WO2002000656A2 - Pirazino '1$m(1)2$m(1) :1, 6! pyrido '3,4-b! indole derivatives - Google Patents
Pirazino '1$m(1)2$m(1) :1, 6! pyrido '3,4-b! indole derivatives Download PDFInfo
- Publication number
- WO2002000656A2 WO2002000656A2 PCT/US2001/015935 US0115935W WO0200656A2 WO 2002000656 A2 WO2002000656 A2 WO 2002000656A2 US 0115935 W US0115935 W US 0115935W WO 0200656 A2 WO0200656 A2 WO 0200656A2
- Authority
- WO
- WIPO (PCT)
- Prior art keywords
- pyrido
- benzo
- dioxol
- indole
- dione
- Prior art date
- Legal status (The legal status is an assumption and is not a legal conclusion. Google has not performed a legal analysis and makes no representation as to the accuracy of the status listed.)
- Ceased
Links
- 0 C*C*[n]1nccc1 Chemical compound C*C*[n]1nccc1 0.000 description 2
- FTNJQNQLEGKTGD-UHFFFAOYSA-N C1Oc2ccccc2O1 Chemical compound C1Oc2ccccc2O1 FTNJQNQLEGKTGD-UHFFFAOYSA-N 0.000 description 1
Classifications
-
- C—CHEMISTRY; METALLURGY
- C07—ORGANIC CHEMISTRY
- C07D—HETEROCYCLIC COMPOUNDS
- C07D471/00—Heterocyclic compounds containing nitrogen atoms as the only ring hetero atoms in the condensed system, at least one ring being a six-membered ring with one nitrogen atom, not provided for by groups C07D451/00 - C07D463/00
- C07D471/12—Heterocyclic compounds containing nitrogen atoms as the only ring hetero atoms in the condensed system, at least one ring being a six-membered ring with one nitrogen atom, not provided for by groups C07D451/00 - C07D463/00 in which the condensed system contains three hetero rings
- C07D471/14—Ortho-condensed systems
-
- A—HUMAN NECESSITIES
- A61—MEDICAL OR VETERINARY SCIENCE; HYGIENE
- A61P—SPECIFIC THERAPEUTIC ACTIVITY OF CHEMICAL COMPOUNDS OR MEDICINAL PREPARATIONS
- A61P1/00—Drugs for disorders of the alimentary tract or the digestive system
-
- A—HUMAN NECESSITIES
- A61—MEDICAL OR VETERINARY SCIENCE; HYGIENE
- A61P—SPECIFIC THERAPEUTIC ACTIVITY OF CHEMICAL COMPOUNDS OR MEDICINAL PREPARATIONS
- A61P1/00—Drugs for disorders of the alimentary tract or the digestive system
- A61P1/04—Drugs for disorders of the alimentary tract or the digestive system for ulcers, gastritis or reflux esophagitis, e.g. antacids, inhibitors of acid secretion, mucosal protectants
-
- A—HUMAN NECESSITIES
- A61—MEDICAL OR VETERINARY SCIENCE; HYGIENE
- A61P—SPECIFIC THERAPEUTIC ACTIVITY OF CHEMICAL COMPOUNDS OR MEDICINAL PREPARATIONS
- A61P1/00—Drugs for disorders of the alimentary tract or the digestive system
- A61P1/14—Prodigestives, e.g. acids, enzymes, appetite stimulants, antidyspeptics, tonics, antiflatulents
-
- A—HUMAN NECESSITIES
- A61—MEDICAL OR VETERINARY SCIENCE; HYGIENE
- A61P—SPECIFIC THERAPEUTIC ACTIVITY OF CHEMICAL COMPOUNDS OR MEDICINAL PREPARATIONS
- A61P11/00—Drugs for disorders of the respiratory system
-
- A—HUMAN NECESSITIES
- A61—MEDICAL OR VETERINARY SCIENCE; HYGIENE
- A61P—SPECIFIC THERAPEUTIC ACTIVITY OF CHEMICAL COMPOUNDS OR MEDICINAL PREPARATIONS
- A61P11/00—Drugs for disorders of the respiratory system
- A61P11/02—Nasal agents, e.g. decongestants
-
- A—HUMAN NECESSITIES
- A61—MEDICAL OR VETERINARY SCIENCE; HYGIENE
- A61P—SPECIFIC THERAPEUTIC ACTIVITY OF CHEMICAL COMPOUNDS OR MEDICINAL PREPARATIONS
- A61P11/00—Drugs for disorders of the respiratory system
- A61P11/06—Antiasthmatics
-
- A—HUMAN NECESSITIES
- A61—MEDICAL OR VETERINARY SCIENCE; HYGIENE
- A61P—SPECIFIC THERAPEUTIC ACTIVITY OF CHEMICAL COMPOUNDS OR MEDICINAL PREPARATIONS
- A61P11/00—Drugs for disorders of the respiratory system
- A61P11/08—Bronchodilators
-
- A—HUMAN NECESSITIES
- A61—MEDICAL OR VETERINARY SCIENCE; HYGIENE
- A61P—SPECIFIC THERAPEUTIC ACTIVITY OF CHEMICAL COMPOUNDS OR MEDICINAL PREPARATIONS
- A61P11/00—Drugs for disorders of the respiratory system
- A61P11/16—Central respiratory analeptics
-
- A—HUMAN NECESSITIES
- A61—MEDICAL OR VETERINARY SCIENCE; HYGIENE
- A61P—SPECIFIC THERAPEUTIC ACTIVITY OF CHEMICAL COMPOUNDS OR MEDICINAL PREPARATIONS
- A61P13/00—Drugs for disorders of the urinary system
- A61P13/08—Drugs for disorders of the urinary system of the prostate
-
- A—HUMAN NECESSITIES
- A61—MEDICAL OR VETERINARY SCIENCE; HYGIENE
- A61P—SPECIFIC THERAPEUTIC ACTIVITY OF CHEMICAL COMPOUNDS OR MEDICINAL PREPARATIONS
- A61P13/00—Drugs for disorders of the urinary system
- A61P13/12—Drugs for disorders of the urinary system of the kidneys
-
- A—HUMAN NECESSITIES
- A61—MEDICAL OR VETERINARY SCIENCE; HYGIENE
- A61P—SPECIFIC THERAPEUTIC ACTIVITY OF CHEMICAL COMPOUNDS OR MEDICINAL PREPARATIONS
- A61P15/00—Drugs for genital or sexual disorders; Contraceptives
-
- A—HUMAN NECESSITIES
- A61—MEDICAL OR VETERINARY SCIENCE; HYGIENE
- A61P—SPECIFIC THERAPEUTIC ACTIVITY OF CHEMICAL COMPOUNDS OR MEDICINAL PREPARATIONS
- A61P15/00—Drugs for genital or sexual disorders; Contraceptives
- A61P15/06—Antiabortive agents; Labour repressants
-
- A—HUMAN NECESSITIES
- A61—MEDICAL OR VETERINARY SCIENCE; HYGIENE
- A61P—SPECIFIC THERAPEUTIC ACTIVITY OF CHEMICAL COMPOUNDS OR MEDICINAL PREPARATIONS
- A61P15/00—Drugs for genital or sexual disorders; Contraceptives
- A61P15/08—Drugs for genital or sexual disorders; Contraceptives for gonadal disorders or for enhancing fertility, e.g. inducers of ovulation or of spermatogenesis
-
- A—HUMAN NECESSITIES
- A61—MEDICAL OR VETERINARY SCIENCE; HYGIENE
- A61P—SPECIFIC THERAPEUTIC ACTIVITY OF CHEMICAL COMPOUNDS OR MEDICINAL PREPARATIONS
- A61P15/00—Drugs for genital or sexual disorders; Contraceptives
- A61P15/10—Drugs for genital or sexual disorders; Contraceptives for impotence
-
- A—HUMAN NECESSITIES
- A61—MEDICAL OR VETERINARY SCIENCE; HYGIENE
- A61P—SPECIFIC THERAPEUTIC ACTIVITY OF CHEMICAL COMPOUNDS OR MEDICINAL PREPARATIONS
- A61P19/00—Drugs for skeletal disorders
- A61P19/08—Drugs for skeletal disorders for bone diseases, e.g. rachitism, Paget's disease
- A61P19/10—Drugs for skeletal disorders for bone diseases, e.g. rachitism, Paget's disease for osteoporosis
-
- A—HUMAN NECESSITIES
- A61—MEDICAL OR VETERINARY SCIENCE; HYGIENE
- A61P—SPECIFIC THERAPEUTIC ACTIVITY OF CHEMICAL COMPOUNDS OR MEDICINAL PREPARATIONS
- A61P27/00—Drugs for disorders of the senses
- A61P27/02—Ophthalmic agents
- A61P27/06—Antiglaucoma agents or miotics
-
- A—HUMAN NECESSITIES
- A61—MEDICAL OR VETERINARY SCIENCE; HYGIENE
- A61P—SPECIFIC THERAPEUTIC ACTIVITY OF CHEMICAL COMPOUNDS OR MEDICINAL PREPARATIONS
- A61P29/00—Non-central analgesic, antipyretic or antiinflammatory agents, e.g. antirheumatic agents; Non-steroidal antiinflammatory drugs [NSAID]
-
- A—HUMAN NECESSITIES
- A61—MEDICAL OR VETERINARY SCIENCE; HYGIENE
- A61P—SPECIFIC THERAPEUTIC ACTIVITY OF CHEMICAL COMPOUNDS OR MEDICINAL PREPARATIONS
- A61P35/00—Antineoplastic agents
-
- A—HUMAN NECESSITIES
- A61—MEDICAL OR VETERINARY SCIENCE; HYGIENE
- A61P—SPECIFIC THERAPEUTIC ACTIVITY OF CHEMICAL COMPOUNDS OR MEDICINAL PREPARATIONS
- A61P37/00—Drugs for immunological or allergic disorders
- A61P37/08—Antiallergic agents
-
- A—HUMAN NECESSITIES
- A61—MEDICAL OR VETERINARY SCIENCE; HYGIENE
- A61P—SPECIFIC THERAPEUTIC ACTIVITY OF CHEMICAL COMPOUNDS OR MEDICINAL PREPARATIONS
- A61P43/00—Drugs for specific purposes, not provided for in groups A61P1/00-A61P41/00
-
- A—HUMAN NECESSITIES
- A61—MEDICAL OR VETERINARY SCIENCE; HYGIENE
- A61P—SPECIFIC THERAPEUTIC ACTIVITY OF CHEMICAL COMPOUNDS OR MEDICINAL PREPARATIONS
- A61P7/00—Drugs for disorders of the blood or the extracellular fluid
- A61P7/02—Antithrombotic agents; Anticoagulants; Platelet aggregation inhibitors
-
- A—HUMAN NECESSITIES
- A61—MEDICAL OR VETERINARY SCIENCE; HYGIENE
- A61P—SPECIFIC THERAPEUTIC ACTIVITY OF CHEMICAL COMPOUNDS OR MEDICINAL PREPARATIONS
- A61P9/00—Drugs for disorders of the cardiovascular system
-
- A—HUMAN NECESSITIES
- A61—MEDICAL OR VETERINARY SCIENCE; HYGIENE
- A61P—SPECIFIC THERAPEUTIC ACTIVITY OF CHEMICAL COMPOUNDS OR MEDICINAL PREPARATIONS
- A61P9/00—Drugs for disorders of the cardiovascular system
- A61P9/04—Inotropic agents, i.e. stimulants of cardiac contraction; Drugs for heart failure
-
- A—HUMAN NECESSITIES
- A61—MEDICAL OR VETERINARY SCIENCE; HYGIENE
- A61P—SPECIFIC THERAPEUTIC ACTIVITY OF CHEMICAL COMPOUNDS OR MEDICINAL PREPARATIONS
- A61P9/00—Drugs for disorders of the cardiovascular system
- A61P9/08—Vasodilators for multiple indications
-
- A—HUMAN NECESSITIES
- A61—MEDICAL OR VETERINARY SCIENCE; HYGIENE
- A61P—SPECIFIC THERAPEUTIC ACTIVITY OF CHEMICAL COMPOUNDS OR MEDICINAL PREPARATIONS
- A61P9/00—Drugs for disorders of the cardiovascular system
- A61P9/10—Drugs for disorders of the cardiovascular system for treating ischaemic or atherosclerotic diseases, e.g. antianginal drugs, coronary vasodilators, drugs for myocardial infarction, retinopathy, cerebrovascula insufficiency, renal arteriosclerosis
-
- A—HUMAN NECESSITIES
- A61—MEDICAL OR VETERINARY SCIENCE; HYGIENE
- A61P—SPECIFIC THERAPEUTIC ACTIVITY OF CHEMICAL COMPOUNDS OR MEDICINAL PREPARATIONS
- A61P9/00—Drugs for disorders of the cardiovascular system
- A61P9/12—Antihypertensives
Definitions
- This invention relates to a series of compounds, to methods of preparing the compounds, to pharmaceutical compositions containing the compounds, and to their use as therapeutic agents.
- the invention relates to compounds that are potent and selective inhibitors of cyclic guano- sine 3 ' , 5 ' -monophosphate specific phosphodiesterase ( cGMP- specific PDE) , in particular PDE5, and have utility in a variety of therapeutic areas wherein such inhibition is considered beneficial, including the treatment of cardiovascular disorders and erectile dysfunction.
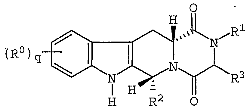
- the present invention provides compounds of formula (I)
- R° independently, is selected from the group consisting of halogen and C 1-6 alkyl;
- R 2 is selected from the group consisting of an optionally substituted monocyclic aromatic ring selected from the group consisting of benzene, thio- phene, furan, and pyridine, and an optionally substituted bicyclic ring
- fused ring A is a 5- or 6-membered ring, saturated or partially or fully unsaturated, and comprises carbon atoms and optionally one or two heteroatoms selected from oxygen, sulfur, and nitrogen;
- R 3 is selected from the group consisting of hydrogen and h alky1 ;
- R a and R b independently, are selected from the group consisting of hydrogen, C h alky1 , C 3 _ 8 cyclo ⁇ alkyl, aryl , heteroaryl, arylC ⁇ alkyl , heteroaryl- C 1-3 alkyl, C 1 _ 3 alkylenearyl, C 1 _ 3 alkyleneheteroaryl, and Het;
- alkyl includes straight chained and branched hydrocarbon groups containing the indicated number of carbon atoms, typically methyl, ethyl, and straight chain and branched propyl and butyl groups .
- the hydrocarbon group can contain up to 16 carbon atoms.
- alkyl includes "bridged alkyl,” i.e., a C 6 -C 16 bicyclic or polycyclic hydrocarbon group, for example , norbornyl , adamantyl , bicyclo [2.2.2] octyl , bicyclo [2.2. l]heptyl, bicyclo [3.2.1] octyl, or deca- hydronaphthyl .
- cycloalkyl is defined as a cyclic C 3 -C 8 hydrocarbon group, e.g., cyclopropyl, cyclobutyl, cyclohexyl, and cyclopentyl .
- alkenyl and alkynyl are defined identically as “alkyl,” except for contain- ing a carbon-carbon double bond or carbon-carbon triple bond, respectively.
- alkylene refers to an alkyl group having a substituent.
- C 1-3 alkylenearyl refers to an alkyl group contain- ing one to three carbon atoms, and substituted with an aryl group.
- alkenylene as used herein is similarly defined, and contains the indicated number of carbon atoms and a carbon-carbon double bond, and includes straight chained and branched alkenylene groups, like ethyenylene.
- halo or halogen is defined herein to include fluorine, bromine, chlorine, and iodine .
- haloalkyl is defined herein as an alkyl group substituted with one or more halo substituents, either fluoro, chloro, bromo, iodo, or combinations thereof.
- halocycloalkyl is defined as a cycloalkyl group having one or more halo substituents.
- aryl alone or in combination, is defined herein as a monocyclic or polycyclic aromatic group, preferably a monocyclic or bicyclic aromatic group, e.g., phenyl or naphthyl .
- an "aryl” group can be unsub- stituted or substituted, for example, with one or more, and in particular one to three, halo, alkyl, hydroxy, hydroxyalkyl, alkoxy, alkoxyalkyl, haloalkyl, nitro, amino, alkylamino, acylamino, alkyl- thio, alkylsulfinyl, and alkylsulfonyl .
- aryl groups include, but are not limited to, phenyl , naphthyl, tetrahydronaphthyl, 2-chlorophenyl , 3- chlorophenyl , 4-chlorophenyl , 2 -methylphenyl , 4- methoxyphenyl , 3-trifluoromethylphenyl , 4-nitro- phenyl, and the like.
- Het is defined as saturated or partially unsaturated monocyclic, bicyclic, and tricyclic groups containing one or more heteroato s selected from the group consisting of oxygen, nitrogen, and sulfur.
- Nonlimiting examples of Het groups include 1 , 3-dioxolane, 2- pyrazoline, pyrazolidine, pyrrolidine, a pyrroline, 2H-pyran, 4H-pyran, morpholine, thiomorpholine, piperidine, 1, 4-dithiane, and 1,4-dioxane.
- heteroaryl is defined herein as a monocyclic or bicyclic ring system containing one or two aromatic rings and containing at least one nitrogen, oxygen, or sulfur atom in an aromatic ring, and which can be unsubstituted or substituted, for example, with one or more, and in particular one to three, substituents, like halo, alkyl, hydroxy, hydroxyalkyl, alkoxy, alkoxyalkyl, haloalkyl, nitro, amino, alkylamino, acylamino, alkylthio, alkylsul- finyl, and alkylsulfonyl .
- heteroaryl groups include, but are not limited to, thienyl, furyl , pyridyl , oxazolyl, quinolyl, isoquinolyl, indolyl , triazolyl, isothiazolyl , isoxazolyl, imidizolyl, benzothiazolyl, pyrazinyl, pyrimidinyl, thiazolyl, and thiadiazolyl .
- hydroxy is defined as -OH.
- alkoxy is defined as -OR, wherein R is alkyl .
- alkoxyalkyl is defined as an alkyl group wherein a hydrogen has been replaced by an alkoxy group.
- (alkylthio) alkyl is defined similarly as alkoxyalkyl, except a sulfur atom, rather than an oxygen atom, is present .
- hydroxyalkyl is defined as a hydroxy group appended to an alkyl group .
- amino is defined as -NH 2/ and the term “alkylamino” is defined as -NR 2 , wherein at least one R is alkyl and the second R is alkyl or hydrogen.
- alkylthio is defined as -SR, wherein R is alkyl .
- alkylsulfinyl is defined as R-S0 2 , wherein R is alkyl.
- alkylsulfonyl is defined as
- R-S0 3 wherein R is alkyl.
- nitro is defined as -N0 2 .
- trifluoromethyl is defined as -CF 3 .
- trifluoromethoxy is defined as
- cyano is defined as -CN.
- R 1 is selected from the group consisting of C 1 _ 4 alkylene- heteroaryl, wherein the heteroaryl group is selected from the group consisting of benzimidazole, a tri- azole, and imidazole; C 1 _ 4 alkyleneHet , wherein Het is selected from the group consisting of piperazine, morpholine, pyrrolidine, pyrrolidone, tetrahydro- furan, piperidine,
- R 2 is the optionally substituted bicyclic ring system
- bicyclic ring can represent, for. example, naphthalene or indene, or a hetero- cycle, such as benzoxazole, benzothiazole, benzisox- azole, benzimidazole, quinoline, indole, benzothio- phene, or benzofuran, or
- n is an integer 1 or 2
- X independently, are C(R a ) 2 , O, S, or NR a .
- the bicyclic ring comprising the R 2 substituent typically is attached to the rest of the molecule by a phenyl ring carbon atom.
- R 2 is represented by methoxyphenyl or an optionally substituted bicyclic ring
- n 1 or 2
- X independently, are CH 2 or O.
- R 2 substituents include
- substituents for the R 2 substituent include halogen (e.g., chlorine), C 1-3 alkyl (e.g., methyl, ethyl, or i-propyl) , 0R a (e.g., methoxy, ethoxy, or hydroxy) , C0 2 R a , halomethyl or halomethoxy (e.g., trifluoromethyl or trifluoromethoxy) , cyano, nitro, and NRR .
- halogen e.g., chlorine
- C 1-3 alkyl e.g., methyl, ethyl, or i-propyl
- 0R a e.g., methoxy, ethoxy, or hydroxy
- C0 2 R a e.g., halomethyl or halomethoxy (e.g., trifluoromethyl or trifluoromethoxy)
- cyano, nitro, and NRR e.
- Compounds of formula (I) can contain one or more asymmetric center, and, therefore, can exist as stereoisomers .
- the present invention includes both mixtures and separate individual stereoisomers of the compounds of formula (I) .
- Compounds of formula (I) also can exist in tautomeric forms, and the invention includes both mixtures and separate individual tautomers thereof .
- Pharmaceutically acceptable salts of the compounds of formula (I) can be acid addition salts formed with pharmaceutically acceptable acids.
- suitable salts include, but are not limited to, the hydrochloride, hydrobromide, sulfate, bisulfate, phosphate, hydrogen phosphate, acetate, benzoate, succinate, fumarate, maleate, lactate, citrate, tartrate, gluconate, methanesul- fonate, benzenesulfonate, and p-toluenesulfonate salts.
- the compounds of the formula (I) also can provide pharmaceutically acceptable metal salts, in particular alkali metal salts and alkaline earth metal salts, with bases. Examples include the sodium, potassium, magnesium, and calcium salts.
- compounds of the present invention are potent and selective inhibitors of cGMP-specific PDE5.
- compounds of formula (I) are of interest for use in therapy, specifically for the treatment of a variety of conditions where selective inhibition of PDE5 is considered beneficial .
- Phosphodiesterases catalyze the hydrolysis of cyclic nucleotides, such as cyclic adenosine monophosphate (cAMP) and cyclic guanosine monophosphate (cGMP) .
- cyclic nucleotides such as cyclic adenosine monophosphate (cAMP) and cyclic guanosine monophosphate (cGMP) .
- cAMP cyclic adenosine monophosphate
- cGMP cyclic guanosine monophosphate
- PDE5 inhibition is a particularly attrac- tive target.
- a potent and selective inhibitor of PDE5 provides vasodilating, relaxing, and diuretic effects, all of which are beneficial in the treatment of various disease states.
- Research in this area has led to several classes of inhibitors based on the cGMP basic structure (E. Sybertz et al . ,- Expert . Opin . Ther. Pat . , 7, p. 631 (1997)).
- the biochemical, physiological, and clinical effects of PDE5 inhibitors therefore suggest their utility in a variety of disease states in which modulation of smooth muscle, renal, hemostat- ic, inflammatory, and/or endocrine function is desirable.
- the compounds of formula (I) therefore, have utility in the treatment of a number of disorders, including stable, unstable, and variant (Prinzmetal) angina, hypertension, pulmonary hypertension, chronic obstructive pulmonary disease, malignant hypertension, pheochromocytoma, congestive heart failure, acute respiratory distress syndrome, acute and chronic renal failure, atherosclerosis, conditions of reduced blood vessel patency (e.g., postpercutaneous transluminal coronary or carotid angioplasty, or post-bypass surgery graft stenosis) , peripheral vascular disease, vascular disorders, such as Raynaud's disease, thrombocythemia, inflammatory diseases, myocardial infarction, stroke, bronchitis, chronic asthma, allergic asthma, allergic
- Impotence can be defined as a lack of power, in the male, to copulate, and can involve an inability to achieve penile erection or ejaculation, or both.
- female arousal disorder also termed female sexual arousal disorder.
- Female arousal disorders are defined as a recurrent in- ability to attain or maintain an adequate lubrication/swelling response of sexual excitement until completion of sexual activity.
- the arousal response consists of vasocongestion in the pelvis, vaginal lubrication, and expansion and swelling of external genitalia.
- compounds of formula (I) are useful in the treatment of male erectile dysfunction and female sexual arousal disorder.
- the present invention concerns the use of compounds of formula (I) , or a pharmaceutically acceptable salt thereof, or a pharmaceutical composition containing either entity, for the manufacture of a medicament for the curative or prophylactic treatment of erectile dysfunction in a male animal and sexual arousal disorder in a female animal, including humans.
- treatment includes preventing, lowering, stopping, or reversing the progression or severity of the condition or symptoms being treated.
- treatment includes both medical therapeutic and/or prophylactic administration, as appropriate .
- a compound of formula (I) can be administered as the neat compound, or as a pharmaceutical composition containing either entity.
- the compounds of the invention are envisioned primarily for the treatment of sexual dysfunction in humans, such as male erectile dysfunction and female sexual arousal disorder, they also can be used for the treatment of other disease states .
- a further aspect of the present invention is providing a compound of formula (I) for use in the treatment of stable, unstable, and variant (Prinzmetal) angina, hypertension, pulmonary hypertension, chronic obstructive pulmonary disease, malginant hypertension, pheochromocytoma, congestive heart failure, acute respiratory distress syndrome, acute and chronic renal failure, atherosclerosis, conditions of reduced blood vessel patency (e.g., post-PTCA or post-bypass graft stenosis) , peripheral vascular disease, vascular disorders such as Raynaud's disease, thrombocythemia, inflammatory diseases, prophylaxis of myocardial infarction, prophylaxis of stroke, stroke, bronchitis, chronic asthma, allergic asthma, allergic rhinitis, glaucoma, osteoporosis, preterm labor, benign prostatic hypertrophy, male and female erectile dysfunction, or diseases characterized by disorders of gut motility (e.g., IBS
- the present invention provides a method of treating the above-noted conditions and disorders in a human or nonhuman animal body which comprises administering to said body a therapeutically effective amount of a compound of formula (I) .
- Compounds of the invention can be admin- istered by any suitable .route, for example by oral, buccal, inhalation, sublingual, rectal, vaginal, transurethral, nasal, topical, percutaneous, i.e., transdermal, or parenteral (including intravenous, intramuscular, subcutaneous, and intracoronary) administration.
- Parenteral administration can be accomplished using a needle and syringe, or using a high pressure technique, like POWDERJECTTM .
- Oral administration of a compound of the invention is the preferred route.
- Oral administra- tion is the most convenient and avoids the disadvantages associated with other routes of administration.
- the drug can be administered parenterally, e.g., sublingually or buccally.
- compositions suitable for use in the present invention include those wherein the active ingredient is administered in an effective amount to achieve its intended pur- pose. More specifically, a "therapeutically effective amount” means an amount effective to prevent development of, or to alleviate the existing symptoms of, the subject being treated. Determination of the effective amounts is well within the cap- ability of those skilled in the art, especially in light of the detailed disclosure provided herein.
- a “therapeutically effective dose” refers to that amount of the compound that results in achieving the desired effect .
- Toxicity and therapeutic efficacy of such compounds can be determined by standard pharmaceutical procedures in cell cultures or experimental animals, e.g., for determining the LD S0 (the dose lethal to 50% of the population) and the ED S0 (the dose therapeutically effective in 50% of the population) .
- the dose ratio between toxic and therapeutic effects is the therapeutic index, which is expressed as the ratio between LD 50 and ED 50 .
- Compounds which exhibit high therapeutic indices are preferred.
- the data obtained from such data can be used in formulating a range of dosage for use in humans .
- the dosage of such compounds preferably lies within a range of circulating con- centrations that include the ED S0 with little or no toxicity.
- the dosage can vary within this range depending upon the dosage form employed, and the route of administration utilized.
- oral dosages of a compound of formula (I) generally are about 0.5 to about 1000 mg daily for an average adult patient (70 kg) .
- individual tablets or capsules contain 0.2 to 500 mg of active compound, in a suitable pharma- ceutically acceptable vehicle or carrier, for administration in single or multiple doses, once or several times per day.
- Dosages for intravenous, buccal , or sublingual administration typically are 0.1 to 500 mg per single dose as required.
- the physician determines the actual dosing regimen which is most suitable for an individual patient, and the dosage varies with the age, weight, and response of the particular patient.
- the above dosages are exemplary of the average case, but there can be individual instances in which higher or lower dosages are merited, and such are within the scope of this invention.
- a compound of the formula (I) can be administered alone, but generally is ad- ministered in admixture with a pharmaceutical carrier selected with regard to the intended route of administration and standard pharmaceutical practice.
- Pharmaceutical compositions for use in accordance with the present invention thus can be formulated in a conventional manner using one or more physiologically acceptable carriers comprising excipients and auxiliaries that facilitate processing of compounds of formula (I) into preparations which can be used pharmaceutically.
- These pharmaceutical compositions can be manufactured in a conventional manner, e.g., by conventional mixing, dissolving, granulating, dragee-making, levigating, emulsifying, encapsulat- ing, entrapping, or lyophilizing processes. Proper formulation is dependent upon the route of administration chosen.
- the composition typically is in the form of a tablet, capsule, powder, solution, or elixir.
- the composition can additionally contain a solid carrier, such as a gelatin or an adjuvant.
- the tablet, cap- sule, and powder contain about 5% to about 95% compound of the present invention, and preferably from about 25% to about 90% compound of the present invention.
- a liquid carrier such as water, petroleum, or oils of animal or plant origin can be added.
- the liquid form of the composition can further contain physiological saline solution, dextrose or other saccharide solutions, or glycols.
- the composition contains about 0.5% to about 90% by weight of a compound of the present invention, and preferably about 1% to about 50% of a compound of the present invention.
- compositions When a therapeutically effective amount of a compound of the present invention is administered by intravenous, cutaneous, or subcutaneous injection, the composition is in the form of a pyrogen- free, parenterally acceptable aqueous solution.
- parenterally acceptable aqueous solution having due regard to pH, isotonicity, stabil- ity, and the like, is within the skill in the art.
- a preferred composition for intravenous, cutaneous, or subcutaneous injection typically contains, in addition to a compound of the present invention, an isotonic vehicle.
- the compounds can be formulated readily by combining a compound of formula (I) with pharmaceutically acceptable carriers well known in the art.
- Such carriers enable the present compounds to be formulated as tablets, pills, dragees, capsules, liquids, gels, syrups, slurries, suspensions and the like, for oral inges- tion by a patient to be treated.
- Pharmaceutical preparations for oral use can be obtained by adding a compound of formula (I) with a solid excipient, optionally grinding a resulting mixture, and processing the mixture of granules, after adding suitable auxiliaries, if desired, to obtain tablets or dragee cores.
- Suitable excipients include, for example, fillers and cellulose preparations. If desired, disintegrating agents can be added.
- com- pounds of the present invention are conveniently delivered in the form of an aerosol spray presentation from pressurized packs or a nebulizer, with the use of a suitable propellant .
- the dosage unit can be deter- mined by providing a valve to deliver a metered amount.
- Capsules and cartridges of, e.g., gelatin, for use in an inhaler or insufflator can be formulated containing a powder mix of the compound and a suitable powder base such as lactose or starch.
- the compounds can be formulated for parenteral administration by injection, e.g., by bolus injection or continuous infusion.
- Formulations for injection can be presented in unit dosage form, e.g., in ampules or in multidose containers, with an added preservative.
- the compositions can take such forms as suspensions, solutions, or emulsions in oily or aqueous vehicles, and can contain formulatory agents such as suspending, stabilizing, and/or dispersing agents.
- compositions for parenteral administration include aqueous solutions of the active compounds in water-soluble form.
- suspensions of the active compounds can be prepared as appropriate oily injection suspensions.
- Suitable lipophilic solvents or vehicles include fatty oils or synthetic fatty acid esters.
- Aqueous injection suspensions can contain substances which increase the viscosity of the suspension.
- the suspension also can contain suitable stabilizers or agents that increase the solubility of the compounds and allow for the preparation of highly concentrated solutions.
- a present composition can be in powder form for constitution with a suitable vehicle, e.g., sterile pyrogen-free water, before use.
- Compounds of the present invention also can be formulated in rectal compositions, such as suppositories or retention enemas, e.g., containing conventional suppository bases.
- the compounds also can be formulated as a depot preparation.
- Such long-acting formulations can be administered by implantation (for example, subcutaneously or intramuscularly) or by intramuscular injection.
- the compounds can be formulated with suitable polymeric or hydrophobic materials (for example, as an emulsion in an acceptable oil) or ion exchange resins, or as sparingly soluble derivatives, for example, as a sparingly soluble salt.
- Many of the compounds of the present invention can be provided as salts with pharmaceutically compatible counterions.
- Such pharmaceutically acceptable base addition salts are those salts that retain the biological effectiveness and properties of the free acids, and that are obtained by reaction with suitable inorganic or organic bases.
- a compound of formula (I) can be administered orally, buccally, or sublin- gually in the form of tablets containing excipients, such as starch or lactose, or in capsules or ovules, either alone or in admixture with excipients, or in the form of elixirs or suspensions containing flavoring or coloring agents.
- excipients such as starch or lactose
- capsules or ovules either alone or in admixture with excipients, or in the form of elixirs or suspensions containing flavoring or coloring agents.
- Such liquid preparations can be prepared with pharmaceutically acceptable additives, such as suspending agents.
- a com- pound also can be injected parenterally, for example, intravenously, intramuscularly, subcutane- ously, or intracoronarily.
- the compound preferably is used in the form of a sterile aqueous solution which can contain other substances, for example, salts, or monosaccharides, such as mannitol or glucose, to make the solution isotonic with blood.
- a sterile aqueous solution which can contain other substances, for example, salts, or monosaccharides, such as mannitol or glucose, to make the solution isotonic with blood.
- a compound of formula (I) or a nontoxic salt thereof is administered as a suitably acceptable formulation in accordance with normal veterinary practice.
- the veterinarian can readily determine the dosing regimen and route of administration that is most appropriate for a particular animal .
- the invention provides in a further aspect a pharmaceutical composition comprising a compound of the formula (I) , together with a pharmaceutically acceptable diluent or carrier therefor.
- a process of preparing a pharmaceutical composition comprising a compound of formula (I) , which process comprises mixing a compound of formula (I) , together with a pharmaceutically acceptable diluent or carrier therefor.
- the invention includes a pharmaceutical composition for the cura- tive or prophylactic treatment of erectile dysfunction in a male animal, or sexual arousal disorder in a female animal, including humans, comprising a compound of formula (I) or a pharmaceutically acceptable salt thereof, together with a pharmaceutically acceptable diluent or carrier.
- R 4 is selected from the group consisting of hydrogen, C 2 _ 6 alkenyl, C 2 _ s alkynyl, halo- C 1-S alkyl, C 3 _ 8 cycloalkyl, C 3 _ s cycloalkylC 1 _ 3 alkyl, arylC 1 _ 3 alkyl, and heteroarylC 1 _ 3 alkyl .
- the compounds of structural formula (I) can be prepared in an analogous manner as a compound of structural formula (III) using an appropriately R° and R 2 substituted compound of structural formula (IV) by the following exemplary synthetic sequence wherein R 2 is
- Compound VI is synthesized by cyclization of the known chloro-compound (V) with a substituted amine in a suitable solvent to provide the diketopiper- azine compound (VI) .
- Imide and N-acyl sulfonamide compounds are synthesized by treatment of an amide (VII) , disclosed in U.S. Patent No. 5,859,006 as Example 4, with an appropriately substituted acyl chloride (VII ⁇ VIII) or sulfonyl chloride (VII ⁇ IX) in methylene chloride and triethylamine catalyst :
- protecting groups can be utilized in accordance with general principles of organic synthetic chemistry to provide compounds of structural formula (I) .
- Protecting compounds and protecting groups like benzyl chloro- formate and trichloroethyl chloroformate, are well known to persons skilled in the art, for example, see T.W. Greene et al . , "Protective Groups in Organic Synthesis, Third Edition," John Wiley and
- interconversions include, but are not limited to, 0R a to hydroxy by suitable means (e.g., using an agent such as SnCl 2 or a palladium catalyst, like palladium-on-carbon) , or amino to substituted amino, such as acylamino or sulphonylamino, using standard acylating or sulfonylating conditions.
- suitable means e.g., using an agent such as SnCl 2 or a palladium catalyst, like palladium-on-carbon
- amino to substituted amino such as acylamino or sulphonylamino, using standard acylating or sulfonylating conditions.
- Compounds of formula (I) can be prepared by the method above as individual stereoisomers from the appropriate stereoisomer of formula (IV) or as a racemic mixture from the appropriate racemic compound of formula (IV) .
- Individual stereoisomers of the compounds of the invention can be prepared from racemates by resolution using methods known in the art for the separation of racemic mixtures into their constituent stereoisomers, for example, using
- the pharmaceutically acceptable acid addition salts of the compounds of formula (I) that contain a basic center can be prepared in a convention- al manner.
- a solution of the free base can be treated with a suitable acid, either neat or in a suitable solution, and the resulting salt isolated either by filtration or by evaporation under vacuum of the reaction solvent.
- Pharmaceutically acceptable base addition salts can be obtained in an analogous manner by treating a solution of a compound of formula (I) with a suitable base. Both types of salt can be formed or interconverted using ion-exchange resin techniques.
- a method for preparing a compound of formula (I) or a salt or solvate (e.g., hydrate) is provided, followed by (i) salt formation, or (ii) solvate (e.g., hydrate) formation.
- Example 1 Example 1, and all other examples, were prepared using the following general method. All nonaqueous reactions were performed under a dry nitrogen atmosphere. Reagents and anhydrous solvents were purchased from commercial sources and used as received, unless otherwise noted. Melting points were obtained by differential scanning color- imetry (DSC) using a Perkin Elmer Model DSC-4 unit, or were obtained using an Electrothermal unit, and are uncorrected. Thin layer chromatography was performed using 1 inch x 3 inch Analtech GF 350 silica gel plates with a fluorescent indicator. TLC plates were observed under a UV lamp, in iodine vapors, or by dipping in commercial phosphomolybdic acid solution, followed by warming.
- DSC differential scanning color- imetry
- IR Infrared
- Proton NMR spectra (500 MHz, referenced to tetramethyl- silane) were ' obtained on a Bruker AMX 500 spectrometer. Mass spectra were obtained on a Shimadzu QP-5000 GC/MS mass spectrometer (CI mass spectrom- etry) . Chiral HPLC analyses were obtained using a Chiracel OD column (250 x 4.6 mm) at ambient temp- erature with UV detection at 222 nm using an iso- chratic solvent system (1:1 isopropanol hexanes) . Elemental analyses were performed by Quantitative Technologies, Inc., Whitehouse, NJ.
- Example 1 Calcd. for C 29 H 26 N 4 0 6 S : C, 62.35; H, 4.69; N, 10.03; S, 5.74. Found: C, 61.99; H, 4.76; N, 10.11; S, 5.81.
- the stereochemistry of Example 1 was confirmed to be the desired cis isomer by an NOE difference experiment (DMSO-d 6 ) : positive NOE enhancements from the C12a proton at 4.41 ppm to the C6 proton at 6.16 ppm (0.5%) and a C12 proton at 3.48 ppm (3.4%) .
- Example 2 was prepared from a starting tryptophan ester hydrochloride which is commercial available from Aldrich Chemical Co., Milwaukee, WI .
- the reaction sequence is disclosed in Daugan U.S. Patent No. 5,859,006, incorporated herein by reference.
- the reaction sequence include the steps of
- D-Tryptophan methyl ester hydrochloride (50.0 g, 0.196 mol, 0.5 eq) was suspended in 500 ml acetic acid, water (10 ml), then piperonal (88.0 g, 0.586 mol, 1.5 31) was added. The resulting mixture was stirred at 50 °C for 24 hours. A second charge of 50.0 g D-tryptophan methyl ester hydrochloride then was added to the clear solution. After 73 hours, the resulting suspension was cooled to ambi- ent temperature and diluted with 1.2 L ethyl acetate followed by 300 ml methyl t-butyl ether.
- Example 3 was prepared directly from
- Example 2 (0.278 g, 0.710 mmol) was added to a dried flask and maintained under a nitrogen atmosphere.
- Example 2 was suspended in anhydrous dimethylformamide, then dry K 2 C0 3 (0.247 g, 1.79 mmol) was added followed by 0.049 ml (0.78 mmol) methyl iodide.
- the resulting mixture was stirred magnetically under a nitrogen blanket for 24 hours.
- the reaction then was diluted with ethyl acetate and washed with saturated sodium bicarbonate (NaHC0 3 ) , IN hydrochloric acid (HCl) , and saturated NaCl, dried over Na 2 S0 4 , filtered and the solvent stripped on a rotary evaporator.
- the resulting residue was purified by flash chromatography (CH 2 Cl 2 /ethyl acetate/- methanol (90:10:1) followed by recrystallization
- Example 4 was prepared in one step from
- a compound of formula (I) can be formed into, a dispersion with a polymeric carrier by the coprecipitation method set forth in WO 96/38131, incorporated herein by reference.
- the coprecipi- tated dispersion then can be blended with excipients, then pressed into tablets, which optionally are film-coated.
- the compounds of structural formula (I) were tested for an ability to inhibit PDE5.
- the ability of a compound to inhibit PDE5 activity is related to the IC 50 value for the compound, i.e., the concentration of inhibitor required for 50% inhibition of enzyme activity.
- the IC 50 value for com- pounds of structural formula (I) were determined using recombinant human PDE5.
- the compounds of- the present invention typically exhibit an IC 50 value against recombinant human PDE5 of less than about 50 ⁇ M, and preferably less than about 25 ⁇ M, and more preferably less than about 15 ⁇ m .
- the compounds of the present invention typically exhibit an IC 50 value against recombinant human PDE5 of less than about 1 ⁇ M, and often less than about 0.05 ⁇ M .
- a present PDE5 inhibitor has an IC 50 of about 0.1 nM to about 15 ⁇ M .
- yeast ADH2 promoter and terminator sequences and the Saccharomyces cerevisiae host was the protease-defi- cient strain BJ2-54 deposited on August 31, 1998 with the American Type Culture Collection, Manassas, Virginia, under accession number ATCC 74465. Transformed host cells were grown in 2X SC-leu medium, pH 6.2, with trace metals, and vitamins. After 24 hours, YEP medium-containing glycerol was added to a final concentration of 2X YET/3% glycerol. Approxi- mately 24 hr later, cells were harvested, washed, and stored at -70°C. HUMAN PHOSPHODIESTERASE PREPARATIONS
- Phosphodiesterase activity of the preparations was determined as follows. PDE assays utilizing a charcoal separation technique were performed essentially as described in Loughney et al . (1996). In this assay, PDE activity converts [32P] cAMP or [32P]cGMP to the corresponding [32P] 5 ' -AMP or
- [32P]5'-GMP in proportion to the amount of PDE activity present.
- the [32P]5'-AMP or [32P] 5 ' -GMP then was quantitatively converted to free [32P] phosphate and unlabeled adenosine or guanosine by the action of snake venom 5 ' -nucleotidase .
- the amount of [32P] phosphate liberated is proportional to enzyme activity.
- the assay was performed at 30°C in a 100 ⁇ L reaction mixture containing (final concentrations) 40 mM Tris HCl (pH 8.0), 1 ⁇ M ZnS0 4 , 5 mM MgCl 2 , and 0.1 mg/mL bovine serum albumin (BSA) .
- PDE enzyme was present in quantities that yield ⁇ 30% total hydrolysis of substrate (linear assay conditions) .
- the assay was initiated by addition of substrate (1 mM [32P] cAMP or cGMP) , and the mixture was incubated for 12 minutes. Seventy-five (75) ⁇ g of Crotalus atrox venom then was added, and the incubation was continued for 3 minutes (15 minutes total) .
- the reaction was stopped by addition of 200 L of activated charcoal (25 mg/mL suspension in 0.1 M NaH 2 P0 4 , pH 4) . After centrifugation (750 X g for 3 minutes) to sediment the charcoal, a sample of the supernatant was taken for radioactivity determina- tion in a scintillation counter and the PDE activity was calculated.
- Buffer A (20 mM Bis-Tris Propane, pH 6.8, 1 mM MgCl 2 , 0.25 mM DTT, 10 ⁇ M ZnS0 4 ) and eluted with a step gradient of 125 mM NaCl in Buffer A followed by a linear gradient of 125-1000 mM NaCl in Buffer A.
- Active fractions from the linear gradient were applied to a 180 mL hydroxyapatite column in Buffer B (20 mM Bis-Tris Propane (pH 6.8), 1 mM MgCl 2 , 0.25 mM DTT, 10 ⁇ M ZnS0 4 , and 250 mM KCl) . After loading, the column was washed with 2 volumes of Buffer B and eluted with a linear gradient of 0-125 mM potassium phosphate in Buffer B.
- Buffer B 20 mM Bis-Tris Propane (pH 6.8), 1 mM MgCl 2 , 0.25 mM DTT, 10 ⁇ M ZnS0 4 , and 250 mM KCl
- Active fractions were pooled, precipitated with 60% ammonium sulfate, and resuspended in Buffer C (20 mM Bis-Tris Propane, pH 6.8, 125 mM NaCl, 0.5 mM DTT, and 10 ⁇ M ZnS0 4 ) .
- the pool was applied to a 140 mL column of SEPHA- ® CRYL S-300 HR and eluted with Buffer C. Active fractions were diluted to 50% glycerol and stored at
- the resultant preparations were about 85% pure by SDS-PAGE. These preparations had specific activities of about 3 ⁇ mol cGMP hydrolyzed per minute per milligram protein.
- cGMP-PDE activity of compounds of the present invention was measured using a one-step assay adapted from Wells et al . , Biochim . Biophys . Acta, 384, 430 (1975) .
- the reaction medium contained 50 mM Tris-HCl, pH 7.5, 5 mM magnesium acetate, 250 ⁇ g/ml 5 ' -Nucleotidase, 1 mM EGTA, and 0.15 ⁇ M 8-[H 3 ]-cGMP.
- the enzyme used was a human recombinant PDE5 (ICOS Corp., Bothell, Washington).
- IC 50 values for the compounds examined were determined from concentration-response curves typically using concentrations ranging from 10 nM to 10 ⁇ M. Tests against other PDE enzymes using standard methodology showed that compounds of the invention are selective for the cGMP-specific PDE enzyme .
Landscapes
- Health & Medical Sciences (AREA)
- Organic Chemistry (AREA)
- Chemical & Material Sciences (AREA)
- Life Sciences & Earth Sciences (AREA)
- General Health & Medical Sciences (AREA)
- Chemical Kinetics & Catalysis (AREA)
- General Chemical & Material Sciences (AREA)
- Medicinal Chemistry (AREA)
- Nuclear Medicine, Radiotherapy & Molecular Imaging (AREA)
- Pharmacology & Pharmacy (AREA)
- Engineering & Computer Science (AREA)
- Animal Behavior & Ethology (AREA)
- Bioinformatics & Cheminformatics (AREA)
- Public Health (AREA)
- Veterinary Medicine (AREA)
- Pulmonology (AREA)
- Cardiology (AREA)
- Heart & Thoracic Surgery (AREA)
- Reproductive Health (AREA)
- Endocrinology (AREA)
- Urology & Nephrology (AREA)
- Gynecology & Obstetrics (AREA)
- Physical Education & Sports Medicine (AREA)
- Rheumatology (AREA)
- Pregnancy & Childbirth (AREA)
- Orthopedic Medicine & Surgery (AREA)
- Ophthalmology & Optometry (AREA)
- Diabetes (AREA)
- Immunology (AREA)
- Pain & Pain Management (AREA)
- Hematology (AREA)
- Otolaryngology (AREA)
- Nutrition Science (AREA)
- Hospice & Palliative Care (AREA)
- Vascular Medicine (AREA)
- Pharmaceuticals Containing Other Organic And Inorganic Compounds (AREA)
- Nitrogen Condensed Heterocyclic Rings (AREA)
- Organic Low-Molecular-Weight Compounds And Preparation Thereof (AREA)
Abstract
Description
Claims
Priority Applications (7)
| Application Number | Priority Date | Filing Date | Title |
|---|---|---|---|
| JP2002505780A JP4169149B2 (en) | 2000-06-23 | 2001-05-15 | Chemical compound |
| US10/297,682 US6911542B2 (en) | 2000-06-23 | 2001-05-15 | Pyrazino[1′,2′:1,6]pyrido[3,4b]indole derivatives |
| EP01935629A EP1366049B1 (en) | 2000-06-23 | 2001-05-15 | Pirazino¬1'2':1,6|pyrido¬3,4-b|indole derivatives |
| AU2001261707A AU2001261707A1 (en) | 2000-06-23 | 2001-05-15 | Pirazino '1$m(1)2$m(1) :1, 6! pyrido '3,4-b! indole derivatives |
| MXPA02012472A MXPA02012472A (en) | 2000-06-23 | 2001-05-15 | Chemical compounds. |
| CA002412594A CA2412594C (en) | 2000-06-23 | 2001-05-15 | Pyrazino[1',2':1,6]pyrido[3-4-5] indole derivatives |
| DE60121048T DE60121048T2 (en) | 2000-06-23 | 2001-05-15 | PYRAZINOi1'2 ': 1,6öPYRIDOi3,4-BöINDOLDERIVATE |
Applications Claiming Priority (2)
| Application Number | Priority Date | Filing Date | Title |
|---|---|---|---|
| US21364700P | 2000-06-23 | 2000-06-23 | |
| US60/213,647 | 2000-06-23 |
Publications (2)
| Publication Number | Publication Date |
|---|---|
| WO2002000656A2 true WO2002000656A2 (en) | 2002-01-03 |
| WO2002000656A3 WO2002000656A3 (en) | 2003-10-02 |
Family
ID=22795930
Family Applications (1)
| Application Number | Title | Priority Date | Filing Date |
|---|---|---|---|
| PCT/US2001/015935 Ceased WO2002000656A2 (en) | 2000-06-23 | 2001-05-15 | Pirazino '1$m(1)2$m(1) :1, 6! pyrido '3,4-b! indole derivatives |
Country Status (10)
| Country | Link |
|---|---|
| US (1) | US6911542B2 (en) |
| EP (1) | EP1366049B1 (en) |
| JP (1) | JP4169149B2 (en) |
| AT (1) | ATE330958T1 (en) |
| AU (1) | AU2001261707A1 (en) |
| CA (1) | CA2412594C (en) |
| DE (1) | DE60121048T2 (en) |
| ES (1) | ES2269401T3 (en) |
| MX (1) | MXPA02012472A (en) |
| WO (1) | WO2002000656A2 (en) |
Cited By (5)
| Publication number | Priority date | Publication date | Assignee | Title |
|---|---|---|---|---|
| WO2004011429A1 (en) * | 2002-07-26 | 2004-02-05 | Nihon Nohyaku Co., Ltd. | Novel haloalkylsulfonanilide derivatives, herbicides and usage thereof |
| JP2004107323A (en) * | 2002-07-26 | 2004-04-08 | Nippon Nohyaku Co Ltd | Novel haloalkylsulfonanilide derivatives and herbicides and methods of using the same |
| WO2006110893A3 (en) * | 2005-04-12 | 2007-05-10 | Teva Pharma | Preparation of tadalafil intermediates |
| CN106279164A (en) * | 2015-06-26 | 2017-01-04 | 重庆文理学院 | 5 new type phosphodiesterase inhibitor and application thereof |
| EP3301095A4 (en) * | 2015-06-26 | 2018-08-01 | Chongqing University Of Arts And Sciences | Novel phosphodiesterase type-5 inhibitor and application thereof |
Families Citing this family (7)
| Publication number | Priority date | Publication date | Assignee | Title |
|---|---|---|---|---|
| JP2007518788A (en) | 2004-01-22 | 2007-07-12 | ファイザー・インク | Triazole derivatives that inhibit the antagonist activity of vasopressin |
| CN101106997A (en) | 2004-08-17 | 2008-01-16 | 约翰·霍普金斯大学 | PDE5 Inhibitor Compositions and Methods of Treating Cardiac Symptoms |
| EP3470070B1 (en) | 2012-12-21 | 2021-04-28 | Mayo Foundation for Medical Education and Research | Methods and materials for treating calcific aortic valve stenosis |
| JP2016539086A (en) * | 2013-10-07 | 2016-12-15 | ミレニアム ファーマシューティカルズ, インコーポレイテッドMillennium Pharmaceuticals, Inc. | Inhibitor of breast cancer resistance protein (BCRP) |
| CN105384740A (en) * | 2015-12-18 | 2016-03-09 | 海南通用康力制药有限公司 | Tadanafil preparation intermediate high purity crystal and preparation method thereof |
| SG11202110533RA (en) | 2019-04-10 | 2021-10-28 | Mayo Found Medical Education & Res | Methods and materials for gender-dependent treatment of cardiovascular dysfunction |
| CN119390695A (en) * | 2024-12-31 | 2025-02-07 | 威胜生物医药(苏州)股份有限公司 | A water-soluble amino tadalafil derivative and preparation method thereof |
Family Cites Families (2)
| Publication number | Priority date | Publication date | Assignee | Title |
|---|---|---|---|---|
| GB9401090D0 (en) * | 1994-01-21 | 1994-03-16 | Glaxo Lab Sa | Chemical compounds |
| GB9514464D0 (en) * | 1995-07-14 | 1995-09-13 | Glaxo Lab Sa | Medicaments |
-
2001
- 2001-05-15 US US10/297,682 patent/US6911542B2/en not_active Expired - Fee Related
- 2001-05-15 MX MXPA02012472A patent/MXPA02012472A/en active IP Right Grant
- 2001-05-15 ES ES01935629T patent/ES2269401T3/en not_active Expired - Lifetime
- 2001-05-15 DE DE60121048T patent/DE60121048T2/en not_active Expired - Lifetime
- 2001-05-15 JP JP2002505780A patent/JP4169149B2/en not_active Expired - Fee Related
- 2001-05-15 AU AU2001261707A patent/AU2001261707A1/en not_active Abandoned
- 2001-05-15 EP EP01935629A patent/EP1366049B1/en not_active Expired - Lifetime
- 2001-05-15 CA CA002412594A patent/CA2412594C/en not_active Expired - Fee Related
- 2001-05-15 AT AT01935629T patent/ATE330958T1/en not_active IP Right Cessation
- 2001-05-15 WO PCT/US2001/015935 patent/WO2002000656A2/en not_active Ceased
Cited By (7)
| Publication number | Priority date | Publication date | Assignee | Title |
|---|---|---|---|---|
| WO2004011429A1 (en) * | 2002-07-26 | 2004-02-05 | Nihon Nohyaku Co., Ltd. | Novel haloalkylsulfonanilide derivatives, herbicides and usage thereof |
| JP2004107323A (en) * | 2002-07-26 | 2004-04-08 | Nippon Nohyaku Co Ltd | Novel haloalkylsulfonanilide derivatives and herbicides and methods of using the same |
| WO2006110893A3 (en) * | 2005-04-12 | 2007-05-10 | Teva Pharma | Preparation of tadalafil intermediates |
| CN106279164A (en) * | 2015-06-26 | 2017-01-04 | 重庆文理学院 | 5 new type phosphodiesterase inhibitor and application thereof |
| EP3301095A4 (en) * | 2015-06-26 | 2018-08-01 | Chongqing University Of Arts And Sciences | Novel phosphodiesterase type-5 inhibitor and application thereof |
| CN106279164B (en) * | 2015-06-26 | 2019-11-01 | 重庆迪康尔乐制药有限公司 | 5 type phosphodiesterase inhibitors and its application |
| AU2015399642B2 (en) * | 2015-06-26 | 2020-04-09 | Chongqing Dikang Erle Pharma Co. Ltd. | Novel phosphodiesterase type-5 inhibitor and application thereof |
Also Published As
| Publication number | Publication date |
|---|---|
| CA2412594A1 (en) | 2002-01-03 |
| AU2001261707A1 (en) | 2002-01-08 |
| MXPA02012472A (en) | 2004-01-26 |
| US20030225094A1 (en) | 2003-12-04 |
| DE60121048D1 (en) | 2006-08-03 |
| ES2269401T3 (en) | 2007-04-01 |
| CA2412594C (en) | 2009-03-17 |
| WO2002000656A3 (en) | 2003-10-02 |
| JP2004513072A (en) | 2004-04-30 |
| EP1366049A2 (en) | 2003-12-03 |
| JP4169149B2 (en) | 2008-10-22 |
| DE60121048T2 (en) | 2007-01-25 |
| ATE330958T1 (en) | 2006-07-15 |
| EP1366049B1 (en) | 2006-06-21 |
| US6911542B2 (en) | 2005-06-28 |
Similar Documents
| Publication | Publication Date | Title |
|---|---|---|
| EP1335923B1 (en) | Condensed pyridoindole derivatives | |
| EP1383765B1 (en) | Carboline derivatives as inhibitors of phosphodiesterase 5 (PDE5) for the treatment of cardiovascular diseases and erectile dysfunction | |
| US20030225092A1 (en) | Chemical compounds | |
| EP1294721B1 (en) | Cyclic gmp-specific phosphodiesterase inhibitors | |
| EP1335917B1 (en) | Condensed pyridoindole derivatives | |
| US6911542B2 (en) | Pyrazino[1′,2′:1,6]pyrido[3,4b]indole derivatives | |
| EP1392688B1 (en) | Pyrazino[1',2':1,6]-pyrido[3,4-b] indole-1,4-dione derivatives | |
| EP1332144B1 (en) | Indole derivatives as pde5-inhibitors | |
| US6962918B2 (en) | Hexahydropyrazino[1'2';1,6]pyrido[3,4-b]indole-1,4-diones for the treatment of cardiovascular disorders and erectile dysfunction | |
| US7034027B2 (en) | Fused heterocyclic derivatives as phosphodiesterase inhibitors | |
| EP1397361A1 (en) | Carboline derivatives as pdev inhibitors | |
| EP1401449B1 (en) | Tetracyclic compounds as pde5-inhibitors |
Legal Events
| Date | Code | Title | Description |
|---|---|---|---|
| AK | Designated states |
Kind code of ref document: A2 Designated state(s): AE AG AL AM AT AU AZ BA BB BG BR BY BZ CA CH CN CO CR CU CZ DE DK DM DZ EC EE ES FI GB GD GE GH GM HR HU ID IL IN IS JP KE KG KP KR KZ LC LK LR LS LT LU LV MA MD MG MK MN MW MX MZ NO NZ PL PT RO RU SD SE SG SI SK SL TJ TM TR TT TZ UA UG US UZ VN YU ZA ZW |
|
| AL | Designated countries for regional patents |
Kind code of ref document: A2 Designated state(s): GH GM KE LS MW MZ SD SL SZ TZ UG ZW AM AZ BY KG KZ MD RU TJ TM AT BE CH CY DE DK ES FI FR GB GR IE IT LU MC NL PT SE TR BF BJ CF CG CI CM GA GN GW ML MR NE SN TD TG |
|
| DFPE | Request for preliminary examination filed prior to expiration of 19th month from priority date (pct application filed before 20040101) | ||
| 121 | Ep: the epo has been informed by wipo that ep was designated in this application | ||
| WWE | Wipo information: entry into national phase |
Ref document number: 10297682 Country of ref document: US |
|
| WWE | Wipo information: entry into national phase |
Ref document number: PA/a/2002/012472 Country of ref document: MX |
|
| WWE | Wipo information: entry into national phase |
Ref document number: 2412594 Country of ref document: CA |
|
| ENP | Entry into the national phase |
Ref country code: JP Ref document number: 2002 505780 Kind code of ref document: A Format of ref document f/p: F |
|
| WWE | Wipo information: entry into national phase |
Ref document number: 2001935629 Country of ref document: EP |
|
| REG | Reference to national code |
Ref country code: DE Ref legal event code: 8642 |
|
| WWP | Wipo information: published in national office |
Ref document number: 2001935629 Country of ref document: EP |
|
| WWG | Wipo information: grant in national office |
Ref document number: 2001935629 Country of ref document: EP |



































































