WO2011157741A2 - Human antibody drug conjugates against tissue factor - Google Patents
Human antibody drug conjugates against tissue factor Download PDFInfo
- Publication number
- WO2011157741A2 WO2011157741A2 PCT/EP2011/059917 EP2011059917W WO2011157741A2 WO 2011157741 A2 WO2011157741 A2 WO 2011157741A2 EP 2011059917 W EP2011059917 W EP 2011059917W WO 2011157741 A2 WO2011157741 A2 WO 2011157741A2
- Authority
- WO
- WIPO (PCT)
- Prior art keywords
- antibody
- region
- seq
- cancer
- amino acid
- Prior art date
- Legal status (The legal status is an assumption and is not a legal conclusion. Google has not performed a legal analysis and makes no representation as to the accuracy of the status listed.)
- Ceased
Links
Classifications
-
- A—HUMAN NECESSITIES
- A61—MEDICAL OR VETERINARY SCIENCE; HYGIENE
- A61K—PREPARATIONS FOR MEDICAL, DENTAL OR TOILETRY PURPOSES
- A61K39/00—Medicinal preparations containing antigens or antibodies
- A61K39/395—Antibodies; Immunoglobulins; Immune serum, e.g. antilymphocytic serum
-
- A—HUMAN NECESSITIES
- A61—MEDICAL OR VETERINARY SCIENCE; HYGIENE
- A61K—PREPARATIONS FOR MEDICAL, DENTAL OR TOILETRY PURPOSES
- A61K45/00—Medicinal preparations containing active ingredients not provided for in groups A61K31/00 - A61K41/00
- A61K45/06—Mixtures of active ingredients without chemical characterisation, e.g. antiphlogistics and cardiaca
-
- A—HUMAN NECESSITIES
- A61—MEDICAL OR VETERINARY SCIENCE; HYGIENE
- A61K—PREPARATIONS FOR MEDICAL, DENTAL OR TOILETRY PURPOSES
- A61K47/00—Medicinal preparations characterised by the non-active ingredients used, e.g. carriers or inert additives; Targeting or modifying agents chemically bound to the active ingredient
- A61K47/50—Medicinal preparations characterised by the non-active ingredients used, e.g. carriers or inert additives; Targeting or modifying agents chemically bound to the active ingredient the non-active ingredient being chemically bound to the active ingredient, e.g. polymer-drug conjugates
- A61K47/51—Medicinal preparations characterised by the non-active ingredients used, e.g. carriers or inert additives; Targeting or modifying agents chemically bound to the active ingredient the non-active ingredient being chemically bound to the active ingredient, e.g. polymer-drug conjugates the non-active ingredient being a modifying agent
- A61K47/68—Medicinal preparations characterised by the non-active ingredients used, e.g. carriers or inert additives; Targeting or modifying agents chemically bound to the active ingredient the non-active ingredient being chemically bound to the active ingredient, e.g. polymer-drug conjugates the non-active ingredient being a modifying agent the modifying agent being an antibody, an immunoglobulin or a fragment thereof, e.g. an Fc-fragment
- A61K47/6801—Drug-antibody or immunoglobulin conjugates defined by the pharmacologically or therapeutically active agent
- A61K47/6803—Drugs conjugated to an antibody or immunoglobulin, e.g. cisplatin-antibody conjugates
- A61K47/6811—Drugs conjugated to an antibody or immunoglobulin, e.g. cisplatin-antibody conjugates the drug being a protein or peptide, e.g. transferrin or bleomycin
- A61K47/6817—Toxins
-
- A—HUMAN NECESSITIES
- A61—MEDICAL OR VETERINARY SCIENCE; HYGIENE
- A61K—PREPARATIONS FOR MEDICAL, DENTAL OR TOILETRY PURPOSES
- A61K47/00—Medicinal preparations characterised by the non-active ingredients used, e.g. carriers or inert additives; Targeting or modifying agents chemically bound to the active ingredient
- A61K47/50—Medicinal preparations characterised by the non-active ingredients used, e.g. carriers or inert additives; Targeting or modifying agents chemically bound to the active ingredient the non-active ingredient being chemically bound to the active ingredient, e.g. polymer-drug conjugates
- A61K47/51—Medicinal preparations characterised by the non-active ingredients used, e.g. carriers or inert additives; Targeting or modifying agents chemically bound to the active ingredient the non-active ingredient being chemically bound to the active ingredient, e.g. polymer-drug conjugates the non-active ingredient being a modifying agent
- A61K47/68—Medicinal preparations characterised by the non-active ingredients used, e.g. carriers or inert additives; Targeting or modifying agents chemically bound to the active ingredient the non-active ingredient being chemically bound to the active ingredient, e.g. polymer-drug conjugates the non-active ingredient being a modifying agent the modifying agent being an antibody, an immunoglobulin or a fragment thereof, e.g. an Fc-fragment
- A61K47/6835—Medicinal preparations characterised by the non-active ingredients used, e.g. carriers or inert additives; Targeting or modifying agents chemically bound to the active ingredient the non-active ingredient being chemically bound to the active ingredient, e.g. polymer-drug conjugates the non-active ingredient being a modifying agent the modifying agent being an antibody, an immunoglobulin or a fragment thereof, e.g. an Fc-fragment the modifying agent being an antibody or an immunoglobulin bearing at least one antigen-binding site
- A61K47/6849—Medicinal preparations characterised by the non-active ingredients used, e.g. carriers or inert additives; Targeting or modifying agents chemically bound to the active ingredient the non-active ingredient being chemically bound to the active ingredient, e.g. polymer-drug conjugates the non-active ingredient being a modifying agent the modifying agent being an antibody, an immunoglobulin or a fragment thereof, e.g. an Fc-fragment the modifying agent being an antibody or an immunoglobulin bearing at least one antigen-binding site the antibody targeting a receptor, a cell surface antigen or a cell surface determinant
-
- A—HUMAN NECESSITIES
- A61—MEDICAL OR VETERINARY SCIENCE; HYGIENE
- A61P—SPECIFIC THERAPEUTIC ACTIVITY OF CHEMICAL COMPOUNDS OR MEDICINAL PREPARATIONS
- A61P1/00—Drugs for disorders of the alimentary tract or the digestive system
-
- A—HUMAN NECESSITIES
- A61—MEDICAL OR VETERINARY SCIENCE; HYGIENE
- A61P—SPECIFIC THERAPEUTIC ACTIVITY OF CHEMICAL COMPOUNDS OR MEDICINAL PREPARATIONS
- A61P1/00—Drugs for disorders of the alimentary tract or the digestive system
- A61P1/18—Drugs for disorders of the alimentary tract or the digestive system for pancreatic disorders, e.g. pancreatic enzymes
-
- A—HUMAN NECESSITIES
- A61—MEDICAL OR VETERINARY SCIENCE; HYGIENE
- A61P—SPECIFIC THERAPEUTIC ACTIVITY OF CHEMICAL COMPOUNDS OR MEDICINAL PREPARATIONS
- A61P13/00—Drugs for disorders of the urinary system
- A61P13/10—Drugs for disorders of the urinary system of the bladder
-
- A—HUMAN NECESSITIES
- A61—MEDICAL OR VETERINARY SCIENCE; HYGIENE
- A61P—SPECIFIC THERAPEUTIC ACTIVITY OF CHEMICAL COMPOUNDS OR MEDICINAL PREPARATIONS
- A61P15/00—Drugs for genital or sexual disorders; Contraceptives
-
- A—HUMAN NECESSITIES
- A61—MEDICAL OR VETERINARY SCIENCE; HYGIENE
- A61P—SPECIFIC THERAPEUTIC ACTIVITY OF CHEMICAL COMPOUNDS OR MEDICINAL PREPARATIONS
- A61P35/00—Antineoplastic agents
-
- A—HUMAN NECESSITIES
- A61—MEDICAL OR VETERINARY SCIENCE; HYGIENE
- A61P—SPECIFIC THERAPEUTIC ACTIVITY OF CHEMICAL COMPOUNDS OR MEDICINAL PREPARATIONS
- A61P35/00—Antineoplastic agents
- A61P35/02—Antineoplastic agents specific for leukemia
-
- C—CHEMISTRY; METALLURGY
- C07—ORGANIC CHEMISTRY
- C07K—PEPTIDES
- C07K16/00—Immunoglobulins [IGs], e.g. monoclonal or polyclonal antibodies
- C07K16/18—Immunoglobulins [IGs], e.g. monoclonal or polyclonal antibodies against material from animals or humans
- C07K16/28—Immunoglobulins [IGs], e.g. monoclonal or polyclonal antibodies against material from animals or humans against receptors, cell surface antigens or cell surface determinants
- C07K16/30—Immunoglobulins [IGs], e.g. monoclonal or polyclonal antibodies against material from animals or humans against receptors, cell surface antigens or cell surface determinants from tumour cells
-
- C—CHEMISTRY; METALLURGY
- C07—ORGANIC CHEMISTRY
- C07K—PEPTIDES
- C07K16/00—Immunoglobulins [IGs], e.g. monoclonal or polyclonal antibodies
- C07K16/18—Immunoglobulins [IGs], e.g. monoclonal or polyclonal antibodies against material from animals or humans
- C07K16/36—Immunoglobulins [IGs], e.g. monoclonal or polyclonal antibodies against material from animals or humans against blood coagulation factors
-
- C—CHEMISTRY; METALLURGY
- C07—ORGANIC CHEMISTRY
- C07K—PEPTIDES
- C07K2317/00—Immunoglobulins specific features
- C07K2317/20—Immunoglobulins specific features characterized by taxonomic origin
- C07K2317/21—Immunoglobulins specific features characterized by taxonomic origin from primates, e.g. man
-
- C—CHEMISTRY; METALLURGY
- C07—ORGANIC CHEMISTRY
- C07K—PEPTIDES
- C07K2317/00—Immunoglobulins specific features
- C07K2317/50—Immunoglobulins specific features characterized by immunoglobulin fragments
- C07K2317/56—Immunoglobulins specific features characterized by immunoglobulin fragments variable (Fv) region, i.e. VH and/or VL
-
- C—CHEMISTRY; METALLURGY
- C07—ORGANIC CHEMISTRY
- C07K—PEPTIDES
- C07K2317/00—Immunoglobulins specific features
- C07K2317/50—Immunoglobulins specific features characterized by immunoglobulin fragments
- C07K2317/56—Immunoglobulins specific features characterized by immunoglobulin fragments variable (Fv) region, i.e. VH and/or VL
- C07K2317/565—Complementarity determining region [CDR]
-
- C—CHEMISTRY; METALLURGY
- C07—ORGANIC CHEMISTRY
- C07K—PEPTIDES
- C07K2317/00—Immunoglobulins specific features
- C07K2317/70—Immunoglobulins specific features characterized by effect upon binding to a cell or to an antigen
- C07K2317/73—Inducing cell death, e.g. apoptosis, necrosis or inhibition of cell proliferation
-
- C—CHEMISTRY; METALLURGY
- C07—ORGANIC CHEMISTRY
- C07K—PEPTIDES
- C07K2317/00—Immunoglobulins specific features
- C07K2317/70—Immunoglobulins specific features characterized by effect upon binding to a cell or to an antigen
- C07K2317/73—Inducing cell death, e.g. apoptosis, necrosis or inhibition of cell proliferation
- C07K2317/732—Antibody-dependent cellular cytotoxicity [ADCC]
-
- C—CHEMISTRY; METALLURGY
- C07—ORGANIC CHEMISTRY
- C07K—PEPTIDES
- C07K2317/00—Immunoglobulins specific features
- C07K2317/70—Immunoglobulins specific features characterized by effect upon binding to a cell or to an antigen
- C07K2317/76—Antagonist effect on antigen, e.g. neutralization or inhibition of binding
-
- C—CHEMISTRY; METALLURGY
- C07—ORGANIC CHEMISTRY
- C07K—PEPTIDES
- C07K2317/00—Immunoglobulins specific features
- C07K2317/70—Immunoglobulins specific features characterized by effect upon binding to a cell or to an antigen
- C07K2317/77—Internalization into the cell
-
- C—CHEMISTRY; METALLURGY
- C07—ORGANIC CHEMISTRY
- C07K—PEPTIDES
- C07K2317/00—Immunoglobulins specific features
- C07K2317/90—Immunoglobulins specific features characterized by (pharmaco)kinetic aspects or by stability of the immunoglobulin
- C07K2317/92—Affinity (KD), association rate (Ka), dissociation rate (Kd) or EC50 value
Definitions
- the present invention relates to antibody drug conjugates (ADCs), where the antibodies bind an epitope on tissue factor.
- ADCs are in particular useful in the treatment of cancer, inflammation and vascular diseases.
- Tissue factor also called thromboplastin, factor ill or CD142 is a protein present In subendothelial tissue, platelets, and leukocytes necessary for the initiation of thrombin formation from the zymogen prothrombin. Thrombin formation ultimately leads to the coagulation of blood.
- Tissue factor enables cells to initiate the blood coagulation cascades, and it functions as the high-affinity receptor for the coagulation factor VII (FVII), a serine protease.
- FVII coagulation factor VII
- the resulting complex provides a catalytic event that is responsible for initiation of the coagulation protease cascades by specific limited proteolysis. Unlike the other cofactors of these protease cascades, which circuiate as nonfunctional precursors, this factor is a potent initiator that is fully functional when expressed on cell surfaces.
- Tissue factor is the ceil surface receptor for the serine protease factor Vila (FVIia). Binding of FVIia to tissue factor starts signaling processes inside the cell, said signaling function playing a role in angiogenesls.
- angiogenesis is a norma! process in growth and development, as well as in wound healing, it is also a fundamental step in the transition of tumors from a dormant state to a malignant state: when cancer cells gain the ability to produce proteins that participate in angiogenesis, so called angiogenic growth factors, these proteins are released by the tumor into nearby tissues, and stimulate new blood vessels to sprout from existing healthy blood vessels toward and into the tumor. Once new blood vessels enter the tumor, it can rapidly expand its size and invade local tissue and organs. Through the new blood vessels, cancer cells may further escape into the circulation and lodge in other organs to form new tumors (metastases).
- TF plays a role in Inflammation.
- the role of TF is assumed to be mediated by blood coagulation (A. 3. Chu : "Tissue factor mediates inflammation” in Archives of biochemistry and biophysics, 2005, vol. 440, No. 2, pp. 123- 132). Accordingly, the inhibition of TF, e.g. by a monoclonal anti-TF antibody Is of significance in Interrupting the coagulation-inflammation cycle in contribution to not only anti-inflammation but also to vascular diseases.
- TF expression is observed in many types of cancer and is associated with more aggressive disease. Furthermore, human TF also exists in a soluble alternatively-spliced form, asHTF. It has recently been found that asHTF promotes tumor growth (Hobbs et a!., 2007 Thrombosis Res. 120(2) S13-S21 ). Although much progress has been made, there remains a need for improved methods of treating serious diseases, e.g. improved treatment of cancer, inflammation and vascular disease based on therapeutic antibodies.
- the present invention relates to novel anti-TF antibody drug conjugates which are useful for the treatment of cancer, inflammation and vascular diseases.
- the anti-TF antibody drug conjugates of the present invention are highly effective in killing cells expressing tissue factor (TF). Furthermore, the anti-TF antibody drug conjugates are advantageous by having limited or no inhibition of coagulation.
- Figure 1 Alignment of sequences of the antibodies of the present invention.
- SEQ ID NOs is listed in parentheses to the right of the sequence.
- CDR1, CDR2 and CDR3 according to Kabat are indicated as follows: sequences in italics and bold represent the CDR1 region, underlined sequences represent the CDR2 region, bold sequences represent the CDR3 region.
- FIG. 1 IgG4 sequences (SEQ ID NO: 81-82)
- SEQ ID NO: 81 The amino acid sequence of the wild-type CH region of human IgG4. Sequences in italics represent the CHI region, highlighted sequences represent the hinge region, regular sequences represent the CH2 region and underlined sequences represent the CH3 region.
- SEQ ID NO: 82 The amino acid sequence of the hingeless CH region of a human IgG4 Figure 3: Binding of anti-TF HuMabs to the extracellular domain of TF. Binding was determined by ELISA. EC 50 values are the mean of 3 experiments.
- FIG 4 Binding of anti-TF HuMabs to membrane-bound TF on MDA-MD-231 cells. Binding was determined by FACS analysis and the antibodies were split into three groups shown in a), b) and c), see also WO 10/066803 where antibodies were split into cross-block groups.
- Figure 5 Inhibition of FVIIa binding by anti-TF HuMabs, was measured by FACS analysis. Data shown are mean fluorescence intensities (MFI) for FVIIa binding in the presence of increasing concentrations of anti-TF HuMabs. MFI for 100 nM FVIIa in the absence of anti-TF HuMabs was 149,942. One representative experiment is shown.
- MFI mean fluorescence intensities
- Figure 6 Dose-dependent induction of cell killing by anti-kappa-ETA'-conjugated anti-TF HuMabs.
- Figure 7 ° Binding of anti-TF HuMabs and ADCs to recombinant protein of the TF extracellular domain, determined by ELISA, One representative experiment, is shown,
- Figure 8 In vitro dose-dependent induction of cell killing by anti-TF ADCs.
- One representative experiment is shown for each cell line: A431 (a), HPAF-Ii (b) and NCI-H441 (c). Data shown are percentages survival ⁇ S.E.M. of duplicate wells of cells treated with anti-TF ADCs.
- FIG. 10 SDS-PAGE analysis of ADCs and unconjugated IgG i to test stability.
- MW molecular weight
- H heavy chain
- L light chain
- HuMab-TF-098-vcMMAE (a), HuMab-TF-098-mcMMAF (b), HuMab-TF-Ol l-vcMMAE (c),
- tissue factor tissue factor
- TF tissue factor
- CD142 tissue factor antigen
- TF antigen tissue factor antigen
- CD142 antigen tissue factor antigen
- Tissue factor may be the sequence Genbank accession NP_001984 used in example 1.
- immunoglobulin refers to a class of structurally related glycoproteins consisting of two pairs of polypeptide chains, one pair of light (L) low molecular weight chains and one pair of heavy (H) chains, ail four inter-connected by disulfide bonds.
- L light
- H heavy
- each heavy chain typically Is comprised of a heavy chain variable region (abbreviated herein as V H or VH) and a heavy chain constant region (C H or CH).
- the heavy chain constant region typically is comprised of three domains, C H 1, C H 2, and C f1 3.
- Each light chain typically is comprised of a light chain variable region (abbreviated herein as V L or VL) and a light chain constant region (Q or CL).
- the light chain constant region typically is comprised of one domain, C L .
- the V H and V L regions may be further subdivided into regions of hypervariability (or hypervariable regions, which may be hypervariable In sequence and/or form of structurally defined loops), also termed complementarity-determining regions (CDRs), interspersed with regions that are more conserved, termed framework regions (FRs).
- CDRs complementarity-determining regions
- Each V H and V L is typically composed of three CDRs and four FRs, arranged from amino-terminus to carboxy-terminus in the following order: FR1, CDR1, FR2, CDR2, FR3, CDR3, FR4 (see also Chothia and Lesk J. Mot. Biol. .195, 901-917 ( 1987)).
- FR1, CDR1, FR2, CDR2, FR3, CDR3, FR4 see also Chothia and Lesk J. Mot. Biol. .195, 901-917 ( 1987)
- the numbering of amino acid residues in this region is performed by the method described in Kabat et al., Sequences of Proteins of Immunological Interest, 5th Ed. Public Health Service, National Institutes of Health, Bethesda, MD.
- a heavy chain variable domain may include a single amino acid insert (residue 52a according to Kabat) after residue 52 of V H CDR2 and Inserted residues (for instance residues 82a, 82b, and 82c, etc. according to Kabat) after heavy chain FR. residue 82.
- the Kabat numbering of residues may be determined for a given antibody by alignment at regions of homology of the sequence of the antibody with a "standard" Kabat numbered sequence.
- antibody in the context of the present invention refers to an immunoglobulin molecule, a fragment of an immunoglobulin molecule, or a derivative of either thereof, which has the ability to specifically bind to an antigen under typical physiological conditions with a half life of significant periods of time, such as at least about 30 minutes, at least about 45 minutes, at least about one hour, at least about two hours, at least about four hours, at least about 8 hours, at least about 12 hours, about 24 hours or more, about 48 hours or more, about 3, 4, 5, 6, 7 or more clays, etc., or any other relevant functionally-defined period (such as a time sufficient to induce, promote, enhance, and/or modulate a physiological response associated with antibody binding to the antigen and/or time sufficient for the antibody to recruit an effector activity).
- variable regions of the heavy and Sight chains of the immunoglobulin molecule contain a binding domain that interacts with an antigen.
- the constant regions of the antibodies may mediate the binding of the immunoglobulin to host tissues or factors, including various cells of the immune system (such as effector cells) and components of the complement system such as Clq, the first component in the classical pathway of complement activation.
- the term antibody herein unless otherwise stated or clearly contradicted by context, includes fragments of an antibody that retain the ability to specifically bind to the antigen. It has been shown that the antigen-binding function of an antibody may be performed by fragments of a full-length antibody.
- binding fragments encompassed within the term "antibody” include (i) a Fab' or Fab fragment, a monovalent fragment consisting of the V L , V H , C L and ⁇ . ⁇ domains, or a monovalent antibody as described in WO2007059782 (Genmab A/S); (ii) F(ab') 2 fragments, bivalent fragments comprising two Fab fragments linked by a disulfide bridge at the hinge region; (iii) a Fo fragment consisting essentially of the V H and C H 1 domains; (iv) a Fv fragment, consisting essentially of the V u and Vu domains of a single arm of an antibody, (v) a dAb fragment (Ward et al., Nature 341, 544-546 ( 1989)), which consists essentially of a V H domain and also called domain antibodies (Holt et al; Trends Biotechnol, 2003 Nov;21(ll) :484-90); (vi) came from
- V L and V H are coded for by separate genes, they may be joined, using recombinant methods, by a synthetic linker that enables them to be made as a single protein chain in which the V L and V H regions pair to form monovalent " molecules (known as single chain antibodies or single chain Fv (scFv), see for instance Bird et ai., Science 242, 423-426 ( 1988) and Huston et aL, PNAS USA 85, 5879-5883 (1988)).
- scFv single chain antibodies or single chain Fv
- antibody unless specified otherwise, also includes polyclonal antibodies, monoclonal antibodies (mAbs), antibody-like polypeptides, such as chimeric antibodies and humanized antibodies, and antibody fragments retaining the ability to specifically bind to the antigen (antigen-binding fragments) provided by any known technique, such as enzymatic cleavage, peptide synthesis, and recombinant, techniques.
- An antibody as generated can possess any isotype.
- ADC refers to an antibody drug conjugate, which in the context of the present invention refers to an anti-TF antibody, which is coupled to another moiety as described in the present application.
- an "anti-TF antibody” is an antibody as described above, which binds specificaiiy to the antigen tissue factor or tissue factor antigen.
- human antibody is Intended to include antibodies having variable and constant regions derived from human germline immunoglobulin sequences.
- the human antibodies of the invention may include amino acid residues not encoded by human germline immunoglobulin sequences (e.g. , mutations introduced by random or site- specific mutagenesis in vitro or by somatic mutation in vivo).
- human antibody is not intended to include antibodies in which CDR sequences- derived from the germline of another mammalian species, such as a mouse, have been grafted onto human framework sequences.
- the antibody of the antibody drug conjugate, or the antibody drug conjugate of the invention is isolated.
- An "isolated antibody” or “isolated antibody drug conjugate” as used herein, is Intended to refer to an antibody or antibody drug conjugate which is substantially free of other antibodies having different antigenic specificities (for instance an isolated antibody that specificaiiy binds to tissue factor is substantially free of antibodies that specifically bind antigens other than tissue factor).
- An isolated antibody drug conjugate as used herein, is intended to refer to an antibody drug conjugate which is also substantially free of "free toxin", wherein "free toxin” is intended to mean toxin which is not conjugated to the antibody.
- substantially free of ' as used i relation to the toxin may in particular mean that less than 5%, such as less than 4%, or less than 3%, or less than 2%, or less than 1.5%, or less than 1%, or less than 0.5% unconjugated drug is present when determined as described in Example 16.
- An isolated antibody or isolated antibody drug conjugate that specifically binds to an epitope, isoform or variant of human tissue factor may, however, have cross-reactivity to other related antigens, for instance from other species (such as tissue factor species homologs).
- an isolated antibody or antibody drug conjugate may be substantially free of other cellular material and/or chemicals.
- two or more "isolated" monoclonal antibodies or antibody drug conjugates having different antigen-binding specificities are combined in a well-defined composition,
- the term “competes with” or “cross-competes with” indicates that the two or more antibodies compete for binding to TF, e.g. compete for TF binding in the assay as described in Example 12 of WO 10/066803.
- competition as in the assay of Exampie 12 of WO 10/066803 is only observed when one antibody is coated on the plate and the other is used to compete, and not vice versa.
- the term “competes with” when used herein is also intended to cover such combinations of antibodies.
- monoclonal antibody or “monoclonal antibody composition” as used herein refer to a preparation of antibody molecules of single molecular composition.
- the monoclonal antibody or composition thereof may be drug conjugated antibodies according to the present invention.
- a monoclonal antibody composition displays a single binding specificity and affinity for a particular epitope.
- human monoclonal antibody refers to antibodies displaying a single binding specificity which have variable and constant regions derived from human germ!ine immunoglobulin sequences.
- the human monoclonal antibodies may be generated by a hybridoma which includes a B cell obtained from a transgenic or transchromosomal non-hurnan animal, such as a transgenic mouse, having a genome comprising a human heavy chain transgene and a light chain transgene, fused to an immortalized cell.
- a hybridoma which includes a B cell obtained from a transgenic or transchromosomal non-hurnan animal, such as a transgenic mouse, having a genome comprising a human heavy chain transgene and a light chain transgene, fused to an immortalized cell.
- binding or “specifically binds” in the context of the binding of an antibody to a pre-determined antigen typically Is a binding with an affinity corresponding to a K D of about 10 ' 7 M or less, such as about 10 "8 M or less, such as about !0 9 or less, about 10 10 M or less, or about 10 " 11 or even less when determined by for instance surface p!asmon resonance (SPR) technology in a BIAcore 3000 Instrument using the antigen as the ligand and the.
- SPR surface p!asmon resonance
- the antibody as the analyte binds to the predetermined antigen with an affinity corresponding to a K D that is at least ten-fold lower, such as at least 100 fold lower, for instance at least 1,000 fold lower, such as at. least 10,000 fold lower, for instance at least 100,000 fold lower than its affinity for binding to a non-specific antigen (e.g., BSA, casein) other than the pre-determined antigen or a closely-related antigen.
- a non-specific antigen e.g., BSA, casein
- the amount with which the affinity is lower is dependent on the ! ⁇ D of the antibody, so that when the K D of the antibody is very low (that Is, the antibody is highly specific), then the amount with which the affinity for the antigen is lower than the affinity for a non-specific antigen may be at least 10,000 foid.
- k d (sec "1 ), as used herein, refers to the dissociation rate constant of a particular antibody-antigen interaction. Said value is also referred to as the k off value.
- k a (M _1 x sec “1 ), as used herein, refers to the association rate constant of a particular antibody-antigen interaction.
- K D (M), as used herein, refers to the dissociation equilibrium constant of a particular antibody-antigen interaction.
- K A (NT 1 ), as used herein, refers to the association equilibrium constant of a particular antibody-antigen interaction and is obtained by dividing the k a by the k d .
- the term "internalization”, when used in the context of a TF antibody includes any mechanism by which the antibody is internalized Into a TF-expressing ceil from the cell-surface.
- the internalization of an antibody can be evaluated in an indirect or direct assay where the effect of an internalized antibody-toxin conjugate or complex is measured (such as, e.g., the anti-kappa-ETA ' assay of Example 15 or the Internalization and ceil killing assay of Example 18).
- a direct assay is used for measuring internalization of antibody drug conjugates, such as the assay described in Example 18 herein, while indirect assays may be used for measuring internalization of antibodies which are then pre- incubated with a secondary conjugated antibody, such as the assay described in Example 15 herein.
- the present invention also provides, in one embodiment, antibodies comprising functional variants of the V L region, V H region, or one or more CDRs of the antibodies of the examples.
- a functional variant of a V, , V H , or CDR used in the context of an anti-TF antibody still allows the antibody to retain at least a substantial proportion (at least about 50%, 60%, 70%, 80%, 90%, 95% or more) of the affinity/avidity and/or the specificity/selectivity of the parent antibody and in some cases such an anti-TF antibody may be associated with greater affinity, selectivity and/or specificity than the parent antibody.
- Such functional variants typically retain significant sequence identity to the parent antibody.
- the percent identity between two sequences is a function of the number of identical positions shared by the sequences (i.e., % homology - # of identical positions/total # of positions x 100), taking into account the number of gaps, and the length of each gap, which need to be introduced for optimal alignment of the two sequences.
- the comparison of sequences and determination of percent Identity between two sequences may be accomplished using a mathematical algorithm, as described in the non-limiting examples below.
- the percent identity between two nucleotide sequences may be determined using the GAP program in the GCG software package (available at http://wvm.gcg. com), using a NWSgapdna.CMP matrix and a gap weight of 40, 50, 60, 70, or 80 and a length weight of 1, 2, 3, 4, 5, or 6,
- the percent identity between two nucleotide or amino acid sequences may also be determined using the algorithm of E. Meyers and W. Miller, Comput. AppL Biosci 4, 11-17 ( 1988)) which has been incorporated into the ALIGN program (version 2.0), using a PAM12.0 weight residue table, a gap length penalty of 12 and a gap penalty of 4.
- percent identity between two amino acid sequences may be determined using the Needieman and Wurtsch, J. Mo!. Biol, 48, 444-453 ( 1970)) algorithm which has been incorporated into the GAP program in the GCG software package (available at http://vvww.gcg.com), using either a Blossum 62 matrix or a PAM250 matrix, and 3 gap weight of 16, 14, 12, 10, 8, 6, or 4 and a length weight of 1, 2, 3, 4, 5, or 6.
- the sequence of CDR variants may differ from the sequence of the CDR of the parent antibody sequences through mostly conservative substitutions; for instance at least about 35%, about 50% or more, about 60% or more, about 70% or more, about 75% or more, about 80% or more, about 85% or more, about 90% or more, about 95% or more (e.g., about 65-99%, such as about 96%, 97% or 98%) of the substitutions in the variant are conservative amino acid residue replacements.
- the sequence of CDR variants may differ from the sequence of the CDR of the parent antibody sequences through mostly conservative substitutions; for instance at least. 10, such as at least 9, 8, 7, 6, 5, 4, 3, 2 or 1 of the substitutions in the variant are conservative amino acid residue replacements.
- conservative substitutions may be defined by substitutions within the classes of amino acids reflected in one or more of the following three tables:
- More conservative substitution groupings include : vaiine-leucine-isoleucine, phenylalanine-tyrosine, iysine-arginine, alanine-valine, and asparagine-g!utamine.
- conservation in terms of hydropathic/hydrophilic properties and residue weight/size also is substantially retained in a variant CDR as compared to a CDR of an antibody of the examples (e.g . , the weight class, hydropathic score, or both of the sequences are at least about 50%, at least, about 60%, at least about 70%, at least about 75%, at least about 80%, at least about 85%, at least about 90%, at least about 95%, or more (e.g ., about 65-99%) retained) .
- conservative residue substitutions may also or alternatively be based on the replacement of strong or weak based weight, based conservation groups, which are known in the art.
- Suitable variants typically exhibit at least about 45%, such as at least about 55%, at least about 65%, at least about 75%, at least about 85%, at least, about 90%, at least about 95%, or more (e.g ., about 70-99%) similarity to the parent peptide.
- isotype refers to the immunoglobulin ciass (for instance IgGl, IgG2, IgG3, igG4, IgD, IgA, IgE, or Igl ) that is encoded by heavy chain constant region genes.
- epitope means a protein determinant capable of specific binding to an antibody.
- Epitopes usually consist of surface groupings of molecules such as amino acids or sugar side chains and usually have specific three dimensional structural characteristics, as well as specific charge characteristics. Conformational and nonconformational epitopes are disti nguished in that the binding to the former but not the latter is lost in the presence of denaturing solvents.
- the epitope may comprise amino acid residues directly Involved in the binding (aiso called immunodominant component of the epitope) and other amino acid residues, which are not directly involved in the binding, such as amino acid residues which are effectively blocked by the specifically antigen binding peptide (in other words, the amino acid residue is within the footprint of the specifically antigen binding peptide) .
- a human antibody is "derived from" a particular germline sequence if the antibody is obtained from a system using human Immunoglobulin sequences, for instance by immunizing a transgenic mouse carrying human immunoglobulin genes or by screening a human Immunoglobulin gene library, and wherein the selected human antibody is at least 90%, such as at least 95%, for instance at ieast 96%, such as at least 97%, for instance at least 98%, or such as at Ieast 99% Identical In amino acid sequence to the amino acid sequence encoded by the germline immunoglobulin gene.
- a human antibody derived from a particular human germline sequence will display no more than 20 amino acid differences, e.g . no more than 10 amino acid differences, such as no more than 9, 8, 7, 6 or 5, for instance no more than 4, 3, 2, or 1 amino acid difference from the amino acid sequence encoded by the germline immunoglobulin gene.
- the term "inhibits growth" is intended to include any measurable decrease in the cell g rowth when contacted with an anti -TF antibody drug conjugate as compared to the growth of the same cells not in contact with an anti-TF antibody drug conjugate, e.g. , the Inhibition of growth of a cell culture by at Ieast about 10%, 20%), 30%, 40%, 50%, 60%, 70%, 80%, 90%, 99%, or 100%.
- Such a decrease in ceil growth can occur by a variety of mechanisms mechanisms exerted by the anti-TF antibody and drug , either individually or in combination, e.g., antibody-dependent cell-mediated phagocytosis (ADCP), antibody-dependent cell-mediated cytotoxicity (ADCC), complement-mediated cytotoxicity (CDC), and/or apoptosis, or G2/M cell cycle arrest and apoptosis such as may be induced by an interaction of the auristatin with tubulin.
- ADCP antibody-dependent cell-mediated phagocytosis
- ADCC antibody-dependent cell-mediated cytotoxicity
- CDC complement-mediated cytotoxicity
- G2/M cell cycle arrest and apoptosis such as may be induced by an interaction of the auristatin with tubulin.
- stabilized IgG4 antibody refers to an IgG4 antibody which has been modified to reduce half-moiecule exchange (see WO 2008/145142 (Genmab A/S) or van der Neut Ko!fschoten M et al., (2007) Science 14;317(5844) and references therein).
- effector ceil refers to an immune cell which is involved in the effector phase of an immune response, as opposed to the cognitive and activation phases of an immune response.
- exemplary immune ceils include a cell of a myeloid or lymphoid origin, for instance lymphocytes (such as B cells and T cells including cytolytic T cells (CTLs)), killer cells, natural killer cells, macrophages, monocytes, eosinophils, polymorphonuclear cells, such as neutrophils, granulocytes, mast cells, and basophils.
- lymphocytes such as B cells and T cells including cytolytic T cells (CTLs)
- killer cells such as B cells and T cells including cytolytic T cells (CTLs)
- killer cells such as B cells and T cells including cytolytic T cells (CTLs)
- killer cells such as B cells and T cells including cytolytic T cells (CTLs)
- killer cells such as B cells and T cells including cytolytic T cells (CTLs)
- killer cells such
- an effector cell is capable of inducing ADCC, such as a natural killer cell, capable of inducing ADCC.
- ADCC such as a natural killer cell
- monocytes, macrophages, which express FcRs are Involved in specific killing of target cells and presenting antigens to other components of the immune system, or binding to cells that present antigens.
- an effector ceil may phagocytose a target antigen or target, cell.
- the expression of a particular FcR on an effector cell may be regulated by humoral factors such as cytokines.
- iFN-y interferon y
- G-CSF granulocyte colony stimulating factor
- vector is intended to refer to a nucleic acid molecule capable of transporting another nucleic acid to which it has been linked.
- plasmid refers to a circular double-stranded DNA loop into which additional DNA segments may be ligated.
- viral vector Another type of vector is a viral vector, wherein additional DNA segments may be ligated into the viral genome.
- Certain vectors are capable of autonomous replication in a host cell into which they are introduced (for instance bacterial vectors having a bacterial origin of replication and episomal mammalian vectors).
- vectors such as non-eplsomal mammalian vectors
- Other vectors may be integrated into the genome of a host, cell upon introduction into the host ceil, and thereby are replicated along with the host genome.
- certain vectors are capable of directing the expression of genes to which they are operatively linked.
- Such vectors are referred to herein as "recombinant expression vectors" (or simply, "expression vectors”).
- expression vectors of utility in recombinant DNA techniques are often in the form of plasmids.
- plasmid and vector may be used interchangeably as the plasmid is the most commonly used form of vector.
- the present invention is Intended to include such other forms of expression vectors, such as viral vectors (such as replication-defective retroviruses, adenoviruses and adeno-associated viruses), which serve equivalent functions.
- Recombinant host ceil (or simply "host cell”), as used herein, is intended to refer to a cell into which an expression vector has been introduced. It should be understood that such terms are intended to refer not only to the particular subject cell, but aiso to the progeny of such a ceil. Because certain modifications may occur in succeeding generations due to either mutation or environmental influences, such progeny may not, in fact, be identical to the parent cell, but are still included within the scope of the term “host cell” as used herein.
- Recombinant host cells include, for example, transfectomas, such as CHO cells, HEK293 cells, NS/0 cells, and lymphocytic cells.
- transfectoma includes recombinant eukaryotic host cells expressing the antibody, such as CHO ce!is, NS/0 cells, HEK293 cells, plant cells, or fungi, including yeast cells.
- transgenic non-human animal refers to a non-human animal having a genome comprising one or more human heavy and/or light chain transgenes or transchromosomes (either integrated or non-integrated into the animal's natural genomic DNA) and which is capable of expressing fuliy human antibodies.
- a transgenic mouse can have a human light chain transgene and either a human heavy chain transgene or human heavy chain transchromosome, such that the mouse produces human anti-TF antibodies when immunized with TF antigen and/or cells expressing TP.
- the human heavy chain transgene may be integrated into the chromosomal DNA of the mouse, as is the case for transgenic mice, for instance HuMAb mice, such as HCo7, HCol7, HCO20 or HCol2 mice, or the human heavy chain transgene may be maintained extrachromosomally, as is the case for transchromosomal KM mice as described in WO02/43478.
- transgenic and transchromosoma! mice are capable of producing multiple isotypes of human monoclonal antibodies to a given antigen (such as IgG, IgA, igM, IgD and/or IgE) by undergoing V-D-J recombination and isotype switching.
- Transgenic, nonhuman animal can also be used for production of antibodies against a specific antigen by introducing genes encoding such specific antibody, for example by operatively linking the genes to a gene which is expressed in the milk of the animal.
- Treatment refers to the administration of an effective amount of a therapeutically active compound of the present invention with the purpose of easing, ameliorating, arresting or eradicating (curing) symptoms or disease states.
- an “effective amount” or “therapeutically effective amount” refers to an amount effective, at dosages and for periods of time necessary, to achieve a desired therapeutic result.
- a therapeutically effective amount of an anti-TF antibody drug conjugate may vary according to factors such as the disease state, age, sex, and weight of the individual, and the ability of the anti-TF antibody drug conjugate to elicit a desired response in the individual.
- a therapeuticaiiy effective amount is aiso one in which any toxic or detrimental effects of the antibody or antibody portion are outweighed by the therapeutically beneficial effects.
- an "anti-idiotypic” (Id) antibody is an antibody which recognizes unique determinants generally associated with the antigen-binding site of an antibody
- the invention provides an anti-TF antibody drug conjugate.
- the invention provides an antibody drug conjugate comprising an antibody which binds to tissue factor and which comprises
- VH region comprising a CDRl region having the amino acid sequence set forth in SEQ ID NO : 6, a CDR2 region having the amino acid sequence set forth in SEQ ID NO : 7, and a CDR3 region having region having the amino acid sequence set forth in SEQ ID NO : 8, and a VL region comprising a CDRl region having the amino acid sequence set forth in SEQ ID NO :46, a CDP.2. region having the amino acid sequence set forth in SEQ ID NO : 47, and a CDR3 region having region having the amino acid sequence set forth in SEQ ID NO : 48, or
- VH region comprising a CDRl region having the amino acid sequence set forth in SEQ ID NO : 34, a CDR2. region having the amino acid sequence set forth in SEQ ID NO : 35, and a CDR3 region having region having the amino acid sequence set forth in SEQ ID NO : 36, and a VL region comprising a CDRl region having the amino acid sequence set forth in SEQ ID NO : 74, a CDR2 region having the amino acid sequence set forth in SEQ ID NO : 75, and a CDR3 region having region having the amino acid sequence set forth in SEQ ID NO : 76, or
- a VH region comprising a CDRl region having the amino acid sequence set forth in SEQ ID NO : 38, a CDR2 region having the amino acid sequence set forth in SEQ ID NO : 39, and a CDR3 region having region having the amino acid sequence set forth in SEQ ID NO : 40, and a VL region comprising a CDRl region having the amino acid sequence set forth In SEQ ID NO : 78, a CDR2 region having the amino acid sequence set forth in SEQ ID NO : 79, and a CDR3 region having region having the amino acid sequence set forth in SEQ ID NO : 80, or
- a VH region comprising a CDRl region having the amino acid sequence set forth in SEQ ID NO : 2, a CDR2 region having the amino acid sequence set forth in SEQ ID NO : 3, and a CDR3 region having region having the amino acid sequence set forth in SEQ ID NO : 4, and a VL region comprising a CDRl region having the amino acid sequence set forth in SEQ ID NO : 42, a CDR2 region having the amino acid sequence set forth in SEQ ID NO : 43, and a CDR3 region having region having the amino acid sequence set forth in SEQ ID NO : 44, or (v) a variant of any of said antibodies, wherein said variant preferably has at most 1, 2 or 3 amino-acid modifications, more preferably amino-acid substitutions, such as conservative amino-acid substitutions in said sequences,
- the antibody has been conjugated to an auristatin or a functiona! peptide analog or derivate thereof via a linker.
- VH region comprising an amino acid sequence of SEQ ID NO: 5 and a VL region comprising an amino acid sequence of SEQ ID NO; 45, or
- VH region comprising an amino acid sequence of SEQ ID NO; 33 and a VL region comprising an amino acid sequence of SEQ ID NO; 73, or
- VH region comprising an amino acid sequence of SEQ ID NO : 37 and a VL region comprising an amino acid sequence of SEQ ID NO; 77, or
- VH region comprising an amino acid sequence of SEQ ID NO: 1 and a VL region comprising an amino acid sequence of SEQ ID NO: 41.
- the antibody is a full length antibody.
- the antibody is a fully human monoclonal IgGl antibody, such as an IgGl. K. In another embodiment the antibody is a fully human monoclonal stabilized IgG4 antibody.
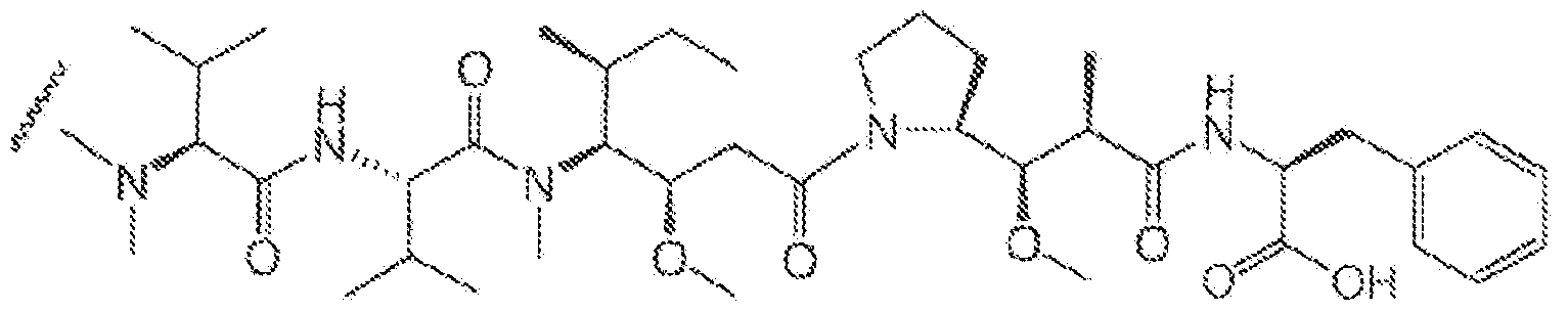
- auristatin is monomethyl auristatin E (MMAE) :
- auristatin is monomethyl auristatin F (MMAF) : wherein the wavy line indicates the attachment site for the linker.
- MMAF monomethyl auristatin F
- the linker is attached to sulphydryl residues of the anti-TF antibody obtained by (partial) reduction of the anti-TF antibody.
- the Iinker-auristatin is MOvc-PAB- MAF (also designated as vcM AF) or MC-vc-PAB- MAE (also designated as vcMMAE) :
- Ab-MC-vc-PAB-MMAE wherein p denotes a number of from 1 to 8, e.g . ⁇ may be from 3-5, S represents a sulphydryl residue of the anti-TF antibody, and Ab designates the anti-TF antibody.
- the Iinker-auristatin is vcMMAE.
- the linker-conjugate is mcMMAF (where mc/MC is an abbreviation of maieimido caproy!) :
- Ab- C-MMAF (mcMMAF) wherein p denotes a number of from 1 to 8, e.g, p may be from 3-5, S represents a suiphydryi residue of the anti-TF antibody, and Ab designates the anti-TF antibody.
- the antibody blocks the binding of FVila to tissue factor determined e.g. as described in Example 14.
- the antibody inhibits FVIIa binding to tissue factor, preferably with a maximum value of inhibition IC 50 of between 0.0.1- 3.0 pg/mL, or such as 0.1-2.0 pg/mL, or such as 0.2-1.2 pg/mL when determined as described in Example 14.
- VL region comprising the sequence of SEQ ID NO: 73,
- VL region comprising the sequence of SEQ ID NO : 53,
- VL region comprising the sequence of SEQ ID NO : 57,
- VL region comprising the sequence of SEQ ID NO : 61,
- VL region comprising the sequence of SEQ ID NO: 65,
- VL region comprising the sequence of SEQ ID NO : 69,
- VH region comprising the sequence of SEQ ID !MO:37 and a VL region comprising the sequence of SEQ ID NO:77.
- VH region comprising the CDRl, 2 and 3 sequences of SEQ ID NO;34, 35 and 36 and a VL region comprising the CDRl, 2 and 3 sequences of SEQ ID NO:74, 75 and 76, or
- VH region comprising the CDRl, 2 and 3 sequences of SEQ ID NO: 2, 3 and 4 and a VL region comprising the CDRl, 2 and 3 sequences of SEQ ID NO:42, 43 and 44, or c) a VH region comprising the CDRl, 2 and 3 sequences of SEQ ID NO:6, 7 and 8 and a VL region comprising the CDRl, 2 and 3 sequences of SEQ ID O:46, 47 and 48, or d) a VH region comprising the CDRl, 2 and 3 sequences of SEQ ID NO: 10, 11 and 12 and a VL region comprising the CDRl, 2 and 3 sequences of SEQ ID NO: 50, 51 and 52, or
- VH region comprising the CDRl, 2 and 3 sequences of SEQ ID NO: 14, 15 and 16 and a VL region comprising the CDRl, 2 and 3 sequences of SEQ ID NO: 54, 55 and 56, or
- VH region comprising the CDRl, 2 and 3 sequences of SEQ ID NO: 18, 19 and 20 and a VL region comprising the CDRl, 2 and 3 sequences of SEQ ID NO: 58, 59 and 60, or
- VH region comprising the CDRl, 2 and 3 sequences of SEQ ID NO:22, 23 and 24 and a VL region comprising the CDRl, 2 and 3 sequences of SEQ ID NO:62, 63 and 64, or
- VH region comprising the CDRl, 2 and 3 sequences of SEQ ID NO;26, 27 and 28 and a VL region comprising the CDRl, 2 and 3 sequences of SEQ ID O:66, 67 and 68, or
- VH region comprising the CDRl, 2 and 3 sequences of SEQ ID NO:30, 31 and 32 and a VL. region comprising the CDRl, 2 and 3 sequences of SEQ ID NO:70, 71 and 72, or
- VH region comprising the CDRl, 2 and 3 sequences of SEQ ID NO: 38, 39 and 40 and a VL region comprising the CDRl, 2 and 3 sequences of SEQ ID NO:78, 79 and 80, or
- k a variant of any of said antibodies, wherein said variant preferably has at most 1, 2 or 3 amino-acid modifications, more preferably amino-acid substitutions, such as conservative amino-acid substitutions in said sequences.
- the antibody comprises a VH having a) at least 80% identity, such as at least 90%, at least 95%, or at least 98% or 100% identity to a VH region sequence selected from the group consisting of: SEQ ID NO : 33, 1, 5, 9, 13, 17, 2.1, 25, 37 and 29, or
- amino-acid modifications at most 20, such as 15, or 10, or 5, 4, 3, 2 or 1 amino-acid modifications, more preferably amino-acid substitutions, such as conservative amino-acid substitutions as compared to a VH region sequence selected from the group consisting of: SEQ ID NO : 73, 41, 45, 49, 53, 57, 61 , 65, 77 and 59.
- VH region comprising the sequence of SEQ ID NO : 33 and a VL region comprising the sequence of SEQ ID NO : 73, or
- VH region comprising the sequence of SEQ ID NO : l and a VL region comprising the sequence of SEQ ID NO :41 , or
- VH region comprising the sequence of SEQ ID NO : 5 and a VL region comprising the sequence of SEQ ID NO :45, or
- VH region comprising the sequence of SEQ ID NO : 9 and a VL region comprising the sequence of SEQ ID NO :49, or
- VH region comprising the sequence of SEQ ID NO : 13 and a VL region comprising the sequence of SEQ ID NO : 53, or
- VH region comprising the sequence of SEQ ID NO : 17 and a VL region comprising the sequence of SEQ ID NO : 57, or
- VH region comprising the sequence of SEQ ID NO : 21 and a VL region comprising the sequence of SEQ ID NO : 61, or
- VH region comprising the sequence of SEQ ID NO : 25 and a VL region comprising the sequence of SEQ ID NO : 65, or
- VH region comprising the sequence of SEQ ID NO : 29 and a VL region comprising the sequence of SEQ ID NO : 69, or
- the antibody binds to the extracellular domain of tissue factor with an apparent affinity (EC 5a ) of 3.0 nM or less, such as 0.50 n or less, e.g. 0, 35 nM or less,, such as 0.20 nM or less, e.g. 0.1 nM or less, when determined as described in the assay in Example 12.
- an apparent affinity EC 5a
- the antibody binds to mammalian cells expressing tissue factor, such as A431 cells transfected with a construct encoding tissue factor, preferably with an apparent affinity (EC S0 ) of 10 nM or less, e.g . 8 nM or less, such as 5 nM or less, e.g. 2 nM or less, such as 1 nM or less, e.g . 0, 5 nM or less, such as 0.3 nM or less, when determined as described in the assay in Example 13.
- tissue factor such as A431 cells transfected with a construct encoding tissue factor
- the antibody in a another or alternative aspect is conjugated to a therapeutic moiety selected from the group consisting of taxoi ; cytochaiasin B; gramicidin D; ethidium bromide; emetine; mitomycin ; etoposide; tenoposide; vincristine; vinblastine; colchicin; doxorubicin; daunorubicln; dihydroxy anthracin dione; a tubufin-inhibitor such as
- ⁇ maytansine or an analog or derivative thereof; mitoxantrone; mithramycln ; actinomycin D; 1 -dehydrotestosterone; a glucocorticoid ; procaine; tetracaine; iidocaine; propranolol;
- puromycin caltcheamicin or an analog or derivative thereof an antimetabolite such as methotrexate, 6 mercaptopurine, 6 thioguanine, cytarabine, fiudarabin, 5 fiuorouracil, decarbazine, hydroxyurea, asparaginase, gemcitablne, or cladribine; an alkylating agent such as mechlorethamine, thioepa, chlorambucil, melpha!an, carmustine (BSNU) , lomustine (CCNU), cyclophosphamide, busulfan, dibromomannitol, streptozotocin, dacarbazine (DTIC), procarbazine, mitomycin C, cisp!atin, carbop!atin, duocarmycin A, duocarmycin SA,
- an antimetabolite such as methotrexate, 6 mercaptopurine, 6 thioguanine
- rachefmycin (CC-1065), or an analog or derivative thereof; pyrro!o[2, l-c] [l,4]
- benzodiazepines or analogues thereof; a n antibiotic such as dactinomycin, bleomycin, daunorubicln, doxorubicin, idarubicin, mithramycin, mitomycin, mitoxantrone, plicamycin, anthramycin (AMC) ) ; diphtheria toxin and related molecules such as diphtheria A chain and active fragments thereof and hybrid molecules, ricin toxin such as ricin A or a deglycosyiated ricin A chain toxin, cholera toxin, a Shiga-!lke toxin such as SLT I, SLT ⁇ , SLT ilV, LT toxin, C3 toxin, Shiga toxin, pertussis toxin, tetanus toxin, soybean Bowman- Birk protease i nhibitor, Pseudomonas exotoxin
- the antibody is conjugated to a cytokine selected from the group consisting of IL-2, IL-4, IL-6, IL-7, IL-10, IL-12, IL-13, IL-15, IL-18, IL-23, TL-24, IL-27, IL-28a, IL-28b, IL-29, GF, IFNa, ⁇ ⁇ , IFNy, GM-CSF, CD40L, F!t3 ilgand, stem cell factor, ancestim, and TNFa,
- a cytokine selected from the group consisting of IL-2, IL-4, IL-6, IL-7, IL-10, IL-12, IL-13, IL-15, IL-18, IL-23, TL-24, IL-27, IL-28a, IL-28b, IL-29, GF, IFNa, ⁇ ⁇ , IFNy, GM-CSF, CD40L, F!t3 ilgand, stem cell
- the antibody is conjugated to a radioisotope.
- the antibody is capable of inducing cytotoxicity by internalization of the antibody coupled to a toxin in A431, BxPC3 or MDA-MB-23 as described in Example 15.
- the antibody induces cytotoxicity by internalization as described in Example 15, with an EC 50 value between 9 x 10 "b and 4 x 10 "4 pg/mL in A431 cells.
- the preparation of the antibody drug conjugate results in less than 2%, such as less than 1.5%, or less than 1%, or less than 0.5% unconjugated drug when determined as described in Example 16.
- the preparation of the antibody drug conjugate results in less 10%, such as less than 8%, or less than 7% or less than 6% or less than 5.5% aggregates when determined as described in Example 16.
- the preparation of the antibody drug conjugate results in less 1%, such as less than 0.5%, or less than 0.25%, or less than 0,2% endotoxins when determined as described in Example 1G.
- concentration of antibody drug conjugate in the range of 1-100 mg/mL, such as in the range of 2-50 mg/mL, or In the range of 5-25 mg/mL, or in the range of 5-15 mg/mL, or in the range of 7.5-15 mg/mL, or in the range of 8-12 mg/mL, or in the range of 9- 11 mg/mL when determined as described in Example 16.
- the antibody drug conjugate binds to the extracellular domain of tissue factor with an apparent affinity (EC 50 ) of 600 ng/mL or less, such as 550 ng/mL or iess, or 500 ng/mL or less, such as with an EC 50 value in the range of 200-600 ng/mL, e.g. an EC 50 value in the range of 300-600 ng/mL, or an EC 50 value in the range of 350-550 ng/mL, or an EC 50 value in the range of 400-500 ng/mL, when determined as described in Example 17.
- an apparent affinity EC 50
- 600 ng/mL or less such as 550 ng/mL or iess, or 500 ng/mL or less
- an EC 50 value in the range of 200-600 ng/mL e.g. an EC 50 value in the range of 300-600 ng/mL, or an EC 50 value in the range of 350-550 ng/mL, or an EC
- the antibody drug conjugate induces cytotoxicity by internalization as described in Example 1.8, with an EC SQ value between 1 and 100 ng/mL in A431 cells.
- the antibody drug conjugate induces cytotoxicity by internalization as described in Example 18, with an EC 50 value between 0.5 and 20 ng/mL In HPAF-II cells.
- the antibody drug conjugate Induces cytotoxicity by internalization as described in Example 18, with an EC 50 value between 0.5 and 500 ng/mL, such as between 0.5 and 2.0 ng/mL in NCI-H441 ceils.
- the antibody drug conjugate induces cytotoxicity by internalization as described in Example 18, in e.g. tumor cells, expressing more than 2.00,000 tissue factor molecules per cell, such as between 200,000-1,000,000 tissue factor molecules per cell, e.g. between 200,000 and 500,000 tissue factor molecules per cell.
- the EC 50 value may in one embodiment be between 0.1 and 100 ng/mL.
- the antibody drug conjugate induces cytotoxicity by Internalization as described in Example 18, in e.g. tumor cells, expressing more than 20,000 tissue factor molecules per cell, such as between 20,000-200,000 tissue factor molecules per cell.
- the EC 5 o value may in one embodiment be between 0.5 and 500 ng/mL, such as between 0.5 and 20 ng/mL.
- the antibody drug conjugate Inhibits tumour growth as described in Example 19.
- the antibody drug conjugate inhibits tumour growth of a cell line expressing more than 1000 molecules tissue factor per cell, such as more than 10,000 tissue factor molecules per cells, e.g. more than 100,000 tissue factor molecules per cell, or such as between 1000-2.0,000 tissue factor molecules per cell, or between 20,000-200,000 tissue factor molecules per cell, or between 200,000-500,000 tissue factor molecules per cell, or between 200,000-1,000,000 tissue factor molecules per ceil, when tumor growth is determined as described in Example 19.
- the antibody drug conjugate is stable at -65°C for at least three months, where stable refers to that at least 95% of the antibody drug conjugate is present as monomeric rnoiecules when determined as described in Example 20.
- the antibody drug conjugate is stable at 5°C for at least three months, where stable refers to that at least 95% of the antibody drug conjugate is present as monomeric molecules when determined as described in Example 20.
- the invention provides a pharmaceutical composition
- a pharmaceutical composition comprising the antibody drug conjugate as defined in any of the above embodiments, in one embodiment the pharmaceutical composition further comprises a pharmaceutically acceptable carrier.
- the invention provides the antibody drug conjugate as defined in any of of the above embodiments for use as a medicament.
- the invention provides the antibody drug conjugate as defined in any of the above embodiments for use in the treatment of a disorder.
- the invention provides the antibody drug conjugate as defined in any of the above embodiments for use In the treatment of inflammation.
- the invention provides the antibody drug conjugate as defined in any of the above embodiments for use in the treatment of cancer.
- the cancer is selected from the group consisting of tumors of the central nervous system, head and neck cancer, lung cancer, such as NSCLC, breast cancer, specifically triple-negative breast cancer, esophageal cancer, gastric or stomach cancer, liver and biliary cancer, pancreatic cancer, colorectal cancer, bladder cancer, kidney cancer, prostate cancer, endometrial cancer, ovarian cancer, malignant melanoma, sarcoma, tumors of unknown primary origin, bone marrow cancer, acute lymphoblastic leukemia, chronic lymphoblastic leukemia and non-Hodgkin lymphoma, skin cancer, glioma, cancer of the brain, uterus, acute myeloid leukemia and rectum.
- lung cancer such as NSCLC
- breast cancer specifically triple-negative breast cancer
- esophageal cancer gastric or stomach cancer
- liver and biliary cancer pancreatic cancer
- colorectal cancer bladder cancer, kidney cancer, prostate cancer, endometrial cancer, ovarian cancer,
- the cancer is pancreatic cancer.
- the cancer is colorectal cancer.
- the cancer is ovarian cancer. In one embodiment the cancer is breast cancer, In one embodiment the cancer is prostate cancer. In one embodiment the cancer is bladder cancer.
- the cancer is a cancer which is sensitive to treatment with a tubulin inhibitor.
- the invention provides the antibody drug conjugate of any one of above embodiments, wherein the medicament is for the treatment of cancer in combination with one or more further therapeutic agents, such as a chemotherapeutic agent.
- the invention provides the use of the antibody drug conjugate of any one of the above embodiments for the manufacture of a medicament, for the treatment of cancer.
- the cancer may be selected from any one of the cancers described above.
- the invention provides a method for inducing ceil death, or inhibiting growth and/or proliferation of a tumor cell expressing tissue factor, comprising administration, to an individual in need thereof, of an effective amount of the antibody drug conjugate of any of the above embodiments.
- the invention provides a method of treatment of any of the above cancer diseases by administration to an individual in need thereof, an effective amount of the antibody drug conjugate of any of the above embodiments.
- the antibody drug conjugate is administered in combination with one or more further therapeutic agents, such as a chemotherapeutic agent.
- the present invention relates to anti-TF antibody drug conjugates, thus comprising both an antibody and a drug, which may in particular be conjugated to each other via a linker,
- the antibodies may be prepared by well known recombinant techniques using well known expression vector systems and host cells.
- the antibodies are prepared in a CHO celi using the GS expression vector system as disclosed in De Sa Cruz Edmunds et al ., 2006, Molecular Biotechnology 34: 179-190, EP216846, US5981215, WO 87/04462, EP323997, US5591639, US5658759, EP338841, US5879936, and US5891693.
- Monoclonal antibodies of the present invention may e.g . be produced by the hybridoma method first described by Kohler et al ., Nature 256, 495 ( 1975), or may be produced by recombinant DNA methods. Monoclonal antibodies may also be isolated from phage antibody libraries using the techniques described in, for example, Clackson et al., Nature .352 . , 62.4-628 ( 1991 ) and Marks et a!,, .1. Mol . Biol . 222, 581-597 (1991). Monoclonal antibodies may be obtained from any suitable source.
- monoclonal antibodies may be obtained from hybridomas prepared from murine splenic B ceils obtained from mice immunized with an antigen of interest, for instance in form of cells expressing the antigen on the surface, or a nucleic acid encoding an antigen of interest.
- Monoclonal antibodies may aiso be. obtained from hybridomas derived from antibody- expressing cells of immunized hu mans or non-human mammals such as rats, dogs, primates, etc.
- the antibody of the Invention is a human antibody.
- Human monoclonal antibodies directed against tissue factor may be generated using transgenic or transchromosomai mice carrying parts of the human immune system rather than the mouse system.
- transgenic and transchromosomic mice include mice referred to herein as HuMAb mice and KM mice, respectively, and are collectively referred to herein as "transgenic mice”.
- the HuMAb mouse contains a human immunoglobulin gene minilocus that encodes unrearranged human heavy ( ⁇ and ⁇ ) and ⁇ light chain immunoglobulin sequences, together with targeted mutations that inactivate the endogenous ⁇ and ⁇ chain loci (Lonberg, N . et al. , Nature 368, 856-859 (1994) ) . Accordingly, the mice exhibit reduced expression of mouse IgM or ⁇ and in response to immunization, the introduced human heavy and light chain transgenes undergo class switching and somatic mutation to generate high affinity human IgG, monoclonal antibodies (Lonberg, N . et al . ( 1994), supra; reviewed in Lonberg, N , Handbook of Experimental Pharmacology .
- HuMAb mice The preparation of HuMAb mice is described in detail in Taylor, L. et. al ., Nucleic Acids Research 20, 6287-6295 ( 1992), Chen, j. et al. , International Immunology 5, 647-656 ( 1993), Tuaillon et al ., J. Immunol. 152, 2912-2920 ( 1994), Taylor, L.
- the HCo7 mice have a JKD disruption in their endogenous light chain (kappa) genes (as described in Chen et ai. , EMBO J. 12, 821-830 (1993)), a CMD disruption in their endogenous heavy chain genes (as described in Example 1 of WO 01/14424), a Co5 human kappa light chain transgene (as described in Fishwiid et al. , Natu re Biotechnology 14, 845-851 (1996)), and a HCo7 human heavy chain transgene (as described in US 5, 770,429) .
- the HCol 2 mice have a J KD disruption in their endogenous light chain (kappa) genes (as described In Chen et al. , EMBO 3. 12, 821-830 (1993)), a C D disruption in their endogenous heavy chain genes (as described in Example 1 of WO 01/14424), a KCo5 human kappa light chain transgene (as described in Fishwiid et ai. , Nature Biotechnoiogy 14, 845-851 ( 1996)), and a HCol 2 human heavy chain transgene (as described in Example 2 of WO 01/14424).
- the HCol 7 transgenic mouse strain (see also US 2010/0077497) was generated by coinjection of the 80 kb insert of pHC2 (Taylor et al. ( 1994) Int. Immunol . , 6 ; 579-591), the 25 Kb insert ofpVX6, and a -460 kb yeast artificial chromosome fragment of the yIgH24 chromosome. This line was designated (HCol7) 25950. The (HCol7) 25950 line was then bred with mice comprising the CMD mutation (described in Example 1 of PCT Publication WO 01109187), the JKD mutation (Chen et al.
- mice express human immunoglobulin heavy and kappa light chain trans genes in a background homozygous for disruption of the endogenous mouse heavy and kappa light chain loci .
- the HCo20 transgenic mouse strain is the result of a co-injection of minilocus 30 heavy chain transgene pHC2, the germline variable region (Vh)-containing YAC ylgH lO, and the minilocus construct pVx6 (described in WO09097006) .
- the ( HCo20) line was then bred with mice comprising the CMD mutation (described in Example 1 of PCT Publication WO 01/09187), the . ' JKD mutation (Chen et ai. ( 1993) EMBO J . 12 : 811-820), and the (KC05) 9272 trans gene (Fishwiid et al. ( 1996) Nature Biotechnology 14: 845-851) .
- the resulting mice express human 10 immunoglobulin heavy and kappa light chain transgenes in a background homozygous for disruption of the endogenous mouse heavy and kappa light chain loci.
- Hu ab mice were crossed with KC05 [Ml K] (Balb) mice which were generated by
- mice strain carries a human kappa Iight chain transgene, KCo5, as described in Fishwild et aL, Mature Biotechnology 14, 845-851 ( 1996) ,
- This mouse strain also carries a human heavy chain transchromosome composed of chromosome 14 fragment hCF (SC20) as described in WO 02/43478.
- Spienocytes from these transgenic mice may be used to generate hybridomas that secrete human monocional antibodies according to wei! known techniques.
- Human monoclonal or polyclonal antibodies of the present invention, or antibodies of the present invention originating from other species may also be generated transgenically through the generation of another non-human mammal or plant that is transgenic for the immunoglobulin heavy and light chain sequences of interest and production of the antibody in a recoverable form therefrom .
- antibodies may be produced in, and recovered from, the milk of goats, cows, or other mammals. See for instance US 5,827,690, US 5,756,687, US 5,750, 172 and US 5,741,957.
- human antibodies of the present invention or antibodies of the present invention from other species may be generated through disp!ay-type technologies, including, without limitation, phage display, retroviral display, rihosomal display, and other techniques, using techniques well known in the art and the resulting molecules may be subjected to additional maturation, such as affinity maturation, as such techniques are well known in the art (see for instance Hoogenboom et ah, 3. Mol . Biol .
- the antibody of the invention may be of any isotype.
- the choice of isotype typica!iy wiil be guided by the desired effector functions, such as ADCC induction , Exemplary isotypes are IgG l, IgG2, IgG3, and IgG4. Either of the human Iight chain constant regions, kappa or lambda, may be used.
- the class of an anti-TF antibody of the present invention may be switched by known methods. For example, an antibody of the present invention that was originally IgM may be class switched to an IgG antibody of the present invention.
- class switching techniques may be used to convert one IgG subclass to another, for instance from IgG l to IgG2,
- the effector function of the antibodies of the present invention may be changed by isotype switching to, e.g . , an IgGl, IgG2, IgG3, IgG4, IgD, IgA, IgE, or IgM antibody for various therapeutic uses.
- an antibody of the present invention is an IgGl antibody, for instance an IgGl,x.
- the antibody of the invention is a fuii-length antibody, preferably an IgGl antibody, in particular an IgGl, K antibody.
- the term full-length antibody is intended to be understood as referring to what is generally known as a natural, whole, antibody, i.e. not a fragment or other types of antibodies where the different chains of an antibody has been re-arranged by man to generate a new type of antibody (see e.g. Sidhu SS, Nature Biotechnology, 25, 5, 537- 538, (2007) disclosing fuii-length antibodies on display).
- the antibody of the invention is an antibody fragment or a single-chain antibody.
- Antibody fragments may e.g. be obtained by fragmentation using conventional techniques, and the fragments screened for utility in the same manner as described herein for whole antibodies.
- F(ab') 2 fragments may be generated by treating antibody with pepsin.
- the resulting F(ab') 2 fragment may be treated to reduce disulfide bridges to produce Fab' fragments.
- Fab fragments may be obtained by treating an IgG antibody with papain; Fab' fragments may be obtained with pepsin digestion of IgG antibody.
- a F(ab') fragment may also be produced by binding Fab' described below via a thioether bond or a disulfide bond
- a Fab' fragment is an antibody fragment obtained by cutting a disulfide bond of the hinge region of the F(ab') 2 .
- a Fab' fragment may be obtained by treating a F(ab') 2 fragment with a reducing agent, such as dithiothreitol.
- Antibody fragments may also be generated by expression of nucleic acids encoding such fragments in recombinant ceils (see for instance Evans et al., J, Immunol, Meth, . 184, 12.3-38 (1995)).
- a chimeric gene encoding a portion of a F(ab')? fragment could include DNA sequences encoding the G domain and hinge region of the H chain, followed by a translational stop codon to yield such a truncated antibody fragment molecule.
- the antibodies of the present invention are further disclosed and characterized in WO 2010/066803 (Genmab A/S).
- the anti-TF antibody is a stabilized IgG4 antibody.
- suitable stabilized IgG4 antibodies are antibodies, wherein arginine at position 409 in a heavy chain constant region of human IgG4, which is indicated in the EU index as in Kabat et al., is substituted with lysine, threonine, methionine, or leucine, preferably lysine (described in WO2006033386 ( trin)) and/or wherein the hinge region comprises a Cys-Pro- Pro-Cys sequence.
- the stabilized IgG4 anti-TF antibody is an IgG4 antibody comprising a heavy chain and a light chain, wherein said heavy chain comprises a human IgG4 constant region having a residue selected from the group consisting of: Lys, Ala, Thr, Met and Leu at the position corresponding to 409 and/or a residue selected from the group consisting of: Ala, Val, G y, He and Leu at the position corresponding to 405, and wherein said antibody optionalfy comprises one or more further substitutions, deletions and/or insertions, but does not comprise a Cys-Pro-Pro-Cys sequence in the hinge region.
- said antibody comprises a Lys or Aia residue at the position corresponding to 409 or the CH3 region of the antibody has been replaced by the CH3 region of human IgGl, of human IgG2 or of human IgG3.
- the stabilized IgG4 anti-TF antibody is an IgG4 antibody comprising a heavy chain and a light chain, wherein said heavy chain comprises a human IgG4 constant region having a residue selected from the group consisting of; Lys, Aia, Thr, Met and Leu at the position corresponding to 409 and/or a residue selected from the group consisting of: Ala, Vai, Giy, .lie and Leu at the position corresponding to 405, and wherein said antibody optionally comprises one or more further substitutions, deletions and/or insertions and wherein said antibody comprises a Cys-Pro-Pro-Cys sequence in the hinge region.
- said antibody comprises a Lys or Ala residue at the position corresponding to 409 or the CHS region of the antibody has been replaced by the CHS region of human IgGl, of human igG2 or of human T.gG3.
- the anti-TF antibody is an antibody of a non ⁇ IgG4 type, e.g. IgGl, IgG2 or IgG3 which has been mutated such that the ability to mediate effector functions, such as ADCC, has been reduced or even eliminated.
- a non ⁇ IgG4 type e.g. IgGl, IgG2 or IgG3 which has been mutated such that the ability to mediate effector functions, such as ADCC, has been reduced or even eliminated.
- Such mutations have e.g. been described in Dail'Acqua WF et al., J Immunol. 177(2) : 1129-1138 (2006) and Hezareh M, J Virol. ; 75(24) : 12161- 12168 (2001).
- the present invention provides an anti-TF antibody drug conjugate.
- the anti-TF antibody drug conjugates of the present invention comprise an anti-TF antibody as disclosed herein conjugated to auristatins or auristatin peptide analogs and derivates (US5635483; US5780588).
- Auristatins have been shown to interfere with microtubule dynamics, GTP hydrolysis and nuclear and cellular division (Woyke et al (2001) Antimicrob. Agents and Chemother. 45(12) : 3580-3584) and have anti-cancer (US5663149) and anti-fungal activity (Pettit et al., (1998) Antimicrob. Agents and Chemother. 42 : 2961-2965.
- the auristatin drug moiety may be attached to the antibody via a linker, through the N (amino) terminus or the C (terminus) of the peptidic drug moiety.
- Exemplary auristatin embodiments include the IM-terminus-linked monomethyl auristatin drug moieties DE and DF, disclosed in Senter et a!,, Proceedings of the American Association for Cancer Research. Volume 45, abstract number 623, presented March 28, 2004 and described In US 2005/0238649).
- An exemplary auristatin embodiment is M1 AE (monomethyl auristatin E), wherein the wavy line indicates the covalent attachment to the linker (L) of an antibody drug conjugate:
- MMAF monomethyl auristatin F
- L linker
- the anti-TF antibody drug conjugates according to the invention comprise a linker unit between the cytostatic or cytotoxic drug unit and the antibody unit.
- the linker is cleavable under intracellular conditions, such that the cleavage of the linker releases the drug unit from the antibody in the intracellular environment.
- the linker unit is not cleavable and the drug is for instance released by antibody degradation.
- the linker is cleavable by a cleavable agent that is present in the intracellular environment (e. g. within a lysosome or endosome or caveola).
- the linker can be, e. g. a peptidyi linker that is cieaved by an intracellular peptidase or protease enzyme, including but not limited to, a lysosomal or endosoma! protease.
- the peptidyi linker is at least two amino acids long or at least three amino acids long.
- Cleaving agents can include cathepsins B and D and plasmin, all of which are known to hydrolyze dspeptide drug derivatives resulting in the release of active drug inside the target ceils (see e. g. Dubowchik and Walker, 1999, Pharm. Therapeutics 83:67- 123).
- the peptidyi linker cleavable by an intracellular protease is a Vai-Cit (valine-citrulline) linker or a Phe-Lys (phenylalanine- lysine) linker (see e.g.
- a Vai-Cit and a Phe-Lys linker examples include but are not limited to C-vc-PAB described below, C- vc-GABA, MC-Phe-Lys-PAB or MC ⁇ Phe ⁇ Lys ⁇ GABA, wherein MC is an abbreviation for maleimido caproyl, vc is an abbreviation for Val-Cit, PAB is an abbreviation for p- aminobenzylcarbamate and GABA is an abbreviation for ⁇ -aminobutyric acid.
- an advantage of using intracellular proteolytic release of the therapeutic agent is that the agent is typically attenuated when conjugated and the serum stabilities of the conjugates are typically high.
- the linker unit is not cieavabie and the drug is released by antibody degradation (see US 2005/0238649), Typically, such a linker is not
- substantially sensitive to the extracellular environment in the context of a linker means that no more than 20%, typically no more than about 15%, more typically no more than about 10%, and even more typically no more than about 5%, no more than about 3%, or no more than about 1% of the linkers, in a sample of antibody drug conjugate compound, are cleaved when the antibody drug conjugate compound presents In an extraceiiuiar environment (e.g. plasma). Whether a linker is not substantially sensitive to the extracellular environment can be determined for example by incubating the antibody drug conjugate compound with plasma for a predetermined time period (e.g. 2, 4, 8, 16 or 24 hours) and then quantitating the amount of free drug present in the plasma.
- a predetermined time period e.g. 2, 4, 8, 16 or 24 hours
- Additional exemplary embodiments comprising MMAE or MMAF and various linker components have the following structures (wherein Ab means antibody and p, representing the drug-loading (or average number of cytostatic or cytotoxic drugs per antibody molecule), is 1 to about 8, e.g. p may be from 4-6, such as from 3-5, or p may be 1, 2, 3, 4, 5, 6, 7 or 8).
- Examples where a cieavabie linker is combined with an auristatin include MC-vc-PAB- MMAF (also designated as vcMMAF) and MC-vc-PAB-MMAF (also designated as vcMMAE), wherein MC is an abbreviation for maleimido caproyl, vc is an abbreviation for the Val-Cit (vaiine-cftruiine) based linker, and PAB is an abbreviation for p -aminobenzylcarbamate:
- Ab-MC-vc-PAB-MMAE vcMMAE
- Other examples include auristatins combined with a non-cleavable Sinker, such as mcMMAF (mc (MC is the same as mc in this context) is an abbreviation of ma!eimido caproy!) :
- the cytostatic or cytotoxic drug loading is represented by p and is the average number of cytostatic drug moieties per antibody in a molecule (also designated as the drug to antibody ratio, DAR),
- the cytostatic or cytotoxic drug loading may range from 1 to 20 drug moieties per antibody and may occur on amino acids with useful functional groups such as, but not limited to, amino or sulfhydry! groups, as in lysine or cysteine.
- p may be limited by the number of
- an antibody may be reduced with reducing agent such as dithiothreitoi (DTT) or tricarbonylethy!phosphine (TCEP), under partial or fully reducing conditions, to generate reactive sulphydryl residues.
- DTT dithiothreitoi
- TCEP tricarbonylethy!phosphine
- the drug loading for an ADC of the invention ranges from 1 to about 8, e.g.
- p may be from 4-6, such as from 3-5, or p may be 1, 2, 3, 4, 5, 6, 7, or 8, as a maximum of 8 sulphydryl residues becomes available after (partial) reduction of the antibody (there are 8 cysteines Involved in inter-chain disulfide bonding).
- the drug linker moiety is vc MAE.
- the vcMMAE drug linker moiety and conjugation methods are disclosed in WO20G40I0957, US7659241, US7829531, US7851437 and US 1.1/833,028 (Seattle Genetics, Inc.), (which are incorporated herein by reference), and the vcMMAE drug Sinker moiety is bound to the anti-TF antibodies at the cysteines using a method similar to those disclosed in therein.
- the drug linker moiety is mcMMAF.
- the mcMMAF drug linker moiety and conjugation methods are disclosed in US7498298, US 11/833,954, and VVO2005081711 (Seattle Genetics, Inc.), (which are incorporated herein by reference), and the mcMMAF drug linker moiety is bound to the anti-TF antibodies at the cysteines using a method similar to those disclosed in therein.
- the anti-TF antibody drug conjugate is HuMab-TF-011-vcMMAE.
- the anti-TF antibody drug conjugate is HuMab-TF-098-vcMMAE.
- the anti-TF antibody drug conjugate is HuMab-TF- l l l-vc MAE. In one embodiment, the anti-TF antibody drug conjugate is HuMab-TF-114-vcM AE. In one embodiment, the anti-TF antibody drug conjugate is Hu ab-TF-011-mcMMAF. In one embodiment, the anti-TF antibody drug conjugate is H u M b ⁇ T F - 098 - m c M M A F . In one embodiment, the anti-TF antibody drug conjugate is HuMab-TF- l l l-mcMMAF. In one embodiment, the anti-TF antibody drug conjugate is HuMab-TF- 1 14-mc MAF.
- the anti-TF antibody is conjugated to a therapeutic moeity, such as a cytotoxin, a chemotherapeutic drug, a cytokine, an immunosuppressant, or a radioisotope, Such conjugates are referred to herein as “immunoconjugates”.
- Immunoconjugates which include one or more cytotoxins are referred to as "immuno- toxins" .
- a cytotoxin or cytotoxic agent includes any agent that is detrimental to (e.g., kills) cells.
- Suitable therapeutic agents for forming immunoconjugates of the present invention include taxol, cytoehalasin B, gramicidin D, ethidium bromide, emetine, mitomycin, etoposide, tenoposide, vincristine, vinblastine, coichicln, doxorubicin, daunorubicin, di hydroxy anthracin dione, maytansine or an analog or derivative thereof, mitoxantrone, mithramycin, actinomycin D, 1-dehydrotestosterone, glucocorticoids, procaine, tetracaine, lidocaine, propranolol, and puromycin, ; caiicheamicin or analogs or derivatives thereof; antimetabolites (such as methotrexate, 6-mercaptopurine, 6-thioguanine, cy
- rachelmycin or analogs or derivatives of CC-1065
- do!astatin pyrrolo[2, i-c] [ l ,4] benzodiazepins (PDBs) or analogues thereof, antibiotics (such as dactinomycin (formerly actinomycin), bleomycin, daunorubicin (formerly daunomycin), doxorubicin, idarubicin, mithramycin, mitomycin, mitoxantrone, plicamycin, anthramycin (AMC)), anti-mitotic agents (e.g .
- antibiotics such as dactinomycin (formerly actinomycin), bleomycin, daunorubicin (formerly daunomycin), doxorubicin, idarubicin, mithramycin, mitomycin, mitoxantrone, plicamycin, anthramycin (AMC)
- anti-mitotic agents e.g .
- tubulin-inhibitors such as diphtheria toxin and related molecules (such as diphtheria A chain and active fragments thereof and hybrid molecules) ; ricin toxin (such as ricin A or a deglycosylated ricin A chain toxin), cholera toxin, a Shiga-like toxin (SLT-I, SLT-II, SLT-IIV), LT toxin, C3 toxin, Shiga toxin, pertussis toxin, tetanus toxin, soybean Bowman-Birk protease inhibitor, Pseudomonas exotoxin, alorin, saporin, modeccm, gelanin, abrin A chain, modeccin A chain, alpha-sarcin, A!eurites fordii proteins, dianthin proteins, Phytolacca americana proteins (PARI, PAPII, and PAP-S), momordica charantia inhibitor,
- conjugated molecules include antimicrobiai/lytic peptides such as CLIP, Magainin 2, mellitin, Cecropin, and P18; ribonuclease (RIMase), DNase I, Staphylococcal enterotoxin-A, pokeweed antiviral protein, diphtherin toxin, and Pseudomonas endotoxin, See. for example, Pastan et al, , Cell 47, 641 (1986) and Goldenberg, Calif, A Cancer journal for Clinicians 44, 43 (1994).
- antimicrobiai/lytic peptides such as CLIP, Magainin 2, mellitin, Cecropin, and P18
- RIMase ribonuclease
- DNase I DNase I
- Staphylococcal enterotoxin-A Staphylococcal enterotoxin-A
- pokeweed antiviral protein diphtherin toxin
- Pseudomonas endotoxin See
- Therapeutic agents that may be administered in combination with anti-TF antibody drug conjugates of the present invention as described elsewhere herein, such as, e.g., ants-cancer cytokines or chemokines, are also candidates for therapeutic moieties useful for conjugation to an antibody disclosed in the present invention.
- an anti-TF antibody drug conjugate disclosed in the present invention comprises a conjugated nucleic acid or nucleic acid-associated molecule.
- the conjugated nucleic acid is a cytotoxic ribonuclease, an antisense nucleic acid, an inhibitory RNA molecule (e.g., a siRNA molecule) or an immunostimulatory nucleic acid (e.g., an irnrnunostimuiatory CpG motif-containing DNA molecule).
- a anti-TF antibody of the invention is conjugated to an aptamer or a ribozyme instead of an auristatin or a functional peptide analog or derivate thereof.
- anti-TF antibody drug conjugates comprising one or more radiolabeled amino acids
- a radiolabeled anti-TF antibody may be used for both diagnostic and therapeutic purposes (conjugation to radiolabeled molecuies is another possible feature).
- labels for polypeptides include 3H, 14C, 15N, 35S, 9QY, 99Tc, and 1251, 1311, and 186Re, Methods for preparing radiolabeled amino acids and related peptide derivatives are known in the art (see for instance Junghans et al.
- a radioisotope may be conjugated by a chloramine T method.
- the antibody is conjugated to a radioisotope or to a radioisotope-containing chelate.
- the antibody can be conjugated to a chelator linker, e.g. DOTA, DTPA or tiuxetan, which allows for the antibody to be cornpiexed with a radioisotope.
- the antibody may also or alternatively comprise or be conjugated to one or more radiolabeled amino acids or other radiolabeled molecule.
- a radiolabeled anti-TF antibody may be used for both diagnostic and therapeutic purposes.
- Non-limiting examples of radioisotopes include 3 H, 1 C, 15 N, 3S S, 90 Y, 99 Tc, 125 I, m In, 131 I, 1S6 Re, 2i3 Bs, 22S Ac and 227 Th.
- Anti-TF antibodies may also be chemically modified by covalent conjugation to a polymer to for instance increase their circulating half-life.
- exemplary polymers, and methods to attach them to peptides are illustrated in for instance US 4,766,106, US 4, 179,337, US 4,495,285 and US 4,609,546, Additional polymers include polyoxyethylated polyois and polyethylene glycol (PEG) (e.g., a PEG with a molecular weight of between about 1,000 and about 40,000, such as between about 2,000 and about 20,000). This may for example be used if the anti-TF antibody is a fragment.
- PEG polyethylene glycol
- any method known in the art for conjugating the anti-TF antibody disclosed in the present invention to the conjugated mo!ecule(s), such as those described above, may be employed, including the methods described by Hunter ef a:., Nature 144, 945 (1962), David et a/. , Biochemistry 13, 1014 (1974), Pain et ai. , 3. Immunol. Meth. 40, 219 ( 1981) and Nygren, 3. Histochern. and Cyt.oc.hem, 30, 407 ( 1982).
- Such antibodies may be produced by chemically conjugating the other moiety to the -terminal side or C-terminal side of the anti-TF antibody or fragment thereof (e.g.
- anti-TF antibody H or L chain a anti-TF antibody H or L chain
- conjugated antibody derivatives may also be generated by conjugation at Internal residues or sugars, where appropriate.
- the agents may be coupled either directly or Indirectly to a anti-TF antibody disclosed in the present invention.
- One example of indirect coupling of a second agent is coupling via a spacer moiety to cysteine or lysine residues in the antibody.
- an anti-TF antibody is conjugated, via a spacer or linker, to a prodrug molecule that can be activated in vivo to a therapeutic drug. After administration, the spacers or linkers are cleaved by tumor cell-associated enzymes or other tumor-specific conditions, by which the active drug is formed.
- the anti-TF antibody of the present invention is attached to a chelator linker, e.g. tiuxetan, which allows for the antibody to be conjugated to a radioisotope,
- the invention relates to an expression vector encoding an antibody of the invention.
- an expression vector encoding an antibody of the invention.
- the anti-TF antibody of the present invention is conjugated to a therapeutic moiety different than an auristatin or a functional peptide analog or derivate thereof.
- Such expression vectors may in one embodiment be used to express the anti-TF antibody of the present invention which may then subsequently be conjugated to a moiety as described herein.
- the expression vector of the invention comprises a nucleotide sequence encoding one or more of the amino acid sequences selected from the group consisting of: SEQ ID NO: 1-4, 5-8,, 33-36, 37-40, 41-44, 45-48, 73-76 and 77-80.
- the expression vector of the invention comprises a nucleotide sequence encoding one or more of the VH amino acid sequences selected from the group consisting of: SEQ ID NO: 1, 5, 37 and 33.
- the expression vector of the invention comprises a nucleotide sequence encoding one or more of the VH CD 3 amino acid sequences selected from the group consisting of: SEQ ID NO 4, 8, 40 and 36.
- the expression vector of the invention comprises a nucleotide sequence encoding one or more of the VL amino acid sequences selected from the group consisting of: SEQ ID NO : 41 , 45, 77 and 73,
- the expression vector of the invention comprises a nucleotide sequence encoding one or more of the VL CDR3 amino acid sequences selected from the group consisting of: SEQ ID NO : 44, 48, 80 and 76.
- the expression vector of the Invention comprises a nucleotide sequence encoding variants of one or more of the above amino acid sequences, said variants having at most 25 amino acid modifications, such 20, such as at most 15, 14, 13, 12 or 11 amino acid modifications, such as 10, 9, 8, 7, 6, 5, 4, 3, 2 or 1 amino-acid modifications, such as deletions or insertions, preferably substitutions, such as conservative substitutions or at least 80% identity to any of said sequences, such as at least 85% identity or 90% identity or 95% identity, such as 96% identity or 97% identity or 98% identity or 99% identity to any of the afore mentioned amino acid sequences.
- the expression vector further comprises a nucleotide sequence encoding the constant region of a light chain, a heavy chain or both light and heavy chains of an antibody, e.g . a human antibody.
- Such expression vectors may be used for recombinant production of antibodies of the invention.
- An expression vector in the context of the present invention may be any suitable vector, including chromosomal, non-chromosomal, and synthetic nucleic acid vectors (a nucleic acid sequence comprising a suitable set of expression control elements) .
- suitable vectors include derivatives of SV40, bacteria! plasmids, phage DNA, bacu!ovirus, yeast plasmids, vectors derived from combinations of plasmids and phage DNA, and viral nucleic acid (RNA or DNA) vectors.
- an anti-TF antibody-encoding nucleic acid is comprised in a naked DNA or RNA vector, including, for example, a linear expression element (as described In for instance Sykes and Johnston, Nat Biotech 17, 355-59 (1997)), a compacted nucleic acid vector (as described in for Instance US 6,077, 835 and/or WO 00/70087), a plasmid vector such as pBR322, pUC 19/18, or pUC 118/119, a "midge" minimally-sized nucleic acid vector (as described in for Instance Schakowski et al .
- a linear expression element as described In for instance Sykes and Johnston, Nat Biotech 17, 355-59 (1997)
- a compacted nucleic acid vector as described in for Instance US 6,077, 835 and/or WO 00/70087
- a plasmid vector such as pBR322, pUC 19/18, or pUC 118/119
- nucleic acid vector construct such as a CaP04-precipitated construct (as described in for instance WO 00/46147, Benvenisty and Reshef, PNAS USA 83, 9551-55 (1986), Wigler et al ., Ce!i 14, 725 ( 1978), and Coraro and Pearson, Somatic Cell Genetics 7, 603 ( 1981)).
- a CaP04-precipitated construct as described in for instance WO 00/46147, Benvenisty and Reshef, PNAS USA 83, 9551-55 (1986), Wigler et al ., Ce!i 14, 725 ( 1978), and Coraro and Pearson, Somatic Cell Genetics 7, 603 ( 1981).
- nucleic acid vectors and the usage thereof are well known in the art (see for instance US 5,589,466 and US 5,973,972) ,
- the vector is suitable for expression of the anti-TF antibody in a bacterial cell.
- expression vectors such as BlueScript (Stratagene), pIN vectors (Van Heeke & Schuster, J Bio! Chem 264, 5503-5509 (1989), pET vectors (Novagen, Madison WI) and the like) .
- An expression vector may also or alternatively be a vector suitable for expression in a yeast system .
- Any vector suitable for expression In a yeast system may be employed .
- Suitable vectors include, for example, vectors comprising constitutive or inducible promoters such as alpha factor, alcohol oxidase and PGH (reviewed in : F. Ausubei et ai . , ed . Current Protocols in Molecular Biology, Greene Publishing and Wiley InterScience New York ( 1987), and Grant et al . , Methods in Enzymol 153, 516-544 ( 1987) ) .
- a nucleic acid and/or vector may also comprises a nucleic acid sequence encoding a secretion/localization sequence, which can target a polypeptide, such as a nascent polypeptide chain, to the peripiasmic space or into cell culture media.
- a secretion/localization sequence which can target a polypeptide, such as a nascent polypeptide chain, to the peripiasmic space or into cell culture media.
- Such sequences are known in the art, and include secretion leader or signal peptides, organelle targeting sequences (e. g . , nuclear localization sequences, ER retention signals, mitochondrial transit sequences, chloroplast transit sequences), membrane localization/anchor sequences (e. g., stop transfer sequences, GPI anchor sequences), and the like.
- anti-TF antibody-encoding nucleic acids may comprise or be associated with any suitable promoter, enhancer, and other expression- facilitating elements.
- suitable promoter, enhancer, and other expression- facilitating elements include strong expression promoters (e. g . , human CMV IE promoter/enhancer as well as RSV, SV40, SL3-3, MMTV, and HIV LT promoters), effective poly (A) termination sequences, an origin of replication for plasmid product in E. coii, an antibiotic resistance gene as selectable marker, and/or a convenient cloning site (e.g., a polyiinker) .
- Nucleic acids may also comprise an inducible promoter as opposed to a constitutive promoter such as CMV IE (the skilled artisan will recognize that such terms are actually descriptors of a degree of gene expression under certain conditions) .
- the anti-TF-antibody-encoding expression vector may be positioned in and/or delivered to the host cell or host animal via a viral vector.
- the invention relates to a recombinant eukaryotic or prokaryotic host cell, such as a transfectoma, which produces an anti-TF antibody of the invention as defined herein or a bispecific molecule of the invention as defined herein.
- host cells include yeast, bacterial and mammalian cells, such as CHO or HE ceils.
- the present invention provides a eel! comprising a nucleic acid stably integrated into the cellular genome that comprises a sequence coding for expression of an anti-TF antibody of the present invention.
- the present Invention provides a eel! comprising a non-integrated nucleic acid, such as a p!asrnid, cosmid, phagemld, or linear expression element, which comprises a sequence coding for expression of an anti-TF antibody of the invention.
- the Invention relates to a hybridoma which produces an antibody of the invention as defined herein, in an even further aspect, the invention relates to a transgenic non-human animal comprising nucleic acids encoding a human heavy chain and a human light chain, wherein the animal or plant produces an antibody of the invention of the invention. Generation of such hybridomas and transgenic animals has been described above.
- the invention relates to a method for producing an anti-TF antibody of the invention, said method comprising the steps of
- the anti-TF antibody drug conjugates may be formulated into pharmaceutical compositions using well known pharmaceutical carriers or excipients.
- compositions may be formulated with pharmaceutically acceptable carriers or diluents as well as any other known adjuvants and excipients in accordance with conventional techniques such as those disclosed in Remington : The Science and Practice of Pharmacy, 19th Edition, Gennaro, Ed. , Mack Publishing Co., Easton, PA, 1995.
- the pharmaceutically acceptable carriers or diluents as well as any other known adjuvants and excipients should be suitable for the antibody drug conjugate of the present invention and the chosen mode of administration. Suitability for carriers and other components of pharmaceutical compositions is determined based on the lack of significant negative impact on the desired biological properties of the chosen compound or pharmaceutical composition of the present invention (e.g., less than a substantia! impact (10% or less relative inhibition, 5% or less relative inhibition, etc.)) on antigen binding.
- a pharmaceutical composition of the present invention may also include diluents, fillers, salts, buffers, detergents (e. g,, a nonionic detergent, such as Tween-20 or Tween- 80), stabilizers (e. g., sugars or protein-free amino acids), preservatives, tissue fixatives, solubilizers, and/or other materials suitable for inclusion in a pharmaceutical composition.
- detergents e. g, a nonionic detergent, such as Tween-20 or Tween- 80
- stabilizers e. g., sugars or protein-free amino acids
- preservatives e. g., tissue fixatives, solubilizers, and/or other materials suitable for inclusion in a pharmaceutical composition.
- a cancer patient to be treated with an anti-TF antibody drug conjugate of the invention is a patient, e.g. a pancreatic cancer, lung cancer or colorectal cancer patient who has been diagnosed to have one or more mutations in K-ras and/or one or more mutations in p53 in their tumor ceils.
- TF expression is under control of two major transforming events driving disease progression (activation of K-ras oncogene and inactivation of the p53 tumor suppressor), in a manner dependent on MEK/mitogen- activated protein kinase (MARK) and ph.osphatidylinositoi 3'-kinase (PI3K) (Yu et a!. (2005 ⁇ Blood 105 : 1734).
- MAK MEK/mitogen- activated protein kinase
- PI3K ph.osphatidylinositoi 3'-kinase
- the actual dosage levels of the antibody drug conjugate in the pharmaceutical compositions of the present invention may be varied so as to obtain an amount of the antibody drug conjugate which is effective to achieve the desired therapeutic response for a particular patient, composition, and mode of administration, without being toxic to the patient.
- the selected dosage level will depend upon a variety of pharmacokinetic factors including the activity of the particular compositions of the present invention employed, or the amide thereof, the route of administration, the time of administration, the rate of excretion of the particular compound being employed, the duration of the treatment, other drugs, compounds and/or materials used in combination with the particular compositions employed, the age, sex, weight, condition, general health and prior medical history of the patient being treated, and like factors well known in the medical arts.
- the pharmaceutical composition may be administered by any suitable route and mode. Suitable routes of administering an antibody drug conjugate of the present invention are well known in the art and may be selected by those of ordinary skill in the art.
- the pharmaceutical composition of the present invention is administered parenteral !y.
- parenteral administration and “administered parentera!ly” as used herein means modes of administration other than enteral and topical administration, usually by injection, and include epidermal, intravenous, intramuscular, Intraarterial, intrathecal, intracapsular, intraorbital, intracardiac, intradermal, intraperitoneal, intratendinous, transtracheal, subcutaneous, subcuticular, intraarticular, subcapsular, subarachnoid, intraspinal, intracranial, Intrathoracic, epidural and intrasternal injection and infusion.
- the pharmaceutical composition is administered by intravenous or subcutaneous injection or infusion.
- Pharmaceutically acceptable carriers include any and all suitable solvents, dispersion media, coatings, antibacterial and antifungal agents, isotonicity agents, antioxidants and absorption delaying agents, and the like that are physiologically compatible with antibody drug conjugate of the present invention.
- aqueous-and nonaqueous carriers examples include water, saline, phosphate buffered saline, ethanoi, dextrose, poiyols (such as glycerol, propylene glycol, polyethylene glycol, and the like), and suitable mixtures thereof, vegetable oils, such as olive oii, corn oil, peanut oil, cottonseed oil, and sesame oil, carboxymethyl celiu!ose colloidal solutions, tragacanth gum and injectable organic esters, such as ethyl oieate, and/or various buffers.
- Other carriers are well known In the pharmaceutical arts.
- compositions of the present invention are contemplated.
- Proper fluidity may be maintained, for example, by the use of coating materials, such as lecithin, by the maintenance of the required particle size in the case of dispersions, and by the use of surfactants.
- compositions of the present invention may also comprise pharmaceutically acceptable antioxidants for instance (1) water soluble antioxidants, such as ascorbic acid, cysteine hydrochloride, sodium bisulfate, sodium metabisuifite, sodium sulfite and the like; (2) oil-soluble antioxidants, such as ascorbyl paimitate, butylated hydroxyanisole (BHA), butylated hydroxyto!uene (BHT), lecithin, propyl gailate, alpha- tocophero!, and the like; and (3) metal chelating agents, such as citric acid, ethylenediamine tetraacetic acid (EDTA), sorbitol, tartaric acid, phosphoric acid, and the like.
- water soluble antioxidants such as ascorbic acid, cysteine hydrochloride, sodium bisulfate, sodium metabisuifite, sodium sulfite and the like
- oil-soluble antioxidants such as ascorbyl paimitate, butylated hydroxyanisole (BHA
- compositions of the present invention may also comprise isotonicity agents, such as sugars, po!ya!cohois, such as mannito!, sorbitol, glycerol or sodium chloride in the compositions.
- isotonicity agents such as sugars, po!ya!cohois, such as mannito!, sorbitol, glycerol or sodium chloride in the compositions.
- compositions of the present invention may also contain one or more adjuvants appropriate for the chosen route of administration such as preservatives, wetting agents, emulsifying agents, dispersing agents, preservatives or buffers, which may enhance the shelf life or effectiveness of the pharmaceutical composition.
- adjuvants appropriate for the chosen route of administration such as preservatives, wetting agents, emulsifying agents, dispersing agents, preservatives or buffers, which may enhance the shelf life or effectiveness of the pharmaceutical composition.
- the anti-TF antibody drug conjugate of the present, invention may be prepared with carriers that will protect the compound against rapid release, such as a controlled release formulation, including implants, transdermal patches, and microencapsulated delivery systems.
- Such carriers may include gelatin, glyceryl monostearate, glyceryl distearate, biodegradable, biocompatible polymers such as ethylene vinyl acetate, po!yanhydrides, po!ygiycolic acid, collagen, polyorthoesters, and polylactic acid alone or with a wax, or other materials well known in the art. Methods for the preparation of such formulations are generally known to those skilled in the art. See e.g., Sustained and Controlled Release Drug Delivery Systems, 3.R. Robinson, ed., Marcel Dekker, Inc., New York, 1978.
- the anti-TF antibody drug conjugate of the present invention may be formulated to ensure proper distribution in vivo.
- compositions of the present invention include sterile aqueous solutions or dispersions and sterile powders for the extemporaneous preparation of sterile i njectable solutions or dispersion.
- sterile aqueous solutions or dispersions and sterile powders for the extemporaneous preparation of sterile i njectable solutions or dispersion.
- the use of such media and agents for pharmaceutically active substances is known in the art. Except insofar as any conventional media or agent is incompatible with the active compound, use thereof in the pharmaceutical compositions of the present invention is contemplated . Supplementary active compounds may also be incorporated into the compositions.
- compositions for injection must typically be sterile and stable under the conditions of manufacture and storage.
- the composition may be formulated as a solution, micro-emulsion, liposome, or other ordered structure suitable to high drug concentration.
- the carrier may be an aqueous or nonaqueous solvent or dispersion medium containing for instance water, ethanol, polyo!s (such as glycerol, propylene glycol, polyethylene glycol, and the like), and suitable mixtures thereof, vegetable oils, such as olive oil, and injectable organic esters, such as ethyl oleate.
- the proper fluidity may be maintained, for example, by the use of a coating such as lecithin, by the maintenance of the required particle size in the case of dispersion and by the use of surfactants.
- isotonic agents for example, sugars, polyaicohois such as glycerol, mannitol, sorbitol, or sodium chloride in the composition .
- Prolonged absorption of the injectable compositions may be brought about by including in the composition an agent that delays absorption, for example, monostearate salts and gelatin .
- Sterile injectable solutions may be prepared by incorporating the anti-TF antibody drug conjugate in the required amount In an appropriate solvent with one or a combination of ingredients e.g. as enumerated above, as required, followed by sterilization microfiitration.
- dispersions are prepared by incorporating the anti-TF antibody drug conjugate into a sterile vehicle that contains a basic dispersion medium and the required other ingredients e,g, from those enumerated above.
- a sterile vehicle that contains a basic dispersion medium and the required other ingredients e,g, from those enumerated above.
- examples of methods of preparation are vacuu m drying and freeze- drying (lyophiiization) that yield a powder of the active ingredient plus any additional desired ingredient from a previously sterile-filtered solution thereof.
- Sterile injectable solutions may be prepared by incorporating the anti-TF antibody drug conjugate in the required amount in an appropriate solvent with one or a combination of ingredients enumerated above, as required, followed by sterilization microfiitration.
- dispersions are prepared by incorporating the anti-TF antibody drug conjugate Into a sterile vehicle that contains a basic dispersion medium and the required other ingredients from those enumerated above.
- examples of methods of preparation are vacuum drying and freeze-drying (iyophilization) that yield a powder of the anti-TF antibody drug conjugate plus any additional desired ingredient from a previously sterile-filtered solution thereof.
- the pharmaceutical composition of the present invention may contain one anti-TF antibody drug conjugate of the present invention or a combination of anti-TF antibody drug conjugates of the present invention.
- the invention relates to the anti-TF antibody drug conjugate of the invention as defined herein for use as a medicament.
- the anti-TF antibody drug conjugates of the invention may be used for a number of purposes.
- the anti-TF antibody drug conjugates of the invention may be used for the treatment of various forms of cancer.
- the anti-TF antibody drug conjugates of the invention are used for the treatment of various solid cancer types such as: tumors of the central nervous system, head and neck cancer, lung cancer (such as non- small cell lung cancer), breast cancer cancer (such as triple-negative breast cancer), esophageal cancer, stomach cancer, liver and biliary cancer, pancreatic cancer, colorectal cancer, bladder cancer, kidney cancer, prostate cancer, endometrial cancer, ovarian cancer, malignant, melanoma, sarcoma (soft tissue eg.
- tumors of unknown primary origin i.e. unknown primaries
- leukemia bone marrow cancer (such as multiple myeloma) acute lymphoblastic leukemia, chronic lymphoblastic leukemia and non-Hodgkin lymphoma, acute myeloid leukemia (AMI), skin cancer, glioma, cancer of the brain, uterus, and rectum.
- bone marrow cancer such as multiple myeloma
- acute lymphoblastic leukemia such as chronic lymphoblastic leukemia and non-Hodgkin lymphoma
- AMI acute myeloid leukemia
- skin cancer such as skin cancer, glioma, cancer of the brain, uterus, and rectum.
- autoimmune inflammation such as myopathies or multiple sclerosis may be targeted with the anti-TF antibody drug conjugates of the present invention.
- Cancer related hemostatic disorders may also be targeted with the present invention.
- pulmonary fibrosis Crohn, ulcerative colitis, inflammatory bowel disease, cystic fibrosis, chronic obstructive pulmonary disease (COPD), astma, allergic astma, bronchitis, acute bronchiolitis, chronic bronchiolitis, idiopathic pulmonary fibrosis, or multiple sclerose may be targeted with the anti-TF antibodies of the present invention.
- COPD chronic obstructive pulmonary disease
- vascular diseases such as vascu!ar restenosis, myocardial vascular disease, cerebral vascular disease, retinopathia and macular degeneration, including but not limited to wet AMD can be treated with anti-TF antibody drug conjugates.
- the anti-TF antibody drug conjugates of the present invention may also be useful for the treatment of patients with cardiovascular risk, such as atherosclerosis, hypertension, diabetis, dyslipidemia, and acute coronary syndrome, including but not limited to Acute Myocardial Infarct, stroke.
- cardiovascular risk such as atherosclerosis, hypertension, diabetis, dyslipidemia, and acute coronary syndrome, including but not limited to Acute Myocardial Infarct, stroke.
- the anti-TF antibody drug conjugates of the present invention may also be useful for inhibition of thrombosis, such as DVT, renal embolism, lung embolism, arterial thrombosis, or to treat thrombosis occuring following arteriel surgical, peripheral vascular bypass grafts or coronary artery bypass grafts, arterio-venous shunts, removal of an implementation, such as a stent, or catheter.
- thrombosis such as DVT, renal embolism, lung embolism, arterial thrombosis
- arterio-venous shunts arterio-venous shunts
- the anti-TF antibodydrug conjugates of the present invention may also be useful for inhibition of renal ischemic reperfusion injury.
- the anti-TF antibody drug conjugates of the present invention may also be useful for treatment of hyperlipoproteineimia or hyperparathyroidism.
- the anti-TF antibody drug conjugates of the present invention may also be useful for treatment of vasculitis, ANCA-positive vasculitis or Behcet's disease.
- the anti-TF antibody drug conjugates of the present Invention may also be useful for blocking traume-induced respiratory failure, such as acute respitory distress syndrome or acute lung injury.
- the anti-TF antibody drug conjugates of the present invention may also be useful for blocking infection-induced organ dysfunction, such as renal failure, acute respiratory distress syndrome, or acute lung injury.
- the anti-TF antibody drug conjugates of the present invention may aiso be useful to treat various thromboembolic disorders such as those arising from angioplasty, myocardial infarction, unstable angina and coronary artery stenoses.
- the anti-TF antibody drug conjugates of the present invention may aiso be useful in a prophylactic setting to treat TF-mediated complications to systemic infections, such as sepsis or pneumonia.
- the anti-TF antibody drug conjugates of the present invention may also be useful as prophylactic treatment of patients with atherosclerotic vesseis at risk for thrombosis.
- the anti-TF antibody drug conjugates of the present invention may also be useful for treatment of graft-versus-host disease.
- the anti-TF antibody drug conjugates of the present invention may also be useful for increasing beta cell engraftment in islet transplantation, to prevent cardiac allograft vasculopathy (CAV) and to prevent acute graft rejection.
- CAV cardiac allograft vasculopathy
- the invention relates to a method for inhibiting growth and/or proliferation of a tumor cell expressing TF, comprising administration, to an individual in need thereof, of an anti-TF antibody drug conjugate of the invention.
- said tumor cell is involved in cancer, such as prostate cancer, lung cancer (such as non-small cell lung cancer), breast cancer (such as triple-negative breast cancer), colorectal cancer (such as metastatic colorectal cancer), pancreatic cancer, endometrial cancer, ovarian cancer, cutaneous melanoma, leukemia bone marrow cancer (such as multiple myeloma), acute lymphoblastic leukemia, chronic lymphoblastic leukemia and non-Hodgkin lymphoma, skin cancer, prostate cancer, glioma, cancer of the brain, kidneys, uterus, bladder, acute myeloid leukemia (AML) and rectum.
- cancer such as prostate cancer, lung cancer (such as non-small cell lung cancer), breast cancer (such as triple-negative breast cancer), colorectal cancer
- the invention relates to the use of anti-TF antibody drug conjugates that bind to human TF for the preparation of a medicament for the treatment of cancer, such as one of the specific cancer indications mentioned above.
- selection of patients to be treated with anti-TF antibody drug conjugate is based on the level of TF in their urine and/or blood.
- the patient to be treated has a relatively high level of TF in urine and/or blood.
- the patient to be treated may have a TF level in urine of more than 20 ng/mL, such as more than 40 ng/mL, e.g . more than 100 mg/mL, such as more than 200 ng/mL.
- the TF level in serum of the patients may be more than 100 pg/mL, such as more than 200 pg/mL. This may e.g. be determined using an ELISA. Methods for doing this include but are not limited to those described below in relation to diagnostic uses.
- selection of patients to be treated with anti-TF antibody drug conjugates of the present invention may be based on the level of TF expression.
- the level of TF expression may be evaluated by exposing the patients to a radiolabeled anti-TF antibody and then measuring the level of radioactivity in the patients.
- the radiolabeled anti-TF antibody may be an anti-TF antibody described in the present invention, i.e. an antibody of the anti-TF antibody drug conjugates described herein, or it may be another anti-TF antibody. Examples of radiolabeis may be any of those described above in relation to radiolabeling of antibodies. Methods for doing this include but are not limited to those described below in relation to diagnostic uses.
- the efficacy of the treatment is being monitored during the therapy, e.g. at predefined points in time.
- the efficacy may be monitored by measuring the level of TF in urine or blood, for example by ELISA. Methods for doing this include but are not limited to those described below in relation to diagnostic uses.
- the efficacy may be determined by visualization of the disease area, e.g. by performing one or more PET-CT scans, for example using a labeled anti-TF antibody, such as a labeled anti-TF antibody described In the present invention.
- labeled anti-TF antibodies such as labeled anti-TF antibodies 011, 098, 114 and 111 disclosed herein, could be used to detect TF-producing tumors e.g. using a PET-CT scan.
- Dosage regimens in the above methods of treatment and uses are adjusted to provide the optimum desired therapeutic response. For example, a single dose may be administered, several divided doses may be administered over time or the dose may be proportionally reduced or increased as indicated by the exigencies of the therapeutic situation.
- Parenteral compositions may be formulated in dosage unit form for ease of administration and uniformity of dosage.
- Dosage unit form refers to physically discrete units suited as unitary dosages for the subjects to be treated ; each unit contains a predetermined quantity of active compound calculated to produce the desired therapeutic effect in association with the required pharmaceutical carrier.
- the specification for the dosage unit forms of the present invention are dictated by a nd directly dependent on (a) the unique characteristics of the active compound and the particular therapeutic effect to be achieved, and (b) the limitations inherent in the art of compounding such an active compound for the treatment of sensitivity In individuals.
- An exemplary, non-limiting range for a therapeutically effective amount of a compound of the present invention is about 0.1 - 100 mg/kg, such as about 0.1 -50 mg/kg, for example about 0.1 - 2.0 mg/kg, such as about 0.1- 10 mg/kg, such as about 0.5-5 mg/kg, for instance about. 5 mg/kg, such as about 4 mg/kg, or about 3 mg/kg, or about 2 mg/kg, or about 1 mg/kg, or about 0.5 mg/kg, or about 0.3 mg/kg .
- An exemplary, non-limiting range for a therapeutically effective amount of an anti-TF antibody drug conjugate of the present invention is about 0.02-30 mg/kg, such as about 0.1-20 mg/kg, or about 0.5- 10 mg/kg, or about 0.5-5 mg/kg, for example about 1-2 mg/kg, in particular of the antibodies 011 , 098, 114 or 11 1 as disclosed herein.
- a physician having ordinary skill in the art may readily determine and prescribe the effective amount of the pharmaceutical composition required.
- the physician could start doses of the anti-TF antibody drug conjugate employed in the pharmaceutical composition at levels lower than that required in order to achieve the desired therapeutic effect and gradually increase the dosage until the desired effect is achieved .
- a suitable daily dose of a composition of the present invention will be that amount of the compound which is the lowest dose effective to produce a therapeutic effect.
- Such an effective dose will generally depend upon the factors described above.
- Administration may e.g . be intravenous, intramuscular, intraperitoneal, or subcutaneous, and for instance administered proximal to the site of the target.
- the effective daily dose of a pharmaceutical composition may be administered as two, three, four, five, six or more sub- doses administered separately at appropriate intervals throughout the day, optionally, in unit dosage forms. While it is possible for an anti-TF antibody drug conjugate of the present invention to be administered alone, it is preferable to administer the anti-TF antibody drug conjugate as a pharmaceutical composition as described above.
- the anti-TF antibody drug conjugate may be administered by infusion in a weekly dosage of from 10 to 1500 mg/m 2 , such as from 30 to 1500 mg/m 2 , or such as from 50 to 1000 mg/m 2 , or such as from 10 to 500 mg/m 2 , or such as of from 100 to 300
- Such administration may be repeated, e.g., 1 to 8 times, such as 3 to 5 times.
- the administration may be performed by continuous infusion over a period of from 2 to 24 hours, such as of from 2 to 12 hours.
- the anti-TF antibody drug conjugates may be administered by infusion every third week in a dosage of from 30 to 1500 mg/m 2 , such as of from 50 to 1000 mg/m ⁇ or 100 to 300 mg/m 2 . Such administration may be repeated, e.g., 1 to 8 times, such as 3 to 5 times. The administration may be performed by continuous infusion over a period of from 2. to 24 hours, such as of from 2 to 12 hours,
- the anti-TF antibody drug conjugates may be administered by slow continuous infusion over a long period, such as more than 24 hours, in order to reduce toxic side effects.
- the anti-TF antibody drug conjugates may be administered in a weekly dosage of 50 mg to 2000 mg, such as for example 50 mg, 100 mg, 200 mg, 300 mg, 500 mg, 700 mg, 1000 mg, 1500 mg or 2000 mg, for up to 16 times times, such as from 4 to 10 times, such as from 4 to 6 times.
- the administration may be performed by continuous infusion over a period of from 2 to 24 hours, such as of from 2 to 12 hours. Such regimen may be repeated one or more times as necessary, for example, after 6 months or 12 months.
- the dosage may be determined or adjusted by measuring the amount of anti-TF antibody drug conjugate of the present invention in the blood upon administration, by for instance taking out a bioiogical sample and using anti-idiotypic antibodies which target the antigen binding region of the anti-TF antibody drug conjugates of the present invention.
- the anti-TF antibody drug conjugate may be administered by maintenance therapy, such as, e.g., once a week for a period of 6 months or more.
- the anti-TF antibody drug conjugates may be administered by a regimen including one infusion of an anti-TF antibody drug conjugate of the present invention followed by an infusion of an anti-TF antibody of the present invention, such as antibody 011, 098, 114 or i ll disclosed herein containing a radioisotope.
- the regimen may be repeated, e.g., 7 to 9 days later.
- treatment according to the present invention may be provided as a weekly, bi-weekly, three-weekly or monthly dosage of a anti-TF antibody drug conjugate of the present invention in an amount of about 0.1-100 mg/kg, such as 0.3-3 mg/kg, e.g.
- an "effective amount" for tumor therapy may also be measured by its ability to stabilize the progression of disease,
- the ability of a compound to inhibit cancer may be evaluated in an animal mode! system predictive of efficacy in human tumors.
- this property of a composition may be evaluated by examining the ability of the compound to inhibit cell growth or to induce apoptosis by in vitro assays known to the skilled practitioner.
- a therapeutically effective amount of a therapeutic compound may decrease tumor size, or otherwise ameliorate symptoms in a subject.
- One of ordinary skill in the art would be able to determine such amounts based on such factors as the subject's size, the severity of the subject's symptoms, and the particular composition or route of administration selected.
- An anti-TF antibody drug conjugate may also be administered prophy!actically in order to reduce the risk of developing cancer, delay the onset of the occurrence of an event in cancer progression, and/or reduce the risk of recurrence when a cancer is in remission. This may be especially useful in patients wherein it is difficult to locate a tumor that is known to be present due to other biological factors.
- the anti-TF antibody drug conjugate may also be administered in combination therapy, i.e. , combined with other therapeutic agents relevant for the disease or condition to be treated .
- the anti-TF antibody d rug conjugate medicament Is for combination with one or more further therapeutic agents, such as a cytotoxic, chemotherapeutlc or anti-angiogenic agent.
- Such combined administration may be simultaneous, separate or sequential.
- the agents may be administered as one composition or as separate compositions, as appropriate.
- the present invention thus also provides methods for treating a disorder involving cells expressing TF as described above, which methods comprise administration of an anti-TF antibody drug conjugate of the present invention combined with one or more additional therapeutic agents as described below.
- the present invention provides a method for treating a disorder Involving cells expressing TF in a subject, which method comprises administration of a therapeutically effective amount of an anti-TF antibody drug conjugate of the present i nvention and at least one chemotherapeutlc agent to a subject in need thereof.
- the present invention provides a method for treating or preventing cancer, which method comprises administration of a therapeutically effective amount of an anti-TF antibody drug conjugate of the present invention and at least one chemotherapeutic agent to a subject in need thereof.
- the present invention provides the use of an anti-TF antibody drug conjugate of the present invention for the preparation of a pharmaceutical composition to be administered with at least one chemotherapeutic agent for treating cancer.
- such a chemotherapeutic agent may be selected from an antimetabolite, such as methotrexate, 6-mercaptopurine, 6-thioguanine, cytarabine, fludarabine, 5-f!uorouracii, decarbazine, hydroxyurea, asparaginase, gemcitabine, cladribine and similar agents.
- an antimetabolite such as methotrexate, 6-mercaptopurine, 6-thioguanine, cytarabine, fludarabine, 5-f!uorouracii, decarbazine, hydroxyurea, asparaginase, gemcitabine, cladribine and similar agents.
- such a chemotherapeutic agent may be selected from an alkylating agent, such as mechlorethamine, thtoepa, chlorambucil, rnelphaian, carmustine (BSNU), lomustine (CCNU), cyclophosphamide, busu!fan, dlbromomannito!, streptozotocin, dacarbazine (DTIC), procarbazine, mitomycin C, cisplatin and other platinum derivatives, such as carboplatin, and similar agents.
- an alkylating agent such as mechlorethamine, thtoepa, chlorambucil, rnelphaian, carmustine (BSNU), lomustine (CCNU), cyclophosphamide, busu!fan, dlbromomannito!, streptozotocin, dacarbazine (DTIC), procarbazine, mitomycin C, cisplatin and other platinum
- such a chemotherapeutic agent may be selected from an antimitotic agent, such as taxanes, for instance docetaxei, and paciitaxel, and vinca alkaloids, for instance vindesine, vincristine, vinblastine, and vinorelbine.
- an antimitotic agent such as taxanes, for instance docetaxei, and paciitaxel
- vinca alkaloids for instance vindesine, vincristine, vinblastine, and vinorelbine.
- such a chemotherapeutic agent may be selected from a topoisomerase Inhibitor, such as topotecan or irinotecan,
- such a chemotherapeutic agent may be selected from a cytostatic drug, such as etoposide and teniposide.
- such a chemotherapeutic agent may be selected from a growth factor inhibitor, such as an inhibitor of ErbBl (EGFR) (such as Iressa, erbitux (cetuximab), tarceva and similar agents), an inhibitor of ErbB2 (Her2/neu) (such as herceptin and similar agents) and similar agents.
- EGFR ErbBl
- Her2/neu Her2/neu
- such a chemotherapeutic agent may be selected from a tyrosine kinase Inhibitor, such as imatinib (Giivec, Gleevec STI571), lapatinib, PTK787/ZK222584 and similar agents.
- a tyrosine kinase Inhibitor such as imatinib (Giivec, Gleevec STI571), lapatinib, PTK787/ZK222584 and similar agents.
- the present invention provides a method for treating a disorder involving cells expressing TF in a subject, which method comprises administration of a therapeutically effective amount of an anti-TF antibody drug conjugate of the present invention and at least one inhibitor of angiogenesis, neovascularization, and/or other vascularization to a subject in need thereof.
- angiogenesis inhibitors examples include urokinase Inhibitors, matrix metalloprotease Inhibitors (such as marimastat, neovastat, BAY 12-9566, AG 3340, BMS-275291 and similar agents), inhibitors of endothelial cell migration and proliferation (such as TNP--47Q, squalamine, 2-methoxyestradiol, combretastatins, endostatin, angiostatin, penici!lamine, SCH66336 (Schering-Plough Corp, Madison, i ⁇ ij), Rl 15777 (Janssen Pharmaceutica, Inc, Titusville, HI) and similar agents), antagonists of angiogenic growth factors (such as ZD6474, SU6668, antibodies against angiogenic agents and/or their receptors (such as VEGF, bFGF.
- urokinase Inhibitors such as marimastat, neovastat, BAY 12-9566, AG 3340, B
- thalidomide thalidomide anaiogs (such as CC- 5013), Sugen 5416, SU5402, antlangiogenic ribozyme (such as angiozyme), i nterferon a (such as interferon a2a), su ramin and similar agents), VEGF-R kinase inhibitors and other anti-angiogenic tyrosine kinase inhibitors (such as SU011248), inhibitors of endothelia!-specific integrin/surviva!
- vascular endothelial growth factor receptor-2 such as IL- 12 and similar agents
- copper antagonists/che!ators such as tetrathiomo!ybdate, captopril and similar agents
- carboxyamido-triazole CAI
- ABT-627 CM 101 , interleukin- 12 (IL- 12), IM862, P U 145156E as well as nucleotide molecules inhibiting angiogenesis (such as antisense-VEGF-cDNA, cDNA coding for angiostatin, cDNA coding for p53 and cDNA coding for deficient VEGF receptor-2) and simiiar agents.
- angiogenesis such as antisense-VEGF-cDNA, cDNA coding for angiostatin, cDNA coding for p53 and cDNA coding for deficient VEGF receptor-2
- simiiar agents such as antisense-VEGF-cDNA, cDNA coding for angiostatin, cDNA
- inhibitors of angiogenesis, neovascularization, and/or other vascularization are anti-angiogenic heparin derivatives and related molecules (e.g ., heparinase ⁇ ), temozolomide, NK4, macrophage migration inhibitory factor (MIF), cyclooxygenase-2 Inhibitors, inhibitors of hypoxia-inducible factor 1 , anti-angiogenic soy isoflavones, oltipraz, fumagi!iin and analogs thereof, somatostatin analogues, pentosan polysulfate, tecogalan sodium, daiteparin, tumstatin, thrombospondin, NM-3, combrestatin, canstatin, avastatin, antibodies against other relevant targets (such as anti-alpha-v/beta-3 integrin and anti-kininostatin rriAbs) and simiiar agents.
- heparinase ⁇ anti-angiogenic
- a therapeutic agent for use in combination with an anti-TF antibody drug conjugate of the present invention for treating the disorders as described above may be an anti-cancer immunogen, such as a cancer antigen/tumor-associated antigen (e.g ., epithelial cell adhesion molecule (EpCAM/TACSTDi ), mucin 1 (MUC1 ), carcinoembryonic antigen (CEA), tumor-associated glycoprotein 72 (TAG-72), gplOO, Meian-A, MART-1, KDR, RCAS 1, DA7, cancer-associated viral vaccines (e.g ., human papillomavirus vaccines), tumor-derived heat shock proteins, and similar agents.
- a cancer antigen/tumor-associated antigen e.g ., epithelial cell adhesion molecule (EpCAM/TACSTDi ), mucin 1 (MUC1 ), carcinoembryonic antigen (CEA), tumor-associated glycoprotein 72 (TAG-72),
- Anti-cancer immunogenic peptides also include anti-idiotypic "vaccines" such as BEC2 anti- idiotypic antibodies, M!tumomab, CeaVac and related anti-idiotypic antibodies, anti-idiotypic antibody to MG7 antibody, and other anti-cancer anti-idiotypic antibodies (see for instance Birebent et a!., Vaccine, 21 ( 15), 1601- 12. (2003), Li et al ., Chin Med J (Engl) . 114(9) , 962-6 (2001 ), Schmitt et a! .
- anti-idiotypic "vaccines” such as BEC2 anti- idiotypic antibodies, M!tumomab, CeaVac and related anti-idiotypic antibodies, anti-idiotypic antibody to MG7 antibody, and other anti-cancer anti-idiotypic antibodies (see for instance Birebent et a!., Vaccine, 21 ( 15), 1601- 12. (2003), Li e
- Such anti-idiotypic Abs may optionally be conjugated to a carrier, which may be a synthetic (typically inert) molecule carrier, a protein (for instance keyhole limpet hemocyanin (KLH) (see for instance Ochi et al., Eur 3 Immunol. 12( 11), 1645-8 (1987)), or a cell (for instance a red blood cell - see for instance Wi et al, .3 Immunol Methods. 122(2), 227-34 (1989)).
- KLH keyhole limpet hemocyanin
- the anti-TF antibody drug conjugate is combined with an immuno-oncoiogy drug such as Yervoy (ipiiimumab) which potentially acts by inducing T cell immunity against the cancer. Cytoreduction with the anti-TF antibody drug conjugate in combination with an immunostimulatory drug might provide significant clinical benefit to patients.
- an immuno-oncoiogy drug such as Yervoy (ipiiimumab) which potentially acts by inducing T cell immunity against the cancer. Cytoreduction with the anti-TF antibody drug conjugate in combination with an immunostimulatory drug might provide significant clinical benefit to patients.
- a therapeutic agent for use in combination with an anti-TF antibody drug conjugate of the present invention for treating the disorders as described above may be an anti-cancer cytokine, chemokine, or combination thereof.
- suitable cytokines and growth factors include TFNy, IL-2, IL-4, IL-6, IL-7, IL- 10, IL- 12, IL-13, IL-15, IL-18, IL-23, IL-24, IL-27, IL-28a, IL-28b, L-29, KGF, IF Q (e.g ., INFa2b), TF p, GM-CSF, CD40L, Flt3 ligand, stem celi factor, ancestim, and T Fa.
- Suitable chemokines may include G!u-Leu-Arg (ELR)-negative chemokines such as IP-10, MCP-3, MIG, and SDF-lo from the human CXC and C-C chemokine families.
- Suitable cytokines include cytokine derivatives, cytokine variants, cytokine fragments, and cytokine fusion proteins.
- a therapeutic agent for use in combination with an anti-TF antibody drug conjugate according to the present invention for treating the disorders as described above may be a cell cycle controi/apoptosis regulator (or "regulating agent").
- a cell cycle controi/apoptosis regulator may Include molecules that target and modulate cell cycle controi/apoptosis regulators such as (i) cdc-25 (such as NSC 663284), (ii) cyclin- dependent kinases that overstimulate the cell cycle (such as flavopiridol (L868275, HMR1275), 7-hydroxystaurosporine (UCN-01, KW-2401), and roscovitine (R-roscovitine, CYC202)), and (iii) telomerase modulators (such as BIBR1532, SOT-095, GRN163 and compositions described in for instance US 6,440,735 and US 6,713,055).
- cdc-25 such as NSC 663284
- Non-limiting examples of molecules that interfere with apoptotic pathways include TNF-related apoptosis-inducing ligand (TRAIL)/apoptosls-2 ligand (Apo-2L), antibodies that activate TRAIL receptors, IFNs,. and anti-sense Bcl-2.
- TRAIL TNF-related apoptosis-inducing ligand
- Apo-2L apoptosls-2 ligand
- antibodies that activate TRAIL receptors IFNs
- anti-sense Bcl-2 anti-sense Bcl-2.
- a therapeutic agent for use in combination with an anti-TF antibody drug conjugate according to the present invention for treating the disorders as described above may be a hormonal regulating agent, such as agents useful for anti- androgen and anti-estrogen therapy.
- hormonal regulating agents are tamoxifen, idoxifene, fulvestrant, droloxifene, toremifene, raloxifene, diethyisti!bestroi, ethinyl estradiol/estinyi, an antiandrogene (such as flutaminde/eulexin), a progestin (such as such as hydroxy progesterone ca pro ate, medroxyprogesterone/provera, megestroi acepate/megace), an adrenocorticosteroid (such as hydrocortisone, prednisone), luteinizing hormone-releasing hormone (and analogs thereof and other LHRH agonists such as busereli
- a therapeutic agent for use in combination with an anti-TF antibody drug conjugate according to the present invention for treating the disorders as described above may be an anti-anergic agent (for instance small molecule compounds, proteins, glycoproteins, or antibodies that break tolerance to tumor and cancer antigens).
- an anti-anergic agent for instance small molecule compounds, proteins, glycoproteins, or antibodies that break tolerance to tumor and cancer antigens.
- examples of such compounds are molecules that block the activity of CTLA-4, such as MDX-010/Yervoy (ipilimumab) (Phan et al, PNAS USA 100, 8372 (2003)), which potentially acts by inducing T cell immunity against the cancer. Cytoreduction with the anti-TF antibody drug conjugate in combination with an immunostimuiatory drug might provide significant clinical benefit to patients.
- a therapeutic agent for use in combination with an anti-TF antibody drug conjugate according to the present invention for treating the disorders as described above may be a tumor suppressor gene-containing nucleic acid or vector such as a replication-deficient adenovirus encoding human recombinant wild-type p53/SCH58500, etc. ; antisense nucleic acids targeted to oncogenes, mutated, or deregulated genes; or sIRNA targeted to mutated or deregulated genes.
- tumor suppressor targets include, for example, BRCA1, RBI, BRCA2, DPC4 (Smad4), MSH2, MLH1, and DCC.
- a therapeutic agent for use in combination with an anti-TF antibody drug conjugate according to the present invention for treating the disorders as described above may be an anti-cancer nucleic acid, such as genasense (augmerosen/G3139), LY900003 (ISIS 352.1), ISIS 2503, OGX-011 (ISIS 112.989), LE-AON/LEraf-AON (liposome encapsulated c-raf antisense oilgonuc!eotide/ISIS-5132), MG98, and other antisense nucleic acids that target PKCa, clusterin, IGFBPs, protein kinase A, cyciin Dl, or Bcl-2h.
- genasense augmerosen/G3139
- LY900003 ISIS 352.1
- ISIS 2503, OGX-011 ISIS 112.989
- LE-AON/LEraf-AON liposome encapsulated c-raf antisense
- a therapeutic agent for use in combination with an anti-TF antibody drug conjugate according to the present invention for treating the disorders as described above may be an anti-cancer inhibitory RNA molecule (see for instance Lin et a!., Curr Cancer Drug Targets. 1(3), 241-7 (2001), Erratum in : Curr Cancer Drug Targets. 3(3), 237 (2003), Lima et al., Cancer Gene Ther. 11(5), 309-16 (2004), Grzmil et a!., Int J Oncol. 4(1), 97- 105 (2004), Coi!ls et al., Int. J Radiat Oncol Biol Phys. 57(2 Suppl), S144 (2003), Yang et a!. , Oncogene. 22(36), 5694-701 (2003) and Zhang et aL , Biochem Biophys Res Commun. 303(4), 1169-78 (2003)) ,
- compositions and combination administration methods of the present invention also include the administration of nucleic acid vaccines, such as naked D A vaccines encoding such cancer antigens/tumor-associated antigens (see for instance US 5,589,466, US 5, 593,972, US 5,703,057, US 5,879,687, US 6,235, 523, and US 6,387,888) .
- nucleic acid vaccines such as naked D A vaccines encoding such cancer antigens/tumor-associated antigens (see for instance US 5,589,466, US 5, 593,972, US 5,703,057, US 5,879,687, US 6,235, 523, and US 6,387,888) .
- the combination administration method and/or combination composition comprises an autologous vaccine composition.
- the combination composition and/or combination administration method comprises a whole ceil vaccine or cytokine-expressing ceil (for instance a recombinant IL-2 expressing fibroblast, recombinant cytokine-expressing dendritic ceil, and the like) (see for instance Kowalczyk et al., Acta Biochim Poi. 50(3), 613-24 (2003), Reilly et al ., Methods Mo! Med. 69, 233- 57 (2.002.) and Tirapu et aL, Curr Gene Ther. 2( 1), 79-89 (2002) .
- cytokine-expressing ceil for instance a recombinant IL-2 expressing fibroblast, recombinant cytokine-expressing dendritic ceil, and the like
- Another example of such an autologous cell approach that may be useful in combination methods of the present invention is the MyVax® Personalized immunotherapy method (previously referred to as GTOP-99) (Genitope Corporation - Redwood City, CA, USA) .
- the present, invention provides combination compositions and combination administration methods wherein an anti-TF antibody drug conjugate according to the present invention is combined or co-administered with a virus, viral proteins, and the like.
- Replication-deficient viruses that generally are capable of one or only a few rounds of replication in vivo, and that are targeted to tumor ceils, may for instance be useful components of such compositions and methods.
- viral agents may comprise or be associated with nucleic acids encoding Immunostimuiants, such as GM-CSF and/or IL-2. Both naturally oncolytic and such recombinant oncolytic viruses (for instance HSV--1 viruses, reoviruses, replication-deficient and replication -sensitive adenovirus, etc.
- the present invention provides combination compositions and combination administration methods wherein an anti-TF antibody drug conjugate is combined or co-administered with an oncolytic virus.
- viruses include oncolytic adenoviruses and herpes viruses, which may or may not be modified viruses (see for instance Shah et al ., J Neurooncol. 65(3), 203-26 (2003), Stiles et al ., Surgery. 134(2), 357-64 (2003), Sunarmura et aL, Pancreas, 28(3), 326-9 (2004), Teshigahara et aL, J Surg Oncol.
- Combination compositions and combination administration methods of the present invention may also involve "whole cell” and "adoptive” immunotherapy methods.
- such methods may comprise infusion or re-infusion of immune system cells (for instance tumor-infiltrating lymphocytes (TILs), such as CD4 " and/or CDS ' T ceils (for instance T cells expanded with tumor-specific antigens and/or genetic enhancements), antibody-expressing B cells or other antibody producing/presenting cells, dendritic cells (DCs) (e.g .
- Antigens shed from cancer cells, and mixtures thereof may also be components in such methods and combination compositions.
- an anti-TF antibody drug conjugate according to the present invention may be delivered to a patient in combination with the application of an internal vaccination method.
- Internal vaccination refers to induced tumor or cancer ceil death, such as drug-induced or radiation-induced ceil death of tumor cells, in a patient, that typically leads to eiicitation of an immune response directed towards (i) the tumor ceils as a whole or (ii) parts of the tumor cells including (a) secreted proteins, glycoproteins or other products, (b) membrane-associated proteins or glycoproteins or other components associated with or inserted in membranes, and/or (c) intracellular proteins or other intracellular components.
- An internal vaccination -induced immune response may be humoral (i .e.
- non- limiting examples of drugs and agents that may be used to induce said tumor cell-death and internal vaccination are conventional chemotherapeutic agents, cell-cycle inhibitors, anti-angiogenesis drugs, monoclonal antibodies, apoptosis-inducing agents, and signal transduction inhibitors.
- anti-cancer agents which may be relevant as therapeutic agents for use in combination with an anti-TF antibody drug conjugate according to the present invention for treating the disorders as described above are differentiation inducing agents, retinoic acid analogues (such as all trans retinoic acid, 13-cis retinoic acid and similar agents), vitamin D analogues (such as seocalcitol and similar agents), inhibitors of ErbB3, ErbB4, IGF-IR, insulin receptor, PDGFRa, PDGFRbeta, F!k2, Flt4, FGFR1 , FGFR2, FGFR3, FGFR4, TRKA, TRKC, c-met, Ron, Sea, Tie, Tie2, Eph, Ret, Ros, Alk, LTK, PTK7 and similar agents.
- differentiation inducing agents such as all trans retinoic acid, 13-cis retinoic acid and similar agents
- vitamin D analogues such as seocalcitol and similar agents
- anti-cancer agents which may be relevant as therapeutic agents for use in combination with the anti-TF antibody drug conjugate according to the present invention for treating the disorders as described above are cathepsin B, modulators of cathepsin D dehydrogenase activity, g!utathione-S-transferase (such as g!utacy!cysteine synthetase and lactate dehydrogenase), and similar agents.
- anti-cancer agents which may be relevant as therapeutic agents for use in combination with an anti-TF antibody drug conjugate according to the present invention for treating the disorders as described above are estramustine and epirubicin.
- anti-cancer agents which may be relevant as therapeutic agents for use in combination with an anti ⁇ TF antibody drug conjugate according to the present invention for treating the disorders as described above are a HSP90 inhibitor !ike 17-sllyi amino geid-anamycin, antibodies directed against a tumor antigen such as PSA, CA125, KSA, etc, integrins like integrin ⁇ . inhibitors of VCAM and similar agents.
- anti-cancer agents which may be relevant as therapeutic agents for use in combination with an anti-TF antibody drug conjugate according to the present invention for treating the disorders as described above are calcineurin-inhibitors (such as valspodar, PSC 833 and other MD -1 or p-giycoprotein inhibitors), TOR-inhibitors (such as siro!imus, everolimus and rapamcyin), and inhibitors of "lymphocyte homing" mechanisms (such as FTY72Q), and agents with effects on celi signaling such as adhesion molecule inhibitors (for instance anti-LFA, etc.).
- calcineurin-inhibitors such as valspodar, PSC 833 and other MD -1 or p-giycoprotein inhibitors
- TOR-inhibitors such as siro!imus, everolimus and rapamcyin
- inhibitors of "lymphocyte homing" mechanisms such as FTY72Q
- agents with effects on celi signaling such as adhesion
- the anti-TF antibody drug conjugate of the Invention is for use in combination with one or more other therapeutic antibodies, such as bevacizumab (Avastin®), zaiutumumab, cetuximab (Erbitux®), panitumumab (VectibixTM), ofatumumab (Arzerra®), zanolimumab, daratumumab (HuMax ⁇ CD38), ranibizumab (Lucentis®), daclizumab (Zenapax®), basiliximab (Simulect®), infliximab ( emicade®), adalimumab (Humira®), nata!izumab (Tysabri®), oma!izumab (Xo!air®), efalizumab (Raptiva®), nimotuzumab, rituximab (Rituxan®/MabThera®) and/
- WO98/40408 antibodies that can bind native human TF
- WO04/094475 antibodies capable of binding to human tissue factor, which do not inhibit factor mediated blood coagulation compared to a normal plasma control
- WO03/093422 antibodies that bind with greater affinity to the TF:VIJ.a complex than to TF alone
- WO03/037361 TF agonist or antagonist for treatment, related to apoptosis
- WO 2010/066803 human monoclonal antibodies against tissue factor
- the anti-TF antibody drug conjugate may be administered in connection with the delivery of one or more agents that promote access of the anti-TF antibody drug conjugate or combination composition to the interior of a tumor. Such methods may for example be performed in association with the delivery of a relaxin, which is capable of relaxing a tumor (see for instance US 6,719,977).
- an anti-TF antibody drug conjugate of the present invention may be bonded to a ceil penetrating peptide (CPP).
- CPP ceil penetrating peptide
- Cell penetrating peptides and related peptides are described in for instance Zhao et a!., 1 Immunol Methods.
- the present invention provides a method for treating a disorder involving ceils expressing IF In a subject, which method comprises administration of a therapeutically effective amount of an anti-TF antibody drug conjugate of the present invention and at least one anti-inflammatory agent to a subject in need thereof.
- such an anti-inflammatory agent may be selected from aspirin and other salicylates, Cox-2 inhibitors (such as rofecoxib and ce!ecoxib), NSAIDs (such as ibuprofen, fenoprofen, naproxen, sulindac, diclofenac, piroxlcam, ketoprofen, diflunisal, naburnetone, etodolac, oxaprozln, and indomethacin), antl-TL6R antibodies, anti-IL8 antibodies (e.g. antibodes described in WO2.004058797, e.g. 10F8), anti-IL15 antibodies (e.g.
- anti-IL15R antibodies e.g. zanolimumab
- anti-CDl la antibodies e.g . , efalizumab
- anti- aipha-4/beta-l integrin (VLA4) antibodies e.g.
- natalizumab CTLA4-Ig for the treatment of inflammatory diseases, prednisolone, prednisone, disease modifying antirheumatic drugs (D ARDs) such as methotrexate, hydroxychloroquine, sulfasalazine, pyrimidine synthesis inhibitors (such as iefiunomide), IL-1 receptor blocking agents (such as anakinra), TNF-a blocking agents (such as etanercept, infliximab, and adaiimumab) and similar agents.
- D ARDs disease modifying antirheumatic drugs
- D ARDs disease modifying antirheumatic drugs
- methotrexate such as methotrexate, hydroxychloroquine, sulfasalazine, pyrimidine synthesis inhibitors (such as iefiunomide), IL-1 receptor blocking agents (such as anakinra), TNF-a blocking agents (
- the present invention provides a method for treating a disorder involving ceils expressing TF in a subject, which method comprises administation of a therapeutically effective amount of an anti-TF antibody drug conjugate of the present invention and at least one immunosuppressive and/or immunomodulatory agent to a subject in need thereof
- such an immunosuppressive and/or immunomodulatory agent may be selected from cyciosporine, azathioprine, mycophenolic acid, mycophenoiate mofetii, corticosteroids such as prednisone, methotrexate, gold salts, sulfasalazine, antimalarials, brequinar, iefiunomide, mizoribine, 15-deoxyspergualine, 6-mercaptopurine, cyclophosphamide, rapamycin, tacrolimus (FK-506), OKT3, anti-thymocyte globulin, thyrnopentin, thymosin- ⁇ and similar agents.
- corticosteroids such as prednisone, methotrexate, gold salts, sulfasalazine, antimalarials, brequinar, iefiunomide, mizoribine, 15-deoxyspergualine, 6-mer
- such an immunosuppressive and/or immunomodulatory agent may be selected from immunosuppressive antibodies, such as antibodies binding to p75 of the IL-2 receptor, antibodies against CD25 (e.g. those described in WO2004045512. such as AB1, AB7, AB11, and AB12), or antibodies binding to for instance MHC, CD2, CDS, CD4, CD7, CD28, B7, CD40, CD45, IFNyR, TNFaR or TNFR (consists of two subunits: CD120a and CD120b), IL-4 , IL-5R, IL-6R, IL-7R, IL-8R, IL- 10R, CDl la, or CD58, or antibodies binding to their iigands.
- immunosuppressive antibodies such as antibodies binding to p75 of the IL-2 receptor, antibodies against CD25 (e.g. those described in WO2004045512. such as AB1, AB7, AB11, and AB12), or antibodies binding to for instance MHC, CD2, CD
- such an immunosuppressive and/or immunomodulatory agent may be selected from soluble IL- 15R, IL-IOR, B7 molecules (B7- 1, B7-2, variants thereof, and fragments thereof) , ICOS, and 0X40, an inhibitor of a negative T cell regulator (such as an antibody against CTLA4) and similar agents.
- the present invention provides a method for treating a disorder involving ceils expressing TF in a subject, which method comprises administration of a therapeutically effective amount of an anti-TF antibody drug conjugate according to the present invention and an anti-C3b(i ) antibody to a subject in need thereof
- a therapeutic agent for use in combination with the anti-TF antibody drug conjugates for treating the disorders as described above may be selected from histone deacetyfase inhibitors (for instance phenyibutyrate) and/or DNA repair agents (for instance DNA repair enzymes and related compositions such as dimericine) .
- the anti-TF antibody drug conjugate for use in combination therapy with any one of the above mentioned agents is Hu ab-TF-011-vc MAE.
- the anti-TF antibody drug conjugate for use in combination therapy with any one of the above mentioned agents is HuMab-TF-098-vc MAE.
- the anti-TF antibody drug conjugate for use i n combination therapy with any one of the above mentioned agents is Hu ab-TF-l l l-vcMMAE.
- the anti-TF antibody drug conjugate for use in combination therapy with any one of the above mentioned agents is HuMab-TF- 114-vcMMAE.
- the anti-TF antibody drug conjugate for use in combination therapy with any one of the above mentioned agents is HuMab-TF-011-rncMMAF.
- the anti-TF antibody drug conjugate for use in combination therapy with any one of the above mentioned agents is HuMab-TF-098-mcMMAF.
- the anti-TF antibody drug conjugate for use in combination therapy with any one of the above mentioned agents is HuMab-TF- 11 1-mcMMAF.
- the anti-TF antibody drug conjugate for use in combination therapy with any one of the above mentioned agents is HuMab-TF- 114-mcM AF.
- Methods of the present Invention for treating a disorder as described above comprising administration of a therapeutically effective amount of an anti-TF antibody drug conjugate according to the present invetion may also comprise anti-cancer directed photodynamic therapy (for instance anti-cancer laser therapy - which optionally may be practiced with the use of photosensitizing agent, see, for instance Zhang et a! ., J Control Release. 93(2), 141-50 (2.003)), anti-cancer sound-wave and shock-wave therapies (see for instance Kambe et a! . , Hum Cell. 10( 1), 87-94 ( 1997)), and/or anti-cancer nutraceuticai therapy (see for instance Roudebush et a! .
- anti-cancer directed photodynamic therapy for instance anti-cancer laser therapy - which optionally may be practiced with the use of photosensitizing agent, see, for instance Zhang et a! ., J Control Release. 93(2), 141-50 (2.003)
- an anti-TF antibody drug conjugate may be used for the preparation of a pharmaceuticai composition for treating a disorder as described above to be administered with anti-cancer directed photodynamic therapy (for instance anti-cancer laser therapy - which optiona!iy may be practiced with the use of photosensitizing agent, anti-cancer sound- wave and shock-wave therapies, and/or anti-cancer nutraceutical therapy,
- anti-cancer directed photodynamic therapy for instance anti-cancer laser therapy - which optiona!iy may be practiced with the use of photosensitizing agent, anti-cancer sound- wave and shock-wave therapies, and/or anti-cancer nutraceutical therapy
- the present invention provides a method for treating a disorder involving cells expressing TF in a subject, which method comprises administration of a therapeutically effective amount of an anti-TF antibody drug conjugate, such as an anti-TF antibody drug conjugate of the present invention, and radiotherapy to a subject in need thereof.
- an anti-TF antibody drug conjugate such as an anti-TF antibody drug conjugate of the present invention
- the present invention provides a method for treating or preventing cancer, which method comprises administration of a therapeutically effective amount of an anti-TF antibody drug conjugate of the present Invention, and radiotherapy to a subject in need thereof.
- the present invention provides the use of an anti-TF antibody drug conjugate, of the present invention, for the preparation of a pharmaceuticai composition for treating cancer to be administered in combination with radiotherapy.
- Radiotherapy may comprise radiation or administration of radiopharmaceuticals to a patient
- the source of radiation may be either external or internal to the patient being treated (radiation treatment may, for example, be in the form of external beam radiation therapy (EBRT) or brachytherapy (BT)).
- Radioactive elements that may be used in practicing such methods include, e.g., radium, cesium-137, iridium-192, americiurn-241, goid-198, cobait-57, copper-67, technetium-99, iodide-123, iodide-131, and indium-Il l,
- the present invention provides a method for treating or preventing cancer, which method comprises administration to a subject in need thereof of a therapeutically effective amount of an anti-TF antibody drug conjugate of the present invention, in combination with surgery.
- a pharmaceutical composition of the present invention may be administered in combination therapy, i.e., combined with one or more agents relevant for the disease or condition to be treated either as separate pharmaceutical compositions or with a compound of the present invention co-formulated with one or more additional therapeutic agents as described above.
- combination therapies may require lower dosages of the compound of the present Invention and/or the co-administered agents, thus avoiding possible toxicities or complications associated with the various monotherapies.
- an anti-TF antibody drug conjugate according to the present invention in combination with an antimetabolite, such as 5-f!uorouracii and/or gemcitabine, possibly in combination with one or more compounds selected from : 90Y-hPAM4, ARC- 100, ARQ- 197, AZD-6244, bardoxolone methyl, cixutumumab, (IMC-A12), foiitixorin calcium, GVAX, ipilimumab, KRX-Q601, merbarone, GCD-0103, MORAb-009, PX-12, Rh-Apo2L, TLN-4601, trabedersen, volociximab (M200), WX-671, pemetrexed, rubitecan, ixabepi!one, OCX-0191Vion, 216586-46-8, iapatinib, matuzu
- an anti-TF antibody drug conjugate according to the present invention in combination with one or more compounds selected from : gemcitabine, bevacizumab, FOLFOX, FOLFIPJ, XELOX, IFL, oxalipiatin, irinotecan, 5 - FU/LV, Capecitabine, UFT, EGFR-targeting agents, such as cetuximab, panitumumab, nimotuzumab, zalutumumab; VEGF inhibitors, or tyrosine kinase inhibitors such as sunitinib.
- an anti-TF antibody drug conjugate in combination with one or more compounds selected from ; antimetabolites, anthracyc!ines, taxanes, alkylating agents, epothi!ones anti- hormonai (femar, tamoxifen etc), inhibitors of ErbB2 (Her2/neu) (such as herceptin and similar agents), CAF/FAC (cyciofosfamide, doxorubicine, 5FU) AC (cyclo, doxo), CMF (cyclo, methotrexate, 5FU), Docetaxel + capecitabine, GT (paclitaxel, gemcitabine) FEC (cyclo, epi, 5FU) in combination with herceptine: Pactitaxe!
- an anti-TF antibody drug conjugate according to the present Invention in combination with one or more compounds selected from: antimetabolites (gemcitabine, alimta, methotrexate), platinum analogues (cisplatin, carbop!atin), EGFr inhibitors (such as cetuximab or zalutumumab), VEGF inhibitors (such as Avastin) doxorubicin, tyrosine kinase inhibitors such as gefitinib, trastuzumab, anti-mitotic agent, such as taxanes, for instance paclitaxel, and vinca alkaloids, for instance vinblastine.
- antimetabolites gemcitabine, alimta, methotrexate
- platinum analogues cisplatin, carbop!atin
- EGFr inhibitors such as cetuximab or zalutumumab
- VEGF inhibitors such as Avastin
- doxorubicin dox
- an anti-TF antibody drug conjugate according to the present Invention in combination with one or more compounds selected from : hormonai/antihormonal therapies; such as antiandrogens, luteinizing hormone releasing hormone (LHRH) agonists, and chemotherapeutics such as taxanes, mitoxantrone, estramustine, 5FU, vinblastine, ixabepilone.
- hormonai/antihormonal therapies such as antiandrogens, luteinizing hormone releasing hormone (LHRH) agonists, and chemotherapeutics such as taxanes, mitoxantrone, estramustine, 5FU, vinblastine, ixabepilone.
- an anti-TF antibody drug conjugate according to the present invention in combination with one or more compounds selected from : an anti-mitotic agent, such as taxanes, and vinca alkaloids, cae!yx, topotecan. Diagnostic uses
- the anti-TF antibodies of the invention may also be used for diagnostic purposes.
- the anti-TF antibodies described herein may in one embodiment be conjugated to a detection agent or lable instead of a drug,, thereby making them suitable for diagnostic purpose.
- the diagnostic use of an anti-TF antibody or anti-TF antibody conjugated to a detection agent may be used in combination with one of the other methods of the present invention, in particular a pharmaceutical use of the anti-TF antibody drug conjugate of the present invention.
- Anti-TF antibody conjugated to a detection agent may in some cases allow for a direct detection of binding of the anti -TF antibody to TF.
- the term “diagnostic, uses” includes also measuring the level of TF in e.g. plasma, urine or expression levels of TF in biopsies in relation to selecting patients for treatment or measuring the efficacy of a treatment as described above, and the use of e.g. radiolabeled anti-TF antibodies for e.g. selecting patients for treatment as described above.
- the invention relates to a diagnostic composition comprising an anti-TF antibody as defined herein, wherein the diagnostic composition may in a particular embodiment be used in combination with an anti-TF antibody drug conjugate of the present invention,
- the anti-TF antibodies of the present invention may be used in vivo or in vitro for diagnosing diseases wherein DC!s expressing TF play an active ro!e in the pathogenesis, by detecting levels of TF, or levels of cells which contain TF on their membrane surface. This may be achieved, for example, by contacting a sample to be tested, optionally along with a control sample, with the anti-TF antibody under conditions that allow for formation of a complex between the anti-TF antibody and TF. Complex formation is then detected (e.g., using an ELISA). When using a control sample along with the test sample, complex is detected in both samples and any statistically significant difference in the formation of complexes between the samples Is indicative of the presence of TF in the test sample.
- the anti-TF antibodies of the present Invention may also be used in a method for detecting the presence of TF antigen, or a cell expressing TF, in a sample comprising :
- the method is performed in vitro. More specifically, the anti-TF antibodies of present invention may also be used in methods for the identification of, and diagnosis of invasive cells and tissues, and other cells targeted by anti-TF antibodies of the present invention, and for the monitoring of the progress of therapeutic treatments, status after treatment, risk of developing cancer, cancer progression, and the like.
- the anti-TF antibodies of present invention may be used in a method of diagnosing the !evel of invasive cel!s in a tissue.
- a method comprises forming an immunocomplex between an anti-TF antibody and potential TF-containing tissues, and detecting formation of the immunocomplex, wherein the formation of the Immunocomplex correlates with the presence of invasive cells in the tissue.
- the contacting may he performed in vivo, using labeled isolated antibodies and standard imaging techniques, or may be performed in vitro on tissue samples.
- the anti-TF antibodies of the present invention may also be used to detect TF- containing peptides and peptide fragments in any suitable biological sample by any suitable technique.
- conventional immunoassays provided by the present invention include, without limitation, an ELISA, an RIA, FACS assays, plasmon resonance assays, chromatographic assays, tissue Immunohistochemistry, Western blot, and/or immunoprecipitation using an anti-TF antibody
- Anti-TF antibodies of the present Invention may be used to detect TF and TF-fragments from humans, Suitable labels for the anti-TF antibody and/or secondary antibodies used in such techniques include, without limitation, varsous enzymes, prosthetic groups, fluorescent materials, luminescent materials, and radioactive materials.
- suitable enzymes include horseradish peroxidase, alkaline phosphatase, ⁇ -galactosidase, or acetylcholinesterase;
- suitable prosthetic group complexes include streptavidin/biotin and avidin/biotin;
- suitable fluorescent materials include umbelliferone, fluorescein, fluorescein isothiocyanate, rhodamine, dich!orotriazinyiamine fluorescein, dansyl chloride or phycoerythrin;
- an example of a luminescent material includes luminol; and examples of suitable radioactive material include 125 I, m X, 35 S, and 3 H.
- Anti-TF antibodies may also be used for assaying in a biological sample by a competition immunoassay utilizing TF peptide standards labeled with a detectable substance and an unlabeled anti-TF antibody.
- a competition immunoassay utilizing TF peptide standards labeled with a detectable substance and an unlabeled anti-TF antibody.
- the biological sample, the labeled TF peptide standard(s) and the anti-TF antibodies are combined and the amount of labeled TF standard bound to the unlabeled anti-TF antibody is determined,
- the amount of TF peptide in the biological sample is inversely proportional to the amount of labeled TF standard bound to the anti-TF antibody.
- the anti-TF antibodies are particularly useful in the in vivo imaging of tumors.
- In vivo imaging of tumors associated with TF may be performed by any suitable technique.
- "Tc- labeiing or labeling with another gamma-ray emitting isotope may be used to label anti-TF antibodies in tumors or secondary labeled (e.g., FITC labeled) anti-TF antibody:TF complexes from tumors and imaged with a gamma scintillation camera (e.g., an Eiscint Apex 409ECT device), typically using Sow-energy, high resolution collimator or a low -energy all -purpose collimator.
- a gamma scintillation camera e.g., an Eiscint Apex 409ECT device
- Stained tissues may then be assessed for radioactivity counting as an indicator of the amount of TF-associated peptides in the tumor.
- the images obtained by the use of such techniques may be used to assess biodistribution of TF in a patient, mammal, or tissue, for example in the context of using TF or TF-fragments as a biomarker for the presence of invasive cancer cells. Variations on this technique may include the use of magnetic resonance imaging (MRI) to improve imaging over gamma camera techniques.
- MRI magnetic resonance imaging
- Such images may also be used for targeted delivery of other anti-cancer agents, examples of which are described herein (e.g., apoptotlc agents, toxins, or CHOP chemotherapy compositions). Moreover, such images may also or alternatively serve as the basis for surgical techniques to remove tumors. Furthermore, such in vivo imaging techniques may allow for the identification and localization of a tumor in a situation where a patient is identified as having a tumor (due to the presence of other biomarkers, metastases, etc.), but the tumor cannot be identified by traditional analytical techniques. All of these methods are features of the present invention and such methods may in particular be used in combination with treatment of a patient with an anti-TF antibody drug conjugate of the present invention.
- the in vivo imaging and other diagnostic methods provided by the present invention are particularly useful in the detection of micrometastases in a human patient (e.g., a patient not previously diagnosed with cancer or a patient in a period of recovery/remission from a cancer).
- Carcinoma cancer ceils which may make up to 90% of ail cancer cells, for example, have been demonstrated to stain very well with anti-TF antibody compositions.
- Detection with monoclonal anti-TF antibodies described herein may be Indicative of the presence of carcinomas that are aggressive/invasive and also or alternatively provide an indication of the feasibility of using related monoclonal anti-TF antibody against such micrometastases.
- the anti-TF antibodies of the present invention may be used in an in vivo imaging method wherein an anti-TF antibody of the present invention is conjugated to a detection-promoting radio-opaque agent, the conjugated antibody is administered to a host, such as by injection into the bloodstream, and the presence and location of the labeled antibody in the host is assayed.
- the anti-TF antibodies of the present invention may be used in a method for screening for the presence of disease-related cells in a human patient or a biological sample taken from a human patient.
- radioisotopes may be bound to a anti-TF antibody either directly, or indirectly by using an intermediary functional group.
- intermediary functional groups include chelators, such as ethylenediaminetetraacetic acid and diethylenetriaminepentaacetic acid (see for instance US 5,057,3.13) .
- diagnostic methods may be performed using anti-TF antibodies that, are conjugated to dyes (such as with the biotin- streptavidin complex) , contrast agents, fluorescent compounds or molecules and enhancing agents (e.g. paramag netic ions) for magnetic resonance imaging (M I) (see, e.g . , US Pat. No. 6,331, 175, which describes MRI techniques and the preparation of antibodies conjugated to a MRI enhancing agent).
- dyes such as with the biotin- streptavidin complex
- contrast agents e.g. paramag netic ions
- M I magnetic resonance imaging
- diagnostic/detection agents may be selected from agents for use in magnetic resonance imaging, and fluorescent compounds.
- a reagent having a long tail to which are attached a multiplicity of chelating groups for binding the ions.
- a tail may be a polymer such as a poly!ysine, polysaccharide, or other derivatized or deriva ⁇ .i2ab!e chain having pendant groups to which may be bound chelating groups such as, e.g ., porphyrins, poiyamines, crown ethers, bisthiosemicarbazones, po!yoximes, and like groups known to be useful for this purpose.
- Chelates may be coupled to anti-TF antibodies using standard chemistries.
- the present invention provides diagnostic anti-TF antibody conjugates, wherein the anti-TF antibody is conjugated to a contrast agent (such as for magnetic resonance imaging, computed tomography, or ultrasound contrast-enhancing agent) or a radionuclide that may be, for example, a gamma-, beta--, alpha--, Auger electron-, or positron-emitting isotope.
- a contrast agent such as for magnetic resonance imaging, computed tomography, or ultrasound contrast-enhancing agent
- a radionuclide that may be, for example, a gamma-, beta--, alpha--, Auger electron-, or positron-emitting isotope.
- the invention relates to a kit. for detecting the presence of TF antigen, or a cell expressing TF, in a sample comprising
- kit in particular also contains an anti-TF ant body conjugated to a detection agent or contrast agent of the present invention.
- the anti-TF antibodies of the present invention may also be used in a kit for diagnosis of cancer comprising a container comprising an anti-TF antibody, and one or more reagents for detecting binding of the anti-TF antibody to a TF peptide.
- a kit may In particular further comprise an anti-TF antibody drug conjugate of the present invention.
- Reagents may include, for example, fluorescent tags, enzymatic tags, or other detectable tags.
- the reagents may also include secondary or tertiary antibodies or reagents for enzymatic reactions, wherein the enzymatic reactions produce a product that may be visualized.
- the present invention provides a diagnostic kit comprising one or more anti-TF antibodies, of the present invention in iabeied or unlabeled form in suitable container(s), reagents for the incubations for an indirect assay, and substrates or derivatizing agents for detection in such an assay, depending on the nature of the label. Control reagent(s) and instructions for use also may be included.
- Diagnostic kits may also be supplied for use with an anti-TF antibody, such as a conjugated/labeled anti-TF antibody, for the detection of a cellular activity or for detecting the presence of TF peptides in a tissue sample or host.
- an anti-TF antibody typically may be provided in a !yophilized form in a container, either alone or in conjunction with additional antibodies specific for a target ceil or peptide.
- a pharmaceuticai acceptable carrier e.g., an inert diluent
- components thereof such as a Tris, phosphate, or carbonate buffer, stabilizers, preservatives, biocides, biocides, inert proteins, e.g., serum albumin, or the like, aiso
- a secondary antibody capable of binding to the anti-TF antibody which typically is present in a separate container, is also included.
- the second antibody is typically conjugated to a label and formulated in manner similar to the anti-TF antibody of the present invention.
- In situ detection may be accomplished by removing a histological specimen from a patient, and providing the combination of !abeled anti-TF antibodies (anti-TF antibody conjugated to a detection agent), of the present Invention to such a specimen.
- the anti-TF antibody of the present invention may be provided by applying or by overlaying the labeled anti-TF antibody of the present invention to a biological sample. Through the use of such a procedure, it is possible to determine not only the presence of TF or TF-fragments but also the distribution of such peptides in the examined tissue (e.g., in the context of assessing the spread of cancer cells).
- histological methods such as staining procedures
- Example I Fully codon-optimized constructs for expression of TF or its extracellular domains in HEK, NSO or CHO cells, were generated .
- the proteins encoded by these constructs are identical to Genbank accession NP ... 001984 for TF,
- the constructs contained suitable restriction sites for cloning and an optima! Kozak sequence (Kozak, 1987) ,
- the constructs were cloned in the mammalian expression vector pEE13,4 (Lonza Bioiogics) (Bebbington, Re ner et a! , 1992), obtaining pEE13.4TF.
- PGR was used to amplify the part, encoding the extracellular domain (ECD) (amino acid 1-251) of TF, from the synthetic construct, adding a C-terminal His tag containing 6 His residues (TFECDHis) .
- ECD extracellular domain
- TFECDHis C-terminal His tag containing 6 His residues
- Freesty!e iivi 293-F (a HEK-293 subclone adapted to suspension growth and chemically defined Freestyle medium, (HEK-293F)) ceils were obtained from Invitrogen and transfected with the appropriate plasmid DNA, using 293fectin (Invitrogen) according to the manufacturer's instructions.
- 293fectin Invitrogen
- the appropriate heavy chain and light chain vectors, as described In Example 10 were co-expressed .
- pEE13.4TF was stably transfected in NSO cells and stable clones were selected on growth in the absence of glutamine and in the presence of 7.5 ⁇ of methyisuiphoximine (MSX) .
- MSX methyisuiphoximine
- pEE13.4TF was stably transfected in CHO-KISV (Lonza Bioiogics) cells and stable clones were selected on growth in the absence of glutamine and in the presence of 50 ⁇ MSX. Single clones were picked and expanded and tested for TF expression by FACS analysis as described below. High expressing clones were chosen and secured for further use.
- TFECDhis was expressed I HEK-293F cells.
- the his-tag in TFECDHis enables purification with immobilized metal affinity chromatography.
- a chelator fixed onto the chromatographic resin is charged with Co 2 + cations.
- TFECDHis-containing supernatant is incubated with the resin in batch mode (i .e. solution) .
- the His-tagged protein binds strongly to the resin beads, while other proteins present in the culture supernatant do not bind strongly.
- the beads are retrievd from the supernatant and packed into a column. The column is washed in order to remove weakiy bound proteins.
- the strongly bound TFECDHis proteins are then e!uted with a buffer containing imidazole, which competes with the binding of His to Co 2 ⁇ .
- the eiuent is removed from the protein by buffer- exchange on a desalting column.
- Antibodies 042, 092-A09, 098 and 101 were derived from the following immunizations; three HCo20 mice (2 males and 1 female, strain GG2713), three HCol7 mice (2 males and 1 female, strain GG2714). three HCol2-BALB/c mice (3 males, strain GG2811), three HCo7 (3 males, strain GG2201) and three HCol2 mice (3 males, strain GG2198) (Medarex, San Jose, CA, USA; for references see paragraph on Hu ab mouse above) were immunized every fortnight alternating with 5xl0 6 semi-stable transfected NSO-TF cells, or with 20 pg of TFECDHis protein.
- mice were additionally boosted twice intravenously (IV) with 10 ⁇ ig TFECDHis protein in 100 pL PBS, 4 and 3 days before fusion.
- Antibodies 109, 111 and 114 were derived from the following immunizations: three HCo2.0 mice (3 females), three HCol7 mice (3 females), three HCol2-BALB/c mice (3 females), three HCo7 (3 males) and three HCol2 mice (3 females) were immunized every fortnight with 5xl0 6 semi-stab!e transfected NSO-TF ceils. The first immunization with cells was done in CFA, for all other (7) immunizations cells were injected IP in PBS. When serum titers were found to be sufficient (as defined above), mice were additionally boosted twice IV with 1x10 6 transiently semi-stable transfected NSO-TF celis in 100 ⁇ .. PBS, 4 and 3 days before fusion.
- Antibodies 011, 017-D12 and 025 were derived from the following immunizations: three HCo20 mice (3 males), three HCol ? mice (2 males and 1 female), three HCol2-BALB/c mice (3 females), three HCo7 (3 males) and three HCol2 mice (2 males and 1 female) were immunized every fortnight with 20 pg of TFECDHis protein.
- the presence of anti-TF antibodies in sera of immunized mice or HuMab (human monoclonal antibody) hybridoma or transfectoma culture supernatant was determined by homogeneous antigen specific screening assays (four quadrant) using Fiuorometric Micro volume Assay Technology (FMAT; Applied Biosysterns, Foster City, CA, USA) .
- a combination of 3 cell based assays and one bead based assay was used, in the cell based assays, binding to TH 1015-TF (HEK-293F cells transiently expressing TF; produced as described above) and A431 (which express TF at the ceil surface) as well as HE 293 wi!d type cells (do not express TF, negative control) was determined .
- binding to biotinyiated TF coupled on a streptavidin bead SB1015-TF
- HuMab mice with sufficient antigen-specific titer development were euthanized and the spleen and lymph nodes flanking the abdominal aorta and vena cava were, collected .
- Fusion of spienocytes and lymph node cells to a mouse myeloma cell iine was done by eiectrofusion using a CEEF 50 Electrofusion System (Cyto Pulse Sciences, Glen Burnie, MD, USA), essentially according to the manufacturer's instructions. Selection and culturing of the resulting HuMab hybridomas was done based upon standard protocols (e.g . as described in Coligan I. E., Bierer, B, E. f Margu!ies, D. H ., Shevach, E. M . and Strober, W., eds. Current Protocols in Immunology, John Wiley & Sons, Inc. , 2006) .
- RNA of the anti-TF HuMabs was prepared from 5xl0 5 hybridoma cells and 5'-RACE- Cornp!ementary DNA (cDNA) was prepared from 100 ng total RNA, using the SMART RACE cDNA Amplification kit (Clontech), according to the manufacturer's instructions.
- VH (variable region of heavy chain) and VL (variable region of light chain) coding regions were amplified by PCR and cioned into the pCR-Biunt II-TQPO vector (Invitrogen) using the Zero Blunt PGR cloning kit (Invitrogen).
- VH variable region of heavy chain
- VL variable region of light chain
- Table iA and Table IB (below) give an overview of the antibody sequences information and most homologous germline sequences.
- Anti-TF HuMab 092-AQ9 is a full length, fully human monoclonal IgG i, antibody comprising the VH sequence of SEQ ID No: 17 and the VL sequence of SEQ ID No: 57.
- Antl-TF HuMab 101 is a full length, fully human monoclonal IgGi,K antibody comprising the VH sequence of SEQ ID No:21 and the VL sequence of SEQ ID No: 61 ,
- Anti-TF HuMab 025 is a full length, fully human monoclonal IgGi ,K antibody comprising the VH sequence of SEQ ID No:25 and the VL sequence of SEQ ID No: 65,
- Anti-TF HuMab 109 is a full length, fully human monoclonal IgGl,x- antibody comprising the VH sequence of SEQ ID No: 29 and the VL sequence of SEQ ID No: 69,
- Anti-TF HuMab 017-D12 is a full length, fully human monoclonal IgGl , K antibody comprising the VH sequence of SEQ ID No:9 and the VL sequence of SEQ ID No: 49,
- Anti-TF HuMab 114 is a full length, fully human monoclonal IgGi ⁇ antibody comprising the VH sequence of SEQ ID No: l and the VL sequence of SEQ ID No: 41.
- Anti-TF HuMab 042 is a full length, fully human monoclonal IgGl,x antibody comprising the VH sequence of SEQ ID No: 13 and the VL. sequence of SEQ ID No: 53,
- Anti-TF HuMab Oi l is a full length, fully human monoclonal IgGl, antibody comprising the VH sequence of SEQ ID No: 5 and the VL sequence of SEQ ID No: 45.
- Anti-TF HuMab 098 is a full length, fully human monoclonal IgGl, K antibody comprising the VH sequence of SEQ ID No:33 and the VL sequence of SEQ ID No: 73,
- Anti-TF HuMab l i l is a full length, fully human monoclonal IgGl,K antibody comprising the VH sequence of SEQ ID No:37 and the VL. sequence of SEQ ID No: 77,
- ELISA ELISA plates
- ELISA plates (Microlon; Greiner Bio-One) were coated overnight at +4°C with 0.5 pg/mL of TFECDHis in PBS, pH 7.4.
- Coated ELISA plates were emptied and blocked for one hour at room temperature with 2% (v/v) chicken serum (Gibco, Paisley, Scotland) in PBS and washed with PBS containing 0.05% Tween 20 (PBST) .
- HuMabs serially diluted in PBSTC (PBS supplemented with 2% (v/v) chicken serum and 0.05% (v/v) Tween-20), were incubated for 1 hr at RT under shaking conditions (300 rpm). Bound HuMabs were detected using HRP-conjugated goat-anti-human IgG antibodies (Jackson ImmunoResearch) diluted 1 :5,000 in PBSTC, which were incubated for 1 hr at RT under shaking conditions (300 rpm). The reaction was further developed with ABTS (Roche Diagnostics) at RT in the dark, stopped after 15-30 minutes by adding 2% (w/v) oxalic acid and then the absorbance at 405 nm was measured.
- PBSTC PBS supplemented with 2% (v/v) chicken serum and 0.05% (v/v) Tween-20
- HuMab-KLH a human monoclonal antibody against KLH (keyhole limpet haemocyanin)
- KLH keyhole limpet haemocyanin
- ERL Mouse anti-human TF
- HRP labeled anti-mouse IgG conjugate
- Binding of anti-TF HuMabs to membrane-bound TF was determined by FACS analysis, using TF transfected CHO cells, or TF expressing tumor cell lines MDA-MB-231, (luciferase transfected) A431 and Bx-PC3.
- HuMab-KLH was used as a negative control.
- Mouse anti-TF followed by PE-conjugated anti-mouse IgGFc was used as positive control. Binding curves were analyzed using non-linear regression (sigmoidal dose-response with variable slope) using GraphPad Prism V4.03 software (GraphPad Software, San Diego, CA, USA).
- Figure 4 shows an example of binding curves of TF-specific HuMabs to MDA-MB-231 cells.
- Table 3 gives an overview of EC 50 values of binding of TF-specific HuMabs to TF transfected CHO cells (S1015-TF), MDA-MB-231, A431 and Bx-PC3 cells.
- EC 50 values are in nM. Max MFI for MDA-MB-231, BxPC3 and A431 cells at 30 pg/mL antibody, for S1015-TF at 7.5 pg/mL antibody.
- the concentration of antibody needed to obtain 50% inhibition was calculated using GraphPad Prism (non-linear regression analysis).
- FIG. 5 and Tab!e 4 shows that HuMab-TF-098 (IC 50 : 1.2 pg/mL), -114 (IC S0 could not be determined) and -011 (IC S0 : 0.6 pg/mL) efficiently inhibited FVIIa binding to MDA- MB-231 ce!!s, while HuMab-TF-013, -044 and -111 did not. (or to a much lesser extent) inhibit FVIIa binding.
- anti-TF HuMabs are suitable for an antibody-drug conjugate approach
- a generic in vitro cell-based killing assay using kappa-directed pseudomonas-exotoxin A (anti- kappa-ETA') was used.
- anti- kappa-ETA' kappa-directed pseudomonas-exotoxin A
- a high affinity anti-human kappa light chain domain conjugated to a truncated form of the pseudomonas-exotoxin A was used.
- the anti-kappa-ETA' domain-antibody conjugate undergoes proteolysis and disuifide-bond reduction, separating the catalytic and the binding domain.
- the catalytic domain is transported from the Golgi system to the endoplasmic reticulum via the KDEL retention motif, and subsequently translocated to the cytosol where it inhibits protein synthesis and induces apoptosis ( reitman RJ. BioDrugs. 2009; 23( 1): 1-13. Recombinant Immunotoxins Containing Truncated Bacterial Toxins for the Treatment of Hematologic Malignancies).
- Antibody-mediated internalization and cell killing by the toxin was tested for different anti-TF HuMabs. Three different ceil lines, with comparable levels of TF expression, were tested. These cells also expressed EGFR (at different levels), allowing the use of a positive control antibody (2F8), that binds EGFR and is known to induce EGFR internalization.
- the number of TF and EGFR molecules expressed on the cell lines was determined by Qifi kit (Dako, Glostrup, Denmark) ; A431 ceils: average TF molecules per ceil approximately 500,000, average EGFR molecules per cell approximately 500,000; BxPC3 : average TF molecules per eel!
- MDA-MB-231 average TF molecules per cell approximately 500,000, average EGFR molecules per cell approximately 100,000.
- Cells were seeded in optimal concentration (A431 : 2,500 cells/well; BxPC3: 3,000 cells/well; MDA-MB-231 : 5,000 cells/well) in ceil culture medium in 96-wel! tissue culture plates (Greiner Bio-one) and allowed to adhere.
- FIG. 6 and Table S show that all but one (HuMab-TF-087) of the anti-kappa-ETA'-pre- Incubated anti-TF HuMabs were able to kill A431, BxPC3 and MDA-MB-231 cells in a dose- dependent manner.
- Anti-kappa-ETA'-pre-incubated HuMab-TF-098, - 114 and -011 induced more efficient killing (EC 50 between 9 x 10 "5 and 4 x 10 ⁇ 4 pg/mL on A431 cells) than anti- kappa-ETA'- pre- i ncu bated HuMab-TF-013, -111 and -044 (EC 50 between 2.0 x 10 ? - and 9.8 x 10 2 pg/mL on A431 cells).
- Anti-kappa-ETA'-pre-incubated HuMab-TF-087 did not induce cell killing.
- HuMab-011, HuMab-098 and HuMab-111 and the negative control IgGl-blP. were produced transiently in HEK-293F ceils (HuMab-011, HuMab-111 and IgGl-bl2) or using a stable CHO cell line (HuMab-098),
- the antibodies were purified by Protein A chromatography according to standard procedures, finally yielding approximately 400 mg of purified antibody. Next, the antibodies were conjugated to vcMMAE and mcMMAF, respectively.
- any residual unconjugated drug was removed by purification and the final anti-TF antibody drug conjugates were formulated in PBS.
- the anti-TF antibody drug conjugates were subsequently analyzed for concentration (by absorbance at 280 nm), the drug to antibody ratio (the 'DAR') by reverse phase chromatography (RP-HPLC) and hydrophobic interaction chromatography (HIC), the amount of unconjugated drug (by reverse phase chromatography), the percentage aggregation (by size-exciusion chromatography, SEC-HPLC) and the endotoxin levels (by LAL), The results are shown below in table 6.
- Binding of the anti-TF ADCs to TF was measured by ELISA (coated recombinant extracellular domain of TF) and compared with binding of unconjugated anti-TF HuMabs.
- ELISA plates (Greiner BioOne) were coated O/N at 4°C with 1.25 pg/mL, 100 pL per well, recombinant TFECDHis in PBS (B. Braun Me!sungen AG). ELISA plates were washed three times with PBS containing 0.05% Tween-20 (PBST), blocked with 200 pL/weii PBST at RT for 1 h while shaking (300 rpm), washed three times with PBST and emptied.
- PBST PBS containing 0.05% Tween-20
- anti-TF ADCs or unconjugated anti-TF HuMabs were added in serial dilutions in PBST and incubated while shaking at RT for 90 min.
- ELISA plates were washed three times with PBST and emptied.
- Bound anti-TF ADCs and unconjugated HuMabs were detected by adding HRP-conjugated mouse-anti human IgGl (100 pL; 0.015 pg/mL; Sanquin; # M1328) in assay buffer and incubation while shaking at RT for 1 h.
- IgGi -bl2 an antibody binding to a non-related antigen, was used as a negative control (both unconjugated as well as in ADC format).
- Binding curves were analyzed by non-linear regression (sigmoidal dose-response with variable siope) using GraphPad Prism 5 software ⁇ GraphPad Software, San Diego, CA, USA).
- Figure 7 shows binding curves, demonstrating that aii the anti-TF HuMabs and ADCs bound within a similar range to the TF extracellular domain in an ELISA (EC 3 ⁇ 40 values between 370 and 470 ng/mL),
- Table ? shows EC 50 values of anti-TF HuMabs and ADCs for binding to the extracellular domain of TF.
- the EC 50 values are in ng/mL.
- A431 cells were obtained from Deutsche Samm!ung von Mikroorganimsmen und Zellkulturen GmbH (DSMZ: ACC 91), HPAF-II and NCI-H441 ceils were obtained from the American Type Culture Collection (ATCC: CRL-1997 and HTB-174), Ceils were seeded in optimal concentration (A431 : 2.5 x lO 3 cells/well; HPAF-II and NCI-H441 : 5 x 10 3 cells/well) in ceil culture medium in 96-we!i tissue culture plates (Greiner Bio-one) and allowed to adhere.
- the A431 and HPAF-II cell lines both express more than 200,000 tissue factor molecules per cell and may therefore be regarded as expressing high levels of tissue factor,
- NCI-H441 ceils express approximately 80,000 tissue factor molecules per cell and may therefore be regarded as expressing intermediate levels of tissue factor.
- FIG. 8 and Table 8 show that all anti-TF ADCs were able to kill A431, HPAF-II and NCI-H441 cells in a dose -dependent manner, HuMab-TF-098 and -011 Induced slightly more efficient killing (lC- i0 between 9 and 22 ng/mL on A431 cells, between 1 and 5 ng/mL on HPAF-II ceils and between 1 and 10 ng/mL on NCI-H441 cells) than HuMab-TF- 111 (IC 50 between 46 and 83 ng/mL on A431 cells, between 4 and 15 ng/mL on HPAF-II cells and 416 ng/mL on NCI-H441 cells).
- A431 (a) and HPAF-II (b) Data shown are percentages survival ⁇ S.E. M. of duplicate wells of cells treated with anti-TF ADCs,
- Figure 9 shows that ail anti-TF ADCs were effective in inhibiting tumor growth of established s.c. A431 (a) and HPAF-II (b) tumors.
- vcMMAE conjugates were significantly more efficient in inhibiting tumor growth than mcMMAF conjugates.
- the stability of the MMAE- and MAF-conjugated materials was tested upon storage for 10 days, 1, 2 and 3 months at ⁇ -65°C and 5°C. In this example only the three months data are shown, since similar results were obtained for all intermediate time points. Furthermore, the stability of the materials was tested upon repeated cycles of freeze-thawing.
- ADC batches (four IgG batches each conjugated with two different linkers, Table 6 were deep frozen. For stability testing, batches were thawed and diluted to 1 mg/mL in PBS. The diluted material was aliquoted into 300 pL portions in cryovia!s and vials were placed at ⁇ -65°C or 5°C for temperature storage. For freeze-thawing, three vials of each batch were frozen at ⁇ -65°C, O/N, and then thawed unassisted at RT. The freeze-thaw cycle was repeated another two times (the samples were freeze-thawed three times in total).
- Ail materials were analyzed at the start of the study (t ⁇ -Q) by sodium dodecyi sulfate polyacrylamide gel electrophoresis (SDS-PAGE), High Performance Size Exclusion Chromatography (HP-SEC) and binding to tissue factor (TFECDHis) in a binding ELISA.
- SDS-PAGE sodium dodecyi sulfate polyacrylamide gel electrophoresis
- HP-SEC High Performance Size Exclusion Chromatography
- TFECDHis binding to tissue factor
- SDS-PAGE was performed under reducing and non-reducing conditions on 4-12% NuPAGE Bis-Tris gels (Tnvitrogen, Breda, The Netherlands) using a modified Laem!i method (Laemli 1970 Nature 227(5259) : 680-5), where the samples were run at neutral pH.
- the SDS-PAGE geis were stained with Coomassie and digital iy imaged using an Optigo Imaging System (Isogen Life Science).
- HP-SEC was performed using a Waters Alliance 2695 or 2795 separation unit (Waters, Etten-Leur, The Netherlands) connected to a TS HP-SEC column (G3000SWxl; Tosoh Bioscience, via Omnilabo, Breda, The Netherlands) and a Waters 2487 dual ⁇ absorbance detector (Waters). Samples were run at 1 mL/min. Results were processed using Empower software version 2 and expressed per peak as percentage of total peak height.
- Binding to recombinant protein of the TF extracellular domain was analyzed by EL1SA, as described supra in example 17.
- Figure 10 a-d show SDS-PAGE analyses of unconjugated and conjugated anti-TF lead clones and IgGl-bl2 at the start of the stability study (t--0), On non-reducing SDS-PAGE (a,b), unconjugated IgGl migrated as an intact IgG band of about 150 kDa.
- Reduced SDS-PAGE analysis ( Figure 10 c,d) showed bands of the unconjugated light chain (L0) and light chain with one drug (MMAE or MMAF) attached (LI).
- ADC material t ⁇ -0
- HuMab-TF-098 a, b
- HuMab-TF-011 c, d
- the stability experiments show that the ADC material, at 1 mg/mL, was stable at ⁇ -65°C and at 5°C for at !east three months, as determined by SDS-PAGE, HP-SEC and binding to TFECDHis. Minor aggregate formation was induced by repeated freeze thawing of the material.
- Table 9 HP-SEC analysis of ADC samples.
- HPAF-II tumor xenografts were established as described supra, followed by four injections with anti-TF vcMMAE ADCs in two different doses (6 and 20 pg/mouse [IgGl-bl2 was added to a final dose of 60 pg IgGl per mouse] in 100 ⁇ _, IP) or control unconjugated mAb (IgGi-bl2; 60 pg/mouse in 100 pL, IP); starting when tumor sizes were approximately 100-150 mm 3 : day 10, 13, 17 and 21.
- Tumor volume was determined at feast two times per week. Tumor volumes (mm J ) were calculated from caliper (PLEXX) measurements as: 0.52 x (length) x (width) 2 .
- Fsgisre 13 shows that the 20 yg doses of all three vcMMAE conjugates were effective in inhibiting tumor growth of established s.c. HPAF-II tumors.
- the 6 pq dose of ail three vcMMAE conjugates was capable of slightly delaying, but not inhibiting tumor growth.
Landscapes
- Health & Medical Sciences (AREA)
- Chemical & Material Sciences (AREA)
- Life Sciences & Earth Sciences (AREA)
- Medicinal Chemistry (AREA)
- General Health & Medical Sciences (AREA)
- Bioinformatics & Cheminformatics (AREA)
- Engineering & Computer Science (AREA)
- Organic Chemistry (AREA)
- Animal Behavior & Ethology (AREA)
- Veterinary Medicine (AREA)
- Public Health (AREA)
- Pharmacology & Pharmacy (AREA)
- Immunology (AREA)
- Molecular Biology (AREA)
- Epidemiology (AREA)
- Nuclear Medicine, Radiotherapy & Molecular Imaging (AREA)
- Chemical Kinetics & Catalysis (AREA)
- General Chemical & Material Sciences (AREA)
- Biochemistry (AREA)
- Biophysics (AREA)
- Genetics & Genomics (AREA)
- Proteomics, Peptides & Aminoacids (AREA)
- Cell Biology (AREA)
- Hematology (AREA)
- Toxicology (AREA)
- Mycology (AREA)
- Microbiology (AREA)
- Endocrinology (AREA)
- Reproductive Health (AREA)
- Urology & Nephrology (AREA)
- Oncology (AREA)
- Peptides Or Proteins (AREA)
- Medicines Containing Antibodies Or Antigens For Use As Internal Diagnostic Agents (AREA)
- Medicines That Contain Protein Lipid Enzymes And Other Medicines (AREA)
- Medicinal Preparation (AREA)
- Pharmaceuticals Containing Other Organic And Inorganic Compounds (AREA)
- Invalid Beds And Related Equipment (AREA)
Abstract
Description
Claims
Priority Applications (31)
| Application Number | Priority Date | Filing Date | Title |
|---|---|---|---|
| NZ604718A NZ604718A (en) | 2010-06-15 | 2011-06-15 | Human antibody drug conjugates against tissue factor |
| MX2012014552A MX347893B (en) | 2010-06-15 | 2011-06-15 | Human antibody drug conjugates against tissue factor. |
| PL11725095T PL2582728T3 (en) | 2010-06-15 | 2011-06-15 | Human antibody drug conjugates against tissue factor |
| CN201180039935.5A CN103119065B (en) | 2010-06-15 | 2011-06-15 | Human antibody drug conjugates against tissue factor |
| SM20170547T SMT201700547T1 (en) | 2010-06-15 | 2011-06-15 | Human antibody drug conjugates against tissue factor |
| MEP-2017-265A ME02919B (en) | 2010-06-15 | 2011-06-15 | HUMAN ANTIBODY MEDICAMENT CONJUGATES AGAINST THE TISSUE FACTOR |
| LTEP11725095.1T LT2582728T (en) | 2010-06-15 | 2011-06-15 | Human antibody drug conjugates against tissue factor |
| BR112012031727-0A BR112012031727B1 (en) | 2010-06-15 | 2011-06-15 | DRUG-ANTIBODY CONJUGATE, PHARMACEUTICAL COMPOSITION, AND, USE OF DRUG-ANTIBODY CONJUGATE |
| US13/704,388 US9168314B2 (en) | 2010-06-15 | 2011-06-15 | Human antibody drug conjugates against tissue factor |
| EP24169283.9A EP4434550A3 (en) | 2010-06-15 | 2011-06-15 | Human antibody drug conjugates against tissue culture |
| AU2011267106A AU2011267106B2 (en) | 2010-06-15 | 2011-06-15 | Human antibody drug conjugates against tissue factor |
| SI201131339T SI2582728T1 (en) | 2010-06-15 | 2011-06-15 | Human antibody drug conjugates against tissue factor |
| CA2802782A CA2802782C (en) | 2010-06-15 | 2011-06-15 | Human antibody drug conjugates against tissue factor |
| ES11725095.1T ES2647388T3 (en) | 2010-06-15 | 2011-06-15 | Pharmacological conjugates of human antibodies against tissue factor |
| JP2013514696A JP6055404B2 (en) | 2010-06-15 | 2011-06-15 | Human antibody drug conjugates against tissue factor |
| HRP20171789TT HRP20171789T1 (en) | 2010-06-15 | 2011-06-15 | HUMAN ANTIBODY ANTIBODIES CONJUGATES WITH TISSUE FACTOR |
| KR1020137000924A KR101935058B1 (en) | 2010-06-15 | 2011-06-15 | Human antibody drug conjugates against tissue factor |
| EP11725095.1A EP2582728B1 (en) | 2010-06-15 | 2011-06-15 | Human antibody drug conjugates against tissue factor |
| EA201300016A EA034675B1 (en) | 2010-06-15 | 2011-06-15 | Conjugate for inducing cell death, inhibiting growth and proliferation of cancer cells expressing tissue factor and use thereof |
| DK11725095.1T DK2582728T3 (en) | 2010-06-15 | 2011-06-15 | Human antibody-drug conjugates against tissue factor |
| RS20171169A RS56599B1 (en) | 2010-06-15 | 2011-06-15 | Human antibody drug conjugates against tissue factor |
| US14/854,613 US9492565B2 (en) | 2010-06-15 | 2015-09-15 | Human antibody drug conjugates against tissue factor |
| US15/277,626 US20170136130A1 (en) | 2010-06-15 | 2016-09-27 | Human antibody drug conjugates against tissue factor |
| CY20171101231T CY1119616T1 (en) | 2010-06-15 | 2017-11-23 | HUMAN ANTI-DUMP DRUG CONSUMPTION AGAINST TISSUE |
| US16/367,933 US20190315880A1 (en) | 2010-06-15 | 2019-03-28 | Human antibody drug conjugates against tissue factor |
| US17/198,199 US20210395384A1 (en) | 2010-06-15 | 2021-03-10 | Human antibody drug conjugates against tissue factor |
| US18/526,959 US20240294661A1 (en) | 2010-06-15 | 2023-12-01 | Human antibody drug conjugates against tissue factor |
| LTPA2025527C LTPA2025527I1 (en) | 2010-06-15 | 2025-07-18 | |
| FR25C1032C FR25C1032I1 (en) | 2010-06-15 | 2025-08-13 | HUMAN ANTIBODY-DRUG CONJUGATES AGAINST TISSUE FACTOR |
| FIC20253007C FIC20253007I1 (en) | 2010-06-15 | 2025-08-26 | Tisotumab vedotin or its biosimilar |
| NL301340C NL301340I2 (en) | 2010-06-15 | 2025-08-27 | tisotumab vedotin |
Applications Claiming Priority (8)
| Application Number | Priority Date | Filing Date | Title |
|---|---|---|---|
| US35497010P | 2010-06-15 | 2010-06-15 | |
| DKPA201000529 | 2010-06-15 | ||
| US61/354,970 | 2010-06-15 | ||
| DKPA201000529 | 2010-06-15 | ||
| US201161434776P | 2011-01-20 | 2011-01-20 | |
| US61/434,776 | 2011-01-20 | ||
| DKPA201100039 | 2011-01-20 | ||
| DKPA201100039 | 2011-01-20 |
Related Child Applications (2)
| Application Number | Title | Priority Date | Filing Date |
|---|---|---|---|
| US13/704,388 A-371-Of-International US9168314B2 (en) | 2010-06-15 | 2011-06-15 | Human antibody drug conjugates against tissue factor |
| US14/854,613 Division US9492565B2 (en) | 2010-06-15 | 2015-09-15 | Human antibody drug conjugates against tissue factor |
Publications (2)
| Publication Number | Publication Date |
|---|---|
| WO2011157741A2 true WO2011157741A2 (en) | 2011-12-22 |
| WO2011157741A3 WO2011157741A3 (en) | 2012-03-08 |
Family
ID=44534293
Family Applications (1)
| Application Number | Title | Priority Date | Filing Date |
|---|---|---|---|
| PCT/EP2011/059917 Ceased WO2011157741A2 (en) | 2010-06-15 | 2011-06-15 | Human antibody drug conjugates against tissue factor |
Country Status (28)
| Country | Link |
|---|---|
| US (6) | US9168314B2 (en) |
| EP (3) | EP4434550A3 (en) |
| JP (1) | JP6055404B2 (en) |
| KR (1) | KR101935058B1 (en) |
| CN (3) | CN111012921A (en) |
| AU (1) | AU2011267106B2 (en) |
| BR (1) | BR112012031727B1 (en) |
| CA (1) | CA2802782C (en) |
| CY (1) | CY1119616T1 (en) |
| DK (1) | DK2582728T3 (en) |
| EA (1) | EA034675B1 (en) |
| ES (1) | ES2647388T3 (en) |
| FI (1) | FIC20253007I1 (en) |
| FR (1) | FR25C1032I1 (en) |
| HR (1) | HRP20171789T1 (en) |
| HU (2) | HUE035599T2 (en) |
| LT (2) | LT2582728T (en) |
| ME (1) | ME02919B (en) |
| MX (1) | MX347893B (en) |
| NL (1) | NL301340I2 (en) |
| NO (2) | NO2582728T3 (en) |
| NZ (1) | NZ604718A (en) |
| PL (1) | PL2582728T3 (en) |
| PT (1) | PT2582728T (en) |
| RS (1) | RS56599B1 (en) |
| SI (1) | SI2582728T1 (en) |
| SM (1) | SMT201700547T1 (en) |
| WO (1) | WO2011157741A2 (en) |
Cited By (33)
| Publication number | Priority date | Publication date | Assignee | Title |
|---|---|---|---|---|
| WO2013004842A2 (en) | 2011-07-06 | 2013-01-10 | Genmab A/S | Antibody variants and uses thereof |
| CN103342752A (en) * | 2013-05-16 | 2013-10-09 | 太原博奥特生物技术有限公司 | Anti-human tissue factor single-chain antibody and preparation method thereof |
| WO2014006217A1 (en) | 2012-07-06 | 2014-01-09 | Genmab B.V. | Dimeric protein with triple mutations |
| WO2014108198A1 (en) | 2013-01-10 | 2014-07-17 | Genmab B.V. | Human igg1 fc region variants and uses thereof |
| WO2015075201A1 (en) | 2013-11-21 | 2015-05-28 | Genmab A/S | Antibody-drug conjugate lyophilised formulation |
| WO2017042352A1 (en) | 2015-09-11 | 2017-03-16 | Genmab A/S | Dosing regimens for anti-tf-antibody drug-conjugates |
| EP3103811A4 (en) * | 2014-02-03 | 2017-11-29 | National Cancer Center | Anti-tissue factor monoclonal antibody |
| IL256558A (en) * | 2015-06-29 | 2018-02-28 | Daiichi Sankyo Co Ltd | Antibody-drug conjugate compositions and methods for producing same |
| WO2018083126A1 (en) | 2016-11-01 | 2018-05-11 | Genmab B.V. | Polypeptide variants and uses thereof |
| WO2018146317A1 (en) | 2017-02-10 | 2018-08-16 | Genmab B.V. | Polypeptide variants and uses thereof |
| WO2019102435A1 (en) * | 2017-11-27 | 2019-05-31 | Euro-Celtique S.A. | Humanized antibodies targeting human tissue factor |
| US10322192B2 (en) | 2016-03-02 | 2019-06-18 | Eisai R&D Management Co., Ltd. | Eribulin-based antibody-drug conjugates and methods of use |
| WO2019145455A1 (en) | 2018-01-24 | 2019-08-01 | Genmab B.V. | Polypeptide variants and uses thereof |
| WO2019211472A1 (en) | 2018-05-03 | 2019-11-07 | Genmab B.V. | Antibody variant combinations and uses thereof |
| WO2019217455A1 (en) | 2018-05-07 | 2019-11-14 | Genmab A/S | Methods of treating cancer with a combination of an anti-pd-1 antibody and an anti-tissue factor antibody-drug conjugate |
| WO2019217457A1 (en) | 2018-05-07 | 2019-11-14 | Genmab A/S | Methods of treating cancer with a combination of an anti-pd-1 antibody and an anti-tissue factor antibody-drug conjugate |
| EP3632462A1 (en) | 2012-07-06 | 2020-04-08 | Genmab B.V. | Dimeric protein with triple mutations |
| EP3502141A4 (en) * | 2016-08-22 | 2020-04-08 | Fudan University | ANTIBODIES TAKEN AGAINST THE TISSUE FACTOR, MANUFACTURING METHODS THEREFOR AND USE THEREOF |
| WO2020092210A1 (en) | 2018-10-30 | 2020-05-07 | Genmab A/S | Methods of treating cancer with a combination of an anti-vegf antibody and an anti-tissue factor antibody-drug conjugate |
| EP3501548A4 (en) * | 2016-08-22 | 2020-06-17 | Fudan University | Tissue factor-targeted antibody-drug conjugate |
| WO2021090272A1 (en) | 2019-11-07 | 2021-05-14 | Genmab A/S | Methods of treating cancer with a combination of an anti-pd-1 antibody and an anti-tissue factor antibody-drug conjugate |
| WO2021089850A1 (en) | 2019-11-06 | 2021-05-14 | Genmab B.V. | Antibody variant combinations and uses thereof |
| WO2021089794A1 (en) | 2019-11-07 | 2021-05-14 | Genmab A/S | Methods of treating cancer with a combination of a platinum-based agent and an anti-tissue factor antibody-drug conjugate |
| US20210308208A1 (en) * | 2018-08-16 | 2021-10-07 | Genmab A/S | Anti-tissue factor antibody-drug conjugates and their use in the treatment of cancer |
| EP3768325A4 (en) * | 2018-03-21 | 2021-12-29 | Genmab A/S | Methods of treating cancer with a combination of a platinum-based agent and an anti-tissue factor antibody-drug conjugate |
| WO2022002940A1 (en) | 2020-06-29 | 2022-01-06 | Genmab A/S | Anti-tissue factor antibody-drug conjugates and their use in the treatment of cancer |
| CN114222752A (en) * | 2019-07-03 | 2022-03-22 | 伊科尼克治疗公司 | Anti-tissue factor antibody-drug conjugates and related methods |
| WO2022098972A1 (en) | 2020-11-08 | 2022-05-12 | Seagen Inc. | Combination-therapy antibody drug conjugate with immune cell inhibitor |
| WO2023213960A1 (en) | 2022-05-06 | 2023-11-09 | Genmab A/S | Methods of treating cancer with anti-tissue factor antibody-drug conjugates |
| WO2024083162A1 (en) * | 2022-10-19 | 2024-04-25 | Multitude Therapeutics Inc. | Antibodies, antibody-drug conjugates, preparations and uses thereof |
| US12215167B2 (en) | 2018-01-04 | 2025-02-04 | Iconic Therapeutics Llc | Anti-tissue factor antibodies, antibody-drug conjugates, and related methods |
| EP4506015A1 (en) | 2023-08-09 | 2025-02-12 | Nerviano Medical Sciences S.r.l. | Combination of a mps1 inhibitor and an antibody drug conjugate |
| US12496354B2 (en) * | 2025-03-07 | 2025-12-16 | Multitude Therapeutics Inc. | CD142 antibodies, antibody-drug conjugates, preparations and uses thereof |
Families Citing this family (23)
| Publication number | Priority date | Publication date | Assignee | Title |
|---|---|---|---|---|
| BRPI0316282B8 (en) | 2002-11-15 | 2021-05-25 | Genmab As | monoclonal isolated human antibody, composition, immunoconjugate, bispecific or multispecific molecule, method and diagnostic kit to detect the presence of cd25 antigen or a cell expressing cd25, and, expression vector |
| UA109633C2 (en) | 2008-12-09 | 2015-09-25 | HUMAN ANTIBODY AGAINST TISSUE FACTOR | |
| BR112012031727B1 (en) | 2010-06-15 | 2022-03-29 | Genmab A/S | DRUG-ANTIBODY CONJUGATE, PHARMACEUTICAL COMPOSITION, AND, USE OF DRUG-ANTIBODY CONJUGATE |
| CA2942101A1 (en) * | 2014-03-21 | 2015-09-24 | Abbvie Inc. | Anti-egfr antibodies and antibody drug conjugates |
| CN106170300A (en) * | 2014-04-08 | 2016-11-30 | 西雅图基因公司 | Optimal Dosing of CD19‑Antibody Drug Conjugates |
| CA2929542A1 (en) * | 2015-05-13 | 2016-11-13 | Pfizer Inc. | Treatment with anti-efna4 antibody-drug conjugates |
| JP2018524391A (en) * | 2015-07-22 | 2018-08-30 | アイコニック セラピューティクス, インコーポレイテッド | Methods for treating disorders associated with angiogenesis and angiogenesis |
| CN106467574B (en) * | 2015-08-20 | 2019-09-20 | 复旦大学 | Antibody targeting tissue factor, preparation method and use thereof |
| CA3017813C (en) * | 2016-03-17 | 2021-12-07 | Oslo Universitetssykehus Hf | Fusion proteins targeting tumour associated macrophages for treating cancer |
| EP3432925A4 (en) | 2016-03-22 | 2019-11-06 | Bionomics Limited | ADMINISTRATION OF ANTI-LGR5 MONOCLONAL ANTIBODY |
| SG11201906414VA (en) * | 2017-01-24 | 2019-08-27 | Pfizer | Calicheamicin derivatives and antibody drug conjugates thereof |
| CN113512111B (en) * | 2017-03-10 | 2023-08-15 | 北京天广实生物技术股份有限公司 | anti-Ebola virus monoclonal antibody, preparation method and application thereof |
| IL312038A (en) * | 2017-11-02 | 2024-06-01 | Genmab As | Antibody-antidrug-tissue factor conjugates and their use in cancer treatment |
| AU2019231696B2 (en) * | 2018-03-07 | 2025-10-30 | Genmab A/S | Anti-tissue factor antibody-drug conjugates and their use in the treatment of cancer |
| CN113874400B (en) | 2019-03-11 | 2025-02-07 | 詹森生物科技公司 | Anti-Vβ17/anti-CD123 bispecific antibody |
| CN115335052A (en) * | 2019-12-26 | 2022-11-11 | 俄亥俄州国家创新基金会 | Methods and compositions for inhibiting dihydroorotate dehydrogenase in combination with anti-CD 38 therapeutics |
| CA3194968A1 (en) | 2020-09-11 | 2022-03-17 | Janssen Biotech, Inc. | Methods and compositions for modulating beta chain mediated immunity |
| US12448449B2 (en) * | 2020-09-11 | 2025-10-21 | Janssen Biotech, Inc. | Immune targeting molecules and uses thereof |
| CN113368232B (en) * | 2021-06-02 | 2022-08-26 | 上海交通大学 | Multispecific antigen binding proteins and uses thereof |
| AU2022320438A1 (en) * | 2021-07-29 | 2024-02-15 | Toolgen Incorporated | Hemocompatible mesenchymal stem cells, preparation method therefor and use thereof |
| WO2023160651A1 (en) | 2022-02-24 | 2023-08-31 | 苏州信诺维医药科技股份有限公司 | Antibody, and drug conjugate and use thereof |
| CN118772282A (en) * | 2023-04-10 | 2024-10-15 | 复旦大学 | Preparation method and use of nanoantibodies and conjugates targeting tissue factor |
| WO2025081117A2 (en) * | 2023-10-13 | 2025-04-17 | Sutro Biopharma, Inc. | Anti-tissue factor antibodies and antibody conjugates, compositions comprising anti-tissue factor antibodies or antibody conjugates, and methods of making and using anti-tissue factor antibodies and antibody conjugates |
Citations (84)
| Publication number | Priority date | Publication date | Assignee | Title |
|---|---|---|---|---|
| US505731A (en) | 1893-09-26 | Ice oeeam feeezee | ||
| US4179337A (en) | 1973-07-20 | 1979-12-18 | Davis Frank F | Non-immunogenic polypeptides |
| US4495285A (en) | 1981-10-30 | 1985-01-22 | Kimihiro Shimizu | Plasminogen activator derivatives |
| US4609546A (en) | 1982-06-24 | 1986-09-02 | Japan Chemical Research Co., Ltd. | Long-acting composition |
| EP0216846A1 (en) | 1985-04-01 | 1987-04-08 | Celltech Ltd | TRANSFORMED MYELOMA CELL LINE AND METHOD FOR EXPRESSING A GENE ENCODING A EUKARYOTIC POLYPEPTIDE EMPLOYING THIS LINE. |
| US4681581A (en) | 1983-12-05 | 1987-07-21 | Coates Fredrica V | Adjustable size diaper and folding method therefor |
| WO1987004462A1 (en) | 1986-01-23 | 1987-07-30 | Celltech Limited | Recombinant dna sequences, vectors containing them and method for the use thereof |
| US4735210A (en) | 1985-07-05 | 1988-04-05 | Immunomedics, Inc. | Lymphographic and organ imaging method and kit |
| US4766106A (en) | 1985-06-26 | 1988-08-23 | Cetus Corporation | Solubilization of proteins for pharmaceutical compositions using polymer conjugation |
| EP0323997A1 (en) | 1987-07-23 | 1989-07-19 | Celltech Limited | Recombinant dna expression vectors |
| EP0338841A1 (en) | 1988-04-18 | 1989-10-25 | Celltech Limited | Recombinant DNA methods, vectors and host cells |
| WO1992003918A1 (en) | 1990-08-29 | 1992-03-19 | Genpharm International, Inc. | Transgenic non-human animals capable of producing heterologous antibodies |
| US5102990A (en) | 1989-08-09 | 1992-04-07 | Rhomed Incorporated | Direct radiolabeling of antibodies and other proteins with technetium or rhenium |
| US5101827A (en) | 1985-07-05 | 1992-04-07 | Immunomedics, Inc. | Lymphographic and organ imaging method and kit |
| EP0505500A1 (en) | 1989-12-22 | 1992-09-30 | Applied Research Systems | MODIFICATION OF ENDOGENIC GENE EXPRESSION BY MEANS OF A REGULATORY ELEMENT. |
| WO1992022645A1 (en) | 1991-06-14 | 1992-12-23 | Genpharm International, Inc. | Transgenic immunodeficient non-human animals |
| WO1993001227A1 (en) | 1991-07-08 | 1993-01-21 | University Of Massachusetts At Amherst | Thermotropic liquid crystal segmented block copolymer |
| WO1994025585A1 (en) | 1993-04-26 | 1994-11-10 | Genpharm International, Inc. | Transgenic non-human animals capable of producing heterologous antibodies |
| US5545807A (en) | 1988-10-12 | 1996-08-13 | The Babraham Institute | Production of antibodies from transgenic animals |
| US5545806A (en) | 1990-08-29 | 1996-08-13 | Genpharm International, Inc. | Ransgenic non-human animals for producing heterologous antibodies |
| US5589466A (en) | 1989-03-21 | 1996-12-31 | Vical Incorporated | Induction of a protective immune response in a mammal by injecting a DNA sequence |
| US5593972A (en) | 1993-01-26 | 1997-01-14 | The Wistar Institute | Genetic immunization |
| US5625126A (en) | 1990-08-29 | 1997-04-29 | Genpharm International, Inc. | Transgenic non-human animals for producing heterologous antibodies |
| US5633425A (en) | 1990-08-29 | 1997-05-27 | Genpharm International, Inc. | Transgenic non-human animals capable of producing heterologous antibodies |
| US5635483A (en) | 1992-12-03 | 1997-06-03 | Arizona Board Of Regents Acting On Behalf Of Arizona State University | Tumor inhibiting tetrapeptide bearing modified phenethyl amides |
| US5648471A (en) | 1987-12-03 | 1997-07-15 | Centocor, Inc. | One vial method for labeling antibodies with Technetium-99m |
| US5661016A (en) | 1990-08-29 | 1997-08-26 | Genpharm International Inc. | Transgenic non-human animals capable of producing heterologous antibodies of various isotypes |
| US5663149A (en) | 1994-12-13 | 1997-09-02 | Arizona Board Of Regents Acting On Behalf Of Arizona State University | Human cancer inhibitory pentapeptide heterocyclic and halophenyl amides |
| US5697902A (en) | 1985-07-05 | 1997-12-16 | Immunomedics, Inc. | Method for imaging and treating organs and tissues |
| US5703057A (en) | 1995-04-07 | 1997-12-30 | Board Of Regents The University Of Texas System | Expression library immunization |
| US5733743A (en) | 1992-03-24 | 1998-03-31 | Cambridge Antibody Technology Limited | Methods for producing members of specific binding pairs |
| US5741957A (en) | 1989-12-01 | 1998-04-21 | Pharming B.V. | Transgenic bovine |
| US5750172A (en) | 1987-06-23 | 1998-05-12 | Pharming B.V. | Transgenic non human mammal milk |
| US5756687A (en) | 1993-03-09 | 1998-05-26 | Genzyme Transgenics Corporation | Isolation of components of interest from milk |
| WO1998024884A1 (en) | 1996-12-02 | 1998-06-11 | Genpharm International | Transgenic non-human animals capable of producing heterologous antibodies |
| US5770429A (en) | 1990-08-29 | 1998-06-23 | Genpharm International, Inc. | Transgenic non-human animals capable of producing heterologous antibodies |
| US5780588A (en) | 1993-01-26 | 1998-07-14 | Arizona Board Of Regents | Elucidation and synthesis of selected pentapeptides |
| US5789650A (en) | 1990-08-29 | 1998-08-04 | Genpharm International, Inc. | Transgenic non-human animals for producing heterologous antibodies |
| WO1998040408A1 (en) | 1997-03-10 | 1998-09-17 | Sunol Molecular Corporation | Antibodies for inhibiting blood coagulation and methods of use thereof |
| US5814318A (en) | 1990-08-29 | 1998-09-29 | Genpharm International Inc. | Transgenic non-human animals for producing heterologous antibodies |
| US5827690A (en) | 1993-12-20 | 1998-10-27 | Genzyme Transgenics Corporatiion | Transgenic production of antibodies in milk |
| US5874299A (en) | 1990-08-29 | 1999-02-23 | Genpharm International, Inc. | Transgenic non-human animals capable of producing heterologous antibodies |
| US5877397A (en) | 1990-08-29 | 1999-03-02 | Genpharm International Inc. | Transgenic non-human animals capable of producing heterologous antibodies of various isotypes |
| US5879936A (en) | 1988-04-18 | 1999-03-09 | Aluguisse Holding A.G. | Recombinant DNA methods, vectors and host cells |
| US5879687A (en) | 1994-04-22 | 1999-03-09 | Corixa Corporation | Methods for enhancement of protective immune responses |
| US5891693A (en) | 1990-01-25 | 1999-04-06 | Alusuisse Holdings A.G. | Recombinant DNA methods vectors and host cells |
| US5968502A (en) | 1991-11-05 | 1999-10-19 | Transkaryotic Therapies, Inc. | Protein production and protein delivery |
| US5973972A (en) | 1995-11-03 | 1999-10-26 | Samsung Electronics, Co., Ltd. | Precharge system for a semiconductor memory device |
| US5981216A (en) | 1985-04-01 | 1999-11-09 | Alusuisse Holdings A.G. | Transformed myeloma cell-line and a process for the expression of a gene coding for a eukaryotic polypeptide employing same |
| US6063630A (en) | 1991-11-05 | 2000-05-16 | Transkaryotic Therapies, Inc. | Targeted introduction of DNA into primary or secondary cells and their use for gene therapy |
| US6077835A (en) | 1994-03-23 | 2000-06-20 | Case Western Reserve University | Delivery of compacted nucleic acid to cells |
| WO2000046147A2 (en) | 1999-02-03 | 2000-08-10 | Biosante Pharmaceuticals, Inc. | Therapeutic calcium phosphate particles and methods of manufacture and use |
| WO2000070087A1 (en) | 1999-05-14 | 2000-11-23 | Copernicus Therapeutics, Inc. | Automated nucleic acid compaction device |
| WO2001009187A2 (en) | 1999-07-29 | 2001-02-08 | Medarex, Inc. | Human monoclonal antibodies to her2/neu |
| WO2001014424A2 (en) | 1999-08-24 | 2001-03-01 | Medarex, Inc. | Human ctla-4 antibodies and their uses |
| US6214345B1 (en) | 1993-05-14 | 2001-04-10 | Bristol-Myers Squibb Co. | Lysosomal enzyme-cleavable antitumor drug conjugates |
| US6235523B1 (en) | 1998-09-04 | 2001-05-22 | Connaught Laboratories Limited | Vectors for DNA immunization against cervical cancer |
| US6387888B1 (en) | 1998-09-30 | 2002-05-14 | American Foundation For Biological Research, Inc. | Immunotherapy of cancer through expression of truncated tumor or tumor-associated antigen |
| WO2002043478A2 (en) | 2000-11-30 | 2002-06-06 | Medarex, Inc. | Transgenic transchromosomal rodents for making human antibodies |
| US6440735B1 (en) | 1998-03-31 | 2002-08-27 | Geron Corporation | Dendritic cell vaccine containing telomerase reverse transcriptase for the treament of cancer |
| WO2002083180A1 (en) | 2001-03-23 | 2002-10-24 | Syntarga B.V. | Elongated and multiple spacers in activatible prodrugs |
| WO2003017935A2 (en) | 2001-08-23 | 2003-03-06 | Genmab A/S | Human antibodies specific for interleukin 15 (il-15) |
| WO2003037361A2 (en) | 2001-11-02 | 2003-05-08 | Novo Nordisk Health Care Ag | Use of tissue factor agonist or tissue factor antagonist for treatment of conditions related to apoptosis |
| WO2003093422A2 (en) | 2002-05-01 | 2003-11-13 | Schering Aktiengesellschaft | Novel tissue factor targeted antibodies as anticoagulants |
| WO2004010957A2 (en) | 2002-07-31 | 2004-02-05 | Seattle Genetics, Inc. | Drug conjugates and their use for treating cancer, an autoimmune disease or an infectious disease |
| US6713055B2 (en) | 2000-11-27 | 2004-03-30 | Geron Corporation | Glycosyltransferase vectors for treating cancer |
| US6719977B1 (en) | 1998-02-12 | 2004-04-13 | The General Hospital Corporation | Methods to potentiate cancer therapies |
| WO2004043493A1 (en) | 2002-11-14 | 2004-05-27 | Syntarga B.V. | Prodrugs built as multiple self-elimination-release spacers |
| WO2004045512A2 (en) | 2002-11-15 | 2004-06-03 | Genmab A/S | Human monoclonal antibodies against cd25 |
| WO2004058797A2 (en) | 2002-12-16 | 2004-07-15 | Medarex, Inc. | Human monoclonal antibodies against interleukin 8 (il-8) |
| WO2004076620A2 (en) | 2003-02-26 | 2004-09-10 | Genmab A/S | Human antibodies specific for interleukin 15 (il-15) |
| WO2004094475A2 (en) | 2003-04-22 | 2004-11-04 | Euro-Celtique S.A. | Tissue factor antibodies and uses thereof |
| WO2005081711A2 (en) | 2003-11-06 | 2005-09-09 | Seattle Genetics, Inc. | Monomethylvaline compounds capable of conjugation to ligands |
| US6989452B2 (en) | 2001-05-31 | 2006-01-24 | Medarex, Inc. | Disulfide prodrugs and linkers and stabilizers useful therefor |
| WO2006033386A1 (en) | 2004-09-22 | 2006-03-30 | Kirin Beer Kabushiki Kaisha | STABILIZED HUMAN IgG4 ANTIBODIES |
| WO2007018431A2 (en) | 2005-08-05 | 2007-02-15 | Syntarga B.V. | Triazole-containing releasable linkers and conjugates comprising the same |
| WO2007059782A1 (en) | 2005-11-28 | 2007-05-31 | Genmab A/S | Recombinant monovalent antibodies and methods for production thereof |
| WO2007089149A2 (en) | 2006-02-02 | 2007-08-09 | Syntarga B.V. | Water-soluble cc-1065 analogs and their conjugates |
| WO2008145142A1 (en) | 2007-05-31 | 2008-12-04 | Genmab A/S | Stable igg4 antibodies |
| WO2009017394A1 (en) | 2007-08-01 | 2009-02-05 | Syntarga B.V. | Substituted cc-1065 analogs and their conjugates |
| WO2009097006A2 (en) | 2007-08-10 | 2009-08-06 | Medarex, Inc. | Hco32 and hco27 and related examples |
| US20100077497A1 (en) | 2003-12-10 | 2010-03-25 | Medarex, Inc. | Ip-10 antibodies and their uses |
| WO2010062171A2 (en) | 2008-11-03 | 2010-06-03 | Syntarga B.V. | Novel cc-1065 analogs and their conjugates |
| WO2010066803A2 (en) | 2008-12-09 | 2010-06-17 | Genmab A/S | Human antibodies aganist tissue factor. |
Family Cites Families (55)
| Publication number | Priority date | Publication date | Assignee | Title |
|---|---|---|---|---|
| US6077A (en) | 1849-01-30 | Improved hinged claw-wrench | ||
| US835A (en) | 1838-07-12 | X i i i x | ||
| US5057313A (en) | 1986-02-25 | 1991-10-15 | The Center For Molecular Medicine And Immunology | Diagnostic and therapeutic antibody conjugates |
| US5589173A (en) | 1986-11-04 | 1996-12-31 | Genentech, Inc. | Method and therapeutic compositions for the treatment of myocardial infarction |
| US5223427A (en) | 1987-03-31 | 1993-06-29 | The Scripps Research Institute | Hybridomas producing monoclonal antibodies reactive with human tissue-factor glycoprotein heavy chain |
| US5437864A (en) | 1987-03-31 | 1995-08-01 | The Scripps Research Institute | Method of inhibiting blood coagulation in extracorporeal circulation by inhibiting human tissue factor |
| JP2749167B2 (en) | 1988-06-21 | 1998-05-13 | ジェネンテク,インコーポレイテッド | Methods and therapeutic compositions for the treatment of myocardial infarction |
| US5506134A (en) | 1990-10-22 | 1996-04-09 | Corvas International, Inc. | Hypridoma and monoclonal antibody which inhibits blood coagulation tissue factor/factor VIIa complex |
| JP3149960B2 (en) | 1991-01-24 | 2001-03-26 | 財団法人化学及血清療法研究所 | Method for quantifying human tissue factor |
| EP0746609A4 (en) | 1991-12-17 | 1997-12-17 | Genpharm Int | Transgenic non-human animals capable of producing heterologous antibodies |
| JPH05244988A (en) | 1992-03-04 | 1993-09-24 | Green Cross Corp:The | Anti-tissue factor monoclonal antibody, and immunosuppressive agent using the same |
| AU5093593A (en) * | 1992-08-28 | 1994-03-29 | Scripps Research Institute, The | Inhibition of tumor metastasis via neutralization of tissue factor function |
| US5879677A (en) | 1992-12-09 | 1999-03-09 | The Scripps Research Institute | Method for inhibition of cerebral tissue factor mediated reperfusion damage |
| HU220347B (en) | 1994-07-11 | 2001-12-28 | Board Of Regents The University Of Texas System | Composition for the specific coagulation of vasculature |
| JP4423680B2 (en) | 1995-06-07 | 2010-03-03 | オーソ−マクニール・フアーマシユーチカル・インコーポレーテツド | CDR-grafted anti-tissue factor antibody and use thereof |
| JPH09302000A (en) | 1996-05-16 | 1997-11-25 | Chemo Sero Therapeut Res Inst | Anti-tissue factor monoclonal antibody and determination of tissue factor coagulation activity using the monoclonal antibody |
| US6593291B1 (en) | 1997-02-06 | 2003-07-15 | Entremed, Inc. | Compositions and methods of use of ligands that bind components of the blood coagulation/clotting pathway for the treatment of cancer and angiogenic-based disease |
| US7749498B2 (en) | 1997-03-10 | 2010-07-06 | Genentech, Inc. | Antibodies for inhibiting blood coagulation and methods of use thereof |
| US20040229282A1 (en) | 1997-03-10 | 2004-11-18 | Sunol Molecular Corporation | Antibodies for inhibiting blood coagulation and methods of use thereof |
| BR9909382A (en) | 1998-04-03 | 2000-12-05 | Chugai Pharmaceutical Co Ltd | Humanized antibody against human tissue factor (tf) and humanized antibody production process |
| JP2001213804A (en) | 2000-01-31 | 2001-08-07 | Chugai Pharmaceut Co Ltd | Antitissue factor antibody complex |
| EP1263960A2 (en) | 2000-03-16 | 2002-12-11 | Genentech, Inc. | Anti-tissue factor antibodies with enhanced anticoagulant potency |
| US20040018194A1 (en) | 2000-11-28 | 2004-01-29 | Francisco Joseph A. | Recombinant anti-CD30 antibodies and uses thereof |
| WO2002078738A1 (en) | 2001-03-26 | 2002-10-10 | Koji Suzuki | Blood rheology improving agents |
| DE60232733D1 (en) | 2001-08-30 | 2009-08-06 | Sinai School Medicine | ALTERNATIVELY PLIED CIRCULATING TISSUE FACTOR |
| JP2005512970A (en) | 2001-10-02 | 2005-05-12 | ノボ ノルディスク アクティーゼルスカブ | Human tissue factor antibody |
| TWI338009B (en) | 2001-10-29 | 2011-03-01 | Genentech Inc | Antibodies for inhibiting blood coagulation and methods of use thereof |
| NZ535199A (en) | 2002-02-22 | 2006-03-31 | Prophy Med Ab | Use of an inhibitor or antagonist against tissue factor |
| AU2003242506A1 (en) * | 2002-07-12 | 2004-02-02 | Novo Nordisk A/S | Tf antagonist |
| WO2004039842A2 (en) | 2002-10-31 | 2004-05-13 | Novo Nordisk A/S | Humanized tissue factor antibodies |
| AU2003275948A1 (en) | 2002-11-06 | 2004-06-07 | Novo Nordisk A/S | Pharmaceutical composition comprising a tissue factor antagonist and protein c polypeptides |
| WO2004041302A1 (en) | 2002-11-06 | 2004-05-21 | Novo Nordisk A/S | Pharmaceutical composition comprising a tissue factor antagonist and a blood glucose regulator |
| WO2004064870A2 (en) | 2003-01-22 | 2004-08-05 | Novo Nordisk A/S | Radiolabelled tissue factor binding agent and the use thereof |
| US20060034846A1 (en) | 2003-04-14 | 2006-02-16 | Mirella Ezban | Use of TF antagonists |
| CA2526080A1 (en) | 2003-05-30 | 2005-01-06 | Genentech, Inc. | Polypeptides that bind an anti-tissue factor antibody and uses thereof |
| KR20060035608A (en) | 2003-05-30 | 2006-04-26 | 센토코 인코포레이티드 | How to inhibit tumor growth with anti-tissue factor antibodies |
| US7605235B2 (en) * | 2003-05-30 | 2009-10-20 | Centocor, Inc. | Anti-tissue factor antibodies and compositions |
| MXPA05013789A (en) | 2003-06-19 | 2006-06-27 | Tanox Inc | Compositions and methods for treating coagulation related disorders. |
| WO2005025623A2 (en) * | 2003-07-28 | 2005-03-24 | Emory University | Ef-24-factor vii conjugates |
| JP2007504167A (en) | 2003-08-29 | 2007-03-01 | セントカー・インコーポレーテツド | Methods for improving graft survival using anti-tissue factor antibodies |
| EP1744734A2 (en) | 2004-02-20 | 2007-01-24 | Novo Nordisk A/S | Therapeutic combination comprising a tissue factor antagonist and anti-cancer compounds |
| WO2005118646A2 (en) | 2004-04-26 | 2005-12-15 | Centocor, Inc. | Epitope directed selection of antibodies to murine tissue factor |
| BRPI0510883B8 (en) | 2004-06-01 | 2021-05-25 | Genentech Inc | drug-antibody conjugate compound, pharmaceutical composition, method of manufacturing a drug-antibody conjugate compound, and uses of a formulation, a drug-antibody conjugate and a chemotherapeutic agent, and a combination |
| EP1676574A3 (en) | 2004-12-30 | 2006-07-26 | Johnson & Johnson Vision Care, Inc. | Methods for promoting survival of transplanted tissues and cells |
| AU2006338560A1 (en) | 2005-10-21 | 2007-08-30 | Genentech, Inc. | Treatment for antiphospholipid-syndrome-related pregnancy complications |
| UA94922C2 (en) | 2005-11-07 | 2011-06-25 | Зе Скріпс Рісьорч Інстітьют | Method for controlling tissue factor signaling specificity in a mammalian subject, method for identifying an agent which specifically inhibits tissue factor signaling |
| WO2008030260A2 (en) | 2005-12-22 | 2008-03-13 | Genentech, Inc. | Treatment of variola viral infections using a tissue factor inhibitor |
| MX2009003938A (en) * | 2006-10-27 | 2009-04-24 | Genentech Inc | Antibodies and immunoconjugates and uses therefor. |
| JP2010518115A (en) * | 2007-02-09 | 2010-05-27 | ジェネンテック, インコーポレイテッド | Anti-Robo4 antibodies and uses therefor |
| WO2008137382A1 (en) * | 2007-04-30 | 2008-11-13 | Centocor, Inc. | Anti-tissue factor antibodies and compositions with enhanced effector function |
| CN102281901A (en) * | 2008-11-20 | 2011-12-14 | 弗·哈夫曼-拉罗切有限公司 | Therapeutic protein formulations |
| JP5172811B2 (en) | 2009-10-27 | 2013-03-27 | 株式会社ジェイエスピー | Expandable styrene resin particles, method for producing the resin particles, and styrene resin foam particle molded body |
| BR112012031727B1 (en) | 2010-06-15 | 2022-03-29 | Genmab A/S | DRUG-ANTIBODY CONJUGATE, PHARMACEUTICAL COMPOSITION, AND, USE OF DRUG-ANTIBODY CONJUGATE |
| JP5244988B1 (en) | 2012-02-20 | 2013-07-24 | 浜松ホトニクス株式会社 | Concentration measuring device and concentration measuring method |
| FI3071237T3 (en) * | 2013-11-21 | 2024-09-23 | Genmab As | Antibody-drug conjugate lyophilised formulation |
-
2011
- 2011-06-15 BR BR112012031727-0A patent/BR112012031727B1/en active IP Right Grant
- 2011-06-15 MX MX2012014552A patent/MX347893B/en active IP Right Grant
- 2011-06-15 CN CN202010009498.3A patent/CN111012921A/en active Pending
- 2011-06-15 CA CA2802782A patent/CA2802782C/en active Active
- 2011-06-15 RS RS20171169A patent/RS56599B1/en unknown
- 2011-06-15 EA EA201300016A patent/EA034675B1/en unknown
- 2011-06-15 LT LTEP11725095.1T patent/LT2582728T/en unknown
- 2011-06-15 DK DK11725095.1T patent/DK2582728T3/en active
- 2011-06-15 EP EP24169283.9A patent/EP4434550A3/en active Pending
- 2011-06-15 JP JP2013514696A patent/JP6055404B2/en active Active
- 2011-06-15 PT PT117250951T patent/PT2582728T/en unknown
- 2011-06-15 SM SM20170547T patent/SMT201700547T1/en unknown
- 2011-06-15 CN CN201610455316.9A patent/CN106084053B/en active Active
- 2011-06-15 PL PL11725095T patent/PL2582728T3/en unknown
- 2011-06-15 ES ES11725095.1T patent/ES2647388T3/en active Active
- 2011-06-15 HR HRP20171789TT patent/HRP20171789T1/en unknown
- 2011-06-15 KR KR1020137000924A patent/KR101935058B1/en active Active
- 2011-06-15 SI SI201131339T patent/SI2582728T1/en unknown
- 2011-06-15 HU HUE11725095A patent/HUE035599T2/en unknown
- 2011-06-15 EP EP17181367.8A patent/EP3281956A3/en not_active Withdrawn
- 2011-06-15 NZ NZ604718A patent/NZ604718A/en unknown
- 2011-06-15 AU AU2011267106A patent/AU2011267106B2/en active Active
- 2011-06-15 WO PCT/EP2011/059917 patent/WO2011157741A2/en not_active Ceased
- 2011-06-15 US US13/704,388 patent/US9168314B2/en active Active
- 2011-06-15 NO NO11725095A patent/NO2582728T3/no unknown
- 2011-06-15 EP EP11725095.1A patent/EP2582728B1/en active Active
- 2011-06-15 CN CN201180039935.5A patent/CN103119065B/en active Active
- 2011-06-15 ME MEP-2017-265A patent/ME02919B/en unknown
-
2015
- 2015-09-15 US US14/854,613 patent/US9492565B2/en active Active
-
2016
- 2016-09-27 US US15/277,626 patent/US20170136130A1/en not_active Abandoned
-
2017
- 2017-11-23 CY CY20171101231T patent/CY1119616T1/en unknown
-
2019
- 2019-03-28 US US16/367,933 patent/US20190315880A1/en not_active Abandoned
-
2021
- 2021-03-10 US US17/198,199 patent/US20210395384A1/en not_active Abandoned
-
2023
- 2023-12-01 US US18/526,959 patent/US20240294661A1/en active Pending
-
2025
- 2025-07-18 LT LTPA2025527C patent/LTPA2025527I1/lt unknown
- 2025-07-23 NO NO2025033C patent/NO2025033I1/en unknown
- 2025-07-28 HU HUS2500031C patent/HUS2500031I1/en unknown
- 2025-08-13 FR FR25C1032C patent/FR25C1032I1/en active Active
- 2025-08-26 FI FIC20253007C patent/FIC20253007I1/en unknown
- 2025-08-27 NL NL301340C patent/NL301340I2/en unknown
Patent Citations (96)
| Publication number | Priority date | Publication date | Assignee | Title |
|---|---|---|---|---|
| US505731A (en) | 1893-09-26 | Ice oeeam feeezee | ||
| US4179337A (en) | 1973-07-20 | 1979-12-18 | Davis Frank F | Non-immunogenic polypeptides |
| US4495285A (en) | 1981-10-30 | 1985-01-22 | Kimihiro Shimizu | Plasminogen activator derivatives |
| US4495285B1 (en) | 1981-10-30 | 1986-09-23 | Nippon Chemiphar Co | |
| US4609546A (en) | 1982-06-24 | 1986-09-02 | Japan Chemical Research Co., Ltd. | Long-acting composition |
| US4681581A (en) | 1983-12-05 | 1987-07-21 | Coates Fredrica V | Adjustable size diaper and folding method therefor |
| EP0216846A1 (en) | 1985-04-01 | 1987-04-08 | Celltech Ltd | TRANSFORMED MYELOMA CELL LINE AND METHOD FOR EXPRESSING A GENE ENCODING A EUKARYOTIC POLYPEPTIDE EMPLOYING THIS LINE. |
| US5981216A (en) | 1985-04-01 | 1999-11-09 | Alusuisse Holdings A.G. | Transformed myeloma cell-line and a process for the expression of a gene coding for a eukaryotic polypeptide employing same |
| US4766106A (en) | 1985-06-26 | 1988-08-23 | Cetus Corporation | Solubilization of proteins for pharmaceutical compositions using polymer conjugation |
| US5101827A (en) | 1985-07-05 | 1992-04-07 | Immunomedics, Inc. | Lymphographic and organ imaging method and kit |
| US5697902A (en) | 1985-07-05 | 1997-12-16 | Immunomedics, Inc. | Method for imaging and treating organs and tissues |
| US4735210A (en) | 1985-07-05 | 1988-04-05 | Immunomedics, Inc. | Lymphographic and organ imaging method and kit |
| US6331175B1 (en) | 1985-07-05 | 2001-12-18 | Immunomedics, Inc. | Method and kit for imaging and treating organs and tissues |
| WO1987004462A1 (en) | 1986-01-23 | 1987-07-30 | Celltech Limited | Recombinant dna sequences, vectors containing them and method for the use thereof |
| US5750172A (en) | 1987-06-23 | 1998-05-12 | Pharming B.V. | Transgenic non human mammal milk |
| US5591639A (en) | 1987-07-23 | 1997-01-07 | Celltech Ltd | Recombinant DNA expression vectors |
| EP0323997A1 (en) | 1987-07-23 | 1989-07-19 | Celltech Limited | Recombinant dna expression vectors |
| US5658759A (en) | 1987-07-23 | 1997-08-19 | Celltech Limited | Recombinant DNA expression vectors |
| US5648471A (en) | 1987-12-03 | 1997-07-15 | Centocor, Inc. | One vial method for labeling antibodies with Technetium-99m |
| EP0338841A1 (en) | 1988-04-18 | 1989-10-25 | Celltech Limited | Recombinant DNA methods, vectors and host cells |
| US5879936A (en) | 1988-04-18 | 1999-03-09 | Aluguisse Holding A.G. | Recombinant DNA methods, vectors and host cells |
| US5545807A (en) | 1988-10-12 | 1996-08-13 | The Babraham Institute | Production of antibodies from transgenic animals |
| US5589466A (en) | 1989-03-21 | 1996-12-31 | Vical Incorporated | Induction of a protective immune response in a mammal by injecting a DNA sequence |
| US5102990A (en) | 1989-08-09 | 1992-04-07 | Rhomed Incorporated | Direct radiolabeling of antibodies and other proteins with technetium or rhenium |
| USRE35500E (en) | 1989-08-09 | 1997-05-06 | Aberlyn Capital Management Limited Partnership | Direct radiolabeling of antibodies and other proteins with technetium or rhenium |
| US5741957A (en) | 1989-12-01 | 1998-04-21 | Pharming B.V. | Transgenic bovine |
| EP0505500A1 (en) | 1989-12-22 | 1992-09-30 | Applied Research Systems | MODIFICATION OF ENDOGENIC GENE EXPRESSION BY MEANS OF A REGULATORY ELEMENT. |
| US5891693A (en) | 1990-01-25 | 1999-04-06 | Alusuisse Holdings A.G. | Recombinant DNA methods vectors and host cells |
| US5877397A (en) | 1990-08-29 | 1999-03-02 | Genpharm International Inc. | Transgenic non-human animals capable of producing heterologous antibodies of various isotypes |
| US5770429A (en) | 1990-08-29 | 1998-06-23 | Genpharm International, Inc. | Transgenic non-human animals capable of producing heterologous antibodies |
| US5633425A (en) | 1990-08-29 | 1997-05-27 | Genpharm International, Inc. | Transgenic non-human animals capable of producing heterologous antibodies |
| US5661016A (en) | 1990-08-29 | 1997-08-26 | Genpharm International Inc. | Transgenic non-human animals capable of producing heterologous antibodies of various isotypes |
| WO1992003918A1 (en) | 1990-08-29 | 1992-03-19 | Genpharm International, Inc. | Transgenic non-human animals capable of producing heterologous antibodies |
| US5625126A (en) | 1990-08-29 | 1997-04-29 | Genpharm International, Inc. | Transgenic non-human animals for producing heterologous antibodies |
| US5545806A (en) | 1990-08-29 | 1996-08-13 | Genpharm International, Inc. | Ransgenic non-human animals for producing heterologous antibodies |
| US5874299A (en) | 1990-08-29 | 1999-02-23 | Genpharm International, Inc. | Transgenic non-human animals capable of producing heterologous antibodies |
| US5814318A (en) | 1990-08-29 | 1998-09-29 | Genpharm International Inc. | Transgenic non-human animals for producing heterologous antibodies |
| US5569825A (en) | 1990-08-29 | 1996-10-29 | Genpharm International | Transgenic non-human animals capable of producing heterologous antibodies of various isotypes |
| US5789650A (en) | 1990-08-29 | 1998-08-04 | Genpharm International, Inc. | Transgenic non-human animals for producing heterologous antibodies |
| WO1992022645A1 (en) | 1991-06-14 | 1992-12-23 | Genpharm International, Inc. | Transgenic immunodeficient non-human animals |
| WO1993001227A1 (en) | 1991-07-08 | 1993-01-21 | University Of Massachusetts At Amherst | Thermotropic liquid crystal segmented block copolymer |
| US5968502A (en) | 1991-11-05 | 1999-10-19 | Transkaryotic Therapies, Inc. | Protein production and protein delivery |
| US6187305B1 (en) | 1991-11-05 | 2001-02-13 | Transkaryotic Therapies, Inc. | Targeted introduction of DNA into primary or secondary cells and their use for gene therapy and protein production |
| US6063630A (en) | 1991-11-05 | 2000-05-16 | Transkaryotic Therapies, Inc. | Targeted introduction of DNA into primary or secondary cells and their use for gene therapy |
| US5733743A (en) | 1992-03-24 | 1998-03-31 | Cambridge Antibody Technology Limited | Methods for producing members of specific binding pairs |
| US5635483A (en) | 1992-12-03 | 1997-06-03 | Arizona Board Of Regents Acting On Behalf Of Arizona State University | Tumor inhibiting tetrapeptide bearing modified phenethyl amides |
| US5780588A (en) | 1993-01-26 | 1998-07-14 | Arizona Board Of Regents | Elucidation and synthesis of selected pentapeptides |
| US5593972A (en) | 1993-01-26 | 1997-01-14 | The Wistar Institute | Genetic immunization |
| US5756687A (en) | 1993-03-09 | 1998-05-26 | Genzyme Transgenics Corporation | Isolation of components of interest from milk |
| WO1994025585A1 (en) | 1993-04-26 | 1994-11-10 | Genpharm International, Inc. | Transgenic non-human animals capable of producing heterologous antibodies |
| US6214345B1 (en) | 1993-05-14 | 2001-04-10 | Bristol-Myers Squibb Co. | Lysosomal enzyme-cleavable antitumor drug conjugates |
| US5827690A (en) | 1993-12-20 | 1998-10-27 | Genzyme Transgenics Corporatiion | Transgenic production of antibodies in milk |
| US6077835A (en) | 1994-03-23 | 2000-06-20 | Case Western Reserve University | Delivery of compacted nucleic acid to cells |
| US5879687A (en) | 1994-04-22 | 1999-03-09 | Corixa Corporation | Methods for enhancement of protective immune responses |
| US5663149A (en) | 1994-12-13 | 1997-09-02 | Arizona Board Of Regents Acting On Behalf Of Arizona State University | Human cancer inhibitory pentapeptide heterocyclic and halophenyl amides |
| US5703057A (en) | 1995-04-07 | 1997-12-30 | Board Of Regents The University Of Texas System | Expression library immunization |
| US5973972A (en) | 1995-11-03 | 1999-10-26 | Samsung Electronics, Co., Ltd. | Precharge system for a semiconductor memory device |
| WO1998024884A1 (en) | 1996-12-02 | 1998-06-11 | Genpharm International | Transgenic non-human animals capable of producing heterologous antibodies |
| WO1998040408A1 (en) | 1997-03-10 | 1998-09-17 | Sunol Molecular Corporation | Antibodies for inhibiting blood coagulation and methods of use thereof |
| US6719977B1 (en) | 1998-02-12 | 2004-04-13 | The General Hospital Corporation | Methods to potentiate cancer therapies |
| US6440735B1 (en) | 1998-03-31 | 2002-08-27 | Geron Corporation | Dendritic cell vaccine containing telomerase reverse transcriptase for the treament of cancer |
| US6235523B1 (en) | 1998-09-04 | 2001-05-22 | Connaught Laboratories Limited | Vectors for DNA immunization against cervical cancer |
| US6387888B1 (en) | 1998-09-30 | 2002-05-14 | American Foundation For Biological Research, Inc. | Immunotherapy of cancer through expression of truncated tumor or tumor-associated antigen |
| WO2000046147A2 (en) | 1999-02-03 | 2000-08-10 | Biosante Pharmaceuticals, Inc. | Therapeutic calcium phosphate particles and methods of manufacture and use |
| WO2000070087A1 (en) | 1999-05-14 | 2000-11-23 | Copernicus Therapeutics, Inc. | Automated nucleic acid compaction device |
| WO2001009187A2 (en) | 1999-07-29 | 2001-02-08 | Medarex, Inc. | Human monoclonal antibodies to her2/neu |
| WO2001014424A2 (en) | 1999-08-24 | 2001-03-01 | Medarex, Inc. | Human ctla-4 antibodies and their uses |
| US6713055B2 (en) | 2000-11-27 | 2004-03-30 | Geron Corporation | Glycosyltransferase vectors for treating cancer |
| WO2002043478A2 (en) | 2000-11-30 | 2002-06-06 | Medarex, Inc. | Transgenic transchromosomal rodents for making human antibodies |
| WO2002083180A1 (en) | 2001-03-23 | 2002-10-24 | Syntarga B.V. | Elongated and multiple spacers in activatible prodrugs |
| US6989452B2 (en) | 2001-05-31 | 2006-01-24 | Medarex, Inc. | Disulfide prodrugs and linkers and stabilizers useful therefor |
| WO2003017935A2 (en) | 2001-08-23 | 2003-03-06 | Genmab A/S | Human antibodies specific for interleukin 15 (il-15) |
| WO2003037361A2 (en) | 2001-11-02 | 2003-05-08 | Novo Nordisk Health Care Ag | Use of tissue factor agonist or tissue factor antagonist for treatment of conditions related to apoptosis |
| WO2003093422A2 (en) | 2002-05-01 | 2003-11-13 | Schering Aktiengesellschaft | Novel tissue factor targeted antibodies as anticoagulants |
| WO2004010957A2 (en) | 2002-07-31 | 2004-02-05 | Seattle Genetics, Inc. | Drug conjugates and their use for treating cancer, an autoimmune disease or an infectious disease |
| US7659241B2 (en) | 2002-07-31 | 2010-02-09 | Seattle Genetics, Inc. | Drug conjugates and their use for treating cancer, an autoimmune disease or an infectious disease |
| US7851437B2 (en) | 2002-07-31 | 2010-12-14 | Seattle Genetics Inc. | Drug conjugates and their use for treating cancer, an autoimmune disease or an infectious disease |
| US7829531B2 (en) | 2002-07-31 | 2010-11-09 | Seattle Genetics Inc. | Drug conjugates and their use for treating cancer, an autoimmune disease or an infectious disease |
| WO2004043493A1 (en) | 2002-11-14 | 2004-05-27 | Syntarga B.V. | Prodrugs built as multiple self-elimination-release spacers |
| WO2004045512A2 (en) | 2002-11-15 | 2004-06-03 | Genmab A/S | Human monoclonal antibodies against cd25 |
| WO2004058797A2 (en) | 2002-12-16 | 2004-07-15 | Medarex, Inc. | Human monoclonal antibodies against interleukin 8 (il-8) |
| WO2004076620A2 (en) | 2003-02-26 | 2004-09-10 | Genmab A/S | Human antibodies specific for interleukin 15 (il-15) |
| WO2004094475A2 (en) | 2003-04-22 | 2004-11-04 | Euro-Celtique S.A. | Tissue factor antibodies and uses thereof |
| US20050238649A1 (en) | 2003-11-06 | 2005-10-27 | Seattle Genetics, Inc. | Monomethylvaline compounds capable of conjugation to ligands |
| US7498298B2 (en) | 2003-11-06 | 2009-03-03 | Seattle Genetics, Inc. | Monomethylvaline compounds capable of conjugation to ligands |
| WO2005081711A2 (en) | 2003-11-06 | 2005-09-09 | Seattle Genetics, Inc. | Monomethylvaline compounds capable of conjugation to ligands |
| US20100077497A1 (en) | 2003-12-10 | 2010-03-25 | Medarex, Inc. | Ip-10 antibodies and their uses |
| WO2006033386A1 (en) | 2004-09-22 | 2006-03-30 | Kirin Beer Kabushiki Kaisha | STABILIZED HUMAN IgG4 ANTIBODIES |
| WO2007018431A2 (en) | 2005-08-05 | 2007-02-15 | Syntarga B.V. | Triazole-containing releasable linkers and conjugates comprising the same |
| WO2007059782A1 (en) | 2005-11-28 | 2007-05-31 | Genmab A/S | Recombinant monovalent antibodies and methods for production thereof |
| WO2007089149A2 (en) | 2006-02-02 | 2007-08-09 | Syntarga B.V. | Water-soluble cc-1065 analogs and their conjugates |
| WO2008145142A1 (en) | 2007-05-31 | 2008-12-04 | Genmab A/S | Stable igg4 antibodies |
| WO2009017394A1 (en) | 2007-08-01 | 2009-02-05 | Syntarga B.V. | Substituted cc-1065 analogs and their conjugates |
| WO2009097006A2 (en) | 2007-08-10 | 2009-08-06 | Medarex, Inc. | Hco32 and hco27 and related examples |
| WO2010062171A2 (en) | 2008-11-03 | 2010-06-03 | Syntarga B.V. | Novel cc-1065 analogs and their conjugates |
| WO2010066803A2 (en) | 2008-12-09 | 2010-06-17 | Genmab A/S | Human antibodies aganist tissue factor. |
Non-Patent Citations (118)
| Title |
|---|
| "Antibody Engineering Handbook", 1994, CHIJIN SHOKAN |
| "Current Protocols in Immunology", 2006, JOHN WILEY & SONS, INC. |
| "Current Protocols in Molecular Biology", 1987, GREENE PUBLISHING AND WILEY INTERSCIENCE |
| "Fundamental Immunology", 1989, RAVEN PRESS |
| "Radiolabeled Monoclonal Antibodies For Imaging And Therapy", 1988, PLENUM PRESS |
| "Remington: The Science and Practice of Pharmacy", 1995, MACK PUBLISHING CO. |
| "Sustained and Controlled Release Drug Delivery Systems", 1978, MARCEL DEKKER, INC. |
| A. J. CHU: "Tissue factor mediates inflammation", ARCHIVES OF BIOCHEMISTRY AND BIOPHYSICS, vol. 440, no. 2, 2005, pages 123 - 132, XP005027264, DOI: doi:10.1016/j.abb.2005.06.005 |
| ALLEY ET AL., BIOCONJUGATE CHEM., vol. 19, 2008, pages 759 - 765 |
| BENVENISTY, RESHEF, PNAS USA, vol. 83, 1986, pages 9551 - 55 |
| BIRD, SCIENCE, vol. 242, 1988, pages 423 - 426 |
| BIREBENT ET AL., VACCINE, vol. 21, no. 15, 2003, pages 1601 - 12 |
| BONEN ET AL., CYTOKINES MOL THER., vol. 2, no. 4, 1996, pages 231 - 8 |
| BROWN ET AL.: "Biotechnology And Pharmacy", 1993, CHAPMAN & HALL, article "Clinical Use of Monoclonal Antibodies", pages: 227 - 49 |
| BUERGER ET AL., J CANCER RES CLIN ONCOL., vol. 129, no. 12, 2003, pages 669 - 75 |
| BYSTRYN ET AL., CLINICAL CANCER RESEARCH, vol. 7, July 2001 (2001-07-01), pages 1882 - 1887 |
| CHASE ET AL.: "Remington's Pharmaceutical Sciences", 1990, MACK PUBLISHING CO., article "Medical Applications of Radioisotopes", pages: 624 - 652 |
| CHEN ET AL., EMB0 J., vol. 12, 1993, pages 811 - 820 |
| CHEN ET AL., EMBO J, vol. 12, 1993, pages 811 - 820 |
| CHEN ET AL., EMBO J., vol. 12, 1993, pages 811 - 820 |
| CHEN ET AL., EMBO J., vol. 12, 1993, pages 821 - 830 |
| CHEN, J. ET AL., INTERNATIONAL IMMUNOLOGY, vol. 5, 1993, pages 647 - 656 |
| CHISWELL, MCCAFFERTY, TIBTECH, vol. 10, 1992, pages 80 - 84 |
| CHOTHIA, LESK, J. MOL. BIOL, vol. 196, 1987, pages 901 - 917 |
| CLACKSON ET AL., NATURE, vol. 3, no. 52, 1991, pages 624 - 628 |
| COLLIS ET AL., INT J RADIAT ONCOL BIOL PHYS, vol. 57, no. 2, 2003, pages S144 |
| CORARO, PEARSON, SOMATIC CELL GENETICS, vol. 7, 1981, pages 603 |
| CREIGHTON: "Proteins: Structure and Molecular Properties", 1984, W.H. FREEMAN AND COMPANY |
| CURR CANCER DRUG TARGETS, vol. 3, no. 3, 2003, pages 237 |
| CWIRLA ET AL., PNAS USA, vol. 87, 1990, pages 6378 - 6382 |
| DALL'ACQUA WF ET AL., J IMMUNOL., vol. 177, no. 2, 2006, pages 1129 - 1138 |
| DAVID ET AL., BIOCHEMISTRY, vol. 13, 1974, pages 1014 |
| DUBOWCHIK, WALKER, PHARM. THERAPEUTICS, vol. 83, 1999, pages 67 - 123 |
| E. MEYERS, W. MILLER, COMPUT. APPL. BIOSCI, vol. 4, 1988, pages 11 - 17 |
| EDMUNDS ET AL., MOLECULAR BIOTECHNOLOGY, vol. 34, 2006, pages 179 - 190 |
| EVANS ET AL., J. IMMUNOL. METH., vol. 184, 1995, pages 123 - 38 |
| FISHWILD ET AL., NATURE BIOTECHNOLOGY, vol. 14, 1996, pages 845 - 851 |
| FISHWILD, D. ET AL., NATURE BIOTECHNOLOGY, vol. 14, 1996, pages 845 - 851 |
| GOLDENBERG, CALIF. A CANCER JOURNAL FOR CLINICIANS, vol. 44, 1994, pages 43 |
| GRANT ET AL., METHODS IN ENZYMOL, vol. 153, 1987, pages 516 - 544 |
| GRZMIL ET AL., INT J ONCOL., vol. 4, no. 1, 2004, pages 97,105 |
| HANES, PLUCTHAU, PNAS USA, vol. 94, 1997, pages 4937 - 4942 |
| HARDING, F., LONBERG, N., ANN. N.Y. ACAD. SCI, vol. 764, 1995, pages 536 - 546 |
| HEZAREH M, J VIROL., vol. 75, no. 24, 2001, pages 12161 - 12168 |
| HOBBS ET AL., THROMBOSIS RES., vol. 120, no. 2, 2007, pages S13 - S21 |
| HOGENBOOM ET AL., IMMUNOL. REVIEWS, vol. 130, 1992, pages 43 - 68 |
| HOLT ET AL., TRENDS BIOTECHNOL., vol. 21, no. 11, November 2003 (2003-11-01), pages 484 - 90 |
| HONG ET AL., CANCER RES., vol. 60, no. 23, 2000, pages 6551 - 6 |
| HOOGENBOOM ET AL., J. MOL. BIOL., vol. 227, 1991, pages 381 |
| HUNTER ET AL., NATURE, vol. 144, 1962, pages 945 |
| HUSTON ET AL., PNAS USA, vol. 85, 1988, pages 5879 - 5883 |
| JUNGHANS ET AL.: "Cancer Chemotherapy and Biotherapy", 1996, LIPPINCOTT RAVEN, pages: 655 - 686 |
| KABAT ET AL.: "Sequences of Proteins of Immunological Interest", 1991, NATIONAL INSTITUTES OF HEALTH |
| KAMBE ET AL., HUM CELL., vol. 10, no. 1, 1997, pages 87 - 94 |
| KOHLER ET AL., NATURE, vol. 256, 1975, pages 495 |
| KOWALCZYK ET AL., ACTA BIOCHIM POL., vol. 50, no. 3, 2003, pages 613 - 24 |
| KREITMAN RJ., BIODRUGS, vol. 23, no. 1, 2009, pages 1 - 13 |
| LAEMLI, NATURE, vol. 227, no. 5259, 1970, pages 680 - 5 |
| LI ET AL., CHIN MED J (ENGL)., vol. 114, no. 9, 2001, pages 962 - 6 |
| LIMA ET AL., CANCER GENE THER., vol. 11, no. 5, 2004, pages 309 - 16 |
| LIN ET AL., CURR CANCER DRUG TARGETS, vol. 1, no. 3, 2001, pages 241 - 7 |
| LONBERG, N. ET AL., NATURE, vol. 368, 1994, pages 856 - 859 |
| LONBERG, N., HUSZAR, D., INTERN. REV. IMMUNOL., vol. 13, 1995, pages 65 - 93 |
| LONBERG, N: "Handbook of Experimental Pharmacology", vol. 113, 1994, pages: 49 - 101 |
| MALONEY ET AL., HYBRIDOMA., vol. 4, no. 3, 1985, pages 191 - 209 |
| MARKS ET AL., J. MOL. BIOL., vol. 222, 1991, pages 581 - 597 |
| MARUYAMA, J IMMUNOL METHODS, vol. 264, no. 1-2, 2002, pages 121 - 33 |
| MCDONSGH ET AL., PROTEIN ENG. DESIGN SEL., vol. 19, 2006, pages 299 - 307 |
| NEEDLEMAN, WUNSCH, J. MOL. BIOL., vol. 48, 1970, pages 444 - 453 |
| NEUT KOLFSCHOTEN M ET AL., SCIENCE, vol. 14, no. 5844, 2007, pages 317 |
| NYGREN, J. HISTOCHERN. AND CYTOCHEM., vol. 30, 1982, pages 407 |
| OCHI ET AL., EUR J IMMUNOL., vol. 17, no. 11, 1987, pages 1645 - 8 |
| PAIN ET AL., J. IMMUNOL. METH., vol. 40, 1981, pages 219 |
| PARMLEY, SMITH, GENE, vol. 73, 1988, pages 305 - 318 |
| PASTAN ET AL., CELL, vol. 47, 1986, pages 641 |
| PETTIT ET AL., ANTIMICROB. AGENTS AND CHEMOTHER., vol. 42, 1998, pages 2961 - 2965 |
| PHAN ET AL., PNAS USA, vol. 100, 2003, pages 8372 |
| POHL ET AL., INT J CANCER., vol. 50, no. 6, 1992, pages 958 - 67 |
| POOGA ET AL., FASEB J., vol. 12, no. 1, 1998, pages 67 - 77 |
| RAFI, NUTRITION, vol. 20, no. 1, 2004, pages 78 - 82 |
| RAYCHARDHURI ET AL., J IMMUNOL., vol. 137, no. 5, 1986, pages 1743 - 9 |
| REILLY ET AL., METHODS MOL MED., vol. 69, 2002, pages 233 - 57 |
| REVETS, EXPERT OPIN BIOL THER., vol. 5, no. 1, January 2005 (2005-01-01), pages 111 - 24 |
| ROUDEBUSH ET AL., VET CLIN NORTH AM SMALL ANIM PRACT., vol. 34, no. 1, 2004, pages 249 - 69 |
| RUSSEL ET AL., NUCL. ACIDS RESEARCH, vol. 21, 1993, pages 1081 - 1085 |
| SCHAKOWSKI ET AL., MOL THER, vol. 3, 2001, pages 793 - 800 |
| SCHMITT ET AL., HYBRIDOMA, vol. 13, no. 5, 1994, pages 389 - 96 |
| SCOTT, TIBS, vol. 17, 1992, pages 241 - 245 |
| SENTER ET AL., PROCEEDINGS OF THE AMERICAN ASSOCIATION FOR CANCER RESEARCH., vol. 45, 28 March 2004 (2004-03-28) |
| SHAH ET AL., J NEUROONCOL., vol. 65, no. 3, 2003, pages 203 - 26 |
| SIDHU SS, NATURE BIOTECHNOLOGY, vol. 25, no. 5, 2007, pages 537 - 538 |
| STILES ET AL., SURGERY, vol. 134, no. 2, 2003, pages 357 - 64 |
| SUN ET AL., BIOCONJUGATE CHEM., vol. 16, 2005, pages 1282 - 1290 |
| SUNARMURA ET AL., PANCREAS., vol. 28, no. 3, 2004, pages 326 - 9 |
| SYKES, JOHNSTON, NAT BIOTECH, vol. 17, 1997, pages 355 - 59 |
| TAYLOR ET AL., INT. IMMUNOL., vol. 6, 1994, pages 579 - 591 |
| TAYLOR, L. ET AL., INTERNATIONAL IMMUNOLOGY, vol. 6, 1994, pages 579 - 591 |
| TAYLOR, L. ET AL., NUCLEIC ACIDS RESEARCH, vol. 20, 1992, pages 6287 - 6295 |
| TESHIGAHARA ET AL., J SURG ONCOL., vol. 85, no. 1, 2004, pages 42 - 7 |
| TIRAPU ET AL., CURR GENE THER., vol. 2, no. 1, 2002, pages 79 - 89 |
| TSENG ET AL., MOL PHARMACOL., vol. 62, no. 4, 2002, pages 864 - 72 |
| TUAILLON ET AL., J. IMMUNOL., vol. 152, 1994, pages 2912 - 2920 |
| UNDGREN ET AL., BIOCHEM J., vol. 377, no. 1, 2004, pages 69 - 76 |
| VAN HEEKE, SCHUSTER, J BIOL CHEM, vol. 264, 1989, pages 5503 - 5509 |
| VARGHESE ET AL., CANCER GENE THER., vol. 9, no. 12, 2002, pages 967 - 78 |
| VAUGHAN ET AL., NATURE BIOTECH, vol. 14, 1996, pages 309 |
| WARD ET AL., NATURE, vol. 341, 1989, pages 544 - 546 |
| WI ET AL., IMMUNOL METHODS, vol. 1.22, no. 2, 1989, pages 227 - 34 |
| WIGLER ET AL., CELL, vol. 14, 1978, pages 725 |
| WILDNER ET AL., CANCER RES., vol. 59, no. 2, 1999, pages 410 - 3 |
| WOYKE ET AL., ANTIMICROB, AGENTS AND CHEMOTHER., vol. 45, no. 12, 2001, pages 3580 - 3584 |
| YAMANAKA, INT J ONCOL., vol. 24, no. 4, 2004, pages 919 - 23 |
| YANG ET AL., ONCOGENE, vol. 22, no. 36, 2003, pages 5694 - 701 |
| YU ET AL., BLOOD, vol. 105, 2005, pages 1734 |
| ZHANG ET AL., BIOCHEM BIOPHYS RES COMMUN., vol. 303, no. 4, 2003, pages 1169 - 78 |
| ZHANG ET AL., J CONTROL RELEASE., vol. 93, no. 2, 2003, pages 141 - 50 |
| ZHAO ET AL., J IMMUNOL METHODS, vol. 254, no. 1-2, 2001, pages 137 - 45 |
| ZWIEBEL ET AL., SEMIN ONCOL., vol. 28, no. 4, 2001, pages 336 - 43 |
Cited By (61)
| Publication number | Priority date | Publication date | Assignee | Title |
|---|---|---|---|---|
| EP3970746A2 (en) | 2011-07-06 | 2022-03-23 | Genmab B.V. | Polypeptide variants and uses thereof |
| WO2013004842A2 (en) | 2011-07-06 | 2013-01-10 | Genmab A/S | Antibody variants and uses thereof |
| WO2014006217A1 (en) | 2012-07-06 | 2014-01-09 | Genmab B.V. | Dimeric protein with triple mutations |
| EP3632462A1 (en) | 2012-07-06 | 2020-04-08 | Genmab B.V. | Dimeric protein with triple mutations |
| WO2014108198A1 (en) | 2013-01-10 | 2014-07-17 | Genmab B.V. | Human igg1 fc region variants and uses thereof |
| EP4434543A2 (en) | 2013-01-10 | 2024-09-25 | Genmab B.V. | Human igg1 fc region variants and uses thereof |
| CN103342752A (en) * | 2013-05-16 | 2013-10-09 | 太原博奥特生物技术有限公司 | Anti-human tissue factor single-chain antibody and preparation method thereof |
| WO2015075201A1 (en) | 2013-11-21 | 2015-05-28 | Genmab A/S | Antibody-drug conjugate lyophilised formulation |
| EP4420729A3 (en) * | 2013-11-21 | 2024-10-30 | Genmab A/S | Antibody-drug conjugate formulation |
| US20200246477A1 (en) * | 2013-11-21 | 2020-08-06 | Genmab A/S | Antibody-drug conjugate lyophilised formulation |
| US10617764B2 (en) * | 2013-11-21 | 2020-04-14 | Genmab A/S | Lyophilized anti-tissue factor antibody-drug conjugates |
| EP4420729A2 (en) | 2013-11-21 | 2024-08-28 | Genmab A/S | Antibody-drug conjugate formulation |
| EP3103811A4 (en) * | 2014-02-03 | 2017-11-29 | National Cancer Center | Anti-tissue factor monoclonal antibody |
| US9920133B2 (en) | 2014-02-03 | 2018-03-20 | National Cancer Center | Anti-tissue factor monoclonal antibody |
| TWI827921B (en) * | 2015-06-29 | 2024-01-01 | 日商第一三共股份有限公司 | Methods for manufacturing antibody-drug conjugate compositions |
| EP3315512A4 (en) * | 2015-06-29 | 2019-02-13 | Daiichi Sankyo Co., Ltd. | METHOD FOR THE SELECTIVE PREPARATION OF AN ANTIBODY-MEDICINAL CONJUGATE |
| EP4180455A1 (en) * | 2015-06-29 | 2023-05-17 | Daiichi Sankyo Company, Limited | Method for selectively manufacturing antibody-drug conjugate |
| US11173213B2 (en) | 2015-06-29 | 2021-11-16 | Daiichi Sankyo Company, Limited | Method for selectively manufacturing antibody-drug conjugate |
| IL256558A (en) * | 2015-06-29 | 2018-02-28 | Daiichi Sankyo Co Ltd | Antibody-drug conjugate compositions and methods for producing same |
| TWI725037B (en) * | 2015-06-29 | 2021-04-21 | 日商第一三共股份有限公司 | Selective manufacturing method of antibody-drug conjugate, antibody-drug conjugate composition, and pharmaceutical composition |
| EP3919081A1 (en) | 2015-09-11 | 2021-12-08 | Genmab A/S | Dosing regimens for anti-tf-antibody drug-conjugates |
| US20220265844A1 (en) * | 2015-09-11 | 2022-08-25 | Genmab A/S | Dosing regimens for anti-tf-antibody drug-conjugates |
| WO2017042352A1 (en) | 2015-09-11 | 2017-03-16 | Genmab A/S | Dosing regimens for anti-tf-antibody drug-conjugates |
| US10322192B2 (en) | 2016-03-02 | 2019-06-18 | Eisai R&D Management Co., Ltd. | Eribulin-based antibody-drug conjugates and methods of use |
| US10548986B2 (en) | 2016-03-02 | 2020-02-04 | Eisai R&D Management Co., Ltd. | Eribulin-based antibody-drug conjugates and methods of use |
| EP3502141A4 (en) * | 2016-08-22 | 2020-04-08 | Fudan University | ANTIBODIES TAKEN AGAINST THE TISSUE FACTOR, MANUFACTURING METHODS THEREFOR AND USE THEREOF |
| EP3501548A4 (en) * | 2016-08-22 | 2020-06-17 | Fudan University | Tissue factor-targeted antibody-drug conjugate |
| US10676537B2 (en) | 2016-08-22 | 2020-06-09 | Fudan University | Antibody targeted to tissue factor, preparation method therefor, and use thereof |
| US12290505B2 (en) * | 2016-08-22 | 2025-05-06 | Fudan University | Tissue factor-targeted antibody-drug conjugate |
| US11534495B2 (en) | 2016-08-22 | 2022-12-27 | Fudan University | Tissue factor-targeted antibody-drug conjugate |
| WO2018083126A1 (en) | 2016-11-01 | 2018-05-11 | Genmab B.V. | Polypeptide variants and uses thereof |
| WO2018146317A1 (en) | 2017-02-10 | 2018-08-16 | Genmab B.V. | Polypeptide variants and uses thereof |
| US11401345B2 (en) | 2017-11-27 | 2022-08-02 | Purdue Pharma L.P. | Humanized antibodies targeting human tissue factor |
| WO2019102435A1 (en) * | 2017-11-27 | 2019-05-31 | Euro-Celtique S.A. | Humanized antibodies targeting human tissue factor |
| US12215167B2 (en) | 2018-01-04 | 2025-02-04 | Iconic Therapeutics Llc | Anti-tissue factor antibodies, antibody-drug conjugates, and related methods |
| WO2019145455A1 (en) | 2018-01-24 | 2019-08-01 | Genmab B.V. | Polypeptide variants and uses thereof |
| AU2019240073B8 (en) * | 2018-03-21 | 2025-10-30 | Genmab A/S | Methods of treating cancer with a combination of a platinum-based agent and an anti-tissue factor antibody-drug conjugate |
| EP3768325A4 (en) * | 2018-03-21 | 2021-12-29 | Genmab A/S | Methods of treating cancer with a combination of a platinum-based agent and an anti-tissue factor antibody-drug conjugate |
| AU2019240073B2 (en) * | 2018-03-21 | 2025-10-16 | Genmab A/S | Methods of treating cancer with a combination of a platinum-based agent and an anti-tissue factor antibody-drug conjugate |
| US12246025B2 (en) | 2018-03-21 | 2025-03-11 | Genmab A/S | Methods of treating cancer with a combination of a platinum-based agent and an anti-tissue factor antibody-drug conjugate |
| WO2019211472A1 (en) | 2018-05-03 | 2019-11-07 | Genmab B.V. | Antibody variant combinations and uses thereof |
| WO2019217455A1 (en) | 2018-05-07 | 2019-11-14 | Genmab A/S | Methods of treating cancer with a combination of an anti-pd-1 antibody and an anti-tissue factor antibody-drug conjugate |
| WO2019217457A1 (en) | 2018-05-07 | 2019-11-14 | Genmab A/S | Methods of treating cancer with a combination of an anti-pd-1 antibody and an anti-tissue factor antibody-drug conjugate |
| US12324841B2 (en) | 2018-05-07 | 2025-06-10 | Genmab A/S | Methods of treating cancer with a combination of an anti-PD-1 antibody and an anti-tissue factor antibody-drug conjugate |
| US20210308208A1 (en) * | 2018-08-16 | 2021-10-07 | Genmab A/S | Anti-tissue factor antibody-drug conjugates and their use in the treatment of cancer |
| WO2020092210A1 (en) | 2018-10-30 | 2020-05-07 | Genmab A/S | Methods of treating cancer with a combination of an anti-vegf antibody and an anti-tissue factor antibody-drug conjugate |
| US12453781B2 (en) | 2018-10-30 | 2025-10-28 | Genmab A/S | Methods of treating cancer with a combination of an anti-VEGF antibody and an anti-tissue factor antibody-drug conjugate |
| EP3994150A4 (en) * | 2019-07-03 | 2023-08-02 | Iconic Therapeutics LLC | Anti-tissue factor antibody-drug conjugates and related methods |
| CN114222752A (en) * | 2019-07-03 | 2022-03-22 | 伊科尼克治疗公司 | Anti-tissue factor antibody-drug conjugates and related methods |
| AU2020299398C1 (en) * | 2019-07-03 | 2025-10-02 | Exelixis, Inc. | Anti-tissue factor antibody-drug conjugates and related methods |
| WO2021089850A1 (en) | 2019-11-06 | 2021-05-14 | Genmab B.V. | Antibody variant combinations and uses thereof |
| WO2021089794A1 (en) | 2019-11-07 | 2021-05-14 | Genmab A/S | Methods of treating cancer with a combination of a platinum-based agent and an anti-tissue factor antibody-drug conjugate |
| WO2021090272A1 (en) | 2019-11-07 | 2021-05-14 | Genmab A/S | Methods of treating cancer with a combination of an anti-pd-1 antibody and an anti-tissue factor antibody-drug conjugate |
| WO2022002940A1 (en) | 2020-06-29 | 2022-01-06 | Genmab A/S | Anti-tissue factor antibody-drug conjugates and their use in the treatment of cancer |
| WO2022098972A1 (en) | 2020-11-08 | 2022-05-12 | Seagen Inc. | Combination-therapy antibody drug conjugate with immune cell inhibitor |
| WO2023213960A1 (en) | 2022-05-06 | 2023-11-09 | Genmab A/S | Methods of treating cancer with anti-tissue factor antibody-drug conjugates |
| US20250242044A1 (en) * | 2022-10-19 | 2025-07-31 | Multitude Therapeutics Inc. | Antibodies, antibody-drug conjugates, preparations and uses thereof |
| WO2024083162A1 (en) * | 2022-10-19 | 2024-04-25 | Multitude Therapeutics Inc. | Antibodies, antibody-drug conjugates, preparations and uses thereof |
| WO2025032079A1 (en) | 2023-08-09 | 2025-02-13 | Nerviano Medical Sciences S.R.L. | Combination of a mps1 inhibitor and an antibody drug conjugate |
| EP4506015A1 (en) | 2023-08-09 | 2025-02-12 | Nerviano Medical Sciences S.r.l. | Combination of a mps1 inhibitor and an antibody drug conjugate |
| US12496354B2 (en) * | 2025-03-07 | 2025-12-16 | Multitude Therapeutics Inc. | CD142 antibodies, antibody-drug conjugates, preparations and uses thereof |
Also Published As
Similar Documents
| Publication | Publication Date | Title |
|---|---|---|
| US20240294661A1 (en) | Human antibody drug conjugates against tissue factor | |
| US20220323582A1 (en) | Human antibodies and antibody-drug conjugates against cd74 | |
| US20210171657A1 (en) | Human antibodies against tissue factor and methods of use thereof | |
| AU2013203136A1 (en) | Human antibody drug conjugates against tissue factor | |
| HK1184469B (en) | Human antibody drug conjugates against tissue factor | |
| HK1184469A (en) | Human antibody drug conjugates against tissue factor | |
| EA046448B1 (en) | METHOD FOR OBTAINING A CONJUGATE OF HUMAN ANTIBODY AGAINST TISSUE FACTOR WITH AURISTATIN | |
| NZ717560A (en) | Human antibodies and antibody-drug conjugates against cd74 | |
| NZ717560B2 (en) | Human antibodies and antibody-drug conjugates against cd74 |
Legal Events
| Date | Code | Title | Description |
|---|---|---|---|
| WWE | Wipo information: entry into national phase |
Ref document number: 201180039935.5 Country of ref document: CN |
|
| 121 | Ep: the epo has been informed by wipo that ep was designated in this application |
Ref document number: 11725095 Country of ref document: EP Kind code of ref document: A2 |
|
| WWE | Wipo information: entry into national phase |
Ref document number: MX/A/2012/014552 Country of ref document: MX |
|
| ENP | Entry into the national phase |
Ref document number: 2802782 Country of ref document: CA Ref document number: 2013514696 Country of ref document: JP Kind code of ref document: A |
|
| NENP | Non-entry into the national phase |
Ref country code: DE |
|
| WWE | Wipo information: entry into national phase |
Ref document number: 13704388 Country of ref document: US |
|
| ENP | Entry into the national phase |
Ref document number: 2011267106 Country of ref document: AU Date of ref document: 20110615 Kind code of ref document: A |
|
| ENP | Entry into the national phase |
Ref document number: 20137000924 Country of ref document: KR Kind code of ref document: A |
|
| REEP | Request for entry into the european phase |
Ref document number: 2011725095 Country of ref document: EP |
|
| WWE | Wipo information: entry into national phase |
Ref document number: 2011725095 Country of ref document: EP Ref document number: 201300016 Country of ref document: EA |
|
| REG | Reference to national code |
Ref country code: BR Ref legal event code: B01A Ref document number: 112012031727 Country of ref document: BR |
|
| ENP | Entry into the national phase |
Ref document number: 112012031727 Country of ref document: BR Kind code of ref document: A2 Effective date: 20121212 |




























