WO2017098038A1 - Contrast agents - Google Patents
Contrast agents Download PDFInfo
- Publication number
- WO2017098038A1 WO2017098038A1 PCT/EP2016/080592 EP2016080592W WO2017098038A1 WO 2017098038 A1 WO2017098038 A1 WO 2017098038A1 EP 2016080592 W EP2016080592 W EP 2016080592W WO 2017098038 A1 WO2017098038 A1 WO 2017098038A1
- Authority
- WO
- WIPO (PCT)
- Prior art keywords
- compound
- formula
- group
- alkyl
- mmol
- Prior art date
- Legal status (The legal status is an assumption and is not a legal conclusion. Google has not performed a legal analysis and makes no representation as to the accuracy of the status listed.)
- Ceased
Links
- 0 CC(*)(CN(CC(CN1CCN(CC(O)=O)CCN(CC(O)=O)CCN(CC(O)=O)CC1)O)CC1(C)*)C1S Chemical compound CC(*)(CN(CC(CN1CCN(CC(O)=O)CCN(CC(O)=O)CCN(CC(O)=O)CC1)O)CC1(C)*)C1S 0.000 description 8
- LQVBRRDBKUAPJO-UHFFFAOYSA-N CCN(CC(CN1CCN(CC(O)=O)CCN(CC(O)=O)CCN(CC(C)C)CC1)O)CC(CO)O Chemical compound CCN(CC(CN1CCN(CC(O)=O)CCN(CC(O)=O)CCN(CC(C)C)CC1)O)CC(CO)O LQVBRRDBKUAPJO-UHFFFAOYSA-N 0.000 description 1
- PSICABSYMSJXAT-UHFFFAOYSA-N CCN1CCN(CC(O)=O)CCN(CC(O)=O)CCN(CC(CN(CCc2ccccc2)CC(O)=O)O)CC1 Chemical compound CCN1CCN(CC(O)=O)CCN(CC(O)=O)CCN(CC(CN(CCc2ccccc2)CC(O)=O)O)CC1 PSICABSYMSJXAT-UHFFFAOYSA-N 0.000 description 1
- BIIKYFQOHAOQJE-UHFFFAOYSA-N CCN1CCN(CC(O)=O)CCN(CC(O)=O)CCN(CC(CNCC2CCCCC2)O)CC1 Chemical compound CCN1CCN(CC(O)=O)CCN(CC(O)=O)CCN(CC(CNCC2CCCCC2)O)CC1 BIIKYFQOHAOQJE-UHFFFAOYSA-N 0.000 description 1
- JARWIVLKRZPBQJ-UHFFFAOYSA-N OC(CN(CC(O)=O)Cc1ccccc1)CN1CCN(CC(O)=O)CCN(CC(O)=O)CCN(CC(O)=O)CC1 Chemical compound OC(CN(CC(O)=O)Cc1ccccc1)CN1CCN(CC(O)=O)CCN(CC(O)=O)CCN(CC(O)=O)CC1 JARWIVLKRZPBQJ-UHFFFAOYSA-N 0.000 description 1
- BJWHSKNJJSUWQR-UHFFFAOYSA-N OC(CN1CCN(CC(O)=O)CCN(CC(O)=O)CCN(CC(O)=O)CC1)N(Cc1ccccc1)CP(O)(O)=O Chemical compound OC(CN1CCN(CC(O)=O)CCN(CC(O)=O)CCN(CC(O)=O)CC1)N(Cc1ccccc1)CP(O)(O)=O BJWHSKNJJSUWQR-UHFFFAOYSA-N 0.000 description 1
Classifications
-
- C—CHEMISTRY; METALLURGY
- C07—ORGANIC CHEMISTRY
- C07D—HETEROCYCLIC COMPOUNDS
- C07D257/00—Heterocyclic compounds containing rings having four nitrogen atoms as the only ring hetero atoms
- C07D257/02—Heterocyclic compounds containing rings having four nitrogen atoms as the only ring hetero atoms not condensed with other rings
-
- A—HUMAN NECESSITIES
- A61—MEDICAL OR VETERINARY SCIENCE; HYGIENE
- A61K—PREPARATIONS FOR MEDICAL, DENTAL OR TOILETRY PURPOSES
- A61K49/00—Preparations for testing in vivo
- A61K49/06—Nuclear magnetic resonance [NMR] contrast preparations; Magnetic resonance imaging [MRI] contrast preparations
- A61K49/08—Nuclear magnetic resonance [NMR] contrast preparations; Magnetic resonance imaging [MRI] contrast preparations characterised by the carrier
- A61K49/10—Organic compounds
- A61K49/101—Organic compounds the carrier being a complex-forming compound able to form MRI-active complexes with paramagnetic metals
- A61K49/103—Organic compounds the carrier being a complex-forming compound able to form MRI-active complexes with paramagnetic metals the complex-forming compound being acyclic, e.g. DTPA
- A61K49/105—Organic compounds the carrier being a complex-forming compound able to form MRI-active complexes with paramagnetic metals the complex-forming compound being acyclic, e.g. DTPA the metal complex being Gd-DTPA
-
- A—HUMAN NECESSITIES
- A61—MEDICAL OR VETERINARY SCIENCE; HYGIENE
- A61K—PREPARATIONS FOR MEDICAL, DENTAL OR TOILETRY PURPOSES
- A61K49/00—Preparations for testing in vivo
- A61K49/06—Nuclear magnetic resonance [NMR] contrast preparations; Magnetic resonance imaging [MRI] contrast preparations
- A61K49/08—Nuclear magnetic resonance [NMR] contrast preparations; Magnetic resonance imaging [MRI] contrast preparations characterised by the carrier
- A61K49/10—Organic compounds
- A61K49/101—Organic compounds the carrier being a complex-forming compound able to form MRI-active complexes with paramagnetic metals
- A61K49/106—Organic compounds the carrier being a complex-forming compound able to form MRI-active complexes with paramagnetic metals the complex-forming compound being cyclic, e.g. DOTA
- A61K49/108—Organic compounds the carrier being a complex-forming compound able to form MRI-active complexes with paramagnetic metals the complex-forming compound being cyclic, e.g. DOTA the metal complex being Gd-DOTA
-
- C—CHEMISTRY; METALLURGY
- C07—ORGANIC CHEMISTRY
- C07D—HETEROCYCLIC COMPOUNDS
- C07D401/00—Heterocyclic compounds containing two or more hetero rings, having nitrogen atoms as the only ring hetero atoms, at least one ring being a six-membered ring with only one nitrogen atom
- C07D401/02—Heterocyclic compounds containing two or more hetero rings, having nitrogen atoms as the only ring hetero atoms, at least one ring being a six-membered ring with only one nitrogen atom containing two hetero rings
- C07D401/06—Heterocyclic compounds containing two or more hetero rings, having nitrogen atoms as the only ring hetero atoms, at least one ring being a six-membered ring with only one nitrogen atom containing two hetero rings linked by a carbon chain containing only aliphatic carbon atoms
-
- C—CHEMISTRY; METALLURGY
- C07—ORGANIC CHEMISTRY
- C07F—ACYCLIC, CARBOCYCLIC OR HETEROCYCLIC COMPOUNDS CONTAINING ELEMENTS OTHER THAN CARBON, HYDROGEN, HALOGEN, OXYGEN, NITROGEN, SULFUR, SELENIUM OR TELLURIUM
- C07F9/00—Compounds containing elements of Groups 5 or 15 of the Periodic Table
- C07F9/02—Phosphorus compounds
- C07F9/28—Phosphorus compounds with one or more P—C bonds
- C07F9/38—Phosphonic acids [RP(=O)(OH)2]; Thiophosphonic acids ; [RP(=X1)(X2H)2(X1, X2 are each independently O, S or Se)]
-
- C—CHEMISTRY; METALLURGY
- C07—ORGANIC CHEMISTRY
- C07F—ACYCLIC, CARBOCYCLIC OR HETEROCYCLIC COMPOUNDS CONTAINING ELEMENTS OTHER THAN CARBON, HYDROGEN, HALOGEN, OXYGEN, NITROGEN, SULFUR, SELENIUM OR TELLURIUM
- C07F9/00—Compounds containing elements of Groups 5 or 15 of the Periodic Table
- C07F9/02—Phosphorus compounds
- C07F9/28—Phosphorus compounds with one or more P—C bonds
- C07F9/38—Phosphonic acids [RP(=O)(OH)2]; Thiophosphonic acids ; [RP(=X1)(X2H)2(X1, X2 are each independently O, S or Se)]
- C07F9/40—Esters thereof
Definitions
- the present invention relates to the field of diagnostic imaging and to novel contrast agents possessing improved relaxivity. More in particular, it relates to functionalized macrocycles capable of chelating paramagnetic metal ions, their chelated complexes with metal ions and the use thereof as contrast agents in Magnetic Resonance Imaging (MRI).
- MRI Magnetic Resonance Imaging
- Magnetic Resonance Imaging is a renowned diagnostic imaging technique increasingly used in clinical diagnostics for growing number of indications.
- the contrast is basically due to differences existing in the longitudinal
- Tl and the transverse T2 relaxation times of the water protons in the different body organs and tissues which allows the in-vivo acquisition of high-resolution, three-dimensional images of the distribution of water.
- the intensity of the signal recorded in MRI imaging stems, essentially, from the local value of the longitudinal relaxation rate 1/Tl, and the transverse rate, 1/T2 of water protons, and increases with increasing of the 1/Tl value (of the longitudinal relaxation rate of water protons) while decreases with the increase of 1/T2.
- Tl the higher is the intensity of the recorded signal in MRI, the better is the diagnostic image.
- MRI contrast agents that act by causing a dramatic variation of nearby water proton relaxation rates in the tissues/organs/fluids wherein they distribute, thus adding relevant physiological information to the impressive anatomical resolution commonly obtained in the uncontrasted MRI images.
- Contrast agents for use in the MRI imaging technique typically include a paramagnetic metal ion which is complexed with a cyclic or acyclic chelating ligand, more typically a polyaminopolycarboxylic chelator.
- the most important class of MRI contrast agents is represented by the Gd(III) chelates which are currently used in about 1/3 of the clinical tests. Indeed, Gd(III) is highly paramagnetic with seven unpaired electron and a long electronic relaxation time, making it an excellent candidate as a relaxation agent.
- the free metal ion [Gd(H 2 0) 8 ] 3+ is extremely toxic for living organism even at low doses (10-20 micromol/Kg).
- a Gd(III) complex shall display a high thermodynamic (and possibly kinetic) stability ensuring against the release of toxic metal ion.
- Preferred MRI contrast agent should furthermore display optimal relaxivity.
- Relaxivity (rip, r2 P ), expressed in mM _1 s 1 and usually measured at 298K and 20 MHz (approx. 0.5 T), is the intrinsic property of a paramagnetic complex which characterizes its capability to increase the nuclear magnetic relaxation rate, longitudinal (1/Ti) and transverse (1/T 2 ) respectively, of vicinal water protons and, thus, its efficacy as MRI contrast enhancing agent.
- the higher the relaxivity of an MRI contrast agent the greater its contrast enhancing capability and the stronger the contrast provided in recorded MRI images.
- D03A derivatives mimicking phospholipids forming supramolecular structures are for instance disclosed in J. Chem. Soc. Perkin Trans. 2, 2001; 929-933.
- MRI contrast agents examples include the complex compound of the Gd 3+ ion with the DTPA ligand, marketed as MAGNEVIST ® ; the Gd 3+ complex of the DTPA-BMA ligand, marketed ad OMNISCAN ® ; the Gd 3+ complex of BOPTA, known as gadobenate Dimeglumine and marketed as MultiHanceTM; the Gd 3+ complex of the DOTA ligand, marketed as DOTAREM ® ; the Gd 3+ complex of the hydroxylated tetraaza macrocyclic ligand known as HPD03A, long time marketed as ProHance ® and that of the corresponding butyl-triol derivative, known as Gadobutrol and marketed ad Gadavist ® . All the above contrast agents are Non-Specific Agents (NSA), designed for a general use.
- NSA Non-Specific Agents
- compounds with improved relaxivity could reduce the required dose of the paramagnetic contrast agent and possibly shorten the acquisition time of the imaging process.
- the present invention generally relates to novel macrocyclic chelating ligands useful for the preparation of paramagnetic complexes having particularly favorable characteristics, among others in terms of improved relaxivity.
- an aspect of the present invention relates to novel tetraaza macrocyclic ligands having a pendant arm bound to a nitrogen atom of the chelating cage comprising a hydroxyl residue and suitable substituent group(s).
- the choice of suitable substituents on the pendant arm provides chelated complexes having improved relaxivity.
- the invention further relates to respective chelated complexes of said chelating ligands with a paramagnetic metal ion and, especially, with Gd 3+ , or of a physiologically acceptable salt thereof.
- a further aspect of the invention relates to the use of such chelated complexes as contrast agents, in particular for the diagnostic imaging of a human or animal body organ or tissue by use of the MRI technique.
- the invention relates to a manufacturing process for the preparation of the provided ligands, their complex compounds with a paramagnetic metal ion, and the pharmaceutical acceptable salt thereof and their use in the preparation of a diagnostic agent.
- the invention relates to a pharmaceutically acceptable composition
- a pharmaceutically acceptable composition comprising at least one paramagnetic complex compound of the invention, or a pharmaceutical salt thereof, in admixture with one or more physiologically acceptable carriers or excipients.
- Said compositions are useful in particular as MRI contrast media, to provide diagnostically useful images of human or animal body organs or tissues.
- the present invention refers to a method for the diagnostic imaging of a body organ, tissue or region by use of MRI technique that comprises the use of an effective dose of a compound of the invention.
- the present invention relates to chelating ligands of formula (I)
- R is -CHCR -COOH, where:
- Ri is H or a C 1 -C3 alkyl chain that is optionally substituted by a C 1 -C3 alkoxy or
- n 1 or 2;
- Z is an amine derivative selected from -N(R 2 )(R 3 ) and -NHR 4 ; wherein :
- R 2 is selected from the group consisting of: an aryl ring, a cycloalkyl ring, and a C 1 -C 10 alkyl optionally interrupted by one or more oxygen atoms and/or optionally substituted by one or more hydroxyl groups, or by an aryl or cycloalkyl ring;
- R 3 is selected from the group consisting of: a C5-C12 hydroxyalkyl comprising at least 2 hydroxyl groups; a C 2 -Ci 0 hydroxyalkoxyalkylene of formula -(CH 2 ) r -[(0-(CH 2 ) r ] m (CH 2 ) s OH ; and a group of formula -(CH 2 ) S CH(R 5 )-G; where
- s 0, 1 or 2;
- each r is independently 1 or 2;
- n 1, 2 or 3;
- R 5 is H, or an arylalkylene or cycloalkyl-alkylene having up to 3 carbon atoms in the alkylene chain;
- G is a group selected from -PO(OR 6 ) 2 , -PO(R 7 )(OR 6 ) and -COOH; in which
- R 6 independently of one another is H or Ci-C 5 alkyl
- R 7 is an aryl or cycloalkyl ring, or Ci-C 5 alkyl which is optionally substituted by an aryl or cycloalkyl ring;
- R 2 and R 3 together with the connecting nitrogen atom form a substituted five- or six- membered heterocyclic ring
- R 4 is selected from the group consisting of: a cycloalkyl ring; a cycloalkyl- alkylene having up to 3 carbon atom in the alkylene chain; a C 5 -Ci 2 hydroxyalkyl comprising at least 2 hydroxyl groups; a C 2 -Ci 0 hydroxyalkoxyalkylene of formula -(CH 2 ) r -[(0-(CH 2 ) r ] m (CH 2 ) s OH ; -(CH 2 ) m PO(OR 6 ) 2 ; -(CH 2 ) m PO(R 7 )(OR 6 ); and -(CH 2 ) S CH(R 8 )G; where:
- R 8 is an arylalkylene or cycloalkyl-alkylene having up to 3 carbon atoms in the alkylene chain;
- Ri is H .
- alkyl comprises within its meaning any linear or branched hydrocarbon chain derived from the corresponding hydrocarbon by removal of one hydrogen atom, preferably comprising up to
- Ci-Cio alkyl comprises within its meaning a linear or branched hydrocarbon chain comprising from 1 to 10 carbon atoms such as: methyl, ethyl, propyl, iso-propyl, butyl, iso-butyl, tert-butyl, pentyl, iso-pentyl, tert-pentyl, hexyl, iso- hexyl, heptyl, iso-heptyl, octyl, and the like.
- Ci-C 3 alkyl comprises within its meaning a linear or branched hydrocarbon chain comprising from 1 to 3 carbon atoms such as, for instance, methyl, ethyl, propyl and iso-propyl
- Ci-C 5 alkyl comprises within its meaning a linear or branched hydrocarbon chain comprising from 1 to 5 carbon atoms such as: methyl, ethyl, propyl, iso-propyl, butyl, iso-butyl, tert-butyl, pentyl and the like
- C 5 -C 7 alkyl comprises within its meaning any linear or branched hydrocarbon chain comprising from 5 to 7 carbon atoms such as pentyl, iso-pentyl, tert- pentyl, hexyl, iso-hexyl, tert-hexyl, heptyl, iso-heptyl and tert-hept
- alkylene comprises within its meaning a bivalent linear or branched hydrocarbon chain derived from any of the corresponding hydrocarbon chains by removal of two hydrogen atoms from different carbon atoms, including Ci-C 5 alkylene such as for instance a methylene, ethylene, (iso)propylene and so on.
- hydroxyalkyl comprises within its meaning any of the above corresponding alkyl moiety wherein one or more hydrogen atoms are replaced by hydroxyl groups. Suitable examples include Ci-C 3 hydroxyalkyl such as hydroxymethyl (-CH 2 OH), hydroxyethyl (-CH 2 CH 2 OH), hydroxypropyl (-CH 2 CH 2 CH 2 OH), dihydroxypropyl, (-CH(CH 2 OH) 2 and CH 2 CH 2 OHCH 2 OH) and the like, and polyhydroxyalkyls or "polyols", as used herein interchangeably, in which at least two and, preferably, three or more hydrogen atoms of the hydrocarbon chain are replaced by hydroxyl groups.
- C 5 -Ci 2 polyol (or “C 5 -Ci 2 polyhydroxyalkyl”) comprises within its meaning any of the corresponding C 5 -Ci 2 alkyl moiety in which 2 or more, e.g. from 2 to 11 hydrogen atoms have been replaced by hydroxyl groups.
- C 5 -Ci 0 polyols are preferred, and C 5 -C 7 polyols are particularly preferred.
- C 5 -C 7 polyols examples include pentyl-polyols (or polyhydroxypentyls) such as pentyl-diols, pentyl-triols, pentyl-tetraols and pentyl-pentaol, respectively comprising from 2, 3, 4 and 5 hydroxyl groups on a C 5 alkyl chain; hexyl- polyols (or polyhydroxyhexyls) analogously comprising from 2 to 6 hydroxyl groups on a C 6 alkyl chain; and heptyl-polyols (or polyhydroxyheptyls) comprising from 2 to 7 hydroxyl groups on a C 7 alkyl chain.
- pentyl-polyols or polyhydroxypentyls
- pentyl-polyols such as pentyl-diols, pentyl-triols, pentyl-tetraols and pentyl
- alkoxy comprises within its meaning an alkyl moiety as above defined further comprising one or more oxygen atoms; examples include, for instance, alkyl-oxy (or -Oalkyl) groups such as methoxy, ethoxy, n-propoxy, isopropoxy and the like, an alkyl- (poly)oxy in which the alkyl chain is interrupted by one or more, e.g. up to three, oxygen atoms.
- hydroxyalkoxy comprises within its meaning any of the above alkoxy residues further comprising one or more hydroxyl (-OH) in the alkyl chain such as, for example, -OCH 2 OH, -OCH 2 CH 2 OH, -OCH 2 CH 2 CH 2 OH, -OCH 2 OCH 2 OH, -OCH 2 CH 2 OCH 2 CH 2 OH, -OCH 2 CH(OH)CH 2 -OCH 2 CH 2 OH, and the like.
- hydroxyalkoxyalkylene (or “hydroxyalkoxy-alkylene”) comprises within its meaning any of the above hydroxyalkoxy where the linking group of the residue is an alkylene chain - (CH 2 ) r -, including C 2 -Ci 0 hydroxyalkoxy-alkylenes of formula - (CH 2) r -[(0- (CH 2) r ]m(CH 2 )sOH , where m, r, and s are as above defined.
- aminopolyol (or “aminopolyhydroxyalkyl” or “polyhydroxy-aminoalkyl”, as herein used interchangeably) comprises within its meaning a C5-C12 hydrocarbon chain, e.g. comprising from 5 to 12 carbon atoms, which is substituted by 2 or more, for instance from 2 to 11 hydroxyl groups, and comprises an amino group bridging the polyhydroxylated chain, or polyol, with the rest of the macrocyclic molecule.
- C 5 -C 7 aminopolyols e.g.
- the amino group is linked to the 1-C carbon atom of the polyhydroxylated chain (polyol), thereby leading to corresponding l-amino(C 5 -Ci 2 )polyols.
- the amino group can be either a secondary amino group, i.e.
- aminopolyols thus include polyhydroxylated aminoalkyl groups of formula - N ( R 9 ) ( Ri 0 ) in which :
- R 9 is H or a C1-C3 alkyl e.g. propyl, ethyl or, preferably, methyl;
- Rio is a C 5 -Ci 2 polyol.
- Preferred according to the invention are aminopolyols of the above general formula in which Ri 0 is a C 5 -C 7 polyol selected from pentyl(poly)ols (or polyhydroxypentyls) comprising at least 2, and preferably from 2 to 4 hydroxyl groups on the C 5 alkyl chain; hexyl(poly)ols comprising at least 2, and preferably from 2 to 5 hydroxyl groups on the C 6 alkyl chain; and heptyl(poly)ols comprising at least 2 and, and preferably from 3 to 6 hydroxyl groups on the C 7 alkyl chain, and R 9 is H or a methyl group.
- aminopolyols selected from the group consisting of 1-amino-l-deoxy-pentitols of formula
- carboxyl comprises within its meaning a residue of formula -COOH, or comprising said -COOH residue, such as the groups of formula -(CH 2 ) s -COOH or -[(0(CH 2 ) n ] s -COOH, where s and n are as above defined.
- aryl refers to an aromatic hydrocarbon and, preferably, a phenyl ring.
- substituent groups for instance selected from hydroxyl (OH), halogen, C1-C3 alkyl, C1-C3 alkoxy, C1-C3 hydroxyalkyl, carboxy, carbamoyl, nitro, -NH 2 , and C1-C3 alkyl- or dialkylamino; preferably from hydroxyl, halogen, C1-C3 alkyl or alkoxy, and carboxy and, more preferably, from C1-C3 alkyl or alkoxy, -CH 2 COOH, and -COOH .
- cycloalkyl ring refers to a cycloaliphatic ring, and, preferably, a C 5 -C 7 carbocyclic ring e.g. a cyclohexyl ring.
- cycloalkyls according to the invention can be either unsubstituted or substituted with one or more, equal or different, substituent groups for instance selected from hydroxyl halogen, C1-C3 alkyl, Ci-C 3 alkoxy, Ci-C 3 hydroxyalkyl, carboxyl, carbamoyl, nitro, -NH 2 , and C1-Q3 alkyl- or dialkylamino; preferably from hydroxyl, halogen, Ci-C 3 alkyl or alkoxy, and carboxy and, more preferably, from Ci-C 3 alkyl or alkoxy, -CH 2 COOH, and -COOH.
- substituent groups for instance selected from hydroxyl halogen, C1-C3 alkyl, Ci-C 3 alkoxy, Ci-C 3 hydroxyalkyl, carboxyl, carbamoyl, nitro, -NH 2 , and C1-Q3 alkyl- or dialkylamino; preferably from hydroxyl,
- heterocyclic ring (or “heterocycle”) comprises within its meaning a 5- or 6-membered saturated cyclic residue comprising a nitrogen atom in the cyclic chain, and, optionally, another, equal or different, heteroatom selected e.g. from N, O and S. Suitable examples include heterocycles such as pyrrolidine, piperazine, morpholine and piperidine, wherein this last is particularly preferred. Unless otherwise specifically provided, the nitrogen-containing heterocycles according to the invention comprise one or more substituents groups linked to the carbon atom(s) of the cycle, selected e.g.
- any composite-name such as alkyl-aryl, aryl-alkylene, cycloalkyl-alkylene and the like should be clear to a skilled person.
- protecting group designates a protective group adapted for preserving the function of the group to which it is bound.
- protective groups are used to preserve amino, hydroxyl or carboxyl functions.
- Appropriate carboxyl protective groups may thus include, for example, benzyl, alkyl e.g. tert-butyl or benzyl esters, or other substituents commonly used for the protection of such functions, which are all well known to those skilled in the art. [see, for a general reference, T. W. Green and P. G. M . Wuts; Protective Groups in Organic Synthesis, Wiley, N.Y. 1999, third edition] .
- the terms “moiety” or “moieties”, “residue” or “residues” are herewith intended to define the residual portion of a given molecule once properly attached or conjugated, either directly or through any suitable linker, to the rest of the molecule.
- the compounds of the above formula (I) may have one or more asymmetric carbon atom, otherwise referred to as a chiral carbon atom, and may thus give rise to diastereomers and optical isomers.
- the present invention further includes all such possible individual diastereomers as well as their racemic mixtures, their substantially pure resolved enantiomers, all possible geometric isomers, and the pharmaceutical acceptable salts thereof.
- each of the acidic groups may be in the form of a pharmaceutically acceptable salt, or of a derivative in which the acidic group is suitably protected with an appropriate protecting group (Pg) as above defined, e.g., preferably, of a C1-C5 alkyl ester and, more preferably, of a tert-butyl ester, finding for instance application as such, or as suitable precursor or intermediate compound in the preparation of a desided compound of formula (I) or of a suitable paramagnetic complex or salt thereof.
- Pg protecting group
- the compounds of formula (I) comprise an amine derivative Z linked to the carbon atom bearing the hydroxyl group through an alkylene chain including 1 or 2 carbon atoms.
- the present invention relates to compounds of formula (I) in which Z is a tertiary amine derivative of formula -N(R 2 )(R 3 ).
- Suitable examples includes amine derivatives of formula (II)
- n is an integer from 1 to 2
- R 2 and R 3 are as defined for the compounds of formula (I).
- the invention relates to compounds according to the above formula (II) in which R 3 is a group of formula -(CH 2 ) S CH(R 5 )-G.
- the invention relates to compounds of formula (II A)
- n is 1 or 2 and, preferably is 1, and s, G, R 2 and R 5 are as defined for pounds of formula (I).
- Suitable embodiments comprise compounds of formula (IIA) in which :
- n 1 ;
- G is selected from the groups of formula -PO(OR 6 ) 2 , -COOH and -PO(R 7 )(OR 6 ) in which R 6 is H or a tert-butyl and, preferably, is H ; and R 7 is an optionally substituted phenyl or cyclohexyl ring, or a Ci-C 5 and, preferably, Ci-C 3 alkyl such as methyl, ethyl or propyl which is substituted or not by an aryl or cycloalkyl ring, e.g., preferably, a benzyl, phenyl-ethylene, cyclohexyl-methylene or cyclohexyl- ethylene group;
- s is 0, 1 or 2, preferably 0 or 1 ;
- R 5 is H or an arylalkylene or cycloalkyl-alkylene having up to 3 carbon atoms in the alkylene chain;
- R 2 is as defined for the compounds of formula (I).
- R 2 is an aryl or cycloalkyl ring such as a phenyl or a cyclohexyl which can be either unsubstituted or substituted by a group e.g. selected from C1-C3 alkyl, C1-C3 alkoxy and — (CH 2 ) s COOH; or is a C1-C10 alkyl which is optionally interrupted by 1, 2 or 3 oxygen atoms and/or optionally substituted by one or more hydroxyl groups, e.g. 1, 2, 3, 4 or 5 hydroxyl groups, or by an optionally substituted aryl or cycloalkyl ring.
- a group e.g. selected from C1-C3 alkyl, C1-C3 alkoxy and — (CH 2 ) s COOH
- a group e.g. selected from C1-C3 alkyl, C1-C3 alkoxy and — (CH 2 ) s COOH
- R 2 is a phenyl or a cyclohexyl ring, or a C1-C7 alkyl which is optionally substituted by one or more hydroxyl groups or by an optionally substituted phenyl or cyclohexyl ring, such as a methyl, ethyl, propyl, isopropyl and tert-butyl chain substituted or not by one or more hydroxyl groups, e.g.
- n 1 ;
- R 2 is selected from the group consisting of: a C1-C7 alkyl selected from methyl, ethyl, propyl, isopropyl and tert-butyl; the mono-, bis- and tris-hydroxyalkyl derivatives thereof e.g.
- s is 0 or 1 ;
- R 5 is H or an arylalkylene or cycloalkyl-alkylene selected from benzyl, phenyl-ethylene, cyclohexyl-methylene and cyclohexyl-ethyl; and
- G is -PO(OH) 2 or -COOH .
- the invention relates to an amine compound according to the above formula (II) in which R 3 is a C 2 -Ci 0 hydroxyalkoxyalkylene of formula -(CH 2 ) r -[(0- (CH 2 ) r ]m(CH 2 )sOH, and R 2 is as defined for the compounds of formula (I).
- the invention relates to amine derivatives of formula (II B)
- n is 1 or 2 and, preferably, 1 ;
- each r is independently 1 or 2;
- n 1, 2 or 3;
- s 0, 1 or 2;
- R 2 is as defined for the compounds of formula (I).
- Suitable examples include amino derivatives of formula (II B) in which R 2 is a Ci-Ci 0 alkyl optionally interrupted by one or more oxygen atoms and/or optionally substituted by one or more hydroxyl groups or by an aryl or a cycloalkyl ring.
- R 2 is Ci-Ci 0 alkyl chain substituted by one or more, e.g. from 1 to 3 hydroxyl groups, and optionally, interrupted by 1, 2 or 3 oxygen atoms.
- the invention relates to amine compounds of the above formula (II B) in which R 2 represents a second hydroxyalkoxyalkylene chain of formula -(CH 2 ) r -[(0-(CH 2 )r] m (CH 2 ) s OH where r, s and m are as above said.
- the chains are each independently selected from groups of formula -CH 2 (OCH 2 CH 2 ) s OCH 2 OH, -(CH 2 ) r -0(CH 2 ) r OH and -CH 2 (CH 2 OCH 2 ) r CH 2 OH where m, r and s are as said.
- the hydroxyalkoxyalkylene chains linked to the nitrogen atom are equal to each other and are selected from the groups of formula -CH 2 (OCH 2 CH 2 )sOCH 2 OH and of formula -CH 2 (CH 2 OCH 2 ) r CH 2 OH .
- the invention relates to amine compounds of formula (II C)
- r is 1 or 2 and, preferably, 1.
- Compounds of formula (I) according to the invention further include amine derivatives of formula (II) in which R 2 and R 3 together with the connecting nitrogen atom form a substituted five- or six-membered saturated heterocyclic ring.
- heterocyclic rings examples include morpholine, pyrrolidine and, preferably, piperidine derivatives having one or more substituents groups linked to the carbon atom(s) of the cycle.
- the invention relates to amine compounds of formula (I) in which Z is a piperidine derivative.
- Suitable examples include compounds of formula (III)
- n is 1 or 2 and, preferably, 1 ;
- p is an integer from 1 to 8.
- S is a substituent group linked to a carbon atom of the piperidine ring.
- the invention relates to compounds of formula (III) in which p is 1, and S is a substituent group selected from the group consisting of: hydroxyl, Ci-C 3 hydroxyalkyl, Ci-C 3 alkoxy, Ci-C 3 hydroxyalkoxy, Ci-C 3 hydroxyalkoxy-alkylene, and carboxyl and, preferably, from hydroxyl, Ci-C 3 hydroxyalkyl, Ci-C 3 hydroxyalkoxy and carboxyl such as -(CH 2 ) s -COOH or -OCH 2 -COOH .
- S is a substituent group selected form hydroxyl, -CH 2 OH, and -COOH that is linked to the C3 carbon atom of the ring.
- the invention relates to compounds of the above formula (III) where p is an integer from 2 to 8, which comprise a piperidine ring having from 2 to 8, preferably from 2 to 6 and, more preferably, from 3 to 5 e.g. 3, 4, or 5 substituent groups S linked to one or more carbon atom(s) of the ring, that are each independently selected from hydroxyl, Ci-C 3 hydroxyalkyl, Ci-C 3 alkoxy, Ci-C 3 hydroxyalkoxy, Ci-C 3 hydroxyalkoxy-alkylene, and carboxyl such as -(CH 2 ) s -COOH or -(OCH 2 ) s -COOH.
- substituent groups Si-S 5 are each independently selected from the group consisting of: H, hydroxyl, Ci-C 3 hydroxyalkyl, Ci-C 3 hydroxyalkoxy and Ci-C 3 hydroxyalkoxy-alkylene, providing that at least 3 of the Si-S 5 substituent groups are other than H .
- Suitable examples include compounds of formula (III A) in which the substituted pyridine ring is a group of formula :
- the invention relates to a compound of formula (III A) in which Si is a hydroxyl group, and S 2 -S 4 are C 1 -C 3 hydroxyalkyls equal or different the one another.
- the present invention relates to amine compounds of formula (I) in which Z is a secondary amine derivative of formula -NHR 4 .
- Suitable examples include amine derivative of formula (IV)
- n is an integer from 1 to 2
- R 4 is as above defined for the compounds of formula (I).
- R 4 is selected from : an optionally substituted cyclohexyl, or a cyclohexyl- alkylene having up to 3 carbon atoms in the alkylene chain, e.g. a cyclohexyl-methylene or cyclohexyl-ethylene; a group of formula -(CH 2 ) m PO(R 7 )(OR 6 ) or -(CH 2 ) m PO(OR 6 ) 2 , where m is an integer from 1 to 3, R 6 is H or a tert-butyl and, preferably, H, and R 7 is an optionally substituted phenyl or cyclohexyl, or a Ci-C 5 and, preferably, Ci-C 3 alkyl such as methyl, ethyl or propyl substituted or not by an aryl or cycloalkyl ring, e.g., preferably, a benzyl, phenyl-ethylene, cycl
- the invention relates to amine derivatives according to the above formula (IV) in which n is 1 and R 4 is a group of formula -(CH 2 ) m PO(R 7 )(OR 6 ) and, more preferably, of formula -(CH 2 ) m PO(OR 6 ) 2 , where m is an integer from 1 to 3, and preferably is 1 or 2, R 6 is H and R 7 is an optionally substituted phenyl or cyclohexyl, or a group selected from methyl, ethyl, propyl, benzyl, phenyl- ethylene, cyclohexyl-methylene and cyclohexyl-ethylene.
- the invention relates to amine derivatives according to the above formula (IV), having the formula (IV A)
- R 8 is an optionally substituted aryl-alkylene or cyclohexyl-alkylene as above said and, preferably, selected from benzyl, phenyl-ethylene, cyclohexyl-methylene and cyclohexyl-ethylene
- G is a group selected from -PO(OR 6 ) 2 , -PO(R 7 )(OR 6 ) and -COOH, and, more preferably, from -PO(OR 6 ) 2 and -COOH, where R 6 preferably is H .
- the invention relates to amine derivatives according to the formula (I) in which Z is a tertiary or a secondary C5-C 12 aminopolyol.
- Suitable examples include compounds of the above formula (I) in which Z is an amine derivative selected from -N(R 2 )(R 3 ) or -NHR 4 in which R 3 and R 4 are a C 5 -Ci 2 polyol and R 2 is as above defined for the compounds of formula (I).
- n 1 ;
- R 9 is H or a Ci-C 3 alkyl e.g. propyl, ethyl or, preferably, methyl;
- Rio is a C 5 -Ci 2 polyol.
- Preferred according to the invention are aminopolyols derivatives of the above formula (V) in which R 10 is a C 5 -C 7 polyol, e.g . selected from pentyl(poly)ols (or polyhydroxypentyls) comprising at least 2, and preferably from 2 to 4 hydroxyl groups on the C 5 alkyl chain; hexyl(poly)ols comprising at least 2, and preferably from 2 to 5 hydroxyl groups on the C 6 alkyl chain; and heptyl(poly)ols comprising at least 2 and, and preferably from 3 to 6 hydroxyl groups on the C 7 alkyl chain, and R 9 is H or a methyl group.
- R 10 is a C 5 -C 7 polyol, e.g . selected from pentyl(poly)ols (or polyhydroxypentyls) comprising at least 2, and preferably from 2 to 4 hydroxyl groups on the C 5 alkyl chain;
- Suitable examples include penty(poly)ols such as pentyl-diols, pentyl-triols, and pentyl-tetraols; hexyl(poly)ols such as hexyl-diols, hexyl-triols, hexyl-tetraols and hexyl- pentaol; and heptyl(poly)ols such as heptyl-diols, heptyl-triols, heptyl-tetraols, heptyl- pentaol and heptyl-hexaols.
- penty(poly)ols such as pentyl-diols, pentyl-triols, and pentyl-tetraols
- hexyl(poly)ols such as hexyl-d
- R 9 is H or methyl
- the invention relates to compounds according to the formula (I) in which Z is the residue of an aminopolyol selected from the group consisting of 1-amino-l-deoxy-pentitols such as 1-amino-l-deoxy ribitol, 1-amino-l-deoxy- xylitol and 1-amino-l-deoxy-arabitol; 1-amino-l-deoxy-hexitols such as 1-amino-l-deoxy- glucitol, 1-amino-deoxy-galactitol, 1-amino-l-deoxy-allitol, 1-amino-l-deoxy-mannitol and 1-amino-l-deoxy-iditol; and 1-amino-l-deoxy-heptitols such as 1-amino-l-deoxy-glycero- manno-heptitol, as well as the N-(Ci-C
- Z is the residue of a 1-amino-l-deoxy-hexitol e.g. selected from the group consisting of 1-amino-l-deoxy-glucitol, 1-amino-deoxy-galactitol, 1-amino-l-deoxy- mannitol, 1-amino-l-deoxy-ditol, and the N-methyl derivatives thereof.
- a 1-amino-l-deoxy-hexitol e.g. selected from the group consisting of 1-amino-l-deoxy-glucitol, 1-amino-deoxy-galactitol, 1-amino-l-deoxy- mannitol, 1-amino-l-deoxy-ditol, and the N-methyl derivatives thereof.
- the invention relates to a compound of formula (I) in which Z is a 1-deoxy-l-amino-D-glucitol or, especially, a l-deoxy-l-(methylamino)-D- glucitol residue having, respectively, the formula
- Particularly preferred compounds are those compounds of formula (I), or salts thereof, selected from the group consisting of:
- the invention relates to chelated complexes of the compounds of formula (I), hence encompassing those of formulae from (II) to (V), with a paramagnetic metal ion, or a radionuclide, or of a suitable salt thereof.
- the paramagnetic metal ion is selected in the group consisting of Fe 2+ , Fe 3+ , Cu 2+ , Cr 3+ , Gd 3+ , Eu 3+ , Dy 3+ , La 3+ , Yb 3+ or Mn 2+ . More preferably, the paramagnetic metal ion is Gd 3+ .
- Preferred radionuclides according to the invention providing complexes for use in radiotherapy or radiodiagnostics include 105 Rh, 117m Sn, 99m Tc, 94m Tc, 203 Pb, 67 Ga, 68 Ga, 44 Sc, 72 As, 110 In, m In, 113 In, 90 Y, 97 Ru, 60 Cu, 62 Cu, 64 Cu, 52 Fe, 51 Mn, 140 La, 175 Yb, 153 Sm, 166 Ho, 149 Pm, 177 Lu, 186/188 Re, 165 Dy, 166 Dy, 142 Pr, 159 Gd, 211 Bi, 212 Bi, 213 Bi, 214 Bi, 149 Pm, 67 Cu, 198 Au, 199 Au, 161 Tb, 167 Tm, and 51 Cr.
- Both the compounds of formula (I), thus including those of formulae (II) to (V), and the paramagnetic chelates thereof can also be in the form of a pharmaceutically acceptable salt, particularly as an addition salt with a physiologically compatible base or acid.
- pharmaceutically acceptable salt refers to derivatives of the compounds of the invention wherein the parent compound is suitably modified by converting any of the free acid or basic groups, if present, into the corresponding addition salt with any base or acid conventionally intended as being pharmaceutically acceptable.
- Preferred cations of inorganic bases which can be suitably used to prepare a salt of the complexes or the ligands of the invention comprise, for instance, ions of alkali or alkaline- earth metals such as potassium, sodium, calcium or magnesium.
- Preferred cations of organic bases comprise, for instance, those of primary, secondary and tertiary amines such as, for instance, ethanolamine, diethanolamine, morpholine, glucamine, N-methylglucamine, N,N-dimethylglucamine.
- Preferred anions of inorganic acids which can be suitably used to prepare salts of the complexes of the invention comprise the ions of halo acids, for instance chlorides, bromides or iodides, as well as of other suitable ions such as sulfate.
- Preferred anions of organic acids comprise those routinely used in pharmaceutical techniques for the salification preparation of salts of basic substances such as, for instance, acetate, succinate, citrate, fumarate, maleate or oxalate.
- Preferred cations and anions of amino acids comprise, for instance, those of taurine, glycine, lysine, arginine, ornithine or of aspartic and glutamic acids.
- a) Obtaining a macrocyclic substrate 1 in a suitable protected form, e.g. in which the carboxylic groups of the substrate are protected as tert-butyl esters; b) Obtaining an alkylating molecule 2, in which any optional functional group(s) not involved with the coupling reaction with the substrate 1 is, optionally, suitably protected;
- intermediate refers to a molecule that requires one (or more) further reactions, e.g. a reduction, an additional alkylation and so on, to give the desired product, i.e. in the specific case of the above general scheme, in a suitably protected compound of formula (I) according to step d).
- the single steps of the above general process, comprehensive of any variant thereof, particularly when referring to the steps of protection/deprotection and activation of known functional groups, may be carried out according to conventional methods known in the art.
- alkylating molecules 2 for the use of the invention are commercially available, or may easily be prepared according to procedures known to those skilled in the relevant art. Examples of specific procedures for the preparation of protected alkylating molecules 2, their coupling with the appropriate substrate molecule 1, and optional conversion of the obtained intermediates to the desired compound of formula (I) are provided in the experimental section, together with relevant operational details.
- the complexation of the compounds of formula (I) e.g. obtained from step f) of former general preparation scheme with a paramagnetic ion and, particularly, with gadolinium may be performed, for instance, by stoichiometric addition of a suitable Gd(III) derivative, particularly a Gd(III) salt or oxide, to a solution of the ligand, e.g. by working according to well-known experimental methods, for instance as reported in EP 230893.
- a suitable Gd(III) derivative particularly a Gd(III) salt or oxide
- optional salification of the compounds of the invention may be carried out by properly converting any of the free acidic groups (e.g. carboxylic, phosphonic or phosphinic) or free amino groups into the corresponding pharmaceutically acceptable salts.
- the operative conditions being employed for the optional salification of the compounds of the invention are all within the ordinary knowledge of the skilled person.
- compounds of formula (I) may be prepared by using the synthetic procedure schematized in the following Scheme 1 Scheme 1 tBuOOC- / ⁇ COOtBu
- a suitably protected Substrate 1C is first obtained, where Y represents a leaving group for instance selected from bromine, chlorine, iodine and an aryl/alkyl sulfonic ester and, more typically, is a chlorine atom, for instance as described in details in the experimental section.
- An intermediate 3 is then obtained by coupling the substrate 1C with the suitable piperidine derivative 2 that, after cleavage of protecting groups is complexed with the gadolinium metal ion to give the desired Gd complex of formula (I) as above discussed.
- the Substrate IB is first reacted with an aldehyde of formula R x CHO to give a corresponding imino-derivative that, upon reduction, leads to the corresponding protected ligand of formula (IV), or the mono- alkylated intermediate 3 having a R 2 group appended to the amine group of the substrate IB. Then, the obtained intermediate 3 is further reacted, for instance with a suitable phosphite, e.g. tri(tert-butyl)phosphite obtained, for instance, as disclosed in Tetrahedron Lett. 2005, 46, 4707-4710, to give the corresponding phosphonate derivative 4 in which the acidic groups are in the protected form.
- a suitable phosphite e.g. tri(tert-butyl)phosphite obtained, for instance, as disclosed in Tetrahedron Lett. 2005, 46, 4707-4710
- Substrate IB is first reacted with a suitably protected phosphonate of formula Y-CH(R 5 )-PO(OR 6 ) 2 .
- the obtained compound may then be further reacted with a suitable R 2 derivative, e.g. with Y-R 2 in which Y is, in both of cases, a suitable leaving group for instance selected from CI, Br, I, OMs, OTs, as above said.
- the macrocyclic compounds of formula (I) according to the present invention include an hydroxyl (OH) residue together with an amine derivative Z on a pendant arm of the macrocycle.
- the Applicant considers that the relaxivity of the paramagnetic complexes of the compounds of formula (I) may be significantly improved as a result of the combined effect promoted by these peculiar structural components.
- the measured relaxivity is in particular increased with respect to the relaxivity exhibited, under same conditions, by the known MRI contrast agents currently used in the diagnostic daily practice e.g. including Gd-DOTA, marketed as DOTAREM ® , and Gd-HPD03A marketed as ProHance ® having analogous macrocyclic chelating ligands and comparable molecular weight.
- the paramagnetic complex compounds of the invention show relaxivity r lp values which are about 1.5 and up to 2 times higher than the r lp values displayed by analogous macrocyclic commercial contrast agents (such as above mentioned DOTAREM ® and ProHance ® ), which are however devoid of the combined structural components on the pendant arm of the macrocycle.
- the paramagnetic complex compounds of the formula (I) of the invention display a relaxivity r lp value measured in human plasma, at 37°C and approx. 1.4 T which is of at least about 5.5, preferably higher than 6, and more preferably, higher than 7 mM _1 s _1 .
- Comparative Compound (Comparative 1) with the relaxivity measured for mono- and bis- alkylated derivative thereof according to the formula (II) of the invention .
- relaxivity r lp values of 5.3 mM _1 s 1 is obtained for the Comparative 1 in human plasma at 37°C and 1.41 T, that is in line with the values analogously measured, under the same conditions, for DOTAREM® and ProHance®, respectively of 3.6 and 4.15
- a significant increase is observed for the mono-alkylated derivative (e.g . Chelate Complex 2) to a r lp value of 7.5 (in human plasma), that still increase for bis-alkylated derivatives e.g . up to 9.5, for the Chelate Complex 1.
- paramagnetic complex compounds of the invention have proven to display a low if not negligible protein binding with human plasma proteins, including, for instance, the HSA.
- paramagnetic complex of formula (I) typically displays a protein binding with the HSA lower than 30%, preferably than 25 and, more preferably than 20%.
- Non Specific contrast agents i .e. as MRI contrast agents suitable for a general use, as the contrast agents of the market like Dotarem®, ProHance® and Magnevist®.
- the Applicant has observed that the presence of a polyol or aminopolyol residue on the hydroxylated pendant arm of the macrocyclic compounds of the invention, beside leading to complex compounds having favorable relaxivity and thermal stability, may also contribute to obtain aqueous solutions of corresponding complex paramagnetic endowed with optimized viscosity.
- the high relaxivity displayed by the agents of the invention may further allow reducing their diagnostically effective dose, as compared to current contrast agents.
- Paramagnetic complexes and, especially, gadolinium complexes of the compounds of formula (I), or the pharmaceutical acceptable salt thereof thus find advantageous use in the preparation of pharmaceutical formulations intended for a general use in the diag nostic imaging of a human or animal body organ, tissue or region either in vivo or in vitro, ex vivo.
- the invention relates to the use of the compounds of formula (I) in the form complexes with a paramagnetic metal ion and, especially, gadolinium, or of a pharmaceutical acceptable salt thereof, for the preparation of a pharmaceutical formulation for use in the diagnostic imaging, either in vivo or in vitro, ex vivo, of a human or animal body organ, tissue or region or of a biological sample, including cells, biological fluids and biological tissues originating from a live mammal patient, and preferably, human patient, by use of the MRI technique.
- a further aspect of the invention concerns a pharmaceutical composition for diagnostic use comprising a compound of formula (I) in the form of paramagnetic metal complex or of a pharmaceutical salt thereof, in admixture with one or more physiologically acceptable excipients, diluents or solvents.
- the pharmaceutical composition is a contrast- producing composition and, more preferably, a MRI contrast producing composition comprising at least one Gd-complex according to the invention.
- the invention relates to a MRI contrast medium comprising an effective amount of at least one chelated compound according to the invention and, especially, of a gadolinium complex of the formula (I), or of a pharmaceutical acceptable salt thereof, in combination with one or more pharmaceutically acceptable excipients, diluents or solvents.
- an effective dose refers to any amount of a paramagnetic chelated complex of the formula (I) according to the invention or pharmaceutical composition thereof, that is sufficient to fulfil its intended diagnostic purpose(s) : i.e., for example, to ex vivo visualize a biological element including cells, biological fluids and biological tissues or the in vivo diagnostic imaging of body organs, tissues or regions of a patient.
- suitable dosage of the paramagnetic complexes according to the invention i.e. allowing to obtain a diagnostically effective visualization of the body organ, tissue or region at least comparable to that obtained in the daily practice with the MRI contrast agents of the market, may include an amount of the paramagnetic complex lower than that currently used with Non-Specific contrast agents of the market.
- satisfactory diagnostic MRI images may be obtained with doses of the gadolinium complex compounds identified by the present invention of about 90%, more preferably 80%, and up to 60% of the dose of MRI contrast agent used in the daily practice, which for adult patients commonly is of about 0.1 mmol/kg of patient body weight.
- paramagnetic complex compounds of formula (I) identified by the present invention have a wide range of applications as they can be used for intravasal, (for instance intravenous, intraarterial, intracoronaric, intraventricular administration and the like), intrathecal, intraperitoneal, intralymphatic and intracavital administrations. Furthermore, they are suitable for the oral or parenteral administration and, therefore, specifically for the imaging of the gastrointestinal tract.
- parenteral administration can be preferably formulated as sterile aqueous solutions or suspensions, whose pH can range from 6.0 to 8.5.
- formulations can be lyophilized and supplied as they are, to be reconstituted before use.
- these agents can be formulated as a solution or suspension optionally containing suitable excipients in order, for example, to control viscosity.
- the oral administration they can be formulated according to preparation methods routinely used in the pharmaceutical technique or as coated formulations to gain additional protection against the stomach acidic pH thus preventing, in case of chelated metal ions, their release which may take place particularly at the typical pH values of gastric fluids.
- excipients for example including sweeteners and/or flavouring agents, can also be added, according to known techniques of pharmaceutical formulations.
- solutions or suspensions of the compounds of this invention can also be formulated as aerosol to be used in aerosol-bronchography and instillation.
- liposomes can be also encapsulated into liposomes or even constitute the liposomes themselves, as set forth above, and thus can be used as uni- or multi-lamellar vesicles.
- compositions according to the invention are properly formulated in isotonic sterile aqueous, optionally buffered, solutions for parenteral administration, and most preferably for intravenous or intra-arterial administration.
- the said diagnostic composition has a concentration of the paramagnetic complex of the formula (I) of from 0.002 and 1.0 M and is supplied, for instance as a bolus, or as two or more doses separated in time, or as a constant or non- linear flow infusion.
- the invention relates to the use of a pharmaceutical composition including a paramagnetic chelated complex of the formula (I) or pharmaceutical acceptable salt thereof for the diagnostic imaging, both in vitro (ex vivo) and in vivo, of pathological systems, including cells, biological fluids and biological tissues originating from a live mammal patient, and preferably, human patient, as well as of human body organ, regions or tissues, including tumors or cancerous tissues, inflammations, as well as for monitoring the progress and results of therapeutic treatment of the said pathologies.
- a pharmaceutical composition including a paramagnetic chelated complex of the formula (I) or pharmaceutical acceptable salt thereof for the diagnostic imaging, both in vitro (ex vivo) and in vivo, of pathological systems, including cells, biological fluids and biological tissues originating from a live mammal patient, and preferably, human patient, as well as of human body organ, regions or tissues, including tumors or cancerous tissues, inflammations, as well as for monitoring the progress and results of therapeutic treatment of the said pathologies.
- the present invention concerns a method for the in vivo imaging of a body organ, tissue or region by use of the MRI technique, said method comprises enhancing the signal generated by the water protons by use of a paramagnetic chelated complex of the formula (I) according to the invention, or a physiological acceptable salt thereof.
- said method comprises administering to a human or animal patient to be imaged a diagnostically effective amount of a composition of the invention comprising a compound of formula (I) in the form of complex with a paramagnetic metal ion, and, preferably, with the Gd 3+ metal ion and then subjecting the administered patient to the diagnostic imaging by use of the MRI technique.
- the above MRI method is instead performed on human or animal bodies suitably pre-administered with a diagnostically effective amount of a composition of the invention as above defined.
- the present invention refers to a method for the in vivo imaging a human or animal body organ or tissue by use of the MRI technique that comprises the steps of:
- composition of the invention comprising a compound of formula (I) in the form of a paramagnetic complex, or of a pharmaceutically acceptable salt thereof, and positioned in a MRI imaging system, to a radiation frequency selected to excite the non-zero proton spin nuclei of the active paramagnetic substrate;
- the invention provides a method for the in vitro (ex vivo) imaging of biological samples, including cells, biological fluids and biological tissues originating from a live mammal patient, and preferably, human patient, by use of the MRI technique, that comprises contacting an effective amount of a paramagnetic complex compound of formula (I), or of a physiologically acceptable salt thereof, with the biological sample of interest and then obtaining MRI signals from said samples by use of the MRI technique.
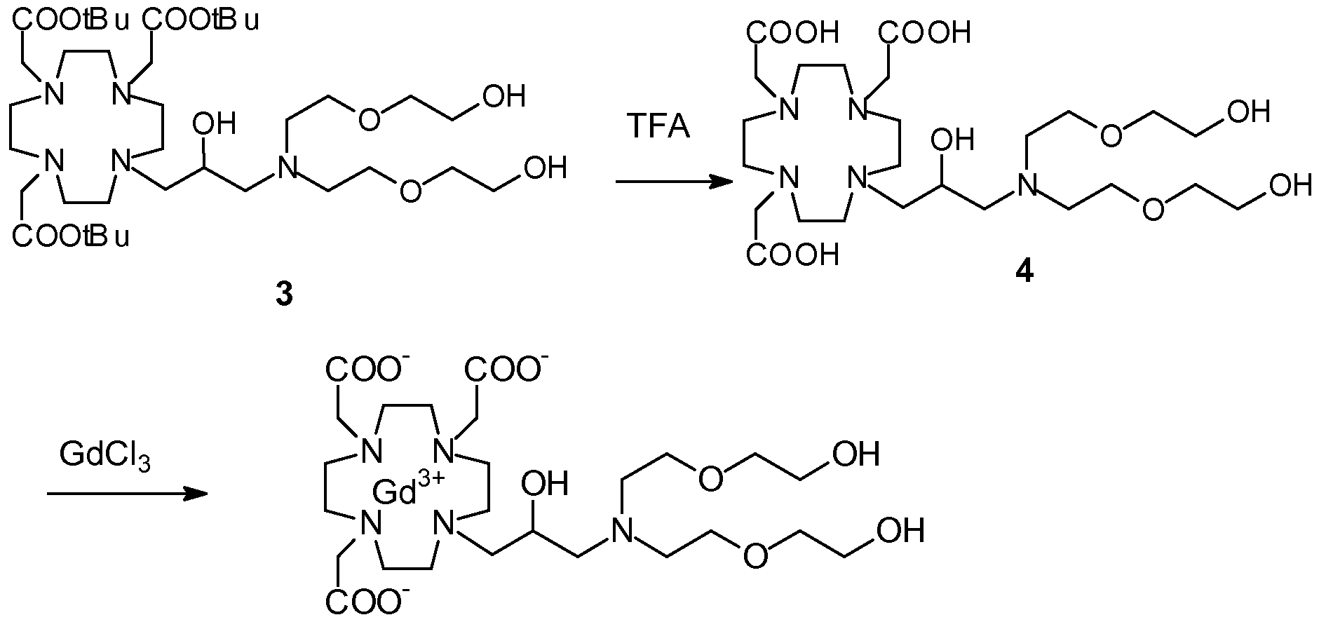
- Trifluoroacetic acid 130 mL was added to the compound 3 (obtained as above described in Example 1) (48.0 g; 0.066 mol), cooled with an ice bath. After stirring the mixture for 24 h, ethyl ether (800 mL) was added to the crude reaction leading to the formation of a solid precipitate which was filtered, washed with ethyl ether and dried to give a crude product that was dissolved in water (100 mL) and purified by chromatography on Amberchrome CG161M. By concentration of the pure fractions the desired intermediate 4 was obtained as a glassy residue (20.3 g). Yield 55%.
- TFA Trifluoroacetic acid
- Gadolinium oxide (2.72 g; 0.0075 mol) was added to a solution of ligand 5 (6.85 g;
- Trifluoroacetic acid (30 ml.) was added to a solution of intermediate 4 (16.3 g; 0.018 mol) in dichloromethane (150 ml_). The mixture was evaporated, the residue was solubilized in TFA (60 ml_), and triisopropylsilane (0.1 ml.) was added. The obtained mixture was maintained under stirring for 72 h, then diluted with ethyl ether (450 ml.) obtaining the precipitation of a solid that was filtered and purified by chromatography on Amberchrome CG161M column (eluent: gradient of water/MeCN) obtaining the desired ligand 5 (5.3 g). Yield 49%.
- Gadolinium chloride hexahydrate (0.93 g, 2.5 mmol) was added to a solution of ligand 5 (1.6 g; 2.54 mmol) in water (20 ml.) and the pH of the obtained solution was slowly increased to pH 6.5-7 with 2 N NaOH .
- the obtained solution was stirred at room temperature for 4 h then filtered on Millipore HA 0.45 ⁇ , concentrated and purified by chromatography on Amberchrome CG161M column (eluent: gradient of water/MeCN) obtaining 1.55 g of the desired gadolinium complex. Yield 80%.
- This complex compound was obtained by reduction of the Chelate Complex 1 with H 2 and Pd/C.
- Chelate Complex 1 was obtained by reduction of the Chelate Complex 1 with H 2 and Pd/C.
- Trifluoroacetic acid (4 mL) was added to a solution of intermediate 3 (5.5 g; 7.7 mmol) in dichloromethane (20 mL). The mixture was stirred for 15 min then evaporated. The residue was dissolved in TFA (30 mL) and triisopropyisiiane (0.1 mL) was added. The mixture was maintained under stirring for 40 h then evaporated and the residue purified by chromatography on Amberchrome CG161M column (eluent: gradient of water/MeCN) obtaining the intermediate compound 4 (3.1 g). Yield 74%.
- Trifluoroacetic acid (4.5 mL) was added to a solution of intermediate 5 (9.4 g; 12.5 mmol) in dichloromethane (30 mL). The mixture was stirred for 30 min then evaporated. The residue was dissolved in TFA (30 mL) and triisopropylsilane (0.1 mL) was added. The obtained mixture was maintained under stirring for 20 h then evaporated and the residue purified by chromatography on Amberlite XE 750 column (eluent: gradient of water/MeCN) obtaining the desired ligand 6 (5.7 g). Yield 78%.
- Ligand 6 (4 g; 6.9 mmol) was dissolved in water (50 mL) and gadolinium chloride hexahydrate (2.55 g; 6.9 mmol) was added. The mixture was stirred at room temperature for 6 h. The solution was then filtered on Millipore HA 0.25 ⁇ filters and evaporated under reduced pressure. The crude product was purified on Amberchrome CG161M column (eluent: gradient of water/acetonitrile). The fractions containing the pure product were pooled and evaporated. The solid product was dried under vacuum to obtain the gadolinium complex as a white powder (2.7 g). Yield 52%.
- Trifluoroacetic acid (3.6 mL) was added to a solution of intermediate 2 (7.4 g; 9 mmol) in dichloromethane (10 mL) at 0°C. The mixture was then evaporated, the residue was solubilized in TFA (40 mL) and triisopropylsilane (0.1 mL) was added. The mixture was stirred for 24h at room temperature, then evaporated and the residue purified by chromatography on Amberchrome CG161M column (eluent: gradient of water/EtOH) obtaining the desired chelating ligand 3 (4.14 g). Yield 81%.
- Gadolinium chloride hexahydrate (6.8 g, 18.3 mmol) was added to a stirred solution of chelating ligand 3 (10.4 g; 18.3 mmol) in water (400 mL) and the pH of the mixture was slowly increased to pH 6.5-7 with 1 N NaOH .
- the obtained solution was stirred at room temperature for 5 h then filtered on Millipore HA 0.45 ⁇ , concentrated and purified by chromatography on Amberchrome CG161M column (eluent: gradient of water/EtOH) obtaining 13 g of the gadolinium complex. Yield 95%.
- Trifluoroacetic acid (2.9 mL) was added to a solution of intermediate 2 (6.1 g; 7.6 mmol) in dichloromethane (15 mL) at 0°C. The mixture was then evaporated, the residue was dissolved in TFA (25 mL) and triisopropylsilane (0.1 mL) was added. The mixture was stirred at room temperature for 48h, then evaporated and the residue purified by chromatography on Amberlite XE750 column (eluent: gradient of water/MeCN) obtaining the intermediate 3 (3.19 g). Yield 63%.
- Gadolinium chloride hexahydrate (1.18 g, 3.2 mmol) was added to a stirred solution of chelating ligand 4 (2 g; 3.2 mmol) in water (40 mL) and the pH of the mixture was slowly increased to pH 6.5-7 with 1 N NaOH. After 2h the obtained solution is filtered on Millipore HA 0.45 ⁇ , concentrated and then purified by chromatography on Amberlite XE750 column (eluent: gradient of water/MeCN) obtaining 2.49 g of the gadolinium complex. Yield 96%.
- Trifluoroacetic acid (10 mL) was added to a solution of intermediate 4 (4.84 g; 6.1 mmol) in dichloromethane (50 mL). The mixture stirred for 30 min then was evaporated. The residue was dissolved in TFA (20 mL) and triisopropylsilane (0.1 mL) was added. The obtained mixture was maintained under stirring for 24 h then evaporated and the residue purified by chromatography on Amberlite XE 750 column (eluent: gradient of water/MeCN) obtaining the desired ligand 5 (2.7 g). Yield 71%.
- Ligand 5 (2.2 g; 3.5 mmol) was dissolved in water (20 mL) and gadolinium chloride hexahydrate (1.31 g; 3.5 mmol) was added. The mixture was stirred at room temperature for 6 h. The solution was then filtered on Millipore HA 0.25 ⁇ filters and evaporated under reduced pressure. The crude product was purified on Amberchrome CG161M column (eluent: gradient of water/acetonitrile). The fractions containing the pure product were pooled and evaporated. The solid product was dried under vacuum to obtain the gadolinium complex as a white powder (1.54 g). Yield 56%.
- Gadolinium chloride hexahydrate (1.64 g, 4.4 mmol) was added to a solution of chelating ligand 2 (2.5 g; 4.4 mmol) in water (100 mL) and the pH of the mixture was slowly increased to pH 6.5-7 with 1 N NaOH .
- the obtained solution was stirred at room temperature then filtered on Millipore HA 0.45 ⁇ , concentrated and purified by chromatography on Amberchrome CG161M column (eluent: gradient of water/EtOH) obtaining 3.1 g of the gadolinium complex. Yield 94%.
- 2,3-Epoxy-l-propanol 3 (commercially available) (1.5 g; 20.2 mmol) was added to a solution of intermediate 2 (15 g; 18.9 mmol) in acetonitrile (150 mL). The solution was refluxed for 16 h then evaporated. The residue was purified by flash chromatography on silica gel (eluent: gradient of EtOAc/MeOH) to give intermediate 4 (9.52 g). Yield 58%.
- Trifluoroacetic acid (10 mL) was added to a solution of intermediate 4 (8.7 g; 10 mmol) in dichloromethane (50 mL) at 0°C. The mixture was stirred for 8 h then evaporated and the residue was dissolved in TFA (50 mL). The mixture was stirred at room temperature for 16 h, then evaporated. The residue was purified by chromatography on Amberchrome CG161M column (eluent: gradient of water/MeCN) obtaining the chelating ligand 5 (5.3 g). Yield 90%.
- Gadolinium chloride hexahydrate (3.16 g, 8.5 mmol) was added to a solution of chelating ligand 5 (5 g; 8.5 mmol) in water ( 100 mL) and the pH of the mixture was slowly increased to pH 6.5-7 with 1 N NaOH .
- the obtained solution was filtered on Millipore HA 0.45 ⁇ , concentrated and then purified by chromatography on Amberchrome CG161M column (eluent: gradient of water/MeCN) obtaining 6.48 g of the corresponding gadolinium complex. Yield 97%.
- Benzyl chloroformate (95%; 19.75 g; 110 mmol) was added in 1 h to a mixture of allylcyclohexylamine 1 (commercially available) (13.9 g; 100 mmol), K 2 C0 3 (27.6 g; 200 mmol), water (150 mL) and EtOAc (200 mL) at 0°C. After stirring for 6 h, the organic phase was separated and washed with 1 N HCI (2x100 mL), water (100 mL) and brine (100 mL). The organic phase was dried (Na 2 S0 4 ) and evaporated to give intermediate 2 (26.2 g). Yield 96%.
- Trifluoroacetic acid (10 mL) was added to a solution of intermediate 5 (7.84 g; 10 mmol) in dichloromethane (50 mL) at 0°C. The mixture was stirred for 8 h then evaporated and the residue was dissolved in TFA (50 mL). The mixture was stirred at room temperature for 24 h, then evaporated. The residue was purified by chromatography on Amberchrome CG161M column (eluent: gradient of water/MeCN) obtaining the chelating ligand 6 (5.2 g). Yield 93%.
- Gadolinium chloride hexahydrate (2.97 g, 8 mmol) was added to a solution of chelating ligand 5 (4.5 g; 8 mmol) in water (80 mL) and the pH of the mixture was slowly increased to pH 6.5-7 with 1 N NaOH .
- the obtained solution was filtered on Millipore HA 0.45 ⁇ , concentrated and then purified by chromatography on Amberchrome CG161M column (eluent: gradient of water/MeCN) obtaining 5.65 g of the corresponding gadolinium complex. Yield 96%.
- Trifluoroacetic acid (15 mL) was added to a solution of intermediate 3 (8 g; 11.7 mmol) in dichloromethane (50 mL) at 0°C. The mixture was stirred for 8 h then evaporated and the residue was dissolved in TFA (50 mL). The mixture was stirred at room temperature for 24 h, then evaporated. The residue was purified by chromatography on Amberchrome CG161M column (eluent: gradient of water/MeCN) obtaining the chelating ligand 4 (5.5 g). Yield 91%.
- Gadolinium chloride hexahydrate (3.6 g, 9.7 mmol) was added to a solution of chelating ligand 4 (5 g; 9.7 mmol) in water ( 100 mL) and the pH of the mixture was slowly increased to pH 6.5-7 with 1 N NaOH .
- the obtained solution was filtered on Millipore HA 0.45 ⁇ , concentrated and then purified by chromatography on Amberchrome CG161M column (eluent: gradient of water/MeCN) obtaining 5.98 g of the corresponding gadolinium complex. Yield 92%.
- Trifluoroacetic acid (2 mL; 26 mmol) was added to a solution of compound 6 (3.8 g, 4.9 mmol) in dichloromethane (20 mL). The mixture was stirred for 30 min then evaporated. The residue was dissolved in TFA (26 mL) and triisopropylsilane (0.1 mL) was added. The obtained mixture was maintained under stirring for 24 h then evaporated. The residue was purified by chromatography on Amberchrome CG161M column (eluent: gradient of water/acetonitrile) obtaining the desired ligand 7 (2.3 g). Yield 85%.
- Ligand 7 (2.03 g; 3.7 mmol) was dissolved in water (15 mL) and 2 M NaOH (7 mL) was added until pH 10. The solution was stirred at 45°C for 4 h keeping the pH at 10 by addition of 2 M NaOH . The solution was cooled to room temperature, 2M HCI was added until pH 8 and gadolinium chloride hexahydrate (1.37 g; 3.7 mmol) was added. The suspension was stirred at 50°C for 6 h. The solution was then filtered on Millipore HA 0.25 ⁇ filters and evaporated under reduced pressure. The crude product was purified on Amberchrome CG161M column (eluent: gradient of water/acetonitrile). The fractions containing the pure product were pooled and evaporated. The solid product was dried under vacuum to obtain the gadolinium complex as a white powder (1.56 g). Yield 58%.
- Trifluoroacetic acid 40 mL; 235 mmol was added dropwise to a solution of compound 3 (13.5 g, 18 mmol) in dichloromethane (15 mL). The solution was stirred at room temperature overnight. The solvent was evaporated and the residue dissolved in MeOH (5 mL) then diethyl ether (50 mL) was added. The solid precipitated was isolated by centrifugation, the mother liquor removed and the precipitate washed thoroughly with diethyl ether (35 mL). The sticky light brown solid obtained was purified by elution on an ion exchange resin column (Amberlite IR 120, H-form). The free ligand was retained onto the resin and the impurities washed out with water.
- an ion exchange resin column Amberlite IR 120, H-form
- the chelating Ligand 4 (2.3 g; 3.8 mmol) was suspended in water (50 mL) and gadolinium chloride hexahydrate (1.4 g; 3.8 mmol) was added. The suspension was stirred at 60°C for 6 h. The solution was then filtered on Millipore HA 0.25 ⁇ filters and evaporated under reduced pressure. The crude product was purified on resin Amberlite XAD 1600 (eluent: water). The fractions containing the pure product were pooled and evaporated. The solid product was dried under vacuum to obtain the gadolinium complex as a white powder (1.1 g). Yield 38%.
- Gadolinium chloride hexahydrate (2.3 g, 6.2 mmol) was added to a solution of chelating ligand 5 (3.7 g; 6.2 mmol) in water (50 mL) and the pH of mixture was slowly increased to pH 7 with 1 N NaOH .
- the obtained solution was stirred at room temperature for 4 h then filtered on Millipore HA 0.45 ⁇ , concentrated and purified by chromatography on Amberlite XE750 column (eluent: gradient of water/acetonitrile) obtaining 4 g of the gadolinium complex. Yield 86%.
- Trifluoroacetic acid (10 mL) was slowly added to a solution of intermediate 4 (42.5 g; 0.049 mol) in CH 2 CI 2 (300 mL) and the mixture was stirred at room temperature for lh. The solvent was evaporated and the residue was dissolved in trifluoroacetic acid (200 mL) and triisopropylsilane (2 mL) was added. The obtained mixture was maintained under stirring for 48 h then evaporated. Diethyl ether (500 mL) was added and the suspension was stirred for 2h then filtered. The solid was dissolved in water (20 mL) and the solution was purified by chromatography on Amberlite XE750 column (eluent: gradient of water/acetonitrile) to give ligand 5 (16.1 g). Yield 56%.
- Gadolinium chloride hexahydrate (8.25 g, 0.222 mol) was added to a solution of chelating ligand 5 (12.9 g; 0.222 mol) in water (400 mL) and the pH of mixture was slowly increased to pH 7 with 2 N NaOH .
- the obtained solution was stirred at room temperature for 8 h then filtered on Millipore HA 0.45 ⁇ , concentrated and purified by chromatography on Amberlite XE750 column (eluent: gradient of water/acetonitrile) obtaining 16 g of the gadolinium complex. Yield 95%.
- Gadolinium chloride hexahydrate (1.93 g, 5.2 mmol) was added to a solution of chelating ligand 4 (5.2 g; 5.2 mmol) in water (40 mL) and the pH of mixture was slowly increased to pH 7 with 2 N NaOH .
- the obtained solution was stirred at 80°C for 24 h then filtered on Millipore HA 0.45 ⁇ , concentrated and purified by chromatography on Amberlite XE750 column (eluent: gradient of water/acetonitrile) obtaining 2.3 g of the gadolinium complex. Yield 54%.
- Trifluoroacetic acid (10 ml.) was slowly added to a solution of intermediate 2 (15 g; 18 mmol) in CH 2 CI 2 (100 ml.) and the mixture was stirred at room temperature for lh. The solvent was evaporated and the residue was dissolved in trifluoroacetic acid (50 ml_) and triisopropylsilane (0.1 ml.) was added. The obtained mixture was maintained under stirring for 24 h then evaporated. The residue was purified by chromatography on Amberlite XE750 column (eluent: gradient of water/acetonitrile) to give ligand 3 (6.1 g). Yield 62%.
- Gadolinium chloride hexahydrate (3.7 g, 10 mmol) was added to a solution of chelating ligand 3 (5.4 g; 10 mmol) in water (50 ml.) and the pH of mixture was slowly increased to pH 7 with 2 N NaOH .
- the solution was stirred at 80°C for 24 h then filtered on Millipore HA 0.45 ⁇ , concentrated and purified by chromatography on Amberlite XE750 column (eluent: gradient of water/acetonitrile) obtaining 5.7 g of the gadolinium complex. Yield 79%.
- the relaxometric properties of some representative complex compounds according to the invention have been determined at different magnetic field strengths, e.g. including 0.47 and 1.41 T, at 37°C and in different media (physiologic solution and human plasma) and compared with relaxivity values measured, at the same conditions, for some Gd- Complex of the market having an analogous cyclic coordination cage.
- test articles were used as supplied and diluted in the selected medium (physiologic solution or human plasma) by weighting the required amount of paramagnetic chelated complex to get a 5 or 10 mM starting solution.
- Relaxivity measurements were performed at 0.47 T and 1.41 T at a preset temperature sample of 37°C, kept constant by means of a thermostatic bath connected to the sample holder of the spectrometer. The five sample solutions have been preliminary pre-heated at 37°C in an external thermostatic bath and then left 10 minutes inside the internal bath to assure the stabilization of the temperature.
- Longitudinal relaxation time Ti was measured by means of a standard inversion recovery sequence, where the inversion time (TI) was varied from 10 ms to at least 5 times Ti in 15 steps.
- Statistical analysis mono-exponential fitting for Ti measurement, linear fitting for the evaluation of longitudinal relaxivity was performed by Mathematica® (Wolfram, USA). Errors on the estimated parameters were evaluated by the fitting procedure.
- the relaxivity of the investigated contrast agents ranges between 4.3 (for the unsubstituted Comparative 1) and 8.3 (for the Chelate Complex 6) mM _1 s 1 at 0.47 T in physiological solution, and from 6.25 to 13.8 mM " 's " ' in plasma, same magnetic field. Such values decrease, as expected, increasing the magnetic field strength.
Landscapes
- Chemical & Material Sciences (AREA)
- Health & Medical Sciences (AREA)
- Organic Chemistry (AREA)
- Nuclear Medicine, Radiotherapy & Molecular Imaging (AREA)
- Life Sciences & Earth Sciences (AREA)
- General Health & Medical Sciences (AREA)
- Public Health (AREA)
- Epidemiology (AREA)
- Animal Behavior & Ethology (AREA)
- Radiology & Medical Imaging (AREA)
- Medicinal Chemistry (AREA)
- Veterinary Medicine (AREA)
- Molecular Biology (AREA)
- Biochemistry (AREA)
- Organic Low-Molecular-Weight Compounds And Preparation Thereof (AREA)
- Medicines Containing Antibodies Or Antigens For Use As Internal Diagnostic Agents (AREA)
- Pharmaceuticals Containing Other Organic And Inorganic Compounds (AREA)
- Hydrogenated Pyridines (AREA)
- Epoxy Compounds (AREA)
- Magnetic Resonance Imaging Apparatus (AREA)
Abstract
Description
Claims
Priority Applications (13)
| Application Number | Priority Date | Filing Date | Title |
|---|---|---|---|
| CN201680071559.0A CN108290849B (en) | 2015-12-10 | 2016-12-12 | Contrast agents |
| SG11201804415QA SG11201804415QA (en) | 2015-12-10 | 2016-12-12 | Contrast agents |
| EP16809392.0A EP3386953B1 (en) | 2015-12-10 | 2016-12-12 | Contrast agents |
| BR112018011541-0A BR112018011541B1 (en) | 2015-12-10 | 2016-12-12 | COMPOUNDS OF CONTRAST AGENTS, CHELATED COMPLEX AND PHARMACEUTICAL COMPOSITION COMPRISING SUCH CHELATED COMPLEX |
| AU2016368542A AU2016368542B2 (en) | 2015-12-10 | 2016-12-12 | Contrast agents |
| JP2018530016A JP6840148B2 (en) | 2015-12-10 | 2016-12-12 | Contrast |
| CA3002512A CA3002512C (en) | 2015-12-10 | 2016-12-12 | Macrocyclic chelating ligand and use thereof as contrast agent |
| US16/060,577 US10781188B2 (en) | 2015-12-10 | 2016-12-12 | Contrast agents |
| RU2018124984A RU2743167C2 (en) | 2015-12-10 | 2016-12-12 | Contrast agents |
| KR1020187016694A KR102703312B1 (en) | 2015-12-10 | 2016-12-12 | Contrast agent |
| ES16809392T ES2835065T3 (en) | 2015-12-10 | 2016-12-12 | Contrast agents |
| IL259901A IL259901B (en) | 2015-12-10 | 2018-06-07 | Functionalized macrocycle chelators, complexes containing same and uses thereof as contrast agents |
| US16/916,817 US11021451B2 (en) | 2015-12-10 | 2020-06-30 | Contrast agents |
Applications Claiming Priority (6)
| Application Number | Priority Date | Filing Date | Title |
|---|---|---|---|
| EPEP15199220.3 | 2015-12-10 | ||
| EP15199220 | 2015-12-10 | ||
| EPEP16170953.0 | 2016-05-24 | ||
| EP16170953 | 2016-05-24 | ||
| EPEP16194814.6 | 2016-10-20 | ||
| EP16194814 | 2016-10-20 |
Related Child Applications (2)
| Application Number | Title | Priority Date | Filing Date |
|---|---|---|---|
| US16/060,577 A-371-Of-International US10781188B2 (en) | 2015-12-10 | 2016-12-12 | Contrast agents |
| US16/916,817 Continuation US11021451B2 (en) | 2015-12-10 | 2020-06-30 | Contrast agents |
Publications (1)
| Publication Number | Publication Date |
|---|---|
| WO2017098038A1 true WO2017098038A1 (en) | 2017-06-15 |
Family
ID=57539261
Family Applications (1)
| Application Number | Title | Priority Date | Filing Date |
|---|---|---|---|
| PCT/EP2016/080592 Ceased WO2017098038A1 (en) | 2015-12-10 | 2016-12-12 | Contrast agents |
Country Status (11)
| Country | Link |
|---|---|
| US (2) | US10781188B2 (en) |
| JP (1) | JP6840148B2 (en) |
| KR (1) | KR102703312B1 (en) |
| CN (1) | CN108290849B (en) |
| AU (1) | AU2016368542B2 (en) |
| BR (1) | BR112018011541B1 (en) |
| CA (1) | CA3002512C (en) |
| IL (1) | IL259901B (en) |
| RU (1) | RU2743167C2 (en) |
| SG (1) | SG11201804415QA (en) |
| WO (1) | WO2017098038A1 (en) |
Cited By (8)
| Publication number | Priority date | Publication date | Assignee | Title |
|---|---|---|---|---|
| CN109851516A (en) * | 2019-01-28 | 2019-06-07 | 湖北天舒药业有限公司 | Method for hydrolysis for the tert-butyl ester in gadolinium system contrast agent |
| WO2020127154A1 (en) | 2018-12-18 | 2020-06-25 | Bracco Imaging Spa | Pharmaceutical compositions comprising gd-complexes and polyarylene additives |
| US10722601B2 (en) | 2015-06-04 | 2020-07-28 | Bayer Pharma Aktiengesellschaft | Gadolinium chelate compounds for use in magnetic resonance imaging |
| JP2021506901A (en) * | 2017-12-20 | 2021-02-22 | ゼネラル・エレクトリック・カンパニイ | Anionic chelate compound |
| WO2021067513A1 (en) * | 2019-10-01 | 2021-04-08 | City Of Hope | Metal chelating agents and methods of using the same |
| US10975060B2 (en) | 2016-11-28 | 2021-04-13 | Bayer Pharma Aktiengesellschaft | High relaxivity gadolinium chelate compounds for use in magnetic resonance imaging |
| WO2021116165A1 (en) | 2019-12-13 | 2021-06-17 | Bracco Imaging Spa | Manufacturing of protected do3a |
| US11944690B2 (en) | 2018-11-23 | 2024-04-02 | Bayer Aktiengesellschaft | Formulation of contrast media and process of preparation thereof |
Families Citing this family (4)
| Publication number | Priority date | Publication date | Assignee | Title |
|---|---|---|---|---|
| GB201610738D0 (en) | 2016-06-20 | 2016-08-03 | Ge Healthcare As | Chelate compounds |
| CA3037803A1 (en) | 2016-12-12 | 2018-06-21 | Bracco Imaging Spa | Dimeric contrast agents |
| CN109867635A (en) * | 2019-02-14 | 2019-06-11 | 华东师范大学 | A kind of T1 type micella magnetic resonance imaging contrast and preparation method thereof |
| CN113861053B (en) * | 2021-09-26 | 2023-12-05 | 苏州亚科科技股份有限公司 | Preparation method of tris (hydroxymethyl) methylglycine |
Citations (3)
| Publication number | Priority date | Publication date | Assignee | Title |
|---|---|---|---|---|
| EP0512661A1 (en) * | 1991-05-10 | 1992-11-11 | Schering Aktiengesellschaft | Macrocyclic polymer-complexing, their complexes, method for their production and pharmaceutical agents containing them |
| WO1998048844A2 (en) * | 1997-04-29 | 1998-11-05 | Schering Aktiengesellschaft | Ion paris, method for the production and use thereof as contrast agents |
| US20130296539A1 (en) * | 2012-05-07 | 2013-11-07 | Kumar Ranjan Bhushan | Magnetic resonance imaging agents for calcification |
Family Cites Families (18)
| Publication number | Priority date | Publication date | Assignee | Title |
|---|---|---|---|---|
| US4647447A (en) | 1981-07-24 | 1987-03-03 | Schering Aktiengesellschaft | Diagnostic media |
| US4885363A (en) | 1987-04-24 | 1989-12-05 | E. R. Squibb & Sons, Inc. | 1-substituted-1,4,7-triscarboxymethyl-1,4,7,10-tetraazacyclododecane and analogs |
| IT1213029B (en) | 1986-01-30 | 1989-12-07 | Bracco Ind Chimica Spa | PARAMAGNETIC METAL ION CHELATES. |
| US5132409A (en) | 1987-01-12 | 1992-07-21 | Bracco Industria Chimica S.P.A. | Macrocyclic chelating agents and chelates thereof |
| DE4009119A1 (en) | 1990-03-19 | 1991-09-26 | Schering Ag | 1,4,7,10-TETRAAZACYCLODODECANE-BUTYLTRIOLS, METHOD FOR THE PRODUCTION THEREOF AND PHARMACEUTICAL AGENTS CONTAINING THEM |
| DE4035760A1 (en) | 1990-11-08 | 1992-05-14 | Schering Ag | MONO-N-SUBSTITUTED 1,4,7,10-TETRAAZACYCLODODECAN DERIVATIVES, METHOD FOR THE PRODUCTION THEREOF AND PHARMACEUTICAL AGENTS CONTAINING THEM |
| US6047274A (en) * | 1997-02-24 | 2000-04-04 | Geophonic Networks, Inc. | Bidding for energy supply |
| IT1291624B1 (en) | 1997-04-18 | 1999-01-11 | Bracco Spa | COMPLEX CHELATES OF PARAMAGNETIC METALS WITH LOW TOXICITY |
| IT1292128B1 (en) | 1997-06-11 | 1999-01-25 | Bracco Spa | PROCESS FOR THE PREPARATION OF MACROCYCLIC CHELANTS AND THEIR CHELATES WITH PARAMAGNETIC METALLIC IONS |
| DE19849465A1 (en) * | 1998-10-21 | 2000-04-27 | Schering Ag | New dimeric ion pairs containing cationic and anionic metal complexes; useful as low viscosity contrast agents for X-ray, magnetic resonance and radiodiagnostic techniques, and as radiotherapy agents |
| DE10117242C1 (en) * | 2001-04-06 | 2002-05-16 | Schering Ag | New dimeric tetraazacyclododecane derivatives and their metal complexes useful as components of diagnostic agents, especially X-ray contrast agents, and radiotherapeutics |
| US7208140B2 (en) | 2003-02-19 | 2007-04-24 | Schering Aktiengesellschaft | Trimeric macrocyclic substituted benzene derivatives |
| NO20051911D0 (en) * | 2005-04-19 | 2005-04-19 | Amersham Health As | Synthesis |
| CL2008001002A1 (en) | 2007-04-11 | 2008-10-17 | Actelion Pharmaceuticals Ltd | COMPOUNDS DERIVED FROM OXAZOLIDINONA; PHARMACEUTICAL COMPOSITION THAT INCLUDES SUCH COMPOUNDS; AND ITS USE TO PREPARE A MEDICINAL PRODUCT TO TREAT A BACTERIAL INFECTION. |
| EP2149567A1 (en) | 2008-07-18 | 2010-02-03 | Bayer Schering Pharma Aktiengesellschaft | Cyclic polyamines for binding phosphatidylserine |
| CN102727911B (en) | 2012-07-09 | 2013-07-24 | 中国科学院长春应用化学研究所 | Diamino polyethylene glycol modified paramagnetic metal complex magnetic resonance imaging contrast agent |
| US9155804B2 (en) | 2012-09-26 | 2015-10-13 | General Electric Company | Contrast enhancement agents and method of use thereof |
| US10786497B2 (en) | 2013-08-16 | 2020-09-29 | Equip, Llc | Discrete PEG constructs |
-
2016
- 2016-12-12 SG SG11201804415QA patent/SG11201804415QA/en unknown
- 2016-12-12 RU RU2018124984A patent/RU2743167C2/en active
- 2016-12-12 BR BR112018011541-0A patent/BR112018011541B1/en active IP Right Grant
- 2016-12-12 WO PCT/EP2016/080592 patent/WO2017098038A1/en not_active Ceased
- 2016-12-12 KR KR1020187016694A patent/KR102703312B1/en active Active
- 2016-12-12 AU AU2016368542A patent/AU2016368542B2/en active Active
- 2016-12-12 CN CN201680071559.0A patent/CN108290849B/en active Active
- 2016-12-12 CA CA3002512A patent/CA3002512C/en active Active
- 2016-12-12 JP JP2018530016A patent/JP6840148B2/en active Active
- 2016-12-12 US US16/060,577 patent/US10781188B2/en active Active
-
2018
- 2018-06-07 IL IL259901A patent/IL259901B/en unknown
-
2020
- 2020-06-30 US US16/916,817 patent/US11021451B2/en active Active
Patent Citations (3)
| Publication number | Priority date | Publication date | Assignee | Title |
|---|---|---|---|---|
| EP0512661A1 (en) * | 1991-05-10 | 1992-11-11 | Schering Aktiengesellschaft | Macrocyclic polymer-complexing, their complexes, method for their production and pharmaceutical agents containing them |
| WO1998048844A2 (en) * | 1997-04-29 | 1998-11-05 | Schering Aktiengesellschaft | Ion paris, method for the production and use thereof as contrast agents |
| US20130296539A1 (en) * | 2012-05-07 | 2013-11-07 | Kumar Ranjan Bhushan | Magnetic resonance imaging agents for calcification |
Non-Patent Citations (3)
| Title |
|---|
| CHRISTIAN GLØGÅRD ET AL: "Novel radical-responsive MRI contrast agent based on paramagnetic liposomes", MAGNETIC RESONANCE IN CHEMISTRY., vol. 41, no. 8, 2 August 2003 (2003-08-02), GB, pages 585 - 588, XP055278055, ISSN: 0749-1581, DOI: 10.1002/mrc.1208 * |
| HOVLAND R ET AL: "Gadolinium DO3A derivatives mimicking phospholipids;Preparation and in vitro evaluation as pH responsive MRI contrast agents", JOURNAL OF THE CHEMICAL SOCIETY, PERKIN TRANSACTIONS 2, CHEMICAL SOCIETY. LETCHWORTH, GB, no. 6, 1 January 2001 (2001-01-01), pages 929 - 933, XP002220628, ISSN: 1472-779X, DOI: 10.1039/B100405K * |
| LORENZO TEI ET AL: ") DOTA complexes", DALTON TRANSACTIONS: THE INTERNATIONAL JOURNAL FOR INORGANIC, ORGANOMETALLIC AND BIOINORGANIC CHEMISTRY, vol. 44, no. 12, 1 January 2015 (2015-01-01), GB, pages 5467 - 5478, XP055278046, ISSN: 1477-9226, DOI: 10.1039/C4DT03939D * |
Cited By (15)
| Publication number | Priority date | Publication date | Assignee | Title |
|---|---|---|---|---|
| US12478696B2 (en) | 2015-06-04 | 2025-11-25 | Bayer Pharma Aktiengesellschaft | Gadolinium chelate compounds for use in magnetic resonance imaging |
| US10722601B2 (en) | 2015-06-04 | 2020-07-28 | Bayer Pharma Aktiengesellschaft | Gadolinium chelate compounds for use in magnetic resonance imaging |
| US11491245B2 (en) | 2015-06-04 | 2022-11-08 | Bayer Pharma Aktiengesellschaft | Gadolinium chelate compounds for use in magnetic resonance imaging |
| US10975060B2 (en) | 2016-11-28 | 2021-04-13 | Bayer Pharma Aktiengesellschaft | High relaxivity gadolinium chelate compounds for use in magnetic resonance imaging |
| US11814369B2 (en) | 2016-11-28 | 2023-11-14 | Bayer Pharma Aktiengesellschaft | High relaxivity gadolinium chelate compounds for use in magnetic resonance imaging |
| JP2021506901A (en) * | 2017-12-20 | 2021-02-22 | ゼネラル・エレクトリック・カンパニイ | Anionic chelate compound |
| JP7332600B2 (en) | 2017-12-20 | 2023-08-23 | ゼネラル・エレクトリック・カンパニイ | anionic chelate |
| US11944690B2 (en) | 2018-11-23 | 2024-04-02 | Bayer Aktiengesellschaft | Formulation of contrast media and process of preparation thereof |
| US12303573B2 (en) | 2018-11-23 | 2025-05-20 | Bayer Aktiengesellschaft | Formulation of contrast media and process of preparation thereof |
| US12226494B2 (en) | 2018-12-18 | 2025-02-18 | Bracco Imaging S.P.A. | Pharmaceutical compositions comprising Gd-complexes and polyarylene additives |
| WO2020127154A1 (en) | 2018-12-18 | 2020-06-25 | Bracco Imaging Spa | Pharmaceutical compositions comprising gd-complexes and polyarylene additives |
| CN109851516A (en) * | 2019-01-28 | 2019-06-07 | 湖北天舒药业有限公司 | Method for hydrolysis for the tert-butyl ester in gadolinium system contrast agent |
| WO2021067513A1 (en) * | 2019-10-01 | 2021-04-08 | City Of Hope | Metal chelating agents and methods of using the same |
| WO2021116165A1 (en) | 2019-12-13 | 2021-06-17 | Bracco Imaging Spa | Manufacturing of protected do3a |
| US12297180B2 (en) | 2019-12-13 | 2025-05-13 | Bracco Imaging S.P.A. | Manufacturing of protected DO3A |
Also Published As
| Publication number | Publication date |
|---|---|
| KR20180090817A (en) | 2018-08-13 |
| IL259901A (en) | 2018-07-31 |
| AU2016368542A1 (en) | 2018-05-10 |
| RU2743167C2 (en) | 2021-02-15 |
| JP2018538294A (en) | 2018-12-27 |
| RU2018124984A (en) | 2020-01-10 |
| CN108290849B (en) | 2022-03-22 |
| US20180362476A1 (en) | 2018-12-20 |
| BR112018011541B1 (en) | 2022-02-15 |
| BR112018011541A2 (en) | 2018-11-27 |
| US11021451B2 (en) | 2021-06-01 |
| KR102703312B1 (en) | 2024-09-05 |
| SG11201804415QA (en) | 2018-06-28 |
| JP6840148B2 (en) | 2021-03-10 |
| CN108290849A (en) | 2018-07-17 |
| RU2018124984A3 (en) | 2020-04-06 |
| IL259901B (en) | 2021-10-31 |
| CA3002512C (en) | 2021-08-03 |
| AU2016368542B2 (en) | 2020-07-16 |
| US20200325108A1 (en) | 2020-10-15 |
| CA3002512A1 (en) | 2017-06-15 |
| US10781188B2 (en) | 2020-09-22 |
Similar Documents
| Publication | Publication Date | Title |
|---|---|---|
| US11021451B2 (en) | Contrast agents | |
| EP3753929B1 (en) | Dimeric contrast agents | |
| EP3442949B1 (en) | Contrast agents | |
| IL265680A (en) | Dimeric contrast agents | |
| EP3386953B1 (en) | Contrast agents | |
| NZ741900B2 (en) | Dimeric contrast agents | |
| HK1257515A1 (en) | Dimeric contrast agents | |
| HK1257515B (en) | Dimeric contrast agents |
Legal Events
| Date | Code | Title | Description |
|---|---|---|---|
| 121 | Ep: the epo has been informed by wipo that ep was designated in this application |
Ref document number: 16809392 Country of ref document: EP Kind code of ref document: A1 |
|
| ENP | Entry into the national phase |
Ref document number: 3002512 Country of ref document: CA |
|
| ENP | Entry into the national phase |
Ref document number: 2016368542 Country of ref document: AU Date of ref document: 20161212 Kind code of ref document: A |
|
| WWE | Wipo information: entry into national phase |
Ref document number: 11201804415Q Country of ref document: SG |
|
| WWE | Wipo information: entry into national phase |
Ref document number: 259901 Country of ref document: IL |
|
| WWE | Wipo information: entry into national phase |
Ref document number: 2018530016 Country of ref document: JP |
|
| ENP | Entry into the national phase |
Ref document number: 20187016694 Country of ref document: KR Kind code of ref document: A |
|
| NENP | Non-entry into the national phase |
Ref country code: DE |
|
| REG | Reference to national code |
Ref country code: BR Ref legal event code: B01A Ref document number: 112018011541 Country of ref document: BR |
|
| WWE | Wipo information: entry into national phase |
Ref document number: 112018013179 Country of ref document: BR |
|
| WWE | Wipo information: entry into national phase |
Ref document number: 2018124984 Country of ref document: RU |
|
| ENP | Entry into the national phase |
Ref document number: 112018011541 Country of ref document: BR Kind code of ref document: A2 Effective date: 20180607 |
|
| REG | Reference to national code |
Ref country code: BR Ref legal event code: B01A Ref document number: 112018013179 Country of ref document: BR |
























































































































