WO2011007353A1 - Sustained-release drug carrier composition - Google Patents
Sustained-release drug carrier composition Download PDFInfo
- Publication number
- WO2011007353A1 WO2011007353A1 PCT/IL2010/000563 IL2010000563W WO2011007353A1 WO 2011007353 A1 WO2011007353 A1 WO 2011007353A1 IL 2010000563 W IL2010000563 W IL 2010000563W WO 2011007353 A1 WO2011007353 A1 WO 2011007353A1
- Authority
- WO
- WIPO (PCT)
- Prior art keywords
- another embodiment
- matrix composition
- composition
- matrix
- lipid
- Prior art date
- Legal status (The legal status is an assumption and is not a legal conclusion. Google has not performed a legal analysis and makes no representation as to the accuracy of the status listed.)
- Ceased
Links
Classifications
-
- A—HUMAN NECESSITIES
- A61—MEDICAL OR VETERINARY SCIENCE; HYGIENE
- A61K—PREPARATIONS FOR MEDICAL, DENTAL OR TOILETRY PURPOSES
- A61K9/00—Medicinal preparations characterised by special physical form
- A61K9/14—Particulate form, e.g. powders, Processes for size reducing of pure drugs or the resulting products, Pure drug nanoparticles
- A61K9/16—Agglomerates; Granulates; Microbeadlets ; Microspheres; Pellets; Solid products obtained by spray drying, spray freeze drying, spray congealing,(multiple) emulsion solvent evaporation or extraction
- A61K9/1605—Excipients; Inactive ingredients
- A61K9/1617—Organic compounds, e.g. phospholipids, fats
-
- A—HUMAN NECESSITIES
- A61—MEDICAL OR VETERINARY SCIENCE; HYGIENE
- A61K—PREPARATIONS FOR MEDICAL, DENTAL OR TOILETRY PURPOSES
- A61K31/00—Medicinal preparations containing organic active ingredients
- A61K31/65—Tetracyclines
-
- A—HUMAN NECESSITIES
- A61—MEDICAL OR VETERINARY SCIENCE; HYGIENE
- A61K—PREPARATIONS FOR MEDICAL, DENTAL OR TOILETRY PURPOSES
- A61K9/00—Medicinal preparations characterised by special physical form
- A61K9/14—Particulate form, e.g. powders, Processes for size reducing of pure drugs or the resulting products, Pure drug nanoparticles
- A61K9/16—Agglomerates; Granulates; Microbeadlets ; Microspheres; Pellets; Solid products obtained by spray drying, spray freeze drying, spray congealing,(multiple) emulsion solvent evaporation or extraction
- A61K9/1605—Excipients; Inactive ingredients
- A61K9/1629—Organic macromolecular compounds
- A61K9/1641—Organic macromolecular compounds obtained otherwise than by reactions only involving carbon-to-carbon unsaturated bonds, e.g. polyethylene glycol, poloxamers
-
- A—HUMAN NECESSITIES
- A61—MEDICAL OR VETERINARY SCIENCE; HYGIENE
- A61K—PREPARATIONS FOR MEDICAL, DENTAL OR TOILETRY PURPOSES
- A61K9/00—Medicinal preparations characterised by special physical form
- A61K9/14—Particulate form, e.g. powders, Processes for size reducing of pure drugs or the resulting products, Pure drug nanoparticles
- A61K9/16—Agglomerates; Granulates; Microbeadlets ; Microspheres; Pellets; Solid products obtained by spray drying, spray freeze drying, spray congealing,(multiple) emulsion solvent evaporation or extraction
- A61K9/1605—Excipients; Inactive ingredients
- A61K9/1629—Organic macromolecular compounds
- A61K9/1641—Organic macromolecular compounds obtained otherwise than by reactions only involving carbon-to-carbon unsaturated bonds, e.g. polyethylene glycol, poloxamers
- A61K9/1647—Polyesters, e.g. poly(lactide-co-glycolide)
-
- A—HUMAN NECESSITIES
- A61—MEDICAL OR VETERINARY SCIENCE; HYGIENE
- A61L—METHODS OR APPARATUS FOR STERILISING MATERIALS OR OBJECTS IN GENERAL; DISINFECTION, STERILISATION OR DEODORISATION OF AIR; CHEMICAL ASPECTS OF BANDAGES, DRESSINGS, ABSORBENT PADS OR SURGICAL ARTICLES; MATERIALS FOR BANDAGES, DRESSINGS, ABSORBENT PADS OR SURGICAL ARTICLES
- A61L24/00—Surgical adhesives or cements; Adhesives for colostomy devices
- A61L24/001—Use of materials characterised by their function or physical properties
- A61L24/0015—Medicaments; Biocides
-
- A—HUMAN NECESSITIES
- A61—MEDICAL OR VETERINARY SCIENCE; HYGIENE
- A61L—METHODS OR APPARATUS FOR STERILISING MATERIALS OR OBJECTS IN GENERAL; DISINFECTION, STERILISATION OR DEODORISATION OF AIR; CHEMICAL ASPECTS OF BANDAGES, DRESSINGS, ABSORBENT PADS OR SURGICAL ARTICLES; MATERIALS FOR BANDAGES, DRESSINGS, ABSORBENT PADS OR SURGICAL ARTICLES
- A61L27/00—Materials for grafts or prostheses or for coating grafts or prostheses
- A61L27/28—Materials for coating prostheses
- A61L27/34—Macromolecular materials
-
- A—HUMAN NECESSITIES
- A61—MEDICAL OR VETERINARY SCIENCE; HYGIENE
- A61L—METHODS OR APPARATUS FOR STERILISING MATERIALS OR OBJECTS IN GENERAL; DISINFECTION, STERILISATION OR DEODORISATION OF AIR; CHEMICAL ASPECTS OF BANDAGES, DRESSINGS, ABSORBENT PADS OR SURGICAL ARTICLES; MATERIALS FOR BANDAGES, DRESSINGS, ABSORBENT PADS OR SURGICAL ARTICLES
- A61L27/00—Materials for grafts or prostheses or for coating grafts or prostheses
- A61L27/50—Materials characterised by their function or physical properties, e.g. injectable or lubricating compositions, shape-memory materials, surface modified materials
- A61L27/54—Biologically active materials, e.g. therapeutic substances
-
- A—HUMAN NECESSITIES
- A61—MEDICAL OR VETERINARY SCIENCE; HYGIENE
- A61L—METHODS OR APPARATUS FOR STERILISING MATERIALS OR OBJECTS IN GENERAL; DISINFECTION, STERILISATION OR DEODORISATION OF AIR; CHEMICAL ASPECTS OF BANDAGES, DRESSINGS, ABSORBENT PADS OR SURGICAL ARTICLES; MATERIALS FOR BANDAGES, DRESSINGS, ABSORBENT PADS OR SURGICAL ARTICLES
- A61L31/00—Materials for other surgical articles, e.g. stents, stent-grafts, shunts, surgical drapes, guide wires, materials for adhesion prevention, occluding devices, surgical gloves, tissue fixation devices
- A61L31/08—Materials for coatings
- A61L31/10—Macromolecular materials
-
- A—HUMAN NECESSITIES
- A61—MEDICAL OR VETERINARY SCIENCE; HYGIENE
- A61L—METHODS OR APPARATUS FOR STERILISING MATERIALS OR OBJECTS IN GENERAL; DISINFECTION, STERILISATION OR DEODORISATION OF AIR; CHEMICAL ASPECTS OF BANDAGES, DRESSINGS, ABSORBENT PADS OR SURGICAL ARTICLES; MATERIALS FOR BANDAGES, DRESSINGS, ABSORBENT PADS OR SURGICAL ARTICLES
- A61L31/00—Materials for other surgical articles, e.g. stents, stent-grafts, shunts, surgical drapes, guide wires, materials for adhesion prevention, occluding devices, surgical gloves, tissue fixation devices
- A61L31/14—Materials characterised by their function or physical properties, e.g. injectable or lubricating compositions, shape-memory materials, surface modified materials
- A61L31/16—Biologically active materials, e.g. therapeutic substances
-
- A—HUMAN NECESSITIES
- A61—MEDICAL OR VETERINARY SCIENCE; HYGIENE
- A61P—SPECIFIC THERAPEUTIC ACTIVITY OF CHEMICAL COMPOUNDS OR MEDICINAL PREPARATIONS
- A61P1/00—Drugs for disorders of the alimentary tract or the digestive system
- A61P1/02—Stomatological preparations, e.g. drugs for caries, aphtae, periodontitis
-
- A—HUMAN NECESSITIES
- A61—MEDICAL OR VETERINARY SCIENCE; HYGIENE
- A61P—SPECIFIC THERAPEUTIC ACTIVITY OF CHEMICAL COMPOUNDS OR MEDICINAL PREPARATIONS
- A61P19/00—Drugs for skeletal disorders
- A61P19/08—Drugs for skeletal disorders for bone diseases, e.g. rachitism, Paget's disease
-
- A—HUMAN NECESSITIES
- A61—MEDICAL OR VETERINARY SCIENCE; HYGIENE
- A61P—SPECIFIC THERAPEUTIC ACTIVITY OF CHEMICAL COMPOUNDS OR MEDICINAL PREPARATIONS
- A61P29/00—Non-central analgesic, antipyretic or antiinflammatory agents, e.g. antirheumatic agents; Non-steroidal antiinflammatory drugs [NSAID]
-
- A—HUMAN NECESSITIES
- A61—MEDICAL OR VETERINARY SCIENCE; HYGIENE
- A61P—SPECIFIC THERAPEUTIC ACTIVITY OF CHEMICAL COMPOUNDS OR MEDICINAL PREPARATIONS
- A61P31/00—Antiinfectives, i.e. antibiotics, antiseptics, chemotherapeutics
- A61P31/04—Antibacterial agents
-
- A—HUMAN NECESSITIES
- A61—MEDICAL OR VETERINARY SCIENCE; HYGIENE
- A61P—SPECIFIC THERAPEUTIC ACTIVITY OF CHEMICAL COMPOUNDS OR MEDICINAL PREPARATIONS
- A61P31/00—Antiinfectives, i.e. antibiotics, antiseptics, chemotherapeutics
- A61P31/10—Antimycotics
-
- A—HUMAN NECESSITIES
- A61—MEDICAL OR VETERINARY SCIENCE; HYGIENE
- A61P—SPECIFIC THERAPEUTIC ACTIVITY OF CHEMICAL COMPOUNDS OR MEDICINAL PREPARATIONS
- A61P35/00—Antineoplastic agents
-
- A—HUMAN NECESSITIES
- A61—MEDICAL OR VETERINARY SCIENCE; HYGIENE
- A61L—METHODS OR APPARATUS FOR STERILISING MATERIALS OR OBJECTS IN GENERAL; DISINFECTION, STERILISATION OR DEODORISATION OF AIR; CHEMICAL ASPECTS OF BANDAGES, DRESSINGS, ABSORBENT PADS OR SURGICAL ARTICLES; MATERIALS FOR BANDAGES, DRESSINGS, ABSORBENT PADS OR SURGICAL ARTICLES
- A61L2300/00—Biologically active materials used in bandages, wound dressings, absorbent pads or medical devices
- A61L2300/20—Biologically active materials used in bandages, wound dressings, absorbent pads or medical devices containing or releasing organic materials
- A61L2300/22—Lipids, fatty acids, e.g. prostaglandins, oils, fats, waxes
-
- A—HUMAN NECESSITIES
- A61—MEDICAL OR VETERINARY SCIENCE; HYGIENE
- A61L—METHODS OR APPARATUS FOR STERILISING MATERIALS OR OBJECTS IN GENERAL; DISINFECTION, STERILISATION OR DEODORISATION OF AIR; CHEMICAL ASPECTS OF BANDAGES, DRESSINGS, ABSORBENT PADS OR SURGICAL ARTICLES; MATERIALS FOR BANDAGES, DRESSINGS, ABSORBENT PADS OR SURGICAL ARTICLES
- A61L2300/00—Biologically active materials used in bandages, wound dressings, absorbent pads or medical devices
- A61L2300/40—Biologically active materials used in bandages, wound dressings, absorbent pads or medical devices characterised by a specific therapeutic activity or mode of action
- A61L2300/404—Biocides, antimicrobial agents, antiseptic agents
- A61L2300/406—Antibiotics
-
- A—HUMAN NECESSITIES
- A61—MEDICAL OR VETERINARY SCIENCE; HYGIENE
- A61L—METHODS OR APPARATUS FOR STERILISING MATERIALS OR OBJECTS IN GENERAL; DISINFECTION, STERILISATION OR DEODORISATION OF AIR; CHEMICAL ASPECTS OF BANDAGES, DRESSINGS, ABSORBENT PADS OR SURGICAL ARTICLES; MATERIALS FOR BANDAGES, DRESSINGS, ABSORBENT PADS OR SURGICAL ARTICLES
- A61L2300/00—Biologically active materials used in bandages, wound dressings, absorbent pads or medical devices
- A61L2300/40—Biologically active materials used in bandages, wound dressings, absorbent pads or medical devices characterised by a specific therapeutic activity or mode of action
- A61L2300/416—Anti-neoplastic or anti-proliferative or anti-restenosis or anti-angiogenic agents, e.g. paclitaxel, sirolimus
-
- A—HUMAN NECESSITIES
- A61—MEDICAL OR VETERINARY SCIENCE; HYGIENE
- A61L—METHODS OR APPARATUS FOR STERILISING MATERIALS OR OBJECTS IN GENERAL; DISINFECTION, STERILISATION OR DEODORISATION OF AIR; CHEMICAL ASPECTS OF BANDAGES, DRESSINGS, ABSORBENT PADS OR SURGICAL ARTICLES; MATERIALS FOR BANDAGES, DRESSINGS, ABSORBENT PADS OR SURGICAL ARTICLES
- A61L2300/00—Biologically active materials used in bandages, wound dressings, absorbent pads or medical devices
- A61L2300/60—Biologically active materials used in bandages, wound dressings, absorbent pads or medical devices characterised by a special physical form
- A61L2300/602—Type of release, e.g. controlled, sustained, slow
Definitions
- the present invention provides compositions for extended release of an active ingredient, comprising a lipid-based matrix with a non-biodegradable polymer.
- the present invention also provides methods of producing the matrix compositions and methods for using the matrix compositions to provide controlled release of an active ingredient in the body of a subject in need thereof.
- Lipid based drug delivery systems are well known in the art of pharmaceutical science. Typically they are used to formulate drugs having poor bioavailability or high toxicity or both. Among the prevalent dosage forms that have gained acceptance are many different types of liposomes, including small unilamellar vesicles, multilamellar vesicles and many other types of liposomes; different types of emulsions, including water in oil emulsions, oil in water emulsions, water-in-oil-in-water double emulsions, submicron emulsions, microemulsions; micelles and many other hydrophobic drug carriers. These types of lipid based delivery systems can be highly specialized to permit targeted drug delivery or decreased toxicity or increased metabolic stability and the like. Extended release in the range of days, weeks and more are not profiles commonly associated with lipid based drug delivery systems in vivo.
- sustained release drug delivery systems should exhibit kinetic and other characteristics readily controlled by the types and ratios of the specific excipients used.
- the sustained release drug delivery systems should provide solutions for hydrophilic, amphipathic as well as hydrophobic drugs.
- Tissue damage is caused by the action of pathogenic bacteria in combination with host matrix metalloproteinase (MMP) activity.
- MMP host matrix metalloproteinase
- Antibiotic treatment in combination with antiinflammatory medication suppresses these two pathways. An increase in efficacy and reduction of side effects of treatment would be achieved by a means of releasing these medications locally in a controlled fashion.
- Bone diseases requiring bone augmentation include benign and malignant bone tumors, cancers situated in bones, infectious bone diseases, and other bone diseases of etiology related to endocrinology, autoimmunity, poor nutrition, genetic factors, and an imbalance between bone growth and resorption.
- Examples are diseases such as osteosarcoma/malignant fibrous histiocytoma of bone (PDQ), osteosarcoma, chondrosarcoma, Ewing's sarcoma, malignant fibrous histiocytoma, fibrosarcoma and malignant fibrous histiocytoma, giant cell tumor of bone, chordoma, lymphoma, multiple myeloma, osteoarthritis, Paget's disease of bone, arthritis, degenerative changes, osteoporosis, osteogenesis imperfecta, bone spurs, renal osteodystrophy, hyperparathyroidism, osteomyelitis, enchondroma, osteochondroma, osteopetrosis, bone and joint problems associated with diabetes.
- PDQ osteosarcoma/malignant fibrous histiocytoma of bone
- osteosarcoma chondrosarcoma
- Ewing's sarcoma malignant fibrous histiocytoma
- Immediate and delayed infection is a major complication in the field of orthopedics. Reducing the complications after orthopedic treatment will induce the efficiency and success of the orthopedic treatment and in some cases it will reduce the mortality. There is also a need to allow treatment in infected sites and to induce the efficacy of the treatment in the infected sites.
- Bone augmentation further comprises a variety of procedures that are used to "build" bone so that implants can be placed. These procedures typically involve grafting bone or bonelike materials to the treated area (e.g. lost bone as a result of bone tumor or cancer metastasis removal) and waiting for the grafted material to fuse with the existing bone over several months. Typically, bone removal surgery for the removal of tumor is followed by chemotherapy or radiology treatment.
- chemotherapy or radiology treatment One of the drawbacks of systemic chemotherapy is its limited ability to completely eradicate potential left-over tumor cells due to the limited blood supply in the grafted area.
- radio-therapy is limited due to the slow recovery of the injured bone. Therefore, slow and long term release of anticancer agents, directly in the location needed would be highly beneficial. Liposomes and biodegradable polymers in drug delivery
- Liposomes are described in US 4,522,803 to Lenk et al. Liposomes typically exhibit adequate drug delivery drug-holding capacity but relatively limited in vivo half- lives. Many different types of liposomes have been developed for particular applications. Examples can be found in US Patents 5,043,166; 5,316,771; 5,919,480; 6,156,337; 6,162, 462; 6,787,132; 7,160,554, among others.
- US Patent 4,882,167 to Jang discloses a controlled release matrix for tablets or implants of biologically active agents produced by dry direct compression of a hydrophobic carbohydrate polymer, e.g. ethyl cellulose; and a difficult-to-digest soluble component, i.e. a wax, e.g. carnauba wax, a fatty acid material, or a neutral lipid.
- a hydrophobic carbohydrate polymer e.g. ethyl cellulose
- a difficult-to-digest soluble component i.e. a wax, e.g. carnauba wax, a fatty acid material, or a neutral lipid.
- US Patent Application 2006/0189911 to Fukuhira et al discloses an anti-adhesion membrane of a honeycomb film made of polylactic acid as a biodegradable polymer and a phospholipid.
- US Patent Application 2004/0247624 discloses methods for the preparation of a pharmaceutical composition comprising an organic solvent, a drug and a stabilizing agent selected from a polymer, a lipid, a polymer-lipid conjugate or a combination thereof.
- US Patent Application 2006/0073203 to Ljusberg-Wahren et al discloses an orally administrable composition comprising a dry mixture of polymer, lipid and bioactive agent, intended upon contact with water or gastrointestinal fluids to form particles comprising the lipid, the bioactive agent, and optionally also water.
- the polymers utilized disintegrate in the digestive tract during the digestive process; e.g. a time period of less than one day.
- International Patent Application Publication WO/2010/007623 to the inventors of the present invention provides compositions for extended release of an active ingredient, comprising a lipid-saturated matrix formed from a polyester based biodegradable polymer.
- compositions adapted to achieve sustained release or programmed release or controlled release from a lipid-saturated polymeric matrix for periodontal or orthopedic uses.
- Embodiments of the present invention provide compositions for extended release of an active ingredient, comprising a lipid-based matrix comprising a non-biodegradable polymer.
- Other embodiments of the present invention provide methods of producing the matrix compositions and methods for using the matrix compositions to provide controlled release of an active ingredient in the body of a subject in need thereof.
- the present invention provides a matrix composition
- a matrix composition comprising: (a) a pharmaceutically acceptable, biocompatible non-biodegradable polymer in association with a first lipid having a polar group; (b) a second lipid selected from phospholipids having fatty acid moieties of at least 14 carbons; and (c) a pharmaceutical active agent, where the matrix composition is adapted for providing sustained release of the pharmaceutical agent.
- the first lipid having a polar group comprises at least one sterol.
- the first lipid having a polar group is other than a phospholipid.
- the first lipid comprises a mixture of lipids.
- the first lipid comprises a mixture of lipids wherein at least one of the lipids is a sterol.
- the non-biodegradable polymer is not bonded to the first lipid having a polar group.
- the second lipid comprises a mixture of lipids, wherein at least one is a phospholipid having fatty acid moieties of at least 14 carbons
- the non-biodegradable polymer is not bonded to the second lipid.
- the non-biodegradable polymer is not bonded to the phospholipids.
- the first lipid and the second lipid are distinct category of lipids.
- the polymer and the phospholipids form a matrix composition that is substantially free of water.
- the non-biodegradable polymer may comprise polyethylene glycol, polyethylene glycol (PEG) acrylate, polymethacrylates (e.g.
- PEG methacrylate polymethylmethacrylate, polyethylmethacrylate, polybutylmethacrylate, poly-2-ethylhexylmethacrylate, polylaurylmethacrylate, polyhydroxylethyl methacrylate), poly-methylacrylate, 2-methacryloyloxyethylphosphorylcholine (MPC), polystyrene, derivatized polystyrene, polylysine, poly N-ethyl-4-vinyl-pyridinium bromide, silicone, ethylene-vinyl acetate copolymers, polyethylenes, polypropylenes, polytetrafluoroethylenes, polyurethanes, polyacrylates, polyvinyl acetate, ethylene vinyl acetate, polyethylene, polyvinyl chloride, polyvinyl fluoride, copolymers of polymers of ethylene-vinyl acetates and acyl substituted cellulose acetates, poly(vinyl imi
- the non-biodegradable polymer comprises polyethylene glycol having a molecular weight from about 1000 to about 20000; alternatively, between 2000 to about 10000.
- the polyethylene glycol has a molecular weight between about 4000 to about 8000.
- the present invention provides a matrix composition
- a matrix composition comprising: (a) a pharmaceutically acceptable, biocompatible biodegradable polymer other than a polyester in association with a first lipid having a polar group; (b) a second lipid selected from phospholipids having fatty acid moieties of at least 14 carbons; and (c) a pharmaceutical active agent, where the matrix composition is adapted for providing sustained release of the pharmaceutical agent.
- the polymer and the phospholipids form a matrix composition that is substantially free of water.
- the biodegradable polymer is selected from the group consisting of poly(caprolactone), polycarbonates, polyesteramides, polyanhydrides, poly(amino acid)s, polycyanoacrylates, polyamides, polyacetals, poly(ether ester)s, poly(dioxanone)s, poly(alkylene alkylate)s, biodegradable polyurethanes, blends and copolymers thereof.
- the polymer may include any combination of a non-biodegradable polymer and a biodegradable polymer. According to some particular embodiments, the polymer may include any combination of a non-biodegradable polymer and a biodegradable polymer other than a polyester. According to some embodiments, the polymer may include more than one type of a non-biodegradable polymer, more than one type of a biodegradable polymer or a combination thereof
- the matrix composition further comprises a biodegradable polymer, wherein the non-biodegradable polymer and the biodegradable polymer form a block co-polymer.
- the block co-polymer is a linear co-polymer ((AB )n, (AB A)n or (ABABA)n wherein n > 1).
- the block co-polymer is a branched co-polymer (multiple A's depending from one B).
- A is a non-biodegradable polymer and B is a biodegradable polymer; alternatively, A is a non-biodegradable polymer and B is a biodegradable polymer other than a polyester.
- A is a non-biodegradable polymer having a molecular weight lower than 5000 dalton; alternatively, lower than 4000 dalton; alternatively, lower than 3000 dalton; alternatively, lower than 2000 dalton.
- suitable block co-polymers include PEG-PLA-PEG and PEG-PLGA-PEG.
- the polymer may include any combination of a non-biodegradable polymer, a biodegradable polymer and a block co-polymer as defined above.
- the block copolymer comprises more than one type of non-biodegradable polymer, more than one type of biodegradable polymer or a combination thereof. Each possibility represents a separate embodiment of the present invention.
- the polymer comprises non-biodegradable polymer chains having a molecular weight lower than 5000 dalton, linked to each other by a biodegradable linker.
- biodegradable linkers include disulfide bonds and ester bonds.
- the first lipid having a polar group is selected from a sterol, a tocopherol and a phosphatidylethanolamine. According to some embodiments, the first lipid having a polar group is selected from a sterol. According to particular embodiments the first lipid is mixed with the biocompatible polymer to form a non-covalent association. According to some exemplary embodiments, the first lipid having a polar group is cholesterol.
- the second lipid comprises a phosphatidylcholine.
- the second lipid comprises a mixture of phosphatidylcholines. According to some embodiments the second lipid comprises a mixture of a phosphatidylcholine and a phosphatidylethanolamine, or any other types of phospholipids.
- the pharmaceutically active agent is selected from the group consisting of an antibiotic, an antifungal, an NSAID, a steroid, an anti-cancer agent, an osteogenic factor, a bone resorption inhibitor and any combination thereof.
- the pharmaceutical active agent is selected from a hydrophobic agent, an amphipathic agent or a water soluble agent. Each possibility represents a separate embodiment of the present invention.
- the phospholipid is a phosphatidylcholine having fatty acid moieties of at least 14 carbons.
- the composition further comprises a phosphatidylethanolamine having fatty acid moieties of at least 14 carbons.
- the matrix composition is homogeneous.
- the matrix composition is in the form of a lipid-based matrix whose shape and boundaries are determined by the polymer.
- the matrix composition is in the form of an implant.
- the pharmaceutical active agent is an antibiotic incorporated into the matrix composition.
- the antibiotic has low water solubility.
- the antibiotic is a hydrophobic antibiotic.
- the antibiotic is an amphipathic antibiotic.
- the composition further comprises a non-steroidal anti-inflammatory drug (NSAID).
- NSAID non-steroidal anti-inflammatory drug
- the matrix composition may comprise a combination of two or more active agents.
- the matrix composition may comprise a combination of an antibiotic and a NSAID. Each possibility represents a separate embodiment of the present invention.
- the present invention provides a matrix composition
- a matrix composition comprising: (a) non-biodegradable polymer; (b) a sterol; (c) a phosphatidylethanolamine having fatty acid moieties of at least 14 carbons; (d) a phosphatidylcholine having fatty acid moieties of at least 14 carbons; and (e) an antibiotic or antifungal agent.
- the matrix composition comprises at least 50% lipid by weight.
- the matrix composition is homogeneous.
- the matrix composition is in the form of a lipid-based matrix whose shape and boundaries are determined by the polymer.
- the matrix composition is in the form of an implant.
- the present invention provides a matrix composition
- a matrix composition comprising: (a) polyethylene glycol; (b) a sterol; (c) a phosphatidylcholine having fatty acid moieties of at least 14 carbons; and (d) an antibiotic or antifungal agent.
- the matrix composition comprises at least 30% lipid (sterol and phospholipids) by weight.
- the sterol is cholesterol.
- the matrix composition is homogeneous.
- the matrix composition is in the form of a lipid-based matrix whose shape and boundaries are determined by the polymer.
- the shape and boundaries of the matrix composition are determined by the polymer in compositions comprising at least 50% polymer by weight.
- the matrix composition is in the form of an implant.
- the antibiotic or antifungal agent is selected from a hydrophobic agent, an amphipathic agent or a water soluble agent.
- the present invention provides a matrix composition
- a matrix composition comprising: (a) non-biodegradable polymer; (b) a sterol; (c) a phosphatidylethanolamine having fatty acid moieties of at least 14 carbons; (d) a phosphatidylcholine having fatty acid moieties of at least 14 carbons; and (e) a non-steroidal anti-inflammatory drug (NSAID).
- the matrix composition comprises at least 30% lipid.
- the NSAID has low water solubility.
- the NSAID is a hydrophobic NSAID.
- the NSAID is an amphipathic NSAID.
- the matrix composition is in the form of a lipid-based matrix whose shape and boundaries are determined by the polymer. In another embodiment, the shape and boundaries of the matrix composition are determined by the polymer in compositions comprising at least 50% polymer by weight.
- the matrix composition is in the form of an implant. In another embodiment, the matrix composition is homogeneous. Each possibility represents a separate embodiment of the present invention.
- the present invention provides a matrix composition comprising: (a) non-biodegradable polymer; (b) a sterol; (c) a phosphatidylethanolamine having fatty acid moieties of at least 14 carbons; (d) a phosphatidylcholine having fatty acid moieties of at least 14 carbons; and (e) an osteogenic factor or a bone resorption inhibitor.
- the matrix composition comprises at least 30% lipid.
- the bone resorption inhibitor has low water solubility.
- the bone resorption inhibitor is a hydrophobic bone resorption inhibitor. In another embodiment, the bone resorption inhibitor is an amphipathic bone resorption inhibitor. In another embodiment, the composition further comprises an NSAID. In another embodiment, the NSAID as well is incorporated into the matrix composition. In another embodiment, the matrix composition is in the form of a lipid-based matrix whose shape and boundaries are determined by the polymer. In another embodiment, the shape and boundaries of the matrix composition are determined by the polymer in compositions comprising at least 50% polymer by weight. In another embodiment, the matrix composition is in the form of an implant. In another embodiment, the matrix composition is homogeneous. Each possibility represents a separate embodiment of the present invention.
- the present invention provides a matrix composition
- a matrix composition comprising: (a) non-biodegradable polymer; (b) a sterol; (c) a phosphatidylethanolamine having saturated fatty acid moieties of at least 14 carbons; (d) a phosphatidylcholine having saturated fatty acid moieties of at least 14 carbons; (e) an active agent; and (f) a targeting moiety capable of interacting with a surface molecule of a target cell.
- the active agent is selected from the group consisting of an NSAID, an antibiotic, an antifungal agent, a steroid, an anti-cancer agent, an osteogenic factor and a bone resorption inhibitor.
- the polymer and the phospholipid form a matrix composition that is substantially free of water.
- the matrix composition is capable of being degraded in vivo to vesicles into which some or all the mass of the released active agent is integrated.
- the matrix composition is capable of being degraded in vivo to form vesicles into which the active agent and the targeting moiety are integrated.
- the present invention provides a pharmaceutical composition comprising a matrix composition of the present invention and a pharmaceutically acceptable excipient.
- the matrix composition is in the form of microspheres.
- the present invention provides a pharmaceutical composition comprising microspheres of the present invention and a pharmaceutically acceptable excipient.
- the pharmaceutical composition is in a parenterally injectable form.
- the pharmaceutical composition is in an infusible form.
- the excipient is compatible for injection.
- the excipient is compatible for infusion.
- a matrix composition of the present invention is in the form of an implant, following evaporation of the organic solvents, hi another embodiment, the implant is homogeneous.
- the implant is homogeneous.
- the polymer of the present invention is associated with the sterol via non-covalent bonds. In some embodiments, the polymer of the present invention is associated with the sterol via hydrogen bonds.
- the process of creating an implant from a composition of the present invention comprises the steps of (a) creating a matrix composition according to a method of the present invention in the form of a bulk material; and (b) transferring the bulk material into a mold or solid receptacle of a desired shape.
- compositions of the invention are also provided herein.
- a matrix composition for sustained release of a pharmaceutical agent is generated by a process comprising: providing a first solution or dispersion of a volatile organic solvent comprising a biocompatible polymer selected from the group consisting of a non-biodegradable polymer, a biodegradable polymer other than polyester or a combination thereof, and a first lipid having a polar group; providing a second solution or dispersion comprising a second volatile organic solvent and a second lipid, the second lipid comprising at least one phospholipid, and a pharmaceutical active agent; mixing the first and second solutions to form a homogeneous mixture; evaporating the volatile solvents to produce a homogeneous polymer phospholipid matrix comprising a pharmaceutical active agent.
- the selection of the specific solvents is made according to the specific drug and other substances used in the particular formulation intended to entrap a specific active and to release it in a specific pre-planned rate and duration.
- the evaporation is conducted at controlled temperature determined according to the properties of the solution obtained.
- the volatile organic solvents used in methods of the invention had a freezing temperature lower than 0°C; alternatively, lower than 10°C; alternatively, lower than 2O 0 C.
- the use of different types of volatile organic solutions, and the absence of water throughout the process, enable the formation of homogeneous water-resistant, lipid based matrix compositions.
- the first and second solvents can be the same or different.
- one solvent can be non-polar and the other preferably water-miscible.
- the matrix composition of methods and compositions of the present invention is substantially free of water.
- substantially free of water refers, in another embodiment, to a composition containing less than 1% water by weight.
- the term refers to a composition containing less than 0.8% water by weight.
- the term refers to a composition containing less than 0.6% water by weight.
- the term refers to a composition containing less than 0.4% water by weight.
- the term refers to a composition containing less than 0.2% water by weight.
- the term refers to the absence of amounts of water that affect the water-resistant properties of the composition.
- the term refers to a composition manufactured without the use of any aqueous solvents.
- producing the composition using a process substantially free of water, as described herein enables lipid saturation.
- Lipid saturation confers upon the matrix composition ability to resist bulk degradation in vivo; thus, the matrix composition exhibits the ability to mediate extended release on a scale of several days, weeks or months.
- the matrix composition is essentially free of water. "Essentially free” refers to a composition comprising less than 0.1% water by weight. In another embodiment, the term refers to a composition comprising less than 0.08% water by weight. In another embodiment, the term refers to a composition comprising less than 0.06% water by weight. In another embodiment, the term refers to a composition comprising less than 0.04% water by weight. In another embodiment, the term refers to a composition comprising less than 0.02% water by weight. In another embodiment, the term refers to a composition comprising less than 0.01% water by weight. Each possibility represents a separate embodiment of the present invention.
- the matrix composition is free of water.
- the term refers to a composition not containing detectable amounts of water.
- the present invention provides a method of producing a matrix composition, the method comprising the steps of (a) combining with a non-polar, volatile organic solvent: (i) a non-biodegradable polymer, a biodegradable polymer other than polyester or a combination thereof and (ii) a sterol; (b) combining with a water- miscible, volatile organic solvent: (i) an active agent selected from the group consisting of a non-steroidal anti-inflammatory drug (NSAID), an antibiotic, an antifungal a steroid, an anti-cancer agent, and osteogenic factor, a bone resorption inhibitor and any combination thereof; (ii) a phosphatidylethanolamine; and (iii) a phosphatidylcholine; and (c) mixing and homogenizing the products resulting from steps (a) and (b).
- NSAID non-steroidal anti-inflammatory drug
- the phosphatidylethanolamine is included in the non-polar, volatile organic solvent instead of the water-miscible, volatile organic solvent.
- the nonbiodegradable polymer is selected from the group consisting of polyethylene glycol, polyethylene glycol (PEG) acrylate, polymethacrylates (e.g.
- PEG methacrylate polymethylmethacrylate, polyethylmethacrylate, polybutylmethacrylate, poly-2- ethylhexylmethacrylate, polylaurylmethacrylate, polyhydroxylethyl methacrylate), poly- methylacrylate, 2-methacryloyloxyethylphosphorylcholine (MPC), polystyrene, derivatized polystyrene, polylysine, poly N-ethyl-4-vinyl-pyridinium bromide, silicone, ethylene-vinyl acetate copolymers, polyethylenes, polypropylenes, polytetrafluoroethylenes, polyurethanes, polyacrylates, polyvinyl acetate, ethylene vinyl acetate, polyethylene, polyvinyl chloride, polyvinyl fluoride, copolymers of polymers of ethylene-vinyl acetates and acyl substituted cellulose acetates, poly(viny
- the non-biodegradable polymer is any other suitable non-biodegradable polymer known in the art.
- the mixture containing the non-polar, organic solvent is homogenized prior to mixing it with the mixture organic solvent.
- the mixture containing the water-miscible, organic solvent is homogenized prior to mixing it with the mixture containing the non-polar, organic solvent.
- the polymer in the mixture of step (a) is lipid saturated.
- the matrix composition is lipid saturated.
- the matrix composition of the present invention can be used for coating fully or partially the surface of different substrates.
- substrates to be coated include at least one material selected from the group consisting of carbon fibers, stainless steel, cobalt-chromium, titanium alloy, tantalum, ceramic and collagen or gelatin.
- substrates may include any medical devices such as orthopedic nails, orthopedic screws, orthopedic staples, orthopedic wires and orthopedic pins used in orthopedic surgery, metal or polymeric implants used in both orthopedic and periodontal surgery, bone filler particles and absorbable gelatin sponge.
- Bone filler particles can be any one of allogeneic (i.e., from human sources), xenogeneic (i.e., from animal sources) and artificial bone particles.
- bone filler particles coated with the matrix of the present invention are administered substantially as a single ingredient (not administered as part of a mixture with other ingredients).
- the coated bone filler particles are mixed with any other commercially available bone filler particles or autologous bone before administration.
- the mixture of bone filler particles comprises at least one of: non-coated particles, particles coated with matrix compositions incorporating a pharmaceutically active agent, particles coated with matrix compositions incorporating a plurality of pharmaceutically active agents or a combination thereof.
- the amounts, ratios and types of ingredients forming the matrix composition of the present invention are varied so to adjust the polymer-lipid basis to the biophysical/biochemical properties of the pharmaceutically active agent, the therapeutically effective dose of the pharmaceutically active agent and to the desired sustained release time period (typically in the range of days to months).
- bone filler particles coated with matrix composition comprising an active agent are mixed with bone filler particles coated with matrix composition comprising a different active agent before administration. It is to be emphasized that within the scope of the present invention are bone particles coated with different matrix compositions comprising different active agents, compositions comprising different lipid/polymer ratio, compositions comprising different lipid content or any combination thereof. Such mixtures may be used for combination treatment in which the release rate of each of the active agents is separately controlled.
- the sustained release period using the compositions of the present invention can be programmed taking into account two major factors: (i) the weight ratio between the polymer and the lipid content, specifically the phospholipid having fatty acid moieties of at least 14 carbons, and (ii) the biochemical and/or biophysical properties of the polymer and the lipid.
- the fluidity of the lipid should be considered.
- a phosphatidylcholine (14:0) is more fluid (less rigid and less ordered) at body temperature than a phosphatidylcholine (18:0).
- the release rate of a drug incorporated in a matrix composition comprising PEG
- the nature of the biodegradable linker may influence the release period of the active agent entrapped/encapsulated in the composition.
- the nature of the biodegradable polymer units of the block co-polymer may influence the release period of the active agent entrapped/encapsulated in the composition.
- Another aspect that will determine the release rate is the physical characteristics of the entrapped or impregnated drug.
- the release rate of drugs can further be controlled by the addition of other lipids into the formulation of the second solution.
- the active agent is released from the composition over a desired period ranging between several days to several months.
- Figure 1 A) TLC runs of extracted cholesterol (CH) from different matrix compositions; 1 : PEG+CH+doxycycline hyclate (Doxy-H); 2: PEG+CH+Doxy-H+DMPC; 3: PEG+CH+Doxy-H+DSPC; 4: CH only (control); B) TLC runs of extracted phospholipids (DPPC) from PEG+CH+Doxy-H+DPPC matrix composition.
- CH extracted cholesterol
- DPPC extracted phospholipids
- Figure 2 The release profile of Doxy-H entrapped/encapsulated within TCP-matrix compositions after spin-down.
- Figure 3 Particles released after hydration of two different matrix compositions: A) matrix composition comprising PEG and Doxy-H; B) matrix composition comprising PEG, CH, Doxy-H and phospholipids.
- FIG. 4 Differential scanning calorimetry (DSC) scans of PEG, cholesterol and a combination of PEG and cholesterol at different ratios.
- Figure 5 Polymer: drug interaction analysis; A) DSC scans of PEG, Doxy-H, PEG-Doxy, PEG-CH-Doxy-H and PEG-CH-Doxy-H-DPPC. B) Zoom into the Doxy-H endothermic peak range (190-210 0 C)
- Figure 6 Polymer: phospholipid interaction analysis; A) Full range of DSC scans of PEG, DPPC, PEG-DPPC and PEG-CH-DPPC. B) Zoom into the DPPC endothermic peak range (90-11O 0 C).
- Embodiments of the present invention provides compositions for extended release of an active ingredient, comprising a lipid-based matrix comprising a non-biodegradable polymer, a biodegradable polymer which is other than polyester, a block- co-polymers of biodegradable and non biodegradable polymers or a combination thereof.
- the present invention also provides methods of producing the matrix compositions and methods for using the matrix compositions to provide controlled release of an active ingredient in the body of a subject in need thereof.
- the matrix composition according to the embodiments of the present invention display many advantages over known in the art matrix composition comprising biodegradable polymers. Matrix composition comprising non-biodegradable polymers are inert. As such they are less prone to interference with the surrounding environment and influence tissue functions.
- non-biodegradable polymers are hypoallergenic and do not interfere with the activity of the immune system. Furthermore, the sub structure of non-biodegradable polymers is stable and cannot be further metabolized by bacteria and/or fungi in contrast to the degradation products of biodegradable polymers.
- Another advantage of using non-biodegradable polymers in the matrix compositions of the invention relates to the drug entrapped/encapsulates within the matrix.
- the physical environment within the matrix composition and in close proximity to the matrix composition may alter due to the degradation of the polymers; for example: PLGA, PLA and PLG may elevate the local acidity due to the release of lactic acid and/or glycolic acid monomers. This may be crucial when the entrapped or encapsulated drug is pH sensitive (e.g. polypeptides and protein based drugs).
- pH sensitive e.g. polypeptides and protein based drugs
- Matrix composition comprising non-biodegradable polymers, specifically nonbiodegradable polymers having a molecular weight above 5000 dalton, may serve as a permanent/long term physical backbone support to the lipidic component, supporting the overall structure of an implant or another medical device coated with the matrix composition during as well as after the release of the drug and the lipids.
- Non-biodegradable polymers are less sensitive to the physical/chemical conditions (e.g. temp, pH) required during preparation.
- controlled release refers to control of the rate and/or quantity of pharmaceutically active agent(s) delivered by the matrix compositions of the invention.
- the controlled release can be continuous or discontinuous, and/or linear or non-linear.
- sustained release means that the active agent or drug is released at a rate that is significantly slower than the release expected due to diffusion under the same physical and chemical conditions.
- sustained release means that the release profile will provide a local therapeutically effective concentration over a period of days or weeks or months. The systemic concentrations may be significantly lower than the local concentrations of release from the matrix to the desired site of action, thereby achieving decreased toxicity as well as prolonged therapeutic effectiveness.
- the present invention provides a matrix composition
- a matrix composition comprising: (a) non-biodegradable polymer; (b) a phosphoglyceride having hydrocarbon moieties of at least 14 carbons; and (c) a pharmaceutical active agent.
- the pharmaceutical agent is selected from the group consisting of an antibiotic, an antifungal, an NSAID, a steroid, an anticancer agent, an osteogenic factor and a bone resorption inhibitor.
- the phosphoglyceride is a phospholipid.
- the phospholipid is a phosphatidylcholine having fatty acid moieties of at least 14 carbons.
- the composition further comprises a phosphatidylethanolamine having a fatty acid moiety of at least 14 carbons.
- the composition further comprises a sterol. In some embodiments the sterol is cholesterol.
- the matrix composition is lipid saturated.
- “Lipid saturated,” as used herein, refers to saturation of the polymer of the matrix composition with lipids including phospholipids, in combination with any hydrophobic drug and targeting moiety present in the matrix, and any other lipids that may be present.
- the matrix composition is saturated by whatever lipids are present.
- Lipid-saturated matrices of the present invention exhibit the additional advantage of not requiring a synthetic emulsifier or surfactant such as polyvinyl alcohol; thus, compositions of the present invention are typically substantially free of polyvinyl alcohol.
- the matrix composition is homogeneous.
- the matrix composition is in the form of a lipid-saturated matrix whose shape and boundaries are determined by the polymer.
- the matrix composition is in the form of an implant.
- the non-biocompatible polymer, the phosphatidylethanolamine, and the sterol are incorporated into the matrix composition.
- the phosphatidylcholine is also incorporated into the matrix composition.
- the antibiotic is also incorporated into the matrix composition.
- the antibiotic has low water solubility.
- the antibiotic is a hydrophobic antibiotic.
- the antibiotic is an amphipathic antibiotic.
- the composition further comprises a non-steroidal anti-inflammatory drug (NSAID).
- NSAID non-steroidal anti-inflammatory drug
- the NSAID as well is incorporated into the matrix composition.
- the NSAID has low water solubility.
- the present invention provides a matrix composition
- a matrix composition comprising: (a) a non-biodegradable polymer (b) a sterol; (c) a phosphatidylethanolamine having a fatty acid moiety of at least 14 carbons; (d) a phosphatidylcholine having a fatty acid moiety of at least 14 carbons; and (e) an antibiotic or an antifungal.
- the matrix composition is lipid saturated.
- the polymer, the phosphatidylethanolamine, and the sterol are incorporated into the matrix composition.
- the phosphatidylcholine is also incorporated into the matrix composition.
- the antibiotic is also incorporated into the matrix composition.
- the antibiotic has low water solubility.
- the antibiotic is a hydrophobic antibiotic.
- the antibiotic is an amphipathic antibiotic.
- the composition further comprises a non-steroidal anti-inflammatory drug (NSAID).
- NSAID non-steroidal anti-inflammatory drug
- the matrix composition is in the form of a lipid-saturated matrix whose shape and boundaries are influenced by the nature of the polymer.
- the matrix composition is in the form of an implant.
- the matrix composition is homogeneous. Each possibility represents a separate embodiment of the present invention.
- the present invention provides a matrix composition
- a matrix composition comprising: (a) non-biodegradable polymer; (b) a sterol; (c) a phosphatidylethanolamine having fatty acid moieties of at least 14 carbons; (d) a phosphatidylcholine having fatty acid moieties of at least 14 carbons; (e) a non-steroidal anti-inflammatory drug (NSAID).
- the matrix composition is lipid saturated.
- the polyester, the phosphatidylethanolamine, and the sterol are incorporated into the matrix composition.
- the phosphatidylcholine is also incorporated into the matrix composition.
- the NSAID is also incorporated into the matrix composition.
- the NSAID has low water solubility.
- the NSAID is a hydrophobic NSAID.
- the NSAID is an amphipathic NSAID.
- the matrix composition is in the form of a lipid-saturated matrix whose shape and boundaries are determined by the polymer.
- the matrix composition is in the form of an implant.
- the matrix composition is homogeneous. Each possibility represents a separate embodiment of the present invention.
- the present invention provides a matrix composition
- a matrix composition comprising: (a) non-biodegradable polymer; (b) a sterol; (c) a phosphatidylethanolamine having fatty acid moieties of at least 14 carbons; (d) a phosphatidylcholine having fatty acid moieties of at least 14 carbons; and (e) an osteogenic factor or a bone resorption inhibitor.
- the matrix composition is lipid saturated.
- the polymer, the phosphatidylethanolamine, and the sterol are incorporated into the matrix composition.
- the phosphatidylcholine is also incorporated into the matrix composition.
- the bone resorption inhibitor is also incorporated into the matrix composition.
- the bone resorption inhibitor has low water solubility.
- the bone resorption inhibitor is a hydrophobic bone resorption inhibitor.
- the bone resorption inhibitor is an amphipathic bone resorption inhibitor.
- the composition further comprises an NSAID.
- the NSAID as well is incorporated into the matrix composition.
- the matrix composition is in the form of a lipid-saturated matrix whose shape and boundaries are determined by the polymer.
- the matrix composition is in the form of an implant.
- the matrix composition is homogeneous. Each possibility represents a separate embodiment of the present invention.
- the present invention provides a matrix composition
- a matrix composition comprising: (a) non-biodegradable polymer; (b) a sterol; (c) a phosphatidylethanolamine having fatty acid moieties of at least 14 carbons; (d) a phosphatidylcholine having fatty acid moieties of at least 14 carbons; (e) an active agent; and (f) a targeting moiety capable of interacting with a surface molecule of a target cell, a target molecule or a target surface.
- the matrix composition is lipid saturated.
- the active agent is selected from the group consisting of an NSAID, an antibiotic, and a bone resorption inhibitor.
- the polymer and the phospholipid form the matrix composition that is substantially free of water.
- the active agent and the targeting moiety are integrated into the lipid vesicle.
- the matrix composition is in the form of a lipid-saturated matrix whose shape and boundaries are determined by the polymer.
- the matrix composition is in the form of an implant.
- the matrix composition is homogeneous.
- the polymer of methods and compositions of the present invention is associated with the sterol via hydrogen bonds.
- the matrix composition of methods and compositions of the present invention is capable of being molded into three-dimensional configurations of varying thickness and shape. Accordingly, the matrix formed can be produced to assume a specific shape including a sphere, cube, rod, tube, sheet, or into strings. In the case of freeze-drying, the shape is determined by the shape of a mold or support which may be made of any inert material and may be in contact with the matrix on all sides, as for a sphere or cube, or on a limited number of sides as for a sheet.
- the matrix may be shaped in the form of body cavities as required for implant design. Removing portions of the matrix with scissors, a scalpel, a laser beam or any other cutting instrument can create any refinements required in the three-dimensional structure. Each possibility represents a separate embodiment of the present invention.
- the matrix compositions of the present invention are prepared by methods which do not involve the formation of emulsions, and may avoid the use of aqueous media altogether.
- the generation of emulsions that are subsequently dried necessarily results in vesicles or microspheres.
- the matrices produced without aqueous media form homogeneous liquid mixtures that can be molded or formed into three dimensional articles of any shape or can coat the surface of different substrates.
- the mixture of polymer and lipids and active ingredients within the appropriate selected volatile organic solvents will be used to coat the desired surface or to fit the desired shape.
- the matrix composition of methods and compositions of the present invention is capable of coating the surface of different substrates.
- Substrates to be coated include materials selected from the group consisting of carbon fibers, stainless steel, cobalt- chromium, titanium alloy, tantalum, ceramic and collagen or gelatin.
- substrates may include any medical devices such as orthopedic nails, orthopedic screws, orthopedic staples, orthopedic wires and orthopedic pins used in orthopedic surgery, metal or polymeric implants used in both orthopedic and periodontal surgery, bone filler particles and absorbable gelatin sponge.
- Bone filler particles can be selected from any one of allogeneic (i.e., from human sources), xenogeneic (i.e., from animal sources) and artificial bone particles.
- the matrix composition of the present invention is useful as a bone graft material.
- This term refers to a natural or synthetic material that supports attachment of new osteoblasts and osteoprogenitor cells or can induce non- differentiated stem cells or osteoprogenitor cells to differentiate into osteoblasts.
- the bone graft material is selected from the group consisting of an allograft, an alloplast, a xenograft, and an autologous bone graft.
- the lipid matrix of the present invention can also be used in conjunction with a collagen membrane or collagen sponge or gelatin sponge or the like.
- Phospholipids are phosphoglycerides having a single phosphatidyl linkage on a glycerol backbone and fatty acids at the remaining two positions. However, it is to be understood explicitly that phosphoglycerides having hydrocarbon chains other than fatty acid residues including alkyl chains, alkenyl chains or any other hydrocarbon chain of at least 14 carbons are included within the scope of the present invention.
- the linkage may be an ether linkage instead of an acyl linkage found in phospholipids.
- Phosphatidylcholine refers to a phosphoglyceride having a phosphorylcholine head group. Phosphatidylcholine compounds, in another embodiment, have the following structure:
- the R and R' moieties are fatty acids, typically naturally occurring fatty acids or derivatives of naturally occurring fatty acids.
- the fatty acid moieties are saturated fatty acid moieties.
- the fatty acid moieties are unsaturated fatty acid moieties. "Saturated”, refers to the absence of a double bond in the hydrocarbon chain.
- the fatty acid moieties have at least 14 carbon atoms.
- the fatty acid moieties have 16 carbon atoms.
- the fatty acid moieties have 18 carbon atoms.
- the fatty acid moieties have 16-18 carbon atoms.
- the fatty acid moieties are chosen such that the gel-to-liquid-crystal transition temperature of the resulting matrix is at least 40 °C.
- the fatty acid moieties are both palmitoyl.
- the fatty acid moieties are both stearoyl.
- the fatty acid moieties are both arachidoyl.
- the fatty acid moieties are palmitoyl and stearoyl.
- the fatty acid moieties are palmitoyl and arachidoyl.
- the fatty acid moieties are arachidoyl and stearoyl.
- the phosphatidylcholine is a naturally-occurring phosphatidylcholine. In another embodiment, the phosphatidylcholine is a synthetic phosphatidylcholine. In another embodiment, the phosphatidylcholine contains a naturally- occurring distribution of isotopes. In another embodiment, the phosphatidylcholine is a deuterated phosphatidylcholine. In another embodiment, the phosphatidylcholine is labeled with any other isotope or label.Preferably, the phosphatidylcholine is a symmetric phosphatidylcholine (i.e. a phosphatidylcholine wherein the two fatty acid moieties are identical). In another embodiment, the phosphatidylcholine is an asymmetric phosphatidylcholine.
- Non-limiting examples of phosphatidylcholines are l,2-distearoyl-s «-glycero-3- phosphocholine (DSPC), dioleoyl-phosphatidylcholine (DOPC), l-palmitoyl-2-oleoyl- phosphatidylcholine, and phosphatidylcholines modified with any of the fatty acid moieties enumerated hereinabove.
- the phosphatidylcholine is selected from the group consisting of DSPC and DOPC, and l-palmitoyl-2-oleoyl-phosphatidylcholine.
- the phosphatidylcholine is any other phosphatidylcholine known in the art.
- Each phosphatidylcholine represents a separate embodiment of the present invention.
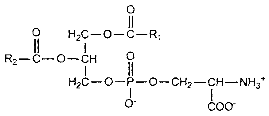
- Phosphatidylethanolamine refers to a phosphoglyceride having a phosphoryl ethanolamine head group.
- Phosphatidylethanolamine compounds in another embodiment, have the following structure:
- the R] and R 2 moieties are fatty acids, typically naturally occurring fatty acids or derivatives of naturally occurring fatty acids.
- the fatty acid moieties are saturated fatty acid moieties. "Saturated” in another embodiment, refers to the absence of a double bond in the hydrocarbon chain.
- the fatty acid moieties have at least 14 carbon atoms.
- the fatty acid moieties have at least 16 carbon atoms.
- the fatty acid moieties have 14 carbon atoms.
- the fatty acid moieties have 16 carbon atoms.
- the fatty acid moieties have 18 carbon atoms.
- the fatty acid moieties have 14-18 carbon atoms.
- the fatty acid moieties have 14-16 carbon atoms. In another embodiment, the fatty acid moieties have 16-18 carbon atoms. In another embodiment, the fatty acid moieties are chosen such that the gel-to-liquid-crystal transition temperature of the resulting matrix is at least 40 0 C. In another embodiment, the fatty acid moieties are both myristoyl. In another embodiment, the fatty acid moieties are both palmitoyl. In another embodiment, the fatty acid moieties are both stearoyl. In another embodiment, the fatty acid moieties are both arachidoyl. In another embodiment, the fatty acid moieties are myristoyl and stearoyl.
- the fatty acid moieties are myristoyl and arachidoyl. In another embodiment, the fatty acid moieties are myristoyl and palmitoyl. In another embodiment, the fatty acid moieties are palmitoyl and stearoyl. In another embodiment, the fatty acid moieties are palmitoyl and arachidoyl. In another embodiment, the fatty acid moieties are arachidoyl and stearoyl. Each possibility represents a separate embodiment of the present invention.
- the phosphatidylethanolamine is a naturally-occurring phosphatidylethanolamine. In another embodiment, the phosphatidylethanolamine is a synthetic phosphatidylethanolamine. In another embodiment, the phosphatidylethanolamine is a deuterated phosphatidylethanolamine. In another embodiment, the phosphatidylethanolamine is labeled with any other isotope or label. In another embodiment, the phosphatidylethanolamine contains a naturally-occurring distribution of isotopes. Preferably, the phosphatidylethanolamine is a symmetric phosphatidylethanolamine. In another embodiment, the phosphatidylethanolamine is an asymmetric phosphatidylethanolamine.
- Non-limiting examples of phosphatidylethanolamines are dimethyl dimyristoyl phosphatidylethanolamine (DMPE) and dipalmitoyl-phosphatidylethanolamine (DPPE), and phosphatidylethanolamines modified with any of the fatty acid moieties enumerated hereinabove.
- the phosphatidylethanolamine is selected from the group consisting of DMPE and DPPE.
- the phosphatidylethanolamine is any other phosphatidylethanolamine known in the art.
- Each phosphatidylethanolamine represents a separate embodiment of the present invention.
- Steprol in one embodiment refers to a steroid with a hydroxyl group at the 3- position of the A-ring. In another embodiment, the term refers to a steroid having the following structure:
- the sterol of methods and compositions of the present invention is a zoosterol.
- the sterol is cholesterol:
- the sterol is any other zoosterol known in the art.
- the moles of sterol are up to 40% of the moles of total lipids present.
- the sterol is incorporated into the matrix composition. Each possibility represents a separate embodiment of the present invention.
- the cholesterol is present in an amount of 10-50 percentage of the total weight of lipid content of the matrix composition.
- the weight percentage is 20-50%. In another embodiment, the weight percentage is 10-40%. In another embodiment, the weight percentage is 30-50%. In another embodiment, the weight percentage is 20-60%. In another embodiment, the weight percentage is 25-55%. In another embodiment, the weight percentage is 35-55%. In another embodiment, the weight percentage is 30-60%. In another embodiment, the weight percentage is 30-55%. In another embodiment, the weight percentage is 20-50%. In another embodiment, the weight percentage is 25-55%. Each possibility represents a separate embodiment of the present invention.
- a composition of the present invention further comprises a lipid other than phosphatidylcholine, phosphatidylethanolamine, or a sterol.
- the additional lipid is a phosphoglyceride.
- the additional lipid is selected from the group consisting of a phosphatidylserine, a phosphatidylglycerol, and a phosphatidylinositol.
- the additional lipid is selected from the group consisting of a phosphatidylserine, a phosphatidylglycerol, a phosphatidylinositol, and a sphingomyelin.
- a combination of any 2 or more of the above additional lipids is present.
- the polymer, phosphatidylcholine, phosphatidylethanolamine, sterol, and additional lipid(s) are all incorporated into the matrix composition. Each possibility represents a separate embodiment of the present invention.
- phosphatidylcholine(s) compose at least 30% of the total lipid content of the matrix composition. In another embodiment, PC(s) compose at least 35% of the total lipid content. In another embodiment, PC(s) compose at least 40% of the total lipid content. In another embodiment, PC(s) compose at least 45% of the total lipid content, hi another embodiment, PC(s) compose at least 50% of the total lipid content. In another embodiment, PC(s) compose at least 55% of the total lipid content. In another embodiment, PC(s) compose at least 60% of the total lipid content. In another embodiment, PC(s) compose at least 65% of the total lipid content. In another embodiment, PC(s) compose at least 70% of the total lipid content.
- PC(s) compose at least 75% of the total lipid content. In another embodiment, PC(s) compose at least 80% of the total lipid content. In another embodiment, PC(s) compose at least 85% of the total lipid content. In another embodiment, PC(s) compose at least 90% of the total lipid content. In another embodiment, PC(s) compose at least 95% of the total lipid content. In another embodiment, PC(s) compose over 95% of the total lipid content. Each possibility represents a separate embodiment of the present invention.
- a composition of the present invention further comprises a phosphatidylserine.
- Phosphatidylserine refers to a phosphoglyceride having a phosphorylserine head group.
- Phosphatidylserine compounds in another embodiment, have the following structure:
- the Ri and R 2 moieties are fatty acids, typically naturally occurring fatty acids or derivatives of naturally occurring fatty acids.
- the fatty acid moieties are saturated fatty acid moieties.
- the fatty acid moieties have at least 14 carbon atoms.
- the fatty acid moieties have at least 16 carbon atoms.
- the fatty acid moieties are chosen such that the gel-to-liquid-crystal transition temperature of the resulting matrix is at least 40 0 C.
- the fatty acid moieties are both myristoyl.
- the fatty acid moieties are both palmitoyl.
- the fatty acid moieties are both stearoyl.
- the fatty acid moieties are both arachidoyl. In another embodiment, the fatty acid moieties are myristoyl and stearoyl. In another embodiment, the fatty acid moieties are a combination of two of the above fatty acid moieties.
- the phosphatidylserine is a naturally-occurring phosphatidyl serine. In another embodiment, the phosphatidylserine is a synthetic phosphatidyl serine. In another embodiment, the phosphatidylserine is a deuterated phosphatidyl serine. In another embodiment, the phosphatidylserine is labeled with any other isotope or label. In another embodiment, the phosphatidylserine contains a naturally- occurring distribution of isotopes. In another embodiment, the phosphatidylserine is a symmetric phosphatidylserine. In another embodiment, the phosphatidylserine is an asymmetric phosphatidylserine.
- Non-limiting examples of phosphatidylserines are phosphatidylserines modified with any of the fatty acid moieties enumerated hereinabove.
- the phosphatidylserine is any other phosphatidylserine known in the art. Each phosphatidylserine represents a separate embodiment of the present invention.
- a composition of the present invention further comprises a phosphatidylglycerol.
- Phosphatidylglycerol refers to a phosphoglyceride having a phosphoryl glycerol head group.
- Phosphatidylglycerol compounds in another embodiment, have the following structure:
- the 2 bonds to the left are connected to fatty acids, typically naturally occurring fatty acids or derivatives of naturally occurring fatty acids.
- the phosphatidylglycerol is a naturally-occurring phosphatidylglycerol.
- the phosphatidylglycerol is a synthetic phosphatidyl glycerol.
- the phosphatidylglycerol is a deuterated phosphatidylglycerol.
- the phosphatidylglycerol is labeled with any other isotope or label.
- the phosphatidylglycerol contains a naturally-occurring distribution of isotopes.
- the phosphatidylglycerol is a symmetric phosphatidylglycerol. In another embodiment, the phosphatidylglycerol is an asymmetric phosphatidylglycerol. In another embodiment, the term includes diphosphatidylglycerol compounds having the following structure:
- the R and R' moieties are fatty acids, typically naturally occurring fatty acids or derivatives of naturally occurring fatty acids.
- the fatty acid moieties are saturated fatty acid moieties.
- the fatty acid moieties have at least 14 carbon atoms.
- the fatty acid moieties have at least 16 carbon atoms.
- the fatty acid moieties are chosen such that the gel-to-liquid-crystal transition temperature of the resulting matrix is at least 40 °C.
- the fatty acid moieties are both myristoyl.
- the fatty acid moieties are both palmitoyl.
- the fatty acid moieties are both stearoyl.
- the fatty acid moieties are both arachidoyl. In another embodiment, the fatty acid moieties are myristoyl and stearoyl. In another embodiment, the fatty acid moieties are a combination of two of the above fatty acid moieties.
- Non-limiting examples of phosphatidylglycerols are phosphatidylglycerols modified with any of the fatty acid moieties enumerated hereinabove.
- the phosphatidylglycerol is any other phosphatidylglycerol known in the art.
- Each phosphatidylglycerol represents a separate embodiment of the present invention.
- a composition of the present invention further comprises a phosphatidylinositol.
- Phosphatidyl inositol refers to a phosphoglyceride having a phosphorylinositol head group.
- Phosphatidylinositol compounds in another embodiment, have the following structure:
- the Ri and R 2 moieties are fatty acids, typically naturally occurring fatty acids or derivatives of naturally occurring fatty acids.
- the fatty acid moieties are saturated fatty acid moieties.
- the fatty acid moieties have at least 14 carbon atoms.
- the fatty acid moieties have at least 16 carbon atoms.
- the fatty acid moieties are chosen such that the gel-to-liquid-crystal transition temperature of the resulting matrix is at least 40 °C.
- the fatty acid moieties are both myristoyl.
- the fatty acid moieties are both palmitoyl.
- the fatty acid moieties are both stearoyl.
- the fatty acid moieties are both arachidoyl. In another embodiment, the fatty acid moieties are myristoyl and stearoyl. In another embodiment, the fatty acid moieties are a combination of two of the above fatty acid moieties.
- the phosphatidyl inositol is a naturally-occurring phosphatidylinositol.
- the phosphatidylinositol is a synthetic phosphatidylinositol.
- the phosphatidylinositol is a deuterated phosphatidylinositol.
- the phosphatidylinositol is labeled with any other isotope or label.
- the phosphatidylinositol contains a naturally-occurring distribution of isotopes.
- the phosphatidylinositol is a symmetric phosphatidylinositol. In another embodiment, the phosphatidylinositol is an asymmetric phosphatidylinositol.
- Non-limiting examples of phosphatidylinositols are phosphatidylinositols modified with any of the fatty acid moieties enumerated hereinabove.
- the phosphatidylinositol is any other phosphatidylinositol known in the art.
- Each phosphatidylinositol represents a separate embodiment of the present invention.
- a composition of the present invention further comprises a sphingolipid.
- the sphingolipid is ceramide.
- the sphingolipid is a sphingomyelin.
- Sphingomyelin refers to a sphingo sine-derived phospholipid. Sphingomyelin compounds, in another embodiment, have the following structure:
- the R moiety is a fatty acid, typically a naturally occurring fatty acid or a derivative of a naturally occurring fatty acid.
- the sphingomyelin is a naturally-occurring sphingomyelin.
- the sphingomyelin is a synthetic sphingomyelin.
- the sphingomyelin is a deuterated sphingomyelin.
- the sphingomyelin is labeled with any other isotope or label.
- the sphingomyelin contains a naturally-occurring distribution of isotopes.
- the fatty acid moiety of a sphingomyelin of methods and compositions of the present invention has at least 14 carbon atoms. In another embodiment, the fatty acid moiety has at least 16 carbon atoms. In another embodiment, the fatty acid moiety is chosen such that the gel-to-liquid-crystal transition temperature of the resulting matrix is at least 40 °C.
- Non-limiting examples of sphingomyelins are sphingomyelins modified with any of the fatty acid moieties enumerated hereinabove.
- the sphingomyelin is any other sphingomyelin known in the art.
- Each sphingomyelin represents a separate embodiment of the present invention.
- Cycloneamide refers to a compound having the structure:
- the R moiety is a fatty acid typically naturally occurring fatty acid or derivatives of naturally occurring fatty acids.
- the fatty acid is a longer-chain (to C 24 or greater).
- the fatty acids are saturated fatty acids.
- the fatty acids are monoenoic fatty acids.
- the fatty acids are n-9 monoenoic fatty acids.
- the fatty acids contain a hydroxyl group in position 2.
- the fatty acids are other suitable fatty acids known in the art.
- the ceramide is a naturally-occurring ceramide.
- the ceramide is a synthetic ceramide.
- the ceramide is incorporated into the matrix composition. Each possibility represents a separate embodiment of the present invention.
- Each sphingolipid represents a separate embodiment of the present invention.
- a composition of the present invention further comprises a pegylated lipid.
- the PEG moiety has a MW of 500-5000 daltons.
- the PEG moiety has any other suitable MW.
- suitable PEG-modified lipids include PEG moieties with a methoxy end group, e.g.
- PEG-modified phosphatidylethanolamine and phosphatidic acid structures A and B
- PEG-modified diacylglycerols and dialkylglycerols structures C and D
- PEG- modified dialkylamines structure E
- PEG-modified 1 ,2-diacyloxypropan-3 -amines structure F
- the PEG moiety has any other end group used in the art.
- the pegylated lipid is selected from the group consisting of a PEG-modified phosphatidylethanolamine, a PEG-modified phosphatidic acid, a PEG-modified diacylglycerol, a PEG-modified dialkylglycerol, a PEG-modified dialkylamine, and a PEG-modified l,2-diacyloxypropan-3-amine.
- the pegylated lipid is any other pegylated phospholipid known in the art. Each possibility represents a separate embodiment of the present invention.
- the pegylated lipid is present in an amount of less than 10 mole percent of total lipids in the matrix composition.
- the percentage is less than 9 mole % of the total lipids.
- the percentage is less than 8 mole %.
- the percentage is less than 7 mole %.
- the percentage is less than 6 mole %.
- the percentage is less than 5 mole %.
- the percentage is less than 4 mole %.
- the percentage is less than 3 mole %.
- the percentage is less than 2 mole %.
- the percentage is less than 1 mole %.
- the non-biodegradable polymer may be selected yet not limited to polyethylene glycol, polyethylene glycol (PEG) acrylate, polymethacrylates (e.g. PEG methacrylate, polymethylmethacrylate, polyethylmethacrylate, polybutylmethacrylate, poly-2-ethylhexylmethacrylate, polylaurylmethacrylate, polyhydroxylethyl methacrylate), poly-methylacrylate, 2- methacryloyloxyethylphosphorylcholine (MPC), polystyrene, derivatized polystyrene, polylysine, poly N-ethyl-4-vinyl-pyridinium bromide, silicone, ethylene-vinyl acetate copolymers, polyethylenes, polypropylenes, polytetrafluoroethylenes, polyurethanes, polyacrylates, polyvinyl acetate, ethylene vinyl acetate, polyethylene, polyvinylenes, polyt
- the non-biodegradable polymer is polyethylene glycol.
- Polyethylene glycol refers to an oligomer or polymer of ethylene oxide.
- the non-biodegradable polymer comprises polyethylene glycol having a molecular weight from about 1000 to about 20000; alternatively, between 2000 to about 10000.
- the non-biodegradable polymer is PEG having a molecular weight between about 4000 and about 8000.
- the matrix composition may further comprise a biodegradable polymer.
- the matrix composition may comprise a biodegradable polymer other than a polyester.
- the biodegradable polymer is selected from the group consisting of poly(caprolactone), polycarbonates, polyesteramides, polyanhydrides, poly(amino acid)s, polycyanoacrylates, polyamides, polyacetals, poly(ether ester)s, poly(dioxanone)s, poly(alkylene alkylate)s, biodegradable polyurethanes, blends and copolymers thereof.
- the biodegradable polymer is a polyester.
- Non limiting examples of polyesters include PLA (polylactic acid), PGA (polyglycolic acid) and PLGA (poly(lactic-co-glycolic acid).
- the PLGA has a 1 :1 lactic acid/glycolic acid ratio. In another embodiment, the ratio is 60:40. In another embodiment, the ratio is 70:30. In another embodiment, the ratio is 80:20. In another embodiment, the ratio is 90:10. In another embodiment, the ratio is 95:5. In another embodiment, the ratio is another ratio appropriate for an extended in vivo release profile, as defined herein. In another embodiment, the ratio is 50:50.
- the PLGA may be either a random or block copolymer. Each possibility represents a separate embodiment of the present invention.
- the biodegradable polyester may be selected from the group consisting of a polycaprolactone, a polyhydroxyalkanoate, a polypropylenefumarate, a polyorthoester, a polyanhydride, and a polyalkylcyanoacrylate, provided that the polyester contains a hydrogen bond acceptor moiety.
- the biodegradable polyester is a block copolymer containing a combination of any two monomers selected from the group consisting of a PLA, PGA, a PLGA, polycaprolactone, a polyhydroxyalkanoate, a polypropylenefumarate, a polyorthoester, a polyanhydride, and a polyalkylcyanoacrylate.
- the biodegradable polyester is a random copolymer containing a combination of any two of the monomers listed above. Each possibility represents a separate embodiment of the present invention.
- the molecular weight (MW) of a non-biodegradable polymer of methods and compositions of the present invention is, in another embodiment, between about 1-40 KDa. In another embodiment, the MW is between about 4-50 KDa. In another embodiment, the MW is between about 15-40 KDa. In another embodiment, the MW is between about 20- 40 KDa. In another embodiment, the MW is between about 15-35 KDa. In another embodiment, the MW is between about 10-35 KDa. In another embodiment, the MW is between about 10-30 KDa. In another embodiment, the MW is between about 1-10 KDa. In another embodiment, the MW is between about 1-5 KDa. In another embodiment, the MW is between about 2-5 KDa.
- a mixture of non-biodegradable polymers of different MW is utilized.
- a mixture of non- biodegradable polymer and a biodegradable polyer of different MW may be utilized.
- the different polymers both have a MW in one of the above ranges. Each possibility represents a separate embodiment of the present invention.
- the antibiotic of methods and compositions of the present invention is, in another embodiment, doxycycline.
- the antibiotic is a hydrophobic tetracycline.
- hydrophobic tetracycline are 6-demethyl-6- deoxytetracycline, 6-methylene tetracycline, minocycline (also known as 7- dimethylamino- ⁇ -demethyl- ⁇ -deoxytetracycline), and 13-phenylmercapto-a-6-deoxy- tetracycline.
- the antibiotic is selected from the group consisting of doxycycline, tetracycline, and minocycline.
- the antibiotic is integrated into the matrix composition.
- the antibiotic is selected from the group consisting of amoxicillin, amoxicillin/clavulanic acid, penicillin, metronidazole, clindamycine, chlortetracycline, demeclocycline, oxytetracycline, amikacin, gentamicine, kanamycin, neomycin, netilmicin, streptomycin, tobramycin, cefadroxil, cefazolin, cephalexin, cephalothin, cephapirin, cephradine, cefaclor, cefamandole, cefametazole, cefonicid, cefotetan, cefoxitine, cefpodoxime, cefprozil, cefuroxime, cefdinir, cefixime, cefoperazone, cefotaxime, ceftazidime, ceftibuten, ceftizoxime, ceftriaxone, cefepime, azithromycin, clarithromycin
- the biologically active ingredient is an antiseptic drug such as chlorhexidine.
- Each antibiotic represents a separate embodiment of the present invention.
- NSAID Any suitable NSAID may be integrated into the matrix composition for sustained and/or controlled release.
- the NSAID of methods and compositions of the present invention is, in one embodiment, flurbiprofen. In another embodiment, the NSAID is selected from the group consisting of ibuprofen and flurbiprofen.
- the NSAID is selected from the group consisting of ibuprofen, flurbiprofen, aminosalicylate sodium, choline magnesium trisalicylate, choline salicylate, diclofenac, diflunisal, etodolac, fenoprofen, indomethacin, ketoprofen, ketolac tromethamine, magnesium salicylate, meclofenamate, mefenamic acid, nabumetone, naproxen, oxaprozin, oxyphenbutazone, piroxicam, salsalate, sulindac, tolmetin.
- Each NSAID represents a separate embodiment of the present invention.
- the active agent of methods and compositions of the present invention is a steroid.
- the steroid is a steroidal anti-inflammatory drug.
- steroidal anti-inflammatory drugs SAIDs
- Corticosteroids such as: betamethasone, betamethasone valerate, cortisone, dexamethasone, dexamethasone 21 -phosphate, fludrocortisone, flumethasone, fluocinonide, fluocinonide desonide, fluocinolone, fluocinolone acetonide, fluocortolone, halcinonide, halopredone, hydrocortisone, hydrocortisone 17-valerate, hydrocortisone 17- butyrate, hydrocortisone 21 -acetate methylprednisolone, prednisolone, prednisolone 21- phosphate, pred
- Corticosteroids such as: betamethasone, betamethasone valerate, cortisone,
- anti-cancer agent refers to any type of agent that may be used in the treatment of cancer and/or cancer related conditions.
- the anti-cancer reagent may include any naturally occurring or synthetically produced molecule that is capable of affecting directly or indirectly the growth and/or viability of cancer cells, cancer tumor, and/or cancer related conditions and symptoms.
- the anti-cancer agent may include, for example, a naturally occurring protein or peptide, a modified protein or peptide, a recombinant protein, a chemically synthesized protein or peptide, a low oral bioavailability protein or peptide, a chemical molecule, a synthetic chemical molecule, a chemotherapeutic drug, a biologically therapeutic drug, and the like, or any combination thereof.
- the anti-cancer reagent may be cytotoxic (toxic to cells) and/or cytostatic (suppress cell growth) and/or antiproliferative to the cancer cells and may exert its effect on cancer cells directly and/or indirectly.
- the anti-cancer reagent may be administered alone and/or in combination and/or before and/or after one or more additional cancer treatments.
- the additional cancer treatment may include such treatments as, but not limited to: chemotherapy (use of drugs to affect the cancer cells), radiotherapy (use of high-energy radiation of various sources to affect the cancer cells); biological therapy (a therapy which helps the immune system fight cancer); surgical procedures (surgical removal of the cancerous tumor); gene therapy; bone marrow transplantation; any other therapy known in the art, or any combination thereof.
- Non limiting examples of anti-cancer reagents and chemotherapeutic drugs may include such drugs as, but not limited to: Alkaloids, such as, but not limited to: Docetaxel, Etoposide, Irinotecan, Paclitaxel, Teniposide, Topotecan, Vinblastine, Vincristine, Vindesine; Alkylating agents, such as, but not limited to: Busulfan, Improsulfan, Piposulfan, Benzodepa, Carboquone, Meturedepa, Uredepa, Altretamine, triethylenemelamine, Triethylenephosphoramide, Triethylenethiophosphoramide, Chlorambucil, Chloranaphazine, Cyclophosphamide, Estramustine, Ifosfamide, Mechlorethamine, Mechlorethamine Oxide HcI, Melphalan, Novemebichin, Perfosfamide Phenesterine, Prednimustine, Trofosfamide, Urac
- taxanes including, but not limited to vincristine (Oncovin), vinblastine (Velban), paclitaxel (Taxol, Paxene), vinorelbine (Navelbine), epothilone B or D or a derivative of either, and discodermolide or its derivatives, nitrosoureas including, but not limited to procarbazine (Matulane), lomustine, CCNU (CeeBU), carmustine (BCNU, BiCNU, Gliadel Wafer), and estramustine (Emcyt); nucleoside analogs including, but not limited to mercaptopurine, 6- MP (Purinethol), fluorouracil, 5-FU (Adrucil), thioguanine, 6-TG (Thioguanine), hydroxyurea (Hydrea), cytarabine (Cytosar-U, DepoCyt), floxuridine (FUDR), fludarabine (Flu
- Non limiting examples of anti-cancer agents and biological therapies may include, such therapies and molecules as, but not limited to: administration of an immunomodulatory molecule, such as, for example, a molecule selected from the group consisting of tumor antigens, antibodies, cytokines (such as, for example, interleukins (such as, for example, interleukin 2, interleukin 4, interleukin 12), interferons (such as, for example, interferon El interferon D, interferon alpha), tumor necrosis factor (TNF), granulocyte macrophage colony stimulating factor (GM-CSF), macrophage colony stimulating factor (M-CSF), and granulocyte colony stimulating factor (G-CSF)), tumor suppressor genes, chemokines, complement components, complement component receptors, immune system accessory molecules, adhesion molecules, adhesion molecule receptors, agents affecting cell bioenergetics, or any combinations thereof .
- an immunomodulatory molecule such as, for example, a molecule selected from the group consist
- the active agent of methods and compositions of the present invention is a compound which induces or stimulates the formation of bone.
- the active agent is osteogenic factor.
- the osteogenic factor refers to any peptide, polypeptide, protein or any other compound or composition which induces or stimulates the formation of bone.
- the osteogenic factor induces differentiation of bone repair cells into bone cells, such as osteoblasts or osteocytes.
- the osteogenic factor is selected from the group consisting of TGF-beta, BMP and FGF.
- the osteogenic factor is encapsulated within the matrix composition of the present invention in a concentration sufficient to induce differentiation of bone repair cells into bone cells which form bone.
- the active agent of methods and compositions of the present invention is a compound useful for supporting bone recovery.
- the active agent is a bone resorption inhibitor.
- the active agent is a bone density conservation agent.
- the compound is selected from the group consisting of osteoprotegerin (OPG), BMP-2, BMP-4, vascular endothelial growth factor (VEGF), alendronate, etidronate disodium, pamidronate, risedronate, and tiludronate.
- the compound is osteoprotegerin (OPG), a naturally secreted decoy receptor that inhibits osteoclast maturation and activity and induces osteoclast apoptosis.
- the active agent is a bone restructuring element.
- Non-limiting examples of bone restructuring elements are BMP peptides. Each possibility represents a separate embodiment of the present invention.
- the compound is a bone morphogenetic protein (BMP).
- BMP bone morphogenetic protein
- the compound is selected from the group consisting of BMP-2 and BMP-4, which accelerate osteoblast activity.
- the compound is vascular endothelial growth factor (VEGF).
- VEGF vascular endothelial growth factor
- the compound is an estrogen.
- the compound is selected from the group consisting of bisphosphonate derivative.
- the bisphosphonate derivative is selected from the group consisting of alendronate, etidronate disodium, pamidronate, risedronate, and tiludronate.
- the biologically active ingredient is an antifungal drug, e.g. amphotericin B cholesteryl sulfate complex, natamycin, amphotericin, clotrimazole, nystatin, amphotericin B lipid complex, fluconazole, flucytosine, griseofulvin, itraconazole, ketoconazole, benzoic acid and salicylic acid, betamethasone and clotrimazole, butenafine, carbol-fuchsin, ciclopirox, clioquinol, clioquinol and hydrocortisone, clotrimazole, econazole, gentian violet, haloprogin, iodoquinol and hydrocortisone, ketoconazole, miconazole, naftifine, nystatin, nystatin and triamcinolone, oxiconazole, sodium thiosulfate, sulconazole, terbin
- a matrix composition of methods and compositions of the present invention further comprises a targeting moiety capable of interacting with a target molecule.
- the target molecule is selected from the group consisting of a collagen molecule, a fibrin molecule and a heparin.
- the target molecule is another surface molecule that forms part of the extracellular matrix (ECM) of a target cell.
- ECM extracellular matrix
- ECM is produced and assembled locally by cells. The most important cells involved in assembling and maintaining ECM are fibroblasts.
- ECM contains polysaccharide chains called GAGs (glyosaminoglycans) and various protein fibers e.g., collagen, elastin, fibronectin and laminin.
- the targeting moiety is a fibronectin peptide.
- Fibronectin is a high-molecular-weight glycoprotein that binds ECM components such as collagen, fibrin and heparin.
- the targeting moiety is another targeting moiety capable of interaction with a target molecule selected from the group consisting of a collagen molecule, a fibrin molecule and a heparin. Each possibility represents a separate embodiment of the present invention.
- Fibronectin peptide refers, in another embodiment, to a full-length fibronectin protein. In another embodiment, the term refers to a fragment of fibronectin. In another embodiment, the fragment includes the collagen binding domain. Collagen binding domains of fibronectin molecules are well known in the art, and are described, for example, in Hynes, RO (1990). Fibronectins. New York: Springer- Verlag and in Yamada, KM and Clark, RAF (1996). Provisional matrix. In The Molecular and Cellular Biology of Wound Repair (ed. R. A. F. Clark), pp. 51-93. New York: Plenum Press. Each possibility represents a separate embodiment of the present invention.
- the targeting moiety is incorporated into the matrix composition.
- the targeting moiety is modified to confer ability to incorporate into the lipid matrix.
- the modification comprises binding to a lipid moiety.
- a non-limiting example of a lipid moiety is hydrogenated phosphatidylethanolamine (HPE).
- HPE hydrogenated phosphatidylethanolamine
- any lipid moiety capable of incorporation into the lipid matrix is suitable, hi another embodiment, the targeting moiety is able to be incorporated into the lipid matrix without modification.
- the targeting moiety is attached to the surface of a matrix composition of the present invention.
- the targeting moiety is bound to the surface of the matrix composition or vesicle by a hydrophobic anchor covalently bound to the targeting moiety.
- the targeting moiety is bound to the lipid vesicles by a hydrophobic anchor.
- the targeting moiety is included during the preparation of the matrix composition, allowing it to be located in deeper layers, as well as on the surface of the matrix. Each possibility represents a separate embodiment of the present invention.
- the target molecule is a collagen.
- Collagens are well known in the art, and are described, for example, in Khoshnoodi J et al (Molecular recognition in the assembly of collagens: terminal noncollagenous domains are key recognition modules in the formation of triple helical protomers. J Biol Chem. 281(50):38117-21, 2006). Each possibility represents a separate embodiment of the present invention.
- the target molecule is a fibrin.
- Fibrins are well known in the art, and are described, for example, in Valenick LV et al (Fibronectin fragmentation promotes alpha4betal integrin-mediated contraction of a fibrin-fibronectin provisional matrix. Exp Cell Res 309(1 ):48-55, 2005) and Mosesson MW (Fibrinogen and fibrin structure and functions. J Thromb Haemost 3(8): 1894-904, 2005). Each possibility represents a separate embodiment of the present invention.
- the target molecule is a heparin.
- Heparins are well known in the art, and are described, for example, in Mosesson MW (Fibrinogen and fibrin structure and functions. J Thromb Haemost 3(8): 1894-904, 2005). Each possibility represents a separate embodiment of the present invention.
- a matrix composition of methods and compositions of the present invention further comprises a free fatty acid.
- the free fatty acid is an omega-6 fatty acid.
- the free fatty acid is an omega-9 fatty acid.
- the free fatty acid is selected from the group consisting of omega-6 and omega-9 fatty acids.
- the free fatty acid has 14 or more carbon atoms.
- the free fatty acid has 16 or more carbon atoms.
- the free fatty acid has 16 carbon atoms.
- the free fatty acid has 18 carbon atoms.
- the free fatty acid has 16-22 carbon atoms.
- the free fatty acid has 16-20 carbon atoms.
- the free fatty acid has 16-18 carbon atoms. In another embodiment, the free fatty acid has 18-22 carbon atoms. In another embodiment, the free fatty acid has 18-20 carbon atoms. In another embodiment, the free fatty acid is linoleic acid. In another embodiment, the free fatty acid is linolenic acid. In another embodiment, the free fatty acid is oleic acid. In another embodiment, the free fatty acid is selected from the group consisting of linoleic acid, linolenic acid, and oleic acid. In another embodiment, the free fatty acid is another appropriate free fatty acid known in the art. In another embodiment, the free fatty acid adds flexibility to the matrix composition.
- the free fatty acid slows the in vivo release rate. In another embodiment, the free fatty acid improves the consistency of the in vivo controlled release. In some embodiments the fatty acid is unsaturated. In another embodiment, the free fatty acid is saturated. In another embodiment, incorporation of a saturated fatty acid having at least 14 carbon atoms increases the gel-fluid transition temperature of the resulting matrix composition.
- a free fatty acid is incorporated into the matrix composition.
- Each type of fatty acid represents a separate embodiment of the present invention.
- a matrix composition of methods and compositions of the present invention further comprises a tocopherol.
- the tocopherol of methods and compositions of the present invention is, in another embodiment, E307 ( ⁇ -tocopherol).
- the tocopherol is ⁇ -tocopherol.
- the tocopherol is E308 ( ⁇ -tocopherol).
- the tocopherol is E309 ( ⁇ - tocopherol).
- the tocopherol is selected from the group consisting of ⁇ -tocopherol, ⁇ -tocopherol, ⁇ -tocopherol, and ⁇ -tocopherol.
- the tocopherol is incorporated into the matrix composition. Each possibility represents a separate embodiment of the present invention.
- a matrix composition of methods and compositions of the present invention further comprises physiologically acceptable buffer salts, which are well known in the art.
- physiologically acceptable buffer salts are phosphate buffers.
- a typical example of a phosphate buffer is 40 parts NaCl, 1 part KCl, 7 parts Na 2 HPO 4 ⁇ 2H 2 O and 1 part KH 2 PO 4 .
- the buffer salt is any other physiologically acceptable buffer salt known in the art. Each possibility represents a separate embodiment of the present invention.
- the release characteristics from the matrix compositions are designed to provide sustained release of the active agent or agents from within the matrix to the desired site of action over a prolonged period of time.
- the sustained release profile will provide a therapeutically effective amount of the drug at least to the local vicinity of the matrix composition for a period of days or weeks or even months. While the compositions may have a minor percentage of the active agent which is released immediately to provide a therapeutic effect to the desired local site of action, the majority of the material will be released over a prolonged period of time. Typically up to 10-20% may be released
- the release profile of the major portion of the agents achieves zero order kinetics.
- 40-70% of the active agent is released under zero order kinetics.
- the release profile can be measured in vitro.
- the release profile may be measurable in vivo.
- the in vivo release will be localized and will not be reflected in systemic drug levels.
- the in vivo release time of 90% of the active ingredient for matrix compositions of the present invention is preferably between 1 week and 6 months. In another embodiment, the release time is between 4 days and 6 months. In another embodiment, the release time is between 1 week and 5 months. In another embodiment, the release time is between 1 week and 5 months. In another embodiment, the release time is between 1 week and 4 months. In another embodiment, the release time is between 1 week and 3 months. In another embodiment, the release time is between 1 week and 2 months. In another embodiment, the release time is between 2 weeks and 6 months. In another embodiment, the release time is between 2 weeks and 5 months. In another embodiment, the release time is between 2 weeks and 4 months. In another embodiment, the release time is between 2 weeks and 3 months.
- the release time is between 3 weeks and 6 months. In another embodiment, the release time is between 3 weeks and 5 months. In another embodiment, the release time is between 3 weeks and 4 months. In another embodiment, the release time is between 3 weeks and 3 months.
- Biodegradable refers to a substance capable of being decomposed by natural biological processes at physiological pH.
- Physiological pH refers to the pH of body tissue, typically between 6-8.
- Physiological pH does not refer to the highly acidic pH of gastric juices, which is typically between 1 and 3.
- Non-biodegradable refers to a substance which is not degraded or eroded under normal mammalian physiological conditions. Generally, a substance is considered non-biodegradable if it is not degraded to a significant extent (i.e., loses more than 5% of its mass and/or average polymer length) by action of biological agents, and all during the average time by which this substance will normally retain in the body following its administration.
- the weight ratio of total lipids to the polymer in order to achieve lipid saturation can be determined by a number of methods, as described herein.
- the lipid:polymer weight ratio of a composition of the present invention is between 1:1 and 9:1 inclusive.
- the ratio is between 2:1 and 9:1 inclusive.
- the ratio is between 3:1 and 9:1 inclusive.
- the ratio is between 4:1 and 9:1 inclusive.
- the ratio is between 5:1 and 9:1 inclusive.
- the ratio is between 6:1 and 9:1 inclusive.
- the ratio is between 7:1 and 9:1 inclusive.
- the ratio is between 8:1 and 9:1 inclusive.
- the ratio is between 1.5:1 and 9:1 inclusive.
- Each possibility represents a separate embodiment of the present invention.
- the melting temperature (T m ) of the lipids in the matrix composition of the present invention is at least 37 °C. In another embodiment, the T m is at least 40 °C. In another embodiment, the T m is at least 42 0 C. In another embodiment, the T m is at least 44 0 C. In another embodiment, the T m is at least 46 0 C. In another embodiment, the T m is at least 48 0 C. In another embodiment, the T m is at least 50 0 C. Each possibility represents a separate embodiment of the present invention.
- a matrix composition of the present invention is in the form of an implant, following evaporation of the organic solvents.
- the evaporation of the solvents is typically done at temperatures ranging from 20 to 80 0 C. According to some embodiments, the evaporation of the solvents can be done at temperatures ranging from 20 to 60 0 C.
- the implant is homogeneous.
- the implant is manufactured by a process comprising the step of freeze-drying the material in a mold.
- the present invention provides an implant comprising an antibiotic-containing matrix composition of the present invention.
- the present invention provides an implant comprising an NSAID-containing matrix composition of the present invention.
- the present invention provides an implant comprising a bone resorption inhibitor-containing matrix composition of the present invention.
- the present invention provides an implant comprising a matrix composition of the present invention that contains an antibiotic and an NSAID.
- the present invention provides an implant comprising a matrix composition of the present invention that contains an antibiotic and a bone resorption inhibitor.
- the present invention provides an implant comprising a matrix composition of the present invention that contains a bone resorption inhibitor and an NSAID.
- the present invention provides an implant comprising a matrix composition of the present invention that contains an antibiotic, an NSAID, and a bone resorption inhibitor.
- the process of creating an implant from a composition of the present invention comprises the steps of (a) creating a matrix composition according to a method of the present invention in the form of a bulk material; (b) transferring the bulk material into a mold or solid receptacle of a desired shaped; (c) freezing the bulk material; and (d) lyophilizing the bulk material.
- the present invention provides a pharmaceutical composition comprising a matrix composition of the present invention and a pharmaceutically acceptable excipient.
- a matrix composition of the present invention is in the form of microspheres, following evaporation of the organic solvents.
- the microspheres are homogeneous.
- the microspheres are manufactured by a process comprising the step of spray-drying. Each possibility represents a separate embodiment of the present invention.
- the present invention provides microspheres made of a matrix composition of the present invention.
- the present invention provides a pharmaceutical composition comprising microspheres of the present invention and a pharmaceutically acceptable excipient.
- the pharmaceutical composition is in a parenterally injectable form.
- the pharmaceutical composition is in an infusible form.
- the excipient is compatible for injection.
- the excipient is compatible for infusion.
- the particle size of microspheres of the present invention is approximately 500-2000 nm.
- the particle size is about 400-2500 run.
- the particle size is about 600-1900 nm.
- the particle size is about 700-1800 nm. In another embodiment, the particle size is about 500-1800 nm. In another embodiment, the particle size is about 500-1600 nm. In another embodiment, the particle size is about 600-2000 nm. In another embodiment, the particle size is about 700-2000 nm. In another embodiment, the particles are of any other size suitable for pharmaceutical administration. Each possibility represents a separate embodiment of the present invention.
- the present invention provides a method of administering an antibiotic to a subject in need thereof, the method comprising the step of administering to the subject a matrix composition of the present invention, thereby administering an antibiotic to a subject in need thereof.
- a pharmaceutical composition comprising the matrix composition is administered.
- an implant comprising the matrix composition is administered.
- an injectable formulation comprising the matrix composition is injected.
- the present invention provides a method of administering a non-steroidal anti-inflammatory drug (NSAID) to a subject in need thereof, the method comprising the step of administering to the subject a matrix composition of the present invention, thereby administering an NSAID to a subject in need thereof.
- NSAID non-steroidal anti-inflammatory drug
- a pharmaceutical composition comprising the matrix composition is administered.
- an implant comprising the matrix composition is administered.
- an injectable formulation comprising the matrix composition is injected.
- the present invention provides a pharmaceutical composition for administering an antibiotic to a subject in need thereof, comprising a matrix composition of the present invention.
- the pharmaceutical composition is an implant.
- the pharmaceutical composition is an injectable composition.
- the present invention provides a pharmaceutical composition for administering an NSAID to a subject in need thereof, comprising a matrix composition of the present invention.
- the pharmaceutical composition is an implant.
- the pharmaceutical composition is an injectable composition.
- the present invention provides a pharmaceutical composition for co-administering an antibiotic and an NSAID to a subject in need thereof, comprising a matrix composition of the present invention.
- the pharmaceutical composition is an implant.
- the pharmaceutical composition is an injectable composition.
- the present invention provides a method of treating periodontitis in a subject in need thereof, said method comprising the step of administering to said subject a matrix composition of the present invention, thereby treating periodontitis.
- Periodontitis refers to an inflammatory disease affecting the tissues that surround and support the teeth.
- periodontitis involves progressive loss of the alveolar bone around the teeth and may eventually lead to the loosening and subsequent loss of teeth if left untreated. Periodontitis in some cases has a bacterial etiology.
- the periodontitis is a chronic periodontitis.
- the periodontitis is any other type of periodontitis known in the art. Each possibility represents a separate embodiment of the present invention.
- the present invention provides a method of stimulating bone augmentation in a subject in need thereof, said method comprising the step of administering to said subject a matrix composition of the present invention, thereby stimulating bone augmentation.
- the subject has a disease or disorder selected from the group consisting of osteosarcoma/malignant fibrous histiocytoma of bone (PDQ), osteosarcoma, chondrosarcoma, Ewing's sarcoma, malignant fibrous histiocytoma, fibrosarcoma and malignant fibrous histiocytoma, giant cell tumor of bone, chordoma, lymphoma, multiple myeloma, osteoarthritis, Paget's disease of bone, arthritis, degenerative changes, osteoporosis, osteogenesis imperfecta, bone spurs, renal osteodystrophy, hyperparathyroidism, osteomyelitis, enchondroma, osteochondroma, osteopetrosis, and a diabetes-associated bone or joint disorder
- the present invention provides a method of reducing an incidence of complications from orthopedic surgery in a subject in need thereof, said method comprising the step of administering to said subject a matrix composition of the present invention, thereby reducing an incidence of complications from orthopedic surgery.
- the orthopedic surgery is selected from the group consisting of hand surgery, shoulder and elbow surgery, total joint reconstruction (arthroplasty), pediatric orthopedics, foot and ankle surgery, spine surgery, knee arthroscopy, knee meniscectomy, shoulder arthroscopy, shoulder decompression, carpal tunnel release, knee chondroplasty, removal of a support implant, knee anterior cruciate ligament reconstruction, knee replacement, repair of femoral neck fracture, repair of trochanteric fracture, debridement of skin, muscle, or bone fracture, repair of knee menisci, hip replacement, shoulder arthroscopy/distal clavicle excision, repair of rotator cuff tendon, repair fracture of radius (bone) ⁇ ilna, laminectomy, repair of ankle fracture (bimalleolar type), shoulder
- the present invention provides a method of enhancing an effectiveness of surgical regenerative procedure in a subject in need thereof, said method comprising the step of administering to said subject a matrix composition of the present invention, thereby enhancing an effectiveness of surgical regenerative procedure.
- the surgical regenerative procedure is a periodontal procedure.
- the surgical regenerative procedure comprises administering an implant (an implantology procedure).
- the implantology procedure is directed to ridge or sinus augmentation.
- the matrix composition is in the form of an implant.
- the implant is administered during the surgical procedure.
- the present invention provides a method of treating an osteomyelitis in a subject in need thereof, said method comprising the step of administering to said subject a matrix composition of the present invention, thereby treating an osteomyelitis.
- the matrix composition is in the form of an implant.
- the implant is administered at or near the site of osteomyelitis.
- a matrix composition of the present invention is administered for aiding orthopedic bone and soft tissue recovery.
- the compounds are administered during or after a procedure selected from the group consisting of knee arthroscopy and meniscectomy, shoulder arthroscopy and decompression, carpal tunnel release, knee arthroscopy and chondroplasty, removal of support implant, knee arthroscopy and anterior cruciate ligament reconstruction, knee replacement, repair of femoral neck fracture, repair of trochanteric fracture, debridement of skin/muscle/bone/fracture, knee arthroscopy repair of both menisci, hip replacement, shoulder arthroscopy/distal clavicle excision, repair of rotator cuff tendon, repair fracture of radius (bone)/ulna, laminectomy, repair of ankle fracture (bimalleolar type), shoulder arthroscopy and debridement, lumbar spinal fusion, repair fracture of the distal part of radius, low back intervertebral disc surgery, incise finger tendon sheath, repair of ankle fracture
- a matrix composition of the present invention is administered for homeostasis, reducing infections and avoiding tissue adhesions by the use of products such as sponges and membranes.
- a matrix composition of the present invention is administered for reducing of inflammatory reaction around suture materials.
- a matrix composition of the present invention is administered for sustained release of pharmaceuticals in the respiratory system: the lower respiratory tract such as the lungs, bronchi and alveoli and the upper respiratory tract such as the nose, nasal cavity, ethmoidal air cells, frontal sinuses, maxillary sinus, larynx and trachea.
- the administration of pharmaceuticals for treatment of systemic diseases or specific respiratory diseases such as obstructive conditions, restrictive conditions, vascular diseases, environmental, and infectious, for example, treatment of sinusitis.
- a matrix composition of the present invention is administered for sustained release of pharmaceuticals in the gastrointestinal tract for systemic treatment and specific gastro intestinal tract diseases.
- compositions of the invention any suitable method may be employed that will yield a homogeneous dispersion of the polymer and the lipids in a water resistant matrix.
- the methods employed avoid the use of water at any stage of the manufacturing process.
- the polymer is mixed separately with appropriate selected volatile organic solvent(s) on the one hand and the phospholipids together with the active pharmaceutical agent are mixed with its appropriate selected solvent(s) or solvents prior to mixing together with the polymer.
- the present invention provides a method of producing a matrix composition, the method comprising the steps of:
- phosphatidylethanolamine is included in the volatile organic solvent of step (a) instead of or in addition to a phosphatidylethanolamine added to the volatile organic solvent of step (b).
- the biocompatible polymer is selected from the group consisting of non-biodegradable polymer, a biodegradable polymer other than polyester and any combination thereof.
- the first volatile organic solvent is a non-polar solvent.
- the second volatile organic solvent is a water miscible solvent.
- the active agent is a protein or peptide it is important to select solvents that will not denature or impair the activity of the protein.
- the active agent is selected from the group consisting of an NSAID, an antibiotic, an antifungal agent, a steroid, an anticancer agent, an osteogenic factor and a bone resorption inhibitor and mixtures thereof.
- the mixture of step (a) containing a volatile organic solvent is homogenized prior to mixing it with the solution of step (b).
- the volatile organic solvent or mixture of volatile organic solvents used in step (a) may be same or different than the volatile organic solvent or mixture of organic solvents used in step (b).
- the mixture of step (b) is homogenized prior to mixing it with the mixture of step (a).
- the polymer in the mixture of step (a) is lipid saturated.
- the matrix composition is lipid saturated.
- the polymer and the phosphatidylcholine are incorporated into the matrix composition.
- the active agent as well is incorporated into the matrix composition.
- the matrix composition is in the form of a lipid-saturated matrix whose shape and boundaries are determined by the polymer. Each possibility represents a separate embodiment of the present invention.
- the phosphatidylethanolamine of methods and compositions of the present invention has saturated fatty acid moieties.
- the fatty acid moieties have at least 14 carbon atoms.
- the fatty acid moieties have 14-20 carbon atoms. Each possibility represents a separate embodiment of the present invention.
- the phosphatidylcholine of methods and compositions of the present invention has saturated fatty acid moieties.
- the fatty acid moieties have at least 14 carbon atoms.
- the fatty acid moieties have at least 16 carbon atoms.
- the fatty acid moieties have 14-18 carbon atoms.
- the fatty acid moieties have 16-20 carbon atoms.
- the weight ratio of total lipids to polymer in the first volatile organic solvent is such that the polymer in this mixture is lipid-saturated.
- the molar ratio of total lipids to 8 KDa PEG is typically in the range of 10-50 inclusive.
- the molar ratio of total lipids to 8 KDa PEG is between 10-100 inclusive.
- the molar ratio is between 20- 200 inclusive.
- the molar ratio is between 20-300 inclusive.
- the molar ratio is between 30-400 inclusive.
- step (a) of the production method further comprises adding to the volatile organic solvent a phosphatidylethanolamine.
- the phosphatidylethanolamine is the same phosphatidylethanolamine included in step (b).
- the phosphatidylethanolamine is a different phosphatidylethanolamine that may be any other phosphatidylethanolamine known in the art.
- the phosphatidylethanolamine is selected from the group consisting of the phosphatidylethanolamine of step (b) and a different phosphatidylethanolamine. Each possibility represents a separate embodiment of the present invention.
- step (a) of the production method further comprises adding to the volatile organic solvent a tocopherol.
- step (b) of the production method further comprises adding to the volatile organic solvent physiologically acceptable buffer salts.
- physiologically acceptable buffer salts are phosphate buffers.
- a typical example of a phosphate buffer is 40 parts NaCl, 1 part KCl, 7 parts Na 2 HPO 4 • 2H 2 O and 1 part KH 2 PO 4 .
- the buffer salt is any other physiologically acceptable buffer salt known in the art. Each possibility represents a separate embodiment of the present invention.
- step (b) of the production method further comprises adding to the volatile organic solvent a phospholipid selected from the group consisting of a phosphatidylserine, a phosphatidylglycerol, a sphingomyelin, and a phosphatidylinositol.
- step (b) of the production method further comprises adding to the volatile organic solvent a sphingolipid.
- the sphingolipid is ceramide.
- the sphingolipid is a sphingomyelin.
- the sphingolipid is any other sphingolipid known in the art. Each possibility represents a separate embodiment of the present invention.
- step (b) of the production method further comprises adding to the water-miscible, volatile organic solvent an omega-6 or omega-9 free fatty acid.
- the free fatty acid has 16 or more carbon atoms.
- each step of the production method is substantially free of aqueous solution. In another embodiment, each step is substantially free of the presence of water or any aqueous solution. As provided herein, producing matrix compositions of the present invention in a water-free process enables lipid saturation. In another embodiment, each step of the production method may involve the presence of water in an amount not greater than 20% of the total liquid volume (water and organic solvents). The aqueous solution or water will be eliminated through evaporation together with the organic solvents as described below.
- a homogenous mixture is formed, since the polymer is lipid-saturated in the mixture of step (a).
- the homogenous mixture takes the form of a homogenous liquid.
- vesicles are formed upon freeze-drying or spray-drying the mixture.
- the production method further comprises the step of evaporating the solvent present in the product of step (c).
- the evaporation utilizes atomization of the mixture.
- the mixture is atomized into dry, heated air. Typically, atomization into heated air evaporates all water immediately, obviating the need for a subsequent drying step.
- the mixture is atomized into a water-free solvent.
- the evaporation is performed by spray drying.
- the evaporation is performed by freeze drying.
- the evaporation is performed using liquid nitrogen.
- the evaporation is performed using liquid nitrogen that has been pre- mixed with ethanol.
- the evaporation is performed using another suitable technique known in the art. Each possibility represents a separate embodiment of the present invention.
- a method of the present invention further comprises the step of vacuum-drying the composition.
- the step of vacuum-drying is performed following the step of evaporating.
- the method of the present invention further comprises the step of evaporating the organic volatile solvent by heating the product of step (c). The heating is continuing until the solvent is eliminated and in a typical temperature between room temperature to 80°C.
- a step of vacuum-drying is performed following the step of solvent evaporation.
- Lipid saturated refers to saturation of the polymer of the matrix composition with phospholipids in combination with any hydrophobic drug and targeting moiety present in the matrix, and any other lipids that may be present.
- matrix compositions of the present invention comprise, in some embodiments, phospholipids other than phosphatidylcholine. In other embodiments, the matrix compositions comprise lipids other than phospholipids. The matrix composition is saturated by whatever lipids are present. "Saturation” refers to a state wherein the matrix contains the maximum amount of lipids of the type utilized that can be incorporated into the matrix. Methods for determining the polyme ⁇ lipid ratio to attain lipid saturation and methods of determining the degree of lipid saturation of a matrix are described herein. Each possibility represents a separate embodiment of the present invention.
- the matrix composition of methods and compositions of the present invention is substantially free of water.
- substantially free of water refers, in another embodiment, to a composition containing less than 1 % water by weight. In another embodiment, the term refers to a composition containing less than 0.8% water by weight. In another embodiment, the term refers to a composition containing less than 0.6% water by weight. In another embodiment, the term refers to a composition containing less than 0.4% water by weight. In another embodiment, the term refers to a composition containing less than 0.2% water by weight. In another embodiment, the term refers to the absence of amounts of water that affect the water-resistant properties of the composition.
- the term refers to a composition manufactured without the use of any aqueous solvents.
- producing the composition using a process substantially free of water, as described herein enables lipid saturation. Lipid saturation confers upon the matrix composition ability to resist bulk degradation in vivo; thus, the matrix composition exhibits the ability to mediate extended release on a scale of several weeks or months. Each possibility represents a separate embodiment of the present invention.
- the matrix composition is essentially free of water. "Essentially free” refers to a composition comprising less than 0.1% water by weight. In another embodiment, the term refers to a composition comprising less than 0.08% water by weight. In another embodiment, the term refers to a composition comprising less than 0.06% water by weight. In another embodiment, the term refers to a composition comprising less than 0.04% water by weight. In another embodiment, the term refers to a composition comprising less than 0.02% water by weight. In another embodiment, the term refers to a composition comprising less than 0.01% water by weight. Each possibility represents a separate embodiment of the present invention.
- the matrix composition is free of water.
- the term refers to a composition not containing detectable amounts of water.
- the matrix composition is dry. “Dry” refers, in another embodiment, to the absence of detectable amounts of water or organic solvent.
- the water permeability of the matrix composition has been minimized.
- Minimum the water permeability refers to a process of producing the matrix composition in organic solvents, as described herein, in the presence of an amount of lipid that has been determined to minimize the permeability to penetration of added water.
- the amount of lipid required can be determined by hydrating the vesicles with a solution containing tritium-tagged water, as described herein.
- lipid saturation refers to filling of internal gaps (free volume) within the lipid matrix as defined by the external border of the polymeric backbone.
- the gaps are filled with the phospholipids in combination with other type of lipids, hydrophobic drug and targeting moiety present in the matrix, to the extent that additional lipid moieties can no longer be incorporated into the matrix to an appreciable extent.
- the following method is used to determine the degree of lipid saturation:
- vesicles are hydrated and isolated by centrifugation or filtration. Lipids that not entrapped in the vesicles form free micelles or liposomes and are located in the supernatant. The overall lipid contents of the supernatant and the vesicles are quantified. In this manner, the entrapped vs. free lipid contents are determined for various formulation containing different lipid:polymer ratios at the outset. Thus, the actual, experimental, maximum lipid/polymer ratio is determined.
- the following method is used to determine the degree of lipid saturation:
- vesicles are hydrated with a solution containing tritium- tagged water, washed with tritium-free solution, and isolated by centrifugation or filtration, and the amount of water entrapped per polymer mass is quantified. This is repeated with different lipid:polymer ratios, in order to determine the amount of lipids required to saturate the free volume in the polymeric vesicles.
- Zero-order release rate or “zero order release kinetics” means a constant, linear, continuous, sustained and controlled release rate of the pharmaceutical active agent from the polymer matrix, i.e. the plot of amounts of pharmaceutical active agent released vs. time is linear.
- a non-biodegradable polymer and a sterol and/or phospholipid component are mixed with a volatile organic solvent, which is mixed to yield a solution or suspension of lipid- saturated polymer matrix, as measured by its differential scanning calorimetric (DSC) profile.
- DSC differential scanning calorimetric
- the active agent and a phospholipid component are mixed with a second volatile organic solvent to yield a second solution or suspension.
- Stock solution 1 (SSl): PEG 8000, 300 mg/ml in ethyl acetate.
- Stock solution 2 (SS2): Cholesterol (CH), 30 mg/ml in ethyl acetate.
- Solution Al 0.2 volume of SSl was mixed with 1 volume of SS2 (PLGA 50 mg/ml, CH 25 mg/ml).
- Solution A2 0.2 volume of SSl was mixed with 1 volume of ethyl acetate (PLGA 50 mg/ml).
- the mixture is mixed.
- the entire process is performed at room temperature.
- a fat- polymer matrix is thus obtained.
- Solution Bl l,2-distearoyl-sn-glycero-3-phosphocholine (DSPC; final concentration 225 mg/ml) dissolved in 0.75 ml SS3 was mixed with 0.25 ml ethyl acetate (final Doxy-H concentration 37.5 mg/ml).
- Solution B2 l,2-dimyristoyl-sn-glycero-3-phosphocholine (DMPC; final concentration 225 mg/ml) dissolved in 0.75 ml SS3 was mixed with 0.25 ml ethyl acetate (final Doxy-H concentration 37.5 mg/ml).
- Solution B3 I 5 2-dipalmitoyl-sn-glycero-3-phosphocholine (DPPC; final concentration 225 mg/ml) dissolved in 0.75 ml SS3 was mixed with 0.25 ml ethyl acetate (final Doxy-H concentration 37.5 mg/ml).
- Solution B4 0.75 ml SS3 with 0.25 ml ethyl acetate (final Doxy-H concentration 37.5 mg/ml).
- the mixture is mixed, homogenized or sonicated.
- a non-polar, volatile organic solvent e.g. ethyl acetate
- ethyl acetate e.g. ethyl acetate
- the entire process is conducted at room temperature, but higher temperatures of up to 80 °C are used, typically when highly saturated lipids are used.
- first and second solution may be vigorously mixed using a vortex followed by incubation at 45°C for 5 minutes. The resulting mixture should be homogenous.
- Solution AB 1 volume of solution Bl, B2, B3 or B4 was mixed with 1.5 volumes of solution Al .
- 1 volume of solution B4 was mixed with 1.5 volume of solution
- the solution from stage III is atomized into dry, heated air.
- the solution from stage III is atomized into ethanol covered by liquid nitrogen or only liquid nitrogen without ethanol, after which the nitrogen and/or ethanol (as above) are evaporated.
- the suspension from stage III is mixed with the particles (e.g. tricalcium phosphate) or devices to be coated followed by evaporation of the volatile organic solvents.
- the entire process is performed at a temperature of 40-60 0 C, preferably, solvents are evaporated by incubation at a temperature of about 45 0 C for about an hour or until no liquid is visualized followed by overnight vacuum.
- Coated particles and coated devices are vacuum-dried for storage.
- EXAMPLE 2 Preparation of Doxycycline hyclate - bone particles filler formulation for treatment of bone infection using PEG and DPPC:
- the mixture is mixed until a clear solution is obtained.
- the entire process is performed at room temperature. A lipid- polymer combination matrix is thus obtained.
- the mixture is thoroughly mixed. The entire process is conducted at room temperature . No water is required in the mixture .
- the second solution is added to the first solution while stirring. (Ratio of 3:2 v:v) Stirring is continued for one minute. The entire process is performed at a room temperature.
- the particles were added to the mixture of stage III followed by evaporation of the volatile organic solvents. The entire process was performed at a temperature of 45 0 C. The ratio between the volume of the mixture of stage III and the mass of the bone particles will determine the release period of the drug post hydration of the coated particles.
- Coated bone particles are vacuum-dried for storage .
- the matrix composition ingredients (PEG, cholesterol, phospholipids and Doxy-H) were extracted by adding 0.2 ml of DCM to the dry matrix composition.
- the mobile phase for cholesterol was: Hexan/Ether/Acetic acid, 70/30/1 (v/v/v); the mobile phase for the Phospholipids was: Chloroform/MeOH/water 65/35/4 (v/v/v)).
- the Doxy-H extracted from the complex gave a single peak at 10.37 min identical to the peak of Doxy-H standard.
- the major peak was more than 99% pure.
- the cholesterol and the phospholipids gave single spot when ran on the TLC sheet, indicating that no derivates were formed during the preparation of the complex with a Rf of 0.26 for cholesterol and 0.58 for phospholipids ( Figure IA and B).
- the matrix composition 100 mg was hydrated with 1 ml of 5% FBS in DDW.
- EXAMPLE 6 The stability of Doxy-H in the matrix composition.
- a matrix composition PEG-CH-Doxy-H-DMPC was hydrated for 15 days. The supernatant was then removed and Doxy-H was extracted from the complex with acetonitrile:0.01N HCl. The stability of the extracted Doxy-H was determined by HPLC.
- the extracted Doxy-H was intact and no derivates were formed.
- the main Doxy-H peak was -98% pure.
- the total amount of Doxy-H extracted was 70.44 ⁇ g.
- the hydrated complex released 883.579 ⁇ g.
- the total amount of Doxy-H released was 954 ⁇ g. This amount is ⁇ 90% of the total amount of the encapsulated Doxy-H in the formula.
- EXAMPLE 7 DSC profiles of the PEG/cholesterol/Doxy-H/ DPPC matrix composition.
- DSC differential scanning calorimetry
- the nature of the interaction between the different components of the matrix composition according to certain embodiments of the invention was analyzed using DSC; 75 ⁇ L of either the stock solutions of the components alone as well as combinations thereof, were put into a DSC sample holder. The solvent was evaporated by incubating the holder on a dry block set to 45 0 C for 30 min followed by 30 min under vacuum. DSC curves were then recorded at a scan rate of 5°C/min.
- Figure 5A displays DSC curves of PEG, Doxy-H, PEG:Doxy-H in a molar ratio of 1 :7.7(30 and 15 mg/ml respectively), PEG:CH:Doxy-H in a molar ratio of 1:10:7.7 (30, 15 and 15 mg/ml, respectively) and PEG:CH:Doxy- H.-DPPC in a molar ratio of 1 :10:7.7:36 (30, 15, 15 and 90 mg/ml, respectively).
- a shift in the Doxy-H melting point (from 215 0 C to 21O 0 C) is observed as well as a change in the shape of the Doxy-H peak (Figure 5B).
- FIG. 6A-B displays DSC curves of PEG, DPPC, PEG:DPPC in a molar ratio of 1 :32 (30 and 90 mg/ml, respectively), and PEG:CH:DPPC 1 :10:32 (30, 15 and 90 mg/ml, respectively). Changes in the heat content of both PEG and DPPC are observed upon interaction (from 47 to 99.03 cal/gr for PEG, from 6.6 to 5.1 cal/gr for DPPC). The addition of CH totally eliminates the endothermic peaks of both DPPC and CH yet its addition does not affect the heat content of PEG.
- EXAMPLE 8 Pre-CIinical testing of matrix composition of the present invention for bone recovery.
- Test A Determine the relevant bacterial load for the model:
- TCP tricalcium phosphate
- Determination of bacterial concentration in the bone marrow The bone marrow and the intramedullary canal is swabbed with sterile cotton tip applicators for gross culture analysis of quality assurance. The inoculated applicator is streaked onto blood plates and then placed into 5 mL of sterile TSB. The plates and tubes are then incubated at 37°C for 24 h and growth is recorded.
- Determination of bacterial concentration in the per gram of bone The bone is placed into a sterile, 50 mL centrifuge tube and weighed. The bone is then crushed and the final product weighed. Normal sterile saline, 0.9%, is added in a 3:1 ratio (3 mL saline/g of bone), and the suspensions are vortexed for 2 min. Six 10-fold dilutions of each suspension are prepared with sterile, normal saline, 0.9%. Samples (20 ⁇ L) of each dilution, including the initial suspension, are plated, in triplicate, onto blood agar plates and incubated at 37°C for 24 h; colony forming units are counted at the greatest dilution for each tibia sample. The S. aureus concentration is calculated in CFU/g of bone.
- Test A Determine the relevant bacterial load for the model:
- Test B Determine the bactericidal activity of the matrix composition of the invention (BonyPid):
- Duration 45 days. Clinical signs and body weight (3X weekly) are monitored. Termination time is determined according to the X-Ray results taken during the incubation time.
- Test C Toxicology of the matrix composition of the invention (BonyPid):
Landscapes
- Health & Medical Sciences (AREA)
- Life Sciences & Earth Sciences (AREA)
- Chemical & Material Sciences (AREA)
- Public Health (AREA)
- General Health & Medical Sciences (AREA)
- Animal Behavior & Ethology (AREA)
- Veterinary Medicine (AREA)
- Medicinal Chemistry (AREA)
- Engineering & Computer Science (AREA)
- Epidemiology (AREA)
- Bioinformatics & Cheminformatics (AREA)
- Pharmacology & Pharmacy (AREA)
- Molecular Biology (AREA)
- Surgery (AREA)
- Chemical Kinetics & Catalysis (AREA)
- Organic Chemistry (AREA)
- Nuclear Medicine, Radiotherapy & Molecular Imaging (AREA)
- General Chemical & Material Sciences (AREA)
- Dermatology (AREA)
- Oral & Maxillofacial Surgery (AREA)
- Transplantation (AREA)
- Biomedical Technology (AREA)
- Heart & Thoracic Surgery (AREA)
- Vascular Medicine (AREA)
- Biophysics (AREA)
- Materials Engineering (AREA)
- Communicable Diseases (AREA)
- Physical Education & Sports Medicine (AREA)
- Oncology (AREA)
- Rheumatology (AREA)
- Pain & Pain Management (AREA)
- Orthopedic Medicine & Surgery (AREA)
- Medicinal Preparation (AREA)
- Pharmaceuticals Containing Other Organic And Inorganic Compounds (AREA)
- Materials For Medical Uses (AREA)
- Prostheses (AREA)
Abstract
Description
Claims
Priority Applications (10)
| Application Number | Priority Date | Filing Date | Title |
|---|---|---|---|
| EP10799520.1A EP2453877B1 (en) | 2009-07-14 | 2010-07-14 | Sustained-release drug carrier composition |
| CN201080034537.XA CN102470105B (en) | 2009-07-14 | 2010-07-14 | Sustained Release Drug Carrier Composition |
| IN570DEN2012 IN2012DN00570A (en) | 2009-07-14 | 2010-07-14 | |
| ES10799520T ES2732149T3 (en) | 2009-07-14 | 2010-07-14 | Composition of sustained release drug vehicles |
| CA2767973A CA2767973C (en) | 2009-07-14 | 2010-07-14 | Lipid-based sustained-release drug carrier matrix |
| JP2012520148A JP5738856B2 (en) | 2009-07-14 | 2010-07-14 | Sustained release drug carrier composition |
| US13/383,893 US8992979B2 (en) | 2009-07-14 | 2010-07-14 | Sustained-release drug carrier composition |
| AU2010272167A AU2010272167B2 (en) | 2009-07-14 | 2010-07-14 | Sustained-release drug carrier composition |
| IL217425A IL217425A (en) | 2009-07-14 | 2012-01-08 | Sustained-release drug carrier compositon |
| US14/623,528 US10463617B2 (en) | 2009-07-14 | 2015-02-17 | Sustained-release drug carrier composition |
Applications Claiming Priority (2)
| Application Number | Priority Date | Filing Date | Title |
|---|---|---|---|
| US22528909P | 2009-07-14 | 2009-07-14 | |
| US61/225,289 | 2009-07-14 |
Related Child Applications (2)
| Application Number | Title | Priority Date | Filing Date |
|---|---|---|---|
| US13/383,893 A-371-Of-International US8992979B2 (en) | 2009-07-14 | 2010-07-14 | Sustained-release drug carrier composition |
| US14/623,528 Division US10463617B2 (en) | 2009-07-14 | 2015-02-17 | Sustained-release drug carrier composition |
Publications (1)
| Publication Number | Publication Date |
|---|---|
| WO2011007353A1 true WO2011007353A1 (en) | 2011-01-20 |
Family
ID=43448999
Family Applications (1)
| Application Number | Title | Priority Date | Filing Date |
|---|---|---|---|
| PCT/IL2010/000563 Ceased WO2011007353A1 (en) | 2009-07-14 | 2010-07-14 | Sustained-release drug carrier composition |
Country Status (9)
| Country | Link |
|---|---|
| US (2) | US8992979B2 (en) |
| EP (1) | EP2453877B1 (en) |
| JP (1) | JP5738856B2 (en) |
| CN (2) | CN102470105B (en) |
| AU (1) | AU2010272167B2 (en) |
| CA (1) | CA2767973C (en) |
| ES (1) | ES2732149T3 (en) |
| IN (1) | IN2012DN00570A (en) |
| WO (1) | WO2011007353A1 (en) |
Cited By (9)
| Publication number | Priority date | Publication date | Assignee | Title |
|---|---|---|---|---|
| WO2013014677A1 (en) * | 2011-07-27 | 2013-01-31 | Polypid Ltd. | Matrix compositions for controlled release of peptide and polypeptide molecules |
| US8795726B2 (en) | 2010-01-19 | 2014-08-05 | Polypid Ltd. | Sustained-release nucleic acid matrix compositions |
| US8877242B2 (en) | 2008-07-14 | 2014-11-04 | Polypid Ltd. | Sustained-release drug carrier composition |
| JP2015527131A (en) * | 2012-08-02 | 2015-09-17 | ポリピッド リミテッド | Compositions and methods for the treatment of bone cavities and open fractures |
| JP2015536726A (en) * | 2012-11-14 | 2015-12-24 | オーソペディック イノヴェイション センター インコーポレイテッド | Antibacterial articles manufactured by additive manufacturing |
| WO2016020901A1 (en) | 2014-08-07 | 2016-02-11 | Acerta Pharma B.V. | Methods of treating cancers, immune and autoimmune diseases, and inflammatory diseases based on btk occupancy and btk resynthesis rate |
| US9775853B2 (en) | 2013-03-15 | 2017-10-03 | Biomet Manufacturing, Llc. | Hemostatic compositions and methods |
| EP3200748A4 (en) * | 2014-10-02 | 2018-05-23 | Polypid Ltd. | Compositions and methods for the treatment and prophylaxis of surgical site infections |
| US12201591B2 (en) | 2019-07-03 | 2025-01-21 | Atossa Therapeutics, Inc. | Sustained release compositions of endoxifen |
Families Citing this family (14)
| Publication number | Priority date | Publication date | Assignee | Title |
|---|---|---|---|---|
| US10433892B2 (en) * | 2012-03-27 | 2019-10-08 | National University Corporation Nagoya University | Three-dimensional structure produced from a material containing polyhydroxyalkanoate, kit for preparation of bone filler, and intramedullary rod |
| JP6526400B2 (en) * | 2014-09-11 | 2019-06-05 | サンスター株式会社 | Oral composition |
| SG11201702700UA (en) * | 2014-10-02 | 2017-04-27 | Polypid Ltd | Methods for the treatment of peri-implantitis |
| EP3868435A1 (en) * | 2016-02-08 | 2021-08-25 | Orbusneich Medical Pte. Ltd | Drug eluting balloon |
| US10792477B2 (en) | 2016-02-08 | 2020-10-06 | Orbusneich Medical Pte. Ltd. | Drug eluting balloon |
| CN106146761A (en) * | 2016-06-03 | 2016-11-23 | 西北大学 | The nano-micelle of a kind of amphipathic multifunctional polymer and preparation thereof and application |
| CA3052774A1 (en) * | 2017-02-16 | 2018-08-23 | Yeda Research And Development Co. Ltd. | Liposomic drug-delivery vehicles |
| AU2019275406B2 (en) | 2018-05-24 | 2024-11-14 | Celanese Eva Performance Polymers Llc | Implantable device for sustained release of a macromolecular drug compound |
| EP3803866A4 (en) | 2018-05-24 | 2022-03-16 | Nureva Inc. | METHOD, DEVICE AND COMPUTER-READABLE MEDIA FOR MANAGING SEMI-CONSTANT (PERSISTENT) SOUND SOURCES IN MICROPHONE RECORDING/FOCUS ZONES |
| KR20210013089A (en) | 2018-05-24 | 2021-02-03 | 셀라니즈 이브이에이 퍼포먼스 폴리머스 엘엘씨 | Implantable device for sustained release of macromolecular drug compounds |
| CA3166413C (en) | 2021-02-01 | 2024-04-09 | Alon Green | Systems and methods of calibrating a range measurement system |
| CN113081482B (en) * | 2021-04-23 | 2024-02-27 | 柏为(武汉)医疗科技股份有限公司 | Middle ear anti-adhesion membrane and preparation method thereof |
| US12472148B2 (en) | 2021-04-26 | 2025-11-18 | Celanese Eva Performance Polymers Llc | Implantable device for sustained release of a macromolecular drug compound |
| CN113702647B (en) * | 2021-08-31 | 2024-03-15 | 普十生物科技(北京)有限公司 | Human growth differentiation factor 15 instant detection kit, preparation method and application thereof |
Citations (21)
| Publication number | Priority date | Publication date | Assignee | Title |
|---|---|---|---|---|
| US3773919A (en) | 1969-10-23 | 1973-11-20 | Du Pont | Polylactide-drug mixtures |
| US4522803A (en) | 1983-02-04 | 1985-06-11 | The Liposome Company, Inc. | Stable plurilamellar vesicles, their preparation and use |
| US4882167A (en) | 1983-05-31 | 1989-11-21 | Jang Choong Gook | Dry direct compression compositions for controlled release dosage forms |
| US5043166A (en) | 1987-01-09 | 1991-08-27 | Hadasit Medical Research, Inc. | Liposome/anthraquinone drug composition and method |
| US5316771A (en) | 1988-09-28 | 1994-05-31 | Yissum Research Development Company Of The Hebrew University Of Jerusalem | Method of amphiphatic drug loading in liposomes by ammonium ion gradient |
| US5919480A (en) | 1996-06-24 | 1999-07-06 | Yissum Research Development Company Of The Hebrew University Of Jerusalem | Liposomal influenza vaccine composition and method |
| US6156337A (en) | 1994-07-08 | 2000-12-05 | Opperbas Holding B.V. | Method for high loading of vesicles with biopolymeric substances |
| US6162462A (en) | 1998-08-12 | 2000-12-19 | New York University | Liposomal bupivacaine compositions prepared using an ammonium sulfate gradient |
| US6277413B1 (en) | 1998-07-17 | 2001-08-21 | Skyepharma, Inc. | Biodegradable compositions for the controlled release of encapsulated substances |
| US6333021B1 (en) | 1994-11-22 | 2001-12-25 | Bracco Research S.A. | Microcapsules, method of making and their use |
| US20040018327A1 (en) * | 2001-09-28 | 2004-01-29 | David Wynn | Delayed release dosage forms |
| US6787132B1 (en) | 1997-12-04 | 2004-09-07 | Yissum Research Development Company Of The Hebrew University Of Jerusalem | Combined chemo-immunotherapy with liposomal drugs and cytokines |
| US20040247624A1 (en) | 2003-06-05 | 2004-12-09 | Unger Evan Charles | Methods of making pharmaceutical formulations for the delivery of drugs having low aqueous solubility |
| US20060073203A1 (en) | 2003-03-14 | 2006-04-06 | Camurus Ab | Dry polymer and lipid composition |
| US20060189911A1 (en) | 2003-04-10 | 2006-08-24 | Yukako Fukuhira | Biodegradable film having honeycomb structure |
| US20060188573A1 (en) | 2003-06-10 | 2006-08-24 | Anna Imberg | Composite materials and particles |
| US7160554B2 (en) | 1993-03-23 | 2007-01-09 | Alza Corporation | Enhanced circulation effector composition and method |
| US20070280991A1 (en) * | 2006-06-05 | 2007-12-06 | Thierry Glauser | Coatings for implantable medical devices for controlled release of a hydrophilic drug and a hydrophobic drug |
| US20080085263A1 (en) * | 2004-06-04 | 2008-04-10 | Krister Thuresson | Liquid Depot Formulations |
| US20080119494A1 (en) * | 2004-02-17 | 2008-05-22 | Young Janel E | Drug-enhanced adhesion prevention |
| WO2010007623A1 (en) | 2008-07-14 | 2010-01-21 | Polypid Ltd. | Sustained-release drug carrier composition |
Family Cites Families (53)
| Publication number | Priority date | Publication date | Assignee | Title |
|---|---|---|---|---|
| US4578384A (en) | 1984-02-15 | 1986-03-25 | The United States Of America As Represented By The Secretary Of The Army | Polylactic-polyglycolic acids combined with an acidic phospholipid-lysozyme complex for healing osseous tissue |
| JPS6163613A (en) | 1984-09-04 | 1986-04-01 | Mitsui Toatsu Chem Inc | Sustained release preparation |
| WO1991007171A1 (en) | 1989-11-13 | 1991-05-30 | Nova Pharmaceutical Corporation | Lipospheres for controlled delivery of substances |
| US6120805A (en) | 1990-04-06 | 2000-09-19 | Rhone-Poulenc Rorer Sa | Microspheres, process for their preparation and their use |
| US5922340A (en) | 1992-09-10 | 1999-07-13 | Children's Medical Center Corporation | High load formulations and methods for providing prolonged local anesthesia |
| EP0804249A2 (en) | 1994-03-15 | 1997-11-05 | Brown University Research Foundation | Polymeric gene delivery system |
| US6040295A (en) | 1995-01-13 | 2000-03-21 | Genemedicine, Inc. | Formulated nucleic acid compositions and methods of administering the same for gene therapy |
| US5837221A (en) | 1996-07-29 | 1998-11-17 | Acusphere, Inc. | Polymer-lipid microencapsulated gases for use as imaging agents |
| WO1998007412A1 (en) | 1996-08-21 | 1998-02-26 | Alkermes Controlled Therapeutics, Inc. | Controlled release microparticles with a hydrophobic material |
| WO1998010798A1 (en) | 1996-09-11 | 1998-03-19 | Imarx Pharmaceutical Corp. | Improved methods for diagnostic imaging using a contrast agent and a vasodilator |
| US6048551A (en) | 1997-03-27 | 2000-04-11 | Hilfinger; John M. | Microsphere encapsulation of gene transfer vectors |
| US6248345B1 (en) | 1997-07-02 | 2001-06-19 | Euro-Celtique, S.A. | Prolonged anesthesia in joints and body spaces |
| US6287587B2 (en) | 1997-07-15 | 2001-09-11 | Takeda Chemical Industries, Ltd. | Process for producing sustained-release preparation by in-water drying |
| JP4545928B2 (en) | 1998-04-27 | 2010-09-15 | ジリップ・ファーマ・ビー.ブイ. | Pharmaceutical composition containing factor VIII and neutral liposomes |
| US6423345B2 (en) | 1998-04-30 | 2002-07-23 | Acusphere, Inc. | Matrices formed of polymer and hydrophobic compounds for use in drug delivery |
| US6153217A (en) | 1999-01-22 | 2000-11-28 | Biodelivery Sciences, Inc. | Nanocochleate formulations, process of preparation and method of delivery of pharmaceutical agents |
| US6083482A (en) | 1999-05-11 | 2000-07-04 | Icn Pharmaceuticals, Inc. | Conformationally locked nucleosides and oligonucleotides |
| WO2000078357A2 (en) | 1999-06-18 | 2000-12-28 | The Collaborative Group, Ltd. | Hyaluronic acid film and matrix for sustained gene transfer |
| DE10001172A1 (en) | 2000-01-13 | 2001-07-26 | Max Planck Gesellschaft | Templating solid particles with polymer multilayers |
| US6967028B2 (en) | 2000-07-31 | 2005-11-22 | Mainelab | Prolonged release microspheres for injectable administration |
| JP2005500002A (en) * | 2000-10-02 | 2005-01-06 | エリゼク・ファーマシュウティカルズ・インコーポレイテッド | Compositions and methods for transporting biologically active agents across the cell barrier |
| FI20010540A0 (en) | 2001-03-16 | 2001-03-16 | Yli Urpo Antti | Composite for the correction of defects in soft and hard tissue and the use of said composite |
| TWI226249B (en) | 2001-12-19 | 2005-01-11 | Ind Tech Res Inst | Biodegradable composite matrix for enhancing angiogenesis |
| EP1509203B1 (en) | 2002-05-15 | 2016-04-13 | California Pacific Medical Center | Delivery of nucleic acid-like compounds |
| US20040062778A1 (en) * | 2002-09-26 | 2004-04-01 | Adi Shefer | Surface dissolution and/or bulk erosion controlled release compositions and devices |
| WO2004071451A2 (en) * | 2003-02-12 | 2004-08-26 | Ceremed, Inc. | Random alkylene oxide copolymers for medical and surgical utilities |
| US20050249697A1 (en) | 2003-09-24 | 2005-11-10 | Uhrich Kathryn E | Compositions and methods for the inhibition of bone growth and resorption |
| TW200518794A (en) | 2003-11-21 | 2005-06-16 | Teijin Ltd | Substrate for tissue regeneration, composite thereof with cell and process for producing the same |
| KR20060103957A (en) | 2004-01-15 | 2006-10-04 | 알자 코포레이션 | Liposomal Compositions for Therapeutic Delivery |
| US7744644B2 (en) | 2004-03-19 | 2010-06-29 | Boston Scientific Scimed, Inc. | Medical articles having regions with polyelectrolyte multilayer coatings for regulating drug release |
| DE102004025495A1 (en) * | 2004-05-21 | 2005-12-15 | Dr. Suwelack Skin & Health Care Ag | Process for the production of alginate-containing porous moldings |
| CN101027065A (en) * | 2004-06-15 | 2007-08-29 | 陈献 | Phospholipid compositions and methods for their preparation and use |
| WO2006009825A1 (en) | 2004-06-17 | 2006-01-26 | Virun, Inc. | Compositions comprising a mucoadhesive protein and an active principle for mucosal delivery of said agents |
| CA2574958A1 (en) | 2004-07-26 | 2006-02-09 | Cotherix, Inc. | Treatment of pulmonary hypertension by inhaled iloprost with a microparticle formulation |
| US8790672B2 (en) * | 2005-02-22 | 2014-07-29 | Nina M. Lamba-Kohli | Generation of antimicrobial surfaces using dendrimer biocides |
| EP1906929A2 (en) | 2005-04-25 | 2008-04-09 | Amgen Inc. | Biodegradable peptide sustained release compositions containing porogens |
| US20070141134A1 (en) | 2005-12-16 | 2007-06-21 | Kosak Matthew K | Shielded micelles for polynucleotide delivery |
| US20090318355A1 (en) | 2006-02-15 | 2009-12-24 | Chen Thomas T | Compositions and methods for promoting tissue repair and wound healing |
| ES2776100T3 (en) | 2006-03-31 | 2020-07-29 | Massachusetts Inst Technology | System for targeted delivery of therapeutic agents |
| JP2009540965A (en) * | 2006-06-21 | 2009-11-26 | ザ ボード オブ トラスティーズ オブ ザ レランド スタンフォード ジュニア ユニバーシティー | Compositions and methods for joining unbound lumens |
| CN101209243B (en) * | 2006-12-29 | 2010-12-08 | 石药集团中奇制药技术(石家庄)有限公司 | Liposome medicament and preparation thereof |
| JP5313868B2 (en) | 2007-03-02 | 2013-10-09 | テイカ製薬株式会社 | Transdermal absorption pharmaceutical composition, pharmaceutical composition storage unit, and transdermal absorption preparation using the same |
| WO2008124634A1 (en) | 2007-04-04 | 2008-10-16 | Massachusetts Institute Of Technology | Polymer-encapsulated reverse micelles |
| WO2009006311A2 (en) | 2007-06-29 | 2009-01-08 | Wisconsin Alumni Research Foundation | Structuring effect of cholesterol in peg-phospholipid micelles, drug delivery of amphotericin b, and combination antifungals |
| US20090110713A1 (en) | 2007-10-31 | 2009-04-30 | Florencia Lim | Biodegradable polymeric materials providing controlled release of hydrophobic drugs from implantable devices |
| CA2703852A1 (en) | 2007-11-09 | 2009-05-14 | Northeastern University | Self-assembling micelle-like nanoparticles for systemic gene delivery |
| WO2009110939A2 (en) | 2007-12-10 | 2009-09-11 | Massachusetts Institute Of Technology | Drug delivery system for pharmaceuticals and radiation |
| US8128983B2 (en) | 2008-04-11 | 2012-03-06 | Abbott Cardiovascular Systems Inc. | Coating comprising poly(ethylene glycol)-poly(lactide-glycolide-caprolactone) interpenetrating network |
| HUE034483T2 (en) | 2008-04-15 | 2018-02-28 | Protiva Biotherapeutics Inc | Novel lipid formulations for nucleic acid delivery |
| WO2010078517A2 (en) | 2008-12-31 | 2010-07-08 | Sirnaomics, Inc. | Compositions and methods using sirna molecules and sirna cocktails for the treatment of breast cancer |
| JP5675784B2 (en) | 2009-05-16 | 2015-02-25 | クニュアン クイKunyuan Cui | Composition comprising a cationic amphiphile and a colipid for delivering a therapeutic molecule |
| CA2783001C (en) | 2010-01-19 | 2017-12-12 | Polypid Ltd. | Sustained-release nucleic acid matrix compositions |
| IN2014DN05640A (en) * | 2012-01-10 | 2015-04-03 | Elevance Renewable Sciences |
-
2010
- 2010-07-14 AU AU2010272167A patent/AU2010272167B2/en active Active
- 2010-07-14 US US13/383,893 patent/US8992979B2/en active Active
- 2010-07-14 EP EP10799520.1A patent/EP2453877B1/en active Active
- 2010-07-14 JP JP2012520148A patent/JP5738856B2/en active Active
- 2010-07-14 CA CA2767973A patent/CA2767973C/en active Active
- 2010-07-14 CN CN201080034537.XA patent/CN102470105B/en active Active
- 2010-07-14 ES ES10799520T patent/ES2732149T3/en active Active
- 2010-07-14 IN IN570DEN2012 patent/IN2012DN00570A/en unknown
- 2010-07-14 WO PCT/IL2010/000563 patent/WO2011007353A1/en not_active Ceased
- 2010-07-14 CN CN201510441212.8A patent/CN105126179B/en active Active
-
2015
- 2015-02-17 US US14/623,528 patent/US10463617B2/en active Active
Patent Citations (23)
| Publication number | Priority date | Publication date | Assignee | Title |
|---|---|---|---|---|
| US3773919A (en) | 1969-10-23 | 1973-11-20 | Du Pont | Polylactide-drug mixtures |
| US4522803A (en) | 1983-02-04 | 1985-06-11 | The Liposome Company, Inc. | Stable plurilamellar vesicles, their preparation and use |
| US4882167A (en) | 1983-05-31 | 1989-11-21 | Jang Choong Gook | Dry direct compression compositions for controlled release dosage forms |
| US5043166A (en) | 1987-01-09 | 1991-08-27 | Hadasit Medical Research, Inc. | Liposome/anthraquinone drug composition and method |
| US5316771A (en) | 1988-09-28 | 1994-05-31 | Yissum Research Development Company Of The Hebrew University Of Jerusalem | Method of amphiphatic drug loading in liposomes by ammonium ion gradient |
| US7160554B2 (en) | 1993-03-23 | 2007-01-09 | Alza Corporation | Enhanced circulation effector composition and method |
| US6156337A (en) | 1994-07-08 | 2000-12-05 | Opperbas Holding B.V. | Method for high loading of vesicles with biopolymeric substances |
| US6333021B1 (en) | 1994-11-22 | 2001-12-25 | Bracco Research S.A. | Microcapsules, method of making and their use |
| US6403057B1 (en) | 1994-11-22 | 2002-06-11 | Bracco Research S.A. | Microcapsules, method of making and their use |
| US5919480A (en) | 1996-06-24 | 1999-07-06 | Yissum Research Development Company Of The Hebrew University Of Jerusalem | Liposomal influenza vaccine composition and method |
| US6787132B1 (en) | 1997-12-04 | 2004-09-07 | Yissum Research Development Company Of The Hebrew University Of Jerusalem | Combined chemo-immunotherapy with liposomal drugs and cytokines |
| US6277413B1 (en) | 1998-07-17 | 2001-08-21 | Skyepharma, Inc. | Biodegradable compositions for the controlled release of encapsulated substances |
| US6793938B2 (en) | 1998-07-17 | 2004-09-21 | Skye Pharma, Inc. | Biodegradable compositions for the controlled release of encapsulated substances |
| US6162462A (en) | 1998-08-12 | 2000-12-19 | New York University | Liposomal bupivacaine compositions prepared using an ammonium sulfate gradient |
| US20040018327A1 (en) * | 2001-09-28 | 2004-01-29 | David Wynn | Delayed release dosage forms |
| US20060073203A1 (en) | 2003-03-14 | 2006-04-06 | Camurus Ab | Dry polymer and lipid composition |
| US20060189911A1 (en) | 2003-04-10 | 2006-08-24 | Yukako Fukuhira | Biodegradable film having honeycomb structure |
| US20040247624A1 (en) | 2003-06-05 | 2004-12-09 | Unger Evan Charles | Methods of making pharmaceutical formulations for the delivery of drugs having low aqueous solubility |
| US20060188573A1 (en) | 2003-06-10 | 2006-08-24 | Anna Imberg | Composite materials and particles |
| US20080119494A1 (en) * | 2004-02-17 | 2008-05-22 | Young Janel E | Drug-enhanced adhesion prevention |
| US20080085263A1 (en) * | 2004-06-04 | 2008-04-10 | Krister Thuresson | Liquid Depot Formulations |
| US20070280991A1 (en) * | 2006-06-05 | 2007-12-06 | Thierry Glauser | Coatings for implantable medical devices for controlled release of a hydrophilic drug and a hydrophobic drug |
| WO2010007623A1 (en) | 2008-07-14 | 2010-01-21 | Polypid Ltd. | Sustained-release drug carrier composition |
Non-Patent Citations (7)
| Title |
|---|
| "Cellular Biology of Wound Repair", PLENUM PRESS, pages: 51 - 93 |
| HYNES, RO: "Fibronectins", 1990, SPRINGER-VERLAG |
| KHOSHNOODI J ET AL.: "Molecular recognition in the assembly of collagens: terminal noncollagenous domains are key recognition modules in the formation of triple helical protomers", J BIOL CHEM., vol. 281, no. 50, 2006, pages 38t 17 - 21 |
| MOSESSON MW: "Fibrinogen and fibrin structure and functions", J THROMB HAEMOST, vol. 3, no. 8, 2005, pages 1894 - 1904, XP009132786, DOI: doi:10.1111/j.1538-7836.2005.01365.x |
| See also references of EP2453877A4 * |
| VALENICK LV ET AL.: "Fibronectin fragmentation promotes alpha4betal integrin-mediated contraction of a fibrin-fibronectin provisional matrix", EXP CELL RES, vol. 309, no. 1, 2005, pages 48 - 55, XP005037406, DOI: doi:10.1016/j.yexcr.2005.05.024 |
| YAMADA, KM; CLARK, RAF: "The Molecular", 1996, article "Provisional matrix" |
Cited By (17)
| Publication number | Priority date | Publication date | Assignee | Title |
|---|---|---|---|---|
| US8877242B2 (en) | 2008-07-14 | 2014-11-04 | Polypid Ltd. | Sustained-release drug carrier composition |
| US9616032B2 (en) | 2010-01-19 | 2017-04-11 | Polypid Ltd. | Sustained-release nucleic acid matrix compositions |
| US8795726B2 (en) | 2010-01-19 | 2014-08-05 | Polypid Ltd. | Sustained-release nucleic acid matrix compositions |
| CN103717206A (en) * | 2011-07-27 | 2014-04-09 | 波利皮得有限公司 | Matrix compositions for controlled release of peptide and polypeptide molecules |
| JP2014521636A (en) * | 2011-07-27 | 2014-08-28 | ポリピッド リミテッド | Matrix composition for controlled release of peptide and polypeptide molecules |
| US20140271861A1 (en) * | 2011-07-27 | 2014-09-18 | Polypid Ltd. | Matrix compositions for controlled release of peptide and polypeptide molecules |
| WO2013014677A1 (en) * | 2011-07-27 | 2013-01-31 | Polypid Ltd. | Matrix compositions for controlled release of peptide and polypeptide molecules |
| AU2012288422B2 (en) * | 2011-07-27 | 2016-08-11 | Polypid Ltd. | Matrix compositions for controlled release of peptide and polypeptide molecules |
| JP2015527131A (en) * | 2012-08-02 | 2015-09-17 | ポリピッド リミテッド | Compositions and methods for the treatment of bone cavities and open fractures |
| JP2015536726A (en) * | 2012-11-14 | 2015-12-24 | オーソペディック イノヴェイション センター インコーポレイテッド | Antibacterial articles manufactured by additive manufacturing |
| US9775853B2 (en) | 2013-03-15 | 2017-10-03 | Biomet Manufacturing, Llc. | Hemostatic compositions and methods |
| WO2017025814A1 (en) | 2014-08-07 | 2017-02-16 | Acerta Pharma B.V. | Methods of treating cancers, immune and autoimmune diseases, and inflammatory diseases based on btk occupancy and btk resynthesis rate |
| WO2016020901A1 (en) | 2014-08-07 | 2016-02-11 | Acerta Pharma B.V. | Methods of treating cancers, immune and autoimmune diseases, and inflammatory diseases based on btk occupancy and btk resynthesis rate |
| EP3200748A4 (en) * | 2014-10-02 | 2018-05-23 | Polypid Ltd. | Compositions and methods for the treatment and prophylaxis of surgical site infections |
| AU2015326428B2 (en) * | 2014-10-02 | 2020-12-17 | Polypid Ltd. | Compositions and methods for the treatment and prophylaxis of surgical site infections |
| EP4094783A1 (en) * | 2014-10-02 | 2022-11-30 | Polypid Ltd. | Compositions and methods for the treatment and prophylaxis of surgical site infections |
| US12201591B2 (en) | 2019-07-03 | 2025-01-21 | Atossa Therapeutics, Inc. | Sustained release compositions of endoxifen |
Also Published As
| Publication number | Publication date |
|---|---|
| JP5738856B2 (en) | 2015-06-24 |
| EP2453877A1 (en) | 2012-05-23 |
| CN102470105A (en) | 2012-05-23 |
| EP2453877A4 (en) | 2013-05-29 |
| IN2012DN00570A (en) | 2015-06-12 |
| AU2010272167B2 (en) | 2016-11-17 |
| US20120114756A1 (en) | 2012-05-10 |
| CA2767973C (en) | 2019-06-18 |
| CN105126179B (en) | 2018-09-25 |
| US8992979B2 (en) | 2015-03-31 |
| CN102470105B (en) | 2015-07-29 |
| CA2767973A1 (en) | 2011-01-20 |
| EP2453877B1 (en) | 2019-05-08 |
| JP2012533334A (en) | 2012-12-27 |
| US10463617B2 (en) | 2019-11-05 |
| US20150174073A1 (en) | 2015-06-25 |
| AU2010272167A1 (en) | 2012-02-02 |
| CN105126179A (en) | 2015-12-09 |
| ES2732149T3 (en) | 2019-11-20 |
Similar Documents
| Publication | Publication Date | Title |
|---|---|---|
| AU2010272167B2 (en) | Sustained-release drug carrier composition | |
| US10682412B2 (en) | Sustained-release drug carrier composition | |
| IL210437A (en) | Sustained-release drug carrier composition | |
| HK1205960B (en) | Sustained-release drug carrier composition | |
| HK1161069B (en) | Sustained-release drug carrier composition | |
| HK1161069A (en) | Sustained-release drug carrier composition |
Legal Events
| Date | Code | Title | Description |
|---|---|---|---|
| WWE | Wipo information: entry into national phase |
Ref document number: 201080034537.X Country of ref document: CN |
|
| 121 | Ep: the epo has been informed by wipo that ep was designated in this application |
Ref document number: 10799520 Country of ref document: EP Kind code of ref document: A1 |
|
| WWE | Wipo information: entry into national phase |
Ref document number: 217425 Country of ref document: IL |
|
| WWE | Wipo information: entry into national phase |
Ref document number: 2012520148 Country of ref document: JP Ref document number: 2010799520 Country of ref document: EP |
|
| WWE | Wipo information: entry into national phase |
Ref document number: 2767973 Country of ref document: CA Ref document number: 2010272167 Country of ref document: AU |
|
| WWE | Wipo information: entry into national phase |
Ref document number: 13383893 Country of ref document: US |
|
| NENP | Non-entry into the national phase |
Ref country code: DE |
|
| WWE | Wipo information: entry into national phase |
Ref document number: 570/DELNP/2012 Country of ref document: IN |
|
| ENP | Entry into the national phase |
Ref document number: 2010272167 Country of ref document: AU Date of ref document: 20100714 Kind code of ref document: A |














