WO2014099673A1 - 3,5-diamino-6-chloro-n-(n-(4-phenylbutyl)carbamimidoyl) pyrazine-2- carboxamide compounds - Google Patents
3,5-diamino-6-chloro-n-(n-(4-phenylbutyl)carbamimidoyl) pyrazine-2- carboxamide compounds Download PDFInfo
- Publication number
- WO2014099673A1 WO2014099673A1 PCT/US2013/075093 US2013075093W WO2014099673A1 WO 2014099673 A1 WO2014099673 A1 WO 2014099673A1 US 2013075093 W US2013075093 W US 2013075093W WO 2014099673 A1 WO2014099673 A1 WO 2014099673A1
- Authority
- WO
- WIPO (PCT)
- Prior art keywords
- compound
- pharmaceutically acceptable
- mmol
- acceptable salt
- human
- Prior art date
- Legal status (The legal status is an assumption and is not a legal conclusion. Google has not performed a legal analysis and makes no representation as to the accuracy of the status listed.)
- Ceased
Links
- 0 C*(CCCCc1cc2ccc(CC(*CCCN(CC(*)C(C(**)*(C(CO)O)O)O)CC(C)(*)C(C(C(C(CO)O)=*)O)O)*C(N)=O)cc2cc1)C(NC(c(nc1Cl)c([N+])nc1N)=C=C)=N Chemical compound C*(CCCCc1cc2ccc(CC(*CCCN(CC(*)C(C(**)*(C(CO)O)O)O)CC(C)(*)C(C(C(C(CO)O)=*)O)O)*C(N)=O)cc2cc1)C(NC(c(nc1Cl)c([N+])nc1N)=C=C)=N 0.000 description 7
- ZYUYQADCYFURBN-WXGLKWOMSA-N CCCCCCN(CCCN[C@H](CCc1c(cccc2)c2c(CCCCNC(NC(c2nc(Cl)c(N)nc2N)=O)=N)cc1)C(N)=O)CC(C(C(C(CO)O)O)O)O Chemical compound CCCCCCN(CCCN[C@H](CCc1c(cccc2)c2c(CCCCNC(NC(c2nc(Cl)c(N)nc2N)=O)=N)cc1)C(N)=O)CC(C(C(C(CO)O)O)O)O ZYUYQADCYFURBN-WXGLKWOMSA-N 0.000 description 1
Classifications
-
- A—HUMAN NECESSITIES
- A61—MEDICAL OR VETERINARY SCIENCE; HYGIENE
- A61K—PREPARATIONS FOR MEDICAL, DENTAL OR TOILETRY PURPOSES
- A61K9/00—Medicinal preparations characterised by special physical form
- A61K9/0012—Galenical forms characterised by the site of application
- A61K9/007—Pulmonary tract; Aromatherapy
- A61K9/0073—Sprays or powders for inhalation; Aerolised or nebulised preparations generated by other means than thermal energy
- A61K9/0075—Sprays or powders for inhalation; Aerolised or nebulised preparations generated by other means than thermal energy for inhalation via a dry powder inhaler [DPI], e.g. comprising micronized drug mixed with lactose carrier particles
-
- A—HUMAN NECESSITIES
- A61—MEDICAL OR VETERINARY SCIENCE; HYGIENE
- A61K—PREPARATIONS FOR MEDICAL, DENTAL OR TOILETRY PURPOSES
- A61K31/00—Medicinal preparations containing organic active ingredients
- A61K31/33—Heterocyclic compounds
- A61K31/395—Heterocyclic compounds having nitrogen as a ring hetero atom, e.g. guanethidine or rifamycins
- A61K31/495—Heterocyclic compounds having nitrogen as a ring hetero atom, e.g. guanethidine or rifamycins having six-membered rings with two or more nitrogen atoms as the only ring heteroatoms, e.g. piperazine or tetrazines
- A61K31/4965—Non-condensed pyrazines
-
- A—HUMAN NECESSITIES
- A61—MEDICAL OR VETERINARY SCIENCE; HYGIENE
- A61K—PREPARATIONS FOR MEDICAL, DENTAL OR TOILETRY PURPOSES
- A61K33/00—Medicinal preparations containing inorganic active ingredients
- A61K33/14—Alkali metal chlorides; Alkaline earth metal chlorides
-
- A—HUMAN NECESSITIES
- A61—MEDICAL OR VETERINARY SCIENCE; HYGIENE
- A61K—PREPARATIONS FOR MEDICAL, DENTAL OR TOILETRY PURPOSES
- A61K45/00—Medicinal preparations containing active ingredients not provided for in groups A61K31/00 - A61K41/00
- A61K45/06—Mixtures of active ingredients without chemical characterisation, e.g. antiphlogistics and cardiaca
-
- A—HUMAN NECESSITIES
- A61—MEDICAL OR VETERINARY SCIENCE; HYGIENE
- A61K—PREPARATIONS FOR MEDICAL, DENTAL OR TOILETRY PURPOSES
- A61K47/00—Medicinal preparations characterised by the non-active ingredients used, e.g. carriers or inert additives; Targeting or modifying agents chemically bound to the active ingredient
- A61K47/06—Organic compounds, e.g. natural or synthetic hydrocarbons, polyolefins, mineral oil, petrolatum or ozokerite
- A61K47/26—Carbohydrates, e.g. sugar alcohols, amino sugars, nucleic acids, mono-, di- or oligo-saccharides; Derivatives thereof, e.g. polysorbates, sorbitan fatty acid esters or glycyrrhizin
-
- A—HUMAN NECESSITIES
- A61—MEDICAL OR VETERINARY SCIENCE; HYGIENE
- A61K—PREPARATIONS FOR MEDICAL, DENTAL OR TOILETRY PURPOSES
- A61K9/00—Medicinal preparations characterised by special physical form
-
- A—HUMAN NECESSITIES
- A61—MEDICAL OR VETERINARY SCIENCE; HYGIENE
- A61K—PREPARATIONS FOR MEDICAL, DENTAL OR TOILETRY PURPOSES
- A61K9/00—Medicinal preparations characterised by special physical form
- A61K9/0012—Galenical forms characterised by the site of application
- A61K9/007—Pulmonary tract; Aromatherapy
- A61K9/0073—Sprays or powders for inhalation; Aerolised or nebulised preparations generated by other means than thermal energy
- A61K9/0078—Sprays or powders for inhalation; Aerolised or nebulised preparations generated by other means than thermal energy for inhalation via a nebulizer such as a jet nebulizer, ultrasonic nebulizer, e.g. in the form of aqueous drug solutions or dispersions
-
- A—HUMAN NECESSITIES
- A61—MEDICAL OR VETERINARY SCIENCE; HYGIENE
- A61K—PREPARATIONS FOR MEDICAL, DENTAL OR TOILETRY PURPOSES
- A61K9/00—Medicinal preparations characterised by special physical form
- A61K9/0012—Galenical forms characterised by the site of application
- A61K9/007—Pulmonary tract; Aromatherapy
- A61K9/0073—Sprays or powders for inhalation; Aerolised or nebulised preparations generated by other means than thermal energy
- A61K9/008—Sprays or powders for inhalation; Aerolised or nebulised preparations generated by other means than thermal energy comprising drug dissolved or suspended in liquid propellant for inhalation via a pressurized metered dose inhaler [MDI]
-
- A—HUMAN NECESSITIES
- A61—MEDICAL OR VETERINARY SCIENCE; HYGIENE
- A61P—SPECIFIC THERAPEUTIC ACTIVITY OF CHEMICAL COMPOUNDS OR MEDICINAL PREPARATIONS
- A61P1/00—Drugs for disorders of the alimentary tract or the digestive system
-
- A—HUMAN NECESSITIES
- A61—MEDICAL OR VETERINARY SCIENCE; HYGIENE
- A61P—SPECIFIC THERAPEUTIC ACTIVITY OF CHEMICAL COMPOUNDS OR MEDICINAL PREPARATIONS
- A61P1/00—Drugs for disorders of the alimentary tract or the digestive system
- A61P1/02—Stomatological preparations, e.g. drugs for caries, aphtae, periodontitis
-
- A—HUMAN NECESSITIES
- A61—MEDICAL OR VETERINARY SCIENCE; HYGIENE
- A61P—SPECIFIC THERAPEUTIC ACTIVITY OF CHEMICAL COMPOUNDS OR MEDICINAL PREPARATIONS
- A61P1/00—Drugs for disorders of the alimentary tract or the digestive system
- A61P1/04—Drugs for disorders of the alimentary tract or the digestive system for ulcers, gastritis or reflux esophagitis, e.g. antacids, inhibitors of acid secretion, mucosal protectants
-
- A—HUMAN NECESSITIES
- A61—MEDICAL OR VETERINARY SCIENCE; HYGIENE
- A61P—SPECIFIC THERAPEUTIC ACTIVITY OF CHEMICAL COMPOUNDS OR MEDICINAL PREPARATIONS
- A61P1/00—Drugs for disorders of the alimentary tract or the digestive system
- A61P1/10—Laxatives
-
- A—HUMAN NECESSITIES
- A61—MEDICAL OR VETERINARY SCIENCE; HYGIENE
- A61P—SPECIFIC THERAPEUTIC ACTIVITY OF CHEMICAL COMPOUNDS OR MEDICINAL PREPARATIONS
- A61P11/00—Drugs for disorders of the respiratory system
-
- A—HUMAN NECESSITIES
- A61—MEDICAL OR VETERINARY SCIENCE; HYGIENE
- A61P—SPECIFIC THERAPEUTIC ACTIVITY OF CHEMICAL COMPOUNDS OR MEDICINAL PREPARATIONS
- A61P11/00—Drugs for disorders of the respiratory system
- A61P11/02—Nasal agents, e.g. decongestants
-
- A—HUMAN NECESSITIES
- A61—MEDICAL OR VETERINARY SCIENCE; HYGIENE
- A61P—SPECIFIC THERAPEUTIC ACTIVITY OF CHEMICAL COMPOUNDS OR MEDICINAL PREPARATIONS
- A61P11/00—Drugs for disorders of the respiratory system
- A61P11/06—Antiasthmatics
-
- A—HUMAN NECESSITIES
- A61—MEDICAL OR VETERINARY SCIENCE; HYGIENE
- A61P—SPECIFIC THERAPEUTIC ACTIVITY OF CHEMICAL COMPOUNDS OR MEDICINAL PREPARATIONS
- A61P11/00—Drugs for disorders of the respiratory system
- A61P11/08—Bronchodilators
-
- A—HUMAN NECESSITIES
- A61—MEDICAL OR VETERINARY SCIENCE; HYGIENE
- A61P—SPECIFIC THERAPEUTIC ACTIVITY OF CHEMICAL COMPOUNDS OR MEDICINAL PREPARATIONS
- A61P11/00—Drugs for disorders of the respiratory system
- A61P11/12—Mucolytics
-
- A—HUMAN NECESSITIES
- A61—MEDICAL OR VETERINARY SCIENCE; HYGIENE
- A61P—SPECIFIC THERAPEUTIC ACTIVITY OF CHEMICAL COMPOUNDS OR MEDICINAL PREPARATIONS
- A61P11/00—Drugs for disorders of the respiratory system
- A61P11/14—Antitussive agents
-
- A—HUMAN NECESSITIES
- A61—MEDICAL OR VETERINARY SCIENCE; HYGIENE
- A61P—SPECIFIC THERAPEUTIC ACTIVITY OF CHEMICAL COMPOUNDS OR MEDICINAL PREPARATIONS
- A61P15/00—Drugs for genital or sexual disorders; Contraceptives
- A61P15/02—Drugs for genital or sexual disorders; Contraceptives for disorders of the vagina
-
- A—HUMAN NECESSITIES
- A61—MEDICAL OR VETERINARY SCIENCE; HYGIENE
- A61P—SPECIFIC THERAPEUTIC ACTIVITY OF CHEMICAL COMPOUNDS OR MEDICINAL PREPARATIONS
- A61P17/00—Drugs for dermatological disorders
- A61P17/16—Emollients or protectives, e.g. against radiation
-
- A—HUMAN NECESSITIES
- A61—MEDICAL OR VETERINARY SCIENCE; HYGIENE
- A61P—SPECIFIC THERAPEUTIC ACTIVITY OF CHEMICAL COMPOUNDS OR MEDICINAL PREPARATIONS
- A61P25/00—Drugs for disorders of the nervous system
- A61P25/02—Drugs for disorders of the nervous system for peripheral neuropathies
-
- A—HUMAN NECESSITIES
- A61—MEDICAL OR VETERINARY SCIENCE; HYGIENE
- A61P—SPECIFIC THERAPEUTIC ACTIVITY OF CHEMICAL COMPOUNDS OR MEDICINAL PREPARATIONS
- A61P27/00—Drugs for disorders of the senses
- A61P27/02—Ophthalmic agents
-
- A—HUMAN NECESSITIES
- A61—MEDICAL OR VETERINARY SCIENCE; HYGIENE
- A61P—SPECIFIC THERAPEUTIC ACTIVITY OF CHEMICAL COMPOUNDS OR MEDICINAL PREPARATIONS
- A61P27/00—Drugs for disorders of the senses
- A61P27/16—Otologicals
-
- A—HUMAN NECESSITIES
- A61—MEDICAL OR VETERINARY SCIENCE; HYGIENE
- A61P—SPECIFIC THERAPEUTIC ACTIVITY OF CHEMICAL COMPOUNDS OR MEDICINAL PREPARATIONS
- A61P29/00—Non-central analgesic, antipyretic or antiinflammatory agents, e.g. antirheumatic agents; Non-steroidal antiinflammatory drugs [NSAID]
-
- A—HUMAN NECESSITIES
- A61—MEDICAL OR VETERINARY SCIENCE; HYGIENE
- A61P—SPECIFIC THERAPEUTIC ACTIVITY OF CHEMICAL COMPOUNDS OR MEDICINAL PREPARATIONS
- A61P3/00—Drugs for disorders of the metabolism
- A61P3/12—Drugs for disorders of the metabolism for electrolyte homeostasis
-
- A—HUMAN NECESSITIES
- A61—MEDICAL OR VETERINARY SCIENCE; HYGIENE
- A61P—SPECIFIC THERAPEUTIC ACTIVITY OF CHEMICAL COMPOUNDS OR MEDICINAL PREPARATIONS
- A61P31/00—Antiinfectives, i.e. antibiotics, antiseptics, chemotherapeutics
-
- A—HUMAN NECESSITIES
- A61—MEDICAL OR VETERINARY SCIENCE; HYGIENE
- A61P—SPECIFIC THERAPEUTIC ACTIVITY OF CHEMICAL COMPOUNDS OR MEDICINAL PREPARATIONS
- A61P37/00—Drugs for immunological or allergic disorders
- A61P37/02—Immunomodulators
- A61P37/06—Immunosuppressants, e.g. drugs for graft rejection
-
- A—HUMAN NECESSITIES
- A61—MEDICAL OR VETERINARY SCIENCE; HYGIENE
- A61P—SPECIFIC THERAPEUTIC ACTIVITY OF CHEMICAL COMPOUNDS OR MEDICINAL PREPARATIONS
- A61P43/00—Drugs for specific purposes, not provided for in groups A61P1/00-A61P41/00
-
- C—CHEMISTRY; METALLURGY
- C07—ORGANIC CHEMISTRY
- C07D—HETEROCYCLIC COMPOUNDS
- C07D241/00—Heterocyclic compounds containing 1,4-diazine or hydrogenated 1,4-diazine rings
- C07D241/02—Heterocyclic compounds containing 1,4-diazine or hydrogenated 1,4-diazine rings not condensed with other rings
- C07D241/10—Heterocyclic compounds containing 1,4-diazine or hydrogenated 1,4-diazine rings not condensed with other rings having three double bonds between ring members or between ring members and non-ring members
- C07D241/14—Heterocyclic compounds containing 1,4-diazine or hydrogenated 1,4-diazine rings not condensed with other rings having three double bonds between ring members or between ring members and non-ring members with hetero atoms or with carbon atoms having three bonds to hetero atoms with at the most one bond to halogen, e.g. ester or nitrile radicals, directly attached to ring carbon atoms
- C07D241/20—Nitrogen atoms
-
- C—CHEMISTRY; METALLURGY
- C07—ORGANIC CHEMISTRY
- C07D—HETEROCYCLIC COMPOUNDS
- C07D241/00—Heterocyclic compounds containing 1,4-diazine or hydrogenated 1,4-diazine rings
- C07D241/02—Heterocyclic compounds containing 1,4-diazine or hydrogenated 1,4-diazine rings not condensed with other rings
- C07D241/10—Heterocyclic compounds containing 1,4-diazine or hydrogenated 1,4-diazine rings not condensed with other rings having three double bonds between ring members or between ring members and non-ring members
- C07D241/14—Heterocyclic compounds containing 1,4-diazine or hydrogenated 1,4-diazine rings not condensed with other rings having three double bonds between ring members or between ring members and non-ring members with hetero atoms or with carbon atoms having three bonds to hetero atoms with at the most one bond to halogen, e.g. ester or nitrile radicals, directly attached to ring carbon atoms
- C07D241/24—Carbon atoms having three bonds to hetero atoms with at the most one bond to halogen, e.g. ester or nitrile radicals
- C07D241/26—Carbon atoms having three bonds to hetero atoms with at the most one bond to halogen, e.g. ester or nitrile radicals with nitrogen atoms directly attached to ring carbon atoms
- C07D241/28—Carbon atoms having three bonds to hetero atoms with at the most one bond to halogen, e.g. ester or nitrile radicals with nitrogen atoms directly attached to ring carbon atoms in which said hetero-bound carbon atoms have double bonds to oxygen, sulfur or nitrogen atoms
- C07D241/30—Carbon atoms having three bonds to hetero atoms with at the most one bond to halogen, e.g. ester or nitrile radicals with nitrogen atoms directly attached to ring carbon atoms in which said hetero-bound carbon atoms have double bonds to oxygen, sulfur or nitrogen atoms in which said hetero-bound carbon atoms are part of a substructure —C(=X)—X—C(=X)—X— in which X is an oxygen or sulphur atom or an imino radical, e.g. imidoylguanidines
- C07D241/32—(Amino-pyrazinoyl) guanidines
-
- C—CHEMISTRY; METALLURGY
- C07—ORGANIC CHEMISTRY
- C07D—HETEROCYCLIC COMPOUNDS
- C07D241/00—Heterocyclic compounds containing 1,4-diazine or hydrogenated 1,4-diazine rings
- C07D241/02—Heterocyclic compounds containing 1,4-diazine or hydrogenated 1,4-diazine rings not condensed with other rings
- C07D241/10—Heterocyclic compounds containing 1,4-diazine or hydrogenated 1,4-diazine rings not condensed with other rings having three double bonds between ring members or between ring members and non-ring members
- C07D241/14—Heterocyclic compounds containing 1,4-diazine or hydrogenated 1,4-diazine rings not condensed with other rings having three double bonds between ring members or between ring members and non-ring members with hetero atoms or with carbon atoms having three bonds to hetero atoms with at the most one bond to halogen, e.g. ester or nitrile radicals, directly attached to ring carbon atoms
- C07D241/24—Carbon atoms having three bonds to hetero atoms with at the most one bond to halogen, e.g. ester or nitrile radicals
- C07D241/26—Carbon atoms having three bonds to hetero atoms with at the most one bond to halogen, e.g. ester or nitrile radicals with nitrogen atoms directly attached to ring carbon atoms
- C07D241/28—Carbon atoms having three bonds to hetero atoms with at the most one bond to halogen, e.g. ester or nitrile radicals with nitrogen atoms directly attached to ring carbon atoms in which said hetero-bound carbon atoms have double bonds to oxygen, sulfur or nitrogen atoms
- C07D241/34—(Amino-pyrazine carbonamido) guanidines
Definitions
- the present invention relates to novel substituted 3,5-diamino-6-chloro-N-(N-
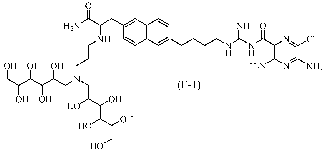
- (4-arylbutyl)carbamimidoyl)pyrazine-2-carboxamide compounds particularly including substituted 3,5-diamino-6-chloro-N-(N-(4- phenylbutyl)carbamimidoyl)pyrazine-2- carboxamide compounds, such as 3,5- diamino-N-(N-(4-(4-((S)-4-amino-3-(3-(bis((2S,3R,4R,5R)-2,3,4,5,6- pentahydroxyhexyl)amino)propylamino)-4-oxobutyl)phenyl)butyl)carbamimidoyl)-6- chloropyrazine-2-carboxamide and its enantiomers and pharmaceutically acceptable salts, useful as sodium channel blockers, compositions containing the same, therapeutic methods and uses for the same and processes for preparing the same.
- the mucosal surfaces at the interface between the environment and the body have evolved a number of "innate defenses", i.e., protective mechanisms.
- a principal form of such innate defense is to cleanse these surfaces with liquid.
- the quantity of the liquid layer on a mucosal surface reflects the balance between epithelial liquid secretion, often reflecting anion (CI “ and/or HC0 3 " ) secretion coupled with water (and a cation counter-ion), and epithelial liquid absorption, often reflecting Na + absorption, coupled with water and counter anion (CI " and/or HC0 3 " ).
- ENaC epithelial Na + channel
- ENaC blockers in the treatment of respiratory diseases such as cystic fibrosis (CF), and COPD, including chronic bronchitis (CB) and emphysema, which reflect the body's failure to clear mucus normally from the lungs and ultimately result in chronic airway infection has been reported.
- CB chronic bronchitis
- emphysema emphysema
- the failure to clear mucus reflects an imbalance in the quantities of mucus as airway surface liquid (ASL) on airway surfaces. This imbalance results in a relative reduction in ASL which leads to mucus concentration, reduction in the lubricant activity of the periciliary liquid (PCL), mucus adherence to the airway surface, and failure to clear mucus via ciliary activity to the mouth.
- ASL airway surface liquid
- PCL periciliary liquid
- mucus adherence to the airway surface and failure to clear mucus via ciliary activity to the mouth.
- the reduction in mucus clearance leads to chronic bacterial colonization of mucus adherent to airway surfaces.
- the chronic retention of bacteria, inability of local antimicrobial substances to kill mucus-entrapped bacteria on a chronic basis, and the consequent chronic inflammatory response to this type of surface infection, are manifest in CB and CF.
- R.C. Boucher in U.S. 6,264,975, describes the use of pyrazinoylguanidine sodium channel blockers for hydrating mucosal surfaces typified by the well-known diuretics amiloride, benzamil, and phenamil.
- these compounds are relatively impotent, considering the limited mass of drug that can be inhaled to the lung; (2) rapidly absorbed, and thereby exhibiting undesirably short half-life on the mucosal surface; and (3) are freely dissociable from ENaC. More potent drugs with longer half-lives on the mucosal surface are needed.
- Too little protective surface liquid on other mucosal surfaces is a common pathophysiology of a number of diseases.
- xerostomia dry mouth
- the oral cavity is depleted of liquid due to a failure of the parotid sublingual and submandibular glands to secrete liquid despite continued Na + (ENaC) transport mediated liquid absorption from the oral cavity.
- Keratoconjunctivitis sira dry eye
- rhinosinusitis there is an imbalance between mucin secretion and relative ASL depletion.
- DIOS distal intestinal obstruction syndrome
- the published literature includes a number of patent applications and granted patents directed toward pyrazinoylguanidine analogs as sodium channel blockers.
- Examples of such publications include PCT Publication Nos. WO2003/070182, WO2003/070184, WO2004/073629, WO2005/025496, WO2005/016879, WO2005/018644, WO2006/022935, WO2006/023573, WO2006/023617, WO2007/018640, WO2007/146869, WO2008/031028, WO2008/031048, and US Patent Nos.
- X is selected from -CH 2 -, -0-, or -S-;
- R 1 and R 2 are independently selected from H and C Ce alkyl
- R 1 and R 2 together with the nitrogen atom to which they are bound form a 5-membered or 6-membered heterocyclic ring optionally containing one additional ring heteroatom selected from N or O;
- R 3 is an alkyl group having from 3 to 8 carbon atoms or a polyhydroxylated alkyl group having from 3 to 8 carbon atoms;
- R 4 is a polyhydroxylated alkyl group having from 3 to 8 carbon atoms.
- R 5 is selected from H or d-C 3 alkyl
- the invention also provides solvates and hydrates, individual stereoisomers, including optical isomers (enantiomers and diastereomers) and geometric isomers (cis-/trans-isomerism), mixtures of stereoisomers, and tautomers of 3,5-diamino-N- (N-(4-(4-((S)-4-amino-3-(3-(bis((2S,3R,4R,5R)-2,3,4,5,6- pentahydroxyhexyl)amino)propylamino)-4-oxobutyl)phenyl) butyl)carbamimidoyl)-6- chloropyrazine-2-carboxamide, or a pharmaceutically acceptable salt thereof, as well as pharmaceutical compositions comprising the compound, or a pharmaceutically acceptable salt thereof, its use in methods of treatment, and methods for its preparation.
- FIG. 1 is a graph demonstrating a 4-hour dose response of Compound ll-d compared to vehicle.
- FIG. 2 is a graph of the effect od Compound ll-d on sheep plasma.
- FIG. 3 is a graph demonstrating the effect of Compound ll-d on Sheep MCC 4 hours post-dose.
- FIG. 4 is a graph demonstrating the effect of Comparative Example 1 on Sheep MCC 4 hours post-dose.
- FIG. 5 is a graph demonstrating the effect of Comparative Example 1 on plasma potassium in sheep.
- FIG. 6 is a graph demonstrating the effect of Compound ll-d and Comparative Example 1 on Sheep MCC 4 hours post-dose.
- FIG 7. is a graph demonstrating the effect of Compound ll-d and Comparative Example 1 on plasma potassium in sheep.
- embodiments comprising twelve groups of compounds independently represented by Formulas (B), (C), (D), (E), (F), (G), (H), (I), (J), (K), (L), and (M):
- R 1 and R 2 are independently selected from H and d-C 6 alkyl
- R 1 and R 2 together with the nitrogen atom to which they are bound form a 5-membered or 6-membered heterocyclic ring optionally containing one additional ring heteroatom selected from N or 0;
- R 3 is an alkyl group having from 3 to 8 carbon atoms or a polyhydroxylated alkyl group having from 3 to 8 carbon atoms;
- R 4 is a polyhydroxylated alkyl group having from 3 to 8 carbon atoms.
- R 5 is selected from H or d-d alkyl
- R 1 and R 2 are independently selected from H and d-d alkyl
- R 3 and R 4 are each, independently, a polyhydroxylated alkyl group having from 3 to 8 carbon atoms;
- R 5 is selected from H or d -C 3 alkyl;
- R 1 and R 2 are independently selected from H and C C 3 alkyl
- R 3 is an alkyl group having from 3 to 8 carbon atoms
- R 4 is a polyhydroxylated alkyl group having from 3 to 8 carbon atoms
- R 5 is selected from H or C 1 -C3 alkyl
- R 1 and R 2 are, independently, selected from H and -CH 3 ;
- R 3 is an alkyl group having from 3 to 8 carbon atoms or a polyhydroxylated alkyl group having from 3 to 8 carbon atoms;
- R 4 is a polyhydroxylated alkyl group having from 3 to 8 carbon atoms; and R 5 is selected from H or d -C 3 alkyl;
- R 1 and R 2 are, independently, selected from H and -CH 3 ;
- R 3 is an alkyl group having from 3 to 8 carbon atoms
- R 4 is a polyhydroxylated alkyl group having from 3 to 8 carbon atoms; and R 5 is selected from H or d -C 3 alkyl;
- R 1 and R 2 are, independently, selected from H and -CH 3 ;
- R 3 and R 4 are each, independently, a polyhydroxylated alkyl group having from 3 to 8 carbon atoms; and R 5 is selected from H or d-C 3 alkyl;
- R 1 and R 2 are H;
- R 3 is an alkyl group having from 3 to 8 carbon atoms or a polyhydroxylated alkyl group having from 3 to 8 carbon atoms;
- R 4 is a polyhydroxylated alkyl group having from 3 to 8 carbon atoms; and R 5 is selected from H or Ci-C 3 alkyl;
- R 1 and R 2 are H;
- R 3 is an alkyl group having from 3 to 8 carbon atoms
- R 4 is a polyhydroxylated alkyl group having from 3 to 8 carbon atoms.
- R 5 is selected from H or d-C 3 alkyl
- R 1 and R 2 are H; and R 3 and R 4 are each, independently, a polyhydroxylated alkyl group having from 3 to 8 carbon atoms; and R 5 is selected from H or d-C 3 alkyl; or a pharmaceutically acceptable salt thereof.
- R 5 is H; or a pharmaceutically acceptable salt thereof.
- R 5 is -CH 3 ; or a
- the 5-membered or 6-membered heterocyclic rings optionally containing one additional ring heteroatom selected from N or O formed by R 1 and R 2 , together with the nitrogen atom to which they are bound, include pyrrolidinyl, piperidinyl, piperazinyl, and morpholinyl rings.
- Polyhydroxylated alkyl groups of this invention are those in which an alkyl chain of from 3 to 8 carbon atoms substituted by two or more hydroxyl groups.
- polyhydroxylated alkyl groups are butane-1 ,4-diol; butane-1 ,2,2-triol; butane-1 ,1 ,2,3,-tetraol; pentane-1 ,2,3,4-tetraol; hexane-1 ,2,3,4, 5-pentaol; heptane- 1 ,2,3,4,5,6-hexaol; and octane-1 ,2,3,4,5,6,7-heptaol.
- One embodiment within each group of compounds described herein are those compounds in which the polyhydroxylated alkyl group has the formula -CH 2 -(CHR 5 ) n - H, wherein n is an integer selected from 2, 3, 4, 5, 6, or 7, and R 5 is independently in each instance H or OH, with the proviso that at least two of the R 5 groups are OH.
- polyhydroxylated alkyl group has the formula -CH 2 - CHOH-(CHR 6 ) m -H, wherein m is an integer selected from 1 , 2, 3, 4, 5, or 6, and R 6 is independently in each instance H or OH, with the proviso that at least one of the R 6 groups is OH.
- a further embodiment within each group of compounds described herein comprises compounds in which the polyhydroxylated alkyl group has the formula - CH 2 -(CHOH) n -CH 2 OH, wherein n is an integer selected from 1 , 2, 3, 4, 5, or 6.
- n is an integer selected from 2, 3, 4, or 5.
- n is an integer selected from 3, 4, or 5.
- the chain represented by the R 4 formula -CH 2 -(CHOH) n -CH 2 OH is 2,3,4,5,6- pentahydroxyhexane, having the formula:
- the chain represented by the R 4 formula -CH 2 -(CHOH) n -CH 2 OH is of the formula:
- R 1 is H
- R 2 is H or C C 3 alkyl
- R 3 is an alkyl group having from 4 to 8 carbon atoms or a polyhydroxylated alkyl group having from 4 to 8 carbon atoms
- R 4 is a polyhydroxylated alkyl group of the formula -CH 2 -(CHOH) n -CH 2 OH;
- n in each instance is independently an integer selected from 1 , 2, 3, 4, 5, or 6; or a pharmaceutically acceptable salt thereof.
- R 1 and R 2 are H;
- R 3 is an alkyl group having from 5 to 7 carbon atoms;
- R 4 is a polyhydroxylated alkyl group of the formula -CH 2 -(CHOH) n - CH 2 OH; and n is an integer selected from 1 , 2, 3, 4, 5, or 6;
- R 4 is a polyhydroxylated alkyl group of the formula -CH 2 -(CHOH) n -CH 2 OH and n is an integer selected from 3, 4, or 5.
- R 4 is a polyhydroxylated alkyl group of the formula -CH 2 -(CHOH) n -CH 2 OH and n is 4.
- R 1 and R 2 are H;
- R 3 is an alkyl group having 6 carbon atoms;
- R 4 is a polyhydroxylated alkyl group of the formula -CH 2 -(CHOH) n -CH 2 OH; and n is 4; or a pharmaceutically acceptable salt thereof.
- the compound of Formula (A) is 3,5-diamino-N-(N- (4-(4-((S)-4-amino-3-(3-(bis((2S,3R,4R,5R)-2,3,4,5,6- pentahydroxyhexyl)amino)propylamino)-4-oxobutyl)phenyl)butyl)carbam
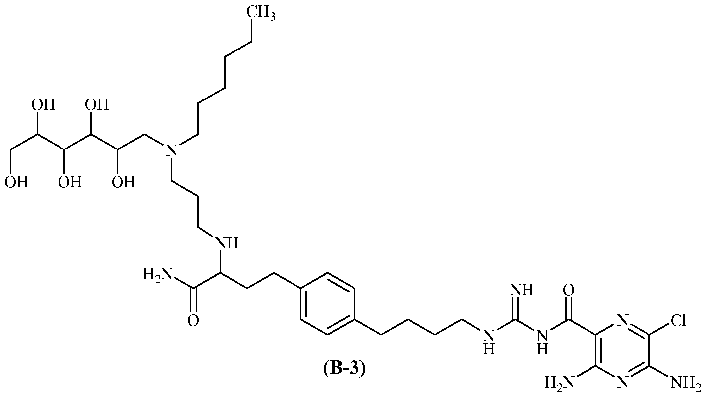
- the compound is 3,5-diamino-N-(N-(4-(4-((S)-4- amino-3-(3-(hexyl((2S,3R,4R,5R)-2,3,4,5,6-pentahydroxyhexyl)amino) propylamino)- 4-oxobutyl) phenyl)butyl)carbamimidoyl)-6-chloropyrazine-2-carboxamide, having formula (B-4):
- Additional compounds of this invention include those of formulas (K-1 ), (K-2), (K-3), and (K-4), or a pharmaceutically acceptable salt thereof:
- a compound of the invention means a compound of Formula (A) or a salt thereof, particularly a pharmaceutically acceptable salt thereof.
- a compound of Formula (A) means a compound having the structural formula designated herein as Formula (A).
- Compounds of Formula (A) include solvates and hydrates (i.e., adducts of a compound of Formula (A) with a solvent).
- a compound of Formula (A) includes one or more chiral centers, the phrase is intended to encompass each individual stereoisomer including optical isomers (enantiomers and diastereomers) and geometric isomers (cis-/trans- isomerism) and mixtures of stereoisomers.
- compounds of Formula (A) also include tautomers of the depicted formula(s).
- the compounds of Formula I may be in the form of a free base or a salt, particularly a pharmaceutically acceptable salt.
- a pharmaceutically acceptable salt see Berge et al., J. Pharma Sci. (1977) 66:1 -19.
- salts formed from inorganic or organic acids include for example, hydrochloride, hydrobromide, hydroiodide, sulfate, bisulfate, nitrate, sulfamate, phosphate, hydrogen phosphate, acetate, trifluoroacetate, maleate, malate, fumarate, lactate, tartrate, citrate, formate, gluconate, succinate, pyruvate, tannate, ascorbate, palmitate, salicylate, stearate, phthalate, alginate, polyglutamate, oxalate, oxaloacetate, saccharate, benzoate, alkyl or aryl sulfonates (e.g., methanesulfonate, ethanesulfonate, benzenesulfonate, p-toluenesulfonate or naphthalenesulfonate) and isothionate; complexes formed
- salts of active ingredients of the compounds of Formula (A) will be pharmaceutically acceptable, i.e. they will be salts derived from a pharmaceutically acceptable acid.
- salts of acids which are not pharmaceutically acceptable may also find use, for example, in the preparation or purification of a pharmaceutically acceptable compound.
- Trifluoroacetate salts for example, may find such use. All salts, whether or not derived from a pharmaceutically acceptable acid, are within the scope of the present invention.
- the term "chiral" refers to molecules which have the property of non- superimposability of the mirror image partner, while the term “achiral” refers to molecules which are superimposable on their mirror image partner.
- stereoisomers refers to compounds which have identical chemical constitution, but differ with regard to the arrangement of the atoms or groups in space.
- “Diastereomer” refers to a stereoisomer with two or more centers of chirality and whose molecules are not mirror images of one another. Diastereomers have different physical properties, e.g. melting points, boiling points, spectral properties, and reactivities. Mixtures of diastereomers may separate under high resolution analytical procedures such as electrophoresis and chromatography.
- Enantiomers refer to two stereoisomers of a compound which are non-superimposable mirror images of one another.
- optically active forms i.e., they have the ability to rotate the plane of plane-polarized light.
- D and L or R and S are used to denote the absolute configuration of the molecule about its chiral center(s).
- a specific stereoisomer may also be referred to as an enantiomer, and a mixture of such isomers is often called an enantiomeric mixture.
- a 50:50 mixture of enantiomers is referred to as a racemic mixture or a racemate, which may occur where there has been no stereoselection or stereospecificity in a chemical reaction or process.
- racemic mixture and “racemate” refer to an equimolar mixture of two enantiomeric species.
- tautomers refers to a type of stereoisomer in which migration of a hydrogen atom results in two or more structures.
- the compounds of Formula (A) may exist in different tautomeric forms.
- amidines, amides, guanidines, ureas, thioureas, heterocycles and the like can exist in tautomeric forms.
- compounds of Formula (A) can exist in various tautomeric forms as shown below:
- an enantiomerically enriched mixture comprises at least about 75% of the specified enantiomer, and preferably at least about 85% of the specified enantiomer. In one embodiment, the enantiomerically enriched mixture is substantially free of the other enantiomer.
- diastereomerically enriched mixtures are mixtures of diastereomers wherein amount of the specified diastereomer is greater than the amount of each alternative diastereomer. More particularly, a diastereomerically enriched mixture comprises at least about 75% of the specified diastereomer, and preferably at least about 85% of the specified diastereomer. In one embodiment, the diastereomerically enriched mixture is substantially free of all other diastereomers.
- substantially free of will be understood by those skilled in the art to indicate less than a 5% presence of other diastereomers, preferably less than 1 %, more preferably less than 0.1 %. In other embodiments no other diastereomers will be present or the amount of any other diastereomers present will be below the level of detection.
- Stereoisomers may be separated by techniques known in the art, including high performance liquid chromatography (HPLC) and crystallization of chiral salts. A single stereoisomer, e.g.
- an enantiomer, substantially free of its stereoisomer may be obtained by resolution of the racemic mixture using a method such as formation of diastereomers using optically active resolving agents ("Stereochemistry of Carbon Compounds,” (1962) by E. L. Eliel, McGraw Hill; Lochmuller, C. H., (1975) J. Chromatogr., 1 13:(3) 283-302).
- Racemic mixtures of chiral compounds of the invention can be separated and isolated by any suitable method, including: (1 ) formation of ionic, diastereomeric salts with chiral compounds and separation by fractional crystallization or other methods, (2) formation of diastereomeric compounds with chiral derivatizing reagents, separation of the diastereomers, and conversion to the pure stereoisomers, and (3) separation of the substantially pure or enriched stereoisomers directly under chiral conditions.
- the present invention provides an enantiomerically enriched mixture of, or a composition comprising an enantiomerically enriched mixture of, 3,5-diamino-N-(N-(4-(4-((S)-4-amino-3-(3-(bis((2S,3R,4R,5R)-2,3,4,5,6- pentahydroxyhexyl)amino)propylamino)-4-oxobutyl)phenyl)butyl)carbamimidoyl)-6- chloropyrazine-2-carboxamide, having the formula (B-2), or a pharmaceutically acceptable salt thereof, as the predominant isomer.
- Another embodiment provides an enantiomerically enriched mixture of, or a composition comprising an enantiomerically enriched mixture of, 3,5-diamino-N-(N- (4-(4-((S)-4-amino-3-(3-(hexyl((2S,3R,4R,5R)-2,3,4,5,6-pentahydroxyhexyl)amino) propylamino)-4-oxobutyl)phenyl)butyl)carbamimidoyl)-6-chloropyrazine-2- carboxamide, having the formula (B-4), or a pharmaceutically acceptable salt thereof, as the predominant isomer.
- Another embodiment provides an enantiomerically enriched mixture of, or a composition comprising an enantiomerically enriched mixture of, 3,5-diamino-N-(N- (4-(4-((R)-4-amino-3-(3-(bis((2R,3S,4S,5S)-2,3,4,5,6- pentahydroxyhexyl)amino)propylamino)-4-oxobutyl)naphthalen-1 - yl)butyl)carbamimidoyl)-6-chloropyrazine-2-carboxamide, having the formula (H-2), or a pharmaceutically acceptable salt thereof, as the predominant isomer.
- a further embodiment provides an enantiomerically enriched mixture of, or a composition comprising an enantiomerically enriched mixture of, 3,5-diamino-N-(N- (4-(4-((R)-4-amino-3-(3-(hexyl((2R,3S,4S,5S)-2,3,4,5,6-pentahydroxyhexyl)amino) propylamino)-4-oxobutyl)naphthalen-1 -yl)butyl)carbamimidoyl)-6-chloropyrazine-2- carboxamide, having the formula (H-4), or a pharmaceutically acceptable salt thereof, as the predominant isomer.
- inventions comprise the enantiomerically enriched mixtures or compositions comprising, respectively, the compounds of formulas (B-2), (B-4), (H- 2), and (H-4), or a pharmaceutically acceptable salt thereof, as the predominant isomer in each of their respective mixtures.
- inventions comprise the enantiomerically enriched mixtures or compositions comprising, respectively, the compounds of formulas (B-2), (B-4), (H- 2), and (H-4), or a pharmaceutically acceptable salt thereof, substantially free of other isomers in each of their respective mixtures.
- a compound of Formula (A) and pharmaceutically acceptable salts thereof may exist as different polymorphs or pseudopolymorphs.
- crystalline polymorphism means the ability of a crystalline compound to exist in different crystal structures. The crystalline polymorphism may result from differences in crystal packing (packing polymorphism) or differences in packing between different conformers of the same molecule (conformational polymorphism).
- crystalline pseudopolymorphism also includes the ability of a hydrate or solvate of a compound to exist in different crystal structures.
- the pseudopolymorphs of the instant invention may exist due to differences in crystal packing (packing pseudopolymorphism) or due to differences in packing between different conformers of the same molecule (conformational pseudopolymorphism).
- the instant invention comprises all polymorphs and pseudopolymorphs of the compounds of Formula (A) and pharmaceutically acceptable salts thereof.
- a compound of Formula (A) and pharmaceutically acceptable salts thereof may also exist as an amorphous solid.
- an amorphous solid is a solid in which there is no long-range order of the positions of the atoms in the solid. This definition applies as well when the crystal size is two nanometers or less.
- Additives, including solvents, may be used to create the amorphous forms of the instant invention.
- the instant invention including all pharmaceutical compositions, methods of treatment, combination products, and uses thereof described herein, comprises all amorphous forms of the compounds of Formula (A) and pharmaceutically acceptable salts thereof.
- the compounds of the invention exhibit activity as sodium channel blockers. Without being bound by any particular theory, it is believed that the compounds of the invention may function in vivo by blocking epithelial sodium channels present in mucosal surfaces and thereby reduce the absorption of water by the mucosal surfaces. This effect increases the volume of protective liquids on mucosal surfaces, and rebalances the system. As a consequence, the compounds of the invention are useful as medicaments, particularly for the treatment of clinical conditions for which a sodium channel blocker may be indicated.
- Such conditions include pulmonary conditions such as diseases associated with reversible or irreversible airway obstruction, chronic obstructive pulmonary disease (COPD), including acute exacerbations of COPD, asthma, bronchiectasis (including bronchiectasis due to conditions other than cystic fibrosis), acute bronchitis, chronic bronchitis, post-viral cough, cystic fibrosis, emphysema, pneumonia, panbronchiolitis, and transplant-associated bronchiolitis, including lung- and bone marrow-transplant associated bronchiolitis, in a human in need thereof.
- COPD chronic obstructive pulmonary disease
- the compounds of the invention may also be useful for treating ventilator-associated tracheobronchitis and/or preventing ventilator-associated pneumonia in ventilated patients.
- the present invention comprises methods for treating each of these conditions in a mammal in need thereof, preferably in a human in need thereof, each method comprising administering to said mammal a pharmaceutically effective amount of a compound of the present invention, or a pharmaceutically acceptable salt thereof.
- Also provided is a method of stimulating, enhancing or improving mucociliary clearance in a mammal comprising administering to a mammal in need thereof a pharmaceutically effective amount of a compound of Formula (A), or a pharmaceutically acceptable salt thereof.
- Mucociliary clearance will be understood to include the natural mucociliary actions involved in the transfer or clearance of mucus in the airways, including the self-clearing mechanisms of the bronchi. Therefore, also provided is a method of improving mucus clearance in the airways of a mammal in need thereof.
- sodium channel blockers may be indicated for the treatment of conditions which are ameliorated by increased mucosal hydration in mucosal surfaces other than pulmonary mucosal surfaces.
- conditions include dry mouth (xerostomia), dry skin, vaginal dryness, sinusitis, rhinosinusitis, nasal dehydration, including nasal dehydration brought on by administering dry oxygen, dry eye, Sjogren's disease, otitis media, primary ciliary dyskinesia, distal intestinal obstruction syndrome, esophagitis, constipation, and chronic diverticulitis.
- the compounds of the invention can also be used for promoting ocular or corneal hydration.
- the compounds of the present invention may also be useful in methods for obtaining a sputum sample from a human.
- the method may be carried out by administering a compound of the invention to at least one lung of the patient, and then inducing and collecting a sputum sample from that human.
- the present invention provides a method for the treatment of a condition in a mammal, such as a human, for which a sodium channel blocker is indicated.
- the present invention provides each of the methods described herein with the additional benefit of minimizing or eliminating hyperkalemia in the recipient of the method. Also provided are embodiments comprising each of the methods described herein wherein an improved therapeutic index is achieved.
- treat refers to reversing, alleviating, inhibiting the progress of, or preventing the disorder or condition or one or more symptoms of such disorder or condition.
- All therapeutic methods described herein are carried out by administering an effective amount of a compound of the invention, a compound of Formula (A) or a pharmaceutically acceptable salt thereof, to a subject (typically mammal and preferably human) in need of treatment.
- the invention provides a method for the treatment of a condition which is ameliorated by increased mucosal hydration in a mammal, particularly a human in need thereof.
- the invention provides a method for the treatment of a disease associated with reversible or irreversible airway obstruction in a mammal, particularly a human, in need thereof.
- the present invention provides a method for the treatment of chronic obstructive pulmonary disease (COPD) in a mammal, particularly a human in need thereof.
- COPD chronic obstructive pulmonary disease
- the present invention provides a method for reducing the frequency, severity or duration of acute exacerbation of COPD or for the treatment of one or more symptoms of acute exacerbation of COPD in a mammal, particularly a human in need thereof.
- the invention provides a method for the treatment of asthma in a mammal, particularly a human, in need thereof.
- the invention provides a method for the treatment of bronchiectasis (including bronchiectasis due to conditions other than cystic fibrosis) in a mammal, particularly a human, in need thereof.
- the invention provides a method for the treatment of bronchitis, including acute and chronic bronchitis in a mammal, particularly a human, in need thereof. In one embodiment the invention provides a method for the treatment of post-viral cough in a mammal, particularly a human, in need thereof. In one embodiment the invention provides a method for the treatment of cystic fibrosis in a mammal, particularly a human, in need thereof. In one embodiment the invention provides a method for the treatment of emphysema in a mammal, particularly a human in need thereof. In one embodiment the invention provides a method for the treatment of pneumonia in a mammal, particularly a human in need thereof.
- the invention provides a method for the treatment of panbronchiolitis in a mammal, particularly a human in need thereof.
- the invention provides a method for the treatment of transplant-associated bronchiolitis, including lung- and bone marrow- transplant associated bronchiolitis in a mammal, particularly a human in need thereof.
- the invention provides a method for treating ventilator- associated tracheobronchitis and/or preventing ventilator-associated pneumonia in a ventilated human in need thereof.
- This invention provides specific methods for treating a disease selected from the group of reversible or irreversible airway obstruction, chronic obstructive pulmonary disease (COPD), asthma, bronchiectasis (including bronchiectasis due to conditions other than cystic fibrosis), acute bronchitis, chronic bronchitis, post-viral cough, cystic fibrosis, emphysema, pneumonia, panbronchiolitis, transplant-associate bronchiolitis, and ventilator-associated tracheobronchitis or preventing ventilator- associated pneumonia in a human in need thereof, each method comprising administering to said human an effective amount of a compound of formula (B-2), or a pharmaceutically acceptable salt thereof.
- COPD chronic obstructive pulmonary disease
- COPD chronic obstructive pulmonary disease
- asthma chronic obstructive pulmonary disease
- bronchiectasis including bronchiectasis due to conditions other than cystic fibro
- the pharmaceutically acceptable salt form is a hydrochloride salt or a hydroxynaphthoate salt of the compound of formula (B-2).
- the freebase of the compound of formula (B-2) is used.
- the invention provides a method for the treatment of dry mouth (xerostomia) in a mammal, particularly a human in need thereof.
- the invention provides a method for the treatment of dry skin in a mammal, particularly a human in need thereof.
- the invention provides a method for the treatment of vaginal dryness in a mammal, particularly a human in need thereof.
- the invention provides a method for the treatment of sinusitis, rhinosinusitis, or nasal dehydration, including nasal dehydration brought on by administering dry oxygen, in a mammal, particularly a human in need thereof.
- the invention provides a method for the treatment of dry eye, or Sjogren's disease, or promoting ocular or corneal hydration in a mammal, particularly a human in need thereof.
- the invention provides a method for the treatment of otitis media in a mammal, particularly a human in need thereof.
- the invention provides a method for the treatment of primary ciliary dyskinesia, in a mammal, particularly a human in need thereof.
- the invention provides a method for the treatment of distal intestinal obstruction syndrome, esophagitis, constipation, or chronic diverticulitis in a mammal, particularly a human in need thereof.
- a compound of the invention for use in medical therapy, particularly for use in the treatment of condition in a mammal, such as a human, for which a sodium channel blocker is indicated. All therapeutic uses described herein are carried out by administering an effective amount of a compound of the invention to the subject in need of treatment.
- a compound of the invention for use in the treatment of a pulmonary condition such as a disease associated with reversible or irreversible airway obstruction in a mammal, particularly a human, in need thereof.
- a compound of the invention for use in the treatment of chronic obstructive pulmonary disease (COPD) in a mammal, particularly a human in need thereof.
- COPD chronic obstructive pulmonary disease
- a compound of the invention for use in reducing the frequency, severity or duration of acute exacerbation of COPD or for the treatment of one or more symptoms of acute exacerbation of COPD, in a mammal, particularly a human, in need thereof.
- a compound of the invention for use in the treatment of asthma in a mammal, particularly a human, in need thereof.
- a compound for use in the treatment of bronchiectasis including bronchiectasis due to conditions other than cystic fibrosis, or bronchitis, including acute bronchitis and chronic bronchitis, in a mammal, particularly a human, in need thereof.
- a compound for use in the treatment of cystic fibrosis in a mammal, particularly a human in need thereof in need thereof.
- a compound of the invention for use in the treatment of emphysema in a mammal, particularly a human, in need thereof in need thereof.
- a compound of the invention for use in the treatment of panbronchiolitis or transplant- associated bronchiolitis, including lung- and bone marrow-transplant associated bronchiolitis in a mammal, particularly a human, in need thereof.
- a compound of the invention for use in the treatment of ventilator- associated tracheobronchitis or preventing ventilator-associated pneumonia in a ventilated human in need thereof.
- a compound of the invention for use in the treatment of a condition ameliorated by increased mucosal hydration in mucosal surfaces of a mammal, particularly a human, in need thereof.
- a compound for use in the treatment of vaginal dryness in a mammal, particularly a human in need thereof there is provided.
- a compound of the invention for use in the treatment of sinusitis, rhinosinusitis, or nasal dehydration, including nasal dehydration brought on by administering dry oxygen in a mammal, particularly a human, in need thereof.
- a compound of the invention for use in the treatment of primary ciliary dyskinesia in a mammal, particularly a human, in need thereof.
- a compound of the invention for use in the treatment of distal intestinal obstruction syndrome, esophagitis, constipation, or chronic diverticulitis in a mammal, particularly a human, in need thereof.
- the present invention also provides the use of a compound of the invention in the manufacture of a medicament for the treatment of a condition in a mammal, such as a human, for which a sodium channel blocker is indicated.
- a compound of the invention in the manufacture of a medicament for the treatment of diseases associated with reversible or irreversible airway obstruction, chronic obstructive pulmonary disease (COPD), acute exacerbations of COPD, asthma, bronchiectasis (including bronchiectasis due to conditions other than cystic fibrosis), bronchitis (including acute bronchitis and chronic bronchitis), post- viral cough, cystic fibrosis, emphysema, pneumonia, panbronchiolitis, transplant- associated bronchiolitis, (including lung- and bone marrow-transplant associated bronchiolitis), ventilator-associated tracheobronchitis or preventing ventilator- associated pneumonia.
- COPD chronic obstructive pulmonary disease
- a compound of the invention in the manufacture of a medicament for the treatment of a condition ameliorated by increased mucosal hydration in mucosal surfaces, treatment of dry mouth (xerostomia), dry skin, vaginal dryness, sinusitis, rhinosinusitis, nasal dehydration, including nasal dehydration brought on by administering dry oxygen, treatment of dry eye, Sjogren's disease, promoting ocular or corneal hydration, treatment of otitis media, primary ciliary dyskinesia, distal intestinal obstruction syndrome, esophagitis, constipation, or chronic diverticulitis
- the terms “effective amount”, “pharmaceutically effective amount”, “effective dose”, and “pharmaceutically effective dose” as used herein, refer to an amount of compound of the invention which is sufficient in the subject to which it is administered, to elicit the biological or medical response of a cell culture, tissue, system, or mammal (including human) that is being sought, for instance by a researcher or clinician.
- the term also includes within its scope, amounts effective to enhance normal physiological function.
- the effective amount is the amount needed to provide a desired level of drug in the secretions and tissues of the airways and lungs, or alternatively, in the bloodstream of a subject to be treated to give an anticipated physiological response or desired biological effect when such a composition is administered by inhalation.
- an effective amount of a compound of the invention for the treatment of a condition for which a sodium channel blocker is indicated is sufficient in the subject to which it is administered to treat the particular condition.
- an effective amount is an amount of a compound of the invention which is sufficient for the treatment of COPD or cystic fibrosis in a human.
- the precise effective amount of the compounds of the invention will depend on a number of factors including but not limited to the species, age and weight of the subject being treated, the precise condition requiring treatment and its severity, the bioavailability, potency, and other properties of the specific compound being administered, the nature of the formulation, the route of administration, and the delivery device, and will ultimately be at the discretion of the attendant physician or veterinarian. Further guidance with respect to appropriate dose may be found in considering conventional dosing of other sodium channel blockers, such as amiloride, with due consideration also being given to any differences in potency between amiloride and the compounds of the present invention.
- a pharmaceutically effective dose administered topically to the airway surfaces of a subject (e.g., by inhalation) of a compound of the invention for treatment of a 70 kg human may be in the range of from about 10 ng to about 10 mg. In another embodiment, the pharmaceutically effective dose may be from about 0.1 to about 1000 ⁇ .
- the daily dose administered topically to the airway surfaces will be an amount sufficient to achieve dissolved concentration of active agent on the airway surfaces of from about 1 0 ⁇ 9 , 1 0 "8 , or 1 0 "7 to about 1 0 "4 , 1 0 "3 , 1 0 "2 , or 1 0 "1 Moles/liter, more preferably from about 1 0 ⁇ 9 to about 1 0 "4 Moles/liter.
- the selection of the specific dose for a patient will be determined by the attendant physician, clinician or veterinarian of ordinary skill in the art based upon a number of factors including those noted above.
- the dose of a compound of the invention for the treatment of a 70 kg human will be in the range of from about 1 0 nanograms (ng) to about 1 0 mg. In another embodiment, the effective dose would be from about 0.1 ⁇ g to about 1 ,000 ⁇ g. In one embodiment, the dose of a compound of the invention for the treatment of a 70 kg human will be in the range of from about 0.5 ⁇ g to about 0.5 mg.
- the dose will be independently selected from a) about 0.1 ⁇ g to about 60 ⁇ g; b) from about 0.1 ⁇ g to about 50 ⁇ g; b) from about 0.1 to about 30 ⁇ g; c) from about 0.1 ⁇ g to about 20 ⁇ g; d) from about 0.1 ⁇ g to about 1 0 ⁇ g; e) from about 0.1 ⁇ g to about 5 ⁇ g; f) from about 10 ⁇ g to about 40 ⁇ g; g) from about 1 5 ⁇ g to about 50 ⁇ g; or h) from about 1 5 ⁇ g to about 30 ⁇ g, respectively.
- the 0.5-50 ⁇ g range includes individual doses independently selected from the group of of: 0.1 ⁇ g, 0.2 ⁇ g, 0.3 ⁇ g, 0.4 ⁇ g, 0.5 ⁇ g, 0.6 ⁇ g, 0.7 ⁇ g, 0.8 ⁇ g, 0.9 ⁇ g, 1 .0 ⁇ , 1 .1 ⁇ g, 1 .2 ⁇ g, 1 .3 ⁇ g, 1 .4 ⁇ g, 1 .5 ⁇ g, 1 .6 ⁇ g, 1 .7 ⁇ g, 1 .8 ⁇ g, 1 .9 ⁇ g, 2.0 ⁇ g, 2.1 ⁇ g, 2.2 ⁇ g, 2.3 ⁇ g, 2.4 ⁇ g, 2.5 ⁇ g, 2.6 ⁇ g, 2.7 ⁇ g, 2.8 ⁇ g, 2.9 ⁇ g, 3.0 ⁇ g, 3.1 ⁇ g, 3.2 ⁇ g,
- Delivery of an effective amount of a compound of the invention may entail delivery of a single dosage form or multiple unit doses which may be delivered contemporaneously or separate in time over a designated period, such as 24 hours.
- a dose of a compound of the invention (alone or in the form of a composition comprising the same) may be administered from one to ten times per day.
- a compound of the invention (alone or in the form of a composition comprising the same) will be administered four, three, two, or one time(s) per day (24 hours).
- the compounds of Formula (A) of the present invention are also useful for treating airborne infections.
- airborne infections include, for example, RSV.
- the compounds of Formula (A) of the present invention are also useful for treating an anthrax infection.
- the present invention relates to the use of the compounds of Formula (A) of the present invention for prophylactic, post-exposure prophylactic, preventive or therapeutic treatment against diseases or conditions caused by pathogens.
- the present invention relates to the use of the compounds of Formula (A) for prophylactic, post-exposure prophylactic, preventive or therapeutic treatment against diseases or conditions caused by pathogens which may be used in bioterrorism.
- a prophylactic treatment method comprising administering a prophylactically effective amount of the compounds of Formula (A) to an individual in need of prophylactic treatment against infection from one or more airborne pathogens.
- an airborne pathogen is anthrax.
- a prophylactic treatment method for reducing the risk of infection from an airborne pathogen which can cause a disease in a human, said method comprising administering an effective amount of the compounds of Formula (A) to the lungs of the human who may be at risk of infection from the airborne pathogen but is asymptomatic for the disease, wherein the effective amount of a sodium channel blocker and osmolye are sufficient to reduce the risk of infection in the human.
- an airborne pathogen is anthrax.
- a post-exposure prophylactic treatment or therapeutic treatment method for treating infection from an airborne pathogen comprising administering an effective amount of the compounds of Formula (A) to the lungs of an individual in need of such treatment against infection from an airborne pathogen.
- the pathogens which may be protected against by the prophylactic post exposure, rescue and therapeutic treatment methods of the invention include any pathogens which may enter the body through the mouth, nose or nasal airways, thus proceeding into the lungs.
- the pathogens will be airborne pathogens, either naturally occurring or by aerosolization.
- the pathogens may be naturally occurring or may have been introduced into the environment intentionally after aerosolization or other method of introducing the pathogens into the environment.
- pathogens which are not naturally transmitted in the air have been or may be aerosolized for use in bioterrorism.
- the pathogens for which the treatment of the invention may be useful includes, but is not limited to, category A, B and C priority pathogens as set forth by the NIAID. These categories correspond generally to the lists compiled by the Centers for Disease Control and Prevention (CDC). As set up by the CDC, Category A agents are those that can be easily disseminated or transmitted person-to-person, cause high mortality, with potential for major public health impact. Category B agents are next in priority and include those that are moderately easy to disseminate and cause moderate morbidity and low mortality.
- Category C consists of emerging pathogens that could be engineered for mass dissemination in the future because of their availability, ease of production and dissemination and potential for high morbidity and mortality.
- pathogens are anthrax and plague.
- Additional pathogens which may be protected against or the infection risk therefrom reduced include influenza viruses, rhinoviruses, adenoviruses and respiratory syncytial viruses, and the like.
- a further pathogen which may be protected against is the coronavirus which is believed to cause severe acute respiratory syndrome (SARS).
- SARS severe acute respiratory syndrome
- the present invention also relates to the use of sodium channel blockers of Formula I, or a pharmaceutically acceptable salt thereof, for preventing, mitigating, and/or treating deterministic health effects to the respiratory tract caused by exposure to radiological materials, particularly respirable aerosols containing radionuclides from nuclear attacks, such as detonation of radiological dispersal devices (RDD), or accidents, such as nuclear power plant disasters.
- radiological materials particularly respirable aerosols containing radionuclides from nuclear attacks, such as detonation of radiological dispersal devices (RDD), or accidents, such as nuclear power plant disasters.
- RDD radiological dispersal devices
- a method for preventing, mitigating, and/or treating deterministic health effects to the respiratory tract and/or other bodily organs caused by respirable aerosols containing radionuclides in a recipient in need thereof comprising administering to said human an effective amount of a compound of Formula (A), or a pharmaceutically acceptable salt thereof.
- RDD radiological dispersal devices
- BAL bronchoalveolar lavage
- the dogs in the high-dose untreated group died from deterministic effects to lung (pneumonitis/fibrosis) while the treated dogs did not. Instead, the treated dogs, like the dogs in the low-dose untreated group, mostly had lung tumors (hemangiosarcoma or carcinoma). Therefore, the reduction in dose resulting from BAL treatment appears to have produced biological effects in lung that were predictable based on the radiation doses that the lungs received.
- BAL is a procedure that has many drawbacks.
- BAL is a highly invasive procedure that must be performed at specialized medical centers by trained pulmonologists. As such, a BAL procedure is expensive.
- BAL it is not a treatment option that would be readily and immediately available to persons in need of accelerated removal of radioactive particles, for example, in the event of a nuclear attack. In the event of a nuclear attack or a nuclear accident, immediate and relatively easily administered treatment for persons who have been exposed or who are at risk of being exposed is needed.
- sodium channel blockers administered as an inhalation aerosol have been shown to restore hydration of airway surfaces. Such hydration of airway surfaces aids in clearing accumulated mucus secretions and associated particulate matter from the lung. As such, without being bound by any particular theory, it is believed that sodium channel blockers can be used to accelerate the removal of radioactive particles from airway passages.
- a method for preventing, mitigating, and/or treating deterministic health effects to the respiratory tract and/or other bodily organs caused by respirable aerosols containing radionuclides comprises administering an effective amount of a sodium channel blocker of Formula (A) or a pharmaceutically acceptable salt thereof to an individual in need.
- the sodium channel blocker is administered in conjunction with an osmolyte.
- the osmolyte is hypertonic saline (HS).
- the sodium channel blocker and the osmolyte are administered in conjunction with an ion transport modulator.
- the ion transport modulator may be selected from the group consisting of ⁇ -agonists, CFTR potentiators, purinergic receptor agonists, lubiprostones, and protease inhibitors.
- the radionuclides are selected from the group consisting of Colbalt-60, Cesium-137, lridium-192, Radium-226, Phospohrus- 32, Strontium-89 and 90, lodine-125, Thallium-201 , Lead-210, Thorium-234, Uranium-238, Plutonium, Cobalt-58, Chromium-51 , Americium, and Curium.
- the radionuclides are from a radioactive disposal device.
- the sodium channel blocker or pharmaceutically acceptable salt thereof is administered in an aerosol suspension of respirable particles which the individual inhales.
- the sodium channel blocker or a pharmaceutically acceptable salt thereof is administered post-exposure to the radionuclides.
- compositions, and particularly pharmaceutical compositions comprising a pharmaceutically effective amount of a compound of the invention as an active ingredient, and a
- a pharmaceutical composition comprises a pharmaceutically effective amount of a compound of this invention, including compounds selected from those of Formulas (A), (B), (C), (D), (E), (F), (G), (H), (I), (J), (K), (L), (M), (B-1 ), (B-2), (B-3), (B-4), (E-1 ), (E-2), (E-3), (E-4), (H-1 ), (H-2), (H- 3), (H-4), (K-1 ), (K-2), (K-3), and (K-4), or a pharmaceutically acceptable salt thereof., independently or in combination, and a pharmaceutically acceptable excipient, diluent or carrier.
- the pharmaceutical composition comprises a pharmaceutically effective amount of a compound selected from those of Formulas (A), (B), (C), (D), (E), (F), (G), (H), (I), (J), (K), (L), (M), (B-1 ), (B-2), (B-3), (B-4), (E- 1 ), (E-2), (E-3), (E-4), (H-1 ), (H-2), (H-3), (H-4), (K-1 ), (K-2), (K-3), and (K-4), or a pharmaceutically acceptable salt thereof., independently or in combination, in a diluent.
- the pharmaceutical composition comprises a pharmaceutically effective amount of a compound selected from those of Formulas (A), (B), (C), (D), (E), (F), (G), (H), (I), (J), (K), (L), (M), (B-1 ), (B-2), (B-3), (B-4), (E-
- saline concentration can be as described herein.
- the saline concentration is 0.17% w/v and in another it is 2.8% w/v.
- kits comprising i) a pharmaceutically effective amount of a compound of Formula selected from those of Formulas (A), (B), (C), (D), (E), (F), (G), (H), (I), (J), (K), (L), (M), (B-1 ), (B-2), (B-3), (B-4), (E-1 ), (E-2), (E-3), (E-4), (H-1 ), (H-
- a subject in need thereof includes any subject in need of the methods of treatment described herein, particularly including a human subject in need thereof.
- inventions also comprise an aerosolization device selected from the group of a nebulizer, including vibrating mesh nebulizers and jet nebulizers, a dry powder inhaler, including active and passive dry powder inhalers, and a metered dose inhaler, including pressurized, dry powder, and soft mist metered dose inhalers.
- a nebulizer including vibrating mesh nebulizers and jet nebulizers
- a dry powder inhaler including active and passive dry powder inhalers
- a metered dose inhaler including pressurized, dry powder, and soft mist metered dose inhalers.
- the pharmaceutically effective amount of a compound as described herein, or a pharmaceutically acceptable salt thereof comprises one of the individual single effective doses described herein or one of the dose ranges described herein.
- a kit comprises i) from about 10 ng to about 10 mg of a compound selected from those of Formulas (A), (B), (C), (D), (E), (F), (G), (H), (I), (J), (K), (L), (M), (B-1 ), (B-2), (B-3), (B-4), (E-1 ), (E-2), (E-3), (E-4), (H-1 ), (H-2), (H-
- the diluent is from about 1 to about 5 ml_ of a saline solution, as described herein, per dose. In a further embodiment, the diluent is from about 1 to about 5 ml_ of a hypotonic saline solution per dose.
- the diluent is from about 1 to about 5 ml_ of a hypertonic saline solution per dose. In a still further embodiment, the diluent is from about 1 to about 5 ml_ of sterile water per dose.
- kits comprising i) a solution comprising a pharmaceutically effective amount of a compound selected from those of Formulas (A), (B), (C), (D),
- kits comprising i) a solution comprising from about 10 ng to about 10 mg of a compound selected from those of Formulas (A), (B), (C), (D), (E),
- the diluent is from about 1 to about 5 ml_ of a saline solution, as described herein, per dose.
- kits comprising i) a pharmaceutically effective amount of a compound selected from those of Formulas (A), (B), (C), (D), (E), (F), (G), (H), (I), (J), (K), (L), (M), (B-1 ), (B-2), (B-3), (B-4), (E-1 ), (E-2), (E-3), (E- 4), (H-1 ), (H-2), (H-3), (H-4), (K-1 ), (K-2), (K-3), and (K-4), or a pharmaceutically acceptable salt thereof; in a dry powder formulation suitable for inhalation ii) optionally, one or more pharmaceutically acceptable excipients or carriers suitable for inhalation; iii) instructions for administering the compound of group i) and the excipients or carriers of group ii) to a subject in need thereof; and; iv) a container.
- the kit also comprises a dry powder inhaler suitable for delivering the dry powder formulation to
- kits described herein includes those in which the concentration of the compound selected from those of Formulas (A), (B), (C), (D), (E), (F), (G), (H), (I), (J), (K), (L), (M), (B-1 ), (B-2), (B-3), (B-4), (E-1 ), (E-2), (E-3), (E-4), (H-1 ), (H-2), (H-3), (H-4), (K-1 ), (K-2), (K-3), and (K-4), or a
- pharmaceutically acceptable salt thereof, per dose is one of the effective dose ranges described herein, including a) from about 0.1 ⁇ g to about 1 ,000 ⁇ g; b) from about 0.5 ⁇ g to about 0.5 mg; and c) from about 0.5 ⁇ g to about 50 ⁇ g.
- the diluent is hypertonic saline of the concentrations described herein.
- the diluent is hypotonic saline of the concentrations described herein.
- the diluent is sterile water suitable for inhalation.
- the pharmaceutically acceptable excipient(s), diluent(s) or carrier(s) must be acceptable in the sense of being compatible with the other ingredients of the formulation and not deleterious to the recipient thereof.
- the pharmaceutically acceptable excipient(s), diluent(s) or carrier(s) employed in the pharmaceutical formulation are "non-toxic” meaning that it/they is/are deemed safe for consumption in the amount delivered in the formulation and "inert” meaning that it/they does/do not appreciable react with or result in an undesired effect on the therapeutic activity of the active ingredient(s).
- Pharmaceutically acceptable excipients, diluents and carriers are conventional in the art and may be selected using conventional techniques, based upon the desired route of administration.
- the pharmaceutically acceptable excipient(s), diluent(s) or carrier(s) are Generally Regarded As Safe (GRAS) according to the FDA.
- compositions according to the invention include those suitable for oral administration; parenteral administration, including subcutaneous, intradermal, intramuscular, intravenous and intraarticular; topical administration, including topical administration to the skin, eyes, ears, etc; vaginal or rectal administration; and administration to the respiratory tract, including the nasal cavities and sinuses, oral and extrathoracic airways, and the lungs, including by use of aerosols which may be delivered by means of various types of dry powder inhalers, pressurized metered dose inhalers, softmist inhalers, nebulizers, or insufflators. The most suitable route of administration may depend upon, several factors including the patient and the condition or disorder being treated.
- the formulations may be presented in unit dosage form or in bulk form as for example in the case of formulations to be metered by an inhaler and may be prepared by any of the methods well known in the art of pharmacy.
- the methods include the step of bringing the active ingredient into association with the carrier, diluent or excipient and optionally one or more accessory ingredients.
- the formulations are prepared by uniformly and intimately bringing into association the active ingredient with one or more liquid carriers, diluents or excipients or finely divided solid carriers, diluents or excipients, or both, and then, if necessary, shaping the product into the desired formulation.
- the composition is an inhalable pharmaceutical composition which is suitable for inhalation and delivery to the endobronchial space.
- such composition is in the form of an aerosol comprising particles for delivery using a nebulizer, pressurized metered dose inhaler (MDI), softmist inhaler, or dry powder inhaler (DPI).
- the aerosol formulation used in the methods of the present invention may be a liquid (e.g., solution) suitable for administration by a nebulizer, softmist inhaler, or MDI, or a dry powder suitable for administration by an MDI or DPI.
- Aerosols used to administer medicaments to the respiratory tract are typically polydisperse; that is they are comprised of particles of many different sizes.
- the particle size distribution is typically described by the Mass Median Aerodynamic Diameter (MMAD) and the Geometric Standard Deviation (GSD).
- MMAD Mass Median Aerodynamic Diameter
- GSD Geometric Standard Deviation
- Aerosols having a MMAD above 10 ⁇ are generally too large when inhaled to reach the lungs. Aerosols with a GSD greater than about 3 are not preferred for lung delivery as they deliver a high percentage of the medicament to the oral cavity.
- the particles of the active ingredient may be size reduced using conventional techniques such as micronisation or spray drying.
- processes or techniques that can be used to produce respirable particles include spray drying, precipitation, supercritical fluid, and freeze drying.
- the desired fraction may be separated out by air classification or sieving.
- the particles will be crystalline.
- the particle size is determined by the selection of a particular model of nebulizer, softmist inhaler, or MDI. Aerosol particle size distributions are determined using devices well known in the art. For example a multi-stage Anderson cascade impactor or other suitable method such as those specifically cited within the US Pharmacopoeia Chapter 601 as characterizing devices for aerosols emitted from metered-dose and dry powder inhalers.
- Dry powder compositions for topical delivery to the lung by inhalation may be formulated without excipient or carrier and instead including only the active ingredients in a dry powder form having a suitable particle size for inhalation.
- Dry powder compositions may also contain a mix of the active ingredient and a suitable powder base (carrier/diluent/excipient substance) such as mono-, di- or polysaccharides (e.g., lactose or starch). Lactose is typically the preferred excipient for dry powder formulations. When a solid excipient such as lactose is employed, generally the particle size of the excipient will be much greater than the active ingredient to aid the dispersion of the formulation in the inhaler.
- Non-limiting examples of dry powder inhalers include reservoir multi-dose inhalers, pre-metered multi-dose inhalers, capsule-based inhalers and single-dose disposable inhalers.
- a reservoir inhaler contains a large number of doses (e.g. 60) in one container. Prior to inhalation, the patient actuates the inhaler which causes the inhaler to meter one dose of medicament from the reservoir and prepare it for inhalation.
- reservoir DPIs include but are not limited to the Turbohaler® by AstraZeneca and the ClickHaler® by Vectura.
- each individual dose has been manufactured in a separate container, and actuation of the inhaler prior to inhalation causes a new dose of drug to be released from its container and prepared for inhalation.
- multidose DPI inhalers include but are not limited to Diskus® by GSK, Gyrohaler® by Vectura, and Prohaler® by Valois.
- the inspiratory flow of the patient accelerates the powder out of the device and into the oral cavity.
- the formulation is in a capsule and stored outside the inhaler. The patient puts a capsule in the inhaler, actuates the inhaler (punctures the capsule), then inhales.
- RotohalerTM GaxoSmithKline
- SpinhalerTM Novartis
- HandiHalerTM IB
- TurboSpinTM PH&T
- TwincerTM U Groningen
- GFE OneDoseTM
- Manta InhalerTM Manta Devices
- dry powder inhalers utilize turbulent flow characteristics of the powder path to cause the excipient-drug aggregates to disperse, and the particles of active ingredient are deposited in the lungs.
- certain dry powder inhalers utilize a cyclone dispersion chamber to produce particles of the desired respirable size.
- the drug enters a coin shaped dispersion chamber tangentially so that the air path and drug move along the outer circular wall.
- the air path spirals towards the center of the chamber exiting vertically. Particles that have small enough aerodynamic sizes can follow the air path and exit the chamber.
- the dispersion chamber works like a small jet mill.
- large lactose particles may be added to the formulation to aid in the dispersion through impact with the API particles.
- the TwincerTM single-dose disposable inhaler appears to operate using a coin-shaped cyclone dispersion chamber referred to as an "air classifier.” See, U.S. Published Patent Application No. 2006/0237010 to Rijksuniversiteit Groningen. Papers published by the University of Groningen, have stated that a 60 mg dose of pure micronized colistin sulfomethate could be effectively delivered as an inhalable dry powder utilizing this technology.
- the aerosol formulation is delivered as a dry powder using a dry powder inhaler wherein the particles emitted from the inhaler have an MMAD in the range of about 1 ⁇ to about 5 ⁇ and a GSD about less than 2.
- dry powder inhalers and dry powder dispersion devices for use in the delivery of compounds and compositions according to the present invention include but are not limited to those disclosed in US7520278; US7322354; US7246617; US7231920; US7219665; US7207330; US6880555; US5,522,385; US6845772; US6637431 ; US6329034; US5,458,135; US4,805,81 1 ; and U.S. Published Patent Application No. 2006/0237010.
- the pharmaceutical formulation according to the invention is a dry powder for inhalation which is formulated for delivery by a Diskus®-type device.
- the Diskus® device comprises an elongate strip formed from a base sheet having a plurality of recesses spaced along its length and a lid sheet hermetically but peelably sealed thereto to define a plurality of containers, each container having therein an inhalable formulation containing a predetermined amount of active ingredient either alone or in admixture with one or more carriers or excipients (e.g., lactose) and/or other therapeutically active agents.
- the strip is sufficiently flexible to be wound into a roll.
- the lid sheet and base sheet will preferably have leading end portions which are not sealed to one another and at least one of the leading end portions is constructed to be attached to a winding means. Also, preferably the hermetic seal between the base and lid sheets extends over their whole width.
- the lid sheet may preferably be peeled from the base sheet in a longitudinal direction from a first end of the base sheet.
- the pharmaceutical formulation according to the invention is a dry powder for inhalation which is formulated for delivery using a single-dose disposable inhaler, and particularly the TwincerTM inhaler.
- the TwincerTM inhaler comprises a foil laminate blister with one or more recesses and a lid sheet hermetically but peelably sealed thereto to define a plurality of containers.
- Each container has therein an inhalable formulation containing a predetermined amount of active ingredient(s) either alone or in admixture with one or more carriers or excipients (e.g., lactose).
- the lid sheet will preferably have a leading end portion which is constructed to project from the body of the inhaler. The patient would operate the device and thereby administer the aerosol formulation by 1 ) removing the outer packaging overwrap, 2) pulling the foil tab to uncover the drug in the blister and 3) inhaling the drug from the blister.
- the pharmaceutical formulation according to the invention is a dry powder for inhalation wherein the dry powder is formulated into microparticles as described in PCT Publication No. WO2009/015286 or WO2007/1 14881 , both to NexBio.
- microparticles are generally formed by adding a counter ion to a solution containing a compound of the invention in a solvent, adding an antisolvent to the solution; and gradually cooling the solution to a temperature below about 25 °C, to form a composition containing microparticles comprising the compound.
- the microparticles comprising the compound may then be separated from the solution by any suitable means such as sedimentation, filtration or lyophillization.
- suitable counterions, solvents and antisolvents for preparing microparticles of the compounds of the invention are described in WO2009/015286.
- a pharmaceutical composition according to the invention is delivered as a dry powder using a metered dose inhaler.
- metered dose inhalers and devices include those disclosed in US5.261 .538; US5.544.647; US5.622.163; US4.955.371 ; US3.565.070; US3.361306 and US6.1 16,234 and US7,108,159.
- a compound of the invention is delivered as a dry powder using a metered dose inhaler wherein the emitted particles have an MMAD that is in the range of about 1 ⁇ to about 5 ⁇ and a GSD that is less than about 2.
- Liquid aerosol formulations for delivery to the endobronchial space or lung by inhalation may for example be formulated as aqueous solutions or suspensions or as aerosols delivered from pressurized packs, such as metered dose inhalers, with the use of suitable liquefied propellants, softmist inhalers, or nebulizers.
- Such aerosol compositions suitable for inhalation can be either a suspension or a solution and generally contain the active ingredient(s) together with a pharmaceutically acceptable carrier or diluent (e.g., water (distilled or sterile), saline, hypertonic saline, or ethanol) and optionally one or more other therapeutically active agents.
- a pharmaceutically acceptable carrier or diluent e.g., water (distilled or sterile), saline, hypertonic saline, or ethanol
- Aerosol compositions for delivery by pressurized metered dose inhalers typically further comprise a pharmaceutically acceptable propellant.
- propellants include fluorocarbon or hydrogen-containing chlorofluorocarbon or mixtures thereof, particularly hydrofluoroalkanes, e.g., dichlorodifluoromethane, trichlorofluoromethane, dichlorotetrafluoroethane, especially 1 ,1 ,1 ,2- tetrafluoroethane, 1 ,1 ,1 ,2,3,3,3,-heptafluoro-n-propane or a mixture thereof.
- the aerosol composition may be excipient free or may optionally contain additional formulation excipients well known in the art such as surfactants e.g., oleic acid or lecithin and cosolvents e.g., ethanol.
- additional formulation excipients well known in the art such as surfactants e.g., oleic acid or lecithin and cosolvents e.g., ethanol.
- Pressurized formulations will generally be retained in a canister (e.g., an aluminum canister) closed with a valve (e.g., a metering valve) and fitted into an actuator provided with a mouthpiece.
- a pharmaceutical composition according to the invention is delivered as a liquid using a metered dose inhaler.
- metered dose inhalers and devices include those disclosed in US Patent Nos. 6,253,762, 6,413,497, 7,601 ,336, 7,481 ,995, 6,743,413, and 7,105,152.
- a compound of the invention is delivered as a dry powder using a metered dose inhaler wherein the emitted particles have an MMAD that is in the range of about 1 ⁇ to about 5 ⁇ and a GSD that is less than about 2.
- the aerosol formulation is suitable for aerosolization by a jet nebulizer, or ultrasonic nebulizer including static and vibrating porous plate nebulizers.
- Liquid aerosol formulations for nebulization may be generated by solubilizing or reconstituting a solid particle formulation or may be formulated with an aqueous vehicle with the addition of agents such as acid or alkali, buffer salts, and isotonicity adjusting agents. They may be sterilized by in-process techniques such as filtration, or terminal processes such as heating in an autoclave or gamma irradiation. They may also be presented in non-sterile form.
- the most preferred solution or suspension of active ingredient will contain a chloride concentration >30 mM at pH 4.5-7.4, preferably 5.0-5.5, and an osmolality of from about 800-1600mOsm/kg.
- the pH of the solution can be controlled by either titration with common acids (hydrochloric acid or sulfuric acid, for example) or bases (sodium hydroxide, for example) or via the use of buffers.
- buffers include citrate buffers, such as citric acid/sodium citrate buffers, acetate buffers, such as acetic acid/sodium acetate buffers, and phosphate buffers. Buffer strengths can range from 2m M to 50mM.
- Useful acetate, phosphate, and citrate buffers include sodium acetate, sodium acetate trihydrate, ammonium acetate, potassium acetate, sodium phosphate, sodium phosphate dibasic, disodium hydrogen phosphate, potassium dihydrogen phosphate, potassium hydrogen phosphate, potassium phosphate, sodium citrate, and potassium citrate.
- buffers which may be utilized include sodium hydroxide, potassium hydroxide, ammonium hydroxide, aminomethylpropanol, tromethamine, tetrahydroxypropyl ethylenediamine, citric acid, acetic acid, hydroxytricarboxylic acid or a salt thereof, such as a citrate or sodium citrate salt thereof, lactic acid, and salts of lactic acid including sodium lactate, potassium lactate, lithium lactate, calcium lactate, magnesium lactate, barium lactate, aluminum lactate, zinc lactate, silver lactate, copper lactate, iron lactate, manganese lactate, ammonium lactate, monoethanolamine, diethanolamine, triethanolamine, diisopropanolamine, as well as combinations thereof, and the like.
- Such formulations may be administered using commercially available nebulizers or other atomizer that can break the formulation into particles or droplets suitable for deposition in the respiratory tract.
- nebulizers which may be employed for the aerosol delivery of a composition of the invention include pneumatic jet nebulizers, vented or breath-enhanced jet nebulizers, or ultrasonic nebulizers including static or vibrating porous plate nebulizers.
- Commercially available nebulizers include the Aeroneb® Go nebulizer (Aerogen) and the eFlow nebulizer (Pari Pharma).
- a jet nebulizer utilizes a high velocity stream of air blasting up through a column of water to generate droplets. Particles unsuitable for inhalation impact on walls or aerodynamic baffles.
- a vented or breath enhanced nebulizer works in essentially the same way as a jet nebulizer except that inhaled air passes through the primary droplet generation area to increase the output rate of the nebulizer while the patient inhales.
- an ultrasonic nebulizer vibration of a piezoelectric crystal creates surface instabilities in the drug reservoir that cause droplets to be formed.
- porous plate nebulizers pressure fields generated by sonic energy force liquid through the mesh pores where it breaks into droplets by Rayleigh breakup.
- the sonic energy may be supplied by a vibrating horn or plate driven by a piezoelectric crystal, or by the mesh itself vibrating.
- Non-limiting examples of atomizers include any single or twin fluid atomizer or nozzle that produces droplets of an appropriate size.
- a single fluid atomizer works by forcing a liquid through one or more holes, where the jet of liquid breaks up into droplets.
- Twin fluid atomizers work by either forcing both a gas and liquid through one or more holes, or by impinging a jet of liquid against another jet of either liquid or gas.
- nebulizer which aerosolizes the aerosol formulation is important in the administration of the active ingredient(s).
- Different nebulizers have differing efficiencies based their design and operation principle and are sensitive to the physical and chemical properties of the formulation. For example, two formulations with different surface tensions may have different particle size distributions. Additionally, formulation properties such as pH, osmolality, and permeant ion content can affect tolerability of the medication, so preferred embodiments conform to certain ranges of these properties.
- the formulation for nebulization is delivered to the endobronchial space as an aerosol having an MMAD between about 1 ⁇ and about 5 ⁇ and a GSD less than 2 using an appropriate nebulizer.
- the aerosol should not have a MMAD greater than about 5 ⁇ and should not have a GSD greater than about 2. If an aerosol has an MMAD larger than about 5 ⁇ or a GSD greater than about 2 a large percentage of the dose may be deposited in the upper airways decreasing the amount of drug delivered to the desired site in the lower respiratory tract. If the MMAD of the aerosol is smaller than about 1 ⁇ then a large percentage of the particles may remain suspended in the inhaled air and may then be exhaled during expiration.
- the compounds of the invention may also be administered by transbronchoscopic lavage.
- Formulations suitable for oral administration may be presented as discrete units such as capsules, cachets or tablets, each containing a predetermined amount of the active ingredient; as a powder or granules; as a solution or suspension in an aqueous liquid or a non-aqueous liquid; or as an oil-in-water liquid emulsion or a water-in-oil liquid emulsion.
- the active ingredient may also be presented as a sachet, bolus, electuary or paste.
- a tablet may be made by compression or molding, optionally with one or more accessory ingredients.
- Compressed tablets may be prepared by compressing in a suitable machine the active ingredient in a free-flowing form such as a powder or granules, optionally mixed with a binders, lubricant, inert diluent, surface active or dispersing agent. Molded tablets may be made by molding in a suitable machine a mixture of the powdered compound moistened with an inert liquid diluent. The tablets may optionally be coated or scored and may be formulated so as to provide slow or controlled release of the active ingredient therein.
- a suitable machine such as a powder or granules, optionally mixed with a binders, lubricant, inert diluent, surface active or dispersing agent.
- Molded tablets may be made by molding in a suitable machine a mixture of the powdered compound moistened with an inert liquid diluent.
- the tablets may optionally be coated or scored and may be formulated so as to provide slow or controlled release of the active ingredient
- Formulations for topical administration in the mouth include lozenges, comprising the active ingredient in a flavored base such as sucrose and acacia or tragacanth, and pastilles comprising the active ingredient in a base such as gelatin and glycerin or sucrose and acacia.
- Formulations for parenteral administration include aqueous and non-aqueous sterile injection solutions which may contain anti-oxidants, buffers, bacteriostats and solutes which render the formulation isotonic with the blood of the intended recipient; and aqueous and non-aqueous sterile suspensions which may include suspending agents and thickening agents.
- the formulations may be presented in unit-dose or multi-dose containers, for example sealed ampoules and vials, and may be stored in a freeze-dried (lyophilized) condition requiring only the addition of the sterile liquid carrier, for example saline or water-for-injection, immediately prior to use.
- Extemporaneous injection solutions and suspensions may be prepared from sterile powders, granules and tablets of the kind previously described.
- Oral fluids such as solutions, syrups and elixirs can be prepared in dosage unit form so that a given quantity contains a predetermined amount of the active ingredient.
- Syrups can be prepared by dissolving the active ingredient in a suitably flavored aqueous solution, while elixirs are prepared through the use of a pharmaceutically acceptable alcoholic vehicle.
- Suspensions can be formulated by dispersing the active ingredient in a pharmaceutically acceptable vehicle.
- Solubilizers and emulsifiers such as ethoxylated isostearyl alcohols and polyoxy ethylene sorbitol ethers, preservatives, flavor additive such as peppermint oil or natural sweeteners or saccharin or other artificial sweeteners, and the like can also be incorporated into oral liquid compositions.
- Liposome delivery systems such as small unilamellar vesicles, large unilamellar vesicles and multilamellar vesicles may also be employed as delivery means for the compounds of the invention.
- Liposomes may be formed from a variety of phospholipids such as cholesterol, stearylamine and phosphatidylcholines.
- Pharmaceutical compositions for topical administration may be formulated as ointments, creams, suspensions, lotions, powders, solutions, pastes, gels, sprays, aerosols or oils. Compositions designed for the treatment of the eyes or other external tissues, for example the mouth and skin, may be applied as a topical ointment or cream.
- the active ingredient When formulated as an ointment, the active ingredient may be employed with either a paraffinic or a water-miscible ointment base. Alternatively, the active ingredient may be formulated in a cream with an oil-in-water cream base or a water-in-oil base.
- compositions designed for topical administration to the eyes or ears include eye drops and ear drops wherein the active ingredient is dissolved or suspended in a suitable carrier, such as for example an aqueous solvent, including saline.
- a suitable carrier such as for example an aqueous solvent, including saline.
- compositions designed for nasal administration include aerosols, solutions, suspensions, sprays, mists and drops.
- Aerosolable formulations for nasal administration may be formulated in much the same ways as aerosolable formulations for inhalation with the condition that particles of non-respirable size will be preferred in formulations for nasal administration.
- particles of about 5 microns in size, up to the size of visible droplets may be employed.
- a particle size in the range of 10-500 ⁇ may be used to ensure retention in the nasal cavity.
- Transdermal patches may also be employed, which are designed to remain in contact with the epidermis of the patient for an extended period of time and promote the absorption of the active ingredient there through.
- compositions for vaginal or rectal administration include ointments, creams, suppositories and enemas, all of which may be formulated using conventional techniques.
- the invention provides a method of promoting hydration of mucosal surfaces or restoring mucosal defense in a human in need thereof, comprising administering to the human a pharmaceutical composition comprising a compound of the invention, wherein said compound is administered in an effective amount.
- the method comprises administering the pharmaceutical composition as an inhalable composition comprising an amount of a compound of the invention that is sufficient to achieve dissolved concentration of the compound on the airway surfaces of from about 10 ⁇ 9 , 10 ⁇ 8 , or 10 ⁇ 7 to about 10 4 ,10 3 , 10 "2 , or 10 "1 Moles/liter, more preferably from about 10 ⁇ 9 to about 10 "4 Moles/liter.
- the invention provides a method of treating any one of: a disease associated with reversible or irreversible airway obstruction, chronic obstructive pulmonary disease (COPD), asthma, bronchiectasis (including bronchiectasis due to conditions other than cystic fibrosis), acute bronchitis, chronic bronchitis, post-viral cough, cystic fibrosis, emphysema, pneumonia, panbronchiolitis, transplant-associate bronchiolitis, and ventilator-associated tracheobronchitis or preventing ventilator-associated pneumonia in a human in need thereof, comprising administering to the human a pharmaceutical composition comprising a compound of the invention, wherein said compound is administered in an effective amount.
- COPD chronic obstructive pulmonary disease
- COPD chronic obstructive pulmonary disease
- asthma chronic obstructive pulmonary disease
- bronchiectasis including bronchiectasis due to conditions other than cystic
- the method comprises administering the pharmaceutical composition as an inhalable composition comprising an amount of a compound of the invention that is sufficient to achieve dissolved concentration of the compound on the airway surfaces of from about 10 "9 , 10 "8 , or 10 "7 to about 10 "4 ,10 “3 , 10 “2 , or 10 "1 Moles/liter, more preferably from about 10 "9 to about 10 "4 Moles/liter.
- the invention provides a method of treating any one of dry mouth (xerostomia), dry skin, vaginal dryness, sinusitis, rhinosinusitis, or nasal dehydration, including nasal dehydration brought on by administering dry oxygen, dry eye or Sjogren's disease, promoting ocular or corneal hydration, treating distal intestinal obstruction syndrome, treating otitis media, primary ciliary diskinesia, distal intestinal obstruction syndrome, esophagitis, constipation, or chronic diverticulitis in a human in need thereof, comprising administering to the human a pharmaceutical composition comprising a compound of the invention, wherein said compound is administered in an effective amount.
- Preferred unit dosage formulations for the compounds of the invention are those containing an effective amount of the active ingredient or an appropriate fraction thereof.
- formulations of this invention may include other agents conventional in the art having regard to the type of formulation in question for example those suitable for oral administration may include flavoring agents.
- compositions of the present invention may be formulated for immediate, controlled or sustained release as desired for the particular condition being treated and the desired route of administration.
- a controlled release formulation for oral administration may be desired for the treatment of constipation in order to maximize delivery of the active agent to colon.
- Such formulations and suitable excipients for the same are well known in the art of pharmacy.
- compositions comprising a free base of a compound of Formula (A) may be employed to provide more sustained release of active agent delivered by inhalation to the lungs.
- a formulation may employ both a free base and salt form of a compound of the invention to provide both immediate release and sustained release of the active ingredient for dissolution into the mucus secretions of, for example, the nose.
- the compounds of the invention may be formulated and/or used in combination with other therapeutically active agents.
- therapeutically active agents which may be formulated or used in combination with the compounds of the invention include but are not limited to osmolytes, antiinflammatory agents, anticholinergic agents, ⁇ -agonists (including selective ⁇ 2 - agonists), P2Y2 receptor agonists, peroxisome proliferator-activated receptor (PPAR) delta agonists, other epithelial sodium channel blockers (ENaC receptor blockers), cystic fibrosis transmembrane conductance regulator (CFTR) modulators, kinase inhibitors, antiinfective agents, antihistamines, non-antibiotic anti-inflammatory macrolides, elastase and protease inhibitors, and mucus or mucin modifying agents, such as surfactants.
- the compounds of the invention may be used in combination with beta blockers, ACE inhibitors, HMGCoA reductase inhibitors, calcium
- the present invention thus provides, as another aspect, a composition
- a composition comprising an effective amount of a compound of the invention and one or more other therapeutically active agents selected from osmolytes, anti-inflammatory agents, anticholinergic agents, ⁇ -agonists (including selective 3 2 -agonists), P2Y2 receptor agonists, PPAR delta agonists, ENaC receptor blockers, cystic fibrosis transmembrane conductance regulator (CFTR) modulators, kinase inhibitors, antiinfective agents, antihistamines, non-antibiotic anti-inflammatory macrolides, elastase and protease inhibitors, and mucus or mucin modifying agents, such as surfactants.
- osmolytes selected from osmolytes, anti-inflammatory agents, anticholinergic agents, ⁇ -agonists (including selective 3 2 -agonists), P2Y2 receptor agonists, PPAR delta agonists, ENaC receptor blockers, cystic fibros
- the present invention thus provides, as another aspect, a composition
- a composition comprising an effective amount of a compound of the invention and one or more other therapeutically active agents selected from beta blockers, ACE inhibitors, HMGCoA reductase inhibitors, and calcium channel blockers.
- Use of the compounds of the invention in combination with one or more other therapeutically active agents (particularly osmolytes) may lower the dose of the compound of the invention that is required to sufficiently hydrate mucosal surfaces, thereby reducing the potential for undesired side-effects attributable to systemic blocking of sodium channels such as for example in the kidneys.
- Osmolytes are molecules or compounds that are osmotically active.
- “Osmotically active” molecules and compounds are membrane-impermeable (i.e., essentially non-absorbable) on the airway or pulmonary epithelial surface.
- airway surface and pulmonary surface include pulmonary airway surfaces such as the bronchi and bronchioles, alveolar surfaces, and nasal and sinus surfaces.
- Suitable osmolytes include ionic osmolytes (i.e., salts), and non-ionic osmolytes (i.e., sugars, sugar alcohols, and organic osmolytes).
- osmolytes both ionic and non-ionic used in combination with the compounds of the invention are preferably osmolytes that do not promote, or in fact deter or retard bacterial growth.
- Osmolytes suitable for use in the present invention may be in racemic form or in the form of an enantiomer, diastereomer, tautomer, polymorph or pseudopolymorph.
- anion and cation are osmotically active and not subject to rapid active transport, in relation to the airway surfaces to which they are administered.
- Such compounds include but are not limited to anions and cations that are contained in FDA approved commercially marketed salts, see, e.g., Remington: The Science and Practice of Pharmacy, Vol. II, pg. 1457 (19 th Ed. 1995), and can be used in any combination as known in the art.
- osmotically active anions include but are not limited to, acetate, benzenesulfonate, benzoate, bicarbonate, bitartrate, bromide, calcium edetate, camsylate (camphorsulfonate), carbonate, chloride, citrate, dihydrochloride, edetate, edisylate (1 ,2-ethanedisulfonate), estolate (lauryl sulfate), esylate (1 ,2-ethanedisulfonate), fumarate, gluceptate, gluconate, glutamate, glycollylarsanilate (p-glycollamidophenylarsonate), hexylresorcinate, hydrabamine (N,N -Di(dehydroabietyl)ethylenediamine), hydrobromide, hydrochloride, hydroxynaphthoate, iodide, isethionate, lactate
- Preferred anions include chloride, sulfate, nitrate, gluconate, iodide, bicarbonate, bromide, and phosphate.
- pharmaceutically acceptable osmotically active cations include but are not limited to, organic cations such as benzathine ( ⁇ , ⁇ '- dibenzylethylenediamine), chloroprocaine, choline, diethanolamine, ethylenediamine, meglumine (N-methyl D-glucamine), procaine, D-lysine, L-lysine, D-arginine, L- arginine, triethylammonium, N-methyl D-glycerol, and the like; and metallic cations such as aluminum, calcium, lithium, magnesium, potassium, sodium, zinc, iron, ammonium, and the like.
- Preferred organic cations include 3-carbon, 4-carbon, 5- carbon and 6-carbon organic cations.
- Preferred cations include sodium, potassium, choline, lithium, meglumine, D
- ionic osmolytes that may be used in combination with a compound of the invention include but are not limited to, sodium chloride (particularly hypertonic saline), potassium chloride, choline chloride, choline iodide, lithium chloride, meglumine chloride, L-lysine chloride, D-lysine chloride, ammonium chloride, potassium sulfate, potassium nitrate, potassium gluconate, potassium iodide, ferric chloride, ferrous chloride, potassium bromide, and combinations of any two or more of the foregoing.
- the present invention provides a combination of a compound of the invention and two different osmotically active salts. When different salts are used, one of the anion or cation may be the same among the differing salts.
- Hypertonic saline is a preferred ionic osmolyte for use in combination with the compounds of the invention.
- Non-ionic osmolytes include sugars, sugar-alcohols, and organic osmolytes.
- Sugars and sugar-alcohols useful as osmolytes in the present invention include but are not limited to 3-carbon sugars (e.g., glycerol, dihydroxyacetone); 4-carbon sugars (e.g., both the D and L forms of erythrose, threose, and erythrulose); 5-carbon sugars (e.g., both the D and L forms of ribose, arabinose, xylose, lyxose, psicose, fructose, sorbose, and tagatose); and 6-carbon sugars (e.g., both the D and L forms of altose, allose, glucose, mannose, gulose, idose, galactose, and talose, and the D and L forms of allo-heptulose, allo-hepulose,
- Additional sugars useful in the practice of the present invention include raffinose, raffinose series oligosaccharides, and stachyose.
- D and L forms of the reduced form of each sugar/sugar alcohol are also suitable for the present invention.
- glucose when reduced, becomes sorbitol; an osmolyte within the scope of the invention.
- sorbitol and other reduced forms of sugar/sugar alcohols e.g., mannitol, dulcitol, arabitol
- Mannitol is a preferred non-ionic osmolyte for use in combination with the compounds of the invention.
- Organic osmolytes is generally used to refer to molecules that control intracellular osmolality in the kidney. See e.g., J. S. Handler et al., Comp. Biochem. Physiol, 117, 301 -306 (1997); M. Burg, Am. J. Physiol. 268, F983-F996 (1995).
- Organic osmolytes include but are not limited to three major classes of compounds: polyols (polyhydric alcohols), methylamines, and amino acids. Suitable polyol organic osmolytes include but are not limited to, inositol, myo-inositol, and sorbitol.
- Suitable methylamine organic osmolytes include but are not limited to, choline, betaine, carnitine (L-, D- and DL forms), phosphorylcholine, lyso-phosphorylcholine, glycerophosphorylcholine, creatine, and creatine phosphate.
- Suitable amino acid organic osmolytes include but are not limited to, the D- and L-forms of glycine, alanine, glutamine, glutamate, aspartate, proline and taurine. Additional organic osmolytes suitable for use in the present invention include tihulose and sarcosine. Mammalian organic osmolytes are preferred, with human organic osmolytes being most preferred. However, certain organic osmolytes are of bacterial, yeast, and marine animal origin, and these compounds may also be employed in the present invention.
- Osmolyte precursors may be used in combination with the compounds of the invention
- An "osmolyte precursor" as used herein refers to a compound which is converted into an osmolyte by a metabolic step, either catabolic or anabolic.
- osmolyte precursors include but are not limited to, glucose, glucose polymers, glycerol, choline, phosphatidylcholine, lyso-phosphatidylcholine and inorganic phosphates, which are precursors of polyols and methylamines.
- Precursors of amino acid osmolytes include proteins, peptides, and polyamino acids, which are hydrolyzed to yield osmolyte amino acids, and metabolic precursors which can be converted into osmolyte amino acids by a metabolic step such as transamination.
- a precursor of the amino acid glutamine is poly-L- glutamine
- a precursor of glutamate is poly-L-glutamic acid.
- Chemically modified osmolytes or osmolyte precursors may also be employed. Such chemical modifications involve linking the osmolyte (or precursor) to an additional chemical group which alters or enhances the effect of the osmolyte or osmolyte precursor (e.g., inhibits degradation of the osmolyte molecule).
- Such chemical modifications have been utilized with drugs or prodrugs and are known in the art. ⁇ See, for example, U.S. Pat. Nos. 4,479,932 and 4,540,564; Shek, E. et al., J. Med. Chem. 19:113-117 (1976); Bodor, N. et al., J. Pharm. Sci.
- Preferred osmolytes for use in combination with the compounds of the invention include sodium chloride, particular hypertonic saline, and mannitol.
- CFTR cystic fibrosis transmembrane conductance regulator
- formulations of 7% and >7% hypertonic saline containing bicarbonate anions may be particularly useful due to better control of the pH in the airway surface liquid.
- Second, addition of HS solution without bicarbonate to the surface of the lung may further dilute the bicarbonate concentrations, and potentially reduce the pH or the ability to respond to airway acidification within the airway surface liquid layer. Therefore addition of bicarbonate anions to HS may help maintain or improve the pH of airway surface liquid layer in CF patients.
- bicarbonate anion in the formulation of 7% or >7% hypertonic saline administered by the method of this invention would be particularly useful.
- Formulations containing up to 30 to 200 mM concentrations of bicarbonate anions are of particular interest for 7% or >7% HS solutions.
- Hypertonic saline is understood to have a salt concentration greater than that of normal saline (NS), i.e. greater than 9 g/L or 0.9% w/v, and hypotonic saline has a salt concentration less than that of normal saline, such as from about 1 g/L or 0.1 % w/v to about 8 g/L or 0.8% w/v.
- Hypertonic saline solutions useful in the formulations and methods of treatment herein may have a salt concentration from about 1 % to about 23.4% (w/v). In one embodiment the hypertonic saline solution has a salt concentration from about 60 g/L (6% w/v) to about 100 g/L (10% w/v).
- the saline solution has a salt concentration from about 70 g/L (7% w/v) to about 100 g/L (10% w/v).
- the saline solution has salt concentrations of a) from about 0.5 g/L (0.05% w/v) to about 70 g/L (7% w/v); b) from about 1 g/L (0.1 % w/v) to about 60 g/L (6% w/v); c) from about 1 g/L (0.1 % w/v) to about 50 g/L (5% w/v); d) from about 1 g/L (0.1 % w/v) to about 40 g/L (4% w/v); e) from about 1 g/L (0.1 % w/v) to about 30 g/L (3% w/v); and f) from about 1 g/L (0.1 % w/v) to about 20 g/L (2% w
- Specific concentrations of saline solutions useful in the formulations and methods of treatment herein include, independently, those having salt concentrations of 1 g/L (0.1 % w/v), 2 g/L (0.2% w/v), 3 g/L (0.3% w/v), 4 g/L (0.4% w/v), 5 g/L (0.5% w/v), 6 g/L (0.6% w/v), 7 g/L (0.7% w/v), 8 g/L (0.8% w/v), 9 g/L (0.9% w/v), 10 g/L (1 % w/v), 20 g/L (2% w/v), 30 g/L (3% w/v), 40 g/L (4% w/v), 50 g/L (5% w/v), 60 g/L (6% w/v), 70 g/L (7% w/v), 80 g/L (8% w/v), 90 g/L (9% w
- Saline concentrations between each of these listed concentrations/percentages may also be used, such as saline of 1 .7 g/L (0.17% w/v), 1 .25 g/L (1 .25% w/v), 1.5 g/L (1 .5% w/v), 25 g/L (2.5% w/v), 28 g/L (2.8% w/v), 35 g/L (3.5% w/v), 45 g/L (4.5% w/v), and 75 g/L (7.5% w/v).
- hypotonic saline solutions include those from about 0.12 g/L (0.012% w/v) to about 8.5 g/L (0.85% w/v). Any concentration within this range may be used, such as, on a w/v basis, 0.05%, 0.1 %, 0.15%, 0.2%, 0.225% (1/4 NS), 0.25%, 0.3% (1/3 NS), 0.35%, 0.4%, 0.45% (1/2 NS), 0.5%, 0.55%, 0.6% (2/3 NS), 0.65%, 0.675% (3/4 NS), 0.7%, 0.75%, and 0.8%.
- osmolytes or osmolyte precursors are also intended within the scope of this invention.
- Such chemical modifications involve linking to the osmolyte (or precursor) an additional chemical group which alters or enhances the effect of the osmolyte or osmolyte precursor (e.g., inhibits degradation of the osmolyte molecule).
- Such chemical modifications have been utilized with drugs or prodrugs and are known in the art. (See, for example, U.S. Pat. Nos. 4,479,932 and 4,540,564; Shek, E. et al., J. Med. Chem. 19:1 13-1 17 (1976); Bodor, N. et al., J. Pharm. Sci.
- Suitable anti-inflammatory agents for use in combination with the compounds of the invention include corticosteroids and non-steroidal anti-inflammatory drugs (NSAIDs), particularly phosphodiesterase (PDE) inhibitors.
- NSAIDs non-steroidal anti-inflammatory drugs
- PDE phosphodiesterase
- Examples of corticosteroids for use in the present invention include oral or inhaled corticosteroids or prodrugs thereof.
- Preferred corticosteroids for formulation or use in combination with the compounds of the invention are selected from ciclesonide, desisobutyryl-ciclesonide, budesonide, mometasone, fluticasone propionate, and fluticasone furoate, or any combination or subset thereof.
- NSAIDs for use in the present invention include but are not limited to sodium cromoglycate, nedocromil sodium, phosphodiesterase (PDE) inhibitors (e.g., theophylline, aminophylline, PDE4 inhibitors, mixed PDE3/PDE4 inhibitors or mixed PDE4/PDE7 inhibitors), leukotriene antagonists, inhibitors of leukotriene synthesis (e.g., 5 LO and FLAP inhibitors), inducible nitric oxide synthase (iNOS) inhibitors, protease inhibitors (e.g., tryptase inhibitors, neutrophil elastase inhibitors, and metalloprotease inhibitors) 32-integrin antagonists and adenosine receptor agonists or antagonists (e.g., adenosine 2a agonists), cytokine antagonists (e.g., chemokine antagonists) or inhibitors of cytokine synthesis (e.g., prostag
- the PDE4 inhibitor, mixed PDE3/PDE4 inhibitor or mixed PDE4/PDE7 inhibitor may be any compound that is known to inhibit the PDE4 enzyme or which is discovered to act as a PDE4 inhibitor, and which are selective PDE4 inhibitors (i.e., compounds which do not appreciably inhibit other members of the PDE family).
- Anticholinergic agents for formulation or use in combination with the compounds of the invention include but are not limited to muscarinic receptor antagonists, particularly including pan antagonists and antagonists of the M 3 receptors.
- Exemplary compounds include the alkaloids of the belladonna plants, such as atropine, scopolamine, homatropine, hyoscyamine, and the various forms including salts thereof (e.g., anhydrous atropine, atropine sulfate, atropine oxide or HCI, methylatropine nitrate, homatropine hydrobromide, homatropine methyl bromide, hyoscyamine hydrobromide, hyoscyamine sulfate, scopolamine hydrobromide, scopolamine methyl bromide) , or any combination or subset thereof.
- Additional anticholinergics for formulation and use in combination with the methantheline, propantheline bromide, anisotropine methyl bromide or Valpin 50, aclidinium bromide, glycopyrrolate (Robinul), isopropamide iodide, mepenzolate bromide, tridihexethyl chloride, hexocyclium methylsulfate, cyclopentolate HCI, tropicamide, trihexyphenidyl CCI, pirenzepine, telenzepine, and methoctramine, or any combination or subset thereof.
- Preferred anticholinergics for formulation and use in combination with the compounds of the invention include ipratropium (bromide), oxitropium (bromide) and tiotropium (bromide), aclidinium (bromide), or any combination or subset thereof.
- ⁇ -agonists for formulation and use in combination with the compounds of the invention include but are not limited to salmeterol, R-salmeterol, and xinafoate salts thereof, albuterol (also known as salbutamol) or R-albuterol (free base or sulfate), levalbuterol, formoterol (fumarate), fenoterol, procaterol, pirbuterol, metaprterenol, terbutaline and salts thereof, and any combination or subset thereof.
- albuterol also known as salbutamol
- R-albuterol free base or sulfate
- levalbuterol formoterol (fumarate)
- fenoterol procaterol
- pirbuterol metaprterenol
- terbutaline and salts thereof any combination or subset thereof.
- P2Y 2 receptor agonists for formulation and use in combination with the compounds of the invention may be employed in an amount effective to stimulate chloride and water secretion by airway surfaces, particularly nasal airway surfaces.
- Suitable P2Y 2 receptor agonists are known in the art and are described for example, in columns 9-10 of US Patent No. 6,264,975, and also US Patent Nos. 5,656,256 and 5,292,498.
- P2Y 2 agonists that can be administered by the methods of this invention include P2Y 2 receptor agonists such as ATP, UTP, UTP-.gamma.-S and dinucleotide P2Y 2 receptor agonists (e.g. denufosol or diquafosol) or a pharmaceutically acceptable salt thereof.
- the P2Y 2 receptor agonist is typically included in an amount effective to stimulate chloride and water secretion by airway surfaces, particularly nasal airway surfaces.
- Suitable P2Y 2 receptor agonists are described in, but are not limited to, U.S. Pat. No. 6,264,975, U.S. Pat.No.5,656,256, U.S. Pat. No. 5,292,498, U.S. Pat. No.
- Combination therapies and formulations herein can include adenosine 2b (A2b) agonists, also, including 2-[6-amino-3,5-dicyano-4-[4-(cyclopropylmethoxy) phenyl]pyridin-2-ylsulfanyl]acetamide (BAY 60-6583), NECA (N- ethylcarboxamidoadenosine), (S)-PHPNECA, LUF-5835 and LUF-5845.
- A2b adenosine 2b
- A2b adenosine 2b
- A2b 2-[6-amino-3,5-dicyano-4-[4-(cyclopropylmethoxy) phenyl]pyridin-2-ylsulfanyl]acetamide
- NECA N- ethylcarboxamidoadenosine
- S-PHPNECA LUF-5835 and LUF-58
- A2b agonists that may be used are described by Volpini et al., Journal of Medicinal Chemistry 45 (15): 3271-9 (2002); Volpini et al., Current Pharmaceutical Design 8 (26): 2285-98 (2002); Baraldi et al., Journal of Medicinal Chemistry 47 (6): Cacciari et al., 1434-47 (2004); Mini Reviews in Medicinal Chemistry 5 (12): 1053-60 (Dec. 2005); Baraldi et al., Current Medicinal Chemistry 13 (28): 3467-82 (2006); Beukers et al., Medicinal Research Reviews 26 (5): 667-98 (Sept.
- ENaC receptor blockers for formulation and use in combination with the compounds of the invention include but are not limited to amiloride and derivatives thereof such as those compounds described in US Patent No. 6858615, and PCT Publication Nos. WO2003/070182, WO2004/073629, WO2005/018644, WO2006/022935, WO2007/018640, and WO2007/146869.
- ENaC blocker that can be administered in the combinations herein include, but are not limited to, amiloride, benzamil, phenamil, and amiloride analogues as exemplified by US Pat. No. 6,858,614, US Pat. No. 6,858,615, US Pat. No. 6,903,105, US Pat. No. 6,995,160, US Pat. No. 7,026,325, US Pat. No. 7,030,1 17, US Pat. No. 7,064,129, US Pat. No. 7,186,833, US Pat. No. 7,189,719, US Pat. No. 7,192,958, US Pat. No. 7,192,959, US Pat.
- ENaC proteolysis is well described to increase sodium transport through ENaC.
- Protease inhibitors block the activity of endogenous airway proteases, thereby preventing ENaC cleavage and activation.
- Proteases that cleave ENaC include furin, meprin, matriptase, trypsin, channel associated proteases (CAPs), and neutrophil elastases.
- Protease inhibitors that can inhibit the proteolytic activity of these proteases that can be administered in the combinations herein include, but are not limited to, camostat, prostasin, furin, aprotinin, leupeptin, and trypsin inhibitors.
- Combinations herein may include one or more suitable nucleic acids (or polynucleic acid), including but not limited to antisense oligonucleotide, siRNA, miPiNA, miRNA mimic, antagomir, ribozyme, aptamer, and decoy oligonucleotide nucleic acids.
- suitable nucleic acids or polynucleic acid
- such nucleic acids may be from 17 or 19 nucleotides in length, up to 23, 25 or 27 nucleotides in length, or more. Examples include, but are not limited to, those described in US Patent No. 7,517,865 and US Patent Applications Nos. 20100215588; 20100316628; 201 10008366; and 20110104255.
- the siRNAs are from 17 or 19 nucleotides in length, up to 23, 25 or 27 nucleotides in length, or more.
- Mucus or mucin modifying agents useful in the combinations and methods herein include reducing agents, surfactants and detergents, expectorants, and deoxyribonuclease agents.
- Mucin proteins are organized into high molecular weight polymers via the formation of covalent (disulfide) and non-covalent bonds. Disruption of the covalent bonds with reducing agents is a well-established method to reduce the viscoelastic properties of mucus in vitro and is predicted to minimize mucus adhesiveness and improve clearance in vivo. Reducing agents are known to decrease mucus viscosity in vitro and commonly used as an aid to processing sputum samples.
- reducing agents include sulfide containing molecules or phosphines capable of reducing protein di-sulfide bonds including, but not limited to, N-acetyl cysteine, N- acystelyn, carbocysteine, glutathione, dithiothreitol, thioredoxin containing proteins, and tris (2-carboxyethyl) phosphine.
- NAC N-acetyl cysteine
- NAC is a relative inefficient reducing agent which is only partially active on the airway surface. Very high concentrations of NAC (200 mM or 3.26%) are required to fully reduce Muc5B, a major gel-forming airway mucin, in vitro. Furthermore, in the pH environment of the airway surface (measured in the range of pH 6.0 to 7.2 in CF and COPD airways), NAC exists only partially in its reactive state as a negatively charge thiolate. Thus, in the clinic, NAC is administered at very high concentrations. However, it is predicted that current aerosol devices will not be able to achieve therapeutic concentrations of even a 20% Mucomyst solution on distal airway surfaces within the relatively short time domains (7.5 - 15 minutes) typically used.
- NAC is administered as a highly concentrated, hypertonic inhalation solution (20% or 1 .22 molar) and has been reported to cause bronchoconstriction and cough. In many cases, it is recommended that NAC be administered with a bronchodilator to improve the tolerability of this agent.
- reducing agents such as NAC are not well suited for bolus aerosol administration.
- delivery of reducing agents by pulmonary aerosol infusion would increase the effectiveness, while allowing for a decrease in the concentration of reducing agent in the inhalation solution (predicted to increase tolerability).
- Surfactants and detergents are spreading agents shown to decrease mucus viscoelasticity, improving mucus clearability.
- surfactants include dipalmitoylphosphatidylcholine (DPPC), PF, palmitic acid, palmitoyl- oleoylphosphatidylglycerol, surfactant-associated proteins (e.g. SP-A, B, or C), or may be animal derived (e.g. from cow or calf lung lavage or extracted from minced pig lung) or combinations thereof. See, e.g., US Patent Nos. 7,897,577; 5,876,970; 5,614,216; 5,100,806; and 4,312,860.
- surfactant products include Exosurf ® Neonatal (colfosceril palmitate), Pumactant ® (DPPC and egg phosphatidylglycerol), KL-4 surfactant, Venticute ® (lusulptide, rSP-C surfactant), Alveofact ® (bovactant), Curosurf ® (poractant alfa), Infasurf ® (calfactant), Newfacten ® (modified bovine surfactant), Surface ® , NatsurfTM (nonionic alcohol ethoxylate surfactant)and Survanta ® (beractant).
- detergents include, but are not limited to, Tween-80 and triton-X 100.
- Any suitable expectorant can be used, including but not limited to guaifenesin (see, e.g., US Patent No. 7,345,051 ). Any suitable deoxyribonuclease can be used, including but not limited to Dornase Alpha, (see, e.g., US Patent No. 7,482,024).
- Examples of kinase inhibitors include inhibitors of NFkB, PI3K (phosphatidylinositol 3-kinase), p38-MAP kinase and Rho kinase.
- Antiinfective agents for formulation and use in combination with the compounds of the invention include antivirals and antibiotics.
- suitable antivirals include Tamiflu® (oseltamivir) and Relenza® (zanamivir).
- suitable antibiotics include but are not limited to aztreonam (arginine or lysine), fosfomycin, and aminoglycosides such as tobramycin, or any combination or subset thereof.
- Additional anti-infective agents that may be used herein include aminoglycosides, Daptomycin, Fluoroquinolones, Ketolides, Carbapenems, Cephalosporins, Erythromycin, Linezolid, Penicillins, Azithromycin, Clindamycin, Oxazolidinones, Tetracyclines, and Vancomycin.
- carbapenam antibiotics examples include impenam, panipenam, meropenam, biapenam, MK-826 (L-749,345), DA-1 131 , ER-35786, lenapenam, S- 4661 , CS-834 (prodrug of R-95867), KR-21056 (prodrug of KR-21012), L-084 (prodrug of LJC 1 1036) and Ceftolozane (CXA-101 ).
- Antihistamines for formulation and use in combination with the compounds of the invention include but are not limited to: ethanolamines such as diphenhydramine HCI, carbinoxamine maleate, doxylamine, clemastine fumarate, and dimenhydrinate; ethylenediamines such as pyrilamine maleate (metpyramine), tripelennamine HCI, tripelennamine citrate, and antazoline; alkylamines such as pheniramine, chloropheniramine, bromopheniramine, dexchlorpheniramine, triprolidine and acrivastine; pyridines such as methapyrilene, piperazines such as hydroxyzine HCI, hydroxyzine pamoate, cyclizine HCI, cyclizine lactate, meclizine HCI and cetirizine HCI; piperidines such as astemisole, levocabastine HCI, loratad
- antivirals such as ribavirin
- anti-fungal agents such as amphotericin, intraconazole and voriconazole
- anti-rejection drugs such as cyclosporine, tacrolimus and sirolimus
- bronchodilators including but not limited to anticholinergic agents such as atrovent, siRNAs, gene therapy vectors, aptamers, endothelin-receptor antagonists, alpha-1 -antitrypsin and prostacyclins.
- a compound of the invention may be employed alone, or in combination with one or more other therapeutically active agents.
- any therapeutically active agent that has a therapeutic effect in the disease or condition being treated with the compound of the invention may be utilized in combination with the compounds of the invention, provided that the particular therapeutically active agent is compatible with therapy employing a compound of the invention.
- Typical therapeutically active agents which are suitable for use in combination with the compounds of the invention include agents described above.
- the compounds of the invention are used in combination with one or more osmolytes, particularly hypertonic saline or mannitol.
- the invention provides methods for treatment and uses as described above, which comprise administering an effective amount of a compound of the invention and at least one other therapeutically active agent.
- the compounds of the invention and at least one additional therapeutically active agent may be employed in combination concomitantly or sequentially in any therapeutically appropriate combination.
- the administration of a compound of the invention with one or more other therapeutically active agents may be by administration concomitantly in 1 ) a unitary pharmaceutical composition, such as the compositions described above, or 2) separate pharmaceutical compositions each including one or more of the component active ingredients.
- the components of the combination may be administered separately in a sequential manner wherein the compound of the invention is administered first and the other therapeutically active agent is administered second or vice versa.
- the administration of each component is preferably concomitant, and may be in a unitary composition or separate compositions.
- the compound of the invention and one or more osmolytes are administered concomitantly by transbronchoscopic lavage.
- the compound of the invention and one or more osmolytes are administered concomitantly by inhalation.
- each compound of the invention When a compound of the invention is used in combination with another therapeutically active agent, the dose of each compound may differ from that when the compound of the invention is used alone. Appropriate doses will be readily determined by one of ordinary skill in the art. The appropriate dose of the compound of the invention, the other therapeutically active agent(s) and the relative timings of administration will be selected in order to achieve the desired combined therapeutic effect, and are within the expertise and discretion of the attendant physician, clinician or veterinarian.
- the present invention also provides processes for preparing the compounds of the invention and to the synthetic intermediates useful in such processes, as described in detail below.
- the compounds of the invention may be conveniently prepared by treating a compound of Formula (a) with an amine of Formula (b). More specifically, compounds of Formula (a) are treated with the amine of Formula (b) in a suitable solvent such as methanol, ethanol, or tetrahydrofuran, and a base such as triethylamine (TEA), or di-isoproylethylamine (DIPEA), with heating to elevated temperature, e.g., 70 e C. Further purification, resolution of stereoisomers, crystallization and/or preparation of salt forms may be carried out using conventional techniques.
- a suitable solvent such as methanol, ethanol, or tetrahydrofuran
- a base such as triethylamine (TEA), or di-isoproylethylamine (DIPEA)
- the starting or intermediate compounds in the synthesis may possess other functional groups which provide alternate reactive sites. Interference with such functional groups may be avoided by utilization of appropriate protecting groups, such as amine or alcohol protecting groups, and where applicable, appropriately prioritizing the synthetic steps. Suitable protecting groups will be apparent to those skilled in the art. Methods are well known in the art for installing and removing such protecting groups and such conventional techniques may be employed in the processes of the instant invention as well.
- NMR spectra were obtained on either a Bruker AC 400 ( 1 H NMR at 400 MHz and 13 C NMR at 100 MHz) or a Bruker AC 300 ( 1 H NMR at 300 MHz and 13 C NMR at 75 MHz). Proton spectra were referenced to tetramethylsilane as an internal standard and the carbon spectra were referenced to CDCI 3 , CD 3 OD, or DMSO-c 6 (purchased from Aldrich or Cambridge Isotope Laboratories, unless otherwise specified).
- Flash chromatography was performed on a Combiflash system (Combiflash Rf, Teledyne Isco) charged with silica gel column (Redi Sep. Rf, Teledyne Isco) or reverse phase column (High performance C18 Gold column).
- ESI Mass spectra were obtained on a Shimadzu LCMS-2010 EV Mass Spectrometer.
- HPLC analyses were obtained using a Waters XTerra MS C18 5 ⁇ 4.6x150mm Analytical Column detected at 220 nm (unless otherwise specified) on a Shimadzu Prominence HPLC system. The following time program was used with a flow rate of 1.0 mL per minute:
- UPLC analyses were obtained using a Waters ACQUITY UPLC HSS T3 1 .8 ⁇ 2.1 x100mm Analytical Column detected at 220 nm (unless otherwise specified) on a Shimadzu Prominence UFLC system. The following time program was used with a flow rate of 0.3 mL per minute:
- reaction mixture was stirred for another 3 h at room temperature, quenched with satd NH 4 CI, concentrated to remove THF, and partitioned between EtOAc (1000 mL) and water (1000 mL). The aqueous layer was separated and extracted with EtOAc (2 ⁇ 1000 mL). The combined organic extracts were dried over Na 2 S0 4 and concentrated.
- reaction mixture was allowed to be warmed to 27 °C, stirred for 16 h, quenched with satd NaHC0 3 (300 mL), concentrated to remove THF and extracted with EtOAc (2 x 300 mL). The combined organic extracts were dried over Na 2 S0 4 and concentrated.
- reaction mixture was stirred for 1 min at the same temperature, and the prepared solution of compound Vll-f was added slowly at -78 °C.
- the reaction mixture was stirred for another 10 min, stirred for 1 h at 0 °C, stirred at room temperature for 30 min, quenched with saturated NH 4 CI, concentrated to remove THF, and partitioned between CH 2 CI 2 (1000 mL) and water (1000 mL). The aqueous layer was separated and extracted with CH 2 CI 2 (2 ⁇ 1000 mL). The combined organic extracts were dried over Na 2 S0 4 and concentrated.
- reaction mixture was warmed to 24 °C, stirred for 16 h, quenched with saturated NaHC0 3 (300 mL), concentrated to remove THF, and extracted with CH 2 CI 2 (2 x 500 mL). The combined organic extracts were dried over Na 2 S0 4 and concentrated.
- Vll-aa and Vll-z failed by normal chromatography using CMA system; reverse-phase chromatography using a C18 Gold column was used to get pure Vll-z (810 mg, 21 %) and Vll-aa (1 .10 g, 25%) respectively: ESI-MS m/z 947 + H] + ; for Vll-z and ESI-MS m/z 11 15 [C 62 H 74 N40 15 + H] + for Vll-aa.
- TEA 340 mL was added slowly to formic acid (150 mL) at 0 °C. After the addition of TEA, compound Xl-a (76.4 g, 401.6 mmol) and compound Xl-b (59.2 g, 415.0 mL) were added. The reaction mixture was heated to reflux for 12 h, cooled down to room temperature, and poured into ice water (600 mL). The pH of the solution was adjusted to 11 by the addition of aqueous NaOH (70 g) in water (1 .4 L). The resulting solution was extracted with EtOAc (600 mL for 3 times) and acidified to pH 2-3.
- Benzyl chloroformate (1 .53 g, 9.05 mmol) was added dropwise and the reaction mixture was stirred for 1 h at 0 °C, warmed to room temperature, and stirred for 1 h. After concentration, the residue was dissolved in CH 2 CI 2 (200 mL), then washed with water (300 mL) and brine (300 mL). The organic layer was dried over Na 2 S0 4 and concentrated and purified by column to afford Xl-u (3.20 g, 65% over two steps) as a yellow oil.
- Benzyl chloroformate (1 .0 g, 6.30 mmol) was added dropwise and the reaction mixture was stirred for 1 h at 0 °C, warmed to room temperature, and stirred for 1 h.
- reaction mixture was warmed to 27 °C, stirred for 4 h, quenched with saturated NaHC0 3 (300 mL), concentrated to remove THF, and extracted with EtOAc (2 ⁇ 500 mL). The combined organic extracts were dried over Na 2 S0 4 and concentrated. The residue was purified by column chromatography (silica gel, 70:30 hexane/EtOAc) to afford compound XV-g (18.3 g, 55%) as a colorless oil.
- One assay used to assess mechanism of action and/or potency of the compounds of the present invention involves the determination of lumenal drug inhibition of airway epithelial sodium currents measured under short circuit current (l S c) using airway epithelial monolayers mounted in Ussing chambers. This assay is described in detail in Hirsh, A.J., Zhang, J., Zamurs, A., et al.
- MCC mucociliary clearance
- the sheep were then extubated, and total radioactive counts in the lung were measured every 5 minutes for a 1 -hour observation period.
- the rate of radiolabel clearance from the lung is representative of the MCC rate in the animal.
- the advantage of this system is that it closely simulates the human lung environment.
- the model also allows for the collection of simultaneous PK/PD information through plasma and urine sampling over the test period.
- Test solutions were aerosolized using a Raindrop nebulizer at a flowrate of eight liters per minute and connected to a dosimetry system consisting of a solenoid valve and a source of compressed air (20 psi).
- the deposited dose of drug in sheep lungs after an aerosol administration using the Raindrop nebulizer is estimated to be 8-15 % of the dose.
- Radioactive counts were measured in a central region in the right lung at 5 min intervals for one hour with a gamma camera. Three methods of analysis were utilized, 1 ) initial rate of clearance (slope) over the first 30 min fitted using linear regression 2) area under the curve for % clearance over time over one hour, and 3) the maximum clearance obtained in one hour.
- the effect of Compound ll-d at 0.024 nmol/kg, 0.24 nmol/kg and 2.4 nmol/kg were tested and compared to vehicle (4 ml_ sterile H 2 0) on sheep MCC four hour post- dosing (Figure 1 ). The analyses of effects are shown in Table 2. At all doses tested, Compound ll-d enhanced MCC compared to vehicle control. The 0.24 nmol/kg dose was considered to be a maximum (100%) MCC effect at the top of the dose response curve as illustrated in Figure 2.
- the ED 50 dose for Compound ll-d was
- Figure 3 demonstrates that the potent, in vivo effect on sheep MCC carries over to the napthyl series of compounds as well.
- Airway Hydration and Sodium Channel Block (in vitro model) Parion Sciences has developed experimental models for assessing airway hydration in cell cultures (Hirsh, A.J., Sabater, J.R., Zamurs, A., et. al. Evaluation of second generation amiloride analogs as therapy for CF lung disease. J. Pharmacol. Exp. Ther. 2004; 31 1 (3): 929-38. Hirsh, A.J., Zhang, J., Zamurs, A., et al.
- glucose was not included in the apical buffer.
- the present compounds of Formula (A) are more potent and/or absorbed less rapidly from mucosal surfaces, especially airway surfaces, compared to known sodium channel blockers, such as amiloride and third generation compounds such as Comparative Example 1 described below. Therefore, the compounds of Formula (A) have a longer half-life on mucosal surfaces compared to these know compounds as evidenced by the data shown in Table 4. The disappearance of Compound ll-d from the apical surface and airway epithelial metabolism were assessed in HBE and compared to Comparative Example 1 (Table 4).
- Comparative Example 1 was eliminated from the apical side with 83% metabolized to the less active carboxylic acid, (S)-2-amino-3-(4-(4-(3-(3,5-diamino-6-chloropyrazine- 2-carbonyl)guanidino)butyl) phenoxy)propanoic acid, structure below.
- a compound In order to have useful activity in treating Cystic Fibrosis and C.O.P.D a compound must have properties that will cause enhancement of mucociliary clearance (MCC) at doses that do not elevate plasma potassium which will eventually lead to hyperkalemia, a serious and dangerous condition, upon multiple dosing. It must therefore be avoided in this class of compounds, which are known to elevate plasma potassium if they are significantly excreted by the kidney. In order to evaluate this potential, it is beneficial to have MCC activity in vivo and not cause elevation of plasma potassium at the useful dose.
- MCC mucociliary clearance
- Comparative Example 1 As can be seen from the Table 5 and Figure 4 the ED 50 for Comparative Example 1 in the sheep MCC model is approximately 240 nmol/kg (3mM) using three different measures (slope, AUC and Maximum Clearance). At this dose, which would be a clinically active dose, Comparative Example 1 causes a rise in plasma potassium ( Figure 5) which on repeat dosing will lead to hyperkalemia. Thus, Comparative Example I is unacceptable for human use while Compound ll-d produces a safe and effective MCC with a benefit to risk ratio greater than 1000 in this model.
- Figure 6 graphs the percentage mucus clearance over time by Compound II- d and Comparative Example 1 , as described in the MCC model, above. A similar percentage mucus clearance was provided by Compound ll-d at a 10,000-fold lower dose than seen with Comparative Example 1 . Compound ll-d provided a maximal effect in a clinically relevant dose range.
- Figure 7 illustrates the significant increase in plasma potassium levels at an efficacious dose seen in the plasma of the sheep receiving Comparative Example 1 in the MCC study.
- Compound ll-d is 10,000 times more potent in sheep MCC than Comparative Example 1 with no elevation of Plasma K at doses as high as 24nmol/kg (1000 times the ED50 dose), whereas Comparative Example 1 has elevations of plasma K at the approximate ED50 dose of 3mM ( Figures 6 and 7).
- This again, demonstrates the unique and unexpected potency and safety advantage of Compound ll-d as seen in Table 6 with a Therapeutic Index of 10,000- 100,000 times greater renal safety than Comparative Example 1.
Landscapes
- Health & Medical Sciences (AREA)
- Chemical & Material Sciences (AREA)
- Organic Chemistry (AREA)
- Life Sciences & Earth Sciences (AREA)
- Medicinal Chemistry (AREA)
- Pharmacology & Pharmacy (AREA)
- Animal Behavior & Ethology (AREA)
- General Health & Medical Sciences (AREA)
- Public Health (AREA)
- Veterinary Medicine (AREA)
- Engineering & Computer Science (AREA)
- Bioinformatics & Cheminformatics (AREA)
- General Chemical & Material Sciences (AREA)
- Chemical Kinetics & Catalysis (AREA)
- Nuclear Medicine, Radiotherapy & Molecular Imaging (AREA)
- Pulmonology (AREA)
- Epidemiology (AREA)
- Otolaryngology (AREA)
- Immunology (AREA)
- Inorganic Chemistry (AREA)
- Dispersion Chemistry (AREA)
- Oil, Petroleum & Natural Gas (AREA)
- Molecular Biology (AREA)
- Biochemistry (AREA)
- Ophthalmology & Optometry (AREA)
- Crystallography & Structural Chemistry (AREA)
- Neurology (AREA)
- Neurosurgery (AREA)
- Toxicology (AREA)
- Dermatology (AREA)
- Gynecology & Obstetrics (AREA)
- Endocrinology (AREA)
- Reproductive Health (AREA)
- Hematology (AREA)
- Diabetes (AREA)
- Obesity (AREA)
- Transplantation (AREA)
- Biomedical Technology (AREA)
- Rheumatology (AREA)
- Pain & Pain Management (AREA)
Abstract
Description
Claims
Priority Applications (18)
| Application Number | Priority Date | Filing Date | Title |
|---|---|---|---|
| EP13826678.8A EP2931712B8 (en) | 2012-12-17 | 2013-12-13 | 3,5-diamino-6-chloro-n-(n-(4-phenylbutyl)carbamimidoyl) pyrazine-2- carboxamide compounds |
| RU2015129062A RU2671976C2 (en) | 2012-12-17 | 2013-12-13 | 3,5-diamino-6-chloro-n-(n-(4-phenylbutyl)carbamimidoyl)pyrazine-2-carboxamide compounds |
| HK16103648.2A HK1215703B (en) | 2012-12-17 | 2013-12-13 | 3,5-diamino-6-chloro-n-(n-(4-phenylbutyl)carbamimidoyl) pyrazine-2- carboxamide compounds |
| BR112015014178A BR112015014178A2 (en) | 2012-12-17 | 2013-12-13 | 3,5-diamino-6-chloro-n- (n- (4-phenylbutyl) carbamimidoyl) pyrazine-2-carboxamide compounds |
| JP2015548005A JP6392241B2 (en) | 2012-12-17 | 2013-12-13 | 3,5-Diamino-6-chloro-N- (N- (4-phenylbutyl) carbamimidoyl) pyrazine-2-carboxamide compound |
| AU2013363215A AU2013363215B2 (en) | 2012-12-17 | 2013-12-13 | 3,5-diamino-6-chloro-N-(N-(4-phenylbutyl)carbamimidoyl) pyrazine-2- carboxamide compounds |
| MX2015007797A MX2015007797A (en) | 2012-12-17 | 2013-12-13 | 3,5-diamino-6-chloro-n-(n-(4-phenylbutyl)carbamimidoyl) pyrazine-2- carboxamide compounds. |
| CA2896686A CA2896686A1 (en) | 2012-12-17 | 2013-12-13 | 3,5-diamino-6-chloro-n-(n-(4-phenylbutyl)carbamimidoyl) pyrazine-2- carboxamide compounds |
| EP18162918.9A EP3428153A1 (en) | 2012-12-17 | 2013-12-13 | 3,5-diamino-6-chloro-n-(n-(4-phenylbutyl)carbamimidoyl) pyrazine-2- carboxamide compounds |
| CN201380070785.3A CN104995178B (en) | 2012-12-17 | 2013-12-13 | 3,5-Diamino-6-chloro-N-(N-(4-phenylbutyl)formamidino)pyrazine-2-carboxamide |
| ES13826678.8T ES2674665T3 (en) | 2012-12-17 | 2013-12-13 | 3,5-Diamino-6-Chloro-N- (N- (4-phenylbutyl) carbamimidoyl) -pyrazine-2-carboxamide compounds |
| PCT/US2013/075093 WO2014099673A1 (en) | 2012-12-17 | 2013-12-13 | 3,5-diamino-6-chloro-n-(n-(4-phenylbutyl)carbamimidoyl) pyrazine-2- carboxamide compounds |
| KR1020157018915A KR20150095870A (en) | 2012-12-17 | 2013-12-13 | 3,5-diamino-6-chloro-n-(n-(4-phenylbutyl)carbamimidoyl)pyrazine-2-carboxamide compounds |
| NZ709197A NZ709197A (en) | 2012-12-17 | 2013-12-13 | 3,5-diamino-6-chloro-n-(n-(4-phenylbutyl)carbamimidoyl) pyrazine-2- carboxamide compounds |
| IL239409A IL239409A (en) | 2012-12-17 | 2015-06-15 | 3,5-diamino-6-chloro-n-(n-(4-phenylbutyl)carbamimidoyl)pyrazine-2-carboxamide compounds |
| ZA201504561A ZA201504561B (en) | 2012-12-17 | 2015-06-24 | 3,5-diamino-6-chloro-n-(n-(4-phenylbutyl)carbamimidoyl) pyrazine-2- carboxamide compounds |
| IL253951A IL253951B (en) | 2012-12-17 | 2017-08-10 | 3,5-diamino-6-chloro-n-(n-(4-phenylbutyl)carbamimidoyl) pyrazine-2- carboxamide compounds |
| AU2018203562A AU2018203562A1 (en) | 2012-12-17 | 2018-05-21 | 3,5-diamino-6-chloro-n-(n-(4-phenylbutyl)carbamimidoyl) pyrazine-2- carboxamide compounds |
Applications Claiming Priority (3)
| Application Number | Priority Date | Filing Date | Title |
|---|---|---|---|
| US201261738235P | 2012-12-17 | 2012-12-17 | |
| US61/738,262 | 2012-12-17 | ||
| PCT/US2013/075093 WO2014099673A1 (en) | 2012-12-17 | 2013-12-13 | 3,5-diamino-6-chloro-n-(n-(4-phenylbutyl)carbamimidoyl) pyrazine-2- carboxamide compounds |
Publications (1)
| Publication Number | Publication Date |
|---|---|
| WO2014099673A1 true WO2014099673A1 (en) | 2014-06-26 |
Family
ID=50931176
Family Applications (1)
| Application Number | Title | Priority Date | Filing Date |
|---|---|---|---|
| PCT/US2013/075093 Ceased WO2014099673A1 (en) | 2012-12-17 | 2013-12-13 | 3,5-diamino-6-chloro-n-(n-(4-phenylbutyl)carbamimidoyl) pyrazine-2- carboxamide compounds |
Country Status (13)
| Country | Link |
|---|---|
| US (4) | US9029382B2 (en) |
| EP (2) | EP2931712B8 (en) |
| JP (2) | JP6392241B2 (en) |
| KR (1) | KR20150095870A (en) |
| CN (2) | CN108658876A (en) |
| AU (2) | AU2013363215B2 (en) |
| BR (1) | BR112015014178A2 (en) |
| IL (2) | IL239409A (en) |
| MX (1) | MX2015007797A (en) |
| NZ (1) | NZ709197A (en) |
| RU (2) | RU2018138195A (en) |
| WO (1) | WO2014099673A1 (en) |
| ZA (1) | ZA201504561B (en) |
Cited By (10)
| Publication number | Priority date | Publication date | Assignee | Title |
|---|---|---|---|---|
| WO2016057572A1 (en) | 2014-10-06 | 2016-04-14 | Mark Thomas Miller | Modulators of cystic fibrosis transmembrane conductance regulator |
| US9670163B2 (en) | 2005-12-28 | 2017-06-06 | Vertex Pharmaceuticals Incorporated | Solid forms of N-[2,4-bis(1,1-dimethylethyl)-5-hydroxyphenyl]-1,4-dihydro-4-oxoquinoline-3-carboxamide |
| US9701639B2 (en) | 2014-10-07 | 2017-07-11 | Vertex Pharmaceuticals Incorporated | Co-crystals of modulators of cystic fibrosis transmembrane conductance regulator |
| CN107614480A (en) * | 2015-01-30 | 2018-01-19 | 帕里昂科学公司 | Novel Monothiol Mucolytics |
| US9873678B2 (en) | 2014-03-18 | 2018-01-23 | Astrazeneca Ab | Chemical compounds |
| WO2019220147A1 (en) | 2018-05-18 | 2019-11-21 | Enterprise Therapeutics Limited | Compounds |
| US10759785B2 (en) | 2016-06-21 | 2020-09-01 | Enterprise Therapeutics Limited | Compounds |
| US10941149B2 (en) | 2016-11-22 | 2021-03-09 | Enterprise Therapeutics Limited | Substituted benzodiazoliums as ENaC inhibitors |
| US11370778B2 (en) | 2017-10-17 | 2022-06-28 | Enterprise Therapeutics Limited | Bis(pentahydroxyhexyl)amino substituted 2-{[(3-amino-pyrazin-2-yl)formamido]methyl}-1H-1,3-benzodiazol-3-ium derivatives as ENaC inhibitors for treating respiratory diseases |
| WO2025229341A1 (en) | 2024-05-03 | 2025-11-06 | Enterprise Therapeutics Ltd | Chloride-hydrochloride salt of a benzodiazolium enac inhibitor |
Families Citing this family (15)
| Publication number | Priority date | Publication date | Assignee | Title |
|---|---|---|---|---|
| US6858615B2 (en) | 2002-02-19 | 2005-02-22 | Parion Sciences, Inc. | Phenyl guanidine sodium channel blockers |
| CA2839709C (en) | 2011-06-27 | 2020-01-14 | Parion Sciences, Inc. | A chemically and metabolically stable dipeptide possessing potent sodium channel blocker activity |
| AR086745A1 (en) | 2011-06-27 | 2014-01-22 | Parion Sciences Inc | 3,5-DIAMINO-6-CHLORINE-N- (N- (4- (4- (2- (HEXIL (2,3,4,5,6-PENTAHYDROXIHEXIL)) AMINO) ETOXI) PHENYL) BUTIL) CARBAMIMIDOIL) PIRAZINA -2-CARBOXAMIDE |
| PL2855435T3 (en) | 2012-05-29 | 2018-10-31 | Parion Sciences, Inc. | Dendrimer like amino amides possessing sodium channel blocker activity for the treatment of dry eye and other mucosal diseases |
| JP6392242B2 (en) | 2012-12-17 | 2018-09-19 | パリオン・サイエンシィズ・インコーポレーテッド | Chloro-pyrazinecarboxamide derivatives useful for the treatment of diseases where it is advantageous to have insufficient hydration of the mucosa |
| CN108658876A (en) | 2012-12-17 | 2018-10-16 | 帕里昂科学公司 | The chloro- N- of 3,5- diamino -6- (N- (4- phenyl butyls) carbonamidine base) pyrazine -2- benzamide compounds |
| MX368243B (en) | 2013-08-23 | 2019-09-25 | Parion Sciences Inc | Dithiol mucolytic agents. |
| US9102633B2 (en) | 2013-12-13 | 2015-08-11 | Parion Sciences, Inc. | Arylalkyl- and aryloxyalkyl-substituted epithelial sodium channel blocking compounds |
| US20150376145A1 (en) | 2014-06-30 | 2015-12-31 | Parion Sciences, Inc. | Stable sodium channel blockers |
| WO2016133967A2 (en) * | 2015-02-18 | 2016-08-25 | Parion Sciences, Inc. | Sodium channel blockers for skin disorders |
| CN107708680A (en) | 2015-04-30 | 2018-02-16 | 帕里昂科学公司 | The prodrug of two new mercaptan mucolytic agents |
| SG11202108503PA (en) | 2019-02-08 | 2021-09-29 | Astrazeneca Ab | Arginase inhibitors and methods of use thereof |
| WO2021022012A1 (en) * | 2019-07-30 | 2021-02-04 | The Regents Of The University Of California | Methods and composition for treating respiratory obstructive diseases |
| WO2021183371A1 (en) * | 2020-03-11 | 2021-09-16 | Purdue Research Foundation | Nano-composite microparticles of polymyxin |
| EP4532017A1 (en) * | 2022-05-24 | 2025-04-09 | The Cleveland Clinic Foundation | Topical angiotensin ii receptor blockers (arbs) for treating eye conditions |
Citations (84)
| Publication number | Priority date | Publication date | Assignee | Title |
|---|---|---|---|---|
| US3318813A (en) | 1965-08-16 | 1967-05-09 | Dow Chemical Co | Poly-alkylstyrene viscosity index improver |
| US3361306A (en) | 1966-03-31 | 1968-01-02 | Merck & Co Inc | Aerosol unit dispensing uniform amounts of a medically active ingredient |
| US3565070A (en) | 1969-02-28 | 1971-02-23 | Riker Laboratories Inc | Inhalation actuable aerosol dispenser |
| US4312860A (en) | 1980-10-24 | 1982-01-26 | Regents Of The University Of California | Lung surfactant compositions |
| US4479932A (en) | 1982-05-18 | 1984-10-30 | University Of Florida | Brain-specific drug delivery |
| US4540564A (en) | 1982-05-18 | 1985-09-10 | University Of Florida | Brain-specific drug delivery |
| US4805811A (en) | 1985-03-29 | 1989-02-21 | Aktiebolaget Draco | Dosage device |
| US4955371A (en) | 1989-05-08 | 1990-09-11 | Transtech Scientific, Inc. | Disposable inhalation activated, aerosol device for pulmonary medicine |
| US5100806A (en) | 1989-03-24 | 1992-03-31 | Macri James N | Method for detecting Edwards syndrome |
| US5261538A (en) | 1992-04-21 | 1993-11-16 | Glaxo Inc. | Aerosol testing method |
| US5292498A (en) | 1991-06-19 | 1994-03-08 | The University Of North Carolina At Chapel Hill | Method of treating lung disease with uridine triphosphates |
| US5458135A (en) | 1991-07-02 | 1995-10-17 | Inhale Therapeutic Systems | Method and device for delivering aerosolized medicaments |
| US5522385A (en) | 1994-09-27 | 1996-06-04 | Aradigm Corporation | Dynamic particle size control for aerosolized drug delivery |
| US5544647A (en) | 1994-11-29 | 1996-08-13 | Iep Group, Inc. | Metered dose inhalator |
| US5614216A (en) | 1990-10-17 | 1997-03-25 | The Liposome Company, Inc. | Synthetic lung surfactant |
| US5622163A (en) | 1994-11-29 | 1997-04-22 | Iep Group, Inc. | Counter for fluid dispensers |
| US5656256A (en) | 1994-12-14 | 1997-08-12 | The University Of North Carolina At Chapel Hill | Methods of treating lung disease by an aerosol containing benzamil or phenamil |
| US5876970A (en) | 1989-07-11 | 1999-03-02 | Byk Gulden Lomberg Chemische Fabrik Gmbh | Surfactant compositions and methods |
| US6116234A (en) | 1999-02-01 | 2000-09-12 | Iep Pharmaceutical Devices Inc. | Metered dose inhaler agitator |
| US6253762B1 (en) | 1995-04-14 | 2001-07-03 | Glaxo Wellcome Inc. | Metered dose inhaler for fluticasone propionate |
| US6264975B1 (en) | 1998-10-20 | 2001-07-24 | The University Of North Carolina At Chapel Hill | Methods of hydrating mucosal surfaces |
| US6329034B1 (en) | 1999-01-18 | 2001-12-11 | Roger L. Pendry | Label having tab member and methods for forming, applying and using the same |
| US6348589B1 (en) | 1997-02-06 | 2002-02-19 | Inspire Pharmaceuticals, Inc. | Certain dinucleotides and their use as modulators of mucociliary clearance and ciliary beat frequency |
| US6413497B1 (en) | 1990-02-03 | 2002-07-02 | Boehringer Ingelheim Kg | Pharmaceutical composition using a mixture of propellant gases for a metered dose inhaler |
| WO2003007182A1 (en) | 2001-07-11 | 2003-01-23 | Sendo International Limited | Device for automatically extending text messages, and methods therefor |
| WO2003070182A2 (en) | 2002-02-19 | 2003-08-28 | Johnson Michael R | Sodium channel blockers |
| WO2003070184A2 (en) | 2002-02-19 | 2003-08-28 | Johnson Michael R | Sodium channel blockers |
| US6637431B2 (en) | 1999-12-21 | 2003-10-28 | Astrazeneca Ab | Inhalation device employing blister packs with cavities and alignment slits |
| US6743413B1 (en) | 1991-12-18 | 2004-06-01 | 3M Company | Suspension aerosol formulations |
| WO2004073629A2 (en) | 2003-02-19 | 2004-09-02 | Parion Sciences, Inc. | Hetero substitued sodium channel blockers |
| US6818629B2 (en) | 1997-02-10 | 2004-11-16 | Inspire Pharmaceuticals, Inc. | Pharmaceutical formulation comprising P1-(2'-deoxycytidine 5'-)P4-(uridine 5'-) tetraphosphate |
| US6845772B2 (en) | 1999-12-01 | 2005-01-25 | Innovata Biomed Limited | Inhaler |
| WO2005016879A2 (en) | 2003-08-18 | 2005-02-24 | Parion Sciences, Inc. | Cyclic pyrazinoylguanidine sodium channel blockers |
| WO2005018644A1 (en) | 2003-08-18 | 2005-03-03 | Parion Sciences, Inc. | Capped pyrazinoylguanidine sodium channel blockers |
| WO2005022935A2 (en) | 2003-08-22 | 2005-03-10 | Siemens Aktiengesellschaft | Method for requesting authorization for access to user data and status data of mobile subscribers in a mobile radio network |
| WO2005025496A2 (en) | 2003-08-18 | 2005-03-24 | Parion Sciences, Inc. | Aliphatic pyrazinoylguanidine sodium channel blockers |
| US20050080093A1 (en) | 2003-08-20 | 2005-04-14 | Johnson Michael R. | Methods of reducing risk of infection from pathogens |
| US6880555B1 (en) | 1999-10-12 | 2005-04-19 | Shl Medical Ab | Inhaler |
| WO2005108644A2 (en) | 2004-05-03 | 2005-11-17 | Honeywell International Inc. | Methods and composition for cleaning and passivating fuel cell systems |
| US20060040954A1 (en) * | 2004-08-18 | 2006-02-23 | Parion Sciences, Inc. | Soluble amide & ester pyrazinoylguanidine sodium channel blockers |
| WO2006023573A2 (en) | 2004-08-18 | 2006-03-02 | Johnson Michael R | Aliphatic amide & ester pyrazinoylguanidine sodium channel blockers |
| WO2006023617A2 (en) | 2004-08-18 | 2006-03-02 | Johnson Michael R | Cyclic amide & ester pyrazinoylguanidine sodium channel blockers |
| US7105152B1 (en) | 1991-12-18 | 2006-09-12 | 3M Innovative Properties Company | Suspension aerosol formulations |
| US7108159B2 (en) | 2000-09-07 | 2006-09-19 | Valois S.A.S. | Fluid dispenser device of the multi-dose type |
| US20060237010A1 (en) | 2003-06-16 | 2006-10-26 | Rijksuniversiteit Groningen | Dry powder inhaler and method for pulmonary inhalation of dry powder |
| WO2007018640A1 (en) | 2005-08-03 | 2007-02-15 | Parion Sciences, Inc. | New capped pyrazinoylguanidine sodium channel blockers |
| US7207330B1 (en) | 1999-06-05 | 2007-04-24 | Innovata Biomed Limited | Delivery system |
| US7219665B1 (en) | 1999-09-04 | 2007-05-22 | Innovata Biomed Limited | Delivery device |
| US7223744B2 (en) | 1997-02-10 | 2007-05-29 | Inspire Pharmaceuticals, Inc. | Pharmaceutical formulation comprising dinucleoside polyphosphates and salts thereof |
| US7231920B2 (en) | 2000-10-31 | 2007-06-19 | Glaxo Group Limited | Medicament dispenser |
| US7246617B1 (en) | 1999-06-23 | 2007-07-24 | Vectura Delivery Devices Limited | Inhalers |
| WO2007114881A1 (en) | 2006-01-24 | 2007-10-11 | Nexbio, Inc. | Technology for preparation of macromolecular microspheres |
| WO2007146869A1 (en) | 2006-06-09 | 2007-12-21 | Parion Sciences, Inc. | Phenyl substituted pyrazinoylguanidine sodium channel blockers possessing beta agonist activity |
| US7322354B2 (en) | 2000-02-01 | 2008-01-29 | Valois S.A.S | Breath actuated dry powder inhaler and tape dose strip |
| WO2008031048A2 (en) | 2006-09-07 | 2008-03-13 | Parion Sciences, Inc. | Enhanced mucosal hydration and mucosal clearance by treatment with sodium channel blockers and osmolytes |
| WO2008031028A2 (en) | 2006-09-07 | 2008-03-13 | Parion Sciences, Inc. | Methods of enhancing mucosal hydration and mucosal clearance by treatment with sodium channel blockers and osmolytes |
| US7345051B2 (en) | 2000-01-31 | 2008-03-18 | Genaera Corporation | Mucin synthesis inhibitors |
| US7405233B2 (en) | 2002-07-24 | 2008-07-29 | Ptc Therapeutics, Inc. | Ureido substituted benzoic acid compounds and their use for nonsense suppression and the treatment of disease |
| US7482024B2 (en) | 1999-10-29 | 2009-01-27 | Nektar Therapeutics | Compositions comprising an active agent |
| US7481995B2 (en) | 1998-04-03 | 2009-01-27 | University College Cardiff Consultants Limited | Aerosol composition |
| WO2009015286A2 (en) | 2007-07-24 | 2009-01-29 | Nexbio, Inc. | Technology for the preparation of microparticles |
| US7499570B2 (en) | 2004-03-02 | 2009-03-03 | Siemens Corporate Research, Inc. | Illumination invariant change detection |
| US7517865B2 (en) | 2005-01-07 | 2009-04-14 | Alnylam Pharmaceuticals, Inc. | RNAi modulation of RSV and therapeutic uses thereof |
| US7520278B2 (en) | 2002-05-10 | 2009-04-21 | Oriel Therapeutics, Inc. | Dry powder inhalers, related blister devices, and associated methods of dispensing dry powder substances and fabricating blister packages |
| US7553855B2 (en) | 2006-05-12 | 2009-06-30 | Vertex Pharmaceuticals Incorporated | Compositions of N-[2,4-bis(1,1-dimethylethyl)-5-hydroxyphenyl]-1,4-dihydro-4-oxoquinoline-3-carboxamide |
| US20090203752A1 (en) | 2004-10-13 | 2009-08-13 | Ptc Therapeutics, Inc. | Compounds for nonsense suppression, and methods for their use |
| US20090221597A1 (en) | 2008-02-28 | 2009-09-03 | Sara Hadida Ruah | Heteroaryl derivatives as cftr modulators |
| US20090246137A1 (en) | 2008-03-31 | 2009-10-01 | Vertex Pharmaceuticals Incorporated | Pyridyl derivatives as cftr modulators |
| US20090246820A1 (en) | 2005-12-27 | 2009-10-01 | Singh Ashvani K | Compounds useful in cftr assays and methods therewith |
| US20090253736A1 (en) | 2007-11-02 | 2009-10-08 | Vertex Pharmaceuticals Incorporated | Azaindole derivatives as cftr modulators |
| US7601336B2 (en) | 1997-06-13 | 2009-10-13 | Chiesi Farmaceutici S.P.A. | Pharmaceutical aerosol composition |
| US20090306009A1 (en) | 2005-12-06 | 2009-12-10 | P2-Science Aps | Modulation of the P2Y2 Receptor Pathway |
| US7645789B2 (en) | 2006-04-07 | 2010-01-12 | Vertex Pharmaceuticals Incorporated | Indole derivatives as CFTR modulators |
| US20100130547A1 (en) | 2008-10-23 | 2010-05-27 | Vertex Pharmaceuticals Incorporated | Solid forms of n-(4-(7-azabicyclo[2.2.1]heptan-7-yl)-2-(trifluorormethyl)phenyl)-4-oxo-5-(trifluoromethyl)-1,4-dihyroquinoline-3-carboxamide |
| US20100168094A1 (en) | 2008-12-30 | 2010-07-01 | Vertex Pharmaceuticals Incorporated | Modulators of cystic fibrosis transmembrane conductance regulator |
| US20100184739A1 (en) | 2004-06-24 | 2010-07-22 | Vertex Pharmaceuticals Incorporated | Modulators of ATP-Binding Cassette Transporters |
| US7772259B2 (en) | 2003-04-11 | 2010-08-10 | Ptc Therapeutics, Inc. | 1,2,4-Oxadiazole benzoic acid compounds and their use for nonsense suppression and the treatment of disease |
| US20100215588A1 (en) | 2007-04-26 | 2010-08-26 | Rami Skaliter | Therapeutic delivery of inhibitory nucleic acid molecules to the respiratory system |
| US20100227888A1 (en) | 2006-11-08 | 2010-09-09 | Vertex Pharmaceuticals Incorporated | Modulators of cftr |
| US20100316628A1 (en) | 2008-12-09 | 2010-12-16 | The General Hospital Corporation | Agents and methods for treating respiratory disorders |
| US20110008366A1 (en) | 2007-11-06 | 2011-01-13 | Wight Thomas N | Inhibition of versican with sirna and other molecules |
| US7897577B2 (en) | 2007-06-01 | 2011-03-01 | Chiesi Farmaceutici S.P.A. | Reconstituted surfactants having improved properties |
| US20110104255A1 (en) | 2008-03-17 | 2011-05-05 | Nitto Denko Corporation | Therapeutic agent for fibroid lung |
| US8124607B2 (en) | 2008-02-26 | 2012-02-28 | Parion Sciences, Inc. | Poly aromatic pyrazinoylguanidine sodium channel blockers |
Family Cites Families (329)
| Publication number | Priority date | Publication date | Assignee | Title |
|---|---|---|---|---|
| US3268406A (en) | 1961-10-12 | 1966-08-23 | Merck & Co Inc | Compositions and method of using (3-amino-pyrazinoyl) guanidines |
| NL6409714A (en) | 1962-10-30 | 1965-10-01 | ||
| NL299929A (en) | 1962-10-30 | |||
| US3316266A (en) | 1964-03-31 | 1967-04-25 | Merck & Co Inc | 3-aminopyrazinoic acid derivatives and process for their preparation |
| NL299931A (en) | 1962-10-30 | |||
| NL6409716A (en) | 1962-10-30 | 1965-10-01 | ||
| DK109779C (en) | 1962-10-30 | 1968-07-01 | Merck & Co Inc | Process for the preparation of 3-aminopyrazinamidoguanidine compounds or acid addition salts thereof. |
| US3274191A (en) | 1963-11-15 | 1966-09-20 | Merck & Co Inc | N-(3-aminopyrazinoyl) benzamidines and process for preparing |
| US3240780A (en) | 1963-12-23 | 1966-03-15 | Merck & Co Inc | Amino-pyrazinoyl guanidines |
| DE1245967B (en) | 1964-03-31 | 1967-08-03 | Merck &. Co., Inc., Rahway, N.J. (V. St. A.) | Process for the preparation of S.S-diamino-o-chloro-pyrazinecarboxylic acid alkyl esters |
| NL6501301A (en) | 1964-04-03 | 1965-10-04 | ||
| US3249610A (en) | 1964-09-08 | 1966-05-03 | Merck & Co Inc | Synthesis of 3-amino, 5-chloro, 6-substituted-pyrazinoates |
| DE1281818B (en) | 1965-07-17 | 1968-10-31 | Rheinische Kalksteinwerke | Process for the simultaneous grinding of several raw materials with different grindability |
| US3274192A (en) | 1965-10-04 | 1966-09-20 | Merck & Co Inc | Derivatives of pyrazine and a method for their preparation |
| US3341540A (en) | 1965-10-04 | 1967-09-12 | Merck & Co Inc | 3-amino-6-halopyrazinonitriles and their syntheses |
| US3305552A (en) | 1965-11-22 | 1967-02-21 | Merck & Co Inc | 3-aminopyrazinoic acids and process for their preparation |
| US3361748A (en) | 1965-11-22 | 1968-01-02 | Merck & Co Inc | Process for the preparation of pteridinones |
| FR1525671A (en) | 1966-08-25 | 1968-05-17 | Merck & Co Inc | Process for preparing (3, 5 - diamino - 6 - halo - pyrazinoyl) - guanidines and (3, 5 - diamino - 6 - halo -pyrazinamido) guanidines |
| NL6707564A (en) | 1966-08-25 | 1968-02-26 | ||
| IL27897A (en) | 1966-08-25 | 1972-02-29 | Merck & Co Inc | Preparation of pyrazinoylguanidines and pyrazinamidoguanidines |
| FR1525670A (en) | 1966-08-25 | 1968-05-17 | Merck & Co Inc | Process for manufacturing substituted guanidines |
| US3472848A (en) | 1966-11-17 | 1969-10-14 | Merck & Co Inc | 3-hydroxy and 3-mercapto-pyrazinoyl-guanidines,corresponding ethers and thioethers and processes for their preparation |
| US3660400A (en) | 1966-11-17 | 1972-05-02 | Merck & Co Inc | Lower alkyl 3-hydroxy and 3-mercaptopyrazinoates |
| US3527758A (en) | 1967-04-13 | 1970-09-08 | Merck & Co Inc | Process for the preparation of pyrazinoylguanidines from a pyrazinoic azide and a guanidine |
| US3507865A (en) | 1967-04-27 | 1970-04-21 | Merck & Co Inc | 3-hydroxy- and 3-mercaptopyrazinamidoguanidines the corresponding ethers and thioethers and processes for their preparation |
| US3507866A (en) | 1967-08-08 | 1970-04-21 | Merck & Co Inc | 1h - imidazo(4,5-b)pyrazin - 2 - one and processes for their preparation |
| US3487082A (en) | 1967-09-28 | 1969-12-30 | Merck & Co Inc | 2,4 - diamino - 6 - halopteridines and processes for their preparation |
| US3503973A (en) | 1967-11-07 | 1970-03-31 | Merck & Co Inc | Process for preparation of pyrazinoylguanidines |
| US3515723A (en) | 1967-11-14 | 1970-06-02 | Merck & Co Inc | 2 - (5 - amino - 1h - 1,2,4 - triazol - 3 - yl)- 3-aminopyrazines and processes for their preparation |
| US3531484A (en) | 1968-02-14 | 1970-09-29 | Merck & Co Inc | 1-(3-aminopyrazinoyl)-4,5,5-trisubstituted biguanide products |
| US3461123A (en) | 1968-04-12 | 1969-08-12 | Merck & Co Inc | 1h-imidazo(4,5-b)pyrazin-2-ones and processes for their preparation |
| US3506662A (en) | 1968-04-30 | 1970-04-14 | Merck & Co Inc | Process for preparation of pyrazinoyland pyrazinamidoguanidines |
| US3625950A (en) | 1968-07-03 | 1971-12-07 | Merck & Co Inc | Certain halophenoxy alkanamides, hydrazides and derivatives thereof |
| US3575975A (en) | 1968-07-25 | 1971-04-20 | Merck & Co Inc | Process for the preparation of 3-aminopyrazinoylureas |
| US3539569A (en) | 1968-08-21 | 1970-11-10 | Merck & Co Inc | Preparation of pyrazinoylguanidines from pyrazinoylureas |
| US3544571A (en) | 1968-09-04 | 1970-12-01 | Merck & Co Inc | Process for making pyrazinoylthiourea compounds |
| US3555024A (en) | 1968-11-13 | 1971-01-12 | Merck & Co Inc | 1-(3-aminopyrazinoyl)semicarbazides,1-(3-aminopyrazinoyl) - thiosemicarbazides,and method for their preparation |
| US3555023A (en) | 1968-11-13 | 1971-01-12 | Merck & Co Inc | 1-(3 - aminopyrazinoyl) - 3 - substituted-3-thioisosemicarbazides and method for preparation |
| US3668241A (en) | 1968-11-25 | 1972-06-06 | Merck & Co Inc | Substituted 1-oxoinden-5-yloxy alkanoic acids |
| US3586688A (en) | 1968-12-18 | 1971-06-22 | Merck & Co Inc | Certain aminopyridinecarbonyl guanidines |
| US3573305A (en) | 1968-12-30 | 1971-03-30 | Merck & Co Inc | (3-amino-pyrazinoyl)sulfamides and their preparation |
| US3577418A (en) | 1969-02-12 | 1971-05-04 | Merck & Co Inc | Pyrazinamide derivatives and processes for their preparation |
| US3573306A (en) | 1969-03-05 | 1971-03-30 | Merck & Co Inc | Process for preparation of n-substituted 3,5-diamino-6-halopyrazinamides |
| US3544568A (en) | 1969-03-18 | 1970-12-01 | Merck & Co Inc | 3-amino-5,6-substituted pyrazinamides |
| US3660397A (en) | 1970-04-17 | 1972-05-02 | Merck & Co Inc | Imidazo(4 5-b)pyrazines |
| US3864401A (en) | 1970-12-23 | 1975-02-04 | Merck & Co Inc | Substituted 2-aminomethyl-4,6-dihalophenols |
| US3794734A (en) | 1971-03-03 | 1974-02-26 | Merck & Co Inc | Methods of treating edema and hypertension using certain 2-aminoethylphenols |
| US3935313A (en) | 1971-03-29 | 1976-01-27 | Jan Marcel Didier Aron-Samuel | Pharmaceutical composition containing N-(3-diethyl-aminopropyl)-4-nitro-1-oxide-pyridine-2-carboxamide and process for the treatment of hypertension therewith |
| US3948895A (en) | 1971-09-28 | 1976-04-06 | E. I. Du Pont De Nemours And Company | Synthesis of 3,5-diaminopyrazinoic acid from 3,5-diamino-2,6-dicyanopyrazine and intermediates |
| BE791201A (en) | 1971-11-12 | 1973-05-10 | Merck & Co Inc | INDANYLOXYTETRAZOLES |
| US3953476A (en) | 1971-12-27 | 1976-04-27 | Merck & Co., Inc. | 3-Amino-5-sulfonylbenzoic acids |
| US3894085A (en) | 1972-09-19 | 1975-07-08 | Ciba Geigy Corp | New 2-halo nitrones, their manufacture and their use for the manufacture of N-substituted araliphatic aldehyde-nitrones |
| US4081554A (en) | 1972-10-13 | 1978-03-28 | Merck & Co., Inc. | 1-oxo-2,2-disubstituted-5-indanyloxy(or thio)alkano acids |
| US4085219A (en) | 1972-10-13 | 1978-04-18 | Merck & Co., Inc. | 1-Oxo-2,2-disubstituted-5-indanyloxy(or thio)alkanoic acids |
| US3976686A (en) | 1972-10-13 | 1976-08-24 | Merck & Co., Inc. | [1-Oxo-2,3-hydrocarbylene-5-indanyloxy(or thio)]alkanoic acids |
| US3984465A (en) | 1972-10-13 | 1976-10-05 | Merck & Co., Inc. | 1-Oxo-2,2-disubstituted-5-indanyloxy(or thio)alkanoic acids |
| US4091015A (en) | 1972-10-27 | 1978-05-23 | American Home Products Corporation | 15-Substituted prostanoic acids |
| US4092356A (en) | 1972-10-30 | 1978-05-30 | Merck & Co., Inc. | 11,12-Secoprostaglandins |
| US4066692A (en) | 1972-10-30 | 1978-01-03 | Merck & Co., Inc. | 11,12-secoprostaglandins |
| US4055597A (en) | 1973-01-26 | 1977-10-25 | Merck & Co., Inc. | 10-Aza-11,12-secoprostaglandins |
| US3987091A (en) | 1973-04-12 | 1976-10-19 | Merck & Co., Inc. | 11,12-secoprostaglandins |
| US4091107A (en) | 1973-04-25 | 1978-05-23 | Merck & Co., Inc. | 8-Aza-9-oxo(and dioxo)-thia-11,12-secoprostaglandins |
| US4033996A (en) | 1973-04-25 | 1977-07-05 | Merck & Co., Inc. | 8-Aza-9-oxo(and dioxo)-thia-11,12-secoprostaglandins |
| US3894065A (en) | 1973-04-27 | 1975-07-08 | Merck & Co Inc | Aryl-oxo-alkanoic acids |
| US4182764A (en) | 1973-10-11 | 1980-01-08 | Merck & Co., Inc. | Tetrazole derivatives of [1-oxo-2-aryl or thienyl-2-substituted-5-indanyloxy(or thio)]alkanoic acids |
| US4177285A (en) | 1973-10-11 | 1979-12-04 | Merck & Co., Inc. | [1-Oxo-2-thienyl-2-substituted-5-indanyloxy (or thio)]alkanoic acids and derivatives thereof |
| US4006180A (en) | 1973-10-12 | 1977-02-01 | Merck & Co., Inc. | [1,3-Dihydroxy-2-substituted and 2,2-disubstituted-indanyloxy(or thio)]alkanoic acids |
| US3966966A (en) | 1973-10-12 | 1976-06-29 | Merck & Co., Inc. | Pharmaceutical compositions and method of treatment employing 1,3-dioxo-2,2-disubstituted indanyloxy alkanoic acids |
| US3929872A (en) | 1973-10-12 | 1975-12-30 | Merck & Co Inc | Indanacetic acid compounds |
| US3976681A (en) | 1973-10-12 | 1976-08-24 | Merck & Co., Inc. | [1,3-Dioxo-2-substituted and 2,2-disubstituted- indanyloxy (or thio] alkanoic acids |
| US4012524A (en) | 1973-10-12 | 1977-03-15 | Merck & Co., Inc. | [1-Hydroxy-5-indanyloxy (or thio)]-alkanoic acids |
| US4003927A (en) | 1973-10-12 | 1977-01-18 | Merck & Co., Inc. | (1-Oxo-7,8-disubstituted-1,2,3,4-tetrahydro-6-naphthyloxy)- and (3,4-disubstituted-5-oxo-6,7,8,9-tetrahydro-5H-benzocycloheptene-2-yloxy) acetic acids and derivatives |
| US3989749A (en) | 1973-10-17 | 1976-11-02 | Merck & Co., Inc. | 11,12-Secoprostaglandins |
| US3991087A (en) | 1973-12-13 | 1976-11-09 | Merck & Co., Inc. | 8-Halo-11,12-secoprostaglandins |
| US3979361A (en) | 1974-02-20 | 1976-09-07 | Merck & Co., Inc. | 2-Aminomethyl-6-trihalo-methylphenols |
| US3914253A (en) | 1974-03-04 | 1975-10-21 | Merck & Co Inc | 5-Oxo-6-substituted-cyclopent-{8 f{9 -indole-2-carboxylic acids |
| US3931239A (en) | 1974-04-03 | 1976-01-06 | Merck & Co., Inc. | 6-Oxo-7-substituted-6H-indeno-[5,4-b]furan(and thiophene)-carboxylic acids |
| US3958004A (en) | 1974-04-23 | 1976-05-18 | Merck & Co., Inc. | Phenoxyacetic acid derivatives as uricosuric agents |
| US3928624A (en) | 1974-04-25 | 1975-12-23 | Merck & Co Inc | Phenol compounds in treating pain, fever and inflammation |
| US3956374A (en) | 1974-05-03 | 1976-05-11 | Merck & Co., Inc. | Aryl-oxo-heptenoic acids |
| US3974212A (en) | 1974-05-22 | 1976-08-10 | Merck & Co., Inc. | [1-Hydroximino-2,2-disubstituted-5-indanyloxy-(or thio)]alkanoic acids |
| AT351182B (en) | 1974-06-25 | 1979-07-10 | Merck & Co Inc | METHOD FOR THE PRODUCTION OF NEW 9-THIA, 9-OXOTHIA AND 9-DIOXOTHIA-11,12-SECOPROSTA-GLANDINES |
| PL98342B1 (en) | 1974-07-30 | 1978-04-29 | METHOD FOR THE PRODUCTION OF 1-KETO-2-ARYL- / OR THENYL / -2-SUBSTITUTED-INDANOXY- / OR THIO / -5-ALCOXYLIC ACID | |
| US4020177A (en) | 1974-08-30 | 1977-04-26 | Merck & Co., Inc. | Substituted phenoxy-tridecanoic acids |
| US3991106A (en) | 1974-09-13 | 1976-11-09 | Merck & Co., Inc. | 16-Ethers of 8-aza-9-dioxothia-11,12-seco-prostaglandins |
| US4055596A (en) | 1974-09-13 | 1977-10-25 | Merck & Co., Inc. | 11,12-Seco-prostaglandins |
| US3984552A (en) | 1975-02-24 | 1976-10-05 | Merck & Co., Inc. | 6-Oxo-7-substituted and 7,7-disubstituted-6H-indeno-[5,4-b]furan (and thiophene) carboxylic acids |
| JPS51116341A (en) | 1975-04-04 | 1976-10-13 | Automob Antipollut & Saf Res Center | Detection apparatus for oil pressure |
| US4018802A (en) | 1975-04-09 | 1977-04-19 | Merck & Co., Inc. | 9-Thia- and oxothia- and 9-dioxothia-11,12-seco-prostaglandins and processes |
| US4097504A (en) | 1975-04-23 | 1978-06-27 | Merck & Co., Inc. | 11,12-Secoprostaglandins |
| US4092414A (en) | 1975-04-25 | 1978-05-30 | Merck & Co., Inc. | 3,4-Dihydrospiro-2H-1,3-benzoxazines and their use in treating edema, abnormal electrolyte retention, and inflammation |
| US4059601A (en) | 1975-06-06 | 1977-11-22 | Merck & Co., Inc. | 8-Halo-11,12-secoprostaglandins |
| US4059602A (en) | 1975-06-06 | 1977-11-22 | Merck & Co., Inc. | 8-Methyl-, phenyl-, or substituted phenyl-11,12-secoprostaglandins |
| US4061643A (en) | 1975-06-18 | 1977-12-06 | Merck & Co., Inc. | Certain 16-aryloxy-11,12-seco-prostaglandins |
| US4181727A (en) | 1975-07-09 | 1980-01-01 | Merck & Co., Inc. | 2,3-Dihydro-6,7-disubstituted-5-acyl benzofuran-2-carboxylic acids |
| US4087542A (en) | 1975-07-09 | 1978-05-02 | Merck & Co., Inc. | 2,3-Dihydro-6,7-disubstituted-5-acyl benzofuran-2-carboxylic acids |
| US4296122A (en) | 1975-07-09 | 1981-10-20 | Merck & Co., Inc. | 2,3-Dihydro-6,7-disubstituted-5-(acyl)benzofuran-2-carboxylic acids |
| US4044153A (en) | 1975-08-01 | 1977-08-23 | Merck & Co., Inc. | Antiinflammatory 2-aminomethyl-6-trihalomethylphenols |
| US4203988A (en) | 1975-11-12 | 1980-05-20 | Merck & Co., Inc. | Pyridinyl ureas and pharmaceutical use |
| US4029816A (en) | 1975-11-25 | 1977-06-14 | Merck & Co., Inc. | Substituted 2-aminomethyl-6-iodophenols |
| US4085211A (en) | 1975-12-15 | 1978-04-18 | Merck & Co., Inc. | Pyrazinecarboxamides and processes for preparing same |
| US4070464A (en) | 1976-02-19 | 1978-01-24 | Merck & Co., Inc. | Method of treating autoimmune diseases |
| US4066675A (en) | 1976-03-22 | 1978-01-03 | Merck & Co., Inc. | 9-thia- and oxothia- and 9-dioxothia-11,12-seco-prostaglandins and processes |
| US4128564A (en) | 1976-03-22 | 1978-12-05 | Merck & Co., Inc. | 9-Thia- and oxothia- and 9-dioxothia-11,12-seco-prostaglandins |
| US4181661A (en) | 1976-05-03 | 1980-01-01 | Merck & Co., Inc. | Derivatives of 2-iminothiazolidines and thiazolines |
| US4029803A (en) | 1976-05-03 | 1977-06-14 | Merck & Co., Inc. | Method of treatment with 2-iminothiazolidines and thiazolines |
| US4059587A (en) | 1976-05-24 | 1977-11-22 | Merck & Co., Inc. | Certain thiazolidine compounds |
| US4022794A (en) | 1976-05-24 | 1977-05-10 | Merck & Co., Inc. | Novel analogs of prostaglandins with 4-oxo-thiazolidinyl nucleus and method of preparation thereof |
| NL7705652A (en) | 1976-06-15 | 1977-12-19 | Merck & Co Inc | 2-IMINO-3-AMINOTHIAZOLIDINS. |
| US4054652A (en) | 1976-06-15 | 1977-10-18 | Merck & Co., Inc. | Dihydro- and tetrahydro- iminothiazines |
| US4025625A (en) | 1976-06-15 | 1977-05-24 | Merck & Co., Inc. | Imidazothiazines |
| US4087526A (en) | 1976-07-23 | 1978-05-02 | Merck & Co., Inc. | (3-Amino-5-substituted-6-fluoropyrazinoyl or pyrazamido)-guanidines and their derivatives bearing substituents on the guanidino nitrogens |
| US4111877A (en) | 1976-07-29 | 1978-09-05 | Air Products & Chemicals, Inc. | Allyl esters of n-alkyl-omega-(alkyleneureido) amic acids and their synthesis and use in aqueous emulsion polymer systems |
| US4067980A (en) | 1976-08-16 | 1978-01-10 | Merck & Co., Inc. | Spirobenzoxazinium salts, method of use and compositions thereof as antihypertensive agents |
| US4085117A (en) | 1976-10-18 | 1978-04-18 | Merck & Co., Inc. | 6,7-Disubstituted-5-(acyl)benzofuran-2-carboxylic acids |
| US4100294A (en) | 1976-12-06 | 1978-07-11 | Merck & Co., Inc. | 5-(Hydroxy (substituted) methyl)-2,3-dihydrobenzo furan-2-carboxylic acid and its derivatives |
| US4175203A (en) | 1976-12-17 | 1979-11-20 | Merck & Co., Inc. | Interphenylene 11,12-secoprostaglandins |
| US4150235A (en) | 1976-12-17 | 1979-04-17 | Merck & Co., Inc. | Interphenylene 11,12-secoprostaglandins |
| US4105769A (en) | 1977-01-24 | 1978-08-08 | Merck & Co., Inc. | Inhibition of indoleamine-N-methyl transferase by 2-iminopyridines |
| US4087435A (en) | 1977-02-17 | 1978-05-02 | Merck & Co., Inc. | 8-Aza-9-dioxothiaprostanoic acids |
| US4208413A (en) | 1977-03-04 | 1980-06-17 | Merck & Co., Inc. | N-Pyrazinecarbonyl-N'-alkoxycarbonyl and N',N"-bis(alkoxycarbonyl)guanidines and processes for preparing same |
| US4115573A (en) | 1977-03-04 | 1978-09-19 | Merck & Co., Inc. | N-pyrazinecarbonyl-N'-substituted-sulfamoylguanidine and processes for preparing same |
| US4112236A (en) | 1977-04-04 | 1978-09-05 | Merck & Co., Inc. | Interphenylene 8-aza-9-dioxothia-11,12-secoprostaglandins |
| US4108859A (en) | 1977-06-06 | 1978-08-22 | The Dow Chemical Company | Microbicidal (pyridinylamino) alkyl guanidines |
| US4115402A (en) | 1977-06-17 | 1978-09-19 | Merck & Co., Inc. | 2,3-Dichloro-4-[(substituted-sulfonyl)-phenoxy]-acetic acids |
| US4196292A (en) | 1977-06-29 | 1980-04-01 | Merck & Co., Inc. | 6-Substituted amiloride derivatives |
| US4133885A (en) | 1977-07-18 | 1979-01-09 | Merck & Co., Inc. | Substituted naphthyridinones |
| US4229456A (en) | 1977-07-18 | 1980-10-21 | Merck & Co., Inc. | Substituted naphthyridinones and processes for their preparations |
| US4536507A (en) | 1977-07-26 | 1985-08-20 | Merck & Co., Inc. | Prostaglandin antagonists |
| US4093728A (en) | 1977-08-18 | 1978-06-06 | E. R. Squibb & Sons, Inc. | Triazoloisoindoles |
| US4140776A (en) | 1977-09-16 | 1979-02-20 | Merck & Co., Inc. | N-pyrazinecarbonyl-N'-acylguanidines |
| US4130566A (en) | 1977-10-27 | 1978-12-19 | Sumitomo Chemical Company, Limited | Process for producing 5-carboxy-2-acetylthiophene |
| US4127584A (en) | 1977-11-11 | 1978-11-28 | Merck & Co., Inc. | 2,3-Substituted-1,2,5-thiadiazolium salt antimicrobials |
| US4267341A (en) | 1977-11-23 | 1981-05-12 | Merck & Co., Inc. | Process for preparing 2,3-substituted-1,2,-isothiazolium salt antimicrobials |
| US4159279A (en) | 1977-11-23 | 1979-06-26 | Merck & Co., Inc. | Nuclear substituted 2-hydroxyphenylmethanesulfamic acids |
| US4292430A (en) | 1977-11-23 | 1981-09-29 | Merck & Co., Inc. | 2,3-Substituted-1,2-isothiazolium salt antimicrobials |
| US4166177A (en) | 1977-12-27 | 1979-08-28 | Merck & Co., Inc. | Substituted 2,2-dioxo-1,2,3-benzoxathiazines |
| US4145551A (en) | 1978-01-09 | 1979-03-20 | Merck & Co., Inc. | Pyrazine-2-carbonyloxyguanidines |
| US4401669A (en) | 1978-01-27 | 1983-08-30 | Merck & Co., Inc. | 2,3-Dihydro-substituted-5-benzoyl benzofuran-2-carboxylic acids and their use in treating hypertension |
| US4189496A (en) | 1978-02-16 | 1980-02-19 | Merck & Co., Inc. | 2,3-Dihydro-5-thienylmethyl and furylmethyl-6-substituted and 6,7-disubstituted-benzofuran-2-carboxylic acid |
| US4163781A (en) | 1978-04-17 | 1979-08-07 | Merck & Co., Inc. | 3-Amino-N-[(phosphonoamino)iminomethyl]-6-halopyrazinecarboxamide compounds, compositions and methods of use |
| US4156005A (en) | 1978-06-21 | 1979-05-22 | Merck & Co., Inc. | Derivatives of 1,2-benzisoxazoles |
| US4394515A (en) | 1978-06-23 | 1983-07-19 | Merck & Co., Inc. | 10,11-Dihydro-11-oxodibenzo[b,f]thiepin compounds |
| US4263207A (en) | 1978-08-01 | 1981-04-21 | Merck & Co., Inc. | 10,11-Dihydrodibenzo[b,f][1,4]thiazepine carboxylic acids esters and amides thereof |
| US4190655A (en) | 1978-08-28 | 1980-02-26 | Merck & Co., Inc. | Amiloride citrate |
| US4226867A (en) | 1978-10-06 | 1980-10-07 | Merck & Co., Inc. | 3,3-Substituted spiro-1,2,4-benzothiadiazines |
| US4178386A (en) | 1978-10-11 | 1979-12-11 | Merck & Co., Inc. | Inhibitors of glycolic acid oxidase |
| US4187315A (en) | 1978-10-11 | 1980-02-05 | Merck & Co., Inc. | N-alkyl(and cycloalkyl)oxamic acid and derivatives as inhibitors of glycolic acid oxidase |
| US4207329A (en) | 1978-10-11 | 1980-06-10 | Merck & Co., Inc. | Derivatives of glycolic and glyoxylic acid as inhibitors of glycolic acid oxidase |
| US4390537A (en) | 1978-11-16 | 1983-06-28 | Merck & Co., Inc. | 1-(Substituted-aminoalkoxyphenyl)-2-methylene-1-alkanones, compositions and use |
| US4342782A (en) | 1978-11-16 | 1982-08-03 | Merck & Co., Inc. | 1-(Substituted-aminoalkoxyphenyl)-2-methylene-1-alkanones, compositions and use thereof |
| US4282365A (en) | 1978-11-24 | 1981-08-04 | Merck & Co., Inc. | Dibenz[b,e]oxepin compounds |
| US4249021A (en) | 1979-02-26 | 1981-02-03 | Merck & Co., Inc. | Indanacetic acid compounds |
| US4224447A (en) | 1979-03-27 | 1980-09-23 | Merck & Co., Inc. | Novel pyrazinecarboxamides and processes for preparing same |
| US4246406A (en) | 1979-03-27 | 1981-01-20 | Merck & Co., Inc. | Heterocyclic substituted pyrazinoylguanidines |
| US4221790A (en) | 1979-04-16 | 1980-09-09 | Merck & Co., Inc. | Substituted 2,2-dioxo-1,2,3-benzoxathiazines |
| US4233452A (en) | 1979-05-03 | 1980-11-11 | Merck & Co., Inc. | Derivatives of glycolic and glyoxylic acid as inhibitors of glycolic acid oxidase |
| US4220654A (en) | 1979-06-04 | 1980-09-02 | Merck & Co., Inc. | Cyclic imidazole cyanoguanidines |
| US4256758A (en) | 1979-06-11 | 1981-03-17 | Merck & Co., Inc. | 4-Substituted-3-hydroxy-3-pyrroline-2,5-dione inhibitors of glycolic acid oxidase |
| US4537902A (en) | 1979-06-11 | 1985-08-27 | Merck & Co., Inc. | 4-Substituted-3-hydroxy-3-pyrroline-2,5-dione inhibitors of glycolic acid oxidase |
| US4431660A (en) | 1979-06-11 | 1984-02-14 | Merck & Co., Inc. | (4'-Biphenylyloxy and-thio-oxy)-3-hydroxy-3-pyrroline-2,5-diones and a method of treating calcium oxalate renal lithiasis therewith |
| US4237130A (en) | 1979-06-21 | 1980-12-02 | Merck & Co., Inc. | 2,3-Dihydro-6,7-disubstituted-5-(substituted sulfonyl)benzofuran-2-carboxylic acids |
| US4291050A (en) | 1979-06-21 | 1981-09-22 | Merck & Co., Inc. | 6,7-Disubstituted-2 or 2,2-substituted-5-substituted-1-indanones |
| US4237144A (en) | 1979-06-21 | 1980-12-02 | Merck & Co., Inc. | 2,3-Dihydro-2,6,7-trisubstituted-5-acylbenzofurans |
| JPS6034925B2 (en) | 1979-07-31 | 1985-08-12 | 帝人株式会社 | Long-acting nasal preparation and its manufacturing method |
| US4375475A (en) | 1979-08-17 | 1983-03-01 | Merck & Co., Inc. | Substituted pyranone inhibitors of cholesterol synthesis |
| US4459422A (en) | 1979-08-17 | 1984-07-10 | Merck & Co., Inc. | Substituted pyranone inhibitors of cholesterol synthesis |
| US4710513A (en) | 1979-08-17 | 1987-12-01 | Merck & Co., Inc. | Substituted pyranone inhibitors of cholesterol synthesis |
| US4567289A (en) | 1979-08-17 | 1986-01-28 | Merck & Co., Inc. | Substituted pyranone inhibitors of cholesterol synthesis |
| US4296237A (en) | 1979-09-11 | 1981-10-20 | Merck & Co., Inc. | 4-(Pyridyl, piperazinyl and thiazolyl substituted thiazolyl)-3-hydroxy-3-pyrroline-2,5-diones |
| US4379791A (en) | 1979-09-11 | 1983-04-12 | Merck & Co., Inc. | 4-(Substituted thiazolyl)-3-hydroxy-3-pyrroline-2,5-dione inhibitors of glycolic acid oxidase |
| US4298743A (en) | 1979-09-11 | 1981-11-03 | Merck & Co., Inc. | 4-(Substituted phenyl thiazolyl)-3-hydroxy-3-pyrroline-2,5-diones |
| US4377588A (en) | 1979-09-11 | 1983-03-22 | Merck Sharp & Dohme (I.A.) Corp. | 4-(Substituted thiazolyl)-3-hydroxy-3-pyrroline-2,5-dione inhibitors of glycolic acid oxidase |
| US4317922A (en) | 1979-10-19 | 1982-03-02 | Merck & Co., Inc. | [(5,6,9a-Substituted-3-oxo-1,2,9,9a-tetrahydro-3H-fluoren-7-yl)oxy]alkanoic and cycloalkanoic acids and their analogs, esters, salts and derivatives |
| US4356313A (en) | 1979-10-19 | 1982-10-26 | Merck & Co., Inc. | [(5,6,9a-substituted-3-oxo-1,2,9,9a-tetrahydro-3H-fluoren-7-yl)oxy]alkanoic and cycloalkanoic acid esters and their analogs, the parent acids and their salts |
| US4337354A (en) | 1979-10-19 | 1982-06-29 | Merck & Co., Inc. | [(5,6,9a-Substituted-3-oxo-1,2,9,9a-tetrahydro-3H-fluoren-7-yl)oxy]alkanoic and cycloalkanoic acids, their analogs, esters, salts, and derivatives |
| US4342776A (en) | 1979-11-05 | 1982-08-03 | Merck & Co., Inc. | 4-Substituted-3-hydroxy-3-pyrroline-2,5-dione inhibitors of glycolic acid oxidase |
| US4349561A (en) | 1979-11-05 | 1982-09-14 | Merck & Co., Inc. | 4-Substituted-3-hydroxy-3-pyrroline-2,5-dione inhibitors of glycolic acid oxidase |
| US4448786A (en) | 1979-11-05 | 1984-05-15 | Merck & Co., Inc. | 4-Naphthyl and substituted naphthyl-3-hydroxy-3-pyrroline-2,5-diones and their use as inhibitors of glycolic acid oxidase |
| US4432992A (en) | 1979-11-05 | 1984-02-21 | Merck & Co., Inc. | 4-[5(and 4)-Substituted-2-thienyl]-3-hydroxy-3-pyrroline-2,5-dione inhibitors of glycolic acid oxidase |
| US4260771A (en) | 1979-12-20 | 1981-04-07 | Merck & Co., Inc. | Interphenylene 9-thia-11-oxo-12-azaprostanoic acid compounds |
| US4464363A (en) | 1979-12-20 | 1984-08-07 | Merck & Co., Inc. | Ajuvants for rectal delivery of drug substances |
| US4428959A (en) | 1980-04-04 | 1984-01-31 | Merck & Co., Inc. | 4-Alkylsubstituted-3-hydroxy-3-pyrroline-2,5-dione inhibitors of glycolic acid oxidase |
| US4362724A (en) | 1980-05-19 | 1982-12-07 | Merck & Co., Inc. | Method of treating edema and hypertension and pharmaceutical composition therefor in which the active ingredient comprises a novel substituted pyrazinyl-1,2,4-oxadiazole and a kaliuretic diuretic |
| US4309540A (en) | 1980-05-19 | 1982-01-05 | Merck & Co., Inc. | Substituted pyrazinyl-1,2,4-oxadiazoles |
| US4356314A (en) | 1980-06-30 | 1982-10-26 | Merck & Co., Inc. | [5,6,9A-Substituted-3-oxo-1,2,9,9a-tetrahydro-3H-fluoren-7-yl)oxy]alkanoic and cycloalkanoic acids, their analogs, esters, salts, and derivatives |
| US4277602A (en) | 1980-07-02 | 1981-07-07 | Merck & Co., Inc. | 3-Amino-5-substituted-6-halo-N-(3,4-dihydro-6-substituted-1,3,5-truazin-2-yl)2-pyrazinecarboxamides |
| US4272537A (en) | 1980-07-02 | 1981-06-09 | Merck & Co., Inc. | 3-Amino-5-substituted-6-halo-N-(4,4-disubstituted-6-substituted-1,3,5-triazin-2-yl)-2-pyrazinecarboxamides |
| US4317822A (en) | 1980-07-02 | 1982-03-02 | Merck & Co., Inc. | 3-Amino-5-substituted-6-halo-N-(3,4-dihydro-6-substituted-1,3,5-triazin-2-yl)2-pyrazinecarboxamides |
| US4465850A (en) | 1980-09-02 | 1984-08-14 | Merck & Co., Inc. | Treatment of brain injury due to gray matter edema with (indanyloxy) butanoic acids |
| US4389417A (en) | 1980-09-05 | 1983-06-21 | Merck & Co., Inc. | Treatment of gray matter edema |
| US4394385A (en) | 1980-11-21 | 1983-07-19 | Merck & Co., Inc. | Treatment of gray matter edema |
| US4316043A (en) | 1980-12-19 | 1982-02-16 | Merck & Co., Inc. | [(5,6,9a-Substituted-3-oxo-1,2,9,9a-tetrahydro-3H-fluoren-7-yl)oxy]alkanoic and cycloalkanoic acids and their analogs, esters, salts and derivatives |
| US4336397A (en) | 1980-12-29 | 1982-06-22 | Merck & Co., Inc. | 2,4-Dioxo-4-substituted-1-butanoic acid derivatives useful in treating urinary tract calcium oxalate lithiasis |
| US4428956A (en) | 1980-12-29 | 1984-01-31 | Merck & Co., Inc. | 4-Hydroxy-5-substituted-3-(2H)-isothiazolone-1,1-dioxide derivatives useful in treating urinary tract calcium oxalate lithiasis |
| US4337258A (en) | 1980-12-29 | 1982-06-29 | Merck & Co., Inc. | 2,4-Dioxo-4-substituted-1-butanoic acid derivatives useful in treating urinary tract calcium oxalate lithiasis |
| US4431652A (en) | 1980-12-29 | 1984-02-14 | Merck & Co., Inc. | 4-Hydroxy-5-substituted-3(2H)-isothiazolone-1,1-dioxide derivatives useful in treating urinary tract calcium oxalate lithiasis |
| GB2112151B (en) | 1981-01-09 | 1984-10-03 | Plant Energy Syst | Excess gas flow detectors |
| US4778897A (en) | 1981-02-25 | 1988-10-18 | Merck & Co., Inc. | 6H-dibenz[b,e][1,4]oxathiepin compounds |
| US4582842A (en) | 1981-02-25 | 1986-04-15 | Merck & Co., Inc. | Anti-asthmatic 6H-dibenz-[b,e] [1,4]oxathiepin derivatives, compositions, and method of use therefor |
| US4454132A (en) | 1981-03-16 | 1984-06-12 | Merck & Co., Inc. | Pharmaceutical compositions of novel substituted pyrazinyl-1,2,4-oxadiazoles useful in the treatment of edema and hypertension |
| US4510322A (en) | 1981-07-13 | 1985-04-09 | Merck & Co., Inc. | Indacrinone having enhanced uricosuric |
| US4420615A (en) | 1981-08-24 | 1983-12-13 | Merck & Co., Inc. | Substituted pyridopyrimidines as gastric secretion inhibitors |
| US4463208A (en) | 1981-12-30 | 1984-07-31 | Merck & Co., Inc. | Treatment of gray matter edema |
| US4425337A (en) | 1981-12-30 | 1984-01-10 | Merck & Co., Inc. | Adjuvants for rectal delivery of drug |
| US4663322A (en) | 1982-01-04 | 1987-05-05 | Beyer Jr Karl H | Antihypertensive hyperuretic and saluretic agent combinations |
| US4594349A (en) | 1982-01-04 | 1986-06-10 | Beyer Jr Karl H | Hyperuretic agents |
| US4952582A (en) | 1982-01-04 | 1990-08-28 | Beyer Jr Karl H | Pyrazinoylguanidine and derivatives thereof having few polar substituents and being useful as hyperuretic agents |
| US4389393A (en) | 1982-03-26 | 1983-06-21 | Forest Laboratories, Inc. | Sustained release therapeutic compositions based on high molecular weight hydroxypropylmethylcellulose |
| US4440740A (en) | 1982-04-26 | 1984-04-03 | Merck & Co., Inc. | α-Keto aldehydes as enhancing agents of gastro-intestinal drug absorption |
| US4501729A (en) | 1982-12-13 | 1985-02-26 | Research Corporation | Aerosolized amiloride treatment of retained pulmonary secretions |
| JPS6032714A (en) | 1983-08-01 | 1985-02-19 | Teijin Ltd | Stabilized powdery pharmaceutical composition for application to nasal mucous membrane |
| US4699917A (en) | 1983-09-26 | 1987-10-13 | Merck & Co., Inc. | Anti-asthmatic tetrazolyl 6H-dibenz-[B,E]-[1,4]-oxathiepin derivatives, compositions, and method of use therefor |
| US4605664A (en) | 1984-05-01 | 1986-08-12 | Merck & Co., Inc. | Use of substituted-3-(2,3-dihydro-1H-inden-5-yl)-4-hydroxy-1H-pyrrole-2,5-diones for treatment of grey matter edema |
| US4634717A (en) | 1984-05-01 | 1987-01-06 | Merck & Co., Inc. | Substituted-3-(2,3-dihydro-1H-inden-5-yl)-4-hydroxy-1H-pyrrole-2,5-diones, useful for treating persons with gray matter edema |
| US4605663A (en) | 1984-05-01 | 1986-08-12 | Merck & Co., Inc. | Use of substituted-3-(2,3-dihydro-1H-inden-5-yl)-4-hydroxy-1H-pyrrole-2,5-diones, for treatment of grey matter edema |
| US4596821A (en) | 1984-05-01 | 1986-06-24 | Merck & Co., Inc. | Treatment of gray matter edema with 3-(2,3-dihydro-1H-inden-5-yl)-4-hydroxy-1H-pyrrole-2,5-diones |
| US4680414A (en) | 1984-05-01 | 1987-07-14 | Merck & Co., Inc. | Substituted-3-(2,3-dihydro-1H-inden-5-yl)-4-hydroxy-1H-pyrrole-2,5-diones |
| US4604403A (en) | 1984-05-01 | 1986-08-05 | Merck & Co., Inc. | Use of substituted-3(2,3-dihydro-1H-inden-5-yl)-4-hydroxy-1H-pyrrole-2,5-diones for treating grey matter edema |
| US4604394A (en) | 1984-10-01 | 1986-08-05 | Merck & Co., Inc. | Antiarrhythmic compositions and method |
| US4754061A (en) | 1985-06-04 | 1988-06-28 | Merck & Co., Inc. | Substituted (2,3-dihydro-1-oxo-1H-inden-5-yl)alkanoic acids, their derivatives and their salts |
| US4579869A (en) | 1985-08-02 | 1986-04-01 | Merck & Co., Inc. | Substituted [(2,3-dihydro-1-oxo-1H-inden-5-yl)amino]alkanoic acids, their derivatives and their salts |
| US4604396A (en) | 1985-09-26 | 1986-08-05 | Merck & Co., Inc. | [(2,3,9,9a-tetrahydro-3-oxo-9a-substituted-1H-fluoren-7-yl)oxy]ethanimidamides and [(2,3,9,9a-tetrahydro-3-oxo-9a-substituted-1H-fluoren-7-yl)oxy]ethanimidic acid hydrazides, their derivatives and their salts |
| US4654365A (en) | 1985-09-26 | 1987-03-31 | Merck & Co., Inc. | 2,3-dihydro-5-(3-oxo-2-cyclohexen-1-yl)-2-benzofurancarboxylic acids, and their salts useful in the treatment of brain injury |
| US4625047A (en) | 1985-12-23 | 1986-11-25 | Merck & Co., Inc. | Substituted (2,3-dihydro-4-(3-oxo-1-cyclohexen-1-yl)phenoxy) alkanoic acids, their derivatives and their salts |
| US4719310A (en) | 1985-12-23 | 1988-01-12 | Merck & Co., Inc. | Ester and amide substituted (2,3-dihydro-4-(3-oxo-1-cyclohexen-1-yl)phenoxy)alkanoic acids and their salts |
| US4777281A (en) | 1986-03-03 | 1988-10-11 | Merck & Co., Inc. | [3,4-dichloro-6,7,8,8a,9,10-hexahydro-6-oxo-8a-substituted-2-phenanthrenyl)oxy]-alkanoic acids and -ethanimidamides |
| US4731472A (en) | 1986-03-03 | 1988-03-15 | Merck & Co., Inc. | (5,6-dichloro-3-oxo-9A-propyl-2,3,9,9A-tetrahydrofluoren-7-yl)alkanoic acids and alkanimidamides |
| US4835313A (en) | 1986-03-03 | 1989-05-30 | Merck & Co., Inc. | (5,6-dichloro-3-oxo-9α-propyl-2,3,9,9α-tetrahydrofluoren-7-yl) alkanimidamides |
| US4751244A (en) | 1986-04-04 | 1988-06-14 | Merck & Co., Inc. | Compounds useful in treating sickle cell anemia |
| US4731473A (en) | 1986-04-04 | 1988-03-15 | Merck & Co., Inc. | Compounds useful in treating sickle cell anemia |
| US4731381A (en) | 1986-04-04 | 1988-03-15 | Merck & Co., Inc. | Method of treating a person for sickle cell anemia |
| US4699926A (en) | 1986-04-04 | 1987-10-13 | Merck & Co., Inc. | Compounds useful in treating sickle cell anemia |
| US4675341A (en) | 1986-08-13 | 1987-06-23 | Merck & Co., Inc. | [(5,6-dichloro-3-oxo-9a-propyl-2,3,9,9a-tetrahydrofluoren-7-yl)oxy]ethanol and its derivatives |
| US4937232A (en) | 1986-09-15 | 1990-06-26 | Duke University | Inhibition of protein kinase C by long-chain bases |
| US4797391A (en) | 1986-09-24 | 1989-01-10 | Merck & Co., Inc. | ((5,6-dichloro-3-oxo-9,9a-disubstituted-2,3,9,9a-tetrahydrofluoren-7-yl)oxy)alkanoic acids and alkanimidamides |
| US4769370A (en) | 1986-09-24 | 1988-09-06 | Merck & Co., Inc. | (1,2-dichloro-8-oxo-5a-substituted-5a,6,7,8-tetrahydrodibenzofuran-3-yl)alkanoic acids and alkanimidamides |
| US4731471A (en) | 1986-11-03 | 1988-03-15 | Merck & Co., Inc. | (5,6-dichloro-3-oxo-2,3,9,9a-tetrahydrofluoren-7-yl)-alkanoic acids and alkanimidamides bearing novel functional 9a-substituents |
| US4731470A (en) | 1986-11-03 | 1988-03-15 | Merck & Co., Inc. | [(5,6-dichloro-3-oxo-2,9a-alkano-2,3,9,9a-tetrahydro-1H-fluoren-7-yl)oxy]alkanoic acids and alkanimidamides |
| US4782073A (en) | 1986-12-24 | 1988-11-01 | Merck & Co., Inc. | Amides of [(5,6-dichloro-3-oxo-9-alpha-substituted-2,3,9,9-alpha-tetrahydrofluoren-7-yl-oxyl]acetic acids, and pharmaceutical compositions thereof |
| US4775695A (en) | 1987-06-01 | 1988-10-04 | Merck & Co., Inc. | Substituted amidinoalkoxy and amidinoalkylamino indanones and salts thereof |
| US4771076A (en) | 1987-06-01 | 1988-09-13 | Merck & Co., Inc. | [(2-substituted 1,2-dihydro-1-oxo-1H-inden-5-yl)oxy]alkanesulfonic acids and salts thereof |
| US5132296A (en) | 1987-08-14 | 1992-07-21 | Cherksey Bruce D | Membrane NA+ channel protein and related therapeutic compounds |
| US5242947A (en) | 1988-02-10 | 1993-09-07 | New York University | Use of polyamines as ionic-channel regulating agents |
| US4894376A (en) | 1988-02-26 | 1990-01-16 | Trustees Of The University Of Pennsylvania | Methods of treating diseases characterized by hyperexcitability of neurons |
| US4923874A (en) | 1988-07-21 | 1990-05-08 | G. D. Searle & Co. | Use of 8-azapurin-6-one derivatives for control of hypertension |
| US5707644A (en) | 1989-11-04 | 1998-01-13 | Danbiosyst Uk Limited | Small particle compositions for intranasal drug delivery |
| US5215991A (en) | 1990-01-26 | 1993-06-01 | Allergan, Inc. | Combination of selective alpha-adrenergic agonists and Na+ /H+ ex |
| US5449682A (en) | 1990-02-13 | 1995-09-12 | Merck & Co., Inc. | Angiotensin II antagonists incorporating a substituted benzyl element |
| US5182299A (en) | 1990-03-19 | 1993-01-26 | Brigham And Women's Hospital | Treatment of osmotic disturbance with organic osmolytes |
| CA2093233C (en) | 1990-10-05 | 1998-10-13 | Univ North Carolina | Method of administering amiloride |
| EP0517573A1 (en) | 1991-06-05 | 1992-12-09 | Synthelabo | Pharmaceutical compositions for the treatment of airway disorders |
| US5312820A (en) | 1992-07-17 | 1994-05-17 | Merck & Co., Inc. | Substituted carbamoyl and oxycarbonyl derivatives of biphenylmethylamines |
| DE4236237A1 (en) | 1992-10-27 | 1994-04-28 | Behringwerke Ag | Prodrugs, their preparation and use as medicines |
| DK0612723T3 (en) | 1993-02-20 | 1998-03-30 | Hoechst Ag | Substituted benzoylguanidines, method of preparation, their use as a drug, as an inhibitor of cellular Na + / H + exchange or as a diagnostic, and as a drug containing it |
| US5384128A (en) | 1993-03-02 | 1995-01-24 | University Of Alabama Research Foundation | Method of and compounds for treatment for cystic fibrosis |
| US5512269A (en) | 1993-06-09 | 1996-04-30 | Burroughs Wellcome, Co. | Method of treating retained pulmonary secretions |
| US6051576A (en) | 1994-01-28 | 2000-04-18 | University Of Kentucky Research Foundation | Means to achieve sustained release of synergistic drugs by conjugation |
| AUPM411494A0 (en) | 1994-02-25 | 1994-03-24 | Central Sydney Area Health Service | Method and device for the provocation of upper or lower airway narrowing and/or the induction of sputum |
| US6190691B1 (en) | 1994-04-12 | 2001-02-20 | Adolor Corporation | Methods for treating inflammatory conditions |
| US5962477A (en) | 1994-04-12 | 1999-10-05 | Adolor Corporation | Screening methods for cytokine inhibitors |
| US5538991A (en) | 1994-09-14 | 1996-07-23 | Merck & Co., Inc. | Endothelin antagonists bearing 5-membered heterocyclic amides |
| US5618557A (en) | 1994-11-22 | 1997-04-08 | E.R. Squibb & Sons, Inc. | Prophylactic treatment of allergic contact dermatitis |
| US5908611A (en) | 1995-05-05 | 1999-06-01 | The Scripps Research Institute | Treatment of viscous mucous-associated diseases |
| US5994336A (en) | 1995-06-07 | 1999-11-30 | Magainin Pharmaceuticals Inc. | Method of inhibiting proliferation of cells by administering an aminosterol compound |
| US5635160A (en) | 1995-06-07 | 1997-06-03 | The University Of North Carolina At Chapel Hill | Dinucleotides useful for the treatment of cystic fibrosis and for hydrating mucus secretions |
| US5628984A (en) | 1995-07-31 | 1997-05-13 | University Of North Carolina At Chapel Hill | Method of detecting lung disease |
| JPH11512435A (en) | 1995-09-12 | 1999-10-26 | ジェネンテック インコーポレーテッド | Treatment of cystic fibrosis |
| US6399585B1 (en) | 1996-05-15 | 2002-06-04 | Janet E. Larson | In Utero treatment of CFTR-related deficiencies |
| US6015828A (en) | 1996-05-31 | 2000-01-18 | Cuppoletti; John | Chemical modification of chloride channels as a treatment for cystic fibrosis and other diseases |
| US6071910A (en) | 1996-12-05 | 2000-06-06 | Mayo Foundation For Medical Education And Research | Use of agents to treat eosinophil-associated pathologies |
| AU9124998A (en) | 1997-08-29 | 1999-03-16 | Inspire Pharmaceuticals | Use of uridine 5'-diphosphate and analogs thereof for the treatment of lung iseases |
| US6153187A (en) | 1997-09-02 | 2000-11-28 | Insight Strategy & Marketing Ltd. | Use of glycosaminoglycans degrading enzymes for management of airway associated diseases |
| US6159968A (en) | 1998-01-15 | 2000-12-12 | University Of Cincinnati | Activation of chloride channels for correction of defective chloride transport |
| US6291514B1 (en) | 1998-02-09 | 2001-09-18 | 3-Dimensional Pharmaceuticals, Inc. | Heteroaryl amidines, methylamidines and guanidines, preparation thereof, and use thereof as protease inhibitors |
| AU746750B2 (en) | 1998-05-22 | 2002-05-02 | Inspire Pharmaceuticals, Inc. | Therapeutic dinucleotide and derivatives |
| US6294188B1 (en) | 1998-07-09 | 2001-09-25 | Aviana Biopharm Inc. | Methods involving changing the constitutive and stimulated secretions of the local reproductive system of women |
| ATE234604T1 (en) | 1998-08-04 | 2003-04-15 | Jago Res Ag | MEDICAL AEROSOL FORMULATIONS |
| US6136294C1 (en) | 1998-09-22 | 2002-09-24 | Aeropharm Technology Inc | Amino acid stabilized medical aerosol formulation |
| US6458338B1 (en) | 1998-09-22 | 2002-10-01 | Aeropharm Technology Incorporated | Amino acid stabilized medicinal aerosol formulations |
| US6344475B1 (en) | 1998-10-27 | 2002-02-05 | Yale University | Conductance of improperly folded proteins through the secretory pathway |
| US6926911B1 (en) | 1998-12-22 | 2005-08-09 | The University Of North Carolina At Chapel Hill | Compounds and methods for the treatment of airway diseases and for the delivery of airway drugs |
| EP1161246B1 (en) | 1999-02-26 | 2004-11-10 | Inspire Pharmaceuticals | Use of certain dinucleotidetriphosphate, cytidinediphosphate and adeninediphosphate for preparing a pharmaceutical composition for stimulating mucosal hydration |
| US20040195160A1 (en) | 1999-07-12 | 2004-10-07 | Marine Desalination Systems, L.L.C. | Hydrate-based reduction of fluid inventories and concentration of aqueous and other water-containing products |
| JP2004513870A (en) | 1999-07-19 | 2004-05-13 | ザ・ユニヴァーシティ・オヴ・ノース・キャロライナ・アト・チャペル・ヒル | Conjugates of sodium channel blockers and uses thereof |
| US6297226B1 (en) | 1999-10-15 | 2001-10-02 | Neotherapeutics, Inc. | Synthesis and methods of use of 9-substituted guanine derivatives |
| AUPQ344799A0 (en) | 1999-10-15 | 1999-11-11 | University Of Sydney, The | Treatment of respiratory diseases and infections |
| JO2178B1 (en) | 1999-10-19 | 2003-04-23 | اف . هوفمان لاروش ايه جي | Treatment of emphysema using rar selective retinoid antagonists |
| US6204270B1 (en) | 1999-11-12 | 2001-03-20 | Eyal S. Ron | Ophthalmic and mucosal preparations |
| US6476048B1 (en) | 1999-12-07 | 2002-11-05 | Inotek Pharamaceuticals Corporation | Substituted phenanthridinones and methods of use thereof |
| WO2001055390A1 (en) | 2000-01-28 | 2001-08-02 | Human Genome Sciences, Inc. | Human serpin polynucleotides, polypeptides, and antibodies |
| US20040199456A1 (en) | 2000-08-01 | 2004-10-07 | Andrew Flint | Method and apparatus for explaining credit scores |
| MXPA03004391A (en) * | 2000-11-20 | 2004-05-31 | Biovitrum Ab | Piperazinylpyrazines compounds as antagonists of serotonin 5-ht2 receptor. |
| DE10101440B4 (en) | 2001-01-15 | 2017-10-26 | REMS-WERK Christian Föll und Söhne GmbH & Co. | Compression pliers |
| US20030135716A1 (en) | 2002-01-14 | 2003-07-17 | Gil Vinitzky | Method of creating a high performance virtual multiprocessor by adding a new dimension to a processor's pipeline |
| US20050227974A9 (en) | 2002-08-01 | 2005-10-13 | Euro-Celtique S.A. | Aminoalkyl-substituted aryl compounds and their use as sodium channel blockers |
| US20050090505A1 (en) | 2003-08-18 | 2005-04-28 | Johnson Michael R. | Methods of reducing risk of infection from pathogens |
| US20090253714A1 (en) | 2003-08-20 | 2009-10-08 | Johnson Michael R | Methods of reducing risk of infection from pathogens |
| US7375102B2 (en) | 2004-06-28 | 2008-05-20 | Amgen Sf, Llc | Tetrahydroquinazolin-4(3H)-one-related and tetrahydropyrido[2,3-D]pyrimidin-4(3H)-one-related compounds, compositions and methods for their use |
| US20090324724A1 (en) | 2004-08-18 | 2009-12-31 | Parion Sciences, Inc. | Soluble amide & ester pyrazinoylguanidine sodium channel blockers |
| JP4964469B2 (en) | 2005-01-14 | 2012-06-27 | ガジック・テクニカル・エンタープライゼス | Vacuum chuck and spinstand for testing magnetic heads and disks |
| US20070021439A1 (en) | 2005-07-25 | 2007-01-25 | Parion Sciences, Inc. | Methods of reducing risk of infection from pathogens with soluble amide and ester pyrazinoylguanidine sodium channel blockers |
| GB0526244D0 (en) | 2005-12-22 | 2006-02-01 | Novartis Ag | Organic compounds |
| GB0526240D0 (en) | 2005-12-22 | 2006-02-01 | Novartis Ag | Organic compounds |
| WO2007146870A1 (en) | 2006-06-09 | 2007-12-21 | Parion Sciences, Inc. | Cyclic substituted pyrazinoylguanidine sodium channel blockers possessing beta agonist activity |
| CA2653757A1 (en) | 2006-06-09 | 2007-12-21 | Parion Sciences, Inc. | Aliphatic pyrazinoylguanidine sodium channel blockers with beta agonist activity |
| CN101534813A (en) * | 2006-09-07 | 2009-09-16 | 帕里昂科学公司 | Methods of enhancing mucosal hydration and mucosal clearance by treatment with sodium channel blockers and osmolytes |
| US20080293740A1 (en) | 2007-04-03 | 2008-11-27 | Parion Sciences, Inc. | Method of treating acid-sensing ion channel mediated pain, cough suppression, and central nervous system disorders |
| US8288391B2 (en) | 2007-04-03 | 2012-10-16 | Parion Sciences, Inc. | Pyrazinoylguanidine compounds for use as taste modulators |
| KR20100005730A (en) | 2007-05-07 | 2010-01-15 | 노파르티스 아게 | Organic compounds |
| AU2008310734B2 (en) | 2007-10-10 | 2014-06-05 | Parion Sciences, Inc. | Delivering osmolytes by nasal cannula |
| EA017919B1 (en) | 2007-12-10 | 2013-04-30 | Новартис Аг | Pyrazine-2 carboxamide derivatives for treating diseases which respond to the blocade of the epithelial sodium channels |
| US8261047B2 (en) | 2008-03-17 | 2012-09-04 | Freescale Semiconductor, Inc. | Qualification of conditional debug instructions based on address |
| JP2011520831A (en) | 2008-05-13 | 2011-07-21 | ノバルティス アーゲー | 3,5-Diamino-6-chloro-pyrazine-2-carboxylic acid derivatives and their use as epithelial sodium channel blockers for the treatment of airway diseases |
| US8236808B2 (en) | 2008-06-10 | 2012-08-07 | Novartis Ag | Pyrazine derivatives as ENAC blockers |
| US20100074881A1 (en) | 2008-07-11 | 2010-03-25 | Parion Sciences, Inc. | Multiple nebulizer systems |
| US8247436B2 (en) | 2010-03-19 | 2012-08-21 | Novartis Ag | Pyridine and pyrazine derivative for the treatment of CF |
| WO2011156355A1 (en) | 2010-06-09 | 2011-12-15 | Kainos Medicine, Inc. | Production method of phenyl guanidine salts and their intermediates |
| KR20120017648A (en) | 2010-08-19 | 2012-02-29 | 삼성전자주식회사 | Display device and driving method of display panel |
| CA2839709C (en) | 2011-06-27 | 2020-01-14 | Parion Sciences, Inc. | A chemically and metabolically stable dipeptide possessing potent sodium channel blocker activity |
| AR086745A1 (en) | 2011-06-27 | 2014-01-22 | Parion Sciences Inc | 3,5-DIAMINO-6-CHLORINE-N- (N- (4- (4- (2- (HEXIL (2,3,4,5,6-PENTAHYDROXIHEXIL)) AMINO) ETOXI) PHENYL) BUTIL) CARBAMIMIDOIL) PIRAZINA -2-CARBOXAMIDE |
| PL2855435T3 (en) | 2012-05-29 | 2018-10-31 | Parion Sciences, Inc. | Dendrimer like amino amides possessing sodium channel blocker activity for the treatment of dry eye and other mucosal diseases |
| WO2014036445A2 (en) | 2012-08-31 | 2014-03-06 | Johnson Michael R | Novel mucolytic agents |
| KR102242871B1 (en) | 2012-11-15 | 2021-04-20 | 바이엘 파마 악티엔게젤샤프트 | 5-fluoro-n-(pyridin-2-yl)pyridin-2-amine derivatives containing a sulfoximine group |
| JP6392242B2 (en) | 2012-12-17 | 2018-09-19 | パリオン・サイエンシィズ・インコーポレーテッド | Chloro-pyrazinecarboxamide derivatives useful for the treatment of diseases where it is advantageous to have insufficient hydration of the mucosa |
| CN108658876A (en) | 2012-12-17 | 2018-10-16 | 帕里昂科学公司 | The chloro- N- of 3,5- diamino -6- (N- (4- phenyl butyls) carbonamidine base) pyrazine -2- benzamide compounds |
| MX368243B (en) | 2013-08-23 | 2019-09-25 | Parion Sciences Inc | Dithiol mucolytic agents. |
| US9102633B2 (en) | 2013-12-13 | 2015-08-11 | Parion Sciences, Inc. | Arylalkyl- and aryloxyalkyl-substituted epithelial sodium channel blocking compounds |
| US20150376145A1 (en) | 2014-06-30 | 2015-12-31 | Parion Sciences, Inc. | Stable sodium channel blockers |
-
2013
- 2013-12-13 CN CN201810521371.2A patent/CN108658876A/en active Pending
- 2013-12-13 RU RU2018138195A patent/RU2018138195A/en not_active Application Discontinuation
- 2013-12-13 RU RU2015129062A patent/RU2671976C2/en active
- 2013-12-13 US US14/106,098 patent/US9029382B2/en not_active Expired - Fee Related
- 2013-12-13 WO PCT/US2013/075093 patent/WO2014099673A1/en not_active Ceased
- 2013-12-13 EP EP13826678.8A patent/EP2931712B8/en not_active Not-in-force
- 2013-12-13 CN CN201380070785.3A patent/CN104995178B/en not_active Expired - Fee Related
- 2013-12-13 EP EP18162918.9A patent/EP3428153A1/en not_active Withdrawn
- 2013-12-13 AU AU2013363215A patent/AU2013363215B2/en not_active Ceased
- 2013-12-13 NZ NZ709197A patent/NZ709197A/en not_active IP Right Cessation
- 2013-12-13 JP JP2015548005A patent/JP6392241B2/en not_active Expired - Fee Related
- 2013-12-13 KR KR1020157018915A patent/KR20150095870A/en not_active Ceased
- 2013-12-13 BR BR112015014178A patent/BR112015014178A2/en not_active Application Discontinuation
- 2013-12-13 MX MX2015007797A patent/MX2015007797A/en active IP Right Grant
-
2015
- 2015-01-08 US US14/592,480 patent/US9695134B2/en not_active Expired - Fee Related
- 2015-06-15 IL IL239409A patent/IL239409A/en active IP Right Grant
- 2015-06-24 ZA ZA201504561A patent/ZA201504561B/en unknown
-
2017
- 2017-06-29 US US15/638,175 patent/US10246425B2/en not_active Expired - Fee Related
- 2017-08-10 IL IL253951A patent/IL253951B/en active IP Right Grant
-
2018
- 2018-05-21 AU AU2018203562A patent/AU2018203562A1/en not_active Abandoned
- 2018-08-22 JP JP2018155295A patent/JP2019001803A/en active Pending
-
2019
- 2019-03-13 US US16/352,548 patent/US20190308943A1/en not_active Abandoned
Patent Citations (128)
| Publication number | Priority date | Publication date | Assignee | Title |
|---|---|---|---|---|
| US3318813A (en) | 1965-08-16 | 1967-05-09 | Dow Chemical Co | Poly-alkylstyrene viscosity index improver |
| US3361306A (en) | 1966-03-31 | 1968-01-02 | Merck & Co Inc | Aerosol unit dispensing uniform amounts of a medically active ingredient |
| US3565070A (en) | 1969-02-28 | 1971-02-23 | Riker Laboratories Inc | Inhalation actuable aerosol dispenser |
| US4312860A (en) | 1980-10-24 | 1982-01-26 | Regents Of The University Of California | Lung surfactant compositions |
| US4479932A (en) | 1982-05-18 | 1984-10-30 | University Of Florida | Brain-specific drug delivery |
| US4540564A (en) | 1982-05-18 | 1985-09-10 | University Of Florida | Brain-specific drug delivery |
| US4805811A (en) | 1985-03-29 | 1989-02-21 | Aktiebolaget Draco | Dosage device |
| US5100806A (en) | 1989-03-24 | 1992-03-31 | Macri James N | Method for detecting Edwards syndrome |
| US4955371A (en) | 1989-05-08 | 1990-09-11 | Transtech Scientific, Inc. | Disposable inhalation activated, aerosol device for pulmonary medicine |
| US5876970A (en) | 1989-07-11 | 1999-03-02 | Byk Gulden Lomberg Chemische Fabrik Gmbh | Surfactant compositions and methods |
| US6413497B1 (en) | 1990-02-03 | 2002-07-02 | Boehringer Ingelheim Kg | Pharmaceutical composition using a mixture of propellant gases for a metered dose inhaler |
| US5614216A (en) | 1990-10-17 | 1997-03-25 | The Liposome Company, Inc. | Synthetic lung surfactant |
| US5292498A (en) | 1991-06-19 | 1994-03-08 | The University Of North Carolina At Chapel Hill | Method of treating lung disease with uridine triphosphates |
| US5458135A (en) | 1991-07-02 | 1995-10-17 | Inhale Therapeutic Systems | Method and device for delivering aerosolized medicaments |
| US7105152B1 (en) | 1991-12-18 | 2006-09-12 | 3M Innovative Properties Company | Suspension aerosol formulations |
| US6743413B1 (en) | 1991-12-18 | 2004-06-01 | 3M Company | Suspension aerosol formulations |
| US5261538A (en) | 1992-04-21 | 1993-11-16 | Glaxo Inc. | Aerosol testing method |
| US5522385A (en) | 1994-09-27 | 1996-06-04 | Aradigm Corporation | Dynamic particle size control for aerosolized drug delivery |
| US5544647A (en) | 1994-11-29 | 1996-08-13 | Iep Group, Inc. | Metered dose inhalator |
| US5622163A (en) | 1994-11-29 | 1997-04-22 | Iep Group, Inc. | Counter for fluid dispensers |
| US5656256A (en) | 1994-12-14 | 1997-08-12 | The University Of North Carolina At Chapel Hill | Methods of treating lung disease by an aerosol containing benzamil or phenamil |
| US6253762B1 (en) | 1995-04-14 | 2001-07-03 | Glaxo Wellcome Inc. | Metered dose inhaler for fluticasone propionate |
| US6348589B1 (en) | 1997-02-06 | 2002-02-19 | Inspire Pharmaceuticals, Inc. | Certain dinucleotides and their use as modulators of mucociliary clearance and ciliary beat frequency |
| US6977246B2 (en) | 1997-02-06 | 2005-12-20 | Inspire Pharmaceuticals, Inc. | Certain dinucleotides and their use as modulators of mucociliary clearance and ciliary beat frequency |
| US7531525B2 (en) | 1997-02-10 | 2009-05-12 | Inspire Pharmaceuticals, Inc. | P1-(2′-deoxycytidine 5′-)P4-(uridine 5′-)tetraphosphate, tetra-(alkali metal) salt, for treating cystic fibrosis |
| US7223744B2 (en) | 1997-02-10 | 2007-05-29 | Inspire Pharmaceuticals, Inc. | Pharmaceutical formulation comprising dinucleoside polyphosphates and salts thereof |
| US6818629B2 (en) | 1997-02-10 | 2004-11-16 | Inspire Pharmaceuticals, Inc. | Pharmaceutical formulation comprising P1-(2'-deoxycytidine 5'-)P4-(uridine 5'-) tetraphosphate |
| US7601336B2 (en) | 1997-06-13 | 2009-10-13 | Chiesi Farmaceutici S.P.A. | Pharmaceutical aerosol composition |
| US7481995B2 (en) | 1998-04-03 | 2009-01-27 | University College Cardiff Consultants Limited | Aerosol composition |
| US6264975B1 (en) | 1998-10-20 | 2001-07-24 | The University Of North Carolina At Chapel Hill | Methods of hydrating mucosal surfaces |
| US6329034B1 (en) | 1999-01-18 | 2001-12-11 | Roger L. Pendry | Label having tab member and methods for forming, applying and using the same |
| US6116234A (en) | 1999-02-01 | 2000-09-12 | Iep Pharmaceutical Devices Inc. | Metered dose inhaler agitator |
| US7207330B1 (en) | 1999-06-05 | 2007-04-24 | Innovata Biomed Limited | Delivery system |
| US7246617B1 (en) | 1999-06-23 | 2007-07-24 | Vectura Delivery Devices Limited | Inhalers |
| US7219665B1 (en) | 1999-09-04 | 2007-05-22 | Innovata Biomed Limited | Delivery device |
| US6880555B1 (en) | 1999-10-12 | 2005-04-19 | Shl Medical Ab | Inhaler |
| US7482024B2 (en) | 1999-10-29 | 2009-01-27 | Nektar Therapeutics | Compositions comprising an active agent |
| US6845772B2 (en) | 1999-12-01 | 2005-01-25 | Innovata Biomed Limited | Inhaler |
| US6637431B2 (en) | 1999-12-21 | 2003-10-28 | Astrazeneca Ab | Inhalation device employing blister packs with cavities and alignment slits |
| US7345051B2 (en) | 2000-01-31 | 2008-03-18 | Genaera Corporation | Mucin synthesis inhibitors |
| US7322354B2 (en) | 2000-02-01 | 2008-01-29 | Valois S.A.S | Breath actuated dry powder inhaler and tape dose strip |
| US7108159B2 (en) | 2000-09-07 | 2006-09-19 | Valois S.A.S. | Fluid dispenser device of the multi-dose type |
| US7231920B2 (en) | 2000-10-31 | 2007-06-19 | Glaxo Group Limited | Medicament dispenser |
| WO2003007182A1 (en) | 2001-07-11 | 2003-01-23 | Sendo International Limited | Device for automatically extending text messages, and methods therefor |
| US7241766B2 (en) | 2002-02-19 | 2007-07-10 | Parion Sciences, Inc. | Methods of using phenolic guanidine sodium channel blockers |
| US6858615B2 (en) | 2002-02-19 | 2005-02-22 | Parion Sciences, Inc. | Phenyl guanidine sodium channel blockers |
| US8198286B2 (en) | 2002-02-19 | 2012-06-12 | Parion Sciences, Inc. | Sodium channel blockers |
| US6858614B2 (en) | 2002-02-19 | 2005-02-22 | Parion Sciences, Inc. | Phenolic guanidine sodium channel blockers |
| US7368450B2 (en) | 2002-02-19 | 2008-05-06 | Parion Sciences, Inc. | Sodium channel blockers |
| US7247636B2 (en) | 2002-02-19 | 2007-07-24 | Parion Sciences, Inc. | Phenolic guanidine sodium channel blockers |
| US7192959B2 (en) | 2002-02-19 | 2007-03-20 | Parion Sciences, Inc. | Sodium channel blockers |
| WO2003070184A2 (en) | 2002-02-19 | 2003-08-28 | Johnson Michael R | Sodium channel blockers |
| US7332496B2 (en) | 2002-02-19 | 2008-02-19 | Parion Sciences, Inc. | Methods of using sodium channel blockers |
| US7192960B2 (en) | 2002-02-19 | 2007-03-20 | Parion Sciences, Inc. | Sodium channel blockers |
| WO2003070182A2 (en) | 2002-02-19 | 2003-08-28 | Johnson Michael R | Sodium channel blockers |
| US7186833B2 (en) | 2002-02-19 | 2007-03-06 | Parion Sciences, Inc. | Sodium channel blockers |
| US7189719B2 (en) | 2002-02-19 | 2007-03-13 | Parion Sciences, Inc. | Sodium channel blockers |
| US7192958B2 (en) | 2002-02-19 | 2007-03-20 | Parion Sciences, Inc. | Sodium channel blockers |
| US7520278B2 (en) | 2002-05-10 | 2009-04-21 | Oriel Therapeutics, Inc. | Dry powder inhalers, related blister devices, and associated methods of dispensing dry powder substances and fabricating blister packages |
| US7405233B2 (en) | 2002-07-24 | 2008-07-29 | Ptc Therapeutics, Inc. | Ureido substituted benzoic acid compounds and their use for nonsense suppression and the treatment of disease |
| WO2004073629A2 (en) | 2003-02-19 | 2004-09-02 | Parion Sciences, Inc. | Hetero substitued sodium channel blockers |
| US6903105B2 (en) | 2003-02-19 | 2005-06-07 | Parion Sciences, Inc. | Sodium channel blockers |
| US6995160B2 (en) | 2003-02-19 | 2006-02-07 | Parion Sciences, Inc. | Sodium channel blockers |
| US7820678B2 (en) | 2003-02-19 | 2010-10-26 | Parion Sciences, Inc. | Sodium channel blockers |
| US7030117B2 (en) | 2003-02-19 | 2006-04-18 | Parion Sciences, Inc. | Sodium channel blockers |
| US7026325B2 (en) | 2003-02-19 | 2006-04-11 | Parion-Sciences, Inc. | Sodium channel blockers |
| US7875619B2 (en) | 2003-02-19 | 2011-01-25 | Parion Sciences, Inc. | Hetero substituted sodium channel blockers |
| US7345044B2 (en) | 2003-02-19 | 2008-03-18 | Parion Sciences, Inc. | Sodium channel blockers |
| US7772259B2 (en) | 2003-04-11 | 2010-08-10 | Ptc Therapeutics, Inc. | 1,2,4-Oxadiazole benzoic acid compounds and their use for nonsense suppression and the treatment of disease |
| US20060237010A1 (en) | 2003-06-16 | 2006-10-26 | Rijksuniversiteit Groningen | Dry powder inhaler and method for pulmonary inhalation of dry powder |
| US7247637B2 (en) | 2003-08-18 | 2007-07-24 | Parion Sciences, Inc. | Capped pyrazinoylguanidine sodium channel blockers |
| US7868010B2 (en) | 2003-08-18 | 2011-01-11 | Parion Sciences, Inc. | Capped pyrazinoylguanidine sodium channel blockers |
| US7317013B2 (en) | 2003-08-18 | 2008-01-08 | Parion Sciences, Inc. | Cyclic pyrazinoylguanidine sodium channel blockers |
| WO2005016879A2 (en) | 2003-08-18 | 2005-02-24 | Parion Sciences, Inc. | Cyclic pyrazinoylguanidine sodium channel blockers |
| US7064129B2 (en) | 2003-08-18 | 2006-06-20 | Parion Sciences, Inc. | Capped pyrazinoylguanidine sodium channel blockers |
| WO2005025496A2 (en) | 2003-08-18 | 2005-03-24 | Parion Sciences, Inc. | Aliphatic pyrazinoylguanidine sodium channel blockers |
| US7410968B2 (en) | 2003-08-18 | 2008-08-12 | Parion Sciences, Inc. | Capped pyrazinoylguanidine sodium channel blockers |
| US7368447B2 (en) | 2003-08-18 | 2008-05-06 | Parion Sciences, Inc. | Capped pyrazinoylguanidine sodium channel blockers |
| US7368451B2 (en) | 2003-08-18 | 2008-05-06 | Parion Sciences, Inc. | Capped pyrazinoylguanidine sodium channel blockers |
| WO2005018644A1 (en) | 2003-08-18 | 2005-03-03 | Parion Sciences, Inc. | Capped pyrazinoylguanidine sodium channel blockers |
| US7375107B2 (en) | 2003-08-18 | 2008-05-20 | Parion Sciences, Inc. | Alaphatic pyrazinoylguanidine sodium channel blockers |
| US7388013B2 (en) | 2003-08-18 | 2008-06-17 | Parion Sciences, Inc. | Capped pyrazinoylguanidine sodium channel blockers |
| US7745442B2 (en) | 2003-08-20 | 2010-06-29 | Parion Sciences, Inc. | Methods of reducing risk of infection from pathogens |
| US20050080093A1 (en) | 2003-08-20 | 2005-04-14 | Johnson Michael R. | Methods of reducing risk of infection from pathogens |
| WO2005022935A2 (en) | 2003-08-22 | 2005-03-10 | Siemens Aktiengesellschaft | Method for requesting authorization for access to user data and status data of mobile subscribers in a mobile radio network |
| US7499570B2 (en) | 2004-03-02 | 2009-03-03 | Siemens Corporate Research, Inc. | Illumination invariant change detection |
| WO2005108644A2 (en) | 2004-05-03 | 2005-11-17 | Honeywell International Inc. | Methods and composition for cleaning and passivating fuel cell systems |
| US20100184739A1 (en) | 2004-06-24 | 2010-07-22 | Vertex Pharmaceuticals Incorporated | Modulators of ATP-Binding Cassette Transporters |
| US8008494B2 (en) | 2004-08-18 | 2011-08-30 | Parion Sciences, Inc. | Soluble amide and ester pyrazinoylguanidine sodium channel blockers |
| US8022210B2 (en) | 2004-08-18 | 2011-09-20 | Parion Sciences, Inc. | Soluble amide and ester pyrazinoylguanidine sodium channel blockers |
| WO2006023573A2 (en) | 2004-08-18 | 2006-03-02 | Johnson Michael R | Aliphatic amide & ester pyrazinoylguanidine sodium channel blockers |
| US7399766B2 (en) | 2004-08-18 | 2008-07-15 | Parion Sciences, Inc. | Soluble amide & ester pyrazinoylguanidine sodium channel blockers |
| US8143256B2 (en) | 2004-08-18 | 2012-03-27 | Parion Sciences, Inc. | Cyclic amide and ester pyrazinoylguanidine sodium channel blockers |
| WO2006023617A2 (en) | 2004-08-18 | 2006-03-02 | Johnson Michael R | Cyclic amide & ester pyrazinoylguanidine sodium channel blockers |
| US20060040954A1 (en) * | 2004-08-18 | 2006-02-23 | Parion Sciences, Inc. | Soluble amide & ester pyrazinoylguanidine sodium channel blockers |
| US7956059B2 (en) | 2004-08-18 | 2011-06-07 | Parion Sciences, Inc. | Aliphatic amide and ester pyrazinoylguanidine sodium channel blockers |
| US7842697B2 (en) | 2004-08-18 | 2010-11-30 | Parion Sciences, Inc. | Soluble amide and ester pyrazinoylguanidine sodium channel blockers |
| WO2006022935A1 (en) | 2004-08-18 | 2006-03-02 | Parion Sciences, Inc. | Soluble amide & ester pyrazinoylguanidine sodium channel blockers |
| US20090203752A1 (en) | 2004-10-13 | 2009-08-13 | Ptc Therapeutics, Inc. | Compounds for nonsense suppression, and methods for their use |
| US7517865B2 (en) | 2005-01-07 | 2009-04-14 | Alnylam Pharmaceuticals, Inc. | RNAi modulation of RSV and therapeutic uses thereof |
| US7807834B2 (en) | 2005-08-03 | 2010-10-05 | Parion Sciences, Inc. | Capped pyrazinoylguanidine sodium channel blockers |
| WO2007018640A1 (en) | 2005-08-03 | 2007-02-15 | Parion Sciences, Inc. | New capped pyrazinoylguanidine sodium channel blockers |
| US8211895B2 (en) | 2005-08-03 | 2012-07-03 | Parion Sciences, Inc. | Capped pyrazinoylguanidine sodium channel blockers |
| US20090306009A1 (en) | 2005-12-06 | 2009-12-10 | P2-Science Aps | Modulation of the P2Y2 Receptor Pathway |
| US20090246820A1 (en) | 2005-12-27 | 2009-10-01 | Singh Ashvani K | Compounds useful in cftr assays and methods therewith |
| WO2007114881A1 (en) | 2006-01-24 | 2007-10-11 | Nexbio, Inc. | Technology for preparation of macromolecular microspheres |
| US7645789B2 (en) | 2006-04-07 | 2010-01-12 | Vertex Pharmaceuticals Incorporated | Indole derivatives as CFTR modulators |
| US7553855B2 (en) | 2006-05-12 | 2009-06-30 | Vertex Pharmaceuticals Incorporated | Compositions of N-[2,4-bis(1,1-dimethylethyl)-5-hydroxyphenyl]-1,4-dihydro-4-oxoquinoline-3-carboxamide |
| US8163758B2 (en) | 2006-06-09 | 2012-04-24 | Parion Sciences, Inc. | Phenyl substituted pyrazinoylguanidine sodium channel blockers possessing beta agonist activity |
| WO2007146869A1 (en) | 2006-06-09 | 2007-12-21 | Parion Sciences, Inc. | Phenyl substituted pyrazinoylguanidine sodium channel blockers possessing beta agonist activity |
| US8058278B2 (en) | 2006-09-07 | 2011-11-15 | Parion Sciences, Inc. | Methods of enhancing mucosal hydration and mucosal clearance by treatment with sodium channel blockers and osmolytes |
| US7981898B2 (en) | 2006-09-07 | 2011-07-19 | Parion Sciences, Inc. | Methods of enhancing mucosal hydration and mucosal clearance by treatment with sodium channel blockers and osmolytes |
| WO2008031048A2 (en) | 2006-09-07 | 2008-03-13 | Parion Sciences, Inc. | Enhanced mucosal hydration and mucosal clearance by treatment with sodium channel blockers and osmolytes |
| WO2008031028A2 (en) | 2006-09-07 | 2008-03-13 | Parion Sciences, Inc. | Methods of enhancing mucosal hydration and mucosal clearance by treatment with sodium channel blockers and osmolytes |
| US20090082287A1 (en) * | 2006-09-07 | 2009-03-26 | Parion Sciences, Inc. | Methods of enhancing mucosal hydration and mucosal clearance by treatment with sodium channel blockers and osmolytes |
| US20100227888A1 (en) | 2006-11-08 | 2010-09-09 | Vertex Pharmaceuticals Incorporated | Modulators of cftr |
| US20100215588A1 (en) | 2007-04-26 | 2010-08-26 | Rami Skaliter | Therapeutic delivery of inhibitory nucleic acid molecules to the respiratory system |
| US7897577B2 (en) | 2007-06-01 | 2011-03-01 | Chiesi Farmaceutici S.P.A. | Reconstituted surfactants having improved properties |
| WO2009015286A2 (en) | 2007-07-24 | 2009-01-29 | Nexbio, Inc. | Technology for the preparation of microparticles |
| US20090253736A1 (en) | 2007-11-02 | 2009-10-08 | Vertex Pharmaceuticals Incorporated | Azaindole derivatives as cftr modulators |
| US20110008366A1 (en) | 2007-11-06 | 2011-01-13 | Wight Thomas N | Inhibition of versican with sirna and other molecules |
| US8124607B2 (en) | 2008-02-26 | 2012-02-28 | Parion Sciences, Inc. | Poly aromatic pyrazinoylguanidine sodium channel blockers |
| US20090221597A1 (en) | 2008-02-28 | 2009-09-03 | Sara Hadida Ruah | Heteroaryl derivatives as cftr modulators |
| US20110104255A1 (en) | 2008-03-17 | 2011-05-05 | Nitto Denko Corporation | Therapeutic agent for fibroid lung |
| US20090246137A1 (en) | 2008-03-31 | 2009-10-01 | Vertex Pharmaceuticals Incorporated | Pyridyl derivatives as cftr modulators |
| US20100130547A1 (en) | 2008-10-23 | 2010-05-27 | Vertex Pharmaceuticals Incorporated | Solid forms of n-(4-(7-azabicyclo[2.2.1]heptan-7-yl)-2-(trifluorormethyl)phenyl)-4-oxo-5-(trifluoromethyl)-1,4-dihyroquinoline-3-carboxamide |
| US20100316628A1 (en) | 2008-12-09 | 2010-12-16 | The General Hospital Corporation | Agents and methods for treating respiratory disorders |
| US20100168094A1 (en) | 2008-12-30 | 2010-07-01 | Vertex Pharmaceuticals Incorporated | Modulators of cystic fibrosis transmembrane conductance regulator |
Non-Patent Citations (31)
| Title |
|---|
| A. J. HIRSCH ET. AL.: "Design, Synthesis and Structure-Activity Relationships of Novel 2-Substituted Pyrazinoylguanidine Epithelial Sodium Channel Blockers. Drugs for Cystic Fibrosis and Chronic Bronchitis.", JOURNAL OF MEDICINAL CHEMISTRY, vol. 49, 13 June 2006 (2006-06-13), pages 4098 - 4115, XP008122316, DOI: 10.1021/jm051134w * |
| BARALDI ET AL., CURRENT MEDICINAL CHEMISTRY, vol. 13, no. 28, 2006, pages 3467 - 82 |
| BARALDI ET AL., JOURNAL OF MEDICINAL CHEMISTRY, vol. 47, no. 6, 2004, pages 1434 - 47 |
| BERGE ET AL., J. PHARMA SCI., vol. 66, 1977, pages 1 - 19 |
| BEUKERS ET AL., MEDICINAL RESEARCH REVIEWS, vol. 26, no. 5, September 2006 (2006-09-01), pages 667 - 98 |
| BODOR, N. ET AL., J. MED. CHEM., vol. 26, 1983, pages 313 - 318 |
| BODOR, N. ET AL., J. PHARM. SCI., vol. 67, 1978, pages 1045 - 1050 |
| BODOR, N. ET AL., J. PHARM. SCI., vol. 75, 1986, pages 29 - 35 |
| CAROTTI ET AL., JOURNAL OF MEDICINAL CHEMISTRY, vol. 49, no. 1, January 2006 (2006-01-01), pages 282 - 99 |
| E. J. CRAGOE: "Amiloride and Its Analogs", article "The Synthesis of Amiloride and Its Analogs", pages: 25 - 36 |
| E. L. ELIEL: "Stereochemistry of Carbon Compounds", 1962, MCGRAW HILL |
| ELIEL, E.; WILEN, S.: "STEREOCHEMISTRY OF ORGANIC COMPOUNDS", 1994, JOHN WILEY & SONS, INC. |
| ELZEIN ET AL., BIOORGANIC & MEDICINAL CHEMISTRY LETTERS, vol. 16, no. 2, January 2006 (2006-01-01), pages 302 - 6 |
| HIRSH, A.J.; SABATER, J.R.; ZAMURS, A.: "Evaluation of second generation amiloride analogs as therapy for CF lung disease", J. PHARMACOL. EXP. THER., vol. 311, no. 3, 2004, pages 929 - 38, XP002437463, DOI: doi:10.1124/jpet.104.071886 |
| HIRSH, A.J.; ZHANG, J.; ZAMURS, A. ET AL.: "Pharmacological properties of N-(3,5-diamino-6-chloropyrazine-2-carbonyl)-N'-4-[4-(2,3-dihydroxy propoxy)phenyl]butyl-guanidine methanesulfonate (552-02), a novel epithelial sodium channel blocker with potential clinical efficacy for CF lung disease", J. PHARMACOL. EXP. THER., vol. 325, no. 1, 2008, pages 77 - 88 |
| HIRSH, A.J.; ZHANG, J.; ZAMURS, A. ET AL.: "Pharmacological properties of N-(3,5-diamino-6-chloropyrazine-2-carbonyl)-N'-4-[4-(2,3-dihydroxypropoxy)phenyl]butyl guanidine methanesulfonate (552-02), a novel epithelial sodium channel blocker with potential clinical efficacy for CF lung disease", J. PHARMACOL. EXP. THER., vol. 325, no. 1, 2008, pages 77 - 88 |
| J. S. HANDLER ET AL., COMP. BIOCHEM. PHYSIOL, vol. 117, 1997, pages 301 - 306 |
| LOCHMULLER, C. H., J. CHROMATOGR., vol. 113, no. 3, 1975, pages 283 - 302 |
| M. BURG, AM. J. PHYSIOL., vol. 268, 1995, pages F983 - F996 |
| MINI REVIEWS IN MEDICINAL CHEMISTRY, vol. 5, no. 12, December 2005 (2005-12-01), pages 1053 - 60 |
| QUITON ET AL., PHYSIOLOGY, vol. 22, no. 3, June 2007 (2007-06-01), pages 212 - 225 |
| R. C. BOUCHER: "Evidence for airway surface dehydration as the initiating event in CF airway disease", JOURNAL OF INTERNAL MEDICINE, vol. 261, no. 1, January 2007 (2007-01-01), pages 5 - 16 |
| R.C. BOUCHER: "Cystic fibrosis: a disease of vulnerability to airway surface dehydration", TRENDS IN MOLECULAR MEDICINE, vol. 13, no. 6, June 2007 (2007-06-01), pages 231 - 240, XP022104064 |
| REMINGTON: "The Science and Practice of Pharmacy 19th Ed.", vol. II, 1995, pages: 1457 |
| S. P. PARKER,: "MCGRAW-HILL DICTIONARY OF CHEMICAL TERMS", 1984, MCGRAW-HILL BOOK COMPANY |
| SABATER ET AL., JOURNAL OF APPLIED PHYSIOLOGY, 1999, pages 2191 - 2196 |
| SHEK, E. ET AL., J. MED. CHEM., vol. 19, 1976, pages 113 - 117 |
| STEFANACHI ET AL., BIOORGANIC & MEDICINAL CHEMISTRY, vol. 16, no. 6, March 2008 (2008-03-01), pages 2852 - 69 |
| TABRIZI ET AL., BIOORGANIC & MEDICINAL CHEMISTRY, vol. 16, no. 5, March 2008 (2008-03-01), pages 2419 - 30 |
| VOLPINI ET AL., CURRENT PHARMACEUTICAL DESIGN, vol. 8, no. 26, 2002, pages 2285 - 98 |
| VOLPINI ET AL., JOURNAL OF MEDICINAL CHEMISTRY, vol. 45, no. 15, 2002, pages 3271 - 9 |
Cited By (18)
| Publication number | Priority date | Publication date | Assignee | Title |
|---|---|---|---|---|
| US9670163B2 (en) | 2005-12-28 | 2017-06-06 | Vertex Pharmaceuticals Incorporated | Solid forms of N-[2,4-bis(1,1-dimethylethyl)-5-hydroxyphenyl]-1,4-dihydro-4-oxoquinoline-3-carboxamide |
| US10954211B2 (en) | 2014-03-18 | 2021-03-23 | Astrazeneca Ab | Chemical compounds |
| US9873678B2 (en) | 2014-03-18 | 2018-01-23 | Astrazeneca Ab | Chemical compounds |
| US10336725B2 (en) | 2014-03-18 | 2019-07-02 | Astrazeneca Ab | Chemical compounds |
| WO2016057572A1 (en) | 2014-10-06 | 2016-04-14 | Mark Thomas Miller | Modulators of cystic fibrosis transmembrane conductance regulator |
| US9701639B2 (en) | 2014-10-07 | 2017-07-11 | Vertex Pharmaceuticals Incorporated | Co-crystals of modulators of cystic fibrosis transmembrane conductance regulator |
| CN107614480B (en) * | 2015-01-30 | 2020-09-15 | 帕里昂科学公司 | Novel monothiol mucolytic agents |
| IL253501B (en) * | 2015-01-30 | 2021-01-31 | Parion Sciences Inc | Novel monothiol mucolytic agents |
| CN107614480A (en) * | 2015-01-30 | 2018-01-19 | 帕里昂科学公司 | Novel Monothiol Mucolytics |
| US10968233B2 (en) | 2015-01-30 | 2021-04-06 | Parion Sciences, Inc. | Monothiol mucolytic agents |
| US10759785B2 (en) | 2016-06-21 | 2020-09-01 | Enterprise Therapeutics Limited | Compounds |
| US10941149B2 (en) | 2016-11-22 | 2021-03-09 | Enterprise Therapeutics Limited | Substituted benzodiazoliums as ENaC inhibitors |
| US11739094B2 (en) | 2016-11-22 | 2023-08-29 | Enterprise Therapeutics Limited | Substituted benzodiazoliums as ENaC inhibitors |
| US12371436B2 (en) | 2016-11-22 | 2025-07-29 | Enterprise Therapeutics Limited | Substituted benzodiazoliums as ENaC inhibitors |
| US11370778B2 (en) | 2017-10-17 | 2022-06-28 | Enterprise Therapeutics Limited | Bis(pentahydroxyhexyl)amino substituted 2-{[(3-amino-pyrazin-2-yl)formamido]methyl}-1H-1,3-benzodiazol-3-ium derivatives as ENaC inhibitors for treating respiratory diseases |
| WO2019220147A1 (en) | 2018-05-18 | 2019-11-21 | Enterprise Therapeutics Limited | Compounds |
| US12037336B2 (en) | 2018-05-18 | 2024-07-16 | Enterprise Therapeutics Limited | Compounds with activity as inhibitors of the epithelial sodium channel (ENaC) |
| WO2025229341A1 (en) | 2024-05-03 | 2025-11-06 | Enterprise Therapeutics Ltd | Chloride-hydrochloride salt of a benzodiazolium enac inhibitor |
Also Published As
| Publication number | Publication date |
|---|---|
| NZ709197A (en) | 2020-06-26 |
| ZA201504561B (en) | 2019-10-30 |
| CN108658876A (en) | 2018-10-16 |
| RU2018138195A (en) | 2018-12-18 |
| AU2013363215A1 (en) | 2015-07-02 |
| CN104995178A (en) | 2015-10-21 |
| EP2931712B8 (en) | 2018-05-23 |
| EP2931712A1 (en) | 2015-10-21 |
| US10246425B2 (en) | 2019-04-02 |
| IL239409A0 (en) | 2015-07-30 |
| RU2015129062A (en) | 2017-01-23 |
| IL239409A (en) | 2017-08-31 |
| JP2016503027A (en) | 2016-02-01 |
| IL253951A0 (en) | 2017-10-31 |
| AU2013363215B2 (en) | 2018-03-01 |
| RU2671976C2 (en) | 2018-11-08 |
| US20170362187A1 (en) | 2017-12-21 |
| IL253951B (en) | 2019-08-29 |
| US20190308943A1 (en) | 2019-10-10 |
| US20150299142A1 (en) | 2015-10-22 |
| US9029382B2 (en) | 2015-05-12 |
| MX2015007797A (en) | 2015-10-05 |
| US20140170244A1 (en) | 2014-06-19 |
| CN104995178B (en) | 2018-06-26 |
| EP2931712B1 (en) | 2018-03-21 |
| JP2019001803A (en) | 2019-01-10 |
| AU2018203562A1 (en) | 2018-06-07 |
| JP6392241B2 (en) | 2018-09-19 |
| EP3428153A1 (en) | 2019-01-16 |
| BR112015014178A2 (en) | 2017-07-11 |
| US9695134B2 (en) | 2017-07-04 |
| KR20150095870A (en) | 2015-08-21 |
Similar Documents
| Publication | Publication Date | Title |
|---|---|---|
| US10246425B2 (en) | 3,5-diamino-6-chloro-N-(N-(4-phenylbutyl)carbamimidoyl) pyrazine-2-carboxamide compounds | |
| AU2018204305B2 (en) | Chloro-pyrazine carboxamide derivatives useful for the treatment of diseases favoured by insufficient mucosal hydration | |
| AU2018204471A1 (en) | Arylalkyl-and aryloxyalkyl-substituted epithelial sodium channel blocking compounds | |
| HK40003066A (en) | 3,5-diamino-6-chloro-n-(n-(4-phenylbutyl)carbamimidoyl) pyrazine-2- carboxamide compounds | |
| HK1215703B (en) | 3,5-diamino-6-chloro-n-(n-(4-phenylbutyl)carbamimidoyl) pyrazine-2- carboxamide compounds | |
| HK1255811B (en) | Arylalkyl-and aryloxyalkyl-substituted epithelial sodium channel blocking compounds | |
| HK1215702B (en) | Chloro-pyrazine carboxamide derivatives useful for the treatment of diseases favoured by insufficient mucosal hydration |
Legal Events
| Date | Code | Title | Description |
|---|---|---|---|
| 121 | Ep: the epo has been informed by wipo that ep was designated in this application |
Ref document number: 13826678 Country of ref document: EP Kind code of ref document: A1 |
|
| WWE | Wipo information: entry into national phase |
Ref document number: 239409 Country of ref document: IL |
|
| ENP | Entry into the national phase |
Ref document number: 2896686 Country of ref document: CA Ref document number: 2015548005 Country of ref document: JP Kind code of ref document: A |
|
| WWE | Wipo information: entry into national phase |
Ref document number: 2013826678 Country of ref document: EP |
|
| NENP | Non-entry into the national phase |
Ref country code: DE |
|
| WWE | Wipo information: entry into national phase |
Ref document number: MX/A/2015/007797 Country of ref document: MX |
|
| REG | Reference to national code |
Ref country code: BR Ref legal event code: B01A Ref document number: 112015014178 Country of ref document: BR |
|
| ENP | Entry into the national phase |
Ref document number: 2013363215 Country of ref document: AU Date of ref document: 20131213 Kind code of ref document: A |
|
| ENP | Entry into the national phase |
Ref document number: 20157018915 Country of ref document: KR Kind code of ref document: A |
|
| ENP | Entry into the national phase |
Ref document number: 2015129062 Country of ref document: RU Kind code of ref document: A |
|
| ENP | Entry into the national phase |
Ref document number: 112015014178 Country of ref document: BR Kind code of ref document: A2 Effective date: 20150616 |
























































































