WO2003010158A1 - Novel compounds - Google Patents

Novel compounds Download PDF

Info

Publication number
WO2003010158A1
WO2003010158A1 PCT/SE2002/001403 SE0201403W WO03010158A1 WO 2003010158 A1 WO2003010158 A1 WO 2003010158A1 SE 0201403 W SE0201403 W SE 0201403W WO 03010158 A1 WO03010158 A1 WO 03010158A1
Authority
WO
WIPO (PCT)
Prior art keywords
aminocarbonyl
amino
thiophenecarboxamide
phenyl
carboxamide
Prior art date
Legal status (The legal status is an assumption and is not a legal conclusion. Google has not performed a legal analysis and makes no representation as to the accuracy of the status listed.)
Ceased
Application number
PCT/SE2002/001403
Other languages
French (fr)
Inventor
Alan Faull
Craig Johnstone
Andrew Morley
Jeffrey Philip Poyser
Current Assignee (The listed assignees may be inaccurate. Google has not performed a legal analysis and makes no representation or warranty as to the accuracy of the list.)
AstraZeneca AB
Original Assignee
AstraZeneca AB
Priority date (The priority date is an assumption and is not a legal conclusion. Google has not performed a legal analysis and makes no representation as to the accuracy of the date listed.)
Filing date
Publication date
Priority to IL16002802A priority Critical patent/IL160028A0/en
Priority to CA2454703A priority patent/CA2454703C/en
Priority to EP02751935A priority patent/EP1421074B1/en
Priority to US10/484,569 priority patent/US7125896B2/en
Priority to AT02751935T priority patent/ATE482944T1/en
Priority to NZ530750A priority patent/NZ530750A/en
Priority to BR0211473-9A priority patent/BR0211473A/en
Priority to KR1020047001154A priority patent/KR100931172B1/en
Priority to AU2002355245A priority patent/AU2002355245B2/en
Priority to HK05103629.8A priority patent/HK1071129B/en
Priority to DK02751935.4T priority patent/DK1421074T3/en
Application filed by AstraZeneca AB filed Critical AstraZeneca AB
Priority to DE60237828T priority patent/DE60237828D1/en
Priority to MXPA04000756A priority patent/MXPA04000756A/en
Priority to JP2003515517A priority patent/JP4571800B2/en
Publication of WO2003010158A1 publication Critical patent/WO2003010158A1/en
Priority to IL160028A priority patent/IL160028A/en
Priority to NO20040313A priority patent/NO326684B1/en
Anticipated expiration legal-status Critical
Priority to US11/516,225 priority patent/US7956084B2/en
Priority to US12/977,640 priority patent/US20110152234A1/en
Ceased legal-status Critical Current

Links

Classifications

    • CCHEMISTRY; METALLURGY
    • C07ORGANIC CHEMISTRY
    • C07DHETEROCYCLIC COMPOUNDS
    • C07D231/00Heterocyclic compounds containing 1,2-diazole or hydrogenated 1,2-diazole rings
    • C07D231/02Heterocyclic compounds containing 1,2-diazole or hydrogenated 1,2-diazole rings not condensed with other rings
    • C07D231/10Heterocyclic compounds containing 1,2-diazole or hydrogenated 1,2-diazole rings not condensed with other rings having two or three double bonds between ring members or between ring members and non-ring members
    • C07D231/12Heterocyclic compounds containing 1,2-diazole or hydrogenated 1,2-diazole rings not condensed with other rings having two or three double bonds between ring members or between ring members and non-ring members with only hydrogen atoms, hydrocarbon or substituted hydrocarbon radicals, directly attached to ring carbon atoms
    • AHUMAN NECESSITIES
    • A61MEDICAL OR VETERINARY SCIENCE; HYGIENE
    • A61PSPECIFIC THERAPEUTIC ACTIVITY OF CHEMICAL COMPOUNDS OR MEDICINAL PREPARATIONS
    • A61P11/00Drugs for disorders of the respiratory system
    • AHUMAN NECESSITIES
    • A61MEDICAL OR VETERINARY SCIENCE; HYGIENE
    • A61PSPECIFIC THERAPEUTIC ACTIVITY OF CHEMICAL COMPOUNDS OR MEDICINAL PREPARATIONS
    • A61P11/00Drugs for disorders of the respiratory system
    • A61P11/06Antiasthmatics
    • AHUMAN NECESSITIES
    • A61MEDICAL OR VETERINARY SCIENCE; HYGIENE
    • A61PSPECIFIC THERAPEUTIC ACTIVITY OF CHEMICAL COMPOUNDS OR MEDICINAL PREPARATIONS
    • A61P25/00Drugs for disorders of the nervous system
    • AHUMAN NECESSITIES
    • A61MEDICAL OR VETERINARY SCIENCE; HYGIENE
    • A61PSPECIFIC THERAPEUTIC ACTIVITY OF CHEMICAL COMPOUNDS OR MEDICINAL PREPARATIONS
    • A61P29/00Non-central analgesic, antipyretic or antiinflammatory agents, e.g. antirheumatic agents; Non-steroidal antiinflammatory drugs [NSAID]
    • AHUMAN NECESSITIES
    • A61MEDICAL OR VETERINARY SCIENCE; HYGIENE
    • A61PSPECIFIC THERAPEUTIC ACTIVITY OF CHEMICAL COMPOUNDS OR MEDICINAL PREPARATIONS
    • A61P35/00Antineoplastic agents
    • AHUMAN NECESSITIES
    • A61MEDICAL OR VETERINARY SCIENCE; HYGIENE
    • A61PSPECIFIC THERAPEUTIC ACTIVITY OF CHEMICAL COMPOUNDS OR MEDICINAL PREPARATIONS
    • A61P43/00Drugs for specific purposes, not provided for in groups A61P1/00-A61P41/00
    • CCHEMISTRY; METALLURGY
    • C07ORGANIC CHEMISTRY
    • C07DHETEROCYCLIC COMPOUNDS
    • C07D233/00Heterocyclic compounds containing 1,3-diazole or hydrogenated 1,3-diazole rings, not condensed with other rings
    • C07D233/54Heterocyclic compounds containing 1,3-diazole or hydrogenated 1,3-diazole rings, not condensed with other rings having two double bonds between ring members or between ring members and non-ring members
    • C07D233/56Heterocyclic compounds containing 1,3-diazole or hydrogenated 1,3-diazole rings, not condensed with other rings having two double bonds between ring members or between ring members and non-ring members with only hydrogen atoms or radicals containing only hydrogen and carbon atoms, attached to ring carbon atoms
    • CCHEMISTRY; METALLURGY
    • C07ORGANIC CHEMISTRY
    • C07DHETEROCYCLIC COMPOUNDS
    • C07D249/00Heterocyclic compounds containing five-membered rings having three nitrogen atoms as the only ring hetero atoms
    • C07D249/02Heterocyclic compounds containing five-membered rings having three nitrogen atoms as the only ring hetero atoms not condensed with other rings
    • C07D249/081,2,4-Triazoles; Hydrogenated 1,2,4-triazoles
    • CCHEMISTRY; METALLURGY
    • C07ORGANIC CHEMISTRY
    • C07DHETEROCYCLIC COMPOUNDS
    • C07D333/00Heterocyclic compounds containing five-membered rings having one sulfur atom as the only ring hetero atom
    • C07D333/02Heterocyclic compounds containing five-membered rings having one sulfur atom as the only ring hetero atom not condensed with other rings
    • C07D333/04Heterocyclic compounds containing five-membered rings having one sulfur atom as the only ring hetero atom not condensed with other rings not substituted on the ring sulphur atom
    • C07D333/26Heterocyclic compounds containing five-membered rings having one sulfur atom as the only ring hetero atom not condensed with other rings not substituted on the ring sulphur atom with hetero atoms or with carbon atoms having three bonds to hetero atoms with at the most one bond to halogen, e.g. ester or nitrile radicals, directly attached to ring carbon atoms
    • C07D333/38Carbon atoms having three bonds to hetero atoms with at the most one bond to halogen, e.g. ester or nitrile radicals
    • CCHEMISTRY; METALLURGY
    • C07ORGANIC CHEMISTRY
    • C07DHETEROCYCLIC COMPOUNDS
    • C07D409/00Heterocyclic compounds containing two or more hetero rings, at least one ring having sulfur atoms as the only ring hetero atoms
    • C07D409/02Heterocyclic compounds containing two or more hetero rings, at least one ring having sulfur atoms as the only ring hetero atoms containing two hetero rings
    • C07D409/04Heterocyclic compounds containing two or more hetero rings, at least one ring having sulfur atoms as the only ring hetero atoms containing two hetero rings directly linked by a ring-member-to-ring-member bond
    • CCHEMISTRY; METALLURGY
    • C07ORGANIC CHEMISTRY
    • C07DHETEROCYCLIC COMPOUNDS
    • C07D409/00Heterocyclic compounds containing two or more hetero rings, at least one ring having sulfur atoms as the only ring hetero atoms
    • C07D409/02Heterocyclic compounds containing two or more hetero rings, at least one ring having sulfur atoms as the only ring hetero atoms containing two hetero rings
    • C07D409/10Heterocyclic compounds containing two or more hetero rings, at least one ring having sulfur atoms as the only ring hetero atoms containing two hetero rings linked by a carbon chain containing aromatic rings
    • CCHEMISTRY; METALLURGY
    • C07ORGANIC CHEMISTRY
    • C07DHETEROCYCLIC COMPOUNDS
    • C07D409/00Heterocyclic compounds containing two or more hetero rings, at least one ring having sulfur atoms as the only ring hetero atoms
    • C07D409/02Heterocyclic compounds containing two or more hetero rings, at least one ring having sulfur atoms as the only ring hetero atoms containing two hetero rings
    • C07D409/12Heterocyclic compounds containing two or more hetero rings, at least one ring having sulfur atoms as the only ring hetero atoms containing two hetero rings linked by a chain containing hetero atoms as chain links
    • CCHEMISTRY; METALLURGY
    • C07ORGANIC CHEMISTRY
    • C07DHETEROCYCLIC COMPOUNDS
    • C07D409/00Heterocyclic compounds containing two or more hetero rings, at least one ring having sulfur atoms as the only ring hetero atoms
    • C07D409/14Heterocyclic compounds containing two or more hetero rings, at least one ring having sulfur atoms as the only ring hetero atoms containing three or more hetero rings
    • CCHEMISTRY; METALLURGY
    • C07ORGANIC CHEMISTRY
    • C07DHETEROCYCLIC COMPOUNDS
    • C07D413/00Heterocyclic compounds containing two or more hetero rings, at least one ring having nitrogen and oxygen atoms as the only ring hetero atoms
    • C07D413/02Heterocyclic compounds containing two or more hetero rings, at least one ring having nitrogen and oxygen atoms as the only ring hetero atoms containing two hetero rings
    • C07D413/04Heterocyclic compounds containing two or more hetero rings, at least one ring having nitrogen and oxygen atoms as the only ring hetero atoms containing two hetero rings directly linked by a ring-member-to-ring-member bond
    • CCHEMISTRY; METALLURGY
    • C07ORGANIC CHEMISTRY
    • C07DHETEROCYCLIC COMPOUNDS
    • C07D413/00Heterocyclic compounds containing two or more hetero rings, at least one ring having nitrogen and oxygen atoms as the only ring hetero atoms
    • C07D413/02Heterocyclic compounds containing two or more hetero rings, at least one ring having nitrogen and oxygen atoms as the only ring hetero atoms containing two hetero rings
    • C07D413/10Heterocyclic compounds containing two or more hetero rings, at least one ring having nitrogen and oxygen atoms as the only ring hetero atoms containing two hetero rings linked by a carbon chain containing aromatic rings
    • CCHEMISTRY; METALLURGY
    • C07ORGANIC CHEMISTRY
    • C07DHETEROCYCLIC COMPOUNDS
    • C07D413/00Heterocyclic compounds containing two or more hetero rings, at least one ring having nitrogen and oxygen atoms as the only ring hetero atoms
    • C07D413/02Heterocyclic compounds containing two or more hetero rings, at least one ring having nitrogen and oxygen atoms as the only ring hetero atoms containing two hetero rings
    • C07D413/12Heterocyclic compounds containing two or more hetero rings, at least one ring having nitrogen and oxygen atoms as the only ring hetero atoms containing two hetero rings linked by a chain containing hetero atoms as chain links
    • CCHEMISTRY; METALLURGY
    • C07ORGANIC CHEMISTRY
    • C07DHETEROCYCLIC COMPOUNDS
    • C07D417/00Heterocyclic compounds containing two or more hetero rings, at least one ring having nitrogen and sulfur atoms as the only ring hetero atoms, not provided for by group C07D415/00
    • C07D417/02Heterocyclic compounds containing two or more hetero rings, at least one ring having nitrogen and sulfur atoms as the only ring hetero atoms, not provided for by group C07D415/00 containing two hetero rings
    • C07D417/12Heterocyclic compounds containing two or more hetero rings, at least one ring having nitrogen and sulfur atoms as the only ring hetero atoms, not provided for by group C07D415/00 containing two hetero rings linked by a chain containing hetero atoms as chain links
    • CCHEMISTRY; METALLURGY
    • C07ORGANIC CHEMISTRY
    • C07DHETEROCYCLIC COMPOUNDS
    • C07D487/00Heterocyclic compounds containing nitrogen atoms as the only ring hetero atoms in the condensed system, not provided for by groups C07D451/00 - C07D477/00
    • C07D487/02Heterocyclic compounds containing nitrogen atoms as the only ring hetero atoms in the condensed system, not provided for by groups C07D451/00 - C07D477/00 in which the condensed system contains two hetero rings
    • C07D487/08Bridged systems
    • CCHEMISTRY; METALLURGY
    • C07ORGANIC CHEMISTRY
    • C07DHETEROCYCLIC COMPOUNDS
    • C07D491/00Heterocyclic compounds containing in the condensed ring system both one or more rings having oxygen atoms as the only ring hetero atoms and one or more rings having nitrogen atoms as the only ring hetero atoms, not provided for by groups C07D451/00 - C07D459/00, C07D463/00, C07D477/00 or C07D489/00
    • C07D491/02Heterocyclic compounds containing in the condensed ring system both one or more rings having oxygen atoms as the only ring hetero atoms and one or more rings having nitrogen atoms as the only ring hetero atoms, not provided for by groups C07D451/00 - C07D459/00, C07D463/00, C07D477/00 or C07D489/00 in which the condensed system contains two hetero rings
    • C07D491/08Bridged systems

Definitions

  • the present invention relates to thiophene carboxamide derivatives, processes and intermediates used in their preparation, pharmaceutical compositions containing them and their use in therapy.
  • the NF- ⁇ B (nuclear factor KB) family is composed of homo- and heterodimers of the Rel family of transcription factors.
  • a key role of these transcription factors is to induce and coordinate the expression of a broad spectrum of pro-inflammatory genes including cytokines, chemokines, interferons, MHC proteins, growth factors and cell adhesion molecules (for reviews see Verma et. al., Genes Dev. 9:2723-35, 1995; Siebenlist et. al., Ann. Rev. Cell. Biol. 10:405-455, 1994; Bauerle and Henkel, Ann. Rev. Immunol., 12:141-179, 1994; Barnes and Karin, New Engl. J. Med., 336:1066-1071, 1997).
  • Rel family dimer complex is composed of p50 NFkB and p65 RelA (Baeuerle and Baltimore, Cell 53:211-217, 1988; Baeuerle and Baltimore, Genes Dev. 3 : 1689- 1698, 1989).
  • NF- ⁇ B dimers are retained in the cytoplasm by a member of the I ⁇ B family of inhibitory proteins (Beg et. al., Genes Dev., 7:2064-2070, 1993; Gilmore and Morin, Trends Genet. 9:427-433, 1993; Haskil et. al., Cell 65:1281-1289, 1991).
  • I ⁇ B proteins become phosphorylated on two critical serine residues
  • NF- ⁇ B The released NF- ⁇ B is then able to translocate to the nucleus and activate gene transcription (Beg et.al., Genes Dev., 6: 1899- 1913, 1992).
  • a wide range of external stimulii have been shown to be capable of activating NF-KB (Baeuerle, P.A., and Baichwal, V.R., Adv. Immunol., 65:111-136, 1997).
  • NF- ⁇ B activators result in I ⁇ B phosphorylation, it is clear that multiple pathways lead to this key event.
  • Receptor-mediated NF-KB activation relies upon specific interactions between the receptor and adapter/signalling molecules (for example, TRADD, RIP, TRAF, MyD88) and associated kinases (IRAK, NIK) (Song et. al., Proc. Natl. Acad. Sci. USA 94:9792-9796, 1997; Natoli et. al, JBC 272:26079-26082, 1997).
  • IRAK, NIK associated kinases
  • Environmental stresses such as UV light and ⁇ -radiation appear to stimulate NF- ⁇ B via alternative, less defined, mechanisms.
  • NF- ⁇ B inducing kinase (NIK) (Boldin et. al., Cell 85:803-815, 1996), I ⁇ B kinase-1 (IKK-1) (Didonato et. al, Nature 388:548, 1997; Regnier at. al, Cell 90:373 1997) and I ⁇ B kinase- 2 (IKK-2) (Woronicz et. al, Science 278:866, 1997; Zandi et. al., Cell 91 :243, 1997).
  • NIK NF- ⁇ B inducing kinase
  • IKK-1 I ⁇ B kinase-1
  • IKK-2 I ⁇ B kinase- 2
  • NIK appears to represent a common mediator of NF- ⁇ B signalling cascades triggered by tumour necrosis factor and interleukin-1, and is a potent inducer of I ⁇ B phosphorylation. However NIK is unable to phosphorylate I ⁇ B directly.
  • IKK-1 and IKK-2 are thought to lie immediately downstream of NIK and are capable of directly phosphorylating all three I ⁇ B sub-types. IKK-1 and IKK-2 are 52% identical at the amino acid level but appear to have similar substrate specificities; however, enzyme activities appear to be different: IKK-2 is several-fold more potent than IKK-1. Expression data, coupled with mutagenesis studies, suggest that IKK-1 and IKK-2 are capable of forming homo- and heterodimers through their C-terminal leucine zipper motifs, with the heterodimeric form being preferred (Mercurio et. al, Mol. Cell BioL, 19:1526, 1999; Zandi et. al, Science; 281:1360, 1998; Lee et. al, Proc. Natl. Acad. Sci. USA 95:9319, 1998).
  • NIK, IKK-1 and IKK-2 are all serine/threonine kinases. Recent data has shown that tyrosine kinases also play a role in regulating the activation of NF- ⁇ B. A number of groups have shown that TNF- ⁇ induced NF- ⁇ B activation can be regulated by protein tyrosine phosphatases (PTPs) and tyrosine kinases (Amer et. al, JBC 273:29417-29423, 1998; Hu et. al, JBC 273:33561-33565, 1998; Kaekawa et. al., Biochem. J. 337:179-184, 1999; Singh et.
  • PTPs protein tyrosine phosphatases
  • tyrosine kinases Amer et. al, JBC 273:29417-29423, 1998; Hu et. al, JBC 273:33561-33565, 1998; Kaekawa e
  • IKK-1 and IKK-2 form part of a 'signalosome' structure in association with additional proteins including IKAP (Cohen et. al., Nature 395:292-296, 1998; Rothwarf et. al, Nature 395:297-300, 1998), MEKK-1, putative MAP kinase phosphatase (Lee et. al., Proc. Natl. Acad. Sci. USA 95:9319-9324, 1998), as well as NIK and I ⁇ B. Data is now emerging to suggest that although both IKK-1 and IKK-2 associate with NIK, they are differentially activated, and therefore might represent an important integration point for the spectrum of signals that activate NF- B.
  • MEKK-1 one of the components of the putative signalosome and a target for UV light, LPS induced signalling molecules and small GTPases
  • NIK phosphorylation of IKK-1 results in a dramatic increase in IKK-1 activity but only a small effect on IKK-2 (for review, see Mercurio, F., and Manning, A.M., Current Opinion in Cell Biology, 11 :226-232, 1999).
  • Inhibition of NF- ⁇ B activation is likely to be of broad utility in the treatment of inflammatory disease.
  • NF- ⁇ B signalling plays a significant role in the development of cancer and metastasis.
  • Abnormal expression of c-Rel, NF- ⁇ B2 or I B ⁇ have been described in a number of tumour types and tumour cell lines, and there is now data to show that constitutive NF- ⁇ B signalling via IKK-2 takes place in a wide range of tumour cell lines.
  • This activity has been linked to various upstream defects in growth factor signalling such as the establishment of autocrine loops, or the presence of oncogene products e.g. Ras, AKT, Her2, which are involved in the activation of the IKK complex.
  • NF- ⁇ B activity is believed to contribute to oncogenesis through activation of a range of anti-apoptotic genes e.g. Al/Bfi-1, IEX-1, XIAP, leading to the suppression of cell death pathways, and transcriptional upregulation of cyclin Dl which promotes cell growth. Other data indicate that this pathway is also likely to be involved in the regulation of cell adhesion and cell surface proteases. This suggests a possible additional role for NF- B activity in the development of metastasis.
  • Evidence confirming the involvement of NF- ⁇ B activity in oncogenesis includes the inhibition of tumour cell growth in vitro arid in vivo on expression of a modified form of I ⁇ B ⁇ (super-repressor I ⁇ B ⁇ ).
  • NF- ⁇ B is also activated in response to certain types of chemotherapy. Inhibition of NF- ⁇ B activation through expression of the super-repressor form of I ⁇ B ⁇ in parallel with chemotherapy treatment has been shown to enhance the antitumour effect of the chemotherapy in xenograft models. NF- B activity is therefore also implicated in inducible chemoresistance.
  • R represents NH2 or R represents a methyl group optionally substituted by one or more groups selected independently from C1-C4 alkyl, C3-C6 cycloalkyl, halogen, hydroxyl, C1-C4 alkoxy, S(O) v CH 3 and NR 4 R 5 ;
  • X represents O or S
  • R represents hydrogen, halogen, cyano, nitro, -NR R , -CONR R , -COOR , -NR COR , -S(O) m R , -SO 2 NR R , -NR SO 2 R , C ⁇ -C 2 alkyl, trifluoromethyl, C2-C3 alkenyl, C2-C3 alkynyl, trifluoromethoxy, C1-C2 alkoxy or C1-C2 alkanoyl;
  • A represents a phenyl ring or a 5- to 7-membered heteroaromatic ring containing one to three heteroatoms selected independently from O, N and S; said phenyl or heteroaromatic ring being optionally substituted by one or more substituents selected independently from halogen, cyano, nitro, -NR 8 R 9 , -CONRV, -COOR 8 , -NR 8 COR 9 , -S(O) s R 8 , -SO 2 NR 8 R 9 , -NR 8 SO 2 R 9 , C ⁇ alkyl, trifluoromethyl, -(CH 2 ) t R 10 , -O(CH 2 ) t R n or -OR 12 ;
  • n an integer 1 or 2; and when n represents 2, each R group may be selected independently;
  • R represents a group -W-Y-Z wherein:
  • Y represents a bond or a group -(CH2) p -T-(CH2)q- wherein p and q independently
  • T represents O, -CO- or CR R ;
  • R and R independently represent H, CH3 or F
  • R represents H or CH3 and R represents hydroxyl or OCH3;
  • a 3- to 8-membered saturated or partially unsaturated monocyclic or saturated bicyclic ring system optionally incorporating one or two heteroatoms selected independently from O, N and S, and optionally incorporating a carbonyl group; said ring system being optionally substituted by one or more substituents selected independently from halogen, cyano, -NR 16 R 17 , -CONR 16 R 17 , -COOR 16 , -COR 16 , -NR 16 COR 17 , -S(O) u R 16 , -SO 2 NR 16 R 17 , -NR 16 SO 2 R 17 , hydroxyl, C 2 -C 6 alkenyl, C 2 -C 6 alkynyl, C ⁇ -C 6 alkyl,
  • Z may also represent hydroxyl, OCH3, CF3, CHF 2 or CH F, provided that the group -Y-Z does not thereby represent -O-(CH 2 ) 2 _4-OCH3;
  • R and R independently represent NR R where R and R are independently
  • R is hydrogen or Cj-C6 alkyl; or R and R independently represent Ci-C ⁇ alkoxy;
  • R and R independently represent H or C1-C4 alkyl; or the group NR R represents a
  • R is hydrogen or C1-C4 alkyl
  • R , R and R independently represent H or Cj-Cg alkyl
  • R represents H or C1-C4 alkyl
  • R is hydrogen or Ci-Cg alkyl optionally substituted by OH, C1-C4 alkoxy or one or more fluoro atoms;
  • R is hydrogen or C1-C4 alkyl
  • n, r, s, u and v independently represent an integer 0, 1 or 2;
  • t represents an integer 2, 3 or 4;
  • Certain compounds of formula (I) are capable of existing in stereoisomeric forms. It will be understood that the invention encompasses all geometric and optical isomers of the compounds of formula (I) and mixtures thereof including racemates. Tautomers and mixtures thereof also form an aspect of the present invention.
  • the invention provides compounds of formula (I) wherein Z represents:
  • Z may also represent hydroxyl, OCH3, CF3, CHF2 or CH2F, provided that the group -Y-Z does not thereby represent -O-(CH2) 2 -4-OCH3; and all other substituents are as defined above.
  • X in formula (I) represents oxygen
  • R in formula (I) represents NH 2 .
  • the group A in formula (I) is a phenyl group or a 5- to 7-membered heteroaromatic ring containing one to three heteroatoms selected independently from O, N and S; said phenyl or heteroaromatic ring being optionally substituted by one or more
  • A represents optionally substituted phenyl. In another embodiment, A represents an optionally substituted pyridyl.
  • group R in formula (I) represents H, halogen or
  • the group R represents H or methyl.
  • the group R in formula (I) represents H.
  • W in formula (I) represents O, CH 2 or a bond.
  • Y in formula (I) represents -CH2-CH 2 - or a bond.
  • Z in formula (I) represents a 3- to 8-membered saturated or partially unsaturated monocyclic or saturated bicyclic ring system optionally incorporating one or two heteroatoms selected independently from O, N and S, and optionally incorporating a carbonyl group; said ring system being optionally substituted by one or more substituents selected independently from halogen, cyano, -NR
  • Z in formula (I) represents a phenyl ring or a 5- or 6-membered heteroaromatic ring containing one to three heteroatoms selected independently from O, N and S; said phenyl or heteroaromatic ring being optionally substituted by one or more substituents selected independently from halogen, cyano, -NR
  • alkyl or alkoxy group being optionally further substituted by one or more groups selected from halogen, cyano, hydroxyl, C1-C4 alkoxy and NR R .
  • n has the value 1.
  • the compounds of formula (I) and their pharmaceutically acceptable salts have the advantage that they are inhibitors of the enzyme IKK-2.
  • the invention further provides a process for the preparation of compounds of formula (I) or a pharmaceutically acceptable salt, enantiomer or racemate thereof.
  • Another aspect of the invention provides the use of a compound of formula (I) or a pharmaceutically acceptable salt thereof, in the manufacture, of a medicament, for the treatment or prophylaxis of diseases or conditions in which inhibition of IKK-2 activity is beneficial.
  • a more particular aspect of the invention provides the use of a compound of formula (I) or a pharmaceutically acceptable salt thereof, in the manufacture of a medicament, for the treatment or prophylaxis of inflammatory disease.
  • a method of treating, or reducing the risk of, diseases or conditions in which inhibition of IKK-2 activity is beneficial which comprises administering to a person suffering from or at risk of, said disease or condition, a therapeutically effective amount of a compound of formula (I), or a pharmaceutically acceptable salt mate thereof. More particularly, there is also provided a method of treating, or reducing the risk of, inflammatory disease in a person suffering from or at risk of, said disease, wherein the method comprises administering to the person a therapeutically effective amount of a compound of formula (I) or a pharmaceutically acceptable salt thereof.
  • Ci-Cg alkyl denotes a straight or branched chain alkyl group having from 1 to 6 carbon atoms. Examples of such groups include methyl, ethyl, n-propyl, i-propyl, n-butyl, i-butyl and t-butyl.
  • C2-C3 alkenyl referred to herein denotes a straight or branched chain alkyl group having 2 or 3 carbon atoms incorporating at least one carbon-carbon double bond. Examples of such groups include ethenyl and propenyl.
  • C 2 -C6 alkenyl is to be interpreted analogously.
  • C2-C3 alkynyl referred to herein denotes a straight chain alkyl group having 2 or 3 carbon atoms incorporating one carbon-carbon triple bond. Examples of such groups include ethynyl and propynyl.
  • C 2 -C,5 alkynyl is to be interpreted analogously.
  • C3-C6 cycloalkyl denotes a saturated carbocyclic ring having from 3 to 6 carbon atoms. Examples of such groups include cyclopropyl, cyclopentyl and cyclohexyl.
  • C1-C4 alkoxy referred to herein denotes a straight or branched chain alkoxy group having 1 to 4 carbon atoms. Examples of such groups include methoxy, ethoxy and isopropoxy.
  • C ⁇ -C 2 alkoxy and “C -Cg alkoxy” are to be interpreted analogously.
  • C 1 -C 2 alkanoyl referred to herein denotes a formyl or acetyl group.
  • halogen referred to herein denotes fluoro, chloro, bromo and iodo.
  • Examples of a 5- to 7-membered heteroaromatic ring containing one to three heteroatoms selected independently from O, N and S include furan, thiophene, pyrrole, oxazole, isoxazole, thiazole, isothiazole, imidazole, pyrazole, triazole, pyridine, pyridazine, pyrimidine and pyrazine.
  • Examples of a 3- to 8-membered saturated or partially unsaturated monocyclic or saturated bicyclic ring system optionally incorporating one or two heteroatoms selected independently from O, N and S, and optionally incorporating a carbonyl group include cyclopropyl, cyclopentyl, cyclohexyl, tetrahydrofuran, tetrahydropyran, pyrrolidine, 3-pyrroline, piperidine, piperazine, 8-oxa-3-azabicyclo[3.2.1]octane, pyrrolidone, 2-oxa-5-azabicyclo[2.2.1 ]heptane, 1 ,4-oxazepane, 2,5-diazabicyclo[2.2.1 jheptane, piperidone and morpholine.
  • Examples of a 5- or 6-membered saturated azacyclic ring optionally containing a further O, S or NR group include pyrrolidine, piperidine, piperazine and morpholine.
  • A, R , R and n are as defined in formula (I) with an isocyanate or an isothiocyanate or an acyl derivative, R -CO-L where L is a leaving group; or
  • suitable isocyanate reagents include trimethylsilylisocyanate, trimethylsilylisothiocyanate, chlorosulphonylisocyanate, trichloroacetylisocyanate and sodium isocyanate.
  • the reaction with trimethylsilylisocyanate or trimethylsilylisothiocyanate can be carried out in a solvent such as dichloromethane/dimethylformamide at a suitable elevated temperature, for example, at the reflux temperature of the reaction mixture.
  • the reaction with chlorosulphonylisocyanate can be carried out in a solvent such as toluene at ambient temperature.
  • the reaction with sodium isocyanate can be carried out in a suitable solvent system such as aqueous acetic acid at ambient temperature.
  • the trichloroacetylisocyanate reaction can be carried out in a suitable solvent system such as acetonitrile at ambient temperature, and subsequently treating the mixture with ammonia to give compounds of the general formula (I).
  • Suitable acyl derivatives of formula R -CO-L include acyl halides, particularly acyl chlorides, and acid anhydrides. Reactions with such acyl derivatives are generally carried out at ambient temperature in a suitable solvent such as pyridine, or in a solvent such as dichloromefhane in the presence of a suitable base such as triethylamine or pyridine. Compounds of formula (I) wherein X represents O may subsequently be converted into corresponding compounds of formula (I) wherein X represents S by reaction with, for example, Lawesson's reagent.
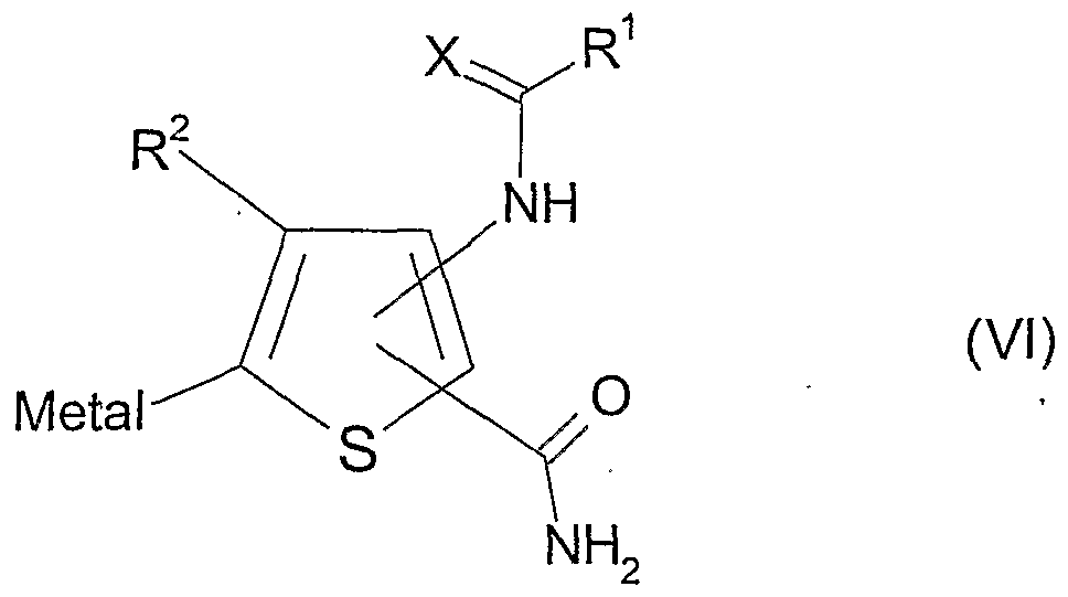
  • metal can be a metal or semi-metal such as magnesium, zinc, copper, tin, silicon, zirconium, aluminium or boron. Suitable leaving groups include iodo, bromo, chloro, triflate or phosphonate.
  • the present invention includes compounds of formula (I) in the form of salts, in particular acid addition salts.
  • Suitable salts include those formed with both organic and inorganic acids.
  • Such acid addition salts will normally be pharmaceutically acceptable although salts of non-pharmaceutically acceptable acids may be of utility in the preparation and purification of the compound in question.
  • preferred salts include those formed from hydrochloric, hydrobromic, sulphuric, phosphoric, citric, tartaric, lactic, pyruvic, acetic, succinic, fumaric, maleic, methanesulphonic and benzenesulphonic acids.
  • Salts of compounds of formula (I) may be formed by reacting the free base, or a salt, enantiomer or racemate thereof, with one or more equivalents of the appropriate acid.
  • the reaction may be carried out in a solvent or medium in which the salt is insoluble or in a solvent in which the salt is soluble, for example, water, dioxane, ethanol, tefrahydrofuran or diethyl ether, or a mixture of solvents, which may be removed in vacuo or by freeze drying.
  • the reaction may also be a metathetical process or it may be carried out on an ion exchange resin.
  • L represents a leaving group, with ammonia.
  • Suitable groups L include halogen, in particular chloro.
  • the compounds of formula (I) have activity as pharmaceuticals, in particular as IKK-2 enzyme inhibitors, and may be used in the treatment (therapeutic or prophylactic) of conditions/diseases in human and non-human animals in which inhibition of IKK-2 is beneficial.
  • conditions/diseases include inflammatory diseases or diseases with an inflammatory component.
  • Particular diseases include inflammatory arthritides including rheumatoid arthritis, osteoarthritis, spondylitis, Reiters syndrome, psoriatic arthritis, lupus and bone resorptive disease; multiple sclerosis, inflammatory bowel disease including Crohn's disease; asthma, chronic obstructive pulmonary disease, emphysema, rhinitis, myasthenia gravis, Graves' disease, allograft rejection, psoriasis, dermatitis, allergic disorders, immune complex diseases, cachexia, ARDS, toxic shock, heart failure, myocardial infarcts, atherosclerosis, reperfusion injury, AIDS, cancer and disorders characterised by insulin resistance such as diabetes, hyperglycemia, hyperinsulinemia, dyslipidemia, obesity, polycystic ovarian disease, hypertension, cardiovascular disease and Syndrome X.
  • insulin resistance such as diabetes, hyperglycemia, hyperinsulinemia, dyslipidemia, obesity, polycy
  • the present invention provides a compound of formula (I), or a pharmaceutically acceptable salt thereof, as hereinbefore defined for use in therapy.
  • the present invention provides the use of a compound of formula (I), or a pharmaceutically acceptable salt thereof, as hereinbefore defined in the manufacture of a medicament for use in therapy.
  • the present invention provides the use of a compound of formula (I), or a pharmaceutically acceptable salt thereof, as hereinbefore defined in the manufacture of a medicament for the treatment of diseases or conditions in which modulation of the IKK-2 enzyme activity is beneficial.
  • the term “therapy” also includes “prophylaxis” unless there are specific indications to the contrary.
  • the terms “therapeutic” and “therapeutically” should be construed accordingly.
  • Prophylaxis is expected to be particularly relevant to the treatment of persons who have suffered a previous episode of, or are otherwise considered to be at increased risk of, the disease or condition in question.
  • Persons at risk of developing a particular disease or condition generally include those having a family history of the disease or condition, or those who have been identified by genetic testing or screening to be particularly susceptible to developing the disease or condition.
  • the invention still further provides a method of treating an IKK-2 mediated disease which comprises administering to a patient a therapeutically effective amount of a compound of formula (I), or a phannaceutically acceptable salt thereof, as hereinbefore defined.
  • the invention also provides a method of treating an inflammatory disease, especially asthma, rheumatoid arthritis or multiple sclerosis, in a patient suffering from, or at risk of, said disease, which comprises administering to the patient a therapeutically effective amount of a compound of formula (I), or a pharmaceutically acceptable salt thereof, as hereinbefore defined.
  • the dosage administered will, of course, vary .with the compound employed, the mode of administration, the treatment desired and the disorder indicated.
  • the compounds of formula (I) and pharmaceutically acceptable salts thereof may be used on their own but will generally be administered in the form of a pharmaceutical composition in which the formula (I) compound/salt (active ingredient) is in association with a pharmaceutically acceptable adjuvant, diluent or carrier.
  • the pharmaceutical composition will preferably comprise from 0.05 to 99 %w (per cent by weight), more preferably from 0.05 to 80 %w, still more preferably from 0.10 to 70 %w, and even more preferably from 0.10 to 50 %w, of active ingredient, all percentages by weight being based on total composition.
  • the present invention also provides a pharmaceutical composition
  • a pharmaceutical composition comprising a compound of formula (I), or a pharmaceutically acceptable salt thereof, as hereinbefore defined, in association with a pharmaceutically acceptable adjuvant, diluent or carrier.
  • the invention further provides a process for the preparation of a pharmaceutical composition of the invention which comprises mixing a compound of formula (I), or a pharmaceutically acceptable salt thereof, as hereinbefore defined, with a pharmaceutically acceptable adjuvant, diluent or carrier.
  • compositions may be administered topically (e.g. to the lung and/or airways or to the skin) in the form of solutions, suspensions, heptafluoroalkane aerosols and dry powder formulations; or systemically, e.g. by oral administration in the form of tablets, capsules, syrups, powders or granules, or by parenteral administration in the form of solutions or suspensions, or by subcutaneous administration or by rectal administration in the form of suppositories or transdermally.
  • Conventional procedures for the selection and preparation of suitable pharmaceutical formulations are described in, for example, . "Pharmaceuticals - The Science of Dosage Form Designs", M. E. Aulton, Churchill Livingstone, 1988.
  • Triisopropylborate (1.31 ml) was added the solution was cooled to - 78 °C.
  • n-Butyl lithium (2.66 ml, 1.6M solution in hexane) was added dropwise.
  • the reaction mixture was stirred at - 78 °C for 5 minutes then allowed to warm to room temperature and stirred for a further 30 minutes. The mixture was then evaporated to dryness.
  • N-(4-Bromobenzyl morpholine 4-Bromobenzyl bromide (2.0 g) and morpholine (1.39 ml) were stirred in dimethylformamide (25 ml) for 18 h.
  • the mixture was partitioned between diethyl ether (50 ml) and water (80 ml).
  • the aqueous phase was extracted further with ether (50 ml) and the combined organics were washed with water (80 ml), dried (magnesium sulphate) and evaporated.
  • the residue was purified by column chromatography, eluting with a gradient of ethyl acetate/iso-hexane; 0/100 to 50/50, to give the product as a white crystalline solid (1.44 g).
  • Morpholine (0.96 g) was added portionwise to a solution of 2-bromothiophene carboxaldehyde (1.195 g) in tetrahydrofuran (50 ml). After stirring at room temperature for 5 minutes, sodium triacetoxyborohydride (3.18 g) was added and the mixture stirred at ⁇ room temperature for a further 3 h. The mixture was added to saturated aqueous sodium bicarbonate (100 ml) and extracted twice with ethyl acetate. The combined extracts were evapourated to dryness. The product was purified by column chromatography eluting with ethyl acetate in hexane mixtures to give a yellow oil (2.414 g).
  • the title compound was prepared from N-(3-bromobenzyl)mo ⁇ holine in a similar manner to Example 43 except that the product was adsorbed on to reverse phase silica and eluted with water/acetonitrile/trifluoroacetic acid to give a cream solid (120 mg). MS (ES) 361 (M+H) + .
  • the title compound was prepared from 4-bromo-l-(bromomethyl)-2-chlorobenzene in a similar manner to Example 91 p) except that the residue was purified by column chromatography, eluting with a gradient of 0-20% ethyl acetate/isO-hexane to give the product as a colourless oil (1.20 g).
  • 1,2-Dimethoxyethane 25 ml was added to the residue and mixture was purged with a stream of argon.
  • 2-[(Aminocarbonyl)amino]-5-bromo-3- thiophenecarboxamide (0.250 g) was then added followed by saturated aqueous sodium hydrogen carbonate (5 ml) and Pd(PPh3)4 (100 mg).
  • the mixture was stirred at 80 °C under argon for 18 h. After cooling, the solvent was removed in vacuo and the residue was partitioned between 2M aqueous sodium hydroxide (15 ml) and dichloromethane (15 ml).
  • Example 9 (c) Prepared in a similar manner to Example 9 (c) except that the precipitated product was filtered off from the reaction and triturated with methanol.

Landscapes

  • Chemical & Material Sciences (AREA)
  • Organic Chemistry (AREA)
  • Health & Medical Sciences (AREA)
  • General Health & Medical Sciences (AREA)
  • Veterinary Medicine (AREA)
  • General Chemical & Material Sciences (AREA)
  • Medicinal Chemistry (AREA)
  • Nuclear Medicine, Radiotherapy & Molecular Imaging (AREA)
  • Chemical Kinetics & Catalysis (AREA)
  • Pharmacology & Pharmacy (AREA)
  • Life Sciences & Earth Sciences (AREA)
  • Animal Behavior & Ethology (AREA)
  • Public Health (AREA)
  • Engineering & Computer Science (AREA)
  • Bioinformatics & Cheminformatics (AREA)
  • Pulmonology (AREA)
  • Neurosurgery (AREA)
  • Biomedical Technology (AREA)
  • Neurology (AREA)
  • Rheumatology (AREA)
  • Pain & Pain Management (AREA)
  • Pharmaceuticals Containing Other Organic And Inorganic Compounds (AREA)
  • Plural Heterocyclic Compounds (AREA)
  • Use Of Switch Circuits For Exchanges And Methods Of Control Of Multiplex Exchanges (AREA)
  • Heterocyclic Compounds Containing Sulfur Atoms (AREA)
  • Organic Low-Molecular-Weight Compounds And Preparation Thereof (AREA)
  • Nitrogen Condensed Heterocyclic Rings (AREA)

Abstract

The invention relates to thiophene carboxamides of formula (I). wherein A, R?1, R2, R3¿, n and X are as defined in the specification, processes and intermediates used in their preparation, pharmaceutical compositions containing them and their use in therapy.

Description

NOVEL COMPOUNDS
Field of the Invention
The present invention relates to thiophene carboxamide derivatives, processes and intermediates used in their preparation, pharmaceutical compositions containing them and their use in therapy.
Background of the Invention
The NF-κB (nuclear factor KB) family is composed of homo- and heterodimers of the Rel family of transcription factors. A key role of these transcription factors is to induce and coordinate the expression of a broad spectrum of pro-inflammatory genes including cytokines, chemokines, interferons, MHC proteins, growth factors and cell adhesion molecules (for reviews see Verma et. al., Genes Dev. 9:2723-35, 1995; Siebenlist et. al., Ann. Rev. Cell. Biol. 10:405-455, 1994; Bauerle and Henkel, Ann. Rev. Immunol., 12:141-179, 1994; Barnes and Karin, New Engl. J. Med., 336:1066-1071, 1997).
The most commonly found Rel family dimer complex is composed of p50 NFkB and p65 RelA (Baeuerle and Baltimore, Cell 53:211-217, 1988; Baeuerle and Baltimore, Genes Dev. 3 : 1689- 1698, 1989). Under resting conditions NF-κB dimers are retained in the cytoplasm by a member of the IκB family of inhibitory proteins (Beg et. al., Genes Dev., 7:2064-2070, 1993; Gilmore and Morin, Trends Genet. 9:427-433, 1993; Haskil et. al., Cell 65:1281-1289, 1991). However, upon cell activation by a variety of cytokines or other external stimuli, IκB proteins become phosphorylated on two critical serine residues
(Traenckner et. al., EMBO J., 14:2876, 1995) and are then targeted for ubiquitination and proteosome-mediated degradation (Chen, Z.J. et. al., Genes and Dev. 9:1586-1597, 1995; Scherer, D.C. et. al., Proc. Natl. Acad. Sci. USA 92:11259-11263, 1996; Alkalay, I. et. al, Proc. Natl. Acad. Sci. USA 92:10599-10603, 1995). The released NF-κB is then able to translocate to the nucleus and activate gene transcription (Beg et.al., Genes Dev., 6: 1899- 1913, 1992). A wide range of external stimulii have been shown to be capable of activating NF-KB (Baeuerle, P.A., and Baichwal, V.R., Adv. Immunol., 65:111-136, 1997). Although the majority of NF-κB activators result in IκB phosphorylation, it is clear that multiple pathways lead to this key event. Receptor-mediated NF-KB activation relies upon specific interactions between the receptor and adapter/signalling molecules (for example, TRADD, RIP, TRAF, MyD88) and associated kinases (IRAK, NIK) (Song et. al., Proc. Natl. Acad. Sci. USA 94:9792-9796, 1997; Natoli et. al, JBC 272:26079-26082, 1997). Environmental stresses such as UV light and γ-radiation appear to stimulate NF-κB via alternative, less defined, mechanisms.
Recent publications have partially elucidated the NF-κB activation. This work has identified three key enzymes which regulate specific IκB/NF-κB interactions: NF-κB inducing kinase (NIK) (Boldin et. al., Cell 85:803-815, 1996), IκB kinase-1 (IKK-1) (Didonato et. al, Nature 388:548, 1997; Regnier at. al, Cell 90:373 1997) and IκB kinase- 2 (IKK-2) (Woronicz et. al, Science 278:866, 1997; Zandi et. al., Cell 91 :243, 1997).
NIK appears to represent a common mediator of NF-κB signalling cascades triggered by tumour necrosis factor and interleukin-1, and is a potent inducer of IκB phosphorylation. However NIK is unable to phosphorylate IκB directly.
IKK-1 and IKK-2 are thought to lie immediately downstream of NIK and are capable of directly phosphorylating all three IκB sub-types. IKK-1 and IKK-2 are 52% identical at the amino acid level but appear to have similar substrate specificities; however, enzyme activities appear to be different: IKK-2 is several-fold more potent than IKK-1. Expression data, coupled with mutagenesis studies, suggest that IKK-1 and IKK-2 are capable of forming homo- and heterodimers through their C-terminal leucine zipper motifs, with the heterodimeric form being preferred (Mercurio et. al, Mol. Cell BioL, 19:1526, 1999; Zandi et. al, Science; 281:1360, 1998; Lee et. al, Proc. Natl. Acad. Sci. USA 95:9319, 1998).
NIK, IKK-1 and IKK-2 are all serine/threonine kinases. Recent data has shown that tyrosine kinases also play a role in regulating the activation of NF-κB. A number of groups have shown that TNF-α induced NF-κB activation can be regulated by protein tyrosine phosphatases (PTPs) and tyrosine kinases (Amer et. al, JBC 273:29417-29423, 1998; Hu et. al, JBC 273:33561-33565, 1998; Kaekawa et. al., Biochem. J. 337:179-184, 1999; Singh et. al., JBC 271 31049-31054, 1996). The mechanism of action of these enzymes appears to be in regulating the phosphorylation status of IκB. For example, PTPIB and an unidentified tyrosine kinase appear to directly control the phosphorylation of a lysine residue (K42) on IκB-α, which in turn has a critical influence on the accessibility of the adjacent serine residues as targets for phosphorylation by IKK.
Several groups have shown that IKK-1 and IKK-2 form part of a 'signalosome' structure in association with additional proteins including IKAP (Cohen et. al., Nature 395:292-296, 1998; Rothwarf et. al, Nature 395:297-300, 1998), MEKK-1, putative MAP kinase phosphatase (Lee et. al., Proc. Natl. Acad. Sci. USA 95:9319-9324, 1998), as well as NIK and IκB. Data is now emerging to suggest that although both IKK-1 and IKK-2 associate with NIK, they are differentially activated, and therefore might represent an important integration point for the spectrum of signals that activate NF- B. Importantly, MEKK-1 (one of the components of the putative signalosome and a target for UV light, LPS induced signalling molecules and small GTPases) has been found to activate IKK-2 but not IKK-1. Similarly, NIK phosphorylation of IKK-1 results in a dramatic increase in IKK-1 activity but only a small effect on IKK-2 (for review, see Mercurio, F., and Manning, A.M., Current Opinion in Cell Biology, 11 :226-232, 1999).
Inhibition of NF-κB activation is likely to be of broad utility in the treatment of inflammatory disease.
There is accumulating evidence that NF-κB signalling plays a significant role in the development of cancer and metastasis. Abnormal expression of c-Rel, NF-κB2 or I Bα have been described in a number of tumour types and tumour cell lines, and there is now data to show that constitutive NF-κB signalling via IKK-2 takes place in a wide range of tumour cell lines. This activity has been linked to various upstream defects in growth factor signalling such as the establishment of autocrine loops, or the presence of oncogene products e.g. Ras, AKT, Her2, which are involved in the activation of the IKK complex. Constitutive NF-κB activity is believed to contribute to oncogenesis through activation of a range of anti-apoptotic genes e.g. Al/Bfi-1, IEX-1, XIAP, leading to the suppression of cell death pathways, and transcriptional upregulation of cyclin Dl which promotes cell growth. Other data indicate that this pathway is also likely to be involved in the regulation of cell adhesion and cell surface proteases. This suggests a possible additional role for NF- B activity in the development of metastasis. Evidence confirming the involvement of NF-κB activity in oncogenesis includes the inhibition of tumour cell growth in vitro arid in vivo on expression of a modified form of IκBα (super-repressor IκBα).
In addition to the constitutive NF-κB signalling observed in many tumour types, it has been reported that NF-κB is also activated in response to certain types of chemotherapy. Inhibition of NF-κB activation through expression of the super-repressor form of IκBα in parallel with chemotherapy treatment has been shown to enhance the antitumour effect of the chemotherapy in xenograft models. NF- B activity is therefore also implicated in inducible chemoresistance.
Disclosure of the Invention
According to the present invention, there is provided a compound of formula (I)
Figure imgf000006_0001
(R3)n in which:
R represents NH2 or R represents a methyl group optionally substituted by one or more groups selected independently from C1-C4 alkyl, C3-C6 cycloalkyl, halogen, hydroxyl, C1-C4 alkoxy, S(O)vCH3 and NR4R5;
X represents O or S;
R represents hydrogen, halogen, cyano, nitro, -NR R , -CONR R , -COOR , -NR COR , -S(O)mR , -SO2NR R , -NR SO2 R , Cι-C2 alkyl, trifluoromethyl, C2-C3 alkenyl, C2-C3 alkynyl, trifluoromethoxy, C1-C2 alkoxy or C1-C2 alkanoyl;
A represents a phenyl ring or a 5- to 7-membered heteroaromatic ring containing one to three heteroatoms selected independently from O, N and S; said phenyl or heteroaromatic ring being optionally substituted by one or more substituents selected independently from halogen, cyano, nitro, -NR8R9, -CONRV, -COOR8, -NR8COR9, -S(O)sR8, -SO2NR8R9, -NR8SO2R9, C^ alkyl, trifluoromethyl, -(CH2)tR10, -O(CH2)tRn or -OR12;
3 n represents an integer 1 or 2; and when n represents 2, each R group may be selected independently;
3 R represents a group -W-Y-Z wherein:
13 represents O, S(O)r, NR , CH2, -CH2-O- or a bond; Y represents a bond or a group -(CH2)p-T-(CH2)q- wherein p and q independently
14 15 represent an integer 0, 1 or 2; and T represents O, -CO- or CR R ;
14 15
R and R independently represent H, CH3 or F;
14 15 or R represents H or CH3 and R represents hydroxyl or OCH3;
14 15 or the group CR R together represents a C3-C6 cycloalkyl ring;
Z represents:
(a) a phenyl ring or a 5- or 6-membered heteroaromatic ring containing one to three heteroatoms selected independently from O, N and S; said phenyl or heteroaromatic ring being optionally substituted by one or more substituents selected independently from halogen, cyano, -NR16R17, -CONR16R17, -COOR16, -COR16 -NR16COR17, -S(O)uR16, -SO2NR16R17, -NR16SO2R17, hydroxyl, C2-C6 alkenyl, C2-C6 alkynyl,
Figure imgf000008_0001
alkyl and Cj-Cδ alkoxy; said alkyl or alkoxy group being optionally further substituted by one or more groups selected from halogen, cyano, hydroxyl, C1-C4 alkoxy and NR R ; or
(b) a 3- to 8-membered saturated or partially unsaturated monocyclic or saturated bicyclic ring system optionally incorporating one or two heteroatoms selected independently from O, N and S, and optionally incorporating a carbonyl group; said ring system being optionally substituted by one or more substituents selected independently from halogen, cyano, -NR16R17, -CONR16R17, -COOR16, -COR16, -NR16COR17, -S(O)uR16, -SO2NR16R17, -NR16SO2R17, hydroxyl, C2-C6 alkenyl, C2-C6 alkynyl, Cι-C6 alkyl,
C3-C6 cycloalkyl and C1-C6 alkoxy; said alkyl or alkoxy group being optionally further substituted by one or more groups selected from halogen, cyano, hydroxyl,
C3-C6 cycloalkyl, Cι -C4 alkoxy and NR R ; provided that said saturated monocyclic ring Z is not bonded to Y through nitrogen if the group -W-Y- represents -(CH2)2_4- or -O-(CH2)2_4- when the saturated ring Z is also unsubstituted; or
(c) if W represents O, then Z may also represent hydroxyl, OCH3, CF3, CHF2 or CH F, provided that the group -Y-Z does not thereby represent -O-(CH2)2_4-OCH3;
10 11 20 21 20 21
R and independently represent NR R where R and R are independently
20 21 hydrogen or C1-C5 alkyl optionally substituted by C1-C4 alkoxy; or the group NR R represents a 5- or 6-membered saturated azacyclic ring optionally containing a further O, S
22 29 1 1 1 orNR group; where R is hydrogen or Cj-C6 alkyl; or R and R independently represent Ci-Cζ alkoxy;
4 5 4 5
R and R independently represent H or C1-C4 alkyl; or the group NR R represents a
23 5- of 6-membered saturated azacyclic ring optionally containing a further O, S or R
23 group; where R is hydrogen or C1-C4 alkyl;
Figure imgf000009_0001
independently represent H or Cι-C2 alkyl;
8 9 12
R , R and R independently represent H or Cj-Cg alkyl;
13 R represents H or C1-C4 alkyl;
Figure imgf000009_0002
independently represent H or Cj-Cg alkyl optionally substituted by OH,
C1-C4 alkoxy or one or more fiuoro atoms; or the group
Figure imgf000009_0003
represents a 24 5- or 6-membered saturated azacyclic ring optionally containing a further O, S or NR
24 group; where R is hydrogen or Ci-Cg alkyl optionally substituted by OH, C1-C4 alkoxy or one or more fluoro atoms;
18 19 18 19 R and R independently represent H or C1-C4 alkyl; or the group NR R represents a
25 5- or 6-membered saturated azacyclic ring optionally containing a further O, S or R
25 group; where R is hydrogen or C1-C4 alkyl;
m, r, s, u and v independently represent an integer 0, 1 or 2;
t represents an integer 2, 3 or 4;
and pharmaceutically acceptable salts thereof:
with the proviso that the following two compounds are excluded:
2-[(aminocarbonyl)amino]-5-(4-[2-(l-(2,2,6,6-tetramethyl)piperidinyl)ethoxy]phenyl)-3- thiophenecarboxamide;
2-[(arninocarbonyl)amino]-5-(4-(thiazol-4-yl-methoxy)phenyl)-3-thiophenecarboxamide.
Certain compounds of formula (I) are capable of existing in stereoisomeric forms. It will be understood that the invention encompasses all geometric and optical isomers of the compounds of formula (I) and mixtures thereof including racemates. Tautomers and mixtures thereof also form an aspect of the present invention.
In one embodiment, the invention provides compounds of formula (I) wherein Z represents:
(a) a phenyl ring or a 5- or 6-membered heteroaromatic ring containing one to three heteroatoms selected independently from O, N and S; said phenyl or heteroaromatic ring being optionally substituted by one or more substituents selected independently from halogen, cyano, -NR16R17, -CONR16R17, -COOR16, -COR16 -NR16COR17, -S(O)uR16, -SO2NR16R17, -NR16SO2R17, hydroxyl, C2-C6 alkenyl, C2-C6 alkynyl, Cι-C6 alkyl and Cj-Cg alkoxy; said alkyl or alkoxy group being optionally further substituted by one or
1 0 i n more groups selected from halogen, cyano, hydroxyl, C1-C4 alkoxy and NR R ; or
(b) a saturated 3- to 7-membered ring optionally incorporating one or two heteroatoms selected independently from O, N and S, and optionally incorporating a carbonyl group; said saturated ring being optionally substituted by one or more substituents selected independently from halogen, cyano, -NR16R17, -CONR16R17, -COOR16, -COR16, -NR16COR17, -S(O)uR16, -SO2NR16R1?, -NR16SO2R1?, hydroxyl, C2-C6 alkenyl,
C2-C6 alkynyl, C^-Cg alkyl and Cj-Cg alkoxy; said alkyl or alkoxy group being optionally further substituted by one or more groups selected from halogen, cyano, hydroxyl,
18 19 C1 -C4 alkoxy and NR R ; provided that said saturated ring Z is not bonded to Y through nitrogen if the group -W-Y- represents -(CH2)2-4- or -O-(CH ) _4~ when the saturated ring Z is also unsubsti uted; or
(c) if W represents O, then Z may also represent hydroxyl, OCH3, CF3, CHF2 or CH2F, provided that the group -Y-Z does not thereby represent -O-(CH2)2-4-OCH3; and all other substituents are as defined above.
In one embodiment, X in formula (I) represents oxygen.
In another embodiment, R in formula (I) represents NH2.
Suitably the group A in formula (I) is a phenyl group or a 5- to 7-membered heteroaromatic ring containing one to three heteroatoms selected independently from O, N and S; said phenyl or heteroaromatic ring being optionally substituted by one or more
8 9 8 9 substituents selected independently from halogen, cyano, nitro, -NR R , -CONR R , -COOR8, -NR8COR9, -S(O)sR8, -SO2NR8R9, -NR8SO2R9, Cι-C6 alkyl, trifluoromethyl,
-(CH2)tR , -O(CH2)tR or -OR . In one embodiment, A represents optionally substituted phenyl. In another embodiment, A represents an optionally substituted pyridyl. '
2 In one embodiment^ the group R in formula (I) represents H, halogen or
2 Ci-C2 alkyl. In another embodiment, the group R represents H or methyl. In another
2 ■ embodiment, the group R in formula (I) represents H.
In another embodiment, W in formula (I) represents O, CH2 or a bond.
In another embodiment, Y in formula (I) represents -CH2-CH2- or a bond.
In another embodiment, Z in formula (I) represents a 3- to 8-membered saturated or partially unsaturated monocyclic or saturated bicyclic ring system optionally incorporating one or two heteroatoms selected independently from O, N and S, and optionally incorporating a carbonyl group; said ring system being optionally substituted by one or more substituents selected independently from halogen, cyano, -NR
Figure imgf000012_0001
-COOR16, -COR16, -NR16COR17, -S(O)uR16, -SO2NR16R1 ?, -NR16SO2R17, hydroxyl,
C2-Cg alkenyl, C2-C6 alkynyl, Cj-Cg alkyl, C3-C6 cycloalkyl and Ci-Cg alkoxy; said alkyl or alkoxy group being optionally further substituted by one or more groups selected from halogen, cyano, hydroxyl, C3-C6 cycloalkyl, C1-C4 alkoxy and NR R ; provided that said saturated monocyclic ring Z is not bonded to Y through nitrogen if the group -W-Y- represents -(CH2)2_4- or -O-(CH )2_4~ when the saturated ring Z is also unsubstituted.
In another embodiment, Z in formula (I) represents a phenyl ring or a 5- or 6-membered heteroaromatic ring containing one to three heteroatoms selected independently from O, N and S; said phenyl or heteroaromatic ring being optionally substituted by one or more substituents selected independently from halogen, cyano, -NR
Figure imgf000013_0001
-COOR16, -COR16 -NR16COR17, -S(O)uR16, -SO2NR16R17, -NR16SO2R17, hydroxyl,
C2-Cg alkenyl, C2-Cg alkynyl, Cj-Cg alkyl and Ci-Cβ alkoxy; said alkyl or alkoxy group being optionally further substituted by one or more groups selected from halogen, cyano, hydroxyl, C1-C4 alkoxy and NR R .
In one embodiment, n has the value 1.
The compounds of formula (I) and their pharmaceutically acceptable salts have the advantage that they are inhibitors of the enzyme IKK-2.
The invention further provides a process for the preparation of compounds of formula (I) or a pharmaceutically acceptable salt, enantiomer or racemate thereof.
According to the invention there is also provided a compound of formula (I), or a pharmaceutically acceptable salt thereof, for use as a medicament.
Another aspect of the invention provides the use of a compound of formula (I) or a pharmaceutically acceptable salt thereof, in the manufacture, of a medicament, for the treatment or prophylaxis of diseases or conditions in which inhibition of IKK-2 activity is beneficial.
A more particular aspect of the invention provides the use of a compound of formula (I) or a pharmaceutically acceptable salt thereof, in the manufacture of a medicament, for the treatment or prophylaxis of inflammatory disease.
According to the invention, there is also provided a method of treating, or reducing the risk of, diseases or conditions in which inhibition of IKK-2 activity is beneficial which comprises administering to a person suffering from or at risk of, said disease or condition, a therapeutically effective amount of a compound of formula (I), or a pharmaceutically acceptable salt mate thereof. More particularly, there is also provided a method of treating, or reducing the risk of, inflammatory disease in a person suffering from or at risk of, said disease, wherein the method comprises administering to the person a therapeutically effective amount of a compound of formula (I) or a pharmaceutically acceptable salt thereof.
Particular compounds of the invention include those exemplified herein:
2-[(aminocarbonyl)amino]-4-methyl-5-(4-biphenyl)-3-thiophenecarboxamide;
2-[(aminocarbonyl)amino]-4-methyl-5-(4-[(3,5-dimethylisoxazol-4-yl)methoxy]phenyl)-3- thiophenecarboxamide; .
2-[(aminocarbonyl)amino]-4-methyl-5-(4-[(4-chlorophenyl)methoxy]phenyl)-3- thiophenecarboxamide;
2-[(ammocarbonyl)amino]-4-methyl-5-(4-[(5-chlorothien-2-yl)methoxy]phenyl)-3- thiophenecarboxamide; 2-[(aminocarbonyl)amino]-4-methyl-5-{4-[2-(2,2,6,6-tetramethylpiperidin-l- yl)ethoxy]phenyl}-3-thiophenecarboxamide;
2-[(aminocarbonyl)amino]-4-methyl-5-(4-[(thiazol-4-yl)methoxy]phenyl)-3- thiophenecarboxamide;
2-[(aminocarbonyl)amino]-4-methyl-5-(4-[(l,2,5-tlιiadiazol-3-yl)methoxy]phenyl)-3- thiophenecarboxamide;
2-[(aminocarbonyl)amino]-4-methyl-5-(4-[(l-methylperhydroazepin-3-yl)oxy]phenyl)-3- thiophenecarboxamide;
2-[(aminocarbonyl)amino]-5-[6-(pyrrolidin-l-yl)pyridin-3-yl]-3-thiophenecarboxamide;
2-[(aminocarbonyl)amino]-5-[6-(2,2-difluoroethoxy)pyridin-3-yl]-3- thiophenecarboxamide;
2-[(aminocarbonyl)amino]-5-[6-(piperidin-l-yl)pyridin-3-yl]-3-thiophenecarboxamide;
2-[(aminocarbonyl)amino]-5-[6-(cyclopentyloxy)pyridin-3-yl]-3-thiophenecarboxamide;
2-[(aminocarbonyl)amino]-5-[6-(4-ethanesulfonylpiperazin-l-yl)ρyridin-3-yl]-3- thiophenecarboxamide; 2-[(aminocarbonyl)amino]-5-[6-[(tetrahydrofuran-2-yl)methoxy]ρyridin-3-yl]-3- thiophenecarboxamide; 2-[(aminocarbonyl)amino]-5- 3 - [6-(furan-2-ylmethoxy)]-ρyridine} -3 - thiophenecarboxamide; 2-[(aminocarbonyl)amino]-5- 3- [6-(4-acetyl)piperazin- 1 -yl]-pyridine} -3 - thiophenecarboxamide; 7? -2-[(ammocarbonyl)amino -5- {3-[6-(tetrahydrofuran-3-yloxy)]-pyridine} -3- thiophenecarboxamide; • 2-[(ammocarbonyl)amino]-5- 3-[6-(l-isopropyl-pyrrolidin-3-yloxy)]-pyridine}-3- thiophenecarboxamide; 2-[(aminocarbonyl)amino]-5 3-[6-(l -t-butyloxycarbonyl-piperidin-4-yloxy)]-pyridine} -3- thiophenecarboxamide;
2-[(aminocarbonyl)amino]-5 3-[6-(piperidin-4-yloxy)]-pyridine}-3- thiophenecarboxamide;
2-[(aminocarbonyl)amino]-5 3-[6-(l-(2-methoxyethyl)-piperidin-4-yloxy)]-pyridine}-3- thiophenecarboxamide; 2[(aminocarbonyl)armno]-5-{3-[6-(N-methanesulphonyl)-piperidin-4-yloxy]-pyridine}-3- thiophenecarboxamide; 2-[(aminocarbonyl)amino]-5- 3- [6-(4,4-difluoropiperidin- 1 -yl)pyridine} -3 - thiophenecarboxamide; 2-[(aminocarbonyl)amino]-5- 3 -[6-(pyrrolidin- 1 -yl)-5-methyl]pyridine} -3 - thiophenecarboxamide;
2-[(aminocarbonyl)amino]-5- 3-[6-(thien-2-ylmethoxy)]pyridine}-3- thiophenecarboxamide; 2-[(aminocarbonyl)amino]-5- 3-[6-(cyclopentylmethoxy)]pyridine}-3- thiophenecarboxamide; 2-[(aminocarbonyl)amino]-5- 3-(6-benzyloxy)pyridine]-3-thiophenecarboxamide; 2-[(aminocarbonyl)amino]-5- 3-[6-(tetrahydrofuran-3-yloxy)3pyridine}-3- thiophenecarboxamide; 2-[(aminocarbonyl)amino]-5- 3 - [6-(tetrahy drofur an-3 -ylmethoxy)]pyridine} -3 - thiophenecarboxamide; 2-[(aminocarbonyl)amino]-5- 3-[6-(cyclopropylmethoxy)]pyridine}-3- thiophenecarboxamide; (^-2-[(aminocarbonyl)amino]-5-{3-[6-(tetrahydrofuran-3-yloxy)]pyridine}-3- thiophenecarboxamide;
2-[(aminocarbonyl)amino]-5-{3-[6-(tetrahydropyran-4-yloxy)]pyridine}-3- thiophenecarboxamide; 2-[(aminocarbonyl)amino]-5- {3-[6-(tetrahydrothiopyran-3-yloxy)]pyridine} -3- thiophenecarboxamide;
2-[(aminocarbonyl)amino]-5-{3-[6-(l-isopropylazetidin-3-yloxy)]pyridine}-3- thiophenecarboxamide;
2-[(aminocarbonyl)amino]-5-{3-[6-(benzyloxy-2-ethoxy)]pyridine}-3- thiophenecarboxamide;
2-[(aminocarbonyl)amino]-5-{3-[6-(N-methylpiperidin-3-yloxy)]pyridine}-3- thiophenecarboxamide;
2-[(aminocarbonyl)ammo]-5-{3-[6-(2-(l-pyrrolidin-2-one)ethoxy)]pyridine}-3- thiophenecarboxamide; 2-[(aminocarbonyl)amino]-5-[3-(6-(mo holm-4-yl))pyridine]-3-fhiophenecarboxamide;
2-[(aminocarbonyl)amino]-5- (3-[6-(4-methylpiperazin- 1 -yl)]pyridine} -3- thiophenecarboxamide;
2-[(aminocarbonyl)amino]-5-(4-[l,3,4-oxadiazol-2-yl]-2-phenyl )-3- thiophenecarboxamide; 2-[(aminocarbonyl)ammo]-5-(4-cyclopropylmethoxyphenyl )-3-thiophenecarboxamide;
2-[(aminocarbonyl)amino]-5-[3-(l,3-thiazol-4-ylmethoxy)phenyl]thiophene-3- carboxamide;
2-[(aminocarbonyl)amino]-5-[4-(morpholin-4-ylmethyl)phenyl]thiophene-3-carboxamide;
2-[(ammocarbonyl)amino]-5-(5-[2-(N-morpholmyl)]pyrimidinyl)-3- thiophenecarboxamide;
2-[(aminocarbonyl)amino]-5-(5-[2-(N-piperidinyl)]pyrimidinyl)-3-thiophenecarboxamide;
2-[(aminocarbonyl)amino]-5-(5-[2-(N-pyrrolidinyl)]pyrimidinyl)-3-thiophenecarboxamide;
2-[(aminocarbonyl)ammo]-5-(5-[2-{4-(t-butyloxycarbonyl)piperazin-l-yl}]pyri nidmyl)-3- thiophenecarboxamide; 2-[(aminocarbonyl)amino]-5-(-5-[2- {4H-piρerazin-l -yl}]pyrimidinyl)-3- thiophenecarboxamide; 2-[(aminocarbonyl)amino]-5-(5-[2-{4-methylpiperazin-l-yl}]ρyrimidinyl)-3- thiophenecarboxamide;
2-[(aminocarbonyl)amino]-5-(5-[2-(3-dimethylaminopyrrolidin-l-yl)]pyrimidinyl)-3- thiophenecarboxamide; 2-[(aminocarbonyl)ammo]-5-(5-[2-{2(S)-aminocarbonylpyrrolidin-l-yl}]pyrimidinyl)-3- thiophenecarboxami.de;
2-[(aminocarbonyl)amino]-5-(5-[2- {4-acetylpiperazin- 1 -yl} ]pyrimidinyl)-3- thiophenecarboxamide;
2-[(aminocarbonyl)amino]-5-(5-{2-[4,4-difluoropiperidin-l-yl]}pyrimidinyl)-3- thiophenecarboxamide;
2-[(aminocarbonyl)amino]-5-(5-{2-[3,3-difiuoropyrrolidin-l-yl]}pyrimidmyl)-3- tbiophenecarboxamide;
2-[(aminocarbonyl)amino]-5-{2-(5-N-morpholinomethyl)thienyl}-3- thiophenecarboxamide; 2-[(aminocarbonyl)amino]-5- {2-benzyloxyphenyl} -3-thiophenecarboxamide;
2-[(aminocarbonyl)amino]-5-{2-(4-fluorophenylmethoxy)phenyl}-3- thiophenecarboxamide;
2-[(aminocarbonyl)amino]-5- {2-(2-[4-fluorophenyl]ethoxy)phenyl} -3- thiophenecarboxamide; 2-[(aminocarbonyl)amino]-5- {2-(2-[4-chlorophenyl]ethoxy)phenyl } -3- tbiophenecarboxamide;
2-[(aminocarbonyl)amino]-5-{2-(2-phenylethoxy)phenyl}-3-thiophenecarboxamide;
2-[(ammocarbonyl)amino]-5-{4-chlorophenylmethoxy)phenyl}-3-thiophenecarboxamide;
2-[(ammocarbonyl)amino]-5-{2-[2-(N-morpholinyl)]ethylthio)phenyl}-3- thiophenecarboxamide;
2-[(aminocarbonyl)amino]-5-{2-[2-(N-pyrrolidinyl)]ethylthio)phenyl}-3- thiophenecarboxamide;
2-[(aminocarbonyl)amino]-5-{2-[2-(N-piperidinyl)]ethylthio)phenyl}-3- thiophenecarboxamide; 2-[(aminocarbonyl)amino]-5-[4-(pyrrolidinyl)phenyl]-3-thiophenecarboxamide;
2-[(aminocarbonyl)amino]-5-[4-(ρiperidmyl)phenyl]-3-thiophenecarboxamide;
2-[(aminocarbonyl)amino]-5-[4-(Ν-imidazolyl)phenyl]-3-thiophenecarboxamide; 2-[(aminocarbonyl)amino]-5-[6-{(l-methylpyrrolidin-2-on-4-yl)methoxy}pyridin-3-yl]-3- thiophenecarboxamide;
2-[(ammocarbonyl)amino]-5{4-[2-(2-methoxyethoxy)ethoxy]-phenyl}-3- thiophenecarboxamide; 2-[(aminocarbonyl)amino]-5- {4-[2-(cyclopropylmethoxy)ethoxy]phenyl} -3- thiophenecarboxamide;
2-[(arninocarbonyl)amino]-5-[6-(2,2-dimethyl-3-pyrrolidinylpropoxy)pyridin-3-yl]-3- thiophenecarboxamide;
2-[(arnmocarbonyl)amino]-5-{3-chloro-4-(tetrahydrofuran-2-ylmethoxy)phenyl}-3- thiophenecarboxamide;
2-[(aminocarbonyl)amino]-5-{4-(tetrahydrofuran-2-ylmethoxy)phenyl}-3- thiophenecarboxamide;
2-[(aminocarbonyl)amino]-5-[(6-cycloproρylmefhylthio)pyridin-3-yl]-3- thiophenecarboxamide; 2-[(aminocarbonyl)amino]-5 {4-[2-(2-methoxyethpxy)ethoxy]-3-methylphenyl} -3- thiophenecarboxamide;
2-[(arninocarbonyl)amino]-5-{3-chloro-4-[2-(2-methoxyethoxy)ethoxy]phenyl}-3- thiophenecarboxamide;
2-[(aminocarbonyl)amino]-5-[2-(4-methylpiperazinylmethyl)phenyl]-3- thiophenecarboxamide;
2-[(aminocarbonyl)amino]-5-[2-(4-isoρropylpiperazinylmethyl)phenyl]-3- thiophenecarboxamide;
2-[(aminocarbonyl)amino]-5-[2-(4-t-butyloxycarbonylpiperazinylmethyl)ρhenyl]-3- thiophenecarboxamide; 2-[(aminocarbonyl)aminp]-5-[4-(pyrrolidinylmethyl)phenyl]thiophene-3-carboxamide;
2-[(aminocarbonyl)amino]-5-[2-(2-(4,4-difluoropiperidin-l-yl)ethoxy)phenyl]-3- thiophenecarboxamide;
2-[(aminocarbonyl)amino]-5-[2-(2-(3,3-difluoropyrrolidin-l-yl)ethoxy)phenyl]-3- thiophenecarboxamide; 3-[(aminocarbonyl)amino]-5-[4-(morpholin-4-ylmethyl)phenyl]thiophene-2-carboxamide;
3-[(aminocarbonyl)amino]-5-[4-(ci!5'-2,6-dimethylmorpholin-4-ylmethyl)phenyl]thiophene-
2-carboxamide; 2-[(aminocarbonyl)amino]-5-[4-(cis-2,6-dimethylmorpholin-4-ylmethyl)phenyl]thiophene-
3-carboxamide;
2-[(aminocarbonyl)amino]-5-[(6-{4-morpholino}methyl)pyridin-3-yl]thiophene-3- carboxamide; 2-[(ammocarbonyl)amino]-5-[4-(8-oxa-3-azabicyclo[3.2.1]oct-3- ylmethyl)phenyl]thiophene-3-carboxamide;
2-[(ammocarbonyl)amino]-5-[3-(morpholin-4-ylmethyl)-4-isobutoxyphenyl]thiophene-3- carboxamide;
2-[(aminocarbonyl)amino]-5-[3-(morpholin-4-ylmethyl)phenyl]thiophene-3-carboxamide; 2-[(aminocarbonyl)amino]-5-(4- {[2-(methoxymethyl)morpholin-4- yl]methyl}phenyl)thiophene-3-carboxamide;
2-[(aminocarbonyl)amino]-5-[3-fluoro-4-(morpholin-4-ylmethyl)phenyl]thiophene-3- carboxamide;
2-[(aminocarbonyl)ammo]-5-[3-chloro-4-(morpholin-4-ylmethyl)phenyl]thiophene-3- carboxamide;
2-[(aminocarbonyl)amino]-5-{4-[(4,4-difluoropiperidin-l-yl)methyl]phenyl}thiophene-3- carboxamide;
2-[(aminocarbonyl)amino]-5-[4-( 1 - {piperidin- 1 -yl} ethyl)phenyl]thiophene-3 -carboxamide;
2-[(aminocarbonyl)amino]-5- {4-[( IR)- 1 -morpholin-4-ylethyl]phenyl} thiophene-3 - carboxamide;
2-[(aminocarbonyl)amino]-5-(4- { [4-(2-methoxyethyl)piperazin- 1 - yl]methyl } phenyl)thiophene-3 -carboxamide;
2-[(aminocarbonyl)amino]-5-[4-(piperidin-l-ylmethyl)phenyl]thiophene-3-carboxamide;
2-[(aminocarbonyl)amino]-5-{4-[(lS,4S)-2-oxa-5-azabicyclo[2.2.1]hept-5- ylmethyljphenyl } thiophene-3 -carboxamide;
5- {4-[(4-acetylpiperazin- 1 -yl)methyl]phenyl } -2- [(aminocarbonyl)amino]thiophene-3 - carboxamide;
2-[(aminocarbonyl)amino]-5-[4-(l,4-oxazepan-4-ylmethyl)phenyl]thioρhene-3- carboxamide; (lS)-2-((aminocarbonyl)amino)-5-(4-(l-{morpholin-4-yl}ethyl)phenyl)thiophene-3- carboxamide; 2-((aminocarbonyl)amino)-5-(4-( 1 -methyl- 1 - {morpholin-4-yl} ethyl)phenyl)thiophene-3- carboxamide;
2-[(aminocarbonyl)ammo]-5-[4-((4-methylpiperazin-l-yl)methyl)phenyl]thiophene-3- carboxamide; 2-[(aminocarbonyl)amino]-5-[4-((2-ethoxycarbonylpiperidin- 1 - yl)methyl)phenyl]thiophene-3-carboxamide;
2-[(aminocarbonyl)amino]-5-[4-((3-diethylaminocarbonylpiperidin-l-yl)methyl)phenyl]- thiophene-3 -carboxamide;
2-[(aminocarbonyl)amino]-5-[4-((3-hydroxypyrrolidin-l-yl)methyl)phenyl]thiophene-3- carboxamide;
2-[(aminocarbonyl)amino]-5-[4-( {(2-hydroxyethyl)piperazin- 1 - yl} methyl)phenyl]thiophene-3 -carboxamide;
2- [(aminocarbonyl)amino] -4-methyl-5- {4- [4-morpholino]methylphenyl } -3 - thiophenecarboxamide; 2-[(aminocarbonyl)amino]-5-[4-((4-hydroxypiperidin- 1 -yl)methyl)phenyl]thiophene-3- carboxamide;-
2-[(aminocarbonyl)amino]-5-(2-piperazin-l-ylphenyl)thiophene-3-carboxamide;
2-[(aminocarbonyl)amino]-5-[2-(4-methylpiperazin-l-yl)phenyl]thiophene-3-carboxamide;
2-[(aminocarbonyl)amino]-5-{2-[3-methylamino)pyrrolidin-l-yl]phenyl}thiophene-3- carboxamide;
2-[(aminocarbonyl)amino]-5-[4-(cyclopentyloxy)-2-(2- {piperidin- 1 -yl} ethoxy)phenyl] thiophene-3 -carboxamide;
2-[(aminocarbonyl)amino]-5-[2-(2- {piperidin- 1 -yl} ethoxy)-4-pyrrolidin- 1 - ylphenyl]thiophene-3-carboxamide; 2-[(aminocarbonyl)amino]-5-[4-piperidin-l -yl-2-(2- {piperidin- 1 - yl} ethoxy)phenyl]thiophene-3-carboxamide;
2-[(aminocarbonyl)amino]-5-[4-(morpholin-4-ylmethyl)-2-(2-{piperidin-l- yl}ethoxy)phenyl]thiophene-3-carboxamide;
2-[(aminocarbonyl)amino]-5-[4-(2-methoxyethoxy)-2-(2-piperidin-l- ylethoxy)ph'enyl]thiophene-3-carboxamide;
2-[(aminocarbonyl)amino]-5-[4-morpholin-4-yl-2-(2 -piperidin- 1 - ylethoxy)phenyl]thiophene-3-carboxamide; 2-[(aminocarbonyl)amino]-5-[2-(2-hydroxyethoxy)phenyl]thiophene-3-carboxamide;
(3iζ)-2-[(aminocarbonyl)amino]-5-{2-[tetrahydrofuran-3-yloxy]phenyl}-3- thiophenecarboxamide;
(3S^-2-[(aminocarbonyl)aιmno]-5-{2-[tetrahydrofuran-3-yloxy]phenyl}-3- thiophenecarboxamide;
2-[(aminocarbonyl)amino]-5-{2-[(tetrahydropyran-4-yloxy]phenyl}-3- thiophenecarboxamide;
2-[(aminocarbonyl)amino]-5-{2-[cyclopropylmethoxy]phenyl}-3-thiophenecarboxamide;
2-[(aminocarbonyl)amino]-5-{2-[cyclopentyloxy]ρhenyl}-3-thiophenecarboxamide; 2-[(aminocarbonyl)amino]-5-{2-[(l-isopropylpyrrolidin-3-yl)oxy]phenyl}-3- thiophenecarboxamide;
2-[(aminocarbonyl)amino]-5-{2-[(l-ethylpyrrolidin-3-yl)oxy]phenyl}-3- thiophenecarboxamide;
2-[(aminocarbonyl)amino]-5-{2-[(l-tβrt-butyloxycarbonyl-3-pyrrolidinyl)oxy]phenyl}-3- thiophenecarboxamide;
2-[(aminocarbonyl)amino]-5-[2-(pyrrolidin-3-yloxy)phenyl]-3-thiophenecarboxamide;
2-[(aminocarbonyl)amino]-5-{2-[(l-methylpiperidin-2-yl)methoxy]phenyl}-3- thiophenecarboxamide;
(2S)-2-[(aminocarbonyl)amino]-5-(2- { [ 1 -methylpyrrolidin-2-yl]methoxy} phenyl)-3- thiophenecarboxamide;
2-[(aminocarbonyl)amino]-5-(2-{[l-(2-methoxyethyl)pyrrolidin-3-yl]oxy}phenyl)-3- thiophenecarboxamide;
(2i?)-2-[(aminocarbonyl)amino]-5-(2-{[l-methylpyrrolidin-2-yl]methoxy}phenyl)-3- thiophenecarboxamide; 2-[(ammocarbonyl)amino]-5-[2-(2-(2,2,6-trimethylpiperidin- 1 -yl)ethoxy)ρhenyl]-3- thiophenecarboxamide;
2-[(aminocarbonyl)amino]-5-{5-chloro-2-[(l-isopropylpyrrolidin-3-yl)oxy]phenyl}-3- thiophenecarboxamide;
2-[(aminocarbonyl)amino]-5-{4-fiuoro-2-[(l-isopropylpyrrolidin-3-yl)oxy]phenyl}-3- thiophenecarboxamide;
2-[(aminocarbonyl)amino]-5-{4,5-difluoro-2-[(l-isopropylpyrrolidin-3-yl)oxy]phenyl}-3- thiophenecarboxamide; 2-[(aminocarbonyl)amino]-5-{2-[(l-isopropylpyrrolidin-3-yl)oxy]-5-methylphenyl}-3- thiophenecarboxamide;
2-[(aminocarbonyl)amino]-5-{5-cyano-2-[(l-isopropylpyrrolidin-3-yl)oxy]phenyl}-3- thiophenecarboxamide; 2-[(aminocarbonyl)amino]-5- {2-[(l -isopropylpyrrolidin-3-yl)oxy]-5-methoxyphenyl} -3- thiophenecarboxamide;
2-[(aminocarbonyl)amino]-5-{3,5-difluoro-2-[(l-isopropylpyrrolidin-3-yl)oxy]phenyl}-3- thiophenecarboxamide;
2-[(aminocarbonyl)amino]-5- {2-[(l -isopropylpyrrolidinr3-yl)oxy]-3-methoxyphenyl} -3- thiophenecarboxamide;
2-[(aminocarbonyl)amino]-5-{2-[(l-isopropylρyrrolidin-3-yl)oxy]-5- trifluoromethylphenyl } -3 -thiophenecarboxamide;
2-[(aminocarbonyl)amino]-5-{2-[(l-isopropylpyrrolidin-3-yl)oxy]-4- trifluorόmethylphenyl } -3 -thiophenecarboxamide; 2-[(aminocarbonyl)amino]-5- {2-[(l -isopropylpyrrolidin-3-yl)oxy]-4-methoxyphenyl} -3- thiophenecarboxamide;
2-[(aminocar^bonyl)amino]-5-{5-fluoro-2-[(l-isopropylpyrrolidin-3-yl)oxy]phenyl}-3- thiophenecarboxamide;
2-[(aminocarbonyl)amino]-5-{2-[(l-isopropylpyrrolidin-3-yl)oxy]-3-(morpholin-4- ylmethyl)phenyl} -3 -thiophenecarboxamide;
2-[(aminocarbonyl)amino]-5-(2-{[(l-(cyclopropylmethyl)pyrrolidin-3-yl]oxy}phenyl)-3- thiophenecarboxamide;
2-[(aminocarbonyl)amino]-5-{2- [(l-cyclopropylpyrrolidin-3-yl)oxy]phenyl}-3- thiophenecarboxamide; 2-[(aminocarbonyl)amino]-5-{2-[(2-(4-fluoropiperidin-l-yl)ethoxy]phenyl}-3- thiophenecarboxamide;
2-[(aminocarbonyl)amino]-5-{2-[(l-methylpiperidin-4-yl)oxy]phenyl}-3- thiophenecarboxamide;
2-[(aminocarbonyl)amino]-5-{2-[(l-methylpyrrolidin-3-yl)oxy]phenyl}-3- thiophenecarboxamide;
2-[(aminocarbonyl)amino]-5-[4-(2-{morpholin-4-yl}acetyl)ρhenyl]3- thiophenecarboxamide; 2-[(aminocarbonyl)amino]-5-[2- {2-(4-hydroxy- 1 -ρiperidinyl)ethoxy}ρhenyl]-3- thiophenecarboxamide;
2-[(aminocarbonyl)amino]-5-[2-(2-(2,2,6,6-tetramethylpiperidin-l-yl)ethoxy)phenyl]-3- thiophenecarboxamide; 5 2-[(aminocarbonyl)amino]-5-{2-[2-(3-pyrrolin-l-yl)ethoxy]phenyl} thiophene-3- carboxamide; cis/frans-2-[(aminocarbonyl)amino]-5-{2-[2-(2,5-dimethyl-3-pyrrolin-l- yl)ethoxy]phenylthiophene-3 -carboxamide;
(2S)-2-[(aminocarbonyl)amino]-5-[4-(2-methoxymethylpyrrolidin-l-ylmethyl)phenyl] it) thiophene-3-carboxamide;
2-[(aminocarbonyl)amino]-5-[4-(4-aminocarbonylpiperidin-l-ylmethyl)phenylthiophene-
3 -carboxamide;
2-[(aminocarbonyl)amino]-5-[4-(3-hydroxymethylpiperidin-l-ylmethyl)phenyl]thiophene-
3 -carboxamide; is 2-[(aminocarbonyl)amino]-5-[4-(4-hydroxymethylpiperidin- 1 -ylmethyl)phenyl]thiophene-
3-carboxamide;
2-[(aminocarbonyl)amino]-5-[2-(3-{morpholin-4-yl}pyrrolidin-l-yl)phenyl]thiophene-3- carboxamide;
2-[(aminocarbonyl)amino]-5- {2-[4-(2-methoxyethyl)piperazin- 1 -yl]phenyl} thiophene-3 - 0 carboxamide;
2-[(ammocarbonyl)amino]-5-{2-[(iS, 4S)-2,5-diazabicyclobicyclo[2.2.1]hept-2- yl]phenyl}thiophene-3-carboxamide; and pharmaceutically acceptable salts thereof.
5 Unless otherwise indicated, the term "Ci-Cg alkyl" referred to herein denotes a straight or branched chain alkyl group having from 1 to 6 carbon atoms. Examples of such groups include methyl, ethyl, n-propyl, i-propyl, n-butyl, i-butyl and t-butyl. The terms
"Cι-C2 alkyl" and "C1-C4 alkyl" are to be interpreted analogously.
0 Unless otherwise indicated, the term "C2-C3 alkenyl" referred to herein denotes a straight or branched chain alkyl group having 2 or 3 carbon atoms incorporating at least one carbon-carbon double bond. Examples of such groups include ethenyl and propenyl. The term "C2-C6 alkenyl" is to be interpreted analogously.
Unless otherwise indicated, the term "C2-C3 alkynyl" referred to herein denotes a straight chain alkyl group having 2 or 3 carbon atoms incorporating one carbon-carbon triple bond. Examples of such groups include ethynyl and propynyl. The term "C2-C,5 alkynyl" is to be interpreted analogously.
Unless otherwise indicated, the term "C3-C6 cycloalkyl" referred to herein denotes a saturated carbocyclic ring having from 3 to 6 carbon atoms. Examples of such groups include cyclopropyl, cyclopentyl and cyclohexyl.
Unless otherwise indicated, the term "C1-C4 alkoxy" referred to herein denotes a straight or branched chain alkoxy group having 1 to 4 carbon atoms. Examples of such groups include methoxy, ethoxy and isopropoxy. The terms "Cι-C2 alkoxy" and "C -Cg alkoxy" are to be interpreted analogously.
Unless otherwise indicated, the term "C1-C2 alkanoyl" referred to herein denotes a formyl or acetyl group.
Unless otherwise indicated, the term "halogen" referred to herein denotes fluoro, chloro, bromo and iodo.
Examples of a 5- to 7-membered heteroaromatic ring containing one to three heteroatoms selected independently from O, N and S include furan, thiophene, pyrrole, oxazole, isoxazole, thiazole, isothiazole, imidazole, pyrazole, triazole, pyridine, pyridazine, pyrimidine and pyrazine.
Examples of a 3- to 8-membered saturated or partially unsaturated monocyclic or saturated bicyclic ring system optionally incorporating one or two heteroatoms selected independently from O, N and S, and optionally incorporating a carbonyl group include cyclopropyl, cyclopentyl, cyclohexyl, tetrahydrofuran, tetrahydropyran, pyrrolidine, 3-pyrroline, piperidine, piperazine, 8-oxa-3-azabicyclo[3.2.1]octane, pyrrolidone, 2-oxa-5-azabicyclo[2.2.1 ]heptane, 1 ,4-oxazepane, 2,5-diazabicyclo[2.2.1 jheptane, piperidone and morpholine.
Examples of a 5- or 6-membered saturated azacyclic ring optionally containing a further O, S or NR group include pyrrolidine, piperidine, piperazine and morpholine.
According to the invention there is also provided a process for the preparation of a compound of formula (I) or a pharmaceutically acceptable salt, enantiomer or racemate thereof which comprises:
(a) reaction of a compound of formula (II) :
Figure imgf000025_0001
2 3 wherein A, R , R and n are as defined in formula (I) with an isocyanate or an isothiocyanate or an acyl derivative, R -CO-L where L is a leaving group; or
(b) reaction of compound of formula (III)
Figure imgf000026_0001
(R3)n
3 wherein R", n and A are as defined in formula (I) with a compound of formula (IV)
Figure imgf000026_0002
wherein X, R1 and R2 are as defined in formula (I) and LG represents a leaving group; or
(c) reaction of compound of formula (V)
Figure imgf000026_0003
wherein R°, n and A are as defined in formula (I) and LG represents a leaving group, with a compound of formula (VI)
Figure imgf000027_0001
wherein X, R1 and R2 are as defined in formula (I);
and where necessary converting the resultant compound of formula (I), or another salt thereof, into a pharmaceutically acceptable salt thereof; or converting the resultant compound of formula (I) into a further compound of formula (I); and where desired converting the resultant compound of formula (I) into an optical isomer thereof.
In process (a), suitable isocyanate reagents include trimethylsilylisocyanate, trimethylsilylisothiocyanate, chlorosulphonylisocyanate, trichloroacetylisocyanate and sodium isocyanate. The reaction with trimethylsilylisocyanate or trimethylsilylisothiocyanate can be carried out in a solvent such as dichloromethane/dimethylformamide at a suitable elevated temperature, for example, at the reflux temperature of the reaction mixture. The reaction with chlorosulphonylisocyanate can be carried out in a solvent such as toluene at ambient temperature. The reaction with sodium isocyanate can be carried out in a suitable solvent system such as aqueous acetic acid at ambient temperature. The trichloroacetylisocyanate reaction can be carried out in a suitable solvent system such as acetonitrile at ambient temperature, and subsequently treating the mixture with ammonia to give compounds of the general formula (I).
Suitable acyl derivatives of formula R -CO-L include acyl halides, particularly acyl chlorides, and acid anhydrides. Reactions with such acyl derivatives are generally carried out at ambient temperature in a suitable solvent such as pyridine, or in a solvent such as dichloromefhane in the presence of a suitable base such as triethylamine or pyridine. Compounds of formula (I) wherein X represents O may subsequently be converted into corresponding compounds of formula (I) wherein X represents S by reaction with, for example, Lawesson's reagent.
In processes (b) and (c), the compounds of formulae (III) and (IV) or of formulae (V) and (VI) are reacted together under catalysis provided by a complex of a transition metal such as palladium or nickel. In compounds of formulae (III) and (VI), under appropriate conditions, "metal" can be a metal or semi-metal such as magnesium, zinc, copper, tin, silicon, zirconium, aluminium or boron. Suitable leaving groups include iodo, bromo, chloro, triflate or phosphonate.
It will be appreciated by those skilled in the art that in the processes of the present invention certain functional groups such as hydroxyl or amino groups in the starting reagents or intermediate compounds may need to be protected by protecting groups. Thus, the preparation of the compounds of formula (I) may involve, at an appropriate stage, the addition and removal of one or more protecting groups.
The protection and deprotection of functional groups is fully described in 'Protective Groups in Organic Chemistry', edited by J. W. F. McOmie, Plenum Press (1973), and 'Protective Groups in Organic Synthesis', 3rd edition, T. W. Greene & P. G. M. Wuts, Wiley-Interscience (1999).
The present invention includes compounds of formula (I) in the form of salts, in particular acid addition salts. Suitable salts include those formed with both organic and inorganic acids. Such acid addition salts will normally be pharmaceutically acceptable although salts of non-pharmaceutically acceptable acids may be of utility in the preparation and purification of the compound in question. Thus, preferred salts include those formed from hydrochloric, hydrobromic, sulphuric, phosphoric, citric, tartaric, lactic, pyruvic, acetic, succinic, fumaric, maleic, methanesulphonic and benzenesulphonic acids.
Salts of compounds of formula (I) may be formed by reacting the free base, or a salt, enantiomer or racemate thereof, with one or more equivalents of the appropriate acid. The reaction may be carried out in a solvent or medium in which the salt is insoluble or in a solvent in which the salt is soluble, for example, water, dioxane, ethanol, tefrahydrofuran or diethyl ether, or a mixture of solvents, which may be removed in vacuo or by freeze drying. The reaction may also be a metathetical process or it may be carried out on an ion exchange resin.
Compounds of formula (II) can be prepared by standard chemistry described in the literature [for example, J. Het. Che . 36, 333 (1999)] or by reaction of compounds of formula (VII):
Figure imgf000029_0001
2 3 where A, R , R and n are as defined in formula (I), and L represents a leaving group, with ammonia. Suitable groups L include halogen, in particular chloro.
Compounds of formula (VII) where L is halo can be prepared from the corresponding compound of formula (VTII) :
Figure imgf000029_0002
(R3)n 2 3 - where A, R , R and n are as defined in formula (I), by treating with a halogenating agent such as thionyl chloride.
Compounds of formulae (III), (IV), (V), (VI) and (VIII) are commercially available or can be prepared using standard chemistry as exemplified herein.
Certain novel intermediate compounds form a further aspect of the invention.
The compounds of formula (I) have activity as pharmaceuticals, in particular as IKK-2 enzyme inhibitors, and may be used in the treatment (therapeutic or prophylactic) of conditions/diseases in human and non-human animals in which inhibition of IKK-2 is beneficial. Examples of such conditions/diseases include inflammatory diseases or diseases with an inflammatory component. Particular diseases include inflammatory arthritides including rheumatoid arthritis, osteoarthritis, spondylitis, Reiters syndrome, psoriatic arthritis, lupus and bone resorptive disease; multiple sclerosis, inflammatory bowel disease including Crohn's disease; asthma, chronic obstructive pulmonary disease, emphysema, rhinitis, myasthenia gravis, Graves' disease, allograft rejection, psoriasis, dermatitis, allergic disorders, immune complex diseases, cachexia, ARDS, toxic shock, heart failure, myocardial infarcts, atherosclerosis, reperfusion injury, AIDS, cancer and disorders characterised by insulin resistance such as diabetes, hyperglycemia, hyperinsulinemia, dyslipidemia, obesity, polycystic ovarian disease, hypertension, cardiovascular disease and Syndrome X.
The reported roles of NF-κB in both oncogenesis and chemoresistance suggest that inhibition of this pathway through the use of an IKK2 inhibitor, such as a small molecule IKK2 inhibitor, could provide a novel monotherapy for cancer and/or an important adjuvant therapy for the treatment of chemoresistant tumours.
We are particularly interested in diseases selected from asthma, rheumatoid arthritis, psoriasis, inflammatory bowel disease including Crohn's disease, multiple sclerosis, chronic obstructive pulmonary disease, bone resorptive disease, osteoarthritis, diabetes/glycaemic control and cancer.
Thus, the present invention provides a compound of formula (I), or a pharmaceutically acceptable salt thereof, as hereinbefore defined for use in therapy.
In a further aspect, the present invention provides the use of a compound of formula (I), or a pharmaceutically acceptable salt thereof, as hereinbefore defined in the manufacture of a medicament for use in therapy.
In a still further aspect, the present invention provides the use of a compound of formula (I), or a pharmaceutically acceptable salt thereof, as hereinbefore defined in the manufacture of a medicament for the treatment of diseases or conditions in which modulation of the IKK-2 enzyme activity is beneficial.
In the context of the present specification, the term "therapy" also includes "prophylaxis" unless there are specific indications to the contrary. The terms "therapeutic" and "therapeutically" should be construed accordingly.
Prophylaxis is expected to be particularly relevant to the treatment of persons who have suffered a previous episode of, or are otherwise considered to be at increased risk of, the disease or condition in question. Persons at risk of developing a particular disease or condition generally include those having a family history of the disease or condition, or those who have been identified by genetic testing or screening to be particularly susceptible to developing the disease or condition.
The invention still further provides a method of treating an IKK-2 mediated disease which comprises administering to a patient a therapeutically effective amount of a compound of formula (I), or a phannaceutically acceptable salt thereof, as hereinbefore defined.
The invention also provides a method of treating an inflammatory disease, especially asthma, rheumatoid arthritis or multiple sclerosis, in a patient suffering from, or at risk of, said disease, which comprises administering to the patient a therapeutically effective amount of a compound of formula (I), or a pharmaceutically acceptable salt thereof, as hereinbefore defined.
For the above-mentioned therapeutic uses the dosage administered will, of course, vary .with the compound employed, the mode of administration, the treatment desired and the disorder indicated.
The compounds of formula (I) and pharmaceutically acceptable salts thereof may be used on their own but will generally be administered in the form of a pharmaceutical composition in which the formula (I) compound/salt (active ingredient) is in association with a pharmaceutically acceptable adjuvant, diluent or carrier. Depending on the mode of administration, the pharmaceutical composition will preferably comprise from 0.05 to 99 %w (per cent by weight), more preferably from 0.05 to 80 %w, still more preferably from 0.10 to 70 %w, and even more preferably from 0.10 to 50 %w, of active ingredient, all percentages by weight being based on total composition.
The present invention also provides a pharmaceutical composition comprising a compound of formula (I), or a pharmaceutically acceptable salt thereof, as hereinbefore defined, in association with a pharmaceutically acceptable adjuvant, diluent or carrier.
The invention further provides a process for the preparation of a pharmaceutical composition of the invention which comprises mixing a compound of formula (I), or a pharmaceutically acceptable salt thereof, as hereinbefore defined, with a pharmaceutically acceptable adjuvant, diluent or carrier.
' The pharmaceutical compositions may be administered topically (e.g. to the lung and/or airways or to the skin) in the form of solutions, suspensions, heptafluoroalkane aerosols and dry powder formulations; or systemically, e.g. by oral administration in the form of tablets, capsules, syrups, powders or granules, or by parenteral administration in the form of solutions or suspensions, or by subcutaneous administration or by rectal administration in the form of suppositories or transdermally. Conventional procedures for the selection and preparation of suitable pharmaceutical formulations are described in, for example, . "Pharmaceuticals - The Science of Dosage Form Designs", M. E. Aulton, Churchill Livingstone, 1988.
The invention is illustrated, but in no way limited, by the following examples:
Example 1
2-{(Aminocarbonyl)aminol-4-mefhyl-5-(4-biphenyl)-3-thiophenecarboxamide
a 2-Amino-4-methyl-5-(4-biphenyl -3-thioρhencarboxamide
4-Biphenyl acetone (2.0 g), cyanoacetamide (0.88 g), sulphur (0.37 g) and morpholine (1 ml) in ethanol (5 ml) were stirred and heated at 55 °C for 6 h. The reaction mixture was cooled and filtered before adding to water (150 ml). The precipitated solid was filtered off, washed with water and then dried. The product was then triturated with ether and collected. MS (ES) 309 (M+H)+.
!H NMR (DMSO-D6) 2.3 (s, 3H), 6.8 (s, 2H), 6.9 (s, 2H), 7.4 (m, 5H), 7.6 (m, 4H).
b) 2-r(Aminocarbonvπaminol-4-methyl-5-(4-biphenyl)-3-thiophenecarboxamide 2-Amino-4-methyl-5-(4-biphenyl)-3-thiophencarboxamide (0.44 g) was dissolved in tetrahydrofuran (10 ml), cooled to 0 °C and trichloroacetylisocyanate (0.11 ml) added drop wise with stirring. Stirring was continued for a further 30 minutes at room temperature and then a solution of ammonia in methanol (8 ml of a 10% solution) was added and stirring was continued for a further 3 h. The solvent was evaporated and the residue treated with ethyl acetate and the product filtered off. MS (ES) 350 (M-H)".
XH NMR (DMSO-D6) 2.2 (s, 3H), 6.7 (s, 2H), 7.4 (m, 2H), 7.45 (m, 4H), 7.7 (m, 5H), 7.8 (m, 1H).
Example 2 2-r(Aminocarbonyl)aminol-4-methyl-5-(4-f(3,5-dimethylisoxazol-4-yl)methoxy]phenyl)- 3 -thiophenecarboxamide
a) The title compound was prepared from 4-[(3,5-dimethylisoxazol-4-yl)methoxy]phenyl acetone using the method of Example 1. MS (ES) 399 (M-H)".
JH NMR (DMSO-D6) 2.2 (s, 6H), 2.4 (s, 3H), 4.95 (s, 2H), 6.65 (m, 2H), 7.0 (m, 3H), 10.04 (brs, 1H).
b) 4-[(3,5-Dimethylisoxazol-4-yl)methoxy]phenyl acetone
A mixture of 4-hydroxyphenyl acetone (1.5 g), 4-chloromethyl-3,5-dimethylisoxazole (1.6.g) and potassium carbonate (1.5 g) in dimethylformamide (10 ml) was heated and stirred at 60 °C for 18 h. After cooling, the mixture was poured into water and extracted twice with ethyl acetate. The combined solvent phase was washed twice with brine, dried (magnesium sulphate) and then evaporated. The resultant oil was chromatographed on silica using isohexane to 20% ethyl acetate in isohexane mixtures to give the title compound (2.5 g). MS (ES) 259 (M-H)". ' 2H NMR (DMSO-D6) 2.05 (s, 3H), 2.2 (s, 3H), 2.4 (s, 3H), 3.6 (s, 2H), 4.85 (s, 2H), 6.9 (d, 2H), 7.1 (d, 2H).
Example 3
2-r(Aminocarbonyl)aminol-4-methyl-5-(4-r(4-chlorophenyl methoxylρhenyl -3- thiophenecarboxamide
a) The title compound was prepared from 4-[(4-chloropheήyl)methoxy]ρhenyl acetone by the method of Example 1. MS (ES) 414 (M-H)". H NMR (DMSO-D6) 2.2 (s, 3H), 5.1 (s, 2H), 6.7 (br, 2H), 7.05 (d, 2H), 7.25 (m, 3H), 7.4 (m, 5H), 10.04 (m, lH).
b 4-f(4-Chlorophenyl)methoxylphenyl acetone Prepared from 4-chlorobenzyl chloride and 4-hydroxyphenyl acetone by the method of Example 2 (b). MS (ES) 275 (M+H)+. lR NMR (DMSO-D6) 2.05 (s, 3H), 3.6 (s, 2H), 5.0 (s, 2H), 6.9 (d, 2H), 7.05 (d, 2H), 7.4 (m, 4H).
Example 4
2-r(Aminocarbonyl)amino1-4-methyl-5-(4-r(5-chlorothien-2-yl)methoxylphenyl)-3- thiophenecarboxamide
a) The title compound was prepared from 4-[(5-chlorothien-2-yl)methoxy]phenyl acetone by the method of Example 1.
MS (ES) 420 (M-H)".
!H NMR (DMSO-D6) 2.2 (s, 3H), 5.2 (s, 2H), 6.7 (br, 2H), 7.1 (m, 4H), 7.3 (m, 4H), 10.04 (m, 1H).
b) 4-("(5-Chlorothien-2-yl)methoxylphenyl acetone
Prepared by the method of Example 2 (b) from 2-chloromethyl-5-chlorothiophene and 4-hydroxyphenyl acetone. MS (ES) 281 (M+H)+.
Example 5
2-r(Aminocarbonyl)amino1-4-methyl-5-{4-r2-(2,2,6,6-tetramethylpiperidin-l- yl)ethoxylphenyl)-3-thiophenecarboxamide a) The title compound was prepared from 2-amino-4-methyl-5- {4-[2-(2,2,6,6- tetramethylpiperidin-l-yl)ethoxy]phenyl} -3 -thiophenecarboxamide by the method of
Example 1 (b).
MS (ES) 459 (M+H)+.
!H NMR (DMSO-D6) 1.02 (s, 12H), 1.58 - 1.30 (m, 6H), 2.23 (s, 3H), 3.84 (t, 2H), 2.82
(t, 2H), 6.71 (bs, 2H), 6.96 (d, 2H), 7.23 (d, 2H), 7.26 (bs, 2H), 10.04 (s, 1H).
b 2-Amino-4-methyl-5- {4-f2-(2,2,6,6-tetramethylpiperidin-l -yDethoxylphenyl) -3- thiophenecarboxamide
Prepared from 4-[2-(2,2,6,6-tetramethylpiperidin-l-yl)ethoxy]phenyl acetone by the method of Example 1 (a).
MS (ES) 416 (M+H)+.
!H NMR (DMSO-D6) 1.02 (s, 12H), 1.30 - 1.41 (m, 4H), 1.45 - 1.55 ( , 2H), 2.19 (s, 3H), 2.80 (t, 2H), 3.83 (t, 2H), 6.75 (bs, 2H), 6.84 (s, 2H), 6.93 (d, 2H), 7.18 (d, 2H).
c) 4-r2-(2,2,6,6-Tetramefhylpiperidin-l-yl)ethoxy1ρhenyl acetone Prepared from 2-(2,2,6,6-tetramethylpiperidin-l-yl)ethyl chloride and 4-hydroxyphenylacetone in a similar manner to Example 2 (b). MS (ES) 318 (M+H)+.
2H NMR (DMSO-D6) 1.05 (s, 12H), 1.35-1.49 ( , 4H), 1.49 - 1.61 (m, 2H), 2.13 (s, 3H), 2.86 (t, 2H), 3.61 (s, 2H), 3.85 (t, 2H), 6.85 (d, 2H), 7.09 (d, 2H).
Example 6
2-r(Aminocarbonyl aminol-4-methyl-5-C4-r(thiazol-4-yl)methoxylρhenylV3- thiophenecarboxamide
a) The title compound was prepared from 2-amino-4-methyl-5-(4-[(thiazol-4- yl)methoxy]phenyl)-3-thiophenecarboxamide by the method of Example 1. MS (ES) 389 (MH)+. lR NMR (DMSO-D6) 300MHz δ 2.23 (s, 3H), 5.23 (s, 2H), 6.70 (s, 2H), 7.09 (d, 2H),
7.27 (d, 2H), 7.0-7.5 (bs, 3H), 7.79 (s, 1H), 9.11 (s, 1H).
b) 2-Amino-4-methyl-5-(4-f(thiazol-4-yl)methoxy1phenyl)-3-thiophenecarboxamide Prepared from 4-[(thiazol-4-yl)methoxy]phenyl acetone by the method of Example 1. MS (ES) 329 (M-NH3)+.
JH NMR (DMSO-D6) 300MHz δ 2.20 (s, 3H), 5.22 (s, 2H), 6.77 (s, 2H), 6.85 (s, 2H), 7.05 (d, 2H), 7.20 (d, 2H), 7.77 (s, 1H), 9.11 (s, 1H).,
c) 4-["(Thiazol-4-yl)methoxy]phenyl acetone
Prepared from 4-chloromethylthiazole and 4-hydroxyphenylacetone by the method of Example 1. MS (ES) 248 (MH)+. 2H NMR (DMSO-D6) 300MHz δ 2.13 (s, 3H), 3.63 (s, 2H), 5.26 (s, 2H), 6.79 (d, 2H), 7.12 (d, 2H), 7.38 (s, 1H), 8.83 (s, 1H).
Example 7
' 2-r(Aminocarbonyl amino1-4-methyl-5-(4-r(1.2,5-thiadiazol-3-yl methoxy]phenyl -3- tmophenecarboxamide
a) The title compound was prepared from 2-amino-4-methyl-5-(4-[(l,2,5-thiadiazol-3- yl)methoxy]phenyl)-3 -thiophenecarboxamide by the method of Example 1. MS (ES) 388 M". lH NMR (DMSO-D6) 300MHz δ 2.22 (s, 3H), 5.46 (s, 2H), 7.10 (d, 2H), 7.12 (bs, 2H), 7.23 (s, 2H), 7.30 (d, 2H), 8.97 (s, 1H).
b 2-Amino-4-methyl-5-(4-r(1.2.5-thiadiazol-3-yl)methoxy1phenyl)-3- thiophenecarboxamide Prepared from 4-[(l,2,5-thiadiazol-3-yl)methoxy]phenyl acetone by the method of Example 1. MS (ES) 347 M+.
]H NMR (DMSO-D6) 300MHz δ 2.20 (s, 3H), 5.45 (s, 2H), 6.76 (s, 2H), 7.08 (d, 2H), 7.23 (d, 2H), 8.95 (s, IH).
c) 4-f(l,2,5-Thiadiazol-3-yl)methoxy1phenyl acetone
Prepared from 3-bromomethyl-l,2,5-thiadiazole and 4-hydroxyphenylacetone by the method of Example 1. MS (ES)249 (MH)+. lΕL NMR CDC13 300MHz δ 2.15 (s, 3H), 3.63 (s, 2H), 5.36 (s, 2H), 6.96 (d, 2H), 7.14 (d, 2H), 8.68 (s, IH).
Example 8
2-[(Aminocarbonyl aminol-4-methyl-5-(4-r(l-methylperhydroazepin-3-yl)oxy1phenyl)-3- thiophenecarboxamide
a) The title compound was prepared from 2-amino-4-methyl-5-(4-[(l - methylperhydroazepin-3-yl)oxy]phenyl)-3-thiophenecarboxamide by the method of
Example 1.
MS (ES) 403 (MH)+.
LH NMR (DMSO-D6) 300MHz δ 1.62 (m, IH), 1.72 (m, 2H), 2.00 (m, IH), 2.35-2.60 (m,
3H), 2.70 (m, 2H), 2.90 (m, IH), 4.56 (m, IH), 6.70 (s, 2H), 6.95 (d, 2H), 7.24 (bs, 2H; d, 2H), 10.04 (s, lH).
b 2-Amino-4-methyl-5-(4-r( 1 -methylperhydroazepin-3-yl oxy phenyl)-3- thiophenecarboxarnide
Prepared from 4-[(l-methylperhydroazepin-3-yl)oxy]phenyl acetone by the method of Example 1. MS (ES) 360 (MH)+.
!H NMR CDC13 300MHz δ 2.03 (m, 2H), 2.12 (m, 2H), 2.56 (m, IH), 2.70 (m, 3H), 2.90
(m, 2H), 4.50 (m, IH), 5.53 (s, 2H), 6.20 (s, 2H), 6.89 (d, 2H), 7.22 (d, 2H).
c) 4-["(l-Methylperhvdroazepin-3-yl)oxy1phenyl acetone
Prepared from l-methyl-2-chloromethylpiperidine and 4-hydroxyphenylacetone by the method of Example 1 to give a mixture (50:50) of the above product and 4-([l-methyl- piperidin-2-yl]methoxy)phenyl acetone.
MS (ES) 262 (MH)+.
Example 9
2-[(Aminocarbonyl)amino]-5-r6-(pyrrolidin-l-yl)pyridin-3-yl1-3-thiophenecarboxamide
a) 2- Amino-3 -thiophenecarboxamide
A suspension of 2,5-dihydroxy-l,4-dithiane (25 g) and cyano acetamide (19.3 g) in ethanol (120 ml) was stirred and heated to 50 °C . Triethylamine (9.2 ml) was added over 15 minutes and the mixture was stirred at 50 ° C for a further 2 h. After cooling in ice, the solid was filtered off and dried (21.4 g). MS (ES) 143 (M+H)+.
b 2-rfAminocarbonyl)amino1-3-thiophenecarboxamide
2 -Amino-3 -thiophenecarboxamide (0.44 g) was suspended in acetonitrile (25 ml) and trichloroacetylisocyanate (0.2 ml) added dropwise with stirring over 10 minutes. Stirring was continued for a further 3 h at room temperature and then a solution of ammonia in methanol (10 ml of a 2M solution) was added and stirring continued for a further 2 h. The solvent was evaporated and the residue treated with water. The resultant solid was filtered off and washed with more water. Trituration with ether gave the title urea (0.2 g). MS (ES) 186 (M+H)+. c) 2-["(Aminocarbonyl)aminol-5-bromo-3-thiophenecarboxamide 2-[(Aminocarbonyl)amino]-3-thiophenecarboxamide (1.0 g) was dissolved in acetic acid (20 ml) and a solution of bromine (0.35 ml) in acetic acid (5 ml) was added over 5 minutes with rapid stirring. The mixture was stirred for 90 minutes and then added to water (50 ml). The product was filtered off and washed with water and dried under vacuum (0.55 g). MS (ES) 262/264 (M-H)". lE NMR (DMSO-D6) 7.15 (m, IH), 7.35 (m, IH), 7.8 (s, IH), 7.9 (m, IH), 10.63 (brs, IH).
d) 5-Iodo-2-pyrrolidin-l-yl pyridine
Pyrrolidine (1.74 ml) was added to 2-chloro-5-iodopyridine (1 g) in dimefhylacetamide (5 ml) and the solution heated at 120 °C for 4 h. After cooling, the reaction mixture was poured into water (60 ml) and the solid precipitate collected by filtration. Recrystallisation from ethyl acetate gave the product as off-white needles (0.33 g); the remaining material was adsorbed onto silica and purified by column chromatography eluting with 0 to 3% ethyl acetate in hexane to give a white solid (0.65 g). MS (ES) 275 (M+H)+.
!H NMR (DMSO-D6) 1.84 - 1.98 (m, 4H), 3.24 - 3.37 (m, 4H), 6.33 (d, IH), 7.67 (dd, IH), 8.16 (d, IH).
e 2-[(Aminocarbonyl amino]-5-r6-fpyrrolidin-l-yl pyridin-3-yl]-3- thiophenecarboxamide
2-Pyrrolidinyl-5-iodopyridine (0.778 g) was stirred in tetrahydrofuran (20 ml) under argon.
Triisopropylborate (1.31 ml) was added the solution was cooled to - 78 °C. n-Butyl lithium (2.66 ml, 1.6M solution in hexane) was added dropwise. The reaction mixture was stirred at - 78 °C for 5 minutes then allowed to warm to room temperature and stirred for a further 30 minutes. The mixture was then evaporated to dryness. 1,2-Dimethoxyethane
(20 ml) was added to the residue and purged with a stream of argon.
2-[(Aminocarbonyl)amino]-5-bromo-3-thiophenecarboxamide (0.250 g) was then added followed by saturated aqueous sodium hydrogen carbonate (7 ml) and Pd(PPh3)4 (100 mg). The mixture was heated at 90 °C under argon for 18 h. After cooling, the solvent was removed in vacuo and the residue taken up in 2M aqueous sodium hydroxide (30 ml) and 10%) methanol in dichloromethane (40 ml). The layers were separated and the organic phase extracted with a further portion of 2M aqueous sodium hydroxide (20 ml). The solid remaining undissolved at the interface was collected by filtration, washed with water and dichloromethane and dried to give the product as a pale brown solid (0.219 g). MS (ES) 332 (M+H)+.
]H NMR (DMSO-D6) 1.83 - 2.01 (m, 4H), 3.28 - 3.46 (m, 4H), 6.47 (d, IH), 6.87 (bs, 2H), 7.23 (bs, IH), 7.43 (s, IH), 7.58 (bs, IH), 7.58 (dd, IH), 8.20 (d, IH), 10.91 (s, IH).
Example 10
2-r(Aminocarbonyl aminol-5-r6-(2,2-difluoroethoxy ρyridin-3-vn-3- thiophenecarboxamide
a) 5-Bromo-2-(2,2-difluoroethoxy)pyridine (0.541 g) was stirred in (10 ml) under argon. Triisopropylborate (1.05 ml) was added and the solution was cooled to - 78 °C. Butyl lithium (2.13 ml, 1.6M solution in hexane) was added dropwise. The mixture was then allowed to warm to room temperature and stirring continued for 1 h. The tetrahydrofuran was removed in vacuo, dimethoxyethane (12 ml) was added and the mixture was purged with argon. 2-[(Aminocarbonyl)amino]-5-bromo-3- thiophenecarboxamide was added, followed by sodium hydrogen carbonate (3.5 ml of a saturated aqueous solution) and Pd(PPh3)4 (100 mg). The mixture was heated at 90 °C for 6 h under argon, then allowed to cool and stirred at room temperature for 18 h. The solvent was removed in vacuo and the residue taken up in 2M aqueous sodium hydroxide (30 ml) and 10% methanol in dichloromethane (40 ml). The layers were separated and the organic phase washed with a further portion of 2M aqueous sodium hydroxide (20 ml). The combined aqueous layers were washed with dichloromethane (40 ml), then filtered and the filtrate neutralised with 6M aqueous hydrochloric acid. The resultant precipitate was collected by filtration, washed with water and dried to give the product as a pale brown solid (146 mg). MS (ES) 343 (M+H)+. lϊϊ NMR (DMSO-D6) 4.57 (td, 2H), 6.38 (tt, IH), 6.94 (bs, 2H), 6.96 (d, IH), 7.30 (bs, IH), 7.63 (bs, IH), 7.67 (s, IH), 7.87 (dd, IH), 8.30 (d, IH), 10.97 (s, IH).
b 5-Bromo-2-(2,2-difluoroethoxy)pyridine
2,2-Difluoroethanol (0.40 ml) was added dropwise to a suspension of sodium hydride
(0.270 g) in dimethylformamide (5 ml) cooled in an ice-bath under argon. The mixture was stirred at room temperature for 40 minutes, then re-cooled in an ice-bath. A solution of 2,5-dibromopyridine (1 g) in dimethylformamide (5 ml) was added. The solution was
• then heated at 65 °C under argon for 18 h, allowed to cool and diluted with water (50 ml).
The aqueous phase was extracted three times with ethyl acetate. The combined extracts were washed with water, brine, dried over magnesium sulphate, filtered and evaporated. The product was purified by column chromatography eluting with hexane to give a colourless oil (0.946 g).
MS (CI) 238 (M+H)+.
2H NMR (DMSO-D6) 4.50 (td, 2H), 6.10 (tt, IH), 6.74 (d, IH), 7.70 (dd, IH), 8.18 (d,
IH).
Example 11
2-r(Aminocarbonyl)amino1-5-r6-rpiperidin-l-yl')ρyridin-3-yl1-3-thiophenecarboxamide
a) The title compound was prepared from 5-iodo-2-piperidinylpyridine in a similar manner to Example 10 (a). MS (ES) 346 (M+H)+.
2H NMR (DMSO-D6) 1.44 - 1.66 (m, 6H), 3.44 - 3.58 (m, 4H), 6.84 (d, IH), 6.90 (bs, 2H), 7.24 (bs, IH), 7.47 (s, IH), 7.56 (bs, IH), 7.60 (dd, IH), 8.23 (d, IH), 10.92 (s, IH). b) 5-Iodo-2-piperidinylpyridine
Prepared from 2-chloro-5-iodopyridine and piperidine by the method of Example 9 (d). MS (ES) 289 (M+H)+. H NMR (DMSO-D6) 1.43 - 1.64 (m, 6H), 3.41 - 3.52 (m, 4H), 6.69 (d, IH), 7.68 (dd, IH), 8.20 (d, IH).
Example 12
2-f(Aminocarbonyl)aminol-5-f6-(cyclopentyloxy pyridin-3-yl]-3-thiophenecarboxamide
a) The title compound was prepared from 5-bromo-2-(cyclopentyloxy)pyridine in a similar manner to Example 10 (a).
MS (ES) 347 (M+H)+.
2H NMR (DMSO-D6) 1.46 - 1.78 (m, 6H), 1.83 - 2.02 (m, 2H), 5.30 - 5.40 (m, IH), 6.78 (d, IH), 6.93 (bs, 2H), 7.29 (bs, IH), 7.60 (bs, IH), 7.60 (s, IH), 7.76 (dd, IH), 8.25 (d, IH), 10.95 (s, IH).
b) 5-Bromo-2-fcyclopentyloxy)pyridine
Prepared from 2,5-dibromopyridine and cyclopentanol by the method of Example 10 (b). MS (El) 241 (M)+.
!H NMR (DMSO-D6) 1.54 - 2.05 (m, 8H), 5.28 - 5.37 (m, IH), 6.58 (d, IH), 7.60 (dd, IH), 8.17 (d, IH).
Example 13
2-r(Aminocarbonyl)amino1-5-r6-(4-ethanesulfonylpiperazin-l-yl ρyridin-3-yl1-3- thiophenecarboxamide
a) The title compound was prepared from 5-bromo-2-(4-ethanesulphonylpiperazin-l-yl) pyridine in a similar manner to Example 9 (e). MS (ES) 439 (M+H)+. lE NMR (DMSO-D6) 1.21 (t, 3H), 3.07 (q, 2H), 3.18 - 3.30 (m, 4H), 3.53 - 3.66 (m, 4H), 6.90 (bs, 2H), 6.94 (d, IH), 7.30 (bs, IH), 7.54 (s, IH), 7.60 (bs, IH), 7.68 (dd, IH), 8.25 (d, IH), 10.94 (s, IH).
b) 5-Bromo-2-(4-ethanesulfonylpiperazin- 1 -vDpyridine 2,5-Dibromopyridine (1 g) was heated in dimethylacetamide (2.5 ml) with ethanesulfonylpiperazine (0.752 g) and diisopropylethylamine (1.84 ml) at 120 °C for 18h. After cooling, the reaction mixture was poured into water (30 ml) and the precipitated solid was collected by filtration. The product was purified by column chromatography eluting with dichloromethane (0.50 g). MS (ES) 334 (M+H)+.
!H NMR (DMSO-D6) 1.40 (t, 3H), 2.98 (q, 2H), 3.35 - 3.43 (m, 4H), 3.57 - 3.66 (m, 4H), 6.56 (d, IH), 7.56 (dd, IH), 8.21 (d, IH).
Example 14
2-r(Aminocarbonyl)amino1-5-r6-r(tetrahydrofuran-2-yl)methoxylpyridin-3-yl1-3- thiophenecarboxamide
a) The title compound was prepared from 5-bromo-2-[(tetrahydrofuran-2- yl)methoxy]pyridine in a similar manner to Example 10 (a).
MS (ES) 363 (M+H)+. lH NMR (DMSO-D6) 1.55 - 2.05 (m, 4H), 3.59 - 3.82 (m, 2H), 4.07 - 4.30 (m, 3H), 6.85 (d, IH), 6.94 (bs, 2H), 7.29 (bs, IH), 7.60 (bs, IH), 7.60 (s, IH), 7.80 (dd, IH), 8.25 (d, IH), 10.96 (s, IH).
b) 5-Bromo-2-r(tetrahvdrofuran-2-yl")methoxy1pyridine
Prepared from 2,5-dibromopyridine and tetrahydrofuran-2 -methanol by the method of Example 10 (b). MS (CI) 258 (M+H)+. lR NMR (DMSO-D6) 1.63 - 2.12 (m, 4H), 3.77 - 3.98 (m, 2H), 4.14 - 4.38 (m, 3H), 6.71
(d, IH), 7.63 (dd, IH), 8.15 (d, IH).
. Example 15
2-r(Aminocarbonyl amino1-5-{3-['6-(furan-2-ylmethoxy 1-pyridine}-3- thiophenecarboxamide
a) The title compound was prepared from 5-bromo-2-(furan-2-ylmethoxy)-pyridine in a similar manner to Example 10 (a).
MS (ES) 359 (M+H)+.
JH NMR (DMSO-D6) 5.30 (s, 2H), 6.44 (m, IH), 6.55 (d, IH), 6.87 (d, IH), 6.94 (bs, 2H),
7.29 (bs, IH), 7.62 (bs, IH), 7.62 (s, IH), 7.67 (d, IH), 7.82 (dd, IH), 8.30 (d, IH), 10.96 (s, IH).
b) 5-Bromo-2-(furan-2-ylmethoxy)-pyridine
Prepared from 2,5-dibromopyridine and 2-furanmethanol by the method of Example 10 (b). MS (El) 253 (M)+.
!H NMR (DMSO-D6) 5.27 (s, 2H), 6.44 (t, IH), 6.53 (d, IH), 6.84 (d, IH), 7.67 (s, IH), 7.89 (dd, IH), 8.29 (d, IH).
Example 16
2-[(Aminocarbonyl amino1-5-{3-r6-(4-acetyl piρerazin-l-yll-pyridine}-3- thiophenecarboxamide a) The title compound was prepared from l-[4-(5-bromo-pyridin-2-yl)piperazin-l- yl]ethanone in a similar manner to Example 10(a) but using t-butyl lithium (2 eq.) in place of n-butyl lithium.
MS (ES) 389 (M+H)+. !H NMR (DMSO-D6) 2.03 (s, 3H), 3.43 - 3.61 (m, 8H), 6.90 (bs, 2H), 6.90 (d, IH), 7.26 (bs, IH), 7.52 (s, IH), 7.60 (bs, IH), 7.67 (dd, IH), 8.27 (d, IH), 10.93 (s, IH).
b 1 -[4-(5-Bromo-pyridin-2-yl piperazin- 1 -yllethanone
Prepared from 2,5-dibromopyridine and 1-acetylpiperazine by the method of Example 13 (b).
MS (ES) 284 (M+H)+.
!H NMR (DMSO-D6) 2.13 (s, 3H), 3.43 - 3.50 (m, 2H), 3.52 - 3.64 (m, 4H), 3.68 - 3.78
(m, 2H), 6.54 (d, IH), 7.56 (dd, IH), 8.20 (d, IH).
Example 17
(R)-2- [f Aminocarbonyl)amino~l-5- (3 -["6-(tetrahydrofuran-3 -yloxy)1 -pyridine! -3 - thiophenecarboxamide
a) The title compound was prepared from (ϊ?J-5-bromo-2-(tetrahydrofuran-3-yloxy)- pyridine in a similar manner to Example 10 (a).
MS (ES) 349 (M+H)+.
*H NMR (DMSO-D6) 1.90 - 2.04 (m, IH), 2.13 - 2.30 (m, IH), 3.68 - 3.95 (m, 4H), 5.45 -
5.54 (m, IH), 6.85 (d, IH), 6.94 (bs, 2H), 7.30 (bs, IH), 7.60 (bs, IH), 7.60 (s, IH), 7.80 (dd, IH), 8.25 (d, IH), 10.95 (s, IH).
b) tJ?)-5-Bromo-2-(tetrahydrofuran-3-yloxy -pyridine
Prepared from 2,5-dibromopyridine and (i? -3-hydroxytetrahydrofuranby the method of Example 10 (b). MS (ES) 244 (M+H)+. lE NMR (DMSO-D6) 2.03 - 2.33 (m, 2H), 3.83 - 4.07 (m, 4H), 5.46 - 5.54 (m, IH), 6.65 (d, IH), 7.63 (dd, IH), 8.16 (d, IH).
Example 18
2-F(Aminocarbonyl)amino1-5- {3-r6-(l -isopropyl-pyrrolidin-3-yloxy)] -pyridine} -3- thiophenecarboxamide
a) The title compound was prepared from 5-bromo-2-(l-isopropyl-pyrrolidin-3-yloxy)- pyridine in a similar manner to Example 10 (a).
MS (ES) 390 (M+H)+.
:H NMR (DMSO-D6) 0.99 (d, 3H), 1.02 (d, 3H), 1.69 - 1.87 (m, IH), 2.15 - 2.94 (m, 6H), 5.28 - 5.38 (m, IH), 6.83 (d, IH), 7.94 (bs, 2H), 7.29 (bs, IH), 7.60 (bs, IH), 7.60 (s, IH), 7.77 (dd, IH), 8.25 (d, IH), 10.95 (s, IH).
b 5-Bromo-2-( 1 -isopropyl-pyrrolidin-3-yloxy)-ρyridine
Prepared from 2,5-dibromopyridine and l-isopropylpyrrolidin-3-ol by the method of Example 10 (b). MS (ES) 285 (M+H)+. !H NMR (DMSO-D6) 1.1.0 (d, 3H), 1.12 (d, 3H), 1.88 - 2.02 (m, IH), 2.25 - 2.53 (m, 3H), 2.80 - 2.96 (m, 3H), 5.32 - 5.43 (m, IH), 6.64 (d, IH), 7.60 (dd, IH), 8.15 (d, IH).
Example 19
2-r(Aminocarbonyl)amino1-5-{3-r6-(l-t-butyloxycarbonyl-piperidin-4-yloxy 1-pyridine}- 3 -thiophenecarboxamide
a) The title compound was prepared from 2-(l-t-butyloxycarbonyl-piperidin-4-yloxy)-5- bromopyridine in a similar manner to Example 10 (a). MS (ES) 462 (M+H)+. !H NMR (DMSO-D6) 1.39 (s, 9H), 1.46 - 1.62 (m, 2H), 1.87 - 2.00 (m, 2H), 3.08 - 3.25 (m, 2H), 3.61 - 3.73 ( , 2H), 5.10 - 5.23 (m, IH), 6.84 (d, IH), 6.94 (bs, 2H), 7.29 (bs, IH), 7.60 (bs, IH), 7.60 (s, IH), 7.80 (dd, IH), 8.25 (d, IH), 10.96 (s, IH).
b) 2-fl -(t-Butyloxycarbonyl)-piperidin-4-yloxy]-5-bromopyridine
Prepared from 2,5-dibromopyridine and l-t-butyloxycarbonylpiperidin-4-ol by the method of Example 10 (b).
MS (CI) 357 (M+H)+.
JH NMR (DMSO-D6) 1.48 (s, 9H), 1.62 - 1.78 (m, 2H), 1.89 - 2.02 (m, 2H), 3.20 - 3.34 (m, 2H), 3.68 - 3.83 (m, 2H), 5.10 - 5.21 (m, IH), 6.62 (d, IH), 7.63 (dd, IH), 8.14 (d, IH).
Example 20
2-f(Aminocarbonyl')amino1-5-{3-r6-(piperidin-4-yloxy ]-ρyridine}-3- thiophenecarboxamide
2-[(Aminocarbonyl)amino]-5-{3-[6-(l-t-butyloxycarbonyl-piperidin-4-yloxy)-pyridine}-3- thiophenecarboxamide (65 mg) was stirred in dichloromethane (3 ml). Trifluoroacetic acid (3 ml) was added and stirring continued at room temperature for 1.5 h. Volatile materials were removed in vacuo, the residue was re-dissolved in dichloromethane and the solution added to saturated aqueous sodium hydrogen carbonate (3 ml). The dichloromethane was removed in vacuo and the solid product collected by filtration, washed with water and dried (28 mg). MS (ES) 362 (M+H)+. lU NMR (DMSO-D6) 1.42 - 1.58 (m, 2H), 1.87 - 2.00 (m, 2H), 2.5Ϊ - 2.69 (m, 2H), 2.90 - 3.03 (m, 2H), 4.95 - 5.10 (m, IH), 6.81 (d, IH), 6.92 (bs, 2H), 7.28 (bs, IH), 7.57 (bs, IH), 7.57 (s, IH), 7.77 (dd, IH), 8.23 (d, IH).
Example 21 2-r(Aminocarbonyl)aminol-5- (3-l"6-(l -f2-methoxyethyl)-piperidm-4-yloxy)1-pyridine| -3- thiophenecarboxamide
a) The title compound was prepared from 5-bromo-2-(l-methoxyethylpiperidin-4-yloxy)- pyridine in a similar manner to Example 10 (a).
MS (ES) 420 (M+H)+. lH NMR (DMSO-D6) 1.57 - 1.74 (m, 2H), 1.95 - 2.01 (m, 2H), 2.23 - 2.40 ( , 2H), 2.40 - 2.60 (m, 2H), 2.64 - 2.85 (m, 2H), 3.22 (s, 3H), 3.43 (t, 2H), 4.92 - 5.05 (bs, IH), 6.81 (d, IH), 6.93 (bs, 2H), 7.28 (bs, IH), 7.60 (bs, IH), 7.60 (s, IH), 7.77 (dd, IH), 8.24 (d, IH), 10.95 (s, IH).
b 5-Bromo-2-( 1 -methoxyethylpiperidin-4-yloxy)-pyridine
5-Bromo-2-(piperidin-4-yloxy)pyridine trifluoroacetate (0.86 g) was stirred with potassium carbonate (0.838 g) in dimethylacetamide (5 ml). Bromoethyl methyl ether (0.342 ml) was added and the mixture was heated at 80 °C for 20 minutes. After cooling the mixture was poured into water (30 ml) and extracted three times with ether. The combined extracts were washed with water, dried over magnesium sulfate, filtered and evaporated. The residue was purified by column chromatography eluting with 0 to 2% 2M methanolic ammonia in dichloromethane to give the product as a colourless oil (0.71 g). MS (ES) 315 (M+H)+. lU NMR (DMSO-D6) 1.74 - 1.90 (m, 2H), 1.96 - 2.10 (m, 2H), 2.28 - 2.43 ( , 2H), 2.60 (t, 2H), 2.73 - 2.86 (m, 2H), 3.36 (s, 3H), 3.52 (t, 2H), 4.94 - 5.06 (m, IH), 6.62 (d, IH), 7.60 (dd, IH), 8.14 (d, IH).
c) 5-Bromo-2-fpiperidin-4-yloxy)pyridine trifluoroacetate
2-[l-(t-Butyloxycarbonyl)-piperidin-4-yloxy]-5-bromopyridine was stirred in dichloromethane (8 ml). Trifluoroacetic acid (5 ml) was added and stirring continued at room temperature for 1.5 h. Volatile materials were removed in vacuo and the residue was triturated with ether and hexane, then collected by filtration to give the product as a white solid (0.86 g). MS (ES) 257 (M+H)+. lH NMR (DMSO-D6) 2.06 - 2.32 (m, 4H), 3.12 - 3.27 (m, 2H), 3.27 - 3.47 (m, 2H), 5.25 -
5.38 (m, IH), 6.68 (d, IH), 7.69 (dd, IH), 8.16 (dd, IH), 9.42 (bs, IH), 9.57 (bs, IH).
Example 22
2r(Aminocarbonyl aminol-5-{3-r6-(N-methanesulρhonyl -piperidin-4-yloxy1-pyridine|-3- thiophenecarboxamide
2-[(N-Methanesulphonyl)piperidinyl-4-oxy]-5-bromopyridine (0.335 g) was dissolved in tetrahydrofuran (10 ml) and cooled to -78 °C. Triisopropyl borate (0.46 ml) was added followed by dropwise addition of n-butyl lithium (1.0 ml, 1.6M solution in hexane). The reaction mixture was allowed to warm to room temperature and stirred for 1 h. The solvent was then evaporated off and the residue dissolved in a mixture of 1 ,2-dimethoxyethane (8 ml) and water (1 ml) and purged with a stream of argon. 2-[(Aminocarbonyl)amino]-5- bromo-3 -thiophenecarboxamide (0.137 g) was then added followed by sodium carbonate (30 mg) and Pd(PPh3)4 (100 mg). The mixture was heated at 90 °C under argon for 6 h. The reaction was cooled, filtered and evaporated to dryness. The residue was partitioned between 3Ν aqueous sodium carbonate and dichloromethane and the solid interlayer was filtered off. The crude product was washed with water and then with a 10%> methanol in dichloromethane mixture. The solid was chromatographed on silica using 10% methanol in dichloromethane as eluent to give the required product (20 mg). MS (ES) 440 (M+H)+. lU NMR (DMSO-D6) 1.8 (m, 2H), 2.0 (m, 2H), 2.9 (s, 3H), 3.1 (m, 2H), 3.4 (m, 2H), 5.15 ( , IH), 6.8 (d, IH), 6.95 (m, 2H), 7.2 (m, IH), 7.6 (s, IH), 7.65 (m,' IH), 7.8 (d, IH), 8.2 (s, IH), 10.96 (m, IH).
The preparation of the starting material was achieved as follows:
a 2-(Piperidinyl-4-oxy)-5-bromopyridine Prepared from 2,5-dibromopyridine and 4-hydroxypiperidine by the method of Example 10 (b).
!H NMR (CDC13) 1.6 (m, 2H), 2.1 (m, 2H), 2.8 (m, 2H), 3.2 ( , 2H), 5.0 (m, IH), 6.6 (m, lH), 7.6 (m, IH), 8.15 (m, IH).
b) 2-r(N-methanesulphonyl)piperidinyl-4-oxy1-5-bromopyridine A solution of 2-(piperidinyl-4-oxy)-5-bromopyridine (4.4 g) and triethylamine (7,2 ml) in dichloromethane (150 ml) was cooled in an ice bath under argon and a solution of mesyl chloride (1.9 ml) in dichloromethane (50 ml) was added dropwise with stirring. After the addition was complete the solution was stirred for a further 18 h at room temperature. The mixture was diluted with more dichloromethane and washed with water then brine and dried (sodium sulphate). The solvent was evaporated off and the residue washed with isohexane and the solid product was filtered off (3.8 g). MS (ES) 335 (M+H)+. !H ΝMR (DMSO-D6) 1.7 (m, 2H), 2.0 ( , 2H), 2.9 (s, 3H), 3.1 (m, 2H), 3.35 ( , 2H), 5.1 (m, IH), 6.8 (m, IH), 7.9 (m, IH), 8.3 (m, IH).
Example 23
2- (Aminocarbonyl amino1-5-{3-[6-(4,4-difluoropiperidin-l-yl pyridine|-3- thiophenecarboxamide
a) The title compound was prepared from 5-bromo-2-(4,4-difluoro-piperidin- 1 - yfjpyridine in a similar manner to Example 9 (e). MS (ES) 346 (M+H)+.
1H ΝMR (DMSO-D6) 1.44 - 1.66 (m, 6H), 3.44 - 3.58 (m, 4H), 6.84 (d, IH), 6.90 (bs, 2H), 7.24 (bs, IH), 7.47 (s, IH), 7.56 (bs, IH), 7.60 (dd, IH), 8.23 (d, IH), 10.92 (s, IH).
b) 5-Bromo-2-(4.4-difluoro-piperidin- 1 -vDpyridine 2,5-Dibromopyridine (1.30 g) was heated with 4,4-difluoropiperidine (2 g) in dimethylacetamide (4 ml) at 120 °C for 24 h, then at 150 °C for 8 h. The solution was allowed to cool, then poured into water (30 ml). The aqueous phase was extracted with ether (x3) and the combined extracts washed with water, dried over magnesium sulfate, filtered and evaporated. Purification by column chromatography gave the product as a colourless oil (0.70 g). MS (ES) 277 (M+H)+.
!H NMR (DMSO-D6) 1.85-2.10 (m, 4H), 3.63 - 3.75 (m, 4H), 6.60 (d, IH), 7.55 (dd, IH), 8.18 (d, IH).
Example 24
2- (Aminocarbonyl)amino1-5-{3-|"6-(pyrrolidin-l-yl)-5-methyl1pyridine}-3- thiophenecarboxamide
a) The title compound was prepared from 5-iodo-3-methyl-2-(pyrrolidin-l-yl)-pyridine in a similar manner to Example 9 (e).
MS (ES) 346 (M+H)+.
2H NMR (DMSO-D6) 1.76 -1.92 (m, 4H), 2.31 (s, 3H), 3.40 - 3.52 (m, 4H), 6.89 (bs, 2H), 7.25 (bs, IH), 7.43 (d, IH), 7.47 (s, IH), 7.58 (bs, IH), 8.07 (d, IH), 10.92 (s, IH).
b) 5-Iodo-3-methyl-2-(pyrrolidin- 1 -yD-pyridine
Prepared from 2-bromo-5-iodo-3-methylpyridine (J. Org. Chem. 1995, 60 (10), 5358) in a similar manner to Example 9 (d). MS (ES) 289 (M+H)+. lB. NMR (DMSO-D6) 1.85 - 1.97 (m, 4H), 2.27 (s, 3H), 3.44 - 3.56 (m, 4H), 7.48 (d, IH), 8.15 (d, IH).
Example 25 2-f(Aminocarbonyl)amino1-5-{3-["6-('thien-2-ylmethoxy 1pyridine}-3- thiophenecarboxamide
a) The title compound was prepared from 2-(thien-2-ylmethoxy)-5-bromopyridine by the method of Example 22. MS (ES) 375 (M+H)+.
2H NMR (DMSO-D6) 5.5 (s, 2H), 6.95 (m, 4H), 7.2 (s, IH), 7.25 (m, IH), 7.5 (m, IH), 7.6 (m, 2H), 7.8 (m, IH), 8.3 (s, IH), 10.96 (brs, IH).
b) 2-(Thien-2-ylmethoxy)-5-bromopyridine
Prepared from 2,5-dibromopyridine and thiophen-2-methanol by the method of Example
10 (b).
!H NMR (DMSO-D6) 5.5 (s, 2H), 6.65 (m, IH), 7.0 ( , IH), 7.1 (m, IH), 7.3 (m, IH), 7.6
( , IH), 8.2 ( , IH).
Example 26
2-["(Aminocarbonyl)aminol-5- {3-r6-(cvclopentylmethoxy)1pyridine} -3- thiophenecarboxamide
a) The title compound was prepared from 2-cyclopentylmethoxy-5-bromopyridine by the method of Example 22.
MS (ES) 361 (M+H)+.
XH NMR (DMSO-D6) 1.3 (m, 2H), 1.6 (m, 4H), 1.8 (m, 2H), 2.3 (m, IH), 4.1 (d, 2H), 6.8 (d, IH), 6.95 (m, 2H), 7.3 (brs, IH), 7.6 (m, 2H), 7.8 (m, IH), 8.25 (m, IH), 10.96 (brs, IH).
b 2-Cycloρentylmethoxy-5-bromopyridine
Prepared from 2,5-dibromopyridine and cyclopentylmethanol by the method of Example 10 (b). .+
MS (ES) 256 (M+H)
Example 27
2-r(Aminocarbonyl)amino1-5-r3-(6-benzyloxy)pyridinel-3-thiophenecarboxamide
a) The title compound was prepared from 2-benzyloxy-5-bromopyridine by the method of Example 22.
MS (ES) 369 (M+H)+. lH NMR (DMSO-D6) 5.4 (s, 2H), 6.9 (d, IH), 6.95 (m, 2H), 7.35 (m, 4H), 7.4 (m, 2H), 7.6 (m, 2H), 7.8 (m, IH), 8.3 (m, IH), 10.96 (brs, IH).
b) 2-Benzyloxy-5-bromopyridine
Prepared from 2,5-dibromopyridine and benzyl alcohol by the method of Example 10 (b). MS (ES) 264 (M+H)+.
Example 28
2-r(Aminocarbonyl)aminol-5-{3-r6-(tetrahvdrofuran-3-yloxy)1pyridine}-3- thiophenecarboxamide
a) The title compound was prepared from 2-(tefrahydrofuran-3-yloxy)-5-bromopyridine by the method of Example 22.
MS (ES) 349 (M+H)
XXHH NNMMRR ((DDMMSSOO--DD66) 2.0 (m, IH), 2.2 (m, IH), 3.8 (m, 4H), 5.5 (m, IH), 6.8 (m, IH),
6.95 (brs, 2H), 7.3 (m, IH), .6 (m, 2H), 7.8 (m, IH), 8.25 (s, IH), 10.96 (brs, IH).
b) 2-(Tetrahvdrofuran-3-yloxy -5-bromopyridine
Prepared from 2,5-dibromopyridine and 3-hydroxytetrahydrofuran by the method of Example 10 (b). lR NMR (DMSO-D6) 2.0 (m, IH), 2.2 (m, IH), 3.8 (m, 4H), 5.4 (m, IH), 6.8 (d, IH), 7.8 (m, IH), 8.2 ( , IH).
Example 29
2-r(Aminocarbonyl)aminol-5-(3-r6-rtetrahvdrofuran-3-ylmethoxy)1pyridine)-3- thiophenecarboxamide
a) The title compound was prepared from 2-(tetrahydrofuran-3-ylmethoxy)-5- bromopyridine by the method of Example 22.
MS (ES) 363 (M+H)+.
]H NMR (DMSO-D6) 1.6 (m, IH), 2.0 (m, IH), 2.6 (m, IH), 3.5 (m, IH), 3.6 (m, IH), 3.8 (m, 2H), 4.2 (m, 2H), 6.8 (d, IH), 6,95 (m, 2H), 7.3 (brs, IH), 7.6 (m, 2H), 7.8 (m, IH), 8.25 (m, IH), 10.96 (brs, IH).
b 2-fTetrahvdrofuran-3-ylmethoxy)-5-bromopyridine
Prepared from 2,5-dibromopyridine and tetrahydrofuran-3 -methanol by the method of Example 10 (b).
!H NMR (DMSO-D6) 1.6 (m, IH), 2.0 (m, IH), 2.6 (m, IH), 3.5 (m, IH), 3.6 (m, IH), 3.7 (m, 2H), 4.2 ( , 2H), 6.8 (d, IH), 7.8 (m, IH), 8.2 (s, IH).
Example 30
2-r(Aminocarbonyl amino1-5-(3-r6-(cvclopropylmethoxy)1pyridine}-3- thiophenecarboxamide
a) The title compound was prepared from 2-cyclopropylmethoxy-5-bromopyridine by the method of Example 22. MS (ES) 333 (M+H)+. lE NMR (DMSO-D6) 0.25 (m, 2H), 0.35 ( , 2H), 1.25 ( , IH), 4.05 (d, 2H), 6.85 (d, IH), 6.9 (m, 2H), 7.25 ( , IH), 7.6 (m, 2H), 7.75 (m, IH), 8.25 ( , IH), 10.93 (brs, IH).
b) 2-(Cyclopropylmethoxy -5-bromopyridine Prepared from 2,5-dibromopyridine and cyclopropylmethanol by the method of Example 10 (b).
!H NMR (DMSO-D6) 0.2 (m, 2H), 0.4 (m, 2H), 1.2 (m, IH), 4.0 (d, 2H), 6.8 (d, IH), 7.8 (m, IH), 8.2 (d, IH).
Example 31
tS)-2-[(Aminocarbonyl)amino1-5-{3-r6-(tetrahydrofuran-3-yloxy lpyridine}-3- thiophenecarboxamide
a) The title compound was prepared from (S)-2-(tetrahydrofuran-3-yloxy)-5- bromopyridine by the method of Example 22. MS (ES) 349 (M+H)+.
]H NMR (DMSO-D6) 2.0 (m, IH), 2.2 (m, IH), 3.8 (m, 4H), 5.5 (m, IH), 6.8 (d, IH), 6.95 (m, 2H), 7.3 (brs, IH), 7.6 (m, 2H), 7.8 (m, IH), 8.25 (m, IH), 10.96 (brs, IH).
b fS)-2-(Tetrahydrofuran-3-yloxy -5-bromopyridine
Prepared from 2,5-dibromopyridine and S-3-hydroxytetrahydrofuran by the method of Example 10 (b). lE NMR (DMSO-D6) 2.0 (m, IH), 2.2 (m, IH), 3.8 (m, 4H), 5.4 (m, IH), 6.8 (d, IH), 7.8 (m, IH), 8.2 (d, IH).
Example 32
2-r(Aminocarbonyl)aminol-5-{3-r6-(tetrahvdropyran-4-yloxy)lρyridinel-3- thiophenecarboxamide a) The title compound was prepared from 2-(tetrahydropyran-4-yloxy)-5-bromopyridine by the method of Example 22. MS (ES) 363 (M+H)+. !H NMR (DMSO-D6) 1.6 (m, 2H), 2.0 (m, 2H), 3.5 ( , 2H), 3.8 (m, 2H), 5.2 (m, IH), 6.8 (m, IH), 6.95 (brs, 2H), 7.3 (m, IH), 7.6 (m, 2H), 7.8 (m, IH), 8.2 (d, IH), 10.96 (brs, IH).
b 2-(Tetrahydropyran-4-yloxy -5-bromopyridine
Prepared from 2,5-dibromopyridine and tetrahydropyran-4-ol by the method of Example 10 (b).
MS (ES) 258 (M+H)+.
Example 33
2-[(Aminocarbonyl)amino1-5-{3-[6-ftetrahvdrothiopyran-3-yloxy)1pyridine}-3- thiophenecarboxamide
a) The title compound was prepared from 2-(tetrahydrothiopyran-3-yloxy)-5- bromopyridine by the method of Example 22. MS (ES) 379 (M+H)+.
!H NMR (DMSO-D6) 1.6 (m, IH), 1.8 (m, IH), 2.05 ( , 2H), 2.6 (m, 3H), 2.9 (m, IH), 5.1 (m, IH), 6.8 (m, IH), 6.9 (brs, 2H), 7.3 (m, IH), 7.6 (m, 2H), 7.8 (m, IH), 8.25 (d, IH), 10.96 (brs, IH).
b) 2-(Tetrahydrothiopyran-3-yloxy)-5-bromoρyridine
Prepared from 2,5-dibromopyridine and tetrahyrothiopyran-3-ol by the method of Example
10 (b). H NMR (DMSO-D6) 1.5 (m, IH), 1.8 (m, 2H), 2.1 (m, 2H), 2.45 (m, IH), 2.6 (m, IH),
2.8 (m, IH), 5.0 (m, IH), 6.8 (d, IH), 7.8 (m, IH), 8.2 (d, IH). ' Example 34
2-ffAminocarbonyl amino1-5-{3-r6-fl-isopropylazetidin-3-yloxy)]pyridine|-3- thiophenecarboxamide
a) The title compound was prepared from 2-(l-isopropylazetidin-3-ol)-5-bromopyridine by the method of Example 22.
MS (ES) 376 (M+H)+. H NMR (DMSO-D6) 0.85 (d, 6H), 2.3 (m, IH), 2.9 (m, 2H), 3.6 (m, 2H), 5.05 (m, IH), 6.8 (m, IH), 6.9 (brs, 2H), 7.3 (m, IH), 7.6 (m, 2H), 7.8 (m, IH), 8.2 (d, IH), 10.96 (brs, IH).
b) 2-f 1 -Isopropylazetidin-3 -ol -5-bromopyridine
Prepared from 2,5-dibromopyridine and l-isoρropylazetidin-3-ol (J.Heterocycl.Chem. 1987, 24, 255-259) by the method of Example 10 (b).
2H NMR (DMSO-D6) 0.8 (d, 6H), 2.25 (m, IH), 2.9 (m, 2H), 3.6 (m, 2H), 5.0 (m, IH), 6.8 (d, IH), 7.9 (m, IH), 8.2 (d, IH).
Example 35
2-r(Aminocarbonyl)amino1-5-{3-f6-(benzyloxy-2-ethoxy lpyridine}-3- thiophenecarboxamide
a) The title compound was prepared from 2-(benzyloxy-2-ethoxy)-5-bromopyridine by the method of Example 22. MS (ES) 413 (M+H)+.
JH NMR (DMSO-D6) 3.75 (m, 2H), 4.4 ( , 2H), 4.55 (s, 2H), 6.85 (m, IH), 6.9 (m, 2H), 7.3 (m, IH), 7.6 (m, 2H), 7.8 (m, IH), 8.25 (m, IH), 10.96 (brs, IH).
b 2-(Benzyloxyethoxy)-5-bromopyridine Prepared from 2,5-dibromopyridine and benzyloxy-2-ethanol by the method of Example
10 (b).
MS (ES) 308 (M+H)+.
Example 36
2-r(Aminocarbonyl')aminol-5-{3-r6-(N-methylpiperidin-3-yloxy)]pyridine}-3- thiophenecarboxamide
a) The title compound was prepared from 2-(N-methylpiperidin-3-yloxy)-5- bromopyridine by the method of Example 22.
MS (ES) 376 (M+H)+. lU ΝMR (DMSO-D6) 1.4 (m, IH), 1.5 (m, IH), 1.7 (m, IH), 2.0 ( , 3H), 2.15 (s, 3H), 2.8
( , 2H), 5.0 ( , IH), 6.8 (d, IH), 6.95 (m, 2H), 7.3 ( , IH), 7.6 (m, 2H), 7.8 (m, IH), 8.25 (m, IH), 10.96 (brs, IH).
b) 2-(N-Methylpiperidin-3-yloxy -5-bromopyridine
Prepared from 2,5-dibromopyridine and N-methylpiperidin-3-ol by the method of Example
10 (b). ! !HH ΝΝMMR (DMSO-D6) 1.4 (m, IH), 1.5 (m, IH), 1.7 (m, IH), 1.9 (m, IH), 2.0 (m, 3H),
2.15 (m, 3H), 2.8 (m, IH), 4.95 (m, IH), 6.8 (d, IH), 7.8 (m, IH), 8.2 (d, IH).
Example 37
2-r(Aminocarbonyl amino1-5-{3-r6-(2-(l-pyrrolidin-2-one)ethoxy)1pyridine)-3- thiophenecarboxamide
a) The title compound was prepared from 2-(2-(l-pyrrolidin-2-one)efhoxy)-5- bromopyridine by the method of Example 22. MS (ES) 390 (M+H)+. !H NMR (DMSO-D6) 0.8 (m, 2H), 1.9 (m, 2H), 2.2 (m, 2H), 3.55 (m, 2H), 4.4 (m, 2H), 6.8 (m, IH), 6.99 (m, 2H), 7.3 (m, IH), 7.6 (m, 2H), 7.8 (m, IH), 8.3 ( , IH), 10.96 (m, IH).
b 2-(2-(l-Pyrrolidin-2-one)ethoxy)-5-bromopyridine
Prepared by the method of Example 10 (b) using 2,5-dibromopyridine and l-(2-hydroxyethyl)-pyrrolidin-2-one.
MS (ES) 285(M+H)+.
LH NMR (DMSO-D6) 2.0 (q, 2H), 2.37 (t, 2H), 3.5 (t, 2H), 3.67 (t, 2H), 4.43 (t, 2H), 6.65 (d, IH), 7.64 (q, IH), 8.16 (d, IH).
Example 38
2- (Aminocarbonyl amino1-5-r3-(6-(morpholin-4-yl )pyridine1-3-thiophenecarboxamide
a) A mixture of 5-iodo-2-morpholinopyridine (1.26 g), bis(pinacolato)diboron (1.16 g), potassium acetate (1.28 g) and PdCl2(dppf) (40 mg) in dimethylacetamide (15 ml) was flushed with argon was heated at 80 °C for 4 h, and then allowed to cool. 2-[(Aminocarbonyl)amino]-5-bromo-3-thiophenecarboxamide (0.287 g) was added, followed by a further portion of PdCl2(dppf) and 2M aqueous sodium hydrogen carbonate (8 ml). The mixture was heated at 90 C for 18 h, then allowed to cool to room temperature and stirred for a further 48 h. The solvent was removed in vacuo and the residue taken up in 2M aqueous sodium hydroxide (30 ml) and dichloromethane (30 ml). The layers were separated and the organic phase was washed with a further portion of 2M aqueous sodium hydroxide (20 ml). The combined aqueous layers were then washed with further dichloromethane (30 ml). The aqueous phase was filtered to remove a small amount of insoluble material and the filtrate then neutralised with 6M hydrochloric acid. The precipitated product was then collected by filtration and washed with water. The crude product was triturated with a mixture of methanol and ether, filtered and dried to give the product as a brown solid (112 mg). MS (ES) 348 (M+H)+.
!H NMR (DMSO-D6) 400MHz 3.40 - 3.60 (m, 4H), 3.60 - 3.80 (m, 4H), 6.54 (bs, 2H),
6.85 (d, IH), 7.09 (bs, 2H), 7.46 (s, IH), 7.67 (dd, IH), 8.32 (d, IH), 10.86 (s, IH).
b) 4-(5-Iodo-pyridin-2-yl)morpholine
Prepared from 2-chloro-5-iodopyridine and morpholine by the method of Example 9 (d). MS (ES) 291 (M+H)+.
!HNMR (DMSO-D6) 3.34 - 3.45 (m, 4H), 3.61 - 3.72 ( , 4H), 6.72 (d, IH), 7.77 (dd, IH), 8.22 (d, IH).
Example 39
2-r(An inocarbonyl)amino1-5-{3-r6-(4-methylpiperazin-l-yl lpyridine}-3- thiophenecarboxamide
a) The title compound was prepared from l-(5-bromo-pyridin-2-yl)-4-methylpiperazine in a similar manner to Example 38.
MS (ES) 361 (M+H)+.
!H NMR (DMSO-D6) 400MHz 2.10 - 2.40 (s, 3H), 2.40 - 2.65 (m, 4H), 3.44 - 3.80 (m, 4H), 6.56 (bs, 2H), 6.84 (d, IH), 7.12 (bs, 2H), 7.47 (s, IH), 7.66 (d, IH), 8.30 (s, IH), 10.85 (s, IH).
b) 1 -(5-Bromo-pyridin-2-yl -4-methyιpiperazine
Prepared from 2,5-dibromopyridine and 4-methylpiperazine in a similar manner to Example 9(d).
MS (ES) 256 (M+H)+.
2H NMR (DMSO-D6) 2.18 (s, 3H), 2.30 - 2.40 ( , 4H), 3.36 - 3.50 ( , 4H), 6.79 (d, IH),
7.64 (dd, IH), 8.13 (d, IH).
Example 40 2-[(Ammocarbonyl)amino]-5-(4-|" 1 ,3 ,4-oxadiazol-2-yl1-2-phenyl 1-3- thiophenecarboxamide
A solution of 2-[(aminocarbonyl)amino]-5-bromo-3-thiophenecarboxamide (0.26 g), sodium carbonate (0.23 g), and 4-[l,3,4-oxadiazol-2-yl]phenyl boronic acid (0.38 g) in 1,2-dimethoxy ethane (10 ml) and water (1 ml) was purged with argon for 10 minutes. Tetrakis(triphenylphosphine)palladium (0.2 g) was then added and the mixture refluxed with stirring for 8 h. After cooling, the mixture was filtered and the resulting solid was washed with 2N sodium hydroxide solution, then with water, and finally methanol, to give the required product (0.1 g). MS (CI) 330 (M+H)+.
2H NMR (DMSO-D6) 7.0 (m, 2H), 7.35 (m, IH), 7.7 (m, 3H), 7.9 (s, IH), 8.0 (m, 2H), 9.3 (s, IH), 11.04 (m, IH).
4-[l,3,4-Oxadiazol-2-yl]phenyl boronic acid was prepared as described in Ger.Offen. DE 19857765.
Example 41
2-f(Aminocarbonyl)aminol-5-(4-cvclopropylmethoxyphenyl -3-thiophenecarboxamide
The title compound was prepared in a similar manner to Example 40 but using 4-(cyclopropylymethoxy)-phenyl boronic acid. MS (ES) 332.(M+H)+. lE NMR (DMSO-D6) 0.3 (m, 2H), 0.6 (m, 2H), 1.25 (m, IH), 3.9 (d, 2H), 6.9 (m, 2H), 6.95 (d, IH), 7.25 (m, IH), 7.4 (d, IH), 7.65 (m, IH), 10.94 (brs, IH).
Example 42 2-[(AminocarbonyDamino1-5-r3 -( 1 ,3-thiazol-4-ylmethoxy phenyllthiophene-3- carboxamide
a) The title compound was prepared from 4-[(3-bromophenoxy)methyl]-l,3-thiazole in a similar manner to Example 9 (e) except that the crude solid obtained was purified by preparative HPLC to give a brown solid (15 mg).
LCMS (ES) 375 (M+H)+.
]H NMR (DMSO-D6), 5.27 (s, 2H), 6.92 (m, 3H), 7.10 ( , IH), 7.20 (s, IH), 7.30 ( ,
2H), 7.64 (bs, IH), 7.80 (m, 2H), 9.14 (s, IH), 11.00 (s, IH).
b 4-[Y3-Bromophenoxy )methyll- 1.3-thiazole
4-(Chloromethyl)thiazole hydrochloride (3.0 g), 3-bromophenol (2.77 g) and potassium carbonate (7.30 g) were heated in dimethylformamide at 60 °C, with stirring, for 18 h. The mixture was partitioned between diethyl ether (50 ml) and water (50 ml) and the aqueous phase was extracted further with ether (50 ml). The combined organics were washed with 2M aqueous sodium hydroxide (100 ml) and water (100 ml), dried (magnesium sulphate) and concentrated in vacuo to give the product as a yellow crystalline solid (3.82 g). MS (ES) 270/272 (M+H)+. !H NMR (DMSO-D6) 5.21 (s, 2H), 7.02 (m, IH), 7.12 (m, IH), 7.22 (m, 2H), 7.78 (s, IH), 9.10 (s, lH).
Example 43
2-r(Aιninocarbonyl)amino1-5-r4-(morpholin-4-ylmethyl phenyllthiophene-3-carboxamide
a) The title compound was prepared from N-(4-bromobenzyl)morpholine in a similar manner to Example 9 (e) except that the compound was isolated by neutralisation of the basic aqueous phase followed by filtration, washing with water and drying of resulting precipitate to give a cream solid (97 mg). MS (ES) 361 (M+H)+. lE NMR (DMSO-D6) 2.32 (t, 4H) 3.40 (s, 2H), 3.55 (t, 4H), 6.90 (bs, 2H), 7.25 (m, 3H), 7.45 (d, 2H), 7.62 (bs, IH), 7.65 (s, IH), 10.97 (s, IH).
b) N-(4-Bromobenzyl morpholine 4-Bromobenzyl bromide (2.0 g) and morpholine (1.39 ml) were stirred in dimethylformamide (25 ml) for 18 h. The mixture was partitioned between diethyl ether (50 ml) and water (80 ml). The aqueous phase was extracted further with ether (50 ml) and the combined organics were washed with water (80 ml), dried (magnesium sulphate) and evaporated. The residue was purified by column chromatography, eluting with a gradient of ethyl acetate/iso-hexane; 0/100 to 50/50, to give the product as a white crystalline solid (1.44 g).
MS (ES) 256/258 (M+H)+. l ΝMR (DMSO-D6) 2.30 (t, 4H), 3.40 (s, 2H), 3.55 (t, 4H), 7.22 (d,.2H), 7.48 (d, 2H).
Example 44
2-r(Aminocarbonyl)aminol-5-(5-r2-(N-morpholinyl ]pyrimidinyl)-3- thiophenecarboxamide
a) The title compound was prepared from 2-(Ν-morpholino)-5-bromopyrimidine by the method of Example 9 (e). MS (ES) 349 (M+H)+.
^ NMR (DMSO-D6) 3.7 (m, 8H), 6.95 (br, 2H), 7.3 (br, IH), 7.55 (s, IH), 7.6 (br, IH), 8.5 (s, 2H), 10.94 (brs, IH).
b 2-(N-Morpholino - 5 -bromopyrimidine
A solution of 2-chloro-5-bromopyrimidine (1.0 g) and morpholine (1.12 ml) in dimethoxyacetamide (8 ml) was heated and stirred at 150 °C for 6 h. After cooling, the reaction mixture was added to water and the solid was filtered off and washed with water. The solid was dissolved in ethyl acetate, washed with brine and the solvent phase was dried (magnesium sulphate). On evaporation a solid was obtained (1.2 g). MS (ES) 244/246 (M+H)+.
Example 45
2- (Aminocarbonyl)aminol-5-(5-r2-(N-piρeridinyl)1pyrimidinyl)-3-thiophenecarboxamide
a) The title compound was prepared from 2-(Ν-piperidinyl)-5-bromopyrimidine by the method of Example 9 (e). MS (ES) 347 (M+H)+. lE NMR (DMSO-D6) 1.5 (m, 4H), 1.6 (m, 2H), 3.7 (m, 4H), 7.3 (m, IH), 7.55 (s, IH), 7.6 (m, 3H), 8.45 (s, 2H), 10.95 (brs, IH).
b) 2-(N-Piperidinyl -5-bromopyrimidine
Prepared from 2-chloro-5-bromopyrimidine and piperidine by the method of Example
44 (b).
MS (ES) 242/244 (M+H)+.
Example 46
2-r(Aminocarbonyl)aminol-5-(5-['2-(N-pyrrolidinyl)1pyrimidinyl)-3-thiophenecarboxamide
a) The title compound was prepared from 2-(Ν-pyrrolidinyl)-5-bromopyrimidine by the method of Example 9 (e). MS (ES) 333 (M+H)+.
]H NMR (DMSO-D6) 1.9 (m, 4H), 3.5 (m, 4H), 6.9 ( , 2H), 7.3 (m, IH), 7.45 (s, IH), 7.6 (m, IH), 8.45 (s, 2H), 10.94 (brs, IH).
b) 2-(N-Pyrrolidinyl)-5-bromopyrimidine Prepared from 2-chloro-5-bromopyrimidine and pyrrolidine by the method of Example
44 (b).
MS (ES) 228/230 (M+H)+.
Example 47
2-[(Am ocarbonyl ammo1-5-(5-r2-{4-(t-butyloxycarbonyl)piperazin-l-v lpyrimidinyl)- 3 -thiophenecarboxamide
a) The title compound was prepared from 5-bromo-2-[4-(t-butyloxycarbonyl)piperazin-l- yljpyrimidine by the method of Example 9 (e). MS (ES) 448 (MH)+
2H NMR (DMSO-D6) 300MHz δ 1.41 (s, 9H), 3,40 (t, 4H), 3.73 (t, 4H), 6.93 (s, 2H), 7.29 (s, 1H), 7.54 (s, IH), 7.59 (s, IH), 8.50 (s, 2H), 10.95 (s, 1H).
b) 5-Bromo-2- r4-(t-butyloxycarbonyl)piperazin- 1 -yllpyrimidine
Prepared from 1-t-butoxycarbonylpiperazine by the method of Example 44 (b).
MS (ES) 343,345 (MH)+. lE NMR (DMSO-D6) 300MHz δ 1.40 (s, 9H), 3.37 (m, 4H), 3.67 (m, 4H), 8.45 (s, 2H).
Example 48
2-r(Aminocarbonyl)amino1-5-(-5-f2- (4H-piperazin- 1 -yl) lpyrimidinyl)-3- thiophenecarboxamide
A mixture of 2-[(aminocarbonyl)amino]-5-(5-[2-{4-(t-butyloxycarbonyl)piperazin-l- yl}]pyrimidinyl)-3-thiophenecarboxamide (120 mg), triethylsilane (1 ml) and dichloromethane (2 ml) was treated with trifluoroacetic acid (2 ml) and stirred at ambient temperature for 1 h. After evaporation to dryness, trituration of the resultant oil with ether gave a solid. This was dissolved in water, filtered and the pH adjusted to 7 to give the product (56 mg) as a yellow solid. MS (ES) 348 (MH)+. H NMR (DMSO-D6) 300MHz δ 2.72 (t, 4H), 3.66 (t, 4H), 6.92 (s, 2H), 7.27 (s, IH), 7.51 (s, IH), 7.58 (s, IH), 8.47 (s, 2H), 10.94 (s, IH).
Example 49
2-f f Aminocarbonyl amino1-5-f 5-|"2- 4-methylpiperazin-l -yl) lρyrimidinyl -3- thiophenecarboxamide
a) The title compound was prepared from 5-bromo-2-[4-methylpiperazin-l-yl]pyrimidine by the method of Example 10 (a). MS (ES) 362 (MH)+. lE NMR (DMSO-D6) 300MHz δ 2.21 (s, 3H), 2.38 (t, 4H), 3.72 (t, 4H), 6.92 (s, 2H), 7.28 (s, IH), 7.54 (s, IH), 7.59 (s, IH), 8.48 (s, 2H), 10.95 (s, IH).
b) 5-Bromo-2- |"4-methylpiperazin- 1 -yllpyrimidine Prepared from 1-methylpiperazine by the method of Example 44 (b). MS (ES) 257,259 (MH)+. lE NMR (DMSO-D6) 300MHz δ 2.18 (3H, s), 2.32 (4H, t), 3.67 (4H, t), 8.42 (2H, s).
Example 50
2-r(Aminocarbonyl)amino1-5-('5-r2-f3-dimethylaminopyrrolidin-l-yl)]pyrimidinyl)-3- thiophenecarboxamide
a) The title compound was prepared from 5-bromo-2-[3-dimethylaminopyrrolidin-l- yljpyrimidine by the method of Example 10 (a). MS (ES) 376 (MH)+. !H NMR (DMSO-D6) 300MHz δ 2.15 (IH, m), 2.33 (IH, m), 2.67 (6H, s), 3.47 (IH, m), 3.60 (IH, m), 3.76 (2H, ), 3.94 (IH, m), 6.93 (2H, s), 7.29 (IH, s), 7.56 (IH, s), 7.62 (IH, s), 8.51 (2H, s), 10.95 (IH, s).
b) 5-Bromo-2-r3-dimethylaminopyrrolidin- 1 -vπpyrimidine
Prepared from 3-dimethylaminopyrrolidine by the method of Example 44 (b).
MS (ES) 271,273 (MH)+.
2HNMR (DMSO-D6) 300MHz δ 1.77 (IH, m), 2.10 (IH, m), 2.16 (6H, s), 2.74 (IH, m),
3.13 (IH, m), 3.36 (IH, m) 3.62 (IH, m), 3.70 (IH, m), 8.40 (2H, s).
Example 51
2-|"(Aminocarbonyl)aminol-5-(5-r2-{2(S)-aminocarbonylpyrrolidin-l-yl}1pyrimidinyl -3- thiophenecarboxamide
a) The title compound was prepared from 5-bromo-2- {2-(S)aminocarbonylpyrrolidin- 1 - yl}pyrimidine by the method of Example 10 (a).
MS (ES) 376 (MH)+.
2H NMR (DMSO-D6) 300MHz δ 1.93 (3H, m), 2.21 (IH, m), 3.54 (IH, m), 3.67 (IH, m), 4.37 (IH, d), 6.84 (IH, s), 6.91 (2H, s), 7.29 (IH, s), 7.32 (IH, s), 7.52 (IH, s), 7.61 (IH, s), 8.45 (2H, s), 10.94 (lH, s).
b) 5-Bromo-2- (2-(S)aminocarbonylpyrrolidin- 1 -yl } pyrirnidine Prepared from L-proline amide by the method of Example 44 (b). MS (ES) 271,273 (MH)+.
2H NMR (DMSO-D6) 300MHz δ 1.91 (3H, ), 2.18 (IH, m), 3.48 (IH, m), 3.59 (IH, m), 4.30 (IH, m), 6.84 (IH, s), 7.30 (IH, s), 8.41 (2H, s).
Example 52 2-r(Aminocarbonyl)amino1-5-(5-[2- (4-acetylpiperazin- 1 -yl} 1pyrimidinyl)-3- thiophenecarboxamide
a) The title compound was prepared from 5-bromo 2- {4-acetylpiperazin- 1 -yl}pyrimidine by the method of Example 9 (e). MS (ES) 390 (MH)+.
:H NMR (DMSO-D6) 300MHz δ 2.03 (3H, s), 3.51 (4H, t), 3.75 (4H, m), 6.92 (2H, s), 7.28 (IH, s), 7.50 (IH, s), 7.54 (IH, s), 8,51 (2H,s), 10.95 (IH, s).
b) 5-Bromo-2- {4-acetylpiperazin- 1 -yl } pyrimidine
Prepared from 1 -acetylpiperazine by the method of Example 44 (b).
MS (ES) 285,287 (MH)+.
JH NMR (DMSO-D6) 300MHz δ 2.02 (3H, s), 3.50 (4H, dd), 3.69 (4H, m), 8.46 (2H, s).
Example 53
2-r(Aminocarbonyl)aminol-5-(5-{2-r4,4-difluoropiperidin-l-yll}pyrimidinyl)-3- thiophenecarboxamide
a) The title compound was prepared from 5-bromo-2-[4,4-difluorσpiperidin-l - yl]pyrimidine by the method of Example 9 (e). MS (ES) 383 (MH)+. lE NMR (DMSO-D6) 300MHz δ 1.97 (4H, m), 3.85 (4H, t), 7.22 (IH, s), 8.41 (2H, s).
b) 5-Bromo-2-r4,4-difluoropiperidin- 1 -yllpyrimidine
Prepared from 4,4-difluoropiperidine by the method of Example 44 (b).
MS (ES) 278,280 (MH)+. lE NMR (DMSO-D6) 300MHz δ 1.97 (4H, m), 3.84 (4H, t), 8.47 (2H, s).
Example 54 2-[fAminocarbonyl amino1-5-(5-{2- 3,3-difluoropyrrolidin-l-yl]}pyrimidinylV3- thiophenecarboxamide
a) The title compound was prepared from 5-bromo-2-[3,3-difluoropyrrolidin- 1 - yljpyrimidine by the method of Example 9 (e). MS (ES) 369 (MH)+.
!H MR (DMSO-D6) 300MHz δ 2.56 (2H, m), 3.74 (2H, t), 3.91 (2H, t), 6.94 (2H, s), 7.29 (IH, s), 7.54 (IH, s), 7.59 (IH, s), 8.53 (2H, s), 10.95 (IH, s).
b 5-Bromo-2-f3 -difluoropyrrolidin-1 -yllpyrimidine
Prepared from 3,3-difiuoropyrrolidine by the method of Example 44 (b).
MS (ES) 264,266 (MH)+.
1 IH NMR (DMSO-D6) δ 2.52 (2H, m), 3.68 (2H, t), 3.85 (2H, t), 8.50 (2H, s).
Example 55
2-[(Aminocarbonyl)amino1-5- {2-(5-N-moφholinomethyl)thienyl} -3- thiophenecarboxamide
a) The title compound was prepared from 4-(5-bromothien-2-ylmethyl)morpholine in a similar manner to Example 9 (e) except that further purification was achieved using column chromatography eluting with methanol in dichloromethane mixtures.
MS (ES) 365 (M-H)".
12HH ΝNMMRR ((DDMMSSOO--DD66)) 2.45 (m, 4H), 3.6 ( , 4H), 3.7 (s, 2H), 6.85 (d, IH), 6.9 (d, IH),
6.95 (bs, 2H), 7.45 (s, IH), 7.7 (bs, IH), 11.0 (s, IH).
b) 4-(5-Bromothien-2-ylmethyl)morpholine
Morpholine (0.96 g) was added portionwise to a solution of 2-bromothiophene carboxaldehyde (1.195 g) in tetrahydrofuran (50 ml). After stirring at room temperature for 5 minutes, sodium triacetoxyborohydride (3.18 g) was added and the mixture stirred at ■ room temperature for a further 3 h. The mixture was added to saturated aqueous sodium bicarbonate (100 ml) and extracted twice with ethyl acetate. The combined extracts were evapourated to dryness. The product was purified by column chromatography eluting with ethyl acetate in hexane mixtures to give a yellow oil (2.414 g). MS (ES) 263 (M+H)+. !H NMR (DMSO-D6) 2.4 (t, 4H) 3.6 (t, 4H) 3.65 (s, 2H), 6.8 (d, IH), 7.05 (d, IH).
Example 56
2-r(Aminocarbonyl amino]-5-{2-benzyloxyphenyl}-3-thiophenecarboxamide
a) The title compound was prepared from 2-bromophenylbenzyl ether in a similar manner to Example 9 (e) . MS (ES) 366 (M-H)". lE NMR (DMSO-D6) 5.3 (s, 2H), 6.85 (bs, 2H), 7.35 - 7.2 ( , 6H), 7.7 - 7.4 (m, 5H), 7.75 (s, IH), 11.0 (s, IH).
b 2-Bromophenylbenzyl ether Potassium carbonate (9.12 g) was suspended in dimethylformamide (25 ml) and
2-bromophenol (3.46 g) was added portionwise. Benzyl bromide (3.76 g) was added and the mixture heated to 60 °C for 4 h. After cooling the mixture was added to water (250 ml) and extracted three times with diethyl ether. The organic layer was separated and washed with 2M sodium hydroxide solution (100 ml) before drying over sodium sulphate . After filtration, evaporation yielded (5.13 g) as a colourless oil. MS (ES) 262 (M-H)".
1H NMR (DMSO-D6) 5.2 (s, 2H), 6.9 (td, IH), 7.2 (dd, IH), 7.32 (m, IH), 7.35 (m, IH), 7.42 (m, 2H), 7.49 (m, 2H), 7.6 (dd, IH).
Example 57 2-[(AminocarbonyBamino"l-5- {2-(4-fluorophenylmethoxy phenyl -3- thiophenecarboxamide
a) The title compound was prepared from 2-(4-fluorophenylmethoxy)bromobenzene in a similar manner to Example 9 (e). MS (ES) 384 (M-H)-.
1H NMR (DMSO-D6) 5.25 (s, 2H), 6.85 (bs, 2H), 7.05 (t, IH), 7.25 - 7.2 (m, 4H), 7.7 (bs, IH), 7.75 - 7.6 (m, 4H), 7.8 (s, IH), 10.9 (s, IH).
b 2-(4-Fluorophenylmethoxy bromobenzene
Prepared from 4-fluorobenzylbromide in a similar manner to Example 56 (b). MS (ES) 280 (M-H)-.
1H NMR (DMSO-D6) 5.15 (s, 2H), 6.9 (td, IH), 7.23 (m, 2H), 7.25 (m, IH), 7.35 (td, IH), 7.54 (m, IH), 7.6 (dd, IH).
Example 58
2-r(Aminocarbonyl)amino1-5-{2-(2-r4-fluorophenyl]ethoxy)phenyl|-3- thiophenecarboxamide
a) The title compound was prepared from 2-(2-[4-fluorophenyl]ethoxy)bromobenzene in a similar manner to Example 9 (e).
MS (ES) 398 (M-H)". 1H NMR (DMSO-D6) 3.3 (t, 2H), 4.25 (t, 2H), 6.9 (bs, 2H), 7.0 (td, IH), 7.1 (m, 3H), 7.2 (m, 2H), 7.5 (m, 2H), 7.7 (m, 2H), 7.75 (s, IH), 10.9 (s, IH).
b 2-(2-[4-Fluorop.henyl1ethoxy)bromobenzene
2-Bromophenol (3.46 g) was mixed with tetrahydrofuran (60 ml) and triphenylphosphine (6.3 g) was added along with 4-fluorophenethyl alcohol (4.2 g). The mixture was cooled in an ice bath before dropwise addition of diisopropyl azodicarboxylate (4.85 g). The mixture was allowed to warm to room temperature over 18 h. The mixture was evaporated and diethyl ether (100 ml) was added. Stirring was continued for 3 h, the mixture was filtered and the filtrate was evaporated. The product was purified by column chromatography eluting with ethyl acetate/hexane mixtures to give a yellow oil (4.47 g). MS (ES) 294 (M-H)".
1H NMR (DMSO-D6) 3.05 (t, 2H), 4.2 (t, 2H), 6.9 (td, IH), 7.1 (m, 3H), 7.3 (td, IH), 7.4 (m, 2H), 7.55 (dd, IH).
Example 59
2-r(Aminocarbonyl)amino]-5- {2-f2-["4-chlorophenyl]ethoxy phenyl 1-3- thiophenecarboxamide
a) The title compound was prepared from 2-(2-[4-chlorophenyl]ethoxy)bromobenzene in a similar manner to Example 9 (e). MS (ES) 414 (M-H)". •
1H NMR (DMSO-D6) 3.2 (t, 2H), 4.25 (t, 2H), 6.85 (bs, 2H), 7.0 (td, IH), 7.1 (dd, IH), 7.2 (m, 4H), 7.5 (d, 2H), 7.65 (m, 2H), 7.75 (s, IH), 11.0 (s, IH).
b) 2-f2-r4-Chlorophenyl]ethoxy) bromobenzene
Prepared from 4-chlorophenethyl alcohol.in a similar manner to Example 58 (b).
MS (ES) 310 (M-H)".
1H NMR (DMSO-D6) 3.05 (t, 2H), 4.3 (t, 2H), 6.85 (td, IH), 7.45 (m, 5H), 7.55 (dd, IH).
Example 60
∑-ffAminocarbonvDaminol-S-i∑-fΣ-phenylethoxy'tphenvD-S-thiophenecarboxamide a) The title compound was prepared from 2-(2-ρhenylethoxy)bromobenzene in a similar manner to Example 9 (e).
MS (ES) 380 (M-H)'.
!H NMR (DMSO-D6) 3.2 (t, 2H), 4.3 (t, 2H), 6.8 (sb, 2H), 7.0 (td, IH), 7.1 (dd, IH), 7.25 (m, 2H), 7.45 - 7.25 (m, 5H), 7.7 (m, 2H), 7.75 (s, IH), 11.0 (s, IH).
b) 2-(2-Phenylethoxy)bromobenzene
Prepared from phenethyl alcohol in a similar manner to Example 58 (b). MS (ES) 276 (M-H)". 1H NMR (DMSO-D6) 3.1 (t, 2H), 4.2 (t, 2H), 6.9 (td, IH), 7.15 (dd, IH), 7.5 - 7.2 (m, 6H), 7.55 (dd, IH).
Example 61
2-['(Aminocarbonyl amino1-5-{4-chlorophenylmethoxy')phenyl}-3-thiophenecarboxamide
a) The title compound was prepared from 2-(4-chlorophenylmethoxy)bromobenzene in a similar manner to Example 9 (e).
MS (ES) 400 (M-H)". 1H NMR (DMSO-D6) 5.25 (s, 2H), 6.9 (bs, 2H), 7.0 (m, IH), 7.1 (m, IH), 7.2 (m, 2H), 7.4 (d, 2H), 7.6 (d, 2H), 7.65 ( , 2H), 7.8 (s, IH), 11.0 (s, IH).
b) 2-(4-Chlorophenylmethoxy")bromobenzene
Prepared from 4-chlorobenzyl bromide in a similar manner to Example 56 (b). MS (ES) 296 (M-H)".
1H NMR (DMSO-D6) 5.2 (s, 2H), 7.2 (dd, IH), 7.35 (td, IH), 7.5 (m, 4H), 7.6 (dd, IH).
Example 62 2-["(Aminocarbonyl aminol-5-{2-r2-rN-morpholinyl)lethylthio phenyl)-3- thiophenecarboxamide
a) The title compound was prepared from 4-[2-(2-bromophenylthio)ethyl]morpholine in a similar manner to Example 9 (e). MS (ES) 407 (M+H)+.
!H ΝMR (DMSO-D6) 1.8 (m, 4H), 2.5 (partially obscured by DMSO), 3.0 (t, 2H), 3.45 (m, 4H), 6.9 (bs, 2H), 7.2 (m, 2H), 7.35 ( , 2H), 7.4 (m, 2H), 7.6 (bs, IH), 11.0 (s, IH).
b 4-r2-(2-Bromophenylthio ethyl]mo holine
Potassium carbonate (10.95 g) and 2-chloroethylmorpholine hydrochloride (5.9 g) were mixed with dimethylformamide (50 ml) and 2-bromothiophenol was added before the mixture was heated to 100 °C for 3 days. The mixture was allowed to cool before water (500 ml) was added. The product was extracted into diethyl ether (x3). The combined exfracts.were dried over sodium sulphate and filtered before evaporation. The product was purified by column chromatography eluting with ethyl acetate/hexane mixtures to give a red/brown oil (6.024 g). MS (ES) 303 (M+H)+. !H ΝMR (DMSO-D6) 2.5 (m, 4H), 2.7 (t 2H), 3.05 (t, 2H), 3.75 (m, 4H), 7.05 (m, IH), 7.25 - 7.2 (m, 2H), 7.7 (dd, IH).
Example 63
2-r(Aminocarbonyl)aminol-5-(2-r2-(N-pyrrolidinyl)lethylthio)phenyl}-3- thiophenecarboxamide
a) The title compound was prepared from l-[2-(2-bromophenylthio)ethyl]pyrrolidine in a similar manner to Example 9 (e). MS (ES) 391 (M+H)+. 1H NMR (DMSO-D6) 1.6 (m, 4H), 2.4 (m, 4H), 2.6 (t, 2H), 3.0 (t, 2H), 6.9 (bs, 2H), 7.2 (m, 2H), 7.4 - 7.3 (m, 4H), 7.6 (bs, IH), 11.0 (s, IH).
b 1 -r2-(2-Bromophenylthio)ethyllpyrrolidine Prepared using 2-chloroethylpyrrolidine hydrochloride (5.36 g) in a similar manner to Example 62 (b). MS (ES) 287 (M+H)+. lE NMR (DMSO-D6) 1.6 ( , 4H), 2.5 (partially obscured by DMSO), 2.7 (t, 2H), 3.05 (t, 2H), 7.05 (m, IH), 7.35 (m, 2H), 7.6 (dd, IH).
Example 64
2-("(Aminocarbonyl amino1-5-{2-[2-(N-piperidinyl)lethylthio)phenyl|-3- thiophenecarboxamide
a) The title compound was prepared from l-[2-(2-bromophenylthio)ethyl]piperidine in a similar manner to Example 9 (e).
MS (ES) 403 (M+H)+. lE ΝMR (DMSO-D6) 1.3 (m, 2H), 1.4 (m, 4H), 2.3 (m, 4H), 2.5 (partially obscured by DMSO), 3:0 (t, 2H), 7.0 (bs, 2H), 7.1 (bs, IH), 7.5 -7.2 (m, 4H), 7.5 (s, IH), 7.7 (bs, IH), 11.0 (s, lH).
b 1 -r2-(2-Bromophenylthio)ethyllρiperidine
Prepared using 2-chloroethylpiperidine hydrochloride (5.36 g) in a similar manner to Example 62 (b).
MS (ES) 287 (M+H)+. lH ΝMR (DMSO-D6) 1.4 (m, 2H), 1.5 (m, 4H), 2.4 (m, 4H), 2.6 (t, 2H), 3.1 (t, 2H), 7.1
(m, IH), 7.4 (m, 2H), 7.6 (dd, IH).
Example 65 2-["(Aminocarbonvπamino1-5-r4-(pyrrolidinyl phenyll-3-thiophenecarboxamide
a) The title compound was prepared from l-(4-iodophenyl)pyrrolidine in a similar manner to Example 10 (a). MS (ES) 330 (M)+. lE NMR (DMSO-D6, 300 MHz) 1.90 - 1.98 (m, 4H), 3.18 - 3.25 (m, 4H), 6.55 (d, 2H), 6.83 (bs, 2H), 7.20 (bs, IH), 7.35 (d, 2H), 7.40 (s, IH), 7.60 (bs, IH), 10.89 (s, IH).
b) 1 -(4-Iodophenyl)pyrrolidine
Iodine (6.09 g) was added slowly to a stirred solution of phenylpyrrolidine (3.21 g) and sodium bicarbonate (2.75 g) in water (30 ml). The reaction was stirred for 1 h and then left to stand overnight. The solid was isolated by filtration, dissolved in ethanol (50 ml) and discoloured with aqueous sodium thiosulfate. The product was then isolated by filtration and recrystalised from ethanol to give the desired product as a brown red powder (1.17 g). MS (El) 273 (M)+. H NMR (DMSO-D6) 1.94 (t, 2H), 3.18 (t, 2H), 6.36 (d, 2H), 7.38 (d, 2H).
Example 66
2-[(Aminocarbonyl aminol-5-f4-(piperidinγl phenyll-3-thiophenecarboxamide
a) The title compound was prepared from l-(4-iodophenyl)piperidine in a similar manner to Example 10 (a). MS (ES) 345 (M+H)+. lE NMR (DMSO-D6) 300MHz 1.50 - 1.65 (m, 6H), 3.15 - 3.25 (m, 4H), 6.80 - 6.95 (m, 3H), 7.20 (bs, IH), 7.35 (d, 2H), 7.50 (s, IH), 7.65 (d, 2H), 10.91 (s, IH).
b l-(4-Iodophenyl)ρiperidine Prepared from phenylpiperidine in a similar manner to Example 65 (b). MS (ES) 288 (M+H)+.
!H NMR (DMSO-D6) 300MHz 1.45 - 1.65 ( , 6H), 3.05 - 3.15 (m, 4H), 6.75 (d, 2H),
7.45 (d, 2H).
Example 67
2-|"(Aminocarbonyl amino1-5-r4-(N-imidazolyl)phenyll-3-thiophenecarboxamide
a) The title compound was prepared from N-(bromophenyl)-lH-imidazole in a similar manner to Example 10 (a).
MS (ES) 328 (M+H)+.
2H NMR (DMSO-D6) 300MHz 6.95 (bs, IH), 7.10 (s, IH), 7.30 (bs, IH), 7.58 - 7.82 (m,
8H), 8.24 (s, lh), 11.00 (s, IH).
Example 68
2-r(Aminocarbonyl)amino1-5-r6-{(l-methylpyιτolidin-2-on-4-yl)methoxy}pyridin-3-yll-3- thiophenecarboxamide
a) The title compound was prepared from 5-bromo-2-{(l-methylpyrrolidin-2-on-4- yl)methoxy} pyridine in a similar manner to Example 9 (e).
MS (ES) 390 (M+H)+ • 388 (M-H)". lE NMR (DMSO-D6) 11.10 (s, IH), 8.30 (d, IH), 7.85 (m, IH), 7.60 (bs, IH), 7.40 (s,
IH), 7.30 (bs, IH), 6.90 (d, IH), 6.80-7.20 (bs, 2H), 4.25-4.45 (m, 2H), 3.20-3.60 (m, 2H), 2.10-2.60 (m, 6H).
b 5 -Bromo-2- { f 1 -methylpyrrolidin-2-on-4-yl methoxy } pyridine
Prepared from 2,5-dibromopyridine and 4-hydroxymethyl-l-methylpyrrolidin-2-one by the method of Example 10 (b). MS (ES) 285.1 (M+H)+. lE NMR (CDC13) 8.16 (d, IH), 7.64 (dd, IH), 6.65 (d, IH), 4.20-4.35 (m, 2H), 3.52 (dd, IH), 3.26 (dd, IH), 2.85 ( , IH), 2.86 (s, 3H), 2.59 (dd, IH), 2.31 (dd, IH).
Example 69
2-r(Aminocarbonyl)aminol-5{4-f2-(2-methoxyethoxy)ethoxy1-phenyl}-3- thiophenecarboxamide
a) The title compound was prepared from 4-bromo-[2-(2-methoxyefhoxy)ethoxy]- benzene in a similar manner to Example 9 (e).
MS (ES) 380 (M+H)+. lE NMR (DMSO-D6) 10.93 (s, IH), 7.60 (bs, IH), 7.53 (s, IH), 7.40 d, 2H), 7.13 (bs, IH), 6.93 (d, 2H), 6.40 (bs, 2H), 4.08 (m, 2H), 3.72 (m, 2H), 3.56 (m, 2H), 3.46 (m, 2H), 3.30 (s, 3H), 3.25 (s, 3H).
b) 4-Bromo- 2-(2-methoxyethoxy)ethoxyl-benzene
Prepared by the method of M.Ouchi et al, J. Org. Chem., 52, 2420-7, 1987 from 4-bromophenol and 2-(2-methoxyethoxy)ethyl tosylate. MS (ES) 276 (M+H)+. l NMR (CDCI3) 7.35 (d, 2H), 67.79 (d, 2H), 4.10 (d, 2H), 3.84 (t, 2H), 3.71 (t, 2H), 3.56 (t, 2H), 3.40 (s, 3H).
Example 70
2-r(Aminocarbonyl)amino1-5-{4-[2-(cvclopropylmethoxy)ethoxy]phenyl)-3- thiophenecarboxamide
a) The title compound was prepared from 4-(2-[cyclopropylmethoxy]ethoxy) - bromobenzene by the method of Example 22 except that the crude solid was purified by preparative hplc. MS (ES) 375 (M+H)+.
!H NMR (DMSO-D6) 0.15 (m, 2H), 0.45 (m, 2H), 1.0 (m, IH), 3.35 ( , 2H), 3.7 (m, 2H), 4.1 (m, 2H), 6.9 (br, 2H), 6.95 (d, 2H), 7.25 (m, IH), 7.4 (d, 2H), 7.55 (s, IH), 7.65 (m, IH), 10.95 (brs,lH).
b) 4-(2-[Cyclopropylmethoxy]ethoxy -bromobenzene
Prepared by the method of Example 10 (b) using 2-(4-bromophenoxyl)ethanol and cyclopropylmethyl bromide. lE NMR (DMSO-D6) 0.15 (m, 2H), 0.45 (m, 2H), 1.0 (m, IH), 3.35 (m, 2H), 3.75 (m, 2H), 4.1 (m, 2H), 6.95 (d, 2H), 7.45 (d, 2H).
Example 71
2-r(Aminocarbonyl amino]-5-r6-(2,2-dimethyl-3-pyrrolidinylpropoxy')pyridin-3-yll-3- thiophenecarboxamide
a) The title compound was prepared from 2-(2,2-dimethyl-3-pyrrolidinylpropoxy)-5- bromopyridine by the method as Example 22 except that the crude solid was purified by preparative hplc. MS (ES) 418 (M+H)+. H NMR (DMSO-D6) 0.95 (s, 6H), 1.65 (m, 4H), 3.3 (s, 2H), 3.5 (m, 4H), 4.0 (s, 2H), 6.85 (d, IH), 6.95 (br, 2H), 7.25 (br, IH), 7.6 (br, 2H), 7.8 (m, IH), 8.25 (m, IH), 10.95 (br, IH).
b 2-(2.2-Dimethyl-3-pyrrolidinylpropoxy -5-bromopyridine
Prepared by the method of Example 10 (b) using 2,5-dibromopyridine and 2,2-dimethyl-l- pyrrolidinylpropanol.
MS (ES) 314 (M+H)+.
Example 72 2-r(Aminocarbonyπamino]-5-{3-chloro-4-(tetrahydrofuran-2-ylmethoxy phenyl}-3- thiophenecarboxamide
a) The title compound was prepared from 3-chloro-4-(tetrahydrofuran-2-ylmethoxy) - bromobenzene by the method of Example 22. MS (ES) 396 (M+H)+.
!H NMR (DMSO-D6) 1.85 (m, 4H), 3.6-3.8 ( , 2H), 4.0 (m, 2H), 4.15 (m, IH), 6.9 (m, 2H), 7.15 (d, IH), 7.2 (m, IH), 7.35 (d, IH), 7.5 (s, IH), 7.6 (m, 2H), 10.94 (brs, IH).
b) 3-Chloro-4-(tetrahydrofuran-2-ylmethoxy)bromobenzene.
Prepared by the method of Example 42 (b) using 2-chloro-4-bromophenol and . tetrahydrofurfuryl bromide. llE NNMMRR ((DDMMSSOO--DD66)) 11..77--11 .9 (m, 4H), 3.7 (m, 2H), 4.0 (m, 2H), 4.15 (m, IH), 7.1 (d, IH), 7.4 (m, IH), 7.6 (d, IH).
Example 73
2-["(Aminocarbonyl aminol-5- {4-(tetrahydrofuran-2-ylmethoxy phenyl} -3 - thiophenecarboxamide
a) The title compound was prepared from 4-(tetrahydrofuran-2-ylmethoxy)- bromobenzene by the method of Example 22 except that the crude solid was purified by preparative hplc.
MS (ES) 362 (M+H)+. lH NMR (DMSO-D6) 1.65-2.0 (m, 4H), 3.7 (m, 2H), 3.95 ( , 2H), 4.15 ( , IH), 6.85 ( ,
2H), 6.95 (d, 2H), 7.2 (m, IH), 7.4 (d, 2H), 7.55 (s, IH), 7.6 (m, IH), 10.92 (s, IH).
b) 4-(Tetrahvdrofuran-2-ylmethoxy -bromobenzene Prepared by the method of Example 42 (b) using 4-bromophenol and tetrahydrofurfuryl bromide.
MS (ES) 255 (M-H)". lE NMR (DMSO-D6) 1.6-1.95 (m, 4H), 3.7 (m, 2H), 3.9 (m, 2H), 4.1 (m, IH), 6.9 (d, 2H), 7.4 (d, 2H).
Example 74
2-["(Aminocarbonyl amino]-5-r(6-cyclopropylmethylthio pyridin-3-yl1-3- thiophenecarboxamide
a) The title compound was prepared from 5-bromo-2-cyclopropylmethylthio-pyridine in a similar manner to Example 10.
MS (ES) 349 (M+H)+. λ NMR (DMSO-D6) 0.27 - 0.38 (m, 2H), 0.49 - 0.62 (m, 2H), 1.04 - 1.21 (m, IH), 3.12 (d, 2H), 7.00 (bs, IH), 7.33 (d, IH), 7.34 (bs,l H), 7.69 (bs, IH), 7.75 (dd, IH), 7.78 (s, IH), 8.59 (d, lH), 11.03 (s, lH).
b) 5-Bromo-2-cyclopropylmethylthio-pyridine Prepared from 2,5-dibromopyridine and cyclopropylmethane thiol by the method of Example 10 (b). MS (El) 244 (M)+ lE NMR (DMSO-D6) 0.25 - 0.34 (m, 2H), 0.54 - 0.62 ( , 2H), 1.02 - 1.22 (m, IH), 3.09 (d, 2H), 7.07 (d, IH), 7.56 (dd, IH), 8.45 (d, IH).
Example 75
2-r(Aminocarbonyl)amino1-5(4- 2-(2-methoxyethoxy)ethoxyl-3-methylphenyli-3- thiophenecarboxamide a) The title compound was prepared from 4-bromo-[2-(2-methoxyethoxy)ethoxy]-2- methylbenzene in a similar manner to Example 9 (e).
MS (ES) 394 (M+H)+.
1H NMR (DMSO-D6) 10.92 (s, IH), 7.60 (bs, IH), 7.52 (s, IH), 7.21-7.30, (m, 2H), 7.21 (bs, IH), 6.94 (d, IH), 6.89 (bs, 2H), 4.10 (m, 2H), 3.72 (m, 2H), 3.59 (m, 2H), 3.44 (m, 2H), 3.23 (s, 3H), 2.15 (s, 3H).
(b) 4-Bromo-f2-(2-methoxyethoxy ethoxy]-2-methylbenzene Prepared by the method of Example 42 (b) from 4-bromo-2-methylphenol and 2-(2-methoxyethoxy)ethyl tosylate. MS (El) 288 (M+).
1H NMR (CDC13) 7.10-7.18 (m, (2H), 6.68 (d, IH), 4.09 (t, 2H), 3.87 (t, 2H), 3.71 (m, 2H), 3.55 (t, 2H), 3.38 (s, 3H), 2.20 (s, 3H).
Example 76
2-["(Aminocarbonyl)amino1-5-{3-chloro-4-r2-(2-methoxyethoxy)ethoxylphenyl|-3- thiophenecarboxamide
a) The title compound was prepared from 4-bromo-2-chloro-[2-(2- methoxyethoxy)ethoxy]benzene.in a similar manner to Example 9 (e). MS (ES) 414 (M+H)+.
1H NMR (DMSO-D6) 10.94 (s, IH), 7.66 (s, IH), 7.59 (bs, IH), 7.52 (d, IH), 7.36, (m, IH), 7.28 (bs, IH), 7.16 (d, IH), 6.93 (bs, 2H), 4.18 (m, 2H), 3.76 (m, 2H), 3.60 (m, 2H), 3.44 (m, 2H), 3.23 (s, 3H).
b 4-Bromo-2-chloro-f2-(2-methoxyethoxy ethoxy]benzene
Prepared from 4-bromo-2-chlorophenol and 2-(2-methoxyethoxy)ethyl tosylate by the method of Example 42 (b). MS (El) 310 (M+). lE NMR (CDCI3) 7.49 (d, IH), 7.24-7.32 ( , 2H), 6.81 (d, IH), 4.17 (t, 2H), 3.89 (t, 2H), 3.73 (t, 2H), 3.56 (t, 2H), 3.39 (s, 3H).
Example 77
2-r(Aminocarbonyl aminol-5-r2-(4-methylpiperazinylmethyl phenyll-3- thiophenecarboxamide
a) 2-[(Anιinocarbonyl)arnmo]-5-[2-formylphenyl]-3-thiophenecarboxamide (0.1 g) and sodium tri-acetoxy borohydride (0.1 g) were mixed with tetrahydrofuran (10 ml).
N-Methylpiperazine (0.04 g) was added and the mixture stirred at room temperature for 18 h. Separation was achieved using cation exchange chromatography eluting with ammonia/methanol dichloromethane mixtures. This gave the title compound (0.07 g). MS (ES) 374 (M+H)+. 1H NMR (DMSO-D6) 2.2 (s, 3H), 2.35 (m, 4H), 3.3 (m, 4H), 3.5 (s 2H), 6.8 (bs, 2H), 7.2 - 7.5 (m, 6H), 7.7 (bs IH), 11.0 (s, IH).
(b) 2-r(Aminocarbonyl)ammo1-5-r2-formylphenvn-3-thiophenecarboxamide Prepared from 2-formylphenyl boronic acid in a similar manner to Example 9 (e). MS (ES) 290 (M+H)+.
1H NMR (DMSO-D6) 7.0 (bs, 2H), 7.35 (bs, IH), 7.4 (s, IH), 7.5 (td, IH), 7.6 (dd, IH), 7.7 (td, IH), 7.8 (bs, IH), 7.9 (dd, IH), 10.1 (s, IH), 11.1 (s, IH).
Example 78
2-|"(Aminocarbonyl aminol-5-r2-(4-isopropylpiperazinylmethyl phenyll-3- thiophenecarboxamide
The title compound was prepared from N-isopropylpiperazine in a similar manner to Example 77 (a). MS (ES) 401 (M+H)+. H NMR (DMSO-D6) 1.0 (d, 6H), 2.3 - 2.4 ( , 8H), 3.5 (s 2H), 6.9 (bs, 2H), 7.25 - 7.4
(m, 5H), 7.45 (m, IH), 7.65 (bs IH), 11.0 (s, IH)*.
Example 79
2- (Aminocarbonyl')aminol-5-r2-(4-t-butyloxycarbonylpiperazinylmethyl phenyl]-3- thiophenecarboxa ide
The title compound was prepared from N-t-butyloxycarbonylpiperazine in a similar manner to Example 77 (a). MS (ES) 460 (M+H)+.
*H NMR (DMSO-D6) 1.4 (d, 9H), 2.3 (m, 4H), 3.5 (s 2H), 6.9 (bs, 2H), 7.2 - 7.5 (m, 6H), 7.65 (bs IH), 11.0 (s, IH).
Example 80
2-f(Aminocarbonyl aminol-5-["4-(pyrrolidinylmethyl)ρhenyl]thiophene-3-carboxamide
a) The title compound was prepared from 1 -(4-bromobenzyl)pyrrolidine in a similar manner to Example 10 (a). LCMS (ES) 345 (M+H)+. lE NMR (DMSO-D6) 1.70 (s, 4H), 2.53 (s, 4H+DMSO), 3.62 (s, 2H), 6.90 (s, 2H), 7.25 (m, IH), 7.30 (d, 2H), 7.45 (d, 2H), 7.62 (m, IH), 7.69 (s, IH), 10.97 (s, IH).
b l-(4-Bromobenzyl pyrrolidine
Prepared in a similar manner to Example 43 (b) but using pyrrolidine.
MS (ES) 240/242 (M+H)+.
*H NMR (DMSO-D6) 1.65 (m, 4H), 2.38 (m, 4H), 3.50 (s, 2H), 7.22 (m, 2H), 7.45 (m, 2H). Example 81
2-r(Aminocarbonyl)aminol-5-r2-(2-(4,4-difluoropiperidin-l-yl)ethoxy)phenyll-3- thiophenecarboxamide
a) The title compound was prepared from 4,4-difluoro-(2-(2- bromophenoxy)ethyl)piperidine in a similar manner to Example 9 (e). MS (ES) 425 (M+H)+. lE NMR (DMSO-D6) 1.9 (m, 4H), 2.7 (m, 4H), 2.9 (t, 2H), 4.2 (t, 2H), 6.9 (bs, 2H), 7.0 (t, IH), 7.1 (d, IH), 7.2 (m, 2H), 7.6 (m, 2H), 7.75 (s, IH), 11.0 (s, IH).
b 4,4-Difluoro-(2-(2-bromoρhenoxy)ethyl piperidine 2-(2-Bromophenoxy)ethyl tosylate (1.86 g), 4,4-difluoropiperidine (0.73 g) and potassium carbonate (0.97 g) were mixed with dimethylformamide (30 ml) and heated to 60 °C for 18 h. The mixture was cooled and added to water (300 ml). The mixture was extracted with diethyl ether (x3), dried and evaporated. Purification was achieved using cation exchange chromatography eluting with ammonia/methanol/dichloromethane mixtures yielding ,4- difluoro-(2-(2-bromophenoxy)ethyl)piperidine (0.77 g). MS (ES) 321 (M+H)+.
*H NMR (DMSO-D6) 1.8-2.1 (m, 4H), 2.7 (m, 4H), 2.8 (t, 2H), 4.1 (t, 2H), 6.9 (td, IH), 7.1 (dd, IH), 7.3 (td, IH), 7.55 (dd, IH).
c) 2-(2-Bromophenoxy ethyl tosylate 2-(2-Bromophenoxy)ethanol (17.4 g) was dissolved in dichloromethane (250 ml) and cooled to 0 °C. Triethylamine (9.7 g) was added along with tosyl chloride (18.3 g). The mixture was stirred for 2 h, then added to water (500 ml). The organics were washed twice with 2N hydrochloric acid and dried. Separation was achieved using silica chromatography eluting with hexane/ethyl acetate mixtures. This gave 2-(2-bromoρhenoxy)ethyl tosylate (14.4g). !H NMR (DMSO-D6) 2.4 (s, 2H), 4.3 (t, 2H), 4.35 (t, 2H), 6.9 (td, IH), 7.0 (dd, IH), 7.3 (td, IH), 7.5 (d, 2H), 7.6 (dd, IH), 7.8 (d, 2H).
d 2-(2-Bromophenoxy)ethanol Potassium carbonate (23.8 g) and 2-bromophenol (14.9 g) were mixed with dimethylformamide (150 ml). 2-Bromoethanol (12.9 g) was added and the mixture heated to 50 °C for 18 h. The mixture was cooled and added to water (1500 ml). The product was extracted into diethyl ether (x3) and washed twice with dilute sodium hydroxide solution. Evaporation gave 2-(2-bromophenoxy)efhanol (17.4 g). 1H NMR (DMSO-D6) 3.75 (m, 2H), 4.0 (t, 2H), 4.9 (t, IH), 6.8 (t, IH), 7.1 (d, IH), 7.3 (d, IH), 7.55 (d, IH).
Example 82
2-[(Aminocarbonyl amino1-5-[2-(2-f3,3-difluoropyrrolidin-l-yl ethoxy phenyll-3- thiophenecarboxamide
a) The title compound was prepared from 3,3-difluoro-(2-(2- bromophenoxy)ethyl)pyrrolidine in a similar manner to Example 9 (e). MS (ES) 411 (M+H)+. lE NMR (DMSO-D6) 2.2 (m, 2H), 2.9 (t, 2H), 3.0 (m, 4H), 4.2, (t, 2H), 6.9 (bs, 2H), 7.0 (t, IH), 7.15 (d, IH), 7.2 (m, 2H), 7.6 (m, 2H), 7.8 (s, IH), 11.0 (s, IH).
b) 3,3-Difluoro-(2-(2-bromophenoxy)ethyl pyrrolidine Prepared from 3,3-difluoropyrrolidine in a similar manner to Example 81 (a). MS (ES) 307 (M+H)+.
1H NMR (DMSO-D6) 2.2 (m, 2H), 2.9 (m, 4H), 3.1 (t, 2H), 4.1, (t, 2H), 6.9 (td, IH), 7.1 (dd, IH), 7.3 (td, IH), 7.6 (dd, IH). Example 83
3-|"(Aminocarbonyl)amino]-5-r4-(morpholin-4-ylmethyl)phenyl]thiophene-2-carboxamide
a) The title compound was prepared from 3-amino-5-[4-(morpholin-4- ylmethyl)phenyl]thiophene-2-carboxamide in a similar manner to Example 9(b).
MS (ES) 361 (M+H)+. lE NMR (DMSO-D6) 2.35 ( , 4H), 3.5 (s, 2H), 3.55 (m, 4H), 6.55 (brs, 2H), 7.4 (m,
3H), 7.55 (d, 2H), 8.2 (s, IH), 10.03 (brs, IH).
b) 3 - r4-(Morpholin-4-ylmethyl)phenyll -3 -oxopropanenitrile
(i) To a solution of methyl 4-bromomethylbenzoate (14.75 g) in dimethylformamide (50 ml), cooled to 5 °C, was added rapidly morpholine (13.8 ml). The mixture was stirred at room temperature for 2 h. The mixture was partitioned between diethyl ether and water. The organic layer was washed with water, dried (MgSO4), evaporated and purified by column chromatography eluting with ethyl acetate / zsø-hexane (20:80) to give methyl 4-(morpholin-4-ylmethyl)benzoate (14.13 g) as an oil.
(ii) To a solution of acetonitrile (1.35 ml) in tetrahydrofuran (80 ml), cooled to 5 °C, was added sodium hydride (0.94 g, 60% dispersion in oil). The mixture was stirred for 30 minutes before the addition of a solution of methyl 4-(morpholin-4-ylmethyl)benzoate
(5.53 g) in tetrahydrofuran (20 ml). The resulting mixture was heated to 70 °C for 5 h. The mixture was cooled, quenched with saturated ammonium chloride (20 ml) and extracted with ethyl acetate. The organic extracts were dried (MgSO ) and evaporated to give a gum which was purified by column chromatography eluting with a 20-100% ethyl acetate / iso- hexane gradient to give 3-[4-(morpholin-4-ylmethyl)phenyl]-3-oxopropanenitrile (0.97 g). MS (ES) 245 (M+H)+. *H NMR (CDC13) 2.45 (m, 4H), 3.55 (s, 2H), 3.7 (m, 4H), 4.05 (s, 2H), 7.5 (d, 2H), 7.9
(d, 2H). c) cis/trans-2-Cγaτio- 1 -r4-(moφholin-4-ylmetnyl)phenyl1 ethenyl 4-methylbenzene sulphonate
To a solution of 3-[4-(morpholin-4-ylmethyl)phenyl]-3-oxopropanenitrile (0.96 g) in tetrahydrofuran (12 ml) was added sodium hydride (190 mg, 60% dispersion in oil) and the resulting mixture was stirred at room temperature for 1 h. A solution of p-toluenesulphonyl chloride (0.9 g) in tetrahydrofuran (20 ml) was added and the resulting mixture was stirred at room temperature for 3 h. The reaction was quenched with water and extracted with ethyl acetate. The organic extracts were dried (MgSO4) and evaporated to give a gum, which was purified by column chromatography eluting with ethyl acetate / isohexane (50:50) to give a cis/trαns mixture of 2-cyano-l-[4-(morpholin-4-ylmethyl)phenyl] ethenyl 4-methylbenzenesulphonate (0.94 g) as an oil. MS (ES) 399 (M+H)+.
d czVtrαng-2-({2-Cvano-l-[4-(morpholin-4-ylmethyl)phenyllethenyl thio acetamide To a solution of the above cis/trαns mixture of 2-cyano-l-[4-(morpholin-4- . ylmethyl)phenyl] ethenyl 4-methylbenzenesulphonate (940 mg) in acetonitrile (20 ml) was added freshly prepared thioacetamide (430 mg) followed by triethylamine (0.75 ml). The resulting mixture was stirred at room temperature for 18 h. Further amounts of thioacetamide (660 mg) and triethylamine (1.5 ml) were added and the resulting mixture was stirred for a further 3 h. The mixture was evaporated and the resulting gum was purified by column chromatography eluting with a 1-8% methanol / dichloromethane gradient to give a cis /trans mixture of 2-({2-cyano-l-[4-(morpholin-4- ylmethyl)phenyl]ethenyl}thio)acetamide (712 mg) as a gum.
+
MS (ES) 318 (M+H) .
e 3 - Amino-5- r4-(morpholin-4-ylmethyl)ρhenyl'|thiophene-2-carboxamide To a suspension of cw/t?-α7w-2-({2-cyano-l-[4-(morpholin-4- ylmethyl)phenyl] ethenyl }thio) acetamide (705 mg) in tetrahydrofuran (15 ml) was added potassium t-butoxide (250 mg) and the resulting mixture was stirred at room temperature for 18 h. The mixture was poured into 50% brine and extracted with ethyl acetate. The organic layer was dried (MgSO ) and evaporated to give a gum, which was purified by column chromatography eluting with a 1-8% methanol / dichloromethane gradient to give 3-amino-5-[4-(moφholin-4-ylmethyl)phenyl]- thiophene-2-carboxamide (161 mg). MS (ES) 318 (M+H)+. lE NMR (DMSO-D6) 2.35 (m, 4H), 3.5 (s, 2H), 3.6 (m, 4H), 6.45 (s, 2H), 6.85 (s, 2H), 6.9 (s, IH), 7.35 (d, 2H), 7.5 (d, 2H).
Example 84 •
3-r(Aminocarbonyl)aminol-5-r4-(g .s'-2,6-dimethylmoφholin-4- ylmethyl)phenyl]thiophene-2-carboxamide
a) The title compound was prepared from 3-amino-5-[4-(cz5,-2,6-dimethylmoφholin-4- ylmethyl)phenyl]thiophene-2-carboxamide in a similar manner to Example 9 (b). MS (ES) 389 (M+H)+. lE NMR (DMSO-D6) 1.0 (d, 6H), 1.65 (t, 2H), 2.7 (d, 2H), 3.45 (s, 2H), 3.75 (m, 2H), 6.6 (brs, 2H), 7.35 (d+s, 4H), 7.55 (d, 2H), 8.2 (s, IH), 10.03 (brs, IH).
b 3-Amino-5-r4-(cis-2,6-dimethylmoφholin-4-ylmethyl ρhenyl]thioρhene-2-carboxamide Prepared in a similar manner to Example 83 (b-e) using cis 2,6-dimethylmoφholine. MS (ES) 346 (M+H)+. lE NMR (DMSO-D6) 1.1 (d, 6H), 1.8 (t, 2H), 2.7 (d, 2H), 3.5 (s, 2H), 3.7 (m, 2H), 5.2 (s, 2H), 5.7 (s, 2H), 6.8 (s, IH), 7.35 (d, 2H), 7.5 (d, 2H).
Example 85
2-r(Aminocarbonyl aminol-5-r4-(cis-2,6-dimethylmorpholin-4- ylmethypphenyll thiophene-3 -carboxamide a) The title compound was prepared from N-(4-bromobenzyl)-cis-2,6-dimethylmoφholine in a similar manner to Example 10 (a). MS (ES) 389 (M+H)+. H ΝMR (DMSO-D6) 1.0 (d, 6H), 1.65 (t, 2H), 2.7 (m, 2H), 3.4 (s, 2H), 3.55 (m, 2H), 7.0 (brs, 2H), 7.3 (m, 3H), 7.5 (d, 2H), 7.7 (s, IH), 7.7 (brs, IH), 11.0 (s, IH).
b N-(4-Bromobenzyl -cis-2,6-dimethylmoφholine The compound was prepared in a similar manner to Example 43 (b). MS (ES) 284, 286 (M+H)+. lH ΝMR (CDC13) 1.15 (d, 6H), 1.7 (t, 2H), 2.65 (d, 2H), 3.4 (s, 2H), 3.7 (m, 2H), 7.2 (d, 2H), 7.45 (d, 2H).
Example 86
2-f(AminocarbonyI aminol-5-r(6-{4-moφholino}methyl)pyridin-3-yllthiophene-3- carboxamide
a) The title compound was prepared from 5-bromo-2-[(4-moφholino)methyl]pyridine in a similar manner to Example 9(e). MS (ES) 362 (M+H)+. lE ΝMR (DMSO-D6) 2.4 (m, 4H), 3.6 (s, 2H), 3.6 ( , 4H), 7.0 (brs, 2H), 7.3 (brs, IH), 7.45 (d, IH), 7.7 (brs, IH), 7.8 (s, IH), 7.85 (dd, IH), 8.65 (d, IH), 11.0 (brs, IH).
b) 5-Bromo-2-r(4-morpholino)methyllpyridine To a solution of 5-bromopyridine-2-carboxaldehyde (0.88 g) in anhydrous dichloroethane (20 ml) was added moφholine (0.48 ml), followed by glacial acetic acid (0.29 ml) and sodium triacetoxyborohydride (1.49 g). The resulting mixture was stirred at room temperature for 2 h. The mixture was quenched with saturated sodium bicarbonate (20 ml) and stirred for 30 minutes. The mixture was extracted with ethyl acetate, dried (MgSO4) and evaporated to give a gum, which was purified by column chromatography eluting with ethyl acetate / zso-hexane (1:1) to give a colourless oil (1.035 g). MS (ES) 257,259 (M+H)+. H NMR (CDC13) 2.5 (m, 4H), 3.6 (s, 2H), 3.7 (m, 4H), 7.35 (d, IH), 7.75 (dd, IH), 8.6 (d, IH).
Example 87
2-r(Aminocarbonyl amino1-5-r4-(8-oxa-3-azabicyclof3.2.11oct-3- ylmethyl phenyl1thiophene-3-carboxamide
a) The title compound was prepared from 3-(4-bromobenzyl)-8-oxa-3- azabicyclo[3.2.1]octane in a similar manner to Example 9(e).
MS (ES) 387 (M+H)+. NMR (DMSO-D6) 1.7 (m, 2H), 1.85 (m, 2H), 2.15 (m, 2H), 3.3-3.45 (m, 4H), 4.15 (d, 2H), 6.95 (brs, 2H), 7.3 (d, 2H), 7.3 (brs, IH), 7.5 (d, 2H), 7.7 (brs+s, 2H), 10.95 (brs, IH).
b) 3-(4-Bromobenzyl -8-oxa-3-azabicyclor3.2.11octane
This compound was prepared in a similar manner to example 43(b) but using 8-oxa-3- azabicyclo[3.2.1]octane. MS (ES) 282 (M+H)+. lE NMR (CDCI3) 1.9 (m, 2H), 1.95 (m, 2H), 2.3 (d, 2H), 2.5 (d, 2H), 3.4 (s, 2H), 4.3 (m, 2H), 7.2 (d, 2H), 7.4 (d, 2H).
Example 88
2-r(Aminocarbonyl amino]-5-[3-(moφholin-4-ylmethyl -4-isobutoxyphenyllthiophene-3- carboxamide a) The title compound was prepared from 4-(5-bromo-2-isobutoxybenzyl)moφholine in a similar manner to Example 9(e). MS (ES) 433 (M+H)+.
!H NMR (DMSO-D6) 1.0 (d, 6H), 2.05 (m, IH), 2.4 (m, 4H, ), 3.5 (s, 2H), 3.55 (m, 4H), 3.75 (d, 2H), 6.9 (brs, 2H), 7.0 (d, IH), 7.2 (brs, IH), 7.35 (dd, IH), 7.45 (d, IH), 7.55 (s,lH), 7.7 (brs, IH), 10.9 (brs,lH).
b 4-(5-Bromo-2-isobutoχybenzyl moφholine
To a solution of 5-bromo-2-isobutoxybenzaldehyde (2.46 g) in 1,2-dichloroethane (40 ml) was added moφholine (0.96 ml) and acetic acid (0.57 ml). The mixture was stirred for 30 minutes before the addition of sodium triacetoxyborohydride (3.04 g). The resulting mixture was stirred at room temperature for 3 h. The reaction was quenched with saturated sodium bicarbonate (30 ml) and stirred for 30 minutes before extraction with ethyl acetate.
The organic extracts were dried (MgSO4) and evaporated to give an oil, which was purified by column chromatography eluting with ethyl acetate / iso-hexane (20:80) to give
4-(5-bromo-2-isobutoxybenzyl)moφholine (2.88 g) as an oil.
MS (ES) 328 (M+H)+. H NMR (CDC13) 1.05 (d, 6H), 2.1 (m, IH), 2.5 (m, 4H), 3.5 (s, 2H), 3.7 (m, 6H), 6.7 (d,
IH), 7.3 (m, IH), 7.5 (m, IH).
c 5-Bromo-2-isobutoxybenzaldehyde
To a solution of 5-bromo-2-hydroxybenzaldehyde (7.63 g) in dimethylformamide (40 ml) was added anhydrous potassium carbonate (15.7 g) followed by l-bromo-2-methylpropane
(6.2 ml). The resulting mixture was heated to 70 °C for 18 h. The mixture was partitioned between water and ethyl acetate. The organic layer was washed with 2N sodium hydroxide, dried (MgSO4) and evaporated to give an oil which was purified by column chromatography eluting with ethyl acetate / z'sø-hexane (10:90) to give 5-bromo-2- isobutoxybenzaldehyde (9.52 g) as an oil.
MS (ES) 256 (M+H)+. H NMR (CDC13) 1.1 (d, 6H), 2.2 (m, IH), 3.85 (d, 2H), 6.9 (d, IH), 7.6 (dd, IH), 7.9 (d, IH), 10.45 (brs, IH).
Example 89
2-f(Aminocarbonyl)amino1-5-r3-(moφholin-4-ylmethyl)phenynthiophene-3-carboxamide
The title compound was prepared from N-(3-bromobenzyl)moφholine in a similar manner to Example 43 except that the product was adsorbed on to reverse phase silica and eluted with water/acetonitrile/trifluoroacetic acid to give a cream solid (120 mg). MS (ES) 361 (M+H)+. lE NMR (DMSO-D6) 2.37 (brs,4H), 3.47 (s,2H), 3.59 (brs,4H), 6.99 (brs,2H)5 7.17 (d,lH), 7.34 (t+brs,2H), 7.42 (d,lH), 7.47 (s,lH), 7.74 (s,2H), 11.02 (s,lH).
Example 90
2-ff Aminocarbonyl aminol-5-(4- ( r2-(methoxymethyl)moφholin-4- vnmethyl}phenyl)thiophene-3-carboxamide
The title compound was prepared from 4-(4-bromobenzyl)-2-(methoxymethyl)moφholine
(0.7 g) in a similar manner to Example 43 to give the product as a light brown solid
(28 mg).
MS (ES) 405 (M+H)+. H NMR (DMSO-D6) 1.80 (t,lH), 2.04 (m,lH), 2.64 (m,2H), 3.19 (s,3H), 3.20-3.40 (m,2H), 3.40-3.57 (m,4H), 3.74 (d,lH), 6.92 (brs,2H), 7.26 (brs,lH 7.29 (d,2H), 7.47
(d.2H), 7.68 (brs,lH), 7.70 (s,lH), 10.97 (s,lH).
4-(4-Bromobenzyl)-2-(methoxymethyl)moφholine
2-(Methoxymethyl)mθφholine (1 g), anhydrous potassium carbonate (2.1 g), l-bromo-4- (bromomethyl)benzene (1.91 g) and dimethylformamide (30 ml) were stirred at ambient temperature for 48 h, evaporated, and the residue purified by column chromatography using a gradient of ether/isohexane; 0/100 to 100/0, 1/9 MeOH/dichloromethane and finally 2M ammonia in methanol to give the product as a solid (0.7 g). MS (ES) 300 (M+H)+. ]H NMR (CDC13) 1.89 (t,lH), 2.11 (m,lH), 2.58 (m,2H), 3.28 (s,3H), 3.30 (m,2H), 3.37 (s,2H), 3.60 (m,2H), 3.81 (m,lH), 7.12 (d,2H), 7.36 (d,2H).
Example 91
2-[(Aminocarbonyl amino1-5-r3-fluoro-4-(moφholin-4-ylmethyl)phenyl"|thiophene-3- carboxamide
a) 4-(4-Bromo-2-fluorobenzyl)moφholine (1.2 g) was stirred in tetrahydrofuran (25 ml) under argon and the mixture cooled to -70 °C. n-Butyl lithium (4.1 ml, 1.6M solution in hexane) was added dropwise over 20 minutes and the mixture was stirred for a further 30 minutes at -70 °C. Triisopropylborate (1.52 ml) was then added in one portion and the reaction mixture was allowed to warm to room temperature over 2 h, then concentrated in vacuo. 1 ,2-Dimethoxyethane (45 ml) was added to the residue and the mixture was purged with a stream of argon. 2-[(Aminocarbonyl)amino]-5-bromo-3-thiophenecarboxamide (0.385 g) was then added, followed by saturated aqueous sodium hydrogen carbonate (5 ml) and Pd(PPh3)4 (100 mg). The mixture was stirred at 85 °C under argon for 18 h. After cooling, the solvent was removed in vacuo and the residue was partitioned between 2M aqueous sodium hydroxide (50 ml) and dichloromethane (50 ml). The aqueous layer was extracted further with dichloromethane (50 ml) and the compound was isolated by neutralisation of the basic aqueous phase, followed by filtration, washing with water and drying of the resulting precipitate to give the product as a brown solid (370 mg). MS (ES) 379 (M+H)+. H NMR (DMSO-D6) 2.38 (t,4H) 3.50 (s,2H), 3.55 (t,4H), 6.95 (brs,2H), 7.25 (s,lH), 7.30 (d,2H), 7.39 (t,lH), 7.62 (brs,lH), 7.79 (s,lH), 10.98 (brs,lH). b 4-(4-Bromo-2-fluorobenzyl)moφholine
4-Bromo-2-fluorobenzyl bromide (3.0 g) and moφholine (2.15 ml) were stirred in dimethylformamide (30 ml) at ambient temperature for 18 h. The mixture was partitioned between diethyl ether (80 ml) and water (80 ml). The aqueous phase was extracted further with diethyl ether (80 ml) and the combined organic phases were dried (magnesium sulfate) and concentrated in vacuo. The residue was purified by column chromatography, eluting with a gradient of 0-30% ethyl acetate/z'so-hexane to give the product as a colourless oil (2.92 g). MS (ES) 274 (M+H)+. H NMR (DMSO-D6) 2.35 (t,4H), 3.48 (s,2H), 3.55 (t,4H), 7.38 (q,2H), 7.49 (d,lH).
Example 92
2-r(Aminocarbonyl amino1-5-[3-chloro-4-(moφholin-4-ylmethyl phenyl]thiophene-3- carboxamide
a) The title compound was prepared from 4-(4-bromo-2-chlorobenzyl)moφholine in a similar manner to Example 91 (a) to give a brown solid (270 mg).
+
MS (ES) 395 (M+H) llEE NNMMRR ((DDMMSSOO--DD66) 2.40 (m,4H) 3.51 (s,2H), 3.57 (m,4H), 6.97 (brs,2H), 7.30 (brs,lH),
7.43 (d,lH), 7.48 (d,lH), 7.55 (s,lH), 7.62 (brs,lH), 7.80 (s,lH), 10.97 (s,lH).
b) 4-(4-Bromo-2-chlorobenzyl moφholine
The title compound was prepared from 4-bromo-l-(bromomethyl)-2-chlorobenzene in a similar manner to Example 91 p) except that the residue was purified by column chromatography, eluting with a gradient of 0-20% ethyl acetate/isO-hexane to give the product as a colourless oil (1.20 g).
MS (ES) 290 (M+H)+. lE NMR (DMSO-D6) 2.40 (t,4H), 3.50 (s,2H), 3.57 (t,4H), 7.42 (d,lH), 7.53 (d,lH), 7.69 (s,lH). c 4-Bromo- 1 -(bromomethyl -2-chlorobenzene
4-Bromo-2-chlorotoluene (7.02 g) and N-bromosuccinimide (6.07 g) was stirred in chlorobenzene (50 ml) under ultraviolet light at 100 °C for 18 h. The reaction mixture was filtered and the filtrate was concentrated in vacuo. The residue was purified by medium- pressure liquid chromatography, eluting with zso-hexane, to give a colourless oil (2.65 g). MS (El) 282 M+. H NMR (DMSO-D6) 4.70 (s,2H), 7.58 (s,2H), 7.78 (s,lH).
Example 93
2-r(Aminocarbonyl)aminol-5- {4-r(4,4-difluoropiρeridin- 1 -yl;methyl]phenyl}thiophene-3- carboxamide
a) 4,4-Difluoro-l-(4-bromobenzyl)piperidine (0.81 g) was stirred in tetrahydrofuran (20 ml) under argon, and the mixture cooled to -65 °C. n-Butyl lithium (2.66 ml, 1.6M solution in hexane) was added dropwise over 20 minutes and the mixture was stirred for a further 30 minutes at -65 °C. Triisopropylborate (1.31 ml) was then added in one portion and the reaction mixture was allowed to warm to room temperature over 2 h., then concentrated in vacuo. 1,2-Dimethoxyethane (25 ml) was added to the residue and mixture was purged with a stream of argon. 2-[(Aminocarbonyl)amino]-5-bromo-3- thiophenecarboxamide (0.250 g) was then added followed by saturated aqueous sodium hydrogen carbonate (5 ml) and Pd(PPh3)4 (100 mg). The mixture was stirred at 80 °C under argon for 18 h. After cooling, the solvent was removed in vacuo and the residue was partitioned between 2M aqueous sodium hydroxide (15 ml) and dichloromethane (15 ml). The solid remaining undissolved at the interface was collected by filtration, washed with water and dichloromethane and dried to give the product as a grey solid (0.243 g). LCMS (ES) 395 (M+H)+. lU NMR (DMSO-D6) 1.90 (m, 4H), 2.50 (m, obscured), 3.50 (s, 2H), 6.90 (s, 2H), 7.25 (m, 3H), 7.42 (d, 2H), 7.62 (s, IH), 7.68 (s, IH), 10.97 (s, IH). b 4.4-Difluoro-l -(4-bromobenzyl)piperidine
4-Bromobenzyl bromide (1.55 g) and 4,4-difiuoropiperidine (1.50 g) were stirred in dimethylformamide (30 ml) for 18 h. The mixture was partitioned between diethyl ether
(40 ml) and water (40 ml). The aqueous phase was extracted further with ether (40 ml) and the combined organic phases were washed with water (50 ml), dried (MgSO4) and concentrated in vacuo to give the product as a white crystalline solid (1.57 g).
*H NMR (DMSO-D6) 1.90 (m, 4H), 2.45 (m, 4H obscured), 3.48 (s, 2H), 7.22 (d, 2H),
7.50 (d, 2H).
Example 94
2- (Aminocarbonyl)amino1-5-r4-(l-{piperidin-l-yl}ethyl phenyl1thiophene-3-carboxamide
a) The title compound was prepared from l-[l-(4-bromophenyl)ethyl]piperidine in a similar manner to Example 93 (a) except that the compound was isolated by neutralisation of the basic aqueous phase with aqueous 6M HC1, followed by filtration, washing with water and drying of the resulting precipitate to give a light brown solid (307 mg). MS (ES) 373 (M+H)+. H NMR (DMSO-D6) 1.35 (m, 5H), 1.50 (m, 4H), 2.45 (m, obscured), 3.55 (m, IH), 6.60 (s, 2H), 7.12 (s, 2H), 7.30 (d, 2H), 7.45 (d, 2H), 7.60 (s, IH), 10.90 (s, IH).
b) l-ri-(4-Bromophenyl)ethyllpiρeridine 4-Bromoacetoρhenone (1.95 g), piperidine (0.97 ml) and titanium(IV) isopropoxide
(3.64 ml) were stirred under argon at room temperature for 1 h. Ethanol (10 ml) was added, followed by sodium cyanoborohydride (0.41 g) and mixture stirred for 18 h. Water (2 ml) was then added and the mixture stirred for 20 minutes. The resulting inorganic precipitate was filtered off, washed with ethanol (20 ml) and the combined organic phase was
® concentrated in vacuo, redissolved in toluene and purified by Bondelute chromoatography, eluting with 0 - 20% ethyl acetate/z'sO-hexane to give the product as a pale yellow oil (1.07 g). MS (ES) 268 (M+H)+. lE NMR (DMSO-D6) 1.21 (d, 3H), 1.30 (m, 2H), 1.42 (m, 4H), 2.22 (m, 4H), 3.40 (q, s IH), 7.20 (d, 2H), 7.45 (d, 2H).
Example 95
2-r(Aminocarbonyl aminol-5-{4-f(li? -l-moφholin-4-ylethyllphenyl}thiophene-3- o carboxamide
a) The title compound was prepared from 4-[(li?)-l-(4-bromophenyl)ethyl]moφholine in a similar manner to Example 93 (a) except that the compound was isolated by neutralisation of the basic aqueous phase with aqueous 6M HC1, followed by filtration, washing with s water and drying of the resulting precipitate to give a pale brown solid (278 mg).
MS (ES) 375 (M+H)+.
. H NMR (DMSO-D6) 1.22 (d, 3H), 2.25 (m, 2H), 2.40 (m, 2H), 3.30 (m, IH), 3.50 (m, 4H), 6.90 (brs, 2H), 7.25 (m, 3H), 7.42 (d, 2H), 7.65 (m, 2H), 10.97 (s, IH), 0 b ( liT)-4-lT -(4-Bromophenyl)ethvHmorpholine
(R)-(+)-l-(4-Bromophenyl)ethylamine (0.98 g), 2,2'-dibromodiethyl ether (1.36 g) and diisopropylethylamine (2.5 ml) were stirred in dimethylformamide (20 ml) under argon at 100 °C for 18 h. The reaction mixture was allowed to cool to room temperature, then partitioned between diethyl ether (50 ml) and water (50 ml). The aqueous phase was extracted further with diethyl ether (50 ml) and the combined organic phases were washed with water (100 ml), dried (MgSO4), concentated in vacuo, redissolved in toluene and purified by Bondelute chromatography, eluting with 0 - 50% ethyl acetate/iso-hexane to give the product as a yellow oil (0.86 g). LCMS (ES) 270 (M+H)+. H NMR (DMSO-D6) 1.21 (d, 3H), 2.20 (m, 2H), 2.38 (m, 2H), 3.30 (m, IH), 3.50 (m,
4H), 7.22 (d, 2H), 7.48 (d, 2H).
Example 96
2-f(Aminocarbonyl)aminol-5-(4-{r4-(2-methoxyethyl)piperazin-l- yl]methy phenyl thiophene-3-carboxamide
a) The title compound was prepared from l-(4-bromobenzyl)-4-(2- methoxyethyl)piperazine in a similar manner to Example 93 (a) except that the compound was isolated by neutralisation of the basic aqueous phase with aqueous 6M HC1, followed by filtration, washing with water and drying of the resulting precipitate to give a light brown solid (271 mg). MS (ES) 418 (M+H)+. !H NMR (DMSO-D6) 2.25 - 2.50 (m, obscured),' 3.20 (s, 3H), 3.40 (m, 4H), 6.90 (brs, 2H), 7.22 (m, 3H), 7.42 (d, 2H), 7.60 (brs, IH), 7.63 (s, IH), 10.96 (s, IH).
b) 1 -(4-Bromobenzyl -4-f2-methoxyethyl)piperazine
4-Bromobenzyl bromide (2.0 g) and l-(2-methoxyethyl)piperazine (2.31 g) were stirred in dimethylformamide (30 ml) for 18 h. The mixture was partitioned between diethyl ether (30 ml) and water (30 ml). The aqueous phase was extracted further with ether (30 ml) and the combined organics were washed with water (50 ml), dried (MgSO4), concentrated in
® vacuo and purified by Bondelute chromatography, eluting with 0 - 100%) ethyl acetate/tsø-hexane followed by 10 - 50% methanol/ethyl acetate to give the product as a yellow oil (1.61 g).
' lE NMR (DMSO-D6) 2.22-2.45 (m, 10H), 3.20 (s, 3H), 3.40 (m, 4H), 7.20 (m, 2H), 7.45
(m, 2H).
Example 97 2- (Aminocarbonyl amino1-5-r4-(piperidin-l-ylmethyl phenvnthiophene-3-carboxamide
a) The title compound was prepared from l-(4-bromobenzyl)piperidine in a similar manner to Example 93 (a) except that the compound was isolated by neutralisation of the basic aqueous phase with aqueous 6M HCl, followed by filtration, washing with water and drying of the resulting precipitate to give a pale brown solid (182 mg). LCMS (ES) 359 (M+H)+. lE NMR (DMSO-D6) 1.40 (m, 2H), 1.50 (m, 4H), 2.42 (m, 4H), 3.50 (brs, 2H), 6.92 (m, 2H), 7.28 (m, 3H), 7.45 (m, 2H), 7.65 (m, 2H), 10.98 (brs, IH).
b) l-(4-Bromobenzyl piperidine
This compound was prepared from piperidine in a similar manner to Example 96 (b), giving the compound as a clear oil (1.22 g). MS (ES) 254 (M+H)+. . lE NMR (DMSO-D6) 1.35 (m, 2H), 1.45 (m, 4H), 2.22 (m, 4H), 3.38 (s, 2H), 7.20 (m, 2H), 7.43 (m, 2H).
Example 98
2-f(Aminocarbonyl)amino1-5-{4-[(lS,4S)-2-oxa-5-azabicyclor2.2.1]hept-5- ylmethyHphenv thiophene-3-carboxamide
a) The title compound was prepared from (lS,4S)-5-(4-bromobenzyl)-2-oxa-5- azabicyclo[2.2.1]heptane in a similar manner to Example 93 (a), as a pale brown solid (180 mg).
LCMS (ES) 373 (M+H)+.
*H NMR (DMSO-D6) 1.58 (m, IH), 1.80 (m, IH), 2.40 (d, IH), 2.70 (m, IH), 3.40 (s, IH), 3.50 (m, IH), 3.65 ( , 2H), 3.90 (d, IH), 4.32 (s, IH), 6.90 (brs, 2H), 7.22 (m, IH), 7.30 (d, 2H), 7.42 (d, 2H), 7.62 (m, 2H), 10.96 (brs, IH). b) (lS,4S)-5-(4-Bromobenzyl -2-oxa-5-azabicyclor2.2.nheptane (lSJ4S)-(+)-2-Aza-5-oxabicyclo[2.2.1]heptane hydrochloride (1.26 g), 4-bromobenzyl bromide (2.32 g) and triethylamine (3.88 ml) were stirred in dimethylformamide (30 ml) for 18 h. The mixture was partitioned between diethyl ether (60 ml) and water (60 ml) and the organic phase was washed further with water (60 ml), dried (MgSO4), concentrated in
® vacuo and purified by Bondelute chromatography, eluting with 0 - 100% ethyl acetate/z'so-hexane to give the product as an orange oil (1.91 g).
MS (ES) 267 (M)+.
!H NMR (DMSO-D6) 1.57 (m, IH), 1.78 (m, IH), 2.18 ( , IH), 2.65 ( , IH), 3.40 (s, IH), 3.50 (m, IH), 3.62 (m, 2H), 3.90 (d, IH), 4.30 (s, IH), 7.25 (d, 2H), 7.43 (d, 2H).
Example 99
5- {4-F(4-Acetylpiperazin-l -vDmethyllphenyl} -2-[(aminocarbonyl)amino]thiophene-3- carboxamide
a) Bis-(ρinacolato)diboron (1.23 g), potassium acetate (1.19 g) and dichloro[l, -bis- (diphenylρhosphino)ferrocene]palladium(II) dichloromethane adduct (59 mg) were added to a solution of l-acetyl-4-(4-bromobenzyl)piperazine (1.20 g) in dimethylacetamide (20 ml) whilst purging with argon and the mixture stirred at 80 °C for 16 h, then allowed to cool to ambient temperature and 2-[(aminocarbonyl)amino]-5-bromo-3- thiophenecarboxamide (213 mg), saturated aqueous sodium bicarbonate solution (5 ml) and dichloro[l, -bis-(diphenylphosphino)ferrocene]palladium(II) dichloromethane adduct (59 mg) were added and the mixture was stirred at 90 °C for 18 h. After cooling, the solvent was removed in vacuo and the residue was partitioned between 2M aqueous sodium hydroxide (20 ml) and dichloromethane (20 ml). The aqueous phase was then extracted further with dichloromethane (2 x 20 ml) and neutralised with aqueous 6M HCl. The. resulting precipitate was filtered and purified using cation exchange chromatography eluting with ammonia methanol/dichloromethane mixtures. This gave the title compound as a brown solid (17 mg). LCMS (ES) 402 (M+H)+.
2H NMR (DMSO-D6) 1.95 (s, 3H), 2.30 (m, 4H), 3.40 ( , 4H), 3.45 (s, 2H), 6.90 (brs,
2H), 7.25 (m, 3H), 7.42 (d, 2H), 7.62 (brs, IH), 7.65 (s,lH), 10.97 (brs, IH).
b) 1 -Acetyl-4-(4-bromobenzyl piperazine
This compound was prepared from 1-acetylpiperazine in a similar manner to Example 96 (b), giving the compound as a yellow oil (1.23 g). lE NMR (DMSO-D6) 1.95 (s, 3H), 2.20 - 2.40 (m, 4H), 3.40 ( , 4H), 3.45 (s, 2H), 7.22 (m, 2H), 7.50 (m, 2H). .
Example 100
2-["(Aminocarbonyl aminol-5-r4-(l,4-oxazepan-4-ylmethyl)phenyl1thiophene-3- carboxamide
a) The title compound was prepared from 4-(4-bromobenzyl)-l,4-oxazepane in a similar manner to Example 93 (a) except that the compound was isolated by neutralisation of the basic aqueous phase with aqueous 6M HCl, followed by filtration, washing with water and drying of the resulting precipitate to give a dark brown solid (341 mg), MS (ES) 375 (M+H)+. H NMR (DMSO-D6) 1.80 (m, 2H), 2.60 (m, 4H), 3.58 (m, 4H), 3.65 (t, 2H), 6.90 (brs, 2H), 7.25 (brs, IH), 7.30 (d, 2H), 7.45 (d, 2H), 7.65 (m, 2H), 10.97 (brs, IH).
b) 4-(4-Bromobenzyl)- 1 ,4-oxazepane The compound was prepared from homomoφholine hydrochloride in a similar manner to Example 98 (b) to give the product as a yellow oil (4.51 g). HNMR (DMSO-D6) 1.75 (m, 2H), 2.60 (m, 4H), 3.55 (m, 4H), 3.65 (m, 2H), 7.25 (d, 2H), 7.46 (d, 2H). Example 101
(lS -2-((Aminocarbonyl)amino)-5-(4-(l-{moφholin-4-yl}ethyl phenyl thiophene-3- carboxamide.
a) The compound was made from (lS)-4-(l-(4-bromophenyl)ethyl)moφholine (1.6 g) in a similar manner to Example 10 (a) except that the triisopropyl borate was added after the butyl lithium solution in the first step; the solvent for the second step was dimethoxy ethane/water (10 : 1) and solid sodium hydrogen carbonate was used and final purification was by preparative hplc to yield the product as a cream solid (530 mg). MS (ES) 373 (M-H)". H NMR (DMSO-D6) 1.27 (d, 3H), 2.21-2.3 (m, 2H), 2.33-2.44 (m, 2H), 3.22-3.38 (m, 5H), 6.93 (brs, 2H), 7.21-7.32 ( , 3H), 7.46 (d, 2H), 7.6-7.7 (m, 2H), 10.97 (brs, IH).
b) (1 S)-4-(l-(4-Bromophenyl ethyl)moφholine
(lS)-(-)-l-(4-Bromophenyl)ethylamine (2.4 g), 2,2'-dibromodiethylether (3.25 g) and N,N-diisopropylethylamine (6 ml) were heated to 100 °C in dimethylformamide (40 ml) for 18 h, allowed to cool arid partitioned between water and ethyl acetate. The organic phase was dried (MgSO4), evaporated under vacuum and purified by column chromatography using a 0-40% ethyl acetate/ zso-hexane gradient. The product was obtained as a yellow oil (1.91 g). MS (ES) 270 (M+H)+. H NMR (CDC13) 1.3 (d, 3H), 2.26-2.38 (m, 2H), 2.4-2.51 (m, 2H), 3.16 (q, IH), 3.59-3.6 (m, 4H), 7.19 (d, 2H), 7.42 (d, 2H).
Example 102
2-((Aminocarbonyl)amino)-5-(4-(l-methyl-l-{moφholin-4-yl)ethyl)phenyl)thiophene-3- carboxamide a) The compound was made from 4-({l-(4-bromophenyl)-l-methyl}ethyl)moφholine (150 mg) in a similar manner to Example 10(a) except that the triisopropyl borate was added after the butyl lithium solution in the first step, the solvent for the second step was dimethoxyethane/water (10 : 1) and solid sodium hydrogen carbonate was used and final purification was by preparative hplc to .yield the product as a cream solid (6 mg). MS (ES) 387 (M-H)".
!H NMR (DMSO-D6) 1.35 (s, 6H), 2.35-2.43 (m, 4H), 3.51-3.6 (m, 4H), 6.95 (brs, 2H), 7.31 (brs, IH), 7.45-7.55 (m, 4H), 7.65-7.55 (m, 2H), 11.01 (s,lH).
b 4-( { 1 -(4-Bromophenyl)- 1 -methyl} ethyl)morpholine
The compound was made in a similar manner to Example 101 (b) using l-(4- bromophenyl)-l-methylethylamine to yield the product as a yellow gum (150 mg). MS (ES) 284 (M+H)+. H NMR (CDC13) 1.3 (s, 6H), 2.36-2.47 ( , 4H), 3.57-3.69 (m, 4H), 7.32-7.42 (m, 4H).
1 -(4-Bromophenyl')- 1 -methylethylamine
The title compound was prepared according to J.Org.Chem., 1968, 33(12), 4515.
Example 103
2-[(Aminocarbonyl amino1-5-r4-((4-methylpiperazin-l-yl')methv phenyl1thiophene-3- carb xamide
a) 2-r(Ammocarbonyl)amino1-5-(4-formylphenyl thiophene-3-carboxamide 2-[(Aminocarbonyl)amino]-5-bromo-3-thiophenecarboxamide (11.75 g) was stirred in 1,2-dimethoxyethane (500 ml) and saturated aqueous sodium bicarbonate solution (100 ml), and 4-formylphenyl boronic acid (10 g) was added. The flask was flushed with argon, and tetra£/_?-(triphenylphosphine)palladium(0) (5.1 g) was then added. The reaction was stirred at 90 °C for 2 h, then cooled and evaporated under reduced pressure. The residue was treated with dichloromethane (200 ml) and 2N sodium hydroxide solution (100 ml), and stirred for twenty minutes. The resulting solid was then isolated by filtration, and purified by trituration with ethanol (100 ml), giving the product as a pale green solid (5.75 g).
MS (ES) 290 (M+H)+. s H NMR (DMSO-D6) 7.05 (s, 2H), 7.40 (s, IH), 7.75 (m, 3H), 7.90 (d, 2H), 8.00 (s, IH), 9.95 (s, IH), 11.10 (s, IH).
b 2-[(Aminocarbonyl')amino1-5-f4-f(4-methylpiperazin-l-yl methyl phenyl)- thiophene-3 -carboxamide o 2-[(Aminocarbonyl)amino]-5-(4-formylphenyl)-3-thiophenecarboxamide (100 mg) was stirred in a mixture of 1,2-dimethoxyethane (10 ml) and N,N-dimethylacetamide (5 ml). 1 -Methyl piperazine (0.16 g) was added, followed by trimethyl orthoformate (5 ml) and acetic acid (0.5 ml). The reaction was stirred at 80 °C for 20 minutes, and then polymer- supported cyanoborohydride (0.45 g) was added. The reaction was stirred at 80 °C for a s further 2 h, and then polymer-supported isocyanate (0.5 g) was added. The resins were removed by filtration, and the filtrate was then passed through a 5 g SCX column, washing with methanol (25 ml). The product was eluted using 1M methanolic ammonia (45 ml), and this solution was then evaporated to dryness under reduced pressure and the residue purified by chromatography on silica, eluting with dichloromethane/methanol (9: 1), to give 0 the product as an off-white solid (16 mg). MS (ES) 374 (M+H)+. H ΝMR (DMSO-D6) 2.15 (m, 3H), 2.30 (m, 8H), 3.45 (s, 2H), 6.90 (s, 2H), 7.30 (m, 3H), 7.50 (d, 2H), 7.65 (m, 2H), 10.95 (s, IH).
Example 104
2-r(Aminocarbonyl amino1-5-r4-((2-ethoxycarbonylpiperidin-l-yl)methyl phenyll- thiophene-3-carboxamide
The title compound was prepared in a similar manner to Example 103 (b) but from 2-(ethoxycarbonyl)piperidine. (CAS Registry No. 15862-72-3). MS (ES) 431 (M+H)+. H NMR (DMSO-D6).1.20 (t, 3H), 1.30-1.55, (m, 4H), 1.70 (m, 2H), 2.15 (m, IH), 2.80 (m, IH), 3.15 (m, IH), 3.40 (d, IH), 3.65 (d, IH), 4.15 (q, 2H), 6.90 (s, 2H), 7.30 (m, 3H), s 7.45 (d, 2H), 7.65 (s, IH), 7.70 (s, IH), 11.00 (s, IH).
Example 105
2-r(Aminocarbonyl)aminol-5-r4-((3-diethylaminocarbonylpiperidin-l-yl')methyl phenyl1- o thiophene-3 -carboxamide
The title compound was prepared in a similar manner to Example 103 (b) but starting from 3-([N,N-diethyl]carboxamido)piperidine. MS (ES) 458 (M+H)+. s H NMR (DMSO-D6) 0.95 (t, 3H), 1.05 (t, 3H), 1.35 (m, IH), 1.45-1.65 (m, 3H), 1.85 (m, IH), 2.00 (t, IH), 2.70 (m, 2H), 2.80 (m, IH), 3.25 (m, 4H), 3.45 (q, 2H), 6.90 (s, 2H), 7.30 (m, 3H), 7.45 (d, 2H), 7.65 (s, IH), 7.70 (s, IH), 11.00 (s, IH).
Example 106 0
2-rfAminocarbonyl)aminol-5-r4-((3-hydroxypyrrolidin-l-yl)methyl)phenyl]thiophene-3- carboxamide
2-[(Aminocarbonyl)amino]-5-(4-foπnylphenyl)-3-thiophenecarboxamide (100 mg) was stirred in a mixture of 1 ,2-dimethoxyethane (10 ml) and N,N-dimethylacetamide (5 ml). 3-pyrrolidinol (0.15 g) was added, followed by trimethyl orthoformate (5 ml) and acetic acid (0.5 ml). The reaction was stirred at 80 °C for 20 minutes, and then polymer- supported cyanoborohydride (0.45 g) was added. The reaction was stirred at 80 °C for a further 2 h, and then polymer-supported benzaldehyde (0.5 g) was added. The resins were removed by filtration, and the filtrate was then passed through a 5 g SCX column, washing with methanol (25 ml). The product was eluted using 1M methanolic ammonia (45 ml), and this solution was then evaporated to dryness under reduced pressure. Purification by chromatography on silica, eluting with dichloromethane/methanol (9:1), gave the product as an off-white solid (30 mg). MS (ES) 361 (M+H)+. H NMR (DMSO-D6) 1.55 ( , IH), 2.05 (m, IH), 2.35 (m, IH), 2.45 (m, IH), 2.60 (m, IH), 2.70 (m, IH), 3.55 (m, 2H), 4.20 (m, IH), 4.65 (m IH), 6.90 (s, 2H), 7.30 ( , 3H), 7.50 (d, 2H), 7.70 (m, 2H), 10.95 (s, IH).
Example 107
2- (Aminocarbonyl)aminol-5-r4-({(2-hvdroxyethyl)piperazin-l-yl}methyl)phenyl1- thiophene-3 -carboxamide
The title compound was prepared in a similar manner to Example 106 but using 4-(2- hydroxyethyl)piperazine (CAS Registry No. 103-76-4). MS (ES) 404 (M+H)+. lE NMR (DMSO-D6) 2.25-2.60 (m, 10H), 3.50 (m, 4H), 4.35 (m, IH), 6.90 (s, 2H), 7.30 (m, 3H), 7.45 (d, 2H), 7.70 (m, 2H), 10.95 (s, IH).
Example 108
2-rfAminocarbonyl)amino1-4-methyl-5-{4-r4-morpholino1methylphenyl)-3- thiophenecarboxamide
a) The title compound was prepared in a similar manner to Example 9 (e) but using 1 -bromo-4-(4-moφholino)methylbenzene and 2-[(aminocarbonyl)amino]-5-bromo-4- methyl-3 -thiophenecarboxamide. The crude solid was purified by cation exchange chromatography eluting with ammonia/dichloromethane/methanol mixtures. MS (ES) 375 (M+H)+. H NMR (DMSO-D6) 2.25 (s, 3H), 2.3 (s, 4H), 3.5 (s, 2H), 3.55 (m, 4H), 6.8 (s, 2H), 7.2- 7.5 (m, 6H), 10.05 (s, IH).
b) 2-r(Aminocarbonyl)aminol- 4-methyl-3 -thiophenecarboxamide
Prepared in a similar manner to Example 9 (b) except that tetrahydrofuran was used as solvent and the product was obtained by trituration with methanol. MS (ES) 198 (M-H)", 200 (M+H)+. H NMR (DMSO-D6) 2.2 (s, 3H), 6.35 (s, IH), 6.65 (s, 2H), 6.8-8.3 (brs, 2H), 10.3 (s, IH).
c) 2-r(Aminocarbonyl amino1-5-bromo-4-methyl-3-thiophenecarboxamide
Prepared in a similar manner to Example 9 (c) except that the precipitated product was filtered off from the reaction and triturated with methanol.
MS (ES) 276, 278 (M-H)", 278,280 (M+H)+.
!H MR (DMSO-D6) 2.1 (s, 3H), 6.8 (s, 2H),7.0-7.5 (brs, 2H), 10.15 (s, IH).
Example 109
2-[(Aminocarbonyl aminol-5-r4-((4-hvdroxypiperidin-l-yl methyl)phenyllthiophene-3- carboxamide
a) 1 -(4-Bromobenzyl)piperidin-4-ol
4-Bromobenzylbromide (3 g) was stirred with 4-hydroxypiperidine (1.21 g) and potassium carbonate (1.99 g) in dimethylacetamide (15 ml) at 50 °C for 3 h. The reaction mixture was then allowed to cool, poured into water (80 ml) and extracted with ethyl acetate (3 x 50 ml). The combined extracts were washed with water, dried (MgSO4), filtered and evaporated. The residue was purified by column chromatography, eluting with a gradient of 0 - 3% methanol in dichloromethane, to afford the product as a viscous, colourless oil (2.02 g). MS (ES) 270 (M+H)+. H NMR (CDCI3) 1.50-1.67 (m, 2H), 1.8 -1.95 (m, 2H), 2.07-2.20 (m, 2H), 2.66-2.77 (m, 2H), 3.44 (s, 2H), 3.65-3.77 ( , IH), 7.19 (d, 2H), 7.43 (d, 2H).
b) 2-["fAminocarbonyl amino]-5-r4-((4-hvdroxyρiρeridin-l-yl methyl)phenyllthiophene- 3 -carboxamide
The title compound was prepared from l-(4-bromobenzyl)piperidin-4-ol in a similar manner to Example 38 (a), but was purified by preparative HPLC.
MS (ES) 375 (M+H)+. H NMR (DMSO-D6) 1.30-1.45 (m, 2H), 1.60-1.75 (m, 2H), 1.94-2.08 (m, 2H), 2.58- 2.70 (m, 2H), 3.30-3.50 (m, 2H), 4.49 (d, IH), 6.92 (brs, 2H), 7.26 (d, 2H), 7.26 (brs, IH),
7.44 (d, 2H), 7.65 (brs, IH), 7.66 (s, IH), 10.97 (s, IH).
Example 110
2-f(Aminocarbonyl)amino1-5-(2-piperazin-l-ylphenyl)thiophene-3-carboxamide
a) 1 -(2-Bromophenyl)-4-(t-butyloxycarbonyl)piperazine
1,2-Dibromobenzene (2.56 ml) was stirred in toluene (100 ml) and the solution was purged with argon. 1-t-Butyloxycarbonylpiperazine (4.74 g), sodium t-butoxide (2.85 g), BINAP (95 mg) and palladium acetate (50 mg) were added. The reaction mixture was stirred at 80 °C under argon for 16 h, then allowed to cool. Insoluble material was removed by filtration and washed with toluene. The solvent was evaporated and the residue was purified by column chromatography, eluting with hexane, to give the product as a pale yellow oil (1.85 g). MS (ES) 341 (M+H)+. lH NMR (CDCI3) 1.50 (s, 9H), 2.90-3.04 (m, 4H), 3.55-3.65 (m, 4H), 6.92 (td, IH), 7.01 (dd, IH), 7.21-7.29 (m, IH), 7.56 (dd, IH).
b) 2-r(Aminocarbonyl)amino1-5-r2-(4-t-butyloχvcarbonylpiperazin- 1 - ypphenvπthiophene-S-carboxamide The title compound was prepared from l-(2-bromophenyl)-4-(t-butyloxycarbonyl)- piperazine in a similar manner to Example 9 (e), except that on work-up the reaction mixture was evaporated and the residue taken up in dichloromethane and 2M aqueous sodium hydroxide. The aqueous phase was washed with a fxirther portion of dichloromethane and the combined organic layers were evaporated in vacuo then purified by cation exchange chromatography, eluting with 5 - 10% methanol in dichloromethane. Fractions containing product were evaporated, the residue was triturated with ether and the solid product collected by filtration. MS (ES) 446 (M+H)+. H NMR (DMSO-D6) 1.40 (s, 9H), 2.72-2.83 (m, 4H), 3.47-3.57 (m, 4H), 6.80 (brs, 2H), 7.07-7.25 (m, 4H), 7.56 (d, IH), 7.65 (brs, IH), 7.75 (s, IH), 10.90 (s, IH).
c) 2-r(Aminocarbonyl amino1-5-r2-(piperazin-l-yl phenyllthiophene-3-carboxamide 2-[(Aminocarbonyl)amino]-5-[2-(4-t-butyloxycarbonylpiperazin-l-yl)phenyl]thiophene-3- carboxamide (64 mg) was stirred in dichloromethane (4 ml). Trifluoroacetic acid (1 ml) was added and the solution was stirred at room temperature for 1 h. The volatile materials were removed in vacuo; the residue was diluted with water (2 ml) and basified with a few drops of aqueous ammonia. The precipitated product was collected by filtration and washed with water. The gummy solid obtained was dissolved in methanol, the solvent was evaporated and the residue triturated with a mixture of methanol and ether and then filtered to give the product as an off-white solid (20 mg). MS (ES) 346 (M+H)+. H NMR (DMSO-D6, 400 MHz) 2.75-2.85 (m, 4H), 2.95-3.05 (m, 4H), 6.80 (brs, 2H), 7.08-7.30 (m, 4H), 7.55 (d, IH), 7.62 (brs, IH), 7.72 (s, IH), 10.91 (s, IH).
Example 111
2-r(Aminocarbonyl)aminol-5-r2-(r4-methylpiperazin-l-yl phenyl1thioρhene-3-carboxamide
a) 1 -(2-Bromophenyl)-4-methylpiperazine The title compound was prepared from dibromobenzene and 1-methylpiperazine in a similar manner to Example 110 (a). MS (ES) 255 (M+H)+. lE NMR (CDC13) 2.35 (s, 3H), 2.50-2.70 (m, 4H), 2.98-3.15 (m, 4H), 6.90 (td, IH), 7.05 (dd, IH), 7.26 (td, IH), 7.55 (dd, IH).
b 2-r(Aminocarbonyl)amino1-5-|"2-(4-methylpiperazin- 1 -yl phenyllthiophene-3- carboxamide
The title compound was prepared from l-(2-bromophenyl)-4-methylpiperazine in a similar manner to Example 9 (e), except that the product was purified by cation exchange chromatography, eluting with 0 - 10% of 2M ammonia / methanol in dichloromethane.
Fractions containing product were evaporated, triturated with ether and the product was collected by filtration.
MS (ES) 360 (M+H)+. H NMR (DMSO-D6) 2.20 (s, 3H), 2.45-2.58 (m, 4H), 3.30 (s, 4H), 6.81 (brs, 2H), 7.05-
7.24 (m, 4H), 7.53 (d, IH), 7.62 (brs, IH), 7.70 (s, IH), 10.90 (s, IH).
Example 112
2-r(Aminocarbonyl amino1-5-{2-r3-methylamino pyrrolidin-l-ynphenyl}thiophene-3- carboxamide
a) l-(2-Bromophenyl)-r3-(N-t-butyloxycarbonyl-N-methylamino)1pyrrolidine The title compound was prepared from dibromobenzene and 3-(N-t-butyloxycarbonyl-N- methylamino)pyrrolidine as for Example 110 (a).
MS (ES) 355 (M+H)+.
!H ΝMR (CDCI3) 1.48 (s, 9H), 1.90-2.05 (m, IH), 2.15-2.30 (m, IH), 2.93 (s, 3H), 3.10- 3.22 (m, 2H), 3.40-3.50 (m, IH), 3.55 (dd, IH), 4.80-4.95 (brm, IH), 6.83 (td, IH), 6.95 (dd, IH), 7.22 (td, IH), 7.52 (dd, IH). b) 2-rAminocarbonyl)amino1-5-{2-[3-(N-t-butyloxycarbonyl-N-methylamino pyrrolidin- 1 -yllphenyll thiophene-3 -carboxamide
The title compound was prepared from l-(2-bromophenyl)-[3-(N-t-butyloxycarbonyl-N- methylamino)]pyrrolidine in a similar manner to Example 9 (e), except that on work-up the reaction mixture was evaporated to dryness, taken up in dichloromethane and 2M aqueous sodium hydroxide and the layers were separated. The organic phase was concentrated in vacuo and purified by cation exchange chromatography, eluting with a gradient of 0 - 4% 2M ammonia / methanol in dichloromethane. Fractions containing product were evaporated and the product triturated with ether and collected by filtration. MS (ES) 460 (M+H)+. H ΝMR (DMSO-D6) 1.38 (s, 9H), 1.79-2.09 (m, 2H), 2.70-3.18 (m, 4H), 2.75 (s, 3H), 4.65-4.80 (brm, IH), 6.85 (brs, 2H), 6.95 (t, IH), 7.05 (d, IH), 7.13-7.24 (m, 2H), 7.34 (d, IH), 7.46 (s, IH), 7.60 (brs, IH), 10.94 (s, IH).
c) 2-[(Aminocarbonyl)aminol-5-{2-[3-methylamino)pyrrolidin-l-yl1phenyl}thiophene-3- carboxamide
2-[Aminocarbonyl)amino]-5- {2-[3-(N-t-butyloxycarbonyl-N-methylamino)pyrrolidin- 1 - yl]phenyl}thiophene-3-c'arboxamide (187 mg) was stirred in dichloromethane (2 ml).
Trifluoroacetic acid (2 ml) was added dropwise and stirring continued at room temperature for 10 h. The volatile materials were evaporated in vacuo and the residue purified by cation exchange chromatography, eluting with a gradient of 0 - 10 % 2M ammonia / methanol in dichloromethane. Fractions containing product were evaporated, triturated with ether and the product collected by filtration (88 mg).
MS (ES) 360 (M+H)+. 2H ΝMR (DMSO-D6) 1.55-1.70 (m IH), 1.95-2.10 (m, IH), 2.21 (s, 3H), 2.74-3.10 (m,
4H), 3.95-4.10 (brm, IH), 6.83 (brs, 2H), 6.90 (t, IH), 6.99 (d, IH), 7.10-7.22 (m, 2H),
7.30 (d, IH), 7.42 (s, IH), 7.60 (brs, IH), 10.93 (brs, IH).
Example 113 2-\( Aminocarbonyl aminol-5-r4-(cyclopentyloxy -2-(2- {piperidin- 1 -yl} ethoxy)phenyl1 thiophene-3-carboxamide
a) The title compound was prepared from l-{2-[2-bromo-5-(cyclopentyloxy)phenoxy]- ethyl}piperidine in a similar manner to Example 43 except that the residue was extracted with hot ethyl acetate (2 x 100 ml), evaporated to give a gum which was purified by column chromatography eluting with methanol / dichloromethane / 0.88 ammonia 1/9/0.01. Further column chromatography eluting with a gradient using water / acetonitrile / trifluoroacetic acid gave on triturating with ammonia the product as a light brown solid (20 mg).
MS (ES) 473 (M+H)+. H NMR (DMSO-D6) 1.34 (m, 2H), 1.45 (m, 4H), 1.57 ( , 2H), 1.69 (m, 4H), 1.90 (m, 2H), 2.44 (m, 4H), 2.74 (t, 2H), 4.11 (t, 2H), 4.84 (m, IH), 6.52 (d, IH), 6.58 (d, IH), 6.77 (brs, 2H), 7.15 (brs, IH), 7.42, (d, IH), 7.54 (s+brs, 2H), 10.86 (s, IH).
b) 1 - {2-r2-Bromo-5-(cvclopentyloxy)phenoxy]ethyl}piρeridine
4-Bromo-3-(2- {piperidin- l-yl}ethoxy)phenol (1.5 g), bromocyclopentane (0.59 ml) and anhydrous potassium carbonate (1.04 g) were stirred and heated at 80 °C in dimethylformamide for 18 h. The mixture was partitioned between ethyl acetate (100 ml) and water (70 ml). The aqueous was extracted further with ethyl acetate (100 ml) and the combined organics were washed with 2N sodium hydroxide solution (50 ml), water (50 ml), brine (50 ml), dried (MgSO ) and evaporated to give the product as an oil (1.5 g). MS (ES) 368 (M+H)+. lE NMR (CDC13) 1.38 (m, 2H), 1.54 (m, 4H)," 1.68-1.86 (m, 8H), 2.50 ( , 4H), 2.77 (t, 2H), 4.05 (t, 2H), 4.63 (m, IH), 6.29 (d, IH), 6.37 (d, IH), 7.29(d, IH).
c) 4-Bromo-3-(2-{piperidin-l-yl)ethoxy)phenol
4-Bromo-3-(2- {piperidin- l-yl}ethoxy)phenyl 4-methylbenzenesulfonate (24.2 g), potassium hydroxide (16.1 g), water (96 ml) and ethanol (860 ml) were heated on the steam bath for 2 h. The pH was adjusted to 4 with concentrated hydrochloric acid, then to pH 7 with solid sodium bicarbonate. After evaporation to near dryness, water (200 ml) was added and the mixture was exfracted with ethyl acetate (3 x 150 ml). The organic phase was washed with water, brine, dried (MgSO4) and evaporated to give an oil (16.4 g).
MS (ES) 300 (M+H)+. H NMR (CDC13) 1.47 (m, 2H), 1.64 (m, 4H), 2.66(m, 4H), 2.87 (t, 2H), 4.06 (t, 2H), 6.31
(m, 2H), 7.25 (d, IH).
d 4-Bromo-3-(2- {piperidin-1 -yl} ethoxy)phenyl 4-methylbenzenesulfonate
4-Bromo-3-hydroxyphenyl 4-methylbenzenesulfonate (17.6 g), potassium carbonate (7.32 g), l-(2 chloroethyl)piperidine hydrochloride (9.2 g) and acetone (300 ml) were stirred at reflux for 3 h, the reaction mixture filtered and evaporated to give the product as light brown foam (24.2 g). MS (ES) 454 (M+H)+. l NMR (CDC13) 1.38 (m, 2H), 1.53 (m, 4H), 2.38 (s, 3H), 2.45 (t, 4H), 2.71 (t, 2H), 3.94 (t, 2H), 6.35 (d, IH), 6.51 (d, IH), 7.25(d, 2H), 7.32 (d, IH), 7.64 (d, 2H). The structure was confirmed by n.O.e. experiments.
Example 114
2-r(Aminocarbonyl amino"l-5-F2-(2- {piperidin- 1 -yl} ethoxy)-4-pyrrolidin- 1 - ylphenyllthiophene-3-carboxamide
a) The title compound was prepared from l-[2-(2 -bromo-5-pyrrolidin-l- ylphenoxy)ethyl]piperidine in a similar manner to Example 113 (a) except that the product was obtained by triturating with ether to give a light brown solid (20 mg). MS (ES) 458 (M+H)+. lR NMR (DMSO-D6) 1.36 (m, 2H), 1.48 (m, 4H), 1.93 ( , 4H), 2.45 (m, 4H), 2.77 (t, 2H), 3.26 (m, 4H), 4.12 (t, 2H), 6.16 ( , 2H), 6.73 (brs, 2H), 7.12 (brs, IH), 7.31 (d, IH), 7.41 (s, IH), 7.50 (brs, IH), 10.82 (s, IH).
b) 1 - 2-(2-Bromo-5-pyrrolidin- 1 -ylphenoxy)ethyllpiperidine
4-Bromo-3-(2- {piperidin- l-yl}ethoxy)aniline (2.99 g), 1,4-dibromobutane (1.2 ml), diisopropylethylamine (4.18 ml) and toluene (15 ml) were stirred and heated at 110 °C for 18 h. When cool, water (20 ml) was added, and the mixture was extracted with ethyl acetate (2 x 30 ml). The combined organic phase was washed with water, brine, dried (MgSO4) and evaporated to give the product as an orange-brown oil (2.25 g). MS (ES) 353 (M+H)f.
!H NMR (CDC13) 1.37 (m, 2H), 1.53 (m, 4H), 1.92 (m, 4H), 2.48 (t, 4H), 2.76 (t, 2H), 3.17 (t, 4H), 4.07 (t, 2H), 5.97 (dd, IH), 6.03 (d, IH), 7.19 (d, IH).
c) 4-Bromo-3-(2- {piperidin- 1 -yl} ethoxy)anifine
N-[4-Bromo-3-(2-{piperidin-l-yl}ethoxy)phenyl]acetamide (17.48 g), 35% hydrochloric acid (100 ml) and water (100 ml) were heated at 95 °C for 2 h, evaporated to near dryness, water (100 ml) added and the pH adjusted to 8 with sodium carbonate. Extraction with dichloromethane (3 x 200 ml), the combined organic phase washed with water, brine, dried (MgSO4) and evaporated to give the product as a solid (13.64 g).
MS (ES) 299 (M+H)+.
VE ΝMR (CDC13) 1.38 (m, 2H), 1.53 (m, 4H), 2.48(m, 4H), 2.75 (t, 2H), 3.60 (brs, 2H), 4.02 (t, 2H), 6.10 (dd, IH), 6.18 (d, IH), 7.16 (d, IH).
d N-[4-Bromo-3-(2-{piρeridm-l-yl}ethoxy phenyl1acetamide N-(4-Bromo-3-hydroxyphenyl)acetamide (19.4 g), anhydrous potassium carbonate (25.6 g), l-(2 chloroethyl)piperidine hydrochloride (15.78 g) and acetone (400 ml) were heated at reflux for 18 h, filtered and evaporated to dryness to give the product as a solid (17.48 g). MS (ES) 341 (M+H)+. lE NMR (DMSO-D6) 1.36 (q, 2H), 1.48 (m, 4H), 2.02 (s, 3H), 2.45 ( , 4H), 2.67 (t, 2H),
4.04 (t, 2H), 7.07 (d, IH), 7.43 (s+d, 2H), 10.02(s, IH).
Example 115
2-r(Aminocarbonyl amino1-5-r4-piperidin- 1 -yl-2-(2- {piperidin- 1 - yl}ethoxy phenyl]thiophene-3-carboxamide
a) The title compound was prepared from l-[4-bromo-3-(2- {piperidin- 1- yl}ethoxy)phenyl]piperidine in a similar manner to Example 114 (a) to give the product as a solid (20 mg).
MS (ES) 472 (M+H)+. lE NMR (DMSO-D6) 1.35 ( , 2H), 1.46 ( , 4H), 1.59 (m, 6H), 2.44 ( , 4H), 2.75 (t, 2H), 3.17 (m, 4H), 4.12 (t, 2H), 6.53 (dd, IH), 6.57 (s, IH), 6.75 (brs, 2H), 7.12 (brs, IH),
7.36 (d, IH), 7.49 (s, IH), 7.51 (brs, IH), 10.84 (s, IH).
b 1 -r4-Bromo-3-(2 -piperidin- 1 -ylethoxy)phenyl]piperidine
The title compound was prepared as in Example 114 (b) using 1,5-dibromopentane except that the oil obtained was purified by column chromatography eluting with methanol/dichloromethane 1 :9 to give the product as an oil (2.1 g). MS (ES) 367 (M+H)+. H NMR (CDC13) 1.43 (m, 2H), 1.52 (m, 2H), 1.62 (m, 8H), 2.62 (m, 4H), 2.87 (t, 2H), 3.06 (m, 4H), 4.14 (t, 2H), 6.35 (dd, IH), 6.43 (s, IH), 7.24 (d, IH).
Example 116
2-r(Aminocarbonyl')amino1-5-r4-(rmoφholin-4-ylmethyl)-2- 2-(piperidin-l- yl}ethoxy)phenyl]thiophene-3-carboxamide a) The title compound was prepared from 4- [4-bromo-3 -(2- {piperidin- 1 -yl} ethoxy)- benzyljmoφholine (1.95 g) in a similar manner to Example 43 to give a fawn solid
(60 mg).
MS (ES) 488 (M+H)+. lE NMR (DMSO-D6) 1.36 (m, 2H), 1.48 (m, 4H), 2.33 (m, 4H), 2.42 (m, 4H), 2.63 (t, 2H), 3.43 (s, 2H), 3.56 (m, 4H), 4.06 (t, 2H), 6.85 (dd+brs, 3H), 7.02 (d, IH), 7.21 (s+brs, 2H), 7.25 (d, IH), 7.56 (brs, IH), 10.91 (s, IH).
b) 4-r4-Bromo-3-(2-piperidin-l -ylethoxy benzyllmoφholine The title compound was prepared from 2-bromo-5-(moφholin-4-ylmethyl)phenol (4.75 g) in a similar manner to Example 114 (d) except that the product was purified by_column chromatography eluting with dichloromethane and 1 :9 methanol/dichloromethane to give an oil (2.28 g). MS (ES) 383 (M+H)+. lE NMR (CDC13) 1.37 (m, 2H), 1.54 ( , 4H), 2.44 (m, 8H), 2.68 (t, 2H), 3.47 (s,- 2H), 3.65 (m, 4H), 4.01 (t, 2H), 6.61 (dd, IH), 7.00 (d, IH), 7.33 (d, IH).
c) 2-Bromo-5-(mθφholin-4-ylmethyl)phenol 3-(Moφholin-4-ylmethyl)phenol (9.65 g) in glacial acetic acid (60 ml) was treated over 2 h with bromine (2.88 ml) in acetic acid (8 ml), evaporated to near dryness, water (100 ml) added and basified with 0.880 ammonia, extracted with ethyl acetate, washed with water, brine, dried (MgSO4) and evaporated to dryness to give an oil, which was purified by column chromatography eluting with 1 : 1 ether/isohexane to give the desired product as an oil (4.75 g). MS (ES) 272 (M+H)+.
!H NMR (CDC13) 2.47 (t, 4H), 3.47 (s, 2H), 3.67 (t, 4H), 6.54 (dd, IH), 6.94 (d, IH), 7.30 (d, IH).
Example 117 2-f (Aminocarbonyl amino1-5-r4-(2-methoxyethoxy')-2-(2-piperidin- 1 - ylethoxy phenyl]thiophene-3-carboxamide
a) The title compound was prepared in a similar manner to Example 113 (a) from l-{2-[2-bromo-5-(2-methoxyethoxy)phenoxy]ethyl}piperidine (1.35 g) except that the residue was purified by reversed phase chromatography eluting with water/acetonitrile/ trifluoroacetic acid, then further column chromatography with methanol/ dichloromethane/0.88 ammonia to give the product as a fawn solid (80 mg). MS (ES) 463 (M+H)+. lE NMR (DMSO-D6) 1.35 (m, 2H), 1.47 (m, 4H), 2.45 (m, 4H), 2.77 (t, 2H), 3.30 (s, 3H), 3.64(m, 2H), 4.12 (m, 4H), 6.57 (dd, IH), 6.66 (d, IH), 6.79 (brs, 2H), 7.16 (brs, IH), 7.44 (d, IH), 7.55 (s+brs, 2H), 10.86 (s, IH).
b l-{2-[2-Bromo-5-f2-methoxyethoxy phenoxylethyl}piperidine This was prepared in a similar manner to Example 113 (b) using l-bromo-2- methoxyethane (0.52 ml) to give the product as an oil (1.35 g). MS (ES) 358 (M+H)+.
!H NMR (CDC13) 1.31 ( , 2H), 1.53 (m, 4H), 2.48 (t, 4H), 2.76 (t, 2H), 3.37 (s, 3H), 3.66 (t, 2H), 4.03 (dt, 4H), 6.33 (d, IH), 6.47 (s, IH), 7.30 (d, IH).
Example 118
2-r(Aminocarbonyl)aminol-5-r4-moφholin-4-yl-2-(2-piperidin-l- ylethoxy)phenyllthiophene-3-carboxamide
a) The title comound was prepared from 4-[4-bromo-3 -(2 -piperidin- 1 - ylethoxy)ρhenyl]moφholine(1.85 g) in a similar manner to Example 43 except that the product was purified by column chromatography eluting with methanol/ dichloro- methane/0.880 ammonia 95:5:0.1 to give the product as a fawn solid (146 mg). MS (ES) 474 (M+H)+. !H NMR (DMSO-D6) 1.35 (m, 2H), 1.46 (m, 4H), 2.44 (m, 4H), 2.75 (t, 2H), 3.14 (m, 4H), 3.71 (m, 4H), 4.13 (t, 2H), 6.55 (dd, IH), 6.59 (d, IH), 6.76 (brs, 2H), 7.15 (brs, IH), 7.40 (d, IH), 7.53 (brs+s, 2H), 10.85 (s, IH).
b) 4- 4-Bromo-3-(2-piperidin- 1 -ylethoxy)phenyllmoφholine
The title compound was prepared in a similar manner to Example 114 (b) but using l-bromo-2-(2-bromoethoxy)ethane (1.4 ml) to give the product as an oil (2.30 g).
MS (ES) 369 (M+H)+. H NMR (CDC13) 1.38 (m, 2H), 1.54 (m, 4H), 2.50 (t, 4H), 2.77 (t, 2H), 3.05 (t, 4H), 3.77 (t, 4H), 4.07 (t, 2H), 6.31 (dd, IH), 6.40 (d, IH), 7.29 (d, IH).
Example 119
2- (Aminocarbonyl')amino1-5-[2-(2-hydroxyethoxy phenyl1thiophene-3-carboxamide
The title compound was prepared from [2-(2-bromophenoxy)ethoxy]- (tert-butyl)dimethylsilane (1.68 g) in a similar manner to Example 43 except that the dichloromethane extract was purified by column chromatography eluting with dichloromethane, then 1:9 methanol/dichloromethane, then further preparative HPLC to give the product as a solid on triturating with ether (142 mg). MS (ES) 322 (M+H)+. H NMR (DMSO-D6) 3.84 (q, 2H), 4.13 (t, 2H), 4.82 (t, IH), 6.86 (brs, 2H), 7.00 (t, IH), 7.12 (d, IH), 7.22 (t+brs, 2H), 7.57 (d+brs, 2H), 7.80 (s, IH), 10.95 (s, IH).
b r2-(2-Bromophenoxy)ethoxy1(rtert-butyl)dimethylsilane
2-Bromophenol (1.88 g), anhydrous potassium carbonate (1.51 g), (2-bromoethoxy)- (te7-t-butyl)dimethylsilane (2.61 g) and dimethylformamide (30 ml) were heated for 20 h at 90 °C, cooled, poured into water (100 ml), extracted with ethyl acetate, the organic phase washed with water, brine, dried (MgSO4) and evaporated to dryness. The residue was purified by column chromatography eluting with 1 :9 ether/isohexane to give the product as a crystalline solid (1.68 g). lE NMR (CDC13) 0.04 (s, 6H), 0.84 (s, 9H), 3.95 (t, 2H), 4.03 (t, 2H), 6.75 (t, IH), 6.86 (d, IH), 7.17 (t, lH), 7.45 (d, lH).
Example 120
(3i?)-2-{(Aminocarbonyl aminol-5-{2-[tefrahydrofuran-3-yloxy1phenyl}-3- thiophenecarboxamide
a) The title compound was prepared in a similar manner to Example 9 (e) but using i?-3-(2-bromophenoxy)tefrahyά^ofuran.
MS (ES) 346 (M-H)", 348 (M+H)+. H NMR (DMSO-D6) 2.1-2.3 ( , 2H), 3.7-4.0 ( , 4H), 5.1 (m, IH), 6.8 (brs, 2H), 6.9-7.1 (m, 2H), 7.2 (m, 2H), 7.6 (m, 2H), 7.7 (s, IH), 10.9 (s, IH).
b) i?-3-(2-Bromophenoxy)tetrahvdrofuran.
Di-isopropylazodicarboxylate (5.5 g) was added dropwise at 0-5 °C to a stirred solution of 2-bromophenol (4.0 g), triphenylphosphine (7.1 g) and S-3-hydroxytetrahydrofuran (2.4 g) in dry tetrahydrofuran (60 ml). The mixture was stirred for 18 h at 20 °C, the solvent was evaporated, and the residue stirred in ether (150 ml) for 2 h, giving a white precipitate. This was removed by filtration and the mother liquors were washed with 2N sodium hydroxide solution, water, brine, evaporated, and the residue was purified by column chromatography on silica eluting with 10 to 50 % ethyl acetate in isohexane, giving the title compound as a colourless oil (4.5 g). MS (El) 242 (M+).
!H MR (CDC13) 2.1-2.3 (m, 2H), 3.9-4.1 (m, 4H), 4.95 (m, IH), 6.8-6.9 (m, 2H), 7.2-7.3 (m, IH), 7.5-7.6 (d, IH). Example 121
(3S)-2-r(Aminocarbonyl amino1-5-{2-rtetrahvdrofuran-3-yloxylphenyl}-3- thiophenecarboxamide
a) The title compound was prepared in a similar manner to Example 9 (e) but using S-3- (2-bromophenoxy)tetrahydrofuran.
MS (ES) 346 (M-H)", 348 (M+H)+.
^Ϊ NMR (DMSO-D6) 2.1-2.3 (m, 2H), 3.7-4.0 (m, 4H), 5.1 (m, IH), 6.8 (brs, 2H), 6.9-7.1 (m, 2H), 7.2 (m, 2H), 7.6 (m, 2H), 7.7 (s, IH), 10.9 (s, IH). ,
b) S-3-(2-Bromophenoxy)tetrahydrofuran
The compound was prepared from i?-3-hydroxytetrahydrofuran in a similar manner to Example 120 (b). MS (El) 242, 244 (M+). lE NMR (CDC13) 2.1-2.3 (m, 2H), 3.9-4.1 (m, 4H), 4.95 (m, IH), 6.8-6.9 (m, 2H), 7.2-7.3 (m, IH), 7.5-7.6 (d, IH).
Example 122
2-r(Aminocarbonyl ammol-5-{2-r(tetrahydroρyran-4-yloxy1phenyl}-3- thiophenecarboxamide
a) The title compound was prepared in a similar manner to Example 9 (e) but using 4-(2- bromophenoxy)-tetrahydropyran. MS (ES) 360 (M-H)", 362 (M+H)+. H NMR (DMSO-D6) 1.65-1.8 (m, 2H), 1.9-2.05 (m, 2H) 3.4-3.5 (m, 2H) 3.85-3.95 (m, 2H), 4.7 (m, IH), 6.8 (brs, 2H), 6.95 (t, IH), 7.1-7.2 (m, 3H), 7.6-7.65 (m, 2H), 7.7 (s, IH), 10.9 (s, lH). b 4-(2-Bromophenoxy tetrahydropyran
The compound was prepared from 4-hydroxytetrahydropyran in a similar manner to Example 120 (b). MS (El) 256, 258 (M+). s *H NMR (CDCI3) 1.8-1.9 (m, 2H), 1.95-2.1 (m, 2H), 3.5-3.7 (m, 2H), 3.95-4.05 (m, 2H), 4.5-4.6 (m, IH), 6.85 (t, IH), 6.9 (d, IH), 7.2 (d, IH), 7.55 (d, IH).
Example 123
0 2-r(Aminocarbonyl)amino1-5-{2-rcvclopropylmethoxy1phenyl}-3-thiophenecarboxamide
a) The title compound was prepared in a similar manner to Example 9 (e) but using l-bromo-2-(cyclopropylmethoxy)benzene.
MS (ES) 330 (M-H)", 332 (M+H)+. 5 H NMR (DMSO-D6) 0.0, (d, 2H), 0.1 (d, 2H), 0.9 (m, IH), 3.55 (d, 2H), 6.4 (brs, 2H), 6.6 (t,. IH), 6.65 (d, IH), 6.7-6.9 (m, 2H), 7.2 (m, 2H), 7.4 (s, IH), 10.55 (s, IH). .
b) 1 -Bromo-2-(cvclopropylmethoxy)benzene
Prepared from cyclopropylmethyl bromide and 2-bromophenol by the method of Example 0 42 (b) except that the reaction mixture was stirred at 75 °C for 4 h. This gave the product as a colourless oil. MS (El) 226, 228 (M+). lH NMR (CDCI3) 0.35-0.4 (m, 2H), 0.6-0.7 ( , 2H), 1.3 (m, IH), 3.9 (d, 2H), 6.8 (t, IH), 6.9 (t, IH), 7.1 (d, IH), 7.55 (d, IH).
Example 124
2-r(Aminocarbonyl)amino1-5-{2-rcvclopentyloxy1phenyl}-3-thiophenecarboxamide a) The title compound was prepared in a similar manner to Example 9 (e) but using 1 - brorno-2-(cyclopentyloxy)benzene. MS (ES) 344 (M-H)', 346 (M+H)+. H NMR (DMSO-D6) 1.5-1.7 (m, 2H), 1.8-1.95 (m, 6H), 4.95 (m, IH), 6.8 (s, 2H), 6.9 (t, s IH), 7.0 (d, IH), 7.3 (m, 2H), 7.6 (m, 2H), 7.7 (s, IH), 10.9 (s, IH).
bV 1 -Bromo-2-(cyclopentyloxy benzene
This was prepared from cyclopentanol in a similar manner to Example 120 (b). MS (El) 240, 242 (M+). o H NMR (CDC13) 1.6-1.7 (m, 2H), 1.8-2.0 (m, 6H), 4.8 (m, IH), 6.8 (t, IH), 6.9 (d, IH), 7.2 (t, IH), 7.5 (d, IH).
Example 125
5 2-r(Aminocarbonyl)aminol-5-{2-r(l-isopropylpyrrolidin-3-yl oxy1phenyl}-3- thiophenecarboxamide
a) The compound was made from 3-(2-bromophenoxy)-l-isopropylpyrrolidine by a similar manner to Example 10 (e), except that the triisopropyl borate was added after adding the butyl lithium solution in the first step, the solvent for the second step was dimethoxyethane/water (10 : 1) and solid sodium hydrogen carbonate was used and that the solid product was purified by ion exchange chromatography to yield the product
(42 mg).
MS 389 (M+H)+. lE NMR (DMSO-D6) 1.0 (d, 6H), 2.0 (m, IH), 2.2 (m, IH), 2.4 (m,' IH), 2.6 (m, IH), 2.75
(m, 2H), 3.0 (m, IH), 5.0 ( , IH), 6.85 (brs, 2H), 7.0 (m, 2H), 7.15 (t, IH), 7.2 (brs, IH),
7.6 (m, 2H), 7.75 (s, IH), 10.9 (s, IH).
b) 3-(2-Bromophenoxy)- 1 -isopropylpyrrolidine To a solution of 2-bromophenol (2.6 g) in dimethylacetamide (20 ml) was added sodium hydride (640 mg) portionwise. A solution of l-isopropylpyrrolidin-3-yl methanesulphonate [Example 134 (c) ] in dimethylacetamide (20 ml) was added and the mixture was heated to 150 °C for 18 h. The mixture was allowed to cool and partitioned between water and dichloromethane. The organic phase was extracted with 2N aqueous hydrochloric acid which was then neutralised and extracted with dichloromethane. The extracts were dried (MgSO_t), the solvent removed under vacuum and the product purified by silica chromatography using dichloromethane /aqueous ammonia /methanol mixtures to yield the title compound as a brown oil (496 mg). MS 284 (M+H)+. H NMR (DMSO-D6) 1.0 (d, 6H), 1.8 (m, IH), 2.2 (m, IH), 2.35-2.6 (m, 2H obscured), 2.7 (m, 2H), 3.0 ( , IH), 4.9 (m, IH), 6.9 (t, IH), 7.05 (d, IH), 7.3 (t,lH), 7.55 (d, IH).
Example 126
2-r(Aminocarbonyl)aminol-5- {2-["(l -ethylpyrrolidin-3-yl)oxy1phenyl} -3- thiophenecarboxamide
a) The title compound was prepared from 3-(2-bromophenoxy)- 1 -ethylpyrrolidine in a similar manner to Example 43 (a).
MS (ES) 375 (M+H)+. H NMR (DMSO-D6) 1.0 (t, 3H), 1.95 (m, IH), 2.25 (m, IH), 2.5 (m, obscured), 2.7 (m, IH), 3.0 (m, IH), 4.95 (m, IH), 6.8 (s, 2H), 6.9-7.1 (m, 3H), 7.2 (m, 2H), 7.5-7.7 (m, 3H), 7.75 (s, IH), 10.9 (s, IH).
b) 3 -(2-BromophenoxyV 1 -ethylpyrrolidine l-Ethyl-3-pyrrolidinol (0.5 ml), 2-bromophenol (0.37 ml) and triphenylphosphine (1.02 g) were dissolved in tetrahydrofuran (10 ml) and the mixture cooled in an ice bath before dropwise addition of diisopropyl azodicarboxylate (0.77 ml). The mixture was allowed to warm to room temperature over 3 h. The mixture was concentrated in vacuo and partitioned between ether (50 ml) and water (50 ml) and the aqueous phase was extracted further with ether (50 ml). The combined organic phases were washed with water (2 x 25 ml), brine (2 x 25 ml), dried (MgSO4) and concentrated in vacuo. The product was dissolved in ethyl acetate (50 ml) and extracted with 2M aqueous hydrochloric acid (3 x 20 ml). The aqueous washings were combined and basified by the addition of solid sodium hydroxide and extracted with ethyl acetate (3 x 20 ml), dried (MgSO4) and concentrated in vacuo. The residue was purified by cation exchange chromatography eluting with ammonia/methanol/ dichloromethane mixtures. This gave the title compound as a pale orange oil (529 mg). MS (ES) 270 (M+H)+. H NMR (DMSO-D6) 1.0 (t, 3H), 1.8 (m, IH), 2.25 (m, IH), 2.4 (m, 3H), 2.65 (m, 2H), 2.9 ( , IH), 4.9 ( , IH), 6.9 (m, IH), 7.05 (d, IH), 7.3 (t, IH), 7.55 (d, IH).
Example 127
2-r(Aminocarbonyl)amino1-5-{2-[(l-tert-butyloxycarbonyl-3-pyrrolidinyl')oxy1phenyl}-3- thiophenecarboxamide
a) The title compound was prepared from 1-tert-butyloxycarbonyl 3-(2-bromophenoxy)- pyrrolidine in a similar manner to Example 9 (e). MS (ES) 445 (M-H)". lE NMR (DMSO-D6) 1.35 (s, 9H), 34-3.9 (m, obscured), 5.15 (s, IH), 6.8 (bs, 2H), 7.05 (t, IH), 7.1 (m, IH), 7.2 (m, 2H), 7.6-7.7 (brs, IH), 7.65 (d, IH), 7.75 (s, IH), 10.9 (s, IH).
b 3-(2-Bromophenoxy')- 1 -(tert-butyloxycarbonyl pyrrolidine
3-(2-Bromophenoxy)pyrrolidine (1 g) was dissolved in methanol (50 ml) and di-tert-butyl dicarbonate (992 mg) was added. The reaction mixture was stirred for lh and the reaction mixture concentrated in vacuo yielding a pale orange oil that solidified to white solid on standing (1.5 g). MS (ES) 342 (M+H)+. lE NMR (DMSO-D6) 1.2 (s, 9H), 2.1 (m, 2H), 3.2 - 3.6 (m, obscured), 5.15 (s, IH), 6.9 ( , IH), 7.15 (m, IH), 7.35 (m, IH), 7.55 (dd, IH).
c) 3-(2-Bromophenoxy)pyrrolidine l-tert-Butyloxycarbonyl-3-hydroxypyrrolidine (1 g),-2-bromophenol (710 mg) and triphenylphosphine (1.29 g) were dissolved in tetrahydrofuran (15 ml) and the mixture cooled in an ice bath before dropwise addition of diisopropyl azodicarboxylate (0.96 ml). The mixture was allowed to warm to room temperature over 3h, concentrated in vacuo, partitioned between ether (50 ml) and water (50 ml) and the aqueous phase was extracted further with ether (50 ml). The combined organic phases were washed with water
(2 x 25 ml), brine (2 x 25 ml), dried (MgSO4) and concentrated in vacuo. The product was dissolved in dichloromethane (10 ml) and trifluoroacetic acid (5 ml) was added and the reaction stirred for lh. The mixture was concentrated in vacuo and the residue was purified by cation exchange chromatography eluting with ammonia/methanol/ dichloromethane mixtures. This gave the title compound as a pale orange oil (437 mg). MS (ES) 242 (M+H)+. lΪL NMR (DMSO-D6) 1.75 (m, IH), 2.0 (m, IH), 2.75-3.2 (m, obscured), 4.9 (m, IH), 6.85 (m, IH), 7.1 (m, IH), 7.3 (m, IH), 7.5 (m, IH).
d) 1 -tert-Butyloxy carbonyl-3 -hydroxypyrrolidine
The title compound was prepared from pyrrolidin-3-ol (2 g) in a similar manner to Example 127 (b) except the product was dissolved in diethyl ether (50 ml) washed with water (3 x 20 ml), brine (2 x 20 ml), dried (MgSO4) and concentrated in vacuo to yield a clear oil (3.5 g). MS (ES) 188 (M+H)+. H NMR (DMSO-D6) 1.2 (s, 9H), 1.6-1.9 (m, 2H), 3.2-3.4 (m, obscured), 4.2 (m, IH).
Example 128
2-r(Aminocarbonyl)amino]-5-[2-(pyrrolidin-3-yloxy ρhenvn-3-thiophenecarboxamide 2-[(Aminocarbonyl)amino]-5-{2-[(l-tert-butyloxycarbonylpyrrolidin-3-y )oxy]phenyl}-3- thiophenecarboxamide (200 mg) was suspended in dichloromethane (30 ml) and trifluoroacetic acid (5 ml) was added. The mixture was stirred for lh, followed by concentration in vacuo. The product was treated with 38% aqueous ammonia and then isolated by filtration as a brown powder (98 mg). MS (ES) 347 (M+H)+.
^ NMR CDMSO-Dδ) 1.8-2.0 (m, 2H), 2.7 (m, IH), 2.8-3.1 (m, 4H), 4.9 (s, IH), 6.8 (brs, 2H), 6.9 (m, IH), 7.0 (m, IH), 7.15 ( , 2H), 7.5-7.7 (m, 2H), 7.7 (s, IH), 10.9 (s, IH).
Example 129
2-["(Aminocarbonyl)amino1-5-{2-r(l-methylpiperidin-2-yl)methoxy1phenyl}-3- thiophenecarboxamide
a) The title compound was made from 2-[(2-bromophenoxy)methyl]-l -memylpiperidine in a similar manner to Example 43 (a).
MS (ES) 389 (M+H)+. H NMR (DMSO-D6) 1.4-1.9 (m, 6H), 2.0-2.1 (m, IH), 2.35 (s, 3H), 2.65 (m, IH), 2.8 (m, IH), 2.9 (m, IH), 4.7 (m, IH), 6.85 (brs, 2H), 7.0 (m, IH), 7.1 (m, IH), 7.25 (m, IH), 7.6 (m, 2H), 7.8 (s, IH), 10.9 (s, IH).
b) 2-r(2-Bromophenoxy)methyll- 1 -methylpiperidine
The title compound was made from (l-methylpiperidin-2-yl)methanol in a similar manner to Example 126 (b). MS (ES) 284 (M+H)+. H NMR (CDC13) 1.4-2.0 ( , 6H), 2.1-2.2 (m, IH), 2.35 (s, 3H), 2.55 (m, IH) 2.7-2.8 (m, IH), 2.9-3.0 (m, IH), 4.1-4.2 (m, IH), 6.8-6.9 (m, 2H), 7.2 (m, IH), 7.5 (m, IH). Example 130
(2S)-2-r(Aminocarbonyl amino1-5-(2- { f 1 -methylpyrrolidin-2-yl1methoxy)phenyl)-3- thiophenecarboxamide
a) The title compound was made from (2S)-2-[(2-bromophenoxy)methyl]-l- methylpyrrolidine in a similar manner to Example 43 (a) and the precipitate purified by preparative HPLC.
MS (ES) 375 (M+H)+. lE NMR (DMSO-D6) 1.65-1.8 (m, 3H) 2.2 (m, 2H), 2.4 (s, 3H), 2.75 (m, IH), 3.0 (m, IH), 3.85 (m, IH), 4.2 (m, IH), 6.8-6.9 (brs, 2H), 7.0 (t, IH), 7.1 (m, IH), 7.2-7.3 (m, 2H), 7.5-7.7 (m, 2H), 7.8 (s, IH), 10.9 (s, IH).
b f2S)-2-[(2-Bromophenoxy methyl1-l -methylpyrrolidine The title compound was made from (S)-(-)-l-methyl-2-pyrrolidinemethanol in a manner similar to Example 126 (b). MS (ES) 270 (M+H)+. lR NMR (DMSO-D6) 1.65-1.8 (m, 3H), 2.2-2.3 (m, 2H), 2.4 (s, 3H), 2.65 (m, IH), 3.0 ( , IH), 3.9-4.05 (m, 2H), 6.9 (m, IH), 7.1-7.2 (m, IH), 7.35 (m, IH), 7.55 (m, IH).
Example 131
2-r(Aminocarbonyl)amino1-5-(2-{ri-(2-methoxyethyl)pyrroIidin-3-yl1oxy}phenyl -3- thiophenecarboxamide
a) The title compound was made from 3-(2-bromophenoxy)-l-(2-methoxyethyl)- pyrrolidine in a similar manner to Example 43 (a). The precipitate was purified by cation exchange chromatography eluting with ammonia / methanol / dichloromethane mixtures. MS (ES) 405 (M+H)+. lE NMR (DMSO-D6) 1.9-2.0 (m, IH), 2.2-2.3 (m, IH), 2.6-2.7 (m, 2H), 2.75 (m, 2H), 3.1 (m, IH), 3.2 (m, IH), 3.25 (s, 3H), 3.45 (m, 2H), .4.95 (m, IH), 6.8-6.9 (brs, 2H), 6.95-7.05 (m, 2H), 7.25 (m, 2H), 7.6-7.7 (m, 2H), 7.75 (s, IH), 10.9 (s, IH).
b 3-(2-Bromophenoxy)- 1 -(2-methoxyethyl)pyrrolidine
3-(2-Bromophenoxy)pyrrolidine (1.23 g), l-bromo-2-methoxyethane (0.526 ml) and potassium carbonate (842 mg) were mixed with dimethylformamide (50 ml) and stirred for two days. The mixture was added to water (100 ml). The mixture was extracted with diethyl ether (3 x 50 ml), washed with water (2 x 50 ml), brine (2 x 30 ml), dried (MgSO4) and concentrated in vacuo. Purification was achieved using cation exchange chromatography eluting with ammonia/methanol/dichloromethane mixtures yielding product as a clear oil (0.8 g).
MS (ES) 300 (M+H)+. H NMR (DMSO-D6) 1.7-1.8 (m, IH), 2.2-2.3 (m, IH), 2.5-2.8 (m, 5H), 2.9 (m, IH), 3.2 (s, 3H), 3.4 (m, 2H), 4.9 (m, IH), 6.90-6.95 (m, IH), 7.0 (m, IH), 7.25-7.35 (m, IH), 7. 5 (s, IH).
Example 132
(2J? -2-r(Aminocarbonyl amino]-5-(2- { \ 1 -methylρyrrolidin-2-yllmethoxy}phenyl')-3- thiopheriecarboxamide
a) The title compound was made from (2 ?)-2-[(2-bromophenoxy)methyl]-l- methylpyrrolidine in a similar manner to Example 43 (a) and the precipitate purified by preparative LCMS. MS (ES) 375 (M+H)+. H NMR (DMSO-D6) 1.65-1.8 (m, 3H) 2.2 (m, 2H), 2.4 (s, 3H), 2.75 (m, IH), 3.0 (m, IH), 3.85 (m, IH), 4.2 (m, IH), 6.8-6.95 (brs, 2H), 7.0 (t, IH), 7.1 (m, IH), 7.2-7.3 (m, 2H), 7.6-7.7 (m, 2H), 7.8 (s, IH), 10.9 (s, IH). b (2R)-2- |"(2-Bromophenoxy methyll- 1 -methylpyrrolidine
(2i?)-2-[(2-Bromophenoxy)methyl]pyrrolidine (1.84 g), potassium carbonate (1.09 g) and methyl iodide (0.49 ml) were stirred in dimethylformamide (10 ml) for 2 h at room temperature. The mixture was concentrated in vacuo and water added (50 ml). The mixture was extracted with diethyl ether (3 x 30 ml). The organic portions were combined and washed with water (2 x 20 ml), brine (2 x 20 ml) and dried (MgSO4) and concentrated in vacuo yielding the title compound as a pale orange oil (0.75 g).
MS (ES) 270 (M+H)+. lE NMR (DMSO-D6) 1.6-1.75 (m, 3H), 2.0 (m, IH), 2.2 (m, IH), 2.45 (s, 3H), 2.8 (m, IH), 2.95 (m, IH), 3.8-4.05 (m, 2H) 6.8 ( , IH), 7.1 (m, IH), 7.3 (m, IH), 7.55 (m, IH).
c) (2i?)-2-r(2-Bromophenoxy)methyllpyrrolidine
This compound was made from (2i?)-l-tert-butyloxycarbonyl-2- (hydroxymethyl)pyrrolidine (2 g) in a similar manner to Example 127 (b-c), yielding the product as a brown oil (1.84 g). MS (ES) 256 (M+H)+. H NMR (DMSO-D6) 1.5-1.9 (m, 4H), 2.8-2.9 (m, 2H), 3.45 (m, IH), 3.85-4.0 (m, 2H), 6.9 (m, IH), 7.15 (m, IH), 7.35 (m, IH), 7.6 (m, IH).
Example 133
2-r(Aminocarbonyl)aminol-5-r2- 2-(2,2,6-trimethylpiperidin-l-yl)ethoxy)phenyll-3- thiophenecarboxamide
a) The title compound was prepared from l-[2-(2-bromophenoxy)ethyl]-2,2,6- trimethylpiperidine in a similar manner to Example 9 (e).
MS '(ES) 431 (M+H)+. H NMR (DMSO-D6) 0.95 (s, 3H), 1.0 (d, 3H), 1.05 (s, 3H), 14 (m, 6H), 2.6 (m, 2H), 3.1
(m, IH), 3.95 (m, 2H), 6.8 (brs, 2H), 6.95 (m, IH), 7.05 (dd, IH), 7.2 (m, 2H), 7.6 (dd, IH), 7.6 (brs, IH), 7.75 (s, IH), 10.91 (brs, IH). b 1 -r2-(2-Bromophenoxy ethyll2,2,6-trimethylpiperidine
The title compound was prepared from l-(2-chloroethyl)-2,2,6-trimethylpiperidine hydrochloride and 2-bromophenol in a similar manner to Example 2 (b).
MS (ES) 326 (M+H)+. lE NMR (DMSO-D6) 0.95 (s, 3H), 1.0 (d, 3H), 1.05 (s, 3H), 1.4 (m, 6H), 2.6 (m, 2H), 3.0
( , IH), 3.9 ( , 2H), 6.95 (m, IH), 7.05 (dd, IH), 7.3 (m, IH), 7.55 (dd, IH).
c 1 -(2-Chloroethyl)-2.2.6-trimethylpiperidine The title compound was prepared as described in GB Patent 831345.
Example 134
2-[(Aminocarbonyl aminol-5-{5-chloro-2-i"(l-isopropylpyrrolidin-3-yl oxylphenyl}-3- thiophenecarboxamide
a) The title compound was prepared from 3-(2-bromo-4-chlorophenoxy)-l- isopropylpyrrolidine in a similar manner to Example 9 (e) except that the concentrated reaction mixture was partitioned between dichloromethane and saturated sodium carbonate solution. The solvent layer was washed (brine), dried and evaporated to an oil. The pure product was obtained by silica chromatography eluting with dichloromethane/methanol mixtures.
MS (ES) 423 (M+H)+. H NMR (DMSO-D6) 1.0 (d, 6H), 1.95 (m, IH), 2.2 (m, IH), 2.55 (m, IH), 2.7 (m, IH), 2.8 (m, 2H), 3.1 (m, IH), 4.95 (m, IH), 6.8 (m, 2H), 6.95 (dd, IH), 7.15 (d, IH), 7.2 (brs,
IH), 7.6 (brs, IH), 7.68 (s, IH), 7.8 (s, IH), 10.85 (s, IH).
b 3-(2-Bromo-4-chlorophenoxy)- 1-isopropylpyrrolidine
Sodium hydride (0.43 g, 60% dispersion in oil) was added portionwise to a stirred solution of 2-bromo-4-chlorophenol (2.1 g) in dimethylacetamide (15 ml). After stirring for 15 minutes, a solution of l-isopropylρyrrolidin-3-yl methanesulphonate (15 mmol) in dimethylacetamide (15 ml) was added portionwise and the resulting mixture was heated at 90 °C for 18 h.The solvent was evaporated and the residue dissolved in ethyl acetate / water. The solvent phase was washed twice with brine and then dried and evaporated to an oil. Purification was achieved using silica chromatography eluting with dichloromethane/methanol mixtures. This gave the title compound (3.0 g). MS (ES) 318 (M+H)+. lE NMR (DMSO-D6) 1.2 (d, 6H), 2.1 (m, IH), 2.25 (m, IH), 3.2 (m, 4H), 3.6 (m, IH), 5.15 (m, IH), 7.2 (d, IH), 7.4 (m, IH), 7.7 (d, IH).
c) l-Isopropylpyrrolidin-3-yl methanesulphonate
A solution of l-isopropylpyrrolidin-3-ol (2.0 ml) and triethylamine (2.5 ml) in toluene (25 ml) was cooled to 0 °C and methanesulphonyl chloride (1.4 ml) was added dropwise with stirring. The mixture was allowed to warm to ambient temperature and stirred for a further 2 h. The reaction was filtered and the filfrate evaporated to an oil which was used immediately.
Example 135
2-f(Aminocarbonyl amino1-5-{4-fluoro-2-r(l-isopropylpyrrolidin-3-yl oxylphenyl}-3- thiophenecarboxamide
a) The title compound was prepared from 3-(2-bromo-5-fluorophenoxy)-l- isopropylpyrrolidine in a similar manner to Example 9 (e) and the purification was achieved as in Example 134 (a). MS (ES) 407 (M+H)+.
!H NMR (DMSO-D6) 1.0 (d, 6H), 1.9 (m, IH), 2.2 (m, IH), 2.4 (m, 2H), 2.7 (m, 2H), 3.05 (m, IH), 4.95 (m, IH), 6.8 (m, 3H), 7.2 (brs, IH), 7.55 (m, 2H), 7.65 (s, IH), 7.8 (s* IH), 10.88 (brs, IH). b 3-(2-Bromo-5-fluorophenoxy - 1 -isopropylpyrrolidine
The title compound was prepared from 2-bromo-5-fluorophenol in a similar manner to Example 134 (b). MS (ES) 302 (M+H)+. H NMR (DMSO-D6) 1.0 (d, 6H), 1.8 (m, IH), 2.2 (m, IH), 2.4 (m, IH), 2.65 (m, 2H), 3.0 (m, 2H), 4.9 (m, IH), 6.75 (m, IH), 6.95 (m, IH), 7.6 (m, IH).
Example 136
2-r(Ammocarbonyl)amino]-5- {4,5-difluoro-2-[(l -isopropylpyrrofidin-3-yl)oxy'1phenyl} -3- thiophenecarboxamide
a) The title compound was prepared from 3-(2-bromo-4,5-difluorophenoxy)- 1 - isopropylpyrrolidine in a similar manner to Example 9 (e) ) and the purification was achieved as Example 134 (a). MS (ES) 425 (M+H)+. H NMR (DMSO-D6) 1.05 (d, 6H), 2.0 (m, IH), 2.25 (m, IH), 2.4 (m, IH), 2.55 (m, IH), 2.7 (m, 2H), 3.1 ( , IH), 5.0 (m, IH), 6.9 (brs, 2H), 7.2 (m, IH), 7.3 (brs, IH), 7.55 (brs, IH), 7.6 (m, IH), 7.8 (s, IH), 10.9 (brs, IH).
b 3-(2-Bromo-4.5-difluorophenoxy)-l -isopropylpyrrolidine
The title compound was prepared from 2-bromo-4,5-difluorophenol in a similar manner to Example 134 (b) except that the compound was purified by cation exchange chromatography eluting with ammonia/methanol mixtures. MS (ES) 320 (M+H)+. H NMR (DMSO-D6) 1.0 (d, 6H), 1.75 (m, IH), 2.2 (m, IH), 2.4 (m, IH), 2.65 (m, 2H), 2.95 (m, 2H), 4.85 (m, IH), 7.25 (m, IH), 7.8 (m, IH).
Example 137 2-r(Aminocarbonyl')amino]-5-{2-r(l-isopropylpyrrolidin-3-yl)oxyl-5-methylphenyl -3- thiophenecarboxamide
a) The title compound was prepared from 3-(2-bromo-4-methylphenoxy)- 1 - isopropylpyrrolidine in a similar manner to Example 9 (e) and the purification was achieved as in Example 134 (a) except that cation exchange chromatography was employed using methanol/ammonia mixtures with final purification by preparative hplc. MS (ES) 403 (M+H)+. H NMR (DMSO-D6) 1.0 (d, 6H),1.9 ( , IH), 2.1 (m, IH), 2.15 (s, 3H), 2.4 (m, IH), 2.55 (m, IH), 2.7 (m, 2H), 3.0 (m, IH), 4.9 (m, IH), 6.8 (brs, 2H), 6.85 (d, IH), 6.95 (m, IH), 7.2 (brs, IH), 7.4 (s, IH), 7.6 (brs, IH), 7.7 (s, IH), 10.89 (brs, IH).
b 3 -(2-Bromo-4-methylphenoxy - 1 -isopropylpyrrolidine
The title compound was prepared from 2-bromo-4-methylphenol in a similar manner to Example 134 (b) except that the compound was purified by cation exchange chromatography eluting with ammonia/methanol mixtures. MS (ES) 298 (M+H)+.
Example 138
2-r(Aminocarbonyl amino1-5- { 5-cyano-2-F( 1 -isopropylpyrrolidin-3-yl oxy1phenyll -3- thiophenecarboxamide
a) The title compound was prepared from 3-(2-bromo-4-cyanophenoxy)-l- isopropylpyrrolidine in a similar manner to Example 9 (e) and the purification was achieved in as in Example 134 (a) except that cation exchange chromatography was employed using methanol/ammonia mixtures with final purification by preparative hplc. MS (ES) 414 (M+H)+. !H NMR (DMSO-D6) 1.0 (d, 6H), 1.95 ( , IH), 2.15 (m, IH), 2.6 (m, IH), 2.8 (m, 2H), 3.1 (m, 2H), 5.1 (m, IH), 6.8 (brs, 2H), 7.15 (d, IH), 7.25 (brs, IH), 7.6 (brs, IH), 7.65 (d, IH), 7.85 (s, IH), 8.0 (s, IH), 10.9 (brs, IH).
b) 3 -(2-Bromo-4-cyanophenoxy)-l -isopropylpyrrolidine
The title compound was prepared from 2-bromo-4-cyanophenol in a similar manner to
Example 134 (b) except that the compound was purified by cation exchange chromatography eluting with ammonia/methanol mixtures.
MS (ES) 309 (M+H)+. l NMR (DMSO-D6) 1.0 (d, 6H), 1.8 (m, IH), 2.2 (m, 2H), 2.6 (m, IH), 2.65 (m, 2H),
2.95 ( , IH), 5.0 (m, IH), 7.2 (d, IH), 7.8 (m, IH), 8.1(m, IH).
Example 139
2-\( Ammocarbonyl)arnino}-5- {2-f (1 -isopropylpyrrolidin-3-yl oxyl-5-methoxyphenyl} -3- thiophenecarboxamide
a) The title compound was prepared from 3-(2-bromo-4-methoxyphenoxy)-l- isopropylpyrrolidine in a similar manner to Example 9 (e) and the purification was achieved as in Example 134 (a) except that the crude product was purified by trituration with dichloromethane / methanol mixtures.
MS (ES) 419 (M+H)+. H NMR (DMSO-D6) 1.0 (d, 6H),1.9 (m, IH), 2.15 ( , IH), 2.4 (m, IH), 2.55 (m, IH),
2.7 (m, 2H), 3.0 (m, IH), 3.75 (s, 3H), 4.8 (m, IH), 6.75 (m, IH), 6.8 (brs, 2H), 6.9 (m, IH), 7.2 (m, IH), 7.22 (brs, IH), 7.6 (brs, IH), 7.8 (s, IH), 10. 85 (brs, IH).
b) 3-(2-Bromo-4-methoxyphenoχy)-l-isoproρylρyrrolidine
The title compound was prepared from 2-bromo-4-methoxyphenol in a similar manner to Example 134 (b) except that the compound was purified by cation exchange chromatography eluting with ammonia/methanol mixtures. MS (ES) 314 (M+H)+. lE NMR (DMSO-D6) 1.0 (d, 6H), 1.9 (m, 2H), 2.4 (m, IH), (2.5, IH obscured), 2.75 (m,
3H), 3.8 (s, 3H), 4.8 (m, IH), 6.7 (m, IH), 6.9 (m, IH), 7.2 (m, IH).
c 2-Bromo-4-methoxyphenol
The title compound was prepared as described in S.Afr.J.Chem., 1999, 52, 112.
Example 140
2-r(Aminocarbonyl)aminol-5-{3,5-difluoro-2-r(l-isopropylpyrrolidin-3-yl)oxy1phenyl}-3- thiophenecarboxamide
a) The title compound was prepared from 3-(2-bromo-4,6-difluorophenoxy)- 1 - isopropylpyrrolidine in a similar manner to Example 9 (e) and the purification was achieved as in Example 134 (a) except that the compound was purified by cation exchange chromatography eluting with ammonia/methanol mixtures and subsequent preparative hplc.
MS (ES) 425 (M+H)+. H NMR (DMSO-D6) 0.95 (m, 6H), 1.95 (m, 2H), 2.4 (m, IH), 2.75 (m, 4H), 4.7 (m, IH), 6.9. (m, 2H), 7.2 (m, 2H), 7.4 (m, IH), 7.6 (m, IH), 7.85 (s, IH), 10.95 (brs, IH).
b) 3-(2-Bromo-4,6-difluorophenoxy - 1 -isopropylpyrrolidine
The title compound was prepared from 2-bromo-4,6-difluorophenol in a similar manner to Example.134 (b) except that the compound was purified by cation exchange chromatography eluting with ammonia/methanol mixtures and subsequent preparative hplc.
MS (ES) 320 (M+H)+.
!H NMR (DMSO-D6) 1.0 (d, 6H), 1:95 (m, IH), 2.05 (m, IH), 2.4 (m, IH), (2.5, IH obscured), 2.8 (m, 3H), 4.7 (m, IH), 7.4 (m, 2H). Example 141
2-r(Aminocarbonyl aminol-5-{2-r(l-isopropylpyrrolidin-3-yl)oxy1-3-methoxyphenyl}-3- thiophenecarboxamide
a) The title compound was. prepared from 3-(2-bromo-6-methoxyphenoxy)- 1 - isopropylpyrrolidine in a similar manner to Example 9 (e) and the purification was achieved as in Example 134 (a) except that the compound was purified by cation exchange chromatography eluting with ammonia/methanol mixtures and subsequent preparative hplc.
MS (ES) 419 (M+H)+. H NMR (DMSO-D6) 0.95 (d, 6H), 1.8 (m, 2H), 2.4 (m, 2H), 2.8 (m, 3H), 3.8 (s, 3H), 4.8 (m, IH), 6.8 (m, 2H), 6.9 (m, IH), 7.1 (m, 2H), 7.2 (m, IH), 7.55 (brs, IH), 7.7 (s, IH), 10.92 (brs, IH).
b) 3-(2-Bromo-6-methoxyphenoxy)- 1 -isopropylpyrrolidine
The title compound was prepared from 2-bromo-6-methoxyphenol in a similar manner to Example 134 (b) except that the compound was purified by cation exchange chromatography eluting with ammonia/methanol mixtures. MS (ES) 314 (M+H)+. H NMR (DMSO-D6) 1.0 (d, 6H), 1.95 (m, 2H), 2.4 (m, IH), (2.5, IH obscured), 2.75 ( , 3H), 3.8 (s, 3H), 4.8 (m, IH), 7.0 (m, 2H), 7.15 (m, IH).
c) 2-Bromo-6-methoxyphenol The title compound was prepared as described in Synthesis, 2001, 741.
Example 142
2-r(Aminocarbonyl amino1-5-{2-r(l-isopropylρyrrolidin-3-yl)oxy1-5- trifluoromethylphenyl } -3 -thiophenecarboxamide a) The title compound was prepared from 3-[2-bromo-4-trifluoromethylphenoxy]- 1 - isopropylpyrrolidine in a similar manner to Example 9 (e) and the purification was achieved as in Example 134 (a) except that the compound was obtained pure by washing with methanol. MS (ES) 457 (M+H)+.
1H NMR (DMSO-D6) 1.0 (d, 6H), 1.95 (m, IH), 2.25 (m, 2H), 2.55 (m, IH), 2.8 (m, 2H), 3.1 (m, IH), 5.05 (m, IH), 6.8 ( , 2H), 7.2 (m, IH), 7.25 (m, IH), 7.5 ( , IH), 7.65 ( , IH), 7.9 (m, 2H) 10.92 (m, IH).
b 3-r2-Bromo-4-trifluoromethylphenoxyl-l-isopropylpyrrolidine
The title compound was prepared from 2-bromo-4-trifluoromethylphenol in a similar manner to Example 134 (b) except that the compound was purified by cation exchange chromatography eluting with ammonia methanol mixtures, MS (ES) 352(M+H)+. H NMR (DMSO-D6) 1.0 (d, 6H), 1.8 (m,, IH), 2.2-2.4 (m, 3H), 2.7 (m, 2H), 3.0 (m, IH), 5.0 (m, IH), 7.2 (d, IH), 7.65 (m, IH), 7.9 (d, IH).
c 2-Bromo-4-trifluoromethylphenol The title compound was prepared as described in Chem.Pharm.Bull, 1996, 44, 4.
Example 143
2-r(Aminocarbonyl amino]-5-{2-rfl-isopropylpyrrolidin-3-yl)oxyl-4- trifluoromethylphenyl}-3-thiophenecarboxamide
a) The title compound was prepared from 3-[2-bromo-5-trifluoromethylphenoxy]-l- isopropylpyrrolidine in a similar manner to Example 9 (e) and the purification was achieved as in Example 134 (a) except that the compound was obtained pure by cation exchange chromatography eluting with ammonia/methanol mixtures. MS (ES) 457 (M+H)+. H NMR (DMSO-D6) 1.05 (d, 6H), 2.0 ( , IH), 2.3 (m, IH), 2.5 (m, 2H), 2.8 (m, 2H), 3.1 (m, IH), 5.1 (m, IH), 6.9 (m, 2H), 7.3 (m, 2H), 7.6 (m, 2H), 7.9 (dd, IH), 8.0 (s, IH), 10.95 (s, IH).
b) 3-r2-Bromo-5-trifluoromethylphenoxy~l- 1 -isopropylpyrrolidine The title compound was prepared from 2-bromo-5-trifluoromethylphenol in a similar manner to Example 134 (b) except that the compound was purified by cation exchange chromatography eluting with ammonia/methanol mixtures, MS (ES) 352 (M+H)+. H NMR (CDCL) 1.05 (d, 6H), 2.0 (m, IH), 2.3 (m, IH), 2.5 (m, IH), 2.8 (m, 3H), 3.2 (m, IH), 4.85 (m, IH), 7.0 (d, IH), 7.05 (d, IH), 7.4 (d, IH).
c) 2-Bromo-5-(trifluoromethyl phenol The title compound was prepared as described in Chem.Phai~m.Bull, 1996, 44, 4.
Example 144
2-[(Aminocarbonyl)aminol-5-{2-r(l-isopropylpyrrolidin-3-yl)oxy1-4-methoxyphenyl}-3- thiophenecarboxamide
a) The title compound was prepared from 3-(2-bromo-5-methoxyphenoxy)-l- isopropylpyrrolidine in a similar manner to Example 9 (e) and the purification was achieved as in Example 134 (a) except that the compound was obtained pure by cation exchange chromatography eluting with ammonia/methanol mixtures. MS (ES) 419 (M+H)+.
!H NMR (DMSO-D6) 1.0 (d, 6H), 1.9 (m,lH), 2.2 (m, IH), 2.4 ( , IH), 2.55 (m,lH), 2.7 (m, 2H), 3.0 (m, IH), 3.75 (s, 3H), 4.95 (m, IH), 6.5 (m, IH), 6.6 (m, IH), 6.8 (brs, 2H), 6.9 (m, IH), 7.2 (brs, IH), 7.5 (m, IH), 7.55 (s, IH), 10.86 (brs, IH). b 3-(2-Bromo-5-methoxyphenoxy - 1 -isopropylpyrrolidine
The title compound was prepared from 2-bromo-5-methoxyphenol in a similar manner to Example 134 (b) except that the compound was purified by cation exchange chromatography eluting with ammonia/methanol mixtures s MS (ES) 314 (M+H)+. H NMR (CDC13) 1.1 (d, 6H), 2.0 (m, IH), 2.25 (m, IH), 2.45 (m, IH), 2.75 (m, 3H), 3.2 (m, IH), 3.75 (s, 3H), 4.8 (m, IH), 6.4 (m, 2H), 7.4 (m, IH).
c) 2-Bromo-5-methoxyphenol 0 The title compound was prepared as described in J. Chem.Soc.Perkin Transl; 12,2921 (1983).
Example 145
5 2-r(Aminocarbonyl amino1-5-{5-fluoro-2-[(l-isopropylpyrrolidin-3-yl)oxy]phenyl}-3- thiophenecarboxamide
a) The title compound was prepared from 3-(2-bromo-4-fluorophenoxy)-l- isopropylpyrrolidine in a similar manner to Example 9 (e) and the purification was 0 achieved as in Example 134 (a) except that the compound was obtained pure by cation exchange chromatography eluting with ammonia/methanol mixtures. MS (ES) 407 (M+H)+. H NMR (DMSO-D6) 1.0 (d, 6H), 1.95 (m, IH), 2.2 (m, IH), 2.4 (m, IH), 2.6 (m, IH), 2.75 ( , 2H), 3.05 (m, IH), 4.95 (m, IH), 6.8 (m, 2H), 7.0 (m, 2H), 7.2 (brs, IH), 7.4 (m, 5 . IH), 7.6 (brs, IH), 7.8 (s, IH), 10.88 (brs, IH).
b 3 -(2 -Bromo-4-fluorophenoxy)-l -isopropylpyrrolidine
The title compound was prepared from 2-bromo-5-fluorophenol in a similar manner to Example 134 (b) except that the compound was purified by cation exchange o chromatography eluting with ammonia/methanol mixtures. MS (ES) 302 (M+H)+.
*H NMR (DMSO-D6) 1.0 (d, 6H), 1.8 (m, IH), 2.2 ( , IH), 2.35 ( , IH), 2.5 (m, IH), 2.6
(m, 2H), 2.95 (m, IH), 4.8 (m, IH), 7.0 (m, IH), 7.2 (m, IH), 7.5 (m, IH).
Example 146
2-r(Aminocarbonyl)ammol-5-{2-r(l-isopropylpyrrolidin-3-yl)oxyl-3-(moφholin-4- ylmethyl)phenyl}-3-thiophenecarboxamide
a) The title compound was prepared from 4- {3-bromo-2-[(l -isopropylpyrrolidin-3- yl)oxy]benzyl}moφholine in a similar manner to Example 9 (e) and the purification was achieved as in Example 134 (a) except that the compound was initially purified by cation exchange chromatography eluting with ammonia/methanol mixtures. Final purification was achieved using preparative hplc. MS (ES) 488 (M+H)+. lE NMR (DMSO-D6) 2.0 (m, IH), 2.3 (m, IH), 2.55 (m, 2H), 2.75 (m, 2H), 3.0 (m, IH), 3.7 (m, 2H), 5.0 (m, IH), 6.8 (brs, 2H), 6.95 ( , 2H), 7.1 (m, 2H), 7.2 (brs, IH), 7.3 (m, 2H), 7.6 (m, 2H), 7.8 (s, IH), 10.95 (s, IH).
b 4- {3-Bromo-2-f(l -isopropylpyrrolidin-3-yl)oxylbenzyl} moφholine
The title compound was prepared from 2-bromo-6-(moφholin-4-ylmethyl)phenol in a similar manner to Example 134 (b) except that the compound was purified by cation exchange chromatography eluting with ammonia/methanol mixtures. MS (ES) 383 (M+H)+. lE NMR (CDC13) 1.1 (m, 6H), 2.15 (m, 2H), 2.5 (m, 4H), 2.6 (m, IH), 2.9 (m, 4H), 3.6 (d, 2H), 3.7 (m, 4H), 4.9(m, IH), 6.95 (m, IH), 7.35 (dd, IH), 7.45 (dd, IH).
c) 2-Bromo-6-(morpholin-4-ylmethyl)phenol
Sodium triacetoxyborohydride (3.18 g) was added to a solution of 3-bromo-2- hydroxybenzaldehyde (2.0 g) and moφholine (1.04 ml) in tetrahydrofuran (30 ml) and the mixture stirred at ambient temperature for 18 h. After filtering from a little insoluble material, the filtrate was evaporated. The residue was partitioned between dichloromethane and water and the solvent phase was washed with water, dried and evaporated to an oil. MS (ES) 272 (M+H)+. lH NMR (CDCL) 2.6 (m, 4H), 3.7 (s, 2H), 3.8 (m, 4H), 6.75 (m, IH), 6.9 (m, IH), 7.4 (m, IH).
Example 147
2-r(Aminocarbonyl)aminol-5-(2-{r(l-(cyclopropylmethyl)pyrrolidin-3-yl1oxy}ρhenyl)-3- thiophenecarboxamide
a) The title compound was prepared from 3-(2-bromophenoxy)- 1 -(cyclopropylmethyl)- pyrrolidine in a similar manner to Example 134 (a) except that the compound was purified by cation exchange chromatography eluting with ammonia/methanol mixtures. MS (ES) 401 (M+H)+. lE NMR (DMSO-D6) 0.05 (m, 2H), 0.4 (m, 2H), 0.8 (m, IH), 1.7 (m, IH), 1.9 (m, IH), 2.2 ( , 2H), 2.55 (m, IH), 2.6 (m, 2H), 3.0 (m, IH), 4.9 (m, IH), 6.8 (m, 2H), 6.9 (m, 2H), 7.15 (m, 2H), 7.2 (brs, IH), 7.55 ( , IH), 7.65 (s, IH), 10.84 (s, IH).
b) 3-(2-Bromophenoxy - 1 -(cyclopropylmethyl pyrrolidine The title compound was prepared from 2-bromophenol and l-(cyclopropylmethyl)pyrrolidin-3-yl methanesulphonate in a similar manner to Example 134 (b) except that the compound was purified by cation exchange chromatography eluting with ammonia/methanol mixtures. MS (ES) 296 (M+H)+. lE NMR (CDCL) 0.15 (m, 2H), 0.5 (m, 2H), 0.9 (m, IH), 2.4 (m, 2H), 2.8 ( , 3H), 3.0 (d, 2H), 3.2 (m, IH), 4.9 (m, IH), 6.8 (m, 2H), 7.2 (m, IH), 7.5 (m, IH).
c l-(Cvclopropylmethyl)pyrrolidin-3-yl methanesulphonate The title compound was prepared in a similar manner to Example 134 (c) except that l-(cyclopropylmethyl)pyrrolidin-3-ol was used.
d 1 -(Cvclopropylmethyl pyrrolidin-3-ol
The title compound was prepared in a similar manner to Bull.Chem.Soc.Japan, 69, 213
(1996) except that cyclopropanemethyl bromide was used.
MS (ES) 142 (M+H)+.
Example 148
2-F(Aminocarbonyl)aminol-5-{2- r(l-cvclopropylpyrrolidin-3-yl)oxy1phenyl}-3- thiophenecarboxamide
a) The title compound was prepared from 3-(2-bromophenoxy)-l-cyclopropylpyrrolidine in a similar manner to Example 9 (e) and the purification was achieved as in Example 134
(a) except that the product was isolated from the dichloromethane extract by cation exchange chromatography eluting with ammonia/methanol mixtures. Final purification was achieved using preparative hplc. MS (ES) 387 (M+H)+. !HNMR (DMSO-D6) 0.3 (m, 3H), 0.8 (m, IH), 14 (m, IH), 1.65 (m, IH), 1.9 (m, IH), 2.2 ( , IH), 2.3 (m, IH), 2.6 5(m, IH), 2.9 (m, IH), 4.95 (m, IH), 6.9 (m, 2H), 7.0 (m, 2H), 7.2 (m, 2H), 7.6 (m, 2H), 7.7 (s, IH), 10.9 (s, IH).
b) 3-(2-Bromophenoxy)- 1 -cyclopropylpyrrolidine The title compound was prepared from 2-bromophenol and l-cyclopropylpyrrolidin-3-yl methanesulphonate in a similar manner to Example 134 (b) except that the compound was purified by cation exchange chromatography eluting with ammonia/methanol mixtures. MS (ES) 282(M+H)+. H NMR (CDC13) 0.6 (m, 2H), 0.95 (m, 3H), 1.6 (m, IH), 2.0 (m, IH), 2.2 (m, IH), 2.7 (m, IH), 2.9 (m, IH), 3.2 (m, IH), 4.8 (m, IH), 6.8 (m, 2H), 7.2 (m, IH), 7.55 ( , IH). c) l-Cyclopropylpyrrolidin-3-yl methanesulphonate
The title compound was prepared in a similar manner to Example 134 (c) except that l-cyclopropylpyrrolidin-3-ol was used.
d) l-Cyclopropylpyrrolidin-3-ol
The title compound was prepared in a similar manner to JMed.Pharm.Chem., 1, 73 (1959) except that cyclopropylamine was used.
MS (ES) 128 (M+H) 1 1HHNNMMRR ((CCDDCC1I33)) 00..44 (m, 2H), 0.95 (m, 3H), 1.65 (m, 2H), 2.0 (br, IH), 2.2 (m, 2H), 2.5
(m, IH), 2.9 (m, IH), 4.35 (m, IH).
Example 149
2-r(Aminocarbonyl amino1-5-{2-r(2-(4-fluoropiperidin-l-yl ethoxy"|phenyl}-3- thiopheneearboxamide
a) The title compound was prepared from l-[2-(2-bromophenoxy)ethyl]-4- fluoropiperidine in a similar manner to Example 9 (e) and the purification was achieved as in Example 134 (a) except that the product was isolated from the dichloromethane phase using cation exchange chromatography eluting with ammoniamethanol mixtures. Final purification was achieved using preparative hplc.
MS (ES) 407 (M+H)+. H NMR (DMSO-D6) 1.8 (m, 2H), 2.0 (m, IH), 2.4 (m, 2H), 2.6 (m, 2H), 3.0 (m, IH), 4.0 (m, IH), 4.2 (m, 2H), 4.6 (m, IH), 5.6 (m, IH), 6.8 (brs, 2H), 6.95 ( , IH), 7.05 (m, IH),
7.2 (m, 2H), 7.6 ( , 2H), 7.75 (d, IH), 10.9 (brs, IH).
b 1 -[2-(2-Bromophenoxy ethvH-4-fluoropiperidine
A mixture of l-bromo-2-(2-chloroethoxy)benzene (2.35 g), 4-fluoropiperidine hydrochloride (1.54 g) , potassium carbonate (4.06 g) and potassium iodide (0.83 g) in dimethylformamide (20 ml) was heated at 80 °C for 18 h. After evaporation, the residue was partitioned between ethyl acetate and water. The solvent phase was washed (brine), dried and evaporated to give an oil (1.0 g). MS (ES) 302 (M+H)+. lE NMR (CDC13) 1.9 (m, 2H), 2.2 (m, 2H), 2.8 (m, 2H), 2.9 (m, IH), 2.95 ( , IH), 4.2 (m, 2H), 4.7 (m, 2H), 5.75 (m, IH), 6.8 (m, 2H), 7.2 (m, IH), 7.55 (m, IH).
Example 150
2-r(Aminocarbonyl)aminol-5-{2-r(l-methylpiperidin-4-yl oxy1phenyl}-3- thiophenecarboxamide
a) The title compound was prepared from 4-(2-bromophenoxy)-l-methylpiperidine in a similar manner to Example 9 (e) except that the pure product was obtained by triturating the crude solid with a dichloromethane / methanol mixture. MS (ES) 375 (M+H)+. lE NMR (DMSO-D6) 1.85 (m, 2H), 2.05 (m, 4H), 2.8 (s, 3H), 3.1 (m, 2H), 4.6 (m, IH), 6.8 (m, 3H), 7.2 (m, 3H), 7.65 (m, 2H), 7.8 (s, IH), 10.94 (brs, IH).
b 4-(2-Bromophenoxy)- 1 -methylpiperidine
The title compound was prepared from 2-bromophenol and l-methylpiperidin-4-yl methanesulphonate in a similar manner to Example 134 (b) except that the compound was purified by cation exchange chromatography eluting with ammonia/methanol mixtures. MS (ES) 270 (M+H)+.
c l-Methylpiperidin-4-yl methanesulphonate
The title compound was prepared in a similar manner to Example 134 (c) except that l-methylpiperidin-4-ol was used. Example 151
2- (Aminocarbonyl)aminol-5-{2-r(l-methylpyrrolidin-3-yl)oxy1phenyl}-3- thiophenecarboxamide
a) The title compound was prepared from 3-(2-bromophenoxy)- 1 -methylpyrrolidine in a similar manner to Example 9 (e) except that the pure product was obtained by triturating the crude solid with a dichloromethane / methanol mixture, MS (ES) 361 (M+H)+. lE NMR (DMSO-D6) 1.95 (m, IH), 2.2 (m, IH), 2.25 (s, 3H), 2.45 (m, IH), 2.65 (m, 2H), 2.9 (m, IH), 5.0 (m, IH), 6.8 (brs, 2H), 6.95 ( , 2H), 7.2 (m, 2H), 7.6 (dd, 2H), 7.8 (s, IH), 10.9 (brs, IH).
b) 3-(2-Bromophenoxy - 1 -methylpyrrolidine
The title compound was prepared from 2-bromophenol and l-methylpyrrolidin-3-yl methanesulphonate in a similar manner to Example 134 (b) except that the compound was purified by cation exchange chromatography eluting with ammonia/methanol mixtures. MS (ES) 256 (M+H)+. H NMR(CDC13) 2.0 (m, IH), 2.3 ( , IH), 24 (s, 3H), 2.6 ( , IH), 2.75 (m, 2H), -3.0 (m, IH), 4.8 (m, IH), 6.8 (m, 2H), 7.2 (m, IH), 7.55 (m, IH).
c) l-Methylpyrrolidin-3-yl methanesulphonate
The title compound was prepared in a similar manner to Example 134 (c) except that 1- methylpyrrolidin-3-ol was used.
Example 152
2-|"(Aminocarbonyl')aminol-5-r4-(2-{moφholin-4-vUacetyl')phenyl]3- thiophenecarboxamide. a) The title compound was prepared from 1 ~(4-bromophenyl)-2-(moφholin-4- yl)ethanone in a similar manner to Example 9 (e).
MS (ES) 389 (M+H)+. lE NMR (DMSO-D6) 2.55 (m, 4H), 3.6 (m, 4H), 3.8 (s, 2H), 6.8 (brs, IH), 7.0 (brs, 2H), 7.35 (brs, IH), 7.6 (d, 2H), 7.9 (s, IH), 8.0 (d, 2H), 11.06 (s, IH).
b 1 -(4-Bromophenyl -2-(moφholin-4-yl)ethanone
Moφholine (4.35 g) in dry toluene (8 ml) was stirred during the addition of aliquots of 2-bromo-l-(4-bromophenyl)ethanone (6.95 g) in dry toluene (70 ml). The resulting precipitate was removed by filtration and the filtrate evaporated to give the product (J. Amer. Chem. Soc, 1940, 62, 2882) as a pale yellow solid (7.2 g). MS (ES) 284 (M+H)+. H MR (CDC13) 2.61 (m, 4H), 3.78 (m, 6H), 7.61 (dd, 2H), 7.90 (dd, 2H).
Example 153
2-r(Aminocarbonyl aminol-5-r2-{2-(4-hvdroxy-l-piperidinyl)ethoxy}phenyn-3- thiophenecarboxamide
a) The title compound was prepared from l-[2-(2-bromophenoxy)ethyl]-4-piperidinol in a similar manner to Example 38. Purification by cation exchange chromatography eluting with ammonia/methanol mixtures gave the product (320 mg).
MS (ES) 405 (M+H)+. l NMR (DMSO-D6) 1.35 (m, 2H), 1.6 (m, 2H), 2.15 (m, 2H), 2.8 (m, 4H), 3.4 (m, IH), 4.2 (t, 2H), 6.8 (brs, 2H), 7.0 ( , 2H), 7.1 (m, IH), 7.2 (m,.2H), 7.6 (m, 2H), 7.8 (s, IH), 11.0 (s, lH).
b) 1 -r2-(2-Bromophenoxy ethyll-4-piperidinol The title compound was prepared from l-bromo-2-(2-chloroethoxy)benzene and 4- hydroxypiperidine in a similar manner to Example 149 (b). MS (ES) 300 (M+H)+. lE NMR (CDC13) 1.6 (m, 2H), 1.75 (brs, IH), 1.9 (m, 2H), 2.4 (m, 2H), 2.9 (m, 4H), 3.7 (m, IH), 4.15 (m, 2H), 6.8 (m, 2H), 7.2 (m, IH), 7.55 (m, IH). .
Example 154
2-r(Aminocarbonyl aminol-5-r2-(2-(2,2.6.6-tetramethylpiperidin-l-yl ethoxy phenyl1-3- thiophenecarboxamide
a) The title compound was prepared from l-[2-(2-bromophenoxy)ethyl]-2,2,6,6- tetramethylpiperidine in a similar manner to Example 9 (e).
MS (ES) 445 (M+H)+. H NMR (DMSO-D6) 1.0 (s, 12H), 1.35 (m, 4H), 1.5 (m, 2H), 3.0 (t, 2H), 3.95 (t, 2H), 6.9 (brs, 2H), 7.0 (m, IH), 7.3 (m, 2H), 74 (s, IH), 7.6 (m, 2H), 7.8 (m, IH), 10.95 (brs, 1H).
b 1 -[2-(2-Bromophenoxy ethyl]2,2,6-tetramethylpiperidine
The title compound was prepared from l-(2-chloroethyl)-2,2,6,6-tetramethylρiperidine hydrochloride and 2-bromophenol in a similar manner to Example 2 (b). MS (ES) 340 (M+H)+. lE NMR (DMSO-D6) 1.0 (s, 12H), 1.3 (m, 4H), 1.5 (m, 2H), 2.8 (m, 2H), 3.9 (m, 2H), 6.85 (m, IH), 7.1 (dd, IH), 7.3 (m, IH), 7.55 (dd, IH).
c) l-('2-Chloroethyl -2,2.6.6-tetramethylpiperidine hydrochloride
The title compound was prepared as described in J.Med.Chem., 1963, 6, 681.
Example 155 2-[(Aminocaτbonyl aminoI-5-{2-[2-(3-pyrrolin-l-yl)ethoxy1phenyl} thiophene-3- carboxamide
a) The title compound was prepared in a similar manner to Example 9 (e) but using 1 -[2-(2-bromophenoxy)ethyl]-3-pyrroline. MS (ES) 373 (M+H)+. H NMR (DMSO-D6) 3.1 (t, 2H), 3.5 (s, 4H), 4.2 (t, 2H), 5.8 (s, 2H), 6.9 (s, 2H), 7.0 (t, IH), 7.15 (d, IH), 7.2 (m, 2H), 7.6 (m, 2H), 7.8 (s, IH), 10.9 (s, IH).
b) 1 -r2-(2-Bromophenoxy)ethyl1-3-pyrroline
The title compound was prepared from 3-pyrroline and 2-(2-bromophenoxy)ethyl chloride in a similar manner to Example 42 (b).
MS (ES) 268 (M+H)+. H NMR (CDCI3) 3.15 (t, 2H) 3.6 s, (4H), 4.2 (t, 2H), 5.8 (s, 2H), 6.8 (t, IH), 6.9 (d, IH), 7.25 (m, IH), 7.5 (m, IH).
Example 156
Cis/trans-2-[f Aminocarbonyl amino"l-5- {2-f2-(2,5-dimethyl-3-pyrrolin- 1 - yl)ethoxylphenylthiophene-3-carboxamide
a) The title compound was prepared from cis/trans- l-[2-(2-bromophenoxy)ethyl]-2,5- dimethyl-3-pyrroline in a similar manner to Example 9 (e); the product was purified by chromatography on silica using methanol-dichloromethane mixtures. MS (ES) 401 (M+H)+. H NMR (DMSO-D6) 1.0-1.1 (m, 6H), 3.15 ( , 2H), 3.7, 3.85 (m, m, 2H), 4.05-4.2 (m, 2H), 5.55, 5.7 (s, s, 2H), 6.8 (s, 2H), 7.0 (t, IH), 7.15 (d, IH), 7.25 (m, 2H), 7.6 (m, 2H), 7.7 (s, IH), 10.9 (s, IH).
b cis/trans- 1 - f2-f 2-Bromophenoxy')ethyl1-2,5-dimethyl-3 -pyrroline The title compound was prepared from cis/trans-2,5-dimethyl-3-pyrroline and 2-(2- bromophenoxy)ethyl chloride in a similar manner to Example 42 (b); the product was purified by chromatography on silica using methanolic ammonia/dichloromethane mixtures.
MS (ES) 296 (M+H)+. H NMR (CDC13) 1.1-1.2 (m, 6H), 2.9-3.3 (m, 2H), 3.8, 4.0 (m, m, 2H), 4.15, (m, 2H),
5.65, 5.85 (s, s, 2H), 6.8 (t, IH), 6.9 (d, IH), 7.25 (m, IH), 7.5 (m, IH).
Example 157
(2S)-2-{(Aminocarbonyl amino1-5-r4-(2-methoxymethylpyrrolidin-l-ylmethyl)phenyll thiophene-3-carboxamide
The title compound was prepared in a similar manner to Example 103 (b) but starting from (28)-2-methoxymethylpyrrolidine. MS ES 389 (M+H)+. H NMR (DMSO-D6) 1.55 (m, IH), 1.65 (m, 2H), 1.90 (m, IH), 2.15 (m, IH), 2.75 (m, IH), 2.85 (m, IH), 3.20-345 (m, 6H), 4.10 (m, IH), 6.90 (s, 2H), 7.30 (m, 3H), 7.50 (d, 2H), 7.65 (m, 2H), 10.95 (s, IH).
Example 158
2-r(Aminocarbonyl)amino1-5-r4-(4-aminocarbonylpiperidin-l-ylmethyl)ρhenylthiophene- 3 -carboxamide
The title compound was prepared in a similar manner to Example 103 (b) but starting from
4-carboxamidopiperidine.
MS ES 402 (M+H)+. HNMR (DMSO-D6) 1.55 ( , 2H), 1.65 (m, 2H), 1.90 (m, 2H), 2.05 (m, IH), 2.80 (m, 2H), 3.40 (s, 2H), 6.70 (s, IH), 6.95 (s, 2H), 7.20 (s, IH), 7.30 (m, 3H), 7.45 (d, 2H), 7.65 (m, 2H), 11.00 (s, lH).
Example 159
2-r(Aminocarbonyl amino]-5-r4-(3-hvdroxymethylpiperidin-l-ylmethyl phenyl1thiophene- 3 -carboxamide
The title compound was prepared in a similar manner to Example 106 but using
3-hydroxymethylpiperidine
MS (ES) 389 (M+H)+. H NMR (DMSO-D6) 0.90 (m, IH), 1.45 (m, IH), 1.60 (m, 4H), 1.90 (m, IH), 2.70 (m,
IH), 2.85 (m, IH), 3.20 (m, 2H), 3.40 (m, 2H), 4.35 (s, IH), 6.90 (s, 2H), 7.30 (m, 3H), 7.45 (d, 2H), 7.70 (m, 2H), 11.00 (s, IH).
Example 160
2-r(Aminocarbonyl)amino]-5-r4-(4-hvdroxymethylpiperidin-L-ylmethyl)phenyllthiophene- 3-carboxamide
The title compound was prepared in a similar manner to Example 106 but using 4-hydro.xymethylpiperidine. MS ES 389 (M+H)+. H NMR (DMSO-D6) 1.15 (m, 2H), 1.35 (m, IH), 1.60 (m, 2H), 1.85 (m, 2H), 2.80 (m, 2H), 3.20 (m, 2H), 3.40 (s, 2H), 4.35 (t, IH), 6.90 (s, 2H), 7.30 (m, 3H), 7.45 (d, 2H), 7.65 (m, 2H), 10.95 (s, lH).
Example 161 2-f(Aminocarbonyl)amino1-5-r2-(3-{moφholin-4-yl}pyrrolidin-l-yl phenyllthiophene-3- carboxamide
a) The title compound was prepared from 4-[l-(2-bromophenyl)pyrrolidin-3-yl]moφholine in a similar manner to Example 9 (e), except that on work-up the reaction mixture was evaporated and the residue sonicated in dichloromethane and aqueous sodium hydrogen carbonate solution. The solvents were decanted off and the residual black gum was dissolved in methanol and purified by cation exchange chromatography, eluting with 0 - 5% methanol in dichloromethane, then 2 - 5% ammonia solution (7M in methanol) in dichloromethane. Fractions containing product were evaporated, the residue was triturated with ether and the solid product collected by filtration. MS (ES) 416 (M+H)+. H NMR (DMSO-D6) 1.66 - 1.77 (m, IH), 1.93 - 2.03 (m, IH), 2.27 - 2.48 (m, 4H), 2.83 - 3.15 (m, 5H), 3.48 - 3.62 (m, 4H), 6.83 (brs, 2H), 6.91 (td, IH), 7.02 (dd, IH), 7.15 - 7.23 (m, 2H), 7.30 (dd, IH), 7.40 (s, IH), 7.59 (brs, IH), 10.95 (s, IH).
b) 4-ri-(2-Bromophenyl)pyrrolidin-3-yl~lmoφholine l-(2-Bromophenyl)pyrrolidin-3-ol (1 g) was stirred in toluene (30 ml). Triethylamine (0.69 ml) was added and the solution was cooled in an ice-bath. Methane sulphonyl chloride (0.38 ml) was added dropwise. The reaction mixture was allowed to warm to room temperature over 2 h and stirred for a further 2.5 h. The mixture was filtered, washed through with toluene and the filtrate concentrated to ca. 20 ml in vacuo. Moφholine (10 ml) was then added and the solution stirred at room temperature overnight, a further portion of moφholine (10 ml) was added and the solution was heated at reflux for 24 h. Volatile materials were then removed in vacuo, the residue was diluted with water (40 ml) and extracted with diethyl ether (3 x 20 ml). The combined extracts were washed with brine, dried (MgSO4), filtered and evaporated. The residue was triturated with isohexane/diethyl ether and product collected by filtration as a yellow solid (0.93 g). MS (ES) 311 (M+H)+. H NMR (CDCI3) 1.80 - 1.95 (m, IH), 2.10 - 2.25 (m, IH), 2.45 - 2.65 (m, 4H), 2.90 - 3.05 (m, IH), 3.18 - 3.30 ( , IH), 3.34 - 3.50 (m, 2H), 3.53 - 3.66 ( , IH), 3.70 - 3.82 (m, 4H), 6.77 (td, IH), 6.92 (dd, IH), 7.20 (td, IH), 7.50 (dd, IH).
c 1 -(2-Bromophenyl)pyrrolidin-3-ol
2-Bromoaniline (2 g) was heated with 1 ,4-dibromo-2-butanol (1.58 ml) and diisopropylethylamine (4.9 ml) in toluene (10 ml) at reflux for 20 h. The reaction mixture was allowed to cool, diluted with water (60 ml) and the aqueous phase extracted with ethyl acetate (3 x 30 ml). The combined extracts were washed with water, brine, dried (MgSO ), filtered and evaporated. The residue was adsorbed onto silica and purified by column chromatography, eluting with a gradient of 0 - 20% ethyl acetate in isohexane, to afford the product as a yellow oil (2.30 g). MS (ES) 242 (M+H)+. H NMR (CDC13) 1.89 (d, IH), 1.91 - 2.04 (m, IH), 2.15 - 2.28 (m, IH), 3.10 - 3.21 (m, IH), 3.29 - 3.36 (m, IH), 3.50 - 3.57 (m, IH), 3.62 - 3.73 (m, IH), 4.46 - 4.55 ( , IH), 6.80 (td, IH), 6.95 (dd, IH), 7.21 (td, IH), 7.51 (dd, IH).
Example 162
2-r(Aminocarbonyl aminol-5-{2-[4-(2-methoxyethyl piperazin-l-yl1phenyl}thiophene-3- carboxamide
a) The title compound was prepared from l-(2-bromophenyl)-4-(2-methoxyethyl)- piperazine in a similar manner to Example 9 (e), except that on work-up the reaction mixture was evaporated and the residue sonicated in dichloromethane and aqueous sodium hydrogen carbonate solution. The layers were separated and the aqueous phase extracted with a further portion of dichloromethane. The combined organic extracts were evaporated and purified by cation exchange chromatography, eluting with 0 - 8% methanol in dichloromethane, then 2 - 6%> ammonia solution (7M in methanol) in dichloromethane. Fractions containing product were evaporated, the residue was triturated with a mixture of methanol and diethyl ether and the solid product collected by filtration. MS (ES) 404 (M+H)+. H NMR (DMSO-D6) 2.45 - 2.54 (m, 2H, partially obscured), 2.58 - 2.68 (m, 4H), 2.76 - 2.87 (m, 4H), 3.22 (s, 3H), 3.44 (t, 2H), 6.80 (brs, 2H), 7.04 - 7.23 (m, 4H), 7.52 (d, IH), 7.61 (brs, IH), 7.70 (s, IH), 10.89 (s, IH).
b) 1 -(2-Bromophenyl -4-(2-methoxyethyl)piperazine
The title compound was prepared in a similar manner to Example 110 (a) but using l-(2-methoxyethyl)piperazine. MS (ES) 299 (M+H)+.
!H NMR (CDC13) 2.62 - 2.75 (m, 6H), 3.05 - 3.15 (m, 4H), 3.38 (s, 3H), 3.55 (t, 2H), 6.91 (td, IH), 7.06 (dd, IH), 7.22 - 7.30 ( , IH), 7.55 (dd, IH).
Example 163
2-r(Aminocarbonyl aminol-5- {2- (iS, 4S)-2,5-diazabicyclobicyclor2.2.1 ]hept-2- yllphenyl)thiophene-3-carboxamide
a) The title compound was prepared from 2-[(aminocarbonyl)amino-5-bromothiophene- 3-carboxamide and tert-butyl 5-(2-bromophenyl)-[(iS, S)-2,5- diazabicyclo[2.2.1]heptane]-2-carboxylate in a similar manner to Example 9 (e). On work- up the product was subjected to cation exchange chromatography, eluting with a gradient of 0 - 10% methanol in dichloromethane. Product fractions were evaporated and triturated with a mixture of methanol and ether, then collected by filtration. The BOC-protected product was then stirred in 1 : 10 water : TFA (2 ml) at room temperature for 1 h, evaporated to dryness, redissolved in dichloromethane and purified by cation exchange chromatography, eluting with 0 - 12% ammonia solution (7M in methanol) in dichloromethane. MS (ES) 358 (M+H)+. !H NMR (DMSO-D6) 1.62 (d, IH), 1.85 (d, IH), 2.75 (d, IH), 2.85 (d, IH), 3.05 (d, IH), 3.19 (d, IH), 3.20 (s, IH), 3.65 (s, IH), 4.07 (s, IH), 6.77 - 6.95 ( , 3H), 6.97 (d, IH), 7.10 - 7.33 (m, 4H), 7.63 (brs, IH), 11.00 (s, IH).
5 b) tert-Butyl 5-(2-bromophenyl)-r(JS, S)-2.5-diazabicyclo|"2.2.1 lheptanel-2-carboxylate The title compound was prepared from 1,2-dibromobenzene and tert-butyl (lS,4S)-(-)-2,5- diazabicyclo[2.2.1]heptane-2-carboxylate in a similar manner to Example 110 (a). MS (ES) 353 (M+H)+. lE NMR (DMSO-D6) 146 (s, 9H), 1.82 - 2.00 (m, 2H), 3.27 - 3.47 (m, 2H), 3.57 - 3.89 "lo (m, 2H), 4.33 - 4.64 (m, 2H), 6.73 (t, IH), 7.83 (d,l H), 7.14 -7.22 ( , IH), 7.47 - 7.56 (m, IH).
15
Pharmacological Evaluation of Compounds
IKK-2 Filter Kinase Assay . Compounds were tested for inhibition of IKK-2 using a filter kinase assay. The test
20 compounds were dissolved to 10 mM in dimethylsulphoxide (DMSO). The compounds were then diluted 1 in 40 in kinase buffer (50 mM Tris, pH 7.4 containing 0.1 mM EGTA, 0.1 mM sodium orthovanadate and 0.1 % β-mercaptoethanol). 1 in 3 serial dilutions were made from this solution with 2.5% DMSO in kinase buffer. 20 μl of compound dilution was added to wells of a 96 well plate in duplicate. 20 μl 2.5% DMSO in kinase buffer
25 instead of compound was added to control wells (0% inhibition). 20 μl 0.5 M EDTA was added instead of compound to background wells (100 % inhibition).
10 μl of a mixture of magnesium acetate, unlabelled ATP, and 33P -labelled ATP was added to each well made such that the final concentration was 10 mM magnesium acetate, 1 μM so ATP and 0.1 μCi 33P ATP. 20 μl of a mixture of IKK-2 (0.15 μg/well), 1 -53 GST-IκB (0.5 μg /well) and bovine serum albumin (BSA) (8.5 ug/well) was added to each well to start the reaction. The final reaction volume was 50 μl.
The kinase reactions were incubated at 21 °C for 80 minutes and the reaction stopped by precipitating the protein by the addition of an equal volume (50 μl) of 20 % trichloroacetic acid (TCA). The precipitate was allowed to form for 10 minutes and then filtered onto a GF/C unifilter 96 well plate. Each filter was washed twice with approximately 1 ml 2 % TCA. The filter plate was dried at 30-40 °C for 60 minutes, 20 μl scintillant was added to each well and the plate sealed and radioactivity counted on a Packard Topcount microplate scintillation counter.
When tested in the above assay, the compounds of Examples 1 to 163 gave IC50 values of less than 10 μM indicating that they are expected to show useful therapeutic activity.
IKK-1 Filter Kinase Assay
The selectivity of compounds was assessed by testing them for inhibition of IKK-1 using a filter kinase assay. The assay conditions were identical to the IKK-2 filter kinase assay except that a mixture of IKK-1 (0.25 μg/well) and 1-53 GST IκB (9 μg/well) was added to each well to start the reaction.
inhibition of LPS-induced TNFα production by PBMCs
The effect of test compounds on nuclear factor kappa B (NFKB) activation in cells was assessed by measuring inhibition of tumour necrosis factor alpha (TNFα) production by human peripheral blood mononuclear cells (PBMCs) stimulated by bacterial lipopolysaccharide (LPS).
Human blood (250 ml), anticoagulated with heparin,.was collected from healthy volunteers. Aliquots of blood (25 ml) were layered on 20 ml Lymphoprep (Nycomed) in 50 ml polypropylene centrifuge tubes. The tubes were centrifuged (Sorval RT600B) at 2,500 φ for 30 minutes. The cloudy layer containing PBMCs was collected with a fine tipped Pasteur pipette, transferred into 8 clean polypropylene centrifuge tubes (approximately 10 ml per tube) and diluted to 50 ml with phosphate-buffered saline (PBS). These rubes were centrifuged at 2,000 φm for 8 minutes. PBS (10 ml) was added to each cell pellet and the cells were gently re-suspended. The cells were pooled in 4 centrifuge tubes, PBS was added to each tube to make the volume up to 50 ml and the tubes were centrifuged at 1,400 φm for 8 minutes. The cell pellets were again' re-suspended in 10 ml PBS, pooled in 2 centrifuge tubes, the volume made up to 50 ml with PBS and the tubes centrifuged at 900 φm for 10 minutes.
The final cell pellets were gently re-suspended in 10 ml tissue culture medium (RPMI containing 1% heat-inactivated human serum, L-glutamine and penicillin and streptomycin), combined into 1 tube and the volume made up to 30 ml with RPMI medium. The cells were counted and the cell suspension was diluted to 2.6 x 106 cells/ml.
Test compounds were dissolved in DMSO to 10 mM and diluted 1 in 250 (40 μM) with RPMI medium. The compounds were then serially diluted 1 in 3 with 0.4% DMSO in
RPMI medium. Aliquots of test compound dilutions (50 μl) were transferred to the wells of a 96-well plate. Control wells contained 0.4% DMSO in RPMI instead of compound.
Aliquots of the cell suspension (100 μl) were added to each well and the plates incubated at 37°C for 30 minutes. 50 μl of 40 μg/ml LPS (Sigma, L-4130) was added to wells to stimulate TNFα production by the cells and the plates were incubated overnight at 37°C. RPMI medium (50 μl) was added to negative control wells instead of LPS. The final incubation volume was 200 μl.
Plates were centrifuged for 4 minutes at 1,200 φm and supematants were removed for measurement of TNFα concentration. Viability of the remaining cell pellet was measured using WST-1 reagent (Boehringer Mannheim, 1044807). 100 μl RPMI medium containing 10 μl WST-1 reagent was added to each well and the plates were incubated for 0.5 to 3 h. The absorbance at 450 nm was then measured using a 96-well plate spectrophotometer.
TNFα in the supematants (freshly harvested or stored frozen at -20°C) were measured using an enzyme-linked immmunosorbant assay (ELISA). The ELISA plate was prepared by coating the wells of a 96 well plate with a sheep anti-human TNFα monoclonal antibody (100 μl of 1 μg/ml antibody diluted in coating buffer; 0.5 M carbonate/bicarbonate buffer, pH 9.6 containing 0.2 g/1 sodium azide) and incubating overnight at 4°C. Blank wells were not coated. The wells were washed once with 0.1% BSA in PBS containing 0.05%) Tween (PBS/Tween) then incubated for 1 h at room temperature with 1% BSA in coating buffer (200 μl). The wells were then washed 3 times with 0.1 % BSA in PBS/Tween.
The samples of supernatant from the PBMC incubation were diluted 1 in 3 with 1% BSA in PBS/Tween. 100 μl aliquots of these dilutions were added to the ELISA plate. Other wells contained 100 μl TNFα standard (10, 3.3, 1.1, 0.37, 0.12, 0.04, 0.014 and 0 ng/ml). The ELISA plate was incubated at room temperature for 2 h before the wells were washed 3 times with 0.1% BSA in PBS/Tween. A rabbit anti-human TNFa antibody (100 μl of a 2.5 μg/ml solution) was added to each well and the plate incubated at room temperature for 1.5 h. The wells were then washed 3 times with 0.1 %> BSA in PBS/Tween. Goat anti-rabbit IgG-horse radish peroxidase conjugate (ICN, 674371; 100 μl of a 1 in 10,000 dilution) was added to each well and the plate incubated at room temperature for 1.5 h. The wells were washed 3 times with 0.1 %> BSA in PBS/Tween.
Peroxidase substrate was prepared by dissolving a 1 mg TMB tablet (Sigma, T-5525) in 100 μl DMSO (100 μl) and adding this and 36 μl UHPO (BDH, 30559; 1 g tablet dissolved in 25 ml distilled water) to 10 ml 0.1 M citrate/aceate buffer, pH6. 100 μl substrate was added to each well and the plate incubated in the dark at room temperature for approximately 30 minutes. The reaction was stopped by adding 25 μl 2 M sulphuric acid to each well. The absorbance at 450 nm was measured in a 96 well plater spectrophotometer.

Claims

1. A compound of formula (I)
Figure imgf000160_0001
in which:
R represents NH2 or R represents a methyl group optionally substituted by one or more groups selected independently from C1-C4 alkyl, C3-C6 cycloalkyl, halogen, hydroxyl, C1.-C4 alkoxy, S(O)vCH3 and NR4R5;
X represents O or S;
R represents hydrogen, halogen, cyano, nitro, -NR R , -CONR R , -COOR , -NR6COR7, -S(O)mR6, -SO2NR6R7, -NR6SO2 R7, Cι-C alkyl, trifluoromethyl, C2-C3 alkenyl, C2-C3 alkynyl, trifluoromethoxy, C1-C2 alkoxy or -C2 alkanoyl;
A represents a phenyl ring or a 5- to 7-membered heteroaromatic ring containing one to three heteroatoms selected independently from O, N and S; said phenyl or heteroaromatic ring being optionally substituted by one or more substituents selected independently from halogen, cyano, nitro, -NR8R9, -CONR R , -COOR8, -NR8COR9, -S(O)sR8, -SO2NR8R9, -NR8SO2R9, Cι-C6 alkyl, trifluoromethyl, -(CH2)tR10, -O(CH2)tRπ or -
12
OR
3 n represents an integer 1 or 2; and when n represents 2, each R group may be selected independently;
3 R represents a group -W-Y-Z wherein:
W represents O, S(O)r, NR13, CH2, -CH2-O- or a bond;
Y represents a bond or a group -(CH2)p-T-(CH2)q- wherein p and q independently
14 15 represent an integer 0, 1 or 2; and T represents O, -CO- or CR R ;
14 15
R and R independently represent H, CH3 or F;
14 15 or R represents H or CH3 and R represents hydroxyl or OCH3;
14 15 or the group CR R together represents a C3-C6 cycloalkyl ring;
Z represents:
(a) a phenyl ring or a 5- or 6-membered heteroaromatic ring containing one to three heteroatoms selected independently from O, N and S; said phenyl or. heteroaromatic ring being optionally substituted by one or more substituents selected independently from halogen, cyano, -NR16R17, -CONR16R17, -COOR16, -COR16 -NR16COR17, -S(O)uR16, -SO2NR16R17, -NR16SO2R17, hydroxyl, C2-C6 alkenyl, C2-C6 alkynyl, Cι-C6 alkyl and Cj-Cg alkoxy; said alkyl or alkoxy group being optionally further substituted by one or more groups selected from halogen, cyano, hydroxyl, C1-C4 alkoxy and NR R ; or
(b) a 3- to 8-membered saturated or partially unsaturated monocyclic or saturated bicyclic ring system optionally incoφorating one or two heteroatoms selected independently from O, N and S, and optionally incoφorating a carbonyl group; said ring system being optionally substituted by one or more substituents selected independently from halogen, cyano, -NR16R17, -CONR16R17, -COOR16, -COR16, -NR16COR17, -S(O)uR16,
-SO2NR16R17, -NR16SO2R17, hydroxyl, C2-C6 alkenyl, C2-C6 alkynyl, Cι-C6 alkyl, C3-C6 cycloalkyl and Cj-Cό alkoxy; said alkyl or alkoxy group being optionally further substituted by one or more groups selected from halogen, cyano, hydroxyl, C3-C6 cycloalkyl, C1-C4 alkoxy and NR R ; provided that said saturated monocyclic ring Z is not bonded to Y through nitrogen if the group -W-Y— represents -(CH2)2-4- or -O-(CH2)2-4- when the saturated ring Z is also unsubstituted; or
(c) if W represents O, then Z may also represent hydroxyl, OCH3, CF3, CHF2 or CH2F, provided that the group — Y-Z does not thereby represent -O-(CH2)2_4-OCH3;
10 11 20 21 20 21
R and R independently represent NR R where R and R are independently
20 21 hydrogen or Cj-Cg alkyl optionally substituted by C1-C4 alkoxy; or the group NR R represents a 5- or 6-membered saturated azacyclic ring optionally containing a further O, S
99 99 10 1 1 or NR group; where R is hydrogen or Ci-Cό alkyl; or R and R independently represent Ci-Cg alkoxy;
4 5 4 5 R and R independently represent H or C1-C4 alkyl; or the group NR R represents a 23 5- or 6-membered saturated azacyclic ring optionally containing a further O, S or NR
23 group; where R is hydrogen or C1-C4 alkyl;
R
Figure imgf000163_0001
independently represent H or Cι-C alkyl;
8 9 12
R , R and R independently represent H or Cj-Cg alkyl;
13 R represents H or C1-C alkyl;
Figure imgf000163_0002
independently represent H or Cj-Cg alkyl optionally substituted by OH,
C1-C4 alkoxy or one or more fluoro atoms; or the group
Figure imgf000163_0003
a 5- or 6-
24 membered saturated azacyclic ring optionally containing a further O, S or NR group;
24 where R is hydrogen or C1-C5 alkyl optionally substituted by OH, C1-C4 alkoxy or one or more fluoro atoms;
18 19 18 19
R and R independently represent H or C1-C4 alkyl; or the group NR R represents a
25 5- or 6-membered saturated azacyclic ring optionally containing a further O, S or NR
25 group; where R is hydrogen or C1-C4 alkyl;
m, r, s, u and v independently represent an integer 0, 1 or 2;
t represents an integer 2, 3 or 4;
and pharmaceutically acceptable salts thereof:
with the proviso that the following two compounds are excluded:
2-[(aminocarbonyl)amino]-5-(4-[2-(l-(2,2,6,6-tetramethyl)piperidinyl)ethoxy]phenyl)-3- thiophenecarboxamide; 2-[(aminocarbonyl)amirio]-5-(4-(thiazol-4-yl-methoxy)phenyl)-3-thiophenecarboxamide.
2. A compound of formula (I), according to Claim 1, wherein X represents oxygen.
A compound of formula (I), according to Claim 1 or Claim 2, wherein R represents
NH2.
4. A compound of formula (I), according to any one of Claims 1 to 3, in which A represents optionally substituted phenyl or optionally substituted pyridyl.
2
5. A compound of formula (I), according to any one of Claims 1 to 4, in which R represents H.
6. A compound of formula (I), according to any one.of Claims 1 to 5, in which W represents O, CH2 or a bond.
7. A compound of formula (I), according to claim 1, selected from: 2-[(aminocarbonyl)amino]-4-methyl-5-(4-biphenyl)-3-thiophenecarboxamide; 2-[(aminocarbonyl)amino]-4-methyl-5-(4-[(3,5-dimethylisoxazol-4-yl)methoxy]phenyl)-3- thiophenecarboxamide;
2-[(aminocarbonyl)amino]-4-methyl-5-(4-[(4-chlorophenyl)methoxy]phenyl)-3- thiophenecarboxamide;
2-[(aminocarbonyl)amino]-4-methyl-5-(4-[(5-chlorothien-2-yl)methoxy]phenyl)-3- thiophenecarboxamide; 2-[(aminocarbonyl)amino]-4-methyl-5- {4-[2-(2,2,6,6-tetramethylpiperidin- 1 - yl)ethoxy]phenyl } -3 -thiophenecarboxamide;
2-[(aminocarbonyl)amino]-4-methyl-5-(4-[(thiazol-4-yl)methoxy]phenyl)-3- thiophenecarboxamide;
2-[(aminocarbonyl)amino]-4-methyl-5-(4-[(l,2,5-thiadiazol-3-yl)methoxy]phenyl)-3- thiophenecarboxamide; 2-[(aminocarbonyl)amino]-4-methyl-5-(4-[(l-methylperhydroazepin-3-yl)oxy]phenyl)-3- thiophenecarboxamide;
2-[(aminocarbonyl)annno]-5-[6- yrrolidin-l-yl)pyridin-3-yl]-3-thiophenecarboxamide;
2-[(aminocarbonyl)amino]-5-[6-(2,2-difluoroethoxy)pyridin-3-yl]-3- thiophenecarboxamide;
2-[(aminocarbonyl)amino]-5-[6-(piperidin-l-yl)pyridin-3-yl]-3-thiophenecarboxamide;
2-[(aminocarbonyl)amino]-5-[6-(cyclopentyloxy)pyridin-3-yl]-3-thiophenecarboxamide;
2-[(aminocarbonyl)amino]-5-[6-(4-ethanesulfonylpiperazin-l-yl)pyridin-3-yl]-3- thiophenecarboxamide; 2-[(aminocarbonyl)amino]-5-[6-[(tetrahydrofuran-2-yl)methoxy]pyridin-3-yl]-3- thiophenecarboxamide; '
2-[(aminocarbonyl)amino]-5-{3-[6-(furan-2-ylmethoxy)]-pyridine}-3- thiophenecarboxamide;
2-[(aminocarbonyl)amino]-5-{3-[6-(4-acetyl)piperazin-l-yl]-pyridine}-3- thiophenecarboxamide;
(^-2-[(aminocarbonyl)amino]-5-{3-[6-(tefrahydrofuran-3-yloxy)]-pyridine}-3- thiophenecarboxamide;
2-[(aminocarbonyl)amino]-5- {3 - [6-( 1 -isopropyl-pyrrolidin-3 -yloxy)]-pyridine} -3 - thiophenecarboxamide; 2-[(aminocarbonyl)amino]-5- {3-[6-(l -t-butyloxycarbonyl-piperidin-4-yloxy)]-pyridine} -3- thiophenecarboxamide;
2-[(aminocarbonyl)amino]-5-{3-[6-(piperidin-4-yloxy)]-pyridine}-3- thiophenecarboxamide;
2-[(aminocarbonyl)amino]-5- {3-[6-(l -(2-methoxyethyl)-piperidin-4-yloxy)]-pyridine} -3- thiophenecarboxamide;
2[(aminocarbonyl)amino]-5-{3-[6-(N-methanesulphonyl)-piperidin-4-yloxy]-pyridine}-3- thiophenecarboxamide;
2-[(aminocarbonyl)amino]-5- {3-[6-(4,4-difluoropiperidin- 1 -yl)pyridine} -3- thiophenecarboxamide; 2-[(aminocarbonyl)amino]-5-{3-[6-(pyrrolidin-l-yl)-5-methyl]pyridine}-3- thiophenecarboxamide; 2-[(aminocarbonyl)amino]-5- 3-[6-(thien-2-ylmethoxy)]pyridine}-3- thiophenecarboxamide; 2-[(aminocarbonyl)amino]-5- 3-[6-(cyclopentylmethoxy)]pyridine}-3- thiophenecarboxamide; 2-[(aminocarbonyl)amino]-5- 3-(6-benzyloxy)pyridine]-3-thiophenecarboxamide; 2-[(aminocarbonyl)amino]-5- 3 - [6-(tetr ahy drofur an-3 -yloxy)]pyridine} -3 - thiophenecarboxamide; 2-[(aminocarbonyl)amino]-5- 3-[6-(tetrahydrofuran-3-ylmethoxy)]pyridine}-3- thiophenecarboxamide; 2-[(aminocarbonyl)amino]-5- 3-[6-(cyclopropylmethoxy)]pyridine}-3- thiophenecarboxamide; (S -2-[(aminocarbonyl)amino -5-{3-[6-(tetrahydrofuran-3-yloxy)]pyridine}-3- thiophenecarboxamide; 2-[(aminocarbonyl)amino]-5- 3 - [6-(tetrahydropyran-4-yloxy)]ρyridine } -3 - thiophenecarboxamide;
2-[(aminocarbonyl)amino]-5- 3-[6-(tetrahydrothiopyran-3-yloxy)]pyridine}-3- thiophenecarboxamide; 2-[(aminocarbonyl)amino]-5- 3-[6-(l-isopropylazetidin-3-yloxy)]pyridine}-3- thiophenecarboxamide; 2-[(aminocarbonyl)amino]-5- 3-[6-(benzyloxy-2-ethoxy)]pyridine}-3- thiophenecarboxamide; 2-[(aminocarbonyl)amino]-5- 3 - [6-(N-methylpiperidin-3 -yloxy)]pyridine } -3 - thiophenecarboxamide; 2-[(aminocarbonyl)amino]-5- 3-[6-(2-(l-pyrrolidin-2-one)ethoxy)]pyridine}-3- thiophenecarboxamide;
2-[(aminocarbonyl)amino]-5- 3-(6-(moφholin-4-yl))ρyridine]-3-thiophenecarboxamide; 2-[(aminocarbonyl)amino]-5- 3 -[6-(4-methylpiperazin- 1 -yl)]pyridine} -3- thiophenecarboxamide; 2-[(aminocarbonyl)amino]-5-' 4-[l,3,4-oxadiazol-2-yl]-2-phenyl )-3- thiophenecarboxamide;
2-[(aminocarbonyl)amino]-5 4-cyclopropylmethoxyρhenyl )-3-thiophenecarboxamide; 2-[(aminocarbonyl)amino]-5-[3-(l,3-thiazol-4-ylmethoxy)phenyl]thiophene-3- carboxamide;
2-[(aminocarbonyl)amino]-5-[4-(moφholin-4-ylmethyl)phenyl]thiophene-3-carboxamide;
2-[(aminocarbonyl)amino]-5-(5-[2-(N-moφholinyl)]pyrimidinyl)-3- thiophenecarboxamide;
2-[(aminocarbonyl)amino]-5-(5-[2-(N-piperidinyl)]pyrimidinyl)-3-thiophenecarboxamide;
2-[(ammocarbonyl)amino]-5-(5-[2-(N-pyrrolidinyl)]pyrimidinyl)-3-thiophenecarboxamide;
2-[(aminocarbonyl)amino]-5-(5-[2-{4-(t-butyloxycarbonyl)piperazin-l-yl}]pyrimidinyl)-3- thiophenecarboxamide; 2-[(aminocarbonyl)amino]-5-(-5-[2-{4H-piperazin-l-yl}]pyrimidinyl)-3- thiophenecarboxamide;
2-[(aminocarbonyl)amino]-5-(5-[2- {4-methylpiperazin- 1 -yl} ]pyrimidinyl)-3- thiophenecarboxamide;
2-[(aminocarbonyl)amino]-5-(5-[2-(3-dimethylaminopyrrolidin-l-yl)]pyrimidinyl)-3- thiophenecarboxamide;
2-[(ammocarbonyl)amino]-5-(5-[2-{2(S)-aminocarbonylpyrrolidin-l-yl}]pyrimidinyl)-3- thiophenecarboxamide;
2-[(aminocarbonyl)amino]-5-(5-[2- {4-acetylpiperazin- 1 -yl} ]pyrimidinyl)-3- thiophenecarboxamide; 2-[(aιninocarbonyl)amino]-5-(5-{2-[4,4-difluoropiperidin-l-yl]}pyrimidinyl)-3- thiophenecarboxamide;
2-[(aminocarbonyl)amino]-5-(5-{2-[3,3-difluoropyrrolidin-l-yl]}pyrimidinyl)-3- thiophenecarboxamide;
2-[(aminocarbonyl)amino]-5- {2-(5-N-moφholinomethyl)thienyl} -3- thiophenecarboxamide;
2-[(aminocarbonyl)amino]-5-{2-benzyloxyphenyl}-3-thiophenecarboxamide;
2-[(aminocafbonyl)amino]-5-{2-(4-fluorophenylmethoxy)phenyl}-3- thiophenecarboxamide;
2-[(aminocarbonyl)amino]-5-{2-(2-[4-fluorophenyl]ethoxy)phenyl}-3- thiophenecarboxamide;
2-[(aminocarbonyl)amino]-5-{2-(2-[4-chlorophenyl]ethoxy)phenyl }-3- thiophenecarboxamide; 2-[(aminocarbonyl)amino]-5-{2-(2-phenylethoxy)phenyl}-3-thiophenecarboxamide;
2-[(aminocarbonyl)amino]-5-{4-chlorophenylmethoxy)phenyl}-3-thiophenecarboxamide;
2-[(aminocarbonyl)amino]-5-{2-[2-(N-moφholinyl)]ethylthio)phenyl}-3- thiophenecarboxamide; 2-[(aminocarbonyl)amino]-5-{2-[2-(N-pyrrolidinyl)]ethylthio)phenyl}-3- thiophenecarboxamide;
2-[(aminocarbonyl)amino]-5-{2-[2-(N-piperidinyl)]ethylthio)phenyl}-3- thiophenecarboxamide;
2-[(aminocarbonyl)amino]-5-[4- yrrolidinyl)phenyl]-3-thiophenecarboxamide; 2-[(aminocarbonyl)amino]-5-[4-(piperidinyl)phenyl]-3-thiophenecarboxamide;
2-[(aminocarbonyl)anfrno]-5-[4-(Ν-imidazolyl)phenyl]-3-tlfrophenecarboxamide;
2-[(aminocarbonyl)amino]-5-[6-{(l-methylpyrrolidin-2-on-4-yl)methoxy}pyridin-3-yl]-3- thiophenecarboxamide;
2-[(aminocarbonyl)amino]-5 {4- [2-(2-methoxyethoxy)ethoxy] -phenyl} -3- thiophenecarboxamide;
2-[(aminocarbonyl)amino]-5-{4-[2-(cyclopropylmethoxy)ethoxy]phenyl}-3- thiophenecarboxamide;
2-[(aminocarbonyl)amino]-5-[6-(2,2-dimethyl-3-pyrrolidinylpropoxy)pyridin-3-yl]-3- thiophenecarboxamide; 2-[(aminocarbonyl)amino]-5- {3-chloro-4-(tetrahydrofuran-2-ylmethoxy)phenyl} -3- thiophenecarboxamide;
2-[(aminocarbonyl)amino]-5-{4-(tetrahydrofuran-2-ylmethoxy)phenyl}-3- thiophenecarboxamide;
2-[(aminocarbonyl)amino]-5-[(6-cyclopropyhnethylthio)pyridin-3-yl]-3- thiophenecarboxamide;
2-[(aminocarbonyl)amino]-5{4-[2-(2-methoxyethoxy)ethoxy]-3-methylphenyl}-3- tbiophenecarboxamide;
2-[(aminocarbonyl)amino]-5-{3-chloro-4-[2-(2-methoxyethoxy)ethoxy]phenyl}-3- thiophenecarboxamide; 2-[(aminocarbonyl)amino]-5-[2-(4-methylpiρerazinylmethyl)phenyl]-3- thiophenecarboxamide; 2-[(aminocarbonyl)amino]-5- 2-(4-isopropylpiperazinylmethyl)phenyl]-3- thiophenecarboxamide; 2-[(aminocarbonyl)amino]-5-l 2-(4-t-butyloxycarbonylpiperazinylmethyl)phenyl]-3- thiophenecarboxamide; 2-[(aminocarbonyl)amino]-5-i 4-(pyrrolidinylmethyl)phenyl]thiophene-3-carboxamide; 2-[(aminocarbonyl)amino]-5-i 2-(2-(4,4-difluoropiperidin- 1 -yl)ethoxy)phenyl]-3- thiophenecarboxamide; 2-[(aminocarbonyl)amino]-5- 2-(2-(3,3-difluoropyrrolidin-l-yl)ethoxy)phenyl]-3- thiophenecarboxamide; 3-[(aminocarbonyl)amino]-5- 4-(moφholin-4-ylmethyl)phenyl]thiophene-2-carboxamide; 3-[(aminocarbonyl)amino]-5-; 4-(ct5,-2,6-dimethylmoφholin-4-ylmethyl)phenyl]thiophene- 2-carboxamide; 2-[(aminocarbonyl)amino]-5- 4-(cis-2,6-dimethylmoφholin-4-ylmethyl)phenyl]thiophene- 3-carboxamide; 2-[(aminocarbonyl)amino]-5- (6- {4-moφholino } methyl)pyridin-3 -yl]thiophene-3 - carboxamide;
2-[(aminocarbonyl)amino]-5- 4-(8-oxa-3-azabicyclo[3.2.1]oct-3- ylmethyl)pheήyl]thiophene-3- carboxamide; 2-[(aminocarbonyl)amino]-5- 3-(moφholin-4-ylmethyl)-4-isobutoxyphenyl]thiophene-3- carboxamide;
2-[(aminocarbonyl)amino]-5-: 3-(moφholin-4-ylmethyl)phenyl]thiophene-3-carboxamide; 2-[(aminocarbonyl)amino]-5 4- { [2-(methoxymethyl)moφholin-4- yl]methyl}phenyl)thiophene-3 carboxamide; 2-[(aminocarbonyl)amino]-5- 3 -fluoro-4-(moφholin-4-ylmethyl)phenyl]thiophene-3 - carboxamide;
2-[(aminocarbonyl)amino]-5-i 3-chloro-4-(moφholin-4-ylmethyl)phenyl]thiophene-3- carboxamide;
2-[(ammocarbonyl)amino]-5- 4-[(4,4-difluoropiperidin- 1 -yl)methyl]phenyl}thiophene-3- carboxamide; ' 2-[(aminocarbonyl)amino]-5-| 4-(l - {piperidin- 1 -yl} ethyl)phenyl]thiophene-3-carboxamide; 2-[(aminocarbonyl)amino]-5- 4- [( lR)- 1 -moφholin-4-ylethyl]phenyl} thiophene-3 - carboxamide; 2-[(aminocarbonyl)amino]-5-(4- { [4-(2-methoxyethyl)piperazin- 1 - yl]methyl}phenyl)thioρhene-3-carboxamide;
2-[(aminocarbonyl)amino]-5-[4-(piperidin-l-ylmethyl)phenyl]thiophene-3-carboxamide;
2-[(aminocarbonyl)amino]-5-{4-[(lS,4S)-2-oxa-5-azabicyclo[2.2.1]hept-5- ylmethyl]phenyl}thiophene-3-carboxamide;
5-{4-[(4-acetylpiperazin-l-yl)methyl]phenyl}-2-[(aminocarbonyl)amino]thiophene-3- carboxamide;
2-[(aminocarbonyl)amino]-5-[4-(l,4-oxazepan-4-ylmethyl)phenyl]thiophene-3- carboxamide; (1 S)-2-((aminocarbonyl)amino)-5-(4-(l - {moφholin-4-yl} ethyl)phenyl)thiophene-3- carboxamide; 2-((aminocarbonyl)amino)-5-(4-( 1 -methyl- 1 - {moφholin-4-yl} ethyl)phenyl)thiophene-3 - carboxamide;
2-[(aminocarbonyl)amino]-5-[4-((4-methylpiperazin-l-yl)methyl)phenyl]thiophene-3- carboxamide;
2-[(aminocarbonyl)amino]-5-[4-((2-ethoxycarbonylpiperidin-l- yl)methyl)phenyl]thiophene-3-carboxamide;
2-[(aminocarbonyl)amino]-5-[4-((3-diethylaminocarbonylpiperidin-l-yl)methyl)phenyl]- thiophene-3 -carboxamide; 2-[(aminocarbonyl)arnino]-5-[4-((3-hydroxypyrrolidin-l-yl)methyl)phenyl]thiophene-3- carboxamide;
2-[(aminocarbonyl)amino]-5-[4-( {(2-hydroxyethyl)piperazin- 1 - yl}methyl)phenyl]thiophene-3-carboxamide;
2-[(aminocarbonyl)amino]-4-methyl-5-{4-[4-moφholino]methylphenyl}-3- thiophenecarboxamide;
2-[(aminocarbonyl)amino]-5-[4-((4-hydroxypiperidin-l-yl)methyl)phenyl]thiophene-3- carboxamide;
2-[(aminocarbonyl)amino]-5-(2-piperazin-l-ylphenyl)thiophene-3-carboxamide;
2-[(aminocarbonyl)amino]-5-[2-(4-methylpiperazin-l-yl)phenyl]thiophene-3-carboxamide; 2-[(aminocarbonyl)amino]-5- {2-[3-methylamino)ρyrrolidin-l -yljphenyl} thiophene-3 - carboxamide; 2-[(aminocarbonyl)amino]-5-[4-(cyclopentyloxy)-2-(2- {piperidin- 1 -yl} ethoxy)phenyl] thiophene-3-carboxamide;
2-[(ammocarbonyl)amino]-5-[2-(2- {piperidin- 1 -yl} ethoxy)-4-pyrrolidin- 1- ylphenyl]thiophene-3-carboxamide; 2-[(aminocarbonyl)amino]-5-[4-piperidin-l -yl-2-(2- {piperidin- 1 - yl}ethoxy)phenyl]thi'oρhene-3-carboxamide;
2-[(aminocarbonyl)amino]-5-[4-(moφholin-4-ylmethyl)-2-(2- {piperidin- 1 - yl}ethoxy)phenyl]thiophene-3-carboxamide;
2-[(aminocarbonyl)amino]-5-[4-(2-methoxyethoxy)-2-(2-piperidin-l- ylethoxy)phenyl]thiophene-3-carboxamide;
2-[(aminocarbonyl)amino]-5-[4-moφholin-4-yl-2-(2 -piperidin- 1 - ylethoxy)phenyl]thiophene-3-carboxamide;
2-[(aminocarbonyl)amino]-5-[2-(2-hydroxyethoxy)phenyl]thiophene-3-carboxamide;
(3i?J-2-[(aminocarbonyl)amino]-5-{2-[tetrahydrofuran-3-yloxy]phenyl}-3- thiophenecarboxamide;
(3S)-2-[(aminocarbonyl)amino]-5-{2-[tetrahydrofuran-3-yl5xy]phenyl}-3- thiophenecarboxamide;
2-[(aminocarbonyl)amino]-5-{2-[(tetrahydropyran-4-yloxy]phenyl}-3- thiophenecarboxamide; 2-[(aminocarbonyl)amino]-5-{2-[cyclopropylmethoxy]phenyl}-3-thiophenecarboxamide;
2-[(aminocarbonyl)amino]-5-{2-[cyclopentyloxy]phenyl}-3-thiophenecarboxamide;
2-[(aminocarbonyl)amino]-5-{2-[(l-isopropylpyrrolidin-3-yl)oxy]phenyl}-3- thiophenecarboxamide;
2-[(aminocarbonyl)amino]-5-{2-[(l-ethylpyrrolidin-3-yl)oxy]ρhenyl}-3- thiophenecarboxamide;
2-[(aminocarbonyl)amino]-5-{2-[(l-te7-t-butyloxycarbonyl-3-pyrrolidinyl)oxy]phenyl}-3- thiophenecarboxamide;
2-[(aminocarbonyl)amino]-5-[2-(pyrrolidin-3-yloxy)phenyl]-3-thiophenecarboxamide;
2-[(aminocarbonyl)amino]-5- {2-[( 1 -methylpiperidin-2-yl)methoxy]phenyl} -3- thiophenecarboxamide;
(2S)-2-[(aninocarbonyl)amino]-5-(2-{[l-methylpyrrolidin-2-yl]methoxy}phenyl)-3- thiophenecarboxamide; 2-[(aminocarbonyl)amino]-5-(2-{[l-(2-methoxyethyl)pyrrolidin-3-yl]oxy}phenyl)-3- thiophenecarboxamide;
(2i?)-2-[(aminocarbonyl)amino]-5-(2-{[l-methylpyrrolidin-2-yl]methoxy}phenyl)-3- thiophenecarboxamide; 2-[(ammocarbonyl)amino]-5-[2-(2-(2,2,6-trimethylpiperidin-l-yl)ethoxy)phenyl]-3- thiophenecarboxamide;
2-[(aminocarbonyl)amino]-5-{5-chloro-2-[(l-isopropylpyrrolidin-3-yl)oxy]phenyl}-3- thiophenecarboxamide;
2-[(aminocarbonyl)amino]-5-{4-fluoro-2-[(l-isopropylpyrrolidin-3-yl)oxy]phenyl}-3- thiophenecarboxamide;
2-[(aminocarbonyl)amino]-5-{4,5-difluoro-2-[(l-isopropylpyrrolidin-3-yl)oxy]phenyl}-3- thiophenecarboxamide;
2-[(aminocarbonyl)amino]-5-{2-[(l-isopropylpyrrolidin-3-yl)oxy]-5-methylphenyl}-3- thiophenecarboxamide; 2-[(aminocarbonyl)amino]-5-{5-cyano-2-[(l-isopropylpyrrolidin-3-yl)oxy]phenyl}-3- thiophenecarboxamide;
2-[(aminocarbonyl)amino]-5-{2-[(l-isopropylpyrrolidin-3-yl)oxy]-5-methoxyphenyl}-3- thiophenecarboxamide;
2-[(aminocarbonyl)amino]-5-{3,5-difluoro-2-[(l-isopropylpyrrolidin-3-yl)oxy]phenyl}-3- thiophenecarboxamide;
2-[(aminocarbonyl)amino]-5-{2-[(l-isopropylpyrrolidin-3-yl)oxy]-3-methoxyphenyl}-3- thiophenecarboxamide;
2-[(aminocarbonyl)amino]-5- {2-[(l -isopropylpyrrolidin-3-yl)oxy]-5- trifluoromethylphenyl } -3 -thiophenecarboxamide; 2-[(aminocarbonyl)amino]-5-{2-[(l-isopropylpyrrolidin-3-yl)oxy]-4- trifluoromethylphenyl}-3-thiophenecarboxamide;
2-[(aminocarbonyl)amino]-5-{2-[(l-isopropylpyrrolidin-3-yl)oxy]-4-methoxyphenyl}-3- thiophenecarboxamide;
2-[(aminocarbonyl)amino]-5- {5-fluoro-2-[(l -isopropylpyrrolidin-3-yl)oxy]phenyl} -3- thiophenecarboxamide;
2-[(aminocarbonyl)amino]-5-{2-[(l-isopropylρyrrolidin-3-yl)oxy]-3-(moφholin-4- ylmethyl)phenyl] -3-thiophenecarboxamide; 2-[(aminocarbonyl)amino ] -5-(2- { [( 1 -(cyclopropylmethyl)pyrrolidin-3 -yljoxy } phenyl)-3 - thiophenecarboxamide 2-[(aminocarbonyl)amino ]-5-{2- [(l-cyclopropylpyrrolidin-3-yl)oxy]ρhenyl}-3- thiophenecarboxamide; 2-[(aminocarbonyl)amino ]-5- {2-[(2-(4-fiuoropiperidin- 1 -yl)ethoxy]phenyl} -3- thiophenecarboxamide; 2-[(aminocarbonyl)amino ]-5-{2-[(l-methylpiperidin-4-yl)oxy]phenyl}-3- thiophenecarboxamide; 2-[(aminocarbonyl)amino >']-5- {2-[( 1 -methylpyrrolidin-3-yl)oxy]phenyl} -3- thiophenecarboxamide; 2-[(aminocarbonyl)amino ]-5-[4-(2- {moφholin-4-yl} acetyl)phenyl]3 - thiophenecarboxamide; 2-[(aminocarbonyl)amino ]-5-[2-{2-(4-hydroxy-l-piperidinyl)ethoxy}phenyl]-3- thiophenecarboxamide; 2-[(aminocarbonyl)amino ]-5-[2-(2-(2,2,6,6-teframethylpiperidin-l-yl)ethoxy)phenyl]-3- thiophenecarboxamide; 2-[(aminocarbonyl)amino ]-5-{2-[2-(3-pyrrolin-l-yl)ethoxy]phenyl} thiophene-3- carboxamide; cis/trans-2-[(aminocarbonyl)amino]-5- {2-[2-(2,5-dimethyl-3-pyrrolin- 1 - yl)ethoxy]phenylthiophene-3 -carboxamide;
(2S)-2-[(aminocarbonyl)amino]-5-[4-(2-methoxymethylpyrrolidin-l-ylmethyl)phenyl] thiophene-3 -carboxamide;
2-[(aminocarbonyl)amino]-5-[4-(4-aminocarbonylpiperidin-l-ylmethyl)phenylthiophene-
3-carboxamide; 2-[(aminocarbonyl)amino]-5-[4-(3-hydroxymethylpiperidm-l-ylmethyl)phenyl]thiophene-
3-carboxamide;
2-[(aminocarbonyl)amino]-5-[4-(4-hydroxymethylpiperidin-l-ylmethyl)phenyl]thiophene-
3-carboxamide;
2-[(aminocarbonyl)amino]-5-[2-(3-{moφholin-4-yl}pyrrolidin-l-yl)phenyl]thiophene-3- carboxamide; 2-[(ammocarbonyl)amino]-5-{2-[4-(2-methoxyethyl)piperazin-l-yl]phenyl}thiophene-3- carboxamide; 2-[(aminocarbonyl)ammo]-5-{2-[(iS, S)-2,5-diazabicyclobicyclo[2.2.1]hept-2- yl]phenyl}thiophene-3-carboxamide; and pharmaceutically acceptable salts thereof.
8. A process for the preparation of a compound of formula (I), according to any one of
Claims 1 to 7, which comprises:
(a) reaction of a compound of formula (II):
Figure imgf000174_0001
(R3)n wherein A, R , R and n are as defined in Claim 1 with an isocyanate or an isothiocyanate or an acyl derivative, R -CO-L where L is a leaving group; or
(b) reaction of compound of formula (III)
Figure imgf000174_0002
(R3)n
3 wherein R , n and A are as defined in Claim 1, with a compound of formula (IV)
Figure imgf000175_0001
wherein X, R , 1 and R are as defined in Claim 1 and LG represents a leaving group; or
(c) reaction of compound of formula (V)
Figure imgf000175_0002
(R3)n
wherein R , n and A are as defined in Claim 1 and LG represents a leaving group, with a compound of formula (VI)
Figure imgf000175_0003
wherein X, R ,ι and R are as defined in Claim 1; and where necessary converting the resultant compound of formula (I), or another salt thereof, into a pharmaceutically acceptable salt thereof; or converting the resultant compound of formula (I) into a further compound of formula (I); and where desired converting the resultant compound of formula (I) into an optical isomer thereof.
9. A pharmaceutical composition comprising a compound of formula (I), or a pharmaceutically acceptable salt thereof, as claimed in any one of claims 1 to 7 in association with a pharmaceutically acceptable adjuvant, diluent or carrier.
10. A process for the preparation of a pharmaceutical composition as claimed in Claim 9 which comprises mixing a compound of formula (I), or a pharmaceutically acceptable salt thereof, as claimed in any one of claims 1 to 7 with a pharmaceutically acceptable adjuvant, diluent or carrier.
11. A compound of formula (I), or a pharmaceutically- acceptable salt thereof, as claimed in any one of claims 1 to 7 for use in therapy.
12. Use of a compound of formula (I), or a pharmaceutically acceptable salt thereof, as claimed in any one of claims 1 to 7 in the manufacture of a medicament for use in the treatment or prophylaxis of diseases or conditions in which inhibition of IKK-2 activity is beneficial.
13. Use of a compound of formula (I), or a pharmaceutically acceptable salt thereof, as claimed in any one of claims 1 to 7 in the manufacture of a medicament for use in the treatment or prophylaxis of inflammatory disease.
14. The use as claimed in Claim 13 wherein the disease is asthma.
15. The use as claimed in Claim 13 wherein the disease is rheumatoid arthritis.
16. The use as claimed in Claim 13 wherein the disease is multiple sclerosis.
17. The use as claimed in Claim 13 wherein the disease is chronic obstructive pulmonary disease.
18. The use as claimed in Claim 13 wherein the disease is cancer.
19. A method of treating, or reducing the risk of, diseases or conditions in which inhibition of IKK2 activity is beneficial which comprises administering to a person suffering from or at risk of said disease or condition a therapeutically effective amount of a compound of formula (I), or a pharmaceutically acceptable salt thereof, as claimed in any one of claims 1 to 7.
PCT/SE2002/001403 2001-07-25 2002-07-19 Novel compounds Ceased WO2003010158A1 (en)

Priority Applications (18)

Application Number Priority Date Filing Date Title
DK02751935.4T DK1421074T3 (en) 2001-07-25 2002-07-19 New connections
EP02751935A EP1421074B1 (en) 2001-07-25 2002-07-19 Novel compounds
US10/484,569 US7125896B2 (en) 2001-07-25 2002-07-19 Thiophene carboxamide compounds as inhibitors of enzyme IKK-2
AT02751935T ATE482944T1 (en) 2001-07-25 2002-07-19 NEW CONNECTIONS
NZ530750A NZ530750A (en) 2001-07-25 2002-07-19 Novel thiophene carboxamide compounds and their use as pharmaceuticals
BR0211473-9A BR0211473A (en) 2001-07-25 2002-07-19 New compounds
KR1020047001154A KR100931172B1 (en) 2001-07-25 2002-07-19 New compounds
AU2002355245A AU2002355245B2 (en) 2001-07-25 2002-07-19 Novel compounds
DE60237828T DE60237828D1 (en) 2001-07-25 2002-07-19 NEW CONNECTIONS
IL16002802A IL160028A0 (en) 2001-07-25 2002-07-19 Thiophene carboxamide derivatives, process for their preparation, pharmaceutical compositions containing them and their use in therapy
CA2454703A CA2454703C (en) 2001-07-25 2002-07-19 Novel thiophene carboxamide derivatives
HK05103629.8A HK1071129B (en) 2001-07-25 2002-07-19 Novel compounds
MXPA04000756A MXPA04000756A (en) 2001-07-25 2002-07-19 Novel compounds.
JP2003515517A JP4571800B2 (en) 2001-07-25 2002-07-19 New compounds
IL160028A IL160028A (en) 2001-07-25 2004-01-22 Thiophene carboxamide derivatives, process for their preparation, pharmaceutical compositions comprising them and their use in therapy
NO20040313A NO326684B1 (en) 2001-07-25 2004-01-23 Novel thiophenecarboxamide derivatives, process for their preparation, pharmaceutical compositions containing such derivatives, and their use in therapy
US11/516,225 US7956084B2 (en) 2001-07-25 2006-09-06 Phenyl thiophene carboxamide compounds as inhibitors of the enzyme IKK-2
US12/977,640 US20110152234A1 (en) 2001-07-25 2010-12-23 Novel Compounds

Applications Claiming Priority (2)

Application Number Priority Date Filing Date Title
SE0102616A SE0102616D0 (en) 2001-07-25 2001-07-25 Novel compounds
SE0102616-0 2001-07-25

Related Child Applications (2)

Application Number Title Priority Date Filing Date
US10484569 A-371-Of-International 2002-07-19
US11/516,225 Division US7956084B2 (en) 2001-07-25 2006-09-06 Phenyl thiophene carboxamide compounds as inhibitors of the enzyme IKK-2

Publications (1)

Publication Number Publication Date
WO2003010158A1 true WO2003010158A1 (en) 2003-02-06

Family

ID=20284944

Family Applications (1)

Application Number Title Priority Date Filing Date
PCT/SE2002/001403 Ceased WO2003010158A1 (en) 2001-07-25 2002-07-19 Novel compounds

Country Status (21)

Country Link
US (3) US7125896B2 (en)
EP (1) EP1421074B1 (en)
JP (1) JP4571800B2 (en)
KR (1) KR100931172B1 (en)
CN (1) CN1263751C (en)
AT (1) ATE482944T1 (en)
AU (1) AU2002355245B2 (en)
BR (1) BR0211473A (en)
CA (1) CA2454703C (en)
CY (1) CY1111543T1 (en)
DE (1) DE60237828D1 (en)
DK (1) DK1421074T3 (en)
ES (1) ES2351436T3 (en)
IL (2) IL160028A0 (en)
MX (1) MXPA04000756A (en)
NO (1) NO326684B1 (en)
NZ (1) NZ530750A (en)
PT (1) PT1421074E (en)
SE (1) SE0102616D0 (en)
WO (1) WO2003010158A1 (en)
ZA (1) ZA200400492B (en)

Cited By (42)

* Cited by examiner, † Cited by third party
Publication number Priority date Publication date Assignee Title
WO2003037886A3 (en) * 2001-10-30 2003-12-24 Pharmacia Corp Heteroaromatic carboxamide derivatives for the treatment of inflammation
WO2004063185A1 (en) * 2003-01-15 2004-07-29 Astrazeneca Ab Thiophene carboxamides as inhibitors of the enzyme ikk-2
WO2005105777A1 (en) * 2004-05-05 2005-11-10 Pharmacia & Upjohn Company Llc Substituted thiophene amide compounds for the treatment of inflammation
JPWO2005007644A1 (en) * 2003-06-27 2006-08-31 萬有製薬株式会社 Heteroaryloxy nitrogen-containing saturated heterocyclic derivatives
US7125896B2 (en) 2001-07-25 2006-10-24 Astrazeneca Ab Thiophene carboxamide compounds as inhibitors of enzyme IKK-2
EP1532133A4 (en) * 2002-06-06 2006-11-15 Smithkline Beecham Corp Nf-:b inhibitors
DE102005029382B3 (en) * 2005-06-24 2006-12-21 Sanofi-Aventis Deutschland Gmbh New alkoxymethylyl substituted benzoic acid derivatives are peroxisome proliferation activated receptor agonists used for treating and/or preventing e.g. diabetes mellitus, dyslipidemia and disturbances in fatty acid metabolism
WO2007005534A2 (en) 2005-06-30 2007-01-11 Smithkline Beecham Corporation Chemical compounds
EP1569924A4 (en) * 2002-12-06 2007-02-21 Smithkline Beecham Corp Nf-kb inhibitors
US7199119B2 (en) 2002-10-31 2007-04-03 Amgen Inc. Antiinflammation agents
JP2007516270A (en) * 2003-12-23 2007-06-21 ソマンタ リミテッド Anthraquinone compounds as anticancer compounds
WO2007079078A1 (en) * 2005-12-29 2007-07-12 Bayer Schering Pharma Aktiengesellschaft Diamine derivatives as inhibitors of leukotriene a4 hydrolase
WO2008002246A1 (en) * 2006-06-28 2008-01-03 Astrazeneca Ab A pharmaceutical composition comprising an ikk2 inhibitor and a second active ingrdient.
WO2008053182A1 (en) * 2006-11-01 2008-05-08 Chroma Therapeutics Ltd. IKK-β SERINE-THREONINE PROTEIN KINASE INHIBITORS
WO2008053185A1 (en) * 2006-11-01 2008-05-08 Chroma Therapeutics Ltd. INHIBITORS OF IKK-β SERINE-THREONINE PROTEIN KINASE
US7393868B2 (en) 2005-06-06 2008-07-01 Eli Lilly And Company AMPA receptor potentiators
WO2008118724A1 (en) 2007-03-23 2008-10-02 Smithkline Beecham Corporation Indole carboxamides as ikk2 inhibitors
US7572826B2 (en) 2003-01-15 2009-08-11 Astrazeneca Ab Thiophene-carboxamide derivatives and their use as inhibitors of the enzyme IKK-2
WO2009130475A1 (en) * 2008-04-26 2009-10-29 Chroma Therapeutics Ltd., Substituted thiophenecarboxamides as ikk-beta serine-, threonine-protein kinase inhibitors
WO2010038465A1 (en) 2008-10-02 2010-04-08 旭化成ファーマ株式会社 8-substituted isoquinoline derivative and use thereof
US7858796B2 (en) 2004-09-21 2010-12-28 Glaxo Group Limited Chemical compounds
WO2011012897A1 (en) 2009-07-31 2011-02-03 Astrazeneca Ab New combinations for the treatment of asthma
WO2011030139A1 (en) 2009-09-11 2011-03-17 Astrazeneca Ab 4- (pyrimidin-2-yl) -piperazine and 4- (pyrimidin-2-yl) -piperidine derivatives as gpr119 modulators
EP2266561A3 (en) * 2005-09-07 2011-05-18 Merck Serono S.A. IKK Inhibitors for the Treatment of Endometriosis
WO2011061527A1 (en) 2009-11-17 2011-05-26 Astrazeneca Ab Combinations comprising a glucocorticoid receptor modulator for the treatment of respiratory diseases
US8063071B2 (en) 2007-10-31 2011-11-22 GlaxoSmithKline, LLC Chemical compounds
JP2012031174A (en) * 2004-02-20 2012-02-16 Astrazeneca Ab Chemical process
WO2012046793A1 (en) * 2010-10-07 2012-04-12 参天製薬株式会社 Novel jak3 inhibitor containing, as active ingredient, thiophene derivative having ureido group and aminocarbonyl group as substituents
WO2012046050A1 (en) 2010-10-07 2012-04-12 Astrazeneca Ab Novel combinations
WO2012085583A1 (en) 2010-12-23 2012-06-28 Astrazeneca Ab New compound
WO2012085582A1 (en) 2010-12-23 2012-06-28 Astrazeneca Ab Compound
US8354539B2 (en) 2009-03-10 2013-01-15 Glaxo Group Limited Indole derivatives as IKK2 inhibitors
US8501780B2 (en) 2004-06-24 2013-08-06 Glaxosmithkline Llc Indazole carboxamides and their use
US9777006B2 (en) 2013-03-14 2017-10-03 Celtaxsys, Inc. Inhibitors of leukotriene A4 hydrolase
US9822106B2 (en) 2013-03-14 2017-11-21 Celtaxsys, Inc. Inhibitors of leukotriene A4 hydrolase
US9856249B2 (en) 2013-03-14 2018-01-02 Celtaxsys, Inc. Inhibitors of leukotriene A4 hydrolase
US10350197B2 (en) 2013-03-12 2019-07-16 Celtaxsys, Inc. Methods of inhibiting leukotriene A4 hydrolase
US10807985B2 (en) 2013-10-17 2020-10-20 Blueprint Medicines Corporation Compositions useful for treating disorders related to kit
US10829493B2 (en) 2019-04-12 2020-11-10 Blueprint Medicines Corporation Compositions and methods for treating KIT- and PDGFRA-mediated diseases
US10898484B2 (en) 2018-05-31 2021-01-26 Celltaxis, Llc Method of reducing pulmonary exacerbations in respiratory disease patients
US11040979B2 (en) 2017-03-31 2021-06-22 Blueprint Medicines Corporation Substituted pyrrolo[1,2-b]pyridazines for treating disorders related to KIT and PDGFR
US11964980B2 (en) 2019-04-12 2024-04-23 Blueprint Medicines Corporation Crystalline forms of (S)-1-(4-fluorophenyl)-1-(2-(4-(6-(1-methyl-1H-pyrazol-4-yl)pyrrolo[2,1- f][1,2,4]triazin-4-yl)piperazinyl)-pyrimidin-5-yl)ethan-1-amine and methods of making

Families Citing this family (16)

* Cited by examiner, † Cited by third party
Publication number Priority date Publication date Assignee Title
GB0003154D0 (en) * 2000-02-12 2000-04-05 Astrazeneca Uk Ltd Novel compounds
AU2002344854B2 (en) * 2001-06-11 2008-11-06 Vertex Pharmaceuticals (Canada) Incorporated Thiophene derivatives as antiviral agents for flavivirus infection
US8329924B2 (en) * 2001-06-11 2012-12-11 Vertex Pharmaceuticals (Canada) Incorporated Compounds and methods for the treatment or prevention of Flavivirus infections
KR101058696B1 (en) * 2002-12-10 2011-08-22 바이로켐 파마 인코포레이티드 Compounds and Methods for the Treatment or Prevention of Furabivirus Infections
RU2006107782A (en) * 2003-08-15 2006-08-10 Астразенека Аб (Se) SUBSTITUTED THIOPHENES AND THEIR APPLICATION
CN101568538B (en) 2006-11-15 2012-09-05 Viro化学制药公司 Thiophene analogues for use in the treatment or prevention of flavivirus infections
CN101583598B (en) * 2007-01-15 2012-09-12 参天制药株式会社 Novel indole derivative having inhibitory activity on i kappa b kinase
WO2009155156A1 (en) * 2008-06-18 2009-12-23 Merck & Co., Inc. Inhibitors of janus kinases
KR20110031481A (en) * 2008-07-14 2011-03-28 산텐 세이야꾸 가부시키가이샤 Novel indole derivatives having carbamoyl, ureide and substituted oxy groups
SG175198A1 (en) * 2009-04-16 2011-12-29 Telik Inc Substituted 4-amino-5-benzoyl-2-(phenylamino)thiophene-3-carbonitriles and substituted 4-amino-5-benzoyl-2-(phenylamino)thiophene-3-carboxamides as tubulin polymerization inhibitors
CN101812007B (en) * 2010-04-27 2011-11-23 浙江大学 Aminopyrrole compound and preparation method thereof
US9487523B2 (en) 2012-03-14 2016-11-08 Merck Sharp & Dohme Corp. Process for making CGRP receptor antagonists
KR20220164616A (en) * 2012-03-14 2022-12-13 머크 샤프 앤드 돔 코포레이션 Process for making cgrp receptor antagonists
EP2821791A1 (en) 2013-07-04 2015-01-07 Université de Strasbourg 3-aryl propiolonitrile compounds for thiol labeling
JP6344923B2 (en) * 2014-01-29 2018-06-20 株式会社Uacj High strength aluminum alloy and manufacturing method thereof
WO2015169130A1 (en) * 2014-05-09 2015-11-12 上海科胜药物研发有限公司 New vortioxetine intermediate and synthesis process thereof

Citations (3)

* Cited by examiner, † Cited by third party
Publication number Priority date Publication date Assignee Title
GB1468012A (en) * 1973-08-09 1977-03-23 Beecham Group Ltd 2-amino-3-carboxy-thiophene derivatives
EP0853083A1 (en) * 1997-01-06 1998-07-15 Pfizer Inc. Pyridylfuran and pyridylthiophene compounds and pharmaceutical use thereof
WO2000071532A1 (en) * 1999-05-19 2000-11-30 Pfizer Products Inc. Heterocyclic derivatives useful as anticancer agents

Family Cites Families (34)

* Cited by examiner, † Cited by third party
Publication number Priority date Publication date Assignee Title
DE3529247A1 (en) 1985-05-17 1986-11-20 Bayer Ag, 5090 Leverkusen USE OF THIENYL UREAS AND ISOHARNS AS AN PERFORMANCE DRIVER IN ANIMALS, NEW THIENYL URINS AND ISOHARNS AND THEIR PRODUCTION
GB2195634B (en) * 1986-10-01 1990-08-15 Roussel Lab Ltd Thiophene derivatives
JPH02193990A (en) * 1989-01-20 1990-07-31 Taisho Pharmaceut Co Ltd Thiophenecarboxylic acid derivative
US5258357A (en) * 1989-10-07 1993-11-02 Basf Aktiengesellschaft Carboxamides, their preparation and their use as herbicides
US5378703A (en) * 1990-04-09 1995-01-03 Alcon Laboratories, Inc. Sulfonamides useful as carbonic anhydrase inhibitors
US5571810A (en) * 1990-06-11 1996-11-05 Fujisawa Pharmaceutical Co., Ltd. Thiophene derivatives
US5514801A (en) * 1992-12-29 1996-05-07 Monsanto Company Cyclic sulfone containing retroviral protease inhibitors
JPH09194476A (en) * 1996-01-12 1997-07-29 Taisho Pharmaceut Co Ltd Thiophene alkanoic acid derivative
EP0912548A1 (en) 1996-07-11 1999-05-06 Pfizer Inc. Pyridylpyrrole compounds useful as interleukin- and tnf antagonists
US6809088B2 (en) * 1997-03-24 2004-10-26 Societe De Conseils De Recherches Et D'applications Scientifiques (S.C.R.A.S.) Derivatives of 2-(iminomethyl)amino-phenyl, their preparation, their use as medicaments and the pharmaceutical compositions containing them
AU6959898A (en) * 1997-04-11 1998-11-11 David J. Grainger Compounds and therapies for the prevention of vascular and non-vascular pathol ogies
US6037340A (en) 1997-05-28 2000-03-14 Cadus Pharmaceutical Corporation Synthesis and use of thiophene- and pyrrole-based heteroaromatic compounds
DE19744026A1 (en) 1997-10-06 1999-04-08 Hoechst Marion Roussel De Gmbh Pyrazole derivatives, their preparation and their use in medicinal products
WO1999046244A1 (en) 1998-03-12 1999-09-16 Novo Nordisk A/S Modulators of protein tyrosine phosphatases (ptpases)
US20020002199A1 (en) * 1998-03-12 2002-01-03 Lone Jeppesen Modulators of protein tyrosine phosphatases (ptpases)
ES2251200T3 (en) * 1998-07-08 2006-04-16 Sanofi-Aventis Deutschland Gmbh SULPHONYLAMINOCARBOXYLIC ACID N-ARILAMIDS REPLACED WITH SULFUR, ITS USE AND PHARMACEUTICAL PREPARATIONS THAT UNDERSTAND THEM.
GB0003154D0 (en) * 2000-02-12 2000-04-05 Astrazeneca Uk Ltd Novel compounds
WO2001072745A1 (en) * 2000-03-29 2001-10-04 Cyclacel Limited 2-substituted 4-heteroaryl-pyrimidines and their use in the treatmetn of proliferative disorders
US6414013B1 (en) 2000-06-19 2002-07-02 Pharmacia & Upjohn S.P.A. Thiophene compounds, process for preparing the same, and pharmaceutical compositions containing the same background of the invention
US20040024047A1 (en) * 2001-10-12 2004-02-05 Callahan James F. Nf-kb inhibitors
JP2004523476A (en) 2000-10-12 2004-08-05 スミスクライン・ビーチャム・コーポレイション NF-κB inhibitor
US7122544B2 (en) 2000-12-06 2006-10-17 Signal Pharmaceuticals, Llc Anilinopyrimidine derivatives as IKK inhibitors and compositions and methods related thereto
US6713638B2 (en) * 2001-05-18 2004-03-30 Joel M. Linden 2-amino-3-aroyl-4,5 alkylthiophenes: agonist allosteric enhancers at human A1 adenosine receptors
AU2002344854B2 (en) * 2001-06-11 2008-11-06 Vertex Pharmaceuticals (Canada) Incorporated Thiophene derivatives as antiviral agents for flavivirus infection
SE0102617D0 (en) 2001-07-25 2001-07-25 Astrazeneca Ab Novel compounds
SE0102616D0 (en) 2001-07-25 2001-07-25 Astrazeneca Ab Novel compounds
ES2315430T3 (en) * 2001-10-04 2009-04-01 Smithkline Beecham Corporation NF-KB INHIBITORS.
WO2003029241A1 (en) * 2001-10-04 2003-04-10 Smithkline Beecham Corporation Chk1 kinase inhibitors
WO2003028731A1 (en) * 2001-10-04 2003-04-10 Smithkline Beecham Corporation Chk1 kinase inhibitors
TWI281916B (en) * 2001-10-25 2007-06-01 Lilly Co Eli Antitumor compounds and methods
US6835745B2 (en) * 2002-01-15 2004-12-28 Wyeth Phenyl substituted thiophenes as estrogenic agents
US7196106B2 (en) * 2002-11-05 2007-03-27 Merck & Co., Inc Cyanothiophene derivatives, compositions containing such compounds and methods of use
SE0300091D0 (en) 2003-01-15 2003-01-15 Astrazeneca Ab Novel compounds
SE0300092D0 (en) 2003-01-15 2003-01-15 Astrazeneca Ab Novel compounds

Patent Citations (3)

* Cited by examiner, † Cited by third party
Publication number Priority date Publication date Assignee Title
GB1468012A (en) * 1973-08-09 1977-03-23 Beecham Group Ltd 2-amino-3-carboxy-thiophene derivatives
EP0853083A1 (en) * 1997-01-06 1998-07-15 Pfizer Inc. Pyridylfuran and pyridylthiophene compounds and pharmaceutical use thereof
WO2000071532A1 (en) * 1999-05-19 2000-11-30 Pfizer Products Inc. Heterocyclic derivatives useful as anticancer agents

Cited By (66)

* Cited by examiner, † Cited by third party
Publication number Priority date Publication date Assignee Title
US7956084B2 (en) 2001-07-25 2011-06-07 Astrazeneca Ab Phenyl thiophene carboxamide compounds as inhibitors of the enzyme IKK-2
US7125896B2 (en) 2001-07-25 2006-10-24 Astrazeneca Ab Thiophene carboxamide compounds as inhibitors of enzyme IKK-2
WO2003037886A3 (en) * 2001-10-30 2003-12-24 Pharmacia Corp Heteroaromatic carboxamide derivatives for the treatment of inflammation
EP1532133A4 (en) * 2002-06-06 2006-11-15 Smithkline Beecham Corp Nf-:b inhibitors
US7375131B2 (en) 2002-06-06 2008-05-20 Smithklinebeecham Corp. NF-κB inhibitors
US7635695B2 (en) 2002-10-31 2009-12-22 Amgen Inc. Antiinflammation agents
US7199119B2 (en) 2002-10-31 2007-04-03 Amgen Inc. Antiinflammation agents
EP1569924A4 (en) * 2002-12-06 2007-02-21 Smithkline Beecham Corp Nf-kb inhibitors
US7572826B2 (en) 2003-01-15 2009-08-11 Astrazeneca Ab Thiophene-carboxamide derivatives and their use as inhibitors of the enzyme IKK-2
WO2004063185A1 (en) * 2003-01-15 2004-07-29 Astrazeneca Ab Thiophene carboxamides as inhibitors of the enzyme ikk-2
US7553868B2 (en) 2003-01-15 2009-06-30 Astrazeneca Ab Thiophene carboxamides as inhibitors of the enzyme IKK-2
JPWO2005007644A1 (en) * 2003-06-27 2006-08-31 萬有製薬株式会社 Heteroaryloxy nitrogen-containing saturated heterocyclic derivatives
JP4735261B2 (en) * 2003-06-27 2011-07-27 Msd株式会社 Heteroaryloxy nitrogen-containing saturated heterocyclic derivatives
JP2007516270A (en) * 2003-12-23 2007-06-21 ソマンタ リミテッド Anthraquinone compounds as anticancer compounds
JP2012031174A (en) * 2004-02-20 2012-02-16 Astrazeneca Ab Chemical process
WO2005105777A1 (en) * 2004-05-05 2005-11-10 Pharmacia & Upjohn Company Llc Substituted thiophene amide compounds for the treatment of inflammation
US8501780B2 (en) 2004-06-24 2013-08-06 Glaxosmithkline Llc Indazole carboxamides and their use
US7858796B2 (en) 2004-09-21 2010-12-28 Glaxo Group Limited Chemical compounds
US7393868B2 (en) 2005-06-06 2008-07-01 Eli Lilly And Company AMPA receptor potentiators
US7652064B2 (en) 2005-06-06 2010-01-26 Eli Lilly And Company AMPA receptor potentiators
DE102005029382B3 (en) * 2005-06-24 2006-12-21 Sanofi-Aventis Deutschland Gmbh New alkoxymethylyl substituted benzoic acid derivatives are peroxisome proliferation activated receptor agonists used for treating and/or preventing e.g. diabetes mellitus, dyslipidemia and disturbances in fatty acid metabolism
US8354406B2 (en) 2005-06-30 2013-01-15 Glaxosmithkline Llc Chemical compounds
WO2007005534A2 (en) 2005-06-30 2007-01-11 Smithkline Beecham Corporation Chemical compounds
EP2266561A3 (en) * 2005-09-07 2011-05-18 Merck Serono S.A. IKK Inhibitors for the Treatment of Endometriosis
US8569303B2 (en) 2005-12-29 2013-10-29 Celtaxsys, Inc. Diamine derivatives as inhibitors of leukotriene A4 hydrolase
US7737145B2 (en) 2005-12-29 2010-06-15 Estrellita Pharmaceuticals, Llc Diamine derivatives as inhibitors of leukotriene A4 hydrolase
US12173009B2 (en) 2005-12-29 2024-12-24 Celltaxis, Llc Diamine derivatives as inhibitors of leukotriene A4 hydrolase
EP3205644A1 (en) * 2005-12-29 2017-08-16 Celtaxsys Inc. Diamine derivatives as inhibitors of leukotriene a4 hydrolase
WO2007079078A1 (en) * 2005-12-29 2007-07-12 Bayer Schering Pharma Aktiengesellschaft Diamine derivatives as inhibitors of leukotriene a4 hydrolase
WO2008002246A1 (en) * 2006-06-28 2008-01-03 Astrazeneca Ab A pharmaceutical composition comprising an ikk2 inhibitor and a second active ingrdient.
US8003695B2 (en) 2006-11-01 2011-08-23 Chroma Therapeutics Ltd. IKK-beta serine-threonine protein kinase inhibitors
WO2008053182A1 (en) * 2006-11-01 2008-05-08 Chroma Therapeutics Ltd. IKK-β SERINE-THREONINE PROTEIN KINASE INHIBITORS
US8106091B2 (en) 2006-11-01 2012-01-31 Chroma Therapeutics Ltd. Inhibitors of IKK-beta serine-threonine protein kinase
WO2008053185A1 (en) * 2006-11-01 2008-05-08 Chroma Therapeutics Ltd. INHIBITORS OF IKK-β SERINE-THREONINE PROTEIN KINASE
US8071584B2 (en) 2007-03-23 2011-12-06 Glaxosmithkline Llc Indole carboxamides as IKK2 inhibitors
US8372875B2 (en) 2007-03-23 2013-02-12 GlaxoSmithKline, LLC Indole carboxamides as IKK2 inhibitors
WO2008118724A1 (en) 2007-03-23 2008-10-02 Smithkline Beecham Corporation Indole carboxamides as ikk2 inhibitors
US8063071B2 (en) 2007-10-31 2011-11-22 GlaxoSmithKline, LLC Chemical compounds
CN102036980A (en) * 2008-04-26 2011-04-27 色品疗法有限公司 Substituted thiophenecarboxamides as IKK-beta serine-, threonine-protein kinase inhibitors
WO2009130475A1 (en) * 2008-04-26 2009-10-29 Chroma Therapeutics Ltd., Substituted thiophenecarboxamides as ikk-beta serine-, threonine-protein kinase inhibitors
WO2010038465A1 (en) 2008-10-02 2010-04-08 旭化成ファーマ株式会社 8-substituted isoquinoline derivative and use thereof
US8299055B2 (en) 2008-10-02 2012-10-30 Asahi Kasei Pharma Corporation 8-substituted isoquinoline derivative and the use thereof
US8354539B2 (en) 2009-03-10 2013-01-15 Glaxo Group Limited Indole derivatives as IKK2 inhibitors
WO2011012897A1 (en) 2009-07-31 2011-02-03 Astrazeneca Ab New combinations for the treatment of asthma
WO2011030139A1 (en) 2009-09-11 2011-03-17 Astrazeneca Ab 4- (pyrimidin-2-yl) -piperazine and 4- (pyrimidin-2-yl) -piperidine derivatives as gpr119 modulators
WO2011061527A1 (en) 2009-11-17 2011-05-26 Astrazeneca Ab Combinations comprising a glucocorticoid receptor modulator for the treatment of respiratory diseases
WO2012046050A1 (en) 2010-10-07 2012-04-12 Astrazeneca Ab Novel combinations
WO2012046793A1 (en) * 2010-10-07 2012-04-12 参天製薬株式会社 Novel jak3 inhibitor containing, as active ingredient, thiophene derivative having ureido group and aminocarbonyl group as substituents
WO2012085582A1 (en) 2010-12-23 2012-06-28 Astrazeneca Ab Compound
WO2012085583A1 (en) 2010-12-23 2012-06-28 Astrazeneca Ab New compound
US10350197B2 (en) 2013-03-12 2019-07-16 Celtaxsys, Inc. Methods of inhibiting leukotriene A4 hydrolase
US10898471B2 (en) 2013-03-12 2021-01-26 Celltaxis, Llc Methods of inhibiting leukotriene A4 hydrolase
US9822106B2 (en) 2013-03-14 2017-11-21 Celtaxsys, Inc. Inhibitors of leukotriene A4 hydrolase
US9856249B2 (en) 2013-03-14 2018-01-02 Celtaxsys, Inc. Inhibitors of leukotriene A4 hydrolase
US10501455B2 (en) 2013-03-14 2019-12-10 Celtaxsys, Inc. Inhibitors of leukotriene A4 hydrolase
US9777006B2 (en) 2013-03-14 2017-10-03 Celtaxsys, Inc. Inhibitors of leukotriene A4 hydrolase
US11827642B2 (en) 2013-10-17 2023-11-28 Blueprint Medicines Corporation Compositions useful for treating disorders related to KIT
US10807985B2 (en) 2013-10-17 2020-10-20 Blueprint Medicines Corporation Compositions useful for treating disorders related to kit
US11040979B2 (en) 2017-03-31 2021-06-22 Blueprint Medicines Corporation Substituted pyrrolo[1,2-b]pyridazines for treating disorders related to KIT and PDGFR
US10898484B2 (en) 2018-05-31 2021-01-26 Celltaxis, Llc Method of reducing pulmonary exacerbations in respiratory disease patients
US11964980B2 (en) 2019-04-12 2024-04-23 Blueprint Medicines Corporation Crystalline forms of (S)-1-(4-fluorophenyl)-1-(2-(4-(6-(1-methyl-1H-pyrazol-4-yl)pyrrolo[2,1- f][1,2,4]triazin-4-yl)piperazinyl)-pyrimidin-5-yl)ethan-1-amine and methods of making
US11999744B2 (en) 2019-04-12 2024-06-04 Blueprint Medicines Corporation Crystalline forms of (S)-1-(4-fluorophenyl)-1-(2-(4-(6-(1-methyl-1H-pyrazol-4-yl)pyrrolo[2,1-f][1,2,4]triazin-4-yl)piperazinyl)-pyrimidin-5-yl)ethan-1-amine and methods of making
US12060354B2 (en) 2019-04-12 2024-08-13 Blueprint Medicines Corporation Crystalline forms of (S)-1-(4-fluorophenyl)-1-(2-(4-(6-(1-methyl-1H-pyrazol-4-yl)pyrrolo[2,1-f][1,2,4]triazin-4-yl)piperazinyl)-pyrimidin-5-yl)ethan-1-amine and methods of making
US10829493B2 (en) 2019-04-12 2020-11-10 Blueprint Medicines Corporation Compositions and methods for treating KIT- and PDGFRA-mediated diseases
US12252494B2 (en) 2019-04-12 2025-03-18 Blueprint Medicines Corporation Dosing regimens of (S)-1-(4-fluorophenyl)-1-(2-(4-(6-(1-methyl-1H-pyrazol-4-yl)pyrrolo[2,1-f][1,2,4]triazin-4-yl)piperazinyl)-pyrimidin-5-yl)ethan-1-amine for treatment of indolent systemic mastocytosis
US12552795B2 (en) 2019-04-12 2026-02-17 Blueprint Medicines Corporation Pyrrolotriazine derivatives for treating kit-and PDGFRA-mediated diseases

Also Published As

Publication number Publication date
PT1421074E (en) 2010-11-29
US7125896B2 (en) 2006-10-24
CA2454703C (en) 2011-01-04
SE0102616D0 (en) 2001-07-25
US20040242573A1 (en) 2004-12-02
EP1421074A1 (en) 2004-05-26
US20110152234A1 (en) 2011-06-23
DE60237828D1 (en) 2010-11-11
US7956084B2 (en) 2011-06-07
CA2454703A1 (en) 2003-02-06
DK1421074T3 (en) 2010-12-13
KR100931172B1 (en) 2009-12-11
BR0211473A (en) 2004-10-26
EP1421074B1 (en) 2010-09-29
NO20040313L (en) 2004-03-25
CN1263751C (en) 2006-07-12
ZA200400492B (en) 2005-04-22
CY1111543T1 (en) 2015-08-05
CN1541214A (en) 2004-10-27
KR20040018520A (en) 2004-03-03
JP2005503372A (en) 2005-02-03
NZ530750A (en) 2005-08-26
NO326684B1 (en) 2009-01-26
ES2351436T3 (en) 2011-02-04
IL160028A (en) 2012-01-31
AU2002355245B2 (en) 2008-05-15
ATE482944T1 (en) 2010-10-15
MXPA04000756A (en) 2004-04-20
IL160028A0 (en) 2004-06-20
JP4571800B2 (en) 2010-10-27
HK1071129A1 (en) 2005-07-08
US20070015819A1 (en) 2007-01-18

Similar Documents

Publication Publication Date Title
CA2454703C (en) Novel thiophene carboxamide derivatives
AU2002355245A1 (en) Novel compounds
US7098240B2 (en) Compounds
US7358376B2 (en) Substituted Thiophene compounds
US20090215829A1 (en) Thiophene carboxamides as inhibitors of the enzyme ikk-2
EP1725232B1 (en) (indol-3-yl)-heterocycle derivatives as agonists of the cannabinoid cb1 receptor
HK1095097A1 (en) (indol-3-yl)-heterocycle derivatives as agonists of the cannabinoid cb1 receptor
HK1095097B (en) (indol-3-yl)-heterocycle derivatives as agonists of the cannabinoid cb1 receptor
HK1071129B (en) Novel compounds
AU2002321970A1 (en) Novel compounds

Legal Events

Date Code Title Description
AK Designated states

Kind code of ref document: A1

Designated state(s): AE AG AL AM AT AU AZ BA BB BG BR BY BZ CA CH CN CO CR CU CZ DE DK DM DZ EC EE ES FI GB GD GE GH GM HR HU ID IL IN IS JP KE KG KP KR KZ LC LK LR LS LT LU LV MA MD MG MK MN MW MX MZ NO NZ OM PH PL PT RO RU SD SE SG SI SK SL TJ TM TN TR TT TZ UA UG US UZ VN YU ZA ZM ZW

Kind code of ref document: A1

Designated state(s): AE AG AL AM AT AU AZ BA BB BG BY BZ CA CH CN CO CR CU CZ DE DM DZ EC EE ES FI GB GD GE GH HR HU ID IL IN IS JP KE KG KP KR LC LK LR LS LT LU LV MA MD MG MN MW MX MZ NO NZ OM PH PL PT RU SD SE SG SI SK SL TJ TM TN TR TZ UA UG US UZ VN YU ZA ZM

AL Designated countries for regional patents

Kind code of ref document: A1

Designated state(s): GH GM KE LS MW MZ SD SL SZ UG ZM ZW AM AZ BY KG KZ RU TJ TM AT BE BG CH CY CZ DK EE ES FI FR GB GR IE IT LU MC PT SE SK TR BF BJ CF CG CI GA GN GQ GW ML MR NE SN TD TG

Kind code of ref document: A1

Designated state(s): GH GM KE LS MW MZ SD SL SZ TZ UG ZM ZW AM AZ BY KG KZ MD RU TJ TM AT BE BG CH CY CZ DE DK EE ES FI FR GB GR IE IT LU MC NL PT SE SK TR BF BJ CF CG CI CM GA GN GQ GW ML MR NE SN TD TG

121 Ep: the epo has been informed by wipo that ep was designated in this application
DFPE Request for preliminary examination filed prior to expiration of 19th month from priority date (pct application filed before 20040101)
WWE Wipo information: entry into national phase

Ref document number: 2002355245

Country of ref document: AU

WWE Wipo information: entry into national phase

Ref document number: 2454703

Country of ref document: CA

WWE Wipo information: entry into national phase

Ref document number: 2004/00492

Country of ref document: ZA

Ref document number: 160028

Country of ref document: IL

Ref document number: 530750

Country of ref document: NZ

Ref document number: 200400492

Country of ref document: ZA

Ref document number: 10484569

Country of ref document: US

WWE Wipo information: entry into national phase

Ref document number: 2003515517

Country of ref document: JP

Ref document number: PA/A/2004/000756

Country of ref document: MX

WWE Wipo information: entry into national phase

Ref document number: 1020047001154

Country of ref document: KR

WWE Wipo information: entry into national phase

Ref document number: 20028158369

Country of ref document: CN

WWE Wipo information: entry into national phase

Ref document number: 2002751935

Country of ref document: EP

WWP Wipo information: published in national office

Ref document number: 2002751935

Country of ref document: EP

REG Reference to national code

Ref country code: DE

Ref legal event code: 8642

WWP Wipo information: published in national office

Ref document number: 530750

Country of ref document: NZ

WWG Wipo information: grant in national office

Ref document number: 530750

Country of ref document: NZ