WO2007010356A2 - Process for the preparation of sulfonamide derivatives - Google Patents
Process for the preparation of sulfonamide derivatives Download PDFInfo
- Publication number
- WO2007010356A2 WO2007010356A2 PCT/IB2006/001958 IB2006001958W WO2007010356A2 WO 2007010356 A2 WO2007010356 A2 WO 2007010356A2 IB 2006001958 W IB2006001958 W IB 2006001958W WO 2007010356 A2 WO2007010356 A2 WO 2007010356A2
- Authority
- WO
- WIPO (PCT)
- Prior art keywords
- compound
- formula
- process according
- phenyl
- preparation
- Prior art date
- Legal status (The legal status is an assumption and is not a legal conclusion. Google has not performed a legal analysis and makes no representation as to the accuracy of the status listed.)
- Ceased
Links
- 0 C*(C)c1c(*)ccc(C(CNC(C)(C)Cc2cccc(CC=O)c2)O*)c1 Chemical compound C*(C)c1c(*)ccc(C(CNC(C)(C)Cc2cccc(CC=O)c2)O*)c1 0.000 description 4
- NFEDILTWOKLKDR-KRWDZBQOSA-N CS(N(c(cc([C@H]1OC1)cc1)c1OCc1ccccc1)S(C)(=O)=O)(=O)=O Chemical compound CS(N(c(cc([C@H]1OC1)cc1)c1OCc1ccccc1)S(C)(=O)=O)(=O)=O NFEDILTWOKLKDR-KRWDZBQOSA-N 0.000 description 1
Classifications
-
- C—CHEMISTRY; METALLURGY
- C07—ORGANIC CHEMISTRY
- C07C—ACYCLIC OR CARBOCYCLIC COMPOUNDS
- C07C311/00—Amides of sulfonic acids, i.e. compounds having singly-bound oxygen atoms of sulfo groups replaced by nitrogen atoms, not being part of nitro or nitroso groups
- C07C311/48—Amides of sulfonic acids, i.e. compounds having singly-bound oxygen atoms of sulfo groups replaced by nitrogen atoms, not being part of nitro or nitroso groups having nitrogen atoms of sulfonamide groups further bound to another hetero atom
-
- A—HUMAN NECESSITIES
- A61—MEDICAL OR VETERINARY SCIENCE; HYGIENE
- A61K—PREPARATIONS FOR MEDICAL, DENTAL OR TOILETRY PURPOSES
- A61K31/00—Medicinal preparations containing organic active ingredients
- A61K31/16—Amides, e.g. hydroxamic acids
- A61K31/18—Sulfonamides
-
- C—CHEMISTRY; METALLURGY
- C07—ORGANIC CHEMISTRY
- C07C—ACYCLIC OR CARBOCYCLIC COMPOUNDS
- C07C237/00—Carboxylic acid amides, the carbon skeleton of the acid part being further substituted by amino groups
- C07C237/02—Carboxylic acid amides, the carbon skeleton of the acid part being further substituted by amino groups having the carbon atoms of the carboxamide groups bound to acyclic carbon atoms of the carbon skeleton
- C07C237/20—Carboxylic acid amides, the carbon skeleton of the acid part being further substituted by amino groups having the carbon atoms of the carboxamide groups bound to acyclic carbon atoms of the carbon skeleton the carbon skeleton containing six-membered aromatic rings
-
- C—CHEMISTRY; METALLURGY
- C07—ORGANIC CHEMISTRY
- C07C—ACYCLIC OR CARBOCYCLIC COMPOUNDS
- C07C303/00—Preparation of esters or amides of sulfuric acids; Preparation of sulfonic acids or of their esters, halides, anhydrides or amides
- C07C303/36—Preparation of esters or amides of sulfuric acids; Preparation of sulfonic acids or of their esters, halides, anhydrides or amides of amides of sulfonic acids
- C07C303/38—Preparation of esters or amides of sulfuric acids; Preparation of sulfonic acids or of their esters, halides, anhydrides or amides of amides of sulfonic acids by reaction of ammonia or amines with sulfonic acids, or with esters, anhydrides, or halides thereof
-
- C—CHEMISTRY; METALLURGY
- C07—ORGANIC CHEMISTRY
- C07C—ACYCLIC OR CARBOCYCLIC COMPOUNDS
- C07C303/00—Preparation of esters or amides of sulfuric acids; Preparation of sulfonic acids or of their esters, halides, anhydrides or amides
- C07C303/36—Preparation of esters or amides of sulfuric acids; Preparation of sulfonic acids or of their esters, halides, anhydrides or amides of amides of sulfonic acids
- C07C303/40—Preparation of esters or amides of sulfuric acids; Preparation of sulfonic acids or of their esters, halides, anhydrides or amides of amides of sulfonic acids by reactions not involving the formation of sulfonamide groups
-
- C—CHEMISTRY; METALLURGY
- C07—ORGANIC CHEMISTRY
- C07C—ACYCLIC OR CARBOCYCLIC COMPOUNDS
- C07C51/00—Preparation of carboxylic acids or their salts, halides or anhydrides
- C07C51/347—Preparation of carboxylic acids or their salts, halides or anhydrides by reactions not involving formation of carboxyl groups
- C07C51/367—Preparation of carboxylic acids or their salts, halides or anhydrides by reactions not involving formation of carboxyl groups by introduction of functional groups containing oxygen only in singly bound form
-
- C—CHEMISTRY; METALLURGY
- C07—ORGANIC CHEMISTRY
- C07D—HETEROCYCLIC COMPOUNDS
- C07D303/00—Compounds containing three-membered rings having one oxygen atom as the only ring hetero atom
- C07D303/02—Compounds containing oxirane rings
- C07D303/36—Compounds containing oxirane rings with hydrocarbon radicals, substituted by nitrogen atoms
-
- C—CHEMISTRY; METALLURGY
- C07—ORGANIC CHEMISTRY
- C07F—ACYCLIC, CARBOCYCLIC OR HETEROCYCLIC COMPOUNDS CONTAINING ELEMENTS OTHER THAN CARBON, HYDROGEN, HALOGEN, OXYGEN, NITROGEN, SULFUR, SELENIUM OR TELLURIUM
- C07F7/00—Compounds containing elements of Groups 4 or 14 of the Periodic Table
- C07F7/02—Silicon compounds
- C07F7/08—Compounds having one or more C—Si linkages
- C07F7/18—Compounds having one or more C—Si linkages as well as one or more C—O—Si linkages
- C07F7/1804—Compounds having Si-O-C linkages
-
- C—CHEMISTRY; METALLURGY
- C12—BIOCHEMISTRY; BEER; SPIRITS; WINE; VINEGAR; MICROBIOLOGY; ENZYMOLOGY; MUTATION OR GENETIC ENGINEERING
- C12P—FERMENTATION OR ENZYME-USING PROCESSES TO SYNTHESISE A DESIRED CHEMICAL COMPOUND OR COMPOSITION OR TO SEPARATE OPTICAL ISOMERS FROM A RACEMIC MIXTURE
- C12P7/00—Preparation of oxygen-containing organic compounds
- C12P7/62—Carboxylic acid esters
-
- Y—GENERAL TAGGING OF NEW TECHNOLOGICAL DEVELOPMENTS; GENERAL TAGGING OF CROSS-SECTIONAL TECHNOLOGIES SPANNING OVER SEVERAL SECTIONS OF THE IPC; TECHNICAL SUBJECTS COVERED BY FORMER USPC CROSS-REFERENCE ART COLLECTIONS [XRACs] AND DIGESTS
- Y02—TECHNOLOGIES OR APPLICATIONS FOR MITIGATION OR ADAPTATION AGAINST CLIMATE CHANGE
- Y02P—CLIMATE CHANGE MITIGATION TECHNOLOGIES IN THE PRODUCTION OR PROCESSING OF GOODS
- Y02P20/00—Technologies relating to chemical industry
- Y02P20/50—Improvements relating to the production of bulk chemicals
- Y02P20/55—Design of synthesis routes, e.g. reducing the use of auxiliary or protecting groups
Definitions
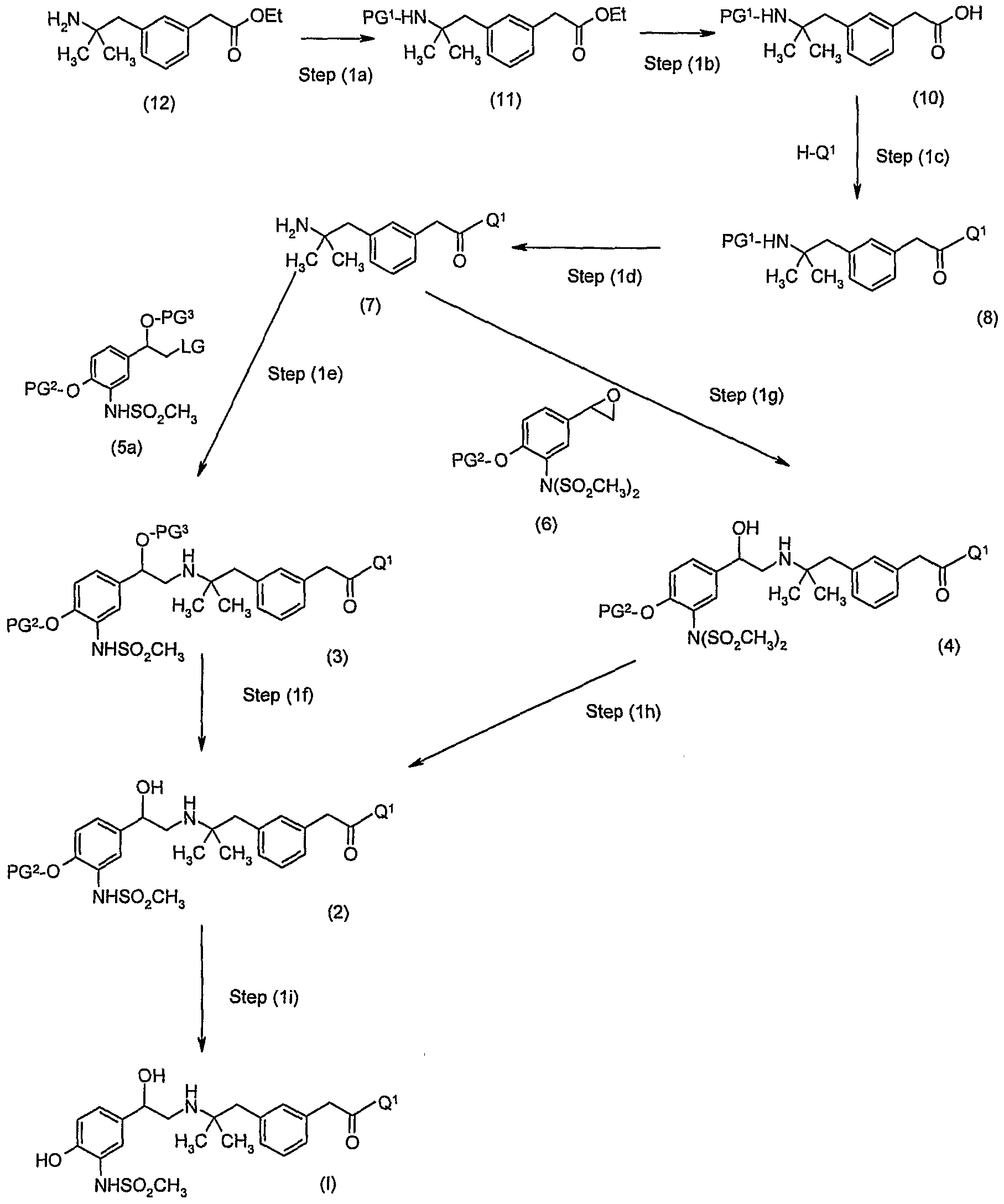
- the invention relates to a process for the preparation of compounds of formula (I)
- Q 1 is as defined hereafter; or, if appropriate, their pharmaceutically acceptable salts and/or isomers, tautomers, solvates or isotopic variations thereof, as well the intermediates used in said process, or, if appropriate, their salts and/or isomers, tautomers, solvates or isotopic variations thereof.
- the compounds of formula (I) are agonists of the ⁇ 2 receptors, which are particularly useful for the treatment of ⁇ 2-mediated diseases and/or conditions, by showing excellent potency, in particular when administered via the inhalation route.
- the invention relates to a process for the preparation of compounds of formula (I),
- Q 1 is a group selected from:
- R 1 , R 2 , R 3 , R 4 and R 5 are the same or different and are selected from H, C 1 -C 4 alkyl, OR 7 , SR 7 , halo, CN, CF 3 , OCF 3 , COOR 7 , SO 2 NR 7 R 8 , CONR 7 R 8 , NR 7 R 8 , NHCOR 7 and phenyl optionally substituted with 1 to 3 groups selected from OR 7 , halo and CrC 4 alkyl, wherein R 7 and R 8 are the same or different and are selected from H or C 1 -C 4 alkyl; or, if appropriate, their pharmaceutically acceptable salts and/or isomers, tautomers, solvates or isotopic variations thereof.
- the invention relates to a process for the preparation of compounds of formula (I)
- the above process comprises the step of reacting said compound of formula (7) with a compound of formula (5),
- said process comprises deprotection steps to obtain a compound of formula (I).
- said process comprises a step for isolating said compound of formula (I).
- said process comprises the step of reacting said compound of formula (7) with a compound of formula (5)
- said compound of formula (3) is then deprotected to obtain a compound of formula (I).
- two deprotection steps are carried out to remove PG 2 and PG 3 and obtain a compound of formula (I).
- a first deprotection step is carried out to remove PG 3 to obtain a compound of formula
- said compound of formula (3) is not isolated and the first deprotection step is carried out directly.
- a salt of compound of formula (2) is prepared and used in the next step.
- a preferred salt of compound of formula (2) is the dibenzoyl-(L)-tartrate salt.
- a second deprotection step is carried out to remove PG 2 and obtain a compound of formula (I).
- said compound of formula (7) is reacted with a compound of formula (5)
- said compound of formula (3a) is then deprotected to obtain a compound of formula
- a first deprotection step is carried out to remove PG 3 and obtain a compound of formula (4)
- a second deprotection step is carried out to remove a SO 2 CH 3 group and obtain a compound of formula (2)
- a third deprotection step is carried out to remove PG 2 and obtain a compound of formula (I).
- said compound of formula (7) is reacted with a compound of formula (6)
- said compound of formula (4) is then deprotected to obtain a compound of formula (I).
- two deprotection steps are carried out to remove SO 2 CH 3 and PG 2 and obtain a compound of formula (I).
- a first deprotection step is carried to remove a SO 2 CH 3 group and obtain a compound of formula (2)
- a second deprotection step is carried out to remove PG 2 and obtain a compound of formula (I).
- LG is bromide.
- PG 3 is TBDMS.
- PG 2 is benzyl.
- said compound of formula (7) is prepared by reacting a compound of formula (10)
- PG 1 is a suitable amino protecting group, with Q 1 -H or as salt thereof, wherein Q 1 is as defined above, to obtain a compound of formula (8)
- a deprotection step is carried out to remove PG 1 and obtain said compound of formula
- said compound of formula (10) is prepared by hydrolysis of a compound of formula
- said compound of formula (11) is prepared by protection of a compound of formula (12),
- PG 1 is Boc, trichloroacetyl or chloroacetyl.
- said compound of formula (8) is prepared by reacting a compound of formula (19)
- said compound of formula (19) is prepared by reacting a compound of formula (15).
- Compound of formula (16), which is a precursor of compound of formula (12) may be prepared by hydrolysis in the presence of an enzyme.
- an enzyme selected from a lipase, an esterase or a protease is selected from Mucor Miehei esterase, Rhizomucor Miehei lipase, Thermomuces Languinosus lipase, Penicillin acylase. More preferably, said enzyme is Thermomuces Languinosus lipase.
- the hydrolysis of said compound of formula (18) is carried out at a pH between 5 and 9 and a temperature between 10 0 C and 40 0 C in water, in the presence of a suitable buffering agent, and optionally in the presence of a suitable base.
- the present invention also relates to the intermediates used in said process of the invention.
- the invention relates to the following intermediates:
- R 10 is H or PG 2 where PG 2 is a suitable phenol protecting group
- R 9 is H or PG 3 where PG 3 is a suitable hydroxyl protecting group
- R 11 is H, PG 1 where PG 1 is a suitable amino protecting group.
- C 1 -C 4 alkyl denote a straight-chain or branched group containing 1, 2, 3 or 4 carbon atoms. This also applies if they carry substituents or occur as substituents of other radicals, for example in O- ⁇ -C ⁇ alkyl radicals, S-(Ci-C 4 )alkyl radicals etc...
- Examples of suitable (Ci-C 4 )alkyl radicals are methyl, ethyl, n-propyl, /so-propyl, n-butyl, /so-butyl, sec-butyl, ferf-butyl....
- Examples of suitable (C r C 4 )alkoxy radicals are methoxy, ethoxy, n- propyloxy, /so-propyloxy, n-butyloxy, /so-butyloxy, sec-butyloxy and fe/f-butyloxy....
- Halo denotes a halogen atom selected from the group consisting of fluoro, chloro, bromo and iodo in particular fluoro or chloro.
- C 3 -C 7 cycloalkyl includes cyclopropyl, cyclobutyl, cyclopentyl, cyclohexyl and cycloheptyl.
- a suitable hydroxyl-protecting group includes terf-butyl(dimethyl)silyl (TBDMS), triethylsilyl, tert- butyl(diphenyl)silyl, tri(isopropyl)silyl, tetrahydropyranyl, methoxymethyl, benzyloxymethyl, 1- ethoxyethyl and benzyl.
- TDMS terf-butyl(dimethyl)silyl
- triethylsilyl triethylsilyl
- tert- butyl(diphenyl)silyl tri(isopropyl)silyl
- tetrahydropyranyl methoxymethyl, benzyloxymethyl, 1- ethoxyethyl and benzyl.
- a preferred hydroxyl-protecting group is ferf-butyl(dimethyl)silyl or triethylsilyl.
- a suitable phenol-protecting group includes benzyl, methyl, methoxymethyl, benzyloxymethyl,
- TBDMS 4-methoxybenzyl and 4-chlorobenzyl.
- a preferred phenol-protecting group is benzyl.
- a suitable amino protecting group includes teAf-butoxycarbonyl (Boc), chloroacetyl, trichloroacetyl, acetyl, trifluoroacetyl, benzyloxylcarbonyl, formyl, phenylacyl, allyloxycarbonyl, 2-
- a preferred amino protecting group is Boc, chloroacetyl or trichloroacetyl.
- a suitable leaving group includes bromide, 4-bromobenzenesulfonyl, chloride, iodide, methanesulfonyl, 4-nitrobenzenesulfonyl, p-toluenesulfonyl and trifluoromethanesulfonyl.
- a preferred leaving group is bromide, chloride or p-toluenesulfonyl.
- Q 1 is preferably
- R 1 , R 2 , R 3 , R 4 and R 5 are the same or different and are selected from H, C 1 -C 4 alkyl, OR 6 , SR 6 , halo, preferably chloro, CF 3 , OCF 3 , SO 2 NR 7 R 8 , CONR 7 R 8 , NR 7 R 8 , NHCOR 7 , provided at least 2 of R 1 to R 5 are H; wherein R 7 and R 8 are the same or different and are selected from H or C 1 -C 4 alkyl.
- R 1 , R 2 , R 3 , R 4 and R 5 are the same or different and are selected from H, OH, CH 3 , OCH 2 -CH 3 , SCH 3 , halo, preferably chloro, CF 3 , OCF 3 , provided at least 2 of R 1 to R 5 are H.
- R 1 , R 2 , R 3 , R 4 and R 5 are the same or different and are selected from H or halo, preferably chloro provided at least 2 of R 1 to R 5 are H.
- R 2 and R 3 are chloro and R 1 , R 4 and R 5 are H.
- one of R 1 to R 5 is OH.
- R 1 , R 2 , R 3 , R 4 and R 5 is phenyl substituted by OH and the others are H.
- R 2 is 4-hydroxy-phenyl and R 1 , R 3 , R 4 and R 5 are H.
- the process of the invention is used for the preparation of the following compounds:
- the invention relates to a process for the preparation of a compound of formula (I) where the carbon atom substituted with a hydroxyl group is in the R configuration:
- the invention relates to a process for the preparation of a compound of formula (Ia):
- R to R are as defined above and intermediates for its preparation.
- PG 1 is a suitable amino protecting group.
- PG 1 is Boc, chloroacetyl or trichloroacetyl.
- PG 2 is a suitable phenol protecting group.
- PG 2 is benzyl.
- PG 3 is a suitable hydroxyl-protecting group.
- PG 3 is TBDMS.
- LG is a suitable leaving group.
- LG is bromide.
- the carbon atom substituted with a hydroxyl or an OPG 3 group is in the R configuration.
- Q 1 -H is selected from
- step (1a) the amine of formula (12) is reacted with a protecting agent such as di-ferf-butyl dicarbonate or benzyl chloroformate in the presence of an amine such as 4- dimethylaminopyridine or triethylamine in a suitable solvent such as tetrahydrofuran (THF).
- a protecting agent such as di-ferf-butyl dicarbonate or benzyl chloroformate
- an amine such as 4- dimethylaminopyridine or triethylamine
- suitable solvent such as tetrahydrofuran (THF).
- suitable protecting agents are described in the textbook “Protective Groups in Organic Synthesis" by T.W. Greene and P.G.M. Wuts.
- Typical conditions comprise of 1.0 equivalent of compound (12), 1 to 3 equivalents of di-ferf-butyl dicarbonate and 0.05 to 2 equivalents of 4- dimethylaminopyridine in a suitable solvent such as tetrahydrofuran at 10 to 50 0 C for 12 to 48 hours.
- step (1b) an ester of formula (11) is hydrolyzed to a carboxylic acid of formula (10) using standard methodology as described in the textbook "Protective Groups in Organic Synthesis" by T.W. Greene and P.G.M. Wuts.
- Typical conditions comprise of 1.0 equivalent of compound (11) and 2 to 5 equivalents of sodium hydroxide in a suitable solvent such as a mixture of water and tetrahydrofuran or ethanol at 10 to 50 0 C for 12 to 48 hours.
- a carboxylic acid of formula (10) is reacted with a primary or secondary amine (or a salt thereof) of formula H-Q 1 in the presence of a suitable base such as triethylamine or diisopropylethylamine and a suitable coupling reagent such as 1-(3-dimethylaminopropyl)-3- ethylcarbodiimide hydrochloride, dicyclohexylcarbodiimide, carbonyl diimidazole, pivaloyl chloride or isobutyl chloroformate, optionally in the presence of a suitable additive such as 1- hydroxybenzotriazole or ⁇ /-hydroxysuccinimide in a suitable solvent such as dimethylformamide, propionitrile, acetonitrile or pyridine.
- a suitable base such as triethylamine or diisopropylethylamine
- a suitable coupling reagent such as 1-(3-dimethylaminopropyl)
- Typical conditions comprise 1.0 equivalent of compound (10), 1.0 to 1.5 equivalents of compound of formula H-Q 1 , 1 to 5 equivalents of base and 1.05 to 2 equivalents of 1-(3-dimethylaminopropyl)-3-ethylcarbodiimide hydrochloride in a suitable solvent such as propionitrile, dimethylformamide or acetonitrile at 10 to 40 0 C for 1 to 24 hours.
- PG 1 may be removed using standard methodology as described in "Protective Groups in Organic Synthesis" by T.W. Greene and P.G.M. Wuts.
- typical conditions comprise 1.0 equivalent of compound (8) and 1 to 10 equivalents of hydrochloric acid or trifluoroacetic acid, in a suitable solvent such as dichloromethane or a mixture of ethanol and 1 ,4-dioxane at 10 to 5O 0 C for 12 to 100 hours.
- step (1e) an amine of formula (7) is reacted with an activated compound of formula (5a) optionally in the presence of a base such as sodium hydrogen carbonate, triethanolamine, dipotassium hydrogenphosphate or diisopropylethylamine in the presence of a suitable solvent such as propionitrile, butyronitrile, 1-methyl-2-pyrrolidinone, n-propyl acetate, n-butyl acetate or 4- methyl-2-pentanone, at a temperature between 50 0 C and 150 0 C for 12 to 48 hours.
- a base such as sodium hydrogen carbonate, triethanolamine, dipotassium hydrogenphosphate or diisopropylethylamine
- a suitable solvent such as propionitrile, butyronitrile, 1-methyl-2-pyrrolidinone, n-propyl acetate, n-butyl acetate or 4- methyl-2-pentanone
- Typical conditions comprise of 1.0 equivalent of compound (7), 0.5 to 2.0 equivalents of compound (5a) and 2 to 5 equivalents of sodium hydrogen carbonate in butyronitrile or n-butyl acetate at 110 to 120 0 C for 24 to 48 hours.
- PG 3 may be removed using standard methodology as described in "Protective Groups in Organic Synthesis" by T.W. Greene and P.G.M. Wuts.
- a deprotecting agent such as tetrabutylammonium fluoride, HF, or triethylamine trihydrofluoride in the presence of a suitable solvent such as tetrahydrofuran, ethanol, methanol or propionitrile may be used.
- Typical conditions comprise of 1.0 equivalent of compound (3), and 1-5 equivalents of triethylamine trihydrofluoride, in a suitable solvent such as methanol, tetrahydrofuran, a mixture of butyronitrile and methanol, or a mixture of n-butyl acetate, ethyl acetate and methanol, at 25 to 40 0 C for 1 to 24 hours.
- a suitable solvent such as methanol, tetrahydrofuran, a mixture of butyronitrile and methanol, or a mixture of n-butyl acetate, ethyl acetate and methanol
- step (1g) an amine of formula (7) is reacted with an epoxide of formula (6) in a suitable solvent such as propionitrile, butyronitrile or n-butanol, at a temperature between 80°C and 150 0 C for 12 to 60 hours.
- a suitable solvent such as propionitrile, butyronitrile or n-butanol
- Typical conditions comprise of 1.0 equivalents of compound (7) and 0.5 to 2 equivalents of compound (6) in a suitable solvent such as butyronitrile or n-butanol at 100 to 130°C for 12 to 48 hours.
- a compound of formula (4) is treated with a suitable deprotecting reagent such as sodium hydroxide, potassium hydroxide, tetrabutylammonium fluoride or potassium carbonate in the presence of a suitable solvent such as tetrahydrofuran or a mixture of water and a water- miscible alcohol such as ethanol or methanol, at 10 to 5O 0 C for 3 to 100 hours.
- a suitable solvent such as tetrahydrofuran or a mixture of water and a water- miscible alcohol such as ethanol or methanol
- Typical conditions comprise of 1.0 equivalent of compound (4) and 4-10 equivalents of sodium hydroxide in a mixture of ethanol and water at 25 to 4O 0 C for 12 to 100 hours.
- PG 2 may be removed using standard methodology as described in "Protective Groups in Organic Synthesis" by T.W.
- PG 2 is benzyl
- typical conditions comprise of 1.0 equivalent of compound (2), in the presence of a suitable catalyst such as 20% Pd(OH) 2 /C or 5% Pd/C, in a suitable solvent such as ethanol, aqueous ethanol, tetrahydrofuran, aqueous tetrahydrofuran, ethylene glycol, propylene glycol or dimethylformamide, under 40 to 80psi of hydrogen, at 25 to 6O 0 C for 2 to 54 hours.
- a suitable catalyst such as 20% Pd(OH) 2 /C or 5% Pd/C
- a suitable solvent such as ethanol, aqueous ethanol, tetrahydrofuran, aqueous tetrahydrofuran, ethylene glycol, propylene glycol or dimethylformamide
- the deprotection step (1i) may be carried out before the deprotection step (1f), as illustrated in the Scheme below.
- both PG 2 and PG 3 may be removed using Standard methodology as described in "Protective Groups in Organic Synthesis" by T.W. Greene and P. Wutz.
- typical conditions for step (1i) comprise 1.0 equivalent of compound (3), in the presence of a suitable catalyst such as 20% Pd(OH) 2 /C or 5% Pd/C, in a suitable solvent such as ethanol, tetrahydrofuran, ethyl acetate or a mixture of ethyl acetate and n-butyl acetate, under 40 to 80psi of hydrogen, at 25 to 6O 0 C for 2 to 48 hours.
- a suitable catalyst such as 20% Pd(OH) 2 /C or 5% Pd/C
- a suitable solvent such as ethanol, tetrahydrofuran, ethyl acetate or a mixture of ethyl acetate and n-butyl acetate
- step (1f) comprise 1.0 equivalent of compound (3a) and 1.0 to 10.0 equivalents of ammonium fluoride in a suitable solvent such as aqueous methanol, aqueous ethanol or aqueous acetonitrile at 10 to 4O 0 C for 1 to 48 hours.
- a suitable solvent such as aqueous methanol, aqueous ethanol or aqueous acetonitrile at 10 to 4O 0 C for 1 to 48 hours.
- the carbon atom substituted with an hydroxyl or an OPG 3 group is in the R configuration.
- step (1i) may be carried out before the deprotection step (1h).
- step (1e) may be replaced by the below steps, using a compound of formula (5b).
- steps (1j) and (1k) are identical to those disclosed for steps (1e) and (1h) above respectively.
- the carbon atom substituted with an hydroxyl or an OPG 3 group is in the R configuration.
- step (1j) an amine of formula (7) is reacted with an activated compound of formula (5b) optionally in the presence of a base such as sodium hydrogen carbonate, triethanolamine, dipotassium hydrogenphosphate or diisopropylethylamine in the presence of a suitable solvent such as propionitrile, butyronitrile, 1-methyl-2-pyrrolidinone, n-propyl acetate, n-butyl acetate or 4- methyl-2-pentanone, at a temperature between 50 0 C and 150 0 C for 12-48 hours.
- Typical conditions comprise of 1.0 equivalent of compound (7), 0.5 to 2.0 equivalents of compound (5b) and 2 to 5 equivalents of sodium hydrogen carbonate in butyronitrile at 110 to 120 0 C for 24 to 48 hours.
- a compound of formula (3a) is treated with a suitable deprotecting reagent such as sodium hydroxide, potassium hydroxide, tetrabutylammonium fluoride or potassium carbonate in the presence of a suitable solvent such as tetrahydrofuran or a mixture of water and a water- miscible alcohol such as ethanol or methanol, at 10 to 50 0 C for 3 to 100 hours.
- a suitable solvent such as tetrahydrofuran or a mixture of water and a water- miscible alcohol such as ethanol or methanol
- sequence of deprotection steps for the conversion of a compound of formula (3a) to a compound of formula (I) can be varied such that any of PG 2 , PG 3 and the methanesulfonamide can be removed in any order.
- the carbon atom substituted with an hydroxyl or an OTBDMS group is in the R configuration.
- PG 2 , PG 3 and LG are as defined above.
- the carbon atom substituted with a hydroxyl or an OPG 3 group is in the R configuration.
- the R isomer of compound of formula (6) is also preferred:
- a compound of formula (5a) is treated with methanesulfonylchloride in the presence of a suitable base such as diisopropylethylamine, triethylamine, sodium hydride, lithium diisopropylamide or n-butyl lithium in a suitable solvent such as acetonitrile, propionitrile, tetrahydrofuran, dichloromethane, 1 ,4-dioxane or dimethylformamide at a temperature between -8O 0 C and 80 0 C for 1 to 24 hours.
- a suitable base such as diisopropylethylamine, triethylamine, sodium hydride, lithium diisopropylamide or n-butyl lithium
- a suitable solvent such as acetonitrile, propionitrile, tetrahydrofuran, dichloromethane, 1 ,4-dioxane or dimethylformamide at a temperature between -8O 0 C and
- Typical conditions comprise of 1.0 equivalent of compound (5a), 2-5 equivalents of diisopropylethylamine and 1 to 5 equivalents of methanesulfonyl chloride in a suitable solvent such as acetonitrile for 1 to 5 hours at 5 to 25°C.
- PG 3 may be removed using standard methodology as described in "Protective Groups in Organic Synthesis" by T.W. Greene and P.G.M. Wuts.
- a deprotecting agent such as tetrabutylammonium fluoride, HF, or triethylamine trihydrofluoride in the presence of a suitable solvent such as tetrahydrofuran, methanol, ethanol or propionitrile may be used.
- Typical conditions comprise of 1.0 equivalent of compound (5b), and 1 to 5 equivalents of triethylamine trihydrofluoride, in a suitable solvent such as methanol, or tetrahydrofuran, at 25 to 4O 0 C for 12 to 48 hours.
- step (2c) a compound of formula (13) is reacted with a suitable base such as potassium carbonate, triethylamine, sodium hydride, sodium carbonate, diisopropylethylamine in the presence of a suitable solvent such as tetrahydrofuran, methanol, ethanol, dichloromethane, water for 2 to 24 hours at 10-40 0 C.
- a suitable solvent such as tetrahydrofuran, methanol, ethanol, dichloromethane, water for 2 to 24 hours at 10-40 0 C.
- Typical conditions comprise of 1.0 equivalent of compound (13) and 1 to 5 equivalents of potassium carbonate in a suitable solvent such as a mixture of methanol and tetrahydrofuran at 20 to 25 0 C for 12 to 18 hours.
- Compounds of formula H-Q 1 are either commercially available or may be prepared by conventional methods well known to the one skilled in the art (e.g. reduction, oxidation, alkylation, transition metal-mediated coupling, protection, deprotection etc..) from commercially available material. Examples of such preparations are disclosed in WO2004/032921 , WO2004/108676, WO2004/108675 and WO2004/100950.
- the compound of formula (12) may be prepared according to the process of the following scheme 3:
- step (3a) may be replaced by the following steps:
- the diester of formula (18) is prepared by esterification of the diacid of formula (17) according to any method well-known to the one skilled in the art to prepare an ester from an acid without modifying the rest of the molecule.
- Typical conditions comprise of 1.0 equivalent of the diacid of formula (17) reacting with an alcoholic solvent, preferably ethanol, in the presence of an acid catalyst such as hydrogen chloride or sulfuric acid at a temperature between 1O 0 C and 10O 0 C for 6 to 24 hours.
- step (4b) the diester of formula (18) is selectively hydrolyzed to the monoester of formula (16) in the presence of a suitable enzyme known in the art, such as a lipase, esterase or protease, preferably a lipase.
- a suitable enzyme known in the art, such as a lipase, esterase or protease, preferably a lipase.
- Preferred enzymes are Mucor Miehei esterase, Rhizomucor Miehei lipase, Thermomuces Languinosus lipase, Penicillin acylase.
- the reaction is carried out with Lipolase® (Thermomuces Languinosus lipase, (EC No 3.1.1.3)) at a pH between 5 and 9 and a temperature between 10°C and 4O 0 C in water in the presence of a suitable buffering agent such as calcium acetate, dipotassium hydrogenphosphate or triethanolamine, and optionally in the presence of a suitable base such as sodium hydroxide, potassium hydroxide or lithium hydroxide.
- a suitable buffering agent such as calcium acetate, dipotassium hydrogenphosphate or triethanolamine
- a suitable base such as sodium hydroxide, potassium hydroxide or lithium hydroxide.
- Typical conditions comprise 1.0 equivalent of the diester of formula (18) reacting with 5 to 200 ml of Lipolase® (liquid formulation) in a calcium acetate buffer solution at a temperature between 20 0 C and 40 0 C, maintaining the pH between 5.5 and 6.8 by the addition of a base such as sodium hydroxide or potassium hydroxide for 12 to 24 hours.
- step (3d) may be replaced by the following steps, as illustrated in Scheme 5:
- the ester of formula (14a) is prepared by esterification of the acid of formula (14) according to any method well-known to the one skilled in the art to prepare an ester from an acid without modifying the rest of the molecule.
- Typical conditions comprise of 1.0 equivalent of the acid of formula (14) reacting with an alcoholic solvent, preferably ethanol, in the presence of an acid catalyst such as hydrogen chloride or sulfuric acid at a temperature between 20 0 C and 100 0 C for 1 to 12 hours.
- step (5b) the amide of formula (14a) is deprotected using standard using standard methodology as described in "Protective Groups in Organic Synthesis" by T.W. Greene and P.G.M. Wuts.
- Typical conditions comprise of 1.0 equivalent of the chloroacetamide of formula (14a) reacting with 1 to 3 equivalents of thiourea in a suitable solvent such as a mixture of ethanol and acetic acid at a temperature between 50 0 C and 120 0 C for 12 to 24 hours.
- PG 1 is preferably trichloroacetyl or chloroacetyl. More preferably, PG 1 is trichloroacetyl.
- step (6a) the tertiary alcohol of formula (15) is treated with an alkyl or aryl nitrile and an acid catalyst to give the amide of formula (10).
- the tertiary alcohol of formula (15) is reacted with trichloroacetonitrile or chloroacetonitrile in the presence of an acid such as sulfuric acid, acetic acid, trifluoroacetic acid to give the protected amide of formula (20).
- Typical conditions comprise the addition of between 1 and 3 ml.
- step (6b) the carboxylic acid of formula (10) is reacted with a primary or secondary amine of formula H-Q 1 or a salt thereof in the presence of a suitable base such as triethylamine or diisopropylethylamine and a suitable coupling reagent such as 1-(3-dimethylaminopropyl)-3- ethylcarbodiimide hydrochloride, dicyclohexylcarbodiimide, carbonyl diimidazole, pivaloyl chloride or isobutyl chloroformate, optionally in the presence of a suitable additive such as 1- hydroxybenzotriazole or ⁇ /-hydroxysuccinimide in a suitable solvent such as ethyl acetate, dimethylformamide, propionitrile, acetonitrile or pyridine.
- a suitable base such as triethylamine or diisopropylethylamine
- a suitable coupling reagent such as 1-(3-
- Typical conditions comprise 1.0 equivalent of compound of formula (10), 0.8 to 1.2 equivalents of compound of formula H-Q 1 , 1 to 5 equivalents of base, 1 to 2 equivalents of 1-hydroxybenzotriazole and 1.05 to 2 equivalents of 1-(3-dimethylaminopropyl)-3-ethylcarbodiimide hydrochloride in a suitable solvent such as ethyl acetate, propionitrile, dimethylformamide at 20 to 60 0 C for 12 to 36 hours.
- a suitable solvent such as ethyl acetate, propionitrile, dimethylformamide
- step (6c) PG 1 is removed using standard methodology as described in "Protective Groups in Organic Synthesis" by T.W. Greene and P. G. M. Wuts or other methods well-known to those experienced in the art.
- PG 1 is trichloroacetyl
- typical conditions comprise 1.0 equivalent of compound (8) and 2 to 10 equivalents of a suitable base such as potassium hydroxide or sodium hydroxide in a suitable solvent such as water, ethanol or methanol or preferably a mixture of water and ethanol at a temperature between 30°C and 80 0 C for 16 to 36 hours.
- PG 1 is preferably trichloroacetyl or chloroacetyl. More preferably, PG 1 is chloroacetyl.
- step (7a) the carboxylic acid of formula (15) is reacted with a primary or secondary amine of formula H-Q 1 or a salt thereof in the presence of a suitable base such as triethylamine or diisopropylethylamine and a suitable coupling reagent such as 1-(3-dimethylaminopropyl)-3- ethylcarbodiimide hydrochloride, dicyclohexylcarbodiimide, carbonyl diimidazole, pivaloyl chloride or isobutyl chloroformate, optionally in the presence of a suitable additive such as 1- hydroxybenzotriazole or ⁇ /-hydroxysuccinimide in a suitable solvent such as dichloromethane, ethyl acetate, dimethylformamide, propionitrile, acetonitrile or pyridine.
- a suitable base such as triethylamine or diisopropylethylamine
- a suitable coupling reagent
- Typical conditions comprise 1.0 equivalent of compound of formula (15), 0.8 to 1.2 equivalents of compound of formula H-Q 1 , 1 to 5 equivalents of base, 0.4 to 2 equivalents of 1-hydroxybenzotriazole and 1 to 2 equivalents of 1-(3-dimethylaminopropyl)-3-ethylcarbodiimide hydrochloride in a suitable solvent such as dichloromethane, ethyl acetate, propionitrile, dimethylformamide at 20 to 60 0 C for 1 to 24 hours.
- a suitable solvent such as dichloromethane, ethyl acetate, propionitrile, dimethylformamide at 20 to 60 0 C for 1 to 24 hours.
- step (7b) the tertiary alcohol of formula (19) is treated with an alkyl or aryl nitrile and an acid catalyst to give the amide of formula (8).
- the tertiary alcohol of formula (19) is reacted with trichloroacetonitrile or chloroacetonitrile in the presence of an acid such as sulfuric acid, acetic acid, trifluoroacetic acid to give the protected amide of formula (8).
- Typical conditions comprise the addition of between 2 and 5 ml_ of trifluoroacetic acid per gram of alcohol of formula (19) to a solution of 1.0 equivalent of the alcohol of formula (19) and 2 to 5 mL of chloroacetonitrile per gram of alcohol of formula (19) at a temperature between 0 0 C and 75°C for 1 to 8 hours.
- Compound of formula (8) can be isolated before carrying out step (7c).
- step (7c) PG 1 is removed using standard methodology as described in "Protective Groups in Organic Synthesis" by T.W. Greene and P.G.M. Wuts or other methods well-known to those experienced in the art.
- PG 1 is chloroacetyl
- typical conditions comprise 1.0 equivalent of compound (8) and 2 to 8 equivalents of thiourea in a suitable solvent such as acetic acid, isopropanol, ethyl acetate, isopropyl acetate, preferably acetic acid at a temperature between 5O 0 C and 120 0 C for 1 to 36 hours.
- Example 1 preparation of N-(4'-Hvdroxy-biphenyl-3-ylmethv0-2-(3-f2- r 2-hvdroxy-2-(4- hvdroxy-3-methyl-phenyl)-ethylamino1-2-methyl-propyll-phenyl)-acetamide.
- Lipolase® (Thermomyces lanuginosus lipase solution; 9.4L) was added to a 0.2M solution of calcium acetate in water (117.5L) and the homogeneous solution was stirred at ambient temperature for 30 minutes.
- the toluene solution of the product from preparation 1 (29.35Kg, 117.3 moles) was added and the reaction was stirred at ambient temperature.
- the pH was checked every 15 minutes and was maintained between 5.5 and 6.8 by addition of aliquots of a 1M aqueous sodium hydroxide solution. The reaction was complete after 48h. The pH was adjusted to 3-4 using 1M aqueous hydrochloric acid and ethyl acetate was added (117L).
- the biphasic mixture was filtered through a Gauthier filter to remove denatured enzyme. The mixture was then separated and the aqueous layer was extracted with ethyl acetate (2 x 117L). The combined organic layers were extracted with saturated aqueous sodium hydrogen carbonate (3 x 149.69L). The combined sodium hydrogen carbonate extracts were adjusted to pH 2 using 2M aqueous hydrochloric acid and the resulting solution was extracted with toluene (2 x 147L). The toluene extract was then concentrated an approximately 1mL/g toluene solution for use in the next step. Analysis of an aliquot concentrated to dryness under vacuum to give the title compound indicated a yield of 19.68Kg; 75.6%.
- the precipitate was washed with fresh toluene (30OmL) and then discarded (the precipitate is the starting 2,2'-(1.3-phenylene)diacetic acid).
- the toluene solution was extracted with saturated aqueous sodium hydrogen carbonate (1.35L + 2 x 30OmL).
- the combined sodium hydrogen carbonate extracts were adjusted to pH 5-6 using a combination of 37% hydrochloric acid and 2M hydrochloric acid and the resulting slightly milky solution was extracted with terf-butyl methyl ether (1.2L + 2 * 60OmL).
- the combined ferf-butyl methyl ether extracts were washed with demineralised water (60OmL), dried over MgSO 4 and concentrated to dryness under vacuum to give the title compound as a pale straw-coloured oil (134.1g).
- the toluene solution of the product of preparation 2 (3.59Kg, solvent corrected; 16.15 moles) was dissolved in anhydrous tetrahydrofuran under nitrogen and cooled to 0-5 0 C.
- Methyl magnesium bromide (56.53L of a 1M solution in tetrahydrofuran, 56.53 mol) was added to this solution at such a rate so as to maintain the temperature below 15°C.
- the reaction was warmed to ambient temperature and stirred until complete.
- the reaction mixture was then cooled to between 0 and 5°C and demineralised water (17.95L) was added, maintaining the temperature below 15 0 C.
- the layers were separated and the aqueous layer was extracted with further dichloromethane (15L).
- the combined dichloromethane layers were distilled down to 8L volume at atmospheric pressure.
- the concentrate was treated with n-heptane (27L) and toluene (3L) and concentrated in vacuo to remove residual dichloromethane.
- the resulting slurry was granulated at 2O 0 C for 2 hours and the solid precipitate isolated by filtration and washed with n-heptane (2 x 3L) to give the title compound as an off-white solid (3.76kg).
- the solution was concentrated in vacuo to remove most of the ethanol and adjusted to pH9 using aqueous sodium hydrogen carbonate.
- the solid precipitate was removed by filtration and washed with water (30OmL) then ethyl acetate (1.0L).
- the layers of the combined biphasic filtrate and washes were separated and the aqueous layer re-extracted with ethyl acetate (1.0L + 50OmL).
- the combined ethyl acetate extracts were dried over magnesium sulfate, filtered and concentrated in vacuo to give the title compound as a brown oil (89.5g).
- a solution of potassium carbonate (6.232Kg, 45.1 mol) in water (35.04L) was added to a suspension of the salt from preparation 5a (7.008Kg, 11.272 mol) in propionitrile (35.04L) and stirred until the entire solid had dissolved. The phases were then separated and the propionitrile phase washed with water (17.52L). The solution was reduced in volume under reduced pressure to approximately 3.70 Kg to give the title compound as a propionitrile solution.
- a sample (20 mL) was removed and concentrated to dryness to obtain a weight/weight assay; the yield was shown to be 92%.
- the combined dichloromethane extracts were concentrated down to 8L volume at atmospheric pressure, treated with acetonitrile (12.4L) and concentrated down to 8L volume in vacuo.
- the concentrate was diluted with acetonitrile (24.8L) and used directly in preparation 5a.
- the product of preparation 6 can be prepared by stereoselective enzymatic reduction of ⁇ /-[2- benzyloxy-5-(2-bromo-acetyl)-phenyl]-methanesulfonamide (Journal of Medicinal Chemistry, 1967, 10, 462 and Journal of Medicinal Chemistry, 1980, 23, 738), as described in the Journal of the American Oil Chemists' Society 1998, 75, 1473 as well as in the examples below.
- a biotransformation can be achieved by those skilled in the art by contacting the substance to be transformed, and other necessary reactants, with the enzymes derived from a variety of living organisms under conditions suitable for a chemical interaction to occur. Subsequently, the products of the reaction are separated and those of interest are purified for elucidation of their chemical structure and physical and biological properties.
- the enzymes can be present as purified reagents, be in crude extracts or lysates, or be in intact cells and can be in solution, be in suspension (e.g., intact cells), be covalently attached to a supporting surface, or be embedded in a permeable matrix (e.g., agarose or alginate beads).
- the substrate and other necessary reactants are supplied as the chemistry dictates.
- the reaction is carried out in the presence of one or more liquid phases, aqueous and/or organic, to promote mass transfer of the reactants and products.
- the reaction can be conducted aseptically or not.
- the conditions for monitoring the progress of the reaction and the isolation of the products of the reaction will vary according to the physical properties of the reaction system and the chemistry of the reactants and products.
- a nutrient medium e.g., IOWA Medium: dextrose, yeast extract, dipotassium hydrogen phosphate, sodium chloride, soybean flour, water; adjusted to neutral pH
- IOWA Medium dextrose, yeast extract, dipotassium hydrogen phosphate, sodium chloride, soybean flour, water; adjusted to neutral pH
- IOWA Medium dextrose, yeast extract, dipotassium hydrogen phosphate, sodium chloride, soybean flour, water; adjusted to neutral pH
- culture vessels e.g., fermentation tubes or flasks
- Each vessel is aseptically inoculated with growth from an agar culture, a suspension of washed cells or spores, or broth from a liquid nutrient medium culture of the biotransforming microorganism.
- the vessels are mounted on a shaker designed for fermentation and shaken (e.g., rotary operation at 100-300 rpm) at an appropriate temperature (e.g., 20-40 0 C) long enough to promote the growth of the microorganism to a suitable population size (e.g., 1-3 days).
- the compound to be transformed i.e., substrate
- a suitable water-miscible solvent e.g., dimethylsulfoxide, dimethylformamide, ethyl alcohol, methyl alcohol.
- the resulting solution is aseptically added to achieve the desired concentration of substrate.
- the dosed vessels are mounted on the shaker and shaken as before, until the substrate has been converted to produces] by microbial metabolism (e.g., 1-10 days).
- Isolated enzymes can be mixed with suitable agitation in a suitable buffer (e.g. potassium phosphate) with any required co-factors and the substrate, with or without organic solvent, at a suitable temperature (25-37°C) and duration for biocatalysis.
- a suitable buffer e.g. potassium phosphate
- Many enzymes can be screened at once in microtiter plates. Enzymes are dissolved in a suitable buffer and distributed into individual wells of a microtiter plate. Enzymes can be frozen (-80 0 C) or used immediately. To screen, additional buffer is added to each well along with the substrate and any co-factors required for the enzyme function (e.g., NADPH). The plate is then mixed (e.g., Eppendorf thermomixer) as mentioned above.
- the contents of the biotransformation vessel can mechanically treated (e.g, by filtration or centrifugation) to separate solids from the aqueous phase and/or extracted at a pH optimal for extraction of the desired compounds (water-immiscible organic solvents include, but are not limited to, methylene chloride or ethyl acetate). Samples can be analyzed by HPLC or other suitable technique.
- the incubations were carried out in 2.5 ml of IOWA Medium (anhydrous dextrose, 20 g; yeast extract, 5 g; dipotassium hydrogen phosphate, 5 g; sodium chloride, 5 g; soybean flour, 5 g; distilled water, 1 L; adjusted to pH 7.0 with 1N hydrochloric acid, steam-sterilized for 15 minutes at 15 psig and 121 0 C.) in 16 x 125 mm glass tubes with stainless steel Morton closures. Tubes were aseptically inoculated with 0.025 ml_ of a cryogenically stored (-8O 0 C) stock of Candida magnoliae ATCC 56463 mycelium.
- IOWA Medium anhydrous dextrose, 20 g; yeast extract, 5 g; dipotassium hydrogen phosphate, 5 g; sodium chloride, 5 g; soybean flour, 5 g; distilled water, 1 L; adjusted to pH 7.0 with 1N hydrochloric acid, steam-sterilized for
- the inoculated tubes were mounted at a slight angle on a rotary shaker (2-inch throw) and shaken at 210 rpm and 29°C for 2 days.
- ⁇ /-[2-Benzyloxy-5-(2- bromo-acetyl)-phenyl]-methanesulfonamide i.e., substrate
- dimethylsulfoxide 10 mg/mL
- Substrate was added to each tube to give an initial substrate concentration of 0.1 mg/mL up to 1 mg/mL.
- the dosed tubes were shaken at 210 rpm and 29 0 C for an additional 6 days. At the end of the 6-day biotransformation period, the contents of the biotransformation tubes were extracted with 4 ml.
- KRED-130 from BioCatalytics 50 mg was dissolved in 1.5 mL of buffer (50 mM potassium phosphate buffer, 0.1 M potassium chloride, 0.5 mM dithiothreitol, pH 6.0) and 0.030 mL distributed into a well as part of a ketoreductase screening plate.
- the plates had been frozen at -80 0 C with a polypropylene cover and one thawed prior to use for this experiment.
- the silyl ether from preparation 8 (19.2g; 32.4 mmol) was suspended in a mixture of tetrahydrofuran (4OmL) and methanol (2mL). Triethylamine trihydrofluoride (9mL; 55.2 mmol) was added and the resultant solution was stirred for 30 hours at ambient temperature. The reaction was quenched with aqueous ammonia (35%, 20 mL) and the product was extracted into ethyl acetate (2 x 30 mL). The combined organic phases were washed with saturated aqueous sodium hydrogen carbonate and water, dried with anhydrous MgSO 4 , filtered and concentrated to dryness.
- Triethylamine (6.57L; 46.7 mol) was added to 3-bromobenzylamine hydrochloride (9.9 Kg; 44.5 mol) in ethyl acetate (39.6 L) and the resulting mixture was stirred for 30 minutes at 20 to 25°C and was then cooled to 0°C.
- a solution of di-ferf-butyl dicarbonate (10.7 Kg; 49 mol) in ethyl acetate (19.8L) was then added over 30 minutes at such a rate as to maintain the temperature between 0°C and 20°C.
- the reaction mixture was then stirred at 20 to 25°C for 2 hours, water (29.7 L) was then added and the mixture was stirred vigorously for 10 minutes and then the phases were separated.
- the ethyl acetate phase was distilled and replaced with heptane under reduced pressure at 35 to 45°C to a final volume of approximately 4OL and then the solution was cooled to 0 0 C over 2 hours.
- the resulting suspension was stirred at O 0 C for 12 hours, then the product was collected by filtration, washing with heptane (2 x 3.37L) to provide the title compound as a white solid (10.26 Kg).
- reaction was heated at 65 to 7O 0 C under a nitrogen blanket for 2 hours.
- the reaction was cooled to 20 to 25°C, ethyl acetate (41 L) was added and the resulting mixture was stirred vigorously for 10 minutes, the phases were then separated.
- the organic phase was washed with a solution of citric acid (1.9Kg) in demineralised water (18.9L) followed by a solution of sodium chloride (3.15Kg) in demineralised water (18.9L).
- the ethyl acetate solution was treated with activated carbon (Darco KB 100mesh, wet powder; 5.12Kg) and stirred for 12 hours.
- the resulting slurry was then filtered through Arbocel and the cake was washed with methanol (25.6L).
- the combined filtrate was distilled and replaced with toluene under reduced pressure at 40 to 50 0 C to a final volume of approximately 15L.
- the solution was then cooled to 10°C over 2 hours and the resulting suspension was stirred at 1O 0 C for 12 hours.
- the product was isolated by filtration and washed with cyclohexane (2 x 2.56L) to provide the title compound as a white solid (4.26 Kg).
- the aqueous 1,4-dioxane liquors were distilled and replaced with fresh 1,4-dioxane until the vapour temperature was greater than 100°C and the reaction volume was ⁇ 40L.
- the reaction mixture was cooled down to 20 to 25°C, granulated for 18 hours and the crude product was isolated by filtration.
- the resulting filter cake was added to acetonitrile (40L) and heated at reflux for 2 hours.
- the resulting precipitate was isolated by filtration and washed with acetonitrile (2 * 4.05L) to provide a second crop of the title compound as a pale brown solid (2.36 Kg; 37%).
- a solution of the acid from preparation 4 (3.76kg, 13.24 moles) in ethanol (30.1L) was treated with concentrated sulfuric acid (13Og, 1.31 moles) and heated at reflux for 90 minutes.
- the cooled solution was adjusted to ⁇ pH5 using 1.0M aqueous sodium hydrogen carbonate solution (2.0kg).
- the mixture was concentrated down to 8L volume in vacuo, diluted with toluene (11.7L) and concentrated down to 12L volume in vacuo.
- the concentrate was diluted with toluene (25.8L), washed with water (22.6L) and the aqueous layer was re-extracted with further toluene (15.0L).
- the combined toluene layers were concentrated down to 8L in vacuo.
- the concentrate was held at 35 0 C and treated with n-heptane (15.0L) maintaining the temperature above 3O 0 C.
- the mixture was cooled and the resulting slurry was granulated at 2O 0 C for 2 hours.
- the solid precipitate was isolated by filtration and washed with n-heptane (2 x 3.76L) to give the title compound as a white solid (3.15kg).
- Diisopropylethylamine (210 mL; 1.21 mol) was added to a suspension of the salt from preparation 5a (25Og; 0.40 mol) in propionitrile (1.0L), giving a pale yellow solution.
- the phases were separated and the organic phase was washed successively with 10% aqueous citric acid (500 mL), water (300 mL), saturated aqueous sodium hydrogen carbonate (500 mL) and brine (500 mL).
- the organic phase was then concentrated to a dark orange oil and dissolved in a mixture of tetrahydrofuran (250 mL) and water (250 mL).
- Sodium hydroxide 80g; 2.0 mol
- Toluene (400 mL) was added and the mixture was stirred for 30 min and then the phases were separated.
- the organic phase was extracted with a mixture of water (200 mL) and saturated aqueous sodium hydrogen carbonate (100 mL). The combined aqueous phase was then adjusted to pH 1 with concentrated hydrochloric acid and extracted with ethyl acetate (2 * 250 mL). The combined ethyl acetate extracts were washed with water (2 * 200 mL) and then concentrated to dryness. The resulting oil was dissolved in refluxing toluene (100 mL) and heptane ( ⁇ 400 mL) was added. The mixture was cooled to ambient temperature and granulated for 3h. The solid was isolated by filtration, washing with heptane (2 * 200 mL) and dried in a vacuum oven at 40 0 C to give the title compound (110.9g; 90%) as a pale yellow solid.
- the solid was then isolated by filtration, washing with water (100 ml.) and dried under suction for 20 min.
- the damp filter cake was slurried in 10% aqueous citric acid (100 mL) for 1h, The solid was isolated by filtration, washing with water (100 mL) to give the title compound (31.Og; 82%) as a white solid.
- the resultant foam was refluxed in acetone (50OmL) for 1h and then cooled to ambient temperature and granulated overnight.
- the solid was isolated by filtration, washing with acetone, and dried at 40 0 C in a vacuum oven to give the title compound (13.42 g; 54%) as a white solid.
- Tetrahydrofuran (184 mL) was added and the resulting solution was washed sequentially with water (2 * 184mL), 1M aqueous hydrochloric acid (2 * 184mL), and 1M aqueous potassium hydrogen carbonate (2 x 184mL).
- the organic solution was distilled and replaced with chloroacetonitrile (132mL).
- Trifluoroacetic acid (331 mL) was added to the chloroacetonitrile solution and the resulting mixture was heated to 50 0 C for 2h.
- Dichloromethane (331 mL) was added and the organic phase was washed with water (2 * 662mL) followed by 1M aqueous potassium hydrogen carbonate (2 x 331 mL).
- Preparation 22a 2-(3- ⁇ 2-[((2R)-2- ⁇ 4-Benzyloxy-3-[(methylsulfonyl)amino]phenyl ⁇ -2- hydroxyethyl)amino]-2-methylpropyl ⁇ phenyl)-A/-[(4"-hydroxybiphenyl-3-yl)methyl]- acetamide, dibenzoyl-(L)-tartrate salt
- the liquors were concentrated to a residue and then dissolved in a mixture of aqueous ammonia (35%) and THF (1:19, —10 mL) and filtered through a silica pad, washing with further aqueous ammonia (35%) / THF (1:19, ⁇ 250 mL).
- the liquors were concentrated to a residue, slurried in refluxing methanol (1OmL), then cooled to ambient temperature and stirred for 18h. The precipitate was isolated by filtration, washing with methanol to give the title compound (296 mg) as an off white solid.
- the filtrate was then diluted with acetonitrile (85 mL) and the tetrahydrofuran was removed by distillation. Once the vapour temperature reached 76°C, a further 20 mL acetonitrile was added and then a further 20 mL of distillate was collected. The resulting slurry was cooled to ambient temperature and aged for 16h. The solid was collected by filtration, washing with acetonitrile-water (9:1, 40 mL) and dried under vacuum for 20 min. The damp-cake was then slurried in methanol-water (9:1, 40 mL), initially at 5O 0 C for 1h, and then at ambient temperature for 16h. The precipitate was isolated by filtration, washing with methanol-water (8:2, 40 mL) to give the title compound as an off-white solid (2.25 g; 54 %).
- the resultant mixture was stirred for 30 min and then filtered through a pad of Arbocel, washing with ethylene glycol (25 mL).
- the ethylene glycol filtrate was then added to water (200 mL) over approximately 10 min with vigorous stirring, washing with additional ethylene glycol (20 mL) and water (100 mL) and the resulting light brown slurry was stirred at ambient temperature for 30 min.
- the solid was isolated by filtration, washing with water (100 mL) and dried at 40°C in a vacuum oven.
- the resulting light-brown solid was further purified by slurrying in methanol-water (9:1 , 54 mL), initially at 50 0 C for 2h, and then at ambient temperature for 16h.
- the precipitate was isolated by filtration, washing with methanol-water (8:2, 15 mL) to give the title compound as an off-white solid (4.57 g; 64%).
- the resulting viscous orange-brown oil was dissolved in methanol (100 mL) and placed in a polypropylene vessel.
- Ammonium fluoride (2.1 g; 56.7 mmol) was added, washing with water (20 mL) and methanol (20 mL) and the resulting solution was stirred at ambient temperature for 65h.
- the precipitated solid was isolated by filtration, washing with methanol-water (8:2, 100 mL) and dried under suction for 10 min and at 40 0 C in a vacuum oven for 4h.
- the pale brown solid was then slurried in methanol-water (9:1, 75 mL), initially at 50 0 C for 2h, and then at ambient temperature for 16h.
- the precipitate was isolated by filtration, washing with methanol-water (8:2, 2 * 20 mL) and dried at 40 0 C in a vacuum oven, the solid was then further purified by slurrying in water (80 mL) at ambient temperature for 16h. The solid was then isolated by filtration and washed with water (50 mL) to give the title compound (6.01 g; 50%) as an off-white solid.
Landscapes
- Chemical & Material Sciences (AREA)
- Organic Chemistry (AREA)
- Chemical Kinetics & Catalysis (AREA)
- Engineering & Computer Science (AREA)
- Life Sciences & Earth Sciences (AREA)
- Health & Medical Sciences (AREA)
- Wood Science & Technology (AREA)
- Zoology (AREA)
- General Health & Medical Sciences (AREA)
- General Engineering & Computer Science (AREA)
- Microbiology (AREA)
- General Chemical & Material Sciences (AREA)
- Biochemistry (AREA)
- Bioinformatics & Cheminformatics (AREA)
- Biotechnology (AREA)
- Oil, Petroleum & Natural Gas (AREA)
- Genetics & Genomics (AREA)
- Animal Behavior & Ethology (AREA)
- Pharmacology & Pharmacy (AREA)
- Epidemiology (AREA)
- Medicinal Chemistry (AREA)
- Public Health (AREA)
- Veterinary Medicine (AREA)
- Organic Low-Molecular-Weight Compounds And Preparation Thereof (AREA)
- Pharmaceuticals Containing Other Organic And Inorganic Compounds (AREA)
- Peptides Or Proteins (AREA)
- Medicines That Contain Protein Lipid Enzymes And Other Medicines (AREA)
- Low-Molecular Organic Synthesis Reactions Using Catalysts (AREA)
- Preparation Of Compounds By Using Micro-Organisms (AREA)
- Epoxy Compounds (AREA)
Abstract
Description
Claims
Priority Applications (8)
| Application Number | Priority Date | Filing Date | Title |
|---|---|---|---|
| NZ565005A NZ565005A (en) | 2005-07-18 | 2006-07-10 | Process for the preparation of sulfonamide derivatives |
| EP06779870A EP1907356A2 (en) | 2005-07-18 | 2006-07-10 | Process for the preparation of sulfonamide derivatives |
| AU2006271356A AU2006271356A1 (en) | 2005-07-18 | 2006-07-10 | Process for the preparation of sulfonamide derivatives |
| CA2614757A CA2614757C (en) | 2005-07-18 | 2006-07-10 | Process for the preparation of sulfonamide derivatives |
| BRPI0613029-1A BRPI0613029A2 (en) | 2005-07-18 | 2006-07-10 | process for the preparation of sulfonamide derivatives |
| US11/995,988 US20080193988A1 (en) | 2005-07-18 | 2006-07-10 | Process for the Preparation of Sulfonamide Derivatives |
| MX2008000794A MX2008000794A (en) | 2005-07-18 | 2006-07-10 | Process for the preparation of sulfonamide derivatives. |
| IL188114A IL188114A0 (en) | 2005-07-18 | 2007-12-13 | Process for the preparation of sulfonamide derivatives |
Applications Claiming Priority (2)
| Application Number | Priority Date | Filing Date | Title |
|---|---|---|---|
| US70009805P | 2005-07-18 | 2005-07-18 | |
| US60/700,098 | 2005-07-18 |
Publications (3)
| Publication Number | Publication Date |
|---|---|
| WO2007010356A2 true WO2007010356A2 (en) | 2007-01-25 |
| WO2007010356A3 WO2007010356A3 (en) | 2007-08-23 |
| WO2007010356A8 WO2007010356A8 (en) | 2008-03-06 |
Family
ID=37387292
Family Applications (1)
| Application Number | Title | Priority Date | Filing Date |
|---|---|---|---|
| PCT/IB2006/001958 Ceased WO2007010356A2 (en) | 2005-07-18 | 2006-07-10 | Process for the preparation of sulfonamide derivatives |
Country Status (16)
| Country | Link |
|---|---|
| US (1) | US20080193988A1 (en) |
| EP (1) | EP1907356A2 (en) |
| JP (1) | JP2007023039A (en) |
| KR (1) | KR20080016968A (en) |
| CN (2) | CN101223132A (en) |
| AR (1) | AR057464A1 (en) |
| AU (1) | AU2006271356A1 (en) |
| BR (1) | BRPI0613029A2 (en) |
| CA (2) | CA2709293A1 (en) |
| IL (1) | IL188114A0 (en) |
| MX (1) | MX2008000794A (en) |
| NZ (2) | NZ565005A (en) |
| RU (1) | RU2008101897A (en) |
| TW (1) | TW200704633A (en) |
| WO (1) | WO2007010356A2 (en) |
| ZA (1) | ZA200710914B (en) |
Cited By (9)
| Publication number | Priority date | Publication date | Assignee | Title |
|---|---|---|---|---|
| US7700782B2 (en) | 2006-12-20 | 2010-04-20 | Astrazeneca Ab | Compounds 569 |
| US7709511B2 (en) | 2005-08-09 | 2010-05-04 | Astrazeneca Ab | Benzothiazolone derivatives |
| WO2011004287A1 (en) | 2009-07-07 | 2011-01-13 | Pfizer Limited | Dose unit, pack of dose units and inhaler for inhalation of combination of drugs |
| US7951954B2 (en) | 2006-03-14 | 2011-05-31 | Astrazeneca Ab | Bezothiazol derivatives as Beta2 adrenoreceptor agonists |
| US8017602B2 (en) | 2008-06-18 | 2011-09-13 | Astrazeneca Ab | N-(2-(2-(5-hydroxy-3-oxo-3,4-dihydro-2H-benzo[b][1,4]oxazin-8-yl)ethylamino)ethyl)-3-(phenethoxy)propanamide derivatives, processes for their preparation, pharmaceutical compositions containing them and their use in therapy |
| US8058294B2 (en) | 2007-02-08 | 2011-11-15 | Astrazeneca Ab | Pharmaceutical salts of N-[2-(diethylamino)ethyl]-N-(2-{[2-(4-hydroxy-2-oxo-2,3-dihydro-1,3-benzothiazol-7-yl)ethyl]amino}ethyl)-3-[2-(1-napthyl)ethoxy]propanamide |
| WO2013021309A1 (en) | 2011-08-11 | 2013-02-14 | Pfizer Limited | Intermediate and process for the preparation of a sulfonamide derivative |
| EP2764866A1 (en) | 2013-02-07 | 2014-08-13 | IP Gesellschaft für Management mbH | Inhibitors of nedd8-activating enzyme |
| WO2021260441A1 (en) | 2020-06-26 | 2021-12-30 | Mylan Pharma Uk Limited | Formulations including 5-[3-(3-hydroxyphenoxy)azetidin-1-yl]-5-methyl-2,2-diphenylhexanamide |
Families Citing this family (1)
| Publication number | Priority date | Publication date | Assignee | Title |
|---|---|---|---|---|
| ATE535867T1 (en) | 2008-10-30 | 2011-12-15 | Ibm | FLASHCOPY HANDLING |
Family Cites Families (6)
| Publication number | Priority date | Publication date | Assignee | Title |
|---|---|---|---|---|
| AR022725A1 (en) * | 1999-02-26 | 2002-09-04 | Schering Corp | ENZYMATIC HYDROLYSIS ENANTIOSELECTIVA OF ESTERES 3-SUBSTITUTES OF GLUTARIC ACID |
| CA2377760A1 (en) * | 1999-07-09 | 2001-01-18 | Asahi Kasei Kabushiki Kaisha | Process for the preparation of tricyclic amino alcohol derivatives |
| AUPQ407699A0 (en) * | 1999-11-16 | 1999-12-09 | Fujisawa Pharmaceutical Co., Ltd. | Aminoalcohol derivatives |
| UA73965C2 (en) * | 1999-12-08 | 2005-10-17 | Theravance Inc | b2 ADRENERGIC RECEPTOR ANTAGONISTS |
| JP4036343B2 (en) * | 2004-01-22 | 2008-01-23 | ファイザー・インク | Sulfonamide derivatives for the treatment of diseases |
| PL1708991T3 (en) * | 2004-01-22 | 2008-02-29 | Pfizer | Sulfonamide derivatives for the treatment of diseases |
-
2006
- 2006-07-10 EP EP06779870A patent/EP1907356A2/en not_active Withdrawn
- 2006-07-10 BR BRPI0613029-1A patent/BRPI0613029A2/en not_active IP Right Cessation
- 2006-07-10 MX MX2008000794A patent/MX2008000794A/en active IP Right Grant
- 2006-07-10 US US11/995,988 patent/US20080193988A1/en not_active Abandoned
- 2006-07-10 NZ NZ565005A patent/NZ565005A/en not_active IP Right Cessation
- 2006-07-10 CN CNA2006800261715A patent/CN101223132A/en active Pending
- 2006-07-10 CA CA2709293A patent/CA2709293A1/en not_active Abandoned
- 2006-07-10 NZ NZ585580A patent/NZ585580A/en not_active IP Right Cessation
- 2006-07-10 KR KR1020087001341A patent/KR20080016968A/en not_active Ceased
- 2006-07-10 CA CA2614757A patent/CA2614757C/en not_active Expired - Fee Related
- 2006-07-10 CN CN2010105351203A patent/CN102051388B/en not_active Expired - Fee Related
- 2006-07-10 AU AU2006271356A patent/AU2006271356A1/en not_active Abandoned
- 2006-07-10 WO PCT/IB2006/001958 patent/WO2007010356A2/en not_active Ceased
- 2006-07-10 RU RU2008101897/04A patent/RU2008101897A/en not_active Application Discontinuation
- 2006-07-14 JP JP2006193570A patent/JP2007023039A/en active Pending
- 2006-07-17 TW TW095126003A patent/TW200704633A/en unknown
- 2006-07-17 AR ARP060103049A patent/AR057464A1/en not_active Application Discontinuation
-
2007
- 2007-12-13 IL IL188114A patent/IL188114A0/en unknown
- 2007-12-14 ZA ZA200710914A patent/ZA200710914B/en unknown
Cited By (10)
| Publication number | Priority date | Publication date | Assignee | Title |
|---|---|---|---|---|
| US7709511B2 (en) | 2005-08-09 | 2010-05-04 | Astrazeneca Ab | Benzothiazolone derivatives |
| US7951954B2 (en) | 2006-03-14 | 2011-05-31 | Astrazeneca Ab | Bezothiazol derivatives as Beta2 adrenoreceptor agonists |
| US7700782B2 (en) | 2006-12-20 | 2010-04-20 | Astrazeneca Ab | Compounds 569 |
| US8058294B2 (en) | 2007-02-08 | 2011-11-15 | Astrazeneca Ab | Pharmaceutical salts of N-[2-(diethylamino)ethyl]-N-(2-{[2-(4-hydroxy-2-oxo-2,3-dihydro-1,3-benzothiazol-7-yl)ethyl]amino}ethyl)-3-[2-(1-napthyl)ethoxy]propanamide |
| US8017602B2 (en) | 2008-06-18 | 2011-09-13 | Astrazeneca Ab | N-(2-(2-(5-hydroxy-3-oxo-3,4-dihydro-2H-benzo[b][1,4]oxazin-8-yl)ethylamino)ethyl)-3-(phenethoxy)propanamide derivatives, processes for their preparation, pharmaceutical compositions containing them and their use in therapy |
| WO2011004287A1 (en) | 2009-07-07 | 2011-01-13 | Pfizer Limited | Dose unit, pack of dose units and inhaler for inhalation of combination of drugs |
| US9561336B2 (en) | 2009-07-07 | 2017-02-07 | Pfizer Limited | Dose unit, pack of dose units and inhaler for inhalation of combination of drugs |
| WO2013021309A1 (en) | 2011-08-11 | 2013-02-14 | Pfizer Limited | Intermediate and process for the preparation of a sulfonamide derivative |
| EP2764866A1 (en) | 2013-02-07 | 2014-08-13 | IP Gesellschaft für Management mbH | Inhibitors of nedd8-activating enzyme |
| WO2021260441A1 (en) | 2020-06-26 | 2021-12-30 | Mylan Pharma Uk Limited | Formulations including 5-[3-(3-hydroxyphenoxy)azetidin-1-yl]-5-methyl-2,2-diphenylhexanamide |
Also Published As
| Publication number | Publication date |
|---|---|
| WO2007010356A3 (en) | 2007-08-23 |
| CA2614757C (en) | 2011-11-08 |
| AR057464A1 (en) | 2007-12-05 |
| AU2006271356A1 (en) | 2007-01-25 |
| NZ585580A (en) | 2011-08-26 |
| CA2614757A1 (en) | 2007-01-25 |
| NZ565005A (en) | 2010-07-30 |
| BRPI0613029A2 (en) | 2010-12-14 |
| CA2709293A1 (en) | 2007-01-25 |
| RU2008101897A (en) | 2009-07-27 |
| CN101223132A (en) | 2008-07-16 |
| CN102051388A (en) | 2011-05-11 |
| ZA200710914B (en) | 2008-10-29 |
| MX2008000794A (en) | 2008-03-18 |
| WO2007010356A8 (en) | 2008-03-06 |
| KR20080016968A (en) | 2008-02-22 |
| IL188114A0 (en) | 2008-03-20 |
| TW200704633A (en) | 2007-02-01 |
| CN102051388B (en) | 2013-03-27 |
| EP1907356A2 (en) | 2008-04-09 |
| JP2007023039A (en) | 2007-02-01 |
| US20080193988A1 (en) | 2008-08-14 |
Similar Documents
| Publication | Publication Date | Title |
|---|---|---|
| US20090076292A1 (en) | Rosuvastatin intermediates and process for the preparation of rosuvastatin | |
| US9309249B2 (en) | Entecavir synthesis method and intermediate compound thereof | |
| JPH05213838A (en) | Preparation of fluoxetine | |
| WO2007010356A2 (en) | Process for the preparation of sulfonamide derivatives | |
| HU207288B (en) | Process for enenthioselective producing phenyl-isoserine derivatives | |
| US6376711B1 (en) | Method for the preparation of aryl ethers | |
| CN1283178A (en) | Preparation method of β-halo-α-amino-carboxylic acid and phenylcysteine derivatives and intermediates thereof | |
| KR980700956A (en) | Method for preparing 2-(2-hydroxymethylphenyl)acetamide derivative and intermediate for the preparation (PROCESS FOR PRODUCING 2-(2-HYDROXYMETHYLPHENYL)ACETAMIDE DERIVATIVE AND INT ERMEDIATE FOR THE PRODUCTION THEREOF) | |
| NZ250771A (en) | Esterified hexahydronaphthalene derivatives of 3,5-dihydroxy-heptanoic acid and their lactones; medicaments and methods of preparation | |
| KR100868619B1 (en) | Method for preparing optically active propoxyniline derivatives | |
| US6391597B1 (en) | Method for producing optically active 1-(4-t-butylphenyl)-5-oxo-3-pyrrolidine carboxylic acid and/or an enantiomeric ester thereof | |
| HK1156982A (en) | Process for the preparation of a compound | |
| US11110444B2 (en) | Chiral catalyst and heterogeneous chiral catalyst comprising the same | |
| HK1118270A (en) | Process for the preparation of sulfonamide derivatives | |
| EP1241164B1 (en) | Process for preparation of tetrahydropyranyloxyamines | |
| JP3814766B2 (en) | Process for producing optically active 2-halo-1- (substituted phenyl) ethanol | |
| JPH04308595A (en) | Production of mono-exchanger compound in organosilicone compound | |
| JPH0717568B2 (en) | Method for separating optically active glycol derivative | |
| JPH0131505B2 (en) | ||
| JPS6032760A (en) | Production of 4-hydroxy-2-organothio-2-cyclopentenone compound | |
| CN1179770A (en) | Preparation of cis- 4 -0 -protected -2 -cyclopentenol derivatives | |
| HK1105999A (en) | Method for the production of diarylcycloalkyl derivatives | |
| JP2001226363A (en) | Method for producing optically active 1,2-epoxy-2,6,6-trimethylcyclohexanemethanol | |
| JPWO1996020164A1 (en) | Process for producing 2-(2-hydroxymethylphenyl)acetamide derivatives and intermediates for the production thereof | |
| JP2002275137A (en) | Method for producing tetrahydronaphthalene derivative |
Legal Events
| Date | Code | Title | Description |
|---|---|---|---|
| 121 | Ep: the epo has been informed by wipo that ep was designated in this application | ||
| WWE | Wipo information: entry into national phase |
Ref document number: 188114 Country of ref document: IL |
|
| WWE | Wipo information: entry into national phase |
Ref document number: 2006271356 Country of ref document: AU |
|
| WWE | Wipo information: entry into national phase |
Ref document number: 2614757 Country of ref document: CA |
|
| WWE | Wipo information: entry into national phase |
Ref document number: 565005 Country of ref document: NZ |
|
| WWE | Wipo information: entry into national phase |
Ref document number: 2006779870 Country of ref document: EP |
|
| WWE | Wipo information: entry into national phase |
Ref document number: MX/a/2008/000794 Country of ref document: MX Ref document number: 2008101897 Country of ref document: RU Ref document number: 11995988 Country of ref document: US Ref document number: 200680026171.5 Country of ref document: CN Ref document number: 1020087001341 Country of ref document: KR |
|
| NENP | Non-entry into the national phase |
Ref country code: DE |
|
| WWW | Wipo information: withdrawn in national office |
Ref document number: DE |
|
| ENP | Entry into the national phase |
Ref document number: 2006271356 Country of ref document: AU Date of ref document: 20060710 Kind code of ref document: A |
|
| WWP | Wipo information: published in national office |
Ref document number: 2006271356 Country of ref document: AU |
|
| WWP | Wipo information: published in national office |
Ref document number: 2006779870 Country of ref document: EP |
|
| ENP | Entry into the national phase |
Ref document number: PI0613029 Country of ref document: BR Kind code of ref document: A2 Effective date: 20080115 |

































































































