WO2016156284A1 - Novel pyridine compounds for controlling phytopathogenic harmful fungi - Google Patents
Novel pyridine compounds for controlling phytopathogenic harmful fungi Download PDFInfo
- Publication number
- WO2016156284A1 WO2016156284A1 PCT/EP2016/056756 EP2016056756W WO2016156284A1 WO 2016156284 A1 WO2016156284 A1 WO 2016156284A1 EP 2016056756 W EP2016056756 W EP 2016056756W WO 2016156284 A1 WO2016156284 A1 WO 2016156284A1
- Authority
- WO
- WIPO (PCT)
- Prior art keywords
- substituted
- alkyl
- plants
- species
- compounds
- Prior art date
- Legal status (The legal status is an assumption and is not a legal conclusion. Google has not performed a legal analysis and makes no representation as to the accuracy of the status listed.)
- Ceased
Links
- 0 CC(C)(Cc1ccc(*)c(*)c1*)C(c1cnccc1)=O Chemical compound CC(C)(Cc1ccc(*)c(*)c1*)C(c1cnccc1)=O 0.000 description 2
Classifications
-
- C—CHEMISTRY; METALLURGY
- C07—ORGANIC CHEMISTRY
- C07D—HETEROCYCLIC COMPOUNDS
- C07D213/00—Heterocyclic compounds containing six-membered rings, not condensed with other rings, with one nitrogen atom as the only ring hetero atom and three or more double bonds between ring members or between ring members and non-ring members
- C07D213/02—Heterocyclic compounds containing six-membered rings, not condensed with other rings, with one nitrogen atom as the only ring hetero atom and three or more double bonds between ring members or between ring members and non-ring members having three double bonds between ring members or between ring members and non-ring members
- C07D213/04—Heterocyclic compounds containing six-membered rings, not condensed with other rings, with one nitrogen atom as the only ring hetero atom and three or more double bonds between ring members or between ring members and non-ring members having three double bonds between ring members or between ring members and non-ring members having no bond between the ring nitrogen atom and a non-ring member or having only hydrogen or carbon atoms directly attached to the ring nitrogen atom
- C07D213/24—Heterocyclic compounds containing six-membered rings, not condensed with other rings, with one nitrogen atom as the only ring hetero atom and three or more double bonds between ring members or between ring members and non-ring members having three double bonds between ring members or between ring members and non-ring members having no bond between the ring nitrogen atom and a non-ring member or having only hydrogen or carbon atoms directly attached to the ring nitrogen atom with substituted hydrocarbon radicals attached to ring carbon atoms
- C07D213/28—Radicals substituted by singly-bound oxygen or sulphur atoms
- C07D213/30—Oxygen atoms
Definitions
- Novel pyridine compounds for controlling phytopathogenic harmful fungi are novel pyridine compounds for controlling phytopathogenic harmful fungi
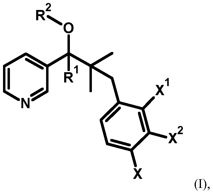
- the present invention relates to a novel pyridine compound and its salts and N-oxides, a composition comprising such compound, a method for curatively or preventively controlling phytopathogenic harmful fungi of plants or crops comprising the step of applying such compound or composition, to the use of such compound or such composition to control phytopathogenic harmful fungi and to a seed that has been treated with such a compound or such a composition. Further the present invention relates to novel intermediates in the synthesis of the pyridine compounds of the invention.
- Pyridine compounds are known to be useful in crop protection applications.
- EP 0 302 365 A2 and EP 0 302 366 A2 disclose substituted pyridine compounds and their use to control phytopathogenic harmful fungi.
- R represents hydrogen, substituted or non-substituted Ci-Cs-alkyl; substituted or non-substituted
- C3-C8-cycloalkylalkyl substituted or non-substituted C 2 -C8-alkenyl; substituted or non- substituted C 2 -C8-alkynyl; Ci-Cs-haloalkyl; C 2 -C8-halooalkenyl; C 2 -C8-haloalkynyl; C3-C7- halocycloalkyl-Ci-C i-alkyl; C3-C7-halocycloalkyl-Ci-C4-haloalkyl; C3-C7-cycloalkyl-Ci-C4- haloalkyl; substituted or non-substituted C3-C7-cycloalkyl; substituted or non-substituted C3- C7-cycloalkenyl; substituted or non-substituted aryl-Ci-Cs-alkyl; substituted or non- substituted aryl-C
- R 2 represents hydrogen, substituted or non-substituted Ci-Cs-alkyl, substituted or non-substituted
- C3-C8-cycloalkylalkyl substituted or non-substituted C3-C8-alkenyl; substituted or non- substituted C3-C8-alkynyl; substituted or non-substituted C3-C7-cycloalkyl; -Si(R 3a )(R 3b )(R 3c ), - P(0)(OH) 2 , -CH 2 -0-P(0)(OH) 2 , substituted or non-substituted -C(0)-Ci-C 8 -alkyl, substituted or non-substituted -C(0)-C3-C7-cycloalkyl, substituted or non-substituted -C(0)NH-Ci-C8- alkyl; substituted or non-substituted -C(0)N-di-Ci-C8-alkyl; substituted or non-substituted - C(0)0-Ci-C 8 -al
- R 3a , R 3b , R 3c represent independently from each other a substituted or non-substituted Ci-Cs-alkyl
- X represents difluoromethyl, 2,2,2-trifluoroethyl, pentafluoroethyl, pentafluoro- ⁇ 6 -sulfanyl
- X I and X 2 represent independently form each other hydrogen, halogen, Ci-Cs-alkyl, Ci-Cs-haloalkyl, Ci-
- Xi and X2 represent independently form each other hydrogen, halogen; and its salts or N-oxides. More preferred is a compound of formula (I), wherein
- R 1 represents hydrogen, substituted or non-substituted Ci-Cs-alkyl; substituted or non-substituted
- C3-C6-cycloalkylalkyl substituted or non-substituted C 2 -C8-alkenyl; substituted or non- substituted C 2 -C8-alkynyl; Ci-Cs-haloalkyl; substituted or non-substituted C3-C6-cycloalkyl; substituted or non-substituted aryl-Ci-C3-alkyl; substituted or non-substituted phenoxy-Ci-C3- alkyl; substituted or non-substituted aryl;
- R 2 represents hydrogen, substituted or non-substituted Ci-Cs-alkyl
- X represents pentafluoro ⁇ 6 -sulfanyl, methylsulfoxymine
- X I and X 2 represent independently from each other hydrogen, fluorine; and its salts or N-oxides.
- R 1 represents hydrogen, substituted or non-substituted Ci-Cs-alkyl; substituted or non-substituted aryl-Ci-C3-alkyl; substituted or non-substituted aryl; R 2 represents hydrogen;
- X represents pentafluoro ⁇ 6 -sulfanyl
- X I and X 2 represent hydrogen; and its salts or N-oxides.
- R 1 represents hydrogen, substituted or non-substituted Ci-Cs-alkyl
- R 2 represents hydrogen
- X represents pentafluoro ⁇ 6 -sulfanyl
- X I and X 2 represent hydrogen; and its salts or N-oxides. - -
- Ci-Cs-alkyl comprises the largest range defined here for an alkyl radical. Specifically, this definition comprises the meanings methyl, ethyl, n-, isopropyl, n-, iso-, sec-, tert-butyl, and also in each case all isomeric pentyls, hexyls, heptyls and octyls, such as methyl, ethyl, propyl, 1-methylethyl, butyl, 1- methylpropyl, 2-methylpropyl, 1,1-dimethylethyl, n-pentyl, 1-methylbutyl, 2-methylbutyl, 3-methylbutyl, 1,2- dimethylpropyl, 1, 1-dimethylpropyl, 2,2-dimethylpropyl, 1-ethylpropyl, n-hexyl, 1-methylpentyl, 2- methylpentyl, 3-methylpentyl, 4-methylpentyl,
- Ci-C i-alkyl such as methyl, ethyl, n-, isopropyl, n-, iso-, sec-, tert-butyl.
- the definition Ci-C3-alkyl comprises methyl, ethyl, n-, isopropyl.
- the definition halogen comprises fluorine, chlorine, bromine and iodine.
- Ci-Cs-haloalkyl - represents, for example, Ci-Cs-alkyl as defined above substituted by one or more halogen substituents which can be the same or different.
- Ci-Cs- haloalkyl represents chloromethyl, dichloromethyl, trichloromethyl, fluoromethyl, difluoromethyl, trifluoromethyl, chlorofluoromethyl, dichlorofluoromethyl, chlorodifluoromethyl, l-fluoroethyl, 2-fluoroethyl, 2,2-difluoroethyl, 2,2,2-trifluoroethyl, 2-chloro-2-fluoroethyl, 2-chloro-2,2-difluoroethyl, 2,2-dichloro-2- fluoroethyl, 2,2,2-trichloroethyl, pentafluoroethyl, 1-fluoro- 1-methylethyl, 2-fluoro- 1,1 -dimethyl ethyl, 2-fluoro- 1 -fluoromethyl- 1-methylethyl, 2-fluoro- l,l-di(fluoromethyl)-
- Ci-C4-alkyl represents, for example, Ci-C i-alkyl as defined above substituted by one or more fluorine substituent(s).
- Preferably mono- or multiple fluorinated Ci-C i-alkyl represents fluoromethyl, difluoromethyl, trifluoromethyl, l-fluoroethyl, 2-fluoroethyl, 2,2-difluoroethyl, 2,2,2- trifluoroethyl, pentafluoroethyl, 1-fluoro- 1-methylethyl, 2-fluoro- 1,1 -dimethyl ethyl, 2-fluoro- 1 -fluoromethyl- 1- _ _ methyl ethyl, 2-fluoro-l,l-di(fluoromethyl)-ethyl, l-methyl-3-trifluoromethylbutyl, 3 -methyl- 1- trifluoromethylbutyl .
- C2-C8-alkenyl comprises the largest range defined here for an alkenyl radical. Specifically, this definition comprises the meanings ethenyl, n-, isopropenyl, n-, iso-, sec-, tert-butenyl, and also in each case all isomeric pentenyls, hexenyls, heptenyls, octenyls, 1 -methyl- 1-propenyl, 1 -ethyl- 1-butenyl, 2,4-dimethyl-l- pentenyl, 2,4-dimethyl-2-pentenyl.
- Halogen-substituted alkenyl - referred to as C2-C8-haloalkenyl - represents, for example, C2-C8-alkenyl as defined above substituted by one or more halogen substituents which can be the same or different.
- a preferred range is C2-C i-alkenyl, such as ethenyl, n-, isopropenyl, n-, iso-, sec- or tert- butenyl.
- the definition C2-C8-alkynyl comprises the largest range defined here for an alkynyl radical.
- this definition comprises the meanings ethynyl, n-, isopropynyl, n-, iso-, sec-, tert-butynyl, and also in each case all isomeric pentynyls, hexynyls, heptynyls, octynyls.
- Halogen-substituted alkynyl - referred to as C2-C8- haloalkynyl - represents, for example, C2-C8-alkynyl as defined above substituted by one or more halogen substituents which can be the same or different.
- a preferred range is C2-C4-alkynyl, such as ethynyl, n-, isopropynyl, n-, iso-, sec- or tert-butynyl.
- C3-C7-cycloalkyl comprises monocyclic saturated hydrocarbyl groups having 3 to 7 carbon ring members, such as cyclopropyl, cyclobutyl, cyclopentyl, cyclohexyl and cycloheptyl.
- halogen-substituted cycloalkyl and halocycloalkyl comprises monocyclic saturated hydrocarbyl groups having 3 to 7 carbon ring members, such as 1-fluoro-cyclopropyl and 1-chloro- cyclopropyl.
- the definition bicycloalkyl comprises spirocyclic alkyl wherein two substituents at the same carbon atom of a C3-C7-cycloalkyl can form together with the carbon atom to which they are attached a C3-C7-cycloalkyl, this definition comprises for example the meaning spiro[2.2]pentyl.
- the definition bicycloalkyl also comprises bicyclic alkyls wherein two substituents at different adjacent or non-adjacent carbon atoms of a C3-C7- cycloalkyl can form together with the carbon atoms to which they are attached a C3-C7-cycloalkyl, this definition comprises for example the meaning bicyclo[2.2.1]heptane-2-yl, bicyclo[2.2.1]heptane-7-yl, bicyclo[4.1.0]heptane-2-yl, bicyclo[4.1.0]heptane-3-yl, bicyclo[4.1.0]heptane-7-yl
- the definition bicycloalkyl also comprises bicyclic alkyls wherein two substituents at different adjacent or non-adjacent carbon atoms of a C3-C7-cycloalkyl can form an alkylene bridge between the carbon atoms to which they are attached, this definition comprises for example the meaning bicyclo[2.2.1]hept
- aryl comprises aromatic, mono-, bi- or tricyclic rings, for example phenyl, naphthyl, anthracenyl (anthryl), phenanthracenyl (phenanthryl).
- 6-membered unsaturated heterocycle containing 1 or 2 nitrogene atom(s) as heteroatom(s) comprises for example 2-pyridinyl, 3-pyridinyl, 4-pyridinyl, 3-pyridazinyl, 4-pyridazinyl, 2-pyrimidinyl, 4- pyrimidinyl, 5-pyrimidinyl, 2-pyrazinyl. - -
- benzannulated derivative of 6-membered unsaturated heterocycle containing 1 or 2 nitrogene atom(s) as heteroatom(s) comprises for example 2-quinolinyl, 3-quinolinyl, 4-quinolinyl, 1-isoquinolinyl, 3- isoquinolinyl, 4-isoquinolinyl, 2-quinazolinyl, 4-quinazolinyl, cinnolin-3-yl; cinnolin-4-yl; phthalazin-l-yl; phthalazin-4-yl; quinoxalin-2-yl; quinoxalin-3-yl.
- the definition hetaryl or heteroaryl comprises a unsaturated, benzoannulated or not benzoannulated heterocyclic 5- to 10-membered ring containing up to 4 heteroatoms selected from N, O and S.
- the definition hetaryl or heteroaryl comprises a unsaturated heterocyclic 5- to 7-membered ring containing up to 4 heteroatoms selected from N, O and S: for example 2-furyl, 3-furyl, 2-thienyl, 3-thienyl, 2-pyrrolyl, 3-pyrrolyl, 1-pyrrolyl, 3-pyrazolyl, 4-pyrazolyl, 5-pyrazolyl, 1-pyrazolyl, lH-imidazol-2-yl, lH-imidazol-4-yl, 1H- imidazol-5-yl, lH-imidazol-l-yl, 2-oxazolyl, 4-oxazolyl, 5-oxazolyl, 2-thiazolyl, 4-thiazo
- 5-membered heteroaryl comprises unsaturated heterocyclic 5-membered ring containing up to 4 heteroatoms selected from N, O and S: for example 2-furyl, 3-furyl, 2-thienyl, 3-thienyl, 2-pyrrolyl, 3-pyrrolyl, 1-pyrrolyl, 3-pyrazolyl, 4-pyrazolyl, 5-pyrazolyl, 1-pyrazolyl, lH-imidazol-2-yl, lH-imidazol-4-yl, 1H- imidazol-5-yl, lH-imidazol-l-yl, 2-oxazolyl, 4-oxazolyl, 5-oxazolyl, 2-thiazolyl, 4-thiazolyl, 5-thiazolyl, 3- isoxazolyl, 4-isoxazolyl, 5-isoxazolyl, 3-isothiazolyl, 4-isothiazolyl, 5-isothiazolyl, lH-l,2,3-triazol
- the definition 6-membered heteroaryl comprises a unsaturated heterocyclic 6-membered ring containing up to 4 heteroatoms selected from N, O and S: for example 2-pyridinyl, 3-pyridinyl, 4-pyridinyl, 3-pyridazinyl, 4- pyridazinyl, 2-pyrimidinyl, 4-pyrimidinyl, 5-pyrimidinyl, 2-pyrazinyl, l,3,5-triazin-2-yl, l,2,4-triazin-3-yl,
- heterocycloalkyl comprises saturated or partially unsaturated mono-, bi- or tricyclic ring systems consisting of C-atoms and containing up to 4 heteroatoms selected from N, O and S: for example aziridinyl, pyrrolidinyl, dihydropyridyl, piperidinyl, piperazinyl, morpholinyl, thiomorpholinyl, tetrahydrofuranyl, tetrahydrothiofuranyl, tetrahydropyranyl, pyranyl, isoxazolidinyl, isoxazolinyl, pyrazolinyl, dihydropyrrolyl, tetrahydropyridinyl, dioxolanyl, dioxanyl, oxathiolanyl, oxathianyl, dithhiolanyl, dithianyl; - -
- Optionally substituted radicals may be mono- or polysubstituted, where in the case of polysubstitution, the substituents may be identical or different.
- a group or a substituent which is substituted according to the invention preferably can be substituted by one or more group(s) selected from the list consisting of halogen; SH; nitro; hydroxyl; cyano; amino; sulfanyl; pentafluoro ⁇ 6 -sulfanyl; formyl; formyloxy; formylamino; carbamoyl; N- hydroxycarbamoyl; carbamate; (hydroxyimino)-Ci-C6-alkyl; Ci-Cs-alkyl; Ci-Cs-halogenalkyl; Ci-Cs-alkyloxy; Ci-C8-halogenalkyloxy; Ci-Cs-alkylthio; Ci-Cs-halogenalkylthio; tri(Ci-C8-alkyl)silyl; tri(Ci-C8-alkyl)silyl-Ci- C8-alkyl; C3-C7-cycloalky
- the compounds according to the invention can be present as mixtures of different possible isomeric forms, in particular of stereoisomers, such as, for example, E and Z, threo and erythro, and also optical isomers, and, if appropriate, also of tautomers.
- stereoisomers such as, for example, E and Z, threo and erythro, and also optical isomers, and, if appropriate, also of tautomers.
- the compounds of the present invention can exist in one or more optical or chiral isomer forms depending on the number of asymmetric centres in the compound.
- the invention thus relates equally to all the optical isomers and to their racemic or scalemic mixtures (the term “scalemic” denotes a mixture of enantiomers in different proportions) and to the mixtures of all the possible stereoisomers, in all proportions.
- the diastereoisomers and/or the optical isomers can be separated according to the methods which are known per se by the man ordinary skilled in the art.
- the compounds of the present invention can also exist in one or more geometric isomer forms depending on the number of double bonds in the compound.
- the invention thus relates equally to all geometric isomers and to all possible mixtures, in all proportions.
- the geometric isomers can be separated according to general methods, which are known per se by the man ordinary skilled in the art.
- the compounds of the present invention can also exist in one or more geometric isomer forms depending on the relative position (syn/anti or cis/trans) of the substituents of ring B.
- the invention thus relates equally to all syn/anti (or cis/trans) isomers and to all possible syn/anti (or cis/trans) mixtures, in all proportions.
- the syn/anti (or cis/trans) isomers can be separated according to general methods, which are known per se by the man ordinary skilled in the art.
- the present invention furthermore relates to processes for preparing compounds of formula (I).
- the present invention furthermore relates to intermediates in the synthesis of compounds of formula (I) such as compounds of formulae (V), (XII), (XV) and the preparation thereof.
- the compounds of formula (I) can be obtained by various routes in analogy to known prior art processes (see e.g. EP-A 0302366 and references cited therein) and by synthesis routes shown schematically below and in the experimental part of this application.
- the radicals X, X 1 , X 2 , R 1 and R 2 have the meanings given above for the compounds of formula (I).
- G represents halogen, -OSCh-Ci-Cs-alkyl, -OSCh-aryl, preferably -CI or -Br
- ketones (II) are subsequently reacted with nucleophilic substrates, such as a Grignard reagent of formula R'-Mg-Hal, wherein Hal stands for halogen or organolithium compounds R'Li or a hydride donor such as sodium borohydride to obtain alcohols (la).
- nucleophilic substrates such as a Grignard reagent of formula R'-Mg-Hal, wherein Hal stands for halogen or organolithium compounds R'Li or a hydride donor such as sodium borohydride to obtain alcohols (la).
- Organo-lithium derivative of formula R'-Li are either commercially available or can be prepared by de- protonation of a compound of formula R'-H by an organolithium reagent such as methyllithium or n- - - butyllithium preferably under anhydrous conditions.
- organolithium reagent such as methyllithium or n- - - butyllithium preferably under anhydrous conditions.
- a base such as lithiumdiisopropylamide or lithium bis(trimethylsilyl)amide, can be used.
- Grignard reagent of formula R'-Mg-Hal wherein Hal stands for halogen, are either commercially available or can be prepared by the reaction of a corresponding compound of formula R'-Hal, wherein Hal stands for halogen, with magnesium or with trans metalation reagents such as isopropylmagenesium halides.
- the compounds (la) obtained according to Process B can be converted by means of methods described in the literature to the corresponding compounds (lb) (see e.g. DE-A 3202604, JP-A 02101067, EP-A 225 739, CN-A 101824002, FR-A 2802772; WO-A 2012/175119, Bioorganic & Medicinal Chemistry Letters, 7207-7213, 2012; Journal of the American Chemical Society, 19358-19361, 2012, Journal of Organic Chemistry, 9458-9472, 2012; Organic Letters, 554-557, 2013; Journal of the American Chemical Society, 15556, 2012).
- Useful reaction auxiliaries are, as appropriate, inorganic or organic bases or acid acceptors. These preferably include alkali metal or alkaline earth metal acetates, amides, carbonates, hydrogencarbonates, hydrides, hydroxides or alkoxides, for example sodium acetate, potassium acetate or calcium acetate, lithium amide, - - sodium amide, potassium amide or calcium amide, sodium carbonate, potassium carbonate or calcium carbonate, sodium hydrogencarbonate, potassium hydrogencarbonate or calcium hydrogencarbonate, lithium hydride, sodium hydride, potassium hydride or calcium hydride, lithium hydroxide, sodium hydroxide, potassium hydroxide or calcium hydroxide, n-butyllithium, sec-butyllithium, tert-butyllithium, lithium diisopropylamide, lithium bis(trimethylsilyl)amide, sodium methoxide, ethoxide, n- or i-propoxide, n-, i-, s- or
- Useful reaction auxiliaries are, as appropriate, inorganic or organic acids. These preferably include inorganic acids, for example hydrogen fluoride, hydrogen chloride, hydrogen bromide and hydrogen iodide, sulphuric acid, phosphoric acid and nitric acid, and acidic salts such as NaHS04 and KHSO4, or organic acids, for example, formic acid, carbonic acid and alkanoic acids such as acetic acid, trifluoroacetic acid, trichloroacetic acid and propionic acid, and also glycolic acid, thiocyanic acid, lactic acid, succinic acid, citric acid, benzoic acid, cinnamic acid, oxalic acid, saturated or mono- or diunsaturated C6-C20 fatty acids, alkylsulphuric monoesters, alkylsulphonic acids (sulphonic acids having straight- chain or branched alkyl radicals having 1 to 20 carbon atoms), arylsulphonic acids or aryld
- diluents are virtually all inert organic solvents. Unless otherwise indicated for the above described processes A to C, these preferably include aliphatic and aromatic, optionally halogenated hydrocarbons, such as pentane, hexane, heptane, cyclohexane, petroleum ether, benzine, ligroin, benzene, toluene, xylene, methylene chloride, ethylene chloride, chloroform, carbon tetrachloride, chlorobenzene and o-dichlorobenzene, ethers such as diethyl ether, dibutyl ether and methyl tert-butyl ether, glycol dimethyl ether and diglycol dimethyl ether, tetrahydrofuran and dioxane, ketones such as acetone, methyl ethyl ketone,
- reaction temperatures can be varied within a relatively wide range.
- the temperatures employed are between -78°C and 250°C, preferably temperatures between - 78°C and 150°C.
- the reaction time varies as a function of the scale of the reaction and of the reaction temperature, but is generally between a few minutes and 48 hours.
- the processes according to the invention are generally performed under standard pressure. However, it is also possible to work under elevated or reduced pressure.
- the starting materials required in each case are generally used in approximately equimolar amounts. However, it is also possible to use one of the components used in each case in a relatively large excess.
- the compounds are optionally separated from the reaction mixture by one of the customary separation techniques. If necessary, the compounds are purified by recrystallization or chromatography.
- salts and/or N-oxides of the starting compounds can be used.
- the invention further relates to novel intermediates of the compounds of formula (I), which form part of the invention.
- Novel intermediates according to the present invention are novel compounds of formula (II)
- X represents difluoromethyl, 2,2,2-trifluoroethyl, pentafluoroethyl, pentafluoro ⁇ 6 -sulfanyl, 1,1,2,2- tetrafluoroethoxy, 2,2,2-trifluoroethoxy, methylsulfoxymine;
- X I and X 2 represent independently form each other hydrogen, halogen, Ci-Cs-alkyl, Ci-Cs-haloalkyl, Ci-Cs- alkoxy, Ci-Cs-haloalkoxy; - - and its salts or N-oxides.
- the compounds of the formula (I) according to the invention can be converted into physiologically acceptable salts, e.g. as acid addition salts or metal salt complexes.
- the compounds of the formula (I) have acidic or basic properties and can form salts, if appropriate also inner salts, or adducts with inorganic or organic acids or with bases or with metal ions. If the compounds of the formula (I) carry amino, alkylamino or other groups which induce basic properties, these compounds can be reacted with acids to give salts, or they are directly obtained as salts in the synthesis. If the compounds of the formula (I) carries hydroxyl, carboxyl or other groups which induce acidic properties, these compounds can be reacted with bases to give salts.
- Suitable bases are, for example, hydroxides, carbonates, bicarbonates of the alkali metals and alkaline earth metals, in particular those of sodium, potassium, magnesium and calcium, furthermore ammonia, primary, secondary and tertiary amines having (Ci-C4)-alkyl groups, mono-, di- and trialkanolamines of (Ci-C4)-alkanols, choline and also chlorocholine.
- the salts obtainable in this manner also have fungicidal properties.
- inorganic acids examples include hydrohalic acids, such as hydrogen fluoride, hydrogen chloride, hydrogen bromide and hydrogen iodide, sulphuric acid, phosphoric acid and nitric acid, and acidic salts, such as NaHS04 and KHSO4.
- Suitable organic acids are, for example, formic acid, carbonic acid and alkanoic acids, such as acetic acid, trifluoroacetic acid, trichloroacetic acid and propionic acid, and also glycolic acid, thiocyanic acid, lactic acid, succinic acid, citric acid, benzoic acid, cinnamic acid, maleic acid, fumaric acid, tartaric acid, sorbic acid oxalic acid, alkylsulphonic acids (sulphonic acids having straight- chain or branched alkyl radicals of 1 to 20 carbon atoms), arylsulphonic acids or aryldisulphonic acids (aromatic radicals, such as phenyl and naphthyl, which carry one or two sulphonic acid groups), alkylphosphonic acids (phosphonic acids having straight- chain or branched alkyl radicals of 1 to 20 carbon atoms), arylphosphonic acids or aryldiphosphonic acids (aromatic radicals, such as
- Suitable metal ions are in particular the ions of the elements of the second main group, in particular calcium and magnesium, of the third and fourth main group, in particular aluminium, tin and lead, and also of the first to eighth transition group, in particular chromium, manganese, iron, cobalt, nickel, copper, zinc and others. Particular preference is given to the metal ions of the elements of the fourth period.
- the metals can be present in various valencies that they can assume.
- the acid addition salts of the compounds of the formula (I) can be obtained in a simple manner by customary methods for forming salts, for example by dissolving a compound of the formula (I) in a suitable inert solvent and adding the acid, for example hydrochloric acid, and be isolated in a known manner, for example by filtration, and, if required, be purified by washing with an inert organic solvent.
- Suitable anions of the salts are those which are preferably derived from the following acids: hydrohalic acids, such as, for example, hydrochloric acid and hydrobromic acid, furthermore phosphoric acid, nitric acid and sulphuric acid.
- the metal salt complexes of compounds of the formula (I) can be obtained in a simple manner by customary processes, for example by dissolving the metal salt in alcohol, for example ethanol, and adding the solution to the compound of the formula (I).
- Metal salt complexes can be isolated in a known manner, for example by filtration, and, if required, be purified by recrystallization.
- Salts of the intermediates can also be prepared according to the processes mentioned above for the salts of compounds of formula (I).
- N-oxides of compounds of the formula (I) or intermediates thereof can be obtained in a simple manner by customary processes, for example by N-oxidation with hydrogen peroxide (H2O2), peracids, for example peroxy sulfuric acid or peroxy carboxylic acids, such as meta-chloroperoxybenzoic acid or peroxymonosulfuric acid (Caro's acid).
- H2O2 hydrogen peroxide
- peracids for example peroxy sulfuric acid or peroxy carboxylic acids, such as meta-chloroperoxybenzoic acid or peroxymonosulfuric acid (Caro's acid).
- the invention also relates to a method for controlling unwanted microorganisms, characterized in that the compounds of the formula (I) are applied to the microorganisms and/or in their habitat.
- the invention further relates to seed which has been treated with at least one compound of the formula (I).
- the invention finally provides a method for protecting seed against unwanted microorganisms by using seed treated with at least one compound of the formula (I).
- the compounds of the formula (I) have potent microbicidal activity and can be used for control of unwanted microorganisms, such as fungi and bacteria, in crop protection and in the protection of materials.
- the compounds of the formula (I) have very good fungicidal properties and can be used in crop protection, for example for control of Plasmodiophoromycetes, Oomycetes, Chytridiomycetes, Zygomycetes, Ascomycetes, Basidiomycetes and Deuteromycetes.
- Bactericides can be used in crop protection, for example, for control of Pseudomonadaceae, Rhizobiaceae, Enterobacteriaceae, Corynebacteriaceae and Streptomycetaceae.
- the compounds of the formula (I) can be used for curative or protective control of phytopathogenic fungi.
- the invention therefore also relates to curative and protective methods for controlling phytopathogenic fungi by the use of the inventive active compounds or compositions, which are applied to the seed, the plant or plant parts, the fruit or the soil in which the plants grow.
- Plants are understood here to mean all plants and plant populations, such as desired and undesired wild plants or crop plants (including naturally occurring crop plants).
- Crop plants may be plants which can be obtained by conventional breeding and optimization methods or by biotechnological and genetic engineering methods or combinations of these methods, including the transgenic plants and including the plant cultivars which are protectable and non- protectable by plant breeders' rights.
- Plant parts are understood to mean all parts and organs of plants above and below the ground, such as shoot, leaf, flower and root, examples of which include leaves, needles, stalks, stems, flowers, fruit bodies, fruits and seeds, and also roots, tubers and rhizomes.
- the plant parts also include harvested material and vegetative and generative propagation material, for example cuttings, tubers, rhizomes, slips and seeds.
- Plants which can be treated in accordance with the invention include the following: cotton, flax, grapevine, fruit, vegetables, such as Rosaceae sp. (for example pome fruits such as apples and pears, but also stone fruits such as apricots, cherries, almonds and peaches, and soft fruits such as strawberries), Ribesioidae sp., Juglandaceae sp., Betulaceae sp. , Anacardiaceae sp. , Fagaceae sp. , Moraceae sp. , Oleaceae sp. , Actinidaceae sp. , Lauraceae sp. , Musaceae sp.
- Rosaceae sp. for example pome fruits such as apples and pears, but also stone fruits such as apricots, cherries, almonds and peaches, and soft fruits such as strawberries
- Rosaceae sp. for example pome fruits such as apples and
- Rubiaceae sp. for example coffee
- Theaceae sp. Sterculiceae sp.
- Rutaceae sp. for example lemons, oranges and grapefruit
- Solanaceae sp. for example tomatoes
- Liliaceae sp. Aster aceae sp.
- Umbelliferae sp. for example lettuce
- Umbelliferae sp. for example lettuce
- Cicurbitaceae sp. for example cucumber
- Alliaceae sp. for example leek, onion
- peas for example peas
- major crop plants such as Gramineae sp. (for example maize, turf, cereals such as wheat, rye, rice, barley, oats, millet and triticale), Asteraceae sp. (for example sunflower), Brassicaceae sp. (for example white cabbage, red cabbage, broccoli, cauliflower, Brussels sprouts, pak choi, kohlrabi, radishes, and oilseed rape, mustard, horseradish and cress), Fabacae sp. (for example bean, peanuts), Papilionaceae sp. (for example soya bean), Solanaceae sp. (for example potatoes), Chenopodiaceae sp. (for example sugar beet, fodder beet, swiss chard, beetroot); useful plants and ornamental plants for gardens and wooded areas; and genetically modified varieties of each of these plants.
- Non-limiting examples of pathogens of fungal diseases which can be treated in accordance with the invention include: - - diseases caused by powdery mildew pathogens, for example Blumeria species, for example Blumeria graminis; Podosphaera species, for example Podosphaera leucotricha; Sphaerotheca species, for example Sphaerotheca fuliginea; Uncinula species, for example Uncinula necator; diseases caused by rust disease pathogens, for example Gymnosporangium species, for example Gymnosporangium sabinae; Hemileia species, for example Hemileia vastatrix; Phakopsora species, for example Phakopsora pachyrhizi or Phakopsora meibomiae; Puccinia species, for example Puccinia recondita, Puccinia graminis oder Puccinia striiformis; Uromyces species, for example Uromyces
- brassicae Phytophthora species, for example Phytophthora infestans; Plasmopara species, for example Plasmopara viticola; Pseudoperonospora species, for example Pseudoperonospora humuli or Pseudoperonospora cubensis; Pythium species, for example Pythium ultimum; leaf blotch diseases and leaf wilt diseases caused, for example, by Alternaria species, for example Alternaria solani; Cercospora species, for example Cercospora beticola; Cladiosporium species, for example Cladiosporium cucumerinum; Cochliobolus species, for example Cochliobolus sativus (conidial form: Drechslera, syn: Helminthosporium) or Cochliobolus miyabeanus; Colletotrichum species, for example Colletotrichum lindemuthanium;
- phytophthora rot (Phytophthora megasperma), brown stem rot (Phialophora gregata), pythium rot (Pythium aphanidermatum, Pythium irregulare, Pythium debaryanum, Pythium myriotylum, Pythium ultimum), rhizoctonia root rot, stem decay, and damping-off (Rhizoctonia solani), sclerotinia stem decay (Sclerotinia sclerotiorum), sclerotinia southern blight (Sclerotinia rolfsii), thielaviopsis root rot (Thielaviopsis basicola).
- the compounds of the formula (I) can, at particular concentrations or application rates, also be used as growth regulators or agents to improve plant properties, or as microbicides, for example as fungicides, antimycotics, bactericides, viricides (including compositions against viroids) or as compositions against MLO (Mycoplasma-like organisms) and RLO (Rickettsia-like organisms).
- Plant growth regulators may exert various effects on plants. The effect of the substances depends essentially on the time of application in relation to the developmental stage of the plant, and _ _ also on the amounts of active ingredient applied to the plants or their environment and on the type of application. In each case, growth regulators should have a particular desired effect on the crop plants.
- Growth regulating effects comprise earlier germination, better emergence, more developed root system and/or improved root growth, increased ability of tillering, more productive tillers, earlier flowering, increased plant height and/or biomass, shorting of stems, improvements in shoot growth, number of kernels/ear, number of ears/m 2 , number of stolons and/or number of flowers, enhanced harvest index, bigger leaves, less dead basal leaves, improved phyllotaxy, earlier maturation / earlier fruit finish, homogenous riping, increased duration of grain filling, better fruit finish, bigger fruit/vegetable size, sprouting resistance and reduced lodging.
- Increased or improved yield is referring to total biomass per hectare, yield per hectare, kernel/fruit weight, seed size and/or hectolitre weight as well as to improved product quality, comprising: improved processability relating to size distribution (kernel, fruit, etc.), homogenous riping, grain moisture, better milling, better vinification, better brewing, increased juice yield, harve stability, digestibility, sedimentation value, falling number, pod stability, storage stability, improved fiber length/strength/uniformity, increase of milk and/or meet quality of silage fed animals, adaption to cooking and frying; further comprising improved marketability relating to improved fruit/grain quality, size distribution (kernel, fruit, etc.), increased storage / shelf-life, firmness / softness, taste (aroma, texture, etc.), grade (size, shape, number of berries, etc.), number of berries/fruits per bunch, crispness, freshness, coverage with wax, frequency of physiological disorders, colour, etc.; further comprising increased desired ingredients such
- protein content protein content, fatty acids, oil content, oil quality, aminoacid composition, sugar content, acid content (pH), sugar/acid ratio (Brix), polyphenols, starch content, nutritional quality, gluten content/index, energy content, taste, etc.; and further comprising decreased undesired ingredients such as e.g. less mycotoxines, less aflatoxines, geosmin level, phenolic aromas, lacchase, polyphenol oxidases and peroxidases, nitrate content etc.
- decreased undesired ingredients such as e.g. less mycotoxines, less aflatoxines, geosmin level, phenolic aromas, lacchase, polyphenol oxidases and peroxidases, nitrate content etc.
- Plant growth-regulating compounds can be used, for example, to slow down the vegetative growth of the plants.
- Such growth depression is of economic interest, for example, in the case of grasses, since it is thus possible to reduce the frequency of grass cutting in ornamental gardens, parks and sport facilities, on roadsides, at airports or in fruit crops.
- Also of significance is the inhibition of the growth of herbaceous and woody plants on roadsides and in the vicinity of pipelines or overhead cables, or quite generally in areas where vigorous plant growth is unwanted.
- growth regulators for inhibition of the longitudinal growth of cereal This reduces or completely eliminates the risk of lodging of the plants prior to harvest.
- growth regulators in the case of cereals can strengthen the culm, which also counteracts lodging.
- the employment of growth regulators for shortening and strengthening culms allows the deployment of higher fertilizer volumes to increase the yield, without any risk of lodging of the cereal crop.
- vegetative growth depression allows denser planting, and it is thus possible to achieve higher yields based on the soil surface.
- Another advantage of the smaller plants obtained in this way is that the crop is easier to cultivate and harvest.
- Reduction of the vegetative plant growth may also lead to increased or improved yields because the nutrients and assimilates are of more benefit to flower and fruit formation than to the vegetative parts of the plants.
- growth regulators can also be used to promote vegetative growth. This is of great benefit when harvesting the vegetative plant parts. However, promoting vegetative growth may also promote generative growth in that more assimilates are formed, resulting in more or larger fruits.
- beneficial effects on growth or yield can be achieved through improved nutrient use efficiency, especially nitrogen (N)-use efficiency, phosphours (P)-use efficiency, water use efficiency, improved transpiration, respiration and/or C02 assimilation rate, better nodulation, improved Ca-metabolism etc.
- nitrogen (N)-use efficiency especially nitrogen (N)-use efficiency, phosphours (P)-use efficiency, water use efficiency, improved transpiration, respiration and/or C02 assimilation rate, better nodulation, improved Ca-metabolism etc.
- growth regulators can be used to alter the composition of the plants, which in turn may result in an improvement in quality of the harvested products. Under the influence of growth regulators, parthenocarpic fruits may be formed. In addition, it is possible to influence the sex of the flowers. It is also possible to produce sterile pollen, which is of great importance in the breeding and production of hybrid seed.
- growth regulators can control the branching of the plants.
- by breaking apical dominance it is possible to promote the development of side shoots, which may be highly desirable particularly in the cultivation of ornamental plants, also in combination with an inhibition of growth.
- side shoots which may be highly desirable particularly in the cultivation of ornamental plants, also in combination with an inhibition of growth.
- the amount of leaves on the plants can be controlled such that defoliation of the plants is achieved at a desired time.
- defoliation plays a major role in the mechanical harvesting of cotton, but is also of interest for facilitating harvesting in other crops, for example in viticulture.
- Defoliation of the plants can also be undertaken to lower the transpiration of the plants before they are transplanted.
- growth regulators can modulate plant senescence, which may result in prolonged green leaf area duration, a longer grain filling phase, improved yield quality, etc.
- Growth regulators can likewise be used to regulate fruit dehiscence. On the one hand, it is possible to prevent premature fruit dehiscence. On the other hand, it is also possible to promote fruit dehiscence or even flower abortion to achieve a desired mass ("thinning"). In addition it is possible to use growth regulators at the time of harvest to reduce the forces required to detach the fruits, in order to allow mechanical harvesting or to facilitate manual harvesting. -
- Growth regulators can also be used to achieve faster or else delayed ripening of the harvested material before or after harvest. This is particularly advantageous as it allows optimal adjustment to the requirements of the market. Moreover, growth regulators in some cases can improve the fruit colour. In addition, growth regulators can also be used to synchronize maturation within a certain period of time. This establishes the prerequisites for complete mechanical or manual harvesting in a single operation, for example in the case of tobacco, tomatoes or coffee.
- growth regulators By using growth regulators, it is additionally possible to influence the resting of seed or buds of the plants, such that plants such as pineapple or ornamental plants in nurseries, for example, germinate, sprout or flower at a time when they are normally not inclined to do so. In areas where there is a risk of frost, it may be desirable to delay budding or germination of seeds with the aid of growth regulators, in order to avoid damage resulting from late frosts.
- growth regulators can induce resistance of the plants to frost, drought or high salinity of the soil. This allows the cultivation of plants in regions which are normally unsuitable for this purpose.
- the compounds of the formula (I) also exhibit a potent strengthening effect in plants. Accordingly, they can be used for mobilizing the defences of the plant against attack by undesirable microorganisms.
- Plant- strengthening (resistance-inducing) substances in the present context are substances capable of stimulating the defence system of plants in such a way that the treated plants, when subsequently inoculated with undesirable microorganisms, develop a high degree of resistance to these microorganisms.
- plant physiology effects comprise the following:
- Abiotic stress tolerance comprising tolerance to high or low temperatures, drought tolerance and recovery after drought stress, water use efficiency (correlating to reduced water consumption), flood tolerance, ozone stress and UV tolerance, tolerance towards chemicals like heavy metals, salts, pesticides etc.
- Biotic stress tolerance comprising increased fungal resistance and increased resistance against nematodes, viruses and bacteria.
- biotic stress tolerance preferably comprises increased fungal resistance and increased resistance against nematodes.
- Increased plant vigor comprising plant health / plant quality and seed vigor, reduced stand failure, improved appearance, increased recovery after periods of stress, improved pigmentation (e.g. chlorophyll content, stay- green effects, etc.) and improved photosynthetic efficiency.
- improved pigmentation e.g. chlorophyll content, stay- green effects, etc.
- the compounds of the formula (I) can reduce the mycotoxin content in the harvested material and the foods and feeds prepared therefrom.
- Mycotoxins include particularly, but not exclusively, the following: deoxynivalenol (DON), nival enol, 15-Ac-DON, 3-Ac-DON, T2- and HT2-toxin, furnonisins, zearalenon, moniliformin, fusarin, diaceotoxyscirpenol (DAS), beauvericin, enniatin, fusaroproliferin, fusarenol, ochratoxins, patulin, ergot alkaloids and aflatoxins which can be produced, for example, by the following fungi: Fusarium spec, such as F.
- verticillioides etc. and also by Aspergillus spec, such as A. flavus, A. parasiticus, A. nomius, A. ochraceus, A. clavatus, A. terreus, A. versicolor, Penicillium spec, such as P. verrucosum, P. viridicatum, P. citrinum, P. expansum, P. claviforme, P. roqueforti, Claviceps spec, such as C. purpurea, C. fusiformis, C. paspali, C. africana, Stachybotrys spec, and others.
- Aspergillus spec such as A. flavus, A. parasiticus, A. nomius, A. ochraceus, A. clavatus, A. terreus, A. versicolor, Penicillium spec, such as P. verrucosum, P. viridicatum, P. citrinum,
- the compounds of the formula (I) can also be used in the protection of materials, for protection of industrial materials against attack and destruction by phytopathogenic fungi.
- the compounds of the formula (I) can be used as antifouling compositions, alone or in combinations with other active ingredients.
- Industrial materials in the present context are understood to mean inanimate materials which have been prepared for use in industry.
- industrial materials which are to be protected by inventive compositions from microbial alteration or destruction may be adhesives, glues, paper, wallpaper and board/cardboard, textiles, carpets, leather, wood, fibers and tissues, paints and plastic articles, cooling lubricants and other materials which can be infected with or destroyed by microorganisms.
- Parts of production plants and buildings for example cooling-water circuits, cooling and heating systems and ventilation and air-conditioning units, which may be impaired by the proliferation of microorganisms may also be mentioned within the scope of the materials to be protected.
- Industrial materials within the scope of the present invention preferably include adhesives, sizes, paper and card, leather, wood, paints, cooling lubricants and heat transfer fluids, more preferably wood.
- the compounds of the formula (I) may prevent adverse effects, such as rotting, decay, discoloration, decoloration or formation of mould.
- the compounds of the formula (I) may also be used against fungal diseases liable to grow on or inside timber.
- the term "timber" means all types of species of wood, and all types of working of this wood intended for construction, for example solid wood, high-density wood, laminated wood, and plywood.
- the method for treating timber according to the invention mainly consists in contacting a - composition according to the invention; this includes for example direct application, spraying, dipping, injection or any other suitable means.
- the compounds of the formula (I) can be used to protect objects which come into contact with saltwater or brackish water, especially hulls, screens, nets, buildings, moorings and signalling systems, from fouling.
- Storage goods are understood to mean natural substances of vegetable or animal origin or processed products thereof which are of natural origin, and for which long-term protection is desired.
- Storage goods of vegetable origin for example plants or plant parts, such as stems, leaves, tubers, seeds, fruits, grains, can be protected freshly harvested or after processing by (pre)drying, moistening, comminuting, grinding, pressing or roasting.
- Storage goods also include timber, both unprocessed, such as construction timber, electricity poles and barriers, or in the form of finished products, such as furniture.
- Storage goods of animal origin are, for example, hides, leather, furs and hairs.
- the inventive compositions may prevent adverse effects, such as rotting, decay, discoloration, decoloration or formation of mould.
- Microorganisms capable of degrading or altering the industrial materials include, for example, bacteria, fungi, yeasts, algae and slime organisms.
- the compounds of the formula (I) preferably act against fungi, especially moulds, wood-discoloring and wood-destroying fungi (Ascomycetes, Basidiomycetes, Deuteromycetes and Zygomycetes), and against slime organisms and algae.
- microorganisms of the following genera Alternaria, such as Alternaria tenuis; Aspergillus, such as Aspergillus niger; Chaetomium, such as Chaetomium globosum; Coniophora, such as Coniophora puetana; Lentinus, such as Lentinus tigrinus; Penicillium, such as Penicillium glaucum; Polyporus, such as Polyporus versicolor, Aureobasidium, such as Aureobasidium pullulans; Sclerophoma, such as Sclerophoma pityophila; Trichoderma, such as Trichoderma viride; Ophiostoma spp., Ceratocystis spp., Humicola spp., Petriella spp., Trichurus spp., Coriolus spp., Gloeophyllum spp., Pleurotus spp., Poria
- Formulations The present invention further relates to a composition for controlling unwanted microorganisms, comprising at least one of the compounds of the formula (I).
- a composition for controlling unwanted microorganisms comprising at least one of the compounds of the formula (I).
- These are preferably fungicidal compositions which comprise agriculturally suitable auxiliaries, solvents, carriers, surfactants or extenders.
- a carrier is a natural or synthetic, organic or inorganic substance with which the active ingredients are mixed or combined for better applicability, in particular for application to plants or plant - parts or seed.
- the carrier which may be solid or liquid, is generally inert and should be suitable for use in agriculture.
- Useful solid carriers include: for example ammonium salts and natural rock flours, such as kaolins, clays, talc, chalk, quartz, attapulgite, montmorillonite or diatomaceous earth, and synthetic rock flours, such as finely divided silica, alumina and silicates; useful solid carriers for granules include: for example, crushed and fractionated natural rocks such as calcite, marble, pumice, sepiolite and dolomite, and also synthetic granules of inorganic and organic flours, and granules of organic material such as paper, sawdust, coconut shells, maize cobs and tobacco stalks; useful emulsifiers and/or foam-formers include: for example nonionic and anionic emulsifiers, such as polyoxyethylene fatty acid esters, polyoxyethylene fatty alcohol ethers, for example alkylaryl polyglycol ethers, alkylsulphonates, alkyl sulphates, aryl
- oligo- or polymers for example those derived from vinylic monomers, from acrylic acid, from EO and/or PO alone or in combination with, for example, (poly)alcohols or (poly)amines. It is also possible to use lignin and its sulphonic acid derivatives, unmodified and modified celluloses, aromatic and/or aliphatic sulphonic acids and also their adducts with formaldehyde.
- the active ingredients can be converted to the customary formulations, such as solutions, emulsions, wettable powders, water- and oil-based suspensions, powders, dusts, pastes, soluble powders, soluble granules, granules for broadcasting, suspoemulsion concentrates, natural products impregnated with active ingredient, synthetic substances impregnated with active ingredient, fertilizers and also microencapsulations in polymeric substances.
- customary formulations such as solutions, emulsions, wettable powders, water- and oil-based suspensions, powders, dusts, pastes, soluble powders, soluble granules, granules for broadcasting, suspoemulsion concentrates, natural products impregnated with active ingredient, synthetic substances impregnated with active ingredient, fertilizers and also microencapsulations in polymeric substances.
- the active ingredients can be applied as such, in the form of their formulations or the use forms prepared therefrom, such as ready-to-use solutions, emulsions, water- or oil-based suspensions, powders, wettable powders, pastes, soluble powders, dusts, soluble granules, granules for broadcasting, suspoemulsion concentrates, natural products impregnated with active ingredient, synthetic substances impregnated with active ingredient, fertilizers and also microencapsulations in polymeric substances.
- Application is accomplished in a customary manner, for example by watering, spraying, atomizing, broadcasting, dusting, foaming, spreading-on and the like. It is also possible to deploy the active ingredients by the ultra-low volume method or to inject the active ingredient preparation/the active ingredient itself into the soil. It is also possible to treat the seed of the plants.
- the formulations mentioned can be prepared in a manner known per se, for example by mixing the active ingredients with at least one customary extender, solvent or diluent, emulsifier, dispersant and/or binder or fixing agent, wetting agent, a water repellent, if appropriate siccatives and UV stabilizers and if appropriate dyes and pigments, antifoams, preservatives, secondary thickeners, stickers, gibberellins and also other processing auxiliaries. -
- the present invention includes not only formulations which are already ready for use and can be deployed with a suitable apparatus to the plant or the seed, but also commercial concentrates which have to be diluted with water prior to use.
- the compounds of the formula (I) may be present as such or in their (commercial) formulations and in the use forms prepared from these formulations as a mixture with other (known) active ingredients, such as insecticides, attractants, sterilants, bactericides, acaricides, nematicides, fungicides, growth regulators, herbicides, fertilizers, safeners and/or semiochemicals.
- active ingredients such as insecticides, attractants, sterilants, bactericides, acaricides, nematicides, fungicides, growth regulators, herbicides, fertilizers, safeners and/or semiochemicals.
- auxiliaries used may be those substances which are suitable for imparting particular properties to the composition itself or and/or to preparations derived therefrom (for example spray liquors, seed dressings), such as certain technical properties and/or also particular biological properties.
- Typical auxiliaries include: extenders, solvents and carriers.
- Suitable extenders are, for example, water, polar and nonpolar organic chemical liquids, for example from the classes of the aromatic and nonaromatic hydrocarbons (such as paraffins, alkylbenzenes, alkylnaphthalenes, chlorobenzenes), the alcohols and polyols (which may optionally also be substituted, etherified and/or esterified), the ketones (such as acetone, cyclohexanone), esters (including fats and oils) and (poly)ethers, the unsubstituted and substituted amines, amides, lactams (such as N-alkylpyrrolidones) and lactones, the sulphones and sulphoxides (such as dimethyl sulphoxide).
- aromatic and nonaromatic hydrocarbons such as paraffins, alkylbenzenes, alkylnaphthalenes, chlorobenzenes
- the alcohols and polyols which may optionally also
- Liquefied gaseous extenders or carriers are understood to mean liquids which are gaseous at standard temperature and under standard pressure, for example aerosol propellants such as halohydrocarbons, or else butane, propane, nitrogen and carbon dioxide.
- tackifiers such as carboxymethylcellulose, natural and synthetic polymers in the form of powders, granules or latices, such as gum arabic, polyvinyl alcohol and polyvinyl acetate, or else natural phospholipids such as cephalins and lecithins and synthetic phospholipids.
- Further additives may be mineral and vegetable oils. If the extender used is water, it is also possible to use, for example, organic solvents as auxiliary solvents.
- Useful liquid solvents are essentially: aromatics such as xylene, toluene or alkylnaphthalenes, chlorinated aromatics or chlorinated aliphatic hydrocarbons such as chlorobenzenes, chloroethylenes or methylene chloride, aliphatic hydrocarbons such as cyclohexane or paraffins, for example petroleum fractions, alcohols such as butanol or glycol and their ethers and esters, ketones such as acetone, methyl ethyl ketone, methyl isobutyl ketone or cyclohexanone, strongly polar solvents such as dimethylformamide and dimethyl sulphoxide, or else water.
- aromatics such as xylene, toluene or alkylnaphthalenes
- chlorinated aromatics or chlorinated aliphatic hydrocarbons such as chlorobenzenes, chloroethylenes or methylene chloride
- aliphatic hydrocarbons such as
- compositions comprising compounds of the formula (I) may additionally comprise further components, for example surfactants.
- surfactants are emulsifiers and/or foam formers, dispersants or wetting agents having ionic or nonionic properties, or mixtures of these surfactants.
- Examples thereof are salts of polyacrylic acid, salts of lignosulphonic acid, salts of phenolsulphonic acid or naphthalenesulphonic acid, polycondensates - - of ethylene oxide with fatty alcohols or with fatty acids or with fatty amines, substituted phenols (preferably alkylphenols or arylphenols), salts of sulphosuccinic esters, taurine derivatives (preferably alkyl taurates), phosphoric esters of polyethoxylated alcohols or phenols, fatty esters of polyols, and derivatives of the compounds containing sulphates, sulphonates and phosphates, for example alkylaryl polyglycol ethers, alkylsulphonates, alkyl sulphates, arylsulphonates, protein hydrolysates, lignosulphite waste liquors and methylcellulose.
- the presence of a surfactant is necessary if one of the active ingredients and/or one of
- dyes such as inorganic pigments, for example iron oxide, titanium oxide and Prussian Blue, and organic dyes such as alizarin dyes, azo dyes and metal phthalocyanine dyes, and trace nutrients such as salts of iron, manganese, boron, copper, cobalt, molybdenum and zinc.
- Further additives may be perfumes, mineral or vegetable, optionally modified oils, waxes and nutrients (including trace nutrients), such as salts of iron, manganese, boron, copper, cobalt, molybdenum and zinc.
- Additional components may be stabilizers, such as cold stabilizers, preservatives, antioxidants, light stabilizers, or other agents which improve chemical and/or physical stability.
- the active ingredients can be combined with any solid or liquid additive commonly used for formulation purposes.
- the formulations contain generally between 0.05 and 99% by weight, 0.01 and 98%> by weight, preferably between 0.1 and 95%o by weight, more preferably between 0.5 and 90%o of active ingredient, most preferably between 10 and 70 per cent by weight.
- compositions described above can be used for controlling unwanted microorganisms, in which the compositions comprising compounds of the formula (I) are applied to the microorganisms and/or in their habitat.
- Compounds of the formula (I) can be used as such or in formulations thereof and can be mixed with known fungicides, bactericides, acaricides, nematicides or insecticides, in order thus to broaden, for example, the activity spectrum or to prevent development of resistance.
- Useful mixing partners include, for example, known fungicides, insecticides, acaricides, nematicides or else bactericides (see also Pesticide Manual, 14th ed.). -
- Seed Treatment furthermore includes a method for treating seed.
- a further aspect of the present invention relates in particular to seeds (dormant, primed, pregerminated or even with emerged roots and leaves) treated with at least one of the compounds of the formula (I).
- inventive seeds are used in methods for protection of seeds and emerged plants from the seeds from phytopathogemc harmful fungi. In these methods, seed treated with at least one inventive active ingredient is used.
- the compounds of the formula (I) are also suitable for the treatment of seeds and young seedlings. A large part of the damage to crop plants caused by harmful organisms is triggered by the infection of the seeds before sowing or after germination of the plant. This phase is particularly critical since the roots and shoots of the growing plant are particularly sensitive, and even small damage may result in the death of the plant. Accordingly, there is great interest in protecting the seed and the germinating plant by using appropriate compositions.
- the present invention therefore also relates to a method for protecting seeds, germinating plants and emerged seedlings against attack by animal pests and/or phytopathogemc harmful microorganisms by treating the seeds with an inventive composition.
- the invention also relates to the use of the compositions according to the invention for treating seeds for protecting the seeds, the germinating plants and emerged seedlings against animal pests and/or phytopathogemc microorganisms.
- the invention further relates to seeds which has been treated with an inventive composition for protection from animal pests and/or phytopathogemc microorganisms.
- One of the advantages of the present invention is that the treatment of the seeds with these compositions not only protects the seed itself, but also the resulting plants after emergence, from animal pests and/or phytopathogemc harmful microorganisms. In this way, the immediate treatment of the crop at the time of sowing or shortly thereafter protect plants as well as seed treatment in prior to sowing.
- the inventive active ingredients or compositions can be used especially also for transgenic seed, in which case the plant which grows from this seed is capable of expressing a protein which acts against pests, herbicidal damage or abiotic stress.
- the treatment of such seeds with the inventive active - ingredients or compositions for example an insecticidal protein, can result in control of certain pests. Surprisingly, a further synergistic effect can be observed in this case, which additionally increases the effectiveness for protection against attack by pests., microorganisms, weeds or abiotic stress.
- the compounds of the formula (I) are suitable for protection of seed of any plant variety which is used in agriculture, in the greenhouse, in forests or in horticulture. More particularly, the seed is that of cereals (such as wheat, barley, rye, millet and oats), oilseed rape, maize, cotton, soybeen, rice, potatoes, sunflower, beans, coffee, beet (e.g. sugar beet and fodder beet), peanut, vegetables (such as tomato, cucumber, onions and lettuce), lawns and ornamental plants. Of particular significance is the treatment of the seed ofwheat, soybean, oilseed rape, maize and rice. As also described below, the treatment of transgenic seed with the inventive active ingredients or compositions is of particular significance.
- heterologous genes in transgenic seeds may originate, for example, from microorganisms of the species Bacillus, Rhizobium, Pseudomonas, Serratia, Trichoderma, Clavibacter, Glomus or Gliocladium.
- These heterologous genes preferably originates from Bacillus sp., in which case the gene product is effective against the European corn borer and/or the Western corn rootworm.
- the heterologous genes originate from Bacillus thuringiensis.
- the inventive composition is applied to seeds either alone or in a suitable formulation.
- the seed is treated in a state in which it is sufficiently stable for no damage to occur in the course of treatment.
- seeds can be treated at any time between harvest and some time after sowing. It is customary to use seed which has been separated from the plant and freed from cobs, shells, stalks, coats, hairs or the flesh of the fruits. For example, it is possible to use seed which has been harvested, cleaned and dried down to a moisture content of less than 15% by weight.
- seed which, after drying, for example, has been treated with water and then dried again or seeds just after priming, or seeds stored in primed conditions or pre-germinated seeds, or seeds sown on nursery trays, tapes or paper.
- the amount of the inventive composition applied to the seed and/or the amount of further additives is selected such that the germination of the seed is not impaired, or that the resulting plant is not damaged. This must be ensured particularly in the case of active ingredients which can exhibit phytotoxic effects at certain application rates.
- the compounds of the formula (I) can be applied directly, i.e. without containing any other components and without having been diluted. In general, it is preferable to apply the compositions to the seed in the form of a suitable formulation. Suitable formulations and methods for seed treatment are known to those skilled in the art.
- the compounds of the formula (I) can be converted to the customary formulations relevant to on-seed applications, such as solutions, emulsions, suspensions, powders, foams, slurries or combined with other coating compositions for seed, such as film forming materials, pelleting materials, fine iron or other metal powders, granules, coating material for inactivated seeds, and also ULV formulations.
- customary formulations relevant to on-seed applications such as solutions, emulsions, suspensions, powders, foams, slurries or combined with other coating compositions for seed, such as film forming materials, pelleting materials, fine iron or other metal powders, granules, coating material for inactivated seeds, and also ULV formulations.
- These formulations are prepared in a known manner, by mixing the active ingredients or active ingredient combinations with customary additives, for example customary extenders and solvents or diluents, dyes, wetting agents, dispersants, emulsifiers, antifoams, preservatives, secondary thickeners, adhesives, gibberellins, and also water.
- customary additives for example customary extenders and solvents or diluents, dyes, wetting agents, dispersants, emulsifiers, antifoams, preservatives, secondary thickeners, adhesives, gibberellins, and also water.
- Useful dyes which may be present in the seed dressing formulations usable in accordance with the invention are all dyes which are customary for such purposes. It is possible to use either pigments, which are sparingly soluble in water, or dyes, which are soluble in water. Examples include the dyes known by the names Rhodamine B, C.I. Pigment Red 112 and C.I
- Useful wetting agents which may be present in the seed dressing formulations usable in accordance with the invention are all substances which promote wetting and which are conventionally used for the formulation of active agrochemical ingredients.
- Usable with preference are alkylnaphthalenesulphonates, such as diisopropyl- or diisobutylnaphthalenesulphonates.
- Useful dispersants and/or emulsifiers which may be present in the seed dressing formulations usable in accordance with the invention are all nonionic, anionic and cationic dispersants conventionally used for the formulation of active agrochemical ingredients. Usable with preference are nonionic or anionic dispersants or mixtures of nonionic or anionic dispersants.
- Useful nonionic dispersants include especially ethylene oxide/propylene oxide block polymers, alkylphenol polyglycol ethers and tristryrylphenol polyglycol ether, and the phosphated or sulphated derivatives thereof.
- Suitable anionic dispersants are especially lignosulphonates, polyacrylic acid salts and arylsulphonate/formaldehyde condensates.
- Antifoams which may be present in the seed dressing formulations usable in accordance with the invention are all foam-inhibiting substances conventionally used for the formulation of active agrochemical ingredients. Silicone antifoams and magnesium stearate can be used with preference.
- Preservatives which may be present in the seed dressing formulations usable in accordance with the invention are all substances usable for such purposes in agrochemical compositions. Examples include dichlorophene and benzyl alcohol hemiformal.
- Secondary thickeners which may be present in the seed dressing formulations usable in accordance with the invention are all substances usable for such purposes in agrochemical compositions.
- Preferred examples include cellulose derivatives, acrylic acid derivatives, xanthan, modified clays and finely divided silica.
- Adhesives which may be present in the seed dressing formulations usable in accordance with the invention are all customary binders usable in seed dressing products.
- Preferred examples include polyvinylpyrrolidone, polyvinyl acetate, polyvinyl alcohol and tylose.
- the formulations for on-seed applications usable in accordance with the invention can be used to treat a wide variety of different kinds of seed either directly or after prior dilution with water.
- the concentrates or the preparations obtainable therefrom by dilution with water can be used to dress the seed of cereals, such as _ _ wheat, barley, rye, oats, and triticale, and also seeds of maize, soybean, rice, oilseed rape, peas, beans, cotton, sunflowers, and beets, or else a wide variety of different vegetable seeds.
- the formulations usable in accordance with the invention, or the dilute preparations thereof can also be used for seeds of transgenic plants.
- the application rate of the formulations usable in accordance with the invention can be varied within a relatively wide range. It is guided by the particular content of the active ingredients in the formulations and by the seeds.
- the application rates of each single active ingredient is generally between 0.001 and 15 g per kilogram of seed, preferably between 0.01 and 5 g per kilogram of seed.
- the compounds of the formula (I) also have very good antimycotic effects. They have a very broad antimycotic activity spectrum, especially against dermatophytes and yeasts, moulds and diphasic fungi (for example against Candida species, such as Candida albicans, Candida glabrata), and Epidermophyton floccosum, Aspergillus species, such as Aspergillus niger and Aspergillus fumigatus, Trichophyton species, such as Trichophyton mentagrophytes, Microsporon species such as Microsporon canis and audouinii. The enumeration of these fungi by no means constitutes a restriction of the mycotic spectrum covered, and is merely of illustrative character.
- the compounds can be used also to control important fungal pathogens in fish and Crustacea fanning, e.g. saprolegnia diclina in trouts, saprolegnia parasitica in crayfish.
- the compounds of the formula (I) can therefore be used both in medical and in non-medical applications.
- the compounds of the formula (I) can be used as such, in the form of their formulations or the use forms prepared therefrom, such as ready-to-use solutions, suspensions, wettable powders, pastes, soluble powders, dusts and granules.
- Application is accomplished in a customary manner, for example by watering, spraying, atomizing, broadcasting, dusting, foaming, spreading-on and the like. It is also possible to deploy the active ingredients by the ultra-low volume method or to inject the active ingredient preparation/the active ingredient itself into the soil. It is also possible to treat the seed of the plants. - -
- plants and their parts are treated.
- wild plant species and plant cultivars or those obtained by conventional biological breeding methods, such as crossing or protoplast fusion, and also parts thereof, are treated.
- transgenic plants and plant cultivars obtained by genetic engineering methods if appropriate in combination with conventional methods (Genetically Modified Organisms), and parts thereof are treated.
- the terms "parts” or “parts of plants” or “plant parts” have been explained above. More preferably, plants of the plant cultivars which are commercially available or are in use are treated in accordance with the invention.
- Plant cultivars are understood to mean plants which have new properties ("traits") and have been obtained by conventional breeding, by mutagenesis or by recombinant DNA techniques. They can be cultivars, varieties, bio- or genotypes.
- the method of treatment according to the invention can be used in the treatment of genetically modified organisms (GMOs), e.g. plants or seeds.
- GMOs genetically modified organisms
- Genetically modified plants are plants of which a heterologous gene has been stably integrated into genome.
- the expression "heterologous gene” essentially means a gene which is provided or assembled outside the plant and when introduced in the nuclear, chloroplastic or mitochondrial genome gives the transformed plant new or improved agronomic or other properties by expressing a protein or polypeptide of interest or by downregulating or silencing other gene(s) which are present in the plant (using for example, antisense technology, cosuppression technology, R A interference - R Ai - technology or microRNA - miR A - technology).
- a heterologous gene that is located in the genome is also called a transgene.
- a transgene that is defined by its particular location in the plant genome is called a transformation or transgenic event.
- Plants and plant cultivars which are preferably to be treated according to the invention include all plants which have genetic material which impart particularly advantageous, useful traits to these plants (whether obtained by breeding and/or biotechnological means). Plants and plant cultivars which are also preferably to be treated according to the invention are resistant against one or more biotic stresses, i.e. said plants show a better defense against animal and microbial pests, such as against nematodes, insects, mites, phytopathogenic fungi, bacteria, viruses and/or viroids.
- Plants and plant cultivars which may also be treated according to the invention are those plants which are resistant to one or more abiotic stresses.
- Abiotic stress conditions may include, for example, drought, cold temperature exposure, heat exposure, osmotic stress, flooding, increased soil salinity, increased mineral exposure, ozone exposure, high light exposure, limited availability of nitrogen nutrients, limited availability of phosphorus nutrients, shade avoidance.
- Plants and plant cultivars which may also be treated according to the invention are those plants characterized by enhanced yield characteristics. Increased yield in said plants can be the result of, for example, improved plant physiology, growth and development, such as water use efficiency, water retention efficiency, improved _ . nitrogen use, enhanced carbon assimilation, improved photosynthesis, increased germination efficiency and accelerated maturation.
- Yield can furthermore be affected by improved plant architecture (under stress and non- stress conditions), including but not limited to, early flowering, flowering control for hybrid seed production, seedling vigor, plant size, internode number and distance, root growth, seed size, fruit size, pod size, pod or ear number, seed number per pod or ear, seed mass, enhanced seed filling, reduced seed dispersal, reduced pod dehiscence and lodging resistance.
- Further yield traits include seed composition, such as carbohydrate content and composition for example cotton or starch, protein content, oil content and composition, nutritional value, reduction in anti-nutritional compounds, improved processability and better storage stability.
- Plants that may be treated according to the invention are hybrid plants that already express the characteristic of heterosis or hybrid vigor which results in generally higher yield, vigor, health and resistance towards biotic and abiotic stresses).
- Plants or plant cultivars obtained by plant biotechnology methods such as genetic engineering which may be treated according to the invention are herbicide-tolerant plants, i.e. plants made tolerant to one or more given herbicides. Such plants can be obtained either by genetic transformation, or by selection of plants containing a mutation imparting such herbicide tolerance.
- Plants or plant cultivars which may also be treated according to the invention are insect-resistant transgenic plants, i.e. plants made resistant to attack by certain target insects. Such plants can be obtained by genetic transformation, or by selection of plants containing a mutation imparting such insect resistance. Plants or plant cultivars (obtained by plant biotechnology methods such as genetic engineering) which may also be treated according to the invention are tolerant to abiotic stresses. Such plants can be obtained by genetic transformation, or by selection of plants containing a mutation imparting such stress resistance.
- Plants or plant cultivars obtained by plant biotechnology methods such as genetic engineering which may also be treated according to the invention show altered quantity, quality and/or storage-stability of the harvested product and/or altered properties of specific ingredients of the harvested product.
- Plants or plant cultivars which may also be treated according to the invention are plants, such as cotton plants, with altered fiber characteristics. Such plants can be obtained by genetic transformation, or by selection of plants contain a mutation imparting such altered fiber characteristics. Plants or plant cultivars (that can be obtained by plant biotechnology methods such as genetic engineering) which may also be treated according to the invention are plants, such as oilseed rape or related Brassica plants, with altered oil profile characteristics. Such plants can be obtained by genetic transformation, or by selection of plants contain a mutation imparting such altered oil profile characteristics. _ _
- Plants or plant cultivars which may also be treated according to the invention are plants, such as oilseed rape or related Brassica plants, with altered seed shattering characteristics.
- Such plants can be obtained by genetic transformation, or by selection of plants contain a mutation imparting such altered seed shattering characteristics and include plants such as oilseed rape plants with delayed or reduced seed shattering.
- Plants or plant cultivars which may also be treated according to the invention are plants, such as Tobacco plants, with altered post- translational protein modification patterns.
- the application rates can be varied within a relatively wide range, depending on the kind of application.
- the application rate of the inventive active ingredients is
- leaves from 0.1 to 10 000 g/ha, preferably from 10 to 1000 g/ha, more preferably from 50 to 300 g/ha (in the case of application by watering or dripping, it is even possible to reduce the application rate, especially when inert substrates such as rockwool or perlite are used);
- a further subject of the invention is a composition for controlling phytopathogenic harmful fungi comprising a compound of formula (I) according to the invention.
- composition it may be further comprise adjuvants, solvents, carrier, surfactants and / or extenders.
- Also subject of the present invention is a method for curatively or preventively controlling phytopathogenic harmful fungi of plants or crops comprising the step of applying a compound of formula (I) according to the invention or a composition according to the invention to the phytopathogenic harmful fungi and / or their habitat.
- the compound or the composition is applied to the seed, the plant, to fruits of plants or to the soil on which the plant grows or is supposed to grow.
- Still a further subject of the present invention is use a compound of formula (I) according to the invention or a composition according to the invention to control phytopathogenic harmful fungi. It is preferred to use the compound or the composition for the treatment of transgenic plants or for the treatment of seeds of transgenic plants.
- LogP value is determined by measurement of LC-UV, in an acidic range, with 0.1% formic acid in water and acetonitrile as eluent (linear gradient from 10% acetonitrile to 95% acetonitrile).
- M LogP value is determined by measurement of LC-UV, in a neutral range, with 0.001 molar ammonium acetate solution in water and acetonitrile as eluent (linear gradient from 10% acetonitrile to 95% acetonitrile).
- LogP value is determined by measurement of LC-UV, in an acidic range, with 0.1% phosphoric acid and acetonitrile as eluent (linear gradient from 10% acetonitrile to 95% acetonitrile).
- Lambda-max- values were determined using UV-spectra from 200 nm to 400 nm and the peak values of the chromatographic signals.
- NMR-Peak lists 1H-NMR data of selected examples are written in form of lH-NMR-peak lists. To each signal peak are listed the ⁇ -value in ppm and the signal intensity in round brackets. Between the ⁇ -value - signal intensity pairs are semicolons as delimiters.
- the peak list of an example has therefore the form: ⁇ (intensityi); 82 (intensitV2); ; ⁇ ; (intensity); ; ⁇ ⁇ (intensity n )
- Intensity of sharp signals correlates with the height of the signals in a printed example of a NMR spectrum in cm and shows the real relations of signal intensities. From broad signals several peaks or the middle of the signal and their relative intensity in comparison to the most intensive signal in the spectrum can be shown.
- tetramethylsilane For calibrating chemical shift for 1H spectra, we use tetramethylsilane and/or the chemical shift of the solvent used, especially in the case of spectra measured in DMSO. Therefore in NMR peak lists, tetramethylsilane peak can occur but not necessarily.
- the 1H-NMR peak lists are similar to classical 1H-NMR prints and contains therefore usually all peaks, which are listed at classical NMR-interpretation.
- peaks of stereoisomers of the target compounds and/or peaks of impurities have usually on average a lower intensity than the peaks of target compounds (for example with a purity >90%).
- Such stereoisomers and/or impurities can be typical for the specific preparation process. Therefore their peaks can help to recognize the reproduction of our preparation process via "side-products-fingerprints".
- An expert who calculates the peaks of the target compounds with known methods (MestreC, ACD-simulation, but also with empirically evaluated expectation values) can isolate the peaks of the target compounds as needed optionally using additional intensity filters. This isolation would be similar to relevant peak picking at classical 1 H-NMR interpretation. - -
- Example 1-04 3 ⁇ 4-NMR (400.0 MHz, de-DMSO)
- Example I- 10 3 ⁇ 4-NMR (400.0 MHz, de-DMSO)
- Example A in vivo preventive test on Botrytis test (beans) Solvent: 24.5 parts by weight of acetone
- active compound 1 part by weight of active compound is mixed with the stated amounts of solvent and emulsifier, and the concentrate is diluted with water to the desired concentration.
- solvent and emulsifier 1 part by weight of active compound is mixed with the stated amounts of solvent and emulsifier, and the concentrate is diluted with water to the desired concentration.
- young plants are sprayed with the preparation of active compound. After the spray coating has dried on, 2 small pieces of agar covered with growth oiBotrytis cinerea are placed on each leaf. The inoculated plants are placed in a darkened chamber at 20°C and a relative atmospheric humidity of 100%.
- Example B in vivo preventive test on Venturia test (apples)
- Emulsifier 1 part by weight of alkylaryl poly glycol ether
- active compound 1 part by weight of active compound is mixed with the stated amounts of solvent and emulsifier, and the concentrate is diluted with water to the desired concentration.
- the plants are then placed in a greenhouse at approximately 21°C and a relative atmospheric humidity of approximately 90%.
- the test is evaluated 10 days after the inoculation. 0% means an efficacy which corresponds to that of the untreated control, while an efficacy of 100% means that no disease is observed.
- Example C in vivo preventive Blumeria test (barley)
- Emulsifier 1 part by weight of alkylaryl poly glycol ether
- the plants are dusted with spores of Blumeria graminis f.sp. hordei.
- the plants are placed in the greenhouse at a temperature of approximately 18°C and a relative atmospheric humidity of approximately 80%o to promote the development of mildew pustules. _ _
- the test is evaluated 7 days after the inoculation. 0% means an efficacy which corresponds to that of the untreated control, while an efficacy of 100% means that no disease is observed.
- Example D in vivo preventive Septoria tritici test (wheat)
- Emulsifier 1 part by weight of alkylaryl poly glycol ether To produce a suitable preparation of active compound, 1 part by weight of active compound or active compound combination is mixed with the stated amounts of solvent and emulsifier, and the concentrate is diluted with water to the desired concentration.
- the plants are placed in the greenhouse at a temperature of approximately 15°C and a relative atmospheric humidity o f approximately 80%.
- the test is evaluated 21 days after the inoculation. 0% means an efficacy which corresponds to that of the untreated control, while an efficacy of 100% means that no disease is observed.
- Example E Alternaria test (tomato) / preventive
- Emulsifier 1 part by weight of alkylaryl poly glycol ether
- active compound 1 part by weight of active compound is mixed with the stated amounts of solvent and emulsifier, and the concentrate is diluted with water to the desired concentration.
- the test is evaluated 7 days after the inoculation. 0% means an efficacy which corresponds to that of the untreated control while an efficacy of 100% means that no disease is observed.
- Example F Botrytis test (cucumber) / preventive
- Emulsifier 1 part by weight of alkylaryl poly glycol ether
- a suitable preparation of active compound 1 part by weight of active compound is mixed with the stated amounts of solvent and emulsifier, and the concentrate is diluted with water to the desired concentration.
- young plants are sprayed with the preparation of active compound at the stated rate of application.
- the plants are inoculated with an aqueous spore suspension of Botrytis cinerea.
- the plants remain for two days in an incubation cabinet at approximately 22 °C and a relative atmospheric humidity of 100%.
- the plants are placed in an incubation cabinet at approximately 14 °C and a relative atmospheric humidity of 96%.
- the test is evaluated 5-6 days after the inoculation. 0% means an efficacy which corresponds to that of the untreated control while an efficacy of 100% means that no disease is observed.
- Example G Leptosphaeria test (wheat) / preventive
- active compound 1 part by weight of active compound is mixed with the stated amounts of solvent and emulsifier, and the concentrate is diluted with water to the desired concentration.
- the test is evaluated 7-9 days after the inoculation. 0% means an efficacy which corresponds to that of the untreated control, while an efficacy of 100% means that no disease is observed.
- the following compounds according to the invention showed efficacy between 70%o and 79%o at a concentration of 500 ppm of active ingredient: 1-04.
- Emulsifier 1 part by weight of alkylaryl poly glycol ether
- the test is evaluated 7-9 days after the inoculation. 0% means an efficacy which corresponds to that of the untreated control while an efficacy of 100% means that no disease is observed.
- Example I Sphaerotheca test (cucumber) / preventive
- Emulsifier 1 part by weight of alkylaryl poly glycol ether
- active compound 1 part by weight of active compound is mixed with the stated amounts of solvent and emulsifier, and the concentrate is diluted with water to the desired concentration.
- the test is evaluated 7 days after the inoculation. 0% means an efficacy which corresponds to that of the untreated control, while an efficacy of 100% means that no disease is observed.
- the following compounds according to the invention showed efficacy between 70%o and 79%o at a concentration of 500 ppm of active ingredient: 1-04.
Landscapes
- Chemical & Material Sciences (AREA)
- Organic Chemistry (AREA)
- Agricultural Chemicals And Associated Chemicals (AREA)
- Plural Heterocyclic Compounds (AREA)
Abstract
The present invention relates to a novel pyridine compound and its salts and N-oxides, a composition comprising such compound, a method for curatively or preventively controlling phytopathogenic harmful fungi of plants or crops comprising the step of applying such compound or composition, to the use of such compound or such composition to control phytopathogenic harmful fungi and to a seed that has been treated with such a compound or such a composition. Further the present invention relates to novel intermediate in the synthesis of the pyridine compounds of the invention.
Description
- -
Novel pyridine compounds for controlling phytopathogenic harmful fungi
The present invention relates to a novel pyridine compound and its salts and N-oxides, a composition comprising such compound, a method for curatively or preventively controlling phytopathogenic harmful fungi of plants or crops comprising the step of applying such compound or composition, to the use of such compound or such composition to control phytopathogenic harmful fungi and to a seed that has been treated with such a compound or such a composition. Further the present invention relates to novel intermediates in the synthesis of the pyridine compounds of the invention.
Pyridine compounds are known to be useful in crop protection applications. EP 0 302 365 A2 and EP 0 302 366 A2, for example, disclose substituted pyridine compounds and their use to control phytopathogenic harmful fungi.
Since the ecological and economic demands made on modern active compounds, for example fungicides, are increasing constantly, for example with respect to activity spectrum, toxicity, selectivity, application rate, formation of residues and favourable manufacture, and there can also be problems, for example, with resistances, there is a constant need to develop novel fungicidal compounds and compositions which have advantages over the known compounds and compositions at least in some areas.
Accordingly, the present invention provides novel pyridine compounds of the formula (I)
wherein
R represents hydrogen, substituted or non-substituted Ci-Cs-alkyl; substituted or non-substituted
C3-C8-cycloalkylalkyl; substituted or non-substituted C2-C8-alkenyl; substituted or non- substituted C2-C8-alkynyl; Ci-Cs-haloalkyl; C2-C8-halooalkenyl; C2-C8-haloalkynyl; C3-C7- halocycloalkyl-Ci-C i-alkyl; C3-C7-halocycloalkyl-Ci-C4-haloalkyl; C3-C7-cycloalkyl-Ci-C4- haloalkyl; substituted or non-substituted C3-C7-cycloalkyl; substituted or non-substituted C3- C7-cycloalkenyl; substituted or non-substituted aryl-Ci-Cs-alkyl; substituted or non- substituted aryl-C2-C8-alkenyl; substituted or non-substituted aryl-C2-C8-alkynyl; substituted
_ - or non-substituted phenoxy-Ci-Cs-alkyl; substituted or non-substituted phenylcycloalkyl; substituted or non-substituted aryl, substituted or non-substituted hetaryl; substituted hetaryl- Ci-C8-alkyl; substituted or non-substituted heterocycloalkyl; substituted or non-substituted heterocycloalkyl-Ci-C8-alkyl;
R2 represents hydrogen, substituted or non-substituted Ci-Cs-alkyl, substituted or non-substituted
C3-C8-cycloalkylalkyl; substituted or non-substituted C3-C8-alkenyl; substituted or non- substituted C3-C8-alkynyl; substituted or non-substituted C3-C7-cycloalkyl; -Si(R3a)(R3b)(R3c), - P(0)(OH)2, -CH2-0-P(0)(OH)2, substituted or non-substituted -C(0)-Ci-C8-alkyl, substituted or non-substituted -C(0)-C3-C7-cycloalkyl, substituted or non-substituted -C(0)NH-Ci-C8- alkyl; substituted or non-substituted -C(0)N-di-Ci-C8-alkyl; substituted or non-substituted - C(0)0-Ci-C8-alkyl;
R3a, R3b, R3c represent independently from each other a substituted or non-substituted Ci-Cs-alkyl;
X represents difluoromethyl, 2,2,2-trifluoroethyl, pentafluoroethyl, pentafluoro-λ6-sulfanyl,
1,1,2,2-tetrafluoroethoxy, 2,2,2-trifluoroethoxy, methylsulfoxymine;
XI and X2 represent independently form each other hydrogen, halogen, Ci-Cs-alkyl, Ci-Cs-haloalkyl, Ci-
C8-alkoxy, Ci-Cs-haloalkoxy; and its salts or N-oxides.
Preferred is a compound of formula (I), wherein represents hydrogen, substituted or non-substituted Ci-Cs-alkyl; substituted or non-substituted C3-C8-cycloalkylalkyl; substituted or non-substituted C2-C8-alkenyl; substituted or non- substituted C2-C8-alkynyl; Ci-Cs-haloalkyl; substituted or non-substituted C3-C7-cycloalkyl; substituted or non-substituted aryl-Ci-Cs-alkyl; substituted or non-substituted phenoxy-Ci-Cs- alkyl; substituted or non-substituted phenylcycloalkyl; substituted or non-substituted aryl, substituted or non-substituted hetaryl; substituted hetaryl-G-Cs-alkyl; represents hydrogen, substituted or non-substituted Ci-Cs-alkyl, substituted or non-substituted C3-C8-alkenyl; substituted or non-substituted C3-C8-alkynyl; represents pentafiuoro^6-sulfanyl, methylsulfoxymine;
Xi and X2 represent independently form each other hydrogen, halogen; and its salts or N-oxides.
More preferred is a compound of formula (I), wherein
R1 represents hydrogen, substituted or non-substituted Ci-Cs-alkyl; substituted or non-substituted
C3-C6-cycloalkylalkyl; substituted or non-substituted C2-C8-alkenyl; substituted or non- substituted C2-C8-alkynyl; Ci-Cs-haloalkyl; substituted or non-substituted C3-C6-cycloalkyl; substituted or non-substituted aryl-Ci-C3-alkyl; substituted or non-substituted phenoxy-Ci-C3- alkyl; substituted or non-substituted aryl;
R2 represents hydrogen, substituted or non-substituted Ci-Cs-alkyl;
X represents pentafluoro^6-sulfanyl, methylsulfoxymine;
XI and X2 represent independently from each other hydrogen, fluorine; and its salts or N-oxides.
Even further preferred is a compound of formula (I), wherein
R1 represents hydrogen, substituted or non-substituted Ci-Cs-alkyl; substituted or non-substituted aryl-Ci-C3-alkyl; substituted or non-substituted aryl; R2 represents hydrogen;
X represents pentafluoro^6-sulfanyl;
XI and X2 represent hydrogen; and its salts or N-oxides.
Still even further preferred is a compound of formula (I), wherein
R1 represents hydrogen, substituted or non-substituted Ci-Cs-alkyl;
R2 represents hydrogen;
X represents pentafluoro^6-sulfanyl;
XI and X2 represent hydrogen; and its salts or N-oxides.
- -
The radical definitions and explanations given above in general terms or stated within preferred ranges can, however, also be combined with one another as desired, i.e. including between the particular ranges and preferred ranges. They apply both to the end products and correspondingly to precursors and intermediates. In addition, individual definitions may not apply. In the definitions of the symbols given in the above formulae, collective terms were used which are generally representative of the following substituents:
The definition Ci-Cs-alkyl comprises the largest range defined here for an alkyl radical. Specifically, this definition comprises the meanings methyl, ethyl, n-, isopropyl, n-, iso-, sec-, tert-butyl, and also in each case all isomeric pentyls, hexyls, heptyls and octyls, such as methyl, ethyl, propyl, 1-methylethyl, butyl, 1- methylpropyl, 2-methylpropyl, 1,1-dimethylethyl, n-pentyl, 1-methylbutyl, 2-methylbutyl, 3-methylbutyl, 1,2- dimethylpropyl, 1, 1-dimethylpropyl, 2,2-dimethylpropyl, 1-ethylpropyl, n-hexyl, 1-methylpentyl, 2- methylpentyl, 3-methylpentyl, 4-methylpentyl, 1,2-dimethylbutyl, 1,3-dimethylbutyl, 2,3-dimethylbutyl, 1,1-di- methylbutyl, 2,2-dimethylbutyl, 3,3-dimethylbutyl, 1,1,2-trimethylpropyl, 1,2,2-trimethylpropyl, 1-ethylbutyl, 2-ethylbutyl, l-ethyl-3-methylpropyl, n-heptyl, 1-methylhexyl, 1-ethylpentyl, 2-ethylpentyl, 1-propylbutyl, octyl, 1-methylheptyl, 2-methylheptyl, 1-ethylhexyl, 2-ethylhexyl, 1-propylpentyl and 2-propylpentyl, in particular propyl, 1-methylethyl, butyl, 1-methylbutyl, 2-methylbutyl, 3-methylbutyl, 1,1-dimethylethyl, 1,2- dimethylbutyl, 1,3-dimethylbutyl, pentyl, 1-methylbutyl, 1-ethylpropyl, hexyl, 3-methylpentyl, heptyl, 1- methylhexyl, l-ethyl-3-methylbutyl, 1-methylheptyl, 1,2-dimethylhexyl, 1,3-dimethyloctyl, 4-methyloctyl, 1, 2,2,3 -tetramethylbutyl, 1,3,3-trimethylbutyl, 1,2,3-trimethylbutyl, 1,3-dimethylpentyl, 1,3-dimethylhexyl, 5- methyl-3 -hexyl, 2-methyl-4-heptyl and l-methyl-2-cyclopropylethyl. A preferred range is Ci-C i-alkyl, such as methyl, ethyl, n-, isopropyl, n-, iso-, sec-, tert-butyl. The definition Ci-C3-alkyl comprises methyl, ethyl, n-, isopropyl.
The definition halogen comprises fluorine, chlorine, bromine and iodine.
Halogen-substituted alkyl - referred to as Ci-Cs-haloalkyl - represents, for example, Ci-Cs-alkyl as defined above substituted by one or more halogen substituents which can be the same or different. Preferably Ci-Cs- haloalkyl represents chloromethyl, dichloromethyl, trichloromethyl, fluoromethyl, difluoromethyl, trifluoromethyl, chlorofluoromethyl, dichlorofluoromethyl, chlorodifluoromethyl, l-fluoroethyl, 2-fluoroethyl, 2,2-difluoroethyl, 2,2,2-trifluoroethyl, 2-chloro-2-fluoroethyl, 2-chloro-2,2-difluoroethyl, 2,2-dichloro-2- fluoroethyl, 2,2,2-trichloroethyl, pentafluoroethyl, 1-fluoro- 1-methylethyl, 2-fluoro- 1,1 -dimethyl ethyl, 2-fluoro- 1 -fluoromethyl- 1-methylethyl, 2-fluoro- l,l-di(fluoromethyl)-ethyl, 3-chloro- 1-methylbutyl, 2-chloro-l- methylbutyl, 1-chlorobutyl, 3, 3 -dichloro- 1-methylbutyl, 3-chloro-l-methylbutyl, l-methyl-3- trifluoromethylbutyl, 3-methyl- 1-trifluoromethylbutyl.
Mono- or multiple fluorinated Ci-C4-alkyl represents, for example, Ci-C i-alkyl as defined above substituted by one or more fluorine substituent(s). Preferably mono- or multiple fluorinated Ci-C i-alkyl represents fluoromethyl, difluoromethyl, trifluoromethyl, l-fluoroethyl, 2-fluoroethyl, 2,2-difluoroethyl, 2,2,2- trifluoroethyl, pentafluoroethyl, 1-fluoro- 1-methylethyl, 2-fluoro- 1,1 -dimethyl ethyl, 2-fluoro- 1 -fluoromethyl- 1-
_ _ methyl ethyl, 2-fluoro-l,l-di(fluoromethyl)-ethyl, l-methyl-3-trifluoromethylbutyl, 3 -methyl- 1- trifluoromethylbutyl .
The definition C2-C8-alkenyl comprises the largest range defined here for an alkenyl radical. Specifically, this definition comprises the meanings ethenyl, n-, isopropenyl, n-, iso-, sec-, tert-butenyl, and also in each case all isomeric pentenyls, hexenyls, heptenyls, octenyls, 1 -methyl- 1-propenyl, 1 -ethyl- 1-butenyl, 2,4-dimethyl-l- pentenyl, 2,4-dimethyl-2-pentenyl. Halogen-substituted alkenyl - referred to as C2-C8-haloalkenyl - represents, for example, C2-C8-alkenyl as defined above substituted by one or more halogen substituents which can be the same or different. A preferred range is C2-C i-alkenyl, such as ethenyl, n-, isopropenyl, n-, iso-, sec- or tert- butenyl. The definition C2-C8-alkynyl comprises the largest range defined here for an alkynyl radical. Specifically, this definition comprises the meanings ethynyl, n-, isopropynyl, n-, iso-, sec-, tert-butynyl, and also in each case all isomeric pentynyls, hexynyls, heptynyls, octynyls. Halogen-substituted alkynyl - referred to as C2-C8- haloalkynyl - represents, for example, C2-C8-alkynyl as defined above substituted by one or more halogen substituents which can be the same or different. A preferred range is C2-C4-alkynyl, such as ethynyl, n-, isopropynyl, n-, iso-, sec- or tert-butynyl.
The definition C3-C7-cycloalkyl comprises monocyclic saturated hydrocarbyl groups having 3 to 7 carbon ring members, such as cyclopropyl, cyclobutyl, cyclopentyl, cyclohexyl and cycloheptyl.
The definition halogen-substituted cycloalkyl and halocycloalkyl comprises monocyclic saturated hydrocarbyl groups having 3 to 7 carbon ring members, such as 1-fluoro-cyclopropyl and 1-chloro- cyclopropyl. The definition bicycloalkyl comprises spirocyclic alkyl wherein two substituents at the same carbon atom of a C3-C7-cycloalkyl can form together with the carbon atom to which they are attached a C3-C7-cycloalkyl, this definition comprises for example the meaning spiro[2.2]pentyl. The definition bicycloalkyl also comprises bicyclic alkyls wherein two substituents at different adjacent or non-adjacent carbon atoms of a C3-C7- cycloalkyl can form together with the carbon atoms to which they are attached a C3-C7-cycloalkyl, this definition comprises for example the meaning bicyclo[2.2.1]heptane-2-yl, bicyclo[2.2.1]heptane-7-yl, bicyclo[4.1.0]heptane-2-yl, bicyclo[4.1.0]heptane-3-yl, bicyclo[4.1.0]heptane-7-yl The definition bicycloalkyl also comprises bicyclic alkyls wherein two substituents at different adjacent or non-adjacent carbon atoms of a C3-C7-cycloalkyl can form an alkylene bridge between the carbon atoms to which they are attached, this definition comprises for example the meaning bicyclo[2.2.1]hept-2-ene-2-yl, bicyclo[2.2.1]hept-2-ene-5-yl, bicyclo [2.2.1 ]hept-2-ene-7-yl.
The definition aryl comprises aromatic, mono-, bi- or tricyclic rings, for example phenyl, naphthyl, anthracenyl (anthryl), phenanthracenyl (phenanthryl).
The definition 6-membered unsaturated heterocycle containing 1 or 2 nitrogene atom(s) as heteroatom(s) comprises for example 2-pyridinyl, 3-pyridinyl, 4-pyridinyl, 3-pyridazinyl, 4-pyridazinyl, 2-pyrimidinyl, 4- pyrimidinyl, 5-pyrimidinyl, 2-pyrazinyl.
- -
The definition benzannulated derivative of 6-membered unsaturated heterocycle containing 1 or 2 nitrogene atom(s) as heteroatom(s) comprises for example 2-quinolinyl, 3-quinolinyl, 4-quinolinyl, 1-isoquinolinyl, 3- isoquinolinyl, 4-isoquinolinyl, 2-quinazolinyl, 4-quinazolinyl, cinnolin-3-yl; cinnolin-4-yl; phthalazin-l-yl; phthalazin-4-yl; quinoxalin-2-yl; quinoxalin-3-yl. The definition hetaryl or heteroaryl comprises a unsaturated, benzoannulated or not benzoannulated heterocyclic 5- to 10-membered ring containing up to 4 heteroatoms selected from N, O and S. Preferably, the definition hetaryl or heteroaryl comprises a unsaturated heterocyclic 5- to 7-membered ring containing up to 4 heteroatoms selected from N, O and S: for example 2-furyl, 3-furyl, 2-thienyl, 3-thienyl, 2-pyrrolyl, 3-pyrrolyl, 1-pyrrolyl, 3-pyrazolyl, 4-pyrazolyl, 5-pyrazolyl, 1-pyrazolyl, lH-imidazol-2-yl, lH-imidazol-4-yl, 1H- imidazol-5-yl, lH-imidazol-l-yl, 2-oxazolyl, 4-oxazolyl, 5-oxazolyl, 2-thiazolyl, 4-thiazolyl, 5-thiazolyl, 3- isoxazolyl, 4-isoxazolyl, 5-isoxazolyl, 3-isothiazolyl, 4-isothiazolyl, 5-isothiazolyl, lH-l,2,3-triazol-l-yl, 1H-
1.2.3- triazol-4-yl, lH-l,2,3-triazol-5-yl, 2H-l,2,3-triazol-2-yl, 2H-l,2,3-triazol-4-yl, lH-l,2,4-triazol-3-yl, 1H-
1.2.4- triazol-5-yl, lH-l,2,4-triazol-l-yl, 4H-l,2,4-triazol-3-yl, 4H-l,2,4-triazol-4-yl, lH-tetrazol-l-yl, 1H- tetrazol-5-yl, 2H-tetrazol-2-yl, 2H-tetrazol-5-yl, l,2,4-oxadiazol-3-yl, l,2,4-oxadiazol-5-yl, l,2,4-thiadiazol-3- yl, l,2,4-thiadiazol-5-yl, l,3,4-oxadiazol-2-yl, l,3,4-thiadiazol-2-yl, l,2,3-oxadiazol-4-yl, l,2,3-oxadiazol-5-yl, l,2,3-thiadiazol-4-yl, l,2,3-thiadiazol-5-yl, l,2,5-oxadiazol-3-yl, l,2,5-thiadiazol-3-yl, 2-pyridinyl, 3-pyridinyl, 4-pyridinyl, 3-pyridazinyl, 4-pyridazinyl, 2-pyrimidinyl, 4-pyrimidinyl, 5-pyrimidinyl, 2-pyrazinyl, 1,3,5- triazin-2-yl, l,2,4-triazin-3-yl, l,2,4-triazin-5-yl, l,2,4-triazin-6-yl.
The definition 5-membered heteroaryl comprises unsaturated heterocyclic 5-membered ring containing up to 4 heteroatoms selected from N, O and S: for example 2-furyl, 3-furyl, 2-thienyl, 3-thienyl, 2-pyrrolyl, 3-pyrrolyl, 1-pyrrolyl, 3-pyrazolyl, 4-pyrazolyl, 5-pyrazolyl, 1-pyrazolyl, lH-imidazol-2-yl, lH-imidazol-4-yl, 1H- imidazol-5-yl, lH-imidazol-l-yl, 2-oxazolyl, 4-oxazolyl, 5-oxazolyl, 2-thiazolyl, 4-thiazolyl, 5-thiazolyl, 3- isoxazolyl, 4-isoxazolyl, 5-isoxazolyl, 3-isothiazolyl, 4-isothiazolyl, 5-isothiazolyl, lH-l,2,3-triazol-l-yl, 1H- l,2,3-triazol-4-yl, lH-l,2,3-triazol-5-yl, 2H-l,2,3-triazol-2-yl, 2H-l,2,3-triazol-4-yl, lH-l,2,4-triazol-3-yl, 1H- l,2,4-triazol-5-yl, lH-l,2,4-triazol-l-yl, 4H-l,2,4-triazol-3-yl, 4H-l,2,4-triazol-4-yl, lH-tetrazol-l-yl, 1H- tetrazol-5-yl, 2H-tetrazol-2-yl, 2H-tetrazol-5-yl, l,2,4-oxadiazol-3-yl, l,2,4-oxadiazol-5-yl, l,2,4-thiadiazol-3- yl, l,2,4-thiadiazol-5-yl, l,3,4-oxadiazol-2-yl, l,3,4-thiadiazol-2-yl, l,2,3-oxadiazol-4-yl, l,2,3-oxadiazol-5-yl,
1.2.3- thiadiazol-4-yl, l,2,3-thiadiazol-5-yl, l,2,5-oxadiazol-3-yl, l,2,5-thiadiazol-3-yl.
The definition 6-membered heteroaryl comprises a unsaturated heterocyclic 6-membered ring containing up to 4 heteroatoms selected from N, O and S: for example 2-pyridinyl, 3-pyridinyl, 4-pyridinyl, 3-pyridazinyl, 4- pyridazinyl, 2-pyrimidinyl, 4-pyrimidinyl, 5-pyrimidinyl, 2-pyrazinyl, l,3,5-triazin-2-yl, l,2,4-triazin-3-yl,
1.2.4- triazin-5-yl, 1 ,2,4-triazin-6-yl.
The definition heterocycloalkyl comprises saturated or partially unsaturated mono-, bi- or tricyclic ring systems consisting of C-atoms and containing up to 4 heteroatoms selected from N, O and S: for example aziridinyl, pyrrolidinyl, dihydropyridyl, piperidinyl, piperazinyl, morpholinyl, thiomorpholinyl, tetrahydrofuranyl, tetrahydrothiofuranyl, tetrahydropyranyl, pyranyl, isoxazolidinyl, isoxazolinyl, pyrazolinyl, dihydropyrrolyl, tetrahydropyridinyl, dioxolanyl, dioxanyl, oxathiolanyl, oxathianyl, dithhiolanyl, dithianyl;
- -
Optionally substituted radicals may be mono- or polysubstituted, where in the case of polysubstitution, the substituents may be identical or different.
Unless indicated otherwise, a group or a substituent which is substituted according to the invention preferably can be substituted by one or more group(s) selected from the list consisting of halogen; SH; nitro; hydroxyl; cyano; amino; sulfanyl; pentafluoro^6-sulfanyl; formyl; formyloxy; formylamino; carbamoyl; N- hydroxycarbamoyl; carbamate; (hydroxyimino)-Ci-C6-alkyl; Ci-Cs-alkyl; Ci-Cs-halogenalkyl; Ci-Cs-alkyloxy; Ci-C8-halogenalkyloxy; Ci-Cs-alkylthio; Ci-Cs-halogenalkylthio; tri(Ci-C8-alkyl)silyl; tri(Ci-C8-alkyl)silyl-Ci- C8-alkyl; C3-C7-cycloalkyl; C3-C7-halocycloalkyl; C3-C7-cycloalkenyl; C3-C7-halocycloalkenyl; C4-C10- cycloalkylalkyl; C4-Cio-halocycloalkylalkyl; C6-Ci2-cycloalkylcycloalkyl; tri(Ci-C8-alkyl)silyl-C3-C7- cycloalkyl; Ci-Cs-halogenoalkyl; C3-C7-halogenocycloalkyl; C2-C8-alkenyl; C2-C8-alkynyl; C2-C8-alkenyloxy; C2-C8-halogenalkenyloxy; C2-C8-alkynyloxy; Ci-Cs-alkylamino; di-Ci-Cs-alkylamino; Ci-Cs- halogenalkylamino; di-Ci-Cs-halogenalkylamino; Ci-Cs-alkylaminoalkyl; di-Ci-Cs-alkylaminoalkyl; Ci-Cs- alkoxy; Ci-Cs-halogenoalkoxy; Ci-Cs-cyanoalkoxy; C t-Cs-cycloalkylalkoxy; C3-C6-cycloalkoxy; C2-C8- alkoxyalkoxy; Ci-Cs-alkylcarbonylalkoxy; Ci-Cs-alkylsulfanyl; Ci-Cs-halogenoalkylsulfanyl; C2-C8- alkenyloxy; C2-C8-halogenoalkenyloxy; C3-C8-alkynyloxy; C3-C8-halogenoalkynyloxy; Ci-Cs-alkylcarbonyl; Ci-C8-halogenoalkylcarbonyl; C3-C8-cycloalkylcarbonyl; C3-C8-halogenocycloalkylcarbonyl; Ci-Cs- alkylcarbamoyl; di-Ci-Cs-alkylcarbamoyl; N-Ci-Cs-alkyloxycarbamoyl; Ci-Cs-alkoxycarbamoyl; N-Ci-Cs- alkyl-Ci-C8-alkoxycarbamoyl; Ci-Cs-alkoxycarbonyl; Ci-Cs-halogenoalkoxycarbonyl; C3-C8- cycloalkoxycarbonyl; C2-C8-alkoxyalkylcarbonyl; C2-C8-halogenoalkoxyalkylcarbonyl; C3-C10- cycloalkoxyalkylcarbonyl; Ci-Cs-alkylaminocarbonyl; di-Ci-Cs-alkylaminocarbonyl; C3-C8- cycloalkylaminocarbonyl; Ci-Cs-alkylcarbonyloxy; Ci-Cs-halogenoalkylcarbonyloxy; C3-C8- cycloalkylcarbonyloxy; Ci-Cs-alkylcarbonylamino; Ci-Cs-halogenoalkylcarbonylamino; Ci-Cs- alkylaminocarbonyloxy; di-Ci-Cs-alkylaminocarbonyloxy; Ci-Cs-alkyloxycarbonyloxy; Ci-Cs-alkylsulfinyl; Ci-C8-halogenoalkylsulfinyl; Ci-Cs-alkylsulfonyl; Ci-Cs-halogenoalkylsulfonyl; Ci-Cs-alkylsulfonyloxy; Ci- C8-halogenoalkylsulfonyloxy; Ci-Cs-alkylaminosulfamoyl; di-Ci-Cs-alkylaminosulfamoyl; (Ci-Cs- alkoxyimino)-Ci-C8-alkyl; (C3-C7-cycloalkoxyimino)-Ci-C8-alkyl; hydroxyimino-Ci-Cs-alkyl; (Ci-Cs- alkoxyimino)-C3-C7-cycloalkyl; hydroxyimino-C3-C7-cycloalkyl; (Ci-Cg-alkylimino)-oxy; (Ci-Cs-alkylimino)- oxy-Ci-C8-alkyl; (C3-C7-cycloalkylimino)-oxy-Ci-C8-alkyl; (Ci-C6-alkylimino)-oxy-C3-C7-cycloalkyl; (Ci-Cs- alkenyloxyimino)-Ci-C8-alkyl; (Ci-C8-alkynyloxyimino)-Ci-C8-alkyl; 2-oxopyrrolidin-l-yl, (benzyloxyimino)- Ci-C8-alkyl; Ci-Cs-alkoxyalkyl; Ci-Cs-alkylthioalkyl; Ci-Cs-alkoxyalkoxyalkyl; Ci-Cs-halogenoalkoxyalkyl; benzyl; phenyl; 5-membered heteroaryl; 6-membered heteroaryl; benzyloxy; phenyloxy; benzylsulfanyl; benzylamino; phenoxy; phenylsulfanyl; or phenylamino; wherein the benzyl, phenyl, 5-membered heteroaryl, 6-membered heteroaryl, benzyloxy or phenyloxy may be optionally substituted by one or more group(s) selected from the aforementioned list. If appropriate, the compounds according to the invention can be present as mixtures of different possible isomeric forms, in particular of stereoisomers, such as, for example, E and Z, threo and erythro, and also optical isomers, and, if appropriate, also of tautomers. What is claimed are both the E and the Z isomers, and also the threo and erythro, and the optical isomers, any mixtures of these isomers, and the possible tautomeric forms.
_ _
If appropriate, the compounds of the present invention can exist in one or more optical or chiral isomer forms depending on the number of asymmetric centres in the compound. The invention thus relates equally to all the optical isomers and to their racemic or scalemic mixtures (the term "scalemic" denotes a mixture of enantiomers in different proportions) and to the mixtures of all the possible stereoisomers, in all proportions. The diastereoisomers and/or the optical isomers can be separated according to the methods which are known per se by the man ordinary skilled in the art.
If appropriate, the compounds of the present invention can also exist in one or more geometric isomer forms depending on the number of double bonds in the compound. The invention thus relates equally to all geometric isomers and to all possible mixtures, in all proportions. The geometric isomers can be separated according to general methods, which are known per se by the man ordinary skilled in the art.
If appropriate, the compounds of the present invention can also exist in one or more geometric isomer forms depending on the relative position (syn/anti or cis/trans) of the substituents of ring B. The invention thus relates equally to all syn/anti (or cis/trans) isomers and to all possible syn/anti (or cis/trans) mixtures, in all proportions. The syn/anti (or cis/trans) isomers can be separated according to general methods, which are known per se by the man ordinary skilled in the art.
The compounds of formula (I) wherein X is substituted by a hydroxy, a sulfanyl or an amino substituent may be found in its tautomeric form resulting from the shift of the proton of said hydroxy, sulfanyl or amino group. All tautomeric forms of such compounds of the present invention wherein X is substituted by a hydroxy, a sulfanyl or an amino substituent are also part of the present invention.
Illustration of the processes and intermediates
The present invention furthermore relates to processes for preparing compounds of formula (I). The present invention furthermore relates to intermediates in the synthesis of compounds of formula (I) such as compounds of formulae (V), (XII), (XV) and the preparation thereof. The compounds of formula (I) can be obtained by various routes in analogy to known prior art processes (see e.g. EP-A 0302366 and references cited therein) and by synthesis routes shown schematically below and in the experimental part of this application. Unless indicated otherwise, the radicals X, X1, X2, R1 and R2 have the meanings given above for the compounds of formula (I). These definitions apply not only to the end products of the formula (I) but likewise to all intermediates.
Process A (Scheme 1):
- -
Scheme 1: Process A- Preparation of ketones (II).
G represents halogen, -OSCh-Ci-Cs-alkyl, -OSCh-aryl, preferably -CI or -Br
Compounds (III) and/or (IV) are either commercially available or producible by processes described in the literature (see for instance Synthetic Communications, Volumel9, Issuel3-14, Pages2489-99, 1989). In a process according to Scheme 1, for example, 2-methyl-l-(pyridin-3-yl)propan-l-one (III) is reacted, preferably under anhydrous conditions, preferably in the presence of a base, with a compound of formula (IV) to yield to a ketone of formula (II).
Process B (Scheme 2):
Scheme 2: Process B - Preparation of compounds (la).
0
R1— Mg-Hal
x1
R1-Li
(la)
(II)
X X
In a process according to Scheme 2, for example, ketones (II) are subsequently reacted with nucleophilic substrates, such as a Grignard reagent of formula R'-Mg-Hal, wherein Hal stands for halogen or organolithium compounds R'Li or a hydride donor such as sodium borohydride to obtain alcohols (la). These transformations are preferably conducted under anhydrous conditions, optionally in the presence of a Lewis acid such as LaCl3x2LiCl or MgBr2xOEt2. Organo-lithium derivative of formula R'-Li are either commercially available or can be prepared by de- protonation of a compound of formula R'-H by an organolithium reagent such as methyllithium or n-
- - butyllithium preferably under anhydrous conditions. Optionally, a base such as lithiumdiisopropylamide or lithium bis(trimethylsilyl)amide, can be used.
Grignard reagent of formula R'-Mg-Hal , wherein Hal stands for halogen, are either commercially available or can be prepared by the reaction of a corresponding compound of formula R'-Hal, wherein Hal stands for halogen, with magnesium or with trans metalation reagents such as isopropylmagenesium halides.
Process C (Scheme 3):
Scheme 3: Process C- Preparation of compounds (lb).
In a process according to Scheme 3, for example, the compounds (la) obtained according to Process B can be converted by means of methods described in the literature to the corresponding compounds (lb) (see e.g. DE-A 3202604, JP-A 02101067, EP-A 225 739, CN-A 101824002, FR-A 2802772; WO-A 2012/175119, Bioorganic & Medicinal Chemistry Letters, 7207-7213, 2012; Journal of the American Chemical Society, 19358-19361, 2012, Journal of Organic Chemistry, 9458-9472, 2012; Organic Letters, 554-557, 2013; Journal of the American Chemical Society, 15556, 2012). Compounds of the general structure (la) are preferably reacted with alkylhalides, dialkylsulfates, anhydrides, acid chlorides, phosphorylchloride, alkylisocyanate, carbamoyl chlorides, carbono chloridates or imidocarbonates preferably in the presence of a base to obtain compounds (lb).
General
The processes A to C according to the invention for preparing compounds of the formula (I) are optionally performed using one or more reaction auxiliaries.
Useful reaction auxiliaries are, as appropriate, inorganic or organic bases or acid acceptors. These preferably include alkali metal or alkaline earth metal acetates, amides, carbonates, hydrogencarbonates, hydrides, hydroxides or alkoxides, for example sodium acetate, potassium acetate or calcium acetate, lithium amide,
- - sodium amide, potassium amide or calcium amide, sodium carbonate, potassium carbonate or calcium carbonate, sodium hydrogencarbonate, potassium hydrogencarbonate or calcium hydrogencarbonate, lithium hydride, sodium hydride, potassium hydride or calcium hydride, lithium hydroxide, sodium hydroxide, potassium hydroxide or calcium hydroxide, n-butyllithium, sec-butyllithium, tert-butyllithium, lithium diisopropylamide, lithium bis(trimethylsilyl)amide, sodium methoxide, ethoxide, n- or i-propoxide, n-, i-, s- or t-butoxide or potassium methoxide, ethoxide, n- or i-propoxide, n-, i-, s- or t-butoxide; and also basic organic nitrogen compounds, for example trimethylamine, triethylamine, tripropylamine, tributylamine, ethyldiisopropylamine, Ν,Ν-dimethylcyclohexylamine, dicyclohexylamine, ethyldicyclohexylamine, N,N- dimethylaniline, Ν,Ν-dimethylbenzylamine, pyridine, 2-methyl-, 3-methyl-, 4-methyl-, 2,4-dimethyl-, 2,6- dimethyl-, 3,4-dimethyl- and 3,5-dimethylpyridine, 5-ethyl-2-methylpyridine, 4-dimethylaminopyridine, N- methylpiperidine, l,4-diazabicyclo[2.2.2]-octane (DABCO), l,5-diazabicyclo[4.3.0]-non-5-ene (DBN) or 1,8- diazabicyclo[5.4.0]-undec-7-ene (DBU).
Useful reaction auxiliaries are, as appropriate, inorganic or organic acids. These preferably include inorganic acids, for example hydrogen fluoride, hydrogen chloride, hydrogen bromide and hydrogen iodide, sulphuric acid, phosphoric acid and nitric acid, and acidic salts such as NaHS04 and KHSO4, or organic acids, for example, formic acid, carbonic acid and alkanoic acids such as acetic acid, trifluoroacetic acid, trichloroacetic acid and propionic acid, and also glycolic acid, thiocyanic acid, lactic acid, succinic acid, citric acid, benzoic acid, cinnamic acid, oxalic acid, saturated or mono- or diunsaturated C6-C20 fatty acids, alkylsulphuric monoesters, alkylsulphonic acids (sulphonic acids having straight- chain or branched alkyl radicals having 1 to 20 carbon atoms), arylsulphonic acids or aryldisulphonic acids (aromatic radicals, such as phenyl and naphthyl, which bear one or two sulphonic acid groups), alkylphosphonic acids (phosphonic acids having straight- chain or branched alkyl radicals having 1 to 20 carbon atoms), arylphosphonic acids or aryldiphosphonic acids (aromatic radicals, such as phenyl and naphthyl, which bear one or two phosphonic acid radicals), where the alkyl and aryl radicals may bear further substituents, for example p-toluenesulphonic acid, salicylic acid, p-aminosalicylic acid, 2-phenoxybenzoic acid, 2-acetoxybenzoic acid, etc.
The processes A to C according to the invention are optionally performed using one or more diluents. Useful diluents are virtually all inert organic solvents. Unless otherwise indicated for the above described processes A to C, these preferably include aliphatic and aromatic, optionally halogenated hydrocarbons, such as pentane, hexane, heptane, cyclohexane, petroleum ether, benzine, ligroin, benzene, toluene, xylene, methylene chloride, ethylene chloride, chloroform, carbon tetrachloride, chlorobenzene and o-dichlorobenzene, ethers such as diethyl ether, dibutyl ether and methyl tert-butyl ether, glycol dimethyl ether and diglycol dimethyl ether, tetrahydrofuran and dioxane, ketones such as acetone, methyl ethyl ketone, methyl isopropyl ketone and methyl isobutyl ketone, esters, such as methyl acetate and ethyl acetate, nitriles, for example acetonitrile and propionitrile, amides, for example dimethylformamide, dimethylacetamide and N-methylpyrrolidone, and also dimethyl sulphoxide, tetramethylenesulphone and hexamethylphosphoramide and DMPU.
_ .
In the processes according to the invention, the reaction temperatures can be varied within a relatively wide range. In general, the temperatures employed are between -78°C and 250°C, preferably temperatures between - 78°C and 150°C.
The reaction time varies as a function of the scale of the reaction and of the reaction temperature, but is generally between a few minutes and 48 hours.
The processes according to the invention are generally performed under standard pressure. However, it is also possible to work under elevated or reduced pressure.
For performance of the processes according to the invention, the starting materials required in each case are generally used in approximately equimolar amounts. However, it is also possible to use one of the components used in each case in a relatively large excess.
After a reaction has ended, the compounds are optionally separated from the reaction mixture by one of the customary separation techniques. If necessary, the compounds are purified by recrystallization or chromatography.
If appropriate, in the processes A to C according to the invention also salts and/or N-oxides of the starting compounds can be used.
The invention further relates to novel intermediates of the compounds of formula (I), which form part of the invention.
Novel intermediates according to the present invention are novel compounds of formula (II)
X represents difluoromethyl, 2,2,2-trifluoroethyl, pentafluoroethyl, pentafluoro^6-sulfanyl, 1,1,2,2- tetrafluoroethoxy, 2,2,2-trifluoroethoxy, methylsulfoxymine;
XI and X2 represent independently form each other hydrogen, halogen, Ci-Cs-alkyl, Ci-Cs-haloalkyl, Ci-Cs- alkoxy, Ci-Cs-haloalkoxy;
- - and its salts or N-oxides.
As far as applicable the same radical definitions, explanations and preferred embodiments provided above with regard to the compound of formula (I) also apply to the intermediate of formula (II).
The compounds of the formula (I) according to the invention can be converted into physiologically acceptable salts, e.g. as acid addition salts or metal salt complexes.
Depending on the nature of the substituents defined above, the compounds of the formula (I) have acidic or basic properties and can form salts, if appropriate also inner salts, or adducts with inorganic or organic acids or with bases or with metal ions. If the compounds of the formula (I) carry amino, alkylamino or other groups which induce basic properties, these compounds can be reacted with acids to give salts, or they are directly obtained as salts in the synthesis. If the compounds of the formula (I) carries hydroxyl, carboxyl or other groups which induce acidic properties, these compounds can be reacted with bases to give salts. Suitable bases are, for example, hydroxides, carbonates, bicarbonates of the alkali metals and alkaline earth metals, in particular those of sodium, potassium, magnesium and calcium, furthermore ammonia, primary, secondary and tertiary amines having (Ci-C4)-alkyl groups, mono-, di- and trialkanolamines of (Ci-C4)-alkanols, choline and also chlorocholine.
The salts obtainable in this manner also have fungicidal properties.
Examples of inorganic acids are hydrohalic acids, such as hydrogen fluoride, hydrogen chloride, hydrogen bromide and hydrogen iodide, sulphuric acid, phosphoric acid and nitric acid, and acidic salts, such as NaHS04 and KHSO4. Suitable organic acids are, for example, formic acid, carbonic acid and alkanoic acids, such as acetic acid, trifluoroacetic acid, trichloroacetic acid and propionic acid, and also glycolic acid, thiocyanic acid, lactic acid, succinic acid, citric acid, benzoic acid, cinnamic acid, maleic acid, fumaric acid, tartaric acid, sorbic acid oxalic acid, alkylsulphonic acids (sulphonic acids having straight- chain or branched alkyl radicals of 1 to 20 carbon atoms), arylsulphonic acids or aryldisulphonic acids (aromatic radicals, such as phenyl and naphthyl, which carry one or two sulphonic acid groups), alkylphosphonic acids (phosphonic acids having straight- chain or branched alkyl radicals of 1 to 20 carbon atoms), arylphosphonic acids or aryldiphosphonic acids (aromatic radicals, such as phenyl and naphthyl, which carry one or two phosphonic acid radicals), where the alkyl and aryl radicals may carry further substituents, for example p-toluenesulphonic acid, 1,5-naphthalenedisulphonic acid, salicylic acid, p-aminosalicylic acid, 2-phenoxybenzoic acid, 2-acetoxybenzoic acid, etc. Suitable metal ions are in particular the ions of the elements of the second main group, in particular calcium and magnesium, of the third and fourth main group, in particular aluminium, tin and lead, and also of the first to eighth transition group, in particular chromium, manganese, iron, cobalt, nickel, copper, zinc and others. Particular preference is given to the metal ions of the elements of the fourth period. Here, the metals can be present in various valencies that they can assume.
_ _
The acid addition salts of the compounds of the formula (I) can be obtained in a simple manner by customary methods for forming salts, for example by dissolving a compound of the formula (I) in a suitable inert solvent and adding the acid, for example hydrochloric acid, and be isolated in a known manner, for example by filtration, and, if required, be purified by washing with an inert organic solvent.
Suitable anions of the salts are those which are preferably derived from the following acids: hydrohalic acids, such as, for example, hydrochloric acid and hydrobromic acid, furthermore phosphoric acid, nitric acid and sulphuric acid.
The metal salt complexes of compounds of the formula (I) can be obtained in a simple manner by customary processes, for example by dissolving the metal salt in alcohol, for example ethanol, and adding the solution to the compound of the formula (I). Metal salt complexes can be isolated in a known manner, for example by filtration, and, if required, be purified by recrystallization.
Salts of the intermediates can also be prepared according to the processes mentioned above for the salts of compounds of formula (I).
N-oxides of compounds of the formula (I) or intermediates thereof can be obtained in a simple manner by customary processes, for example by N-oxidation with hydrogen peroxide (H2O2), peracids, for example peroxy sulfuric acid or peroxy carboxylic acids, such as meta-chloroperoxybenzoic acid or peroxymonosulfuric acid (Caro's acid).
Methods and uses The invention also relates to a method for controlling unwanted microorganisms, characterized in that the compounds of the formula (I) are applied to the microorganisms and/or in their habitat.
The invention further relates to seed which has been treated with at least one compound of the formula (I).
The invention finally provides a method for protecting seed against unwanted microorganisms by using seed treated with at least one compound of the formula (I). The compounds of the formula (I) have potent microbicidal activity and can be used for control of unwanted microorganisms, such as fungi and bacteria, in crop protection and in the protection of materials.
The compounds of the formula (I) have very good fungicidal properties and can be used in crop protection, for example for control of Plasmodiophoromycetes, Oomycetes, Chytridiomycetes, Zygomycetes, Ascomycetes, Basidiomycetes and Deuteromycetes. Bactericides can be used in crop protection, for example, for control of Pseudomonadaceae, Rhizobiaceae, Enterobacteriaceae, Corynebacteriaceae and Streptomycetaceae.
_ _
The compounds of the formula (I) can be used for curative or protective control of phytopathogenic fungi. The invention therefore also relates to curative and protective methods for controlling phytopathogenic fungi by the use of the inventive active compounds or compositions, which are applied to the seed, the plant or plant parts, the fruit or the soil in which the plants grow.
Plants
All plants and plant parts can be treated in accordance with the invention. Plants are understood here to mean all plants and plant populations, such as desired and undesired wild plants or crop plants (including naturally occurring crop plants). Crop plants may be plants which can be obtained by conventional breeding and optimization methods or by biotechnological and genetic engineering methods or combinations of these methods, including the transgenic plants and including the plant cultivars which are protectable and non- protectable by plant breeders' rights. Plant parts are understood to mean all parts and organs of plants above and below the ground, such as shoot, leaf, flower and root, examples of which include leaves, needles, stalks, stems, flowers, fruit bodies, fruits and seeds, and also roots, tubers and rhizomes. The plant parts also include harvested material and vegetative and generative propagation material, for example cuttings, tubers, rhizomes, slips and seeds.
Plants which can be treated in accordance with the invention include the following: cotton, flax, grapevine, fruit, vegetables, such as Rosaceae sp. (for example pome fruits such as apples and pears, but also stone fruits such as apricots, cherries, almonds and peaches, and soft fruits such as strawberries), Ribesioidae sp., Juglandaceae sp., Betulaceae sp. , Anacardiaceae sp. , Fagaceae sp. , Moraceae sp. , Oleaceae sp. , Actinidaceae sp. , Lauraceae sp. , Musaceae sp. (for example banana trees and plantations), Rubiaceae sp. (for example coffee), Theaceae sp., Sterculiceae sp., Rutaceae sp. (for example lemons, oranges and grapefruit); Solanaceae sp. (for example tomatoes), Liliaceae sp., Aster aceae sp. (for example lettuce), Umbelliferae sp., Cruciferae sp., Chenopodiaceae sp., Cucurbitaceae sp. (for example cucumber), Alliaceae sp. (for example leek, onion), Papilionaceae sp. (for example peas); major crop plants, such as Gramineae sp. (for example maize, turf, cereals such as wheat, rye, rice, barley, oats, millet and triticale), Asteraceae sp. (for example sunflower), Brassicaceae sp. (for example white cabbage, red cabbage, broccoli, cauliflower, Brussels sprouts, pak choi, kohlrabi, radishes, and oilseed rape, mustard, horseradish and cress), Fabacae sp. (for example bean, peanuts), Papilionaceae sp. (for example soya bean), Solanaceae sp. (for example potatoes), Chenopodiaceae sp. (for example sugar beet, fodder beet, swiss chard, beetroot); useful plants and ornamental plants for gardens and wooded areas; and genetically modified varieties of each of these plants.
Pathogens
Non-limiting examples of pathogens of fungal diseases which can be treated in accordance with the invention include:
- - diseases caused by powdery mildew pathogens, for example Blumeria species, for example Blumeria graminis; Podosphaera species, for example Podosphaera leucotricha; Sphaerotheca species, for example Sphaerotheca fuliginea; Uncinula species, for example Uncinula necator; diseases caused by rust disease pathogens, for example Gymnosporangium species, for example Gymnosporangium sabinae; Hemileia species, for example Hemileia vastatrix; Phakopsora species, for example Phakopsora pachyrhizi or Phakopsora meibomiae; Puccinia species, for example Puccinia recondita, Puccinia graminis oder Puccinia striiformis; Uromyces species, for example Uromyces appendiculatus; diseases caused by pathogens from the group of the Oomycetes, for example Albugo species, for example Albugo Candida; Bremia species, for example Bremia lactucae; Peronospora species, for example Peronospora pisi or P. brassicae; Phytophthora species, for example Phytophthora infestans; Plasmopara species, for example Plasmopara viticola; Pseudoperonospora species, for example Pseudoperonospora humuli or Pseudoperonospora cubensis; Pythium species, for example Pythium ultimum; leaf blotch diseases and leaf wilt diseases caused, for example, by Alternaria species, for example Alternaria solani; Cercospora species, for example Cercospora beticola; Cladiosporium species, for example Cladiosporium cucumerinum; Cochliobolus species, for example Cochliobolus sativus (conidial form: Drechslera, syn: Helminthosporium) or Cochliobolus miyabeanus; Colletotrichum species, for example Colletotrichum lindemuthanium; Cycloconium species, for example Cycloconium oleaginum; Diaporthe species, for example Diaporthe citri; Elsinoe species, for example Elsinoe fawcettii; Gloeosporium species, for example Gloeosporium laeticolor; Glomerella species, for example Glomerella cingulata; Guignardia species, for example Guignardia bidwelli; Leptosphaeria species, for example Leptosphaeria maculans; Magnaporthe species, for example Magnaporthe grisea; Microdochium species, for example Microdochium nivale; Mycosphaerella species, for example Mycosphaerella graminicola, Mycosphaerella arachidicola or Mycosphaerella fijiensis; Phaeosphaeria species, for example Phaeosphaeria nodorum; Pyrenophora species, for example Pyrenophora teres or Pyrenophora tritici repentis; Ramularia species, for example Ramularia collo- cygni or Ramularia areola; Rhynchosporium species, for example Rhynchosporium secalis; Septoria species, for example Septoria apii or Septoria lycopersici; Stagonospora species, for example Stagonospora nodorum; Typhula species, for example Typhula incarnata; Venturia species, for example Venturia inaequalis; root and stem diseases caused, for example, by Corticium species, for example Corticium graminearum; Fusarium species, for example Fusarium oxysporum; Gaeumannomyces species, for example Gaeumannomyces graminis; Plasmodiophora species, for example Plasmodiophora brassicae; Rhizoctonia species, for example Rhizoctonia solani; Sarocladium species, for example Sarocladium oryzae; Sclerotium species, for example Sclerotium oryzae; Tapesia species, for example Tapesia acuformis; Thielaviopsis species, for example Thielaviopsis basicola; ear and panicle diseases (including corn cobs) caused, for example, by Alternaria species, for example Alternaria spp.; Aspergillus species, for example Aspergillus flavus; Cladosporium species, for example Cladosporium cladosporioides; Claviceps species, for example Claviceps purpurea; Fusarium species, for
_ _ example Fusarium culmorum; Gibberella species, for example Gibberella zeae; Monographella species, for example Monographella nivalis; Stagnospora species, for example Stagnospora nodorum; diseases caused by smut fungi, for example Sphacelotheca species, for example Sphacelotheca reiliana; Tilletia species, for example Tilletia caries or Tilletia controversa; Urocystis species, for example Urocystis occulta; Ustilago species, for example Ustilago nuda; fruit rot caused, for example, by Aspergillus species, for example Aspergillus flavus; Botrytis species, for example Botrytis cinerea; Penicillium species, for example Penicillium expansum or Penicillium purpurogenum; Rhizopus species, for example Rhizopus stolonifer; Sclerotinia species, for example Sclerotinia sclerotiorum; Verticilium species, for example Verticilium alboatrum; seed- and soil-borne rot and wilt diseases, and also diseases of seedlings, caused, for example, by Alternaria species, for example Alternaria brassicicola; Aphanomyces species, for example Aphanomyces euteiches; Ascochyta species, for example Ascochyta lentis; Aspergillus species, for example Aspergillus flavus; Cladosporium species, for example Cladosporium herbarum; Cochliobolus species, for example Cochliobolus sativus (conidial form: Drechslera, Bipolaris Syn: Helminthosporium); Colletotrichum species, for example Colletotrichum coccodes; Fusarium species, for example Fusarium culmorum; Gibberella species, for example Gibberella zeae; Macrophomina species, for example Macrophomina phaseolina; Microdochium species, for example Microdochium nivale; Monographella species, for example Monographella nivalis; Penicillium species, for example Penicillium expansum; Phoma species, for example Phoma lingam; Phomopsis species, for example Phomopsis sojae; Phytophthora species, for example Phytophthora cactorum; Pyrenophora species, for example Pyrenophora graminea; Pyricularia species, for example Pyricularia oryzae; Pythium species, for example Pythium ultimum; Rhizoctonia species, for example Rhizoctonia solani; Rhizopus species, for example Rhizopus oryzae; Sclerotium species, for example Sclerotium rolfsii; Septoria species, for example Septoria nodorum; Typhula species, for example Typhula incarnata; Verticillium species, for example Verticillium dahliae; cancers, galls and witches' broom caused, for example, by Nectria species, for example Nectria galligena; wilt diseases caused, for example, by Monilinia species, for example Monilinia laxa; deformations of leaves, flowers and fruits caused, for example, by Exobasidium species, for example Exobasidium vexans; Taphrina species, for example Taphrina deformans; degenerative diseases in woody plants, caused, for example, by Esca species, for example Phaeomoniella chlamydospora, Phaeoacremonium aleophilum or Fomitiporia mediterranea; Ganoderma species, for example Ganoderma boninense; diseases of flowers and seeds caused, for example, by Botrytis species, for example Botrytis cinerea;
- - diseases of plant tubers caused, for example, by Rhizoctonia species, for example Rhizoctonia solani; Helminthosporium species, for example Helminthosporium solani; diseases caused by bacterial pathogens, for example Xanthomonas species, for example Xanthomonas campestris pv. oryzae; Pseudomonas species, for example Pseudomonas syringae pv. lachrymans; Erwinia species, for example Erwinia amylovora.
Preference is given to controlling the following diseases of soya beans:
Fungal diseases on leaves, stems, pods and seeds caused, for example, by Alternaria leaf spot (Alternaria spec, atrans tenuissima), Anthracnose (Colletotrichum gloeosporoides dematium var. truncatum), brown spot (Septoria glycines), cercospora leaf spot and blight (Cercospora kikuchii), choanephora leaf blight (Choanephora infundibulifera trispora (Syn.)), dactuliophora leaf spot (Dactuliophora glycines), downy mildew (Peronospora manshurica), drechslera blight (Drechslera glycini), frogeye leaf spot (Cercospora sojina), leptosphaerulina leaf spot (Leptosphaerulina trifolii), phyllostica leaf spot (Phyllosticta sojaecola), pod and stem blight (Phomopsis sojae), powdery mildew (Microsphaera diffusa), pyrenochaeta leaf spot (Pyrenochaeta glycines), rhizoctonia aerial, foliage, and web blight (Rhizoctonia solani), rust (Phakopsora pachyrhizi, Phakopsora meibomiae), scab (Sphaceloma glycines), stemphylium leaf blight (Stemphylium botryosum), target spot (Corynespora cassiicola).
Fungal diseases on roots and the stem base caused, for example, by black root rot (Calonectria crotalariae), charcoal rot (Macrophomina phaseolina), fusarium blight or wilt, root rot, and pod and collar rot (Fusarium oxysporum, Fusarium orthoceras, Fusarium semitectum, Fusarium equiseti), mycoleptodiscus root rot (Mycoleptodiscus terrestris), neocosmospora (Neocosmospora vasinfecta), pod and stem blight (Diaporthe phaseolorum), stem canker (Diaporthe phaseolorum var. caulivora), phytophthora rot (Phytophthora megasperma), brown stem rot (Phialophora gregata), pythium rot (Pythium aphanidermatum, Pythium irregulare, Pythium debaryanum, Pythium myriotylum, Pythium ultimum), rhizoctonia root rot, stem decay, and damping-off (Rhizoctonia solani), sclerotinia stem decay (Sclerotinia sclerotiorum), sclerotinia southern blight (Sclerotinia rolfsii), thielaviopsis root rot (Thielaviopsis basicola).
Plant Growth Regulation
In some cases, the compounds of the formula (I) can, at particular concentrations or application rates, also be used as growth regulators or agents to improve plant properties, or as microbicides, for example as fungicides, antimycotics, bactericides, viricides (including compositions against viroids) or as compositions against MLO (Mycoplasma-like organisms) and RLO (Rickettsia-like organisms).
The compounds of the formula (I) intervene in physiological processes of plants and can therefore also be used as plant growth regulators. Plant growth regulators may exert various effects on plants. The effect of the substances depends essentially on the time of application in relation to the developmental stage of the plant, and
_ _ also on the amounts of active ingredient applied to the plants or their environment and on the type of application. In each case, growth regulators should have a particular desired effect on the crop plants.
Growth regulating effects, comprise earlier germination, better emergence, more developed root system and/or improved root growth, increased ability of tillering, more productive tillers, earlier flowering, increased plant height and/or biomass, shorting of stems, improvements in shoot growth, number of kernels/ear, number of ears/m2, number of stolons and/or number of flowers, enhanced harvest index, bigger leaves, less dead basal leaves, improved phyllotaxy, earlier maturation / earlier fruit finish, homogenous riping, increased duration of grain filling, better fruit finish, bigger fruit/vegetable size, sprouting resistance and reduced lodging.
Increased or improved yield is referring to total biomass per hectare, yield per hectare, kernel/fruit weight, seed size and/or hectolitre weight as well as to improved product quality, comprising: improved processability relating to size distribution (kernel, fruit, etc.), homogenous riping, grain moisture, better milling, better vinification, better brewing, increased juice yield, harve stability, digestibility, sedimentation value, falling number, pod stability, storage stability, improved fiber length/strength/uniformity, increase of milk and/or meet quality of silage fed animals, adaption to cooking and frying; further comprising improved marketability relating to improved fruit/grain quality, size distribution (kernel, fruit, etc.), increased storage / shelf-life, firmness / softness, taste (aroma, texture, etc.), grade (size, shape, number of berries, etc.), number of berries/fruits per bunch, crispness, freshness, coverage with wax, frequency of physiological disorders, colour, etc.; further comprising increased desired ingredients such as e.g. protein content, fatty acids, oil content, oil quality, aminoacid composition, sugar content, acid content (pH), sugar/acid ratio (Brix), polyphenols, starch content, nutritional quality, gluten content/index, energy content, taste, etc.; and further comprising decreased undesired ingredients such as e.g. less mycotoxines, less aflatoxines, geosmin level, phenolic aromas, lacchase, polyphenol oxidases and peroxidases, nitrate content etc.
Plant growth-regulating compounds can be used, for example, to slow down the vegetative growth of the plants. Such growth depression is of economic interest, for example, in the case of grasses, since it is thus possible to reduce the frequency of grass cutting in ornamental gardens, parks and sport facilities, on roadsides, at airports or in fruit crops. Also of significance is the inhibition of the growth of herbaceous and woody plants on roadsides and in the vicinity of pipelines or overhead cables, or quite generally in areas where vigorous plant growth is unwanted. Also important is the use of growth regulators for inhibition of the longitudinal growth of cereal. This reduces or completely eliminates the risk of lodging of the plants prior to harvest. In addition, growth regulators in the case of cereals can strengthen the culm, which also counteracts lodging. The employment of growth regulators for shortening and strengthening culms allows the deployment of higher fertilizer volumes to increase the yield, without any risk of lodging of the cereal crop.
-
In many crop plants, vegetative growth depression allows denser planting, and it is thus possible to achieve higher yields based on the soil surface. Another advantage of the smaller plants obtained in this way is that the crop is easier to cultivate and harvest.
Reduction of the vegetative plant growth may also lead to increased or improved yields because the nutrients and assimilates are of more benefit to flower and fruit formation than to the vegetative parts of the plants.
Alternatively, growth regulators can also be used to promote vegetative growth. This is of great benefit when harvesting the vegetative plant parts. However, promoting vegetative growth may also promote generative growth in that more assimilates are formed, resulting in more or larger fruits.
Furthermore, beneficial effects on growth or yield can be achieved through improved nutrient use efficiency, especially nitrogen (N)-use efficiency, phosphours (P)-use efficiency, water use efficiency, improved transpiration, respiration and/or C02 assimilation rate, better nodulation, improved Ca-metabolism etc.
Likewise, growth regulators can be used to alter the composition of the plants, which in turn may result in an improvement in quality of the harvested products. Under the influence of growth regulators, parthenocarpic fruits may be formed. In addition, it is possible to influence the sex of the flowers. It is also possible to produce sterile pollen, which is of great importance in the breeding and production of hybrid seed.
Use of growth regulators can control the branching of the plants. On the one hand, by breaking apical dominance, it is possible to promote the development of side shoots, which may be highly desirable particularly in the cultivation of ornamental plants, also in combination with an inhibition of growth. On the other hand, however, it is also possible to inhibit the growth of the side shoots. This effect is of particular interest, for example, in the cultivation of tobacco or in the cultivation of tomatoes.
Under the influence of growth regulators, the amount of leaves on the plants can be controlled such that defoliation of the plants is achieved at a desired time. Such defoliation plays a major role in the mechanical harvesting of cotton, but is also of interest for facilitating harvesting in other crops, for example in viticulture. Defoliation of the plants can also be undertaken to lower the transpiration of the plants before they are transplanted.
Furthermore, growth regulators can modulate plant senescence, which may result in prolonged green leaf area duration, a longer grain filling phase, improved yield quality, etc.
Growth regulators can likewise be used to regulate fruit dehiscence. On the one hand, it is possible to prevent premature fruit dehiscence. On the other hand, it is also possible to promote fruit dehiscence or even flower abortion to achieve a desired mass ("thinning"). In addition it is possible to use growth regulators at the time of harvest to reduce the forces required to detach the fruits, in order to allow mechanical harvesting or to facilitate manual harvesting.
-
Growth regulators can also be used to achieve faster or else delayed ripening of the harvested material before or after harvest. This is particularly advantageous as it allows optimal adjustment to the requirements of the market. Moreover, growth regulators in some cases can improve the fruit colour. In addition, growth regulators can also be used to synchronize maturation within a certain period of time. This establishes the prerequisites for complete mechanical or manual harvesting in a single operation, for example in the case of tobacco, tomatoes or coffee.
By using growth regulators, it is additionally possible to influence the resting of seed or buds of the plants, such that plants such as pineapple or ornamental plants in nurseries, for example, germinate, sprout or flower at a time when they are normally not inclined to do so. In areas where there is a risk of frost, it may be desirable to delay budding or germination of seeds with the aid of growth regulators, in order to avoid damage resulting from late frosts.
Finally, growth regulators can induce resistance of the plants to frost, drought or high salinity of the soil. This allows the cultivation of plants in regions which are normally unsuitable for this purpose.
Resistance Induction / Plant Health and other effects
The compounds of the formula (I) also exhibit a potent strengthening effect in plants. Accordingly, they can be used for mobilizing the defences of the plant against attack by undesirable microorganisms.
Plant- strengthening (resistance-inducing) substances in the present context are substances capable of stimulating the defence system of plants in such a way that the treated plants, when subsequently inoculated with undesirable microorganisms, develop a high degree of resistance to these microorganisms.
Further, in context with the present invention plant physiology effects comprise the following:
Abiotic stress tolerance, comprising tolerance to high or low temperatures, drought tolerance and recovery after drought stress, water use efficiency (correlating to reduced water consumption), flood tolerance, ozone stress and UV tolerance, tolerance towards chemicals like heavy metals, salts, pesticides etc. Biotic stress tolerance, comprising increased fungal resistance and increased resistance against nematodes, viruses and bacteria. In context with the present invention, biotic stress tolerance preferably comprises increased fungal resistance and increased resistance against nematodes.
Increased plant vigor, comprising plant health / plant quality and seed vigor, reduced stand failure, improved appearance, increased recovery after periods of stress, improved pigmentation (e.g. chlorophyll content, stay- green effects, etc.) and improved photosynthetic efficiency.
- -
Mycotoxins
In addition, the compounds of the formula (I) can reduce the mycotoxin content in the harvested material and the foods and feeds prepared therefrom. Mycotoxins include particularly, but not exclusively, the following: deoxynivalenol (DON), nival enol, 15-Ac-DON, 3-Ac-DON, T2- and HT2-toxin, furnonisins, zearalenon, moniliformin, fusarin, diaceotoxyscirpenol (DAS), beauvericin, enniatin, fusaroproliferin, fusarenol, ochratoxins, patulin, ergot alkaloids and aflatoxins which can be produced, for example, by the following fungi: Fusarium spec, such as F. acuminatum, F. asiaticum, F. avenaceum, F. crookwellense, F. culmorum, F. graminearum (Gibberella zeae), F. equiseti, F.fujikoroi, F. musarum, F. oxysporum, F. proliferatum, F. poae, F. pseudograminearum, F. sambucinum, F. scirpi, F. semitectum, F. solani, F. sporotrichoides, F. langsethiae, F. subglutinans, F. tricinctum, F. verticillioides etc., and also by Aspergillus spec, such as A. flavus, A. parasiticus, A. nomius, A. ochraceus, A. clavatus, A. terreus, A. versicolor, Penicillium spec, such as P. verrucosum, P. viridicatum, P. citrinum, P. expansum, P. claviforme, P. roqueforti, Claviceps spec, such as C. purpurea, C. fusiformis, C. paspali, C. africana, Stachybotrys spec, and others.
Material Protection
The compounds of the formula (I) can also be used in the protection of materials, for protection of industrial materials against attack and destruction by phytopathogenic fungi.
In addition, the compounds of the formula (I) can be used as antifouling compositions, alone or in combinations with other active ingredients. Industrial materials in the present context are understood to mean inanimate materials which have been prepared for use in industry. For example, industrial materials which are to be protected by inventive compositions from microbial alteration or destruction may be adhesives, glues, paper, wallpaper and board/cardboard, textiles, carpets, leather, wood, fibers and tissues, paints and plastic articles, cooling lubricants and other materials which can be infected with or destroyed by microorganisms. Parts of production plants and buildings, for example cooling-water circuits, cooling and heating systems and ventilation and air-conditioning units, which may be impaired by the proliferation of microorganisms may also be mentioned within the scope of the materials to be protected. Industrial materials within the scope of the present invention preferably include adhesives, sizes, paper and card, leather, wood, paints, cooling lubricants and heat transfer fluids, more preferably wood.
The compounds of the formula (I) may prevent adverse effects, such as rotting, decay, discoloration, decoloration or formation of mould.
In the case of treatment of wood the compounds of the formula (I) may also be used against fungal diseases liable to grow on or inside timber. The term "timber" means all types of species of wood, and all types of working of this wood intended for construction, for example solid wood, high-density wood, laminated wood, and plywood. The method for treating timber according to the invention mainly consists in contacting a
- composition according to the invention; this includes for example direct application, spraying, dipping, injection or any other suitable means.
In addition, the compounds of the formula (I) can be used to protect objects which come into contact with saltwater or brackish water, especially hulls, screens, nets, buildings, moorings and signalling systems, from fouling.
The compounds of the formula (I) can also be employed for protecting storage goods. Storage goods are understood to mean natural substances of vegetable or animal origin or processed products thereof which are of natural origin, and for which long-term protection is desired. Storage goods of vegetable origin, for example plants or plant parts, such as stems, leaves, tubers, seeds, fruits, grains, can be protected freshly harvested or after processing by (pre)drying, moistening, comminuting, grinding, pressing or roasting. Storage goods also include timber, both unprocessed, such as construction timber, electricity poles and barriers, or in the form of finished products, such as furniture. Storage goods of animal origin are, for example, hides, leather, furs and hairs. The inventive compositions may prevent adverse effects, such as rotting, decay, discoloration, decoloration or formation of mould. Microorganisms capable of degrading or altering the industrial materials include, for example, bacteria, fungi, yeasts, algae and slime organisms. The compounds of the formula (I) preferably act against fungi, especially moulds, wood-discoloring and wood-destroying fungi (Ascomycetes, Basidiomycetes, Deuteromycetes and Zygomycetes), and against slime organisms and algae. Examples include microorganisms of the following genera: Alternaria, such as Alternaria tenuis; Aspergillus, such as Aspergillus niger; Chaetomium, such as Chaetomium globosum; Coniophora, such as Coniophora puetana; Lentinus, such as Lentinus tigrinus; Penicillium, such as Penicillium glaucum; Polyporus, such as Polyporus versicolor, Aureobasidium, such as Aureobasidium pullulans; Sclerophoma, such as Sclerophoma pityophila; Trichoderma, such as Trichoderma viride; Ophiostoma spp., Ceratocystis spp., Humicola spp., Petriella spp., Trichurus spp., Coriolus spp., Gloeophyllum spp., Pleurotus spp., Poria spp., Serpula spp. and Tyromyces spp., Cladosporium spp., Paecilomyces spp. Mucor spp., Escherichia, such as Escherichia coli; Pseudomonas, such as Pseudomonas aeruginosa; Staphylococcus, such as Staphylococcus aureus, Candida spp. and Saccharomyces spp., such as Saccharomyces cerevisae.
Formulations The present invention further relates to a composition for controlling unwanted microorganisms, comprising at least one of the compounds of the formula (I). These are preferably fungicidal compositions which comprise agriculturally suitable auxiliaries, solvents, carriers, surfactants or extenders.
According to the invention, a carrier is a natural or synthetic, organic or inorganic substance with which the active ingredients are mixed or combined for better applicability, in particular for application to plants or plant
- parts or seed. The carrier, which may be solid or liquid, is generally inert and should be suitable for use in agriculture.
Useful solid carriers include: for example ammonium salts and natural rock flours, such as kaolins, clays, talc, chalk, quartz, attapulgite, montmorillonite or diatomaceous earth, and synthetic rock flours, such as finely divided silica, alumina and silicates; useful solid carriers for granules include: for example, crushed and fractionated natural rocks such as calcite, marble, pumice, sepiolite and dolomite, and also synthetic granules of inorganic and organic flours, and granules of organic material such as paper, sawdust, coconut shells, maize cobs and tobacco stalks; useful emulsifiers and/or foam-formers include: for example nonionic and anionic emulsifiers, such as polyoxyethylene fatty acid esters, polyoxyethylene fatty alcohol ethers, for example alkylaryl polyglycol ethers, alkylsulphonates, alkyl sulphates, arylsulphonates and also protein hydrolysates; suitable dispersants are nonionic and/or ionic substances, for example from the classes of the alcohol-POE and/or -POP ethers, acid and/or POP POE esters, alkylaryl and/or POP POE ethers, fat and/or POP POE adducts, POE- and/or POP-polyol derivatives, POE- and/or POP-sorbitan or -sugar adducts, alkyl or aryl sulphates, alkyl- or arylsulphonates and alkyl or aryl phosphates or the corresponding PO-ether adducts. Additionally suitable are oligo- or polymers, for example those derived from vinylic monomers, from acrylic acid, from EO and/or PO alone or in combination with, for example, (poly)alcohols or (poly)amines. It is also possible to use lignin and its sulphonic acid derivatives, unmodified and modified celluloses, aromatic and/or aliphatic sulphonic acids and also their adducts with formaldehyde.
The active ingredients can be converted to the customary formulations, such as solutions, emulsions, wettable powders, water- and oil-based suspensions, powders, dusts, pastes, soluble powders, soluble granules, granules for broadcasting, suspoemulsion concentrates, natural products impregnated with active ingredient, synthetic substances impregnated with active ingredient, fertilizers and also microencapsulations in polymeric substances.
The active ingredients can be applied as such, in the form of their formulations or the use forms prepared therefrom, such as ready-to-use solutions, emulsions, water- or oil-based suspensions, powders, wettable powders, pastes, soluble powders, dusts, soluble granules, granules for broadcasting, suspoemulsion concentrates, natural products impregnated with active ingredient, synthetic substances impregnated with active ingredient, fertilizers and also microencapsulations in polymeric substances. Application is accomplished in a customary manner, for example by watering, spraying, atomizing, broadcasting, dusting, foaming, spreading-on and the like. It is also possible to deploy the active ingredients by the ultra-low volume method or to inject the active ingredient preparation/the active ingredient itself into the soil. It is also possible to treat the seed of the plants.
The formulations mentioned can be prepared in a manner known per se, for example by mixing the active ingredients with at least one customary extender, solvent or diluent, emulsifier, dispersant and/or binder or fixing agent, wetting agent, a water repellent, if appropriate siccatives and UV stabilizers and if appropriate dyes and pigments, antifoams, preservatives, secondary thickeners, stickers, gibberellins and also other processing auxiliaries.
-
The present invention includes not only formulations which are already ready for use and can be deployed with a suitable apparatus to the plant or the seed, but also commercial concentrates which have to be diluted with water prior to use.
The compounds of the formula (I) may be present as such or in their (commercial) formulations and in the use forms prepared from these formulations as a mixture with other (known) active ingredients, such as insecticides, attractants, sterilants, bactericides, acaricides, nematicides, fungicides, growth regulators, herbicides, fertilizers, safeners and/or semiochemicals.
The auxiliaries used may be those substances which are suitable for imparting particular properties to the composition itself or and/or to preparations derived therefrom (for example spray liquors, seed dressings), such as certain technical properties and/or also particular biological properties. Typical auxiliaries include: extenders, solvents and carriers.
Suitable extenders are, for example, water, polar and nonpolar organic chemical liquids, for example from the classes of the aromatic and nonaromatic hydrocarbons (such as paraffins, alkylbenzenes, alkylnaphthalenes, chlorobenzenes), the alcohols and polyols (which may optionally also be substituted, etherified and/or esterified), the ketones (such as acetone, cyclohexanone), esters (including fats and oils) and (poly)ethers, the unsubstituted and substituted amines, amides, lactams (such as N-alkylpyrrolidones) and lactones, the sulphones and sulphoxides (such as dimethyl sulphoxide).
Liquefied gaseous extenders or carriers are understood to mean liquids which are gaseous at standard temperature and under standard pressure, for example aerosol propellants such as halohydrocarbons, or else butane, propane, nitrogen and carbon dioxide.
In the formulations it is possible to use tackifiers such as carboxymethylcellulose, natural and synthetic polymers in the form of powders, granules or latices, such as gum arabic, polyvinyl alcohol and polyvinyl acetate, or else natural phospholipids such as cephalins and lecithins and synthetic phospholipids. Further additives may be mineral and vegetable oils. If the extender used is water, it is also possible to use, for example, organic solvents as auxiliary solvents. Useful liquid solvents are essentially: aromatics such as xylene, toluene or alkylnaphthalenes, chlorinated aromatics or chlorinated aliphatic hydrocarbons such as chlorobenzenes, chloroethylenes or methylene chloride, aliphatic hydrocarbons such as cyclohexane or paraffins, for example petroleum fractions, alcohols such as butanol or glycol and their ethers and esters, ketones such as acetone, methyl ethyl ketone, methyl isobutyl ketone or cyclohexanone, strongly polar solvents such as dimethylformamide and dimethyl sulphoxide, or else water.
Compositions comprising compounds of the formula (I) may additionally comprise further components, for example surfactants. Suitable surfactants are emulsifiers and/or foam formers, dispersants or wetting agents having ionic or nonionic properties, or mixtures of these surfactants. Examples thereof are salts of polyacrylic acid, salts of lignosulphonic acid, salts of phenolsulphonic acid or naphthalenesulphonic acid, polycondensates
- - of ethylene oxide with fatty alcohols or with fatty acids or with fatty amines, substituted phenols (preferably alkylphenols or arylphenols), salts of sulphosuccinic esters, taurine derivatives (preferably alkyl taurates), phosphoric esters of polyethoxylated alcohols or phenols, fatty esters of polyols, and derivatives of the compounds containing sulphates, sulphonates and phosphates, for example alkylaryl polyglycol ethers, alkylsulphonates, alkyl sulphates, arylsulphonates, protein hydrolysates, lignosulphite waste liquors and methylcellulose. The presence of a surfactant is necessary if one of the active ingredients and/or one of the inert carriers is insoluble in water and when application is effected in water. The proportion of surfactants is between 5 and 40 per cent by weight of the inventive composition.
It is possible to use dyes such as inorganic pigments, for example iron oxide, titanium oxide and Prussian Blue, and organic dyes such as alizarin dyes, azo dyes and metal phthalocyanine dyes, and trace nutrients such as salts of iron, manganese, boron, copper, cobalt, molybdenum and zinc.
Further additives may be perfumes, mineral or vegetable, optionally modified oils, waxes and nutrients (including trace nutrients), such as salts of iron, manganese, boron, copper, cobalt, molybdenum and zinc.
Additional components may be stabilizers, such as cold stabilizers, preservatives, antioxidants, light stabilizers, or other agents which improve chemical and/or physical stability.
If appropriate, other additional components may also be present, for example protective colloids, binders, adhesives, thickeners, thixotropic substances, penetrants, stabilizers, sequestering agents, complex formers. In general, the active ingredients can be combined with any solid or liquid additive commonly used for formulation purposes. The formulations contain generally between 0.05 and 99% by weight, 0.01 and 98%> by weight, preferably between 0.1 and 95%o by weight, more preferably between 0.5 and 90%o of active ingredient, most preferably between 10 and 70 per cent by weight.
The formulations described above can be used for controlling unwanted microorganisms, in which the compositions comprising compounds of the formula (I) are applied to the microorganisms and/or in their habitat.
Mixtures
Compounds of the formula (I) can be used as such or in formulations thereof and can be mixed with known fungicides, bactericides, acaricides, nematicides or insecticides, in order thus to broaden, for example, the activity spectrum or to prevent development of resistance.
Useful mixing partners include, for example, known fungicides, insecticides, acaricides, nematicides or else bactericides (see also Pesticide Manual, 14th ed.).
-
A mixture with other known active ingredients, such as herbicides, or with fertilizers and growth regulators, safeners and/or semiochemicals, is also possible.
Seed Treatment The invention furthermore includes a method for treating seed.
A further aspect of the present invention relates in particular to seeds (dormant, primed, pregerminated or even with emerged roots and leaves) treated with at least one of the compounds of the formula (I). The inventive seeds are used in methods for protection of seeds and emerged plants from the seeds from phytopathogemc harmful fungi. In these methods, seed treated with at least one inventive active ingredient is used. The compounds of the formula (I) are also suitable for the treatment of seeds and young seedlings. A large part of the damage to crop plants caused by harmful organisms is triggered by the infection of the seeds before sowing or after germination of the plant. This phase is particularly critical since the roots and shoots of the growing plant are particularly sensitive, and even small damage may result in the death of the plant. Accordingly, there is great interest in protecting the seed and the germinating plant by using appropriate compositions.
It is also desirable to optimize the amount of the active ingredient used so as to provide the best possible protection for the seeds, the germinating plants and emerged seedlings from attack by phytopathogemc fungi, but without damaging the plants themselves by the active ingredient used. In particular, methods for the treatment of seed should also take into consideration the intrinsic phenotypes of transgenic plants in order to achieve optimum protection of the seed and the germinating plant with a minimum of crop protection compositions being employed.
The present invention therefore also relates to a method for protecting seeds, germinating plants and emerged seedlings against attack by animal pests and/or phytopathogemc harmful microorganisms by treating the seeds with an inventive composition. The invention also relates to the use of the compositions according to the invention for treating seeds for protecting the seeds, the germinating plants and emerged seedlings against animal pests and/or phytopathogemc microorganisms. The invention further relates to seeds which has been treated with an inventive composition for protection from animal pests and/or phytopathogemc microorganisms.
One of the advantages of the present invention is that the treatment of the seeds with these compositions not only protects the seed itself, but also the resulting plants after emergence, from animal pests and/or phytopathogemc harmful microorganisms. In this way, the immediate treatment of the crop at the time of sowing or shortly thereafter protect plants as well as seed treatment in prior to sowing. It is likewise considered to be advantageous that the inventive active ingredients or compositions can be used especially also for transgenic seed, in which case the plant which grows from this seed is capable of expressing a protein which acts against pests, herbicidal damage or abiotic stress. The treatment of such seeds with the inventive active
- ingredients or compositions, for example an insecticidal protein, can result in control of certain pests. Surprisingly, a further synergistic effect can be observed in this case, which additionally increases the effectiveness for protection against attack by pests., microorganisms, weeds or abiotic stress.
The compounds of the formula (I) are suitable for protection of seed of any plant variety which is used in agriculture, in the greenhouse, in forests or in horticulture. More particularly, the seed is that of cereals (such as wheat, barley, rye, millet and oats), oilseed rape, maize, cotton, soybeen, rice, potatoes, sunflower, beans, coffee, beet (e.g. sugar beet and fodder beet), peanut, vegetables (such as tomato, cucumber, onions and lettuce), lawns and ornamental plants. Of particular significance is the treatment of the seed ofwheat, soybean, oilseed rape, maize and rice. As also described below, the treatment of transgenic seed with the inventive active ingredients or compositions is of particular significance. This refers to the seed of plants containing at least one heterologous gene which allows the expression of a polypeptide or protein, e.g. having insecticidal properties. These heterologous genes in transgenic seeds may originate, for example, from microorganisms of the species Bacillus, Rhizobium, Pseudomonas, Serratia, Trichoderma, Clavibacter, Glomus or Gliocladium. These heterologous genes preferably originates from Bacillus sp., in which case the gene product is effective against the European corn borer and/or the Western corn rootworm. Particularly preferably, the heterologous genes originate from Bacillus thuringiensis.
In the context of the present invention, the inventive composition is applied to seeds either alone or in a suitable formulation. Preferably, the seed is treated in a state in which it is sufficiently stable for no damage to occur in the course of treatment. In general, seeds can be treated at any time between harvest and some time after sowing. It is customary to use seed which has been separated from the plant and freed from cobs, shells, stalks, coats, hairs or the flesh of the fruits. For example, it is possible to use seed which has been harvested, cleaned and dried down to a moisture content of less than 15% by weight. Alternatively, it is also possible to use seed which, after drying, for example, has been treated with water and then dried again, or seeds just after priming, or seeds stored in primed conditions or pre-germinated seeds, or seeds sown on nursery trays, tapes or paper.
When treating the seeds, it generally has to be ensured that the amount of the inventive composition applied to the seed and/or the amount of further additives is selected such that the germination of the seed is not impaired, or that the resulting plant is not damaged. This must be ensured particularly in the case of active ingredients which can exhibit phytotoxic effects at certain application rates. The compounds of the formula (I) can be applied directly, i.e. without containing any other components and without having been diluted. In general, it is preferable to apply the compositions to the seed in the form of a suitable formulation. Suitable formulations and methods for seed treatment are known to those skilled in the art. The compounds of the formula (I) can be converted to the customary formulations relevant to on-seed applications, such as solutions, emulsions, suspensions, powders, foams, slurries or combined with other coating compositions for seed, such as film forming materials, pelleting materials, fine iron or other metal powders, granules, coating material for inactivated seeds, and also ULV formulations.
-
These formulations are prepared in a known manner, by mixing the active ingredients or active ingredient combinations with customary additives, for example customary extenders and solvents or diluents, dyes, wetting agents, dispersants, emulsifiers, antifoams, preservatives, secondary thickeners, adhesives, gibberellins, and also water. Useful dyes which may be present in the seed dressing formulations usable in accordance with the invention are all dyes which are customary for such purposes. It is possible to use either pigments, which are sparingly soluble in water, or dyes, which are soluble in water. Examples include the dyes known by the names Rhodamine B, C.I. Pigment Red 112 and C.I. Solvent Red 1.
Useful wetting agents which may be present in the seed dressing formulations usable in accordance with the invention are all substances which promote wetting and which are conventionally used for the formulation of active agrochemical ingredients. Usable with preference are alkylnaphthalenesulphonates, such as diisopropyl- or diisobutylnaphthalenesulphonates.
Useful dispersants and/or emulsifiers which may be present in the seed dressing formulations usable in accordance with the invention are all nonionic, anionic and cationic dispersants conventionally used for the formulation of active agrochemical ingredients. Usable with preference are nonionic or anionic dispersants or mixtures of nonionic or anionic dispersants. Useful nonionic dispersants include especially ethylene oxide/propylene oxide block polymers, alkylphenol polyglycol ethers and tristryrylphenol polyglycol ether, and the phosphated or sulphated derivatives thereof. Suitable anionic dispersants are especially lignosulphonates, polyacrylic acid salts and arylsulphonate/formaldehyde condensates. Antifoams which may be present in the seed dressing formulations usable in accordance with the invention are all foam-inhibiting substances conventionally used for the formulation of active agrochemical ingredients. Silicone antifoams and magnesium stearate can be used with preference.
Preservatives which may be present in the seed dressing formulations usable in accordance with the invention are all substances usable for such purposes in agrochemical compositions. Examples include dichlorophene and benzyl alcohol hemiformal.
Secondary thickeners which may be present in the seed dressing formulations usable in accordance with the invention are all substances usable for such purposes in agrochemical compositions. Preferred examples include cellulose derivatives, acrylic acid derivatives, xanthan, modified clays and finely divided silica.
Adhesives which may be present in the seed dressing formulations usable in accordance with the invention are all customary binders usable in seed dressing products. Preferred examples include polyvinylpyrrolidone, polyvinyl acetate, polyvinyl alcohol and tylose.
The formulations for on-seed applications usable in accordance with the invention can be used to treat a wide variety of different kinds of seed either directly or after prior dilution with water. For instance, the concentrates or the preparations obtainable therefrom by dilution with water can be used to dress the seed of cereals, such as
_ _ wheat, barley, rye, oats, and triticale, and also seeds of maize, soybean, rice, oilseed rape, peas, beans, cotton, sunflowers, and beets, or else a wide variety of different vegetable seeds. The formulations usable in accordance with the invention, or the dilute preparations thereof, can also be used for seeds of transgenic plants. In this case, additional synergistic effects may also occur in interaction with the substances formed by expression. For treatment of seeds with the formulations usable in accordance with the invention, or the preparations prepared therefrom by adding water, all mixing units usable customarily for on-seed applications are useful. Specifically, the procedure in on-seed applications is to place the seeds into a mixer, to add the particular desired amount of the formulations, either as such or after prior dilution with water, and to mix eveiything until all applied formulations are distributed homogeneously on the seeds. If appropriate, this is followed by a drying operation.
The application rate of the formulations usable in accordance with the invention can be varied within a relatively wide range. It is guided by the particular content of the active ingredients in the formulations and by the seeds. The application rates of each single active ingredient is generally between 0.001 and 15 g per kilogram of seed, preferably between 0.01 and 5 g per kilogram of seed.
Antimycotic Effects
In addition, the compounds of the formula (I) also have very good antimycotic effects. They have a very broad antimycotic activity spectrum, especially against dermatophytes and yeasts, moulds and diphasic fungi (for example against Candida species, such as Candida albicans, Candida glabrata), and Epidermophyton floccosum, Aspergillus species, such as Aspergillus niger and Aspergillus fumigatus, Trichophyton species, such as Trichophyton mentagrophytes, Microsporon species such as Microsporon canis and audouinii. The enumeration of these fungi by no means constitutes a restriction of the mycotic spectrum covered, and is merely of illustrative character.
The compounds can be used also to control important fungal pathogens in fish and Crustacea fanning, e.g. saprolegnia diclina in trouts, saprolegnia parasitica in crayfish.
The compounds of the formula (I) can therefore be used both in medical and in non-medical applications.
The compounds of the formula (I) can be used as such, in the form of their formulations or the use forms prepared therefrom, such as ready-to-use solutions, suspensions, wettable powders, pastes, soluble powders, dusts and granules. Application is accomplished in a customary manner, for example by watering, spraying, atomizing, broadcasting, dusting, foaming, spreading-on and the like. It is also possible to deploy the active ingredients by the ultra-low volume method or to inject the active ingredient preparation/the active ingredient itself into the soil. It is also possible to treat the seed of the plants.
- -
GMO
As already mentioned above, it is possible to treat all plants and their parts in accordance with the invention. In a preferred embodiment, wild plant species and plant cultivars, or those obtained by conventional biological breeding methods, such as crossing or protoplast fusion, and also parts thereof, are treated. In a further preferred embodiment, transgenic plants and plant cultivars obtained by genetic engineering methods, if appropriate in combination with conventional methods (Genetically Modified Organisms), and parts thereof are treated. The terms "parts" or "parts of plants" or "plant parts" have been explained above. More preferably, plants of the plant cultivars which are commercially available or are in use are treated in accordance with the invention. Plant cultivars are understood to mean plants which have new properties ("traits") and have been obtained by conventional breeding, by mutagenesis or by recombinant DNA techniques. They can be cultivars, varieties, bio- or genotypes.
The method of treatment according to the invention can be used in the treatment of genetically modified organisms (GMOs), e.g. plants or seeds. Genetically modified plants (or transgenic plants) are plants of which a heterologous gene has been stably integrated into genome. The expression "heterologous gene" essentially means a gene which is provided or assembled outside the plant and when introduced in the nuclear, chloroplastic or mitochondrial genome gives the transformed plant new or improved agronomic or other properties by expressing a protein or polypeptide of interest or by downregulating or silencing other gene(s) which are present in the plant (using for example, antisense technology, cosuppression technology, R A interference - R Ai - technology or microRNA - miR A - technology). A heterologous gene that is located in the genome is also called a transgene. A transgene that is defined by its particular location in the plant genome is called a transformation or transgenic event.
Plants and plant cultivars which are preferably to be treated according to the invention include all plants which have genetic material which impart particularly advantageous, useful traits to these plants (whether obtained by breeding and/or biotechnological means). Plants and plant cultivars which are also preferably to be treated according to the invention are resistant against one or more biotic stresses, i.e. said plants show a better defense against animal and microbial pests, such as against nematodes, insects, mites, phytopathogenic fungi, bacteria, viruses and/or viroids.
Plants and plant cultivars which may also be treated according to the invention are those plants which are resistant to one or more abiotic stresses. Abiotic stress conditions may include, for example, drought, cold temperature exposure, heat exposure, osmotic stress, flooding, increased soil salinity, increased mineral exposure, ozone exposure, high light exposure, limited availability of nitrogen nutrients, limited availability of phosphorus nutrients, shade avoidance.
Plants and plant cultivars which may also be treated according to the invention, are those plants characterized by enhanced yield characteristics. Increased yield in said plants can be the result of, for example, improved plant physiology, growth and development, such as water use efficiency, water retention efficiency, improved
_ . nitrogen use, enhanced carbon assimilation, improved photosynthesis, increased germination efficiency and accelerated maturation. Yield can furthermore be affected by improved plant architecture (under stress and non- stress conditions), including but not limited to, early flowering, flowering control for hybrid seed production, seedling vigor, plant size, internode number and distance, root growth, seed size, fruit size, pod size, pod or ear number, seed number per pod or ear, seed mass, enhanced seed filling, reduced seed dispersal, reduced pod dehiscence and lodging resistance. Further yield traits include seed composition, such as carbohydrate content and composition for example cotton or starch, protein content, oil content and composition, nutritional value, reduction in anti-nutritional compounds, improved processability and better storage stability.
Plants that may be treated according to the invention are hybrid plants that already express the characteristic of heterosis or hybrid vigor which results in generally higher yield, vigor, health and resistance towards biotic and abiotic stresses).
Plants or plant cultivars (obtained by plant biotechnology methods such as genetic engineering) which may be treated according to the invention are herbicide-tolerant plants, i.e. plants made tolerant to one or more given herbicides. Such plants can be obtained either by genetic transformation, or by selection of plants containing a mutation imparting such herbicide tolerance.
Plants or plant cultivars (obtained by plant biotechnology methods such as genetic engineering) which may also be treated according to the invention are insect-resistant transgenic plants, i.e. plants made resistant to attack by certain target insects. Such plants can be obtained by genetic transformation, or by selection of plants containing a mutation imparting such insect resistance. Plants or plant cultivars (obtained by plant biotechnology methods such as genetic engineering) which may also be treated according to the invention are tolerant to abiotic stresses. Such plants can be obtained by genetic transformation, or by selection of plants containing a mutation imparting such stress resistance.
Plants or plant cultivars (obtained by plant biotechnology methods such as genetic engineering) which may also be treated according to the invention show altered quantity, quality and/or storage-stability of the harvested product and/or altered properties of specific ingredients of the harvested product.
Plants or plant cultivars (that can be obtained by plant biotechnology methods such as genetic engineering) which may also be treated according to the invention are plants, such as cotton plants, with altered fiber characteristics. Such plants can be obtained by genetic transformation, or by selection of plants contain a mutation imparting such altered fiber characteristics. Plants or plant cultivars (that can be obtained by plant biotechnology methods such as genetic engineering) which may also be treated according to the invention are plants, such as oilseed rape or related Brassica plants, with altered oil profile characteristics. Such plants can be obtained by genetic transformation, or by selection of plants contain a mutation imparting such altered oil profile characteristics.
_ _
Plants or plant cultivars (that can be obtained by plant biotechnology methods such as genetic engineering) which may also be treated according to the invention are plants, such as oilseed rape or related Brassica plants, with altered seed shattering characteristics. Such plants can be obtained by genetic transformation, or by selection of plants contain a mutation imparting such altered seed shattering characteristics and include plants such as oilseed rape plants with delayed or reduced seed shattering.
Plants or plant cultivars (that can be obtained by plant biotechnology methods such as genetic engineering) which may also be treated according to the invention are plants, such as Tobacco plants, with altered post- translational protein modification patterns.
Application Rates
When using the compounds of the formula (I) as fungicides, the application rates can be varied within a relatively wide range, depending on the kind of application. The application rate of the inventive active ingredients is
• in the case of treatment of plant parts, for example leaves: from 0.1 to 10 000 g/ha, preferably from 10 to 1000 g/ha, more preferably from 50 to 300 g/ha (in the case of application by watering or dripping, it is even possible to reduce the application rate, especially when inert substrates such as rockwool or perlite are used);
• in the case of seed treatment: from 0.1 to 200 g per 100 kg of seed, preferably from 1 to 150 g per 100 kg of seed, more preferably from 2.5 to 25 g per 100 kg of seed, even more preferably from 2.5 to 12.5 g per 100 kg of seed;
• in the case of soil treatment: from 0.1 to 10 000 g/ha, preferably from 1 to 5000 g/ha.
These application rates are merely by way of example and are not limiting for the purposes of the invention.
A further subject of the invention is a composition for controlling phytopathogenic harmful fungi comprising a compound of formula (I) according to the invention.
According to a preferred embodiment of the composition it may be further comprise adjuvants, solvents, carrier, surfactants and / or extenders.
Also subject of the present invention is a method for curatively or preventively controlling phytopathogenic harmful fungi of plants or crops comprising the step of applying a compound of formula (I) according to the invention or a composition according to the invention to the phytopathogenic harmful fungi and / or their habitat.
_ _
In a preferred method the compound or the composition is applied to the seed, the plant, to fruits of plants or to the soil on which the plant grows or is supposed to grow.
Still a further subject of the present invention is use a compound of formula (I) according to the invention or a composition according to the invention to control phytopathogenic harmful fungi. It is preferred to use the compound or the composition for the treatment of transgenic plants or for the treatment of seeds of transgenic plants.
Also a seed that has been treated with a compound of formula (I) according to the invention or a composition according to the invention is subject of the present invention.
The invention is illustrated by the examples below. However, the invention is not limited to the examples.
- -
Examples
Preparation examples
Preparation of intermediates of the formula (II) according to process A:
Preparation of 2,2-dimethyl-3-[4-(pentafluoro-lambda6-sulfanyl)phenyll-l-(pyridin-3-yl)propan-l-one (II-l)
In a 3-necked lOOmL flask, equipped with a magnetic stirrer, under argon, was dissolved 2-methyl-l-(pyridin-3- yl)propan-l-one (3.65g, leq, 24.46mmol) in 55mL of toluene. Potassium tert-butoxide (3.98g, 1.45eq, 35.47mmol) was added to the reaction mixture, followed by l-(bromomethyl)-4-(pentafluoro-lambda6- sulfanyl)benzene (7.99g, l. lOeq, 26.91mmol). The reaction mixture was stirred at room temperature (rt = 21°C) overnight. The obtained suspension was filtered. The filtrate was dissolved with ethyl acetate and washed with water. After separation of the phases, the organic layer was dried over magnesium sulphate, filtered and evaporated. After evaporation of the solvent 8.97g (95%) of 2,2-dimethyl-3-[4-(pentafluoro-lambda6- sulfanyl)phenyl]-l-(pyridin-3-yl)propan-l-one were obtained . MS (ESI): 366.1 ([M+H]+)
Preparation of compounds of the formula (1-18) according to process B:
Preparation of 3,3-dimethyl-4-[4-(pentafluoro-lambda6-sulfanyl)phenyll-2-(pyridin-3-yl)butan-2-ol (1-18)
- -
In a 3-necked lOOmL flask, equipped with a magnetic stirrer, under argon, was dissolved 85% pure 2,2- dimethyl-3-[4-(pentafluoro-lambda6-sulfanyl)phenyl]-l-(pyridin-3-yl)propan-l-one (2.55g, leq, 5.93mmol) in 55mL of dichloromethane. The solution was cooled down to 0°C and methylmagnesium bromide (3.95mL, 2eq, 3M in dichloromethane) was added. The reaction mixture was allowed to warm to room temperature and stirred for 2 hours, quenched with a saturated aqueous solution of ammonium chloride. After separation of the phases, the organic layer was washed with brine, dried over magnesium sulphate and evaporated in vacuo. The crude product was purified by chromatography over silica using a ethyl acetate / heptane gradient as eluent. After evaporation of the collected fractions, 651mg (27%) of 3,3-dimethyl-4-[4-(pentafluoro-lambda6- sulfanyl)phenyl]-2-(pyridin-3-yl)butan-2-ol_were obtained as solid.
MS (ESI): 382.1 ([M+H]+)
The following Table 1 illustrates in a non -limiting manner examples of compounds according to formula (I).
(I)
- -
Table 1
The following Table 2 illustrates in a non -limiting manner examples of compounds according to formula (II).
Measurement of LogP values was performed according to EEC directive 79/831 Annex V.A8 by HPLC (High Performance Liquid Chromatography) on reversed phase columns with the following methods:
[a| LogP value is determined by measurement of LC-UV, in an acidic range, with 0.1% formic acid in water and acetonitrile as eluent (linear gradient from 10% acetonitrile to 95% acetonitrile).
M LogP value is determined by measurement of LC-UV, in a neutral range, with 0.001 molar ammonium acetate solution in water and acetonitrile as eluent (linear gradient from 10% acetonitrile to 95% acetonitrile).
[c] LogP value is determined by measurement of LC-UV, in an acidic range, with 0.1% phosphoric acid and acetonitrile as eluent (linear gradient from 10% acetonitrile to 95% acetonitrile).
If more than one LogP value is available within the same method, all the values are given and separated by "+".
Calibration was done with straight- chain alkan2-ones (with 3 to 16 carbon atoms) with known LogP values (measurement of LogP values using retention times with linear interpolation between successive alkanones).
- -
Lambda-max- values were determined using UV-spectra from 200 nm to 400 nm and the peak values of the chromatographic signals.
NMR-Peak lists 1H-NMR data of selected examples are written in form of lH-NMR-peak lists. To each signal peak are listed the δ-value in ppm and the signal intensity in round brackets. Between the δ-value - signal intensity pairs are semicolons as delimiters.
The peak list of an example has therefore the form: δι (intensityi); 82 (intensitV2); ; δ; (intensity); ; δη (intensityn) Intensity of sharp signals correlates with the height of the signals in a printed example of a NMR spectrum in cm and shows the real relations of signal intensities. From broad signals several peaks or the middle of the signal and their relative intensity in comparison to the most intensive signal in the spectrum can be shown.
For calibrating chemical shift for 1H spectra, we use tetramethylsilane and/or the chemical shift of the solvent used, especially in the case of spectra measured in DMSO. Therefore in NMR peak lists, tetramethylsilane peak can occur but not necessarily.
The 1H-NMR peak lists are similar to classical 1H-NMR prints and contains therefore usually all peaks, which are listed at classical NMR-interpretation.
Additionally they can show like classical 1H-NMR prints signals of solvents, stereoisomers of the target compounds, which are also object of the invention, and/or peaks of impurities. To show compound signals in the delta-range of solvents and/or water the usual peaks of solvents, for example peaks of DMSO in DMSO-D6 and the peak of water are shown in our 1H-NMR peak lists and have usually on average a high intensity .
The peaks of stereoisomers of the target compounds and/or peaks of impurities have usually on average a lower intensity than the peaks of target compounds (for example with a purity >90%). Such stereoisomers and/or impurities can be typical for the specific preparation process. Therefore their peaks can help to recognize the reproduction of our preparation process via "side-products-fingerprints".
An expert, who calculates the peaks of the target compounds with known methods (MestreC, ACD-simulation, but also with empirically evaluated expectation values) can isolate the peaks of the target compounds as needed optionally using additional intensity filters. This isolation would be similar to relevant peak picking at classical 1 H-NMR interpretation.
- -
Further details of NMR-data description with peak lists you find in the publication "Citation of NMR Peaklist Data within Patent Applications" of the Research Disclosure Database Number 564025.
Example 1-01 : 'H-NMR (400.0 MHz, de-DMSO)
|δ= 8.625 (0.5); 8.406 (0.5); 7.807 (1.2); 7.788 (1.2); 7.336 (0.8); 7.147 (1.0); 7.122 (16.0); 7.098 (0.9); 6.904 (0.5); 6.897 (0.8); 6.890 (0.4); 6.774 (0.9); 6.767 (1.7); 6.759 (0.9); 6.643 (0.4); 6.637 (0.8); 6.630 (0.4); 5.580 (0.4); 5.568 (0.4); 5.549 (0.7); 5.535 (0.7); 5.511 (0.5); 5.505 (0.4); 5.491 (0.4); 5.099 (1.6); 5.056 (5.4); 4.903 (1.6); 4.879 (1.4); 3.902 (1.8); 3.328 (101.0); 3.153 (0.9); 3.133 (0.9); 3.116 (1.1); 3.096 (1.0); 2.724 (0.9);| 2.710 (0.9); 2.682 (2.4); 2.672 (1.8); 2.651 (2.3); 2.542 (3.6); 2.525 (3.9); 2.507 (112.6); 2.503 (155.5); 2.498 (120.3); 2.334 (0.7); 2.329 (0.9); 0.729 (11.6); 0.664 (11.3); 0.008 (0.9); 0.000 (25.7); -0.008 (1.1)
Example 1-02: 'H-NMR (400.0 MHz, de-DMSO):
|δ= 8.657 (0.5); 8.366 (0.5); 8.315 (0.4); 7.841 (1.1); 7.822 (1.2); 7.325 (0.8); 7.304 (2.1); 7.286 (2.2); 7.265 (1.0); 7.183 (1.1); 7.160 (16.0); 7.135 (0.8); 7.020 (0.8); 7.014 (0.9); 6.994 (1.4); 6.990 (1.4); 6.970 (0.8); 6.964 (0.8); 6.905 (0.7); 6.898 (0.4); 6.814 (0.8); 6.808 (0.8); 6.791 (1.6); 6.785 (1.7); 6.774 (2.0); 6.645 (0.7); 5.214 (4.9); 3.902 (2.1); 3.671 (1.1); 3.634 (1.3); 3.330 (68.2); 3.232 (1.7); 3.195 (1.4); 3.170 (0.6); 2.796 (1.5); 2.764 (1.9); 2.672 (0.8); 2.557 (1.7); 2.542 (1.4); 2.507 (104.5); 2.503 (137.2); 2.499 (105.1); 2.330 (0.8); 0.837 (10.2); 0.748 (9.8); 0.000 (24.3)
Example 1-03: ¾-NMR (400.0 MHz, de-DMSO)
|δ= 8.314 (0.4); 7.882 (0.6); 7.861 (0.7); 7.305 (0.3); 7.304 (0.3); 7.273 (1.7); 7.258 (2.0); 7.252 (2.1); 7.237| (1.7); 7.151 (16.0); 6.899 (1.8); 6.876 (2.9); 6.854 (1.4); 6.774 (1.0); 6.644 (0.5); 5.113 (2.1); 3.902 (3.3); 3.653 (0.8); 3.617 (0.9); 3.330 (95.2); 3.255 (1.2); 3.218 (1.0); 3.169 (0.3); 2.769 (1.0); 2.737 (1.2); 2.672 (1.0); 2.568 (1.2); 2.534 (1.4); 2.507 (123.5); 2.503 (167.4); 2.499 (131.9); 2.329 (1.0); 0.826 (6.5); 0.746 (6.3); 0.008 (0.9); 0.000 (25.5)
Example 1-04: ¾-NMR (400.0 MHz, de-DMSO)
|δ= 9.036 (1.8); 8.286 (2.2); 8.043 (0.8); 8.022 (0.9); 7.413 (0.5); 7.163 (0.4); 7.140 (16.0); 6.896 (0.5); 6.765 (1.4); 6.758 (4.3); 6.636 (0.5); 3.902 (5.0); 3.329 (105.8); 3.174 (0.3); 2.707 (0.5); 2.676 (1.4); 2.672 (1.4); 2.621 (1.3); 2.589 (0.7); 2.542 (0.5); 2.507 (86.9); 2.503 (118.5); 2.498 (90.6); 2.334 (0.5); 2.329 (0.6); 0.842 (8.1); 0.782 (7.2); 0.008 (0.8); 0.000 (21.8); -0.008 (0.9)
Example 1-05: ¾-NMR (400.0 MHz, de-DMSO):
|δ= 8.079 (0.7); 8.060 (0.8); 7.660 (2.3); 7.640 (2.7); 7.388 (0.4); 7.363 (1.6); 7.344 (3.0); 7.325 (2.0); 7.263 (1.2); 7.245 (1.6); 7.227 (0.6); 7.205 (1.8); 7.184 (4.4); 7.154 (3.9); 7.133 (1.8); 6.900 (0.5); 6.777 (0.6); 6.770 (1.1); 6.763 (0.6); 6.640 (0.5); 5.952 (3.0); 3.902 (2.5); 3.330 (40.5); 3.169 (0.5); 2.761 (3.6); 2.672 (0.6); 2.542 (0.9); 2.507 (72.8); 2.503 (100.0); 2.499 (78.6); 2.330 (0.6); 0.901 (16.0); 0.000 (18.6); -0.008 (0.8)
Example 1-07: ¾-NMR (400.0 MHz, de-DMSO):
|δ= 7.118 (2.9); 6.766 (0.4); 4.797 (1.1); 3.902 (0.9); 3.328 (25.6); 2.695 (0.4); 2.663 (0.5); 2.507 (29.2); 2.503 (40.3); 2.498 (31.0); 2.447 (0.4); 1.697 (0.4); 1.661 (0.5); 1.411 (0.5); 1.374 (0.4); 0.714 (2.5); 0.653 (2.4);| 0.000 (8.0); -0.272 (16.0)
Example 1-09: ¾-NMR (400.0 MHz, de-DMSO):
|δ= 8.315 (0.5); 7.861 (0.7); 7.843 (0.7); 7.267 (2.9); 7.246 (3.6); 7.150 (16.0); 7.122 (3.8); 7.101 (2.9); 6.904 (0.5); 6.774 (1.0); 6.766 (0.5); 6.644 (0.5); 5.145 (2.8); 3.902 (2.7); 3.659 (0.7); 3.623 (0.8); 3.328 (63.3); 3.257 (1.1); 3.221 (0.9); 2.764 (0.9); 2.733 (1.2); 2.676 (0.5); 2.672 (0.6); 2.667 (0.5); 2.567 (1.1); 2.542 (1.4); 2.535 (1.4); 2.507 (82.2); 2.503 (112.1); 2.498 (85.6); 2.334 (0.5); 2.330 (0.6); 2.325 (0.5); 0.823 (6.1); 0.743 (5.9); 0.008 (1.0); 0.000 (25.5); -0.008 (1.1)
Example I- 10: ¾-NMR (400.0 MHz, de-DMSO)
|δ= 8.846 (0.4); 8.458 (0.5); 8.315 (0.4); 8.065 (1.4); 8.046 (1.4); 7.663 (5.2); 7.641 (6.2); 7.405 (7.6); 7.384| (6.7); 7.213 (3.7); 7.192 (7.8); 7.157 (7.0); 7.135 (3.3); 6.901 (0.9); 6.893 (0.5); 6.778 (1.0); 6.771 (1.9); 6.763 (1.0); 6.641 (0.9); 6.634 (0.5); 6.068 (5.4); 3.902 (6.9); 3.330 (113.6); 3.170 (0.5); 2.736 (6.3); 2.672 (1.3); 2.668 (1.0); 2.542 (2.6); 2.507 (156.8); 2.503 (216.4); 2.498 (165.5); 2.334 (0.9); 2.330 (1.2); 2.325 (0.9); 0.890 (15.9); 0.883 (16.0); 0.765 (0.7); 0.008 (1.4); 0.000 (38.8); -0.008 (1.6)
Example I- 11 : ¾-NMR (400.0 MHz, de-DMSO)
|δ= 7.142 (0.4); 7.117 (4.5); 6.764 (0.6); 4.573 (1.4); 3.902 (0.8); 3.328 (42.4); 2.705 (0.5); 2.672 (0.9); 2.542 (1.2); 2.507 (43.4); 2.503 (60.3); 2.498 (46.6); 2.359 (0.4); 2.329 (0.6); 1.998 (0.7); 1.961 (0.5); 0.757 (16.0); 0.708 (3.3); 0.640 (3.1); 0.008 (0.3); 0.000 (9.6)
- -
Example 1-12: 'H-NMR (601.6 MHz, CD3CN): δ= 8.685 (2.9); 8.682 (2.9); 8.519 (6.0); 8.419 (2.1); 8.417 (2.1); 8.411 (2.2); 8.097 (0.4); 7.833 (1.2); 7.8201
(1.3) ; 7.577 (5.0) 7.280 (1.6); 7.272 (1.7); 7.266 (1.6); 7.258 (1.5); 7.170 (3.1); 7.167 (1.5); 7.156 (8.6); 7.140|
(7.4) ; 7.125 (2.8) 6.302 (0.5); 6.297 (1.0); 6.293 (0.5); 6.215 (1.0); 6.210 (2.0); 6.205 (1.1); 6.127 (0.5); 6.123 (1.0); 6.118 (0.5) 5.450 (1.6); 3.967 (1.6); 3.942 (1.8); 3.532 (2.6); 3.507 (2.4); 2.842 (2.2); 2.821 (2.6); 2.554 (1.8); 2.533 (1.6). 1.973 (0.7); 1.966 (0.8); 1.958 (1.2); 1.950 (18.2); 1.946 (33.6); 1.942 (46.9); 1.938 (33.2);
1.934 (17.4); 1.204 (0.4); 0.884 (16.0); 0.826 (15.3); 0.000 (2.3)
Example 1-13: 'H-NMR (400.0 MHz, de-DMSO)
|δ= 8.762 (0.3); 7.920 (0.8); 7.899 (0.9); 7.397 (0.5); 7.194 (0.5); 7.181 (0.4); 7.143 (16.0); 6.901 (0.5); 6.778| (0.6); 6.771 (1.0); 6.764 (0.5); 6.641 (0.5); 6.192 (3.8); 3.902 (3.2); 3.329 (62.6); 3.060 (0.5); 2.782 (0.8); 2.751 (1.3); 2.671 (1.4); 2.639 (0.6); 2.542 (2.3); 2.507 (62.9); 2.503 (85.7); 2.498 (65.6); 2.334 (0.4); 2.329 (0.5);| 2.325 (0.4); 1.964 (12.4); 1.229 (1.8); 0.765 (6.6); 0.716 (6.5); 0.008 (0.4); 0.000 (9.3)
Example 1-14: H-NMR (601.6 MHz, CD3CN) δ= 8.772 (2.1); 8.768 (1.7); 8.379 (1.7); 8.377 (1.5); 8.372 (1.4); 8.369 (1.0); 7.992 (0.8); 7.988 (1.4). 7.985
(1.3) 7.978 (0.9) 7.974 (1.5); 7.972 (1.3); 7.574 (0.7); 7.568 (6.2); 7.564 (2.0); 7.557 (2.1); 7.553 (6.6). 7.548 (0.7) 7.270 (1.2) 7.269 (1.2); 7.262 (1.4); 7.257 (1.2); 7.256 (1.2); 7.249 (1.0); 7.172 (2.4); 7.166 (1.6); 7.157 (4.0) 7.129 (5.1) 7.115 (2.7); 6.878 (4.5); 6.874 (1.3); 6.866 (2.5); 6.863 (4.0); 6.857 (0.4); 6.304 (0.4). 6.300 (0.7) 6.295 (0.4) 6.217 (0.7); 6.213 (1.5); 6.208 (0.8); 6.129 (0.4); 6.126 (0.7); 6.121 (0.4); 5.447 (10.3) 4.075 (0.4) 4.063 (1.0) 4.051 (1.0); 4.040 (0.3); 3.767 (5.3); 3.761 (16.0); 3.738 (0.4); 3.735 (0.7); 2.842 (0.8) 2.820 (2.0) 2.793 (1.4) 2.771 (0.6); 1.974 (0.8); 1.971 (4.5); 1.949 (1.7); 1.945 (3.1); 1.941 (4.5); 1.937 (3.1); 1.933 (1.5); 1.426 (0.5); 1.213 (1.0); 1.204 (0.6); 1.201 (2.1); 1.196 (0.6); 1.189 (1.0); 0.947 (12.2); 0.940 (10.0);| 0.000 (0.9)
Example 1-15: ¾-NMR (400.0 MHz, de-DMSO)
|δ= 8.705 (0.3); 8.445 (0.4); 7.873 (0.9); 7.854 (0.9); 7.360 (0.5); 7.147 (0.4); 7.124 (16.0); 7.101 (0.3); 6.897 (0.5); 6.774 (0.6); 6.767 (1.1); 6.760 (0.6); 6.637 (0.5); 5.173 (3.9); 3.902 (1.3); 3.328 (59.2); 2.671 (0.7); 2.664 (1.2); 2.632 (1.7); 2.559 (1.6); 2.542 (2.0); 2.525 (2.1); 2.507 (67.7); 2.502 (92.8); 2.498 (70.5); 2.329 (0.5); 1.611 (9.4); 0.710 (8.3); 0.646 (8.1); 0.008 (0.6); 0.000 (15.9)
Example 1-16: ¾-NMR (400.0 MHz, de-DMSO):
|δ= 8.079 (0.7); 8.060 (0.7); 7.498 (1.6); 7.489 (1.6); 7.456 (1.9); 7.443 (2.0); 7.132 (16.0); 7.096 (1.3); 7.087 (1.4); 7.084 (1.4); 7.075 (1.2); 6.894 (0.4); 6.771 (0.5); 6.764 (1.0); 6.757 (0.5); 6.635 (0.5); 6.501 (2.8); 3.902 (3.9); 3.333 (36.5); 2.728 (0.4); 2.696 (0.8); 2.677 (0.5); 2.672 (0.6); 2.668 (0.5); 2.648 (1.1); 2.616 (0.6); 2.542 (0.4); 2.508 (60.2); 2.503 (83.1); 2.499 (63.5); 2.334 (0.3); 2.330 (0.5); 2.326 (0.3); 0.855 (7.1); 0.793 (6.1); 0.008 (0.6); 0.000 (17.0); -0.008 (0.7)
Example 1-17: ¾-NMR (400.0 MHz, de-DMSO):
|δ= 7.934 (0.7); 7.915 (0.8); 7.430 (0.4); 7.148 (16.0); 6.902 (0.5); 6.772 (1.0); 6.765 (0.5); 6.642 (0.5); 6.432 (3.7); 3.902 (1.8); 3.755 (5.4); 3.329 (56.8); 2.789 (0.7); 2.757 (1.3); 2.700 (1.0); 2.668 (0.9); 2.542 (2.0); 2.525 (1.4); 2.507 (64.2); 2.503 (90.3); 2.498 (70.7); 2.334 (0.4); 2.330 (0.5); 2.325 (0.4); 0.779 (6.7); 0.732 (6.5); 0.008 (0.7); 0.000 (18.6)
Example 1-18: ¾-NMR (499.9 MHz, CDC13):
|δ= 8.742 (2.2); 8.738 (2.2); 8.517 (1.6); 8.514 (1.8); 8.507 (1.7); 8.504 (1.8); 7.861 (0.8); 7.857 (1.2); 7.853 (1.0); 7.845 (1.0); 7.841 (1.3); 7.837 (1.0); 7.621 (0.5); 7.616 (4.0); 7.613 (1.6); 7.602 (1.5); 7.599 (4.5); 7.298 (1.2); 7.290 (1.2); 7.289 (1.3); 7.283 (1.2); 7.282 (1.3); 7.274 (1.2); 7.273 (1.2); 7.260 (4.8); 7.137 (2.6); 7.121 (2.6); 5.296 (0.5); 2.830 (1.4); 2.805 (1.8); 2.583 (1.5); 2.558 (1.3); 1.952 (3.4); 1.737 (16.0); 1.654 (0.5); 0.859| (11.9); 0.797 (11.7); 0.000 (4.7)
Example 1-19: ¾-NMR (400.0 MHz, de-DMSO)
|δ= 8.670 (0.3); 8.315 (0.4); 8.301 (0.3); 7.860 (0.7); 7.840 (0.8); 7.233 (2.6); 7.215 (2.9); 7.151 (16.0); 7.072 (1.2); 7.054 (2.8); 7.035 (1.9); 7.005 (1.2); 6.986 (1.3); 6.968 (0.4); 6.905 (0.4); 6.782 (0.5); 6.775 (1.0); 6.767 (0.5); 6.645 (0.5); 5.030 (2.9); 3.902 (2.7); 3.639 (0.8); 3.603 (1.0); 3.328 (82.2); 3.288 (1.4); 3.252 (0.9); 2.777 (0.9); 2.745 (1.2); 2.672 (0.6); 2.579 (1.0); 2.547 (0.9); 2.507 (74.7); 2.502 (102.8); 2.498 (78.2); 2.334 (0.4); 2.329 (0.6); 2.325 (0.4); 0.830 (6.3); 0.748 (6.0); 0.008 (0.7); 0.000 (19.5); -0.008 (0.8)
Example 1-20: ¾-NMR (400.0 MHz, de-DMSO):
|δ= 8.874 (0.6); 8.483 (0.6); 8.315 (0.3); 8.092 (1.6); 8.071 (1.7); 7.787 (4.6); 7.680 (0.5); 7.651 (1.3); 7.629
(3.2) ; 7.603 (5.7); 7.581 (2.0); 7.536 (0.4); 7.523 (0.4); 7.402 (0.9); 7.261 (0.4); 7.239 (0.5); 7.216 (3.7); 7.195
(7.3) ; 7.158 (9.8); 7.137 (3.6); 6.900 (0.9); 6.771 (1.9); 6.641 (0.9); 6.247 (5.7); 3.902 (6.6); 3.900 (6.9); 3.508 (0.4); 3.329 (121.2); 3.168 (0.7); 2.765 (1.5); 2.721 (6.0); 2.669 (1.4); 2.564 (0.5); 2.540 (2.0); 2.503 (228.4);| 2.500 (235.7); 2.327 (1.3); 1.234 (0.4); 0.892 (16.0); 0.883 (15.8); 0.825 (4.2); -0.001 (32.9); -0.003 (34.6)
- -
Example 1-21 : 'H-NMR (400.0 MHz, de-DMSO):
|δ= 8.816 (0.6); 8.447 (0.6); 8.005 (1.6); 7.986 (1.7); 7.758 (3.3); 7.754 (3.5); 7.511 (2.2); 7.503 (2.4); 7.498 (2.9); 7.491 (2.6); 7.376 (4.0); 7.363 (3.4); 7.165 (1.5); 7.141 (16.0); 7.115 (1.3); 6.896 (0.9); 6.766 (2.0); 6.759 (1.0); 6.636 (0.9); 6.629 (0.6); 6.012 (6.0); 3.902 (6.1); 3.330 (106.1); 3.170 (0.8); 2.712 (0.6); 2.677 (3.8); 2.668 (4.6); 2.635 (0.7); 2.542 (1.3); 2.503 (200.8); 2.330 (1.1); 0.848 (15.4); 0.795 (13.9); 0.000 (29.9)
Example 1-22: 'H-NMR (400.0 MHz, de-DMSO):
|δ= 8.771 (0.7); 8.462 (0.7); 8.315 (0.5); 7.925 (1.6); 7.907 (1.7); 7.873 (0.3); 7.391 (1.1); 7.121 (7.2); 7.101 (9.2); 7.042 (10.2); 7.021 (6.1); 6.893 (0.9); 6.886 (1.3); 6.879 (0.6); 6.763 (1.7); 6.756 (2.9); 6.749 (1.4); 6.633 (0.8); 6.626 (1.4); 6.619 (0.7); 6.325 (1.0); 6.300 (1.9); 6.281 (1.4); 6.276 (1.3); 6.257 (2.1); 6.232 (1.1); 5.239 (2.6); 5.234 (2.7); 5.196 (2.4); 5.191 (2.4); 5.044 (3.0); 5.039 (2.8); 5.018 (3.0); 5.013 (3.1); 5.000 (9.2); 4.980 (0.5); 4.867 (0.4); 4.861 (0.4); 4.841 (0.4); 4.836 (0.4); 3.902 (8.3); 3.330 (158.1); 3.170 (0.7); 2.846 (2.4); 2.814 (2.8); 2.792 (0.5); 2.761 (0.5); 2.677 (1.1); 2.673 (1.4); 2.668 (1.0); 2.543 (11.0); 2.525 (3.9); 2.508 (178.4); 2.503 (246.8); 2.499 (187.6); 2.425 (2.0); 2.393 (1.7); 2.335 (1.1); 2.330 (1.4); 2.326 (1.1); 1.100 (1.6); 1.083 (1.5); 0.770 (2.7); 0.756 (2.9); 0.731 (16.0); 0.693 (16.0); 0.664 (12.0); 0.647 (11.7); 0.008 (1.2); 0.000 (33.8); -0.008 (1.4)
Example 1-25: ¾-NMR (400.1 MHz, CDC13):
|δ= 8.607 (2.4); 8.603 (2.4); 8.522 (2.1); 8.518 (2.2); 8.510 (2.2); 8.506 (2.1); 7.689 (1.3); 7.669 (1.4); 7.608 (4.7); 7.587 (5.1); 7.299 (1.6); 7.287 (1.7); 7.278 (1.7); 7.266 (2.4); 7.260 (17.9); 7.153 (3.4); 7.132 (3.1); 3.231 (1.4); 3.216 (1.5); 3.208 (1.7); 3.192 (1.7); 2.985 (1.6); 2.969 (1.7); 2.961 (1.5); 2.956 (0.9); 2.945 (1.4); 2.884| (0.6); 2.789 (1.1); 2.758 (2.1); 2.697 (2.2); 2.672 (4.9); 2.647 (4.5); 1.707 (0.4); 1.645 (16.0); 1.593 (1.9); 1.281 (1.2); 1.254 (0.3); 1.102 (0.3); 1.095 (0.6); 1.090 (0.7); 1.087 (0.7); 1.082 (0.6); 1.075 (1.1); 1.062 (0.7); 1.059 (0.7); 1.055 (0.7); 1.046 (0.3); 1.042 (0.4); 0.796 (13.4); 0.729 (13.1); 0.562 (0.5); 0.545 (3.2); 0.528 (3.0); 0.525 (3.2); 0.511 (0.6); 0.236 (0.9); 0.228 (2.1); 0.223 (2.5); 0.219 (2.6); 0.216 (2.6); 0.212 (2.4); 0.208 (2.0); 0.200 (0.8); 0.000 (15.0)
Example 1-26: ¾-NMR (400.1 MHz, CDCI3):
|δ= 8.593 (2.5); 8.588 (2.5); 8.522 (2.0); 8.519 (2.1); 8.511 (2.1); 8.507 (2.0); 7.662 (1.3); 7.646 (1.1); 7.642 (1.5); 7.605 (4.5); 7.583 (4.8); 7.299 (1.5); 7.287 (1.6); 7.279 (1.5); 7.266 (2.1); 7.260 (15.5); 7.137 (3.1); 7.117 (2.8); 3.340 (0.7); 3.323 (1.5); 3.319 (1.0); 3.306 (1.0); 3.302 (1.7); 3.285 (0.8); 3.075 (0.8); 3.059 (1.7); 3.054 (0.9); 3.043 (1.0); 3.038 (1.4); 3.022 (0.7); 2.780 (1.0); 2.749 (2.0); 2.686 (2.0); 2.674 (2.5); 2.649 (2.6); 1.701 (0.5); 1.683 (1.5); 1.671 (16.0); 1.659 (2.0); 1.648 (1.8); 1.641 (1.7); 1.631 (1.0); 1.624 (1.1); 1.606 (0.8); 1.588 (2.3); 1.283 (0.7); 1.014 (5.0); 0.995 (9.9); 0.977 (4.4); 0.789 (12.8); 0.719 (12.4); 0.008 (0.7); 0.000 (12.7); - 0.008 (0.6)
Example 1-27: ¾-NMR (400.1 MHz, CDCI3)
|δ= 8.589 (1.9); 8.584 (1.8); 8.536 (1.5); 8.532 (1.5); 8.524 (1.5); 8.521 (1.4); 7.671 (0.7); 7.667 (1.0); 7.662 (0.7); 7.651 (0.8); 7.647 (1.1); 7.642 (0.8); 7.606 (3.3); 7.585 (3.5); 7.315 (1.1); 7.314 (1.1); 7.303 (1.1); 7.302 (1.1); 7.295 (1.1); 7.294 (1.0); 7.283 (1.0); 7.260 (10.8); 7.139 (2.3); 7.118 (2.1); 3.159 (16.0); 2.779 (0.9); 2.748 (1.4); 2.672 (3.6); 2.662 (1.7); 2.647 (3.8); 2.631 (0.9); 2.620 (1.4); 1.732 (0.3); 1.669 (12.4); 1.346 (0.4); 1.281 (0.7); 0.787 (9.5); 0.708 (9.2); 0.008 (0.6); 0.000 (8.9); -0.008 (0.4)
Example 1-28: ¾-NMR (400.1 MHz, CDCI3):
|δ= 7.260 (15.3); 2.681 (0.7); 2.667 (14.8); 2.642 (16.0); 2.614 (3.7); 1.691 (0.7); 1.339 (1.3); 1.275 (3.4); 1.254) (0.3); 0.808 (0.6); 0.738 (0.5); 0.000 (12.4); -0.008 (0.7)
Example 1-29: ¾-NMR (400.1 MHz, CDCI3)
|δ= 8.594 (2.5); 8.589 (2.5); 8.536 (2.1); 8.532 (2.2); 8.524 (2.2); 8.520 (2.0); 7.673 (1.3); 7.653 (1.5); 7.6091
(4.6); 7.588 (4.9). 7.304 (1.5); 7.292 (1.6); 7.285 (1.5); 7.272 (1.6); 7.260 (16.9); 7.146 (3.3) 7.125 (2.9) 6.008 (0.4) 5.996 (0.8) 5.985 (0.5) 5.982 (0.6) 5.970 (1.0) 5.965 (0.6) 5.958 (0.6) 5.953 (1.0) 5.941 (0.6) 5.939 (0.6) 5.927 (1.0) 5.915 (0.5) 5.418 (1.7) 5.413 (1.7) 5.375 (1.5) 5.370 (1.5). 5.204 (1.7) 5.200 (1.6) 5.178 (1.6) 5.174 (1.5) 3.962 (0.5) 3.958 (0.9) 3.954 (0.7) 3.951 (0.7) 3.947 (0.9) 3.943 (0.6) 3.930 (0.7) 3.925 (1.1) 3.921 (0.8) 3.918 (0.8) 3.914 (1.1) 3.910 (0.6) 3.672 (0.7) 3.668 (1.1) 3.661 (0.9) 3.656 (1.1) 3.652 (0.6) 3.639 (0.6) 3.635 (0.9) 3.630 (0.7); 3.623 (0.9); 3.619 (0.5) 2.808 (1.1). 2.777 (2.1) 2.716 (2.0) 2.684 (1.2) 2.674 (2.9); 2.649 (2.8). 1.706 (16.0); 1.618 (1.0); 1.283 (0.7); 0.819 (13.0); 0.748 (12.7); 0.000 (13.6);
0.008 (0.7)
- -
Example 1-30: 'H-NMR (400.1 MHz, CDC13): δ= 8.591 (2.5); 8.586 (2.5); 8.524 (2.0); 8.520 (2.1); 8.512 (2.1); 8.508 (2.0); 7.662 (1.0); 7.657 (1.3); 7.652 (1.0); 7.642 (1.1); 7.637 (1.5); 7.632 (1.0); 7.604 (4.5); 7.583 (4.8); 7.301 (1.5); 7.300 (1.5); 7.289 (1.6); 7.288
(1.6) ; 7.281 (1.5); 7.280 (1.5); 7.267 (1.9); 7.260 (16.7); 7.141 (3.0); 7.120 (2.8); 3.477 (0.4); 3.460 (1.2); 3.456 (0.6); 3.443 (1.3); 3.438 (1.4); 3.421 (1.3); 3.404 (0.4); 3.137 (0.4); 3.119 (1.3); 3.102 (1.4); 3.098 (1.3); 3.080
(1.2) ; 3.063 (0.4); 2.955 (0.4); 2.884 (0.4); 2.778 (1.1); 2.747 (1.9); 2.675 (4.1); 2.650 (3.2); 1.668 (16.0); 1.589
(2.7) ; 1.284 (0.7); 1.254 (5.1); 1.237 (9.9); 1.219 (4.6); 0.787 (12.8); 0.715 (12.5); 0.008 (0.7); 0.000 (13.1); -
0.008 (0.6)
Example 1-31: 'H-NMR (400.1 MHz, CDCI3): δ= 8.542 (3.0); 8.538 (3.0); 8.520 (2.3); 8.517 (2.2); 8.509 (2.4); 7.609 (5.8); 7.588 (6.4); 7.518 (0.8); 7.299
(2.3) ; 7.285 (2.6); 7.277 (3.1); 7.260 (132.6); 7.123 (3.6); 7.102 (3.4); 6.996 (0.7); 5.299 (1.2); 3.001 (2.9); 2.970 (3.5); 2.767 (1.2); 2.737 (2.4); 2.693 (3.8); 2.677 (4.4); 2.663 (3.3); 2.652 (4.6); 2.624 (0.4); 1.646 (16.0); 1.541 (37.5); 1.464 (0.3); 1.333 (1.4); 1.315 (0.4); 1.285 (2.4); 1.255 (2.7); 1.141 (0.4); 0.881 (0.4); 0.823 (0.5); 0.780 (13.8); 0.710 (13.4); 0.289 (0.4); 0.171 (1.1); 0.141 (69.9); 0.069 (0.4); 0.000 (106.1); -0.008 (6.8); - 0.043 (0.4); -0.120 (0.4); -0.150 (0.6)
Example II-l: ¾-NMR (300.2 MHz, CDCI3): δ= 8.921 (1.0); 8.915 (1.0); 8.747 (0.7); 8.742 (0.7); 8.731 (0.7); 8.725 (0.7); 7.886 (0.4); 7.880 (0.6); 7.873 (0.4); 7.860 (0.5); 7.853 (0.7); 7.847 (0.5); 7.691 (1.7); 7.662 (1.9); 7.410 (0.5); 7.408 (0.6); 7.394 (0.5); 7.392 (0.5); 7.384 (0.5); 7.382 (0.5); 7.368 (0.5); 7.365 (0.5); 7.300 (1.1); 7.253 (1.2); 7.225 (1.0); 3.149 (3.7); 2.989 (0.5); 2.917 (0.4); 1.380 (16.0); 0.034 (1.0)
Use Examples
Example A: in vivo preventive test on Botrytis test (beans) Solvent: 24.5 parts by weight of acetone
24.5 parts by weight of dimethylacetamide Emulsifier: 1 part by weight of alkylaryl poly glycol ether
To produce a suitable preparation of active compound, 1 part by weight of active compound is mixed with the stated amounts of solvent and emulsifier, and the concentrate is diluted with water to the desired concentration. To test for preventive activity, young plants are sprayed with the preparation of active compound. After the spray coating has dried on, 2 small pieces of agar covered with growth oiBotrytis cinerea are placed on each leaf. The inoculated plants are placed in a darkened chamber at 20°C and a relative atmospheric humidity of 100%.
2 days after the inoculation, the size of the lesions on the leaves is evaluated. 0% means an efficacy which corresponds to that of the untreated control, while an efficacy of 100% means that no disease is observed.
In this test the following compounds according to the invention showed efficacy between 80%o and 89%o at a concentration of 100 ppm of active ingredient: 1-15.
_ _
In this test the following compounds according to the invention showed efficacy between 90% and 100% at a concentration of 100 ppm of active ingredient: 1-18.
Example B: in vivo preventive test on Venturia test (apples)
Solvent: 24.5 parts by weight of acetone 24.5 parts by weight of dimethylacetamide
Emulsifier: 1 part by weight of alkylaryl poly glycol ether
To produce a suitable preparation of active compound, 1 part by weight of active compound is mixed with the stated amounts of solvent and emulsifier, and the concentrate is diluted with water to the desired concentration.
To test for preventive activity, young plants are sprayed with the preparation of active compound at the stated rate of application. After the spray coating has dried on, the plants are inoculated with an aqueous conidia suspension of the causal agent of apple scab (Venturia inaequalis) and then remain for 1 day in an incubation cabinet at approximately 20°C and a relative atmospheric humidity of 100%.
The plants are then placed in a greenhouse at approximately 21°C and a relative atmospheric humidity of approximately 90%. The test is evaluated 10 days after the inoculation. 0% means an efficacy which corresponds to that of the untreated control, while an efficacy of 100% means that no disease is observed.
In this test the following compounds according to the invention showed efficacy between 90% and 100% at a concentration of 100 ppm of active ingredient: 1-15; 1-18.
Example C: in vivo preventive Blumeria test (barley)
Solvent: 49 parts by weight of N,N-dimethylacetamide
Emulsifier: 1 part by weight of alkylaryl poly glycol ether
To produce a suitable preparation of active compound, 1 part by weight of active compound or active compound combination is mixed with the stated amounts of solvent and emulsifier, and the concentrate is diluted with water to the desired concentration. To test for preventive activity, young plants are sprayed with the preparation of active compound or active compound combination at the stated rate of application.
After the spray coating has been dried, the plants are dusted with spores of Blumeria graminis f.sp. hordei.
The plants are placed in the greenhouse at a temperature of approximately 18°C and a relative atmospheric humidity of approximately 80%o to promote the development of mildew pustules.
_ _
The test is evaluated 7 days after the inoculation. 0% means an efficacy which corresponds to that of the untreated control, while an efficacy of 100% means that no disease is observed.
In this test the following compounds according to the invention showed efficacy between 90% and 100% at a concentration of 500 ppm of active ingredient: 1-18; 1-22. In this test the following compounds according to the invention showed efficacy between 90%> and 100%o at a concentration of 1000 ppm of active ingredient: 1-01; 1-15.
Example D: in vivo preventive Septoria tritici test (wheat)
Solvent: 49 parts by weight of N,N-dimethylacetamide
Emulsifier: 1 part by weight of alkylaryl poly glycol ether To produce a suitable preparation of active compound, 1 part by weight of active compound or active compound combination is mixed with the stated amounts of solvent and emulsifier, and the concentrate is diluted with water to the desired concentration.
To test for preventive activity, young plants are sprayed with the preparation of active compound or active compound combination at the stated rate of application. After the spray coating has been dried, the plants are sprayed with a spore suspension of Septoria tritici. The plants remain for 48 hours in an incubation cabinet at approximately 20°C and a relative atmospheric humidity of approximately 100% and afterwards for 60 hours at approximately 15°C in a translucent incubation cabinet at a relative atmospheric humidity of approximately 100%.
The plants are placed in the greenhouse at a temperature of approximately 15°C and a relative atmospheric humidity o f approximately 80%.
The test is evaluated 21 days after the inoculation. 0% means an efficacy which corresponds to that of the untreated control, while an efficacy of 100% means that no disease is observed.
In this test the following compounds according to the invention showed efficacy between 90% and 100% at a concentration of 500 ppm of active ingredient: 1-18; 1-22. In this test the following compounds according to the invention showed efficacy between 70%o and 79%o at a concentration of 1000 ppm of active ingredient: 1-01.
In this test the following compounds according to the invention showed efficacy between 90% and 100% at a concentration of 1000 ppm of active ingredient: 1-15.
Example E: Alternaria test (tomato) / preventive
Solvent: 49 parts by weight of N,N-dimethylformamide
- -
Emulsifier: 1 part by weight of alkylaryl poly glycol ether
To produce a suitable preparation of active compound, 1 part by weight of active compound is mixed with the stated amounts of solvent and emulsifier, and the concentrate is diluted with water to the desired concentration.
To test for preventive activity, young plants are sprayed with the preparation of active compound at the stated rate of application. One day after this treatment, the plants are inoculated with an aqueous spore suspension of Alternaria solani. The plants remain for one day in an incubation cabinet at approximately 22 °C and a relative atmospheric humidity of 100%. Then the plants are placed in an incubation cabinet at approximately 20 °C and a relative atmospheric humidity of 96%.
The test is evaluated 7 days after the inoculation. 0% means an efficacy which corresponds to that of the untreated control while an efficacy of 100% means that no disease is observed.
In this test the following compounds according to the invention showed efficacy between 70%o and 79%o at a concentration of 500 ppm of active ingredient: 1-01; 1-19.
In this test the following compounds according to the invention showed efficacy between 90% and 100% at a concentration of 500 ppm of active ingredient: 1-15; 1-18. Example F: Botrytis test (cucumber) / preventive
Solvent: 49 parts by weight of N,N-dimethylformamide
Emulsifier: 1 part by weight of alkylaryl poly glycol ether
To produce a suitable preparation of active compound, 1 part by weight of active compound is mixed with the stated amounts of solvent and emulsifier, and the concentrate is diluted with water to the desired concentration. To test for preventive activity, young plants are sprayed with the preparation of active compound at the stated rate of application. One day after this treatment, the plants are inoculated with an aqueous spore suspension of Botrytis cinerea. The plants remain for two days in an incubation cabinet at approximately 22 °C and a relative atmospheric humidity of 100%. Then the plants are placed in an incubation cabinet at approximately 14 °C and a relative atmospheric humidity of 96%. The test is evaluated 5-6 days after the inoculation. 0% means an efficacy which corresponds to that of the untreated control while an efficacy of 100% means that no disease is observed.
In this test the following compounds according to the invention showed efficacy between 70%o and 79%o at a concentration of 500 ppm of active ingredient: 1-01; Tl 1.
In this test the following compounds according to the invention showed efficacy between 80%> and 89%o at a concentration of 500 ppm of active ingredient: 1-23.
_ _
In this test the following compounds according to the invention showed efficacy between 90% and 100% at a concentration of 500 ppm of active ingredient: I- 10.
Example G: Leptosphaeria test (wheat) / preventive
Solvent: 49 parts by weight of N,N-dimethylformamide Emulsifier: 1 part by weight of alkylaryl poly glycol ether
To produce a suitable preparation of active compound, 1 part by weight of active compound is mixed with the stated amounts of solvent and emulsifier, and the concentrate is diluted with water to the desired concentration.
To test for preventive activity, young plants are sprayed with a preparation of active compound at the stated rate of application. One day after this treatment, the plants are inoculated with an aqueous spore suspension of Leptosphaeria nodomm. The plants remain for 48 hours in an incubation cabinet at 22 °C and a relative atmospheric humidity of 100%. Then the plants are placed in a greenhouse at a temperature of approximately 22 °C and a relative atmospheric humidity of approximately 90%.
The test is evaluated 7-9 days after the inoculation. 0% means an efficacy which corresponds to that of the untreated control, while an efficacy of 100% means that no disease is observed. In this test the following compounds according to the invention showed efficacy between 70%o and 79%o at a concentration of 500 ppm of active ingredient: 1-04.
In this test the following compounds according to the invention showed efficacy between 80%o and 89%o at a concentration of 500 ppm of active ingredient: T17; 1-23.
In this test the following compounds according to the invention showed efficacy between 90% and 100% at a concentration of 500 ppm of active ingredient: 1-01; 1-06; 1-13; 1-15; 1-22.
In this test the following compounds according to the invention showed efficacy between 80%o and 89%o at a concentration of 100 ppm of active ingredient: 1-24.
In this test the following compounds according to the invention showed efficacy between 90% and 100% at a concentration of 100 ppm of active ingredient: 1-18. Example H: Puccinia test (wheat) / preventive
Solvent: 49 parts by weight of N,N-dimethylformamide
Emulsifier: 1 part by weight of alkylaryl poly glycol ether
To produce a suitable preparation of active compound, 1 part by weight of active compound is mixed with the stated amounts of solvent and emulsifier, and the concentrate is diluted with water to the desired concentration.
_ _
To test for preventive activity, young plants are sprayed with the preparation of active compound at the stated rate of application. One day after this treatment, the plants are inoculated with an aqueous spore suspension of Puccinia recondita. The plants remain for 48 hours in an incubation cabinet at 22 °C and a relative atmospheric humidity of 100%. Then the plants are placed in a greenhouse at a temperature of approximately 20 °C and a relative atmospheric humidity of approximately 80%.
The test is evaluated 7-9 days after the inoculation. 0% means an efficacy which corresponds to that of the untreated control while an efficacy of 100% means that no disease is observed.
In this test the following compounds according to the invention showed efficacy between 70%o and 79%o at a concentration of 500 ppm of active ingredient: 1-07; I- 10; 1-14; 1-21. In this test the following compounds according to the invention showed efficacy between 80%o and 89%o at a concentration of 500 ppm of active ingredient: 1-03; 1-16.
In this test the following compounds according to the invention showed efficacy between 90% and 100% at a concentration of 500 ppm of active ingredient: 1-02; 1-05; 1-09; 1-13; 1-18; 1-22.
Example I: Sphaerotheca test (cucumber) / preventive
Solvent: 49 parts by weight of N,N-dimethylformamide
Emulsifier: 1 part by weight of alkylaryl poly glycol ether
To produce a suitable preparation of active compound, 1 part by weight of active compound is mixed with the stated amounts of solvent and emulsifier, and the concentrate is diluted with water to the desired concentration.
To test for preventive activity, young plants are sprayed with the preparation of active compound at the stated rate of application. One day after this treatment, the plants are inoculated with an aqueous spore suspension of Sphaerotheca fuliginea. Then the plants are placed in a greenhouse at approximately 23 °C and a relative atmospheric humidity of approximately 70%.
The test is evaluated 7 days after the inoculation. 0% means an efficacy which corresponds to that of the untreated control, while an efficacy of 100% means that no disease is observed. In this test the following compounds according to the invention showed efficacy between 70%o and 79%o at a concentration of 500 ppm of active ingredient: 1-04.
In this test the following compounds according to the invention showed efficacy between 90% and 100% at a concentration of 500 ppm of active ingredient: 1-01; 1-02; 1-03; 1-05; 1-06; 1-07; 1-09; 1-10; I-l 1; 1-13; 1-14; 1-16; 1-17; 1-18; 1-19; 1-20; 1-21; 1-22.
Claims
1. Compound according to formula (I)
wherein represents hydrogen, substituted or non-substituted Ci-Cs-alkyl; substituted or non- substituted C3-C8-cycloalkylalkyl; substituted or non-substituted C2-C8-alkenyl; substituted or non-substituted C2-C8-alkynyl; Ci-Cs-haloalkyl; C2-C8-halooalkenyl; C2-C8-haloalkynyl; C3-C7-halocycloalkyl-Ci-C4-alkyl; C3-C7-halocycloalkyl-Ci-C4- haloalkyl; C3-C7-cycloalkyl-Ci-C4-haloalkyl; substituted or non-substituted C3-C7- cycloalkyl; substituted or non-substituted C3-C7-cycloalkenyl; substituted or non- substituted aryl-Ci-C8-alkyl; substituted or non- substituted aryl-C2-C8-alkenyl; substituted or non-substituted aryl-C2-C8-alkynyl; substituted or non-substituted phenoxy-Ci-C8-alkyl; substituted or non-substituted phenylcycloalkyl; substituted or non-substituted aryl, substituted or non-substituted hetaryl; substituted hetaryl-Ci-Cs- alkyl; substituted or non-substituted heterocycloalkyl; substituted or non-substituted heterocycloalkyl-Ci-C8-alkyl;
R represents hydrogen, substituted or non-substituted Ci-Cs-alkyl, substituted or non- substituted C3-C8-cycloalkylalkyl; substituted or non-substituted C3-C8-alkenyl; substituted or non-substituted C3-C8-alkynyl; substituted or non-substituted C3-C7- cycloalkyl; -Si(R3a)(R3b)(R3c), -P(0)(OH)2, -CH2-0-P(0)(OH)2, substituted or non- substituted -C(0)-Ci-C8-alkyl, substituted or non-substituted -C(0)-C3-C7-cycloalkyl, substituted or non-substituted -C(0)NH-Ci-C8-alkyl; substituted or non-substituted - C(0)N-di-Ci-C8-alkyl; substituted or non-substituted -C(0)0-Ci-C8-alkyl;
R3a, R3b, R3c represent independently from each other a substituted or non-substituted Ci-Cs-alkyl;
X represents difluoromethyl, 2,2,2-trifluoroethyl, pentafluoroethyl, pentafluoro-λ6- sulfanyl, 1,1,2,2-tetrafluoroethoxy, 2,2,2-trifluoroethoxy, methylsulfoxymine;
XI and X2 represent independently form each other hydrogen, halogen, Ci-Cs-alkyl, Ci-Cs- haloalkyl, Ci-Cs-alkoxy, Ci-Cs-haloalkoxy; and its salts or N-oxides.
2. Compound according to claim 1, wherein
R1 represents hydrogen, substituted or non-substituted Ci-Cs-alkyl; substituted or non- substituted C3-C8-cycloalkylalkyl; substituted or non-substituted C2-C8-alkenyl; substituted or non-substituted C2-C8-alkynyl; Ci-Cs-haloalkyl; substituted or non- substituted C3-C7-cycloalkyl; substituted or non-substituted aryl-Ci-Cs-alkyl; substituted or non-substituted phenoxy-Ci-Cs-alkyl; substituted or non-substituted phenylcycloalkyl; substituted or non-substituted aryl, substituted or non- substituted hetaryl; substituted hetaryl-Ci-Cs-alkyl;
R2 represents hydrogen, substituted or non-substituted Ci-Cs-alkyl, substituted or non- substituted C3-C8-alkenyl; substituted or non-substituted C3-C8-alkynyl;
X represents pentafluoro^6-sulfanyl, methylsulfoxymine;
Xi and X2 represent independently form each other hydrogen, halogen.
3. Compound according to claim 1, wherein
R1 represents hydrogen, substituted or non-substituted Ci-Cs-alkyl; substituted or non- substituted C3-C6-cycloalkylalkyl; substituted or non-substituted C2-C8-alkenyl; substituted or non-substituted C2-C8-alkynyl; Ci-Cs-haloalkyl; substituted or non- substituted C3-C6-cycloalkyl; substituted or non-substituted aryl-Ci-C3-alkyl; substituted or non-substituted phenoxy-Ci-C3-alkyl; substituted or non-substituted aryl; R2 represents hydrogen, substituted or non-substituted Ci-Cs-alkyl;
X represents pentafluoro^6-sulfanyl, methylsulfoxymine;
XI and X2 represent independently from each other hydrogen, fluorine.
4. Compound according to claim 1, wherein
R1 represents hydrogen, substituted or non-substituted Ci-Cs-alkyl; substituted or non- substituted aryl-Ci-C3-alkyl; substituted or non-substituted aryl;
R2 represents hydrogen;
X represents pentafluoro^6-sulfanyl;
XI and X2 represent hydrogen.
5. Compound according to claim 1, wherein
R1 represents hydrogen, substituted or non-substituted Ci-Cs-alkyl;
R2 represents hydrogen;
X represents pentafluoro^6-sulfanyl;
XI and X2 represent hydrogen.
6. A composition for use in controlling phytopathogenic harmful fungi comprising a compound according to any of claims 1 to 5.
7. A composition for use according to claim 6 further comprising adjuvants, solvents, carrier, surfactants and / or extenders.
8. A method for curatively or preventively controlling phytopathogenic harmful fungi of plants or crops comprising the step of applying a compound according to any of claims 1 to 5 or a composition according to claim 6 or 7 to the phytopathogenic harmful fungi and / or their habitat.
9. The method according to claim 8 wherein the compound or the composition is applied to the seed, the plant, to fruits of plants or to the soil on which the plant grows or is supposed to grow.
10. Use of a compound according to any of claims 1 to 5 or a composition for use according to claim 6 or 7 to control phytopathogenic harmful fungi.
11. Use according to claim 10 for the treatment of transgenic plants or for the treatment of seeds of transgenic plants.
12. Seed that has been treated with a compound according to any of claims 1 to 5 or a composition according to claim 6 or 7.
X represents difluoromethyl, 2,2,2-trifluoroethyl, pentafluoroethyl, pentafluoro-λ6- sulfanyl, 1,1,2,2-tetrafluoroethoxy, 2,2,2-trifluoroethoxy, methylsulfoxymine; X1 and X2 represent independently form each other hydrogen, halogen, Ci-Cs-alkyl, Ci-Cs- haloalkyl, Ci-Cs-alkoxy, Ci-Cs-haloalkoxy; and its salts or N-oxides.
Applications Claiming Priority (2)
| Application Number | Priority Date | Filing Date | Title |
|---|---|---|---|
| EP15162368 | 2015-04-02 | ||
| EP15162368.3 | 2015-04-02 |
Publications (1)
| Publication Number | Publication Date |
|---|---|
| WO2016156284A1 true WO2016156284A1 (en) | 2016-10-06 |
Family
ID=52807707
Family Applications (1)
| Application Number | Title | Priority Date | Filing Date |
|---|---|---|---|
| PCT/EP2016/056756 Ceased WO2016156284A1 (en) | 2015-04-02 | 2016-03-29 | Novel pyridine compounds for controlling phytopathogenic harmful fungi |
Country Status (1)
| Country | Link |
|---|---|
| WO (1) | WO2016156284A1 (en) |
Citations (2)
| Publication number | Priority date | Publication date | Assignee | Title |
|---|---|---|---|---|
| EP0302365A2 (en) * | 1987-08-05 | 1989-02-08 | Bayer Ag | Substituted pyridines |
| EP0302366A2 (en) * | 1987-08-05 | 1989-02-08 | Bayer Ag | Substituted pyridine derivatives |
-
2016
- 2016-03-29 WO PCT/EP2016/056756 patent/WO2016156284A1/en not_active Ceased
Patent Citations (2)
| Publication number | Priority date | Publication date | Assignee | Title |
|---|---|---|---|---|
| EP0302365A2 (en) * | 1987-08-05 | 1989-02-08 | Bayer Ag | Substituted pyridines |
| EP0302366A2 (en) * | 1987-08-05 | 1989-02-08 | Bayer Ag | Substituted pyridine derivatives |
Similar Documents
| Publication | Publication Date | Title |
|---|---|---|
| US10485236B2 (en) | Triazole derivatives, intermediates thereof and their use as fungicides | |
| WO2016156282A1 (en) | Novel triazole compounds for controlling phytopathogenic harmful fungi | |
| AU2016239067A1 (en) | Novel 5-substituted imidazole derivatives | |
| US20180057467A1 (en) | Novel triazole derivatives | |
| CA2909217A1 (en) | Novel triazole derivatives | |
| WO2016156311A1 (en) | Triazole derivatives as pesticides and plant growth regulators | |
| WO2016050769A1 (en) | Novel triazole derivatives useful as fungicides | |
| EP3277674B1 (en) | Triazol derivatives as fungicides | |
| CA3038362A1 (en) | 5-substituted imidazolylmethyldioxolane derivatives as fungiciides | |
| WO2018060074A1 (en) | Novel 5-substituted imidazolylmethyl derivatives | |
| WO2014167008A1 (en) | Novel triazolinthione derivatives | |
| CA3038401A1 (en) | 5-substituted imidazolylmethyloxirane derivatives as fungicides | |
| EP3292762A1 (en) | Active compound combinations comprising a 5-substituted imidazole derivative | |
| US20190218187A1 (en) | Novel 5-substituted imidazolylmethyl derivatives | |
| WO2016156284A1 (en) | Novel pyridine compounds for controlling phytopathogenic harmful fungi | |
| OA18593A (en) | Triazole derivatives, intermediates thereof and their use as fungicides |
Legal Events
| Date | Code | Title | Description |
|---|---|---|---|
| 121 | Ep: the epo has been informed by wipo that ep was designated in this application |
Ref document number: 16711854 Country of ref document: EP Kind code of ref document: A1 |
|
| NENP | Non-entry into the national phase |
Ref country code: DE |
|
| 122 | Ep: pct application non-entry in european phase |
Ref document number: 16711854 Country of ref document: EP Kind code of ref document: A1 |












