WO2012166699A1 - Thiophene azo carboxylate dyes and laundry care compositions containing the same - Google Patents
Thiophene azo carboxylate dyes and laundry care compositions containing the same Download PDFInfo
- Publication number
- WO2012166699A1 WO2012166699A1 PCT/US2012/039810 US2012039810W WO2012166699A1 WO 2012166699 A1 WO2012166699 A1 WO 2012166699A1 US 2012039810 W US2012039810 W US 2012039810W WO 2012166699 A1 WO2012166699 A1 WO 2012166699A1
- Authority
- WO
- WIPO (PCT)
- Prior art keywords
- daltons
- formula
- moiety
- alkyl
- laundry care
- Prior art date
- Legal status (The legal status is an assumption and is not a legal conclusion. Google has not performed a legal analysis and makes no representation as to the accuracy of the status listed.)
- Ceased
Links
- 0 *CCC(OCCOCCN)=O Chemical compound *CCC(OCCOCCN)=O 0.000 description 11
- LGRFSURHDFAFJT-UHFFFAOYSA-N O=C(c1c2cccc1)OC2=O Chemical compound O=C(c1c2cccc1)OC2=O LGRFSURHDFAFJT-UHFFFAOYSA-N 0.000 description 3
- RIGOBEKALGFMLJ-CDJCAARLSA-O CCN(CC(COCC(C)OC(c(cccc1)c1C(O[NH+]=C1CC1)=O)=O)COC(C)C)c(cc1)cc(C)c1/N=N/c([s]c(C#N)c1C)c1C#N Chemical compound CCN(CC(COCC(C)OC(c(cccc1)c1C(O[NH+]=C1CC1)=O)=O)COC(C)C)c(cc1)cc(C)c1/N=N/c([s]c(C#N)c1C)c1C#N RIGOBEKALGFMLJ-CDJCAARLSA-O 0.000 description 2
- SPCYZZNZHMTVIN-CDJCAARLSA-N CC(COCCCN(Cc1ccccc1)c(cc1)cc(C)c1/N=N/c([s]c(C#N)c1C)c1C#N)OC(c(cccc1)c1C(O[N+]#C)=O)=O Chemical compound CC(COCCCN(Cc1ccccc1)c(cc1)cc(C)c1/N=N/c([s]c(C#N)c1C)c1C#N)OC(c(cccc1)c1C(O[N+]#C)=O)=O SPCYZZNZHMTVIN-CDJCAARLSA-N 0.000 description 1
- HJBLXWWDQRNUFT-VHXPQNKSSA-N CCN(CCOCCO)c(cc1)cc(C)c1/N=N\c([s]c(C#N)c1C)c1C#N Chemical compound CCN(CCOCCO)c(cc1)cc(C)c1/N=N\c([s]c(C#N)c1C)c1C#N HJBLXWWDQRNUFT-VHXPQNKSSA-N 0.000 description 1
- VSLDLCBNPGNRSB-UHFFFAOYSA-N CCN(CCOCCO)c1cccc(C)c1 Chemical compound CCN(CCOCCO)c1cccc(C)c1 VSLDLCBNPGNRSB-UHFFFAOYSA-N 0.000 description 1
- WXWCDTXEKCVRRO-UHFFFAOYSA-N Cc(cc1)cc(N)c1OC Chemical compound Cc(cc1)cc(N)c1OC WXWCDTXEKCVRRO-UHFFFAOYSA-N 0.000 description 1
- GCSCENSWKWQJQG-UHFFFAOYSA-N Cc1c(C#N)[s]c(N)c1C#N Chemical compound Cc1c(C#N)[s]c(N)c1C#N GCSCENSWKWQJQG-UHFFFAOYSA-N 0.000 description 1
- MUTGBJKUEZFXGO-UHFFFAOYSA-N O=C(C1C2CCCC1)OC2=O Chemical compound O=C(C1C2CCCC1)OC2=O MUTGBJKUEZFXGO-UHFFFAOYSA-N 0.000 description 1
- FPYJFEHAWHCUMM-UHFFFAOYSA-N O=C(C=C1)OC1=O Chemical compound O=C(C=C1)OC1=O FPYJFEHAWHCUMM-UHFFFAOYSA-N 0.000 description 1
- RINCXYDBBGOEEQ-UHFFFAOYSA-N O=C(CC1)OC1=O Chemical compound O=C(CC1)OC1=O RINCXYDBBGOEEQ-UHFFFAOYSA-N 0.000 description 1
Classifications
-
- C—CHEMISTRY; METALLURGY
- C11—ANIMAL OR VEGETABLE OILS, FATS, FATTY SUBSTANCES OR WAXES; FATTY ACIDS THEREFROM; DETERGENTS; CANDLES
- C11D—DETERGENT COMPOSITIONS; USE OF SINGLE SUBSTANCES AS DETERGENTS; SOAP OR SOAP-MAKING; RESIN SOAPS; RECOVERY OF GLYCEROL
- C11D3/00—Other compounding ingredients of detergent compositions covered in group C11D1/00
- C11D3/40—Dyes ; Pigments
- C11D3/42—Brightening agents ; Blueing agents
-
- C—CHEMISTRY; METALLURGY
- C11—ANIMAL OR VEGETABLE OILS, FATS, FATTY SUBSTANCES OR WAXES; FATTY ACIDS THEREFROM; DETERGENTS; CANDLES
- C11D—DETERGENT COMPOSITIONS; USE OF SINGLE SUBSTANCES AS DETERGENTS; SOAP OR SOAP-MAKING; RESIN SOAPS; RECOVERY OF GLYCEROL
- C11D3/00—Other compounding ingredients of detergent compositions covered in group C11D1/00
- C11D3/40—Dyes ; Pigments
-
- C—CHEMISTRY; METALLURGY
- C09—DYES; PAINTS; POLISHES; NATURAL RESINS; ADHESIVES; COMPOSITIONS NOT OTHERWISE PROVIDED FOR; APPLICATIONS OF MATERIALS NOT OTHERWISE PROVIDED FOR
- C09B—ORGANIC DYES OR CLOSELY-RELATED COMPOUNDS FOR PRODUCING DYES, e.g. PIGMENTS; MORDANTS; LAKES
- C09B29/00—Monoazo dyes prepared by diazotising and coupling
- C09B29/0025—Monoazo dyes prepared by diazotising and coupling from diazotized amino heterocyclic compounds
- C09B29/0059—Monoazo dyes prepared by diazotising and coupling from diazotized amino heterocyclic compounds the heterocyclic ring containing only sulfur as heteroatom
-
- C—CHEMISTRY; METALLURGY
- C09—DYES; PAINTS; POLISHES; NATURAL RESINS; ADHESIVES; COMPOSITIONS NOT OTHERWISE PROVIDED FOR; APPLICATIONS OF MATERIALS NOT OTHERWISE PROVIDED FOR
- C09B—ORGANIC DYES OR CLOSELY-RELATED COMPOUNDS FOR PRODUCING DYES, e.g. PIGMENTS; MORDANTS; LAKES
- C09B29/00—Monoazo dyes prepared by diazotising and coupling
- C09B29/06—Monoazo dyes prepared by diazotising and coupling from coupling components containing amino as the only directing group
- C09B29/08—Amino benzenes
- C09B29/0805—Amino benzenes free of acid groups
- C09B29/0807—Amino benzenes free of acid groups characterised by the amino group
- C09B29/0809—Amino benzenes free of acid groups characterised by the amino group substituted amino group
- C09B29/0811—Amino benzenes free of acid groups characterised by the amino group substituted amino group further substituted alkylamino, alkenylamino, alkynylamino, cycloalkylamino aralkylamino or arylamino
- C09B29/0813—Amino benzenes free of acid groups characterised by the amino group substituted amino group further substituted alkylamino, alkenylamino, alkynylamino, cycloalkylamino aralkylamino or arylamino substituted by OH, O-C(=X)-R, O-C(=X)-X-R, O-R (X being O,S,NR; R being hydrocarbonyl)
-
- C—CHEMISTRY; METALLURGY
- C09—DYES; PAINTS; POLISHES; NATURAL RESINS; ADHESIVES; COMPOSITIONS NOT OTHERWISE PROVIDED FOR; APPLICATIONS OF MATERIALS NOT OTHERWISE PROVIDED FOR
- C09B—ORGANIC DYES OR CLOSELY-RELATED COMPOUNDS FOR PRODUCING DYES, e.g. PIGMENTS; MORDANTS; LAKES
- C09B29/00—Monoazo dyes prepared by diazotising and coupling
- C09B29/06—Monoazo dyes prepared by diazotising and coupling from coupling components containing amino as the only directing group
- C09B29/08—Amino benzenes
- C09B29/0805—Amino benzenes free of acid groups
- C09B29/0807—Amino benzenes free of acid groups characterised by the amino group
- C09B29/0809—Amino benzenes free of acid groups characterised by the amino group substituted amino group
- C09B29/0811—Amino benzenes free of acid groups characterised by the amino group substituted amino group further substituted alkylamino, alkenylamino, alkynylamino, cycloalkylamino aralkylamino or arylamino
- C09B29/0815—Amino benzenes free of acid groups characterised by the amino group substituted amino group further substituted alkylamino, alkenylamino, alkynylamino, cycloalkylamino aralkylamino or arylamino substituted by -C(=O)-
- C09B29/0816—Amino benzenes free of acid groups characterised by the amino group substituted amino group further substituted alkylamino, alkenylamino, alkynylamino, cycloalkylamino aralkylamino or arylamino substituted by -C(=O)- substituted by -COOR
-
- C—CHEMISTRY; METALLURGY
- C09—DYES; PAINTS; POLISHES; NATURAL RESINS; ADHESIVES; COMPOSITIONS NOT OTHERWISE PROVIDED FOR; APPLICATIONS OF MATERIALS NOT OTHERWISE PROVIDED FOR
- C09B—ORGANIC DYES OR CLOSELY-RELATED COMPOUNDS FOR PRODUCING DYES, e.g. PIGMENTS; MORDANTS; LAKES
- C09B69/00—Dyes not provided for by a single group of this subclass
- C09B69/10—Polymeric dyes; Reaction products of dyes with monomers or with macromolecular compounds
- C09B69/106—Polymeric dyes; Reaction products of dyes with monomers or with macromolecular compounds containing an azo dye
Definitions
- This application relates to thiophene azo carboxylate dyes for use as hueing agents, laundry care compositions comprising such dyes, processes for making such dyes and laundry care compositions and methods of using the same.
- the aforementioned dyes contain a formally charged moiety and are generally comprised of at least two components: at least one chromophore component and at least one polymeric component. Suitable chromophore components generally fluoresce blue, red, violet, or purple color when exposed to ultraviolet light, or they may absorb light to reflect these same shades. These dyes are advantageous in providing a hueing effect, for example, a whitening effect to fabrics, while not building up over time and causing undesirable discoloration to the treated fabrics. Such dyes are also generally stable to bleaching agents used in laundry care compositions.
- hueing agents are generally to visually brighten these textile substrates and counteract the fading and yellowing of the substrates.
- hueing agents may be found in laundry detergents, fabric softeners, or rinse aids and are therefore applied to textile substrates during the laundering process.
- hueing agents function to visually brighten treated textile substrates without causing undesirable staining of the textile substrates.
- Cellulosic substrates in particular, tend to exhibit a yellow hue after exposure to light, air, and/or soiling. This yellowness is often difficult to reverse by normal laundering procedures.
- the thiophene azo carboxylate dyes disclosed herein and the laundry care compositions comprising same offer advantages over previous efforts in this area, as, unlike previous thiophene azo hueing agents, the present thiophene azo carboxylate dyes comprise a formally charged carboxylate moiety (above its pKa) that allows such dyes to provide enhanced deposition, removal and hue angle, without the negatives of pretreat spot staining on polyurea fibers such as Lycra® and/or excessive cost. While not being bound by theory, Applicants believe that such negatives are avoided as the instant thiophene azo carboxylate dyes interacts with metal ions, for example, in the wash water in a more favorable manner.
- hueing compounds disclosed herein also absorb light at a wavelength appropriate to visually neutralize the yellowness of substrates, including textile substrates. These compounds function ideally as hueing agents for substrates, including textile substrates, and may be incorporated into laundry care compositions for use by consumers.
- This application relates to thiophene azo carboxylate dyes for use as hueing agents, laundry care compositions comprising such dyes that may serve as hueing agents, processes for making such dyes and laundry care compositions and methods of using the same.
- the aforementioned dyes contain a formally charged moiety and are generally comprised of at least two components: at least one chromophore component and at least one polymeric component. Suitable chromophore components generally fluoresce blue, red, violet, or purple color when exposed to ultraviolet light, or they may absorb light to reflect these same shades.
- Such dyes are advantageous in providing a hueing effect, for example, a whitening effect to fabrics, while not building up over time and causing undesirable blue discoloration to the treated fabrics.
- Such dyes are also generally stable to bleaching agents used in laundry care compositions.
- alkoxy is intended to include Ci-Cs alkoxy and alkoxy derivatives of polyols having repeating units such as butylene oxide, glycidol oxide, ethylene oxide or propylene oxide.
- alkyl and alkyl capped are intended to include Ci-Cis alkyl groups, and in one aspect, Ci-C 6 alkyl groups.
- aryl is intended to include C3-C12 aryl groups.
- arylalkyl is intended to include Ci-Cis alkyl groups and, in one aspect, C1-C6 alkyl groups.
- formally charged moiety means a moiety having at least one formal positive charge or at least one formal negative charge in aqueous solution at a pH in the range from 7 to 11.
- ethylene oxide "propylene oxide” and “butylene oxide” may be shown herein by their typical designation of “EO,” “PO” and “BO,” respectively.
- the term "laundry care composition” includes, unless otherwise indicated, granular, powder, liquid, gel, paste, unit dose bar form and/or flake type washing agents and/or fabric treatment compositions.
- fabric treatment composition includes, unless otherwise indicated, fabric softening compositions, fabric enhancing compositions, fabric freshening compositions and combinations there of. Such compositions may be, but need not be rinse added compositions.
- cellulosic substrates are intended to include any substrate which comprises at least a majority by weight of cellulose. Cellulose may be found in wood, cotton, linen, jute, and hemp.
- Cellulosic substrates may be in the form of powders, fibers, pulp and articles formed from powders, fibers and pulp.
- Cellulosic fibers include, without limitation, cotton, rayon (regenerated cellulose), acetate (cellulose acetate), triacetate (cellulose triacetate), and mixtures thereof.
- Articles formed from cellulosic fibers include textile articles such as fabrics.
- Articles formed from pulp include paper.
- the articles including "the”, “a” and “an” when used in a claim are understood to mean one or more of what is claimed or described.
- the term "maximum extinction coefficient" is intended to describe the molar extinction coefficient at the maximum wavelength in the range of 400 nanometers to 750 nanometers.
- the thiophene azo carboxylate dyes disclosed herein may contain a distribution of repeating units in their polymeric moiety. Accordingly, in one aspect, the molecular weight of the thiophene azo carboxylate dyes disclosed herein may be reported as an average molecular weight, as determined by its molecular weight distribution. The test methods disclosed in the Test Methods Section of the present application should be used to determine the respective values of the parameters of Applicants' inventions.
- component or composition levels are in reference to the active portion of that component or composition, and are exclusive of impurities, for example, residual solvents or by-products, which may be present in commercially available sources of such components or compositions.
- Laundry Care Composition Comprising Suitable Hueing Agents
- a laundry care composition comprising a hueing agent and one or more laundry care ingredients is disclosed.
- Suitable hueing agents include all the hueing agents listed below.
- composition comprising a thiophene azo carboxylate dye containing a carboxylic acid moiety, with the proviso that the thiophene azo carboxylate dye does not have the following structures
- said thiophene azo carboxylate dye has, in the wavelength range of about 400 nm to about 750 nm in methanol solution, a maximum extinction coefficient greater than about 1000 liter/mol/cm.
- said thiophene azo carboxylate dye has, in the wavelength range of about 540 nm to about 630 nm, a maximum extinction coefficient from about 20,000 to about 100,000 liter/mol/cm.
- said thiophene azo carboxylate dye has, in the wavelength range of about 560 nm to about 610 nm, a maximum extinction coefficient from about 20,000 to about 65,000 liter/mol/cm.
- said thiophene azo carboxylate dye has a molecular weight from greater than 232 Daltons, from about 233 Daltons to about 5000 Daltons, from about 365 Daltons to about 2500 Daltons, or even from about 423 Daltons to about 1000 Daltons.
- said thiophene azo carboxylate dye is represented by general Formula (I):
- Ri, R 2 and R 3 are each independently selected from hydrogen, electron- withdrawing moieties, and electron-donating moieties, provided that at least one of Ri, R 2 and R 3 is an electron- withdrawing moiety; and
- each Ri, R 2 and R3 is independently selected from hydrogen, (C]-C4)-alkyl, (C3-Cio)-aryl, carboxylate, cyano, sulfonate, phosphonate, sulfate, acetate, nitro, (Ci-C4)-alkyl ester, halogen or amino moiety.
- X is a moiety having Formula (II) below:
- R 4 is selected from a moiety having Formula (III) below
- each Rs is independently selected from hydrogen, Ci-Cs alkyl optionally substituted with a hydroxy, or acetyl;
- n is an integer from 0 to 10;
- Y is -OC(0)GC0 2 M wherein M is H or a charge balancing cation; G is an organic group derived from a substituted or unsubstituted succinic, maleic, glutaric, adipic or phthalic anhydride having Formula IV,
- Formula IV said anhydride having a molecular weight less than about 353 Daltons, from about 98 Daltons to 352 Daltons, or even from about 100 Daltons to about 325 Daltons; ii) R 4 is s low:
- each Rn and R] 2 is independently selected from hydrogen, Q-Cs alkyl, aryl, acetyl or hydroxyl moiety; m and n are independent and are integers from 0 to 10,
- Y is -OC(0)GC0 2 M wherein M is H or a charge balancing cation; G is an organic group derived from a substituted or unsubstituted succinic, maleic, glutaric, adipic or phthalic anhydride having Formula VI,
- anhydride having a molecular weight less than about 353 Daltons, from about 98 Daltons to 352 Daltons, or even from about 100 Daltons to about 325 Daltons; or iii.) (VII) below:
- Ri 3 is selected from a C 6 -Cio aryl moiety, C7-C12 arylalkyl moiety, Ci-Cis alkyl moiety, or a siloxane moiety;
- each R]4 is independently selected from hydrogen, C1-C4 alkyl; m is an integer from 0 to 10;
- Y is -OC(0)GCC>2M wherein M is H or a charge balancing cation; G is an organic group derived from a substituted or unsubstituted succinic, maleic, glutaric, adipic or phthalic anhydride having Formula VIII,
- said anhydride having a molecular weight less than about 353 Daltons, from about 98 Daltons to 352 Daltons, or even from about 100 Daltons to about 325 Daltons;
- R5 is an independently selected R 4 moiety as defined above or R5 is selected from C1-C12 alkyl moiety, a C2-C12 ether moiety; C 6 -Cio aryl moiety or C7-C12 arylalkyl moiety; wherein the index a is an integer from 0 to 4, and each R 6 may be independently selected from a Ci-C 6 alkyl, a Cr C 4 alkoxy, a nitro, a hydroxyl, a halogen, or -NHC(0)R22 wherein R22 is selected from H, -NH2, Ci-C 6 alkyl, phenyl, -(CH2) s OR2 3 where the index s is 1 or 2 and R2 3 is selected from Me, phenyl, and - CO2CH2CN; - NHSC>2R2 4 wherein R24 is C1-C4 alkyl or phenyl; said alkyl, alkoxy and acetamido moieties may be optionally substitute
- X is a moiety having Formula II above:
- each R4 and R5 can independently be selected from:
- said anhydride having a molecular weight less than about 353 Daltons, from about 98 Daltons to 352 Daltons, or even from about 100 Daltons to about 325 Daltons;
- R] 7 is selected from the group consisting of C1-C16 alkyl, C 6 -Cio aryl groups, and mixtures thereof; the index m is an integer from 0 to 4 and each R 6 is as defined above; further provided the molecule contains at least one non-H Ri5 group.
- R 4 is selected from a moiety having Formula (III) below
- Rs is a hydrogen, C1-C4 alkyl moiety or an C 6 -Cio aryl moiety
- Y is -OC(0)GCC>2M wherein M is H or a charge balancing cation; G is an organic group derived from a substituted or unsubstituted succinic, maleic, glutaric, adipic or phthalic anhydride having Formula IV,
- said anhydride having a molecular weight less than about 353 Daltons, from about 98 Daltons to 352 Daltons, or even from about 100 Daltons to about 325 Daltons;
- each Rn and R12 is independently selected from hydrogen, C1-C4 alkyl or C 6 -Cio aryl moiety; m and n are independent and are integers from 0 to 5,
- Y is -OC(0)GCC>2M wherein M is H or a charge balancing cation; G is an organic group derived from a substituted or unsubstituted succinic, maleic, glutaric, adipic or phthalic anhydride having Formula VI,
- said anhydride having a molecular weight less than about 353 Daltons, from about 98 Daltons to 352 Daltons, or even from about 100 Daltons to about 325 Daltons;
- Ri 3 is selected from an C 6 -Cio aryl moiety, benzyl moiety, or a C]-Ci 8 alkyl moiety;
- each R]4 is independently selected from hydrogen or -CH 3 ; m is an integer from 0 to 10,
- Y is -OC(0)GCC>2M wherein M is H or a charge balancing cation; G is an organic group derived from a substituted or unsubstituted succinic, maleic, glutaric, adipic or phthalic anhydride having Formula VIII,
- said anhydride having a molecular weight less than about 353 Daltons, from about 98 Daltons to 352 Daltons, or even from about 100 Daltons to about 325 Daltons;
- Rs is an independently selected R 4 moiety as defined above or R5 is R 5 selected from Ci-C 6 alkyl moiety or benzyl moiety; iii.) wherein the index a is an integer from 0 to 2, and each R 6 may be independently selected from methyl, methoxy, or acetamido moiety.
- each Ri, R 2 and R 3 is independently selected from hydrogen, (Ci-C4)-alkyl, (C6-Cio)-aryl, carboxylate, cyano, sulfonate, acetate, nitro, (Ci-C4)-alkyl ester, halogen or amino moiety, in one aspect, each Ri, R 2 and R 3 is independently selected from hydrogen, (Ci-C4)-alkyl, carboxylate, cyano, sulfonate, nitro, (Ci-C4)-alkyl ester or halogen moiety.
- said thiophene azo carboxylate dye has Formula (X):
- Formula X wherein the A moiety is selected from the group consisting of Table 1 A Moieties Nos. 1 - 118 and wherein X is selected from the group consisting of Table 4 X Moieties Nos. 1 - 24 wherein G is an organic group derived from a substituted or unsubstituted succinic, maleic, glutaric, adipic or phthalic anhydride having Formula XI,
- said anhydride having a molecular weight less than about 353 Daltons, from about 98 Daltons to 352 Daltons, or even from about 100 Daltons to about 325 Daltons.
- said thiophene azo carboxylate dye has Formula (XII):
- Formula XII wherein the A moiety is selected from the group consisting of Table 1 A Moieties Nos. 9 - 11, 15, 23, 34 - 35, 37 - 39, 41, 43, 47, 50 - 51, 57 - 58, 77, 83, 89, 95, 106, and 110 - 118; and wherein the X moiety is selected from the group consisting of Table 4 X Moieties Nos. 1 - 8, 13, 14, and 18 - 21, wherein G is an organic group derived from a substituted or unsubstituted succinic, maleic, glutaric, adipic or phthalic anhydride having Formula XIII,
- said anhydride having a molecular weight less than about 353 Daltons, from about 98 Daltons to 352 Daltons, or even from about 100 Daltons to about 325 Daltons.
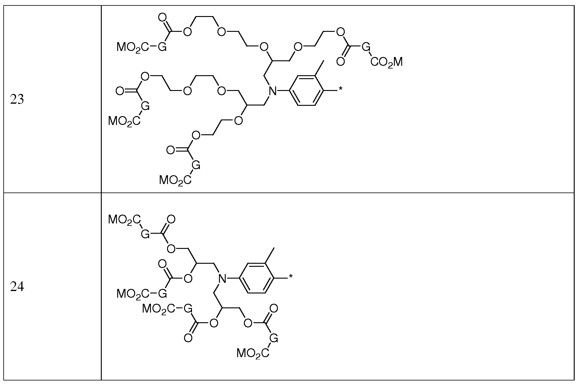
- said G moiety of said thiophene azo carboxylate dye is selected from Table 5 G Moieties Nos. 1 - 48.
- said thiophene azo carboxylate dye has the following formula:
- said thiophene azo carboxylate dye has the following formula:
- said thiophene azo carboxylate dye has a formula selected from Table 6 Formula Nos. 1 - 48, in one aspect, said thiophene azo carboxylate dye has a formula selected from Table 6 Formula Nos. 1 - 36, 43 and 44.
- a moieties may be selected from the moieties shown in Table 1 :
- R 4 and R5 groupings may be selected from the groupings shown in Table 3:
- X moieties may be selected from the moieties shown in Table 4: Table 4: X Moieties
- moieties may be selected from moieties 1-48 shown in Table 5.
- the "*" denotes point of attachment to the azo moiety.
- G moieties in the X moieties in Table 4 above may be selected from moieties 1-48 shown Table 5:
- Anhydrides suitable for use in creating the Y moiety in the instant invention include, but are not limited to, the following: 3-(2E)-2-dodecen-l-yldihydro-2,5-Furandione; (3aR,7aS)-rel- 3a,4,7,7a-tetrahydro-4,7-Epoxyisobenzofuran-l,3-dione; 3-hexyldihydro-3-methyl-2,5- Furandione; 3-hexyldihydro-2,5-Furandione; (3aR,8aS)-rel-hexahydro-lH-Cyclohepta[c]furan- l,3(3aH)-dione; (3aR,6aS)-rel-tetrahydro-lH-Cyclopenta[c]furan-l,3(3aH)-dione; 5-(l,l- dimethylethyl)-
- Such suitable anhydrides may be obtained from one or more of the following: 3B Scientific Corporation, Libertyville, IL, 60048; Accel Pharmtech, LLC, East Brunswick, NJ, 08816; A Chemtek, Worcester, MA, 01606; AK Scientific, Inc., Union City, CA, 94587; AKos Consulting and Solutions GmbH, Steinen, D-79585,Germany; Alfa Aesar, Ward Hill, MA, 01835; Allichem LLC, Baltimore, MD, 21224; American Custom Chemicals Corp., San Diego, CA, 92196-2527; Aurora Fine Chemicals LLC, San Diego, CA, 92126; Beta Pharma Scientific, Inc., Branford, CT, 06405; City Chemical LLC, West Haven, CT, 06516; Ryan Scientific, Inc., Mt.
- the thiophene azo carboxylate dye may comprise any one of the A moieties selected from Table 1, any one of the R 6 substituents selected from Table 2, any one of the R 4 and R5 groupings selected from Table 3, any one of the X moieties selected from Table 4, and any one of the G moieties selected from Table 5.
- suitable thiophene azo carboxylate dyes include, but are not limited to, the structures shown in Table 6:
- hueing agents described in the present specification may be incorporated into laundry care compositions including but not limited to laundry detergents and fabric care compositions.
- the laundry care compositions including laundry detergents may be in solid or liquid form, including a gel form, and/or unit does forms, including multi-compartment unit dose forms.
- Such compositions may comprise one or more of said hueing agents and a laundry care ingredient.
- said laundry care composition may comprise, based on total laundry care composition weight, less than 15% builder, less than 10% builder, or even less than 5% builder. In one aspect, said laundry care composition may comprise, based on total laundry care composition weight, a total of no more than 20% water; a total of no more than 15% water; a total of no more than 10% water; or even a total of no more than 5% water. In one aspect, said laundry care composition may comprise, based on total laundry care composition weight, from about 10% to about 70% of a water-miscible organic solvent having a molecular weight of greater than 70 Daltons.
- said laundry care composition may comprise, based on total laundry care composition weight, a perfume microcapsule comprising a core and a shell that encapsulates said core, said perfume microcapsule having a D[4,3] average particle of from about 0.01 microns to about 200 microns and optionally a formaldehyde scavenger that is supplied via the addition of the microcapsules (contained in a perfume microcapsule slurry that is added to the laundry care ingredient) and/or added directly to the laundry care composition.
- the shell of said perfume microcapsules may be made of any material, including materials selected from the group consisting of poly ethylenes, polyamides, polystyrenes, polyisoprenes, polycarbonates, polyesters, polyacrylates, polyureas, polyurethanes, polyolefins, polysaccharides, epoxy resins, vinyl polymers, and mixtures thereof.
- useful shell materials include materials that are sufficiently impervious to the core material and the materials in the environment in which the perfume microcapsule will be employed, to permit the delivery perfume to be obtained.
- Suitable impervious shell materials include materials selected from the group consisting of reaction products of one or more amines with one or more aldehydes, such as urea cross-linked with formaldehyde or gluteraldehyde, melamine cross-linked with formaldehyde; gelatin- polyphosphate coacervates optionally cross-linked with gluteraldehyde; gelatin-gum Arabic coacervates; cross-linked silicone fluids; polyamine reacted with polyisocyanates and mixtures thereof.
- the shell material comprises melamine cross-linked with formaldehyde and/or a polyacrylate.
- Suitable perfume microcapsules may be obtained from Appleton Papers of Appleton Wisconsin, USA.
- suitable formaldehyde scavengers include materials selected from the group consisting of sodium bisulfite, urea, ethylene urea, cysteine, cysteamine, lysine, glycine, serine, carnosine, histidine, glutathione, 3,4-diaminobenzoic acid, allantoin, glycouril, anthranilic acid, methyl anthranilate, methyl 4-aminobenzoate, ethyl acetoacetate, acetoacetamide, malonamide, ascorbic acid, 1,3-dihydroxyacetone dimer, biuret, oxamide, benzoguanamine, pyroglutamic acid, pyrogallol, methyl gallate, ethyl gallate, propyl gallate, triethanol amine, succinamide, thiabendazole, benzotriazol, triazole, indoline, sulfanilic acid, oxamide, sorbi
- formaldehyde scavengers may be obtained from Sigma/Aldrich/Fluka of St. Louis, MO. U.S.A. or PolySciences, Inc. of Warrington, PA U.S.A. Such formaldehyde scavengers are typically combined with a slurry containing said perfume microcapsules, at a level, based on total slurry weight, of from about 2 wt.% to about 18 wt.%, from about 3.5 wt.% to about 14 wt.% or even from about 5 wt.% to about 13 wt.%.
- such formaldehyde scavengers may be combined with a product containing a perfume microcapsule, said scavengers being combined with said product at a level, based on total product weight, of from about 0.005% to about 0.8%, alternatively from about 0.03% to about 0.5%, alternatively from about 0.065% to about 0.25% of the product formulation.
- such formaldehyde scavengers may be combined with a slurry containing said perfume microcapsules, at a level, based on total slurry weight, of from about 2 wt.% to about 14 wt.%, from about 3.5 wt.% to about 14 wt.% or even from about 5 wt.% to about 14 wt.% and said slurry may be added to a product matrix to which addition an identical or different scavenger may be added at a level, based on total product weight, of from about 0.005% to about 0.5%, alternatively from about 0.01% to about 0.25%, alternatively from about 0.05% to about 0.15% of the product formulation.
- one or more of the aforementioned formaldehyde scavengers may be combined with a liquid fabric enhancing product containing perfume microcapsules at a level, based on total liquid fabric enhancing product weight, of from 0.005% to about 0.8%, alternatively from about 0.03% to about 0.4%, alternatively from about 0.06% to about 0.25% of the product formulation.
- such formaldehyde scavengers may be combined with a liquid laundry detergent product containingperfume microcapsules, said scavengers being selected from the group consisting of sodium bisulfite, urea, ethylene urea, cysteine, cysteamine, lysine, glycine, serine, carnosine, histidine, glutathione, 3,4-diaminobenzoic acid, allantoin, glycouril, anthranilic acid, methyl anthranilate, methyl 4-aminobenzoate, ethyl acetoacetate, acetoacetamide, malonamide, ascorbic acid, 1,3-dihydroxyacetone dimer, biuret, oxamide, benzoguanamine, pyroglutamic acid, pyrogallol, methyl gallate, ethyl gallate, propyl gallate, triethanol amine, succinamide, thiabendazole, benzotria
- the hueing agents may be added to substrates using a variety of application techniques.
- the hueing agent may be included as a component of a laundry detergent.
- the hueing agent may be present in the laundry detergent composition in an amount from about 0.000001% to about 10% by weight of the composition, from about 0.00001% to about 10% by weight of the composition, from about 0.0001% to about 5% by weight of the composition, and even from about 0.0001% to about 1% by weight of the composition.
- the laundry detergent composition typically comprises a surfactant in an amount sufficient to provide desired cleaning properties.
- the laundry detergent composition may comprise, based on total laundry detergent composition weight, from about 0.5% to about 99% of the surfactant; from about 1% to about 95% of the surfactant; from about 5% to about 90% of the surfactant, from about 5% to about 70% of the surfactant, or even from about 5% to about 40% of the surfactant.
- the surfactant may comprise anionic, nonionic, cationic, zwitterionic and/or amphoteric surfactants.
- the detergent composition comprises anionic surfactant, nonionic surfactant, or mixtures thereof. Fabric care compositions are typically added in the rinse cycle, which is after the detergent solution has been used and replaced with the rinsing solution in typical laundering processes.
- the fabric care compositions disclosed herein may be comprise a rinse added fabric softening active and a suitable hueing agent as disclosed in the present specification.
- the fabric care composition may comprise, based on total fabric care composition weight, from about 1% to about 90%, or from about 5% to about 50% fabric softening active.
- the hueing agent may be present in the fabric care composition in an amount from about 0.5 ppb to about 50 ppm, or from about 0.5 ppm to about 30 ppm.
- laundry care ingredients While not essential for the purposes of the present invention, the non-limiting list of laundry care ingredients illustrated hereinafter are suitable for use in the laundry care compositions and may be desirably incorporated in certain aspects of the invention, for example to assist or enhance performance, for treatment of the substrate to be cleaned, or to modify the aesthetics of the composition as is the case with perfumes, colorants, dyes or the like. It is understood that such ingredients are in addition to the components that were previously listed for any particular aspect. The total amount of such adjuncts may range, once the amount of dye is taken into consideration from about 90% to about 99.99999995% by weight of the laundry care composition.
- Suitable laundry care ingredients include, but are not limited to, fabric softening actives, polymers, for example cationic polymers, surfactants, builders, chelating agents, dye transfer inhibiting agents, dispersants, enzymes, and enzyme stabilizers, catalytic materials, bleach activators, polymeric dispersing agents, clay soil removal/anti-redeposition agents, brighteners, suds suppressors, dyes, perfume(s) including quadrant perfumes and additional perfume delivery systems including perfume loaded zeolites, starch encapsuled accords, and Schiff base pro-perfumes, structure elasticizing agents, fabric softeners, carriers, hydrotropes, processing aids and/or pigments.
- suitable examples of such other adjuncts and levels of use are found in U.S. Patent Nos. 5,576,282, 6,306,812 Bl and 6,326,348
- the laundry care ingredients are not essential to Applicants' laundry care compositions.
- certain aspects of Applicants' compositions do not contain one or more of the following adjuncts materials: fabric softening actives, bleach activators, surfactants, builders, chelating agents, dye transfer inhibiting agents, dispersants, enzymes, and enzyme stabilizers, catalytic metal complexes, polymeric dispersing agents, clay and soil removal/anti-redeposition agents, brighteners, suds suppressors, dyes, additional perfumes and perfume delivery systems, structure elasticizing agents, fabric softeners, carriers, hydrotropes, processing aids and/or pigments.
- one or more adjuncts may be present as detailed below:
- Suitable anionic surfactants useful herein can comprise any of the conventional anionic surfactant types typically used in liquid detergent products. These include the alkyl benzene sulfonic acids and their salts as well as alkoxylated or non-alkoxylated alkyl sulfate materials.
- Exemplary anionic surfactants are the alkali metal salts of C10-C16 alkyl benzene sulfonic acids, or C 11 -C 14 alkyl benzene sulfonic acids.
- the alkyl group is linear and such linear alkyl benzene sulfonates are known as "LAS".
- Alkyl benzene sulfonates, and particularly LAS, are well known in the art.
- Such surfactants and their preparation are described for example in U.S. Pat. Nos. 2,220,099 and 2,477,383.
- sodium and potassium linear straight chain alkylbenzene sulfonates in which the average number of carbon atoms in the alkyl group is from about 11 to 14.
- Sodium Cn-C 14 e.g., C 12
- LAS is a specific example of such surfactants.
- anionic surfactant comprises ethoxylated alkyl sulfate surfactants.
- Such materials also known as alkyl ether sulfates or alkyl polyethoxylate sulfates, are those which correspond to the formula: R'— O— (C 2 H 4 0) n -S0 3 M wherein R' is a C8-C2 0 alkyl group, n is from about 1 to 20, and M is a salt-forming cation.
- R' is Cio-Cis alkyl, n is from about 1 to 15, and M is sodium, potassium, ammonium, alkylammonium, or alkanolammonium.
- R' is a C12-C16, n is from about 1 to 6 and M is sodium.
- non-alkoxylated, e.g., non-ethoxylated, alkyl ether sulfate surfactants are those produced by the sulfation of higher C 8 -C2 0 fatty alcohols.
- Conventional primary alkyl sulfate surfactants have the general formula: ROSO 3 -M "1" wherein R is typically a linear C 8 -C2 0 hydrocarbyl group, which may be straight chain or branched chain, and M is a water-solubilizing cation.
- R is a C1 0 -C15 alkyl
- M is alkali metal, more specifically R is C12-C14 and M is sodium.
- anionic surfactants useful herein include: a) Cn-Cis alkyl benzene sulfonates (LAS); b) C1 0 -C2 0 primary, branched-chain and random alkyl sulfates (AS); c) C1 0 -C1 8 secondary (2,3) alkyl sulfates having formulae (I) and (II): wherein M in formulae (I) and (II) is hydrogen or a cation which provides charge neutrality, and all M units, whether associated with a surfactant or adjunct ingredient, can either be a hydrogen atom or a cation depending upon the form isolated by the artisan or the relative pH of the system wherein the compound is used, with non-limiting examples of suitable cations including sodium, potassium, ammonium, and mixtures thereof, and x is an integer of at least about 7, or at least about 9, and y is an integer of at least 8, or at least about 9; d) Cio-C
- MLAS modified alkylbenzene sulfonate
- MES methyl ester sulfonate
- AOS alpha-olefin sulfonate
- Suitable nonionic surfactants useful herein can comprise any of the conventional nonionic surfactant types typically used in liquid detergent products. These include alkoxylated fatty alcohols and amine oxide surfactants. In one aspect, for use in the liquid detergent products herein are those nonionic surfactants which are normally liquid.
- Suitable nonionic surfactants for use herein include the alcohol alkoxylate nonionic surfactants.
- Alcohol alkoxylates are materials which correspond to the general formula: R 1 (C m H2 m O) n OH wherein R 1 is a Cs-Ci6 alkyl group, m is from 2 to 4, and n ranges from about 2 to 12.
- R 1 is an alkyl group, which may be primary or secondary, that comprises from about 9 to 15 carbon atoms, or from about 10 to 14 carbon atoms.
- the alkoxylated fatty alcohols will also be ethoxylated materials that contain from about 2 to 12 ethylene oxide moieties per molecule, or from about 3 to 10 ethylene oxide moieties per molecule.
- alkoxylated fatty alcohol materials useful in the liquid detergent compositions herein will frequently have a hydrophilic-lipophilic balance (HLB) which ranges from about 3 to 17 from about 6 to 15, or from about 8 to 15.
- HLB hydrophilic-lipophilic balance
- Alkoxylated fatty alcohol nonionic surfactants have been marketed under the tradenames Neodol and Dobanol by the Shell Chemical Company.
- Nonionic surfactant useful herein comprises the amine oxide surfactants.
- Amine oxides are materials which are often referred to in the art as "semi-polar" nonionics. Amine oxides have the formula: R(EO) x (PO) y (BO) z N(0)(CH 2 R)2.qH 2 0.
- R is a relatively long-chain hydrocarbyl moiety which can be saturated or unsaturated, linear or branched, and can contain from 8 to 20, 10 to 16 carbon atoms, or is a C 12 -C 16 primary alkyl.
- R' is a short-chain moiety, in one aspect R' may be selected from hydrogen, methyl and— CH 2 OH. When x+y+z is different from 0, EO is ethyleneoxy, PO is propyleneneoxy and BO is butyleneoxy. Amine oxide surfactants are illustrated by C 12-14 alkyldimethyl amine oxide.
- Non-limiting examples of nonionic surfactants include: a) C 12 -C 18 alkyl ethoxylates, such as, NEODOL® nonionic surfactants from Shell; b) C 6 -Ci 2 alkyl phenol alkoxylates wherein the alkoxylate units are a mixture of ethyleneoxy and propyleneoxy units; c) C 12 -C 18 alcohol and C 6 - Ci2 alkyl phenol condensates with ethylene oxide/propylene oxide block polymers such as Pluronic® from BASF; d) C14-C22 mid-chain branched alcohols, BA, as discussed in U.S. Pat. No.
- the detersive surfactant component may comprise combinations of anionic and nonionic surfactant materials.
- the weight ratio of anionic to nonionic will typically range from 10:90 to 90:10, more typically from 30:70 to 70:30.
- Cationic surfactants are well known in the art and non-limiting examples of these include quaternary ammonium surfactants, which can have up to 26 carbon atoms. Additional examples include a) alkoxylate quaternary ammonium (AQA) surfactants as discussed in U.S. Pat. No. 6,136,769; b) dimethyl hydroxyethyl quaternary ammonium as discussed in U.S. Pat. No. 6,004,922; c) polyamine cationic surfactants as discussed in WO 98/35002, WO 98/35003, WO 98/35004, WO 98/35005, and WO 98/35006; d) cationic ester surfactants as discussed in U.S. Pat.
- AQA alkoxylate quaternary ammonium
- Non-limiting examples of zwitterionic surfactants include derivatives of secondary and tertiary amines, derivatives of heterocyclic secondary and tertiary amines, or derivatives of quaternary ammonium, quaternary phosphonium or tertiary sulfonium compounds. See U.S. Pat. No. 3,929,678 to Laughlin et al., issued Dec.
- betaine including alkyl dimethyl betaine and cocodimethyl amidopropyl betaine, Cs to Cis (in one aspect C12 to Cis) amine oxides and sulfo and hydroxy betaines, such as N-alkyl-N,N-dimethylammino-l -propane sulfonate where the alkyl group can be Cs to C 18 , or C 10 to C 14 .
- Non-limiting examples of ampholytic surfactants include aliphatic derivatives of secondary or tertiary amines, or aliphatic derivatives of heterocyclic secondary and tertiary amines in which the aliphatic radical can be straight- or branched-chain.
- One of the aliphatic substituents comprises at least about 8 carbon atoms, typically from about 8 to about 18 carbon atoms, and at least one comprises an anionic water-solubilizing group, e.g. carboxy, sulfonate, sulfate. See U.S. Pat. No. 3,929,678 to Laughlin et al., issued Dec. 30, 1975 at column 19, lines 18-35, for examples of ampholytic surfactants.
- Aqueous, non-surface active liquid carrier Aqueous, non-surface active liquid carrier
- the laundry care compositions may be in the form of a solid, either in tablet or particulate form, including, but not limited to particles, flakes, sheets, or the like, or the compositions may be in the form of a liquid.
- the liquid detergent compositions may comprise an aqueous, non-surface active liquid carrier.
- the amount of the aqueous, non-surface active liquid carrier employed in the compositions herein will be effective to solubilize, suspend or disperse the composition components.
- the liquid detergent compositions may comprise, based on total liquid detergent composition weight, from about 5% to about 90%, from about 10% to about 70%, or from about 20% to about 70% of the aqueous, non-surface active liquid carrier.
- aqueous, non-surface active liquid carrier typically water.
- the aqueous, non-surface active liquid carrier component will generally be mostly, if not completely, comprised of water. While other types of water-miscible liquids, such alkanols, diols, other polyols, ethers, amines, and the like, have been conventionally been added to liquid detergent compositions as co-solvents or stabilizers, for purposes of the present invention, the utilization of such water-miscible liquids typically is minimized to hold down composition cost.
- the aqueous liquid carrier component of the liquid detergent products herein will generally comprise water present in concentrations ranging from about 5% to about 90%, or from about 5% to about 70%, by weight of the liquid detergent composition.
- the cleaning compositions of the present invention may comprise one or more bleaching agents.
- Suitable bleaching agents other than bleaching catalysts include photobleaches, bleach activators, hydrogen peroxide, sources of hydrogen peroxide, pre-formed peracids and mixtures thereof.
- the compositions of the present invention may comprise from about 0.1% to about 50% or even from about 0.1% to about 25% bleaching agent by weight of the subject cleaning composition.
- suitable bleaching agents include:
- photobleaches for example sulfonated zinc phthalocyanine
- Suitable preformed peracids include, but are not limited to, compounds selected from the group consisting of percarboxylic acids and salts, percarbonic acids and salts, perimidic acids and salts, peroxymonosulfuric acids and salts, for example, Oxzone ®, and mixtures thereof.
- sources of hydrogen peroxide for example, inorganic perhydrate salts, including alkali metal salts such as sodium salts of perborate (usually mono- or tetra-hydrate),
- the inorganic perhydrate salts are selected from the group consisting of sodium salts of perborate, percarbonate and mixtures thereof.
- inorganic perhydrate salts are typically present in amounts of from 0.05 to 40 wt%, or 1 to 30 wt% of the overall composition and are typically incorporated into such compositions as a crystalline solid that may be coated. Suitable coatings include, inorganic salts such as alkali metal silicate, carbonate or borate salts or mixtures thereof, or organic materials such as water-soluble or dispersible polymers, waxes, oils or fatty soaps; and
- suitable leaving groups are benzoic acid and derivatives thereof - especially benzene sulphonate.
- Suitable bleach activators include dodecanoyl oxybenzene sulphonate, decanoyl oxybenzene sulphonate, decanoyl oxybenzoic acid or salts thereof, 3,5,5-trimethyl hexanoyloxybenzene sulphonate, tetraacetyl ethylene diamine (TAED) and nonanoyloxybenzene sulphonate (NOBS).
- TAED tetraacetyl ethylene diamine
- NOBS nonanoyloxybenzene sulphonate
- Suitable bleach activators are also disclosed in WO 98/17767. While any suitable bleach activator may be employed, in one aspect of the invention the subject cleaning composition may comprise NOBS, TAED or mixtures thereof.
- the peracid and/or bleach activator is generally present in the composition in an amount of from about 0.1 to about 60 wt , from about 0.5 to about 40 wt % or even from about 0.6 to about 10 wt% based on the composition.
- One or more hydrophobic peracids or precursors thereof may be used in combination with one or more hydrophilic peracid or precursor thereof.
- the amounts of hydrogen peroxide source and peracid or bleach activator may be selected such that the molar ratio of available oxygen (from the peroxide source) to peracid is from 1:1 to 35:1, or even 2:1 to 10:1.
- Bleach Boosting Compounds may comprise one or more bleach boosting compounds.
- Bleach boosting compounds provide increased bleaching effectiveness in lower temperature applications.
- the bleach boosters act in conjunction with conventional peroxygen bleaching sources to provide increased bleaching effectiveness. This is normally accomplished through in situ formation of an active oxygen transfer agent such as a dioxirane, an oxaziridine, or an oxaziridinium. Alternatively, preformed dioxiranes, oxaziridines and oxaziridiniums may be used.
- suitable bleach boosting compounds for use in accordance with the present invention are cationic imines, zwitterionic imines, anionic imines and/or polyionic imines having a net charge of from about +3 to about -3, and mixtures thereof.
- imine bleach boosting compounds of the present invention include those of the general structure:
- R.1 - R.4 may be a hydrogen or an unsubstituted or substituted radical selected from the group consisting of phenyl, aryl, heterocyclic ring, alkyl and cycloalkyl radicals.
- Suitable bleach boosting compounds include zwitterionic bleach boosters zwitterionic bleach boosters, which are described in U.S. Patent Nos. 5,576,282 and 5,718,614.
- Other bleach boosting compounds include cationic bleach boosters described in U.S. Patent Nos. 5,360,569; 5,442,066; 5,478,357; 5,370,826; 5,482,515; 5,550,256; and WO 95/13351, WO 95/13352, and WO 95/13353.
- Peroxygen sources are well-known in the art and the peroxygen source employed in the present invention may comprise any of these well known sources, including peroxygen compounds as well as compounds, which under consumer use conditions, provide an effective amount of peroxygen in situ.
- the peroxygen source may include a hydrogen peroxide source, the in situ formation of a peracid anion through the reaction of a hydrogen peroxide source and a bleach activator, preformed peracid compounds or mixtures of suitable peroxygen sources.
- a hydrogen peroxide source the in situ formation of a peracid anion through the reaction of a hydrogen peroxide source and a bleach activator, preformed peracid compounds or mixtures of suitable peroxygen sources.
- the bleach boosting compounds when present, are typically employed in conjunction with a peroxygen source in the bleaching systems of the present invention.
- Enzyme Bleaching - Enzymatic systems may be used as bleaching agents.
- the hydrogen peroxide may also be present by adding an enzymatic system (i.e. an enzyme and a substrate therefore) which is capable of generating hydrogen peroxide at the beginning or during the washing and/or rinsing process.
- an enzymatic system i.e. an enzyme and a substrate therefore
- Such enzymatic systems are disclosed in EP Patent Application 91202655.6 filed October 9, 1991.
- compositions and methods may utilize alternative bleach systems such as ozone, chlorine dioxide and the like.
- Bleaching with ozone may be accomplished by introducing ozone-containing gas having ozone content from about 20 to about 300 g/m 3 into the solution that is to contact the fabrics.
- the gas:liquid ratio in the solution should be maintained from about 1:2.5 to about 1:6.
- U.S. Patent No. 5,346, 588 describes a process for the utilization of ozone as an alternative to conventional bleach systems and is herein incorporated by reference.
- the fabric softening active (“FSA”) is a quaternary ammonium compound suitable for softening fabric in a rinse step.
- the FSA is formed from a reaction product of a fatty acid and an aminoalcohol obtaining mixtures of mono-, di-, and, in one aspect, triester compounds.
- the FSA comprises one or more softener quaternary ammonium compounds such, but not limited to, as a monoalkyquaternary ammonium compound, a diamido quaternary compound and a diester quaternary ammonium compound, or a combination thereof.
- the FSA comprises a diester quaternary ammonium (hereinafter "DQA") compound composition.
- DQA compounds compositions also encompasses a description of diamido FSAs and FSAs with mixed amido and ester linkages as well as the aforementioned diester linkages, all herein referred to as DQA.
- a first type of DQA (“DQA (1)”) suitable as a FSA in the present CFSC includes a compound comprising the formula:
- each R substituent is either hydrogen, a short chain C1 -C5, for example C1 -C3 alkyl or hydroxyalkyl group, e.g., methyl, ethyl, propyl, hydroxyethyl, and the like, poly (C2-3 alkoxy), for example, polyethoxy, group, benzyl, or mixtures thereof; each m is 2 or 3; each n is from 1 to about 4, or 2; each Y is -0-(0)C-, -C(0)-0-, -NR-C(O)-, or -C(0)-NR- and it is acceptable for each Y to be the same or different; the sum of carbons in each R1, plus one when Y is -0-(0)C- or -NR-C(O) -, is Ci 2-C22 > OR C14-C20 with each R1 being a hydrocarbyl, or substituted hydrocarbyl group; it is acceptable for R1 to be unsaturated or saturated and branched or linear and
- Suitable DQA compounds are typically made by reacting alkanolamines such as MDEA (methyldiethanolamine) and TEA (triethanolamine) with fatty acids.
- alkanolamines such as MDEA (methyldiethanolamine) and TEA (triethanolamine)
- Some materials that typically result from such reactions include N,N-di(acyl- oxyethyl)-N,N-dimethylammonium chloride or N,N-di(acyl-oxyethyl)-N,N- methylhydroxyethylammonium methylsulfate
- the acyl group is derived from animal fats, unsaturated, and polyunsaturated, fatty acids, e.g., tallow, hardended tallow, oleic acid, and/or partially hydrogenated fatty acids, derived from vegetable oils and/or partially hydrogenated vegetable oils, such as, canola oil, safflower oil, peanut oil, sunflower oil, corn oil, soybean oil, tall oil
- the FSA comprises other actives in addition to DQA (1) or DQA.
- the FSA comprises only DQA (1) or DQA and is free or essentially free of any other quaternary ammonium compounds or other actives.
- the FSA comprises the precursor amine that is used to produce the DQA.
- the FSA comprises a compound, identified as DTTMAC comprising the formula:
- each R1 is a C -C22 * or C ⁇ 4-C20 but no more than one being less than about ( 2 and then the other is at least about 16, hydrocarbyl, or substituted hydrocarbyl substituent, for example, C10-C20 alkyl or alkenyl (unsaturated alkyl, including polyunsaturated alkyl, also referred to sometimes as "alkylene"), in one aspect C12-C1 3 alkyl or alkenyl, and branch or unbranched.
- the Iodine Value (IV) of the FSA is from about 1 to 70; each R is H or a short chain C ⁇ -C5, or C1 -C3 alkyl or hydroxyalkyl group, e.g., methyl, ethyl, propyl, hydroxyethyl, and the like, benzyl, or (R ⁇ 0)2-4H where each R ⁇ is a C ⁇ .5 alkylene group; and A " is a softener compatible anion, suitable anions include chloride, bromide, methylsulfate, ethylsulfate, sulfate, phosphate, or nitrate; in one aspect the anions are chloride or methyl sulfate.
- FSAs include dialkydimethylammonium salts and dialkylenedimethylammonium salts such as ditallowdimethylammonium and ditallowdimethylammonium methylsulfate.
- dialkylenedimethylammonium salts such as ditallowdimethylammonium and ditallowdimethylammonium methylsulfate.
- dialkylenedimethylammonium salts usable in the present invention are di-hydrogenated tallow dimethyl ammonium chloride and ditallowdimethyl ammonium chloride available from Degussa under the trade names Adogen® 442 and Adogen® 470 respectively.
- the FSA comprises other actives in addition to DTTMAC.
- the FSA comprises only compounds of the DTTMAC and is free or essentially free of any other quaternary ammonium compounds or other actives.
- the FSA comprises an FSA described in U.S. Pat. Pub. No. 2004/0204337 Al, published Oct. 14, 2004 to Corona et al., from paragraphs 30 - 79.
- the FSA is one described in U.S. Pat. Pub. No. 2004/0229769 Al , published Nov. 18, 2005, to Smith et al., on paragraphs 26 - 31 ; or U.S. Pat. No. 6,494,920, at column 1 , line 51 et seq. detailing an "esterquat" or a quaternized fatty acid triethanolamine ester salt.
- the FSA is chosen from at least one of the following: ditallowoyloxyethyl dimethyl ammonium chloride, dihydrogenated-tallowoyloxyethyl dimethyl ammonium chloride, ditallow dimethyl ammonium chloride, ditallowoyloxyethyl dimethyl ammonium methyl sulfate, dihydrogenated-tallowoyloxyethyl dimethyl ammonium chloride, dihydrogenated- tallowoyloxyethyl dimethyl ammonium chloride, or combinations thereof.
- the FSA may also include amide containing compound compositions.
- diamide comprising compounds may include but not limited to methyl-bis(tallowamidoethyl)-2- hydroxyethylammonium methyl sulfate (available from Degussa under the trade names Varisoft 110 and Varisoft 222).
- An example of an amide-ester containing compound is N-[3- (stearoylamino)propyl]-N-[2-(stearoyloxy)ethoxy)ethyl)]-N-methylamine.
- a rinse added fabric softening composition further comprising a cationic starch.
- Cationic starches are disclosed in US 2004/0204337 Al .
- the rinse added fabric softening composition comprises from about 0.1 % to about 7% of cationic starch by weight of the fabric softening composition.
- the cationic starch is HCP401 from National Starch.
- compositions of the present invention can comprise one or more detergent builders or builder systems. When present, the compositions will typically comprise at least about 1% builder, or from about 5% or 10% to about 80%, 50%, or even 30% by weight, of said builder.
- Builders include, but are not limited to, the alkali metal, ammonium and alkanolammonium salts of polyphosphates, alkali metal silicates, alkaline earth and alkali metal carbonates, aluminosilicate builders polycarboxylate compounds, ether hydroxypolycarboxylates, copolymers of maleic anhydride with ethylene or vinyl methyl ether, 1,3,5-trihydroxybenzene- 2,4,6-trisulphonic acid, and carboxymethyl-oxysuccinic acid, the various alkali metal, ammonium and substituted ammonium salts of polyacetic acids such as ethylenediamine tetraacetic acid and nitrilotriacetic acid, as well as polycarboxylates such as mellitic acid, succinic acid, oxydisuccinic acid, polymaleic acid, benzene 1,3,5-tricarboxylic acid, carboxymethyloxysuccinic acid, and soluble salts thereof.
- compositions herein may also optionally contain one or more copper, iron and/or manganese chelating agents. If utilized, chelating agents will generally comprise from about 0.1% by weight of the compositions herein to about 15%, or even from about 3.0% to about 15% by weight of the compositions herein.
- compositions of the present invention may also include one or more dye transfer inhibiting agents.
- Suitable polymeric dye transfer inhibiting agents include, but are not limited to, polyvinylpyrrolidone polymers, polyamine N-oxide polymers, copolymers of N-vinylpyrrolidone and N-vinylimidazole, polyvinyloxazolidones and polyvinylimidazoles or mixtures thereof.
- the dye transfer inhibiting agents are present at levels from about 0.0001%, from about 0.01%, from about 0.05% by weight of the cleaning compositions to about 10%, about 2%, or even about 1% by weight of the cleaning compositions.
- compositions of the present invention can also contain dispersants.
- Suitable water-soluble organic materials are the homo- or co-polymeric acids or their salts, in which the polycarboxylic acid may comprise at least two carboxyl radicals separated from each other by not more than two carbon atoms.
- Enzymes - The compositions can comprise one or more detergent enzymes which provide cleaning performance and/or fabric care benefits.
- suitable enzymes include, but are not limited to, hemicellulases, peroxidases, proteases, cellulases, xylanases, lipases, phospholipases, esterases, cutinases, pectinases, keratanases, reductases, oxidases, phenoloxidases, lipoxygenases, ligninases, pullulanases, tannases, pentosanases, malanases, ⁇ - glucanases, arabinosidases, hyaluronidase, chondroitinase, laccase, and amylases, or mixtures thereof.
- a typical combination is a cocktail of conventional applicable enzymes like protease, lipase, cutinase and/or cellulase in conjunction with amylase.
- Enzyme Stabilizers - Enzymes for use in compositions for example, detergents can be stabilized by various techniques.
- the enzymes employed herein can be stabilized by the presence of water- soluble sources of calcium and/or magnesium ions in the finished compositions that provide such ions to the enzymes.
- laundry care compositions of the present invention can be formulated into any suitable form and prepared by any process chosen by the formulator, non-limiting examples of which are described in Applicants' examples and in U.S. 5,879,584; U.S. 5,691,297; U.S. 5,574,005; U.S. 5,569,645; U.S. 5,565,422; U.S. 5,516,448; U.S. 5,489,392; U.S. 5,486,303 all of which are incorporated herein by reference.
- the liquid detergent compositions may be in the form of an aqueous solution or uniform dispersion or suspension of surfactant, hueing agent, and certain optional other ingredients, some of which may normally be in solid form, that have been combined with the normally liquid components of the composition, such as the liquid alcohol ethoxylate nonionic, the aqueous liquid carrier, and any other normally liquid optional ingredients.
- a solution, dispersion or suspension will be acceptably phase stable and will typically have a viscosity which ranges from about 100 to 600 cps, or from about 150 to 400 cps. For purposes of this invention, viscosity is measured with a Brookfield LVDV-II+ viscometer apparatus using a #21 spindle.
- the liquid detergent compositions herein can be prepared by combining the components thereof in any convenient order and by mixing, e.g., agitating, the resulting component combination to form a phase stable liquid detergent composition.
- a liquid matrix is formed containing at least a major proportion, or even substantially all, of the liquid components, e.g., nonionic surfactant, the non-surface active liquid carriers and other optional liquid components, with the liquid components being thoroughly admixed by imparting shear agitation to this liquid combination.
- the liquid components e.g., nonionic surfactant, the non-surface active liquid carriers and other optional liquid components
- shear agitation for example, rapid stirring with a mechanical stirrer may usefully be employed. While shear agitation is maintained, substantially all of any anionic surfactants and the solid form ingredients can be added.
- Agitation of the mixture is continued, and if necessary, can be increased at this point to form a solution or a uniform dispersion of insoluble solid phase particulates within the liquid phase.
- particles of any enzyme material to be included e.g., enzyme prills, are incorporated.
- one or more of the solid components may be added to the agitated mixture as a solution or slurry of particles premixed with a minor portion of one or more of the liquid components.
- agitation of the mixture is continued for a period of time sufficient to form compositions having the requisite viscosity and phase stability characteristics. Frequently this will involve agitation for a period of from about 30 to 60 minutes.
- the hueing agent is first combined with one or more liquid components to form a hueing agent premix, and this hueing agent premix is added to a composition formulation containing a substantial portion, for example more than 50% by weight, more specifically, more than 70% by weight, and yet more specifically, more than 90% by weight, of the balance of components of the laundry detergent composition.
- a composition formulation containing a substantial portion for example more than 50% by weight, more specifically, more than 70% by weight, and yet more specifically, more than 90% by weight, of the balance of components of the laundry detergent composition.
- both the hueing agent premix and the enzyme component are added at a final stage of component additions.
- the hueing agent is encapsulated prior to addition to the detergent composition, the encapsulated hueing agent is suspended in a structured liquid, and the suspension is added to a composition formulation containing a substantial portion of the balance of components of the laundry detergent composition.
- the detergent compositions may be in a solid form. Suitable solid forms include tablets and particulate forms, for example, granular particles, flakes or sheets. Various techniques for forming detergent compositions in such solid forms are well known in the art and may be used herein.
- the hueing agent is provided in particulate form, optionally including additional but not all components of the laundry detergent composition.
- the hueing agent particulate is combined with one or more additional particulates containing a balance of components of the laundry detergent composition.
- the hueing agent, optionally including additional but not all components of the laundry detergent composition may be provided in an encapsulated form, and the hueing agent encapsulate is combined with particulates containing a substantial balance of components of the laundry detergent composition.
- compositions of this invention can be used to form aqueous washing solutions for use in the laundering of fabrics.
- an effective amount of such compositions is added to water, for example in a conventional fabric laundering automatic washing machine, to form such aqueous laundering solutions.
- the aqueous washing solution so formed is then contacted, typically under agitation, with the fabrics to be laundered therewith.
- An effective amount of the liquid detergent compositions herein added to water to form aqueous laundering solutions can comprise amounts sufficient to form from about 500 to 7,000 ppm of composition in aqueous washing solution, or from about 1 ,000 to 3,000 ppm of the detergent compositions herein will be provided in aqueous washing solution.
- Certain of the consumer products disclosed herein can be used to clean or treat a situs inter alia a surface or fabric.
- a situs is contacted with an embodiment of Applicants' consumer product, in neat form or diluted in a liquor, for example, a wash liquor and then the situs may be optionally washed and/or rinsed.
- a situs is optionally washed and/or rinsed, contacted with an aspect of the consumer product and then optionally washed and/or rinsed.
- washing includes but is not limited to, scrubbing, and mechanical agitation.
- the fabric may comprise most any fabric capable of being laundered or treated in normal consumer use conditions.
- Liquors that may comprise the disclosed compositions may have a pH of from about 3 to about 11.5. Such compositions are typically employed at concentrations of from about 500 ppm to about 15,000 ppm in solution.
- the wash solvent is water
- the water temperature typically ranges from about 5 °C to about 90 °C and, when the situs comprises a fabric, the water to fabric ratio is typically from about 1 : 1 to about 30: 1.
- Employing one or more of the aforementioned methods results in a treated situs.
- a method of treating and/or cleaning a surface or fabric comprising the steps of optionally washing and/or rinsing said surface or fabric, contacting said surface or fabric with any laundry care composition disclosed in this specification, then optionally washing and/or rinsing said surface and/or fabric then optionally letting said surface or fabric to dry and/or actively drying said surface or fabric, is disclosed.
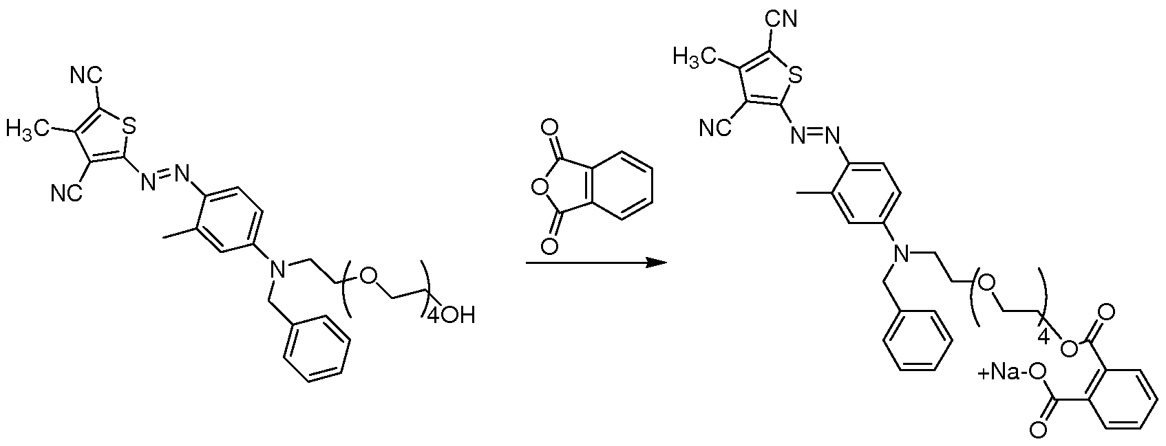
- Example 5 To 25 parts of the thiophene azo polymeric colorant is added 8 parts of maleic anhydride. The reaction is heated to 85°C for 12 hours and then cooled down to room temperature. The pH of the mixture is adjusted to 7 using sodium hydroxide, and the water is removed from the mixture via rotary evaporation. The desired product is obtained in quantitative conversion as assessed by HPLC.
- Example 5 To 25 parts of the thiophene azo polymeric colorant is added 8 parts of maleic anhydride. The reaction is heated to 85°C for 12 hours and then cooled down to room temperature. The pH of the mixture is adjusted to 7 using sodium hydroxide, and the water is removed from the mixture via rotary evaporation. The desired product is obtained in quantitative conversion as assessed by HPLC. Example 5
- Example 24 To 25 parts of the thiophene azo polymeric colorant is added 8 parts of hexahydrophthalic anhydride. The reaction is heated to 85°C for 12 hours and then cooled down to room temperature. The pH of the mixture is adjusted to 7 using sodium hydroxide, and the water is removed from the mixture via rotary evaporation. The desired product is obtained in quantitative conversion as assessed by HPLC.
- Example 24 To 25 parts of the thiophene azo polymeric colorant is added 8 parts of hexahydrophthalic anhydride. The reaction is heated to 85°C for 12 hours and then cooled down to room temperature. The pH of the mixture is adjusted to 7 using sodium hydroxide, and the water is removed from the mixture via rotary evaporation. The desired product is obtained in quantitative conversion as assessed by HPLC.
- Example 24 To 25 parts of the thiophene azo polymeric colorant is added 8 parts of hexahydrophthalic anhydride. The reaction is heated to 85°C for 12 hours and then cooled
- a sample of 0.1000 grams of color is diluted to volume in a lOOmL volumetric flask using methanol. 2mL of this solution are transferred to a second lOOmL volumetric flask and diluted to volume with methanol. The absorbance and lambda max of the diluted colorant are measured using a spectrophotometer in a 1cm cell.
- Extinction coefficient ((absorbance/mass used)X5)/ MW of colorant Exemplary Detergent Formulations
- Tables 7A and 7B provide examples of liquid detergent formulations which include at least one thiophene azo dye of the present invention as a hueing agent.
- the formulations are shown in Table 7A as Formulations la through If and in Table 7B as Formulations lg through 11.
- citric acid 2.0% 2.0% 3.4% 1.9% 1.0% 1.6% fatty acid 3.0% 3.0% 8.3% 16.0% protease 1.0% 1.0% 0.7% 1.0% 2.5% amylase 0.2% 0.2% 0.2% 0.3% lipase 0.2%
- Non-tinting dyes 4 0.0001% 0.001% 0.008% 0.03% 0.015% 0.05%
- Hueing Agent 7 0.01% 0.02% 0.003% 0.012%
- Table 8 provides examples of granular detergent formulations which include at least one thiophene azo carboxylate dye of the present invention as a hueing agent.
- the formulations are shown in Table 8 as Formulations 2a through 2e.
- Formulations 3a - 3d Liquid Fabric Care Compositions
- Table 9 provides examples of liquid fabric care compositions which include at least one thiophene azo carboxylate dye of the present invention as a hueing agent.
- the compositions are shown in Table 9 as Formulations 3 a through 3d.
- Cationic starch based on common maize starch or potato starch, containing 25% to 95% amylose and a degree of substitution of from 0.02 to 0.09, and having a viscosity measured as Water Fluidity having a value from 50 to 84.
Landscapes
- Chemical & Material Sciences (AREA)
- Organic Chemistry (AREA)
- Life Sciences & Earth Sciences (AREA)
- Engineering & Computer Science (AREA)
- Chemical Kinetics & Catalysis (AREA)
- Oil, Petroleum & Natural Gas (AREA)
- Wood Science & Technology (AREA)
- Detergent Compositions (AREA)
- Treatments For Attaching Organic Compounds To Fibrous Goods (AREA)
Abstract
Description
Claims
Priority Applications (6)
| Application Number | Priority Date | Filing Date | Title |
|---|---|---|---|
| MX2013014014A MX2013014014A (en) | 2011-06-03 | 2012-05-29 | Thiophene azo carboxylate dyes and laundry care compositions containing the same. |
| JP2014513636A JP6005733B2 (en) | 2011-06-03 | 2012-05-29 | Thiophene azocarboxylate dye and laundry care composition containing the same |
| EP12724847.4A EP2714879A1 (en) | 2011-06-03 | 2012-05-29 | Thiophene azo carboxylate dyes and laundry care compositions containing the same |
| BR112013030447A BR112013030447A2 (en) | 2011-06-03 | 2012-05-29 | thiophene azo carboxylate dyes and laundry care compositions containing |
| CN201280026477.6A CN103703117B (en) | 2011-06-03 | 2012-05-29 | Thiophene azocarboxylate dyes and laundry care compositions containing them |
| CA2837086A CA2837086A1 (en) | 2011-06-03 | 2012-05-29 | Thiophene azo carboxylate dyes and laundry care compositions containing the same |
Applications Claiming Priority (2)
| Application Number | Priority Date | Filing Date | Title |
|---|---|---|---|
| US201161492928P | 2011-06-03 | 2011-06-03 | |
| US61/492,928 | 2011-06-03 |
Publications (1)
| Publication Number | Publication Date |
|---|---|
| WO2012166699A1 true WO2012166699A1 (en) | 2012-12-06 |
Family
ID=46197738
Family Applications (1)
| Application Number | Title | Priority Date | Filing Date |
|---|---|---|---|
| PCT/US2012/039810 Ceased WO2012166699A1 (en) | 2011-06-03 | 2012-05-29 | Thiophene azo carboxylate dyes and laundry care compositions containing the same |
Country Status (9)
| Country | Link |
|---|---|
| US (2) | US8888865B2 (en) |
| EP (1) | EP2714879A1 (en) |
| JP (1) | JP6005733B2 (en) |
| CN (1) | CN103703117B (en) |
| AR (1) | AR086843A1 (en) |
| BR (1) | BR112013030447A2 (en) |
| CA (1) | CA2837086A1 (en) |
| MX (1) | MX2013014014A (en) |
| WO (1) | WO2012166699A1 (en) |
Cited By (20)
| Publication number | Priority date | Publication date | Assignee | Title |
|---|---|---|---|---|
| WO2013142486A1 (en) * | 2012-03-19 | 2013-09-26 | The Procter & Gamble Company | Laundry care compositions containing dyes |
| WO2014089386A1 (en) | 2012-12-06 | 2014-06-12 | The Procter & Gamble Company | Soluble pouch comprising hueing dye |
| EP2767581A1 (en) | 2013-02-19 | 2014-08-20 | The Procter & Gamble Company | Method of laundering a fabric |
| EP2767582A1 (en) | 2013-02-19 | 2014-08-20 | The Procter and Gamble Company | Method of laundering a fabric |
| EP2767579A1 (en) | 2013-02-19 | 2014-08-20 | The Procter and Gamble Company | Method of laundering a fabric |
| EP2832842A1 (en) | 2013-07-30 | 2015-02-04 | The Procter & Gamble Company | Method of making granular detergent compositions comprising surfactants |
| EP2832843A1 (en) | 2013-07-30 | 2015-02-04 | The Procter & Gamble Company | Method of making granular detergent compositions comprising polymers |
| WO2015042087A1 (en) * | 2013-09-18 | 2015-03-26 | The Procter & Gamble Company | Laundry care composition comprising carboxylate dye |
| WO2015042086A1 (en) * | 2013-09-18 | 2015-03-26 | The Procter & Gamble Company | Laundry care composition comprising carboxylate dye |
| WO2015041814A1 (en) * | 2013-09-18 | 2015-03-26 | The Procter & Gamble Company | Laundry care composition comprising carboxylate dye |
| EP2862921A1 (en) * | 2013-10-17 | 2015-04-22 | The Procter and Gamble Company | Liquid laundry composition comprising an alkoxylated polymer and a shading dye |
| EP2862919A1 (en) * | 2013-10-17 | 2015-04-22 | The Procter and Gamble Company | Composition comprising shading dye |
| EP2862920A1 (en) * | 2013-10-17 | 2015-04-22 | The Procter and Gamble Company | Laundry treatment composition comprising a shading dye and chelant |
| JP2015513576A (en) * | 2012-02-13 | 2015-05-14 | ミリケン・アンド・カンパニーMilliken & Company | Laundry care compositions containing dyes |
| WO2015041887A3 (en) * | 2013-09-18 | 2015-05-14 | Milliken & Company | Laundry care composition comprising carboxylate dye |
| WO2015112341A1 (en) | 2014-01-22 | 2015-07-30 | The Procter & Gamble Company | Fabric treatment composition |
| WO2015126547A1 (en) | 2014-02-19 | 2015-08-27 | Milliken & Company | Composition comprising benefit agent and aprotic solvent |
| WO2015127004A1 (en) | 2014-02-19 | 2015-08-27 | The Procter & Gamble Company | Composition comprising benefit agent and aprotic solvent |
| EP2987848A1 (en) | 2014-08-19 | 2016-02-24 | The Procter & Gamble Company | Method of laundering a fabric |
| EP2987849A1 (en) | 2014-08-19 | 2016-02-24 | The Procter and Gamble Company | Method of Laundering a Fabric |
Families Citing this family (13)
| Publication number | Priority date | Publication date | Assignee | Title |
|---|---|---|---|---|
| US8715368B2 (en) | 2010-11-12 | 2014-05-06 | The Procter & Gamble Company | Thiophene azo dyes and laundry care compositions containing the same |
| US9163146B2 (en) | 2011-06-03 | 2015-10-20 | Milliken & Company | Thiophene azo carboxylate dyes and laundry care compositions containing the same |
| JP5883127B2 (en) * | 2011-06-03 | 2016-03-09 | ザ プロクター アンド ギャンブルカンパニー | Laundry care compositions containing dyes |
| US8888865B2 (en) | 2011-06-03 | 2014-11-18 | The Procter & Gamble Company | Thiophene azo carboxylate dyes and laundry care compositions containing the same |
| MX2016003538A (en) * | 2013-09-18 | 2016-06-28 | Procter & Gamble | Laundry care compositions containing thiophene azo carboxylate dyes. |
| US20150080560A1 (en) * | 2013-09-18 | 2015-03-19 | Milliken & Company | Laundry Care Compositions Containing Dyes |
| WO2015041815A1 (en) * | 2013-09-18 | 2015-03-26 | The Procter & Gamble Company | Laundry care composition comprising carboxylate dye |
| US10155868B2 (en) * | 2015-10-13 | 2018-12-18 | Milliken & Company | Whitening agents for cellulosic substrates |
| JP6932775B2 (en) * | 2016-11-01 | 2021-09-08 | ザ プロクター アンド ギャンブル カンパニーThe Procter & Gamble Company | Method of using leuco colorant as a bluish agent in laundry care composition |
| CN112292403B (en) | 2018-06-20 | 2023-08-22 | 宝洁公司 | Products comprising polysaccharide derivatives |
| US12195703B2 (en) | 2020-03-02 | 2025-01-14 | Milliken & Company | Composition comprising hueing agent |
| US12031113B2 (en) | 2020-03-02 | 2024-07-09 | Milliken & Company | Composition comprising hueing agent |
| US11718814B2 (en) | 2020-03-02 | 2023-08-08 | Milliken & Company | Composition comprising hueing agent |
Citations (5)
| Publication number | Priority date | Publication date | Assignee | Title |
|---|---|---|---|---|
| US5576282A (en) | 1995-09-11 | 1996-11-19 | The Procter & Gamble Company | Color-safe bleach boosters, compositions and laundry methods employing same |
| WO2008087497A1 (en) * | 2007-01-19 | 2008-07-24 | The Procter & Gamble Company | Laundry care composition comprising a whitening agent for cellulosic substrates |
| EP2133410A1 (en) * | 2008-06-13 | 2009-12-16 | The Procter and Gamble Company | Multi-compartment pouch |
| WO2011011799A2 (en) * | 2010-11-12 | 2011-01-27 | The Procter & Gamble Company | Thiophene azo dyes and laundry care compositions containing the same |
| WO2011017719A2 (en) * | 2010-11-12 | 2011-02-10 | Milliken & Company | Thiophene azo dyes and laundry care compositions containing the same |
Family Cites Families (18)
| Publication number | Priority date | Publication date | Assignee | Title |
|---|---|---|---|---|
| GB1425029A (en) | 1972-07-03 | 1976-02-18 | Ici Ltd | Azo dyes derived from thiophene diazo components |
| GB2147599B (en) | 1983-10-07 | 1987-09-03 | Kodak Ltd | 2-amino-cinnamoylthiophene disperse azo dye compounds |
| US5176745A (en) | 1991-12-11 | 1993-01-05 | Milliken Research Corporation | Aqueous ink composition and colorants useful therein |
| GB9403133D0 (en) | 1994-02-18 | 1994-04-06 | Zeneca Ltd | Process |
| EP1408091B1 (en) | 2001-01-31 | 2005-09-21 | Fuji Photo Film Co., Ltd. | Disazo compound, dye, ink and ink-jet recording method |
| AR049537A1 (en) | 2004-06-29 | 2006-08-09 | Procter & Gamble | DETERGENT COMPOSITIONS FOR LAUNDRY WITH DYING COLOR |
| US8268016B2 (en) | 2004-09-23 | 2012-09-18 | The Sun Products Corporation | Laundry treatment compositions |
| GB0421145D0 (en) | 2004-09-23 | 2004-10-27 | Unilever Plc | Laundry treatment compositions |
| JP2007099825A (en) | 2005-09-30 | 2007-04-19 | Fujifilm Corp | Aqueous ink, ink for ink jet recording, ink jet recording method, recorded matter, ink cartridge, ink jet printer |
| US20080177089A1 (en) | 2007-01-19 | 2008-07-24 | Eugene Steven Sadlowski | Novel whitening agents for cellulosic substrates |
| US7642282B2 (en) * | 2007-01-19 | 2010-01-05 | Milliken & Company | Whitening agents for cellulosic substrates |
| ES2372328T3 (en) | 2007-01-26 | 2012-01-18 | Unilever N.V. | COMPOSITION OF MATIZED. |
| US8715368B2 (en) | 2010-11-12 | 2014-05-06 | The Procter & Gamble Company | Thiophene azo dyes and laundry care compositions containing the same |
| US9068081B2 (en) | 2010-11-12 | 2015-06-30 | Milliken & Company | Thiophene azo dyes and laundry care compositions containing the same |
| US8888865B2 (en) | 2011-06-03 | 2014-11-18 | The Procter & Gamble Company | Thiophene azo carboxylate dyes and laundry care compositions containing the same |
| JP5883127B2 (en) | 2011-06-03 | 2016-03-09 | ザ プロクター アンド ギャンブルカンパニー | Laundry care compositions containing dyes |
| US9163146B2 (en) | 2011-06-03 | 2015-10-20 | Milliken & Company | Thiophene azo carboxylate dyes and laundry care compositions containing the same |
| US20140371435A9 (en) | 2011-06-03 | 2014-12-18 | Eduardo Torres | Laundry Care Compositions Containing Thiophene Azo Dyes |
-
2012
- 2012-05-23 US US13/478,148 patent/US8888865B2/en active Active
- 2012-05-29 WO PCT/US2012/039810 patent/WO2012166699A1/en not_active Ceased
- 2012-05-29 BR BR112013030447A patent/BR112013030447A2/en not_active IP Right Cessation
- 2012-05-29 MX MX2013014014A patent/MX2013014014A/en unknown
- 2012-05-29 JP JP2014513636A patent/JP6005733B2/en not_active Expired - Fee Related
- 2012-05-29 CN CN201280026477.6A patent/CN103703117B/en not_active Expired - Fee Related
- 2012-05-29 EP EP12724847.4A patent/EP2714879A1/en not_active Withdrawn
- 2012-05-29 CA CA2837086A patent/CA2837086A1/en not_active Abandoned
- 2012-06-01 AR ARP120101956A patent/AR086843A1/en unknown
-
2014
- 2014-10-07 US US14/507,860 patent/US9752104B2/en active Active
Patent Citations (5)
| Publication number | Priority date | Publication date | Assignee | Title |
|---|---|---|---|---|
| US5576282A (en) | 1995-09-11 | 1996-11-19 | The Procter & Gamble Company | Color-safe bleach boosters, compositions and laundry methods employing same |
| WO2008087497A1 (en) * | 2007-01-19 | 2008-07-24 | The Procter & Gamble Company | Laundry care composition comprising a whitening agent for cellulosic substrates |
| EP2133410A1 (en) * | 2008-06-13 | 2009-12-16 | The Procter and Gamble Company | Multi-compartment pouch |
| WO2011011799A2 (en) * | 2010-11-12 | 2011-01-27 | The Procter & Gamble Company | Thiophene azo dyes and laundry care compositions containing the same |
| WO2011017719A2 (en) * | 2010-11-12 | 2011-02-10 | Milliken & Company | Thiophene azo dyes and laundry care compositions containing the same |
Cited By (38)
| Publication number | Priority date | Publication date | Assignee | Title |
|---|---|---|---|---|
| JP2015513576A (en) * | 2012-02-13 | 2015-05-14 | ミリケン・アンド・カンパニーMilliken & Company | Laundry care compositions containing dyes |
| WO2013142495A1 (en) * | 2012-03-19 | 2013-09-26 | Milliken & Company | Carboxylate dyes |
| JP2015514142A (en) * | 2012-03-19 | 2015-05-18 | ミリケン・アンド・カンパニーMilliken & Company | Carboxylate dye |
| US9187717B2 (en) | 2012-03-19 | 2015-11-17 | Milliken & Company | Carboxylate dyes |
| WO2013142486A1 (en) * | 2012-03-19 | 2013-09-26 | The Procter & Gamble Company | Laundry care compositions containing dyes |
| WO2014089386A1 (en) | 2012-12-06 | 2014-06-12 | The Procter & Gamble Company | Soluble pouch comprising hueing dye |
| WO2014130509A1 (en) | 2013-02-19 | 2014-08-28 | The Procter & Gamble Company | Method of laundering a fabric |
| WO2014130508A1 (en) | 2013-02-19 | 2014-08-28 | The Procter & Gamble Company | Method of laundering a fabric |
| WO2014130512A1 (en) | 2013-02-19 | 2014-08-28 | The Procter & Gamble Company | Method of laundering a fabric |
| EP2767579A1 (en) | 2013-02-19 | 2014-08-20 | The Procter and Gamble Company | Method of laundering a fabric |
| EP2767582A1 (en) | 2013-02-19 | 2014-08-20 | The Procter and Gamble Company | Method of laundering a fabric |
| EP2767581A1 (en) | 2013-02-19 | 2014-08-20 | The Procter & Gamble Company | Method of laundering a fabric |
| EP2832842A1 (en) | 2013-07-30 | 2015-02-04 | The Procter & Gamble Company | Method of making granular detergent compositions comprising surfactants |
| EP2832843A1 (en) | 2013-07-30 | 2015-02-04 | The Procter & Gamble Company | Method of making granular detergent compositions comprising polymers |
| US9228160B2 (en) | 2013-09-18 | 2016-01-05 | The Procter & Gamble Company | Laundry care composition comprising carboxylate dye |
| WO2015042086A1 (en) * | 2013-09-18 | 2015-03-26 | The Procter & Gamble Company | Laundry care composition comprising carboxylate dye |
| CN105555876A (en) * | 2013-09-18 | 2016-05-04 | 宝洁公司 | Laundry care compositions comprising carboxylate dyes |
| US9834682B2 (en) | 2013-09-18 | 2017-12-05 | Milliken & Company | Laundry care composition comprising carboxylate dye |
| CN108774405A (en) * | 2013-09-18 | 2018-11-09 | 美利肯公司 | Include the laundry care composition of carboxylic acid salt dyestuff |
| CN105764996A (en) * | 2013-09-18 | 2016-07-13 | 美利肯公司 | Laundry care compositions comprising carboxylate dyes |
| US9267098B2 (en) | 2013-09-18 | 2016-02-23 | The Procter & Gamble Company | Laundry care composition comprising carboxylate dye |
| WO2015041887A3 (en) * | 2013-09-18 | 2015-05-14 | Milliken & Company | Laundry care composition comprising carboxylate dye |
| WO2015041814A1 (en) * | 2013-09-18 | 2015-03-26 | The Procter & Gamble Company | Laundry care composition comprising carboxylate dye |
| US9234163B2 (en) | 2013-09-18 | 2016-01-12 | The Procter & Gamble Company | Laundry care composition comprising carboxylate dye |
| CN108774405B (en) * | 2013-09-18 | 2021-10-08 | 美利肯公司 | Laundry care compositions comprising carboxylate dyes |
| WO2015042087A1 (en) * | 2013-09-18 | 2015-03-26 | The Procter & Gamble Company | Laundry care composition comprising carboxylate dye |
| WO2015058083A1 (en) * | 2013-10-17 | 2015-04-23 | The Procter & Gamble Company | Laundry treatment composition comprising a shading dye and chelant |
| EP2862919A1 (en) * | 2013-10-17 | 2015-04-22 | The Procter and Gamble Company | Composition comprising shading dye |
| EP2862921A1 (en) * | 2013-10-17 | 2015-04-22 | The Procter and Gamble Company | Liquid laundry composition comprising an alkoxylated polymer and a shading dye |
| WO2015058081A1 (en) * | 2013-10-17 | 2015-04-23 | The Procter & Gamble Company | Liquid laundry composition comprising an alkoxylated polymer and a shading dye |
| WO2015058078A1 (en) * | 2013-10-17 | 2015-04-23 | The Procter & Gamble Company | Composition comprising shading dye |
| EP2862920A1 (en) * | 2013-10-17 | 2015-04-22 | The Procter and Gamble Company | Laundry treatment composition comprising a shading dye and chelant |
| WO2015112341A1 (en) | 2014-01-22 | 2015-07-30 | The Procter & Gamble Company | Fabric treatment composition |
| WO2015127004A1 (en) | 2014-02-19 | 2015-08-27 | The Procter & Gamble Company | Composition comprising benefit agent and aprotic solvent |
| EP3107988A1 (en) * | 2014-02-19 | 2016-12-28 | Milliken & Company | Composition comprising benefit agent and aprotic solvent |
| WO2015126547A1 (en) | 2014-02-19 | 2015-08-27 | Milliken & Company | Composition comprising benefit agent and aprotic solvent |
| EP2987849A1 (en) | 2014-08-19 | 2016-02-24 | The Procter and Gamble Company | Method of Laundering a Fabric |
| EP2987848A1 (en) | 2014-08-19 | 2016-02-24 | The Procter & Gamble Company | Method of laundering a fabric |
Also Published As
| Publication number | Publication date |
|---|---|
| CA2837086A1 (en) | 2012-12-06 |
| US20120304398A1 (en) | 2012-12-06 |
| MX2013014014A (en) | 2016-06-21 |
| BR112013030447A2 (en) | 2016-09-27 |
| AR086843A1 (en) | 2014-01-29 |
| CN103703117B (en) | 2015-11-25 |
| JP2014520177A (en) | 2014-08-21 |
| US20150031591A1 (en) | 2015-01-29 |
| US9752104B2 (en) | 2017-09-05 |
| US8888865B2 (en) | 2014-11-18 |
| EP2714879A1 (en) | 2014-04-09 |
| CN103703117A (en) | 2014-04-02 |
| JP6005733B2 (en) | 2016-10-12 |
Similar Documents
| Publication | Publication Date | Title |
|---|---|---|
| EP2714815B1 (en) | Thiophene azo carboxylate dyes and laundry care compositions containing the same | |
| WO2012166699A1 (en) | Thiophene azo carboxylate dyes and laundry care compositions containing the same | |
| EP2638142B1 (en) | Thiophene azo dyes and laundry care compositions containing the same | |
| EP2638113B1 (en) | Thiophene azo dyes and laundry care compositions containing the same | |
| US10655091B2 (en) | Thiophene azo dyes and laundry care compositions containing the same | |
| US9556337B2 (en) | Thiophene azo dyes and laundry care compositions containing the same | |
| EP3408332A1 (en) | Bis-azo colorants for use as bluing agents | |
| CN104053727B (en) | Thiophene azo carboxylate's dyestuff and comprise its fabric care composition |
Legal Events
| Date | Code | Title | Description |
|---|---|---|---|
| 121 | Ep: the epo has been informed by wipo that ep was designated in this application |
Ref document number: 12724847 Country of ref document: EP Kind code of ref document: A1 |
|
| ENP | Entry into the national phase |
Ref document number: 2837086 Country of ref document: CA |
|
| WWE | Wipo information: entry into national phase |
Ref document number: 2012724847 Country of ref document: EP |
|
| ENP | Entry into the national phase |
Ref document number: 2014513636 Country of ref document: JP Kind code of ref document: A |
|
| WWE | Wipo information: entry into national phase |
Ref document number: MX/A/2013/014014 Country of ref document: MX |
|
| NENP | Non-entry into the national phase |
Ref country code: DE |
|
| REG | Reference to national code |
Ref country code: BR Ref legal event code: B01A Ref document number: 112013030447 Country of ref document: BR |
|
| ENP | Entry into the national phase |
Ref document number: 112013030447 Country of ref document: BR Kind code of ref document: A2 Effective date: 20131127 |


































































































