WO2004058751A1 - Piperidinyl-thiazole carboxamide derivatives for altering vascular tone - Google Patents

Piperidinyl-thiazole carboxamide derivatives for altering vascular tone Download PDF

Info

Publication number
WO2004058751A1
WO2004058751A1 PCT/GB2003/005654 GB0305654W WO2004058751A1 WO 2004058751 A1 WO2004058751 A1 WO 2004058751A1 GB 0305654 W GB0305654 W GB 0305654W WO 2004058751 A1 WO2004058751 A1 WO 2004058751A1
Authority
WO
WIPO (PCT)
Prior art keywords
compound
optionally substituted
alkyl
aryl
heterocyclic group
Prior art date
Legal status (The legal status is an assumption and is not a legal conclusion. Google has not performed a legal analysis and makes no representation as to the accuracy of the status listed.)
Ceased
Application number
PCT/GB2003/005654
Other languages
French (fr)
Inventor
Peter Knox
Helen Pappa
Winnie Lam
Current Assignee (The listed assignees may be inaccurate. Google has not performed a legal analysis and makes no representation or warranty as to the accuracy of the list.)
Metris Therapeutics Ltd
Original Assignee
Metris Therapeutics Ltd
Priority date (The priority date is an assumption and is not a legal conclusion. Google has not performed a legal analysis and makes no representation as to the accuracy of the date listed.)
Filing date
Publication date
Application filed by Metris Therapeutics Ltd filed Critical Metris Therapeutics Ltd
Priority to AU2003290335A priority Critical patent/AU2003290335A1/en
Publication of WO2004058751A1 publication Critical patent/WO2004058751A1/en
Anticipated expiration legal-status Critical
Ceased legal-status Critical Current

Links

Classifications

    • CCHEMISTRY; METALLURGY
    • C07ORGANIC CHEMISTRY
    • C07DHETEROCYCLIC COMPOUNDS
    • C07D417/00Heterocyclic compounds containing two or more hetero rings, at least one ring having nitrogen and sulfur atoms as the only ring hetero atoms, not provided for by group C07D415/00
    • C07D417/02Heterocyclic compounds containing two or more hetero rings, at least one ring having nitrogen and sulfur atoms as the only ring hetero atoms, not provided for by group C07D415/00 containing two hetero rings
    • C07D417/04Heterocyclic compounds containing two or more hetero rings, at least one ring having nitrogen and sulfur atoms as the only ring hetero atoms, not provided for by group C07D415/00 containing two hetero rings directly linked by a ring-member-to-ring-member bond
    • AHUMAN NECESSITIES
    • A61MEDICAL OR VETERINARY SCIENCE; HYGIENE
    • A61PSPECIFIC THERAPEUTIC ACTIVITY OF CHEMICAL COMPOUNDS OR MEDICINAL PREPARATIONS
    • A61P15/00Drugs for genital or sexual disorders; Contraceptives
    • AHUMAN NECESSITIES
    • A61MEDICAL OR VETERINARY SCIENCE; HYGIENE
    • A61PSPECIFIC THERAPEUTIC ACTIVITY OF CHEMICAL COMPOUNDS OR MEDICINAL PREPARATIONS
    • A61P27/00Drugs for disorders of the senses
    • A61P27/02Ophthalmic agents
    • AHUMAN NECESSITIES
    • A61MEDICAL OR VETERINARY SCIENCE; HYGIENE
    • A61PSPECIFIC THERAPEUTIC ACTIVITY OF CHEMICAL COMPOUNDS OR MEDICINAL PREPARATIONS
    • A61P35/00Antineoplastic agents
    • AHUMAN NECESSITIES
    • A61MEDICAL OR VETERINARY SCIENCE; HYGIENE
    • A61PSPECIFIC THERAPEUTIC ACTIVITY OF CHEMICAL COMPOUNDS OR MEDICINAL PREPARATIONS
    • A61P43/00Drugs for specific purposes, not provided for in groups A61P1/00-A61P41/00
    • CCHEMISTRY; METALLURGY
    • C07ORGANIC CHEMISTRY
    • C07DHETEROCYCLIC COMPOUNDS
    • C07D417/00Heterocyclic compounds containing two or more hetero rings, at least one ring having nitrogen and sulfur atoms as the only ring hetero atoms, not provided for by group C07D415/00
    • C07D417/14Heterocyclic compounds containing two or more hetero rings, at least one ring having nitrogen and sulfur atoms as the only ring hetero atoms, not provided for by group C07D415/00 containing three or more hetero rings
    • CCHEMISTRY; METALLURGY
    • C07ORGANIC CHEMISTRY
    • C07DHETEROCYCLIC COMPOUNDS
    • C07D487/00Heterocyclic compounds containing nitrogen atoms as the only ring hetero atoms in the condensed system, not provided for by groups C07D451/00 - C07D477/00
    • C07D487/02Heterocyclic compounds containing nitrogen atoms as the only ring hetero atoms in the condensed system, not provided for by groups C07D451/00 - C07D477/00 in which the condensed system contains two hetero rings
    • C07D487/04Ortho-condensed systems

Definitions

  • the present invention relates to novel methods for the treatment of diseases in which the alteration of vascular tone plays a role. These methods involve specific targeting of a receptor known as the EP3 receptor, which is implicated herein in diseases of this nature.
  • this invention relates to targeting EP3 receptor for alteration of vascular tone in myometrium and endometrium.
  • the invention also relates to the use of compounds that bind to EP3 receptor in a highly specific manner useful in treating conditions in which EP3 receptor plays a role.
  • the invention also relates to the use of these compounds and to pharmaceutical compositions comprising these compounds.
  • Vascular tone in particular vasoconstriction and vasodilation plays a key role in human physiology.
  • the walls of arteries, arterioles, venules and veins contain smooth muscle whose contractile state is controlled by mediators released locally from sympathetic nerve terminals and endothelial cells, and by circulating hormones.
  • Arterioles and small muscular arteries are the main resistance vessels in circulation, while veins are capacity vessels.
  • vascular smooth muscle contracts when the intracellular Ca2+ concentration rises.
  • Vasoconstrictors and vasodilators act by increasing or reducing intracellular Ca2+, and/or by altering the sensitivity of the contractile machinery to Ca2+ (Rang H.P., Dale M.M., Ritter J.M., 1999 Pharmacology 4th Edition, Churchill Livingstone).
  • Agents causing vasoconstriction act by either releasing intracellular Ca2+, in response to receptor-mediated IP3 formation or by allowing Ca2+ entry through voltage-gated Ca2+ channels or by allowing Ca2+ entry through receptor-operated Ca2+ channels.
  • Agents causing vasodilation act by either direct or indirect inhibition of Ca2+ entry through voltage-gated Ca2+ channels or increase of intracellular cAMP or cGMP concentration.
  • a family of compounds that alter cAMP and intracellular Ca2+ levels and that has been implicated in affecting muscular tone consists of the molecules known as prostanoids.
  • Prostanoids are particularly unstable molecules and they are therefore considered to act in a paracrine fashion through a number of seven transmembrane receptors (7-TM) G-protein coupled receptors, namely EP, FP, IP, DP and TP.
  • 7-TM transmembrane receptors
  • the known EP family of receptors consists of four members EP1, EP2, EP3 and EP4, all cloned and sequenced in the early 90s (Funk CD. et al., 1993 J. Biol. Chem. 268 No.35 26767-26772; Regan J.W. et al., 1994 Mol. Pharmacology 46 213-220; Kotani M et al., 1995 Mol. Pharmacology 48 869- 879; Regan J.W. et al, 1994 Br. J. Pharmacol.
  • the EP3 receptor is unique among the class of EP receptors in that it exists as multiple isoforms generated by alternative mRNA splicing of the EP3 receptor gene (Kotani M et al, 1995 Mol. Pharmacology 48 869-879; Regan J.W. et al., 1994 Br. J. Pharmacol. 112 377-385). These isoforms differ only at the C-terminal end and although they display very similar binding affinities for PGE2 (Regan J.W. et al., 1994 Br. J. Pharmacol.
  • Prostanoids affect most tissues by acting on their respective receptors as follows.
  • the action of PGD2 and PGI2 on DP and IP -receptors respectively causes vasodilation and inhibition of platelet aggregation.
  • the action of PGF2a and TXA2 on FP and TP-receptors results to intense muscle contractions.
  • the actions of PGE2 are more variable, complicated by the fact that PGE2 bind to four different receptors. It is suggested in literature that PGE2 causes muscle contraction by acting on EP1 and EP3 receptors but relaxation when it binds on EP2 and EP4 receptors (Coleman, R. A. et al (1994) Pharmacol. Rev., 46, 205-229).
  • the present invention relates to the discovery that a particular receptor, known as the EP3 receptor, is expressed in vascular smooth muscle of uterine myometrium and endometrium.
  • the present invention implicates the EP3 receptor in altering uterine vascular tone in particular of myometrium and endometrium and playing a role in menstrual disorders such as menorrhagia, dysmenorrhea, endometriosis and menstrual-migraines.
  • the present invention relates to compounds specific for EP3 receptor that could provide new highly effective treatments with minimum side effects for conditions where EP3 receptor plays a role.
  • these conditions include indications in which the prostaglandin PGE2 is implicated, such as pre-eclampsia, uterine contractions, cardiovascular conditions, hypertension, shock, hypotensive states, ulcer, asthma, allergic inflammation, fever, pain, PGE2-induced immunosuppression and renal failure.
  • a method for the alteration of uterine vascular tone in a patient comprising administering to the patient a therapeutically- effective amount of a compound that binds specifically to the EP3 receptor.
  • the present invention also provides the use of a compound that binds specifically to the EP3 receptor for the manufacture of a medicament for altering uterine vascular tone.
  • Uterine vascular tone includes myometrial and endometrial vascular tone.
  • binding specifically to the EP3 receptor is meant that the compound binds to the EP3 receptor with an EC50 of less than 25 ⁇ M, preferably less than lO ⁇ M, more preferably less than 7 ⁇ M, more preferably less than 5 ⁇ M, even more preferably less than l ⁇ M.
  • EC50 values may be determined by a number of methods, as the skilled reader will appreciate, and an illustration is presented in the specific examples included herein.
  • a compound that binds specifically to the EP3 receptor does not bind to any of the FP, TP, IP and EP2 receptors to any significant degree.
  • the compounds have substantially greater affinity for the EP3 receptor than their affinity for other related receptors.
  • substantially greater affinity we mean that there is a measurable increase in the affinity of a compound of the invention that binds specifically to the EP3 receptor as compared with the affinity of the same compound for other known cell-surface receptors, including the FP, TP, IP and EP2 receptors.
  • the affinity of the compound is at least 1.5-fold, 2-fold, 5-fold 10-fold, 100-fold, 10 3 -fold, 10 4 -fold, 10 5 -fold, 10 6 -fold or greater for the EP3 receptor than for related receptors such as any of the FP, EP2, TP and IP receptors.
  • Compounds particularly useful in the present invention include those of formulae (I), (II) and (III).
  • the present invention further provides a compound of formula (I) or formula (II):
  • Q is an optionally substituted alkyl, alkenyl, cycloalkyl, aryl, aralkyl, alkoxy, aryloxy, aralkoxy, alkylthio, aralkylthio, amino, alkylamino, dialkylamino, carboxyl, carboxylalkyl, esterified carboxyl, alkylsulfoxyl, alkylsulfonyl, nitro, carbonitrile, carbo-alkoxy, carbo- aryloxy, or heterocyclic group;
  • A is a single bond or alkylene
  • Z is O, S orNR 3 ;
  • Z' is O, S orNR 3 ; p is 0 or 1 ; p' is 0 or 1 ; q is O or l; q' is 0 or 1 ; n is an integer from 0 to 10; m is an integer from 0 to 10;
  • W is an optionally substituted alkyl, alkenyl, cycloalkyl, aryl, aralkyl, alkoxy, aryloxy, aralkoxy, alkylthio, aralkylthio, amino, alkylamino, dialkylamino, carboxyl, carboxylalkyl, esterified carboxyl, alkylsulfoxyl, alkylsulfonyl, nitro, carbonitrile, carbo-alkoxy, carbo- aryloxy, or heterocyclic group;
  • R 1 is H or alkyl
  • R 2 is independently H or alkyl; and R 3 is independently H or alkyl; or a pharmaceutically acceptable derivative thereof.
  • pharmaceutically acceptable derivative means any pharmaceutically acceptable salt, addition compound, or any other compound which upon administration to a recipient is capable of providing, whether directly or indirectly, a compound of the invention or a pharmaceutically acceptable metabolite.
  • pharmaceutically acceptable metabolite means a metabolite or residue of a compound of the invention which gives rise to a biological activity exhibited by the compounds of the invention.
  • pharmaceutically acceptable salt refers to a salt prepared from pharmaceutically acceptable non-toxic acids or bases including inorganic or organic acids and bases.
  • organic acids examples include hydrochloric, hydrobromic, hydroiodic, sulfuric, and phosphoric acids.
  • Appropriate organic acids may be selected, for example, from aliphatic, aromatic, carboxylic and sulfonic classes of organic acids, examples of which are formic, acetic, propionic, succinic, glycolic, glucuronic, maleic, furoic, glutamic, benzoic, anthranilic, salicylic, phenylacetic, mandelic, embonic (pamoic), methanesulfonic, ethanesulfonic, pantothenic, benzenesulfonic, stearic, sulfanilic, algenic, and galacturonic.
  • inorganic bases include metallic salts made from aluminium, calcium, lithium, magnesium, potassium, sodium, and zinc.
  • Appropriate organic bases may be selected, for example, from N,N-dibenzylethylenediamine, chloroprocaine, choline, diethanolamine, ethylenediamine, meglumaine (N-methylglucamine), and procaine.
  • alkyl means a branched or unbranched, cyclic or acyclic, saturated or unsaturated (e.g. alkenyl or alkynyl) hydrocarbyl radical.
  • the alkyl group is preferably C 3 to C 12 , more preferably C 5 to C 10 , more preferably C 5 , C 6 or C 7 .
  • the alkyl group is preferably C t to C 10 , more preferably Ci to C 6 , more preferably methyl, ethyl, propyl (n-propyl or isopropyl), butyl (n-butyl, isobutyl or tertiary-butyl) or pentyl (including n-pentyl and iso-pentyl), more preferably methyl.
  • alkyl as used herein includes alkyl (branched or unbranched), alkenyl (branched or unbranched), alkynyl (branched or unbranched), cycloalkyl, cycloalkenyl and cycloalkynyl. Saturated hydrocarbyl radicals are generally preferred.
  • lower alkyl means a branched or unbranched, cyclic or acyclic, saturated or unsaturated (e.g. alkenyl or alkynyl) hydrocarbyl radical, wherein a cyclic lower alkyl group is C 5 , C 6 or C , and wherein an acyclic lower alkyl group is C t to C 6 , that is, methyl, ethyl, propyl (n-propyl or isopropyl) or butyl (n-butyl, isobutyl or tertiary-butyl), more preferably methyl.
  • alkyl group may be substituted or unsubstituted. Where substituted, there will generally be 1 to 3 substituents present, preferably 1 or 2 substituents.
  • Substituents may include halogen atoms and halomethyl groups such as CF 3 and CC1 3 ; oxygen containing groups such as oxo, hydroxy, carboxy, carboxyalkyl, alkoxy, alkoxy, alkoyl, alkoyloxy, aryloxy, aryloyl and aryloyloxy; nitrogen containing groups such as amino, amido, alkylamino, dialkylamino, cyano, azide, nitrato, nitro, -C(O)-NH 2 , -C(O)-NHR 4 and -C(O)-NR 2 (where R 4 is independently optionally substituted alkyl or aryl (preferably alkyl)); sulphur containing groups such as thiol, alkylthiol,
  • alkylene means a branched or unbranched, cyclic or acyclic, saturated or unsaturated (e.g. alkenylene or alkynylene) hydrocarbylene radical.
  • the alkylene group is preferably C 3 to C 12 , more preferably C 5 to C 10 , more preferably C 5 to C 7 .
  • the alkylene group is preferably Ci to C 16 , more preferably Ci to C 4 , more preferably methylene.
  • An alkylene group may be substituted or unsubstituted, preferably unsubstituted. Where substituted, there will generally be 1 to 3 substituents present, preferably 1 substituent.
  • Substituents may include halogen atoms and halomethyl groups such as CF 3 and CC1 3 ; oxygen containing groups such as oxo, hydroxy, carboxy, carboxyalkyl, alkoxy, alkoxy, alkoyl, alkoyloxy, aryloxy, aryloyl and aryloyloxy; nitrogen containing groups such as amino, amido, alkylamino, dialkylamino, cyano, azide, nitrato, nitro, -C(O)-NH 2 , -C(O)-NHR 4 and -C(O)-NR 4 2 (where R 4 is independently optionally substituted alkyl or aryl (preferably alkyl)); sulphur containing groups such as thiol, alkylthiol, sulphonyl, sulphoxide, -S(O) 2 -H, -S(O) 2 -R 4 , -S(O
  • aryl means a cyclic or bicyclic aromatic group, such as phenyl or naphthyl. C 6-12 (e.g. C 6-10 ) aryl groups are preferred. An aryl group may be substituted or unsubstituted, preferably unsubstituted. Where substituted, there will generally be 1 to 3 substituents present, preferably 1 substituent.
  • Substituents may include halogen atoms and halomethyl groups such as CF 3 and CC1 ; oxygen containing groups such as oxo, hydroxy, carboxy, carboxyalkyl, alkoxy, alkoxy, alkoyl, alkoyloxy, aryloxy, aryloyl and aryloyloxy; nitrogen containing groups such as amino, amido, alkylamino, dialkylamino, cyano, azide, nitrato, nitro, -C(O)-NH 2 , -C(O)-NHR 4 and -C(O)-NR 4 2 (where R 4 is independently optionally substituted alkyl or aryl (preferably alkyl)); sulphur containing groups such as thiol, alkylthiol, sulphonyl, sulphoxide, -S(O) 2 -H, -S(O) 2 -R 4 , -S(O)
  • heterocyclic means a saturated or unsaturated cyclic or bicyclic group containing one or more heteroatoms, such as thienyl, furanyl, pyrrolyl, imidazolyl, pyrazolyl, thiazolyl, oxazolyl, isoxazolyl, pyrrolidinyl, pyrrolinyl, imidazolidinyl, imidazolinyl, pyrazolidinyl, tetrahydrofuranyl, pyranyl, pyronyl, pyridyl, pyrazinyl, pyridazinyl, benzofuranyl, isobenzofuryl, indolyl, oxyindolyl, isoindolyl, indazolyl, indolinyl, 7-azaindolyl, isoindazolyl, benzopyranyl, coumarinyl, isocoumarinyl,
  • heterocyclic group also includes groups derived from:
  • Heterocyclic groups containing from 5 to 12 (e.g. 5 to 10) atoms are preferred. Heterocyclic groups preferably contain 1, 2, 3 or 4 heteroatoms. Preferred heteroatoms are N, O and S.
  • a heterocyclic group may be substituted or unsubstituted, preferably unsubstituted. Where substituted, there will generally be 1 to 3 substituents present, preferably 1 substituent.
  • Substituents may include halogen atoms and halomethyl groups such as CF 3 and CC1 3 ; oxygen containing groups such as oxo, hydroxy, carboxy, carboxyalkyl, alkoxy, alkoxy, alkoyl, alkoyloxy, aryloxy, aryloyl and aryloyloxy; nitrogen containing groups such as arnino, amido, al lamino, dialkylamino, cyano, azide, nitrato, nitro, -C(O)-NH 2 , -C(O)-NHR 4 and -C(O)-NR 4 2 (where R 4 is independently optionally substituted alkyl or aryl (preferably alkyl)); sulphur containing groups such as thiol, alkylthiol, sulphonyl, sulphoxide, -S(O) 2 -H, -S(O) 2 -R 4 , -S
  • aralkyl means aryl-alkyl- (e.g. benzyl).
  • alkoxy means alkyl-O-.
  • lower alkoxy means loweralkyl-O-.
  • aryloxy means aryl-O-.
  • aralkoxy means aralkyl-O-,
  • halogen means a fluorine, chlorine, bromine or iodine radical, preferably a fluorine or chlorine radical.
  • A is a single bond.
  • X is O.
  • X is S and Z is NR 3 .
  • X is O.
  • Z' is NR 3 .
  • R 3 is H.
  • p 1.
  • q 0.
  • n +m is an integer from 2 to 10, more preferably 2 to 6, more preferably 2 to 4, more preferably 3 or 4, most preferably 4.
  • n is from 0 to 3, preferably 2.
  • m is from 0 to 3, preferably 2.
  • R 1 is H.
  • each R is H.
  • the substituents Q and W may be substituted or unsubstituted. Where substituted, there will generally be 1 to 3 substituents present, preferably 1 or 2 substituents.
  • Substituents may include halogen atoms and halomethyl groups such as CF 3 and CC1 3 ; oxygen containing groups such as oxo, hydroxy, carboxy, carboxyalkyl, alkoxy, alkoxy, alkoyl, alkoyloxy, aryloxy, aryloyl and aryloyloxy; nitrogen containing groups such as amino, amido, alkylamino, dialkylamino, cyano, azide, nitrato, nitro, -C(O)-NH 2 , -C(O)-NHR 4 and -C(O)-NR 4 2 (where R 4 is independently optionally substituted alkyl or aryl (preferably alkyl)); sulphur containing groups such as thiol, alkyl
  • Q comprises an optionally substituted aryl or heterocyclic group. More preferably, Q is an optionally substituted aryl or heterocyclic group.
  • a preferred aryl group is phenyl.
  • a preferred heterocyclic group is an unsaturated heterocyclic group, more preferably a monocyclic unsaturated heterocyclic group.
  • Y is independently O, S or NR 5
  • halogen e.g. Br
  • R 5 is an alkyl group, preferably -C(CH 3 ) 3 .
  • Q is a phenyl group optionally substituted with 1 or more (e.g. 1, 2 or 3) substituents.
  • Q is a phenyl group having at least one substituent selected from halogen, alkyl, dialkylamine and hydroxy. More preferably, Q is a radical selected from:
  • Q is a heterocyclic group optionally substituted with 1 or more (e.g. 1, 2 or 3) substituents.
  • Q is an optionally substituted unsaturated heterocyclic group, preferably an optionally substituted unsaturated bicyclic heterocyclic group (e.g. benzimidazolyl). More preferably, Q is an unsaturated bicyclic heterocyclic group having at least one alkyl substituent (e.g. methyl). More preferably Q is:
  • W is an optionally substituted alkyl, alkenyl, cycloalkyl, aryl, aralkyl, alkoxy, aryloxy, aralkoxy, alkylthio, aralkylthio, carboxyl, carboxylalkyl, esterified carboxyl, alkylsulfonyl, carbo-alkoxy, carbo-aryloxy or heterocyclic group.
  • W is an optionally substituted alkyl, alkenyl, alkynyl, aryl or heterocyclic group.
  • a preferred alkyl group is methyl.
  • a preferred alkenyl group is vinyl.
  • a preferred alkynyl group is ethenyl.
  • a preferred aryl group is phenyl.
  • a preferred heterocyclic group is an unsaturated heterocyclic group, more preferably a monocyclic unsaturated heterocyclic group.
  • W is a substituted alkyl, alkenyl or alkynyl group
  • it may be substituted with -(O-alkylene) a -O-alkyl (preferably -(O-ethylene) a -O-alkyl or -(O-propylene) a -O-alkyl), where a is from 1 to 20 (preferably 1 to 10, preferably 1 to 5, more preferably 2).
  • Y is independently O, S or NR 5
  • R 5 is independently H or an optionally substituted alkyl, aryl or heterocyclic group (preferably H or alkyl). More preferred substituents are halogen, trihalomethyl, -NO 2 , -CN, -CO 2 H,
  • the aryl or heterocyclic group may optionally be substituted by one or more (e.g.
  • Y is independently O, S or NR 5
  • W is a substituted alkyl, alkenyl or alkynyl group substituted with an optionally substituted alkyl, aryl or heterocyclic group
  • Y is independently O, S or NR 5
  • R 5 is independently H or an optionally substituted alkyl, aryl or heterocyclic group (preferably H or alkyl).
  • W comprises an optionally substituted aryl or heterocyclic group.
  • W is an optionally substituted aryl or heterocyclic group.
  • a preferred aryl group is phenyl.
  • a preferred heterocyclic group is an unsaturated heterocyclic group, more preferably a monocyclic unsaturated heterocyclic group.
  • W is a heterocyclic group optionally substituted with 1 or more (e.g. 1, 2 or 3) substituents.
  • W is an optionally substituted pyrazolyl.
  • the substituents are nitro.
  • W is an alkyl group substituted with an optionally substituted cycloalkyl (e.g. cycloalkenyl) or aryl (e.g. phenyl) group.
  • cycloalkyl e.g. cycloalkenyl
  • aryl e.g. phenyl
  • W is a radical selected from:
  • the compound of the invention has the formula (III): formula (III)
  • Particularly preferred compounds of the invention are:
  • a compound of formula (I), (II) or (III) for the manufacture of a medicament for the treatment of a disease, e.g. a disease in which alteration of vascular tone is implicated.
  • a method of treating a disease comprising administering to a patient in need of such treatment an effective dose of a compound of formula (I), (II) or (III).
  • the present invention is useful in the treatment of diseases in which alteration of vascular tone is implicated (in particular uterine vascular tone, including myometrial and endometrial vascular tone), such as menstrual disorders (e.g. menorrhagia, dysmenorrhea, endometriosis and menstrual migraines), renal and cardiovascular conditions and hypertension (including pre-eclampsia).
  • diseases in which alteration of vascular tone is implicated in particular uterine vascular tone, including myometrial and endometrial vascular tone
  • menstrual disorders e.g. menorrhagia, dysmenorrhea, endometriosis and menstrual migraines
  • renal and cardiovascular conditions including pre-eclampsia
  • Additional preferred diseases which may be treated are those in which the EP3 is implicated, such as fever, ulcers and gastric acid secretion; those in which the interaction of prostaglandins with the EP3 receptor is implicated, such as renal failure; and those in which the interaction of PGE2 with the EP3 receptor is implicated, such as pre-eclampsia, uterine contractions, cardiovascular conditions, hypertension, shock, hypotensive states, ulcer, asthma, allergic inflammation, fever, pain, PGE2-induced immunosuppression and renal failure.
  • a pharmaceutical composition comprising a compound of the present invention in combination with a pharmaceutically acceptable excipient.
  • the agents described could be used alone or conjointly with treatments such as anti- hormone therapy, surgery, radiotherapy or chemotherapy.
  • Compounds of the present invention may be administered in a form suitable for oral use, for example a tablet, capsule, aqueous or oily solution, suspension or emulsion; for topical use including transmucosal and transdermal use, for example a cream, ointment, gel, aqueous or oil solution or suspension, salve, patch, plaster or as a component of a lubricant for a condom; for nasal use, for an example a snuff, nasal spray or nasal drops; for vaginal or rectal use, for example a suppository; for administration by inhalation, for example a finely divided powder or a liquid aerosol; for intra-ocular, sub-lingual or buccal use, for example a tablet or capsule; or for parenteral use (including intravenous, subcutaneous, intramuscular, intravascular or infusion), for example a sterile aqueous or oil solution or suspension, or incorporated in a biodegradable polymer.
  • the above compositions may be prepared
  • the compounds of the invention will generally be provided in the form of tablets or capsules or as an aqueous solution or suspension.
  • Tablets for oral use may include the active ingredient mixed with pharmaceutically acceptable excipients such as inert diluents, disintegrating agents, binding agents, lubricating agents, sweetening agents, flavouring agents, colouring agents and preservatives.
  • suitable inert diluents include sodium and calcium carbonate, sodium and calcium phosphate, and lactose, while com starch and alginic acid are suitable disintegrating agents.
  • Binding agents may include starch and gelatin, while the lubricating agent, if present, will generally be magnesium stearate, stearic acid or talc.
  • the tablets may be coated with a material such as glyceryl monostearate or glyceryl distearate, to delay absorption in the gastrointestinal tract.
  • Capsules for oral use include hard gelatin capsules in which the active ingredient is mixed with a solid diluent, and soft gelatin capsules wherein the active ingredient is mixed with water or an oil such as peanut oil, liquid paraffin or olive oil.
  • the compounds of the invention will generally be provided in sterile aqueous solutions or suspensions, buffered to an appropriate pH and isotonicity.
  • Suitable aqueous vehicles include Ringer's solution and isotonic sodium chloride.
  • Aqueous suspensions according to the invention may include suspending agents such as cellulose derivatives, sodium alginate, polyvinyl-pyrrolidone and gum tragacanth, and a wetting agent such as lecithin.
  • Suitable preservatives for aqueous suspensions include ethyl and n-propyl p-hydroxybenzoate.
  • the compounds of the invention may also be provided in a biodegradable polymer, for example for use in conjunction with stents in surgery (e.g. adsorbed on a stent or applied directly to the site of the procedure for slow release of the active agent).
  • Intravaginal administration is particularly useful for the delivery of pharmaceuticals selectively to the female reproductive tract and is thus a preferred route of administration.
  • drug substances come into contact with the surface of vaginal mucosa, the tissue lining the vagina, the pharmaceutical diffuses across the mucosa and into the copious blood and lymphatic vessels that are to be found at the base of the mucosa.
  • the anatomical arrangement of blood and lymphatic vessels in this anatomical region is such that a large proportion of the drug that enters these vessels immediately finds its way into the organs of the reproductive tract including the uterus. Only a smaller proportion enters the systemic circulation and is rapidly diluted as a result of a large total body blood and lymph volume.
  • the term 'first pass uterine effect' has been used to describe the result of intravaginal delivery (Cicinelli & de Ziegler, D. (1999) Human Reproduct. Update, 5, 365-372).
  • the term describes the phenomenon that pharmaceuticals will be transported directly from vagina to uterus without entering whole body blood circulation.
  • intravaginal delivery is advantageous with respect to oral delivery, since any drug administered orally will have to pass through the liver before it reaches the target organ. Most drugs are significantly metabolised by the liver thus rapidly reducing the available drug pool. The 'first pass uterine effect' avoids transport through the liver.
  • Intravaginal delivery results in high local concentrations of pharmaceutical and low peripheral levels; this is turn leads to a requirement for lower total administered dose.
  • the significant advantage of intravaginal delivery for the present invention described here is that prostaglandin receptors are ubiquitous and found in various tissues. Parenteral administration of ligands might result in peripheral levels that have a pharmacological consequence. However, local delivery via the vagina will ensure that while pharmacologically active levels are reached in the uterus, organs outside the reproductive tract are unlikely to be affected.
  • dosage levels used may vary over quite a wide range depending upon the compound used, the severity of the symptoms exhibited by the patient and the patient's body weight.
  • typical dosages for treatment of endometriosis may be, for example, of the order of 1 microgram/kg/day to 1 milligram/kg/day, more preferably 10 microgram/kg/day to 0.25 milligram/kg/day orally.
  • typical dosages would be of the order of 10 nanogram/kg/day to 1 microgram kg/day.
  • intra- vaginal administration typical dosages would be 10 micrograms/kg/day to 0.25 milligrams/kg/day.
  • Compounds of the invention may be prepared by the general reaction scheme below, Reaction Scheme 1, wherein by "core" is meant the radical:
  • Figure 1 shows that EP3 antibody stained positive for endometrial glands, endothelium and vascular smooth muscle in human endomyometrium.
  • Figure 1(a) shows staining by EP3 antibody in myometrial vessels.
  • Figure 1(b) shows staining by EP3 antibody in endometrial vessels.
  • Figure 1(c) shows staining by EP3 antibody in myometrial vessels at secretory day 27.
  • Figure 1(d) shows staining by EP3 antibody in endometrial vessels at secretory day 27.
  • Isonipecotamide (1) (28.8 g, 0.22 mol) was suspended in chloroform (288 mL). To this was added 4-(dimethylamino)pyridine (DMAP) (23 mg, catalytic) followed by dropwise addition of a solution of BOC-anhydride (56 g, 0.26 mol, 1.14 equiv.) in chloroform (57 mL). The solution was stirred at room temperature for 1 h and then partitioned between chloroform and 10% citric acid solution. The organic phase was washed with citric acid solution and back extracted with chloroform. The combined organic extracts were washed with water, 10% brine and dried (MgSO 4 ).
  • DMAP 4-(dimethylamino)pyridine
  • Triethylamine 25 mL was added dropwise with stirring at the rate of 1 mL/g of thioamide used.
  • the DMF was removed in vacuo keeping the temperature below 60°C.
  • the resulting residue was partitioned between ethyl acetate (75 mL) and brine (100 mL). Sufficient water was added to ensure complete dissolution of the precipitated salts in the aqueous phase.
  • the aqueous phase was extracted twice with ethyl acetate and the combined organic extracts washed successively with brine (x2), water (x2) and brine (x2).
  • the organic phase was simultaneously dried with MgSO 4 and decolourised with finely divided charcoal.
  • Toluene (dioxan for (6f)) was then added and re-concentrated to further remove TFA - this was repeated 2-3 times to ensure maximum removal of TFA.
  • the product was further dried in vacuo overnight to remove the last traces of TFA.
  • the TFA salt of the free amine was dissolved in dichloromethane (10 mL), cooled to 0°C in an ice bath and treated with triethylamine (6.15 mL, 3 equiv). It was assumed a quantitative conversion of BOC-protected (4) to free amine (5).
  • reaction mixture was concentrated in vacuo to remove the solvent and the residue was suspended in dichloromethane (80 mL) and washed with brine (2 x 50 mL), water (50 mL), 10% citric acid (50 mL), brine, saturated sodium bicarbonate solution (50 mL) and finally brine.
  • the organic layer was dried over MgSO 4 and treated with decolourising charcoal, filtered and concentrated in vacuo.
  • N- [5-(aminocarbonyl)-2-methoxyphenyl] -2-( 1 - ⁇ [4-(2-pyridinyl)- 1 -piperazinyl] carbonyl ⁇ - 4-piperidinyl)- 1, 3 -thiazole-4-carboxamide was prepared by the synthetic route set out in Reaction Scheme 4 below.
  • the ethyl ester (12) was taken up in tefrahydrofuran (40 mL) / water (20 mL) and sodium hydroxide (29.4 mmol) in water (20 mL) added. The mixture was stirred for 2 h at room temperature. The mixture was then extracted with ether and the aqueous phase acidified with 10% citric acid solution. The aqueous phase was extracted with ethyl acetate and the combined extracts washed with brine, dried and concentrated in vacuo. Precipitated product remaining in the aqueous layer was filtered, dried and added to the residue. The title compound (13) was obtained as a colourless solid [total yield 59% (3 steps)].
  • Polyclonal antibodies specific for each prostaglandin receptor were used for determining the localization of each receptor on paraffin-embedded human endomyometrium at the proliferative and secretory stage of the cycle. Initially, titration experiments were conducted with each antibody to establish concentrations that would result in minimal background and maximum detection of signal.
  • Focal positivity was present in uterine myometrial smooth muscle with staining more frequently intense in the inner aspect of the uterus near the endometrium when compared to the outer serosal aspect of the uterus.
  • Binding affinities of compounds of the invention were tested using the following assays.
  • the results of the assays are set out in Table 7 below. For some compounds the assays were repeated to give the multiple results shown in the table.
  • Example 10 Initially the compound was assayed for binding to EP3 receptor in a medium throughput competitive radioligand-binding assay detailed in Example 10. The cross-reactivity of the compounds against FP, TP, IP and EP2 was tested as described in Example 11.
  • EP3 receptor binding assays were performed using stable HEK293(EBNA) cell lines expressing human EP3(III) receptor.
  • the stable cell line was prepared by transfecting HEK293(EBNA) cells with pCEP4-EP3(III) using Lipofectamine 2000 reagent (Invitrogen).
  • Media containing hygromycin (selective media - DMEM, 10% heat inactivated FBS, 250 ⁇ g/ml G418 and 200 ⁇ g/ml hygromycin B) (GibcoBRL) were added to the transfected cells 24hr after transfection and the cells were left to grow in selective media for two weeks in a humidified incubator at 37 °C and 5% CO 2 .
  • Cells were then serially diluted and seeded in 96-well plates at a density of one cell per well, and isolated single cells were subsequently expanded into clonal cell lines under selection in complete medium.
  • the cells were lifted using trypsin-EDTA (GibcoBRL), centrifuged (1000 rpm for 2 min at room temperature), and the cell pellets suspended in binding buffer (10 mM MES/KOH, pH 6.0, 10 mM MgCl 2 , 1 mM EDTA).
  • test compounds at concentrations of 0.14 ⁇ M - 300 ⁇ M or EP3 receptor agonists (sulprostone, misoprostol free acid, PGE2 and iloprost) were added to suspensions of EP3-expressing cells (65,000 cells per well). The final DMSO concentration in the assay did not exceed 1%. All receptor-binding assays were performed in 96-well Millipore MultiScreen FB filtration plates in a final incubation volume of 0.2 ml in binding buffer.
  • the assay was initiated by addition of the radioligand, [ H]-PGE 2 (186 Ci/mmol) at a final concentration of 1.5 nM.
  • Total binding (TB) was determined in the absence of test compounds or ligands (i.e. 1% v/v DMSO only), whereas non-specific binding (NSB) was determined in the presence of 2 ⁇ M non-radioactive PGE 2 .
  • Incubations were conducted at room temperature with shaking for 20 hours, and terminated by filtration using a Millipore MultiScreen vacuum manifold. The plates were washed three times by adding and filtering through 200 ⁇ l per well of pre-chilled binding buffer.
  • Sigmoidal one-site competition curves for each test compound and ligand were constructed by plotting % inhibition against log [concentration], and analysed using GraphPad Prism 3.0 software to determine the EC50 values.
  • EP3(III) receptor binding assays were performed as described above using [ 3 H]-PGE 2 at the concentration range of 0.01 nM - 10.0 nM. Total binding and non-specific binding were determined for each radioligand concentration tested. Specific binding values were calculated by subtracting NSB from TB, and plotted against radioligand concentration. The resulting hyperbola curve was analysed using GraphPad Prism 3.0 software to determine the maximum number of binding sites (Bmax) and the concentration of ligand required to reach half maximal binding (Kd). The number of receptor molecules per cell of the EP3(III) cell line was determined by saturation analysis and was found to be high, Bmax value of 554,116 binding sites per cell.
  • the pharmacological rank order of the recombinant human EP3(III) receptor was tested by competition binding assays in which the binding affinities of several readily available potent agonists for EP3(III) were tested.
  • the following rank order of potency was obtained sulprostone > PGE2 > misoprostol free acid > iloprost, in this study which is consistent with the rank order of potency reported in literature (Abramovitz et al., 2000 Biochimica et Biophysica Acta 1483 285-293).
  • the selectivity of the compounds for EP3(III) receptor was evaluated by testing their cross-reactivity of these compounds against the contractile prostanoid receptors FP, TP and relaxant receptors IP and EP2.
  • Cross-reactivity binding studies on FP, TP, IP and EP2 receptors were performed using transient transfections for FP, TP and IP and stable HEK293(EBNA) cell lines expressing human EP2 receptor for EP2.
  • the stable EP2 cell line was prepared by transfecting HEK293(EBNA) cells with pCEP4-EP2 using Lipofectamine 2000 reagent (Invitrogen) and selecting stable clones in a similar manner to the stable EP3 receptor cell line described above.
  • transient transfections for FP, TP and IP were performed as follows; pCEP4-FP, pCEP4-TP and pCEP4-IP plasmid DNA were separately transfected into 293-EBNA (HEK) cells using Lipofectamine 2000 reagent (Invitrogen) according to the manufacturer's instructions. The transfected cells were cultured without antibiotics in high glucose DMEM supplemented with 10% heat inactivated FBS at 37 °C and 5% CO2 in a humidified incubator for 48 hours.

Landscapes

  • Organic Chemistry (AREA)
  • Chemical & Material Sciences (AREA)
  • Health & Medical Sciences (AREA)
  • General Health & Medical Sciences (AREA)
  • Veterinary Medicine (AREA)
  • Nuclear Medicine, Radiotherapy & Molecular Imaging (AREA)
  • General Chemical & Material Sciences (AREA)
  • Pharmacology & Pharmacy (AREA)
  • Life Sciences & Earth Sciences (AREA)
  • Animal Behavior & Ethology (AREA)
  • Chemical Kinetics & Catalysis (AREA)
  • Public Health (AREA)
  • Medicinal Chemistry (AREA)
  • Engineering & Computer Science (AREA)
  • Bioinformatics & Cheminformatics (AREA)
  • Ophthalmology & Optometry (AREA)
  • Endocrinology (AREA)
  • Reproductive Health (AREA)
  • Pharmaceuticals Containing Other Organic And Inorganic Compounds (AREA)
  • Plural Heterocyclic Compounds (AREA)
  • Nitrogen Condensed Heterocyclic Rings (AREA)

Abstract

This invention relates to compounds of formulae (I) and (II) that are specific to the EP3 receptor and useful in altering vascular tone, in particularly uterine vascular tone (including myometrial and endometrial vascular tone). The invention further provides a method for the alteration of uterine vascular tone comprising administering to a patient a compound that binds specifically to the EP3 receptor. The invention is particularly useful in the treatment of menstrual disorders, cardiovascular conditions and hypertension.

Description

PIPERIDINYL-THIAZO E CARBOXAMIDE DERIVATIVES FOR ALTERING VASCULAR TONE
Technical Field
The present invention relates to novel methods for the treatment of diseases in which the alteration of vascular tone plays a role. These methods involve specific targeting of a receptor known as the EP3 receptor, which is implicated herein in diseases of this nature. In particular, this invention relates to targeting EP3 receptor for alteration of vascular tone in myometrium and endometrium. The invention also relates to the use of compounds that bind to EP3 receptor in a highly specific manner useful in treating conditions in which EP3 receptor plays a role. The invention also relates to the use of these compounds and to pharmaceutical compositions comprising these compounds.
Technical Background
Vascular tone, in particular vasoconstriction and vasodilation plays a key role in human physiology. The walls of arteries, arterioles, venules and veins contain smooth muscle whose contractile state is controlled by mediators released locally from sympathetic nerve terminals and endothelial cells, and by circulating hormones. Arterioles and small muscular arteries are the main resistance vessels in circulation, while veins are capacity vessels. Like other muscle cells, vascular smooth muscle contracts when the intracellular Ca2+ concentration rises. Vasoconstrictors and vasodilators act by increasing or reducing intracellular Ca2+, and/or by altering the sensitivity of the contractile machinery to Ca2+ (Rang H.P., Dale M.M., Ritter J.M., 1999 Pharmacology 4th Edition, Churchill Livingstone).
Agents causing vasoconstriction act by either releasing intracellular Ca2+, in response to receptor-mediated IP3 formation or by allowing Ca2+ entry through voltage-gated Ca2+ channels or by allowing Ca2+ entry through receptor-operated Ca2+ channels. Agents causing vasodilation act by either direct or indirect inhibition of Ca2+ entry through voltage-gated Ca2+ channels or increase of intracellular cAMP or cGMP concentration. A family of compounds that alter cAMP and intracellular Ca2+ levels and that has been implicated in affecting muscular tone consists of the molecules known as prostanoids. Prostanoids are particularly unstable molecules and they are therefore considered to act in a paracrine fashion through a number of seven transmembrane receptors (7-TM) G-protein coupled receptors, namely EP, FP, IP, DP and TP. The known EP family of receptors consists of four members EP1, EP2, EP3 and EP4, all cloned and sequenced in the early 90s (Funk CD. et al., 1993 J. Biol. Chem. 268 No.35 26767-26772; Regan J.W. et al., 1994 Mol. Pharmacology 46 213-220; Kotani M et al., 1995 Mol. Pharmacology 48 869- 879; Regan J.W. et al, 1994 Br. J. Pharmacol. 112 377-385; Bastien L. et al., 1994 J. Biol. Chem. 269, No.16, 11873-11877). The EP3 receptor is unique among the class of EP receptors in that it exists as multiple isoforms generated by alternative mRNA splicing of the EP3 receptor gene (Kotani M et al, 1995 Mol. Pharmacology 48 869-879; Regan J.W. et al., 1994 Br. J. Pharmacol. 112 377-385). These isoforms differ only at the C-terminal end and although they display very similar binding affinities for PGE2 (Regan J.W. et al., 1994 Br. J. Pharmacol. 112 377-385) they mediate different intracellular signalling pathways (Asboth G et al., 1998 Acta Phys. Hung. 85 (1) 39-50; Asboth G et al., 1995 Endocrinology 137 (6) 2572-2579).
Prostanoids affect most tissues by acting on their respective receptors as follows. The action of PGD2 and PGI2 on DP and IP -receptors respectively causes vasodilation and inhibition of platelet aggregation. On the other hand, the action of PGF2a and TXA2 on FP and TP-receptors results to intense muscle contractions. The actions of PGE2 are more variable, complicated by the fact that PGE2 bind to four different receptors. It is suggested in literature that PGE2 causes muscle contraction by acting on EP1 and EP3 receptors but relaxation when it binds on EP2 and EP4 receptors (Coleman, R. A. et al (1994) Pharmacol. Rev., 46, 205-229).
However, the exact mechanism of PGE2 and other prostanoid action in each tissue remains elusive as pharmacological attempts to determine receptor distribution and function have been complicated by the lack of selectivity of the existing receptor agonists and antagonists (Coleman, R. A. et al (1994) Pharmacol. Rev., 46, 205-229; Abramovitz et al, 2000 Biochimica et Biophysica Acta 1483 285-293). The limited knowledge of the target receptor distribution together with the lack of availability of highly selective receptor agonists and antagonists for some of these receptors has hindered the discovery and development of effective treatments. In many systems, the efficacy of EP receptor agonists and antagonists is diminished due to the opposite effects exerted on the target receptor and other EP and prostanoid receptors. Moreover, the lack of specificity of these compounds creates a number of undesirable side effects that limit the tolerability of these treatments. For these reasons, the discovery of new receptor binding molecules capable of effectively blocking receptor subtypes while minimizing side effects is desirable in the art for use in treating diseases where prostanoids play a vital role.
The present invention relates to the discovery that a particular receptor, known as the EP3 receptor, is expressed in vascular smooth muscle of uterine myometrium and endometrium. The present invention implicates the EP3 receptor in altering uterine vascular tone in particular of myometrium and endometrium and playing a role in menstrual disorders such as menorrhagia, dysmenorrhea, endometriosis and menstrual-migraines. The present invention relates to compounds specific for EP3 receptor that could provide new highly effective treatments with minimum side effects for conditions where EP3 receptor plays a role. In addition to the menstrual disorders mentioned above, these conditions include indications in which the prostaglandin PGE2 is implicated, such as pre-eclampsia, uterine contractions, cardiovascular conditions, hypertension, shock, hypotensive states, ulcer, asthma, allergic inflammation, fever, pain, PGE2-induced immunosuppression and renal failure. Although various treatments for these diseases do exist, there is a continuing need for new and improved treatments for these conditions.
Summary of the Invention
According to the present invention there is provided a method for the alteration of uterine vascular tone in a patient comprising administering to the patient a therapeutically- effective amount of a compound that binds specifically to the EP3 receptor.
The present invention also provides the use of a compound that binds specifically to the EP3 receptor for the manufacture of a medicament for altering uterine vascular tone.
Uterine vascular tone includes myometrial and endometrial vascular tone. By "binding specifically to the EP3 receptor" is meant that the compound binds to the EP3 receptor with an EC50 of less than 25μM, preferably less than lOμM, more preferably less than 7μM, more preferably less than 5μM, even more preferably less than lμM. EC50 values may be determined by a number of methods, as the skilled reader will appreciate, and an illustration is presented in the specific examples included herein. Preferably, a compound that binds specifically to the EP3 receptor does not bind to any of the FP, TP, IP and EP2 receptors to any significant degree. This means that the compounds have substantially greater affinity for the EP3 receptor than their affinity for other related receptors. By "substantially greater affinity" we mean that there is a measurable increase in the affinity of a compound of the invention that binds specifically to the EP3 receptor as compared with the affinity of the same compound for other known cell-surface receptors, including the FP, TP, IP and EP2 receptors. Preferably, the affinity of the compound is at least 1.5-fold, 2-fold, 5-fold 10-fold, 100-fold, 103-fold, 104-fold, 105-fold, 106-fold or greater for the EP3 receptor than for related receptors such as any of the FP, EP2, TP and IP receptors.
Compounds particularly useful in the present invention include those of formulae (I), (II) and (III).
The present invention further provides a compound of formula (I) or formula (II):
Figure imgf000006_0001
(I)
Figure imgf000007_0001
(II) wherein:
Q is an optionally substituted alkyl, alkenyl, cycloalkyl, aryl, aralkyl, alkoxy, aryloxy, aralkoxy, alkylthio, aralkylthio, amino, alkylamino, dialkylamino, carboxyl, carboxylalkyl, esterified carboxyl, alkylsulfoxyl, alkylsulfonyl, nitro, carbonitrile, carbo-alkoxy, carbo- aryloxy, or heterocyclic group;
A is a single bond or alkylene;
X is O or S; X' is O or S;
Z is O, S orNR3;
Z' is O, S orNR3; p is 0 or 1 ; p' is 0 or 1 ; q is O or l; q' is 0 or 1 ; n is an integer from 0 to 10; m is an integer from 0 to 10;
W is an optionally substituted alkyl, alkenyl, cycloalkyl, aryl, aralkyl, alkoxy, aryloxy, aralkoxy, alkylthio, aralkylthio, amino, alkylamino, dialkylamino, carboxyl, carboxylalkyl, esterified carboxyl, alkylsulfoxyl, alkylsulfonyl, nitro, carbonitrile, carbo-alkoxy, carbo- aryloxy, or heterocyclic group;
R1 is H or alkyl;
R2 is independently H or alkyl; and R3 is independently H or alkyl; or a pharmaceutically acceptable derivative thereof. The term "pharmaceutically acceptable derivative" as used herein, means any pharmaceutically acceptable salt, addition compound, or any other compound which upon administration to a recipient is capable of providing, whether directly or indirectly, a compound of the invention or a pharmaceutically acceptable metabolite.
The term "pharmaceutically acceptable metabolite" as used herein, means a metabolite or residue of a compound of the invention which gives rise to a biological activity exhibited by the compounds of the invention.
The term "pharmaceutically acceptable salt", as used herein, refers to a salt prepared from pharmaceutically acceptable non-toxic acids or bases including inorganic or organic acids and bases.
Examples of such inorganic acids are hydrochloric, hydrobromic, hydroiodic, sulfuric, and phosphoric acids. Appropriate organic acids may be selected, for example, from aliphatic, aromatic, carboxylic and sulfonic classes of organic acids, examples of which are formic, acetic, propionic, succinic, glycolic, glucuronic, maleic, furoic, glutamic, benzoic, anthranilic, salicylic, phenylacetic, mandelic, embonic (pamoic), methanesulfonic, ethanesulfonic, pantothenic, benzenesulfonic, stearic, sulfanilic, algenic, and galacturonic. Examples of such inorganic bases include metallic salts made from aluminium, calcium, lithium, magnesium, potassium, sodium, and zinc. Appropriate organic bases may be selected, for example, from N,N-dibenzylethylenediamine, chloroprocaine, choline, diethanolamine, ethylenediamine, meglumaine (N-methylglucamine), and procaine.
As used herein, the term "alkyl" means a branched or unbranched, cyclic or acyclic, saturated or unsaturated (e.g. alkenyl or alkynyl) hydrocarbyl radical. Where cyclic, the alkyl group is preferably C3 to C12, more preferably C5 to C10, more preferably C5, C6 or C7. Where acyclic, the alkyl group is preferably Ct to C10, more preferably Ci to C6, more preferably methyl, ethyl, propyl (n-propyl or isopropyl), butyl (n-butyl, isobutyl or tertiary-butyl) or pentyl (including n-pentyl and iso-pentyl), more preferably methyl. It will be appreciated therefore that the term "alkyl" as used herein includes alkyl (branched or unbranched), alkenyl (branched or unbranched), alkynyl (branched or unbranched), cycloalkyl, cycloalkenyl and cycloalkynyl. Saturated hydrocarbyl radicals are generally preferred.
As used herein, the term "lower alkyl" means a branched or unbranched, cyclic or acyclic, saturated or unsaturated (e.g. alkenyl or alkynyl) hydrocarbyl radical, wherein a cyclic lower alkyl group is C5, C6 or C , and wherein an acyclic lower alkyl group is Ct to C6, that is, methyl, ethyl, propyl (n-propyl or isopropyl) or butyl (n-butyl, isobutyl or tertiary-butyl), more preferably methyl.
An alkyl group may be substituted or unsubstituted. Where substituted, there will generally be 1 to 3 substituents present, preferably 1 or 2 substituents. Substituents may include halogen atoms and halomethyl groups such as CF3 and CC13; oxygen containing groups such as oxo, hydroxy, carboxy, carboxyalkyl, alkoxy, alkoxy, alkoyl, alkoyloxy, aryloxy, aryloyl and aryloyloxy; nitrogen containing groups such as amino, amido, alkylamino, dialkylamino, cyano, azide, nitrato, nitro, -C(O)-NH2, -C(O)-NHR4 and -C(O)-NR 2 (where R4 is independently optionally substituted alkyl or aryl (preferably alkyl)); sulphur containing groups such as thiol, alkylthiol, sulphonyl, sulphoxide, -S(O)2-H, -S(O) -R4, -S(O)-H and -S(O)-R4 (where R4 is optionally substituted alkyl or aryl (preferably alkyl)); heterocyclic groups containing one or more, heteroatom, such as thienyl, furanyl, pyrrolyl, imidazolyl, pyrazolyl, thiazolyl, isothiazolyl, oxazolyl, pyrrolidinyl, pyrrolinyl, imidazolidinyl, imidazolinyl, pyrazolidinyl, tetrahydrofuranyl, pyranyl, pyronyl, pyridyl, pyrazinyl, pyridazinyl, benzofuranyl, isobenzofuryl, indolyl, oxyindolyl, isoindolyl, indazolyl, indolinyl, 7-azaindolyl, isoindazolyl, benzopyranyl, coumarinyl, isocoumarinyl, quinolyl, isoquinolyl, naphthridinyl, cinnolinyl, quinazolinyl, pyridopyridyl, benzoxazinyl, quinoxadinyl, chromenyl, chromanyl, isochromanyl, carbolinyl, oxadiazolyl, thiadiazolyl, triazolyl, tetrazolyl and pyrimidinyl; alkyl groups, which may themselves be substituted; and aryl groups, which may themselves be substituted, such as phenyl and substituted phenyl.
As used herein, the term "alkylene" means a branched or unbranched, cyclic or acyclic, saturated or unsaturated (e.g. alkenylene or alkynylene) hydrocarbylene radical. Where cyclic, the alkylene group is preferably C3 to C12, more preferably C5 to C10, more preferably C5 to C7. Where acyclic, the alkylene group is preferably Ci to C16, more preferably Ci to C4, more preferably methylene. An alkylene group may be substituted or unsubstituted, preferably unsubstituted. Where substituted, there will generally be 1 to 3 substituents present, preferably 1 substituent. Substituents may include halogen atoms and halomethyl groups such as CF3 and CC13; oxygen containing groups such as oxo, hydroxy, carboxy, carboxyalkyl, alkoxy, alkoxy, alkoyl, alkoyloxy, aryloxy, aryloyl and aryloyloxy; nitrogen containing groups such as amino, amido, alkylamino, dialkylamino, cyano, azide, nitrato, nitro, -C(O)-NH2, -C(O)-NHR4 and -C(O)-NR4 2 (where R4 is independently optionally substituted alkyl or aryl (preferably alkyl)); sulphur containing groups such as thiol, alkylthiol, sulphonyl, sulphoxide, -S(O)2-H, -S(O)2-R4, -S(O)-H and -S(O)-R4 (where R4 is optionally substituted alkyl or aryl (preferably alkyl)); heterocyclic groups containing one or more, heteroatom, such as thienyl, furanyl, pyrrolyl, imidazolyl, pyrazolyl, thiazolyl, isothiazolyl, oxazolyl, pyrrolidinyl, pyrrolinyl, imidazolidinyl, imidazolinyl, pyrazolidinyl, tetrahydrofuranyl, pyranyl, pyronyl, pyridyl, pyrazinyl, pyridazinyl, benzofuranyl, isobenzofuryl, indolyl, oxyindolyl, isoindolyl, indazolyl, indolinyl, 7-azaindolyl, isoindazolyl, benzopyranyl, coumarinyl, isocoumarinyl, quinolyl, isoquinolyl, naphthridinyl, cinnolinyl, quinazolinyl, pyridopyridyl, benzoxazinyl, quinoxadinyl, chromenyl, chromanyl, isochromanyl, carbolinyl, oxadiazolyl, thiadiazolyl, triazolyl, tetrazolyl and pyrimidinyl; alkyl groups, which may themselves be substituted; and aryl groups, which may themselves be substituted, such as phenyl and substituted phenyl.
As used herein, the term "aryl" means a cyclic or bicyclic aromatic group, such as phenyl or naphthyl. C6-12 (e.g. C6-10) aryl groups are preferred. An aryl group may be substituted or unsubstituted, preferably unsubstituted. Where substituted, there will generally be 1 to 3 substituents present, preferably 1 substituent. Substituents may include halogen atoms and halomethyl groups such as CF3 and CC1 ; oxygen containing groups such as oxo, hydroxy, carboxy, carboxyalkyl, alkoxy, alkoxy, alkoyl, alkoyloxy, aryloxy, aryloyl and aryloyloxy; nitrogen containing groups such as amino, amido, alkylamino, dialkylamino, cyano, azide, nitrato, nitro, -C(O)-NH2, -C(O)-NHR4 and -C(O)-NR4 2 (where R4 is independently optionally substituted alkyl or aryl (preferably alkyl)); sulphur containing groups such as thiol, alkylthiol, sulphonyl, sulphoxide, -S(O)2-H, -S(O)2-R4, -S(O)-H and -S(O)-R4 (where R4 is optionally substituted alkyl or aryl (preferably alkyl)); heterocyclic groups containing one or more, heteroatom, such as thienyl, furanyl, pyrrolyl, imidazolyl, pyrazolyl, thiazolyl, isothiazolyl, oxazolyl, pyrrolidinyl, pyrrolinyl, imidazolidinyl, imidazolinyl, pyrazolidinyl, tetrahydrofuranyl, pyranyl, pyronyl, pyridyl, pyrazinyl, pyridazinyl, benzofuranyl, isobenzofuryl, indolyl, oxyindolyl, isoindolyl, indazolyl, indolinyl, 7-azaindolyl, isoindazolyl, benzopyranyl, coumarinyl, isocoumarinyl, quinolyl, isoquinolyl, naphthridinyl, cinnolinyl, quinazolinyl, pyridopyridyl, benzoxazinyl, quinoxadinyl, chromenyl, chromanyl, isochromanyl, carbolinyl, oxadiazolyl, thiadiazolyl, triazolyl, tetrazolyl and pyrimidinyl; alkyl groups, which may themselves be substituted; and aryl groups, which may themselves be substituted, such as phenyl and substituted phenyl.
As used herein, the term "heterocyclic" means a saturated or unsaturated cyclic or bicyclic group containing one or more heteroatoms, such as thienyl, furanyl, pyrrolyl, imidazolyl, pyrazolyl, thiazolyl, oxazolyl, isoxazolyl, pyrrolidinyl, pyrrolinyl, imidazolidinyl, imidazolinyl, pyrazolidinyl, tetrahydrofuranyl, pyranyl, pyronyl, pyridyl, pyrazinyl, pyridazinyl, benzofuranyl, isobenzofuryl, indolyl, oxyindolyl, isoindolyl, indazolyl, indolinyl, 7-azaindolyl, isoindazolyl, benzopyranyl, coumarinyl, isocoumarinyl, quinolinyl, isoquinolinyl, naphthridinyl, cinnolinyl, quinazolinyl, pyridopyridyl, benzoxazinyl, quinoxadinyl, chromenyl, chromanyl, isochromanyl, carbolinyl, oxadiazolyl, thiadiazolyl, triazolyl, tetrazolyl and pyrimidinyl.
The term "heterocyclic group" also includes groups derived from:
Figure imgf000011_0001
preferably
Figure imgf000011_0002
Heterocyclic groups containing from 5 to 12 (e.g. 5 to 10) atoms are preferred. Heterocyclic groups preferably contain 1, 2, 3 or 4 heteroatoms. Preferred heteroatoms are N, O and S. A heterocyclic group may be substituted or unsubstituted, preferably unsubstituted. Where substituted, there will generally be 1 to 3 substituents present, preferably 1 substituent. Substituents may include halogen atoms and halomethyl groups such as CF3 and CC13; oxygen containing groups such as oxo, hydroxy, carboxy, carboxyalkyl, alkoxy, alkoxy, alkoyl, alkoyloxy, aryloxy, aryloyl and aryloyloxy; nitrogen containing groups such as arnino, amido, al lamino, dialkylamino, cyano, azide, nitrato, nitro, -C(O)-NH2, -C(O)-NHR4 and -C(O)-NR4 2 (where R4 is independently optionally substituted alkyl or aryl (preferably alkyl)); sulphur containing groups such as thiol, alkylthiol, sulphonyl, sulphoxide, -S(O)2-H, -S(O)2-R4, -S(O)-H and -S(O)-R4 (where R4 is optionally substituted alkyl or aryl (preferably alkyl)); heterocyclic groups containing one or more, heteroatom, such as thienyl, furanyl, pyrrolyl, imidazolyl, pyrazolyl, thiazolyl, isothiazolyl, oxazolyl, pyrrolidinyl, pyrrolinyl, imidazolidinyl, imidazolinyl, pyrazolidinyl, tetrahydrofuranyl, pyranyl, pyronyl, pyridyl, pyrazinyl, pyridazinyl, benzofuranyl, isobenzofuryl, indolyl, oxyindolyl, isoindolyl, indazolyl, indolinyl, 7-azaindolyl, isoindazolyl, benzopyranyl, coumarinyl, isocoumarinyl, quinolyl, isoquinolyl, naphthridinyl, cinnolinyl, quinazolinyl, pyridopyridyl, benzoxazinyl, quinoxadinyl, chromenyl, chromanyl, isochromanyl, carbolinyl, oxadiazolyl, thiadiazolyl, triazolyl, tetrazolyl and pyrimidinyl; alkyl groups, which may themselves be substituted; and aryl groups, which may themselves be substituted, such as phenyl and substituted phenyl.
As used herein, the term "aralkyl" means aryl-alkyl- (e.g. benzyl).
As used herein, the term "alkoxy" means alkyl-O-. As used herein, the term "lower alkoxy" means loweralkyl-O-. As used herein, the term "aryloxy" means aryl-O-. As used herein, the term "aralkoxy" means aralkyl-O-,
As used herein, the term "halogen" means a fluorine, chlorine, bromine or iodine radical, preferably a fluorine or chlorine radical.
Compounds of the invention of formula (II) are preferred.
Preferably, A is a single bond.
Preferably, X is O. Alternatively, it is preferred that X is S and Z is NR3. Preferably, X is O. Preferably, Z' is NR3.
Preferably, R3 is H.
Preferably, p = 1.
Preferably, q = 0.
Preferably, p' = 0 and q' = 0, or p' = 1 and q' = 1.
Optionally, the compounds disclosed in the co-pending PCT application of the same filing date entitled "Compounds useful in inhibiting angiogenesis" and claiming priority from GB application no. 0230162.0 filed on 24.12.2002 are disclaimed and are thus excluded from the subject matter of the present invention. Optionally, compounds of formula (I), (II) and (III) wherein p' = 1 , q' = 1 , X = O and Z' = NH are disclaimed.
Preferably, the sum n +m is an integer from 2 to 10, more preferably 2 to 6, more preferably 2 to 4, more preferably 3 or 4, most preferably 4.
Preferably, n is from 0 to 3, preferably 2.
Preferably, m is from 0 to 3, preferably 2.
Preferably, n = 2 and m = 2.
Preferably, R1 is H.
Preferably, each R is H.
The substituents Q and W may be substituted or unsubstituted. Where substituted, there will generally be 1 to 3 substituents present, preferably 1 or 2 substituents. Substituents may include halogen atoms and halomethyl groups such as CF3 and CC13; oxygen containing groups such as oxo, hydroxy, carboxy, carboxyalkyl, alkoxy, alkoxy, alkoyl, alkoyloxy, aryloxy, aryloyl and aryloyloxy; nitrogen containing groups such as amino, amido, alkylamino, dialkylamino, cyano, azide, nitrato, nitro, -C(O)-NH2, -C(O)-NHR4 and -C(O)-NR4 2 (where R4 is independently optionally substituted alkyl or aryl (preferably alkyl)); sulphur containing groups such as thiol, alkylthiol, sulphonyl, sulphoxide, -S(O)2-H, -S(O)2-R4, -S(O)-H and -S(O)-R4 (where R4 is optionally substituted alkyl or aryl (preferably alkyl)); heterocyclic groups containing one or more, heteroatom, such as thienyl, furanyl, pyrrolyl, imidazolyl, pyrazolyl, thiazolyl, isothiazolyl, oxazolyl, pyrrolidinyl, pyrrolinyl, imidazolidinyl, imidazolinyl, pyrazolidinyl, tetrahydrofuranyl, pyranyl, pyronyl, pyridyl, pyrazinyl, pyridazinyl, benzofuranyl, isobenzofuryl, indolyl, oxyindolyl, isoindolyl, indazolyl, indolinyl, 7-azaindolyl, isoindazolyl, benzopyranyl, coumarinyl, isocoumarinyl, quinolyl, isoquinolyl, naphthridinyl, cinnolinyl, quinazolinyl, pyridopyridyl, benzoxazinyl, quinoxadinyl, chromenyl, chromanyl, isochromanyl, carbolinyl, oxadiazolyl, thiadiazolyl, triazolyl, tetrazolyl and pyrimidinyl; alkyl groups, which may themselves be substituted; and aryl groups, which may themselves be substituted, such as phenyl and substituted phenyl.
Preferably, Q comprises an optionally substituted aryl or heterocyclic group. More preferably, Q is an optionally substituted aryl or heterocyclic group. A preferred aryl group is phenyl. A preferred heterocyclic group is an unsaturated heterocyclic group, more preferably a monocyclic unsaturated heterocyclic group.
When substituted, Q is preferably independently substituted by one or more (e.g. 1, 2 or 3) of: halogen; trihalomethyl; -NO2; -CN; -Y-C(=Y)-R5; -C(=Y)-R5; -C(=Y)-Y-R5; -Y-C(=Y)-Y-R5; -SOR5; -S(=O)2R5; -Y-S(=O)OR5; -Y-S(=O)2R5; -S(=O)2-YR5; -Y-S(=O)2-YR5; -R5; -YR5; or alkyl (preferably methyl) substituted with one or more (e.g. 1, 2 or 3, preferably 1) of halogen, trihalomethyl, -NO2, -CN, -Y-C(=Y)-R5, -C(=Y)-R5, -C(=Y)-Y-R5, -Y-C(=Y)-Y-R5, -SOR5, -S(=O)2R5, -Y-S(=O)OR5, -Y-S(=O)2R5, -S(=O)2-YR5, -Y-S(=O)2-YR5 or -YR5. Y is independently O, S or NR5, and R5 is independently H or an optionally substituted alkyl, aryl or heterocyclic group (preferably H or alkyl). More preferred substituents are: halogen; trihalomethyl; -NO2; -CN; -CO2H; -CO2R5; -C(=O)H; -C(=O)R5; -OC(=O)R5; -OC(=O)OR5; -C(=O)NH2; -C(=O)NR5 2; -N(R5)C(=O)R5; -N(R5)C(=O)OR5; -OC(=O)NR5 2; -N(R5)C(=O)NR5 2; -C(=S)NH2; -C(=S)NR5 2; -N(R5)C(=S)R5; -N(R5)C(=S)NR5 2; -C(=NH)NH2; -C(=NR5)NR5 2; -N(R5)C(=NR5)R5; -N(R5)C(=NR5)NR5 2; -SOR5; -S(=O)2R5; -S(-O)2OH; -S(=O)2OR5; -S(=O)2NR5 2; -N(R5)SO2R5; -N(R5)SO2NR5 2; -NR5 2; -R5; -YR5; or alkyl (preferably methyl) substituted with one or more (e.g. 1, 2 or 3, preferably 1) of halogen, trihalomethyl, -NO2, -CN, -CO2H, -CO2R5, -C(=O)H, -C(=O)R5, -OC(=O)R5, -OC(=O)OR5, -C(=O)NH2, -C(=O)NR5 2, -N(R5)C(=O)R5, -N(R5)C(=O)0R5, -OC(=O)NR5 2, -N(R5)C(=O)NR5 2, -C(=S)NH2, -C(=S)NR5 2, -N(R5)C(=S)R5, -N(R5)C(=S)NR5 2, -C(=NH)NH2, -C(=NR5)NR5 2, -N(R5)C(=NR5)R5,
-N(R5)C(=NR5)NR5 2, -SOR5, -S(=O)2R5, -S(=O)2OH, -S(=O)2OR5, -S(=O)2NR5 2, -N(R5)SO2R5, -N(R5)SO2NR5 2, -NR5 2 or -YR5. Still more preferred substituents are: halogen; -CN; -CO2H; -CO2R5; -C(=O)R5; -C(=O)NH2; -C(=O)NR5 2; -N(R5)C(=O)R5; -C(=S)NH2; -C(=S)NR5 2; -C(=NH)NH2; -C(=NR5)NR5 2; -S(=O)2R5; -NR5 2; -R5; -YR5 or alkyl (preferably methyl) substituted with -C(=O)NR5 2. Still more preferred substituents are halogen (e.g. Br), -YR5 (e.g. -N(CH2CH3)2 or OH) or -R5 (e.g. -C(CH3)3).
When Q is substituted by -R5, it is preferred that R5 is an alkyl group, preferably -C(CH3)3.
In one embodiment, especially when p' = 0 and q' = 0, Q is a phenyl group optionally substituted with 1 or more (e.g. 1, 2 or 3) substituents. Preferably Q is a phenyl group having at least one substituent selected from halogen, alkyl, dialkylamine and hydroxy. More preferably, Q is a radical selected from:
Figure imgf000015_0001
In another embodiment, especially when p' = 1 and q' = 1, Q is a heterocyclic group optionally substituted with 1 or more (e.g. 1, 2 or 3) substituents. Preferably Q is an optionally substituted unsaturated heterocyclic group, preferably an optionally substituted unsaturated bicyclic heterocyclic group (e.g. benzimidazolyl). More preferably, Q is an unsaturated bicyclic heterocyclic group having at least one alkyl substituent (e.g. methyl). More preferably Q is:
Figure imgf000016_0001
Preferably, W is an optionally substituted alkyl, alkenyl, cycloalkyl, aryl, aralkyl, alkoxy, aryloxy, aralkoxy, alkylthio, aralkylthio, carboxyl, carboxylalkyl, esterified carboxyl, alkylsulfonyl, carbo-alkoxy, carbo-aryloxy or heterocyclic group.
More preferably, W is an optionally substituted alkyl, alkenyl, alkynyl, aryl or heterocyclic group. A preferred alkyl group is methyl. A preferred alkenyl group is vinyl. A preferred alkynyl group is ethenyl. A preferred aryl group is phenyl. A preferred heterocyclic group is an unsaturated heterocyclic group, more preferably a monocyclic unsaturated heterocyclic group.
Alternatively, where W is a substituted alkyl, alkenyl or alkynyl group, it may be substituted with -(O-alkylene)a-O-alkyl (preferably -(O-ethylene)a-O-alkyl or -(O-propylene)a-O-alkyl), where a is from 1 to 20 (preferably 1 to 10, preferably 1 to 5, more preferably 2).
Where substituted, W is preferably independently substituted by one or more (e.g. 1, 2 or 3) of: halogen; trihalomethyl; -NO2; -CN; -Y-C(=Y)-R5; -C(-Y)-R5; -C(=Y)-Y-R5;
-Y-C(=Y)-Y-R5; -SOR5; -S(=O)2R5; -Y-S(=O)OR5; -Y-S(=O)2R5; -S(=O)2-YR5;
-Y-S(=O)2-YR5; -R5; -YR5; or alkyl (preferably methyl) substituted with one or more (e.g.
1, 2 or 3, preferably 1) of halogen, trihalomethyl, -NO2, -CN, -Y-C(-Y)-R5, -C(=Y)-R5,
-C(=Y)-Y-R5, -Y-C(=Y)-Y-R5, -SOR5, -S(=O)2R5, -Y-S(=O)OR5, -Y-S(=O)2R5, -S(=O)2-YR5, -Y-S(-O) -YR5 or -YR5. Y is independently O, S or NR5, and R5 is independently H or an optionally substituted alkyl, aryl or heterocyclic group (preferably H or alkyl). More preferred substituents are halogen, trihalomethyl, -NO2, -CN, -CO2H,
-CO2R5, -C(=O)H, -C(=O)R5, -OC(=O)R5, -OC(=O)OR5, -C(=O)NH2, -C(=O)NR5 2,
-N(R5)C(=O)R5, -N(R5)C(=O)OR5, -OC(=O)NR5 2, -N(R5)C(=O)NR5 2, -C(-S)NH2, -C(=S)NR5 2, -N(R5)C(=S)R5, -N(R5)C(=S)NR5 2, -C(=NH)NH2, -C(=NR5)NR5 2,
-N(R5)C(=NR5)R5, -N(R5)C(=NR5)NR5 2, -SOR5, -S(=O)2R5, -S(=O)2OH, -S(=O)2OR5, -S(=O)2NR5 2, -N(R5)SO2R5, -N(R5)SO2NR5 2, -NR5 2, -R5 or -YR5. Still more preferred substituents are halogen, -CN, -CO2H, -CO2R5, -C(=O)R5, -C(=O)NH2, -C(=O)NR5 2, -N(R5)C(=O)R5, -C(=S)NH2, -C(=S)NR5 2, -C(=NH)NH2, -C(=NR5)NR5 2, -S(=O)2R5, -NR5 2, -R5 or -YR5.
Where W is a substituted alkyl, alkenyl or alkynyl group, it is preferably substituted with -C(=O)NR5 2 (preferably -C(=O)NHR5, preferably R5 is an optionally substituted aryl or heterocyclic group) or an optionally substituted alkyl (preferably cycloalkyl), aryl or heterocyclic group. Where W is a substituted alkyl, alkenyl or alkynyl group substituted with -C(=O)NR5 2 and R5 is an optionally substituted aryl or heterocyclic group, the aryl or heterocyclic group may optionally be substituted by one or more (e.g. 1, 2 or 3) of halogen, trihalomethyl, -NO2, -CN, -Y-C(=Y)-R5, -C(=Y)-R5, -C(=Y)-Y-R5, -Y-C(=Y)-Y-R5, -SOR5, -S(=O)2R5, -Y-S(=O)OR5, -Y-S(=O)2R5, -S(=O)2-YR5, -Y-S(=O)2-YR5, -R5 or -YR5. Y is independently O, S or NR5, and R5 is independently H or an optionally substituted alkyl, aryl or heterocyclic group (preferably H or alkyl). More preferred substituents on the aryl or heterocyclic group R5 are halogen, trihalomethyl, -NO2, -CN, -CO2H, -CO2R5, -C(=O)H, -C(=O)R5, -OC(=O)R5, -OC(=O)OR5, -C(=O)NH2, -C(=O)NR5 2, -N(R5)C(=O)R5, -N(R5)C(=O)OR5, -OC(=O)NR5 2, -N(R5)C(=O)NR5 2, -C(=S)NH2, -C(=S)NR5 2, -N(R5)C(=S)R5, -N(R5)C(=S)NR5 2, -C(=NH)NH2, -C(=NR5)NR5 2, -N(R5)C(=NR5)R5, -N(R5)C(=NR5)NR5 2, -SOR5, -S(-O)2R5, -S(=O)2OH, -S(=O)2OR5, -S(=O)2NR52, -N(R5)SO2R5, -N(R5)SO2NR5 2, -NR5 2, -R5 or -YR5. Still more preferred substituents are -NO2, -R5 (e.g. -CH3) or -YR5 (e.g. OH).
Where W is a substituted alkyl, alkenyl or alkynyl group substituted with an optionally substituted alkyl, aryl or heterocyclic group, the alkyl, aryl or heterocyclic substituent group may optionally be substituted by one or more (e.g. 1, 2 or 3) of: halogen; trihalomethyl; -NO2; -CN; -Y-C(=Y)-R5; -C(=Y)-R5; -C(=Y)-Y-R5; -Y-C(=Y)-Y-R5;
-SOR5; -S(=O)2R5; -Y-S(-O)OR5; -Y-S(=O)2R5; -S(=O)2-YR5; -Y-S(=O)2-YR5; -R5; -YR5; or alkyl (preferably methyl) substituted with one or more (e.g. 1, 2 or 3, preferably 1) of halogen, trihalomethyl, -NO2, -CN, -Y-C(=Y)-R5, -C(=Y)-R5, -C(=Y)-Y-R5,
-Y-C(=Y)-Y-R5, -SOR5, -S(=O)2R5, -Y-S(=O)OR5, -Y-S(=O)2R5, -S(=O)2-YR5,
-Y-S(=O)2-YR5 or -YR5. Y is independently O, S or NR5, and R5 is independently H or an optionally substituted alkyl, aryl or heterocyclic group (preferably H or alkyl). More preferred substituents on the alkyl, aryl or heterocyclic substituent group are halogen, trihalomethyl, -NO2, -CN, -CO2H, -CO2R5, -C(=O)H, -C(=O)R5, -OC(=O)R5, -OC(=O)OR5, -C(=O)NH2, -C(=O)NR5 2, -N(R5)C(=O)R5, -N(R5)C(=O)OR5, -OC(=O)NR5 2, -N(R5)C(=O)NR52, -C(=S)NH2, -C(=S)NR5 2, -N(R5)C(=S)R5, -N(R5)C(=S)NR52, -C(=NH)NH2, -C(=NR5)NR5 2, -N(R5)C(=NR5)R5,
-N(R5)C(=NR5)NR5 2, -SOR5, -S(=O)2R5, -S(=O)2OH, -S(=O)2OR5, -S(=O)2NR5 2, -N(R5)SO2R5, -N(R5)SO2NR5 2, -NR5 2, -R5 or -YR5. Still more preferred substituents are halogen, -CN, -CO2H, -CO2R5, -C(=O)R5, -C(=O)NH2, -C(=O)NR5 2, -N(R5)C(=O)R5, -C(=S)NH2, -C(=S)NR5 2, -C(=NH)NH2, -C(=NR5)NR5 2, -S(=O)2R5, -NR5 2, -R5 or -YR5.
In one embodiment, W comprises an optionally substituted aryl or heterocyclic group. Preferably, W is an optionally substituted aryl or heterocyclic group. A preferred aryl group is phenyl. A preferred heterocyclic group is an unsaturated heterocyclic group, more preferably a monocyclic unsaturated heterocyclic group.
In a second embodiment, W is a heterocyclic group optionally substituted with 1 or more (e.g. 1, 2 or 3) substituents. Preferably W is an optionally substituted pyrazolyl. Preferably, the substituents are nitro.
In a third embodiment, W is an alkyl group substituted with an optionally substituted cycloalkyl (e.g. cycloalkenyl) or aryl (e.g. phenyl) group.
Preferably, W is a radical selected from:
Figure imgf000018_0001
Preferably, the compound of the invention has the formula (III):
Figure imgf000019_0001
formula (III)
wherein Q, R , R , X, X', Z, Z', W, p, p', q and q' are as defined above.
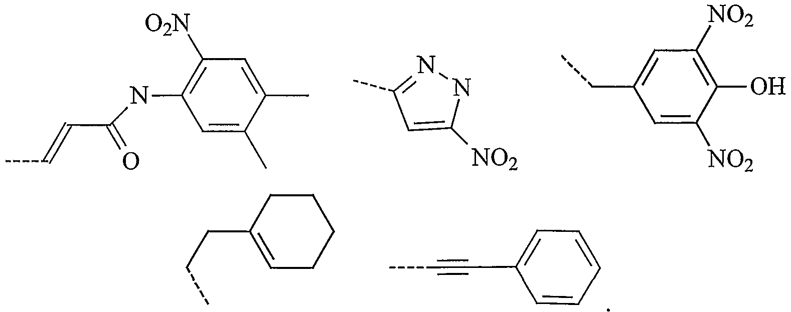
Particularly preferred compounds of the invention are:
Figure imgf000019_0002
Figure imgf000020_0001
According to a further aspect of the present invention there is provided a compound of formula (I), (II) or (III) for use in a method of treatment of disease.
According to a further aspect of the present invention there is provided a compound of formula (I), (II) or (III) for use in therapy or diagnosis.
According to a further aspect of the present invention there is provided the use of a compound of formula (I), (II) or (III) for the manufacture of a medicament for the treatment of a disease, e.g. a disease in which alteration of vascular tone is implicated.
According to a further aspect of the present invention there is provided a method of treating a disease, e.g. a disease in which alteration of vascular tone is implicated, comprising administering to a patient in need of such treatment an effective dose of a compound of formula (I), (II) or (III).
The present invention is useful in the treatment of diseases in which alteration of vascular tone is implicated (in particular uterine vascular tone, including myometrial and endometrial vascular tone), such as menstrual disorders (e.g. menorrhagia, dysmenorrhea, endometriosis and menstrual migraines), renal and cardiovascular conditions and hypertension (including pre-eclampsia).
Additional preferred diseases which may be treated are those in which the EP3 is implicated, such as fever, ulcers and gastric acid secretion; those in which the interaction of prostaglandins with the EP3 receptor is implicated, such as renal failure; and those in which the interaction of PGE2 with the EP3 receptor is implicated, such as pre-eclampsia, uterine contractions, cardiovascular conditions, hypertension, shock, hypotensive states, ulcer, asthma, allergic inflammation, fever, pain, PGE2-induced immunosuppression and renal failure.
In the methods of treatment and the uses for the manufacture of a medicament of the present invention, compounds having either: (i) p' = 0 and q' = 0 or (ii) p' = 1, q' = 1, X = O, and Z' = NH are preferred.
According to a further aspect of the present invention there is provided a pharmaceutical composition comprising a compound of the present invention in combination with a pharmaceutically acceptable excipient.
The agents described could be used alone or conjointly with treatments such as anti- hormone therapy, surgery, radiotherapy or chemotherapy.
Compounds of the present invention may be administered in a form suitable for oral use, for example a tablet, capsule, aqueous or oily solution, suspension or emulsion; for topical use including transmucosal and transdermal use, for example a cream, ointment, gel, aqueous or oil solution or suspension, salve, patch, plaster or as a component of a lubricant for a condom; for nasal use, for an example a snuff, nasal spray or nasal drops; for vaginal or rectal use, for example a suppository; for administration by inhalation, for example a finely divided powder or a liquid aerosol; for intra-ocular, sub-lingual or buccal use, for example a tablet or capsule; or for parenteral use (including intravenous, subcutaneous, intramuscular, intravascular or infusion), for example a sterile aqueous or oil solution or suspension, or incorporated in a biodegradable polymer. In general the above compositions may be prepared in a conventional manner using convention excipients, using standard techniques well known to those skilled in the art of pharmacy. The preferred modes of administration of the compound are oral or intravaginal. Oral administration is particularly preferred.
For oral administration, the compounds of the invention will generally be provided in the form of tablets or capsules or as an aqueous solution or suspension. Tablets for oral use may include the active ingredient mixed with pharmaceutically acceptable excipients such as inert diluents, disintegrating agents, binding agents, lubricating agents, sweetening agents, flavouring agents, colouring agents and preservatives. Suitable inert diluents include sodium and calcium carbonate, sodium and calcium phosphate, and lactose, while com starch and alginic acid are suitable disintegrating agents. Binding agents may include starch and gelatin, while the lubricating agent, if present, will generally be magnesium stearate, stearic acid or talc. If desired, the tablets may be coated with a material such as glyceryl monostearate or glyceryl distearate, to delay absorption in the gastrointestinal tract.
Capsules for oral use include hard gelatin capsules in which the active ingredient is mixed with a solid diluent, and soft gelatin capsules wherein the active ingredient is mixed with water or an oil such as peanut oil, liquid paraffin or olive oil.
For intramuscular, intraperitoneal, subcutaneous and intravenous use, the compounds of the invention will generally be provided in sterile aqueous solutions or suspensions, buffered to an appropriate pH and isotonicity. Suitable aqueous vehicles include Ringer's solution and isotonic sodium chloride. Aqueous suspensions according to the invention may include suspending agents such as cellulose derivatives, sodium alginate, polyvinyl-pyrrolidone and gum tragacanth, and a wetting agent such as lecithin. Suitable preservatives for aqueous suspensions include ethyl and n-propyl p-hydroxybenzoate. The compounds of the invention may also be provided in a biodegradable polymer, for example for use in conjunction with stents in surgery (e.g. adsorbed on a stent or applied directly to the site of the procedure for slow release of the active agent).
Intravaginal administration is particularly useful for the delivery of pharmaceuticals selectively to the female reproductive tract and is thus a preferred route of administration. When drug substances come into contact with the surface of vaginal mucosa, the tissue lining the vagina, the pharmaceutical diffuses across the mucosa and into the copious blood and lymphatic vessels that are to be found at the base of the mucosa.
The anatomical arrangement of blood and lymphatic vessels in this anatomical region is such that a large proportion of the drug that enters these vessels immediately finds its way into the organs of the reproductive tract including the uterus. Only a smaller proportion enters the systemic circulation and is rapidly diluted as a result of a large total body blood and lymph volume. The term 'first pass uterine effect' has been used to describe the result of intravaginal delivery (Cicinelli & de Ziegler, D. (1999) Human Reproduct. Update, 5, 365-372). The term describes the phenomenon that pharmaceuticals will be transported directly from vagina to uterus without entering whole body blood circulation.
Furthermore intravaginal delivery is advantageous with respect to oral delivery, since any drug administered orally will have to pass through the liver before it reaches the target organ. Most drugs are significantly metabolised by the liver thus rapidly reducing the available drug pool. The 'first pass uterine effect' avoids transport through the liver.
Intravaginal delivery results in high local concentrations of pharmaceutical and low peripheral levels; this is turn leads to a requirement for lower total administered dose. The significant advantage of intravaginal delivery for the present invention described here is that prostaglandin receptors are ubiquitous and found in various tissues. Parenteral administration of ligands might result in peripheral levels that have a pharmacological consequence. However, local delivery via the vagina will ensure that while pharmacologically active levels are reached in the uterus, organs outside the reproductive tract are unlikely to be affected.
It will be appreciated that the dosage levels used may vary over quite a wide range depending upon the compound used, the severity of the symptoms exhibited by the patient and the patient's body weight. Without limitation to the present invention, typical dosages for treatment of endometriosis may be, for example, of the order of 1 microgram/kg/day to 1 milligram/kg/day, more preferably 10 microgram/kg/day to 0.25 milligram/kg/day orally. For intra-ocular administration, typical dosages would be of the order of 10 nanogram/kg/day to 1 microgram kg/day. For treatment of tumours up to 5 milligrams/kg/day would be preferable. For intra- vaginal administration typical dosages would be 10 micrograms/kg/day to 0.25 milligrams/kg/day. Compounds of the invention may be prepared by the general reaction scheme below, Reaction Scheme 1, wherein by "core" is meant the radical:
Figure imgf000024_0001
or
Figure imgf000024_0002
Reaction Scheme 1
Figure imgf000024_0003
HC1 Brief Description of the Figures
Figure 1 shows that EP3 antibody stained positive for endometrial glands, endothelium and vascular smooth muscle in human endomyometrium.
Figure 1(a) shows staining by EP3 antibody in myometrial vessels.
Figure 1(b) shows staining by EP3 antibody in endometrial vessels.
Figure 1(c) shows staining by EP3 antibody in myometrial vessels at secretory day 27.
Figure 1(d) shows staining by EP3 antibody in endometrial vessels at secretory day 27.
The invention is now further illustrated by means of the following Examples.
Examples
Synthesis of Specific Compounds of the Invention
Examples 1-6
Preparation of N-[5-(aminocarbonyl)-2-methoxyphenyl]-2-{l-[(4,7-dimethylpyrazolo[5,l- c][l,2,4]triazin-3-yl)carbonyl]-4-piperidinyl}-l,3-thiazole-4-carboxamide; N-[5-
(aminocarbonyl)-2-methoxyphenyl] -2- [ 1 -( 1 -benzofuran-2-ylcarbonyl)-4-piperidinyl] -1,3- thiazole-4-carboxamide; N-[5-(aminocarbonyl)-2-methoxyphenyl]-2-[l-(3-phenyl-2- propynoyl)-4-piperidinyl] -l,3-thiazole-4-carboxamide; 2-(l-{[2-(allylsulfanyl)-3- pyridinyl] carbonyl } -4-piperidinyl)-N- [5 -(aminocarbonyl)-2-methoxyphenyl] -1,3 -thiazole- 4-carboxamide; N-[5-(aminocarbonyl)-2-methoxyphenyl]-2-{ 1 -[(2-chlorophenyl)acetyl]-4- piperidinyl}-l,3-thiazole-4-carboxamide; and N-[5-(aminocarbonyl)-2-methoxyphenyl]-2- {l-[(3,4-dimethylphenoxy)acetyl]-4-piperidinyl}-l,3-thiazole-4-carboxamide.
The above-mentioned compounds were synthesised by Reaction Scheme 2 below: Reaction Scheme 2
Figure imgf000026_0001
(1) (2)
Lawesson's Reagent DME, CHCI3, 72%
Figure imgf000026_0002
TFA DCM
R1C02H (1 equiv.)
Figure imgf000026_0003
(6a-e)
(5)
Figure imgf000026_0004
4-Carbamoyl-piperidine-l-carboxylic acid tert-butyl ester (2)
Isonipecotamide (1) (28.8 g, 0.22 mol) was suspended in chloroform (288 mL). To this was added 4-(dimethylamino)pyridine (DMAP) (23 mg, catalytic) followed by dropwise addition of a solution of BOC-anhydride (56 g, 0.26 mol, 1.14 equiv.) in chloroform (57 mL). The solution was stirred at room temperature for 1 h and then partitioned between chloroform and 10% citric acid solution. The organic phase was washed with citric acid solution and back extracted with chloroform. The combined organic extracts were washed with water, 10% brine and dried (MgSO4). Filtration followed by evaporation of the filtrate gave the crude product as a pink solid. Crystallisation from ethyl acetate/hexane gave the title compound (2) as a colourless solid in 4 crops (45.5 g, 0.20 mol, 89%), m.p. 159-161°C (lit. 154-156°C).
4-Thiocarbamoyl-piperidine-l-carboxylic acid tert-butyl ester (3)
4-Carbamoyl-piperidine-l-carboxylic acid tert-butyl ester (2) (45.4 g, 0.199 mol), Lawesson's reagent (40.2 g, 0.099 mol, 0.5 equiv), 1,2-dimethoxyethane (DME) (500 mL) and chloroform (200 mL) were combined and stirred at room temperature. The course of the reaction was followed by tic analysis (30% ethyl acetate/hexane) and on completion the reaction mixture was evaporated to dryness (glassy solid). The solid was dissolved in ethyl acetate and washed with half saturated potassium carbonate solution, dried (MgSO4), filtered and concentrated to yield the title compound as a colourless solid. The crude product was crystallised from ethyl acetate and hexane to give the title compound (3) (35 g, 0.14 mol, 72%).
4-(4-Ethoxycarbonyl-thiazol-2-yl)-piperidine-carboxylic acid tert-butyl ester (4)
4-Thiocarbamoyl-piperidine-l-carboxylic acid tert-butyl ester (3) (25 g, 102 mmol) was dissolved in anhydrous NN-dimethylformamide (DMF) (125 mL) and cooled to 0°C in an ice-bath. A solution of ethyl bromopyruvate (22.2 g, 14.3 mL, 114 mmol, 1.1 equiv) in anhydrous DMF (125 mL) was added dropwise with stirring. The reaction mixture was allowed to warm slowly to room temperature and stirred overnight. Triethylamine (25 mL) was added dropwise with stirring at the rate of 1 mL/g of thioamide used. The DMF was removed in vacuo keeping the temperature below 60°C. The resulting residue was partitioned between ethyl acetate (75 mL) and brine (100 mL). Sufficient water was added to ensure complete dissolution of the precipitated salts in the aqueous phase. The aqueous phase was extracted twice with ethyl acetate and the combined organic extracts washed successively with brine (x2), water (x2) and brine (x2). The organic phase was simultaneously dried with MgSO4 and decolourised with finely divided charcoal. The mixture was filtered through Celite and concentrated in vacuo to give a yellow oil. Trituration with hexane yielded a yellow solid. This was diluted with an excess of hexane and cooled overnight to allow complete crystallisation of product. The product was collected by filtration, washed with hexane and dried in vacuo at room temperature. Recrystallisation from IP A/water gave the title compound (4) (28.33 g, 83 mmol, 82%).
2-Piperidine-4-yl-thiazole-4-carboxylic acid ethyl ester (5)
To a solution of 4-(4-ethoxycarbonyl-tliiazol-2-yl)-piperidine-carboxylic acid tert-butyl ester (4) (5 g, 14.7 mmol) in dichloromethane (20 mL) at 0°C was added neat trifluoroacetic acid (TFA) (17 mL, 221 mmol, 15 equivalents) dropwise with stirring, under an inert atmosphere. On completion of addition the reaction mixture was allowed to warm to room temperature and stirring continued until deprotection complete (typically 3 hours, monitored by tic, 1:1 hexane/ethyl acetate). On completion of reaction the mixture was concentrated in vacuo to remove TFA. Toluene (dioxan for (6f)) was then added and re-concentrated to further remove TFA - this was repeated 2-3 times to ensure maximum removal of TFA. The product was further dried in vacuo overnight to remove the last traces of TFA. The TFA salt of the free amine was dissolved in dichloromethane (10 mL), cooled to 0°C in an ice bath and treated with triethylamine (6.15 mL, 3 equiv). It was assumed a quantitative conversion of BOC-protected (4) to free amine (5).
Compounds (6a-e)
To a solution of 2-piperidine-4-yl-thiazole-4-carboxylic acid ethyl ester (5) (14.7 mmol) in dichloromethane (10 mL) at 0°C was added acetonitrile (40 mL). To this solution was sequentially added the acid to be reacted (R1COOH - see Table 2) (14.7mmol, 1 equiv.), NN,N')N'-tetramethyl-O-(iH-benzotriazole-l-yl) uronium hexafluorophosphate (ΗBTU) (14.7mmol, 5.57g, 1 equiv.), and NN-diisopropylethylamine (DIPEA) (7.7 mL, 3 equiv.). The reaction mixture was stirred at room temperature for 48 h to allow for completion of reaction. After this time the reaction mixture was concentrated in vacuo to remove the solvent and the residue was suspended in dichloromethane (80 mL) and washed with brine (2 x 50 mL), water (50 mL), 10% citric acid (50 mL), brine, saturated sodium bicarbonate solution (50 mL) and finally brine. The organic layer was dried over MgSO4 and treated with decolourising charcoal, filtered and concentrated in vacuo.
Table 2
Figure imgf000029_0001
Compounds (7a-e)
Compound (6a-e) (13mmol) was dissolved in THF (35 mL) and water (23 mL) and cooled to 0°C. A solution of sodium hydroxide (1.04g, 26mmol, 2 equiv.) in water (20 mL) was added dropwise with stirring. The reaction was monitored by tic analysis and when complete (typically 2 h) the reaction mixture was diluted with brine (30 mL) and washed with ether (100 mL). The reaction mixture was acidified using 20% citric acid solution. The acidic mixture was then extracted with a suitable organic solvent (dichloromethane or ethyl acetate) and when fully extracted the organic extracts were combined, dried over MgSO , filtered and concentrated in vacuo to yield essentially pure product. Table 3
Figure imgf000030_0001
*product was isolated by repeated crystallisation from ethyl acetate
Compounds (8a-e)
Compound (7a-e) was dissolved in anhydrous DMF (0.58 M solution). 3-Amino-4- methoxybenzamide was dissolved in 10% DIPEA and anhydrous DMF (0.58 M solution). HBTU was dissolved in anhydrous DMF (0.64 M solution). The amine solution (0.3 ml, 0.175 mmol) was dispensed into an individual well in a 2.2 mL deep well plate using a Packard MPII robot. An Eppendorf multi-dispenser was used to dispense the acid solution (0.3 mL, 0.175 mmol, 1 equiv) and then to dispense the HBTU solution (0.3 mL, 0.19 mmol, 1.1 equiv). A further portion of DIPEA (0.05 mL) was added to the well, which was capped and shaken on an orbital shaker overnight. The reaction mixture was concentrated in vacuo (Genevac). The residue was dissolved in dichloromethane (1 mL) and given a sequence of aqueous washes using the MPII robot: 0.5 N HC1 (0.7 mL), 10% potassium carbonate solution (0.7 mL) then water (0.7 mL). Finally the dichloromethane extract (0.7 mL) containing the product was concentrated and dried (Genevac) to constant mass. Table 4
Figure imgf000031_0002
Example 7 Preparation of N-[5-(aminocarbonyl)-2-methoxyphenyl]-2-[l-({[4-
(dimethylamino)phenyl]amino}carbonothioyl)-4-piperidinyl]-l,3-thiazole-4-carboxamide;
N- [5 -(aminocarbonyl)-2-methoxyphenyl] -2- [ 1 -( { [4-
(dimethylamino)phenyl] amino } carbonothioyl)-4-piperidinyl] -1,3 -thiazole-4-carboxamide was prepared by the synthetic route set out in Reaction Scheme 3 below.
Reaction Scheme 3
Figure imgf000031_0001
2-[l-(4-Dimethylamino-phenylthiocarbamoyl)-piperidine-4-yl]-thiazole-4-carboxylic acid ethyl ester (9)
To a solution of 2-piperidine-4-yl-thiazole-4-carboxylic acid ethyl ester (5) (14.7 mmol) in dichloromethane (10 mL) at 0°C was added dichloromethane (80 mL). To this was added 4-(dimethylamino)phenylisothiocyanate (14.7mmol, 1 equiv.). The reaction mixture was stirred at room temperature for 48 h to allow for completion of reaction. After this time the reaction mixture was diluted with dichloromethane (100 mL) and washed with water (2 x 100 mL) and brine (50 mL). The organic layer was dried over MgSO4, filtered and concentrated in vacuo to yield the thiourea in 83% yield following chromatography.
2-[l-(4-Dimethylamino-phenylthiocarbamoyl)-piperidine-4-yl]-thiazole-4-carboxylic acid (10)
2-[l-(4-Dimethylamino-phenylthiocarbamoyl)-piperidine-4-yl]-thiazole-4-carboxylic acid ethyl ester (9) (13 mmol) was dissolved in THF (35 mL) and water (23 mL) and cooled to 0°C. A solution of sodium hydroxide (1.04g, 26 mmol, 2 equiv.) in water (20 mL) was added dropwise with stirring. The mixture was stirred for 2 h at r.t. The mixture was diluted with brine (30 mL) and washed with ether (100 mL). The reaction mixture was acidified using 20% citric acid solution. The acidic mixture was extracted with ethyl acetate and when fully extracted the organic extracts were combined, dried over MgSO4, filtered and concentrated in vacuo to yield the title compound (10) in quantitative yield.
iV-[5-(aminocarbonyl)-2-methoxyphenyl]-2-[l-({[4- (dimethylamino)phenyl]amino}carbonothioyl)-4-piperidinyl]-l,3-thiazole-4- carboxamide
2-[l-(4-Dimethylamino-phenylthiocarbamoyl)-piperidine-4-yl]-thiazole-4-carboxylic acid (10) was dissolved in anhydrous DMF (0.58 M solution). 3-Amino-4-methoxybenzamide was dissolved in 10% DIPEA and anhydrous DMF (0.58 M solution). HBTU was dissolved in anhydrous DMF (0.64 M solution). The amine solution (0.3 ml, 0.175 mmol) was dispensed into an individual well in a 2.2 mL deep well plate using a Packard MPII robot. An Eppendorf multi-dispenser was used to dispense the acid solution (0.3 mL, 0.175 mmol, 1 equiv) and then to dispense the HBTU solution (0.3 mL, 0.19 mmol, 1.1 equiv). A further portion of DIPEA (0.05 mL) was added to the well, which was capped and shaken on an orbital shaker overnight. The reaction mixture was concentrated in vacuo (Genevac). The residue was dissolved in dichloromethane (1 mL) and given a sequence of aqueous washes using the MPII robot: 0.5 N HCl (0.7 mL), 10% potassium carbonate solution (0.7 mL) then water (0.7 mL). Finally the dichloromethane extract (0.7 mL) containing the product was concentrated and dried (Genevac) to constant mass to give N- [5 -(aminocarbonyl)-2-methoxyphenyl] -2-[ 1 -( { [4-
(dimethylamino)phenyl] amino } carbonothioyl)-4-piperidinyl] - 1 ,3 -thiazole-4-carboxamide (DAD 75% (254nm), ES+ 539).
Example 8
Preparation of N- [5 -(aminocarbonyl)-2-methoxyphenyl] -2-( 1 - { [4-(2-pyridinyl)- 1 - piperazinyl] carbonyl } -4-piperidinyl)- 1 ,3 -thiazole-4-carboxamide
N- [5-(aminocarbonyl)-2-methoxyphenyl] -2-( 1 - { [4-(2-pyridinyl)- 1 -piperazinyl] carbonyl } - 4-piperidinyl)- 1, 3 -thiazole-4-carboxamide was prepared by the synthetic route set out in Reaction Scheme 4 below.
Reaction Scheme 4
Figure imgf000034_0001
(5) (11)
HN
M- ''
DCM TEA
Figure imgf000034_0002
3-[4-(4-Ethoxycarbonyl-thiazol-2-yl)-piperidine-l-carbonyl]-l-methyl-5Hr-imidazol-l- ium (11)
A solution of 2-piperdine-4-yl-thiazole-4-carboxylic acid ethyl ester (5) (14.7 mmol) in dichloromethane (15 mL) was added dropwise to a suspension of carbonyldiimidazόle in tefrahydrofuran (15 mL). The mixture was heated at reflux overnight then cooled to room temperature. The solvent was removed in vacuo and the residue was dissolved in dichloromethane (80 mL), washed with water and dried over MgSO4 and concentrated in vacuo. The residue was dissolved in acetontrile and methyl iodide added (59 mmol). The mixture was stirred overnight and concentrated to give the title compound which was used without purification.
2-[l-(4-Pyridine-2-yl-piperazine-l-carbonyl)-piperidin-4-yl]-thiazole-4-carboxylic acid ethyl ester (12)
3 - [4-(4-Ethoxycarbonyl-thiazol-2-yl)-piperidine- 1 -carbonyl] - 1 -methyl-3H-imidazol- 1 -ium (11) was taken up in dichloromethane (75 mL) and l-(2-pyridyl)piperazine (14.7 mmol, 1 equiv.) and triethylamine (14.7 mmol, 1 equiv.) added. The mixture was stirred overnight and diluted with dichloromethane. The mixture was washed with water and brine, dried and concentrated in vacuo to yield the title compound which was used without purification.
2-[l-(4-Pyridine-2-yl-piperazine-l-carbonyl)-piperidin-4-yl]-thiazole-4-carboxylic acid ethyl ester (13)
The ethyl ester (12) was taken up in tefrahydrofuran (40 mL) / water (20 mL) and sodium hydroxide (29.4 mmol) in water (20 mL) added. The mixture was stirred for 2 h at room temperature. The mixture was then extracted with ether and the aqueous phase acidified with 10% citric acid solution. The aqueous phase was extracted with ethyl acetate and the combined extracts washed with brine, dried and concentrated in vacuo. Precipitated product remaining in the aqueous layer was filtered, dried and added to the residue. The title compound (13) was obtained as a colourless solid [total yield 59% (3 steps)].
iV-[5-(aminocarbonyl)-2-methoxyphenyl]-2-(l-{[4-(2-pyridinyl)-l- piperazinyl]carbonyl}-4-piperidinyl)-l,3-thiazole-4-carboxamide
2- [ 1 -(4-Pyridine-2-yl-piperazine- 1 -carbonyl)-piperidin-4-yl] -thiazole-4-carboxylic acid ethyl ester (13) was dissolved in anhydrous DMF (0.58 M solution). 3-Amino-4- methoxybenzamide was dissolved in 10% DIPEA and anhydrous DMF (0.58 M solution). ΗBTU was dissolved in anhydrous DMF (0.64 M solution). The amine solution (0.3 ml, 0.175 mmol) was dispensed into an individual well in a 2.2 mL deep well plate using a Packard MPII robot. An Eppendorf multi-dispenser was used to dispense the acid solution (0.3 mL, 0.175 mmol, 1 equiv) and then to dispense the ΗBTU solution (0.3 mL, 0.19 mmol, 1.1 equiv). A further portion of DIPEA (0.05 mL) was added to the well, which was capped and shaken on an orbital shaker overnight. The reaction mixture was concentrated in vacuo (Genevac). The residue was dissolved in DCM (1 mL) and given a sequence of aqueous washes using the MPII robot: 0.5 N HCl (0.7 mL), 10% potassium carbonate solution (0.7 mL) then water (0.7 mL). Finally the DCM extract (0.7 mL) containing the product was concentrated and dried (Genevac) to constant mass to give N- [5 -(aminocarbonyl)-2-methoxyphenyl] -2-( 1 - { [4-(2-pyridinyl)- 1 -piperazinyl] carbonyl} -4- piρeridinyl)-l,3-thiazole-4-carboxamide (DAD 100% (254nm), ES+ 550).
Immunohistochemical Evaluation
Example 9
Polyclonal antibodies specific for each prostaglandin receptor were used for determining the localization of each receptor on paraffin-embedded human endomyometrium at the proliferative and secretory stage of the cycle. Initially, titration experiments were conducted with each antibody to establish concentrations that would result in minimal background and maximum detection of signal.
For EP3 receptor staining, 1:100 and 1:250 dilution of a commercially available primary antibody (Cayman Chemical) was used. Antibody binding was detected by an anti-rabbit secondary antibody (Vector) and the Vector ABC-AP kit and Vector Red substrate kit. Development of a fuschia-coloured deposit indicated interaction of the antibody with the target molecule. Tissues were also stained with a positive control antibody (CD31) to ensure that the tissue antigens were preserved and accessible for immunohistochemical analysis. The negative control consisted of performing the entire immunohistochemical procedure on adjacent sections in the absence of primary antibody. Sections were imaged using a DVC 1310C digital camera coupled to a Nikon microscope. The tissues used for this study are listed below in Table 5; Table 5
Figure imgf000037_0001
EP3 antibody stained positive endometrial glands, endothelium and vascular smooth muscle. Vascular smooth muscle of myometrial vessels as well as endometrial spiral arterioles stained positive in the prohferative and secretory samples and representative examples are shown in Figure 1.
For the glands, there was no appreciable difference in the level of staining in proliferative versus secretory glands, neither there was any difference in intensity of staining between glands in the functionalis layer when compared to the basalis layer. Endometrial stroma was mostly negative.
Focal positivity was present in uterine myometrial smooth muscle with staining more frequently intense in the inner aspect of the uterus near the endometrium when compared to the outer serosal aspect of the uterus.
A summary of these findings is presented in Table 6.
Figure imgf000038_0001
Careful examination of the staining of vascular and smooth muscle indicates that EP3 receptor was highly expressed in myometrial as well as endometrial vascular smooth muscle but not in myometrial smooth muscle (Figure 1). Moreover, endometrial spiral arterioles stained strongly positive for EP3 (Figure 1). These findings suggested that EP3 is an excellent target for altering uterine myometrial and endometrial vascular tone without affecting contractility of the uterine muscle.
Activity Assays
Binding affinities of compounds of the invention were tested using the following assays. The results of the assays are set out in Table 7 below. For some compounds the assays were repeated to give the multiple results shown in the table.
Initially the compound was assayed for binding to EP3 receptor in a medium throughput competitive radioligand-binding assay detailed in Example 10. The cross-reactivity of the compounds against FP, TP, IP and EP2 was tested as described in Example 11.
Example 10 - EP3 receptor binding assays
EP3 receptor binding assays were performed using stable HEK293(EBNA) cell lines expressing human EP3(III) receptor. The stable cell line was prepared by transfecting HEK293(EBNA) cells with pCEP4-EP3(III) using Lipofectamine 2000 reagent (Invitrogen). Media containing hygromycin (selective media - DMEM, 10% heat inactivated FBS, 250 μg/ml G418 and 200 μg/ml hygromycin B) (GibcoBRL) were added to the transfected cells 24hr after transfection and the cells were left to grow in selective media for two weeks in a humidified incubator at 37 °C and 5% CO2. Cells were then serially diluted and seeded in 96-well plates at a density of one cell per well, and isolated single cells were subsequently expanded into clonal cell lines under selection in complete medium. To harvest cells for use in receptor binding assays, the cells were lifted using trypsin-EDTA (GibcoBRL), centrifuged (1000 rpm for 2 min at room temperature), and the cell pellets suspended in binding buffer (10 mM MES/KOH, pH 6.0, 10 mM MgCl2, 1 mM EDTA). For the binding assay, test compounds at concentrations of 0.14 μM - 300 μM or EP3 receptor agonists (sulprostone, misoprostol free acid, PGE2 and iloprost) were added to suspensions of EP3-expressing cells (65,000 cells per well). The final DMSO concentration in the assay did not exceed 1%. All receptor-binding assays were performed in 96-well Millipore MultiScreen FB filtration plates in a final incubation volume of 0.2 ml in binding buffer.
The assay was initiated by addition of the radioligand, [ H]-PGE2 (186 Ci/mmol) at a final concentration of 1.5 nM. Total binding (TB) was determined in the absence of test compounds or ligands (i.e. 1% v/v DMSO only), whereas non-specific binding (NSB) was determined in the presence of 2 μM non-radioactive PGE2. Incubations were conducted at room temperature with shaking for 20 hours, and terminated by filtration using a Millipore MultiScreen vacuum manifold. The plates were washed three times by adding and filtering through 200 μl per well of pre-chilled binding buffer. After drying for 2 hours at 50 °C, 50 μl of OptiPhase Supermix liquid scintillation cocktail (Wallac) were added per well and the residual radioactivity bound to each filter was measured by scintillation counting for 1 min using a MicroBeta Trilux counter (Wallac).
The % inhibition values were calculated from the equation
% Inhibition = 100-[(Sample cpm -NSB cpm)/(TB cpm -NSB cpm) x 100]
Sigmoidal one-site competition curves for each test compound and ligand were constructed by plotting % inhibition against log [concentration], and analysed using GraphPad Prism 3.0 software to determine the EC50 values.
For saturation analysis, EP3(III) receptor binding assays were performed as described above using [3H]-PGE2 at the concentration range of 0.01 nM - 10.0 nM. Total binding and non-specific binding were determined for each radioligand concentration tested. Specific binding values were calculated by subtracting NSB from TB, and plotted against radioligand concentration. The resulting hyperbola curve was analysed using GraphPad Prism 3.0 software to determine the maximum number of binding sites (Bmax) and the concentration of ligand required to reach half maximal binding (Kd). The number of receptor molecules per cell of the EP3(III) cell line was determined by saturation analysis and was found to be high, Bmax value of 554,116 binding sites per cell. Moreover, the expressed human receptor bound [3H]-PGE2 with a Kd value of 0.52 nM, which is comparable to the value of 0.33 nM previously reported (Abramovitz et al., 2000 Biochimica et Biophysica Acta 1483 285-293).
Moreover, the pharmacological rank order of the recombinant human EP3(III) receptor was tested by competition binding assays in which the binding affinities of several readily available potent agonists for EP3(III) were tested. The following rank order of potency was obtained sulprostone > PGE2 > misoprostol free acid > iloprost, in this study which is consistent with the rank order of potency reported in literature (Abramovitz et al., 2000 Biochimica et Biophysica Acta 1483 285-293).
Example 11 - Cross-reactivity binding studies
The selectivity of the compounds for EP3(III) receptor was evaluated by testing their cross-reactivity of these compounds against the contractile prostanoid receptors FP, TP and relaxant receptors IP and EP2. Cross-reactivity binding studies on FP, TP, IP and EP2 receptors were performed using transient transfections for FP, TP and IP and stable HEK293(EBNA) cell lines expressing human EP2 receptor for EP2. The stable EP2 cell line was prepared by transfecting HEK293(EBNA) cells with pCEP4-EP2 using Lipofectamine 2000 reagent (Invitrogen) and selecting stable clones in a similar manner to the stable EP3 receptor cell line described above.
The transient transfections for FP, TP and IP were performed as follows; pCEP4-FP, pCEP4-TP and pCEP4-IP plasmid DNA were separately transfected into 293-EBNA (HEK) cells using Lipofectamine 2000 reagent (Invitrogen) according to the manufacturer's instructions. The transfected cells were cultured without antibiotics in high glucose DMEM supplemented with 10% heat inactivated FBS at 37 °C and 5% CO2 in a humidified incubator for 48 hours. They were then harvested and suspended in 10 mM MES/KOH, pH 6.0, 10 mM MnCl2, 1 mM EDTA for FP and TP and 10 mM HEPES/KOH, pH 7.4, 10 mM MnCl2, 1 mM EDTA for IP. Competition of test compounds and ligands for binding to 293-EBNA (HEK) cells expressing these prostanoid receptors were performed as described in Example 10 with the following adaptations: i) assays were conducted in the relevant binding buffers for each receptor; ii) 100,000 cells per well were used for each receptor; iii) PGE2, PGD2, PGF and latanoprost free acid were used for characterization of the FP cell lines; SQ29548 and U46619 for TP; iloprost, PGEi and carbacyclin for IP and PGE2, butaprost free acid, misoprostol free acid and BW245C for EP2; iv) the radioligand concentrations used were 1.5 nM of [3H]-PGF (212 Ci/mmol) for FP, 2.0 nM of [3H]-SQ29548 (38 Ci/mmol) for TP, 5.0 nM of [3H]-iloprost (11 Ci/mmol) for IP and 1.5 nM of [3H]-PGE2 (185 Ci/mmol) for EP2; v) non-specific binding was determined in the presence of 2 μM of the corresponding non-radioactive ligand in all cases; vi) Incubations were conducted for 1 hour at room temperature with shaking; vii) washings were performed by using the relevant pre-chilled binding buffer for each receptor.
In order to characterise the HEK cell lines expressing the FP, TP, IP and EP2 receptors and to validate the competition binding assays, we have determined the EC50 values and potency profile of some well-known agonists and antagonists for each receptor.
The following rank order of potencies was obtained in this study, which is consistent with published literature.
For FP: PGF > latanoprost free acid > PGD2 > PGE2 (Abramovitz et al, 1994 J.
Biol. Chem. 269 No.4 2632-263) For TP: SQ29548 > U46619 (Abramovitz et al, 2000 Biochimica et Biophysica
Acta 1483 285-293) For IP: Iloprost > carbacyclin > PGEi (Katsuyama et al., 1994 FEBS Letters 344
74-78) For EP2: PGE2 > butaprost free acid > misoprostol free acid > BW245C (Abramovitz et al, 2000 Biochimica et Biophysica Acta 1483 285-293) Table 7
Activities of compounds of the invention
Figure imgf000043_0001

Claims

A compound of formula (I) or formula (II):
Figure imgf000044_0001
(I)
Figure imgf000044_0002
(II) wherein:
Q is an optionally substituted alkyl, alkenyl, cycloalkyl, aryl, aralkyl, alkoxy, aryloxy, aralkoxy, alkylthio, aralkylthio, amino, alkylamino, dialkylamino, carboxyl, carboxylalkyl, esterified carboxyl, alkylsulfoxyl, alkylsulfonyl, nitro, carbonitrile, carbo-alkoxy, carbo- aryloxy, or heterocyclic group; A is a single bond or alkylene;
X is O or S;
X' is O or S;
Z is O, S or NR3;
Z" is O, S orNR3; p is 0 or 1 ; p' is 0 or 1 ; q is 0 or 1 ; q' is 0 or 1 ; n is an integer from 0 to 10; m is an integer from 0 to 10;
W is an optionally substituted alkyl, alkenyl, cycloalkyl, aryl, aralkyl, alkoxy, aryloxy, aralkoxy, alkylthio, aralkylthio, amino, alkylamino, dialkylamino, carboxyl, carboxylalkyl, esterified carboxyl, alkylsulfoxyl, alkylsulfonyl, nitro, carbonitrile, carbo-alkoxy, carbo- aryloxy, or heterocyclic group; R1 is H or alkyl;
R2 is independently H or alkyl; and R3 is independently H or alkyl; or a pharmaceutically acceptable derivative thereof.
2. The compound of claim 1 of formula (II).
3. The compound of claim 1 or claim 2 wherein A is a single bond.
4. The compound of any of claims 1 to 3 wherein X is O.
5. The compound of any of claims 1 to 3 wherein X is S and Z is NR3.
6. The compound of any of claims 1 to 5 wherein X' is O.
7. The compound of any of claims 1 to 6 wherein Z' is NR3.
8. The compound of any of claims 1 to 7 wherein R is H.
9. The compound of any of claims 1 to 8 wherein p = 1.
10. The compound of any of claims 1 to 9 wherein q = 0.
11. The compound of any of claims 1 to 10 wherein p' = 0 and q' = 0.
12. The compound of any of claims 1 to 10 wherein p' = 1 and q' = 1.
13. The compound of any of claims 1 to 12 wherein the sum n + m is an integer from 2 to 10.
14. The compound of any of claims 1 to 13 wherein the sum n + m is 4.
15. The compound of any of claims 1 to 14 wherein n = 2 and m = 2.
16. The compound of any of claims 1 to 15 wherein R1 is H.
17. The compound of any of claims 1 to 16 wherein R is H.
18. The compound of any of claims 1 to 17 wherein Q comprises an optionally substituted aryl or heterocyclic group.
19. The compound of any of claims 1 to 18 wherein Q is an optionally substituted aryl or heterocyclic group.
20. The compound of any of claims 1 to 18 wherein Q comprises an optionally substituted phenyl.
21. The compound of any of claims 1 to 20 wherein Q is an optionally substituted phenyl.
22. The compound of claim 21 wherein Q is a radical selected from:
Figure imgf000046_0001
23. The compound of any of claims 1 to 19 wherein Q is optionally substituted benzimidazolyl.
24. The compound of claim 23 wherein Q is:
Figure imgf000047_0001
25. The compound of any of claims 1 to 24 wherein W is an optionally substituted alkyl, alkenyl, alkynyl, aryl or heterocyclic group.
26. The compound of any of claims 1 to 25 wherein W comprises an optionally substituted aryl or heterocyclic group.
27. The compound of any of claims 1 to 26 wherein W is an optionally substituted aryl or heterocyclic group.
28. The compound of any of claims 1 to 26 wherein W comprises an optionally substituted phenyl.
29. The compound of any of claims 1 to 28 wherein W is an optionally substituted phenyl.
30. The compound of any of claims 1 to 25 wherein W is an alkyl group substituted with an optionally substituted cycloalkyl or aryl group.
31. The compound of any of claims 1 to 25 wherein W is a radical selected from:
Figure imgf000047_0002
32. A compound of any of claims 1 to 31 having formula (III):
Figure imgf000048_0001
formula (III).
33. A compound of claim 1 selected from:
Figure imgf000048_0002
Figure imgf000049_0001
34. A method for the alteration of uterine vascular tone in a patient comprising administering to the patient a therapeutically-effective amount of a compound that binds specifically to the EP3 receptor.
35. The method of claim 34 wherein the compound is a compound of any of claims 1 to 33.
36. The use of a compound that binds specifically to the EP3 receptor for the manufacture of a medicament for altering uterine vascular tone.
37. The use of claim 36 wherein the compound is a compound of any of claims 1 to 33.
38. The compound of any of claims 1 to 33 for use in a method of treatment of disease.
39. The compound of any of claims 1 to 33 for use in therapy or diagnosis.
40. The use of a compound of any of claims 1 to 33 for the manufacture of a medicament for the treatment of a disease.
41. A method of treating a disease comprising administering to a patient in need of such treatment an effective dose of a compound of any of claims 1 to 33.
42. A pharmaceutical composition comprising a compound of any of claims 1 to 33 in combination with a pharmaceutically acceptable excipient.
PCT/GB2003/005654 2002-12-24 2003-12-24 Piperidinyl-thiazole carboxamide derivatives for altering vascular tone Ceased WO2004058751A1 (en)

Priority Applications (1)

Application Number Priority Date Filing Date Title
AU2003290335A AU2003290335A1 (en) 2002-12-24 2003-12-24 Piperidinyl-thiazole carboxamide derivatives for altering vascular tone

Applications Claiming Priority (2)

Application Number Priority Date Filing Date Title
GBGB0230162.0A GB0230162D0 (en) 2002-12-24 2002-12-24 Compounds useful in inhibiting angiogenesis
GB0230162.0 2002-12-24

Publications (1)

Publication Number Publication Date
WO2004058751A1 true WO2004058751A1 (en) 2004-07-15

Family

ID=9950429

Family Applications (2)

Application Number Title Priority Date Filing Date
PCT/GB2003/005654 Ceased WO2004058751A1 (en) 2002-12-24 2003-12-24 Piperidinyl-thiazole carboxamide derivatives for altering vascular tone
PCT/GB2003/005651 Ceased WO2004058750A1 (en) 2002-12-24 2003-12-24 Piperidinyl-thiazole carboxylic acid derivatives as angiogenesis inhibitors

Family Applications After (1)

Application Number Title Priority Date Filing Date
PCT/GB2003/005651 Ceased WO2004058750A1 (en) 2002-12-24 2003-12-24 Piperidinyl-thiazole carboxylic acid derivatives as angiogenesis inhibitors

Country Status (9)

Country Link
US (1) US20060135501A1 (en)
EP (1) EP1581528B1 (en)
JP (1) JP2006513202A (en)
AT (1) ATE368662T1 (en)
AU (2) AU2003290335A1 (en)
CA (1) CA2511506A1 (en)
DE (1) DE60315355T2 (en)
GB (1) GB0230162D0 (en)
WO (2) WO2004058751A1 (en)

Cited By (26)

* Cited by examiner, † Cited by third party
Publication number Priority date Publication date Assignee Title
EP1637529A1 (en) * 2004-09-20 2006-03-22 4Sc Ag Novel piperidin-4-yl-thiazole-carboxamide analogues as inhibitors of T-cell proliferation and uses thereof
WO2006032322A1 (en) * 2004-09-20 2006-03-30 4Sc Ag NOVEL HETEROCYCLIC NF-κB INHIBITORS
WO2007014290A2 (en) 2005-07-26 2007-02-01 E. I. Du Pont De Nemours And Company Fungicidal carboxamides
WO2007028999A1 (en) * 2005-09-09 2007-03-15 Argenta Discovery Limited Thiazole compounds and their use as pgd2 antagonists
WO2007016979A3 (en) * 2005-07-29 2007-08-02 4Sc Ag NOVEL HETEROCYCLIC NF-κB INHIBITORS
EP1832585A1 (en) * 2006-03-10 2007-09-12 ORIDIS BIOMED Forschungs- und Entwicklungs GmbH Thiazole-piperidine derivatives for treatment of hyperproliferative diseases
WO2008013622A3 (en) * 2006-07-27 2008-03-27 Du Pont Fungicidal azocyclic amides
WO2007104557A3 (en) * 2006-03-15 2008-05-22 4Sc Ag Novel heterocyclic nf-kb inhibitors
WO2008091580A2 (en) 2007-01-25 2008-07-31 E. I. Du Pont De Nemours And Company Fungicidal amides
WO2009018844A1 (en) * 2007-08-09 2009-02-12 Oridis Biomed Forschungs- Und Entwicklungs Gmbh Thiazole-piperidine derivatives for treatment of hyperproliferative diseases
DE102007047735A1 (en) 2007-10-05 2009-04-09 Merck Patent Gmbh thiazole
EP2070924A1 (en) * 2007-12-10 2009-06-17 Bayer Schering Pharma Aktiengesellschaft New 2 hetarylthiazol-4-carboxylic acid derivatives, their manufacture and use as medicine
JP2009529555A (en) * 2006-03-15 2009-08-20 4エスツェー アクチェンゲゼルシャフト Novel heterocyclic NF-κB inhibitor
JP2009529556A (en) * 2006-03-15 2009-08-20 4エスツェー アクチェンゲゼルシャフト Thiazole as an NF-κB inhibitor (proteasome inhibitor)
US7601745B2 (en) 2004-09-27 2009-10-13 4Sc Ag Heterocyclic NF-kB inhibitors
WO2009094407A3 (en) * 2008-01-25 2009-10-29 E. I. Du Pont De Nemours And Company Fungicidal amides
WO2009094445A3 (en) * 2008-01-25 2010-08-26 E. I. Du Pont De Nemours And Company Fungicidal hetercyclic compounds
WO2011051243A1 (en) 2009-10-29 2011-05-05 Bayer Cropscience Ag Active compound combinations
WO2011051244A1 (en) 2009-10-30 2011-05-05 Bayer Cropscience Ag Heteroarylpiperidine and -piperazine derivatives
US20110312999A1 (en) * 2010-04-28 2011-12-22 Bayer Cropscience Ag Ketoheteroarylpiperidine and -Piperazine Derivatives as Fungicides
US20120245204A1 (en) * 2011-02-01 2012-09-27 Bayer Cropscience Ag Unknown
CN103003272A (en) * 2010-05-18 2013-03-27 拜尔农作物科学股份公司 Bis(difluoromethyl)pyrazoles as fungicides
US8449898B2 (en) 2007-10-23 2013-05-28 E I Du Pont De Nemours And Company Fungicidal mixtures
US8569509B2 (en) 2008-04-30 2013-10-29 Bayer Intellectual Property Gmbh Thiazole-4-carboxylic acid esters and thioesters as plant protection agents
US8618137B2 (en) 2008-12-02 2013-12-31 E I Du Pont De Nemours And Company Fungicidal heterocyclic compounds
US9090604B2 (en) 2006-07-27 2015-07-28 E I Du Pont De Nemours And Company Fungicidal azocyclic amides

Families Citing this family (12)

* Cited by examiner, † Cited by third party
Publication number Priority date Publication date Assignee Title
FR2856685B1 (en) * 2003-06-25 2005-09-23 Merck Sante Sas THIAZOLYLPIPERIDINE DERIVATIVES, PROCESSES FOR PREPARING THEM AND PHARMACEUTICAL COMPOSITIONS CONTAINING THEM
TW200539867A (en) * 2004-04-13 2005-12-16 Arena Pharm Inc Human g protein-coupled receptor and modulators thereof for the treatment of hyperglycemia and related disorders
EP1832586A1 (en) * 2006-03-10 2007-09-12 Oridis Biomed Forschungs- und Entwicklungs GmbH Thiazole-piperidine derivatives in treatment of diseases of liver and the pancreas
US7638541B2 (en) * 2006-12-28 2009-12-29 Metabolex Inc. 5-ethyl-2-{4-[4-(4-tetrazol-1-yl-phenoxymethyl)-thiazol-2-yl]-piperidin-1-yl}-pyrimidine
CA2693169C (en) 2007-07-19 2016-01-12 Metabolex, Inc. N-linked heterocyclic receptor agonists for the treatment of diabetes and metabolic disorders
EP2070925A1 (en) * 2007-12-10 2009-06-17 Bayer Schering Pharma Aktiengesellschaft New 2-substituted tiazol-4-carboxylic acid derivatives, their manufacture and use as medicine
MX2011003151A (en) * 2008-10-01 2011-04-27 Bayer Cropscience Ag Heterocyclyl-substituted thiazoles as plant protection agents.
US20110160222A1 (en) * 2008-11-26 2011-06-30 Metabolex, Inc. Modulators of glucose homeostasis for the treatment of diabetes and metabolic disorders
WO2010108503A1 (en) 2009-03-24 2010-09-30 Life & Brain Gmbh Promotion of neuronal integration in neural stem cell grafts
CN102666553B (en) 2009-10-01 2015-05-06 赛马拜制药公司 Substituted tetrazol-1-yl-phenoxymethyl-thiazol-2-yl-piperidinyl-pyrimidine salts
WO2011163090A1 (en) 2010-06-23 2011-12-29 Metabolex, Inc. Compositions of 5-ethyl-2-{4-[4-(4-tetrazol-1-yl-phenoxymethyl)-thiazol-2-yl]-piperidin-1-yl}-pyrimidine
EP3493807A1 (en) 2016-08-03 2019-06-12 CymaBay Therapeutics, Inc. Oxymethylene aryl compounds for treating inflammatory gastrointestinal diseases or gastrointestinal conditions

Citations (3)

* Cited by examiner, † Cited by third party
Publication number Priority date Publication date Assignee Title
US3966748A (en) * 1975-05-08 1976-06-29 American Cyanamid Company Para-fluorophenyl-N-heterocyclic substituted butanes
WO1995033050A1 (en) * 1994-05-26 1995-12-07 Metris Therapeutics Limited Flt-4 (fms-like tyrosine-kinase), flt-15, variants thereof uses as growth factor inhibitors
WO1999000356A1 (en) * 1997-06-27 1999-01-07 Rhône-Poulenc Rorer Pharmaceuticals Inc. Substituted n-[(aminoiminomethyl or aminomethyl)phenyl]propyl amides

Family Cites Families (3)

* Cited by examiner, † Cited by third party
Publication number Priority date Publication date Assignee Title
EP0858457A1 (en) * 1995-10-20 1998-08-19 Dr. Karl Thomae GmbH 5-membered heterocycles, pharmaceutical agents containing said compounds and the use thereof and methods of producing them
AR012443A1 (en) * 1997-04-16 2000-10-18 Uriach & Cia Sa J NEW CARBOXAMIDS AS INHIBITORS OF THE PLATELET AGGREGATION, PROCEDURE FOR THEIR PREPARATION, PHARMACEUTICAL COMPOSITIONS THAT CONTAIN THEM AND USE OF THE SAME IN THE MANUFACTURE OF MEDICINES
JP2009504707A (en) * 2005-08-18 2009-02-05 エフ.ホフマン−ラ ロシュ アーゲー Thiazolylpiperidine derivatives useful as H3 receptor modulators

Patent Citations (3)

* Cited by examiner, † Cited by third party
Publication number Priority date Publication date Assignee Title
US3966748A (en) * 1975-05-08 1976-06-29 American Cyanamid Company Para-fluorophenyl-N-heterocyclic substituted butanes
WO1995033050A1 (en) * 1994-05-26 1995-12-07 Metris Therapeutics Limited Flt-4 (fms-like tyrosine-kinase), flt-15, variants thereof uses as growth factor inhibitors
WO1999000356A1 (en) * 1997-06-27 1999-01-07 Rhône-Poulenc Rorer Pharmaceuticals Inc. Substituted n-[(aminoiminomethyl or aminomethyl)phenyl]propyl amides

Cited By (72)

* Cited by examiner, † Cited by third party
Publication number Priority date Publication date Assignee Title
EP1637529A1 (en) * 2004-09-20 2006-03-22 4Sc Ag Novel piperidin-4-yl-thiazole-carboxamide analogues as inhibitors of T-cell proliferation and uses thereof
JP2008513386A (en) * 2004-09-20 2008-05-01 4エスシー アーゲー Novel heterocyclic NF-κB inhibitor
US8106048B2 (en) 2004-09-20 2012-01-31 4Sc Ag Heterocyclic NF-κB inhibitors
WO2006032322A1 (en) * 2004-09-20 2006-03-30 4Sc Ag NOVEL HETEROCYCLIC NF-κB INHIBITORS
US7812041B2 (en) 2004-09-20 2010-10-12 4Sc Ag Heterocyclic NF-κB inhibitors
EA012607B1 (en) * 2004-09-20 2009-10-30 4Сц Аг NOVEL HETEROCYCLIC NF-kB INHIBITORS
EP2343293A1 (en) * 2004-09-20 2011-07-13 4Sc Ag Novel piperidin-4-yl-thiazole-carboxamide analogues as inhibitors of t-cell proliferation and uses thereof
CN101987847A (en) * 2004-09-20 2011-03-23 4Sc股份有限公司 Novel heterocyclic NF-kB inhibitors
US7601745B2 (en) 2004-09-27 2009-10-13 4Sc Ag Heterocyclic NF-kB inhibitors
WO2007014290A3 (en) * 2005-07-26 2007-06-07 Du Pont Fungicidal carboxamides
US8586611B2 (en) 2005-07-26 2013-11-19 E. I. Du Pont De Nemours And Company Fungicidal carboxamides
KR101332900B1 (en) 2005-07-26 2013-11-27 이 아이 듀폰 디 네모아 앤드 캄파니 Fungicidal carboxamides
JP2009502948A (en) * 2005-07-26 2009-01-29 イー・アイ・デュポン・ドウ・ヌムール・アンド・カンパニー Bactericidal carboxamide
WO2007014290A2 (en) 2005-07-26 2007-02-01 E. I. Du Pont De Nemours And Company Fungicidal carboxamides
WO2007016979A3 (en) * 2005-07-29 2007-08-02 4Sc Ag NOVEL HETEROCYCLIC NF-κB INHIBITORS
JP2009502816A (en) * 2005-07-29 2009-01-29 4エスツェー アクチェンゲゼルシャフト Novel heterocyclic NF-κB inhibitor
EA016300B1 (en) * 2005-07-29 2012-04-30 4ЭсЦэ АГ NOVEL HETEROCYCLIC NF-κB INHIBITORS
WO2007028999A1 (en) * 2005-09-09 2007-03-15 Argenta Discovery Limited Thiazole compounds and their use as pgd2 antagonists
EP1832585A1 (en) * 2006-03-10 2007-09-12 ORIDIS BIOMED Forschungs- und Entwicklungs GmbH Thiazole-piperidine derivatives for treatment of hyperproliferative diseases
WO2007104557A3 (en) * 2006-03-15 2008-05-22 4Sc Ag Novel heterocyclic nf-kb inhibitors
JP2009529555A (en) * 2006-03-15 2009-08-20 4エスツェー アクチェンゲゼルシャフト Novel heterocyclic NF-κB inhibitor
JP2009529556A (en) * 2006-03-15 2009-08-20 4エスツェー アクチェンゲゼルシャフト Thiazole as an NF-κB inhibitor (proteasome inhibitor)
EP3239145A1 (en) 2006-07-27 2017-11-01 E. I. du Pont de Nemours and Company 1-[2-[3,5-substituted-1h-pyrazol-1-yl]acetyl]-4-piperidine-carbonitrile and -carbothiamide derivatives as intermediates in the preparation of fungicides for crop protection
WO2008013925A3 (en) * 2006-07-27 2008-04-03 Du Pont Fungicidal azocyclic amides
RU2453544C2 (en) * 2006-07-27 2012-06-20 Е.И.Дюпон Де Немур Энд Компани Fungicidal azocyclic amides
KR101564187B1 (en) 2006-07-27 2015-10-28 이 아이 듀폰 디 네모아 앤드 캄파니 Fungicidal azocyclic amides
JP2010509190A (en) * 2006-07-27 2010-03-25 イー・アイ・デュポン・ドウ・ヌムール・アンド・カンパニー Bactericidal and fungicidal azo cyclic amide
US9090604B2 (en) 2006-07-27 2015-07-28 E I Du Pont De Nemours And Company Fungicidal azocyclic amides
US8642634B2 (en) 2006-07-27 2014-02-04 E I Du Pont De Nemours And Company Fungicidal azocyclic amides
CN106986866A (en) * 2006-07-27 2017-07-28 杜邦公司 Fungicidal azocyclic amides
US20090156592A1 (en) * 2006-07-27 2009-06-18 E.I. Du Pont De Nemours And Company Fungicidal Azocyclic Amides
CN104478805A (en) * 2006-07-27 2015-04-01 杜邦公司 fungicidal nitrogen cycloamide
US9604962B2 (en) 2006-07-27 2017-03-28 E I Du Pont De Nemours And Company Fungicidal azocyclic amides
AU2007277157B2 (en) * 2006-07-27 2013-01-31 Corteva Agriscience Llc Fungicidal azocyclic amides
CN106986866B (en) * 2006-07-27 2020-03-03 杜邦公司 fungicidal nitrogen cyclamides
US9920030B2 (en) 2006-07-27 2018-03-20 E I Du Pont De Nemours And Company Fungicidal azocyclic amides
WO2008013622A3 (en) * 2006-07-27 2008-03-27 Du Pont Fungicidal azocyclic amides
EP3239137A1 (en) 2006-07-27 2017-11-01 E. I. du Pont de Nemours and Company (5r)-4,5-dihydro-isoxazole derivatives as well as 1-(2-chloroacetyl)-4-piperidine-carbonitrile and -carboxamide derivatives as intermediates in the preparation of e.g. 4-[4-[(5r)-4,5-dihydro-isoxazol-3-yl]-thiazol-2-yl]-piperidine derivatives as fungicides for crop protection
CN104478805B (en) * 2006-07-27 2017-04-12 杜邦公司 fungicidal nitrogen cycloamide
WO2008091580A2 (en) 2007-01-25 2008-07-31 E. I. Du Pont De Nemours And Company Fungicidal amides
US8420673B2 (en) 2007-01-25 2013-04-16 E I Du Pont De Nemours And Company Fungicidal amides
CN101622245A (en) * 2007-01-25 2010-01-06 纳幕尔杜邦公司 Fungicidal amides
CN101622245B (en) * 2007-01-25 2014-09-10 纳幕尔杜邦公司 Fungicidal amides
WO2008091580A3 (en) * 2007-01-25 2008-09-12 Du Pont Fungicidal amides
WO2009018844A1 (en) * 2007-08-09 2009-02-12 Oridis Biomed Forschungs- Und Entwicklungs Gmbh Thiazole-piperidine derivatives for treatment of hyperproliferative diseases
DE102007047735A1 (en) 2007-10-05 2009-04-09 Merck Patent Gmbh thiazole
US8449898B2 (en) 2007-10-23 2013-05-28 E I Du Pont De Nemours And Company Fungicidal mixtures
US8148411B2 (en) 2007-12-10 2012-04-03 Bayer Pharma Aktiengesellschaft 2-hetarylthiazole-4-carboxamide derivatives, their preparation and use as pharmaceuticals
EP2070924A1 (en) * 2007-12-10 2009-06-17 Bayer Schering Pharma Aktiengesellschaft New 2 hetarylthiazol-4-carboxylic acid derivatives, their manufacture and use as medicine
WO2009074246A1 (en) * 2007-12-10 2009-06-18 Bayer Schering Pharma Aktiengesellschaft Novel 2-hetaryl thiazole-4-carboxamide derivatives, production thereof, and use thereof as a medicament
CN101970432A (en) * 2008-01-25 2011-02-09 杜邦公司 fungicidal heterocyclic compounds
CN101925598A (en) * 2008-01-25 2010-12-22 杜邦公司 Fungicide
WO2009094445A3 (en) * 2008-01-25 2010-08-26 E. I. Du Pont De Nemours And Company Fungicidal hetercyclic compounds
WO2009094407A3 (en) * 2008-01-25 2009-10-29 E. I. Du Pont De Nemours And Company Fungicidal amides
JP2011510925A (en) * 2008-01-25 2011-04-07 イー・アイ・デュポン・ドウ・ヌムール・アンド・カンパニー Bactericidal amide
JP2011510928A (en) * 2008-01-25 2011-04-07 イー・アイ・デュポン・ドウ・ヌムール・アンド・カンパニー Bactericidal heterocyclic compounds
EP2402332A3 (en) * 2008-01-25 2014-10-29 E.I. Du Pont De Nemours And Company Fungicidal heterocyclic compounds
EP2402332A2 (en) 2008-01-25 2012-01-04 E.I. Du Pont De Nemours And Company Fungicidal heterocyclic compounds
US8569509B2 (en) 2008-04-30 2013-10-29 Bayer Intellectual Property Gmbh Thiazole-4-carboxylic acid esters and thioesters as plant protection agents
US9029549B2 (en) 2008-04-30 2015-05-12 Bayer Intellectual Property Gmbh Thiazol-4-carboxylic acid esters and thioesters as plant protection agents
US8618137B2 (en) 2008-12-02 2013-12-31 E I Du Pont De Nemours And Company Fungicidal heterocyclic compounds
WO2011051243A1 (en) 2009-10-29 2011-05-05 Bayer Cropscience Ag Active compound combinations
CN102712634B (en) * 2009-10-30 2016-04-06 拜耳知识产权有限责任公司 Heteroaryl piperidine and heteroaryl bridged piperazine derivatives
US8501781B2 (en) 2009-10-30 2013-08-06 Bayer Cropscience Ag Heteroarylpiperidine and -piperazine derivatives
CN102712634A (en) * 2009-10-30 2012-10-03 拜尔农作物科学股份公司 Heteroarylpiperidine and -piperazine derivatives
WO2011051244A1 (en) 2009-10-30 2011-05-05 Bayer Cropscience Ag Heteroarylpiperidine and -piperazine derivatives
US9220266B2 (en) * 2010-04-28 2015-12-29 Bayer Intellectual Property Gmbh Ketoheteroarylpiperidine and -piperazine derivatives as fungicides
US20110312999A1 (en) * 2010-04-28 2011-12-22 Bayer Cropscience Ag Ketoheteroarylpiperidine and -Piperazine Derivatives as Fungicides
CN103003272A (en) * 2010-05-18 2013-03-27 拜尔农作物科学股份公司 Bis(difluoromethyl)pyrazoles as fungicides
US8822693B2 (en) * 2011-02-01 2014-09-02 Bayer Cropscience Ag Heteroarylpiperidine and-piperazine derivatives as fungicides
US9204649B2 (en) 2011-02-01 2015-12-08 Bayer Intellectual Property Gmbh Heteroarylpiperidine and- piperazine derivates as fungicides
US20120245204A1 (en) * 2011-02-01 2012-09-27 Bayer Cropscience Ag Unknown

Also Published As

Publication number Publication date
ATE368662T1 (en) 2007-08-15
JP2006513202A (en) 2006-04-20
GB0230162D0 (en) 2003-02-05
US20060135501A1 (en) 2006-06-22
WO2004058750A1 (en) 2004-07-15
DE60315355T2 (en) 2008-05-08
CA2511506A1 (en) 2004-07-15
DE60315355D1 (en) 2007-09-13
AU2003290335A1 (en) 2004-07-22
EP1581528A1 (en) 2005-10-05
AU2003294143A1 (en) 2004-07-22
EP1581528B1 (en) 2007-08-01

Similar Documents

Publication Publication Date Title
WO2004058751A1 (en) Piperidinyl-thiazole carboxamide derivatives for altering vascular tone
JP2550442B2 (en) Substituted imidazole
JP4430941B2 (en) Edg receptor agonist
JP5922116B2 (en) Compounds that produce general anti-inflammatory responses that act at multiple prostaglandin receptors
JPH03128365A (en) Substituted triazole as angiotensin ii antagonist
JP2003509429A (en) Modulator of protein tyrosine phosphatase (PTPase)
KR19990022198A (en) Novel isoxazoline and isoxazole fibrinogen receptor antagonists
KR101582910B1 (en) Novel modulators of sphingosine phosphate receptors
JPWO2021155841A5 (en)
US5376666A (en) Angiotension-II receptor blocking, azacycloalkyl or azacycloalkenyl
JPWO2008139879A1 (en) G protein-coupled receptor inhibitor and pharmaceutical
TW200808777A (en) MGLUR5 modulators III
JPH07145057A (en) Condensed benzeneoxyacetic acid derivatives and agents containing them as active ingredients
JP2026000959A (en) Alpha-amino esters of hydroxypropyl thiazolidinecarboxamide derivatives and their salt forms, crystalline polymorphs
CN107001467A (en) The inhibitor of the type (CCR9) of C C chemokine receptors 9 and the combined therapy of anti-ALHA4BETA7 integrin blocking antibodies
WO2019010482A1 (en) Compositions and methods for modulating cervical ripening
CN113906020A (en) (R) -3- (chloro-5-fluoro-2- ((4- (1H-pyrazol-1-yl) -2-methylquinolin-8-yloxy) methyl) phenyl) morpholine derivatives and related compounds as Bradykinin (BK) B2 receptor antagonists for the treatment of skin disorders
US5500427A (en) Cyclic compounds and their use
US4764525A (en) N-1H-tetrazol-5-ylbenzamides having use as antiallergy and antiinflammatory agents
JP6132851B2 (en) Compounds acting at multiple prostaglandin receptors that confer general anti-inflammatory responses
JP2022517110A (en) Substituted quinazoline as a NLRP3 modulator for use in cancer treatment
EP1167369A1 (en) Novel thiazolobenzimidazole derivatives
KR900006118B1 (en) Process for preparing 4-quinolone derivatives
KR100938817B1 (en) Tricyclic Compounds Useful as Angiotensin II Agonists
EP0603712B1 (en) Heterocyclic compounds having angiotensin II antagonistic activity and use thereof

Legal Events

Date Code Title Description
AK Designated states

Kind code of ref document: A1

Designated state(s): AE AG AL AM AT AU AZ BA BB BG BR BW BY BZ CA CH CN CO CR CU CZ DE DK DM DZ EC EE EG ES FI GB GD GE GH GM HR HU ID IL IN IS JP KE KG KP KR KZ LC LK LR LS LT LU LV MA MD MG MK MN MW MX MZ NI NO NZ OM PG PH PL PT RO RU SC SD SE SG SK SL SY TJ TM TN TR TT TZ UA UG US UZ VC VN YU ZA ZM ZW

AL Designated countries for regional patents

Kind code of ref document: A1

Designated state(s): BW GH GM KE LS MW MZ SD SL SZ TZ UG ZM ZW AM AZ BY KG KZ MD RU TJ TM AT BE BG CH CY CZ DE DK EE ES FI FR GB GR HU IE IT LU MC NL PT RO SE SI SK TR BF BJ CF CG CI CM GA GN GQ GW ML MR NE SN TD TG

121 Ep: the epo has been informed by wipo that ep was designated in this application
122 Ep: pct application non-entry in european phase
NENP Non-entry into the national phase

Ref country code: JP

WWW Wipo information: withdrawn in national office

Country of ref document: JP