WO2006038172A1 - New piperidine antibiotics - Google Patents

New piperidine antibiotics Download PDF

Info

Publication number
WO2006038172A1
WO2006038172A1 PCT/IB2005/053238 IB2005053238W WO2006038172A1 WO 2006038172 A1 WO2006038172 A1 WO 2006038172A1 IB 2005053238 W IB2005053238 W IB 2005053238W WO 2006038172 A1 WO2006038172 A1 WO 2006038172A1
Authority
WO
WIPO (PCT)
Prior art keywords
ethyl
methoxy
quinolin
propyl
piperidine
Prior art date
Legal status (The legal status is an assumption and is not a legal conclusion. Google has not performed a legal analysis and makes no representation as to the accuracy of the status listed.)
Ceased
Application number
PCT/IB2005/053238
Other languages
French (fr)
Inventor
Jean-Philippe Surivet
Christian Hubschwerlen
Cornelia Zumbrunn Acklin
Current Assignee (The listed assignees may be inaccurate. Google has not performed a legal analysis and makes no representation or warranty as to the accuracy of the list.)
Actelion Pharmaceuticals Ltd
Original Assignee
Actelion Pharmaceuticals Ltd
Actelion Percurex AG
Priority date (The priority date is an assumption and is not a legal conclusion. Google has not performed a legal analysis and makes no representation as to the accuracy of the date listed.)
Filing date
Publication date
Family has litigation
First worldwide family litigation filed litigation Critical https://patents.darts-ip.com/?family=35453391&utm_source=google_patent&utm_medium=platform_link&utm_campaign=public_patent_search&patent=WO2006038172(A1) "Global patent litigation dataset” by Darts-ip is licensed under a Creative Commons Attribution 4.0 International License.
Application filed by Actelion Pharmaceuticals Ltd, Actelion Percurex AG filed Critical Actelion Pharmaceuticals Ltd
Priority to EP05786765A priority Critical patent/EP1799674B1/en
Priority to JP2007534169A priority patent/JP2008515796A/en
Priority to CN2005800338799A priority patent/CN101039935B/en
Priority to DE602005021133T priority patent/DE602005021133D1/en
Priority to AT05786765T priority patent/ATE466857T1/en
Priority to CA002581057A priority patent/CA2581057A1/en
Publication of WO2006038172A1 publication Critical patent/WO2006038172A1/en
Anticipated expiration legal-status Critical
Ceased legal-status Critical Current

Links

Classifications

    • CCHEMISTRY; METALLURGY
    • C07ORGANIC CHEMISTRY
    • C07DHETEROCYCLIC COMPOUNDS
    • C07D401/00Heterocyclic compounds containing two or more hetero rings, having nitrogen atoms as the only ring hetero atoms, at least one ring being a six-membered ring with only one nitrogen atom
    • C07D401/02Heterocyclic compounds containing two or more hetero rings, having nitrogen atoms as the only ring hetero atoms, at least one ring being a six-membered ring with only one nitrogen atom containing two hetero rings
    • C07D401/06Heterocyclic compounds containing two or more hetero rings, having nitrogen atoms as the only ring hetero atoms, at least one ring being a six-membered ring with only one nitrogen atom containing two hetero rings linked by a carbon chain containing only aliphatic carbon atoms
    • AHUMAN NECESSITIES
    • A61MEDICAL OR VETERINARY SCIENCE; HYGIENE
    • A61PSPECIFIC THERAPEUTIC ACTIVITY OF CHEMICAL COMPOUNDS OR MEDICINAL PREPARATIONS
    • A61P31/00Antiinfectives, i.e. antibiotics, antiseptics, chemotherapeutics
    • A61P31/04Antibacterial agents
    • AHUMAN NECESSITIES
    • A61MEDICAL OR VETERINARY SCIENCE; HYGIENE
    • A61PSPECIFIC THERAPEUTIC ACTIVITY OF CHEMICAL COMPOUNDS OR MEDICINAL PREPARATIONS
    • A61P43/00Drugs for specific purposes, not provided for in groups A61P1/00-A61P41/00
    • CCHEMISTRY; METALLURGY
    • C07ORGANIC CHEMISTRY
    • C07DHETEROCYCLIC COMPOUNDS
    • C07D405/00Heterocyclic compounds containing both one or more hetero rings having oxygen atoms as the only ring hetero atoms, and one or more rings having nitrogen as the only ring hetero atom
    • C07D405/14Heterocyclic compounds containing both one or more hetero rings having oxygen atoms as the only ring hetero atoms, and one or more rings having nitrogen as the only ring hetero atom containing three or more hetero rings
    • CCHEMISTRY; METALLURGY
    • C07ORGANIC CHEMISTRY
    • C07DHETEROCYCLIC COMPOUNDS
    • C07D409/00Heterocyclic compounds containing two or more hetero rings, at least one ring having sulfur atoms as the only ring hetero atoms
    • C07D409/14Heterocyclic compounds containing two or more hetero rings, at least one ring having sulfur atoms as the only ring hetero atoms containing three or more hetero rings
    • CCHEMISTRY; METALLURGY
    • C07ORGANIC CHEMISTRY
    • C07DHETEROCYCLIC COMPOUNDS
    • C07D417/00Heterocyclic compounds containing two or more hetero rings, at least one ring having nitrogen and sulfur atoms as the only ring hetero atoms, not provided for by group C07D415/00
    • C07D417/14Heterocyclic compounds containing two or more hetero rings, at least one ring having nitrogen and sulfur atoms as the only ring hetero atoms, not provided for by group C07D415/00 containing three or more hetero rings

Definitions

  • the present invention concerns novel antibiotics, pharmaceutical antibacterial compositions containing them and the use thereof in the manufacture of a medicament for the treatment of infections (e.g. a bacterial infection).
  • infections e.g. a bacterial infection
  • These compounds are useful antimicrobial agents effective against a variety of human and veterinary pathogens including among others Gram positive and Gram negative aerobic and anaerobic bacteria and mycobacteria.
  • Enterobacteriacea are cephalosporin and quinolone resistant;
  • - P. aeruginosa are ⁇ -lactam and quinolone resistant.
  • microorganisms that are causing persistent infections are increasingly being recognized as causative agents or cofactors of severe chronic diseases like peptic ulcers or heart diseases.
  • quinoline or naphthridine derivatives having antibacterial activity and therefore useful for treating infections in mammals, particularly in humans have been reported.
  • WO 99/37635, WO 00/21948, WO 00/21952, WO 00/43383 and WO 03/101138 disclose quinoline, naphthyridine and quinazoline derivatives containing a 4-methylpiperidinyl spacer.
  • WO 00/78748, WO 02/50040 and WO 02/050061 disclose quinoline and naphthyridine derivatives containing a piperazinyl spacer.
  • WO 01/07432, WO 01/07433, WO 02/08224, WO 02/056882, WO 03/064421, WO 03/064431, WO 2004/002490 and WO 2004/058144 disclose quinoline, quinoxaline and naphthyridine derivatives containing a 4-aminopiperidinyl spacer.
  • WO 2004/035569 discloses quinoline and naphthyridine derivatives containing a 3-aminomethylpiperidinyl spacer.
  • WO 2004/002992, WO 03/087098, WO 2004/014361 and WO 2004/035569 disclose quinoline, quinoxaline and naphthyridine derivatives containing a 4-aminocyclohexyl spacer.
  • WO 01/025227, WO 02/040474, WO 2004/011454, WO 2004/024712 and WO 2004/024713 disclose quinoline derivatives containing a 4-propyl-piperidinyl spacer.
  • U and V represents N, the other represents N or CH;
  • R 1 represents alkyl, haloalkyl, alkoxy, haloalkoxy, halogen or cyano
  • R 2 represents hydrogen or halogen
  • R 3 represents carboxy, carboxamido, alkylaminocarbonyl, hydroxy, aminocarbonyloxy, 2- tetrazolyl or 3-methyl-l,2,4-oxadiazol-5-yl;
  • the compounds of formula I may be compounds of formula I CE
  • U represents CH and V represents N or U and V are each N;
  • M represents CH 2 CH 2 , CH(OH)CH(OH), CH(OH)CH 2 or OCH 2 ;
  • R 1 represents alkoxy
  • R 2 represents hydrogen;
  • R 3 represents carboxy, hydroxy or aminocarbonyloxy;
  • Another aspect of this invention relates to compounds of formula Ip 1
  • R 1 represents alkyl, alkoxy, halogen or cyano
  • R 2 represents hydrogen or halogen
  • R 3 represents carboxy, carboxamido, alkylaminocarbonyl, hydroxy, aminocarbonyloxy, 2- tetrazolyl or 3-methyl-l,2,4-oxadiazol-5-yl;
  • R 4 represents Ci-Cg-alkyl, C 2 -C 9 -alkenyl, arylalkyl, aryl-S(O) m -alkyl, heteroarylalkyl, heteroaryl-S(O) m -alkyl, CH 2 -C ⁇ C-aryl or cycloalkyl-S(O) m -alkyl; n is an integer between O and 3; and m is O or 2.
  • a further embodiment of the bicyclic derivatives of the above formula I, I CE or Ip 1 relates to their prodrugs, their tautomers, their optically pure enantiomers, mixtures of enantiomers, racemates, optically pure diastereoisomers, mixtures of diastereoisomers, diastereoisomeric racemates, mixture of diastereoisomeric racemates, meso forms, pharmaceutically acceptable salts, solvent complexes and morphological forms thereof.
  • Particularly preferred are the optically pure enantiomers, optically pure diastereoisomers, meso forms, pharmaceutically acceptable salts, solvent complexes and morphological forms.
  • alkyl refers to a saturated straight or branched chain alkyl group, containing from one to nine, preferably one to six, in particular one to four carbon atoms, for example methyl, ethyl, propyl, iso-propyl, butyl, iso-butyl, sec-butyl, tert-butyl, n-pentyl, iso- pentyl n-hexyl, 2,2-dimethylbutyl, n-octyl.
  • Any alkyl group as defined herein may be substituted with one, two or more substituents, for example F, Cl, Br, I, NH 2 , OH, SH, COOH or NO 2 .
  • substituted alkyl groups are trifluoromethyl, trifluoroethyl, hydroxymethyl, hydroxyethyl, carboxymethyl and carboxyethyl.
  • cycloalkyl refers to a saturated, monocyclic or bicyclic group with three to ten carbon ring-atoms, optionally containing one double bond, for example cyclopropyl, cyclobutyl, cyclopentyl, cyclohexyl, cycloheptenyl, cyclopentenyl, decahydronaphtalenyl, octahydroindenyl or cyclohex-2-enyl. Any cycloalkyl group as defined herein may be substituted with one, two or more halogen substituents in particular fluorine.
  • cycloalkyl group as defined herein may be substituted with one, two or more substituents, for example F, Cl, Br, I, NH 2 , OH, SH, COOH or NO 2 .
  • An example for substituted cycloalkyl groups is 4-fluorocyclohexyl.
  • cycloalkyl preferably refers to cyclopentyl and cyclohexyl.
  • alkenyl refers to a straight or branched chain olefinic group with one or two double bonds containing from two to nine, preferably two to six, in particular two to four carbon atoms, for example vinyl, allyl, 2-butenyl, 3-butenyl, 4-butenyl and 2,4-butadienyl.
  • alkoxy is an "alkyl-O" group, where "alkyl” has the above significance.
  • substituted alkoxy groups are trifluoromethoxy and trifluoroethoxy.
  • halogen refers to fluorine, chlorine, bromine or iodine, preferably to fluorine or chlorine.
  • aryl refers to an aromatic cyclic group with one, two or three rings, having five to 14 carbon ring-atoms preferably from five or six to ten carbon ring-atoms, for example phenyl or naphthyl groups.
  • Any aryl group as defined herein may be substituted with one, two or more substituents, for example F, Cl, Br, I, OH, NH 2 , SH, N 3 , NO 2 , carboxy, carbamoyl (CONH 2 ), alkylaminocarbonyl such as methylaminocarbonyl or dimethyl aminocarbonyl, alkoxycarbonyl groups such as methoxy or ethoxycarbonyl, alkylsulfanyl groups such as methylsulfanyl or ethylsulfanyl, alkyl groups such as methyl or ethyl, perfluoroalkyl groups such as trifluoromethyl or trifluoroethyl, alkoxy groups such as methoxy, amino groups such as methylamino or dimethylamino, or cyano.
  • substituents for example F, Cl, Br, I, OH, NH 2 , SH, N 3 , NO 2 , carboxy, carbamoyl
  • 2-fluorophenyl 3 -fluorophenyl, 4-fluorophenyl, 4-methoxyphenyl, 4-methylphenyl, 2-trifluoromethylphenyl, 3-trifluoromethylphenyl 4- trifluoromethylphenyl, 4-trifluoromethoxy-phenyl, 2,4-difluorophenyl, 3,4- difluorophenyl, 2,4-dimethoxyphenyl and 2,4-dimethylphenyl.
  • heteroaryl refers to an aryl group as defined herein where one, two or more ring-carbon atoms are replaced by an oxygen, nitrogen or sulphur atom, for example thiophenyl, furyl, pyridyl, imidazolyl, pyrazolyl, quinolinyl, isoquinolinyl, pyrrolyl, oxazolyl, isoxazolyl, thiazolyl, isothiazolyl, 1,2,3-triazolyl, 1 ,2,4-triazolyl, oxadiazolyl, thiadiazolyl, indolyl, indazolyl, tetrazolyl, pyrazinyl, pyrimidinyl and pyridazinyl groups.
  • heteroaryl also covers bicyclic structures such as benzofuran-2-yl, benzimidazol-2-yl, benzothiazol-2-yl, benzo[l,3]dioxol-5-yl, 2,3-dihydro- benzo[l ,4]dioxin-6-yl, 4H-benzo[l ,4]oxazin-3-one-6-yl, 4H-benzo[ 1 ,4]thiazin-3-one-6-yl, 3-oxo-3,4-dihydro-2H-benzo[l,4]thiazin-6-yl, lH-pyrido[2,3-b][l,4]thiazin-2-one-7-yl, 2,3-dihydro-[l ,4]dioxino[2,3-c]pyridin-7-yl, 2,3-dihydro-[l ,4]dioxino[2,3-b]pyri
  • Any heteroaryl group as defined herein may be substituted with one, two or more substituents, for example F, Cl, Br, I, OH, NH 2 , SH, N 3 , NO 2 , carboxyl, carbamoyl (CONH 2 ), alkylaminocarbonyl such as methylaminocarbonyl or dimethyl aminocarbonyl, alkoxycarbonyl groups such as methoxy or ethoxycarbonyl, alkylsulfanyl groups such as methylsulfanyl or ethylsulfanyl, alkyl groups such as methyl or ethyl, perfluoroalkyl groups such as trifluoromethyl or trifluoroethyl, alkoxy groups such as methoxy, amino groups such as methylamino or dimethylamino, or cyano.
  • substituents for example F, Cl, Br, I, OH, NH 2 , SH, N 3 , NO 2 , carboxyl, carbamo
  • alkylaminocarbonyl methylaminocarbonyl, ethylaminocarbonyl
  • arylalkyl benzyl, phenethyl, naphthylmethyl, 4-fluorobenzyl, 2,4-dimethoxybenzyl, 2,4-di-trifluoromethyl-phenethyl; - "aryl-S(O) m -alkyl”: phenylsulfanylethyl, 2-trifluoromethyl-phenylsulfanylethyl,
  • heteroarylalkyl thiophen-2-yl-propyl, pyrrol-2-yl-propyl, pyrid-2-yl-propyl, thiazol-2-yl-propyl, 5-fluoro-pyridin-2-yl-propyl or benzofuran-2-yl-propyl;
  • heteroaryl-S(O) m -alkyl thiophen-2-ylsulfanylethyl, thiazol-2-ylsulfanylethyl, pyrrol-2-yl-sulfanylethyl, pyridin-2-yl-sulfinylethyl, pyridin-2-yl-sulfonylethyl, 4-fluoro-thiazol-2-ylsulfanylethyl, 3-trifluoromethyl-pyrrol-2-yl-sulfanylethyl;
  • alkyl refers to a saturated straight or branched chain alkyl group, containing from one to nine, preferably one to six, in particular one to four carbon atoms, for example methyl, ethyl, propyl, zso-propyl, /z-butyl, zso-butyl, sec-butyl, tert-bntyl, «-pentyl, zso-pentyl, H-hexyl, 2,2-dimethylbutyl, «-octyl.
  • (Ci-C x )alkyl (x being an integer) refers to an alkyl group containing 1 to x carbon atoms.
  • haloalkyl refers to a saturated straight or branched chain alkyl group, containing from one to six and preferably one to four carbon atoms, in which at least one hydrogen atom (and possibly all) has been replaced by a halogen atom.
  • Representative examples of haloalkoxy groups include, but are not limited to, trifluoromethyl or 2,2,2-trifluoroethyl.
  • (Ci-C x )haloalkyl (x being an integer) refers to a straight of branched chain haloalkyl group containing 1 to x carbon atoms.
  • cycloalkyl refers to a saturated, monocyclic or bicyclic group with three to ten carbon ring-atoms, for example cyclopropyl, cyclobutyl, cyclopentyl, cyclohexyl, cycloheptenyl, cyclopentenyl, decahydronaphtalenyl or octahydroindenyl.
  • cycloalkyl preferably refers to cyclopentyl or cyclohexyl.
  • alkoxy refers to a saturated straight or branched chain alkoxy group, containing from one to nine, preferably one to six, and in particular one to four carbon atoms.
  • Representative examples of alkoxy groups include, but are not limited to, methoxy, ethoxy, propoxy, zso-propoxy, n-butoxy, zso-butoxy, sec-bvAoxy, tert-butoxy or H-hexyloxy.
  • (Ci-C x )alkoxy refers to a straight or branched chain alkoxy group containing 1 to x carbon atoms.
  • haloalkoxy refers to a saturated straight or branched chain alkoxy group, containing from one to six and preferably one to four carbon atoms, in which at least one hydrogen atom (and possibly all) has been replaced by a halogen atom.
  • Representative examples of haloalkoxy groups include, but are not limited to, trifiuoromethoxy or difluoromethoxy.
  • (Ci-C x )haloalkoxy (x being an integer) refers to a straight of branched chain haloalkoxy group containing 1 to x carbon atoms.
  • halogen refers to fluorine, chlorine, bromine or iodine, and preferably to fluorine or chlorine.
  • alkylaminocarbonyl means an alkylaminocarbonyl group wherein the alkyl group is a (Ci-C 6 )alkyl group.
  • (Ci-C 4 )alkoxy-(Ci-C 4 )alkyl refers to a (C]-C 4 )alkyl group as previously defined itself substituted with a (Ci-C 4 )alkoxy group as previously defined.
  • aryl refers to an aromatic cyclic group with one, two or three rings, having five to 14 carbon ring-atoms preferably from five or six to ten carbon ring-atoms, for example phenyl or naphthyl groups.
  • Any aryl group as defined herein may be substituted may be substituted with one to three substituents each independently selected from the group consisting of halogen, OH, NH 2 , carboxyl, carbamoyl (CONH 2 ), methylaminocarbonyl, dimethylaminocarbonyl, methoxycarbonyl, ethoxycarbonyl, (Ci-C 4 )alkyl, trifluoromethyl, (Ci-C 4 )alkoxy, trifluoromethoxy and cyano
  • substituents each independently selected from the group consisting of halogen, OH, NH 2 , carboxyl, carbamoyl (CONH 2 ), methylaminocarbonyl, dimethylaminocarbonyl, methoxycarbonyl, ethoxycarbonyl, (Ci-C 4 )alkyl, trifluoromethyl, (Ci-C 4 )alkoxy, trifluoromethoxy and cyano
  • an aryl group will be optionally substituted with one to three substituents independently selected from the group consisting of halogen, (Ci-C 4 )alkyl and (Ci-C 4 )alkoxy).
  • aryl are 2-fluorophenyl, 3 -fluorophenyl, 4-fluorophenyl, 4-methoxyphenyl, 4-methylphenyl, 2-trifluoromethylphenyl, 3-trifiuoromethylphenyl 4-trifluoromethylphenyl, 4-trifluoromethoxy-phenyl,
  • heteroaryl refers to an aryl group as defined herein where one, two or more ring-carbon atoms are replaced by an oxygen, nitrogen or sulphur atom, for example thiophenyl, furyl, pyridyl, imidazolyl, pyrazolyl, benzofuran-2-yl, benzimidazol-2-yl, benzothiazol-2-yl, quinolinyl, isoquinolinyl, pyrrolyl, oxazolyl, isoxazolyl, thiazolyl, isothiazolyl, 1,2,3-triazolyl, 1,2,4-triazolyl, oxadiazolyl, thiadiazolyl, indolyl, indazolyl, tetrazolyl, pyrazinyl, pyrimidinyl and pyridazinyl groups.
  • Any heteroaryl group as defined herein may be substituted with one or two substituents each independently selected from the group consisting of halogen, OH, NH 2 , carboxyl, carbamoyl (CONH 2 ), methylaminocarbonyl, dimethylaminocarbonyl, methoxycarbonyl, ethoxycarbonyl, (Ci-C 4 )alkyl, trifluoromethyl, (Ci-C 4 )alkoxy, trifluoromethoxy and cyano (preferably, a heteroaryl group will be optionally substituted with one or two substituents each independently selected from the group consisting of halogen, (Ci-C 4 )alkyl and (Ci-C 4 )alkoxy).
  • substituents each independently selected from the group consisting of halogen, (Ci-C 4 )alkyl and (Ci-C 4 )alkoxy.
  • Specific examples are thiophen-2-yl, thiazol-2-yl, 4-
  • arylalkyl refers to an arylalkyl group wherein the aryl group is an aryl group as defined previously and the alkyl group is a (Ci-C 4 )alkyl group.
  • aryl-S(O) m -alkyl refers to an aryl-S(O) m -alkyl group wherein the aryl group is an aryl group as defined previously and the alkyl group is a (C]-C 4 )alkyl group.
  • heteroarylalkyl refers to a heteroarylalkyl group wherein the heteroaryl group is a heteroaryl group as defined previously and the alkyl group is a (Ci-C4)alkyl group.
  • heteroarylaminocarbonylalkyl refers to a heteroarylaminocarbonylalkyl group wherein the heteroaryl group is a heteroaryl group as defined previously and the alkyl group is a (C]-C 4 )alkyl group.
  • heteroaryl-S(O) m -alkyl refers to a heteroaryl-S(O) m -alkyl group wherein the heteroaryl group is a heteroaryl group as defined previously and the alkyl group is a (Ci-C 4 )alkyl group.
  • cycloalkyl-S(O) m -alkyl refers to a cycloalkyl-S(O) m -alkyl group wherein the cycloalkyl group is a cycloalkyl group as defined previously and the alkyl group is a (C ⁇ -GOalkyl group.
  • M represents the radical OCH 2 , this means specifically that the oxygen atom of the OCH 2 iical is attached to the
  • alkylaminocarbonyl can mean:
  • alkylaminocarbonyl methylaminocarbonyl or ethylaminocarbonyl
  • arylalkyl benzyl, phenethyl, naphthylmethyl, 4-fluorobenzyl
  • aryl-S(O) m -alkyl phenylsulfanylethyl, 2-trifluoromethyl-phenylsulfanylethyl, 3-trifluoromethyl-phenylsulfanylethyl, 4-trifluoromethyl-phenylsulfanylethyl, 4-fluoro-phenylsulfanylethyl or 2,5-difluoro-phenylsulfanylethyl;
  • heteroarylalkyl thiophen-2-yl-propyl, pyrrol-2-yl-propyl, pyrid-2-yl-propyl, thiazol-2-yl-propyl, 5-fluoro-pyridin-2-yl-propyl, benzofuran-2-yl-propyl or benzofuran-2-yl-methyl; - "heteroaryl-S(O) m -alkyl”:
  • cycloalkyl-S(O) m -alkyl cyclohexylsulfanylethyl or cyclopentylsulfanylethyl.
  • the compounds of formula I, I CE or Ip 1 will be such that U is CH and V is N.
  • the compounds of formula I, I CE or Ip 1 will be such that both U and V are N.
  • the compounds of formula I, I CE or Ip 1 will be such that both U is N and V is CH.
  • R 1 is Ci-C 3 alkyl, methoxy, ethoxy, trifluoromethyl, trifluoromethoxy or cyano, in particular methyl, methoxy or cyano (and notably methoxy).
  • R 2 will be hydrogen or fluorine (and notably hydrogen).
  • R 3 will preferably be carboxy.
  • R 4 will preferably be phenylsulfanylethyl, 2,5-difluorophenylsulfanyl, cyclopentylsulfanylethyl, cyclohexylsulfanylethyl or thiophen-2-ylsulfanylethyl,
  • R 4 will be phenylsulfanylethyl, 2,5-difluorophenylsulfanyl, cyclopentylsulfanylethyl, cyclohexylsulfanylethyl or thiophen-2-ylsulfanylethyl (particularly thiophen- 2-ylsulfanylethyl, (2,5-difluoro-phenyl)-allyl or benzofuran-2-ylmethyl and more particularly thiophen-2-ylsulfanylethyl) .
  • n will preferably be 0, 1 or 2 when R 3 is carboxy, carboxamido or alkylaminocarbonyl.n will preferably be 1, 2 or 3 when R 3 is hydroxy or aminocarbonyloxy.
  • m is preferably 0.
  • preferred compounds of formula I are those wherein at least one of the following characteristics is present:
  • ⁇ U is CH and V is N;
  • ⁇ R 1 is (Ci-C 2 )alkyl, (Ci-C 2 )haloalkyl, (Ci-C 2 )alkoxy, (Ci-C 2 )haloalkoxy, halogen or cyano;
  • ⁇ R 2 represents hydrogen or fluorine;
  • ⁇ R 3 represents carboxy, carboxamido, alkylaminocarbonyl, hydroxy or aminocarbonyloxy;
  • ⁇ U is CH and V is N;
  • ⁇ ⁇ ⁇ R 1 is methoxy or cyano (and in particular methoxy);
  • ⁇ M is CH 2 CH 2 , CH(OH)CH(OH), CH(OH)CH 2 or OCH 2 (and notably CH(OH)CH 2 );
  • Preferred compounds of the formula I are the following:
  • Compounds of formula I are suitable for the use as chemotherapeutic active compounds in human and veterinary medicine and as substances for preserving inorganic and organic materials in particular all types of organic materials for example polymers, lubricants, paints, fibres, leather, paper and wood. These compounds according to the invention are particularly active against bacteria and bacteria-like organisms.
  • haemolyticus or Peptostreptococcus spp.
  • pharyngitis rheumatic fever, and glomerulonephritis related to infection by Streptococcus pyogenes, Groups C and G streptococci, Corynebaterium diphtheriae, or Actinohacillus haemolyticum
  • respiratory tract infections related to infection by Mycoplasma pneumoniae, Legionella pneumophila, Streptococcus pneumoniae, Haemophilus influenzae, or Chlamydia pneumoniae
  • blood and tissue infections including endocarditis and osteomyelitis, caused by S. aureus, S. haemolyficus, E.
  • strains resistant to known antibacterials such as, but not limited to, beta- lactams, vancomycin, aminoglycosides, quinolones, chloramphenicol, tetracyclines and macrolides; uncomplicated skin and soft tissue infections and abscesses, and puerperal fever related to infection by Staphylococcus aureus, coagulase-negative staphylococci (i.e., S. epidermidis, S.
  • Streptococcus pyogenes Streptococcus agalactiae, Streptococcal groups C-F (minute colony streptococci), viridans streptococci, Corynebacterium minutissimum, Clostridium spp., or Bartonella henselae
  • uncomplicated acute urinary tract infections related to infection by Staphylococcus aureus, coagulase- negative staphylococcal species, or Enterococcus spp.
  • urethritis and cervicitis sexually transmitted diseases related to infection by Chlamydia trachomatis, Haemophilus eglumi, Treponema pallidum, Ureaplasma urealyticum, or Neiserria gonorrheae
  • aureus food poisoning and toxic shock syndrome
  • Groups A, B, and C streptococci ulcers related to infection by Helicobacter pylori; systemic febrile syndromes related to infection by Borrelia recurrentis; Lyme disease related to infection by Borrelia burgdorferi; conjunctivitis, keratitis, and dacrocystitis related to infection by Chlamydia trachomatis, Neisseria gonorrhoeae, S. aureus, S. pneumoniae, S. pyogenes, H.
  • MAC Mycobacterium avium complex
  • chelonei gastroenteritis related to infection by Campylobacter jejuni; intestinal protozoa related to infection by Cryptosporidium spp.; odontogenic infection related to infection by viridans streptococci; persistent cough related to infection by Bordetella pertussis; gas gangrene related to infection by Clostridium perf ⁇ ngens or Bacteroides spp.; and atherosclerosis or cardiovascular disease related to infection by Helicobacter pylori or Chlamydia pneumoniae.
  • Compounds of Formula (I) according to the present invention are further useful for the preparation of a medicament for the treatment of infections that are mediated by bacteria such as E. coli, Klebsiella pneumoniae and other enterobacteriaceae, Acinetobacter spp., Stenothrophomonas maltophilia, Neisseria meningitidis, Bacillus cereus, Bacillus anthracis, Corynebacterium spp., Propionibacterium acnes and bacteroide spp.
  • bacteria such as E. coli, Klebsiella pneumoniae and other enterobacteriaceae, Acinetobacter spp., Stenothrophomonas maltophilia, Neisseria meningitidis, Bacillus cereus, Bacillus anthracis, Corynebacterium spp., Propionibacterium acnes and bacteroide spp.
  • Compounds of Formula (I) according to the present invention are further useful to treat protozoal infections caused by Plasmodium malaria, Plasmodium falciparum, Toxoplasma gondii, Pneumocystis carinii, Trypanosoma brucei and Leishmania spp.
  • bacterial infections can also be treated in other species like pigs, ruminants, horses, dogs, cats and poultry
  • the present invention also relates to pharmacologically acceptable salts, or solvates and hydrates, respectively, and to compositions and formulations of compounds of formula I.
  • Examples of pharmacologically acceptable salts of sufficiently basic compounds of formula I are selected from the group consisting of salts of physiologically acceptable mineral acids like hydrochloric, hydrobromic, sulfuric and phosphoric acid; or salts of organic acids like methanesulfonic, p-toluenesulfonic, lactic, acetic, trifluoroacetic, citric, succinic, fumaric, maleic and salicylic acid.
  • a sufficiently acidic compound of formula I may form alkali or earth alkaline metal salts, for example sodium, potassium, lithium, calcium or magnesium salts; ammonium salts; or organic base salts, for example methylamine, dimethylamine, trimethylamine, triethylamine, ethylenediamine, ethanolamine, choline hydroxide, eglumine, piperidine, morpholine, tris-(2-hydroxyethyl)amine, lysine or arginine salts.
  • Compounds of Formula I may be solvated, especially hydrated. The hydratation can occur during the process of production or as a consequence of the hygroscopic nature of the initially water free compounds of Formula I.
  • the compounds of Formula I contain asymmetric C-atoms and may be present either as achiral compounds, mixtures of diastereomers, mixtures of enantiomers or as optically pure compounds.
  • the pharmaceutical composition according to the present invention contains at least one compound of formula I as the active agent and optionally carriers and/or diluents and/or adjuvants, and may also contain additional known antibiotics.
  • the present invention also relates to pro-drugs that are composed of a compound of formula I or I CE having at least one pharmacologically acceptable protective group that will be cleaved off under physiological conditions.
  • prodrugs have been reviewed by Beaumont, Kevin; Webster, Robert; Gardner, Iain; Dack, Kevin in Current Drug Metabolism (2003), 4(6), 461-485.
  • promoities are, in case the compound of formula I or I CE contains a free carboxylic acid, alkoxy- (e.g. ethoxy), phenalkyloxy- (e.g. benzyloxy), OCH(R a )OCOR b (e.g. pivaloyloxymethyloxy), OCH(R a )OCO 2 R b ⁇ e.g.
  • therapeutically useful agents that contain compounds of Formula (I), their solvates, salts or formulations are also comprised in the scope of the present invention.
  • compounds of Formula (I) will be administered by using the known and acceptable modes known in the art, either alone or in combination with any other therapeutic agent.
  • Such therapeutically useful agents can be administered by one of the following routes: oral, e.g. as tablets, dragee, coated tablets, pills, semisolids, soft or hard capsules, for example soft and hard gelatine capsules, aqueous or oily solutions, emulsions, suspensions or syrups, parenteral including intravenous, intramuscular and subcutaneous injection, e.g.
  • transdermal delivery system such as a plaster containing the active ingredient, topical or intranasal.
  • TDS transdermal delivery system
  • the substance of the present invention can also be used to impregnate or coated devices that are foreseen for implantation like catheters or artificial joints.
  • the pharmaceutically useful agents may also contain additives for conservation, stabilisation, e.g. UV stabilizers, emulsifiers, sweetener, aromatisers, salts to change the osmotic pressure, buffers, coating additives and antioxidants.
  • Another aspect of the invention concerns a method for the treatment of disease comprising the administration to the patient of a pharmaceutically active amount of a derivative of formula I.
  • novel compounds of formula I can be manufactured in accordance with the present invention by
  • R 40 is as R 4 or is a nitrogen protecting group such as benizyloxycarbonyl, allyloxycarbonyl or t-butyloxycarbonyl, carboxy and/or hydroxy groups present are protected, and the other symbols are as before; and, where required, deprotecting such carboxy and/or hydroxy groups and subjecting any nitrogen protecting group R 40 to the process under b); or
  • PG is a nitrogen protecting group such as benzyloxycarbonyl, allyloxycarbonyl or t-butyloxycarbonyl, carboxy and/or hydroxy groups present are protected, and the other symbols are as before;
  • R 30 is COOR or OR 0 , R and R 0 are carboxy and hydroxy protecting groups, respectively, and the other symbols are as before, into the group R 3 ; or
  • TDMS ⁇ -butyldimethylsilyl ether
  • Aldehyde III-e is oxydised into the corresponding acid III-g using potassium permanganate in acetone water or the above-mentioned protocole for the preparation of III-d.
  • Aldehyde III-e is subjected to Wittig olefination using carbomethoxymethylen- triphenylphosphorane in THF, DCM or toluene between -30 0 C and HO 0 C or to Wittig
  • compound III-a is transformed into the corresponding diol derivative by treatment either with a catalytic amount of osmium tetroxide in the presence of a co-oxidant such as NMO in aqueous solvent such as acetone or DCM (Cha, J.K., Chem. Rev. (1995), 95, 1761-1795) or with AD mixtures in a water/2-methyl-2-propanol mixture as described in Chem. Rev. (1994), 94, 2483.
  • a co-oxidant such as NMO
  • aqueous solvent such as acetone or DCM
  • This dimethyl[l,3]dioxolan-4-yl group represents a masked acid function which can be transformed into the corresponding acid in a later stage by sequencial treatment for example with PTSA or HCl in a solvent like THF/water or MeOH and followed by sodium periodiate oxidation (see Synthesis, 1974, 229).
  • the sulfones of the general formula III-3 are generated in two steps from the corresponding alcohols. Indeed, a Mitsunobu reaction between the alcohols III-l and an appropriate thiol such as 1 -phenyl- lH-tetrazole-5-thiol in conditions previously described affords the intermediate thiols that can be oxidized to the corresponding sulfones III-3 using aq. hydrogen peroxide in presence of ammonium heptamolybdate tetrahydrate (see J. Org. Chem. (1963), 28, 1140).
  • an appropriate thiol such as 1 -phenyl- lH-tetrazole-5-thiol
  • the alkynes of formula III-4 are obtained from compounds of formula III-l in two steps. After oxidation of the free alcohol moiety into an aldehyde using a Moffat-Swern oxidation (see Synthesis (1981), 165), or the Dess-Martin periodinane oxidation (see J. Am. Chem. Soc. (1991), 113, 7277), the resulting aldehyde is transformed to the corresponding alkyne using either the protocol developed by Corey and Fuchs (see Tetrahedron Letters (1972), 3769) or more preferably, the method developed by Bestmann using dimethyldiazomethylphosphonate in presence OfK 2 CO 3 in MeOH (see Synlett (1996), 521).
  • an alkylithium such as /z-BuLi
  • III-l is the compound of formula III, wherein L 2 M is HOCH 2 , R 4 is a nitrogen protecting group PG and carboxy and/or hydroxy groups are protected; the other symbols have their above meanings.
  • compounds of formula I can be obtained by coupling, for example, a 3-substituted 5-hydroxy quinoline, a 2-substituted 8-hydroxy quinoline, or a 3-substituted 5-hydroxy quinoxaline II-l with an alcohol derivative III-l.
  • the coupling reaction between II-l and III-l may be achieved under Mitsunobu conditions (as reviewed in O. Mitsunobu Synthesis (1981), 1).
  • an alcohol III-l and a derivative II-l are reacted to form the ether IV-I in the presence of diethyl or diisopropyl azodicarboxylate and triphenylphosphine.
  • the reaction may be performed in a wide range of solvents such as DMF, THF, DCM and at a wide range of temperatures (between -78°C and 50 0 C).
  • An alternate route to IV-I may require the activation of the alcohol III-l as for example a tosylate, a triflate or a mesylate by treatment with TsCl, trifluoromethanesulphonic anhydride or MsCl respectively in the presence of an organic base such as TEA between -40 0 C and 60°C in a dry aprotic solvent like DCM, MeCN or THF.
  • alcohol III-l reacts with the anion of the hydroxy derivative H-I, generated with a mineral base such as NaH or K 2 CO 3 or an organic base such as lithium hexamethyldisilazide, to generate IV-I between -20 0 C and 60 0 C.
  • a mineral base such as NaH or K 2 CO 3 or an organic base such as lithium hexamethyldisilazide
  • protecting groups such as t-butoxycarbonyl or benzyloxycarbonyl on the piperidine nitrogen atom in IV-I is carried out under standard acidic conditions to give the corresponding free amine.
  • the benzyloxycarbonyl group can be removed under catalytic hydrogenation over palladium on charcoal.
  • the allyloxycarbonyl protecting group is removed by palladium acetate in presence of an allyl scavenger.
  • protecting groups to mask reactive functionality is well known to those of skill in the art, and other protecting groups are listed in reference book such as PJ. Kocienski 'Protecting Groups ', Thieme (1994).
  • the so PG-deprotected amine is then reacted with compounds yielding the group R 4 , e.g. an aldehyde and a suitable reducing agent to provide the homologue V-I.
  • the intermediate imine may be formed in a variety of protic or aprotic solvents such as DMF, N,N-dimethylacetamide, DCM, 1,2-DCE, MeOH, MeCN, in presence or not of a drying agent such as molecular sieves.
  • the imine is reduced subsequently or simultaneously with a suitable reagent such a NaBH 4 , sodium triacetoxyborohydride or sodium cyanoborohydride (R.O. and M.K. Hutchins Comprehensive Organic Synthesis, B.M. Trost, I.
  • the PG-deprotected amine may also be alkylated to give product V-I by nucleophilic displacement of a suitable alkyl halide, mesylate or tosylate between -20 0 C and 100 0 C in a dry aprotic solvent like DCM, MeCN, DMF or THF in presence of a base such as K 2 CO 3 or DIPEA.
  • group R 4 can also be effected before coupling of compounds H-I and III-l.
  • Carboxy- and hydroxy-protecting groups present are removed under standard conditions well known to those of skill in the art to yield e.g. a product V-I where R 3 is carboxy or hydroxy.
  • III-2 is the compound of formula III, wherein L 2 M is HC(O)CH 2 , R 4 is a nitrogen protecting group PG and carboxy and/or hydroxy groups are protected; the other symbols have their above meanings.
  • Compounds of formula (I) can also be obtained by reacting for example a substituted quinolin-5-yl lithium, quinolin-8-yl lithium, or quinoxalin-5-yl lithium derivative II-2 with an aldehyde derivative III-2 (Scheme X 1 ).
  • an aldehyde derivative III-2 Scheme X 1
  • the resulting organolithium derivative II-2 is treated with the corresponding aldehydes III-2 at a temperature between -100 0 C and O 0 C, preferably between -8O 0 C and -10 0 C.
  • the nitrogen protecting group is removed and the free amine is reacted with an alkyl halide, mesylate or tosylate or with an aldehyde under reductive condition as previously described.
  • the ester is deprotected and/or further processed as previously described.
  • the introduction of group R 4 can also be effected before coupling of compounds II-2 and III-2.
  • Compounds V-2 can be further transformed into compounds VI-2 by oxidation of the alcohol function using one the method reviewed by Ley, S.V., Madin, A.; Lee, T.V.; Procter, G.
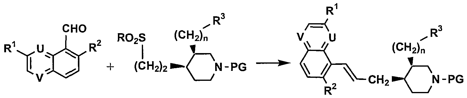
  • Compounds of formula (I) can also be obtained by reacting for example a substituted 5- formylquinoline, 8-formylquinoline, or 5-formylquinoxaline derivative II-3 with a sulfone derivative III-3 in presence of a base such as potassium- or lithium-hexamethyldisilazide in a solvent such as 1,2-DME, DMF or toluene as reviewed by Blakemore, P. R in J. Chem. Soc, Perkin Trans. 1 (2002), 2563-2585 (Scheme 3).
  • a base such as potassium- or lithium-hexamethyldisilazide
  • solvent such as 1,2-DME, DMF or toluene
  • the resulting alkene IV-3 can be further transformed into the diol derivative V-3 by treatment with a catalytic amount of osmium tetroxide in presence of a co-oxidant such as NMO in aqueous solvent such as acetone or DCM (Cha, IK. Chem. Rev. (1995), 95, 1761-1795).
  • a co-oxidant such as NMO
  • aqueous solvent such as acetone or DCM
  • Compounds of formula I can also be obtained by reacting for example a triflate derivative II-4 with an alkyne derivative III-4 under Sonogashira conditions using calatytic amount of a palladium salt, a base such as triethylamine and a catalytic amount of a copper derivative (usually copper iodide) in a solvent such a DMF between 2O 0 C to 100 0 C (see Sonogashira, K. in Metal-Catalyzed Reactions, Diedrich, F., Stang, PJ., Eds; Wiley-VCH: New York (1998)) (Scheme 4).
  • trifluoromethanesulphonyloxy derivatives are obtained from the phenol II-l with trifluoromethanesulphonic anhydride, in the presence of an organic base such as triethylamine, N-ethyl-N,N-disopropylamine or pyridine between -40 0 C and 80 0 C in an aprotic solvent like DCM or THF (K. Ritter, Synthesis (1993), 735).
  • the resulting alkyne IV-4 is hydrogenated to the alkane V-4 using catalytic system such as platinium oxide in a solvent like EtOH or EA or palladium on charcoal in presence of hydrogen.
  • alkane V-4 is further transformed into the compounds VI-4 using procedures previously described.
  • the alkene IV-3 can also hydrogenated into the alkane V-4 by hydrogenation over palladium on charcoal.
  • Introduction of group R 4 is effected, before or after coupling of compounds II-4 and III-4, as previously described.
  • carboxy protecting groups are alkyl e.g. methyl, ethyl or t-butyl, heteroalkyl, e.g. trichloroethyl, arylalkyl e.g. ben2yl or para nitrobenzyl, alkenyl, e.g. allyl, trialkylsilyl e.g. trimethylsilyl, t-butyldimethylsilyl or di t-butylmethylsilyl, alkylthioalkyl e.g. methylthiomethyl (MTM), alkoxyalkoxyalkyl, e.g. methoxyethoxymethyl (MEM), arylalkoxyalkyl, e.g. benzyloxymethyl (BOM), trialkylsilylalkoxyalkyl, e.g. 2-
  • hydroxy protecting groups to form ethers are alkyl, e.g. methyl or ethyl, alkoxyalkyl e.g. methoxymethyl (MOM), alkoxyalkoxyalkyl e.g. 2-methoxyethoxymethyl
  • MEM trialkylsilylalkoxyalkyl e.g. 2-trimethylsilylethoxymethyl (SEM), tetrahydropyranyl
  • THP triisopropylsilyl
  • TIPS triisopropylsilyl
  • TDPS t- butyldiphenylsilyl
  • TDMS t-butyldimethylsilyl
  • UVC trichloroethylcarbonate
  • esters can be reduced into the corresponding alcohol using a suitable reagent such as diisobutyl aluminium hydride in a solvent like THF or ether between -20°C and 4O 0 C.
  • a suitable reagent such as diisobutyl aluminium hydride in a solvent like THF or ether between -20°C and 4O 0 C.
  • Example 1 3- ⁇ (3i?, ⁇ S)-4-[2-(3-methoxy-quinolin-5-yloxy)-ethyl]-l-[2-(thiophen- 2-ylsulfanyl)-ethylJ-piperidin-3-yl ⁇ -propionic acid:
  • intermediate l.vii (11.4 g) in toluene (200 ml) was added (carbethoxymethylene)triphenylphosphorane (12.9 g). The mixture was refluxed for 1 h. After cooling, silica gel (30 g) was added and the solvent was removed under reduced pressure. The residue was purified by chromatography (EA-H ex 1-1) to afford the title unsaturated ester (13.4 g) as a colourless oil.
  • Example 7 carbamic acid 2- ⁇ (3R,41 ⁇ )-4-[3-(3-methoxy-quinolin-5-yI)-propyl]- l-[2-(thiophen-2-ylsulfanyl)-ethyl]-piperidin-3-yl ⁇ -ethyl ester:
  • Example 8 4-[3-hydroxy-3-(3-methoxy-quinolin-5-yl)-propyl]-l-[2-(thiophen- 2-ylsulfanyl)-ethyl]-piperidine-3-carboxylic acid:
  • Example 13 ⁇ (5i?, ⁇ S)-4-[(2i?,5i?)-2,3-dihydroxy-3-(3-methoxy-quinolin-5-yl)-propyl]- l-fl- ⁇ hiophen-l-ylsulfanyO-ethylJ-piperidin-S-ylJ-acetic acid:
  • Example 14 (i7?,2i?)-[(5R ⁇ S)-3- ⁇ 3-(2-hydroxy-ethyl)-l-[2-(thiophen-2-ylsulfanyl)- ethyl]-piperidin-4-yl ⁇ ]-l-(3-methoxy-quinolin-5-yl)-propane-l,2-diol:
  • Example 18 (ii?,2i?)-3- ⁇ (5R,4fS)-3-(2-hydroxy-ethyl)-l-[2-(thiophen-2-ylsulfanyl)- ethyl]-piperidin-4-yl ⁇ -l-(3-methoxy-quinoxalin-5-yl)-propane-l,2-diol:
  • Typical antibacterial spectra are given hereafter (MIC in mg/1).

Landscapes

  • Chemical & Material Sciences (AREA)
  • Organic Chemistry (AREA)
  • Health & Medical Sciences (AREA)
  • Life Sciences & Earth Sciences (AREA)
  • General Health & Medical Sciences (AREA)
  • Chemical Kinetics & Catalysis (AREA)
  • General Chemical & Material Sciences (AREA)
  • Medicinal Chemistry (AREA)
  • Nuclear Medicine, Radiotherapy & Molecular Imaging (AREA)
  • Pharmacology & Pharmacy (AREA)
  • Veterinary Medicine (AREA)
  • Animal Behavior & Ethology (AREA)
  • Public Health (AREA)
  • Oncology (AREA)
  • Communicable Diseases (AREA)
  • Engineering & Computer Science (AREA)
  • Bioinformatics & Cheminformatics (AREA)
  • Pharmaceuticals Containing Other Organic And Inorganic Compounds (AREA)
  • Plural Heterocyclic Compounds (AREA)
  • Hydrogenated Pyridines (AREA)

Abstract

The invention relates to novel, antibacterially active piperidine derivatives of the formula (I) wherein one of U and V represents N, the other represents N or CH; M represents CH2CH2, CH=CH, CH(OH)CH(OH), CH(OH)CH2, CH(NH2)CH2, COCH2 or OCH2; R1 represents alkyl, haloalkyl, alkoxy, haloalkoxy, halogen or cyano; R2 represents hydrogen or halogen; R3 represents carboxy, carboxamido, alkylaminocarbonyl, hydroxy, aminocarbonyloxy, 2-tetrazolyl or 3-methyl-1,2,4-oxadiazol-5-yl; R4 represents alkyl, (C1-C4)alkoxy-(C1-C4)alkyl, haloalkyl, alkenyl, arylalkyl, aryl-S(O)m-­alkyl, heteroarylalkyl, heteroarylaminocarbonylalkyl, heteroaryl-S(O)m-alkyl, CH2-CH=CH­aryl or cycloalkyl-S(O)m-alkyl; n is an integer from 0 to 3; and m is 0o r2.

Description

Actelion 65A/TI2
New piperidine antibiotics
The present invention concerns novel antibiotics, pharmaceutical antibacterial compositions containing them and the use thereof in the manufacture of a medicament for the treatment of infections (e.g. a bacterial infection). These compounds are useful antimicrobial agents effective against a variety of human and veterinary pathogens including among others Gram positive and Gram negative aerobic and anaerobic bacteria and mycobacteria.
The intensive use of antibiotics has exerted a selective evolutionary pressure on micro¬ organisms to produce genetically based resistance mechanisms. Modern medicine and socio- economic behaviour exacerbates the problem of resistance development by creating slow growth situations for pathogenic microbes, e.g. artificial joints-related infections, and by supporting long-term host reservoirs, e.g. in immuno-comprornised patients.
In hospital settings, an increasing number of strains of Staphylococcus aureus, Streptococcus pneumoniae, Enterococcus spp., and Pseudomonas aeruginosa, major sources of infections, are becoming multi-drug resistant and therefore difficult if not impossible to treat:
- S. aureus is resistant to β-lactam, quinolone and now even to vancomycin; - S. pneumoniae is becoming resistant to penicillin, quinolone and even to new macrolides;
- Enterococci are quinolone and vancomycin resistant and β-lactams are inefficacious against these strains;
- Enterobacteriacea are cephalosporin and quinolone resistant;
- P. aeruginosa are β-lactam and quinolone resistant.
Further new emerging organisms like Acinetobacter which have been selected during therapy with the currently used antibiotics are becoming a real problem in hospital settings.
In addition, microorganisms that are causing persistent infections are increasingly being recognized as causative agents or cofactors of severe chronic diseases like peptic ulcers or heart diseases.
A new type of quinoline or naphthridine derivatives having antibacterial activity and therefore useful for treating infections in mammals, particularly in humans have been reported. WO 99/37635, WO 00/21948, WO 00/21952, WO 00/43383 and WO 03/101138 disclose quinoline, naphthyridine and quinazoline derivatives containing a 4-methylpiperidinyl spacer.
WO 00/78748, WO 02/50040 and WO 02/050061 disclose quinoline and naphthyridine derivatives containing a piperazinyl spacer.
WO 01/07432, WO 01/07433, WO 02/08224, WO 02/056882, WO 03/064421, WO 03/064431, WO 2004/002490 and WO 2004/058144 disclose quinoline, quinoxaline and naphthyridine derivatives containing a 4-aminopiperidinyl spacer.
WO 2004/035569 discloses quinoline and naphthyridine derivatives containing a 3-aminomethylpiperidinyl spacer.
WO 2004/002992, WO 03/087098, WO 2004/014361 and WO 2004/035569 disclose quinoline, quinoxaline and naphthyridine derivatives containing a 4-aminocyclohexyl spacer.
WO 01/025227, WO 02/040474, WO 2004/011454, WO 2004/024712 and WO 2004/024713 disclose quinoline derivatives containing a 4-propyl-piperidinyl spacer.
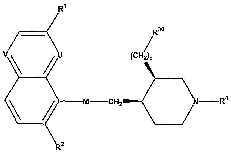
It has now been found that certain novel bicyclic derivatives are useful antimicrobial agents and effective against a variety of multi-drug resistant bacteria. Thus, the present invention relates to novel piperidine derivatives of the general formula
Figure imgf000003_0001
I wherein one of U and V represents N, the other represents N or CH; M represents CH2CH2, CH=CH, CH(OH)CH(OH), CH(OH)CH2, CH(NH2)CH2, COCH2 or OCH2;
R1 represents alkyl, haloalkyl, alkoxy, haloalkoxy, halogen or cyano; R2 represents hydrogen or halogen; R3 represents carboxy, carboxamido, alkylaminocarbonyl, hydroxy, aminocarbonyloxy, 2- tetrazolyl or 3-methyl-l,2,4-oxadiazol-5-yl;
R4 represents alkyl, (C]-C4)alkoxy-(Ci-C4)alkyl, haloalkyl, alkenyl, arylalkyl, aryl-S(O)m- alkyl, heteroarylalkyl, heteroarylaminocarbonylalkyl, heteroaryl-S(O)m-alkyl, CH2-CH=CH- aryl or cycloalkyl-S(O)m-alkyl; n is an integer from O to 3; and m is O or 2 (and preferably O).
In particular, the compounds of formula I may be compounds of formula ICE
Figure imgf000004_0001
ICE wherein
U represents CH and V represents N or U and V are each N;
M represents CH2CH2, CH(OH)CH(OH), CH(OH)CH2 or OCH2;
R1 represents alkoxy;
R2 represents hydrogen; R3 represents carboxy, hydroxy or aminocarbonyloxy;
R4 represents arylalkyl, aryl-S(O)m-alkyl, heteroarylalkyl, heteroarylaminocarbonylalkyl, heteroaryl-S(O)m-alkyl or CH2-C=C-aryl; n is an integer between O and 3; and m is O. - A -
Another aspect of this invention relates to compounds of formula Ip1
Figure imgf000005_0001
Ipi wherein one of U and V represents N, the other represents N or CH;
M represents CH2CH2, CH=CH, CH(OH)CH(OH), CH(OH)CH2, CH(NH2)CH2, COCH2 or
OCH2;
R1 represents alkyl, alkoxy, halogen or cyano;
R2 represents hydrogen or halogen; R3 represents carboxy, carboxamido, alkylaminocarbonyl, hydroxy, aminocarbonyloxy, 2- tetrazolyl or 3-methyl-l,2,4-oxadiazol-5-yl;
R4 represents Ci-Cg-alkyl, C2-C9-alkenyl, arylalkyl, aryl-S(O)m-alkyl, heteroarylalkyl, heteroaryl-S(O)m-alkyl, CH2-C≡C-aryl or cycloalkyl-S(O)m-alkyl; n is an integer between O and 3; and m is O or 2.
A further embodiment of the bicyclic derivatives of the above formula I, ICE or Ip1 relates to their prodrugs, their tautomers, their optically pure enantiomers, mixtures of enantiomers, racemates, optically pure diastereoisomers, mixtures of diastereoisomers, diastereoisomeric racemates, mixture of diastereoisomeric racemates, meso forms, pharmaceutically acceptable salts, solvent complexes and morphological forms thereof. Particularly preferred are the optically pure enantiomers, optically pure diastereoisomers, meso forms, pharmaceutically acceptable salts, solvent complexes and morphological forms. The following paragraphs provide definitions of the various chemical moieties for the compounds of formula Ip1 and are intended to apply to those compounds unless an otherwise expressly set out definition provides a broader definition:
❖ The term "alkyl" refers to a saturated straight or branched chain alkyl group, containing from one to nine, preferably one to six, in particular one to four carbon atoms, for example methyl, ethyl, propyl, iso-propyl, butyl, iso-butyl, sec-butyl, tert-butyl, n-pentyl, iso- pentyl n-hexyl, 2,2-dimethylbutyl, n-octyl. Any alkyl group as defined herein may be substituted with one, two or more substituents, for example F, Cl, Br, I, NH2, OH, SH, COOH or NO2. Examples for substituted alkyl groups are trifluoromethyl, trifluoroethyl, hydroxymethyl, hydroxyethyl, carboxymethyl and carboxyethyl.
❖ The term "cycloalkyl" refers to a saturated, monocyclic or bicyclic group with three to ten carbon ring-atoms, optionally containing one double bond, for example cyclopropyl, cyclobutyl, cyclopentyl, cyclohexyl, cycloheptenyl, cyclopentenyl, decahydronaphtalenyl, octahydroindenyl or cyclohex-2-enyl. Any cycloalkyl group as defined herein may be substituted with one, two or more halogen substituents in particular fluorine. Any cycloalkyl group as defined herein may be substituted with one, two or more substituents, for example F, Cl, Br, I, NH2, OH, SH, COOH or NO2. An example for substituted cycloalkyl groups is 4-fluorocyclohexyl. The term "cycloalkyl" preferably refers to cyclopentyl and cyclohexyl.
❖ The term "alkenyl" refers to a straight or branched chain olefinic group with one or two double bonds containing from two to nine, preferably two to six, in particular two to four carbon atoms, for example vinyl, allyl, 2-butenyl, 3-butenyl, 4-butenyl and 2,4-butadienyl.
The term "alkoxy" is an "alkyl-O" group, where "alkyl" has the above significance. Examples for substituted alkoxy groups are trifluoromethoxy and trifluoroethoxy.
❖ The term "halogen" refers to fluorine, chlorine, bromine or iodine, preferably to fluorine or chlorine.
❖ The term "aryl" refers to an aromatic cyclic group with one, two or three rings, having five to 14 carbon ring-atoms preferably from five or six to ten carbon ring-atoms, for example phenyl or naphthyl groups. Any aryl group as defined herein may be substituted with one, two or more substituents, for example F, Cl, Br, I, OH, NH2, SH, N3, NO2, carboxy, carbamoyl (CONH2), alkylaminocarbonyl such as methylaminocarbonyl or dimethyl aminocarbonyl, alkoxycarbonyl groups such as methoxy or ethoxycarbonyl, alkylsulfanyl groups such as methylsulfanyl or ethylsulfanyl, alkyl groups such as methyl or ethyl, perfluoroalkyl groups such as trifluoromethyl or trifluoroethyl, alkoxy groups such as methoxy, amino groups such as methylamino or dimethylamino, or cyano.
Specific examples are 2-fluorophenyl, 3 -fluorophenyl, 4-fluorophenyl, 4-methoxyphenyl, 4-methylphenyl, 2-trifluoromethylphenyl, 3-trifluoromethylphenyl 4- trifluoromethylphenyl, 4-trifluoromethoxy-phenyl, 2,4-difluorophenyl, 3,4- difluorophenyl, 2,4-dimethoxyphenyl and 2,4-dimethylphenyl.
❖ The term "heteroaryl" refers to an aryl group as defined herein where one, two or more ring-carbon atoms are replaced by an oxygen, nitrogen or sulphur atom, for example thiophenyl, furyl, pyridyl, imidazolyl, pyrazolyl, quinolinyl, isoquinolinyl, pyrrolyl, oxazolyl, isoxazolyl, thiazolyl, isothiazolyl, 1,2,3-triazolyl, 1 ,2,4-triazolyl, oxadiazolyl, thiadiazolyl, indolyl, indazolyl, tetrazolyl, pyrazinyl, pyrimidinyl and pyridazinyl groups. The term "heteroaryl" also covers bicyclic structures such as benzofuran-2-yl, benzimidazol-2-yl, benzothiazol-2-yl, benzo[l,3]dioxol-5-yl, 2,3-dihydro- benzo[l ,4]dioxin-6-yl, 4H-benzo[l ,4]oxazin-3-one-6-yl, 4H-benzo[ 1 ,4]thiazin-3-one-6-yl, 3-oxo-3,4-dihydro-2H-benzo[l,4]thiazin-6-yl, lH-pyrido[2,3-b][l,4]thiazin-2-one-7-yl, 2,3-dihydro-[l ,4]dioxino[2,3-c]pyridin-7-yl, 2,3-dihydro-[l ,4]dioxino[2,3-b]pyridin-7-yl, 4H-pyrido[3,2-b][l,4]oxazin-3-one-6-yl, 3,4-dihydro-2H-pyrido[3,2-b]thiazin-6-yl, 3- oxo-3 ,4-dihydro-2H-pyrido[3 ,2-b]thiazin-6-yl, 3 ,4-dihydro- 1 H-quinolin-2-one-7-yl, 3 ,4- dihydro-lH-quinoxalin-2-one-7-yl, 2-oxo-3,4-dihydro-lH-[l,8]naphtyridin-6-yl, 6,7- dihydro- [1,4] dioxino [2 ,3 -d]pyrimidin-2-yl, 2-oxo-2,3 -dihydro- 1 H-pyrido [3,4- b][l,4]oxazin-7-yl, 2-oxo-2,3-dihydro-lH-pyrido[2,3-b][l,4]oxazin-7-yl, benzo[l,2,5]thiadiazol-5-yl, benzofuran-3-yl and 7-fluoro-4H-benzo[l,4]thiazin-3-one-6- yl. Any heteroaryl group as defined herein may be substituted with one, two or more substituents, for example F, Cl, Br, I, OH, NH2, SH, N3, NO2, carboxyl, carbamoyl (CONH2), alkylaminocarbonyl such as methylaminocarbonyl or dimethyl aminocarbonyl, alkoxycarbonyl groups such as methoxy or ethoxycarbonyl, alkylsulfanyl groups such as methylsulfanyl or ethylsulfanyl, alkyl groups such as methyl or ethyl, perfluoroalkyl groups such as trifluoromethyl or trifluoroethyl, alkoxy groups such as methoxy, amino groups such as methylamino or dimethylamino, or cyano. Specific examples are thiophen- 2-yl, thiazol-2-yl, 4-methyl-thiazol-2-yl, 5-trifluoromethyl-pyridin-2-yl and benzofuran-2- yi-
❖ The aforegoing groups "alkyl", "aryl" and "heteroaryl" when combined to form the groups "arylalkyl", "aryl-S(O)m-alkyl", "heteroarylalkyl" and "heteroaryl-S(O)m-alkyl" have the same exemplary meaning as their constituents discussed above. As brief examples only, the combinations can mean:
- "alkylaminocarbonyl": methylaminocarbonyl, ethylaminocarbonyl;
- "arylalkyl": benzyl, phenethyl, naphthylmethyl, 4-fluorobenzyl, 2,4-dimethoxybenzyl, 2,4-di-trifluoromethyl-phenethyl; - "aryl-S(O)m-alkyl": phenylsulfanylethyl, 2-trifluoromethyl-phenylsulfanylethyl,
3-trifluoromethyl-phenylsulfanylethyl, 4-trifluoromethyl-phenylsulfanylethyl, 4-fluoro-phenylsulfanylethyl, 2,5-difluoro-phenylsulfanylethyl;
- "heteroarylalkyl": thiophen-2-yl-propyl, pyrrol-2-yl-propyl, pyrid-2-yl-propyl, thiazol-2-yl-propyl, 5-fluoro-pyridin-2-yl-propyl or benzofuran-2-yl-propyl; - "heteroaryl-S(O)m-alkyl": thiophen-2-ylsulfanylethyl, thiazol-2-ylsulfanylethyl, pyrrol-2-yl-sulfanylethyl, pyridin-2-yl-sulfinylethyl, pyridin-2-yl-sulfonylethyl, 4-fluoro-thiazol-2-ylsulfanylethyl, 3-trifluoromethyl-pyrrol-2-yl-sulfanylethyl;
- "CH2-G≡C-aryl": 3-phenyl-propargyl, 3-(4-fluoro-phenyl)-propargyl, 3-(2-trifluoromethyl -phenyl)-propargyl; - "cycloalkyl-S(O)m-alkyl": cyclohex-2-ylsulfanylethyl, cyclopent-2-ylsulfanylethyl.
The following paragraphs provide definitions of the various chemical moieties for the compounds according to the invention and are intended to apply uniformly throughout the specification and claims (except for the compounds of formula Ip1 that have their own definitions), unless an otherwise expressly set out definition provides a broader or narrower definition:
❖ The term "alkyl" refers to a saturated straight or branched chain alkyl group, containing from one to nine, preferably one to six, in particular one to four carbon atoms, for example methyl, ethyl, propyl, zso-propyl, /z-butyl, zso-butyl, sec-butyl, tert-bntyl, «-pentyl, zso-pentyl, H-hexyl, 2,2-dimethylbutyl, «-octyl. The term "(Ci-Cx)alkyl" (x being an integer) refers to an alkyl group containing 1 to x carbon atoms. ❖ The term "haloalkyl" refers to a saturated straight or branched chain alkyl group, containing from one to six and preferably one to four carbon atoms, in which at least one hydrogen atom (and possibly all) has been replaced by a halogen atom. Representative examples of haloalkoxy groups include, but are not limited to, trifluoromethyl or 2,2,2-trifluoroethyl. The term "(Ci-Cx)haloalkyl" (x being an integer) refers to a straight of branched chain haloalkyl group containing 1 to x carbon atoms.
❖ The term "cycloalkyl", alone or in combination, refers to a saturated, monocyclic or bicyclic group with three to ten carbon ring-atoms, for example cyclopropyl, cyclobutyl, cyclopentyl, cyclohexyl, cycloheptenyl, cyclopentenyl, decahydronaphtalenyl or octahydroindenyl. The term "cycloalkyl" preferably refers to cyclopentyl or cyclohexyl.
❖ The term "alkoxy" refers to a saturated straight or branched chain alkoxy group, containing from one to nine, preferably one to six, and in particular one to four carbon atoms. Representative examples of alkoxy groups include, but are not limited to, methoxy, ethoxy, propoxy, zso-propoxy, n-butoxy, zso-butoxy, sec-bvAoxy, tert-butoxy or H-hexyloxy. The term "(Ci-Cx)alkoxy" refers to a straight or branched chain alkoxy group containing 1 to x carbon atoms.
❖ The term "haloalkoxy" refers to a saturated straight or branched chain alkoxy group, containing from one to six and preferably one to four carbon atoms, in which at least one hydrogen atom (and possibly all) has been replaced by a halogen atom. Representative examples of haloalkoxy groups include, but are not limited to, trifiuoromethoxy or difluoromethoxy. The term "(Ci-Cx)haloalkoxy" (x being an integer) refers to a straight of branched chain haloalkoxy group containing 1 to x carbon atoms.
❖ The term "halogen" refers to fluorine, chlorine, bromine or iodine, and preferably to fluorine or chlorine.
❖ The term "alkylaminocarbonyl" means an alkylaminocarbonyl group wherein the alkyl group is a (Ci-C6)alkyl group.
The term (Ci-C4)alkoxy-(Ci-C4)alkyl refers to a (C]-C4)alkyl group as previously defined itself substituted with a (Ci-C4)alkoxy group as previously defined.
❖ The term "alkenyl" refers to a straight or branched chain olefmic group with one or two double bonds containing from two to nine, preferably two to six, in particular two to four carbon atoms, for example vinyl, allyl, 2-butenyl, 3-butenyl, 4-butenyl and 2,4-butadienyl. The term "(C2-Cx)alkenyl" (x being an integer) refers to an alkyl group containing 2 to x carbon atoms.
♦♦♦ The term "aryl", alone or in combination, refers to an aromatic cyclic group with one, two or three rings, having five to 14 carbon ring-atoms preferably from five or six to ten carbon ring-atoms, for example phenyl or naphthyl groups. Any aryl group as defined herein may be substituted may be substituted with one to three substituents each independently selected from the group consisting of halogen, OH, NH2, carboxyl, carbamoyl (CONH2), methylaminocarbonyl, dimethylaminocarbonyl, methoxycarbonyl, ethoxycarbonyl, (Ci-C4)alkyl, trifluoromethyl, (Ci-C4)alkoxy, trifluoromethoxy and cyano
(preferably, an aryl group will be optionally substituted with one to three substituents independently selected from the group consisting of halogen, (Ci-C4)alkyl and (Ci-C4)alkoxy). Specific examples of aryl are 2-fluorophenyl, 3 -fluorophenyl, 4-fluorophenyl, 4-methoxyphenyl, 4-methylphenyl, 2-trifluoromethylphenyl, 3-trifiuoromethylphenyl 4-trifluoromethylphenyl, 4-trifluoromethoxy-phenyl,
2,4-difluorophenyl, 2,5-difluorophenyl, 3,4-difluorophenyl, 2,4-dimethoxyphenyl and 2,4-dimethylphenyl.
❖ The term "heteroaryl", alone or in combination, refers to an aryl group as defined herein where one, two or more ring-carbon atoms are replaced by an oxygen, nitrogen or sulphur atom, for example thiophenyl, furyl, pyridyl, imidazolyl, pyrazolyl, benzofuran-2-yl, benzimidazol-2-yl, benzothiazol-2-yl, quinolinyl, isoquinolinyl, pyrrolyl, oxazolyl, isoxazolyl, thiazolyl, isothiazolyl, 1,2,3-triazolyl, 1,2,4-triazolyl, oxadiazolyl, thiadiazolyl, indolyl, indazolyl, tetrazolyl, pyrazinyl, pyrimidinyl and pyridazinyl groups. Any heteroaryl group as defined herein may be substituted with one or two substituents each independently selected from the group consisting of halogen, OH, NH2, carboxyl, carbamoyl (CONH2), methylaminocarbonyl, dimethylaminocarbonyl, methoxycarbonyl, ethoxycarbonyl, (Ci-C4)alkyl, trifluoromethyl, (Ci-C4)alkoxy, trifluoromethoxy and cyano (preferably, a heteroaryl group will be optionally substituted with one or two substituents each independently selected from the group consisting of halogen, (Ci-C4)alkyl and (Ci-C4)alkoxy). Specific examples are thiophen-2-yl, thiazol-2-yl, 4-methyl-thiazol-2~yl,
5-trifluoromethyl-pyridin-2-yl and benzofuran-2-yl. ❖ The term "arylalkyl" refers to an arylalkyl group wherein the aryl group is an aryl group as defined previously and the alkyl group is a (Ci-C4)alkyl group.
❖ The term "aryl-S(O)m-alkyl" refers to an aryl-S(O)m-alkyl group wherein the aryl group is an aryl group as defined previously and the alkyl group is a (C]-C4)alkyl group.
♦♦♦ The term "heteroarylalkyl" refers to a heteroarylalkyl group wherein the heteroaryl group is a heteroaryl group as defined previously and the alkyl group is a (Ci-C4)alkyl group.
♦♦♦ The term "heteroarylaminocarbonylalkyl" refers to a heteroarylaminocarbonylalkyl group wherein the heteroaryl group is a heteroaryl group as defined previously and the alkyl group is a (C]-C4)alkyl group.
❖ The term "heteroaryl-S(O)m-alkyl" refers to a heteroaryl-S(O)m-alkyl group wherein the heteroaryl group is a heteroaryl group as defined previously and the alkyl group is a (Ci-C4)alkyl group.
❖ The term "CH2-CH=CH-aryl" refers to a CH2-CH=CH-aryl group wherein the aryl group is an aryl group as defined previously.
❖ The term "cycloalkyl-S(O)m-alkyl" refers to a cycloalkyl-S(O)m-alkyl group wherein the cycloalkyl group is a cycloalkyl group as defined previously and the alkyl group is a (Cϊ-GOalkyl group.
❖ When in the formula
Figure imgf000011_0001
M represents the radical OCH2, this means specifically that the oxygen atom of the OCH2 iical is attached to the
Figure imgf000012_0001
group whereas CH2 part of the OCH2 radical is attached to the
Figure imgf000012_0002
group. The same is applicable mutatis mutandis to the other asymmetric meanings of the group M.
As brief examples only, the combinations "alkylaminocarbonyl", "arylalkyl", "aryl-S(O)m-alkyl", "heteroarylalkyl", "heteroaryl-S(O)m-alkyl", "CH2-CH=CH-aryl" and "cycloalkyl-S(O)m-alkyl" can mean:
- "alkylaminocarbonyl": methylaminocarbonyl or ethylaminocarbonyl; - "arylalkyl": benzyl, phenethyl, naphthylmethyl, 4-fluorobenzyl,
2,4-dimethoxybenzyl or 2,4-di-trifluoromethyl-phenethyl;
- "aryl-S(O)m-alkyl": phenylsulfanylethyl, 2-trifluoromethyl-phenylsulfanylethyl, 3-trifluoromethyl-phenylsulfanylethyl, 4-trifluoromethyl-phenylsulfanylethyl, 4-fluoro-phenylsulfanylethyl or 2,5-difluoro-phenylsulfanylethyl; - "heteroarylalkyl": thiophen-2-yl-propyl, pyrrol-2-yl-propyl, pyrid-2-yl-propyl, thiazol-2-yl-propyl, 5-fluoro-pyridin-2-yl-propyl, benzofuran-2-yl-propyl or benzofuran-2-yl-methyl; - "heteroaryl-S(O)m-alkyl": thiophen-2-ylsulfanylethyl, thiazol-2-ylsulfanylethyl, pyrrol-2-yl-sulfanylethyl, pyridin-2-yl-sulfinylethyl, pyridin-2-yl-sulfonylethyl, 4-fluoro-thiazol-2-ylsulfanylethyl or 3-trifluoromethyl-pyrrol-2-yl-sulfanylethyl;
- "CH2-CH=CH-aryl": (2,5-difluoro-phenyl)-allyl;
- "cycloalkyl-S(O)m-alkyl": cyclohexylsulfanylethyl or cyclopentylsulfanylethyl.
Compounds of formula I carrying a double bond in M are present as Z/E (cis/trans) isomer mixtures or as Z (cis) or E (trans) isomers. Preferred are the E (trans) isomers.
The combinations for the symbols U and V are evident from the following particular structures:
Figure imgf000013_0001
According to a first variant of the invention, the compounds of formula I, ICE or Ip1 will be such that U is CH and V is N.
According to a second variant of the invention, the compounds of formula I, ICE or Ip1 will be such that both U and V are N.
According to a third variant of the invention, the compounds of formula I, ICE or Ip1 will be such that both U is N and V is CH.
Compounds of formula I wherein M is CH2CH2, CH(OH)CH2, OCH2 or CH(OH)CH(OH) (and notably CH2CH2, CH(OH)CH2 or OCH2) will be preferred.
Also preferred will be compounds of formula I wherein R1 is Ci-C3 alkyl, methoxy, ethoxy, trifluoromethyl, trifluoromethoxy or cyano, in particular methyl, methoxy or cyano (and notably methoxy).
Preferably also, R2 will be hydrogen or fluorine (and notably hydrogen).
R3 will preferably be carboxy. R4 will preferably be phenylsulfanylethyl, 2,5-difluorophenylsulfanyl, cyclopentylsulfanylethyl, cyclohexylsulfanylethyl or thiophen-2-ylsulfanylethyl,
(2,5-difluoro-phenyl)-allyl or benzofuran-2-ylmethyl. More preferably, R4 will be phenylsulfanylethyl, 2,5-difluorophenylsulfanyl, cyclopentylsulfanylethyl, cyclohexylsulfanylethyl or thiophen-2-ylsulfanylethyl (particularly thiophen- 2-ylsulfanylethyl, (2,5-difluoro-phenyl)-allyl or benzofuran-2-ylmethyl and more particularly thiophen-2-ylsulfanylethyl) .
n will preferably be 0, 1 or 2 when R3 is carboxy, carboxamido or alkylaminocarbonyl.n will preferably be 1, 2 or 3 when R3 is hydroxy or aminocarbonyloxy.
m is preferably 0.
Besides, preferred compounds of formula I are those wherein at least one of the following characteristics is present:
❖ U is CH and V is N;
❖ R1 is (Ci-C2)alkyl, (Ci-C2)haloalkyl, (Ci-C2)alkoxy, (Ci-C2)haloalkoxy, halogen or cyano; ♦♦♦ R2 represents hydrogen or fluorine;
♦♦♦ R3 represents carboxy, carboxamido, alkylaminocarbonyl, hydroxy or aminocarbonyloxy;
❖ M is CH2CH2, CH=CH, CH(OH)CH(OH), CH(OH)CH2, COCH2 or OCH2;
❖ R4 is arylalkyl, aryl-S(O)m-alkyl, heteroarylalkyl, heteroarylaminocarbonylalkyl, heteroaryl-S(O)m-alkyl or CH2-CH=CH-aryl, m representing each time 0.
More preferred compounds of formula I are those wherein at least one of the following characteristics is present:
❖ U is CH and V is N;
R1 is methoxy or cyano (and in particular methoxy);
❖ R2 represents hydrogen; ❖ R3 represents carboxy and n is 0 or 1 (and in particular 0);
❖ M is CH2CH2, CH(OH)CH(OH), CH(OH)CH2 or OCH2 (and notably CH(OH)CH2); R4 is selected from the group consisting of: o heteroarylalkyl wherein the heteroaryl is benzofuran-2-yl and the alkyl is a (Ci-C2)alkyl group (in particular methyl); o heteroaryl-S(O)m-alkyl wherein m is 0, the heteroaryl is 2-thienyl and the alkyl is a (Ci-C2)alkyl group (in particular ethyl); and o CH2-CH=CH-aryl wherein the aryl is phenyl or 2,5-difluorophenyl.
The stereochemistry of the piperidine ring derives from the degradation product of quinine and is the following {Tetrahedron Letters (2001), 42, 3235-38):
R3 (CH2Jn
Figure imgf000015_0001
Preferred compounds of the formula I are the following:
• (ii?,^5)-4-[2-(3-methoxy-quinolin-5-yloxy)-ethyl]-l-[2-(thiophen-2-ylsulfanyl)-ethyl]- piperidine-3-carboxylic acid
• 3-{(3i?,45)-4-[2-(3-methoxy-quinolin-5-yloxy)-ethyl]-l-[2-(thiophen-2-ylsulfanyl)-ethyl]- piperidin-3-yl} -propionic acid
• (3i?,^)-4-[3-(3-methoxy-quinolin-5-yl)-propyl]- 1 -[2-(thiophen-2-ylsulfanyl)-ethyl]- piperidine-3-carboxylic acid • 3- {(3R,4R)-4-[3-(3-methoxy-quinolin-5~yl)-propyl]- 1 -[2-(thiophen-2-ylsulfanyl)-ethyl]- piperidin-3-yl} -propionic acid
• (3i?,^i?)-4-[(3i?5)-3-hydroxy-3-(3-methoxy-quinolin-5-yl)-propyl]-l-[2-(thiophen-2- ylsulfanyl)-ethyl] -piperidine-3 -carboxylic acid
• 3-{(3i?,^i?)-4-[(3i?1S)-3-hydroxy-3-(3-methoxy-quinolin-5-yl)-propyl]-l-[2-(thiophen- 2-ylsulfanyl)-ethyl]-piperidin-3-yl} -propionic acid
• (3i?,^i?)-4-[(3i?1S)-3-(6-fluoro-3-methoxy-quinolin-5-yl)-3-hydroxy-propyl]- l-[2-(thiophen-2-ylsulfanyl)-ethyl]-piperidine-3-carboxylic acid o 3 - { {3R,4R)-A- [(J RS)-Z -(6-fluoro-3 -methoxy-quinolin-5 -yl)-3 -hydroxy-propyl] - 1 -[2-(thiophen-2-ylsulfanyl)-ethyl]-piperidin-3-yl} -propionic acid • (3i?,^5)-4-[2-(6-fluoro-3-methoxy-quinolin-5-yloxy)-ethyl]- 1 -[2-(thiophen-2-ylsulfanyl)- ethyl]-piperidine-3-carboxylic acid
• 3-{(3i?,^5)-4-[2-(6-fluoro-3-methoxy-quinolin-5-yloxy)-ethyl]-l-[2-(thiophen- 2-ylsulfanyl)-ethyl]-piperidin-3-yl} -propionic acid • (3i?,^i?)-4-[(3i?lS)-3-hydroxy-3-(2-methoxy-quinolin-8-yl)-propyl]-l-[2-(thiophen- 2-ylsulfanyl)-ethyl]-piperidine-3 -carboxylic acid
• 3- {(3i?,^5)4-[(3i?5)-3-hydroxy-3-(2-methoxy-quinolin-8-yl)-propyl]- 1 -[2-(thiophen- 2-ylsulfanyl)-ethyl]-piperidin-3-yl} -propionic acid
• (3i?,4S>4-[2-(2-methoxy-quinolin-8-yloxy)-ethyl]- 1 -[2-(thiophen-2-ylsulfanyl)-ethyl]- piperidine-3-carboxylic acid
• 3-{(3i?,^5)-4-[2-(2-methoxy-quinolin-8-yloxy)-ethyl]-l-[2-(thiophen-2-ylsulfanyl)-ethyl]- piperidin-3-yl} -propionic acid
• (3i?,^i?)-4-[(3i?5)-3-hydroxy-3-(3-methoxy-quinolin-5-yl)-propyl]-l-(3-phenyl-propyl)- piperidine-3-carboxylic acid • (3i?,¥JR)-4-[(3i?S)-3-hydroxy-3-(3-methoxy-quinolin-5-yl)-propyl]- 1 -(2-phenylsulfanyl- ethyl)-piperidine-3 -carboxylic acid
• (ii?,2i?)-3-{(3R,^5)-3-(2-hydroxy-ethyl)-l-[2-(thiophen-2-ylsulfanyl)-ethyl]-piperidin- 4-yl} - 1 -(3-methoxy-quinoxalin-5-yl)-propane- 1 ,2-diol and in particular the 14 first compounds mentioned in the list hereabove.
Also preferred are the following compounds.
• 3- {(3i?,4S)-4-[2-(3-methoxy-quinolin-5-yloxy)-ethyl]-l -[2-(thiophen-2-ylsulfanyl)-ethyl]- piperidin-3-yl} -propionic acid;
• 3-{(3i?,45)-4-[2-(3-methoxy-quinolin-5-yloxy)-ethyl]-l-[2-(thiophen-2-ylsulfanyl)-ethyl]- piperidin-3-yl} -propan-1 -ol; • (3i?,4i?)-4-[3-(3-methoxy-quinolin-5-yl)-propyl]-l-[2-(thiophen-2-ylsulfanyl)-ethyl]- piperidine-3-carboxylic acid;
• (3i?,^>S)-l-benzofuran-2-ylmethyl-4-[3-(3-methoxy-quinolin-5-yl)-propyl]-piperidine- 3 -carboxylic acid;
• (3R,4R)- {4-[3-(3-methoxy-quinolin-5-yl)-propyl]- 1 -[2-(thiophen-2-ylsulfanyl)-ethyl]- piperidin-3-yl} -acetic acid;
• 2-{(3i?^5)-4-[3-(3-methoxy-quinolin-5-yl)-propyl]-l-[2-(thiophen-2-ylsulfanyl)-ethyl]- piperidin-3-yl} -ethanol; • carbamic acid 2-{(3/?,^i?)-4-[3-(3-methoxy-quinolin-5-yl)-propyl]-l-[2-(thiophen- 2-ylsulfanyl)-ethyl]-piperidin-3-yl}-ethyl ester;
• 4-[3-hydroxy-3-(3-methoxy-quinolin-5-yl)-propyl]-l-[2-(thiophen-2-ylsulfanyl)-ethyl]- piperidine-3-carboxylic acid; • 1 -benzofuran-2-ylmethyl-(3i?,^)-4-[(3i?5)-3-hydroxy-3-(3-methoxy-quinolin-5-yl)- propyl]-piperidine-3-carboxylic acid;
• (3i?,^i?)-4-[(3i?5)-3-hydroxy-3-(3-methoxy-quinolin-5-yl)-propyl]-l-?ra725-(3-phenyl- allyl)-piperidine-3-carboxylic acid;
• (3i?,4i?)-l-[3-(2,5-difluoro-phenyl)-allyl]-4-[(3JR5)-3-hydroxy-3-(3-methoxy-quinolin- 5-yl)-propyl]-piperidine-3-carboxylic acid;
• (3i?,^)-4-[(5i?,S)-3-hydroxy-3-(3-methoxy-quinolin-5-yl)-propyl]-l-(thiazol- 2-ylcarbamoylmethyl)-piperidine-3-carboylic acid;
• {(3JR,¥S)-4-[(2i?,5i?)-2,3-dihydroxy-3-(3-methoxy-quinolm-5-yl)-propyl]-l-[2-(thiophen- 2-ylsulfanyl)-ethyl]-piperidin-3-yl} -acetic acid; • (lR,2R)-[(3R,4$)-3- {3-(2-hydroxy-ethyl)-l -[2-(thiophen-2-ylsulfanyl)-ethyl]-piperidin- 4-yl}]-l-(3-methoxy-quinolin-5-yl)-propane-l,2-diol;
• (H?,2R)-{(3JR^5)-3-[l-[3-trαrø-(2,5-difluoro-phenyl)-allyl]-3-(2-hydroxy-ethyl)- piperidin-4-yl] } - 1 -(3 -methoxy-quinolin-5-yl)-propane- 1 ,2-diol; and the pharmaceutically acceptable salts of the latter.
In particular, the following compounds.
• 3-{(3i?,^5)-4-[2-(3-methoxy-quinolin-5-yloxy)-ethyl]-l-[2-(thiophen-2-ylsulfanyl)-ethyl]- piperidin-3-yl} -propionic acid;
• 3-{(3i?,¥»S)-4-[2-(3-methoxy-quinolin-5-yloxy)-ethyl]-l-[2-(thiophen-2-ylsulfanyl)-ethyl]- piperidin-3-yl} -propan- 1 -ol; • (3i?,4i?)-4-[3-(3-methoxy-quinolin-5-yl)-propyl]-l-[2-(thiophen-2-ylsulfanyl)-ethyl]- piperidine-3-carboxylic acid; and their pharmaceutically acceptable salts will be preferred.
Compounds of formula I are suitable for the use as chemotherapeutic active compounds in human and veterinary medicine and as substances for preserving inorganic and organic materials in particular all types of organic materials for example polymers, lubricants, paints, fibres, leather, paper and wood. These compounds according to the invention are particularly active against bacteria and bacteria-like organisms. They are therefore particularly suitable in human and veterinary medicine for the prophylaxis and chemotherapy of local and systemic infections caused by these pathogens as well as disorders related to bacterial infections comprising pneumonia, otitis media, sinusitis, bronchitis, tonsillitis, and mastoiditis related to infection by Streptococcus pneumoniae, Haemophilus influenzae, Moraxella catarrhalis, Staphylococcus aureus, Enter ococcus faecalis, E.faecium, E. casselflavus, S. epidermidis, S. haemolyticus, or Peptostreptococcus spp.; pharyngitis, rheumatic fever, and glomerulonephritis related to infection by Streptococcus pyogenes, Groups C and G streptococci, Corynebaterium diphtheriae, or Actinohacillus haemolyticum; respiratory tract infections related to infection by Mycoplasma pneumoniae, Legionella pneumophila, Streptococcus pneumoniae, Haemophilus influenzae, or Chlamydia pneumoniae; blood and tissue infections, including endocarditis and osteomyelitis, caused by S. aureus, S. haemolyficus, E. faecalis, E. faecium, E. durans, including strains resistant to known antibacterials such as, but not limited to, beta- lactams, vancomycin, aminoglycosides, quinolones, chloramphenicol, tetracyclines and macrolides; uncomplicated skin and soft tissue infections and abscesses, and puerperal fever related to infection by Staphylococcus aureus, coagulase-negative staphylococci (i.e., S. epidermidis, S. hemolyticus, etc.), Streptococcus pyogenes, Streptococcus agalactiae, Streptococcal groups C-F (minute colony streptococci), viridans streptococci, Corynebacterium minutissimum, Clostridium spp., or Bartonella henselae; uncomplicated acute urinary tract infections related to infection by Staphylococcus aureus, coagulase- negative staphylococcal species, or Enterococcus spp.; urethritis and cervicitis; sexually transmitted diseases related to infection by Chlamydia trachomatis, Haemophilus eglumi, Treponema pallidum, Ureaplasma urealyticum, or Neiserria gonorrheae; toxin diseases related to infection by S. aureus (food poisoning and toxic shock syndrome), or Groups A, B, and C streptococci; ulcers related to infection by Helicobacter pylori; systemic febrile syndromes related to infection by Borrelia recurrentis; Lyme disease related to infection by Borrelia burgdorferi; conjunctivitis, keratitis, and dacrocystitis related to infection by Chlamydia trachomatis, Neisseria gonorrhoeae, S. aureus, S. pneumoniae, S. pyogenes, H. influenzae, or Listeria spp.; disseminated Mycobacterium avium complex (MAC) disease related to infection by Mycobacterium avium, or Mycobacterium intracellular e; infections caused by Mycobacterium tuberculosis, M. leprae, M. paratuberculosis, M. kansasii, or M. chelonei; gastroenteritis related to infection by Campylobacter jejuni; intestinal protozoa related to infection by Cryptosporidium spp.; odontogenic infection related to infection by viridans streptococci; persistent cough related to infection by Bordetella pertussis; gas gangrene related to infection by Clostridium perfήngens or Bacteroides spp.; and atherosclerosis or cardiovascular disease related to infection by Helicobacter pylori or Chlamydia pneumoniae.
Compounds of Formula (I) according to the present invention are further useful for the preparation of a medicament for the treatment of infections that are mediated by bacteria such as E. coli, Klebsiella pneumoniae and other enterobacteriaceae, Acinetobacter spp., Stenothrophomonas maltophilia, Neisseria meningitidis, Bacillus cereus, Bacillus anthracis, Corynebacterium spp., Propionibacterium acnes and bacteroide spp.
Compounds of Formula (I) according to the present invention are further useful to treat protozoal infections caused by Plasmodium malaria, Plasmodium falciparum, Toxoplasma gondii, Pneumocystis carinii, Trypanosoma brucei and Leishmania spp.
The present list of pathogens is to be interpreted merely as examples and in no way as limiting.
As well as in humans, bacterial infections can also be treated in other species like pigs, ruminants, horses, dogs, cats and poultry
The present invention also relates to pharmacologically acceptable salts, or solvates and hydrates, respectively, and to compositions and formulations of compounds of formula I.
Examples of pharmacologically acceptable salts of sufficiently basic compounds of formula I are selected from the group consisting of salts of physiologically acceptable mineral acids like hydrochloric, hydrobromic, sulfuric and phosphoric acid; or salts of organic acids like methanesulfonic, p-toluenesulfonic, lactic, acetic, trifluoroacetic, citric, succinic, fumaric, maleic and salicylic acid. Further, a sufficiently acidic compound of formula I may form alkali or earth alkaline metal salts, for example sodium, potassium, lithium, calcium or magnesium salts; ammonium salts; or organic base salts, for example methylamine, dimethylamine, trimethylamine, triethylamine, ethylenediamine, ethanolamine, choline hydroxide, eglumine, piperidine, morpholine, tris-(2-hydroxyethyl)amine, lysine or arginine salts. Compounds of Formula I may be solvated, especially hydrated. The hydratation can occur during the process of production or as a consequence of the hygroscopic nature of the initially water free compounds of Formula I. The compounds of Formula I contain asymmetric C-atoms and may be present either as achiral compounds, mixtures of diastereomers, mixtures of enantiomers or as optically pure compounds.
The pharmaceutical composition according to the present invention contains at least one compound of formula I as the active agent and optionally carriers and/or diluents and/or adjuvants, and may also contain additional known antibiotics.
The present invention also relates to pro-drugs that are composed of a compound of formula I or ICE having at least one pharmacologically acceptable protective group that will be cleaved off under physiological conditions. Such prodrugs have been reviewed by Beaumont, Kevin; Webster, Robert; Gardner, Iain; Dack, Kevin in Current Drug Metabolism (2003), 4(6), 461-485. Examples of such promoities are, in case the compound of formula I or ICE contains a free carboxylic acid, alkoxy- (e.g. ethoxy), phenalkyloxy- (e.g. benzyloxy), OCH(Ra)OCORb (e.g. pivaloyloxymethyloxy), OCH(Ra)OCO2Rb {e.g.
[[(l-methylethoxy)carbonyl]oxy]ethyl ester; proxetil), OCH(Ra)ORb, 2-alkyl-, 2-cycloalkyl-, or 2-cycloalkylalkyl-oxycarbonyl-2-alkylidene-ethoxy groups, 5-alkyl[l,3]dioxol-2-one-4yl- methyloxy, dialkylamino-alkoxy or acyloxy wherein Ra is hydrogen or (Ci-C4)alkyl and Rb is hydrogen, (Ci-C6)alkyl, (C2-C6)alkenyl, (C1-C6)alkoxy-(Ci-C6)alkyl,
(Ci-C6)haloalkoxy-(Ci-C6)alkyl, (C3-C6)cycloalkyl or (C3-C6)cycloalkylmethyl. Furthermore, if a free hydroxy group is present on a compound of formula I or ICE, it can be protected as a prodrug of the type sulfate (OSO3H), phosphate (OPO3H2), oxymethylene phosphate (OCH2OPO3H2), succinate (OCOCH2CH2COOH), ester of dimethylaminoglycine or of a naturally occurring amino acid, or as an inorganic salt of one of the latter.
As mentioned above, therapeutically useful agents that contain compounds of Formula (I), their solvates, salts or formulations are also comprised in the scope of the present invention. In general, compounds of Formula (I) will be administered by using the known and acceptable modes known in the art, either alone or in combination with any other therapeutic agent. Such therapeutically useful agents can be administered by one of the following routes: oral, e.g. as tablets, dragee, coated tablets, pills, semisolids, soft or hard capsules, for example soft and hard gelatine capsules, aqueous or oily solutions, emulsions, suspensions or syrups, parenteral including intravenous, intramuscular and subcutaneous injection, e.g. as an injectable solution or suspension, rectal as suppositories, by inhalation or insufflation, e.g. as a powder formulation, as microcrystal or as a spray (e.g. liquid aerosol), transdermal, for example via an transdermal delivery system (TDS) such as a plaster containing the active ingredient, topical or intranasal. The substance of the present invention can also be used to impregnate or coated devices that are foreseen for implantation like catheters or artificial joints. The pharmaceutically useful agents may also contain additives for conservation, stabilisation, e.g. UV stabilizers, emulsifiers, sweetener, aromatisers, salts to change the osmotic pressure, buffers, coating additives and antioxidants.
Another aspect of the invention concerns a method for the treatment of disease comprising the administration to the patient of a pharmaceutically active amount of a derivative of formula I.
PREPARATION OF COMPOUNDS OF FORMULA I
Abbreviations:
The following abbreviations are used throughout the specification and the examples:
AcOH Acetic acid
AD-mix α l,4-tø(dihydroquinme)phthalazine, K3Fe(CN)6, K2CO3 and
K2OsO4.2H2O
AD-mix β l,4-δzs(dihydroquinidine)phthalazine, K3Fe(CN)6, K2CO3 and
K2OsO4.2H2O aq. aqueous atm atmosphere
9-BBN 9-borobicyclo [3.3.1 ]nonane d day(s)
1,2-DCE 1,2-dichloroethane
DCM dichloromethane
DIAD diisopropyl azodicarboxylate
DIBAH diisobutyl aluminium hydride
DIPEA N,N-diisopropylethylamine
DMAP 4-dimethylaminopyridine
1,2-DME 1 ,2-dimethoxyethane
DMF N,N-dimethylformamide DMSO dimethylsulfoxide
DMPU l,3-dimethyl-3,4,5,6-tetrahydro-2(lH)-pyrimidone
EA ethyl acetate
ESI Electron Spray Ionisation
Ether diethyl ether
EtOH ethanol h hour
Hex 72-hexane
HV high vacuum
LG Leaving Group
MeCN acetonitrile
MeOH methanol min minutes
MS Mass Spectroscopy
MsCl mesyl chloride w-BuLi n-butyllithium
NBS N-bromosuccinimide
NMO N-methylmorpholine-N-oxide org. organic
PPh3 triphenylphosphine
PTSA /7-toluenesulfonic acid
Rf retention factor
SiO2 silica gel
TBAF N-tetrabutylammonium fluoride
TBDMS-Cl fert-butyldimethylsilyl chloride
TEA triethylamine
TFA trifluoroacetic acid
THF tetrahydrofuran
TLC thin layer chromatography TsCl tosyl chloride rt room temperature wt% weight percent
General preparation methods:
The novel compounds of formula I can be manufactured in accordance with the present invention by
a) reacting a compound of the general formula II
Figure imgf000023_0001
II
with a compound of the general formula III
Figure imgf000023_0002
III
wherein L1 and L2 are reactive atoms or groups functionally modified to connect the moieties of formulas II and III, R40 is as R4 or is a nitrogen protecting group such as benizyloxycarbonyl, allyloxycarbonyl or t-butyloxycarbonyl, carboxy and/or hydroxy groups present are protected, and the other symbols are as before; and, where required, deprotecting such carboxy and/or hydroxy groups and subjecting any nitrogen protecting group R40 to the process under b); or
b) N-deprotecting a compound of the general formula IV:
Figure imgf000024_0001
IV
wherein PG is a nitrogen protecting group such as benzyloxycarbonyl, allyloxycarbonyl or t-butyloxycarbonyl, carboxy and/or hydroxy groups present are protected, and the other symbols are as before;
and, where required, deprotecting such carboxy and/or hydroxy groups
and treating the Ν-deprotected product with compounds yielding the group R4; or
c) transforming the group R30 of a compound of the general formula V:
Figure imgf000024_0002
V
wherein R30 is COOR or OR0, R and R0 are carboxy and hydroxy protecting groups, respectively, and the other symbols are as before, into the group R3; or
d) converting a compound of formula I into a pharmaceutically acceptable salt thereof.
The starting piperidine derivatives of formula III, wherein R40 is a nitrogen protecting group, such as benzyloxycarbonyl, allyloxycarbonyl or t-butyloxycarbonyl, are manufactured as follows:
Compounds of formula III-l (Scheme 1) are obtained from the corresponding silyl ethers III-a like for example t-butyldimethylsilyl ethers (compounds of formula III wherein L2M is TBDMSOCH2) by treatment with fluoride ions like TBAF, aq. hydrofluoric acid or NaF. These ethers III-a are prepared starting from compound IH-b (formula III wherein R4 is COOC(CH3)3, R3 = CH=CH2, L2M = HOCH2 and n = 0) obtained according to Tetrahedron Letters (2001), 42, 3235-3238 after protection of the primary alcohol as ^-butyldimethylsilyl ether (TBDMS) by reaction with f-butyldimethylsilylchloride in DMF in presence of imidazole between O0C and 200C (see J. Am. Chem. Soc. (1972), 94, 6190).
Compound III-a is hydroborated with BH3 dimethylsulfϊde complex, or 9-BBN (for a review see Smith, K.; Pelter, A. G. Comprehensive Organic Synthesis, B.M. Trost, I. Fleming, Eds; Pergamon Press: New York (1991), vol. 8, p. 703-731) followed by oxidative workup with aq. NaOH and 30% H2O2 (see also Pelter, A.; Smith, K. G. Comprehensive Organic Synthesis, B.M. Trost, I. Fleming, Eds; Pergamon Press: New York (1991), vol. 7, p. 593-611) affording compound III-b wherein R4 is COOC(CH3)3, R3 = OH, L2M = TBDMSOCH2 and n = 2.
In a further step, compound III-b is oxidized into the corresponsing aldehyde III-c wherein R4 is COOC(CH3)3, R3 = CHO, L2M = TBDMSOCH2 and n = 1 using the Moffat-Swern (see Synthesis (1981), 165), or the Dess-Martin periodinane (see J. Am. Chem. Soc. (1991), 113, 7277) oxidation protocols.
In a further step compound III-c is oxidized into the corresponsing acid III-d wherein R4 is COOC(CH3)3, R3 = COOH, L2M = TBDMSOCH2 and n = 1 using potassium permanganate in an acetone-water mixture (see Synthesis (1987), 85) or sodium chlorite in 2-methyl-2- propanol in presence of 2-methyl-2-butene (see Tetrahedron (1981), 37, 2091-2096). Compound Ill-a can also be transformed into the corresponding aldehyde IH-e wherein R4 is COOC(CH3)3, R3 = CHO, L2M = TBDMSOCH2 and n = 0 by ozonolysis in DCM between -400C and 400C.
The corresponding aldehyde III-e is reduced into the corresponding alcohol III-f wherein R4 is COOC(CH3)3, R3 = OH, L2M = TBDMSOCH2 and n = 1 using NaBH4 in methanol or THF between -300C and 300C.
Aldehyde III-e is oxydised into the corresponding acid III-g using potassium permanganate in acetone water or the above-mentioned protocole for the preparation of III-d.
Aldehyde III-e is subjected to Wittig olefination using carbomethoxymethylen- triphenylphosphorane in THF, DCM or toluene between -300C and HO0C or to Wittig
Homer olefination using diethylphosphonoacetic acid methyl ester in THF or DCM between
-300C and 600C in presence of an alkali base such potassium methoxide or NaH affording compound III-h wherein R4 = COOC(CH3)3, R3 = CH-CHCOOMe, L2M ^TBDMSOCH2 and n = 0 (see Org. Synth. Coll. (1973), 5, 509, 547). Compound III-h is further hydrogenated over palladium on charcoal in EA or MeOH at rt affording compound III-i wherein R4 is COOC(CH3)3, R3 = COOMe, L2M = TBDMSOCH2 and n = 2.
The ester III-i is transformed into the corresponding acid III-j wherein R4 = COOC(CH3)3, R3 = COOH, L2M = TBDMSOCH2 and n = 2 using NaOH or KOH in dioxane/water between 00C and 1000C.
The ester III-i is reduced into the corresponding alcohol III-k wherein R4 = COOC(CH3)3, R3 = OH, L2M = TBDMSOCH2 and n = 3 using LiBH4 or DIBAH in THF or DCM between -3O0C and 300C.
For compound of formula III wherein R3 = 2,2-dimethyl-[l,3]dioxolan-4-yl and n = 0, compound III-a is transformed into the corresponding diol derivative by treatment either with a catalytic amount of osmium tetroxide in the presence of a co-oxidant such as NMO in aqueous solvent such as acetone or DCM (Cha, J.K., Chem. Rev. (1995), 95, 1761-1795) or with AD mixtures in a water/2-methyl-2-propanol mixture as described in Chem. Rev. (1994), 94, 2483. The diol is then reacted with acetone, acetonedimethylacetal, or 2-methoxypropene in presence of a catalytic amount of acid like PTSA in a solvent like DCM or ether to yield a compound of formula III where R3 = 2,2-dimethyl-[l,3]dioxolan-4-yl and n = 0. This dimethyl[l,3]dioxolan-4-yl group represents a masked acid function which can be transformed into the corresponding acid in a later stage by sequencial treatment for example with PTSA or HCl in a solvent like THF/water or MeOH and followed by sodium periodiate oxidation (see Synthesis, 1974, 229). The resulting aldehyde is further oxidized into the corresponding acid of formula III, i.e. where R3 = COOH and n = 0, using methods mentioned above.
Compounds of the general formula III-2 are obtained form the corresponding compounds III-l using the Moffat-Swern oxidation protocol (cf. above) The resulting aldehyde is further converted to the corresponding alkene using the phosphorane generated from methyltriphenylphosphonium bromide and a base like «-BuLi or potassium tert-butoxide in a solvent such as THF at a temperature between -800C and O0C (see Org. Synth. Coll. (1973), 5, 751). The terminal alkene is hydroborated using methods mentioned above. The resulting alcohol is oxidized using said Moffat- Swern oxidation protocole.
The sulfones of the general formula III-3 are generated in two steps from the corresponding alcohols. Indeed, a Mitsunobu reaction between the alcohols III-l and an appropriate thiol such as 1 -phenyl- lH-tetrazole-5-thiol in conditions previously described affords the intermediate thiols that can be oxidized to the corresponding sulfones III-3 using aq. hydrogen peroxide in presence of ammonium heptamolybdate tetrahydrate (see J. Org. Chem. (1963), 28, 1140).
The alkynes of formula III-4 are obtained from compounds of formula III-l in two steps. After oxidation of the free alcohol moiety into an aldehyde using a Moffat-Swern oxidation (see Synthesis (1981), 165), or the Dess-Martin periodinane oxidation (see J. Am. Chem. Soc. (1991), 113, 7277), the resulting aldehyde is transformed to the corresponding alkyne using either the protocol developed by Corey and Fuchs (see Tetrahedron Letters (1972), 3769) or more preferably, the method developed by Bestmann using dimethyldiazomethylphosphonate in presence OfK2CO3 in MeOH (see Synlett (1996), 521).
The required quinoline and quinoxaline derivatives of formula II are either commercially available or prepared following literature procedures. For example 3-substituted quinoxalin- 5-ol (L= OH, U= V= N) are prepared as described by Y. Abe et al. in J. Med. Chem. (1998), 41, 4062. Substituted 5-formylquinoline, 8-formylquinoline, or 5-formylquinoxaline derivatives of formula II are prepared following literature procedures or from the corresponding 5-bromoquinoline, 8-bromoquinoline, or 5-bromoquinoxaline derivatives II (L1=Br) are after treatment with an alkylithium such as /z-BuLi at a temperature ranging between -800C and -300C and subsequent quenching of the lithio specie with DMF as described in J. Org. Chem. 1980, 45, 1514.
Figure imgf000028_0001
II-l III-l
Figure imgf000028_0002
IV-I V-I
Scheme 1
In Scheme 1, III-l is the compound of formula III, wherein L2M is HOCH2, R4 is a nitrogen protecting group PG and carboxy and/or hydroxy groups are protected; the other symbols have their above meanings.
As shown in Scheme I5 compounds of formula I can be obtained by coupling, for example, a 3-substituted 5-hydroxy quinoline, a 2-substituted 8-hydroxy quinoline, or a 3-substituted 5-hydroxy quinoxaline II-l with an alcohol derivative III-l. The coupling reaction between II-l and III-l may be achieved under Mitsunobu conditions (as reviewed in O. Mitsunobu Synthesis (1981), 1). For example, an alcohol III-l and a derivative II-l are reacted to form the ether IV-I in the presence of diethyl or diisopropyl azodicarboxylate and triphenylphosphine. The reaction may be performed in a wide range of solvents such as DMF, THF, DCM and at a wide range of temperatures (between -78°C and 500C). An alternate route to IV-I may require the activation of the alcohol III-l as for example a tosylate, a triflate or a mesylate by treatment with TsCl, trifluoromethanesulphonic anhydride or MsCl respectively in the presence of an organic base such as TEA between -400C and 60°C in a dry aprotic solvent like DCM, MeCN or THF. Once activated, alcohol III-l reacts with the anion of the hydroxy derivative H-I, generated with a mineral base such as NaH or K2CO3 or an organic base such as lithium hexamethyldisilazide, to generate IV-I between -200C and 600C.
Removal of protecting groups (PG) such as t-butoxycarbonyl or benzyloxycarbonyl on the piperidine nitrogen atom in IV-I is carried out under standard acidic conditions to give the corresponding free amine. Alternatively the benzyloxycarbonyl group can be removed under catalytic hydrogenation over palladium on charcoal. The allyloxycarbonyl protecting group is removed by palladium acetate in presence of an allyl scavenger. The use of protecting groups to mask reactive functionality is well known to those of skill in the art, and other protecting groups are listed in reference book such as PJ. Kocienski 'Protecting Groups ', Thieme (1994).
The so PG-deprotected amine is then reacted with compounds yielding the group R4, e.g. an aldehyde and a suitable reducing agent to provide the homologue V-I. The intermediate imine may be formed in a variety of protic or aprotic solvents such as DMF, N,N-dimethylacetamide, DCM, 1,2-DCE, MeOH, MeCN, in presence or not of a drying agent such as molecular sieves. The imine is reduced subsequently or simultaneously with a suitable reagent such a NaBH4, sodium triacetoxyborohydride or sodium cyanoborohydride (R.O. and M.K. Hutchins Comprehensive Organic Synthesis, B.M. Trost, I. Fleming, Eds; Pergamon Press: New York (1991), vol. 8, p. 25-78). Alternatively, the PG-deprotected amine may also be alkylated to give product V-I by nucleophilic displacement of a suitable alkyl halide, mesylate or tosylate between -200C and 1000C in a dry aprotic solvent like DCM, MeCN, DMF or THF in presence of a base such as K2CO3 or DIPEA.
The introduction of group R4 can also be effected before coupling of compounds H-I and III-l.
Carboxy- and hydroxy-protecting groups present are removed under standard conditions well known to those of skill in the art to yield e.g. a product V-I where R3 is carboxy or hydroxy.
Figure imgf000030_0001
π-2 πi-2
Figure imgf000030_0002
IV-2 V-2
Figure imgf000030_0003
VI-2 VII-2
Scheme 2
In Scheme 2, III-2 is the compound of formula III, wherein L2M is HC(O)CH2, R4 is a nitrogen protecting group PG and carboxy and/or hydroxy groups are protected; the other symbols have their above meanings.
Compounds of formula (I) can also be obtained by reacting for example a substituted quinolin-5-yl lithium, quinolin-8-yl lithium, or quinoxalin-5-yl lithium derivative II-2 with an aldehyde derivative III-2 (Scheme X 1 ). Thus the corresponding 5-bromoquinoline, 8-bromoquinoline, or 5-bromoquinoxaline derivatives II (L1=Br) are treated with an alkylithium such as H-BuLi in an inert solvent like THF or ether at a temperature between -100°C and 00C, preferably between -800C and -400C. The resulting organolithium derivative II-2 is treated with the corresponding aldehydes III-2 at a temperature between -1000C and O0C, preferably between -8O0C and -100C. In a subsequent step the nitrogen protecting group is removed and the free amine is reacted with an alkyl halide, mesylate or tosylate or with an aldehyde under reductive condition as previously described. Finally when appropriate, the ester is deprotected and/or further processed as previously described. The introduction of group R4 can also be effected before coupling of compounds II-2 and III-2.
Compounds V-2 can be further transformed into compounds VI-2 by oxidation of the alcohol function using one the method reviewed by Ley, S.V., Madin, A.; Lee, T.V.; Procter, G.
Comprehensive Organic Synthesis, B.M. Trost, I. Fleming, Eds; Pergamon Press: New York
(1991), vol. 7, p. 251-327. Compounds VI-2 can be further transformed into compounds VII-
2 by reductive amination using an excess of ammonium acetate in methanol and sodium cyanoborohydride as a reducing agent (as described in Bioorg & Med. Chem. Lett. (2003), 13, 3597-60).
Figure imgf000031_0001
II-3 III-3 IV-3
Figure imgf000031_0002
Scheme 3
In Scheme 3, all the symbols have their above meanings and carboxy and/or hydroxy groups are protected.
Compounds of formula (I) can also be obtained by reacting for example a substituted 5- formylquinoline, 8-formylquinoline, or 5-formylquinoxaline derivative II-3 with a sulfone derivative III-3 in presence of a base such as potassium- or lithium-hexamethyldisilazide in a solvent such as 1,2-DME, DMF or toluene as reviewed by Blakemore, P. R in J. Chem. Soc, Perkin Trans. 1 (2002), 2563-2585 (Scheme 3). The resulting alkene IV-3 can be further transformed into the diol derivative V-3 by treatment with a catalytic amount of osmium tetroxide in presence of a co-oxidant such as NMO in aqueous solvent such as acetone or DCM (Cha, IK. Chem. Rev. (1995), 95, 1761-1795). Compounds IV-3 and V-3 are further transformed as described above. The introduction of group R4 can also be effected before coupling of compounds H-3 and IH-3.
Figure imgf000032_0001
π-4 πi-4 IV-4
Figure imgf000032_0002
V-4 VI-4
Scheme 4
In Scheme 4, all the symbols have their above meanings and carboxy and/or hydroxy groups are protected.
Compounds of formula I can also be obtained by reacting for example a triflate derivative II-4 with an alkyne derivative III-4 under Sonogashira conditions using calatytic amount of a palladium salt, a base such as triethylamine and a catalytic amount of a copper derivative (usually copper iodide) in a solvent such a DMF between 2O0C to 1000C (see Sonogashira, K. in Metal-Catalyzed Reactions, Diedrich, F., Stang, PJ., Eds; Wiley-VCH: New York (1998)) (Scheme 4). These trifluoromethanesulphonyloxy derivatives are obtained from the phenol II-l with trifluoromethanesulphonic anhydride, in the presence of an organic base such as triethylamine, N-ethyl-N,N-disopropylamine or pyridine between -400C and 800C in an aprotic solvent like DCM or THF (K. Ritter, Synthesis (1993), 735). The resulting alkyne IV-4 is hydrogenated to the alkane V-4 using catalytic system such as platinium oxide in a solvent like EtOH or EA or palladium on charcoal in presence of hydrogen. Other methods may also be suitable as reviewed by Siegel, S.; Takaya, H.; Noyori, R.; Pasto, D. J. G. in Comprehensive Organic Synthesis, B. M. Trost, I. Fleming, Eds; Pergamon Press: New York 1991, vol. 8, p. 417-488. The alkane V-4 is further transformed into the compounds VI-4 using procedures previously described. Alternatively, the alkene IV-3 can also hydrogenated into the alkane V-4 by hydrogenation over palladium on charcoal. Introduction of group R4 is effected, before or after coupling of compounds II-4 and III-4, as previously described.
The transformation of group R30 in compounds V into groups R3 starts with hydrolysis of group COOR or OR0 into carboxy or hydroxy, respectively:
Hydrolysis of carboxy protecting groups
Representative carboxy protecting groups are alkyl e.g. methyl, ethyl or t-butyl, heteroalkyl, e.g. trichloroethyl, arylalkyl e.g. ben2yl or para nitrobenzyl, alkenyl, e.g. allyl, trialkylsilyl e.g. trimethylsilyl, t-butyldimethylsilyl or di t-butylmethylsilyl, alkylthioalkyl e.g. methylthiomethyl (MTM), alkoxyalkoxyalkyl, e.g. methoxyethoxymethyl (MEM), arylalkoxyalkyl, e.g. benzyloxymethyl (BOM), trialkylsilylalkoxyalkyl, e.g. 2-
(trimethylsilyl)ethoxymethyl (SEM), trialkylsilylalkyl, e.g. 2-(trimethylsilyl)ethyl (TMSE). Further examples of protecting groups to mask acids and the conditions to regenerate them are well known to those of skill in the art, and are listed in reference book such as PJ. Kocienski
' Protecting Groups ', Thieme, 1994.
Hydrolysis of hydroxy protecting groups
Representative hydroxy protecting groups to form ethers are alkyl, e.g. methyl or ethyl, alkoxyalkyl e.g. methoxymethyl (MOM), alkoxyalkoxyalkyl e.g. 2-methoxyethoxymethyl
(MEM), trialkylsilylalkoxyalkyl e.g. 2-trimethylsilylethoxymethyl (SEM), tetrahydropyranyl
(THP), allyl, triphenylmethyl (trityl), alkyl or arylsilylether e.g. triisopropylsilyl (TIPS), t- butyldiphenylsilyl (TBDPS), t-butyldimethylsilyl (TBDMS), or esters like acetate, trichloroacetate or pivalate or carbonates like trichloroethylcarbonate (TROC). Further examples of protecting groups to mask alcohols and the conditions to regenerate them are well known to those of skill in the art, and are listed in reference book such as PJ. Kocienski
'Protecting Groups', Thieme, 1994. The so obtained compounds of formula I, where R3 is carboxy or hydroxy, can be further transformed to introduce other groups R3 as per process step c) as follows:
For compounds of formula I wherein R3 = aminocarbonyloxy, the corresponding alcohols (R3 = OH) is first treated with trichloroacetyl isocyanate in an aprotic solvent such as DCM or THF between -2O0C to 400C, and subsequently hydrolysised with an aqueous solution of a inorganic base such as potassium carbonate in an alcoholic solvent such as 2-methyl- 2-propanol or methanol, usually under refluxing conditions (see J. Am. Chem. Soc. (1982), 104, 1109). Chlorosulfonyl isocyanate may also be used to accomplish this transformation (see J. Org. Chem. (1987), 52, 3342)
For compounds of formula I wherein R = alkylaminocarbonyl or carbamoyl, the corresponding acids (R3 = OH) are activated with carbonyldiimidazole and subsequently reacted with ammonia or an alkylamine in a solvent such as THF or DCM between -200C to 400C (see J. Am . Chem. Soc. (1995), 117, 7379)
For compounds of formula I wherein R3 = 2-tetrazolyl the corresponding alcohols (R3 = OH) are activated as mesylate, tosylate or triflate by substitution with sodium cyanide in a solvent like DCM, THF or DMF. The resulting nitriles (R3=CN) are reacted with sodium azide in the presence Of NH4Cl as described in J. Med. Chem. (1967), 10, 149-154 to yield compound of formula III with R3 = 2-tetrazolyl.
For compounds of formula I wherein R3 = 3-methyl-l,2,4-oxadiazol-5-yl the corresponding acids (R3 = COOH) are reacted with acetamide oxime in the presence of 1 -hydroxy pyridin- 2(lH)-one and dicyclohexylcarbondiimide in THF between 00C and 200C followed by thermal cyclisation in a solvent like THF or toluene as described in J. Med. Chem. 2004, 47, 1487-1513.
The esters can be reduced into the corresponding alcohol using a suitable reagent such as diisobutyl aluminium hydride in a solvent like THF or ether between -20°C and 4O0C.
The following examples illustrate the preparation of pharmacologically active compounds of the invention but do not at all limit the scope thereof. EXAMPLES
AU temperatures are stated in 0C. All analytical and preparative HPLC investigations on non- chiral phases are performed using RP-C 18 based columns. Analytical HPLC investigations are performed on two different instruments with cycle-times of ~2.5 min and -3.5 min respectively.
Example 1 : 3-{(3i?,^S)-4-[2-(3-methoxy-quinolin-5-yloxy)-ethyl]-l-[2-(thiophen- 2-ylsulfanyl)-ethylJ-piperidin-3-yl}-propionic acid:
l.i. 3,5-dibromoquinoline:
To concentrated sulfuric acid (130 ml) was added dropwise at 00C, over 80 min, 3-bromoquinoline (50 g) at a rate allowing the internal temperature to be maintained between 0° and 100C. After the addition was complete, NBS (48 g) was added portionwise and the reaction mixture was stirred at rt overnight. The reaction mixture was poured onto ice (2 1) and the formed solid was dissolved in DCM (600 ml). The aq. layer was further extracted once with DCM (600 ml) and the combined extracts were washed with \M aq. NaOH (300 ml) and concentrated in vacuo. The residue was dispersed in silica gel and the resulting dispersal was loaded on the top of a column and eluted with DCM-Hex (1-1, 3 1) then DCM (3 1) and finally DCM-ether (1-1, 2 1). The title compound was recovered from the last fraction after evaporation to yield 40 g of a white solid.
1H NMR (CDCl3) δ: 8.94 (d, J= 2.2 Hz, IH); 8.73 (d, J= 2.2 Hz, IH); 8.08 (d, J= 8.5 Hz, IH); 7.88 (d, J= 7.5 Hz, IH); 7.62 (dd, J= 7.5, 8.5 Hz, IH).
1.ii. 5-bromo-3-methoxyquinoline:
To a mixture of sodium methoxide (14.5 g) in DMPU (350 ml) heated at 125°C, was added in one portion 3,5-dibromoquinoline (34.5 g). The reaction was then heated at the same temperature for 1 h. The reaction mixture was then cooled to rt and poured onto ice (300 g). After the ice melt, the solid was filtered off and dried under vacuum. The filtrate was extracted with ether (4 x 150 ml). The combined extracts were washed with brine and dried over Na2SO4. After filtration, the solvent was evaporated and the residue purified over silica gel (Hex-EA 4-1) to afford a material that was pooled with the solid. The material was dissolved in DCM and dried over Na2SO4. After filtration and evaporation, the solid was further dried under HV to afford the title compound (24.5 g) as a beige solid. 1H NMR (CDCl3) δ: 8.68 (d, J = 2.8 Hz, IH); 8.03 (d, J= 8.3 Hz, IH); 7.80 (d, J= 7.5 Hz, IH); 7.72 (d, J= 2.8 Hz, IH); 7.42 (dd, J= 7.5, 8.3 Hz, IH); 4.02 (s, 3H). MS (ESI, m/z): 239.7 [M+H+].
1.iii. 3-methoxy-5- (4, 4, 5, 5-tetramethyl-[l, 3, 2] dioxaborolan-2-yl)-quinolme:
To a mixture of bis(pinacolato)diboron (5.38 g), l,l'-bis(diphenylphosphino)ferrocene- palladium(II)dichloride DCM complex (1.5 g) and potassium acetate (5.57 g) was added a solution of intermediate l.ii (4.5 g) in DMSO (135 ml). The resulting mixture was stirred at 800C overnight. After cooling, the reaction mixture was diluted with water (300 ml) and EA (300 ml). The two layers were decanted and the aq. layer was extracted twice with EA (2 x 300 ml). The combined organic layers were washed with brine, dried over Na2SO4, filtered and concentrated to dryness. The brown residue was chromatographed (EA-Hex 1-4) to afford the title boronate as a white solid (4.81 g). 1H NMR (CDCl3) δ: 8.67 (d, J= 2.9 Hz, IH); 8.49 (d, J= 2.9 Hz, IH); 8.12 (m, 2H); 7.55 (m, IH); 3.97 (s, 3H); 1.42 (s, 12H). MS (ESI, m/z) : 285.8 [M+H+].
1.iv. 3-methoxy-quinolin-5-ol:
To an ice-chilled solution of intermediate l.iii (4.81 g), in THF (125 ml) were added 3M aq. NaOH (15.2 ml) and then 30% aq. hydrogen peroxide (7.2 ml). The reaction mixture was stirred at the same temperature for 1 h. Water (50 ml) and 3N aq. HCl was added until the bright yellow color vanished to leave a colourless reaction mixture (pH 6). The reaction mixture was then diluted with EA (300 ml). The two layers were separated and the aq. layer was extracted twice more (2 x 300 ml). The combined org. layers were washed with brine, dried over Na2SO4, filtered and concentrated to dryness. The residue was triturated with ether and the solid filtered to afford after drying the title compound (2.61 g). 1H NMR (d6-DMSO) δ: 10.34 (s, IH); 8.60 (d, J= 3.0 Hz, IH); 7.76 (d, J= 3.0 Hz, IH); 7.39 (m, 2H); 6.92 (dd, J= 1.4, 7.2 Hz, IH); 3.92 (s, 3H). MS (ESI, m/z) : 175.8 [M +H+]. l.v. (3R,4S)-4-[2-(tert-butyl-dimethyl-silanyloxy)-ethyl]-3-vinyl-piperidine-l-carboxylic acid tert-butyl ester.
To a solution of (3R, 4S)-4-(2-hydroxy-ethyl)-3-vinyl-piperidine~l-carboxylic acid tert-butyl ester (8.68 g, prepared as described in Tetrahedron Letters (2001), 42, 3235-3238) in DCM (100 ml) were added successively TEA (9.5 ml), DMAP (4.15 g) and TBDMS-Cl (5.12 g). The reaction mixture was stirred at rt for 3 h, and was concentrated to dryness. The residue was purified by chromatography (EA-Hex 4-1) to afford the title compound (12.1 g) as a colourless oil.
1H NMR (CDCl3) δ: 5.79 (m, IH); 5.11 (m, IH); 5.06 (m, IH); 4.07 (br s, IH); 3.93 (m, IH); 3.62 (t, J = 6.3 Hz, 2H); 2.98 (dd, J= 3, 12.9 Hz, IH); 2.81 (br s, IH); 2.25 (br s, IH); 1.69 (m, IH); 1,42 (s, 9H), 1.41 (overlapped m, 4H); 0.89 (s, 9H), 0.03 (s, 6H). MS (ESI, m/z) : 370.5 [M +H+].
l.vi. (3R,4S)-4- [2-(tert-butyl-dimethyl-silanyloxy)-ethyl] ~3-(l ,2-dihydroxy-ethyl)-piperidine- 1-carboxylic acid tert-butyl ester: To a solution of intermediate l.v (11.4g) in 2-methyl-2-propanol (150 ml) and water (150 ml) was added AD-mix β (43 g). The reaction mixture was then stirred at rt for 3 days. Sodium bisulfite (45 g) was added portion wise and the resulting mixture was stirred for one hour. The two layers were separated and the aq. layer was extracted three times with EA (3 x 200 ml). The combined extracts were washed with brine and dried over Na2SO4. After concentration to dryness, the residue was quickly filtered through a pad of silica gel (EA) to afford the title compound (12.4 g) as a yellowish oil. MS (ESI, m/z) : 404.5 [M +H+].
l.vii. (3R,4S)-4-[2-(tert-butyl-dimethyl-silanyloxy)-ethyl]-3-formyl-piperidine-l-carboxylic acid tert-butyl ester: To a solution of intermediate l.vi (12.4 g) in acetone (100 ml) was added at rt a solution of sodium periodate (13.5 g) in water (45 ml). The reaction was stirred 1 h and the solids were filtered off. The filtrate was evaporated in vacuo. The residue was extracted with EA (3 x 150 ml). The combined extracts were washed with brine, dried over Na2SO4, filtered and concentrated to dryness to yield the title aldehyde as a colourless oil (11.4 g). MS (ESI, m/z) : 372.2 [M +H+]. 1.viii. (3 R, 4S)-4-[2-(tert-butyl-dimethyl-silanyloxy)-ethyl]-3-(2-ethoxycarbonyl-vinyl)- piperidine-1-carboxylic acid tert-butyl ester:
To a solution of intermediate l.vii (11.4 g) in toluene (200 ml) was added (carbethoxymethylene)triphenylphosphorane (12.9 g). The mixture was refluxed for 1 h. After cooling, silica gel (30 g) was added and the solvent was removed under reduced pressure. The residue was purified by chromatography (EA-H ex 1-1) to afford the title unsaturated ester (13.4 g) as a colourless oil.
1H NMR (CDCl3) δ: 6.94 (dd, J= 8.7, 15.9 Hz, IH); 5.92 (dd, J= 1.2, 15.9 Hz, IH); 4.19 (q, J= 7.2 Hz, 2H); 4.19 (overlapped m, IH); 4.02 (br d, J= 7.9 Hz, IH); 3.64 (t, J= 6.4 Hz, 2H); 2.98 (dd, J= 3, 12.9 Hz, IH); 2.81 (br s, IH); 2.45 (br s, IH); 1.89 (m, IH); 1,46 (s, 9H), 1.44 (overlapped m, 4H); 1.28 (t, J= 7.2 Hz, 3H); 0.89 (s, 9H), 0.03 (s, 6H). MS (ESI, m/z) : 442.5 [M +H+].
1.ix. (3R, 4S)-4-[2-(tert-butyl-dimethyl-silanyloxy)-ethyl]-3-(2-ethoxycarbonyl-ethyl)- piperidine-1-carboxylic acid tert-butyl ester. To a solution of intermediate l.viii (13.4 g) in EA (300 ml) was added 10% palladium on charcoal (4.3 g). The reaction was stirred for 2 h under 1 atm of hydrogen. The catalyst was removed by filtration and the filtrate was concentrated in vacuo to afford the title ester (10.9 g) as a colourless oil. MS (ESI, m/z) : 444.6 [M +H+].
1.x. (3R,4S)-3-(2-ethoxycarbonyl-ethyl)-4-(2-hydroxy-ethyl)-piperidine-l-carboxylic acid tert-butyl ester.
To a solution of intermediate l.ix (10.9 g) in THF (100 ml) was added TBAF (IM in THF, 33 ml). The reaction was stirred at rt for Ih and the solvent was removed under reduced pressure. The residue was chromatographed (EA-Hex 1-1 then 2-1) to afford the title alcohol (6.5 g) as a colourless oil.
1H NMR (CDCl3) δ: 4.13 (q, J= 7.2 Hz, 2H); 4.07 (br s, IH); 3.94 (d, J= 13.5 Hz, IH); 3.71 (td, J= 2.9, 6.5 Hz, 2H); 2.86 (dd, J= 2.2, 13.7 Hz, IH); 2.81 (br s, IH); 2.51 (m, IH); 2.33 (m, IH); 1.83 (m, IH); 1.65-1.41 (m, 8H); 1.47 (s, 9H); 1.27 (t, J= 7.2 Hz, 3H). MS (ESI, m/z) : 330.4 [M +H+]. l.xi. (3R,4S)-3-(2-ethoxycarbonyl-ethyl)-4-[2-(3-methoxy-quinolin-5-yloxy)-ethyl]-piperidine- 1-carboxylic acid tert-butyl ester:
To a solution of intermediate 1.x (1.65 g) in THF (25 ml) were added, at rt, 3-methoxy- quinolin-5-ol (0.875 g), PPh3 (2.62 g) and DIAD (2 ml). The reaction was stirred overnight at rt. The reaction mixture was then concentrated to dryness and the residue chromatographed over silica gel (EA-Hex 1-2 then 1-1) to afford the title compound (1.4 g) as an oil. MS (ESI, m/z) : 487.7 [M +H+].
l.xii. 3-{(3R,4S)-4-[2-(3-methoxy-quinolin-5-yloxy)-ethyl]-piperidin-3-yl}-propionic acid ethyl ester. A solution of intermediate l.xi (1.4 g) in TFA (8 mL) was stirred at rt for 20 min. The volatiles were removed under reduced pressure and the residue was partitioned between saturated NaHCO3 (40 ml) and a DCM-MeOH mixture (9-1, 100 ml). The aq. layer was extracted three more times with the same mixture and the combined org. layers were washed with brine and dried over Na2SO4. After concentration to dryness, the residue was chromatographed (DCM-MeOH 9-1 containing 1% concentrated NH4OH) to afford the title compound as a colourless oil (1.18 g). MS (ESI, m/z) : 387.4 [M +H+].
l.xiii. 3-{(3R,4S)-4-[2-(3-methoxy-quinolin-5-yloxy)-ethyl]-l-[2-(thiophen-2-ylsulfanyl)- ethyl] -piperidin- 3 -yl} -propionic acid ethyl ester: To a solution of intermediate l.xii (1.16 g) in DMF (10 ml) were added 2-(2-bromo- ethylsulfanyl)-thiophene (0.8 g) and DIPEA (1 ml). The reaction mixture was stirred at 800C for 90 min. The solvent was removed under HV and the residue was chromatographed (DCM-MeOH 19-1 containing 1% aq. concentrated NH4OH) to afford the title compound (0.58 g) as a colourless oil. 1H NMR (CDCl3) δ: 8.68 (d, J= 2.9 Hz, IH); 7.78 (d, J= 2.9 Hz, IH); 7.65 (d, J= 8.5 Hz, IH); 7.45 (dd, J= 7.3, 8.5 Hz, IH); 7.35 (dd, J= 1.2, 5.3 Hz, IH); 7.14 (dd, J= 1.2, 3.5 Hz, IH); 6.98 (dd, J= 3.5, 5.3 Hz, IH); 6.88 (d, J= 7.3 Hz, IH); 4.19 (overlapped m, 2H); 4.13 (q, J= 7.1 Hz, 3H); 3.98 (s, 3H); 2.97 (m, 2H); 2.69-2.57 (m, 4H); 2.47 (m, IH); 2.36-2.17 (m, 3H); 1.95 (m, 4H); 1.71 (m, 4H); 1.25 (t, J= 7.1 Hz, 3H). MS (ESI, m/z) : 529.1 [M +H+]. l.xiv. 3-{(3R,4S)-4-[2-(3-methoxy-qιιinolin-5-yloxy)-ethyl]-l-[2-(thiophen-2-ylsulfanyl)- ethyl] -piperidin-3-yl} -propionic acid:
To a solution of intermediate l.xiii (0.4 g) in dioxane (5 ml) was added 5N aq. NaOH (3 ml). The reaction was heated at 98°C overnight. After cooling, 3N aq. HCl (5 ml) was added and the mixture was evaporated to dryness. The residue was then directly purified by chromatography (DCM-MeOH 9-1) to afford the title compound (0.23 g) as a grey solid. 1H ΝMR (d6-DMSO) δ: 12.05 (br s, IH); 8.64 (d, J= 2.9 Hz, IH); 7.72 (d, J= 2.9 Hz, IH); 7.62 (m, IH); 7.50 (m,2H); 7.20 (m, IH); 7.05 (m, 2H); 4.21 (m, 2H); 3.92 (s, 3H); 2.96 (m, 2H), 2.78-2.45 (m, 4H); 2.43-2.21 (m, 4H); 1.97-1.55 (m, 8H). MS (ESI, m/z) : 501.5 [M +H+].
Example 2: 3-{(5i?,4fS)-4-[2-(3-methoxy-quinolin-5-yloxy)-ethyl]-l-[2-(thiophen- 2-ylsulfanyl)-ethyl]-piperidin-3-yl}-propan-l-ol:
To an ice-chilled solution of the compound of Example 1 (0.18 g) in THF (5 ml) was added
DIBAH (IM in toluene, 1 ml). After 30 min, water (0.1 ml) was added. The mixture was stirred 40 min at rt. After dilution with ether (40 ml), the solids were filtered off and the filtrate was concentrated to dryness. The residue was chromatographed (DCM-MeOH 19-1) to afford the title compound as a colourless oil (0.098 g).
1H ΝMR (d6-DMSO) δ: 8.68 (d, J= 2.9 Hz, IH); 7.78 (d, J= 2.9 Hz, IH); 7.65 (d,
J= 8.5 Hz, IH); 7.45 (dd, J= 7.3, 8.5 Hz, IH); 7.35 (dd, J= 1.2, 5.3 Hz, IH); 7.14 (dd, J= 1.2, 3.5 Hz, IH); 6.98 (dd, J= 3.5, 5.3 Hz, IH); 6.86 (d, J= 7.3 Hz, IH); 4.19 (m, 2H);
3.98 (s, 3H); 3.69 (t, J= 6 Hz, 2H); 2.97 (t, J= 7.4 Hz, 2H); 2.71-2.55 (m, 4H); 2.23 (m, 2H);
1.96-1.55 (m, 10H); 1.43 (m, IH).
MS (ESI, m/z) : 487.4 [M +H+].
Example 3 : (3R,^R)-4-[3-(3-methoxy-quinolin-5-yl)-propyl]-l-[2-(thiophen- 2-ylsulfanyl)-ethyl]-piperidine-3-carboxylic acid:
Note: two synthetic approaches, i.e. Approach A and Approach B described hereafter, have been used for preparing the compound of Example 3. APPROAQHA:
3. A.i. 3-methoxyqιιinoline-5-carbaldehyde:
To a solution of 5-bromo-3-methoxyquinoline (10 g) in THF (250 ml) cooled to -78°C, was added /z-BuLi (22 ml). After 15 min, a solution of DMF (10 ml) in ether (20 ml) was quickly added. The solution was stirred 15 min and ethanol (5 ml), followed with IM NaHSO4
(40 ml) were added. After warming to rt, the org. layer was diluted with EA (100 ml). The two layers were separated and the aq. layer was extracted once with EA (100 ml). The combined org. layers were washed with brine and concentrated to dryness. The residue was chromatographed (EA-Hex 1-2 then 1-1) to afford the title compound (4.75 g) as a yellowish solid.
1H NMR (CDCl3) δ: 10.32 (s, IH); 9.02 (d, J=2.9 Hz, IH); 8.75 (d, J= 2.9 Hz, IH); 8.31 (d, J= 8.3 Hz, IH); 8.02 (d, J= 7.1 Hz, IH); 7.72 (dd, J= 7.1, 8.3 Hz, IH); 4.02 (s, 3H). MS (ESI, m/z): 187.9 [M+H+].
3.A.U. (3R,4S)-4-[2-(l-phenyl-lH-tetrazol-5-ylsulfanyl)-ethyl]-3-vinyl-piperidine- 1-carboxylic acid tert-butyl ester.
To an ice-chilled solution of (3R, 4£)-4-(2-hydroxy-ethyi)-3-vmyl-piperidine- 1-carboxylic acid tert-butyl ester (5.66 g, prepared as described in Tetrahedron Letters (2001), 42, 3235-3238) in THF (200 ml) were added successively PPh3 (11.7 g), 1 -phenyl- lH-tetrazole- 5 -thiol (5.9 g) and dropwise DIAD (10 ml). The reaction mixture was stirred overnight at rt. The solvent was removed under reduced pressure and the residue chromatographed (Ηex-EA 4-1) to afford the title compound (12.9 g) as a white solid. The material was contaminated with a side reaction product. MS (ESI, m/z): 416.4 [M+Η+].
3.A.iii. (3R,4S)-4-[2-(l-phenyl-lH-tetrazole-5-sulfonyl)-ethyl]-3-vinyl-piperidine- 1-carboxylic acid tert-butyl ester.
To a stirred solution of intermediate 3.A.ii (11.9 g, contaminated), in EtOH (230 ml) was added at rt, a solution of ammonium heptamolybdate tetrahydrate (3.5 g) in 30% aq. hydrogen peroxide (30 ml). The reaction mixture was stirred for 3 h, and a saturated sodium thiosulfate solution (100 ml) was added. The solvent was removed under reduced pressure and the residue was extracted with EA (3 x 200 ml). The combined org. extracts were washed with water, dried over Na2SO4, filtered and concentrated to dryness. The residue was chromatographed (EA-Hex 1-3 then 1-2) to afford the title sulfone along with some contaminants. The material was dissolved in EA and Hex was added until a white solid formed. The solid was removed by filtration and the filtrate was concentrated in vacuo to afford 3 g of the sulfone.
MS (ESI, m/z): 448.5 [M+H+].
3.A.iv. (3R,4S)-3-(l,2-dihydroxy-ethyl)-4-[2-(l-phenyl-lH-tetrazole-5-ylsulfanyl)-ethyl]- piperidine-1-carboxylic acid tert-butyl ester:
To a stirred solution of intermediate 3.A.iii (6.3 g) in 2-methyl-2-propanol (70 ml) and water (70 ml) was added at rt AD-mix α (30 g). The reaction mixture was stirred overnight and sodium bisulfite (34 g) was added portion wise. The two layers were separated and the aq. layer was extracted with EA (3 x 150 ml). The combined org. extracts were washed with brine and dried over Na2SO4. After filtration and evaporation to dryness, the residue was chromatographed (EA-Hex 4-1) to afford the title diol (3.35 g) as a white solid. MS (ESI, m/z): 482.4 [M+H+].
3.A.V. 3-(2,2-dimethyl- [1 ,3) ' dioxolan-4-yl)-4- [2-(l -phenyl- lH-tetrazole-5-ylsulfanyl)-ethylj '- piperidine-1-carboxylic acid tert-butyl ester:
To a solution of intermediate 3.iv (3.35 g) in DCM (50 ml) was added, at rt, PTSA (0.07 g) and 2,2-dimethoxypropane (1.71 ml). The reaction was stirred at rt for 40 min and \M aq. NaHCO3 (10 ml) was added. The two layers were separated and the aq. layer was extracted once with DCM (100 ml). The combined organic layers were washed with brine, dried over
Na2SO4 and filtered. After concentration to dryness, the residue was chromatographed
(EA-Hex 1-2) to yield the title acetonide (3.42 g) as a colourless oil.
1H NMR (CDCl3) δ: 7.74-7.60 (m, 5H); 4.20 (m, IH); 4.02 (m, 2H); 3.93-3.61 (m, 4H); 3.23 (br s, IH); 2.96 (br d, J= 12.1 Hz, IH); 2.29 (m, IH); 2.16-1.91 (m, 2H); 1.84 (m, IH);
1.68 (m, 2H); 1.47 (s, 9H); 1.69 (s, 3H); 1.34 (s, 3H).
MS (ESI, m/z): 522.5 [MH-H+].
3.A.vi. (3R,4R)-3-(2,2-dimethyl-[l,3]dioxolan-4-yl)-4-[3-(3-methoxy-quinolin-5-yl)-allyl]- piperidine-1-carboxylic acid tert-butyl ester: To a solution of intermediate 3.A.V (3.42 g) in 1,2-dimethoxyethane (24 ml) was added 3-methoxyquinoline-5-carbaldehyde (1.1 g). The mixture was cooled to -60°C and a solution of potassium bis(trimethylsilylamide) (0.5M in toluene, 20 ml) was added dropwise over 20 min. After the addition was complete, the reaction was stirred 10 min at the same temperature and water (20 ml) was added. The mixture was warmed to rt, and was extracted with EA (3 x 150 ml). The combined extracts were washed with brine, dried over Na2SO4, filtered and concentrated to dryness. The residue was chromatographed (EA-Hex 1-2) to afford the title compound (2.52 g) as a white foam. The compound was recovered as a 2:1 mixture of epimers.
1H NMR (CDCl3) δ: 8.70 (d, J= 2.8 Hz, IH); 7.97 (app d, J= 8.2 Hz, IH); 7.65-7.50 (m, 3H); 7.02 (d, J= 15.2 Hz, IH); 6.31 (ddd, J= 6.0, 8.4, 15.2 Hz, 0.66H); 6.17 (td, J= 7.2, 15.2 Hz, 0.33H); 4.16 (m, 2H); 3.72 (m, IH); 3.69-3.22 (m, 4H); 2.69 (m, 2xO.33H); 2.44 (m, 2xO.66H); 2.19-2.05 (m, 0.66H); 2.03-1.83 (m, 1.33H); 1.69 (m, 2H); 1.49 (s, 9xO.66H); 1.48 (s, 9xO.33H); 1.43 (s, 3xO.66H); 1.42 (s, 3xO.33H); 1.39 (s, 3x0.66H); 1.38 (s, 3xO.33H). MS (ESI, m/z): 483.3 [M+H+].
3. A.vii. (3 R, 4R)-3- (2, 2-dimethyl-[l, 3] dioxolan-4-yl)-4- [3- (3-methoxy-quinolin-5-yl)-propylJ- piperidine-1-carboxylic acid tert-butyl ester.
To a solution of intermediate 3.A.vi (2.52 g) in EA (40 ml) was added 10% palladium on charcoal (2 g). The reaction mixture was stirred under one hydrogen atm for 90 min. The catalyst was removed by filtration and the filtrate concentrated to dryness. The residue was chromatographed (EA-Hex 1-1) to afford the title compound (2.25 g) as a colourless foam: 1H NMR (CDCl3) δ: 8.70 (d, J= 2.8 Hz, IH); 7.97 (app d, J= 8.2 Hz, IH); 7.41-7.34 (m, 2H); 7.14 (m, IH); 3.88-3.75 (m, 2H); 3.76 (s, 3H); 3.38 (m, IH); 3.26-2.84 (br m, 4H); 2.80 (m, 2H); 1.60-1.24 (m, 8H); 1.23 (s, 9H); 1.16 (s, 3x0.33H); 1.11 (3xO.66H); 1.09 (3xO.33H); 1.07 (3x0.66H). MS (ESI, m/z): 485.4 [M+H+].
3.A.viii. (3R, 4R)-3-(l,2-dihydroxy-ethyl)-4-[3-(3-methoxy-quinolin-5-yl)-propyl] -piperidine- 1-carboxylic acid tert-butyl ester.
To a solution of intermediate 3. A.vii (2.25 g) in MeOH (50 ml) was added PTSA (1 g). After stirring for 20 min at rt, the reaction was heated at 6O0C for 90 min. The reaction mixture was cooled to rt, and saturated NaHCO3 (30 ml) was added. The volatiles were removed under reduced pressure and the residue was extracted with EA (3 x 150 ml). The combined extracts were washed with brine, dried over Na2SO4, filtered and concentrated to dryness. The residue was chromatographed (EA-Hex 4-1 then EA-MeOH 19-1) to afford the title alcohol (0.72 g) as a white foam.
MS (ESI, m/z): 445.6 [M+H+].
3.A.ΪX. (3R, 4R)-3-formyl-4-[3-(3-methoxy-quinolin-5-yl)-propyl]-piperidine-l-carboxylic acid tert-butyl ester.
To a solution of intermediate 3.A.viii (0.72 g) in acetone (15 ml) was added a solution of sodium periodate (1 g) in water (5 ml). The mixture was stirred at rt for 20 min. The reaction mixture was filtered through a pad of celite and the filtrate was concentrated to dryness. The residue was chromatographed (EA-Hex 1-2) to afford the title aldehyde (0.66 g) as a colourless foam.
MS (ESI, m/z): 413.0 [M+H+].
3. A.x. (3 R, 4R)-4~ [3-(3-methoxy-quinolin-5-yl)-propyl] -piperidine-1 , 3-dicarboxylic acid 1-tert-butyl ester 3-methyl ester:
To a solution of intermediate 3.A.ix (0.2 g) in acetone (3.5 ml) and water (1.5 ml) was added potassium permanganate (0.766 g). The reaction was stirred at rt for 30 min and the reaction mixture was concentrated to dryness. The residue was chromatographed (EA then EA containing 1% AcOH) to afford the title acid (0.088 g) as a colourless oil.
MS (ESI, m/z): 429.2 [M+H+].
A solution of this acid (0.2 g) in benzene (1.8 ml) and MeOH (0.2 ml) was treated dropwise with trimethylsilyldiazomethane (0.2 ml, 2M in hexanes). After stirring for 30 min, AcOH
(3 drops) was added and the volatiles were removed under reduced pressure. The residue was chromatographed (EA-Hex 1-1) to afford the title ester (0.065 g) as a colourless oil.
1H NMR (CDCl3) δ: 8.70 (br s, IH); 7.93 (br d, J= 8.4 Hz, IH); 7.52-7.45 (m, 2H); 7.34 (d,
J= 6.3 Hz, IH); 4.00 (s, 3H); 3.67 (br s, 2H); 3.60 (s, 3H); 3.24 (dd, J= 3.3, 13.5 Hz, IH); 3.05 (overlapped m, IH); 3.00 (t, J= 7.5 Hz, 2H); 2.62 (br s, IH); 1.88-1.73 (m, 5H);
1.54 n(m, 2H); 1.43 (s, 9H).
MS (ESI, m/z): 429.2 [M+H+].
3.A.xi. (3R, 4S)-4-[3-(3-methoxy-quinolin-5-yl)-propyl]-l-[2-(thiophen-2-ylsulfanyl)-ethyl]- piperidine-3-carboxylic acid methyl ester: A solution of intermediate 3.A.X (0.061 g) in TFA (2 ml) was stirred at rt for 20 min. The solvent was evaporated and the residue was co-evaporated twice with toluene. The residue was dissolved in DMF (1 ml). 2-(2-bromo-ethylsulfanyl)~thiophene (0.034 g) and DIPEA (0.048 ml) were added. The residue was heated at 800C for 1 h and the volatiles were removed under reduced pressure. The residue was purified by preparative TLC (DCM-MeOH 49-1) to afford the title compound (0.021 g) as a colourless oil. MS (ESI, m/z): 485.4 [M+H+].
3.A.XU. (3R,4R)-4-[3-(3-methoxy-quinolin-5-yl)-propyl]-l-[2-(thiophen-2-ylsιdfanyl)-ethyl]- piperidine-3-carboxylic acid:
A solution of intermediate 3.A.xi (0.02 g) in dioxane (0.5 ml) and 3N NaOH (0.1 ml) was heated in a screw-capped vial overnight. 3N HCl (0.1 ml) was added and the residue was directly purified by preparative TLC (DCM-MeOH 9-1) to afford the title compound (0.004 g) as an oil. MS (ESI, m/z): 471.4 [M+H+].
APPROACHB:
3.B.i. 3-methoxyquinoline-5-carbaldehyde: To a solution of 5-bromo-3-methoxyquinoline (10 g, 42 mmol) in THF (250 ml) cooled to -78°C, was added rc-BuLi (2.35Nin Hex, 22 ml, 51.7 mmol). After 15 min, a solution of DMF (10 ml) in ether (20 ml) was quickly added. The solution was stirred 15 min and EtOH (5 ml), followed with IM NaHSO4 (40 ml) were added. After warming to rt, the org. layer was diluted with EA (100 ml). The two layers were separated and the aq. layer was extracted once with EA (100 ml). The combined org. layers were washed with brine and concentrated to dryness. The residue was chromatographed over SiO2 (EA-Hex 1-2 then 1-1) to afford the title compound (4.75 g, 25.3 mmol) as a yellowish solid.
1H NMR (CDCl3) δ: 10.32 (s, IH); 9.02 (d, J=2.9 Hz, IH); 8.75 (d, J= 2.9 Hz, IH); 8.31 (d, J= 8.3 Hz, IH); 8.02 (d, J= 7.1 Hz, IH); 7.72 (dd, J= 7.1, 8.3 Hz, IH); 4.02 (s, 3H). MS (ESI, m/z): 187.9 [M+H+].
3.B.U. (3R,4S)-4- [2- (1 -phenyl- lH-tetrazol-5-ylsulfanyl)-ethyl]-3-vinyl-piperidine- 1-carboxylic acid tert-butyl ester:
To an ice-chilled solution of (3i?,45)-4-(2-hydroxy-ethyl)-3-vinyl-piperidine-l-carboxylic acid tert-butyl ester (prepared as described in Tetrahedron Letters (2001), 42, 3235-3238; 5.66 g; 22.1 mmol) in THF (200 ml) were added successively PPh3 (11.7 g, 2 eq.), 1 -phenyl- lH-tetrazole-5-thiol (5.9 g, 33.1 mmol) and dropwise DIAD (10 ml, 50.4 mmol). The reaction mixture was stirred overnight at rt. The solvent was removed under reduced pressure and the residue was chromatographed over SiO2 (Ηex-EA 4-1) to afford the title compound (12.9 g) as a white solid. The material was contaminated with a side product reaction. MS (ESI, m/z): 416.4 [M+Η+].
3.B.iii. (3R,4S)-4-[2-(l-phenyl-lH-tetrazole-5-sιdfonyl)-ethyl]-3-vinyl-piperidine- 1-carboxylic acid tert-butyl ester:
To a stirred solution of intermediate 3.B.ii (11.9 g, contaminated) in EtOH (230 ml) was added, at rt, a solution of ammonium heptamolybdate tetrahydrate (3.5 g, 2.8 mmol) in 30% aq. H2O2 (30 ml). The reaction mixture was stirred for 3 h, and a saturated sodium thiosulfate solution (100 ml) was added. The solvent was removed under reduced pressure and the residue was extracted with EA (3 x 200 ml). The combined org. extracts were washed with water, dried over Na2SO4, filtered and concentrated to dryness. The residue was chromatographed over SiO2 (EA-Hex 1-3 then 1-2) to afford the title sulfone along with some contaminants. The material was dissolved in EA and Hex was added until a white solid formed. The solid was removed by filtration and the filtrate was concentrated in vacuo to afford the sulfone (3 g, 6.7 mmol) as a colourless oil. MS (ESI, m/z): 448.5 [M+H+].
3.B .iv. (3R, 4S)-3-(l,2-dihydroxy-ethyl)-4-[2- (1 -phenyl- lH-tetrazole-5 -ylsulfanyl)-ethyl] - piperidine- 1-carboxylic acid tert-butyl ester.
To a stirred solution of intermediate 3.B.iii (6.3 g, 14.0 mmol) in 2-methyl-2-propanol (70 ml) and water (70 ml) was added, at rt, AD-mix α (30 g). The reaction mixture was stirred overnight and NaHSO3 (34 g) was added portionwise. The two layers were separated and the aq. layer was extracted with EA (3 x 150 ml). The combined org. extracts were washed with brine and dried over Na2SO4. After filtration and evaporation to dryness, the residue was chromatographed over SiO2 (EA-Hex 4-1) to afford the title diol (3.35 g, 6.95 mmol) as a white solid. MS (ESI, m/z): 482.4 [M+H+]. 3.B.V. (3R, 4S)-3-(2,2-dimethyl-[l,3]dioxolan-4-yl)-4-[2-(l-phenyl-lH-tetrazole- 5-ylsιdfanyl)-ethyl]-piperidine-l-carboxylic acid tert-butyl ester.
To a solution of intermediate 3.B.iv (3.35 g, 6.95 mmol) in DCM (50 ml) was added, at rt, PTSA (0.07 g, 0.36 mmol) and 2,2-dimethoxypropane (1.71 ml, 13.9 mmol). The reaction was stirred at rt for 40 min and IM aq. NaHCO3 (10 ml) was added. The two layers were separated and the aq. layer was extracted once with DCM (100 ml). The combined org. layers were washed with brine, dried over Na2SO4 and filtered. After concentration to dryness, the residue was chromatographed over SiO2 (EA-Hex 1-2) to yield the title acetonide (3.42 g, 6.55 mmol) as a colourless oil. 1R NMR (CDCl3) δ: 7.74-7.60 (m, 5H); 4.20 (m, IH); 4.02 (m, 2H); 3.93-3.61 (m, 4H); 3.23 (br s, IH); 2.96 (br d, J= 12.1 Hz, IH); 2.29 (m, IH); 2.16-1.91 (m, 2H); 1.84 (m, IH); 1.68 (m, 2H); 1.47 (s, 9H); 1.69 (s, 3H); 1.34 (s, 3H). MS (ESI, m/z): 522.5 [M+H+].
3.B.vi. (3R,4R)-3~(2,2-dimethyl-[l,3]dioxolan-4-yl)-4-[3-(3-methoxy-quinolin-5-yl)-allyl]- piperidine-1-carboxylic acid tert-butyl ester.
To a solution of intermediate 3.B.V (3.42 g, 6.55 mmol) in DME (24 ml) was added 3-methoxyquinoline-5-carbaldehyde (1.1 g, 5.9 mmol). The mixture was cooled to -600C and a solution of potassium bis(trimethylsilylamide) (0.5Min toluene, 20 ml, 10 mmol) was added dropwise over 20 min. After the addition was complete, the reaction was stirred 10 min at the same temperature and water (20 ml) was added. The mixture was warmed to rt, and was extracted with EA (3 x 150 ml). The combined extracts were washed with brine, dried over Na2SO4, filtered and concentrated to dryness. The residue was chromatographed over SiO2 (EA-Hex 1-2) to afford the title compound (2.52 g, 5.22 mmol) as a colourless foam. The compound was recovered as a 2:1 mixture of epimers. 1B. NMR (CDCl3) δ: 8.70 (d, J= 2.8 Hz, IH); 7.97 (app d, J= 8.2 Hz, IH); 7.65-7.50 (m, 3H); 7.02 (d, J= 15.2 Hz, IH); 6.31 (ddd, J= 6.0, 8.4, 15.2 Hz, 0.66H); 6.17 (td, J= 7.2, 15.2 Hz, 0.33H); 4.16 (m, 2H); 3.72 (m, IH); 3.69-3.22 (m, 4H); 2.69 (m, 2xO.33H); 2.44 (m, 2xO.66H); 2.19-2.05 (m, 0.66H); 2.03-1.83 (m, 1.33H); 1.69 (m, 2H); 1.49 (s, 9xO.66H); 1.48 (s, 9xO.33H); 1.43 (s, 3xO.66H); 1.42 (s, 3xO.33H); 1.39 (s, 3xO.66H); 1.38 (s, 3x0.33H). MS (ESI, m/z): 483.3 [M+H+]. 3.B .vii. (3 R, 4R)-3-(2, 2-dimethyl-[l, 3]dioxolan-4-yl)-4-[3- (3-methoxy-quinolin-5-yl)-propyl]- piperidine-1-carboxylic acid tert-butyl ester.
To a solution of intermediate 3.B.vi (2.52 g, 5.22 mmol) in EA (40 ml) was added 10% palladium on charcoal (2 g). The reaction mixture was stirred under hydrogen (1 atm) for 90 min. The catalyst was removed by filtration and the filtrate concentrated to dryness. The residue was chromatographed over SiO2 (EA-Hex 1-1) to afford the title compound (2.25 g, 4.64 mmol) as a colourless foam.
1H NMR (CDCl3) δ: 8.70 (d, J= 2.8 Hz, IH); 7.97 (app d, J= 8.2 Hz, IH); 7.41-7.34 (m, 2H); 7.14 (m, IH); 3.88-3.75 (m, 2H); 3.76 (s, 3H); 3.38 (m, IH); 3.26-2.84 (br m, 4H); 2.80 (m, 2H); 1.60-1.24 (m, 8H); 1.23 (s, 9H); 1.16 (s, 3x0.33H); 1.11 (3xO.66H); 1.09 (3x0.33H); 1.07 (3xO.66H). MS (ESI, m/z): 485.4 [M+H+].
3.B . viii. (3R, 4R)-3- (1 ,2-dihydroxy-ethyl)-4- [3-(3-methoxy-quinolin-5-yl)-propyl] -piperidine- 1-carboxylic acid tert-butyl ester: A solution of intermediate 3.B.vii (2.7 g, 5.57 mmol) in TFA (10 ml) was stirred 5 min at rt. Water (20 ml) was added and the mixture was further stirred 10 min. The volatiles were removed under reduced pressure and the residue was diluted in IN aq. NaOH (20 ml) and THF (20 ml). Solid NaOH (0.5 g) and di-fert-butyl dicarbonate (1.8 g, 8.24 mmol) were added. The mixture was stirred 30 min at rt. The volatiles were removed under reduced pressure and the residue was extracted with EA (2 x 150 ml). The combined org. layers were washed with brine and concentrated to dryness. The residue was chromatographed over SiO2 (Hex-EA 1-1 then EA then EA-MeOH 9-1) to afford the title diol (2.1 g, 4.72 mmol) as a colourless foam. MS (ESI, m/z): 445.6 [M+H+].
3.B.ix. (3R,4R)-3-formyl-4-[3-(3-methoxy~quinolin-5-yl)~propyl]-piperidine-l-carboxylic acid tert-butyl ester:
To a solution of intermediate 3.B.viii (2.1 g, 4.72 mmol) in acetone (15 ml) was added a solution Of NaIO4 (3 g, 14 mmol) in water (10 ml). The mixture was stirred at rt for 20 min. The reaction mixture was filtered through a pad of Celite and the filtrate was concentrated to dryness. The residue was chromatographed over SiO2 (EA-Hex 1-2) to afford the title aldehyde (1.45 g, 3.51 mmol) as a colourless foam. MS (ESI, m/z): 413.0[M+H+].
3.B.X. (3R,4R)-4- [3-(3-methoxy-qιιinolin-5-yl)-propyl] -piperidine-1 ,3-dicarboxylic acid 1-tert-butyl ester 3-methyl ester:
To a solution of intermediate 3.B.ix (1.45 g, 3.51 mmol) in acetone (35 ml) and water (5 ml) was added KMnO4 (1.67 g, 10.5 mmol). The reaction mixture was stirred at rt for 30 min. NaHSO3 (1.5 g) and saturated sodium thiosulfate (10 ml) were added. After stirring 15 min, the reaction mixture was filtered through a pad of celite (eluent: EA containing 1% acetic acid). The filtrate was concentrated in vacuo and partitioned between water (30 ml) and EA (100 ml). The aq. layer was extracted twice more (2 x 100 ml) with EA. The combined extracts were washed with brine and dried over Na2SO4. After filtration and concentration to dryness, the residue was filtered quickly through a plug of SiO2 (EA) to afford the title acid (1.5 g, 3.5 mmol) as an oil. MS (ESI, m/z): 429.4 [M+H+]. To a solution this acid (1.5 g) in benzene (25 ml) and MeOH (5 ml) was added dropwise trimethylsilyldiazomethane (4 ml, 2M in Hex). The reaction proceeded for 30 min and AcOH (3 ml) was added. After stirring 10 min, the reaction mixture was diluted with EA (100 ml) and IM aq. NaOH (20 ml) was added. The two layers were separated and the aq. layer was extracted once with EA (100 ml). The combined org. extracts were washed with brine and concentrated to dryness. The residue was chromatographed over SiO2 (EA-Hex 1-1) to afford the title ester (1.16 g, 2.62 mmol) as a colourless oil.
1H NMR (CDCl3) δ: 8.70 (d, J = 2.85 Hz, IH); 7.93 (br d, J= 8.4 Hz, IH); 7.52-7.45 (m, 2H); 7.34 (d, J= 6.3 Hz, IH); 4.00 (s, 3H); 3.99 (overlapped m, IH); 3.75 (m, IH); 3.60 (s, 3H); 3.24 (dd, J= 3.3, 13.5 Hz, IH); 3.05 (overlapped m, IH); 3.00 (t, J= 7.5 Hz, 2H); 2.62 (br s, IH); 1.88-1.73 (m, 5H); 1.54 (m, 2H); 1.43 (s, 9H). MS (ESI, m/z): 443.5 [M+H+] .
3.B.xi. (3R,4R)-4-[3-(3-methoxy-quinolin-5-yl)-propyl]-piperidine-3-carboxylic acid methyl ester.
A solution of intermediate 3.B.X (1.16 g, 2.62 mmol) in TFA (6 ml) was stirred at rt for 20 min. The solvent was evaporated and the residue was partitioned between water (20 ml) and a DCM-MeOH mixture (9-1, 50 ml). The pH was adjusted to 10 adding IM aq. NaOH. The aq layer was extracted three times with the same mixture. The combined extracts were washed with brine, dried over Na2SO4, filtered and concentrated to dryness. The residue was chromatographed over SiO2 (DCM-MeOH 19-1 containing 1% aq. concentrated NH4OH) to afford the title compound (0.85 g, 2.47 mmol) as a colourless oil.
1H NMR (CDCl3) δ: 8.70 (d, J= 2.8 Hz, IH); 7.92 (br d, J= 8.3 Hz, IH); 7.54-7.45 (m, 2H); 7.34 (d, J= 7.1 Hz, IH); 4.00 (s, 3H); 3.58 (s, 3H); 3.24 (dd, J= 3.3, 13.4 Hz, IH); 3.11 (td, J= 3.8, 13.4 Hz, IH); 3.02 (t, J= 7.4 Hz, 2H); 2.85 (dd, J= 3.7, 13.5 Hz, IH); 2.69 (overlapped dd, J= 3.8, 10.2 Hz, IH); 2.65 (m, IH); 2.26 (br s, IH); 1.82 (m, 3H); 1.69-1.51 (m, 2H); 1.42 (m, 2H). MS (ESI, m/z): 343.6 [M+H+].
3.B.XU. (3R,4R)-4- [3-(3-methoxy-quinolin-5-yl)-propyl] -1- [2-(thiophen-2-ylsιdfanyl)-ethyl] - piperidine-3-carboxylic acid methyl ester.
To a solution of intermediate 3.B.xi (0.35 g, 1 mmol) in DMF (4 ml) were added 2-(2-bromo- ethylsulfanyl)-thiophene (0.28 g, 1.25 mmol) and DIPEA (0.35 ml, 2mmol). The reaction was heated at 8O0C for 1 h. The volatiles were removed under HV and the residue was chromatographed over SiO2 (DCM-MeOH 19-1) to afford the title compound (0.24 g, 0.5 mmol) as a colourless oil.
1H NMR (CDCl3) δ: 8.69 (d, J= 2.8 Hz, IH); 7.91 (br d, J= 8.3 Hz, IH); 7.48 (m, 2H); 7.34 (m, 2H); 7.12 (dd, J= 1.2, 3.5 Hz, IH); 6.97 (dd, J= 3.5, 5.3 Hz, IH); 3.99 (s, 3H); 3.63 (s, 3H); 2.99 (m, 2H); 2.90 (t, J= 7.5 Hz, 2H); 2.67 (m, 2H); 2.62 (m, 2H); 2.48 (m, 2H); 2.33 (m, IH); 1.85-1.62 (m, 6H), 1.48 (m, IH). MS (ESI, m/z): 485.4 [M+H+].
3.B.xiii. (3R,4R)-4- [3-(3-methoxy-quinolin-5-yl)-propyl] -1- [2-(thiophen-2-ylsulfanyl)-ethyl] - piperidine-3-carboxylic acid:
To a solution of intermediate 3.B.xii (0.24 g, 0.5 mmol) in dioxane (5 ml) was added 3M aq.
NaOH (1.5 ml). The reaction mixture was heated at 1000C for 4 h. After cooling, 3N aq. HCl (1.5 ml) was added. The volatiles were removed under reduced pressure and the residue was chromatographed over SiO2 (DCM-MeOH 9-1 containing 1% aq. concentrated NH4OH) to afford the title acid (0.124 g, 0.26 mmol) as a colourless foam.
1H NMR (CDCl3) δ: 8.68 (d, J= 2.1 Hz, IH); 7.92 (d, J= 8.3 Hz, IH); 7.64 (d, J= 2.1 Hz,
IH); 7.47 (t, J= 7.0 Hz, IH); 7.37 (m, 2H); 7.19 (dd, J= 1.2, 3.5 Hz, IH); 7.0 (dd, J= 3.5, 5.3 Hz, IH); 4.03 (s, 3H); 3.08 (m, 3H); 2.88 (m, 3H); 2.73 (m, 3H); 2.34 (br d, J= 11.2 Hz,
IH); 2.21 (m, IH); 2.05 (m, IH); 1.85-1.45 (m, 7H). MS (ESI, m/z): 471.4 [M+H+].
Example 4: (3R,4S)-l-benzofuran-2-ylmethyl-4-[3-(3-methoxy-quinolin-5-yI)-propyl]- piperidine-3-carboxyIic acid:
4.i. (3R,4S)-l-benzofuran-2~ylmethyl-4-[3-(3-methoxy-quinolin-5-yl)-propyl]-piperidine- 3-carboxylic acid methyl ester.
To a solution of intermediate 3.B.xi (0.25 g, 0.73 mmol) in 1,2-DCE (6 ml) were added benzofuran-2-carbaldehyde (0.118 g, 1.1 eq) and sodium triacetoxyborohydride (0.232 g, 1.5 eq). The reaction was stirred 2 h at rt, and was subsequently filtered through Hydromatrix® (pretreated with water). The filtrate was concentrated to dryness and the residue was purified over SiO2 (DCM-MeOH 19-1) to afford the title ester (0.32 g, 0.67 mmol) as a colourless oil. MS (ESI, m/z): 473.2 [M+H+].
4.ii. (3R,4S)-l-benzofuran-2-ylmethyl-4-[3-(3-methoxy-quinolin-5-yl)-propyl]-piperidine- 3-carboxylic acid: Starting from intermediate 4.i (0.32 g, 0.67 mmol), the title compound (0.14 g, 0.3 mmol) was obtained as a colourless foam using the protocol of Example 3, step 3.A.xii. The compound was purified by chromatography over SiO2 using a DCM-MeOH 9-1 mixture containing 1% aq. NH4OH as an eluent. MS (ESI, m/z): 459.1 [M+H+].
Example 5: (5R,¥i?)-{4-[3-(3-methoxy-quinolin-5-yl)-propyl]-l-[2-(thiophen- 2-ylsulfanyl)-ethyl]-piperidin-3-yl}-acetic acid:
5.i. (3R,4S)-4-(tert-butyl-dimethyl-silanyloxymethyl)-3-vinyl-pipei'idine-l-carboxylic acid tert-butyl ester.
To a solution of (3i?,45)-tert-butyl 4-(2-hydroxyethyi)-3-vinylpiperidine-l-carboxylate (11.8 g, 3.99 mmol) in DCM (250 ml), was added under nitrogen TEA (12.88 ml, 2 eq.), DMAP (0.6 g, 1.9 mmol), and TBDMS-Cl (6.97 g, 1 eq.). The reaction mixture was stirred at rt for 4 h. The reaction mixture was washed with saturated NaHCO3 (150 ml), saturated cooper sulfate (2 x 150 ml) and water (150 ml). After drying over Na2SO4 and filtration, the solvent was evaporated to dryness. The residue (16.8 g, 98% yield) was carried on without further purification.
1H NMR (CDCl3) δ: 5.78 (IH, m); 5.13 (m, IH); 5.08 (m, IH,); 4.03 (br s, IH); 3.94 (m, IH); 3.64 (t, 2H, J = 6.6 Hz); 2.95 (dd, IH, J =3.3, 13.2 Hz); 2.80 (br s, IH); 2.25 (m, IH); 1.77 (m, IH); 1.46-1.32 (overlapped m, 4H), 1.44 (s, 9H); 0.89 (s, 9H); 0.05 (s, 6H). MS (ESI, m/z): [M+H+] 370.5.
5.ii. (3R,4S)-4-(tert-butyl-dimethyl-silanyloxymethyl)-3-(2-hydroxy-ethyl)-piperidine- 1-carboxylic acid tert-butyl ester.
To an ice-chilled solution of intermediate 5.i (12 g, 32.4 mmol) in THF (150 ml) was added borane-dimethylsulfide complex (3.6 ml, 35.7 mmol). The reaction was then let under stirring overnight with warming. After cooling to 00C, 3M aq. NaOH (60 ml) and 30% aq. H2O2 (18.5 ml) were added. The reaction mixture was stirred 1 h. The reaction mixture was diluted with DCM (200 ml). Saturated aq. NaHSO3 was added until the oxidizing agent was completely destroyed. The two layers were separated and the aq. layer was extracted twice with DCM (2 x 200 ml). The combined org. layers were washed with brine, dried over Na2SO4, filtered and concentrated to dryness. The residue was purified by chromatography over SiO2 (EA-Hex 4-1) to afford the title alcohol (11.34 g. 29.3 mmol) as a colourless oil. 1H NMR (CDCl3) δ: 4.17 (m, 2H); 3.75 (td, J =1.8, 6 Hz, 2H); 3.68 (td, J =1.8, 6 Hz, 2H); 2.92-2.51 (m, 2H); 1.77-1.25 (m, 9H); 1.46 (s, 9H); 0.90 (s ,9H); 0.11 (s, 6H). MS (ESI, m/z): [M+H+] 388.4.
5.iii. (3R,4S)-4-(tert-bιιtyl-dimethyl-silanyloxymethyl)-3-[2-(tetrahydro-pyran-2-yloxy)- ethyl] -piperidine- 1-carboxylic acid tert-butyl ester:
To a solution of intermediate 5.ii (11.34 g, 29.2 mmol) in DCM (230 ml) was added PTSA (0.222 g, 1.1 mmol). The reaction mixture was stirred for 15 min and 3,4-dihydro-2H-pyran (5.3 ml, 58.5 mmol) was added dropwise. The reaction mixture was stirred at rt for 90 min. IM aq. NaHCO3 (50 ml) was added and the two layers were separated. The org. layer was washed with brine (50 ml), dried over Na2SO4 and filtered. The solvent was evaporated and the residue was chromatographed over SiO2 (EA-Hex 1-4) to afford the title derivative (12 g, 25.4 mmol) as a colourless oil. 1H NMR (CDCl3) δ: 4.59 (m, IH,); 4.02 (br s, IH); 3.90-3.78 (m, 3H); 3.65 (m, 2H); 3.54-3.43 (m, 2H); 2.90-2.85 (m, 2H); 1.83-1.22 (m, 14H); 1.45 (s, 9H); 0.89 (s, 9H); 0.06 (s, 6H). MS (ESI, m/z): [M+H+] 472.7.
5.iv. (3R,4S)-tert-butyl-4-(2-hydroxyethyl)-3-(2-(tetrahydro-2H-pyran- 2-yloxy)ethyl)piperidine-l-carboxylate:
To a solution of intermediate 5.iii (11.99 g, 25.4 mmol) in THF (100 ml) was added TBAF (IM in THF, 35.7 ml). The reaction mixture was stirred for 1 h. The volatiles were removed under pressure and the residue was chromatographed over SiO2 (EA-Hex 2-1) to afford the title alcohol (9.2 g, 25.7 mmol) as a thick oil.
1H NMR (CDCl3) δ: 4.57 (m, IH); 4.02 (br s, IH); 3.91-3.79 (m, 3H); 3.70 (m, 2H); 3.54-3.48 (m, 2H); 2.90-2.80 (m, 2H); 1.83-1.38 (m, 15H); 1.45 (s, 9H). MS (ESI, m/z): [M+H+] 358.5.
5.v. (3R,4S)-4-(l-phenyl-lH-tetrazol-5-ylmethylsιιlfanylmethyl)-3-[2-(tetrahydro-pyran- 2-yloxy)- ethyl] -piperidine-1-carboxylic acid tert-butyl ester.
To an iced chilled solution of intermediate 5.iv (9.2 g, 25.7 mmol) in THF (10 ml), were added successively PPh3 (10.12 g, 38.6 mmol), phenyltetrazole thiol (5.5 g, 30.9 mmol) and dropwise DIAD (7.6 ml, 38.6 mmol). The reaction mixture was stirred overnight at rt. The volatiles were removed under reduced pressure and the residue was chromatographed over SiO2 (Hex-EA 4-1). The relevant fractions were pooled, concentrated to dryness. Hex (100 ml) was added in order to crystallize the hydrazine side product. The mixture was filtered and solvent was evaporated in vacuum to afford the title compound as a colourless oil (20.1 g) still contaminated with the hydrazine side product. MS (ESI, m/z): [M+H+] 518.5.
5.vi. (3R,4S)-3-[2-(tert-butyl-dimethyl-silanyloxy)-ethyl]-4-[2-(l-phenyl-lH-tetrazole- 5-sulfonyl)-ethyl] -piperidine-1-carboxylic acid tert-butyl ester.
To a stirred solution of intermediate 5.v (20.2 g, 39.02 mmol) in EtOH (400 ml) at rt, was added dropwise ammonium molybdate (6.06 g, 4.904 mmol) in 30% aq. H2O2 (51.4 ml). The mixture reaction was stirred vigorously for 4 h. Water (200 ml) was added and the volatiles were evaporated. The aq. layer was extracted twice with EA (2 x 150 ml), and the combined org. phases were washed with water (250 ml), dried over Na2SO4, filtered and evaporated to dryness. The residue (9.28 g, 19.93 mmol) was taken up in DCM (100 ml) and TEA (5.5 ml, 39.8 mmol), DMAP (0.3 g, 2 mmol) and TBDMS-Cl (3.5 g, 19.9 mmol) were added. The reaction mixture was stirred at rt for 3 h. The solvent was removed under reduced pressure and the residue was chromatographed over SiO2 (Hex-EA 2-1) to afford the title compound as a colourless oil (10.33 g, 17.8 mmol). MS (ESI, m/z): [M+H+] 550.5.
5.vii. (3R,4R)-3- [2-(tert-butyl-dimethyl-silanyloxy)-ethyl] '-4-trans- [3-(3-methoxy-quinolin- 5-yl)-allyl]-piperidine-l-carboxylic acid tert-butyl ester:
To a solution of intermediate 5.vi (10.33 g, 17.8 mmol) in 1,2-DME (80 ml) was added 3-methoxy-quinoline-5-carbaldehyde (3 g, 16 mmol). After cooling to -60°C, a solution of potassium bis(trimethylsilyl)amide (0.5M in toluene, 60 ml, 30 mmol) was added over 20 min. The reaction proceeded for 30 min. and 10% aq. NaHSO4 (200 ml) was added. After warming to rt, the two layers were separated. The aq. layer was extracted twice with EA (2 x 200 ml). The combined org. layers were washed with brine, dried over Na2SO4, filtered and concentrated to dryness. The residue was chromatographed over SiO2 (Hex-EA 3-1) to afford the title alkene (7.85 g, 14.5 mmol) as a viscous oil. MS (ESI, m/z): [M+H+] 541.3.
5.viii. (3R,4R)-3-(2-hydroxy-ethyl)-4-trans-[3-(3-methoxy-quinolin-5-yl)-allyl]-piperidine- 1-carboxylic acid tert-butyl ester. To a solution of intermediate 5.vii (7.85 g, 14.5 mmol) in THF (100 ml) was added at rt TBAF (IM in THF, 20 ml, 20 mmol). The reaction mixture was let under stirring for 3 h. After concentration to dryness, the residue was chromatographed over SiO2 (DCM-MeOH 19-1) to afford the title alcohol (6.22 g, 14.6 mmol) as a colourless oil. MS (ESI, m/z): [M+H+] 427.0.
5.ix. (3R,4R)-3-(2-hydroxy-ethyl)-4-[3-(3-methoxy-quinolin-5-yl)-propyl]-piperidine- 1-carboxylic acid tert-butyl ester.
To a stirred solution of intermediate 5. viii (6.22 g, 14.5 mmol) in EA (100 ml) was added palladium on activated charcoal (3.5 g). The reaction mixture was vigorously stirred for 1 h under hydrogen (1 atm). The residue was diluted with EA, the catalyst was removed by filtration and the solvent was evaporated under HV to yield the title alcohol (5.75 g, 13.4 mmol). It was carried on in the next reaction without further purification. MS (ESI, m/z): [M+H+] 429.2.
5.x. (3R,4R)-4-[3-(3-methoxy-quinolin-5-yl)-propyl]-3-(2-oxo-ethyl)-piperidine-l-carboxylic acid tert-butyl ester:
To a solution of oxalyl chloride (3.5 ml, 38.9 mmol) in DCM (25 ml) cooled to -78°C, was added a solution of DMSO (3.5 ml, 46.9 mmol) in DCM (25 ml) over 10 min. After stirring further 15 min, a solution of intermediate 5.ix (5.75 g) in DCM (25 ml) was added and the resulting mixture was stirred 1 h at the same temperature. TEA (15 ml, 134.1 mmol) in DCM (15 ml) was added dropwise and the reaction mixture was stirred at -78°C for 30 min before a slow warming. The reaction mixture was quenched with saturated aq. NaHCO3 (50 ml). The two layers were separated and the org. layer was concentrated to dryness. The residue was quickly filtered through SiO2 (Hex-EA 1-4) to afford the title aldehyde (5.08 g, 11.92 mmol) as a colourless oil. MS (ESI, m/z): [M+H+] 427.1.
5.xi. (3R,4R)~3-carboxymethyl-4-[3-(3-methoxy-quinolin-5-yl)-propyl]-piperidine- 1-carboxylic acid tert-butyl ester.
To a solution of intermediate 5.x (5.08 g, 11.9 mmol) in acetone (120 ml) and water (18 ml) was added K-MnO4 (5.65 g, 35.7 mmol). The reaction mixture was stirred at rt for 30 min. NaHSO3 (5.3 g) and saturated aq. sodium thiosulfate (35 ml) were added. After stirring 15 min, the reaction mixture was filtered through a pad of Celite. The filtrate was concentrated in vacuo and diluted with EA (300 ml) and water (100 ml). The phases were separated and the aq. layer was extracted twice more with EA (2 x 250 ml). The combined org. layers were washed with brine, filtered and dried over Na2SO4. After filtration, the residue was concentrated to dryness and the residue was filtered quickly over SiO2 (EA) to afford the title acid (5.1 g, 11.5 mmol). MS (ESI, m/z): [M+H+] 443.1.
5.xii. (3R,4R)-3-methoxycarbonylmethyl-4-[3 -(3-methoxy-quinolin-5-yl)-propyl]-piperidine- 1-carboxylic acid tert-butyl ester.
To a solution of intermediate 5.xi (5.1 g, 11.17 mmol) in benzene (75 ml) and MeOH (15 ml) was added dropwise trimethylsilyl diazomethane (2M in ether, 8 ml, 16 mmol). The reaction mixture was stirred for 1 h. AcOH (3 ml) was added and the mixture was concentrated to dryness. The residue was partitioned between EA (200 ml) and 0.5Naq. NaOH (100 ml). The org. layer was washed once more with 0.5N NaOH (100 ml), water (100 ml), and brine (100 ml). After drying over Na2SO4, filtration and concentration to dryness, the residue was dried under HV to afford the title ester (4 g, 8.76 mmol) as a viscous oil. MS (ESI, m/z): [M+H+] 457.5.
S.xiii. (3R,4R)-4-[3-(3-methoxy-quinolin-5-yl)-propyl]-pipendin-3-yl}-acetic acid methyl ester.
A solution of intermediate 5.xii (4 g, 8.761 mmol) in TFA (20 ml) was let under stirring at rt for 20 min. After the volatiles were removed under reduced pressure, the residue was partitioned between DCM-MeOH (9-1, 200 ml) and 0.5NNaOH (100 ml). The aq. layer was extracted three more times (3 x 100 ml) and the combined org. extracts were washed with brine (100 ml), dried over Na2SO4, filtered and concentrated to dryness. The residue was chromatographed over SiO2 (DCM-MeOH 9-1 1% NH4OH) to afford the title amine (2.3 g,
6.45 mmol) as a colourless oil.
1H NMR (CDCl3): 8.68 (d, J = 2.7 Hz, IH); 7.92 (d, J = 8.1 Hz, IH); 7.53-7.45 (m, 2H); 7.34 (dd; J = 0.9, 7.2 Hz, IH); 3.98 (s, 3H); 3.67 (s, 3H); 2.99 (m, 3H); 2.91 (dd, J = 3,
12.6 Hz, IH); 2.70-2.51 (m, 3H); 2.26-2.14 (m, 2H); 1.82 (br s, IH); 1.81-1.63 (m, 3H);
1.50-1.26 (m, 4H).
MS (ESI, m/z): [M+H+] 357.3.
5.xiv. {(3R,4R)-4-[3-(3~methoxy-quinolin-5-yl)-propyl]-l-[2-(thiophen-2-ylsulfanyl)-ethyl]- piperidin-3-yl} -acetic acid methyl ester:
To a solution of intermediate 5.xiii (I g, 2.8 mmol) in DMF (11.4 ml) were added 2-(2-bromo-ethylsulfanyl)-2,5-dihydro-thiophene (1.194 g, 5.35 mmol) and DIPEA (1.241 ml, 7.51 mmol). The reaction mixture was heated at 80°C for 1 h. The volatiles were removed under HV and the residue was chromatographed over SiO2 (DCM-MeOH 19-1) to afford the title compound (0.836 g, 1.67 mmol) as a colourless oil.
1H NMR (CDCl3): 8.69 (d, J = 3 Hz, IH), 7.92 (d, J = 8.4 Hz, IH); 7.52-7.45 (m, 2H); 7.35-7.32 (m, 2 H), 7.12 (d, J = 2.7 Hz, IH), 6.96 (dd, J = 3.6, 5.4 Hz., IH); 3.98 (s, 3H); 3.64 (s, 3H); 2.98 (m, 2H); 2.88 (m, 2H); 2.71-2.43 (m, 4H); 2.22 (m, 2H); 2.03 (m, 2H); 1.74 (m, 2H); 1.62-1.32 (m, 6H). MS (ESI, m/z): [M+H+] 499.4. 5.XV. (3R,4R)-{4-[3-(3-methoxy-quinolin-5-yl)-propylJ-l-[2-(thiophen-2-ylsulfanyl)-ethylJ- piperidin-3-ylj -acetic acid:
To a solution of intermediate 5.xiv (0.836 g, 1.67 mmol) in dioxane (10 ml) was added 3M NaOH (8.1 ml, 24.3 mmol). The reaction mixture was heated at 100°C overnight. After cooling, 3MHC1 (8.1 ml) was added. The volatiles were removed under reduced pressure and the residue was chromatographed over SiO2 (DCM-MeOH 9-1 to 6-1 1% NH4OH) to afford the title compound (0.634 g, 1.30 mmol) as a colourless foam.
1H NMR (CDCl3): 8.69 (d, J = 3.3 Hz, IH), 7.92 (d, J = 8.4 Hz, IH), 7.58-7.45 (m, 2H); 7.38-7.33 (m, 2H); 7.17 (d, J = 2.8 Hz, IH), 6.98 (m, IH), 4.8 (br s, IH), 3.98 (s, 3H); 3.10-2.92 (m, 5H); 2.88-2.71 (m, 3H)); 2.51-2.42 (m, 2H); 2.18 (m, IH); 2.08 (m, IH); 1.72-1.32 (m, 8H). MS (ESI, m/z): [M+H+] 485.6.
Example 6: 2-{(5i?,¥5)-4-[3-(3-methoxy-quinolin-5-yl)-propyl]-l-[2-(thiophen- 2-ylsulfanyl)-ethyl]-piperidin-3-yl}-ethanol:
To an ice-cooled solution of intermediate 5.xiv (0.35 g, 0.75 mmol) in THF (10 ml) was added DIBAH (1.5M in toluene, 2 ml). The reaction was stirred 30 min at this temperature and water (0.2 ml) was added. The reaction mixture was diluted with ether (20 ml) and was filtered through a pad of celite. The filtrate was concentrated to dryness and the residue was chromatographed over SiO2 (DCM-MeOH 9-1) to afford the title alcohol (0.20O g, 0.42 mmol) as a colourless oil. MS (ESI, m/z): [M+H+] 471.4.
Example 7: carbamic acid 2-{(3R,41ϊ)-4-[3-(3-methoxy-quinolin-5-yI)-propyl]- l-[2-(thiophen-2-ylsulfanyl)-ethyl]-piperidin-3-yl}-ethyl ester:
To an ice-chilled solution of the compound of Example 6 (0.1 g) in DCM (1.5 ml) was added trichloroacetyl isocyanate (0.03 ml). After stirring at rt for 1 h, the reaction mixture was concentrated to dryness. The residue was taken up in 2-methyl-2-propanol (1 ml) and MeOH
(0.5 ml). A saturated K2CO3 solution (0.5 ml) was added and the mixture was heated at 7O0C for 2 h. After concentration in vacuo, the residue was directly subjected to chromatography over SiO2 (DCM-MeOH 19-1 containing 1% aq. NH4OH) to afford the title compound as a colourless foam. MS (ESI, m/z): [M+H+] 514.5.
Example 8: 4-[3-hydroxy-3-(3-methoxy-quinolin-5-yl)-propyl]-l-[2-(thiophen- 2-ylsulfanyl)-ethyl]-piperidine-3-carboxylic acid:
8.i. (3R,4S)-4-[2-(tert-butyl-dimethyl-silanyloxy)-ethyl]-3-(l,2-dihydroxy-ethyl)-piperidine- 1-carboxylic acid tert-butyl ester.
To a mixture of intermediate 5.i (16.8 g, 45.4 mmol) in DCM (220 ml) and water (20 ml) were added NMO (16 g, 136 mmol) and potassium osmate dihydrate (0.33 g, 0.9 mmol). The mixture was vigorously stirred at rt overnight. The reaction mixture was diluted with water (100 ml). The two layers were decanted and the org. layer was dried over Na2SO4, filtered and concentrated in vacuo. The residue was chromatographed over SiO2 (Hex-EA 1-1 then 1-3) to afford the title alcohol (16 g, 87% yield) as a brown oil. MS (ESI, m/z): [M+H+] 404.1.
8.ii. (3R,4S)-4- [2-(tert-bιιtyl-dimethyl-silanyloxy)-ethyl] -3-(2,2-dimethyl- [1 ,3] dioxolan-4-yl)- piperidine- 1-carboxylic acid tert-butyl ester: To a solution of intermediate 8.i (17.14 g, 42.4 mmol) in DCM (200 ml) was added dropwise at rt PTSA (0.4 g) and 2,2 dimethoxypropane (10.4 ml, 2 eq.). The reaction mixture was stirred at rt for 1 h. IM aq. NaHCO3 (100 ml) was added and the two phases were separated. The aq. layer was extracted with DCM (200 ml). The combined org. layers were washed with brine, dried over Na2SO4, filtered and concentrated to dryness. The acetonide was engaged in the next step without purification. MS (ESI, m/z): [M+H+] 444.2.
8.Hi. (3S,4R)-3-(2,2-dimethyl- [1 ,3] dioxolan-4-yl)-4-(2-hydroxy-ethyl)-piperidine- 1-carboxylic acid tert-butyl ester:
To a solution of intermediate 8.ii (42.4 mmol theoretically) in THF (200 ml) was added TBAF (IM in THF, 55 ml). The reaction was stirred at rt overnight. The reaction was concentrated in vacuo and chromatographed over SiO2 (EA-Hex 3-1) to afford the title alcohol (13.04 g, 39.6 mmol) as a colourless oil. MS (ESI, m/z): [M+H+] 330.2. 8.iv. (3R,4S)-3-(2,2-dimethyl- [1 ,3] dioxolan-4-yl)-4-(2-oxo-ethyl)-piperidine-l-carboxylic acid tert-butyl ester.
To a mixture of oxalyl chloride (10 ml, 114.8 mmol) in DCM (95 ml) cooled to -78°C was added dropwise a solution of DMSO (10 ml, 139 mmol) in DCM (95 ml). The reaction mixture was stirred at this temperature 15 min. Then, a solution of intermediate 8.iii (13.04 g, 39.6 mmol) in DCM (95 ml) was added dropwise at -78°C and the reaction mixture was stirred at this temperature for 1 h. A solution of TEA (33 ml, 237 mmol) was added dropwise at -78°C and the reaction mixture was stirred for 1 h at this temperature and allowed to warm slowly to rt over 1 h. The reaction mixture was quenched with 10% aq. NaHSO4 (100 ml). The two phases were separated and the org. layer was washed with water (100 ml) and brine (100 ml). The org. layer was dried over Na2SO4, filtered and concentrated to dryness. The residue was chromatographed over SiO2 (EA: Hex 2-1) to afford the title aldehyde (12.16 g, 93% yield) as slightly coloured oil which was directly used in the next step.
8.v. (3R,4R)-4-allyl-3-(2,2-dimethyl- [1 ,3] dioxolan-4-yl)-piperidine-l-carboxylic acid tert-butyl ester:
To a suspension of methyltriphenylphosphonium bromide (21.3 g, 59.5 mmol) in THF (200 ml) cooled to -780C, was added M-BuLi (2.35Nin hexanes, 23 ml). The reaction mixture was stirred at this temperature for 15 min. and at 00C for 45 min. Then, the reaction mixture was cooled to -78°C and a solution of intermediate 8.iv (12.16 g, 37 mmol) in THF (50 ml) was quickly added. The reaction mixture was stirred overnight at rt. The reaction was quenched with EtOH (50 ml) and concentrated to dryness. The residue was dispersed on SiO2, loaded on the top of a column and purified by chromatography (Hex-EA 9-1) to afford the title alkene (10.74 g, 85% yield) as clear oil. The compound was obtained as a mixture of diastereomers. MS (ESI, m/z): [M+H+] 326.3.
8.vi. (3 R, 4R)-3-(2, 2~dimethyl-[l, 3] dioxolan-4-yl)-4- (3-hydroxy~propyl)-piperidine- 1-carboxylic acid tert-butyl ester:
To a solution of intermediate 8.v (5.64 g, 17.3 mmol) in THF (60 ml) was added 9-BBN
(6.35 g, dimer, 26 mmol). The reaction mixture was stirred at rt under nitrogen for 16 h. The reaction mixture was cooled to 00C and EtOH (50 ml), 3M aq. NaOH (100 ml) and 50% aq.
H2O2 (78 ml) were added carefully. The reaction mixture was stirred vigorously at rt for 1 h. The reaction mixture was cooled to 0°C and saturated sodium thiosulfate (100 ml) was added carefully. The reaction mixture was stirred at rt 20 min and diluted with EA (200 ml). The two phases were separated and the aq. layer was extracted twice with EA (2 x 200 ml). The combined org. layers were washed with brine, dried over Na2SO4, filtered and concentrated under reduced pressure. The residue was chromatographed over SiO2 (EA-Hex 2-1 to 3-1) to afford the first diasteroisomer (Rf= 0.42 in EA-Hex 2-1 [TLC over SiO2]), then the second one (Rf= 0.27 in EA-Hex 2-1 [TLC over SiO2]). The diastereomers were combined to give a clear oil (5.54 g, 92% yield).
First eluting.isomer; 1H NMR (CDCl3): 4.15-4.04 (m, 2H); 3.72-3.63 (m, 3H); 3.45-3.05 (br m, 4H);
1.92-1.82 (m, 2H); 1.70-1.43 (m, 7H); 1.47 (s, 9H); 1.41 (s, 3H); 1.36 (s, 3H).
MS (ESI, m/z): [M+H+] 344.3.
S ec ond. eluting isomer:
1H NMR (CDCl3): 4.07-3.99 (m, 2H); 3.69 (br s, IH); 3.67-3.60 (m, 3H); 3.54 (m, 2H); 3.35 (m, 2H); 1.74-1.40 (m, 8H); 1.47 (s, 9H); 1.40 (s, 3H); 1.35 (s, 3H).
MS (ESI, m/z): [M+H+] 344.4.
8.vii. (3R,4R)-3-(2,2-dimethyl-[l,3]dioxolan-4-yl)-4-(3-oxo-propyl)-piperidine-l-carboxylic acid tert-butyl ester:
To a mixture of oxalyl chloride (8.5 ml, 97.1 mmol) in DCM (80 ml) cooled to -78°C was added dropwise a solution of DMSO (8.3 ml, 117.2 mmol) in DCM (80 ml). The reaction mixture was stirred at this temperature 15 min. A solution of intermediate 8.vi (11.5 g,
33.5 mmol) in DCM (80 ml) was added dropwise at -780C and the reaction mixture was stirred at this temperature for 1 h. A solution of TEA (28 ml, 200 mmol) was added dropwise at -78°C and the reaction mixture was stirred for Ih at this temperature before allowing the reaction mixture to reach rt over 30 min. The reaction mixture was quenched adding 10% aq.
NaHSO4 (100 ml). The two phases were separated and the org. layer was washed with water
(100 ml) and brine (100 ml). The combined org. layer was dried over Na2SO4, filtered and concentrated to dryness. The residue was chromatographed over SiO2 (EA-Hex 2-1) to afford first isomer of the title aldehyde (7.31 g, 21.4 mmol) and its epimer (3.05 g, 8.79 mmol). Both compounds were obtained as clear oil. First .eluting. isomer:
1H NMR (CDCl3): 9.80 (t, J = 1.7 Hz, IH); 4.15 (m, IH); 4.11 (br s, IH); 3.78 (br s, IH); 3.63 (t, J = 8.0 Hz, IH); 3.57 (br s, IH); 3.08-3.01 (br m, 2H); 2.56-2.50 (m, 2H); 1.93 (m, IH); 1.82 (m, 2H); 1.73 (m, IH); 1.59 (m, 2H); 1.46 (s, 9H); 1.38 (s, 3H); 1.34 (s, 3H). S ec pnd eluting .isomer:
1H NMR (CDCl3): 9.80 (t, J = 1.4 Hz, IH); 4.11-4.02 (m, 2H); 3.60-3.15 (br m, 3H); 3.23 (br s, 2H); 2.56-2.50 (m, 2H); 1.74-1.54 (m, 6H); 1.46 (s, 9H); 1.40 (s, 3H); 1.35 (s, 3H).
8.viii. (3i?,4i?)-3-(2,2-Dimethyl-[l,3]dioxolan-4-yl)-4-[(3RS)-3-hydroxy-3-(3-methoxy- quinolin-5-yl)-propyl]-piperidine-l-carboxylic acid tert-buty\ ester: To a solution of 5-bromo-3~methoxy-qumoline (11.8 g, 50 mmol) in THF (200 ml) was added at -78°C, /z-BuLi (2.35N in Hex, 22 ml). The mixture was stirred 15 min at this temperature and a solution of intermediate 8.vii (second eluting isomer, 7.3 g, 21.4 mmol) in ether (25 ml) was added. The mixture was stirred 15 min at this temperature and EtOH (5 ml) was added. 10% aq. NaHSO4 (50 ml) was added. The two layers were decanted and the aq. layer was extracted once with EA (100 ml). The combined org. extracts were washed with brine, dried over Na2SO4, filtered and concentrated to dryness. The residue was chromatographed over SiO2 (Hex-EA 1-1 then 1-3) to afford the title alcohol (3.28 g, 6.47 mmol) as a 1:1 mixture of epimers. MS (ESI, m/z): [M+H+] 501.2. The same experiment was performed with intermediate 8.vii (first eluting isomer, 3.05 g, 8.79 mmol) to afford the diastereomeric derivative (1.6 g, 3.16 mmol) as a 1:1 mixture of epimers. MS (ESI, m/z): [M+H+] 501.2.
8.ix. (3R,4R)-3-formyl-4-[(3RS)-3-hydroxy-3-(3-methoxy-quinolin-5-yl)-propyl]~piperidine- 1-carboxylic acid tert-butyl ester.
A solution of intermediate 8.viii (3.28 g, 6.47 mmol) was treated with AcOH (45 ml), water (15 ml) and THF (15 ml) at 650C overnight. The solvent was removed in vacuo. The residue was taken up in EA (200 ml) and saturated NaHCO3 (150 ml). \M NaOH was added until pH 10 was reached. The two layers were decanted. The aq. layer was washed with brine, dried over Na2SO4, filtered and concentrated to dryness. The residue was chromatographed over SiO2 (DCM-MeOH 19-1) to afford the expected intermediate triol (2.67 g) as a foam. To a solution of the latter (2.67 g, 5.8 mmol) in acetone (100 ml) was added a solution Of NaIO4 (3.02 g, 14.1 mmol) in water (30 ml). The mixture was stirred at rt for 30 min. The solvent was evaporated and the residue was partitioned between water (200 ml) and EA (300 ml). The org. layer was washed with brine, dried over Na2SO4, filtered and concentrated to dryness to afford the title aldehyde (2.41 g). MS (ESI, m/z): [M+H+] 428.8.
8.x. (3R,4R)-4-[(3RS)-3-hydroxy-3-(3-methoxy-quinolin-5-yl)-propyl]-pipeήdine- 1 ,3-dicarboxylic acid 1-tert-bιιtyl ester.
To a solution of intermediate 8.ix (2.41 g, crude) in acetone (70 ml) and water (10 ml) was added KMnO4 (3.5 g). The mixture was stirred at rt for 90 min. NaHSO3 (5 g) was added. The reaction mixture was diluted with acetone (100 ml) and water (50 ml). After stirring 15 min, the solids were filtered off. The pH of the filtrate was adjusted to 5-6 with IN HCl, whereupon a solid formed. The solid was filtered off, washed with water and dried in vacuo to afford the title acid (2.16 g, 4.86 mmol) as a colourless solid. MS (ESI, m/z): [M-H+] 443.0.
8.xi. (3R,4R)~4-[(3RS)-3- "hydroxy-3-(3-methoxy-quinolin-5-yl)-propyl]-piperidine- 1,3-dicarboxylic acid 1-tert-butyl ester 3-methyl ester.
To a solution of intermediate 8.x (2.13 g, 4.8 mmol) in benzene (40 ml) and MeOH (8 ml) was added trimethylsilyl diazomethane (4 ml). The mixture was stirred at rt for 30 min. AcOH (1.5 ml) was added and stirring was maintained for 10 min. The reaction mixture was partitioned between saturated NaHCO3 (50 ml) and EA (100 ml). The org. layer was washed with saturated NaHCO3 (50 ml) and brine. After drying over Na2SO4, filtration and evaporation to dryness, the residue was chromatographed over SiO2 (EA-Hex 2-1) to afford the title alcohol (1.6 g, 3.49 mmol) as a colourless foam. The compound was obtained as a 1:1 mixture of epimers. 1H NMR (CDCl3) mixture of epimers: 8.67 (d, J = 2.8 Hz, IH); 7.98 (d, J = 8.0 Hz, IH); 7.77 (m, IH); 7.61-7.50 (m, 2H); 5.26 (br t5 J = 6.4 Hz, IH); 3.98 (br s, IH); 3.98 (s, 1.5H); 3.97 (s, 1.5H); 3.85 (br s, IH); 3.60 (s, 1.5H); 3.56 (s, 1.5H); 3.21 (m, IH); 3.01 (m, IH); 2.61 (m, IH); 2.20 (m, IH); 2.00-1.93 (m, 2H); 1.85-1.78 (m, 2H); 1.75-1.43 (m, 3H); 1.43 (s, 9H). MS (ESI, m/z): [M+H+] 459.2. 8.xii. (3R,4R)-4-[(3RS)-3-hydroxy-3-(3-methoxy-quinolin-5-yl)-propyl]-piperidine- 3-carboxylic acid methyl ester.
A solution of intermediate 8.xi (1.6 g, 3.49 mmol) in TFA (6 ml) was stirred at rt for 20 min. The volatiles were removed in vacuo and the residue was partitioned between saturated NaHCO3 (100 ml) and DCM-MeOH (9-1, 100 ml). The pH was adjusted to 9 adding IM NaOH. The aq. layer was further extracted three times. The combined org. layers were washed with brine, dried over Na2SO4, filtered and concentrated to dryness. The residue was chromatographed (DCM-MeOH 9-1 1% concentrated NH4OH) to afford the title piperidine (1.16 g, 94% yield) as a colourless foam. The compound was obtained as a 1:1 mixture of epimers.
1H NMR (CDCl3) mixture of epimers: 8.67 (d, J = 2.8 Hz, IH); 7.98 (d, J = 7.8 Hz, IH); 7.82 (d, J = 2.8 Hz, 0.5H); 7.78 (d, J = 2.8 Hz, 0.5H); 7.61-7.50 (m, 2H); 5.29 (overlapped t, J = 5.9 Hz, 0.5H); 5.24 (overlapped t, J = 6.1 Hz, 0.5H); 3.98 (s, 1.5H); 3.97 (s, 1.5H); 3.56 (s, 1.5H); 3.52 (s, 1.5); 3.16 (m, IH); 3.04 (m, IH); 2.76 (d, J = 3.5 Hz, 0.5H); 2.71 (d, J = 3.7 Hz, 0.5H); 2.60-2.54 (m, 2H); 2.06-1.74 (m, 6H); 1.59-1.26 (m, 3H). MS (ESI, m/z): 359.2 [M+H+].
8.xiii. (3R,4R)-4-[(3RS)-3-hydroxy-3-(3-methoxy-quinolin-5-yl)-propyl]-l-[2-(thiophen- 2-ylsιιlfanyl)-ethyl]-piperidine-3-carboxylic acid methyl ester:
To a solution of intermediate 8.xii (0.2 g, 0.55 mmol) in DMF (3 ml) were added DIPEA (0.184 ml) and 2-(2-bromo-ethylsulfanyl)-thiophene (0.186 g, 1.5 eq.). The reaction mixture was heated at 700C for 3 h. After cooling the solvent was removed in vacuo and the residue was purified by chromatography over SiO2 (DCM-MeOH 9-1) to afford the title compound (0.24g, 85% yield) as a colourless oil. MS (ESI, m/z): 501.4 [M+H+].
8.xiv. 4-[3-hydroxy-3-(3-methoxy-quinolin-5-yl)-propyl]-l-[2-(thiophen-2-ylsulfanyl)-ethyl]- piperidine-3-carboxylic acid:
To a solution of intermediate 8.xiii (0.24 g, 0.48 mmol) in dioxane (5 ml) was added 3M aq. NaOH (1.5 ml). The mixture was heated at 7O0C overnight. The reaction mixture was cooled to rt. The solvent was removed in vacuo and the pH of the aq layer was adjusted to 4 adding 3M aq. HCl. The aq. layer was extracted twice with DCM-MeOH mixture (9-1, 2 x 100 ml). The combined extracts were dried over Na2SO4, filtered and concentrated to dryness. The residue was chromatographed over SiO2 (DCM-MeOH 6-1 1% concentrated NH4OH) to afford the title acid (0.18 g, 77% yield) as a colourless foam. The compound was obtained as a 1:1 mixture of isomers.
1H NMR (CDCl3) mixture of epimers: 8.66 (d, J = 2.6 Hz, IH); 7.96 (d, J = 8.6 Hz, IH); 7.82 (d, J = 2.6 Hz, 0.5H); 7.68 (m, IH); 7.60-7.48 (m, 1.5H); 7.38 (dd, J = 1.1, 5.4 Hz, IH); 7.18 (dd, J = 1.1, 3.5 Hz, IH); 6.98 (dd, J = 3.5, 5.4 Hz, IH); 5.36 (dd, J = 3.2, 8.5 Hz, 0.5H); 5.25 (dd, J = 4.4, 8.5 Hz, IH); 4.03 (s, 1.5H); 3.98 (s, 1.5H); 3.17-3.02 (m, 2H); 2.93 (br t, J = 6.8 Hz, 2H); 2.80-2.69 (m, 3H); 2.36-2.17 (m, 4H); 1.90-1.25 (m, 7H). MS (ESI, m/z): 487.3 [M+H+].
Example 9: l-benzofuran-2-ylmethyl-(5JR,^/?)-4-[(Ji?S)-3-hydroxy-3-(3-methoxy- quinolin-5-yl)-propyl]-piperidine-3-carboxylic acid:
9.i. l-benzofuran-2-ylmethyl-(3R,4R)-4-[(3RS)-3-hydroxy-3-(3-methoxy-qninolin-5-yl)- propyl] -piperidine-3-carboxylic acid methyl ester.
To a solution of intermediate 8.xii (0.15 g, 0.42 mmol) in 1,2-DCE (3 ml) were added benzofuran-2-carbaldehyde (0.057 ml, 1.1 eq.) and sodium triacetoxyborohydride (0.115 g, 1.3 eq). The reaction proceeded overnight. The reaction mixture was filtered through a pad of Hydromatrix® (pretreated with saturated NaHCO3). The filtrate was concentrated to dryness and the residue was chromatographed over SiO2 (DCM-MeOH 19-1 1% concentrated NH4OH) to afford the title ester (0.167 g, 0.34 mmol) as a colourless oil. MS (ESI, m/z): 489.3 [M+H*].
9.ii. l-benzofuran-2-ylmethyl-(3R,4R)-4-[(3RS)-3-hydroxy-3-(3-methoxy-quinolin-5-yl)- propyl] -piperidine-3-carboxylic acid:
The title compound (0.13 g, 79% yield; 1:1 mixture of epimers) was obtained as a beige solid from intermediate 9.i (0.167 g, 0.34 mmol), using the protocol of Example 1, step l.xiv. MS (ESI, m/z): 475.3 [M+H+]. Example lO: (5iM#)-4-[(3RS)-3-hydroxy-3-(3-methoxy-quinolin-5-yl)-^ropyl]- l-frøns-(3-phenyl-allyl)-piperidine-3-carboxylic acid:
lO.i. (3R,4R)-4~[(3RS)-3-hydroxy-3-(3-methoxy-quinolin-5-yl)-propyl]-l-trans-(3-phenyl- allyl)-piperidine-3-carboxylic acid methyl ester: The title ester (0.163 g, 82% yield; 1:1 mixture of epimers) was obtained as a colourless oil, starting from intermediate 8.xii (0.15 g, 0.42 mmol) and trørø-cinnamaldehyde (0.058 ml, 1.1 eq) and using the protocol of Example 4, step 4.i. MS (ESI, m/z): 475.2 [M+H+].
10. ii. (3R,4R)-4-[(3RS)-3-hydroxy-3-(3-methoxy-quinolin-5-yl)-propyl]-l-trans-(3-phenyl- allyl)-piperidine-3-carboxylic acid:
The title compound (0.12 g, 75% yield) was obtained as a beige solid starting from intermediate lO.i (0.167g, 0.34 mmol) and using the protocol of Example 1, step l.xiv. MS (ESI, m/z): 461.1[M+H+].
Example 11 : (5i?,4i?)-l-[3-(2,5-difluoro-phenyl)-allyl]-4-[(3-R5)-3-hydroxy- 3-(3-methoxy-quinolin-5-yl)-propyl]-piperidine-3-carboxylic acid:
11.i. trans-3-(2, 5-difluoro-phenyl)-acrylic acid ethyl ester:
To an iced chilled suspension of sodium hydride (1.13 g, 60% in oil dispersion, 28.2 mmol) in THF (32 ml) was added triethylphosphonoacetate (5.6 ml, 28.2mmol). The reaction mixture was stirred at rt for 20 min. 2,5-difluoro-benzaldehyde (3.34 g, 23.5 mol) was added dropwise. After 30 min, 10% aq. NaHSO4 (100 ml) was added and the mixture was diluted with EA (150 ml). The two phases were separated and the aq. layer was extracted twice (2 x 100 ml). The combined org. layers were washed with brine (100 ml), dried over Na2SO4, filtered and concentrated to dryness. The residue was chromatographed over SiO2 (Hex-EA 19-1) to afford the title unsaturated ester (5.0 g, 100%) as a colourless oil. 1H NMR (CDCl3): 7.76 (dd, J = I, 16.1 Hz, IH); 7.26-7.21 (m, IH); 7.13-7.03 (m, 2H); 6.52 (d, J = 16.1 Hz, IH); 4.29 (q, J = 7.1 Hz, 2H); 1.36 (t, J = 7.1 Hz, 3H). 11.ii. trans-3-(2,5-diflιιoro-phenyl)-prop-2-en-l-ol:
To a solution of intermediate l l.i (5.0 g, 23.5 mmol) in ether (100 ml), cooled to 00C, was added a DIBAH (IM in Hex, 60 ml, 60 mmol). The mixture was stirred at the same temperature for 40 min. Water (6 ml) was added and the mixture was stirred 30 min. The solid was filtered off and thoroughly washed with ether. The filtrate was concentrated to dryness to afford the title alcohol (4.0 g, 98% yield) as a colourless oil.
1H NMR (CDCl3): 7.15 (ddd, J = 3.1, 5.9, 9.0 Hz, IH); 7.00 (td, J = 4.6, 9.0 Hz, IH); 6.95-6.87 (m, IH); 6.75 (dd, J = 1.3, 16.1 Hz, IH); 6.45 (td, J = 5.3, 16.1 Hz, IH); 4.38 (br d, J = 5.3 Hz, 2H); 1.63 (s, IH).
l l.iii. trans-3-(2,5-difluoro-phenyl)-propenal:
To a solution of intermediate 11. ii (1.7O g, 10 mmol) in DCM (20 ml) was added, at rt, a solution of Dess-Martin periodinane (15wt% in DCM, 20 ml). The mixture was stirred at rt for 3 h. After concentration to dryness, the residue was chromatographed over SiO2 (Hex-EA 9-1) to afford the title aldehyde (1.06 g, 63% yield) as a white solid. 1H NMR (d6-DMSO): 9.74 (d, J = 7.6 Hz, IH); 7.88-7.81 (m, IH); 7.79 (overlapped dd, J = 1.4, 16.0 Hz, IH); 7.46-7.37 (m, 2H); 6.67 (dd, J = 7.6, 16.0 Hz, IH).
11.iv. (3R,4R)-l-trans-[3-(2,5-difluoro-phenyl)-allyl]-4-[(3RS)-3-hydroxy-3-(3-methoxy- quinolin-5-yl)-propyl]-piperidine-3-carboxylic acid methyl ester.
The title ester (0.26 g, 91% yield; 1:1 mixture of epimers) was obtained as a colourless oil, starting from intermediate 8.xii (0.2 g, 0.56 mmol) and intermediate l l.iii (0.103 g, 1.1 eq.) and using the protocol of Example 4, step 4.i. MS (ESI, m/z): 511.1 [M+H+].
11.v. (3R,4R)-l-[3-(2,5-diβuoro-phenyl)-allyl]-4-[(3RS)-3-hydroxy-3-(3-methoxy-quinolin- 5-yl)-propyl]-piperidine-3-carboxylic acid: The title compound (0.17g, 67% yield; 1:1 mixture of epimers) was obtained as a beige solid from intermediate 11. iv (0.26 g, 0.51 mmol) using the protocol of Example 1, step l.xiv. MS (ESI, m/z): 497.2 [M+H+]. Example l2: (5R,^i?)-4-[(3R5)-3-hydroxy-3-(3-methoxy-quinolin-5-yl)-propyl]- l-(thiazol-2-yIcarbamoylmethyl)-piperidine-3-carboylic acid:
12.i. (3R, 4R)-4-[(3RS)-hydroxy-3-(3-methoxy-quinolin-5-yl)-propyl]-l-(thiazol- 2-ylcarbamoylmethyl)-piperidine-3-carboxylic acid methyl ester. The title ester (0.195 g, 93% yield; 1:1 mixture of epimers) was obtained as a colourless oil, starting from intermediate 8.xii (0.15 g, 0.56mmol) and 2-bromo-N-thiazol-2-yl-acetamide (0.138g, 1.5eq) and using the protocol of Example 8, step δ.xiii. MS (ESI, m/z): 499.2 [M+H+].
12.ii. (3R,4R)-4-[(3RS)-3-hydroxy-3-(3-methoxy-quinolin-5-yl)-propyl]-l-(thiazol- 2-ylcarbamoylmethyl)-piperidine-3-carboylic acid:
To a solution of intermediate 12. i (0.195 g, 0.39 mmol) in dioxane (5 ml) was added 3M NaOH (0.5 ml). The mixture was stirred at rt for 2 h, then overnight at 60°C. After cooling, water was added and the volatiles were removed in vacuo. The aq. layer was then washed twice with EA and the pH was adjusted to 7 by addition of IN HCl. The aq. layer was extracted four times with DCM-MeOH 9-1 (4 x 100 ml). The combined extracts were washed with brine (30 ml) and dried over Na2SO4, filtered and concentrated to dryness to leave a semi-solid residue was further triturated in ether to afford the title acid (0.135 g, 71% yield; 1:1 mixture of epimers) as a light beige solid. MS (ESI, m/z): 485.3 [M+H+].
Example 13: {(5i?,^S)-4-[(2i?,5i?)-2,3-dihydroxy-3-(3-methoxy-quinolin-5-yl)-propyl]- l-fl-^hiophen-l-ylsulfanyO-ethylJ-piperidin-S-ylJ-acetic acid:
13.i. (3R, 4S)-3-[2-(tert-butyl-dimethyl-silanyloxy)-ethyl]-4-[(2R, 3R)-2, 3-dihydroxy- 3-(3-methoxy-quinolin-5-yl)-propyl]-piperidine-l-carboxylic acid tert-butyl ester.
To a solution of intermediate 5.vii (4.1 g, 7.58 mmol) in 2-methyl-2-propanol (40 ml) and water (40 ml) were added successively at rt with AD-mix β (10.6g) and methanesulfonamide (0.793 g, 1.1 eq.). The reaction was vigorously stirred for 3 d. NaHSO3 (12 g) was added portion wise. The two layers were decanted. The aq. layer was extracted twice with EA (2 x 150 ml). The combined org. layers were washed with brine, dried over Na2SO4, filtered and concentrated to dryness. The residue was chromatographed over SiO2 (Hex-EA 1-4) to afford the title diol (3.5 g, 80% yield) as colourless foam.
1H NMR (CDCl3): 8.68 (d, J = 2.7 Hz, IH); 8.02 (d, J = 8.1 Hz, IH); 7.68-7.66 (m, 2H); 7.55 (dd, J = 7.5, 8.1 Hz, IH); 5.12 (d, J = 6.9 Hz, IH); 4.72 (br s, IH); 4.11 (m, IH); 4.03 (s, 3H); 4.02 (overlapped m, IH); 3.66-3.50 (m, 2H); 2.83-2.60 (m, 4H), 1.85 (m, 2H); 1.45-0.95 (m, 6H); 1.41 (s, 9H); 0.83 (s, 9H); 0.01 (s, 3H); -0.01 (s, 3H). MS (ESI, m/z): 575.3 [M+H+].
13.ii. (3R, 4S)-S- (2-hydroxy-ethyl)-4-[(4R, 5R)-5- (3-methoxy-quinolin-5-yl)~2, 2-dimethyl- [1 ,3] dioxolan-4-ylmethyl] -piperidine-1-carboxylic acid tert-biityl ester. To a solution of intermediate 13.i (3.5 g, 6.0 mmol) in THF (30 ml) were added 2,2-dimethoxypropane (3.74 ml, 5 eq.) and PTSA (1.39 g, 1.2 eq.). The reaction proceeded at rt for 4 h and saturated NaHCO3 (50 ml) and EA (100 ml) were added. The two layers were decanted and the aq. layer was further extracted with EA (100 ml). The combined org. layers were washed with brine, dried over Na2SO4, filtered and concentrated to dryness. The residue was chromatographed over SiO2 (EA-Hex 1-1) to afford (3i?,45)-3-[2-(l-methoxy- 1 -methyl-ethoxy)-ethyl] -4- [(4R, 5R)-5 -(3 -methoxy-quinolin-5 -yl)-2 ,2-dimethyl- [1,3] dioxolan- 4-ylmethyl]-piperidine-l-carboxylic acid tert-butyl ester (0.7 g, 20% yield) as a colourless solid. 1H NMR (CDCl3): 8.71 (d, J = 2.8 Hz, IH); 8.05 (d, J = 8.3 Hz, IH); 7.85 (d, J = 2.8 Hz, IH); 7.67 (d, J = 7.2 Hz, IH); 7.54 (dd, J = 7.2, 8.5 Hz, IH); 5.15 (d, J = 8.4 Hz, IH); 4.27 (m, IH); 4.10 (br s, IH); 3.97 (s, 3H); 3.93 (m, IH); 3.37 (m, IH); 3.27 (m, IH); 2.97 (s, 3H); 2.80-2.65 (m, 2H); 1.87-1.78 (m, 2H); 1.67-1.53 (m, 2H); 1.65 (s, 3H); 1.60 (s, 3H); 1.42 (s, 9H); 1.42-1.22 (m, 4H); 1.11 (s, 3H); 1.08 (s, 3H). Elution was then performed using EA to afford the title alcohol (2.0 g, 65% yield) as colourless foam.
1H NMR (CDCl3): 8.71 (d, J = 2.8 Hz, IH); 8.06 (d, J = 8.1 Hz, IH); 7.91 (d, J = 2.8 Hz, IH); 7.54-7.64 (m, 2H); 5.13 (d, J = 8.5 Hz, IH); 4.26 (td, J = 2.5, 8.5 Hz, IH); 3.85-4.10 (br m, 2H); 3.98 (s, 3H); 3.52 (br s, 2H); 2.68-2.72 (m, 2H); 1.80-1.59 (m, 5H); 1.63 (br s, 3H); 1.59 (s, 3H); 1.53-1.40 (m, 2H); 1.42 (s, 9H); 1.29 (m, 2H). MS (ESI, m/z): 501.5 [M+H+]. 13.ill. (3R,4S)-3-methoxycarbonylmethyl-4-[(4R,5R)-5-(3-methoxy-quinolin-5-yl)- 2,2-dimethyl-[l,3]dioxolan-4-ylmethyl]-piperidine-l-carboxylic acid tert-butyl ester.
Starting from intermediate 13.ii (2.0 g, 4 mmol), the title ester (1.5 g, 71%) was obtained as a colourless foam using a three-step sequence (oxidation to the aldehyde, oxidation to the acid and esterification) according to the protocols reported respectively in steps 5.x, 5.xi and 5.xii of Example 5. MS (ESI, m/z): 529.0 [M+H+].
13. iv. {(3R,4S)-4-[(2R,3R)-2,3-dihydroxy-3-(3-methoxy-quinolin-5-yl)-propyl]-piperidin- 3-yl} -acetic acid methyl ester: A solution of intermediate 13.iii (1.5 g, 2.83 mmol) in TFA (10 ml) was stirred at rt for 15 min. Water (6 ml) was added and the mixture was further stirred for 2 h. After evaporation to dryness, the residue was pardoned between 2N NaOH (20 ml) and DCM-MeOH (9-1, 100 ml). The aq. layer was extracted four more times with the same mixture. The combined org. layers were dried over Na2SO4, filtered and concentrated to dryness. The title diol (0.26 g, 23% yield) was obtained as colourless oil. MS (ESI, m/z): 389.1 [M+H+].
13.v. {(3R, 4S)-4-[(2R, 3R)-2,3-Dihydroxy-3-(3-methoxy-quinolin-5-yl)-propyl]- l-[2-(thiophen-2-ylsulfanyl)-ethyl]-piperidin-3-yl} -acetic acid methyl ester:
Starting from intermediate 13.iv (0.224 g, 1.5 eq.), the title ester (0.2 g, 56%) was obtained as a colourless foam according to the protocol reported in Example 8, step 8.xiii. The compound was purified by chromatography over SiO2 (DCM-MeOH 19-1 containing 1% NH4OH).
1H NMR (CDCl3): 8.68 (d, J = 2.7 Hz, IH); 8.02 (dd, J = 1.8, 7.5 Hz, IH); 7.80 (d, J = 2.7 Hz,
IH); 7.59-7.51 (m, 2H); 7.30 (dd, J = 1.2, 5.4 Hz, IH); 7.07 (dd, J = 1.2, 3.6 Hz, IH);
6.94 (dd, J = 3.6, 5.4 Hz, IH); 5.05 (d, J = 6.6 Hz, IH); 4.15 (m, IH); 3.97 (s, 3H); 3.57 (s, 3H); 2.88 (overlapped m, IH); 2.83 (t, J = 7.2 Hz, 2H); 2.58-2.73 (m, 3H); 2.36-2.55 (m, 3H);
2.17 (m, IH); 2.03-1.96 (m, 2H); 1.55 (m, IH); 1.53 (overlapped dd, J = 2.7, 16.2 Hz, IH);
1.43-1.20 (m, 3H); 1.17 (m, IH).
MS (ESI, m/z): 531.2 [M+H+]. 13.vi. {(3 R, 4S)-4-[(2R, 3R)-2, 3-dihydroxy-3-(3-methoxy-quinolin-5~yl)-propyl]- 1- [2-(thiophen-2-ylsulfanyl)-ethyl] -piperidin-3-yl}-acetic acid:
Starting from intermediate 13.v (0.2 g, 0.377 mmol), the title compound (0.106 g, 54% yield) was obtained as a colourless solid using the protocol of Example 1, step l.xiv. The compound was purified by chromatography over SiO2 (DCM-MeOH 4-1 containing 1% NH4OH) and further triturated in ether.
1H NMR (d6-DMSO): 8.62 (d, J = 2.6 Hz, IH); 7.92 (d, J = 2.5 Hz, IH); 7.85 (d, J = 7.7 Hz, IH); 7.50-7.60 (m, 3H); 7.13 (dd, J =1.2, 3.4 Hz, IH); 7.02 (dd, J = 3.4, 5.2 Hz, IH); 5.41 (br s, IH); 5.08 (d, J = 4.3 Hz, IH); 4.65 (br s, IH); 3.91 (s, 3H); 3.81 (m, IH); 2.79 (t, J = 7.2 Hz, 2H); 2.62 (m, 2H); 2.30-2.50 (m, 4H); 2.03 (m, IH); 1.89-1.93 (m, 2H); 1.73-1.60 (m, 2H); 1.19-1.05 (m, 4H). MS (ESI, m/z): 517.3 [M+H+].
Example 14: (i7?,2i?)-[(5R^S)-3-{3-(2-hydroxy-ethyl)-l-[2-(thiophen-2-ylsulfanyl)- ethyl]-piperidin-4-yl}]-l-(3-methoxy-quinolin-5-yl)-propane-l,2-diol:
14.i. (lR,2R)-{(3R,4S)-3-[3-(2-hydroxy-ethyl)-piperidin-4-yl]}-l-(3-methoxy-quinolin-5-yl)- propane-1 ,2-diol:
Starting from (3i?,45)-3-[2-(l-methoxy-l-methyl-ethoxy)-ethyl]-4-[(4R,5R)-5-(3-methoxy- quinolin-5-yl)-2,2-dimethyl-[l ,3]dioxolan-4-ylmethyl]-piperidine- 1 -carboxylic acid tert-bvAy\ ester (side product of Example 13, step ii; 0.7 g, 1.22 mmol), the title piperidine (0.24 g, 0.66 mmol) was obtained as a colourless foam using the protocol of Example 13, step 13.iv. MS (ESI, m/z): 361.3 [M+H+].
14.ii. (lR,2R)-[(3RAS)-3-{3-(2-hydroxy-ethyl)~l-[2-(thiophen-2-ylsulfωιyl)-ethyl]-piperidin- 4-yl}]-l-(3-methoxy-quinolin-5-yl)-propane-l,2-diol:
Starting from intermediate 14.i (0.112 g, 1.5 eq.), the title alcohol (0.078 g, 46% yield) was obtained as a beige solid using the protocol of Example 1, step l.xiii. This compound was purified by chromatography over SiO2 (DCM-MeOH 8-1 containing 1% NH4OH). 1H NMR (CDCl3): 8.68 (d, J = 2.8 Hz, IH); 8.02 (d, J = 7.8 Hz, IH); 7.75 (d, J = 2.7 Hz, IH); 7.63-7.52 (m, 2H); 7.33 (dd, J = 1.2, 5.3 Hz, IH); 7.10 (dd, J = 1.2, 3.5 Hz, IH); 6.96 (dd, J = 3.5, 5.3 Hz, IH); 5.09 (d, J = 6.5 Hz, IH); 4.06 (m, IH); 3.96 (s, 3H); 3.39 (m, 2H); 3.03 (br s, IH); 2.90-2.64 (m, 5H); 2.64 (m, 2H); 2.05-1.86 (m, 2H); 1.80-1.61 (m, 4H); 1.48-1.38 (m, 3H); 1.29 (m, IH); 1.12 (m, IH). MS (ESI, m/z): 503.1 [M+H+].
Example 15: (li?,2i?)-{(5i?,4S)-3-[l-[3-frα«s-(2,5-difluoro-phenyl)-allyl]-3-(2-hydroxy- ethyl)-piperidin-4-yl]}-l-(3-methoxy-quinolin-5-yl)-propane-l,2-diol:
Starting from intermediate 14.i (0.1 g, 0.27 mmol) and intermediate 11. Hi (0.051 g, 1.1 eq.), the title alcohol (0.056 g, 39% yield) was obtained as a beige solid using the protocol of Example 4, step 4.i. The compound was purified by chromatography over SiO2 (DCM-MeOH 8-1 containing 1% NH4OH). MS (ESI, m/z): 513.1 [M+H+].
Example 16: (3i?,4i?)-4-[(5R5)-3-hydroxy-3-(3-methoxy-quinolin-5-yl)-propyl]- l-(3-phenyl-propyI)-piperidine-3-carboxylic acid:
16.i. (3R,4R)-4-[(3RS)-3-hydroxy-3-(3-methoxy-quinolin-5-yl)-propyl]-l-(3-phenyl-propyl)- piperidine-3-carboxylic acid methyl ester: This ester (1:1 mixture of epimers; 0.17O g, 98% yield) was obtained as a colourless oil, starting from intermediate 8.xii (0.13 g, 0.36 mmol) and 3-phenyl-propionaldehyde (0.053 ml, 1.1 eq.) and using the protocol of Example 9, step 9.i. MS (ESI, m/z): 477.1 [M+H+].
16.ii. (3R,4R)-4-[(3RS)-3-hydroxy-3-(3-methoxy-quinolin-5~yl)-propyl]-l (3 phenyl-propyl) - piperidine-3-carboxylic acid:
This compound (1:1 mixture of epimers; 0.13 g, 78% yield) was obtained as a colourless solid from intermediate 16.i (0.170 g, 0.357 mmol) using the protocol of Example 8, step 8.xiv. MS (ESI, m/z): 463.1 [M+H+]. Example l7: (3i?,¥i?)-4-[(3RS)-3-hydroxy-3-(3-methoxy-quinolin-5-yl)-propyl]- l-(2-phenyIsulfanyl-ethyl)-piperidine-3-carboxylic acid :
17.i. (3R,4R)-4-[(3RS)-3-hydroxy-3-(3-methoxy-quinolin-5-yl)-propyl]-l-(2-phenylsulfanyl- ethyl)-piperidine-3-carboxylic acid methyl ester: The title ester (0.112 g, 62% yield; 1:1 mixture of epimers) was obtained as a colourless oil, starting from intermediate 8.xii (0.13 g, 0.36 mmol) and (2-bromo-ethylsulfanyl)-benzene (0.087 g, 1.1 eq.) and using the protocol of Example 8, step 8.xiii. MS (ESI, m/z): 495.1 [M+H+].
17.ii. (3R,4R)-4-[(3RS)-3-hydroxy-3-(3-methoxy-quinolin-5-yl)-propyl]-l-(2-phenylsιdfanyl- ethyl)-piperidine-3-carboxylic acid:
The title compound (0.06 g, 55% yield; 1:1 mixture of epimers) was obtained as a colourless solid from intermediate 17. i (0.112 g, 0.22 mmol) using the protocol of Example 8, step 8.xiv. MS (ESI, m/z): 481.1 [M+H+].
Example 18: (ii?,2i?)-3-{(5R,4fS)-3-(2-hydroxy-ethyl)-l-[2-(thiophen-2-ylsulfanyl)- ethyl]-piperidin-4-yl}-l-(3-methoxy-quinoxalin-5-yl)-propane-l,2-diol:
18.i. 2-cyano-N-(2-methyl-6-nitro~phenyl)-acetamide:
To a solution of 2-methyl-6-nitroaniline (25 g, 164.3 mmol) in benzene (200 ml) were added cyanoacetic acid (14.5 g, 170.46 mmol) and PCI5 (35 g, 168 mmol). The reaction mixture was heated at 6O0C for 7 h. After cooling to rt, the reaction mixture was filtered and the solid was washed with benzene and water. The solid was dried under reduced pressure to afford the title acetamide (24 g, 109 mmol) as a yellow solid.
1H NMR (d6-DMSO) δ: 10.2 (s, IH); 7.78 (d, J = 8.3 Hz, IH); 7.65 (d, J = 8.3 Hz, IH); 7.43 (t, J= 8.3 Hz, IH); 3.95 (s, 2H); 2.30 (s, 3H).
18.H. 3-hydroxy-5-methyl-l-oxy-quinoxaline-2~carbonitrile: To a mixture of intermediate 18.i (24 g, 109.5 mmol) and IM aq. NaOH (100 ml) was added pyridine (100 ml). The reaction mixture was stirred at rt for 4 h. The pH was adjusted to 6 by addition of IM aq. HCl. The solid was filtered off and washed with water. The solid was triturated with EtOH. After drying under HV, the title nitrile (17.7 g, 87.9 mmol) was obtained as a yellow solid. MS (ESI, m/z): 202.1 [M+H+].
18.iii. 8-methyl-quinoxalin-2-ol: To a solution of intermediate 18.H (17.7 g, 87.9 mmol) in water (300 ml) and EtOH (24 ml) was added sodium dithionite (35.4 g, 203.9 mmol). The reaction mixture was heated at 600C for 1 h. The reaction mixture was filtered till warm, and the pH of the filtrate adjusted to 2 by adding \M aq. HCl. The pH of the solution was subsequently made basic by adding solid NaOH (10 g). EA (150 ml) was added. The aq. layer was extracted twice more with EA (2 x 150 ml). The combined org. extracts were dried over Na2SO4, filtered and concentrated to dryness. The residue was dried under HV to afford the title intermediate (11.1 g, 69 mmol) as a yellow solid.
1H NMR (d6-DMSO) δ: 11.75 (br s, IH); 8.17 (s, IH); 7.62 (d, J = 8.4 Hz, IH); 7.40 (d, J = 8.4 Hz, IH); 7.21 (t, J = 8.4 Hz, IH); 2.42 (s, 3H). MS (ESI, m/z): 161.1 [M+H+].
18.iv. 2-chloro-8-methyl-quinoxaline:
A solution of intermediate 18.iii (11.1 g, 69.5 mmol) in phosphorus oxychloride (80 ml) was heated at HO0C during 2 h. After cooling to rt, the reaction mixture was poured onto ice (200 g). The aqueous layer was extracted with EA (2 x 200 ml). The combined extracts were washed with brine (100 ml), dried over Na2SO4, filtered and concentrated to dryness. The residue was chromatographed over silica gel (Hex-EA 1-1) to afford the title intermediate (12.5 g, 69.5 mmol) as a red solid.
1H NMR (d6-DMSO) δ: 8.99 (s, IH); 7.97 (m, IH); 7.80 (m, 2H); 2.68 (s, 3H). MS (ESI, m/z): 179.2 [M+H+].
18. v. 2-methoxy-8-methyl-quinoxaline:
To a solution of intermediate 18.iv (12.5 g, 69.5 mmol) in DMF (80 ml) was added sodium methoxide (9 g, 166 mmol). The reaction mixture was heated at 45°C for 4 h. After cooling to rt, the reaction mixture was partitioned between water (10 ml) and EA (200 ml). The organic layer was washed once with water (100 ml), dried over Na2SO4, filtered and concentrated to dryness. The residue was chromatographed over silica gel (Hex-EA 1-4) to afford the title intermediate (10.2 g, 58.55 mmol) as a yellow solid. 1H NMR (CDCl3) δ: 8.48 (s, IH); 7.88 (d, J = 7.9 Hz, IH); 7.55 (d, J = 7.9 Hz, IH); 7.47 (t, J = 7.9 Hz, IH); 4.12 (s, 3H); 2.69 (s, 3H). MS (ESI, m/z): 175.4 [M+H+].
18.vi. 8-dibromomethyl-2-methoxy-quinoxaline: To a solution of intermediate 18.v (10.2 g) in CCl4 (560 ml) were added AIBN (0.96 g) and NBS (25.9 g, 145.5 mmol). The reaction mixture was heated at 80°C for 3 h. After cooling to rt, the reaction mixture was washed with water (200 ml) and the organic layer was dried over Na2SO4, filtered and concentrated in vacuo. The residue was triturated with MeOH to give, after drying under HV, the title dibromide (14.4 g, 43.3 mmol) as a slightly beige solid. 1H NMR (d6-DMSO) δ: 8.69 (s, IH); 8.25 (dd, J = 1.3, 7.5 Hz, IH); 8.07 (dd, J = 1.3, 8.3 Hz, IH); 8.02 (s, IH); 7.74 (dd, J = 7.5, 8.3 Hz, IH); 4.14 (s, 3H). MS (ESI, m/z): 332.8 [M+H+].
18.vii. S-methoxy-quinoxaline-S-carbaldehyde:
To a solution of intermediate 18.vi (10.7 g, 32.2 mmol) in EtOH (330 ml) was added, at rt, a solution of silver nitrate (15 g) in water (70 ml). The reaction was stirred at rt for 1 h. The reaction mixture was diluted with MeCN (200 ml) and the solids were filtered off and the filtrate was concentrated in vacuo. The residue was filtered over a silica gel pad (eluent: EA) to afford the title aldehyde (6.2 g, 32.2 mmol) as a slightly yellow solid. 1H NMR (d6-DMSO) δ: 11.15 (s, IH); 8.74 (s, IH); 8.36 (dd, J = 1.3, 8.1 Hz, IH); 8.21 (dd, J = 1.3, 7.9 Hz, IH); 7.80 (dd, J = 7.9, 8.1 Hz, IH); 4.14 (s, 3H). MS (ESI, m/z): 189.2 [M+H+].
lδ.viii. 8-(3R,4R)-trans-3-{3-[2-(tert-butyl~dimethyl-silanyloxy)-ethyl]-l-[2-(thiophen- 2-ylsulfanyl)-ethyl]-piperidin-4-yl}-propenyl)-2-methoxy-quinoxaline:
This alkene (4.6 g, 74% yield) was obtained as a colourless oil, starting from intermediate 5.vi (6.6 g, 11.38 mmol) and intermediate lδ.vii (2.35 g, 1.1 eq) and using the protocol of Example 5, step 5.vii. MS (ESI, m/z): 542.0 [M+H*]. 18.ix. (lR,2R)-3-{(3R,4S)-3-[2-(tert-butyl-dimethyl-silanyloxy)-ethyl]-l-[2-(thiophen- 2-ylsιιlfanyl)-ethyl]-piperidin-4-yl}-l-(3-methoxy-quinoxalin-5-yl)-propane-l,2-dioh
The title diol (2.5 g, 67% yield) was obtained as a colourless foam, starting from intermediate 18.viii (3.5 g, 6.46 mmol) and using the protocol of Example 13, step 13.i. MS (ESI, m/z): 576.2 [M+H+].
18.x. (1 R,2R)-3- [(3R,4S)-3-(2-hydroxy-ethyl)-piperidin-4-yl] - l-(3-methoxy-quinoxalin-5-yl)- propane- 1,2 -diol:
To a solution of intermediate 18. ix (1.8 g, 3.32 mmol) in dioxane (10 ml) was added 5N HC1 in dioxane (10 ml). After stirring at rt for 1 h, ether (50 ml) was added. The solids were filtered off, taken up in water, and the resulting solution was concentrated to dryness and the residue dried to constant weight to yield the title piperidine (1.44 g, 100% yield) as a dihydrochloride salt. MS (ESI, m/z): 362.1 [M+H+].
18.xi. (lR,2R)-3-{(3R,4S)-3-(2-hydroxy-ethyl)-l-[2-(thiophen-2-ylsulfanyl)-ethyl]-piperidin- 4-yl}-l-(3-methoxy-qιιinoxalin-5-yl)-propane-l,2-diol:
To a mixture of intermediate 18.x (1.44 g, 3.31 mmol) and 2-(2-bromo-ethylsulfanyl)- thiophene (1 g, 1.35 eq.) in DMF (15 ml) was added DIPEA (2.3 ml). The mixture was heated at 800C for 4 h. After concentration to dryness, the residue was partitioned between saturated NaHCO3 (100 ml) and DCM-MeOH (9-1, 10OmL). The aq. layer was extracted once with the same mixture. The combined org. layers were washed with brine, dried over Na2SO4, filtered and concentrated to dryness. The residue was purified over silica gel (DCM-MeOH 93-7 containing 1% NH4OH) to afford the title compound (0.058 g, 3% yield) as a brown foam. 1H NMR (d6-DMSO) δ: 8.59 (s, IH); 7.90-7.84 (m, 2H); 7.63 (d, J = 7.7 Hz, IH); 7.58 (dd, J = 1.2, 5.3 Hz, IH); 7.16 (dd, J = 1.3, 3.5 Hz, IH); 7.03 (dd, J = 3.5, 5.3 Hz, IH); 5.47 (dd, J = 4.0, 5.9 Hz, IH); 5.17 (d, J = 5.9 Hz, IH); 4.27 (t, J = 3.3 Hz, IH); 4.23 (d, J = 6.9 Hz, IH); 4.02 (s, 3H); 3.73 (m, IH); 3.40-3.30 (m, 2H); 2.89 (m, 2H); 2.63-2.50 (m, 2H); 2.48-2.37 (m, 2H); 1.99-1.87 (m, 2H); 1.63 (m, 2H); 1.46-1.35 (m, 5H); 1.15 (m, IH). MS (ESI, m/z): 504.0 [M+H+]. BIOLOGICAL ASSAYS
In vitro assay
Experimental method:
These assays have been performed following the description given in "Methods for dilution Antimicrobial Susceptibility Tests for Bacteria that Grow Aerobically, 4th ed.; Approved standard: NCCLS Document M7-A4; National Committee for Clinical Laboratory Standards: Villanova, PA, USA, 1997". Minimal inhibitory concentrations (MICs; mg/1) were determined in cation-adjusted Mueller-Hinton Broth (BBL) by a microdilution method following NCCLS guidelines (National Committee for Clinical Laboratory Standards. Methods for Dilution Antimicrobial Susceptibility). The pH of the test medium was 7.2-7.3. All Examples were tested against several Gram positive and Gram negative bacteria.
Results:
Typical antibacterial spectra are given hereafter (MIC in mg/1).
Figure imgf000076_0001
The compounds predominantly have MIC values of <= 4 mg/1 against S. aureus 29213, S. aureus A798 and S. pneumoniae 49619.

Claims

1. A compound selected selected from the group consisting of a compound of the formula I
Figure imgf000077_0001
wherein one of U and V represents N, the other represents N or CH; M represents CH2CH2, CH=CH, CH(OH)CH(OH), CH(OH)CH2, CH(NH2)CH2, COCH2 or
OCH2;
R1 represents alkyl, haloalkyl, alkoxy, haloalkoxy, halogen or cyano;
R2 represents hydrogen or halogen;
R3 represents carboxy, carboxamido, alkylaminocarbonyl, hydroxy, aminocarbonyloxy, 2- tetrazolyl or 3-methyl-l,2,4-oxadiazol-5-yl;
R4 represents alkyl, (Ci-C4)alkoxy-(Ci-C4)alkyl, haloalkyl, alkenyl, arylalkyl, aryl-S(O)m- alkyl, heteroarylalkyl, heteroarylaminocarbonylalkyl, heteroaryl-S(O)m-alkyl, CH2-CH=CH- aryl or cycloalkyl-S(O)m-alkyl; n is an integer from O to 3; and m is O or 2; and a prodrug, a tautomer, an optically pure enantiomer, a mixtures of enantiomers, a racemate, an optically pure diastereoisomer, a mixtures of diastereoisomer, a diastereoisomeric racemate, mixtures of diastereoisomeric racemates, a meso-form, a morphological form, a salt or a solvent complex of such a compound.
2. A compound according to claim 1, wherein U is CH and V is N.
3. A compound according to claim 1, wherein M is CH2CH2, CH(OH)CH(OH), CH(OH)CH2 or OCH2.
4. A compound according to claim 1, wherein R1 is (Ci-C2)alkyl, (Ci-C2)haloalkyl, (Cj- C2)alkoxy, (Ci-C2)haloalkoxy, halogen or cyano.
5. A compound according to claim 1, wherein R2 is hydrogen or fluorine.
6. A compound according to claim 1, wherein R3 is carboxy.
7. A compound according to claim 1, wherein R4 is arylalkyl, aryl-S(O)m-alkyl, heteroarylalkyl, heteroarylaminocarbonylalkyl, heteroaryl-S(O)m-alkyl or CH2-CH=CH-aryl, m representing each time 0.
8. A compound according to claim 1, which is selected from the group consisting of:
• 3- {(3i?,4S)-4-[2-(3-methoxy-quinolin-5-yloxy)-ethyl]-l -[2-(thiophen-2-ylsulfanyl)-ethyl]~ piperidin-3-yl} -propionic acid;
• 3- {(3i?,45)-4-[2-(3-methoxy-quinolin-5-yloxy)-ethyl]- 1 -[2-(thiophen-2-ylsulfanyl)-ethyl]- piperidin-3-yl}-propan-l-ol;
• (3i?,4i?)-4-[3-(3-methoxy-quinolin-5-yl)-propyl]- 1 -[2-(thiophen-2-ylsulfanyl)-ethyl]- piperidine-3-carboxylic acid;
• (3R,4S)- 1 -benzofuran-2-ylmethyl-4-[3-(3-methoxy-quinolin-5-yl)-propyl]-piperidine- 3 -carboxy lie acid; • (3i?,^i?)-{4-[3-(3-methoxy-quinolin-5-yl)-propyl]-l-[2-(thiophen-2-ylsulfanyl)-ethyl]- piperidin-3-yl} -acetic acid;
• 2-{(3i?,4,S)-4-[3-(3-methoxy-quinolin-5-yl)-propyl]-l-[2-(thiophen-2-ylsulfanyl)-ethyl]- piperidin-3-yl} -ethanol;
• carbamic acid 2-{(3i?,^i?)-4-[3-(3-methoxy-quinolin-5-yl)-propyl]-l-[2-(thiophen- 2-ylsulfanyl)-ethyl]-piperidin-3-yl} -ethyl ester;
• 4-[3-hydroxy-3-(3-methoxy-quinolin-5-yl)-propyl]- 1 -[2-(thiophen-2-ylsulfanyl)-ethyl]- piperidine-3-carboxylic acid;
• l-benzofuran-2-ylmethyl-(3i?,¥i?)-4-[(3i?5)-3-hydroxy-3-(3-methoxy-quinolin-5-yl)- propyl] -piperidine-3 -carboxy lie acid; • (3i?,^JR)-4-[(3/?5)-3-hydroxy-3-(3-methoxy-quinolin-5-yl)-propyl]-l-traH-f-(3-phenyl- allyl)-piperidine-3-carboxylic acid;
• (3i?,4R)-l-[3-(2,5-difluoro-phenyl)-allyl]-4-[(3i?5')-3-hydroxy-3-(3-methoxy-quinolin- 5 -yl)-propyl] -piperidine-3 -carboxylic acid; • (3i?,^)-4-[(3Λ5)-3-hydroxy-3-(3-methoxy-quinolin-5-yl)-propyl]-l-(thiazol- 2-ylcarbamoylmethyl)-piperidine-3-carboylic acid;
• {(3i?,¥1S)-4-[(2i?,3i?)-2,3-dihydroxy-3-(3-methoxy-quinolin-5-yl)-propyl]-l-[2-(thiophen- 2-ylsulfanyl)-ethyl]-piperidin-3-yl} -acetic acid;
• (lR,2R)-[(3R,4S)-3- {3-(2-hydroxy-ethyl)- 1 -[2-(thiophen-2-ylsulfanyl)-ethyl]-piperidin- 4-yl}]-l-(3-methoxy-quinolin-5-yl)-propane-l,2-diol;
• (1R,2R)- {(3R,4S)-3-[ 1 -[3-?rarø-(2,5-difluoro-phenyl)-allyl]-3-(2-hydroxy-ethyl)- piperidin-4-yl] } - 1 -(3 -methoxy-quinolin-5-yl)-propane- 1 ,2-diol;
• (3Λ,^)-4-[(3i?5)-3-hydroxy-3-(3-methoxy-quinolin-5-yl)-propyl]-l-(3-phenyl-propyl)- piperidine-3-carboxylic acid; • (3i?,^)-4-[(37?S)-3-hydroxy-3-(3-methoxy-quinolin-5-yl)-propyl]-l-(2-phenylsulfanyl- ethyl)-piperidine-3-carboxylic acid;
• (ii?,2i?)-3-{(3i?,^5)-3-(2-hydroxy-ethyl)-l-[2-(thiophen-2-ylsulfanyl)-ethyl]-piperidin- 4-yl} - 1 -(3-methoxy-quinoxalin-5-yl)-propane- 1 ,2-diol; and the pharmaceutically acceptable salts of the latter.
9. A compound according to claim 8, which is selected from the group consisting of:
• 3-{(3i?,^.S)-4-[2-(3-methoxy-qumolin-5-yloxy)-ethyl]-l-[2-(thiophen-2-ylsulfanyl)-ethyl]- piperidin-3-yl} -propionic acid;
• 3-{(3i?,^5)-4-[2-(3-methoxy-quinolin-5-yloxy)-ethyl]-l-[2-(thiophen-2-ylsulfanyl)-ethyl]- piperidin-3 -yl} -propan- 1 -ol; • (3i?,4i?)-4-[3-(3-methoxy-quinolin-5-yl)-propyl]-l-[2-(thiophen-2-ylsulfanyl)-ethyl]- piperidine-3 -carboxylic acid; and the pharmaceutically acceptable salts of the latter.
10. As a medicament, a compound of formula I as defined in claim 1 or a pharmaceutically acceptable salt thereof.
11. A pharmaceutical composition containing, as active principle, a compound of formula I as defined in claim 1 or a pharmaceutically acceptable salt thereof, and at least one therapeutically inert excipient.
12. Use of a compound according to claim 1 for the manufacture of a medicament for the prevention or treatment of infection(s).
PCT/IB2005/053238 2004-10-05 2005-10-03 New piperidine antibiotics Ceased WO2006038172A1 (en)

Priority Applications (6)

Application Number Priority Date Filing Date Title
EP05786765A EP1799674B1 (en) 2004-10-05 2005-10-03 New piperidine antibiotics
JP2007534169A JP2008515796A (en) 2004-10-05 2005-10-03 Novel piperidine antibiotics
CN2005800338799A CN101039935B (en) 2004-10-05 2005-10-03 piperidine antibiotic
DE602005021133T DE602005021133D1 (en) 2004-10-05 2005-10-03 NEW PIPERIDINE ANTIBIOTICS
AT05786765T ATE466857T1 (en) 2004-10-05 2005-10-03 NEW PIPERIDINE ANTIBIOTICS
CA002581057A CA2581057A1 (en) 2004-10-05 2005-10-03 New piperidine antibiotics

Applications Claiming Priority (2)

Application Number Priority Date Filing Date Title
EP2004011087 2004-10-05
EPPCT/EP2004/011087 2004-10-05

Publications (1)

Publication Number Publication Date
WO2006038172A1 true WO2006038172A1 (en) 2006-04-13

Family

ID=35453391

Family Applications (1)

Application Number Title Priority Date Filing Date
PCT/IB2005/053238 Ceased WO2006038172A1 (en) 2004-10-05 2005-10-03 New piperidine antibiotics

Country Status (10)

Country Link
US (1) US20070173532A1 (en)
JP (1) JP2008515796A (en)
CN (1) CN101039935B (en)
AR (1) AR051051A1 (en)
AT (1) ATE466857T1 (en)
CA (1) CA2581057A1 (en)
DE (1) DE602005021133D1 (en)
ES (1) ES2343127T3 (en)
TW (1) TW200616959A (en)
WO (1) WO2006038172A1 (en)

Cited By (17)

* Cited by examiner, † Cited by third party
Publication number Priority date Publication date Assignee Title
WO2007042325A1 (en) * 2005-10-13 2007-04-19 Morphochem Aktiengesellschaft für kombinatorische Chemie Antibacterial active 5-chinolin derivative
WO2007115947A1 (en) 2006-04-06 2007-10-18 Glaxo Group Limited Pyrrolo-quinoxalinone derivatives as antibacterials
WO2008003690A1 (en) 2006-07-03 2008-01-10 Glaxo Group Limited Azatricyclic compounds and their use
WO2008009700A1 (en) 2006-07-20 2008-01-24 Glaxo Group Limited Derivatives and analogs of n-ethylquinolones and n-ethylazaquinolones
WO2008026172A1 (en) * 2006-08-30 2008-03-06 Actelion Pharmaceuticals Ltd Spiro antibiotic derivatives
EP2080761A1 (en) 2008-01-18 2009-07-22 Glaxo Group Limited Compounds
WO2010043714A1 (en) 2008-10-17 2010-04-22 Glaxo Group Limited Tricyclic nitrogen compounds used as antibacterials
WO2010081874A1 (en) 2009-01-15 2010-07-22 Glaxo Group Limited Naphthyridin-2 (1 h)-one compounds useful as antibacterials
US7875715B2 (en) 2005-06-16 2011-01-25 Astrazeneca Ab Compounds for the treatment of multi-drug resistant bacterial infections
WO2011138666A1 (en) * 2010-05-06 2011-11-10 Council Of Scientific And Industrial Research Quinolylpiperazino substituted thiolactone compounds and process for the preparation thereof
WO2016027249A1 (en) 2014-08-22 2016-02-25 Glaxosmithkline Intellectual Property Development Limited Tricyclic nitrogen containing compounds for treating neisseria gonorrhoea infection
WO2017029602A2 (en) 2015-08-16 2017-02-23 Glaxosmithkline Intellectual Property Development Limited Compounds for use in antibacterial applications
US10675274B2 (en) 2018-09-19 2020-06-09 Forma Therapeutics, Inc. Activating pyruvate kinase R
US10836771B2 (en) 2017-03-20 2020-11-17 Forma Therapeutics, Inc. Compositions for activating pyruvate kinase
US11001588B2 (en) 2018-09-19 2021-05-11 Forma Therapeutics, Inc. Activating pyruvate kinase R and mutants thereof
US12128035B2 (en) 2021-03-19 2024-10-29 Novo Nordisk Health Care Ag Activating pyruvate kinase R
US12161634B2 (en) 2019-09-19 2024-12-10 Novo Nordisk Health Care Ag Pyruvate kinase R (PKR) activating compositions

Families Citing this family (3)

* Cited by examiner, † Cited by third party
Publication number Priority date Publication date Assignee Title
WO2006126171A2 (en) * 2005-05-25 2006-11-30 Actelion Pharmaceuticals Ltd New antibiotic derivatives
PL2137196T3 (en) * 2007-04-20 2011-03-31 Glaxo Group Ltd Tricyclic nitrogen containing compounds as antibacterial agents
CN118684669B (en) * 2024-07-05 2025-11-25 大连理工大学 A novel method for preparing chiral bipyridine and its application in catalytic reactions.

Citations (5)

* Cited by examiner, † Cited by third party
Publication number Priority date Publication date Assignee Title
WO2000043383A1 (en) * 1999-01-20 2000-07-27 Smithkline Beecham P.L.C. Piperidinylquinolines as protein tyrosine kinase inhibitors
WO2004002490A2 (en) * 2002-06-26 2004-01-08 Glaxo Group Limited Piperidine compounds as antibacterials
WO2004024713A1 (en) * 2002-09-11 2004-03-25 Aventis Pharma S.A. Piperidine quinolyl propyl derivatives and use thereof as antimicrobial agents
WO2004035569A2 (en) * 2002-10-10 2004-04-29 Morphochem Aktiengesellschaft für kombinatorische Chemie Novel compounds with antibacterial activity
DE10247233A1 (en) * 2002-10-10 2004-06-17 Morphochem AG Aktiengesellschaft für kombinatorische Chemie New 4-substituted quinoline derivatives, useful for treating bacterial infections, optionally including additional ring nitrogens

Family Cites Families (6)

* Cited by examiner, † Cited by third party
Publication number Priority date Publication date Assignee Title
GB9822450D0 (en) * 1998-10-14 1998-12-09 Smithkline Beecham Plc Medicaments
FR2798656B1 (en) * 1999-09-17 2004-12-17 Aventis Pharma Sa DERIVATIVES OF QUINOLYL PROPYL PIPERIDINE, THEIR PREPARATION AND THE COMPOSITIONS CONTAINING THEM
GB0112836D0 (en) * 2001-05-25 2001-07-18 Smithkline Beecham Plc Medicaments
TW200406413A (en) * 2002-06-26 2004-05-01 Glaxo Group Ltd Compounds
US6982334B2 (en) * 2002-12-20 2006-01-03 Aventis Pharma S.A. Crystalline form of (3R,4R)-4-[3-(S)-hydroxy-3-(6-methoxyquinolin-4-yl)propyl]-1-[2-(2-thienylthio)ethyl]piperindine-3-carboxylic acid
DE10316081A1 (en) * 2003-04-08 2004-10-21 Morphochem AG Aktiengesellschaft für kombinatorische Chemie New compounds with antibacterial activity

Patent Citations (5)

* Cited by examiner, † Cited by third party
Publication number Priority date Publication date Assignee Title
WO2000043383A1 (en) * 1999-01-20 2000-07-27 Smithkline Beecham P.L.C. Piperidinylquinolines as protein tyrosine kinase inhibitors
WO2004002490A2 (en) * 2002-06-26 2004-01-08 Glaxo Group Limited Piperidine compounds as antibacterials
WO2004024713A1 (en) * 2002-09-11 2004-03-25 Aventis Pharma S.A. Piperidine quinolyl propyl derivatives and use thereof as antimicrobial agents
WO2004035569A2 (en) * 2002-10-10 2004-04-29 Morphochem Aktiengesellschaft für kombinatorische Chemie Novel compounds with antibacterial activity
DE10247233A1 (en) * 2002-10-10 2004-06-17 Morphochem AG Aktiengesellschaft für kombinatorische Chemie New 4-substituted quinoline derivatives, useful for treating bacterial infections, optionally including additional ring nitrogens

Cited By (31)

* Cited by examiner, † Cited by third party
Publication number Priority date Publication date Assignee Title
US7875715B2 (en) 2005-06-16 2011-01-25 Astrazeneca Ab Compounds for the treatment of multi-drug resistant bacterial infections
US8124602B2 (en) 2005-06-16 2012-02-28 Astrazeneca Ab Compounds for the treatment of multi-drug resistant bacterial infections
WO2007042325A1 (en) * 2005-10-13 2007-04-19 Morphochem Aktiengesellschaft für kombinatorische Chemie Antibacterial active 5-chinolin derivative
WO2007115947A1 (en) 2006-04-06 2007-10-18 Glaxo Group Limited Pyrrolo-quinoxalinone derivatives as antibacterials
WO2008003690A1 (en) 2006-07-03 2008-01-10 Glaxo Group Limited Azatricyclic compounds and their use
WO2008009700A1 (en) 2006-07-20 2008-01-24 Glaxo Group Limited Derivatives and analogs of n-ethylquinolones and n-ethylazaquinolones
JP2010502589A (en) * 2006-08-30 2010-01-28 アクテリオン ファーマシューティカルズ リミテッド Spiro antibiotic derivative
US7999115B2 (en) 2006-08-30 2011-08-16 Actelion Pharmaceutical Ltd. Spiro antibiotic derivatives
WO2008026172A1 (en) * 2006-08-30 2008-03-06 Actelion Pharmaceuticals Ltd Spiro antibiotic derivatives
EP2080761A1 (en) 2008-01-18 2009-07-22 Glaxo Group Limited Compounds
WO2010043714A1 (en) 2008-10-17 2010-04-22 Glaxo Group Limited Tricyclic nitrogen compounds used as antibacterials
WO2010081874A1 (en) 2009-01-15 2010-07-22 Glaxo Group Limited Naphthyridin-2 (1 h)-one compounds useful as antibacterials
WO2011138666A1 (en) * 2010-05-06 2011-11-10 Council Of Scientific And Industrial Research Quinolylpiperazino substituted thiolactone compounds and process for the preparation thereof
US9085557B2 (en) 2010-05-06 2015-07-21 Council Of Scientific And Industrial Research Quinolylpiperazino substituted thiolactone compounds and process for the preparation thereof
WO2016027249A1 (en) 2014-08-22 2016-02-25 Glaxosmithkline Intellectual Property Development Limited Tricyclic nitrogen containing compounds for treating neisseria gonorrhoea infection
EP3639824A1 (en) 2014-08-22 2020-04-22 GlaxoSmithKline Intellectual Property Development Limited Tricyclic nitrogen containing compounds for treating neisseria gonorrhoea infection
WO2017029602A2 (en) 2015-08-16 2017-02-23 Glaxosmithkline Intellectual Property Development Limited Compounds for use in antibacterial applications
US12071440B2 (en) 2017-03-20 2024-08-27 Novo Nordisk Health Care Ag Pyrrolopyrrole compositions as pyruvate kinase (PKR) activators
US11396513B2 (en) 2017-03-20 2022-07-26 Forma Therapeutics, Inc. Compositions for activating pyruvate kinase
US10836771B2 (en) 2017-03-20 2020-11-17 Forma Therapeutics, Inc. Compositions for activating pyruvate kinase
US11014927B2 (en) 2017-03-20 2021-05-25 Forma Therapeutics, Inc. Pyrrolopyrrole compositions as pyruvate kinase (PKR) activators
US11649242B2 (en) 2017-03-20 2023-05-16 Forma Therapeutics, Inc. Pyrrolopyrrole compositions as pyruvate kinase (PKR) activators
US11844787B2 (en) 2018-09-19 2023-12-19 Novo Nordisk Health Care Ag Activating pyruvate kinase R
US11071725B2 (en) 2018-09-19 2021-07-27 Forma Therapeutics, Inc. Activating pyruvate kinase R
US11001588B2 (en) 2018-09-19 2021-05-11 Forma Therapeutics, Inc. Activating pyruvate kinase R and mutants thereof
US11980611B2 (en) 2018-09-19 2024-05-14 Novo Nordisk Health Care Ag Treating sickle cell disease with a pyruvate kinase R activating compound
US12053458B2 (en) 2018-09-19 2024-08-06 Novo Nordisk Health Care Ag Treating sickle cell disease with a pyruvate kinase R activating compound
US10675274B2 (en) 2018-09-19 2020-06-09 Forma Therapeutics, Inc. Activating pyruvate kinase R
US12122778B2 (en) 2018-09-19 2024-10-22 Novo Nordisk Health Care Ag Activating pyruvate kinase R
US12161634B2 (en) 2019-09-19 2024-12-10 Novo Nordisk Health Care Ag Pyruvate kinase R (PKR) activating compositions
US12128035B2 (en) 2021-03-19 2024-10-29 Novo Nordisk Health Care Ag Activating pyruvate kinase R

Also Published As

Publication number Publication date
US20070173532A1 (en) 2007-07-26
TW200616959A (en) 2006-06-01
ATE466857T1 (en) 2010-05-15
CN101039935A (en) 2007-09-19
CA2581057A1 (en) 2006-04-13
AR051051A1 (en) 2006-12-13
JP2008515796A (en) 2008-05-15
CN101039935B (en) 2011-04-20
ES2343127T3 (en) 2010-07-23
DE602005021133D1 (en) 2010-06-17

Similar Documents

Publication Publication Date Title
US20070173532A1 (en) New Piperidine Antibiotics
JP4887297B2 (en) New bicyclic antibiotics
KR101538814B1 (en) 3-amino-6-(1-amino-ethyl)-tetrahydropyran derivatives
CA2668280C (en) 5-hydroxymethyl-oxazolidin-2-one derivatives
TWI426076B (en) 5-amino-2-(1-hydroxy-ethyl)-tetrahydropyran derivatives
US7888359B2 (en) Cyclohexyl or piperidinyl carboxamide antibiotic derivatives
JP2010502589A (en) Spiro antibiotic derivative
TWI436999B (en) Oxazolidinyl antibiotics
EP1981881B1 (en) Tetrahydropyrane antibiotics
CA2643962A1 (en) Antibiotic compounds
EP1799674A1 (en) New piperidine antibiotics
WO2009034546A2 (en) Trans-decahydroisoquinoline derivatives

Legal Events

Date Code Title Description
AK Designated states

Kind code of ref document: A1

Designated state(s): AE AG AL AM AT AU AZ BA BB BG BR BW BY BZ CA CH CN CO CR CU CZ DE DK DM DZ EC EE EG ES FI GB GD GE GH GM HR HU ID IL IN IS JP KE KG KM KP KR KZ LC LK LR LS LT LU LV LY MA MD MG MK MN MW MX MZ NA NG NI NO NZ OM PG PH PL PT RO RU SC SD SE SG SK SL SM SY TJ TM TN TR TT TZ UA UG US UZ VC VN YU ZA ZM ZW

AL Designated countries for regional patents

Kind code of ref document: A1

Designated state(s): BW GH GM KE LS MW MZ NA SD SL SZ TZ UG ZM ZW AM AZ BY KG KZ MD RU TJ TM AT BE BG CH CY CZ DE DK EE ES FI FR GB GR HU IE IS IT LT LU LV MC NL PL PT RO SE SI SK TR BF BJ CF CG CI CM GA GN GQ GW ML MR NE SN TD TG

121 Ep: the epo has been informed by wipo that ep was designated in this application
WWE Wipo information: entry into national phase

Ref document number: 2005786765

Country of ref document: EP

WWE Wipo information: entry into national phase

Ref document number: 2581057

Country of ref document: CA

WWE Wipo information: entry into national phase

Ref document number: 2007534169

Country of ref document: JP

WWE Wipo information: entry into national phase

Ref document number: 200580033879.9

Country of ref document: CN

NENP Non-entry into the national phase

Ref country code: DE

WWP Wipo information: published in national office

Ref document number: 2005786765

Country of ref document: EP