WO2010142576A1 - Novel sterically hindered amine light stabilizers - Google Patents
Novel sterically hindered amine light stabilizers Download PDFInfo
- Publication number
- WO2010142576A1 WO2010142576A1 PCT/EP2010/057642 EP2010057642W WO2010142576A1 WO 2010142576 A1 WO2010142576 A1 WO 2010142576A1 EP 2010057642 W EP2010057642 W EP 2010057642W WO 2010142576 A1 WO2010142576 A1 WO 2010142576A1
- Authority
- WO
- WIPO (PCT)
- Prior art keywords
- formula
- compound
- phenyl
- alkylene
- tert
- Prior art date
- Legal status (The legal status is an assumption and is not a legal conclusion. Google has not performed a legal analysis and makes no representation as to the accuracy of the status listed.)
- Ceased
Links
- XLEGJHLFLWRCKC-UHFFFAOYSA-N CC(C)(CC(CC1(C)C)(C(N2)=O)NC2=O)N1OC Chemical compound CC(C)(CC(CC1(C)C)(C(N2)=O)NC2=O)N1OC XLEGJHLFLWRCKC-UHFFFAOYSA-N 0.000 description 2
- 0 CC(C)(CC(CC1(C)C)(C(N2)=O)NC2=O)N1O*=C Chemical compound CC(C)(CC(CC1(C)C)(C(N2)=O)NC2=O)N1O*=C 0.000 description 1
- IEUGPOANDKJDCT-UHFFFAOYSA-N CC(C)(CC(CC1(C)C)(C(N2)=O)NC2=O)N1OC1CCCCC1 Chemical compound CC(C)(CC(CC1(C)C)(C(N2)=O)NC2=O)N1OC1CCCCC1 IEUGPOANDKJDCT-UHFFFAOYSA-N 0.000 description 1
- FWBHFWMSQWDOGH-UHFFFAOYSA-N CC(C)(CC(CC1(C)C)(C(N2)=O)NC2=O)N1Oc1ccccc1 Chemical compound CC(C)(CC(CC1(C)C)(C(N2)=O)NC2=O)N1Oc1ccccc1 FWBHFWMSQWDOGH-UHFFFAOYSA-N 0.000 description 1
- RRPMXIMYRDPXHB-UHFFFAOYSA-N CCON(C(C)(C)C1)C(C)(C)CC1(C(N1)=O)NC1=O Chemical compound CCON(C(C)(C)C1)C(C)(C)CC1(C(N1)=O)NC1=O RRPMXIMYRDPXHB-UHFFFAOYSA-N 0.000 description 1
Classifications
-
- C—CHEMISTRY; METALLURGY
- C07—ORGANIC CHEMISTRY
- C07D—HETEROCYCLIC COMPOUNDS
- C07D471/00—Heterocyclic compounds containing nitrogen atoms as the only ring hetero atoms in the condensed system, at least one ring being a six-membered ring with one nitrogen atom, not provided for by groups C07D451/00 - C07D463/00
- C07D471/02—Heterocyclic compounds containing nitrogen atoms as the only ring hetero atoms in the condensed system, at least one ring being a six-membered ring with one nitrogen atom, not provided for by groups C07D451/00 - C07D463/00 in which the condensed system contains two hetero rings
- C07D471/10—Spiro-condensed systems
Definitions
- the instant invention pertains to sterically hjndered amine Nght stabilizers (HALS) with low basicity at the nitrogen atom and high thermal stability.
- HALS sterically hjndered amine Nght stabilizers
- These compounds are particularly effective in stabilizing polymers, especially thermoplastic polyolefins, against the deleterious effects of oxidative, thermal and actinic radiation.
- the compounds are also particularly effective in stabilizing acid catalyzed and ambient cured coatings systems. They are particularly useful when high processing temperatures are additional required.
- HALS N-H
- N-H acid catalyzed crosslinked polymers or ambient cured coatings.
- the present invention solves this problem by providing novel NOR HALS compounds.
- the compounds prepared can be used as stabilizers for plastics, coatings and home and personal care applications. They are characterized by their spiro-substitution in the 4-position of the tetramethylpiperidine ring (Spiro-NOR-HALS).
- Spiro-NOR-HALS spiro-substitution in the 4-position of the tetramethylpiperidine ring
- the corresponding Spiro-NH-HALS are partly items of commerce and described as effective light stabilizers.
- the 4-spiro substitution has so far not been used in combination with the 1-NOR substitution. Only two compounds are known from DE 4 423 055, namely the N-O-octyl and the N-O-methylbenzyl compounds.
- WO 2009/049851 spiropiperidine pyrrolidine dione derivatives with a substituted phenyl group attached to the pyrrolidine dione ring have recently been reported and their use as pesticides.
- the instant compounds because of their low basicity and high temperature stability, are of particular value in the stabilization of polyolefins and automotive coating compositions where the activity of the more basic hindered amine stabilizers is significantly reduced because of interaction with the polymer substrate or acid catalysts needed for curing such substrates.
- polyolefin compositions in which the instant compounds are effective include flame retardant polyolefins where acidic residues from the decomposition of the halogenated flame retardants deactivate hindered amines not having the N-OR group, greenhouse films and agricultural mulch films where acidic residues from pesticides or sulfur dioxide treatment interfere with the activity of "normal" hindered amine stabilizers, and in thermoplastic polyolefins where pigment interactions with basic hindered amine stabilizers may occur.
- coating compositions in which the instant compounds are effective include melamine crosslinked thermoset acrylic resins, which are cured using strong acids that interact with basic hindered amine stabilizers. The instant compounds are also effective in acrylic alkyd or polyester resins with isocyanate crosslinking agents, and in epoxy resins with carboxylic acid, anhydride, or amine crosslinking agents.
- compositions also containing co- stabilizers, flame retardants (e.g. tris(3-bromo-2,2-bis(bromomethyl)propyl)phosphate, decabromodiphenyl oxide, ethylene bis-(tetrabromophthalimide), or ethylene bis-(dibromo- norbornanedicarboximide)), catalysts (e.g. acids like toluene sulfonic acid, metal driers or amines), fillers, fatty acid salts (e. g. calcium stearate) or in agricultural applications wherein pesticides and/or sulfur-containing acids and or metal ions (e. g. iron) come in contact with the stabilized polymer.
- flame retardants e.g. tris(3-bromo-2,2-bis(bromomethyl)propyl)phosphate, decabromodiphenyl oxide, ethylene bis-(tetrabromophthalimide), or ethylene bis-(dibromo-
- One aspect of the invention is a compound of formula (I) or (II)
- X and Y are independently NH or O; when n is 0 and X is NH, X has additionally the meaning of N-CrC 2 oalkyl, N-C 3 -Ci 2 cycloalkyl, N-phenyl or N-C 7 -Ci 2 phenylalkyl; m is 1 or 2; n is 0 or 1 ;
- R" is H, Ci-C 20 alkyl, C 3 -C 20 alkenyl, C 3 -C 20 alkinyl which are unsubstituted or substituted by OH, halogen, NO 2 , carbonyl or carboxyl; phenyl, C 7 -Ci 2 phenylalkyl or C 3 -Ci 2 cycloalkyl; and R' CrC 20 alkylene, C 5 -Ci 2 cycloalkylene, phenylene, d-C 4 alkylene-C 5 -Ci 2 cycloalkylene-Ci- C 4 alkylene, Ci-C 4 alkylene-phenylene-Ci-C 4 alkylene wherein the phenylene and the C 5 - Ci 2 cycloalkyne radicals are unsubstituted or substituted by 1 to 4 Ci-C 4 alkyl groups.
- Halogen is fluorine, chlorine, bromine and iodine.
- alkyl radicals in the various substituents may be linear or branched.
- alkyl containing 1 to 20 carbon atoms are methyl, ethyl, propyl, isopropyl, butyl, 2-butyl, isobutyl, t- butyl, pentyl, 2-pentyl, hexyl, heptyl, octyl, 2-ethylhexyl, t-octyl, nonyl, decyl, undecyl, dodecyl, tridecyl, tetradecyl, hexadecyl and octadecyl.
- C 3 -Ci 2 cycloalkyl is typically cyclopropyl, cyclopentyl, methylcyclopentyl, dimethylcyclopentyl, cyclohexyl, methylcyclohexyl.
- C 3 -C 2o alkenyl is, for example, propenyl, butenyl, pentenyl, hexenyl, heptenyl, octenyl, dode- cenyl including their isomers.
- C 7 -Ci 2 phenylalkyl is for example benzyl, phenylpropyl, ⁇ , ⁇ -dimethylbenzyl or ⁇ -methyl- benzyl.
- C 3 -C 2o alkynyl is preferably propargyl.
- Alkyl substituted by-OH is typically 2-hydroxyethyl, 2-hydroxypropyl or 2-hydroxybutyl.
- the compounds are of formula (Id), (Id'), (Ie), (Ie'), (If), (If), (Na) or (lib) wherein m and the substituents R, R' and R" have the meaning as defined above, R'" is H, Ci-C 2 oalkyl, C 3 -Ci 2 cycloalkyl, phenyl or C 7 -Ci 2 phenylalkyl; and if m is 1 with the proviso that in formula (lib), R is not octyl or methylbenzyl; and in formula (If), R' is not H when R'" is H.
- R is CrC 2 oalkyl, C 3 -C 20 alkenyl, C 3 -C 20 alkinyl which are unsubstituted or substituted by OH, carbonyl or carboxyl; phenyl, C 7 -C 9 phenylalkyl or C 5 -
- R'" is H, Ci-C 20 alkyl, C 3 -Ci 2 cycloalkyl, phenyl or C 7 -Ci 2 phenylalkyl; if m is 1
- R' and R" are independently H, CrC 20 alkyl, C 3 -C 20 alkenyl, C 3 -C 20 alkinyl which are unsubstituted or substituted by OH, carbonyl or carboxyl; phenyl, C 7 -C 9 phenylalkyl or C 5 -
- R is Ci-C 20 alkyl, phenyl, C 7 -C 9 phenylalkyl or C 5 -C 6 cycloalkyl;
- R'" is H or Ci-C 20 alkyl; if m is 1 R' and R" are independently H, CrC 20 alkyl, phenyl, C 7 -C 9 phenylalkyl or C 5 -C 6 cycloalkyl; if m is 2
- Ci 2 cycloalkyne radicals are unsubstituted or substituted by 1 to 4 d-C 4 alkyl groups; R" is H, CrC 20 alkyl, phenyl, C 7 -C 9 phenylalkyl or C 5 -C 6 cycloalkyl.
- Particularly suitable individual compounds are the following.
- N-O-R compounds are, for example, described in United States Patent No. 5,004 770 and United States Patent No. 5,096,950.
- Cyanohydrines can be formed as described, for example, by Robert J. H. Gregory, Chem.
- HCN gas under pressure or a cyanide in combination with an acid to prepare the cyanohydrines or trimethylsilyl cyanide and a catalyst to prepare the O- protected cyanohydrine intermediates.
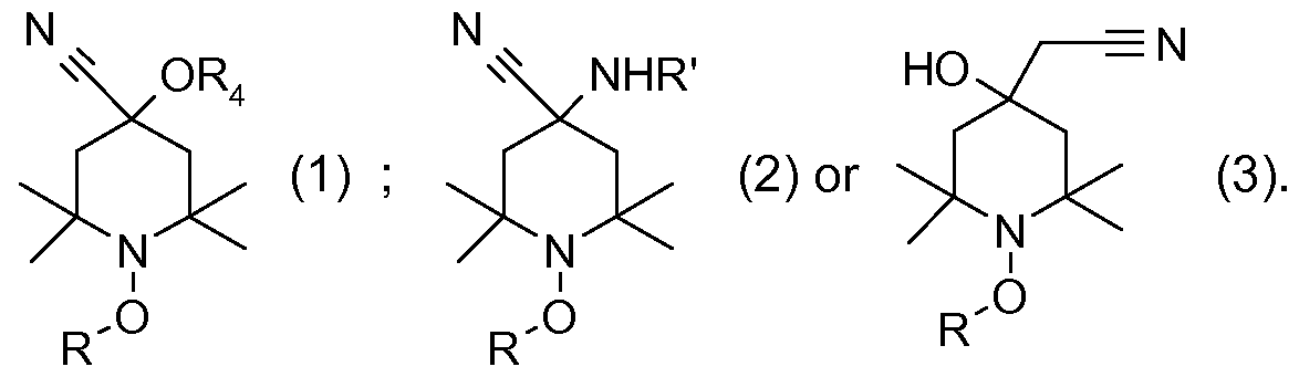
- Compounds of formula (2) can be prepared through the reaction of cyanohydrines with amines or ammonia or through the reaction of a compound of formula (O) (ketones) with amines/ammonia and a HCN/cyanide source. These reactions are in principal known and described by several authors. Examples are given e.g. in (a) Mori, A.; Inoue, S. in Comprehensive Asymmetric Catalysis, Vol. II; Jacobsen, E. N.; Pfaltz, A.; Yamamoto, H., Eds.; Springer: Heidelberg, 1999, 983. (b) Enders, D.; Shilvock, J. P. Chem. Soc. Rev. 2000, 29, 359. (c) Yet, L. Angew. Chem.
- Useful amines and diamines are ammonia, methylamine, propylamine, butylamine, hexylamine, octylamine, cyclohexylamine, benzylamine, anilin, naphthylamine, 2- ethylhexylamine, toluidine, phenylethylamine, 1 ,2-propylendiamin, 1 ,3-propandiamine, 2,6- xylidine, 2-aminoethylethylene urea, 3,3'-dimethyl-4,4'-diaminodicyclohexylmethane, 4,4'- diaminodicyclohexylmethane, Cn-neodiamine, cyclohexylmethylamin, ethylendiamine, isophorondiamine, isopropylamine, 2,2-dimethyl 1 ,3-propandiamine, tridecylamine, tert
- Compounds of formula (3) can for instance be prepared according to WO2008073067 and under the conditions described therein.
- the addition of acetonitrile to a compound of formula (O) can be carried out from -80 0 C to room temperature, preferably between -80 0 C and -50 0 C.
- Typical bases for the deprotonation of acetonitrile are n-butyllithium, sec. butyllithium or tert-butyllithium, sodium amide, lithium amide, sodium hydride; n-butyllithium is preferred.
- the reaction is carried out in aprotic solvents such as THF, dioxane, diethylether, hexane, toluene; preferentially in THF.
- N-alkoxyamines with specific heterocyclic moieties can be prepared even under strongly acidic conditions, i. e. in the presence of strong mineral acids, such as the compounds A, B, D', E', F' - although the cleavage of N-alkoxyamine ethers in acidic environments (under acidic conditions) is frequently described in the chemical literature, for instance in Bioorganic & Medicinal Chemistry Letters (2008), 18(1 ), 409-413.
- Compounds of formula (A) can be prepared according to DE 3541665, DE 3541664, DE 3524542, DE 3104294 or DE.
- Typical cyanohydrines for this transformation are acetone cyanohydrine, 1- hydroxycyclohexanecarbonitrile, 2-hydroxy-2-methylbutyronitrile, benzophenone cyano- hydrine, 1-hydroxycyclopentanecarbonitrile, cycloheptanecarbonitrile, 1-azabicyclo[2.2.2]- octane-3-carbonitrile, 2,2,6,6-tetramethyl-4-hydroxy-4-cyanopiperidine, 1-alkyl, 2,2,6,6- tetramethyl-4-hydroxy-4-cyanopiperidine or 2-Ethyl-2-hydroxybutanenitrile.
- the reaction temperature is between -20° to 150 0 C, preferably 0° to 1 10 0 C and more preferably from 50 to 80° C.
- reaction is carried out under acidic conditions (using e.g. HCI, H 2 SO 4 , H 3 PO 4 ) in inert solvents (e.g. acetic acid). Most preferentially, acetic acid is used as solvent.
- acidic conditions using e.g. HCI, H 2 SO 4 , H 3 PO 4
- inert solvents e.g. acetic acid.
- acetic acid is used as solvent.
- the reaction is carried out at atmospheric pressure or from 1-100 bar (autoklave). For example from 1-20 bar, preferably 1 bar.
- Typical reaction times vary from 1 hour to 48 hours.
- Useful mono aldehydes and ketones are, for example formaldehyde, acetaldehyde propionaldehyde, butyraldehyde, isobutyraldehyde, valeraldehyde, capronaldehyde, pivalaldehyde, benzaldehyde, naphthylaldehyde, toluylaldehyde, anisaldehyde, salicylaldehyde, acetone, pinakolone, methylethylketone, diethylketones, dipropylketone, methylbutylketone, acetophenone, triacetoneamine, N-alkyl triacetoneamine, 4-oxo- tetramethyl-N-alkoxyamines (4-Oxo-NORs), 4-piperidone, dodecanone, cycloheptanone, cyclopentanone, benzophenone or cyclohexylketone.
- dialdehydes and diketones are, for example, glyoxal, malondialdehyde, succindialdehyde, glutar dialdehyde, phthalaldehyde, isophthalaldehyde, terephthalaldehyde, methylglyoxal, hexane-2,5-dione, dimedone, diacetyl, benzyl or acetylaceton.
- the reaction temperature is between -20° to 150 0 C, preferably 0° to 110 0 C and more preferably from 50 to 80° C.
- reaction is carried out under acidic conditions (using e.g. HCI, H 2 SO 4 , H 3 PO 4 ) in inert solvents (e.g. acetic acid). Most preferentially, acetic acid is used as solvent.
- acidic conditions using e.g. HCI, H 2 SO 4 , H 3 PO 4
- inert solvents e.g. acetic acid.
- acetic acid is used as solvent.
- the reaction is carried out at atmospheric pressure or from 1-100 bar (autoklave). For example from 1-20 bar, preferably 1 bar.
- Typical reaction times vary from 1 hour to 48 hours.
- Compounds of formula (C, F, F') can be prepared by means of the Bucherer-Bergs reaction (Li, Jie Jack. Bucherer - Bergs reaction, Name Reactions in Heterocyclic Chemistry (2005), 266-274) starting from 4-oxo-N-alkoxyamines to prepare unsubstituted hydantoines or from a compound of formula (2) to prepare substituted ones. Further methods are described in “Recent developments in hydantoin chemistry, a review", Organic Preparations and Procedures International (2004), 36(5), 391-443; FR 1582525 or DE 2233121.
- Compounds of formula (D, D') can be prepared according to JP 47049068 or FR 1582525 starting from a compound of formula (1 ). If a protected form of the cyanohydrine is used (e.g. a trimethylsilyl ether), it is beneficial to add a catalyst which facilitates the deprotection of the hydroxy group.
- a catalyst can be a fluoride source (e.g. tetrabutylammonium fluoride, potassium fluoride, H 2 SiF 6 ) or a Lewis-acid (e.g.
- Typical monoisocyanates are, for example, Ci-Ci 2 alkylisocyanate, such as methylisocyanate, phenylisocyanate, naphthylisocyanate or cyclohexanisocyanate.
- Typical diisocyanates are widely item of commerce and are, for example, toluenediiso- cyanate, 4,4'-methylenbis(phenylisocyanate), hexamethylenediisocyanate, isophoron- diisocyanate.
- reaction steps are, for example, carried out under the conditions outlined below.
- reaction temperature is between 0° to 150 0 C, preferably 25° to 130 0 C and more preferably from 25 to 1 10° C.
- a catalyst When a catalyst is used it is typically used in an amount of 0.001 - 25 weight %, for example 0.05 - 10% by weight and preferably 0.1 - 5% by weight, based on the weight of the ketone. If a reagent for the deprotection of cyanohydrine TMS ethers is used, it is used in amounts of 1-5 equiv., preferable 1-3 equiv. and more preferably 1-1.5 equiv. with regard to the amount of ether.
- the reaction is carried out at atmospheric pressure or from 1-100 bar (autoklave). For example from 1-20 bar, preferably 1 bar.
- Typical reaction times vary from 1 hour to 48 hours.
- the reactions may be performed under microwave or ultrasound conditions.
- Possible solvents are aprotic, polar and apolar solvents aromatic or aliphatic solvents, ethers or ketones. Examples are toluene, xylene, ionic liquids, hexane, methyl-tert-butylether, dioxan, chlorinated solvents (e.g. methylene chloride, 1 ,2-dichloroethane, chloroform, chlorobenzene), dimethylformamide (DMF) or polyethyleneglycole (PEG). It is also possible to carry out the reactions without any solvent.
- chlorinated solvents e.g. methylene chloride, 1 ,2-dichloroethane, chloroform, chlorobenzene
- DMF dimethylformamide
- PEG polyethyleneglycole
- a further aspect of the invention is a process for the preparation of a compound of formulae (I), (II), (Id), (Id'), (Ie), (Ie'), (If), (If), (Na) or (lib), as described above, comprising the steps a) reacting a compound of formula (O) (O) with HCN or a precursor of HCN or
- R'" is H, Ci-C 2 oalkyl, C 3 -Ci 2 cycloalkyl, phenyl or C 7 -Ci 2 phenylalkyl or reacting a compound of formula (O) with HCN or a precursor of HCN in the presence of an amine or ammonia; or c) reacting a compound of formula (O) with CH 3 CN and a base to yield a compound of
- the individual process steps are typically carried out at a temperature from -20 0 C to 100° C, preferably 0 to 60 0 C and more preferably fro 0° to25° C.
- the process steps are carried out at a pressure of from atmospheric pressure to 100 bar, for example from 1-20 bar, preferably at 1 bar.
- composition which comprises
- the compounds of the invention are, for example, present in an amount of from 0.01 to 5%, preferably from 0.025 to 2%, and especially from 0.1 to 1 %, based on the weight of the organic polymer.
- Suitable organic polymers are mentioned below.
- Polymers of monoolefins and diolefins for example polypropylene, polyisobutylene, po- lybut-1-ene, poly-4-methylpent-1-ene, polyvinylcyclohexane, polyisoprene or polybutadiene, as well as polymers of cycloolefins, for instance of cyclopentene or norbornene, polyethylene (which optionally can be crosslinked), for example high density polyethylene (HDPE), high density and high molecular weight polyethylene (HDPE-HMW), high density and ultrahigh molecular weight polyethylene (HDPE-UHMW), medium density polyethylene (MDPE), low density polyethylene (LDPE), linear low density polyethylene (LLDPE), (VLDPE) and (ULDPE).
- HDPE high density polyethylene
- HDPE-HMW high density and high molecular weight polyethylene
- HDPE-UHMW high density and ultrahigh molecular weight polyethylene
- MDPE medium density polyethylene
- Polyolefins i.e. the polymers of monoolefins exemplified in the preceding paragraph, preferably polyethylene and polypropylene, can be prepared by different, and especially by the following, methods:
- a catalyst that normally contains one or more than one metal of groups IVb, Vb, VIb or VIII of the Periodic Table.
- These metals usually have one or more than one ligand, typically oxides, halides, alcoholates, esters, ethers, amines, alkyls, alkenyls and/or aryls that may be either ⁇ - or ⁇ -coordinated.
- These metal complexes may be in the free form or fixed on substrates, typically on activated magnesium chloride, titanium(lll) chloride, alumina or silicon oxide.
- These catalysts may be soluble or insoluble in the polymerisation medium.
- the catalysts can be used by themselves in the polymerisation or further activators may be used, typically metal alkyls, metal hydrides, metal alkyl halides, metal alkyl oxides or metal alkyloxanes, said metals being elements of groups Ia, Na and/or Ilia of the Periodic
- the activators may be modified conveniently with further ester, ether, amine or silyl ether groups. These catalyst systems are usually termed Phillips, Standard Oil Indiana, Ziegler (-Natta), TNZ (DuPont), metallocene or single site catalysts (SSC).
- Mixtures of the polymers mentioned under 1 for example mixtures of polypropylene with polyisobutylene, polypropylene with polyethylene (for example PP/HDPE, PP/LDPE) and mixtures of different types of polyethylene (for example LDPE/HDPE).
- Copolymers of monoolefins and diolefins with each other or with other vinyl monomers for example ethylene/propylene copolymers, linear low density polyethylene (LLDPE) and mixtures thereof with low density polyethylene (LDPE), propylene/but-1-ene copolymers, propylene/isobutylene copolymers, ethylene/but-1-ene copolymers, ethylene/hexene copolymers, ethylene/methylpentene copolymers, ethylene/heptene copolymers, ethylene/octene copolymers, ethylene/vinylcyclohexane copolymers, ethylene/cycloolefin copolymers (e.g.
- ethylene/norbornene like COC ethylene/1 -olefins copolymers, where the 1 -olefin is generated in-situ; propylene/butadiene copolymers, isobutylene/isoprene copolymers, ethylene/vi- nylcyclohexene copolymers, ethylene/alkyl acrylate copolymers, ethylene/alkyl methacrylate copolymers, ethylene/vinyl acetate copolymers or ethylene/acrylic acid copolymers and their salts (ionomers) as well as terpolymers of ethylene with propylene and a diene such as hexadiene, dicyclopentadiene or ethylidene-norbornene; and mixtures of such copolymers with one another and with polymers mentioned in 1 ) above, for example polypropylene/ethy- lene-propylene copolymers, LD
- Hydrocarbon resins for example C 5 -C 9
- hydrogenated modifications thereof e.g. tackifiers
- mixtures of polyalkylenes and starch
- Homopolymers and copolymers from 1.) - 4.) may have any stereostructure including syndio- tactic, isotactic, hemi-isotactic or atactic; where atactic polymers are preferred. Stereoblock polymers are also included.
- Polystyrene poly(p-methylstyrene), poly( ⁇ -methylstyrene).
- Homopolymers and copolymers may have any stereostructure including syndiotactic, isotactic, hemi-isotactic or atactic; where atactic polymers are preferred. Stereoblock polymers are also included.
- Copolymers including aforementioned vinyl aromatic monomers and comonomers selected from ethylene, propylene, dienes, nitriles, acids, maleic anhydrides, maleimides, vinyl acetate and vinyl chloride or acrylic derivatives and mixtures thereof, for example styrene/bu- tadiene, styrene/acrylonitrile, styrene/ethylene (interpolymers), styrene/alkyl methacrylate, styrene/butadiene/alkyl acrylate, styrene/butadiene/alkyl methacrylate, styrene/maleic anhy- dride, styrene/acrylonitrile/methyl acrylate; mixtures of high impact strength of styrene copolymers and another polymer, for example a polyacrylate, a diene polymer or an ethylene/pro- pylene/diene terpoly
- Hydrogenated aromatic polymers derived from hydrogenation of polymers mentioned under 6. especially including polycyclohexylethylene (PCHE) prepared by hydrogenating atactic polystyrene, often referred to as polyvinylcyclohexane (PVCH).
- PCHE polycyclohexylethylene
- PVCH polyvinylcyclohexane
- Homopolymers and copolymers may have any stereostructure including syndiotactic, isotac- tic, hemi-isotactic or atactic; where atactic polymers are preferred.
- Stereoblock polymers are also included.
- Graft copolymers of vinyl aromatic monomers such as styrene or ⁇ -methylstyrene, for example styrene on polybutadiene, styrene on polybutadiene-styrene or polybutadiene-acry- lonitrile copolymers; styrene and acrylonitrile (or methacrylonitrile) on polybutadiene; styrene, acrylonitrile and methyl methacrylate on polybutadiene; styrene and maleic anhydride on polybutadiene; styrene, acrylonitrile and maleic anhydride or maleimide on polybutadiene; styrene and maleimide on polybutadiene; styrene and alkyl acrylates or methacrylates on polybutadiene; styrene and acrylonitrile on ethylene/propylene/diene terpoly
- Halogen-containing polymers such as polychloroprene, chlorinated rubbers, chlorinated and brominated copolymer of isobutylene-isoprene (halobutyl rubber), chlorinated or sulfo- chlorinated polyethylene, copolymers of ethylene and chlorinated ethylene, epichlorohydrin homo- and copolymers, especially polymers of halogen-containing vinyl compounds, for example polyvinyl chloride, polyvinylidene chloride, polyvinyl fluoride, polyvinylidene fluoride, as well as copolymers thereof such as vinyl chloride/vinylidene chloride, vinyl chloride/vinyl acetate or vinylidene chloride/vinyl acetate copolymers.
- Polymers derived from ⁇ , ⁇ -unsatu rated acids and derivatives thereof such as polyacry- lates and polymethacrylates; polymethyl methacrylates, polyacrylamides and polyacryloni- triles, impact-modified with butyl acrylate.
- Copolymers of the monomers mentioned under 9) with each other or with other unsaturated monomers for example acrylonitrile/ butadiene copolymers, acrylonitrile/alkyl acrylate copolymers, acrylonitrile/alkoxyalkyl acrylate or acrylonitrile/vinyl halide copolymers or acrylonitrile/ alkyl methacrylate/butadiene terpolymers.
- Polymers derived from unsaturated alcohols and amines or the acyl derivatives or ace- tals thereof for example polyvinyl alcohol, polyvinyl acetate, polyvinyl stearate, polyvinyl benzoate, polyvinyl maleate, polyvinyl butyral, polyallyl phthalate or polyallyl melamine; as well as their copolymers with olefins mentioned in 1 ) above.
- Polyacetals such as polyoxymethylene and those polyoxymethylenes which contain ethylene oxide as a comonomer; polyacetals modified with thermoplastic polyurethanes, acrylates or MBS.
- Polyamides and copolyamides derived from diamines and dicarboxylic acids and/or from aminocarboxylic acids or the corresponding lactams for example polyamide 4, polyamide 6, polyamide 6/6, 6/10, 6/9, 6/12, 4/6, 12/12, polyamide 11 , polyamide 12, aromatic polyamides starting from m-xylene diamine and adipic acid; polyamides prepared from hexamethylenediamine and isophthalic or/and terephthalic acid and with or without an elastomer as modifier, for example poly-2,4,4,-trimethylhexamethylene terephthalamide or poly- m-phenylene isophthalamide; and also block copolymers of the aforementioned polyamides with polyolefins, olefin copolymers, ionomers or chemically bonded or grafted elastomers; or with polyethers, e.g. with polyethylene glycol, polypropylene glycol or polytetram
- Polyureas Polyureas, polyimides, polyamide-imides, polyetherimides, polyesterimides, polyhydan- toins and polybenzimidazoles.
- Polyesters derived from dicarboxylic acids and diols and/or from hydroxycarboxylic acids or the corresponding lactones or lactides for example polyethylene terephthalate, polybuty- lene terephthalate, poly-1 ,4-dimethylolcyclohexane terephthalate, polyalkylene naphthalate and polyhydroxybenzoates as well as copolyether esters derived from hydroxyl-terminated polyethers, and also polyesters modified with polycarbonates or MBS.
- Copolyesters may comprise, for example - but are not limited to - polybutylenesuccinate/terephtalate, polybuty- leneadipate/terephthalate, polytetramethyleneadipate/terephthalate, polybutylensuccinate/- adipate, polybutylensuccinate/carbonate, poly-3-hydroxybutyrate/octanoate copolymer, poly- 3-hydroxybutyrate/hexanoate/decanoate terpolymer.
- aliphatic polyesters may comprise, for example - but are not limited to - the class of poly(hydroxyalkanoates), in particular, poly(propiolactone), poly(butyrolactone), poly(pivalolactone), poly(valerolactone) and poly(caprolactone), polyethylenesuccinate, polypropylenesuccinate, polybutylenesuccinate, polyhexamethylenesuccinate, polyethyleneadipate, polypropyleneadipate, polybutyleneadi- pate, polyhexamethyleneadipate, polyethyleneoxalate, polypropyleneoxalate, polybutylene- oxalate, polyhexamethyleneoxalate, polyethylenesebacate, polypropylenesebacate, polybu- tylenesebacate and polylactic acid (PLA) as well as corresponding polyesters modified with polycarbonates or MBS.
- poly(hydroxyalkanoates) in particular, poly(propiolactone), poly(butyrolactone
- polylactic acid designates a homo-polymer of pre- ferably poly-L-lactide and any of its blends or alloys with other polymers; a co-polymer of lactic acid or lactide with other monomers, such as hydroxy-carboxylic acids, like for example glycolic acid, 3-hydroxy-butyric acid, 4-hydroxy-butyric acid, 4-hydroxy-valeric acid, 5-hydr- oxy-valeric acid, 6-hydroxy-caproic acid and cyclic forms thereof; the terms "lactic acid” or "lactide” include L-lactic acid, D-lactic acid, mixtures and dimers thereof, i.e. L-lactide, D-lac- tide, meso-lacide and any mixtures thereof.
- Unsaturated polyester resins derived from copolyesters of saturated and unsaturated dicarboxylic acids with polyhydric alcohols and vinyl compounds as crosslinking agents, and also halogen-containing modifications thereof of low flammability.
- Crosslinkable acrylic resins derived from substituted acrylates for example epoxy acry- lates, urethane acrylates or polyester acrylates.
- Crosslinked epoxy resins derived from aliphatic, cycloaliphatic, heterocyclic or aromatic glycidyl compounds, e.g. products of diglycidyl ethers of bisphenol A and bisphenol F, which are crosslinked with customary hardeners such as anhydrides or amines, with or without accelerators.
- Natural polymers such as cellulose, rubber, gelatin and chemically modified homologous derivatives thereof, for example cellulose acetates, cellulose propionates and cellulose butyrates, or the cellulose ethers such as methyl cellulose; as well as rosins and their derivatives. 29.
- Blends of the aforementioned polymers for example PP/EPDM, PoIy- amide/EPDM or ABS, PVC/EVA, PVC/ABS, PVC/MBS, PC/ABS, PBTP/ABS, PC/ASA, PC/PBT, PVC/CPE, PVC/acrylates, POM/thermoplastic PUR, PC/thermoplastic PUR, POM/acrylate, POM/MBS, PPO/HIPS, PPO/PA 6.6 and copolymers, PA/HDPE, PA/PP, PA/PPO, PBT/PC/ABS or PBT/PET/PC.
- polyblends for example PP/EPDM, PoIy- amide/EPDM or ABS, PVC/EVA, PVC/ABS, PVC/MBS, PC/ABS, PBTP/ABS, PC/ASA, PC/PBT, PVC/CPE, PVC/acrylates, POM/thermoplastic PUR, PC/thermoplastic PUR, POM/
- thermoplastic organic polymer or a coating binder. Particular preference is given to polyolefins and polystyrene.
- composition may also comprise a further component selected from solvents, pigments, dyes, plasticizers, antioxidants, thixotropic agents, levelling assistants, further light stabilizers, metal passivators, metal oxides, organophosphorus compounds, hydroxylamines,
- UV absorbers UV absorbers, sterically hindered amines, and mixtures thereof.
- Alkylated monophenols for example 2,6-di-tert-butyl-4-methylphenol, 2-tert-butyl-4,6-di- methylphenol, 2,6-di-tert-butyl-4-ethylphenol, 2,6-di-tert-butyl-4-n-butylphenol, 2,6-di-tert-bu- tyl-4-isobutylphenol, 2,6-dicyclopentyl-4-methylphenol, 2-( ⁇ -methylcyclohexyl)-4,6-dimethyl- phenol, 2,6-dioctadecyl-4-methylphenol, 2,4,6-tricyclohexylphenol, 2,6-di-tert-butyl-4-meth- oxymethylphenol, nonylphenols which are linear or branched in the side chains, for example, 2,6-di-nonyl-4-methylphenol, 2,4-dimethyl-6-(1 '-methylunde
- Alkylthiomethylphenols for example 2,4-dioctylthiomethyl-6-tert-butylphenol, 2,4-dioctyl- thiomethyl-6-methylphenol, 2,4-dioctylthiomethyl-6-ethylphenol, 2,6-di-dodecylthiomethyl-4- nonylphenol.
- Hydroquinones and alkylated hydroquinones for example 2,6-di-tert-butyl-4-methoxy- phenol, 2,5-di-tert-butylhydroquinone, 2,5-di-tert-amylhydroquinone, 2,6-diphenyl-4-octade- cyloxyphenol, 2,6-di-tert-butylhydroquinone, 2,5-di-tert-butyl-4-hydroxyanisole, 3,5-di-tert-bu- tyl-4-hydroxyanisole, 3,5-di-tert-butyl-4-hydroxyphenyl stearate, bis(3,5-di-tert-butyl-4-hy- droxyphenyl) adipate.
- 2,6-di-tert-butyl-4-methoxy- phenol 2,5-di-tert-butylhydroquinone, 2,5-di-tert-amyl
- Tocopherols for example ⁇ -tocopherol, ⁇ -tocopherol, ⁇ -tocopherol, ⁇ -tocopherol and mixtures thereof (vitamin E).
- Hvdroxylated thiodiphenyl ethers for example 2,2'-thiobis(6-tert-butyl-4-methylphenol), 2,2'-thiobis(4-octylphenol), 4,4'-thiobis(6-tert-butyl-3-methylphenol), 4,4'-thiobis(6-tert-butyl-2- methylphenol), 4,4'-thiobis(3,6-di-sec-amylphenol), 4,4'-bis(2,6-dimethyl-4-hydroxyphenyl)- disulfide.
- 2,2'-thiobis(6-tert-butyl-4-methylphenol 2,2'-thiobis(4-octylphenol), 4,4'-thiobis(6-tert-butyl-3-methylphenol), 4,4'-thiobis(6-tert-butyl-2- methylphenol), 4,4'-thiobis(3,6-di-sec-amylphenol), 4,4'-bis
- Alkylidenebisphenols for example 2,2'-methylenebis(6-tert-butyl-4-methylphenol), 2,2'- methylenebis(6-tert-butyl-4-ethylphenol), 2,2'-methylenebis[4-methyl-6-( ⁇ -methylcyclohexyl)- phenol], 2,2'-methylenebis(4-methyl-6-cyclohexylphenol), 2,2'-methylenebis(6-nonyl-4- methylphenol), 2,2'-methylenebis(4,6-di-tert-butylphenol), 2,2'-ethylidenebis(4,6-di-tert-butyl- phenol), 2,2'-ethylidenebis(6-tert-butyl-4-isobutylphenol), 2,2'-methylenebis[6-( ⁇ -methylben- zyl)-4-nonylphenol], 2,2'-methylenebis[6-( ⁇ , ⁇ -dimethyl
- Hydroxybenzylated malonates for example dioctadecyl-2,2-bis(3,5-di-tert-butyl-2-hy- droxybenzyl)malonate, di-octadecyl-2-(3-tert-butyl-4-hydroxy-5-methylbenzyl)malonate, di- dodecylmercaptoethyl-2,2-bis (3,5-di-tert-butyl-4-hydroxybenzyl)malonate, bis[4-(1 ,1 ,3,3-te- tramethylbutyl)phenyl]-2,2-bis(3,5-di-tert-butyl-4-hydroxybenzyl)malonate.
- Aromatic hydroxybenzyl compounds for example 1 ,3,5-tris(3,5-di-tert-butyl-4-hydroxy- benzyl)-2,4,6-trimethylbenzene, 1 ,4-bis(3,5-di-tert-butyl-4-hydroxybenzyl)-2,3,5,6-tetrame- thylbenzene, 2,4,6-tris(3,5-di-tert-butyl-4-hydroxybenzyl)phenol.
- Triazine compounds for example 2,4-bis(octylmercapto)-6-(3,5-di-tert-butyl-4-hydroxy- anilino)-1 ,3,5-triazine, 2-octylmercapto-4,6-bis(3,5-di-tert-butyl-4-hydroxyanilino)-1 ,3,5-tri- azine, 2-octylmercapto-4,6-bis(3,5-di-tert-butyl-4-hydroxyphenoxy)-1 ,3,5-triazine, 2,4,6-tris- (3,5-di-tert-butyl-4-hydroxyphenoxy)-1 ,2,3-triazine, 1 ,3,5-tris(3,5-di-tert-butyl-4-hydroxyben- zyl)isocyanurate, 1 ,3,5-tris(4-tert-butyl-3-hydroxy-2,6-dimethylbenzyl
- Benzylphosphonat.es for example dimethyl-2,5-di-tert-butyl-4-hydroxybenzylphospho- nate, diethyl-3,5-di-tert-butyl-4-hydroxybenzylphosphonate, dioctadecyl3,5-di-tert-butyl-4-hy- droxybenzylphosphonate, dioctadecyl- ⁇ -tert-butyM-hydroxy-S-methylbenzylphosphonate, the calcium salt of the monoethyl ester of 3,5-di-tert-butyl-4-hydroxybenzylphosphonic acid.
- Acylaminophenols for example 4-hydroxylauranilide, 4-hydroxystearanilide, octyl N- (3,5-di-tert-butyl-4-hydroxyphenyl)carbamate.
- esters of ⁇ -(3,5-di-tert-butyl-4-hvdroxyphenyl)propionic acid with mono- or polyhydric alcohols e.g. with methanol, ethanol, n-octanol, i-octanol, octadecanol, 1 ,6-hexanediol, 1 ,9- nonanediol, ethylene glycol, 1 ,2-propanediol, neopentyl glycol, thiodiethylene glycol, diethy- lene glycol, triethylene glycol, pentaerythritol, tris(hydroxyethyl)isocyanurate, N,N'-bis(hy- droxyethyl)oxamide, 3-thiaundecanol, 3-thiapentadecanol, trimethylhexanediol, trimethylol- propane, 4-hydroxy
- esters of ⁇ -(5-tert-butyl-4-hvdroxy-3-methylphenyl)propionic acid with mono- or poly- hydric alcohols e.g. with methanol, ethanol, n-octanol, i-octanol, octadecanol, 1 ,6-hexanedi- ol, 1 ,9-nonanediol, ethylene glycol, 1 ,2-propanediol, neopentyl glycol, thiodiethylene glycol, diethylene glycol, triethylene glycol, pentaerythritol, tris(hydroxyethyl)isocyanurate, N,N'-bis- (hydroxyethyl)oxamide, 3-thiaundecanol, 3-thiapentadecanol, trimethylhexanediol, trimethyl- olpropane, 4-hydroxymethyl-1
- esters of ⁇ -(3,5-dicvclohexyl-4-hvdroxyphenyl)propionic acid with mono- or polyhydric alcohols e.g. with methanol, ethanol, octanol, octadecanol, 1 ,6-hexanediol, 1 ,9-nonanediol, ethylene glycol, 1 ,2-propanediol, neopentyl glycol, thiodiethylene glycol, diethylene glycol, triethylene glycol, pentaerythritol, tris(hydroxyethyl)isocyanurate, N,N'-bis(hydroxyethyl)ox- amide, 3-thiaundecanol, 3-thiapentadecanol, trimethylhexanediol, trimethylolpropane, 4-hy- droxymethyl-1 -phospha ⁇ j-trioxabi
- esters of 3,5-di-tert-butyl-4-hvdroxyphenyl acetic acid with mono- or polyhydric alcohols e.g. with methanol, ethanol, octanol, octadecanol, 1 ,6-hexanediol, 1 ,9-nonanediol, ethylene glycol, 1 ,2-propanediol, neopentyl glycol, thiodiethylene glycol, diethylene glycol, triethylene glycol, pentaerythritol, tris(hydroxyethyl)isocyanurate, N,N'-bis(hydroxyethyl)ox- amide, 3-thiaundecanol, 3-thiapentadecanol, trimethylhexanediol, trimethylolpropane, 4-hy- droxymethyl-1-phospha-2,6,7-trioxabicyclo[
- Aminic antioxidants for example N,N'-di-isopropyl-p-phenylenediamine, N,N'-di-sec-bu- tyl-p-phenylenediamine, N,N'-bis(1 ,4-dimethylpentyl)-p-phenylenediamine, N,N'-bis(1-ethyl-3- methylpentyl)-p-phenylenediamine, N,N'-bis(1-methylheptyl)-p-phenylenediamine, N,N'-dicy- clohexyl-p-phenylenediamine, N,N'-diphenyl-p-phenylenediamine, N,N'-bis(2-naphthyl)-p- phenylenediamine, N-isopropyl-N'-phenyl-p-phenylenediamine, N-(1 ,3-dimethylbutyl
- 2-(2'-Hvdroxyphenyl)benzotriazoles for example 2-(2'-hydroxy-5'-methylphenyl)-benzo- triazole, 2-(3',5'-di-tert-butyl-2'-hydroxyphenyl)benzotriazole, 2-(5'-tert-butyl-2'-hydroxyphe- nyl)benzotriazole, 2-(2'-hydroxy-5'-(1 ,1 ,3,3-tetramethylbutyl)phenyl)benzotriazole, 2-(3',5'-di- tert-butyl-2'-hydroxyphenyl)-5-chloro-benzotriazole, 2-(3'-tert-butyl-2'-hydroxy-5'-methylphe- nyl)-5-chloro-benzotriazole, 2-(3'-sec-butyl-5'-tert-butyl-2'-hydroxyphenyl)benzotriazole, 2-(3'
- azol-2-ylphenyl 2-[2'-hydroxy-3'-( ⁇ , ⁇ -dimethylbenzyl)-5'-(1 ,1 ,3,3-tetramethylbutyl)-phenyl]- benzotriazole; 2-[2'-hydroxy-3'-(1 ,1 ,3,3-tetramethylbutyl)-5'-( ⁇ , ⁇ -dimethylbenzyl)-phenyl]ben- zotriazole.
- 2-Hvdroxybenzophenones for example the 4-hydroxy, 4-methoxy, 4-octyloxy, 4-decyl- oxy, 4-dodecyloxy, 4-benzyloxy, 4,2',4'-trihydroxy and 2'-hydroxy-4,4'-dimethoxy derivatives.
- Esters of substituted and unsubstituted benzoic acids for example 4-tert-butyl-phenyl salicylate, phenyl salicylate, octylphenyl salicylate, dibenzoyl resorcinol, bis(4-tert-butylben- zoyl)resorcinol, benzoyl resorcinol, 2,4-di-tert-butylphenyl 3,5-di-tert-butyl-4-hydroxybenzo- ate, hexadecyl 3,5-di-tert-butyl-4-hydroxybenzoate, octadecyl 3,5-di-tert-butyl-4-hydroxyben- zoate, 2-methyl-4,6-di-tert-butylphenyl 3,5-di-tert-butyl-4-hydroxybenzoate.
- Acrylates for example ethyl ⁇ -cyano- ⁇ , ⁇ -diphenylacrylate, isooctyl ⁇ -cyano- ⁇ , ⁇ -diphe- nylacrylate, methyl ⁇ -carbomethoxycinnamate, methyl ⁇ -cyano- ⁇ -methyl-p-methoxycinna- mate, butyl ⁇ -cyano- ⁇ -methyl-p-methoxy-cinnamate, methyl ⁇ -carbomethoxy-p-methoxycin- namate, N-( ⁇ -carbomethoxy- ⁇ -cyanovinyl)-2-methylindoline, neopentyl tetra( ⁇ -cyano- ⁇ , ⁇ -di- phenylacrylate.
- Nickel compounds for example nickel complexes of 2,2'-thio-bis[4-(1 ,1 ,3,3-tetramethyl- butyl)phenol], such as the 1 :1 or 1 :2 complex, with or without additional ligands such as n- butylamine, triethanolamine or N-cyclohexyldiethanolamine, nickel dibutyldithiocarbamate, nickel salts of the monoalkyl esters, e.g. the methyl or ethyl ester, of 4-hydroxy-3,5-di-tert- butylbenzylphosphonic acid, nickel complexes of ketoximes, e.g.
- Sterically hindered amines for example bis(2,2,6,6-tetramethyl-4-piperidyl)sebacate, bis(2,2,6,6-tetramethyl-4-piperidyl)succinate, bis(1 ,2,2,6,6-pentamethyl-4-piperidyl)sebacate, bis(1 -octyloxy-2,2,6,6-tetramethyl-4-piperidyl)sebacate, bis(1 ,2,2,6,6-pentamethyl-4- piperidyl) n-butyl-3,5-di-tert-butyl-4-hydroxybenzylmalonate, the condensate of 1-(2- hydroxyethyl)-2,2,6,6-tetramethyl-4-hydroxypiperidine and
- Oxamides for example 4,4'-dioctyloxyoxanilide, 2,2'-diethoxyoxanilide, 2,2'-dioctyloxy- 5,5'-di-tert-butoxanilide, 2,2'-didodecyloxy-5,5'-di-tert-butoxanilide, 2-ethoxy-2'-ethyloxanilide, N,N'-bis(3-dimethylaminopropyl)oxamide, 2-ethoxy-5-tert-butyl-2'-ethoxanilide and its mixture with 2-ethoxy-2'-ethyl-5,4'-di-tert-butoxanilide, mixtures of o- and p-methoxy-disubstituted oxanilides and mixtures of o- and p-ethoxy-disubstituted oxanilides.
- Metal deactivators for example N,N'-diphenyloxamide, N-salicylal-N'-salicyloyl hydrazine, N,N'-bis(salicyloyl)hydrazine, N,N'-bis(3,5-di-tert-butyl-4-hydroxyphenylpropionyl)hydrazine, 3-salicyloylamino-1 ,2,4-triazole, bis(benzylidene)oxalyl dihydrazide, oxanilide, isophthaloyl dihydrazide, sebacoyl bisphenylhydrazide, N,N'-diacetyladipoyl dihydrazide, N,N'-bis(salicyl- oyl)oxalyl dihydrazide, N,N'-bis(salicyloyl)thiopropionyl dihydrazide.
- Phosphites and phosphonites for example triphenyl phosphite, diphenylalkyl phosphites, phenyldialkyl phosphites, tris(nonylphenyl) phosphite, trilauryl phosphite, trioctadecyl phosphite, distearylpentaerythritol diphosphite, tris(2,4-di-tert-butylphenyl) phosphite, diisodecyl pentaerythritol diphosphite, bis(2,4-di-tert-butylphenyl)pentaerythritol diphosphite, bis(2,4-di- cumylphenyl)pentaerythritol diphosphite, bis(2,6-di-tert-butyl-4-methylphenyl)pentaerythritol diphos
- Tris(2,4-di-tert-butylphenyl) phosphite (lrgafos ® 168, Ciba Specialty Chemicals Inc.), tris(no- nylphenyl) phosphite,
- Hydroxylamines for example N,N-dibenzylhydroxylamine, N,N-diethylhydroxylamine, N, N- dioctylhydroxylamine, N,N-dilaurylhydroxylamine, N,N-ditetradecylhydroxylamine, N, N- dihexadecylhydroxylamine, N,N-dioctadecylhydroxylamine, N-hexadecyl-N-octadecylhydrox- ylamine, N-heptadecyl-N-octadecylhydroxylamine, N,N-dialkylhydroxylamine derived from hydrogenated tallow amine.
- Nitrones for example, N-benzyl-alpha-phenylnitrone, N-ethyl-alpha-methylnitrone, N-octyl- alpha-heptylnitrone, N-lauryl-alpha-undecylnitrone, N-tetradecyl-alpha-tridecylnnitrone, N- hexadecyl-alpha-pentadecylnitrone, N-octadecyl-alpha-heptadecylnitrone, N-hexadecyl-al- pha-heptadecylnitrone, N-ocatadecyl-alpha-pentadecylnitrone, N-heptadecyl-alpha-hepta- decylnitrone, N-octadecyl-alpha-hexadecylnitrone, nitrone derived from N
- Thiosynergists for example dilauryl thiodipropionate, dimistryl thiodipropionate, distearyl thiodipropionate or distearyl disulfide.
- Peroxide scavengers for example esters of ⁇ -thiodipropionic acid, for example the lauryl, stearyl, myristyl or tridecyl esters, mercaptobenzimidazole or the zinc salt of 2-mercapto- benzimidazole, zinc dibutyldithiocarbamate, dioctadecyl disulfide, pentaerythritol tetrakis( ⁇ - dodecylmercapto)propionate.
- esters of ⁇ -thiodipropionic acid for example the lauryl, stearyl, myristyl or tridecyl esters
- mercaptobenzimidazole or the zinc salt of 2-mercapto- benzimidazole zinc dibutyldithiocarbamate
- dioctadecyl disulfide pentaerythritol tetrakis( ⁇ - dodecyl
- Polvamide stabilizers for example copper salts in combination with iodides and/or phos- phorus compounds and salts of divalent manganese.
- Basic co-stabilizers for example melamine, polyvinylpyrrolidone, dicyandiamide, triallyl cyanurate, urea derivatives, hydrazine derivatives, amines, polyamides, polyurethanes, alkali metal salts and alkaline earth metal salts of higher fatty acids, for example calcium stearate, zinc stearate, magnesium behenate, magnesium stearate, sodium ricinoleate and potassium palmitate, antimony pyrocatecholate or zinc pyrocatecholate.
- Basic co-stabilizers for example melamine, polyvinylpyrrolidone, dicyandiamide, triallyl cyanurate, urea derivatives, hydrazine derivatives, amines, polyamides, polyurethanes, alkali metal salts and alkaline earth metal salts of higher fatty acids, for example calcium stearate, zinc stearate, magnesium behenate, magnesium stearate, sodium ric
- Nucleating agents for example inorganic substances, such as talcum, metal oxides, such as titanium dioxide or magnesium oxide, phosphates, carbonates or sulfates of, preferably, alkaline earth metals; organic compounds, such as mono- or polycarboxylic acids and the salts thereof, e.g. 4-tert-butylbenzoic acid, adipic acid, diphenylacetic acid, sodium succinate or sodium benzoate; polymeric compounds, such as ionic copolymers (ionomers).
- inorganic substances such as talcum, metal oxides, such as titanium dioxide or magnesium oxide, phosphates, carbonates or sulfates of, preferably, alkaline earth metals
- organic compounds such as mono- or polycarboxylic acids and the salts thereof, e.g. 4-tert-butylbenzoic acid, adipic acid, diphenylacetic acid, sodium succinate or sodium benzoate
- polymeric compounds such as ionic copolymers (
- Fillers and reinforcing agents for example calcium carbonate, silicates, glass fibres, glass beads, asbestos, talc, kaolin, mica, barium sulfate, metal oxides and hydroxides, carbon black, graphite, wood flour and flours or fibers of other natural products, synthetic fibers.
- Other additives for example plasticisers, lubricants, emulsifiers, pigments, rheology additives, catalysts, flow-control agents, optical brighteners, flameproofing agents, antistatic agents and blowing agents.
- the stabilizers of the instant invention may readily be incorporated into the organic polymers by conventional techniques, at any convenient stage prior to the manufacture of shaped articles therefrom.
- the stabilizer may be mixed with the polymer in dry powder form, or a suspension or emulsion of the stabilizer may be mixed with a solution, suspension, or emulsion of the polymer.
- the resulting stabilized compositions of the invention may optionally also contain from about 0.01 to about 5%, preferably from about 0.025 to about 2%, and especially from about 0.1 to about 1 % by weight, based on the weight of the polymer of various conventional additives, such as the materials listed above, or mixtures thereof.
- Yet further aspects of the invention are a process for stabilizing an organic polymeric material against damage by light, oxygen and/or heat, which comprises adding to or applying to said material at least one compound according to formula (I) or (II) or of formulae Id), (Id'), (Ie), (Ie'), (If), (If), (Na) or (llb)as described above; and the use of a compound according to formula (I) or (II) or of formulae Id), (Id'), (Ie), (Ie'), (If), (If), (Na) or (lib) as described above for stabilizing an organic polymer against damage by light, oxygen and/or heat or as flame retardant.
- Example 4 Alternative method for the preparation of 8-Methoxy-2,2,7,7,9,9-hexamethyl-3- oxiranylmethyl-1 -oxa-3,8-diaza-spiro[4.51 decan-4-one
- Example 12 (1-Ethoxy-4-hvdroxy-2,2,6,6-tetramethyl-piperidin-4-yl)-acetonitrile 3 g 1-Ethoxy-2,2,6,6-tetramethyl-piperidin-4-one is dissolved in 20 ml dry THF and 0.93 g acetonitrile are added. The mixture is cooled to -78 0 C and 9.4 ml n-butyllithium (1.6 M solution in hexane) are added over a period of 30 min. Stirring is continued at -78 0 C for 1 h, then the cooling bath is removed. After 2h stirring at room temperature, the reaction mixture is diluted with MTBE and quenched with ammonium chloride solution.
Landscapes
- Chemical & Material Sciences (AREA)
- Organic Chemistry (AREA)
- Hydrogenated Pyridines (AREA)
- Nitrogen Condensed Heterocyclic Rings (AREA)
- Nitrogen And Oxygen Or Sulfur-Condensed Heterocyclic Ring Systems (AREA)
- Compositions Of Macromolecular Compounds (AREA)
- Organic Low-Molecular-Weight Compounds And Preparation Thereof (AREA)
Abstract
Description
Claims
Priority Applications (5)
| Application Number | Priority Date | Filing Date | Title |
|---|---|---|---|
| US13/376,721 US9045480B2 (en) | 2009-06-08 | 2010-06-01 | Sterically hindered amine light stabilizers |
| CA2762361A CA2762361A1 (en) | 2009-06-08 | 2010-06-01 | Novel sterically hindered amine light stabilizers |
| JP2012514421A JP6176921B2 (en) | 2009-06-08 | 2010-06-01 | Novel sterically hindered amine light stabilizer |
| CN201080024885.9A CN102803262B (en) | 2009-06-08 | 2010-06-01 | New hindered amine light stabilizer |
| EP10724441.0A EP2440557B1 (en) | 2009-06-08 | 2010-06-01 | Novel sterically hindered amine light stabilizers |
Applications Claiming Priority (2)
| Application Number | Priority Date | Filing Date | Title |
|---|---|---|---|
| EP09162181 | 2009-06-08 | ||
| EP09162181.3 | 2009-06-08 |
Publications (1)
| Publication Number | Publication Date |
|---|---|
| WO2010142576A1 true WO2010142576A1 (en) | 2010-12-16 |
Family
ID=41170057
Family Applications (1)
| Application Number | Title | Priority Date | Filing Date |
|---|---|---|---|
| PCT/EP2010/057642 Ceased WO2010142576A1 (en) | 2009-06-08 | 2010-06-01 | Novel sterically hindered amine light stabilizers |
Country Status (7)
| Country | Link |
|---|---|
| US (1) | US9045480B2 (en) |
| EP (1) | EP2440557B1 (en) |
| JP (1) | JP6176921B2 (en) |
| CN (1) | CN102803262B (en) |
| CA (1) | CA2762361A1 (en) |
| TW (1) | TWI527820B (en) |
| WO (1) | WO2010142576A1 (en) |
Cited By (3)
| Publication number | Priority date | Publication date | Assignee | Title |
|---|---|---|---|---|
| EP2581218A1 (en) | 2012-09-12 | 2013-04-17 | Aleris Aluminum Duffel BVBA | Production of formed automotive structural parts from AA7xxx-series aluminium alloys |
| WO2021260037A1 (en) * | 2020-06-24 | 2021-12-30 | Borchers Gmbh | Paints containing driers based on vanadium compounds bearing anions of sulfonic acids as counter ions |
| WO2023117421A1 (en) * | 2021-12-22 | 2023-06-29 | Borchers Gmbh | Paints containing driers based on vanadium compounds bearing various acid anions |
Families Citing this family (13)
| Publication number | Priority date | Publication date | Assignee | Title |
|---|---|---|---|---|
| PL2464628T3 (en) | 2009-08-11 | 2015-01-30 | Basf Se | Bi - or tricyclic sterically hindered alkoxyamines and process for their preparation |
| MY158943A (en) | 2010-03-05 | 2016-11-30 | Basf Se | Sterically hindered amines |
| CA2790327A1 (en) | 2010-03-05 | 2011-09-09 | Basf Se | Sterically hindered amines |
| CN103168053B (en) | 2010-10-20 | 2015-11-25 | 巴斯夫欧洲公司 | There is the low light gathering stablizer of specific function |
| EP2630137B1 (en) | 2010-10-20 | 2015-04-01 | Basf Se | Sterically hindered amine light stabilizers with mixed functionalization |
| US20170226321A1 (en) | 2014-06-24 | 2017-08-10 | Dow Global Technologies Llc | Polyolefin Photovoltaic Backsheet Comprising a Stabilized Polypropylene Layer |
| DE102014218810B3 (en) * | 2014-09-18 | 2016-01-28 | Fraunhofer-Gesellschaft zur Förderung der angewandten Forschung e.V. | Use of organic oxyimide salts as flame retardants, flame-retardant plastic composition, process for their preparation and molding, lacquer or coating |
| DE102015218421A1 (en) | 2015-09-24 | 2017-03-30 | Continental Automotive Gmbh | Magnetic armature for an electromagnetic actuator and injection valve for metering a fluid |
| WO2017189761A1 (en) | 2016-04-28 | 2017-11-02 | Medtronic, Inc. | Hydrolytically stable polymer compositions, articles, and methods |
| WO2019201417A1 (en) | 2018-04-16 | 2019-10-24 | CSEM Centre Suisse d'Electronique et de Microtechnique SA - Recherche et Développement | Layer assembly for a photovoltaic module |
| CN112126060B (en) * | 2019-06-25 | 2022-05-31 | 北京天罡助剂有限责任公司 | A kind of polymeric polymer sterically hindered amine and preparation method thereof |
| CN112175233B (en) * | 2020-10-15 | 2022-01-04 | 宿迁联盛科技股份有限公司 | Hindered amine light stabilizer and preparation method and application thereof |
| CN115724788A (en) * | 2022-11-23 | 2023-03-03 | 宿迁盛瑞新材料有限公司 | Polymerization inhibitor 702 micro-channel synthesis method |
Citations (6)
| Publication number | Priority date | Publication date | Assignee | Title |
|---|---|---|---|---|
| DE4423055A1 (en) * | 1994-07-01 | 1996-01-11 | Hoechst Ag | New spiro-poly:alkyl piperidine cpds. useful for improved properties |
| JPH09288339A (en) * | 1996-04-23 | 1997-11-04 | Fuji Photo Film Co Ltd | Silver halide photosensitive material |
| DE10012859A1 (en) * | 1999-03-19 | 2000-09-21 | Ciba Sc Holding Ag | New (poly)ethers prepared by reacting hydroxy-2,2,6,6-tetramethyl-piperidine or -piperazine hindered amine light stabilizer with methylene halide are used for stabilizing organic material, e.g. polymer or lacquer |
| EP1078929A2 (en) * | 1999-08-18 | 2001-02-28 | Clariant Finance (BVI) Limited | Sterically hindered amines |
| US6214995B1 (en) * | 1998-12-22 | 2001-04-10 | Richard F. Stockel | Reactive hindered amine light stabilizers |
| WO2009049851A1 (en) * | 2007-10-15 | 2009-04-23 | Syngenta Participations Ag | Spiroheterocyclic pyrrolidine dione derivatives useful as pesticides |
Family Cites Families (9)
| Publication number | Priority date | Publication date | Assignee | Title |
|---|---|---|---|---|
| US3639409A (en) * | 1967-06-22 | 1972-02-01 | Sankyo Co | 1 3 8-triaza-2-oxo- or thioxo-3-substituted-4-oxo or imin 7 9 9-tetraalkyl spiro(4 o-75)decanes |
| DE2634957C3 (en) * | 1976-08-04 | 1980-10-02 | Hoechst Ag, 6000 Frankfurt | l-Oxa-4,8-diaza-spiro- [43] -decanes, their preparation and their use as light stabilizers |
| EP0157738B1 (en) * | 1984-03-22 | 1989-04-19 | Ciba-Geigy Ag | Process for the preparation of nitroxyls of sterically hindered amines |
| DE3524542A1 (en) * | 1985-07-10 | 1987-01-22 | Hoechst Ag | 1-OXA-3-OXO-4,8-DIAZA-SPIRO (4,5) DECAN COMPOUNDS |
| US5096950A (en) * | 1988-10-19 | 1992-03-17 | Ciba-Geigy Corporation | Polyolefin compositions stabilized with NOR-substituted hindered amines |
| TW491872B (en) * | 1997-05-27 | 2002-06-21 | Ciba Sc Holding Ag | Block oligomers containing l-hydrocarbyloxy-2,2,6,6-tetramethyl-4- piperidyl groups as stabilizers for lower polyolefin |
| JP2001106708A (en) * | 1999-07-30 | 2001-04-17 | Mitsubishi Rayon Co Ltd | Polymerization inhibitor, polymerization prevention method and monomer composition |
| US20070014751A1 (en) * | 2005-06-30 | 2007-01-18 | Yifang Huang | Novel spiro-quinuclidinyl derivatives for the treatment of central nervous system disorders |
| JP5559208B2 (en) | 2009-02-04 | 2014-07-23 | ビーエーエスエフ ソシエタス・ヨーロピア | Stabilizer |
-
2010
- 2010-06-01 US US13/376,721 patent/US9045480B2/en active Active
- 2010-06-01 WO PCT/EP2010/057642 patent/WO2010142576A1/en not_active Ceased
- 2010-06-01 EP EP10724441.0A patent/EP2440557B1/en active Active
- 2010-06-01 CN CN201080024885.9A patent/CN102803262B/en active Active
- 2010-06-01 JP JP2012514421A patent/JP6176921B2/en active Active
- 2010-06-01 CA CA2762361A patent/CA2762361A1/en not_active Abandoned
- 2010-06-07 TW TW099118445A patent/TWI527820B/en active
Patent Citations (6)
| Publication number | Priority date | Publication date | Assignee | Title |
|---|---|---|---|---|
| DE4423055A1 (en) * | 1994-07-01 | 1996-01-11 | Hoechst Ag | New spiro-poly:alkyl piperidine cpds. useful for improved properties |
| JPH09288339A (en) * | 1996-04-23 | 1997-11-04 | Fuji Photo Film Co Ltd | Silver halide photosensitive material |
| US6214995B1 (en) * | 1998-12-22 | 2001-04-10 | Richard F. Stockel | Reactive hindered amine light stabilizers |
| DE10012859A1 (en) * | 1999-03-19 | 2000-09-21 | Ciba Sc Holding Ag | New (poly)ethers prepared by reacting hydroxy-2,2,6,6-tetramethyl-piperidine or -piperazine hindered amine light stabilizer with methylene halide are used for stabilizing organic material, e.g. polymer or lacquer |
| EP1078929A2 (en) * | 1999-08-18 | 2001-02-28 | Clariant Finance (BVI) Limited | Sterically hindered amines |
| WO2009049851A1 (en) * | 2007-10-15 | 2009-04-23 | Syngenta Participations Ag | Spiroheterocyclic pyrrolidine dione derivatives useful as pesticides |
Non-Patent Citations (17)
| Title |
|---|
| "Biocatalysis in the enantioselective formation of chiral cyanohydrins, valuable building blocks in organic synthesis", STEREOSELECTIVE BIOCATALYSIS, 2000, pages 289 - 320 |
| "Recent developments in hydantoin chemistry, a review", ORGANIC PREPARATIONS AND PROCEDURES INTERNATIONAL, vol. 36, no. 5, 2004, pages 391 - 443 |
| AUSTRALIAN JOURNAL OF CHEMISTRY, vol. 32, no. 8, 1979, pages 1805 - 17 |
| BIOORGANIC & MEDICINAL CHEMISTRY LETTERS, vol. 18, no. 1, 2008, pages 409 - 413 |
| CHEMISCHE BERICHTE, vol. 123, no. 4, 1990, pages 887 - 93 |
| CHEMISTRY LETTERS, no. 1, 1991, pages 145 - 8 |
| CHEMISTRY LETTERS, vol. 2, 1993, pages 375 - 8 |
| ENDERS, D.; SHILVOCK, J. P, CHEM. SOC. REV., vol. 29, 2000, pages 359 |
| FERNANDO FORMAGGIO, MARCELLA BONCHIO, MARCO CRISMA ET AL, CHEM. EUR. J., vol. 8, no. 1, 2002, pages 84 - 93, XP002551632 * |
| GROGER, H., CHEM. REV., vol. 103, 2003, pages 2795 |
| JOURNAL OF MEDICINAL CHEMISTRY, vol. 48, no. 20, 2005, pages 6379 - 6385 |
| JOURNAL OF ORGANIC CHEMISTRY, vol. 52, no. 12, 1987, pages 2602 - 4 |
| LI, JIE JACK. BUCHERER, BERGS REACTION, NAME REACTIONS IN HETEROCYCLIC CHEMISTRY, 2005, pages 266 - 274 |
| ROBERT J. H. GREGORY, CHEM. REV., vol. 99, no. 12, 1999, pages 3649 - 3682 |
| SPINO, C., ANGEW. CHEM. INT. ED., vol. 43, 2004, pages 1764 |
| WENLI HUANG, ROBERT CHIARELLI, BERNADETTE CHARLEUX, ANDRÉ RASSAT, JEAN-PIERRE VAIRON: "Unique behaviour of nitroxide biradicals in the controlled radical polymerization of styrene", MACROMOLECULES, vol. 35, 2002, pages 2305 - 2317, XP002551633 * |
| YET, L., ANGEW. CHEM. INT. ED., vol. 40, 2001, pages 875 |
Cited By (4)
| Publication number | Priority date | Publication date | Assignee | Title |
|---|---|---|---|---|
| EP2581218A1 (en) | 2012-09-12 | 2013-04-17 | Aleris Aluminum Duffel BVBA | Production of formed automotive structural parts from AA7xxx-series aluminium alloys |
| US10343726B2 (en) | 2012-09-12 | 2019-07-09 | Aleris Aluminum Duffel Bvba | Production of formed automotive structural parts from AA7XXX-series aluminium alloys |
| WO2021260037A1 (en) * | 2020-06-24 | 2021-12-30 | Borchers Gmbh | Paints containing driers based on vanadium compounds bearing anions of sulfonic acids as counter ions |
| WO2023117421A1 (en) * | 2021-12-22 | 2023-06-29 | Borchers Gmbh | Paints containing driers based on vanadium compounds bearing various acid anions |
Also Published As
| Publication number | Publication date |
|---|---|
| TW201107334A (en) | 2011-03-01 |
| US20120108709A1 (en) | 2012-05-03 |
| EP2440557A1 (en) | 2012-04-18 |
| CA2762361A1 (en) | 2010-12-16 |
| CN102803262B (en) | 2016-08-03 |
| US9045480B2 (en) | 2015-06-02 |
| TWI527820B (en) | 2016-04-01 |
| EP2440557B1 (en) | 2017-04-05 |
| JP6176921B2 (en) | 2017-08-09 |
| JP2012529456A (en) | 2012-11-22 |
| CN102803262A (en) | 2012-11-28 |
Similar Documents
| Publication | Publication Date | Title |
|---|---|---|
| EP2440557A1 (en) | Novel sterically hindered amine light stabilizers | |
| EP2440524A1 (en) | Sterically hindered amine stabilizers | |
| CA2401927C (en) | Benzofuran-2-one compounds as stabilizers of synthetic polymers | |
| US9464070B2 (en) | Sterically hindered amine stabilizer | |
| EP1844049A1 (en) | Long wavelength shifted benzotriazole uv-absorbers and their use | |
| WO2008000646A1 (en) | Long wavelength shifted benzotriazole uv-absorbers and their use | |
| CA2621184A1 (en) | A degradable polymer article | |
| WO2009016083A1 (en) | Degradation accelerator for polymers and polymer article comprising it | |
| CA2486415C (en) | Amorphous solid modification of bis(2,4-dicumylphenyl) pentaerythritol diphosphite | |
| EP1979435B8 (en) | Reversible thermochromic compositions | |
| EP2367794A1 (en) | Curable composition comprising a thermolatent base | |
| KR101854892B1 (en) | Stabilizer composition for polymers | |
| JP5256028B2 (en) | Tris (hydroxyphenyl) triazine | |
| CA2443064C (en) | Transition-metal-catalyzed process for the preparation of sterically hindered n-substituted alkoxyamines | |
| CA2494682A1 (en) | Polymeric alkoxyamines prepared by atom transfer radical addition (atra) |
Legal Events
| Date | Code | Title | Description |
|---|---|---|---|
| WWE | Wipo information: entry into national phase |
Ref document number: 201080024885.9 Country of ref document: CN |
|
| 121 | Ep: the epo has been informed by wipo that ep was designated in this application |
Ref document number: 10724441 Country of ref document: EP Kind code of ref document: A1 |
|
| REEP | Request for entry into the european phase |
Ref document number: 2010724441 Country of ref document: EP |
|
| WWE | Wipo information: entry into national phase |
Ref document number: 2010724441 Country of ref document: EP |
|
| WWE | Wipo information: entry into national phase |
Ref document number: 2762361 Country of ref document: CA |
|
| NENP | Non-entry into the national phase |
Ref country code: DE |
|
| WWE | Wipo information: entry into national phase |
Ref document number: 2012514421 Country of ref document: JP |
|
| WWE | Wipo information: entry into national phase |
Ref document number: 13376721 Country of ref document: US |

































