WO2017012714A1 - Asymmetrically substituted polyorganosiloxane derivatives - Google Patents

Asymmetrically substituted polyorganosiloxane derivatives Download PDF

Info

Publication number
WO2017012714A1
WO2017012714A1 PCT/EP2016/001266 EP2016001266W WO2017012714A1 WO 2017012714 A1 WO2017012714 A1 WO 2017012714A1 EP 2016001266 W EP2016001266 W EP 2016001266W WO 2017012714 A1 WO2017012714 A1 WO 2017012714A1
Authority
WO
WIPO (PCT)
Prior art keywords
group
groups
alkyl
preferred
och
Prior art date
Legal status (The legal status is an assumption and is not a legal conclusion. Google has not performed a legal analysis and makes no representation as to the accuracy of the status listed.)
Ceased
Application number
PCT/EP2016/001266
Other languages
French (fr)
Other versions
WO2017012714A8 (en
Inventor
Gunnar HOFFMÜLLER
Thorsten FELDER
Roland Wagner
Anita Witossek
Silvia EFFERT
Jörg-Walter Hermann
Siegfried HOSSINGER
Andreas Häusler
Current Assignee (The listed assignees may be inaccurate. Google has not performed a legal analysis and makes no representation or warranty as to the accuracy of the list.)
Momentive Performance Materials GmbH
Original Assignee
Momentive Performance Materials GmbH
Priority date (The priority date is an assumption and is not a legal conclusion. Google has not performed a legal analysis and makes no representation as to the accuracy of the date listed.)
Filing date
Publication date
Application filed by Momentive Performance Materials GmbH filed Critical Momentive Performance Materials GmbH
Priority to EP16750378.8A priority Critical patent/EP3325540B1/en
Priority to ES16750378T priority patent/ES3042071T3/en
Priority to KR1020187005026A priority patent/KR102745734B1/en
Priority to JP2018502665A priority patent/JP2018528289A/en
Priority to US15/745,499 priority patent/US11535751B2/en
Priority to CN201680054562.1A priority patent/CN108026279B/en
Publication of WO2017012714A1 publication Critical patent/WO2017012714A1/en
Publication of WO2017012714A8 publication Critical patent/WO2017012714A8/en
Anticipated expiration legal-status Critical
Priority to JP2024014327A priority patent/JP2024054182A/en
Ceased legal-status Critical Current

Links

Classifications

    • CCHEMISTRY; METALLURGY
    • C08ORGANIC MACROMOLECULAR COMPOUNDS; THEIR PREPARATION OR CHEMICAL WORKING-UP; COMPOSITIONS BASED THEREON
    • C08LCOMPOSITIONS OF MACROMOLECULAR COMPOUNDS
    • C08L83/00Compositions of macromolecular compounds obtained by reactions forming in the main chain of the macromolecule a linkage containing silicon with or without sulfur, nitrogen, oxygen or carbon only; Compositions of derivatives of such polymers
    • C08L83/04Polysiloxanes
    • C08L83/08Polysiloxanes containing silicon bound to organic groups containing atoms other than carbon, hydrogen and oxygen
    • CCHEMISTRY; METALLURGY
    • C07ORGANIC CHEMISTRY
    • C07FACYCLIC, CARBOCYCLIC OR HETEROCYCLIC COMPOUNDS CONTAINING ELEMENTS OTHER THAN CARBON, HYDROGEN, HALOGEN, OXYGEN, NITROGEN, SULFUR, SELENIUM OR TELLURIUM
    • C07F7/00Compounds containing elements of Groups 4 or 14 of the Periodic Table
    • C07F7/02Silicon compounds
    • C07F7/21Cyclic compounds having at least one ring containing silicon, but no carbon in the ring
    • CCHEMISTRY; METALLURGY
    • C08ORGANIC MACROMOLECULAR COMPOUNDS; THEIR PREPARATION OR CHEMICAL WORKING-UP; COMPOSITIONS BASED THEREON
    • C08GMACROMOLECULAR COMPOUNDS OBTAINED OTHERWISE THAN BY REACTIONS ONLY INVOLVING UNSATURATED CARBON-TO-CARBON BONDS
    • C08G77/00Macromolecular compounds obtained by reactions forming a linkage containing silicon with or without sulfur, nitrogen, oxygen or carbon in the main chain of the macromolecule
    • C08G77/04Polysiloxanes
    • C08G77/045Polysiloxanes containing less than 25 silicon atoms
    • CCHEMISTRY; METALLURGY
    • C08ORGANIC MACROMOLECULAR COMPOUNDS; THEIR PREPARATION OR CHEMICAL WORKING-UP; COMPOSITIONS BASED THEREON
    • C08GMACROMOLECULAR COMPOUNDS OBTAINED OTHERWISE THAN BY REACTIONS ONLY INVOLVING UNSATURATED CARBON-TO-CARBON BONDS
    • C08G77/00Macromolecular compounds obtained by reactions forming a linkage containing silicon with or without sulfur, nitrogen, oxygen or carbon in the main chain of the macromolecule
    • C08G77/04Polysiloxanes
    • C08G77/06Preparatory processes
    • C08G77/08Preparatory processes characterised by the catalysts used
    • CCHEMISTRY; METALLURGY
    • C08ORGANIC MACROMOLECULAR COMPOUNDS; THEIR PREPARATION OR CHEMICAL WORKING-UP; COMPOSITIONS BASED THEREON
    • C08GMACROMOLECULAR COMPOUNDS OBTAINED OTHERWISE THAN BY REACTIONS ONLY INVOLVING UNSATURATED CARBON-TO-CARBON BONDS
    • C08G77/00Macromolecular compounds obtained by reactions forming a linkage containing silicon with or without sulfur, nitrogen, oxygen or carbon in the main chain of the macromolecule
    • C08G77/04Polysiloxanes
    • C08G77/20Polysiloxanes containing silicon bound to unsaturated aliphatic groups
    • CCHEMISTRY; METALLURGY
    • C08ORGANIC MACROMOLECULAR COMPOUNDS; THEIR PREPARATION OR CHEMICAL WORKING-UP; COMPOSITIONS BASED THEREON
    • C08GMACROMOLECULAR COMPOUNDS OBTAINED OTHERWISE THAN BY REACTIONS ONLY INVOLVING UNSATURATED CARBON-TO-CARBON BONDS
    • C08G77/00Macromolecular compounds obtained by reactions forming a linkage containing silicon with or without sulfur, nitrogen, oxygen or carbon in the main chain of the macromolecule
    • C08G77/04Polysiloxanes
    • C08G77/22Polysiloxanes containing silicon bound to organic groups containing atoms other than carbon, hydrogen and oxygen
    • CCHEMISTRY; METALLURGY
    • C08ORGANIC MACROMOLECULAR COMPOUNDS; THEIR PREPARATION OR CHEMICAL WORKING-UP; COMPOSITIONS BASED THEREON
    • C08GMACROMOLECULAR COMPOUNDS OBTAINED OTHERWISE THAN BY REACTIONS ONLY INVOLVING UNSATURATED CARBON-TO-CARBON BONDS
    • C08G77/00Macromolecular compounds obtained by reactions forming a linkage containing silicon with or without sulfur, nitrogen, oxygen or carbon in the main chain of the macromolecule
    • C08G77/42Block-or graft-polymers containing polysiloxane sequences
    • CCHEMISTRY; METALLURGY
    • C09DYES; PAINTS; POLISHES; NATURAL RESINS; ADHESIVES; COMPOSITIONS NOT OTHERWISE PROVIDED FOR; APPLICATIONS OF MATERIALS NOT OTHERWISE PROVIDED FOR
    • C09DCOATING COMPOSITIONS, e.g. PAINTS, VARNISHES OR LACQUERS; FILLING PASTES; CHEMICAL PAINT OR INK REMOVERS; INKS; CORRECTING FLUIDS; WOODSTAINS; PASTES OR SOLIDS FOR COLOURING OR PRINTING; USE OF MATERIALS THEREFOR
    • C09D183/00Coating compositions based on macromolecular compounds obtained by reactions forming in the main chain of the macromolecule a linkage containing silicon, with or without sulfur, nitrogen, oxygen, or carbon only; Coating compositions based on derivatives of such polymers
    • C09D183/10Block or graft copolymers containing polysiloxane sequences
    • CCHEMISTRY; METALLURGY
    • C09DYES; PAINTS; POLISHES; NATURAL RESINS; ADHESIVES; COMPOSITIONS NOT OTHERWISE PROVIDED FOR; APPLICATIONS OF MATERIALS NOT OTHERWISE PROVIDED FOR
    • C09DCOATING COMPOSITIONS, e.g. PAINTS, VARNISHES OR LACQUERS; FILLING PASTES; CHEMICAL PAINT OR INK REMOVERS; INKS; CORRECTING FLUIDS; WOODSTAINS; PASTES OR SOLIDS FOR COLOURING OR PRINTING; USE OF MATERIALS THEREFOR
    • C09D5/00Coating compositions, e.g. paints, varnishes or lacquers, characterised by their physical nature or the effects produced; Filling pastes
    • C09D5/16Antifouling paints; Underwater paints
    • C09D5/1656Antifouling paints; Underwater paints characterised by the film-forming substance
    • C09D5/1662Synthetic film-forming substance
    • C09D5/1675Polyorganosiloxane-containing compositions
    • GPHYSICS
    • G02OPTICS
    • G02BOPTICAL ELEMENTS, SYSTEMS OR APPARATUS
    • G02B1/00Optical elements characterised by the material of which they are made; Optical coatings for optical elements
    • G02B1/10Optical coatings produced by application to, or surface treatment of, optical elements
    • G02B1/14Protective coatings, e.g. hard coatings

Definitions

  • the present invention relates to siloxane materials, and particularly to siloxane materials that are suitable as dispersion aids, surfactants, or compatibilizers in various systems.
  • the present invention relates to asymmetrically substituted di- and pentasiloxane derivatives and oligomers thereof suitable for coating of organic and inorganic surfaces, organic and inorganic particles, and/or which can enhance compatibilization of materials or separated liquid phases, e.g., solutions or polymer systems that are mixed together and tend to separate into phases.
  • the work leading to this invention has received funding from the European Union Seventh Framework Program (FP7-NMP-2010-LARGE-4) under "grant agreement" n° 263382.
  • the antifouling project received funding from the Federal Ministry for Economic Affairs and Energy of Germany under"grant agreement" 03SX370H.
  • Dispersion aids based on poly- or oligosiloxane are well known in the prior art.
  • polydiorganosiloxandiols are useful for the dispersion of silicas and inorganic oxides.
  • Filler materials such as, e.g., silicas, metal oxides of aluminum, titanium, zinc, zirconium or tin, and other metal oxides, are employed in various compositions.
  • Such fillers are applied for several reasons in coating or rubber compositions. For example, fillers can be added to improve the physical properties, e.g., to provide mechanical strength or even to enhance the optical properties of those compositions.
  • one group may have a preferred ability to interact with the filler or any first substrate and a second group may be accessible for a reaction with matrix polymer of the composition or may provide groups which can shielding those filler particles or substrates. Many attempts have been made to achieve such asymmetric polyorganosiloxanes having two different end groups.
  • Either the syntheses are (i) restricted to specific end groups or (ii) do not exclude equilibrating reactions, i.e., the reaction results in other by-products having two identical terminal groups or comprise cyclic siloxanes having none of the desired functionality.
  • the inventors have surprisingly found a synthesis route which provides polyorganosiloxanes having two different terminal groups and a well-defined siloxane chain length.
  • the polyorganosiloxanes materials are relatively short-chained siloxanes which can be used in a variety of applications including surface modifying agents, dispersion aids, or compatibilizer etc.
  • the present invention provides asymmetrically substituted, short chained siloxane derivatives having monomodal distribution of the chain length, i.e. a small polydispersity index.
  • the various reactive terminal groups are selected from alkoxysilyl, unsaturated, epoxy, ionic and di- or trihydroxyaromatic substituents as a terminal group.
  • the insertion of two different reactive groups according to the invention results in an asymmetric polyorganosiloxane having two different reactive moieties at the end of the chain.
  • the reactive moiety is chosen from an epoxy, an olefinic moiety, an acetylenic moiety, etc., or a combination of two or more thereof, whereby the group at other terminal position may have the ability to undergo a condensation or a substitution reaction.
  • Another aspect of the invention is that it provides an assymetrically substituted polyorganosiloxane that comprises a relatively narrow molecular weight distribution of the polyorganosiloxane.
  • the siloxane compound has a substantial monomodal distribution of the chain length, i. e., comprising more than 85 wt. % having the same chain length.
  • Figure 1 is a graph showing the antifouling/fouling release performance of antifouling coating compositions comprising asymetrically substituted polyorganosiloxane derivatives in accordance with aspects of the invention.
  • Figures 2-4 are images showing the fouling coverage of panels A to F coated with different materials after 85 days of sea immersion, 189 days of sea immersion, and 219 days of sea immersion respectively.
  • polyorganosiloxanes comprising two different terminal groups where the polyorganosiloxane exhibits a low polydispersity index.
  • the polyorganosiloxanes may find use in a variety of applications and materials.
  • the inventors could synthesize polyorganosiloxanes having exactly two different reactive groups at both ends at a level of high purity respectively a small polydispersity index, which is characterized by the ratio of the weight-average molecular weight to the number-average molecular weight Mw/Mn. Here it is in the range from 1 to 1.2.
  • the inventors found a way to insert terminal groups stepwise, whereby after each reaction step a purification step could be applied, which allows to control the completeness of the addition of a first terminal end group and then the addition of a second different terminal group.
  • a polyorganosiloxane of the formula (I) comprising two different terminal groups Z 1 and Z 2 :
  • R or R 1 is a saturated hydrocarbon substituent selected from the group consisting of a monovalent CI to C22-alkyl, optionally substituted by F, a C6- C22-aryl, a C8-C22-polycyclic aryl, a C7-C23-alkylaryl, and a C7-C22-arylalkyl group,
  • L is a single bond, or a divalent or trivalent group L 1 or L 2 which are selected from the group consisting of a divalent Cl-C12-alkylene group, which can be interrupted by one or more -0-, - or -IMR 3 -C(0)-, and/or -NR 3 -, urethane- OC(0)NR 3 - , urea -N-R 3 HC(0)N-R 3 - moieties, and substituted by one or more OH groups, wherein R 3 is hydrogen, Me3Si- or C1-C8 alkyl,
  • Z is a monovalent group selected from the group Z 1 and Z 2 , wherein
  • Z 1 and Z 2 are selected from Z which is selected from the group consisting of R 1 , R 2 , hydrogen, monovalent unsubstituted or substituted C1-C30 hydrocarbons, and an ionic group comprising O, N, S and P atoms, in more specific embodiments, Z is selected in from the group consisting of C8-C22-alkylarylalkyl, C6-C22-aryl ether, C6-C22-cycloalkyl, C7-C22-cycloalkylalkylene, C7-C22- bicycloalkyl, C6-C12-cyclothioalkyl, , C5-C12-hetero-N, -O, -S-aryl, Cl-C20-alkyl aldehydes and C7-C20-alkylaryl aldehydes, optionally substituted by Cl-C8-alkyl, OH, CI, Br, CN and a silyl ether group R ⁇ Si
  • R 6 C6-C10-aryl, C7-C12-arylalkyl, C6-C12-cycloalkyl, C7-C16-bicycloalkyl, C3- C12-epoxy alkyl, C6-C12-epoxy cycloalkyl, C7-C16-epoxy bicycloalkyl, C6-C12- thiocycloalkyl, C5-C12-hetreo-N,-0, -S-aryl, and
  • an ionic group derived from an ester of a carboxylic acid, S or P acid such as -C(0)-0-R 3 , (R 3 0) 2 -P(0)-0- , (R 3 0) 2 -P(0)-, phosphonates (R 3 -0) 2 -P-, phosphines, amines, betaines, such as -NHR 3 -CH 2 -COOH, -NHR 3 -CH 2 -0- S(0)2(0H), -S-S(0)2(0R 3 ), and a primary, secondary, tertiary amine -NR 3 2 or phosphine -PR 3 2 , and an acid addition salt of an amine, phosphine preferably salts having quaternary -N + R 1 3 or -P + R 1 3 groups, and
  • R 3 is hydrogen, C1-C8 alkyl, C2-C8 alkenyl, R ⁇ Si- bonded via a single bond or carbon bond of L to the silicon atom of the siloxy unit of the polyorganosiloxane (I), whereby -L-Z 2 and -L-Z 1 are different.
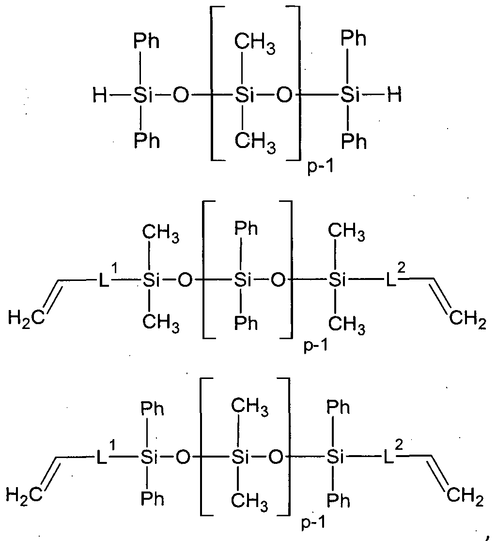
  • the inventive compounds are composed of one or more defined polysiloxane blocks consisting essentially either of a disiloxane, a polyorganopentasiloxane, or polyorganodecasiloxane block.
  • the precursors i.e., compounds like disubstituted tetraorganodisiloxanes, hexaorganocyclotrisiloxanes and their reaction product of the non- equilibrated reaction, have distinct boiling points and can be enriched respectively purified, e.g., by distillation or crystallization in each of the following steps of the addition of the terminal groups.
  • one of the preferred pentasiloxane can be H me2Si-0-[me 2 SiO]3-Sime2H synthesized by a non- equilibrating reaction of hexamethylcyclotrisiloxane and Hme 2 Si-0- Sime 2 H ( according to e.g. JP 11158188 B) already in high purity. After an additional distillation a pentasiloxane content of more than 90 wt.% according to gas chromatography is achievable.
  • the aforementioned process for the synthesis of the non-equilibrated polyorganosiloxanes is applicable also for other di-substituted tetraorganodisiloxanes, and hexaorganocyclotrisiloxanes.
  • the purified pentasiloxane either having the structure M H D3M H or M vi D3M i is submitted to the stepwise addition of further compounds comprising complementary reactive groups which can undergo a hydrosilylation reaction with the SiH unit respectively together with unsaturated groups.
  • the precursors for organic groups forming the L and Z groups must therefore provide such functionalities for a first hydrosilylation step.
  • the precursors comprise further functionalities which after hydrosilylation step can form the group Z or provide a second functionality which can serve as basis in a further third reaction to form Z 1 , Z 2 or Z 22 .
  • alkylhalogenides may serve to form -C-N-, -C-S-, -C-NCO, -C-P- bonds or epoxides which are a basis to form esters, amine etc.
  • the inventors have found a syntheses route or method to create asymmetrically substituted polyorganopentasiloxanes whose starting precursors are either di-, penta- or decasiloxane such as M H M H , M H D3M H , M H D8M H , or respectively the M R2 M 2 or M R D3M R2 polyorganosiloxanes, wherein R 2 is an unsaturated group, and wherein any of these precursors can be reacted in the additional steps of, e.g.,
  • unsaturated compound e.g. vinylalkoxysilane or alkenylhalogenid or a hydridoalkoxysilane or SiH-siloxane to create a new terminal group, then optionally get purified or enriched and in a second step;
  • unsaturated compound e.g. vinylalkoxysilane or alkenylhalogenid or a hydridoalkoxysilane or SiH-siloxane
  • the second precursor is an unsaturated epoxy, alkenylhalogenid, or alkenyl ether compound in the presence of a hydrosilylation catalyst.
  • polyorganosiloxane compounds according to the invention can be derived from any suitable polyorganosiloxane as a starting material which provides symmetrically reactive substituents at the terminal groups.
  • suitable polyorganosiloxanes include, but are not limited to:
  • R and R 1 are methyl, 3,3,3-trifluoropropyl, phenyl, styryl, phenylpropyl, naphthyl,
  • L 1 and L 2 are selected from a single bond, a divalent or a trivalent C1-C12- alkylene groups, which can be interrupted by one or more -0-, - or -NR 3 -C(0)-, and/or -NR 3 - moieties, and substituted by one or more OH groups,
  • R 10 , R 14 is hydrogen or R 1 and
  • R 11 , R 12 , R 13 are selected from -OR 3 ,
  • At least one of the groups R 11 to R 13 is OH, and selected from eugenol, bisphenolethers, cumylphenolether,
  • R 6 C6-C10-aryl, C7-C12-arylalkyl, C6-C12-cycloalkyl, C7-C16-bicycloalkyl, C6-C12- cyclothioalkyl, C5-C12-hetero-N, -O, -S-aryl, optionally substituted by Cl-C8-alkyl, OH, CI, CN, and a silyl ether group R ⁇ Si-O-,
  • a primary, secondary, tertiary amine -NR 3 2 or phosphine -PR 3 2 and an acid addition salt of an amine, phosphine preferably salts having quaternary -N + R 1 3 or - P + R 1 3 groups, wherein R 3 as defined above,
  • Examples for the possible substituted oxyaromatic compounds include, but are not limited to: l-allyl-3.4-dihydroxy benzene (allyl catechol), unsaturated monoether of monohydroxy compounds, i.e. l-allyl-3-methoxy-4-hydroxy benzene (eugenol), unsaturated bis-silyl compounds, i.e. the bis-alkoxysilyl derivatives of l-allyl-3.4 dihydroxy benzene. It assumed where necessary that the Si-O-C bonds are useful as a potential blocking group and can release further hydroxyl aryl groups or make the hydroxyl aryl groups accessible for other condensation reactions.
  • the group of C5-C12-hetero-N, -O, -S-aryl may include indoles, carbazole, furanes, thiophenes.
  • the polyorganosiloxane is as follows:
  • R 1 is selected of methyl, phenyl, 3,3,3-trifluoropropyl
  • L is selected from L 1 and L 2 and is as defined above,
  • Z 1 and Z 2 are selected from Z is phenyl, phenylpropyl, styryl, naphthyl, eugenol, bisphenolethers, cumylphenolether,
  • R 10 , R 14 is hydrogen or R 1 and
  • R 11 , R 12 , R 13 are selected from -OR 3 ,
  • R 11 to R 13 are OH groups, and norbornyl, vinyl, allyl, allyloxypropyl, hexenyl, norbornenyl, cyclohexenylethyl, limonyl, and glycidylpropylether, epoxylimonyl, epoxycyclohexanethyl, epoxynorbornyl, and the carbonate derivatives of these epoxides, and a group selected from CI, -S-H, -NCO, blocked NCO, and a group selected from
  • R6 phenyl, naphthyl, phenylethyl, phenylpropyl, eugenol, limonyl, epoxylimonyl, glycidylpropylether epoxycyclohexylethyl, norbornenylethyl, epoxy norbornenylethyl, carbazol, indol,
  • an ionic group derived from an ester of a carboxylic acid, S or P acid such as -C(0)-0-R 3 , (R 3 0) 2 -P(0)-0- , (R 3 0) 2 -P(0)-, phosphonates (R 3 -0) 2 -P-, amines, betaines such as -NHR 3 -CH 2 -COOH, -NHR 3 -CH 2 -0-S(0) 2 (OH), and a primary, secondary, tertiary amine -NR 3 2 , and an acid addition salt of an amine, salts having quaternary -N + R 1 3 and enamines,
  • the polyorganosiloxane is defined is as follows:
  • R 10 , R 14 is hydrogen or R 1 and
  • R 11 , R 12 , R 13 are selected from -OR 3 ,
  • R 11 to R 13 are OH, and selected from an ionic group derived from an ester of a carboxylic acid, S or P acid such as -C(0)-0-H, (HO) 2 -P(0)-0- , (HO) 2 -P(0)-, phosphonates ( ⁇ -0) 2 - ⁇ -, amines, betaines such as -NHR 3 -CH 2 -COOH, -NHR 3 -CH 2 -0-S(0) 2 (OH), and a primary, secondary, tertiary amine -NR 3 2 and an acid addition salt of an amine, salts having quaternary -N + R 1 3 and enamines,
  • Z 2 is selected from the group of phenyl, phenylpropyl, styryl, naphthyl, eugenol, bisphenolethers, cumylphenolether, norbornyl, vinyl, allyl, allyloxypropyl, hexenyl, octenyl norbornenyl, cyclohexenylethyl, limonyl,glycidylpropylether, epoxylimonyl, epoxycyclohexanethyl, epoxynorbornyl, and the carbonate derivatives of these epoxides and C4-C23-carbonate groups thereof, and
  • R 3 R 1 , and a group selected from CI, -SH, -NCO, blocked NCO, and a group selected from triphenylsilyl, and R 6 R1 ⁇ 2Si-,
  • R 6 is phenyl, naphthyl, phenylethyl, phenylpropyl, eugenol, limonyl, epoxylimonyl, glycidylpropylether epoxycyclohexylethyl, norbornenylethyl, epoxy norbornenylethyl, carbazol, indol,
  • L-Z 2 and L-Z 1 are different means that at least the Z 2 and Z 1 groups are different.
  • the L groups may be the same or different.
  • the polyorganosiloxane is such that the substituents are defined by:
  • L 1 is -CH 2 CH 2 -;
  • the aryl groups Z and R 6 may include thio substituted cycloalkyl substituents
  • the substituents Z 1 of the polyorganosiloxane are erably selected from an ionic group, whereby:
  • Z 1 is selected from the group which consists of an unsubstituted primary, secondary, tertiary amine -NR 3 2 or ammonium groups -N + R 3 3 or primary, secondary, tertiary phosphine -PR 3 2 or phosphonium -P + R 3 3 ; an alkyl or aryl enamine of the formula,
  • the groups ammonium group N + R 3 3 and phosphonium group -P + R 3 3 ; is a quaternary group IST ⁇ and phosphonium group -P + R 1 3 .
  • one group of the substituent Z 1 or Z 2 of the inventive polyorganosiloxane is defined as follows: Z 2 or Z 1 are selected from the group which consists of an ester of a carboxylic acid of the formula: -COO-R 3 , a sulfonic acid -S0 3 -R 3 ; a sulfuric acid partial ester -0-S(0)2-0-R 3 , a phosphoric acid esters -O- P(0)(OR 3 ) 2 , a phosphonic acid esters -P(OR 3 ) 2 , a xanthogenate ester -0-C(S)-S-R 3 wherein the ionic character depends on the definition of R 3 .
  • R 3 is hydrogen these ester groups should be used as Z 1
  • R 3 is R 1 these ester groups should be used preferably as Z 2 moieties.
  • such groups Z have a more ionic character and may be used preferably as group Z 1 which has a stronger interaction to inorganic surfaces, e.g. of metal oxide or hydroxide particle.
  • Z 1 is an ionic group selected from the group which consists of a carboxylic acid of the formula - COOH , a sulfonic acid -SO3H, a sulfuric acid 0-S(0)2-OH, a phosphoric acid or partial ester -O- PiOXOR ⁇ a phosphonic acid or partial ester -PfOR ⁇ , a xanthogenate acid -0-C(S)-S-H, a Bunte Salt -S-S(0) 2 OH, wherein R 1 is as defined above or the anions of these acidic groups.
  • the index p is 4 for more than 85 wt.% more preferably 90 wt.% of the inventive polyorganosiloxane.
  • the group Z 12 and Z 22 are selected from Z 1 or Z 2 and are characterized in that they are synthesized by an additional step in which a group Z 2 is submitted to a further reaction. For example an oxiranyl group is reacted with a primary, secondary or tertiary amine to form a ring opened hydroxyl amine or ammonium unit as group Z 22 .
  • the oxiranyl group is reacted with a carboxylic acid or any other acid, such as methacrylic acid, phosphoric acid etc. to form esters based as Z 22 on a previous group Z 2 .
  • This third reaction step can also comprise a substitution reaction of an alkylhalogenide with an amine, a phoshine, a phosphinate etc., whereby the alkylhalogenide is preferably a group Z 1 or Z 2 attached to one of the embodiments of the inventive polyorganosiloxanes.
  • the following table shows exemplary combinations of the groups Z 1 and Z 2 in the inventive polyorganosiloxanes.
  • the substituents of the inventive polyorganosiloxane (I) have the definition of the formula (la),
  • R, R 1 , Z 1 , L 1 , Z 2 and L 2 are as defined above.
  • polyorganosiloxane (la) are polyorganosiloxanes selected from compounds of the formulas (Ma) to (llf):
  • n 0-6,
  • L 1 and L 2 are selected from the group of Cl-C14-alkyl, Cl-C14-alkylether groups and can be different to each other.
  • the combination of the two different terminal groups Z 1 and Z 2 is chosen under a concept which is taking into account the possible applications of the inventive polyorganosiloxane.
  • Suitable groups include, but are not limited to, silyl groups having hydrolysable leaving groups X such as alkoxy, amino or carboxylic groups or are further ionic groups Z like ammonium, phosphonium, phosphate, sulfate or carboxylic groups as terminal group.
  • silyl groups having hydrolysable leaving groups are also preferred if the polyorganosiloxanes are intended to be used in a cure process wherein a condensation reaction shall occur either without or with further polyorganosiloxanes which can undergo a condensation reaction together with a condensation catalyst known in the state of the art in the field of RTV-IK or RTV-2K polysiloxane compositions.
  • a condensation catalyst may be selected from organometallic compounds such as compounds comprising Bi, Fe, Sn, Ti, Zr, Zn or amines and Lewis acids.
  • Another first terminal group Z 1 is a hydroxyaromatic group, which can interact with many of the inorganic oxide or hydroxide surfaces.
  • polyalkylene oxide groups as Z 2 group is suitable for an improved wetting behavior and can provide antifouling properties.
  • Such surfaces when modified with the inventive polyorganosiloxanes may include surfaces of inorganic oxides or organic polymers or surfaces like inorganic or organic fibers or coatings in order to modify these surfaces in a desired manner. Examples of modifications include, but are not limited to, changing the surface tension, changing the wettability, or providing a surface which exhibits repellence against microbes, algae's, biofilms, barnicles, fungis etc., i.e., it can be used therefore as an anti-fouling coating per se or as an additive in a polyorganosiloxane composition cured by a condensation reaction.
  • the second terminal group Z 2 to be combined with the aforementioned first terminal group may be selected from the group of substituents which can undergo different types of reactions compared to the first terminal group.
  • Such second terminal substituents are preferably selected from the group consisting of substituents which can be activated by, e.g., by a radical initiated reaction and a heat or light activated hydrosilylation reaction of unsaturated groups with SiH groups, condensation and substitution reaction of the SN-type, such as oxiranyl ring-opening reactions with amines or light activated cationic polymerization with onium and sensitizer compounds for the transfer of light energy. Therefore such terminal substituents will be chosen preferable from the group of unsaturated, or e.g.
  • the broad range of possible reactive terminal substituents enables the use of various cure mechanism either nucleophiles like amines and an epoxy ring opening reaction or by light induced cationic polymerization under assistance of a catalyst, heat or light activated radial reaction and hydrosilylation reaction.
  • Some groups can be again precursor for other reactive groups, e.g. where epoxides are reacted with e.g. carboxylic acids to form esters or with amines to form higher alkylated amines.
  • the epoxy groups Z 2 can in particular be transformed to substituents Z 22 having unsaturated groups like unsaturated esters- -C(0)-OR 2 .
  • the strategy for the sequence of the stepwise introduction of the terminal groups depends on the reactive groups of the precursors and possible interactions between the first and the second terminal group in the synthesis for building-up the asymmetrically substituted polyorganosiloxane.
  • Another aspect in the concept of the synthesis is the additional use of a binder or matrix polymer which is intended for a combined cure with the inventive polyorganosiloxane in order form coatings or article.
  • the inventive polyorganosiloxanes may be used to form a coating or as part of a coating composition.
  • the inventive polyorganosiloxanes may be employed as an antifouling coating or as an ingredient in an antifouling coating.
  • the polyorganosiloxane may be of the formula (I) and comprise two different terminal groups Z 1 and Z 2
  • L is a single bond, divalent or trivalent group L 1 or L 2 which are selected from the group consisting of a divalent Cl-C12-alkylene group or divalent or trivalent Cl-
  • C12-alkylidene group which can be interrupted by one or more -0-, -C(O)-, -
  • R 3 is hydrogen, Me3Si- or C1-C8 alkyl
  • Z is a monovalent group selected from the group Z 1 and Z 2 ,
  • Z 1 and Z 2 are selected from the group which consists of
  • R 1 is as defined above,
  • the polyorganosiloxane may be of the formula (I) and comprise two different terminal groups Z 1 and Z 2 Z 1 - ⁇ -L[SiR 2 0] p -SiR 2 ⁇ m-L-Z 2 (I)
  • L is a divalent or trivalent group L 1 or L 2 which are selected from the group consisting of a divalent Cl-C8-alkylene group or divalent or trivalent C1-C6- alkylidene group which can be interrupted by one or more -0-, -C(O)- moieties, and substituted by one or more OH groups,
  • Z is a monovalent group selected from the group Z 1 and Z 2 ,
  • Z 1 and Z 2 are selected from the group which consists of
  • a+b+c being preferred 2 to 20, more preferred 5 to 20, even more preferred 7 to 20 and specifically 7 to 15,
  • R 1 is as defined above, preferred CH3- and CH3CH2-,
  • one group Z 1 or Z 2 is a group selected from c).
  • the polyorganosiloxanes employed as antifouling coating or ingredient in antifouling coatings are of the formula (I) and comprise two different terminal groups Z 1 and Z 2
  • L is a divalent or trivalent group L 1 or L 2 which are selected from the group consisting of a divalent Cl-C4-alkylene group, preferred divalent C2-C3 alkylene group, which can be interrupted by one or more -0-, -C(O)- moieties, and substituted by one or more OH groups,
  • Z is a monovalent group selected from the group Z 1 and Z 2 ,
  • Z 1 and Z 2 are selected from the group which consists of
  • R 1 is as defined above, preferred CH3- and CH3CH2-,
  • one group Z 1 or Z 2 is a group selected from c).
  • the polyorganosiloxanes employed as antifouling coating or ingredient in antifouling coatings are of the formula (I) and comprise two different terminal groups Z 1 and Z 2
  • L is a divalent or trivalent group L 1 or L 2 which are selected from the group consisting of a divalent Cl-C4-alkylene group, preferred divalent C2-C3 alkylene group, which can be interrupted by one or more -0-, -C(O)- moieties, and substituted by one or more OH groups,
  • Z is a monovalent group selected from the group Z 1 and Z 2 ,
  • Z 1 and Z 2 are selected from the group which consists of b) poly-C2-C4-alkylene oxides, OH or OR 3 or OC(0)R 3 terminated, of the structures
  • a+b+c being preferred 2 to 20, more preferred 5 to 20, even more preferred 7 to 20 and specifically 7 to 15,
  • R 1 is as defined above, preferred CH3- and CH3CH2-,
  • the polyorganosiloxanes employed in antifouling coatings or additives to antifouling coatings are mixtures of (i) a polyorganosiloxane which comprises for Z with Z 1 and Z 2 substituents a) and c), and (ii) a polyorganosiloxane which comprises for Z with Z 1 and Z 2 substituents b) and c).
  • the wt% ratio between the polyorganosiloxanes (i) which comprise for Z with Z 1 and Z 2 substituents a) and c) and polyorganosiloxanes (ii) which comprise for Z with Z 1 and Z 2 substituents b) and c) is:
  • ⁇ , ⁇ difunctional polysiloxanes in antifouling compositions are described in WO2014/126599 which is herewith included by reference.
  • the polysiloxanes contain alkoxysilyl as well as polyether substituents.
  • Major disadvantage of the polysiloxanes in WO2014/126599 is the polydispersity of the siloxane. This leads after two subsequent hydrosilylations with unsaturated alkoxysilanes and unsaturated polyethers without the chance for a purification of the intermediate to a broad product mix. It contains the target product as well as the two undesired symmetrically substituted species. Further, each of these three product types is polydisperse due to the character of the starting SiH siloxane.
  • the polysiloxanes according to the invention may be considered ⁇ , ⁇ difunctional polysiloxanes and circumvent the above described disadvantage.
  • the starting SiH siloxane is monodisperse. This allows the purification of the monofunctional intermediate and thus the formation of a strictly asymmetrically substituted ⁇ , ⁇ difunctional polysiloxane containing a monodisperse siloxane moiety.
  • Catalysts used for the condensation reaction are selected from the group of a variety of organometallic compounds preferably organo tin, titanium, zinc, iron, bismuth, calcium compounds but one can also use Lewis or Broensted acids or bases.
  • a preferred class of organometallic compounds includes salts like dialklytin oxides, reaction products of dialkyltinoxide with tetraalkoxysilanes, dibutyltindilaurate, stannous octoate, dibutyltin dioctoate, zinc octoate and other zinc complexes as K-KAT 670 (King Industries), bismuth complexes like K-KAT XK-651 (King Industries), tetraalkoxy titanates, titanium acetylacetonate chelate derivatives as diisopropoxy-bis(ethylacetoacetato)titanate or alkoxy titanium chelates of Ci-Cio carboxylic residues, etc.
  • a particular useful curing catalyst for polyorganosiloxanes having silane groups in this invention are quaternary ammonium salts such as benzyltrimethylammonium compounds like acetate, tetraalkylammonium acetate or other see US 3,819,745.
  • the polyorganosiloxanes are also suitable for use in compositions for other applications.
  • the polyorganosiloxanes may be employed as a component in an antifog coating composition.
  • the polyorganosiloxanes employed as a component in an antifog coating is of the formula (I) and comprises two different terminal groups Z 1 and Z 2
  • L is a single bond, divalent or trivalent group L 1 or L 2 which are selected from the group consisting of a divalent Cl-C12-alkylene group or divalent or trivalent Cl-
  • C12-alkylidene group which can be interrupted by one or more -0-, -C(O)-, -
  • R 3 is hydrogen, Me3Si- or C1-C8 alkyl
  • Z is a monovalent group selected from the group Z 1 and Z 2 ,
  • Z 1 and Z 2 are selected from the group which consists of
  • R 1 is as defined above,
  • the polyorganosiloxane is of the formula (I) and comprises two different terminal groups Z 1 and Z 2
  • L is a divalent or trivalent group L 1 or L 2 which are selected from the group consisting of a divalent Cl-C8-alkylene group or divalent or trivalent C1-C6- alkylidene group which can be interrupted by one or more -0-, -C(O)- moieties, and substituted by one or more OH groups,
  • Z is a monovalent group selected from the group Z 1 and Z 2 ,
  • Z 1 and Z 2 are selected from the group which consists of b)poly-C2-C4-alkylene oxides, OH or OR 3 or OC(0)R 3 terminated, of the structures
  • a+b+c being preferred 2 to 20, more preferred 5 to 20, even more preferred 7 to 20 and specifically 7 to 15,
  • R 1 is as defined above, preferred CH3- and CH3CH2-,
  • one group Z 1 or Z 2 is a group selected from c).
  • the polyorganosiloxane is of the formula (I) and comprises two different terminal groups Z 1 and Z 2
  • L is a divalent or trivalent group L 1 or L 2 which are selected from the group consisting of a divalent Cl-C4-alkylene group, preferred divalent C2-C3 alkylene group, which can be interrupted by one or more -0-, -C(O)- moieties, and substituted by one or more OH groups,
  • Z is a monovalent group selected from the group Z 1 and Z 2 ,
  • Z 1 and Z are selected from the group which consists of b)poly-C2-C4-alkylene oxides, OH or OR 3 or OC(0)R 3 terminated, of the structures
  • a+b+c being preferred 2 to 20, more preferred 5 to 20, even more preferred 7 to 20 and specifically 7 to 15,
  • R 1 is as defined above, preferred CH3- and CH3CH 2 -,
  • one group Z 1 or Z 2 is a group selected from c).
  • the polyorganosiloxane is of the formula (I) and comprises two different terminal groups Z 1 and Z 2 chosen from substituents b) and c), under the proviso that one group Z 1 or Z 2 is a group selected from c):
  • R 1 is as defined above,
  • R 1 is as defined above,
  • R 10 is a monovalent group which is selected from the group consisting of a C2- C22-alkyl group which can be interrupted by one or more -0-, -C(O)-, -N R 3 - C(O)-, and/or -N R 3 - , urethane-OC(0)NR 3 - , urea -N-R 3 HC(0)N-R 3 - moieties, and is substituted by at least one or more OH groups and R 10 is different from R 1 , wherein R3 is hydrogen, Me3Si- or C1-C8 alkyl.
  • the composition includes
  • L is a divalent or trivalent group L 1 or L 2 which are selected from the group consisting of a divalent Cl-C4-alkylene group, preferred divalent C2-C3 alkylene group, which can be interrupted by one or more -0-, -C(O)- moieties, and substituted by one or more OH groups,
  • Z is a monovalent group selected from the group Z 1 and Z 2 ,
  • Z 1 and Z 2 are selected from the group which consists of b)poly-C2-C4-alkylene oxides, OH or OR 3 or OC(0)R 3 terminated, of the structures
  • c being preferred 0 to 20, more preferred 0 to 10, even more preferred 0 to 5 and specifically 0 and 1 to 5, a+b+c being preferred 2 to 20, more preferred 5 to 20, even more preferred 7 to 20 and specifically 7 to 15,
  • R 1 is as defined above, preferred CH3- and CH3CH2-,
  • R 1 is as defined above, preferred CH3- and CH3CH2-
  • R 1 is as defined above, preferred CH3- and CH 3 CH 2 -,
  • R 10 is a monovalent group which is selected from the group consisting of a C2- C22-alkyl which can be interrupted by one or more -0-, -C(O)-, moieties, and is substituted by at least one or more OH groups and R 10 is different from R 1 , R 10 preferred has the formula -L-Z 3 , wherein
  • a divalent or trivalent group which is selected from the group consisting of a divalent Cl-C9-alkylene group or divalent or trivalent Cl-C6-alkylidene group which can be interrupted by one or more -0-, -C(O)- moieties, and substituted by one or more OH groups,
  • Z 3 is a group which is selected from the group consisting of a divalent C1-C18- alkyl group or Cl-ClO-alkylidene group which can be interrupted by one or more -0-, -C(O)- moieties, and is substituted by one or more OH groups, preferred 1 to 10 OH groups, more preferred 1 to 7 OH groups, even more preferred 1 to 5 OH groups.
  • Preferred examples for the group Z 3 are derived from hydroxyl functionalized carboxylic acids, i.e.
  • C2 to C12 preferred C2 to C9 saturated or unsaturated hydroxyalkyl carboxylic acids, i.e. glycolic acid, lactic acid, ⁇ -hydroxy butyric acid, ⁇ - hydroxy butyric acid, 2-hydroxy-succinic acid, citric acid, mandelic acid, C2 to C12, preferred C2 to C9, also preferred C7 to C12, more preferred C7 to C9 saturated or unsaturated polyhydroxyalkyl carboxylic acids, i.e.
  • glyceric acid 2,2-dimethylolpropane carboxylic acid, arabinonic acid, gluconic acid, glucoronic acid, glucoheptonic acid, glucopyranosyl arabinonic acid, lactobionic acid, maltobionic acid, tartaric acid, ascorbic acid,
  • C7 to C12, preferred C7 to C9 hydroxyaromatic carboxylic acids i.e. 2- hydroxy benzoic acid, 3-hydroxy benzoic acid, 4-hydroxy benzoic acid, 2- hydroxy cinnamic acid, 3-hydroxy cinnamic acid, 4-hydroxy cinnamic acid, C7 to C12, preferred C7 to C9 polyhydroxyaromatic carboxylic acids, i.e 2,3-dihydroxy benzoic acid, 2,4-dihydroxy benzoic acid, 2,5-dihydroxy benzoic acid, 2,6-dihydroxy benzoic acid, 3,4-dihydroxy benzoic acid, 3,5- dihydroxy benzoic acid, dihydroxy cinnamic acids or their partial esters, i.e.
  • 3,4-dihydroxy cinnamic acid trihydroxy benzoic acids or their partial esters, i.e. 2,3,4-trihydroxy benzoic acid, 2,3,5-trihydroxy benzoic acid, 2,3,6-trihydroxy benzoic acid, 2,4,5-trihydroxy benzoic acid, 2,4,6- trihydroxy benzoic acid , 3,4,5-trihydroxy benzoic acid, trihydroxy cinnamic acids or their partial esters, i.e.
  • 3,4,5-dihydroxy cinnamic acid or derived from di- and higher hydroxylated alcohols, i.e., ethylene glycol, propylene glycols, butylene glycols, hexylene glycols, glycerol, diglycerol, triglycerol, pentaerythrol, sorbitol.
  • hydroxylated alcohols i.e., ethylene glycol, propylene glycols, butylene glycols, hexylene glycols, glycerol, diglycerol, triglycerol, pentaerythrol, sorbitol.
  • the silanes C) can be synthesized from epoxy functionalized silanes by reaction with the hydroxy functional carboxylic acids under formation of ester bonds in the presence of catalysts.
  • the esterification of epoxides with carboxylic acids is prior art (US2012/0289649).
  • the epoxy functionalized silanes can be reacted with the di- and higher hydroxylated alcohols under formation of ether bonds in the presence of catalysts.
  • the etherification of epoxides with alcohols is prior art (US6642423).
  • Coating polymeric resin substrates such as molded articles of polycarbonate or PMMA with an antifog coating is an accepted procedure to prevent visible condensation of water droplets on the coating surface.
  • the coating film provides a hydrophilic property to reduce the water contact angle. This is obtained by introducing hydrophilic polymer parts to the coating matrix.
  • Vinyl based copolymers comprising of hydrophilic and hydrophobic parts are described in US2005/0004280 which is herewith included by reference.
  • the compositions according to patent US2005/0004280 represent multi component systems.
  • Major disadvantage is a reduced pot life of a few hours after mixing.
  • Polysiloxane based antifog coatings are described in US2004/0237833.
  • a coating material is obtained which contains hydrophilic side chains comprising polyethylene glycol or acidic groups.
  • the coating compositions contain surfactants to increase the hydrophilic property of the coating film. This can reduce the long-term performance of the coating layer due to elution.
  • compositions according to the invention circumvent the above described disadvantage.
  • the starting materials A), B) and C) can be prepared in an efficient way. No unreactive surfactants need to be added to ensure the desired property.
  • the pot life time is in the range of weeks which is sufficient for the intended applications for molded polycarbonate articles in automotive applications like interior coatings for headlight lamps to prevent fogging on the inside of the car headlamp.
  • the invention also provides a process for forming a compound of according to the invention of the formula:
  • Z* hydrogen (in SiH), R 2, Z 1 or Z 2
  • L* is an unsaturated C2-C20-alkenyl or a SiH group of a silane or a siloxane moiety whereby L* and Z* are forming the unit - ⁇ - ⁇ 1 in a that reaction step,
  • step ii) separating optionally by distillation the product of step i) wherein one group Z* has been reacted to form - ⁇ - ⁇ 1 ,
  • step iii) submitting the mono functionalized product of step ii) to a further reaction with a compound of the formula L**-Z 2 to form a group -L 2 -Z 2 , whereby
  • L** is an unsaturated C2-C20-alkenyl or a SiH group of, a silane or siloxane moiety
  • v) optionally a step, wherein the group Z 2 is further submitted to a third reaction to form the final group Z 22 comprising saturated or unsaturated C2-C8-esters or hydrocarbon amines or ammonium groups.
  • step iii) submitting the mono alkenyl group functional product of step ii) to a further hydrosilylation reaction with a silane or siloxane compound having one SiH group of the formula
  • step iii) submitting the mono SiH group functional product of step ii) to a further hydrosilylation reaction with an unsaturated compound of the formula L* *-Z 2 to form a group -L 2 -Z 2 , and
  • the invention also provides a third exemplary embodiment of a process for forming a polyorganosiloxane wherein more than one di-, penta- or decasiloxane block is present.
  • inventive polyorganosiloxanes having this feature for of at least the single siloxane block in the block polymer can also be synthesized with a higher molecular weight whereby the index m in formula (I) is up to 8.
  • Such polyorganosiloxanes of formula (I) are synthesized by a stepwise addition reaction of symmetrically substituted and asymmetrically substituted di-, penta- or decasiloxane blocks having up to 9, more preferred 7 of these siloxane blocks linked together over divalent organic groups L.
  • This class of polyorganosiloxanes according to the invention are forming a blockpolymer of the formula (I), wherein the index m is >1.
  • the invention includes also a process for forming such a blockpolymer of the formula (I)
  • R is selected from R and R 1 ,
  • step al) optionally repeating step al) and a2), optionally separating the by-product of step al),
  • step a4) wherein the symmetrically substituted reaction product of step a2) or a3) is submitted to a third reaction between moieties comprising groups Z* and Z** to form a linking unit L4 and a final product having 6 or 7 siloxy blocks wherein Z 1 and Z 2 are different forming an asymmetrically substituted polyorganosiloxane, separating optionally by distillation the by-product of step a4) to result
  • Z 1 and Z 2 are as defined above and are different.
  • the optionally applicable separation steps may include distillation, crystallization and d phase chromatography.
  • the preferred used hydrosilylation reaction for the stepwise addition of the siloxane blocks results in high yields of the desired addition products, it is preferred to separate the unused precursors by distillation, if possible by crystallization.
  • the desired addition products at least the intermediates with up to 5 at least up to 3 di-, penta- or deca-siloxane blocks can be purified by distillation.
  • the preferred addition reaction for the insertion of two different terminal group which result in asymmetrically terminal substituted poiyorganosiloxane can be applied on any symmetrically substituted polysiloxane precursor at any stage, i.e. a mono block or polyblock polymer/copolymer, as final reaction step in order to make this polymer asymmetrically substituted in the terminal position.
  • a particular preferred suitable route for the incorporation of alkoxysilyl groups and olefinic groups into the poiyorganosiloxane compound is the addition of alkoxysilanes of the structure (R 1 0) x R3-xSi-H, wherein x is 1-3, in an amount of less than 1 mol /l mol dialkenylpentasiloxane of formula (Ilia) in the presence of a hydrosilylation catalyst yielding the target derivatives of the structure:
  • the molar ratio of the alkenyl groups of the dialkenyl disiloxane or pentasiloxane or decasiloxane to the SiH groups is between 1.5 : 1 to about 5:1.
  • the excess of the silane and the dialkenyl di- or pentaorganosiloxanes can be removed by distillation.
  • the excess of the precursor disiloxane or pentasiloxane can be removed after the application and fixation on solid surfaces by repeated washes with organic solvents.
  • alkoxysilyl groups and olefinic groups containing derivatives according to the invention can be synthesized in a two-step sequence starting from a SiH- precursor according to formulas (Ilia) or (1Mb)
  • p l or 4 or 8.
  • the molar excess of the SiH-siloxane (IV) or (IVa) over the vinyl silane ranges from a molar ratio of SiH:alkenyl groups between 1.5:1 to 5:1.
  • the groups R and R 1 are as defined before.
  • a preferred group R is methyl or phenyl, and x is 3.
  • the excess of the SiH precursor according to formula (1Mb) can be removed by distillation.
  • the intermediate of the formula can be removed by distillation.
  • suitable groups for the second addition reaction include, but are not limited to this enumeration, bis-olefenic compounds, 1,5-hexadiene, norbornadiene, 5-ethylidene-2- norborene, limonene, exo-dicyclopentadiene, ethylene glycol diallyl ether, propylene glycol diallyl ether, divinyl-tetramethyldisiloxane, etc.; acetylenic-olefinic, e.g., propargylic alcohol- undecylenic acid ester, etc., acetylenic-bis-olefinic, etc.; l,4-butynediole-bis(undecylenic acid) ester, and bis-acetylenic, e.g., bis-prop
  • the molar excess of the bis-unsaturated compound depends on its structure. Typically, for reactions with bis-olefinic and bis-acetylenic compounds a molar excess of silane and of bis- olefin over SiH of the first intermediate compound ranging from 1.5:1 to 5:1 of bis-olefin or bis- alkyne /acetylene to SiH of the SiH intermediate .
  • the excess of the bis-olefinic compound can be removed by distillation.
  • compounds of the types acetylenic-olefinic and acetylenic-bis-olefinic to apply a molar excess of the unsaturated compounds over SiH ranging from unsaturated compound to SiH of 1:1 to 1.1:1.
  • a minor excess of the acetylenic- olefinic or acetylenic-bis-olefinic compound can remain in the final material.
  • the above described SiH-intermediate compound (R 1 0) x R3- x Si- CH 2 CH 2 -SiR2-0-[D] 3- SiR 2 -H is used for the synthesis of a compound comprising alkoxy silyl groups and epoxy groups as terminal groups of a di- or a organopentasiloxane wherein more than 80 wt.% have a siloxy chain length of 2 or 5.
  • the SiH-intermediate can be reacted with compounds L*-Z such as, for example, olefinic-epoxy, e.g., allyl glycidyl ether, 4-vinyl cyclohexeneoxide, limonene epoxide, norbornadiene monoepoxide, dicyclopentdienyl monoepoxide, monoepoxypolyethers, etc., or acetylenic-epoxy, e.g., propargyl glycidyl ether, 1,4-butynediol-di-glycidylether, etc. to yield target molecules having alkoxysilyl and unsaturated groups.
  • olefinic-epoxy e.g., allyl glycidyl ether, 4-vinyl cyclohexeneoxide, limonene epoxide, norbornadiene monoepoxide, dicyclopen
  • polyorganosiloxanes can be synthesized wherein the terminal groups are on one side selected from di- or trihydroxyaromatic substituents and at the other end from olefinic groups.
  • the symmetric alpha, omega-dihydrogen pentasiloxane of formula (1Mb) is one suitable precursor again.
  • a molar excess of the SiH-functionalized pentasiloxane is reacted with unsaturated di- or trihydroxyaromatic precursors, their alkyl or silyl ethers, i.e. l-allyl-3.4- dihydroxy benzene, l-allyl-3-methoxy 4-hydroxy benzene, the bis-alkoxysilylethers of 1-allyl- 3.4-dihydroxy benzene in the presence of a hydrosilylation catalyst.
  • the molar excess of the SiH-siloxane over the unsaturated group in the aromatic precursor ranges from SiH- siloxane to unsaturated aromatic precursor from 1.5: 1 to 5:1.
  • the excess of the SiH- precursor according to formula (IV) can be removed by distillation.
  • suitable groups include, but are not limited to it are bis-olefenic compounds, 1,5-hexadiene, norbornadiene, 5-ethylidene-2-norborene, limonene, exo-dicyclopentadiene, ethylene glycol diallyl ether, propylene glycol diallyl ether, divinyl-tetramethyldisiloxane, etc.; acetylenic-olefinic, e.g., propargylic alcohol-undecylenic acid ester, etc., acetylenic-bis-olefinic, etc.; l,4-butynediole-bis(undecylenic acid) ester, and bis- acetylenic, e.g., bis-propargyl ether.
  • bis-olefenic compounds 1,5-hexadiene, norbornadiene, 5-ethylidene-2-norborene, limon
  • the suitable molar excess of the bis-unsaturated compound depends on its structure. Typically, for the reaction with bis-olefinic and bis- acetylenic compounds is a molar excess of bis-olefin over SiH ranging from bis-olefin/acetylene to SiH of 1.5:1 to 5:1 is applied. The excess of the bis-olefinic compound can be removed by distillation. Typically, for compounds of the types acetylenic-olefinic and acetylenic-bis-olefinic a molar excess of the unsaturated compounds over SiH groups ranging from unsaturated compound to SiH of 1:1 to 1.1:1 is applied.
  • allyl glycidyl ether 4-vinylcyclohexeneoxide, norbornadiene monoepoxide, limonene epoxide, dicyclopentdienyl monoepoxide, or the monoaddition product of allyl glycidyl ether to tetramethyl dihydrogendisiloxane (IV), etc., or acetylenic- epoxy, e.g., propargyl glycidyl ether, 1,4-butynediol-di-glycidylether, etc. to yield the target molecules having di- or trihydroxyaromatic and epoxy groups.
  • R, R 1 methyl, phenyl, styryl, phenylpropyl, naphthyl,
  • L 1 L 2 are as defined above.
  • the various moieties of the inventive polyorganosiloxanes can be synthesized according to any suitable process in which SiH or Si-alkenyl can be linked with compounds L*-Z having additional reactive groups.
  • Primary and secondary amino groups containing derivatives can be synthesized by different synthesis routes.
  • the terminal epoxy group of an inventive pentaorganosiloxane is reacted with a primary amine to create a terminal group Z 22 , which is a secondary, tertiary amino or quaternary ammonium group.
  • Suitable amines are, e.g., propylamine, diprimary amines, e.g., ethylene diamine (DE 4318536) and primary- secondary diamines, e.g., hydroxyethylenediamine.
  • the precursor has a halogenalkyl group instead of an epoxy group and is reacted with the aforementioned amines.
  • Tertiary amino and quaternary ammonium groups containing derivatives can be synthesized from the inventive pentaorganosiloxane having terminal epoxy groups and secondary amines, secondary-tertiary diamines (WO 02-10257), or tertiary amines, e.g., trimethylamine or dimethyl-long chained alkyl amines (US 4891166), respectively.
  • Polyorganosiloxanes comprising a group of a Bunte salt can be synthesized from the inventive di- and pentaorganosiloxane having terminal epoxy groups and thiosulfate (Silicone, Chemie und Technologies, Vulkan Verlag Essen 1989, S. 121).
  • Phosphonium groups containing derivatives can be synthesized from the inventive polyorganosiloxane having terminal epoxy groups and trialkyl- or triarylphosphines.
  • Terminal carbonate groups are inserted via hydrosilylation addition reaction of unsaturated carbonate compounds to a SiH functionalized siloxane precursor having alkoxysilyl as first terminal group, whereby the carbonate is e.g., ailyl carbonate (US 5672338, US 5686547).
  • ailyl carbonate US 5672338, US 5686547.
  • epoxy precursors can be reacted with C0 2 yielding the carbonates (DE 19505892), or amino precursors are reacted with bifunctional carbonate coupling agents (WO 2005/058863).
  • Polyorganosiloxanes having terminal isocyanato groups containing derivatives can be synthesized for example starting from amino precursors and di- or higher functional isocyanates. Alternatively, carbamato functionalized precursors can be subjected a pyrolysis reaction.
  • urethane modified derivatives can be synthesized from carbonate precursors with amines (US 5672338) or amino precursors with cyclocarbonates.
  • Polyorganosiloxanes comprising enamine groups are available by a reaction of the amino precursors with aldehydes or ketones (WO 2008-113820).
  • the insertion of aldehyde groups can be carried by a reaction of amino precursors with dialdehydes, e.g., glyoxal or by reaction of epoxy precursors with carboxylic acid functions containing aldehydes, e.g., glyoxylic acid (US 5093518).
  • Carbobetaines can be synthesized from tertiary amino groups containing precursors and Na chloroacetate (Silicone, Chemie und Technologies, Vulkan Verlag Essen 1989, S. 121). Alternatively, epoxy precursors can be reacted with amino acids (DE 10036532).
  • Sulfobetaines can be synthesized from tertiary amino groups containing precursors and sultones (DE 4140447). Alternatively, epoxy precursors can be reacted with amino sulfonic acids, i.e. taurine.
  • Polyorganosiloxanes comprising carboxylic acid moieties can be synthesized i.e. from hydroxyl, epoxide or amino functionalized precursors and carboxylic acid anhydrides, i.e. phthalic acid anhydride, succinic anhydride, maleic anhydride (DE 4318539).
  • carboxylic acid anhydrides i.e. phthalic acid anhydride, succinic anhydride, maleic anhydride (DE 4318539).
  • epoxy precursors can be reacted with e.g. dicarboxylic acids, i.e. phthalic acid, succinic acid, maleic acid.
  • Sulfonic acid derivatives can be synthesized starting from the epoxy precursors and
  • Sulfate derivatives can be synthesized using hydroxy groups containing precursors and amido sulfonic acid NH 2 S(0) 2 OH (DE 4318539).
  • Phosphonic acid ester and phosphonate moieties can be incorporated by reaction of olefinically unsaturated precursors with esters of the phosphonic acid HP(0)(OH) 2 .
  • Xanthogenate and xanthogenate ester moieties containing derivatives can be synthesized from the epoxy precursors in the presence of KOH and CS 2 .
  • the asymmetrically substituted polyorganosiloxane compounds of the invention can be used for the modification of inorganic and organic solid surfaces.
  • inorganic surfaces include, but are not limited to glass, metal oxide/hydroxides and ceramics.
  • organic materials include, but are not limited to, surfaces based on epoxy resins and coating, polyamides, silicone resins, polybutadiene, and polyurethane coatings etc.
  • the asymmetrically substituted polyorganosiloxane, compounds can also be used for the modification of inorganic and organic micro and nanoparticles.
  • inorganic micro and nanoparticles including nano crystallites comprise, but are not limited, to nanoparticles based of AI2O3, Si0 2 , Ti0 2 , Zr0 2 , Hf0 2 , ZnO, rare earth metal oxides and their mixtures, alumosilicates, e.g., bentonite, montmorillonite, laponites, etc.
  • the invention includes also a method for dispersing inorganic particles or
  • One preferred embodiment comprises compositions wherein the asymmetrically substituted polyorganosiloxane compounds are used to compatibilize or disperse the optionally modified inorganic and organic micro and nanoparticles with organic liquids.
  • organic liquids include, but are not limited to, silicone polymers, esters, ethers, amides, amines, alcohols, and mixtures of two or more thereof. These liquids may comprise curable polymers which can serve as matrix or binder polymer for the nano particles.
  • nano particles used in this invention is defining particles which have a particle size below 200 nm, preferably below 50 nm, more preferably below 10 nm.
  • the surface modified inorganic or organic micro or nanoparticles react with portions of the polyorganosiloxane of the invention.
  • modified nanoparticles can further strengthen the interaction with any matrix or is blocking agglomeration of the particles.
  • the term compatibilizer shall include also the use of the asymmetrically substituted polyorganosiloxanes for dispersing nano particle or the adjustment of differences in the refractive index between a polyorganosiloxane having refractive index of > 1.43 and the nano sized metal oxides having higher refractive indices of > 1.6, in particular crystalline metal oxide particles like T1O2, Zr0 2 , ZnO, Hf0 2 and the like dispersed in polyorganosiloxane.
  • the asymmetrically substituted polyorganosiloxanes can be used as compatibilizers at the interphases between different polymers or surfaces.
  • An exemplary application is the use in primer composition, adhesion promotor in self-adherent rubbers in particular silicone rubbers or thermoplastic compositions and coatings. Examples include, but are not limited to, polymer combinations based on silicones with epoxy resins, polyamides, polybutadienes, etc., self- adherent silicone or other organic rubbers.
  • a more specific preferred embodiment is the use of the asymmetric polyorganosiloxanes of the invention as anti-fouling agent.
  • Such surfaces are repellant against the adhesion of biofilms can be manufactured either by the use of the inventive polyorganosiloxanes exclusively optionally by application of an additional curing step or as part of a polyorganosiloxane composition whereby this composition can be cured by any of the jointly acceptable system immanent curing mechanism accessible by the reactive groups of the inventive polyorganosiloxane.
  • the preferred reactive groups of the inventive polyorganosiloxanes as anti-fouling coat comprise alkoxysilyl, epoxy, alkenyl, ammonium, and alkyl or OH-or alkyl-terminated polyether groups.
  • the inventive polyorganosiloxanes can comprise R, R 1 or L-Z groups having higher optical density.
  • the insertion of such substituents R or Z groups can increase the refractive index up to > 1.55.
  • Suitable groups for higher refractive indices are aromatic, bicycloaliphatic, epoxidized bicycloaliphatic or aliphatic epoxy groups. Since at least a second reactive group in the inventive polyorganosiloxanes is ready for a cure reaction such composition are useful for the manufacture of optical devices and coatings wherein a higher refractive index is desired as well as the temperature resistance of polyorganosiloxanes.
  • the invention also includes cured compositions comprising at least one polyorganosiloxane of the invention for the use in coating compositions, rubber compositions and useful in the manufacture of optical devices.
  • the applicable curing reactions may comprise radical initiated reactions e.g. by heat or light activated peroxides, other initiators or light and a heat or light activated hydrosilylation of unsaturated groups with SiH groups, condensation and reactions of the SN-type, such as oxiranyl ring-opening reactions with amines or light activated cationic polymerization with onium and sensitizer compounds for the transfer of light energy.
  • Example 1 Synthesis of the monomodal SiH pentasiloxane H-SiMe2-0-[D]3-SiMe2-H 22.2g (0.3 mol MeSiO of hexamethylcyclotrisiloxane (D 3 ) and 13.4 g (0.10 mol) tetramethyldisiloxane H M-M H were solved in 22.2 g tetrahydrofuran (THF) and 1.3 g of an acidic ionic exchanger resin Amberlyst A15 as catalyst were admixed. After 3 hrs at 60 °C the ring-opening reaction was found to be completed. The D 3 was converted to more than 90 wt.% to alpha, omega-dihydrogendecamethylpentasiloxane indicated by gas chromatography (GC).
  • GC gas chromatography
  • the pentasiloxane H M-D3-M H was filtered over an EKS-filter and purified in a fractional distillation (product fraction: 55-65°C and ⁇ 7 mbar). A purity of 90 wt.% was achieved confirmed by gas chromatography.
  • Example 4 Synthesis of an alkoxysilyl and SiH functionalized pentasiloxane (MeO) 3 Si-CH2CH2-SiMe2-0-[D]3-SiMe2-H : Trimethoxy vinyl silane (112.9 g, 0.76 mol) was added dropwise at 90 °C to a vigorously stirred mixture of the monomodal pentasiloxane M H -D 3 -M H of example 1 (269.2 g, 0.75 mol) followed by the addition of a Lamoreaux-Pt catalyst (10 ppm, as 3.3 % Pt solution in octanol ) under an N 2 atmosphere.
  • a Lamoreaux-Pt catalyst 10 ppm, as 3.3 % Pt solution in octanol
  • reaction mixture was maintained at 120°C for 2 hrs.
  • Volatiles were removed by vacuum distillation ( ⁇ 20 mbar, 100°C) for 1 hr.
  • the product was received in the form of a pale-yellow liquid (171.0 g, 95.0%).
  • VeoVa 9 [Hexion] (31.0 g) was added dropwise at 80°C to a vigorously stirred mixture of the monomodal pentasiloxane M H -D 3 -M H of example 1 (300.0 g, 0.84 mol) and Lamoreaux-Pt catalyst (10 ppm, as 3.3 wt.% Pt solution in octanol) under an N 2 atmosphere. After completion of the addition, the mixture was kept at 120°C for 20 hrs. The excess of M H -D3-M H was removed in vacuo (130°C, ⁇ 1 mbar) yielding in 113.0 g of an intermediate product, which was further used in a sequent reaction step without further characterization.
  • 11-Bromo-l-undecene (10.0 g, 42.88 mmol) and the compound H-SiMe 2 -0-[D]3-Si Me 2 -(CH 2 ) 3 -0-C3H50 (2. 5 g, 5.30 mmol) of example 9 were admixed at room temperature (25 °C) and heated to 90 °C under a nitrogen atmosphere.
  • Lamoreaux catalyst (10 ppm of a 3.3% Pt solution in octanol) was added, followed by the slow addition of H-SiMe 2 -0- D 3 -SiMe 2 -(CH 2 )3-0-C 3 H50 (13.04 g, 27.69 mmol) over a period of 30 min. Subsequently, the reaction mixture was heated up to 120 °C and stirred at this temperature for additional 90 min. Excess of 11-bromo-l-undecene was removed by vacuum distillation (150°C, ⁇ 2 mbar). The remaining residue was filtered using a PTFE syringe filter (0.45 ⁇ ).
  • Examples 15 and 16 - Antifouling Compositions The materials of selected examples 6 and 7 were used in fouling release/easy-to-clean coating formulations. Thus, both materials 6 and 7 were mixed in a 50/50 (wt/wt) ratio (Example 15) as well as in a second example in a 90/10 (wt/wt) ratio (Example 16). Upon the addition of 3.0 wt.% of a diisopropoxy-bis(ethylacetoacetato)titanate (Ti(acac)20iPr 2 ) as moisture cure-facilitator to each of the mixtures, both formulations were individually applied using a coating knife in a thickness of approx. 300 ⁇ on PVC panels (PVC Simona-CAW, size 100x100x2 mm) prior primed with a commercial primer (2-pack epoxy primer, Hempel Light Primer, 11630 - off white, primer layer thickness approx. 50 ⁇ ).
  • a coating knife in a thickness of app
  • the prepared test panels A (from the 50/50 (wt/wt) mixture and 3 wt.% of Ti(acac) 2 0iPr 2 ) and B (from the 90/10 (wt/wt) mixture and 3 wt.% of Ti(acac) 2 0iPr 2 ) were allowed to cure at ambient conditions (25°C, approx. 50% humidity) for 24 hrs.
  • fouling release evaluation was conducted according to the international ASTM standards (Standard test method for the evaluation of marine biofouling on coated test panels). Before the actual assessment, all panels were rinsed with sea water in order to remove loose adhering material from the surface. For the evaluation a fouling release rating (FR) from 100 to 0 was utilized, where a rating score of 100 refers to a surface free of fouling, while a rating of 0 was assigned to a surface entirely covered with marine biofouling.
  • FR fouling release rating
  • Polycarbonate panels (Makrolon AL2647, 3.2 mm thickness) were flow coated with the antifogging coating compositions mentioned in Table 2. After a flash-off at ambient conditions for 2 min, the coated article was heat cured in an air circulated convection oven at 120 - 130°C for 30 min. The resulting coating layer thickness was in the range of 1 - 6 ⁇ ⁇ . The obtained coating-polycarbonate composites were evaluated for anti-fogging performance, adhesion and optical appearance. Steam Fogging Test:
  • a transparent polycarbonate panel coated with the Antifog coating was placed 5 cm above a water surface of a warm water bath which is maintained at 60°C. The coating layer is exposed for 30 s or 60 s to the constant steam of the water bath. No visible fogging should occur during this time frame, nor any other visible defect on the coating surface. Breath test:
  • the adhesion property of the coating to polycarbonate substrates e.g. Makrolon,
  • Lexan is tested by cross hatch tested according to EN ISO 2409 using a Tesa ® 4657 tape.
  • Siloxane based coatings for polycarbonate which show good adhesion to the underlying substrate without the need of a primer system or any other pre-treatment are known in the literature as described above.
  • a combination of alkoxy silanes as base matrix of the coating material with reactive hydrophilic components a superior anti-fogging property of the coating layer can be achieved.

Landscapes

  • Chemical & Material Sciences (AREA)
  • Organic Chemistry (AREA)
  • Chemical Kinetics & Catalysis (AREA)
  • Health & Medical Sciences (AREA)
  • Medicinal Chemistry (AREA)
  • Polymers & Plastics (AREA)
  • Life Sciences & Earth Sciences (AREA)
  • Engineering & Computer Science (AREA)
  • Materials Engineering (AREA)
  • Wood Science & Technology (AREA)
  • Silicon Polymers (AREA)
  • Compositions Of Macromolecular Compounds (AREA)
  • Paints Or Removers (AREA)
  • Agricultural Chemicals And Associated Chemicals (AREA)

Abstract

An asymmetrically substituted polyorganosiloxane comprising at least one or more siloxane blocks and different reactive groups at each end of the siloxane chain, e.g. an alkoxysilyl, alkenyl, epoxy, hydroxyaromatic or an ionic substituent. Each polyorganosiloxane block has substantially a monomodal chain length distribution and is suitable for the use as a surface modifying agent for organic or inorganic particles, as a surface active material, and/or as a compatibilizer in compositions having more two or more non-miscible phases.

Description

ASYMMETRICALLY
SUBSTITUTED POLYORGANOSILOXANE DERIVATIVES
CROSS-REFERENCE TO RELATED APPLICATIONS
The present application claims priority to U.S. Provisional Application No. 62/194,563, entitled "Assymmetrically Substituted Polyorganosiloxane Derivatives," filed on July 20, 2015, the disclosure of which is incorporated herein by reference in its entirety.
FIELD
The present invention relates to siloxane materials, and particularly to siloxane materials that are suitable as dispersion aids, surfactants, or compatibilizers in various systems. The present invention relates to asymmetrically substituted di- and pentasiloxane derivatives and oligomers thereof suitable for coating of organic and inorganic surfaces, organic and inorganic particles, and/or which can enhance compatibilization of materials or separated liquid phases, e.g., solutions or polymer systems that are mixed together and tend to separate into phases. The work leading to this invention has received funding from the European Union Seventh Framework Program (FP7-NMP-2010-LARGE-4) under "grant agreement" n° 263382. The antifouling project received funding from the Federal Ministry for Economic Affairs and Energy of Germany under"grant agreement" 03SX370H.
BACKGROUND
Dispersion aids based on poly- or oligosiloxane are well known in the prior art. For example polydiorganosiloxandiols are useful for the dispersion of silicas and inorganic oxides. Filler materials such as, e.g., silicas, metal oxides of aluminum, titanium, zinc, zirconium or tin, and other metal oxides, are employed in various compositions. Such fillers are applied for several reasons in coating or rubber compositions. For example, fillers can be added to improve the physical properties, e.g., to provide mechanical strength or even to enhance the optical properties of those compositions. In order to improve the quality of the dispersion of fillers, to better adjust optical properties between a matrix polymer or the chemical bonding between a filler, and a matrix polymer it is desired to provide siloxanes having two different terminal groups. Without being bound to any particular theory, one group may have a preferred ability to interact with the filler or any first substrate and a second group may be accessible for a reaction with matrix polymer of the composition or may provide groups which can shielding those filler particles or substrates. Many attempts have been made to achieve such asymmetric polyorganosiloxanes having two different end groups. Either the syntheses are (i) restricted to specific end groups or (ii) do not exclude equilibrating reactions, i.e., the reaction results in other by-products having two identical terminal groups or comprise cyclic siloxanes having none of the desired functionality.
Therefor there is still a need for asymmetric polysiloxanes which have less of the disadvantages of previous siloxanes and can provide beneficial effects in the use as surface modifying agent and/or dispersion aid or compatibilizer.
SUMMARY
The inventors have surprisingly found a synthesis route which provides polyorganosiloxanes having two different terminal groups and a well-defined siloxane chain length. The polyorganosiloxanes materials are relatively short-chained siloxanes which can be used in a variety of applications including surface modifying agents, dispersion aids, or compatibilizer etc.
In one aspect, the present invention provides asymmetrically substituted, short chained siloxane derivatives having monomodal distribution of the chain length, i.e. a small polydispersity index. The various reactive terminal groups are selected from alkoxysilyl, unsaturated, epoxy, ionic and di- or trihydroxyaromatic substituents as a terminal group. The insertion of two different reactive groups according to the invention results in an asymmetric polyorganosiloxane having two different reactive moieties at the end of the chain. In one embodiment, the reactive moiety is chosen from an epoxy, an olefinic moiety, an acetylenic moiety, etc., or a combination of two or more thereof, whereby the group at other terminal position may have the ability to undergo a condensation or a substitution reaction. Another aspect of the invention is that it provides an assymetrically substituted polyorganosiloxane that comprises a relatively narrow molecular weight distribution of the polyorganosiloxane. In one embodiment, the siloxane compound has a substantial monomodal distribution of the chain length, i. e., comprising more than 85 wt. % having the same chain length.
BRIEF DESCRIPTION OF THE DRAWINGS
Figure 1 is a graph showing the antifouling/fouling release performance of antifouling coating compositions comprising asymetrically substituted polyorganosiloxane derivatives in accordance with aspects of the invention; and
Figures 2-4 are images showing the fouling coverage of panels A to F coated with different materials after 85 days of sea immersion, 189 days of sea immersion, and 219 days of sea immersion respectively.
DETAILED DESCRIPTION
Provided are polyorganosiloxanes comprising two different terminal groups where the polyorganosiloxane exhibits a low polydispersity index. The polyorganosiloxanes may find use in a variety of applications and materials.
Based on the use of specific uniform siloxane precursors the inventors could synthesize polyorganosiloxanes having exactly two different reactive groups at both ends at a level of high purity respectively a small polydispersity index, which is characterized by the ratio of the weight-average molecular weight to the number-average molecular weight Mw/Mn. Here it is in the range from 1 to 1.2. The inventors found a way to insert terminal groups stepwise, whereby after each reaction step a purification step could be applied, which allows to control the completeness of the addition of a first terminal end group and then the addition of a second different terminal group. It is part of the inventive concept to apply the stepwise addition of reactive terminal groups on monomodal polyorganosiloxane precursors which are generated in a non-equilibrium siloxane synthesis. In one aspect, provided is a polyorganosiloxane of the formula (I) comprising two different terminal groups Z1 and Z2:
Z1 -{-L[SiR20]p-Si 2 }m-L-Z2 (I)
where
p =1 to 9,
m= 1 to 5
wherein R=R*
R or R1 is a saturated hydrocarbon substituent selected from the group consisting of a monovalent CI to C22-alkyl, optionally substituted by F, a C6- C22-aryl, a C8-C22-polycyclic aryl, a C7-C23-alkylaryl, and a C7-C22-arylalkyl group,
L is a single bond, or a divalent or trivalent group L1 or L2 which are selected from the group consisting of a divalent Cl-C12-alkylene group, which can be interrupted by one or more -0-, - or -IMR3-C(0)-, and/or -NR3-, urethane- OC(0)NR3- , urea -N-R3HC(0)N-R3- moieties, and substituted by one or more OH groups, wherein R3 is hydrogen, Me3Si- or C1-C8 alkyl,
bonded via carbon bond to the silicon atom of the siloxy unit
Z is a monovalent group selected from the group Z1 and Z2, wherein
Z1 and Z2 are selected from Z which is selected from the group consisting of R1, R2, hydrogen, monovalent unsubstituted or substituted C1-C30 hydrocarbons, and an ionic group comprising O, N, S and P atoms, in more specific embodiments, Z is selected in from the group consisting of C8-C22-alkylarylalkyl, C6-C22-aryl ether, C6-C22-cycloalkyl, C7-C22-cycloalkylalkylene, C7-C22- bicycloalkyl, C6-C12-cyclothioalkyl, , C5-C12-hetero-N, -O, -S-aryl, Cl-C20-alkyl aldehydes and C7-C20-alkylaryl aldehydes, optionally substituted by Cl-C8-alkyl, OH, CI, Br, CN and a silyl ether group R^Si-O-, and selected from a poly-C2-C4-alkylene oxide, OH or OR3 or OC(0)R3 terminated, and wherein R2 is selected from a monovalent unsaturated, unsubstituted or substituted alkenyl or alkynyl group selected from the group consisting of a C2-C22-alkenyl, C6-C22-cycloalkenyl, C7-C22-bicycloalkenylalkylene, C2-C22-alkynyl, and the related oxiranyl and carbonate derivaties of R2, selected from group of
C3-C22-oxiranyl groups and C4-C23-carbonate compounds,
and a group selected from CI, Br, I, -SH, -S-R1, -OH, -O-R1, -CN, -NCO, blocked NCO, and a group selected from
Figure imgf000007_0001
wherein x= 1-3, , wherein
X is = OH, OR1, - R1!, R^ oj-O-, wherein
R6 =C6-C10-aryl, C7-C12-arylalkyl, C6-C12-cycloalkyl, C7-C16-bicycloalkyl, C3- C12-epoxy alkyl, C6-C12-epoxy cycloalkyl, C7-C16-epoxy bicycloalkyl, C6-C12- thiocycloalkyl, C5-C12-hetreo-N,-0, -S-aryl, and
selected from an ionic group derived from an ester of a carboxylic acid, S or P acid, such as -C(0)-0-R3, (R30)2-P(0)-0- , (R30)2-P(0)-, phosphonates (R3-0)2-P-, phosphines, amines, betaines, such as -NHR3-CH2-COOH, -NHR3-CH2-0- S(0)2(0H), -S-S(0)2(0R3), and a primary, secondary, tertiary amine -NR3 2 or phosphine -PR3 2, and an acid addition salt of an amine, phosphine preferably salts having quaternary -N+R13 or -P+R13 groups, and
alkyl or aryl enamine of the formula
Figure imgf000007_0002
wherein R3 is hydrogen, C1-C8 alkyl, C2-C8 alkenyl, R^Si- bonded via a single bond or carbon bond of L to the silicon atom of the siloxy unit of the polyorganosiloxane (I), whereby -L-Z2 and -L-Z1 are different.
In a preferred embodiment the inventive compounds are composed of one or more defined polysiloxane blocks consisting essentially either of a disiloxane, a polyorganopentasiloxane, or polyorganodecasiloxane block. The term consisting essentially of means that more than 80 wt.% of the compound of the formula (I) has the same chain length, wherein the index p in formula (I) is p=l, 4, or 9. In a preferred embodiment more than 85 wt.% and in a particularly preferred embodiment more than 90 wt.% are showing an index of p either l or 4 or 9.
This high degree of a uniform molecule having a polydispersity index close to 1 could be achieved by the purification process for the precursors according to the invention. It is therefore stated to have polyorganosiloxanes with a monomodal chain length distribution.
This feature could be achieved since the precursors, i.e., compounds like disubstituted tetraorganodisiloxanes, hexaorganocyclotrisiloxanes and their reaction product of the non- equilibrated reaction, have distinct boiling points and can be enriched respectively purified, e.g., by distillation or crystallization in each of the following steps of the addition of the terminal groups.
For example one of the preferred pentasiloxane can be H me2Si-0-[me2SiO]3-Sime2H synthesized by a non- equilibrating reaction of hexamethylcyclotrisiloxane and Hme2Si-0- Sime2H ( according to e.g. JP 11158188 B) already in high purity. After an additional distillation a pentasiloxane content of more than 90 wt.% according to gas chromatography is achievable.
The aforementioned process for the synthesis of the non-equilibrated polyorganosiloxanes is applicable also for other di-substituted tetraorganodisiloxanes, and hexaorganocyclotrisiloxanes.
The purified pentasiloxane either having the structure MHD3MH or MviD3M i is submitted to the stepwise addition of further compounds comprising complementary reactive groups which can undergo a hydrosilylation reaction with the SiH unit respectively together with unsaturated groups. The precursors for organic groups forming the L and Z groups must therefore provide such functionalities for a first hydrosilylation step. The precursors comprise further functionalities which after hydrosilylation step can form the group Z or provide a second functionality which can serve as basis in a further third reaction to form Z1, Z2 or Z22. For example alkylhalogenides may serve to form -C-N-, -C-S-, -C-NCO, -C-P- bonds or epoxides which are a basis to form esters, amine etc.
The inventors have found a syntheses route or method to create asymmetrically substituted polyorganopentasiloxanes whose starting precursors are either di-, penta- or decasiloxane such as MHMH, MHD3MH, MHD8MH, or respectively the MR2M 2 or MR D3MR2 polyorganosiloxanes, wherein R2 is an unsaturated group, and wherein any of these precursors can be reacted in the additional steps of, e.g.,
i) with unsaturated compound e.g. vinylalkoxysilane or alkenylhalogenid or a hydridoalkoxysilane or SiH-siloxane to create a new terminal group, then optionally get purified or enriched and in a second step;
ii) reacted with a further other unsaturated compound, a hydridoalkoxysilane, or a SiH- siloxane to form a second terminal reactive group different the group in step i) whereby, e.g., the second precursor is an unsaturated epoxy, alkenylhalogenid, or alkenyl ether compound in the presence of a hydrosilylation catalyst.
The polyorganosiloxane compounds according to the invention can be derived from any suitable polyorganosiloxane as a starting material which provides symmetrically reactive substituents at the terminal groups. Particularly suitable polyorganosiloxanes include, but are not limited to:
Figure imgf000009_0001
or
Figure imgf000010_0001
In a preferred embodiment the substituents of the polyorganosiloxane are defined as follows:
R and R1 are methyl, 3,3,3-trifluoropropyl, phenyl, styryl, phenylpropyl, naphthyl,
L1 and L2 are selected from a single bond, a divalent or a trivalent C1-C12- alkylene groups, which can be interrupted by one or more -0-, - or -NR3-C(0)-, and/or -NR3- moieties, and substituted by one or more OH groups,
Z1 and Z2 are selected from Z wherein Z is selected from the group which consists of vinyl, allyl, hexenyl, octenyl, allyloxypropyl, -CH2C≡CH, -C(0)C≡CH, -C(0)(CH2)8CH=CH2, cyclohexenylethyl, limonyl, norbornenylethyl, vinylphenylethyl, allyloxyphenyloxypropyl, -(OCH2CH20)a-(OCH2CH(CH3))b-(OCH2CH2CH(CH3))c-OCH=CH2, or -(OCH2CH2)a-(OCH2CH(CH3))b-(OCH2CH2CH(CH3))c-OH, -(OCH2CH2)a-(OCH2CH(CH3))b- (OCH2CH2CH(CH3))c-0-Cl-C4 alkyl, or
-(OCH2CH2)a-(OCH2CH(CH3))b-(OCH2CH2CH(CH3))c-0-C(0)-Cl-C4 alkyl, with a, b, c being 0 to 20, in one embodiment, 0 and 1 to 20, and a+b+c= 1 to 20,
-[-Si(CH3)20Si(CH3)2]CH=CH2, and
Figure imgf000010_0002
and (R^xR^-xSi-, wherein x= 1-3, wherein X is = OH, OR1, -NR½, R1-C(0)-0-, and of unsubstituted or substituted oxyphenyl moieties of the formula
Figure imgf000011_0001
wherein R10, R14 is hydrogen or R1 and
R11, R12, R13 are selected from -OR3,
whereby at least one of the groups R11 to R13 is OH, and selected from eugenol, bisphenolethers, cumylphenolether,
glycidylpropylether, epoxylimonyl, epoxycyclohexanethyl, epoxynorbornyl,
Figure imgf000011_0002
and the carbonate derivatives of these epoxides, 1,3-dithiolane, 1,3,5-trithiane, 1,3-dithiane, thiophenyl, tetrahydro-2H-thiopyranyl, carbazol, indol,
trisphenylsilyl, and R6Me2Si-, wherein
R6= C6-C10-aryl, C7-C12-arylalkyl, C6-C12-cycloalkyl, C7-C16-bicycloalkyl, C6-C12- cyclothioalkyl, C5-C12-hetero-N, -O, -S-aryl, optionally substituted by Cl-C8-alkyl, OH, CI, CN, and a silyl ether group R^Si-O-,
and a group selected from CI, -S-H, -NCO, blocked NCO,
and selected from an ionic group derived from an ester of a carboxylic acid, S or P acid such as -
C(0)-0-R3, (R30)2-P(0)-0- , (R30)2-P(0)-, phosphonates (R3-0)2-P-, phosphines, amines, betaines such as -NHR3-CH2-COOH, -NHR3-CH2-0-S(0)2(OH), -S-S(0)2(0R3), and
a primary, secondary, tertiary amine -NR3 2 or phosphine -PR3 2 , and an acid addition salt of an amine, phosphine preferably salts having quaternary -N+R13 or - P+R13 groups, wherein R3 as defined above,
whereby -L2-Z2 and -I1-!1 are different.
Examples for the possible substituted oxyaromatic compounds include, but are not limited to: l-allyl-3.4-dihydroxy benzene (allyl catechol), unsaturated monoether of monohydroxy compounds, i.e. l-allyl-3-methoxy-4-hydroxy benzene (eugenol), unsaturated bis-silyl compounds, i.e. the bis-alkoxysilyl derivatives of l-allyl-3.4 dihydroxy benzene. It assumed where necessary that the Si-O-C bonds are useful as a potential blocking group and can release further hydroxyl aryl groups or make the hydroxyl aryl groups accessible for other condensation reactions. The group of C5-C12-hetero-N, -O, -S-aryl may include indoles, carbazole, furanes, thiophenes.
In a more specific embodiment, the polyorganosiloxane is as follows:
R1 is selected of methyl, phenyl, 3,3,3-trifluoropropyl
L is selected from L1 and L2 and is as defined above,
Z1 and Z2 are selected from Z is phenyl, phenylpropyl, styryl, naphthyl, eugenol, bisphenolethers, cumylphenolether,
and of unsubstituted or substituted oxyphenyl moieties of the formula
Figure imgf000012_0001
wherein R10, R14 is hydrogen or R1 and
R11, R12, R13 are selected from -OR3,
whereby at least two of the groups R11 to R13 are OH groups, and norbornyl, vinyl, allyl, allyloxypropyl, hexenyl, norbornenyl, cyclohexenylethyl, limonyl, and glycidylpropylether, epoxylimonyl, epoxycyclohexanethyl, epoxynorbornyl, and the carbonate derivatives of these epoxides, and a group selected from CI, -S-H, -NCO, blocked NCO, and a group selected from
(R1X)xR13-xSi-, R^R^-xSi-, wherein x= 1-3, , wherein
X is = OH, OR1, -NRV, R^CiOJ-O- , wherein
R6 =phenyl, naphthyl, phenylethyl, phenylpropyl, eugenol, limonyl, epoxylimonyl, glycidylpropylether epoxycyclohexylethyl, norbornenylethyl, epoxy norbornenylethyl, carbazol, indol,
and selected from an ionic group derived from an ester of a carboxylic acid, S or P acid such as -C(0)-0-R3, (R30)2-P(0)-0- , (R30)2-P(0)-, phosphonates (R3-0)2-P-, amines, betaines such as -NHR3-CH2-COOH, -NHR3-CH2-0-S(0)2(OH), and a primary, secondary, tertiary amine -NR3 2 , and an acid addition salt of an amine, salts having quaternary -N+R13 and enamines,
bonded via a single bond or carbon bond of L to the silicon atom of the siloxy unit, whereby
-lAZ2 and -I1-!1 are different.
In a further specific second embodiment, the polyorganosiloxane is defined is as follows:
Z1 is an alkoxysilyl substituent of the structure (R10)xR13-xSi with x = 1 to 3, R1 = Cl-C8-alkyl, and of unsubstituted or substituted oxyphenyl moieties of the formula
Figure imgf000013_0001
wherein R10, R14 is hydrogen or R1 and
R11, R12, R13 are selected from -OR3,
whereby at least two of the groups R11 to R13 are OH, and selected from an ionic group derived from an ester of a carboxylic acid, S or P acid such as -C(0)-0-H, (HO)2-P(0)-0- , (HO)2-P(0)-, phosphonates (Η-0)2-Ρ-, amines, betaines such as -NHR3-CH2-COOH, -NHR3-CH2-0-S(0)2(OH), and a primary, secondary, tertiary amine -NR3 2 and an acid addition salt of an amine, salts having quaternary -N+R13 and enamines,
bonded via a single bond or carbon bond of L to the silicon atom of the siloxy unit,
Z2 is selected from the group of phenyl, phenylpropyl, styryl, naphthyl, eugenol, bisphenolethers, cumylphenolether, norbornyl, vinyl, allyl, allyloxypropyl, hexenyl, octenyl norbornenyl, cyclohexenylethyl, limonyl,glycidylpropylether, epoxylimonyl, epoxycyclohexanethyl, epoxynorbornyl, and the carbonate derivatives of these epoxides and C4-C23-carbonate groups thereof, and
-C(0)-0-R3, (R30)2-P(0)-0-, (R30)2-P(0)-,phosphonates (R3-0)2-P-, wherein R3 = R1, and a group selected from CI, -SH, -NCO, blocked NCO, and a group selected from triphenylsilyl, and R6R½Si-,
wherein
R6 is phenyl, naphthyl, phenylethyl, phenylpropyl, eugenol, limonyl, epoxylimonyl, glycidylpropylether epoxycyclohexylethyl, norbornenylethyl, epoxy norbornenylethyl, carbazol, indol,
whereby
-L-Z2 and -L-Z1 are different.
It will be appreciated that the statement L-Z2 and L-Z1 are different means that at least the Z2 and Z1 groups are different. The L groups may be the same or different.
In another third specific embodiment, the polyorganosiloxane is such that the substituents are defined by:
L1 is -CH2CH2-;
L2 is a single bond, -CH2CH2-, -CH2CH20-, -CH2CH2CH20-, -CH(CH3)CH20-, -CH=CHCH20-, -CH=CHC(0)-, or -C(CH20-)=CHCH20- Z1 is as defined above,
Z2 is selected from -CH=CH2, -CH2CH=CH2, -(CH2)4CH=CH2, -C(0)(CH2)8CH=CH2,-CH2C≡CH, -C(0)C≡CH,
-(OCH2CH2)a-(OCH2CH(CH3))b-(OCH2CH2CH(CH3))c-OCH=CH2,
-(OCH2CH20)a-(OCH2CH(CH3))b-(OCH2CH2CH(CH3))c-OCH2CH=CH2, -(OCH2CH2)a-(OCH2CH(CH3))b-(OCH2CH2CH(CH3))c-OH
-(OCH2CH2)a-(OCH2CH(CH3))b-(OCH2CH2CH(CH3))c-0-Cl-C4 alkyl -(OCH2CH2)a-(OCH2CH(CH3))b-(OCH2CH2CH(CH3))c-0-C(0)-Cl-C4 alkyl with a, b, c being 0 to 20, in one embodiment, 0 and 1 to 20, and a+b+c -[-Si(CH3)2OSi(CH3)2]CH=CH2, and
Figure imgf000015_0001
The aryl groups Z and R6 may include thio substituted cycloalkyl substituents
Figure imgf000015_0002
1,3-dithiane, 1,3-dithiolane, 1,3,5-trithiane,
or aryl ethers such as
Figure imgf000016_0001
cumylphenol ether, bisphenol ethers, and asymmetrically subsitituted disiloxanes such as
Figure imgf000016_0002
In a further forth specific embodiment, the substituents Z1 of the polyorganosiloxane are erably selected from an ionic group, whereby:
Z1 is selected from the group which consists of an unsubstituted primary, secondary, tertiary amine -NR3 2 or ammonium groups -N+R33 or primary, secondary, tertiary phosphine -PR3 2 or phosphonium -P+R3 3; an alkyl or aryl enamine of the formula,
Figure imgf000016_0003
Preferably the groups ammonium group N+R3 3 and phosphonium group -P+R3 3; is a quaternary group IST ^ and phosphonium group -P+R1 3.
In a further specific fifth embodiment of the polyorganosiloxane, one group of the substituent Z1 or Z2 of the inventive polyorganosiloxane is defined as follows: Z2 or Z1 are selected from the group which consists of an ester of a carboxylic acid of the formula: -COO-R3, a sulfonic acid -S03-R3; a sulfuric acid partial ester -0-S(0)2-0-R3, a phosphoric acid esters -O- P(0)(OR3)2, a phosphonic acid esters -P(OR3)2, a xanthogenate ester -0-C(S)-S-R3 wherein the ionic character depends on the definition of R3. If R3 is hydrogen these ester groups should be used as Z1, if R3 is R1 these ester groups should be used preferably as Z2 moieties. In case where the group R3 is hydrogen such groups Z have a more ionic character and may be used preferably as group Z1 which has a stronger interaction to inorganic surfaces, e.g. of metal oxide or hydroxide particle.
In a further specific sixth embodiment, the substituents of the polyorganosiloxane are defined by Z1 is an alkoxysilyl substituent of the structure of (R10)xR13-xSi with x = 1 to 3, R1 = Cl-C8-alkyl, aryl, such as methyl, ethyl, propyl, i-propyl, n-butyl, phenyl, and
Z1 is an ionic group selected from the group which consists of a carboxylic acid of the formula - COOH , a sulfonic acid -SO3H, a sulfuric acid 0-S(0)2-OH, a phosphoric acid or partial ester -O- PiOXOR^a phosphonic acid or partial ester -PfOR^, a xanthogenate acid -0-C(S)-S-H, a Bunte Salt -S-S(0)2OH, wherein R1 is as defined above or the anions of these acidic groups.
In a further seventh most preferred embodiment, the polyorganosiloxane is a substituted pentaorganosiloxane wherein the index m in the formula (I) is = 1 , p= 1 or 4 or 9 for more than 80 wt.% and R respectively R1 are defined above, and the polyorganosiloxane is of the formula (la)
Figure imgf000017_0001
In an exemplary embodiment, the index p is 4 for more than 85 wt.% more preferably 90 wt.% of the inventive polyorganosiloxane.
Although it is in the scope of the invention to add and combine nearly all reactive groups Z as terminal group Z1 and Z2 attached to the selected polyorganosiloxane structures of formula (I) or (la), it is preferred to synthesize some specific combinations of the groups Z1, Z2 and if necessary Z12 or Z22, since most of properties for the intended uses can be achieved by these exemplified preferred combinations. The synthesis concept includes a final modification of the groups Z1 and Z2 to reveal the final character of these groups as Z12 or Z22 at a later stage of the synthesis .
The group Z12 and Z22 are selected from Z1 or Z2 and are characterized in that they are synthesized by an additional step in which a group Z2 is submitted to a further reaction. For example an oxiranyl group is reacted with a primary, secondary or tertiary amine to form a ring opened hydroxyl amine or ammonium unit as group Z22.
Figure imgf000018_0001
In another example the oxiranyl group is reacted with a carboxylic acid or any other acid, such as methacrylic acid, phosphoric acid etc. to form esters based as Z22 on a previous group Z2.
Figure imgf000018_0002
This third reaction step can also comprise a substitution reaction of an alkylhalogenide with an amine, a phoshine, a phosphinate etc., whereby the alkylhalogenide is preferably a group Z1 or Z2 attached to one of the embodiments of the inventive polyorganosiloxanes.
The following table shows exemplary combinations of the groups Z1 and Z2 in the inventive polyorganosiloxanes.
Table 1
Figure imgf000018_0003
Figure imgf000019_0001
trihydroxydroxyphenyl oxiranyl In a further specific embodiment, the substituents of the inventive polyorganosiloxane (I) have the definition of the formula (la),
wherein the index m in the formula (I) is m = 1
Figure imgf000020_0001
and R, R1, Z1, L1, Z2 and L2 are as defined above.
Specific exemplary embodiments of the polyorganosiloxane (la) are polyorganosiloxanes selected from compounds of the formulas (Ma) to (llf):
Figure imgf000020_0002
Figure imgf000020_0003
(lie)
Figure imgf000021_0001
(He)
Figure imgf000021_0002
(llf)
R, R1 = methyl, 3,3,3-fluoropropyl, phenyl but can be different to each other, p =1 or 4 or 9,
n= 0-6, and
L1 and L2 are selected from the group of Cl-C14-alkyl, Cl-C14-alkylether groups and can be different to each other.
The combination of the two different terminal groups Z1 and Z2 is chosen under a concept which is taking into account the possible applications of the inventive polyorganosiloxane.
For the case where an interaction to an oxidic inorganic filler is desired, it is preferred to choose at least one first terminal group which is capable of interacting with such filler surfaces. Suitable groups include, but are not limited to, silyl groups having hydrolysable leaving groups X such as alkoxy, amino or carboxylic groups or are further ionic groups Z like ammonium, phosphonium, phosphate, sulfate or carboxylic groups as terminal group.
The use of silyl groups having hydrolysable leaving groups are also preferred if the polyorganosiloxanes are intended to be used in a cure process wherein a condensation reaction shall occur either without or with further polyorganosiloxanes which can undergo a condensation reaction together with a condensation catalyst known in the state of the art in the field of RTV-IK or RTV-2K polysiloxane compositions. Such condensation catalyst maybe selected from organometallic compounds such as compounds comprising Bi, Fe, Sn, Ti, Zr, Zn or amines and Lewis acids. Another first terminal group Z1 is a hydroxyaromatic group, which can interact with many of the inorganic oxide or hydroxide surfaces. The use of polyalkylene oxide groups as Z2 group is suitable for an improved wetting behavior and can provide antifouling properties. Such surfaces when modified with the inventive polyorganosiloxanes may include surfaces of inorganic oxides or organic polymers or surfaces like inorganic or organic fibers or coatings in order to modify these surfaces in a desired manner. Examples of modifications include, but are not limited to, changing the surface tension, changing the wettability, or providing a surface which exhibits repellence against microbes, algae's, biofilms, barnicles, fungis etc., i.e., it can be used therefore as an anti-fouling coating per se or as an additive in a polyorganosiloxane composition cured by a condensation reaction.
The second terminal group Z2 to be combined with the aforementioned first terminal group may be selected from the group of substituents which can undergo different types of reactions compared to the first terminal group. Such second terminal substituents are preferably selected from the group consisting of substituents which can be activated by, e.g., by a radical initiated reaction and a heat or light activated hydrosilylation reaction of unsaturated groups with SiH groups, condensation and substitution reaction of the SN-type, such as oxiranyl ring-opening reactions with amines or light activated cationic polymerization with onium and sensitizer compounds for the transfer of light energy. Therefore such terminal substituents will be chosen preferable from the group of unsaturated, or e.g. -SH, SiH, oxiranyl or carbonate substituents R2, Z2 or Z22 linked over a unit L via carbon bond to the silicon atom of a disiloxane, pentasiloxane or decasiloxane block.
The broad range of possible reactive terminal substituents enables the use of various cure mechanism either nucleophiles like amines and an epoxy ring opening reaction or by light induced cationic polymerization under assistance of a catalyst, heat or light activated radial reaction and hydrosilylation reaction. Some groups can be again precursor for other reactive groups, e.g. where epoxides are reacted with e.g. carboxylic acids to form esters or with amines to form higher alkylated amines.
By such a reaction, e.g. the epoxy groups Z2 can in particular be transformed to substituents Z22 having unsaturated groups like unsaturated esters- -C(0)-OR2.
The strategy for the sequence of the stepwise introduction of the terminal groups depends on the reactive groups of the precursors and possible interactions between the first and the second terminal group in the synthesis for building-up the asymmetrically substituted polyorganosiloxane.
Another aspect in the concept of the synthesis is the additional use of a binder or matrix polymer which is intended for a combined cure with the inventive polyorganosiloxane in order form coatings or article.
In one embodiment, the inventive polyorganosiloxanes may be used to form a coating or as part of a coating composition. In one exemplary embodiment, the inventive polyorganosiloxanes may be employed as an antifouling coating or as an ingredient in an antifouling coating. In embodiments where the polyorganosiloxane is employed as an antifouling coating or as part of an antifouling coating composition, the polyorganosiloxane may be of the formula (I) and comprise two different terminal groups Z1 and Z2
Figure imgf000023_0001
p =l to 9,
m= 1 to 5
wherein R=RX is a saturated hydrocarbon substituent selected from the group which consists of a monovalent CI to C22-alkyl, a C6-C22-aryl,
L is a single bond, divalent or trivalent group L1 or L2 which are selected from the group consisting of a divalent Cl-C12-alkylene group or divalent or trivalent Cl-
C12-alkylidene group which can be interrupted by one or more -0-, -C(O)-, -
NR3-C(0)-, and/or -NR3- , urethane-OC(0)NR3- , urea -N-R3HC(0)N-R3- moieties, and substituted by one or more OH groups,
wherein R3 is hydrogen, Me3Si- or C1-C8 alkyl,
bonded via carbon bond to the silicon atom of the siloxy unit
Z is a monovalent group selected from the group Z1 and Z2,
wherein
Z1 and Z2 are selected from the group which consists of
a) unsubstituted or substituted, linear, branched or cyclic, saturated or unsaturated C1-C30 hydrocarbons, i.e. C3-C22 linear alkyl, C3-C22 branched alkyl, C8-C22-alkylarylalkyl, C6-C22-aryl ether, C6-C22-cycloalkyl, C7-C22- cycloalkylalkylene, C7-C22-bicycloalkyl,
b) poly-C2-C4-alkylene oxides, OH or OR3 or OC(0)R3 terminated, and wherein R3 is selected from C1-C8 alkyl,
c) a group selected from
Figure imgf000024_0001
wherein x= 1-3, , wherein
X is = -0-, -C(0)-0-, wherein
R1 is as defined above,
under the proviso that one group Z1 or Z2 is a group selected from c). In a second exemplary embodiment of the polyorganosiloxanes being useful as antifouling coating or ingredient in antifouling coatings, the polyorganosiloxane may be of the formula (I) and comprise two different terminal groups Z1 and Z2 Z1 -{-L[SiR20]p-SiR2 }m-L-Z2 (I)
p =1 to 4,
m= l to 2
wherein
R=R1 is a saturated hydrocarbon substituent selected from the group which consists of a monovalent CI to C3-alkyl, a C6 aryl,
L is a divalent or trivalent group L1 or L2 which are selected from the group consisting of a divalent Cl-C8-alkylene group or divalent or trivalent C1-C6- alkylidene group which can be interrupted by one or more -0-, -C(O)- moieties, and substituted by one or more OH groups,
specifically
-CH2CH2-,
-CH2CH20-, CH2CH2CH20-, -CH(CH3)CH20-, -CH2CH2CH(CH3)CH20-,
-CH=CH-CH20-,
Figure imgf000025_0001
-CH2CH2OC(0)-, CH2CH2CH2OC(0)-, -CH(CH3)CH20-, -CH2CH2CH(CH3)CH2OC(0)-, -CH=CH-CH2OC(0)-,
Figure imgf000025_0002
Z is a monovalent group selected from the group Z1 and Z2,
wherein
Z1 and Z2 are selected from the group which consists of
a) unsubstituted or substituted, linear, branched or cyclic, saturated or unsaturated C1-C22 hydrocarbons, i.e. C3-C18 linear alkyl, C3-C18 branched alkyl, C8-C15-alkylarylalkyl, C6-C9-aryl ether, C6-C10-cycloalkyl, C7-C18- cycloalkylalkylene, C7-C16-bicycloalkyl,
specifically
-(CH2)ioCH3, -(CH2)i2CH3, -(CH2)i4CH3, -(CH2)i6CH3,
-(CH2)7CH=CH(CH2)7CH3,
-CH(C2H5)CH2CH2CH2CH3,
Koch acids derived residues, i.e.
-C(CH3)3, -C(CH3)2CH2CH3 , -C(CH3)2CH2CH2CH3,
Versatic acid 11 derived residues of the structure
-CiCI- JR1! 1 with∑ carbons in all R1 groups =8 ,
Versatic acid 10 derived residues of the structure
-CiCH^R1 with∑ carbons in all R1 groups =7 ,
i.e.
-C(CH3)(C2H5)CH2CH2CH2CH2CH3,
-C(CH3)(C3H7)(C4H9),
Versatic acid 9 derived residues of the structure
-CfCHs^R1 with∑ carbons in all R1 groups =6 ,
Figure imgf000026_0001
Figure imgf000026_0002
b) poly-C2-C4-alkylene oxides, OH or OR3 or OC(0)R3 terminated, of the structures
-(OCH2CH2-)a-(OCH2CH(CH3))b-(OCH2CH2CH(CH3))c-OH
-(OCH2CH2)a-(OCH2CH(CH3))b-(OCH2CH2CH(CH3))c-0-Cl-C4 alkyl
-(OCH2CH2)a-(OCH2CH(CH3))b-(OCH2CH2CH(CH3))c-0-C(0)-Cl-C4 alkyl with a, b, c being 0 to 20, and a+b+c= 1 to 20,
a being preferred 2 to 20, more preferred 5 to 20, even more preferred 7 to 20 and specifically 7 to 15,
b being preferred 0 to 20, more preferred 0 to 10, even more preferred 0 to 5 and specifically 1 to 5,
c being preferred 0 to 20, more preferred 0 to 10, even more preferred 0 to 5 and specifically 1 to 5,
a+b+c being preferred 2 to 20, more preferred 5 to 20, even more preferred 7 to 20 and specifically 7 to 15,
c) a group selected from
(R1X)xR13-xSi-, wherein x= 1-3, , wherein
X is = -0-, -C(0)-O, wherein
R1 is as defined above, preferred CH3- and CH3CH2-,
under the proviso that one group Z1 or Z2 is a group selected from c).
In a further third exemplary embodiment, the polyorganosiloxanes employed as antifouling coating or ingredient in antifouling coatings are of the formula (I) and comprise two different terminal groups Z1 and Z2
Figure imgf000027_0001
P = 4,
m= 1, in
R=R1 is a saturated hydrocarbon substituent selected from the group which consists of a monovalent CI to C3-alkyl, preferred methyl,
L is a divalent or trivalent group L1 or L2 which are selected from the group consisting of a divalent Cl-C4-alkylene group, preferred divalent C2-C3 alkylene group, which can be interrupted by one or more -0-, -C(O)- moieties, and substituted by one or more OH groups,
specifically
-CH2CH2-,
-CH2CH2O-, CH2CH2CH2O-, -CH(CH3)CH20-, -CH2CH2CH(CH3)CH20-,
Z is a monovalent group selected from the group Z1 and Z2,
wherein
Z1 and Z2 are selected from the group which consists of
a) unsubstituted branched saturated C1-C22 hydrocarbons, i.e. C3-C18 branched alkyl, specifically
Koch acids derived residues, i.e.
-C(CH3)3, -C(CH3)2CH2CH3 , -C(CH3)2CH2CH2CH3,
Versatic acid 11 derived residues of the structure
-C(CH3) 1R1 with∑ carbons in all R1 groups =8 ,
Versatic acid 10 derived residues of the structure
-CiCH^R1 with∑ carbons in all R1 groups =7 ,
i.e.
-C(CH3)(C2H5)CH2CH2CH2CH2CH3,
-C(CH3)(C3H7)(C4H9),
Versatic acid 9 derived residues of the structure
-CfCHs^R1 with∑ carbons in all R1 groups =6,
c) a group selected from
(R^xR^-xSi-, wherein x= 1-3, preferred 3, wherein X is = -0-, wherein
R1 is as defined above, preferred CH3- and CH3CH2-,
under the proviso that one group Z1 or Z2 is a group selected from c).
In a further fourth exemplary embodiment, the polyorganosiloxanes employed as antifouling coating or ingredient in antifouling coatings are of the formula (I) and comprise two different terminal groups Z1 and Z2
Z -USiRzOJp-SiRz -L-Z2 (I)
P = 4- m= 1,
wherein
R=R1 is a saturated hydrocarbon substituent selected from the group which consists of a monovalent CI to C3-alkyl, preferred methyl,
L is a divalent or trivalent group L1 or L2 which are selected from the group consisting of a divalent Cl-C4-alkylene group, preferred divalent C2-C3 alkylene group, which can be interrupted by one or more -0-, -C(O)- moieties, and substituted by one or more OH groups,
specifically
-CH2CH2-,
-CH2CH2O-, CH2CH2CH2O-, -CH(CH3)CH20-, -CH2CH2CH(CH3)CH20-, Z is a monovalent group selected from the group Z1 and Z2,
wherein
Z1 and Z2are selected from the group which consists of b) poly-C2-C4-alkylene oxides, OH or OR3 or OC(0)R3 terminated, of the structures
-(OCH2CH2-)B-(OCH2CH(CH3))b-(OCH2CH2CH(CH3))c-OH
-(OCH2CH2)a-(OCH2CH(CH3))b-(OCH2CH2CH(CH3))c-0-Cl-C4 alkyl -(OCH2CH2)a-(OCH2CH(CH3))b-(OCH2CH2CH(CH3))c-0-C(0)-Cl-C4 alkyl
with a, b, c being 0 to 20, and a+b+c= 1 to 20,
a being preferred 2 to 20, more preferred 5 to 20, even more preferred 7 to 20 and specifically 7 to 15,
b being preferred 0 to 20, more preferred 0 to 10, even more preferred 0 to 5 and specifically 1 to 5,
c being preferred 0 to 20, more preferred 0 to 10, even more preferred 0 to 5 and specifically 1 to 5,
a+b+c being preferred 2 to 20, more preferred 5 to 20, even more preferred 7 to 20 and specifically 7 to 15,
c) a group selected from
(R1X)xR13-xSi-, wherein x= 1-3, preferred 3 , wherein
X is = -0-, wherein
R1 is as defined above, preferred CH3- and CH3CH2-,
under the proviso that one group Z1 or Z2 is a group selected from c). In a further fifth exemplary embodiment, the polyorganosiloxanes employed in antifouling coatings or additives to antifouling coatings are mixtures of (i) a polyorganosiloxane which comprises for Z with Z1 and Z2 substituents a) and c), and (ii) a polyorganosiloxane which comprises for Z with Z1 and Z2 substituents b) and c). The wt% ratio between the polyorganosiloxanes (i) which comprise for Z with Z1 and Z2 substituents a) and c) and polyorganosiloxanes (ii) which comprise for Z with Z1 and Z2 substituents b) and c) is:
polyorganosiloxanes (i) : polyorganosiloxanes (ii) = 10:90 to 90:10; 30:70 to 70:30; 40:60 to 60:40, even 50:50.
α,ω difunctional polysiloxanes in antifouling compositions are described in WO2014/126599 which is herewith included by reference. The polysiloxanes contain alkoxysilyl as well as polyether substituents. Major disadvantage of the polysiloxanes in WO2014/126599 is the polydispersity of the siloxane. This leads after two subsequent hydrosilylations with unsaturated alkoxysilanes and unsaturated polyethers without the chance for a purification of the intermediate to a broad product mix. It contains the target product as well as the two undesired symmetrically substituted species. Further, each of these three product types is polydisperse due to the character of the starting SiH siloxane.
The polysiloxanes according to the invention may be considered α,ω difunctional polysiloxanes and circumvent the above described disadvantage. The starting SiH siloxane is monodisperse. This allows the purification of the monofunctional intermediate and thus the formation of a strictly asymmetrically substituted α,ω difunctional polysiloxane containing a monodisperse siloxane moiety.
Details on the incorporation of the inventive α,ω difunctional polysiloxanes or their mixtures into coating formulations are described in WO2014/126599. Further details are illustrated by the corresponding non limiting examples.
Catalysts used for the condensation reaction are selected from the group of a variety of organometallic compounds preferably organo tin, titanium, zinc, iron, bismuth, calcium compounds but one can also use Lewis or Broensted acids or bases.
A preferred class of organometallic compounds includes salts like dialklytin oxides, reaction products of dialkyltinoxide with tetraalkoxysilanes, dibutyltindilaurate, stannous octoate, dibutyltin dioctoate, zinc octoate and other zinc complexes as K-KAT 670 (King Industries), bismuth complexes like K-KAT XK-651 (King Industries), tetraalkoxy titanates, titanium acetylacetonate chelate derivatives as diisopropoxy-bis(ethylacetoacetato)titanate or alkoxy titanium chelates of Ci-Cio carboxylic residues, etc. Specific examples of such catalysts are set forth and disclosed in column 3, lines 19- 54 of US 3,527,659 which is incorporated herein by reference. A particular useful curing catalyst for polyorganosiloxanes having silane groups in this invention are quaternary ammonium salts such as benzyltrimethylammonium compounds like acetate, tetraalkylammonium acetate or other see US 3,819,745.
The polyorganosiloxanes are also suitable for use in compositions for other applications.
In embodiments, the polyorganosiloxanes may be employed as a component in an antifog coating composition. In one exemplary embodiment, the polyorganosiloxanes employed as a component in an antifog coating is of the formula (I) and comprises two different terminal groups Z1 and Z2
Figure imgf000032_0001
p =1 to 9,
m= 1 to 5
wherein
R=R1 is a saturated hydrocarbon substituent selected from the group which consists of a monovalent CI to C22-alkyl, a C6-C22-aryl,
L is a single bond, divalent or trivalent group L1 or L2 which are selected from the group consisting of a divalent Cl-C12-alkylene group or divalent or trivalent Cl-
C12-alkylidene group which can be interrupted by one or more -0-, -C(O)-, -
NR3-C(0)-, and/or -NR3- , urethane-OC(0)NR3- , urea -N-R3HC(0)N-R3- moieties, and substituted by one or more OH groups,
wherein R3 is hydrogen, Me3Si- or C1-C8 alkyl,
bonded via carbon bond to the silicon atom of the siloxy unit
Z is a monovalent group selected from the group Z1 and Z2,
wherein
Z1 and Z2 are selected from the group which consists of
b) poly-C2-C4-alkylene oxides, OH or OR3 or OC(0)R3 terminated, and wherein R3 is selected from C1-C8 alkyl,
c) a group selected from
(R1X)xR13-xSi-, wherein x= 1-3, , wherein
X is = -0-, -C(0)-0-, wherein
R1 is as defined above,
under the proviso that one group Z1 and Z2 is a group selected from c). In a further second exemplary embodiment of the polyorganosiloxanes as a component in antifog coatings, the polyorganosiloxane is of the formula (I) and comprises two different terminal groups Z1 and Z2
Figure imgf000033_0001
p =l to 4,
m= l to 2
wherein
R=RX is a saturated hydrocarbon substituent selected from the group which consists of a monovalent CI to C3-alkyl, a C6 aryl,
L is a divalent or trivalent group L1 or L2 which are selected from the group consisting of a divalent Cl-C8-alkylene group or divalent or trivalent C1-C6- alkylidene group which can be interrupted by one or more -0-, -C(O)- moieties, and substituted by one or more OH groups,
specifically
— CH2CH2-,
-CH2CH2O-, CH2CH2CH2O-, -CH(CH3)CH20-, -CH2CH2CH(CH3)CH20-, -CH=CH-CH20-,
Figure imgf000033_0002
-CH2CH2OC(0)-, CH2CH2CH2OC(0)-, -CH2CH2CH(CH3)CH20C(0)-,
-CH=CH-CH2OC(0)-,
Figure imgf000033_0003
Z is a monovalent group selected from the group Z1 and Z2,
wherein Z1 and Z2 are selected from the group which consists of b)poly-C2-C4-alkylene oxides, OH or OR3 or OC(0)R3 terminated, of the structures
-(OCH2CH2-)a-(OCH2CH(CH3))b-(OCH2CH2CH(CH3))c-OH
-(OCH2CH2)a-(OCH2CH(CH3))b-(OCH2CH2CH(CH3))c-0-Cl-C4 alkyl
-(OCH2CH2)a-(OCH2CH{CH3))b-(OCH2CH2CH(CH3))c-0-C(0)-Cl-C4 alkyl
with a, b, c being 0 to 20, and a+b+c= 1 to 20,
a being preferred 2 to 20, more preferred 5 to 20, even more preferred 7 to 20 and specifically 7 to 15,
b being preferred 0 to 20, more preferred 0 to 10, even more preferred 0 to 5 and specifically 1 to 5,
c being preferred 0 to 20, more preferred 0 to 10, even more preferred 0 to 5 and specifically 1 to 5,
a+b+c being preferred 2 to 20, more preferred 5 to 20, even more preferred 7 to 20 and specifically 7 to 15,
c) a group selected from
(R1X)xR13-xSi-, wherein x= 1-3, , wherein
X is = -0-, -C(0)-O, wherein
R1 is as defined above, preferred CH3- and CH3CH2-,
under the proviso that one group Z1 or Z2 is a group selected from c).
In a further third exemplary embodiment of the polyorganosiloxanes as a component in antifog coatings, the polyorganosiloxane is of the formula (I) and comprises two different terminal groups Z1 and Z2
Figure imgf000034_0001
P = 4,
m= 1, wherein
R=RX is a saturated hydrocarbon substituent selected from the group which consists of a monovalent CI to C3-alkyl, preferred methyl,
L is a divalent or trivalent group L1 or L2 which are selected from the group consisting of a divalent Cl-C4-alkylene group, preferred divalent C2-C3 alkylene group, which can be interrupted by one or more -0-, -C(O)- moieties, and substituted by one or more OH groups,
specifically -CH2CH20-, CH2CH2CH20-, -CH(CH3)CH20--CH2CH2CH(CH3)CH20-,
Z is a monovalent group selected from the group Z1 and Z2,
wherein
Z1 and Z are selected from the group which consists of b)poly-C2-C4-alkylene oxides, OH or OR3 or OC(0)R3 terminated, of the structures
-(OCH2CH2-)a-(OCH2CH(CH3))b-(OCH2CH2CH(CH3))c-OH
-(OCH2CH2)a-(OCH2CH(CH3))b-(OCH2CH2CH(CH3))c-0-Cl-C4 alkyl
-(OCH2CH2)a-(OCH2CH(CH3))b-(OCH2CH2CH(CH3))c-0-C(0)-Cl-C4 alkyl with a, b, c being 0 to 20, and a+b+c= 1 to 20,
a being preferred 2 to 20, more preferred 5 to 20, even more preferred 7 to
20 and specifically 7 to 15,
b being preferred 0 to 20, more preferred 0 to 10, even more preferred 0 to
5 and specifically 0 and 1 to 5,
c being preferred 0 to 20, more preferred 0 to 10, even more preferred 0 to
5 and specifically 0 and 1 to 5,
a+b+c being preferred 2 to 20, more preferred 5 to 20, even more preferred 7 to 20 and specifically 7 to 15,
c) a group selected from
Figure imgf000036_0001
wherein x= 1-3, preferred 3 , wherein
X is = -0-, wherein
R1 is as defined above, preferred CH3- and CH3CH2-,
under the proviso that one group Z1 or Z2 is a group selected from c).
In a further fourth exemplary embodiment of the polyorganosiloxanes as a component in antifog coatings, the polyorganosiloxane is of the formula (I) and comprises two different terminal groups Z1 and Z2 chosen from substituents b) and c), under the proviso that one group Z1 or Z2 is a group selected from c):
b) silanes (R1X)xR1 4-xSi, wherein x= 1-4, wherein
X is = -0-, -OC(0)- wherein
R1 is as defined above,
c) silanes
Figure imgf000036_0002
wherein x= 1-3, wherein
X is = -0-, -OC(O)- wherein
R1 is as defined above,
R10 is a monovalent group which is selected from the group consisting of a C2- C22-alkyl group which can be interrupted by one or more -0-, -C(O)-, -N R3- C(O)-, and/or -N R3- , urethane-OC(0)NR3- , urea -N-R3HC(0)N-R3- moieties, and is substituted by at least one or more OH groups and R10 is different from R1, wherein R3 is hydrogen, Me3Si- or C1-C8 alkyl.
In a further fifth exemplary embodiment of the polyorganosiloxanes as a component in anti fog coatings, the composition includes
A) polyorganosiloxanes comprising two different terminal groups Z1 and Z2 of the formula (I)
Z1 -{-L[Si 20]p-SiR2 }m-L-Z2 (I)
P = 4, in
R=R1 is a saturated hydrocarbon substituent selected from the group which consists of a monovalent CI to C3-alkyl, preferred methyl,
L is a divalent or trivalent group L1 or L2 which are selected from the group consisting of a divalent Cl-C4-alkylene group, preferred divalent C2-C3 alkylene group, which can be interrupted by one or more -0-, -C(O)- moieties, and substituted by one or more OH groups,
specifically
-CH2CH2-,
-CH2CH2O-, CH2CH2CH2O-, -CH(CH3)CH20-, -CH2CH2CH(CH3)CH20-,
Z is a monovalent group selected from the group Z1 and Z2,
wherein
Z1 and Z2are selected from the group which consists of b)poly-C2-C4-alkylene oxides, OH or OR3 or OC(0)R3 terminated, of the structures
-(OCH2CH2-)a-(OCH2CH(CH3))b-(OCH2CH2CH(CH3))c-OH
-(OCH2CH2)a-(OCH2CH(CH3))b-(OCH2CH2CH(CH3))c-0-Cl-C4 alkyl
-(OCH2CH2)a-(OCH2CH (CH3))b-(OCH2CH2CH(CH3))c-0-C(0)-Cl-C4 alkyl
with a, b, c being 0 to 20, and a+b+c= 1 to 20,
a being preferred 2 to 20, more preferred 5 to 20, even more preferred 7 to 20 and specifically 7 to 15,
b being preferred 0 to 20, more preferred 0 to 10, even more preferred 0 to 5 and specifically 0 and 1 to 5,
c being preferred 0 to 20, more preferred 0 to 10, even more preferred 0 to 5 and specifically 0 and 1 to 5, a+b+c being preferred 2 to 20, more preferred 5 to 20, even more preferred 7 to 20 and specifically 7 to 15,
c) a group selected from
(R1X)xR13-xSi-, wherein x= 1-3, preferred 3 , wherein
X is = -0-, wherein
R1 is as defined above, preferred CH3- and CH3CH2-,
under the proviso that one group Z1 or Z2 is a group selected from c),
B) silanes (R1X)xR1 4-xSi/ wherein x= 1-4, preferred 3, wherein
X is = -0-, wherein
R1 is as defined above, preferred CH3- and CH3CH2-
C) silanes
Figure imgf000038_0001
wherein x= 1-3, preferred 3, wherein
X is = -0-, wherein
R1 is as defined above, preferred CH3- and CH3CH2-,
R10 is a monovalent group which is selected from the group consisting of a C2- C22-alkyl which can be interrupted by one or more -0-, -C(O)-, moieties, and is substituted by at least one or more OH groups and R10 is different from R1, R10 preferred has the formula -L-Z3, wherein
L is as above defined, preferred
a divalent or trivalent group which is selected from the group consisting of a divalent Cl-C9-alkylene group or divalent or trivalent Cl-C6-alkylidene group which can be interrupted by one or more -0-, -C(O)- moieties, and substituted by one or more OH groups,
specifically
-CH CH2O-, CH2CH2CH20-, -CH2CH(CH3)0-, -CH2CH2CH(CH3)CH20-,
Figure imgf000038_0002
-CH=CH-CH20-/
Figure imgf000039_0001
-CH2CH2OC(0)-, -CH2CH2CH2OC(0)-, -CH2CH(CH3)0- , -CH2CH2CH(CH3)CH2OC(0)-, - )-,
Figure imgf000039_0002
-CH=CH-CH2OC(0)-,
Figure imgf000039_0003
Z3 is a group which is selected from the group consisting of a divalent C1-C18- alkyl group or Cl-ClO-alkylidene group which can be interrupted by one or more -0-, -C(O)- moieties, and is substituted by one or more OH groups, preferred 1 to 10 OH groups, more preferred 1 to 7 OH groups, even more preferred 1 to 5 OH groups.
Preferred examples for the group Z3 are derived from hydroxyl functionalized carboxylic acids, i.e.
C2 to C12, preferred C2 to C9 saturated or unsaturated hydroxyalkyl carboxylic acids, i.e. glycolic acid, lactic acid, β-hydroxy butyric acid, γ- hydroxy butyric acid, 2-hydroxy-succinic acid, citric acid, mandelic acid, C2 to C12, preferred C2 to C9, also preferred C7 to C12, more preferred C7 to C9 saturated or unsaturated polyhydroxyalkyl carboxylic acids, i.e. glyceric acid, 2,2-dimethylolpropane carboxylic acid, arabinonic acid, gluconic acid, glucoronic acid, glucoheptonic acid, glucopyranosyl arabinonic acid, lactobionic acid, maltobionic acid, tartaric acid, ascorbic acid,
C7 to C12, preferred C7 to C9 hydroxyaromatic carboxylic acids, i.e. 2- hydroxy benzoic acid, 3-hydroxy benzoic acid, 4-hydroxy benzoic acid, 2- hydroxy cinnamic acid, 3-hydroxy cinnamic acid, 4-hydroxy cinnamic acid, C7 to C12, preferred C7 to C9 polyhydroxyaromatic carboxylic acids, i.e 2,3-dihydroxy benzoic acid, 2,4-dihydroxy benzoic acid, 2,5-dihydroxy benzoic acid, 2,6-dihydroxy benzoic acid, 3,4-dihydroxy benzoic acid, 3,5- dihydroxy benzoic acid, dihydroxy cinnamic acids or their partial esters, i.e. 3,4-dihydroxy cinnamic acid, trihydroxy benzoic acids or their partial esters, i.e. 2,3,4-trihydroxy benzoic acid, 2,3,5-trihydroxy benzoic acid, 2,3,6-trihydroxy benzoic acid, 2,4,5-trihydroxy benzoic acid, 2,4,6- trihydroxy benzoic acid , 3,4,5-trihydroxy benzoic acid, trihydroxy cinnamic acids or their partial esters, i.e. 3,4,5-dihydroxy cinnamic acid, or derived from di- and higher hydroxylated alcohols, i.e., ethylene glycol, propylene glycols, butylene glycols, hexylene glycols, glycerol, diglycerol, triglycerol, pentaerythrol, sorbitol.
In an exemplary embodiment of the invention, the silanes C) can be synthesized from epoxy functionalized silanes by reaction with the hydroxy functional carboxylic acids under formation of ester bonds in the presence of catalysts. The esterification of epoxides with carboxylic acids is prior art (US2012/0289649). Alternatively, the epoxy functionalized silanes can be reacted with the di- and higher hydroxylated alcohols under formation of ether bonds in the presence of catalysts. The etherification of epoxides with alcohols is prior art (US6642423).
The wt% ratio between A) the polyorganosiloxanes which comprise for Z with Z1 and Z2 substituents b) and c), and B) the silanes
Figure imgf000040_0001
and C) the silanes (R1X)xR13-xSi-R10 are A) : B) : C) = 10 : 80 :10 to 40 : 20 : 40; 15: 70 : 15 to 30 : 40 : 30; even 30 : 60 : 10 to 10 : 60 : 30. Coating polymeric resin substrates such as molded articles of polycarbonate or PMMA with an antifog coating is an accepted procedure to prevent visible condensation of water droplets on the coating surface. The coating film provides a hydrophilic property to reduce the water contact angle. This is obtained by introducing hydrophilic polymer parts to the coating matrix.
Vinyl based copolymers comprising of hydrophilic and hydrophobic parts are described in US2005/0004280 which is herewith included by reference. The compositions according to patent US2005/0004280 represent multi component systems. Major disadvantage is a reduced pot life of a few hours after mixing.
Polysiloxane based antifog coatings are described in US2004/0237833. In a sol-gel process a coating material is obtained which contains hydrophilic side chains comprising polyethylene glycol or acidic groups. The coating compositions contain surfactants to increase the hydrophilic property of the coating film. This can reduce the long-term performance of the coating layer due to elution.
The compositions according to the invention circumvent the above described disadvantage. The starting materials A), B) and C) can be prepared in an efficient way. No unreactive surfactants need to be added to ensure the desired property. The pot life time is in the range of weeks which is sufficient for the intended applications for molded polycarbonate articles in automotive applications like interior coatings for headlight lamps to prevent fogging on the inside of the car headlamp.
Details on the application of antifog formulations are described in US2012/245250. Further details are illustrated by the corresponding non-limiting examples.
The invention also provides a process for forming a compound of according to the invention of the formula:
Figure imgf000042_0001
comprising the steps reacting
(i) a first compound I*-!1 with a symmetrically α,ω-terminated polyorganosiloxane of the formula Z*-L-SiR12-0[-SiR20-]p-i-SiR12-L-Z* p= l or 4 or 9
Z*= hydrogen (in SiH), R2, Z1 or Z2
optionally in the presence of a catalyst, wherein R1, Z1, L, L1 and L2 are defined above, L* is an unsaturated C2-C20-alkenyl or a SiH group of a silane or a siloxane moiety whereby L* and Z* are forming the unit -ί -Ζ1 in a that reaction step,
ii) separating optionally by distillation the product of step i) wherein one group Z* has been reacted to form -Ι -Ζ1,
iii) submitting the mono functionalized product of step ii) to a further reaction with a compound of the formula L**-Z2 to form a group -L2-Z2, whereby
L** is an unsaturated C2-C20-alkenyl or a SiH group of, a silane or siloxane moiety, and
iv) optionally a separation step, and
v) optionally a step, wherein the group Z2 is further submitted to a third reaction to form the final group Z22 comprising saturated or unsaturated C2-C8-esters or hydrocarbon amines or ammonium groups.
An exemplary embodiment of the process for forming a compound according to the invention related to the formula:
Figure imgf000043_0001
comprises the steps reacting
(i) an alkoxysilane of the formula (R10)xR13-xSi-H or an organofunctional disiloxane Z*-L-R2Si-0-SiR2H, with a dialkenyl compound of the formula:
Figure imgf000043_0002
p= 1 or 4 or 9 in the presence of a hydrosilylation catalyst, wherein x, R, R1 are defined above, ii) separating optionally by distillation the product wherein one alkenyl group -L**-Z1 has been reacted to form -I1-!1,
iii) submitting the mono alkenyl group functional product of step ii) to a further hydrosilylation reaction with a silane or siloxane compound having one SiH group of the formula |_**-Z2 to form a group -L2-Z2, and
iv) optionally a separation step, and
v) optionally a step, wherein the group Z2 is further submitted to a third reaction forming the final group Z22 comprising unsaturated C2-C8-esters or hydrocarbon amines.
Another exemplary second alternative embodiment of the process for forming a compound according to the invention related to the formula (III):
Figure imgf000044_0001
comprises the steps reacting
(i) an alkoxysilane of the formula (R10)xR13-xSi-L-CH=CH2 or an alkenyl-functional disiloxane Z*-L-R Si-0-SiR - R2 with a hydrogen siloxane of the formula:
Figure imgf000044_0002
p= l or 4 or 9
in the presence of a hydrosilylation catalyst, wherein x, R, Rl are defined above, ii) separating optionally by distillation the product wherein one SiH group has been reacted to form -V--Z1,
iii) submitting the mono SiH group functional product of step ii) to a further hydrosilylation reaction with an unsaturated compound of the formula L* *-Z2 to form a group -L2-Z2, and
iv) optionally a separation step, and
v) optionally a step, wherein the group Z2 is further submitted a third reaction to form the final group Z22 comprising unsaturated C2-C8-esters or hydrocarbon amines.
The invention also provides a third exemplary embodiment of a process for forming a polyorganosiloxane wherein more than one di-, penta- or decasiloxane block is present. This polyorganosiloxane having a higher molecular weight is composed of at least 2 siloxane blocks, preferably 3 siloxane blocks, whereby all blocks have a polydispersity of < 1.2 preferably close to 1 or a uniform siloxane block defined by > 85 wt. preferably > 90 wt.% measured by GC of one siloxane block with an index p= 1 or 4 or 9. This is a unique characteristic of the inventive polyorganosiloxanes which make these polymers different to other polyorganosiloxanes state of the art linked by divalent organic groups but having a polydispersity index of more than 1.2 or a weight percentage for the individual siloxane block p= 1 , 4 or 9 below 85 wt.%. The inventive polyorganosiloxanes having this feature for of at least the single siloxane block in the block polymer can also be synthesized with a higher molecular weight whereby the index m in formula (I) is up to 8.
Such polyorganosiloxanes of formula (I) are synthesized by a stepwise addition reaction of symmetrically substituted and asymmetrically substituted di-, penta- or decasiloxane blocks having up to 9, more preferred 7 of these siloxane blocks linked together over divalent organic groups L. This class of polyorganosiloxanes according to the invention are forming a blockpolymer of the formula (I), wherein the index m is >1.
The invention includes also a process for forming such a blockpolymer of the formula (I)
Z- { -L[SiR20]p-SiR2 }m-L-Z (I)
wherein
L, Z is as defined before
R is selected from R and R1,
p=l or 4 or 9
m= 3 to 7,
whereby the process comprising the steps reacting
al) first symmetrically substituted compound Z*-L -[SiR20]p-SiR2 -L-Z* with 2 moles of a α,ω-terminated polyorganosiloxane of the formula Z**-L -[SiR*20]P-SiR*2 -L-Z**
Z*= hydrogen, (SiH), alkenyl, OH-,CI- or Br-alkyl, epoxy, amine, -NCO Z**selected from= Z* and Z1 and Z2 which can complementarily react with each other optionally in the presence of a catalyst, wherein p=l or 4 or 9; R, R1, L, L1, L2 are defined above, R* is R or R1, each of them can be different, wherein Z* and Z** in step al) are forming a unit -L3-, such as
Z**-L-[SiR*20]p-SiR*2-L3-[SiR20]p-SiR2-L3-[SiR*20]p-SiR*2-L-Z** al) separating optionally by distillation the product of step al) wherein two groups Z* and Z** have been reacted to form two units -L3- and a molecule with 3 siloxane blocks -[SiR20]p ,
a3) optionally repeating step al) and a2), optionally separating the by-product of step al),
submitting the di-functionalized symmetrically substituted product of step al) to a further reaction with 1 or 2 mol of a compound of the formula Z*-L-SiR**2-0-[R2Si-0-]p-1-SiR**2-L-Z* to form a molecule with 4 or 5 siloxy blocks and a step
a4) wherein the symmetrically substituted reaction product of step a2) or a3) is submitted to a third reaction between moieties comprising groups Z* and Z** to form a linking unit L4 and a final product having 6 or 7 siloxy blocks wherein Z1 and Z2 are different forming an asymmetrically substituted polyorganosiloxane, separating optionally by distillation the by-product of step a4) to result
Z1-L1-[SiR**20]p-SiR**2 -{-L[SiR20]P-SiR2 }m-i-L2-Z2
L = L3 or L4
m =4
Z1-L-[SiR**20]p-SiR**2 {- L[SiR20]p-SiR2 }m.2-L- [SiR**20]p-SiR**2-L-Z2 L = L3 or L4
m= 5
p= 1 or 4 or 9
Z1 and Z2 are as defined above and are different.
The optionally applicable separation steps may include distillation, crystallization and d phase chromatography. Although the preferred used hydrosilylation reaction for the stepwise addition of the siloxane blocks results in high yields of the desired addition products, it is preferred to separate the unused precursors by distillation, if possible by crystallization. The desired addition products at least the intermediates with up to 5 at least up to 3 di-, penta- or deca-siloxane blocks can be purified by distillation.
In different to usual polyorganosiloxanes having a higher/broader polydispersity index such a purification step can be applied to the monomodal poiyorganosiloxane precursors of invention and provides very well defined siloxane block structures with distinct blocks having an index p= 1 , 4, or 9 for more than 85 wt.%.
The preferred addition reaction for the insertion of two different terminal group which result in asymmetrically terminal substituted poiyorganosiloxane can be applied on any symmetrically substituted polysiloxane precursor at any stage, i.e. a mono block or polyblock polymer/copolymer, as final reaction step in order to make this polymer asymmetrically substituted in the terminal position.
A particular preferred suitable route for the incorporation of alkoxysilyl groups and olefinic groups into the poiyorganosiloxane compound is the addition of alkoxysilanes of the structure (R10)xR3-xSi-H, wherein x is 1-3, in an amount of less than 1 mol /l mol dialkenylpentasiloxane of formula (Ilia) in the presence of a hydrosilylation catalyst yielding the target derivatives of the structure:
(R10)xR3-xSi-CH2CH2-SiR2-0-[D]3-SiR2-L-CH=CH2.
In a typically reaction regime, the molar ratio of the alkenyl groups of the dialkenyl disiloxane or pentasiloxane or decasiloxane to the SiH groups is between 1.5 : 1 to about 5:1. In one preferred embodiment, R is selected from methyl and phenyl, D= R2SiO, R1 is preferably C1-C8 alkyl, whereby x is 3. Typically, the excess of the silane and the dialkenyl di- or pentaorganosiloxanes can be removed by distillation. In some cases if distillation or crystallization is not suitably or possible, the excess of the precursor disiloxane or pentasiloxane can be removed after the application and fixation on solid surfaces by repeated washes with organic solvents. In another preferred embodiment of the invention the above described product of the formula (R10)xR3-xSi-CH2CH2-SiR2-0-[D]3-Si R2-L-CH=CH2 is further reacted with a silane or a siloxane compounds L*-Z having one SiH-group and a second reactive group which e.g. is an epoxy group, for example of formula (VI),
Figure imgf000048_0001
in the presence of a hydrosilylation catalyst.
It is within the scope of the invention to change the order of the addition steps for the compounds L*-Z. For example, it is possible to react the divinyl di- or organopenta-, organodecasiloxane compound with the compound of the type SiH-epoxy first and then afterwards with a silane of the structure
Figure imgf000048_0002
wherein x is 1 -3.
Alternatively, the alkoxysilyl groups and olefinic groups containing derivatives according to the invention can be synthesized in a two-step sequence starting from a SiH- precursor according to formulas (Ilia) or (1Mb)
Figure imgf000048_0003
p= l or 4 or 8.
A molar excess of the Si H functionalized pentasiloxane is reacted with an unsaturated silane, e.g., having the structure (R10)xR3-xSi-CH=CH2 wherein x is 1-3 in the presence of a hydrosilylation catalyst. Typically, the molar excess of the SiH-siloxane (IV) or (IVa) over the vinyl silane ranges from a molar ratio of SiH:alkenyl groups between 1.5:1 to 5:1. The groups R and R1 are as defined before. A preferred group R is methyl or phenyl, and x is 3. Typically, the excess of the SiH precursor according to formula (1Mb) can be removed by distillation. In a second hydrosilylation step the intermediate of the formula
( 10)xR3-xSi-CH2CH2-SiR2-0-[D]3-SiR2-H
having the desired first reactive group is reacted with a compounds comprising at least one unsaturated group to yield the desired final asymmetric polyorganosiloxane. Examples of suitable groups for the second addition reaction include, but are not limited to this enumeration, bis-olefenic compounds, 1,5-hexadiene, norbornadiene, 5-ethylidene-2- norborene, limonene, exo-dicyclopentadiene, ethylene glycol diallyl ether, propylene glycol diallyl ether, divinyl-tetramethyldisiloxane, etc.; acetylenic-olefinic, e.g., propargylic alcohol- undecylenic acid ester, etc., acetylenic-bis-olefinic, etc.; l,4-butynediole-bis(undecylenic acid) ester, and bis-acetylenic, e.g., bis-propargyl ether.
The molar excess of the bis-unsaturated compound depends on its structure. Typically, for reactions with bis-olefinic and bis-acetylenic compounds a molar excess of silane and of bis- olefin over SiH of the first intermediate compound ranging from 1.5:1 to 5:1 of bis-olefin or bis- alkyne /acetylene to SiH of the SiH intermediate . The excess of the bis-olefinic compound can be removed by distillation. Typically, for compounds of the types acetylenic-olefinic and acetylenic-bis-olefinic to apply a molar excess of the unsaturated compounds over SiH ranging from unsaturated compound to SiH of 1:1 to 1.1:1. Typically, a minor excess of the acetylenic- olefinic or acetylenic-bis-olefinic compound can remain in the final material.
In another embodiment, the above described SiH-intermediate compound (R10)xR3-xSi- CH2CH2-SiR2-0-[D]3-SiR2-H is used for the synthesis of a compound comprising alkoxy silyl groups and epoxy groups as terminal groups of a di- or a organopentasiloxane wherein more than 80 wt.% have a siloxy chain length of 2 or 5. The SiH-intermediate can be reacted with compounds L*-Z such as, for example, olefinic-epoxy, e.g., allyl glycidyl ether, 4-vinyl cyclohexeneoxide, limonene epoxide, norbornadiene monoepoxide, dicyclopentdienyl monoepoxide, monoepoxypolyethers, etc., or acetylenic-epoxy, e.g., propargyl glycidyl ether, 1,4-butynediol-di-glycidylether, etc. to yield target molecules having alkoxysilyl and unsaturated groups. In a third embodiment of the invention polyorganosiloxanes can be synthesized wherein the terminal groups are on one side selected from di- or trihydroxyaromatic substituents and at the other end from olefinic groups. The symmetric alpha, omega-dihydrogen pentasiloxane of formula (1Mb) is one suitable precursor again.
In such a reaction a molar excess of the SiH-functionalized pentasiloxane is reacted with unsaturated di- or trihydroxyaromatic precursors, their alkyl or silyl ethers, i.e. l-allyl-3.4- dihydroxy benzene, l-allyl-3-methoxy 4-hydroxy benzene, the bis-alkoxysilylethers of 1-allyl- 3.4-dihydroxy benzene in the presence of a hydrosilylation catalyst. Typically, the molar excess of the SiH-siloxane over the unsaturated group in the aromatic precursor ranges from SiH- siloxane to unsaturated aromatic precursor from 1.5: 1 to 5:1. Typically, the excess of the SiH- precursor according to formula (IV) can be removed by distillation.
In a second hydrosilylation step the SiH- intermediate of the formula
Z1-L-SiR2-0-[D]3-Si R2-H;
Z1= aromatic moiety
is reacted with compounds having the desired second reactive group to yield the desired final polyorganosiloxane compound. Examples of suitable groups include, but are not limited to it are bis-olefenic compounds, 1,5-hexadiene, norbornadiene, 5-ethylidene-2-norborene, limonene, exo-dicyclopentadiene, ethylene glycol diallyl ether, propylene glycol diallyl ether, divinyl-tetramethyldisiloxane, etc.; acetylenic-olefinic, e.g., propargylic alcohol-undecylenic acid ester, etc., acetylenic-bis-olefinic, etc.; l,4-butynediole-bis(undecylenic acid) ester, and bis- acetylenic, e.g., bis-propargyl ether. The suitable molar excess of the bis-unsaturated compound depends on its structure. Typically, for the reaction with bis-olefinic and bis- acetylenic compounds is a molar excess of bis-olefin over SiH ranging from bis-olefin/acetylene to SiH of 1.5:1 to 5:1 is applied. The excess of the bis-olefinic compound can be removed by distillation. Typically, for compounds of the types acetylenic-olefinic and acetylenic-bis-olefinic a molar excess of the unsaturated compounds over SiH groups ranging from unsaturated compound to SiH of 1:1 to 1.1:1 is applied. Typically, a minor excess of the acetylenic-olefinic or acetylenic-bis-olefinic compound can remain in the final material. In a fourth embodiment of the invention the polyorganosiloxanes can be synthesized in a two-step wherein the terminal groups are on one side di- or trihydroxyaromatic substituents and at the other end epoxy groups starting from the aforementioned SiH-precursor wherein the first step comprises the synthesis of the intermediate of the third embodiment of the formula Z1-L-Si R2-0-[D]3-Si R2-H; Zx= aromatic moiety, which is reacted in the second step with a suitable olefinic-epoxy compounds, e.g. allyl glycidyl ether, 4-vinylcyclohexeneoxide, norbornadiene monoepoxide, limonene epoxide, dicyclopentdienyl monoepoxide, or the monoaddition product of allyl glycidyl ether to tetramethyl dihydrogendisiloxane (IV), etc., or acetylenic- epoxy, e.g., propargyl glycidyl ether, 1,4-butynediol-di-glycidylether, etc. to yield the target molecules having di- or trihydroxyaromatic and epoxy groups.
It is in the scope of the invention to combine a difunctional tetraorganodisiloxane with a hexaorganocyclotrisiloxane wherein each of the precursor siloxane has different substituents R, R1 selected from R.
For example, without being exhaustive it is preferred to use the following pentasiloxanes as precursor for the asymmetrically substituted polyorganosiloxanes of the invention. Suitable examples include, but are not limited to:
Figure imgf000051_0001
R, R1 = methyl, phenyl, styryl, phenylpropyl, naphthyl,
Figure imgf000051_0002
Figure imgf000052_0002
Figure imgf000052_0001
wherein L1 = L2 are as defined above.
The various moieties of the inventive polyorganosiloxanes can be synthesized according to any suitable process in which SiH or Si-alkenyl can be linked with compounds L*-Z having additional reactive groups. Primary and secondary amino groups containing derivatives can be synthesized by different synthesis routes. In one embodiment the terminal epoxy group of an inventive pentaorganosiloxane is reacted with a primary amine to create a terminal group Z22, which is a secondary, tertiary amino or quaternary ammonium group. Suitable amines are, e.g., propylamine, diprimary amines, e.g., ethylene diamine (DE 4318536) and primary- secondary diamines, e.g., hydroxyethylenediamine. In another embodiment the precursor has a halogenalkyl group instead of an epoxy group and is reacted with the aforementioned amines. Tertiary amino and quaternary ammonium groups containing derivatives can be synthesized from the inventive pentaorganosiloxane having terminal epoxy groups and secondary amines, secondary-tertiary diamines (WO 02-10257), or tertiary amines, e.g., trimethylamine or dimethyl-long chained alkyl amines (US 4891166), respectively. Polyorganosiloxanes comprising a group of a Bunte salt can be synthesized from the inventive di- and pentaorganosiloxane having terminal epoxy groups and thiosulfate (Silicone, Chemie und Technologies, Vulkan Verlag Essen 1989, S. 121).
Phosphonium groups containing derivatives can be synthesized from the inventive polyorganosiloxane having terminal epoxy groups and trialkyl- or triarylphosphines.
Terminal carbonate groups are inserted via hydrosilylation addition reaction of unsaturated carbonate compounds to a SiH functionalized siloxane precursor having alkoxysilyl as first terminal group, whereby the carbonate is e.g., ailyl carbonate (US 5672338, US 5686547). Alternatively, epoxy precursors can be reacted with C02 yielding the carbonates (DE 19505892), or amino precursors are reacted with bifunctional carbonate coupling agents (WO 2005/058863).
Polyorganosiloxanes having terminal isocyanato groups containing derivatives can be synthesized for example starting from amino precursors and di- or higher functional isocyanates. Alternatively, carbamato functionalized precursors can be subjected a pyrolysis reaction.
The aforementioned reaction products of epoxy precursors with di-primary amines show after reaction secondary or tertiary amino groups as well as secondary hydroxyl groups. Subsequent reactions of these functional groups with isocyanates yield compounds which contain urea and urethane moieties (Organikum, VEB Deutscher Verlag der Wissenschaften 1988, 17.Auflage, S 429).
Another kind of urethane modified derivatives can be synthesized from carbonate precursors with amines (US 5672338) or amino precursors with cyclocarbonates.
Compounds containing amide groups are available by reaction the inventive polyorganosiloxane having terminal primary amine groups providing precursors to form lactones (DE 4318536).
Polyorganosiloxanes comprising enamine groups are available by a reaction of the amino precursors with aldehydes or ketones (WO 2008-113820). The insertion of aldehyde groups can be carried by a reaction of amino precursors with dialdehydes, e.g., glyoxal or by reaction of epoxy precursors with carboxylic acid functions containing aldehydes, e.g., glyoxylic acid (US 5093518).
Carbobetaines can be synthesized from tertiary amino groups containing precursors and Na chloroacetate (Silicone, Chemie und Technologies, Vulkan Verlag Essen 1989, S. 121). Alternatively, epoxy precursors can be reacted with amino acids (DE 10036532).
Sulfobetaines can be synthesized from tertiary amino groups containing precursors and sultones (DE 4140447). Alternatively, epoxy precursors can be reacted with amino sulfonic acids, i.e. taurine.
Polyorganosiloxanes comprising carboxylic acid moieties can be synthesized i.e. from hydroxyl, epoxide or amino functionalized precursors and carboxylic acid anhydrides, i.e. phthalic acid anhydride, succinic anhydride, maleic anhydride (DE 4318539). Alternatively, epoxy precursors can be reacted with e.g. dicarboxylic acids, i.e. phthalic acid, succinic acid, maleic acid.
Sulfonic acid derivatives can be synthesized starting from the epoxy precursors and
NaHS03 (Silicone, Chemie und Technologies, Vulkan Verlag Essen 1989, S. 121).
Sulfate derivatives can be synthesized using hydroxy groups containing precursors and amido sulfonic acid NH2S(0)2OH (DE 4318539).
The incorporation of phosphate or phosphoric acid moieties is described, for example, in US 5859161 and US 6175028.
Phosphonic acid ester and phosphonate moieties can be incorporated by reaction of olefinically unsaturated precursors with esters of the phosphonic acid HP(0)(OH)2.
Xanthogenate and xanthogenate ester moieties containing derivatives can be synthesized from the epoxy precursors in the presence of KOH and CS2.
The asymmetrically substituted polyorganosiloxane compounds of the invention can be used for the modification of inorganic and organic solid surfaces. Examples of inorganic surfaces include, but are not limited to glass, metal oxide/hydroxides and ceramics. Examples of organic materials include, but are not limited to, surfaces based on epoxy resins and coating, polyamides, silicone resins, polybutadiene, and polyurethane coatings etc.
The asymmetrically substituted polyorganosiloxane, compounds can also be used for the modification of inorganic and organic micro and nanoparticles. Examples of inorganic micro and nanoparticles including nano crystallites comprise, but are not limited, to nanoparticles based of AI2O3, Si02, Ti02, Zr02, Hf02, ZnO, rare earth metal oxides and their mixtures, alumosilicates, e.g., bentonite, montmorillonite, laponites, etc.
The invention includes also a method for dispersing inorganic particles or
compatibilizing two or more non-miscible liquid phases wherein at least one asymmetric polyorganosiloxane according to the invention is used.
One preferred embodiment comprises compositions wherein the asymmetrically substituted polyorganosiloxane compounds are used to compatibilize or disperse the optionally modified inorganic and organic micro and nanoparticles with organic liquids. Examples of organic liquids, include, but are not limited to, silicone polymers, esters, ethers, amides, amines, alcohols, and mixtures of two or more thereof. These liquids may comprise curable polymers which can serve as matrix or binder polymer for the nano particles. The term nano particles used in this invention is defining particles which have a particle size below 200 nm, preferably below 50 nm, more preferably below 10 nm.
In one embodiment, the surface modified inorganic or organic micro or nanoparticles react with portions of the polyorganosiloxane of the invention. Such modified nanoparticles can further strengthen the interaction with any matrix or is blocking agglomeration of the particles. The term compatibilizer shall include also the use of the asymmetrically substituted polyorganosiloxanes for dispersing nano particle or the adjustment of differences in the refractive index between a polyorganosiloxane having refractive index of > 1.43 and the nano sized metal oxides having higher refractive indices of > 1.6, in particular crystalline metal oxide particles like T1O2, Zr02, ZnO, Hf02 and the like dispersed in polyorganosiloxane.
In another preferred embodiment comprising compositions of more than one polymer, the asymmetrically substituted polyorganosiloxanes can be used as compatibilizers at the interphases between different polymers or surfaces. An exemplary application is the use in primer composition, adhesion promotor in self-adherent rubbers in particular silicone rubbers or thermoplastic compositions and coatings. Examples include, but are not limited to, polymer combinations based on silicones with epoxy resins, polyamides, polybutadienes, etc., self- adherent silicone or other organic rubbers.
A more specific preferred embodiment is the use of the asymmetric polyorganosiloxanes of the invention as anti-fouling agent. Such surfaces are repellant against the adhesion of biofilms can be manufactured either by the use of the inventive polyorganosiloxanes exclusively optionally by application of an additional curing step or as part of a polyorganosiloxane composition whereby this composition can be cured by any of the jointly acceptable system immanent curing mechanism accessible by the reactive groups of the inventive polyorganosiloxane. The preferred reactive groups of the inventive polyorganosiloxanes as anti-fouling coat comprise alkoxysilyl, epoxy, alkenyl, ammonium, and alkyl or OH-or alkyl-terminated polyether groups.
The inventive polyorganosiloxanes can comprise R, R1 or L-Z groups having higher optical density. The insertion of such substituents R or Z groups can increase the refractive index up to > 1.55. Suitable groups for higher refractive indices are aromatic, bicycloaliphatic, epoxidized bicycloaliphatic or aliphatic epoxy groups. Since at least a second reactive group in the inventive polyorganosiloxanes is ready for a cure reaction such composition are useful for the manufacture of optical devices and coatings wherein a higher refractive index is desired as well as the temperature resistance of polyorganosiloxanes.
The invention also includes cured compositions comprising at least one polyorganosiloxane of the invention for the use in coating compositions, rubber compositions and useful in the manufacture of optical devices. The applicable curing reactions may comprise radical initiated reactions e.g. by heat or light activated peroxides, other initiators or light and a heat or light activated hydrosilylation of unsaturated groups with SiH groups, condensation and reactions of the SN-type, such as oxiranyl ring-opening reactions with amines or light activated cationic polymerization with onium and sensitizer compounds for the transfer of light energy. EXAMPLES
Example 1. Synthesis of the monomodal SiH pentasiloxane H-SiMe2-0-[D]3-SiMe2-H 22.2g (0.3 mol MeSiO of hexamethylcyclotrisiloxane (D3) and 13.4 g (0.10 mol) tetramethyldisiloxane HM-MH were solved in 22.2 g tetrahydrofuran (THF) and 1.3 g of an acidic ionic exchanger resin Amberlyst A15 as catalyst were admixed. After 3 hrs at 60 °C the ring-opening reaction was found to be completed. The D3 was converted to more than 90 wt.% to alpha, omega-dihydrogendecamethylpentasiloxane indicated by gas chromatography (GC).
The pentasiloxane HM-D3-MH was filtered over an EKS-filter and purified in a fractional distillation (product fraction: 55-65°C and < 7 mbar). A purity of 90 wt.% was achieved confirmed by gas chromatography.
!H-NMR (400 MHz, CDCI3, 25 °C) δ [ppm] = 0.09 (m, 18H; CH3), 0.20 (m, 12H; CH3), 4.73 (sept, V(H,H) = 2.8 Hz, 2H; SiH). 29Si-NMR (79 MHz, CDCI3, 25°C) δ [ppm] = -21.96 (ISi; Si(CH3)2), -20.13 (2Si; Si(CH3)2), -7.13 (2Si; Si(CH3)2).
Example 2. Synthesis of butyl and SiH functionalized pentasiloxane CH3(CH2)3-SiMe2-0-[D]3- SiMe2-H
1-Butene gas (600.0 g, 10.70 mol) was slowly added at 80°C to a degased mixture of monomodal pentasiloxane MH-D3-MH of example 1 (740.0 g, 2.10 mol) and a Lamoreaux-Pt catalyst solution (10 ppm, as 3.3 wt.% Pt solution in octanol). After completion of the gas addition, the reaction was further heated at 100°C for 30 min. The crude product was purified in vacuo resulting in 440.1 g (51.0% yield related to the used pentasiloxane) of neat product CH3(CH2)3-SiMe2-0-[D]3-SiMe2-H. The product was used for subsequent reaction steps without further characterizations. !H-NMR (400 MHz, CDCI3, 25 °C) δ [ppm] = 0.16 (m, 30H; CH3), 0.57 (m, 2H; CH2), 0.91 (t, J(H,H)= 7.1 Hz, 3H; CH3), 1.34 (m, 4H; CH2), 4.75 (sept, J(H,H)= 2.8 Ηζ,ΙΗ; SiH).
Example 3. Synthesis of butyl and alkoxysilyl functionalized pentasiloxane
CH3(CH2)3-SiMe2-0-[D]3-SIMe2-CH2CH2-Si(OMe)3
A mixture of the product of example 2 CH3(CH2)3-SiMe2-0-[D]3-SiMe2-H (111.5 g, 0.30 mol) and trimethoxyvinylsilane (159.2 g, 1.10 mol) was heated to 90°C followed by the addition of a Lamoreaux-Pt catalyst solution (10 ppm, as 3.3 wt.% Pt solution in octanol). The mixture was kept at a temperature of 130°C by slowly adding CH3CH2CH2CH2-SiMe2-0-[D]3-SiMe2-H (229.3 g, 0.60 mol). Subsequently, the reaction mixture was heated at 130°C for 1 hr to complete the hydrosilylation reaction. Volatiles were removed in vacuo (< 20 mbar, 150°C) leading to 412.5 g (89.1% yield with regard to the used pentasiloxane starting material) of a pale-yellow liquid as the product.
1H-NMR (400 MHz, CDCI3, 25 °C) 6 [ppm] = 0.06 (m, 30H; CH3), 0.55 (m, 5H; CH2), 0.88 (t, J( ,H)= 7.04 Hz, 3H; CH3), 1.31 (m, 4H; CH2), 3.57 (s, 9H; OCH3).
29Si-N MR (79 MHz, CDCI3, 25°C) δ [ppm] = -41.52 (ISi; Si(OCH3)3), -22.29 (ISi; Si(CH3)2), -21.75 (ISi; Si(CH3)2), -21.51 (ISi; Si(CH3)2), 7.59 (ISi; Si(CH3)2CH2), 8.02 (ISi; Si(CH3)2CH2).
Example 4 Synthesis of an alkoxysilyl and SiH functionalized pentasiloxane (MeO)3Si-CH2CH2-SiMe2-0-[D]3-SiMe2-H : Trimethoxy vinyl silane (112.9 g, 0.76 mol) was added dropwise at 90 °C to a vigorously stirred mixture of the monomodal pentasiloxane MH-D3-MH of example 1 (269.2 g, 0.75 mol) followed by the addition of a Lamoreaux-Pt catalyst (10 ppm, as 3.3 % Pt solution in octanol ) under an N2 atmosphere. After completion of the hydrosilylation reaction the mixture was kept at 130 °C for 1 h. The crude product was distilled (130 °C, 6 mbar) yielding the neat target molecule (158.0 g, 41.0 % yield calculated with respect to the usedpentasiloxane, purity >99.0 % determined by GC).
1H-NMR (400 MHz, CDCI3, 25 °C) δ [ppm] = 0.06 (m, 30H; CH3), 0.55 (m, 6H; CH2), 0.88 (t, J(H,H)= 7.0 Hz, 3H; CH3), 1.31 (m, 4H; CH2), 3.57 (s, 9H; OCH3). 29Si-NMR (79 MHz, CDCI3, 25°C) δ [ppm] = -42.70 (ISi; Si(OCH3)3), -22.98 (ISi; Si(CH3)2), -22.45 (ISi; Si(CH3)2), -20.97 (ISi; Si(CH3)2), -7.93 (ISi; Si(CH3)2H), 7.17 (ISi; Si(CH3)2CH2).
Example 5. Synthesis of an alkoxysilyl and epoxy functionalized pentasiloxane
(MeO)3Si-CH2CH2-SiMe2-0-[D]3-SiMe2-(CH2)3-0-C3H50 (-C3H5O = glycidyl /propenoxide) Allyl glycidyl ether (AGE) (5.2 g, 50.9 mmol) and a solution of Lamoreaux catalyst (10 ppm, as octanol solution containing 3.3 wt.% Pt) was mixed and heated to 90°C. Subsequently, the compound (MeO)3Si-CH2CH2-SiMe2-0-[D]3-SiMe2-H (20.0 g, 39.0 mmol) of example 4 was added slowly to the reaction mixture. After the completion of the addition, the mixture was heated for 1 hr at 130°C for the completion of the hydrosilylation reaction. Purification was achieved by removing the excess of allyl glycidyl ether in vacuo (< 1 mbar, 150°C). The product was received as pale yellow liquid (19.9 g, yield 82.0%).
29Si-NMR (79 MHz, CDCI3, 25°C) δ [ppm] = -42.53 (ISi; Si(OCH3)3), -23.11 (ISi; Si(CH3)2), -22.40 (2Si; Si(CH3)2), 6.78 (ISi; SiCH2), 7.20 (ISi; SiCH2).
Example 6. Synthesis of an alkoxysilyl and polyether functionalized pentasiloxane
(MeO)3Si-CH2CH2-SiMe2-0-[D]3-SiMe2-(CH2)3-0-(CH2CH2)n-OH (n=10)
A mixture consisting of Breox AA 450H [Cognis] (101.8 g, 0.20 mol) and the product of example 4 (MeO)3Si-CH2CH2-SiMe2-0-[D]3-SiMe2-H (33.9 g g, 0.07 mol) was heated under an N2 atmosphere to 90°C followed by the addition of 10 ppm Pt (Lamoreaux catalyst 3.3 wt.% Pt solution in octanol). Additional (MeO)3Si-CH2CH2-SiMe2-0-[D]3-SiMe2-H (44.2 g, 0.09 mol) was added to the solution over a period of 10 min. Thereafter, the reaction mixture was maintained at 120°C for 2 hrs. Volatiles were removed by vacuum distillation (< 20 mbar, 100°C) for 1 hr. The product was received in the form of a pale-yellow liquid (171.0 g, 95.0%).
29Si-NMR (79 MHz, CDCI3, 25°C) δ [ppm] = -42.55 (ISi; Si(OCH3)3), -23.14 (ISi; Si(CH3)2), -22.42 (2Si; Si(CH3)2), 6.79 (ISi; SiCH2), 7.15 (ISi; SiCH2).
Example 7. Synthesis of an acid ester and SiH functionalized pentasiloxane
(R1)(R1)(CH3)CC(0)0-CH2CH2-SiMe2-0-[D]3-SiMe2-H (R1, R2 = alkyl chains, in total 6 carbon atoms)
VeoVa 9 [Hexion] (31.0 g) was added dropwise at 80°C to a vigorously stirred mixture of the monomodal pentasiloxane MH-D3-MH of example 1 (300.0 g, 0.84 mol) and Lamoreaux-Pt catalyst (10 ppm, as 3.3 wt.% Pt solution in octanol) under an N2 atmosphere. After completion of the addition, the mixture was kept at 120°C for 20 hrs. The excess of MH-D3-MH was removed in vacuo (130°C, <1 mbar) yielding in 113.0 g of an intermediate product, which was further used in a sequent reaction step without further characterization.
The intermediate product (113.0 g), vinyltrimethoxysilane (31.0 g, 0.21 mol) and a solution of Lamoreaux-Pt catalyst (10 ppm, as 3.3 wt.% Pt solution in octanol) was heated for 4 hrs at 90°C under an N2 atmosphere. Subsequently, volatile components were removed in vacuo (65°C, <1 mbar). The neat product was obtained as a brownish fluid (139.0 g, 97.0% yield related to the amount of used starting materials). Example 8. Synthesis of an alkoxysilyl and vinyl functionalized pentasiloxane
(MeO)3Si-CH2CH2-SiMe2-0-[D]3-SiMe2-CH2CH2-SiMe2-0-SilVle2-CH=CH2 l,l,3,3-tetramethyl-l,3-divinyldisiloxane (111.9 g, 0.72 mol) was heated under an N2 atmosphere to 110 °C followed by the addition of lOppm Pt (Lamoreaux catalyst, 3.3% Pt in xylene solution). Then the compound of example 4 (MeO)3Si-CH2CH2-SiMe2-C>-[D]3-SiMe2-H (50.9 g, 0.10 mol) was slowly dropped to the solution within 5 min. After the completion of the addition, the reaction mixture was maintained at 140 °C for 3 hrs. The excess of 1,1,3,3- tetramethyl-l,3-divinyldisiloxane was removed by distillation (< 6 m bar, 150 °C) yielding a slightly yellow liquid product (63.5 g, 92.0 % yield related to the amount of used pentasiloxane material). Example 9. Synthesis of allyi glycidyl and SiH functionalized pentasiloxane
OC3H5-0-(CH2)3-SiMe2-0-[D]3-SiMe2-H (OC3H5- = glycidyl/propenoxide)
MH-D3-MH (151.7 g, 0.43 mol) was heated to 90°C under a nitrogen atmosphere. Lamoreaux catalyst (10 ppm, as 3.3 wt.% Pt solution in octanol) was added followed by the slow addition of allyl glycidyl ether (46.1 g, 0.40 mol). The reaction mixture was heated to 130°C and stirred at this temperature for 1 hr. The reaction mixture was subjected to vacuum distillation (< 6 mbar) and product (88.5g, 47.0% yield calculated with respect to the used epoxide) was collected at a distillate temperature of 127-142°C as a colorless liquid.
1H- MR (400 MHz, CDCI3, 25 °C) δ [ppm] = 0.04 (br, 6H; CH3), 0.06 (br, 6H; CH3), 0.06 (br, 6H; CH3), 0.08 (br, 6H; CH3), 0.17 (br, 3H; CH3), 0.18 (br, 3H; CH3), 0.52 (m, 2H; CH2), 1.60 (m, 2H; CH2), 2.58 (dd, 1H; J(H,H) = 5.1, 2.7 Hz; CH2), 2.77 (dd, 1H; J(H,H) = 5.1, 4.2 Hz; CH2), 3.12 (m, 1H; CH), 3.42 (m, 3H; CH2), 3.67 (dd, 1H; J(H,H) = 11.7, 3.2 Hz; CH2), 4.68 (sept, 1H; J(H,H) = 2.8 Hz; SiH).
Example 10. Synthesis of glycidylether and alkane modified pentasiloxane
OC3H5-0-(CH2)3-SiMe2-0-[D]3-SiMe2-(CH2)iiCH3 (OC3H5- = glycidyl/propenoxide) 1-Dodecene (22.7 g, 0.14 mol) and the reaction product of example 9 OC3H5-O-
(CH2)3-SiMe2-0-[D]3-SiMe2-H (8.4 g, 0.02 mol) were heated to 90°C upon the addition of Lamoreaux-Pt catalyst solution (10 ppm, as 3.3 wt.% Pt solution in octanol). After the initiation of the reaction, additional OC3H5-0-(CH2)3-SiMe2-0-[D]3-SiMe2-H (40.6 g, 0.09 mol) was slowly dropped to the reaction mixture. After completion of the addition, the reaction mixture was heated at 120°C for 1 hr. A yellow liquid was received as product and used further without purification. Full conversion was indicated through the absence of a Si-signal in the 29Si NMR spectrum that would correspond to a SiH unit (to be expected at around - 7.00 ppm as observable in the pentasiloxane 29Si-NMR spectrum).
29Si-NMR (79 MHz, CDCI3, 25°C) δ [ppm] = -23.27 (ISi; Si(CH3)2), -22.72 (ISi; Si(CH3 ), -22.44 (ISi; Si(CH3)2), 6.64 (ISi; Si(CH3)2CH2), 6.74 (ISi; Si(CH3)2CH2).
Example 11. Synthesis of alkoxysilyl and alkane modified pentasiloxane
(MeO)3Si-CH2CH2-SiMe2-0-[D]3-SiMe2-(CH2)iiCH3
1-Dodecene (30.2 g, 0.18 mol) and the reaction product of example 4 (MeO)3Si-CH2CH2- SiMe2-0-[D]3-SiMe2-H (10,1 g, 0.02 mol) were heated to 90°C upon the addition of Lamureaux- Pt catalyst solution (10 ppm, as 3.3 wt.% Pt solution in octanol). After the initiation of the reaction, additional (MeO)3Si-CH2CH2-SiMe2-0-[D]3-SiMe2-H (59.7 g, 0.12 mol) were slowly dropped to the reaction mixture. After completion of the addition, the reaction mixture was heated at 120°C for 1 hr. A yellow liquid was received as the product and used further without purification. Full conversion was indicated through the absence of a Si-signal in the 29Si NMR that would correspond to a SiH unit (to be expected at around - 7.00 ppm as observable in the pentasiloxane 29Si- MR spectrum).
29Si-NMR (79 MHz, CDCI3, 25°C) δ [ppm] = -42.33 (ISi; Si(OMe)3), -23.05 (ISi; Si(CH3)2), -22.52 (ISi; Si(CH3)2), -22.28 (ISi; Si(CH3)2), 6.79 (ISi; Si(CH3)2CH2), 7.26 (ISi; Si(CH3)2CH2). Example 12. Synthesis of silyl-ether protected catechol and glycidylether modified pentasiloxane
(((CH3CH2)3SiO)2-C6H3-(CH2)3-SiMe2-0-[D]3-SiMe2-(CH2)3-0-C3H50
4-Allyl-l,2-di(triethylsilanyloxy)benzene (4.2 g, 11.13 mmol synthesized according to a literature procedure from Jinhwa Heo et at. J. Am. Chem. Soc. 2012, 134 (49), 20139-20145)) and H-SiMe2-0-[D]3-SiMe2—(CH2)3-0-C3H50 (5.6 g, 11.81 mmol) were admixed at room temperature under a nitrogen atmosphere and stirred for 5 min. The reaction mixture was then heated to 110 °C and the Lamoreaux catalyst (10 ppm, octanol solution containing 3.3 w% Pt ) was added. The temperature was increased to 130 °C and the reaction mixture was stirred for 2.5 hrs. The crude product was filtered through a PTFE syringe filter (0.45 μπι) and volatile components were removed in vacuo (< 1 mbar). The product ((CH3CH2)3SiO)2-C6H3-(CH2)3- SiMe2-0-[D]3-SiMe2-(CH2)3-0-C3H50 was received in 78.1% yield (7.37 g) as pale yellow liquid.
!H-N M R (400 M Hz, CDCI3, 25°C) δ =0.06 (m, 30H; CH3), 0.56 (m, 4H; CH2), 0.75 (m, 12H; CH2), 0.98 (t, 9H; J(H, H) = 7.7 Hz; CH3), 0.99 (t, 9H ; J( H,H) = 7.7 Hz; CH3), 1.62 (m, 4H; CH2), 2.50 (m, 3H; CH2), 2.70 (dd, 1H; V(H,H) = 5.2, 4.1 Hz; CH2), 3.07 (m, 1H; CH), 3.42 ( m, 3H; CH2), 3.65 (dd, 1H; J( H,H) = 11-5, 3.11 Hz; CH2), 6.65 (m, 3H; PhH ).
Example 13. Synthesis of bromoalkane and glycidylether modified pentasiloxane
Br(CH2)ii-SiMe20-D3- SiMe2-(CH2)3-0-C3H50 (-C3H50= glycidyl/propenoxide)
11-Bromo-l-undecene (10.0 g, 42.88 mmol) and the compound H-SiMe2-0-[D]3-Si Me2-(CH2)3-0-C3H50 (2. 5 g, 5.30 mmol) of example 9 were admixed at room temperature (25 °C) and heated to 90 °C under a nitrogen atmosphere. Lamoreaux catalyst (10 ppm of a 3.3% Pt solution in octanol) was added, followed by the slow addition of H-SiMe2-0- D3-SiMe2-(CH2)3-0-C3H50 (13.04 g, 27.69 mmol) over a period of 30 min. Subsequently, the reaction mixture was heated up to 120 °C and stirred at this temperature for additional 90 min. Excess of 11-bromo-l-undecene was removed by vacuum distillation (150°C, <2 mbar). The remaining residue was filtered using a PTFE syringe filter (0.45 μιη). The product Br(CH2)n- Me2Si-0-D3-SiMe2-(CH2)3-0-C3H50 (10.0 g, 45.9% yield calculated with respect to the used pentasiloxane starting material) was received as a pale yel low viscous liquid.
^-N M R (400 M Hz, CDCI3, 25 °C) δ [ppm] = 0.03 (br, 6H; CH3), 0.03 (br, 6H; CH3), 0.04 (br, 6H; CH3), 0.05 (br, 6H; CH3), 0.07 (br, 6H; CH3), 0.52 (m, 4H; CH2), 1.26 (m, 14H; CH2), 1.40 (m, 2H; CH2), 1.60 (m, 2H; CH2), 1.83 (m, 2H; CH2), 2.58 (dd, 1H; J(H,H) = 5.2, 2.7 Hz; CH2), 2.76 (dd, 1H; J(H,H) = 5.2, 4.2 Hz; CH2), 3.12 (m, 1H; CH), 3.37 (t, 2H; J(H, ) = 6.9 Hz; CH2), 3.42 (m, 3H; CH2), 3.67 (dd, 1H; J( ,H) = 11.7, 3.2 Hz; CH2).
Example 14. Synthesis of phosphonic acid ester and glycidylether modified pentasiloxane (EtO)2P(0)-(CH2)ii-Me2Si-0-D3-SiMe2-(CH2)3-0-C3H50 (-C3H5O = glycidyl/propenoxide)
The compound of example 13, Br(CH2)ii-Me2Si-0-D3-SiMe2-(CH2)3-0-C3H50 (5.0 g, 7.10 mmol) and triethyl phosphite (2.7 g, 16.33 mmol) were mixed at room temperature (25 °C) and heated to 130 °C under a gentle stream of N2 . After 2.5 hrs, the temperature was increased to 150 °C and the conversion was monitored with XH NMR spectroscopy. Additional triethyl phosphite was added gradually (in each step portion of 1.2 g, 7.10 mmol) to the reaction mixture until full conversion was observed after 11 hrs. The excess of the triethyl phosphite was removed in vacuo (<0.1 mbar). The remaining residue was filtered using a PTFE syringe filter (0.45 μιτι). The product (EtO)2P(0)-(CH2)ii-Me2Si-0-D3-SiMe2-(CH2)3-0-C3H50 (2.9 g, 51.9% yield calculated with respect to the amount of used pentasiloxane starting material) was received as a pale yellow viscous liquid.
!H- MR (400 MHz, CDCIs, 25 °C) 6 [ppm] = 0.02 (br, 6H; CH3), 0.03 (br, 6H; CH3), 0.04 (br, 6H CH3), 0.04 (br, 6H; CH3), 0.06 (br, 6H; CH3), 0.51 (m, 4H; CH2), 1.25 (m, 16H; CH2), 1.30 (t, 6H; J{H, ) = 7.1 Hz; CH3), 1.58 (m, 4H; CH2), 1.69 (m, 2H; CH2), 2.58 (dd, 1H; J(H,H) = 5.2, 2.7 Hz CH2), 2.77 (dd, 1H; J(H,H) = 5.2, 4.1 Hz; CH2), 3.12 (m, 1H; CH), 3.42 (m, 3H; CH2), 3.67 (dd, 1H J(H,H) = 11.5, 3.2 Hz; CH2), 4.07 (m, 4H; CH2).
31P-NMR (162 MHz, CDCI3, 25 °C) δ [ppm] = 31.7 (s, IP).
Examples 15 and 16 - Antifouling Compositions The materials of selected examples 6 and 7 were used in fouling release/easy-to-clean coating formulations. Thus, both materials 6 and 7 were mixed in a 50/50 (wt/wt) ratio (Example 15) as well as in a second example in a 90/10 (wt/wt) ratio (Example 16). Upon the addition of 3.0 wt.% of a diisopropoxy-bis(ethylacetoacetato)titanate (Ti(acac)20iPr2) as moisture cure-facilitator to each of the mixtures, both formulations were individually applied using a coating knife in a thickness of approx. 300 μιη on PVC panels (PVC Simona-CAW, size 100x100x2 mm) prior primed with a commercial primer (2-pack epoxy primer, Hempel Light Primer, 11630 - off white, primer layer thickness approx. 50 μιτι).
The prepared test panels A (from the 50/50 (wt/wt) mixture and 3 wt.% of Ti(acac)20iPr2) and B (from the 90/10 (wt/wt) mixture and 3 wt.% of Ti(acac)20iPr2) were allowed to cure at ambient conditions (25°C, approx. 50% humidity) for 24 hrs.
Static sea water immersion tests in the North Sea area were performed in the harbor of Norderney, Lower Saxony, Germany by the Laboratory for Freshwater, Marine Research LimnoMar. The fouling release performance of the prepared test panels A and B was tested against control samples. An uncoated PVC panel (C) and a PVC panel coated with Hempel Light Primer (D) served as negative control reference samples. As positive references, a PVC panel coated with a commercial Cu-containing biocide antifouling paint (E) and a PVC panel coated with a commercial Zn-containing (controlled depletion polymer system) antifouling paint formulation (F) were included in the study. All sample panels were positioned into a metal rack (side-by-side) which was subsequently submersed in the North Sea (from mid January to the end of August).
All test panels remained continuously in the sea water and were removed only temporarily in order to assess the coated surfaces with respect to their achieved antifouling/fouling release performances. The fouling release evaluation was conducted according to the international ASTM standards (Standard test method for the evaluation of marine biofouling on coated test panels). Before the actual assessment, all panels were rinsed with sea water in order to remove loose adhering material from the surface. For the evaluation a fouling release rating (FR) from 100 to 0 was utilized, where a rating score of 100 refers to a surface free of fouling, while a rating of 0 was assigned to a surface entirely covered with marine biofouling.
It became evident that especially the panel A showed a similar performance (FR = 73) up to 189 days to the commercial Zn-releasing reference coating on panel F (FR = 80). The commercial Cu-containing biocidal reference on panel E exhibited to greatest extent no fouling coverage. In strong contrast, the untreated PVC plate (panel C) as well as the panel D coated with the primer formulation showed a significant overgrowth with fouling (FR = 0 and FR = 2, respectively). It was observed that the accumulated fouling coverage on the panels A and B can be easily removed by wiping gently over the surface using a soft sponge. This demonstrates the low adhesion force between the fouling on the surface and the top coat underneath. Although the fouling coverage on panel A revealed to be increased after 189 days (FR = 0; 219 days), the self-recovery of the panel B after 219 days demonstrates the low adherence of the fouling and thus the fouling release effect.
The performance of the coating formulations were also confirmed through dynamic sea immersion experiments using the RotoMarin® test setup located at LimnoMar's Norderney test site. For instance, an area coated with the same composition used for preparation of panel A showed that the biofouling growth could be efficiently prevented at surface flow velocities of >12 knots (FR = 98, after 83 days of sea immersion). This result strongly indicates the anticipated fouling release effect from the top coat based on blend from the materials examples 6 and 7.
Examples 17-19 - Antifogging Coating composition
The production of the varnish was done following the procedure described for Example 1 in EP1087001 except that the kind and amount of material was changed. Instead of using pure methyltrimethoxysilane (Bl), mixtures of the latter one with the pentasiloxane described in example 6 (Al) and the polyhydroxy-alkoxysilane (CI) described below were used. Synthesis of polyhydroxy-alkoxysilane (CI)
In a 500 ml three-necked flask, equipped with refluxing condenser, thermometer andmechanical stirrer, 63,80 g (0,27 mol epoxy groups) of an epoxy silane of the structure (CH30)3Si-(CH2)3-0-C3H50 (-C3H5O = glycidyl /propenoxide)
36,20 g (0,27 mol COOH) of an acid of the structure CH3C(CH2OH)2COOH, lg triethylamine and 233,3g propylene glycol monomethyl ether are mixed under N2 at room temperature. The mixture is heated to 80°C for 64 hours. Afterwards, the epoxide conversion is analyzed by means of NMR 1H (95%). The solution containing a polyhydroxysilane of the structure
Figure imgf000067_0001
is used as received.
The weight parts ratios and results are shown in Table 2.
Table 2
Figure imgf000067_0002
Examples
Comparati Comparati Comparati 17 Comparati 18 19 Comparati ve ve ve ve ve example 1 example 2 example3 example 4 example 5
Alkoxysilane (Bl) 22 - 5 10 10 10 13 13
C) Polyhydroxyalko 7 18 16 13 11 5 4
xysilane (CI) as
described above
Colloidal Ludox AS40 7 6 6 6 4 4 4 4
Silica
Polymer Joncryl 581 0,6 0,6 0,6 0,6 0,6 0,6 0,6 0,6
Catalyst Ammonium Salt 0,08 0,08 0,08 0,0 0,08 0,0 0,0 0,08
8 8 8
Solvent Water 19 53 53 53 36 36 36 36
Acetic 2 2 2 2 2 2 2 2 acid
Iso- 35 35 35 40 40 40 40 propanol
Met oxy 10 45 45 45 32 32 32 32 propanol
Evaluatio Coating o o <S> S · n appeara
nee
Steam o o o
Fogging
test
Breath O o o
Test
Adhesio o
n Test
: good performance; : Borderline property
Exemplary Embodiments
Polycarbonate panels (Makrolon AL2647, 3.2 mm thickness) were flow coated with the antifogging coating compositions mentioned in Table 2. After a flash-off at ambient conditions for 2 min, the coated article was heat cured in an air circulated convection oven at 120 - 130°C for 30 min. The resulting coating layer thickness was in the range of 1 - 6 μιη. The obtained coating-polycarbonate composites were evaluated for anti-fogging performance, adhesion and optical appearance. Steam Fogging Test:
A transparent polycarbonate panel coated with the Antifog coating was placed 5 cm above a water surface of a warm water bath which is maintained at 60°C. The coating layer is exposed for 30 s or 60 s to the constant steam of the water bath. No visible fogging should occur during this time frame, nor any other visible defect on the coating surface. Breath test:
At ambient temperature a transparent polycarbonate panel coated with the Antifog coating is hold in 10 cm distance and breath is blown on the panel for about 2 s. The absence of fogging was observed by visual observation.
Adhesion Test:
The adhesion property of the coating to polycarbonate substrates (e.g. Makrolon,
Lexan) is tested by cross hatch tested according to EN ISO 2409 using a Tesa® 4657 tape.
Comments on Table 2 results
Siloxane based coatings for polycarbonate, which show good adhesion to the underlying substrate without the need of a primer system or any other pre-treatment are known in the literature as described above. In the present invention it was found that a combination of alkoxy silanes as base matrix of the coating material with reactive hydrophilic components a superior anti-fogging property of the coating layer can be achieved. By combining the base monomer Bl) with Al) an unsymmetrical pentasiloxane, bearing a reactive alkoxysilane group on the one and a polyethylene-oxide chain on the other end in addition to CI) a reactive polyhydroxy-alkoxysilane a hydrophilic coating material is formed in a sol-gel process which is suitable for automotive applications. A combination of the base matrix components of 50% alkoxy silane Bl) with 35% of pentasiloxane Al) and 15% of polyhydroxy-alkoxysilane CI) was found to show the optimal performance. If the concentration of Al) and CI) increases over 70%, the ability to form a proper coating layer is lost. On the other hand, if the concentration of Bl) is close to 60% or higher, an anti-fogging property is no longer observed.
Embodiments of the invention have been described above and modifications and alterations may occur to others upon the reading and understanding of this specification. The claims as follows are intended to include all modifications and alterations in so far as they come within the scope of the claims or the equivalent thereof.

Claims

What is claimed is:
1. A polyorganosiloxane comprising two different terminal groups Z1 and Z2 of the formula
(I)
Z1 -{-L[SiR20]p-SiR2 }m-L-Z2 (I) p =l to 9,
m= 1 to 5
wherein R=R1
R or R is a saturated hydrocarbon substituent selected from the group which consists of a monovalent CI to C22-alkyl, optionally substituted by F, a C6-C22- aryl, a C8-C22-polycyclic aryl, a C7-C23-alkylaryl, and a C7-C22-arylalkyl group, L is a single bond, a divalent or trivalent group L1 or L2 which are selected from the group consisting of a divalent Cl-C12-alkylene group, which can be interrupted by one or more -0-, - or -NR3-C(0)-, and/or -NR3- , urethane- OC(0)NR3- , urea -N-R3HC(0)N-R3- moieties, and substituted by one or more OH groups, wherein R3 is hydrogen, MesSi- or Cl-C8-alkyl,
bonded via carbon bond to the silicon atom of the siloxy unit
Z is a monovalent group selected from the group Z1 and Z2,
wherein
Z1 and Z2 are selected from Z which is selected from the group consisting of R1, R2, hydrogen, monovalent unsubstituted or substituted C1-C30 hydrocarbons, and an ionic group comprising O, N, S and P atoms, in more detail Z is selected in addition from the group consisting of C8-C22-alkylarylalkyl, C6- C22-aryl ether, C6-C22-cycloalkyl, C7-C22-cycloalkylalkylene, C7-C22-bicycloalkyl, C6-C12-cyclothioalkyl, , C5-C12-hetero-N, -O, -S-aryl, Cl-C20-alkyl aldehydes and C7-C20-alkylaryl aldehydes, optionally substituted by Cl-C8-alkyl, OH, CI, Br, CN and a silyl ether group R^Si-O-, and selected from
a poly-C2-C4-alkylene oxide OH or OR3 or OC(0)R3 terminated, and wherein
R2 is selected from a monovalent unsaturated, unsubstituted or substituted alkenyl or alkynyl group selected from the group consisting of a C2-C22-alkenyl, C6-C22-cycloalkenyl, C7-C22-bicycloalkenylalkylene, C2-C22-alkynyl, and the related oxiranyl and carbonate derivaties of R2, selected from group of
C3-C22-oxiranyl groups and C4-C23-carbonate compounds,
and a group selected from CI, Br, I, -SH, -S-R1, -OH, -O-Rl, -CN, -NCO, blocked NCO, and a group selected from
Figure imgf000072_0001
1-3, , wherein
X is = OH, OR1, -NR12, R^CfO wherein
R6 =C6-C10-aryl, C7-C12-arylalkyl, C6-C12-cycloalkyl, C7-C16-bicycloalkyl, C3- C12-epoxy alkyl, C6-C12-epoxy cycloalkyl, C7-C16-epoxy bicycloalkyl, C6-C12- thiocycloalkyl, C5-C12-hetreo-N,-0, -S-aryl, and
selected from an ionic group derived from an ester of a carboxylic acid, S or P acid, such as -C(0)-0-R3, (R30)2-P(0)-0- , (R30)2-P(0)-, phosphonates (R3-0)2-P-, phosphines, amines, betaines, such as -NHR3-CH2-C00H, -NHR3-CH2-0- S(0)2(OH), -S-S(0)2(OR3), and a primary, secondary, tertiary amine -NR3 2 or phosphine -PR3 2, and an acid addition salt of an amine, phosphine preferably salts having quaternary -N+R13 or -P+R13 groups, and
alkyl or aryl enamine of the formula
Figure imgf000072_0002
wherein R3 is hydrogen, C1-C8 alkyl, C2-C8 alkenyl, R^Si-, all groups bonded via a single bond or carbon bond of L to the silicon atom of the siloxy unit of the polyorganosiloxane (I), whereby
-L-Z2 and -L-Z1 are different.
The polyorganosiloxane according to claim 1 wherein 80% or more of the polyorganosiloxane has an index p of 1, 4, or 9.
The polyorganosiloxane according to claim 1 to 2, wherein
R and R1 are methyl, 3,3,3-trifluoropropyl, phenyl, styryl, phenylpropyl, naphthyl,
L1 and L2 are selected from a single bond, a divalent or a trivalent C1-C12- alkylene groups, which can be interrupted by one or more -0-, - or -NR3-C(0)-, and/or -NR3- moieties, and substituted by one or more OH groups,
Z1 and Z2 are selected from Z wherein Z is selected from the group which consists of vinyl, allyl, hexenyl, octenyl, allyloxypropyl, -CH2C--CH, -C(0)C≡CH, -C(0)(CH2)8CH=CH2, cyclohexenylethyl, limonyl, norbornenylethyl, vinylphenylethyl, allyloxyphenyloxypropyl,
-(OCH2CH2)a-(OCH2CH(CH3))b-(OCH2CH2CH(CH3))c-OCH=CH2,
-(OCH2CH2-)a-(OCH2CH(CH3))b-(OCH2CH2CH(CH3))c-OH
-(OCH2CH2)a-(OCH2CH(CH3))b-(OCH2CH2CH(CH3))c-0-Cl-C4 alkyl
-(OCH2CH2)a-(OCH2CH(CH3))b-(OCH2CH2CH(CH3))c-0-C(0)-Cl-C4 alkyl with a, b, c being 0 to 20, and a+b+c= 1 to 20,
-[-Si(CH3)2OSi(CH3)2]CH=CH2, and
Figure imgf000074_0001
and (R1X)xR1 3-xSi-, wherein x= 1-3, wherein X is = OH, OR1, -NR½, R^CiOj-O-, and of unsubstituted or substituted oxyphenyl moieties of the formula
Figure imgf000074_0002
wherein R10, R14 is hydrogen or R1 and
R11, R12, R13 are selected from -OR3,
whereby at least one of the groups R11 to R13 is OH,
eugenol, bisphenolethers, cumylphenolether,
glycidylpropylether, epoxylimonyl, epoxycyclohexanethyl, epoxynorbornyl,
Figure imgf000074_0003
and the carbonate derivatives of these epoxides, 1,3-dithiolane, 1,3,5-trithiane, 1,3-dithiane, thiophenyl, tetrahydro-2H-thiopyranyl, carbazol, indol,
trisphenylsilyl, and
R6Me2Si-, wherein R6= C6-C10-aryl, C7-C12-arylalkyl, C6-C12-cycloalkyl, C7-C16- bicycloalkyl, C6-C12-cyclothioalkyl, C5-C12-hetreo-N, -0, -S-aryl, optionally substituted by Cl-C8-alkyl, OH, CI , CN and a silyl ether group R^Si-O-, and a group selected from CI, -S-H, -NCO, blocked NCO, and selected from an ionic group derived from an ester of a carboxylic acid, S or P acid such as -C(0)-0-R3, (R30)2-P(0)-0- , (R30)2-P(0)-, phosphonates (R3-0)2-P-, phosph!nes, amines, betaines such as -NHR3-CH2-COOH, -NHR3-CH2-0- S(0)2(OH), -S-S(0)2(OR3), and a primary, secondary, tertiary amine -NR3 2 or phosphine -PR3 2 , and an acid addition salt of an amine, phosphine preferably salts having quaternary -N+R13 or -P+R1 3 groups, wherein R3 as defined above, whereby -L2-Z2 and -Ι Ζ1 are different.
4. The polyorganosiloxane according to any of claims 1 to 3, wherein R1 is selected from the group which consists of methyl, phenyl, 3.3.3-trifluoropropyl,
L is selected from L1 and L2 and is as defined above,
Z1 and Z2 are selected from Z is phenyl, phenylpropyl, styryl, naphthyl, eugenol, bisphenolethers, cumylphenolether,
and of unsubstituted or substituted oxyphenyl moieties of the formula
Figure imgf000075_0001
wherein R10, R14 is hydrogen or R1 and
R11, R12, R13 are selected from -OR3,
whereby at least two of the groups R11 to R13 are OH groups, and
norbornyl, vinyl, allyl, allyloxypropyl, hexenyl, norbornenyl, cyclohexenylethyl, limonyl, and glycidylpropylether, epoxylimonyl, epoxycyclohexanethyl, epoxynorbornyl, and the carbonate derivatives of these epoxides, and a group selected from CI, -S-H, -N CO, blocked NCO, and a group selected from
Figure imgf000075_0002
wherein x= 1-3, , wherein X is = OH, OR1, -NRV, R^CfOj-O- , wherein
R6 =phenyl, naphthyl, phenylethyl, phenylpropyl, eugenol, limonyl, epoxylimonyl, glycidyipropylether epoxycyclohexylethyl, norbornenylethyl, epoxy norbornenylethyl, carbazol, indol,
and selected from an ionic group derived from an ester of a carboxylic acid, S or P acid such as -C(0)-0-R3, (R30)2-P(0)-0- , (R30)2-P(0)-, phosphonates (R3-0)2-P-, amines, betaines such as -NHR3-CH2-COOH, -NHR3-CH2-0-S(0)2(OH), and a primary, secondary, tertiary amine -NR3 2 , and an acid addition salt of an amine, salts having quaternary -N+R13 and enamines,
bonded via a single bond or carbon bond of L to the silicon atom of the siloxy unit, whereby
-L2-Z2 and -Ι Ζ1 are different. The polyorganosiloxane according to any of claims 1 to 4, wherein
Z1 is selected from the group of an alkoxysilyl substituent of the structure
Figure imgf000076_0001
with x = 1 to 3, R1 = Cl-C8-alkyl, and of unsubstituted or substituted oxyphenyl moieties of the formula
Figure imgf000076_0002
wherein R10, R14 is hydrogen or R1 and
R11, R12, R13 are selected from -OR3,
whereby at least two of the groups R11 to R13 are OH,
and selected from an ionic group derived from an ester of a carboxylic acid, S or P acid such as -C(0)-0-H, (HO)2-P(0)-0-, (HO)2-P(0)-, phosphonates (Η-Oh-P-, amines, betaines such as -NHR3-CH2-COOH, -NHR3-CH2-0-S(0)2(OH), and a primary, secondary, tertiary amine -NR3 2 and an acid addition salt of an amine, salts having quaternary -N+R13 and enamines,
bonded via a single bond or carbon bond of L to the silicon atom of the siloxy unit,
Z2 is selected from the group of
phenyl, phenylpropyl, styryl, naphthyl, eugenol, bisphenolethers, cumylphenolether, norbornyl, vinyl, allyl, allyloxypropyl, hexenyl, octenyl norbornenyl, cyclohexenylethyl, limonyl,glycidylpropylether, epoxylimonyl, epoxycyclohexanethyl, epoxynorbornyl, and the carbonate derivatives of these epoxides and C4-C23-carbonate groups thereof, and -C(0)-0-R3, (R30)2-P(0)-0-, (R30)2-P(0)-,phosphonates (R3-0)2-P-, wherein R3 = R1, and a group selected from CI, -SH, -NCO, blocked NCO, and a group selected from triphenylsilyl, and R6R1 2Si-,
wherein
R6 is phenyl, naphthyl, phenylethyl, phenylpropyl, eugenol, limonyl, epoxylimonyl, glycidylpropylether epoxycyclohexylethyl, norbornenylethyl, epoxy norbornenylethyl, carbazol, indol,
whereby
-L-Z2 and -L-Z1 are different.
The polyorganosiloxane compound according to claim 1 to 5, wherein the polyorganosiloxane is of the formula (la):
Figure imgf000077_0001
and R, R1 Z1, L1, Z2 and L2 are as defined above.
7. The polyorganosiloxane of claim 6, wherein the polyorganosiloxane is selected from compounds of the group which have the formulas (lla) to (llf):
Figure imgf000078_0001
(lla)
Figure imgf000078_0002
(lib)
Figure imgf000078_0003
(He)
R
R^O Ph
1 I I I
R-O-Si- -Si-O -Si-O- -Si- -Si— Ph
1 I I
R10 Ph
p-1
(lid)
Figure imgf000078_0004
(He)
Figure imgf000079_0001
(Mf)
R, R1 = methyl, 3,3,3-fluoropropyl, phenyl and can be different
p =1 or 4 or 9
n= 0-6
L1 and L2 are selected from the group of Cl-C14-alkyl, Cl-C14-alkylether groups and can be different to each other.
A process for forming a polyorganosiloxane according to claim 6 comprising:
(i) reacting a first compound L*-!1 with a symmetrically α,ω-terminated polyorganosiloxane of the formula Z*-L-SiR12-0[-SiR20-]p-i-SiR12-L-Z* p= l or 4 or 9
Z*= hydrogen (in SiH), R2, Z1 or Z2
optionally in the presence of a catalyst, wherein R1, Z1, L, L1 and L2 are defined above, L* is an unsaturated C2-C20-alkenyl or a SiH group of a silane or a siloxane moiety whereby L* and Z* are forming the unit -Ι Ζ1 in a that reaction step,
ii) separating, optionally by distillation, the product of step i) wherein one group Z* has been reacted to form -I1-!1,
iii) submitting the mono functionalized product of step ii) to a further reaction with a compound of the formula L**-Z2 to form a group -L2-Z2, whereby
L** is an unsaturated C2-C20-alkenyl or a SiH group, a silane or siloxane moiety, and iv) optionally a separation step, and
v) optionally wherein the group Z2 is further submitted to a third reaction to form the final group Z22 comprising saturated or unsaturated C2-C8-esters or hydrocarbon amines or ammonium groups.
The process of claim 8, wherein (i)-(v) comprises:
(i) reacting an alkoxysilane of the formula (R10)xR13-xSi-H or an organofunctional disiloxane Z*-L-R2Si-0-SiR2H, with a dialkenyl compound of the formula:
Figure imgf000080_0001
p= 1 or 4 or 9 in the presence of a hydrosilylation catalyst, wherein x, R, R1 are defined above, ii) separating optionally by distillation the product wherein one alkenyl group -L**-Z1 has been reacted to form -ΐ ζ1,
iii) submitting the mono alkenyl group functional product of step ii) to a further hydrosilylation reaction with a silane or siloxane compound having one SiH group of the formula L**-Z2 to form a group -L -Z2, and ,
iv) optionally a separation step, and
v) optionally a step, wherein the group Z2 is further submitted to a third reaction forming the final group Z22 comprising unsaturated C2-C8-esters or hydrocarbon amines.
The method of claim 8, wherein (i)-(v) comprises (i) reacting an alkoxysilane of the formula (R10)xR13-xSi-L-CH=CH2 or an alkenyl- functional disiloxane Z*-L-R2Si-0-SiR2- R2, with a hydrogen siloxane of the formula:
Figure imgf000081_0001
p= 1 or 4 or 9 in the presence of a hydrosilylation catalyst, wherein x, R, R1 are defined above, ii) separating optionally by distillation the product wherein one SiH group has been reacted to form -L1-Z1,
iii) submitting the mono SiH group functional product of step ii) to a further hydrosilylation reaction with an unsaturated compound of the formula L**-Z2 to form a group -lAZ2, and
iv) optionally a separation step, and
v) optionally a step, wherein the group Z2 is further submitted a third reaction to form the final group Z22 comprising unsaturated C2-C8-esters or hydrocarbon amines.
A process for forming a polyorganosiloxane blockpolymer of the formula (I) according to claim 1, wherein
Z- { -L[SiR20]p -SiR2 }m-L-Z
L, Z is as defined before
R is selected from R and R1,
p=l or 4 or 9 m= 3 to 7,
Whereby the process comprising the steps reacting
al) first symmetrically substituted compound Z*-L -[SiR20]p-SiR2 -L-Z* with 2 moles of a α,ω-terminated polyorga nosiloxa ne of the form ula Z* *-L -[SiR*20]p-SiR*2 -L -Z**
Z*= hydrogen ( in SiH ), alkenyl, OH-, CI- or Br-alkyl, epoxy, amine, -NCO
Z* *selected from= Z* and Zl and Z2 which can complementarily react with each other optionally i n the presence of a catalyst, wherein p=l or 4 or 9; R, R1, L, L1, L2 are defined above, R* is R or R1, each of them can be different, wherein Z* and Z* * in step a l) are forming a unit -L3-, such as
Z* *-L-[Si R*20]p-SiR*2-L3-[SiR20]p-SiR2-L3-[Si R*20]p-SiR*2-L-Z* * a2) separating optionally by distillation the product of step a l) wherei n two groups Z* and Z* * have been reacted to form two units -L3- a nd a molecule with 3 siloxane blocks -[SiR20]p ,
a3) optionally repeat step a l) and a2), optionally separating the by-product of step a2),
submitti ng the di-functionalized symmetrically substituted product of step a2) to a further reaction with 1 or 2 mol of a compound of the formula Z*-L-SiR* *2-0-[R2Si-0-]p-i-SiR* *2-L-Z* to form a molecule with 4 or 5 siloxy blocks and a step
a4) wherein the symmetrically substituted reaction product of step a2) or a3) is submitted to a third reaction between moieties com prising groups Z* and Z** to form a linking u nit L4 and a final product having 6 or 7 siloxy blocks wherein Z1 and Z2 are different formi ng an asymmetrically substituted polyorga nosiloxane, separating optionally by distillation the by-product of step a4) to result
Z1-L1-[SiR**20]P-SiR* *2 -{-L[SiR20]p-SiR2 }m-i-L2-Z2
L = L3 or L4
m =4
Z1-L-[SiR**20]p-SiR**2 {- L[SiR20]p-SiR2 }m-2-L- [SiR**20]p-SiR**2-L-Z2
m= 5
p= 1 or 4 or 9
Z1 and Z2 are as defined above and are different.
12. A composition comprising at least one polyorganosiloxane of any of claims 1 to 7.
13. The composition of claim 12, wherein the composition is a cured composition for the use in coating compositions, rubber compositions useful in optical device.
14. The composition of claim 12, wherein the composition is an antifouling composition.
15. The antifouling composition of claim 14, wherein the composition comprises a polyorganosiloxane of the formula (I) comprising two different terminal groups Z1 and Z2
Z -USiRzOlp-SiRz Jm-L-Z2 (I)
p =1 to 9,
m= l to 5
wherein
is a saturated hydrocarbon substituent selected from the group which consists of a monovalent CI to C22-alkyl, a C6-C22-aryl, L is a single bond, divalent or trivalent group L1 or L2 which are selected from the group consisting of a divalent Cl-C12-alkylene group or divalent or trivalent Cl-
C12-alkylidene group which can be interrupted by one or more -0-, -C(O)-, -
NR3-C(0)-, and/or -NR3- , urethane-OC(0)NR3- , urea -N-R3HC(0)N-R3- moieties, and substituted by one or more OH groups,
wherein R3 is hydrogen, Me3Si- or C1-C8 alkyl,
bonded via carbon bond to the silicon atom of the siloxy unit
Z is a monovalent group selected from the group Z1 and Z2,
wherein
Z1 and Z2 are selected from the group which consists of
a) unsubstituted or substituted, linear, branched or cyclic, saturated or unsaturated C1-C30 hydrocarbons selected from the group consisting of C3-C22 linear alkyl, C3-C22 branched alkyl, C8-C22-alkylarylalkyl, C6-C22-aryl ether, C6- C22-cycloalkyl, C7-C22-cycloalkylalkylene, C7-C22-bicycloalkyl, or a combination thereof
b) poly-C2-C4-alkylene oxides, OH or OR3 or OC(0)R3 terminated, and wherein R3 is selected from C1-C8 alkyl,
c) a group selected from
(R1X)xR13-xSi-, wherein x= 1-3, , wherein
X is = -0-, -C(0)-0-, wherein
under the proviso that one group Z1 or Z2 is a group selected from c).
16. The antifouling composition of claim 14, wherein the composition comprises a polyorganosiloxane of the formula (I) having two different terminal groups Z1 and Z2 of the formula (I)
Z1 -{-L[SiR20]p-SiR2 }m-L-Z2 (I)
p =1 to 4, m= l to 2
wherein
R=R1 is a saturated hydrocarbon substituent selected from the group which consists of a monovalent CI to C3-alkyl, a C6 aryl,
L is a divalent or trivaient group L1 or L2 which are selected from the group consisting of a divalent Cl-C8-alkylene group or divalent or trivaient C1-C6- alkylidene group which can be interrupted by one or more -0-, -C(O)- moieties, and substituted by one or more OH groups,
specifically
-CH2CH2-,
-CH2CH2O-, CH2CH2CH2O-, -CH(CH3)CH20-, -CH2CH2CH(CH3)CH20-,
-CH=CH-CH20-,
Figure imgf000085_0001
-CH2CH2OC(0)-, CH2CH2CH2OC(0)-, -CH2CH2CH(CH3)CH20C(0)-,
- =CH-CH2OC(0)-,
Figure imgf000085_0002
Z is a monovalent group selected from the group Z1 and Z2,
wherein
Z1 and Z2are selected from the group which consists of
c) unsubstituted or substituted, linear, branched or cyclic, saturated or unsaturated C1-C22 hydrocarbons, i.e.C3-C18 linear alkyl, C3-C18 branched alkyl, C8-C15-alkylarylalkyl, C6-C9-aryl ether, C6-C10-cycloalkyl, C7-C18- cycloalkylalkylene, C7-C16-bicycloalkyl, specifically
-(CH2)ioCH3, -(CH2)i2CH3, -(CH2)14CH3, -(CH2)i6CH3,
-(CH2)7CH=CH(CH2)7CH3,
-CH(C2H5)CH2CH2CH2CH3,
Koch acids derived residues, i.e.
-C(CH3)3; -C(CH3)2CH2CH3 , -C(CH3)2CH2CH2CH3,
Versatic acid 11 derived residues of the structure
-CiCH^R1 with∑ carbons in all groups R*=8 ,
Versatic acid 10 derived residues of the structure
-CfCH^F^R1 with∑ carbons in all groups Rx=7 ,
i.e.
-C(CH3)(C2H5)CH2CH2CH2CH2CH3,
-C(CH3)(C3H7)(C4H9),
Versatic acid 9 derived residues of the structure
-C(CH3)R1R1 with∑ carbons in all groups Rx=6 ,
Figure imgf000086_0001
Figure imgf000086_0002
poly-C2-C4-alkylene oxides, OH or OR3 or OC(0)R3 terminated, of the structures -(OCH2CH2-)a-(OCH2CH(CH3))b-(OCH2CH2CH(CH3))c-OH
-(OCH2CH2)a-(OCH2CH(CH3))b-(OCH2CH2CH(CH3))c-0-Cl-C4 alkyl
-(OCH2CH2)a-(OCH2CH{CH3))b-(OCH2CH2CH(CH3))c-0-C(0)-Cl-C4 alkyl
with a, b, c being 0 to 20, and a+b+c= 1 to 20,
a being preferred 2 to 20, more preferred 5 to 20, even more preferred 7 to
20 and specifically 7 to 15,
b being preferred 0 to 20, more preferred 0 to 10, even more preferred 0 to
5 and specifically 0 and 1 to 5,
c being preferred 0 to 20, more preferred 0 to 10, even more preferred 0 to 5 and specifically 0 and 1 to 5,
a+b+c being preferred 2 to 20, more preferred 5 to 20, even more preferred 7 to 20 and specifically 7 to 15,
c) a group selected from
Figure imgf000087_0001
wherein x= 1-3, , wherein
X is = -0-, -C(0)-0-, wherein
under the proviso that one group Z1 or Z2 is a group selected from c).
17. The antifouling composition of claim 14, wherein the composition comprises a polyorganosiloxane of the formula (I) comprising two different terminal groups Z1 and Z2
Z1 -{-L[Si 20]p-SiR2 }m-L-Z2 (I)
P = 4,
m= 1,
wherein
R=R1 is a saturated hydrocarbon substituent selected from the group which consists of a monovalent CI to C3-alkyl, preferred methyl,
L is a divalent or trivalent group L1 or L2 which are selected from the group consisting of a divalent Cl-C4-alkylene group, preferred divalent C2-C3 alkylene group, which can be interrupted by one or more -0-, -C(O)- moieties, and substituted by one or more OH groups,
specifically
— CH2CH2-,
-CH2CH2O-, CH2CH2CH20-, -CH2CH2CH(CH3)CH20-,
Z is a monovalent group selected from the group Z1 and Z2,
wherein
Z1 and Z2 are selected from the group which consists of
c) unsubstituted branched saturated C1-C22 hydrocarbons, i.e. C3-C18 branched alkyl, specifically
Koch acids derived residues, i.e.
-C(CH3)3, -C(CH3)2CH2CH3 , -C(CH3)2CH2CH2CH3/
Versatic acid 11 derived residues of the structure
-C(CH3)R1R1 with∑ carbons in all groups 1^=8 ,
Versatic acid 10 derived residues of the structure
-CiCH^R1 with∑ carbons in all groups Rx=7 ,
i.e.
-C(CH3)(C2H5)CH2CH2CH2CH2CH3,
-C(CH3)(C3H7)(C4H9),
Versatic acid 9 derived residues of the structure
-qCH^R1 with∑ carbons in all groups Rx=6 , c) a group selected from
(R1X)xR13 xSi-, wherein x= 1-3, preferred 3, wherein
X is = -0-, wherein
under the proviso that one group Z1 or Z2 is a group selected from c).
18. The antifouling composition of claim 14, wherein the composition comprises a polyorganosiloxane comprising two different terminal groups Z1 and Z2
Figure imgf000089_0001
P = 4,
m= 1,
wherein
R=R1 is a saturated hydrocarbon substituent selected from the group which consists of a monovalent CI to C3-alkyl, preferred methyl,
L is a divalent or trivalent group L1 or L2 which are selected from the group consisting of a divalent Cl-C4-alkylene group, preferred divalent C2-C3 alkylene group, which can be interrupted by one or more -0-, -C(O)- moieties, and substituted by one or more OH groups,
specifically
-CH2CH2-,
-CH2CH20-, CH2CH2CH20-, -CH2CH2CH(CH3)CH20-,
Z is a monovalent group selected from the group Z1 and Z2,
wherein
Z1 and Z2 are selected from the group which consists of d) poly-C2-C4-alkylene oxides, OH or OR3 or OC(0)R3 terminated, of the structures
-(OCH2CH2-)a-(OCH2CH(CH3))b-(OCH2CH2CH(CH3))c-OH
-(OCH2CH2)a-(OCH2CH(CH3))b-(OCH2CH2CH(CH3))c-0-Cl-C4 alkyl
-(OCH2CH2)a-(OCH2CH(CH3))b-(OCH2CH2CH(CH3))c-0-C(0)-Cl-C4 alkyl with a, b, c being 0 to 20, and a+b+c= 1 to 20,
a being preferred 2 to 20, 5 to 20, 7 to 20, or 7 to 15,
b being preferred 0 to 20, 0 to 10, 0 to 5, or 1 to 5, c being preferred 0 to 20, 0 to 10, 0 to 5, or 1 to 5,
a+b+c being 2 to 20, 5 to 20, 7 to 20, or 7 to 15,
c) a group selected from
Figure imgf000090_0001
wherein x= 1-3, preferred 3 , wherein
X is = -0-, wherein
under the proviso that one group Z1 or Z2 is a group selected from c).
19. The antifouling composition according to any of claims 15-18 comprising a mixtures of the polyorganosiloxanes, the mixture comprising (i) a polyorganosiloxane according to any of claims 15-18 where the Z1 and Z2 substituents are chosen from a) and c), (ii) a polyorganosiloxane according to any of claims 15-18 where Z1 and Z2 substituents b) and c).
20. The antifouling composition of claim 19, wherein the wt% ratio between the polyorganosiloxane (i) and the polyorganosiloxane (ii) is 10 : 90 to 90 : 10; 30 : 70 to 70 : 30; 40 : 60 to 60 : 40, or 50 : 50.
21. The composition of claim 14, wherein the composition is an antifog composition comprising a polyorganosiloxane of the formula (I) comprising two different terminal groups Z1 and Z2:
Z1 -{-L[SiR20]p-SiR2 }m-L-Z2 (I)
p =1 to 9,
m= 1 to 5
wherein
R=R1 is a saturated hydrocarbon substituent selected from the group which consists of a monovalent CI to C22-alkyl, a C6-C22-aryl,
L is a single bond, divalent or trivalent group L1 or L2 which are selected from the group consisting of a divalent Cl-C12-alkylene group or divalent or trivalent Cl- C12-alkylidene group which can be interrupted by one or more -0-, -C(O)-, -
N 3-C(0)-, and/or -N R3- , urethane-OC(0) N R3- , urea -N-R3HC(0)N-R3- moieties, and substituted by one or more OH groups,
wherein R3 is hydrogen, Me3Si- or C1-C8 alkyl,
bonded via carbon bond to the silicon atom of the siloxy unit
Z is a monovalent group selected from the group Z1 and Z2,
wherein
Z1 and Z2are selected from the group which consists of
b) poly-C2-C4-alkylene oxides, OH or OR3 or OC(0)R3 terminated, and wherein
R3 is selected from C1-G8 alkyl,
c) a group selected from
(R1X)xR13-xSi-, wherein x= 1-3, , wherein
X is = -0-, -C(0)-0-, wherein
R1 is as defined above,
under the proviso that one group Z1 or Z2 is a group selected from c).
22. The composition of claim 14, wherein the composition is an antifog composition comprising a polyorganosiloxane of the formula (I) comprising two different terminal groups Z1 and Z2:
Z1 -{-L[SiR20]p-SiR2 }m-L-Z2 (I)
p =1 to 4,
m= 1 to 2
wherein R
R=R1 is a saturated hydrocarbon substituent selected from the group which consists of a monovalent CI to C3-alkyl, a C6 aryl,
L is a divalent or trivalent group L1 or L2 which are selected from the group consisting of a divalent Cl-C8-alkylene group or divalent or trivalent C1-C6- alkylidene group which can be interrupted by one or more -0-, -C(O)- moieties, and substituted by one or more OH groups,
specifically
-CH2CH2-,
-CH2CH2O-, CH2CH2CH2O-, -CH2CH2CH(CH3)CH20-,
-CH=CH-CH20-,
Figure imgf000092_0001
-eH2CH20C(0)-, CH2CH2CH2OC(0)-, -CH2CH2CH(CH3)CH20C(0)-,
- =CH-CH2OC(0)-,
Figure imgf000092_0002
Z is a monovalent group selected from the group Z1 and Z2,
wherein
Z1 and Z2 are selected from the group which consists of
b)poly-C2-C4-alkylene oxides, OH or OR3 or OC(0)R3 terminated, of the structures
-(OCH2CH2-)a-(OCH2CH(CH3))b-(OCH2CH2CH(CH3))c-OH
-(OCH2CH2)a-(OCH2CH(CH3))b-(OCH2CH2CH(CH3))c-0-Cl-C4 alkyl
-(OCH2CH2)a-(OCH2CH(CH3))b-(OCH2CH2CH(CH3))c-0-C(0)-Cl-C4 alkyl with a, b, and c independently being 0 to 20, and a+b+c= 1 to 20, 2 to 20, 5 to 20, 7 to 20, or 7 to 15,
c) a group selected from
(R1X)xR13-xSi-, wherein x= 1-3, , wherein X is = -0-, -C(0)-0-, wherein
R1 is as defined above, preferred CH3- and CH3CH2-,
under the proviso that one group Z1 or Z2 is a group selected from c).
23. The composition of claim 14, wherein the composition is an antifog composition comprising a polyorganosiloxane of the formula (I) comprising two different terminal groups Z1 and Z2:
Z1 -{-L[SiR20]p-SiR2 }m-L-Z2 (I) p = 4,
m= 1,
wherein R
R=RX is a saturated hydrocarbon substituent selected from the group which consists of a monovalent CI to C3-alkyl, preferred methyl,
L is a divalent or trivalent group L1 or L2 which are selected from the group consisting of a divalent Cl-C4-alkylene group, preferred divalent C2-C3 alkylene group, which can be interrupted by one or more -0-, -C(O)- moieties, and substituted by one or more OH groups,
specifically
-CH2CH2-,
-CH2CH20-, CH2CH2CH20-, -CH(CH3)CH20-, -CH2CH2CH(CH3)CH20-, Z is a monovalent group selected from the group Z1 and Z2,
wherein
Z1 and Z2 are selected from the group which consists of b)poly-C2-C4-alkylene oxides, OH or OR3 or OC(0)R3 terminated, of the structures -(OCH2CH2-)a-(OCH2CH(CH3))b-(OCH2CH2CH(CH3))c-OH
-(OCH2CH2)a-(OCH2CH(CH3))b-(OCH2CH2CH(CH3))c-0-Cl-C4 alkyl
-(OCH2CH2)a-(OCH2CH(CH3))b-(OCH2CH2CH(CH3))c-0-C(0)-Cl-C4 alkyl with a, b, c being 0 to 20, and a+b+c= 1 to 20, a+b+c being preferred 2 to 20, more preferred 5 to 20, even more preferred 7 to 20 and specifically 7 to 15,
c) a group selected from
Figure imgf000094_0001
1-3, preferred 3 , wherein
X is = -0-, wherein
R1 is as defined above, preferred CH3- and CH3CH2-,
under the proviso that one group Z1 or Z2 is a group selected from c).
24. The composition of claims 22 or 23, wherein the composition is an antifog composition comprising:
A) a polyorganosiloxane of the formula (I) comprising two different terminal groups Z1 and Z2 polyorganosiloxanes which comprise for Z with Z1 and Z2 substituents b) and c), under the proviso that one group Z1 or Z2 is a group selected from c), B) silanes (R1X)xR1 4.xSi, wherein x= 1-4, wherein
X is = -0-, -OC(O)- wherein
R1 is as defined above,
C) silanes (R^xR^-xSi-R10, wherein x= 1-3, wherein
X is = -0-, -OC(O)- wherein
R1 is as defined above,
R10 is a monovalent group which is selected from the group consisting of a C2- C22-alkyl group which can be interrupted by one or more -0-, -C(O)-, -N R3- C(O and/or -NR3- , urethane-OC(0)NR3- , urea -N-R3HC(0)N-R3- moieties, and is substituted by at least one or more OH groups,
wherein R3 is hydrogen, Me3Si- or C1-C8 alkyl. 25. The composition of claim 21 comprising:
A) polyorganosiloxane comprising two different terminal groups Z1 and Z2 of the formula (I)
Z1 -{-L[SiR20]p-SiR2 }m-L-Z2 (I)
P = 4,
m= 1,
wherein
R=RX is a saturated hydrocarbon substituent selected from the group which consists of a monovalent CI to C3-alkyl,
L is a divalent or trivalent group L1 or L2 which are selected from the group consisting of a divalent Cl-C4-alkylene group, preferred divalent C2-C3 alkylene group, which can be interrupted by one or more -0-, -C(O)- moieties, and substituted by one or more OH groups,
specifically
-CH2CH2-,
-CH2CH20-, CH2CH2CH20-, -CH2CH2CH(CH3)CH20-,
Z is a monovalent group selected from the group Z1 and Z2,
wherein
Z1 and Z2 are selected from the group which consists of
b)poly-C2-C4-alkylene oxides, OH or OR3 or OC(0)R3 terminated, of the structures
-(OCH2CH2-)a-(OCH2CH(CH3))b-(OCH2CH2CH(CH3))c-OH
-(OCH2CH2)a-(OCH2CH(CH3))b-(OCH2CH2CH(CH3))c-0-Cl-C4 alkyl
-(OCH2CH2)a-(OCH2CH(CH3))b-(OCH2CH2CH(CH3))c-0-C(0)-Cl-C4 alkyl with a, b, c being 0 to 20, and a+b+c= 1 to 20, 2 to 20, 5 to 20, 7 to 20, or 7 to 15,
c) a group selected from
( R1X)xR13-xSi-, wherein x= 1-3, wherein
X is = -0-, wherein
R1 is as defined above, preferred CH3- and CH3CH2-,
under the proviso that one group Z1 or Z2 is a group selected from c),
B) silanes (R1X)xR14-xSi, wherein x= 1-4, wherein
X is = -0-, wherein
R1 is as defined above, preferred CH3- and CH3CH2
lanes
Figure imgf000096_0001
1-3, wherein
X is = -0-, wherein
R1 is as defined above, preferred CH3- and CH3CH2-,
R10 is a monovalent group which is selected from the group consisting of a C2- C22-alkyl which can be interrupted by one or more -0-, -C(O)-, moieties, and is substituted by at least one or more OH groups,
R10 preferred has the formula -L-Z3, wherein
L is as above defined, preferred
a divalent or trivalent group which is selected from the group consisting of a divalent Cl-C9-alkylene group or divalent or trivalent Cl-C6-alkylidene group which can be interrupted by one or more -0-, -C(O)- moieties, and substituted by one or more OH groups,
specifically
-CH CH2O-, CH2CH2CH2O-, -CH(CH3)CH20-, -CH2CH2CH(CH3)CH20-,
Figure imgf000096_0002
-CH=CH-CH20-,
Figure imgf000097_0001
-CH2CH2OC(0)-, -CH2CH2CH2OC(0)-, -CH2CH2CH(CH3)CH2OC(0)-,
-CH CH2CH2OCH2CH(OH)CH2OC(0)-,
Figure imgf000097_0002
-CH=CH-CH2OC(0)-,
Figure imgf000097_0003
Z3 is a group which is selected from the group consisting of a divalent C1-C18- alkyl group or Cl-ClO-alkylidene group which can be interrupted by one or more -0-, -C(O)- moieties, and is substituted by one or more OH groups, 1 to 10 OH groups, 1 to 7 OH groups, or 1 to 5 OH groups.
26. The composition of claim 25, wherein the group Z3 are derived from hydroxyl functionalized carboxylic acids chosen from:
C2 to C12 saturated or unsaturated hydroxyalkyl carboxylic acids;
C2 to C12 saturated or unsaturated polyhydroxyalkyl carboxylic acids;
C7 to C12 hydroxyaromatic carboxylic acids;
C7 to C12, preferred C7 to C9 polyhydroxyaromatic carboxylic acids;
or derived from di- and higher hydroxylated alcohol.
27. The composition of claims 25 or 26, wherein the wt% ratio of A) : B) : C) is 10 : 80 :10 to 40 : 20 : 40; 15 : 70 : 15 to 30 : 40 : 30; or 30 : 60 : 10 to 10 : 60 : 30.
28. The composition of any of claims 21-25, wherein a is 2 to 20, 5 to 20, 7 to 20, or 7 to 15; b is 0 to 20 0 to 10, 0 to 5, or 1 to 5; and c is 0 to 20, 0 to 10, 0 to 5, or 1 to 5.
29. Method for dispersing inorganic particles or compatibilizing two or more non-miscible liquid phases wherein at least one polyorganosiloxane according to claim 1 to 7 is used. 30. Method for the manufacture of an antifouling agent wherein the polyorganosiloxane of claim 1 to 7 is used.
PCT/EP2016/001266 2015-07-20 2016-07-20 Asymmetrically substituted polyorganosiloxane derivatives Ceased WO2017012714A1 (en)

Priority Applications (7)

Application Number Priority Date Filing Date Title
EP16750378.8A EP3325540B1 (en) 2015-07-20 2016-07-20 Asymmetrically substituted polyorganosiloxane derivatives
ES16750378T ES3042071T3 (en) 2015-07-20 2016-07-20 Asymmetrically substituted polyorganosiloxane derivatives
KR1020187005026A KR102745734B1 (en) 2015-07-20 2016-07-20 Asymmetric substituted polyorganosiloxane derivatives
JP2018502665A JP2018528289A (en) 2015-07-20 2016-07-20 Asymmetrically substituted polyorganosiloxane derivatives
US15/745,499 US11535751B2 (en) 2015-07-20 2016-07-20 Asymmetrically substituted polyorganosiloxane derivatives
CN201680054562.1A CN108026279B (en) 2015-07-20 2016-07-20 Asymmetrically substituted polyorganosiloxane derivatives
JP2024014327A JP2024054182A (en) 2015-07-20 2024-02-01 Asymmetrically substituted polyorganosiloxane derivatives

Applications Claiming Priority (2)

Application Number Priority Date Filing Date Title
US201562194563P 2015-07-20 2015-07-20
US62/194,563 2015-07-20

Publications (2)

Publication Number Publication Date
WO2017012714A1 true WO2017012714A1 (en) 2017-01-26
WO2017012714A8 WO2017012714A8 (en) 2017-03-30

Family

ID=56682077

Family Applications (1)

Application Number Title Priority Date Filing Date
PCT/EP2016/001266 Ceased WO2017012714A1 (en) 2015-07-20 2016-07-20 Asymmetrically substituted polyorganosiloxane derivatives

Country Status (7)

Country Link
US (1) US11535751B2 (en)
EP (1) EP3325540B1 (en)
JP (2) JP2018528289A (en)
KR (1) KR102745734B1 (en)
CN (1) CN108026279B (en)
ES (1) ES3042071T3 (en)
WO (1) WO2017012714A1 (en)

Cited By (7)

* Cited by examiner, † Cited by third party
Publication number Priority date Publication date Assignee Title
JP2019099472A (en) * 2017-11-29 2019-06-24 信越化学工業株式会社 Siloxane compound and method for producing the same
WO2020053357A1 (en) 2018-09-13 2020-03-19 Momentive Performance Materials Gmbh Functional polysiloxanes
CN111032665A (en) * 2017-08-10 2020-04-17 信越化学工业株式会社 Organosilicon compound and curable thermally conductive silicone composition
WO2021180694A1 (en) 2020-03-13 2021-09-16 Momentive Performance Materials Gmbh Functionalized silica particles and their use
WO2025040760A1 (en) 2023-08-24 2025-02-27 Momentive Performance Materials Gmbh Coating compositions
US12441909B2 (en) 2020-01-27 2025-10-14 Momentive Performance Materials Inc. Hydrophobic coating compositions
WO2025250527A1 (en) 2024-05-27 2025-12-04 Momentive Performance Materials Inc. Cyclic-free low viscous silicone acrylates and their synthesis process and photocurable ink composition and cured product thereof

Families Citing this family (4)

* Cited by examiner, † Cited by third party
Publication number Priority date Publication date Assignee Title
KR20220134540A (en) * 2020-01-27 2022-10-05 모멘티브 퍼포먼스 머티리얼즈 인크. Organic binder-based hydrophobic coating composition
WO2022016131A1 (en) * 2020-07-17 2022-01-20 Scientlce, Llc Anti-fouling and foul-releasing compositions and methods of making and using same
WO2022087880A1 (en) * 2020-10-28 2022-05-05 Dow Silicones Corporation Trialkoxy functional branched siloxane compositions
CN114573816B (en) * 2022-03-08 2022-11-04 浙江大学 A kind of epoxy-based MQ silicone resin and its preparation method and application

Citations (28)

* Cited by examiner, † Cited by third party
Publication number Priority date Publication date Assignee Title
US3527659A (en) 1966-06-13 1970-09-08 Dow Corning Dimethylpolysiloxanes and copolymers containing sio2 units as release agent
US3819745A (en) 1972-03-27 1974-06-25 Dow Corning Coatings giving controlled release
US4891166A (en) 1987-06-06 1990-01-02 Th. Goldschmidt Ag Diquaternary polysiloxanes, their synthesis and use in cosmetic preparations
US5093518A (en) 1989-02-23 1992-03-03 Societe Francaise Hoechst Glycerol derivatives, their preparation process, cross-linking compositions containing them, and their use in the textile industry
DE4140447A1 (en) 1991-12-04 1993-06-09 Zentralinstitut Fuer Organische Chemie, O-1199 Berlin, De SULPHOBETAING GROUPS CONTAINING SILOXANE DERIVATIVES OF DICYCLOPENTADIENE
DE4318539A1 (en) 1993-06-04 1994-12-08 Bayer Ag Anionic siloxanyl modified polyhydroxylated hydrocarbons
DE4318536A1 (en) 1993-06-04 1994-12-08 Bayer Ag Siloxanyl modified polyhydroxylated hydrocarbons
DE19505892C1 (en) 1995-02-21 1996-03-14 Goldschmidt Ag Th Cyclic carbonate gp.-contg. polysiloxane prodn.
US5672338A (en) 1996-03-14 1997-09-30 General Electric Company Cosmetic compositions made with hydroxy carbamate functionalized silicones
US5686547A (en) 1996-03-14 1997-11-11 General Electric Company Carbonate and hydroxy carbamate functionalized silicones
US5859161A (en) 1993-12-06 1999-01-12 Phoenix Chemical Silicone phosphate esters as irritation mitigants
JPH11158188A (en) 1997-11-28 1999-06-15 Dow Corning Toray Silicone Co Ltd Production of alpha, omega-dihydrogenorganopentasiloxane
US6175028B1 (en) 2000-02-28 2001-01-16 O'lenick, Jr. Anthony J. Silicone alkyl phosphate esters
EP1087001A2 (en) 1999-09-24 2001-03-28 General Electric Company Curable abrasion-resistant coating compositions
WO2002010257A1 (en) 2000-07-27 2002-02-07 Ge Bayer Silicones Gmbh & Co. Kg Polyammonium-polysiloxane compounds, methods for the production and use thereof
DE10036532A1 (en) 2000-07-27 2002-02-21 Ge Bayer Silicones Gmbh & Co Novel approximatelya,approximatelyc-aminofunctionalized polysiloxanes are useful in cosmetic formulations for skin and hair care, in polishes and as softeners.
US6642423B2 (en) 1999-07-09 2003-11-04 Dow Global Technologies, Inc. Polymerization of ethylene oxide using metal cyanide catalysts
US20040197284A1 (en) * 2003-04-04 2004-10-07 Frederic Auguste Cosmetic composition comprising a volatile fatty phase
US20040237833A1 (en) 2001-11-29 2004-12-02 Nano-X Gmbh And Genthe-X-Coatings Gmbh Coating for permanent hydrophilization of surfaces, and its use
US20050004280A1 (en) 2001-07-24 2005-01-06 Norikazu Takizuka Antifogging coating composition and article coated therewith
WO2005058863A1 (en) 2003-12-09 2005-06-30 Deutsches Wollforschungsinstitut An Der Rwth Aachen E.V. Reactive cyclic carbonates and ureas used for modifying biomolecules, polymers, and surfaces
EP1597969A1 (en) * 2004-05-19 2005-11-23 Shin-Etsu Chemical Company, Ltd. Glycerol-modified silicone spreading agent and a composition comprising the same
US20070112112A1 (en) * 2005-11-15 2007-05-17 Judith Kerschner Swollen silicone composition and process of producing same
WO2008113820A2 (en) 2007-03-19 2008-09-25 Momentive Performance Materials Gmbh Reactive polyorganosiloxanes modified with aromatic substances
US20120245250A1 (en) 2010-01-08 2012-09-27 Nof Corporation Anti-fog coating composition
US20120289649A1 (en) 2009-11-24 2012-11-15 Momentive-Performance Materials GmbH Hydrophilic/Lipophilic Modified Polysiloxanes As Emsulsifiers
WO2013172177A1 (en) * 2012-05-18 2013-11-21 ダイキン工業株式会社 Fluoropolyether-group-containing silicone compound
WO2014126599A1 (en) 2013-02-15 2014-08-21 Momentive Performance Materials Inc. Antifouling system comprising silicone hydrogel

Family Cites Families (20)

* Cited by examiner, † Cited by third party
Publication number Priority date Publication date Assignee Title
US2889349A (en) 1955-11-07 1959-06-02 Ici Ltd Organosiloxy aryl phosphonates
US4170581A (en) * 1978-08-04 1979-10-09 Dow Corning Corporation Method and composition relating to emulsion-polymerized polydimethylsiloxanes in durable press resins
JP2585099B2 (en) 1989-05-19 1997-02-26 花王株式会社 Method for producing α, ω-dihydrogen organopolysiloxane
JPH03161491A (en) * 1989-11-20 1991-07-11 Toshiba Silicone Co Ltd Organosilicon compound having epoxy group
JP3029686B2 (en) * 1991-02-13 2000-04-04 東レ・ダウコーニング・シリコーン株式会社 Organopentasiloxane and method for producing the same
JP4646357B2 (en) * 2000-06-08 2011-03-09 東レ・ダウコーニング株式会社 Thermally conductive silicone rubber composition
JP2001348430A (en) * 2000-06-08 2001-12-18 Nissan Motor Co Ltd Antifouling coating film and method for producing the same
JP4469063B2 (en) 2000-06-08 2010-05-26 東レ・ダウコーニング株式会社 Surface treatment agent for alumina powder
JP2002303956A (en) 2001-04-04 2002-10-18 Konica Corp Image forming method for silver halide color photographic sensitive material and image information forming method using the same
AU2006227418A1 (en) * 2005-03-17 2006-09-28 Johnson & Johnson Vision Care, Inc. Process for the production of monodisperse and narrow disperse monofunctional silicones
JP2007332104A (en) * 2006-06-16 2007-12-27 Shin Etsu Chem Co Ltd Organosilicon compound
TWI419931B (en) * 2006-06-16 2013-12-21 信越化學工業股份有限公司 Thermal conductive polyoxygen grease composition
JP4514058B2 (en) * 2006-08-30 2010-07-28 信越化学工業株式会社 Thermally conductive silicone composition and cured product thereof
JP5643091B2 (en) 2007-08-31 2014-12-17 キャボット コーポレイションCabot Corporation Method for preparing modified metal oxide nanoparticle dispersion
JP5530364B2 (en) * 2007-11-21 2014-06-25 モメンティブ パフォーマンス マテリアルズ インコーポレイテッド Organosilicone composition and method for producing the same
DE102008031901A1 (en) * 2008-07-08 2010-01-14 Eckart Gmbh Metallic effect pigments, process for their preparation and use thereof and powder coating
WO2010126606A2 (en) * 2009-05-01 2010-11-04 Nanosys, Inc. Functionalized matrixes for dispersion of nanostructures
JP2011144272A (en) 2010-01-15 2011-07-28 Nippon Shokubai Co Ltd Silicone resin composition containing zirconia nanoparticle
JP5549638B2 (en) * 2011-05-11 2014-07-16 信越化学工業株式会社 Method for producing carbinol group-containing silicone and method for suppressing dehydrogenation reaction in hydrosilylation reaction
JP6114176B2 (en) * 2013-03-15 2017-04-12 信越化学工業株式会社 Symmetric hyperbranched silicone-modified polymerizable compound and its modularized manufacturing method

Patent Citations (28)

* Cited by examiner, † Cited by third party
Publication number Priority date Publication date Assignee Title
US3527659A (en) 1966-06-13 1970-09-08 Dow Corning Dimethylpolysiloxanes and copolymers containing sio2 units as release agent
US3819745A (en) 1972-03-27 1974-06-25 Dow Corning Coatings giving controlled release
US4891166A (en) 1987-06-06 1990-01-02 Th. Goldschmidt Ag Diquaternary polysiloxanes, their synthesis and use in cosmetic preparations
US5093518A (en) 1989-02-23 1992-03-03 Societe Francaise Hoechst Glycerol derivatives, their preparation process, cross-linking compositions containing them, and their use in the textile industry
DE4140447A1 (en) 1991-12-04 1993-06-09 Zentralinstitut Fuer Organische Chemie, O-1199 Berlin, De SULPHOBETAING GROUPS CONTAINING SILOXANE DERIVATIVES OF DICYCLOPENTADIENE
DE4318536A1 (en) 1993-06-04 1994-12-08 Bayer Ag Siloxanyl modified polyhydroxylated hydrocarbons
DE4318539A1 (en) 1993-06-04 1994-12-08 Bayer Ag Anionic siloxanyl modified polyhydroxylated hydrocarbons
US5859161A (en) 1993-12-06 1999-01-12 Phoenix Chemical Silicone phosphate esters as irritation mitigants
DE19505892C1 (en) 1995-02-21 1996-03-14 Goldschmidt Ag Th Cyclic carbonate gp.-contg. polysiloxane prodn.
US5672338A (en) 1996-03-14 1997-09-30 General Electric Company Cosmetic compositions made with hydroxy carbamate functionalized silicones
US5686547A (en) 1996-03-14 1997-11-11 General Electric Company Carbonate and hydroxy carbamate functionalized silicones
JPH11158188A (en) 1997-11-28 1999-06-15 Dow Corning Toray Silicone Co Ltd Production of alpha, omega-dihydrogenorganopentasiloxane
US6642423B2 (en) 1999-07-09 2003-11-04 Dow Global Technologies, Inc. Polymerization of ethylene oxide using metal cyanide catalysts
EP1087001A2 (en) 1999-09-24 2001-03-28 General Electric Company Curable abrasion-resistant coating compositions
US6175028B1 (en) 2000-02-28 2001-01-16 O'lenick, Jr. Anthony J. Silicone alkyl phosphate esters
WO2002010257A1 (en) 2000-07-27 2002-02-07 Ge Bayer Silicones Gmbh & Co. Kg Polyammonium-polysiloxane compounds, methods for the production and use thereof
DE10036532A1 (en) 2000-07-27 2002-02-21 Ge Bayer Silicones Gmbh & Co Novel approximatelya,approximatelyc-aminofunctionalized polysiloxanes are useful in cosmetic formulations for skin and hair care, in polishes and as softeners.
US20050004280A1 (en) 2001-07-24 2005-01-06 Norikazu Takizuka Antifogging coating composition and article coated therewith
US20040237833A1 (en) 2001-11-29 2004-12-02 Nano-X Gmbh And Genthe-X-Coatings Gmbh Coating for permanent hydrophilization of surfaces, and its use
US20040197284A1 (en) * 2003-04-04 2004-10-07 Frederic Auguste Cosmetic composition comprising a volatile fatty phase
WO2005058863A1 (en) 2003-12-09 2005-06-30 Deutsches Wollforschungsinstitut An Der Rwth Aachen E.V. Reactive cyclic carbonates and ureas used for modifying biomolecules, polymers, and surfaces
EP1597969A1 (en) * 2004-05-19 2005-11-23 Shin-Etsu Chemical Company, Ltd. Glycerol-modified silicone spreading agent and a composition comprising the same
US20070112112A1 (en) * 2005-11-15 2007-05-17 Judith Kerschner Swollen silicone composition and process of producing same
WO2008113820A2 (en) 2007-03-19 2008-09-25 Momentive Performance Materials Gmbh Reactive polyorganosiloxanes modified with aromatic substances
US20120289649A1 (en) 2009-11-24 2012-11-15 Momentive-Performance Materials GmbH Hydrophilic/Lipophilic Modified Polysiloxanes As Emsulsifiers
US20120245250A1 (en) 2010-01-08 2012-09-27 Nof Corporation Anti-fog coating composition
WO2013172177A1 (en) * 2012-05-18 2013-11-21 ダイキン工業株式会社 Fluoropolyether-group-containing silicone compound
WO2014126599A1 (en) 2013-02-15 2014-08-21 Momentive Performance Materials Inc. Antifouling system comprising silicone hydrogel

Non-Patent Citations (4)

* Cited by examiner, † Cited by third party
Title
"Organikum, 17. Auflage", 1988, VEB DEUTSCHER VERLAG DER WISSENSCHAFTEN, pages: 429
"Silicone, Chemie und Technologies", 1989, VULKAN VERLAG, pages: 121
JINHWA HEO ET AL., J. AM. CHEM. SOC., vol. 134, no. 49, 2012, pages 20139 - 20145
SILICONE: "Chemie und Technologies", 1989, VULKAN VERLAG, pages: 121

Cited By (9)

* Cited by examiner, † Cited by third party
Publication number Priority date Publication date Assignee Title
CN111032665A (en) * 2017-08-10 2020-04-17 信越化学工业株式会社 Organosilicon compound and curable thermally conductive silicone composition
JPWO2019031082A1 (en) * 2017-08-10 2020-07-16 信越化学工業株式会社 Organosilicon compound and curable heat conductive silicone composition
EP3666781A4 (en) * 2017-08-10 2021-04-14 Shin-Etsu Chemical Co., Ltd. ORGANOSILICON COMPOUND AND THERMOCONDUCTIVE SILICONE COMPOSITION THERMOSETTING
JP2019099472A (en) * 2017-11-29 2019-06-24 信越化学工業株式会社 Siloxane compound and method for producing the same
WO2020053357A1 (en) 2018-09-13 2020-03-19 Momentive Performance Materials Gmbh Functional polysiloxanes
US12441909B2 (en) 2020-01-27 2025-10-14 Momentive Performance Materials Inc. Hydrophobic coating compositions
WO2021180694A1 (en) 2020-03-13 2021-09-16 Momentive Performance Materials Gmbh Functionalized silica particles and their use
WO2025040760A1 (en) 2023-08-24 2025-02-27 Momentive Performance Materials Gmbh Coating compositions
WO2025250527A1 (en) 2024-05-27 2025-12-04 Momentive Performance Materials Inc. Cyclic-free low viscous silicone acrylates and their synthesis process and photocurable ink composition and cured product thereof

Also Published As

Publication number Publication date
WO2017012714A8 (en) 2017-03-30
JP2024054182A (en) 2024-04-16
EP3325540B1 (en) 2025-07-02
JP2018528289A (en) 2018-09-27
US20180371248A1 (en) 2018-12-27
CN108026279A (en) 2018-05-11
KR102745734B1 (en) 2024-12-24
KR20180041141A (en) 2018-04-23
US11535751B2 (en) 2022-12-27
EP3325540A1 (en) 2018-05-30
CN108026279B (en) 2022-04-01
ES3042071T3 (en) 2025-11-18

Similar Documents

Publication Publication Date Title
EP3325540B1 (en) Asymmetrically substituted polyorganosiloxane derivatives
CN102405224B (en) Comprise composition and the Synthesis and applications thereof of season amino-functional silicoorganic compound
ES2524299T3 (en) Polyether-functional siloxanes, compositions containing polyether-siloxanes, methods for their production and use
CN113544195B (en) Polyorganosiloxane having poly (meth) acrylate groups, method for the production and use thereof
US20160289388A1 (en) Silicate Resins And Methods Of Preparing Same
US20110034581A1 (en) Transparent Siloxane Resin Composition for Optical Applications
KR20120098588A (en) Methods for preparing polyheterosiloxanes
KR20140010115A (en) Composition for coating film formation purposes
KR20190046735A (en) Organosiloxane containing acid anhydride group and method for preparing the same
TW202323400A (en) Curable composition, cured product and covered substrate
WO2018163446A1 (en) Organosilicon compound and method for producing same
CN109071821B (en) Compounds and compositions containing them
JP5018065B2 (en) Polysiloxane compound and method for producing the same
CN101605839B (en) Organosilicone compositions and methods for preparing them
DE69930825T2 (en) Process for the preparation of functionalized siloxanes, compositions containing such siloxanes and articles made therefrom
JP7377765B2 (en) Organopolysiloxane and composition containing the same
CN111825710B (en) Organic silazane compound containing alkoxysilyl group, preparation method thereof, composition containing the same and cured product
JP7771933B2 (en) Epoxy group-containing cyclic organopolysiloxane, curable composition containing same, and cured product thereof
JP2015040223A (en) Production method of silyl phosphate, and ultraviolet-absorbing silicone coating composition
EP3325557A1 (en) Modified filler particles and silicone compositions comprising the same
TW202438573A (en) Emulsion of alkoxy-functional silsesquioxane resin and processes for the preparation and use thereof
JP2026011415A (en) Curable polyorganosiloxane composition
HK1138864B (en) Organosilicone compositions and methods for preparing them

Legal Events

Date Code Title Description
121 Ep: the epo has been informed by wipo that ep was designated in this application

Ref document number: 16750378

Country of ref document: EP

Kind code of ref document: A1

ENP Entry into the national phase

Ref document number: 2018502665

Country of ref document: JP

Kind code of ref document: A

NENP Non-entry into the national phase

Ref country code: DE

ENP Entry into the national phase

Ref document number: 20187005026

Country of ref document: KR

Kind code of ref document: A

WWE Wipo information: entry into national phase

Ref document number: 2016750378

Country of ref document: EP

WWG Wipo information: grant in national office

Ref document number: 2016750378

Country of ref document: EP