WO2007017261A1 - Xanthine derivatives as selective hm74a agonists - Google Patents
Xanthine derivatives as selective hm74a agonists Download PDFInfo
- Publication number
- WO2007017261A1 WO2007017261A1 PCT/EP2006/007865 EP2006007865W WO2007017261A1 WO 2007017261 A1 WO2007017261 A1 WO 2007017261A1 EP 2006007865 W EP2006007865 W EP 2006007865W WO 2007017261 A1 WO2007017261 A1 WO 2007017261A1
- Authority
- WO
- WIPO (PCT)
- Prior art keywords
- chloro
- mixture
- butyl
- dione
- purine
- Prior art date
- Legal status (The legal status is an assumption and is not a legal conclusion. Google has not performed a legal analysis and makes no representation as to the accuracy of the status listed.)
- Ceased
Links
- 0 *N(c1c(C(N2*)=O)[n]c(Cl)n1)C2=O Chemical compound *N(c1c(C(N2*)=O)[n]c(Cl)n1)C2=O 0.000 description 7
- XWRCFDAUBIQFGB-BBGOOPSLSA-N CCCCCN(c1c(C(N2CCC/C(/C)=N/C(/Cc(ccc(F)c3)c3Cl)=N\O)=O)[nH]c(Cl)n1)C2=O Chemical compound CCCCCN(c1c(C(N2CCC/C(/C)=N/C(/Cc(ccc(F)c3)c3Cl)=N\O)=O)[nH]c(Cl)n1)C2=O XWRCFDAUBIQFGB-BBGOOPSLSA-N 0.000 description 1
- UEHBSOZKEHODBZ-UHFFFAOYSA-N CCCCN(c1c(C(N2)=O)[n](CC=C)c(Cl)n1)C2=O Chemical compound CCCCN(c1c(C(N2)=O)[n](CC=C)c(Cl)n1)C2=O UEHBSOZKEHODBZ-UHFFFAOYSA-N 0.000 description 1
- PARHTABQGXRNGE-UHFFFAOYSA-N CCCCN(c1c(C(N2CCCCc3n[o]c(-c(c(F)ccc4)c4F)n3)=O)[nH]c(Cl)n1)C2=O Chemical compound CCCCN(c1c(C(N2CCCCc3n[o]c(-c(c(F)ccc4)c4F)n3)=O)[nH]c(Cl)n1)C2=O PARHTABQGXRNGE-UHFFFAOYSA-N 0.000 description 1
- IBJMQIJLJSYXJR-UHFFFAOYSA-N CCCCN(c1c(C(N2CCCCc3n[o]c(-c4c[n](C)nn4)n3)=O)[nH]c(Cl)n1)C2=O Chemical compound CCCCN(c1c(C(N2CCCCc3n[o]c(-c4c[n](C)nn4)n3)=O)[nH]c(Cl)n1)C2=O IBJMQIJLJSYXJR-UHFFFAOYSA-N 0.000 description 1
- CGNXDNSPHUBQDH-UHFFFAOYSA-N CCCCN(c1c(C(N2CCCCc3n[o]c(-c4ccccn4)n3)=O)[nH]c(Cl)n1)C2=O Chemical compound CCCCN(c1c(C(N2CCCCc3n[o]c(-c4ccccn4)n3)=O)[nH]c(Cl)n1)C2=O CGNXDNSPHUBQDH-UHFFFAOYSA-N 0.000 description 1
- POMPNPHRIIMVGL-UHFFFAOYSA-N CCCCN(c1c(C(N2CCC[n]3nc(Cc4ccccc4)nc3)=O)[n](CC=C)c(Cl)n1)C2=O Chemical compound CCCCN(c1c(C(N2CCC[n]3nc(Cc4ccccc4)nc3)=O)[n](CC=C)c(Cl)n1)C2=O POMPNPHRIIMVGL-UHFFFAOYSA-N 0.000 description 1
- HNQSNBGGHHBXGL-UHFFFAOYSA-N CCCCN(c1c(C(N2CCCc3nc(Cc4cc(Cl)cc(Cl)c4)n[o]3)=O)[nH]c(Cl)n1)C2=O Chemical compound CCCCN(c1c(C(N2CCCc3nc(Cc4cc(Cl)cc(Cl)c4)n[o]3)=O)[nH]c(Cl)n1)C2=O HNQSNBGGHHBXGL-UHFFFAOYSA-N 0.000 description 1
- JRGZDXWJUBEPRD-UHFFFAOYSA-N CCCN(c1c(C(N2CCCO)=O)[n](CC=C)c(Cl)n1)C2=O Chemical compound CCCN(c1c(C(N2CCCO)=O)[n](CC=C)c(Cl)n1)C2=O JRGZDXWJUBEPRD-UHFFFAOYSA-N 0.000 description 1
- JDPCFNUQAFMWSH-UHFFFAOYSA-N Fc1ccc(Cc2n[nH]nn2)cc1 Chemical compound Fc1ccc(Cc2n[nH]nn2)cc1 JDPCFNUQAFMWSH-UHFFFAOYSA-N 0.000 description 1
Classifications
-
- C—CHEMISTRY; METALLURGY
- C07—ORGANIC CHEMISTRY
- C07D—HETEROCYCLIC COMPOUNDS
- C07D473/00—Heterocyclic compounds containing purine ring systems
- C07D473/02—Heterocyclic compounds containing purine ring systems with oxygen, sulphur, or nitrogen atoms directly attached in positions 2 and 6
- C07D473/04—Heterocyclic compounds containing purine ring systems with oxygen, sulphur, or nitrogen atoms directly attached in positions 2 and 6 two oxygen atoms
-
- A—HUMAN NECESSITIES
- A61—MEDICAL OR VETERINARY SCIENCE; HYGIENE
- A61K—PREPARATIONS FOR MEDICAL, DENTAL OR TOILETRY PURPOSES
- A61K31/00—Medicinal preparations containing organic active ingredients
- A61K31/33—Heterocyclic compounds
- A61K31/395—Heterocyclic compounds having nitrogen as a ring hetero atom, e.g. guanethidine or rifamycins
- A61K31/495—Heterocyclic compounds having nitrogen as a ring hetero atom, e.g. guanethidine or rifamycins having six-membered rings with two or more nitrogen atoms as the only ring heteroatoms, e.g. piperazine or tetrazines
-
- A—HUMAN NECESSITIES
- A61—MEDICAL OR VETERINARY SCIENCE; HYGIENE
- A61P—SPECIFIC THERAPEUTIC ACTIVITY OF CHEMICAL COMPOUNDS OR MEDICINAL PREPARATIONS
- A61P1/00—Drugs for disorders of the alimentary tract or the digestive system
- A61P1/14—Prodigestives, e.g. acids, enzymes, appetite stimulants, antidyspeptics, tonics, antiflatulents
-
- A—HUMAN NECESSITIES
- A61—MEDICAL OR VETERINARY SCIENCE; HYGIENE
- A61P—SPECIFIC THERAPEUTIC ACTIVITY OF CHEMICAL COMPOUNDS OR MEDICINAL PREPARATIONS
- A61P13/00—Drugs for disorders of the urinary system
- A61P13/12—Drugs for disorders of the urinary system of the kidneys
-
- A—HUMAN NECESSITIES
- A61—MEDICAL OR VETERINARY SCIENCE; HYGIENE
- A61P—SPECIFIC THERAPEUTIC ACTIVITY OF CHEMICAL COMPOUNDS OR MEDICINAL PREPARATIONS
- A61P29/00—Non-central analgesic, antipyretic or antiinflammatory agents, e.g. antirheumatic agents; Non-steroidal antiinflammatory drugs [NSAID]
-
- A—HUMAN NECESSITIES
- A61—MEDICAL OR VETERINARY SCIENCE; HYGIENE
- A61P—SPECIFIC THERAPEUTIC ACTIVITY OF CHEMICAL COMPOUNDS OR MEDICINAL PREPARATIONS
- A61P3/00—Drugs for disorders of the metabolism
-
- A—HUMAN NECESSITIES
- A61—MEDICAL OR VETERINARY SCIENCE; HYGIENE
- A61P—SPECIFIC THERAPEUTIC ACTIVITY OF CHEMICAL COMPOUNDS OR MEDICINAL PREPARATIONS
- A61P3/00—Drugs for disorders of the metabolism
- A61P3/04—Anorexiants; Antiobesity agents
-
- A—HUMAN NECESSITIES
- A61—MEDICAL OR VETERINARY SCIENCE; HYGIENE
- A61P—SPECIFIC THERAPEUTIC ACTIVITY OF CHEMICAL COMPOUNDS OR MEDICINAL PREPARATIONS
- A61P3/00—Drugs for disorders of the metabolism
- A61P3/06—Antihyperlipidemics
-
- A—HUMAN NECESSITIES
- A61—MEDICAL OR VETERINARY SCIENCE; HYGIENE
- A61P—SPECIFIC THERAPEUTIC ACTIVITY OF CHEMICAL COMPOUNDS OR MEDICINAL PREPARATIONS
- A61P3/00—Drugs for disorders of the metabolism
- A61P3/08—Drugs for disorders of the metabolism for glucose homeostasis
- A61P3/10—Drugs for disorders of the metabolism for glucose homeostasis for hyperglycaemia, e.g. antidiabetics
-
- A—HUMAN NECESSITIES
- A61—MEDICAL OR VETERINARY SCIENCE; HYGIENE
- A61P—SPECIFIC THERAPEUTIC ACTIVITY OF CHEMICAL COMPOUNDS OR MEDICINAL PREPARATIONS
- A61P5/00—Drugs for disorders of the endocrine system
- A61P5/48—Drugs for disorders of the endocrine system of the pancreatic hormones
- A61P5/50—Drugs for disorders of the endocrine system of the pancreatic hormones for increasing or potentiating the activity of insulin
-
- A—HUMAN NECESSITIES
- A61—MEDICAL OR VETERINARY SCIENCE; HYGIENE
- A61P—SPECIFIC THERAPEUTIC ACTIVITY OF CHEMICAL COMPOUNDS OR MEDICINAL PREPARATIONS
- A61P7/00—Drugs for disorders of the blood or the extracellular fluid
- A61P7/02—Antithrombotic agents; Anticoagulants; Platelet aggregation inhibitors
-
- A—HUMAN NECESSITIES
- A61—MEDICAL OR VETERINARY SCIENCE; HYGIENE
- A61P—SPECIFIC THERAPEUTIC ACTIVITY OF CHEMICAL COMPOUNDS OR MEDICINAL PREPARATIONS
- A61P9/00—Drugs for disorders of the cardiovascular system
-
- A—HUMAN NECESSITIES
- A61—MEDICAL OR VETERINARY SCIENCE; HYGIENE
- A61P—SPECIFIC THERAPEUTIC ACTIVITY OF CHEMICAL COMPOUNDS OR MEDICINAL PREPARATIONS
- A61P9/00—Drugs for disorders of the cardiovascular system
- A61P9/04—Inotropic agents, i.e. stimulants of cardiac contraction; Drugs for heart failure
-
- A—HUMAN NECESSITIES
- A61—MEDICAL OR VETERINARY SCIENCE; HYGIENE
- A61P—SPECIFIC THERAPEUTIC ACTIVITY OF CHEMICAL COMPOUNDS OR MEDICINAL PREPARATIONS
- A61P9/00—Drugs for disorders of the cardiovascular system
- A61P9/08—Vasodilators for multiple indications
-
- A—HUMAN NECESSITIES
- A61—MEDICAL OR VETERINARY SCIENCE; HYGIENE
- A61P—SPECIFIC THERAPEUTIC ACTIVITY OF CHEMICAL COMPOUNDS OR MEDICINAL PREPARATIONS
- A61P9/00—Drugs for disorders of the cardiovascular system
- A61P9/10—Drugs for disorders of the cardiovascular system for treating ischaemic or atherosclerotic diseases, e.g. antianginal drugs, coronary vasodilators, drugs for myocardial infarction, retinopathy, cerebrovascula insufficiency, renal arteriosclerosis
-
- C—CHEMISTRY; METALLURGY
- C07—ORGANIC CHEMISTRY
- C07D—HETEROCYCLIC COMPOUNDS
- C07D473/00—Heterocyclic compounds containing purine ring systems
- C07D473/02—Heterocyclic compounds containing purine ring systems with oxygen, sulphur, or nitrogen atoms directly attached in positions 2 and 6
- C07D473/04—Heterocyclic compounds containing purine ring systems with oxygen, sulphur, or nitrogen atoms directly attached in positions 2 and 6 two oxygen atoms
- C07D473/06—Heterocyclic compounds containing purine ring systems with oxygen, sulphur, or nitrogen atoms directly attached in positions 2 and 6 two oxygen atoms with radicals containing only hydrogen and carbon atoms, attached in position 1 or 3
Definitions
- the present invention relates to compounds which are xanthine derivatives, processes for the manufacture of said derivatives, pharmaceutical formulations containing these compounds and the use of the compounds in therapy, for example, in the treatment of diseases where under-activation of the HM74A receptor contributes to the disease or where activation of the receptor will be beneficial.
- Dyslipidaemia is a general term used to describe individuals with aberrant lipoprotein profiles.
- the main classes of compounds used for the treatment of patients with dyslipidaemia, and therefore at risk of cardiovascular disease are the statins, fibrates, bile-acid binding resins and nicotinic acid. Nicotinic acid (Niacin, a B vitamin) has been used clinically for over 40 years in patients with various forms of dyslipidaemia.
- nicotinic acid produces a very desirable alteration in lipoprotein profiles; reducing levels of VLDL and LDL whilst increasing HDL. Nicotinic acid has also been demonstrated to have disease modifying benefits, reducing the progression and increasing the regression of atherosclerotic lesions and reducing the number of cardiovascular events in several trials.
- xanthine derivatives have been synthesised and disclosed in the prior art.
- EP0389282 discloses xanthine derivatives as potential mediators of cerebrovascular disorders.
- a range of xanthine derivatives were identified as adenosine receptor antagonists by Jacobson et. al. in J. Med. Chem., 1993, 36, 2639- 2644.
- the present invention provides xanthine derivatives and the use of these derivatives in therapy, for example, in the treatment of diseases where under-activation of the HM74A receptor contributes to the disease or where activation of the receptor will be beneficial.
- diseases of lipid metabolism including dyslipidaemia or hyperlipoproteinaemia such as diabetic dyslipidaemia and mixed dyslipidaemia, heart failure, hypercholesteremia, cardiovascular disease including atherosclerosis, arteriosclerosis, and hypertriglyceridaemia.
- the compounds may also find favour as therapeutics for coronary artery disease, thrombosis, angina, chronic renal failure, peripheral vascular disease and stroke, as well as the cardiovascular indications associated with type Il diabetes mellitus, type I diabetes, insulin resistance, hyperlipidaemia, anorexia nervosa, obesity.
- the compounds may also be of use in the treatment of inflammatory diseases or conditions, as set out further below.
- R 1 represents -(alkylene) m -X-(alkylene) n -Y;
- n and n represent the number of carbon atoms in the alkylene chain
- X represents a group selected from heteroaryl and heterocyclyl
- Y represents a group selected from aryl, heteroaryl and O-aryl; which may be optionally substituted by one or more groups independently selected from C 1-6 alkyl, C 2-6 alkenyl, C 2-6 alkynyl, halogen, -(CH 2 ) q NR 5 R 7 , -(CH 2 ) q -(O) p -(CH 2 ) q -N(R 5 )C(O)OR 8 , -(CH 2 ) q -N(R 5 )C(O)R 8 , -(CH 2 ) q -(O) p -(CH 2 ) q -C(O)NR 5 R 6 , -(CH 2 ) q -N(R 5 )C(O)NR 5 R 6 , -(CH 2 ) q -N(R 5 )C(O)NR 5 R 6 , -(CH 2 ) q -N(R 5 )
- R 2 represents C 1-6 alkyl which may be optionally substituted by one or more groups independently selected from cycloalkyl, Ci -6 haioalkyl, halogen, -CN and -OR 4 ;
- R 3 represents halogen
- R 4 represents a group selected from hydrogen, C 1-6 alkyl, C 2-6 alkenyl, C 2-6 alkynyl, - (CH 2 ) n cycloalkyl, -(CH 2 ) n cycloalkenyl, -(CH 2 ) n heterocyclyl, -(CH 2 ) n aryl, and -(CH 2 ) n heteroaryl;
- R 5 and R 6 are independently selected from hydrogen and C 1-4 alkyl
- R 7 represents a group selected from C 1 - S alkyl, C 2-6 alkenyl, C 2-6 alkynyl, -(CH 2 ) t cycloalkyl, -(CH 2 ) t cycloalkenyl, -(CH 2 ) t heterocyclyl, -(CH 2 ), aryl, and -(CH 2 ) t heteroaryl;
- R 8 represents C 1-4 alkyl
- R 9 represents a group selected from C 1-6 alkyl C 2-6 alkenyl, C 2-6 alkynyl, -(CH 2 J n cycloalkyl, -(CH 2 ) n cycloalkenyl, -(CH 2 ) n heterocyclyl, -(CH 2 J n aryl, -(CH 2 ) n heteroaryl, and CN;
- n an integer selected from 3 and 4;
- n an integer selected from O and 1 ;
- t represents an integer selected from 1 and 2.
- the compound(s) are believed to be of use ir* the treatment of diseases where under- activation of the HM74A receptor contributes to the disease or where activation of the receptor will be beneficial.
- diseases of lipid metabolism including dyslipidaemia and hyperlipoproteinaemia such as diabetic dyslipidaemia and mixed dyslipidaemia, heart failure, hypercholesteraemia, cardiovascular disease including atherosclerosis, arteriosclerosis, and hypertriglyceridaemia.
- the compounds may also find favour as therapeutics for coronary artery disease, thrombosis, angina, chronic renal failure, peripheral vascular disease and stroke, as well as the cardiovascular indications associated with type Il diabetes mellitus, type I diabetes, insulin resistance, hyperlipidaemia, anorexia nervosa, obesity.
- the compounds of the present invention may find use as agonists or partial agonists of HM74A.
- the compounds may also be of use in the treatment of inflammatory diseases or conditions, as set out further below.
- X represents a heteroaryl.
- X represents a heteroaryl comprising a nitrogen heteroatom, for example, triazolyl, furazanyl, oxadiazolyl, tetrazolyl, imidazolyl or pyrazolyl.
- X represents a group selected from oxadiazolyl and tetrazolyl.
- Y represents an optionally substituted group selected from aryl, for example phenyl or napthyl, heteroaryl, for example pyridinyl, thiazolyl, thienyl, benzofuranyl or indolyl, and O-aryl, for example O-phenyl.
- Y represents an optionally substituted group selected from aryl and heteroaryl. In one embodiment Y is selected from aryl.
- Y may be optionally substituted by one or more of: C ⁇ alkyl, C 2-6 alkenyl, C 2-6 alkynyl, halogen, -NH 2 , -(CH 2 ) q -(O) p -(CH 2 ) q -N(R 5 )C(O)OR 8 , -(CH 2 ) q -N(R 5 )C(O)R 8 , -(CH 2 ) q -(O) p -(CH 2 ) q -C(O)NR 5 R 6 , -(CH 2 ) q -N(R 5 )C(O)N(R 5 )R 6 , -(CH 2 ) q -C(O)N((CH 2 ) m OH)R 5 , -(CH 2 ) q -N(R 5 )-S(O) 2 R 8 , -CH 2 -S(O) 2 R 8 ,
- -C 1-6 haloalkyl -OCF 3 , -OCH(F) 2 , -OCH 2 F, -C(O)OR 5 , -OR 5 , -R 8 CN, CN -SO 2 R 9 , -(CH 2 ) n heteroaryl, -(CH 2 ) n heterocycyl, -(CH 2 ) n cycloalkyl, -(CH 2 ) n cycloalkenyl, -(CH 2 ) n aryl;
- Y is substituted by one or more groups selected from OR 5 for example OH or OCH 3 , halogen, for example F or Cl, aryl, for example phenyl, Ci-6 haloalkyl for example CF 3 or CH 2 CF 3 , OCF 3 , R 8 CN 1 CN, (CH 2 ) q -N(R 5 )-S(O) 2 R 8 , for example NHSO 2 CH 3 and SO 2 R 9 , for example SO 2 CH 3 .
- OR 5 for example OH or OCH 3
- halogen for example F or Cl
- aryl for example phenyl
- Ci-6 haloalkyl for example CF 3 or CH 2 CF 3 , OCF 3
- R 8 CN 1 CN, (CH 2 ) q -N(R 5 )-S(O) 2 R 8 , for example NHSO 2 CH 3 and SO 2 R 9 , for example SO 2 CH 3 .
- Y is substituted by one or more groups selected from OR 5 , halogen, C 1-6 haloalkyl, and -(CH 2 ) q -N(R 5 )C(O)R 8 .
- Y is substituted by one or more groups selected from halogen, and C 1-6 haloalkyl.
- Y is not further substituted.
- X and Y each independently represent a heteroaryl comprising a nitrogen heteroatom.
- X represents oxadiazolyl and Y represents pyridinyl.
- X represents tetrazolyl and Y represents phenyl.
- X represents oxadiazolyl and Y represents phenyl
- n is O. In a further embodiment, m is 3 and n is 1.
- R 2 is selected from C 3-6 alkyl, for example butyl or pentyl, for example n-butyl or n-pentyl.
- R 3 is selected from chlorine and bromine. In another embodiment, R 3 represents chlorine.
- R 7 represents a group selected from C 1-6 alkyl, C 2-6 alkenyl, C 2-6 alkynyl, -(CH 2 ) t cycloalkyl, -(CH 2 ) n cycloalkenyl, -(CH 2 ) t heterocyclyl, -(CH 2 ) t aryl, and -(CH 2 ), heteroaryl;
- X represents oxadiazolyl
- Y represents phenyl
- R 2 is butyl
- R 3 represents chlorine and m is 4 and n is 0.
- the compounds of formula (I) may have one or more asymmetric carbon atom and may occur as recemates, racemic mixtures and as individual enantiomers or diastereomers. All such isomeric forms are included within the present invention, including mixtures thereof.
- a compound of formula (I) contains an alkenyl or alkenylene group
- cis (E) and trans (Z) isomerism may also occur.
- the present invention includes the individual stereoisomers of the compound of the invention and, where appropriate, the individual tautomeric forms thereof, together with mixtures thereof. Separation of diastereoisomers or cis and trans isomers may be achieved by conventional techniques, e.g.
- crystalline forms of the compounds of formula (I) may exist as polymorphs, which are included in the present invention.
- One form may have an advantage over another form, for example one form may have improved stability over another form.
- alkyl refers to a straight or branched hydrocarbon chain unless specified otherwise, containing the specified number of carbon atoms.
- C 3 -C 6 alkyl means a straight or branched hydrocarbon chain containing at least 3 and at most 6 carbon atoms.
- alkyl as used herein include, but are not limited to methyl (Me), ethyl (Et), n-propyl and i-propyl.
- alkylene as used herein means both straight and branched saturated or unsaturated chain, or cyclic saturated hydrocarbon linker groups.
- alkenyl as used herein refers to a straight or branched hydrocarbon chain containing the specified number of carbon atoms which contains one or more double bonds.
- alkynyl refers to a straight or branched hydrocarbon chain containing the specified number of carbon atoms which contains one or more triple bonds.
- cycloalkyl refers to a saturated monocyclic hydrocarbon ring of 3 to 8 carbon atoms. Examples of such groups include cyclopropyl, cyclobutyl, cyclopentyl, cyclohexyl, cycloheptyl and cyclooctyl.
- cycloalkenyl refers to an unsaturated non-aromatic monocyclic hydrocarbon ring of 3 to 8 carbon atoms containing one or more carbon- carbon double bonds. Examples of such groups include cyclopropenyl, cyclobutenyl, cyclopentenyl, cyclohexenyl, cycloheptenyl, cyclooctenyl and the like.
- aryl refers to a C 6 -i 2 monocyclic, bicyclic or tricyclic hydrocarbon ring wherein at least one ring is aromatic. Examples of such groups include phenyl, naphthyl or tetrahydronaphthalenyl and the like.
- heteroaryl refers to a 5-6 membered monocyclic aromatic ring or a fused 8-10 membered bicyclic aromatic ring, containing 1 to 4 heteroatoms, each independently selected from oxygen, nitrogen and sulphur. There may be one or more optional oxo substituents on the ring carbon atoms.
- Examples of such monocyclic aromatic rings include thienyl, furyl, furazanyl, pyrrolyl, triazolyl, tetrazolyl, imidazolyl, oxazolyl, thiazolyl, oxadiazolyl, isothiazolyl, isoxazolyl, thiadiazolyl, pyranyl, pyrazolyl, pyrimidyl, pyridazinyl, pyrazinyl, pyridyl, triazinyl, tetrazinyl and the like.
- fused aromatic rings include quinolinyl, isoquinolinyl, quinazolinyl, quinoxalinyl, pteridinyl, cinnolinyl, phthalazinyl, naphthyridinyl, indolyl, isoindolyl, azaindolyl, indolizinyl, indazolyl, purinyl, pyrrolopyridinyl, furopyridinyl, benzofuranyl, isobenzofuranyl, benzothienyl, benzoimidazolyl, benzoxazolyl, benzoisoxazolyl, benzothiazolyl, benzoisothiazolyl, benzoxadiazolyl, benzothiadiazolyl and the like.
- heterocyclyl refers to a 4-7 membered monocyclic ring or a fused 8-12 membered bicyclic ring which may be saturated or partially unsaturated containing 1 to 4 heteroatoms each independently selected from oxygen, nitrogen or sulphur. There may be one or more optional oxo substituents on the ring carbon atoms.
- Examples of such monocyclic rings include pyrrolidinyl, azetidinyl, pyrazolidinyl, oxazolidinyl, piperidinyl, piperazinyl, morpholinyl, thiomorpholinyl, thiazolidinyl, hydantoinyl, valerolactamyl, oxiranyl, oxetanyl, dioxolanyl, dioxanyl, oxathiolanyl, oxathianyl, dithianyl, dihydrofuranyl, tetrahydrofuranyl, dihydropyranyl, tetrahydropyranyl, tetrahydropyridinyl, tetrahydropyrimidinyl, tetrahydrothiophenyl, tetrahydrothiopyranyl, diazepanyl, azepanyl and the like.
- bicyclic rings examples include indolinyl, isoindolinyl, benzopyranyl, quinuclidinyl, 2,3,4,5-tetrahydro-1H- 3-benzazepine, tetrahydroisoquinolinyl and the like.
- halogen or halo as used herein refer to for example, a fluorine, chlorine, bromine or iodine atom.
- C 1-6 haloalkyl refers to a C 1-6 alkyl group as defined herein wherein at least one hydrogen atom is replaced with halogen. Examples of such groups include fluoroethyl, trifluoromethyl, trifluoroethyl and the like.
- pharmaceutically acceptable derivative refers to any pharmaceutically acceptable derivative of a compound of the present invention, for example, salts, solvates or esters, which upon administration to a mammal, such as a human, is capable of providing (directly or indirectly) such a compound or an active metabolite thereof.
- pharmaceutically acceptable derivative refers to any pharmaceutically acceptable derivative of a compound of the present invention, for example, salts, solvates or esters, which upon administration to a mammal, such as a human, is capable of providing (directly or indirectly) such a compound or an active metabolite thereof.
- Such derivatives are clear to those skilled in the art, without undue experimentation, and with reference to the teaching of Burger's Medicinal Chemistry And Drug Discovery, 5th Edition, VoI 1 : Principles And Practice, which is incorporated herein by reference.
- the term "pharmaceutically acceptable” used in relation to an ingredient (active ingredient, diluent, excipient or carrier) which may be included in a pharmaceutical formulation for administration to a patient refers to that ingredient being acceptable in the sense of being compatible with any other ingredients present in the pharmaceutical formulation and not being deleterious to the recipient thereof.
- solvate refers to a complex of variable stoichiometry formed by a solute (in this invention, a compound of formula (I) or a pharmaceutically acceptable derivative thereof) and a solvent.
- solvents for the purposes of the present invention may not interfere with the biological activity of the solute.
- the solvent used may be a pharmaceutically acceptable solvent.
- suitable pharmaceutically acceptable solvents include water, ethanol and acetic acid.
- An example of a solvent that may be used is water, in which case the solvate may be referred to as a hydrate of the solute in question.
- the "salt or solvate” referred to above will be a pharmaceutically acceptable salt or solvate.
- other salts or solvates may find use, for example, in the preparation of a compound of formula (I) or in the preparation of a pharmaceutically acceptable salt or solvate thereof.
- Suitable pharmaceutically acceptable salts include those described by Berge, Bighley and Monkhouse, J. Pharm. Sci., 1977, 66, 1-19.
- Suitable pharmaceutically acceptable salts include alkali metal salts formed from the addition of alkali metal bases such as alkali metal hydroxides. Examples of suitable alkali metal salts include sodium salts and potassium salts.
- Other suitable pharmaceutically acceptable salts include alkaline earth metal salts such as calcium salts and magnesium salts, ammonium salts; or salts with organic bases such as ethanolamine, triethanolamine, ethylene diamine, triethylmine, choline and meglumine; or salts with amino acids such as arginine, lysine and histidine.
- Esters may be active in their own right and/or be hydrolysable under in vivo conditions in the human body. Suitable pharmaceutically acceptable in vivo hydrolysable ester groups include those which break down readily in the human body to leave the parent acid or its salt. An ester may be formed at a carboxylic acid (-C(O)OH) group, by methods well known in the art involving reaction with the corresponding alcohol. For example, esters may be C ⁇ alkyl esters, e.g. methyl esters, ethyl esters, and the like.
- the term "compounds of the invention” means the compounds according to Formula I and the pharmaceutically acceptable derivatives thereof.
- the term “a compound of the invention” means any one of the compounds of the invention as defined above.
- At least one chemical entity means at least one chemical substance chosen from the group of compounds consisting of compounds of formula I and pharmaceutically acceptable derivatives thereof.
- Theta diffraction angles account for positions of various peaks in the X-ray diffraction pattern. Slight variations in observed 2 theta angles are expected based on the specific diffractometer employed and the analyst's sample preparation technique.
- the substantially crystalline forms of 3-Butyl-8-chloro-1- ⁇ 4-[5-(2-pyridinyl)-1 ,2,4- oxadiazol-3-yl]butyl ⁇ -3,7-dihydro-1 H-purine-2,6-dione can be identified by the presence of a characteristic 2 theta angle peak, or by multiple 2 theta angles which are reasonably characteristic of the particular crystalline forms.
- At least one of the foregoing 2 theta angles are employed to identify substantially crystalline 3-Butyl-8- chloro-1 - ⁇ 4-[5-(2-pyridinyl)-1 ,2,4-oxadiazol-3-yl]butyl ⁇ -3,7-dihydro-1 H-purine-2,6-dione form 1 and substantially crystalline 3-Butyl-8-chloro-1- ⁇ 4-[5-(2-pyridinyl)-1 ,2,4- oxadiazol-3-yl]butyl ⁇ -3,7-dihydro-1 H-purine-2,6-dione form 2.
- At least 2, 3, 4 or 5 (where applicable) of the foregoing 2 theta angles are employed to identify substantially crystalline 3-Butyl-8-chloro-1- ⁇ 4-[5-(2-pyridinyl)-1,2,4-oxadiazol-3- yl]butyl ⁇ -3,7-dihydro-1 H-purine-2,6-dione form 1 , substantially crystalline 3-Butyl-8- chloro-1 - ⁇ 4-[5-(2-pyridinyl)-1 ,2,4-oxadiazol-3-yl]butyl ⁇ -3,7-dihydro-1 H-purine-2,6-dione form 2.
- margin of error is present in each of the 2 theta angle assignments.
- the margin of error in the foregoing 2 theta angles is approximately ⁇ 0.1 degrees for each of the foregoing peak assignments.
- the preferred method of comparing X-ray powder diffraction patterns in order to identify a particular crystalline form is to overlay the X-ray powder diffraction pattern of the unknown form over the X-ray powder diffraction pattern of a known form.
- substantially crystalline form means that it is substantially free of amorphous form 3-Butyl-8-chloro-1- ⁇ 4-[5-(2-pyridinyl)-1 ,2,4-oxadiazol-3- yl]butyl ⁇ -3,7-dihydro-1 H-purine-2,6-dione.
- substantially free is meant containing less than 50% of the amorphous form, in one aspect less than 20% of the amorphous form, in another aspect less than 10% of the amorphous form, in another aspect less than 5% of the amorphous form, in another aspect less than 2% of the amorphous form, in another aspect less than 1% of the amorphous form.
- the present invention provides a method for the preparation of substantially crystalline S-Butyl- ⁇ -chloro-i ⁇ -t ⁇ -pyridinyO-i ⁇ -oxadiazol-S-yllbutylJ-S.Z-dihydro-I H-purine- 2,6-dione form as described herein.
- Compounds of formula (I) are of potential therapeutic benefit in the treatment and amelioration of the symptoms of many diseases of lipid metabolism including dyslipidaemia and hyperlipoproteinaemia such as diabetic dyslipidaemia and mixed dyslipidaemia, heart failure, hypercholesteraemia, cardiovascular disease including atherosclerosis, arteriosclerosis, and hypertriglyceridaemia, type Il diabetes mellitus, type I diabetes, insulin resistance, hyperlipidaemia, anorexia nervosa, obesity.
- the compounds may also find favour as therapeutics for coronary artery disease, thrombosis, angina, chronic renal failure, peripheral vascular disease and stroke.
- Inflammation represents a group of vascular, cellular and neurological responses to trauma. Inflammation can be characterised as the movement of inflammatory cells such as monocytes, neutrophils and granulocytes into the tissues.
- Inflammation with regards to disease typically is referred to as chronic inflammation.
- Such chronic inflammation may manifest itself through disease symptoms.
- the aim of anti-inflammatory therapy is therefore to reduce this chronic inflammation and allow for the physiological process of healing and tissue repair to progress.
- inflammatory diseases or conditions for which the compounds of the present invention may demonstrate utility include those of the joint, for example arthritis (e.g. rheumatoid arthritis, osteoarthritis, prosthetic joint failure), or the gastrointestinal tract (e.g. ulcerative colitis, Crohn's disease, and other inflammatory bowel and gastrointestinal diseases, gastritis and mucosal inflammation resulting from infection, the enteropathy provoked by non-steroidal anti-inflammatory drugs), of the lung (e.g. adult respiratory distress syndrome, asthma, cystic fibrosis, or chronic obstructive pulmonary disease), of the heart (e.g. myocarditis), of nervous tissue (e.g. multiple sclerosis), of the pancreas, (e.g.
- arthritis e.g. rheumatoid arthritis, osteoarthritis, prosthetic joint failure
- the gastrointestinal tract e.g. ulcerative colitis, Crohn's disease, and other inflammatory bowel and gastrointestinal diseases, gastritis and mucosal inflammation
- kidney e.g. glomerulonephritis
- the skin e.g. dermatitis, psoriasis, eczema, urticaria, burn injury
- the eye e.g. glaucoma
- transplanted organs e.
- the compounds of this invention are useful in the treatment and prevention of inflammation, diabetes and cardiovascular diseases or conditions including atherosclerosis, arteriosclerosis, hypertriglyceridemia, and mixed dyslipidaemia.
- Nicotinic acid has a significant side effect profile, possibly because it is dosed at high level (gram quantities daily). The most common side effect is an intense cutaneous flushing.
- the compounds may exhibit reduced side effects compared to nicotinic acid.
- HM74A has been identified as a high affinity receptor for nicotinic acid whilst HM74 is a lower affinity receptor.
- the compounds of the present invention show greater affinity for HM74A than for HM74 therefore may find use as selective HM74A agonists or partial agonists.
- HM74A The potential for compounds of formula (I) to activate HM74A may be demonstrated, for example, using the following in vitro whole cell assays:
- HEK293T cells HEK293 cells stably expressing the SV40 large T-antigen
- DMEM fetal calf serum
- 2mM glutamine 10% foetal calf serum
- Cells were seeded in 90mm culture dishes and grown to 60-80% confluence (18-24h) prior to transfection.
- Human HM74A GenBankTM accession number AY148884
- pcDNA3 mammalian expression vector
- CHO-K1 cells For generation of stable cell lines the above method was used to transfect CHO-K1 cells seeded in six well dishes grown to 30% confluence. These cells were maintained in DMEM-Ham's F-12 media (available from Invitrogen) containing 10% foetal calf serum and 2mM glutamine. 48h post-transfection the media was supplemented with 400 ⁇ g/ml Geneticin (G418, Gibco) for selection of antibiotic resistant cells. Clonal CHO-K1 cell lines stably expressing HM74A were confirmed by [ 35 S]-GTPyS binding measurements, following the addition of nicotinic acid.
- P2 membrane preparation - Plasma membrane-containing P2 particulate fractions were prepared from cell pastes frozen at -80 0 C after harvest. All procedures were carried out at 4°C. Cell pellets were resuspended in 1 ml of 1OmM Tris-HCI and 0.1mM EDTA, pH 7.5 (buffer A) and by homogenisation for 20s with a Ultra Turrax followed by passage (5 times) through a 25-gauge needle. Cell lysates were centrifuged at 1 ,000g for 10 min in a microcentrifuge to pellet the nuclei and unbroken cells and P2 particulate fractions were recovered by microcentrifugation at 16,00Og for 30min. P2 particulate fractions were resuspended in buffer A and stored at -80°C until required.
- HM74 HM74 were diluted in assay buffer (2OmM HEPES, 10OmM NaCI, 1OmM MgCI 2 , pH7.4) supplemented with saponin (60 ⁇ g/ml), Leadseeker WGA beads (Amersham; 250 ⁇ g/well) and 10 ⁇ M GDP, so that the 20 ⁇ l volume added to each well contains 5 ⁇ g of membranes.
- [ 35 S]-GTPyS 1170 Ci/mmol, Amersham was diluted (1 :1500) in assay buffer and 20 ⁇ l added to each well. Following the addition of the radioligand, the plates were sealed, pulse spun and incubated for 4hours at room temperature.
- Specific binding is expressed as pEC 50 and as % efficacy compared to the maximal response of nicotinic acid binding.
- Compounds of the invention can be tested in male Spague-Dawley rats (200-25Og) which have been fasted for at least 12 hours prior to the study.
- the compounds are dosed intravenously at either 1 or 3mg/kg (5ml/kg) or by oral gavage at doses ranging from 1-30mg/kg (10ml/kg).
- Blood samples (0.3ml tail vein bleed) can be taken pre- dose and at three times post-dose (times ranging from 15 minutes to 6 hours post- dose). Each blood sample is transferred to a heparin tube (Becton Dickinson Microtainer, PST LH) and centrifuged (10,000g for 5 minutes) to produce a plasma sample.
- heparin tube Becton Dickinson Microtainer, PST LH
- NEFA non-esterified fatty acids
- the exemplified compounds (Examples 1 - 512) have a pEC 50 of 4.3 (+/- 0.3 log unit) or greater and an efficacy of 30% or greater (in relation to nicotinic acid) in the [ 35 S]- GTP ⁇ S binding assays described above, in which they were tested.
- Analytical HPLC was conducted on a SupelcosilTM ABZ+PLUS column (Supelco) (3 ⁇ m, 3.3cm x 4.6mm ID) eluting with 0.1% HCO 2 H and 0.01 M ammonium acetate in water (solvent A), and 95% MeCN and 5% water (containing 0.5% HCO 2 H) (solvent B), using the following elution gradient 0-0.7min 0%B, 0.7-4.2min 0 ⁇ 100%B, 4.2-4.6minutes 100%B, 4.6-4.8min 100 ⁇ 0%B at a flow rate of 3 ml/min.
- the diode array UV detection was carried out in the range 215 to 330nm.
- MS mass spectra
- BiotageTM chromatography refers to purification carried out using either the Flash 40i or Flash 15Oi purification systems, sold by Biotage AB, using cartridges pre-packed with KPSiI (silica).
- CompanionTM system refers to the Teledyne lsco Combiflash CompanionTM purification system. This is a gradient controlled purification system with integral, variable wavelength UV detection with the capability to trigger automated fraction collection by UV threshold.
- Mass directed autoprep refers to methods where the material was purified by high performance liquid chromatography using either a SupelcosilTM ABZ+ 5 ⁇ m column (10cm x 20mm i.d.) or a SupelcosilTM ABZ+ 10 ⁇ m column (15cm x 30mm i.d.) with a suitable gradient of solvent A: 0.1% HCO 2 H in water and solvent B: 95% MeCN 1 5% water (containing 0.5% HCO 2 H).
- the Waters 2767 inject / collector was triggered by a MicroMass ZQ Mass Spectrometer on detecting the mass of interest (using Micromass MassLynx software).
- Preparative HPLC (Autoprep HPLC or Autoprep) refers to methods where the material was purified by high performance liquid chromatography on a SupelcosilTM ABZ+ 5 ⁇ m column (10cm x 21.2mm i.d.) with a suitable gradient of 0.1% HCO 2 H in water and MeCN (with 0.5% HCO 2 H).
- the Gilson 233 fraction collector was triggered by UV detection.
- SPE solid phase extraction
- C18 SPE refers to the use of cartridges pre-packed with 40 ⁇ M C18 funtionalised silica sorbent (sold by Varian Inc.). The compound was loaded, typically in 50:50 DMSO / MeOH, onto a cartridge previously conditioned with MeCN and equilibrated with 5% MeCN in water. The product was eluted with a suitable gradient of 0.1% HCO 2 H in water and MeCN (0.5% HCO 2 H).
- Aminopropyl SPE or column refers to the use of cartridges pre-packed with 40 ⁇ m- 120 ⁇ m aminopropyl functionalized silica (sold by Varian Inc.).
- the crude product is typically loaded in DCM / MeOH mixtures onto a cartridge previously conditioned with MeOH.
- the neutral components were eluted with MeOH and/or DCM (3 or 4 column volumes) and the acidic components usually eluted with an eluent containing a proportion of AcOH (2-20%).
- OasisTM Cartridges / OasisTM SPE's refer to SPE cartridges packed with a polymeric sorbent manufactured by the Waters Corporation. These are typically conditioned with 3 column volumes of MeOH and equilibrated with water before the sample is loaded. Salts and inorganics are eluted with water and the product typically eluted with MeOH or MeCN.
- GreenHouseTM refers to a 24 reaction parallel synthesiser platform available from RDT Ltd, UK
- compounds of Formula (I) may find use in human or veterinary medicine, for example as activators of HM74A, in the management of dyslipidaemia and hyperlipoproteinaemia.
- at least one compound of formula (I) or a pharmaceutically acceptable derivative thereof, for use in human or veterinary medicine for example in the treatment of disorders of lipid metabolism including dyslipidaemia and hyperlipoproteinaemia such as diabetic dyslipidaemia and mixed dyslipidaemia, heart failure, hypercholesteraemia, cardiovascular disease including atherosclerosis, arteriosclerosis, and hypertriglyceridaemia, type Il diabetes mellitus, type I diabetes, insulin resistance, hyperlipidaemia, anorexia nervosa and obesity.
- the compounds are also provided for use in the treatment of coronary artery disease, thrombosis, angina, chronic renal failure, peripheral vascular disease and stroke.
- At least one compound of formula (I) or a pharmaceutically acceptable derivative thereof for use in the manufacture of a medicament for the treatment of disorders of lipid metabolism including dyslipidaemia and hyperlipoproteinaemia such as diabetic dyslipidaemia and mixed dyslipidaemia, heart failure, hypercholesteraemia, cardiovascular disease including atherosclerosis, arteriosclerosis, and hypertriglyceridaemia, type Il diabetes mellitus, type I diabetes, insulin resistance, hyperlipidaemia, anorexia nervosa, obesity.
- the compounds are also provided for use in the treatment of coronary artery disease, thrombosis, angina, chronic renal failure, peripheral vascular disease and stroke.
- references herein to treatment extend to prophylaxis, prevention of recurrence and suppression of symptoms as well as the treatment of established conditions.
- At least one compound of formula (I) or a pharmaceutically acceptable derivative thereof for use in the treatment of disorders of lipid metabolism including dyslipidaemia and hyperlipoproteinaemia for use in the treatment of disorders of lipid metabolism including dyslipidaemia and hyperlipoproteinaemia.
- the use is provided of at least one compound of Formula (I) or a pharmaceutically acceptable derivative thereof in the treatment of diabetic dyslipidaemia, mixed dyslipidaemia, heart failure, hypercholesteraemia, type Il diabetes mellitus, type I diabetes, insulin resistance, hyperlipidaemia, anorexia nervosa, obesity, coronary artery disease, thrombosis, angina, chronic renal failure, stroke and cardiovascular disease including atherosclerosis, arteriosclerosis, and hypertriglyceridaemia.
- this embodiment of the present invention includes any combination of particular embodiments and covers all combinations of particular substituents described herein above for compounds of Formula (I). Additionally, the present invention provides the use of at least one compound of formula (I) or a pharmaceutically acceptable derivative thereof, in the manufacture of a medicament for the treatment of inflammatory diseases or conditions of the joint, for example, arthritis (e.g. rheumatoid arthritis, osteoarthritis, prosthetic joint failure), or of the gastrointestinal tract (e.g. ulcerative colitis, Crohn's disease, and other inflammatory bowel and gastrointestinal diseases, gastritis and mucosal inflammation resulting from infection, the enteropathy provoked by non-steroidal anti-inflammatory drugs), of the lung (e.g.
- arthritis e.g. rheumatoid arthritis, osteoarthritis, prosthetic joint failure
- the gastrointestinal tract e.g. ulcerative colitis, Crohn's disease, and other inflammatory bowel and gastrointestinal diseases, gastritis and mucosal inflammation resulting from infection
- adult respiratory distress syndrome asthma, cystic fibrosis, or chronic obstructive pulmonary disease
- of the heart e.g. myocarditis
- nervous tissue e.g. multiple sclerosis
- pancreas e.g. inflammation associated with diabetes melitus and complications thereof, of the kidney (e.g. glomerulonephritis), of the skin (e.g. dermatitis, psoriasis, eczema, urticaria, burn injury), of the eye (e.g. glaucoma) as well as of transplanted organs (e.g. rejection) and multi-organ diseases (e.g.
- systemic lupus erythematosis, sepsis systemic lupus erythematosis, sepsis
- a method for the treatment of a human or animal subject with a condition where under-activation of the HM74A receptor contributes to the condition or where activation of the receptor will be beneficial comprises administering to said human or animal subject an effective amount of at least one compound of formula (I) or a pharmaceutically acceptable derivative thereof.
- the present invention provides a method for the treatment of disorders of lipid metabolism including dyslipidaemia and hyperlipoproteinaemia such as diabetic dyslipidaemia and mixed dyslipidaemia, heart failure, hypercholesteraemia, cardiovascular disease including atherosclerosis, arteriosclerosis, and hypertriglyceridaemia, type Il diabetes mellitus, type I diabetes, insulin resistance, hyperlipidaemia, anorexia nervosa and obesity, which method comprises administering to said human or animal subject an effective amount of at least one compound of formula (I) or a pharmaceutically acceptable derivative thereof.
- dyslipidaemia and hyperlipoproteinaemia such as diabetic dyslipidaemia and mixed dyslipidaemia
- cardiovascular disease including atherosclerosis, arteriosclerosis, and hypertriglyceridaemia
- type Il diabetes mellitus type I diabetes
- insulin resistance hyperlipidaemia
- anorexia nervosa anorexia nervosa
- obesity comprises administering to said human or animal subject an effective amount of at least one compound of formula (
- these compounds may also find favour in methods for the treatment of coronary artery disease, thrombosis, angina, chronic renal failure, peripheral vascular disease and stroke, which methods comprise administering to said human or animal subject an effective amount of at least one compound of formula (I) or a pharmaceutically acceptable derivative thereof.
- the amount of a compound of formula (I) or a pharmaceutically acceptable derivative thereof which is required to achieve the desired biological effect will, of course, depend on a number of factors, for example, the mode of administration and the precise clinical condition of the recipient.
- the daily dose will be in the range of 0.1 mg - 1g/kg, typically 0.1 - 100mg/kg.
- An intravenous dose may, for example, be in the range of 0.01mg to 0.1g/kg, typically 0.01mg to 10mg/kg, which may conveniently be administered as an infusion of from 0.1 ⁇ g to 1mg, per minute.
- Infusion fluids suitable for this purpose may contain, for example, from 0.01 ⁇ g to 0.1 mg, per millilitre.
- Unit doses may contain, for example, from 0.01 ⁇ g to 1g of a compound of the invention.
- ampoules for injection may contain, for example, from 0.01 ⁇ g to 0.1g and orally administrable unit dose formulations, such as tablets or capsules, may contain, for example, from 0.1 mg to 1g, for example from 5mg to 50mg.
- a compound of formula (I) or a pharmaceutically acceptable derivative thereof may be employed as the compound per se in the treatment of a disease where under-activation of the HM74A receptor contributes to the disease or where activation of the receptor will be beneficial, an example of this is where a compound of the present invention is presented with an acceptable carrier in the form of a pharmaceutical formulation.
- the carrier must, of course, be acceptable in the sense of being compatible with the other ingredients of the formulation and must not be deleterious to the recipient.
- the carrier may be a solid or a liquid, or both, and may be formulated with the compound of the invention as a unit-dose formulation, for example, a tablet, which may contain from 0.05% to 95% by weight of the compound of the invention.
- the formulations include those suitable for oral, rectal, topical, buccal (e.g. sub-lingual) and parenteral (e.g. subcutaneous, intramuscular, intradermal or intravenous) administration.
- buccal e.g. sub-lingual
- parenteral e.g. subcutaneous, intramuscular, intradermal or intravenous
- Formulations suitable for oral administration may be presented in discrete units, such as capsules, cachets, lozenges or tablets, each containing a predetermined amount of a a compound of formula (I) or a pharmaceutically acceptable derivative thereof; as a powder or granules; as a solution or a suspension in an aqueous or non-aqueous liquid; or as an oil-in-water or water-in-oil emulsion.
- the formulations are prepared by uniformly and intimately admixing the compound of formula (I) or a pharmaceutically acceptable derivative thereof, with a liquid or finely divided solid carrier, or both, and then, if necessary, shaping the product.
- a tablet may be prepared by compressing or moulding a powder or granules of the compound of formula (I) or a pharmaceutically acceptable derivative thereof optionally with one or more accessory ingredients.
- Compressed tablets may be prepared by compressing, in a suitable machine, the compound in a free-flowing form, such as a powder or granules optionally mixed with a binder, lubricant, inert diluent and/or surface active/dispersing agent(s).
- Moulded tablets may be made by moulding, in a suitable machine, the powdered compound moistened with an inert liquid diluent.
- Tablets and capsules for oral administration may contain conventional excipients such as binding agents, for example syrup, acacia, gelatin, sorbitol, tragacanth, mucilage of starch or polyvinyl pyrrolidone; fillers, for example, lactose, microcrystalline cellulose, sugar, maize- starch, calcium phosphate or sorbitol; lubricants, for example, magnesium stearate, stearic acid, talc, polyethylene glycol or silica; disintegrants, for example, potato starch, croscarmellose sodium or sodium starch glycollate; or wetting agents such as sodium lauryl sulphate.
- the tablets may be coated according to methods well known in the art.
- Oral liquid preparations may be in the form of, for example, aqueous or oily suspensions, solutions, emulsions, syrups or elixirs, or may be presented as a dry product for constitution with water or other suitable vehicle before use.
- Such liquid preparations may contain conventional additives such as suspending agents, for example, sorbitol syrup, methyl cellulose, glucose/sugar syrup, gelatin, hydroxymethyl cellulose, hydroxypropylmethyl cellulose, carboxymethyl cellulose, aluminium stearate gel or hydrogenated edible fats; emulsifying agents, for example, lecithin, sorbitan mono-oleate or acacia; non-aqueous vehicles (which may include edible oils), for example almond oil, fractionated coconut oil, oily esters, propylene glycol or ethyl alcohol; or preservatives, for example, methyl or propyl p.- hydroxybenzoates or sorbic acid.
- the preparations may also contain buffer salts, flavour
- Formulations suitable for buccal (sub-lingual) administration include lozenges comprising a compound of the invention in a flavoured base, usually sucrose and acacia or tragacanth, and pastilles comprising the compound of the invention in an inert base such as gelatin and glycerin or sucrose and acacia.
- Formulations of the present invention suitable for parenteral administration conveniently comprise sterile aqueous preparations of a compound of formula (I) or a pharmaceutically acceptable derivative thereof, the formulation may be isotonic with the blood of the intended recipient. These preparations could be administered intravenously, although administration may also be effected by means of subcutaneous, intramuscular, or intradermal injection. Such preparations may conveniently be prepared by admixing the compound of formula (I) or a pharmaceutically acceptable derivative thereof with water and rendering the resulting solution sterile and isotonic with the blood. Injectable compositions according to the invention will generally contain from 0.1 to 5% w/w of the compound of formula (I) or a pharmaceutically acceptable derivative thereof.
- formulations of the present invention suitable for parenteral administration comprising a compound of formula (I) or a pharmaceutically acceptable derivative thereof may be formulated for parenteral administration by bolus injection or continuous infusion and may be presented in unit dose form, for instance as ampoules, vials, small volume infusions or pre-filled syringes, or in multi-dose containers with an added preservative.
- the compositions may take such forms as solutions, suspensions, or emulsions in aqueous or non-aqueous vehicles, and may contain formulatory agents such as anti-oxidants, buffers, antimicrobial agents and/or toxicity adjusting agents.
- formulations suitable for oral administration include formulations comprising a compound of formula (I) or a pharmaceutically acceptable derivative thereof, in 10% DMSO and 90% sodium hydrogen carbonate in sterile saline.
- formulations suitable for intravenous administration include formulations comprising a compound of formula (I) or a pharmaceutically acceptable derivative thereof, in 5% or 10% DMSO and 95% or 90% sodium hydrogen carbonate in sterile water.
- the therapeutically active agent may be in powder form for constitution with a suitable vehicle, e.g. sterile, pyrogen-free water, before use.
- the dry solid presentation may be prepared by filling a sterile powder aseptically into individual sterile containers or by filling a sterile solution aseptically into each container and freeze-drying.
- Formulations suitable for rectal administration may be presented as unit-dose suppositories. These may be prepared by admixing a a compound of formula (I) or a pharmaceutically acceptable derivative thereof with one or more conventional solid carriers, for example, cocoa butter or glycerides and then shaping the resulting mixture.
- a a compound of formula (I) or a pharmaceutically acceptable derivative thereof with one or more conventional solid carriers, for example, cocoa butter or glycerides and then shaping the resulting mixture.
- Formulations suitable for topical application to the skin may take the form of an ointment, cream, lotion, paste, gel, spray, aerosol, or oil.
- Carriers which may be used include vaseline, lanolin, polyethylene glycols, alcohols, and combinations of two or more thereof.
- the compound of formula (I) or a pharmaceutically acceptable derivative thereof is generally present at a concentration of from 0.1 to 15% w/w of the composition, for example, from 0.5 to 2%.
- topical administration as used herein, we include administration by insufflation and inhalation.
- preparation for topical administration include ointments, creams, lotions, powders, pessaries, sprays, aerosols, capsules or cartridges for use in an inhaler or insufflator or drops (e.g. eye or nose drops).
- Ointments and creams may, for example, be formulated with an aqueous or oily base with the addition of suitable thickening and/or gelling agents and/or solvents.
- bases may thus, for example, include water and/or an oil such as liquid paraffin or a vegetable oil such as arachis oil or castor oil or a solvent such as a polyethylene glycol.
- Thickening agents which may be used include soft paraffin, aluminium stearate, cetostearyl alcohol, polyethylene glycols, microcrystalline wax and beeswax.
- Lotions may be formulated with an aqueous or oily base and will in general also contain one or more emulsifying agents, stabilising agents, dispersing agents, suspending agents or thickening agents.
- Powders for external application may be formed with the aid of any suitable powder base, for example, talc, lactose or starch. Drops may be formulated with an aqueous or non-aqueous base also comprising one or more dispersing agents, solubilising agents or suspending agents.
- Spray compositions may be formulated, for example, as aqueous solutions or suspensions or as aerosols delivered from pressurised packs, with the use of a suitable propellant, e.g. dichlorodifluoromethane, trichlorofluoromethane, dichlorotetrafluoroethane, 1 ,1 ,1 ,2,3,3,3-heptafluoropropane, 1 ,1 ,1 ,2- tetrafluorethane, carbon dioxide or other suitable gas.
- a suitable propellant e.g. dichlorodifluoromethane, trichlorofluoromethane, dichlorotetrafluoroethane, 1 ,1 ,1 ,2,3,3,3-heptafluoropropane, 1 ,1 ,1 ,2- tetrafluorethane, carbon dioxide or other suitable gas.
- Capsules and cartridges for use in an inhaler or insufflator, of for example gelatin may be formulated containing a powder mix of a compound of the invention and a suitable powder base such as lactose or starch.
- compositions according to the invention may also be used in combination with other therapeutic agents, for example in combination with other classes of dyslipidaemic drugs (e.g. statins, fibrates, bile-acid binding resins or nicotinic acid).
- dyslipidaemic drugs e.g. statins, fibrates, bile-acid binding resins or nicotinic acid.
- the compounds of the instant invention may be used in combination with one or more other therapeutically active agents for example in combination with other classes of dyslipidaemic drugs e.g. 3-hydroxy-3-methylglutaryl-coenzyme A reductase inhibitors (statins) or fibrates or bile acid binding resins or nicotinic acid.
- dyslipidaemic drugs e.g. 3-hydroxy-3-methylglutaryl-coenzyme A reductase inhibitors (statins) or fibrates or bile acid binding resins or nicotinic acid.
- the invention thus provides, in a further embodiment, the use of such a combination in the treatment of diseases where under-activation of the HM74A receptor contributes to the disease or where activation of the receptor will be beneficial and the use of at least one compound of formula (I) or a pharmaceutically acceptable derivative thereof in the manufacture of a medicament for the combination therapy of disorders of lipid metabolism including dyslipidaemia and hyperlipoproteinaemia such as diabetic dyslipidaemia and mixed dyslipidaemia, heart failure, hypercholesteraemia, cardiovascular disease including atherosclerosis, arteriosclerosis, and hypertriglyceridaemia, type Il diabetes mellitus, type I diabetes, insulin resistance, hyperlipidaemia, anorexia nervosa and obesity.
- the compounds of the present invention may be administered either together or separately, sequentially or simultaneously by any convenient route.
- compositions comprising a combination as defined above optimally together with a pharmaceutically acceptable carrier or excipient comprise a further embodiment of the invention.
- the individual components of such combinations may be administered either together or separately, sequentially or simultaneously in separate or combined pharmaceutical formulations.
- the two components When combined in the same formulation it will be appreciated that the two components must be stable and compatible with each other and the other components of the formulation and may be formulated for administration. When formulated separately they may be provided in any convenient formulation, conveniently in such a manner as are known for such compounds in the art.
- each component When in combination with a second therapeutic agent active against the same disease, the dose of each component may differ from that when the compound is used alone. Appropriate doses will be readily appreciated by those skilled in the art.
- the invention thus provides, in a further embodiment, a combination comprising at least one compound of formula (I) or a pharmaceutically acceptable derivative thereof together with another therapeutically active agent.
- the compounds of the present invention and pharmaceutically acceptable derivatives thereof may be prepared by the methodology described hereinafter, constituting a further embodiment of this invention.
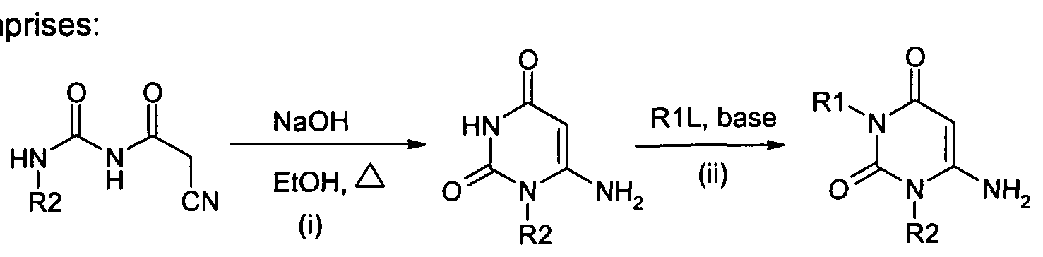
- the present invention provides a method for the preparation of compound(s) of formula (I) from an appropriate starting material, for example compound(s) of formula (II):
- R1 incorporates a heterocyclyl, heteroaryl or aryl and R1 represents Cl.
- L represents a leaving group, for example halogen
- R represents -(alkylene) n -Y and Q may or may not be present, and if present represents either O or NR5.
- L represents a leaving group, for example halogen
- d represents (m-1 )
- R represents -(alk) n -Y.
- L represents a leaving group, for example halogen
- d represents (m-1)
- R represents -NR 5 R 7 or -OR 5 .
- X incorporates a pyrazole, imidazole or tetrazole,.
- L represents a leaving group, for example halogen
- d represents (m-1)
- R represents -(alk) n -Y.
- L represents a leaving group, for example halogen
- d represents (m-1)
- R represents an alkyl group
- R' represents -(alk) n -Y.
- L represents a leaving group, for example halogen
- d represents (m-1)
- R represents an alkyl group
- R' represents -(alk) n -Y.
- R 3 is Cl or Br comprises steps (i) to (iv) of Process 8 followed by:
- R3 Cl or Br i) Halogenation at C8 using NCS or NBS ii) Palladium catalysed removal of the allyl group
- R 3 is Cl comprises:
- Process 11 A process according to the invention for preparing compound(s) of formula (I) in which R 1 differs from R 2 and R 3 is Cl comprises steps (i) to (v) of Process 1 (where R 2 from process 1 is specifically SEM or MEM) followed by:
- a process according to the invention for preparing compound(s) of formula (I) in which R 3 is Cl, Br or I comprises steps (i) to (iv) of Process 8 followed by:
- L represents a leaving group
- a resultant compound of formula (I) can be converted into a pharmaceutically acceptable derivative, for example a resultant compound of formula (I) can be converted into a salt form or vice versa or converting one salt form into another pharmaceutically acceptable salt form.
- LiHMDS Lithium hexamethyldisilylamide
- Figure 1 XRPD data of substantially crystalline 3-Butyl-8-chloro-1- ⁇ 4-[5-(2-pyridinyl)- 1 ,2,4-oxadiazol-3-yl]butyl ⁇ -3,7-dihydro-1 H-purine-2,6-dione form 1.
- Figure 2 XRPD data of substantially crystalline 3-Butyl-8-chloro-1- ⁇ 4-[5-(2-pyridinyl)- 1 ,2,4-oxadiazol-3-yl]butyl ⁇ -3,7-dihydro-1 H-purine-2,6-dione form 2.
- Figure 3 Overlay of XRPD data for substantially crystalline 3-Butyl-8-chloro-1- ⁇ 4-[5-(2- pyridinyl)-1 ,2,4-oxadiazol-3-yl]butyl ⁇ -3,7-dihydro-1 H-puhne-2,6-dione Form 1 and Form 2.
- Example 1 S-Chloro-i-O- ⁇ i-K ⁇ -chloro- ⁇ -fluorophenvDmethvn-IH-pyrazoM- yl)propyl)-3-pentyl-3.7-dihvdro-1H-purine-2,6-dione
- Example 2 8-chloro-3-pentyl-1 -(3- ⁇ 1 -[(2 ,4,6-trifluorophenyl)methyl]-1 H-pyrazol-4- yl ⁇ propyl)-3,7-dihydro-1H-purine-2,6-dione
- Example 11 8-Chloro-1 -(3- ⁇ 1 -r(2-chlorophenyl)methyll-1 H-pyrazol-4-yl)propyl)-3- pentyl-3.7-dihydro-1/V-purine-2.6-dione
- the crude was purified by a silica SPE column using a 0.5- 5% MeOH/DCM gradient. The product fractions were combined and concentrated under high vacuum. The product was dissolved in THF (5ml) then Pd(PPh 3 J 4 (88mg, 0.077mmol) and morpholine (670 ⁇ l, 7.67mmol) were added and the mixture left to stir at rt under nitrogen for 3h. 88mg of Pd(PPh 3 ) 4 (0.077mmol) was added and the mixture was left to stir at rt under nitrogen for 16h. The mixture was partitioned between EtOAc and H 2 O. The organic layer was separated and the aqueous layer was extracted with EtOAc (x2).
- the crude product was purified on a silica SPE column using a DCM to load the material onto the column and wash through the impurities then a 0-5% MeOH/DCM gradient to elute the compound.
- the product fractions were combined and concentrated and the residues dissolved in anhydrous DMF (3ml).
- the solution was degassed then Pd(PPh 3 J 4 (39mg, 0.034mmol) and morpholine (200 ⁇ l, 2.3mmol) were added and the mixture left to stir at rt under nitrogen for 3h.
- the crude product was purified by an aminopropyl SPE using MeOH to load the compound onto the column and wash through the impurities then a 0-5% AcOH/MeOH gradient to elute the product.
- the product fractions were combined and concentrated by high vacuum to leave the title compound as a white solid (14mg, 7%).
- Example 14 3-B ⁇ tyl-8-chloro-1-r3-(1-fr2-(trifluoromethyl)phenvnmethyl>-1AV- imidazol-4-yl)propyll-3.7-dihvdro-1H-purine-2.6-dione
- the crude product was purified on a silica SPE column using DCM to load the material onto the column and wash through the impurities then a 0-5% MeOH/DCM gradient to elute the compound.
- the product fractions were combined and concentrated and the residues dissolved in anhydrous DMF (3ml).
- the solution was degassed then Pd(PPh 3 ) 4 (35mg, 0.030mmol) and morpholine (174 ⁇ l, 2.0mmol) were added and the mixture left to stir at rt under nitrogen for 3h.
- the crude product was purified by an aminopropyl SPE using MeOH to load the compound onto the column and wash through the impurities then a 0-5% AcOH/MeOH gradient to elute the product.
- the product fractions were combined and concentrated by high vacuum to leave the title compound as a white solid (50mg, 26%).
- LC/MS m/z 509 [MH] + , RT 2.64min.
- the crude product was purified on a silica SPE column using a DCM to load the material onto the column and wash through the impurities then a 0-5% MeOH/DCM gradient to elute the compound.
- the product fractions were combined and concentrated and the residues dissolved in anhydrous DMF (3ml).
- the solution was degassed then Pd(PPh 3 J 4 (30mg, 0.027mmol) and morpholine (156 ⁇ l, 1.8mmol) were added and the mixture left to stir at rt under nitrogen for 3h.
- the crude product was purified by an aminopropyl SPE using MeOH to load the compound onto the column and wash through the impurities then a 0-5% AcOH/MeOH gradient to elute the product.
- Example 17 8-Chloro-3-pentyl-1-(3-r5-(phenylmethyl)-2H-tetrazol-2-yllpropyl ⁇ - 3.7-dihvdro-1 H-purine-2.6-dione
- the compounds in Table 3 were prepared using a method analogous to that for Example 19: 8-chloro-1 -(3- ⁇ 5-[(4-fluorophenyl)methyl]-2H-tetrazol-2-yl ⁇ propyl)-3-(4,4,4- trifluorobutyl)-3,7-dihydro-1H-purine-2,6-dione, with the appropriate methanesulfonate and tetrazole. MDAP was employed to further purify those compounds insufficiently pure following normal phase chromatography. Methanesulfonates intermediates and their precursor alcohols were prepared according to the following procedures:
- Example 20 8-Chloro-1 -(3- ⁇ 5-[(4-fluorophenyl)methyl]-2H-tetrazol-2-yl ⁇ propyl)-3- propyl-3,7-dihydro-1/-/-purine-2,6-dione
- Example 48 8-Chloro-1 -(3- ⁇ 5-[(2,4-difluorophenyl)methyl]-2H-tetrazol-2-yl ⁇ propyl)-3- propyl-3,7-dihydro-1H-purine-2,6-dione
- Example 68 8-Chloro-3-pentyl-1- ⁇ 3-f3-(phenylmethyl)-1,2,4-oxadiazol-5- yllpropyl>-3.7-dihvdro-1H-purine-2.6-dione
- Example 69 8-Chloro-1-(3-(3-r(4-chlorophenyl)methvn-1.2,4-oxadiazol-5- yl)propyl)-3-pentyl-3.7-dihvdro-1H-purine-2.6-dione
- Example 70 8-Chloro-1-l3-r3-(phenylmethyl)-1.2,4-oxadiazol-5-yllpropyl)-3- propyl-3.7-dihvdro-1H-purine-2.6-dione
- the organic layer was separated, washed with brine, dried (MgSO 4 ) and concentrated.
- the crude product was purified by a silica SPE column using a 0-70% cyclohexane/EtOAc gradient.
- the product fractions were combined, concentrated and further purified by a silica SPE column using a 0-60% cyclohexane/EtOAc gradient.
- the product fractions were combined and concentrated then dissolved in anhydrous THF (4ml).
- the solution was degassed by high vacuum then Pd(PPh 3 ) 4 (86mg, 0.074mmol) and morpholine (644 ⁇ l, 7.4mmol) were added and the mixture left to stir at rt under nitrogen for 1 day.
- Example 71 8-Chloro-3-pentyl-1-(3-r3-(3-thienylmethyl)-1, 2.4-oxadiazol-5- yllpropyl>-3.7-dihvdro-1H-purine-2.6-dione a) 8-Chloro-3-pentyl-1 - ⁇ 3-[3-(3-thienylmethyl)-1 ,2,4-oxadiazol-5-yl]propyl ⁇ -3,7-dihydro-
- Example 72 3-Butyl-8-chloro-1-(3-r3-(2.3-difluorobenzvh-1.2.4-oxadiazol-5- yllpropyl>-3.7-dihvdro-1H-purine-2,6-dione a) 3-Butyl-8-chloro-1 - ⁇ 3-[3-(2,3-difluorobenzyl)-1 ,2,4-oxadiazol-5-yl]propyl ⁇ -3,7-dihydro-
- Example 4 The following compounds (Table 4) were prepared using a method analogous to that for Example 75, using the appropriate amidoxime, (with the exceptions that for Example 87 (Table 4) during workup the pH was adjusted to 5 prior to extraction with EtOAc; and in the case of Example 88 (Table 4) the crude product was stirred for 18h with EtOH (1ml) and 2M NaOH (0.5ml) and Example 89 (Table 4) was stirred for 18h with EtOH (0.75ml) and 2M NaOH (0.5ml) prior to repeat workup and purification by MDAP).
- Example 76 3-butyl-8-chloro-1- ⁇ 3-[3-(3-fluorobenzyl)-1 ,2,4-oxadiazol-5-yl]propyl ⁇ -3,7- dihydro-1 /-/-purine-2,6-dione
- Example 87 3-butyl-8-chloro-1- ⁇ 3-[3-(1H-indol-3-ylmethyl)-1 ,2,4-oxadiazol-5-yl]propyl ⁇ - 3,7-dihydro-1 /-/-purine-2,6-dione
- Example 88 3-butyl-8-chloro-1-(3- ⁇ 3-[(3-hydroxyphenyl)methyl]-1 ,2,4-oxadiazol-5- yl ⁇ propyl)-3,7-dihydro-1H-purine-2,6-dione
- Example 5 The following compounds (Table 5) were prepared using a method analogous to that for Example 90, using the appropriate amidoxime (with the exception that for Example 91 , 0.185ml, (0.5mmol) of 21% sodium ethoxide was added in order to allow for the amidoximes being the hydrochloride salts).
- Example 96 3-butyl-8-chloro-1-(3- ⁇ 3-[(4-hydroxyphenyl)methyl]-1 ,2,4-oxadiazol-5- yl ⁇ propyl)-3,7-dihydro-1H-purine-2,6-dione
- Example 101 ⁇ /-[3-( ⁇ 5-[3-(3-butyl-8-chloro-2,6-dioxo-2,3,6,7-tetrahydro-1 H-purin-1 - yl)propyl]-1 ,2,4-oxadiazol-3-yl ⁇ methyl)phenyl]acetamide
- Example 103 8-Chloro-3-ethyl-1-(3-r3-(phenylmethvn-1.2.4-oxadiazol-5- yllpropyl)-3.7-dihvdro-1H-purine-2.6-dione
- the mixture was degassed by high vacuum then Pd(PPh 3 J 4 (68mg, 0.059mmol) and morpholine (515 ⁇ l, 5.9mmol) were added.
- the mixture was left to stir at rt, under nitrogen, for 3h.
- the mixture was partitioned between EtOAc and 2M HCI (aq).
- the organic layer was separated, washed with brine, dried (MgSO 4 ) and concentrated by high vacuum.
- the crude material was purified by an aminopropyl SPE using MeOH to load the compound onto the column and wash through the impurities, then with 2% AcOH/MeOH to elute the compound.
- the UV active fractions were combined and concentrated by high vacuum.
- the product was further purified by MDAP.
- Example 104 8-Chloro-1-(3-(3-f(3-chlorophenyl)methvn-1,2.4-oxadiazol-5- yl ⁇ propyl)-3-pentyl-3.7-dihvdro-1AY-purine-2.6-dione
- Example 105 S-Chloro-i-O-O-rO ⁇ -dichlorophenvDmethvn-i ⁇ -oxadiazol-S- yl)propyl)-3-pentyl-3.7-dihvdro-1H-purine-2.6-dione
- Example 106 S-Chloro-i-O-O- ⁇ . ⁇ -dichlorophenvDmethvn-I ⁇ .A-oxadiazol-S- yl>propyl)-3-pentyl-3.7-dihvdro-1H-purine-2.6-dione
- Example 107 8-Chloro-1-(3- ⁇ 3-f(2-chloro-4-fluorophenyl)methyll-1.2,4-oxadiazol- 5-yl>propyD-3-pentyl-3,7-dihvdro-1/V-purine-2.6-dione
- Example 109 8-Chloro-1 -(3-f3-r(4-hvdroxyphenyl)methyll-1 ,2.4-oxadiazol-5-
- Example 110 3-Butyl-8-chloro-1 -(3- ⁇ 3-r(phenyloxy)methyll-1.2.4-oxadiazol-5- yl ⁇ propyl)-3,7-dihvdro-1H-purine-2.6-dione
- Example 111 3-Butyl-8-chloro-1 -(3-f3-r(3.5-dichlorophenyl)methyll-1.2.4- oxadiazol-5-yl>propyl)-3.7-dihvdro-1H-purine-2.6-dione
- Example 112 3-Butyl-8-chloro-1-(3-(3-r(2.4.6-trifluorophenyl)methvn-1.2.4- oxadiazol-5-yl>propyl)-3.7-dihvdro-1H-purine-2.6-dione
- Method E Similar to Method C except that the scale was 0.753mmol of nitrile.
- Example 121 8-Chloro-3-pentyl-1-(3-r5-(phenylmethyl)-1,2.4-oxadiazol-3- ylipropyl)-3.7-dihvdro-1H-purine-2.6-dione
- Example 122 8-Chloro-1- ⁇ 3-r5-(phenylmethyl)-1,2,4-oxadiazol-3-yllpropyl)-3- propyl-3.7-dihydro-1H-purine-2,6-dione
- the organic layer was separated, washed with brine, dried (MgSO 4 ) and concentrated by high vacuum.
- the crude product was purified on a silica SPE column using a 0-70% cyclohexane/EtOAc gradient.
- the product fractions were combined, concentrated by high vacuum and purified on a silica SPE column using a 0-60% cyclohexane/EtOAc gradient.
- the product fractions were combined and concentrated then dissolved in anhydrous THF (4ml).
- the solution was degassed by high vacuum then Pd(PPh 3 J 4 (61 mg, 0.053mmol) and morpholine (460 ⁇ l, 5.3mmol) were added and the mixture left to stir at rt under nitrogen for 1 day.
- Example 126 3-Butyl-8-chloro-1-(3-f5-rf3-fluoro-4-hvdroxyphenyl)methvn-1.2.4- oxadiazol-3-yl ⁇ propyl)-3.7-dihvdro-1H-purine-2.6-dione
- Example 127 8-chloro-3-pentyl-1-r4-(5-phenyl-1,2.4-oxadiazol-3-v0butyll-3.7- dihvdro-1 H-purine-2,6-dione
- the mixture was heated at 4O 0 C for 1h, then at 8O 0 C for 5h and then cooled.
- the mixture was subjected to purification by MDAP.
- Product-containing fractions were blown to dryness by a stream of nitrogen to yield the title compound as a white solid (17.2mg, 25%).
- Example 132 8-Chloro-1 -f4-r5-(4-hydroxyphenyl)-1 ,2,4-oxadiazol-3-v ⁇ butyl)-3- propyl-3.7-dihvdro-1AY-purine-2.6-dione
- a 12-L, round-bottom flask was equipped with an overhead, mechanical stirrer, a temperature probe with a J-KEM temperature controller, a condenser and a nitrogen inlet adapter.
- the flask was charged with picolinic acid (0.180 kg, 1.46 mol), MIBK (4.0 L), 1 ,1 '-carbonyldiimidazole (0.23 kg, 1.42 mol,) and more MIBK (0.66 L).
- the mixture was stirred and warmed to 50 0 C over approximately 1 hour, and the temperature overshot to 56 0 C.
- the solids dissolved during the heat up to 50 0 C and carbon dioxide was generated.
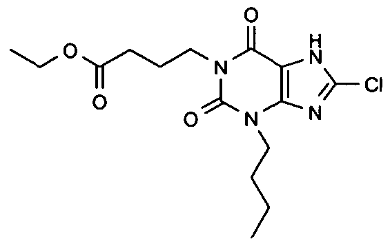
- Methods A, B and C of Example 137 produce substantially crystalline 3-Butyl-8-chloro- 1 - ⁇ 4-[5-(2-pyridinyl)-1 ,2,4-oxadiazol-3-yl]butyl ⁇ -3,7-dihydro-1 H-purine-2,6-dione Form 2.
- the reaction vessel was charged with 3-Butyl-8-chloro-1- ⁇ 4-[5-(2-pyridinyl)-1 ,2,4- oxadiazol-3-yl]butyl ⁇ -3,7-dihydro-1H-purine-2,6-dione (1wt), acetone (20vol) and water (0.6vol). The mixture was stirred and warmed to 50-60 0 C and agitated for a minimum of 1 hour. A solution was formed which is clarified at this temperature by filtration through a 1 micron filter into a 2 nd reaction vessel.
- the solid was dried and analysed by xrpd/DSC to check form. If the form is as required (Form 1) the batch is filtered, washed (2x3vol acetone) and dried in a vacuum oven at 5O 0 C. The batch is offloaded once analysis shows solvent levels (acetone, water) to be at acceptable.
- the batch is reheated to 35-45°C and agitated at this temperature for a minimum of 1 hour.
- the thin suspension is then cooled to 20-25 0 C and held at this temperature for a minimum of 12hours.
- the suspension thus formed is then cooled to 13-17 0 C and held at this temperature for a minimum of 1 hour.
- the suspension is then sampled, and the solid collected by filtration in the laboratory.
- the solid is dried and analysed by xrpd/DSC to check form. If the form is as required (Form 1 ) the batch is filtered, washed and dried as described previously. If the form is not pure Form 1 , then the cycle from " is repeated until a satisfactory result is obtained.
- X-ray powder diffraction (XRPD) data are shown in Figures 1-3.
- the data were acquired on a PANalytical X'Pert Pro powder diffractometer, model PW3040/60, serial number DY1850 using an X'Celerator detector.
- the acquisition conditions were: radiation: Cu Ka, generator tension: 40 kV, generator current: 45 mA, start angle: 2.0°2 ⁇ , end angle: 4O.Q°2 ⁇ , step size: 0.0167 °2 ⁇ , time per step: 31.75 seconds.
- the samples were prepared by mounting a few milligrams of sample on a Si wafer (zero background) plates, resulting in a thin layer of powder.
- Example 138 3-Butyl-8-chloro-1 -l4-r5-(4-hvdroxyphenyl)-1 ,2,4-oxadiazol-3- yl1butyl ⁇ -3.7-dihvdro-1H-purine-2.6-dione
- Example 139 8-Chloro-1-r4-(5-phenyl-1.2.4-oxadiazol-3-yl)butyll-3-prc>pyl-3.7- dihvdro-1 H-purine-2.6-dione
- Example 140 3-Butyl-8 ⁇ :hloro-144-r5-(2-chloro-6-fluorophenyl)-1.2.4-oxadiazol-3- v ⁇ butyl>-3.7-dihvdro-1H-purine-2.6-dione
- Example 142 8-Chloro-3-pentyl-1-(4-r5-(3-thienylM.2.4-oxadiazol-3- yllbutyl ⁇ -3.7-dihydro-1H-purine-2,6-dione
- Example 144 8-Chloro-3-pentyl-1-(4-r5-(1.3-thiazol-2-yl)-1.2.4-oxadiazol-3- vnbutyl>-3.7-dihvdro-1H-purine-2.6-dione
- Example 146 3-Butyl-8-chloro-1-r4-(3-phenyl-1.2.4-oxadiazol-5-yl)butyll-3.7- dihydro-1 H-purine-2.6-dione
- Method A a) 3-Butyl-8-chloro-1 -[4-(3-phenyl-1 ,2,4-oxadiazol-5-yl)butyl]-3,7-dihydro-1 H-purine- 2,6-dione
- CDI (0.98g, 6.1 mmol) was added to a solution of 5-(3-butyl-8-chloro-2,6-dioxo-2, 3,6,7- tetrahydro-1/-/-purin-1-yl)pentanoic acid (1.89g, 5.5mmol) in DMF (15ml) and stirred under nitrogen for 1.5h.
- Benzamidoxime (0.91 g, 6.1 mmol) was added and the mixture stirred at 110 0 C overnight.
- the reaction mixture was partitioned between EtOAc and 2M HCI. The organic layer was separated, washed with brine, dried (MgSO 4 ) and evaporated.
- Example 149 8-Chloro-1-(4-r3-(4-hvdroxyphenyl)-1,2.4-oxadiazol-5-yllbutyl ⁇ -3- pentyl-3 t 7-dihvdro-1H-purine-2.6-dione
- Example 150 3-Butyl-8-chloro-1 -r4-(5-phenyl-2H-tetrazol-2-yl)butyll-3,7-dihvdro- 1 H-purine-2.6-dione
- Example 152 3-butyl-8-chloro-1 -(4-r3-(4-hydroxyphenyl)-1 ,2,4-oxadiazol-5- vHbutyl)-3.7-dihydro-1H-purine-2,6-dione
- Example 156 1-r3-(3-bicvclor4.2.01octa-1.3.5-trien-7-yl-1.2.4-oxadiazol-5- yl)propyn-3-butyl-8-chloro-3.7-dihvdro-1H-purine-2.6-dione
- This compound was prepared using a method analogous to that for comparative example A, using the appropriate amidoxime.
- Example 11 The following compounds (Table 11 ) were prepared using a method analogous to that for Example 75, using the appropriate amidoxime [with the exception that for Example 162 the crude product was stirred in EtOH (0.75ml) with 2M NaOH (0.5ml) overnight prior to the usual EtOAc/HCI workup and MDAP;
- Example 164 was isolated as an impurity from the preparation of Example 165 and was separated from it by HPLC; for Examples 166, and 167 the pH during aqueous workup was adjusted to approximately 5 prior to extraction; additionally Example 167 was further purified by silica SPE (2g, DCM-MeOH 40:1 then 20:1) after MDAP].
- Example 170 was conducted on half the scale of Example 90 and during workup the aqueous phase was neutralised prior to extraction;
- Example 171 was conducted on half the scale of Example 90 and the crude product stirred with 2M NaOH (0.5ml) in EtOH (1ml) for 5h prior to workup and MDAP; for Example 175 0.185ml (O. ⁇ mmol) of 21% NaOEt was used].
- Example 180 3-Butyl-8-chloro-1 -(3-(3-r(2-oxo-2.3-dihvdro-1 tf-b ⁇ nzimidazol-5-
- Example 13 The following compounds (Table 13) were prepared by a method analogous to that for Example 1 [with the exception that Examples 181-186 were all synthesised on a scale starting from 50mg of 8-chloro-3-pentyl-7-(2-propen-1-yl)-1-[3-(1/-/-pyrazol-4-yl)propyl]- 3,7-dihydro-1/-/-purine-2,6-dione; Examples 184, 186, 188, 189 and 190 were additionally purified by MDAP following aminopropyl SPE; Example 185 was additionally purified by recrystallisation from MeOH following aminopropyl SPE; for Example 191 , 128mg (1.2mmol) of sodium carbonate was used; during workup the aqueous phase was adjusted to pH6 prior to extraction; and the product was purified by MDAP then by further HPLC; for Example 184 solids which precipitated during workup were combined with the EtOAc extracts prior to SPE].
- the product was purified by normal phase chromatography on silica (Companion System, EtOAc - cyclohexane gradient) giving an oil (44mg). This was stirred in degassed, dry DMF (1 ml) with tetrakis(triphenylphosphine)palladium(0) (19mg) and morpholine (0.072ml) under nitrogen for 6h. The mixture was partitioned between EtOAc and 2M HCI and the organic phase evaporated and purified by the usual aminopropyl SPE procedure. Yield
- Example 14 The following compounds (Table 14) were prepared by a method analogous to that for Example 6 [with the exception that for Example 193 a second portion of Pd(PPh 3 J 4 was added after 5h, stirring was continued overnight, and final purification was achieved by HPLC; for Example 195 required additional purification by MDAP; Example 200 required additional purification by recrystallisation from MeOH; Example 201 required additional purification by trituration with MeOH].
- Example 211 was further purified by HPLC.
- Diacyl hydrazines (500mg, synthesis below) were stirred in dry toluene (4ml) and phosphorus oxychloride (4ml) was added. The mixtures were heated at 9O 0 C for 2h then allowed to cool and the solvents evaporated. The residues were dissolved in dry toluene, evaporated and then partitioned between EtOAc and aqueous NaHCO 3 . The organic phases were washed with brine, dried over Na 2 SO 4 and evaporated to give the required oxadiazoles as colourless oils. These were not purified further but reacted directly with the xanthines as above.
- Tetrakis(triphenylphosphine)palladium(0) (16mg, 0.014mmol) and morpholine (0.12ml, 1.35mmol) were added to the mixture which was stirred for 16h under a stream of nitrogen.
- the reaction mixture was concentrated under nitrogen and the crude material dissolved in aqueous NaOH solution (0.5ml, 2M).
- the resulting solution was purified using aminopropyl SPE (eluting with AcOH in DCM and MeOH). Further purification using C18 SPE (eluting with a water, ammonia and MeCN mixture) afforded the title compound as a clear gum (22mg, 45%).
- LC/MS m/z 365 [MH] + , RT 3.48min.
- Example 221 8-Chloro-3-propyl-1 -f4-r3-(2-pyridinyl)-1.2.4-oxadiazol-5-yllbutyl>- 3.7-dihvdro-1 /V-purine-2,6-dione
- the mixture was then treated with a solution of tetrakis(triphenylphosphine)palladium(0) (10mg, 0.009mmol) and morpholine (0.1ml, 1.2mmol) and then stirred overnight.
- the mixture was evaporated and partitioned between chloroform (2ml) and water (2ml).
- the aqueous phase was extracted with further chloroform (2ml) and the combined organics evaporated and the residue dissolved in methanol (2ml).
- the solution was applied to a 1g aminopropyl SPE and eluted with methanol and then with 5% acetic acid in methanol.
- the product was purified by flash chromatography using a gradient elution from 1 :9 ethyl acetate/cyclohexane to ethyl acetate to reveal 8- chloro-7-(2-propen-1 -yl)-1 - ⁇ 4-[3-(2-pyridinyl)-1 ,2,4-oxadiazol-5-yl]butyl ⁇ -3,7-dihydro-1 H- purine-2,6-dione (1.49g) as a white solid.
- LC/MS m/z 428 [MH] + , RT 2.70min.
- Example 246 8-Chloro-1 -(4-r2-oxo-3-(phenylmethvn-1 -pyrrol id in yllbutyll-3- pentyl-3.7-dihydro-1/V-purine-2.6-dione
- Example 248 8-Chloro-1 -f 3-r5-(4-chlorophenyl)-1 A7-Pyrazol-3-yllpropyl)-3-pentyl- 3.7-dihvdro-1 H-purine-2.6-dione
- Example 249 3-Butyl-8-chloro-1 -(4-r5-(1 -methyl-1 H-1.2,3-triazol-4-yl)-1.2.4- oxadiazol-3-yllbutyl)-3J-dihydro-1H-purine-2.6-dione
- Example 291 8-Chloro-144-r3-(2,4-difluorophenyl)-1.2.4-oxadiazol-5-yllbutyl>-3- ethyl-3J-dihvdro-1H-purine-2,6-dione
- the mixture was degassed by the repeated application of vacuum followed by backfilling with nitrogen gas and then treated with tetrakis(triphenylphosphine)palladium(0) (1.36g, 1.1 mmol) and morpholine (10.3ml, 118mmol).
- the mixture was stirred in a nitrogen atmosphere for 4h and then evaporated to dryness.
- the residue was partitioned between 100ml of ethyl acetate and 100ml of water.
- the aqueous phase was re-extracted with 100ml of ethyl acetate and the combined organics dried over magnesium sulfate, filtered and evaporated.
- Example 463 3-Butyl-8-chloro-1 -(4-r5-(2-fluoro-4-hvdroxyphenyl)-1 ,2.4-oxadiazol- 3-yllbutyl)-3.7-dihydro-1H-purine-2.6-dione a) 3-Butyl-8-chloro-1 - ⁇ 4-[5-(2-fluoro-4-hydroxyphenyl)-1 ,2,4-oxadiazol-3-yl]butyl ⁇ -3,7- dihydro-1 H-purine-2,6-dione
- CDI 45mg, 0.28mmol
- 2-fluoro-4- hydroxybenzoic acid 40mg, 0.25mmol
- 5-(3-Butyl-8-chloro-2,6- dioxo-2,3,6,7-tetrahydro-1 H-purin-1 -yl)-/V-hydroxypentanimidamide (1 OOmg, 0.28mmol) in DMSO (0.4ml) was added and the resulting mixture heated at 9O 0 C for 18h.
- the mixture was then degassed by the repeated successive application of a vacuum and then nitrogen pressure.
- the mixture was then treated with tetrakis(triphenylphosphine)palladium(0) (2.86g, 2.5mmol) and morpholine (30.8ml, 350mmol).
- the mixture was stirred in a nitrogen atmosphere for 3h and then partitioned between EtOAc and 2M aqueous hydrochloric acid.
- the aqueous layer was separated and extracted with EtOAc (x2).
- the combined organic phases were concentrated in vacuo to give a solid that was washed with ether, filtered and dried.
- the filtrate was concentrated and purified on an aminopropyl column eluting with MeOH followed by 3% AcOH/MeOH.
Landscapes
- Health & Medical Sciences (AREA)
- Chemical & Material Sciences (AREA)
- Organic Chemistry (AREA)
- Veterinary Medicine (AREA)
- Engineering & Computer Science (AREA)
- Bioinformatics & Cheminformatics (AREA)
- Public Health (AREA)
- General Health & Medical Sciences (AREA)
- Animal Behavior & Ethology (AREA)
- Life Sciences & Earth Sciences (AREA)
- Medicinal Chemistry (AREA)
- Pharmacology & Pharmacy (AREA)
- Chemical Kinetics & Catalysis (AREA)
- General Chemical & Material Sciences (AREA)
- Nuclear Medicine, Radiotherapy & Molecular Imaging (AREA)
- Diabetes (AREA)
- Hematology (AREA)
- Cardiology (AREA)
- Obesity (AREA)
- Heart & Thoracic Surgery (AREA)
- Urology & Nephrology (AREA)
- Endocrinology (AREA)
- Vascular Medicine (AREA)
- Hospice & Palliative Care (AREA)
- Child & Adolescent Psychology (AREA)
- Pain & Pain Management (AREA)
- Rheumatology (AREA)
- Emergency Medicine (AREA)
- Nutrition Science (AREA)
- Epidemiology (AREA)
- Pharmaceuticals Containing Other Organic And Inorganic Compounds (AREA)
- Nitrogen And Oxygen Or Sulfur-Condensed Heterocyclic Ring Systems (AREA)
- Medicines That Contain Protein Lipid Enzymes And Other Medicines (AREA)
Abstract
Description
Claims
Priority Applications (20)
| Application Number | Priority Date | Filing Date | Title |
|---|---|---|---|
| EA200800555A EA014556B1 (en) | 2005-08-10 | 2006-08-08 | Xanthine derivatives as selective hm74a agonists |
| SI200630916T SI1912991T1 (en) | 2005-08-10 | 2006-08-08 | Xanthine derivatives as selective hm74a agonists |
| EP06763016A EP1912991B1 (en) | 2005-08-10 | 2006-08-08 | Xanthine derivatives as selective hm74a agonists |
| DE602006018151T DE602006018151D1 (en) | 2005-08-10 | 2006-08-08 | XANTHINE DERIVATIVES AS SELECTIVE HM74A AGONISTS |
| AU2006278215A AU2006278215A1 (en) | 2005-08-10 | 2006-08-08 | Xanthine derivatives as selective HM74A agonists |
| BRPI0614270-2A BRPI0614270A2 (en) | 2005-08-10 | 2006-08-08 | xanthine derivatives as selective ha74a agonists |
| AT06763016T ATE487719T1 (en) | 2005-08-10 | 2006-08-08 | XANTHINE DERIVATIVES AS SELECTIVE HM74A AGONISTS |
| HK08107505.5A HK1116779B (en) | 2005-08-10 | 2006-08-08 | Xanthine derivatives as selective hm74a agonists |
| MX2008001931A MX2008001931A (en) | 2005-08-10 | 2006-08-08 | Xanthine derivatives as selective hm74a agonists. |
| PL06763016T PL1912991T3 (en) | 2005-08-10 | 2006-08-08 | Xanthine derivatives as selective hm74a agonists |
| DK06763016.0T DK1912991T3 (en) | 2005-08-10 | 2006-08-08 | Xanthine Derivatives as Selective HM74A Agonists |
| HR20100725T HRP20100725T1 (en) | 2005-08-10 | 2006-08-08 | Xanthine derivatives as selective hm74a agonists |
| US12/063,434 US8143264B2 (en) | 2005-08-10 | 2006-08-08 | Xanthine derivatives as selective HM74A agonists |
| JP2008525474A JP5112316B2 (en) | 2005-08-10 | 2006-08-08 | Xanthine derivatives as selective HM74A agonists |
| NZ565494A NZ565494A (en) | 2005-08-10 | 2006-08-08 | Xanthine derivatives as selective HM74A agonists |
| CN2006800374709A CN101282977B (en) | 2005-08-10 | 2006-08-08 | Xanthine derivatives as selective hm74a agonists |
| CA002626723A CA2626723A1 (en) | 2005-08-10 | 2006-08-08 | Xanthine derivatives as selective hm74a agonists |
| IL189081A IL189081A0 (en) | 2005-08-10 | 2008-01-28 | Xanthine derivatives as selective hm74a agonists |
| NO20081211A NO20081211L (en) | 2005-08-10 | 2008-03-07 | Xanthine derivatives as selective HM74A agonists |
| US13/088,962 US20110257205A1 (en) | 2005-08-10 | 2011-04-18 | Xanthine derivatives as selective hm74a agonists |
Applications Claiming Priority (6)
| Application Number | Priority Date | Filing Date | Title |
|---|---|---|---|
| GB0516464.5 | 2005-08-10 | ||
| GB0516464A GB0516464D0 (en) | 2005-08-10 | 2005-08-10 | Novel compounds |
| GB0607736A GB0607736D0 (en) | 2006-04-19 | 2006-04-19 | Novel compounds |
| GB0607736.6 | 2006-04-19 | ||
| GB0614569A GB0614569D0 (en) | 2006-07-21 | 2006-07-21 | Novel compounds |
| GB0614569.2 | 2006-07-21 |
Related Child Applications (1)
| Application Number | Title | Priority Date | Filing Date |
|---|---|---|---|
| US13/088,962 Continuation US20110257205A1 (en) | 2005-08-10 | 2011-04-18 | Xanthine derivatives as selective hm74a agonists |
Publications (1)
| Publication Number | Publication Date |
|---|---|
| WO2007017261A1 true WO2007017261A1 (en) | 2007-02-15 |
Family
ID=37189397
Family Applications (2)
| Application Number | Title | Priority Date | Filing Date |
|---|---|---|---|
| PCT/EP2006/007865 Ceased WO2007017261A1 (en) | 2005-08-10 | 2006-08-08 | Xanthine derivatives as selective hm74a agonists |
| PCT/EP2006/007869 Ceased WO2007017262A1 (en) | 2005-08-10 | 2006-08-08 | Xanthine derivatives as selective hm74a agonists |
Family Applications After (1)
| Application Number | Title | Priority Date | Filing Date |
|---|---|---|---|
| PCT/EP2006/007869 Ceased WO2007017262A1 (en) | 2005-08-10 | 2006-08-08 | Xanthine derivatives as selective hm74a agonists |
Country Status (28)
| Country | Link |
|---|---|
| US (3) | US20100179128A1 (en) |
| EP (3) | EP1912992A1 (en) |
| JP (2) | JP2009504592A (en) |
| KR (2) | KR20080034993A (en) |
| AR (1) | AR055369A1 (en) |
| AT (1) | ATE487719T1 (en) |
| AU (2) | AU2006278215A1 (en) |
| BR (2) | BRPI0615145A2 (en) |
| CA (2) | CA2626723A1 (en) |
| CR (2) | CR9748A (en) |
| CY (1) | CY1111757T1 (en) |
| DE (1) | DE602006018151D1 (en) |
| DK (1) | DK1912991T3 (en) |
| EA (2) | EA200800564A1 (en) |
| ES (1) | ES2401128T3 (en) |
| HR (1) | HRP20100725T1 (en) |
| IL (2) | IL189083A0 (en) |
| MA (2) | MA29692B1 (en) |
| MX (2) | MX2008001929A (en) |
| MY (1) | MY142067A (en) |
| NO (2) | NO20081211L (en) |
| NZ (1) | NZ565494A (en) |
| PE (1) | PE20070405A1 (en) |
| PL (1) | PL1912991T3 (en) |
| PT (1) | PT1912991E (en) |
| SI (1) | SI1912991T1 (en) |
| TW (1) | TW200800217A (en) |
| WO (2) | WO2007017261A1 (en) |
Cited By (24)
| Publication number | Priority date | Publication date | Assignee | Title |
|---|---|---|---|---|
| WO2008017381A1 (en) | 2006-08-08 | 2008-02-14 | Sanofi-Aventis | Arylaminoaryl-alkyl-substituted imidazolidine-2,4-diones, processes for preparing them, medicaments comprising these compounds, and their use |
| US7462624B2 (en) | 2006-06-23 | 2008-12-09 | Incyte Corporation | Purinone derivatives as HM74a agonists |
| WO2009021740A2 (en) | 2007-08-15 | 2009-02-19 | Sanofis-Aventis | Substituted tetrahydronaphthalenes, process for the preparation thereof and the use thereof as medicaments |
| US7511050B2 (en) | 2006-06-23 | 2009-03-31 | Incyte Corporation | Purinone derivatives as HM74A agonists |
| DE102007063671A1 (en) | 2007-11-13 | 2009-06-25 | Sanofi-Aventis Deutschland Gmbh | New crystalline diphenylazetidinone hydrates, medicaments containing these compounds and their use |
| WO2010003624A2 (en) | 2008-07-09 | 2010-01-14 | Sanofi-Aventis | Heterocyclic compounds, processes for their preparation, medicaments comprising these compounds, and the use thereof |
| WO2010068601A1 (en) | 2008-12-08 | 2010-06-17 | Sanofi-Aventis | A crystalline heteroaromatic fluoroglycoside hydrate, processes for making, methods of use and pharmaceutical compositions thereof |
| WO2011023754A1 (en) | 2009-08-26 | 2011-03-03 | Sanofi-Aventis | Novel crystalline heteroaromatic fluoroglycoside hydrates, pharmaceuticals comprising these compounds and their use |
| WO2011107494A1 (en) | 2010-03-03 | 2011-09-09 | Sanofi | Novel aromatic glycoside derivatives, medicaments containing said compounds, and the use thereof |
| WO2011157827A1 (en) | 2010-06-18 | 2011-12-22 | Sanofi | Azolopyridin-3-one derivatives as inhibitors of lipases and phospholipases |
| WO2011161030A1 (en) | 2010-06-21 | 2011-12-29 | Sanofi | Heterocyclic substituted methoxyphenyl derivatives having an oxo group, method for producing same, and use thereof as gpr40 receptor modulators |
| WO2012004269A1 (en) | 2010-07-05 | 2012-01-12 | Sanofi | (2-aryloxy-acetylamino)-phenyl-propionic acid derivatives, method for producing same and use thereof as pharmaceuticals |
| WO2012004270A1 (en) | 2010-07-05 | 2012-01-12 | Sanofi | Spirocyclically substituted 1,3-propane dioxide derivatives, methods for the production thereof and use of the same as medicament |
| WO2012010413A1 (en) | 2010-07-05 | 2012-01-26 | Sanofi | Aryloxy-alkylene substituted hydroxyphenyl hexynoic acids, methods for the production thereof and use of the same as medicament |
| WO2012120056A1 (en) | 2011-03-08 | 2012-09-13 | Sanofi | Tetrasubstituted oxathiazine derivatives, method for producing them, their use as medicine and drug containing said derivatives and the use thereof |
| WO2012120055A1 (en) | 2011-03-08 | 2012-09-13 | Sanofi | Di- and tri-substituted oxathiazine derivates, method for the production thereof, use thereof as medicine and drug containing said derivatives and use thereof |
| WO2012120053A1 (en) | 2011-03-08 | 2012-09-13 | Sanofi | Branched oxathiazine derivatives, method for the production thereof, use thereof as medicine and drug containing said derivatives and use thereof |
| WO2012120054A1 (en) | 2011-03-08 | 2012-09-13 | Sanofi | Di- and tri-substituted oxathiazine derivates, method for the production thereof, use thereof as medicine and drug containing said derivatives and use thereof |
| WO2012120052A1 (en) | 2011-03-08 | 2012-09-13 | Sanofi | Oxathiazine derivatives substituted with carbocycles or heterocycles, method for producing same, drugs containing said compounds, and use thereof |
| WO2013037390A1 (en) | 2011-09-12 | 2013-03-21 | Sanofi | 6-(4-hydroxy-phenyl)-3-styryl-1h-pyrazolo[3,4-b]pyridine-4-carboxylic acid amide derivatives as kinase inhibitors |
| WO2013045413A1 (en) | 2011-09-27 | 2013-04-04 | Sanofi | 6-(4-hydroxy-phenyl)-3-alkyl-1h-pyrazolo[3,4-b]pyridine-4-carboxylic acid amide derivatives as kinase inhibitors |
| EP2566475A4 (en) * | 2010-05-03 | 2014-03-19 | Sk Biopharmaceuticals Co Ltd | PHARMACEUTICAL COMPOSITION FOR THE INHIBITION OF NEURONE APOPTOSIS OR NEURODEGENERESCENCE |
| WO2020033919A1 (en) | 2018-08-10 | 2020-02-13 | Diapin Therapeutics, Llc | Tri-peptides and treatment of metabolic, cardiovascular and inflammatory disorders |
| CN114874209A (en) * | 2017-03-07 | 2022-08-09 | 豪夫迈·罗氏有限公司 | Oxadiazole transient receptor potential channel inhibitors |
Families Citing this family (19)
| Publication number | Priority date | Publication date | Assignee | Title |
|---|---|---|---|---|
| US7495005B2 (en) * | 2002-08-22 | 2009-02-24 | Boehringer Ingelheim Pharma Gmbh & Co. Kg | Xanthine derivatives, their preparation and their use in pharmaceutical compositions |
| CA2556073C (en) * | 2004-02-14 | 2012-01-10 | Smithkline Beecham Corporation | 8-chloro-1,3-disubstituted xanthine derivatives as hm74a receptor modulators |
| DE102004030502A1 (en) | 2004-06-24 | 2006-01-12 | Boehringer Ingelheim Pharma Gmbh & Co. Kg | Novel imidazoles and triazoles, their preparation and use as medicines |
| JP2009504592A (en) * | 2005-08-10 | 2009-02-05 | スミスクライン・ビーチャム・コーポレイション | Xanthine derivatives as selective HM74A agonists |
| JP5666464B2 (en) | 2008-12-08 | 2015-02-12 | グラクソスミスクライン・リミテッド・ライアビリティ・カンパニーGlaxoSmithKline LLC | New compounds |
| PH12013500301A1 (en) * | 2010-08-16 | 2013-03-25 | Boehringer Ingelheim Int | Oxadiazole inhibitors of leukotriene production |
| WO2012040137A1 (en) * | 2010-09-23 | 2012-03-29 | Boehringer Ingelheim International Gmbh | Oxadiazole inhibitors of leukotriene production |
| EA201492069A1 (en) * | 2012-05-30 | 2015-03-31 | Ф.Хоффманн-Ля Рош Аг | TRIAZOLE COMPOUNDS AS PHOSPHODESTERASE 10 INHIBITORS (PDE10) INHIBITORS |
| PT2970303T (en) * | 2013-03-15 | 2017-06-23 | Hydra Biosciences Inc | Substituted xanthines and methods of use thereof |
| EA030958B1 (en) | 2013-05-10 | 2018-10-31 | Джилид Аполло, Ллс | Acc inhibitors and uses thereof |
| MX2015015422A (en) | 2013-05-10 | 2016-06-21 | Nimbus Apollo Inc | Acc inhibitors and uses thereof. |
| HK1221662A1 (en) | 2013-05-10 | 2017-06-09 | Gilead Apollo, Llc | Acc inhibitors and uses thereof |
| CN105358152A (en) | 2013-05-10 | 2016-02-24 | 尼普斯阿波罗有限公司 | Acc inhibitors and uses thereof |
| CN105646492B (en) * | 2014-11-14 | 2019-04-09 | 中国医学科学院药物研究所 | Substituted xanthine compound containing five-membered aromatic heterocycle and its preparation method and use |
| DE102017000359A1 (en) | 2016-08-26 | 2018-03-01 | Bihl+Wiedemann Gmbh | Diagnostic repeater for AS-Interface networks |
| CN112724141A (en) * | 2021-01-21 | 2021-04-30 | 南京艾美斐生物医药科技有限公司 | GPR109A protein receptor inhibitor and preparation and application thereof |
| MX2024009581A (en) * | 2022-02-03 | 2024-08-13 | De Shaw Res Llc | N3-substituted uracil compounds as trpa1 inhibitors. |
| AR131717A1 (en) * | 2023-01-30 | 2025-04-23 | De Shaw Res Llc | BICYCLIC IMIDE COMPOUNDS AS TRPA1 INHIBITORS |
| AR133217A1 (en) * | 2023-07-10 | 2025-09-10 | De Shaw Res Llc | BICYCLIC AND MONOCYCLIC TRPA1 INHIBITORS |
Citations (2)
| Publication number | Priority date | Publication date | Assignee | Title |
|---|---|---|---|---|
| WO2003004496A1 (en) * | 2001-07-03 | 2003-01-16 | Novo Nordisk A/S | Dpp-iv-inhibiting purine derivatives for the treatment of diabetes |
| WO2005016870A1 (en) * | 2003-08-14 | 2005-02-24 | Smithkline Beecham Corporation | 2-substituted benzoic acid derivatives as hm74a receptor agonists |
Family Cites Families (38)
| Publication number | Priority date | Publication date | Assignee | Title |
|---|---|---|---|---|
| US2797220A (en) * | 1954-12-02 | 1957-06-25 | Univ Michigan | Substituted paraxanthines |
| GB8906792D0 (en) * | 1989-03-23 | 1989-05-10 | Beecham Wuelfing Gmbh & Co Kg | Treatment and compounds |
| NZ240644A (en) | 1990-11-21 | 1994-08-26 | Smithkline Beecham Corp | Use of xanthine derivatives to inhibit the production of tumour necrosis factor (tnf) |
| AU3725893A (en) | 1992-02-21 | 1993-09-13 | Smithkline Beecham Corporation | TNF inhibitors |
| DK0584347T3 (en) | 1992-03-04 | 2003-02-24 | Cell Therapeutics Inc | Enantiomeric hydroxylated xanthine compounds |
| US5473070A (en) | 1992-11-16 | 1995-12-05 | Cell Therapeutics, Inc. | Substituted long chain alcohol xanthine compounds |
| US5780476A (en) * | 1992-11-16 | 1998-07-14 | Cell Therapeutics, Inc. | Hydroxyl-containing xanthine compounds |
| US6693105B1 (en) * | 1992-11-16 | 2004-02-17 | Cell Therapeutics, Inc. | Hydroxyl-containing compounds |
| US6469017B1 (en) | 1998-01-16 | 2002-10-22 | Cell Therapeutics, Inc. | Method of inhibiting interleukin-12 signaling |
| IL109161A0 (en) | 1993-03-31 | 1994-06-24 | Cell Therapeutics Inc | Amino alcohol derivatives, methods for the preparation thereof, and pharmaceutical compositions containing the same |
| US5670506A (en) | 1993-04-05 | 1997-09-23 | Cell Therapeutics, Inc. | Halogen, isothiocyanate or azide substituted xanthines |
| AU6702894A (en) | 1993-04-09 | 1994-11-08 | Cell Therapeutics, Inc. | Ring-substituted cell signaling inhibitors |
| WO1995020589A1 (en) | 1994-01-28 | 1995-08-03 | Cell Therapeutics, Inc. | Cell signaling inhibitors |
| US6878715B1 (en) * | 1994-02-18 | 2005-04-12 | Cell Therapeutics, Inc. | Therapeutic compounds for inhibiting interleukin-12 signals and method for using same |
| EP0746557A4 (en) * | 1994-02-18 | 1997-05-02 | Cell Therapeutics Inc | Intracellular signalling mediators |
| US6103730A (en) * | 1994-03-24 | 2000-08-15 | Cell Therapeutics, Inc. | Amine substituted compounds |
| US6780865B1 (en) * | 1994-02-18 | 2004-08-24 | Cell Therapeutics, Inc. | Compounds having selective hydrolytic potentials |
| US5807861A (en) * | 1994-03-24 | 1998-09-15 | Cell Therapeutics, Inc. | Amine substituted xanthinyl compounds |
| US6323201B1 (en) * | 1994-12-29 | 2001-11-27 | The Regents Of The University Of California | Compounds for inhibition of ceramide-mediated signal transduction |
| AR015966A1 (en) | 1997-10-17 | 2001-05-30 | Smithkline Beecham Corp | USE OF A PDE4 INHIBITOR COMPOUND FOR THE PREPARATION OF A USEFUL MEDICINAL PRODUCT FOR PRURITE TREATMENT |
| MXPA01010143A (en) | 1999-04-09 | 2003-07-14 | Cell Therapeutics Inc | Xanthine derivatives and analogs as cell signaling inhibitors. |
| US20030207901A1 (en) * | 1999-07-27 | 2003-11-06 | Cell Therapeutics, Inc. | Hydroxyl-containing compounds |
| US6821978B2 (en) * | 2000-09-19 | 2004-11-23 | Schering Corporation | Xanthine phosphodiesterase V inhibitors |
| US6586429B2 (en) * | 2000-11-29 | 2003-07-01 | Cell Therapeutics, Inc. | Tricyclic fused xanthine compounds and their uses |
| EA007485B1 (en) * | 2001-02-24 | 2006-10-27 | Берингер Ингельхайм Фарма Гмбх Унд Ко. Кг | Xanthine derivative, method for their production, pharmaceutical composition based thereon and method for their preparation |
| US20040254224A1 (en) | 2001-04-11 | 2004-12-16 | Foord Steven Michael | Medicaments |
| EP1338595B1 (en) * | 2002-02-25 | 2006-05-03 | Eisai Co., Ltd. | Xanthine derivatives as DPP-IV inhibitors |
| US7482337B2 (en) * | 2002-11-08 | 2009-01-27 | Boehringer Ingelheim Pharma Gmbh & Co. Kg | Xanthine derivatives, the preparation thereof and their use as pharmaceutical compositions |
| CN1227492C (en) * | 2003-03-11 | 2005-11-16 | 张跃 | Main body of absorbing air-conditioner |
| CA2556073C (en) * | 2004-02-14 | 2012-01-10 | Smithkline Beecham Corporation | 8-chloro-1,3-disubstituted xanthine derivatives as hm74a receptor modulators |
| WO2006045564A1 (en) * | 2004-10-22 | 2006-05-04 | Smithkline Beecham Corporation | Xanthine derivatives with hm74a receptor activity |
| US20090209561A1 (en) * | 2004-10-22 | 2009-08-20 | Richard Jonathan Daniel Hatley | Xanthine Derivatives with HM74A Receptor Activity |
| MX2007004882A (en) * | 2004-10-22 | 2007-05-09 | Smithkline Beecham Corp | Xanthine derivatives with hm74a receptor activity. |
| JP2008530074A (en) * | 2005-02-14 | 2008-08-07 | スミスクライン・ビーチャム・コーポレイション | Anthranilic acid derivatives as HM74A receptor agonists |
| GB0516462D0 (en) * | 2005-08-10 | 2005-09-14 | Smithkline Beecham Corp | Novel compounds |
| JP2009504592A (en) * | 2005-08-10 | 2009-02-05 | スミスクライン・ビーチャム・コーポレイション | Xanthine derivatives as selective HM74A agonists |
| DE102008009758A1 (en) * | 2008-02-18 | 2009-08-20 | Beiersdorf Ag | Use of 3- (4-hydroxy-3-methoxyphenyl) -1- (4-hydroxyphenyl) propan-1-one for improved skin contouring or against cellulite |
| JP5666464B2 (en) | 2008-12-08 | 2015-02-12 | グラクソスミスクライン・リミテッド・ライアビリティ・カンパニーGlaxoSmithKline LLC | New compounds |
-
2006
- 2006-08-08 JP JP2008525475A patent/JP2009504592A/en not_active Withdrawn
- 2006-08-08 NZ NZ565494A patent/NZ565494A/en not_active IP Right Cessation
- 2006-08-08 DK DK06763016.0T patent/DK1912991T3/en active
- 2006-08-08 EP EP06776699A patent/EP1912992A1/en not_active Withdrawn
- 2006-08-08 WO PCT/EP2006/007865 patent/WO2007017261A1/en not_active Ceased
- 2006-08-08 MX MX2008001929A patent/MX2008001929A/en not_active Application Discontinuation
- 2006-08-08 HR HR20100725T patent/HRP20100725T1/en unknown
- 2006-08-08 PL PL06763016T patent/PL1912991T3/en unknown
- 2006-08-08 EP EP06763016A patent/EP1912991B1/en not_active Not-in-force
- 2006-08-08 PT PT06763016T patent/PT1912991E/en unknown
- 2006-08-08 CA CA002626723A patent/CA2626723A1/en not_active Abandoned
- 2006-08-08 KR KR1020087005717A patent/KR20080034993A/en not_active Ceased
- 2006-08-08 PE PE2006000963A patent/PE20070405A1/en not_active Application Discontinuation
- 2006-08-08 US US12/063,432 patent/US20100179128A1/en not_active Abandoned
- 2006-08-08 AU AU2006278215A patent/AU2006278215A1/en not_active Abandoned
- 2006-08-08 TW TW095128952A patent/TW200800217A/en unknown
- 2006-08-08 SI SI200630916T patent/SI1912991T1/en unknown
- 2006-08-08 MY MYPI20063833A patent/MY142067A/en unknown
- 2006-08-08 AT AT06763016T patent/ATE487719T1/en active
- 2006-08-08 ES ES10172674T patent/ES2401128T3/en active Active
- 2006-08-08 EA EA200800564A patent/EA200800564A1/en unknown
- 2006-08-08 CA CA002618963A patent/CA2618963A1/en not_active Abandoned
- 2006-08-08 AU AU2006278216A patent/AU2006278216A1/en not_active Abandoned
- 2006-08-08 KR KR1020087005724A patent/KR20080038396A/en not_active Withdrawn
- 2006-08-08 MX MX2008001931A patent/MX2008001931A/en active IP Right Grant
- 2006-08-08 WO PCT/EP2006/007869 patent/WO2007017262A1/en not_active Ceased
- 2006-08-08 EA EA200800555A patent/EA014556B1/en not_active IP Right Cessation
- 2006-08-08 EP EP10172674A patent/EP2272848B1/en active Active
- 2006-08-08 AR ARP060103459A patent/AR055369A1/en unknown
- 2006-08-08 US US12/063,434 patent/US8143264B2/en not_active Expired - Fee Related
- 2006-08-08 BR BRPI0615145-0A patent/BRPI0615145A2/en not_active Application Discontinuation
- 2006-08-08 BR BRPI0614270-2A patent/BRPI0614270A2/en not_active IP Right Cessation
- 2006-08-08 DE DE602006018151T patent/DE602006018151D1/en active Active
- 2006-08-08 JP JP2008525474A patent/JP5112316B2/en not_active Expired - Fee Related
-
2008
- 2008-01-28 IL IL189083A patent/IL189083A0/en unknown
- 2008-01-28 IL IL189081A patent/IL189081A0/en unknown
- 2008-02-08 MA MA30628A patent/MA29692B1/en unknown
- 2008-02-08 MA MA30629A patent/MA29693B1/en unknown
- 2008-02-21 CR CR9748A patent/CR9748A/en not_active Application Discontinuation
- 2008-02-21 CR CR9749A patent/CR9749A/en not_active Application Discontinuation
- 2008-03-07 NO NO20081211A patent/NO20081211L/en not_active Application Discontinuation
- 2008-03-07 NO NO20081212A patent/NO20081212L/en not_active Application Discontinuation
-
2011
- 2011-01-12 CY CY20111100033T patent/CY1111757T1/en unknown
- 2011-04-18 US US13/088,962 patent/US20110257205A1/en not_active Abandoned
Patent Citations (2)
| Publication number | Priority date | Publication date | Assignee | Title |
|---|---|---|---|---|
| WO2003004496A1 (en) * | 2001-07-03 | 2003-01-16 | Novo Nordisk A/S | Dpp-iv-inhibiting purine derivatives for the treatment of diabetes |
| WO2005016870A1 (en) * | 2003-08-14 | 2005-02-24 | Smithkline Beecham Corporation | 2-substituted benzoic acid derivatives as hm74a receptor agonists |
Non-Patent Citations (7)
| Title |
|---|
| BERGE; BIGHLEY; MONKHOUSE, J. PHARM. SCI., vol. 66, 1977, pages 1 - 19 |
| DONDONI, ALESSANDRO; LUNAZZI, LODOVICO; GIORGIANNI, PATRIZIA; MACCIANTELLI, DANTE: "Carbon-nitrogen rotational barrier as a stereochemical probe of benzamidoximes", JOURNAL OF ORGANIC CHEMISTRY, vol. 40, no. 20, 1975, pages 2979 - 80 |
| JACOBSON, J. MED. CHEM., vol. 36, 1993, pages 2639 - 2644 |
| SOGA, BIOCHEM BIOPHYS RES COMMUN., vol. 303, no. 1, 2003, pages 364 - 369 |
| TUNARU, NATURE MEDICINE, vol. 9, no. 3, 2003, pages 352 - 255 |
| WIELAND, T.; JAKOBS, K.H., METHODS ENZYMOL., vol. 237, 1994, pages 3 - 13 |
| WISE, J BIOL CHEM., vol. 278, no. 11, 2003, pages 9869 - 9874 |
Cited By (31)
| Publication number | Priority date | Publication date | Assignee | Title |
|---|---|---|---|---|
| US8039478B2 (en) | 2006-06-23 | 2011-10-18 | Incyte Corporation | Purinone derivatives as HM74A agonists |
| US7462624B2 (en) | 2006-06-23 | 2008-12-09 | Incyte Corporation | Purinone derivatives as HM74a agonists |
| US7511050B2 (en) | 2006-06-23 | 2009-03-31 | Incyte Corporation | Purinone derivatives as HM74A agonists |
| US7863285B2 (en) | 2006-06-23 | 2011-01-04 | Incyte Corporation | Purinone derivatives as HM74A agonists |
| US8703783B2 (en) | 2006-06-23 | 2014-04-22 | Incyte Corporation | Purinone derivatives as HM74A agonists |
| US7902205B2 (en) | 2006-06-23 | 2011-03-08 | Incyte Corporation | Purinone derivatives as HM74A agonists |
| WO2008017381A1 (en) | 2006-08-08 | 2008-02-14 | Sanofi-Aventis | Arylaminoaryl-alkyl-substituted imidazolidine-2,4-diones, processes for preparing them, medicaments comprising these compounds, and their use |
| WO2009021740A2 (en) | 2007-08-15 | 2009-02-19 | Sanofis-Aventis | Substituted tetrahydronaphthalenes, process for the preparation thereof and the use thereof as medicaments |
| DE102007063671A1 (en) | 2007-11-13 | 2009-06-25 | Sanofi-Aventis Deutschland Gmbh | New crystalline diphenylazetidinone hydrates, medicaments containing these compounds and their use |
| WO2010003624A2 (en) | 2008-07-09 | 2010-01-14 | Sanofi-Aventis | Heterocyclic compounds, processes for their preparation, medicaments comprising these compounds, and the use thereof |
| WO2010068601A1 (en) | 2008-12-08 | 2010-06-17 | Sanofi-Aventis | A crystalline heteroaromatic fluoroglycoside hydrate, processes for making, methods of use and pharmaceutical compositions thereof |
| WO2011023754A1 (en) | 2009-08-26 | 2011-03-03 | Sanofi-Aventis | Novel crystalline heteroaromatic fluoroglycoside hydrates, pharmaceuticals comprising these compounds and their use |
| WO2011107494A1 (en) | 2010-03-03 | 2011-09-09 | Sanofi | Novel aromatic glycoside derivatives, medicaments containing said compounds, and the use thereof |
| US9290464B2 (en) | 2010-05-03 | 2016-03-22 | Sk Biopharmaceuticals Co., Ltd. | Pharmaceutical composition for inhibiting apoptosis of neuron or neurodegeneration |
| AU2011249223B2 (en) * | 2010-05-03 | 2014-12-11 | Sk Biopharmaceuticals Co., Ltd. | Pharmaceutical composition for inhibiting apoptosis of neuron or neurodegeneration |
| US8841335B2 (en) | 2010-05-03 | 2014-09-23 | Sk Biopharmaceuticals Co., Ltd. | Pharmaceutical composition for inhibiting apoptosis of neuron or neurodegeneration |
| EP2566475A4 (en) * | 2010-05-03 | 2014-03-19 | Sk Biopharmaceuticals Co Ltd | PHARMACEUTICAL COMPOSITION FOR THE INHIBITION OF NEURONE APOPTOSIS OR NEURODEGENERESCENCE |
| WO2011157827A1 (en) | 2010-06-18 | 2011-12-22 | Sanofi | Azolopyridin-3-one derivatives as inhibitors of lipases and phospholipases |
| WO2011161030A1 (en) | 2010-06-21 | 2011-12-29 | Sanofi | Heterocyclic substituted methoxyphenyl derivatives having an oxo group, method for producing same, and use thereof as gpr40 receptor modulators |
| WO2012004269A1 (en) | 2010-07-05 | 2012-01-12 | Sanofi | (2-aryloxy-acetylamino)-phenyl-propionic acid derivatives, method for producing same and use thereof as pharmaceuticals |
| WO2012010413A1 (en) | 2010-07-05 | 2012-01-26 | Sanofi | Aryloxy-alkylene substituted hydroxyphenyl hexynoic acids, methods for the production thereof and use of the same as medicament |
| WO2012004270A1 (en) | 2010-07-05 | 2012-01-12 | Sanofi | Spirocyclically substituted 1,3-propane dioxide derivatives, methods for the production thereof and use of the same as medicament |
| WO2012120054A1 (en) | 2011-03-08 | 2012-09-13 | Sanofi | Di- and tri-substituted oxathiazine derivates, method for the production thereof, use thereof as medicine and drug containing said derivatives and use thereof |
| WO2012120052A1 (en) | 2011-03-08 | 2012-09-13 | Sanofi | Oxathiazine derivatives substituted with carbocycles or heterocycles, method for producing same, drugs containing said compounds, and use thereof |
| WO2012120053A1 (en) | 2011-03-08 | 2012-09-13 | Sanofi | Branched oxathiazine derivatives, method for the production thereof, use thereof as medicine and drug containing said derivatives and use thereof |
| WO2012120055A1 (en) | 2011-03-08 | 2012-09-13 | Sanofi | Di- and tri-substituted oxathiazine derivates, method for the production thereof, use thereof as medicine and drug containing said derivatives and use thereof |
| WO2012120056A1 (en) | 2011-03-08 | 2012-09-13 | Sanofi | Tetrasubstituted oxathiazine derivatives, method for producing them, their use as medicine and drug containing said derivatives and the use thereof |
| WO2013037390A1 (en) | 2011-09-12 | 2013-03-21 | Sanofi | 6-(4-hydroxy-phenyl)-3-styryl-1h-pyrazolo[3,4-b]pyridine-4-carboxylic acid amide derivatives as kinase inhibitors |
| WO2013045413A1 (en) | 2011-09-27 | 2013-04-04 | Sanofi | 6-(4-hydroxy-phenyl)-3-alkyl-1h-pyrazolo[3,4-b]pyridine-4-carboxylic acid amide derivatives as kinase inhibitors |
| CN114874209A (en) * | 2017-03-07 | 2022-08-09 | 豪夫迈·罗氏有限公司 | Oxadiazole transient receptor potential channel inhibitors |
| WO2020033919A1 (en) | 2018-08-10 | 2020-02-13 | Diapin Therapeutics, Llc | Tri-peptides and treatment of metabolic, cardiovascular and inflammatory disorders |
Also Published As
Similar Documents
| Publication | Publication Date | Title |
|---|---|---|
| EP2272848B1 (en) | Xanthine derivatives as selective HM74A agonists | |
| EP1781657B1 (en) | Medicaments with hm74a receptor activity | |
| EP1805180A1 (en) | Xanthine derivatives with hm74a receptor activity | |
| WO2007017265A1 (en) | Xanthine derivatives as selective hm74a agonists | |
| WO2006045564A1 (en) | Xanthine derivatives with hm74a receptor activity | |
| CN101282977B (en) | Xanthine derivatives as selective hm74a agonists | |
| HK1146279A (en) | Xanthine derivatives as selective hm74a agonists | |
| HK1116779B (en) | Xanthine derivatives as selective hm74a agonists | |
| HK1104530B (en) | Medicaments with hm74a receptor activity |
Legal Events
| Date | Code | Title | Description |
|---|---|---|---|
| WWE | Wipo information: entry into national phase |
Ref document number: 200680037470.9 Country of ref document: CN |
|
| 121 | Ep: the epo has been informed by wipo that ep was designated in this application | ||
| WWE | Wipo information: entry into national phase |
Ref document number: 189081 Country of ref document: IL |
|
| WWE | Wipo information: entry into national phase |
Ref document number: 565494 Country of ref document: NZ |
|
| WWE | Wipo information: entry into national phase |
Ref document number: 12008500324 Country of ref document: PH |
|
| WWE | Wipo information: entry into national phase |
Ref document number: 2006278215 Country of ref document: AU Ref document number: 2008020218 Country of ref document: EG |
|
| WWE | Wipo information: entry into national phase |
Ref document number: MX/a/2008/001931 Country of ref document: MX Ref document number: 2626723 Country of ref document: CA Ref document number: 2008525474 Country of ref document: JP Ref document number: 2006763016 Country of ref document: EP Ref document number: 1117/DELNP/2008 Country of ref document: IN |
|
| WWE | Wipo information: entry into national phase |
Ref document number: 12063434 Country of ref document: US |
|
| WWE | Wipo information: entry into national phase |
Ref document number: 08013175 Country of ref document: CO |
|
| NENP | Non-entry into the national phase |
Ref country code: DE |
|
| WWE | Wipo information: entry into national phase |
Ref document number: CR2008-009748 Country of ref document: CR |
|
| ENP | Entry into the national phase |
Ref document number: 2006278215 Country of ref document: AU Date of ref document: 20060808 Kind code of ref document: A |
|
| WWP | Wipo information: published in national office |
Ref document number: 2006278215 Country of ref document: AU |
|
| WWE | Wipo information: entry into national phase |
Ref document number: 200800555 Country of ref document: EA |
|
| WWE | Wipo information: entry into national phase |
Ref document number: 1020087005717 Country of ref document: KR |
|
| WWP | Wipo information: published in national office |
Ref document number: 2006763016 Country of ref document: EP |
|
| ENP | Entry into the national phase |
Ref document number: PI0614270 Country of ref document: BR Kind code of ref document: A2 Effective date: 20080208 |



























































































































































































































































