1-5 Rx; R1 and R2 are each independently hydrogen, C1-C6 alkyl, C1-C6 alkoxy-Ci-C6 alkyl, hydroxy-Ci-C6 alkyl, silyloxy-Ci-C6 alkyl; A and W are each independently phenyl or 5-6-membered heteroaryl, wherein each phenyl or 5-6-membered heteroaryl is optionally substituted with 1 -5 RY; each Rx is independently selected from the group consisting of C1-C6 alkyl, hydroxy-Ci-C6 alkyl, halo- C1-C6 alkyl, amino-Ci-C6 alkyl, cyano-Ci-C6 alkyl, oxo, halo, cyano, -OR , -NR R , - NRBC(0)RD, -C(0)NRBRc, -C(0)RD, -C(0)OH, -C(0)ORD, -SRE, -S(0)RD, and -S(0)2RD; each RY is independently selected from the group consisting of hydrogen, C1-C6 alkyl, hydroxy - C1-C6 alkyl, halo-Ci-C6 alkyl, halo-Ci-C6 alkoxy, amino-Ci-C6 alkyl, cyano-Ci-C6 alkyl, oxo, halo, cyano, -ORA, -NRBRC, -NRBC(0)RD, -C(0)NRBRc, -C(0)RD, -C(0)OH, -C(0)ORD, - S(RF)m, -S(0)RD, -S(0)2RD, and G1; or 2 RY groups on adjacent atoms, together with the atoms to which they are attached form a 3-7-membered fused cycloalkyl, heterocyclyl, aryl, or heteroaryl ring optionally substituted with 1-5 Rx; each G1 is independently C3-C6 cycloalkyl, 4-7-membered heterocyclyl, aryl, or 5-6-membered heteroaryl, wherein each C3-C6 cycloalkyl, 4-7-membered heterocyclyl, aryl, or 5-6-membered heteroaryl is optionally substituted with 1 -3 Rz; each Rz is independently selected from the group consisting of C1-C6 alkyl, hydroxy-Ci-C6 alkyl, halo-Ci-C6 alkyl, halo, cyano, -ORA, -NRBRC, -NRBC(0)RD, -C(0)NRBRc, -C(0)RD, - C(0)OH, -C(0)ORD, and -S(0)2RD; each RA is independently hydrogen, Ci-C6 alkyl, halo-d- C6 alkyl, -C(0)NRBRc, -C(0)RD, -C(0)OH, or -C(0)ORD; each ofRB and Rc is independently
B C
hydrogen or C1-C6 alkyl; or R and R together with the atom to which they are attached form a 3-7-membered heterocyclyl ring optionally substituted with 1-3 Rz; each RD is independently C1-C6 alkyl, 2-7-membered heteroalkyl, or halo-Ci-C6 alkyl, wherein each C1-C6 alkyl, 2-7- membered heteroalkyl, or halo-Ci-C6 alkyl is optionally substituted with 1-5 RG; each RE is independently hydrogen, C1-C6 alkyl, or halo-Ci-C6 alkyl; each RF is independently hydrogen, C1-C6 alkyl, or halo; each RG is independently aryl or 5-6 membered heteroaryl, wherein each aryl or 5-6 membered heteroaryl is optionally substituted with 1-5 RH; each RH is
independently C1-C6 alkyl or halo-Ci-C6 alkyl; m is 1 , 3, or 5; and t is 0 or 1.
In some embodiments, D is a bridged monocyclic cycloalkyl or cubanyl, each of which is optionally substituted with 1-4 Rx groups. In some embodiments, D is a bridged 4-6 membered monocyclic cycloalkyl or cubanyl, each of which is optionally substituted with 1 -4 Rx groups. In some embodiments, D is selected from cubane, bicyclo[l . l . l]pentane, bicyclo[2.2.2]octane, bicyclo[2.1.1]hexane, or bicyclo[3.1.1]heptane, each of which is optionally substitute some embodiments, D is selected from:
I
Figure imgf000054_0001
n some embodiments, D is selected
Figure imgf000054_0002
. In some embodiments, D is substituted with 1 Rx. In some embodiments, Rx is oxo, -ORA, or NRBRC (e.g., oxo, OH, OCH3, N(CH3)2, or OC(0)RD). In some embodiments, D is substituted with 0 Rx. In some
embodiments, D is
Figure imgf000054_0003
In some embodiments, at least one of L1 and L2 is independently 2-7-membered heteroalkylene optionally substituted by 1 -5 Rx. In some embodiments, both L1 and L2 are independently 2-7-membered heteroalkylene optionally substituted by 1 -5 Rx. In some embodiments, one of L1 and L2 is independently Ci-Ce alkylene or C2-C6 alkenylene and the other of L1 and L2 is independently 2-7-membered heteroalkylene, and wherein each C1-C6 alkylene, C2-C6 alkenylene, and 2-7-membered heteroalkylene is optionally substituted by 1 -5 Rx. In some embodiments, each Rx is independently C1-C6 alkyl, oxo, or -C(0)RD (e.g., CH3, oxo, or C(0)CH3). In some embodiments, each of L1 and L2 is independently selected from CH20-*, CH2CH2-*, CH2C(0)-*, CH=CH-*, CH2CH20-*, CH2OCH2-*, CH2OCH2CH2-*, CH2CH2CH20-*, CH2CH2OCH2-*, CH2NH-*, CH2N(CH3)-*, CH2N(CH3)C(0)-*,
CH2N(C(0)CH3)-*, CH2CH(OH)-*, NHC(0)OCH2-*, or CH2C(0)-*, and "-*" indicates the attachment point to A and W, respectively. In some embodiments, L1 is CH20-*, L2 is independently selected from CH20-*, CH2CH2-*, CH2C(0)-*, CH=CH-*, CH2CH20-*, CH2OCH2-*, CH2OCH2CH2-*, CH2CH2CH20-*, CH2CH2OCH2-*, CH2NH-*, CH2N(CH3)-*, CH2N(CH3)C(0)-*, CH2N(C(0)CH3)-*, CH2CH(OH)-*, NHC(0)OCH2-*, or CH2C(0)-*, and "-*" indicates the attachment point to A and W, respectively.
In some embodiments, t is 1. In some embodiments, t is 0.
In some embodiments, R1 and R2 are each independently hydrogen, C1-C6 alkyl, hydroxyl-Ci-C6 alkyl, or silyloxy-Ci-C6 alkyl. In some embodiments, one ofR1 and R2 is independently hydrogen and the other of R1 and R2 is independently hydrogen, C1-C6 alkyl, Ci- Ce hydroxyl-Ci-C6 alkyl, or silyloxy-Ci-C6 alkyl. In some embodiments, R1 and R2 are each independently hydrogen, *-CH3, *-CH2CH2OH, or *-CH2CH2OSi(CH3)2C(CH3)3, and "*-" indicates the attachment point to the nitrogen atom. In some embodiments, one of R1 and R2 is independently hydrogen and the other of R1 and R2 is independently hydrogen, *-CH3, *- CH2CH2OH, or *-CH2CH2OSi(CH3)2C(CH3)3, and "*-" indicates the attachment point to the nitrogen atom. In some embodiments, R1 and R2 are each independently hydrogen.
In some embodiments, each A and W is independently a phenyl or 5-6-membered heteroaryl optionally substituted with 1-5 RY groups, and each RY is independently C1-C6 alkyl, hydroxy-Ci-C6 alkyl, halo-Ci-C6 alkyl, halo-Ci-C6 alkoxy, amino-Ci-C6 alkyl, cyano-Ci-C6 alkyl, halo, cyano, -ORA, -NRBRC, -C(0)RD, -C(0)OH, -C(0)ORD, -S(RF)m,-S(0)2RD, or G1. In some embodiments, each of A and W is independently phenyl, pyridyl, pyrazinyl, pyridazinyl, pyridazinonyl, oxadiazolyl, or oxadiazolonyl, each of which is optionally substituted with 1 -5 RY groups. In some embodiments, each of A and W is independently selected from:
Figure imgf000056_0001
. In some embodiments, A is phenyl and W is phenyl or 5-6-membered heteroaryl, each of A and W is optionally substituted with 1-5 RY, and each RY is independently C1-C6 alkyl, hydroxy-Ci-C6 alkyl, halo-Ci-C6 alkyl, halo-Ci-C6 alkoxy, amino-Ci-C6 alkyl, cyano-Ci- C6 alkyl, halo, cyano, -ORA, -NRBRC, -C(0)RD, -C(0)OH, -C(0)ORD, -S(RF)m,-S(0)2RD, or G1. In some embodiments, A is phenyl and W is phenyl, pyridyl, pyrazinyl, pyridazinyl, pyridazinonyl, oxadiazolyl, or oxadiazolonyl, each of which is optionally substituted with 1-5
Figure imgf000056_0002
Figure imgf000057_0001
In some embodiments, each R is independently chloro, fluoro, iodo, CF3, CH3, CH2CH3, OCH3, S(0)2CH3, CN, N(CH3)2, SF5, NH2, C(CH)3, CH(CH3)2, CH2CN, CH2NH2, CH(OH)CH3, C(0)CH3, C(0)OCH3, C(0)OH, OCHF2 or G1.
In some embodiments, each A and W is independently substituted with 2 RY on adjacent atoms, and the 2 RY, together with the atoms to which they are attached, form a 3-7- membered fused cycloalkyl, 3-7-membered fused heterocyclyl, fused aryl, or 5-6-membered fused heteroaryl ring optionally substituted with 1-5 Rx. In some embodiments, 2 RY together with the atoms to which they are attached form a pyrazolyl, pyrrolyl, isoxazolyl, furanyl, or dioxolanyl ring, each of which is optionally substituted with 1-5 Rx. In some embodiments, each Rx is independently C1-C6 alkyl or halo (e.g., CH3 or fluoro).
In some embodiments, G1 is cyclopropyl, isoxazolyl, or pyrazolyl, each of which is optionally substituted with 1-5 Rz. In some embodiments, each Rz is independently C1-C6 alkyl (e.g., CH3).
In some embodiments, the compound of Formula (I) is a compound of Formula (I-b):
Figure imgf000058_0001
Formula (I-b)
or a pharmaceutically acceptable salt, solvate, hydrate, tautomer, or stereoisomer thereof,
wherein D is (l,2,3,4,6,7)-cubane, bicyclo[l . l . l]pentane, bicyclo[2.2.2]octane,
bicyclo[2.1.1]hexane, bicyclo[2.2.1]heptane, or bicycle[3.1.1]heptane, each of which is optionally substituted with 1-4 Rx groups; L1 and L2 are each independently CH20-*, CH2CH2- *, CH2CH2CH2-*, CH2-*, CH2C(0)-*, CH=CH-*, CH2CH20-*, CH2OCH2-*, CH2OCH2CH2-*, CH2CH2CH20-*, CH2CH2OCH2-*, NHCH2-*, CH2NH-*, CH2N(CH3)-*, CH2N(CH3)C(0)-*, CH2N(C(0)CH3)-*, CH2CH(OH)-*, CH(OH)-*, CH(OH)CH2CH2-*, CH2CH(OH)-*,
CH2NHC(0)-*, NHC(0)OCH2-*, O-*, NH-*, S(0)2CH-*, S(0)2CH2CH2-*, S(0)2CH2CH20- *, or CH2C(0)-*, and "-*" indicates the attachment point to A and W, respectively; R1 and R2 are each independently hydrogen, CH3, CH2CH2OH, or CH2CH2OSi(CH3)2C(CH3)3; A and W are each independently phenyl, pyridyl, pyrazinyl, pyridazinyl, pyridazinonyl, triazinyl, thiazolyl, triazolyl, oxadiazolyl, or oxadiazolonyl, each of which is optionally substituted with 1 -5 RY; each Rx is independently selected from CH3, oxo, fluoro, OH, cyano, OCH3, NH2, N(CH3)2, NHC(0)CH3, OC(0)CH3, C(0)NH2, OS(0)2CH3, -S(0)2CH3, -S(0)2 CH2CH3, C(0)OH, OC(0)RD, -C(0)CH3, -SCH3, or G2; each RY is independently chloro, fluoro, iodo, CF3, CHF2, CH2CF3, CH3, CH2CH3, C(CH3)2OH, OCH3, OCH2CH3i OCF3, S(0)2CH3, S(0)2CH2CH2CH3, CN, N(CH3)2, SF5, SCH3, NH2, C(CH)3, CH(CH3)2, CH2CN, CH2NH2,
CH(OH)CH3, C(OH)(CH3)CF3, S(0)2CH3, C(0)CH3, C(0)OCH3, C(0)OH, OCHF2 or G1; or 2 RY groups on adjacent atoms, together with the atoms to which they are attached form a pyrazolyl, pyrrolyl, isoxazolyl, thiophenyl, furanyl, or dioxolanyl ring, each of which is optionally substituted with 1-2 Rx; G1 and G2 are cyclopropyl, isoxazolyl, phenyl, piperidinyl, oxadiazolyl, or tetrazolyl, or pyrazolyl, each of which is optionally substituted with 1-2 Rz;
D G G
each R is CH20 optionally substituted with 1 -5 R ; each R is independently pyridyl optionally substituted with 1-5 RH; each RH is independently CF3; each Rz is independently CH3; and t is 0 or 1.
In some embodiments, the compound of Formula (I) is a compound of Formula (I-c):
Figure imgf000059_0001
Formula (I-c)
or a pharmaceutically acceptable salt, solvate, hydrate, tautomer, or stereoisomer thereof, wherein each of L1, L2, R1, R2, A, W, Rx, and t is defined as for Formula (I).
In some embodiments, Rx is d-C6 alkyl, oxo, halo, cyano, -ORA, -OS(0)2RD, -
S(0)2RD, -SRE, NRBC(0)RD, -C(0)NRBRc, -C(0)RD, -C(0)OH, NRBRC, or G2 (e.g., CH3, oxo, fluoro, OH, cyano, OCH3, NH2, N(CH3)2, NHC(0)CH3, OC(0)CH3, C(0)NH2,
OS(0)2CH3, -S(0)2CH3, -S(0)2 CH2CH3, C(0)OH, OC(0)RD, -C(0)CH3, or -SCH3). In some embodiments, Rx is oxo, -ORA, or NRBRC (e.g., oxo, OH, OCH3, N(CH3)2, or OC(0)RD). In some embodiments, G2 is aryl or 5-6 membered heteroaryl (e.g., oxadiazolyl, or tetrazolyl).
In some embodiments, at least one of L1 and L2 is independently 2-7-membered heteroalkylene, O, or NRC, wherein heteroalkylene is optionally substituted by 1-5 Rx. In some embodiments, at least one of L1 and L2 is independently 2-7-membered heteroalkylene optionally substituted by 1-5 Rx. In some embodiments, both L1 and L2 are independently 2-7- membered heteroalkylene optionally substituted by 1-5 Rx. In some embodiments, one of L1 and L2 is independently Ci-Ce alkylene or C2-C6 alkenylene and the other of L1 and L2 is independently 2-7-membered heteroalkylene, and wherein each C1-C6 alkylene, C2-C6
alkenylene, and 2-7-membered heteroalkylene is optionally substituted by 1 -5 Rx. In some embodiments, both of L1 and L2 are C1-C6 alkylene or C2-C6 alkenylene, and wherein each Ci- Ce alkylene, and C2-C6 alkenylene is optionally substituted by 1 -5 Rx. In some embodiments, both of L1 and L2 are C2-C6 alkenylene, optionally substituted by 1 -5 Rx.
In some embodiments, Rx is C1-C6 alkyl, oxo, halo, cyano, -ORA, -OS(0)2RD, - S(0)2RD, -SRE, NRBC(0)RD, -C(0)NRBRc, -C(0)RD, -C(0)OH, NRBRC, or G2 (e.g., CH3, oxo, fluoro, OH, cyano, OCH3, NH2, N(CH3)2, NHC(0)CH3, OC(0)CH3, C(0)NH2,
OS(0)2CH3, -S(0)2CH3, -S(0)2 CH2CH3, C(0)OH, OC(0)RD, -C(0)CH3, or -SCH3). In some embodiments, Rx is oxo, -ORA, or NRBRC (e.g., oxo, OH, OCH3, N(CH3)2, or OC(0)RD). In some embodiments, G2 is aryl or 5-6 membered heteroaryl (e.g., oxadiazolyl, or tetrazolyl).
In some embodiments, each of L1 and L2 is independently selected from CH20-*, CH2CH2-*, CH2CH2CH2-*, CH2-*, CH2C(0)-*, CH=CH-*, CH2CH20-*, CH2OCH2-*, CH2OCH2CH2-*, CH2CH2CH20-*, CH2CH2OCH2-*, NHCH2-*, CH2NH-*, CH2N(CH3)-*, CH2N(CH3)C(0)-*, CH2N(C(0)CH3)-*, CH2CH(OH)-*, CH(OH)-*, CH(OH)CH2CH2-*, CH2CH(OH)-*, CH2NHC(0)-*, NHC(0)OCH2-*, O-*, NH-*, S(0)2CH-*, S(0)2CH2CH2-*, S(0)2CH2CH20-*, or CH2C(0)-*, and "-*" indicates the attachment point to A and W, respectively. In some embodiments, each of L1 and L2 is independently selected from CH20-*, CH2CH2-*, CH2C(0)-*, CH=CH-*, CH2CH20-*, CH2OCH2-*, CH2OCH2CH2-*,
CH2CH2CH20-*, CH2CH2OCH2-*, CH2NH-*, CH2N(CH3)-*, CH2N(CH3)C(0)-*,
CH2N(C(0)CH3)-*, CH2CH(OH)-*, NHC(0)OCH2-*, or CH2C(0)-*, and "-*" indicates the attachment point to A and W, respectively. In some embodiments, L1 is independently selected from CH20-* and CH=CH-*, L2 is independently selected from CH20-*, CH2CH2-*, CH2-*, CH2C(0)-*, CH=CH-*, CH2CH20-*, CH2OCH2-*, CH2OCH2CH2-*, CH2CH2CH20-*,
CH2CH2OCH2-*, NHCH2-*, CH2NH-*, CH2N(CH3)-*, CH2N(CH3)C(0)-*, CH2N(C(0)CH3)- *, CH2CH(OH)-*, CH(OH)-*, CH(OH)CH2CH2-*, CH2CH(OH)-*, CH2NHC(0)-*, - NHC(0)OCH2-*, O-*, NH-*, S(0)2CH2-*, S(0)2CH2CH2-*, S(0)2CH2CH20-*, or CH2C(0)- *, and "-*" indicates the attachment point to A and W, respectively. In some embodiments, L1 is CH20-*, L2 is independently selected from CH20-*, CH2CH2-*, CH2C(0)-*, CH=CH-*, CH2CH20-*, CH2OCH2-*, CH2OCH2CH2-*, CH2CH2CH20-*, CH2CH2OCH2-*, CH2NH-*, CH2N(CH3)-*, CH2N(CH3)C(0)-*, CH2N(C(0)CH3)-*, CH2CH(OH)-*, NHC(0)OCH2-*, or CH2C(0)-*, and "-*" indicates the attachment point to A and W, respectively.
In some embodiments, t is 1. In some embodiments, t is 0.
In some embodiments, R1 and R2 are each independently hydrogen, C1-C6 alkyl, hydroxyl-Ci-C6 alkyl, or silyloxy-Ci-C6 alkyl. In some embodiments, one ofR1 and R2 is independently hydrogen and the other of R1 and R2 is independently hydrogen, C1-C6 alkyl, Ci- Ce hydroxyl-Ci-C6 alkyl, or silyloxy-Ci-C6 alkyl. In some embodiments, R1 and R2 are each independently hydrogen, *-CH3, *-CH2CH2OH, or *-CH2CH2OSi(CH3)2C(CH3)3, and "*-" indicates the attachment point to the nitrogen atom. In some embodiments, one of R1 and R2 is independently hydrogen and the other of R1 and R2 is independently hydrogen, *-CH3, *- CH2CH2OH, or *-CH2CH2OSi(CH3)2C(CH3)3, and "*-" indicates the attachment point to the nitrogen atom. In some embodiments, R1 and R2 are each independently hydrogen.
In some embodiments, A is phenyl and W is independently phenyl or 5-6-membered heteroaryl. In some embodiments, each A and W is independently phenyl. In some embodiments, A is phenyl and W is 5-6-membered heteroaryl. In some embodiments, W is a monocyclic 5-6-membered heteroaryl. In some embodiments, 2 RY groups on adjacent atoms of W, together with the atoms to which they are attached form a 3-7-membered fused cycloalkyl or heterocyclyl optionally substituted with 1-5 Rx forming a bi cyclic heteroaryl. In some embodiments, W is a 10-membered heteroaryl, a 9- membered heteroaryl, a 6-membered heteroaryl, or a 5-membered heteroaryl. In some embodiments, W is a heteroaryl containing nitrogen, oxygen or sulfur as allowed by valence.
In some embodiments, each A and W is independently phenyl or 5-6-membered heteroaryl optionally substituted with 1-5 RY, and each RY is independently C1-C6 alkyl, hydroxy-Ci-C6 alkyl, halo-Ci-C6 alkyl, halo-Ci-C6 alkoxy, amino-Ci-C6 alkyl, cyano-Ci-C6 alkyl, halo, cyano, -ORA, -NRBRC, -C(0)RD, -C(0)OH, -C(0)ORD, -S(RF)m,-S(0)2RD, or G1. In some embodiments, each of A and W is independently phenyl, pyridyl, pyrazinyl, pyridazinyl, pyridazinonyl, triazinyl, triazolyl, oxadiazolyl, or oxadiazolonyl, each of which is optionally substituted with 1-5 RY groups In some embodiments, each of A and W is independently phenyl, pyridyl, pyrazinyl, pyridazinyl, pyridazinonyl, oxadiazolyl, or oxadiazolonyl, each of which is optionally substituted with 1-5 RY groups. In some embodiments, each of A and W is independently selected from:
Figure imgf000061_0001
Figure imgf000062_0001
Figure imgf000062_0002
. In some embodiments, A is phenyl and W is phenyl or 5-6-membered heteroaryl, each of A and W is optionally substituted with 1-5 RY, and each RY is independently C1-C6 alkyl, hydroxy-Ci-C6 alkyl, halo-Ci-C6 alkyl, halo-Ci-C6 alkoxy, amino-Ci-C6 alkyl, cyano-Ci-
C6 alkyl, halo, cyano, -ORA, -NRBRC, -C(0)RD, -C(0)OH, -C(0)ORD, -S(RF)m,-S(0)2RD, G1. In some embodiments, A is phenyl and W is phenyl, pyridyl, pyrazinyl, pyridazinyl, pyridazinonyl, oxadiazolyl, or oxadiazolonyl, each of which is optionally substituted with 1-5
Figure imgf000063_0001
Figure imgf000064_0001
In some embodiments, A is phenyl and W is phenyl or 5-6-membered heteroaryl. In some embodiments, each of A and W is optionally substituted with 1-5 RY, and each RY is independently C1-C6 alkyl, hydroxy-Ci-C6 alkyl, halo-Ci-C6 alkyl, halo-Ci-C6 alkoxy, amino- Ci-C6 alkyl, cyano-Ci-C6 alkyl, halo, cyano, -ORA, -NRBRC, -C(0)RD, -C(0)OH, - C(0)ORD, -S(RF)m,-S(0)2RD, or G1.
In some embodiments, each RY is independently chloro, fluoro, iodo, CF3, CHF2, CH2CF3, CH3, CH2CH3, C(CH3)2OH, OCH3, OCH2CH3i OCF3, S(0)2CH3, S(0)2CH2CH2CH3, CN, N(CH3)2, SF5, SCH3, NH2, C(CH)3, CH(CH3)2, CH2CN, CH2NH2, CH(OH)CH3, C(OH)(CH3)CF3, S(0)2CH3, C(0)CH3, C(0)OCH3, C(0)OH, OCHF2 or G1.
In some embodiments, each RY is independently chloro, fluoro, iodo, CF3, CH3, CH2CH3, OCH3, S(0)2CH3, CN, N(CH3)2, SF5, NH2, C(CH)3, CH(CH3)2, CH2CN, CH2NH2, CH(OH)CH3, C(0)CH3, C(0)OCH3, C(0)OH, OCHF2 or G1.
In some embodiments, each A and W is independently substituted with 2 RY on adjacent atoms, and the 2 RY, together with the atoms to which they are attached, form a 3-7- membered fused cycloalkyl, 3-7-membered fused heterocyclyl, fused aryl, or 5-6-membered fused heteroaryl ring optionally substituted with 1-5 Rx. In some embodiments, 2 RY together with the atoms to which they are attached form a pyrazolyl, pyrrolyl, isoxazolyl, thiophenyl, furanyl, or dioxolanyl ring, each of which is optionally substituted with 1-5 Rx. In some embodiments, each Rx is independently C1-C6 alkyl or halo (e.g., CH3 or fluoro).
In some embodiments, G1 is cyclopropyl, isoxazolyl, piperidinyl, phenyl, or pyrazolyl, each of which is optionally substituted with 1-5 Rz. In some embodiments, G1 is cyclopropyl, isoxazolyl, or pyrazolyl, each of which is optionally substituted with 1-5 Rz. In some embodiments, each Rz is independently C1-C6 alkyl (e.g., CH3) or halo (e.g., chloro). In some embodiments, each Rz is independently C1-C6 alkyl (e.g., CH3).
In some embodiments, the compound of Formula (I) is a compound of Formula (I-c):
Figure imgf000065_0001
Formula (I-d)
or a pharmaceutically acceptable salt, solvate, hydrate, tautomer, or stereoisomer thereof, wherein each of L1, L2, A, and W, is defined as for Formula (I).
In some embodiments, the compound of Formula (I) is a compound of Formula (I-e):
Figure imgf000065_0002
Formula (I-e)
or a pharmaceutically acceptable salt, solvate, hydrate, tautomer, or stereoisomer thereof, wherein each of L2, A, W, R1, R2 and t is defined as for Formula (I).
In some embodiments, L2 is C1-C6 alkylene, C2-C6 alkenylene, or 2-7-membered heteroalkylene optionally substituted by 1 -5 Rx. In some embodiments, L2 is selected from CH20-*, CH2CH2-*, CH2CH2CH2-*, CH2C(0)-*, CH=CH-*, CH2CH20-*, CH2OCH2-*, CH2OCH2CH2-*, CH2CH2CH20-*, CH2CH2OCH2-*, CH2NH-*, CH2N(CH3)-*,
CH2N(CH3)C(0)-*, CH2N(C(0)CH3)-*, CH2CH(OH)-*, NHC(0)OCH2-*, NH-*, S(0)2CH-*, or CH2C(0)-*, and "-*" indicates the attachment point to W.
Ci-C6 alkyl, oxo, halo, cyano, -ORA, -OS(0)2RD, -S(0)2RD, -SRE, NRBC(0)RD, - C(0)NRBRc, -C(0)RD, -C(0)OH, NRBRC, or G2 (e.g., CH3, oxo, fluoro, OH, cyano, OCH3, NH2, N(CH3)2, NHC(0)CH3, OC(0)CH3, C(0)NH2, OS(0)2CH3, -S(0)2CH3, -S(0)2 CH2CH3, C(0)OH, OC(0)RD, -C(0)CH3, or -SCH3).
In some embodiments, L2 is selected from CH20-*, CH2CH2-*, CH2C(0)-*, CH=CH-*,
CH2CH20-*, CH2OCH2-*, CH2OCH2CH2-*, CH2CH2CH20-*, CH2CH2OCH2-*, CH2NH-*, CH2N(CH3)-*, CH2N(CH3)C(0)-*, CH2N(C(0)CH3)-*, CH2CH(OH)-*, NHC(0)OCH2-*, or CH2C(0)-*, and "-*" indicates the attachment point to W. In some embodiments, L2 is selected from CH20-*, CH2CH2-*, CH2C(0)-*, CH=CH-*, CH2CH20-*, CH2OCH2-*, CH2OCH2CH2- *, CH2CH2CH20-*, CH2CH2OCH2-*, CH2NH-*, CH2N(CH3)-*, CH2N(CH3)C(0)-*,
CH2N(C(0)CH3)-*, CH2CH(OH)-*, NHC(0)OCH2-*, or CH2C(0)-*, and "-*" indicates the attachment point to W.
In some embodiments, t is 1. In some embodiments, t is 0. In some embodiments, R1 and R2 are each independently hydrogen, C1-C6 alkyl, hydroxyl-Ci-C6 alkyl, or silyloxy-Ci-C6 alkyl. In some embodiments, one ofR1 and R2 is independently hydrogen and the other of R1 and R2 is independently hydrogen, C1-C6 alkyl, Ci- Ce hydroxyl-Ci-C6 alkyl, or silyloxy-Ci-C6 alkyl. In some embodiments, R1 and R2 are each independently hydrogen, *-CH3, *-CH2CH2OH, or *-CH2CH2OSi(CH3)2C(CH3)3, and "*-" indicates the attachment point to the nitrogen atom. In some embodiments, one of R1 and R2 is independently hydrogen and the other of R1 and R2 is independently hydrogen, *-CH3, *- CH2CH2OH, or *-CH2CH2OSi(CH3)2C(CH3)3, and "*-" indicates the attachment point to the nitrogen atom. In some embodiments, R1 and R2 are each independently hydrogen.
In some embodiments, each A and W is independently a phenyl or heteroaryl optionally substituted with 1 -5 RY groups. In some embodiments, each A and W is independently a phenyl or 5-6-membered heteroaryl optionally substituted with 1 -5 RY groups, and each RY is independently C1-C6 alkyl, hydroxy-Ci-C6 alkyl, halo-Ci-C6 alkyl, halo-Ci-C6 alkoxy, amino- Ci-C6 alkyl, cyano-Ci-C6 alkyl, halo, cyano, -ORA, -NRBRC, -C(0)RD, -C(0)OH, -C(0)ORD, -S(RF)m,-S(0)2RD, or G1. In some embodiments, each of A and W is independently phenyl, pyridyl, pyrazinyl, pyridazinyl, pyridazinonyl, oxadiazolyl, or oxadiazolonyl, each of which is optionally substituted with 1-5 RY groups. In some embodiments, each of A and W is independently selected from:
Figure imgf000066_0001
Figure imgf000067_0001
Figure imgf000067_0002
In some embodiments, A is phenyl and W is phenyl or 5-6-membered heteroan . each of A and W is optionally substituted with 1-5 R , and each R is independently Ci-Ce alkyl, hydroxy-Ci-C6 alkyl, halo-Ci-C6 alkyl, halo-Ci-C6 alkoxy, amino-Ci-C6 alkyl, cyano-C i- C6 alkyl, halo, cyano, -ORA, -NRBRC, -C(0)RD, -C(0)OH, -C(0)ORD, -S(RF)m,-S(0)2RD, or G1. In some embodiments, A is phenyl and W is phenyl, pyridyl, pyrazinyl, pyridazinyl, yridazinonyl, oxadiazolyl, or oxadiazolonyl, each of which is optionally substituted with 1-5
Figure imgf000068_0001
In some embodiments, each R is independently chloro, fluoro, iodo, CF3, CHF2, CH2CF3, CH3, CH2CH3, C(CH3)2OH, OCH3, OCH2CH3i OCF3, S(0)2CH3, S(0)2CH2CH2CH3, CN, N(CH3)2, SF5, SCH3, NH2, C(CH)3, CH(CH3)2, CH2CN, CH2NH2, CH(OH)CH3, C(OH)(CH3)CF3, S(0)2CH3, C(0)CH3, C(0)OCH3, C(0)OH, OCHF2 or G1. In some embodiments, each R is independently chloro, fluoro, iodo, CF3, CH3, CH2CH3, OCH3, S(0)2CH3, CN, N(CH3)2, SF5, NH2, C(CH)3, CH(CH3)2, CH2CN, CH2NH2, CH(OH)CH3, C(0)CH3, C(0)OCH3, C(0)OH, OCHF2 or G1.
In some embodiments, each A and W is independently substituted with 2 RY on adjacent atoms, and the 2 RY, together with the atoms to which they are attached, form a 3-7- membered fused cycloalkyl, 3-7-membered fused heterocyclyl, fused aryl, or 5-6-membered fused heteroaryl ring optionally substituted with 1-5 Rx. In some embodiments, 2 RY together with the atoms to which they are attached form a pyrazolyl, pyrrolyl, isoxazolyl, furanyl, or dioxolanyl ring, each of which is optionally substituted with 1-5 Rx. In some embodiments, each Rx is independently C1-C6 alkyl or halo (e.g., CH3 or fluoro).
In some embodiments, G1 is cyclopropyl, isoxazolyl, piperidinyl, phenyl, or pyrazolyl, each of which is optionally substituted with 1-5 Rz. In some embodiments, each Rz is independently C1-C6 alkyl (e.g., CH3) or halo (e.g., chloro).
In some e a (I-f):
Figure imgf000069_0001
Formula (I-f)
or a pharmaceutically acceptable salt, solvate, hydrate, tautomer, or stereoisomer thereof, wherein each of L2, W, RY, R1, R2 and t is defined as for Formula (I).
In some embodiments, L2 is C1-C6 alkylene, C2-C6 alkenylene, or 2-7-membered heteroalkylene optionally substituted by 1-5 Rx. In some embodiments, L2 is 2-7-membered heteroalkylene, O, or NR , optionally substituted by 1-5 R . In some embodiments, L is selected from CH20-*, CH2CH2-*, CH2CH2CH2-*, CH2-*, CH2C(0)-*, CH=CH-*, CH2CH20- *, CH2OCH2-*, CH2OCH2CH2-*, CH2CH2CH20-*, CH2CH2OCH2-*, NHCH2-*, CH2NH-*, CH2N(CH3)-*, CH2N(CH3)C(0)-*, CH2N(C(0)CH3)-*, CH2CH(OH)-*, CH(OH)-*,
CH(OH)CH2CH2-*, CH2CH(OH)-*, CH2NHC(0)-*, NHC(0)OCH2-*, O-*, NH-*, S(0)2CH-*, S(0)2CH2CH2-*, S(0)2CH2CH20-*, or CH2C(0)-*, and "-*" indicates the attachment point to W.
In some embodiments, each R is independently C1-C6 alkyl, oxo, halo, cyano, -OR", - OS(0)2RD, -S(0)2RD, -SRE, NRBC(0)RD, -C(0)NRBRc, -C(0)RD, -C(0)OH, NRBRC, or G2 (e.g., CH3, oxo, fluoro, OH, cyano, OCH3, NH2, N(CH3)2, NHC(0)CH3, OC(0)CH3, C(0)NH2, OS(0)2CH3, -S(0)2CH3, -S(0)2 CH2CH3, C(0)OH, OC(0)RD, -C(0)CH3, or -SCH3).
In some embodiments, L2 is selected from CH20-*, CH2CH2-*, CH2C(0)-*, CH=CH-*, CH2CH20-*, CH2OCH2-*, CH2OCH2CH2-*, CH2CH2CH20-*, CH2CH2OCH2-*, CH2NH-*, CH2N(CH3)-*, CH2N(CH3)C(0)-*, CH2N(C(0)CH3)-*, CH2CH(OH)-*, NHC(0)OCH2-*, or CH2C(0)-*, and "-*" indicates the attachment point to W. In some embodiments, L2 is selected from CH20-*, CH2CH2-*, CH2C(0)-*, CH=CH-*, CH2CH20-*, CH2OCH2-*, CH2OCH2CH2- *, CH2CH2CH20-*, CH2CH2OCH2-*, CH2NH-*, CH2N(CH3)-*, CH2N(CH3)C(0)-*,
CH2N(C(0)CH3)-*, CH2CH(OH)-*, NHC(0)OCH2-*, or CH2C(0)-*, and "-*" indicates the attachment point to W.
In some embodiments, t is 1. In some embodiments, t is 0.
In some embodiments, R1 and R2 are each independently hydrogen, Ci-Ce alkyl, hydroxyl-Ci-C6 alkyl, or silyloxy-Ci-C6 alkyl. In some embodiments, one ofR1 and R2 is independently hydrogen and the other of R1 and R2 is independently hydrogen, C1-C6 alkyl, Ci- Ce hydroxyl-Ci-C6 alkyl, or silyloxy-Ci-C6 alkyl. In some embodiments, R1 and R2 are each independently hydrogen, *-CH3, *-CH2CH2OH, or *-CH2CH2OSi(CH3)2C(CH3)3, and "*-" indicates the attachment point to the nitrogen atom. In some embodiments, one of R1 and R2 is independently hydrogen and the other of R1 and R2 is independently hydrogen, *-CH3, *- CH2CH2OH, or *-CH2CH2OSi(CH3)2C(CH3)3, and "*-" indicates the attachment point to the nitrogen atom. In some embodiments, R1 and R2 are each independently hydrogen.
In some embodiments, each A and W is independently phenyl or 5-6-membered heteroaryl optionally substituted with 1-5 RY, and each RY is independently C1-C6 alkyl, hydroxy-Ci-C6 alkyl, halo-Ci-C6 alkyl, halo-Ci-C6 alkoxy, amino-Ci-C6 alkyl, cyano-Ci-C6 alkyl, halo, cyano, -ORA, -NRBRC, -C(0)RD, -C(0)OH, -C(0)ORD, -S(RF)m,-S(0)2RD, or G1. In some embodiments, each of A and W is independently phenyl, pyridyl, pyrazinyl, pyridazinyl, pyridazinonyl, triazinyl, triazolyl, oxadiazolyl, or oxadiazolonyl, each of which is optionally substituted with 1-5 RY groups In some embodiments, each of A and W is independently phenyl, pyridyl, pyrazinyl, pyridazinyl, pyridazinonyl, oxadiazolyl, or oxadiazolonyl, each of which is optionally substituted with 1 -5 RY groups. In some embodiments, each of A and W is independently selected from:
Figure imgf000071_0001
Figure imgf000072_0001
. In some embodiments, A is phenyl and W is phenyl or 5-6-membered heteroaryl, each of A and W is optionally substituted with 1-5 RY, and each RY is independently C1-C6 alkyl, hydroxy-Ci-C6 alkyl, halo-Ci-C6 alkyl, halo-Ci-C6 alkoxy, amino-Ci-C6 alkyl, cyano-Ci- C6 alkyl, halo, cyano, -ORA, -NRBRC, -C(0)RD, -C(0)OH, -C(0)ORD, -S(RF)m,-S(0)2RD, or G1. In some embodiments, A is phenyl and W is phenyl, pyridyl, pyrazinyl, pyridazinyl, pyridazinonyl, oxadiazolyl, or oxadiazolonyl, each of which is optionally substituted with 1-5
Figure imgf000072_0002
Figure imgf000073_0001
In some embodiments, A is phenyl and W is phenyl or 5-6-membered heteroaryl. In some embodiments, each of A and W is optionally substituted with 1-5 RY, and each RY is independently C1-C6 alkyl, hydroxy-Ci-C6 alkyl, halo-Ci-C6 alkyl, halo-Ci-C6 alkoxy, amino- Ci-C6 alkyl, cyano-Ci-C6 alkyl, halo, cyano, -ORA, -NRBRC, -C(0)RD, -C(0)OH, - C(0)ORD, -S(RF)m,-S(0)2RD, or G1.
In some embodiments, each RY is independently chloro, fluoro, iodo, CF3, CHF2, CH2CF3, CH3, CH2CH3, C(CH3)2OH, OCH3, OCH2CH3i OCF3, S(0)2CH3, S(0)2CH2CH2CH3, CN, N(CH3)2, SF5, SCH3, NH2, C(CH)3, CH(CH3)2, CH2CN, CH2NH2, CH(OH)CH3, C(OH)(CH3)CF3, S(0)2CH3, C(0)CH3, C(0)OCH3, C(0)OH, OCHF2 or G1.
In some embodiments, each RY is independently chloro, fluoro, iodo, CF3, CH3, CH2CH3, OCH3, S(0)2CH3, CN, N(CH3)2, SF5, NH2, C(CH)3, CH(CH3)2, CH2CN, CH2NH2, CH(OH)CH3, C(0)CH3, C(0)OCH3, C(0)OH, OCHF2 or G1. In some embodiments, each A and W is independently substituted with 2 R on adjacent atoms, and the 2 RY, together with the atoms to which they are attached, form a 3-7- membered fused cycloalkyl, 3-7-membered fused heterocyclyl, fused aryl, or 5-6-membered fused heteroaryl ring optionally substituted with 1-5 Rx. In some embodiments, 2 RY together with the atoms to which they are attached form a pyrazolyl, pyrrolyl, isoxazolyl, thiophenyl, furanyl, or dioxolanyl ring, each of which is optionally substituted with 1-5 Rx. In some embodiments, each Rx is independently C1-C6 alkyl or halo (e.g., CH3 or fluoro).
In some embodiments, G1 is cyclopropyl, isoxazolyl, piperidinyl, phenyl, or pyrazolyl, each of which is optionally substituted with 1-5 Rz. In some embodiments, G1 is cyclopropyl, isoxazolyl, or pyrazolyl, each of which is optionally substituted with 1-5 Rz. In some embodiments, each Rz is independently C1-C6 alkyl (e.g., CH3) or halo (e.g., chloro). In some embodiments, each Rz is independently C1-C6 alkyl (e.g., CH3).
In some embodiments, the compound of Formula (I) is a compound of Formula (I-g):
Figure imgf000074_0001
Formula (I-g)
or a pharmaceutically acceptable salt, solvate, hydrate, tautomer, or stereoisomer thereof, wherein each of L1, L2, R1, R2, A, W, Rx, and t is defined as for Formula (I).
In some embodiments, the compound of Formula (I) is a compound of Formula (I-h):
Figure imgf000074_0002
Formula (I-h)
or a pharmaceutically acceptable salt, solvate, hydrate, tautomer, or stereoisomer thereof, wherein each of L2, R1, R2, A, W, Rx, , and t is defined as for Formula (I).
In some embodiments, the compound of Formula (I) is a compound of Formula (I-i):
Figure imgf000074_0003
Formula (I-i) or a pharmaceutically acceptable salt, solvate, hydrate, tautomer, or stereoisomer thereof, wherein each of L2, R1, R2, W, Rx, RY, and t is defined as for Formula (I).
In some embodiments, L2 is C1-C6 alkylene, C2-C6 alkenylene, or 2-7-membered heteroalkylene optionally substituted by 1 -5 Rx. In some embodiments, L2 is 2-7-membered heteroalkylene, O, or NR , optionally substituted by 1 -5 R . In some embodiments, L is selected from CH20-*, CH2CH2-*, CH2CH2CH2-*, CH2-*, CH2C(0)-*, CH=CH-*, CH2CH20- *, CH2OCH2-*, CH2OCH2CH2-*, CH2CH2CH20-*, CH2CH2OCH2-*, NHCH2-*, CH2NH-*, CH2N(CH3)-*, CH2N(CH3)C(0)-*, CH2N(C(0)CH3)-*, CH2CH(OH)-*, CH(OH)-*,
CH(OH)CH2CH2-*, CH2CH(OH)-*, CH2NHC(0)-*, NHC(0)OCH2-*, O-*, NH-*, S(0)2CH-*, S(0)2CH2CH2-*, S(0)2CH2CH20-*, or CH2C(0)-*, and "-*" indicates the attachment point to W.
In some embodiments, each R is independently Ci-Ce alkyl, oxo, halo, cyano, -OR", - OS(0)2RD, -S(0)2RD, -SRE, NRBC(0)RD, -C(0)NRBRc, -C(0)RD, -C(0)OH, NRBRC, or G2 (e.g., CH3, oxo, fluoro, OH, cyano, OCH3, NH2, N(CH3)2, NHC(0)CH3, OC(0)CH3, C(0)NH2, OS(0)2CH3, -S(0)2CH3, -S(0)2 CH2CH3, C(0)OH, OC(0)RD, -C(0)CH3, or -SCH3).
In some embodiments, L2 is selected from CH20-*, CH2CH2-*, CH2C(0)-*, CH=CH-*, CH2CH20-*, CH2OCH2-*, CH2OCH2CH2-*, CH2CH2CH20-*, CH2CH2OCH2-*, CH2NH-*, CH2N(CH3)-*, CH2N(CH3)C(0)-*, CH2N(C(0)CH3)-*, CH2CH(OH)-*, NHC(0)OCH2-*, or CH2C(0)-*, and "-*" indicates the attachment point to W. In some embodiments, L2 is selected from CH20-*, CH2CH2-*, CH2C(0)-*, CH=CH-*, CH2CH20-*, CH2OCH2-*, CH2OCH2CH2- *, CH2CH2CH20-*, CH2CH2OCH2-*, CH2NH-*, CH2N(CH3)-*, CH2N(CH3)C(0)-*,
CH2N(C(0)CH3)-*, CH2CH(OH)-*, NHC(0)OCH2-*, or CH2C(0)-*, and "-*" indicates the attachment point to W.
In some embodiments, t is 1. In some embodiments, t is 0.
In some embodiments, R1 and R2 are each independently hydrogen, C1-C6 alkyl, hydroxyl-Ci-C6 alkyl, or silyloxy-Ci-C6 alkyl. In some embodiments, one ofR1 and R2 is independently hydrogen and the other of R1 and R2 is independently hydrogen, C1-C6 alkyl, Ci- Ce hydroxyl-Ci-C6 alkyl, or silyloxy-Ci-C6 alkyl. In some embodiments, R1 and R2 are each independently hydrogen, *-CH3, *-CH2CH2OH, or *-CH2CH2OSi(CH3)2C(CH3)3, and "*-" indicates the attachment point to the nitrogen atom. In some embodiments, one of R1 and R2 is independently hydrogen and the other of R1 and R2 is independently hydrogen, *-CH3, *- CH2CH2OH, or *-CH2CH2OSi(CH3)2C(CH3)3, and "*-" indicates the attachment point to the nitrogen atom. In some embodiments, R1 and R2 are each independently hydrogen.
In some embodiments, each A and W is independently phenyl or 5-6-membered heteroaryl optionally substituted with 1-5 RY, and each RY is independently C1-C6 alkyl, hydroxy-Ci-C6 alkyl, halo-Ci-C6 alkyl, halo-Ci-C6 alkoxy, amino-Ci-C6 alkyl, cyano-Ci-C6 alkyl, halo, cyano, -ORA, -NRBRC, -C(0)RD, -C(0)OH, -C(0)ORD, -S(RF)m,-S(0)2RD, or G1. In some embodiments, each of A and W is independently phenyl, pyridyl, pyrazinyl, pyridazinyl, pyridazinonyl, triazinyl, triazolyl, oxadiazolyl, or oxadiazolonyl, each of which is optionally substituted with 1-5 RY groups In some embodiments, each of A and W is independently phenyl, pyridyl, pyrazinyl, pyridazinyl, pyridazinonyl, oxadiazolyl, or oxadiazolonyl, each of which is optionally substituted with 1-5 RY groups. In some embodiments, each of A and W is independently selected from:
Figure imgf000076_0001
Figure imgf000077_0001
Figure imgf000077_0002
. In some embodiments, A is phenyl and W is phenyl or 5-6-membered heteroaryl, each of A and W is optionally substituted with 1-5 RY, and each RY is independently C1-C6 alkyl, hydroxy-Ci-C6 alkyl, halo-Ci-C6 alkyl, halo-Ci-C6 alkoxy, amino-Ci-C6 alkyl, cyano-Ci-
C6 alkyl, halo, cyano, -ORA, -NRBRC, -C(0)RD, -C(0)OH, -C(0)ORD, -S(RF)m,-S(0)2RD, G1. In some embodiments, A is phenyl and W is phenyl, pyridyl, pyrazinyl, pyridazinyl, pyridazinonyl, oxadiazolyl, or oxadiazolonyl, each of which is optionally substituted with 1-5
Figure imgf000078_0001
Figure imgf000079_0001
In some embodiments, A is phenyl and W is phenyl or 5-6-membered heteroaryl. In some embodiments, each of A and W is optionally substituted with 1-5 RY, and each RY is independently C1-C6 alkyl, hydroxy-Ci-C6 alkyl, halo-Ci-C6 alkyl, halo-Ci-C6 alkoxy, amino- Ci-C6 alkyl, cyano-Ci-C6 alkyl, halo, cyano, -ORA, -NRBRC, -C(0)RD, -C(0)OH, - C(0)ORD, -S(RF)m,-S(0)2RD, or G1.
In some embodiments, each RY is independently chloro, fluoro, iodo, CF3, CHF2, CH2CF3, CH3, CH2CH3, C(CH3)2OH, OCH3, OCH2CH3i OCF3, S(0)2CH3, S(0)2CH2CH2CH3, CN, N(CH3)2, SF5, SCH3, NH2, C(CH)3, CH(CH3)2, CH2CN, CH2NH2, CH(OH)CH3, C(OH)(CH3)CF3, S(0)2CH3, C(0)CH3, C(0)OCH3, C(0)OH, OCHF2 or G1.
In some embodiments, each RY is independently chloro, fluoro, iodo, CF3, CH3, CH2CH3, OCH3, S(0)2CH3, CN, N(CH3)2, SF5, NH2, C(CH)3, CH(CH3)2, CH2CN, CH2NH2, CH(OH)CH3, C(0)CH3, C(0)OCH3, C(0)OH, OCHF2 or G1.
In some embodiments, each A and W is independently substituted with 2 RY on adjacent atoms, and the 2 RY, together with the atoms to which they are attached, form a 3-7- membered fused cycloalkyl, 3-7-membered fused heterocyclyl, fused aryl, or 5-6-membered fused heteroaryl ring optionally substituted with 1-5 Rx. In some embodiments, 2 RY together with the atoms to which they are attached form a pyrazolyl, pyrrolyl, isoxazolyl, thiophenyl, furanyl, or dioxolanyl ring, each of which is optionally substituted with 1-5 Rx. In some embodiments, each Rx is independently C1-C6 alkyl or halo (e.g., CH3 or fluoro).
In some embodiments, G1 is cyclopropyl, isoxazolyl, piperidinyl, phenyl, or pyrazolyl, each of which is optionally substituted with 1-5 Rz. In some embodiments, G1 is cyclopropyl, isoxazolyl, or pyrazolyl, each of which is optionally substituted with 1-5 Rz. In some embodiments, each Rz is independently C1-C6 alkyl (e.g., CH3) or halo (e.g., chloro). In some embodiments, each Rz is independently C1-C6 alkyl (e.g., CH3).
In some embodiments, the compound of Formula (I) is a compound of Formula (I-j):
Figure imgf000080_0001
Formula (I-j)
or a pharmaceutically acceptable salt, solvate, hydrate, tautomer, or stereoisomer thereof, wherein each of L1, L2, R1, R2, A, W, Rx, and t is defined as for Formula (I).
In some embodiments, the compound of Formula (I) is a compound of Formula (I-k):
Figure imgf000080_0002
Formula (I-k)
or a pharmaceutically acceptable salt, solvate, hydrate, tautomer, or stereoisomer thereof, wherein each of L2, R1, R2 , A, W, Rx, and t is defined as for Formula (I).
In some embodiments, the compound of Formula (I) is a compound of Formula (1-1):
Figure imgf000080_0003
Formula (1-1)
or a pharmaceutically acceptable salt, solvate, hydrate, tautomer, or stereoisomer thereof, wherein each of L2, R1, R2 W, Rx, RY, and t is defined as for Formula (I).
In some embodiments, at least one of L1 and L2 is independently 2-7-membered heteroalkylene optionally substituted by 1-5 Rx. In some embodiments, both L1 and L2 are independently 2-7-memberedheteroalkylene optionally substituted by 1-5 Rx. In some embodiments, one of L1 and L2 is independently C1-C6 alkylene or C2-C6 alkenylene and the other of L1 and L2 is independently 2-7-membered heteroalkylene, and wherein each C1-C6 alkylene, C2-C6 alkenylene, and 2-7-memberedheteroalkylene is optionally substituted by 1-5 Rx. In some embodiments, each Rx is independently C1-C6 alkyl, oxo, or -C(0)RD (e.g., CH3, oxo, or C(0)CH3). In some embodiments, each of L1 and L2 is independently selected from CH2O-*, CH2CH2-*, CH2C(0)-*, CH=CH-*, CH2CH20-*, CH2OCH2-*, CH2OCH2CH2-*, CH2CH2CH2O-*, CH2CH2OCH2-*, CH2NH-*, CH2N(CH3)-*, CH2N(CH3)C(0)-*, CH2N(C(0)CH3)-*, CH2CH(OH)-*, NHC(0)OCH2-*, or CH2C(0)-*, and "-*" indicates the attachment point to A and W, respectively. In some embodiments, L1 is CH20-*, L2 is independently selected from CH20-*, CH2CH2-*, CH2C(0)-*, CH=CH-*, CH2CH20-*,
CH2OCH2-*, CH2OCH2CH2-*, CH2CH2CH20-*, CH2CH2OCH2-*, CH2NH-*, CH2N(CH3)-*, CH2N(CH3)C(0)-*, CH2N(C(0)CH3)-*, CH2CH(OH)-*, NHC(0)OCH2-*, or CH2C(0)-*, and "-*" indicates the attachment point to A and W, respectively.
In some embodiments, L2 is selected from CH20-*, CH2CH2-*, CH2C(0)-*, CH=CH-*, CH2CH20-*, CH2OCH2-*, CH2OCH2CH2-*, CH2CH2CH20-*, CH2CH2OCH2-*, CH2NH-*, CH2N(CH3)-*, CH2N(CH3)C(0)-*, CH2N(C(0)CH3)-*, CH2CH(OH)-*, NHC(0)OCH2-*, or CH2C(0)-*, and "-*" indicates the attachment point to W. In some embodiments, L2 is selected from CH20-*, CH2CH2-*, CH2C(0)-*, CH=CH-*, CH2CH20-*, CH2OCH2-*, CH2OCH2CH2- *, CH2CH2CH20-*, CH2CH2OCH2-*, CH2NH-*, CH2N(CH3)-*, CH2N(CH3)C(0)-*,
CH2N(C(0)CH3)-*, CH2CH(OH)-*, NHC(0)OCH2-*, or CH2C(0)-*, and "-*" indicates the attachment point to W.
In some embodiments, each R is independently C1-C6 alkyl, oxo, halo, cyano, -OR", -
OS(0)2RD, -S(0)2RD, -SRE, NRBC(0)RD, -C(0)NRBRc, -C(0)RD, -C(0)OH, NRBRC, or G2 (e.g., CH3, oxo, fluoro, OH, cyano, OCH3, NH2, N(CH3)2, NHC(0)CH3, OC(0)CH3, C(0)NH2, OS(0)2CH3, -S(0)2CH3, -S(0)2 CH2CH3, C(0)OH, OC(0)RD, -C(0)CH3, or -SCH3).
In some embodiments, t is 1. In some embodiments, t is 0.
In some embodiments, R1 and R2 are each independently hydrogen, C1-C6 alkyl, hydroxyl-Ci-C6 alkyl, or silyloxy-Ci-C6 alkyl. In some embodiments, one ofR1 and R2 is independently hydrogen and the other of R1 and R2 is independently hydrogen, C1-C6 alkyl, Ci- Ce hydroxyl-Ci-C6 alkyl, or silyloxy-Ci-C6 alkyl. In some embodiments, R1 and R2 are each independently hydrogen, *-CH3, *-CH2CH2OH, or *-CH2CH2OSi(CH3)2C(CH3)3, and "*-" indicates the attachment point to the nitrogen atom. In some embodiments, one of R1 and R2 is independently hydrogen and the other of R1 and R2 is independently hydrogen, *-CH3, *- CH2CH2OH, or *-CH2CH2OSi(CH3)2C(CH3)3, and "*-" indicates the attachment point to the nitrogen atom. In some embodiments, R1 and R2 are each independently hydrogen.
In some embodiments, A is phenyl and W is independently phenyl or 5-6-membered heteroaryl. In some embodiments, each A and W is independently phenyl. In some embodiments, A is phenyl and W is 5-6-membered heteroaryl. In some embodiments, W is a monocyclic 5-6-membered heteroaryl. In some embodiments, 2 RY groups on adjacent atoms of W, together with the atoms to which they are attached form a 3-7-membered fused cycloalkyl or heterocyclyl optionally substituted with 1-5 Rx forming a bi cyclic heteroaryl. In some embodiments, W is a 10-membered heteroaryl, a 9- membered heteroaryl, a 6-membered heteroaryl, or a 5-membered heteroaryl. In some embodiments, W is a heteroaryl containing nitrogen, oxygen or sulfur as allowed by valence.
In some embodiments, each A and W is independently phenyl or 5-6-membered heteroaryl optionally substituted with 1-5 RY, and each RY is independently C1-C6 alkyl, hydroxy-Ci-C6 alkyl, halo-Ci-C6 alkyl, halo-Ci-C6 alkoxy, amino-Ci-C6 alkyl, cyano-Ci-C6 alkyl, halo, cyano, -ORA, -NRBRC, -C(0)RD, -C(0)OH, -C(0)ORD, -S(RF)m,-S(0)2RD, or G1. In some embodiments, each of A and W is independently phenyl, pyridyl, pyrazinyl, pyridazinyl, pyridazinonyl, triazinyl, triazolyl, oxadiazolyl, or oxadiazolonyl, each of which is optionally substituted with 1-5 RY groups In some embodiments, each of A and W is independently phenyl, pyridyl, pyrazinyl, pyridazinyl, pyridazinonyl, oxadiazolyl, or oxadiazolonyl, each of which is optionally substituted with 1-5 RY groups. In some embodiments, each of A and W is independently selected from:
Figure imgf000082_0001
Figure imgf000083_0001
Figure imgf000083_0002
. In some embodiments, A is phenyl and W is phenyl or 5-6-membered heteroaryl, each of A and W is optionally substituted with 1-5 RY, and each RY is independently C1-C6 alkyl, hydroxy-Ci-C6 alkyl, halo-Ci-C6 alkyl, halo-Ci-C6 alkoxy, amino-Ci-C6 alkyl, cyano-Ci-
C6 alkyl, halo, cyano, -ORA, -NRBRC, -C(0)RD, -C(0)OH, -C(0)ORD, -S(RF)m,-S(0)2RD, G1. In some embodiments, A is phenyl and W is phenyl, pyridyl, pyrazinyl, pyridazinyl, pyridazinonyl, oxadiazolyl, or oxadiazolonyl, each of which is optionally substituted with 1-5
Figure imgf000084_0001
Figure imgf000085_0001
In some embodiments, A is phenyl and W is phenyl or 5-6-membered heteroaryl. In some embodiments, each of A and W is optionally substituted with 1-5 RY, and each RY is independently C1-C6 alkyl, hydroxy-Ci-C6 alkyl, halo-Ci-C6 alkyl, halo-Ci-C6 alkoxy, amino- Ci-C6 alkyl, cyano-Ci-C6 alkyl, halo, cyano, -ORA, -NRBRC, -C(0)RD, -C(0)OH, - C(0)ORD, -S(RF)m,-S(0)2RD, or G1.
In some embodiments, each RY is independently chloro, fluoro, iodo, CF3, CHF2, CH2CF3, CH3, CH2CH3, C(CH3)2OH, OCH3, OCH2CH3i OCF3, S(0)2CH3, S(0)2CH2CH2CH3, CN, N(CH3)2, SF5, SCH3, NH2, C(CH)3, CH(CH3)2, CH2CN, CH2NH2, CH(OH)CH3, C(OH)(CH3)CF3, S(0)2CH3, C(0)CH3, C(0)OCH3, C(0)OH, OCHF2 or G1.
In some embodiments, each RY is independently chloro, fluoro, iodo, CF3, CH3, CH2CH3, OCH3, S(0)2CH3, CN, N(CH3)2, SF5, NH2, C(CH)3, CH(CH3)2, CH2CN, CH2NH2, CH(OH)CH3, C(0)CH3, C(0)OCH3, C(0)OH, OCHF2 or G1.
In some embodiments, each A and W is independently substituted with 2 RY on adjacent atoms, and the 2 RY, together with the atoms to which they are attached, form a 3-7- membered fused cycloalkyl, 3-7-membered fused heterocyclyl, fused aryl, or 5-6-membered fused heteroaryl ring optionally substituted with 1-5 Rx. In some embodiments, 2 RY together with the atoms to which they are attached form a pyrazolyl, pyrrolyl, isoxazolyl, thiophenyl, furanyl, or dioxolanyl ring, each of which is optionally substituted with 1-5 Rx. In some embodiments, each Rx is independently C1-C6 alkyl or halo (e.g., CH3 or fluoro).
In some embodiments, G1 is cyclopropyl, isoxazolyl, piperidinyl, phenyl, or pyrazolyl, each of which is optionally substituted with 1-5 Rz. In some embodiments, G1 is cyclopropyl, isoxazolyl, or pyrazolyl, each of which is optionally substituted with 1-5 Rz. In some embodiments, each Rz is independently C1-C6 alkyl (e.g., CH3) or halo (e.g., chloro). In some embodiments, each Rz is independently C1-C6 alkyl (e.g., CH3). In some embodiments, the compound of Formula (I) (e.g., a compound of Formula (I- a), (I-b), (I-c), (I-d), (I-e), (I-f), (I-g), (I-h), (I-i), (I-j), (I-k) or (1-1)) or a pharmaceutically acceptable salt thereof is formulated as a pharmaceutically acceptable composition comprising a compound of any one of the preceding claims and a pharmaceutically acceptable carrier In some embodiments, the compound is selected from any compound set forth in Table
1 or a pharmaceutically acceptable salt, solvate, hydrate, tautomer, or stereoisomer thereof.
Table 1: Exemplary compounds of the invention
Figure imgf000086_0001
Figure imgf000087_0001
Figure imgf000088_0001
Figure imgf000089_0001
Figure imgf000090_0001
Figure imgf000091_0001
Figure imgf000092_0001
Figure imgf000093_0001
Figure imgf000094_0001
Figure imgf000095_0001
Figure imgf000096_0001
Figure imgf000097_0001
Figure imgf000098_0001
Figure imgf000099_0001
Figure imgf000100_0001
Figure imgf000101_0001
Figure imgf000102_0001
Figure imgf000103_0001
Figure imgf000104_0001
Figure imgf000105_0001
Figure imgf000106_0001
Figure imgf000107_0001
Figure imgf000108_0001
Figure imgf000109_0001
Figure imgf000110_0001
Figure imgf000111_0001
- Ill-
Figure imgf000112_0001
Figure imgf000113_0001
Figure imgf000114_0001
Figure imgf000115_0001
Figure imgf000116_0001
Figure imgf000117_0001
Figure imgf000118_0001
Figure imgf000119_0001
Figure imgf000120_0001
Figure imgf000121_0001
Figure imgf000122_0001
Figure imgf000123_0001
Figure imgf000124_0001
Figure imgf000125_0001
Figure imgf000126_0001
Figure imgf000127_0001
Figure imgf000128_0001
Figure imgf000129_0001
Figure imgf000130_0001
Figure imgf000131_0001
Figure imgf000132_0001
Figure imgf000133_0001
Figure imgf000134_0001
Figure imgf000135_0001
Figure imgf000136_0001
Figure imgf000137_0001
Figure imgf000138_0001
Figure imgf000139_0001
Figure imgf000140_0001
Figure imgf000141_0001
Figure imgf000142_0001
Figure imgf000143_0001
Figure imgf000144_0001
Figure imgf000145_0001
Figure imgf000146_0001
Figure imgf000147_0001
Figure imgf000148_0001
Figure imgf000149_0001
Figure imgf000150_0001
Compound
Structure No.
463
O
464
o
465
o
466
F O Compound
Structure No.
467
o
468
o
469
o
470
o
Figure imgf000153_0001
Compound
Structure
No.
475
o
476
O
477
O
478
o '
Figure imgf000155_0001
Figure imgf000156_0001
Figure imgf000157_0001
Figure imgf000158_0001
Figure imgf000159_0001
Figure imgf000160_0001
Figure imgf000161_0001
Figure imgf000162_0001
Figure imgf000163_0001
Figure imgf000164_0001
Figure imgf000165_0001
Figure imgf000166_0001
Figure imgf000167_0001
Figure imgf000168_0001
Figure imgf000169_0001
Figure imgf000170_0001
Figure imgf000171_0001
Figure imgf000172_0001
Methods of Making Exemplary Compounds
The compounds of the invention may be better understood in connection with the following synthetic schemes and methods which illustrate a means by which the compounds can be prepared. The compounds of this invention can be prepared by a variety of synthetic procedures. Representative synthetic procedures are shown in, but not limited to, Schemes 1- 24. The variables A, D, W, L1, L2, R1, and R2 are defined as detailed herein, e.g., in the Summary
Scheme 1 : Representative scheme for synthesis of exemplary compounds of the invention.
Figure imgf000172_0002
As shown in Scheme 1, compounds of formula (3), when A and W are the same and L1 and L2 are the same, and which are representative of compounds of formula (I), can be prepared from compounds of formula (1). Carboxylic acids of formula (2A) can be coupled with amines of formula (1) under amide bond forming conditions to provide compounds of formula (3). Examples of conditions known to generate amides from a mixture of a carboxylic acid and an amine include, but are not limited to, adding a coupling reagent such as, but not limited to, N- (3-dimethylaminopropyl)-N-ethylcarbodiirnide or l-(3-dimethylaminopropyl)-3- ethylcarbodiimide (EDC, ED AC or EDCI) or the corresponding hydrochloride salt, 1,3- dicyclohexylcarbodiimide (DCC), bis(2-oxo-3-oxazolidinyl)phosphinic chloride (BOPC1), N- [(dimethylamino)-lH-l,2,3 riazolo-[4,5- )]pyridin-l-ylmethylene]-N-methylmethanarm hexafluorophosphate N-oxide or 2-(7-azabenzotriazol-l-yl)-N,N,N'N'-tetramethyluronium hexafluorophosphate or l-[bis(dimethylamino)methylene]-lH-l,2,3-triazolo[4,5-b]pyridinium 3-oxid hexafluorophosphate (HATU), 0-(benzotriazol-l-yl)-N,N,N',N'-tetramethyluronium tetrafluoroborate (TBTU), 2-(lH-benzo[cf] [l,2,3]triazol-l-yl)-l,l,3,3-tetramethylisouronium hexafluorophosphate(V) (HBTU), and 2,4,6-tripropyl-l,3,5,2,4,6-trioxatriphosphinane 2,4,6- trioxide (T3P®). The coupling reagents may be added as a solid, a solution, or as the reagent bound to a solid support resin.
In addition to the coupling reagents, auxiliary-coupling reagents may facilitate the coupling reaction. Auxiliary coupling reagents that are often used in the coupling reactions include but are not limited to (dimethylamino)pyridine (DMAP), l-hydroxy-7-azabenzotriazole (HO AT) and 1-hydroxybenzotriazole (HOBT). The reaction may be carried out optionally in the presence of a base such as, but not limited to, triethylamine, NN-diisopropylethylamine or pyridine. The coupling reaction may be carried out in solvents such as, but not limited to, tetrahydrofuran, N,N-dimethylformamide, N,N-dimethylacetamide, dimethyl sulfoxide, dichloromethane, and ethyl acetate. The reactions may be carried out at ambient temperature or heated. The heating can be accomplished either conventionally or with microwave irradiation.
Alternatively, acid chlorides of formula (2B) can be reacted with amines of formula (1), optionally in the presence of a base for example, a tertiary amine base such as, but not limited to, triethylamine or N,N-diisopropylethylamine or an aromatic base such as pyridine, at room temperature or heated in a solvent such as, but not limited to, dichloromethane to provide amides of formula (3). Amines of formula (1) can also be coupled with acid chlorides of formula (2B) in a mixture of water and dichloromethane in the presence of a base such as but not limited to sodium hydroxide.
Scheme 2 : Representative scheme for synthesis of exemplary compounds of the invention.
Figure imgf000174_0001
As shown in Scheme 2, compounds of formula (3), when A and W are the same or different and L1 and L2 are the same or different, and which are representative of compounds of formula (I), can be prepared from compounds of formula (1). Amines of formula (1) can be protected with a suitable protecting group (PG) to provide compounds of formula (4). For example, amines of formula (1) can be treated with di-fer/-butyl dicarbonate at ambient temperature in a solvent such as, but not limited to, tetrahydrofuran to provide compounds of formula (4) wherein PG is C(0)OC(CH3)3. Carboxylic acids of formula (2A) or acid chlorides of formula (2B) can be coupled with amines of formula (4) under amide bond forming conditions described in Scheme 1 to provide compounds of formula (5). The protecting group (PG) in formula (5) can be removed to provide compounds of formula (6). For example, BOC protecting groups can be removed using an acid such as, but not limited to, trifluoroacetic acid or hydrochloric acid in a solvent such as, but not limited to, methanol, 1,4-dioxane or dichloromethane, or mixtures thereof. The reaction may be performed at ambient or an elevated temperature. Carboxylic acids of formula (7 A) or acid chlorides of formula (7B) can be coupled with amines of formula (6) under amide bond forming conditions described in Scheme 1 to provide compounds of formula (3), which are representative of compounds of formula (I). Scheme 3: Representative scheme for synthesis of exemplary compounds of the invention.
Figure imgf000175_0001
As shown in Scheme 3, compounds of formula (9), which are representative of compounds of formula (I) when t is 0, can be prepared from compounds of formula (6).
Compounds of formula (6), which can be prepared as described in Scheme 2, can be reacted with an aldehyde of formula (8), wherein R100 is absent or is alkylene or heteroalkylene, in the presence of a reducing agent such as, but not limited to, sodium triacetoxyborohydride or sodium cyanoborohydride, to provide compounds of formula (9). The reaction is typically performed at ambient temperature in a solvent such as, but not limited to, 1,2-dichloroethane, dichloromethane, methanol, ethanol, tetrahydrofuran, acetonitrile, or mixtures thereof.
Scheme 4: Representative scheme for synthesis of exemplary compounds of the invention.
Figure imgf000175_0002
Alternatively, compounds of formula (9), which are representative of compounds of formula (I) when t is 0, can be prepared from compounds of formula (6) as shown in Scheme 4. Amines of formula (6) can be reacted with bromides of formula (10), in the presence of a base such as, but not limited to, potassium carbonate, to provide compounds of formula (9). The reaction is typically performed at an elevated temperature in a solvent such as, but not limited to, N^V-dimethylformamide or dimethyl sulfoxide.
Scheme 5 : Representative scheme for synthesis of exemplary compounds of the invention.
Figure imgf000176_0001
Compounds of formula (13) and compounds of formula (14), which are representative of compounds of formula (I) wherein t is 1, can be prepared as shown in Scheme 5. Amines of formula (6), which can be prepared as described in Scheme 2, can be treated with 2- chloroacetyl chloride in the presence of a base such as, but not limited to, potassium carbonate, to provide compounds of formula (11). The addition is typically performed at low temperature before warming up to ambient temperature in a solvent such as, but not limited to,
tetrahydrofuran, water, or mixtures thereof. Alcohols of formula (12A) can be reacted with compounds of formula (11) in the presence of a strong base, such as but not limited to sodium hydride, to provide compounds of formula (13). The reaction is typically performed at ambient temperature in a solvent such as but not limited to N^V-dimethylformamide. Alternatively, alcohols of formula (12A) can be reacted with compounds of formula (11) in the presence of a base, such as but not limited to potassium carbonate, optionally with the addition of a catalytic amount of potassium iodide, to provide compounds of formula (13). The reaction is typically performed at an elevated temperature, optionally in a microwave, and in a solvent such as, but not limited to, acetonitrile, acetone, or mixtures thereof. Alcohols of formula (12B), wherein n is 1-6, can be reacted with compounds of formula (11) in the presence of a strong base, such as but not limited to sodium hydride, to provide compounds of formula (14). The reaction is typically performed at ambient temperature in a solvent, such as but not limited to, N,N- dimethylformamide.
Scheme 6: Representative scheme for synthesis of exemplary compounds of the invention.
Figure imgf000177_0001
A shown in Scheme 6, compounds of formula (15), which are representative of compounds of formula (I) wherein t is 1 and L2 is C2-C7 heteroalkylene, can be prepared from compounds of formula (6). Amines of formula (6) can be treated with bis(trichloromethyl) carbonate, followed by alcohols of formula (12B), to provide compounds of formula (15). The reaction is typically performed at ambient temperature in a solvent such as but not limited to tetrahydrofuran.
Scheme 7: Representative scheme for synthesis of exemplary compounds of the invention.
Figure imgf000177_0002
Compounds of formula (18), which are representative of compounds of formula (I) wherein t is 1 and R2 is C1-C6 alkyl, C1-C6 alkoxy-Ci-C6 alkyl, hydroxy-Ci-C6 alkyl, or silyloxy-Ci-C6 alkyl, can be prepared from compounds of formula (6) as shown in Scheme 7. Amines of formula (6) can be alkylated with an alkylating agent of formula (16) wherein X is a halide, in the presence of a base such as, but not limited to, potassium carbonate, to provide compounds of formula (17). The reaction is typically performed at an elevated temperature in a solvent such as, but not limited to, N,N-dimethylformamide. Carboxylic acids of formula (7 A) or acid chlorides of formula (7B) can be coupled with amines of formula (17) under amide bond forming conditions described in Scheme 1 to provide compounds of formula (18).
Scheme 8: Representative scheme for synthesis of exemplary compounds of the invention.
Figure imgf000178_0001
As shown in Scheme 8, compounds of formula (20), which are representative of compounds of formula (I) wherein t is 1, can be prepared from amines of formula (6). Amines of formula (6) can be reacted with chloroformates of formula (19) in the presence of a base such as, but not limited to, NN-diisopropylethylamine, to provide compounds of formula (20). The reaction is typically performed at ambient temperature in a solvent such as but not limited to toluene, dichloromethane, or mixtures thereof.
Scheme 9: Representative scheme for synthesis of exemplary compounds of the invention.
Formula (I)
Figure imgf000178_0002
Compounds of formula (I), wherein R1 is C1-C6 alkyl, C1-C6 alkoxy-Ci-C6 alkyl, hydroxy-Ci-C6 alkyl, or silyloxy-Ci-C6 alkyl, can be prepared from compounds of formula (5) as shown in Scheme 9. Amines of formula (5), which can be prepared as described in Scheme 2, can be alkylated with an alkylating agent of formula (21), wherein X is a halide, in the presence of a base such as but not limited to sodium hydride, to provide compounds of formula (22). The reaction is typically performed at ambient temperature in a solvent such as, but not limited to, tetrahydrofuran, N^V-dimethylacetamide, N,N-dimethylformamide, or mixtures thereof. After removal of the protecting group (PG), compounds of formula (22) can be reacted with carboxylic acids of formula (7 A) or acid chlorides of formula (7B) under amide bond forming conditions described in Scheme 2 to provide compounds of formula (I).
Scheme 10: Representative scheme for synthesis of exemplary compounds of the invention.
Figure imgf000179_0001
As shown in Scheme 10, compounds of formula (25), which are representative of compounds of formula (I) wherein t is 1, can be prepared from compounds of formula (6). Amines of formula (6), which can be prepared as described in Scheme 2, can be reacted with 2- hydroxyacetic acid to provide compounds of formula (23) under amide bond forming conditions described in Scheme 2. Compounds of formula (23) can be alkylated with an alkylating agent of formula (24), wherein X is a halide and n is 0-5, in the presence of a base such as but not limited to sodium hydride, to provide compounds of formula (25). The reaction is typically performed at an elevated temperature in a solvent such as, but not limited to, tetrahydrofuran , N,N-dimethylformamide, or mixtures thereof.
Scheme 11 : Representative scheme for synthesis of exemplary compounds of the invention.
Figure imgf000179_0002
Compounds of formula (28), which are representative of compounds of formula (I), wherein t is 1, can be prepared from compounds of formula (23) as shown in Scheme 11. Compounds of formula (23), which can be prepared as described in Scheme 10, can be reacted with methyl 2-bromoacetate in the presence of a base such as, but not limited to, cesium carbonate to provide compounds of formula (26). The reaction is typically performed at ambient temperature in a solvent such as, but not limited to, tetrahydrofuran. Compounds of formula (26) can be treated with aqueous lithium hydroxide to provide compounds of formula (27). The reaction is typically performed at ambient temperature in a solvent such as, but not limited to, tetrahydrofuran, methanol, or mixtures thereof. Compounds of formula (27) can be treated with N-hydroxyacetimidamide in the presence of a coupling agent such as, but not limited to, l-[bis(dimethylamino)methylene]-lH-l ,2,3-triazolo[4,5-b]pyridinium 3-oxid hexafluorophosphate (HATU), and a base such as, but not limited to, triethylamine, to provide compounds of formula (28). The reaction is typically performed at an elevated temperature in a solvent such as but not limited to acetonitrile.
Scheme 12: Representative scheme for synthesis of exemplary compounds of the invention.
Figure imgf000180_0001
As shown in Scheme 12, compounds of formula (30), which are representative of compounds of formula (I), can be prepared from compounds of formula (26). Compounds of formula (26), which can be prepared as described in Scheme 1 1, can be treated with hydrazine monohydrate, to provide compounds of formula (29). The reaction is typically performed at an elevated temperature in a solvent such as, but not limited to, ethanol. Compounds of formula (29) can be treated with Ι, Γ-carbonyldiimidazole, to provide compounds of formula (30). The reaction is typically performed at an elevated temperature in a solvent such as but not limited to 1 ,4-dioxane.
Scheme 13 : Representative scheme for synthesis of exemplary compounds of the invention.
Figure imgf000181_0001
Scheme 13 describes the synthesis of compounds of formula (I) wherein D is a 2- oxobicyclo[2.2.2]octan-l-yl core. Ethyl 4-amino-2-oxobicyclo[2.2.2]octane-l-carboxylate, which can be prepared as described herein, can be reacted with carboxylic acids of formula (2A) or acid chlorides of formula (2B) under amide bond forming conditions described in Scheme 1 to provide compounds of formula (31). Compounds of formula (31) can be treated with a methanolic solution of sodium hydroxide at ambient temperature to provide compounds of formula (32). Acids of formula (32) can be treated with diphenylphosphoryl azide, in the presence of a base such as but not limited to triethylamine, followed by treatment with tert- butanol, to provide compounds of formula (33). The reaction is typically performed at an elevated temperature in a solvent such as, but not limited to, toluene. Compounds of formula (33) can be treated with an acid such as, but not limited to, hydrochloric acid at ambient temperature in a solvent such as, but not limited to, 1,4-dioxane, to provide compounds of formula (34). Compounds of formula (34) can be reacted with carboxylic acids of formula (7 A) or acid chlorides of formula (7B) under amide bond forming conditions described in Scheme 2 to provide compounds of formula (I).
Scheme 14: Representative scheme for synthesis of exemplary compounds of the invention.
Figure imgf000182_0001
Figure imgf000182_0002
Scheme 14 describes the synthesis of carboxylic acids (37), (42), and (45), which are representative of acids of formula (2A) and formula (7 A).
Compounds of formula (35) can be reacted with ethyl 2-hydroxy acetate in the presence of a strong base such as, but not limited to, potassium fert-butoxide to provide compounds of formula (36). The reaction is typically performed at ambient temperature in a solvent such as, but not limited to, tetrahydrofuran. Compounds of formula (36) can be treated with aqueous lithium hydroxide to provide compounds of formula (37). The reaction is typically performed at ambient temperature in a solvent such as, but not limited to, tetrahydrofuran.
Alcohols of formula (38) can be reacted with fert-butyl 2-bromoacetate in the presence of a base such as, but not limited to, potassium carbonate to provide compounds of formula (39). The reaction is typically performed at an elevated temperature in a solvent such as, but not limited to, N^V-dimethylformamide. Compounds of formula (39) can be treated with an acid such as, but not limited to, hydrochloric acid to provide compounds of formula (37). The reaction is typically performed at ambient temperature in a solvent such as, but not limited to, 1 ,4-dioxane.
Compounds of formula (40) can be reacted with ethyl 3-bromopropanoate in the presence of a strong base such as, but not limited to, sodium hydride, to provide compounds of formula (41). The addition is typically performed at low temperature before warming to ambient temperature, in a solvent such as, but not limited to, tetrahydrofuran. Compounds of formula (41) can be treated with aqueous sodium hydroxide to provide compounds of formula (42). The reaction is typically performed at ambient temperature in a solvent such as, but not limited to, tetrahydrofuran.
Carboxylic acids of formula (43) can be reacted with sarcosine methyl ester, under amide bond forming conditions as described in Scheme 1 , to provide compounds of formula (44). Compounds of formula (44) can be treated with aqueous sodium hydroxide to provide compounds of formula (45). The reaction is typically performed at ambient temperature in a solvent such as, but not limited to, ethanol.
Scheme 15 : Representative scheme for synthesis of exemplary compounds of the invention.
Figure imgf000183_0001
As shown in Scheme 15, bromides of formula (47), which are representative of compounds of formula (10) and (24), can be prepared from alcohols of formula (46).
Compounds of formula (46) can be reacted with 1,2-dibromoethane in the presence of a base such as, but not limited to, potassium carbonate, to provide compounds of formula (47). The reaction is typically performed at elevated temperature in a solvent such as, but not limited to, acetonitrile.
Scheme 16: Representative scheme for synthesis of exemplary compounds of the invention.
Figure imgf000184_0001
As shown in Scheme 16, compounds of formula (49), wherein A and W are the same or different and L1 and L2 are the same or different, and which are representative of compounds of formula (I), can be prepared from compounds of formula (48). Carboxylic acids of formula (7 A) or acid chlorides of formula (7B) can be coupled with amines of formula (48) under amide bond forming conditions described in Scheme 1 to provide compounds of formula (49).
Ketones of formula (48) can also be reduced in the presence of a reducing agent such as, but not limited to sodium borohydride in solvents such as a mixture of methanol and
dichloromethane to give alcohols of formula (50). Carboxylic acids of formula (7 A) or acid chlorides of formula (7B) can be coupled with amines of formula (50) under amide bond forming conditions described in Scheme 1 to provide compounds of formula (51). Ketones of formula (49) can also be reduced in the presence of a reducing agent such as, but not limited to sodium borohydride in solvents such as a mixture of methanol and dichloromethane to give alcohols of formula (51). Compounds of formula (48), formula (49), formula (50) and formula (51) can be further derivatized as illustrated in the Examples below.
Scheme 17: Representative scheme for synthesis of exemplary compounds of the invention. Formula (I)
Figure imgf000185_0001
As shown in Scheme 17, compounds of formula (52) can be transformed to compounds of formula (6) which in turn through the methods described in Schemes 2-8 and 10 can be converted to compounds of formula (I). Accordingly, carboxylic acids of formula (2A) or acid chlorides of formula (2B) can be coupled with amines of formula (50) under amide bond forming conditions described in Scheme 1 followed by ester hydrolysis using conditions known to one of skill in the art to provide compounds of formula (53). Compounds of formula (53) can be reacted under Curtius reaction conditions such as treatment with diphenylphosphoryl azide and triethylamine in heated toluene followed by acid hydrolysis to give compounds of formula (6).
Scheme 18: Representative scheme for synthesis of exemplary compounds of the invention.
Figure imgf000185_0002
As shown in Scheme 18, compounds of formula (6) can be converted to compounds of formula (57) which are representative of compounds of formula (I). Accordingly, compounds of formula (6) can be coupled with protected amino acids of formula (54), wherein PG is suitable amine protecting group, using the amide bond coupling conditions described in Scheme 1 to give compounds of formula (55). The protecting group, PG, in compounds of formula (55) can be removed under conditions known to one of skill in the art to expose a primary amine that can be coupled with carboxylic acids of formula (56) using the amide bond coupling conditions described in Scheme 1 to give compounds of formula (57).
Scheme 19: Representative scheme for synthesis of exemplary compounds of the invention.
Figure imgf000186_0001
As shown in Scheme 19, compounds of formula (6) can be converted to compounds of formula (59) which are representative of compounds of formula (I). Compounds of formula (6) can be reacted with sulfonyl chlorides of formula (58) in the presence of a base, such as triethylamine, in an optionally warmed solvent, such as but not limited to N,N- dimethylformamide, to give compounds of formula (59).
Scheme 20: Representative scheme for synthesis of exemplary compounds of the invention.
Figure imgf000186_0002
As shown in Scheme 20, compounds of formula (6) can be converted to compounds of formula (61) which are representative of compounds of formula (I). Compounds of formula (6) can be reacted with isocyanates of formula (60) in the presence of pyridine to give compounds of formula (61).
Scheme 21 : Representative scheme for synthesis of exemplary compounds of the invention.
Figure imgf000187_0001
As shown in Scheme 21 , compounds of formula (6) can be converted to compounds of formula (63) which are representative of compounds of formula (I). Compounds of formula (6) can be reacted with carbanochloridates of formula (62) in the presence of a base, such as N,N- diisopropylethylamine, in a solvent, such as tetrahydrofuran, to give compounds of formula (63).
Scheme 22: Representative scheme for synthesis of exemplary compounds of the invention.
Figure imgf000187_0002
As shown in Scheme 22, compounds of formula (64) can be transformed to compounds of formula (65) which are representative of compounds of formula (I). Compounds of formula (64) can be reduced with indium(III) bromide and triethylsilane (Et3SiH) in warmed dichloromethane to give compounds of formula (65).
Scheme 23 : Representative scheme for synthesis of exemplary compounds of the invention. onate
Figure imgf000188_0001
(67) base
Figure imgf000188_0002
As shown in Scheme 23, compounds of formula (66) can be converted to compounds of formula (1). Accordingly, the ester moiety of compounds of formula (66) can be hydrolyzed under conditions known to one of skill in the art to give the corresponding carboxylic acids. The carboxylic acids can be treated under Curtius reaction conditions to complete the transformation to compounds of formula (67). Compounds of formula (67) can be reacted with di-fert-butyl dicarbonate in the presence of a base to give the orthogonally protected bis-amine, (68). Compounds of formula (68) can be converted to compounds of formula (1) under catalytic hydrogenation conditions in the presence of an acid, such as 4 M hydrochloric acid, in a solvent such as warmed dioxane. Compounds of formula (1) can be used as described in Scheme 1 or Scheme 2.
Scheme 24: Representative scheme for synthesis of exemplary compounds of the invention.
Figure imgf000188_0003
As shown in Scheme 24, compounds of formula (68) can be converted to compounds of formula (71). Compounds of formula (68) can be reductively aminated to compounds of formula (69), wherein R2b is optionally substituted C -C alkyl. Compounds of formula (69) can be treated under acidic conditions known to one of skill in the art to selectively remove the fert-butoxy carbonyl protecting group and then couple the exposed amine with compounds of formula (2A) using amide bond forming reaction conditions described in Scheme 1 to give compounds of formula (70). Alternatively, acid chlorides of formula (2B) can be coupled with the amines also as described in Scheme 1. The benzyl protecting group of compounds of formula (70) can be removed under catalytic hydrogenation conditions, and then the revealed amine can be coupled with carboxylic acids of formula (7 A) to give compounds of formula (71). Compounds of formula (71) can also be obtained by reaction with the corresponding acid chloride with the previously mentioned revealed amine using conditions also described in Scheme 1. Compounds of formula (71) are representative of compounds of formula (I). Pharmaceutical Compositions
The present invention features pharmaceutical compositions comprising a compound of Formula (I) or a pharmaceutically acceptable salt, solvate, hydrate, tautomer, or stereoisomer thereof. In some embodiments, the pharmaceutical composition further comprises a pharmaceutically acceptable excipient. In some embodiments, the compound of Formula (I) or a pharmaceutically acceptable salt, solvate, hydrate, tautomer, stereoisomer thereof is provided in an effective amount in the pharmaceutical composition. In some embodiments, the effective amount is a therapeutically effective amount. In certain embodiments, the effective amount is a prophylactically effective amount.
Pharmaceutical compositions described herein can be prepared by any method known in the art of pharmacology. In general, such preparatory methods include the steps of bringing the compound of Formula (I) (the "active ingredient") into association with a carrier and/or one or more other accessory ingredients, and then, if necessary and/or desirable, shaping and/or packaging the product into a desired single- or multi-dose unit. Pharmaceutical compositions can be prepared, packaged, and/or sold in bulk, as a single unit dose, and/or as a plurality of single unit doses. As used herein, a "unit dose" is a discrete amount of the pharmaceutical composition comprising a predetermined amount of the active ingredient. The amount of the active ingredient is generally equal to the dosage of the active ingredient which would be administered to a subject and/or a convenient fraction of such a dosage such as, for example, one-half or one-third of such a dosage.
Relative amounts of a compound of Formula (I), the pharmaceutically acceptable excipient, and/or any additional ingredients in a pharmaceutical composition of the invention will vary, depending upon the identity, size, and/or condition of the subject treated and further depending upon the route by which the composition is to be administered. By way of example, the composition may comprise between 0.1% and 100% (w/w) of a compound of Formula (I).
The term "pharmaceutically acceptable excipient" refers to a non-toxic carrier, adjuvant, diluent, or vehicle that does not destroy the pharmacological activity of the compound with which it is formulated. Pharmaceutically acceptable excipients useful in the manufacture of the pharmaceutical compositions of the invention are any of those that are well known in the art of pharmaceutical formulation and include inert diluents, dispersing and/or granulating agents, surface active agents and/or emulsifiers, disintegrating agents, binding agents, preservatives, buffering agents, lubricating agents, and/or oils. Pharmaceutically acceptable excipients useful in the manufacture of the pharmaceutical compositions of the invention include, but are not limited to, ion exchangers, alumina, aluminum stearate, lecithin, serum proteins, such as human serum albumin, buffer substances such as phosphates, glycine, sorbic acid, potassium sorbate, partial glyceride mixtures of saturated vegetable fatty acids, water, salts or electrolytes, such as protamine sulfate, disodium hydrogen phosphate, potassium hydrogen phosphate, sodium chloride, zinc salts, colloidal silica, magnesium trisilicate, polyvinyl pyrrolidone, cellulose-based substances, polyethylene glycol, sodium
carboxymethylcellulose, polyacrylates, waxes, polyethylene-polyoxypropylene-block polymers, polyethylene glycol and wool fat.
Compositions of the present invention may be administered orally, parenterally
(including subcutaneous, intramuscular, intravenous and intradermal), by inhalation spray, topically, rectally, nasally, buccally, vaginally or via an implanted reservoir. In some embodiments, provided compounds or compositions are administrable intravenously and/or orally.
The term "parenteral" as used herein includes subcutaneous, intravenous, intramuscular, intraocular, intravitreal, intra-articular, intra-synovial, intrasternal, intrathecal, intrahepatic, intraperitoneal intralesional and intracranial injection or infusion techniques. Preferably, the compositions are administered orally, subcutaneously, intraperitoneally or intravenously.
Sterile injectable forms of the compositions of this invention may be aqueous or oleaginous suspension. These suspensions may be formulated according to techniques known in the art using suitable dispersing or wetting agents and suspending agents. The sterile injectable preparation may also be a sterile injectable solution or suspension in a non-toxic parenterally acceptable diluent or solvent, for example as a solution in 1,3-butanediol. Among the acceptable vehicles and solvents that may be employed are water, Ringer's solution and isotonic sodium chloride solution. In addition, sterile, fixed oils are conventionally employed as a solvent or suspending medium.
Pharmaceutically acceptable compositions of this invention may be orally administered in any orally acceptable dosage form including, but not limited to, capsules, tablets, aqueous suspensions or solutions. In the case of tablets for oral use, carriers commonly used include lactose and com starch. Lubricating agents, such as magnesium stearate, are also typically added. For oral administration in a capsule form, useful diluents include lactose and dried cornstarch. When aqueous suspensions are required for oral use, the active ingredient is combined with emulsifying and suspending agents. If desired, certain sweetening, flavoring or coloring agents may also be added. In some embodiments, a provided oral formulation is formulated for immediate release or sustained/delayed release. In some embodiments, the composition is suitable for buccal or sublingual administration, including tablets, lozenges and pastilles. A compound of Formula (I) may also be in micro-encapsulated form.
The compositions of the present invention can be delivered by trans dermally, by a topical route, formulated as applicator sticks, solutions, suspensions, emulsions, gels, creams, ointments, pastes, jellies, paints, powders, and aerosols. Oral preparations include tablets, pills, powder, dragees, capsules, liquids, lozenges, cachets, gels, syrups, slurries, suspensions, etc., suitable for ingestion by the patient. Solid form preparations include powders, tablets, pills, capsules, cachets, suppositories, and dispersible granules. Liquid form preparations include solutions, suspensions, and emulsions, for example, water or water/propylene glycol solutions. The compositions of the present invention may additionally include components to provide sustained release and/or comfort. Such components include high molecular weight, anionic mucomimetic polymers, gelling polysaccharides and finely-divided drug carrier substrates. These components are discussed in greater detail in U. S. Patent Nos. 4,911 ,920; 5,403,841 ; 5,212, 162; and 4,861 ,760. The entire contents of these patents are incorporated herein by reference in their entirety for all purposes. The compositions of the present invention can also be delivered as microspheres for slow release in the body. For example, microspheres can be administered via intradermal injection of drug-containing microspheres, which slowly release subcutaneous ly (see Rao, J. Biomater Sci. Polym. Ed. 7:623-645, 1995; as biodegradable and injectable gel formulations (see, e.g., Gao Pharm. Res. 12: 857-863, 1995); or, as microspheres for oral administration (see, e.g., Eyles, J. Pharm. Pharmacol. 49:669-674, 1997). In another embodiment, the formulations of the compositions of the present invention can be delivered by the use of liposomes which fuse with the cellular membrane or are endocytosed, i.e., by employing receptor ligands attached to the liposome, that bind to surface membrane protein receptors of the cell resulting in endocytosis. By using liposomes, particularly where the liposome surface carries receptor ligands specific for target cells, or are otherwise preferentially directed to a specific organ, one can focus the delivery of the compositions of the present invention into the target cells in vivo. (See, e.g., Al-Muhammed, J. Microencapsul. 13 :293-306, 1996; Chonn, Curr. Opin. Biotechnol. 6:698-708, 1995; Ostro, J. Hosp. Pharm. 46: 1576-1587, 1989). The compositions of the present invention can also be delivered as nanoparticles.
Alternatively, pharmaceutically acceptable compositions of this invention may be administered in the form of suppositories for rectal administration. Pharmaceutically acceptable compositions of this invention may also be administered topically, especially when the target of treatment includes areas or organs readily accessible by topical application, including diseases of the eye, the skin, or the lower intestinal tract. Suitable topical formulations are readily prepared for each of these areas or organs.
In some embodiments, in order to prolong the effect of a drug, it is often desirable to slow the absorption of the drug from subcutaneous or intramuscular injection. This can be accomplished by the use of a liquid suspension of crystalline or amorphous material with poor water solubility. The rate of absorption of the drug then depends upon its rate of dissolution which, in turn, may depend upon crystal size and crystalline form. Alternatively, delayed absorption of a parenterally administered drug form is accomplished by dissolving or suspending the drug in an oil vehicle.
Although the descriptions of pharmaceutical compositions provided herein are principally directed to pharmaceutical compositions which are suitable for administration to humans, it will be understood by the skilled artisan that such compositions are generally suitable for administration to animals of all sorts. Modification of pharmaceutical compositions suitable for administration to humans in order to render the compositions suitable for administration to various animals is well understood, and the ordinarily skilled veterinary pharmacologist can design and/or perform such modification with ordinary experimentation.
Compounds provided herein, e.g., a compound of Formula (I) or a pharmaceutically acceptable salt, solvate, hydrate, tautomer, or stereoisomer thereof are typically formulated in dosage unit form, e.g., single unit dosage form, for ease of administration and uniformity of dosage. It will be understood, however, that the total daily usage of the compositions of the present invention will be decided by the attending physician within the scope of sound medical judgment. The specific therapeutically effective dose level for any particular subject or organism will depend upon a variety of factors including the disease being treated and the severity of the disorder; the activity of the specific active ingredient employed; the specific composition employed; the age, body weight, general health, sex and diet of the subject; the time of administration, route of administration, and rate of excretion of the specific active ingredient employed; the duration of the treatment; drugs used in combination or coincidental with the specific active ingredient employed; and like factors well known in the medical arts.
The exact amount of a compound required to achieve an effective amount will vary from subject to subject, depending, for example, on species, age, and general condition of a subject, severity of the side effects or disorder, identity of the particular compound(s), mode of administration, and the like. The desired dosage can be delivered three times a day, two times a day, once a day, every other day, every third day, every week, every two weeks, every three weeks, or every four weeks. In certain embodiments, the desired dosage can be delivered using multiple administrations (e.g. , two, three, four, five, six, seven, eight, nine, ten, eleven, twelve, thirteen, fourteen, or more administrations).
In certain embodiments, an effective amount of a compound of Formula (I) or a pharmaceutically acceptable salt, solvate, hydrate, tautomer, or stereoisomer thereof for administration one or more times a day may comprise about 0.0001 mg to about 5000 mg, e.g., from about 0.0001 mg to about 4000 mg, about 0.0001 mg to about 2000 mg, about 0.0001 mg to about 1000 mg, about 0.001 mg to about 1000 mg, about 0.01 mg to about 1000 mg, about 0.1 mg to about 1000 mg, about 1 mg to about 1000 mg, about 1 mg to about 100 mg, about 10 mg to about 1000 mg, or about 100 mg to about 1000 mg, of a compound per unit dosage form.
In certain embodiments, a compound of Formula (I) or a pharmaceutically acceptable salt, solvate, hydrate, tautomer, or stereoisomer thereof may be at dosage levels sufficient to deliver from about 0.001 mg/kg to about 1000 mg/kg, e.g., about 0.001 mg/kg to about 500 mg/kg, about 0.01 mg/kg to about 250 mg/kg, about 0.1 mg/kg to about 100 mg/kg, about 0.1 mg/kg to about 50 mg/kg, about 0.1 mg/kg to about 40 mg/kg, about 0.1 mg/kg to about 25 mg/kg, about 0.01 mg/kg to about 10 mg/kg, about 0.1 mg/kg to about 10 mg/kg, or about 1 mg/kg to about 50 mg/kg, of subject body weight per day, one or more times a day, to obtain the desired therapeutic effect. It will be appreciated that dose ranges as described herein provide guidance for the administration of provided pharmaceutical compositions to an adult. The amount to be administered to, for example, a child or an adolescent can be determined by a medical practitioner or person skilled in the art and can be lower or the same as that administered to an adult.
It will be also appreciated that a compound or composition, e.g., a compound of Formula (I) or a pharmaceutically acceptable salt, solvate, hydrate, tautomer, or stereoisomer thereof as described herein, can be administered in combination with one or more additional pharmaceutical agents. The compounds or compositions can be administered in combination with additional pharmaceutical agents that improve their bioavailability, reduce and/or modify their metabolism, inhibit their excretion, and/or modify their distribution within the body. It will also be appreciated that the therapy employed may achieve a desired effect for the same disorder, and/or it may achieve different effects.
The compound or composition can be administered concurrently with, prior to, or subsequent to, one or more additional pharmaceutical agents, which may be useful as, e.g., combination therapies. Pharmaceutical agents include therapeutically active agents.
Pharmaceutical agents also include prophylactically active agents. Each additional pharmaceutical agent may be administered at a dose and/or on a time schedule determined for that pharmaceutical agent. The additional pharmaceutical agents may also be administered together with each other and/or with the compound or composition described herein in a single dose or administered separately in different doses. The particular combination to employ in a regimen will take into account compatibility of the inventive compound with the additional pharmaceutical agents and/or the desired therapeutic and/or prophylactic effect to be achieved. In general, it is expected that the additional pharmaceutical agents utilized in combination be utilized at levels that do not exceed the levels at which they are utilized individually. In some embodiments, the levels utilized in combination will be lower than those utilized individually.
Exemplary additional pharmaceutical agents include, but are not limited to, antiproliferative agents, anti-cancer agents, anti-diabetic agents, anti-inflammatory agents, immunosuppressant agents, and pain-relieving agents. Pharmaceutical agents include small organic molecules such as drug compounds (e.g., compounds approved by the U.S. Food and Drug Administration as provided in the Code of Federal Regulations (CFR)), peptides, proteins, carbohydrates, monosaccharides, oligosaccharides, polysaccharides, nucleoproteins, mucoproteins, lipoproteins, synthetic polypeptides or proteins, small molecules linked to proteins, glycoproteins, steroids, nucleic acids, DNAs, RNAs, nucleotides, nucleosides, oligonucleotides, antisense oligonucleotides, lipids, hormones, vitamins, and cells.
Pharmaceutical compositions provided by the present invention include compositions wherein the active ingredient (e.g., compounds described herein, including embodiments or examples) is contained in a therapeutically effective amount, i.e., in an amount effective to achieve its intended purpose. The actual amount effective for a particular application will depend, inter alia, on the condition being treated. When administered in methods to treat a disease, such compositions will contain an amount of active ingredient effective to achieve the desired result, e.g., modulating the activity of a target molecule (e.g. eIF2B, eIF2 or component of eIF2a signal transduction pathway or component of phosphorylated eIF2a pathway or the ISR pathway), and/or reducing, eliminating, or slowing the progression of disease symptoms (e.g. symptoms of cancer a neurodegenerative disease, a leukodystrophy, an inflammatory disease, a musculoskeletal disease, a metabolic disease, or a disease or disorder associated with impaired function of eIF2B, eIF2a or a component of the eIF2 pathway or ISR pathway). Determination of a therapeutically effective amount of a compound of the invention is well within the capabilities of those skilled in the art, especially in light of the detailed disclosure herein.
The dosage and frequency (single or multiple doses) administered to a mammal can vary depending upon a variety of factors, for example, whether the mammal suffers from another disease, and its route of administration; size, age, sex, health, body weight, body mass index, and diet of the recipient; nature and extent of symptoms of the disease being treated (e.g. a symptom of cancer, a neurodegenerative disease, a leukodystrophy, an inflammatory disease, a musculoskeletal disease, a metabolic disease, or a disease or disorder associated with impaired function of eIF2B, eIF2 a, or a component of the eIF2 pathway or ISR pathway), kind of concurrent treatment, complications from the disease being treated or other health-related problems. Other therapeutic regimens or agents can be used in conjunction with the methods and compounds of Applicants' invention. Adjustment and manipulation of established dosages (e.g., frequency and duration) are well within the ability of those skilled in the art.
For any compound described herein, the therapeutically effective amount can be initially determined from cell culture assays. Target concentrations will be those concentrations of active compound(s) that are capable of achieving the methods described herein, as measured using the methods described herein or known in the art.
As is well known in the art, therapeutically effective amounts for use in humans can also be determined from animal models. For example, a dose for humans can be formulated to achieve a concentration that has been found to be effective in animals. The dosage in humans can be adjusted by monitoring compounds effectiveness and adjusting the dosage upwards or downwards, as described above. Adjusting the dose to achieve maximal efficacy in humans based on the methods described above and other methods is well within the capabilities of the ordinarily skilled artisan.
Dosages may be varied depending upon the requirements of the patient and the compound being employed. The dose administered to a patient, in the context of the present invention should be sufficient to affect a beneficial therapeutic response in the patient over time. The size of the dose also will be determined by the existence, nature, and extent of any adverse side-effects. Determination of the proper dosage for a particular situation is within the skill of the practitioner. Generally, treatment is initiated with smaller dosages which are less than the optimum dose of the compound. Thereafter, the dosage is increased by small increments until the optimum effect under circumstances is reached. Dosage amounts and intervals can be adjusted individually to provide levels of the administered compound effective for the particular clinical indication being treated. This will provide a therapeutic regimen that is commensurate with the severity of the individual's disease state.
Utilizing the teachings provided herein, an effective prophylactic or therapeutic treatment regimen can be planned that does not cause substantial toxicity and yet is effective to treat the clinical symptoms demonstrated by the particular patient. This planning should involve the careful choice of active compound by considering factors such as compound potency, relative bioavailability, patient body weight, presence and severity of adverse side effects, preferred mode of administration and the toxicity profile of the selected agent.
Also encompassed by the invention are kits (e.g., pharmaceutical packs). The inventive kits may be useful for preventing and/or treating a disease (e.g., cancer, a neurodegenerative disease, a leukodystrophy, an inflammatory disease, a musculoskeletal disease, a metabolic disease, or other disease or condition described herein).
The kits provided may comprise an inventive pharmaceutical composition or compound and a container (e.g. , a vial, ampule, bottle, syringe, and/or dispenser package, or other suitable container). In some embodiments, provided kits may optionally further include a second container comprising a pharmaceutical excipient for dilution or suspension of an inventive pharmaceutical composition or compound. In some embodiments, the inventive
pharmaceutical composition or compound provided in the container and the second container are combined to form one unit dosage form.
Thus, in one aspect, provided are kits including a first container comprising a compound of Formula (I) or a pharmaceutically acceptable salt, solvate, hydrate, tautomer, or stereoisomer thereof, or a pharmaceutical composition thereof. In certain embodiments, the kits are useful in preventing and/or treating a proliferative disease in a subject. In certain embodiments, the kits further include instructions for administering a compound of Formula (I) or a pharmaceutically acceptable salt, solvate, hydrate, tautomer, or stereoisomer thereof, or a pharmaceutical composition thereof, to a subject to prevent and/or treat a disease described herein. Methods of Treatment
The present invention features compounds, compositions, and methods comprising a compound of Formula (I) or a pharmaceutically acceptable salt, solvate, hydrate, tautomer, or stereoisomer thereof. In some embodiments, the compounds, compositions, and methods are used in the prevention or treatment of a disease, disorder, or condition. Exemplary diseases, disorders, or conditions include, but are not limited to a neurodegenerative disease, a leukodystrophy, cancer, an inflammatory disease, a musculoskeletal disease, or a metabolic disease.
In some embodiments, the disease, disorder, or condition is related to (e.g. caused by) modulation of (e.g., a decrease in) eIF2B activity or level, eIF2a activity or level, or a component of the eIF2 pathway or ISR pathway. In some embodiments, the disease, disorder, or condition is related to modulation of a signaling pathway related to a component of the eIF2 pathway or ISR pathway (e.g., phosphorylation of a component of the eIF2 pathway or ISR pathway). In some embodiments, the disease, disorder, or condition is related to (e.g. caused by) neurodegeneration. In some embodiments, the disease, disorder, or condition is related to (e.g. caused by) neural cell death or dysfunction. In some embodiments, the disease, disorder, or condition is related to (e.g. caused by) glial cell death or dysfunction. In some embodiments, the disease, disorder, or condition is related to (e.g. caused by) an increase in the level or activity of eIF2B, eIF2a, or a component of the eIF2 pathway or ISR pathway. In some embodiments, the disease, disorder, or condition is related to (e.g. caused by) a decrease in the level or activity of eIF2B, eIF2a, or a component of the eIF2 pathway or ISR pathway.
In some embodiments, the disease may be caused by a mutation to a gene or protein sequence related to a member of the eIF2 pathway (e.g., eIF2B, eIF2a, or other component). Exemplary mutations include an amino acid mutation in the eIF2Bl, eIF2B2, eIF2B3, eIF2B4, eIF2B5 subunits. In some embodiments, an amino acid mutation (e.g., an amino acid substitution, addition, or deletion) in a particular protein that may result in a structural change, e.g., a conformational or steric change, that affects the function of the protein. For example, in some embodiments, amino acids in and around the active site or close to a binding site (e.g., a phosphorylation site, small molecule binding site, or protein-binding site) may be mutated such that the activity of the protein is impacted. In some instances, the amino acid mutation (e.g., an amino acid substitution, addition, or deletion) may be conservative and may not substantially impact the structure or function of a protein. For example, in certain cases, the substitution of a serine residue with a threonine residue may not significantly impact the function of a protein. In other cases, the amino acid mutation may be more dramatic, such as the substitution of a charged amino acid (e.g., aspartic acid or lysine) with a large, nonpolar amino acid (e.g., phenylalanine or tryptophan) and therefore may have a substantial impact on protein function. The nature of the mutations that affect the structure of function of a gene or protein may be readily identified using standard sequencing techniques, e.g., deep sequencing techniques that are well known in the art. In some embodiments, a mutation in a member of the eIF2 pathway may affect binding or activity of a compound of Formula (I) or a pharmaceutically acceptable salt, solvate, hydrate, tautomer, or stereoisomer thereof and thereby modulate treatment of a particular disease, disorder, or condition, or a symptom thereof.
In some embodiments, an eIF2 protein may comprise an amino acid mutation (e.g., an amino acid substitution, addition, or deletion) at an alanine, arginine, asparagine, aspartic acid, cysteine, glutamic acid, glutamine, glycine, histidine, isoleucine, leucine, lysine, methionine, phenylalanine, proline, serine, threonine, tryptophan, tyrosine, or valine residue. In some embodiments, an eIF2 protein may comprise an amino acid substitution at an alanine, arginine, asparagine, aspartic acid, cysteine, glutamic acid, glutamine, glycine, histidine, isoleucine, leucine, lysine, methionine, phenylalanine, proline, serine, threonine, tryptophan, tyrosine, or valine residue. In some embodiments, an eIF2 protein may comprise an amino acid addition at an alanine, arginine, asparagine, aspartic acid, cysteine, glutamic acid, glutamine, glycine, histidine, isoleucine, leucine, lysine, methionine, phenylalanine, proline, serine, threonine, tryptophan, tyrosine, or valine residue. In some embodiments, an eIF2 protein may comprise an amino acid deletion at an alanine, arginine, asparagine, aspartic acid, cysteine, glutamic acid, glutamine, glycine, histidine, isoleucine, leucine, lysine, methionine, phenylalanine, proline, serine, threonine, tryptophan, tyrosine, or valine residue.
In some embodiments, the eIF2 protein may comprise an amino acid mutation (e.g., an amino acid substitution, addition, or deletion) at an alanine, arginine, asparagine, aspartic acid, cysteine, glutamic acid, glutamine, glycine, histidine, isoleucine, leucine, lysine, methionine, phenylalanine, proline, serine, threonine, tryptophan, tyrosine, or valine residue in the eIF2B l, eIF2B2, eIF2B3, eIF2B4, eIF2B5 subunits. In some embodiments, the eIF2 protein may comprise an amino acid substitution at an alanine, arginine, asparagine, aspartic acid, cysteine, glutamic acid, glutamine, glycine, histidine, isoleucine, leucine, lysine, methionine, phenylalanine, proline, serine, threonine, tryptophan, tyrosine, or valine residue in the eIF2B l, eIF2B2, eIF2B3, eIF2B4, eIF2B5 subunits. In some embodiments, the eIF2 protein may comprise an amino acid addition at an alanine, arginine, asparagine, aspartic acid, cysteine, glutamic acid, glutamine, glycine, histidine, isoleucine, leucine, lysine, methionine, phenylalanine, proline, serine, threonine, tryptophan, tyrosine, or valine residue in the eIF2B l, eIF2B2, eIF2B3, eIF2B4, eIF2B5 subunits. In some embodiments, the eIF2 protein may comprise an amino acid deletion at an alanine, arginine, asparagine, aspartic acid, cysteine, glutamic acid, glutamine, glycine, histidine, isoleucine, leucine, lysine, methionine, phenylalanine, proline, serine, threonine, tryptophan, tyrosine, or valine residue in the eIF2B l, eIF2B2, eIF2B3, eIF2B4, eIF2B5 subunits. Exemplary mutations include V183F (eIF2Bl subunit), H341 Q (eIF2B3), I346T (eIF2B3), R483W (eIF2B4), R113H (eIF2B5), and R195H (eIF2B5).
In some embodiments, an amino acid mutation (e.g., an amino acid substitution, addition, or deletion) in a member of the eIF2 pathway (e.g., an eIF2B protein subunit) may affect binding or activity of a compound of Formula (I) or a pharmaceutically acceptable salt, solvate, hydrate, tautomer, or stereoisomer thereof and thereby modulate treatment of a particular disease, disorder, or condition, or a symptom thereof.
Neurodegenerative Disease In some embodiments, the compound of Formula (I) or a pharmaceutically acceptable salt, solvate, hydrate, tautomer, or stereoisomer thereof is used to treat a neurodegenerative disease. As used herein, the term "neurodegenerative disease" refers to a disease or condition in which the function of a subject's nervous system becomes impaired. Examples of a neurodegenerative disease that may be treated with a compound, pharmaceutical composition, or method described herein include Alexander's disease, Alper's disease, Alzheimer's disease, Amyotrophic lateral sclerosis, Ataxia telangiectasia, Batten disease (also known as Spielmeyer- Vogt-Sjogren-Batten disease), Bovine spongiform encephalopathy (BSE), Canavan disease, Cockayne syndrome, Corticobasal degeneration, Creutzfeldt-Jakob disease, Frontotemporal dementia, Gerstmann-Straussler-Scheinker syndrome, Huntington's disease, HIV-associated dementia, Kennedy's disease, Krabbe's disease, Kuru, Lewy body dementia, Machado-Joseph disease (Spinocerebellar ataxia type 3), Multiple system atrophy, Narcolepsy, Neuroborreliosis, Parkinson's disease, Pelizaeus-Merzbacher Disease, Pick's disease, Primary lateral sclerosis, Prion diseases, Refsum's disease, Sandhoffs disease, Schilder's disease, Subacute combined degeneration of spinal cord secondary to Pernicious Anaemia, Schizophrenia, Spinocerebellar ataxia (multiple types with varying characteristics), Spinal muscular atrophy, Steele- Richardson-Olszewski disease, or Tabes dorsalis.
In some embodiments, the neurodegenerative disease comprises vanishing white matter disease, childhood ataxia with CNS hypo-myelination, a leukodystrophy, a
leukoencephalopathy, a hypomyelinating or demyelinating disease, an intellectual disability syndrome, Alzheimer's disease, amyotrophic lateral sclerosis, Creutzfeldt-Jakob disease, Frontotemporal dementia, Gerstmann-Straussler-Scheinker disease, Huntington's disease, dementia (e.g., HIV-associated dementia or Lewy body dementia), Kuru, multiple sclerosis, Parkinson's disease, or a prion disease.
In some embodiments, the neurodegenerative disease comprises vanishing white matter disease, childhood ataxia with CNS hypo-myelination, a leukodystrophy, a
leukoencephalopathy, a hypomyelinating or demyelinating disease, or an intellectual disability syndrome.
In some embodiments, the neurodegenerative disease comprises a psychiatric disease such as agoraphobia, Alzheimer's disease, anorexia nervosa, amnesia, anxiety disorder, attention deficit disorder, bipolar disorder, body dysmorphic disorder, bulimia nervosa, claustrophobia, depression, delusions, Diogenes syndrome, dyspraxia, insomnia, Munchausen's syndrome, narcolepsy, narcissistic personality disorder, obsessive-compulsive disorder, psychosis, phobic disorder, schizophrenia, seasonal affective disorder, schizoid personality disorder, sleepwalking, social phobia, substance abuse, tardive dyskinesia, Tourette syndrome, or trichotillomania.
In some embodiments, the compound of Formula (I) or a pharmaceutically acceptable salt, solvate, hydrate, tautomer, or stereoisomer thereof is used to treat vanishing white matter disease. Exemplary methods of treating vanishing white matter disease include, but are not limited to, reducing or eliminating a symptom of vanishing white matter disease, reducing the loss of white matter, reducing the loss of myelin, increasing the amount of myelin, or increasing the amount of white matter in a subject.
In some embodiments, the compound of Formula (I) or a pharmaceutically acceptable salt, solvate, hydrate, tautomer, or stereoisomer thereof is used to treat childhood ataxia with CNS hypo-myelination. Exemplary methods of treating childhood ataxia with CNS hypo- myelination include, but are not limited to, reducing or eliminating a symptom of childhood ataxia with CNS hypo-myelination, increasing the level of myelin, or decreasing the loss of myelin in a subject.
In some embodiments, the compound of Formula (I) or a pharmaceutically acceptable salt, solvate, hydrate, tautomer, or stereoisomer thereof is used to treat an intellectual disability syndrome. Exemplary methods of treating an intellectual disability syndrome include, but are not limited to, reducing or eliminating a symptom of an intellectual disability syndrome.
In some embodiments, the compound of Formula (I) or a pharmaceutically acceptable salt, solvate, hydrate, tautomer, or stereoisomer thereof is used to treat neurodegeneration. Exemplary methods of treating neurodegeneration include, but are not limited to, improvement of mental wellbeing, increasing mental function, slowing the decrease of mental function, decreasing dementia, delaying the onset of dementia, improving cognitive skills, decreasing the loss of cognitive skills, improving memory, decreasing the degradation of memory, or extending survival.
In some embodiments, the compound of Formula (I) or a pharmaceutically acceptable salt, solvate, hydrate, tautomer, or stereoisomer thereof is used to treat a leukoencephalopathy or demyelinating disease. Exemplary leukoencephalopathies include, but are not limited to, progressive multifocal leukoencephalopathy, toxic leukoencephalopathy, leukoencephalopathy with vanishing white matter, leukoencephalopathy with neuroaxonal spheroids, reversible posterior leukoencephalopathy syndrome, hypertensive leukoencephalopathy, megalencephalic leukoencephalopathy with subcortical cysts, Charcot-Marie-Tooth disorder, and Devic's disease. A leukoencephalopathy may comprise a demyelinating disease, which may be inherited or acquired. In some embodiments, an acquired demyelinating disease may be an inflammatory demyelinating disease (e.g., an infectious inflammatory demyelinating disease or a non-infectious inflammatory demyelinating disease), a toxic demyelinating disease, a metabolic demyelinating disease, a hypoxic demyelinating disease, a traumatic demyelinating disease, or an ischemic demyelinating disease (e.g., Binswanger's disease). Exemplary methods of treating a leukoencephalopathy or demyelinating disease include, but are not limited to, reducing or eliminating a symptom of a leukoencephalopathy or demyelinating disease, reducing the loss of myelin, increasing the amount of myelin, reducing the loss of white matter in a subject, or increasing the amount of white matter in a subject.
In some embodiments, the compound of Formula (I) or a pharmaceutically acceptable salt, solvate, hydrate, tautomer, or stereoisomer thereof is used to treat a traumatic injury or a toxin-induced injury to the nervous system (e.g., the brain). Exemplary traumatic brain injuries include, but are not limited to, a brain abscess, concussion, ischemia, brain bleeding, cranial fracture, diffuse axonal injury, locked-in syndrome, or injury relating to a traumatic force or blow to the nervous system or brain that causes damage to an organ or tissue. Exemplary toxin-induced brain injuries include, but are not limited to, toxic encephalopathy, meningitis (e.g. bacterial meningitis or viral meningitis), meningoencephalitis, encephalitis (e.g., Japanese encephalitis, eastern equine encephalitis, West Nile encephalitis), Guillan-Barre syndrome, Sydenham's chorea, rabies, leprosy, neurosyphilis, a prion disease, or exposure to a chemical (e.g., arsenic, lead, toluene, ethanol, manganese, fluoride, dichlorodiphenyltrichloroethane (DDT), dichlorodiphenyldichloroethylene (DDE), tetrachloroethylene, a polybrominated diphenyl ether, a pesticide, a sodium channel inhibitor, a potassium channel inhibitor, a chloride channel inhibitor, a calcium channel inhibitor, or a blood brain barrier inhibitor).
In other embodiments, the compound of Formula (I) or a pharmaceutically acceptable salt, solvate, hydrate, tautomer, or stereoisomer thereof is used to improve memory in a subject. Induction of memory has been shown to be facilitated by decreased and impaired by increased eIF2a phosphorylation. Regulators of translation, such as compounds disclosed herein (e.g. a compound of Formula (I)), could serve as therapeutic agents that improve memory in human disorders associated with memory loss such as Alzheimer's disease and in other neurological disorders that activate the UPR or ISR in neurons and thus could have negative effects on memory consolidation such as Parkinson's disease, schizophrenia, amyotrophic lateral sclerosis and prion diseases. In addition, a mutation in eIF2y that disrupts complex integrity linked intellectual disability (intellectual disability syndrome or ID) to impaired translation initiation in humans. Hence, two diseases with impaired eIF2 function, ID and VWM, display distinct phenotypes but both affect mainly the brain and impair learning. In some embodiments, the disease or condition is unsatisfactory memory (e.g., working memory, long term memory, short term memory, or memory consolidation)
In still other embodiments, the compound of Formula (I) or a pharmaceutically acceptable salt, solvate, hydrate, tautomer, or stereoisomer thereof aspect is used in a method to improve memory in a subject (e.g., working memory, long term memory, short term memory, or memory consolidation). In some embodiments, the subject is human. In some
embodiments, the subject is a non-human mammal. In some embodiments, the subject is a domesticated animal. In some embodiments, the subject is a dog. In some embodiments, the subject is a bird. In some embodiments, the subject is a horse. In embodiments, the patient is a bovine. In some embodiments, the subject is a primate.
Cancer
In some embodiments, the compound of Formula (I) or a pharmaceutically acceptable salt, solvate, hydrate, tautomer, or stereoisomer thereof is used to treat cancer. As used herein, "cancer" refers to human cancers and carcinomas, sarcomas, adenocarcinomas, lymphomas, leukemias, melanomas, etc., including solid and lymphoid cancers, kidney, breast, lung, bladder, colon, ovarian, prostate, pancreas, stomach, brain, head and neck, skin, uterine, testicular, glioma, esophagus, liver cancer, including hepatocarcinoma, lymphoma, including B-acute lymphoblastic lymphoma, non-Hodgkin's lymphomas (e.g., Burkitt's, Small Cell, and Large Cell lymphomas), Hodgkin's lymphoma, leukemia (including AML, ALL, and CML), and/or multiple myeloma. In some further instances, "cancer" refers to lung cancer, breast cancer, ovarian cancer, leukemia, lymphoma, melanoma, pancreatic cancer, sarcoma, bladder cancer, bone cancer, brain cancer, cervical cancer, colon cancer, esophageal cancer, gastric cancer, liver cancer, head and neck cancer, kidney cancer, myeloma, thyroid cancer, prostate cancer, metastatic cancer, or carcinoma. As used herein, the term "cancer" refers to all types of cancer, neoplasm or malignant tumors found in mammals, including leukemia, lymphoma, carcinomas and sarcomas.
Exemplary cancers that may be treated with a compound, pharmaceutical composition, or method provided herein include lymphoma, sarcoma, bladder cancer, bone cancer, brain tumor, cervical cancer, colon cancer, esophageal cancer, gastric cancer, head and neck cancer, kidney cancer, myeloma, thyroid cancer, leukemia, prostate cancer, breast cancer (e.g., ER positive, ER negative, chemotherapy resistant, herceptin resistant, HER2 positive, doxorubicin resistant, tamoxifen resistant, ductal carcinoma, lobular carcinoma, primary, metastatic), ovarian cancer, pancreatic cancer, liver cancer (e.g., hepatocellular carcinoma), lung cancer (e.g., non-small cell lung carcinoma, squamous cell lung carcinoma, adenocarcinoma, large cell lung carcinoma, small cell lung carcinoma, carcinoid, sarcoma), glioblastoma multiforme, glioma, or melanoma. Additional examples include, cancer of the thyroid, endocrine system, brain, breast, cervix, colon, head & neck, liver, kidney, lung, non-small cell lung, melanoma, mesothelioma, ovary, sarcoma, stomach, uterus or Medulloblastoma, Hodgkin's Disease, Non-Hodgkin's Lymphoma, multiple myeloma, neuroblastoma, glioma, glioblastoma multiforme, ovarian cancer, rhabdomyosarcoma, primary thrombocytosis, primary macroglobulinemia, primary brain tumors, cancer, malignant pancreatic insulanoma, malignant carcinoid, urinary bladder cancer, premalignant skin lesions, testicular cancer, lymphomas, thyroid cancer,
neuroblastoma, esophageal cancer, genitourinary tract cancer, malignant hypercalcemia, endometrial cancer, adrenal cortical cancer, neoplasms of the endocrine or exocrine pancreas, medullary thyroid cancer, medullary thyroid carcinoma, melanoma, colorectal cancer, papillary thyroid cancer, hepatocellular carcinoma, Paget' s Disease of the Nipple, Phyllodes Tumors, Lobular Carcinoma, Ductal Carcinoma, cancer of the pancreatic stellate cells, cancer of the hepatic stellate cells, or prostate cancer.
The term "leukemia" refers broadly to progressive, malignant diseases of the blood- forming organs and is generally characterized by a distorted proliferation and development of leukocytes and their precursors in the blood and bone marrow. Leukemia is generally clinically classified on the basis of (1) the duration and character of the disease-acute or chronic; (2) the type of cell involved; myeloid (myelogenous), lymphoid (lymphogenous), or monocytic; and (3) the increase or non-increase in the number abnormal cells in the blood-leukemic or aleukemic (subleukemic). Exemplary leukemias that may be treated with a compound, pharmaceutical composition, or method provided herein include, for example, acute nonlymphocytic leukemia, chronic lymphocytic leukemia, acute granulocytic leukemia, chronic granulocytic leukemia, acute promyelocytic leukemia, adult T-cell leukemia, aleukemic leukemia, a leukocythemic leukemia, basophylic leukemia, blast cell leukemia, bovine leukemia, chronic myelocytic leukemia, leukemia cutis, embryonal leukemia, eosinophilic leukemia, Gross' leukemia, hairy-cell leukemia, hemoblastic leukemia, hemocytoblastic leukemia, histiocytic leukemia, stem cell leukemia, acute monocytic leukemia, leukopenic leukemia, lymphatic leukemia, lymphoblastic leukemia, lymphocytic leukemia, lymphogenous leukemia, lymphoid leukemia, lymphosarcoma cell leukemia, mast cell leukemia,
megakaryocyte leukemia, micromyeloblastic leukemia, monocytic leukemia, myeloblasts leukemia, myelocytic leukemia, myeloid granulocytic leukemia, myelomonocytic leukemia, Naegeli leukemia, plasma cell leukemia, multiple myeloma, plasmacytic leukemia, promyelocytic leukemia, Rieder cell leukemia, Schilling's leukemia, stem cell leukemia, subleukemic leukemia, or undifferentiated cell leukemia.
The term "sarcoma" generally refers to a tumor which is made up of a substance like the embryonic connective tissue and is generally composed of closely packed cells embedded in a fibrillar or homogeneous substance. Sarcomas that may be treated with a compound, pharmaceutical composition, or method provided herein include a chondrosarcoma, fibrosarcoma, lymphosarcoma, melanosarcoma, myxosarcoma, osteosarcoma, Abemethy's sarcoma, adipose sarcoma, liposarcoma, alveolar soft part sarcoma, ameloblastic sarcoma, botryoid sarcoma, chloroma sarcoma, chorio carcinoma, embryonal sarcoma, Wilms' tumor sarcoma, endometrial sarcoma, stromal sarcoma, Ewing's sarcoma, fascial sarcoma, fibroblastic sarcoma, giant cell sarcoma, granulocytic sarcoma, Hodgkin's sarcoma, idiopathic multiple pigmented hemorrhagic sarcoma, immunoblastic sarcoma of B cells, lymphoma,
immunoblastic sarcoma of T-cells, Jensen's sarcoma, Kaposi's sarcoma, Kupffer cell sarcoma, angiosarcoma, leukosarcoma, malignant mesenchymoma sarcoma, parosteal sarcoma, reticulocytic sarcoma, Rous sarcoma, serocystic sarcoma, synovial sarcoma, or telangiectaltic sarcoma.
The term "melanoma" is taken to mean a tumor arising from the melanocytic system of the skin and other organs. Melanomas that may be treated with a compound, pharmaceutical composition, or method provided herein include, for example, acral-lentiginous melanoma, amelanotic melanoma, benign juvenile melanoma, Cloudman's melanoma, S91 melanoma, Harding-Passey melanoma, juvenile melanoma, lentigo maligna melanoma, malignant melanoma, nodular melanoma, subungal melanoma, or superficial spreading melanoma.
The term "carcinoma" refers to a malignant new growth made up of epithelial cells tending to infiltrate the surrounding tissues and give rise to metastases. Exemplary carcinomas that may be treated with a compound, pharmaceutical composition, or method provided herein include, for example, medullary thyroid carcinoma, familial medullary thyroid carcinoma, acinar carcinoma, acinous carcinoma, adenocystic carcinoma, adenoid cystic carcinoma, carcinoma adenomatosum, carcinoma of adrenal cortex, alveolar carcinoma, alveolar cell carcinoma, basal cell carcinoma, carcinoma basocellulare, basaloid carcinoma, basosquamous cell carcinoma, bronchioalveolar carcinoma, bronchiolar carcinoma, bronchogenic carcinoma, cerebriform carcinoma, cholangiocellular carcinoma, chorionic carcinoma, colloid carcinoma, comedo carcinoma, corpus carcinoma, cribriform carcinoma, carcinoma en cuirasse, carcinoma cutaneum, cylindrical carcinoma, cylindrical cell carcinoma, duct carcinoma, ductal carcinoma, carcinoma durum, embryonal carcinoma, encephaloid carcinoma, epiermoid carcinoma, carcinoma epitheliale adenoides, exophytic carcinoma, carcinoma ex ulcere, carcinoma fibrosum, gelatinifomi carcinoma, gelatinous carcinoma, giant cell carcinoma, carcinoma gigantocellulare, glandular carcinoma, granulosa cell carcinoma, hair-matrix carcinoma, hematoid carcinoma, hepatocellular carcinoma, Hurthle cell carcinoma, hyaline carcinoma, hypernephroid carcinoma, infantile embryonal carcinoma, carcinoma in situ, intraepidermal carcinoma, intraepithelial carcinoma, Krompecher's carcinoma, Kulchitzky-cell carcinoma, large-cell carcinoma, lenticular carcinoma, carcinoma lenticulare, lipomatous carcinoma, lobular carcinoma, lymphoepithelial carcinoma, carcinoma medullare, medullary carcinoma, melanotic carcinoma, carcinoma molle, mucinous carcinoma, carcinoma muciparum, carcinoma mucocellulare, mucoepidermoid carcinoma, carcinoma mucosum, mucous carcinoma, carcinoma myxomatodes, nasopharyngeal carcinoma, oat cell carcinoma, carcinoma ossificans, osteoid carcinoma, papillary carcinoma, periportal carcinoma, preinvasive carcinoma, prickle cell carcinoma, pultaceous carcinoma, renal cell carcinoma of kidney, reserve cell carcinoma, carcinoma sarcomatodes, schneiderian carcinoma, scirrhous carcinoma, carcinoma scroti, signet-ring cell carcinoma, carcinoma simplex, small-cell carcinoma, solanoid carcinoma, spheroidal cell carcinoma, spindle cell carcinoma, carcinoma spongiosum, squamous carcinoma, squamous cell carcinoma, string carcinoma, carcinoma telangiectaticum, carcinoma telangiectodes, transitional cell carcinoma, carcinoma tuberosum, tubular carcinoma, tuberous carcinoma, verrucous carcinoma, or carcinoma villosum.
In some embodiments, the compound of Formula (I) or a pharmaceutically acceptable salt, solvate, hydrate, tautomer, or stereoisomer thereof is used to treat pancreatic cancer, breast cancer, multiple myeloma, cancers of secretory cells. For example certain methods herein treat cancer by decreasing or reducing or preventing the occurrence, growth, metastasis, or progression of cancer. In some embodiments, the methods described herein may be used to treat cancer by decreasing or eliminating a symptom of cancer. In some embodiments, the compound of Formula (I) or a pharmaceutically acceptable salt, solvate, hydrate, tautomer, or stereoisomer thereof may be used as a single agent in a composition or in combination with another agent in a composition to treat a cancer described herein (e.g., pancreatic cancer, breast cancer, multiple myeloma, cancers of secretory cells).
Inflammatory Disease
In some embodiments, the compound of Formula (I) or a pharmaceutically acceptable salt, solvate, hydrate, tautomer, or stereoisomer thereof is used to treat an inflammatory disease. As used herein, the term "inflammatory disease" refers to a disease or condition characterized by aberrant inflammation (e.g. an increased level of inflammation compared to a control such as a healthy person not suffering from a disease). Examples of inflammatory diseases include postoperative cognitive dysfunction, arthritis (e.g., rheumatoid arthritis, psoriatic arthritis, juvenile idiopathic arthritis), systemic lupus erythematosus (SLE), myasthenia gravis, juvenile onset diabetes, diabetes mellitus type 1, Guillain-Barre syndrome, Hashimoto's encephalitis, Hashimoto's thyroiditis, ankylosing spondylitis, psoriasis, Sjogren's syndrome,vasculitis, glomerulonephritis, auto-immune thyroiditis, Behcet's disease, Crohn's disease, ulcerative colitis, bullous pemphigoid, sarcoidosis, ichthyosis, Graves' ophthalmopathy, inflammatory bowel disease, Addison's disease, Vitiligo, asthma (e.g., allergic asthma), acne vulgaris, celiac disease, chronic prostatitis, inflammatory bowel disease, pelvic inflammatory disease, reperfusion injury, sarcoidosis, transplant rejection, interstitial cystitis, atherosclerosis, and atopic dermatitis. Proteins associated with inflammation and inflammatory diseases (e.g.
aberrant expression being a symptom or cause or marker of the disease) include interleukin-6 (IL-6), interleukin-8 (IL-8), interleukin- 18 (IL-18), TNF-a (tumor necrosis factor-alpha), and C-reactive protein (CRP). In some embodiments, the inflammatory disease comprises postoperative cognitive dysfunction, arthritis (e.g., rheumatoid arthritis, psoriatic arthritis, or juvenile idiopathic arthritis), systemic lupus erythematosus (SLE), myasthenia gravis, diabetes (e.g., juvenile onset diabetes or diabetes mellitus type 1), Guillain-Barre syndrome, Hashimoto's encephalitis, Hashimoto's thyroiditis, ankylosing spondylitis, psoriasis, Sjogren's syndrome, vasculitis, glomerulonephritis, auto-immune thyroiditis, Behcet's disease, Crohn's disease, ulcerative colitis, bullous pemphigoid, sarcoidosis, ichthyosis, Graves' ophthalmopathy, inflammatory bowel disease, Addison's disease, vitiligo, asthma (e.g., allergic asthma), acne vulgaris, celiac disease, chronic prostatitis, pelvic inflammatory disease, reperfusion injury, sarcoidosis, transplant rejection, interstitial cystitis, atherosclerosis, or atopic dermatitis.
In some embodiments, the inflammatory disease comprises postoperative cognitive dysfunction, which refers to a decline in cognitive function (e.g. memory or executive function (e.g. working memory, reasoning, task flexibility, speed of processing, or problem solving)) following surgery.
In other embodiments, the method of treatment is a method of prevention. For example, a method of treating postsurgical cognitive dysfunction may include preventing postsurgical cognitive dysfunction or a symptom of postsurgical cognitive dysfunction or reducing the severity of a symptom of postsurgical cognitive dysfunction by administering a compound described herein prior to surgery.
In some embodiments, the compound of Formula (I) or a pharmaceutically acceptable salt, solvate, hydrate, tautomer, or stereoisomer thereof is used to treat an inflammatory disease (e.g., an inflammatory disease described herein) by decreasing or eliminating a symptom of of the disease. In some embodiments, the compound of Formula (I) or a pharmaceutically acceptable salt, solvate, hydrate, tautomer, or stereoisomer thereof may be used as a single agent in a composition or in combination with another agent in a composition to treat an inflammatory disease (e.g., an inflammatory disease described herein).
Musculoskeletal Diseases
In some embodiments, the compound of Formula (I) or a pharmaceutically acceptable salt, solvate, hydrate, tautomer, or stereoisomer thereof is used to treat a musculoskeletal disease. As used herein, the term "musculoskeletal disease" refers to a disease or condition in which the function of a subject's musculoskeletal system (e.g., muscles, ligaments, tendons, cartilage, or bones) becomes impaired. Exemplary musculoskeletal diseases that may be treated with a compound of Formula (I) or a pharmaceutically acceptable salt, solvate, hydrate, tautomer, or stereoisomer thereof include muscular dystrophy (e.g., Duchenne muscular dystrophy, Becker muscular dystrophy, distal muscular dystrophy, congenital muscular dystrophy, Emery -Dreifuss muscular dystrophy, facioscapulohumeral muscular dystrophy, or myotonic muscular dystrophy), multiple sclerosis, amyotropic lateral sclerosis, primary lateral sclerosis, progressive muscular atrophy, progressive bulbar palsy, pseudobulbar palsy, spinal muscular atrophy, progressive spinobulbar muscular atrophy, spinal cord spasticity, spinal muscle atrophy, myasthenia gravis, neuralgia, fibromyalgia, Machado-Joseph disease, cramp fasciculation syndrome, Freidrich's ataxia, a muscle wasting disorder (e.g., muscle atrophy, sarcopenia, cachexia), an inclusion body myopathy, motor neuron disease, or paralysis.
In some embodiments, the compound of Formula (I) or a pharmaceutically acceptable salt, solvate, hydrate, tautomer, or stereoisomer thereof is used to treat a musculoskeletal disease (e.g., a musculoskeletal disease described herein) by decreasing or eliminating a symptom of the disease. In some embodiments, the method of treatment comprises treatment of muscle pain or muscle stiffness associated with a musculoskeletal disease. In some embodiments, the compound of Formula (I) or a pharmaceutically acceptable salt, solvate, hydrate, tautomer, or stereoisomer thereof may be used as a single agent in a composition or in combination with another agent in a composition to treat a musculoskeletal disease (e.g., a musculoskeletal disease described herein).
Metabolic Diseases
In some embodiments, the compound of Formula (I) or a pharmaceutically acceptable salt, solvate, hydrate, tautomer, or stereoisomer thereof is used to treat metabolic disease. As used herein, the term "metabolic disease" refers to a disease or condition affecting a metabolic process in a subject. Exemplary metabolic diseases that may be treated with a compound of Formula (I) or a pharmaceutically acceptable salt, solvate, hydrate, tautomer, or stereoisomer thereof include non-alcoholic steatohepatitis (NASH), non-alcoholic fatty liver disease (NAFLD), liver fibrosis, obesity, heart disease, atherosclerosis, arthritis, cystinosis, diabetes (e.g., Type I diabetes, Type II diabetes, or gestational diabetes), phenylketonuria, proliferative retinopathy, or Kearns-Sayre disease. In some embodiments, the compound of Formula (I) or a pharmaceutically acceptable salt, solvate, hydrate, tautomer, or stereoisomer thereof is used to treat a metabolic disease (e.g., a metabolic disease described herein) by decreasing or eliminating a symptom of the disease. In some embodiments, the method of treatment comprises decreasing or eliminating a symptom comprising elevated blood pressure, elevated blood sugar level, weight gain, fatigue, blurred vision, abdominal pain, flatulence, constipation, diarrhea, jaundice, and the like. In some embodiments, the compound of Formula (I) or a pharmaceutically acceptable salt, solvate, hydrate, tautomer, or stereoisomer thereof may be used as a single agent in a composition or in combination with another agent in a composition to treat a metabolic disease (e.g., a musculoskeletal disease described herein).
Methods of Increasing Protein Production
In another aspect, the compound of Formula (I) or a pharmaceutically acceptable salt, solvate, hydrate, tautomer, or stereoisomer thereof may be useful in applications where increasing protein production output is desirable, such as in vitro cell free systems for protein production.
In some embodiments, the present invention features a method of increasing protein expression of a cell or in vitro expression system, the method including administering an effective amount of a compound to the cell or expression system, wherein the compound is a the compound of Formula (I) or a pharmaceutically acceptable salt, solvate, hydrate, tautomer, or stereoisomer thereof. In some embodiments, the method is a method of increasing protein expression by a cell and includes administering an effective amount of a compound described herein (e.g. the compound of Formula (I) or a pharmaceutically acceptable salt, solvate, hydrate, tautomer, or stereoisomer thereof) to the cell. In other embodiments, the method is a method of increasing protein expression by an in vitro protein expression system and includes administering an effective amount of a compound described herein (e.g. the compound of Formula (I) or a pharmaceutically acceptable salt, solvate, hydrate, tautomer, or stereoisomer thereof) to the in vitro (e.g. cell free) protein expression system.
In some embodiments, the present invention features a method of increasing protein expression in a disease, disorder, or condition characterized by aberrant or lowered levels of protein production (e.g., a leukodystrophy, a leukoencephalopathy, a hypomyelinating or demyelinating disease, muscle-wasting disease, or sarcopenia). In some embodiments, the compounds set forth herein are provided as pharmaceutical compositions including a compound of Formula (I) or a pharmaceutically acceptable salt, solvate, hydrate, tautomer, or stereoisomer thereof and a pharmaceutically acceptable excipient. In embodiments of the method, a compound of Formula (I) or a pharmaceutically acceptable salt, solvate, hydrate, tautomer, or stereoisomer thereof, is co-administered with a second agent (e.g. therapeutic agent). In other embodiments of the method, a compound of Formula (I) or a pharmaceutically acceptable salt, solvate, hydrate, tautomer, or stereoisomer thereof, is coadministered with a second agent (e.g. therapeutic agent), which is administered in a therapeutically effective amount. In embodiments, the second agent is an agent for improving memory.
Combination Therapy
In one aspect, the present invention features a pharmaceutical composition comprising a compound of Formula (I) or a pharmaceutically acceptable salt, solvate, hydrate, tautomer, or stereoisomer thereof as well as a second agent (e.g. a second therapeutic agent). In some embodiments, the pharmaceutical composition includes a second agent (e.g. a second therapeutic agent) in a therapeutically effective amount. In some embodiments, the second agent is an agent for treating cancer, a neurodegenerative disease, a leukodystrophy, an inflammatory disease, a musculoskeletal disease, a metabolic disease, or a disease or disorder associated with impaired function of eIF2B, eIF2a, or a component of the eIF2 pathway or ISR pathway.
The compounds described herein can be used in combination with one another, with other active agents known to be useful in treating cancer, a neurodegenerative disease, an inflammatory disease, a musculoskeletal disease, a metabolic disease, or a disease or disorder associated with impaired function of eIF2B, eIF2a, or a component of the eIF2 pathway or ISR pathway or with adjunctive agents that may not be effective alone, but may contribute to the efficacy of the active agent.
In some embodiments, co-administration includes administering one active agent within 0.5, 1, 2, 4, 6, 8, 10, 12, 16, 20, or 24 hours of a second active agent. Co-administration includes administering two active agents simultaneously, approximately simultaneously (e.g., within about 1, 5, 10, 15, 20, or 30 minutes of each other), or sequentially in any order. In some embodiments, co-administration can be accomplished by co-formulation, i.e., preparing a single pharmaceutical composition including both active agents. In other embodiments, the active agents can be formulated separately. In another embodiment, the active and/or adjunctive agents may be linked or conjugated to one another. In some embodiments, the compounds described herein may be combined with treatments for a cancer, a neurodegenerative disease, a leukodystrophy, an inflammatory disease, a musculoskeletal disease, a metabolic disease, or a disease or disorder associated with impaired function of eIF2B, eIF2a, or a component of the eIF2 pathway or ISR pathway.
In embodiments, the second agent is an anti-cancer agent. In embodiments, the second agent is a chemotherapeutic. In embodiments, the second agent is an agent for improving memory. In embodiments, the second agent is an agent for treating a neurodegenerative disease. In embodiments, the second agent is an agent for treating a leukodystrophy. In embodiments, the second agent is an agent for treating vanishing white matter disease. In embodiments, the second agent is an agent for treating childhood ataxia with CNS hypo- myelination. In embodiments, the second agent is an agent for treating an intellectual disability syndrome. In embodiments, the second agent is an agent for treating pancreatic cancer. In embodiments, the second agent is an agent for treating breast cancer. In embodiments, the second agent is an agent for treating multiple myeloma. In embodiments, the second agent is an agent for treating myeloma. In embodiments, the second agent is an agent for treating a cancer of a secretory cell. In embodiments, the second agent is an agent for reducing eIF2a phosphorylation. In embodiments, the second agent is an agent for inhibiting a pathway activated by eIF2a phosphorylation. In embodiments, the second agent is an agent for inhibiting a pathway activated by eIF2a. In embodiments, the second agent is an agent for inhibiting the integrated stress response. In embodiments, the second agent is an anti- inflammatory agent. In embodiments, the second agent is an agent for treating postsurgical cognitive dysfunction. In embodiments, the second agent is an agent for treating traumatic brain injury. In embodiments, the second agent is an agent for treating a musculoskeletal disease. In embodiments, the second agent is an agent for treating a metabolic disease. In embodiments, the second agent is an anti-diabetic agent.
Anti-cancer agents " Anti-cancer agent" is used in accordance with its plain ordinary meaning and refers to a composition (e.g. compound, drug, antagonist, inhibitor, modulator) having antineoplastic properties or the ability to inhibit the growth or proliferation of cells. In some embodiments, an anti-cancer agent is a chemotherapeutic. In some embodiments, an anti-cancer agent is an agent identified herein having utility in methods of treating cancer. In some embodiments, an anticancer agent is an agent approved by the FDA or similar regulatory agency of a country other than the USA, for treating cancer. Examples of anti-cancer agents include, but are not limited to, MEK (e.g. MEK1, MEK2, or MEK1 and MEK2) inhibitors (e.g. XL518, CI- 1040, PD035901, selumetinib/ AZD6244, GSKl 120212/ trametinib, GDC-0973, ARRY-162, ARRY- 300, AZD8330, PD0325901, U0126, PD98059, TAK-733, PD318088, AS703026, BAY 869766), alkylating agents (e.g., cyclophosphamide, ifosfamide, chlorambucil, busulfan, melphalan, mechlorethamine, uramustine, thiotepa, nitrosoureas, nitrogen mustards (e.g., mechloroethamine, cyclophosphamide, chlorambucil, meiphalan), ethylenimine and methylmelamines (e.g., hexamethlymelamine, thiotepa), alkyl sulfonates (e.g., busulfan), nitrosoureas (e.g., carmustine, lomusitne, semustine, streptozocin), triazenes (decarbazine), anti-metabolites (e.g., 5-azathioprine, leucovorin, capecitabine, fiudarabine, gemcitabine, pemetrexed, raltitrexed, folic acid analog (e.g., methotrexate), or pyrimidine analogs (e.g., fluorouracil, fioxouridine, Cytarabine), purine analogs (e.g., mercaptopurine, thioguanine, pentostatin), etc.), plant alkaloids (e.g., vincristine, vinblastine, vinorelbine, vindesine, podophyllotoxin, paclitaxel, docetaxel, etc.), topoisomerase inhibitors (e.g., irinotecan, topotecan, amsacrine, etoposide (VP 16), etoposide phosphate, teniposide, etc.), antitumor antibiotics (e.g., doxorubicin, adriamycin, daunorubicin, epirubicin, actinomycin, bleomycin, mitomycin, mitoxantrone, plicamycin, etc.), platinum-based compounds (e.g. cisplatin, oxaloplatin, carboplatin), anthracenedione (e.g., mitoxantrone), substituted urea (e.g., hydroxyurea), methyl hydrazine derivative (e.g., procarbazine), adrenocortical suppressant (e.g., mitotane, aminoglutethimide), epipodophyllotoxins (e.g., etoposide), antibiotics (e.g., daunorubicin, doxorubicin, bleomycin), enzymes (e.g., L-asparaginase), inhibitors of mitogen- activated protein kinase signaling (e.g. U0126, PD98059, PD184352, PD0325901, ARRY- 142886, SB239063, SP600125, BAY 43-9006, wortmannin, or LY294002, Syk inhibitors, mTOR inhibitors, antibodies (e.g., rituxan), gossyphol, genasense, polyphenol E, Chlorofusin, all trans-retinoic acid (ATRA), bryostatin, tumor necrosis factor-related apoptosis-inducing ligand (TRAIL), 5-aza-2'-deoxycytidine, all trans retinoic acid, doxorubicin, vincristine, etoposide, gemcitabine, imatinib (Gleevec.RTM.), geldanamycin, 17-N-Allylamino-17-
Demethoxygeldanamycin (17-AAG), flavopiridol, LY294002, bortezomib, trastuzumab, BAY
1 1-7082, PKC412, PDl 84352, 20-epi-l, 25 dihydroxyvitamin D3; 5-ethynyluracil; abiraterone; aclarubicin; acylfulvene; adecypenol; adozelesin; aldesleukin; ALL-TK antagonists;
altretamine; ambamustine; amidox; amifostine; aminolevulinic acid; amrubicin; amsacrine; anagrelide; anastrozole; andrographolide; angiogenesis inhibitors; antagonist D; antagonist G; antarelix; anti-dorsalizing mo hogenetic protein- 1 ; antiandrogen, prostatic carcinoma;
antiestrogen; antineoplaston; antisense oligonucleotides; aphidicolin glycinate; apoptosis gene modulators; apoptosis regulators; apurinic acid; ara-CDP-DL-PTBA; arginine deaminase; asulacrine; atamestane; atrimustine; axinastatin 1 ; axinastatin 2; axinastatin 3; azasetron;
azatoxin; azatyrosine; baccatin III derivatives; balanol; batimastat; BCR/ABL antagonists; benzochlorins; benzoylstaurosporine; beta lactam derivatives; beta-alethine; betaclamycin B; betulinic acid; bFGF inhibitor; bicalutamide; bisantrene; bisaziridinylspermine; bisnafide; bistratene A; bizelesin; breflate; bropirimine; budotitane; buthionine sulfoximine; calcipotriol; calphostin C; camptothecin derivatives; canarypox IL-2; capecitabine; carboxamide-amino- triazole; carboxyamidotriazole; CaRest M3; CARN 700; cartilage derived inhibitor; carzelesin; casein kinase inhibitors (ICOS); castanospermine; cecropin B; cetrorelix; chlorins;
chloroquinoxaline sulfonamide; cicaprost; cis-porphyrin; cladribine; clomifene analogues; clotrimazole; collismycin A; collismycin B; combretastatin A4; combretastatin analogue;
conagenin; crambescidin 816; crisnatol; cryptophycin 8; cryptophycin A derivatives; curacin A; cyclopentanthraquinones; cycloplatam; cypemycin; cytarabine ocfosfate; cytolytic factor;
cytostatin; dacliximab; decitabine; dehydrodidemnin B; deslorelin; dexamethasone;
dexifosfamide; dexrazoxane; dexverapamil; diaziquone; didemnin B; didox;
diethylnorspermine; dihydro-5-azacytidine; 9-dioxamycin; diphenyl spiromustine; docosanol; dolasetron; doxifluridine; droloxifene; dronabinol; duocarmycin SA; ebselen; ecomustine; edelfosine; edrecolomab; eflornithine; elemene; emitefur; epirubicin; epristeride; estramustine analogue; estrogen agonists; estrogen antagonists; etanidazole; etoposide phosphate;
exemestane; fadrozole; fazarabine; fenretinide; filgrastim; finasteride; flavopiridol; flezelastine; fluasterone; fludarabine; fluorodaunorunicin hydrochloride; forfenimex; formestane; fostriecin; fotemustine; gadolinium texaphyrin; gallium nitrate; galocitabine; ganirelix; gelatinase inhibitors; gemcitabine; glutathione inhibitors; hepsulfam; heregulin; hexamethylene bisacetamide; hypericin; ibandronic acid; idarubicin; idoxifene; idramantone; ilmofosine; ilomastat; imidazoacridones; imiquimod; immunostimulant peptides; insulin-like growth factor-1 receptor inhibitor; interferon agonists; interferons; interleukins; iobenguane;
iododoxorubicin; ipomeanol, 4-; iroplact; irsogladine; isobengazole; isohomohalicondrin B; itasetron; jasplakinolide; kahalalide F; lamellarin-N triacetate; lanreotide; leinamycin;
lenograstim; lentinan sulfate; leptolstatin; letrozole; leukemia inhibiting factor; leukocyte alpha interferon; leuprolide+estrogen+progesterone; leuprorelin; levamisole; liarozole; linear polyamine analogue; lipophilic disaccharide peptide; lipophilic platinum compounds;
lissoclinamide 7; lobaplatin; lombricine; lometrexol; lonidamine; losoxantrone; lovastatin; loxoribine; lurtotecan; lutetium texaphyrin; lysofylline; lytic peptides; maitansine; mannostatin A; marimastat; masoprocol; maspin; matrilysin inhibitors; matrix metalloproteinase inhibitors; menogaril; merbarone; meterelin; methioninase; metoclopramide; MIF inhibitor; mifepristone; miltefosine; mirimostim; mismatched double stranded RNA; mitoguazone; mitolactol;
mitomycin analogues; mitonafide; mitotoxin fibroblast growth factor-saporin; mitoxantrone; mofarotene; molgramostim; monoclonal antibody, human chorionic gonadotrophin;
monophosphoryl lipid A+myobacterium cell wall sk; mopidamol; multiple drug resistance gene inhibitor; multiple tumor suppressor 1-based therapy; mustard anticancer agent; mycaperoxide
B; mycobacterial cell wall extract; myriaporone; N-acetyldinaline; N-substituted benzamides; nafarelin; nagrestip; naloxone+pentazocine; napavin; naphterpin; nartograstim; nedaplatin; nemorubicin; neridronic acid; neutral endopeptidase; nilutamide; nisamycin; nitric oxide modulators; nitroxide antioxidant; nitrullyn; 06-benzylguanine; octreotide; okicenone;
oligonucleotides; onapristone; ondansetron; ondansetron; oracin; oral cytokine inducer;
ormaplatin; osaterone; oxaliplatin; oxaunomycin; palauamine; palmitoylrhizoxin; pamidronic acid; panaxytriol; panomifene; parabactin; pazelliptine; pegaspargase; peldesine; pentosan polysulfate sodium; pentostatin; pentrozole; perflubron; perfosfamide; perillyl alcohol;
phenazinomycin; phenylacetate; phosphatase inhibitors; picibanil; pilocarpine hydrochloride; pirarubicin; piritrexim; placetin A; placetin B; plasminogen activator inhibitor; platinum complex; platinum compounds; platinum-triamine complex; porfimer sodium; porfiromycin; prednisone; propyl bis-acridone; prostaglandin J2; proteasome inhibitors; protein A-based immune modulator; protein kinase C inhibitor; protein kinase C inhibitors, microalgal; protein tyrosine phosphatase inhibitors; purine nucleoside phosphorylase inhibitors; purpurins;
pyrazoloacridine; pyridoxylated hemoglobin polyoxyethylerie conjugate; raf antagonists; raltitrexed; ramosetron; ras famesyl protein transferase inhibitors; ras inhibitors; ras-GAP inhibitor; retelliptine demethylated; rhenium Re 186 etidronate; rhizoxin; ribozymes; RII retinamide; rogletimide; rohitukine; romurtide; roquinimex; rubiginone Bl; ruboxyl; safingol; saintopin; SarCNU; sarcophytol A; sargramostim; Sdi 1 mimetics; semustine; senescence derived inhibitor 1; sense oligonucleotides; signal transduction inhibitors; signal transduction modulators; single chain antigen-binding protein; sizofuran; sobuzoxane; sodium borocaptate; sodium phenylacetate; solverol; somatomedin binding protein; sonermin; sparfosic acid;
spicamycin D; spiromustine; splenopentin; spongistatin 1 ; squalamine; stem cell inhibitor; stem-cell division inhibitors; stipiamide; stromelysin inhibitors; sulfinosine; superactive vasoactive intestinal peptide antagonist; suradista; suramin; swainsonine; synthetic
glycosaminoglycans; tallimustine; tamoxifen methiodide; tauromustine; tazarotene; tecogalan sodium; tegafur; tellurapyrylium; telomerase inhibitors; temoporfin; temozolomide; teniposide; tetrachlorodecaoxide; tetrazomine; thaliblastine; thiocoraline; thrombopoietin; thrombopoietin mimetic; thymalfasin; thymopoietin receptor agonist; thymotrinan; thyroid stimulating hormone; tin ethyl etiopurpurin; tirapazamine; titanocene bichloride; topsentin; toremifene; totipotent stem cell factor; translation inhibitors; tretinoin; triacetyluridine; triciribine;
trimetrexate; triptorelin; tropisetron; turosteride; tyrosine kinase inhibitors; tyrphostins; UBC inhibitors; ubenimex; urogenital sinus-derived growth inhibitory factor; urokinase receptor antagonists; vapreotide; variolin B; vector system, erythrocyte gene therapy; velaresol;
veramine; verdins; verteporfin; vinorelbine; vinxaltine; vitaxin; vorozole; zanoterone;
zeniplatin; zilascorb; zinostatin stimalamer, Adriamycin, Dactinomycin, Bleomycin,
Vinblastine, Cisplatin, acivicin; aclarubicin; acodazole hydrochloride; acronine; adozelesin; aldesleukin; altretamine; ambomycin; ametantrone acetate; aminoglutethimide; amsacrine; anastrozole; anthramycin; asparaginase; asperlin; azacitidine; azetepa; azotomycin; batimastat; benzodepa; bicalutamide; bisantrene hydrochloride; bisnafide dimesylate; bizelesin; bleomycin sulfate; brequinar sodium; bropirimine; busulfan; cactinomycin; calusterone; caracemide; carbetimer; carboplatin; carmustine; carubicin hydrochloride; carzelesin; cedefingol;
chlorambucil; cirolemycin; cladribine; crisnatol mesylate; cyclophosphamide; cytarabine; dacarbazine; daunorubicin hydrochloride; decitabine; dexormaplatin; dezaguanine;
dezaguanine mesylate; diaziquone; doxorubicin; doxorubicin hydrochloride; droloxifene; droloxifene citrate; dromostanolone propionate; duazomycin; edatrexate; eflornithine hydrochloride; elsamitrucin; enloplatin; enpromate; epipropidine; epirubicin hydrochloride; erbulozole; esorubicin hydrochloride; estramustine; estramustine phosphate sodium; etanidazole; etoposide; etoposide phosphate; etoprine; fadrozole hydrochloride; fazarabine; fenretinide; fioxuridine; fludarabine phosphate; fluorouracil; fluorocitabine; fosquidone;
fostriecin sodium; gemcitabine; gemcitabine hydrochloride; hydroxyurea; idarubicin hydrochloride; ifosfamide; iimofosine; interleukin II (including recombinant interleukin II, or rlL.sub.2), interferon alfa-2a; interferon alfa-2b; interferon alfa-nl; interferon alfa-n3; interferon beta-la; interferon gamma-lb; iprop latin; irinotecan hydrochloride; lanreotide acetate;
letrozole; leuprolide acetate; liarozole hydrochloride; lometrexol sodium; lomustine;
losoxantrone hydrochloride; masoprocol; maytansine; mechlorethamine hydrochloride;
megestrol acetate; melengestrol acetate; melphalan; menogaril; mercaptopurine; methotrexate; methotrexate sodium; metoprine; meturedepa; mitindomide; mitocarcin; mitocromin;
mitogillin; mitomalcin; mitomycin; mitosper; mitotane; mitoxantrone hydrochloride;
mycophenolic acid; nocodazoie; nogalamycin; ormaplatin; oxisuran; pegaspargase; peliomycin; pentamustine; peplomycin sulfate; perfosfamide; pipobroman; piposulfan; piroxantrone hydrochloride; plicamycin; plomestane; porfimer sodium; porfiromycin; prednimustine;
procarbazine hydrochloride; puromycin; puromycin hydrochloride; pyrazofurin; riboprine; rogletimide; safingol; safingol hydrochloride; semustine; simtrazene; sparfosate sodium;
sparsomycin; spirogermanium hydrochloride; spiromustine; spiroplatin; streptonigrin;
streptozocin; sulofenur; talisomycin; tecogalan sodium; tegafur; teloxantrone hydrochloride; temoporfin; teniposide; teroxirone; testolactone; thiamiprine; thioguanine; thiotepa; tiazofurin; tirapazamine; toremifene citrate; trestolone acetate; triciribine phosphate; trimetrexate;
trimetrexate glucuronate; triptorelin; tubulozole hydrochloride; uracil mustard; uredepa;
vapreotide; verteporfin; vinblastine sulfate; vincristine sulfate; vindesine; vindesine sulfate; vinepidine sulfate; vinglycinate sulfate; vinleurosine sulfate; vinorelbine tartrate; vinrosidine sulfate; vinzolidine sulfate; vorozole; zeniplatin; zinostatin; zorubicin hydrochloride, agents that arrest cells in the G2-M phases and/or modulate the formation or stability of microtubules,
(e.g. Taxol (i.e. paclitaxel), Taxotere, compounds comprising the taxane skeleton, Erbulozole
(i.e. R-55104), Dolastatin 10 (i.e. DLS-10 and NSC-376128), Mivobulin isethionate (i.e. as CI-
980), Vincristine, NSC-639829, Discodermolide (i.e. as NVP-XX-A-296), ABT-751 (Abbott, i.e. E-7010), Altorhyrtins (e.g. Altorhyrtin A and Altorhyrtin C), Spongistatins (e.g.
Spongistatin 1, Spongistatin 2, Spongistatin 3, Spongistatin 4, Spongistatin 5, Spongistatin 6,
Spongistatin 7, Spongistatin 8, and Spongistatin 9), Cemadotin hydrochloride (i.e. LU- 103793 and SC-D-669356), Epothilones (e.g. Epothilone A, Epothilone B, Epothilone C (i.e. desoxyepothilone A or dEpoA), Epothilone D (i.e. KOS-862, dEpoB, and desoxyepothilone B), Epothilone E, Epothilone F, Epothilone B N-oxide, Epothilone A N-oxide, 16-aza-epothilone B, 21 -aminoepothilone B (i.e. BMS-310705), 21 -hydroxy epothilone D (i.e. Desoxyepothilone F and dEpoF), 26-fluoroepothilone, Auristatin PE (i.e. NSC-654663), Soblidotin (i.e. TZT- 1027), LS-4559-P (Pharmacia, i.e. LS-4577), LS-4578 (Pharmacia, i.e. LS-477-P), LS-4477 (Pharmacia), LS-4559 (Pharmacia), RPR-1 12378 (Aventis), Vincristine sulfate, DZ-3358 (Daiichi), FR-182877 (Fujisawa, i.e. WS-9885B), GS-164 (Takeda), GS-198 (Takeda), KAR-2 (Hungarian Academy of Sciences), BSF-223651 (BASF, i.e. ILX-651 and LU-223651), SAH- 49960 (Lilly /Novartis), SDZ-268970 (Lilly /Novartis), AM-97 (Armad/Kyowa Hakko), AM- 132 (Armad), AM- 138 (Armad/Kyowa Hakko), IDN-5005 (Indena), Cryptophycin 52 (i.e. LY- 355703), AC-7739 (Ajinomoto, i.e. AVE-8063A and CS-39.HC1), AC-7700 (Ajinomoto, i.e. AVE-8062, AVE-8062A, CS-39-L-Ser.HCl, and RPR-258062A), Vitilevuamide, Tubulysin A, Canadensol, Centaureidin (i.e. NSC-106969), T-138067 (Tularik, i.e. T-67, TL-138067 and TI- 138067), COBRA-1 (Parker Hughes Institute, i.e. DDE-261 and WHI-261), H10 (Kansas State University), H16 (Kansas State University), Oncocidin A 1 (i.e. BTO-956 and DIME), DDE- 313 (Parker Hughes Institute), Fijianolide B, Laulimalide, SPA-2 (Parker Hughes Institute), SPA-1 (Parker Hughes Institute, i.e. SPIKET-P), 3-IAABU (Cytoskeleton/Mt. Sinai School of Medicine, i.e. MF-569), Narcosine (also known as NSC-5366), Nascapine, D-24851 (Asta Medica), A-105972 (Abbott), Hemiasterlin, 3 -B A ABU (Cytoskeleton/Mt. Sinai School of Medicine, i.e. MF-191), TMPN (Arizona State University), Vanadocene acetylacetonate, T- 138026 (Tularik), Monsatrol, Inanocine (i.e. NSC-698666), 3-IAABE (Cytoskeleton/Mt. Sinai School of Medicine), A-204197 (Abbott), T-607 (Tularik, i.e. T-900607), RPR-115781 (Aventis), Eleutherobins (such as Desmethyleleutherobin, Desaetyleleutherobin,
lsoeleutherobin A, and Z-Eleutherobin), Caribaeoside, Caribaeolin, Halichondrin B, D-64131 (Asta Medica), D-68144 (Asta Medica), Diazonamide A, A-293620 (Abbott), NPI-2350 (Nereus), Taccalonolide A, TUB-245 (Aventis), A-259754 (Abbott), Diozostatin, (-)- Phenylahistin (i.e. NSCL-96F037), D-68838 (Asta Medica), D-68836 (Asta Medica),
Myoseverin B, D-43411 (Zentaris, i.e. D-81862), A-289099 (Abbott), A-318315 (Abbott), HTI-286 (i.e. SPA-110, trifluoroacetate salt) (Wyeth), D-82317 (Zentaris), D-82318 (Zentaris), SC-12983 (NCI), Resverastatin phosphate sodium, BPR-OY-007 (National Health Research Institutes), and SSR-25041 1 (Sanofi), steroids (e.g., dexamethasone), finasteride, aromatase inhibitors, gonadotropin-releasing hormone agonists (GnRH) such as goserelin or leuprolide, adrenocorticosteroids (e.g., prednisone), progestins (e.g., hydroxyprogesterone caproate, megestrol acetate, medroxyprogesterone acetate), estrogens (e.g., diethlystilbestrol, ethinyl estradiol), antiestrogen (e.g., tamoxifen), androgens (e.g., testosterone propionate,
fluoxymesterone), antiandrogen (e.g., flutamide), immunostimulants (e.g., Bacillus Calmette- Guerin (BCG), levamisole, interleukin-2, alpha-interferon, etc.), monoclonal antibodies (e.g., anti-CD20, anti-HER2, anti-CD52, anti-HLA-DR, and anti-VEGF monoclonal antibodies), immunotoxins (e.g., anti-CD33 monoclonal antibody-calicheamicin conjugate, anti-CD22 monoclonal antibody-pseudomonas exotoxin conjugate, etc.), radioimmunotherapy (e.g., anti- CD20 monoclonal antibody conjugated to u Hn, 90Y, or 131I, etc. ), triptolide,
homoharringtonine, dactinomycin, doxorubicin, epirubicin, topotecan, itraconazole, vindesine, cerivastatin, vincristine, deoxyadenosine, sertraline, pitavastatin, irinotecan, clofazimine, 5- nonyloxytryptamine, vemurafenib, dabrafenib, erlotinib, gefitinib, EGFR inhibitors, epidermal growth factor receptor (EGFR)-targeted therapy or therapeutic (e.g. gefitinib (Iressa™), erlotinib (Tarceva™), cetuximab (Erbitux™), lapatinib (Tykerb™), panitumumab
(Vectibix™), vandetanib (Caprelsa™), afatinib/BIBW2992, CI-1033/canertinib, neratinib/HKI- 272, CP-724714, TAK-285, AST-1306, ARRY334543, ARRY-380, AG-1478,
dacomitinib/PF299804, OSI-420/desmethyl erlotinib, AZD8931, AEE788, pelitinib/EKB-569, CUDC-101, WZ8040, WZ4002, WZ3146, AG-490, XL647, PD153035, BMS-599626), sorafenib, imatinib, sunitinib, dasatinib, or the like.
"Chemotherapeutic" or "chemotherapeutic agent" is used in accordance with its plain ordinary meaning and refers to a chemical composition or compound having antineoplastic properties or the ability to inhibit the growth or proliferation of cells.
Additionally, the compounds described herein can be co-administered with
conventional immunotherapeutic agents including, but not limited to, immunostimulants (e.g., Bacillus Calmette-Guerin (BCG), levamisole, interleukin-2, alpha- interferon, etc.), monoclonal antibodies (e.g., anti-CD20, anti-HER2, anti-CD52, anti-HLA-DR, and anti-VEGF monoclonal antibodies), immunotoxins (e.g., anti-CD33 monoclonal antibody-calicheamicin conjugate, anti- CD22 monoclonal antibody -pseudomonas exotoxin conjugate, etc.), and
radioimmunotherapy (e.g., anti-CD20 monoclonal antibody conjugated to mIn, 90Y, or mI, etc.).
In a further embodiment, the compounds described herein can be co-administered with conventional radiotherapeutic agents including, but not limited to, radionuclides such as 47Sc, 64Cu, 67Cu, 89Sr, 86Y, 87Y, 90Y, 105Rh, mAg, mIn, 117mSn, 149Pm, 15 Sm, 166Ho, 177Lu, 186Re, 188Re, 211At, and 212Bi, optionally conjugated to antibodies directed against tumor antigens.
Additional Agents
In some embodiments, the second agent for use in combination with a compound (e.g., a compound of Formula (I)) or composition thereof described herein is an agent for use in treating a neurodegenerative disease, a leukodystrophy, an inflammatory disease, a
musculoskeletal disease, or a metabolic disease. In some embodiments, a second agent for use in combination with a compound (e.g., a compound of Formula (I)) or composition thereof described herein is an agent approved by the FDA or similar regulatory agency of a country other than the USA, for treating a disease, disorder, or condition described herein.
In some embodiments, a second agent for use in treating a neurodegenerative disease, a leukodystrophy, an inflammatory disease, a musculoskeletal disease, or a metabolic disease includes, but is not limited to, an anti-psychotic drug, anti-depressive drug, anti-anxiety drug, analgesic, a stimulant, a sedative, a pain reliever, an anti-inflammatory agent, a benzodiazepine, a cholinesterase inhibitor, a non-steroidal anti-inflammatory drug (NSAID), a corticosteroid, a MAO inhibitor, a beta-blocker, a calcium channel blocker, an antacid, or other agent.
Exemplary second agents may include donepezil, galantamine, rivastigmine, memantine, levodopa, dopamine, pramipexole, ropinirole, rotigotine, doxapram, oxazepam, quetiapine, selegiline, rasagiline, entacapone, benztropine, trihexyphenidyl, riluzole, diazepam, chlorodiazepoxide, lorazepam, alprazolam, buspirone, gepirone, ispapirone, hydroxyzine, propranolol, hydroxyzine, midazolam, trifluoperazine, methylphenidate, atomoxetine, methylphenidate, pemoline, perphenazine, divalproex, valproic acid, sertraline, fluoxetine, citalopram, escitalopram, paroxetine, fluvoxamine, trazodone, desvenlafaxine, duloxetine, venlafaxine, amitriptyline, amoxapine, clomipramine, desipramine, imipramine, nortriptyline, protriptyline, trimipramine, maprotiline, bupropion, nefazodone, vortioxetine, lithium, clozapine, fluphenazine, haloperidol, paliperidone, loxapine, thiothixene, pimozide, thioridazine, risperidone, aspirin, ibuprofen, naproxen, acetaminophen, azathioprine, methotrexate, mycophenolic acid, leflunomide, dibenzoylmethane, cilostazol, pentoxifylline, duloxetine, a cannabinoid (e.g, nabilone), simethicone, magaldrate, aluminum salts, calcium salts, sodium salts, magnesium salts, alginic acid, acarbose, albiglutide, alogliptin, metformin, insulin, lisinopril, atenolol, atorvastatin, fluvastatin, lovastatin, pitavastatin, simvastatin, rosuvastatin, and the like.
Naturally derived agents or supplements may also be used in conjunction with a compound of Formula (I) or a composition thereof to treat a neurodegenerative disease, an inflammatory disease, a musculoskeletal disease, or a metabolic disease. Exemplary naturally derived agents or supplements include omega-3 fatty acids, carnitine, citicoline, curcumin, gingko, vitamin E, vitamin B (e.g., vitamin B5, vitamin B6, or vitamin B12), huperzine A, phosphatidylserine, rosemary, caffeine, melatonin, chamomile, St. John's wort, tryptophan, and the like.
EXAMPLES
In order that the invention described herein may be more fully understood, the following examples are set forth. The synthetic and biological examples described in this application are offered to illustrate the compounds, pharmaceutical compositions, and methods provided herein and are not to be construed in any way as limiting their scope.
Synthetic Protocols
The compounds provided herein can be prepared from readily available starting materials using modifications to the specific synthesis protocols set forth below that would be well known to those of skill in the art. It will be appreciated that where typical or preferred process conditions (i.e., reaction temperatures, times, mole ratios of reactants, solvents, pressures, etc.) are given, other process conditions can also be used unless otherwise stated. Optimum reaction conditions may vary with the particular reactants or solvents used, but such conditions can be determined by those skilled in the art by routine optimization procedures. General scheme relating to methods of making exemplary compounds of the invention are additionally described in the section entitled Methods of Making Compounds.
Additionally, as will be apparent to those skilled in the art, conventional protecting groups may be necessary to prevent certain functional groups from undergoing undesired reactions. The choice of a suitable protecting group for a particular functional group as well as suitable conditions for protection and deprotection are well known in the art. For example, numerous protecting groups, and their introduction and removal, are described in Greene et al. , Protecting Groups in Organic Synthesis, Second Edition, Wiley, New York, 1991, and references cited therein. Abbreviations
APCI for atmospheric pressure chemical ionization; DCI for desorption chemical ionization; DMSO for dimethyl sulfoxide; ESI for electrospray ionization; HPLC for high performance liquid chromatography; LC/MS for liquid chromatography/mass spectrometry; MS for mass spectrum; NMR for nuclear magnetic resonance; psi for pounds per square inch; and TLC for thin-layer chromatography.
Example 1: i\yV-(bicyclo [2.2.2] octane-l,4-diyl)bis[2-(4-chloro-3- fluorophenoxy)acetamide] (Compound 100)
A 50 mL round bottom flask, equipped with a magnetic stir bar, was charged with bicyclo[2.2.2]octane-l,4-diamine dihydrochloride (PharmaBlock, CAS#2277-93-2, 100 mg, 0.455 mmol), 2-(4-chloro-3-fluorophenoxy)acetic acid (205 mg, 1.001 mmol), and (l-cyano-2- ethoxy-2-oxoethylidenaminooxy)dimethylamino-mo holino-carbenium hexafluorophosphate (COMU®, 485 mg, 1.092 mmol). The flask contents were placed under a dry nitrogen atmosphere, and then N,N-dimethylformamide (10 mL) was added via syringe. The stirred suspension was chilled to 0 °C, and then NN-diisopropylethylamine (0.66 mL, 3.78 mmol) was introduced dropwise via syringe (reaction mixture turned bright yellow). The reaction mixture was allowed to warm to ambient temperature and stirred for 3 days. The reaction mixture was diluted with water and a white, insoluble solid was collected by filtration. The solid was treated with methanol, and then collected by filtration. The title compound was thus obtained as a white solid (93.5 mg, 40% yield). l NMR (DMSO-c¾) δ ppm 7.51-7.44 (m, 4H), 7.02 (dd, J = 11.4, 2.9 Hz, 2H), 6.81 (ddd, J = 9.0, 2.8, 1.2 Hz, 2H), 4.43 (s, 4H), 1.90 (s, 12H). MS (+ESI) m/z 513 (M+H)+, MS (-ESI) m/z 511 (M-H)".
Example 2: 2-(4-chloro-3-fluorophenoxy)-A^-[4-(2-{[6-(trifluoromethyl)pyridin-3- yl]oxy}acetamido)bicyclo[2.2.2]octan-l-yl]acetamide (Compound 101)
Example 2A: tert-butyl (4-aminobicyclo[2.2.2]octan-l-yl)carbamate
Bicyclo[2.2.2]octane-l,4-diamine dihydrochloride (PharmaBlock, CAS#2277-93-2, 200 mg, 1.43 mmol) was dissolved in methanol (5 mL). The solution was basified with 50% aqueous sodium hydroxide. After stirring for 15 minutes (slight exotherm), the mixture was diluted with water and brine and extracted with dichloromethane (3 x 150 mL). The combined organic layers were dried Na2S04) and filtered. The filtrate was concentrated under reduced pressure to give the free base as a white solid. The free base, bicyclo[2.2.2]octane-l,4-diamine (176 mg, 1.255 mmol), di-tert-butyl dicarbonate (274 mg, 1.255 mmol), and tetrahydrofuran (100 mL) were stirred at ambient temperature for 17 hours. The reaction mixture was concentrated under reduced pressure, and the residue was partitioned between ethyl acetate and aqueous sodium carbonate. The organic layer was washed with brine, then dried (MgS04) and filtered. The filtrate was concentrated under reduced pressure to provide the title intermediate as an off-white solid (258 mg, 86% yield). XH NMR (methanol-^) 5Dppm 1.91-1.85 (m, 7H), 1.65-1.60 (m, 2H), 1.40 (s, 12H). MS (DCI-NH3) m/z 241 (M+H)+.
Example 2B: tert-butyl (4-(2-(4-chloro-3-fluorophenoxy)acetamido)bicyclo[2.2.2]octan-l- yl) carbamate
A 50 mL round bottom flask, equipped with a magnetic stir bar, was charged with 2-(4- chloro-3-fluorophenoxy)acetic acid (234 mg, 1.144 mmol), tert-butyl (4- aminobicyclo[2.2.2]octan-l-yl)carbamate (Example 2A, 250 mg, 1.040 mmol), and COMU® (535 mg, 1.248 mmol). The flask contents were placed under a dry nitrogen atmosphere and N^V-dimethylformamide (4 mL) was introduced via syringe. The reaction mixture was then stirred at ambient temperature as NN-diisopropylethylamine (0.545 mL, 3.12 mmol) was added dropwise via syringe. The reaction mixture was stirred at ambient temperature for 19 hours. The reaction mixture was diluted with water (pH = 10). An insoluble beige solid was collected by filtration and rinsed thoroughly with water. The material was purified by column chromatography on an Analogix® IntelliFlash™-310 (Isco RediSep® 40 g silica gel cartridge, 70:30 to 0: 100 heptane/ethyl acetate). Fractions #15-31 were combined and concentrated under reduced pressure to give the title intermediate as a white solid (69.5 mg, 15.65% yield). Ti NMR (CDCI3) 5Dppm 7.31 (t, J = 8.6 Hz, 1H), 6.73 (dd, J = 10.3, 2.9 Hz, 1H), 6.64 (ddd, J = 8.9, 2.9, 1.2 Hz, 1H), 6.07 (s, 1H), 4.32 (s, 1H), 4.31 (s, 2H), 2.05-1.91 (m, 12H), 1.42 (s, 9H). MS (+ESI) m/z 426 (M+H)+, m/z 853 (2M+H)+. MS (-ESI) m/z 425 (M-H)".
Example 2C: N-(4-aminobicyclo[2.2.2]octan-l-yl)-2-(4-chloro-3-fluorophenoxy)acetamide hydrochloride
A 4 mL vial, equipped with a magnetic stir bar, was charged with tert-butyl (4-(2-(4- chloro-3-fluorophenoxy)acetamido)bicyclo[2.2.2]octan-l-yl)carbamate (Example 2B, 69 mg, 0.162 mmol). Methanol (1 mL) was added, and the resulting solution was stirred at ambient temperature while 4 M HC1 in dioxane (1.2 mL, 4.80 mmol) was added via syringe. The reaction mixture was stirred at ambient temperature for 89 hours. Volatiles were removed under reduced pressure to give the title intermediate as a white solid (58.3 mg, 99% yield). XH NMR (methanol-.^) δϋρρηι 7.36 (t, J = 8.7 Hz, 1H), 6.89 (dd, J = 11.0, 2.9 Hz, 1H), 6.79 (ddd, J = 9.0, 2.9, 1.3 Hz, 1H), 4.43 (s, 2H), 2.15-2.08 (m, 6H), 1.94 1.87 (m, 6H). MS (+ESI) m/z 327 (M+H)+. MS (-ESI) m/z 325 (M-H)".
Example 2D: 2-( 4-chloro-3-fluorophenoxy)-N-[ 4-(2-{[ 6-( trifluoromethyl)pyridin-3- yl ]oxy}acetamido)bicyclo[ 2.2.2 ]octan-l-yl Jacetamide
A 4 mL vial, equipped with a magnetic stir bar, was charged with N-(4- aminobicyclo[2.2.2]octan-l-yl)-2-(4-chloro-3-fluorophenoxy)acetamide hydrochloride
(Example 2C, 25 mg, 0.069 mmol), 2-((6-(trifluoromethyl)pyridin-3-yl)oxy)acetic acid (18.26 mg, 0.083 mmol), and COMU(® (41.3 mg, 0.096 mmol). The vial was sealed with a septum screw cap, and the contents were placed under a dry nitrogen atmosphere. N,N-
Dimethylformamide (0.5 mL) was introduced via syringe, and the stirred reaction mixture was treated dropwise with NN-diisopropylethylamine (0.1 mL, 0.573 mmol). The reaction mixture was stirred at ambient temperature for 19 hours. An aliquot was partitioned between water and ethyl acetate. The organic layer was checked by TLC (80:20 ethyl acetate/heptane). A major new spot with Rf higher than either starting material was evident. LC/MS confirmed that this major new material had the correct mass for the title compound. The bulk of the reaction was diluted with water and extracted twice with ethyl acetate. The combined organic layers were washed twice with brine, then dried (MgSC^) and filtered. The filtrate was concentrated under reduced pressure to give a pale yellow solid. This crude solid was purified by column chromatography on an Analogix® IntelliFlash™-310 (Isco RediSep® 12 g silica gel cartridge, 70:30 heptane/ethyl acetate) to give a white solid that was stirred with fert-butyl methyl ether. The solvent was decanted away, and the solid was dried on a rotary evaporator to provide the title compound as a white solid (11.0 mg, 30.2% yield). XH NMR (CDC13) 5Dppm 8.43 (d, J = 2.9 Hz, 1H), 7.67 (d, J = 8.7 Hz, 1H), 7.34-7.28 (m, 2H), 6.73 (dd, J = 10.3, 2.9 Hz, 1H), 6.65 (ddd, J = 8.9, 2.9, 1.3 Hz, 1H), 6.10 (d, J = 2.8 Hz, 2H), 4.45 (s, 2H), 4.33 (s, 2H), 2.08 (s, 12H). MS (+ESI) m/z 530 (M+H)+. MS (-ESI) m/z 528 (M-H)".
Example 3: A^-{3-[2-(4-chloro-3-fluorophenoxy)acetamido]bicyclo[l.l.l]pentan-l-yl}-3-(4- chlorophenyl)propanamide (Compound 102)
Example 3 A : 3-(4-chlorophenyl)propanoyl chloride
A 50 mL round bottom flask, equipped with a magnetic stir bar, was charged with white crystals of 3-(4-chlorophenyl)propanoic acid (Aldrich, CAS# 2019-34-3, 100 mg, 0.542 mmol). The flask was closed with a septum attached to a bubbler. Anhydrous dichloromethane (2 mL) was introduced via syringe to give a solution that was stirred at ambient temperature. Oxalyl chloride (0.142 mL, 1.625 mmol) was added via syringe, followed by N,N-dimethylformamide (0.042 μί, 0.542 μηιοΐ) at which point gas evolution was evident. The reaction mixture was stirred at ambient temperature for 1 hour. Volatiles were removed under reduced pressure to give a pale yellow oil that was used in the next step.
Example 3B: N-{3-[2-(4-chloro-3-fluorophenoxy)acetamido ]bicyclo[ 1.1.1 ]pentan-l-yl}-3-(4- chlorophenyl)propanamide
Example 3A was redissolved in dichloromethane (3 mL), and then a suspension of N- (3-airdnobicyclo[l . l . l]pentan-l-yl)-2-(4-chloro-3-fluorophenoxy)acetamide hydrochloride (Example 1 12A, 174 mg, 0.542 mmol) in dichloromethane (10 mL) was added to the reaction mixture. This mixture was stirred at ambient temperature under a dry nitrogen atmosphere and triethylamine (0.302 mL, 2.167 mmol) was introduced via syringe. The reaction mixture was stirred at ambient temperature for 20.5 hours. The reaction mixture was treated with aqueous citric acid. The organic layer was washed with brine, then dried (MgSC^), and filtered. The filtrate was concentrated under reduced pressure to give a beige solid that was treated with tert- butyl methyl ether. The insoluble, cream-colored solid was collected by filtration and was purified by column chromatography on an Analogix® IntelliFlash™-310 (Isco RediSep® 24 g silica gel cartridge, 90: 10 to 85: 15 dichloromethane/acetone, wavelength monitored: 220 nm) to give the title compound as a white solid (97.9 mg, 40% yield). XH NMR (DMSO-c e) 5 Dppm 8.68 (s, 1H), 8.40 (s, 1H), 7.49 (t, J = 8.9 Hz, 1H), 7.34-7.30 (m, 2H), 7.23-7.19 (m, 2H), 7.07 (dd, J = 11.4, 2.8 Hz, 1H), 6.85 (ddd, J = 9.0, 2.9, 1.2 Hz, 1H), 4.47 (s, 2H), 2.77 (dd, J = 8.6, 6.9 Hz, 2H), 2.31 (dd, J = 8.5, 7.1 Hz, 2H), 2.20 (s, 6H). MS (+ESI) m/z 451 (M+H)+. MS (- ESI) m/z 449 (M-H)".
Example 4: A^^V'-(pentacyclo[4.2.0.02'5.03'8.0 '7]octane-l,4-diyl)bis [2-(4-chlorophenoxy)- acetamide] (Compound 103)
Example 4A: cubane-1 , 4-diamine dihydrochloride
A 50 mL round bottom flask, equipped with a magnetic stir bar, was charged with cubane-l ,4-dicarboxylic acid (Aldrich, CAS# 32846-66-5, 800 mg, 4.16 mmol), triethylamine (1.16 mL, 8.32 mmol), diphenylphosphoryl azide (1.8 mL, 8.35 mmol), and /-butanol (12.8 mL). The flask was fitted with a reflux condenser equipped with a calcium sulfate drying tube, and the reaction mixture was stirred at reflux for 16 hours. The reaction mixture was allowed to cool to ambient temperature, and then poured into saturated aqueous sodium bicarbonate (50 niL). The precipitate was collected by filtration and washed with water. The solid was dissolved in a hot mixture of dichloromethane, tetrahydrofuran, ethyl acetate, and ethanol. This warm solution was dried (MgSC^) and filtered. The filtrate was concentrated under reduced pressure to give a beige solid that was treated with ether and collected by filtration. The crude, bis-(Yer/-butoxy-carbonyl)-protected intermediate was suspended in methanol (30 mL) and treated with 4 M HC1 in dioxane (30 mL, 120 mmol, 47.4 equivalents). The reaction mixture was stirred at ambient temperature for 4 hours. Volatiles were removed under reduced pressure to give a pale brown solid that was washed with diethyl ether and then with ethyl acetate. The solid was dissolved in hot methanol and treated with acetone to induce precipitation. The title intermediate solid was collected by filtration (125 mg, 14.5% yield). XH NMR (methanol-^) 5 Dppm 4.23 (s, 6H). MS (DCI-NH3) m/z 135 (M+H)+, m/z 152 (M+NH4)+, m/z 169
(M+NH4+NH3)+.
Example 4B: N,N'-(pentacyclo[4.2.0.02'5.0s'8.04·7] octane- 1, 4-diyl)bis[2-(4- chlorophenoxyjacetamide ]
A 50 mL round bottom flask, equipped with a magnetic stir bar, was charged with cubane-l ,4-diamine dihydrochloride (Example 4A, 77 mg, 0.372 mmol). The flask contents were placed under a dry nitrogen atmosphere, then a solution of 2-(4-chlorophenoxy)acetyl chloride (Aldrich, CAS# 4122-68-3, 160 mg, 0.781 mmol) in dichloromethane (4 mL) was introduced via syringe. This stirred suspension was the treated with triethylamine (0.4 mL, 2.87 mmol). The reaction mixture was stirred at ambient temperature under a dry nitrogen atmosphere for 17 hours. Volatiles were removed under reduced pressure, and the solid residue was partitioned between tert-butyl methyl ether and ice water. Material that was insoluble in either layer was suspected to be product and was collected by filtration. This crude, beige solid was dissolved in a warm mixture of tetrahydrofuran and ethanol. Silica gel (1.2 g) was added, and the solvent was removed in vacuo. This mixture adsorbed to silica gel was placed at the top of a Practichem 4 g silica gel cartridge that had the top 1.6 g of silica gel removed. The cartridge was reassembled and connected to the top of an Isco RediSep® 24 g silica gel cartridge and the assembly was eluted with 100:0 to 90: 10 dichloromethane/acetone on an Analogix® IntelliFlash™-310 (wavelength monitored: 220 nm) to provide the title compound as a white solid (25.6 mg, 14.6% yield). l NMR (DMSO-c¾) 5D ppm 8.82 (s, 2H), 7.40-7.30 (m, 4H), 6.98 (d, J = 8.9 Hz, 4H), 4.49 (s, 4H), 3.96 (s, 6H). MS (+ESI) m/z 471 (M+H)+. MS (-ESI) m/z 469 (M-H)". Example 5: A^-{3-[2-(4-chloro-3-fluorophenoxy)acetamido]bicyclo[l.l.l]pentan-l-yl}-3-(4- chloro-6-oxopyridazin-l(6H)-yl)propanamide (Compound 104)
Example 5A: methyl 3-(4-chloro-6-oxopyridazin-l(6H)-yl)propanoate
A 50 mL round bottom flask, equipped with a magnetic stir bar, was charged with 5- chloropyridazin-3(2H)-one (Maybridge, CAS# 660425-07-0, 350 mg, 2.68 mmol) and cesium carbonate (1310 mg, 4.02 mmol). The vial was sealed with a septum and placed under a dry nitrogen atmosphere, and then N^V-dimethyl formamide (7 mL) was introduced via syringe. The reaction mixture was vigorously stirred at ambient temperature while methyl 3- bromopropanoate (0.351 mL, 3.22 mmol) was added via syringe. The reaction mixture was stirred at ambient temperature for 22 hours. The reaction mixture was diluted with water, neutralized with aqueous citric acid, and extracted with ethyl acetate (twice). The combined organic layers were washed with brine, then dried (MgS04), and filtered. The filtrate was concentrated under reduced pressure to give a yellow oil that was purified by column chromatography on an Analogix® IntelliFlash™-310 (Isco RediSep® 40 g silica gel cartridge, 70:30 to 65:35 heptane/ethyl acetate) to give the title intermediate as a clear, colorless oil (479 mg, 82% yield). l NMR (CDC13) 5Dppm 7.72 (d, J = 2.4 Hz, 1H), 6.96 (d, J = 2.4 Hz, 1H), 4.42 (t, J = 7.1 Hz, 2H), 3.70 (s, 3H), 2.83 (t, J = 7.1 Hz, 2H). MS (DCI-NH3) m/z 217 (M+H)+, m/z 234 (M+NH4)+.
Example 5B: 3-(4-chloro-6-oxopyridazin-l(6H)-yl)propanoic acid
A 50 mL round bottom flask, equipped with a magnetic stir bar, was charged with methyl 3-(4-chloro-6-oxopyridazin-l(6H)-yl)propanoate (Example 5A, 100 mg, 0.462 mmol). Dioxane (2.3 mL) was added, and the resulting solution was stirred at ambient temperature while sulfuric acid, 5 N aqueous (2.3 mL, 11.50 mmol) was added. The reaction mixture was stirred at 50 °C for 17.5 hours. The reaction mixture was concentrated under reduced pressure, and the oily residue was dissolved in dichloromethane. The solution was dried (Na2SC>4) and filtered. The filtrate was concentrated under reduced pressure to give the title intermediate as a white solid (33.5 mg, 35.8% yield). Ti NMR (CDC13) 5Dppm 7.76 (d, J = 2.4 Hz, 1H), 7.01 (d, J = 2.4 Hz, 1H), 4.44 (t, J = 7.0 Hz, 2H), 2.89 (t, J = 7.0 Hz, 2H). MS (DCI-NH3) m/z 203 (M+H)+, m/z 220 (M+NH4)+.
Example 5C: 3-(4-chloro-6-oxopyridazin-l(6H)-yl)propanoyl chloride
A 4 mL vial, equipped with a magnetic stir bar, was charged with 3-(4-chloro-6- oxopyridazin-l(6H)-yl)propanoic acid (Example 5B, 47.7 mg, 0.235 mmol). The vial was sealed with a septum screw cap vented to a bubbler, and the vial contents were placed under a dry nitrogen atmosphere. Dichloromethane (1 mL) was introduced via syringe, and the stirred reaction mixture was treated with oxalyl chloride (0.1 mL, 1.142 mmol) and catalytic N^V- dimethylformamide (0.018 μί, 0.235 μπιοΐ). After stirring at ambient temperature for 45 minutes, volatiles were removed under reduced pressure, and the resulting crude acid chloride intermediate was used in the following step.
Example 5D: N-{3-[2-(4-chloro-3-fluorophenoxy)acetamido ]bicyclo[ 1.1.1 ]pentan-l-yl}-3-(4- chloro-6-oxopyridazin-l ( 6H)-yl)propanamide
The acid chloride intermediate, Example 5C, was redissolved in dichloromethane (1 mL). Solid N-(3-aininobicyclo[l . l . l]pentan-l-yl)-2-(4-chloro-3-fluorophenoxy)acetamide hydrochloride (Example 112A, 76 mg, 0.235 mmol) was added, and the vial was resealed with the septum screw cap vented to a bubbler. Triethylamine (0.2 mL, 1.435 mmol) was added dropwise via syringe (reaction mixture turns dark). The reaction mixture was vigorously stirred at ambient temperature for 16 hours. The dichloromethane was evaporated, and the residue was treated with pH = 4 water. Insoluble material was collected by filtration and rinsed with water. The remaining solid was purified by column chromatography on an Analogix®
IntelliFlash™-310 (Isco RediSep® 12 g silica gel cartridge, 95:5 to 70:30
dichloromethane/acetone, wavelength monitored: 220 nm) to provide 46.9 mg (42.4% yield) of the title compound as a cream-colored solid. XH NMR (OMSO-de) 5Dppm 8.68 (s, 1H), 8.54 (s, 1H), 8.05 (d, J = 2.4 Hz, 1H), 7.49 (t, J = 8.9 Hz, 1H), 7.25 (d, J = 2.4 Hz, 1H), 7.07 (dd, J = 11.4, 2.9 Hz, 1H), 6.85 (ddd, J = 9.0, 2.9, 1.2 Hz, 1H), 4.47 (s, 2H), 4.19 (t, J = 7.3 Hz, 2H), 2.48 (t, J = 7.3 Hz, 2H), 2.20 (s, 6H). MS (+ESI) m/z 469 (M+H)+. MS (-ESI) m/z 467 (M-H)". Example 6: 2-(3,4-dichlorophenoxy)-/V-[3-(2-{[5-(trifluoromethyl)pyrazin-2- yl] oxy }acetamido)bicyclo [ 1.1.1] pentan- 1-yl] acetamide (Compound 105)
Example 6A: Ethyl 2-((5-(trifluoromethyl)pyrazin-2-yl)oxy)acetate
To a solution of ethyl 2 -hydroxy acetate (0.167 mL, 1.762 mmol) in tetrahydrofuran (4 mL) at room temperature was added potassium /er/-butoxide (1.850 mL, 1.850 mmol). After 10 minutes, 2-bromo-5-(trifluoromethyl)pyrazine (0.2g, 0.881 mmol) in tetrahydrofuran (4 mL) was added. The mixture was stirred at room temperature overnight. The reaction mixture was quenched by addition of water (10 mL), and extracted with ethyl acetate (3 x 30 mL). The organic phase was dried with MgSC>4, filtered and concentrated under reduced pressure. The residue was used in the next step without further purification (215 mg, 0.859 mmol, 98% yield). XH NMR (400 MHz, DMSO-i¾) δ ppm 8.76 (dd, J = 1.4, 0.7 Hz, 1H), 8.63 (d, J = 1.2 Hz, 1H), 5.09 (s, 2H), 4.16 (q, J = 7.1 Hz, 2H), 1.19 (t, J = 7.1 Hz, 3H). 19F NMR (376 MHz, DMSO-c/6) δ ppm -65.37 MS (ESI+) m/z 251 (M+H)+.
Example 6B: 2-((5-(trifluoromethyl)pyrazin-2-yl)oxy)acetic acid
To a solution of ethyl 2-((5-(trifluoromethyl)pyrazin-2-yl)oxy)acetate (215 mg, 0.859 mmol)(crude from previous reaction) in tetrahydrofuran (4 mL) were added lithium hydroxide (82 mg, 3.44 mmol) and water (1.00 mL). The mixture was stirred at room temperature for 2 hours. The reaction mixture diluted with water (2 mL) and extracted with ethyl acetate. The water layer was separated and acidified with 2 N HCl (aq.) to pH=3. The aqueous mixture was extracted with CH2CI2 (2 x 20 mL). The combined organic fractions were dried with MgSC>4, and concentrated under reduced pressure to give the title compound (150mg, 0.675 mmol, 79% yield). XH NMR (400 MHz, DMSO-c¾) δ ppm 13.09 (s, 1H), 8.76 (t, J = 1.0 Hz, 1H), 8.60 (d, J = 1.2 Hz, 1H), 5.01 (s, 2H). 19F NMR (376 MHz, DMSO-c¾) δ ppm -64.84. MS (ESI+) m/z 223 (M+H)+.
Example 6C: N-(3-aminobicyclo[ 1.1.1 ]pentan-l-yl)-2-(3, 4-dichlorophenoxy)acetamide hydrochloride
To Example 22A (3.45 g, 15 mmol) in dichloromethane (10 mL)/methanol (1 ml) was added 4 N HCl in dioxane (53.8 mL, 215 mmol). The mixture was stirred at ambient temperature for 1 hour and then concentrated to give 2.91 g of the title compound (100% yield) as a white solid. XH NMR (400 MHz, DMSO-c¾) δ ppm 8.90 (m, 4H), 7.55 (d, J = 8, 1H), 7.22 (d, J = 2, 1H), 6.98 (dd, J = 8, 2, 1H), 4.50 (s, 2H), 2.23 (s, 6H). MS (ESI+) m/z 301 (M+H)+. Example 6D: 2-(3,4-dichlorophenoxy)-N-[3-(2- { [5-(trifluoromethyl)pyrazin-2- y 1] oxy } acetamido)bicy clo[ 1.1.1 ] pentan- 1 -y 1] acetamide
To a suspension of N-(3-aminobicyclo[l. l. l]pentan-l-yl)-2-(3,4- dichlorophenoxy)acetamide hydrochloride (0.05 g, 0.148 mmol, Example 6C) in N,N- dimethylformamide (lmL) were added N,N-diisopropylethylamine (0.078 mL, 0.444 mmol) and 2-((5-(trifluoromethyl)pyrazin-2-yl)oxy)acetic acid (0.036 g, 0.163 mmol, Example 6B), followed by l-[bis(dimethylamino)methylene]-lH-l,2,3-triazolo[4,5- )]pyridinium 3-oxid hexafluorophosphate (0.062 g, 0.163 mmol, HATU). The reaction mixture was stirred 1 hour at room temperature. The reaction mixture was then diluted with water and extracted with ethyl acetate. The combined organic layers were washed with brine. The organic layer was dried with MgS04, filtered and concentrated under reduced pressure. The residue was purified by flash column chromatography on silica gel (24 g) and eluted with heptane and ethyl acetate (0 to 100%) to give 25 mg of the title compound (33.4% yield) as a white solid. XH NMR (501 MHz, DMSO-i¾) δ ppm 8.77 (s, 1H), 8.74 (d, J = 1.2 Hz, 1H), 8.71 (s, 1H), 8.55 (d, J = 1.3 Hz, 1H), 7.54 (d, J = 8.9 Hz, 1H), 7.25 (d, J = 2.9 Hz, 1H), 6.98 (dd, J = 9.0, 2.9 Hz, 1H), 4.85 (s, 2H), 4.48 (s, 2H), 2.24 (s, 6H). 19F NMR (376 MHz, OMSO-d6) δ ppm -64.74. MS (ESI+) m/z 552 (M+NH4)+.
Example 7: A V-(bicyclo[l.l.l]pentane-l,3-diyl)bis[2-(3,4-dichlorophenoxy)acetamide] (Compound 106)
To a suspension of N-(3-aminobicyclo[l . l. l]pentan-l-yl)-2-(3,4- dichlorophenoxy)acetamide hydrochloride (50 mg, 0.148 mmol, Example 6C) in
tetrahydrofuran (1 mL)/N,N-dimethylformamide (O. lmL) were added N,N- diisopropylethylamine (0.078 mL, 0.444 mmol) and 2-(3,4-dichlorophenoxy)acetic acid (36.0 mg, 0.163 mmol), followed by l-[bis(dimethylamino)methylene]-lH-l,2,3-triazolo[4,5- Z>]pyridinium 3-oxid hexafluorophosphate (61.9 mg, 0.163 mmol, HATU). The reaction mixture was stirred 2 hours at room temperature. The white solid was filtered and dried to give 40mg of the title compound (53.6% yield) as a white solid. XH NMR (400 MHz, OMSO-d6) δ ppm 8.71 (s, 2H), 7.54 (d, J = 8.9 Hz, 2H), 7.26 (d, J = 2.9 Hz, 2H), 6.98 (dd, J = 9.0, 3.0 Hz, 2H), 4.49 (s, 4H), 2.27 (s, 6H). MS (ESI+) m/z 505 (M+H)+, MS (ESI+) m/z 546 (M+41)+
Example 8: 2-(4-chloro-3-fluorophenoxy)-A^-[3-(2-{[5-(trifluoromethyl)pyrazin-2- yl]oxy}acetamido)bicyclo[l.l.l]pentan-l-yl]acetamide (Compound 107)
To a suspension of Example 112A (30 mg, 0.093 mmol) in N,N-dimethylformamide (0.8 mL) were added N,N-diisopropylethylamine (0.049 mL, 0.280 mmol) and 2-((5- (trifluoromethyl)pyrazin-2-yl)oxy)acetic acid (22.82 mg, 0.103 mmol, Example 6B), followed by l-[bis(dimethylamino)methylene]-lH-l,2,3-triazolo[4,5- )]pyridinium 3-oxid
hexafluorophosphate (39.1 mg, 0.103 mmol, HATU). The reaction mixture was stirred overnight at room temperature, diluted with water and extracted with ethyl acetate. The combined organic layers were washed with saturated aqueous NaCl. The organic layer was dried with MgSC>4, filtered and concentrated under reduced pressure. The residue was purified by HPLC (Waters XBridge™ CI 8 5 μιη OBD™ column, 50 x 100 mm, flow rate 90 mL/minute, 5-95% gradient of CH3CN in buffer (0.1 % CF3C02H/H20 to give 30 mg of the title compound (65.7% yield) as a white solid. XH NMR (400 MHz, OMSO-d6) δ ppm 8.78 - 8.72 (m, 2H), 8.70 (s, 1H), 8.56 - 8.53 (m, 1H), 7.49 (t, J = 8.9 Hz, 1H), 7.06 (dd, J = 11.4, 2.8 Hz, 1H), 6.84 (ddd, J = 9.0, 2.9, 1.2 Hz, 1H), 4.85 (s, 2H), 4.47 (s, 2H), 2.24 (s, 6H). MS (ESI+) m/z 506 (M+NH4)+.
Example 9: 2-(4-chloro-3-fluorophenoxy)-A^-(3-{2-[(lH-indazol-6-yl)oxy]acetamido}- bicyclo[l.l.l]pentan-l-yl)acetamide (Compound 108)
Example 9A: tert-butyl (3-(2-(4-chloro-3-fluorophenoxy)acetamido)bicyclo[l. l. l]pentan-l- yl) carbamate
To a solution of 2-(4-chloro-3-fluorophenoxy)acetic acid (Aldlab Chemicals, 2.01 g, 9.84 mmol) in N,N-dimethylformamide (25 mL) was added N-ethyl-N-isopropylpropan-2- amine (3.96 mL, 22.7 mmol) followed by 2-(3H-[l,2,3]triazolo[4,5-Z>]pyridin-3-yl)-l, 1,3,3- tetramethylisouronium hexafluorophosphate(V) (3.02 g, 7.94 mmol). This mixture was stirred at ambient temperature for 5 minutes, and then tert-butyl (3-aminobicyclo[l . l . l]pentan-l - yl)carbamate (PharmaBlock, 1.5 g, 7.57 mmol) was added. The mixture was allowed to stir at ambient temperature for 16 hours. The reaction mixture was quenched with saturated, aqueous ΝΗ40 (20 mL) and then washed with CH2CI2 (25 mL). The aqueous layer was extracted with CH2CI2 (3 x 5 mL), and the combined organic fractions were dried over anhydrous Na2SC>4, filtered, concentrated under reduced pressure. The residue was purified by column
chromatography (S1O2, 10% ethyl acetate/heptanes to 80% ethyl acetate/heptanes) to give the title compound (2.65 g, 6.89 mmol, 91 % yield). MS (ESI+) m/z 402 (M+NH4)+.
Example 9B: N-(3-aminobicyclo[ 1.1.1 ]pentan-l-yl)-2-(4-chloro-3-fluorophenoxy)acetamide-2 Trifluoroacetic acid
To a solution of the product of Example 9A (0.79 g, 2.05 mmol) in CH2CI2 (7 mL) at ambient temperature was added trifluoroacetic acid (3.16 mL, 41.1 mmol). The mixture was allowed to stir at ambient temperature for 3 hours. The mixture was concentrated under reduced pressure and azeotroped with toluene to give the title compound (1.06 g, 2.07 mmol, 100% yield) which was carried on to the next step without purification. MS (ESI+) m/z 285 (M+H)+.
Example 9C: tert-butyl 2-((lH-indazol-5-yl)oxy)acetate
To a solution of 6-hydroxy-lH-indazole (0.89 g, 6.64 mmol) and tert-butyl bromoacetate (1.07 mL, 7.30 mmol) in dioxane (20 mL) was added potassium
bis(trimethylsilyl)amide (1 M in tetrahydrofuran, 7.96 mL, 7.96 mmol). The mixture was then allowed to stir at ambient temperature for 14 hours. The mixture was quenched with saturated, aqueous NH4CI (5 mL) and diluted with CH2CI2 (5 mL). The layers were separated, and the aqueous layer was extracted with CH2CI2 (3 x 5 mL). The combined organic fractions were dried over anhydrous Na2SC>4, filtered, and concentrated under reduced pressure. The residue was purified via column chromatography (S1O2, 5% ethyl acetate/heptanes to 100% ethyl acetate) to give the title compound (0.56 g, 2.26 mmol, 34% yield). MS (ESI+) m/z 249 (M+H)+.
Example 9D: 2-((lH-indazol-6-yl)oxy)acetic acid - Trifluoroacetic acid
To a solution of the product of Example 9C (0.56 g, 2.26 mmol) in CH2CI2 (10 mL) at ambient temperature was added trifluoroacetic acid (3.92 mL, 50.9 mmol). The mixture was allowed to stir at ambient temperature for 3 hours, and then it was concentrated under reduced pressure and azeotroped with toluene to give the title compound (0.85 g, 2.36 mmol, >100% yield) which was carried on to the next step without purification. MS (ESI+) m/z 193 (M+H)+. Example 9E: 2-(4-chloro-3-fluorophenoxy)-N-(3-{2-[(lH-indazol-6-yl)oxy]acetamido}- bicyclo[ 1.1.1 ]pentan-l-yl)acetamide
To a mixture of the product of Example 9B (0.1 g, 0.195 mmol) and the product of Example 9D (0.090 g, 0.293 mmol) in dimethylacetamide (3 mL) was added N-ethyl-N- isopropylpropan-2-amine (0.136 mL, 0.780 mmol) followed by 2-(3H-[l,2,3]triazolo[4,5- )]pyridin-3-yl)-l,l,3,3-tetramethylisouronium hexafluorophosphate(V) (0.078 g, 0.205 mmol). This mixture was allowed to stir at ambient temperature for 16 hours, and then it was quenched with saturated, aqueous NaHCC (10 mL) and diluted with CH2CI2 (10 mL). The layers were separated, and the aqueous layer was extracted with CH2CI2 (3 x 3 mL). The combined organic fractions were dried over anhydrous Na2SC>4, filtered, and concentrated under reduced pressure. The residue was purified via HPLC (Waters XBridge™ CI 8 5 μιη OBD™ column, 50 x 100 mm, flow rate 90 mL/minute, 20-100% gradient of methanol in buffer (0.025 M aqueous ammonium bicarbonate, adjusted to pH 10 with ammonium hydroxide)) to give the title compound (0.04, 0.087 mmol, 45% yield). lH NMR (400 MHz, DMSO-i¾) δ ppm 12.82 (s, 1H), 8.71 (d, J= 7.7 Hz, 2H), 7.92 (s, 1H), 7.62 (d, J = 8.8 Hz, 1H), 7.48 (t, J = 8.9 Hz, 1H), 7.05 (dd, J= 11.4, 2.9 Hz, 1H), 6.88 (s, 1H), 6.83 (ddt, J = 7.5, 4.6, 1.7 Hz, 2H), 4.46 (d, J = 3.4 Hz, 4H), 2.26 (s, 6H). MS (ESI+) m/z 459 (M+H)+.
Example 10: A V-(bicyclo[l.l.l]pentane-l,3-diyl)bis{2-[(lH-indazol-6-yl)oxy]acetamide} (Compound 109)
Example 10A: tert-butyl (3-(2-((lH-indazol-6-yl)oxy)acetamido)bicyclo[l .1. IJpentan-l- yl) carbamate To a solution of the product of Example 9D (0.20 g, 0.56 mmol) in dimethylacetamide (4 mL) was added N-ethyl-N-isopropylpropan-2-amine (0.26 mL, 1.51 mmol) followed by 2- (3H-[l,2,3]triazolo[4,5- )]pyridin-3-yl)-l,l,3,3-tetramethylisouronium hexafluorophosphate(V) (0.201 g, 0.530 mmol). This mixture was stirred at ambient temperature for 2 minutes then fert-butyl (3-aminobicyclo[l . l . l]pentan-l-yl)carbamate (PharmaBlock, 0.10 g, 0.504 mmol) was added. The mixture was allowed to stir at ambient temperature for 16 hours, and then it was quenched with saturated, aqueous NH4C1 (10 mL), diluted with CH2CI2 (15 mL), and the layers were separated. The aqueous layer was extracted with CH2CI2 (3 x 5 mL), and the combined organic fractions were dried over anhydrous Na2SC>4, filtered, and concentrated under reduced pressure. The residue was purified by HPLC (Waters XBridge™ CI 8 5 μιτι OBD™ column, 50 x 100 mm, flow rate 90 mL/minute, 20-100% gradient of methanol in buffer (0.025 M aqueous ammonium bicarbonate, adjusted to pH 10 with ammonium hydroxide)) to give the title compound (0.12 g, 0.33 mmol, 65% yield). MS (ESI+) m/z 373 (M+H)+.
Example MB: 2-((lH-indazol-6-yl)oxy)-N-(3-aminobicyclo [ 1.1.1 Jpentan-1 -yl)acetamide-3- trifluoroacetic acid
To a solution of the product of Example 10A (0.12 g, 0.33 mmol) in CH2CI2 (3 mL) at ambient temperature was added trifluoroacetic acid (0.51 mL, 6.6 mmol). This mixture was allowed to stir at ambient temperature for 3 hours, and then it was concentrated under reduced pressure and azeotroped with toluene to give the title compound (0.22 g, 0.36 mmol, >100% yield) which was carried on to the next step without purification. MS (ESI+) m/z 273 (M+H)+. Example IOC: N,N'-(bicyclo[ 1.1.1 Jpentane-1, 3-diyl)bis{2-[ ( lH-indazol-6-yl)oxy]acetamide} To a mixture of the product of Example 10B (0.10 g, 0.16 mmol) and the product of Example 9D (0.055 g, 0.18 mmol) in dimethylacetamide (2 mL) was added N-ethyl-N- isopropylpropan-2-amine (0.17 mL, 0.98 mmol) followed by 2-(3H-[l,2,3]triazolo[4,5-)]pyridin-3-yl)-l,l,3,3-tetramethylisouronium hexafluorophosphate(V) (0.065 g, 0.17 mmol). This mixture was allowed to stir at ambient temperature for 16 hours, and it was directly purified via HPLC (Waters XBridge™ C18 5 μιη OBD™ column, 50 x 100 mm, flow rate 90 mL/minute, 20-100% gradient of methanol in buffer (0.025 M aqueous ammonium bicarbonate, adjusted to pH 10 with ammonium hydroxide)) to give the title compound (0.055 g, 0.12 mmol, 76% yield). lH NMR (501 MHz, DMSO-i¾) δ ppm 12.82 (s, 2H), 8.72 (s, 2H), 7.92 (t, J = 1.3 Hz, 2H), 7.62 (d, J = 8.8 Hz, 2H), 6.88 (d, J = 2.1 Hz, 2H), 6.82 (dd, J = 8.8, 2.1 Hz, 2H), 4.47 (s, 4H), 2.27 (s, 6H). MS (ESI+) m/z 445 (M-H)+.
Example 11: 2-(4-chloro-3-fluorophenoxy)-A^-(3-{2-[(3-methyl-l,2-benzoxazol-6- yl)oxy] acetamido}bicyclo [ 1.1.1] pentan- l-yl)acetamide (Compound 110)
Example 11A: tert-butyl 2-((3-methylbenzo[d]isoxazol-6-yl)oxy)acetate
A mixture of 5-hydroxy-3-methylbenzo[cf]isoxazole (Chontech, 1.0 g, 6.70 mmol), potassium carbonate (1.85 g, 13.4 mmol) and fert-butyl bromoacetate (1.03 mL, 7.04 mmol) in N^V-dimethylformamide (20 mL) was warmed to 65 °C and was allowed to stir for 16 hours. The mixture was then quenched with saturated, aqueous NaHCC (10 mL) and diluted with ethyl acetate (10 mL). The layers were separated, and the aqueous layer was extracted with ethyl acetate (3 x 5 mL). The combined organic fractions were dried over anhydrous Na2SC>4, filtered, and concentrated under reduced pressure. The residue was purified via column chromatography (Si02, 5% ethyl acetate/heptanes to 100% ethyl acetate) to give the title compound (1.45 g, 5.51 mmol, 82% yield). MS (ESI+) m/z 264 (M+H)+.
Example 11B: 2-((3-methylbenzo[d]isoxazol-6-yl)oxy)acetic acid
To a solution of the product of Example 11A (1.7 g, 6.46 mmol) in CH2CI2 (25 mL) at ambient temperature was added trifluoroacetic acid (7.46 mL, 97 mmol). The mixture was allowed to stir at ambient temperature for 3 hours. The mixture was concentrated under reduced pressure, and the residue was azeotroped with toluene to give the title compound (1.68 g, 6.49 mmol, 100% yield) which was carried on in the next step without purification. MS (ESI+) m/z 208 (M+H)+.
Example 11 C: 2-( 4-chloro-3-fluorophenoxy)-N-( 3-{2-[ ( 3-methyl-l, 2-benzoxazol-6- yl)oxy]acetamido}bicyclo[ 1.1.1 ] pentan- l-yl)acetamide
To a mixture of the product of Example 9B (0.20 g, 0.390 mmol) and the product of Example 11B (0.204 g, 0.51 mmol) in dimethylacetamide (3 mL) was added N-ethyl-N- isopropylpropan-2-amine (0.272 mL, 1.56 mmol) followed by 2-(3H-[l,2,3]triazolo[4,5- )]pyridin-3-yl)-l,l,3,3-tetramethylisouronium hexafluorophosphate(V) (0.156 g, 0.410 mmol).
This mixture was allowed to stir at ambient temperature for 16 hours then was quenched with saturated, aqueous NaHCCb (10 mL) and diluted with CH2CI2 (10 mL). The layers were separated, and the aqueous layer was extracted with CH2CI2 (3 x 3 mL). The combined organic fractions were dried over anhydrous Na2SC>4, filtered, and concentrated under reduced pressure.
The residue was purified via HPLC (Waters XBridge™ CI 8 5 μιη OBD™ column, 50 x 100 mm, flow rate 90 mL/minute, 20-100% gradient of methanol in buffer (0.025 M aqueous ammonium bicarbonate, adjusted to pH 10 with ammonium hydroxide)) to give the title compound (0.18 g, 0.38 mmol, 97% yield). lH NMR (400 MHz, DMSO-c¾) δ ppm 8.67 (d, J = 2.0 Hz, 2H), 7.52 (d, J= 8.9 Hz, 1H), 7.46 (t, J= 8.9 Hz, 1H), 7.17 (d, J= 2.6 Hz, 1H), 7.04 (dd, J= 11.4, 2.8 Hz, 1H), 6.96 (dd, J= 8.8, 2.6 Hz, 1H), 6.82 (ddd, J= 9.0, 2.9, 1.2 Hz, 1H), 4.44 (d, J= 6.6 Hz, 4H), 2.54 (s, 3H), 2.24 (s, 6H). MS (ESI+) m/z 474 (M+H)+.
Example 12 : 2-(4-chloro-3-fluorophenoxy)-iV-(3- {2- [(4-fluoro-lH-indazol-6- yl)oxy]acetamido}-bicyclo[l.l.l]pentan-l-yl)acetamide (Compound 111)
Example 12A: tert-butyl 2-((4-fluoro-lH-indazol-6-yl)oxy)acetate
A mixture of 4-fluoro-lH-indazol-6-ol (ArkPharm, Inc., 1.0 g, 6.57 mmol), potassium carbonate (1.82 g, 13.2 mmol) and tot-butyl bromoacetate (1.01 mL, 6.90 mmol) in NN- dimethylformamide (15 mL) was warmed to 65 °C and was allowed to stir for 16 hours. The mixture was allowed to cool to ambient temperature and was quenched with saturated, aqueous NaHCCb (10 mL) and diluted with ethyl acetate (10 mL). The layers were separated, and the aqueous layer was extracted with ethyl acetate (3 x 5 mL). The combined organic fractions were dried over anhydrous Na2SC>4, filtered, concentrated under reduced pressure. The residue was purified via column chromatography (Si02, 5% ethyl acetate/heptanes to 100% ethyl acetate) to give the title compound (0.81 g, 3.04 mmol, 46% yield). MS (ESI+) m/z 267 (M+H)+.
Example 12B: 2-((4-fluoro-lH-indazol-6-yl)oxy)acetic acid
To a solution of the product of Example 12A (0.81 g, 3.04 mmol) in CH2CI2 (5 mL) at ambient temperature was added trifluoroacetic acid (2.34 mL, 30.4 mmol). This mixture was allowed to stir at ambient temperature for 4 hours and then was concentrated under reduced pressure. The residue was azeotroped with toluene to give solids which were re-precipitated from ethyl acetate/heptanes to give the title compound (1.31 g, 2.99 mmol, 98% yield). XH NMR (400 MHz, DMSO-c¾) δ ppm 8.03 (s, 1H), 6.72 (t, J= 1.3 Hz, 1H), 6.60 (dd, J= 11.7, 1.8 Hz, 1H), 4.75 (s, 2H).
Example 12C: 2-(4-chloro-3-fluorophenoxy)-N-(3-{2-[(4-fluoro-lH-indazol-6- yl)oxy]acetamido}bicyclo[ 1.1.1 Jpentan-1 -yljacetamide
To a mixture of the product of Example 9B (0.15 g, 0.29 mmol) and the product of
Example 12B (0.14 g, 0.32 mmol) in N,N-dimethylformamide (3 mL) was added N-ethyl-N- isopropylpropan-2-amine (0.20 mL, 1.17 mmol) followed by 2-(3H-[l,2,3]triazolo[4,5- )]pyridin-3-yl)-l,l,3,3-tetramethylisouronium hexafluorophosphate(V) (0.18 g, 0.31 mmol). This mixture was allowed to stir at ambient temperature for 16 hours then was quenched with saturated, aqueous NaHCCb (10 mL) and diluted with CH2CI2 (10 mL). The layers were separated, and the aqueous layer was extracted with CH2CI2 (3 x 3 mL). The combined organic fractions were dried over anhydrous Na2SC>4, filtered, and concentrated under reduced pressure. The residue was purified via column chromatography (S1O2, 75% ethyl acetate/heptanes) to give the title compound (0.11 g, 0.23 mmol, 79% yield). XH NMR (500 MHz, DMSO-c¾) δ ppm 13.19 (s, 1H), 8.75 (d, J = 12.0 Hz, 2H), 8.06 (s, 1H), 7.50 (t, J= 8.9 Hz, 1H), 7.08 (dd, J = 11.4, 2.8 Hz, 1H), 6.86 (ddd, J= 8.9, 2.9, 1.2 Hz, 1H), 6.78 (t, J = 1.4 Hz, 1H), 6.69 (dd, J = 11.6, 1.8 Hz, 1H), 4.52 (s, 2H), 4.49 (s, 2H), 2.28 (s, 6H). MS (ESI+) m/z 475 (M+H)+.
Example 13: A V-(bicyclo[l.l.l]pentane-l,3-diyl)bis[2-(4-chlorophenoxy)acetamide] (Compound 112)
Bicyclo[l. l. l]pentane-l,3-diamine dihydrochloride (Pharmablock, 2.588 g, 15.13 mmol) in tetrahydrofuran/water (1/1, 60 mL) was treated with potassium carbonate (10.45 g, 76 mmol), cooled to 0°C and then treated with 2-(4-chlorophenoxy)acetyl chloride (4.72 mL, 30.3 mmol). The reaction mixture was stirred at ambient temperature for 2 hours. The precipitate was collected by filtration, washed with water and hexane, and air dried to provide 5.635 g (86%) of the title compound. Ti NMR (400 MHz, DMSO-c¾) δ ppm 8.66 (s, 2H), 7.42 - 7.26 (m, 4H), 7.00 - 6.87 (m, 4H), 4.39 (s, 4H), 2.23 (s, 6H). MS (APCI) m/z 436 (M+H)+.
Example 14: 2-(4-chlorophenoxy)-iV-(3-{[2-(4-chlorophenoxy)ethyl]amino}bicyclo- [l.l.l]pentan-l-yl)acetamide (Compound 113)
Example 14A: tert-butyl (3-(2-(4-chlorophenoxy)acetamido)bicyclo[l. l. l]pentan-l- yl) carbamate
fert-Butyl (3-aminobicyclo[l . l . l]pentan-l-yl)carbamate hydrochloride (Pharmablock, 0.469 g, 2 mmol) in tetrahydrofuran/water (1/1, 6 mL) was treated with potassium carbonate (0.732 g, 5.30 mmol), cooled to 0 °C, and then treated with 2-(4-chlorophenoxy)acetyl chloride (0.312 mL, 2 mmol). The reaction mixture was stirred at ambient temperature for 2 hours. The resultant precipitate was collected by filtration, washed with water and hexane, and air dried to provide 0.471 g (57.4%) of the title compound. MS (APCI) m/z 367 (M+H)+.
Example 14B: N-(3-aminobicyclo[ 1.1.1 ]pentan-l-yl)-2-(4-chlorophenoxy)acetamide A solution of Example 14A (0.471 g, 1.148 mmol) in dioxane (3 mL) was treated with 4 N HC1 in dioxane (3 mL) and stirred at 25 °C for 20 hours. The reaction mixture was concentrated to provide 0.347 g (100%) of the title compound. MS (APCI) m/z 267 (M+H)+. Example 14C: 2-(4-chlorophenoxy)-N-(3-{[2-(4-chlorophenoxy)ethyl]amino}bicyclo- [l. l. l]pentan-l-yl)acetamide
A solution of Example 14B (0.1 g, 0.33 mmol) and 2-(4-chlorophenoxy)acetaldehyde (0.051 g, 0.3 mmol) in methanolic pH4 buffer (2 mL) was stirred at ambient temperature for 1 hour and then treated with sodium cyanoborohydrate (0.062 g, 0.99 mmol). The reaction mixture was stirred for 20 hours and then partitioned between dichloromethane (20 mL) and water (20 mL). The aqueous layer was extracted with dichloromethane (3 x 20 mL). The combined organic layers were washed with brine (2 x 30 mL), dried (Na2SC>4), filtered and concentrated under reduced pressure. The residue was purified by HPLC (Phenomenex® Luna® C18(2) 5 μιη 100 A AXIA™ column 250 mm χ 21.2 mm, flow rate 25 mL/minute, 10- 80% gradient of acetonitrile in buffer (0.1% trifluoroacetic acid in water)) to provide 0.076 g (60%) of the title compound. lH NMR (501 MHz, DMSO-c¾) δ ppm 8.83 (s, 1H), 7.41 - 7.25 (m, 4H), 7.06 - 6.92 (m, 4H), 4.44 (s, 2H), 4.15 (t, J= 5.1 Hz, 2H), 3.28 - 3.24 (m, 2H), 2.24 (s, 6H). MS (APCI) m/z 422 (M+H)+.
Example 15: 2-(4-chlorophenoxy)-iV-{3-[2-(3-methylphenoxy)acetamido]bicyclo[l.l.l]- pentan-l-yl}acetamide (Compound 114)
To a solution of 2-(m-tolyloxy)acetic acid (13.7 mg, 0.0801 mmol) in N,N- dimethylacetamide (0.5 mL) was added N,N-diisopropylethylamine (0.052 mL, 0.299 mmol), l-[bis(dimethylamino)methylene]-lH-l,2,3-triazolo[4,5-/)]pyridinium 3-oxid
hexafluorophosphate (71.3 mg, 0.187 mmol) and Example 14B (20.1 mg, 0.0701 mmol). The reaction was stirred at ambient temperature for 18 hours. The crude reaction was purified by HPLC (2-coupled C8 5 μπι 100 A columns 30 mm χ 75 mm each, flow rate of 50 mL/minute, 5-90% gradient of acetonitrile in buffer (0.1% trifluoroacetic acid in water)). XH NMR (400 MHz, DMSO-c¾) δ ppm 8.74 (d, J = 17.9 Hz, 2H), 7.39 - 7.27 (m, 2H), 7.16 (t, J = 8.1 Hz, 1H), 7.05 - 6.91 (m, 2H), 6.86 - 6.64 (m, 3H), 4.39 (d, J = 16.7 Hz, 4H), 2.26 (m, 9H). MS (APCI) m/z 415.370 (M+H)+.
Example 16: 2-(4-chlorophenoxy)-A/-{3-[2-(4-methylphenoxy)acetamido]bicyclo- [l.l.l]pentan-l-yl}acetamide (Compound 115) The title compound was prepared using the method described in Example 15 by replacing 2-(m-tolyloxy)acetic acid with 2-(/ tolyloxy)acetic acid (13.7 mg, 0.0801 mmol). XH NMR (400 MHz, DMSO-c¾) δ ppm 7.38 - 7.27 (m, 2H), 7.12 - 7.05 (m, 2H), 7.00 - 6.94 (m, 2H), 6.86 - 6.81 (m, 2H), 4.38 (d, J = 24.1 Hz, 4H), 2.26 (s, 6H), 2.22 (s, 3H). MS (APCI) m/z 415.330 (M+H)+.
Example 17: 2-(4-chloro-3-methylphenoxy)-A^-{3-[2-(4-chlorophenoxy)acetamido]bicyclo- [l.l.l]pentan-l-yl}acetamide (Compound 116)
The title compound was prepared using the method described in Example 15 by replacing 2-(m-tolyloxy)acetic acid with 2-(4-chloro-3-methylphenoxy)acetic acid (16.6 mg, 0.0801 mmol). lH NMR (400 MHz, DMSO-c¾) δ ppm 8.76 (d, J = 7.9 Hz, 2H), 7.37 - 7.25 (m, 3H), 6.97 (m, 3H), 6.97 (dd, J = 9.5, 2.8 Hz, 1H), 4.40 (d, J = 8.2 Hz, 4H), 2.27 (m, J = 5.1 Hz, 9H). MS (APCI) m/z 449.2 (M+H)+.
Example 18: 2-(4-chlorophenoxy)-A^-{3-[2-(3,4-dichlorophenoxy)acetamido]bicyclo- [l.l.l]pentan-l-yl}acetamide (Compound 117)
The title compound was prepared using the method described in Example 15 by replacing 2-(m-tolyloxy)acetic acid with 2-(3,4-dichlorophenoxy)acetic acid (18.2 mg, 0.0801 mmol). lH NMR (400 MHz, DMSO-c¾) δ ppm 7.52 (dd, J = 8.9, 4.6 Hz, 2H), 7.36 - 7.30 (m, 2H), 7.23 (t, J = 3.3 Hz, 1H), 7.00 - 6.94 (m, 4H), 4.44 (d, J = 20.4 Hz, 4H), 2.26 (s, 6H). MS (APCI) m/z 469.230 (M+H)+.
Example 19: 2-(4-chlorophenoxy)-iV-{3-[2-(3-chlorophenoxy)acetamido]bicyclo- [l.l.l]pentan-l-yl}acetamide (Compound 118)
The title compound was prepared using the method described in Example 15 by replacing 2-(m-tolyloxy)acetic acid with 2-(3-chlorophenoxy)acetic acid (15.4 mg, 0.0801 mmol). lH NMR (400 MHz, DMSO-c¾) δ ppm 8.78 (d, J = 5.1 Hz, 2H), 7.36 - 7.27 (m, 3H), 7.06 - 6.88 (m, 6H), 4.43 (d, J = 12.4 Hz, 4H), 2.27 (s, 6H). MS (APCI) m/z 435.280 (M+H)+. Example 20: 2-(4-chlorophenoxy)-iV-{3-[2-(3-fluorophenoxy)acetamido]- bicyclo[l.l.l]pentan-l-yl}acetamide (Compound 119)
The title compound was prepared using the method described in Example 15 by replacing 2-(m-tolyloxy)acetic acid with 2-(3-fluorophenoxy)acetic acid (14.1 mg, 0.0801 mmol). lH NMR (400 MHz, DMSO-c¾) δ ppm 7.37 - 7.28 (m, 3H), 7.00 - 6.93 (m, 2H), 6.85 - 6.75 (m, 3H), 4.43 (d, J = 8.7 Hz, 4H), 2.27 (s, 6H). MS (APCI) m/z 419.280 (M+H)+. Example 21: 2-(4-chlorophenoxy)-A^-{3-[2-(4-fluorophenoxy)acetamido]bicyclo- [l.l.l]pentan-l-yl}acetamide (Compound 120)
The title compound was prepared using the method described in Example 15 by replacing 2-(m-tolyloxy)acetic acid with 2-(4-fluorophenoxy)acetic acid (14.1 mg, 0.0801 mmol). XH NMR (400 MHz, DMSO-c¾) δ ppm 8.76 (d, J = 6.9 Hz, 1H), 7.37 - 7.28 (m, 2H), 7.17 - 7.06 (m, 2H), 7.02 - 6.92 (m, 4H), 4.40 (d, J = 10.8 Hz, 4H), 2.26 (s, 6H). MS (APCI) m/z 419.260 (M+H)+.
Example 22 : 2-(4-chloro-3-fluorophenoxy)-iV- {3- [2-(3,4-dichlorophenoxy)acetamido] - bicyclo[l.l.l]pentan-l-yl}acetamide (Compound 121)
Example 22A: tert-butyl (3-(2-(3, 4-dichlorophenoxy)acetamido)bicyclo[ 1.1.1 Jpentan-1- yl) carbamate
To a solution of 2-(3,4-dichlorophenoxy)acetic acid (3.53 g, 15.98 mmol) and tert-butyl (3-aminobicyclo[l. l . l]pentan-l-yl)carbamate (Pharmablock, 3.2 g, 14.53 mmol) in N,N- dimethylformamide (50 mL) was added N,N-diisopropylethylamine (12.69 mL, 72.6 mmol) and fluoro-N,N,N,N-tetramethylformamidinium hexafiuorophosphate (8.28 g, 21.79 mmol) at ambient temperature under nitrogen. The resulting mixture was stirred, diluted with water (300 mL) and extracted with ethyl acetate (3 x 200 mL). The combined organic layer was washed with brine (3 x 100 mL), dried (Na2SC>4), filtered, and concentrated under reduced pressure. The residue was treated with methyl tert-butyl ether (15 mL) and dried under high vacuum to provide 4.2 g (72.3%) of the title compound as a yellow solid. MS (APCI) m/z 402 (M+H)+. Example 22B: N-(3-aminobicyclo[ 1.1.1 ]pentan-l-yl)-2-(3, 4-dichlorophenoxy)acetamide
To a solution of Example 22A (5.5 g, 13.57 mmol) in dichloromethane (100 mL) was added trifluoroacetic acid (30 mL, 389 mmol) at 0 °C. The mixture was stirred at ambient temperature for 12 hours. The mixture was concentrated under reduced pressure, and the residue was diluted with water (300 mL). The aqueous phase was adjusted to pH= 8 with saturated NaHCCb, and extracted with dichloromethane (4 x 150 mL). The combined organic layer was dried (Na2SC>4), filtered, and concentrated under reduced pressure to provide 4 g (87%) of the title compound as off white solid. MS (APCI) m/z 302 (M+H)+.
Example 22C: 2-(4-chloro-3-fluorophenoxy)-N-{ 3-[ 2-(3, 4-dichlorophenoxy)acetamido ]- bicyclo[ 1.1.1 Jpentan-l-yljacetamide
To a solution of 2-(4-chloro-3-fluorophenoxy)acetic acid (0.033 g, 0.161 mmol) in N,N- dimethylformamide (1 mL) was added N,N-diisopropylethylamine (0.064 mL, 0.366 mmol), 1- [bis(dimethylamino)methylene]-lH-l ,2,3-triazolo[4,5- )]pyridinium 3-oxid hexafluorophosphate (0.061 g, 0.161 mmol) and Example 22B (0.044 g, 0.146 mmol). The reaction mixture was stirred at room temperature for 18 hours and concentrated. HPLC purification (Phenomenex® Luna® CI 8(2) 5 μιη 100 A AXIA™ column 250 mm χ 21.2 mm, flow rate 25 mL/minute, 10-80% gradient of acetonitrile in buffer (0.1% trifluoroacetic acid in water)) afforded the title compound. l NMR (501 MHz, DMSO-c¾) δ ppm 8.72 (s, 2H), 7.55 (d, J = 8.9 Hz, 1H), 7.49 (t, J = 8.9 Hz, 1H), 7.26 (d, J = 2.9 Hz, 1H), 7.07 (dd, J = 1 1.4, 2.8 Hz, 1H), 6.99 (dd, J = 8.9, 2.9 Hz, 1H), 6.85 (ddd, J = 9.0, 2.8, 1.2 Hz, 1H), 4.49 (s, 2H), 4.48 (s, 2H), 2.27 (s, 6H). MS (APCI) m/z 489 (M+H)+.
Example 23: 2-(4-chloro-2-fluorophenoxy)-iV-{3-[2-(3,4-dichlorophenoxy)acetamido]- bicyclo[l.l.l]pentan-l-yl}acetamide (Compound 122)
The title compound was prepared using the method described in Example 22C by replacing 2-(4-chloro-3-fluorophenoxy)acetic acid with 2-(4-chloro-2-fluorophenoxy)acetic acid (33 mg, 0.161 mmol). XH NMR (400 MHz, DMSO-c¾) δ ppm 8.76 - 8.66 (m, 2H), 7.54 (d, J = 9.0 Hz, 1H), 7.45 (dd, J = 11.2, 2.5 Hz, 1H), 7.26 (d, J = 2.9 Hz, 1H), 7.24 - 7.18 (m, 1H), 7.08 (t, J = 9.0 Hz, 1H), 6.98 (dd, J = 8.9, 2.9 Hz, 1H), 4.54 (s, 2H), 4.48 (s, 2H), 2.25 (s, 6H). MS (APCI) m/z 489 (M+H)+.
Example 24 : N-(3- { [2-(4-chloro-2-fluorophenoxy)ethyl] amino J bicyclo [1.1.1] pentan- 1-yl)- 2-(3,4-dichlorophenoxy)acetamide (Compound 123)
Example 24A: l-(2-bromoethoxy)-4-chloro-2-fluorobenzene
A suspension of 4-chloro-2-fluorophenol (0.88 g, 6 mmol) and potassium carbonate (1.244 g, 9 mmol) in acetonitrile (20 mL) was treated with 1,2-dibromoethane (2.56 mL, 24 mmol) and stirred at 90 °C for 2 days. The reaction mixture was concentrated, washed with water and extracted twice with dichloromethane. The combined organic extracts were dried (Na2SC>4), filtered, and then concentrated under reduced pressure to provide the title compound. MS (APCI) m/z 254 (M+H)+.
Example 24B: N-(3-{[2-(4-chloro-2-fluorophenoxy)ethyl]amino}bicyclo[ 1.1.1 ]pentan-l-yl)-2- ( 3, 4-dichlorophenoxy)acetamide
A suspension of Example 24A (0.05 g, 0.148 mmol) and Example 22B (0.038 g, 0.148 mmol) in N,N-dimethylformamide (1 mL) was treated with potassium carbonate (0.051 g, 0.37 mmol) and stirred at 90 °C for 18 hours. The reaction mixture was concentrated and purified on HPLC (Phenomenex® Luna® CI 8(2) 5 μιη 100 A AXIA™ column 250 mm χ 21.2 mm, flow rate 25 mL/minute, 10-80% gradient of acetonitrile in buffer (0.1% trifluoroacetic acid in water)) to provide the title compound. XH NMR (400 MHz, DMSO-c¾) δ ppm 8.89 (s, 1H), 7.56 (d, J = 8.9 Hz, 1H), 7.49 (dd, J= 11.0, 1.9 Hz, 1H), 7.33 - 7.21 (m, 3H), 6.99 (dd, J = 8.9, 2.9 Hz, 1H), 4.53 (s, 2H), 4.27 (t, J = 5.0 Hz, 2H), 2.29 (s, 6H). MS (APCI) m/z 475 (M+H)+. Example 25: iV-(3-{[2-(4-chloro-3-fluorophenoxy)ethyl]amino}bicyclo[l.l.l]pentan-l-yl)- 2-(3,4-dichlorophenoxy)acetamide (Compound 124)
Example 25A: l-(2-bromoethoxy)-4-chloro-3-fluorobenzene
The title compound was prepared using the method described in Example 24A by replacing 4-chloro-2-fluorophenol with 4-chloro-3-fluorophenol (0.88 g, 6 mmol). MS (APCI) m/z 254 (M+H)+.
Example 25B: N-(3-{[2-(4-chloro-3-fluorophenoxy)ethyl]amino}bicyclo[l. l. l]pentan-l-yl)-2- ( 3, 4-dichlorophenoxy)acetamide
The title compound was prepared using the method described in Example 24B by replacing l-(2-bromoethoxy)-4-chloro-2-fluorobenzene with l-(2-bromoethoxy)-4-chloro-3- fluorobenzene (0.05 g, 0.148 mmol). XH NMR (400 MHz, DMSO-c¾) δ ppm 8.91 (s, 1H), 7.59 - 7.50 (m, 2H), 7.26 (d, J= 2.9 Hz, 1H), 7.13 (dd, J= 11.3, 2.9 Hz, 1H), 6.99 (dd, J= 8.9, 2.9 Hz, 1H), 6.90 (ddd, J = 9.0, 2.9, 1.2 Hz, 1H), 4.53 (s, 2H), 4.23 (t, J = 4.9 Hz, 2H), 2.31 (s, 6H). MS (APCI) m/z 475 (M+H)+.
Example 26: 2-(3,4-dichlorophenoxy)-ZV-(3-{ [2-(3,4-dichlorophenoxy)ethyl]amino}- bicyclo[l.l.l]pentan-l-yl)acetamide (Compound 125)
Example 26A: 4-(2-bromoethoxy)-l,2-dichlorobenzene
The title compound was prepared using the method described in Example 24A by replacing 4-chloro-2-fluorophenol with 3,4-dichlorophenol (0.88 g, 6 mmol). MS (APCI) m/z 270 (M+H)+.
Example 26B: 2-(3, 4-dichlorophenoxy)-N-(3-{[2-(3, 4-dichlorophenoxy)ethyl]amino}- bicyclo[ 1.1.1 ] pentan- l-yl)acetamide
The title compound was prepared using the method described in Example 24B by replacing l-(2-bromoethoxy)-4-chloro-2-fluorobenzene with 4-(2-bromoethoxy)-l,2- dichlorobenzene (0.05 g, 0.148 mmol). ¾ NMR (501 MHz, DMSO-c¾) δ ppm 8.90 (s, 1H), 7.57 (dd, J= 12.2, 8.9 Hz, 2H), 7.28 (dd, J = 18.4, 2.9 Hz, 2H), 7.01 (ddd, J = 18.0, 8.9, 2.9 Hz,
2H), 4.53 (s, 2H), 4.24 (t, J = 5.0 Hz, 2H), 2.30 (s, 6H); ). MS (APCI) m/z 491 (M+H)+. Example 27: 2-(4-chloro-3-fluorophenoxy)-iV-{3-[2-(4-chloro-3- methoxyphenoxy)acetamido]-bicyclo[l.l.l]pentan-l-yl}acetamide (Compound 126)
Example 27A: tert-butyl 2-(4-chloro-3-methoxyphenoxy)acetate
A solution of 4-chloro-3-methoxyphenol (lg, 6.31 mmol) in N,N-dimethylformamide (10 mL) was treated with tert-butyl 2-bromoacetate (1.024 mL, 6.94 mmol) and potassium carbonate (1.743 g, 12.61 mmol) and heated at 65 °C for 2 hours. The reaction mixture was diluted with ethyl acetate and washed with water twice. The organic extract was dried (Na2SC>4), filtered and concentrated to provide 1.72 g (100%) of the title compound. MS (APCI) m/z 273 (M+H)+.
Example 27B: 2-(4-chloro-3-methoxyphenoxy)acetic acid
A solution of Example 27A (1.72 g, 6.31 mmol) in dioxane (8 mL) was treated with 4 N HCl in dioxane (8 mL) and stirred at 25 °C for 4 hours. The reaction mixture was concentrated to provide the title compound (1.365 g, 100%). MS (APCI) m/z 173 (M+H)+.
Example 27C: tert-butyl (3-(2-(4-chloro-3-fluorophenoxy)acetamido)bicyclo[l. l. l]pentan-l- yl) carbamate
To solution of 2-(4-chloro-3-fluorophenoxy)acetic acid (6.09 g, 29.8 mmol) and tert- butyl (3-aminobicyclo[l. l. l]pentan-l-yl)carbamate (Pharmablock, 5.9 g, 29.8 mmol) in N,N- dimethylformamide (70 mL) was added N,N-diisopropylethylamine (15.59 mL, 89 mmol) and 2-(7-aza-lH-benzotriazole-l-yl)-l,l,3,3-tetramethyluronium hexafluorophosphate (16.97 g, 44.6 mmol) under nitrogen. The resulting mixture was stirred at ambient temperature for 12 hours, diluted with water (300 mL), and extracted with ethyl acetate (3 x 200 mL). The combined organic layer was washed with brine (3 x 100 mL), dried Na2S04), filtered, and concentrated under reduced pressure. The residue was treated with methyl tert-butyl ether (15 mL), and the resultant solid was dried under high vacuum to provide 6.07 g (53%) of the title compound as a white solid. MS (APCI) m/z 385 (M+H)+.
Example 27D: N-(3-aminobicyclo[ 1.1.1 ]pentan-l-yl)-2-(4-chloro-3-fluorophenoxy)acetamide
To solution of Example 27C (9 g, 23.39 mmol) in dichloromethane (100 mL) was added trifluoroacetic acid (30 mL, 389 mmol) at 0 °C The mixture was stirred at ambient temperature for 12 hours. The mixture was concentrated under reduced pressure, and the residue was diluted with water (300 mL). The aqueous phase was adjusted to pH= 8 with
NaHCCb and then extracted with dichloromethane (4 x 150 mL). The combined organic layer was dried (Na2SC>4) and concentrated under reduced pressure to provide 6 g (90%) of the title compound as a white solid. MS (APCI) m/z 285 (M+H)+
Example 27E: 2-(4-chloro-3-fluorophenoxy)-N-{3-[2-(4-chloro-3- methoxyphenoxyjacetamido ]-bicyclo[ 1.1.1 Jpentan-l-yljacetamide
To solution of Example 27B (0.037 g, 0.171 mmol) and Example 27D (0.05 g, 0.156 mmol) in N,N-dimethylformamide (1 mL) was added N,N-diisopropylethylamine (0.07 mL, 0.39 mmol) and 2-(7-aza-lH-benzotriazole-l-yl)-l,l,3,3-tetramethyluronium
hexafluorophosphate (0.065 g, 0.171 mmol) under nitrogen. The resulting mixture was stirred at ambient temperature for 12 hours and concentrated. The residue was taken into methanol (1 mL)/dimethyl sulfoxide (1 mL), and the precipitate was collected by filtration. The precipitate was washed with methanol (2 mL) and dried under high vacuum to provide the title compound (0.02 g, 27%) as a white solid. l NMR (400 MHz, DMSO-i¾) δ ppm 8.71 (s, 1H), 8.69 (s, 1H), 7.50 (t, J = 8.8 Hz, 1H), 7.31 (d, J= 8.7 Hz, 1H), 7.07 (dd, J= 11.4, 2.9 Hz, 1H), 6.85 (dd, J = 8.9, 2.7 Hz, 1H), 6.76 (d, J = 2.7 Hz, 1H), 6.54 (dd, J= 8.7, 2.7 Hz, 1H), 4.48 (s, 2H), 4.44 (s, 2H), 3.83 (s, 3H), 2.27 (s, 6H). MS (APCI) m/z 484 (M+H)+.
Example 28: 2-(4-chloro-3-fluorophenoxy)-A^-(3-{2-[4-(methanesulfonyl)- phenoxy]acetamido}-bicyclo[l.l.l]pentan-l-yl)acetamide (Compound 127)
Example 28A: 2-chloro-N-(3-(2-(4-chloro-3-fluorophenoxy)acetamido)bicyclo[ 1.1.1 Jpentan-l- yljacetamide
A solution of Example 27D (0.93 g, 2.90 mmol) in tetrahydrofuran (5 mL) and water (5 mL) was treated with potassium carbonate (1 g, 7.24 mmol), cooled to 0 °C and treated with 2- chloroacetyl chloride (0.254 mL, 3.19 mmol). The reaction mixture was stirred at 25 °C for 2 hours and filtered. The precipitate was washed with water and dried in a vacuum oven to provide the title compound (0.853 g, 82%). MS (APCI) m/z 362 (M+H)+.
Example 28B: 2-(4-chloro-3-fluorophenoxy)-N-(3-{2-[4-
(methanesulfonyl)phenoxy]acetamido}bicyclo[ 1.1.1 Jpentan-1 -yljacetamide
A suspension of Example 28A (0.03 g, 0.083 mmol), 4-(methylsulfonyl)phenol (28.6 mg, 0.166 mmol), potassium carbonate (0.023 g, 0.166 mmol) and potassium iodide (0.002 g, 0.009 mmol) in acetonitrile (1 mL) was heated in microwave reactor (Personal Chemistry, 300 W) oven at 140 °C for 45 minutes. The reaction mixture was filtered, washed with acetonitrile and the filtrate was concentrated. The residue was purified on HPLC (Phenomenex® Luna® C18(2) 5 μιη 100 A AXIA™ column 250 mm χ 21.2 mm, flow rate 25 mL/minute, 10-80% gradient of acetonitrile in buffer (0.1% trifiuoroacetic acid in water)) to provide 0.021 g (51%) of the title compound. lH NMR (400 MHz, DMSO-c¾) δ ppm 8.77 (s, 1H), 8.71 (s, 1H), 7.92 - 7.81 (m, 2H), 7.49 (t, J = 8.9 Hz, 1H), 7.19 - 7.14 (m, 1H), 7.07 (dd, J = 11.4, 2.8 Hz, 2H), 6.85 (ddd, J = 9.0, 2.9, 1.2 Hz, 1H), 4.57 (s, 2H), 4.48 (s, 2H), 3.16 (s, 3H), 2.27 (s, 6H). MS (APCI) m/z 498 (M+H)+.
Example 29 : 2-(4-chloro-3-fluorophenoxy)-iV-(3- {2- [(6-methylpyridin-2- yl)methoxy] acetamido}bicyclo [ 1.1.1] pentan- l-yl)acetamide (Compound 128)
A solution of (6-methylpyridin-2-yl) methanol (39 mg, 6.5 equivalent, 0.31 mmol) in dimethylformamide (0.3 mL) was treated with sodium hydride (10 mg, 0.36 mmol), and the mixture was stirred for 30 minutes. A solution of Example 28A (18 mg, 0.048 mmol) in dimethylformamide (0.250 mL) was added to the mixture. The reaction mixture was stirred for 1 hour, filtered and concentrated to dryness. The residue was dissolved in 1 : 1 dimethyl sulfoxide/methanol and purified by reverse phase HPLC (2-coupled C8 5 μιτι 100 A columns 30 mm χ 75 mm each, flow rate of 50 mL/minute, 5-90% gradient of acetonitrile in buffer (0.1 % trifiuoroacetic acid in water)) to provide the title compound. XH NMR (500 MHz,
DMSO-c¾) δ ppm 8.34 (t, J = 7.9 Hz, 1H), 7.77 (dd, J = 22.4, 7.9 Hz, 2H), 7.47 (t, J = 8.9 Hz, 1H), 7.04 (dd, J = 11.3, 2.8 Hz, 1H), 6.84 (ddd, J = 9.0, 2.9, 1.2 Hz, 1H), 4.82 (s, 2H), 4.45 (s, 2H), 4.04 (s, 2H), 2.69 (s, 3H), 2.26 (s, 6H). MS (APCI+) m/z 448.3 (M+H)+.
Example 30: 2-(4-chloro-3-fluorophenoxy)-iV-(3-{2-[(3- fluorophenyl)methoxy]acetamido}-bicyclo[l.l.l]pentan-l-yl)acetamide (Compound 129) The title compound was prepared according to the method described in Example 29 replacing (6-methylpyridin-2-yl) methanol with (3-fluorophenyl)methanol (40 mg, 0.31 mmol). lH NMR (500 MHz, DMSO-c¾) δ ppm 8.79 (s, 1H), 8.47 (s, 1H), 7.47 (t, J = 8.9 Hz, 1H), 7.43 - 7.35 (m, 1H), 7.24 - 7.16 (m, 2H), 7.16 - 7.07 (m, 1H), 7.04 (dd, J = 11.3, 2.9 Hz, 1H), 6.84 (ddd, J = 9.0, 2.9, 1.2 Hz, 1H), 4.53 (s, 2H), 4.45 (s, 2H), 3.85 (s, 2H), 2.24 (s, 6H). MS (APCI+) m/z 451.3 (M+H)+.
Example 31: 2-(4-chloro-3-fluorophenoxy)-iV-(3-{2-[(4- chlorophenyl)methoxy]acetamido}-bicyclo[l.l.l]pentan-l-yl)acetamide (Compound 130)
The title compound was prepared according to the method described in Example 29 replacing (6-methylpyridin-2-yl) methanol with (4-chlorophenyl)methanol (45 mg, 0.31 mmol). lH NMR (500 MHz, DMSO-c¾) δ ppm 7.48 (d, J = 8.8 Hz, 1H), 7.46 - 7.36 (m, 4H), 7.11 - 7.03 (m, 1H), 6.90 - 6.83 (m, 1H), 4.50 (s, 2H), 4.45 (s, 2H), 3.83 (s, 2H), 2.24 (s, 6H). MS (APCI+) m/z 467.3 (M+H)+.
Example 32: 2-(4-chloro-3-fluorophenoxy)-iV-(3-{2-[(3- chlorophenyl)methoxy] acetamido }-bicyclo [1.1.1] pentan-l-yl)acetamide (Compound 131)
The title compound was prepared according to the method described in Example 29 replacing (6-methylpyridin-2-yl) methanol with (3-chlorophenyl)methanol (45 mg, 0.31 mmol). XH NMR (500 MHz, DMSO-c¾) δ ppm 7.51 - 7.28 (m, 5H), 7.04 (dd, J = 11.3, 2.8 Hz, 1H), 6.84 (ddd, J = 8.9, 2.9, 1.2 Hz, 1H), 4.51 (s, 2H), 4.45 (s, 2H), 3.85 (s, 2H), 2.24 (s, 6H). MS (APCI+) m/z 467.3 (M+H)+.
Example 33: 2-(4-chloro-3-fluorophenoxy)-iV-(3-{2-[2-(3- fluorophenyl)ethoxy]acetamido}-bicyclo[l.l.l]pentan-l-yl)acetamide (Compound 132)
The title compound was prepared according to the method described in Example 29 replacing (6-methylpyridin-2-yl) methanol with 2-(3-fluorophenyl)ethanol (45 mg, 0.31 mmol). XH NMR (500 MHz, DMSO-c¾) δ ppm 7.47 (t, J = 8.9 Hz, 1H), 7.32 (td, J = 8.1, 6.4 Hz, 1H), 7.12 - 6.97 (m, 4H), 6.84 (ddd, J = 9.0, 2.9, 1.2 Hz, 1H), 4.45 (s, 2H), 3.80 (s, 2H), 3.64 (t, J =
6.7 Hz, 2H), 2.85 (t, J = 6.6 Hz, 2H), 2.22 (s, 6H). MS (APCI+) m/z 465.3 (M+H)+.
Example 34: 2-(4-chloro-3-fluorophenoxy)-iV-(3-{2-[2-(3- chlorophenyl)ethoxy]acetamido}-bicyclo[l.l.l]pentan-l-yl)acetamide (Compound 133)
The title compound was prepared according to the method described in Example 29 replacing (6-methylpyridin-2-yl) methanol with 2-(3-chlorophenyl)ethanol (49 mg, 0.31 mmol). XH NMR (500 MHz, DMSO-c¾) δ ppm 7.48 (d, J = 8.9 Hz, 1H), 7.32 (dd, J = 4.8, 2.9 Hz, 2H), 7.32 - 7.22 (m, 2H), 7.09 - 7.03 (m, 1H), 6.84 (ddd, J = 8.9, 2.9, 1.2 Hz, 1H), 4.45 (s, 2H), 3.79 (s, 2H), 3.64 (d, J = 6.7 Hz, 2H), 2.85 (d, J = 6.6 Hz, 1H), 2.22 (s, 6H). MS (APCI+) m/z 481.3 (M+H)+.
Example 35: 2-(4-chloro-3-fluorophenoxy)-iV-(3-{2-[2-(4- fluorophenyl)ethoxy]acetamido}-bicyclo[l.l.l]pentan-l-yl)acetamide (Compound 134)
The title compound was prepared according to the method described in Example 29 replacing (6-methylpyridin-2-yl) methanol with 2-(4-fluorophenyl)ethanol (44 mg, 0.31 mmol). XH NMR (500 MHz, DMSO-c¾) δ ppm 7.48 (d, J = 8.8 Hz, 1H), 7.35 - 7.25 (m, 2H), 7.17 - 7.09 (m, 1H), 7.08 - 7.02 (m, 1H), 6.91 - 6.83 (m, 1H), 4.45 (s, 2H), 3.80 (s, 2H), 3.62 (d, J =
6.8 Hz, 2H), 2.83 (d, J = 6.7 Hz, 1H), 2.21 (s, 6H). MS (APCI+) m/z 465.3 (M+H)+. Example 36: 2-(4-chloro-3-fluorophenoxy)-iV-(3-{2-[2-(4- chlorophenyl)ethoxy]acetamido}-bicyclo[l.l.l]pentan-l-yl)acetamide (Compound 135)
The title compound was prepared according to the method described in Example 29 replacing (6-methylpyridin-2-yl) methanol with 2-(4-chlorophenyl)ethanol (49 mg, 0.31 mmol). XH NMR (500 MHz, DMSO-c¾) δ ppm 7.48 (d, J = 8.9 Hz, 1H), 7.33 (d, J = 2.1 Hz, 1H), 7.31 - 7.26 (m, 2H), 7.05 (d, J = 2.8 Hz, 1H), 6.89 - 6.83 (m, 1H), 4.45 (s, 2H), 3.79 (s, 2H), 3.62 (d, J = 6.7 Hz, 2H), 2.83 (d, J = 6.7 Hz, 2H), 2.21 (s, 6H). MS (APCI+) m/z 481.3 (M+H)+.
Example 37: 2-(4-chloro-3-fluorophenoxy)-iV-(3-{2-[2-(3- methylphenyl)ethoxy] acetamido }-bicyclo [1.1.1] pentan-l-yl)acetamide (Compound 136)
The title compound was prepared according to the method described in Example 29 replacing (6-methylpyridin-2-yl) methanol with 2-(m-tolyl)ethanol (43 mg, 0.31 mmol). XH NMR (500 MHz, DMSO-c¾) δ ppm 7.48 (d, J = 8.9 Hz, 1H), 7.17 (d, J = 7.5 Hz, 1H), 7.09 - 7.01 (m, 4H), 6.91 - 6.83 (m, 1H), 4.45 (s, 2H), 3.79 (s, 2H), 3.62 (d, J = 7.0 Hz, 2H), 2.79 (d, J = 6.9 Hz, 2H), 2.26 (d, J = 0.7 Hz, 3H), 2.21 (s, 6H). MS (APCI+) m/z 461.3 (M+H)+.
Example 38: 2-(4-chloro-3-fluorophenoxy)-iV-(3-{2-[2-(4- methylphenyl)ethoxy] acetamido }-bicyclo [1.1.1] pentan-l-yl)acetamide (Compound 137)
The title compound was prepared according to the method described in Example 29 replacing (6-methylpyridin-2-yl) methanol with 2-(/ tolyl)ethanol (43 mg, 0.31 mmol). XH NMR (500 MHz, DMSO-c¾) δ ppm 7.48 (d, J = 8.9 Hz, 1H), 7.11 (dd, J = 8.7, 6.3 Hz, 4H), 7.08 - 7.03 (m, 1H), 6.88 - 6.83 (m, 1H), 4.45 (s, 2H), 3.80 (s, 2H), 3.59 (t, J = 6.9 Hz, 2H), 2.78 (d, J = 6.9 Hz, 2H), 2.25 (s, 3H), 2.23 (s, 1H), 2.20 (s, 6H). MS (APCI+) m/z 461.3 (M+H)+.
Example 39: 2-(4-chloro-3-fluorophenoxy)-iV-(3-{2-[(3- cyanophenyl)methoxy] acetamido }-bicyclo [ 1.1.1] pentan- l-yl)acetamide (Compound 138)
The title compound was prepared according to the method described in Example 29 replacing (6-methylpyridin-2-yl) methanol with 3 -(hydroxy methyl)benzonitrile (42 mg, 0.31 mmol). ¾ NMR (500 MHz, DMSO-c¾) δ ppm 7.82 (td, J = 1.7, 0.7 Hz, 1H), 7.76 (d, J = 1.3 Hz, 1H), 7.75 - 7.70 (m, 1H), 7.57 (td, J = 7.7, 0.5 Hz, 1H), 7.48 (d, J = 8.9 Hz, 1H), 7.08 - 7.03 (m, 1H), 6.85 (dd, J = 2.9, 1.2 Hz, 1H), 6.83 (dd, J = 2.9, 1.2 Hz, 1H), 4.57 (s, 2H), 4.45 (s, 2H), 3.88 (s, 2H), 2.24 (s, 6H). MS (APCI+) m/z 458.3 (M+H)+. Example 40: 2-(4-chloro-3-fluorophenoxy)-iV-(3-{2-[(4- cyanophenyl)methoxy] acetamido }-bicyclo [ 1.1.1] pentan- l-yl)acetamide (Compound 139)
The title compound was prepared according to the method described in Example 29 replacing (6-methylpyridin-2-yl) methanol with 4-(hydroxymethyl)benzonitrile (42 mg, 0.31 mmol). XH NMR (500 MHz, DMSO-c¾) δ ppm 7.87 - 7.79 (m, 2H), 7.57 (h, J = 1.2 Hz, 2H), 7.48 (d, J = 8.9 Hz, 1H), 7.04 (dd, J = 11.3, 2.9 Hz, 1H), 6.92 - 6.83 (m, 1H), 4.61 (s, 2H), 4.45 (s, 2H), 3.88 (s, 2H), 2.24 (s, 6H). MS (APCI+) m/z 458.3 (M+H)+.
Example 41: 2-(4-chloro-3-fluorophenoxy)-iV-(3-{2-[(3- methylphenyl)methoxy] acetamido }-bicyclo [ 1.1.1] pentan- l-yl)acetamide (Compound 140)
The title compound was prepared according to the method described in Example 29 replacing (6-methylpyridin-2-yl) methanol with m-tolylmethanol (38 mg, 0.31 mmol). XH NMR (500 MHz, DMSO-c¾) δ ppm 7.48 (d, J = 8.9 Hz, 1H), 7.24 (d, J = 7.5 Hz, 1H), 7.19 - 7.11 (m, 3H), 7.05 (d, J = 2.9 Hz, 1H), 6.88 - 6.83 (m, 1H), 4.46 (s, 2H), 3.81 (s, 2H), 2.29 (d, J = 0.7 Hz, 3H), 2.24 (s, 6H). MS (APCI+) m/z 447.3 (M+H)+.
Example 42: 2-(4-chloro-3-fluorophenoxy)-A^-[3-(2-{[3-(dimethylamino)phenyl]methoxy}- )bicyclo[l.l.l]pentan-l-yl]acetamide (Compound 141)
The title compound was prepared according to the method described in Example 29 replacing (6-methylpyridin-2-yl) methanol with (3-(dimethylamino)phenyl)methanol (47 mg, 0.31 mmol). ¾ NMR (400 MHz, DMSO-c¾) δ ppm 7.47 (t, J = 8.9 Hz, 1H), 7.16 (t, J = 7.8 Hz, 1H), 7.04 (dd, J = 11.3, 2.8 Hz, 1H), 6.85 (ddd, J = 9.0, 2.9, 1.2 Hz, 1H), 6.71 - 6.59 (m, 3H), 4.45 (d, J = 1.7 Hz, 4H), 3.80 (s, 2H), 2.87 (s, 6H), 2.24 (s, 6H). MS (APCI+) m/z 476.3 (M+H)+.
Example 43: 2-(4-chloro-3-fluorophenoxy)-iV-(3-{2-[(4- fluorophenyl)methoxy]acetamido}-bicyclo[l.l.l]pentan-l-yl)acetamide (Compound 142)
The title compound was prepared according to the method described in Example 29 replacing (6-methylpyridin-2-yl) methanol with (4-fluorophenyl)methanol (40 mg, 0.31 mmol). XH NMR (400 MHz, DMSO-c¾) δ ppm 7.47 (t, J = 8.9 Hz, 1H), 7.45 - 7.39 (m, 2H), 7.23 - 7.14 (m, 2H), 7.04 (dd, J = 11.3, 2.9 Hz, 1H), 6.85 (ddd, J = 9.0, 2.9, 1.2 Hz, 1H), 4.49 (s, 2H), 4.46 (s, 2H), 3.83 (s, 2H), 2.25 (s, 6H; ). MS (APCI+) m/z 451.2 (M+H)+.
Example 44: 2-(4-chloro-3-fluorophenoxy)-A^-[3-(2-{2-[4-(dimethylamino)phenyl]ethoxy}- acetamido)bicyclo[l.l.l]pentan-l-yl]acetamide (Compound 143) The title compound was prepared according to the method described in Example 29 replacing (6-methylpyridin-2-yl) methanol with 2-(4-(dimethylamino)phenyl)ethanol (52 mg, 0.31 mmol). lH NMR (400 MHz, DMSO-c¾) δ ppm 7.48 (t, J = 8.9 Hz, 1H), 7.08 - 7.02 (m, 3H), 6.85 (ddd, J = 9.1, 2.9, 1.2 Hz, 1H), 6.73 - 6.64 (m, 2H), 4.45 (s, 2H), 3.79 (s, 2H), 3.56 (t, J = 7.0 Hz, 2H), 2.83 (s, 6H), 2.71 (t, J = 7.0 Hz, 2H), 2.21 (s, 6H). MS (APCI+) m/z 490.3 (M+H)+.
Example 45: 2-(4-chloro-3-fluorophenoxy)-iV-(3-{2-[(4- methylphenyl)methoxy] acetamido }-bicyclo [ 1.1.1] pentan- l-yl)acetamide (Compound 144)
The title compound was prepared according to the method described in Example 29 replacing (6-methylpyridin-2-yl) methanol with / tolylmethanol (39 mg, 0.31 mmol). XH NMR (400 MHz, DMSO-c¾) δ ppm 7.47 (t, J = 8.9 Hz, 1H), 7.27 - 7.23 (m, 1H), 7.18 (s, 1H), 7.08 - 7.03 (m, 1H), 6.88 - 6.84 (m, 1H), 4.46 (d, J = 3.1 Hz, 4H), 3.80 (s, 2H), 2.29 (s, 3H), 2.24 (s, 6H). MS (APCI+) m/z 447.2 (M+H)+.
Example 46: 2-(4-chloro-3-fluorophenoxy)-A^-[3-(2-{2-[3-(dimethylamino)phenyl]ethoxy}- acetamido)bicyclo[l.l.l]pentan-l-yl]acetamide (Compound 145)
The title compound was prepared according to the method described in Example 29 replacing (6-methylpyridin-2-yl) methanol with 2-(3-(dimethylamino)phenyl)ethanol (52 mg, 0.31 mmol). lH NMR (400 MHz, DMSO-c¾) δ ppm 7.48 (t, J = 8.9 Hz, 1H), 7.10 (d, J = 7.7 Hz, 1H), 7.08 - 7.02 (m, 1H), 6.89 - 6.84 (m, 1H), 6.62 - 6.49 (m, 3H), 4.45 (s, 2H), 3.80 (s, 2H), 3.62 (t, J = 6.9 Hz, 2H), 2.86 (s, 6H), 2.77 (t, J = 6.9 Hz, 2H), 2.21 (s, 6H). MS (APCI+) m/z 490.3 (M+H)+.
Example 47 : 2-(4-chloro-3-fluorophenoxy)-iV- {3- [2-(3-chlorophenoxy)acetamido] - bicyclo[l.l.l]pentan-l-yl}acetamide (Compound 146)
The title compound was prepared using the method described in Example 27E by replacing Example 27B with 2-(3-chlorophenoxy)acetic acid (0.022 g, 0.1 mmol). !TI NMR
(501 MHz, DMSO-i¾) δ ppm 8.71 (s, 1H), 8.70 (s, i f S i 7.49 { !. ./ 8.9 Hz, 1H), 7.32 (t J = 8.2 Hz, H i ). 7.10 - 7.04 (m, 1H), 7.02 (ddd, ./ 7.9, 2.0, 0.9 Hz, 2H), 6.93 (ddd,■/ 8.3, 2.4, 0.9 Hz, !H), 6.85 (ddd, ,/ 8.9, 2.9, 1.2 Hz, 1H), 4.48 is. 2H), 4.46 is. 2H), 2.27 is. 6H). MS (APCI) m/z 454.3 (M+H)+.
Example 48: A^-{3-[2-(4-chloro-3-fluorophenoxy)acetamido]bicyclo[l.l.l]pentan-l-yl}-3- (3-chlorophenoxy)propanamide (Compound 147) The title compound was prepared using the method described in Example 27E by replacing Example 27B with 3-(3-chlorophenoxy)propanoic acid (0.024 g, 0.1 mmol). XH NMR (501 MHz, DMSO-c¾) δ ppm 8.69 (s, 1H), 8.57 (s, 1H), 7.49 (t, J = 8.9 Hz, 1H), 7.29 (t, J = 8.4 Hz, 1H), 7.07 (dd, J = 11.4, 2.9 Hz, 1H), 7.03 - 6.94 (m, 2H), 6.87 (dddd, J = 23.3, 9.0, 2.6, 1.1 Hz, 2H), 4.47 (s, 2H), 4.17 (t, J = 6.2 Hz, 2H), 2.23 (s, 6H). MS (APCI) m/z 468.3 (M+H)+.
Example 49 : N- {3- [2-(4-chloro-3-fluorophenoxy)acetamido] bicyclo [ 1.1.1] pentan- l-yl}-4- (3-chlorophenoxy)butanamide (Compound 148)
The title compound was prepared using the method described in Example 27E by replacing Example 27B with 4-(3-chlorophenoxy)butanoic acid (0.028 g, 0.1 mmol). XH NMR (400 MHz, DMSO-c¾) δ ppm 8.68 (s, 1H), 8.42 (s, 1H), 7.49 (t, J = 8.9 Hz, 1H), 7.34 - 7.26 (m, 2H), 7.07 (dd, J = 11.4, 2.8 Hz, 1H), 6.98 (dd, J = 7.0, 1.2 Hz, 1H), 6.94 - 6.81 (m, 2H), 4.47 (s, 2H), 3.97 (t, J = 6.4 Hz, 2H), 2.21 (s, 2H), 2.18 (s, 6H), 1.89 (t, J = 6.9 Hz, 2H). MS (APCI) m/z 482.3 (M+H)+.
Example 50: 2-(3,4-dichlorophenoxy)-A^-(3-{2-[2-(4-fluorophenyl)ethoxy]acetamido}- bicyclo[l.l.l]pentan-l-yl)acetamide (Compound 149)
Example 50A: 2-chloro-N-(3-(2-(3, 4-dichlorophenoxy)acetamido)bicyclo[ 1.1.1 Jpentan-1- yljacetamide
The title compound was prepared using the method described in Example 28A by replacing Example 27D with Example 22B (1.118 g, 3.31 mmol) to provide the title compound.
Example 50B
A solution of 2-(4-fiuorophenyl)ethanol (54 mg, 0.39 mmol) in dimethylformamide (0.3 mL)was treated with sodium hydride (18 mg, 0.71 mmol) and stirred for 30 minutes. A solution of Example 50A (22.5 mg, 0.060 mmol) in N,N-dimethylformamide (0.250 mL) was added to the mixture. The reaction mixture was stirred for 1 hour, filtered and concentrated to dryness. The residue was dissolved in 1 : 1 dimethyl sulfoxide/methanol and purified by reverse phase HPLC (2-coupled C8 5 μπι 100 A columns 30 mm χ 75 mm each, flow rate of 50 mL/minute, 5-90% gradient of acetonitrile in buffer (0.1% trifluoroacetic acid in water)) to provide the title compound. XH NMR (400 MHz, DMSO-c¾) δ ppm 7.53 (d, J = 8.9 Hz, 1H), 7.33 - 7.28 (m, 1H), 7.25 (dd, J = 11.2, 2.6 Hz, 2H), 7.16 - 7.07 (m, 2H), 7.04 - 6.97 (m, 1H), 4.46 (s, 2H), 3.80 (s, 2H), 3.63 (d, J = 6.8 Hz, 2H), 2.83 (t, J = 6.8 Hz, 2H), 2.22 (s, 6H). MS (APCI+) m/z 481.2 (M+H)+. Example 51: 2-(3,4-dichlorophenoxy)-A^-(3-{2-[2-(3-fluorophenyl)ethoxy]acetamido}- bicyclo[l.l.l]pentan-l-yl)acetamide (Compound 150)
The title compound was prepared according to the method described in Example 50B replacing 2-(4-fluorophenyl)ethanol with 2-(3-fluorophenyl)ethanol (54 mg, 0.39 mmol). XH NMR (400 MHz, DMSO-c¾) δ ppm 7.53 (d, J = 8.9 Hz, 1H), 7.40 - 7.30 (m, 1H), 7.24 (d, J = 2.9 Hz, 1H), 7.14 - 7.07 (m, 2H), 7.07 - 6.96 (m, 2H), 4.46 (s, 2H), 3.80 (s, 2H), 3.65 (t, J = 6.7 Hz, 2H), 2.86 (t, J = 6.6 Hz, 2H), 2.23 (s, 6H). MS (APCI+) m/z 481.2 (M+H)+.
Example 52 : 2- [2-(3-chlorophenyl)ethoxy] -N-{3- [2-(3,4-dichlorophenoxy)acetamido] - bicyclo[l.l.l]pentan-l-yl}acetamide (Compound 151)
The title compound was prepared according to the method described in Example 50B replacing 2-(4-fluorophenyl)ethanol with 2-(3-chlorophenyl)ethanol (60 mg, 0.39 mmol). XH NMR (400 MHz, DMSO-c¾) δ ppm 7.53 (d, J = 8.9 Hz, 1H), 7.37 - 7.27 (m, 2H), 7.29 - 7.19 (m, 3H), 6.98 (dd, J = 9.0, 2.9 Hz, 1H), 4.46 (s, 2H), 3.80 (s, 2H), 3.65 (t, J = 6.6 Hz, 2H), 2.85 (t, J = 6.6 Hz, 2H), 2.23 (s, 6H). MS (APCI+) m/z 497.1(M+H)+.
Example 53: 2-(3,4-dichlorophenoxy)-iV-(3-{2-[2-(3-methylphenyl)ethoxy]- acetamido}bicyclo[l.l.l]pentan-l-yl)acetamide (Compound 152)
The title compound was prepared according to the method described in Example 50B replacing 2-(4-fluorophenyl)ethanol with 2-(m-tolyl)ethanol (52 mg, 0.39 mmol). XH NMR (400 MHz, DMSO-c e) δ ppm 7.53 (d, J = 9.0 Hz, 1H), 7.24 (d, J = 2.9 Hz, 1H), 7.17 (t, J = 7.5 Hz, 1H), 7.08 - 6.96 (m, 4H), 4.46 (s, 2H), 3.80 (s, 2H), 3.62 (t, J = 6.9 Hz, 2H), 2.80 (t, J = 6.9 Hz, 2H), 2.27 (s, 3H), 2.22 (s, 6H). MS (APCI+) m/z 477.2 (M+H)+.
Example 54: 2-(3,4-dichlorophenoxy)-iV-(3-{2-[(6-methylpyridin-2- yl)methoxy]acetamido}bicyclo[l.l.l]pentan-l-yl)acetamide (Compound 153)
The title compound was prepared according to the method described in Example 50B replacing 2-(4-fluorophenyl)ethanol with (6-methylpyridin-2-yl)methanol (47 mg, 0.39 mmol). XH NMR (400 MHz, DMSO-c¾) δ ppm 8.24 (t, J = 7.9 Hz, 1H), 7.72 (s, 1H), 7.71 - 7.64 (m, 1H), 7.54 (s, 1H), 7.24 (d, J = 2.9 Hz, 1H), 6.98 (dd, J = 9.0, 2.9 Hz, 1H), 4.79 (s, 2H), 4.47 (s, 2H), 4.03 (s, 2H), 3.16 (s, 1H), 2.66 (s, 3H), 2.27 (s, 7H). MS (APCI+) m/z 464.2 (M+H)+. Example 55: 2-(3,4-dichlorophenoxy)-A^-(3-{2-[2-(4-methylphenyl)ethoxy]acetamido}- bicyclo[l.l.l]pentan-l-yl)acetamide (Compound 154)
The title compound was prepared according to the method described in Example 50B replacing 2-(4-fluorophenyl)ethanol with 2-(/ tolyl)ethanol (53 mg, 0.39 mmol). XH NMR (400 MHz, DMSO-c¾) δ ppm 7.54 (s, 1H), 7.24 (d, J = 2.9 Hz, 1H), 7.16 - 7.07 (m, 4H), 6.98 (dd, J = 8.9, 3.0 Hz, 1H), 4.46 (s, 2H), 3.79 (s, 2H), 3.60 (t, J = 6.9 Hz, 2H), 2.79 (t, J = 6.9 Hz, 2H), 2.26 (s, 3H), 2.21 (s, 6H). MS (APCI+) m/z 477.3 (M+H)+.
Example 56: 2-[2-(4-chlorophenyl)ethoxy]-iV-{3-[2-(3,4- dichlorophenoxy)acetamido] bicyclo- [ 1.1.1] pentan- l-yl}acetamide (Compound 155)
The title compound was prepared according to the method described in Example 50B replacing 2-(4-fluorophenyl)ethanol with 2-(4-chlorophenyl)ethanol (61 mg, 0.39 mmol). XH NMR (400 MHz, DMSO-c¾) δ ppm 7.53 (d, J = 8.9 Hz, 1H), 7.34 (d, J = 6.3 Hz, 2H), 7.29 (d, J = 2.3 Hz, 2H), 7.24 (s, 1H), 7.01 - 6.97 (m, 1H), 4.46 (s, 2H), 3.79 (s, 2H), 3.63 (t, J = 6.7 Hz, 2H), 2.83 (t, J = 6.7 Hz, 2H), 2.22 (s, 6H). MS (APCI+) m/z 497.1 (M+H)+.
Example 57 : 2- [(4-chlorophenyl)methoxy] -N- {3- [2-(3,4-dichlorophenoxy)acetamido] - bicyclo[l.l.l]pentan-l-yl}acetamide (Compound 156)
The title compound was prepared according to the method described in Example 50B replacing 2-(4-fluorophenyl)ethanol with (4-chlorophenyl)methanol (55 mg, 0.39 mmol). XH NMR (400 MHz, DMSO-c¾) δ ppm 7.53 (d, J = 9.0 Hz, 1H), 7.45 - 7.35 (m, 4H), 7.24 (d, J = 2.9 Hz, 1H), 6.98 (dd, J = 9.0, 2.9 Hz, 1H), 4.49 (d, J = 16.5 Hz, 4H), 3.84 (s, 2H), 2.25 (s, 6H). MS (APCI+) m/z 483.2 (M+H)+.
Example 58: 2-(3,4-dichlorophenoxy)-A^-(3-{2-[(4-fluorophenyl)methoxy]acetamido}- bicyclo[l.l.l]pentan-l-yl)acetamide (Compound 157)
The title compound was prepared according to the method described in Example 50B replacing 2-(4-fluorophenyl)ethanol with (4-fluorophenyl)methanol (49 mg, 0.39 mmol). XH NMR (400 MHz, DMSO-c¾) δ ppm 7.53 (d, J = 9.0 Hz, 1H), 7.45 - 7.38 (m, 2H), 7.24 (d, J = 2.9 Hz, 1H), 7.22 - 7.14 (m, 2H), 6.98 (dd, J = 8.9, 2.9 Hz, 1H), 4.49 (s, 2H), 4.46 (s, 2H), 3.83 (s, 2H), 2.24 (s, 6H). MS (APCI+) m/z 467.2 (M+H)+.
Example 59 : 2- [(3-chlorophenyl)methoxy] -N-{3- [2-(3,4-dichlorophenoxy)acetamido] - bicyclo[l.l.l]pentan-l-yl}acetamide (Compound 158)
The title compound was prepared according to the method described in Example 50B replacing 2-(4-fluorophenyl)ethanol with (3-chlorophenyl)methanol (55 mg, 0.39 mmol). XH NMR (400 MHz, DMSO-c¾) δ ppm 7.54 (s, 1H), 7.49 - 7.32 (m, 3H), 7.24 (d, J = 2.9 Hz, 1H), 6.98 (dd, J = 9.0, 2.9 Hz, 1H), 4.52 (s, 2H), 4.47 (s, 2H), 3.86 (s, 2H), 2.25 (s, 6H). MS (APCI+) m/z 483.1 (M+H)+. Example 60: 2-[(4-cyanophenyl)methoxy]-iV-{3-[2-(3,4-dichlorophenoxy)acetamido]- bicyclo[l.l.l]pentan-l-yl}acetamide (Compound 159)
The title compound was prepared according to the method described in Example 50B replacing 2-(4-fluorophenyl)ethanol with 4-(hydroxymethyl)benzonitrile (52 mg, 0.39 mmol). XH NMR (400 MHz, DMSO-c¾) δ ppm 7.87 - 7.78 (m, 2H), 7.65 - 7.50 (m, 3H), 7.24 (d, J = 2.9 Hz, 1H), 6.98 (dd, J = 9.0, 2.9 Hz, 1H), 4.62 (s, 2H), 4.47 (s, 2H), 3.89 (s, 2H), 2.25 (s, 6H). MS (APCI+) m/z 474.2 (M+H)+.
Example 61: 2-(3,4-dichlorophenoxy)-iV-(3-{2-[(4-methylphenyl)methoxy]- acetamido}bicyclo[l.l.l]pentan-l-yl)acetamide (Compound 160)
The title compound was prepared according to the method described in Example 50B replacing 2-(4-fluorophenyl)ethanol with / tolylmethanol (47 mg, 0.39 mmol). XH NMR (400 MHz, DMSO-c¾) δ ppm 7.53 (d, J = 9.0 Hz, 1H), 7.24 (dd, J = 5.5, 2.5 Hz, 3H), 7.17 (d, J = 7.8 Hz, 2H), 6.98 (dd, J = 9.0, 2.9 Hz, 1H), 4.46 (s, 4H), 3.80 (s, 2H), 2.29 (s, 3H), 2.24 (s, 6H). MS (APCI+) m/z 463.2 (M+H)+.
Example 62: 2-[(3-cyanophenyl)methoxy]-iV-{3-[2-(3,4- dichlorophenoxy)acetamido] bicyclo [ 1.1.1] pentan- l-yl}acetamide (Compound 161)
The title compound was prepared according to the method described in Example 50B replacing 2-(4-fluorophenyl)ethanol with 3-(hydroxymethyl)benzonitrile (52 mg, 0.39 mmol). XH NMR (400 MHz, DMSO-c¾) δ ppm 7.83 (d, J = 1.5 Hz, 1H), 7.80 - 7.70 (m, 2H), 7.63 - 7.50 (m, 2H), 7.24 (d, J = 2.9 Hz, 1H), 6.98 (dd, J = 9.0, 2.9 Hz, 1H), 4.58 (s, 2H), 4.47 (s, 2H), 3.89 (s, 2H), 2.25 (s, 6H). MS (APCI+) m/z 474.2 (M+H)+.
Example 63: 2-(3,4-dichlorophenoxy)-iV-(3-{2-[(3-methylphenyl)methoxy]- acetamido}bicyclo[l.l.l]pentan-l-yl)acetamide (Compound 162)
The title compound was prepared according to the method described in Example 50B replacing 2-(4-fluorophenyl)ethanol with m-tolylmethanol (47 mg, 0.39 mmol). XH NMR (400 MHz, DMSO-c¾) δ ppm 7.53 (d, J = 9.0 Hz, 1H), 7.32 - 7.23 (m, 2H), 7.14 (dd, J = 14.7, 6.7 Hz, 3H), 6.98 (dd, J = 8.9, 2.9 Hz, 1H), 4.47 (d, J = 4.1 Hz, 4H), 3.82 (s, 2H), 2.30 (s, 3H), 2.25 (s, 6H). MS (APCI+) m/z 463.2 (M+H)+.
Example 64 : N- {3- [2-(4-chloro-3-fluorophenoxy)acetamido] bicyclo [ 1.1.1] pentan- l-yl}-3- [(3-chlorophenyl)methoxy]propanamide (Compound 163)
Example 64A: ethyl 3-((3-chlorobenzyl)oxy)propanoate A solution of (3-chlorophenyl)methanol (1 g, 7.01 mmol) in tetrahydrofuran (20 mL) was cooled in an ice bath and treated with sodium hydride (0.365 g, 9.12 mmol), after stirring for 1 hour at 0 °C, ethyl 3-bromopropanoate (1.021 mL, 9.12 mmol) was added. The reaction mixture was stirred at 25 °C for 30 minutes, quenched with aqueous saturated ammonium chloride solution and extracted with ethyl acetate. The organic layer was washed with brine (3 x 300 mL), dried Na2S04), filtered, and concentrated under reduced pressure. The residue was purified by column chromatography on silica gel with 0-30% ethyl acetate in heptane to provide the title compound as a white solid.
Example 64B: 3-((3-chlorobenzyl)oxy)propanoic acid
A solution of Example 64A (0.51 g, 2.101 mmol) in tetrahydrofuran (7 mL) was treated with sodium hydroxide (10.51 mL, 10.51 mmol) and stirred at 25 °C for 18 hours. The reaction mixture was neutralized with 6 N aqueous HC1. The precipitate was washed with water and dried in a vacuum oven to provide the title compound (0.408 g, 90%)
Example 64C: N-{3-[2-(4-chloro-3-fluorophenoxy)acetamido]bicyclo[ 1.1.1 ]pentan-l-yl}-3- [( 3-chlorophenyl)methoxy Jpropanamide
The title compound was prepared using the method described in Example 27E by replacing Example 27B with Example 64B (0.032 g, 0.1 mmol). XH NMR (500 MHz, DMSO- di) δ ppm 8.68 (s, 1H), 8.47 (s, 1H), 7.49 (t, J= 8.9 Hz, 1H), 7.43 - 7.31 (m, 3H), 7.25 (d, J = 7.3 Hz, 1H), 7.07 (dd, J= 11.3, 2.8 Hz, 1H), 6.91 - 6.82 (m, 1H), 4.47 (s, 2H), 4.46 (s, 2H), 3.62 (t, J= 6.3 Hz, 2H), 2.32 (t, J= 6.3 Hz, 2H), 2.22 (s, 6H). MS (APCI) m/z 482 (M+H)+. Example 65: (3-chlorophenyl)methyl {3-[2-(4-chloro-3-fluorophenoxy)- acetamido]bicyclo[l.l.l]pentan-l-yl}carbamate (Compound 164)
Example 27D (0.1 g, 0.311 mmol) was added to a solution of bis(trichloromethyl) carbonate (0.102 g, 0.342 mmol) in tetrahydrofuran (3 mL) and stirred for 15 minutes. The above solution (1 mL) was added to (3-chlorophenyl)methanol (71.3 mg, 0.500 mmol). The reaction mixture was stirred at 25 °C for 72 hours, concentrated and purified by HPLC
(Phenomenex® Luna® CI 8(2) 5 μιη 100 A AXIA™ column 250 mm χ 21.2 mm, flow rate 25 mL/minute, 10-80% gradient of acetonitrile in buffer (0.1% trifiuoroacetic acid in water)) to provide the title compound (0.027g, 59%). XH NMR (501 MHz, DMSO-c¾) δ ppm 8.69 (s, 1H), 8.06 (s, 1H), 7.49 (t, J= 8.9 Hz, 1H), 7.45 - 7.35 (m, 3H), 7.31 (dd, J= 7.2, 1.9 Hz, 1H), 7.07 (dd, J= 11.3, 2.9 Hz, 1H), 6.85 (ddd, J= 9.0, 2.9, 1.2 Hz, 1H), 5.00 (s, 2H), 4.47 (s, 2H), 2.18 (s, 6H). MS (APCI) m/z 454 (M+H)+. Example 66: 2-(3-chlorophenyl)ethyl {3-[2-(4-chloro-3-fluorophenoxy)- acetamido]bicyclo[l.l.l]pentan-l-yl}carbamate (Compound 165)
The title compound was prepared using the method described in Example 65 by replacing (3-chlorophenyl)methanol with 2-(3-chlorophenyl)ethan-l -ol (0.078 g, 0.5 mmol) (0.029 g, 61 %). XH NMR (500 MHz, DMSO-c¾) δ ppm 8.67 (s, 1H), 7.86 (s, 1H), 7.49 (t, J = 8.9 Hz, 1H), 7.35 - 7.30 (m, 2H), 7.29 - 7.25 (m, 1H), 7.22 (d, J = 7.5 Hz, 1H), 7.06 (dd, J = 1 1.4, 2.8 Hz, 1H), 6.92 - 6.79 (m, 1H), 4.46 (s, 2H), 4.14 (s, 2H), 2.87 (s, 2H), 2.15 (s, 6H). MS (APCI) m/z 468 (M+H)+.
Example 67: 3-(3-chlorophenyl)propyl {3-[2-(4-chloro-3-fluorophenoxy)acetamido]- bicyclo[l.l.l]pentan-l-yl}carbamate (Compound 166)
The title compound was prepared using the method described in Example 65 by replacing (3-chlorophenyl)methanol with 3-(3-chlorophenyl)propanan-l-ol (0.085 g, 0.5 mmol) (0.031 g, 65%). ¾ NMR (501 MHz, DMSO-c¾) δ ppm 8.68 (s, 1H), 7.86 (s, 1H), 7.49 (t, J = 8.9 Hz, 1H), 7.32 (t, J = 7.8 Hz, 1H), 7.28 (d, J = 1.8 Hz, 1H), 7.27 - 7.23 (m, 1H), 7.17 (dt, J = 7.6, 1.3 Hz, 1H), 7.07 (dd, J = 11.4, 2.8 Hz, 1H), 6.85 (ddd, J = 9.0, 2.9, 1.2 Hz, 1H), 4.47 (s, 2H), 3.91 (s, 2H), 2.68 - 2.59 (m, 2H), 2.17 (s, 6H), 1.84 (s, 2H). MS (APCI) m/z 482 (M+H)+. Example 68 : 3- [(3-chlorophenyl)methoxy] -N-{3- [2-(3,4-dichlorophenoxy)acetamido] - bicyclo[l.l.l]pentan-l-yl}propanamide (Compound 167)
To a solution of Example 64B (9 mg, 0.042 mmol) in N,N-dimethylformamide (0.3 mL) was added N,N-diisopropylethylamine (0.017 mL, 0.0.096 mmol), 1 -
[bis(dimethylamino)methylene]-lH-l ,2,3-triazolo[4,5- )]pyridinium 3-oxid
hexafluorophosphate (16 mg, 0.042 mmol) and Example 22B (13 mg, 0.039 mmol). The reaction was stirred at room temperature for 18 hours. The crude reaction was purified by HPLC (Phenomenex® Luna® CI 8(2) 5 μιη 100 A AXIA™ column 250 mm χ 21.2 mm, flow rate 25 mL/minute, 10-80% gradient of acetonitrile in buffer (0.1 % trifluoroacetic acid in water)) to provide the title compound (14.2 mg, 74%). l NMR (500 MHz, DMSO-c¾) δ ppm 8.69 (s, 1H), 8.47 (s, 1H), 7.54 (d, J = 8.9 Hz, 1H), 7.42 - 7.31 (m, 3H), 7.29 - 7.23 (m, 2H), 6.98 (dd, J = 8.9, 2.9 Hz, 1H), 4.48 (s, 2H), 4.46 (s, 2H), 3.62 (t, J = 6.3 Hz, 2H), 2.32 (t, J = 6.3 Hz, 2H), 2.22 (s, 6H). MS (APCI) m/z 499 (M+H)+.
Example 69: 4-(3-chlorophenoxy)-iV-{3-[2-(3,4-dichlorophenoxy)acetamido]- bicyclo[l.l.l]pentan-l-yl}butanamide (Compound 168) The title compound was prepared using the method described in Example 68 by replacing Example 64B with 4-(3-chlorophenoxy)butanoic acid (0.009 g, 0.042 mmol) to provide the title compound (14.3 mg, 75%). *H NMR (500 MHz, DYISO- ,.) δ ppm 8.68 (s, i l l ). 8,43 (s, i l l ). 7.54 (d, J = 8.9 Hz, 1H), 7.29 (t, J= 8.3 Hz, i l l ). 7.26 (d, J = 2.9 Hz, IH), 7.03 - 6.95 (m, 3H), 6.95 - 6.84 (m, IH), 4.48 (s, 2H), 3.97 (t, ./ 6.4 Hz, 2H), 2.21 (s, 6H), 2.19 (d, ./ 7.4 Hz, 2H), 1.89 (t,■/ 6.9 Hz, 21 1 ). MS (APCI) m/z 499 ( i l ) .
Example 70: 3-(3-chlorophenoxy)-A^-{3-[2-(3,4-dichlorophenoxy)acetamido]bicyclo- [l.l.l]pentan-l-yl}propanamide (Compound 169)
The title compound was prepared using the method described in Example 68 by replacing Example 64B with 3-(3-chlorophenoxy)propanoic acid (0.008 g, 0.042 mmol) to provide the title compound (14.2 mg, 76%). XH NMR (500 MHz, DMSO-c¾) δ ppm 8.69 (s, IH), 8.57 (s, IH), 7.54 (d, J = 8.9 Hz, IH), 7.29 (t, J= 8.4 Hz, IH), 7.26 (d, J = 2.9 Hz, IH), 7.04 - 6.95 (m, 3H), 6.94 - 6.85 (m, IH), 4.48 (s, 2H), 4.17 (t, J= 6.2 Hz, 2H), 2.23 (s, 6H); ). MS (APCI) m/z 485 (M+H)+.
Example 71: 2-(3,4-dichlorophenoxy)-A^-[3-(2-{2-[3-(dimethylamino)phenyl]ethoxy}- acetamido)bicyclo[l.l.l]pentan-l-yl]acetamide (Compound 170)
The title compound was prepared according to the method described in Example 50B replacing 2-(4-fluorophenyl)ethanol with 2-(3-(dimethylamino)phenyl)ethanol (63 mg, 0.39 mmol). XH NMR (400 MHz, DMSO-c¾) δ ppm 7.54 (d, J = 8.9 Hz, IH), 7.25 (d, J = 2.9 Hz, IH), 7.10 (t, J = 7.8 Hz, IH), 6.99 (dd, J = 9.0, 2.9 Hz, IH), 6.63 - 6.51 (m, 3H), 4.48 (s, 2H), 3.81 (s, 2H), 3.64 (t, J = 6.9 Hz, IH), 2.87 (s, 6H), 2.78 (t, J = 6.9 Hz, 2H), 2.23 (s, 6H). MS (APCI+) m/z 506.3 (M+H)+.
Example 72: 2-(3-chlorophenoxy)-iV-{3-[2-(3,4-dichlorophenoxy)acetamido]- bicyclo[l.l.l]pentan-l-yl}acetamide (Compound 171)
Example 72A: 2-chloro-N-(3-(2-(3, 4-dichlorophenoxy)acetamido)bicyclo[l .1. IJpentan-l- yljacetamide
The title compound was prepared using the method described in Example 28A by replacing Example 27D with Example 22B (1.118 g, 3.31 mmol) to provide the title compound. Example 72: 2-(3-chlorophenoxy)-N- {3-[2-(3,4-dichlorophenoxy)acetamido]- bicyclo[l . l . l]pentan-l-yl}acetamide
A solution of Example 72A (37.8 mg, 0.1 mmol) in acetonitrile (1 mL) was added to 3- chlorophenol (0.021 mL, 0.200 mmol) and potassium carbonate (27.6 mg, 0.200 mmol). The reaction mixture was stirred at 80 °C for 2hours, concentrated and purified by HPLC
(Phenomenex® Luna® CI 8(2) 5 μηι 100 A AXIA™ column 250 mm χ 21.2 mm, flow rate 25 mL/minute, 10-80% gradient of acetonitrile in buffer (0.1% trifiuoroacetic acid in water)) to provide the title compound (0.033 g, 70%). XH NMR (501 MHz, DMSO-c¾) δ ppm 8.71 (s, 1H), 8.70 (s, 1H), 7.55 (d, J = 8.9 Hz, 1H), 7.32 (t, J= 8.1 Hz, 1H), 7.26 (d, J = 2.9 Hz, 1H), 7.05 (t, J= 2.2 Hz, 1H), 7.02 (ddd, J= 7.9, 2.0, 0.9 Hz, 1H), 6.99 (dd, J = 8.9, 2.9 Hz, 1H), 6.93 (ddd, J= 8.4, 2.4, 0.9 Hz, 1H), 4.49 (s, 2H), 4.47 (s, 2H), 2.27 (s, 6H). MS (APCI) m/z All (M+H)+.
Example 73: (3-chlorophenyl)methyl {3-[2-(3,4-dichlorophenoxy)acetamido]- bicyclo[l.l.l]pentan-l-yl}carbamate (Compound 172)
Example 22B (0.1 g, 0.296 mmol) was added to a solution of bis(trichloromethyl) carbonate (0.097 g, 0.326 mmol) in tetrahydrofuran (1 mL) and stirred for 15 minutes. This solution (0.25 mL) was added to (3-chlorophenyl)methanol (0.052 g, 0.368 mmol). The reaction mixture was stirred at 25 °C for 18 hours, concentrated and purified by HPLC (Phenomenex® Luna® CI 8(2) 5 μιη 100 A AXIA™ column 250 mm χ 21.2 mm, flow rate 25 mL/minute, 10-80% gradient of acetonitrile in buffer (0.1% trifiuoroacetic acid in water)) to provide the title compound (0.016 g, 45%). l NMR (501 MHz, DMSO-c¾) δ ppm 8.69 (s, 1H), 8.06 (s, 1H), 7.54 (d, J = 9.0 Hz, 1H), 7.45 - 7.36 (m, 3H), 7.30 (d, J = 7.1 Hz, 1H), 7.26 (A, J = 2.9 Hz, 1H), 6.98 (dd, J = 8.9, 2.9 Hz, 1H), 5.00 (s, 2H), 4.48 (s, 2H), 2.18 (s, 6H). MS (APCI) m/z 471 (M+H)+.
Example 74: 2-(3-chlorophenyl)ethyl {3-[2-(3,4-dichlorophenoxy)acetamido]- bicyclo[l.l.l]pentan-l-yl}carbamate (Compound 173)
The title compound was prepared using the method described in Example 73 by replacing (3-chlorophenyl)methanol with 2-(3-chlorophenyl)ethan-l-ol (0.058 g, 0.386 mmol) (0.019 g, 53%). !H NMR (501 MHz, DMSO~«'6) δ ppm 8.65 (s, IH), 7.84 (s, IH), 7.52 (d, J = 8.9 Hz, IH), 7.33 - 7.29 (in, 2H), 7.26 (ddd, ./ 8.1, 2.1, 1.2 Hz, lH), 7.24 (d, J = 2.9 Hz, IH), 7.20 (dt, J ------ 7.5, 1.4 Hz, I H), 6.96 (dd, J = 8.9, 2.9 Hz, i l l }. 4.46 is. 21 1 }. 4.13 (s, 2H), 2.85 (s,
2H), 2, 13 (s, 6H). MS (APCI) m/z 485 (M+H)+.
Example 75: 3-(3-chlorophenyl)propyl {3-[2-(3,4-dichlorophenoxy)acetamido]- bicyclo[l.l.l]pentan-l-yl}carbamate (Compound 174)
The title compound was prepared using the method described in Example 73 by replacing (3-chlorophenyl)methanol with 3-(3-chlorophenyl)propanan-l-ol (0.063 g, 0.386 mmol) (0.0195 g, 53%). XH NMR (500 MHz, DMSO-c¾) δ ppm 8.70 (s, 1H), 7.88 (s, 1H), 7.54 (d, J = 8.9 Hz, 1H), 7.32 (t, J = 7.7 Hz, 1H), 7.28 (t, J = 1.8 Hz, 1H), 7.27 - 7.23 (m, 2H), 7.18 (d, J = 7.6 Hz, 1H), 6.98 (dd, J = 8.9, 2.9 Hz, 1H), 4.48 (s, 2H), 3.91 (s, 2H), 2.70 - 2.58 (m, 2H), 2.17 (s, 6H), 1.84 (s, 2H). MS (APCI) m/z 499 (M+H)+.
Example 76: 2-(4-chloro-3-fluorophenoxy)-A^-[3-(2-{[6-(trifluoromethyl)pyridin-3- yl] oxy }acetamido)bicyclo [ 1.1.1] pentan- 1-yl] acetamide (Compound 175)
Example 76A: tert-butyl 2-((6-(trifluoromethyl)pyridin-3-yl)oxy)acetate
The title compound was prepared according to the method described in Example 27A replacing 4-chloro-3-methoxy phenol with 6-(trifluoromethyl)pyridin-3-ol (0.8 g, 4.91 mmol). MS (APCI) m/z 278 (M+H)+.
Example 76B: 2-((6-(trifluoromethyl)pyridin-3-yl)oxy)acetic acid
The title compound was prepared according to the method described in Example 27B replacing fert-butyl 2-(4-chloro-3-methoxyphenoxy)acetate with Example 76A (1.32 g, 4.76 mmol). MS (APCI) m/z 222 (M+H)+.
Example 76C: 2-(4-chloro-3-fluorophenoxy)-N-[3-(2-{[6-(trifluoromethyl)pyridin-3- yl]oxy}acetamido)bicyclo[ 1.1.1 ] pentan- 1-yl] acetamide
To a solution of Example 76B (7.57 g, 34.2 mmol) and Example 27D (8.85 g, 31.1 mmol) in N,N-dimethylformamide (100 mL) was added N,N-diisopropylethylamine (13.59 mL, 78.0 mmol) and 2-(7-aza-lH-benzotriazole-l -yl)-l, l ,3,3-tetramethyluronium
hexafluorophosphate (13.02 g, 34.20 mmol). The reaction mixture was stirred for 2 hours at 25 °C The mixture was diluted with water (500 mL), and the resulting mixture was extracted with ethyl acetate (3 x 400 mL). The combined organic layer was washed with brine (3 x 100 mL), dried Na2S04), filtered, and concentrated under reduced pressure. The residue was taken into dichloromethane (200 mL), warmed to reflux to dissolve all solids and left at 25 °C for 18 hours to form a solid. The solid was collected by filtration and washed with small amount of dichloromethane to provide the title compound (9.33 g, yield 61.4%). l NMR (400 MHz, DMSO-c¾) δ ppm 8.81 (s, 1H), 8.72 (s, 1H), 8.47 (d, J = 2.8 Hz, 1H), 7.86 (d, J = 8.7 Hz, 1H), 7.57 (dd, J = 8.8, 2.8 Hz, 1H), 7.49 (t, J = 8.9 Hz, 1H), 7.07 (dd, J = 11.3, 2.8 Hz, 1H), 6.85 (dd, J = 9.0, 2.8 Hz, 1H), 4.67 (s, 2H), 4.48 (s, 2H), 2.27 (s, 6H). MS (APCI) m/z 489 (M+H)+. Example 77: A V-(bicyclo[2.1.1]hexane-l,4-diyl)bis[2-(4-chlorophenoxy)acetamide] (Compound 176) Benzyl (4-aminobicyclo[2.1.1]hexan-l-yl)carbamate hydrochloride (MacroChem, 30 mg, 0.106 mmol) was added to trifluoroacetic acid (1 mL, 12.98 mmol) and stirred at 80 °C for 90 minutes. The reaction mixture was cooled to ambient temperature and concentrated in vacuo. To the resulting residue was added N,N-dimethylformamide (2.1 mL), triethylamine (0.104 mL, 0.743 mmol), 4-chlorophenoxyacetic acid ( Aldrich, 50 mg, 0.265 mmol) and 1- [bis(dimethylamino)methylene]-lH-l,2,3-triazolo[4,5- )]pyridinium 3-oxid
hexafluorophosphate (121 mg, 0.318 mmol, HATU) in sequential order. The reaction mixture was then stirred at ambient temperature for 1 hour. The resulting solution was filtered through a glass microfiber frit and purified by preparative HPLC [Waters XBridge™ C18 5 μιτι OBD™ column, 30 x 100 mm, flow rate 40 mL/minute, 20-100% gradient of acetonitrile in buffer (0.1% trifluoroacetic acid)] to give the title compound (33mg, 0.073 mmol, 68% yield). XH NMR (400 MHz, DMSO-c¾) δ ppm 8.45 (s, 2H), 7.37 - 7.31 (m, 4H), 7.00 - 6.94 (m, 4H), 4.43 (s, 4H), 2.10 - 2.03 (m, 2H), 1.84 - 1.76 (m, 6H). MS (APCI) m/z 449 (M+H)+.
Example 78 : A V-(bicyclo[2.1.1]hexane-l,4-diyl)bis[2-(4-chloro-3- fluorophenoxy)acetamide] (Compound 177)
The title compound was prepared as described in Example 77, substituting 2-(4-chloro- 3-fluorophenoxy)acetic acid (commercially available from Aldlab Chemicals) for 4- chlorophenoxyacetic acid. XH NMR (400 MHz, DMSO-c¾) δ ppm 8.48 (s, 2H), 7.49 (t, J = 8.9 Hz, 2H), 7.06 (dd, J = 11.4, 2.9 Hz, 2H), 6.85 (ddd, J = 9.0, 2.8, 1.2 Hz, 2H), 4.48 (s, 4H), 2.12 - 2.04 (m, 2H), 1.85 - 1.76 (m, 6H). MS (APCI) m/z 485 (M+H)+.
Example 79: A V-(bicyclo[3.1.1]heptane-l,5-diyl)bis[2-(4-chlorophenoxy)acetamide] (Compound 178)
The title compound was prepared as described in Example 77, substituting benzyl (5- aminobicyclo[3.1.1]heptan-l-yl)carbamate hydrochloride (commercially available from Curpys) for benzyl (4-aminobicyclo[2.1.1]hexan-l-yl)carbamate hydrochloride. XH NMR (400 MHz, DMSO-c¾) δ ppm 8.22 (s, 2H), 7.38 - 7.29 (m, 4H), 7.00 - 6.92 (m, 4H), 4.40 (s, 4H), 2.20 - 2.12 (m, 4H), 1.78 (dd, J = 25.2, 6.9 Hz, 6H). MS (APCI) m/z 463 (M+H)+.
Example 80: A V-(bicyclo[3.1.1]heptane-l,5-diyl)bis[2-(4-chloro-3- fluorophenoxy)acetamide] (Compound 179)
The title compound was prepared as described in Example 77, substituting benzyl (5- aminobicyclo[3.1.1]heptan-l-yl)carbamate hydrochloride (commercially available from Curpys) for benzyl (4-aminobicyclo[2.1.1]hexan-l-yl)carbamate hydrochloride and 2-(4- chloro-3-fluorophenoxy)acetic acid (commercially available from Aldlab Chemicals) for 4- chlorophenoxyacetic acid. lH NMR (400 MHz, DMSO-c¾) δ ppm 8.25 (s, 2H), 7.48 (t, J = 8.8 Hz, 2H), 7.04 (dd, J = 11.4, 2.9 Hz, 2H), 6.83 (ddd, J = 8.9, 2.9, 1.2 Hz, 2H), 4.44 (s, 4H), 2.21 - 2.12 (m, 4H), 1.87 - 1.68 (m, 6H). MS (ESI+) m/z 463 (M+H)+.
Example 81: benzyl {4-[2-(4-chloro-3-fluorophenoxy)acetamido]bicyclo[2.1.1]hexan-l- yl}carbamate (Compound 180)
N,N-Dimethylformamide (9.9 mL), triethylamine (0.97 mL, 6.93 mmol) and 1- [bis(dimethylamino)methylene]-lH-l,2,3-triazolo[4,5- )]pyridinium 3-oxid
hexafluorophosphate (0.489 g, 1.29 mmol, HATU) were added to a mixture of benzyl (4- aminobicyclo[2.1. l]hexan-l-yl)carbamate hydrochloride (MacroChem, 0.28 g, 0.99 mmol) and 2-(4-chloro-3-fluorophenoxy)acetic acid (Aldlab Chemicals, 0.223 g, 1.09 mmol) in sequential order. The reaction mixture was then stirred at ambient temperature for 1 hour. The resulting solution was filtered through a glass microfiber frit and purified by preparative HPLC [Waters XBridge™ CI 8 5 μιη OBD™ column, 30 x 100 mm, flow rate 40 mL/minute, 20-100% gradient of acetonitrile in buffer (0.025 M aqueous ammonium bicarbonate, adjusted to pH 10 with ammonium hydroxide)] to give the title compound (0.36 g, 0.83 mmol, 84% yield). XH NMR (400 MHz, DMSO-c¾) δ ppm 8.45 (s, 1H), 7.77 (s, 1H), 7.49 (t, J = 8.9 Hz, 1H), 7.39 - 7.28 (m, 5H), 7.06 (dd, J = 11.4, 2.8 Hz, 1H), 6.84 (ddd, J = 9.0, 2.9, 1.2 Hz, 1H), 4.99 (s, 2H), 4.47 (s, 2H), 2.14 - 1.95 (m, 2H), 1.83 - 1.65 (m, 6H). MS (DCI) m/z 450 (M+NH4)+.
Example 82: benzyl {5-[2-(4-chloro-3-fluorophenoxy)acetamido]bicyclo[3.1.1]heptan-l- yl}carbamate (Compound 181)
The title compound was prepared as described in Example 81, substituting benzyl (5- aminobicyclo[3.1.1]heptan-l-yl)carbamate hydrochloride (commercially available from Curpys) for benzyl (4-aminobicyclo[2.1.1]hexan-l-yl)carbamate hydrochloride. XH NMR (501 MHz, DMSO-c¾) δ ppm 8.25 (s, 1H), 7.52 - 7.45 (m, 2H), 7.38 - 7.28 (m, 5H), 7.05 (dd, J = 11.4, 2.9 Hz, 1H), 6.83 (ddd, J = 8.9, 2.9, 1.2 Hz, 1H), 4.97 (s, 2H), 4.44 (s, 2H), 2.25 - 2.14 (m, 2H), 2.08 - 2.01 (m, 2H), 1.83 - 1.69 (m, 6H). MS (DCI) m/z 464 (M+NH4)+.
Example 83: 2-(4-chloro-3-fluorophenoxy)-A^-(3-{2-[(pyrazolo[l,5-fl]pyrimidin-5- yl)oxy]acetamido}bicyclo[l.l.l]pentan-l-yl)acetamide (Compound 182)
Example 8 A : tert-butyl 2-(pyrazolo[l,5-a]pyrimidin-5-yloxy)acetate
To a solution of pyrazolo[l,5-a]pyrimidin-5-ol (Ark Pharm, 0.25 g, 1.85 mmol) and fert-butyl bromoacetate (Combi-Blocks, 0.41 mL, 2.78 mmol) in N,N-dimethylformamide (5.0 niL) was added potassium bis(trimethylsilyl)amide (Aldrich, 1.0 M solution in tetrahydrofuran, 3.33 mL). After stirring at ambient temperature for 10 minutes, 30 grams of silica gel was added, and the resulting suspension was concentrated under reduced pressure to a free flowing powder, and the powder was directly purified via flash chromatography (Si02, 25-100% ethyl acetate in heptane) to give the title compound (0.26 g, 1.04 mmol, 56% yield). MS (ESI+) m/z 250 (M+H)+.
Example 83B: 2-(pyrazolo[ 1, 5-a ]pyrimidin-5-yloxy)acetic acid
Trifiuoroacetic acid (2.0 mL) was added to the product of Example 83A (0.25g, 1.0 mmol). The resulting mixture was stirred at ambient temperature for 18 hours and then concentrated in vacuo to give the title compound (0.2 g, 1.0 mmol, 100% yield). MS (ESI+) m/z 194 (M+H)+.
Example 83C: 2-( 4-chloro-3-fluorophenoxy)-N-( 3-{2-[ (pyrazolof 1, 5-a ]pyrimidin-5- yl)oxy]acetamido}bicyclo[ 1.1.1 Jpentan-1 -yljacetamide
The product of Example 9A (35 mg, 0.091 mmol) was dissolved in trifiuoroacetic acid (1.0 mL, 12.98 mmol) and stirred at ambient temperature for 1 hour. The resulting solution was concentrated under reduced pressure and to the residue was added the product of Example 83B (19.3 mg, 0.10 mmol), N,N-dimethylformamide (3.0 mL), triethylamine (0.076 mL, 0.546 mmol) and l-[bis(dimethylamino)methylene]-lH-l,2,3-triazolo[4,5- )]pyridinium 3-oxid hexafluorophosphate (48 mg, 0.13 mmol, HATU) in sequential order. After stirring at ambient temperature for 1 hour, the reaction mixture was filtered through a glass microfiber frit and purified by preparative HPLC [Waters XBridge™ CI 8 5 μιη OBD™ column, 50 x 100 mm, flow rate 90 mL/minute, 5-100% gradient of acetonitrile in buffer (0.1% trifiuoroacetic acid)] to give the title compound (31 mg, 0.067 mmol, 74.1% yield). XH NMR (400 MHz, DMSO-c¾) δ ppm 8.84 (s, 1H), 8.71 (s, 1H), 8.54 (d, J = 7.9 Hz, 1H), 7.80 (d, J = 2.1 Hz, 1H), 7.49 (t, J = 8.9 Hz, 1H), 7.07 (dd, J = 11.3, 2.9 Hz, 1H), 6.84 (ddd, J = 9.0, 2.9, 1.2 Hz, 1H), 6.11 - 6.04 (m, 2H), 4.51 (s, 2H), 4.47 (s, 2H), 2.23 (s, 6H). MS (ESI+) m/z 460 (M+H)+.
Example 84 : 2-(4-chloro-3-fluorophenoxy)-iV- {3- [2-(3,4-difluorophenoxy)acetamido] - bicyclo[l.l.l]pentan-l-yl}acetamide (Compound 183)
The title compound was prepared as described in Example 83C, substituting 2-(3,4- difluorophenoxy)acetic acid (commercially available from Combi-Blocks) for the product of Example 83B. lH NMR (400 MHz, DMSO-i¾) δ ppm 8.72 (s, 1H), 8.70 (s, 1H), 7.49 (t, J = 8.9 Hz, 1H), 7.37 (dt, J = 10.6, 9.3 Hz, 1H), 7.13 - 7.05 (m, 2H), 6.85 (ddd, J = 9.0, 2.9, 1.2 Hz, 1H), 6.80 (dtd, J = 9.2, 3.2, 1.7 Hz, 1H), 4.48 (s, 2H), 4.44 (s, 2H), 2.27 (s, 6H). MS (ESI ) m/z 455 (M+H)+.
Example 85 : 2-(4-chloro-3-fluorophenoxy)-N-(3- {2- [(3-methyl-lH-indazol-6- yl)oxy]acetamido}bicyclo[l.l.l]pentan-l-yl)acetamide (Compound 184)
Example 85 A: tert-butyl 2-((3-methyl-lH-indazol-6-yl)oxy)acetate
The title compound was prepared as described in Example 83A, substituting 3-methyl- lH-indazol-6-ol (commercially available from Ark Pharm) for pyrazolo[l,5-a]pyrimidin-5-ol. MS (ESI+) m/z 263 (M+H)+.
Example 85B : 2-((3-methyl-lH-indazol-6-yl)oxy)acetic acid, trifluoroacetic acid
The title compound was prepared as described in Example 83B, substituting the product of Example 85 A for to the product of Example 83 A. MS (APCI) m/z 207 (M+H)+.
Example 85C: 2-(4-chloro-3-fluorophenoxy)-N-(3-{2-[(3-methyl-lH-indazol-6- yl)oxy]acetamido}bicyclo[l.1. l]pentan-l-yl)acetamide
The title compound was prepared using the coupling method described in Example 83 C, substituting the product of Example 85B for the product of Example 9A and was purified by preparative HPLC [Waters XBridge™ CI 8 5 μιη OBD™ column, 30 x 100 mm, flow rate 40 mL/minute, 5-100% gradient of acetonitrile in buffer (carbonic acid buffer prepared by sparging carbon dioxide gas bubbles through deionized water for 15 minutes immediately before use)]. XH NMR (500 MHz, DMSO-c¾) δ ppm 12.39 (s, 1H), 8.71 (s, 1H), 8.71 (s, 1H), 7.56 (d, J = 8.6 Hz, 1H), 7.49 (t, J = 8.9 Hz, 1H), 7.06 (dd, J = 11.4, 2.8 Hz, 1H), 6.85 (ddd, J =
9.0, 2.9, 1.2 Hz, 1H), 6.82 - 6.77 (m, 2H), 4.47 (s, 2H), 4.46 (s, 2H), 2.41 (s, 3H), 2.27 (s, 6H).
MS (ESI+) m/z 473 (M+H)+.
Example 86 : i\yV-(bicyclo [1.1.1] pentane-l,3-diyl)bis [2-(3,4-difluorophenoxy)acetamide] (Compound 185)
fert-Butyl (3-aminobicyclo[l.1. l]pentan-l-yl)carbamate hydrochloride (Combi-Blocks, 20 mg, 0.085 mmol) was combined with dichloromethane (1.0 mL) and stirred at ambient temperature. Trifluoroacetic acid (1.0 mL, 12.98 mmol) was added, and the resulting solution was stirred at ambient temperature for 20 minutes and then concentrated in vacuo. The resulting residue was taken up in N,N-dimethylformamide (2.0 mL). Triethylamine (0.059 mL, 0.43 mmol), 2-(3,4- difluorophenoxy)acetic acid (Combi-Blocks, 35 mg, 0.187 mmol) and 1- [bis(dimethylamino)methylene]-lH-l,2,3-triazolo[4,5- )]pyridinium 3-oxid
hexafluorophosphate (78 mg, 0.204 mmol, HATU) were added in sequential order. After stirring at ambient temperature for 20 minutes, the resulting mixture was filtered through a glass microfiber frit and purified by preparative HPLC [custom packed YMC TriArt™ CI 8 Hybrid 20 μπι column, 30 x 150 mm, flow rate 70 mL/minute, 5-100% gradient of acetonitrile in buffer (0.1% trifluoroacetic acid)] to give the title compound (31mg, 0.071 mmol, 83% yield). XH NMR (400 MHz, DMSO-c¾) δ ppm 8.69 (s, 2H), 7.37 (dt, J = 10.7, 9.3 Hz, 2H), 7.09 (ddd, J = 12.6, 6.8, 3.0 Hz, 2H), 6.80 (dtd, J = 9.2, 3.3, 1.7 Hz, 2H), 4.44 (s, 4H), 2.27 (s, 6H) MS (ESI+) m/z 439 (M+H)+ Example 87 iV Mbicyclo[l.l.l]pentane-l,3-diyl)bis[2-(4- chloro-3-fluorophenoxy)acetamide] (Compound 186)
The title compound was prepared as described in Example 86, substituting 2-(4-chloro- 3-fluorophenoxy)acetic acid (commercially available from Aldlab Chemicals) for 2-(3,4- difluorophenoxy)acetic acid. l NMR (400 MHz, DMSO-c¾) δ ppm 8.72 (s, 2H), 7.49 (t, J = 8.9 Hz, 2H), 7.07 (dd, J = 11.4, 2.9 Hz, 2H), 6.85 (ddd, J = 9.0, 2.8, 1.2 Hz, 2H), 4.48 (s, 4H), 2.27 (s, 6H). MS (ESI") m/z 468 (M-H)".
Example 88: 2-(4-chloro-3-fluorophenoxy)-iV-(4-{2-[(lH-indazol-6- yl)oxy]acetamido}bicyclo[2.1.1]hexan-l-yl)acetamide (Compound 187)
Example 88A: tert-butyl 2-((lH-indazol-5-yl)oxy)acetate
The title compound was prepared as described in Example 83A, substituting 6-hydroxy- lH-indazole (commercially available from Aldrich) for pyrazolo[l,5-a]pyrimidin-5-ol. MS (ESI+) m/z 249 (M+H)+.
Example 88B: 2-((lH-indazol-6-yl)oxy)acetic acid, trifluoroacetic acid
The title compound was prepared as described in Example 83B, substituting the product of Example 88A for the product of Example 83A. MS (ESI+) m/z 193 (M+H)+.
Example 88C: N-(4-aminobicyclo[2.1.1 ]hexan-l-yl)-2-(4-chloro-3-fluorophenoxy)acetamide, trifluoroacetic acid
The product of Example 81 (110 mg, 0.254 mmol) was dissolved in trifluoroacetic acid
(2.0 mL, 26.0 mmol) and stirred at 80 °C in a sealed tube for 3 hours. The reaction mixture was cooled to ambient temperature and then concentrated in vacuo. The resulting residue was taken up in methanol (3.0 mL) and was filtered through a glass microfiber frit and purified by preparative HPLC [custom packed YMC TriArt™ C18 Hybrid 20 μιη column, 50 x 150 mm, flow rate 130 mL/minute, 3-60% gradient of acetonitrile in buffer (0.1% trifluoroacetic acid)] to give the title compound (95 mg, 0.230 mmol, 91% yield). MS (ESI+) m/z 299 (M+H)+. Example 88D: 2-(4-chloro-3-fluorophenoxy)-N-(4-{2-[(lH-indazol-6- yl)oxy]acetamido}bicyclo[2.1.1 ]hexan-l-yl)acetamide
The title compound was prepared as described in Example 81, substituting the product of Example 88C for benzyl (4-aminobicyclo[2.1.1]hexan-l-yl)carbamate hydrochloride and the product of Example 88B for 2-(4-chloro-3-fluorophenoxy)acetic acid. XH NMR (400 MHz, DMSO-c¾) δ ppm 12.81 (br s, 1H), 8.49 (d, J = 3.2 Hz, 2H), 7.94 (s, 1H), 7.64 (d, J = 8.8 Hz, 1H), 7.49 (t, J = 8.9 Hz, 1H), 7.07 (dd, J = 11.4, 2.9 Hz, 1H), 6.92 - 6.81 (m, 3H), 4.49 (s, 2H), 4.48 (s, 2H), 2.11 - 2.06 (m, 2H), 1.85 - 1.78 (m, 6H). MS (ESI+) m/z 473 (M+H)+.
Example 89: 2-(4-chloro-3-fluorophenoxy)-A^-[4-(2-{[6-(trifluoromethyl)pyridin-3- yl]oxy}acetamido)bicyclo[2.1.1]hexan-l-yl]acetamide (Compound 188)
The title compound was prepared as described in Example 81, substituting the product of Example 88C for benzyl (4-aminobicyclo[2.1.1]hexan-l-yl)carbamate hydrochloride and the product of Example 76B for 2-(4-chloro-3-fluorophenoxy)acetic acid. XH NMR (400 MHz, DMSO-c¾) δ ppm 8.58 (s, 1H), 8.48 (s, 1H), 8.46 (d, J = 2.9 Hz, 1H), 7.88 - 7.85 (m, 1H), 7.56 (dd, J = 8.7, 2.9 Hz, 1H), 7.49 (t, J = 8.9 Hz, 1H), 7.07 (dd, J = 11.4, 2.8 Hz, 1H), 6.85 (ddd, J = 9.0, 2.8, 1.2 Hz, 1H), 4.66 (s, 2H), 4.48 (s, 2H), 2.12 - 2.05 (m, 2H), 1.83 - 1.76 (m, 6H). MS (ESI+) m/z 502 (M+H)+.
Example 90: A/-(2-{[teri-butyl(dimethyl)silyl]oxy}ethyl)-2-(4-chloro-3-fluorophenoxy)-A^- {3-[2-(4-chloro-3-fluorophenoxy)acetamido]bicyclo[l.l.l]pentan-l-yl}acetamide
(Compound 189)
Example 90A: N-{ 3-[(2-{[ tert-butyl(dimethyl)silyl ]oxy}ethyl)amino Jbicyclof 1.1.1 Jpentan-1- yl}-2-(4-chloro-3-fluorophenoxy)acetamide
To a mixture of the product of Example 27D (240 mg, 0.76 mmol) and K2CO3 (524 mg, 3.79 mmol) was added N,N-dimethylformamide (4.0 mL) followed by (2-bromoethoxy)-fer/- butyldimethylsilane (0.488 mL, 2.28 mmol). The reaction mixture was stirred at 47 °C for 16 hours, filtered through a glass microfiber frit and purified by preparative HPLC [custom packed YMC TriArt™ CI 8 Hybrid 20 μιη column, 30 x 150 mm, flow rate 90 mL/minute, 5-100% gradient of acetonitrile in buffer (0.025 M aqueous ammonium bicarbonate, adjusted to pH 10 with ammonium hydroxide)] to give the title compound (0.14 g, 0.32 mmol, 42% yield). XH NMR (501 MHz, DMSO-c¾) δ ppm 8.60 (s, 1H), 7.48 (t, J = 8.9 Hz, 1H), 7.06 (dd, J = 11.4,
2.8 Hz, 1H), 6.84 (ddd, J = 9.0, 2.8, 1.2 Hz, 1H), 4.45 (s, 2H), 3.57 (t, J = 6.3 Hz, 2H), 2.56 (t, J = 6.3 Hz, 2H), 2.27 (br s, 1H), 1.96 - 1.91 (m, 6H), 0.87 - 0.84 (m, 9H), 0.03 (s, 6H). MS (ESI+) m/z 443 (M+H)+.
Example 90B N-(2-{[tert-butyl(dimethyl)silyl]oxy}ethyl)-2-(4-chloro-3-fluorophenoxy)-N-{3- [2-(4-chloro-3-fluorophenoxy)acetamido]bicyclo [ 1.1. IJpentan-l -yljacetamide
The title compound was prepared as described in Example 81, substituting the product of Example 90A for benzyl (4-aminobicyclo[2.1.1]hexan-l-yl)carbamate hydrochloride. XH NMR (400 MHz, DMSO-i¾, 120 °C) δ ppm 8.25 (s, 1H), 7.43 - 7.34 (m, 2H), 6.97 (dd, J = 11.3, 2.8 Hz, 1H), 6.90 (dd, J = 11.3, 2.8 Hz, 1H), 6.83 (ddd, J = 9.0, 2.9, 1.2 Hz, 1H), 6.77 (ddd, J = 8.9, 2.9, 1.2 Hz, 1H), 4.80 (s, 2H), 4.45 (s, 2H), 3.68 (t, J = 6.0 Hz, 2H), 3.43 (t, J = 6.0 Hz, 2H), 2.38 (s, 6H), 0.87 (s, 9H), 0.04 (s, 6H). MS (ESI+) m/z 629 (M+H)+.
Example 91: 2-(4-chloro-3-fluorophenoxy)-iV-{3-[2-(4-chloro-3- fluorophenoxy)acetamido] -bicyclo [ 1.1.1] pentan- l-yl}-iV-(2-hydroxyethyl)acetamide (Compound 190)
The product of Example 90 (40 mg, 0.064 mmol) was dissolved in tetrahydrofuran (1.5 mL) and stirred at ambient temperature. Tetra-ft-butylammonium fluoride (Aldrich, 1 M solution in tetrahydrofuran, 0.32 mL) was added in one portion. After stirring at ambient temperature for 30 minutes, the reaction mixture was concentrated in vacuo. The residue was taken up in methanol (3.0 mL), filtered through a glass microfiber frit and purified by preparative HPLC [Waters XBridge™ CI 8 5 μιη OBD™ column, 30 x 100 mm, flow rate 40 mL/minute, 5-100% gradient of acetonitrile in buffer (carbonic acid buffer prepared by sparging carbon dioxide gas bubbles through deionized water for 15 minutes immediately before use)] to give the title compound (16 mg, 0.031 mmol, 48.9% yield). l NMR (501 MHz, DMSO-c¾) δ ppm 8.83 - 8.71 (m, 1H), 7.49 (t, J = 8.9 Hz, 1H), 7.45 (t, J = 8.9 Hz, 1H), 7.07 (dd, J = 11.4, 2.9 Hz, 1H), 7.01 (dd, J = 11.5, 2.9 Hz, 1H), 6.85 (ddd, J = 9.0, 2.9, 1.2 Hz, 1H), 6.79 (d, J = 8.9 Hz, 1H), 5.21 - 4.80 (m, 3H), 4.48 (s, 2H), 3.58 - 3.49 (m, 2H), 3.40 - 3.33 (m, 2H), 2.45 - 2.28 (m, 6H). MS (ESI+) m/z 515 (M+H)+.
Example 92 : N- {3- [2-(4-chloro-3-fluorophenoxy)acetamido] bicyclo [ 1.1.1] pentan- l-yl}-iV- (2-hydroxyethyl)-2-{[6-(trifluoromethyl)pyridin-3-yl]oxy}acetamide (Compound 191)
Example 92A =N-(2-((tert-butyldimethylsilyl)oxy)ethyl)-N-(3-(2-(4-chloro-3- fluorophenoxy)acetamido)bicyclo[ 1.1.1 ] pentan- l-yl)-2-( ( 6-(trifluoromethyl)pyridin-3- yl)oxy)acetamide The title compound was prepared as described in Example 81, substituting the product of Example 90A for benzyl (4-aminobicyclo[2.1.1]hexan-l-yl)carbamate hydrochloride and the product of Example 76B for 2-(4-chloro-3-fiuorophenoxy)acetic acid. MS (ESI+) m/z 646 (M+H)+.
Example 92B N-{3-[2-(4-chloro-3-fluorophenoxy)acetamido]bicyclo[l. l. l]pentan-l-yl}-N-(2- hydroxyethyl)-2-{ [ 6-( trifluoromethyl)pyridin-3-yl Joxyjacetamide
The title compound was prepared as described in Example 91, substituting the product of Example 92A for the product of Example 90. XH NMR (501 MHz, DMSO-c¾) δ ppm 8.80 and 8.72 (two s, 1H, amide rotamers), 8.40 - 8.36 (m, 1H), 7.83 - 7.78 (m, 1H), 7.51 - 7.43 (m, 2H), 7.05 (dd, J = 11.4, 2.9 Hz, 1H), 6.86 - 6.80 (m, 1H), 5.20 - 4.99 (m, 3H), 4.52 - 4.41 (m, 2H), 3.60 - 3.48 (m, 2H), 3.44 - 3.30 (m, 2H), 2.46 - 2.24 (m, 6H). MS (ESI+) m/z 515 (M+H)+.
Example 93: benzyl {3-[2-(4-chloro-3-fluorophenoxy)acetamido]bicyclo[l.l.l]pentan-l- yl}carbamate (Compound 192)
Benzyl chloroformate (Aldrich, 50% solution in toluene, 40 mg, 0.12 mmol) was added to a solution of the product of Example 27D (30mg, 0.1 1 mmol) and Hunig's Base (0.055 mL, 0.32 mmol) in dichloromethane (3.0 mL), and the reaction mixture was stirred at ambient temperature for 1 hour and then concentrated in vacuo. The resulting residue was taken up in methanol (3 mL), filtered through a glass microfiber frit and purified by preparative HPLC [Waters XBridge™ CI 8 5 μιη OBD™ column, 50 x 100 mm, flow rate 90 mL/minute, 5-100% gradient of acetonitrile in buffer (0.025 M aqueous ammonium bicarbonate, adjusted to pH 10 with ammonium hydroxide)] to give the title compound (27 mg, 0.064 mmol, 61% yield). XH NMR (400 MHz, DMSO-i¾) δ ppm 8.69 (s, 1H), 7.99 (br s, 1H), 7.49 (t, J = 8.9 Hz, 1H), 7.40 - 7.27 (m, 5H), 7.07 (dd, J = 11.4, 2.8 Hz, 1H), 6.85 (ddd, J = 8.9, 2.8, 1.1 Hz, 1H), 5.00 (s, 2H), 4.47 (s, 2H), 2.18 (br s, 6H). MS (ESI") m/z 417 (M-H)".
Example 94 : benzyl {4- [2-(3,4-dichlorophenoxy)acetamido] bicyclo [2.1.1] hexan- 1- yl}carbamate (Compound 193)
The title compound was prepared as described in Example 81, substituting 2-(3,4- dichlorophenoxy)acetic acid (commercially available from Aldrich) for 2-(4-chloro-3- fluorophenoxy)acetic acid. XH NMR (500 MHz, DMSO-i¾) δ ppm 8.47 (s, 1H), 7.79 (br s, 1H), 7.54 (d, J = 8.9 Hz, 1H), 7.40 - 7.29 (m, 5H), 7.25 (d, J = 2.9 Hz, 1H), 6.98 (dd, J = 9.0, 2.9 Hz, 1H), 4.99 (s, 2H), 4.48 (s, 2H), 2.11 - 2.00 (m, 2H), 1.80 - 1.67 (m, 6H). MS (ESI") m/z 447 (M-H)".
Example 95: benzyl {5-[2-(3,4-dichlorophenoxy)acetamido]bicyclo[3.1.1]heptan-l- yl}carbamate (Compound 194)
The title compound was prepared as described in Example 81, substituting benzyl (5- aminobicyclo[3.1.1]heptan-l-yl)carbamate hydrochloride (commercially available from Curpys) for benzyl (4-aminobicyclo[2.1.1]hexan-l-yl)carbamate hydrochloride and 2-(3,4- dichlorophenoxy)acetic acid (commercially available from Aldrich) for 2-(4-chloro-3- fluorophenoxy)acetic acid. XH NMR (500 MHz, DMSO-c¾) δ ppm 8.25 (s, 1H), 7.53 (d, J = 8.9 Hz, 1H), 7.49 (br s, 1H), 7.38 - 7.27 (m, 5H), 7.23 (d, J = 2.9 Hz, 1H), 6.96 (dd, J = 9.0, 2.9 Hz, 1H), 4.97 (s, 2H), 4.45 (s, 2H), 2.24 - 2.13 (m, 2H), 2.06 - 2.01 (m, 2H), 1.82 - 1.67 (m, 6H). MS (ESI") m/z 461 (M-H)".
Example 96 2-(3,4-dichlorophenoxy)-A^-(4-{2-[(4-fluoro-lH-indazol-6-yl)oxy]acetamido}- bicyclo[2.1.1]hexan-l-yl)acetamide (Compound 195)
Example 96A: N-(4-aminobicyclo[2.1.1 ]hexan-l-yl)-2-(3, 4-dichlorophenoxy)acetamide
The title compound was prepared as described in Example 88C, substituting the product of Example 94 for the product of Example 81 and purified by preparative HPLC [Waters XBridge™ C18 5 μιη OBD™ column, 30 x 100 mm, flow rate 40 mL/minute, 5-100% gradient of acetonitrile in buffer (0.025 M aqueous ammonium bicarbonate, adjusted to pH 10 with ammonium hydroxide)]. MS (ESI+) m/z 315 (M+H)+.
Example 96B : 2-(3, 4-dichlorophenoxy)-N-(4-{2-[(4-fluoro-lH-indazol-6- yl)oxy]acetamido}bicyclo[2.1.1 ]hexan-l-yl)acetamide
The title compound was prepared as described in Example 81, substituting the product of Example 12B for 2-(4-chloro-3-fiuorophenoxy)acetic acid, the product of Example 96A for benzyl (4-aminobicyclo[2.1.1]hexan-l-yl)carbamate hydrochloride and Hunig's base for triethylamine. XH NMR (400 MHz, DMSO-c¾) δ ppm 13.08 (br s, 1H), 8.51 (s, 1H), 8.49 (s, 1H), 8.05 (s, 1H), 7.54 (d, J = 8.9 Hz, 1H), 7.25 (d, J = 2.9 Hz, 1H), 6.98 (dd, J = 8.9, 2.9 Hz, 1H), 6.77 (br s, 1H), 6.70 - 6.66 (m, 1H), 4.51 (s, 2H), 4.49 (s, 2H), 2.11 - 2.06 (m, 2H), 1.85 - 1.78 (m, 6H). MS (ESI+) m/z 507 (M+H)+.
Example 97: 2-(3,4-dichlorophenoxy)-A^-[4-(2-{[6-(trifluoromethyl)pyridin-3- yl]oxy}acetamido)bicyclo[2.1.1]hexan-l-yl]acetamide (Compound 196) The title compound was prepared as described in Example 81, substituting the product of Example 96A for benzyl (4-aminobicyclo[2.1.1]hexan-l-yl)carbamate hydrochloride and the product of Example 76B for 2-(4-chloro-3-fiuorophenoxy)acetic acid. XH NMR (501 MHz, DMSO-c¾) δ ppm 8.58 (s, 1H), 8.48 (s, 1H), 8.46 (d, J = 2.9 Hz, 1H), 7.86 (d, J = 8.7 Hz, 1H), 7.58 - 7.55 (m, 1H), 7.54 (d, J = 8.9 Hz, 1H), 7.25 (d, J = 2.9 Hz, 1H), 6.98 (dd, J = 9.0, 2.9 Hz, 1H), 4.66 (s, 2H), 4.49 (s, 2H), 2.11 - 2.06 (m, 2H), 1.83 - 1.79 (m, 6H). MS (ESI+) m/z 518 (M+H)+.
Example 98 : N- {3- [2-(3-chloro-4-fluorophenoxy)acetamido] bicyclo [ 1.1.1] pentan- l-yl}-2- (3,4-dichlorophenoxy)-iV-methylacetamide (Compound 197)
Example 98 A
To a solution of the product of Example 22A (220 mg, 0.55 mmol) in N,N- dimethylacetamide (3.5 mL) was added sodium hydride (60% dispersion in mineral oil, 26 mg, 0.66 mmol) in one portion. Tetrahydrofuran (2.0 mL) was then added. After stirring at ambient temperature for 5 minutes, methyl iodide (0.051 mL, 0.82 mmol) was added in one portion. After stirring for another 10 minutes, methanol (2.0 mL) was added, and the resulting solution was concentrated under reduced pressure to about 3 mL, filtered through a glass microfiber frit and purified by preparative HPLC [Waters XBridge™ CI 8 5 μιτι OBD™ column, 50 x 100 mm, flow rate 90 mL/minute, 35-75% gradient of acetonitrile in buffer (0.1 % trifluoroacetic acid)] to give the title compound (0.08 g, 0.19 mmol, 35% yield). l NMR (400 MHz, DMSO-c¾, 120 °C) δ ppm 7.44 (d, J = 8.9 Hz, 1H), 7.14 (d, J = 2.9 Hz, 1H), 6.97 - 6.88 (m, 2H), 4.75 (s, 2H), 2.86 (s, 3H), 2.25 (s, 6H), 1.39 (d, J = 0.6 Hz, 9H). MS (ESI+) m/z 415 (M+H)+.
Example 98B: N-{ 3-[ 2-( 3-chloro-4-fluorophenoxy)acetamido Jbicyclof 1.1.1 ]pentan-l-yl}-2- ( 3, 4-dichlorophenoxy)-N-methylacetamide
The title compound was prepared as described in Example 83C, substituting the product of Example 98A for the product of Example 9A and 2-(4-chloro-3-fiuorophenoxy)acetic acid (commercially available from Aldlab Chemicals) for the product of Example 83B. XH NMR (400 MHz, DMSO-c¾, 120 °C) δ ppm 8.25 (s, 1H), 7.46 - 7.37 (m, 2H), 7.14 (d, J = 2.9 Hz, 1H), 6.98 (dd, J = 11.3, 2.8 Hz, 1H), 6.92 (dd, J = 8.9, 2.9 Hz, 1H), 6.83 (ddd, J = 9.0, 2.9, 1.3 Hz, 1H), 4.76 (s, 2H), 4.45 (s, 2H), 2.88 (s, 3H), 2.37 (br s, 6H). MS (ESI+) m/z 501/503 (M+H)+. Example 99: 2-(3,4-dichlorophenoxy)-A^-{3-[2-(3,4-dichlorophenoxy)acetamido]- bicyclo[l l]pentan-l-yl}-/V-methylacetamide (Compound 198)
The title compound was prepared as described in Example 83C, substituting the product of Example 98A for the product of Example 9A and 2-(3,4-dichlorophenoxy)acetic acid (commercially available from Aldrich) for the product of Example 83B. XH NMR (400 MHz, DMSO-c¾, 120 °C) δ ppm 8.27 (s, 1H), 7.49 - 7.40 (m, 2H), 7.20 (d, J = 2.9 Hz, 1H), 7.15 (d, J = 3.0 Hz, 1H), 6.96 (dd, J = 8.9, 2.9 Hz, 1H), 6.92 (dd, J = 8.9, 2.9 Hz, 1H), 4.77 (s, 2H), 4.46 (s, 2H), 2.88 (s, 3H), 2.37 (br s, 6H). MS (ESI+) m/z 519/517 (M+H)+.
Example 100: iV-{3-[2-(4-chlorophenoxy)acetamido]bicyclo[l.l.l]pentan-l-yl}-2-(3,4- dichlorophenoxy)-ZV-methylacetamide (Compound 199)
The title compound was prepared as described in Example 83C, substituting the product of Example 98A for the product of Example 9A and 2-(4-chlorophenoxy)acetic acid
(commercially available from Aldrich) for the product of Example 83B. XH NMR (400 MHz, DMSO-c¾, 120 °C) δ ppm 8.21 (s, 1H), 7.44 (d, J = 9.0 Hz, 1H), 7.30 - 7.26 (m, 2H), 7.14 (d, J = 2.9 Hz, 1H), 6.99 - 6.94 (m, 2H), 6.92 (dd, J = 8.9, 2.9 Hz, 1H), 4.76 (s, 2H), 4.41 (s, 2H), 2.88 (s, 3H), 2.37 (br s, 6H). MS (ESI+) m/z 483/485 (M+H)+.
Example 101 : /V2-(4-chlorophenyl)-iV- {3- [2-(3,4-dichlorophenoxy)acetamido]- bicyclo[l.l.l]pentan-l-yl}-A/2-methylglycinamide (Compound 200)
The title compound was prepared as described in Example 83C, substituting the product of Example 22A for the product of Example 9A and 2-((4-chlorophenyl)(methyl)amino)acetic acid hydrochloride (commercially available from Enamine) for the product of Example 83B. XH NMR (400 MHz, DMSO-c¾), δ ppm 8.69 (s, 1H), 8.53 (s, 1H), 7.54 (d, J = 8.9 Hz, 1H), 7.25 (d, J = 2.9 Hz, 1H), 7.20 - 7.14 (m, 2H), 6.98 (dd, J = 8.9, 2.9 Hz, 1H), 6.62 - 6.56 (m, 2H), 4.47 (s, 2H), 3.85 (s, 2H), 2.94 (s, 3H), 2.21 (br s, 6H). MS (ESI+) m/z 482/484 (M+H)+. Example 102: A/-{3-[2-(4-chloro-3-fluorophenoxy)acetamido]bicyclo[l.l.l]pentan-l-yl}- iV2-(4-chlorophenyl)-iV2-methylglycinamide (Compound 201)
The title compound was prepared as described in Example 81, substituting 2-((4- chlorophenyl)(methyl)amino)acetic acid hydrochloride (commercially available from Enamine) for 2-(4-chloro-3-fluorophenoxy)acetic acid and the product of Example 9B for benzyl (4- aminobicyclo[2.1. l]hexan-l-yl)carbamate hydrochloride. l NMR (400 MHz, OMSO-d6, 120 °C) δ ppm 8.17 (s, 1H), 8.07 (s, 1H), 7.46 - 7.36 (m, 5H), 6.98 (dd, J = 11.3, 2.8 Hz, 1H), 6.83 (ddd, J = 9.0, 2.9, 1.3 Hz, 1H), 4.43 (s, 2H), 3.88 (s, 2H), 2.92 (s, 3H), 2.25 (br s, 6H). MS (ESI+) m/z 494 (M+H)+.
Example 103: A^-(4-chlorophenyl)-A^-{4-[2-(3,4-dichlorophenoxy)acetamido]- bicyclo[2.1.1]hexan-l-yl}-A^-methylglycinamide (Compound 202)
The title compound was prepared as described in Example 81, substituting 2-((4- chlorophenyl)(methyl)amino)acetic acid hydrochloride (commercially available from Enamine) for 2-(4-chloro-3-fluorophenoxy)acetic acid and the product of Example 96A for benzyl (4- aminobicyclo[2.1. l]hexan-l-yl)carbamate hydrochloride. XH NMR (501 MHz, DMSO-^) δ ppm 8.43 (s, 1H), 8.29 (s, 1H), 7.52 (d, J = 8.9 Hz, 1H), 7.22 (d, J = 2.9 Hz, 1H), 7.17 - 7.12 (m, 2H), 6.95 (dd, J = 8.9, 2.9 Hz, 1H), 6.61 - 6.56 (m, 2H), 4.46 (s, 2H), 3.83 (s, 2H), 2.93 (s, 3H), 2.04 - 1.99 (m, 2H), 1.77 - 1.71 (m, 6H). MS (ESI+) m/z 496/498 (M+H)+.
Example 104: iV-{3-[2-(4-chloro-3-fluorophenoxy)acetamido]bicyclo[l.l.l]pentan-l-yl}- ZV2-(4-chlorophenyl)glycinamide (Compound 203)
The title compound was prepared as described in Example 81, substituting the product of Example 9B for benzyl (4-aminobicyclo[2.1.1]hexan-l-yl)carbamate hydrochloride and 2- ((4-chlorophenyl)amino)acetic acid (commercially available for Enamine) for 2-(4-chloro-3- fluorophenoxy)acetic acid. XH NMR (400 MHz, DMSO-c¾) δ ppm 8.65 (s, 1H), 8.48 (s, 1H), 7.45 (t, J = 8.8 Hz, 1H), 7.09 - 7.00 (m, 3H), 6.81 (ddd, J = 9.0, 2.9, 1.2 Hz, 1H), 6.52 - 6.46 (m, 2H), 5.97 (t, J = 5.9 Hz, 1H), 4.43 (s, 2H), 3.54 (d, J = 5.9 Hz, 2H), 2.19 (br s, 6H). MS (ESI+) m/z 452 (M+H)+.
Example 105: 4-chloro-iV-[2-({3-[2-(4-chloro-3-fluorophenoxy)acetamido]- bicyclo[l.l.l]pentan-l-yl}amino)-2-oxoethyl]-iV-methylbenzamide (Compound 204)
Example 105A: methyl 2-(4-chloro-N-methylbenzamido)acetate
4-Chlorobenzoic acid (0.617 g, 3.94 mmol), sarcosine methyl ester hydrochloride (Ark Pharm, 0.55 g, 3.94 mmol) and triethylamine (1.65 mL, 11.8 mmol) were combined with N,N- dimethylacetamide (8 mL), and the mixture was stirred at ambient temperature. 1- [Bis(dimethylamino)methylene]-lH-l,2,3-triazolo[4,5-/)]pyridinium 3-oxid
hexafluorophosphate (1.798 g, 4.73 mmol, HATU) was added in one portion. After stirring for 1 hour, dimethyl sulfoxide (2 mL) was added, and the resulting solution was filtered through a glass microfiber frit and purified by preparative HPLC [Waters XBridge™ CI 8 5 μιτι OBD™ column, 50 x 100 mm, flow rate 90 mL/minute, 5-45% gradient of acetonitrile in buffer (0.1% trifluoroacetic acid)] to give the title compound (0.30 g, 1.24 mmol, 32% yield). MS (ESI ) m/z 242 (M+H)+.
Example 105B: 2-(4-chloro-N-methylbenzamido)acetic acid
The product of Example 105A (0.46 g, 1.738 mmol) was dissolved in ethanol (30 mL), aqueous sodium hydroxide (2.5 M, 10 mL) was added, and the resulting mixture was stirred at ambient temperature for 20 minutes. The mixture was partitioned between dichloromethane (2 x 100 mL) and aqueous citric acid (10 weight %, 100 mL). The organic layers were combined, dried over anhydrous sodium sulfate, filtered, and concentrated in vacuo to give the title compound. MS (ESI") m/z 226 (M-H)".
Example 105C: 4-chloro-N-[2-({3-[2-(4-chloro-3-fluorophenoxy)acetamido]bicyclo-
[1.1.1 ]pentan-l-yl}amino)-2-oxoethyl]-N-methylbenzamide
The title compound was prepared as described in Example 81, substituting the product of Example 9B for benzyl (4-aminobicyclo[2.1.1]hexan-l-yl)carbamate hydrochloride and the product of Example 105B for 2-(4-chloro-3-fluorophenoxy)acetic acid. XH NMR (400 MHz, DMSO-c¾, 120 °C) δ ppm 8.17 (s, 1H), 8.07 (s, 1H), 7.46 - 7.36 (m, 5H), 6.98 (dd, J = 11.3,
2.8 Hz, 1H), 6.83 (ddd, J = 9.0, 2.9, 1.3 Hz, 1H), 4.43 (s, 2H), 3.88 (s, 2H), 2.92 (s, 3H), 2.25
(br s, 6H). MS (ESI+) m/z 494 (M+H)+.
Example 106 : iV2-acetyl-iV- {3- [2-(4-chloro-3-fluorophenoxy)acetamido] bicyclo- [l.l.l]pentan-l-yl}-A^-(4-chlorophenyl)glycinamide (Compound 205)
Acetyl chloride (7.9 μί, 0.11 mmol) was added to a solution of the product of Example
104 (25mg, 0.055 mmol) in pyridine (1.0 mL). After stirring at ambient temperature for 1 hour, methanol (1 mL) was added, and the resulting solution was concentrated in vacuo. The residue was taken up in N,N-dimethylformamide (2 mL), filtered through a glass microfiber frit and purified by preparative HPLC [Waters XBridge™ C18 5 μιη OBD™ column, 50 x 100 mm, flow rate 90 mL/minute, 5-100% gradient of acetonitrile in buffer (0.1% trifluoroacetic acid)] to give the title compound (24 mg, 0.049 mmol, 88% yield). XH NMR (400 MHz, DMSO-c¾, 120 °C) δ ppm 8.19 (s, 1H), 8.06 (s, 1H), 7.46 - 7.36 (m, 5H), 7.00 (dd, J = 11.3, 2.9 Hz, 1H), 6.85 (ddd, J = 8.9, 2.9, 1.3 Hz, 1H), 4.46 (s, 2H), 4.16 (s, 2H), 2.25 (br s, 6H), 1.86 (s, 3H). MS (ESI+) m/z 494 (M+H)+.
Example 107: 2-(4-chloro-3-fluorophenoxy)-iV-(3-{2-[(6-methylpyridin-3- yl)oxy]acetamido}bicyclo[l.l.l]pentan-l-yl)acetamide (Compound 206)
Example 107 A: 2-((6-methylpyridin-3-yl)oxy)acetic acid, 2.5 sodium hydroxide Ethyl 2-[(6-methylpyridin-3-yl)oxy]acetate (Aldrich-CPR, 1.0 g, 5.12 mmol) was dissolved in ethanol (15 mL) and aqueous sodium hydroxide (2.5 M, 5.12 mL) was added in one portion. The resulting mixture was stirred at ambient temperature for 20 minutes and then concentrated in vacuo to provide the title compound as a sodium salt with 2.5 equivalent sodium hydroxide excipient (1.4 g, 5.12 mmol, quantitative). MS (ESI+) m/z 168 (M+H)+. Example 107B: 2-(4-chloro-3-fluorophenoxy)-N-(3-{2-[(6-methylpyridin-3- yl)oxy]acetamido}bicyclo[ 1.1.1 ] pentan- l-yl)acetamide
N,N-Dimethylformamide (1.0 mL), pyridine (1.0 mL, 12.4 mmol) and 1- [bis(dimethylamino)methylene]-lH-l,2,3-triazolo[4,5- )]pyridinium 3-oxid
hexafluorophosphate (100 mg, 0.26 mmol, HATU) were added to a mixture of the product of Example 107A (73 mg, 0.241 mmol) and the product of Example 9B (84 mg, 0.21 mmol) in sequential order. The reaction was then stirred at ambient temperature for 18 hours, filtered through a glass microfiber frit and purified by preparative HPLC [Waters XBridge™ C18 5 μιη OBD™ column, 30 x 100 mm, flow rate 40 mL/minute, 5-100% gradient of acetonitrile in buffer (0.025 M aqueous ammonium bicarbonate, adjusted to pH 10 with ammonium hydroxide)] to give the title compound (35 mg, 0.08 mmol, 38% yield). XH NMR (400 MHz, DMSO-c¾) δ ppm 8.71 (s, 2H), 8.16 (d, J = 3.0 Hz, 1H), 7.49 (t, J = 8.9 Hz, 1H), 7.29 - 7.24 (m, 1H), 7.20 - 7.15 (m, 1H), 7.07 (dd, J = 11.4, 2.8 Hz, 1H), 6.85 (ddd, J = 9.0, 2.8, 1.2 Hz, 1H), 4.48 (s, 2H), 4.47 (s, 2H), 2.39 (s, 3H), 2.26 (s, 6H). MS (ESI+) m/z 434 (M+H)+.
Example 108: 2-(benzyloxy)-iV-{3-[2-(4-chloro-3-fluorophenoxy)acetamido]- bicyclo[l.l.l]pentan-l-yl}acetamide (Compound 207)
The title compound was prepared as described in Example 107B, substituting benzyloxy acetic acid (commercially available from Aldrich) for the product of Example 107 A. lH NMR (500 MHz, DMSO-i¾) δ ppm 8.69 (s, 1H), 8.35 (s, 1H), 7.49 (t, J = 8.9 Hz, 1H), 7.38 - 7.32 (m, 4H), 7.30 (ddd, J = 7.7, 5.0, 3.8 Hz, 1H), 7.07 (dd, J = 11.3, 2.9 Hz, 1H), 6.85 (ddd, J = 8.9, 2.9, 1.1 Hz, 1H), 4.52 (s, 2H), 4.47 (s, 2H), 3.84 (s, 2H), 2.24 (br s, 6H). MS (ESI+) m/z 433 (M+H)+.
Example 109 : 2-(benzyloxy)-iV- {3- [2-(4-chlorophenoxy)acetamido] bicyclo [ 1.1.1] pentan- 1- yl}acetamide (Compound 208)
Example 109A: tert-butyl (3-(2-(4-chlorophenoxy)acetamido)bicyclo [1.1.1] pentan- 1- yl) carbamate To a solution of fert-butyl (3-aminobicyclo[l. l. l]pentan-l-yl)carbamate
(PharmaBlock,l. l g, 5.55 mmol) in tetrahydrofuran (40 mL) was added triethylamine (2.32 niL, 16.64 mmol) followed by 4-chlorophenoxyacetyl chloride (Aldrich, 0.866 mL, 5.55 mmol). The mixture was allowed to stir at ambient temperature for 4 hours, and then the resulting solids were isolated via filtration to give the title compound (2.0 g, 5.45 mmol, 98% yield). MS (ESI+) m/z 384 (M+NH4)+.
Example 109B: N-(3-aminobicyclo[ 1.1.1 ]pentan-l-yl)-2-(4-chlorophenoxy)acetamide, trifluoroacetate
To a solution of the product of Example 109A (2.0 g, 5.45 mmol) in dichloromethane
(25 mL) at ambient temperature was added trifluoroacetic acid (8.40 mL, 109 mmol). The mixture was allowed to stir at ambient temperature for 2 hours and was concentrated in vacuo. The resulting residue was treated with ether/heptane to give the title compound as a solid (1.5 g, 3.94 mmol, 72% yield). MS (ESI+) m/z 302 (M+NH4)+.
Example 109C: 2-(benzyloxy)-N-{3-[2-(4-chlorophenoxy)acetamido]bicyclo[l. l. l]pentan-l- yl}acetamide
The title compound was prepared as described in Example 107B, substituting benzyloxy acetic acid (commercially available from Aldrich) for the product of Example 107 A and the product of Example 109B for the product of Example 9B. XH NMR (500 MHz, DMSO-c¾) δ ppm 8.67 (s, 1H), 8.34 (s, 1H), 7.40 - 7.27 (m, 7H), 6.99 - 6.93 (m, 2H), 4.52 (s, 2H), 4.42 (s, 2H), 3.84 (s, 2H), 2.24 (br s, 6H). MS (ESI+) m/z 415 (M+H)+.
Example 110: i\yV-(bicyclo [3.1.1] heptane-l,5-diyl)bis [2-(3,4-dichlorophenoxy)acetamide (Compound 209)
Example 110A: benzyl (5-(2-(3, 4-dichlorophenoxy)acetamido)bicyclo[ 3.1.1 Jheptan-1- yl) carbamate
The title compound was prepared as described in Example 81, substituting 2-(3,4- dichlorophenoxy)acetic acid (commercially available from Aldrich) for 2-(4-chloro-3- fluorophenoxy)acetic acid and benzyl (5-aminobicyclo[3.1.1]heptan-l-yl)carbamate hydrochloride (commercially available from Curpys) for benzyl (4-aminobicyclo[2.1.1]hexan- l-yl)carbamate hydrochloride. lH NMR (500 MHz, DMSO-i¾) δ ppm 8.25 (s, 1H), 7.53 (d, J = 8.9 Hz, 1H), 7.49 (br s, 1H), 7.38 - 7.27 (m, 5H), 7.23 (d, J = 2.9 Hz, 1H), 6.96 (dd, J = 9.0, 2.9 Hz, 1H), 4.97 (s, 2H), 4.45 (s, 2H), 2.24 - 2.13 (m, 2H), 2.06 - 2.01 (m, 2H), 1.82 - 1.67 (m, 6H). MS (ESI+) m/z 480 (M+NH4)+.
Example HOB: N,N'-(bicyclo[3.1.1 ]heptane-l ,5-diyl)bis [2-(3,4-dichlorophenoxy)acetamide The product of Example 11 OA (25 mg, 0.054 mmol) was stirred in trifluoroacetic acid (0.5 mL, 6.49 mmol) at 75 °C for 2 hours. The reaction mixture was cooled to ambient temperature and then concentrated in vacuo. To the resulting residue was added N,N- dimethylformamide (2.0 mL), 2-(3,4-dichlorophenoxy)acetic acid (commercially available from Aldrich, 17.9 mg, 0.081 mmol), triethylamine (38 μί, 0.27 mmol) and 1- [bis(dimethylamino)methylene]-lH-l,2,3-triazolo[4,5- )]pyridinium 3-oxid
hexafluorophosphate (30.8 mg, 0.081 mmol, HATU) in sequential order. The reaction mixture was stirred at ambient temperature for 1 hour. The resulting solution was filtered through a glass microfiber frit and purified by preparative HPLC [Waters XBridge™ CI 8 5 μιτι OBD™ column, 30 x 100 mm, flow rate 40 mL/minute, 5-100% gradient of acetonitrile in buffer (0.1% TFA)] to give the title compound (16 mg, 0.03 mmol, 56% yield). l NMR (400 MHz, DMSO-c¾) δ ppm 8.26 (s, 2H), 7.54 (d, J = 8.9 Hz, 2H), 7.23 (d, J = 2.9 Hz, 2H), 6.96 (dd, J = 8.9, 2.9 Hz, 2H), 4.46 (s, 4H), 2.21 - 2.12 (m, 4H), 1.86 - 1.69 (m, 6H). MS (ESI+) m/z 415 (M+H)+.
Example 111: 2-(4-chloro-3-fluorophenoxy)-iV- {3- [2-(6-methylpyridin-3- yl)acetamido]bicyclo[l.l.l]pentan-l-yl}acetamide (Compound 210)
The title compound was prepared as described in Example 107B, substituting 2-(6- methylpyridin-3-yl)acetic acid (commercially available from Enamine) for the product of Example 107 A. XH NMR (501 MHz, DMSO-i¾) δ ppm 8.69 (s, 1H), 8.68 (s, 1H), 8.27 (d, J = 2.3 Hz, 1H), 7.53 - 7.46 (m, 2H), 7.20 - 7.15 (m, 1H), 7.06 (dd, J = 11.4, 2.8 Hz, 1H), 6.84 (ddd, J = 9.0, 2.9, 1.2 Hz, 1H), 4.46 (s, 2H), 3.35 (s, 2H), 2.42 (s, 3H), 2.21 (br s, 6H). MS (ESI+) m/z 418 (M+H)+.
Example 112: 4-{[2-({3-[2-(4-chloro-3-fluorophenoxy)acetamido]bicyclo[l.l.l]pentan-l- yl}amino)-2-oxoethoxy]methyl}benzoic acid (Compound 211)
Example 112A: N-(3-aminobicyclo[ 1.1.1 ]pentan-l-yl)-2-(4-chloro-3-fluorophenoxy)acetamide hydrochloride
A mixture of Example 9A (1.20 g, 3.12 mmol) and 4 N HC1 (in dioxane, 4.68 mL,
18.71 mmol) in dioxane (10 mL) was stirred overnight. The solids were filtered, washed with ethyl acetate, and vacuum oven-dried to give the title compound (0.985 g, 98%). MS (ESI ) m/z 284.9 (M+H)+.
Example 112B: 2-(4-chloro-3-fluorophenoxy)-N-(3-(2- hydroxyacetamidojbicyclo [ 1.1.1 ]pentan-l-yl)acetamide
A mixture of Example 112A (0.475 g, 1.479 mmol), 2-hydroxyacetic acid (0.193 g,
1.775 mmol) 70% in water, l-[bis(dimethylamino)methylene]-lH-l,2,3-triazolo[4,5- Z>]pyridinium 3-oxid hexafiuorophosphate (HATU, 0.675 g, 1.775 mmol), and triethylamine (0.618 mL, 4.44 mmol) in tetrahydrofuran (8 mL) was stirred overnight. The reaction mixture was then treated with water and brine and extracted with ethyl acetate (2x). The combined organic layers were dried over MgSC>4, filtered, and concentrated. The residue was purified on a 40 g silica gel column using a Biotage® Isolera™ One flash system eluting with
heptanes/ethyl acetate (1 :9) to ethyl acetate to give the title compound (0.323 g, 64%). MS (ESI+) m/z 342.9 (M+H)+.
Example 112C: methyl 4-((2-((3-(2-(4-chloro-3- fluorophenoxy)acetamido)bicyclo[ 1.1.1 ]pentan-l-yl)amino)-2-oxoethoxy)methyl)benzoate A mixture of Example 112B (100.0 mg, 0.292 mmol) and 60% sodium hydride in mineral oil (12.84 mg, 0.321 mmol) in tetrahydrofuran (3.5 mL) was stirred for 10 minutes. Methyl 4-(bromomethyl)benzoate (73.5 mg, 0.321 mmol) was added. The reaction mixture was stirred overnight. The reaction was quenched with brine and extracted with ethyl acetate (2x). The combined organic layers were dried over MgS04, filtered, and concentrated. The residue was purified on a 12 g silica gel column using a Biotage® Isolera™ One flash system eluting with heptanes/ethyl acetate (4:6 to 1 :9) to give the title compound (55.1 mg, 39%). MS (APCI+) m/z 491.1 (M+H)+.
Example 112D: 4-{[2-( { 3-[ 2-( 4-chloro-3-fluorophenoxy)acetamido Jbicyclof 1.1.1 Jpentan-1- yl}amino)-2-oxoethoxy]methyl}benzoic acid
A solution of Example 112C (53.0 mg, 0.108 mmol) in tetrahydrofuran (1.2 mL) and methanol (0.8 mL) was treated with a solution of LiOH (7.76 mg, 0.324 mmol) in water (0.6 mL). The mixture was stirred for 6 hours and concentrated. The residue was purified by reverse-phase HPLC performed on a Zorbax Rx-C18 column (250 x 21.2 mm, 7 μπι particle size) using a gradient of 10% to 95% acetonitrile : 0.1% aqueous trifluoroacetic acid over 30 minutes at a flow rate of 18 mL/minute to provide the title compound (22.7 mg, 44%). ΧΗ NMR (400 MHz, DMSO-c¾) δ ppm 8.68 (s, 1H), 8.39 (s, 1H), 7.97 - 7.85 (m, 2H), 7.54 - 7.39 (m, 3H), 7.05 (dd, J = 11.4, 2.9 Hz, 1H), 6.83 (ddd, J = 9.0, 2.8, 1.2 Hz, 1H), 4.59 (s, 2H), 4.45 (s, 2H), 3.87 (s, 2H), 2.23 (s, 6H). MS (ESI+) m/z 476.9 (M+H)+.
Example 113: 3-{[2-({3-[2-(4-chloro-3-fluorophenoxy)acetamido]bicyclo[l.l.l]pentan-l- yl}amino)-2-oxoethoxy]methyl}benzoic acid (Compound 212)
Example 113A: methyl 3-((2-((3-(2-(4-chloro-3- fluorophenoxy)acetamido)bicyclo[ 1.1.1 ]pentan-l-yl)amino)-2-oxoethoxy)methyl)benzoate A mixture of Example 112B (100.0 mg, 0.292 mmol) and 60% sodium hydride in mineral oil (12.84 mg, 0.321 mmol) in tetrahydrofuran (4 mL) was stirred for 10 minutes. Methyl 3-(bromomethyl)benzoate (73.5 mg, 0.321 mmol) was added. The reaction mixture was stirred ovemight. The reaction was quenched with brine and extracted with ethyl acetate (twice). The combined organic layers were dried over MgSC>4, filtered, concentrated. The residue was purified on a 12 g silica gel column using a Biotage® Isolera™ One flash system eluting with heptanes/ethyl acetate (4:6 to 1 :9) to give the title compound (46.1 mg, 32%). MS (APCI+) m/z 491.1 (M+H)+.
Example 113B: 3-{[2-({3-[2-(4-chloro-3-fluorophenoxy)acetamido]bicyclo[l .1. IJpentan-l- yl}amino)-2-oxoethoxy Jmethyljbenzoic acid
A solution of Example 113A (45.0 mg, 0.092 mmol) in tetrahydrofuran (1.2 mL) and methanol (0.8 mL) was treated with a solution of LiOH (6.59 mg, 0.275 mmol) in water (0.6 mL). The mixture was stirred for 6 hours and then concentrated. The residue was purified by HPLC (see protocol in Example 112D) to provide the title compound (11.8 mg, 27%). XH NMR (501 MHz, DMSO-i¾) δ ppm 8.69 (s, 1H), 8.39 (s, 1H), 7.91 (d, J = 1.9 Hz, 1H), 7.86 (dt, J = 7.7, 1.5 Hz, 1H), 7.60 (dt, J = 7.7, 1.5 Hz, 1H), 7.53 - 7.42 (m, 2H), 7.05 (dd, J = 11.4, 2.8 Hz, 1H), 6.83 (ddd, J = 9.0, 2.9, 1.2 Hz, 1H), 4.57 (s, 2H), 4.45 (s, 2H), 3.86 (s, 2H), 2.23 (s, 6H). MS (ESI+) m/z 476.9 (M+H)+.
Example 114: 2-(4-chloro-3-fluorophenoxy)-iV-(3-{2-[(5-chloropyridin-2- yl)oxy]acetamido}bicyclo[l.l.l]pentan-l-yl)acetamide (Compound 213)
To a mixture of Example 112B (50 mg, 0.146 mmol), and 5-chloro-2-fluoropyridine (0.018 mL, 0.175 mmol) in dimethylformamide (1.5 mL) was added 60% NaH in mineral oil (7.58 mg, 0.190 mmol). The mixture was stirred for 2 hours. The reaction was quenched with water and brine and extracted with ethyl acetate (twice). The combined organic layers were dried over MgSC>4 and concentrated. The residue was purified by HPLC (see protocol in Example 112D) to provide the title compound as a trifluoroacetic acid salt (23.9 mg, 28.8%). XH NMR (400 MHz, DMSO-c¾) δ ppm 8.68 (s, 1H), 8.62 (s, 1H), 8.16 (d, J = 2.7 Hz, 1H), 7.82 (dd, J = 8.8, 2.7 Hz, 1H), 7.47 (t, J = 8.9 Hz, 1H), 7.05 (dd, J = 11.4, 2.8 Hz, 1H), 6.93 (d, J = 8.8 Hz, 1H), 6.83 (ddd, J = 9.0, 2.8, 1.2 Hz, 1H), 4.64 (s, 2H), 4.45 (s, 2H), 2.22 (s, 6H). MS (ES1+) m/z 454.0 (M+H)+.
Example 115: 2-(4-chloro-3-fluorophenoxy)-A^-[3-(2-{[5-(trifluoromethyl)pyridin-2- yl]oxy}acetamido)bicyclo[l.l.l]pentan-l-yl]acetamide (Compound 214)
A mixture of Example 112B (65 mg, 0.190 mmol), 2-fluoro-5-(trifluoromethyl)pyridine (0.027 mL, 0.228 mmol), and 60% NaH in mineral oil (25.03 mg, 0.626 mmol) in
dimethylformamide (2 mL) was stirred for 2.5 hours. The reaction was quenched with water and brine and extracted with ethyl acetate (twice). The combined organic layers were dried over MgSC>4 and concentrated. The residue was purified by HPLC (see protocol in Example 112D) to provide the title compound as a trifiuoroacetic acid salt (10.3 mg, 9%). XH NMR (400 MHz, DMSO-c¾) δ ppm 8.67 (s, 2H), (s, 1H), 8.07 (dd, J = 8.8, 2.6 Hz, 1H), 7.45 (t, J = 8.9 Hz, 1H), 7.11 - 6.95 (m, 2H), 6.81 (ddd, J = 9.0, 2.9, 1.2 Hz, 1H), 4.74 (s, 2H), 4.44 (s, 2H), 2.21 (s, 6H). MS (APCI+) m/z 487.8 (M+H)+.
Example 116: 2-(4-chloro-3-fluorophenoxy)-iV-(3-{2-[(5-cyanopyridin-2- yl)oxy]acetamido}bicyclo[l.l.l]pentan-l-yl)acetamide (Compound 215)
A mixture of Example 112B (80.2 mg, 0.234 mmol), 6-fluoronicotinonitrile (51.4 mg, 0.421 mmol), and cesium carbonate (152 mg, 0.468 mmol) in dimethylformamide (4 mL) was stirred for 5 hours. The reaction was quenched with water and brine and extracted with ethyl acetate (twice). The combined organic layers were dried over MgSC>4, filtered, and
concentrated. The residue was purified by HPLC (see protocol in Example 112D) to provide the title compound as a trifiuoroacetic acid salt (68.7 mg, 53%). lH NMR (400 MHz, DMSO- di) δ ppm 8.77 - 8.55 (m, 3H), 8.15 (dd, J = 8.7, 2.3 Hz, 1H), 7.45 (t, J = 8.9 Hz, 1H), 7.04 (ddd, J = 9.7, 6.6, 1.8 Hz, 2H), 6.81 (ddd, J = 8.9, 2.8, 1.2 Hz, 1H), 4.74 (s, 2H), 4.43 (s, 2H), 2.20 (s, 6H). MS (ESI+) m/z 444.9 (M+H)+.
Example 117: 2-(4-chloro-3-fluorophenoxy)-A^-(3-{2-[(5-chloro-4-methylpyridin-2- yl)oxy]acetamido}bicyclo[l.l.l]pentan-l-yl)acetamide (Compound 216)
A mixture of Example 112B (65 mg, 0.190 mmol), 5-chloro-2-fluoro-4-methylpyridine (0.026 mL, 0.228 mmol), and 60% NaH in mineral oil (25.03 mg, 0.626 mmol) in
dimethylformamide (2 mL) was stirred for 1.5 hours. The reaction was quenched with water and brine and extracted with ethyl acetate (twice). The combined organic layers were dried over MgSC>4, filtered, and concentrated. The residue was purified by HPLC (see protocol in Example 112D) to provide the title compound as a trifluoroacetic acid salt (7.0 mg, 6.3%). XH NMR (400 MHz, DMSO-c¾) δ ppm 8.68 (s, 1H), 8.60 (s, 1H), 8.09 (s, 1H), 7.47 (t, J = 8.9 Hz, 1H), 7.05 (dd, J = 11.4, 2.8 Hz, 1H), 6.91 (s, 1H), 6.83 (dd, J = 9.0, 2.8 Hz, 1H), 4.63 (s, 2H), 4.45 (s, 2H), 2.30 (s, 3H), 2.21 (s, 6H). MS (APCI+) m/z 468.1 (M+H)+.
Example 118: 2-(4-chloro-3-fluorophenoxy)-A^-(3-{2-[(3-methyl-l,2,4-oxadiazol-5- yl)methoxy]acetamido}bicyclo[l.l.l]pentan-l-yl)acetamide (Compound 217)
Example 118A: methyl [2-({3-[2-(4-chloro-3-fluorophenoxy)acetamido]bicyclo[l.1. IJpentan- l-yl}amino)-2-oxoethoxy] acetate
To a mixture of Example 112B (600.0 mg, 1.751 mmol) and methyl 2-bromoacetate
(0.282 mL, 2.98 mmol) in tetrahydrofuran (20 mL) was added cesium carbonate (1711 mg, 5.25 mmol). The reaction mixture was stirred overnight. The reaction mixture was treated with brine and extracted with ethyl acetate (twice). The combined organic layers were dried over MgSC>4, filtered, and concentrated. The residue was purified on a 40 g silica gel column using a Biotage® Isolera™ One flash system eluting with heptanes/ethyl acetate (5:95) to give the title compound (0.310 g. 43%). lH NMR (400 MHz, DMSO-c¾) δ ppm 8.66 (s, 1H), 8.34 (s, 1H), 7.46 (t, J = 8.9 Hz, 1H), 7.03 (dd, J = 11.4, 2.8 Hz, 1H), 6.81 (ddd, J = 8.9, 2.8, 1.2 Hz, 1H), 4.44 (s, 2H), 4.16 (s, 2H), 3.88 (s, 2H), 3.63 (s, 3H), 2.21 (s, 6H). MS (ESI+) m/z 415.0 (M+H)+.
Example 118B: [2-({3-[2-(4-chloro-3-fluorophenoxy)acetamido]bicyclo[ 1.1. IJpentan-l- yl}amino)-2-oxoethoxy ] acetic acid
A solution of Example 118A (0.345 g, 0.832 mmol) in tetrahydrofuran (4.5 mL) and methanol (3 mL) was treated with a solution of LiOH (0.060 g, 2.495 mmol) in water (2 mL). The mixture was stirred for 6 hours and concentrated until most solvent was evaporated. The remaining light suspension was treated with 5% citric acid until pH=3. The resulting suspension was filtered. The collected solid was washed with water and vacuum oven-dried to give the title compound. XH NMR (500 MHz, DMSO-c¾) δ ppm 8.69 (s, 1H), 8.43 (s, 1H), 7.49 (t, J = 8.9 Hz, 1H), 7.06 (dd, J = 11.4, 2.8 Hz, 1H), 6.84 (ddd, J = 9.0, 2.8, 1.2 Hz, 1H), 4.47 (s, 2H), 4.09 (s, 2H), 3.91 (s, 2H), 2.24 (s, 6H). MS (ESI+) m/z 401.0 (M+H)+.
Example 118C: 2-(4-chloro-3-fluorophenoxy)-N-(3-{2-[(3-methyl-l,2,4-oxadiazol-5- yljmethoxyjacetamidojbicyclof 1.1.1 ]pentan-l-yl)acetamide A mixture of Example 1 18B (71.5 mg, 0.178 mmol), N-hydroxyacetimidamide (15.86 mg, 0.214 mmol), l -[bis(dimethylamino)methylene]-lH-l,2,3-triazolo[4,5- )]pyridinium 3-oxid hexafluorophosphate (HATU, 81 mg, 0.214 mmol), and triethylamine (0.037 mL, 0.268 mmol) in acetonitrile (6 mL) was stirred for 6 hours. To the reaction mixture was added 10 mg of 4A molecular sieves, and the reaction was heated to 81 °C overnight. The reaction mixture was filtered, and the filtrate was concentrated. The concentrate was treated with brine and extracted with ethyl acetate (twice). The combined organic layers were concentrated, and the residue was purified by HPLC (see protocol in Example 1 12D) to provide the title compound (42.5 mg, 54%). Ti NMR (500 MHz, DMSO-c¾) δ ppm 8.72 (s, 1H), 8.51 (s, 1H), 7.50 (t, J = 8.9 Hz, 1H), 7.08 (dd, J = 11.4, 2.8 Hz, 1H), 6.86 (ddd, J = 9.0, 2.9, 1.1 Hz, 1H), 4.85 (s, 2H), 4.48 (s, 2H), 4.01 (s, 2H), 2.36 (s, 3H), 2.25 (s, 6H). MS (ESI+) m/z 439.0 (M+H)+.
Example 119: 2-(4-chloro-3-fluorophenoxy)-A^-(3-{2-[(5-oxo-4,5-dihydro-l,3,4-oxadiazol- 2-yl)methoxy]acetamido}bicyclo[l.l.l]pentan-l-yl)acetamide (Compound 218)
Example 119 A: 2-( 4-chloro-3-fluorophenoxy) -N-{ 3-[ 2-(2-hydrazinyl-2- oxoethoxyjacetamido Jbicyclof 1.1.1 Jpentan-l-yljacetamide
A mixture of Example 1 18A (0.245 g, 0.591 mmol) and hydrazine monohydrate (0.046 mL, 1.477 mmol) in ethanol was heated at 80 °C for 3 hours. The reaction mixture was concentrated. The concentrate was purified on a 12 g silica gel column using a Biotage® Isolera™ One flash system eluting with methanol/ethyl acetate (1 :9) to give the title compound. XH NMR (400 MHz, DMSO-i¾) δ ppm 9.32 (s, 1H), 8.70 (s, 1H), 8.59 (s, 1H), 7.48 (t, J = 8.9 Hz, 1H), 7.05 (dd, J = 11.4, 2.8 Hz, 1H), 6.83 (ddd, J = 9.0, 2.9, 1.2 Hz, 1H), 4.46 (s, 2H), 4.28 (d, J = 4.0 Hz, 2H), 3.93 (s, 2H), 3.85 (s, 2H), 2.26 (s, 6H). MS (ESL ) m/z 415.0 (M+H)+. Example 119B: 2-( 4-chloro-3-fluorophenoxy)-N-(3-{ 2-[ ( 5-oxo-4, 5-dihydro-l, 3, 4-oxadiazol-2- yl)methoxy]acetamido}bicyclo[ 1.1.1 ]pentan-l-yl)acetamide
A mixture of Example 1 19A (50.0 mg, 0.121 mmol) and Ι ,Γ-carbonyldiimidazole
(23.45 mg, 0.145 mmol) in 1 ,4-dioxane (1.5 mL) was heated at reflux for 45 minutes. The reaction mixture was concentrated, and the residue was purified by HPLC (see protocol in Example 1 12D) to provide the title compound (34.2 mg, 64%). l NMR (400 MHz, DMSO- d6) δ ppm 12.37 (s, 1H), 8.67 (s, 1H), 8.40 (s, 1H), 7.47 (t, J = 8.9 Hz, 1H), 7.05 (dd, J = 1 1.4, 2.9 Hz, 1H), 6.83 (ddd, J = 9.0, 2.9, 1.2 Hz, 1H), 4.45 (s, 2H), 4.40 (s, 2H), 3.90 (s, 2H), 2.22 (s, 6H). MS (ESI+) m/z 440.9 (M+H)+. Example 120: 2-(4-chloro-3-fluorophenoxy)-iV-(3-{2-[4-(pentafluoro- 6- sulfanyl)phenoxy] acetamido}bicyclo [ 1.1.1] pentan- l-yl)acetamide (Compound 219)
A mixture of Example 28A (60.0 mg, 0.166 mmol), 4-(pentafluorothio)phenol (54.9 mg, 0.249 mmol), and potassium carbonate (45.9 mg, 0.332 mmol) in acetone (2 mL) was heated at 120 °C in a Biotage® Initiator microwave reactor for 20 minutes. The reaction mixture was concentrated. The residue was treated with brine and extracted with ethyl acetate. The organic layer was concentrated, and the residue was purified by HPLC (see protocol in Example 112D) to provide the title compound (54.1 mg, 60%). XH NMR (400 MHz, DMSO- d6) δ ppm 8.75 (s, 1H), 8.70 (s, 1H), 7.82 (d, J = 9.3 Hz, 2H), 7.47 (t, J = 8.9 Hz, 1H), 7.12 - 7.00 (m, 3H), 6.83 (ddd, J = 9.0, 2.9, 1.2 Hz, 1H), 4.54 (s, 2H), 4.46 (s, 2H), 2.25 (s, 6H). MS (ESI+) m/z 544.8 (M+H)+.
Example 121: 2-(4-chloro-3-fluorophenoxy)-A^-(3-{2-[(2,6-dimethylpyridin-4- yl)oxy]acetamido}bicyclo[l.l.l]pentan-l-yl)acetamide (Compound 220)
A mixture of Example 28A (65.0 mg, 0.180 mmol), 2,6-dimethylpyridin-4-ol (33.2 mg, 0.270 mmol), potassium carbonate (49.7 mg, 0.360 mmol), and potassium iodide (2.091 mg, 0.013 mmol) in acetone (2.5 mL) was heated at 140 °C in a Biotage® Initiator microwave reactor for 40 minutes. The reaction mixture was concentrated. The residue was treated with brine and extracted with ethyl acetate. The organic layer was concentrated, and the residue was purified by HPLC (see protocol in Example 112D) to provide the title compound as a trifluoroacetic acid salt (53.2 mg, 53%). XH NMR (400 MHz, DMSO-c¾) δ ppm 8.88 (s, 1H), 8.72 (s, 1H), 7.47 (t, J = 8.9 Hz, 1H), 7.26 (s, 2H), 7.05 (dd, J = 11.4, 2.9 Hz, 1H), 6.83 (ddd, J = 9.0, 2.9, 1.2 Hz, 1H), 4.79 (s, 2H), 4.46 (s, 2H), 2.57 (s, 6H), 2.25 (s, 6H). MS (ESI+) m/z 448.1 (M+H)+.
Example 122: 2-[(6-teri-but lpyridin-3-yl)oxy]- V-{3-[2-(4-chloro-3- fluorophenoxy)acetamido]bicyclo[l.l.l]pentan-l-yl}acetamide (Compound 221)
A mixture of Example 28A (65.0 mg, 0.180 mmol), 6-(fer/-butyl)pyridin-3-ol (40.8 mg, 0.270 mmol), and potassium carbonate (49.7 mg, 0.360 mmol) in acetone (2 mL) was heated at 120 °C in a Biotage® Initiator microwave reactor for 30 minutes. The reaction mixture was concentrated. The residue was treated with brine and extracted with ethyl acetate. The organic layer was concentrated, and the residue was purified by HPLC (see protocol in Example 112D) to provide the title compound as a trifluoroacetic acid salt (49.8 mg, 47%). XH NMR (400 MHz, DMSO-c¾) δ ppm 8.72 (d, J = 15.7 Hz, 2H), 8.26 (t, J = 1.8 Hz, 1H), 7.55 - 7.37 (m, 3H), 7.05 (dd, J = 11.3, 2.8 Hz, 1H), 6.83 (ddd, J = 8.9, 3.0, 1.2 Hz, 1H), 4.54 (s, 2H), 4.46 (s, 2H), 2.25 (s, 6H), 1.30 (s, 9H). MS (ESI+) m/z 476.2 (M+H)+.
Example 123: 2-(4-chloro-3-fluorophenoxy)-iV-[3-(2-{[5-chloro-6- (trifluoromethyl)pyridin-3-yl]oxy}acetamido)bicyclo[l.l.l]pentan-l-yl]acetamide
(Compound 222)
A mixture of Example 28A (70.0 mg, 0.194 mmol), 5-chloro-6- (trifluoromethyl)pyridin-3-ol (57.4 mg, 0.291 mmol), and potassium carbonate (53.6 mg, 0.388 mmol) in acetone (2.5 mL) was heated at 120 °C in a Biotage® Initiator microwave reactor for 20 minutes. The reaction mixture was concentrated. The residue was treated with brine and extracted with ethyl acetate. The organic layer was concentrated, and the residue was purified by HPLC (see protocol in Example 1 12D) to provide the title compound (32.9 mg, 47%). XH NMR (500 MHz, DMSO-c¾) δ ppm 8.80 (s, 1H), 8.71 (s, 1H), 8.39 (d, J = 2.5 Hz, 1H), 7.85 (d, J = 2.4 Hz, 1H), 7.47 (t, J = 8.9 Hz, 1H), 7.05 (dd, J = 1 1.4, 2.9 Hz, 1H), 6.83 (ddd, J = 9.0, 2.9, 1.2 Hz, 1H), 4.71 (s, 2H), 4.46 (s, 2H), 2.26 (s, 6H). MS (ESI+) m/z 522.0 (M+H)+.
Example 124: methyl 2-chloro-5-[2-({3-[2-(4-chloro-3-fluorophenoxy)acetamido]- bicyclo [1.1.1] pentan- 1-yl }amino)-2-oxoethoxy] benzoate (Compound 223)
Example 124A: 2-(4-chloro-3-(methoxycarbonyl)phenoxy)acetic acid
The title compound was prepared as described in Example 9C and Example 9D, except substituting methyl 2-chloro-5 -hydroxy benzoate for 6-hydroxy-lH-indazole. XH NMR (400 MHz, DMSO-c¾) δ ppm 7.43 (d, J = 8.9 Hz, 1H), 7.25 (d, J = 3.1 Hz, 1H), 7.10 (dd, J = 8.9, 3.2 Hz, 1H), 4.71 (s, 2H), 3.81 (s, 3H).
Example 124B: methyl 2-chloro-5-[2-({3-[2-(4-chloro-3-fluorophenoxy)acetamido]- bicyclo[ 1.1.1 ]pentan-l-yl}amino)-2-oxoethoxy]benzoate
To a mixture of Example 9B (0.16 g, 0.401 mmol), Example 124A (0.123 g, 0.502 mmol) and N-ethyl-N-isopropylpropan-2-amine (0.350 mL, 2.006 mmol) in N,N- dimethylformamide (5.0 mL), 2-(3H-[l,2,3]triazolo[4,5-*]pyridin-3-yl)-l , 1,3,3- tetramethylisouronium hexafluorophosphate(V) (0.229 g, 0.602 mmol) was added, and the reaction mixture was stirred at ambient temperature for 16 hours. Volatiles were removed under high vacuum, and the residue was purified by HPLC (10-95% acetonitrile in 0.1 % trifluoroacetic acid/water on Phenomenex® CI 8 5μιη column) to give 171 mg of the title compound as a light yellow solid. XH NMR (400 MHz, DMSO-c¾) δ ppm 8.71 (d, J = 11.6 Hz, 2H), 7.52 7.42 (m, 2H), 7.37 (d, J = 3.1 Hz, 1H), 7.15 (dd, J = 8.9, 3.1 Hz, 1H), 7.05 (dd, J = 1 1.3, 2.9 Hz, 1H), 6.83 (ddd, J = 9.0, 2.9, 1.2 Hz, 1H), 4.47 (d, J = 6.6 Hz, 4H), 3.84 (s, 3H), 2.25 (s, 6H). MS (ESI+) m/z 510.9 (M+H)+.
Example 125: 2-(4-chloro-3-fluorophenoxy)-iV-(3-{2-[4-chloro-3- (hydroxymethyl)phenoxy] -acetamido}bicyclo [1.1.1] pentan-l-yl)acetamide (Compound 224)
A mixture of Example 124 (0.13 g, 0.254 mmol) and lithium tetrahydroborate (0.055 g, 2.54 mmol) in tetrahydrofuran (5.0 mL) was stirred at 40 °C for 24 hours. The mixture was concentrated under high vacuum, and the residue was purified by HPLC (10-95% acetonitrile in 0.1% trifluoroacetic acid/water on a Phenomenex® CI 8 5 μιτι column) to give 66 mg of the title compound as a light yellow solid. XH NMR (400 MHz, DMSO-c¾) δ ppm 8.68 (d, J = 2.8 Hz, 2H), 7.45 (t, J = 8.9 Hz, 1H), 7.26 (d, J = 8.7 Hz, 1H), 7.12 (d, J = 3.1 Hz, 1H), 7.03 (dd, J = 11.4, 2.9 Hz, 1H), 6.85 - 6.77 (m, 2H), 5.40 (t, J = 5.6 Hz, 1H), 4.51 - 4.41 (m, 4H), 4.38 (s, 2H), 2.23 (s, 6H). MS (ESI+) m/z 482.9 (M+H)+.
Example 126: 2-(4-chloro-3-fluorophenoxy)-iV-(3-{2-[(6-chloropyridin-3- yl)oxy]acetamido}bicyclo[l.l.l]pentan-l-yl)acetamide (Compound 225)
The title compound was prepared as described in Example 124, except substituting 2- ((6-chloropridin-3-yl)oxy)acetic acid for 2-(4-chloro-3-(methoxycarbonyl)phenoxy)acetic acid. lH NMR (400 MHz, DMSO-c¾) δ ppm 8.71 (d, J = 14.8 Hz, 2H), 8.08 (dd, J = 2.8, 0.9 Hz, 1H), 7.49 - 7.36 (m, 3H), 7.03 (dd, J = 11.4, 2.8 Hz, 1H), 6.81 (ddd, J = 9.0, 2.9, 1.2 Hz, 1H), 4.51 (s, 2H), 4.43 (s, 2H), 2.23 (s, 6H). MS (ESI+) m/z 454.0 (M+H)+.
Example 127: 2-(4-chloro-3-fluorophenoxy)-A^-(3-{2-[(6-chloro-5-methylpyridin-3- yl)oxy]acetamido}bicyclo[l.l.l]pentan-l-yl)acetamide (Compound 226)
A mixture of Example 28A (0.06 g, 0.166 mmol), 6-chloro-5-methylpyridin-3-ol (0.048 g, 0.332 mmol), potassium carbonate (0.046 g, 0.332 mmol) and potassium iodide (1.930 mg, 0.012 mmol) in acetone (2.0 mL) was stirred at 140 °C in a Biotage® Initiator microwave reactor (0-450 W) for 45 minutes. The suspension was filtered, and the filter was washed with methanol. The filtrate was concentrated, and the residue was purified by HPLC (10-85% acetonitrile in 0.1 % trifluoroacetic acid/water on a Phenomenex® C 18 5 μιτι column) to give 59 mg of the title compound as a white solid. l NMR (400 MHz, DMSO-c¾) δ ppm 8.70 (s, 1H), 8.68 (s, 1H), 7.93 (d, J = 3.0 Hz, 1H), 7.50 7.41 (m, 2H), 7.03 (dd, J = 1 1.4, 2.9 Hz, 1H), 6.81 (ddd, J = 9.0, 2.9, 1.1 Hz, 1H), 5.71 (s, 1H), 4.49 (s, 2H), 4.44 (s, 2H), 2.27 (s, 3H), 2.23 (s, 6H). MS (ESI-) m/z 466.0 (M-H)".. Example 128: 2-(4-chloro-3-fluorophenoxy)-A^-(3-{2-[(6-chloro-5-fluoropyridin-3- yl)oxy]acetamido}bicyclo[l.l.l]pentan-l-yl)acetamide (Compound 227)
The title compound was prepared as described in Example 127, except substituting 6- chloro-5-fluoropridin-3-ol for 6-chloro-5-methylpyridin-3-ol. l NMR (400 MHz, OMSO-d6) δ ppm 8.73 (s, 1H), 8.68 (s, 1H), 8.03 (d, J = 2.5 Hz, 1H), 7.67 (dd, J = 10.2, 2.6 Hz, 1H), 7.46 (t, J = 8.9 Hz, 1H), 7.03 (dd, J = 11.3, 2.9 Hz, 1H), 6.81 (ddd, J = 9.0, 2.9, 1.1 Hz, 1H), 4.57 (s, 2H), 4.44 (s, 2H), 2.23 (s, 6H). MS (ESI-) m/z 470.0 (M-H)"..
Example 129: 2-(3-amino-4-chlorophenoxy)-iV-{3-[2-(4-chloro-3- fluorophenoxy)acetamido]-bicyclo[l.l.l]pentan-l-yl}acetamide (Compound 228)
Example 129A: 2-(4-chloro-3-nitrophenoxy)acetic acid
To a solution of 4-chloro-3-nitrophenol (2.2 g, 12.68 mmol) in N,N-dimethylformamide (25.0 mL) at ambient temperature was added potassium carbonate (3.50 g, 25.4 mmol) and tert- butyl bromoacetate (2.138 mL, 14.58 mmol). This mixture was warmed to 65 °C and allowed to stir for 1.5 hours. The mixture was allowed to cool to ambient temperature and was partitioned between ethyl acetate (50 mL) and H20 (50 mL). The layers were separated, and the aqueous layer was extracted with ethyl acetate (3 x 15 mL). The combined organic layers were dried over magnesium sulfate and filtered. The filtrate was concentrated under reduced pressure. The residue was purified via column chromatography (S1O2, 0-10% ethyl acetate/heptanes) to give 3.8 g of fert-butyl 2-(4-chloro-3-nitrophenoxy)acetate . To a mixture of fert-butyl 2-(4-chloro-3-nitrophenoxy)acetate (3.65 g, 12.68 mmol) in methanol (30 mL) and water (10 mL) was added NaOH (12.68 mL, 63.4 mmol) (5 M solution in water). This mixture was allowed to stir at ambient temperature for 2 hours, and was concentrated under reduced pressure to give a white solid which was dissolved in water. The pH was adjusted to ~1 with 1 N HC1, and the resulting white solid was isolated via filtration to give the title compound (2.0 g, 8.64 mmol, 68.1% yield). lH NMR (400 MHz, DMSO-i¾) δ ppm 7.64 7.56 (m, 2H), 7.22 (dd, J = 9.0, 3.0 Hz, 1H), 4.70 (s, 2H).
Example 129B: 2-(4-chloro-3-fluorophenoxy)-N-(3-(2-(4-chloro-3-nitrophenoxy)- acetamidojbicyclo [ 1.1.1 ]pentan-l-yl)acetamide
The title compound was prepared as described in Example 124B, except substituting Example 129A for 2-(4-chloro-3-(methoxycarbonyl)phenoxy)acetic acid. XH NMR (400 MHz, DMSO-c¾) δ ppm 8.73 (s, 1H), 8.68 (s, 1H), 7.69 - 7.57 (m, 2H), 7.45 (t, J = 8.9 Hz, 1H), 7.27 (dd, J = 9.0, 3.0 Hz, 1H), 7.03 (dd, J = 11.4, 2.9 Hz, 1H), 6.81 (ddd, J = 8.9, 2.9, 1.2 Hz, 1H), 4.54 (s, 2H), 4.44 (s, 2H), 2.23 (s, 6H).
Example 129C: 2-(3-amino-4-chlorophenoxy)-N-{3-[2-(4-chloro-3-fluorophenoxy)acetamido]- bicyclo[ 1.1.1 Jpentan-l-yljacetamide
To a mixture of Example 129B (0.19 g, 0.381 mmol) in tetrahydrofuran (20 mL) was added Ra-Ni 2800, water slurry (0.4 g, 3.41 mmol) in a 50 mL pressure bottle, and the reaction vessel was shaken under hydrogen (50 psi) and ambient temperature for 5 hours. The suspension was filtered, and the filtrate was concentrated. The residue was purified by HPLC (10-85% acetonitrile in 0.1% trifiuoroacetic acid/water on Phenomenex® C18 5 μπι column) to give 72 mg of the title compound as a white solid. XH NMR (400 MHz, OMSO-d6) δ ppm 8.67 (s, 1H), 8.60 (s, 1H), 7.46 (t, J = 8.8 Hz, 1H), 7.08 - 6.99 (m, 2H), 6.82 (ddd, J = 9.0, 2.8, 1.2 Hz, 1H), 6.34 (d, J = 2.9 Hz, 1H), 6.12 (dd, J = 8.7, 2.9 Hz, 1H), 5.29 (s, 2H), 4.44 (s, 2H), 4.27 (s, 2H), 2.23 (s, 6H). MS (ESI+) m/z 467.9 (M+H)+.
Example 130 : 2- [(2-amino-6-methylpyridin-3-yl)oxy]-iV- {3- [2-(4-chloro-3- fluorophenoxy)acetamido]bicyclo[l.l.l]pentan-l-yl}acetamide (Compound 229)
The title compound was prepared as described in Example 127, except substituting 2- amino-6-methylpridin-3-ol for 6-chloro-5-methylpyridin-3-ol. XH NMR (400 MHz, OMSO-d6) δ ppm 14.26 (s, 1H), 8.80 (s, 1H), 8.72 (s, 1H), 8.18 (s, 2H), 7.46 (t, J = 8.9 Hz, 1H), 7.37 (d, J = 8.1 Hz, 1H), 7.04 (dd, J = 11.4, 2.9 Hz, 1H), 6.82 (ddd, J = 9.0, 2.9, 1.2 Hz, 1H), 6.59 (dd, J = 8.1, 1.0 Hz, 1H), 4.54 (s, 2H), 4.45 (s, 2H), 2.32 (s, 3H), 2.28 (s, 6H). MS (ESI+) m/z 449.1 (M+H)+.
Example 131 : 2-(4-chloro-3-fluorophenoxy)-iV- [3-(2- { [5-(trifluoromethyl)pyridin-3- yl]oxy}acetamido)bicyclo[l.l.l]pentan-l-yl]acetamide (Compound 230)
The title compound was prepared as described in Example 127, except substituting 5- (trifluoromethyl)pyridin-3-ol for 6-chloro-5-methylpyridin-3-ol. XH NMR (400 MHz, DMSO- d6) δ ppm 8.78 (s, 1H), 8.71 (s, 1H), 8.58 (dd, J = 15.7, 2.2 Hz, 4H), 7.73 (t, J = 2.3 Hz, 1H), 7.47 (t, J = 8.8 Hz, 1H), 7.05 (dd, J = 11.4, 2.8 Hz, 1H), 6.83 (ddd, J = 9.0, 2.9, 1.2 Hz, 1H), 4.66 (s, 2H), 4.46 (s, 2H), 2.25 (s, 6H). MS (ESI+) m/z 488.0 (M+H)+.
Example 132: 2-chloro-5-[2-({3-[2-(4-chloro-3-fluorophenoxy)acetamido]- bicyclo[l.l.l]pentan-l-yl}amino)-2-oxoethoxy]pyridine-3-carboxylic acid (Compound 231) The title compound was prepared as described in Example 127, except substituting 2- chloro-5-hydroxynicotinic acid for 6-chloro-5-methylpyridin-3-ol. XH NMR (400 MHz,
DMSO-c¾) δ ppm 10.66 (s, 1H), 8.71 (d, J = 19.7 Hz, 2H), 8.11 (d, J = 3.0 Hz, 1H), 7.68 (d, J = 3.0 Hz, 1H), 7.46 (t, J = 8.9 Hz, 1H), 7.04 (dd, J = 11.4, 2.9 Hz, 1H), 6.82 (ddd, J = 9.0, 2.9, 1.2 Hz, 1H), 4.66 (s, 2H), 4.44 (s, 2H), 2.22 (s, 6H). MS (ESI+) m/z 497.9 (M+H)+.
Example 133: 2-(4-chloro-3-fluorophenoxy)-A^-(3-{2-[(2,6-dimethylpyridin-3- yl)oxy]acetamido}bicyclo[l.l.l]pentan-l-yl)acetamide (Compound 232)
The title compound was prepared as described in Example 127, except substituting 2,6- dimethylpyridin-3-ol for 6-chloro-5-methylpyridin-3-ol. XH NMR (501 MHz, DMSO-c¾) δ ppm 8.73 (d, J = 13.7 Hz, 2H), 7.81 (d, J = 8.7 Hz, 1H), 7.57 - 7.44 (m, 2H), 7.05 (dd, J =
11.4, 2.8 Hz, 1H), 6.83 (ddd, J = 8.9, 2.9, 1.2 Hz, 1H), 4.69 (s, 2H), 4.46 (s, 2H), 2.54 (s, 6H), 2.24 (s, 6H). MS (ESI+) m/z 448.1 (M+H)+.
Example 134: 2-(4-chloro-3-fluorophenoxy)-A^-[3-(2-{[2-(trifluoromethyl)pyridin-4- yl] oxy }acetamido)bicyclo [ 1.1.1] pentan- 1-yl] acetamide (Compound 233)
The title compound was prepared as described in Example 127, except substituting 2-
(trifluoromethyl)pyridin-4-ol for 6-chloro-5-methylpyridin-3-ol. XH NMR (400 MHz, DMSO- d6) δ ppm 8.79 (s, 1H), 8.71 (s, 1H), 8.57 (d, J = 5.7 Hz, 1H), 7.52 - 7.40 (m, 2H), 7.24 (dd, J = 5.8, 2.4 Hz, 1H), 7.05 (dd, J = 11.4, 2.9 Hz, 1H), 6.83 (ddd, J = 8.9, 2.8, 1.2 Hz, 1H), 4.67 (s, 2H), 4.46 (s, 2H), 2.25 (s, 6H). MS (ESI+) m/z 488.1 (M+H)+.
Example 135: 2-(4-chloro-3-fluorophenoxy)-A^-(3-{2-[(5,6-dimethylpyridin-3- yl)oxy]acetamido}bicyclo[l.l.l]pentan-l-yl)acetamide (Compound 234)
The title compound was prepared as described in Example 127, except substituting 5,6- dimethylpyridin-3-ol for 6-chloro-5-methylpyridin-3-ol. XH NMR (400 MHz, DMSO-c¾) δ ppm 8.80 (s, 1H), 8.72 (s, 1H), 8.29 (d, J = 2.7 Hz, 1H), 7.91 (d, J = 2.6 Hz, 1H), 7.47 (t, J = 8.9 Hz, 1H), 7.05 (dd, J = 11.3, 2.8 Hz, 1H), 6.83 (dd, J = 9.0, 2.7 Hz, 1H), 4.65 (s, 2H), 4.46 (s, 2H), 2.52 (s, 3H), 2.35 (s, 3H), 2.25 (s, 6H). MS (ESI+) m/z 448.1 (M+H)+.
Example 136: 2-[(6-acetylpyridin-3-yl)oxy]-iV-{3-[2-(4-chloro-3- fluorophenoxy)acetamido] 0-bicyclo [ 1.1.1] pentan- 1-yl {acetamide (Compound 235)
A 2.5 mL microwave vial was charged with Example 28A (35 mg, 1 equivalent, 0.096 mmol), K2C03 (27mg, 0.19 mmol), l-(5-hydroxypyridin-2-yl)ethanone (27 mg, 0.19 mmol) and potassium iodide (1,2 mg, 0.07 equivalent, 0.05 mmol). To this mixture was added acetone (1.5 mL). The resulting mixture was heated in a Biotage® Initiator microwave for 45 minutes at 140 °C (0-450 W). Upon completion, the mixture was then filtered, and the filtrate was concentrated to dryness. The residue was dissolved in 1 : 1 dimethyl sulfoxide/methanol and purified by preparative reverse phase HPLC on a Phenomenex® Luna® C8(2) 5 μιτι 100 A AXIA™ column (30 mm χ 150mm). A gradient of acetonitrile (A) and 0.1% trifluoroacetic acid in water (B) was used, at a flow rate of 50 mL/minute (0-0.5 minutes 5% A, 0.5-8.5 minutes linear gradient 5-100% A, 8.7-10.7 minutes 100% A, 10.7 -11.0 minutes linear gradient 100-5% A) to afford the title compound. XH NMR (400 MHz, DMSO-c¾) δ ppm 8.39 (d, J = 2.9 Hz, 1H), 7.96 (d, J = 8.8 Hz, 1H), 7.53 - 7.45 (m, 2H), 7.05 (dd, J = 11.3, 2.9 Hz, 1H), 6.85 (ddd, J = 9.0, 2.8, 1.2 Hz, 1H), 4.64 (s, 2H), 4.46 (s, 2H), 2.58 (s, 3H), 2.28 (s, 6H). MS (APCI) m/z 462.3 (M+H)+.
Example 137 : 2- [(2-amino-6-chloropyridin-3-yl)oxy] -N-{3- [2-(4-chloro-3- fluorophenoxy)acetamido]bicyclo[l.l.l]pentan-l-yl}acetamide (Compound 236)
The title compound was prepared as described in Example 136, except substituting 2- amino-6-chloropyridin-3-ol forl-(5-hydroxypyridin-2-yl)ethanone. XH NMR (400 MHz, DMSO-c¾) δ ppm 7.48 (t, J = 8.9 Hz, 1H), 7.12 - 6.99 (m, 2H), 6.86 (ddd, J = 8.9, 2.9, 1.1 Hz, 1H), 6.48 (d, J= 8.1 Hz, 1H), 4.47 (s, 2H), 4.40 (s, 2H), 2.31 (s, 6H). MS (APCI) m/z 469.2 (M+H)+.
Example 138: 2-(4-chloro-3-fluorophenoxy)-A^-(3-{2-[(2-chloro-6-methylpyridin-3- yl)oxy]acetamido}bicyclo[l.l.l]pentan-l-yl)acetamide (Compound 237)
The title compound was prepared as described in Example 136, except substituting 2- chloro-6-methylpyridin-3-ol for l-(5-hydroxypyridin-2-yl)ethanone. XH NMR (400 MHz, DMSO-c¾) δ ppm 7.48 (t, J = 8.9 Hz, 1H), 7.12 - 6.99 (m, 2H), 6.86 (ddd, J = 8.9, 2.9, 1.1 Hz, 1H), 6.48 (d, J= 8.1 Hz, 1H), 4.47 (s, 2H), 4.40 (s, 2H), 2.31 (s, 6H). MS (APCI) m/z 469.2 (M+H)+.
Example 139: 2-(4-chloro-3-fluorophenoxy)-iV-(3-{2-[(6-cyanopyridin-3- yl)oxy]acetamido}bicyclo[l.l.l]pentan-l-yl)acetamide (Compound 238)
The title compound was prepared as described in Example 136, except substituting 5- hydroxypicolinonitrile for l-(5-hydroxypyridin-2-yl)ethanone. XH NMR (400 MHz, DMSO-c¾) δ ppm 8.45 (d, J = 2.9 Hz, 1H), 7.97 (d, J= 8.7 Hz, 1H), 7.56 - 7.45 (m, 2H), 7.05 (dd, J = 11.3, 2.8 Hz, 1H), 6.85 (ddd, J= 9.0, 2.9, 1.2 Hz, 1H), 4.65 (s, 2H), 4.46 (s, 2H), 2.27 (s, 6H). MS (APCI) m/z 445.2 (M+H)+. Example 140: 2-(4-chloro-3-fluorophenoxy)-A^-(3-{2-[(2-ethyl-6-methylpyridin-3- yl)oxy]acetamido}bicyclo[l.l.l]pentan-l-yl)acetamide (Compound 239)
The title compound was prepared as described in Example 136, except substituting 2- ethyl-6-methylpyridin-3-ol for l-(5-hydroxypyridin-2-yl)ethanone. XH NMR (400 MHz, DMSO-c¾) δ ppm 7.95 (d, J= 8.8 Hz, 1H), 7.64 (d, J = 8.9 Hz, 1H), 7.47 (t, J= 8.9 Hz, 1H), 7.04 (dd, J= 11.3, 2.9 Hz, 1H), 6.85 (ddd, J= 9.0, 2.9, 1.2 Hz, 1H), 4.75 (s, 2H), 4.46 (s, 2H), 2.96 (q, J = 7.5 Hz, 2H), 2.60 (s, 3H), 2.26 (s, 6H), 1.23 (t, J = 7.6 Hz, 3H). MS (APCI) m/z 462.3 (M+H)+.
Example 141 : 2-(4-chloro-3-fluorophenoxy)-iV-(3- {2- [(5-chloro-6-fluoropyridin-3- yl)oxy]acetamido}bicyclo[l.l.l]pentan-l-yl)acetamide (Compound 240)
The title compound was prepared as described in Example 136, except substituting 5- chloro-6-fluoropyridin-3-ol for l-(5-hydroxypyridin-2-yl)ethanone. XH NMR (400 MHz, DMSO-c¾) δ ppm 7.92 - 7.84 (m, 2H), 7.48 (t, J = 8.9 Hz, 1H), 7.05 (dd, J = 11.3, 2.8 Hz, 1H), 6.89 - 6.84 (m, 1H), 4.56 (s, 2H), 4.46 (s, 2H), 2.27 (s, 6H). MS (APCI) m/z 472.2 (M+H)+. Example 142 2-(4-chloro-3-fluorophenoxy)-iV-(3-{2-[(6-methoxypyridin-3- yl)oxy] acetamido}bicyclo [ 1.1.1] pentan- l-yl)acetamide (Compound 241)
The title compound was prepared as described in Example 136, except substituting 6- methoxypyridin-3-ol for l-(5-hydroxypyridin-2-yl)ethanone. XH NMR (400 MHz, DMSO-c¾) δ ppm 7.83 (dd, J= 3.1, 0.7 Hz, 1H), 7.49 (d, J= 8.8 Hz, 1H), 7.45 - 7.41 (m, 1H), 7.05 (dd, J = 11.3, 2.8 Hz, 1H), 6.85 (ddd, J= 9.0, 2.8, 1.2 Hz, 1H), 6.78 (dd, J = 9.0, 0.6 Hz, 1H), 4.46 (s, 2H), 4.42 (s, 2H), 3.78 (s, 3H), 2.27 (s, 6H). MS (APCI) m/z 450.2 (M+H)+.
Example 143: 2-(4-chloro-3-fluorophenoxy)-A^-(3-{2-[(6-cyano-5-methylpyridin-3- yl)oxy]acetamido}bicyclo[l.l.l]pentan-l-yl)acetamide (Compound 242)
The title compound was prepared as described in Example 136, except substituting 5- hydroxy-3-methylpicolinonitrile for l-(5-hydroxypyridin-2-yl)ethanone. XH NMR (400 MHz, DMSO-c¾) δ ppm 8.28 (d, J= 2.7 Hz, 1H), 7.53 - 7.44 (m, 2H), 7.05 (dd, J = 11.3, 2.8 Hz, 1H), 6.85 (ddd, J= 8.9, 2.8, 1.2 Hz, 1H), 4.62 (s, 2H), 4.46 (s, 2H), 2.46 (s, 3H), 2.27 (s, 6H). MS (APCI) m/z 459.1 (M+H)+.
Example 144: 2-(4-chloro-3-fluorophenoxy)-A^-(3-{2-[(6-chloro-4-methylpyridin-3- yl)oxy]acetamido}bicyclo[l.l.l]pentan-l-yl)acetamide (Compound 243)
The title compound was prepared as described in Example 136, except substituting 6- chloro-4-methylpyridin-3-ol for l-(5-hydroxypyridin-2-yl)ethanone. XH NMR (400 MHz, DMSO-c e) δ ppm 7.88 (s, 1H), 7.47 (t, J= 8.9 Hz, 1H), 7.34 (d, J= 0.9 Hz, 1H), 7.05 (dd, J = 11.3, 2.9 Hz, 1H), 6.88 - 6.80 (m, 1H), 4.58 (s, 2H), 4.46 (s, 2H), 2.27 (s, 6H), 2.23 (d, J= 0.8 Hz, 3H). MS (APCI) m/z 468.2 (M+H)+.
Example 145: 2-(4-chloro-3-fluorophenoxy)-A^-(3-{2-[(6-fluoro-5-methylpyridin-3- yl)oxy]acetamido}bicyclo[l.l.l]pentan-l-yl)acetamide (Compound 244)
The title compound was prepared as described in Example 136, except substituting 6- fluoro-5-methylpyridin-3-ol for l-(5-hydroxypyridin-2-yl)ethanone. XH NMR (400 MHz, DMSO-c¾) δ ppm 7.68 (s, 1H), 7.55 - 7.43 (m, 2H), 7.05 (dd, J= 11.3, 2.8 Hz, 1H), 6.85 (ddd, J= 9.0, 2.9, 1.2 Hz, 1H), 4.47 (d, J= 7.4 Hz, 4H), 2.27 (s, 6H), 2.21 (dt, J= 1.4, 0.7 Hz, 3H). MS (APCI) m/z 452.2 (M+H)+.
Example 146 2-(4-chloro-3-fluorophenoxy)-A^-(3-{2-[(2-fluoro-6-methylpyridin-3- yl)oxy]acetamido}bicyclo[l.l.l]pentan-l-yl)acetamide (Compound 245)
The title compound was prepared as described in Example 136, except substituting 2- fluoro-6-methylpyridin-3-ol for l-(5-hydroxypyridin-2-yl)ethanone. XH NMR (400 MHz, DMSO-c¾) δ ppm 7.48 (d, J= 8.9 Hz, 1H), 7.45 - 7.37 (m, 1H), 7.10 (d, J= 8.1 Hz, 1H), 7.08 - 7.03 (m, 1H), 6.85 (ddd, J= 9.0, 2.9, 1.2 Hz, 1H), 4.53 (s, 2H), 4.46 (s, 2H), 2.33 (s, 3H), 2.25 (s, 6H). MS (APCI) m/z 452.2 (M+H)+.
Example 147 2-(4-chloro-3-fluorophenoxy)-A^-(3-{2-[(6-fluoro-5-methoxypyridin-3- yl)oxy]acetamido}bicyclo[l.l.l]pentan-l-yl)acetamide (Compound 246)
The title compound was prepared as described in Example 136, except substituting 6- fluoro-5-methoxypyridin-3-ol for l-(5-hydroxypyridin-2-yl)ethanone. XH NMR (400 MHz, DMSO-c¾) δ ppm 7.48 (t, J= 8.9 Hz, 1H), 7.37 (t, J= 2.6 Hz, 1H), 7.30 (dd, J= 8.7, 2.6 Hz, 1H), 7.05 (dd, J= 11.3, 2.8 Hz, 1H), 6.85 (ddd, J= 8.9, 2.9, 1.2 Hz, 1H), 4.51 (s, 2H), 4.46 (s, 2H), 3.86 (s, 3H), 2.28 (s, 6H). MS (APCI) m/z 468.2 (M+H)+.
Example 148 2-(4-chloro-3-fluorophenoxy)-A^-(3-{2-[(6-fluoro-4-methylpyridin-3- yl)oxy]acetamido}bicyclo[l.l.l]pentan-l-yl)acetamide (Compound 247)
The title compound was prepared as described in Example 136, except substituting 6- fluoro-4-methylpyridin-3-ol for l-(5-hydroxypyridin-2-yl)ethanone. XH NMR (400 MHz, DMSO-c¾) δ ppm 7.66 (d, J= 1.6 Hz, 1H), 7.48 (t, J= 8.9 Hz, 1H), 7.12 - 6.99 (m, 2H), 6.90 - 6.82(m, 1H), 4.54 (s, 2H), 4.46 (s, 2H), 2.27 (s, 9H). MS (APCI) m/z 452.2 (M+H)+.
Example 149 2-(4-chloro-3-fluorophenoxy)-iV-[3-(2-{ [6-(propan-2-yl)pyridin-3- yl] oxy }acetamido)bicyclo [ 1.1.1] pentan- 1-yl] acetamide (Compound 248) The title compound was prepared as described in Example 136, except substituting 6- isopropylpyridin-3-ol for l-(5-hydroxypyridin-2-yl)ethanone. XH NMR (400 MHz, DMSO-£¾) δ ppm 8.40 (d, J = 2.9 Hz, 1H), 7.99 (dd, J = 9.0, 2.9 Hz, 1H), 7.79 (d, J= 9.0 Hz, 1H), 7.48 (t, J = 8.9 Hz, 1H), 7.04 (dd, J = 11.3, 2.8 Hz, 1H), 6.85 (ddd, J = 9.0, 2.9, 1.3 Hz, 1H), 4.67 (s, 2H), 4.46 (s, 2H), 3.29 - 3.16 (m, 1H), 2.28 (s, 6H), 1.29 (d, J = 7.0 Hz, 6H). MS (APCI) m/z 462.3 (M+H)+.
Example 150 2-(4-chloro-3-fluorophenoxy)-A^-(3-{2-[(6-fluoro-2-methylpyridin-3- yl)oxy]acetamido}bicyclo[l.l.l]pentan-l-yl)acetamide (Compound 249)
The title compound was prepared as described in Example 136, except substituting 6- fluoro-2-methylpyridin-3-ol for l-(5-hydroxypyridin-2-yl)ethanone. XH NMR (400 MHz, DMSO-c¾) δ ppm 7.49 (d, J= 8.8 Hz, 1H), 7.46 - 7.38 (m, 1H), 6.98 - 6.90 (m, 1H), 6.85 (ddd, J = 8.9, 2.8, 1.2 Hz, 1H), 4.50 (s, 2H), 4.46 (s, 2H), 2.35 (s, 3H), 2.26 (s, 6H). MS (APCI) m/z 452.2 (M+H)+.
Example 151 2- [(6-amino-5-chloropyridin-3-yl)oxy] -N- {3- [2-(4-chloro-3- fluorophenoxy)acetamido]bicyclo[l.l.l]pentan-l-yl}acetamide (Compound 250)
The title compound was prepared as described in Example 136, except substituting 6- amino-5-chloropyridin-3-ol for l-(5-hydroxypyridin-2-yl)ethanone. XH NMR (400 MHz, DMSO-c¾) δ ppm 7.71 (d, J= 2.6 Hz, 1H), 7.64 (d, J = 2.6 Hz, 1H), 7.48 (t, J= 8.9 Hz, 1H), 7.05 (dd, J= 11.3, 2.9 Hz, 1H), 6.85 (ddd, J= 9.0, 2.8, 1.2 Hz, 1H), 4.46 (s, 2H), 4.40 (s, 2H), 2.27 (s, 6H). MS (APCI) m/z 469.2 (M+H)+.
Example 152 2-(4-chloro-3-fluorophenoxy)-iV-(3-{2-[(6-cyclopropylpyridin-3- yl)oxy] acetamido}bicyclo [ 1.1.1] pentan- l-yl)acetamide (Compound 251)
The title compound was prepared as described in Example 136, except substituting 6- cyclopropylpyridin-3-ol for l-(5-hydroxypyridin-2-yl)ethanone. XH NMR (400 MHz, DMSO- di) δ ppm 8.28 (d, J = 2.9 Hz, 1H), 7.82 (dd, J= 9.0, 2.9 Hz, 1H), 7.54 - 7.42 (m, 2H), 7.04 (dd, J= 11.3, 2.8 Hz, 1H), 6.85 (ddd, J= 9.0, 2.9, 1.3 Hz, 1H), 4.61 (s, 2H), 4.46 (s, 2H), 2.27 (s, 6H), 2.26 - 2.18 (m, 1H), 1.22 - 1.15 (m, 2H), 1.04 - 0.94 (m, 2H). MS (APCI) m/z 460.3 (M+H)+.
Example 153 2-(4-chloro-3-fluorophenoxy)-iV-(3-{2-[(6-methoxy-2-methylpyridin-3- yl)oxy]acetamido}bicyclo[l.l.l]pentan-l-yl)acetamide (Compound 252)
The title compound was prepared as described in Example 136, except substituting 6- methoxy-2-methylpyridin-3-ol for l-(5-hydroxypyridin-2-yl)ethanone. XH NMR (400 MHz, DMSO-c e) δ ppm 7.47 (t, J = 8.8 Hz, 1H), 7.32 (d, J = 8.9 Hz, 1H), 7.05 (dd, J = 11.3, 2.8 Hz, 1H), 6.85 (ddd, J = 9.0, 2.8, 1.2 Hz, 1H), 6.63 (dd, J = 8.8, 0.8 Hz, 1H), 4.46 (s, 2H), 4.40 (s, 2H), 3.78 (s,3H), 2.35 (s, 3H), 2.26 (s, 6H). MS (APCI) m/z 464.2 (M+H)+.
Example 154 2-(4-chloro-3-fluorophenoxy)-iV-(3-{2-[(6-methoxy-5-methylpyridin-3- yl)oxy]acetamido}bicyclo[l.l.l]pentan-l-yl)acetamide (Compound 253)
The title compound was prepared as described in Example 136, except substituting 6- methoxy-5-methylpyridin-3-ol for l -(5-hydroxypyridin-2-yl)ethanone. XH NMR (400 MHz, DMSO-c¾) δ ppm 7.64 (dd, J = 3.0, 0.8 Hz, 1H), 7.48 (t, J = 8.9 Hz, 1H), 7.29 (dd, J = 3.0, 0.9 Hz, 1H), 7.05 (dd, J = 1 1.3, 2.8 Hz, 1H), 6.85 (ddd, J = 9.0, 2.9, 1.2 Hz, 1H), 4.46 (s, 2H), 4.40 (s, 2H), 3.81 (s, 3H), 2.27 (s, 6H), 2.11 (t, J = 0.8 Hz, 3H). MS (APCI) m/z 464.2 (M+H)+. Example 155 2-(4-chloro-3-fluorophenoxy)-A^-(3-{2-[(lH-pyrrolo[3,2-Z>]pyridin-6- yl)oxy]acetamido}bicyclo[l.l.l]pentan-l-yl)acetamide(Compound 254)
The title compound was prepared as described in Example 136, except substituting 1H- pyrrolo[3,2- )]pyridin-6-ol for l -(5-hydroxypyridin-2-yl)ethanone. XH NMR (400 MHz, DMSO-c¾) δ ppm 8.49 (d, J = 2.3 Hz, 1H), 8.18 (dd, J = 2.3, 0.9 Hz, 1H), 8.02 (d, J = 3.3 Hz, 1H), 7.48 (t, J = 8.9 Hz, 1H), 7.04 (dt, J = 1 1.4, 3.6 Hz, 1H), 6.85 (ddd, J = 9.0, 2.9, 1.2 Hz, 1H), 6.76 (dd, J = 3.3, 0.9 Hz, 1H), 4.69 (s, 2H), 4.46 (d, J = 5.4 Hz, 2H), 2.27 (d, J = 12.5 Hz, 6H). MS (APCI) m/z 459.2 (M+H)+.
Example 156 2-(4-chloro-3-fluorophenoxy)-iV-(3-{2-[(furo[3,2-Z>]pyridin-6- yl)oxy]acetamido}bicyclo[l.l.l]pentan-l-yl)acetamide (Compound 255)
The title compound was prepared as described in Example 136, except substituting furo[3,2-Z>]pyridin-6-ol for l-(5-hydroxypyridin-2-yl)ethanone. l NMR (400 MHz, DMSO- d6) 5 ppm 8.37 (d, J = 2.4 Hz, 1H), 8.17 (d, J = 2.3 Hz, 1H), 7.76 (dd, J = 2.5, 1.0 Hz, 1H), 7.47 (t, J = 8.9 Hz, 1H), 7.10 - 7.02 (m, 2H), 6.85 (ddd, J = 8.9, 2.9, 1.2 Hz, 1H), 4.58 (s, 2H), 4.46 (s, 2H), 2.28 (s, 6H). MS (APCI) m/z 460.2 (M+H)+.
Example 157 2-(4-chloro-3-fluorophenoxy)-iV-[3-(2-{ [6-(trifluoromethyl)pyridazin-3- yl] oxy }acetamido)bicyclo [ 1.1.1] pentan- 1-yl] acetamide (Compound 201)
A mixture of Example 1 12B (0.06 g, 0.175 mmol) and 3-chloro-6- (trifluoromethyl)pyridazine (0.038 g, 0.210 mmol) in N,N-dimethylformamide (1.5 mL) was added sodium hydride (8.75 mg, 0.219 mmol), and the reaction mixture was stirred at room temperature for 1.5 hours. The mixture was then concentrated under high vacuum, and the residue was purified by HPLC (10-85% acetonitrile in 0.1% trifluoroacetic acid/water at 25 mL/minute on a Phenomenex® Luna® C18 5 μηι 100 A AXIA™ column (250 mm χ 21.2 mm)) to give 26.5 mg of the title compound as a white solid. lH NMR (400 MHz, OMSO-d6) δ ppm 8.77 (s, 1H), 8.67 (s, 1H), 8.15 (d, J = 9.3 Hz, 1H), 7.55 (d, J = 9.2 Hz, 1H), 7.46 (t, J = 8.9 Hz, 1H), 7.03 (dd, J = 11.4, 2.8 Hz, 1H), 6.81 (ddd, J = 9.0, 2.9, 1.2 Hz, 1H), 4.94 (s, 2H), 4.44 (s, 2H), 2.22 (s, 6H). MS (ESI+) m/z 488.9 (M+H)+
Example 158 2-(4-chloro-3-fluorophenoxy)-iV-[3-(2-{ [6-(methanesulfonyl)pyridin-3- yl] oxy }acetamido)bicyclo [ 1.1.1] pentan- 1-yl] acetamide (Compound 257)
A mixture of Example 112B (0.06 g, 0.175 mmol), 5-chloro-2-(methylsulfonyl)pyridine (0.034 g, 0.175 mmol), and cesium carbonate (0.057 g, 0.175 mmol) in N-methyl-2-pyrrolidone (0.5 mL) was irradiated in a Biotage® Initiator microwave reactor at 120 °C (0-450 W) for 0.5 hours. The reaction mixture was concentrated under high vacuum, and the residue was purified by HPLC (10-85% acetonitrile in 0.1% trifluoroacetic acid/water at 25 mL/minute on a Phenomenex® Luna® CI 8 5 μιη 100 A AXIA™ column (250 mm χ 21.2 mm)) to give 28 mg of the title compound as a white solid. XH NMR (400 MHz, DMSO-c¾) δ ppm 8.68 (d, J = 7.0 Hz, 2H), 8.60 (d, J = 2.6 Hz, 1H), 8.18 (dd, J = 8.8, 2.6 Hz, 1H), 7.46 (t, J = 8.9 Hz, 1H), 7.12 6.99 (m, 2H), 6.81 (ddd, J = 8.9, 2.8, 1.2 Hz, 1H), 4.77 (s, 2H), 4.44 (s, 2H), 3.23 (s, 3H), 2.21 (s, 6H). MS (ESI+) m/z 431.0 (M+H)+.
Example 159 2-(4-chloro-3-fluorophenoxy)-A^-(3-{2-[(2,2-difluoro-2H-l,3-benzodioxol-5- yl)oxy]acetamido}bicyclo[l.l.l]pentan-l-yl)acetamide (Compound 258)
Example 159A 2,2-difluorobenzofdj '[ 1 , 3]dioxol-5-ol
To a cold solution of 5-bromo-2,2-difluorobenzo[cf] [l,3]dioxole (5.75 mL, 42.2 mmol) in tetrahydrofuran (80 mL) was added a 2.0 M solution of isopropylmagnesium chloride in tetrahydrofuran (28.1 mL, 56.1 mmol) within 5-10 minutes while maintaining the temperature in the range of 10-20 °C. The reaction mixture was stirred at the same temperature for another 15 minutes and then allowed to attain room temperature with continued overnight stirring. The reaction mixture was cooled with an ice bath, triisopropyl borate (12.74 mL, 54.9 mmol) was added dropwise over 2 minutes, and stirring at room temperature was continued for 30 minutes. The reaction mixture was cooled to 10 °C and 10% H2SO4 solution (50 mL) was added slowly which resulted in a slight exotherm to 20 °C. After stirring for 15 minutes, the mixture was partitioned between water and ethyl acetate, and the combined organic extracts were washed with saturated NaHCCb solution. The organic layer was separated, dried over magnesium sulfate, filtered, and concentrated. The residue was dissolved in 100 mL of fert-butyl methyl ether and cooled to 0 °C. 30% Hydrogen peroxide solution in water (5.39 mL, 52.7 mmol) was added slowly, followed by water (60 mL), and the mixture was stirred overnight while warming up to ambient temperature. The reaction mixture was diluted with ethyl acetate and washed twice with sodium thiosulfate solution and brine. The organic layer was dried with magnesium sulfate and filtered. The filtrate was concentrated, and the residue was purified on silica gel (0-50% ethyl acetate in heptane) to give 6.43 g of the title compound as an amber oil. XH NMR (400 MHz, DMSO-c¾) δ ppm 9.75 (s, 1H), 7.12 (d, J = 8.7 Hz, 1H), 6.75 (d, J = 2.4 Hz, 1H), 6.52 (dd, J = 8.7, 2.5 Hz, 1H). MS (ESI-) m/z 173.1 (M-H)".
Example 159B 2-( 4-chloro-3-fluorophenoxy)-N-( 3-{2-[ ( 2, 2-difluoro-2H-l, 3-benzodioxol-5- yl)oxy]acetamido}bicyclo[ 1.1.1 Jpentan-1 -yljacetamide
The title compound was prepared as described in Example 127, except substituting 2,2- difluorobenzo[cf| [l,3]dioxol-5-ol (Example 159A) for 6-chloro-5-methylpyridin-3-ol. XH NMR (400 MHz, DMSO-c¾) δ ppm 8.67 (d, J = 9.1 Hz, 2H), 7.46 (t, J = 8.9 Hz, 1H), 7.29 (d, J = 8.9 Hz, 1H), 7.10 (d, J = 2.6 Hz, 1H), 7.04 (dd, J = 11.4, 2.8 Hz, 1H), 6.82 (ddd, J = 9.0, 2.9, 1.2 Hz, 1H), 6.73 (dd, J = 8.9, 2.6 Hz, 1H), 4.44 (s, 2H), 4.41 (s, 2H), 2.24 (s, 6H). MS (ESI+) m/z 498.9 (M+H)+.
Example 160 2-{[6-(aminomethyl)pyridin-3-yl]oxy}-A^-{3-[2-(4-chloro-3- fluorophenoxy)acetamido]bicyclo[l.l.l]pentan-l-yl}acetamide (Compound 259)
A mixture of Example 28A (0.038 g, 0.089 mmol), fert-butyl ((5 -hydroxy pyridin-2- yl)methyl)carbamate (0.04 g, 0.178 mmol), potassium carbonate (0.025 g, 0.178 mmol) and potassium iodide (1.036 mg, 6.24 μιτιοΐ) in acetone (1.5 mL) was stirred at 140 °C (0-450 W) in a Biotage® Initiator microwave reactor for 45 minutes. The reaction mixture was concentrated. A mixture of the residue, 4 N HC1 in dioxane (1.1 mL), and dichloromethane (5 mL) was stirred at ambient temperature overnight. After concentration, the residue was purified by HPLC (10-85% acetonitrile in 0.1% trifluoroacetic acid/water at 25 mL/minute on a
Phenomenex® Luna® CI 8 5 μιη 100 A AXIA™ column (250 mm χ 21.2 mm)) to give 48 mg of the title compound as a solid. XH NMR (500 MHz, DMSO-i¾) δ ppm 8.80 (s, 1H), 8.75 (s, 1H), 8.34 (dd, J = 2.7, 0.8 Hz, 1H), 8.31 - 8.16 (m, 3H), 7.54 - 7.40 (m, 3H), 7.08 (dd, J = 11.3, 2.8 Hz, 1H), 6.86 (ddd, J = 9.0, 2.9, 1.2 Hz, 1H), 4.58 (s, 2H), 4.48 (s, 2H), 4.12 (q, J = 5.8 Hz, 2H), 2.27 (s, 6H). MS (ESI+) m/z 449.1 (M+H)+.
Example 161 2-(4-chloro-3-fluorophenoxy)-A^-{3-[2-(4-chloro-3-iodophenoxy)acetamido]- bicyclo[l.l.l]pentan-l-yl}acetamide (Compound 260) Example 161A: 2-(4-chloro-3-iodophenoxy)acetic acid
The title compound was prepared as described in Example 129A, except substituting methyl 4-chloro-3-iodophenol for 4-chloro-3-nitrophenol. XH NMR (400 MHz, DMSO-c¾) δ ppm 12.97 (s, 1H), 7.46 7.38 (m, 2H), 6.95 (dd, J = 8.9, 3.0 Hz, 1H), 4.68 (s, 2H).
Example 16 IB: 2-(4-chloro-3-fluorophenoxy)-N-{3-[2-(4-chloro-3- iodophenoxyjacetamido ]bicyclo-[ 1.1.1 Jpentan-l-yljacetamide
The title compound was prepared as described in Example 124B, except substituting Example 161A for 2-(4-chloro-3-(methoxycarbonyl)phenoxy)acetic acid. XH NMR (500 MHz, DMSO-c¾) δ ppm 8.73 (d, J = 6.2 Hz, 2H), 7.56 7.46 (m, 3H), 7.08 (dd, J = 11.4, 2.9 Hz, 1H), 7.02 (dd, J = 8.9, 3.0 Hz, 1H), 6.86 (ddd, J = 9.0, 2.9, 1.1 Hz, 1H), 4.48 (d, J = 11.4 Hz, 4H), 2.28 (s, 6H). MS (ESI+) m/z 578.8 (M+H)+.
Example 162 2-[4-chloro-3-(3,5-dimethyl-l,2-oxazol-4-yl)phenoxy]-A^-{3-[2-(4-chloro-3- fluorophenoxy)acetamido] bicyclo [ 1.1.1] pen tan- l-yl}acetamide (Compound 261)
A mixture of Example 161B (0.1 g, 0.173 mmol), (3,5-dimethylisoxazol-4-yl)boronic acid (0.036 g, 0.259 mmol), and sodium carbonate (0.173 mL, 0.345 mmol) in N,N- dimethylformamide (1.5 mL) was degassed and purged with argon. Then
bis(triphenylphosphine)palladium(II) chloride (0.012 g, 0.017 mmol) was added, and the mixture was sparged with argon for 5 minutes. The vessel was sealed and then heated in a Biotage® Initiator microwave reactor at 145 °C (0-450 W) for 60 minutes. The suspension was cooled and filtered, and the filtrate was concentrated under vacuum. The residue was purified by HPLC (15-95% acetonitrile in 0.1% trifluoroacetic acid/water at 25 mL/minute on a Phenomenex® Luna® CI 8 5 μιη 100 A AXIA™ column (250 mm χ 21.2 mm)) to give 62 mg of the title compound as an off-white solid. XH NMR (500 MHz, DMSO-c¾) δ ppm 8.73 (s, 1H), 8.72 (s, 1H), 7.56 - 7.46 (m, 2H), 7.11 - 7.04 (m, 2H), 6.98 (d, J = 3.0 Hz, 1H), 6.90 - 6.83 (m, 1H), 4.50 (s, 2H), 4.49 (s, 2H), 2.28 (s, 3H), 2.27 (s, 6H), 2.10 (s, 3H). MS (ESI+) m/z 548.0 (M+H)+.
Example 163 2- [4-chloro-3-(cyanomethyl)phenoxy] -N-{3- [2-(4-chloro-3- fluorophenoxy)acetamido]bicyclo[l.l.l]pentan-l-yl}acetamide (Compound 262)
The title compound was obtained as a byproduct in the procedure described in Example 162. lH NMR (501 MHz, DMSO-i¾) δ ppm 8.71 (d, J = 15.1 Hz, 2H), 7.51 - 7.40 (m, 2H), 7.15 (d, J = 3.0 Hz, 1H), 7.05 (dd, J = 11.4, 2.9 Hz, 1H), 6.96 (dd, J = 8.9, 3.1 Hz, 1H), 6.83 (ddd, J = 8.9, 2.9, 1.2 Hz, 1H), 4.45 (d, J = 7.8 Hz, 4H), 4.03 (s, 2H), 2.25 (s, 6H). MS (ESI+) m/z 492.0 (M+H)+.
Example 164 2-(4-chloro-3-fluorophenoxy)-iV-[3-(2-{ [6-(l-hydroxyethyl)pyridin-3- yl] oxy }acetamido)bicyclo [ 1.1.1] pentan- 1-yl] acetamide (Compound 263)
A mixture of Example 28A (0.1 g, 0.235 mmol), 1 -(5 -hydroxy pyridin-2-yl)ethanone
(0.065 g, 0.471 mmol), potassium carbonate (0.065 g, 0.471 mmol) and potassium iodide (2.73 mg, 0.016 mmol) in acetone (2.0 mL) was stirred at 140 °C (0-450 W) in a Biotage® Initiator microwave reactor for 45 minutes. The suspension was filtered, and the filtrate was concentrated. This residue and NaBH4 (0.089 g, 2.35 mmol) in methanol was stirred at ambient temperature overnight. The reaction mixture was concentrated, and the residue was purified by HPLC (10-85% acetonitrile in 0.1% trifluoroacetic acid/water at 25 rnL/minute on a Phenomenex® Luna® C18 5 μιη 100 A AXIA™ column (250 mm χ 21.2 mm)) to give 59 mg of the title compound as a white solid. XH NMR (400 MHz, DMSO-c¾) δ ppm 8.74 (d, J = 26.6 Hz, 2H), 8.30 (d, J = 2.8 Hz, 1H), 7.81 - 7.60 (m, 2H), 7.47 (t, J = 8.9 Hz, 1H), 7.05 (dd, J = 11.4, 2.8 Hz, 1H), 6.83 (ddd, J = 9.0, 2.9, 1.2 Hz, 1H), 4.85 (q, J = 6.5 Hz, 1H), 4.61 (s, 2H), 4.46 (s, 2H), 2.25 (s, 6H), 1.37 (d, J = 6.5 Hz, 3H). MS (ESI+) m/z 464.0 (M+H)+.
Example 165 methyl 5-[2-({3-[2-(4-chloro-3-fluorophenoxy)acetamido]bicyclo- [ 1.1.1] pentan- 1-yl }amino)-2-oxoethoxy] pyridine-2-carboxylate (Compound 264)
The title compound was prepared as described in Example 127, except substituting methyl 5-hydroxypicolinate for 6-chloro-5-methylpyridin-3-ol. l NMR (400 MHz, DMSO- di) δ ppm 8.80 (s, 1H), 8.69 (s, 1H), 8.53 (d, J = 5.7 Hz, 1H), 7.62 (d, J = 2.6 Hz, 1H), 7.46 (t, J = 8.9 Hz, 1H), 7.23 (dd, J = 5.8, 2.6 Hz, 1H), 7.04 (dd, J = 11.4, 2.9 Hz, 1H), 6.82 (ddd, J = 9.0, 2.8, 1.2 Hz, 1H), 4.64 (s, 2H), 4.45 (s, 2H), 3.86 (s, 3H), 2.24 (s, 6H). MS (ESI+) m/z 431.0 (M+H)+.
Example 166 2-[(2,2-difluoro-2H-l,3-benzodioxol-5-yl)oxy]-^-[3-(2-{[2-
(trifluoromethyl)pyridin-4-yl]oxy}acetamido)bicyclo[l.l.l]pentan-l-yl]acetamide (Compound 265)
Example 166A: 2-((2,2-difluorobenzo[d] [1 ,3]dioxol-5-yl)oxy)acetic acid
The title compound was prepared as described in Example 129A, except substituting Example 159A for 4-chloro-3-nitrophenol. i NMR (400 MHz, DMSO-c¾) δ ppm 13.10 (s, 1H), 7.30 (d, J = 8.9 Hz, 1H), 7.13 (d, J = 2.6 Hz, 1H), 6.73 (dd, J = 8.9, 2.6 Hz, 1H), 4.69 (s, 2H). Example 166B: N-(3-aminobicyclo[ 1.1.1 ]pentan-l-yl)-2-((2,2-difluorobenzo[d] [ l, 3]dioxol-5- yl)oxy)acetamide hydrochloride
The title compound was prepared as described in Example 9A and Example 9B, except substituting 2-((2,2-difluorobenzo[cf| [l,3]dioxol-5-yl)oxy)acetic acid (Example 166A) for 2-(4 chloro-3-fluorophenoxy)acetic acid. XH NMR (400 MHz, DMSO-c¾) δ ppm 9.01 (s, 3H), 8.88 (s, 1H), 7.29 (d, J = 8.9 Hz, 1H), 7.11 (d, J = 2.5 Hz, 1H), 6.73 (dd, J = 8.9, 2.6 Hz, 1H), 4.44 (s, 2H), 2.21 (s, 6H).
Example 166C: 2-chloro-N-(3-( 2-( ( 2, 2-difluorobenzo[d] [ 1, 3 Jdioxol-5- yl)oxy)acetamido)bicyclo[ 1.1.1 Jpentan-1 -yljacetamide
The title compound was prepared as described in Example 28A, except substituting Example 166B for Example 27D. lH NMR (400 MHz, DMSO-i¾) δ ppm 8.81 (s, 1H), 8.68 (s, 1H), 7.30 (d, J = 8.9 Hz, 1H), 7.12 (d, J = 2.6 Hz, 1H), 6.75 (dd, J = 8.8, 2.6 Hz, 1H), 4.42 (s, 2H), 3.97 (s, 2H), 2.23 (s, 6H). MS (ESI+) m/z 388.9 (M+H)+.
Example 166D: 2-[(2, 2-difluoro-2H-l, 3-benzodioxol-5-yl)oxy]-N-[ 3-(2-{[2- (trifluoromethyl)pyridin-4-yl]oxy}acetamido)bicyclo[ 1.1.1 Jpentan-l-yljacetamide
The title compound was prepared as described in Example 127, except substituting Example 166C for Example 28A and 2-(trifluoromethyl)pyridin-4-ol for 6-chloro-5- methylpyridin-3-ol. lH NMR (501 MHz, DMSO-i¾) δ ppm 8.79 (s, 1H), 8.68 (s, 1H), 8.57 (d, J = 5.7 Hz, 1H), 7.43 (d, J = 2.4 Hz, 1H), 7.30 (d, J = 8.9 Hz, 1H), 7.24 (dd, J = 5.7, 2.5 Hz, 1H), 7.12 (d, J = 2.5 Hz, 1H), 6.75 (dd, J = 8.9, 2.6 Hz, 1H), 4.67 (s, 2H), 4.42 (s, 2H), 2.25 (s 6H). MS (ESI+) m/z 516.0 (M+H)+.
Example 167 2-[(2,2-difluoro-2H-l,3-benzodioxol-5-yl)oxy]-^-[3-(2-{[6-(trifluoromethyl) pyridin-3-yl]oxy}acetamido)bicyclo[l.l.l]pentan-l-yl]acetamide (Compound 266)
The title compound was prepared as described in Example 127, except substituting Example 166C for Example 28A and 6-(trifluoromethyl)pyridin-3-ol for 6-chloro-5- methylpyridin-3-ol. Ti NMR (400 MHz, DMSO-i¾) δ ppm 8.77 (s, 1H), 8.66 (s, 1H), 8.43 (d, J = 2.9 Hz, 1H), 7.83 (d, J = 8.8 Hz, 1H), 7.53 (dd, J = 8.7, 2.9 Hz, 1H), 7.28 (d, J = 8.9 Hz, 1H), 7.10 (d, J = 2.6 Hz, 1H), 6.73 (dd, J = 8.9, 2.6 Hz, 1H), 4.63 (s, 2H), 4.40 (s, 2H), 2.24 (s 6H). MS (ESI+) m/z .516.0 (M+H)+.
Example 168 2-[(6-cyanopyridin-3-yl)oxy]-A^-(3-{2-[(2,2-difluoro-2H-l,3-benzodioxol-5- yl)oxy]acetamido}bicyclo[l.l.l]pentan-l-yl)acetamide (Compound 267) The title compound was prepared as described in Example 127, except substituting Example 166C for Example 28A and 5-hydroxypicolinonitrile for 6-chloro-5-methylpyridin-3- ol. lH NMR (400 MHz, DMSO-c¾) δ ppm 8.77 (s, 1H), 8.66 (s, 1H), 8.43 (d, J = 2.9 Hz, 1H), 7.97 (d, J = 8.7 Hz, 1H), 7.51 (dd, J = 8.7, 2.9 Hz, 1H), 7.28 (d, J = 8.9 Hz, 1H), 7.10 (d, J = 2.6 Hz, 1H), 6.73 (dd, J = 8.9, 2.6 Hz, 1H), 4.64 (s, 2H), 4.40 (s, 2H), 2.23 (s, 6H). MS (ESI-) m/z 470.9 (M-H)".
Example 169 2-[(6-cyclopropylpyridin-3-yl)oxy]-A^-(3-{2-[(2,2-difluoro-2H-l,3- benzodioxol-5-yl)oxy] acetamido }bicyclo [ 1.1.1] pen tan- l-yl)acetamide (Compound 268)
The title compound was prepared as described in Example 127, except substituting Example 166C for Example 28A and 6-cyclopropylpyridin-3-ol for 6-chloro-5-methylpyridin- 3-ol. lH NMR (400 MHz, DMSO-c¾) δ ppm 8.69 (d, J = 20.8 Hz, 2H), 8.21 (d, J = 2.9 Hz, 1H), 7.53 (dd, J = 8.9, 2.9 Hz, 1H), 7.30 (dd, J = 15.3, 8.9 Hz, 2H), 7.10 (d, J = 2.6 Hz, 1H), 6.73 (dd, J = 8.9, 2.6 Hz, 1H), 4.52 (s, 2H), 4.40 (s, 2H), 2.23 (s, 6H), 2.10 (tt, J = 8.2, 4.9 Hz, 1H), 1.04 0.92 (m, 2H), 0.88 (dt, J = 4.8, 3.1 Hz, 2H). MS (ESI+) m/z 488.1 (M+H)+.
Example 170 2-[(2,2-difluoro-2H-l,3-benzodioxol-5-yl)oxy]-A^-[3-(2-{[5-
(trifluoromethyl)pyridin-3-yl]oxy}acetamido)bicyclo[l.l.l]pentan-l-yl]acetamide
(Compound 269)
The title compound was prepared as described in Example 127, except substituting Example 166C for Example 28A and 5-(trifluoromethyl)pyridin-3-ol for 6-chloro-5- methylpyridin-3-ol. Ti NMR (400 MHz, DMSO-c¾) δ ppm 8.76 (s, 1H), 8.66 (s, 1H), 8.56 (dd, J = 15.2, 2.2 Hz, 2H), 7.71 (t, J = 2.3 Hz, 1H), 7.29 (d, J = 8.9 Hz, 1H), 7.10 (d, J = 2.5 Hz, 1H), 6.73 (dd, J = 8.9, 2.6 Hz, 1H), 4.64 (s, 2H), 4.41 (s, 2H), 2.24 (s, 6H). MS (ESI+) m/z 516.0 (M+H)+.
Example 171 2-[(2-cyanopyridin-4-yl)oxy]-A^-(3-{2-[(2,2-difluoro-2H-l,3-benzodioxol-5- yl)oxy]acetamido}bicyclo[l.l.l]pentan-l-yl)acetamide (Compound 270)
The title compound was prepared as described in Example 127, except substituting Example 166C for Example 28A and 4-hydroxypicolinonitrile for 6-chloro-5-methylpyridin-3-ol. Ti NMR (400 MHz, DMSO-c¾) δ ppm 8.76 (s, 1H), 8.66 (s, 1H), 8.52 (d, J = 5.8 Hz, 1H), 7.65 (d, J = 2.5 Hz, 1H), 7.33 7.21 (m, 2H), 7.10 (d, J = 2.5 Hz, 1H), 6.73 (dd, J = 8.9, 2.6 Hz, 1H), 4.64 (s, 2H), 4.40 (s, 2H), 2.23 (s, 6H). MS (ESI+) m/z 473.0 (M+H)+.
Example 172 2-[(2,2-difluoro-2H-l,3-benzodioxol-5-yl)oxy]-A^-(3-{2-[(6-methoxypyridin- 3-yl)oxy]acetamido}bicyclo[l.l.l]pentan-l-yl)acetamide (Compound 271) The title compound was prepared as described in Example 127, except substituting Example 166C for Example 28A and 6-methoxypyridin-3-ol for 6-chloro-5-methylpyridin-3-ol. lH NMR (400 MHz, DMSO-c¾) δ ppm 8.65 (d, J = 1.6 Hz, 2H), 7.81 (d, J = 3.0 Hz, 1H), 7.38 (dd, J = 8.9, 3.1 Hz, 1H), 7.29 (d, J = 8.9 Hz, 1H), 7.10 (d, J = 2.6 Hz, 1H), 6.78 6.69 (m, 2H), 4.40 (d, J = 3.2 Hz, 4H), 3.75 (s, 3H), 2.24 (s, 6H). MS (ESI+) m/z 478.1 (M+H)+.
Example 173: AyV-(2-oxobicyclo[2.2.2]octane-l,4-diyl)bis[2-(4-chloro-3- fluorophenoxy)acetamide] (Compound 272)
Example 173A: ethyl l,4-dioxaspiro[4.5]decane-8-carboxylate
A mixture of ethyl 4-oxocyclohexanecarboxylate (11.70 mL, 73.4 mmol), ethane-1,2- diol (12.29 mL, 220 mmol), and /?-toluenesulfonic acid monohydrate (1.397 g, 7.34 mmol) in toluene (200) was stirred at 120 °C with Dean-Stark trap apparatus for 180 minutes. The reaction mixture was neutralized with N-ethyl-N-isopropylpropan-2-amine and concentrated. The residue was purified on silica gel (0-30% ethyl acetate in heptane) to give 12.77 g of the title compound as a clear oil. XH NMR (400 MHz, DMSO-c¾) δ ppm 4.01 (q, J = 1.1 Hz, 2H), 3.81 (s, 4H), 2.32 (tt, J = 10.4, 3.8 Hz, 1H), 1.83 1.71 (m, 2H), 1.66 1.57 (m, 1H), 1.62 1.38 (m, 5H), 1.13 (t, J = 7.1 Hz, 3H).
Example 173B: ethyl 8-acetyl-l,4-dioxaspiro[4.5]decane-8-carboxylate
To a solution of diisopropylamine (5.19 mL, 36.4 mmol) in 25 mL of tetrahydrofuran at 0 °C was added ft-butyllithium (14.56 mL, 2.5 M in hexane) slowly below 5 °C. After stirring for 30 minutes, the solution was cooled to -78 °C under nitrogen, a solution of ethyl 1,4- dioxaspiro[4.5]decane-8-carboxylate (6.0 g, 28.0 mmol) in tetrahydrofuran (3 mL) was added slowly, and the mixture was stirred for 30 minutes at the same temperature. Then acetyl chloride (2.59 mL, 36.4 mmol) was added slowly to maintain the temperature below -60 °C, and the mixture was stirred at -70 °C for 2 hours. The reaction was quenched with saturated aqueous NH4C1 solution, and the aqueous mixture was extracted with ethyl acetate. The organic layer was washed with brine, dried over magnesium sulfate and filtered. The filtrate was concentrated, and the residue was purified on silica gel (0-70% ethyl acetate in heptane) to give 6.78 g of the title compound. XH NMR (500 MHz, DMSO-c¾) δ ppm 4.19 4.11 (m, 2H), 3.85 (s, 4H), 2.13 (s, 3H), 2.10 2.01 (m, 2H), 1.90 (ddd, J = 13.9, 9.6, 4.6 Hz, 2H), 1.54 (th, J = 13.6, 4.7 Hz, 4H), 1.18 (dd, J = 7.6, 6.5 Hz, 3H).
Example 173C: ethyl l-acetyl-4-oxocyclohexanecarboxylate A mixture of Example 173B (6.5 g, 25.4 mmol) and HCl (21.13 mL, 127 mmol) in acetone (60 mL) was stirred at ambient temperature overnight. The mixture was concentrated, and the residue was taken up in dichloromethane. The organic layer was washed with brine, dried over magnesium sulfate and filtered. The filtrate was concentrated to give 5.46 g of the title compound that was used without further purification. XH NMR (400 MHz, OMSO-d6) δ ppm 4.16 (q, J = 7.1 Hz, 2H), 2.17 (s, 3H), 2.35 2.07 (m, 8H), 1.17 (t, J = 7.1 Hz, 3H).
Example 173D: ethyl 4-(benzylamino)-2-oxobicyclo[2.2.2]octane-l-carboxylate
A mixture of ethyl l -acetyl-4-oxocyclohexanecarboxylate (Example 173C, 9.7 g, 45.7 mmol), benzylamine (14.98 mL, 137 mmol), and /?-toluenesulfonic acid monohydrate (0.087 g, 0.457 mmol) in toluene (100 mL) was stirred at 130 °C in a Dean-Stark trap apparatus overnight. The mixture was concentrated, and the residue was stirred with a mixture of 50 mL of ethyl acetate and 100 mL of 3 N aqueous HCl for 30 minutes. The precipitate was collected by filtration, washed with a mixture of ethyl acetate/heptane, and air-dried to give 11.3 g of the title compound as a hydrochloride salt. The filtrate was neutralized with 6 N aqueous NaOH and extracted with ethyl acetate (100 mL x 2). The organic layer was washed with brine, dried over magnesium sulfate and filtered. The filtrate was concentrated, and the residue was purified on silica gel (0-70% ethyl acetate in heptane) to give another 0.77 g of the title compound as yellow solid. l NMR (400 MHz, DMSO-c¾) δ ppm 9.73 (t, J = 6.2 Hz, 2H), 7.87 7.12 (m, 5H), 4.09 (m, 4H), 2.88 (s, 2H), 2.08 (dt, J = 20.7, 13.4 Hz, 6H), 1.16 (t, J = 7.1 Hz, 3H). MS (ESI+) m/z 302.1 (M+H)+.
Example 173E: Ethyl 4-amino-2-oxobicyclo[2.2.2]octane-l-carboxylate hydrochloride
To a mixture of ethyl 4-(benzylamino)-2-oxobicyclo[2.2.2]octane-l -carboxylate hydrochloride (Example 173D, 1 1.2 g, 33.2 mmol) in tetrahydrofuran (1 10 mL) in a 50 mL pressure bottle was added 20% Pd(OH)2/C, wet (2.2 g, 1.598 mmol), and the reaction mixture was shaken at 50 °C under 50 psi of hydrogen for 22 hours. The reaction mixture was cooled to ambient temperature and filtered washing the solids with 1000 mL of methanol. The filtrate was concentrated to give 7.9 g of the title compound as a light yellow solid. XH NMR (400 MHz, DMSO-c¾) δ ppm 8.46 (s, 3H), 4.07 (q, J = 7.1 Hz, 2H), 2.62 (s, 2H), 2.17 2.05 (m, 2H), 2.04 1.78 (m, 6H), 1.14 (t, J = 7.1 Hz, 3H).
Example 173F: Ethyl 4-(2-(4-chloro-3-fluorophenoxy)acetamido)-2-oxobicyclo[2.2.2]octane- 1 -carboxylate To a suspension of Example 173E (7.8 g, 31.5 mmol), N-ethyl-N-isopropylpropan-2- amine (22.00 mL, 126 mmol) and 2-(4-chloro-3-fluorophenoxy)acetic acid (7.41 g, 36.2 mmol) in N,N-dimethylformamide (200 mL), 2-(3H-[l,2,3]triazolo[4,5-£]pyridin-3-yl)-l , 1 ,3,3- tetramethylisouronium hexafluorophosphate(V) (14.97 g, 39.4 mmol) was added, and the resulting brown solution was stirred at ambient temperature for 16 hours. Water was added, and the mixture was stirred for 15 minutes. The precipitate was collected by filtration, washed with water, and air-dried to give 12.1 g of the title compound as an off-white solid. XH NMR (400 MHz, DMSO-c¾) δ ppm 7.87 (s, 1H), 7.45 (t, J = 8.9 Hz, 1H), 7.00 (dd, J = 11.4, 2.9 Hz, 1H), 6.79 (ddd, J = 8.9, 2.9, 1.2 Hz, 1H), 4.45 (s, 2H), 4.06 (q, J = 1.1 Hz, 2H), 2.73 (s, 2H), 2.07 (m, 1H), 2.01 - 1.84 (m, 6H), 1.14 (t, J = 7.1 Hz, 3H). MS (ESI+) m/z 398.0 (M+H)+. Example 173G: 4-(2-(4-chloro-3-fluorophenoxy)acetamido)-2-oxobicyclo[ 2.2.2 ] octane- 1- carboxylic acid
A suspension of Example 173F (1 1.37 g, 28.6 mmol) and sodium hydroxide (7.15 mL, 57.2 mmol) (8 M solution) in methanol (100 mL) was stirred at ambient temperature for 16 hours. The reaction mixture was concentrated, and the residue was acidified with 1 N aqueous HC1. The precipitate was collected by filtration and dried in vacuum oven to give 9.9 g of the title compound as a white solid. XH NMR (400 MHz, DMSO-c¾) δ ppm 12.49 (s, 1H), 7.86 (s, 1H), 7.45 (t, J = 8.9 Hz, 1H), 7.00 (dd, J = 1 1.4, 2.9 Hz, 1H), 6.83 - 6.74 (m, 1H), 4.45 (s, 2H), 2.71 (s, 2H), 2.01 - 1.81 (m, 7H). MS (ESI-) m/z 368.1 (M-H)".
Example 173H: tert-butyl (4-(2-(4-chloro-3-fluorophenoxy)acetamido)-2- oxobicyclo[ 2.2.2 ]octan-l-yl) carbamate
A mixture of Example 173G (0.33 g, 0.892 mmol) diphenylphosphoryl azide (0.193 mL, 0.892 mmol) and triethylamine (0.124 mL, 0.892 mmol) in toluene (3 mL) was heated at 1 10 °C for about 45 minutes. To the resulting yellow solution, fert-butanol (0.427 mL, 4.46 mmol) was added, and the reaction mixture was heated at about 1 10 °C for about 16 hours.
The mixture was concentrated, and the residue was partitioned between saturated NaHCC and ethyl acetate. The organic layer was washed with brine, dried over magnesium sulfate and filtered. The filtrate was concentrated, and the residue was purified on silica gel (10-100% ethyl acetate in heptane) to give 106 mg of the title compound as a white solid.
Example 1731: N,N'-(2-oxobicyclo[ 2.2.2 ] octane- 1, 4-diyl)bis[ 2-( 4-chloro-3- fluorophenoxyjacetamide ] A mixture of Example 173H (0.1 g, 0.227 mmol) and 4 N hydrogen chloride in dioxane (4.0 mL, 16.00 mmol) was stirred ambient temperature for about 45 minutes. The mixture was then concentrated, and the residue was used without further purification. A mixture of this residue, 2-(4-chloro-3-fluorophenoxy)acetic acid (0.058 g, 0.284 mmol) and N-ethyl-N- isopropylpropan-2-amine (0.198 mL, 1.134 mmol) in N^V-dimethylformamide (2.000 mL) was treated with 2-(3H-[l,2,3]triazolo[4,5- )]pyridin-3-yl)-l,l,3,3-tetramethylisouronium hexafluorophosphate(V) (0.129 g, 0.340 mmol), and the reaction mixture was stirred at ambient temperature overnight. The mixture was concentrated under high vacuum, and the residue was purified by HPLC (20-95% acetonitrile in 0.1% trifluoroacetic acid/water at 25 mL/minute on a Phenomenex® Luna® C18 5 μιη 100 A AXIA™ column (250 mm χ 21.2 mm)) to give 96 mg of the title compound as a white solid. XH NMR (400 MHz, DMSO-c¾) δ ppm 7.88 (s, 1H), 7.67 (s, 1H), 7.45 (td, J = 8.9, 2.4 Hz, 2H), 7.03 (ddd, J = 15.1, 11.4, 2.8 Hz, 2H), 6.80 (dddd, J = 10.3, 9.0, 2.9, 1.2 Hz, 2H), 4.53 (s, 2H), 4.45 (s, 2H), 2.83 (s, 2H), 2.45 2.33 (m, 2H), 2.08 1.91 (m, 2H), 2.01 (s, 2H), 1.80 (td, J = 11.8, 4.5 Hz, 2H). MS (ESI+) m/z 527.0 (M+H)+. Example 174 i\yV-(2-hydroxybicyclo [2.2.2] octane- l,4-diyl)bis[2-(4-chloro-3- fluorophenoxy)acetamide] (Compound 273)
A mixture of Example 173 (65 mg, 0.123 mmol) and sodium tetrahydroborate (23.32 mg, 0.616 mmol) in a mixture of methanol/dichloromethane (1.0 mL, 1 : 1) was stirred at ambient temperature for 1 hour. The mixture was concentrated, and the residue was purified by HPLC (20-95% acetonitrile in 0.1 % trifluoroacetic acid/water at 25 mL/minute on a
Phenomenex® Luna® CI 8 5 μιη 100 A AXIA™ column (250 mm χ 21.2 mm)) to give 54 mg of the title compound as a light brown solid. l NMR (400 MHz, OMSO-d6) δ ppm 7.49 7.39 (m, 3H), 7.22 (s, 1H), 7.00 (ddd, J = 12.5, 11.4, 2.9 Hz, 2H), 6.78 (dddd, J = 9.0, 7.9, 2.9, 1.2 Hz, 2H), 5.04 (d, J = 4.4 Hz, 1H), 4.43 (s, 2H), 4.40 (s, 2H), 4.00 (dt, J = 8.7, 3.7 Hz, 1H), 2.23 (ddd, J = 12.2, 9.5, 2.3 Hz, 1H), 2.03 (ddd, J = 12.3, 10.5, 4.7 Hz, 1H), 1.88 (t, J = 12.9 Hz, 2H), 1.86 1.78 (m, 1H), 1.75 (ddd, J = 12.9, 7.8, 2.4 Hz, 4H). MS (ESI+) m/z 528.9 (M+H)+.
Example 175 iV '-(bicyclo[l.l.l]pentane-l,3-diyl)bis{2-[(2,2-difluoro-2H-l,3- benzodioxol-5-yl)oxy]acetamide} (Compound 274)
The title compound was prepared as described in Example 124B, except substituting
Example 166B for Example 9B and Example 166A for 2-(4-chloro-3- (methoxycarbonyl)phenoxy)acetic acid. ¾ NMR (400 MHz, DMSO-c¾) δ ppm 8.65 (s, 2H), 7.28 (d, J = 8.8 Hz, 2H), 7.10 (d, J = 2.6 Hz, 2H), 6.73 (dd, J = 8.9, 2.6 Hz, 2H), 4.41 (s, 4H),
2.24 (s, 6H). MS (ESI+) m/z 526.8 (M+H)+.
Example 176 methyl 2-chloro-5-{2-[(3-{2-[(2,2-difluoro-2H-l,3-benzodioxol-5- yl)oxy]acetamido}bicyclo[l.l.l]pentan-l-yl)amino]-2-oxoethoxy}benzoate (Compound 275)
The title compound was prepared as described in Example 124B, except substituting Example 166B for Example 9B. ¾ NMR (400 MHz, DMSO-c¾) δ ppm 8.73 (s, 1H), 8.67 (s, 1H), 7.47 (d, J = 8.8 Hz, 1H), 7.37 (d, J = 3.0 Hz, 1H), 7.30 (d, J = 8.8 Hz, 1H), 7.19 7.09 (m, 2H), 6.75 (dd, J = 8.9, 2.5 Hz, 1H), 4.48 (s, 2H), 4.42 (s, 2H), 3.84 (s, 3H), 2.26 (s, 6H). MS (ESI-) m/z 536.8 (M-H)".
Example 177 2-[4-chloro-3-(hydroxymethyl)phenoxy]-/V-(3-{2-[(2,2-difluoro-2H-l,3- benzodioxol-5-yl)oxy] acetamido }bicyclo [ 1.1.1] pen tan- l-yl)acetamide (Compound 276)
A mixture of Example 176 (0.07, 0.130 mmol) and lithium tetrahydroborate (0.028 g, 1.299 mmol) in tetrahydrofuran (2.0 mL) was stirred at 40 °C for 24 hours. The reaction mixture was concentrated under high vacuum, and the residue was purified by HPLC (10-95% acetonitrile in 0.1% trifluoroacetic acid/ water at 25 mL/minute on a Phenomenex® Luna® CI 8 5 μιτι 100 A AXIA™ column (250 mm χ 21.2 mm)) to give 23 mg of the title compound as a light yellow solid. lH NMR (500 MHz, DMSO-c¾) δ ppm 8.70 (d, J = 16.9 Hz, 2H), 7.31 (dd, J = 10.7, 8.8 Hz, 2H), 7.15 (dd, J = 14.7, 2.9 Hz, 2H), 6.84 (dd, J = 8.7, 3.2 Hz, 1H), 6.77 (dd, J = 8.8, 2.6 Hz, 1H), 5.41 (s, 1H), 4.51 (s, 2H), 4.43 (d, J = 8.4 Hz, 4H), 2.27 (s, 6H). MS (ESI-) m/z 509.0 (M-H)".
Example 178 2-(4-chloro-3-fluorophenoxy)-/V-(3-{2-[(2-cyanopyridin-4- yl)oxy]acetamido}bicyclo[l.l.l]pentan-l-yl)acetamide (Compound 277)
The title compound was prepared as described in Example 127, except substituting 4- hydroxypicolinonitrile for 6-chloro-5-methylpyridin-3-ol. XH NMR (400 MHz, DMSO-c¾) δ ppm 8.76 (s, 1H), 8.68 (s, 1H), 8.56 8.49 (m, 1H), 7.68 7.63 (m, 1H), 7.46 (t, J = 8.9 Hz, 1H),
7.25 (dd, J = 5.8, 2.6 Hz, 1H), 7.04 (dd, J = 11.4, 2.8 Hz, 1H), 6.82 (ddd, J = 9.0, 2.9, 1.2 Hz, 1H), 4.64 (s, 2H), 4.44 (s, 2H), 2.23 (s, 6H). MS (ESI+) m/z 445.0 (M+H)+.
Example 179 2-[(2,2-difluoro-2H-l,3-benzodioxol-5-yl)oxy]-^-(3-{2-[4-(pentafluoro- 6- sulfanyl)phenoxy]acetamido}bicyclo[l.l.l]pentan-l-yl)acetamide (Compound 278)
The title compound was prepared as described in Example 127, except substituting Example 166C for Example 28A and 4-(pentafluorothiol)phenol for 6-chloro-5-methylpyridin- 3-ol. 1H NMR (400 MHz, DMSO-i¾) δ ppm 8.73 (s, 1H), 8.65 (s, 1H), 7.85 - 7.76 (m, 2H), 7.29 (d, J = 8.9 Hz, 1H), 7.13 - 7.04 (m, 3H), 6.73 (dd, J = 8.9, 2.6 Hz, 1H), 4.53 (s, 2H), 4.40 (s, 2H), 2.24 (s, 6H). MS (ESI+) m/z 572.9 (M+H)+.
Example 180 2-(4-chloro-3-fluorophenoxy)-iV-[3-(2-{ [6-(difluoromethoxy)pyridin-3- yl]methoxy}acetamido)bicyclo[l.l.l]pentan-l-yl]acetamide (Compound 279)
A 2.5 mL microwave vial was charged with Example 112B (35 mg, 1 equivalent, 0.102 mmol), CS2CO3 (66 mg, 0.2 mmol), 5-(chloromethyl)-2-(difluoromethoxy)pyridine (39 mg, 0.2 mmol) and potassium iodide (1.2 mg, 0.07 equivalent, 0.07 mmol). Acetone (1.5 mL) was added. The resulting mixture was heated in a Biotage® Initiator microwave reactor for 45 minutes at 140 °C (0-450 W). Upon completion, the mixture was then filtered and concentrated to dryness. The residue was dissolved in 1 : 1 dimethyl sulfoxide/methanol and purified by preparative reverse phase HPLC on a Phenomenex® Luna® C8(2) 5 μπι 100 A AXIA™ column (30 mm χ 150mm). A gradient of acetonitrile (A) and 0.1 % trifluoroacetic acid in water (B) was used, at a flow rate of 50 mL/minute (0-0.5 minutes 5% A, 0.5-8.5 minutes linear gradient 5-100% A, 8.7-10.7 minutes 100% A, 10.7 -1 1.0 minutes linear gradient 100-5% A) to afford the title compound. lH NMR (400 MHz, DMSO-c¾) δ ppm 8.32 - 8.21 (m, 1H), 7.93 (dd, J = 8.5, 2.4 Hz, 1H), 7.66 (s, 1H), 7.54 - 7.43 (m, 1H), 7.11 - 6.99 (m, 2H), 6.84 (ddd, J = 9.0, 2.9, 1.2 Hz, 1H), 4.53 (s, 2H), 4.45 (s, 2H), 3.86 (s, 2H), 2.24 (s, 6H). MS (APCI) m/z 500.1 (M+H)+.
Example 181 2-(4-chloro-3-fluorophenoxy)-iV-[3-(2-{ [6-(lH-pyrazol-l-yl)pyridin-3- yl]methoxy}acetamido)bicyclo[l.l.l]pentan-l-yl]acetamide (Compound 280)
The title compound was prepared as described in Example 180, except substituting 5- (chloromethyl)-2-(lH-pyrazol-l-yl)pyridine for 5-(chloromethyl)-2-(difluoromethoxy)pyridine. lH NMR (400 MHz, DMSO-c¾) δ ppm 8.60 (dd, J = 2.6, 0.7 Hz, 1H), 8.51 - 8.45 (m, 1H), 8.00 (dd, J = 8.4, 2.3 Hz, 1H), 7.91 (dd, J = 8.4, 0.8 Hz, 1H), 7.82 (dd, J = 1.7, 0.7 Hz, 1H), 7.47 (t, J = 8.9 Hz, 1H), 7.04 (dd, J = 1 1.3, 2.9 Hz, 1H), 6.89 - 6.83 (m, 1H), 6.58 (dd, J = 2.6, 1.7 Hz, 1H), 4.59 (s, 2H), 4.45 (s, 1H), 3.90 (s, 2H), 2.25 (s, 6H). MS (APCI) m/z 500.2 (M+H)+. Example 182 2-(4-chloro-3-fluorophenoxy)-/V-(3-{2-[(6-methoxypyridin-3- yl)methoxy]acetamido}bicyclo[l.l.l]pentan-l-yl)acetamide (Compound 281)
The title compound was prepared as described in Example 180, except substituting 5-
(chloromethyl)-2-methoxy pyridine for 5-(chloromethyl)-2-(difluoromethoxy)pyridine. XH NMR (400 MHz, DMSO-c¾) δ ppm 8.13 (dd, J = 2.4, 0.7 Hz, 1H), 7.73 (dd, J = 8.5, 2.4 Hz, 1H), 7.47 (t, J = 8.9 Hz, 1H), 7.04 (dd, J = 11.3, 2.9 Hz, 1H), 6.87 - 6.79 (m, 2H), 4.46 (d, 4H),
3.84 (s, 3H), 3.82 (s, 2H), 2.23 (s, 6H). MS (APCI) m/z 464.2 (M+H)+.
Example 183 2-(4-chloro-3-fluorophenoxy)-A^-(3-{2-[(2,6-dimethylpyridin-4- yl)methoxy]acetamido}bicyclo[l.l.l]pentan-l-yl)acetamide (Compound 282)
The title compound was prepared as described in Example 180, except substituting 4- (chloromethyl)-2,6-dimethylpyridine for 5-(chloromethyl)-2-(difluoromethoxy)pyridine. XH NMR (400 MHz, DMSO-c¾) δ ppm 7.66 (s, 2H), 7.48 (t, J = 8.9 Hz, 1H), 7.04 (dd, J = 11.4, 2.9 Hz, 1H), 6.85 (ddd, J= 9.0, 2.9, 1.2 Hz, 1H), 4.76 (s, 2H), 4.46 (s, 2H), 4.00 (s, 2H), 2.66 (s, 6H), 2.27 (s, 6H). MS (APCI) m/z 462.2 (M+H)+.
Example 184 2-(4-chloro-3-fluorophenoxy)-iV-(3-{2-[(6-cyanopyridin-3- yl)methoxy]acetamido}bicyclo[l.l.l]pentan-l-yl)acetamide (Compound 283)
The title compound was prepared as described in Example 180, except substituting 5- (chloromethyl)picolinonitrile hydrochloride for 5-(chloromethyl)-2-(difluoromethoxy)pyridine. XH NMR (400 MHz, DMSO-c¾) δ ppm 8.82 - 8.74 (m, 1H), 8.02 (qd, J= 8.0, 1.5 Hz, 1H), 7.47 (t, J= 8.9 Hz, 1H), 7.04 (dd, J = 11.4, 2.8 Hz, 1H), 6.89 - 6.81 (m, 1H), 4.67 (s, 2H), 4.45 (s, 2H), 3.93 (s, 2H), 2.25 (s, 6H). MS (APCI) m/z 459.1 (M+H)+.
Example 185 2-(4-chloro-3-fluorophenoxy)-iV-[3-(2-{ [6-(trifluoromethyl)pyridin-3- yl]methoxy}acetamido)bicyclo[l.l.l]pentan-l-yl]acetamide (Compound 284)
The title compound was prepared as described in Example 180, except substituting 5- (chloromethyl)-2-(trifluoromethyl)pyridine for 5-(chloromethyl)-2-(difluoromethoxy)pyridine. XH NMR (400 MHz, DMSO-c¾) δ ppm 8.76 (d, J = 1.9 Hz, 1H), 8.08 (ddd, J = 8.1, 2.0, 0.9 Hz, 1H), 7.90 (dd, J = 8.1, 0.9 Hz, 1H), 7.47 (t, J = 8.9 Hz, 1H), 7.04 (dd, J = 11.3, 2.9 Hz, 1H),
6.85 (ddd, J= 8.9, 2.8, 1.2 Hz, 1H), 4.68 (s, 2H), 4.46 (s, 2H), 3.94 (s, 2H), 2.25 (s, 6H). MS (APCI) m/z 502.1(M+H)+.
Example 186 2-[(5-cyclopropylpyrazin-2-yl)oxy]-iV-{3-[2-(3,4- dichlorophenoxy)acetamido]-bicyclo[l.l.l]pentan-l-yl}acetamide (Compound 285)
Example 186A: ethyl 2-((5-cyclopropylpyrazin-2-yl)oxy)acetate
To ethyl 2-hydroxyacetate (1.475 g, 14 mmol) in tetrahydrofuran (40 mL) at room temperature was added potassium fert-butoxide (20 mL, 1 M in tetrahydrofuran, 20 mmol). After 5 minutes, 2-bromo-5-cyclopropylpyrazine (1.752 g, 8.8 mmol) in tetrahydrofuran (5 mL) was added. The mixture was stirred at room temperature for 2 days. The reaction was quenched by addition of water (20 mL), and then extracted with ethyl acetate (100 mL). The organic phase was concentrated to give 1.97 g of ethyl 2-((5-cyclopropylpyrazin-2- yl)oxy)acetate as a solid. LC/MS (ESI+) m/z 223 (M+H)+.
Example 186B 2-((5-cyclopropylpyrazin-2-yl)oxy)acetic acid
To a solution of ethyl 2-((5-cyclopropylpyrazin-2-yl)oxy)acetate (1.96 g, 8.8 mmol) in methanol (8 mL) was added 2 M aqueous potassium hydroxide solution (11 mL). The mixture was stirred at room temperature for 2 hours and was concentrated. The aqueous mixture was then extracted with ethyl acetate (80 mL). Then aqueous phase was acidified with 2 N aqueous HC1 solution to pH ~ 3, and then extracted with ethyl acetate (100 mL x 2). The combined organic phase was dried over Na2SC>4. The organic phase was filtered and concentrated to give 0.6 g of the title compound as a solid. XH NMR (400 MHz, DMSO-c¾) δ ppm 8.22 (s, 1H), 8.12 (s, 1H), 4.83 (s, 2H), 2.13 (m, 1H), 0.96 (m, 2H), 0.80 (m, 2H). MS (ESI+) m/z 195 (M+H)+.
Example 186C 2-[(5-cyclopropylpyrazin-2-yl)oxy]-N-{3-[2-(3, 4-dichlorophenoxy)acetamido]- bicyclo[ 1.1.1 Jpentan-l-yljacetamide
To a mixture of N-(3-aminobicyclo[l . l. l]pentan-l-yl)-2-(3,4- dichlorophenoxy)acetamide hydrochloride (0.169 g, 0.5 mmol, Example 6C) and 2-((5- cyclopropylpyrazin-2-yl)oxy)acetic acid (Example 186B, 0.097 g, 0.5 mmol) in NN- dimethylformamide (2 mL) was added N,N-diisopropylethylamine (0.194 g, 1.5 mmol), followed by l-[bis(dimethylamino)methylene]-lH-l,2,3-triazolo[4,5- )]pyridinium 3-oxid hexafluorophosphate (0.209 g, 0.55 mmol, HATU). The mixture was stirred at room temperature for 3 hours, and then diluted with dichloromethane (60 mL). The mixture was washed with water (50 mL x 2) and 0.02 M aqueous Na2CC>3 solution (50 mL x 2), dried over Na2SC>4, filtered and concentrated to give 0.24 g of a solid residue. The solid was dissolved in ethyl acetate/methanol (1 : 1, 3 mL), and purified by flash column chromatography on silica gel (80 g) eluted with heptane and ethyl acetate (10 to 60%) to give 81 mg of the title compound (34% yield) as a white solid. l NMR (400 MHz, DMSO-i¾) δ ppm 8.72 (s, 1H), 8.63 (s, 1H), 8.20 (s, 1H), 8.16 (s, 1H), 7.55 (d, J = 8, 1H), 7.24 (d, J = 2, 1H), 6.98 (dd, J = 8, 2, 1H), 4.68 (s, 2H), 4.48 (s, 2H), 2.23 (s, 6H), 2.13 (m, 1H), 0.96 (m, 2H), 0.82 (m, 2H). MS (ESI+) m/z 477 (M+H)+.
Example 187 2-(4-chloro-3-fluorophenoxy)-iV-(3-{[2-(3,4-dichlorophenyl)-2- oxoethyl]amino}bicyclo[l.l.l]pentan-l-yl)acetamide (Compound 286) A mixture of N-(3-aminobicyclo[l . l. l]pentan-l-yl)-2-(4-chloro-3- fluorophenoxy)acetamide hydrochloride (Example 112A, 0.096 g, 0.3 mmol), 2-bromo-l-(3,4- dichlorophenyl)ethanone (0.096 g, 0.36 mmol) and N,N-diisopropylethylamine (0.116 g, 0.9 mmol) in N,N-dimethylformamide (0.6 mL) was stirred at room temperature for 1 hour. The reaction mixture was diluted with ethyl acetate (40 mL) and washed with 0.1 M aqueous Na2HPC>3 solution (60 mL x3). The organic phase was dried over Na2SC>4, filtered and concentrated to give 0.16 g of solid residue. The solid was dissolved in ethyl acetate (1.5 mL) and was purified by flash column chromatography on silica gel (80 g) eluting with heptane and ethyl acetate (70 to 100%) to give 40 mg of the title compound (28% yield) as a white solid. lH NMR (400 MHz, DMSO-c¾) δ ppm 8.60 (s, 1H), 8.18 (d, J = 2, 1H), 7.94 (dd, J = 8, 2, 1H), 7.82 (d, J = 8, 1H), 7.48 (t, J = 8, 1H), 7.07 (dd, J =8, 2, 1H), 6.85 (dd, J = 8, 2, 1H), 4.47 (s, 2H), 4.07 (s, 2H), 1.97 (s, 6H). MS (ESI+) m/z 471 (M+H)+.
Example 188 A^-(3-{[2-(4-chlorophenyl)-2-oxoethyl]amino}bicyclo[l.l.l]pentan-l-yl)-2- (3,4-dichlorophenoxy)acetamide (Compound 287)
To N-(3-aminobicyclo[l. l . l]pentan-l-yl)-2-(3,4-dichlorophenoxy)acetamide hydrochloride (0.338 g, 1 mmol, Example 6C), and N,N-diisopropylethylamine (0.45 g, 3.5 mmol) in N,N-dimethylformamide (1 mL) was added 2-chloro-l-(4-chlorophenyl)ethanone (0.208 g, 1.1 mmol) in N,N-dimethylformamide (0.5 mL). The mixture was stirred at 45 °C for 2 hours. The reaction mixture was diluted with ethyl acetate (100 mL) and washed with 0.1 M aqueous Na2HP03 solution (80 mL x 3). The organic phase was dried over Na2SC>4, filtered and concentrated to give 0.46 g of a residue. The residue was dissolved in ethyl acetate (2 mL) and purified by flash column chromatography on silica gel (80 g) eluted with heptane and ethyl acetate (70 to 100%) to give 286 mg the title compound (63% yield) as a white solid. XH NMR (400 MHz, DMSO-c¾) δ ppm 8.60 (s, 1H), 8.00 (d, J = 8, 2H), 7.60 (d, J = 8, 2H), 7.54 (d, J = 8, 1H), 7.25 (d, J = 2, 1H), 6.98 (dd, J = 8, 2, 1H), 4.47 (s, 2H), 4.04 (s, 2H), 2.84 (m, 1H), 1.96 (s, 6H). MS (ESI+) m/z 453 (M+H)+.
Example 189 A^-(3-{[2-(4-chlorophenyl)-2-hydroxyethyl]amino}bicyclo[l.l.l]pentan-l-yl)- 2-(3,4-dichlorophenoxy)acetamide (Compound 288)
A mixture of N-(3 - { [2-(4-chloropheny l)-2-oxoethy 1] amino} bicy clo[ 1.1.1] pentan- 1 -y 1)- 2-(3,4-dichlorophenoxy)acetamide (Example 188, 0.254 g, 0.56 mmol) and sodium
borohydride (0.085 g, 2.24 mmol) in methanol (2 mL) was stirred at room temperature overnight. 1 Ν aqueous HCl (1.5 mL) was added. The mixture was stirred at room temperature for 1 hour and was basified with 2 M aqueous sodium carbonate solution to pH ~ 10. The mixture was extracted with ethyl acetate (25 mL x 3). The organic phase was dried over Na2SC>4, filtered and concentrated to give 0.26 g of a residue. The residue was dissolved in ethyl acetate (2 mL) and purified by flash column chromatography on silica gel (40 g) eluted with ethyl acetate and methanol (0 to 8%) to give 182 mg of the title compound as a white solid. XH NMR (400 MHz, DMSO-c¾) δ ppm 8.60 (s, 1H), 7.54 (d, J = 8, 1H), 7.36 (m, 4H), 7.25 (t, J = 2, 1H), 6.98 (dd, J =8, 2, 1H), 5.35 (d, J = 5, 1H), 4.57 (m, 1H), 4.46 (s, 2H), 2.58 (d, J = 8, 2H), 2.36 (m, 1H), 1.95 (m, 6H). MS (ESI+) m/z 455 (M+H)+.
Example 190 2-(4-chloro-3-fluorophenoxy)-iV-(3-{ [2-(4-chlorophenyl)-2- oxoethyl]amino}bicyclo[l.l.l]pentan-l-yl)acetamide (Compound 289)
To N-(3-aminobicyclo[l .1. l]pentan-l-yl)-2-(4-chloro-3-fluorophenoxy)acetamide hydrochloride (Example 112A, 0.642 g, 2 mmol), and N,N-diisopropylethylamine (0.9 g, 7 mmol) in N,N-dimethylformamide (2 mL) was added 2-chloro-l-(4-chlorophenyl)ethanone (0.416 g, 2.2 mmol) in N,N-dimethylformamide (1 mL). The mixture was stirred at 45 °C for 1.5 hours. The reaction mixture was diluted with ethyl acetate (100 mL) and washed with 0.1 M aqueous Na2HPC>3 solution (80 mL x 3). The organic phase was dried over Na2SC>4, filtered and concentrated to give 0.88 g of a residue. The residue was dissolved in ethyl acetate (2 mL) and purified by flash column chromatography on silica gel (80 g) eluted with heptane and ethyl acetate (70 to 100%) to give 359 mg of the title compound (41% yield) as a white solid. XH NMR (400 MHz, DMSO-c¾) δ ppm 8.60 (s, 1H), 8.00 (d, J = 8, 2H), 7.60 (d, J = 8, 2H), 7.49 (d, t = 8, 1H), 7.06 (dd, J = 8, 2, 1H), 6.84 (m, 1H), 4.46 (s, 2H), 4.05 (s, 2H), 2.84 (m, 1H), 1.96 (s, 6H). MS (ESI+) m/z 437 (M+H)+.
Example 191 2-(4-chloro-3-fluorophenoxy)-iV-(3-{ [2-(4-chlorophenyl)-2- hydroxyethyl]amino}bicyclo[l.l.l]pentan-l-yl)acetamide (Compound 290)
A mixture of 2-(4-chloro-3-fluorophenoxy)-N-(3-{[2-(4-chlorophenyl)-2- oxoethyl]amino}bicyclo[l . l . l]pentan-l-yl)acetamide (0.341 g, 0.78 mmol, Example 190) and sodium borohydride (0.118 g, 3.12 mmol) in methanol (5 mL) was stirred at room temperature overnight. 1 Ν aqueous HCl (1.5 mL) was added. The mixture was stirred at room temperature for 1 hour and was basified with 2 M aqueous sodium carbonate to pH ~ 10. The mixture was extracted with ethyl acetate (50 mL x 2). The organic phase was dried over Na2SC>4, filtered and concentrated to give 0.36 g of a residue. The residue was dissolved in ethyl acetate (2 mL) and purified by flash column chromatography on silica gel (40 g) eluting with ethyl acetate and methanol (0 to 9%) to give 310 mg of the title compound (90% yield) as a white solid. XH NMR (400 MHz, DMSO-c¾) δ ppm 8.60 (s, 1H), 7.48 (t, J = 8, 1H), 7.36 (m, 4H), 7.06 (dd, J =8, 2, 1H), 6.84 (m, 1H), 5.36 (d, J = 5, 1H), 4.58 (m, 1H), 4.45 (s, 2H), 2.59 (d, J = 8, 2H), 2.35 (m, 1H), 1.95 (m, 6H). MS (ESI+) m/z 439 (M+H)+.
Example 192 2-(4-chloro-3-fluorophenoxy)-A^-(3-{[2-(4-chloro-3-fluorophenyl)-2- oxoethyl]amino}bicyclo[l.l.l]pentan-l-yl)acetamide (Compound 291)
To N-(3-aminobicyclo[l .1. l]pentan-l-yl)-2-(4-chloro-3-fluorophenoxy)acetamide hydrochloride (Example 112A, 0.321 g, 1. mmol), and N,N-diisopropylethylamine (0.45 g, 3.5 mmol) in N,N-dimethylformamide (1 mL) was added 2-chloro-l-(4-chloro-3- fluorophenyl)ethanone (0.23 g, 1.1 mmol) in N,N-dimethylformamide (0.5 mL). The mixture was stirred at room temperature for 5 hours. The reaction mixture was diluted with ethyl acetate (80 mL) and then washed with 2 M aqueous sodium carbonate solution (50 mL x 3). The organic phase was dried over Na2SC>4, filtered and concentrated to give 0.46 g of a residue. The residue was dissolved in ethyl acetate (2 mL) and purified by flash column
chromatography on silica gel (80 g) eluting with heptane and ethyl acetate (70 to 100%) to give 164 mg of the title compound (36% yield) as a white solid. XH NMR (500 MHz, DMSO-c¾) δ ppm 8.60 (s, 1H), 7.97 (dd, J = 8, 2, 1H), 7.83 (dd, J = 8, 2, 1H), 7.76 (d, t = 8, 1H), 7.47 (d, t = 8, 1H), 7.04 (dd, J = 8, 2, 1H), 6.83 (m, 1H), 4.44 (s, 2H), 4.05 (s, 2H), 2.85 (m, 1H), 1.95 (s, 6H). MS (ESI+) m/z 455 (M+H)+.
Example 193 2-(4-chloro-3-fluorophenoxy)-A^-(3-{[2-(4-chloro-3-fluorophenyl)-2- hydroxyethyl]amino}bicyclo[l.l.l]pentan-l-yl)acetamide (Compound 292)
A mixture of 2-(4-chloro-3-fluorophenoxy)-N-(3-{[2-(4-chloro-3-fluorophenyl)-2- oxoethyl]amino}bicyclo[l . l . l]pentan-l-yl)acetamide (Example 192, 0.15 g, 0.33 mmol) and sodium borohydride (0.050 g, 1.32 mmol) in methanol (5 mL) was stirred at room temperature overnight. 1 Ν aqueous HC1 (1 mL) was added. The mixture was stirred at room temperature for 1 hour and then was basified with 2 M aqueous sodium carbonate solution to pH ~ 10. The mixture was extracted with ethyl acetate (50 mL x 2). The organic phase was dried over Na2SC>4, filtered and concentrated to give 0.36 g of a residue. The residue was dissolved in ethyl acetate (2 mL), and purified by flash column chromatography on silica gel (40 g) eluting with ethyl acetate and methanol (0 to 9%) to give 127 mg of the title compound (84% yield) as a white solid. lH NMR (400 MHz, DMSO-c¾) δ ppm 8.60 (s, 1H), 7.50 (m, 2H), 7.35 (dd, J =8, 1, 1H), 7.21 (dd, J =7, 1, 1H), 7.06 (dd, J = 8, 2, 1H), 6.85 (m, 1H), 5.48 (d, J = 5, 1H), 4.58 (m, 1H), 4.45 (s, 2H), 2.61 (d, J = 8, 2H), 2.43 (m, 1H), 1.95 (m, 6H). MS (ESI+) m/z 457 (M+H)+.
Example 194: A^-{3-[2-(4-chloro-3-fluorophenoxy)acetamido]bicyclo[l.l.l]pentan-l-yl}-3- (4-chlorophenyl)-3-oxopropanamide (Compound 293)
Example 194A: 3-(4-chlorophenyl)-3-oxopropanoic acid
A 100 mL round bottom flask equipped with a magnetic stir bar was charged with KOH (1.35 g, 24.1 mmol). Water (28.2 mL) was added, and as the solution was stirred at ambient temperature, methyl-3-(4-chlorophenyl)-3-oxopropanoate (3 g, 14.11 mmol) was added. The reaction mixture was stirred at ambient temperature for 44 hours. The basic aqueous reaction mixture was washed twice with methyl fer /-butyl ether (2 x 10 mL), then was chilled in an ice bath and treated slowly with 1 N aqueous HC1. The resulting white precipitate was collected by filtration and rinsed with water to give the title compound (209 mg, 1.05 mmol, 7.4% yield.). XH NMR (501 MHz, DMSO-c¾) δ ppm 12.72 (s, 1H), 7.96 (d, J = 8.7 Hz, 2H), 7.60 (d, J = 8.7 Hz, 2H), 4.04 (s, 2H).
Example 194B: N-{3-[2-(4-chloro-3-fluorophenoxy)acetamido]bicyclo[ 1.1. l]pentan-l-yl}-3- ( 4-chlorophenyl) -3-oxopropanamide
A 4 mL vial, equipped with a magnetic stir bar, was charged with the product of Example 194A (87 mg, 0.44 mmol), the product of Example 112A (128 mg, 0.40 mmol), and (l-cyano-2-ethoxy-2-oxoethylidenaminooxy)dimethylamino-morpholino-carbenium hexafluorophosphate (COMU, 206 mg, 0.48 mmol). The vial was sealed with a septum screw cap and the contents were placed under a dry nitrogen atmosphere. N,N-Dimethylformamide (DMF) (2 mL) was introduced via syringe to give a solution that was stirred at ambient temperature as N,N-diisopropylethylamine (0.21 mL, 1.20 mmol) was added dropwise via syringe. When the addition was complete, the reaction mixture was stirred at ambient temperature for 20.5 hours. The reaction mixture was partitioned between dilute aqueous citric acid (5 mL) and ethyl acetate (5 mL). The organic layer was washed twice with brine (2 x 5 mL), then dried over anhydrous MgSC>4 and filtered. The filtrate was concentrated under reduced pressure to give a yellow oil which was stirred with hot water. The water was decanted away, and the residue was treated with methyl fert-butyl ether to give a pale yellow solid which was isolated by filtration and combined with additional material as described below. The filtrate was dried over anhydrous MgSC>4, filtered and concentrated. The residue was purified by preparative HPLC (Phenomenex® Luna® C8(2) 5 μιτι ΙΟθΑ AXIA™ column (30 mm x 75 mm); a gradient of acetonitrile (A) and 0.1% trifiuoroacetic acid in water (B) was used, at a flow rate of 50 mL/minute (0-1.0 minute 5% A, 1.0-8.5 minutes linear gradient 5- 100% A, 8.5-11.5 minutes 100% A, 11.5-12.0 minutes linear gradient 95-5% A) to give additional solids. Solids were combined to give the title compound (136 mg, 0.29 mmol; 73% yield). XH NMR (400 MHz, CDC13) δ ppm 7.93 (d, J = 8.6 Hz, 2H), 7.48 (d, J = 8.6 Hz, 2H), 7.32 (t, J = 8.6 Hz, 1H), 6.83 (s, 1H), 6.76 (dd, J = 10.3, 3.0 Hz, 1H), 6.67 (ddd, J = 8.8, 2.9, 1.3 Hz, 1H), 4.39 (s, 2H), 3.89 (s, 2H), 2.48 (s, 6H); MS (ESI+) m/z 465 (M+H)+.
Example 195: (2£)-A^-{3-[2-(4-chloro-3-fluorophenoxy)acetamido]bicyclo[l.l.l]pentan-l- yl}-3-(4-chlorophenyl)prop-2-enamide (Compound 294)
The title compound was prepared using the methodologies described above. XH NMR
(400 MHz, DMSO-c¾) δ ppm 8.74 (s, 1H), 8.73 (s, 1H), 7.57 (d, J = 8.6 Hz, 2H), 7.53 - 7.45 (m, 3H), 7.39 (d, J = 15.8 Hz, 1H), 7.08 (dd, J = 11.4, 2.8 Hz, 1H), 6.86 (ddd, J = 9.0, 2.9, 1.2 Hz, 1H), 6.54 (d, J = 15.9 Hz, 1H), 4.49 (s, 2H), 2.29 (s, 6H); MS (ESI+) m/z 449 (M+H)+. Example 196 : 2-(3,4-dichlorophenoxy)-iV-(3- {2- [(6-methylpyridin-3- yl)oxy]acetamido}bicyclo[l.l.l]pentan-l-yl)acetamide (Compound 295)
The reaction and purification conditions described in Example 107B substituting the product of Example 6C for the product of Example 9B gave the title compound. XH NMR (400 MHz, DMSO-c¾) δ ppm 8.71 (br s, 2H), 8.16 (d, J = 3.0 Hz, 1H), 7.55 (d, J = 8.9 Hz, 1H), 7.29 - 7.23 (m, 2H), 7.19 - 7.14 (m, 1H), 6.99 (dd, J = 8.9, 2.9 Hz, 1H), 4.49 (s, 2H), 4.47 (s, 2H), 2.39 (s, 3H), 2.26 (br s, 6H); MS (ESI+) m/z 450 (M+H)+.
Example 197: 2-{[2,6-bis(trifluoromethyl)pyridin-4-yl]oxy}-A^-{3-[2-(4-chloro-3- fluorophenoxy)acetamido]bicyclo[l.l.l]pentan-l-yl}acetamide (Compound 296)
A mixture of Example 28A (60.0 mg, 0.166 mmol), 2,6-bis(trifluoromethyl)pyridin-4-ol (57.6 mg, 0.25 mmol), and potassium carbonate (45.9 mg, 0.33 mmol) in acetone (2.5 mL) was heated at 130 °C in a Biotage® Initiator microwave reactor for 20 minutes. The reaction mixture was concentrated under reduced pressure. The residue was treated with brine and extracted with ethyl acetate (2x). The combined organic layers were concentrated under reduced pressure, and the residue was purified by reverse-phase HPLC (see protocol in Example 112D) to provide the title compound (35 mg, 0.063 mmol, 38% yield). l NMR (400 MHz, DMSO-c¾) δ ppm 8.82 (s, 1H), 8.71 (s, 1H), 7.78 (s, 2H), 7.48 (t, J = 8.9 Hz, 1H), 7.05 (dd, J = 11.4, 2.8 Hz, 1H), 6.83 (ddd, J = 9.0, 2.9, 1.2 Hz, 1H), 4.84 (s, 2H), 4.46 (s, 2H), 2.26 (s, 6H); MS (ESI+) m/z 556.0 (M+H)+. Example 198 : [(2S)-2-hydroxybicyclo [2.2.2] octane- 1,4-diyl] bis [2-(4-chloro-3- fluorophenoxy)acetamide] (Compound 297)
Example 198A: ethyl 1 , 4-dioxaspiro [4.5] decane-8-carboxylate
A mixture of ethyl 4-oxocyclohexanecarboxylate (11.70 mL, 73.4 mmol), ethane-1 ,2- diol (12.29 mL, 220 mmol), and /?-toluenesulfonic acid monohydrate (1.397 g, 7.34 mmol) in toluene (200 mL) was stirred at 120 °C with a Dean-Stark trap apparatus for 180 minutes. The reaction mixture was neutralized with N-ethyl-N-isopropylpropan-2-amine and then concentrated. The residue was purified on silica gel (0-30% ethyl acetate in heptane) to give 12.77 g of the title compound as a clear oil. XH NMR (400 MHz, DMSO-c¾) δ ppm 4.01 (q, J = 7.1 Hz, 2H), 3.81 (s, 4H), 2.32 (tt, J = 10.4, 3.8 Hz, 1H), 1.83 - 1.71 (m, 2H), 1.66 - 1.57 (m, 1H), 1.62 - 1.38 (m, 5H), 1.13 (t, J = 7.1 Hz, 3H).
Example 198B: ethyl 8-acetyl-l, 4-dioxaspiro[4.5]decane-8-carboxylate
To a solution of diisopropylamine (5.19 mL, 36.4 mmol) in tetrahydrofuran (25 mL) at 0 °C was added ft-butyllithium slowly below 5 °C. After stirring for 30 minutes, the solution was cooled to -78 °C under nitrogen, and a solution of Example 198A (6.0 g, 28.0 mmol) in tetrahydrofuran (3 mL) was added slowly, and the resultant mixture was stirred for 30 minutes at the same temperature. Then acetyl chloride (2.59 mL, 36.4 mmol) was added slowly to maintain the temperature below -60 °C, and the mixture was stirred at -70 °C for 2 hours. The reaction was quenched with saturated NH4CI solution, and the aqueous phase was extracted with ethyl acetate. The organic layer was washed with brine, dried over magnesium sulfate and filtered. The filtrate was concentrated, and the residue was purified on silica gel (0-70% ethyl acetate in heptane) to give 6.78 g of the title compound as a clear oil. XH NMR (500 MHz, DMSO-c¾) 5 ppm 4.19 - 4. i l (m, 2H), 3.85 (s, 4H), 2.13 (s, 3H), 2.10 - 2.01 (m, 2H), 1.90 (ddd, J = 13.9, 9.6, 4.6 Hz, 2H), 1.54 (th, J = 13.6, 4.7 Hz, 4H), 1.18 (dd, J = 7.6, 6.5 Hz, 3H). Example 198C: ethyl l-acetyl-4-oxocyclohexane-l-carboxylate
A mixture of Example 198B (6.5 g, 25.4 mmol) and HC1 (21.13 mL, 127 mmol) in acetone (60 mL) was stirred at ambient temperature overnight. Volatiles were removed under reduced pressure, and the residue was partitioned between water and dichloromethane. The organic layer was washed with brine, dried over magnesium sulfate and filtered. The filtrate was concentrated to give 5.46 g of the title compound as a clear oil, used without further purification. lH NMR (400 MHz, DMSO-i¾) ppm 4.16 (q, J = 7.1 Hz, 2H), 2.17 (s, 3H), 2.35 2.07 (m, 8H), 1.17 (t, J = 7.1 Hz, 3H). Example 198D: ethyl 4-(benzylamino)-2-oxobicyclo[2.2.2]octane-l-carboxylate
A mixture of Example 198C (9.7 g, 45.7 mmol), benzylamine (14.98 mL, 137 mmol), and />-toluenesulfonic acid monohydrate (0.087 g, 0.457 mmol) in toluene (100 mL) was stirred at 130 °C with Dean-Stark trap apparatus overnight. The mixture was concentrated, and the residue was stirred with a mixture of ethyl acetate (50 mL) and 3 N HC1 (100 mL) for 30 minutes. The precipitate was collected by filtration, washed with mixture of ethyl
acetate/heptane, air-dried to give 11.3 g of title compound as a HC1 salt. The filtrate was neutralized with 6 N NaOH and extracted with ethyl acetate (100 mL χ 2). The organic layer was washed with brine, dried over magnesium sulfate and filtered. The residue was purified on silica gel (0-70% ethyl acetate in heptane) to give another 0.77 g of the title compound as yellow solid. lH NMR (400 MHz, DMSO-c¾) δ ppm 9.73 (t, J = 6.2 Hz, 2H), 7.87 - 7.12 (m, 5H), 4.09 (m, 4H), 2.88 (s, 2H), 2.08 (dt, J = 20.7, 13.4 Hz, 6H), 1.16 (t, J = 7.1 Hz, 3H); MS (ES ) m/z 302.1 (M+H)+.
Example 198E: ethyl 4-amino-2-oxobicyclo[2.2.2]octane-l-carboxylate, hydrochloric acid To a mixture of Example 198D (11.2 g, 33.2 mmol) in tetrahydrofuran (110 mL) in a 50 mL pressure bottle was added 20% Pd(OH)2/C, wet (2.2 g, 1.598 mmol), and the reaction was shaken at 50 °C under 50 psi of hydrogen for 22 hours. The reaction mixture was cooled to ambient temperature, solids were removed by filtration and washed with methanol (1 L). The filtrate and wash were concentrated to give 7.9 g of the title compound as a light yellow solid. XH NMR (400 MHz, DMSO-c¾) δ ppm 8.46 (s, 3H), 4.07 (q, J = 7.1 Hz, 2H), 2.62 (s, 2H), 2.17 - 2.05 (m, 2H), 2.04 - 1.78 (m, 6H), 1.14 (t, J = 7.1 Hz, 3H).
Example 198F: ethyl 4-[2-(4-chloro-3-fluorophenoxy)acetamido]-2-oxobicyclo[2.2.2]octane- 1 -carboxylate
To a suspension of Example 198E (7.8 g, 31.5 mmol), N-ethyl-N-isopropylpropan-2- amine (22.00 mL, 126 mmol) and 2-(4-chloro-3-fluorophenoxy)acetic acid (7.41 g, 36.2 mmol) in N,N-dimethylformamide (200 mL), 2-(3H-[l,2,3]triazolo[4,5-£]pyridin-3-yl)-l , 1 ,3,3- tetramethylisouronium hexafluorophosphate(V) (14.97 g, 39.4 mmol) was added, and the resulting brown solution was stirred at ambient temperature for 16 hours. Water was added, and the mixture was stirred for 15 minutes. The precipitate was collected by filtration, washed with water, and air-dried to give 12.1 g of the title compound as an off-white solid. XH NMR (400 MHz, DMSO-c¾) <5 ppm 7.87 (s, 1H), 7.45 (t, J = 8.9 Hz, 1H), 7.00 (dd, J = 1 1.4, 2.9 Hz, 1H), 6.79 (ddd, J = 8.9, 2.9, 1.2 Hz, 1H), 4.45 (s, 2H), 4.06 (q, J = 7.1 Hz, 2H), 2.73 (s, 2H),
2.07 (m, 1H), 2.01 - 1.84 (m, 6H), 1.14 (t, J = 7.1 Hz, 3H); MS (ESI+) m/z 398.0 (M+H)+. Example 198G: 4-[ 2-( 4-chloro-3-fluorophenoxy)acetamido ] -2-oxobicyclo [ 2.2.2 ] octane- 1- carboxylic acid
A suspension of Example 198F (1 1.37 g, 28.6 mmol) and sodium hydroxide (7.15 mL,
57.2 mmol, 8 M solution) in methanol (100 mL) was stirred at ambient temperature for 16 hours. Volatiles were removed, and the residue was acidified with 1 N HCl. The precipitate was collected by filtration and dried in vacuum oven to give 9.9 g of the title compound as a white solid. XH NMR (400 MHz, DMSO-c¾) δ ppm 12.49 (s, 1H), 7.86 (s, 1H), 7.45 (t, J = 8.9 Hz, 1H), 7.00 (dd, J = 1 1.4, 2.9 Hz, 1H), 6.83 - 6.74 (m, 1H), 4.45 (s, 2H), 2.71 (s, 2H), 2.01 - 1.81 (m, 7H); MS (ESI") m/z 368.1 (M-H)".
Example 198H: N-( 4-amino-3-oxobicyclo[ 2.2.2 ]octan-l-yl)-2-( 4-chloro-3- fluorophenoxyjacetamide
A mixture of Example 198G (3.24 g, 8.76 mmol), diphenylphosphoryl azide (2.84 mL, 13.14 mmol), and triethylamine (3.66 mL, 26.3 mmol) in toluene (100 mL) was heated at 1 10 °C for 2 hours. The solution was cooled to ambient temperature and poured into 150 mL of 3 N HCl solution. The mixture was stirred for 16 hours to give a suspension. The precipitate was filtered, washed with ethyl acetate, and air-dried to give the title compound (1.63 g) as an HCl salt as a white solid. The filtrate was then basified with solid sodium bicarbonate and extracted with ethyl acetate. The organic layer was washed with brine, dried over magnesium sulfate and filtered. The filtrate was concentrated and purified on silica gel (0-10%
methanol/dichloromethane) to give the title compound (0.6 g) as the free base. XH NMR (400 MHz, DMSO-c¾) δ ppm 8.49 (s, 3H), 8.08 (s, 1H), 7.45 (t, J = 8.9 Hz, 1H), 7.01 (dd, J = 1 1.4,
2.8 Hz, 1H), 6.79 (ddd, J = 9.0, 2.9, 1.2 Hz, 1H), 4.48 (s, 2H), 2.90 (s, 2H), 2.12 - 1.79 (m, 8H).
Example 1981: N-( 4-amino-3-hydroxybicyclo[ 2.2.2 ]octan-l-yl)-2-( 4-chloro-3- fluorophenoxyjacetamide hydrochloride
A mixture of Example 198H (2.5 g, 6.63 mmol) and sodium borohydride (1.254 g, 33.1 mmol) in a 1 : 1 mixture of methanol/dichloromethane (50 mL) was stirred for 24 hours.
Volatiles were removed, and the residue was partitioned between water and dichloromethane. The organic fraction was separated, dried (MgSC ), and concentrated. The residue was then treated with 4 N HCl in dioxane. The suspension was sonicated and concentrated. The residue was dried under vacuum to give 2.82 g of the title compound as a light yellow solid. XH NMR (400 MHz, DMSO-c¾) δ ppm 7.97 (s, 3H), 7.72 (s, 1H), 7.40 (t, J = 8.9 Hz, 1H), 6.95 (dd, J = 1 1.4, 2.8 Hz, 1H), 6.74 (ddd, J = 9.0, 2.9, 1.1 Hz, 1H), 5.64 (s, 1H), 4.41 (s, 2H), 3.83 (d, J = 9.1 Hz, 1H), 2.24 (td, J = 10.8, 9.9, 5.3 Hz, 1H), 1.96 - 1.51 (m, 9H); MS (ESI+) m/z 343.0 (M+H)+.
Example 198J: N,N'-(2-oxobicyclo[ 2.2.2 ] octane- 1, 4-diyl)bis[ 2-( 4-chloro-3- fluorophenoxyjacetamide ]
A mixture of Example 198H (0.5 g, 1.325 mmol), 2-(4-chloro-3-fluorophenoxy)acetic acid (0.339 g, 1.657 mmol) and N-ethyl-N-isopropylpropan-2-amine (1.157 mL, 6.63 mmol) in N^V-dimethylformamide (20 mL) was treated with 2-(3H-[l,2,3]triazolo[4,5- )]pyridin-3-yl)- l , l,3,3-tetramethylisouronium hexafluorophosphate(V) (0.756 g, 1.988 mmol), and the reaction mixture was stirred at ambient temperature for 30 minutes to see a complete conversion. Water was added, and the resultant mixture was stirred for 15 minutes. The precipitate was collected by filtration, washed with water, and dried in vacuum oven at 50 °C for 2 hours to give 0.64 g of the title compound as a white solid. l NMR (400 MHz, DMSO-c¾) δ ppm 7.88 (s, 1H),
7.67 (s, 1H), 7.45 (td, J = 8.9, 2.4 Hz, 2H), 7.03 (ddd, J = 15.0, 11.4, 2.8 Hz, 2H), 6.80 (dddd, J = 10.3, 8.9, 2.9, 1.2 Hz, 2H), 4.53 (s, 2H), 4.45 (s, 2H), 2.83 (s, 2H), 2.45 - 2.33 (m, 2H), 2.10 - 1.90 (m, 4H), 1.81 (td, J = 1 1.6, 6.3 Hz, 2H); MS (ESI+) m/z 527.0 (M+H)+.
Example 198K: N,N'-(2-hydroxybicyclo[ 2.2.2 ] octane- 1, 4-diyl)bis[ 2-( 4-chloro-3- fluorophenoxyjacetamidej
To a solution of Example 198J (0.63 g, 1.195 mmol) in dichloromethane (10 mL) and methanol (10 mL), sodium borohydride (0.226 g, 5.97 mmol) was added portionwise, and the mixture was stirred at ambient temperature for 4 hours. Volatiles were removed, and the residue was triturated with dichloromethane/methanol to give 0.32 g of the title compound as a white solid. The filtrate was concentrated, and the residue was purified on silica gel (10-100% ethyl acetate in heptane) to give 0.21 g of the title compound. XH NMR (400 MHz, DMSO-£¾) δ ppm 7.49 - 7.39 (m, 3H), 7.22 (s, 1H), 7.00 (ddd, J = 12.4, 1 1.4, 2.8 Hz, 2H), 6.78 (tdd, J = 9.1, 2.9, 1.2 Hz, 2H), 5.04 (s, 1H), 4.41 (d, J = 13.3 Hz, 4H), 4.00 (dd, J = 9.6, 3.1 Hz, 1H), 2.23 (ddd, J = 12.1, 9.4, 2.2 Hz, 1H), 2.09 - 1.97 (m, 1H), 1.93 - 1.80 (m, 2H), 1.84 - 1.68 (m, 6H); MS (ESI+) m/z 529.1 (M+H)+.
Example 198L: N,N'-[(2S)-2-hydroxybicyclo[ 2.2.2 ]octane-l, 4-diyl Jbisf 2-( 4-chloro-3- fluorophenoxyjacetamide ] The title compound was isolated by chiral preparative SFC (Supercritical Fluid Chromatography) of Example 198K as the second peak eluted off the column. Preparative SFC was performed on a THAR/Waters SFC 80 system running under SuperChrom™ software control. The preparative SFC system was equipped with an 8-way preparative column switcher, CO2 pump, modifier pump, automated back pressure regulator (ABPR), UV detector, and 6-position fraction collector. The mobile phase was comprised of supercritical CO2 supplied by a Dewar of bone-dry non-certified CO2 pressurized to 350 psi with a modifier of methanol at a flow rate of 70 g/minute. The column was at ambient temperature, and the backpressure regulator was set to maintain 100 bar. The sample was dissolved in a mixture of methanol/dichloromethane (1 : 1) at a concentration of 10 mg/mL. The sample was loaded into the modifier stream in 1 mL (10 mg) injections. The mobile phase was held isocratically at 30% methanol:C02. Fraction collection was time triggered. The instrument was fitted with a Chiralpak® AD-H column with dimensions 21 mm i.d. χ 250 mm length with 5 μπι particles. XH NMR (400 MHz, DMSO-c¾) δ ppm 7.49 - 7.39 (m, 3H), 7.23 (s, 1H), 7.00 (ddd, J= 12.4, 11.4, 2.9 Hz, 2H), 6.78 (dddd, J = 9.0, 8.0, 2.9, 1.2 Hz, 2H), 5.05 (s, 1H), 4.41 (d, J= 13.5 Hz, 4H), 4.00 (dd, J = 9.4, 3.0 Hz, 1H), 2.23 (ddd, J= 12.3, 9.4, 2.3 Hz, 1H), 2.03 (ddd, J = 12.3, 10.5, 4.7 Hz, 1H), 1.89 (d, J = 10.7 Hz, 2H), 1.87 - 1.76 (m, 1H), 1.74 (ddd, J = 12.6, 6.7, 2.4 Hz, 5H); MS (ESI+) m/z 529.1 (M+H)+.
Example 199 : J\yV- [(2i?)-2-hydroxybicyclo [2.2.2] octane- 1,4-diyl] bis [2-(4-chloro-3- fluorophenoxy)acetamide] (Compound 298)
The title compound was isolated using the chiral preparative SFC described in Example 198 as the first peak eluted off the column. XH NMR (400 MHz, DMSO-c¾) δ ppm 7.53 - 7.43 (m, 3H), 7.28 (s, 1H), 7.04 (ddd, J= 12.3, 11.5, 2.9 Hz, 2H), 6.82 (tdd, J = 9.0, 2.9, 1.2 Hz, 2H), 5.10 (s, 1H), 4.45 (d, J = 13.5 Hz, 4H), 4.04 (dd, J= 9.6, 3.1 Hz, 1H), 2.27 (ddd, J = 12.2, 9.4, 2.2 Hz, 1H), 2.07 (ddd, J = 12.2, 10.4, 4.7 Hz, 1H), 1.96 - 1.72 (m, 8H); MS (ESI+) m/z 529.1 (M+H)+.
Example 200: AyV-(2-methoxybicyclo[2.2.2]octane-l,4-diyl)bis[2-(4-chloro-3- fluorophenoxy)acetamide] (Compound 299)
To a suspension of Example 198K (0.05 g, 0.094 mmol) and potassium hydroxide (6.62 mg, 0.118 mmol) in dimethyl sulfoxide (1.0 mL) at 0 °C was added iodomethane (7.38 μί, 0.118 mmol), and the mixture was stirred at ambient temperature for 30 minutes. Water was added, and the mixture was extracted with dichloromethane. The organic layer was dried over magnesium sulfate and concentrated. The residue was purified by HPLC (performed on a Phenomenex® Luna® C I 8(2) 5 μιη ΙΟθΑ AXIA™ column (250 mm χ 21.2 mm) or
Phenomenex® Luna® C I 8(2) 10 μιη Ι ΟθΑ AXIA™ column (250 mm χ 50 mm). A gradient of acetonitrile (A) and 0.1% trifluoroacetic acid in water (B) was used, at a flow rate of 25 mL/minute. A linear gradient was used from about 5% of A to about 95% of A over about 10 minutes. Detection method was UV at wave lengths of 218 nM and 254 nM) to give 18 mg of the title compound as a white solid. l NMR (400 MHz, CDC13) δ ppm 7.32 (td, J = 8.6, 3.7 Hz, 2H), 6.78 - 6.70 (m, 2H), 6.75 - 6.61 (m, 3H), 6.14 (s, 1H), 4.35 (d, J = 5.7 Hz, 4H), 3.73 (ddd, J = 9.2, 3.8, 1.6 Hz, 1H), 3.34 (s, 3H), 2.65 - 2.45 (m, 3H), 2.17 - 1.81 (m, 7H); MS (ESI" ) m/z 541.2 (M-H)".
Example 201 : iV,/V- [2-(dimethylamino)bicyclo [2.2.2] octane-l,4-diyl] bis [2-(4-chloro-3- fluorophenoxy)acetamide] (Compound 300)
A mixture of Example 198J (100 mg, 0.190 mmol), dimethylamine (0.119 mL, 0.237 mmol) and tetraisopropoxytitanium(IV) (0.167 mL, 0.569 mmol) in dichloroethane (2.0 mL) was stirred at 85 °C in a microwave vial for 8 hours. The vial was cooled to ambient temperature and sodium triacetoxyborohydride (201 mg, 0.948 mmol) was added, and the mixture was stirred at 85 °C for 16 hours. Volatiles were removed, and the residue was purified by HPLC (10-95% acetonitrile in 0.1% trifluoroacetic acid/water over 15 minutes at 25 mL/minute on a Phenomenex® CI 8 5 μπι (250 mm χ 21.2 mm) column) to give 6 mg of the titled compound as a solid. XH NMR (400 MHz, DMSO-c¾) δ ppm 8.95 (s, 1H), 7.98 (s, 1H), 7.86 (s, 1H), 7.54 (td, J = 8.9, 4.6 Hz, 2H), 7.10 (td, J = 11.3, 2.8 Hz, 2H), 6.88 (td, J = 8.6, 2.7 Hz, 2H), 4.66 - 4.50 (m, 4H), 4.34 (d, J = 9.4 Hz, 1H), 2.84 (dd, J = 21.6, 4.7 Hz, 6H), 2.37 (td, J = 1 1.9, 10.4, 2.8 Hz, 1H), 2.32 - 2.08 (m, 4H), 2.12 - 2.00 (m, 1H), 1.97 - 1.74 (m, 3H), 1.52 (ddd, J = 22.1, 14.1, 8.1 Hz, 1H); MS (ESI+) m/z 556.1 (M+H)+.
Example 202: 2-(4-chloro-3-fluorophenoxy)-iV-[3-hydroxy-4-(2-{ [6-
(trifluoromethyl)pyridin-3-yl]oxy}acetamido)bicyclo[2.2.2]octan-l-yl]acetamide
(Compound 301)
A mixture of Example 1981 (0.1 g, 0.219 mmol), 2-((6-(trifluoromethyl)pyridin-3- yl)oxy)acetic acid (0.073 g, 0.328 mmol) and N-ethyl-N-isopropylpropan-2-amine (0.153 mL, 0.876 mmol) in N,N-dimethylformamide (2.0 mL) was treated with 2-(3H-[l,2,3]triazolo[4,5- Z)]pyridin-3-yl)-l, l,3,3-tetramethylisouronium hexafluorophosphate(V) (0.125 g, 0.328 mmol), and the reaction mixture was stirred at ambient temperature overnight. Volatiles were removed under high vacuum, and the residue was purified by HPLC (10-95% acetonitrile in 0.1 % trifluoroacetic acid/ water over 15 minutes at 25 mL/minute on a Phenomenex® CI 8 5 μιτι (250 mm x 21.2 mm) column) to give 47 mg of the title compound as a solid. XH NMR (400 MHz, DMSO-c¾) δ ppm 8.40 (d, J = 2.9 Hz, 1H), 7.81 (d, J = 8.8 Hz, 1H), 7.55 - 7.40 (m, 3H), 7.36 (s, 1H), 6.99 (dd, J = 1 1.4, 2.8 Hz, 1H), 6.77 (ddd, J = 9.0, 3.0, 1.2 Hz, 1H), 5.00 (s, 1H), 4.61 (s, 2H), 4.40 (s, 2H), 4.05 (d, J = 9.3 Hz, 1H), 2.23 (dd, J = 13.2, 9.5 Hz, 1H), 2.04 - 1.85 (m, 4H), 1.81 - 1.68 (m, 5H); MS (ESI+) m/z 546.0 (M+H)+.
Example 203: 2-(4-chloro-3-fluorophenoxy)-A^-[(3S)-3-hydroxy-4-(2-{[6- (trifluoromethyl)pyridin-3-yl]oxy}acetamido)bicyclo[2.2.2]octan-l-yl]acetamide
(Compound 302)
The title compound was isolated by chiral preparative SFC of Example 202 as the second peak eluted off the column using the methodologies described in Example 198. XH NMR (400 MHz, DMSO-c¾) δ ppm 8.40 (d, J = 2.9 Hz, 1H), 7.81 (d, J = 8.7 Hz, 1H), 7.55 - 7.40 (m, 3H), 7.36 (s, 1H), 6.99 (dd, J = 11.4, 2.9 Hz, 1H), 6.77 (ddd, J = 9.0, 2.9, 1.2 Hz, 1H), 5.00 (d, J = 4.3 Hz, 1H), 4.61 (s, 2H), 4.40 (s, 2H), 4.04 (dt, J = 8.1, 3.2 Hz, 1H), 2.23 (dd, J = 13.1 , 9.6 Hz, 1H), 2.04 - 1.81 (m, 4H), 1.86 1.68 (m, 5H); MS (ESI+) m/z 545.9 (M+H)+. Example 204: 2-(4-chloro-3-fluorophenoxy)-iV-[(3i?)-3-hydroxy-4-(2-{[6- (trifluoromethyl)pyridin-3-yl]oxy}acetamido)bicyclo[2.2.2]octan-l-yl]acetamide
(Compound 303)
The title compound was isolated by chiral preparative SFC of Example 202 as the first peak eluted off the column using the methodologies described in Example 198. XH NMR (400 MHz, DMSO-c¾) δ ppm 8.40 (d, J = 2.9 Hz, 1H), 7.81 (d, J = 8.7 Hz, 1H), 7.55 7.36 (m, 4H), 6.98 (dd, J = 11.4, 2.8 Hz, 1H), 6.77 (ddd, J = 8.9, 2.9, 1.2 Hz, 1H), 5.03 (s, 1H), 4.61 (s, 2H), 4.40 (s, 2H), 4.04 (d, J = 9.0 Hz, 1H), 2.23 (dd, J = 13.2, 9.6 Hz, 1H), 2.04 - 1.81 (m, 4H), 1.83 - 1.68 (m, 5H); MS (ESI+) m/z 546.0 (M+H)+.
Example 205: benzyl [2-({3-[2-(4-chloro-3- fluorophenoxy)acetamido]bicyclo[l.l.l]pentan-l-yl}amino)-2-oxoethyl]carbamate (Compound 304)
The reaction and purification conditions described in Example 107B substituting ((benzyloxy)carbonyl)glycine (Aldrich) for the product of Example 107A gave the title compound. lH NMR (400 MHz, DMSO-c¾) δ ppm 8.69 (s, 1H), 8.47 (s, 1H), 7.49 (t, J = 8.9 Hz, 1H), 7.40 - 7.27 (m, 6H), 7.07 (dd, J = 11.4, 2.9 Hz, 1H), 6.85 (ddd, J = 8.9, 2.9, 1.2 Hz, 1H), 5.03 (s, 2H), 4.47 (s, 2H), 3.55 (d, J = 6.2 Hz, 2H), 2.22 (br s, 6H); MS (ESI ) m/z 476 (M+H)+.
Example 206: 2-(4-chloro-3-fluorophenoxy)-A^-(4-{2-[(2,2-difluoro-2H-l,3-benzodioxol-5- yl)oxy]acetamido}-3-hydroxybicyclo [2.2.2] octan-l-yl)acetamide (Compound 305)
Example 206A: 2,2-difluoro-2H-l, 3-benzodioxol-5-ol
To a cold solution of 5-bromo-2,2-difluorobenzo[cf] [l ,3]dioxole (5.75 mL, 42.2 mmol) in tetrahydrofuran (80 mL) was added a 2.0 M solution of isopropylmagnesium chloride in tetrahydrofuran (28.1 mL, 56.1 mmol) within 5-7 minutes by keeping the temperature around 10-20 °C. The reaction mixture was stirred at the same temperature for 15 minutes and then was allowed to attain ambient temperature for ovemight. The reaction mixture was cooled with an ice bath, and triisopropyl borate (12.74 mL, 54.9 mmol) was added dropwise over 2 minutes. The reaction mixture was stirred at ambient temperature for 30 minutes. Then the reaction mixture was cooled to 10 °C, and 10% sulfuric acid solution (50 mL) was added slowly to the reaction mixture resulting in a slight exotherm up to 20 °C. The reaction mixture was stirred at ambient temperature for 15 minutes and transferred to separating funnel. Some water was added to dissolve salts. The aqueous layer was separated and washed with ethyl acetate. The combined organic fractions were washed with a saturated aqueous solution of sodium bicarbonate. The organic extract was separated, dried over anhydrous sodium sulfate, filtered, and concentrated. The residue was then dissolved in fert-butyl methyl ether (100 mL), cooled to 0 °C and 30% hydrogen peroxide solution in water (5.39 mL, 52.7 mmol) was added slowly to the reaction mixture followed by water (60 mL). The mixture was stirred ovemight while warming up to ambient temperature. The reaction mixture was diluted with ethyl acetate and washed twice with 10% sodium thiosulfate solution and brine. The organic layer was dried with magnesium sulfate and filtered. The filtrate was concentrated, and the residue was purified on silica gel (0-50% ethyl acetate in heptane) to give 6.43 g of the title compound as an amber oil. ¾ NMR (400 MHz, DMSO-c¾) δ ppm 9.79 (s, 1H), 7.16 (d, J = 8.7 Hz, 1H), 6.79 (d, J = 2.4 Hz, 1H), 6.56 (dd, J = 8.7, 2.5 Hz, 1H).
Example 206B: 2-((2, 2-difluorobenzo [d] [ 1, 3 ]dioxol-5-yl)oxy) acetic acid
To a solution of Example 206A in N,N-dimethylformamide (30 mL) at ambient temperature was added potassium carbonate (4.76 g, 34.5 mmol) and tert-butyl bromoacetate (2.91 mL, 19.82 mmol). This mixture was warmed to 65 °C and was allowed to stir for 1.5 hours. The mixture was allowed to cool to ambient temperature and was diluted with ethyl acetate (50 mL) and water (50 mL). The layers were separated, and the aqueous layer was extracted with ethyl acetate (3 x 15 mL). The combined organic extracts were dried over anhydrous Na2SC>4, filtered, concentrated under reduced pressure to give tert-butyl [(2,2- difluoro-2H-l,3-benzodioxol-5-yl)oxy]acetate which was used without further purification. This crude was dissolved in methanol (60 mL) and water (20.00 mL) and treated with 5 M sodium hydroxide solution (17.35 mL, 87 mmol). This reaction mixture was allowed to stir at ambient temperature for 2 hours. Volatiles were removed under reduced pressure, and the residue was acidified with 1 N HC1 solution. The resulting precipitate was collected by filtration, air-dried to give the title compound (3.28 g, 14.13 mmol, 81 % yield) as a white solid. lH NMR (400 MHz, DMSO-c¾) δ ppm 13.10 (s, 1H), 7.30 (d, J = 8.9 Hz, 1H), 7.13 (d, J = 2.6 Hz, 1H), 6.73 (dd, J = 8.9, 2.6 Hz, 1H), 4.69 (s, 2H); MS (ESI") m/z 231.0 (M-H)".
Example 206C: 2-(4-chloro-3-fluorophenoxy)-N-(4-{2-[ (2, 2-difluoro-2H-l, 3-benzodioxol-5- yl)oxy]acetamido}-3-hydroxybicyclo[ 2.2.2 ]octan-l-yl)acetamide
The title compound was prepared using the methodologies described in Example 202 substituting Example 206B for 2-((6-(trifluoromethyl)pyridin-3-yl)oxy)acetic acid. XH NMR (501 MHz, DMSO-c¾) δ ppm 7.49 - 7.40 (m, 2H), 7.28 (d, J = 8.9 Hz, 1H), 7.19 (s, 1H), 7.09 (d, J = 2.6 Hz, 1H), 6.99 (dd, J = 11.4, 2.8 Hz, 1H), 6.81 - 6.67 (m, 2H), 4.39 (d, J = 2.6 Hz, 4H), 3.99 (dd, J = 9.7, 3.1 Hz, 1H), 2.24 (ddd, J = 12.4, 9.5, 2.4 Hz, 1H), 2.12 - 2.00 (m, 1H), 1.96 - 1.69 (m, 8H); MS (ESI+) m/z 557.0 (M+H)+.
Example 207: 2-(4-chloro-3-fluorophenoxy)-iV-[34iydroxy-4-(2-{[5-
(trifluoromethyl)pyridin-3-yl]oxy}acetamido)bicyclo[2.2.2]octan-l-yl]acetamide
(Compound 306)
Example 207 A: 2-chloro-N-{ 4-[ 2-( 4-chloro-3-fluorophenoxy)acetamido ]-2- oxobicyclo[ 2.2.2 ]octan-l-yl}acetamide
To a mixture of Example 198H (0.6 g, 1.591 mmol) and N-ethyl-N-isopropylpropan-2- amine (1.389 mL, 7.95 mmol) in tetrahydrofuran (10.0 mL), 2-chloroacetyl chloride (0.198 g, 1.750 mmol) was added dropwise, and the mixture was stirred at ambient temperature overnight. Water was added, and the mixture was extracted with ethyl acetate. The organic layer was washed with brine, dried over magnesium sulfate and filtered. The filtrate was concentrated, and the residue was purified on silica gel (0-75%ethyl acetate in heptane) to afford 0.43 g of the title compound as a white solid. XH NMR (400 MHz, DMSO-c¾) δ ppm 7.86 (d, J = 13.7 Hz, 2H), 7.45 (t, J = 8.9 Hz, 1H), 7.01 (dd, J = 11.4, 2.9 Hz, 1H), 6.79 (ddd, J = 9.0, 2.9, 1.2 Hz, 1H), 4.45 (s, 2H), 4.09 (s, 2H), 2.82 (s, 2H), 2.37 - 1.75 (m, 8H); MS (ESI ) m/z 417.0 (M+H)+.
Example 207B: 2-(4-chloro-3-fluorophenoxy)-N-[3-hydroxy-4-(2-{[5-(trifluoromethyl)pyridin- 3-yl ]oxy}acetamido)bicyclo[ 2.2.2 ]octan-l-yl Jacetamide
A mixture of Example 207A (0.043 g, 0.103 mmol), 5-(trifluoromethyl)pyridin-3-ol
(0.034 g, 0.206 mmol), potassium carbonate (0.028 g, 0.206 mmol) and potassium iodide (1.198 mg, 7.21 μηιοΐ) in acetone (1.0 mL) was stirred at 140 °C in a 2 mL microwave via for 45 minutes. The cooled suspension was filtered, and the crude material was purified by HPLC (10-85% acetonitrile in 0.1% trifluoroacetic acid/water at 25 mL/minute on Phenomenex® C18 5 μπι column) to give 44 mg of 2-(4-chloro-3-fluorophenoxy)-N-[3-oxo-4-(2-{[5-
(trifluoromethyl)pyridin-3-yl]oxy}acetamido)bicyclo[2.2.2]octan-l-yl]acetamide as a light yellow solid. The solid was dissolved in a mixture of methanol/dichloromethane (1 : 1, 2 mL) and treated with sodium borohydride (0.019 g, 0.515 mmol). The reaction mixture was stirred at ambient temperature for 1 hour. Water was added, and the mixture was extracted with dichloromethane. The organic layer was separated, dried (MgSC ), and concentrated to give 32 mg of the title compound as a light brown solid. XH NMR (400 MHz, DMSO-c¾) δ ppm 8.58 - 8.50 (m, 2H), 7.68 (s, 1H), 7.49 - 7.39 (m, 2H), 7.35 (s, 1H), 6.98 (dd, J = 11.4, 2.8 Hz, 1H), 6.77 (ddd, J = 9.0, 2.9, 1.2 Hz, 1H), 5.02 (s, 1H), 4.63 (s, 2H), 4.40 (s, 2H), 4.03 (dd, J = 9.8, 3.1 Hz, 1H), 2.29 - 2.18 (m, 1H), 2.04 - 1.76 (m, 4H), 1.80 - 1.68 (m, 5H); MS (ESI+) m/z 546.1 (M+H)+.
Example 208: (2.S)-iV-{3-[2-(4-chloro-3-fluorophenoxy)acetamido]bicyclo[l.l.l]pentan-l- yl}-2-(4-chlorophenyl)-2-hydroxyacetamide (Compound 307)
The title compound was prepared using the methodologies described above. XH NMR (400 MHz, CDC13) δ ppm 7.35 (s, 4H), 7.32 (t, J = 8.6 Hz, 1H), 6.85 (s, 1H), 6.77 - 6.71 (m, 2H), 6.66 (ddd, J = 8.9, 2.9, 1.3 Hz, 1H), 5.00 (d, J = 3.2 Hz, 1H), 4.37 (s, 2H), 3.54 (d, J = 3.6 Hz, 1H), 2.45 (s, 6H); MS (ESI+) m/z 453 (M+H)+.
Example 209: 2-(4-chloro-3-fluorophenoxy)-iV-[3-hydroxy-4-(2-{[2- (trifluoromethyl)pyridin-4-yl]oxy}acetamido)bicyclo[2.2.2]octan-l-yl]acetamide
(Compound 308)
The title compound was prepared using the methodologies described in Example 207 substituting 2-(trifluoromethyl)pyridin-4-ol for 5-(trifluoromethyl)pyridin-3-ol. XH NMR (501 MHz, DMSO-c¾) δ ppm 8.53 (d, J = 5.7 Hz, 1H), 7.49 - 7.39 (m, 2H), 7.43 - 7.34 (m, 2H), 7.19 (dd, J = 5.8, 2.5 Hz, 1H), 6.98 (dd, J = 11.4, 2.8 Hz, 1H), 6.77 (dt, J = 8.7, 1.8 Hz, 1H), 4.64 (s, 2H), 4.40 (s, 2H), 4.05 (dd, J = 9.5, 3.0 Hz, 1H), 2.23 (dd, J = 13.2, 9.3 Hz, 1H), 2.02 - 1.74 (m, 9H); MS (ESI+) m/z 546.2 (M+H)+.
Example 210: 2-(4-chloro-3-fluorophenoxy)- V-[3-(2-{[3-oxo-2-(2,2,2-trifluoroethyl)-2,3- dihydropyridazin-4-yl] oxy }acetamido)bicyclo [ 1.1.1] pentan-l-yl] acetamide (Compound 309)
Examples 210A andB: tert-butyl {[5-chloro-3-oxo-2-(2,2,2-trifluoroethyl)-2, 3- dihydropyridazin-4-ylJoxyjacetate (A) and tert-butyl {[5-chloro-6-oxo-l-(2,2,2-trifluoroethyl)- 1, 6-dihydropyridazin-4-yl]oxy}acetate (B)
A 100 mL round bottom flask, equipped with a magnetic stir bar, was charged with tert- butyl 2-hydroxyacetate (1.07 g, 8.10 mmol) and 4,5-dichloro-2-(2,2,2-trifluoroethyl)pyridazin- 3(2H)-one (FCH Group; CAS: 97137-16-1; 2 g, 8.10 mmol). The flask contents were placed under a dry nitrogen atmosphere and tetrahydrofuran (THF) (16 mL) was introduced via syringe. The resulting solution was stirred at ambient temperature as lithium
bis(trimethylsilyl)amide (1.0 M in THF; 8.10 mL, 8.10 mmol) was added dropwise. The reaction mixture was stirred at ambient temperature for 65 hours. The reaction mixture was diluted with ethyl acetate (30 mL) and washed with dilute aqueous citric acid (2 x 10 mL) and with brine (1 x 10 mL). The organic layer was dried over anhydrous MgSC>4, filtered and concentrated under reduced pressure to give a crude mixture that was purified via column chromatography (S1O2, 10-35% ethyl acetate/heptanes) to give the earlier eluting title compound A (577 mg, 1.7 mmol, 21% yield) and the later eluting title compound B (768 mg,
2.2 mmol, 28% yield). Title compound A: XH NMR (400 MHz, CDC13) δ ppm 7.77 (s, 1H), 5.21 (s, 2H), 4.71 (q, J = 8.3 Hz, 2H), 1.45 (s, 9H); MS (ESI+) m/z 343 (M+H)+. Title
Compound B: lH NMR (400 MHz, CDC13) δ ppm 7.68 (s, 1H), 4.80 (q, 8.3 Hz, 2H), 4.80 (s, 2H), 1.50 (s, 9H); MS (ESI+) m/z 343 (M+H)+.
Example 210C: tert-butyl {[3-oxo-2-(2,2,2-trifluoroethyl)-2,3-dihydropyridazin-4- yljoxyjacetate
The product of Example 210A (575 mg, 1.7 mmol) and tetrahydrofuran (THF) (14 mL) were added to 5% Pd/C (wet, 131 mg, 0.55 mmol) and triethylamine (0.47 mL, 3.4 mmol) in a 20 mL vessel. The mixture was stirred for 22 hours at 50 psi hydrogen and 25 °C The mixture was then filtered and concentrated under reduced pressure to give the title compound (397 mg,
1.3 mmol, 77% yield). XH NMR (400 MHz, CDC13) δ ppm 7.70 (d, J = 4.8 Hz, 1H), 6.36 (d, J = 4.8 Hz, 1H), 4.80 (q, J = 8.4 Hz, 2H), 4.69 (s, 2H), 1.48 (s, 9H); MS (ESI ) m/z 326
(M+NH4)+.
Example 210D: {[3-oxo-2-(2,2,2-trifluoroethyl)-2,3-dihydropyridazin-4-yl]oxy}acetic acid
A 100 mL round bottom flask, equipped with a magnetic stir bar, was charged with the product of Example 210C (360 mg, 1.17 mmol) and 1,2-dichloroethane (40 mL). The resulting solution was stirred at ambient temperature as trifluoroacetic acid (0.41 mL, 5.32 mmol) was added. The reaction mixture was then stirred at 75 °C for 40 minutes, then the heat was removed, and the mixture was allowed to stir at ambient temperature for 16 hours. Some starting material remained, so additional trifluoroacetic acid (0.41 mL, 5.32 mmol) was added, and the reaction mixture was stirred at 70 °C for 7.5 hours. The mixture was concentrated under reduced pressure to give the title compound (268 mg, 1.06 mmol, 91% yield. XH NMR (400 MHz, DMSO-c e) δ ppm 13.30 (s, 1H), 7.87 (d, J = 4.9 Hz, 1H), 6.78 (d, J = 5.0 Hz, 1H), 4.94 (q, J = 9.1 Hz, 2H), 4.84 (s, 2H); MS (ESI+) m/z 270 (M+NH4)+.
Example 210E: 2-( 4-chloro-3-fluorophenoxy)-N-[ 3-(2-{[ 3-oxo-2-(2, 2, 2-trifluoroethyl)-2, 3- dihydropyridazin-4-yl]oxy}acetamido)bicyclo[ 1.1.1 Jpentan-1 -yljacetamide
A 4 mL vial, equipped with a magnetic stir bar, was charged with the product of Example 210D (43.2 mg, 0.17 mmol). The vial was sealed with a septum screw cap and the contents were placed under a dry nitrogen atmosphere. Dichloromethane (1.0 mL) was introduced via syringe, and the resulting solution was stirred at ambient temperature as oxalyl chloride (0.027 mL, 0.31 mmol) was added via syringe followed by one drop of NN- dimethylformamide (-0.05 mL). The reaction mixture was stirred at ambient temperature for 30 minutes, then volatiles were removed under reduced pressure. The residue was treated with the product of Example 112A (50 mg, 0.16 mmol), and the vial was resealed. The contents were again placed under a dry nitrogen atmosphere, and dichloromethane (3 mL) was added via syringe. This suspension was stirred at ambient temperature while triethylamine (0.065 mL, 0.47 mmol) was added dropwise. When the addition was complete, the reaction mixture was stirred at ambient temperature for 2.25 hours. Volatiles were removed under reduced pressure, and the residue was partitioned between dilute aqueous citric acid (10 mL) and ethyl acetate (10 mL). The organic layer was washed with saturated aqueous sodium bicarbonate (10 mL), then dried over anhydrous MgSC>4, filtered and concentrated under reduced pressure. The crude residue was purified via column chromatography (S1O2, 100% CH2CI2 to 3% CH3OH in CH2CI2) to give the title compound. XH NMR (501 MHz, CDC13) δ ppm 7.77 (d, J = 4.8 Hz, 1H), 7.45 (s, 1H), 7.33 (t, J = 8.6 Hz, 1H), 6.85 (s, 1H), 6.76 (dd, J = 10.3, 2.9 Hz, 1H), 6.68 (ddd, J = 8.9, 2.9, 1.3 Hz, 1H), 6.48 (d, J = 4.9 Hz, 1H), 4.81 (q, J = 8.3 Hz, 2H), 4.44 (s, 2H), 4.40 (s, 2H), 2.52 (s, 6H); MS (ESI+) m/z 519 (M+H)+.
Example 211: 2-(4-chloro-3-fluorophenoxy)-iV- [3-(2- { [6-oxo- l-(2,2,2-trifluoroethyl)- 1,6- dihydropyridazin-4-yl] oxy }acetamido)bicyclo [ 1.1.1] pentan-l-yl] acetamide (Compound 310)
Example 211 A: tert-butyl { [6-oxo-l-(2,2,2-trifluoroethyl)-l , 6-dihydropyridazin-4- yljoxyjacetate
The product of Example 210B was processed as described in Example 210C to give the title compound. lH NMR (400 MHz, CDC13) δ ppm 7.70 (d, J = 2.9 Hz, 1H), 6.03 (d, J = 2.9 Hz, 1H), 4.72 (q, J = 8.4 Hz, 2H), 4.49 (s, 2H), 1.51 (s, 9H); MS (ESI+) m/z 309 (M+H)+.
Example 21 IB: {[6-oxo-l-(2,2,2-trifluoroethyl)-l, 6-dihydropyridazin-4-yl]oxy}acetic acid
The product of Example 211A was processed as described for Example 210D to give the title compound (415 mg, 1.65 mmol, 93% yield). Ti NMR (400 MHz, DMSO-c¾) δ ppm 13.33 (s, 1H), 7.96 (d, J = 2.8 Hz, 1H), 6.37 (d, J = 2.8 Hz, 1H), 4.89 (q, J = 9.1 Hz, 2H), 4.84 (s, 2H); MS (ESI+) m/z 270 (M+NH4)+.
Example 211C: 2-(4-chloro-3-fluorophenoxy)-N-[3-(2-{[6-oxo-l-(2,2,2-trifluoroethyl)-l, 6- dihydropyridazin-4-yl]oxy}acetamido)bicyclo[ 1.1.1 ] pentan-l-yl] acetamide
The product of Example 21 IB was processed as described for Example 210E to give the title compound (48.5 mg, 0.093 mmol, 60% yield). XH NMR (400 MHz, CDC13) δ ppm 7.72 (d, J = 2.9 Hz, 1H), 7.33 (t, J = 8.6 Hz, 1H), 6.87 (s, 1H), 6.76 (dd, J = 10.2, 2.9 Hz, 1H), 6.69 (s, 1H), 6.68 (ddd, J = 10.2, 2.9, 1.3 Hz, 1H), 6.17 (d, J = 2.9 Hz, 1H), 4.73 (q, J = 8.4 Hz, 2H), 4.42 (s, 2H), 4.41 (s, 2H), 2.54 (s, 6H); MS (ESI+) m/z 519 (M+H)+.
Example 212: 2-(4-chloro-3-fluorophenoxy)-iV-(4-{2-[(6-cyclopropylpyridin-3- yl)oxy]acetamido}-3-hydroxybicyclo [2.2.2] octan-l-yl)acetamide (Compound 311)
The title compound was prepared using the methodologies described in Example 207 substituting 6-cyclopropylpyridin-3-ol for 5-(trifluoromethyl)pyridin-3-ol. XH NMR (501 MHz, DMSO-c¾) δ ppm 8.27 (s, 1H), 8.19 (d, J = 2.9 Hz, 1H), 7.62 (dd, J = 8.9, 2.9 Hz, 1H), 7.51 (s, 1H), 7.46 - 7.30 (m, 3H), 6.95 (dd, J = 11.4, 2.9 Hz, 1H), 6.76 (ddd, J = 9.0, 2.9, 1.2 Hz, 1H), 4.52 (s, 2H), 4.37 (s, 2H), 4.03 (dd, J = 9.5, 3.1 Hz, 1H), 2.28 - 2.06 (m, 2H), 1.96 (ddt, J = 17.8, 10.6, 5.6 Hz, 1H), 1.88 (s, 2H), 1.88 - 1.73 (m, 2H), 1.77 - 1.66 (m, 4H), 1.04 (dt, J = 8.4, 3.3 Hz, 2H), 0.94 - 0.85 (m, 2H); MS (ESI+) m/z 518.2 (M+H)+. Example 213: A^-{3-[2-(4-chloro-3-fluorophenoxy)acetamido]bicyclo[l.l.l]pentan-l-yl}-3- (4-chlorophenyl)-2-oxopropanamide (Compound 312)
The title compound was prepared using the methodologies described above. XH NMR (400 MHz, CDC13) δ ppm 7.37 - 7.28 (m, 4H), 7.17 (d, J = 8.4 Hz, 2H), 6.86 (s, 1H), 6.76 (dd, J = 10.3, 2.9 Hz, 1H), 6.68 (ddd, J = 8.9, 2.9, 1.3 Hz, 1H), 4.40 (s, 2H), 4.16 (s, 2H), 2.52 (s, 6H); MS (ESI+) m/z 465 (M+H)+.
Example 214: 2-(4-chloro-3-fluorophenoxy)-iV-[2-hydroxy-4-(2-{[6- (trifluoromethyl)pyridin-3-yl]oxy}acetamido)bicyclo[2.2.2]octan-l-yl]acetamide
(Compound 313)
Example 214A: ethyl 4-{[(4-methoxyphenyl)methyl]amino}-2-oxobicyclo[2.2.2]octane-l- carboxylate
The title compound was prepared using the methodologies described in Example 198D substituting 4-methoxybenzylamine for benzylamine. XH NMR (400 MHz, DMSO-c e) δ ppm 9.67 (s, 2H), 7.56 - 7.47 (m, 2H), 6.98 - 6.90 (m, 2H), 4.13 - 3.96 (m, 4H), 3.73 (s, 3H), 2.87 (s, 2H), 2.16 - 1.93 (m, 8H), 1.15 (t, J = 7.1 Hz, 3H).
Example 214B: 4-{[ ( 4-methoxyphenyl)methyl j 1 amino} -2-oxobicyclo [ 2.2.2 ] octane- 1-carboxylic acid
The title compound was prepared using the methodologies described in Example 198G substituting 214A for 198F. XH NMR (400 MHz, DMSO-c¾) δ ppm 9.65 (s, 1H), 7.53 - 7.46 (m, 2H), 6.98 - 6.90 (m, 2H), 4.00 (s, 2H), 2.82 (s, 2H), 2.13 - 1.94 (m, 8H); MS (ESI+) m/z 303.8 (M+H)+.
Example 214C: l-amino-4-{[ ( 4-methoxyphenyl)methyl ] amino }bicy do [ 2.2.2 ]octan-2-one
The title compound was prepared using the methodologies described in Example 198H substituting 214B for 198G. lH NMR (400 MHz, DMSO-c¾) δ ppm 9.25 (s, 2H), 8.55 - 8.50 (m, 3H), 7.44 - 7.35 (m, 2H), 7.02 - 6.93 (m, 2H), 4.05 (s, 1H), 3.73 (s, 2H), 2.94 (s, 2H), 2.19 - 2.03 (m, 6H), 1.91 (t, J = 10.2 Hz, 2H).
Example 214D: 2-(4-chloro-3-fluorophenoxy)-N-(4-{[(4-methoxyphenyl)methyl]amino}-2- oxobicyclo[ 2.2.2 ]octan-l-yl)acetamide
The title compound was prepared using the methodologies described in Example 198F substituting 214C for 198E. lH NMR (400 MHz, DMSO-i¾) δ ppm 7.64 (s, 1H), 7.46 (t, J = 8.9 Hz, 1H), 7.24 - 7.16 (m, 2H), 7.05 (dd, J = 11.4, 2.8 Hz, 1H), 6.86 - 6.78 (m, 3H), 4.52 (s, 2H), 3.68 (s, 3H), 3.55 (s, 2H), 2.43 (s, 2H), 2.43 - 2.32 (m, 2H), 1.82 - 1.65 (m, 4H); MS (ESI+) m/z 460.9 (M+H)+.
Example 214E: N-( 4-amino-2-oxobicyclo [ 2.2.2 ]octan-l-yl)-2-(4-chloro-3- fluorophenoxyjacetamide
A mixture of Example 214D (1.24 g, 2.69 mmol), eerie ammonium nitrate (6.64 g,
12.1 1 mmol) and 2,2,2-trifluoroacetic acid (15.0 mL, 195 mmol) in water (15.0 mL) and acetonitrile (2.0 mL) was stirred at 0 °C for 1 hour and then warmed up to room temperature and stirred for another 3 hours. The reaction mixture was diluted with water and washed with ethyl acetate. The aqueous phase was partitioned between ammonium hydroxide and ethyl acetate. The organic layer was dried over magnesium sulfate and filtered. The filtrate was concentrated, and the residue was purified by HPLC (10-80% acetonitrile in 0.1%
trifluoroacetic acid/water at 25 mL/minute on a Phenomenex® CI 8 5 μπι column (250 mm χ 21.2 mm)) to give 1.14 g of the titled compound as a white solid. XH NMR (400 MHz, DMSO- d6) δ ppm 8.24 (s, 3H), 7.76 (s, 1H), 7.45 (t, J = 8.9 Hz, 1H), 7.03 (dd, J = 1 1.3, 2.9 Hz, 1H), 6.81 (ddd, J = 9.0, 2.9, 1.2 Hz, 1H), 4.54 (s, 2H), 2.65 (s, 2H), 2.35 (dd, J = 13.4, 9.8 Hz, 2H), 2.04 - 1.78 (m, 6H); MS (ESI+) m/z 341.2 (M+H)+.
Example 214F: N-( 4-amino-2-hydroxybicyclo [ 2.2.2 ]octan-l-yl)-2-(4-chloro-3- fluorophenoxyjacetamide, trifluoroacetate
The title compound was prepared using the methodologies described in Example 1981 substituting 214E for 198H. XH NMR (400 MHz, DMSO-c¾) δ ppm 7.91 (s, 3H), 7.48 (t, J = 8.9 Hz, 1H), 7.38 (s, 1H), 7.05 (dd, J = 1 1.4, 2.9 Hz, 1H), 6.87 - 6.74 (m, 1H), 4.48 (s, 2H), 4.14 (dd, J = 9.7, 2.6 Hz, 1H), 2.21 - 1.52 (m, 10H); MS (ESI+) m/z 343.1 (M+H)+.
Example 214G: 2-(4-chloro-3-fluorophenoxy)-N-[ 2-hydroxy-4-(2-{[ 6-( trifluoromethyl)pyridin- 3-yl ]oxy}acetamido)bicyclo[ 2.2.2 ]octan-l-yl Jacetamide
To a mixture of Example 214F (0.055 g, 0.121 mmol), 2-((6-(trifluoromethyl)pyridin-3- yl)oxy)acetic acid (0.031 g, 0.139 mmol) and N-ethyl-N-isopropylpropan-2-amine (0.053 mL, 0.302 mmol) in N,N-dimethylformamide (1.5 mL), 2-(3H-[l,2,3]triazolo[4,5-£]pyridin-3-yl)- l , l,3,3-tetramethylisouronium hexafluorophosphate(V) (0.069 g, 0.181 mmol) was added. The mixture was stirred at ambient temperature for 1 hour. Volatiles were removed, and the residue was purified by HPLC (10-95% acetonitrile in 0.1% trifluoroacetic acid/water at 25 mL/minute on a Phenomenex® C 18 5 μπι column (250 mm χ 21.2 mm)) to give 36 mg of the title compound as a white solid. l NMR (400 MHz, DMSO-i¾) δ ppm 8.39 (d, J = 2.8 Hz, 1H), 7.82 (d, J = 8.8 Hz, 1H), 7.61 (s, 1H), 7.51 - 7.40 (m, 2H), 7.22 (s, 1H), 7.02 (dd, J = 11.4, 2.9 Hz, 1H), 6.79 (ddd, J = 8.9, 2.8, 1.2 Hz, 1H), 5.04 (s, 1H), 4.58 (s, 2H), 4.43 (s, 2H), 4.01 (d, J = 9.0 Hz, 1H), 2.24 (ddd, J = 12.1, 9.3, 2.1 Hz, 1H), 2.03 (ddd, J = 12.4, 10.6, 4.6 Hz, 1H), 1.91 - 1.69 (m, 8H); MS (ESI+) m/z 546.1 (M+H)+.
Example 215: 2-(4-chloro-3-fluorophenoxy)-iV-(2-hydroxy-4-{[(4- methoxyphenyl)methyl] amino J bicyclo [2.2.2] octan- l-yl)acetamide (Compound 314)
A mixture of Example 214D (0.042 g, 0.091 mmol) and sodium borohydride (0.017 g, 0.456 mmol) in a mixture of methanol/dichloromethane was stirred for 1 hour. Volatiles were removed, and the residue was purified by HPLC (10-85% acetonitrile in 0.1% trifluoroacetic acid/water at 25 mL/minute on a Phenomenex® C18 5 μπι column (250 mm χ 21.2 mm)) to give 39 mg of the title compound as a white solid. lH NMR (400 MHz, OMSO-d6) δ ppm 8.63 (s, 2H), 7.50 - 7.32 (m, 4H), 7.07 6.92 (m, 3H), 6.80 (ddd, J = 9.0, 2.9, 1.2 Hz, 1H), 5.32 (d, J = 4.3 Hz, 1H), 4.45 (s, 2H), 4.20 - 4.11 (m, 1H), 3.95 (brs, 2H), 3.73 (s, 3H), 2.30 - 1.64 (m, 10H); MS (ESI+) m/z 463.0 (M+H)+.
Example 216: (2i?)-/V-{3-[2-(4-chloro-3-fluorophenoxy)acetamido]bicyclo[l.l.l]pentan-l- yl}-2-(4-chlorophenyl)-2-hydroxyacetamide (Compound 315)
The title compound was prepared using the methodologies described above. XH NMR (400 MHz, CDC13) δ ppm 7.34 (s, 4H), 7.30 (t, J = 8.5 Hz, 1H), 6.87 (s, 1H), 6.84 (s, 1H), 6.74 (dd, J = 10.2, 2.9 Hz, 1H), 6.65 (ddd, J = 8.9, 2.9, 1.3 Hz, 1H), 4.98 (d, J = 3.6 Hz, 1H), 4.35 (s, 2H), 3.74 (t, J = 3.4 Hz, 1H), 2.44 (s, 6H); MS (ESI+) m/z 453 (M+H)+.
Example 217: 2-(4-chloro-3-fluorophenoxy)-iV-[3-oxo-4-(2-{[3-oxo-2-(2,2,2- trifluoroethyl)-2,3-dihydropyridazin-4-yl]oxy}acetamido)bicyclo[2.2.2]octan-l- yl]acetamide (Compound 316)
A mixture of Example 198H (0.090 g, 0.239 mmol), Example 210D (0.066 g, 0.262 mmol), N-[(dimethylamino)- 1H- 1 ,2,3-triazolo-[4,5-/?]pyridin- 1 -ylmethylene] -N- methylmethanaminium hexafluorophosphate N-oxide (HATU, 0.109 g, 0.286 mmol), and triethylamine (0.133 mL, 0.954 mmol) in tetrahydrofuran (4 mL) was stirred for 16 hours. The reaction mixture was treated with saturated, aqueous NaHCC and brine and extracted with EtOAc (2x). The combined organic layers were dried over anhydrous MgSC>4, filtered, and concentrated under reduced pressure. The residue was purified on a 12 g silica gel column using a Biotage® Isolera™ One flash system eluting with 100% ethyl acetate to provide the title compound (0.10 g, 0.17 mmol, 74% yield). XH NMR (500 MHz, DMSO-c¾) δ ppm 7.95 - 7.85 (m, 2H), 7.82 (s, 1H), 7.47 (t, J = 8.9 Hz, 1H), 7.02 (dd, J = 11.4, 2.9 Hz, 1H), 6.80 (ddd, J = 9.1, 2.9, 1.2 Hz, 1H), 6.73 (d, J = 5.0 Hz, 1H), 4.93 (q, J = 9.0 Hz, 2H), 4.64 (s, 2H), 4.47 (s, 2H), 2.85 (s, 2H), 2.47 - 2.35 (m, 2H), 2.13 - 1.92 (m, 4H), 1.83 (dt, J = 13.5, 6.8 Hz, 2H); MS (ESI+) m/z 575.0 (M+H)+.
Example 218: 2-(4-chloro-3-fluorophenoxy)-A^-[3-oxo-4-(2-{[6-oxo-l-(2,2,2- trifluoroethyl)-l,6-dihydropyridazin-4-yl]oxy}acetamido)bicyclo[2.2.2]octan-l- yl]acetamide (Compound 317)
The reaction described in Example 217 substituting Example 21 IB for Example 210D gave the title compound. XH NMR (500 MHz, DMSO-c¾) δ ppm 7.95 - 7.87 (m, 2H), 7.82 (s, 1H), 7.47 (t, J = 8.9 Hz, 1H), 7.02 (dd, J = 11.4, 2.8 Hz, 1H), 6.80 (ddd, J = 9.0, 2.9, 1.2 Hz, 1H), 6.28 (d, J = 2.8 Hz, 1H), 4.85 (q, J = 9.1 Hz, 2H), 4.65 (s, 2H), 4.47 (s, 2H), 2.83 (d, J = 1.4 Hz, 2H), 2.37 - 2.22 (m, 2H), 2.11 - 1.94 (m, 4H), 1.90 (dd, J = 11.7, 4.3 Hz, 2H); MS (ESI+) m/z 575.4 (M+H)+.
Example 219: 2-(4-chloro-3-fluorophenoxy)-^-[(3i?)-3-hydroxy-4-(2-{[2- (trifluoromethyl)pyridin-4-yl] oxy }acetamido)bicyclo [2.2.2] octan-l-yl] acetamide
(Compound 318)
The title compound was isolated by chiral preparative HPLC of Example 209 as the first peak eluted off the column. The gradient was 25-36% B in 19 minute then step to and hold at 50% B for 5 minute (20 mL/minute flow rate). Mobile phase B was HPLC grade ethanol and mobile phase A was HPLC grade heptane with 0. 2% diethylamine added. The
chromatography used a Daicel Chiralpak® IC column, 21 χ 250 mm column (5 μιτι particles). XH NMR (400 MHz, DMSO-c¾) δ ppm 8.53 (d, J = 5.7 Hz, 1H), 7.50 - 7.39 (m, 2H), 7.38 (s, 2H), 7.19 (dd, J = 5.8, 2.5 Hz, 1H), 6.98 (dd, J = 11.4, 2.8 Hz, 1H), 6.81 - 6.73 (m, 1H), 4.64 (s, 2H), 4.39 (s, 2H), 4.05 (dd, J = 9.5, 3.0 Hz, 1H), 2.23 (dd, J = 13.4, 9.5 Hz, 1H), 2.07 - 1.86 (m, 4H), 1.75 (tdd, J = 11.6, 7.3, 2.9 Hz, 5H); MS (ESI+) m/z 546.1 (M+H)+. X-ray
crystallography confirmed the assigned stereochemistry.
Example 220: 2-(4-chloro-3-fluorophenoxy)-/V-[(3,S)-3-hydroxy-4-(2-{[2- (trifluoromethyl)pyridin-4-yl]oxy}acetamido)bicyclo[2.2.2]octan-l-yl]acetamide
(Compound 319)
The title compound was isolated by chiral preparative HPLC of Example 209 as the second peak eluted off the column using methodologies described in Example 219. XH NMR (400 MHz, DMSO-c e) δ ppm 8.53 (d, J = 5.7 Hz, 1H), 7.50 - 7.35 (m, 4H), 7.19 (dd, J = 5.8, 2.5 Hz, 1H), 6.98 (dd, J = 1 1.4, 2.8 Hz, 1H), 6.77 (dd, J = 9.1, 2.6 Hz, 1H), 4.64 (s, 2H), 4.39 (s, 2H), 4.05 (dd, J = 9.6, 3.0 Hz, 1H), 2.22 (dd, J = 13.2, 9.5 Hz, 1H), 2.01 - 1.66 (m, 9H); MS (ES ) m/z 546.1 (M+H)+.
Example 221: 2-(4-chloro-3-fluorophenoxy)-iV-(4-{2-[4- (dimethylamino)phenyl]acetamido}-3-hydroxybicyclo[2.2.2]octan-l-yl)acetamide
(Compound 320)
A 4 mL vial was charged with a stir bar, a 500 solution of Example 1981 (47.74 mg, 0.13 mmol) in N,N-dimethylacetamide, a 395.7 of a 0.35 mmol pre-weighed vial with a solution of 2-(4-(dimethylamino)phenyl)acetic acid (25.2 mg, 0.14 mmol) in 1000 of NN- dimethylacetamide, a 500 μΐ. solution of 2-(3H-[l,2,3]triazolo[4,5-Z>]pyridin-3-yl)-l, 1,3,3- tetramethylisouronium hexafluorophosphate(V) (57.4 mg, 0.15 mmol) in NN- dimethylacetamide, and triethylamine (53.01 μΐ., 0.38 mmol). This was capped and placed to stir at room temperature for 1 hour. Upon completion the mixture was concentrated to dryness, and the residue was purified by reverse phase HPLC (Phenomenex® Luna® C8(2) 5 μιτι ΙΟθΑ AXIA™ column (50 mm χ 30 mm). A gradient of acetonitrile (A) and 0.1 % CF3C02H in H20 (B) was used at a flow rate of 40 mL/minute (0-0.5 minute 5% A, 0.5-6.5 minutes linear gradient 5-100% A, 6.5-8.5 minutes 100% A, 8.5-9.0 minutes linear gradient 100-5% A, 9.0- 10.0 minutes 5% A). Detection methods are diode array (DAD) under positive APCI ionization conditions.) to yield the title compound. l NMR (400 MHz, DMSO-ce) S ppm 7.47 (td, J = 8.9, 1.1 Hz, 1H), 7.43 - 7.32 (m, 3H), 7.36 - 7.26 (m, 1H), 7.00 (dd, J = 1 1.4, 2.9 Hz, 1H), 6.81 (ddd, J = 9.0, 3.0, 1.3 Hz, 1H), 4.43 (d, J = 6.5 Hz, 2H), 4.06 (dd, J = 8.6, 1.9 Hz, 1H), 3.50 - 3.34 (m, 2H), 3.10 (d, J = 5.9 Hz, 6H), 2.26 (ddd, J = 12.4, 9.2, 2.6 Hz, 1H), 2.01 - 1.71 (m, 9H); MS (ESI+) m/z 504.1 (M+H)+.
Example 222: 2-(4-chloro-3-fluorophenoxy)-iV-(3-hydroxy-4-{2-[3- (trifluoromethyl)phenyl]acetamido}bicyclo[2.2.2]octan-l-yl)acetamide (Compound 321)
The title compound was prepared using the methodologies described in Example 221 substituting 2-(3-(trifluoromethyl)phenyl)acetic acid for 2-(4-(dimethylamino)phenyl)acetic acid. Ti NMR (400 MHz, DMSO-c¾) δ ppm 7.64 - 7.51 (m, 4H), 7.47 (t, J = 8.9 Hz, 1H), 7.00 (dd, J = 1 1.4, 2.8 Hz, 1H), 6.81 (ddd, J = 9.0, 2.9, 1.2 Hz, 1H), 4.42 (s, 2H), 4.13 - 4.05 (m, 1H), 3.52 (d, J = 4.0 Hz, 2H), 2.26 (ddd, J = 13.2, 9.3, 2.7 Hz, 1H), 2.04 - 1.87 (m, 3H), 1.88 - 1.74 (m, 2H), 1.74 (s, 3H), 1.76 - 1.64 (m, 3H); MS (ESL ) m/z 529.1 (M+H)+. Example 223: 2-(4-chloro-3-fluorophenoxy)-iV-(3-hydroxy-4-{2-[4- (trifluoromethyl)phenyl]acetamido}bicyclo[2.2.2]octan-l-yl)acetamide (Compound 322)
The title compound was prepared using the methodologies described in Example 221 substituting 2-(4-(trifluoromethyl)phenyl)acetic acid for 2-(4-(dimethylamino)phenyl)acetic acid. XH NMR (400 MHz, DMSO-c¾) δ ppm 7.69 - 7.54 (m, 2H), 7.52 - 7.41 (m, 3H), 7.00 (dd, J= 11.4, 2.9 Hz, 1H), 6.81 (ddd, J= 9.0, 2.9, 1.2 Hz, 1H), 4.42 (s, 2H), 4.09 (d, J = 8.4 Hz, 1H), 3.55 - 3.41 (m, 2H), 2.26 (ddd, J= 12.6, 9.2, 2.6 Hz, 1H), 2.08 - 1.89 (m, 2H), 1.94 - 1.81 (m, 1H), 1.84 - 1.76 (m, 1H), 1.80 - 1.64 (m, 5H); MS (ESI+) m/z 529.1 (M+H)+.
Example 224: 2-(2H-l,3-benzodioxol-5-yl)-A^-{4-[2-(4-chloro-3- fluorophenoxy)acetamido]-2-hydroxybicyclo[2.2.2]octan-l-yl}acetamide (Compound 323) The title compound was prepared using the methodologies described in Example 221 substituting 2-(benzo[cf][l,3]dioxol-5-yl)acetic acid for 2-(4-(dimethylamino)phenyl)acetic acid. Ti NMR (400 MHz, DMSO-c¾) δ ppm 7.47 (t, J = 8.9 Hz, 1H), 7.00 (dd, J = 11.4, 2.9 Hz, 1H), 6.85 - 6.77 (m, 3H), 6.70 (dd, J = 7.9, 1.8 Hz, 1H), 5.96 (s, 2H), 4.42 (s, 2H), 4.07 - 4.00 (m, 1H), 3.37 - 3.21 (m, 2H), 2.26 (ddd, J= 13.2, 9.1, 2.5 Hz, 1H), 2.03 - 1.88 (m, 2H), 1.87 - 1.70 (m, 7H); MS (ESI+) m/z 505.1 (M+H)+.
Example 225: 2-(4-chloro-3-fluorophenoxy)-iV-{3-hydroxy-4-[2-(pyridin-3- yl)acetamido]bicyclo[2.2.2]octan-l-yl}acetamide (Compound 324)
The title compound was prepared using the methodologies described in Example 221 substituting 2-(pyridin-3-yl)acetic acid for 2-(4-(dimethylamino)phenyl)acetic acid. XH NMR (400 MHz, DMSO-c¾) δ ppm 8.78 - 8.66 (m, 2H), 8.39 (dt, J = 8.1, 1.7 Hz, 1H), 8.01 - 7.91 (m, 1H), 7.47 (td, J= 8.9, 1.4 Hz, 1H), 7.04 - 6.96 (m, 1H), 6.81 (ddd, J = 9.0, 2.9, 1.2 Hz, 1H), 4.43 (d, J= 7.0 Hz, 2H), 4.15 (d, J = 8.4 Hz, 1H), 3.70 (s, 2H), 2.27 (ddd, J = 12.8, 9.4, 2.8 Hz, 1H), 2.04 (d, J= 16.5 Hz, 1H), 2.01 - 1.76 (m, 6H), 1.71 (ddt, J = 15.4, 12.0, 6.1 Hz, 2H); MS (ESI+) m/z 462.1 (M+H)+.
Example 226: 2-(4-chloro-3-fluorophenoxy)-iV-(3-hydroxy-4-{2-[4- (methanesulfonyl)phenyl] acetaniido J bicyclo [2.2.2] octan-l-yl)acetamide (Compound 325)
The title compound was prepared using the methodologies described in Example 221 substituting 2-(4-(methanesulfonyl)phenyl)acetic acid for 2-(4-(dimethylamino)phenyl)acetic acid. lH NMR (400 MHz, DMSO-c¾) δ ppm 7.89 - 7.78 (m, 2H), 7.59 - 7.42 (m, 3H), 7.00 (dd, J= 11.4, 2.9 Hz, 1H), 6.81 (ddd, J= 8.9, 2.9, 1.2 Hz, 1H), 4.42 (s, 2H), 4.10 (dt, J = 9.0, 2.2 Hz, 1H), 3.57 - 3.48 (m, 2H), 3.18 (s, 3H), 2.26 (ddd, J= 13.1, 9.3, 2.6 Hz, 1H), 2.04 - 1.78 (m, 4H), 1.81 - 1.64 (m, 5H); MS (ESI+) m/z 539.1 (M+H)+.
Example 227: 2-(4-chloro-3-fluorophenoxy)-iV-(3-hydroxy-4-{2-[4-
(trifluoromethoxy)phenyl] acetaniido J bicyclo [2.2.2] octan-l-yl)acetamide (Compound 326) The title compound was prepared using the methodologies described in Example 221 substituting 2-(4-(trifluoromethoxy)phenyl)acetic acid for 2-(4-(dimethylamino)phenyl)acetic acid. XH NMR (400 MHz, DMSO-c¾) δ ppm 7.47 (t, J = 8.9 Hz, 1H), 7.40 - 7.33 (m, 2H), 7.37 - 7.24 (m, 2H), 7.00 (dd, J= 11.4, 2.9 Hz, 1H), 6.81 (ddd, J= 9.0, 2.9, 1.2 Hz, 1H), 4.42 (s, 2H), 4.08 (dt, J= 8.8, 2.1 Hz, 1H), 3.51 - 3.38 (m, 2H), 2.26 (ddd, J= 13.1, 9.2, 2.7 Hz, 1H), 2.08 - 1.89 (m, 2H), 1.93 - 1.73 (m, 2H), 1.76 - 1.64 (m, 5H); MS (ESI+) m/z 545.1 (M+H)+. Example 228: 2-(4-chloro-3-fluorophenoxy)-iV-(3-hydroxy-4-{2-[3-
(trifluoromethoxy)phenyl] acetaniido J bicyclo [2.2.2] octan-l-yl)acetamide (Compound 327)
The title compound was prepared using the methodologies described in Example 221 substituting 2-(3-(trifluoromethoxy)phenyl)acetic acid for 2-(4-(dimethylamino)phenyl)acetic acid. XH NMR (400 MHz, DMSO-c¾) δ ppm 7.58 (d, J= 12.2 Hz, 1H), 7.52 - 7.38 (m, 2H), 7.31 - 7.17 (m, 3H), 7.00 (dd, J= 11.4, 2.8 Hz, 1H), 6.81 (ddd, J= 9.0, 2.9, 1.2 Hz, 1H), 4.42 (s, 2H), 4.08 (d, J = 8.7 Hz, 1H), 3.54 - 3.40 (m, 2H), 2.26 (ddd, J = 12.4, 9.2, 2.7 Hz, 1H), 2.06 - 1.66 (m, 9H); MS (ESI+) m/z 545.1 (M+H)+.
Example 229: 2-(4-chloro-3-fluorophenoxy)-iV-{3-hydroxy-4-[2-(pyridin-4- yl)acetamido]bicyclo[2.2.2]octan-l-yl}acetamide (Compound 328)
The title compound was prepared using the methodologies described in Example 221 substituting 2-(pyridin-4-yl)acetic acid for 2-(4-(dimethylamino)phenyl)acetic acid. XH NMR (400 MHz, DMSO-c¾) δ ppm 8.76 (d, J= 6.0 Hz, 2H), 7.92 - 7.85 (m, 2H), 7.47 (t, J= 8.9 Hz, 1H), 7.00 (dd, J = 11.4, 2.9 Hz, 1H), 6.81 (ddd, J= 8.9, 2.9, 1.2 Hz, 1H), 4.42 (s, 2H), 4.15 (d, J = 8.7 Hz, 1H), 3.77 (s, 2H), 2.28 (ddd, J= 12.5, 9.4, 2.7 Hz, 1H), 1.97 (q, J= 10.9, 10.5 Hz, 2H), 1.81 (td, J= 19.2, 16.3, 11.6 Hz, 5H), 1.77 - 1.65 (m, 2H); MS (ESI+) m/z 462.1 (M+H)+. Example 230: 2-(4-chloro-3-fluorophenoxy)-A^-{4-[2-(3,4-difluorophenoxy)acetamido]-2- hydroxybicyclo[2.2.2]octan-l-yl}acetamide (Compound 329)
The title compound was prepared using the methodologies described in Example 214 substituting 2-(3,4-difluorophenoxy)acetic acid for 2-((6-(trifluoromethyl)pyridin-3- yl)oxy)acetic acid. lH NMR (400 MHz, DMSO-c¾) δ ppm 7.39 (m, 2H), 7.31 (dt, J = 10.5, 9.3 Hz, 1H), 7.23 (s, 1H), 7.05 - 6.94 (m, 2H), 6.83 - 6.66 (m, 2H), 5.06 (d, J = 4.4 Hz, 1H), 4.42 (s, 2H), 4.35 (s, 2H), 4.06 (m, 1H), 2.23 (ddd, J = 12.4, 9.6, 2.2 Hz, 1H), 2.08 1.96 (m, 1H), 1.89 (d, J = 10.9 Hz, 2H), 1.87 - 1.68 (m, 6H); MS (ESI+) m/z 5131 (M+H)+.
Example 231: 2-(4-chloro-3-fluorophenoxy)-/V-{4-[2-(4-fluorophenoxy)acetamido]-2- hydroxybicyclo[2.2.2]octan-l-yl}acetamide (Compound 330)
The title compound was prepared using the methodologies described in Example 214 substituting 2-(4-fluorophenoxy)acetic acid for 2-((6-(trifluoromethyl)pyridin-3-yl)oxy)acetic acid. Ti NMR (400 MHz, DMSO-c¾) δ ppm 7.49 - 7.36 (m, 2H), 7.23 (s, 1H), 7.14 - 6.97 (m, 3H), 6.93 - 6.85 (m, 2H), 6.79 (ddd, J = 9.0, 2.9, 1.2 Hz, 1H), 5.04 (d, J = 4.4 Hz, 1H), 4.43 (s, 2H), 4.32 (s, 2H), 4.10 - 3.95 (m, 1H), 2.24 (ddd, J = 12.1, 9.4, 2.2 Hz, 1H), 2.09 - 1.97 (m, 1H), 1.93 - 1.69 (m, 8H); MS (ESI+) m/z 495.0 (M+H)+.
Example 232: 2-(4-chloro-3-fluorophenoxy)-A^-(4-{[2-(4-fluorophenoxy)ethyl]amino}-3- hydroxybicyclo [2.2.2] octan-l-yl)acetamide (Compound 331)
To a mixture of Example 1981 (0.05 g, 0.146 mmol) and 2-(4- fluorophenoxy)acetaldehyde (0.027 g, 0.175 mmol) in buffer (1.5 mL, pH = 4)), sodium cyanoborohydride (0.014 g, 0.219 mmol) was added, and the mixture was stirred at ambient temperature for 16 hours. Solvent was removed under high vacuum, and the residue was purified by HPLC (10-95% acetonitrile in 0.1% trifluoroacetic acid/water at 25 mL/minute on a Phenomenex® CI 8 5 μπι column (250 mm χ 21.2 mm)) to give 37 mg of the title compound as a white solid. XH NMR (501 MHz, DMSO-c¾) δ ppm 8.45 (m, 2H), 7.68 (s, 1H), 7.46 (t, J = 8.9 Hz, 1H), 7.14 (t, J = 8.8 Hz, 2H), 7.03 - 6.93 (m, 3H), 6.79 (dd, J = 9.0, 2.7 Hz, 1H), 5.74 (s, 1H), 4.44 (s, 2H), 4.16 (s, 1H), 4.08 - 4.02 (m, 1H), 3.26 (tt, J = 8.7, 5.0 Hz, 2H), 2.34 (td, J = 9.8, 4.8 Hz, 1H), 2.12 - 1.94 (m, 2H), 1.89 - 1.78 (m, 5H), 1.80 - 1.66 (m, 2H); MS (ESI+) m/z 481.2 (M+H)+.
Example 233: 2-(4-chloro-3-fluorophenoxy)-/V-[3-(2-{[6-(pentafluoro- 6-sulfanyl)pyridin- 3-yl]oxy}acetamido)bicyclo[l.l.l]pentan-l-yl]acetamide (Compound 332)
Example 233A: [6-(pentafluoro- 6-sulfanyl)pyridin-3-yl]boronic acid
To a stirred solution of 5-bromo-2-(pentafluoro- 6-sulfanyl)pyridine (500 mg, 1.67 mmol) and triisopropyl borate (157 mg, 8.36 mmol) in tetrahydrofuran (20 mL) in a perfluoroalkoxy (PFA) tube was added 2.5 M ft-butyllithium (1.0 mL, 2.51 mmol) dropwise at -78 °C under N2. The mixture was stirred for 30 minutes at -78 °C. The mixture was quenched with saturated aqueous NH4C1 solution at -78 °C. The mixture was extracted with ethyl acetate (2x). The combined organic layers were washed with brine (100 mL), dried over anhydrous Na2S04, and concentrated under reduced pressure. The residue was treated with
dichloromethane and the resultant solids were collected by filtration. The filter cake was dried under high vacuum to provide the title compound (272 mg, 1.09 mmol, 65% yield). MS (ESI+) m/z 250 (M+H)+.
Example 233B: 6-(pentafluoro- 6-sulfanyl)pyridin-3-ol
To a stirred solution of Example 233A (1.2 g, 4.58 mmol) and triethylamine (6.38 mL, 45.8 mmol) in ethanol (100 mL) and water (10 mL, 555 mmol) was added iodosobenzene diacetate (7.37 g, 22.89 mmol) at 20 °C, and the mixture was allowed to stir for 12 hours at 20 °C. The mixture was concentrated under reduced pressure. The residue was diluted with water (250 mL) and extracted with dichloromethane (3 χ 100 mL). The combined organic layers were concentrated under reduced pressure, and the residue was purified by preparative HPLC performed on a Phenomenex® Luna® C18 column (500 χ 50 mm, 10 μπι particle size) using a gradient of 25% to 55% acetonitrile/0.09% aqueous trifluoroacetic acid over 20 minutes at a flow rate of 80 mL/minute. The desired HPLC fractions were extracted with dichloromethane (3 x 100 mL), and the combined organic layers were concentrated under reduced pressure to provide the title compound (820 mg, 3.7 mmol, yield, 80% yield). MS (ESI+) m/z 222 (M+H)+. Example 233C: 2-(4-chloro-3-fluorophenoxy)-N-[3-(2-{[6-(pentafluoro- 6-sulfanyl)pyridin-3- yl]oxy}acetamido)bicyclo[ 1.1.1 Jpentan-l-yljacetamide
A mixture of the product of Example 28A (80.0 mg, 0.221 mmol), Example 233B (73.5 mg, 0.332 mmol), KI (1.84 mg, 0.011 mmol), and potassium carbonate (61.2 mg, 0.44 mmol) in acetone (3 mL) was heated at 140 °C in a Biotage® Initiator microwave reactor for 30 minutes. The reaction mixture was filtered. The filtrate was concentrated, and the residue was purified by reverse-phase HPLC (see protocol in Example 112D) to provide the title compound (59.6 mg, 0.11 mmol, 49% yield). 'H NMR (500 MHz, DMSO-i¾) δ ppm 8.80 (s, 1H), 8.70 (s, 1H), 8.29 (d, J = 3.0 Hz, 1H), 7.97 (d, J = 9.1 Hz, 1H), 7.63 (dd, J = 9.2, 2.9 Hz, 1H), 7.47 (t, J = 8.9 Hz, 1H), 7.05 (dd, J = 11.3, 2.8 Hz, 1H), 6.83 (ddd, J = 9.0, 2.9, 1.2 Hz, 1H), 4.68 (s, 2H), 4.46 (s, 2H), 2.25 (s, 6H); MS (ESI+) m/z 546.0 (M+H)+.
Example 234: 2-(4-chloro-3-fluorophenoxy)-iV-[3-hydroxy-4-(2-{ [3-oxo-2-(2,2,2- trifluoroethyl)-2,3-dihydropyridazin-4-yl]oxy}acetamido)bicyclo[2.2.2]octan-l- yljacetamide (Compound 333)
To a solution of Example 217 (88.0 mg, 0.153 mmol) in CH2CI2 (1.5 mL) and methanol (1.5 mL) was added sodium borohydride (6.95 mg, 0.184 mmol). The reaction mixture was stirred for 1.5 hours. The solution was treated with brine and saturated aqueous NaHCCb and extracted with CH2CI2 (2x). The combined organic fractions were concentrated under reduced pressure, and the residue was purified by reverse-phase HPLC (see protocol in Example 112D) to provide the title compound (54.5 mg, 0.094 mmol, 62% yield). XH NMR (400 MHz, DMSO- di) δ ppm 7.87 (d, J = 4.9 Hz, 1H), 7.57 - 7.42 (m, 2H), 7.39 (s, 1H), 7.02 (dd, J = 11.4, 2.8 Hz, 1H), 6.81 (ddd, J = 8.9, 2.9, 1.2 Hz, 1H), 6.71 (d, J = 5.0 Hz, 1H), 4.94 (q, J = 9.1 Hz, 2H), 4.56 (s, 2H), 4.43 (s, 2H), 4.08 (dd, J = 9.6, 3.0 Hz, 1H), 2.33 - 2.18 (m, 1H). 2.05 - 1.69 (m, 10H); MS (ESI+) m/z 577.0 (M+H)+.
Example 235: 2-(4-chloro-3-fluorophenoxy)-iV-[3-hydroxy-4-(2-{ [6-oxo-l-(2,2,2- trifluoroethyl)-l,6-dihydropyridazin-4-yl]oxy}acetamido)bicyclo[2.2.2]octan-l- yl]acetamide (Compound 334)
The reaction described in Example 234 substituting Example 218 for Example 217 gave the title compound. XH NMR (400 MHz, DMSO-c¾) δ ppm 7.93 (d, J = 2.8 Hz, 1H), 7.54 - 7.44 (m, 3H), 7.41 (s, 1H), 7.02 (dd, J = 11.4, 2.9 Hz, 1H), 6.81 (ddd, J = 9.0, 2.9, 1.2 Hz, 1H), 6.29 (d, J = 2.8 Hz, 1H), 4.87 (q, J = 9.1 Hz, 2H), 4.56 (s, 2H), 4.43 (s, 2H), 4.11 (dd, J = 9.5, 2.9 Hz, 1H), 2.26 (ddd, J = 12.4, 9.5, 2.3 Hz, 1H), 2.04 - 1.68 (m, 10H); MS (ESI+) m/z 577.1 (M+H)+.
Example 236: 2-(4-chloro-3-fluorophenoxy)-A^-(4-{[2-(3,4-dichlorophenoxy)ethyl]amino}- 3-hydroxybicyclo [2.2.2] octan-l-yl)acetamide (Compound 335)
The title compound was prepared using the methodologies described in Example 232 substituting 2-(3,4-dichlorophenoxy)acetaldehyde for 2-(4-fluorophenoxy)acetaldehyde. XH NMR (400 MHz, DMSO-c¾) δ ppm 8.53 (s, 1H), 8.47 (s, 1H), 7.67 (s, 1H), 7.54 (d, J = 8.9 Hz, 1H), 7.45 (t, J = 8.9 Hz, 1H), 7.24 (d, J = 2.9 Hz, 1H), 6.98 (dq, J = 8.9, 3.0 Hz, 2H), 6.77 (ddd, J = 9.0, 2.9, 1.2 Hz, 1H), 5.73 (d, J = 4.7 Hz, 1H), 4.42 (s, 2H), 4.21 (t, J = 5.1 Hz, 2H), 4.03 (d, J = 9.3 Hz, 1H), 3.24 (m, 2H), 2.33 (ddd, J = 13.0, 9.6, 2.9 Hz, 1H), 2.11 - 1.91 (m, 2H), 1.89 - 1.73 (m, 6H), 1.77 - 1.63 (m, 1H); MS (ESI+) m/z 531.2 (M+H)+.
Example 237: 2-(4-chloro-3-fluorophenoxy)-A^-(4-{[2-(4-chlorophenoxy)ethyl]amino}-3- hydroxybicyclo [2.2.2] octan-l-yl)acetamide (Compound 336)
The title compound was prepared using the methodologies described in Example 232 substituting 2-(4-chlorophenoxy)acetaldehyde for 2-(4-fluorophenoxy)acetaldehyde. XH NMR (400 MHz, DMSO-c¾) δ ppm 8.62 - 8.47 (m, 2H), 7.70 (s, 1H), 7.48 (t, J= 8.9 Hz, 1H), 7.38 (d, J= 6.7 Hz, 1H), 7.39 - 7.25 (m, 1H), 7.07 - 6.89 (m, 3H), 6.81 (dt, J= 8.9, 2.0 Hz, 1H), 5.76 (s, 1H), 4.46 (s, 2H), 4.20 (t, J= 5.2 Hz, 2H), 4.07 (d, J= 8.9 Hz, 1H), 3.32 - 3.25 (m, 2H), 2.36 (ddd, J= 12.8, 9.4, 2.8 Hz, 1H), 2.09 (td, J = 11.7, 9.9, 5.0 Hz, 1H), 2.06 - 1.94 (m, 1H), 1.95 - 1.83 (m, 4H), 1.81 (dd, J= 14.5, 6.2 Hz, 2H), 1.80 - 1.67 (m, 1H); MS (ESI+) m/z 597.2 (M+H)+.
Example 238: 2-(4-chloro-3-fluorophenoxy)-A^-(4-{[2-(3,4-dichlorophenoxy)ethyl]amino}- 2-hydroxybicyclo [2.2.2] octan-l-yl)acetamide (Compound 337)
The title compound was prepared using the methodologies described in Example 232 substituting the product of Example 214F for the product of Example 1981 and substituting 2- (3,4-dichlorophenoxy)acetaldehyde for 2-(4-fluorophenoxy)acetaldehyde. XH NMR (400 MHz, DMSO-c¾) δ ppm 8.79 (t, J= 6.1 Hz, 2H), 7.58 (d, J= 8.9 Hz, 1H), 7.55 - 7.40 (m, 2H), 7.31 - 7.20 (m, 1H), 7.04 (ddd, J= 11.9, 10.2, 2.9 Hz, 2H), 6.83 (dt, J= 9.0, 2.0 Hz, 1H), 5.36 (s, 1H), 4.49 (s, 2H), 4.20 (dt, J= 22.4, 3.8 Hz, 3H), 3.28 (t, J= 6.0 Hz, 2H), 2.27 (ddd, J= 12.3, 9.3, 2.4 Hz, 1H), 2.14 - 2.00 (m, 1H), 1.99 (td, J= 8.7, 3.0 Hz, 1H), 1.85 (dq, J= 15.2, 9.2, 7.2 Hz, 4H), 1.82 - 1.70 (m, 1H), 1.65 (dt, J= 12.9, 3.0 Hz, 1H); MS (ESI+) m/z 531.2 (M+H)+.
Example 239: 2-(4-chloro-3-fluorophenoxy)-iV-[3-hydroxy-3-methyl-4-(2-{[6- (trifluoromethyl)pyridin-3-yl]oxy}acetamido)bicyclo[2.2.2]octan-l-yl]acetamide
(Compound 338)
Example 239A: tert-butyl {4-[2-(4-chloro-3-fluorophenoxy)acetamido]-2-hydroxy-2- methylbicyclof 2.2.2 ]octan-l-yl}carbamate
To a solution of the product of Example 173H (300.0 mg, 0.680 mmol) in
tetrahydrofuran (15 mL) at -78 °C was added 1.5 M methyllithium lithium bromide complex in diethyl ether (2.3 mL). The reaction mixture was stirred at -78 °C for 1 hour and then was quenched with brine. The mixture was extracted with ethyl acetate (2x). The combined organic layers were dried over anhydrous MgSC>4, filtered, and concentrated under reduced pressure. The residue was purified on a 25 g silica gel column using a Biotage® Isolera™ One flash system eluting with heptanes/ethyl acetate (1 : 1) to provide the title compound (0.23 g, 0.50 mmol, 75% yield). MS (ESI+) m/z 455.0 (M+H)+.
Example 239B: N-( 4-amino-3-hydroxy-3-methylbicyclo[ 2.2.2 ]octan-l-yl)-2-(4-chloro-3- fluorophenoxyjacetamide, hydrochloric acid
A mixture of the product of Example 239A (0.225 g, 0.49 mmol) and trifluoroacetic acid (0.379 mL, 4.92 mmol) in CH2CI2 (5 mL) was stirred for 5 hours. The reaction mixture was concentrated under reduced pressure, and the residue was dissolved in methanol (2 mL). The solution was treated with 2 M HC1 (2 mL) in ether, and the mixture was stirred for 15 minutes. The solution was concentrated under reduced pressure to give the title compound (0.161 g, 0.41 mmol, 83% yield). MS (ESI+) m/z 357.1 (M+H)+.
Example 239C 2-(4-chloro-3-fluorophenoxy)-N-[3-hydroxy-3-methyl-4-(2-{[6- ( trifluoromethyl)pyridin-3-yl ]oxy}acetamido)bicyclo[ 2.2.2 ]octan-l-yl Jacetamide
A mixture of the product of Example 239B (78.0 mg, 0.20 mmol), Example 301B (48.2 mg, 0.22 mmol), N-[(dimethylamino)-lH-l ,2,3-triazolo-[4,5- )]pyridin-l -ylmethylene]-N- methylmethanaminium hexafluorophosphate N-oxide (HATU, 90 mg, 0.24 mmol), and triethylamine (0.11 mL, 0.79 mmol) in tetrahydrofuran (3 mL) was stirred for 2 hours. The reaction mixture was treated with saturated aqueous NaHCC and brine and extracted with ethyl acetate (2x). The combined organic layers were dried over anhydrous MgSC>4, filtered, and concentrated under reduced pressure. The residue was purified by reverse-phase HPLC (see protocol in Example 112D) to provide the title compound (46.4 mg, 0.083 mmol, 42% yield). XH NMR (400 MHz, DMSO-i¾) δ ppm 8.44 (d, J = 2.9 Hz, 1H), 7.87 (d, J = 8.7 Hz, 1H), 7.65 - 7.41 (m, 4H), 7.02 (dd, J = 11.4, 2.9 Hz, 1H), 6.80 (ddd, J = 9.0, 2.9, 1.2 Hz, 1H), 5.53 (s, brd, lH), 4.76 (s, 2H), 4.43 (s, 2H), 2.23 (tt, J = 11.5, 3.1 Hz, 1H), 2.04 (dddt, J = 13.6, 1 1.2, 5.9, 2.6 Hz, 2H), 1.97 - 1.69 (m, 6H), 1.62 (td, J = 1 1.5, 6.0 Hz, 1H), 1.10 (s, 3H); MS (ESI+) m/z 557.9 (M+H)+.
Example 240: AyV-(2-hydroxy-2-methylbicyclo[2.2.2]octane-l,4-diyl)bis [2-(4-chloro-3- fluorophenoxy)acetamide] (Compound 339)
The reaction described in Example 239C substituting 2-(4-chloro-3- fluorophenoxy)acetic acid for Example 301B gave the title compound. XH NMR (400 MHz, DMSO-c¾) δ ppm 7.58 - 7.41 (m, 6H), 7.03 (td, J = 1 1.7, 2.8 Hz, 2H), 6.81 (dddd, J = 9.0, 7.9, 2.8, 1.2 Hz, 2H), 5.57 (s, 1H), 4.58 (s, 2H), 4.43 (s, 2H), 2.21 (dd, J = 13.2, 9.9 Hz, 1H), 2.15 - 1.97 (m, 2H), 1.97 - 1.69 (m, 6H), 1.62 (td, J = 11.5, 5.8 Hz, 1H), 1.09 (s, 3H); MS (ESI+) m/z 540.9 (M+H)+.
Example 241: 2-(4-chloro-3-fluorophenoxy)-iV-(2-hydroxy-4-{2-[4-
(trifluoromethoxy)phenyl] acetaniido J bicyclo [2.2.2] octan-l-yl)acetamide (Compound 340)
The title compound was prepared using the methodologies described in Example 214 substituting 2-(4-(trifluoromethoxy)phenyl)acetic acid for 2-((6-(trifluoromethyl)pyridin-3- yl)oxy)acetic acid. lH NMR (400 MHz, DMSO-i¾) δ ppm 7.68 (s, 1H), 7.48 (t, J = 8.9 Hz, 1H), 7.38 - 7.29 (m, 2H), 7.31 - 7.22 (m, 3H), 7.05 (dd, J = 1 1.4, 2.9 Hz, 1H), 6.82 (ddd, J = 9.0, 2.9, 1.2 Hz, 1H), 4.46 (s, 2H), 4.06 - 3.97 (m, 1H), 2.24 (ddd, J = 12.4, 9.5, 2.4 Hz, 1H), 2.05 (ddd, J= 12.3, 10.3, 5.1 Hz, 1H), 1.94 - 1.83 (m, 2H), 1.87 - 1.68 (m, 6H); MS (ESI+) m/z 545.0 (M+H)+.
Example 242: 2-(4-chloro-3-fluorophenoxy)-iV-(3-{2-[4- (trifluoromethyl)phenyl]acetamido}bicyclo[l.l.l]pentan-l-yl)acetamide (Compound 341)
A mixture of the product of Example 112A (70.0 mg, 0.22 mmol), 2-(4- (trifluoromethyl)phenyl)acetic acid (48.9 mg, 0.24 mmol), N-[(dimethylamino)-lH-l,2,3- triazolo-[4,5- )]pyridin-l -ylmethylene]-N-methylmethanaminium hexafluorophosphate N-oxide (HATU, 99 mg, 0.262 mmol), and triethylamine (0.122 mL, 0.872 mmol) in tetrahydrofuran (2 mL) was stirred for 2 hours. The reaction mixture was treated with saturated aqueous NaHCC and brine and extracted with ethyl acetate (2x). The combined organic layers were dried over anhydrous MgSC>4, filtered, and concentrated under reduced pressure. The residue was purified by reverse-phase HPLC (see protocol in Example 112D) to provide the title compound (57.6 mg, 0.122 mmol, 56% yield). Ti NMR (400 MHz, DMSO-c¾) δ ppm 8.71 (s, 1H), 8.67 (s, 1H), 7.62 (d, J = 7.9 Hz, 2H), 7.53 - 7.35 (m, 3H), 7.03 (dd, J = 11.4, 2.8 Hz, 1H), 6.81 (ddd, J = 9.0, 2.9, 1.2 Hz, 1H), 4.43 (s, 2H), 3.45 (s, 2H), 2.18 (s, 6H); MS (ESI+) m/z 471.0 (M+H)+. Example 243: 2-(4-chloro-3-fluorophenoxy)-A^-(3-{2-[6-(trifluoromethyl)pyridin-3- yl]acetamido}bicyclo[l.l.l]pentan-l-yl)acetamide (Compound 342)
The reaction described in Example 242 substituting 2-(6-(trifluoromethyl)pyridin-3- yl)acetic acid for 2-(4-(trifluoromethyl)phenyl)acetic acid gave the title compound. XH NMR (400 MHz, DMSO-c¾) δ ppm 8.78 (s, 1H), 8.67 (s, 1H), 8.57 (d, J = 2.0 Hz, 1H), 7.94 - 7.86 (m, 1H), 7.81 (dd, J = 8.1, 0.9 Hz, 1H), 7.45 (t, J = 8.9 Hz, 1H), 7.02 (dd, J = 11.4, 2.8 Hz, 1H), 6.81 (ddd, J = 9.0, 2.9, 1.2 Hz, 1H), 4.43 (s, 2H), 3.53 (s, 2H), 2.19 (s, 6H); MS (ESI+) m/z 472.2 (M+H)+.
Example 244: 2-(4-chloro-3-fluorophenoxy)-A^-(4-{[(4-cyanophenyl)methyl]amino}-3- hydroxybicyclo [2.2.2] octan-l-yl)acetamide (Compound 343)
The title compound was prepared using the methodologies described in Example 232 substituting 2-(4-cyanophenyl)acetaldehyde for 2-(4-fluorophenoxy)acetaldehyde. XH NMR (400 MHz, DMSO-c¾) δ ppm 8.90 (s, 2H), 8.85 (d, J= 2.0 Hz, 1H), 8.77 (d, J = 10.0 Hz, 1H), 8.20 (dd, J= 8.1, 2.0 Hz, 1H), 8.03 (d, J = 8.1 Hz, 1H), 7.72 (s, 1H), 7.49 (t, J = 8.9 Hz, 1H), 7.03 (dd, J= 11.4, 2.9 Hz, 1H), 6.82 (ddd, J= 8.9, 2.9, 1.2 Hz, 1H), 5.85 (s, 1H), 4.47 (s, 2H), 4.25 (s, 2H), 4.15 (d, J = 9.2 Hz, 1H), 2.40 (td, J = 10.4, 9.5, 5.3 Hz, 1H), 2.13 (td, J = 11.5, 4.5 Hz, 1H), 2.08 - 1.97 (m, 1H), 1.92 (s, 6H), 1.76 - 1.65 (m, 1H); MS (ESI+) m/z 458.2 (M+H)+. Example 245: l,4-bis[2-(4-chloro-3-fluorophenoxy)acetamido]bicyclo[2.2.2]octan-2-yl methanesulfonate (Compound 344)
To a solution of Example 198K (0.32 g, 0.605 mmol) in dichloromethane (4.0 mL) was added triethylamine (0.169 mL, 1.209 mmol) followed by methanesulfonyl chloride (0.061 mL, 0.786 mmol). The mixture was allowed to stir at ambient temperature for 16 hours. The mixture was concentrated under reduced pressure and stirred with water for 30 minutes. The precipitate was collected and air-dried to give 186 mg of the title compound as a white solid. The aqueous filtrate was extracted with dichloromethane, and the organic fraction was dried (MgSC^) and concentrated. The residue was purified by HPLC (10-95% acetonitrile in 0.1% trifluoroacetic acid/water at 25 mL/minute on a Phenomenex® CI 8 5 μιη column (21.2 χ 250 mm)) to give 120 mg of the title compound as a white solid. XH NMR (400 MHz, DMSO-c e) δ ppm 7.70 (d, J= 3.9 Hz, 2H), 7.47 (td, J= 8.9, 4.0 Hz, 2H), 7.03 (dd, J= 11.4, 2.9 Hz, 2H), 6.82 (ddt, J= 8.9, 2.7, 1.3 Hz, 2H), 5.41 - 5.33 (m, 1H), 4.54 - 4.41 (m, 4H), 3.11 (s, 3H), 2.19 (dt, J = 14.6, 2.3 Hz, 1H), 2.10 - 1.97 (m, 1H), 1.98 - 1.68 (m, 8H); MS (ESI+) m/z 623.8
[M+NH4]+.
Example 246: 2-(4-chloro-3-fluorophenoxy)-iV-{4-[2-(4-fluorophenoxy)acetamido]-3- hydroxybicyclo[2.2.2]octan-l-yl}acetamide (Compound 345)
The title compound was prepared using the methodologies described in Example 202 substituting 2-(4-fluorophenoxy)acetic acid for 2-((6-(trifluoromethyl)pyridin-3-yl)oxy)acetic acid. XH NMR (501 MHz, DMSO-c¾) δ ppm 7.49 (dd, J = 17.3, 8.4 Hz, 2H), 7.21 (s, 1H), 7.18 - 7.07 (m, 2H), 7.02 (dd, J= 11.4, 2.9 Hz, 1H), 7.00 - 6.90 (m, 2H), 6.81 (ddd, J= 9.0, 2.9, 1.2 Hz, 1H), 5.15 (d, J = 4.5 Hz, 1H), 4.41 (d, J = 17.4 Hz, 4H), 4.05 - 3.96 (m, 1H), 2.28 (ddd, J = 12.5, 9.5, 2.4 Hz, 1H), 2.14 (td, J= 10.0, 9.2, 5.7 Hz, 1H), 1.93 (s, 1H), 1.93 - 1.73 (m, 8H); MS (ESI+) m/z 495.1 (M+H)+.
Example 247: (2£)-A^-{3-[2-(4-chloro-3-fluorophenoxy)acetamido]bicyclo[l.l.l]pentan-l- yl}-3-[4-(trifluoromethyl)phenyl]prop-2-enamide (Compound 346)
The reaction described in Example 242 substituting (E)-3-(4- (trifluoromethyl)phenyl)acrylic acid for 2-(4-(trifluoromethyl)phenyl)acetic acid gave the title compound. lH NMR (400 MHz, DMSO-c¾) δ ppm 8.80 (s, 1H), 8.71 (s, 1H), 7.73 (s, 4H), 7.54 - 7.36 (m, 2H), 7.04 (dd, J = 11.4, 2.8 Hz, 1H), 6.82 (ddd, J = 9.0, 2.9, 1.2 Hz, 1H), 6.63 (d, J = 15.9 Hz, 1H), 4.45 (s, 2H), 2.26 (s, 6H); MS (ESI+) m/z 483.1 (M+H)+.
Example 248: (2£)-A^-{3-[2-(4-chloro-3-fluorophenoxy)acetamido]bicyclo[l.l.l]pentan-l- yl}-3-(4-methoxyphenyl)prop-2-enamide (Compound 347)
The reaction described in Example 242 substituting (£)-3-(4-methoxyphenyl)acrylic acid for 2-(4-(trifluoromethyl)phenyl)acetic acid gave the title compound. XH NMR (400 MHz, DMSO-c¾) ½pm 8.69 (s, 1H), 8.59 (s, 1H), 7.53 - 7.40 (m, 3H), 7.31 (d, J = 15.7 Hz, 1H), 7.04 (dd, J = 11.3, 2.9 Hz, 1H), 6.98 - 6.89 (m, 2H), 6.82 (ddd, J = 9.0, 2.9, 1.2 Hz, 1H), 6.36 (d, J = 15.8 Hz, 1H), 4.45 (s, 2H), 3.75 (s, 3H), 2.24 (s, 6H); MS (ESI+) m/z 445.1 (M+H)+. Example 249: (2£)-A^-{3-[2-(4-chloro-3-fluorophenoxy)acetamido]bicyclo[l.l.l]pentan-l- yl}-3-(3,4-dichlorophenyl)prop-2-enamide (Compound 348)
The reaction described in Example 242 substituting (£)-3-(3,4-dichlorophenyl)acrylic acid for 2-(4-(trifluoromethyl)phenyl)acetic acid gave the title compound. XH NMR (400 MHz, DMSO-c¾) ppm 8.72 (d, J = 9.4 Hz, 2H), 7.79 (d, J = 2.0 Hz, 1H), 7.63 (d, J = 8.4 Hz, 1H), 7.55 - 7.41 (m, 2H), 7.34 (d, J = 15.8 Hz, 1H), 7.04 (dd, J = 11.4, 2.9 Hz, 1H), 6.82 (ddd, J = 9.0, 2.9, 1.2 Hz, 1H), 6.56 (d, J = 15.8 Hz, 1H), 4.45 (s, 2H), 2.25 (s, 6H); MS (ESI+) m/z 483.0 (M+H)+.
Example 250: (2£)-A^-{3-[2-(4-chloro-3-fluorophenoxy)acetamido]bicyclo[l.l.l]pentan-l- yl}-3-(pyridin-2-yl)prop-2-enamide (Compound 349)
A mixture of Example 112A (65.0 mg, 0.20 mmol), (£)-3-(pyridin-2-yl)acrylic acid
(30.2 mg, 0.20 mmol), N-[(dimethylamino)-lH-l,2,3-triazolo-[4,5- )]pyridin-l-ylmethylene]-N- methylmethanaminium hexafluorophosphate N-oxide (HATU, 92 mg, 0.24 mmol), and triethylamine (0.11 mL, 0.81 mmol) in tetrahydrofuran (2 mL) was stirred for 5 hours. Water (10 mL) was added to the suspension, and the mixture was stirred for 30 minutes. The resulting solids were collected by filtration, washed with water (10 mL) and ether (10 mL), and vacuum oven-dried to provide the title compound (68.8 mg, 0.165 mmol, 82% yield). XH NMR (400 MHz, DMSO-c¾) ppm 8.85 (s, 1H), 8.72 (s, 1H), 8.62 - 8.54 (m, 1H), 7.81 (td, J = 7.7, 1.8 Hz, 1H), 7.59 - 7.36 (m, 3H), 7.34 (ddd, J = 7.6, 4.7, 1.1 Hz, 1H), 7.06 (dd, J = 11.3, 2.8 Hz, 1H), 6.96 (d, J = 15.4 Hz, 1H), 6.84 (ddd, J = 9.0, 2.9, 1.2 Hz, 1H), 4.47 (s, 2H), 2.28 (s, 6H); MS (ESI+) m/z 416.2 (M+H)+.
Example 251: (2£)-A^-{3-[2-(4-chloro-3-fluorophenoxy)acetamido]bicyclo[l.l.l]pentan-l- yl}-3-(3-chlorophenyl)prop-2-enamide (Compound 350) The reaction described in Example 242 substituting (£)-3-(3-chlorophenyl)acrylic acid for 2-(4-(trifluoromethyl)phenyl)acetic acid gave the title compound. XH NMR (400 MHz, DMSO-c¾) δ ppm 8.72 (d, J = 2.7 Hz, 2H), 7.59 (q, J = 1.4 Hz, 1H), 7.54 - 7.28 (m, 5H), 7.06 (dd, J = 11.4, 2.9 Hz, 1H), 6.84 (ddd, J = 8.9, 2.9, 1.2 Hz, 1H), 6.57 (d, J = 15.8 Hz, 1H), 4.47 (s, 2H), 2.27 (s, 6H); MS (ESI+) m/z 449.1 (M+H)+.
Example 252: (2£)-A^-{3-[2-(4-chloro-3-fluorophenoxy)acetamido]bicyclo[l.l.l]pentan-l- yl}-3- [6-(trifluoromethyl)pyridin-3-yl] prop-2-enamide (Compound 351)
The reaction described in Example 242 substituting (£)-3-(6-(trifluoromethyl)pyridin-3- yl)acrylic acid for 2-(4-(trifluoromethyl)phenyl)acetic acid gave the title compound. XH NMR (400 MHz, DMSO-c¾) δ ppm 8.98 - 8.84 (m, 2H), 8.73 (s, 1H), 8.21 (dd, J = 8.2, 2.1 Hz, 1H), 7.93 (d, J = 8.2 Hz, 1H), 7.58 - 7.37 (m, 2H), 7.06 (dd, J = 11.4, 2.8 Hz, 1H), 6.84 (ddd, J = 8.9, 2.8, 1.2 Hz, 1H), 6.75 (d, J = 15.9 Hz, 1H), 4.47 (s, 2H), 2.28 (s, 6H); MS (ESI+) m/z 484.1 (M+H)+.
Example 253: (2£)-A^-{3-[2-(4-chloro-3-fluorophenoxy)acetamido]bicyclo[l.l.l]pentan-l- yl}-3-(pyridin-3-yl)prop-2-enamide (Compound 352)
The reaction described in Example 242 substituting (E)-3-(pyridin-3-yl)acrylic acid for 2-(4-(trifluoromethyl)phenyl)acetic acid gave the title compound as a trifluoroacetic acid salt. lH NMR (500 MHz, DMSO-c¾) δ ppm 8.86 (d, J = 5.6 Hz, 2H), 8.74 (s, 1H), 8.65 (dd, J = 5.0, 1.5 Hz, 1H), 8.20 (dt, J = 8.0, 1.9 Hz, 1H), 7.65 (dd, J = 8.0, 5.0 Hz, 1H), 7.54 - 7.40 (m, 2H), 7.07 (dd, J = 11.3, 2.8 Hz, 1H), 6.85 (dt, J = 8.8, 1.8 Hz, 1H), 6.70 (d, J = 15.9 Hz, 1H), 4.48 (s, 2H), 2.29 (s, 6H); MS (ESI+) m/z 416.1 (M+H)+.
Example 254: 2-(4-chloro-3-fluorophenoxy)-A^-{(3i?)-4-[2-(4-fluorophenoxy)acetamido]-3- hydroxybicyclo[2.2.2]octan-l-yl}acetamide (Compound 353)
The title compound was isolated by chiral preparative SFC of Example 246 as the first peak eluted off the column using the methodologies described in Example 198. XH NMR (501 MHz, DMSO-c¾) δ ppm 7.47 (dd, J = 17.2, 8.4 Hz, 2H), 7.19 (s, 1H), 7.15 - 7.06 (m, 2H), 7.00 (dd, J = 11.4, 2.9 Hz, 1H), 6.97 - 6.89 (m, 2H), 6.79 (ddd, J = 9.0, 2.9, 1.2 Hz, 1H), 5.12 (d, J = 4.2 Hz, 1H), 4.43 - 4.32 (m, 4H), 3.98 (d, J = 9.5 Hz, 1H), 2.25 (ddd, J = 12.6, 9.5, 2.8 Hz, 1H), 2.18 - 2.06 (m, 1H), 1.91 - 1.71 (m, 8H); MS (ESI+) m/z 495.2 (M+H)+.
Example 255: 2-(4-chloro-3-fluorophenoxy)-A/-{(3.S)-4-[2-(4-fluorophenoxy)acetamido]-3- hydroxybicyclo[2.2.2]octan-l-yl}acetamide (Compound 354) The title compound was isolated by chiral preparative SFC of Example 246 as the second peak eluted off the column using the methodologies described in Example 198. XH NMR (501 MHz, DMSO-c¾) δ ppm 7.47 (dd, J = 18.0, 9.1 Hz, 2H), 7.19 (s, 1H), 7.15 - 7.04 (m, 2H), 7.00 (dd, J = 1 1.4, 2.8 Hz, 1H), 6.99 - 6.89 (m, 2H), 6.79 (ddd, J = 9.0, 2.9, 1.2 Hz, 1H), 5.13 (s, 1H), 4.43 - 4.32 (m, 4H), 3.98 (dd, J = 10.0, 3.2 Hz, 1H), 2.26 (ddd, J = 12.5, 9.4, 2.8 Hz, 1H), 2.12 (tt, J = 9.1, 5.0 Hz, 1H), 1.96 - 1.75 (m, 8H); MS (ESI+) m/z 495.1 (M+H)+. Example 256: 2-(4-chloro-3-fluorophenoxy)-A^-[4-(2-{[5-(trifluoromethyl)pyridin-3- yl]oxy}acetamido)bicyclo[2.1.1]hexan-l-yl]acetamide (Compound 355)
Example 256A: { [5-(trifluoromethyl)pyridin-3-yl] oxy acetic acid
The reaction and purification conditions described in Example 1 1 A and Example 1 IB substituting 5-(trifluoromethyl)pyridin-3-ol (Aldrich) for 5-hydroxy-3- methylbenzo[cf|isoxazole gave the title compound. MS (ESI+) m/z 278 (M+H)+.
Example 256B: 2-(4-chloro-3-fluorophenoxy)-N-[4-(2-{[5-(trifluoromethyl)pyridin-3- yl]oxy}acetamido)bicyclo[2.1.1 Jhexan-l-yljacetamide
The reaction and purification conditions described in Example 81, substituting the product of Example 256A for 2-(4-chloro-3-fluorophenoxy)acetic acid and the product of Example 88C for benzyl (4-aminobicyclo[2.1.1]hexan-l -yl)carbamate hydrochloride gave the title compound. lH NMR (400 MHz, DMSO-i¾) ppm 8.61 (d, J = 2.8 Hz, 1H), 8.58 - 8.55 (m, 2H), 8.48 (s, 1H), 7.73 (t, J = 2.4 Hz, 1H), 7.49 (t, J = 8.9 Hz, 1H), 7.06 (dd, J = 11.4, 2.9 Hz, 1H), 6.85 (ddd, J = 8.9, 2.9, 1.2 Hz, 1H), 4.68 (s, 2H), 4.48 (s, 2H), 2.10 - 2.04 (m, 2H), 1.84 - 1.77 (m, 6H); MS (ESI+) m/z 502 (M+H)+.
Example 257: 2-(4-chloro-3-fluorophenoxy)-iV-(2-hydroxy-4-{2-[5- (trifluoromethyl)pyridin-2-yl] acetamido }bicyclo [2.2.2] octan- l-yl)acetamide (Compound 356)
The title compound was prepared using the methodologies described in Example 214 substituting 2-(5-(trifluoromethyl)pyridin-2-yl)acetic acid for 2-((6-(trifluoromethyl)pyridin-3- yl)oxy)acetic acid. XH NMR (400 MHz, DMSO-i¾) ppm 8.85 (d, J = 2.3 Hz, 1H), 8.14 (dd, J = 8.3, 2.5 Hz, 1H), 7.78 (s, 1H), 7.57 - 7.43 (m, 2H), 7.25 (s, 1H), 7.05 (dd, J = 11.4, 2.8 Hz, 1H), 6.82 (dd, J = 9.1, 3.0 Hz, 1H), 4.46 (s, 2H), 4.02 (dd, J = 9.5, 3.1 Hz, 1H), 3.69 (s, 2H), 2.26 (ddd, J = 12.2, 9.5, 2.2 Hz, 1H), 2.06 (ddd, J = 12.2, 10.5, 4.8 Hz, 1H), 1.95 - 1.85 (m, 2H), 1.88 - 1.80 (m, 1H), 1.84 - 1.69 (m, 6H). ; MS (ESI+) m/z 530.1 (M+H)+. Example 258: AyV-(2-aminobicyclo[2.2.2]octane-l,4-diyl)bis[2-(4-chloro-3- fluorophenoxy)acetamide] (Compound 357)
Example 258A: N,N'-(2-azidobicyclo[2.2.2]octane-l, 4-diyl)bis[2-(4-chloro-3- fluorophenoxyjacetamide ]
A mixture of Example 245 (0.25 g, 0.412 mmol) and sodium azide (0.134 g, 2.058 mmol) in N,N-dimethylformamide (2.5 mL) in a microwave reactor vial was heated in a microwave oven (Biotage® Initiator, 450 W) at 120 °C for 45 minutes. The reaction mixture was cooled to ambient temperature and partitioned between water and ethyl acetate. The organic layer was washed with brine, dried over magnesium sulfate and filtered. The filtrate was concentrated, and the residue was purified by HPLC (10-95% acetonitrile in 0.1% trifluoroacetic acid/water at 25 mL/minute on a Phenomenex® C18 5 μπι column (250 χ 21.2 mm)) to give 34 mg of the title compound as a white solid. XH NMR (501 MHz, DMSO-£¾) δ ppm 7.73 (s, 1H), 7.62 (s, 1H), 7.47 (td, J= 8.9, 5.3 Hz, 2H), 7.02 (dd, J = 11.4, 2.8 Hz, 2H), 6.81 (dddd, J= 8.5, 5.5, 2.9, 1.2 Hz, 2H), 4.66 (ddd, J = 10.3, 3.7, 1.8 Hz, 1H), 4.54 - 4.42 (m, 4H), 2.40 - 2.31 (m, 1H), 1.99 - 1.59 (m, 9H).
Example 258B: N,N'-(2-aminobicyclo[ 2.2.2 Joct ne-1, 4-diyl)bis[ 2-( 4-chloro-3- fluorophenoxyjacetamide ] trifluoroacetate
A mixture of Example 258A (32 mg, 0.058 mmol) and Raney®-nickel 2800, water slurry (85.1 mg, 0.652 mmol) in tetrahydrofuran (6 mL) in a 50 mL pressure bottle was shaken for 16 hours under 50 psi of hydrogen at ambient temperature. After filtration, the filtrate was concentrate, and the residue was purified by HPLC (10-95% acetonitrile in 0.1% trifluoroacetic acid/water at 25 mL/minute on a Phenomenex® C18 5 μπι column (250 χ 21.2 mm)) to give 27 mg of the title compound as a white solid. XH NMR (400 MHz, methanol-^) δ ppm 7.64 (s, 1H), 7.60 (s, 1H), 7.36 (td, J = 8.7, 5.8 Hz, 2H), 6.89 (ddd, J = 16.3, 10.9, 2.8 Hz, 2H), 6.79 (tq, J = 8.8, 3.0, 2.4 Hz, 2H), 4.56 - 4.41 (m, 4H), 4.33 (dd, J = 10.7, 5.6 Hz, 1H), 2.58 -2.41 1.69 (m, 10H); MS (ESI+) m/z 528.1 (M+H)+.
Example 259: i\yV-(2-acetamidobicyclo[2.2.2]octane-l,4-diyl)bis[2-(4-chloro-3- fluorophenoxy)acetamide] (Compound 358)
To a solution of Example 258 (0.018 g, 0.028 mmol) and pyridine (0.011 mL, 0.140 mmol) in dichloromethane (1.0 mL), acetic anhydride (7.93 μΐ, 0.084 mmol) was added, and the mixture was stirred at ambient temperature for 1 hour. The mixture was concentrated, and the residue was purified by HPLC (10-95% acetonitrile in 0.1% trifluoroacetic acid/water at 25 mL/minute on a Phenomenex® C18 5 μιη column (250 χ 21.2 mm)) to give 12 mg of the title compound as a white solid. l NMR (400 MHz, DMSO-c¾) δ ppm 8.12 (d, J = 7.8 Hz, 1H), 7.75 (s, 1H), 7.54 (s, 1H), 7.45 (td, J = 8.9, 6.9 Hz, 2H), 7.01 (ddd, J = 15.7, 11.3, 2.9 Hz, 2H), 6.80 (ddt, J = 24.1, 9.0, 1.9 Hz, 2H), 4.44 - 4.23 (m, 4H), 4.07 (s, 1H), 2.57 - 2.47 (m, 1H), 2.45 - 2.27 (m, 2H), 2.02 (t, J = 12.2 Hz, 1H), 1.85 - 1.56 (m, 9H); MS (ESI+) m/z 570.2 (M+H)+.
Example 260: 2-(3,4-difluorophenoxy)-A^-[3-hydroxy-4-(2-{ [6-(trifluoromethyl)pyridin-3- yl]oxy}acetamido)bicyclo[2.2.2]octan-l-yl]acetamide (Compound 359)
Example 260A: N-( 4-amino-3-oxobicyclo[ 2.2.2 ]octan-l-yl)-2-(3, 4-difluorophenoxy)acetamide The title compound was prepared using the methodologies described in Example 198F -
198H substituting 2-(3,4-difiuorophenoxy)acetic acid for 2-(4-chloro-3-fiuorophenoxy)acetic acid. XH NMR (400 MHz, DMSO-c¾) δ ppm 7.78 (s, 1H), 7.40 - 7.28 (m, 1H), 7.08 - 6.98 (m, 1H), 6.76 (br s, 1H), 6.76 - 6.68(m, 1H), 4.42 (s, 2H), 2.71 (s, 2H), 2.04 - 1.88 (m, 4H), 1.82 - 1.68 (m, 2H), 1.58 - 1.44 (m, 4H); MS (ESI+) m/z 325.0 (M+H)+.
Example 260 B: 2-(3, 4-difluorophenoxy)-N-[3-hydroxy-4-(2-{[6-(trifluoromethyl)pyridin-3- yl ]oxy}acetamido)bicyclo[ 2.2.2 ]octan-l-yl Jacetamide
A mixture of Example 260A (0.1 g, 0.308 mmol), 2-((6-(trifluoromethyl)pyridin-3- yl)oxy)acetic acid (0.085 g, 0.385 mmol) and N-ethyl-N-isopropylpropan-2-amine (0.135 mL, 0.771 mmol) in dimethylformamide (DMF) (3.0 mL) was treated with 2-(3H- [l,2,3]triazolo[4,5- )]pyridin-3-yl)-l, l,3,3-tetramethylisouronium hexafluorophosphate(V) (0.176 g, 0.463 mmol), and the reaction mixture was stirred at ambient temperature for 16 hours. Volatiles were removed under high vacuum, and the residue was dissolved in dichloromethane/methanol (1 : 1 , 2 mL) and treated with sodium borohydride (0.058 g, 1.542 mmol) for 1 hour at ambient temperature. The reaction mixture was concentrated, and the residue was purified by HPLC (10-95% acetonitrile in 0.1 % trifiuoroacetic acid/water linear gradient on Phenomenex® CI 8 5 μπι column (25 mm χ 21.2 mm) at a flow rate of 25 mL/minute) to give 85 mg of the title compound as a white solid. XH NMR (400 MHz, DMSO- di) δ ppm 8.40 (d, J = 2.8 Hz, 1H), 7.81 (d, J = 8.7 Hz, 1H), 7.51 (dd, J = 8.7, 2.9 Hz, 1H), 7.43 (s, 1H), 7.39 - 7.25 (m, 2H), 7.00 (ddd, J = 12.7, 6.7, 3.1 Hz, 1H), 6.71 (dq, J = 8.6, 3.0 Hz, 1H), 4.93 (s, 1H), 4.61 (s, 2H), 4.36 (s, 2H), 4.05 (dd, J = 9.5, 3.0 Hz, 1H), 2.23 (dd, J = 13.1 , 9.5 Hz, 1H), 2.03 - 1.78 (m, 4H), 1.82 - 1.67 (m, 5H); MS (ESI+) m/z 530.2 (M+H)+. Example 261: 2-(l,2-benzoxazol-3-yl)-iV-{3-[2-(4-chloro-3- fluorophenoxy)acetamido]bicyclo[l.l.l]pentan-l-yl}acetamide (Compound 360)
The title compound was prepared using the methodologies described above. XH NMR (400 MHz, DMSO-c¾/D20) δ ppm 7.84 (d, J = 7.9 Hz, 1H), 7.75 - 7.62 (m, 2H), 7.48 (t, J = 8.9 Hz, 1H), 7.41 (t, J= 7.4 Hz, 1H), 7.05 (dd, J= 11.3, 2.9 Hz, 1H), 6.86 (dd, J= 9.0, 2.8 Hz, 1H), 4.46 (s, 2H), 3.88 (s, 2H), 2.26 (s, 6H); MS (APCI) m/z 444 (M+H)+.
Example 262: 2-(4-chloro-3-fluorophenoxy)-iV-(3-{2-[3-
(trifluoromethoxy)phenyl]acetamido}bicyclo[l.l.l]pentan-l-yl)acetamide (Compound 361)
The title compound was prepared using the methodologies described above. XH NMR
(400 MHz, DMSO-c¾/D20) δ ppm 7.54 - 7.40 (m, 2H), 7.32 - 7.19 (m, 3H), 7.05 (dd, J= 11.2, 2.8 Hz, 1H), 6.86 (d, J= 11.2 Hz, 1H), 4.46 (s, 2H), 3.44 (s, 2H), 2.23 (s, 6H); MS (APCI) m/z 487 (M+H)+.
Example 263: 2-[(2,2-difluoro-2H-l,3-benzodioxol-5-yl)oxy]-^-{4-[2-(3,4- difluorophenoxy)acetamido]-2-hydroxybicyclo[2.2.2]octan-l-yl}acetamide (Compound 362)
The title compound was prepared using the methodologies described in Example 260 substituting Example 206B for 2-((6-(trifluoromethyl)pyridin-3-yl)oxy)acetic acid. XH NMR (501 MHz, DMSO-c e) δ ppm 7.45 (s, 1H), 7.38 - 7.26 (m, 2H), 7.21 (s, 1H), 7.10 (d, J = 2.6 Hz, 1H), 7.02 (ddd, J = 12.7, 6.7, 3.1 Hz, 1H), 6.73 (ddd, J = 8.9, 4.1, 2.1 Hz, 2H), 5.09 (d, J = 4.5 Hz, 1H), 4.39 (d, J = 16.2 Hz, 4H), 4.02 (dt, J = 8.9, 4.0 Hz, 1H), 2.26 (ddd, J = 12.5, 9.4, 2.4 Hz, 1H), 2.08 (ddd, J = 12.3, 10.7, 4.6 Hz, 1H), 1.97 - 1.75 (m, 10H); MS (ESI+) m/z 541.1 (M+H)+.
Example 264: AyV-(2-hydroxybicyclo[2.2.2]octane-l,4-diyl)bis[2-(3,4- difluorophenoxy)acetamide] (Compound 363)
Example 264A: N-( 4-amino-3-hydroxybicyclo[ 2.2.2 ]octan-l-yl)-2-(3, 4- difluorophenoxyjacetamide hydrochloride
The title compound was prepared using the methodologies described in Examples 198F- 1981 substituting 2-(3,4-difluorophenoxy)acetic acid for 2-(4-chloro-3-fluorophenoxy)acetic acid. lH NMR (500 MHz, DMSO-i¾) δ ppm 8.00 (s, 3H), 7.74 (s, 1H), 7.35 (dt, J = 10.6, 9.3 Hz, 1H), 7.04 (ddd, J = 12.7, 6.7, 3.1 Hz, 1H), 6.75 (dtd, J= 8.5, 3.3, 1.6 Hz, 1H), 5.62 (s, 1H), 4.43 (s, 2H), 3.85 (dt, J = 9.3, 2.4 Hz, 1H), 2.32 (ddd, J= 12.9, 9.5, 3.0 Hz, 1H), 2.08 - 1.92 (m, 2H), 1.85 (tt, J= 13.6, 6.9 Hz, 5H), 1.68 (ddt, J= 11.5, 7.2, 3.5 Hz, 1H), 1.59 (ddt, J = 14.4, 10.3, 2.2 Hz, 1H); MS (ESI+) m/z 327.3 (M+H)+.
Example 264B: N,N'-(2-hydroxybicyclo[ 2.2.2 Joct ne-1, 4-diyl)bis[ 2-( 3, 4- difluorophenoxyjacetamide ]
The title compound was prepared using the methodologies described in Example 202 substituting Example 264A for 1981 and substituting 2-(3,4-difluorophenoxy)acetic acid for 2- ((6-(trifluoromethyl)pyridin-3-yl)oxy)acetic acid. l NMR (400 MHz, OMSO-d6) δ ppm 7.43 (s, 1H), 7.32 (td, J = 9.4, 7.7 Hz, 2H), 7.19 (s, 1H), 7.02 (tdd, J = 12.3, 6.7, 3.0 Hz, 2H), 6.73 (tt, J = 9.2, 2.6 Hz, 2H), 5.06 (d, J = 4.3 Hz, 1H), 4.37 (d, J = 13.3 Hz, 4H), 4.09 - 3.95 (m, 1H), 2.23 (td, J = 10.4, 9.8, 4.8 Hz, 1H), 2.11 - 1.99 (m, 1H), 1.93 - 1.87 (m, 1H), 1.88 (s, 1H), 1.76 (tt, J = 9.9, 7.0 Hz, 6H); MS (ESI+) m/z 497.1 (M+H)+.
Example 265: 2-(3,4-difluorophenoxy)-iV-{4-[2-(4-fluorophenoxy)acetamido]-3- hydroxybicyclo[2.2.2]octan-l-yl}acetamide (Compound 364)
The title compound was prepared using the methodologies described in Example 264 substituting 2-(4-fluorophenoxy)acetic acid for 2-(3,4-difluorophenoxy)acetic acid. XH NMR (400 MHz, DMSO-c¾) ppm 7.43 (s, 1H), 7.32 (q, J = 9.7 Hz, 1H), 7.17 (s, 1H), 7.15 - 6.86 (m, 5H), 6.72 (ddt, J = 10.8, 4.8, 2.2 Hz, 1H), 5.10 (d, J = 4.5 Hz, 1H), 4.36 (d, J = 2.1 Hz, 4H), 3.96 (dt, J = 8.9, 3.6 Hz, 1H), 2.24 (ddd, J = 12.5, 9.5, 2.5 Hz, 1H), 2.09 (td, J = 12.6, 11.9, 8.4 Hz, 1H), 1.88 - 1.70 (m, 8H); MS (ESI+) m/z 479.2 (M+H)+.
Example 266: i\yV-(2-fluorobicyclo [2.2.2] octane- l,4-diyl)bis[2-(4-chloro-3- fluorophenoxy)acetamide] (Compound 365)
Example 266A: ethyl 4-[2-(4-chloro-3-fluorophenoxy)acetamido]-2- hydroxybicyclo [ 2.2.2 ] octane- 1-carboxylate
To a solution of the product of Example 173F (350 mg, 0.88 mmol) in CH2CI2 (5 mL) and methanol (5 mL) was added sodium borohydride (36.6 mg, 0.97 mmol). The reaction mixture was stirred for 1.5 hours. The solution was treated with brine and saturated aqueous NaHCCb and extracted with CH2CI2 (2x). The combined organic layers were dried over anhydrous MgSC>4, filtered, and concentrated under reduced pressure. The residue was purified on a 12 g silica gel column using a Biotage® Isolera™ One flash system eluting with heptanes/ethyl acetate (5:5 to 4:6) to provide the title compound (0.223 g, 0.56 mmol, 63% yield). MS (ESI+) m/z 399.9 (M+H)+. Example 266B: ethyl 4-[2-(4-chloro-3-fluorophenoxy)acetamido]-2- fluorobicyclof 2.2.2 ] octane- 1 -car boxy late
To a solution of the product of Example 266A (185.0 mg, 0.46 mmol) in CH2CI2 (10 mL) at 0 °C was added (diethylamino)sulfur trifluoride (DAST, 0.12 mL, 0.93 mmol). After 1 hour, the reaction was allowed to warm to ambient temperature and was stirred for 5 hours. The reaction mixture was quenched with saturated aqueous NaHCCb (10 mL) and extracted with CH2CI2 (2 x 10 mL). The combined organic layers were dried over anhydrous MgSC^, filtered, and concentrated under reduced pressure. The residue was purified on a 12 g silica gel column using a Biotage® Isolera™ One flash system eluting with heptanes/ethyl acetate (6:4) to provide the title compound (0.124 g, 0.31 mmol, 67% yield). MS (ESI+) m/z 402.2 (M+H)+. Example 266C: 4-[ 2-( 4-chloro-3-fluorophenoxy)acetamido ]-2-fluorobicyclo[ 2.2.2 ] octane- 1- carboxylic acid
To a solution of Example 266B (0.12 g, 0.30 mmol) in methanol (1.5 mL) and tetrahydrofuran (1.5 mL) was added a solution of lithium hydroxide (0.021 g, 0.90 mmol) in water (0.5 mL). The mixture was allowed to stir for 16 hours. Volatiles were removed under reduced pressure. The remaining solution was diluted with water (1 mL) and treated with 2.5 N HCl until a white suspension appeared. The suspension was filtered, and the collected solids were washed with water and vacuum oven-dried to provide the title compound (88.9 mg, 0.24 mmol, 80% yield). MS (ESI+) m/z 374.1 (M+H)+.
Example 266D: N-(4-amino-3-fluorobicyclo[2.2.2]octan-l-yl)-2-(4-chloro-3- fluorophenoxyjacetamide, trifluoroacetic acid
To a suspension of the product of Example 266C (85.0 mg, 0.227 mmol) in toluene (2 mL) were added triethylamine (0.063 mL, 0.46 mmol) and diphenylphosphoryl azide (0.074 mL, 0.34 mmol). The mixture was heated at 110 °C for 1 hour. After allowing the mixture to cool to ambient temperature, the reaction mixture was treated with 3 N HCl (2 mL) followed by stirring for 16 hours. The layers were separated, and the aqueous layer was purified by reverse- phase HPLC (see protocol in Example 112D) to provide the title compound (17.4 mg, 0.050 mmol, 17% yield). MS (ESI+) m/z 345.1 (M+H)+.
Example 266E: N,N'-(2-fluorobicyclo[ 2.2.2 ] octane- 1, 4-diyl)bis[ 2-( 4-chloro-3- fluorophenoxyjacetamidej
The reaction described in Example 242 substituting Example 266D for Example 112A and substituting 2-(4-chloro-3-fluorophenoxy)acetic acid for 2-(4- (trifluoromethyl)phenyl)acetic acid gave the title compound. XH NMR (400 MHz, DMSO-c e) δ ppm 7.71 (d, J = 16.7 Hz, 2H), 7.53 - 7.42 (m, 2H), 7.03 (dt, J = 11.4, 2.7 Hz, 2H), 6.81 (ddd, J = 8.9, 2.8, 1.2 Hz, 2H), 5.30 (dd, J = 54.2, 8.5 Hz, 1H), 4.50 (s, 2H), 4.45 (s, 2H), 2.46 - 1.61 (m, 10H); MS (ESI+) m/z 531.0 (M+H)+.
Example 267: 2-(4-chloro-3-fluorophenoxy)-iV-[3-fluoro-4-(2-{[6-
(trifluoromethyl)pyridin-3-yl]oxy}acetamido)bicyclo[2.2.2]octan-l-yl]acetamide
(Compound 366)
The reaction described in Example 242 substituting Example 266D for Example 112A and substituting Example 301B for 2-(4-(trifluoromethyl)phenyl)acetic acid gave the title compound. lH NMR (400 MHz, DMSO-c¾) δ ppm 8.43 (d, J = 2.8 Hz, 1H), 7.91 - 7.80 (m, 2H), 7.67 (s, 1H), 7.57 - 7.42 (m, 2H), 7.03 (dd, J = 11.4, 2.9 Hz, 1H), 6.81 (ddd, J = 9.0, 2.9, 1.2 Hz, 1H), 5.41 - 5.19 (m, 1H), 4.68 (s, 2H), 4.45 (s, 2H), 2.45 - 1.69 (m, 10H); MS (ESI+) m/z 548.3 (M+H)+.
Example 268: (l^'^-^ '-ibicycloIl.l.llpentane-l^-diy bisP-iS^- dichlorophenyl)prop-2-enamide] (Compound 367)
A mixture of bicyclo[l . l. l]pentane-l,3-diamine dihydrochloride (30.0 mg, 0.175 mmol), (£)-3-(3,4-dichlorophenyl)acrylic acid (91 mg, 0.42 mmol), N-[(dimethylamino)-lH- l,2,3 riazolo-[4,5- )]pyridin-l-ylmethylene]-N-methylmethanaminium hexafluorophosphate N- oxide (HATU, 160 mg, 0.42 mmol), and triethylamine (0.15 mL, 1.05 mmol) in
tetrahydrofuran (3 mL) was allowed to stir for 16 hours. The suspension was filtered, and the collected solids were washed with ethyl acetate and water, and vacuum oven-dried to provide the title compound (60.2 mg, 0.12 mmol, 69% yield). XH NMR (500 MHz, DMSO-c/ ) δ ppm 8.76 (s, 2H), 7.83 (d, J = 2.0 Hz, 2H), 7.67 (d, J = 8.4 Hz, 2H), 7.55 (dd, J = 8.5, 2.0 Hz, 2H), 7.38 (d, J = 15.8 Hz, 2H), 6.61 (d, J = 15.8 Hz, 2H), 2.31 (s, 6H); MS (ESI+) m/z 496.9 (M+H)+.
Example 269: 2-(4-chloro-3-fluorophenoxy)-iV-{3-[2-(4- chlorophenoxy)acetamido]bicyclo[l.l.l]pentan-l-yl}acetamide (Compound 368)
To a solution of the product of Example 9B (40mg, 0.100 mmol) in dichloromethane (0.33 mL) and water (0.17 mL) were added 2-(4-chlorophenoxy)acetyl chloride (0.017 mL, 0.110 mmol) and sodium hydroxide (12.0 mg, 0.301 mmol) at ambient temperature. The reaction mixture was stirred 1 hour at ambient temperature. Water was added to the reaction mixture, and a white solid formed. The solids were isolated via filtration, washed with water and purified with preparative HPLC [Waters XBridge™ CI 8 5 μηι OBD™ column, 30 χ 100 mm, flow rate 40 mL/minute, 5-100% gradient of acetonitrile in buffer (0.1 % trifluoroacetic acid)] to give the title compound (30 mg, 0.066 mmol, 66% yield). XH NMR (501 MHz, DMSO-c¾) δ ppm 8.71 (s, IH), 8.70 (s, IH), 7.49 (t, J = 8.9 Hz, IH), 7.34 (d, J = 8.9 Hz, 2H), 7.07 (dd, J = 11.4, 2.9 Hz, IH), 6.97 (d, J = 9.0 Hz, 2H), 6.85 (ddd, J = 9.0, 2.9, 1.2 Hz, IH), 4.47 (s, 2H), 4.43 (s, 2H), 2.26 (s, 6H); MS (ESI+) m/z 455 (M+H)+.
Example 270: 2-(4-chloro-3-fluorophenoxy)-A^-[3-(2-{[l-methyl-3-(trifluoromethyl)-lH- pyrazol-5-yl]oxy}acetamido)bicyclo[l.l.l]pentan-l-yl]acetamide (Compound 369)
To a solution of Example 28A (50 mg, 0.138 mmol) in acetonitrile (0.772 mL) were added l-methyl-3-(trifluoromethyl)-lH-pyrazol-5-ol (25.3 mg, 0.152 mmol) and potassium carbonate (57.4 mg, 0.415 mmol). The mixture was stirred at 70 °C for 1 hour. After 1 hour, additional l-methyl-3-(trifluoromethyl)-lH-pyrazol-5-ol (25.3 mg, 0.152 mmol) was added, and the mixture was stirred for an additional 1 hour. The reaction mixture was filtered, and the filtrate was concentrated under reduced pressure. The residue was purified by preparative HPLC [Waters XBridge™ CI 8 5 μιη OBD™ column, 30 χ 100 mm, flow rate 40 mL/minute, 5-100% gradient of acetonitrile in buffer (0.1 % trifluoroacetic acid)] to give the title compound (55 mg, 0.112 mmol, 81% yield). XH NMR (400 MHz, DMSO-c¾) δ ppm 8.76 (s, IH), 8.72 (s, IH), 7.49 (t, J = 8.9 Hz, IH), 7.07 (dd, J = 11.4, 2.8 Hz, IH), 6.85 (ddd, J = 9.0, 2.9, 1.2 Hz, IH), 6.16 (s, IH), 4.60 (s, 2H), 4.47 (s, 2H), 3.70 (s, 3H), 2.27 (s, 6H); MS (ESI+) m/z 491 (M+H)+.
Example 271: (2£,2'£)-/V '-(bicyclo[l.l.l]pentane-l,3-diyl)bis{3-[4- (trifluoromethyl)phenyl]prop-2-enamide} (Compound 370)
The reaction described in Example 268 substituting (E)-3-(4- (trifluoromethyl)phenyl)acrylic acid for (E)-3-(3,4-dichlorophenyl)acrylic acid gave the title compound. XH NMR (400 MHz, DMSO-c¾) δ ppm 8.86 (s, 2H), 7.77 (s, 8H), 7.48 (d, J = 15.8 Hz, 2H), 6.68 (d, J = 15.8 Hz, 2H), 2.33 (s, 6H); MS (ESI+) m/z 495.1 (M+H)+.
Example 272: 2-(4-chloro-3-fluorophenoxy)-iV-(3-{2-[(l-cyclopropyl-lH-pyrazol-5- yl)oxy] acetamido}bicyclo [ 1.1.1] pentan- l-yl)acetamide (Compound 371)
The reaction and purification conditions described in Example 270 substituting 1- cyclopropyl-lH-pyrazol-5-ol for l-methyl-3-(trifluoromethyl)-lH-pyrazol-5-ol gave the title compound. ¾ NMR (400 MHz, DMSO-c¾) δ ppm 8.70 (s, IH), 8.57 (s, IH), 7.55 (d, J = 2.4 Hz, IH), 7.49 (t, J = 8.9 Hz, IH), 7.07 (dd, J = 11.4, 2.8 Hz, IH), 6.85 (ddd, J = 9.0, 2.9, 1.2 Hz, 1H), 5.64 (d, J = 2.3 Hz, 1H), 4.47 (s, 2H), 4.42 (s, 2H), 3.49 (tt, J = 7.3, 3.5 Hz, 1H), 2.24 (s, 6H), 0.95 - 0.83 (m, 4H); MS (ESI+) m/z 449 (M+H)+.
Example 273: 2-(4-chloro-3-fluorophenoxy)-A^-[(3i?)-3-fluoro-4-(2-{ [6- (trifluoromethyl)pyridin-3-yl]oxy}acetamido)bicyclo[2.2.2]octan-l-yl]acetamide
(Compound 372)
Example 267 was purified by chiral SFC (supercritical fluid chromatography) using a Chiralpak® AD-H column (21 χ 250 mm, ambient temperature) eluting with 30% CH3OH buffered with 0.1% diethylamine (flow rate 70 g/minute, back pressure 101 bar) in CO2 to give the title compound (first enantiomer eluted out of the column). Absolute stereochemistry assignment was arbitrary. XH NMR (400 MHz, DMSO-c¾) δ ppm 8.43 (d, J = 2.9 Hz, 1H), 7.92 - 7.77 (m, 2H), 7.67 (s, 1H), 7.57 - 7.41 (m, 2H), 7.03 (dd, J = 11.4, 2.9 Hz, 1H), 6.81 (ddd, J = 9.0, 2.9, 1.2 Hz, 1H), 5.41 - 5.15 (m, 1H), 4.68 (s, 2H), 4.45 (s, 2H), 2.45 - 1.58 (m, 10H). MS (ESI+) m/z 548.3 (M+H)+.
Example 274: 2-(4-chloro-3-fluorophenoxy)-/V-[(3,S)-3-fluoro-4-(2-{ [6- (trifluoromethyl)pyridin-3-yl] oxy }acetamido)bicyclo [2.2.2] octan-l-yl] acetamide
(Compound 373)
Example 267 was purified by chiral SFC (supercritical fluid chromatography) using a Chiralpak® AD-H column (21 χ 250 mm, ambient temperature) eluting with 30% CH3OH buffered with 0.1% diethylamine (flow rate 70 g/minute, back pressure 101 bar) in CO2 to give the title compound (second enantiomer eluted out of the column). Absolute stereochemistry assignment was arbitrary. XH NMR (400 MHz, DMSO-c¾) δ ppm 8.43 (d, J = 2.9 Hz, 1H), 7.85 (d, J = 8.4 Hz, 2H), 7.67 (s, 1H), 7.58 - 7.40 (m, 2H), 7.03 (dd, J = 11.4, 2.9 Hz, 1H), 6.81 (ddd, J = 9.0, 2.9, 1.1 Hz, 1H), 5.30 (dd, J = 54.2, 8.6 Hz, 1H), 4.68 (s, 2H), 4.45 (s, 2H), 2.46 - 1.54 (m, 10H). MS (ESI+) m/z 548.3 (M+H)+.
Example 275: 2-(4-chloro-3-fluorophenoxy)-A/-(3-{2-[(l,3,5-trimethyl-lH-pyrazol-4- yl)oxy]acetamido}bicyclo[l.l.l]pentan-l-yl)acetamide (Compound 374)
The reaction and purification conditions described in Example 270 substituting 1,3,5- trimethyl-lH-pyrazol-4-ol for l-methyl-3-(trifluoromethyl)-lH-pyrazol-5-ol gave the title compound. *H NMR (400 MHz, DMSO-c¾) δ ppm 8.72 (s, 1H), 8.64 (s, 1H), 7.49 (t, J = 8.9 Hz, 1H), 7.07 (dd, J = 11.3, 2.9 Hz, 1H), 6.86 (ddd, J = 8.9, 2.9, 1.2 Hz, 1H), 4.49 (s, 2H), 4.14 (s, 2H), 3.58 (s, 3H), 2.27 (s, 6H), 2.14 (s, 3H), 2.06 (s, 3H); MS (ESI+) m/z 451 (M+H)+. Example 276: 2-(4-chloro-3-fluorophenoxy)-^-{(2,S)-4-[2-(4-chloro-3- fluorophenoxy)acetamido]-2-hydroxybicyclo[2.2.2]octan-l-yl}-A^-methylacetamide (Compound 375)
Example 276A: N-[ ( 3S)-4-amino-3-hydroxybicyclo [ 2.2.2 ]octan-l-yl ]-2-(4-chloro-3- fluorophenoxyjacetamide trifluoroacetate
The title compound was isolated by chiral preparative SFC of Example 1981 as the second peak eluted off the column, followed by reverse phase HPLC purification to give product as a trifluoroacetic acid salt. The preparative SFC (Supercritical Fluid
Chromatography) was performed on a Thar 200 preparative SFC (SFC-5) system using a Chiralpak® IC, 300 5 0 mm I.D., 10 μιη column. The column was at 38 °C, and the backpressure regulator was set to maintain 100 bar. The mobile phase A is CO2 and B is isopropanol (0.1 % ammonium hydroxide). The chromatography was performed isocratically at 45% of mobile phase B at a flow rate of 200 mL/minute. Fraction collection was time triggered with UV monitor wavelength set at 220 nm. Preparative HPLC was performed on a Gilson 281 semi-preparative HPLC system using a Phenomenex® Luna® C18(2) 10 μιτι Ι ΟθΑ AXIA™ column (250 mm χ 80 mm) column. A gradient of acetonitrile (A) and 0.075% trifluoroacetic acid in water (B) was used, at a flow rate of 80 mL/minute. A linear gradient was used from about 30% of A to about 100% of A over about 30 minutes. Detection method was UV at wave length of 220 nM and 254 nM. Ti NMR (400 MHz, methanol-^) δ ppm 7.36 (t, J=8.77 Hz, 1H), 6.89 (dd, J=10.74, 2.85 Hz, 1H), 6.79 (br d, J=9.21 Hz, 1H), 4.43 (s, 2H), 3.94 (br d, J=8.33 Hz, 1H), 2.55 (br t, J=12.50 Hz, 1H), 2.35 - 1.84 (m, 8H), 1.83 - 1.58 (m, 2H); MS (ESI+) m/z 343.0 (M+H)+.
Example 276B: 2-( 4-chloro-3-fluorophenoxy)-N-[ ( 3S)-3-hydroxy-4- (methylamino)bicyclo [ 2.2.2 ]octan-l-yl Jacetamide
A mixture of Example 276A (0.2 g, 0.438 mmol), formaldehyde (0.049 mL, 0.657 mmol) and acetic acid (0.100 mL, 1.751 mmol) in water (1.0 mL) was treated with zinc (0.057 g, 0.876 mmol), and the reaction was stirred at ambient temperature for 16 hours. Volatiles were removed under reduced pressure, and the residue was dissolved with a 1 : 1 mixture of methanol/dimethyl sulfoxide and filtered. The filtrate was purified by HPLC (5-70% acetonitrile in 0.1 % trifluoroacetic acid/water at 80 mL/minute on a Phenomenex® CI 8 10 μπι column (25 χ 80 mm)) to give 136 mg of the title compound as a white glassy solid. XH NMR (400 MHz, DMSO-c e) δ ppm 7.40 (t, J = 8.9 Hz, 1H), 6.94 (dd, J = 11.3, 2.8 Hz, 1H), 6.75 (ddd, J = 9.0, 2.8, 1.2 Hz, 1H), 4.37 (s, 2H), 3.89 (ddd, J = 8.7, 3.4, 1.7 Hz, 1H), 2.35 (s, 3H), 2.39 - 2.23 (m, 1H), 2.02 - 1.85 (m, 2H), 1.89 - 1.70 (m, 5H), 1.74 - 1.44 (m, 2H); MS (ESI+) m/z 357.2 (M+H)+.
Example 276C: 2-( 4-chloro-3-fluorophenoxy)-N-{ (2S)-4-[ 2-( 4-chloro-3- fluorophenoxyjacetamido ] -2-hydroxybicyclo [ 2.2.2 ]octan-l-yl}-N-methylacetamide
A mixture of Example 276B (65 mg, 0.138 mmol), 2-(4-chloro-3-fluorophenoxy)acetic acid (35.3 mg, 0.173 mmol) and N-ethyl-N-isopropylpropan-2-amine (0.121 mL, 0.690 mmol) in N,N-dimethylformamide(1.5 mL) was treated with 2-(3H-[l ,2,3]triazolo[4,5-Z>]pyridin-3-yl)- l ,l ,3,3-tetramethylisouronium hexafluorophosphate(V) (79 mg, 0.207 mmol), and the reaction was stirred at ambient temperature for 16 hours. Solvent was removed, and the residue was purified by HPLC (20-100% acetonitrile in 0.1 % trifluoroacetic acid/water at 25 rnL/minute on a Phenomenex® C 18 5 μπι column (250 χ 21.2 mm)) three times to give 15 mg of the title compound as a white solid. XH NMR (400 MHz, DMSO-c¾) δ ppm 1H NMR (400 MHz, DMSO-d6) d 8.77 - 8.68 (m, 1H), 8.67 (s, 1H), 7.75 (s, 1H), 7.45 (td, J = 8.8, 6.4 Hz, 2H), 7.1 1 (dd, J = 11.4, 2.9 Hz, 1H), 6.98 (dd, J = 1 1.4, 2.9 Hz, 1H), 6.85 (ddd, J = 9.0, 2.8, 1.2 Hz, 1H), 6.77 (ddd, J = 8.9, 2.9, 1.2 Hz, 1H), 5.18 (d, J = 8.9 Hz, 1H), 4.92 (d, J = 16.7 Hz, 1H), 4.82 (d, J = 16.7 Hz, 1H), 4.42 (s, 2H), 2.55 - 2.40 (m, 5H), 1.98 - 1.82 (m, 6H), 1.82 (d, J = 6.0 Hz, 2H); MS (ESI+) m/z 543.2 (M+H)+.
Example 277: (2£)-A^-{3-[2-(4-chloro-3-fluorophenoxy)acetamido]bicyclo[l.l.l]pentan-l- yl}-3-[5-(trifluoromethoxy)pyridin-2-yl]prop-2-enamide (Compound 376)
Example 277A: (E) -ethyl 3-(5-(trifluoromethoxy)pyridin-2-yl)acrylate
Dimethoxy ethane (5 mL) and water (0.1 mL) were added to a mixture of (E)-ethyl 3- (4,4,5, 5-tetramethyl-l ,3,2-dioxaborolan-2-yl)acrylate (Frontier, 0.684 g, 3.02 mmol), potassium carbonate (0.87 g, 6.30 mmol), [l, -bis(diphenylphosphino)ferrocene]dichloropalladium(II) (0.21 g, 0.25 mmol) and 2-bromo-5-(trifluoromethoxy)pyridine (Ark Pharm, 0.61g, 2.52 mmol) in a microwave tube. The tube was sealed and degassed three times with a nitrogen back flush each time. The tube was then heated in a Biotage® Initiator+ microwave reactor and irradiated at 110 °C for 30 minutes. The seal was opened, and the layers were separated. The organic layer was filtered through a glass microfiber frit and concentrated in vacuo. The residue was purified by preparative HPLC [YMC TriArt™ CI 8 Hybrid 20 μιη column, 25 χ 150 mm, flow rate 80 rnL/minute, 5-100% gradient of acetonitrile in buffer (0.025 M aqueous ammonium bicarbonate, adjusted to pH 10 with ammonium hydroxide)] to give the title compound (0.37 g,
I .42 mmol, 56% yield). MS (ESI+) m/z 262 (M+H)+.
Example 277B: (E)-3-(5-(trifluoromethoxy)pyridin-2-yl)acrylic acid
The reaction and purification conditions described in Example 105B substituting the product of Example 277 A for the product of Example 105 A gave the title compound. MS (ESI+) m/z 234 (M+H)+.
Example 277C: (2E)-N-{3-[2-(4-chloro-3-fluorophenoxy)acetamido]bicyclo[l .1. l]pentan-l- yl}-3-[ 5-( trifluoromethoxy)pyridin-2-yl ]prop-2-enamide
The reaction and purification conditions described in Example 81, substituting the product of Example 277B for 2-(4-chloro-3-fluorophenoxy)acetic acid and the product of
Example 27D for benzyl (4-aminobicyclo[2.1.1]hexan-l-yl)carbamate hydrochloride gave the title compound. XH NMR (500 MHz, DMSO-c¾) δ ppm 8.95 (s, 1H), 8.76 (s, 1H), 8.68 (d, J =
2.8 Hz, 1H), 7.96 - 7.91 (m, 1H), 7.77 - 7.73 (m, 1H), 7.52 - 7.44 (m, 2H), 7.08 (dd, J = 11.4,
2.9 Hz, 1H), 6.98 (d, J = 15.4 Hz, 1H), 6.86 (ddd, J = 8.9, 2.8, 1.2 Hz, 1H), 4.49 (s, 2H), 2.30 (s, 6H); MS (DCI) m/z 517 (M+NH4)+.
Example 278: A^-{(2.S)-4-[2-(4-chloro-3-fluorophenoxy)acetamido]-2- hydroxybicyclo[2.2.2]octan-l-yl}-A^-methyl-2-{ [6-(trifluoromethyl)pyridin-3- yl]oxy}acetamide (Compound 377)
The title compound was prepared using the methodologies described in Example 276 substituting 2-((6-(trifluoromethyl)pyridin-3-yl)oxy)acetic acid for 2-(4-chloro-3- fluorophenoxy)acetic acid. XH NMR (400 MHz, DMSO-i¾) δ ppm 8.75 (s, 1H), 8.66 (dd, J =
I I.9, 5.7 Hz, 1H), 8.48 (d, J = 2.9 Hz, 1H), 7.83 (d, J = 8.7 Hz, 1H), 7.75 (s, 1H), 7.63 (dd, J = 8.7, 2.9 Hz, 1H), 7.44 (t, J = 8.9 Hz, 1H), 6.98 (dd, J = 11.4, 2.9 Hz, 1H), 6.77 (ddd, J = 8.9, 2.9, 1.1 Hz, 1H), 5.20 (d, J = 9.1 Hz, 1H), 5.10 (d, J = 16.7 Hz, 1H), 4.98 (d, J = 16.7 Hz, 1H), 4.42 (s, 2H), 2.56 - 2.47 (m, 1H), 2.44 (s, 3H), 1.86 (m, 9H); MS (ESI+) m/z 560.2 (M+H)+.
Example 279: 2-(4-chloro-3-fluorophenoxy)-A^-[3-(2-{[2-(difluoromethyl)pyridin-4- yl] oxy }acetamido)bicyclo [ 1.1.1] pentan- 1-yl] acetamide (Compound 378)
A mixture of Example 28A (65.0 mg, 0.180 mmol), 2-(difluoromethyl)pyridin-4-ol
(39.2 mg, 0.27 mmol), potassium carbonate (49.7 mg, 0.36 mmol), and potassium iodide (2.09 mg, 0.013 mmol) in acetone (2.5 mL) was heated at 140 °C in a Biotage® Initiator microwave reactor for 40 minutes. The reaction mixture was filtered, and the filtrate was concentrated.
The residue was purified by reverse-phase HPLC (see protocol in Example 112D) to provide the title compound (68.4 mg, 0.145 mmol, 81% yield). XH NMR (400 MHz, DMSO-c¾) δ ppm
8.82 (s, 1H), 8.74 (s, 1H), 8.51 (d, J = 5.7 Hz, 1H), 7.49 (t, J = 8.9 Hz, 1H), 7.25 (d, J = 2.5 Hz,
1H), 7.17 - 6.98 (m, 2.3H), 6.94 - 6.70 (m, 1.8H), 4.64 (s, 2H), 4.48 (s, 2H), 2.27 (s, 6H); MS
(ESI+) m/z 470.2 (M+H)+.
Example 280: 2-[(2,2-difluoro-2H-l,3-benzodioxol-5-yl)oxy]-^-{3-[2-(3,4- difluorophenoxy)acetamido]bicyclo[l.l.l]pentan-l-yl}acetamide (Compound 379)
Example 280A: [(2,2-difluoro-2H-l,3-benzodioxol-5-yl)oxy]acetic acid
The reaction and purification conditions described in Example 11 A and Example 1 IB, substituting the product of Example 159A for 5-hydroxy-3-methylbenzo[cf|isoxazole gave the title compound. MS (ESI+) m/z 233 (M+H)+.
Example 280B: tert-butyl (3-{2-[(2,2-difluoro-2H-l,3-benzodioxol-5- yl)oxy]acetamido}bicyclo[ 1.1.1 Jpentan-1 -yljcarbamate
The reaction and purification conditions described in Example 11C substituting the product of Example 280A for the product of Example 1 IB, and tert-butyl (3- aminobicyclo[l . l. l]pentan-l-yl)carbamate for the product of Example 9B gave the title compound. MS (ESI+) m/z 435 [M+Na]+.
Example 280C: N-(3-aminobicyclo[ 1.1.1 ]pentan-l-yl)-2-[(2,2-difluoro-2H-l,3-benzodioxol-5- yljoxyjacetamide
The reaction and purification conditions described in Example 9D substituting the product of Example 280B for the product of Example 9C gave the title compound. MS (ESI+) m/z 313 (M+H)+.
Example 280D: 2-[ ( 2, 2-difluoro-2H-l, 3-benzodioxol-5-yl)oxy ]-N-{ 3-[ 2-(3, 4- difluorophenoxyjacetamido Jbicyclof 1.1.1 Jpentan-1 -yljacetamide
The reaction and purification conditions described in Example 81, substituting 2-(3,4- difiuorophenoxy)acetic acid (Combi-Blocks) for 2-(4-chloro-3-fluorophenoxy)acetic acid and the product of Example 280C for benzyl (4-aminobicyclo[2.1.1]hexan-l-yl)carbamate hydrochloride gave the title compound. l NMR (400 MHz, DMSO-c¾) δ ppm 8.70 (s, 2H),
7.42 - 7.29 (m, 2H), 7.14 (d, J = 2.6 Hz, 1H), 7.09 (ddd, J = 12.6, 6.8, 3.0 Hz, 1H), 6.82 - 6.75
(m, 2H), 4.44 (s, 4H), 2.27 (s, 6H); MS (ESI+) m/z 483 (M+H)+.
Example 281: 2-(4-chloro-3-fluorophenoxy)-^-(4-{2-[(2,2-difluoro-2H-l,3-benzodioxol-5- yl)oxy]acetamido}bicyclo[2.1.1]hexan-l-yl)acetamide (Compound 380) The reaction and purification conditions described in Example 81, substituting the product of Example 280A for 2-(4-chloro-3-fluorophenoxy)acetic acid and the product of Example 88C for benzyl (4-aminobicyclo[2.1.1]hexan-l-yl)carbamate hydrochloride gave the title compound. XH NMR (400 MHz, DMSO-c¾) δ ppm 8.46 (s, 1H), 8.43 (s, 1H), 7.47 (t, J = 8.9 Hz, 1H), 7.30 (d, J = 8.9 Hz, 1H), 7.11 (d, J = 2.5 Hz, 1H), 7.05 (dd, J = 11.4, 2.8 Hz, 1H), 6.83 (ddd, J = 9.0, 2.9, 1.2 Hz, 1H), 6.75 (dd, J = 8.9, 2.6 Hz, 1H), 4.46 (s, 2H), 4.42 (s, 2H), 2.08 - 2.03 (m, 2H), 1.86 - 1.72 (m, 6H); MS (ESI+) m/z 530 (M+NH4)+.
Example 282: 2-(4-chloro-3-fluorophenoxy)-A^-(3-{2-[(l-methyl-lH-pyrazol-3- yl)oxy] acetamido}bicyclo [ 1.1.1] pentan- l-yl)acetamide (Compound 381)
Example 282A: tert-butyl 2-((l-methyl-lH-pyrazol-3-yl)oxy)acetate
To a solution of tert-butyl 2-bromoacetate (0.90 mL, 6.12 mmol) in acetonitrile (10 mL) were added l-methyl-lH-pyrazol-3-ol (400 mg, 4.08 mmol) and potassium carbonate (1.69 g, 12.2 mmol). The mixture was stirred at 80 °C for 1 hour. The reaction mixture was quenched with 6 N HCl (3 mL) and water (20mL). The layers were separated, and the aqueous layer was extracted with ethyl acetate (3 χ 40 mL). The combined organic layers was dried over anhydrous MgSC>4, filtered and concentrated under reduced pressure. The resulting material was purified by flash column chromatography (S1O2, 0-100% ethyl acetate/heptane) to give the title compound (450 mg, 2.12 mmol, 52% yield). lH NMR (500 MHz, DMSO-c¾) δ ppm 7.45 (d, J = 2.3 Hz, 1H), 5.61 (d, J = 2.3 Hz, 1H), 4.56 (s, 2H), 3.63 (s, 3H), 1.41 (s, 9H); MS (ESI+) m/z 213 (M+H)+.
Example 282B: 2-( ( 1 -methyl- lH-pyrazol-3-yl)oxy)acetic acid
To a solution of the product of Example 282A(400mg, 1.89 mmol) in dichloromethane (10 mL) was added trifluoroacetic acid (1.45 mL, 18.9 mmol). The mixture was stirred at ambient temperature for 2 hours. Water was added, and then the mixture was concentrated under reduced pressure to give the title compound (200mg, 1.28 mmol, 68% yield). XH NMR (400 MHz, DMSO-c e) δ ppm 7.45 (d, J = 2.3 Hz, 1H), 6.66 (s, 1H), 5.63 (d, J = 2.3 Hz, 1H), 4.61 (s, 2H), 3.65 (s, 3H); MS (ESI+) m/z 157 (M+H)+.
Example 282C: 2-(4-chloro-3-fluorophenoxy)-N-(3-(2-((l -methyl- lH-pyr azol-3- yl)oxy)acetamido)bicyclo[ 1.1.1 ] pentan- l-yl)acetamide
To a solution of the product of Example 9B (40 mg, 0.100 mmol) in N,N- dimethylformamide (0.80 mL) were added the product of example 282B (17.2 mg, 0.110 mmol), N-[(dimethylamino)- 1H- 1 ,2,3-triazolo-[4,5-Z>]pyridin- 1 -ylmethylene] -N- methylmethanaminium hexafluorophosphate N-oxide (HATU, 42.0 mg, 0.110 mmol), and N,N- diisopropylethylamine (0.053 mL, 0.301 mmol) at ambient temperature. The reaction mixture was stirred 1 hour at ambient temperature, and then was purified with preparative HPLC
[Waters XBridge™ C 18 5 μιη OBD™ column, 30 χ 100 mm, flow rate 40 mL/minute, 5-100% gradient of acetonitrile in buffer (0.1 % trifluoroacetic acid)] to give the title compound (32 mg, 0.076 mmol, 75% yield). XH NMR (400 MHz, DMSO-c¾) δ ppm 8.67 (s, 1H), 8.54 (s, 1H), 7.51 - 7.40 (m, 2H), 7.03 (dd, J = 1 1.4, 2.9 Hz, 1H), 6.81 (ddd, J = 8.9, 2.8, 1.1 Hz, 1H), 5.60 (d, J = 2.3 Hz, 1H), 4.43 (s, 2H), 4.38 (s, 2H), 3.61 (s, 3H), 2.21 (s, 6H); MS (ESI+) m/z 423 (M+H)+.
Example 283: 2-(4-chloro-3-fluorophenoxy)-^-[(3,S)-4-(2-{[5-(difluoromethyl)pyrazin-2- yl]oxy}acetamido)-3-hydroxybicyclo[2.2.2]octan-l-yl]acetamide (Compound 382)
Example 283A: {[5-(difluoromethyl)pyrazin-2-yl]oxy}acetic acid
The title compound was prepared using the methodologies described in Example 206B substituting 5-(difluoromethyl)pyrazin-2-ol for Example 206A. XH NMR (400 MHz, DMSO- di) δ ppm 8.17 - 8.08 (m, 2H), 7.01 (J= 52.0 Hz, 1H), 4.68 (s, 2H); MS (ES ) m/z 205.1 (M+H)+.
Example 283B: 2-(4-chloro-3-fluorophenoxy)-N-[(3S)-4-(2-{[5-(difluoromethyl)pyrazin-2- yl ]oxy}acetamido)-3-hydroxybicyclo[ 2.2.2 ]octan-l-yl Jacetamide
The title compound was prepared using the methodologies described in Example 202 substituting Example 276A for Example 1981 and substituting Example 283 A for 2-((6-
(trifluoromethyl)pyridin-3-yl)oxy)acetic acid. XH NMR (400 MHz, DMSO-c¾) δ ppm 8.04 (s, 1H), 7.92 (d, J = 1.5 Hz, 1H), 7.72 (s, 1H), 7.50 - 7.39 (m, 2H), 6.98 - 6.72 (m, 3H), 4.57 (d, J = 15.6 Hz, 1H), 4.49 (d, J = 15.6 Hz, 1H), 4.39 (s, 2H), 4.06 (dd, J = 9.6, 2.8 Hz, 1H), 2.21 (ddd, J = 12.6, 9.4, 2.6 Hz, 1H), 1.98 - 1.62 (m, 9H); MS (ES ) m/z 529.1 (M+H)+.
Example 284: 2-[(2,2-difluoro-2H-l,3-benzodioxol-5-yl)oxy]-^-[3-(2-{[5-
(difluoromethyl)pyrazin-2-yl]oxy}acetamido)bicyclo[l.l.l]pentan-l-yl]acetamide
(Compound 383)
A mixture of Example 280C (75 mg, 0.215 mmol), Example 283A (43.9 mg, 0.215 mmol), N-ethyl-N-isopropylpropan-2-amine (0.188 mL, 1.075 mmol), N,N-dimethylformamide (1.5 mL), and 2-(3H-[l ,2,3]triazolo[4,5-)]pyridin-3-yl)-l, l ,3,3-tetramethylisouronium hexafluorophosphate(V) (123 mg, 0.323 mmol) was stirred overnight. The reaction mixture was concentrated, and the residue was purified by HPLC (10-85% acetonitrile in 0.1% trifluoroacetic acid/water at 25 mL/minute on a Phenomenex® C18 5 μηι column (250 χ 21.2 mm)) to give 85 mg of the title compound as a white solid. XH NMR (400 MHz, DMSO-c¾) δ ppm 8.93 (s, 1H), 8.68 (s, 1H), 8.05 (s, 1H), 7.99 (d, J = 1.5 Hz, 1H), 7.28 (d, J = 8.8 Hz, 1H), 7.09 (d, J = 2.5 Hz, 1H), 6.82 - 6.66 (m, 2H), 4.52 (s, 2H), 4.39 (s, 2H), 2.20 (s, 6H); MS (ESI+) m/z 499.0 (M+H)+.
Example 285: 2-(4-chloro-3-fluorophenoxy)-iV-[3-(2-{[5-(difluoromethyl)pyrazin-2- yl] oxy }acetamido)bicyclo [ 1.1.1] pentan- 1-yl] acetamide (Compound 384)
The title compound was prepared using the methodologies described in Example 284 substituting Example 9B for Example 280C XH NMR (400 MHz, DMSO-c¾) δ ppm 8.94 (s, 1H), 8.70 (s, 1H), 8.05 (s, 1H), 7.98 (t, J = 1.4 Hz, 1H), 7.45 (t, J = 8.9 Hz, 1H), 7.03 (dd, J =
11.3, 2.8 Hz, 1H), 6.82 (s, 1H), 6.85 - 6.77 (m, 1H), 4.52 (s, 2H), 4.43 (s, 2H), 2.20 (s, 6H); MS (ESI+) m/z 471.0 (M+H)+.
Example 286: 2-(4-chloro-3-fluorophenoxy)-iV-(3-{2-[(l,3-dimethyl-lH-pyrazol-5- yl)oxy]acetamido}bicyclo[l.l.l]pentan-l-yl)acetamide (Compound 385)
The reaction and purification conditions described in Example 282 substituting 1,3- dimethyl-lH-pyrazol-5-ol for 1 -methyl- lH-pyrazol-3-ol gave the title compound. Ti NMR (400 MHz, DMSO-c¾) δ ppm 8.69 (s, 1H), 8.67 (s, 1H), 7.46 (t, J = 8.9 Hz, 1H), 7.03 (dd, J =
11.4, 2.8 Hz, 1H), 6.81 (ddd, J = 9.0, 2.9, 1.2 Hz, 1H), 5.34 (s, 1H), 4.44 (s, 2H), 4.39 (s, 2H), 3.47 (s, 3H), 2.23 (s, 6H), 1.99 (s, 3H); MS (ESI+) m/z 437 (M+H)+.
Example 287: iV-[2-({3-[2-(4-chloro-3-fluorophenoxy)acetamido]bicyclo[l.l.l]pentan-l- yl}amino)-2-oxoethyl]-5-(trifluoromethoxy)pyridine-2-carboxamide (Compound 386) Example 287A: tert-butyl [2-({3-[2-(4-chloro-3- fluorophenoxyjacetamido Jbicyclof 1.1.1 ] pentan- l-yl}amino)-2-oxoethyl] carbamate
The reaction and purification conditions described in Example 81, substituting N-(tert- butoxycarbonyl)glycine for 2-(4-chloro-3-fluorophenoxy)acetic acid and the product of
Example 27D for benzyl (4-aminobicyclo[2.1.1]hexan-l-yl)carbamate hydrochloride gave the title compound. MS (ESI") m/z 440 (M-H)".
Example 287B: 2-amino-N-{3-[ 2-(4-chloro-3-fluorophenoxy)acetamido Jbicyclof 1.1.1 Jpentan- 1 -yljacetamide
The reaction and purification conditions described in Example 83B, substituting the product of Example 287 A for the product of Example 83 A gave the title compound. MS (ESI+) m/z 342 (M+H)+. Example 287C: N-[ 2-( { 3-[ 2-( 4-chloro-3-fluorophenoxy)acetamido Jbicyclof 1.1.1 Jpentan-1- yl}amino)-2-oxoethyl]-5-(trifluoromethoxy)pyridine-2-carboxamide
The reaction and purification conditions described in Example 81, substituting 5- (trifiuoromethoxy)picolinic acid (Ark Pharm) for 2-(4-chloro-3-fluorophenoxy)acetic acid and the product of Example 287B for benzyl (4-aminobicyclo[2.1.1]hexan-l-yl)carbamate hydrochloride gave the title compound. Ti NMR (400 MHz, DMSO-c¾) δ ppm 8.83 (t, J = 5.9 Hz, 1H), 8.74 (d, J = 2.7 Hz, 1H), 8.68 (s, 1H), 8.58 (s, 1H), 8.18 - 8.13 (m, 1H), 8.10 - 8.04 (m, 1H), 7.47 (t, J = 8.9 Hz, 1H), 7.05 (dd, J = 11.4, 2.8 Hz, 1H), 6.83 (ddd, J = 9.0, 2.8, 1.2 Hz, 1H), 4.45 (s, 2H), 3.85 (d, J = 6.0 Hz, 2H), 2.22 (s, 6H); MS (ESI+) m/z 531 (M+H)+. Example 288: AyV-(2-cyanobicyclo[2.2.2]octane-l,4-diyl)bis[2-(4-chloro-3- fluorophenoxy)acetamide] (Compound 387)
To a solution of Example 245 (0.43 g, 0.708 mmol) in N,N-dimethylformamide (3.0 mL) was added tetrabutylammonium cyanide (0.248 g, 0.920 mmol), and the mixture was stirred at 90 °C for 16 hours. The mixture was cooled to ambient temperature and partition between water and ethyl acetate. The organic layer was washed with brine, dried over magnesium sulfate and filtered. The filtrate was concentrated, and the residue was purified by HPLC (10-95% acetonitrile in 0.1% trifluoroacetic acid/water at 25 mL/minute on a
Phenomenex® C18 5 μπι column (250 χ 21.2 mm)) to give 213 mg of the title compound as a white solid. XH NMR (400 MHz, DMSO-c¾) δ ppm 8.73 (s, 1H), 8.27 (s, 2H), 7.58 (tdd, J = 8.9, 4.1, 2.6 Hz, 2H), 7.18 - 7.07 (m, 2H), 6.92 (ddp, J = 8.3, 4.6, 1.4 Hz, 2H), 5.04 (s, 5H),
4.78 - 4.64 (m, 2H), 4.57 (s, 2H), 4.56 (s, 1H), 4.27 (s, 1H), 2.29 (t, J = 9.2 Hz, 1H), 2.15 (d, J = 12.0 Hz, 1H), 2.13 - 1.94 (m, 2H), 1.92 - 1.70 (m, 6H); MS (ESI+) m/z 554.9 (M+NH4)+. Example 289: 2-(4-chloro-3-fluorophenoxy)-iV-(3-{2-[4-
(difluoromethyl)phenoxy] acetamido }bicyclo [1.1.1] pentan- l-yl)acetamide (Compound 388)
The reaction and purification conditions described in Example 27E substituting 2-(4- (difluoromethyl)phenoxy)acetic acid for 2-(4-chloro-3-methoxyphenoxy)acetic acid gave the titled compound (35 mg, 0.075 mmol, 83% yield). XH NMR (501 MHz, DMSO-c¾) ppm 8.76 (s, 1H), 8.74 (s, 1H), 7.52 (d, J = 8 Hz, 2H), 7.50 (t, J = 8 Hz, 1H), 7.08 (dd, J = 9, 3 Hz, 1H), 7.06 (d, J = 8 Hz, 2H), 6.96 (t, J = 60 Hz, 1H), 6.85 (br d, J = 8 Hz, 1H), 4.50 (s, 2H), 4.48 (s, 2H), 2.27 (s, 6H); MS (ESI+) m/z 469 (M+H)+. Example 290: ^^V-(bicyclo[l.l.l]pentane-l,3-diyl)bis{2-[4- (difluoromethyl)phenoxy]acetamide} (Compound 389)
Example 290A: bicyclo[ 1.1.1 Jpentane-1, 3-diamine bis (2, 2, 2-trifluoroacetate)
A mixture of fert-butyl (3-aminobicyclo[l . l . l]pentan-l-yl)carbamate (0.026 g, 0.13 mmol) and 2,2,2-trifiuoroacetic acid (0.222 g, 1.95 mmol) in dichloromethane (0.3 mL) was stirred at ambient temperature for 3 hours, and then the mixture was concentrated under reduced pressure to give the title compound (42 mg, 99%yield) which was used without purification or characterization.
Example 290B: methyl 2-(4-(difluoromethyl)phenoxy)acetate
A mixture of 4-(difluoromethyl)phenol (221 mg, 1.53 mmol), methyl 2-bromoacetate
(351 mg, 2.30 mmol) and potassium carbonate (486 mg, 3.52 mmol) in acetone (1.5 mL) was stirred at 60 °C for 2 hours. Ethyl acetate (5 mL) was added, and the solution was filtered. The filtrate was concentrated under reduced pressure, and the residue was purified by flash column chromatography on silica gel (40g) eluted with 5-40% ethyl acetate/heptane to give the title compound (97 mg, 29% yield). XH NMR (400 MHz, DMSO-c¾) δ ppm 7.50 (d, J = 8 Hz, 2H), 7.05 (d, J = 8 Hz, 2H), 6.96 (t, J = 56 Hz, 1H), 4.87 (s, 2H), 3.70 (s, 3H).
Example 290C: 2-(4-(difluoromethyl)phenoxy)acetic acid
To the product of Example 290B (90 mg, 0.416 mmol) in methanol (3 mL) was added 4 N aqueous sodium hydroxide solution (1.77 mL, 7.08 mmol). The mixture was stirred at ambient temperature for 16 hours. The mixture was acidified with 1 N aqueous HCl solution to pH~6. The resulting mixture was extracted with ethyl acetate (2 χ 50 mL). The combined organic fractions were dried over anhydrous Na2SC>4 and concentrated under reduced pressure to give the title compound (70 mg .83% yield). XH NMR (400 MHz, DMSO-c¾) δ ppm 7.45 (d, J = 8 Hz, 2H), 6.92 (d, J = 8 Hz, 2H), 6.91 (t, J = 56 Hz, 1H), 4.26 (s, 2H).
Example 290D: N,N'-(bicyclo[ 1.1.1 Jpentane-1, 3-diyl)bis{2-[ 4- (difluoromethyl)phenoxyjacetamide}
The product of Example 290C (40.4 mg, 0.20 mmol) and N-[(dimethylamino)-lH- l ,2,3 riazolo-[4,5- )]pyridin-l-ylmethylene]-N-methylmethanaminium hexafluorophosphate N- oxide (HATU, 84 mg, 0.220 mmol) in N,N-dimethylformamide (1 mL) was stirred at ambient temperature for 5 minutes, then the product of Example 290A (32.6 mg, 0.1 mmol) and N- ethyl-N-isopropylpropan-2-amine (103 mg, 0.80 mmol) in N,N-dimethylformamide (0.5 mL) was added. The mixture was stirred at ambient temperature for 0.5 hour and then was purified by preparative HPLC [Waters XBridge™ CI 8 5 μηι OBD™ column, 50 χ 100 mm, flow rate 90 mL/minute, 5-100% gradient of acetonitrile in buffer (0.1 % aqueous trifluoroacetic acid)] to give the title compound (35 mg, 75% yield). XH NMR (400 MHz, DMSO-c¾) δ ppm 8.73 (s, 2H), 7.52 (d, J = 8 Hz, 4H), 7.06 (d, J = 8 Hz, 4H), 6.96 (t, J = 56 Hz, 2H), 4.50 (s, 4H), 2.27 (s, 6H); MS (ESI") m/z 465 (M-H)".
Example 291 : 1,4-bis [2-(4-chloro-3-fluorophenoxy)acetamido] bicyclo [2.2.2] octane-2- carboxylic acid (Compound 390)
A mixture of Example 288 (40 mg, 0.074 mmol), concentrated hydrochloric acid (1.0 mL, 32.9 mmol) and acetic acid (1.0 mL, 17.47 mmol) was heated in a microwave vial at 110 °C for 0.5 hours. The solution was concentrated under vacuum, and the residue was purified by HPLC (10-95% acetonitrile in 0.1% trifluoroacetic acid/water at 25 mL/minute on a
Phenomenex® C18 5 μπι column (250 χ 21.2 mm)) to give 4.5 mg of the title compound as a white solid. l NMR (400 MHz, DMSO-c¾) δ ppm 12.30 (s, 1H), 8.14 (s, 1H), 7.94 (s, 1H), 7.43 (dt, J = 11.9, 8.9 Hz, 2H), 6.98 (td, J = 11.5, 2.9 Hz, 2H), 6.78 (dt, J = 9.2, 3.1 Hz, 2H), 4.56 (s, 2H), 4.43 (s, 2H), 2.42 (d, J = 5.4 Hz, 1H), 2.05 - 1.53 (m, 9H); MS (ESI+) m/z 557.0 (M+H)+.
Example 292 : AyVMbicyclo [2.1.1] hexane- l,4-diyl)bis {2- [(2,2-difluoro-2H-l,3- benzodioxol-5-yl)oxy]acetamide} (Compound 391)
The reaction and purification conditions described in Example 83 C substituting the product of Example 280A (2 equivalents) for the product of Example 83B, and tot-butyl 4- aminobicyclo[2.1.1]hex-l-ylcarbamate (Enamine) for the product of Example 9A gave the title compound. *H NMR (501 MHz, DMSO-c¾) δ ppm 8.45 (s, 2H), 7.32 (d, J = 8.9 Hz, 2H), 7.14 (d, J = 2.5 Hz, 2H), 6.77 (dd, J = 8.9, 2.5 Hz, 2H), 4.44 (s, 4H), 2.12 - 2.05 (m, 2H), 1.85 - 1.77 (m, 6H); MS (ESI+) m/z 558 (M+NH4)+.
Example 293: 2-(4-chloro-3-fluorophenoxy)-ZV-(3-{2-[3-
(trifluoromethoxy)phenoxy] acetamido }bicyclo [ 1.1.1] pen tan- l-yl)acetamide (Compound 392)
The reaction and purification conditions described in Example 282 substituting 3- (trifluoromethoxy)phenol for 1 -methyl- lH-pyrazol-3-ol gave the title compound. XH NMR (400 MHz, DMSO-c¾) δ ppm8.71 (s, 1H), 8.69 (s, 1H), 7.46 (t, J = 8.9 Hz, 1H), 7.39 (t, J = 8.6 Hz, 1H), 7.04 (dd, J = 11.4, 2.9 Hz, 1H), 6.96 (dd, J = 8.2, 2.2 Hz, 1H), 6.92 (dd, J = 5.1, 2.2 Hz, 2H), 6.82 (ddd, J = 8.9, 2.8, 1.2 Hz, 1H), 4.45 (s, 2H), 4.44 (s, 2H), 2.23 (s, 6H); MS (ESI ) m/z 520 (M+NH4)+.
Example 294: 2-(4-chloro-3-fluorophenoxy)-iV-(3-{2-[4-
(trifluoromethoxy)phenoxy] acetamido }bicyclo [ 1.1.1] pen tan- l-yl)acetamide (Compound 393)
The reaction and purification conditions described in Example 282 substituting 4- (trifluoromethoxy)phenol for 1 -methyl- lH-pyrazol-3-ol gave the title compound. XH NMR (400 MHz, DMSO-c¾) ppm 8.69 (s, 2H), 7.46 (t, J = 8.9 Hz, 1H), 7.30 - 7.23 (m, 2H), 7.08 - 6.97 (m, 3H), 6.82 (ddd, J = 9.0, 2.9, 1.2 Hz, 1H), 4.44 (s, 2H), 4.43 (s, 2H), 2.23 (s, 6H); MS (ESI+) m/z 520 (M+NH4)+.
Example 295: 2-(4-chloro-3-fluorophenoxy)-A/-[(3.S)-4-{2-[(5,6-dimethylpyridin-3- yl)oxy] acetamido}-3-hydroxybicyclo [2.2.2] octan-l-yl] acetamide (Compound 394)
Example 295A: 2-chloro-N-{ (2S)-4-[ 2-( 4-chloro-3-fluorophenoxy)acetamido ]-2- hydroxybicyclo [ 2.2.2 ]octan-l-yl}acetamide
A mixture of Example 276A (0.50 g, 1.1 mmol), 2-chloroacetic acid (0.114 g, 1.20 mmol), N-[(dimethylamino)- 1H- 1 ,2,3-triazolo-[4,5-Z>]pyridin- 1 -ylmethylene] -N- methylmethanaminium hexafluorophosphate N-oxide (HATU, 0.50 g, 1.31 mmol), and triethylamine (0.46 mL, 3.28 mmol) in tetrahydrofuran (10 mL) was stirred for 16 hours. The reaction mixture was treated with water and brine and extracted with ethyl acetate (2x). The combined organic layers were dried over anhydrous MgSC>4, filtered, and concentrated under reduced pressure. The residue was purified on an 80 g silica gel column using the Biotage® Isolera™ One flash system eluting with ethyl acetate/heptanes (8:2 to 9: 1) to provide the title compound (0.261 g, 0.62 mmol, 57% yield). MS (ESI+) m/z 419.1 (M+H)+.
Example 295B: 2-(4-chloro-3-fluorophenoxy)-N-[(3S)-4-{2-[ (5, 6-dimethylpyridin-3- yl)oxy]acetamido}-3-hydroxybicyclo[2.2.2] octan-l-yl] acetamide
A mixture of Example 295A (55.0 mg, 0.13 mmol), 5,6-dimethylpyridin-3-ol (24.2 mg, 0.197 mmol), potassium carbonate (36.3 mg, 0.26 mmol), and potassium iodide (1.524 mg, 9.18 μιτιοΐ) in acetone (2.5 mL) was heated at 140 °C in a Biotage® Initiator microwave reactor for 40 minutes. The reaction mixture was filtered, and the filtrate was concentrated. The residue was purified by reverse-phase HPLC (see protocol in Example 112D) to provide the title compound as a trifluoroacetic acid salt (24.4 mg, 0.048 mmol, 30% yield). XH NMR (400 MHz, DMSO-c¾) δ ppm 8.30 (d, J = 2.8 Hz, 1H), 7.93 (d, J = 2.4 Hz, 1H), 7.57 - 7.36 (m, 3H), 7.02 (dd, J = 11.4, 2.9 Hz, 1H), 6.81 (ddd, J = 9.0, 2.9, 1.2 Hz, 1H), 4.66 (s, 2H), 4.44 (s, 2H), 4.09 (dd, J = 9.6, 3.1 Hz, 1H), 2.53 (s, 3H), 2.36 (s, 3H), 2.31 - 2.22 (m, 1H), 2.01-1.75 (m, 9H); MS (ESI+) m/z 506.2 (M+H)+.
Example 296: 2-(4-chloro-3-fluorophenoxy)- V-[(3S)-4-{2-[(2,6-dimethylpyridin-4- yl)oxy]acetamido}-3-hydroxybicyclo [2.2.2] octan-l-yl]acetamide (Compound 395)
The reaction described in Example 295B substituting 2,6-dimethylpyridin-4-ol for 5,6- dimethylpyridin-3-ol gave the title compound. XH NMR (400 MHz, DMSO-c¾) δ ppm 7.55 (d, J = 6.3 Hz, 2H), 7.48 (t, J = 8.9 Hz, 1H), 7.24 (s, 2H), 7.02 (dd, J = 11.4, 2.9 Hz, 1H), 6.80 (ddd, J = 8.9, 2.9, 1.2 Hz, 1H), 4.80 (s, 2H), 4.44 (s, 2H), 4.12 (dd, J = 9.7, 3.0 Hz, 1H), 2.58 (s, 6H), 2.26 (ddd, J = 12.5, 9.4, 2.4 Hz, 1H), 2.06 - 1.67 (m, 9H); MS (ESI+) m/z 506.2 (M+H)+. Example 297: 2-(4-chloro-3-fluorophenoxy)-iV-(3-{2-[3-
(difluoromethoxy)phenoxy]acetamido}bicyclo[l.l.l]pentan-l-yl)acetamide (Compound 396)
The reaction and purification conditions described in Example 282 substituting 3- (difluoromethoxy)phenol for 1 -methyl- lH-pyrazol-3-ol gave the title compound. Ti NMR
(400 MHz, DMSO-c¾) δ ppm 8.71 - 8.65 (m, 2H), 7.46 (t, J = 8.9 Hz, 1H), 7.34 - 7.27 (m, 1H), 7.19 (t, J = 74.1 Hz, 1H), 7.04 (dd, J = 11.4, 2.9 Hz, 1H), 6.85 - 6.77 (m, 2H), 6.77 - 6.71 (m, 2H), 4.44 (s, 2H), 4.42 (s, 2H), 2.24 (s, 6H); MS (ESI+) m/z 502 (M+NH4)+.
Example 298: 2-(4-chloro-3-fluorophenoxy)-iV-(3-{2-[4- (difluoromethoxy)phenoxy]acetamido}bicyclo[l.l.l]pentan-l-yl)acetamide (Compound 397)
The reaction and purification conditions described in Example 282 substituting 4- (difluoromethoxy)phenol for 1 -methyl- lH-pyrazol-3-ol gave the title compound. Ti NMR (400 MHz, DMSO-c¾) δ ppm 8.68 (s, 1H), 8.66 (s, 1H), 7.46 (t, J = 8.9 Hz, 1H), 7.25 - 6.86 (m, 6H), 6.84 - 6.79 (m, 1H), 4.44 (s, 2H), 4.39 (s, 2H), 2.23 (s, 6H); MS (ESI+) m/z 502
(M+NH4)+.
Example 299: 2-(4-chloro-3-fluorophenoxy)-iV-[3-(2- phenoxyacetamido)bicyclo [ 1.1.1] pentan- 1-yl] acetamide (Compound 398)
To a solution of 27D in DMF (0.8 mL) were added 2-phenoxy acetic acid (17.6 mg, 0.116 mmol), N-[(dimethylamino)-lH-l,2,3-triazolo-[4,5- )]pyridin-l-ylmethylene]-N- methylmethanaminium hexafluorophosphate N-oxide (HATU, 44.1 mg, 0.116 mmol), and N,N- diisopropylethylamine (0.055 mL, 0.316 mmol) at ambient temperature. The reaction mixture was stirred for 16 hours and then water was added. The resulting solids were isolated via filtration to give the title compound (18 mg, 0.043 mmol, 41% yield). XH NMR (400 MHz, DMSO-c¾) δ ppm 8.68 (s, 1H), 8.65 (s, 1H), 7.46 (t, J = 8.8 Hz, 1H), 7.27 (t, J = 7.9 Hz, 2H), 7.04 (dd, J = 11.3, 2.9 Hz, 1H), 6.96 - 6.88 (m, 3H), 6.85 - 6.78 (m, 1H), 4.44 (s, 2H), 4.38 (s, 2H), 2.24 (s, 6H); MS (ESI+) m/z 436 (M+NH4)+.
Example 300: 2-(4-chloro-3-fluorophenoxy)-A^-[3-(2-{[6-(difluoromethyl)pyridin-3- yl] oxy }acetamido)bicyclo [ 1.1.1] pentan- 1-yl] acetamide (Compound 399)
The reaction and purification conditions described in Example 282 substituting 6- (difluoromethyl)pyridin-3-ol for 1 -methyl- lH-pyrazol-3-ol gave the title compound. XH NMR (400 MHz, DMSO-c¾) δ ppm 8.76 (s, 1H), 8.69 (s, 1H), 8.35 (d, J = 2.8 Hz, 1H), 7.62 (d, J =
8.7 Hz, 1H), 7.50 - 7.42 (m, 2H), 7.03 (dd, J = 11.4, 2.8 Hz, 1H), 6.86 (t, J = 55.2 Hz, 1H), 6.82 (ddd, J = 8.9, 2.8, 1.2 Hz, 1H), 4.58 (s, 2H), 4.44 (s, 2H), 2.23 (s, 6H); 19F NMR (376 MHz, DMSO-c¾) δ ppm -113.20, -114.12; MS (ESI+) m/z 436 (M+NH4)+.
Example 301: AyV-(bicyclo[l.l.l]pentane-l,3-diyl)bis(2-{[6-(trifluoromethyl)pyridin-3- yl]oxy}acetamide) (Compound 400)
Example 301 A: tert-butyl 2-((6-(trifluoromethyl)pyridin-3-yl)oxy)acetate
A mixture of 6-(trifluoromethyl)pyridin-3-ol (Combi-Blocks, 10 g, 60.1 mmol), potassium carbonate (16.6 g, 120 mmol) and tot-butyl bromoacetate (9.25 mL, 63.1 mmol) in N^V-dimethylformamide (100 mL) was warmed to 65 °C and was allowed to stir for 16 hours. The mixture was cooled to ambient temperature and quenched with saturated, aqueous
NaHCCb (40 mL) and diluted with ethyl acetate (40 mL) and water (20 mL). The layers were separated, and the aqueous layer was extracted with ethyl acetate (3 x 15 mL). The combined organic layers were dried over anhydrous sodium sulfate and concentrated under reduced pressure. The resulting residue was purified via column chromatography (Si02, 15-25% ethyl acetate/heptanes) to give the title compound (16.2 g, 58.4 mmol, 97% yield). MS (ESI+) m/z 278 (M+H)+.
Example 30 IB: 2-((6-(trifluoromethyl)pyridin-3-yl)oxy)acetic acid
To a solution of the product of Example 301A (16.2 g, 58.4 mmol) in dichloromethane (100 mL) at ambient temperature was added trifluoroacetic acid (45.0 mL, 584 mmol). This mixture was allowed to stir at ambient temperature for 4 hours and then was concentrated under reduced pressure and azeotroped with toluene to give solids which were re-precipitated from ethyl acetate/heptanes to give the title compound (12.3 g, 55.4 mmol, 95% yield). MS (DCI) m/z 239 (M+NH4)+.
Example 301C: tert-butyl [3-(2-{[ 6-(trifluoromethyl)pyridin-3- yl]oxy}acetamido)bicyclo[ 1.1.1 Jpentan-l-ylJ carbamate
The reaction and purification conditions described in Example 81, substituting the product of Example 301B for 2-(4-chloro-3-fluorophenoxy)acetic acid and tert-butyl (3- aminobicyclo[l. l. l]pentan-l-yl)carbamate (Pharmablock) for benzyl (4- aminobicyclo[2.1. l]hexan-l-yl)carbamate hydrochloride gave the title compound. MS (ESI+) m/z 402 (M+H)+.
Example 30 ID: N,N'-(bicyclo[ 1.1.1 Jpentane-1, 3-diyl)bis(2-{[ 6-(trifluoromethyl)pyridin-3- yl Joxyjacetamide)
The reaction and purification conditions described in Example 83C, substituting the product of Example 301B for the product of Example 83B, and the product of Example 301C for the product of Example 9A gave the title compound. XH NMR (501 MHz, OMSO-d6) δ ppm 8.82 (s, 2H), 8.46 (d, J = 2.8 Hz, 2H), 7.87 (d, J = 8.7 Hz, 2H), 7.57 (dd, J = 8.8, 2.9 Hz, 2H), 4.66 (s, 4H), 2.28 (s, 6H); MS (ESI+) m/z 505 (M+H)+.
Example 302: 2-(3,4-dichlorophenoxy)-iV-(3-{2-[(pyridin-2- yl)oxy] acetamido}bicyclo [ 1.1.1] pentan- l-yl)acetamide (Compound 401)
The title compound was prepared using the methodologies described above. XH NMR (400 MHz, DMSO-c¾) δ ppm 8.70 (s, 1H), 8.61 (s, 1H), 8.14 - 8.09 (m, 1H), 7.73 (ddd, J = 8.9, 7.2, 2.0 Hz, 1H), 7.54 (d, J = 8.9 Hz, 1H), 7.26 (d, J = 2.9 Hz, 1H), 7.02 - 6.96 (m, 2H), 6.89 (d, J = 8.3 Hz, 1H), 4.66 (s, 2H), 4.48 (s, 2H), 2.24 (s, 6H); MS (ESI+) m/z 436 (M+H)+.
Example 303: 2-(4-chloro-3-fluorophenoxy)-iV-(3-{2-[(pyridin-2- yl)oxy]acetamido}bicyclo[l.l.l]pentan-l-yl)acetamide (Compound 402)
The title compound was prepared using the methodologies described above. XH NMR (400 MHz, DMSO-c e) δ ppm 8.70 (s, 1H), 8.61 (s, 1H), 8.12 (ddd, J = 5.0, 2.1, 0.8 Hz, 1H), 7.73 (ddd, J = 8.4, 7.1, 2.0 Hz, 1H), 7.49 (t, J = 8.9 Hz, 1H), 7.07 (dd, J = 11.4, 2.8 Hz, 1H), 7.00 (ddd, J = 7.1, 5.0, 0.9 Hz, 1H), 6.89 (dt, J = 8.2, 0.9 Hz, 1H), 6.85 (ddd, J = 8.9, 2.8, 1.2 Hz, 1H), 4.66 (s, 2H), 4.47 (s, 2H), 2.24 (s, 6H); MS (ESI+) m/z 420 (M+H)+.
Example 304: 2-(4-chloro-3-fluorophenoxy)-iV-(4-{2-[(pyridin-3- yl)oxy]acetamido}bicyclo[2.1.1]hexan-l-yl)acetamide (Compound 403) The title compound was prepared using the methodologies described above. XH NMR (400 MHz, DMSO-c¾) δ ppm 8.50 (s, 1H), 8.48 (s, 1H), 8.31 (dd, J = 2.8, 1.0 Hz, 1H), 8.19 (dd, J = 4.0, 1.8 Hz, 1H), 7.49 (t, J = 8.9 Hz, 1H), 7.38 - 7.30 (m, 2H), 7.07 (dd, J = 11.4, 2.9 Hz, 1H), 6.85 (ddd, J = 9.1, 2.9, 1.2 Hz, 1H), 4.52 (s, 2H), 4.48 (s, 2H), 2.11 - 2.04 (m, 2H), 1.84 - 1.77 (m, 6H); MS (ESI+) m/z 434 (M+H)+.
Example 305: 2-(4-chloro-3-fluorophenoxy)-iV-(4-{2-[(pyridin-2- yl)oxy]acetamido}bicyclo[2.1.1]hexan-l-yl)acetamide (Compound 404)
The title compound was prepared using the methodologies described above. XH NMR (400 MHz, DMSO-c¾) ppm 8.46 (s, 1H), 8.37 (s, 1H), 8.12 (ddd, J = 5.0, 2.0, 0.8 Hz, 1H), 7.73 (ddd, J = 8.4, 7.1, 2.0 Hz, 1H), 7.49 (t, J = 8.8 Hz, 1H), 7.06 (dd, J = 11.4, 2.9 Hz, 1H), 6.99 (ddd, J = 7.1, 5.0, 1.0 Hz, 1H), 6.89 (dt, J = 8.4, 0.9 Hz, 1H), 6.85 (ddd, J = 9.0, 2.9, 1.2 Hz, 1H), 4.66 (s, 2H), 4.47 (s, 2H), 2.09 - 2.03 (m, 2H), 1.85 - 1.72 (m, 6H); MS (ESI+) m/z 434 (M+H)+.
Example 306: 2-(3,4-dichlorophenoxy)-iV-(3-{2-[(pyridin-3- yl)oxy]acetamido}bicyclo[l.l.l]pentan-l-yl)acetamide (Compound 405)
The title compound was prepared using the methodologies described above. XH NMR (400 MHz, DMSO-c¾) ppm 8.74 (s, 1H), 8.71 (s, 1H), 8.31 (dd, J = 2.8, 1.0 Hz, 1H), 8.19 (dd, J = 4.2, 1.8 Hz, 1H), 7.55 (d, J = 9.0 Hz, 1H), 7.39 - 7.30 (m, 2H), 7.26 (d, J = 2.9 Hz, 1H), 6.99 (dd, J = 8.9, 2.9 Hz, 1H), 4.52 (s, 2H), 4.49 (s, 2H), 2.27 (s, 6H); MS (ESI+) m/z 436 (M+H)+.
Example 307: 2-(4-chloro-3-fluorophenoxy)-iV-{3-[2-(2,4,6- trifluorophenoxy)acetamido]bicyclo[l.l.l]pentan-l-yl}acetamide (Compound 406)
The reaction and purification conditions described in Example 270 substituting 2,4,6- trifluorophenol for l-methyl-3-(trifluoromethyl)-lH-pyrazol-5-ol gave the title compound. XH NMR (501 MHz, DMSO-c¾) ppm 8.70 (s, 1H), 8.68 (s, 1H), 7.47 (t, J = 8.9 Hz, 1H), 7.23 (td, J = 9.0, 0.9 Hz, 2H), 7.05 (dd, J = 11.4, 2.9 Hz, 1H), 6.83 (ddd, J = 9.0, 2.9, 1.2 Hz, 1H), 4.46 (s, 2H), 4.44 (s, 2H), 2.23 (s, 6H); MS (ESI+) m/z 473 (M+H)+.
Example 308: 2-(4-chloro-3-fluorophenoxy)-iV-(3-{2-[4-(2-hydroxypropan-2- yl)phenoxy]acetamido}bicyclo[l.l.l]pentan-l-yl)acetamide (Compound 407)
The reaction and purification conditions described in Example 270 substituting 4-(2- hydroxypropan-2-yl)phenol for l-methyl-3-(trifluoromethyl)-lH-pyrazol-5-ol gave the title compound. ¾ NMR (501 MHz, DMSO-c¾) δ ppm 8.70 (s, 1H), 8.64 (s, 1H), 7.47 (t, J = 8.9 Hz, 1H), 7.38 - 7.32 (m, 2H), 7.05 (dd, J = 11.4, 2.8 Hz, 1H), 6.87 - 6.81 (m, 3H), 4.46 (s, 2H), 4.37 (s, 2H), 2.25 (s, 6H), 1.37 (s, 6H); MS (ESI+) m/z 458 (M-OH)+.
Example 309: 2-(4-chloro-3-fluorophenoxy)-iV-{3-[2-(4- fluorophenoxy)acetamido]bicyclo[l.l.l]pentan-l-yl}acetamide (Compound 408)
The reaction and purification conditions described in Example 299 substituting 2-(4- fluorophenoxy)acetic acid for 2-phenoxyacetic acid gave the title compound. XH NMR (400 MHz, DMSO-c¾) ppm 8.67 (s, 1H), 8.64 (s, 1H), 7.46 (t, J = 8.9 Hz, 1H), 7.13 - 7.06 (m, 2H),
7.04 (dd, J = 11.4, 2.8 Hz, 1H), 6.96 - 6.90 (m, 2H), 6.82 (ddd, J = 8.9, 2.8, 1.2 Hz, 1H), 4.44 (s, 2H), 4.37 (s, 2H), 2.23 (s, 6H); MS (ESI+) m/z 477 (M+NH4)+.
Example 310: 2-(4-chloro-3-fluorophenoxy)-iV-{3-[2-(2,4- difluorophenoxy)acetamido]bicyclo[l.l.l]pentan-l-yl}acetamide (Compound 409)
The reaction and purification conditions described in Example 299 substituting 2-(2,4- difluorophenoxy)acetic acid for 2-phenoxyacetic acid gave the title compound. XH NMR (400
MHz, DMSO-c¾) δ ppm 8.67 (s, 1H), 8.65 (s, 1H), 7.46 (t, J = 8.9 Hz, 1H), 7.26 (ddd, J = 11.7, 8.8, 3.0 Hz, 1H), 7.11 - 7.01 (m, 2H), 6.97 (dddd, J = 9.2, 8.2, 3.0, 1.6 Hz, 1H), 6.81 (ddd, J =
8.9, 2.9, 1.2 Hz, 1H), 4.47 (s, 2H), 4.44 (s, 2H), 2.22 (s, 6H); MS (ESI+) m/z 495 (M+NH4)+.
Example 311: 2-(4-chloro-3-fluorophenoxy)-iV-{3-[2-(3- fluorophenoxy)acetamido] bicyclo [ 1.1.1] pen tan- l-yl}acetamide (Compound 410)
The reaction and purification conditions described in Example 299 substituting 2-(3- fluorophenoxy)acetic acid for 2-phenoxyacetic acid gave the title compound. XH NMR (501
MHz, DMSO-c¾) ppm 8.70 (s, 1H), 8.68 (s, 1H), 7.47 (t, J = 8.9 Hz, 1H), 7.34 - 7.28 (m, 1H),
7.05 (dd, J = 11.4, 2.9 Hz, 1H), 6.85 - 6.75 (m, 4H), 4.46 (s, 2H), 4.43 (s, 2H), 2.25 (s, 6H); MS (ESI+) m/z 478 (M+CH3CN)+.
Example 312: 2-(4-chloro-3-fluorophenoxy)-iV-{3-[2-(2- fluorophenoxy)acetamido]bicyclo[l.l.l]pentan-l-yl}acetamide (Compound 411)
The reaction and purification conditions described in Example 299 substituting 2-(2- fluorophenoxy)acetic acid for 2-phenoxyacetic acid gave the title compound. XH NMR (501 MHz, DMSO-c¾) δ ppm 8.69 (s, 1H), 8.67 (s, 1H), 7.47 (t, J = 8.9 Hz, 1H), 7.20 (ddd, J = 11.8, 8.1, 1.6 Hz, 1H), 7.10 (dddd, J = 8.2, 7.4, 1.6, 0.9 Hz, 1H), 7.07 - 7.00 (m, 2H), 6.95 (dddd, J = 8.1, 7.4, 4.6, 1.7 Hz, 1H), 6.83 (ddd, J = 9.0, 2.9, 1.2 Hz, 1H), 4.50 (s, 2H), 4.46 (s, 2H), 2.24 (s, 6H); MS (ESI+) m/z 478 (M+CH3CN)+. Example 313: 2-(4-chloro-3-fluorophenoxy)-iV-{3-[2-(4-chloro-2- methoxyphenoxy)acetamido]bicyclo[l.l.l]pentan-l-yl}acetamide (Compound 412)
The reaction and purification conditions described in Example 299 substituting 2-(4- chloro-2-methoxyphenoxy)acetic acid for 2-phenoxy acetic acid gave the title compound. XH NMR (501 MHz, DMSO-c¾) δ ppm 8.69 (s, IH), 8.66 (s, IH), 7.47 (t, J = 8.9 Hz, IH), 7.34 (d, J = 2.7 Hz, IH), 7.23 (dd, J = 8.7, 2.8 Hz, IH), 7.05 (dd, J = 1 1.4, 2.8 Hz, IH), 6.87 (d, J = 8.7 Hz, IH), 6.83 (ddd, J = 9.0, 2.9, 1.2 Hz, IH), 4.52 (s, 3H), 4.48 (s, 2H), 4.45 (s, 2H), 2.23 (s, 6H); MS (ESI+) m/z 484 (M+H)+.
Example 314: 2-(4-chloro-3-fluorophenoxy)-A^-(3-{2-[4-(l,l,l-trifluoro-2-hydroxypropan- 2-yl)phenoxy]acetamido}bicyclo[l.l.l]pentan-l-yl)acetamide (Compound 413)
The reaction and purification conditions described in Example 270 substituting 4-(l ,l , l- trifluoro-2-hydroxypropan-2-yl)phenol for l-methyl-3-(trifluoromethyl)-lH-pyrazol-5-ol gave the title compound. ¾ NMR (400 MHz, DMSO-c¾) δ ppm 8.68 (s, IH), 8.66 (s, IH), 7.50 - 7.42 (m, 3H), 7.03 (dd, J = 1 1.4, 2.8 Hz, IH), 6.95 - 6.88 (m, 2H), 6.82 (ddd, J = 9.0, 2.9, 1.2 Hz, IH), 6.44 (s, IH), 4.44 (s, 2H), 4.41 (s, 2H), 2.24 (s, 6H), 1.62 (s, 3H); MS (ESI+) m/z 530 (M+H)+.
Example 315: 2-(4-chloro-3-fluorophenoxy)-iV-{3-[2-(2,4,5- trifluorophenoxy)acetamido] bicyclo [ 1.1.1] pen tan-l-yl}acetamide (Compound 414)
The reaction and purification conditions described in Example 270 substituting 2,4,5- trifluorophenol for l -methyl-3-(trifluoromethyl)-lH-pyrazol-5-ol gave the title compound. XH NMR (400 MHz, DMSO-c¾) δ ppm 8.68 (s, IH), 8.67 (s, IH), 7.57 (td, J = 10.9, 7.7 Hz, IH), 7.45 (t, J = 8.9 Hz, IH), 7.29 (dt, J = 12.2, 7.9 Hz, IH), 7.03 (dd, J = 11.4, 2.9 Hz, IH), 6.87 - 6.76 (m, IH), 4.52 (s, 2H), 4.44 (s, 2H), 2.22 (s, 6H); MS (ESI+) m/z All (M+H)+.
Example 316: 2-(4-chloro-3-fluorophenoxy)-iV-(3-{2-[3-fluoro-4- (trifluoromethoxy)phenoxy] acetamido }bicyclo [ 1.1.1] pen tan-l-yl)acetamide (Compound 415)
The reaction and purification conditions described in Example 270 substituting 3- fluoro-4-(trifluoromethoxy)phenol for l -methyl-3-(trifluoromethyl)-lH-pyrazol-5-ol gave the title compound. ¾ NMR (400 MHz, DMSO-c¾) δ ppm 8.71 (s, IH), 8.70 (s, IH), 7.50 - 7.45 (m, 2H), 7.1 1 (dd, J = 12.3, 2.9 Hz, IH), 7.05 (dd, J = 1 1.3, 2.9 Hz, IH), 6.87 (ddd, J = 9.2, 3.0, 1.5 Hz, IH), 6.83 (ddd, J = 8.9, 2.8, 1.2 Hz, IH), 4.49 (s, 2H), 4.46 (s, 2H), 2.25 (s, 6H); MS (ESI+) m/z 520 (M+H)+. Example 317: 2-(4-chloro-3-fluorophenoxy)-iV-{3-[2-(3,4,5- trifluorophenoxy)acetamido] bicyclo [ 1.1.1] pen tan- l-yl}acetamide (Compound 416)
The reaction and purification conditions described in Example 299 substituting 2-(3,4,5- trifluorophenoxy)acetic acid for 2-phenoxyacetic acid gave the title compound. XH NMR (400 MHz, DMSO-c¾) δ ppm 8.69 (s, IH), 8.67 (s, IH), 7.46 (t, J = 8.9 Hz, IH), 7.03 (dd, J = 11.4, 2.8 Hz, IH), 7.00 - 6.90 (m, 2H), 6.82 (ddd, J = 9.0, 2.9, 1.2 Hz, IH), 4.44 (s, 2H), 4.43 (s, 2H), 2.23 (s, 6H); MS (ESI+) m/z All (M+H)+.
Example 318: (2.S)-l,4-bis[2-(4-chloro-3-fluorophenoxy)acetamido]bicyclo[2.2.2]octane-2- carboxylic acid (Compound 417)
Example 318A: N-[(3R)-4-amino-3-hydroxybicyclo[2.2.2]octan-l-yl]-2-(4-chloro-3- fluorophenoxyjacetamide trifluoroacetate
The title compound was isolated by chiral preparative SFC of Example 1981 as the first peak eluted off the column, followed by reverse phase HPLC to give the product as a trifluoroacetic acid salt using the methodologies described in Example 276. XH NMR (400 MHz, methanol-c 4) δ ppm 7.36 (t, J=8.77 Hz, IH), 6.89 (dd, J=10.74, 2.85 Hz, IH), 6.83 -6.74
(m, 1H)„ 4.43 (s, 2H), 3.94 (br d, J=8.33 Hz, IH), 2.55 (br t, J=12.50 Hz, IH), 2.32 - 1.86 (m,
8H), 1.82 - 1.58 (m, 2H); MS (ESI+) m/z 343.0 (M+H)+.
Example 318B: N,N'-[ (2R)-2-hydroxybicyclo[2.2.2 Joct ne-1, 4-diyl Jbisf 2-( 4-chloro-3- fluorophenoxyjacetamide ]
The title compound was prepared using the methodologies described in Example 198 J substituting Example 318A for Example 198H. XH NMR (400 MHz, DMSO-c¾) δ ppm 7.57 - 7.36 (m, 3H), 7.26 (s, IH), 7.04 (td, J = 11.9, 2.8 Hz, 2H), 6.82 (td, J = 8.5, 2.8 Hz, 2H), 5.07 (d, J = 4.3 Hz, IH), 4.45 (d, J = 13.2 Hz, 4H), 4.04 (dt, J = 8.9, 3.8 Hz, IH), 2.27 (t, J = 11.2 Hz, IH), 2.06 (dt, J = 11.3, 7.1 Hz, IH), 1.93 (d, J = 10.8 Hz, 2H), 1.89 - 1.73 (m, 6H); MS (ESI+) m/z 529.1 (M+H)+.
Example 318C: ( 2R)-1, 4-bis[ 2-(4-chloro-3-fluorophenoxy)acetamido ] bicyclo [ 2.2.2 Joct n-2-yl methanesulfonate
The title compound was prepared using the methodologies described in Example 245 substituting Example 318B for Example 198K. XH NMR (400 MHz, DMSO-c¾) δ ppm 7.95 (s, IH), 7.69 (d, J = 4.1 Hz, 2H), 7.47 (td, J = 8.9, 4.0 Hz, 2H), 7.03 (dd, J = 1 1.4, 2.8 Hz, 2H),
6.82 (ddt, J = 9.0, 2.9, 1.4 Hz, 2H), 5.37 (dd, J = 9.4, 2.0 Hz, IH), 4.54 - 4.41 (m, 4H), 3.1 1 (s, 3H), 2.19 (dt, J = 14.6, 2.3 Hz, IH), 2.09 - 1.69 (m, 9H); MS (ESI+) m/z 343.0 (M+H)+. Example 318D: N,N'-[ (2S)-2-cyanobicyclo[ 2.2.2 ] octane- 1, 4-diyl]bis[ 2-( 4-chloro-3- fluorophenoxyjacetamide ]
The title compound was prepared using the methodologies described in Example 288 substituting Example 318C for Example 245. XH NMR (400 MHz, DMSO-c¾) δ ppm 8.60 (d, J = 1.7 Hz, 1H), 8.05 (s, 1H), 7.54 - 7.40 (m, 2H), 7.11 - 6.97 (m, 2H), 6.83 (dddd, J = 9.0, 6.3, 2.9, 1.4 Hz, 2H), 4.56 - 4.42 (m, 4H), 2.26 - 1.81 (m, 5H), 1.84 - 1.61 (m, 5H); MS (ESI+) m/z 554.9 (M+NH4)+.
Example 318E: (S)-l, 4-bis(2-(4-chloro-3-fluorophenoxy)acetamido)bicyclo[2.2.2]octane-2- carboxylic acid
The title compound was prepared using the methodologies described in Example 291 substituting Example 318D for Example 288. XH NMR (400 MHz, DMSO-c¾) δ ppm 12.43 (s, 1H), 8.28 (d, J = 4.6 Hz, 1H), 8.07 (s, 1H), 7.62 - 7.49 (m, 2H), 7.10 (ddd, J = 19.1, 11.2, 2.8 Hz, 2H), 6.90 (td, J = 10.8, 10.0, 2.7 Hz, 2H), 4.69 (s, 1H), 4.63 (d, J = 3.5 Hz, 1H), 4.55 (d, J = 7.3 Hz, 2H), 2.68 (dd, J = 14.0, 5.2 Hz, 1H), 2.55 (d, J = 5.5 Hz, 1H), 2.48 (d, J = 5.2 Hz, 1H), 2.19 - 1.85 (m, 7H); MS (ESI+) m/z 557.0 (M+H)+.
Example 319: (2i?)-2-(4-chloro-3-fluorophenoxy)-^-{3-[2-(4-chloro-3- fluorophenoxy)acetamido]bicyclo[l.l.l]pentan-l-yl}-3-hydroxypropanamide (Compound 418)
Example 319A: (S)-methyl 3-(benzyloxy)-2-hydroxypropanoate
To a solution of (<S)-3-(benzyloxy)-2-hydroxypropanoic acid (1.66 g, 8.46 mmol) in methanol (42.3 mL) were added concentrated sulfuric acid (2.5 mL, 46.5 mmol) and trimethylorthoformate (4.2 mL, 38.1 mmol). The reaction mixture was stirred at reflux for 16 hours and then was cooled to ambient temperature and filtered. The filtrate was concentrated under reduced pressure. The residue was suspended in a small volume of water and neutralized with half-saturated sodium bicarbonate. The product was extracted into ethyl acetate (3 χ 50 mL), and the combined organic extracts were dried over anhydrous MgSC>4 and concentrated under reduced pressure. The residue was purified via flash column chromatography (S1O2, 0- 30% then 30%-100% ethyl acetate in heptane) to give the title compound (1.2 g, 5.71 mmol, 68% yield). XH NMR (400 MHz, DMSO-c¾) δ ppm 7.38 - 7.19 (m, 6H), 5.56 (d, J = 6.2 Hz, 1H), 4.57 - 4.38 (m, 3H), 4.23 (dt, J = 6.3, 4.7 Hz, 1H), 3.61 (s, 4H), 3.58 (d, J = 4.7 Hz, 3H); MS (ESI+) m/z 228 (M+NH4)+.
Example 319B: (R) -methyl 3-(benzyloxy)-2-(4-chloro-3-fluorophenoxy)propanoate To a solution of triphenylphospine (1.5 g, 5.71 mmol) in tetrahydrofuran (7 mL) at 0 °C, was added di-fert-butyl (E)-diazene-l,2-dicarboxylate (2.15 mL, 10.3 mmol). The reaction mixture was stirred for 5 minutes, and then a solution of 4-chloro-3-fluorophenol (0.84 g, 5.71 mmol), Example 319A (1.2 g, 5.71 mmol) and triethylamine (1.43 mL, 10.3 mmol) in tetrahydrofuran (7 mL) was added. The reaction mixture was allowed to warm to ambient temperature and was stirred for 48 hours. The reaction mixture was concentrated under reduced pressure and purified by flash chromatography (S1O2, 5-100% ethyl acetate in hexanes). The material was carried on without characterization.
Example 319C: (R)-3-(benzyloxy)-2-(4-chloro-3-fluorophenoxy)propanoic acid
To a solution of Example 319B (500 mg, 1.48 mmol) in tetrahydrofuran (4 mL) were added lithium hydroxide (141 mg, 5.90 mmol) and water (1.0 mL). The mixture was stirred at ambient temperature for 3 hours. After 3 hours, the reaction mixture was diluted with water (10 mL) and ethyl acetate (10 mL). The aqueous layer was washed with ethyl acetate. The aqueous layer was then acidified with 2 N HCl (aq.) to pH=3 and then was extracted with
CH2CI2 (3 x 20 mL). The combined organic fractions were dried over anhydrous MgSC^, and concentrated under reduced pressure. The residue was purified by preparative HPLC [Waters XBridge™ C18 5 μιη OBD™ column, 30 χ 100 mm, flow rate 40 mL/minute, 5-100% gradient of acetonitrile in buffer (0.1 % trifluoroacetic acid)] to give the title compound (45 mg, 0.139 mmol, 9% yield). XH NMR (400 MHz, DMSO-c¾) δ ppm 7.43 (t, J = 8.9 Hz, 1H), 7.37 - 7.19 (m, 5H), 7.03 (dd, J = 11.4, 2.9 Hz, 1H), 6.79 (ddd, J = 9.1, 2.9, 1.2 Hz, 1H), 5.09 (dd, J = 5.2, 3.0 Hz, 1H), 4.61 - 4.45 (m, 2H), 3.93 - 3.79 (m, 2H).
Example 319D: ( 2R) -3-(benzyloxy) -2-( 4-chloro-3-fluorophenoxy) -N-{3-[ 2-( 4-chloro-3- fluorophenoxyjacetamido Jbicyclof 1.1.1 Jpentan-l-yljpropanamide
The reaction and purification conditions described in Example 299 substituting
Example 319C for 2-phenoxy acetic acid gave the title compound. MS (ESI+) m/z 591 (M+H)+.
Example 319E: (2R)-2-(4-chloro-3-fluorophenoxy)-N-{3-[2-(4-chloro-3- fluorophenoxyjacetamido Jbicyclof 1.1.1 Jpentan-l-ylj-3-hydroxypropanamide
To a 10 mL pressure tube was added a solution of the product of Example 319D (45 mg, 0.076 mmol) in methanol (1 mL) 5% Pd/C (wet JM#9) (25 mg, 0.104 mmol) and 4 M HCl in dioxane (0.038 mL, 0.15 mmol). The reaction mixture was stirred for 4 hours under 50 psi of hydrogen without external heating. The reaction mixture was filtered and the filtrate was concentrated under reduced pressure. The residue was purified by preparative HPLC [Waters XBridge™ C18 5 μηι OBD™ column, 30 χ 100 mm, flow rate 40 mL/minute, 5-100% gradient of acetonitrile in buffer (0.1 % trifluoroacetic acid)] to give the title compound (25 mg, 0.050 mmol, 66% yield). lH NMR (400 MHz, DMSO-c¾) δ ppm 8.70 (s, 1H), 8.70 (s, 1H), 7.49 (t, J = 8.9 Hz, 2H), 7.05 (ddd, J = 1 1.4, 10.5, 2.8 Hz, 2H), 6.88 - 6.80 (m, 2H), 4.61 (dd, J = 5.6, 4.0 Hz, 1H), 4.47 (s, 2H), 3.76 - 3.68 (m, 2H), 2.23 (s, 6H); MS (ESI+) m/z 518 (M+NH4)+.
Example 320: /V^V-[(2,S)-2-(2H-tetrazol-5-yl)bicyclo[2.2.2]octane-l,4-diyl]bis [2-(4-chloro- 3-fluorophenoxy)acetamide] (Compound 419)
A mixture of Example 318 (100 mg, 0.186 mmol), sodium azide (121 mg, 1.857 mmol) and ammonium chloride (99 mg, 1.857 mmol) was heated in a microwave vial at 110 °C for 16 hours. The reaction mixture was cooled to ambient temperature and partitioned between with water and dichloromethane. The organic layer was dried and concentrated. The residue was purified by HPLC (30-100% acetonitrile in 0.1 % trifluoroacetic acid/water at 25 rnL/minute on a Phenomenex® C 18 5 μπι column (250 χ 21.2 mm)) to give 45 mg of the title compound as a white solid. XH NMR (400 MHz, DMSO-c¾) δ ppm 16.10 (s, 1H), 8.49 (d, J = 3.6 Hz, 1H), 8.05 - 7.97 (m, 1H), 7.54 - 7.40 (m, 2H), 7.00 (dddd, J = 22.3, 16.5, 11.3, 2.8 Hz, 2H), 6.88 - 6.70 (m, 2H), 4.58 (d, J = 15.9 Hz, 1H), 4.51 (d, J = 9.9 Hz, 2H), 4.42 (s, 1H), 2.89 (t, J = 5.8 Hz, 2H), 2.11 - 1.68 (m, 7H), 1.42 - 1.23 (m, 1H); MS (ESI+) m/z 581.1 (M+H)+.
Example 321 : NJST- [(2.S)-2-(3-methyl- l,2,4-oxadiazol-5-yl)bicyclo [2.2.2] octane- 1,4- diyl]bis[2-(4-chloro-3-fluorophenoxy)acetamide] (Compound 420)
A mixture of Example 318 (80 mg, 0.144 mmol), N-hydroxyacetimidamide (13.29 mg,
0.179 mmol) and N-ethyl-N-(3-dimethylandnopropyl)carbodiimide hydrochloride (41.3 mg, 0.215 mmol) in dichloromethane (5 mL) was stirred at ambient temperature overnight. The mixture was concentrated, and the residue was dissolved in tetrahydrofuran (5 mL), treated with tetrabutylammonium fluoride (1.435 mL, 1.435 mmol, 1 M in tetrahydrofuran) and stirred at 50 °C for 2 hours. The mixture was partitioned between water and dichloromethane. The organic layer was dried, filtered and concentrated. The residue was purified by HPLC (30- 100% acetonitrile in 0.1 % trifluoroacetic acid/water at 25 mL/minute on a Phenomenex® C18 5 μπι column (250 χ 21.2 mm)) to give 45 mg of the title compound as a white solid. XH NMR (400 MHz, DMSO-c¾) δ ppm 8.72 (d, J = 9.8 Hz, 1H), 8.05 (d, J = 18.1 Hz, 1H), 7.55 - 7.43 (m, 2H), 7.10 - 6.92 (m, 2H), 6.91 - 6.74 (m, 2H), 4.72 - 4.59 (m, 1H), 4.58 (d, J = 7.3 Hz,
1H), 4.49 (d, J = 17.8 Hz, 2H), 4.12 (s, 1H), 2.32 (d, J = 9.7 Hz, 3H), 2.23 - 2.06 (m, 1H), 2.06 - 1.89 (m, 2H), 1.93 - 1.75 (m, 7H); MS (ESI+) m/z 595.0 (M+H)+. Example 322: 2-(4-chloro-3-fluorophenoxy)-iV-{3-[2-(4-chloro-3- fluorophenoxy)acetamido]bicyclo[l.l.l]pentan-l-yl}-3-methoxypropanamide (Compound 421)
Example 322A: methyl 2-(4-chloro-3-fluorophenoxy)-3-methoxypropanoate
To a solution of methyl 2-bromo-3-methoxypropanoate (0.33 mL, 2.46 mmol) in acetonitrile (5 mL) was added 4-chloro-3-fluorophenol (300 mg, 2.047 mmol) and potassium carbonate (849 mg, 6.14 mmol). The reaction mixture was stirred at 70 °C for 3 hours. The reaction mixture was filtered, and the filtrate was concentrated under reduced pressure. The crude material was carried on without characterization.
Example 322B: 2-(4-chloro-3-fluorophenoxy)-3-methoxypropanoic acid
To a solution of the product of Example 322A (300 mg, 1.14 mmol) in tetrahydrofuran (4 mL) was added lithium hydroxide (109 mg, 4.57 mmol) and water (1.0 mL). The mixture was stirred at ambient temperature for 18 hours. The reaction mixture was diluted with water (10 mL) and ethyl acetate (20 mL). The aqueous layer was washed with ethyl acetate and then was acidified with 2 N HC1 (aqueous) to pH=3. The solution was extracted with CH2CI2 (3 χ 20mL). The combined organic fractions were filtered, dried over anhydrous MgSC>4 and concentrated under reduced pressure. MS (ESI ) m/z 266 (M+NH4)+.
Example 322C: 2-(4-chloro-3-fluorophenoxy)-N-{3-[2-(4-chloro-3- fluorophenoxyjacetamido Jbicyclof 1.1.1 Jpentan-l-ylj-3-methoxypropanamide
The reaction and purification conditions described in Example 299 substituting
Example 322B for 2-phenoxyacetic acid gave the title compound. XH NMR (501 MHz, DMSO-c¾) δ ppm 8.78 (s, 1H), 8.71 (s, 1H), 7.49 (td, J = 8.9, 1.6 Hz, 2H), 7.08 (t, J = 2.7 Hz, 1H), 7.06 (t, J = 2.7 Hz, 1H), 6.86 (ddd, J = 2.8, 1.8, 1.1 Hz, 1H), 6.84 (ddd, J = 2.9, 1.8, 1.1 Hz, 1H), 4.81 (dd, J = 5.8, 3.3 Hz, 1H), 4.48 (s, 2H), 3.69 (qd, J = 11.0, 4.6 Hz, 2H), 3.28 (s, 3H), 2.24 (s, 6H); MS (ESI+) m/z 551 (M+H)+.
Example 323 : 2-(3,4-dichlorophenoxy)-iV-(3- {2- [4-(2-hydroxypropan-2- yl)phenoxy]acetamido}bicyclo[l.l.l]pentan-l-yl)acetamide (Compound 422)
A mixture of the product of Example 50A (40.0 mg, 0.106 mmol), 4-(2-hydroxypropan- 2-yl)phenol (32.2 mg, 0.212 mmol), potassium carbonate (43.9 mg, 0.318 mmol), and potassium iodide (1.231 mg, 7.41 μιτιοΐ) in acetonitrile (0.5mL) was heated at 70 °C for 3 hours. The reaction mixture was filtered, and the collected solid was washed with acetonitrile (2 mL) a couple of times. The combined filtrate and washes were concentrated, and the residue was purified by preparative HPLC [Waters XBridge™ CI 8 5 μηι OBD™ column, 30 χ 100 mm, flow rate 40 mL/minute, 5-100% gradient of acetonitrile in buffer (0.1 % aqueous trifluoroacetic acid)] to give the title compound (9 mg, 0.018 mmol, 17.2% yield). XH NMR (400 MHz, DMSO-c¾) δ ppm 8.67 (s, 1H), 8.62 (s, 1H), 7.51 (d, J = 8.9 Hz, 1H), 7.35 - 7.31 (m, 2H), 7.23 (d, J = 2.9 Hz, 1H), 6.95 (dd, J = 8.9, 2.9 Hz, 1H), 6.85 - 6.80 (m, 2H), 4.86 (s, 1H), 4.45 (s, 2H), 4.35 (s, 2H), 2.23 (s, 6H), 1.36 (s, 6H); MS (ESI+) m/z 494 (M+H)+.
Example 324: 2-(4-chloro-3-fluorophenoxy)-A^-{2-hydroxy-4-[2-(3-methyl-l,2-oxazol-5- yl)acetamido]bicyclo[2.2.2]octan-l-yl}acetamide (Compound 423)
The title compound was prepared using the methodologies described in Example 214 substituting 2-(3-methylisoxazol-5-yl)acetic acid for 2-((6-(trifluoromethyl)pyridin-3- yl)oxy)acetic acid. lH NMR (400 MHz, DMSO-c¾) δ ppm 7.71 (s, 1H), 7.45 (t, J = 8.9 Hz, 1H), 7.21 (s, 1H), 7.01 (dd, J = 11.4, 2.9 Hz, 1H), 6.79 (dd, J = 9.1, 2.9 Hz, 1H), 6.08 (s, 1H), 4.43 (s, 2H), 3.99 (dd, J = 9.6, 3.0 Hz, 1H), 3.51 (s, 2H), 2.21 (ddd, J = 12.5, 9.5, 2.5 Hz, 1H), 2.15 (s, 3H), 2.03 (ddd, J = 12.5, 10.6, 5.0 Hz, 1H), 1.87 (d, J = 7.8 Hz, 2H), 1.87 - 1.76 (m, 1H), 1.80 - 1.65 (m, 5H); MS (ESI+) m/z 466.1 (M+H)+.
Example 325: l-[2-({(2.S)-4-[2-(4-chloro-3-fluorophenoxy)acetamido]-2- hydroxybicyclo [2.2.2] octan- l-yl}amino)ethyl] -3-methyl- lH-pyrazole-5-carboxylic acid (Compound 424)
Example 325A: methyl l-(2-bromoethyl)-3-methyl-lH-pyrazole-5-carboxylate
A mixture of methyl 5-methyl-lH-pyrazole-3-carboxylate (140 mg, 1 mmol), 1,2- dibromoethane (939 mg, 5.00 mmol) and potassium carbonate (276 mg, 2.00 mmol) was stirred in acetonitrile (10 mL) at reflux for 3 hours. The reaction mixture was filtered, and the filtrate was concentrated in vacuo. The residue was diluted with ethyl acetate (50 mL) and washed with water (2 χ 20 mL). The organic phase was dried over anhydrous Na2SC>4 and
concentrated in vacuo. The crude product was purified by flash column chromatography on silica gel (40g) eluted with 20 to 60% ethyl acetate in heptane to give the title compound (0.080 g, 0.32 mmol, 32% yield). ¾ NMR (400 MHz, CDC13) δ ppm 6.64 (s, 1H), 4.87 (t, J = 7 Hz, 2H), 3.87 (s, 3H), 3.68 (t, J = 7 Hz, 2H), 2.28 (s, 3H); MS (ESI+) m/z 248 (M+H)+.
Example 325B: methyl l-[2-({(2S)-4-[2-(4-chloro-3-fluorophenoxy)acetamido]-2- hydroxybicyclo [ 2.2.2 ] octan- l-yl}amino)ethyl ] '-3-methyl- lH-pyrazole-5-carboxylate
A mixture of product of Example 276A (120 mg, 0.26 mmol), the product of Example 325 A (40 mg, 0.16 mmol), potassium iodide (26.9 mg, 0.16 mmol) and N-ethyl-N- isopropylpropan-2-amine (73.2 mg, 0.57 mmol) in dimethyl sulfoxide (0.1 mL) was stirred at 120 °C for 8 hours. The reaction mixture was cooled to ambient temperature and concentrated under reduced pressure to give the title compound (0.082 g, 0.16 mmol, 100% yield). MS (ESI+) m/z 509 (M+H)+.
Example 325C: l-[2-({(2S)-4-[2-(4-chloro-3-fluorophenoxy)acetamido]-2- hydroxybicyclo[2.2.2Joctan-l-yl}amino)ethylJ-3-methyl-lH-pyrazole-5-carboxylic acid
To the product of Example 325B in methanol (1 mL) was added 3 N NaOH solution (0.27 mL). The mixture was stirred at ambient temperature for 18 hours. The resulting solution was filtered through a glass microfiber frit and purified by preparative HPLC [Waters XBridge™ C18 5 μιη OBD™ column, 30 χ 100 mm, flow rate 40 mL/minute, 5-100% gradient of acetonitrile in buffer (0.1 % trifluoroacetic acid)] to give the title compound (0.035 g, 0.057 mmol, 36% yield). Ti NMR (501 MHz, DMSO-i¾) δ ppm 8.60 (br s, 2H), 7.67 (s, 1H), 7.48 (t, J = 8 Hz, 1H), 7.03 (dd, J = 9, 3 Hz, 1H), 6.81 (br d, J = 8 Hz, 1H), 6.65 (s, 1H), 5.73 (br s, 1H), 4.69 (t, J = 7 Hz, 2H), 4.45 (s, 2H), 4.00 (m, 1H), 3.50 (t, J = 7 Hz, 2H), 2.34 (m, 1H), 2.19 (s, 3H), 2.00 (m, 2H), 1.65 - 1.90 (m, 7H); MS (ESI+) m/z 495 (M+H)+.
Example 326: (2£)-A^-{4-[2-(4-chloro-3-fluorophenoxy)acetamido]bicyclo[2.1.1]hexan-l- yl}-3-[5-(trifluoromethoxy)pyridin-2-yl]prop-2-enamide (Compound 425)
The reaction and purification conditions described in Example 81, substituting the product of Example 277B for 2-(4-chloro-3-fluorophenoxy)acetic acid and the product of Example 88C for benzyl (4-aminobicyclo[2.1.1]hexan-l -yl)carbamate hydrochloride gave the title compound. XH NMR (400 MHz, DMSO-c¾) δ ppm 8.73 (s, 1H), 8.68 (d, J = 2.8 Hz, 1H), 8.50 (s, 1H), 7.93 (ddd, J = 8.6, 2.8, 1.2 Hz, 1H), 7.73 (d, J = 8.5 Hz, 1H), 7.52 - 7.42 (m, 2H), 7.07 (dd, J = 1 1.4, 2.9 Hz, 1H), 7.03 (d, J = 15.4 Hz, 1H), 6.86 (ddd, J = 9.0, 2.9, 1.2 Hz, 1H), 4.49 (s, 2H), 2.19 - 2.11 (m, 2H), 1.90 - 1.77 (m, 6H); MS (ESI+) m/z 514 (M+NH)+.
Example 327: 2-(4-chloro-3-fluorophenoxy)-iV-[3-({[4-
(trifluoromethyl)phenyl]methanesulfonyl}amino)bicyclo[l.l.l]pentan-l-yl]acetamide (Compound 426)
To a solution of Example 27D (50.0 mg, 0.176 mmol) and (4- (trifluoromethyl)phenyl)methanesulfonyl chloride (45.4 mg, 0.176 mmol) in N,N- dimethylformamide (1.5 mL) was added triethylamine (0.061 mL, 0.439 mmol). The mixture was stirred for 3 hours and then treated with water. The precipitate was collected by filtration, and the precipitate was subsequently purified by reverse-phase HPLC (see protocol in Example 112D) to provide the title compound (24.5 mg, 88%). XH NMR (400 MHz, DMSO-c¾) δ ppm 8.76 (s, 1H), 8.20 (s, 1H), 7.77 (d, J = 8.1 Hz, 2H), 7.59 (d, J = 8.0 Hz, 2H), 7.50 (t, J = 8.9 Hz, 1H), 7.07 (dd, J = 11.4, 2.8 Hz, 1H), 6.85 (ddd, J = 9.0, 2.9, 1.2 Hz, 1H), 4.49 (s, 2H), 4.42 (s, 2H), 2.19 (s, 6H); MS (ESI+) m/z 507.0 (M+H)+.
Example 328: 2-(4-chloro-3-fluorophenoxy)-iV-(3-{[(4- chlorophenyl)methanesulfonyl] amino J bicyclo [1.1.1] pentan- l-yl)acetamide (Compound 427)
The reaction described in Example 327 substituting (5-chloropyridin-2- yl)methanesulfonyl chloride for (4-(trifluoromethyl)phenyl)methanesulfonyl chloride gave the title compound. lH NMR (400 MHz, DMSO-c¾) δ ppm 8.73 (s, 1H), 8.11 (s, 1H), 7.56 - 7.42 (m, 3H), 7.42 - 7.32 (m, 2H), 7.06 (dd, J = 11.4, 2.9 Hz, 1H), 6.85 (ddd, J = 9.1, 2.9, 1.2 Hz, 1H), 4.48 (s, 2H), 4.30 (s, 2H), 2.16 (s, 6H); MS (ESI+) m/z 473.0 (M+H)+.
Example 329: 2-(4-chloro-3-fluorophenoxy)-iV-[3-({[3-
(trifluoromethyl)phenyl]methanesulfonyl}amino)bicyclo[l.l.l]pentan-l-yl]acetamide (Compound 428)
The reaction described in Example 327 substituting (3- (trifluoromethyl)phenyl)methanesulfonyl chloride for (4-
(trifluoromethyl)phenyl)methanesulfonyl chloride gave the title compound. XH NMR (400 MHz, DMSO-c¾) δ ppm 8.72 (s, 1H), 8.18 (s, 1H), 7.78 - 7.60 (m, 4H), 7.49 (t, J = 8.9 Hz, 1H), 7.06 (dd, J = 11.4, 2.9 Hz, 1H), 6.85 (ddd, J = 8.9, 2.8, 1.2 Hz, 1H), 4.48 (s, 2H), 4.44 (s, 2H), 2.15 (s, 6H); MS (ESI+) m/z 507.1 (M+H)+.
Example 330: 2-(4-chloro-3-fluorophenoxy)-iV-[(31S')-3-hydroxy-4-({[4- (trifluoromethyl)phenyl]methanesulfonyl}amino)bicyclo [2.2.2] octan-l-yl]acetamide (Compound 429)
Example 330A: N-[ ( 3S)-4-amino-3-hydroxybicyclo [ 2.2.2 ]octan-l-yl ]-2-(4-chloro-3- fluorophenoxyjacetamide hydrochloride
A mixture of Example 276A (4.5 g, 9.85 mmol) and hydrogen chloride (4 N in 1,4- dioxane, 10.0 mL, 40.0 mmol) in ether (100 mL) was stirred at room temperature for 16 hours. Volatiles were removed, and the residue was triturated with CH2Cl2/CH3OH/hexane to give the title compound (3.2 g, 86%). MS (ESI+) m/z 343.2 (M+H)+.
Example 330B: 2-(4-chloro-3-fluorophenoxy)-N-[ (3S)-3-hydroxy-4-({ [ 4- ( trifluoromethyljphenyl ]methanesulfonyl}amino)bicyclo[ 2.2.2 ]octan-l-yl Jacetamide To a solution of Example 330A (60.0 mg, 0.158 mmol) and (4- (trifluoromethyl)phenyl)methanesulfonyl chloride (40.9 mg, 0.158 mmol) in N,N- dimethylformamide (2 mL) was added triethylamine (0.055 mL, 0.396 mmol). The mixture was stirred at room temperature for 3 hours and at 45 °C for 3 hours. More sulfonyl chloride was added (40.9 mg). The reaction mixture was stirred for 3 hours, treated with brine, and extracted with ethyl acetate (2x). The combined organic layers were dried over MgSC>4, filtered, and concentrated. The residue was purified by reverse-phase HPLC (see protocol in Example 112D) to provide the title compound (20.0 mg, 22%). XH NMR (400 MHz, DMSO- di) δ ppm 7.73 (d, J = 8.1 Hz, 2H), 7.64 (d, J = 8.0 Hz, 2H), 7.49 (dd, J = 18.1, 9.2 Hz, 2H), 7.03 (dd, J = 11.4, 2.8 Hz, 1H), 6.81 (dd, J = 8.9, 2.8 Hz, 1H), 6.53 (s, 1H), 4.50 - 4.39 (m,
4H), 4.06 - 3.94 (m, 1H), 2.31 (ddd, J = 12.3, 9.4, 2.4 Hz, 1H), 2.11 - 1.66 (m, 9H); MS (ESI+) m/z 581.9 (M+NH4)+.
Example 331: 2-(4-chloro-3-fluorophenoxy)-iV-[(31S')-3-hydroxy-4-({[3- (trifluoromethyl)phenyl]methanesulfonyl}amino)bicyclo [2.2.2] octan-l-yl]acetamide (Compound 430)
The reaction described in Example 330B substituting (3- (trifluoromethyl)phenyl)methanesulfonyl chloride for (4-
(trifluoromethyl)phenyl)methanesulfonyl chloride gave the title compound. XH NMR (400 MHz, DMSO-c¾) δ ppm 7.79 (s, 1H), 7.71 (t, J = 8.3 Hz, 2H), 7.60 (t, J = 7.7 Hz, 1H), 7.49 (dd, J = 17.7, 8.8 Hz, 2H), 7.03 (dd, J = 11.4, 2.8 Hz, 1H), 6.81 (dd, J = 9.1, 2.9 Hz, 1H), 6.53 (s, 1H), 4.53 - 4.39 (m, 4H), 4.00 (dd, J = 9.6, 2.3 Hz, 1H), 2.30 (ddd, J = 12.5, 9.4, 2.4 Hz, 1H), 2.11 - 1.63 (m, 9H); MS (ESI+) m/z 581.9 (M+NH4)+.
Example 332: 2-(4-chloro-3-fluorophenoxy)-iV-(3-{[(4- chlorophenyl)carbamoyl]amino}bicyclo[l.l.l]pentan-l-yl)acetamide (Compound 431)
4-Chlorophenyl isocyanate (35 mg, 0.23 mmol) was added to a pyridine (5.0 mL) solution of the product of Example 27D (65 mg, 0.23 mmol). After stirring at ambient temperature for 30 minutes, the reaction mixture was concentrated in vacuo, taken up in N,N- dimethylformamide (3 mL), filtered through a glass microfiber frit, and purified by preparative HPLC [YMC TriArt™ C18 Hybrid 20 μιη column, 25 χ 150 mm, flow rate 80 mL/minute, 5- 100% gradient of acetonitrile in buffer (0.025 M aqueous ammonium bicarbonate, adjusted to pH 10 with ammonium hydroxide)] to give the title compound (76 mg, 0.17 mmol, 76% yield). XH NMR (500 MHz, DMSO-c¾) δ ppm 8.71 (s, 1H), 8.46 (s, 1H), 7.50 (t, J = 8.9 Hz, 1H), 7.42 - 7.36 (m, 2H), 7.28 - 7.22 (m, 2H), 7.07 (dd, J = 1 1.4, 2.8 Hz, 1H), 6.89 - 6.82 (m, 2H), 4.48
(s, 2H), 2.23 (s, 6H); MS (ESI+) m/z 438 (M+H)+.
Example 333: 2-(4-chloro-3-fluorophenoxy)-iV-(3-{ [(4-chloro-2- hydroxyphenyl)carbamoyl]amino}bicyclo[l.l.l]pentan-l-yl)acetamide (Compound 432) A mixture of the product of Example 9B (35 mg, 0.088 mmol), 2,6- dichlorobenzo[cf|oxazole (17.33 mg, 0.092 mmol) and N-ethyl-N-isopropylpropan-2-amine (56.7 mg, 0.439 mmol) in dimethyl sulfoxide (0.2 mL) was stirred at 100 °C for 1.5 hours. The resulting solution was filtered through a glass microfiber frit and purified by preparative HPLC [Waters XBridge™ CI 8 5 μιη OBD™ column, 30 χ 100 mm, flow rate 40 mL/minute, 5-100% gradient of acetonitrile in buffer (0.1 % trifluoroacetic acid)] to give the title compound (11 mg, 0.024 mmol, 28% yield). lH NMR (400 MHz, DMSO-c¾) δ ppm 10.36 (s, 1H), 8.72 (s, 1H), 7.94 (d, J = 8 Hz, 1H), 7.82 (s, 1H), 7.51 (s, 1H), 7.50 (t, J = 8 Hz, 1H), 7.08 (dd, J = 9, 3 Hz, 1H), 6.86 (br d, J = 8 Hz, 1H), 6.79 (d, J = 2 Hz, 1H), 6.74 (dd, J = 8, 3Hz, 1H), 4.48 (s, 2H), 2.22 (s, 6H); MS (ESI+) m/z 454 (M+H)+.
Example 334: 4-methylphenyl {4-[2-(4-chloro-3-fluorophenoxy)acetamido]-2- hydroxybicyclo[2.2.2]octan-l-yl}carbamate (Compound 433)
To a mixture of the product of Example 198H (30 mg, 0.088 mmol) and N-ethyl-N- isopropylpropan-2-amine (0.038 mL, 0.220 mmol) in tetrahydrofuran (1.0 mL) was added p- tolyl carbonochloridate (0.019 mL, 0.13 mmol), and the clear solution was stirred at ambient temperature for 16 hours. Solvent was removed under vacuum, and the residue was dissolved in a mixture of dichloromethane/methanol (1 : 1 , 2 mL) and treated with sodium borohydride (16.7 mg, 0.44 mmol) for 1 hour at ambient temperature. The mixture was concentrated under reduced pressure and purified by HPLC (20-100% acetonitrile in 0.1 % trifluoroacetic acid/ water on a Phenomenex® CI 8 5μπι (250 mm χ 21.2 mm) column at a flowrate of 25 mL/minute) to give the title compound (28 mg, 67% yield). l NMR (400 MHz, OMSO-d6) δ ppm 7.53 - 7.43 (m, 2H), 7.15 (d, J = 8.3 Hz, 2H), 7.10 - 6.98 (m, 2H), 7.00 - 6.92 (m, 2H), 6.81 (ddd, J = 8.9, 2.9, 1.2 Hz, 1H), 4.89 (s, 1H), 4.43 (s, 2H), 4.08 (dd, J = 9.8, 2.8 Hz, 1H), 2.28 (s, 3H), 2.25 (m, 1H), 1.99 - 1.68 (m, 9H); MS (ESI+) m/z 477.2 (M+H)+.
Example 335: 4-chlorophenyl {3-[2-(4-chloro-3- fluorophenoxy)acetamido]bicyclo[l.l.l]pentan-l-yl}carbamate (Compound 434)
To a suspension of Example 1 12A (65.0 mg, 0.202 mmol) and triethylamine (0.071 mL, 0.506 mmol) in tetrahydrofuran (2 mL) was added 4-chlorophenyl carbonochloridate (0.031 niL, 0.223 mmol). The mixture was stirred for 2 hours, quenched with saturated NaHCC and brine, and extracted with ethyl acetate (2x). The combined organic layers were concentrated, and the residue was purified by reverse-phase HPLC (see protocol in Example 112D) to provide the title compound (19.1 mg, 21%). XH NMR (400 MHz, DMSO-c¾) δ ppm 8.73 (s, 1H), 8.57 (s, 1H), 7.49 (t, J = 8.9 Hz, 1H), 7.46 - 7.38 (m, 2H), 7.15 (d, J = 8.8 Hz, 2H), 7.07 (dd, J = 11.4, 2.8 Hz, 1H), 6.85 (ddd, J = 9.1, 2.9, 1.2 Hz, 1H), 4.48 (s, 2H), 2.24 (s, 6H); MS (ESI+) m/z 439.1 (M+H)+.
Example 336: 4-methylphenyl {3-[2-(4-chloro-3- fluorophenoxy)acetamido]bicyclo[l.l.l]pentan-l-yl}carbamate (Compound 435)
The reaction described in Example 335 substituting / tolyl carbonochloridate for 4- chlorophenyl carbonochloridate gave the title compound. XH NMR (400 MHz, DMSO-c¾) δ ppm 8.72 (s, 1H), 8.43 (s, 1H), 7.49 (t, J = 8.9 Hz, 1H), 7.16 (d, J = 8.1 Hz, 2H), 7.07 (dd, J = 11.4, 2.9 Hz, 1H), 6.96 (d, J = 8.3 Hz, 2H), 6.85 (ddd, J = 9.0, 2.8, 1.2 Hz, 1H), 4.48 (s, 2H), 2.28 (s, 3H), 2.23 (s, 6H); MS (ESI+) m/z 419.1 (M+H)+.
Example 337: 4-chlorophenyl {4-[2-(4-chloro-3-fluorophenoxy)acetamido]-2- hydroxybicyclo[2.2.2]octan-l-yl}carbamate (Compound 436)
The title compound was prepared using the methodologies described in Example 334 substituting 4-chlorophenyl carbonochloridate for / tolyl carbonochloridate. XH NMR (400 MHz, DMSO-c e) δ ppm 7.54 - 7.43 (m, 2H), 7.46 - 7.37 (m, 2H), 7.23 (s, 1H), 7.17 - 7.08 (m, 2H), 7.02 (dd, J = 11.4, 2.8 Hz, 1H), 6.81 {At, J = 8.8, 1.8 Hz, 1H), 4.87 (s, 1H), 4.43 (s, 2H), 4.11 (dt, J = 9.3, 2.4 Hz, 1H), 2.28 (ddd, J = 12.7, 9.5, 2.7 Hz, 1H), 2.04 - 1.66 (m, 9H); MS (ESI+) m/z 497.0 (M+H)+.
Example 338: 2-(4-chloro-3-fluorophenoxy)-A/-{(2.S)-4-[2-(4-chlorophenoxy)acetamido]-2- hydroxybicyclo[2.2.2]octan-l-yl}acetamide (Compound 437)
Example 338A: N-(4-amino-2-hydroxybicyclo[2.2.2]octan-l-yl)-2-(4-chloro-3- fluorophenoxyjacetamide, hydrochloric acid
A mixture of Example 214E (7g, 15.39 mmol) and NaBH4 (0.582 g, 15.39 mmol) in a mixture of methanol (200mL) and methylene chloride (200 mL) was stirred at 20 °C for 12 hours. The solution was concentrated, and the residue was purified by preparative HPLC (5-100% acetonitrile in water with 0.05% HCl on a SNAP C18 (20-35 μη 800 g) column at a flow rate of 200 mL/minute) to provide the title compound (5.0 g, 83%). MS (ESI+) m/z 343.1
(M+H)+. Example 338B: 2-(4-chloro-3-fluorophenoxy)-N-{(25 -4-[2-(4-chlorophenoxy)acetamido]-2- hy droxy bicy clo [2.2.2] octan- 1 -y 1 } acetamide
The title compound was isolated by chiral preparative SFC (see protocol in Example 276A) as the first peak eluted off the column. XH NMR (400 MHz, methanol-^) δ ppm 7.36 (t, J=8.71 Hz, IH), 6.91 (dd, J=10.91, 2.76 Hz, IH), 6.80 (dd, J=8.82, 1.32 Hz, IH), 4.45 (s, 2H), 4.28 (br d, J = 8.60 Hz, IH), 2.22 - 1.98 (m, 4H), 1.90 (td, J = 1 1.74, 4.30 Hz, IH), 1.82 - 1.49 (m, 8H); MS (ESI+) m/z 343.1 (M+H)+.
Example 338C: 2-( 4-chloro-3-fluorophenoxy)-N-{ (2S)-4-[ 2-( 4-chlorophenoxy)acetamido ]-2- hydroxybicyclo [ 2.2.2 ] octan- 1-yljacetamide
A mixture of Example 338B (40 mg, 0.1 17 mmol), 2-(4-chlorophenoxy)acetic acid
(25.04 mg, 0.134 mmol) and N-ethyl-N-isopropylpropan-2-amine (0.071 mL, 0.408 mmol) in NN-dimethylformamide (1.5 mL) was treated with 2-(3H-[l,2,3]triazolo[4,5- )]pyridin-3-yl)- l ,l ,3,3-tetramethylisouronium hexafluorophosphate(V) (66.6 mg, 0.175 mmol), and the reaction was stirred at ambient temperature for 30 minutes. Solvent was removed under high vacuum, and the residue was purified by HPLC (20-100% acetonitrile in 0.1% trifluoroacetic acid/water on a Phenomenex® CI 8 Ι Ομπι (250 mm χ 50 mm) column at a flow rate of 50 mL/minute) to give 63 mg of the title column as a white solid. XH NMR (400 MHz, DMSO-£¾) ppm 7.53 - 7.43 (m, 2H), 7.37 - 7.28 (m, 2H), 7.25 (s, IH), 7.05 (dd, J = 1 1.4, 2.8 Hz, IH), 6.99 - 6.89 (m, 2H), 6.83 (ddd, J = 9.0, 2.9, 1.2 Hz, IH), 5.10 - 5.04 (m, IH), 4.43 (d, J = 31.5 Hz, 4H), 4.03 (d, J = 9.0 Hz, IH), 2.27 (ddd, J = 12.2, 9.4, 2.2 Hz, IH), 2.07 (ddd, J = 12.3, 10.5, 4.8 Hz, IH), 1.97 - 1.87 (m, 2H), 1.90 - 1.80 (m, 3H), 1.78 (ddd, J = 13.3, 6.8, 2.5 Hz, 4H); MS (ESI+) m/z 51 1.1 (M+H)+.
Example 339: 2-(4-chloro-3-fluorophenoxy)-^-{(2.S)-4-[2-(3,4- dichlorophenoxy)acetamido]-2-hydroxybicyclo[2.2.2]octan-l-yl}acetamide (Compound 438)
The title compound was prepared using the methodologies described in Example 338C substituting 2-(3,4-dichlorophenoxy)acetic acid for 2-(4-chlorophenoxy)acetic acid. XH NMR (400 MHz, DMSO-c¾) Sppm 7.56 - 7.43 (m, 3H), 7.28 - 7.18 (m, 2H), 7.05 (dd, J = 1 1.4, 2.8 Hz, IH), 6.94 (dd, J = 9.0, 2.9 Hz, IH), 6.83 (ddd, J = 9.0, 2.9, 1.2 Hz, IH), 5.07 (d, J = 4.4 Hz, IH), 4.45 (d, J = 8.8 Hz, 4H), 4.04 (dt, J = 8.7, 3.6 Hz, IH), 2.27 (ddd, J = 12.3, 9.4, 2.2 Hz, IH), 2.07 (ddd, J = 12.4, 10.6, 4.7 Hz, IH), 1.93 (d, J = 11.1 Hz, 2H), 1.91 - 1.72 (m, 6H); MS (ESI+) m/z 542.9 (M-H)". Example 340: iV-{(2»S)-4-[2-(4-chloro-3-fluorophenoxy)acetamido]-2- hydroxybicyclo[2.2.2]octan-l-yl}-2-(4-chloro-3-methylphenoxy)-2-methylpropanamide (Compound 439)
The title compound was prepared using the methodologies described in Example 338C substituting Example 276A for Example 338B and 2-(4-chloro-3-methylphenoxy)-2- methylpropanoic acid for 2-(4-chlorophenoxy)acetic acid. XH NMR (400 MHz, OMSO-d6) δ ppm 7.53 7.43 (m, 2H), 7.30 (d, J = 8.7 Hz, 1H), 7.10 (s, 1H), 7.02 (dd, J = 11.4, 2.8 Hz, 1H), 6.91 (d, J = 2.9 Hz, 1H), 6.87 6.70 (m, 2H), 5.19 (s, 1H), 4.43 (s, 2H), 3.88 3.79 (m, 1H), 2.50 2.37 (m, 1H), 2.34 2.23 (m, 1H), 2.27 (s, 3H), 2.08 1.93 (m, 1H), 1.97 1.86 (m, 1H), 1.89 1.72 (m, 6H), 1.37 (d, J = 5.3 Hz, 6H); MS (ESI+) m/z 553.3 (M+H)+.
Example 341 : i\yV-(bicyclo [2.2.1 ] heptane- l,4-diyl)bis [2-(4-chloro-3- fluorophenoxy)acetamide] (Compound 440)
Example 341 A: bicyclo[ 2.2.1 Jheptane-1, 4-dicarboxylic acid
A mixture of dimethyl bicyclo[2.2.1]heptane-l,4-dicarboxylate (1.0 g, 4.71 mmol) and lithium hydroxide monohydrate (0.593 g, 14.13 mmol) in methanol (20 mL) and water (40 mL) was stirred at ambient temperature for 3 days. Volatiles were removed under vacuum, and the residue was acidified with 1 N HC1 solution. The white suspension was then extracted with ethyl acetate (100 mL). The organic layer was dried over magnesium sulfate, filtered and concentrated to give 0.85 g of the title compound as a white solid that was used without further purification. lH NMR (400 MHz, DMSO-i¾) Sppm 12.16 (s, 2H), 2.01 - 1.83 (m, 4H), 1.73 (d, J = 1.5 Hz, 2H), 1.66 - 1.52 (m, 4H).
Example 34 IB: bicyclo [2.2.1 ] heptane- 1 , 4-diamine dihydrochloride
A mixture of Example 341A (0.87 g, 4.72 mmol), 2,4,6-tripropyl-l,3,5,2,4,6- trioxatriphosphinane 2,4,6-trioxide (7.03 mL of 50% solution in ethyl acetate, 11.81 mmol) and triethylamine (2.96 mL, 21.26 mmol) in toluene (10.0 mL) was treated with
azidotrimethylsilane (1.553 mL, 11.81 mmol), and the reaction mixture was stirred at ambient temperature for 2 hours. Volatiles were removed, and the residue was heated at 90 °C for 2 hours. The reaction vessel was cooled to ambient temperature, and 3 N HC1 (23.62 mL, 70.9 mmol) was added carefully followed by stirring at 50 °C overnight. The solution was concentrated, and the residue was triturated with acetonitrile. The precipitate was collected by filtration and air-dried to give 0.38 g of the title compound as an off-white solid. XH NMR (400 MHz, DMSO-c¾) Jppm 8.82 (s, 6H), 1.99 1.70 (m, 10H). Example 341C: N,N'-(bicyclo[ 2.2.1 Jheptane-1, 4-diyl)bis[ 2-( 4-chloro-3- fluorophenoxyjacetamide ]
A mixture of bicyclo[2.2.1]heptane-l ,4-diamine dihydrochloride (0.05 g, 0.251 mmol), 2-(3-chloro-4-fluorophenoxy)acetic acid (0.094 g, 0.459 mmol) and N-ethyl-N- isopropylpropan-2-amine (0.321 mL, 1.838 mmol) in NN-dimethylformamide (1.5 mL) was treated with 2-(3H-[l ,2,3]triazolo[4,5- )]pyridin-3-yl)-l, l ,3,3-tetramethylisouronium hexafluorophosphate(V) (0.210 g, 0.551 mmol), and the reaction mixture was stirred at ambient temperature for 30 minutes. Volatiles were removed, and the residue was purified by HPLC (20-100% acetonitrile in 0.1% trifluoroacetic acid/water on a Phenomenex C 18 10 μπι (250 mm x 50 mm) column at a flow rate of 50 mL/minute) to give 80 mg of the title compound as a white solid. XH NMR (400 MHz, DMSO-i¾) Sppm 8.10 (s, 2H), 7.45 (t, J = 8.9 Hz, 2H), 7.01 (dd, J = 11.4, 2.8 Hz, 2H), 6.80 (ddd, J = 8.9, 2.9, 1.2 Hz, 2H), 4.44 (s, 4H), 2.00 (s, 2H), 1.85 (d, J = 6.3 Hz, 4H), 1.85 1.68 (m, 4H); MS (ESI+) m/z 515.9 (M+NH4)+.
Example 342: l,4-bis[2-(4-chloro-3-fluorophenoxy)acetamido]bicyclo[2.2.2]octane-2- carboxamide (Compound 441)
A 20 mL vial, equipped with a magnetic stir bar, was charged with hydrogen chloride (12 N, 4 mL, 132 mmol), acetic acid (4 mL, 69.9 mmol) and the product of Example 288 (0.5 g, 0.929 mmol). The reaction was heated at 50 °C for 6 hours and then poured into water. The precipitate was collected by filtration. The precipitate was purified by preparative HPLC (10- 95% acetonitrile in 0.1 % trifluoroacetic acid/water at 25 mL/minute on a Phenomenex® CI 8 5 μιτι column (250 mm χ 21.2 mm)) to give the title compound as a white solid (41.5 mg, 8 % yield). lH NMR (501 MHz, DMSO-c 6) δ ppm 7.91 (s, 1H), 7.77 (s, 1H), 7.47 (q, J = 8.8 Hz, 2H), 7.09 (s, 1H), 7.04 (ddd, J = 11.4, 5.4, 2.8 Hz, 2H), 6.83 (dddd, J = 9.0, 8.0, 2.9, 1.2 Hz, 3H), 4.61 (d, J = 2.8 Hz, 2H), 4.46 (s, 2H), 1.99 (dd, J = 14.2, 8.7 Hz, 3H), 1.86 (q, J = 9.1, 8.5 Hz, 1H), 1.77 - 1.65 (m, 1H), 1.71 (s, 4H), 1.66 - 1.54 (m, 1H); MS (APCI+) m/z 557.2 (M+H)+.
Example 343: i\yV- [(2S)-2-hydroxybicyclo [2.2.2] octane- 1,4-diyl] bis [2-(4- methylphenoxy)acetamide] (Compound 442)
Example 343A: 4-(benzylamino)-2-oxobicyclo[2.2.2]octane-l-carboxylic acid, hydrochloric acid
A mixture of 198D (HC1 salt, 20.7 g, 61.3 mmol) and 25% aqueous sodium hydroxide (49.0 mL, 306 mmol) in methanol (200 mL) and water (200 mL) was stirred for 24 hours at ambient temperature. Volatiles were removed, and the residue was acidified with 1 N HC1. The precipitate was collected by filtration, washed with water, and air-dried to give 16.4 g (86%) of the title compound as a yellow solid. XH NMR (400 MHz, DMSO-c¾) δ ppm 12.70 (s, 1H), 9.67 (s, 2H), 7.62 (dd, J = 7.5, 2.0 Hz, 2H), 7.43 (d, J = 6.6 Hz, 3H), 4.13 (s, 2H), 2.87 (s, 2H), 2.08 (tdq, J = 14.4, 10.8, 5.8, 5.0 Hz, 8H).
Example 343B: l-amino-4-(benzylamino)bicyclo[2.2.2]octan-2-one, hydrochloric acid
To a suspension of Example 343A (10.01 g, 32.3 mmol) in toluene (100 mL) was added a 50% ethyl acetate solution of 2,4,6-tripropyl-l,3,5,2,4,6-trioxatriphosphinane 2,4,6-trioxide (22 mL, 37.0 mmol), trimethylsilyl azide (TMS-N3) (5.0 mL, 37.7 mmol), and triethylamine (11.5 mL, 83 mmol). The mixture was stirred for 30 minutes at room temperature, heated for 2 hours at 85 °C, and then 3 N aqueous hydrochloric acid (86 mL, 258 mmol) was added. The mixture was stirred at 85 °C for 90 minutes and then concentrated. The concentrate was stirred with acetonitrile (150 mL) to precipitate a white solid, which was collected by filtration, washed with acetonitrile (30 mL) and CH2CI2 (25 mL), and vacuum-dried to provide the title compound as an HC1 salt (6.244 g, 60.9 % yield). MS (APCI+) m/z 245.0 (M+H)+.
Example 343C: tert-butyl (S)-( 4-(benzylamino)-2-hydroxybicyclo[ 2.2.2 ]octan-l-yl) carbamate
Example 343B (2.50 g), MgSC>4 (1M, 200 μί) and nicotinamide adenine dinucleotide phosphate (NADPH, 50 mg) were mixed in 50 mL of potassium phosphate buffer (120 mM, pH = 7.0) and 25 mL of isopropanol. To this solution was added Codexis KRED P02C2 enzyme (200 mg) dissolved in 25 mL of the same potassium phosphate buffer. The reaction was stirred overnight. The cloudy, aqueous solution was adjusted to pH > 11 with 50% weight/weight aqueous sodium hydroxide. To this was added 2.58 g (11.58 mmol, 1.5 eq) of di-fert-butyl dicarbonate in 100 mL of ethyl acetate. The biphasic solution was stirred for two hours and monitored as the reaction proceeded. The aqueous layer was routinely checked to maintain pH > 10. At 2 hours, an additional 0.42 mg (0.25 eq) di-fert-butyl dicarbonate was added, and the reaction was continued for an additional hour. The two layers were separated. The aqueous layer was extracted with ethyl acetate (50 mL χ 2). The organic layers were combined, washed with brine (30 mL), and concentrated in vacuo. The residue was precipitated in ethyl acetate/hexanes to provide the title compound (1.30 g, 48%). MS (APCI+) m/z 347.4 (M+H)+.
Example 343D: (S)-l, 4-diaminobicyclo[ 2.2.2 Joct n-2-ol dihydrochloride Methanol (13.17 mL) and 4 M HC1 in dioxane (2.3 mL, 9.20 mmol) was added to Example 343C (1.10 g, 3.17 mmol) and 20% Pd(OH)2/carbon (0.441 g, 0.321 mmol, 51% in water) in a 50 mL pressure bottle. The mixture was shaken under 60 psi of hydrogen at 40 °C for 16 hours. The reactor was cooled and left shaking for a total of 19.3 hours. The reactor was vented. The reaction mixture was filtered and concentrated. The concentrate was triturated with ethanol. The solid was collected by filtration and vacuum oven-dried to provide the title compound (0.628 g, 86%). This material was used in the next step without further purifications. MS (DCI+) m/z 157.0 (M+H)+.
Example 343E: N,N'-[ (2S)-2-hydroxybicyclo [ 2.2.2 Joct ne-1, 4-diyl Jbisf 2-( 4- methylphenoxyjacetamide ] ( Compound 442)
A mixture of Example 343D (40.0 mg, 0.175 mmol), l-[bis(dimethylamino)methylene]- lH-l,2,3-triazolo[4,5-Z>]pyridinium 3-oxid hexafiuorophosphate (HATU, 173 mg, 0.454 mmol), 2-(/ tolyloxy)acetic acid (75 mg, 0.454 mmol), and triethylamine (0.122 mL, 0.873 mmol) in tetrahydrofuran (3 mL) was stirred for 3 hours. The reaction was quenched with brine and extracted with ethyl acetate (2x). The combined organic layers were dried over
MgSC>4, filtered, and concentrated. The concentrate was dissolved in tetrahydrofuran (1 mL) and methanol (0.6 mL) and treated with 1 N NaOH (0.4 mL). The mixture was stirred for 1 hour, concentrated, diluted with water and brine, and extracted with ethyl acetate (2x). The combined organic layers were dried over MgSC>4 and concentrated. The residue was purified by reverse-phase HPLC (see protocol in Example 112D) to provide the title compound (37.2 mg, 47%). ¾ NMR (500 MHz, DMSO-i¾) δ ppm 7.35 (s, 1H), 7.17 (s, 1H), 7.12 - 7.03 (m, 4H), 6.85 - 6.72 (m, 4H), 5.15 (d, J = 4.6 Hz, 1H), 4.35 (s, 2H), 4.32 (s, 2H), 4.03 - 3.90 (m, 1H), 2.33 - 2.09 (m, 8H), 1.96 - 1.73 (m, 8H); MS (ESI+) m/z 453.2 (M+H)+.
Example 344: NJ - [(2S)-2-hydroxybicyclo [2.2.2] octane- 1,4-diyl] bis [2-(3,4- dimethylphenoxy)acetamide] (Compound 443)
The reaction described in Example 343E substituting 2-(3,4-dimethylphenoxy)acetic acid for 2-(/ tolyloxy)acetic acid gave the title compound. XH NMR (400 MHz, DMSO-c e) δ ppm 7.32 (s, 1H), 7.15 (s, 1H), 7.02 (dd, J = 8.4, 4.5 Hz, 2H), 6.73 (dd, J = 8.9, 2.7 Hz, 2H), 6.63 (ddd, J = 10.7, 8.3, 2.8 Hz, 2H), 5.15 (d, J = 4.7 Hz, 1H), 4.33 (d, J = 1.4 Hz, 2H), 4.30 (s, 2H), 3.97 (dt, J = 8.8, 3.8 Hz, 1H), 2.34 - 2.12 (m, 14H), 2.00 - 1.67 (m, 8H); MS (ESI+) m/z 481.3 (M+H)+. Example 345: 2-(4-chloro-3-fluorophenoxy)-A^-{(3.S)-4-[2-(4-chloro-3- fluorophenoxy)acetamido]-3-hydroxybicyclo[2.2.2]octan-l-yl}-A^-methylacetamide (Compound 444)
Example 345A: (S)-tert-butyl ( 4-(benzyl(methyl)amino)-2-hydroxybicyclo[ 2.2.2 ]octan-l- yl) carbamate
To a mixture of the product of Example 343C (1.00 g, 2.89 mmol) in CH2CI2 (25 mL) was added acetic acid (0.496 mL, 8.66 mmol), formaldehyde (37% in water, 0.901 mL, 11.55 mmol), and macroporous cyanoborohydride resin (2.32 g, 5.77 mmol, reagent on solid support from Biotage®, 2.49 mmol/g). The reaction mixture was stirred for 3 hours, filtered, and concentrated. The residue was taken up in ethyl acetate and washed with saturated NaHCC and brine. The organic layer was dried over MgSC>4, filtered, and concentrated. The residue was purified on a 40 g silica column using the Biotage® Isolera™ One flash system eluting with CH2CI2/CH3OH (95:5) to provide the title compound (0.599 g, 58%). MS (ESI+) m/z 361.3 (M+H)+.
Example 345B: (S)-l-amino-4-(benzyl(methyl)amino)bicyclo[2.2.2]octan-2-ol, 2 hydrochloric acid
A mixture of Example 345 A (0.520 g, 1.442 mmol) and trifluoroacetic acid (1.11 mL, 14.42 mmol) in CH2CI2 (8 mL) was stirred for 6 hours. The reaction mixture was concentrated, and the residue dissolved in CH3OH (5 mL). To the resulting solution was added 2 N HC1 in ether (4 mL), and the mixture was stirred for 15 minutes and then concentrated. The concentrate was suspended in ether, and the mixture was stirred for 15 minutes. The solid was collected by filtration, washed with ether, and vacuum oven-dried to provide title compound (0.415 g, 86%). MS (ESI+) m/z 261.3 (M+H)+.
Example 345C: N-{ (2S)-4-[benzyl(methyl)amino ]-2-hydroxybicyclo[ 2.2.2 ]octan-l-yl}-2-(4- chloro-3-fluorophenoxy)acetamide
A mixture of Example 345B (0.409 g, 1.227 mmol), l-[bis(dimethylamino)methylene]- lH-l,2,3-triazolo[4,5-Z>]pyridinium 3-oxid hexafluorophosphate (0.980 g, 2.58 mmol, HATU), 2-(4-chloro-3-fluorophenoxy)acetic acid (0.527 g, 2.58 mmol), and triethylamine (0.684 mL, 4.91 mmol) in N,N-dimethylformamide (6 mL) was stirred for 4 hours. The reaction mixture was quenched with brine and extracted with ethyl acetate (2x). The combined organic layers were dried over MgSC>4, filtered and concentrated. The concentrate was dissolved in CH3OH (2 mL) and tetrahydrofuran (2 mL) and treated with 2.5 M sodium hydroxide (1.96 mL, 4.91 mmol). The mixture was stirred for 2 hours, quenched with brine, and extracted with ethyl acetate (2x). The combined organic layers were washed with water, dried over MgSC>4, filtered, and concentrated. The residue was purified on a 12 g silica column using the
Biotage® Isolera™ One flash system eluting with heptanes/ethyl acetate (1 :9) to provide the title compound (0.205g, 37%). MS (ESI+) m/z 447.2 (M+H)+.
Example 345D: 2-(4-chloro-3-fluorophenoxy)-N-[(2S)-2-hydroxy-4- (methylamino)bicyclo [ 2.2.2 ]octan-l-yl Jacetamide, hydrochloric acid
To the product of Example 345C (150 mg, 0.336 mmol) in methanol (3 mL) and 4 M HC1 in dioxane (0.252 mL, 1.007 mmol) in a 20 mL Bamstead Hastelloy C reactor was added 20% Pd(OH)2/carbon (65 mg, 0.047 mmol, 51% in water). The reactor was purged with argon. The mixture was stirred at 1600 RPM under 50 psi of hydrogen at 25 °C. The reactor was vented after 1.6 hours. The reaction mixture was filtered, and the filtrate was concentrated to provide the title compound (0.125 g, 95%) that was used in the nest step without further purifications. MS (ESI+) m/z 357.2 (M+H)+.
Example 345E: 2-(4-chloro-3-fluorophenoxy)-N-{(3S)-4-[2-(4-chloro-3- fluorophenoxyjacetamido ]-3-hydroxybicyclo[ 2.2.2 ]octan-l -ylj-N-methylacetamide ( Compound 444)
A mixture of the product of Example 345D (30.0 mg, 0.076 mmol), 2-(4-chloro-3- fluorophenoxy)acetic acid (18.73 mg, 0.092 mmol), l-[bis(dimethylamino)methylene]-lH- l,2,3-triazolo[4,5-Z>]pyridinium 3-oxid hexafluorophosphate, (HATU, 34.8 mg, 0.092 mmol), and triethylamine (0.032 mL, 0.229 mmol) in N,N-dimethylformamide (2.5 mL) was stirred for 1.5 hours. The reaction was quenched with brine, and the mixture was extracted with ethyl acetate (2x). The combined organic layers were dried over MgSC>4, filtered, and concentrated. The residue was purified by reverse-phase HPLC (see protocol in Example 112D) to provide the title compound (18.7 mg, 45%). lH NMR (400 MHz, DMSO-i¾) δ ppm 7.46 (dt, J = 16.0, 8.9 Hz, 2H), 7.26 (s, 1H), 7.05 (dd, J = 11.4, 2.9 Hz, 1H), 6.98 (dd, J = 11.6, 2.8 Hz, 1H), 6.83 (ddd, J = 9.0, 2.9, 1.2 Hz, 1H), 6.76 (ddd, J = 9.0, 2.9, 1.2 Hz, 1H), 5.08 (d, J = 4.3 Hz, 1H), 4.78 (s, 2H), 4.46 (s, 2H), 4.02 (dt, J = 8.7, 3.9 Hz, 1H), 2.80 (s, 3H), 2.41 (ddd, J = 12.4, 9.5, 2.5 Hz, 1H), 2.13 - 1.72 (m, 9H); MS (ESI+) m/z 543.0 (M+H)+.
Example 346: (2.S)-l,4-bis[2-(4-chloro-3-fluorophenoxy)acetamido]bicyclo[2.2.2]octan-2- yl acetate (Compound 445) To a suspension of Example 198K (7.80 g, 14.7 mmol), N,N-dimethylpyridin-4-amine (1.88 g, 15.4 mmol), and triethylamine (2.70 mL, 19.4 mmol) in CH2C12 (80 mL) at 0 °C was added acetyl chloride (1.35 mL, 19.0 mmol). The ice-bath was removed and the mixture was stirred for 30 minutes. The material was concentrated under reduced pressure, and the residue was diluted with ethyl acetate. The mixture was washed sequentially with 1 Ν HC1 (40 mL), water (25 mL), saturated aqueous NaHCC (25 mL), and brine (25 mL). The organic layer was dried over anhydrous Na2SC>4, and adsorbed onto silica. Purification by column
chromatography (S1O2, 25-30% ethyl acetate/dichloromethane) gave 7.78 g of racemic title compound, l,4-bis[2-(4-chloro-3-fluorophenoxy)acetamido]bicyclo[2.2.2]octan-2-yl acetate. This material was then purified by chiral SFC (supercritical fluid chromatography) using a Chiralpak® AD-H column eluting with 40% CH3OH in CO2 to give the title compound (first enantiomer eluted out of the column (2.97 g, 5.2 mmol, 35% yield). XH NMR (501 MHz, DMSO-c¾) <5 ppm 7.60 (s, 1H), 7.55 (s, 1H), 7.47 (td, J = 8.9, 2.0 Hz, 2H), 7.00 (ddd, J= 16.6, 11.4, 2.9 Hz, 2H), 6.79 (dddd, J = 8.6, 7.1, 2.8, 1.2 Hz, 2H), 5.28 (dd, J = 9.6, 2.4 Hz, 1H), 4.49 - 4.39 (m, 4H), 2.39 (ddd, J = 14.0, 9.4, 2.9 Hz, 1H), 2.26 - 2.17 (m, 1H), 2.05 - 1.99 (m, 1H), 1.98 (s, 3H), 1.93 (dd, J= 9.1, 6.9 Hz, 2H), 1.90 - 1.75 (m, 5H); MS (ESI+) m/z 571 (M+H)+. Example 347: 2-(4-chloro-3-fluorophenoxy)-iV-[3-(2- phenylacetamido)bicyclo[l.l.l]pentan-l-yl]acetamide (Compound 446)
The reaction and purification conditions described in Example 81, substituting phenylacetic acid for 2-(4-chloro-3-fluorophenoxy)acetic acid and the product of Example 27D for benzyl (4-aminobicyclo[2.1.1]hexan-l-yl)carbamate hydrochloride gave the title compound. XH NMR (501 MHz, DMSO-c¾) δ ppm 8.68 (s, 1H), 8.64 (s, 1H), 7.49 (t, J = 8.9 Hz, 1H), 7.32 - 7.26 (m, 2H), 7.25 - 7.19 (m, 3H), 7.06 (dd, J = 11.4, 2.9 Hz, 1H), 6.84 (ddd, J = 8.9, 2.8, 1.2 Hz, 1H), 4.46 (s, 2H), 3.35 (s, 2H), 2.21 (s, 6H); MS (ESI+) m/z 403 (M+H)+.
Example 348: 2-(3,4-dichlorophenoxy)-iV-{3-[2-(pyridin-2- yl)acetamido]bicyclo[l.l.l]pentan-l-yl}acetamide (Compound 447)
The reaction and purification conditions described in Example 81, substituting 2- pyridylacetic acid hydrochloride for 2-(4-chloro-3-fluorophenoxy)acetic acid and the product of Example 6C for benzyl (4-aminobicyclo[2.1.1]hexan-l-yl)carbamate hydrochloride gave the title compound. l NMR (400 MHz, DMSO-c¾) δ ppm 8.70 (s, 1H), 8.69 (s, 1H), 8.46 (ddd, J = 4.8, 1.8, 0.9 Hz, 1H), 7.72 (td, J = 7.7, 1.9 Hz, 1H), 7.54 (d, J = 8.9 Hz, 1H), 7.30 (dt, J = 7.8, 1.1 Hz, 1H), 7.27 - 7.22 (m, 2H), 6.98 (dd, J = 9.0, 2.9 Hz, 1H), 4.48 (s, 2H), 3.56 (s, 2H), 2.22 (s, 6H); MS (ESI+) m/z 420 (M+H)+.
Example 349: 2-(4-chloro-3-fluorophenoxy)-iV-{3-[2-(pyridin-2- yl)acetamido]bicyclo[l.l.l]pentan-l-yl}acetamide (Compound 448)
The reaction and purification conditions described in Example 81, substituting 2- pyridylacetic acid hydrochloride for 2-(4-chloro-3-fluorophenoxy)acetic acid and the product of Example 27D for benzyl (4-aminobicyclo[2.1.1]hexan-l-yl)carbamate hydrochloride gave the title compound. XH NMR (400 MHz, DMSO-c¾) δ ppm 8.70 (s, 1H), 8.69 (s, 1H), 8.46 (ddd, J = 4.9, 1.9, 1.0 Hz, 1H), 7.72 (td, J = 7.7, 1.8 Hz, 1H), 7.49 (dd, J = 9.8, 8.1 Hz, 1H), 7.30 (dt, J = 7.8, 1.2 Hz, 1H), 7.24 (ddd, J = 7.6, 4.8, 1.3 Hz, 1H), 7.07 (dd, J = 11.4, 2.8 Hz,
1H), 6.85 (ddd, J = 9.0, 2.8, 1.3 Hz, 1H), 4.47 (s, 2H), 3.56 (s, 2H), 2.22 (s, 6H); MS (ESI+) m/z 404 (M+H)+.
Example 350 : (2R)- 1,4-bis [2-(4-chloro-3-fluorophenoxy)acetamido] bicyclo [2.2.2] octan-2- yl acetate (Compound 449)
The second eluting enantiomer from the chiral separation described in Example 346 was the title compound (3.23 g, 5.7 mmol, 38% yield). lH NMR (501 MHz, DMSO-c¾) ppm 7.60 (s, 1H), 7.55 (s, 1H), 7.47 (td, J = 8.9, 2.0 Hz, 2H), 7.00 (ddd, J = 16.6, 11.4, 2.9 Hz, 2H), 6.79 (dddd, J= 8.6, 7.1, 2.8, 1.2 Hz, 2H), 5.28 (dd, J = 9.6, 2.4 Hz, 1H), 4.49 - 4.39 (m, 4H), 2.39 (ddd, J = 14.0, 9.4, 2.9 Hz, 1H), 2.26 - 2.17 (m, 1H), 2.05 - 1.99 (m, 1H), 1.98 (s, 3H), 1.93 (dd, J= 9.1, 6.9 Hz, 2H), 1.90 - 1.75 (m, 5H); MS (ESI+) m/z 571 (M+H)+.
Example 351 : (2R)- 1- [2-(4-chloro-3-fluorophenoxy)acetamido]-4- { [2-(4-chloro-3- fluorophenoxy)ethyl]amino}bicyclo [2.2.2] octan-2-yl acetate (Compound 450)
A suspension of Example 350 (0.114 g, 0.2 mmol), indium(III) bromide (0.106 g, 0.300 mmol) and triethylsilane (0.319 mL, 2.000 mmol) in dichloromethane (1 mL) was stirred under nitrogen at 60 °C for 1 hour. The reaction was quenched with water and concentrated under reduced pressure. The residue was purified by preparative HPLC (10-95% acetonitrile in 0.1% trifluoroacetic acid/water at 25 mL/minute on a Phenomenex® CI 8 5 μπι column (250 mm χ 21.2 mm)) to give the title compound as a white solid (15 mg, 13% yield). XH NMR (400 MHz, DMSO-c¾) δ ppm8.85 (d, J = 11.2 Hz, 2H), 7.73 (s, 1H), 7.50 (dt, J = 20.1, 8.9 Hz, 2H), 7.11 (dd, J = 11.3, 2.9 Hz, 1H), 6.99 (dd, J = 11.4, 2.9 Hz, 1H), 6.88 (ddd, J = 9.0, 2.9, 1.2 Hz, 1H), 6.79 (ddd, J = 9.0, 2.9, 1.2 Hz, 1H), 5.34 (dd, J = 9.4, 2.1 Hz, 1H), 4.46 (d, J = 2.0 Hz, 2H), 4.21 (t, J = 5.0 Hz, 2H), 3.31 (s, 2H), 2.48 - 2.37 (m, 1H), 2.29 (t, J = 10.0 Hz, 1H), 2.00 (s, 5H), 1.92 - 1.84 (m, 3H), 1.81 (q, J = 11.6 Hz, 1H), 1.72 (dt, J = 13.8, 2.4 Hz, 1H); MS (APCI+) m/z 558.2 (M+H)+.
Example 352: 2-(3,4-dichlorophenoxy)-iV-[3-({[(3- fluorophenyl)methyl] carbamoyl}amino)bicyclo [ 1.1.1] pentan- 1-yl] acetamide (Compound 451)
The reaction and purification conditions described in Example 332, substituting 3- fluorobenzyl isocyanate for 4-chlorophenyl isocyanate and the product of Example 6C for the product of Example 27D gave the title compound. XH NMR (501 MHz, DMSO-c¾) δ ppm 8.66 (s, 1H), 7.54 (d, J = 9.0 Hz, 1H), 7.38 - 7.31 (m, 1H), 7.26 (d, J = 2.9 Hz, 1H), 7.09 - 7.01 (m, 3H), 6.98 (dd, J = 9.0, 2.9 Hz, 1H), 6.71 (s, 1H), 6.30 (t, J = 6.1 Hz, 1H), 4.48 (s, 2H), 4.19 (d, J = 6.0 Hz, 2H), 2.18 (s, 6H); MS (ESI+) m/z 452 (M+H)+.
Example 353: 2-(4-chloro-3-fluorophenoxy)-iV-{(31S)-4-[2-(3,4- dichlorophenoxy)acetamido]-3-hydroxybicyclo[2.2.2]octan-l-yl}acetamide (Compound 452)
The title compound was prepared using the methodologies described in Example 338C substituting Example 276A for Example 338B and 2-(3,4-dichlorophenoxy)acetic acid for 2-(4- chlorophenoxy)acetic acid. XH NMR (400 MHz, DMSO-c¾) Jppm 7.57 - 7.43 (m, 3H), 7.29 - 7.18 (m, 2H), 7.02 (dd, J = 11.4, 2.8 Hz, 1H), 6.96 (dd, J = 8.9, 2.9 Hz, 1H), 6.81 (ddd, J = 9.0, 2.9, 1.2 Hz, 1H), 5.08 (d, J = 4.4 Hz, 1H), 4.46 (d, J = 17.4 Hz, 4H), 4.04 (dt, J = 8.9, 4.0 Hz, 1H), 2.27 (ddd, J = 12.4, 9.4, 2.3 Hz, 1H), 2.07 (ddd, J = 12.2, 10.5, 4.6 Hz, 1H), 1.98 - 1.89 (m, 3H), 1.93 - 1.81 (m, 1H), 1.85 - 1.72 (m, 4H); MS (ESI+) m/z 542.9 (M-H)".
Example 354: iV-{(2»S)-4-[2-(4-chloro-3-fluorophenoxy)acetamido]-2- hydroxybicyclo[2.2.2]octan-l-yl}-2-(4-chlorophenoxy)-2-methylpropanamide (Compound 453)
The title compound was prepared using the methodologies described in Example 338C substituting Example 276A for Example 338B and 2-(4-chlorophenoxy)-2-methylpropanoic acid for 2-(4-chlorophenoxy)acetic acid. XH NMR (400 MHz, DMSO-c¾) ^ppm 7.52 - 7.43 (m, 2H), 7.38 - 7.29 (m, 2H), 7.10 (s, 1H), 7.02 (dd, J = 11.4, 2.8 Hz, 1H), 6.96 - 6.87 (m, 2H), 6.80 (ddd, J = 9.0, 2.9, 1.2 Hz, 1H), 4.43 (s, 2H), 3.83 (ddd, J = 9.6, 3.7, 1.6 Hz, 1H), 2.49 - 2.37 (m, 1H), 2.28 (ddd, J = 12.6, 9.5, 2.7 Hz, 1H), 2.07 - 1.94 (m, 1H), 1.91 (dd, J = 15.1, 10.6 Hz, 1H), 1.79 (tdd, J = 13.3, 8.3, 3.0 Hz, 5H), 1.66 - 1.49 (m, 1H), 1.38 (d, J = 5.9 Hz, 6H); MS (ESI+) m/z 539.1 (M-H)". Example 355: 2-(4-chloro-3-fluorophenoxy)-A^-{(3.S)-4-[2-(4-chlorophenoxy)acetamido]-3- hydroxybicyclo[2.2.2]octan-l-yl}acetamide (Compound 454)
The title compound was prepared using the methodologies described in Example 338C substituting Example 276A for Example 338B. l NMR (400 MHz, OMSO-d6) Jppm 7.53 - 7.43 (m, 2H), 7.38 - 7.29 (m, 2H), 7.23 (s, 1H), 7.02 (dd, J = 11.4, 2.9 Hz, 1H), 7.02 - 6.91 (m, 2H), 6.81 (ddd, J = 9.0, 2.9, 1.2 Hz, 1H), 5.11 (d, J = 4.4 Hz, 1H), 4.43 (d, J = 5.6 Hz, 4H), 4.11 - 3.96 (m, 1H), 2.27 (ddd, J = 12.6, 9.5, 2.4 Hz, 1H), 2.17 - 2.03 (m, 1H), 1.99 - 1.82 (m, 3H), 1.86 - 1.72 (m, 5H); MS (ESI+) m/z 511.1 (M+H)+.
The compounds in the following table were prepared using the methodologies described above.
Example Name NMR MS
(Compound Number)
N-{3-[2-(4-chloro-3- MS fluorophenoxy )acetamido] bi (APCI+) cyclo[l. l. l]pentan-l-yl}-3- m/z 477
Example 356 (2,5- (M+H)+
dimethoxyphenyl)propanam
ide (Compound 455)
2-(4-chloro-3- XH NMR (501 MHz, DMSO- MS fluorophenoxy)-N- {3-[2- d6 O20) δ ppm 7.49 (t, J = 8.8 (APCI+)
(3,4- Hz, 1H), 7.08 - 7.02 (m, 2H), m/z 447 dimethylphenoxy)acetamido 6.86 (ddd, J = 9.0, 2.9, 1.2 Hz, (M+H)+
Example 357
]bicyclo[l . l. l]pentan-l- 1H), 6.77 (d, J = 2.7 Hz, 1H), yl}acetamide (Compound 6.66 (dd, J = 8.3, 2.8 Hz, 1H),
456) 4.47 (s, 2H), 4.35 (s, 2H), 2.28
(s, 6H), 2.18 (s, 3H), 2.14 (s,
3H)
Example 358 2-(4-chloro-3- MS fluorophenoxy)-N-(3-{2-[3- (APCI+) (trifluoromethy l)phenyl] acet m/z 471 amido } bicy clo [ 1.1.1 Jpentan (M+H)+ -l-yl)acetamide (Compound
457)
2-(4-chloro-3- MS fluorophenoxy)-N- {3-[2- (APCI+) (pyridin-3- m/z 404
Example 359
yl)acetamido]bicyclo[l.1.1] (M+H)+ pentan- 1 -y 1 } acetamide
(Compound 458)
2-(4-chloro-3- MS fluorophenoxy)-N- {3-[2- (APCI+) (pyridin-4- m/z 404
Example 360
yl)acetamido]bicyclo[l.1.1] (M+H)+ pentan- 1 -y 1 } acetamide
(Compound 459)
2-(4-chloro-3- ¾ NMR (501 MHz, DMSO- MS fluorophenoxy)-N- {3-[2-(4- d6 O20) δ ppm 7.49 (t, J = 8.9 (APCI+) methylphenoxy)acetamido] Hz, 1H), 7.13 - 7.09 (m, 2H), m/z 433
Example 361 bicyclo[l. l. l]pentan-l- 7.06 (dd, J = 11.3, 2.8 Hz, 1H), (M+H)+ yl}acetamide (Compound 6.89 - 6.83 (m, 3H), 4.47 (s, 460) 2H), 4.37 (s, 2H), 2.28 (s, 6H),
2.24 (s, 3H)
N-{3-[2-(4-chloro-3- MS fluorophenoxy)acetamido]bi (APCI+)
Example 362 cyclo[l . l . l]pentan-l-yl}-3- m/z 447
(3- (M+H)+ methoxyphenyl)propanamid e (Compound 461)
(2i?)-N-{3-[2-(4-chloro-3- MS fluorophenoxy)acetamido]bi (APCI+) cy clo [ 1.1.1 ] pentan- 1 -y 1 } -2- m/z 447
Example 363
hydroxy-4- (M+H)+ phenylbutanamide
(Compound 462)
2-(4-chloro-3- lH NMR (400 MHz, DMSO- MS fluorophenoxy )-N- { (2S)-4- d6) δ ppm 7.53 - 7.40 (m, 2H), (APCI+)
[2-(3-ethyl-5- 7.31 (s, IH), 7.04 (dd, J = m/z methy lphenoxy )acetamido] - 11.3, 2.8 Hz, IH), 6.84 (ddd, J 519.3
2- = 8.9, 2.9, 1.2 Hz, IH), 6.63 (M+H)+ hydroxybicyclo[2.2.2]octan- (d, J = 1.5 Hz, IH), 6.56 (d, J = l-yl}acetamide (Compound 8.7 Hz, 2H), 4.46 (s, 2H), 4.30
Example 364 463) (d, J = 16.9 Hz, 2H), 4.11 - 4.03 (m, IH), 2.50 (m, 2H),
2.35 - 2.25 (m, IH), 2.21 (d, J
= 18.2 Hz, 3H), 2.02 (dt, J =
9.4, 6.8 Hz, IH), 1.91 (dd, J =
21.6, 10.7 Hz, 3H), 1.84 - 1.72
(m, 5H), 1.14 (t, J = 7.6 Hz,
3H)
2-(4-chloro-3- ¾ NMR (400 MHz, DMSO- MS fluorophenoxy )-N- { (2S)-4- ck) δ ppm 7.48 (t, J = 8.9 Hz, (APCI+)
[2-(4- IH), 7.04 (dd, J = 11.3, 2.8 Hz, m/z ethoxyphenoxy)acetamido]- IH), 6.85 (s, 4H), 6.83 (dd, J = 521.2
Example 365
2- 2.9, 1.2 Hz, IH), 4.46 (s, 2H), (M+H)+ hydroxybicyclo[2.2.2]octan- 4.29 (s, 2H), 4.07 (dd, J = 9.5, l-yl}acetamide (Compound 3.1 Hz, IH), 3.95 (q, J = 6.9 464) Hz, 2H), 2.36 - 2.24 (m, IH), 2.03 (ddd, J = 12.2, 9.9, 5.5
Hz, IH), 1.97 - 1.71 (m, 8H),
1.29 (t, J = 7.0 Hz, 3H)
2-(4-chloro-3- l NMR (400 MHz, DMSO- MS fluorophenoxy )-N- { (2S)-4- ck) δ ppm 7.48 (t, J = 8.9 Hz, (APCI+)
[2-(4-chloro-3- IH), 7.30 (d, J = 8.8 Hz, IH), m/z methoxyphenoxy)acetamido 7.04 (dd, J = 11.4, 2.9 Hz, IH), 541.1
]-2- 6.84 (ddd, J = 9.0, 2.9, 1.2 Hz, (M+H)+ hydroxybicyclo[2.2.2]octan- IH), 6.72 (d, J = 2.7 Hz, IH), l-yl}acetamide (Compound 6.51 (dd, J = 8.8, 2.7 Hz, IH),
Example 366
465) 4.43 (d, J = 24.2 Hz, 4H), 4.07
(dd, J = 9.6, 3.1 Hz, IH), 3.82
(s, 3H), 2.30 (ddd, J = 12.1,
9.6, 1.8 Hz, IH), 2.03 (ddd, J =
12.2, 10.0, 5.5 Hz, IH), 1.91
(dd, J = 21.7, 10.6 Hz, 3H),
1.87 - 1.72 (m, 5H)
2-(4-chloro-3- l NMR (400 MHz, DMSO- MS fluorophenoxy )-N- [(2S)-2- di) δ ppm 7.58 - 7.42 (m, 2H), (APCI+) hydroxy-4-{2-[3- 7.36 - 7.28 (m, IH), 7.26 - m/z
(trifluoromethy l)phenoxy ] ac 7.19 (m, 2H), 7.13 - 7.00 (m, 545.2 etamido}bicyclo[2.2.2]octa IH), 6.84 (ddd, J = 9.0, 2.9, (M+H)+
Example 367 n-l-yl]acetamide 1.2 Hz, IH), 4.47 (d, J = 12.3
(Compound 466) Hz, 4H), 4.07 (dd, J = 9.6, 3.1
Hz, IH), 2.35 - 2.24 (m, IH),
2.03 (ddd, J = 12.2, 10.2, 5.2
Hz, IH), 1.98 - 1.84 (m, 3H),
1.87 - 1.72 (m, 5H).
2-(4-chloro-3- lH NMR (400 MHz, DMSO-
Example 368 MS fluorophenoxy )-N- { (2S)-2- d6) S ppm 7.47 (q, J = 8.4, 7.8 (APCI+) hydroxy -4-[2-(3- Hz, IH), 7.17 (t, J = 7.8 Hz, m/z methylphenoxy)acetamido] IH), 7.13 - 7.00 (m, IH), 6.88 491.2 bicyclo[2.2.2]octan-l- - 6.67 (m, 4H), 4.46 (s, 2H), (M+H)+ yl}acetamide (Compound 4.34 (s, 2H), 4.07 (dd, J = 9.7,
467) 3.1 Hz, IH), 2.36 - 2.27 (m,
IH), 2.27 (s, 3H), 2.03 (ddd, J
= 12.2, 10.0, 5.5 Hz, IH), 1.98
- 1.84 (m, 3H), 1.87 - 1.72 (m,
5H)
2-(4-chloro-3- XH NMR (400 MHz, DMSO- MS fluorophenoxy )-N- [(2S)-2- di) δ ppm 7.70 - 7.59 (m, 2H), (APCI+) hydroxy-4-{2-[4- 7.48 (t, J = 8.9 Hz, IH), 7.16 - m/z
(trifluoromethy l)phenoxy ] ac 7.00 (m, 3H), 6.84 (ddd, J = 545.2 etamido}bicyclo[2.2.2]octa 9.0, 2.9, 1.2 Hz, IH), 4.47 (d, J (M+H)+
Example 369
n-l-yl]acetamide = 12.3 Hz, 4H), 4.07 (dd, J = (Compound 468) 9.5, 3.1 Hz, IH), 2.36 - 2.25
(m, IH), 2.03 (ddd, J = 12.2,
10.2, 5.3 Hz, IH), 1.95 (s, IH),
1.95 - 1.72 (m, 7H)
2-(4-chloro-3- ¾ NMR (400 MHz, DMSO- MS fluorophenoxy )-N- { (2S)-2- ck) δ ppm 7.48 (t, J = 8.9 Hz, (APCI+) hydroxy-4-[2-(3,4,5- IH), 7.31 (s, IH), 7.04 (dd, J = m/z trimethylphenoxy)acetamid 11.3, 2.8 Hz, IH), 6.84 (ddd, J 519.2 o]bicyclo[2.2.2]octan-l- = 9.0, 2.9, 1.2 Hz, IH), 6.57 (s, (M+H)+
Example 370 yl}acetamide (Compound 2H), 4.46 (s, 2H), 4.28 (s, 2H),
469) 4.07 (dd, J = 9.4, 3.1 Hz, IH),
2.30 (dd, J = 13.1, 9.8 Hz, IH),
2.19 (s, 6H), 2.07 - 2.00 (m,
IH), 2.03 (s, 3H), 1.91 (dd, J =
21.4, 10.6 Hz, 3H), 1.84 - 1.72 (m, 5H)
2-(4-chloro-3- lH NMR (400 MHz, DMSO- MS fluorophenoxy )-N- { (2S)-4- d6) δ ppm 7.48 (t, J = 8.9 Hz, (APCI+)
[2-(3,5- IH), 7.40 (s, IH), 7.31 (s, IH), m/z dimethylphenoxy)acetamido 7.04 (dd, J = 11.3, 2.9 Hz, IH), 505.2
]-2- 6.84 (ddd, J = 9.0, 2.9, 1.2 Hz, (M+H)+ hydroxybicyclo[2.2.2]octan- IH), 6.61 (s, IH), 6.53 (s, 2H),
Example 371
l-yl}acetamide (Compound 4.46 (s, 2H), 4.31 (s, 2H), 4.07
470) (dd, J = 9.6, 3.0 Hz, IH), 2.35
- 2.25 (m, IH), 2.22 (s, 6H),
2.08 - 1.97 (m, IH), 1.97 - 1.84 (m, 3H), 1.84 - 1.72 (m,
5H)
2-(4-chloro-3- lH NMR (400 MHz, DMSO- MS fluorophenoxy )-N- { (2S)-4- ck) δ ppm 7.48 (t, J = 8.9 Hz, (APCI+)
[2-(3,4- IH), 7.39 (s, IH), 7.31 (s, IH), m/z dimethylphenoxy)acetamido 7.08 - 6.99 (m, 2H), 6.84 (ddd, 505.2
]-2- J = 8.9, 2.9, 1.2 Hz, IH), 6.73 (M+H)+ hydroxybicyclo[2.2.2]octan- (d, J = 2.7 Hz, IH), 6.63 (dd, J
Example 372 l-yl}acetamide (Compound = 8.3, 2.8 Hz, IH), 4.46 (s,
471) 2H), 4.30 (s, 2H), 4.07 (dd, J =
9.6, 3.1 Hz, IH), 2.35 - 2.25
(m, IH), 2.25 - 2.11 (m, 6H),
2.09 - 1.97 (m, IH), 1.91 (dd,
J = 21.5, 10.5 Hz, 3H), 1.84 - 1.71 (m, 5H)
2-(4-chloro-3- ¾ NMR (400 MHz, DMSO- MS
Example 373 fluorophenoxy )-N- [(2S)-2- di) δ ppm 7.89 - 7.74 (m, 3H), (APCI+) hydroxy-4-{2-[(naphthalen- 7.58 (s, IH), 7.53 - 7.43 (m, m/z
2- 2H), 7.42 - 7.29 (m, 2H), 7.24 527.2 yl)oxy] acetairiido} bicy clo[2 (d, J = 7.6 Hz, 2H), 7.04 (dd, J (M+H)+
.2.2]octan-l-yl]acetamide = 11.3, 2.9 Hz, IH), 6.84 (ddd,
(Compound 472) J = 9.0, 2.9, 1.2 Hz, IH), 4.48
(d, J = 19.6 Hz, 4H), 4.08 (dd,
J = 9.6, 3.1 Hz, IH), 2.38 - 2.27 (m, IH), 2.10 - 1.74 (m,
9H)
2-(4-chloro-3- lH NMR (400 MHz, DMSO- MS fluorophenoxy )-N- [(2S)-2- ck) δ ppm 7.48 (t, J = 8.9 Hz, (APCI+) hydroxy-4-{2-[4- IH), 7.34 - 7.24 (m, 2H), 7.08 m/z
(trifluoromethoxy)phenoxy] - 6.97 (m, 3H), 6.84 (ddd, J = 561.2 acetamido}bicyclo[2.2.2]oct 9.0, 2.9, 1.2 Hz, IH), 4.44 (d, J (M+H)+
Example 374 an-l-yl]acetamide = 18.6 Hz, 4H), 4.07 (dd, J =
(Compound 473) 9.4, 3.1 Hz, IH), 2.36 - 2.25
(m, IH), 2.03 (ddd, J = 12.0,
10.0, 5.3 Hz, IH), 1.94 (d, J =
10.0 Hz, 2H), 1.92 - 1.72 (m,
6H)
2-(4-chloro-3- l NMR (400 MHz, DMSO- MS fluorophenoxy )-N- [(2S)-2- di) δ ppm 7.84 - 7.75 (m, 2H), (APCI+) hydroxy-4-{2-[4-(propane- 7.64 (s, IH), 7.48 (t, J = 8.9 m/z
1- Hz, IH), 7.31 (s, IH), 7.18 - 583.2 sulfonyl)phenoxy] acetamid 7.09 (m, 2H), 7.04 (dd, J = (M+H)+ o}bicyclo[2.2.2]octan-l- 11.3, 2.8 Hz, IH), 6.84 (ddd, J
Example 375
yljacetamide (Compound = 8.9, 2.9, 1.2 Hz, IH), 4.52 (s,
474) 2H), 4.46 (s, 2H), 4.11 - 4.93
(m, IH), 3.24 - 3.15 (m, 2H),
2.35 - 2.25 (m, IH), 2.09 - 1.72 (m, 8H), 1.62 - 1.47 (m,
2H), 0.91 (t, J = 7.4 Hz, 3H) 2-(4-chloro-3- lH NMR (400 MHz, DMSO- MS fluorophenoxy )-N- { (2S)-2- ck) δ ppm 7.48 (t, J = 8.9 Hz, (APCI+) hydroxy-4-[2-(4- IH), 7.14 - 7.00 (m, 3H), 6.88 m/z methylphenoxy)acetamido] - 6.77 (m, 3H), 4.46 (s, 2H), 491.2
Example 376
bicyclo[2.2.2]octan-l - 4.32 (s, 2H), 4.07 (dd, J = 9.7, (M+H)+ yl}acetamide (Compound 3.1 Hz, IH), 2.35 - 2.25 (m, 475) IH), 2.23 (s, 3H), 2.08 - 1.97
(m, IH), 1.97 - 1.71 (m, 8H)
2-(4-chloro-3- lH NMR (400 MHz, DMSO- MS fluorophenoxy )-N- [(2S)-2- d6) δ ppm 7.89 - 7.80 (m, 2H), (APCI+) hydroxy-4-{2-[4- 7.48 (t, J = 8.9 Hz, IH), 7.17 - m/z
(methanesulfonyl)phenoxy] 7.09 (m, 2H), 7.04 (dd, J = 555.2 acetamido}bicyclo[2.2.2]oct 11.4, 2.9 Hz, IH), 6.84 (ddd, J (M+H)+ an-l-yl]acetamide = 9.0, 2.9, 1.2 Hz, IH), 4.52 (s,
Example 377
(Compound 476) 2H), 4.46 (s, 2H), 4.08 (dd, J =
9.6, 3.1 Hz, IH), 3.15 (s, 3H),
2.31 (ddd, J = 13.4, 9.7, 1.7
Hz, IH), 2.09 - 1.90 (m, 3H),
1.94 - 1.85 (m, IH), 1.88 - 1.72 (m, 5H)
2-(4-fert-butylphenoxy)-N- l NMR (400 MHz, DMSO- MS
{(35)-4-[2-(4-chloro-3- di) δ ppm 7.53 - 7.42 (m, IH), (APCI+) fluorophenoxy )acetamido] - 7.34 - 7.25 (m, 2H), 7.04 (dd, m/z
3- J = 1 1.3, 2.8 Hz, IH), 6.88 - 533.1 hydroxybicyclo[2.2.2]octan- 6.79 (m, 3H), 4.46 (s, 2H), (M+H)+
Example 378
l-yl}acetamide (Compound 4.34 (s, 2H), 4.07 (dd, J = 9.5,
477) 3.1 Hz, IH), 2.36 - 2.25 (m,
IH), 2.03 (ddd, J = 12.1, 10.1 ,
5.5 Hz, IH), 1.91 (dd, J = 22.3,
10.5 Hz, 3H), 1.87 - 1.72 (m, 5H), 1.25 (s, 9H)
2-(4-chloro-3- lH NMR (400 MHz, DMSO- MS fluorophenoxy )-N- [(2S)-4- d6) δ ppm 7.48 (t, J = 8.9 Hz, (APCI+)
{2-[3,5-di(propan-2- 1H), 7.04 (dd, J = 1 1.3, 2.8 Hz, m/z y l)phenoxy ] acetamido } -2- 1H), 6.84 (ddd, J = 9.0, 2.9, 561.3 hydroxybicyclo[2.2.2]octan- 1.2 Hz, 1H), 6.70 (d, J = 1.5 (M+H)+ l-yl]acetamide (Compound Hz, 1H), 6.58 (d, J = 1.5 Hz,
Example 379 478) 2H), 4.46 (s, 2H), 4.35 (s, 2H),
4.07 (dd, J = 9.5, 3.1 Hz, 1H),
2.81 (hept, J = 6.9 Hz, 2H),
2.35 - 2.24 (m, 1H), 2.09 - 1.87 (m, 4H), 1.89 - 1.78 (m,
3H), 1.77 (dt, J = 13.5, 2.7 Hz,
2H), 1.17 (d, J = 6.9 Hz, 12H)
2-(4-chloro-3- MS fluorophenoxy )-N- { 3 - (ESI+)
[(phenylmethanesulfonyl)a m/z 439
Example 380
mino]bicyclo[l .1. ljpentan- (M+H)+ l-yl}acetamide (Compound
479)
2-(4-chloro-3- MS fluorophenoxy)-N-(3- { [2- (ESI+)
(4- m/z 471
Example 381 fluorophenyl)ethanesulfonyl (M+H)+
] amino } bicyclo [ 1.1.1 Jpenta
n-l-yl)acetamide
(Compound 480)
2-(4-chloro-3- MS
Example 382 fluorophenoxy)-N-(3- { [(2- (ESI+) fluorophenyl)methanesulfon m/z 457 yl]amino}bicyclo[l .1. l]pent (M+H)+ an- 1 -y l)acetamide
(Compound 481)
2-(4-chloro-3- MS fluorophenoxy)-N-(3- { [(2- (ESI+) methylphenyl)methanesulfo in z 453
Example 383
nyl] amino } bicyclo [ 1.1.1 ]pe (M+H)+ ntan- 1 -y l)acetamide
(Compound 482)
2-(4-chloro-3- MS fluorophenoxy)-N-(3- { [(3,4- (ESI+) difluorophenyl)methanesulf m/z 475
Example 384
onyl] amino} bicyclof 1.1. l]p (M+H)+ entan- 1 -y l)acetamide
(Compound 483)
2-(4-chloro-3- MS fluorophenoxy)-N-(3- { [(3,5- (ESI+) difluorophenyl)methanesulf m/z 475
Example 385
onyl] amino} bicyclof 1.1. l]p (M+H)+ entan- 1 -y l)acetamide
(Compound 484)
2-(4-chloro-3- ¾ NMR (400 MHz, DMSO- MS fluorophenoxy)-N-(3- { [2- d6_O20) δ ppm 7.59 - 7.43 (m, (ESI+) (2- 4H), 7.38 - 7.24 (m, 1H), 7.06 m/z 487 fluorophenoxy)ethanesulfon (dd, J = 1 1.3, 2.8 Hz, 1H), 6.87 (M+H)+
Example 386
yl]amino}bicyclo[l .1. l]pent (ddd, J = 9.0, 2.8, 1.2 Hz, 1H), an- 1 -y l)acetamide 4.50 (s, 2H), 3.94 (t, J = 7.2 (Compound 485) Hz, 2H), 3.42 (t, J = 7.1 Hz,
2H), 2.30 (s, 6H) 2-(4-chloro-3- MS fluorophenoxy)-N-(3- { [(3- (ESI+) methylphenyl)methanesulfo in z 453
Example 387
nyl] amino } bicyclo [ 1.1.1 ]pe (M+H)+ ntan- 1 -y l)acetamide
(Compound 486)
2-(4-chloro-3- MS fluorophenoxy)-N-(3- { [(4- (ESI+) fluorophenyl)methanesulfon m/z 475
Example 388
yl]amino}bicyclo[l .1. l]pent (M+H)+ an- 1 -y l)acetamide
(Compound 487)
2-(4-chloro-3- MS fluorophenoxy)-N- {3-[(2- (ESI+) phenoxyethanesulfonyl)ami m/z 469
Example 389
no]bicyclo[l . l. l]pentan-l- (M+H)+ yl}acetamide (Compound
488)
2-(4-chloro-3- ¾ NMR (400 MHz, DMSO- MS fluorophenoxy)-N-(3- { [2- d6_O20) δ ppm 7.49 (t, J = 8.8 (ESI+)
(4- Hz, 1H), 7.20 - 7.09 (m, 2H), m/z 487 fluorophenoxy)ethanesulfon 7.05 (dd, J = 11.3, 2.8 Hz, 1H), (M+H)+
Example 390 yl]amino}bicyclo[l .1. l]pent 7.01 - 6.93 (m, 2H), 6.86 (ddd,
an- 1 -y l)acetamide J = 9.0, 2.9, 1.2 Hz, 1H), 4.47
(Compound 489) (s, 2H), 4.29 (t, J = 5.8 Hz,
2H), 3.46 (t, J = 5.8 Hz, 2H),
2.21 (s, 6H)
2-(4-chloro-3- lH NMR (400 MHz, DMSO- MS
Example 391 fluorophenoxy)-N-(3- { [(4- d6_O20) δ ppm 7.92 - 7.83 (m, (ESI+) cyanophenyl)methanesulfon 2H), 7.63 - 7.54 (m, 2H), 7.49 m/z 464 yl]amino}bicyclo[l .1. l]pent (t, J = 8.9 Hz, IH), 7.05 (dd, J (M+H)+ an- 1 -y l)acetamide = 1 1.3, 2.9 Hz, IH), 6.86 (ddd,
(Compound 490) J = 9.0, 2.9, 1.2 Hz, IH), 4.47
(s, 2H), 4.42 (s, 2H), 2.18 (s,
6H)
2-(4-chloro-3- MS fluorophenoxy)-N- {3-[2- (APCI+)
(3,5- m/z 439
Example 392 difluoropheny l)acetamido] b (M+H)+ icy clo [ 1.1.1 ] pentan- 1 - yl}acetamide (Compound
491)
N-[2-({3-[2-(4-chloro-3- MS fluorophenoxy)acetamido]bi (APCI+) cy clo [ 1.1.1 ] pentan- 1 - m/z 446
Example 393
yl}amino)-2- (M+H)+ oxoethyl] benzamide
(Compound 492)
2-(4-chloro-3- ¾ NMR (400 MHz, DMSO- MS fluorophenoxy)-N-[(35 -4- c¾) ½pm 8.67 (s, IH), 7.48 (t, (APCI+)
{2-[(4,6-dimethylpyrimidin- J = 8.9 Hz, IH), 7.01 (dd, J = m/z
5-yl)oxy]acetamido}-3- 11.4, 2.9 Hz, IH), 6.83 (ddd, J 507.2 hydroxybicyclo[2.2.2]octan- = 8.9, 2.9, 1.2 Hz, IH), 4.43 (s, (M+H)+
Example 394 l-yl]acetamide (Compound 2H), 4.39 - 4.26 (m, 2H), 4.11
493) - 4.02 (m, IH), 2.45 (s, 6H),
2.33 (ddd, J = 12.5, 9.4, 2.7
Hz, IH), 2.22 - 2.10 (m, IH),
1.99 - 1.85 (m, 4H), 1.82 (ddt,
J = 15.6, 12.8, 2.6 Hz, 4H) 2-(4-chloro-3- l NMR (400 MHz, DMSO- MS fluorophenoxy )-N- { (3S)-4- ck) δ ppm 7.47 (t, J = 8.9 Hz, (APCI+) m/z
[2-(3-ethyl-5- IH), 7.01 (dd, J = 1 1.4, 2.9 Hz,
519.2 methy lphenoxy )acetamido] - IH), 6.82 (ddd, J = 9.0, 2.9, (M+H)+
3- 1.2 Hz, IH), 6.65 (d, J = 1.4 hydroxybicyclo[2.2.2]octan- Hz, IH), 6.60 - 6.55 (m, 2H), l-yl}acetamide (Compound 4.45 - 4.29 (m, 4H), 4.05 -
Example 395
494) 3.94 (m, IH), 2.50 (q, J = 7.6
Hz, 2H), 2.31 (ddd, J = 12.5,
9.5, 2.6 Hz, IH), 2.24 (s, 3H),
2.21 - 2.08 (m, IH), 1.94 (td, J
= 14.0, 13.0, 6.0 Hz, 2H), 1.91
- 1.73 (m, 6H), 1.15 (t, J = 7.6
Hz, 3H)
2-(4-chloro-3- lH NMR (400 MHz, DMSO- MS fluorophenoxy)-N-[(3S)-3- ck) S ppm 8.57 (d, J = 2.8 Hz, (APCI+) m/z hydroxy-4-{2-[(pyridin-3- IH), 8.45 (dd, J = 5.4, 1.1 Hz,
478.2 yl)oxy]acetamido}bicyclo[2 IH), 8.01 (ddd, J = 8.8, 2.9, (M+H)+
.2.2]octan-l -yl]acetamide 1.1 Hz, IH), 7.86 (dd, J = 8.8,
(Compound 495) 5.3 Hz, IH), 7.47 (t, J = 8.9
Hz, IH), 7.01 (dd, J = 11.4, 2.8
Example 396
Hz, IH), 6.82 (ddd, J = 9.0,
2.9, 1.2 Hz, IH), 4.70 (s, 2H),
4.43 (s, 2H), 4.18 - 4.09 (m,
IH), 2.30 (ddd, J = 13.2, 9.4,
2.2 Hz, IH), 1.96 (dd, J = 9.6,
4.0 Hz, 4H), 1.89 - 1.71 (m,
5H)
2-(4-chloro-3- lH NMR (400 MHz, DMSO- MS
Example 397 fluorophenoxy)-N-[(3S)-4- ck) δ ppm 7.47 (t, J = 8.9 Hz, (APCI+) m/z
{2-[3,5-di(propan-2- IH), 7.01 (dd, J = 1 1.4, 2.9 Hz,
561.3 y l)phenoxy ] acetamido } -3 - IH), 6.82 (ddd, J = 8.9, 3.0, (M+H)+ hydroxybicyclo[2.2.2]octan- 1.2 Hz, IH), 6.72 (d, J = 1.5 l-yl]acetamide (Compound Hz, IH), 6.61 (d, J = 1.5 Hz,
496) 2H), 4.45 - 4.32 (m, 4H), 4.06
- 3.94 (m, IH), 2.82 (hept, J =
6.9 Hz, 2H), 2.31 (ddd, J =
12.5, 9.4, 2.5 Hz, IH), 2.13
(td, J = 13.5, 12.0, 8.8 Hz, IH),
2.00 - 1.72 (m, 8H), 1.17 (d, J
= 6.9 Hz, 12H)
2-(4-chloro-3- XH NMR (400 MHz, DMSO- MS fluorophenoxy)-N-[(3S)-3- ck) δ ppm 7.47 (t, J = 8.9 Hz, (APCI+) m/z hy droxy-4-(2- { [6-methoxy- IH), 7.00 (dd, J = 1 1.4, 2.9 Hz,
555.1 2- IH), 6.82 (ddd, J = 9.0, 2.9, (M+H)+
(methylsulfanyl)pyrimidin- 1.2 Hz, IH), 5.98 (s, IH), 4.72
4- (d, J = 14.6 Hz, IH), 4.65 (d, J
Example 398
yl]oxy}acetamido)bicyclo[2 = 14.5 Hz, IH), 4.42 (s, 2H),
.2.2]octan-l -yl]acetamide 4.08 - 3.99 (m, IH), 3.87 (s,
(Compound 497) 3H), 2.48 (s, 3H), 2.28 (ddd, J
= 13.2, 9.4, 2.3 Hz, IH), 2.03 - 1.90 (m, 3H), 1.92 - 1.69 (m,
6H)
2-(4-chloro-3- lH NMR (400 MHz, DMSO- MS fluorophenoxy)-N-[(35 -4- d6) δ ppm 7.47 (t, J = 8.9 Hz, (APCI+) m/z
{2-[(4,6- IH), 7.00 (dd, J = 1 1.4, 2.9 Hz,
539.2 dimethoxypyrimidin-2- IH), 6.82 (ddd, J = 9.0, 2.9, (M+H)+
Example 399 y l)oxy] acetamido } -3 - 1.2 Hz, IH), 5.88 (s, IH), 4.68
hydroxybicyclo[2.2.2]octan- (d, J = 14.6 Hz, IH), 4.61 (d, J l-yl]acetamide (Compound = 14.5 Hz, IH), 4.42 (s, 2H),
498) 4.07 - 3.94 (m, IH), 3.74 (s,
12H), 2.33 - 2.23 (m, IH), 2.05 - 1.89 (m, 3H), 1.92 -
1.69 (m, 6H)
2-(4-chloro-3- XH NMR (400 MHz, DMSO- MS fluorophenoxy)-N-[(3S)-3- c¾) ½pm 8.33 (d, J = 1.0 Hz, (APCI+) m/z hydroxy-4-{2-[(6-methyl- 1H), 7.47 (t, J = 8.8 Hz, 1H),
534.1
1 , 3 -dihy drofuro [3,4- 7.01 (dd, J = 1 1.4, 2.9 Hz, 1H), (M+H)+ c]pyridin-7- 6.82 (ddd, J = 8.9, 2.9, 1.2 Hz,
Example 400 yl)oxy]acetamido}bicyclo[2 1H), 5.40 - 5.23 (m, 2H), 5.10
.2.2]octan-l -yl]acetamide (s, 2H), 4.62 (s, 2H), 4.43 (s,
(Compound 499) 2H), 4.08 (dd, J = 9.6, 3.2 Hz,
1H), 2.59 (s, 3H), 2.36 - 2.24
(m, 1H), 2.08 - 1.85 (m, 4H),
1.89 - 1.72 (m, 5H)
2-(4-chloro-3- lH NMR (400 MHz, DMSO- MS fluorophenoxy)-N-[(3S)-3- c¾) ½pm 8.60 (d, J = 4.8 Hz, (APCI+) m/z hydroxy-4-{2-[(pyrimidin- 2H), 7.47 (t, J = 8.9 Hz, 1H),
479.2
2- 7.18 (t, J = 4.8 Hz, 1H), 7.01 (M+H)+ yl)oxy]acetamido}bicyclo[2 (dd, J = 1 1.4, 2.9 Hz, 1H), 6.82
.2.2]octan-l -yl]acetamide (ddd, J = 9.0, 2.9, 1.2 Hz, 1H),
Example 401
(Compound 500) 4.78 - 4.64 (m, 2H), 4.42 (s,
2H), 4.07 - 3.94 (m, 1H), 2.33
- 2.23 (m, 1H), 2.01 (ddd, J =
12.1, 10.4, 4.6 Hz, 1H), 1.98 - 1.86 (m, 2H), 1.79 (dddd, J =
20.6, 15.9, 9.1, 3.8 Hz, 6H)
2-(4-chloro-3- ¾ NMR (400 MHz, DMSO- MS fluorophenoxy)-N-[(3S)-3- di) δ ppm 7.59 - 7.50 (m, 1H), (APCI+)
Example 402 m/z hydroxy-4-{2-[3- 7.47 (t, J = 8.9 Hz, 1H), 7.33
545.1
(trifluoromethy l)phenoxy ] ac (ddt, J = 7.6, 1.7, 0.9 Hz, 1H), (M+H)+ etamido}bicyclo[2.2.2]octa 7.29 - 7.21 (m, 2H), 7.01 (dd, n-l-yl]acetamide J = 1 1.3, 2.8 Hz, IH), 6.82
(Compound 501) (ddd, J = 9.0, 2.9, 1.2 Hz, IH),
4.52 (s, 2H), 4.43 (s, 2H), 4.07
(ddd, J = 9.5, 3.2, 1.1 Hz, IH),
2.30 (ddd, J = 13.2, 9.5, 2.3
Hz, IH), 2.05 (ddd, J = 12.1,
10.1, 5.1 Hz, IH), 1.98 - 1.72
(m, 8H)
2-(4-chloro-3- lH NMR (400 MHz, DMSO- MS fluorophenoxy )-N- { (3S)-4- d6) δ ppm 7.47 (t, J = 8.9 Hz, (APCI+) m/z
[2-(3,5- IH), 7.01 (dd, J = 1 1.4, 2.9 Hz,
505.2 dimethylphenoxy)acetamido IH), 6.82 (ddd, J = 9.0, 2.9, (M+H)+
]-3- 1.2 Hz, IH), 6.62 (dt, J = 1.6, hydroxybicyclo[2.2.2]octan- 0.8 Hz, IH), 6.58 - 6.53 (m, l-yl}acetamide (Compound 2H), 4.43 (s, 2H), 4.35 (d, J =
Example 403
502) 1.7 Hz, 2H), 4.05 - 3.94 (m,
IH), 2.31 (ddd, J = 12.4, 9.4,
2.6 Hz, IH), 2.23 (s, 6H), 2.20
- 2.08 (m, IH), 2.00 - 1.88 (m,
2H), 1.91 - 1.73 (m, 6H)
2-(4-chloro-3- XH NMR (400 MHz, DMSO- MS fluorophenoxy)-N- {(35 -3- ck) δ ppm 7.47 (t, J = 8.9 Hz, (APCI+) m/z hydroxy-4-[2-(3,4,5- IH), 7.01 (dd, J = 1 1.3, 2.9 Hz,
519.2 trimethylphenoxy)acetamid IH), 6.82 (ddd, J = 9.0, 2.9, (M+H)+
Example 404 o]bicyclo[2.2.2]octan-l - 1.2 Hz, IH), 6.59 (s, 2H), 4.43
yl}acetamide (Compound (s, 2H), 4.31 (d, J = 2.2 Hz, 503) 2H), 4.00 (dd, J = 9.7, 3.3 Hz,
IH), 2.31 (ddd, J = 12.5, 9.4,
2.6 Hz, IH), 2.19 (s, 6H), 2.20 - 2.09 (m, IH), 2.04 (s, 3H),
2.00 - 1.73 (m, 8H)
2-(4-chloro-3- XH NMR (400 MHz, DMSO- MS fluorophenoxy)-N-[(3S)-3- di) δ ppm 7.92 - 7.81 (m, 2H), (APCI+) m/z hydroxy-4-{2-[4- 7.47 (t, J = 8.9 Hz, IH), 7.22 - 555.2
(methanesulfonyl)phenoxy] 7.1 1 (m, 2H), 7.01 (dd, J = (M+H)+ acetamido}bicyclo[2.2.2]oct 11.4, 2.9 Hz, IH), 6.82 (ddd, J
Example 405 an-l-yl]acetamide = 9.0, 2.9, 1.2 Hz, IH), 4.56 (s,
(Compound 504) 2H), 4.43 (s, 2H), 4.09 (dd, J =
9.6, 3.1 Hz, IH), 3.15 (s, 3H),
2.35 - 2.24 (m, IH), 2.09 - 1.87 (m, 4H), 1.91 - 1.72 (m,
5H)
2-(4-chloro-3- lH NMR (400 MHz, DMSO- MS fluorophenoxy)-N-[(3S)-3- ck) δ ppm 7.47 (t, J = 8.9 Hz, (APCI+) m/z hydroxy-4-{2-[4- IH), 7.35 - 7.25 (m, 2H), 7.11
561.1
(trifluoromethoxy)phenoxy] - 6.97 (m, 3H), 6.82 (ddd, J = (M+H)+ acetamido}bicyclo[2.2.2]oct 8.9, 2.9, 1.1 Hz, IH), 4.44 (d, J
Example 406 an-l-yl]acetamide = 7.6 Hz, 4H), 4.10 - 4.02 (m,
(Compound 505) IH), 2.30 (ddd, J = 13.1, 9.4,
2.3 Hz, IH), 2.07 (ddd, J =
12.0, 10.0, 5.2 Hz, IH), 1.98 - 1.87 (m, 2H), 1.91 - 1.72 (m,
6H)
2-(4-fert-butylphenoxy)-N- ¾ NMR (400 MHz, DMSO- MS
{(25)-4-[2-(4-chloro-3- ck) S ppm 7.58 (s, IH), 7.47 (t, (APCI+) m/z fluorophenoxy )acetamido] - J = 8.9 Hz, IH), 7.35 - 7.23
Example 407 533.2
2- (m, 3H), 7.01 (dd, J = 11.3, 2.9 (M+H)+ hydroxybicyclo[2.2.2]octan- Hz, IH), 6.91 - 6.78 (m, 3H), l-yl}acetamide (Compound 4.45 - 4.30 (m, 4H), 4.07 - 506) 3.98 (m, 1H), 2.31 (ddd, J =
12.4, 9.4, 2.4 Hz, 1H), 2.21 - 2.08 (m, 1H), 1.97 - 1.87 (m,
2H), 1.88 - 1.72 (m, 6H), 1.25
(s, 9H)
2-(4-chloro-3- ¾ NMR (400 MHz, DMSO- MS fluorophenoxy)-N-[(3S)-3- c¾) ½pm 7.67 (d, J = 8.6 Hz, (APCI+) m/z hydroxy-4-{2-[4- 2H), 7.47 (t, J = 8.9 Hz, 1H),
545.1
(trifluoromethy l)phenoxy ] ac 7.12 (d, J = 8.5 Hz, 2H), 7.01 (M+H)+ etamido}bicyclo[2.2.2]octa (dd, J = 1 1.4, 2.9 Hz, 1H), 6.82 n-l-yl]acetamide (ddd, J = 9.0, 2.9, 1.2 Hz, 1H),
Example 408 (Compound 507) 4.52 (s, 2H), 4.43 (s, 2H), 4.12
- 4.03 (m, 1H), 2.30 (ddd, J =
13.2, 9.4, 2.1 Hz, 1H), 2.05
(ddd, J = 12.3, 10.1, 5.4 Hz,
1H), 1.99 - 1.85 (m, 3H), 1.87
- 1.77 (m, 1H), 1.82 (s, 2H),
1.81 - 1.72 (m, 2H)
2-(4-chloro-3- ¾ NMR (400 MHz, DMSO- MS fluorophenoxy )-N- { (3S)-4- ck) δ ppm 7.47 (t, J = 8.9 Hz, (APCI+) m/z [2-(4- 1H), 7.01 (dd, J = 1 1.4, 2.9 Hz,
521.2 ethoxyphenoxy)acetamido]- 1H), 6.92 - 6.78 (m, 6H), 4.43 (M+H)+ 3- (s, 2H), 4.33 (d, J = 1.8 Hz,
Example 409
hydroxybicyclo[2.2.2]octan- 2H), 4.05 - 3.90 (m, 4H), 2.31 l-yl}acetamide (Compound (ddd, J = 12.5, 9.4, 2.5 Hz, 508) 1H), 2.20 - 2.08 (m, 1H), 1.91
- 1.75 (m, 8H), 1.29 (t, J = 7.0
Hz, 3H)
2-(4-chloro-3- lH NMR (400 MHz, DMSO- MS
Example 410
fluorophenoxy)-N- {(35 -3- d6) δ ppm 7.47 (t, J = 8.9 Hz, (APCI+) m/z hydroxy -4-[2-(3- IH), 7.18 (t, J = 7.8 Hz, IH), 491.2 methylphenoxy)acetamido] 7.01 (dd, J = 1 1.4, 2.9 Hz, IH), (M+H)+ bicyclo[2.2.2]octan-l - 6.86 - 6.69 (m, 4H), 4.45 - yl}acetamide (Compound 4.31 (m, 4H), 4.06 - 3.94 (m,
509) IH), 2.36 - 2.27 (m, IH), 2.27
(s, 3H), 2.26 - 2.06 (m, IH),
1.92 (q, J = 6.8 Hz, 2H), 1.81
(qd, J = 14.0, 13.5, 7.0 Hz, 6H)
2-(4-chloro-3- lH NMR (400 MHz, DMSO- MS fluorophenoxy )-N- { (3S)-4- c¾) ½pm 7.58 (s, IH), 7.47 (t, (APCI+) m/z
[2-(3,4- J = 8.9 Hz, IH), 7.21 (s, IH),
505.2 dimethylphenoxy)acetamido 7.07 - 6.97 (m, 2H), 6.82 (ddd, (M+H)+
]-3- J = 9.0, 2.9, 1.2 Hz, IH), 6.75 hydroxybicyclo[2.2.2]octan- (d, J = 2.6 Hz, IH), 6.65 (dd, J
Example 41 1 l-yl}acetamide (Compound = 8.3, 2.8 Hz, IH), 4.43 (s,
510) 2H), 4.33 (d, J = 2.0 Hz, 2H),
4.05 - 3.96 (m, IH), 2.30 (ddd,
J = 12.6, 9.4, 2.5 Hz, IH), 2.18
(s, 3H), 2.16 - 2.14 (m, IH),
2.14 (s, 6H), 2.00 - 1.86 (m,
2H), 1.90 - 1.72 (m, 6H)
2-(4-acetylphenoxy)-N- lH NMR (400 MHz, DMSO- MS
{(25)-4-[2-(4-chloro-3- di) δ ppm 7.99 - 7.89 (m, 2H), (APCI+) m/z fluorophenoxy )acetamido] - 7.47 (t, J = 8.9 Hz, IH), 7.09 - 519.2
2- 6.95 (m, 3H), 6.82 (ddd, J = (M+H)+ hydroxybicyclo[2.2.2]octan- 9.1 , 2.9, 1.2 Hz, IH), 4.48 (d, J
Example 412
l-yl}acetamide (Compound = 41.0 Hz, 4H), 4.11 - 4.03 51 1) (m, IH), 2.53 (s, 3H), 2.30
(ddd, J = 13.1, 9.4, 2.2 Hz,
IH), 2.06 (ddd, J = 12.2, 10.2,
5.4 Hz, IH), 2.00 - 1.84 (m, 3Η), 1.87 - 1.72 (m, 5Η)
2- [(1 ,3 -benzothiazol-2- lH NMR (400 MHz, DMSO- MS yl)oxy]-N-{(2S)-4-[2-(4- i¾) ½pm7.64 (dd, J = 7.8, 1.2 (APCI+) m/z chloro-3- Hz, 1H), 7.47 (t, J = 8.9 Hz,
534.2 fluorophenoxy )acetamido] - 1H), 7.36 (td, J = 7.8, 1.3 Hz, (M+H)+ 2- 1H), 7.22 (td, J = 7.7, 1.1 Hz, hydroxybicyclo[2.2.2]octan- 1H), 7.14 (dd, J = 8.2, 1.1 Hz, l-yl}acetamide (Compound 1H), 7.00 (dd, J = 11.4, 2.8 Hz,
Example 413 512) 1H), 6.81 (ddd, J = 9.0, 2.9,
I.2 Hz, 1H), 4.60 (d, J = 16.6
Hz, 1H), 4.53 (d, J = 16.6 Hz,
1H), 4.42 (s, 2H), 4.16 - 4.08
(m, 1H), 2.27 (ddd, J = 13.1,
9.3, 2.5 Hz, 1H), 1.97 (dq, J =
I I .7, 6.5, 4.0 Hz, 3H), 1.89 - 1.67 (m, 6H)
2-(4-chloro-3- XH NMR (400 MHz, DMSO- MS fluorophenoxy)-N-[(35 -4- ck) δ ppm 7.47 (t, J = 8.9 Hz, (APCI+) m/z {2-[(l,5-diphenyl-lH- 1H), 7.43 - 7.28 (m, 6H), 7.21
619.1 pyrazol-3- (ddt, J = 13.7, 6.0, 1.7 Hz, 4H), (M+H)+ yl)oxy]acetamido}-3- 7.01 (dd, J = 11.4, 2.8 Hz, 1H), hydroxybicyclo[2.2.2]octan- 6.82 (ddd, J = 9.0, 2.9, 1.2 Hz,
Example 414 l-yl]acetamide (Compound 1H), 6.20 (s, 1H), 4.57 (d, J =
513) 1.8 Hz, 2H), 4.43 (s, 2H), 4.10
- 4.02 (m, 1H), 3.96 (s, OH),
2.30 (ddd, J = 12.5, 9.5, 2.3
Hz, 1H), 2.10 (ddd, J = 11.5,
9.6, 4.8 Hz, 1H), 2.00 - 1.87
(m, 2H), 1.91 - 1.72 (m, 6H)
Example 415 2-(4-chloro-3- ¾ NMR (400 MHz, DMSO- MS
(APCI+) fluorophenoxy)-N-[(3S)-3- i¾)½pm8.64 (s, 1Η), 7.85 (d, m/z hydroxy-4-{2-[(thieno[2,3- J = 5.9 Hz, IH), 7.59-7.42 535.0
(M+H)+ cf|pyrimidin-4- (m,2H), 7.00 (dd, J =11.4, 2.8 yl)oxy]acetamido}bicyclo[2 Hz, IH), 6.82 (ddd, J = 9.0,
.2.2]octan-l-yl]acetamide 2.9, 1.2 Hz, IH), 5.03-4.88
(Compound 514) (m, 2H), 4.42 (s, 2H), 4.08 (dd,
J = 9.5, 3.0 Hz, IH), 2.28 (ddd,
J = 12.9, 9.4, 2.1 Hz, IH), 2.04
-1.86 (m, 4H), 1.87- 1.69 (m,
5H)
2- [(1 ,2-benzoxazol-3 - XH NMR (400 MHz, DMSO- MS yl)oxy]-N-{(2S)-4-[2-(4- c¾)½pm7.80 (dt, J = 7.9, 1.1 (APCI+) m/z chloro-3- Hz, IH), 7.74 - 7.55 (m, 2H),
518.1 fluorophenoxy )acetamido] - 7.56-7.37 (m, 2H), 7.01 (dd, (M+H)+
2- J = 11.4, 2.9 Hz, IH), 6.82
Example 416 hydroxybicyclo[2.2.2]octan- (ddd, J = 9.0, 2.9, 1.2 Hz, IH),
l-yl}acetamide (Compound 4.82 (d, J =1.8 Hz, 2H), 4.43
515) (s, 2H), 4.17-4.09 (m, IH),
2.29 (ddd, J = 13.1,9.4, 2.2
Hz, IH), 2.02- 1.92 (m, 4H),
1.91 - 1.70 (m, 5H)
2-(4-chloro-3- lH NMR (400 MHz, DMSO- MS fluorophenoxy)-N-[(35 -4- c¾)½pm8.98 (s, IH), 7.83- (APCI+) m/z
(2- { [ 1 -(4-chloropheny 1)- 7.74 (m, 2H), 7.65 - 7.55 (m,
578.1 lH-l,2,4-triazol-3- 2H), 7.47 (t, J = 8.9 Hz, IH), (M+H)+ y 1] oxy } acetamido)-3- 7.01 (dd, J = 11.3, 2.9 Hz, IH),
Example 417
hydroxybicyclo[2.2.2]octan- 6.82 (ddd, J =8.9, 2.9, 1.1 Hz, l-yl]acetamide (Compound IH), 4.68 (d, J = 2.1 Hz, 2H),
516) 4.42 (s, 2H), 4.06 (dd, J = 9.4,
3.1Hz, IH), 3.18 (s, IH), 2.35
-2.24 (m, IH), 2.03 (ddd, J = 12.2, 10.3, 5.1 Hz, 1H), 2.00- 1.89 (m, 2H), 1.93- 1.82 (m,
1H), 1.78 (tt, J =13.4, 5.7 Hz,
5H)
2-(4-chloro-3- ¾ NMR (400 MHz, DMSO- MS fluorophenoxy)-N-[(3S)-3- i¾)½pm7.86 (dd, J = 8.6, 4.3 (APCI+) m/z hydroxy-4-{2-[(naphthalen- Hz, 2H), 7.80 (d, J = 8.2 Hz,
527.2 2- 1H), 7.58 (s, 1H), 7.53-7.43 (M+H)+ yl)oxy]acetamido}bicyclo[2 (m, 2H), 7.43 - 7.32 (m, 1H),
.2.2]octan-l-yl]acetamide 7.31-7.20 (m, 2H), 7.01 (dd,
(Compound 517) J =11.4, 2.8 Hz, 1H), 6.82
Example 418
(ddd, J = 9.0, 2.9, 1.2 Hz, 1H),
4.54 (d, J= 1.5 Hz, 2H), 4.43
(s, 2H), 4.06 (dd, J = 9.6, 3.1
Hz, 1H), 2.31 (ddd, J =12.7,
9.3, 2.5 Hz, 1H), 2.19-2.03
(m, 1H), 1.92 (dd, J =18.3, 9.8
Hz, 2H), 1.90- 1.73 (m, 6H)
2-(4-chloro-3- ¾ NMR (400 MHz, DMSO- MS fluorophenoxy)-N-[(3S)-4- c¾)½pm7.79 (d, J = 9.2 Hz, (APCI+) m/z
{2-[(6-chloropyridazin-3- 1H), 7.47 (t, J = 8.9 Hz, 1H),
513.1 yl)oxy]acetamido}-3- 7.39 (d, J = 9.2 Hz, 1H), 7.01 (M+H)+ hydroxybicyclo[2.2.2]octan- (dd, J =11.4, 2.8 Hz, 1H), 6.82
Example 419
l-yl]acetamide (Compound (ddd, J = 9.0, 2.9, 1.2 Hz, 1H),
518) 4.91-4.73 (m, 2H), 4.42 (s,
2H), 4.13 - 4.04 (m, 1H), 2.28
(ddd, J =13.3, 9.4, 2.3 Hz,
1H), 2.00- 1.69 (m, 9H) methyl 3-[2-({(2S)-4-[2-(4- lH NMR (400 MHz, DMSO- MS
Example 420
chloro-3- d6) δ ppm 7.47 (t, J = 8.9 Hz, (APCI+) m/z fluorophenoxy )acetamido] - 1H), 7.09 - 6.96 (m, 2H), 6.82 526.1
2- (ddd, J = 9.0, 2.9, 1.2 Hz, 1H), (M+H)+ hydroxybicyclo[2.2.2]octan- 4.66 (d, J = 1.4 Hz, 2H), 4.42
1 -y 1 } amino)-2-oxoethoxy] - (s, 2H), 4.15 - 4.07 (m, 1H),
l,2-oxazole-5-carboxylate 3.89 (s, 3H), 2.28 (ddd, J =
(Compound 519) 12.5, 9.4, 2.4 Hz, 1H), 2.00 - 1.85 (m, 4H), 1.87 - 1.69 (m,
5H)
2-(4-chloro-3- lH NMR (400 MHz, DMSO- MS
PCI+) fluorophenoxy)-N-[(3S)-3- d6) δ ppm 8.41 - 8.33 (m, 1H), (A
m/z hydroxy-4-{2-[(2- 8.09 (dtd, J = 17.1 , 8.5, 1.3 Hz,
542.1 methylquinolin-4- 2H), 7.87 (ddd, J = 8.3, 6.8, (M+H)+ yl)oxy]acetamido}bicyclo[2 1.4 Hz, 1H), 7.47 (t, J = 8.9
.2.2]octan-l -yl]acetamide Hz, 1H), 7.34 (s, 1H), 7.01
(Compound 520) (dd, J = 1 1.4, 2.9 Hz, 1H), 6.82
Example 421
(ddd, J = 9.0, 2.9, 1.2 Hz, 1H),
5.04 (s, 2H), 4.43 (s, 2H), 4.18
(dd, J = 9.7, 3.0 Hz, 1H), 2.84
(s, 3H), 2.31 (ddd, J = 12.3,
9.5, 2.2 Hz, 1H), 2.1 1 - 1.88
(m, 3H), 1.80 (tdd, J = 12.9,
6.7, 3.1 Hz, 6H)
2-(4-chloro-3- lH NMR (400 MHz, DMSO- MS fluorophenoxy)-N- {(35 -3- d6) S ppm 7.58 (s, 1H), 7.47 (t, (APCI+) m/z hydroxy-4-[2-(4- J = 8.9 Hz, 1H), 7.22 (s, 1H),
491.2 methylphenoxy)acetamido] 7.15 - 7.06 (m, 2H), 7.01 (dd, (M+H)+
Example 422 bicyclo[2.2.2]octan-l - J = 1 1.4, 2.9 Hz, 1H), 6.87 - yl}acetamide (Compound 6.78 (m, 3H), 4.45 - 4.29 (m,
521) 4H), 4.05 - 3.96 (m, 1H), 2.30
(ddd, J = 12.5, 9.4, 2.5 Hz,
1H), 2.23 (s, 3H), 2.19 - 2.07 (m, IH), 1.93 (t, J = 12.8 Hz,
2H), 1.87 (d, J = 16.5 Hz, IH),
1.87 - 1.72 (m, 5H)
2-(4-chloro-3- ¾ NMR (400 MHz, DMSO- MS fluorophenoxy)-N-[(3S)-3- di) δ ppm 7.87 - 7.74 (m, 2H), (APCI+) m/z hydroxy-4-{2-[4-(propane- 7.47 (t, J = 8.9 Hz, IH), 7.23 - 583.3
1- 7.12 (m, 2H), 7.01 (dd, J = (M+H)+ sulfonyl)phenoxy] acetamid 11.4, 2.8 Hz, IH), 6.82 (ddd, J o}bicyclo[2.2.2]octan-l- = 9.0, 2.9, 1.2 Hz, IH), 4.56 (s,
Example 423
yljacetamide (Compound 2H), 4.42 (s, 2H), 4.08 (dd, J =
522) 9.4, 3.1 Hz, IH), 3.24 - 3.15
(m, 2H), 2.35 - 2.24 (m, IH),
2.08 - 1.91 (m, 4H), 1.83 - 1.71 (m, 5H), 1.62 - 1.47 (m,
2H), 0.91 (t, J = 7.5 Hz, 3H)
2-(4-chloro-3- XH NMR (400 MHz, DMSO- MS fluorophenoxy)-N-[(3S)-4- ck) δ ppm 7.47 (t, J = 8.9 Hz, (APCI+) m/z
(2- { [4,6-di(piperidin- 1 -y 1)- IH), 7.00 (dd, J = 1 1.4, 2.8 Hz,
646.2 l,3,5-triazin-2- IH), 6.81 (ddd, J = 9.0, 2.9, (M+H)+ y 1] oxy } acetamido)-3- 1.2 Hz, IH), 4.56 (d, J = 14.4 hydroxybicyclo[2.2.2]octan- Hz, IH), 4.51 - 4.39 (m, 3H),
Example 424
l-yl]acetamide (Compound 4.03 - 3.94 (m, IH), 3.66 (s, 523) 2H), 2.33 - 2.22 (m, IH), 1.96
(dd, J = 22.7, 8.2 Hz, 3H), 1.78
(qd, J = 16.5, 15.0, 1 1.6 Hz,
6H), 1.60 (d, J = 6.0 Hz, 5H),
1.47 (s, 8H)
2-(4-acetylphenoxy)-N- lH NMR (400 MHz, DMSO- MS
Example 425 {(35)-4-[2-(4-chloro-3- di) δ ppm 7.97 - 7.89 (m, 2H), (APCI+) fluorophenoxy )acetamido] - 7.48 (t, J = 8.9 Hz, IH), 7.08 - m/z 3- 6.97 (m, 3H), 6.84 (ddd, J = 519.2 hydroxybicyclo[2.2.2]octan- 9.0, 2.9, 1.2 Hz, IH), 4.48 (d, J (M+H)+ l-yl}acetamide (Compound = 14.9 Hz, 4H), 4.07 (dd, J = 524) 9.6, 3.1 Hz, IH), 2.30 (ddd, J =
12.1, 9.4, 1.6 Hz, IH), 2.03
(ddd, J = 12.1, 10.0, 5.3 Hz,
IH), 1.91 (dd, J = 21.5, 10.1
Hz, 3H), 1.88 - 1.72 (m, 5H)
N,N-[(25 -2- hydroxybicyclo[2.2.2]octan
Example 426 e-l ,4-diyl]bis[2-(4-chloro-3- methylphenoxy)acetamide]
(Compound 525)
N,N-
(bicyclo[2.2. l]heptane-l,4-
Example 427 diyl)bis[2-(3,4- dichlorophenoxy)acetamide
] (Compound 526)
N,N-
(bicyclo[2.2. l]heptane-l,4-
Example 428 diyl)bis[2-(4- chlorophenoxy)acetamide]
(Compound 527)
2-(4-chloro-3- fluorophenoxy )-N- { (3S)-4- [2-(4-chloro-3-
Example 429 methoxyphenoxy)acetamido
]-3- hydroxybicyclo[2.2.2]octan- l-yl}acetamide (Compound 528)
N,N-
(bicyclo[2.2. l]heptane-l,4-
Example 430 diyl)bis {2-[4-
(trifluoromethy l)phenoxy ] ac etamide} (Compound 529)
N,N-
(bicyclo[2.2. l]heptane-l,4- diyl)bis(2-{ [6-
Example 431
(trifluoromethyl)pyridin-3- y 1] oxy } acetamide)
(Compound 530)
N,N-
(bicyclo[2.2. l]heptane-l,4- diyl)bis {2-[(2,2-difluoro-
Example 432
2H-l,3-benzodioxol-5- yl)oxy] acetamide}
(Compound 531)
2-(3,4-dichlorophenoxy)-N-
{3-[2-(4- fluorophenoxy)acetamido]bi
Example 433
cy clo [ 1.1.1 ] pentan- 1 - yl}acetamide (Compound 532)
2-(3-chloro-4- fluorophenoxy)-N- {3-[2-
Example 434 (3,4- dichlorophenoxy)acetamido ]bicyclo[l . l . l]pentan-l - yl}acetamide (Compound 533)
2-(4-chloro-3- fluorophenoxy )-N- { 3 - [2-(3 - chloro-4-
Example 435 fluorophenoxy)acetamido]bi cy clo [ 1.1.1 ] pentan- 1 - yl}acetamide (Compound 534)
2-(3-chloro-4- fluorophenoxy)-N- {4-[2-(4- chloro-3-
Example 436 fluorophenoxy)acetamido]bi cy clo [2.1.1 ] hexan- 1 - yl}acetamide (Compound 535)
N,N-[(25 -2- hydroxybicyclo[2.2.2]octan
Example 437 e-l ,4-diyl]bis {2-[4- (trifluoromethy l)phenoxy ] ac etamide} (Compound 536)
2-(4-chloro-3- fluorophenoxy)-N-[(35 -4-
{2-[4-
(difluoromethy l)phenoxy] ac
Example 438
etamido} -3- hydroxybicyclo[2.2.2]octan- l-yl]acetamide (Compound 537) N,N-[(25 -2- hydroxybicyclo[2.2.2]octan
Example 439 e-l ,4-diyl]bis[2-(3,4- dichlorophenoxy)acetamide ] (Compound 538)
2-(4-chloro-3- fluorophenoxy )-N- [(2S)-4- {2-[4-
(difluoromethy l)phenoxy] ac
Example 440
etamido} -2- hydroxybicyclo[2.2.2]octan- l-yl]acetamide (Compound 539)
N,N-[(25 -2- hydroxybicyclo[2.2.2]octan
Example 441 e-l ,4-diyl]bis[2-(4- chlorophenoxy)acetamide] (Compound 540)
N,N-[(25 -2- hydroxybicyclo[2.2.2]octan e-l ,4-diyl]bis(2-{ [6-
Example 442
(trifluoromethyl)pyridin-3- y 1] oxy } acetamide)
(Compound 541)
N,N-[(25 -2- hydroxybicyclo[2.2.2]octan e-l ,4-diyl]bis {2-[(2,2-
Example 443
difluoro-2H-l ,3- benzodioxol-5- yl)oxy] acetamide} (Compound 542)
N- {3-[2-(4-chloro-3- fluorophenoxy)acetamido]bi
Example 444 cy clo [ 1.1.1 ] pentan- 1 -y 1 } -4- (3 -chloropheny l)butanamide (Compound 543)
2-(3-chloro-4- fluorophenoxy )-N- { (3S)-4- [2-(3,4- dichlorophenoxy)acetamido
Example 445
]-3- hydroxybicyclo[2.2.2]octan- l-yl}acetamide (Compound 544)
2-(4-chloro-3- fluorophenoxy )-N- { (2S)-4- [2-(3-chloro-4- fluorophenoxy )acetamido] -
Example 446
2- hydroxybicyclo[2.2.2]octan- l-yl}acetamide (Compound 545)
2-(3-chloro-4- fluorophenoxy)-N- {3-[2-(4- chlorophenoxy)acetamido]b
Example 447
icy clo [ 1.1.1 ] pentan- 1 - yl}acetamide (Compound 546)
Example 448 N,N- (bicyclo[l . l . l]pentane-l,3- diyl)bis[2-(3-chloro-4- fluorophenoxy)acetamide]
(Compound 547)
N,N-(2,3- dihydroxybicyclo[2.2.2]octa
Example 449 ne- 1 ,4-diy l)bis [2-(4-chloro- 3-fluorophenoxy)acetamide]
(Compound 548)
N,N-[(2S)-2- hydroxybicyclo[2.2.2]octan
Example 450 e-l ,4-diyl]bis[2-(3- fluorophenoxy)acetamide]
(Compound 549)
N,N-[(2S)-2- hydroxybicyclo[2.2.2]octan
Example 451 e-l ,4-diyl]bis[2-(4- fluorophenoxy)acetamide]
(Compound 550)
Example 452: Activity of exemplary compounds in an in vitro model of vanishing cell white matter disease (VWMD)
In order to test exemplary compounds of the invention in a cellular context, a stable VWMD cell line was first constructed. The ATF4 reporter was prepared by fusing the human full-length ATF4 5'-UTR (NCBI Accession No. BC022088.2) in front of the firefly luciferase (FLuc) coding sequence lacking the initiator methionine as described in Sidrauski et al (eLife 2013). The construct was used to produce recombinant retroviruses using standard methods and the resulting viral supernatant was used to transduce HEK293T cells, which were then subsequently selected with puromycin to generate a stable cell line. HEK293T cells carrying the ATF4 luciferase reporter were plated on polylysine coated 384-well plates (Greiner Bio-one) at 30,000 cells per well. Cells were treated the next day with 1 μg/mL tunicamycin and 200 nM of a compound of Formula (I) for 7 hours. Luminescence was measured using One Glo (Promega) as specified by the manufacturer. Cells were maintained in DMEM with L-glutamine supplemented with 10% heat-inactivated FBS (Gibco) and Antibiotic- Antimycotic solution (Gibco).
Table 2 below summarizes the EC50 data obtained using the ATF4-Luc assay for exemplary compounds of the invention. In this table, "A" represents an EC50 of less than 10 nM; "B" an EC50 of between 10 nM and 50 nM; "C" an EC50 of between 50 nM and 250 nM; "D" an EC50 of between 250 nM and 500 μΜ; "E" an EC50 of between 500 nM and 2 μΜ; "F" an EC50 of greater than 2 μΜ; and "G" indicates that data is not available.
Table 2: EC50 values of exemplary compounds of the invention in the ATF4-Luc assay.
Compound No. ATF4-Luc EC50 Compound No. ATF4-Luc EC50
100 A 117 A
101 B 118 B
102 C 119 C
103 B 120 B
104 D 121 A
105 B 122 A
106 A 123 B
107 C 124 B
108 B 125 A
109 E 126 A
110 E 127 E
111 A 128 E
112 A 129 G
113 C 130 B
114 B 131 B
115 C 132 C
116 A 133 C Compound No. ATF4-Luc ECso Compound No. ATF4-Luc ECso
134 C 163 D
135 D 164 E
136 D 165 C
137 E 166 D
138 D 167 E
139 D 168 C
140 C 169 D
141 E 170 F
142 B 171 A
143 F 172 D
144 D 173 C
145 F 174 D
146 A 175 A
147 C 176 B
148 C 177 A
149 B 178 F
150 B 179 F
151 A 180 C
152 C 181 F
153 C 182 F
154 D 183 A
155 B 184 C
156 B 185 B
157 B 186 A
158 A 187 C
159 C 188 C
160 C 189 E
161 C 190 E
162 B 191 E Compound No. ATF4-Luc ECso Compound No. ATF4-Luc ECso
192 E 221 E
193 F 222 A
194 F 223 E
195 B 224 C
196 B 225 B
197 C 226 B
198 C 227 A
199 C 228 A
200 F 229 E
201 E 230 B
202 F 231 F
203 C 232 E
204 E 233 B
205 F 234 C
206 C 235 C
207 C 236 B
208 C 237 C
209 F 238 B
210 F 239 F
211 F 240 A
212 F 241 B
213 C 242 B
214 C 243 D
215 C 244 A
216 C 245 B
217 E 246 B
218 E 247 C
219 A 248 C
220 E 249 D Compound No. ATF4-Luc ECso Compound No. ATF4-Luc ECso
250 C 279 D
251 B 280 F
252 C 281 E
253 B 282 F
254 D 283 E
255 C 284 B
256 C 285 C
257 D 286 C
258 A 287 C
259 D 288 C
260 A 289 C
261 B 290 E
262 B 291 D
263 E 292 E
264 E
293 D
265 B
294 B
266 A
295 C
267 C
296 F
268 B
297 A
269 B
298 A
270 D
299 B
271 B
300 B
272 A
301 A
273 A
302 A
274 A
303 B
275 E
304 E
276 B
305 A
277 D
306 A
278 B
307 F Compound No. ATF4-Luc ECso Compound No. ATF4-Luc ECso
308 A 337 A
309 C 338 B
310 C 339 A
311 A 340 C
312 C 341 C
313 A 342 D
314 F 343 C
315 E 344 A
316 E 345 A
317 F 346 C
318 B 347 D
319 A 348 B
320 E 349 E
321 E 350 C
322 C 351 D
323 F 352 E
324 F 353 A
325 F 354 A
326 C 355 C
327 F 356 B
328 F 357 A
329 A 358 A
330 A 359 B
331 A 360 F
332 B 361 F
333 D 362 A
334 E 363 A
335 A 364 A
336 A 365 A Compound No. ATF4-Luc ECso Compound No. ATF4-Luc ECso
366 B 395 E
367 F 396 B
368 A 397 B
369 F 398 B
370 F 399 B
371 D 400 C
372 C 401 B
373 C 402 C
374 F 403 E
375 C 404 E
376 D 405 C
377 E 406 B
378 B 407 C
379 A 408 A
380 B 409 A
381 E 410 A
382 F 411 B
383 F 412 C
384 F 413 D
385 E 414 A
386 F 415 A
387 A 416 A
388 B 417 G
389 D 418 B
390 C 419 C
391 D 420 A
392 A 421 C
393 A 422 D
394 A 423 F Compound No. ATF4-Luc ECso Compound No. ATF4-Luc ECso
424 G 453 B
425 E 454 A
426 C 455 F
427 E 456 A
428 E 457 F
429 C 458 F
430 E 459 F
431 C 460 B
432 C 461 F
433 C 462 F
434 D 463 F
435 D 464 B
436 C 465 A
437 A 466 A
438 A 467 A
439 A 468 A
440 A 469 F
441 B 470 B
442 A 471 A
443 A 472 A
444 B 473 A
445 A 474 F
446 F 475 A
447 F 476 C
448 F 477 F
449 B 478 F
450 B 479 F
451 F 480 F
452 A 481 F Compound No. ATF4-Luc ECso Compound No. ATF4-Luc ECso
482 F 511 B
483 F 512 F
484 F 513 F
485 E 514 B
486 F 515 A
487 F 516 F
488 F 517 A
489 E 518 B
490 E 519 F
491 F 520 B
492 F 521 A
493 F 522 F
494 D 523 F
495 B 524 B
496 E 525 A
497 E 526 B
498 D 527 B
499 F 528 A
500 F 529 B
501 A 530 E
502 C 531 D
503 B 532 A
504 C 533 A
505 A 534 A
506 D 535 B
507 A 536 A
508 B 537 A
509 A 538 A
510 A 539 A Compound No. ATF4-Luc ECso Compound No. ATF4-Luc ECso
540 A 542 A
541 B 543 C
VWMD mutations were introduced into the genome of the HEK293T ATF4-Fluc stable cell lines by using Gene Art CRISPR nuclease vector with OFP Reporter kit (ThermoFisher; see Table 3 below). Guide RNAs were designed using the CRISPR Design Tool
(http://crispr.mit.edu) and ligated into the CRISPR OFP Nuclease Vector. To obtain homology directed repair (HDR) incorporating VWMD point mutations in the genome, 150 bp ssDNA ultramer oligos were synthesized by Integrated DNA Technologies containing specific mutations of interest. In addition to the VWMD mutations, the ssDNA HDR templates contained a silent mutation to the PAM site of the CRISPR gRNA sequence (to avoid further Cas9 cutting) and 75 bp of homology on each side of the mutation.
HEK293T ATF4-Fluc cells were transfected with 500 ng of the CRISPR OFP Nuclease Vector and 1 uL of 10 μΜ ssDNA HDR template using lipofectamine 3000 (ThermoFisher) or SF Cell Line 4D-nucleofector X Kit (Lonza) according to the manufacturer's instructions. After 2-3 days of recovery, single cells were sorted for positive OFP expression on a FACS Aria II (BD Biosciences) into wells of a 96 well plate and allowed to recover for 1-2 weeks.
The resulting clones were surveyed for CRISPR editing and HDR by harvesting the genomic DNA with the PureLink Genomic DNA kit (ThermoFisher), amplifying a ~500bp locus near the editing site, and sequencing the amplicon. Clones that displayed an ambiguous chromatogram signal near the expected CRISPR editing site were further examined by TA cloning (Invitrogen) and sequencing of the amplicon, yielding the sequence of each allele in the clone. Typical clones obtained were hemizygous for the VWMD point mutation, with one or two alleles harboring the desired mutation, and the remaining alleles knocked out (edited to produce a premature stop codon).
Table 3 below summarizes the EC50 data obtained using the ATF4-Luc assay for VWMD eIF2B mutant with exemplary compounds of the invention. In this table, "A" represents an EC50 of less than 10 nM; "B" an EC50 of between 10 nM and 50 nM; "C" an EC50 of between 50 nM and 250 nM; "D" an EC50 of between 250 nM and 500 μΜ; "E" an EC50 of between 500 nM and 2 μΜ; and "F" an EC50 of greater than 2 μΜ. Table 3: Exemplary eIF2B mutants and corresponding ATF4-Luc EC50 data.
Figure imgf000424_0001
EQUIVALENTS AND SCOPE
In the claims articles such as "a," "an," and "the" may mean one or more than one unless indicated to the contrary or otherwise evident from the context. Claims or descriptions that include "or" between one or more members of a group are considered satisfied if one, more than one, or all of the group members are present in, employed in, or otherwise relevant to a given product or process unless indicated to the contrary or otherwise evident from the context. The invention includes embodiments in which exactly one member of the group is present in, employed in, or otherwise relevant to a given product or process. The invention includes embodiments in which more than one, or all of the group members are present in, employed in, or otherwise relevant to a given product or process.
Furthermore, the invention encompasses all variations, combinations, and permutations in which one or more limitations, elements, clauses, and descriptive terms from one or more of the listed claims are introduced into another claim. For example, any claim that is dependent on another claim can be modified to include one or more limitations found in any other claim that is dependent on the same base claim. Where elements are presented as lists, e.g., in Markush group format, each subgroup of the elements is also disclosed, and any element(s) can be removed from the group. It should it be understood that, in general, where the invention, or aspects of the invention, is/are referred to as comprising particular elements and/or features, certain embodiments of the invention or aspects of the invention consist, or consist essentially of, such elements and/or features. For purposes of simplicity, those embodiments have not been specifically set forth in haec verba herein. It is also noted that the terms "comprising" and "containing" are intended to be open and permits the inclusion of additional elements or steps. Where ranges are given, endpoints are included. Furthermore, unless otherwise indicated or otherwise evident from the context and understanding of one of ordinary skill in the art, values that are expressed as ranges can assume any specific value or sub-range within the stated ranges in different embodiments of the invention, to the tenth of the unit of the lower limit of the range, unless the context clearly dictates otherwise.
This application refers to various issued patents, published patent applications, journal articles, and other publications, all of which are incorporated herein by reference. If there is a conflict between any of the incorporated references and the instant specification, the specification shall control. In addition, any particular embodiment of the present invention that falls within the prior art may be explicitly excluded from any one or more of the claims.
Because such embodiments are deemed to be known to one of ordinary skill in the art, they may be excluded even if the exclusion is not set forth explicitly herein. Any particular embodiment of the invention can be excluded from any claim, for any reason, whether or not related to the existence of prior art.
Those skilled in the art will recognize or be able to ascertain using no more than routine experimentation many equivalents to the specific embodiments described herein. The scope of the present embodiments described herein is not intended to be limited to the above
Description, but rather is as set forth in the appended claims. Those of ordinary skill in the art will appreciate that various changes and modifications to this description may be made without departing from the spirit or scope of the present invention, as defined in the following claims.

Claims

We claim:
1. A compound of
Figure imgf000426_0001
Formula (I)
or a pharmaceutically acceptable salt, solvate, hydrate, tautomer, or stereoisomer thereof, wherein:
D is a bridged monocyclic cycloalkyl, bridged monocyclic heterocyclyl, or cubanyl, wherein each bridged monocyclic cycloalkyl, bridged monocyclic heterocyclyl, or cubanyl is optionally substituted with 1-4 Rx groups;
L1 and L2 are each independently C1-C6 alkylene, C2-C6 alkenylene, 2-7-membered heteroalkylene, O, or NR , wherein each C1-C6 alkylene, C2-C6 alkenylene, or 2-7-membered heteroalkylene is optionally substituted with 1-5 Rx;
R1 andR2 are each independently hydrogen, C1-C6 alkyl, C1-C6 alkoxy-Ci-C6 alkyl, hydroxy-Ci-C6 alkyl, silyloxy-Ci-C6 alkyl;
A and W are each independently phenyl or 5-6-membered heteroaryl, wherein each phenyl or 5-6-membered heteroaryl is optionally substituted with 1-5 RY;
each Rxis independently selected from the group consisting of C1-C6 alkyl, hydroxy - C1-C6 alkyl, halo-Ci-C6 alkyl, amino-Ci-C6 alkyl, cyano-Ci-C6 alkyl, C1-C6 alkoxy-Ci-C6 alkyl, oxo, halo, cyano, -ORA, -NRBRC, -NRBC(0)RD, -C(0)NRBRc, -C(0)RD, -C(0)OH, - C(0)ORD, -SRE, -S(0)RD, -S(0)2RD, -OS(0)RD, -OS(0)2RD, and G2;
each RYis independently selected from the group consisting of hydrogen, C1-C6 alkyl, hydroxy-Ci-C6 alkyl, halo-Ci-C6 alkyl, halo-Ci-C6 alkoxy, amino-Ci-C6 alkyl, cyano-Ci-C6 alkyl, oxo, halo, cyano, -ORA, -NRBRC, -NRBC(0)RD, -C(0)NRBRc, -C(0)RD, -C(0)OH, - C(0)ORD, -S(RF)m, -S(0)RD, -S(0)2RD, and G1; or
2 RY groups on adjacent atoms, together with the atoms to which they are attached form a 3-7-membered fused cycloalkyl, heterocyclyl, aryl, or heteroaryl ring optionally substituted with 1-5 Rx; each G1 and G2 is independently C3-C6 cycloalkyl, 4-7-membered heterocyclyl, aryl, or 5-6-membered heteroaryl, wherein each C3-C6 cycloalkyl, 4-7-membered heterocyclyl, aryl, or 5-6-membered heteroaryl is optionally substituted with 1-3 Rz;
each Rz is independently selected from the group consisting of C1-C6 alkyl, hydroxy-Ci- C6 alkyl, halo-Ci-C6 alkyl, halo, cyano, -ORA, -NRBRC, -NRBC(0)RD, -C(0)NRBRc, - C(0)RD, -C(0)OH, -C(0)ORD, and -S(0)2RD;
each RA is independently hydrogen, Ci-C6 alkyl, halo-Ci-C6 alkyl, -C(0)NRBRc, - C(0)RD, -C(0)OH, or -C(0)ORD;
B C
each of R and R is independently hydrogen or C1-C6 alkyl; or
RB and Rc together with the atom to which they are attached form a 3-7-membered heterocyclyl ring optionally substituted with 1-3 Rz;
each RD is independently C1-C6 alkyl, 2-7-membered heteroalkyl, or halo-Ci-C6 alkyl, wherein each C1-C6 alkyl, 2-7-membered heteroalkyl, or halo-Ci-C6 alkyl is optionally substituted with 1-5 R ;
each RE is independently hydrogen, C1-C6 alkyl, or halo-Ci-C6 alkyl;
each RF is independently hydrogen, C1-C6 alkyl, or halo;
each RG is independently aryl or 5-6 membered heteroaryl, wherein each aryl or 5-6 membered heteroaryl is optionally substituted with 1-5 RH;
each RH is independently C1-C6 alkyl or halo-Ci-C6 alkyl;
m is 1, 3, or 5; and
t is 0 or 1.
2. The compound of claim 1, wherein D is a bridged monocyclic cycloalkyl or cubanyl, each of which is optionally substituted with 1-4 Rx groups.
3. The compound of any one of claims 1-2, wherein D is a bridged 4-6 membered monocyclic cycloalkyl or cubanyl, each of which is optionally substituted with 1-4 Rx groups.
4. The compound of any one of claims 1-3, wherein D is selected from cubane, bicyclo[l . l . l]pentane, bicyclo[2.2.2]octane, bicyclo[2.1.1]hexane, bicyclo[3.1.1]heptane, bicyclo[2.2.1]heptane, each of which is optionally substituted with 1-4 Rx groups.
5. The compound of any one of claims 1 -4, wherein D is selected from:
Figure imgf000428_0001
6. The compound of any one of claims 1 -5, wherein D is selected from:
Figure imgf000428_0002
7. The compound of any one of claims 1 -6, wherein D is substituted with 1 Rx.
8. The compound of any one of claims 1 -7, wherein Rx is C1-C6 alkyl, oxo, halo, cyano, - ORA, -OS(0)2RD, -S(0)2RD, -SRE, NRBC(0)RD, -C(0)NRBRc, -C(0)RD, -C(0)OH, NRBRC, or G2 (e.g., CH3, oxo, fluoro, OH, cyano, OCH3, NH2, N(CH3)2, NHC(0)CH3, OC(0)CH3, C(0)NH2, OS(0)2CH3, -S(0)2CH3, -S(0)2 CH2CH3, C(0)OH, OC(0)RD, -C(0)CH3, or - SCH3).
9. The compound of claim 8, wherein G2 is aryl or 5-6 membered heteroaryl (e.g., oxadiazolyl, or tetrazolyl). 10. The compound of any one of claims 1 -6, wherein D is substituted with 0 Rx.
1 1. The compound of any one of claims 1 -6 and 10, wherein D is
Figure imgf000429_0001
Figure imgf000429_0002
12. The compound of any one of claims 1 -1 1, wherein at least one of L1 and L2 is independently 2-7-membered heteroalkylene optionally substituted by 1 -5 Rx.
13. The compound of any one of claims 1 -12, wherein both L1 and L2 are independently 2- 7-membered heteroalkylene optionally substituted by 1 -5 Rx. 14. The compound of any one of claims 1 -13, wherein one of L1 and L2 is independently C1-C6 alkylene or C2-C6 alkenylene and the other of L1 and L2 is independently 2-7-membered heteroalkylene, and wherein each C1-C6 alkylene, C2-C6 alkenylene, and 2-7-membered heteroalkylene is optionally substituted by 1 -5 Rx. 15. The compound of any one of claims 12-14, wherein each Rx is independently C1-C6 alkyl, oxo, or -C(0)RD (e.g., CH3, oxo, or C(0)CH3).
16. The compound of any one of claims 1 -15, wherein each of L1 and L2 is independently selected from CH20-*, CH2CH2-*, CH2CH2CH2-*, CH2-*, CH2C(0)-*, CH=CH-*, CH2CH20- *, CH2OCH2-*, CH2OCH2CH2-*, CH2CH2CH2O-*, CH2CH2OCH2-*, NHCH2-*, CH2NH-*, CH2N(CH3)-*, CH2N(CH3)C(0)-*, CH2N(C(0)CH3)-*, CH2CH(OH)-*, CH(OH)-*,
CH(OH)CH2CH2-*, CH2CH(OH)-*, CH2NHC(0)-*, NHC(0)OCH2-*, O-*, NH-*, S(0)2CH-*, S(0)2CH2CH2-*, S(0)2CH2CH20-*, or CH2C(0)-*, and "-*" indicates the attachment point to A and W, respectively.
17. The compound of any one of claims 1 -16, wherein L1 is independently selected from CH2O-* and CH=CH-*, L2 is independently selected from CH20-*, CH2CH2-*, CH2CH2CH2-*, CH2-*, CH2C(0)-*, CH=CH-*, CH2CH20-*, CH2OCH2-*, CH2OCH2CH2-*, CH2CH2CH20-*, CH2CH2OCH2-*, NHCH2-*, CH2NH-*, CH2N(CH3)-*, CH2N(CH3)C(0)-*, CH2N(C(0)CH3)- *, CH2CH(OH)-*, CH(OH)-*, CH(OH)CH2CH2-*, CH2CH(OH)-*, CH2NHC(0)-*,
NHC(0)OCH2-*, O-*, NH-*, S(0)2CH-*, S(0)2CH2CH2-*, S(0)2CH2CH20-*, or CH2C(0)-*, and "-*" indicates the attachment point to A and W, respectively.
18. The compound of any one of claims 1-17, wherein t is 1.
19. The compound of any one of claims 1-17, wherein t is 0. 20. The compound of any one of claims 1-19, wherein R1 and R2 are each independently hydrogen, C1-C6 alkyl, hydroxyl-Ci-C6 alkyl, or silyloxy-Ci-C6 alkyl.
21. The compound of any one of claims 1-20, wherein one of R1 and R2 is independently hydrogen and the other of R1 and R2 is independently hydrogen, C1-C6 alkyl, C1-C6 hydroxyl- Ci-C6 alkyl, or silyloxy-Ci-C6 alkyl.
22. The compound of any one of claims 1 -21 , wherein R1 and R2 are each independently hydrogen, *-CH3, *-CH2CH2OH, or *-CH2CH2OSi(CH3)2C(CH3)3, and "*-" indicates the attachment point to the nitrogen atom.
23. The compound of any one of claims 1-22, wherein one of R1 and R2 is independently hydrogen and the other of R1 and R2 is independently hydrogen, *-CH3, *-CH2CH2OH, or *- CH2CH2OSi(CH3)2C(CH3)3, and "*-" indicates the attachment point to the nitrogen atom.
24. The compound of any one of claims 1-23, wherein R1 and R2 are each independently hydrogen.
25. The compound of any one of claims 1-24, wherein each A and W is independently a phenyl or 5-6-membered heteroaryl optionally substituted with 1-5 RY groups.
26. The compound of any one of claims 1-24, wherein each of A and W is independently phenyl, pyridyl, pyrazinyl, pyridazinyl, pyridazinonyl, triazinyl, triazolyl, oxadiazolyl, or oxadiazolonyl, each of which is optionally substituted with 1-5 RY groups. 27. The compound of any one of claims 1-25, wherein each of A and W is independently selected from:
Figure imgf000431_0001
28. The compound of any one of claims 1-27, wherein A is phenyl and W is phenyl or 5-6- membered heteroaryl, each of A and W is optionally substituted with 1-5 RY, and each RY is independently C1-C6 alkyl, hydroxy-Ci-C6 alkyl, halo-Ci-C6 alkyl, halo-Ci-C6 alkoxy, amino- Ci-C6 alkyl, cyano-Ci-C6 alkyl, halo, cyano, -ORA, -NRBRC, -C(0)RD, -C(0)OH, - C(0)ORD, -S(RF)m,-S(0)2RD, or G1.
29. The compound of any one of claims 1-28, wherein A is phenyl and W is phenyl, pyridyl, pyrazinyl, pyridazinyl, pyridazinonyl, triazinyl, thiazolyl, triazolyl, oxadiazolyl, oxadiazolonyl, each of which is optionally substituted with 1-5 RY.
The com ound of any one of claims 1-29, wherein A is selected from:
Figure imgf000432_0001
31. The compound of any one of claims 1-30, wherein W is selected from:
Figure imgf000432_0002
Figure imgf000433_0001
fluoro, iodo, CF3, CHF2, CH2CF3, CH3, CH2CH3, C(CH3)2OH, OCH3, OCH2CH3i OCF3, S(0)2CH3, S(0)2CH2CH2CH3, CN, N(CH3)2, SF5, SCH3, NH2, C(CH)3, CH(CH3)2, CH2CN, CH2NH2, CH(OH)CH3, C(OH)(CH3)CF3, S(0)2CH3, C(0)CH3, C(0)OCH3, C(0)OH, OCHF2 or G1. 33. The compound of any one of claims 1-31, wherein each A and W is independently substituted with 2 RY on adjacent atoms, and the 2 RY, together with the atoms to which they are attached, form a 3-7-membered fused cycloalkyl, 3-7-membered fused heterocyclyl, fused aryl, or 5-6-membered fused heteroaryl ring optionally substituted with 1-5 Rx. 34. The compound of claim 33, wherein the 2 RY together with the atoms to which they are attached form a pyrazolyl, pyrrolyl, isoxazolyl, thiophenyl, furanyl, or dioxolanyl ring, each of which is optionally substituted with 1-5 Rx.
35. The compound of any one of claims 33-34, wherein each Rx is independently C1-C6 alkyl or halo (e.g., CH3 or fluoro).
36. The compound of any one of claims 1-35, wherein G1 is cyclopropyl, isoxazolyl, piperidinyl, phenyl, or pyrazolyl, each of which is optionally substituted with 1-5 Rz.
37. The compound of claim 36, wherein each Rz is independently C1-C6 alkyl (e.g., CH3) or halo (e.g., chloro).
38. The compound of any one of claims 1-37, wherein the compound of Formula (I) is a compound of Formula (I-b):
Figure imgf000434_0001
Formula (I-b)
or a pharmaceutically acceptable salt, solvate, hydrate, tautomer, or stereoisomer thereof,
wherein:
D is (l,2,3,4,6,7)-cubane, bicyclo[l. l. l]pentane, bicyclo[2.2.2]octane,
bicyclo[2.1.1]hexane, bicyclo[2.2.1]heptane, or bicycle[3.1.1]heptane, each of which is optionally substituted with 1-4 Rx groups;
L1 and L2 are each independently CH20-*, CH2CH2-*, CH2CH2CH2-*, CH2-*,
CH2C(0)-*, CH=CH-*, CH2CH20-*, CH2OCH2-*, CH2OCH2CH2-*, CH2CH2CH20-*, CH2CH2OCH2-*, NHCH2-*, CH2NH-*, CH2N(CH3)-*, CH2N(CH3)C(0)-*, CH2N(C(0)CH3)- *, CH2CH(OH)-*, CH(OH)-*, CH(OH)CH2CH2-*, CH2CH(OH)-*, CH2NHC(0)-*,
NHC(0)OCH2-*, O-*, NH-*, S(0)2CH-*, S(0)2CH2CH2-*, S(0)2CH2CH20-*, or CH2C(0)-*, and "-*" indicates the attachment point to A and W, respectively.
R1 andR2 are each independently hydrogen, CH3, CH2CH2OH, or
CH2CH2OSi(CH3)2C(CH3)3;
A and W are each independently phenyl, pyridyl, pyrazinyl, pyridazinyl, pyridazinonyl, triazinyl, thiazolyl, triazolyl, oxadiazolyl, or oxadiazolonyl, each of which is optionally substituted with 1-5 RY groups;
each Rxis independently selected from CH3, oxo, fluoro, OH, cyano, OCH3, NH2, N(CH3)2, NHC(0)CH3, OC(0)CH3, C(0)NH2, OS(0)2CH3, -S(0)2CH3, -S(0)2 CH2CH3, C(0)OH, OC(0)RD, -C(0)CH3, -SCH3, or G2;
each RY is independently chloro, fluoro, iodo, CF3, CHF2, CH2CF3, CH3, CH2CH3,
C(CH3)2OH, OCH3, OCH2CH3i OCF3, S(0)2CH3, S(0)2CH2CH2CH3, CN, N(CH3)2, SF5, SCH3, NH2, C(CH)3, CH(CH3)2, CH2CN, CH2NH2, CH(OH)CH3, C(OH)(CH3)CF3, S(0)2CH3, C(0)CH3, C(0)OCH3, C(0)OH, OCHF2 or G1; or 2 R groups on adjacent atoms, together with the atoms to which they are attached form a pyrazolyl, pyrrolyl, isoxazolyl, thiophenyl, furanyl, or dioxolanyl ring, each of which is optionally substituted with 1-2 Rx;
G1 and G2 are cyclopropyl, isoxazolyl, phenyl, piperidinyl, oxadiazolyl, or tetrazolyl, or pyrazolyl, each of which is optionally substituted with 1 -2 Rz;
D G
each R is CH20 optionally substituted with 1 -5 R ;
G H
each R is independently pyridyl optionally substituted with 1 -5 R ;
each RH is independently CF3;
each Rz is independently CH3; and
t is O or l .
39. The compound of any one of claims 1 -38, wherein the compound of Formula (I) is a compound of Formula (I-
Figure imgf000435_0001
Formula (I-c)
or a pharmaceutically acceptable salt, solvate, hydrate, tautomer, or stereoisomer thereof, wherein each of L1, L2, R1, R2, A, W, Rx, and t is defined as for Formula (I).
40. The compound of any one of claims 1 -39, wherein the compound of Formula (I) is a compound of Formula (I-d
Figure imgf000435_0002
Formula (I-d)
or a pharmaceutically acceptable salt, solvate, hydrate, tautomer, or stereoisomer thereof, wherein each of L1, L2, A, and W, is defined as for Formula (I).
41. The compound of any one of claims 1 -39, wherein the compound of Formula (I) is a compound of Formula (I-e):
Figure imgf000436_0001
Formula (I-e)
or a pharmaceutically acceptable salt, solvate, hydrate, tautomer, or stereoisomer thereof, wherein each of L2, A, W, R1, R2 and t is defined as for Formula (I).
42. The compound of any one of claims 1 -39 and 41 , wherein the compound of Formula (I) is a compound of Formula (I-f):
Figure imgf000436_0002
Formula (I-f)
or a pharmaceutically acceptable salt, solvate, hydrate, tautomer, or stereoisomer thereof, wherein each of L2, W, RY, R1, R2 and t is defined as for Formula (I).
43. The compound of any one of claims 1 -38, wherein the compound of Formula (I) is a compound of Formula (I-g):
Figure imgf000436_0003
Formula (I-g)
or a pharmaceutically acceptable salt, solvate, hydrate, tautomer, or stereoisomer thereof, wherein each of L1, L2, R1, R2, A, W, Rx, and t is defined as for Formula (I). 44. The compound of any one claims 1 -38 and 43, wherein the compound of Formula (I) is a compound of Formul -h):
Figure imgf000436_0004
Formula (I-h) or a pharmaceutically acceptable salt, solvate, hydrate, tautomer, or stereoisomer thereof, wherein each of L2, R1, R2, A, W, Rx, , and t is defined as for Formula (I).
45. The compound of any one of claims 1-38 and 43-44, wherein the compound of Formula (I) is a compound of Formula (I-i):
Figure imgf000437_0001
Formula (I-i)
or a pharmaceutically acceptable salt, solvate, hydrate, tautomer, or stereoisomer thereof, wherein each of L2, R1, R2, W, Rx, RY, and t is defined as for Formula (I).
46. The compound of any one of claims 1-38, wherein the compound of Formula (I) is a compound of Formula (I-j):
Figure imgf000437_0002
Formula (I-j)
or a pharmaceutically acceptable salt, solvate, hydrate, tautomer, or stereoisomer thereof, wherein each of L1, L2, R1, R2, A, W, Rx, and t is defined as for Formula (I).
47. The compound of any one of claims 1-38 and 46, wherein the compound of Formula (I) is a compound of Formula (I-k):
Figure imgf000437_0003
Formula (I-k)
or a pharmaceutically acceptable salt, solvate, hydrate, tautomer, or stereoisomer thereof, wherein each of L2, R1, R2 , A, W, Rx, and t is defined as for Formula (I).
48. The compound of any one of claims 1-38 and 46-47, wherein the compound of Formula (I) is a compound of Formula (1-1):
Figure imgf000438_0001
Formula (1-1)
or a pharmaceutically acceptable salt, solvate, hydrate, tautomer, or stereoisomer thereof, wherein each of L2, R1, R2 W, Rx, RY, and t is defined as for Formula (I).
49. The compound of any one of the preceding claims, wherein the compound is selected from any compound set forth in Table 1 or a pharmaceutically acceptable salt, solvate, hydrate, tautomer, or stereoisomer thereof.
50. A pharmaceutically acceptable composition comprising a compound of any one of the preceding claims and a pharmaceutically acceptable carrier.
51. A composition for use in treating a neurodegenerative disease, a leukodystrophy, cancer, an inflammatory disease, a musculoskeletal disease, or a metabolic disease in a subject, wherein the composition comprises a compound of Formula (I) or a pharmaceutically acceptable salt, solvate, hydrate, tautomer, or stereoisomer thereof as described in any one of the preceding claims.
52. The composition of claim 51, wherein the neurodegenerative disease comprises a leukodystrophy, a leukoencephalopathy, a hypomyelinating or demyelinating disease, an intellectual disability syndrome, a cognitive impairment, a glial cell dysfunction, or a brain injury (e.g., a traumatic brain injury or toxin induced brain injury).
53. The composition of any one of claims 51 or 52, wherein the neurodegenerative disease comprises vanishing white matter disease, childhood ataxia with CNS hypo myelination, Alzheimer's disease, amyotrophic lateral sclerosis, Creutzfeldt- Jakob disease, Frontotemporal dementia, Gerstmann-Straussler-Scheinker disease, Huntington's disease, dementia (e.g., HIV- associated dementia or Lewy body dementia), Kuru, multiple sclerosis, Parkinson's disease, or a prion disease.
54. The composition of any one of claims 51-53, wherein the neurodegenerative disease comprises vanishing white matter disease.
55. The composition of claim 51, wherein the cancer comprises pancreatic cancer, breast cancer, multiple myeloma, or a cancer of the secretory cells. 56. The composition of claim 51, wherein the inflammatory disease comprises
postoperative cognitive dysfunction, arthritis (e.g., rheumatoid arthritis, psoriatic arthritis, or juvenile idiopathic arthritis), systemic lupus erythematosus (SLE), myasthenia gravis, diabetes (e.g., juvenile onset diabetes or diabetes mellitus type 1), Guillain-Barre syndrome,
Hashimoto's encephalitis, Hashimoto's thyroiditis, ankylosing spondylitis, psoriasis, Sjogren's syndrome, vasculitis, glomerulonephritis, auto-immune thyroiditis, Behcet's disease, Crohn's disease, ulcerative colitis, bullous pemphigoid, sarcoidosis, ichthyosis, Graves'
ophthalmopathy, inflammatory bowel disease, Addison's disease, vitiligo, asthma (e.g., allergic asthma), acne vulgaris, celiac disease, chronic prostatitis, pelvic inflammatory disease, reperfusion injury, sarcoidosis, transplant rejection, interstitial cystitis, atherosclerosis, or atopic dermatitis.
57. The composition of claim 51, wherein the musculoskeletal disease comprises muscular dystrophy (e.g., Duchenne muscular dystrophy, Becker muscular dystrophy, distal muscular dystrophy, congenital muscular dystrophy, Emery -Dreifuss muscular dystrophy,
facioscapulohumeral muscular dystrophy, or myotonic muscular dystrophy), multiple sclerosis, amyotropic lateral sclerosis, primary lateral sclerosis, progressive muscular atrophy, progressive bulbar palsy, pseudobulbar palsy, spinal muscular atrophy, progressive spinobulbar muscular atrophy, spinal cord spasticity, spinal muscle atrophy, myasthenia gravis, neuralgia, fibromyalgia, Machado-Joseph disease, cramp fasciculation syndrome, Freidrich's ataxia, a muscle wasting disorder (e.g., muscle atrophy, sarcopenia, cachexia), an inclusion body myopathy, motor neuron disease, or paralysis.
58. The composition of claim 51, wherein the metabolic disease comprises non-alcoholic steatohepatitis (NASH), non-alcoholic fatty liver disease (NAFLD), liver fibrosis, obesity, heart disease, atherosclerosis, arthritis, cystinosis, diabetes (e.g., Type I diabetes, Type II diabetes, or gestational diabetes), phenylketonuria, proliferative retinopathy, or Kearns-Sayre disease.
59. The composition of any one of claims 51-58, comprising administering a compound of Formula (I) or a pharmaceutically acceptable salt, solvate, hydrate, tautomer, or stereoisomer thereof, or a composition thereof, to a subject in combination with a second agent (e.g., agent for treating cancer, a neurodegenerative disease, a leukodystrophy, an inflammatory disease, a musculoskeletal disease, a metabolic disease, or a disease or disorder associated with impaired function of eIF2B, eIF2a, or a component of the eIF2 pathway or ISR pathway).
60. A composition for use in treating a disease related to a modulation of eIF2B activity or levels, eIF2a activity or levels, or the activity or levels of a component of the eIF2 pathway or the ISR pathway, wherein the composition comprises a compound of Formula (I) or a pharmaceutically acceptable salt, solvate, hydrate, tautomer, or stereoisomer thereof as described in any one of the preceding claims.
61. The composition of claim 60, wherein the modulation comprises an increase in eIF2B activity or levels, increase in eIF2a activity or levels, or increase in activity or levels of a component of the eIF2 pathway or the ISR pathway.
62. The composition of claim 60, wherein the disease may be caused by a mutation to a gene or protein sequence related to a member of the eIF2 pathway (e.g., the eIF2a signaling pathway).
PCT/US2017/031360 2016-05-05 2017-05-05 Modulators of the integrated stress pathway Ceased WO2017193034A1 (en)

Priority Applications (45)

Application Number Priority Date Filing Date Title
UAA201812001A UA125513C2 (en) 2016-05-05 2017-05-05 Modulators of the integrated stress pathway
EP23213609.3A EP4356971A3 (en) 2016-05-05 2017-05-05 Modulators of the integrated stress pathway
HRP20240218TT HRP20240218T1 (en) 2016-05-05 2017-05-05 MODULATORS OF THE INTEGRATED STRESS PATHWAY
KR1020257007932A KR20250042188A (en) 2016-05-05 2017-05-05 Modulators of the integrated stress pathway
CN201780042069.2A CN109641844B (en) 2016-05-05 2017-05-05 Modulators of integrated stress pathways
SG11201809695TA SG11201809695TA (en) 2016-05-05 2017-05-05 Modulators of the integrated stress pathway
PH1/2018/502329A PH12018502329B1 (en) 2016-05-05 2017-05-05 Modulators of the integrated stress pathway
MA44861A MA44861B1 (en) 2016-05-05 2017-05-05 MODULATORS OF THE INTEGRATED STRESS RESPONSE PATHWAY
CA3023162A CA3023162A1 (en) 2016-05-05 2017-05-05 Modulators of the integrated stress pathway
BR112018072663-0A BR112018072663A2 (en) 2016-05-05 2017-05-05 stress modulators
LTEPPCT/US2017/031360T LT3452448T (en) 2016-05-05 2017-05-05 Modulators of the integrated stress pathway
US16/098,675 US20190144440A1 (en) 2016-05-05 2017-05-05 Modulators of the integrated stress pathway
CR20180574A CR20180574A (en) 2016-05-05 2017-05-05 INTEGRATED STRESS ROAD MODULATORS
ES17723899T ES2973442T3 (en) 2016-05-05 2017-05-05 Modulators of the integrated stress pathway
CN202211242583.XA CN115947681B (en) 2016-05-05 2017-05-05 Regulators of integrated stress pathways
DK17723899.5T DK3452448T3 (en) 2016-05-05 2017-05-05 MODULATORS OF THE INTEGRATED STRESS PATHWAY
MX2021007146A MX2021007146A (en) 2016-05-05 2017-05-05 MODULATORS OF THE INTEGRATED STRESS PATHWAY.
NZ747842A NZ747842B2 (en) 2017-05-05 Modulators of the integrated stress pathway
RU2018142740A RU2769327C2 (en) 2016-05-05 2017-05-05 Modulators of integrated stress signaling path
JP2019510575A JP6997766B2 (en) 2016-05-05 2017-05-05 Modulator of integrated stress pathway
RS20240199A RS65214B1 (en) 2016-05-05 2017-05-05 Modulators of the integrated stress pathway
MYPI2018001857A MY200943A (en) 2016-05-05 2017-05-05 Modulators Of The Integrated Stress Pathway
SI201731474T SI3452448T1 (en) 2016-05-05 2017-05-05 Modulators of the integrated stress pathway
PE2023001939A PE20231935A1 (en) 2016-05-05 2017-05-05 INTEGRATED STRESS PATHWAY MODULATORS
AU2017260367A AU2017260367B2 (en) 2016-05-05 2017-05-05 Modulators of the integrated stress pathway
FIEP17723899.5T FI3452448T3 (en) 2016-05-05 2017-05-05 Modulators of the integrated stress pathway
CR20210372A CR20210372A (en) 2016-05-05 2017-05-05 Modulators of the integrated stress pathway
KR1020187035249A KR102512049B1 (en) 2016-05-05 2017-05-05 Modulators of integrated stress pathways
KR1020237009107A KR102781404B1 (en) 2016-05-05 2017-05-05 Modulators of the integrated stress pathway
PL17723899.5T PL3452448T3 (en) 2016-05-05 2017-05-05 PRODRUGS THAT ARE MODULATORS OF THE INTEGRATED STRESS PATHWAY
MX2018013495A MX383652B (en) 2016-05-05 2017-05-05 INTEGRATED STRESS PATHWAY MODULATORS.
SM20240098T SMT202400098T1 (en) 2016-05-05 2017-05-05 Modulators of the integrated stress pathway
EP17723899.5A EP3452448B1 (en) 2016-05-05 2017-05-05 Modulators of the integrated stress pathway
MDE20190301T MD3452448T2 (en) 2016-05-05 2017-05-05 Modulators of the integrated stress pathway
IL262722A IL262722B (en) 2016-05-05 2018-11-01 Combined stress response modulator compounds, preparations containing them and their uses
CONC2018/0012946A CO2018012946A2 (en) 2016-05-05 2018-11-29 Integrated stress path modulators
US17/103,003 US20220363678A1 (en) 2016-05-05 2020-11-24 Modulators of the integrated stress pathway
DO2021000151A DOP2021000151A (en) 2016-05-05 2021-07-16 INTEGRATED STRESS PATHWAY MODULATORS
IL286693A IL286693B1 (en) 2016-05-05 2021-09-26 Modulator compounds of the integrated stress pathway, compositions comprising same and uses thereof
JP2021204755A JP7389786B2 (en) 2016-05-05 2021-12-17 Modulators of the integrative stress pathway
AU2022200946A AU2022200946B2 (en) 2016-05-05 2022-02-11 Modulators of the integrated stress pathway
JP2023195552A JP7755632B2 (en) 2016-05-05 2023-11-17 Modulators of the integrated stress pathway
US18/648,195 US20250122188A1 (en) 2016-05-05 2024-04-26 Modulators of the integrated stress pathway
AU2024227527A AU2024227527A1 (en) 2016-05-05 2024-10-22 Modulators of the integrated stress pathway
IL323840A IL323840A (en) 2016-05-05 2025-10-09 Modulator compounds of the integrated stress pathway, compositions comprising same and uses thereof

Applications Claiming Priority (2)

Application Number Priority Date Filing Date Title
US201662332278P 2016-05-05 2016-05-05
US62/332,278 2016-05-05

Related Child Applications (2)

Application Number Title Priority Date Filing Date
US16/098,675 A-371-Of-International US20190144440A1 (en) 2016-05-05 2017-05-05 Modulators of the integrated stress pathway
US17/103,003 Continuation US20220363678A1 (en) 2016-05-05 2020-11-24 Modulators of the integrated stress pathway

Publications (1)

Publication Number Publication Date
WO2017193034A1 true WO2017193034A1 (en) 2017-11-09

Family

ID=58709639

Family Applications (1)

Application Number Title Priority Date Filing Date
PCT/US2017/031360 Ceased WO2017193034A1 (en) 2016-05-05 2017-05-05 Modulators of the integrated stress pathway

Country Status (38)

Country Link
US (3) US20190144440A1 (en)
EP (2) EP4356971A3 (en)
JP (3) JP6997766B2 (en)
KR (3) KR102781404B1 (en)
CN (2) CN115947681B (en)
AR (1) AR110599A1 (en)
AU (3) AU2017260367B2 (en)
BR (1) BR112018072663A2 (en)
CA (1) CA3023162A1 (en)
CL (1) CL2018003142A1 (en)
CO (1) CO2018012946A2 (en)
CR (2) CR20180574A (en)
DK (1) DK3452448T3 (en)
DO (1) DOP2018000242A (en)
EC (1) ECSP18089579A (en)
ES (1) ES2973442T3 (en)
FI (1) FI3452448T3 (en)
HR (1) HRP20240218T1 (en)
HU (1) HUE065713T2 (en)
IL (3) IL262722B (en)
LT (1) LT3452448T (en)
MA (1) MA44861B1 (en)
MD (1) MD3452448T2 (en)
MX (2) MX383652B (en)
MY (1) MY200943A (en)
PE (2) PE20190348A1 (en)
PH (1) PH12018502329B1 (en)
PL (1) PL3452448T3 (en)
PT (1) PT3452448T (en)
RS (1) RS65214B1 (en)
RU (2) RU2022106770A (en)
SG (1) SG11201809695TA (en)
SI (1) SI3452448T1 (en)
SM (1) SMT202400098T1 (en)
TW (3) TW202506629A (en)
UA (1) UA125513C2 (en)
UY (1) UY37228A (en)
WO (1) WO2017193034A1 (en)

Cited By (26)

* Cited by examiner, † Cited by third party
Publication number Priority date Publication date Assignee Title
WO2019008506A1 (en) * 2017-07-03 2019-01-10 Glaxosmithkline Intellectual Property Development Limited N-(3-(2-(4-chlorophenoxy)acetamido)bicyclo[1.1.1]pentan-1-yl)-2-cyclobutane-1-carboxamide derivatives and related compounds as atf4 inhibitors for treating cancer and other diseases
WO2019032743A1 (en) 2017-08-09 2019-02-14 Denali Therapeutics Inc. Compounds, compositions and methods
WO2019090069A1 (en) * 2017-11-02 2019-05-09 Calico Life Sciences Llc Modulators of the integrated stress pathway
WO2019118785A2 (en) 2017-12-13 2019-06-20 Praxis Biotech LLC Inhibitors of integrated stress response pathway
WO2019183589A1 (en) * 2018-03-23 2019-09-26 Denali Therapeutics Inc. Modulators of eukaryotic initiation factor 2
CN110730777A (en) * 2017-06-07 2020-01-24 葛兰素史密斯克莱知识产权发展有限公司 Chemical compounds as inhibitors of the ATF4 pathway
WO2020077217A1 (en) * 2018-10-11 2020-04-16 Calico Life Sciences Llc Prodrug modulators of the integrated stress pathway
WO2020168011A1 (en) 2019-02-13 2020-08-20 Denali Therapeutics Inc. Compounds, compositions and methods
WO2020216766A1 (en) 2019-04-23 2020-10-29 Evotec International Gmbh Modulators of the integrated stress response pathway
WO2020216764A1 (en) 2019-04-23 2020-10-29 Evotec International Gmbh Modulators of the integrated stress response pathway
WO2021151865A1 (en) 2020-01-28 2021-08-05 Evotec International Gmbh Modulators of the integrated stress response pathway
WO2021180774A1 (en) 2020-03-11 2021-09-16 Evotec International Gmbh Modulators of the integrated stress response pathway
JP2021529814A (en) * 2018-07-09 2021-11-04 グラクソスミスクライン、インテレクチュアル、プロパティー、ディベロップメント、リミテッドGlaxosmithkline Intellectual Property Development Limited Chemical compound
US11166942B2 (en) 2018-06-05 2021-11-09 Praxis Biotech LLC Inhibitors of integrated stress response pathway
CN113840597A (en) * 2019-02-25 2021-12-24 普拉西斯生物技术有限责任公司 Integrated stress response pathway inhibitors
WO2022084447A1 (en) 2020-10-22 2022-04-28 Evotec International Gmbh Modulators of the integrated stress response pathway
WO2022084446A1 (en) 2020-10-22 2022-04-28 Evotec International Gmbh Modulators of the integrated stress response pathway
WO2022084448A1 (en) 2020-10-22 2022-04-28 Evotec International Gmbh Modulators of the integrated stress response pathway
US11318133B2 (en) 2019-06-12 2022-05-03 Praxis Biotech LLC Modulators of integrated stress response pathway
US11351149B2 (en) 2020-09-03 2022-06-07 Pfizer Inc. Nitrile-containing antiviral compounds
JP2022530647A (en) * 2019-04-30 2022-06-30 カリコ ライフ サイエンシーズ エルエルシー Substitution cycloalkyl modulator of integrated stress pathway
JP2022533023A (en) * 2019-04-30 2022-07-21 カリコ ライフ サイエンシーズ エルエルシー Substituted cycloalkyl as a regulator of the integrated stress pathway
US11939320B2 (en) 2017-11-02 2024-03-26 Abbvie Inc. Modulators of the integrated stress pathway
RU2824500C2 (en) * 2018-10-11 2024-08-08 КАЛИКО ЛАЙФ САЙЕНСИЗ ЭлЭлСи Integrated stress pathway prodrug modulators
US12091392B2 (en) 2019-02-13 2024-09-17 Denali Therapeutics Inc. Compounds, compositions and methods
US12139478B2 (en) 2017-09-01 2024-11-12 Denali Therapeutics Inc. Compounds, compositions and methods

Families Citing this family (4)

* Cited by examiner, † Cited by third party
Publication number Priority date Publication date Assignee Title
UY37958A (en) * 2017-11-02 2019-05-31 Abbvie Inc INTEGRATED STRESS ROAD MODULATORS
LT4069691T (en) * 2019-12-06 2024-12-10 Vertex Pharmaceuticals Incorporated SUBSTITUTED TETRAHYDROFURANS AS SODIUM CHANNEL MODULATORS
AU2021397774A1 (en) * 2020-12-10 2023-06-29 Adgero Biopharmaceuticals Holdings, Inc. Methods for treating cutaneous metastatic cancers
KR20250122004A (en) * 2024-02-05 2025-08-13 재단법인 대구경북첨단의료산업진흥재단 Novel eif2b agonist, and composition for preventing or treating metabolic disease comprising the same

Citations (9)

* Cited by examiner, † Cited by third party
Publication number Priority date Publication date Assignee Title
US162A (en) 1837-04-17 Island
US5212A (en) 1847-07-31 Richard m
US4861760A (en) 1985-10-03 1989-08-29 Merck & Co., Inc. Ophthalmological composition of the type which undergoes liquid-gel phase transition
US4911920A (en) 1986-07-30 1990-03-27 Alcon Laboratories, Inc. Sustained release, comfort formulation for glaucoma therapy
US5403841A (en) 1991-01-15 1995-04-04 Alcon Laboratories, Inc. Use of carrageenans in topical ophthalmic compositions
US20070185079A1 (en) * 2004-01-07 2007-08-09 Astrazeneca Ab Therapeutic agents I
US7994211B2 (en) * 2005-08-08 2011-08-09 Argenta Discovery Limited Bicyclo[2.2.1]hept-7-ylamine derivatives and their uses
US20150057289A1 (en) * 2010-12-22 2015-02-26 H. Lundbeck A/S Bicyclo[3.2.1.]octyl amide derivatives and uses of same
US20160096800A1 (en) * 2013-03-15 2016-04-07 The Regents Of The University Of California Modulators of the eif2alpha pathway

Family Cites Families (9)

* Cited by examiner, † Cited by third party
Publication number Priority date Publication date Assignee Title
GB0400196D0 (en) * 2004-01-07 2004-02-11 Astrazeneca Ab Therapeutic agents
JP2008507541A (en) * 2004-07-23 2008-03-13 ロイヤルティ,スーザン・マリー Peptidase inhibitor
GB0516314D0 (en) * 2005-08-08 2005-09-14 Argenta Discovery Ltd Compound
JP2009504628A (en) 2005-08-10 2009-02-05 ファイザー・リミテッド Substituted triazole derivatives as oxytocin antagonists
US8026234B2 (en) * 2007-09-25 2011-09-27 Takeda Pharmaceutical Company Limited Polo-like kinase inhibitors
CN102892754A (en) * 2010-03-17 2013-01-23 埃克希金医药品有限公司 Arylsulfonamide ccr3 antagonists
EP2604601B1 (en) * 2010-08-10 2016-02-24 Astellas Pharma Inc. Hetero ring compound
WO2015038778A1 (en) * 2013-09-11 2015-03-19 The Brigham And Women's Hospital, Inc. SUBSTITUTED UREA EIF2α KINASE ACTIVATORS
RS58175B1 (en) * 2014-04-04 2019-03-29 Syros Pharmaceuticals Inc Inhibitors of cyclin-dependent kinase 7 (cdk7)

Patent Citations (9)

* Cited by examiner, † Cited by third party
Publication number Priority date Publication date Assignee Title
US162A (en) 1837-04-17 Island
US5212A (en) 1847-07-31 Richard m
US4861760A (en) 1985-10-03 1989-08-29 Merck & Co., Inc. Ophthalmological composition of the type which undergoes liquid-gel phase transition
US4911920A (en) 1986-07-30 1990-03-27 Alcon Laboratories, Inc. Sustained release, comfort formulation for glaucoma therapy
US5403841A (en) 1991-01-15 1995-04-04 Alcon Laboratories, Inc. Use of carrageenans in topical ophthalmic compositions
US20070185079A1 (en) * 2004-01-07 2007-08-09 Astrazeneca Ab Therapeutic agents I
US7994211B2 (en) * 2005-08-08 2011-08-09 Argenta Discovery Limited Bicyclo[2.2.1]hept-7-ylamine derivatives and their uses
US20150057289A1 (en) * 2010-12-22 2015-02-26 H. Lundbeck A/S Bicyclo[3.2.1.]octyl amide derivatives and uses of same
US20160096800A1 (en) * 2013-03-15 2016-04-07 The Regents Of The University Of California Modulators of the eif2alpha pathway

Non-Patent Citations (36)

* Cited by examiner, † Cited by third party
Title
"Handbook of Chemistry and Physics"
"Remington: The Science and Practice of Pharmacy", 2003, LIPPINCOTT, WILLIAMS & WILKINS
AL-MUHAMMED, J. MICROENCAPSUL., vol. 13, 1996, pages 293 - 306
BERGE ET AL., JOURNAL OF PHARMACEUTICAL SCIENCE, vol. 66, 1977, pages 1 - 19
CARRUTHERS: "Some Modern Methods of Organic Synthesis", 1987, CAMBRIDGE UNIVERSITY PRESS
CHONN, CURR. OPIN. BIOTECHNOL., vol. 6, 1995, pages 698 - 708
DATABASE PubChem Compound [online] 15 November 2010 (2010-11-15), XP002770921, retrieved from NCBI Database accession no. 46939935 *
DATABASE PubChem Compound [online] 15 November 2010 (2010-11-15), XP002770922, retrieved from NCBI Database accession no. 46939936 *
DATABASE PubChem Compound [online] 23 February 2016 (2016-02-23), XP002770925, retrieved from NCBI Database accession no. 118417886 *
DATABASE PubChem Compound [online] 23 March 2015 (2015-03-23), XP002770920, retrieved from NCBI Database accession no. 91663862 *
DATABASE PubChem Compound [online] 3 May 2011 (2011-05-03), XP002770923, retrieved from NCBI Database accession no. 51064332 *
DATABASE PubChem Compound [online] 30 November 2012 (2012-11-30), XP002770924, Database accession no. 68048074 *
DEV, K. ET AL., MOL CELL BIOL, vol. 30, 2010, pages 5218 - 5233
ELIEL: "Stereochemistry of Carbon Compounds", 1962, MCGRAW-HILL
EYLES, J. PHARM. PHARMACOL., vol. 49, 1997, pages 669 - 674
GAO PHARM. RES., vol. 12, 1995, pages 857 - 863
GORDIYENKO, Y. ET AL., NAT COMMUN, vol. 5, 2014, pages 3902
GREENE ET AL.: "Protecting Groups in Organic Synthesis", 1991, WILEY
HINNEBUSCH, A.G.; LORSCH, J.R., COLD SPRING HARBOR PERSPECT BIOL, vol. 4, no. 10, 2012
JACQUES ET AL.: "Enantiomers, Racemates and Resolutions", 1981, WILEY INTERSCIENCE
KRISHNAMOORTHY, T. ET AL., MOL CELL BIOL, vol. 21, no. 15, 2001, pages 5018 - 5030
LAROCK: "Comprehensive Organic Transformations", 1989, VCH PUBLISHERS, INC.
LIEBERMAN, PHARMACEUTICAL DOSAGE FORMS, vol. 1-3, 1992
LLOYD, THE ART, SCIENCE AND TECHNOLOGY OF PHARMACEUTICAL COMPOUNDING, 1999
OSTRO, J., HOSP. PHARM., vol. 46, 1989, pages 1576 - 1587
PICKAR, DOSAGE CALCULATIONS, 1999
RAO, J., BIOMATER SCI. POLYM. ED., vol. 7, 1995, pages 623 - 645
SEKINE, Y. ET AL., SCIENCE, vol. 348, 2015, pages 1027 - 1030
SIDRAUSKI, C. ET AL., ELIFE, 2015, pages E07314
SMITH; MARCH: "March's Advanced Organic Chemistry", 2001, JOHN WILEY & SONS, INC
THOMAS SORRELL: "Organic Chemistry", 1999, UNIVERSITY SCIENCE BOOKS
WEK, R.C. ET AL., BIOCHEM SOC TRANS, vol. 34, 2006, pages 7 - 11
WILEN ET AL., TETRAHEDRON, vol. 33, 1977, pages 2725
WILEN: "Tables of Resolving Agents and Optical Resolutions", 1972, UNIV. OF NOTRE DAME PRESS, pages: 268
WILLIAMS, D.D. ET AL., J BIOL CHEM, vol. 276, 2001, pages 24697 - 24703
WORTHAM, N.C. ET AL., FASEB J, vol. 28, 2014, pages 2225 - 2237

Cited By (66)

* Cited by examiner, † Cited by third party
Publication number Priority date Publication date Assignee Title
CN110730777A (en) * 2017-06-07 2020-01-24 葛兰素史密斯克莱知识产权发展有限公司 Chemical compounds as inhibitors of the ATF4 pathway
WO2019008506A1 (en) * 2017-07-03 2019-01-10 Glaxosmithkline Intellectual Property Development Limited N-(3-(2-(4-chlorophenoxy)acetamido)bicyclo[1.1.1]pentan-1-yl)-2-cyclobutane-1-carboxamide derivatives and related compounds as atf4 inhibitors for treating cancer and other diseases
EP3665156A4 (en) * 2017-08-09 2021-04-28 Denali Therapeutics Inc. Compounds, compositions and methods
WO2019032743A1 (en) 2017-08-09 2019-02-14 Denali Therapeutics Inc. Compounds, compositions and methods
US11851440B2 (en) 2017-08-09 2023-12-26 Denali Therapeutics Inc. Modulators of eukaryotic initiation factor 2B, compositions and methods
AU2018313850B2 (en) * 2017-08-09 2022-12-22 Denali Therapeutics Inc. Compounds, compositions and methods
US11236100B2 (en) 2017-08-09 2022-02-01 Denali Therapeutics Inc. Modulators of eukaryotic initiation factor 2B, compositions and methods
US12139478B2 (en) 2017-09-01 2024-11-12 Denali Therapeutics Inc. Compounds, compositions and methods
IL274368B1 (en) * 2017-11-02 2023-12-01 Calico Life Sciences Llc Combined pressure pathway modulators
US11939320B2 (en) 2017-11-02 2024-03-26 Abbvie Inc. Modulators of the integrated stress pathway
CN112189008A (en) * 2017-11-02 2021-01-05 卡里科生命科学有限责任公司 Modulators of integrated stress pathways
WO2019090069A1 (en) * 2017-11-02 2019-05-09 Calico Life Sciences Llc Modulators of the integrated stress pathway
IL274368B2 (en) * 2017-11-02 2024-04-01 Calico Life Sciences Llc Combined pressure pathway modulators
AU2023201821B2 (en) * 2017-11-02 2025-04-17 Abbvie Inc. Modulators of the integrated stress pathway
US11230542B2 (en) 2017-12-13 2022-01-25 Praxis Biotech LLC Inhibitors of integrated stress response pathway
JP2021508336A (en) * 2017-12-13 2021-03-04 プラクシス バイオテック エルエルシー Inhibitors of the integrated stress response pathway
WO2019118785A2 (en) 2017-12-13 2019-06-20 Praxis Biotech LLC Inhibitors of integrated stress response pathway
CN111757739A (en) * 2017-12-13 2020-10-09 普拉西斯生物技术有限责任公司 Integrated stress pathway inhibitors
EP3723762A4 (en) * 2017-12-13 2021-12-08 Praxis Biotech LLC Inhibitors of integrated stress response pathway
WO2019183589A1 (en) * 2018-03-23 2019-09-26 Denali Therapeutics Inc. Modulators of eukaryotic initiation factor 2
US11166942B2 (en) 2018-06-05 2021-11-09 Praxis Biotech LLC Inhibitors of integrated stress response pathway
JP2021529814A (en) * 2018-07-09 2021-11-04 グラクソスミスクライン、インテレクチュアル、プロパティー、ディベロップメント、リミテッドGlaxosmithkline Intellectual Property Development Limited Chemical compound
JP2023040106A (en) * 2018-10-11 2023-03-22 カリコ ライフ サイエンシーズ エルエルシー Prodrug Modulators of Integrative Stress Pathways
KR102464077B1 (en) 2018-10-11 2022-11-10 칼리코 라이프 사이언시스 엘엘씨 Prodrug modulators of integrated stress pathways
JP2022504638A (en) * 2018-10-11 2022-01-13 カリコ ライフ サイエンシーズ エルエルシー Prodrug regulator of integrated stress pathway
RU2824500C2 (en) * 2018-10-11 2024-08-08 КАЛИКО ЛАЙФ САЙЕНСИЗ ЭлЭлСи Integrated stress pathway prodrug modulators
US11149043B2 (en) 2018-10-11 2021-10-19 Calico Life Sciences Llc Prodrug modulators of the integrated stress pathway
TWI832295B (en) * 2018-10-11 2024-02-11 美商嘉來克生命科學有限責任公司 Prodrug modulators of the integrated stress pathway
KR20210075139A (en) * 2018-10-11 2021-06-22 칼리코 라이프 사이언시스 엘엘씨 Prodrug modulators of integrated stress pathways
AU2019356565B2 (en) * 2018-10-11 2023-10-05 Abbvie Inc. Prodrug modulators of the integrated stress pathway
IL300799B1 (en) * 2018-10-11 2025-07-01 Calico Life Sciences Llc Prodrug modulators of the integrated stress pathway
CN113423685A (en) * 2018-10-11 2021-09-21 卡里科生命科学有限责任公司 Prodrug modulators of integrated stress pathways
EP4209483A1 (en) * 2018-10-11 2023-07-12 Calico Life Sciences LLC Prodrug modulators of the integrated stress pathway
CN116283647A (en) * 2018-10-11 2023-06-23 卡里科生命科学有限责任公司 Prodrug modulators of integrated stress pathways
WO2020077217A1 (en) * 2018-10-11 2020-04-16 Calico Life Sciences Llc Prodrug modulators of the integrated stress pathway
JP7203964B2 (en) 2018-10-11 2023-01-13 カリコ ライフ サイエンシーズ エルエルシー Prodrug Modulators of Integrative Stress Pathways
TWI771621B (en) * 2018-10-11 2022-07-21 美商嘉來克生命科學有限責任公司 Prodrug modulators of the integrated stress pathway
TWI877863B (en) * 2018-10-11 2025-03-21 美商嘉來克生命科學有限責任公司 Prodrug modulators of the integrated stress pathway
IL300799B2 (en) * 2018-10-11 2025-11-01 Calico Life Sciences Llc Prodrug modulators of the integrated stress pathway
CN113423685B (en) * 2018-10-11 2022-11-29 卡里科生命科学有限责任公司 Prodrug modulators of integrated stress pathways
EP3923935A4 (en) * 2019-02-13 2022-10-26 Denali Therapeutics Inc. Compounds, compositions and methods
US12091392B2 (en) 2019-02-13 2024-09-17 Denali Therapeutics Inc. Compounds, compositions and methods
CN113518618A (en) * 2019-02-13 2021-10-19 戴纳立制药公司 Compounds, compositions and methods
US11958840B2 (en) 2019-02-13 2024-04-16 Denali Therapeutics Inc. Compounds, compositions and methods
US11306077B2 (en) 2019-02-13 2022-04-19 Denali Therapeutics Inc. Compounds, compositions and methods
WO2020168011A1 (en) 2019-02-13 2020-08-20 Denali Therapeutics Inc. Compounds, compositions and methods
CN113840597A (en) * 2019-02-25 2021-12-24 普拉西斯生物技术有限责任公司 Integrated stress response pathway inhibitors
EP3930697A4 (en) * 2019-02-25 2023-04-19 Praxis Biotech LLC Inhibitors of integrated stress response pathway
JP2022521605A (en) * 2019-02-25 2022-04-11 プラクシス バイオテック エルエルシー Inhibitors of integrated stress response pathways
WO2020216764A1 (en) 2019-04-23 2020-10-29 Evotec International Gmbh Modulators of the integrated stress response pathway
US12258338B2 (en) 2019-04-23 2025-03-25 Evotec International Gmbh Modulators of the integrated stress response pathway
WO2020216766A1 (en) 2019-04-23 2020-10-29 Evotec International Gmbh Modulators of the integrated stress response pathway
JP2022530647A (en) * 2019-04-30 2022-06-30 カリコ ライフ サイエンシーズ エルエルシー Substitution cycloalkyl modulator of integrated stress pathway
JP7755488B2 (en) 2019-04-30 2025-10-16 カリコ ライフ サイエンシーズ エルエルシー Substituted cycloalkyls as modulators of integrated stress pathways
JP2022533023A (en) * 2019-04-30 2022-07-21 カリコ ライフ サイエンシーズ エルエルシー Substituted cycloalkyl as a regulator of the integrated stress pathway
US11318133B2 (en) 2019-06-12 2022-05-03 Praxis Biotech LLC Modulators of integrated stress response pathway
WO2021151865A1 (en) 2020-01-28 2021-08-05 Evotec International Gmbh Modulators of the integrated stress response pathway
US12441720B2 (en) 2020-03-11 2025-10-14 Evotec International Gmbh Modulators of the integrated stress response pathway
WO2021180774A1 (en) 2020-03-11 2021-09-16 Evotec International Gmbh Modulators of the integrated stress response pathway
US11541034B2 (en) 2020-09-03 2023-01-03 Pfizer Inc. Nitrile-containing antiviral compounds
US11452711B2 (en) 2020-09-03 2022-09-27 Pfizer Inc. Nitrile-containing antiviral compounds
US11351149B2 (en) 2020-09-03 2022-06-07 Pfizer Inc. Nitrile-containing antiviral compounds
EP4487849A2 (en) 2020-10-22 2025-01-08 Evotec International GmbH Modulators of the integrated stress response pathway
WO2022084448A1 (en) 2020-10-22 2022-04-28 Evotec International Gmbh Modulators of the integrated stress response pathway
WO2022084446A1 (en) 2020-10-22 2022-04-28 Evotec International Gmbh Modulators of the integrated stress response pathway
WO2022084447A1 (en) 2020-10-22 2022-04-28 Evotec International Gmbh Modulators of the integrated stress response pathway

Also Published As

Publication number Publication date
EP4356971A2 (en) 2024-04-24
MX383652B (en) 2025-03-14
AU2022200946B2 (en) 2024-07-25
IL323840A (en) 2025-12-01
JP7389786B2 (en) 2023-11-30
AU2017260367A1 (en) 2018-11-22
PE20190348A1 (en) 2019-03-07
IL286693B1 (en) 2025-11-01
NZ747842A (en) 2025-05-30
SMT202400098T1 (en) 2024-05-14
HRP20240218T1 (en) 2024-04-26
UA125513C2 (en) 2022-04-13
LT3452448T (en) 2024-03-12
PH12018502329B1 (en) 2023-08-11
EP3452448A1 (en) 2019-03-13
CN115947681A (en) 2023-04-11
TW201808887A (en) 2018-03-16
FI3452448T3 (en) 2024-03-19
EP3452448B1 (en) 2023-12-20
KR102781404B1 (en) 2025-03-18
BR112018072663A2 (en) 2019-02-19
JP2022046578A (en) 2022-03-23
MD3452448T2 (en) 2024-04-30
MA44861B1 (en) 2024-02-29
US20190144440A1 (en) 2019-05-16
KR20230042146A (en) 2023-03-27
MY200943A (en) 2024-01-24
CR20180574A (en) 2019-05-15
RS65214B1 (en) 2024-03-29
AR110599A1 (en) 2019-04-17
AU2022200946A1 (en) 2022-03-03
RU2769327C2 (en) 2022-03-30
RU2018142740A3 (en) 2020-08-24
JP2019515043A (en) 2019-06-06
CO2018012946A2 (en) 2019-08-20
JP7755632B2 (en) 2025-10-16
PL3452448T3 (en) 2024-07-08
SG11201809695TA (en) 2018-11-29
AU2017260367B2 (en) 2021-12-02
EP4356971A3 (en) 2024-07-24
JP2024023324A (en) 2024-02-21
ES2973442T3 (en) 2024-06-20
AU2024227527A1 (en) 2024-11-14
UY37228A (en) 2017-11-30
MX2018013495A (en) 2019-07-04
ECSP18089579A (en) 2019-02-28
CR20210372A (en) 2022-06-07
PT3452448T (en) 2024-03-19
PH12018502329A1 (en) 2019-03-25
SI3452448T1 (en) 2024-04-30
IL286693A (en) 2021-10-31
HUE065713T2 (en) 2024-06-28
TW202304851A (en) 2023-02-01
TWI844006B (en) 2024-06-01
TW202506629A (en) 2025-02-16
RU2022106770A (en) 2022-04-05
US20220363678A1 (en) 2022-11-17
KR20250042188A (en) 2025-03-26
CA3023162A1 (en) 2017-11-09
PE20231935A1 (en) 2023-12-05
NZ787908A (en) 2025-05-30
CN109641844A (en) 2019-04-16
US20250122188A1 (en) 2025-04-17
CN115947681B (en) 2025-10-14
CL2018003142A1 (en) 2019-05-24
RU2018142740A (en) 2020-06-05
CN109641844B (en) 2022-11-01
KR102512049B1 (en) 2023-03-21
MA44861A (en) 2019-03-13
IL262722A (en) 2018-12-31
MX2021007146A (en) 2022-11-29
DOP2018000242A (en) 2019-04-15
TWI763668B (en) 2022-05-11
DK3452448T3 (en) 2024-02-12
JP6997766B2 (en) 2022-01-20
IL262722B (en) 2021-10-31
KR20190031203A (en) 2019-03-25

Similar Documents

Publication Publication Date Title
JP7755632B2 (en) Modulators of the integrated stress pathway
EP3452454B1 (en) Modulators of the integrated stress pathway
EP3452453B1 (en) Modulators of the integrated stress pathway
EP3704094A1 (en) Modulators of the integrated stress pathway
EP3452456A1 (en) Modulators of the integrated stress pathway
HK40110222A (en) Modulators of the integrated stress pathway
HK40012049A (en) Modulators of the integrated stress pathway
HK40012049B (en) Modulators of the integrated stress pathway

Legal Events

Date Code Title Description
ENP Entry into the national phase

Ref document number: 2019510575

Country of ref document: JP

Kind code of ref document: A

Ref document number: 3023162

Country of ref document: CA

WWE Wipo information: entry into national phase

Ref document number: 122021024198

Country of ref document: BR

NENP Non-entry into the national phase

Ref country code: DE

REG Reference to national code

Ref country code: BR

Ref legal event code: B01A

Ref document number: 112018072663

Country of ref document: BR

ENP Entry into the national phase

Ref document number: 2017260367

Country of ref document: AU

Date of ref document: 20170505

Kind code of ref document: A

121 Ep: the epo has been informed by wipo that ep was designated in this application

Ref document number: 17723899

Country of ref document: EP

Kind code of ref document: A1

WWE Wipo information: entry into national phase

Ref document number: NC2018/0012946

Country of ref document: CO

ENP Entry into the national phase

Ref document number: 20187035249

Country of ref document: KR

Kind code of ref document: A

ENP Entry into the national phase

Ref document number: 2017723899

Country of ref document: EP

Effective date: 20181205

ENP Entry into the national phase

Ref document number: 112018072663

Country of ref document: BR

Kind code of ref document: A2

Effective date: 20181105

WWP Wipo information: published in national office

Ref document number: NC2018/0012946

Country of ref document: CO

WWG Wipo information: grant in national office

Ref document number: NC2018/0012946

Country of ref document: CO

WWE Wipo information: entry into national phase

Ref document number: P-2024/0199

Country of ref document: RS

WWD Wipo information: divisional of initial pct application

Ref document number: 1020257007932

Country of ref document: KR

WWP Wipo information: published in national office

Ref document number: 1020257007932

Country of ref document: KR

WWG Wipo information: grant in national office

Ref document number: 747842

Country of ref document: NZ

WWD Wipo information: divisional of initial pct application

Ref document number: 323840

Country of ref document: IL