WO1989005299A1 - Novel benzimidazole derivatives - Google Patents
Novel benzimidazole derivatives Download PDFInfo
- Publication number
- WO1989005299A1 WO1989005299A1 PCT/EP1988/001120 EP8801120W WO8905299A1 WO 1989005299 A1 WO1989005299 A1 WO 1989005299A1 EP 8801120 W EP8801120 W EP 8801120W WO 8905299 A1 WO8905299 A1 WO 8905299A1
- Authority
- WO
- WIPO (PCT)
- Prior art keywords
- methoxy
- hydrogen
- benzyloxy
- compounds
- benzimidazole
- Prior art date
- Legal status (The legal status is an assumption and is not a legal conclusion. Google has not performed a legal analysis and makes no representation as to the accuracy of the status listed.)
- Ceased
Links
Classifications
-
- C—CHEMISTRY; METALLURGY
- C07—ORGANIC CHEMISTRY
- C07D—HETEROCYCLIC COMPOUNDS
- C07D401/00—Heterocyclic compounds containing two or more hetero rings, having nitrogen atoms as the only ring hetero atoms, at least one ring being a six-membered ring with only one nitrogen atom
- C07D401/02—Heterocyclic compounds containing two or more hetero rings, having nitrogen atoms as the only ring hetero atoms, at least one ring being a six-membered ring with only one nitrogen atom containing two hetero rings
- C07D401/12—Heterocyclic compounds containing two or more hetero rings, having nitrogen atoms as the only ring hetero atoms, at least one ring being a six-membered ring with only one nitrogen atom containing two hetero rings linked by a chain containing hetero atoms as chain links
-
- A—HUMAN NECESSITIES
- A61—MEDICAL OR VETERINARY SCIENCE; HYGIENE
- A61P—SPECIFIC THERAPEUTIC ACTIVITY OF CHEMICAL COMPOUNDS OR MEDICINAL PREPARATIONS
- A61P1/00—Drugs for disorders of the alimentary tract or the digestive system
- A61P1/04—Drugs for disorders of the alimentary tract or the digestive system for ulcers, gastritis or reflux esophagitis, e.g. antacids, inhibitors of acid secretion, mucosal protectants
-
- C—CHEMISTRY; METALLURGY
- C07—ORGANIC CHEMISTRY
- C07D—HETEROCYCLIC COMPOUNDS
- C07D491/00—Heterocyclic compounds containing in the condensed ring system both one or more rings having oxygen atoms as the only ring hetero atoms and one or more rings having nitrogen atoms as the only ring hetero atoms, not provided for by groups C07D451/00 - C07D459/00, C07D463/00, C07D477/00 or C07D489/00
- C07D491/02—Heterocyclic compounds containing in the condensed ring system both one or more rings having oxygen atoms as the only ring hetero atoms and one or more rings having nitrogen atoms as the only ring hetero atoms, not provided for by groups C07D451/00 - C07D459/00, C07D463/00, C07D477/00 or C07D489/00 in which the condensed system contains two hetero rings
- C07D491/04—Ortho-condensed systems
Definitions
- the invention relates to new benzimidazole derivatives, processes for their preparation, their use and medicaments containing them.
- the compounds according to the invention are used in the pharmaceutical industry as intermediates and for the manufacture of medicaments.
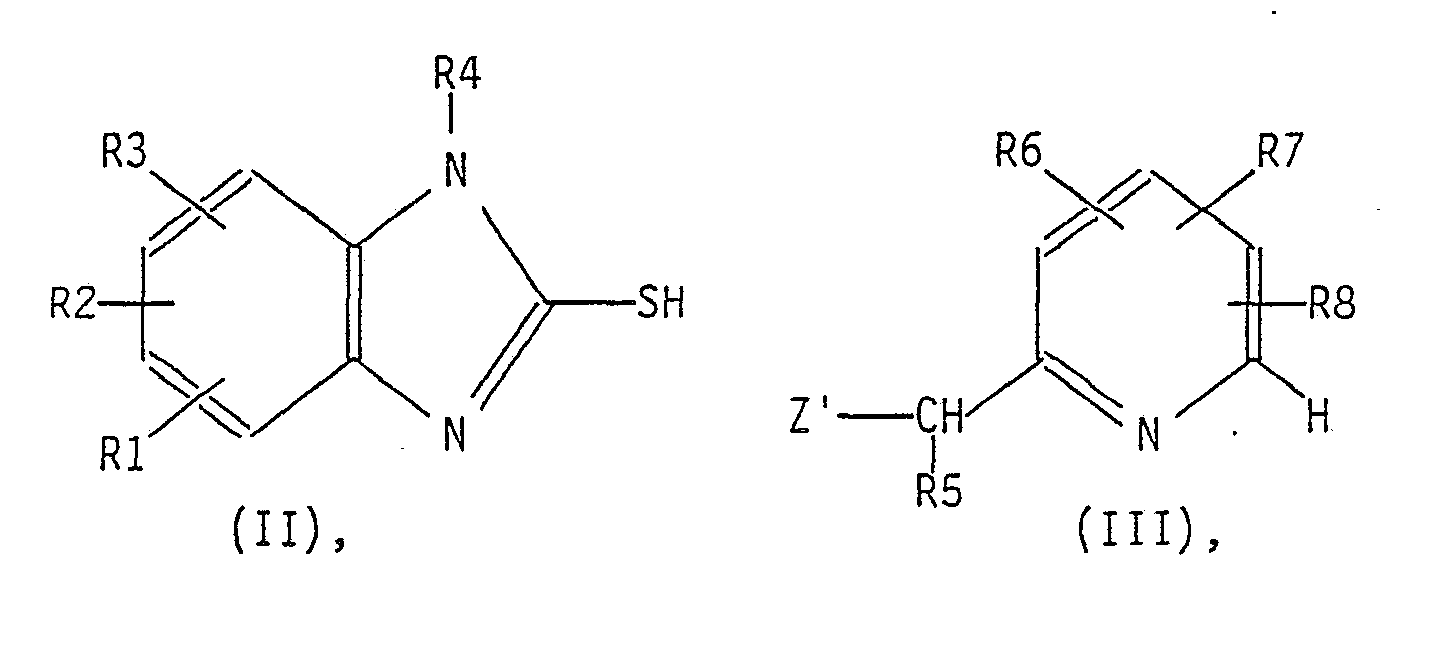
- the invention relates to new benzimidazole derivatives of the formula I.
- R1, R2 and R3 can be at any position in the benzo part of the benzimidazole and wherein R1 is hydrogen, halogen, trifluoromethyl, 1-6C-alkyl, 1-6C-alkoxy, 1-4C-alkoxy-1-4C-alkyl, 1-4C-alkoxy-1-4C-alkoxy, phenyl, phenoxy, phenoxy-1 Is -4C-alkyl, phenoxy-1-4C-alkoxy, phen-1-4C-alkyl or phen-1-4C-alkoxy,
- R2 is hydrogen, 1-6C-alkyl, 1-6C-alkoxy, completely or predominantly substituted by fluorine-1-4C-alkoxy, chlorodifluoromethoxy, 2-chloro-1,1,2-trifluoroethoxy or together with R3, if desired in whole or in part by fluorine substituted 1-2C-alkylenedioxy or chlorotrifluoroethylene dioxy means
- R3 is hydrogen, 1-6C-alkyl, 1-6C-alkoxy, completely or predominantly substituted by fluorine, 1-4C-alkoxy, chlorodifluoromethoxy, 2-chloro-1,1,2-trifluoroethoxy or together with R2, if desired in whole or in part by fluorine substituted 1-2C-alkylenedioxy or chlorotrifluoroethylene dioxy means
- R4 denotes hydrogen or a group which can easily be split off under physiological conditions
- R5 denotes hydrogen or 1-6C-alkyl
- R6 represents hydrogen or 1-6C-alkyl
- R7 denotes 1-6C-alkoxy, 2-5C-alkenyloxy, 2-5C-alkynyloxy, 1-4C-alkoxy-1-4C-alkoxy, aryloxy or aryl-1-4C-alkoxy and
- R8 means aryloxy or aryl-1-4C-alkoxy
- R9 and RIO are the same or different and are hydrogen (H), 1-4C-alkyl, 1-4C-alkoxy, halogen, nitro, hydroxy or trifluoromethyl, and n represents the number 0 or 1, and the salts of these compounds.
- Halogen in the sense of the present invention is bromine, chlorine and fluorine.
- 1-6C-Alkyl stands for straight-chain and branched alkyl residues.
- Straight-chain alkyl radicals are the hexyl, pentyl, butyl, propyl, ethyl and in particular the methyl radical.
- Branched AI kylreste are, for example, the neopentyl, i-butyl sec-butyl, t-butyl and the isopropyl.
- 1-6C-Alkoxy stands for straight-chain or branched alkoxy radicals. Examples include the hexyloxy, neopentyloxy, butoxy, i-butoxy, sec.-butoxy, t-butoxy, propoxy, isopropoxy, ethoxy and especially the methoxy radical.
- 1-4C-alkoxy represents straight-chain or branched alkoxy radicals; Examples include the butoxy, i-butoxy, sec.-butoxy, t-butoxy, propoxy, isopropoxy, ethoxy and especially the methoxy radical.
- 1-4C-alkyl represents straight-chain or branched AI kylreste;
- the butyl, i-butyl, sec-butyl, t-butyl, propyl, isopropyl, ethyl and especially the methyl radical may be mentioned.
- 1-4C-Alkoxy-1-4C-alkyl represents 1-4C-alkyl which is substituted by 1-4C-alkoxy.
- the ethoxymethyl, propoxybutyl, methoxymethyl and especially the methoxyethyl and ethoxyethyl radicals may be mentioned.
- 1-4C-Alkoxy-1-4C-alkoxy stands for 1-4C-alkoxy which is substituted by 1-4C-alkoxy.
- the methoxypropoxy, ethoxymethoxy and especially the ethoxyethoxy and methoxyethoxy radical may be mentioned.
- Phenoxy-1-4C-alkyl stands for 1-4C-alkyl which is substituted by a phenoxy radical.
- phenoxypropyl and the phenoxyethyl radical may be mentioned.
- Phenoxy-1-4C-alkoxy stands for 1-4C-alkoxy which is substituted by a phenoxy radical.
- the phenoxyethoxy and the phenoxypropoxy radical may be mentioned.
- Phen-1-4C-alkyl stands for 1-4C-alkyl which is substituted by a phenyl radical. Examples include the phenethyl and especially the benzyl radical.
- Phen-1-4C-alkoxy stands for 1-4C-alkoxy which is substituted by a phenyl radical. Examples include the 2-phenyl-ethoxy and the benzyloxy radical.
- Examples of the fully or predominantly fluorine-substituted 1-4C-alkoxy include 1,1,2-trifluoroethoxy, perfluoropropoxy, perfluoroethoxy and in particular 1,1,2, 2-tetrafluoroethoxy, trifluoromethoxy 2,2,2-trifluoroethoxy and the difluoromethoxy radical called.
- 1-2C-Alkylenedioxy stands for Ethyl endioxy (-O-CH 2 -CH 2 -O-) or Methyl endioxy (-O-CH 2 -O-).
- Examples of all or part fluorine-substituted 1-2C-alkylenedioxy include 1,1-difluoroethylendioxy- (-O-CF 2 -CH 2 -O-), 1,1,2,2-tetrafluoroethylendioxy- ( -O-CF 2 -CF 2 -O-) and especially the di fluoromethyl endioxy (-O-CF z -O-) and the 1,1,2-trifluoroethylene dioxy radical (-O-CF 2 -CHF-O-) .
- a group R4 which can easily be split off under physiological conditions, is a substituent which is separated from the nitrogen atom by formation of an NH bond by - optionally enzymatically catalyzed - hydrolysis, whereby itself - with the connection of a hydroxyl group - is converted into a physiologically acceptable and in particular pharmacologically acceptable compound .
- All types of substituted carbonyl groups such as the alkylcarbonyl, arylcarbonyl, aralkylcarbonyl, alkoxycarbonyl, aryloxycarbonyl, aralkoxycarbonyl group or the optionally substituted carbamoyl group, may be mentioned in particular as the R4 groups which can be removed. Examples include the methoxycarbonyl, t-butoxycarbonyl, benzoyl, phenylcarbamoyl and dimethylcarbamoyl groups.
- 2-5C-alkenyloxy stands for alkenyloxy radicals such as the pent-2-enyloxy, but-1-enyloxy and in particular the allyloxy radical.
- 2-5C-alkynyloxy represents alkynyloxy radicals such as the ethynyloxy and in particular the prop-2-ynyloxy radical.
- aryloxy radicals are the 4-chlorophenoxy radical, the 4-fluorophenoxy radical, 3,5-dichlorophenoxy radical and in particular the phenoxy radical.
- Exemplary aryl-1-4C-alkoxy radicals are the 4-phenylbutoxy, the 3-phenylpropoxy, the 2-phenylethoxy, the 4-methoxybenzyloxy, the 4-fluorobenzyloxy and the 4-chlorobenzyloxy 3,5-dichlorobenzyloxy and especially the benzyloxy radical.
- Suitable salts for compounds of the formula I in which n is the number 0 (sulfides), are preferably all acid addition salts. Particular mention should be made of the pharmacologically acceptable salts of the inorganic and organic acids commonly used in galenics.
- Pharmacologically incompatible salts which may initially be obtained as process products in the manufacture of the compounds according to the invention on an industrial scale, are converted into pharmacologically acceptable salts by processes known to the person skilled in the art.
- Suitable as such are, for example, water-soluble and water-insoluble acid addition salts, such as the hydrochloride, hydrobromide, hydroiodide, phosphate, nitrate, sulfate, acetate, citrate, gluconate, benzoate, hibenzate, fendizoate, butyrate, sulfosalicylate, maleate, laurate, malate, fumarate, succinate Oxalate, tartrate, amsonate, embonate, metembonate, stearate, tosilate, 2-hydroxy-3-naphthoate, 3-hydroxy-2-naphthoate or mesilate.
- the preferred salts are basic salts, in particular pharmacologically acceptable salts with inorganic and organic bases commonly used in galenics.
- Lithium, sodium, potassium, calcium, aluminum, magnesium, titanium, ammonium or guanidinium salts may be mentioned as examples of basic salts.
- R2 and R3 together mean all or part of fluorine-substituted 1-2C-alkyl endioxy or chlorotrifluoroethylene dioxy, the substituents R2 and R3 are bonded to the benzo part of the benzimidazole ring in adjacent positions.
- One aspect of the invention are compounds of the formula I in which R2 is hydrogen, 1-6C-alkyl or 1-6C-alkoxy, R3 is hydrogen, 1-6C-alkyl or 1-6C-alkoxy and R1, R4 , R5, R6, R7, R8, R9, R10 and n have the meanings given above, and the salts of these compounds.
- Preferred representatives of this aspect 1 of the invention are compounds of the formula I in which R1 is hydrogen, chlorine, fluorine, trifluoromethyl, methyl, ethyl, methoxy or
- Ethoxy means, R2 means hydrogen, methyl, ethyl, methoxy or ethoxy, R3 means hydrogen, R4 means hydrogen, R5 means hydrogen, R6 means hydrogen or methyl, R7 means methoxy or benzyloxy, R8 means benzyloxy and n represents the number 0 or 1 , and the salts of these compounds.
- R1 is hydrogen, trifluoromethyl or methoxy
- R2, R3, R4 and R5 denote hydrogen
- R6 represents hydrogen or methyl
- R7 means methoxy
- R8 represents benzyloxy and n represents the number 0 or 1, and the salts of these compounds.
- a further aspect of the invention are compounds of the formula I in which R2 together with R3 denotes 1-2C-alkylenedioxy and R1, R4, R5, R6, R7, R8, R9, R10 and n have the meanings given above, and the salts of these compounds.
- Preferred representatives of this aspect 2 of the invention are compounds of the formula I in which
- R1 means hydrogen
- R2 and R3 together mean ethylenedioxy or methylenedioxy
- R4 means hydrogen
- R5 means hydrogen
- R6 means hydrogen or methyl
- R7 means methoxy or benzyloxy
- R8 means benzyloxy
- n represents the number 0 or 1
- Particularly preferred representatives of aspect 2 of the invention are compounds of the formula I in which
- R1 means hydrogen
- R2 and R3 together mean ethylenedioxy or methylenedioxy
- R4 means hydrogen
- R5 means hydrogen
- R6 represents hydrogen or methyl
- R7 means methoxy
- R8 represents benzyloxy and n represents the number 0 or 1, and the salts of these compounds.
- a further aspect of the invention are compounds of the formula I in which
- R2 is hydrogen, 1-6C-alkyl, 1-6C-alkoxy, completely or predominantly substituted by fluorine-1-4C-alkoxy, chlorodifluoromethoxy, 2-chloro-1,1,2-trifluoroethoxy or together with R3 completely or partly substituted by fluorine 1-2C-alkyl endioxy or chlorotrifluoroethylene dioxy means
- R3 is completely or predominantly substituted by fluorine-1-4C-alkoxy, chlorodifluoromethoxy, 2-chloro-1,1,2-trifluoroethoxy or together with R2 completely or partly by fluorine-substituted 1-2C- Alkylenedioxy or Chlortrifluorethylenendioxy means, and
- R1, R4, R5, R6, R7, R8, R9, R10 and n have the meanings given above.
- a particular aspect of aspect 3 of the invention are compounds of the formula Ia,
- R1 means hydrogen
- R2 is hydrogen, methyl, ethyl, methoxy, ethoxy, 1,1,2,2-tetrafluoroethoxy
- Trifluoromethoxy, 2,2,2-trifluoroethoxy, difluoromethoxy, 2-chloro-1,1,2-trifluoroethoxy or together with R3 di fluoromethylene dioxy, 1,1,2-trifluoroethyl endioxy or 1-chloro-1,2,2-trifluoroethylene dioxy means
- R3 1,1,2,2-tetrafluoroethoxy, trifluoromethoxy, 2,2,2-trifluoroethoxy, difluoromethoxy, 2-chloro-1,1,2-trifluoroethoxy or together with R2 difluoromethy1 endioxy, 1,1,2-trifluoroethylene dioxy or 1 -Chlor- 1,2,2-trifluoroethylene dioxy means
- R4 means hydrogen
- R5 denotes hydrogen, methyl or ethyl
- R6 represents hydrogen or 1-4C-alkyl
- R7 denotes 1-4C-alkoxy, aryloxy or aryl-1-4C-alkoxy
- R8 means aryloxy or aryl-1-4-C-alkoxy
- R9 is hydrogen, methyl, methoxy or chlorine
- R10 represents hydrogen, methyl, methoxy, chlorine, nitro, hydroxy or trifluoromethyl, and n represents the number 0 or 1, and the salts of these compounds.
- R1, R2, R3, R4, R5, R6, R7, R8, R9, R10 and n have the meanings given for the embodiment a, and their salts.
- R1, R2, R3, R4, R5, R6, R7, R8, R9, R10 and n have the meanings given for the configuration a, and their salts.
- R1, R2, R3, R4, R5, R6, R7, R8, R9, R10 and n have the meanings given for the configuration a, and their salts.
- Preferred compounds according to the invention are those of the formulas I, Ia, Ib, Ic and Id in which
- R1 means hydrogen
- R2 is hydrogen, methoxy or together with R3 difluoromethyl endioxy,
- 1,1,2-trifluoroethylene dioxy or 1-chloro-1,2,2-trifluoroethylene dioxy means, R3 1,1,2,2-tetrafluoroethoxy, trifluoromethoxy, 2,2,2-trifluoroethoxy, difluoromethoxy, 2-chloro-1, 1,2-trifluoroethoxy or together with R3 means difluoromethylene dioxy, 1,1,2-trifluoroethylene dioxy or 1-chloro-1,2,2-trifluoroethylene dioxy, R4 means hydrogen, R5 means hydrogen, R6 means hydrogen or methyl, R7 means methoxy or ethoxy means R8 means benzyloxy and n represents the number 0 or 1, and the salts of these compounds.
- Particularly preferred compounds according to the invention are those of the formulas I, Ia, Ib, Ic and Id in which R1 means hydrogen
- R2 is hydrogen or together with R3 difluoromethylene dioxy
- R3 means difluoromethoxy or together with R2 difluoromethylene dioxy
- R4 means hydrogen
- R5 means hydrogen
- R6 represents hydrogen or methyl
- R7 means methoxy
- R8 represents benzyloxy and n represents the number 0 or 1, and the salts of these compounds.
- the 5-substitution in the benzimidazole is identical to the 6-substitution. Accordingly, in the compounds in which R2 and R3 together represent a substituted ethylenedioxy radical, the 6-position in the [1,4] -dioxino [2,3-f] benzimidazole part is identical to the 7-position.
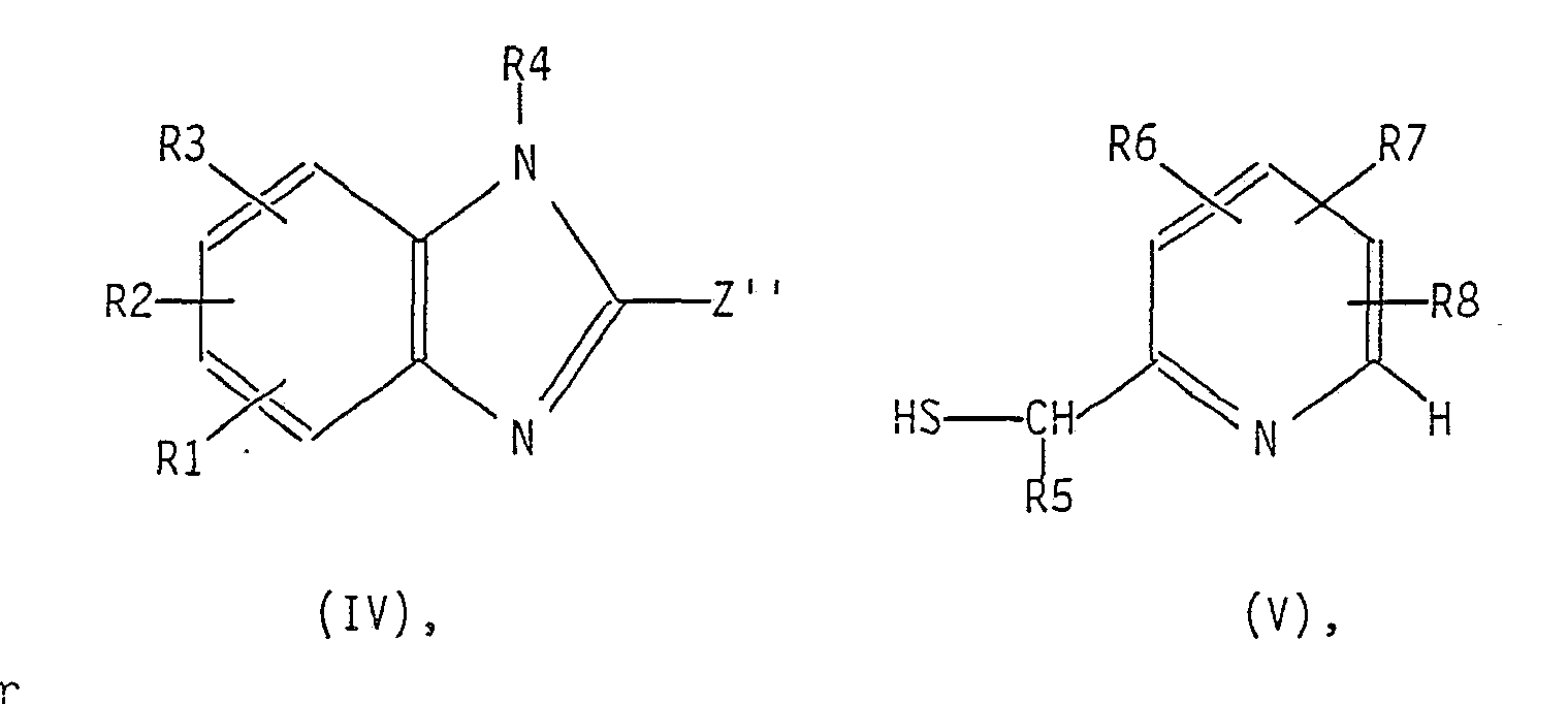
- the invention further relates to a process for the preparation of the compounds of the formula I in which R1, R2, R3, R4, R5, R6, R7, R8, R9, R10 and the meanings given above and their salts.
- Y, Y ", Z, V and Z" represent suitable leaving groups
- Y ' represents a leaving or reactive group
- M represents an alkali metal atom (Li, Na or K)
- M' represents the equivalent of a metal atom
- R1, R2, R3, R4, R5, R6, R7, R8, R9, R10 and n have the meanings given above.
- the compounds II-XIV can be used as such or, if appropriate, in the form of their salts.
- a suitable leaving group Y is, for example, a group which together with the sulfinyl group to which they are attached is bound, forms a reactive sulfinic acid derivative.
- suitable leaving groups Y are alkoxy, dialkylamino or alkyl mercapto groups.
- a suitable leaving or reactive group Y ' is a group which is able to react with a secondary amino group with elimination of HY' or with addition.
- R4 ' is, for example, a leaving group which, together with the carbonyl group to which it is attached, forms a reactive carboxylic acid derivative, for example an acid halide.
- the general formula R4'-Y '(XIII) also encompasses those compounds (precursors of the group R4 which can easily be split off under physiological conditions) in which Y' represents a reactive group (for example isonitriles) which are involved in the reaction with the secondary amino group no condensation with elimination of HY 'but an addition to form the desired elimination group R4.
- the leaving group Y ′′ is a group familiar to the person skilled in the art of alkylation reactions, which in alkylation - e.g. with dialkyl sulfate, fluorosulfonic acid alkyl ester or alkyl iodide.
- Suitable leaving groups Z, V and Z ′′ are halogen atoms, in particular chlorine atoms, or hydroxyl groups activated by esterification (e.g. with p-toluenesulfonic acid).
- a metal atom M ' is, for example, an alkali metal (Li, Na or K), or an alkaline earth metal atom (eg Mg) which is substituted by a halogen atom (eg Br, Grignard reagent) or any other optionally substituted metal atom , which is known to react in substitution reactions of organometallic compounds such as the metals mentioned above.
- a metal atom M is, for example, an alkali metal (Li, Na or K), or an alkaline earth metal atom (eg Mg) which is substituted by a halogen atom (eg Br, Grignard reagent) or any other optionally substituted metal atom , which is known to react in substitution reactions of organometallic compounds such as the metals mentioned above.
- the reaction of II with III is carried out in a manner known per se in suitable, preferably polar, protic or aprotic solvents (such as methanol, isopropanol, dimethyl sulfoxide, acetone, dimethylformamide or acetonitrile) with or without water. It is carried out, for example, in the presence of a proton acceptor.
- suitable, preferably polar, protic or aprotic solvents such as methanol, isopropanol, dimethyl sulfoxide, acetone, dimethylformamide or acetonitrile
- a proton acceptor Alkali metal hydroxides such as sodium hydroxide, alkali metal carbonates such as potassium arbonate or tertiary amines such as pyridine, triethylamine or ethyldiisopropylamine are suitable as such.
- reaction can also be carried out without a proton acceptor, with - each depending on the nature of the starting compounds - if necessary, the acid addition salts can be separated off in a particularly pure form.
- the reaction temperature can be between 0 ° and 150 ° C, with temperatures in the presence of proton acceptors between 20 ° and 80 ° C and without proton acceptors between 60 ° and 120 ° C - especially the boiling point of the solvents used are preferred.
- the response times are between 0.5 and 12 hours.
- reaction of VI with VII is preferably carried out in polar, optionally water-containing solvents in the presence of a strong acid, e.g. Hydrochloric acid, especially at the boiling point of the solvent used.
- a strong acid e.g. Hydrochloric acid
- Suitable oxidants are all reagents commonly used for the oxidation of sulfides to sulfoxides, in particular peroxy acids, such as e.g. Peroxyacetic acid, trifluoroperoxyacetic acid, 3,5-dinitroperoxybenzoic acid, peroxymalic acid, magnesium monoperoxiphthalate or preferably m-chloroperoxybenzoic acid.
- the reaction temperature is (depending on the reactivity of the oxidizing agent and
- the reaction of IX with X is preferably carried out in inert solvents, as is usually used for the reaction of enolate ions with alkylating agents.
- inert solvents such as benzene or toluene may be mentioned.
- aromatic solvents such as benzene or toluene may be mentioned.
- the reaction temperature (depending on the nature of the alkali metal atom M and the leaving group Z) is generally between 0 ° and 120 ° C, with the boiling point of the solvent used being preferred.
- M represents Li (lithium) and Z Cl (chlorine) and the reaction is carried out in benzene]
- the boiling temperature of benzene 80 ° C is preferred.
- the compounds XI are reacted with the compounds XII in a manner known per se, as is known to the person skilled in the art for the reaction of organometallic compounds.
- reaction according to process variant f) is carried out in a manner known to the person skilled in the art in suitable solvents such as tetrahydrofuran or acetonitrile, optionally with the addition of a base (if Y 'represents a leaving group) or without addition of base (if Y' represents a reactive group). If the substituents R1, R2 and R3 are asymmetrically distributed, this reaction gives mixtures of isomers which have to be separated by suitable separation processes (e.g. chromatography).
- suitable solvents such as tetrahydrofuran or acetonitrile
- Solvolysis according to process variant g) is carried out in a manner known to those skilled in the art in suitable water-containing or water-splitting alkaline or acidic solutions, at room temperature or, if desired, with heating to the boiling point of the solvent used.
- the alkylation according to process variant h) is carried out - if appropriate after prior deprotonation - in a manner familiar to those skilled in the art in suitable inert solvents.
- the compounds according to the invention are initially obtained either as such or in the form of their salts.
- the salts are obtained by dissolving the free compounds in one Suitable solvents, for example in a chlorinated hydrocarbon, such as methylene chloride or chloroform, a low molecular weight aliphatic alcohol (ethanol, isopropanol), an ether (diisopropyl ether), a ketone (acetone) or water, which contains the desired acid or base, or which the desired acid or base - optionally in the precisely calculated stoichiometric amount - is then added.
- a chlorinated hydrocarbon such as methylene chloride or chloroform
- a low molecular weight aliphatic alcohol ethanol, isopropanol
- an ether diisopropyl ether
- a ketone acetone
- the salts are obtained by filtration, reprecipitation, precipitation or by evaporation of the solvent.
- Salts obtained can be alkalized or acidified, e.g. with aqueous sodium hydrogen carbonate or with dilute hydrochloric acid, are converted into the free compounds, which in turn can be converted into the salts. In this way, the compounds can be purified or pharmacologically unacceptable salts can be converted into pharmacologically acceptable salts.
- the sulfoxides according to the invention are optically active compounds. Depending on the nature of the substituents R1 to R8, there may be additional chiral centers in the molecule (e.g. if R5 is not hydrogen).
- the invention therefore includes the enantiomers and diastereomers as well as their mixtures and racemates.
- the enantiomers can be separated in a manner known per se (for example by preparing and separating corresponding diastereoisomeric compounds). However, the enantiomers can also be obtained by asymmetric synthesis, for example by enantioselective oxidation of the sulfides, e.g. with tert.
- the compounds according to the invention are preferably synthesized by reacting II with III and, if appropriate, subsequent oxidation of the sulfide VIII formed.
- the compounds II, IV, VI, IX and XI are known for example from WO86 / 02646.
- the compounds III can be prepared in various ways, for example as follows: 1.
- R6 1-6C-alkyl (in the 3-position)
- R7 1-6C-alkoxy (in the 4-position)
- R8 aryl-1-4C-alkoxy (in the 5-position).
- connections are e.g. proceeding from known 2-methyl-3-alkyl-4-alkoxypyridines (see eg EP-A 0 080 602) by N-oxidation (eg with 30% hydrogen peroxide), targeted acetoxylation and subsequent saponification in 5 -Position (e.g. with acetic anhydride and then sodium hydroxide solution), alkylation of the 5-hydroxy group (e.g. with aryl-1-4C-alkyl bromide and sodium hydroxide solution in dimethyl sulfoxide), N-oxidation (e.g.,
- R6 hydrogen (in the 3-position)
- R7 and R8 1-6C-alkoxy or aryloxy or aryl-1-4C-alkoxy.
- connections are e.g. starting from known 5-hydroxy-2-methylpyridines by alkylation of the hydroxy group (for example with 1-6C-alkyl iodide or aryl-1-4C-alkyl bromide and potassium hydroxide in dimethyl sulfoxide), N-oxidation (for example with 30% hydrogen peroxide), nitration in 4-position (e.g.
- R6 hydrogen (in 5 position)
- R7 and R8 1-6C-alkoxy or aryloxy or aryl-1-4C-alkoxy.
- A. These compounds are, for example, starting from known 3-hydroxy-2-methylpyridines by alkylation of the hydroxyl group (for example with potassium hydroxide and alkyl iodide or arylalkyl iodide in dimethyl sulfoxide), N-oxidation (for example with 30% hydrogen peroxide), nitration in the 4-position (e.g. with nitrating acid), exchange of the nitro for the aryloxy, arylalkoxy or alkoxy group, conversion to the 2-acetoxymethylpyridine (e.g. with hot acetic anhydride), saponification to the hydroxymethyl group and introduction of the escape group Z '(e.g. by reaction with Thionyl chloride) prepared.
- these compounds are prepared from known 3-hydroxy-2-methyl-4-pyrones by alkylation of the hydroxy group (for example with potassium carbonate and alkyl iodide or arylalkyl bromide in acetone), conversion of the pyrone into the corresponding pyridone (for example by Reaction with aqueous ammonia), chlorination to 4-chloropyridine (e.g. with phosphorus oxychloride), N-oxidation (e.g. with 30% hydrogen peroxide), exchange of the chlorine for the alkoxy, aryloxy or arylalkoxy group (e.g.
- the compounds V, VII and XII are prepared, for example, starting from the compounds III in ways known to those skilled in the art.
- Example 3 The procedure described in Example 3 is obtained by reacting 1.08 g (5 mmol) of 5-difluoromethoxy-2-mercapto-1H-benzimidazole with 1.43 g (4 mmol) of 3-benzyloxy-2-chloromethyl-4 -methoxypyridinium chloride in 7 ml of ethanol with the addition of 6 ml of 2N sodium hydroxide solution 2 - [(3-benzyloxy-4-methoxy-2-pyridyl) methylthio] -5-difluoromethoxy-1H-benzimidazole as a yellow oil.
- Example Aa According to the procedure given in Example Aa), 5.1 g (85 g) are obtained by reacting 4.86 g of 4-benzyloxy-2-hydroxymethyl-3-methoxypyridini umchl ori d with 3 g of thionyl chloride in 50 ml of methylene chloride at + 5 ° C % of theory) the title compound as a colorless solid of mp 117-118 ° C (dec.).
- Example Ab According to the procedure given in Example Ab) is obtained by reacting 50 g of 4-benzyloxy-3-methoxy-2-methylpyridine-1-oxide first with 104 g of acetic anhydride, subsequent saponification with 74 ml of 6N sodium hydroxide solution, extraction with methylene chloride and Removal of the solvent a yellow solid residue. Stirring with warm diisopropyl ether gives 37.2 g (75% of theory) of 4-benzyloxy-2-hydroxymethyl-3-methoxypyridine. Beige powder, melting at 68-70oC.
- Potassium hydroxide in 80 ml of dimethyl sulfoxide is added 2.80 g of benzyl chloride and stirred at 20 ° C for 24 hours.
- 150 ml of ice water are added, the mixture is acidified to pH 2 with hydrochloric acid, extracted twice with 20 ml of diethyl ether each time, the water phase is adjusted to pH 9 and extracted five times with 50 ml of methylene chloride.
- 3.1 g (68% of theory) of 5-benzyloxy-4-methoxy-2-methylpyridine are obtained; colorless crystals with a melting point of 69-71 ° C.
- Example Cd According to the procedure given in Example Cd) is obtained by O-alkylation of 7.7 g of 5-hydroxy-4-methoxy-2,3-dimethylpyridine in 80 ml of dimethyl sulfoxide with 6.7 g of benzyl chloride with the addition of 3.25 g potassium hydroxide 12.0 g (98% of theory) 5-benzyloxy-4-methoxy-2,3-dimethylpyridine, melting point 63-64 ° C; colorless
- the compounds of the formula I according to the invention and their salts have valuable pharmacological properties which make them commercially usable. They significantly inhibit gastric acid secretion from warm-blooded animals and also have excellent gastric and intestinal protective effects in warm-blooded animals. This gastric and intestinal protective effect is sometimes already observed when doses are administered which are below the acid secretion-inhibiting doses.
- the compounds according to the invention are distinguished by the absence of significant side effects and a large therapeutic breadth.
- Another aspect essential to the invention is that the compounds of the formula I have high chemical stability and a significant maximum activity in the pH range desired in each case.
- stomach and intestinal protection means the prevention and treatment of gastrointestinal diseases, in particular gastrointestinal inflammatory diseases and lesions (such as, for example, ulcer ventriculi, duodenal ulcer, gastritis, hyperacid or drug-induced irritable stomach), which are caused, for example, by microorganisms, bacterial toxins, Medications (e.g. certain anti-inflammatory drugs and anti-rheumatic drugs), chemicals (e.g. ethanol), stomach acid or stressful situations can be caused.
- gastrointestinal inflammatory diseases and lesions such as, for example, ulcer ventriculi, duodenal ulcer, gastritis, hyperacid or drug-induced irritable stomach
- Medications e.g. certain anti-inflammatory drugs and anti-rheumatic drugs
- chemicals e.g. ethanol
- the compounds according to the invention surprisingly prove to be clearly superior to the compounds known from the prior art.
- the compounds according to the invention and their pharmacologically acceptable salts are outstandingly suitable for use in human and veterinary medicine, in particular for the treatment and prophylaxis of diseases of the stomach and intestines and of such diseases which are based on excessive gastric acid secretion be applied.
- the high storage stability of the compounds according to the invention enables their problem-free use in pharmaceutical preparations.
- the invention further relates to the compounds according to the invention for use in the treatment and prophylaxis of the abovementioned diseases.
- the invention also includes the use of the compounds according to the invention in the production of medicaments which are used for the treatment and prophylaxis of the abovementioned diseases.
- the invention further relates to medicaments which contain one or more compounds of the formula I according to the invention and / or their pharmacologically tolerable salts.
- the pharmaceuticals are produced by methods known per se and familiar to the person skilled in the art.
- auxiliaries suitable for the desired pharmaceutical formulations on the basis of his specialist knowledge.
- solvents yellow flakes, suppository bases, tablet excipients and other active ingredients, antioxidants, dispersants, emulators, defoamers, taste correctors, preservatives, solubilizers, dyes or in particular permeation promoters and complexing agents (e.g. cyclodextrins) can be used.
- the active ingredients can be administered orally, parenterally or percutaneously.
- the active ingredient (s) when administered orally in a daily dose of about 0.05 to about 50, preferably 0.25 to 20, in particular 0.5 to 10 mg / kg body weight in the form of several, preferably 1 to 4 individual doses to achieve the desired result.
- a daily dose of about 0.05 to about 50, preferably 0.25 to 20, in particular 0.5 to 10 mg / kg body weight in the form of several, preferably 1 to 4 individual doses to achieve the desired result.
- similar or generally lower doses in particular when the active compounds are administered intravenously
- the determination of the respectively required optimal dosage and type of application of the active ingredients can easily be made by any expert on the basis of his specialist knowledge.
- the pharmaceutical preparations can also include one or more pharmacologically active constituents of other pharmaceutical groups, such as antacids, for example aluminum hydroxide, magnesium aluminate; Tranquillizers, such as benzodiazepines, for example diazepam; Antispasmodics, such as Bietami verin, camylofin; Anticholinergics such as oxyphencyclimine, phencarbamide; Local anesthetics, such as tetracaine, procaine; optionally also contain ferments, vitamins or amino acids.
- antacids for example aluminum hydroxide, magnesium aluminate
- Tranquillizers such as benzodiazepines, for example diazepam
- Antispasmodics such as Bietami verin, camylofin
- Anticholinergics such as oxyphencyclimine, phencarbamide
- Local anesthetics such as tetracaine, procaine
- the combination of the compounds according to the invention with other drugs which inhibit acid secretion such as H 2 blockers (for example cimetidine, ranitidine), furthermore with so-called peripheral anticholinergics (for example pirenzepin, telenzepin, zolenzepin) and with gastrin antagonists should be emphasized in particular , with the aim of strengthening the main effect in an additive or superadditive sense and / or eliminating or reducing the side effects.
- H 2 blockers for example cimetidine, ranitidine
- peripheral anticholinergics for example pirenzepin, telenzepin, zolenzepin
- gastrin antagonists should be emphasized in particular , with the aim of strengthening the main effect in an additive or superadditive sense and / or eliminating or reducing the side effects.
- the pharmacological properties of the compounds according to the invention can be demonstrated on various animal models.
Landscapes
- Organic Chemistry (AREA)
- Chemical & Material Sciences (AREA)
- Health & Medical Sciences (AREA)
- Nuclear Medicine, Radiotherapy & Molecular Imaging (AREA)
- Life Sciences & Earth Sciences (AREA)
- Chemical Kinetics & Catalysis (AREA)
- General Chemical & Material Sciences (AREA)
- Medicinal Chemistry (AREA)
- Engineering & Computer Science (AREA)
- Pharmacology & Pharmacy (AREA)
- Bioinformatics & Cheminformatics (AREA)
- Animal Behavior & Ethology (AREA)
- General Health & Medical Sciences (AREA)
- Public Health (AREA)
- Veterinary Medicine (AREA)
- Pharmaceuticals Containing Other Organic And Inorganic Compounds (AREA)
- Plural Heterocyclic Compounds (AREA)
Abstract
Description
Neue Benzimidazolderivate New benzimidazole derivatives
Anwendungsgebiet der ErfindungField of application of the invention
Die Erfindung betrifft neue Benzimidazolderivate, Verfahren zu ihrer Herstellung, ihre Anwendung und sie enthaltende Arzneimittel. Die erfindungsgemäßen Verbindungen werden in der pharmazeutischen Industrie als Zwischenprodukte und zur Herstellung von Medikamenten verwendet.The invention relates to new benzimidazole derivatives, processes for their preparation, their use and medicaments containing them. The compounds according to the invention are used in the pharmaceutical industry as intermediates and for the manufacture of medicaments.
Stand der TechnikState of the art
In einer Vielzahl von Patentanmeldungen und Patenten werden 2-(2-Pyridylmethylsulfinyl)-1H-benzimidazolderivate beschrieben, die magensäuresekretionshemmende und ulcusprotektive Eigenschaften besitzen sollen. - Unter anderem werden in der Europäischen Patentanmeldung 0 167 943 2-(2-Pyridylmethylsulfinyl)-1H-benz imidazolderivate beschrieben, die - neben Wasserstoffatomen und/oder Alkylgruppen - als wesentliches Strukturelement einen Aryloxy- oder Aralkyloxysubstituenten im 2-Pyridylring besitzen. - Überraschenderweise wurde nun gefunden, daß die unten näher beschriebenen neuen Benzimidazolderivate, die als wesentliches Strukturelement neben einem Aryloxy- oder Aralkyloxyrest im Pyridinring einen weiteren Alkoxyrest tragen, interessante und unerwartete Eigenschaften aufweisen, durch die sie sich in vorteilhafter Weise von den bekannten Verbindungen unterscheiden.A large number of patent applications and patents describe 2- (2-pyridylmethylsulfinyl) -1H-benzimidazole derivatives which are said to have gastric acid secretion-inhibiting and ulcer protective properties. - Among other things, European patent application 0 167 943 describes 2- (2-pyridylmethylsulfinyl) -1H-benz imidazole derivatives which, in addition to hydrogen atoms and / or alkyl groups, have an aryloxy or aralkyloxy substituent in the 2-pyridyl ring as an essential structural element. - Surprisingly, it has now been found that the new benzimidazole derivatives described in more detail below, which, as an essential structural element in addition to an aryloxy or aralkyloxy radical in the pyridine ring, have a further alkoxy radical, have interesting and unexpected properties which distinguish them from the known compounds in an advantageous manner.
Beschreibung der ErfindungDescription of the invention
Gegenstand der Erfindung sind neue Benzimidazolderivate der Formel IThe invention relates to new benzimidazole derivatives of the formula I.
worin R1, R2 und R3 an beliebigen Positionen im Benzoteil des Benzimidazols stehen können und worin R1 Wasserstoff, Halogen, Trifluormethyl , 1-6C-Alkyl, 1-6C-Alkoxy, 1-4C-Alkoxy-1-4C-alkyl, 1-4C-Alkoxy-1-4C-alkoxy, Phenyl , Phεnoxy, Phenoxy-1-4C-alkyl, Phenoxy-1-4C-alkoxy, Phen-1-4C-alkyl oder Phen-1-4C-alkoxy bedeutet, wherein R1, R2 and R3 can be at any position in the benzo part of the benzimidazole and wherein R1 is hydrogen, halogen, trifluoromethyl, 1-6C-alkyl, 1-6C-alkoxy, 1-4C-alkoxy-1-4C-alkyl, 1-4C-alkoxy-1-4C-alkoxy, phenyl, phenoxy, phenoxy-1 Is -4C-alkyl, phenoxy-1-4C-alkoxy, phen-1-4C-alkyl or phen-1-4C-alkoxy,
R2 Wasserstoff, 1-6C-Alkyl, 1-6C-Alkoxy, ganz oder überwiegend durch Fluor substituiertes 1-4C-Alkoxy, Chlordifluormethoxy, 2-Chlor-1,1,2-trifluorethoxy oder gemeinsam mit R3 gewünschtenfalls ganz oder teilweise durch Fluor substituiertes 1-2C-Alkylendioxy oder Chlortrifluorethylendioxy bedeutet,R2 is hydrogen, 1-6C-alkyl, 1-6C-alkoxy, completely or predominantly substituted by fluorine-1-4C-alkoxy, chlorodifluoromethoxy, 2-chloro-1,1,2-trifluoroethoxy or together with R3, if desired in whole or in part by fluorine substituted 1-2C-alkylenedioxy or chlorotrifluoroethylene dioxy means
R3 Wasserstoff, 1-6C-Alkyl, 1-6C-Alkoxy, ganz oder überwiegend durch Fluor substituiertes 1-4C-Alkoxy, Chlordifluormethoxy, 2-Chlor-1,1,2-trifluorethoxy oder gemeinsam mit R2 gewünschtenfalls ganz oder teilweise durch Fluor substituiertes 1-2C-Alkylendioxy oder Chlortrifluorethylendioxy bedeutet,R3 is hydrogen, 1-6C-alkyl, 1-6C-alkoxy, completely or predominantly substituted by fluorine, 1-4C-alkoxy, chlorodifluoromethoxy, 2-chloro-1,1,2-trifluoroethoxy or together with R2, if desired in whole or in part by fluorine substituted 1-2C-alkylenedioxy or chlorotrifluoroethylene dioxy means
R4 Wasserstoff oder eine unter physiologischen Bedingungen leicht abspaltbare Gruppe bedeutet,R4 denotes hydrogen or a group which can easily be split off under physiological conditions,
R5 Wasserstoff oder 1-6C-Alkyl bedeutet,R5 denotes hydrogen or 1-6C-alkyl,
R6 Wasserstoff oder 1-6C-Alkyl bedeutet,R6 represents hydrogen or 1-6C-alkyl,
R7 1-6C-Alkoxy, 2-5C-Alkenyloxy, 2-5C-Alkinyloxy, 1-4C-Alkoxy-1-4C-alkoxy, Aryloxy oder Aryl-1-4C-alkoxy bedeutet undR7 denotes 1-6C-alkoxy, 2-5C-alkenyloxy, 2-5C-alkynyloxy, 1-4C-alkoxy-1-4C-alkoxy, aryloxy or aryl-1-4C-alkoxy and
R8 Aryloxy oder Aryl-1-4C-alkoxy bedeutet, wobeiR8 means aryloxy or aryl-1-4C-alkoxy, where
Aryl für einen Ring der FormelAryl for a ring of the formula
steht, in dem R9 und RIO gleich oder verschieden sind und die Bedeutung Wasserstoff (H) , 1-4C-Alkyl, 1-4C-Alkoxy, Halogen, Nitro, Hydroxy oder Trifluormethyl haben, und n die Zahl 0 oder 1 darstellt, und die Salze dieser Verbindungen.is in which R9 and RIO are the same or different and are hydrogen (H), 1-4C-alkyl, 1-4C-alkoxy, halogen, nitro, hydroxy or trifluoromethyl, and n represents the number 0 or 1, and the salts of these compounds.
Halogen im Sinne der vorliegenden Erfindung ist Brom, Chlor und Fluor.Halogen in the sense of the present invention is bromine, chlorine and fluorine.
1-6C-Alkyl steht für geradkettige und verzweigte AIkylreste. Geradkettige Alkylreste sind der Hexyl-, Pentyl-, Butyl-, Propyl-, Ethyl- und insbesondere der Methyl rest. Verzweigte AI kylreste sind beispielsweise der Neopentyl-, i-Butyl sec. -Butyl-, t-Butyl- und der Isopropylrest. 1-6C-Alkoxy steht für geradkettige oder verzweigte Alkoxyreste. Beispielsweise seien genannt der Hexyloxy-, Neopentyloxy-, Butoxy-, i-Butoxy-, sec.-Butoxy-, t-Butoxy-, Propoxy-, Isopropoxy-, Ethoxy- und insbesondere der Methoxyrest.1-6C-Alkyl stands for straight-chain and branched alkyl residues. Straight-chain alkyl radicals are the hexyl, pentyl, butyl, propyl, ethyl and in particular the methyl radical. Branched AI kylreste are, for example, the neopentyl, i-butyl sec-butyl, t-butyl and the isopropyl. 1-6C-Alkoxy stands for straight-chain or branched alkoxy radicals. Examples include the hexyloxy, neopentyloxy, butoxy, i-butoxy, sec.-butoxy, t-butoxy, propoxy, isopropoxy, ethoxy and especially the methoxy radical.
1-4C-Alkoxy steht für geradkettige oder verzweigte Alkoxyreste; beispielsweise seien genannt der Butoxy-, i-Butoxy-, sec.-Butόxy-, t-Butoxy-, Propoxy-, Isopropoxy-, Ethoxy- und insbesondere der Methoxyrest.1-4C-alkoxy represents straight-chain or branched alkoxy radicals; Examples include the butoxy, i-butoxy, sec.-butoxy, t-butoxy, propoxy, isopropoxy, ethoxy and especially the methoxy radical.
1-4C-Alkyl steht für geradkettige oder verzweigte AI kylreste; beispielsweise seien der Butyl-, i-Butyl-, sec. -Butyl-, t-Butyl-, Propyl-, Isopropyl-, Ethyl- und insbesondere der Methyl rest genannt.1-4C-alkyl represents straight-chain or branched AI kylreste; For example, the butyl, i-butyl, sec-butyl, t-butyl, propyl, isopropyl, ethyl and especially the methyl radical may be mentioned.
1-4C-Alkoxy-1-4C-alkyl steht für 1-4C-Alkyl, das durch 1-4C-Alkoxy substituiert ist. Beispielsweise seien der Ethoxymethyl-, Propoxybutyl -, Methoxymethyl- und insbesondere der Methoxyethyl - und der Ethoxyethylrest genannt.1-4C-Alkoxy-1-4C-alkyl represents 1-4C-alkyl which is substituted by 1-4C-alkoxy. For example, the ethoxymethyl, propoxybutyl, methoxymethyl and especially the methoxyethyl and ethoxyethyl radicals may be mentioned.
1-4C-Alkoxy-1-4C-alkoxy steht für 1-4C-Alkoxy, das durch 1-4C-Alkoxy substittu iert ist. Beispielsweise seien der Methoxypropoxy-, Ethoxymethoxy- und insbesondere der Ethoxyethoxy- und der Methoxyethoxyrest genannt.1-4C-Alkoxy-1-4C-alkoxy stands for 1-4C-alkoxy which is substituted by 1-4C-alkoxy. For example, the methoxypropoxy, ethoxymethoxy and especially the ethoxyethoxy and methoxyethoxy radical may be mentioned.
Phenoxy-1-4C-alkyl steht für 1-4C-Alkyl, das durch einen Phenoxyrest substituiert ist. Beispielsweise seien der Phenoxypropyl- und der Phenoxyethylrest genannt.Phenoxy-1-4C-alkyl stands for 1-4C-alkyl which is substituted by a phenoxy radical. For example, the phenoxypropyl and the phenoxyethyl radical may be mentioned.
Phenoxy-1-4C-alkoxy steht für 1-4C-Alkoxy, das durch einen Phenoxyrest substituiert ist. Beispielsweise seien der Phenoxyethoxy- und der Phenoxypropoxyrest genannt.Phenoxy-1-4C-alkoxy stands for 1-4C-alkoxy which is substituted by a phenoxy radical. For example, the phenoxyethoxy and the phenoxypropoxy radical may be mentioned.
Phen-1-4C-alkyl steht für 1-4C-Alkyl, das durch einen Phenylrest substituiert ist. Beispielsweise seien der Phenethyl und insbesondere der Benzylrest genannt.Phen-1-4C-alkyl stands for 1-4C-alkyl which is substituted by a phenyl radical. Examples include the phenethyl and especially the benzyl radical.
Phen-1-4C-alkoxy steht für 1-4C-Alkoxy, das durch einen Phenylrest substituiert ist. Beispielsweise seien der 2-Phenyl-ethoxy- und der Benzyloxyrest genannt.Phen-1-4C-alkoxy stands for 1-4C-alkoxy which is substituted by a phenyl radical. Examples include the 2-phenyl-ethoxy and the benzyloxy radical.
Als ganz oder überwiegend durch Fluor substituiertes 1-4C-Alkoxy seien beispielsweise der 1,1,2-Trifluorethoxy-, der Perfluorpropoxy-, der Perfluorethoxy- und insbesondere der 1,1,2, 2-Tetrafluorethoxy-, der Trifluormethoxy-, der 2,2,2-Trifluorethoxy- und der Difluormethoxyrest genannt. 1-2C-Alkylendioxy steht für Ethyl endioxy (-O-CH2 -CH2-O-) oder Methyl endioxy (-O-CH2-O-).Examples of the fully or predominantly fluorine-substituted 1-4C-alkoxy include 1,1,2-trifluoroethoxy, perfluoropropoxy, perfluoroethoxy and in particular 1,1,2, 2-tetrafluoroethoxy, trifluoromethoxy 2,2,2-trifluoroethoxy and the difluoromethoxy radical called. 1-2C-Alkylenedioxy stands for Ethyl endioxy (-O-CH 2 -CH 2 -O-) or Methyl endioxy (-O-CH 2 -O-).
Als ganz oder teilweise durch Fluor substituiertes 1-2C-ALkylendioxy seien bei spielsweise der 1,1-Difluorethyl endioxy- (-O-CF2-CH2-O-), der 1,1,2,2-Tetrafluorethyl endioxy- (-O-CF2-CF2-O-) und insbesondere der Di fluormethyl endioxy(-O-CFz-O-) und der 1,1,2-Trifluorethylendioxyrest (-O-CF2-CHF-O-) genannt.Examples of all or part fluorine-substituted 1-2C-alkylenedioxy include 1,1-difluoroethylendioxy- (-O-CF 2 -CH 2 -O-), 1,1,2,2-tetrafluoroethylendioxy- ( -O-CF 2 -CF 2 -O-) and especially the di fluoromethyl endioxy (-O-CF z -O-) and the 1,1,2-trifluoroethylene dioxy radical (-O-CF 2 -CHF-O-) .
Eine unter physiologischen Bedingungen leicht abspaltbare Gruppe R4 ist ein Substituent, der durch - gegebenenfalls enzymatisch katalysierte - Hydrolyse vom Stickstoffatom unter Ausbildung einer N-H-Bindung abgetrennt wird, wobei selbst - unter Anbindung einer Hydroxylgruppe - in eine physiologisch unbedenkliche und insbesondere pharmakologisch verträgliche Verbindung umgewandelt wird. Als abspaltbare Gruppen R4 seien insbesondere alle Arten von substituierten Carbonylgruppen genannt, wie die Alkylcarbonyl-, Arylcarbonyl-, Aralkylcarbonyl-, Alkoxycarbonyl-, Aryloxycarbonyl-, Aralkoxycarbonyl - oder die gege benenfalls substituierte Carbamoylgruppe. Beispielsweise seien die Methoxycarbonyl.-, t-Butoxycarbonyl-, Benzoyl-, Phenylcarbamoyl- und die Dimethylcarbamoylgruppe genannt.A group R4, which can easily be split off under physiological conditions, is a substituent which is separated from the nitrogen atom by formation of an NH bond by - optionally enzymatically catalyzed - hydrolysis, whereby itself - with the connection of a hydroxyl group - is converted into a physiologically acceptable and in particular pharmacologically acceptable compound . All types of substituted carbonyl groups, such as the alkylcarbonyl, arylcarbonyl, aralkylcarbonyl, alkoxycarbonyl, aryloxycarbonyl, aralkoxycarbonyl group or the optionally substituted carbamoyl group, may be mentioned in particular as the R4 groups which can be removed. Examples include the methoxycarbonyl, t-butoxycarbonyl, benzoyl, phenylcarbamoyl and dimethylcarbamoyl groups.
2-5C-Alkenyloxy steht für Alkenyloxyreste wie den Pent-2-enyloxy-, den But-1-enyloxy- und insbesondere den Allyloxyrest.2-5C-alkenyloxy stands for alkenyloxy radicals such as the pent-2-enyloxy, but-1-enyloxy and in particular the allyloxy radical.
2-5C-Alkinyloxy steht für Alkinyloxyreste wie den Ethinyloxy- und insbesondere den Prop-2-inyloxyrest.2-5C-alkynyloxy represents alkynyloxy radicals such as the ethynyloxy and in particular the prop-2-ynyloxy radical.
Als beispielhafte Aryloxyreste seien der 4-Chlorphenoxy-, der 4-Fluorphenoxyder 3,5-Dichlorphenoxy- und insbesondere der Phenoxyrest genannt.Exemplary aryloxy radicals are the 4-chlorophenoxy radical, the 4-fluorophenoxy radical, 3,5-dichlorophenoxy radical and in particular the phenoxy radical.
Als beispielhafte Aryl-1-4C-alkoxyreste seien der 4-Phenyl butoxy-, der 3-Phenyl propoxy-, der 2-Phenyl ethoxy-, der 4-Methoxybenzyloxy-, der 4-Fluorbenzyloxy-, der 4-Chlorbenzyloxy-, der 3,5-Dichlorbenzyloxy- und insbesondere der Benzyloxyrest genannt. Als Salze kommen für Verbindungen der Formel I, in denen n die Zahl 0 bedeutet (Sulfide), bevorzugt alle Säureadditionssalze in Betracht. Besonders erwähnt seien die pharmakologisch verträglichen Salze der in der Galenik üblicherweise verwendeten anorganischen und organischen Säuren. Pharmakologisch unverträgliche Salze, die beispielsweise bei der Herstellung der erfindungsgemäßen Verbin dungen im industriellen Maßstab als Verfahrensprodukte zunächst anfallen können, werden durch dem Fachmann bekannte Verfahren in pharmakologisch verträgliche Salze übergeführt. Als solche eignen sich beispielsweise wasserlösliche und wasserunlösliche Säureadditionssalze, wie das Hydrochlorid, Hydrobromid, Hydroiodid, Phosphat, Nitrat, Sulfat, Acetat, Citrat, Gluconat, Benzoat, Hibenzat, Fendizoat, Butyrat, Sulfosalicylat, Maleat, Laurat, Malat, Fumarat, Succinat, Oxalat, Tartrat, Amsonat, Embonat, Metembonat, Stearat, Tosilat, 2-Hydroxy-3-naphthoat, 3-Hydroxy-2-naphthoat oder Mesilat.Exemplary aryl-1-4C-alkoxy radicals are the 4-phenylbutoxy, the 3-phenylpropoxy, the 2-phenylethoxy, the 4-methoxybenzyloxy, the 4-fluorobenzyloxy and the 4-chlorobenzyloxy 3,5-dichlorobenzyloxy and especially the benzyloxy radical. Suitable salts for compounds of the formula I in which n is the number 0 (sulfides), are preferably all acid addition salts. Particular mention should be made of the pharmacologically acceptable salts of the inorganic and organic acids commonly used in galenics. Pharmacologically incompatible salts, which may initially be obtained as process products in the manufacture of the compounds according to the invention on an industrial scale, are converted into pharmacologically acceptable salts by processes known to the person skilled in the art. Suitable as such are, for example, water-soluble and water-insoluble acid addition salts, such as the hydrochloride, hydrobromide, hydroiodide, phosphate, nitrate, sulfate, acetate, citrate, gluconate, benzoate, hibenzate, fendizoate, butyrate, sulfosalicylate, maleate, laurate, malate, fumarate, succinate Oxalate, tartrate, amsonate, embonate, metembonate, stearate, tosilate, 2-hydroxy-3-naphthoate, 3-hydroxy-2-naphthoate or mesilate.
Für Verbindungen der Formel I, in denen n die Zahl 1 bedeutet (Sulfoxide), kommen als Salze bevorzugt basische Salze in Betracht, insbesondere pharmakologisch verträgliche Salze mit in der Galenik üblicherweise verwendeten anorganischen und organischen Basen. Als Beispiele für basische Salze seien Lithium-, Natrium-, Kalium-, Calcium-, Aluminium-, Magnesium-, Titan-, Ammonium- oder Guanidiniumsalze erwähnt.For compounds of the formula I in which n denotes the number 1 (sulfoxides), the preferred salts are basic salts, in particular pharmacologically acceptable salts with inorganic and organic bases commonly used in galenics. Lithium, sodium, potassium, calcium, aluminum, magnesium, titanium, ammonium or guanidinium salts may be mentioned as examples of basic salts.
Wenn R2 und R3 gemeinsam gewünschtenfalls ganz oder teilweise durch Fluor substituiertes 1-2C-Alkyl endioxy oder Chlortrifluorethylendioxy bedeuten, so sind die Substituenten R2 und R3 in Nachbarpositionen am Benzoteil des Benzimidazolringes gebunden.If R2 and R3 together, if desired, mean all or part of fluorine-substituted 1-2C-alkyl endioxy or chlorotrifluoroethylene dioxy, the substituents R2 and R3 are bonded to the benzo part of the benzimidazole ring in adjacent positions.
Ein Aspekt der Erfindung (Aspekt 1) sind Verbindungen der Formel I, worin R2 Wasserstoff, 1-6C-Alkyl oder 1-6C-Alkoxy bedeutet, R3 Wasserstoff, 1-6C-Alkyl oder 1-6C-Alkoxy bedeutet und R1, R4, R5, R6, R7, R8, R9, R10 und n die oben angegebenen Bedeutungen haben, und die Salze dieser Verbindungen.One aspect of the invention (aspect 1) are compounds of the formula I in which R2 is hydrogen, 1-6C-alkyl or 1-6C-alkoxy, R3 is hydrogen, 1-6C-alkyl or 1-6C-alkoxy and R1, R4 , R5, R6, R7, R8, R9, R10 and n have the meanings given above, and the salts of these compounds.
Bevorzugte Vertreter dieses Aspektes 1 der Erfindung sind Verbindungen der Formel I, worin R1 Wasserstoff, Chlor, Fluor, Trifluormethyl, Methyl, Ethyl, Methoxy oderPreferred representatives of this aspect 1 of the invention are compounds of the formula I in which R1 is hydrogen, chlorine, fluorine, trifluoromethyl, methyl, ethyl, methoxy or
Ethoxy bedeutet, R2 Wasserstoff, Methyl, Ethyl, Methoxy oder Ethoxy bedeutet, R3 Wasserstoff bedeutet, R4 Wasserstoff bedeutet, R5 Wasserstoff bedeutet, R6 Wasserstoff oder Methyl bedeutet, R7 Methoxy oder Benzyloxy bedeutet, R8 Benzyloxy bedeutet und n die Zahl 0 oder 1 darstellt, und die Salze dieser Verbindungen.Ethoxy means, R2 means hydrogen, methyl, ethyl, methoxy or ethoxy, R3 means hydrogen, R4 means hydrogen, R5 means hydrogen, R6 means hydrogen or methyl, R7 means methoxy or benzyloxy, R8 means benzyloxy and n represents the number 0 or 1 , and the salts of these compounds.
Besonders bevorzugte Vertreter des Aspektes 1 der Erfindung sind Verbindungen der Formel I, worinParticularly preferred representatives of aspect 1 of the invention are compounds of the formula I in which
R1 Wasserstoff, Trifluormethyl oder Methoxy bedeutet,R1 is hydrogen, trifluoromethyl or methoxy,
R2, R3, R4 und R5 Wasserstoff bedeuten,R2, R3, R4 and R5 denote hydrogen,
R6 Wasserstoff oder Methyl bedeutet,R6 represents hydrogen or methyl,
R7 Methoxy bedeutet,R7 means methoxy,
R8 Benzyloxy bedeutet und n die Zahl 0 oder 1 darstellt, und die Salze dieser Verbindungen.R8 represents benzyloxy and n represents the number 0 or 1, and the salts of these compounds.
Ein weiterer Aspekt der Erfindung (Aspekt 2) sind Verbindungen der Formel I, worin R2 gemeinsam mit R3 1-2C-Alkylendioxy bedeutet und R1, R4, R5, R6, R7, R8, R9, R10 und n die eingangs angegebenen Bedeutungen haben, und die Salze dieser Verbindungen.A further aspect of the invention (aspect 2) are compounds of the formula I in which R2 together with R3 denotes 1-2C-alkylenedioxy and R1, R4, R5, R6, R7, R8, R9, R10 and n have the meanings given above, and the salts of these compounds.
Bevorzugte Vertreter dieses Aspektes 2 der Erfindung sind Verbindungen der Formel I, worinPreferred representatives of this aspect 2 of the invention are compounds of the formula I in which
R1 Wasserstoff bedeutet,R1 means hydrogen
R2 und R3 gemeinsam Ethylendioxy oder Methylendioxy bedeuten, R4 Wasserstoff bedeutet, R5 Wasserstoff bedeutet, R6 Wasserstoff oder Methyl bedeutet, R7 Methoxy oder Benzyloxy bedeutet, R8 Benzyloxy bedeutet und n die Zahl 0 oder 1 darstellt, und die Salze dieser Verbindungen. Besonders bevorzugte Vertreter des Aspektes 2 der Erfindung sind Verbindungen der Formel I, worinR2 and R3 together mean ethylenedioxy or methylenedioxy, R4 means hydrogen, R5 means hydrogen, R6 means hydrogen or methyl, R7 means methoxy or benzyloxy, R8 means benzyloxy and n represents the number 0 or 1, and the salts of these compounds. Particularly preferred representatives of aspect 2 of the invention are compounds of the formula I in which
R1 Wasserstoff bedeutet,R1 means hydrogen
R2 und R3 gemeinsam Ethylendioxy oder Methylendioxy bedeuten,R2 and R3 together mean ethylenedioxy or methylenedioxy,
R4 Wasserstoff bedeutet,R4 means hydrogen,
R5 Wasserstoff bedeutet,R5 means hydrogen
R6 Wasserstoff oder Methyl bedeutet,R6 represents hydrogen or methyl,
R7 Methoxy bedeutet,R7 means methoxy,
R8 Benzyloxy bedeutet und n die Zahl 0 oder 1 darstellt, und die Salze dieser Verbindungen.R8 represents benzyloxy and n represents the number 0 or 1, and the salts of these compounds.
Ein weiterer Aspekt der Erfindung (Aspekt 3) sind Verbindungen der Formel I, worinA further aspect of the invention (aspect 3) are compounds of the formula I in which
R2 Wasserstoff, 1-6C-Alkyl, 1-6C-Alkoxy, ganz oder überwiegend durch Fluor substituiertes 1-4C-Alkoxy, Chlordifluormethoxy, 2-Chlor-1,1,2-trifluorethoxy oder gemeinsam mit R3 ganz oder teilweise durch Fluor substituiertes 1-2C-Alkyl endioxy oder Chlortrifluorethylendioxy bedeutet, R3 ganz oder überwiegend durch Fluor substituiertes 1-4C-Alkoxy, Chlordifluormethoxy, 2-Chlor-1,1,2-trifluorethoxy oder gemeinsam mit R2 ganz oder teilweise durch Fluor substituiertes 1-2C-Alkylendioxy oder Chlortrifluorethylendioxy bedeutet, undR2 is hydrogen, 1-6C-alkyl, 1-6C-alkoxy, completely or predominantly substituted by fluorine-1-4C-alkoxy, chlorodifluoromethoxy, 2-chloro-1,1,2-trifluoroethoxy or together with R3 completely or partly substituted by fluorine 1-2C-alkyl endioxy or chlorotrifluoroethylene dioxy means R3 is completely or predominantly substituted by fluorine-1-4C-alkoxy, chlorodifluoromethoxy, 2-chloro-1,1,2-trifluoroethoxy or together with R2 completely or partly by fluorine-substituted 1-2C- Alkylenedioxy or Chlortrifluorethylenendioxy means, and
R1, R4, R5, R6, R7, R8, R9, R10 und n die eingangs angegebenen Bedeutungen haben.R1, R4, R5, R6, R7, R8, R9, R10 and n have the meanings given above.
Eine hervorzuhebende Ausgestaltung des Aspektes 3 der Erfindung (Ausgestaltung a) sind Verbindungen der Formel Ia,A particular aspect of aspect 3 of the invention (aspect a) are compounds of the formula Ia,
worin wherein
R1 Wasserstoff bedeutet, R2 Wasserstoff, Methyl, Ethyl, Methoxy, Ethoxy, 1,1,2,2-Tetrafluorethoxy,R1 means hydrogen R2 is hydrogen, methyl, ethyl, methoxy, ethoxy, 1,1,2,2-tetrafluoroethoxy,
Trifluormethoxy, 2,2,2-Trifluorethoxy, Difluormethoxy, 2-Chlor-1,1,2-trifluorethoxy oder gemeinsam mit R3 Di fluormethylendioxy, 1,1,2-Trifluorethyl endioxy oder 1-Chlor-1,2,2-trifluorethylendioxy bedeutet,Trifluoromethoxy, 2,2,2-trifluoroethoxy, difluoromethoxy, 2-chloro-1,1,2-trifluoroethoxy or together with R3 di fluoromethylene dioxy, 1,1,2-trifluoroethyl endioxy or 1-chloro-1,2,2-trifluoroethylene dioxy means
R3 1,1,2,2-Tetrafluorethoxy, Trifluormethoxy, 2,2,2-Trifluorethoxy, Difluormethoxy, 2-Chlor-1,1,2-trifluorethoxy oder gemeinsam mit R2 Difluormethy1 endioxy, 1,1,2-Trifluorethylendioxy oder 1-Chlor- 1,2,2-trifluorethylendioxy bedeutet,R3 1,1,2,2-tetrafluoroethoxy, trifluoromethoxy, 2,2,2-trifluoroethoxy, difluoromethoxy, 2-chloro-1,1,2-trifluoroethoxy or together with R2 difluoromethy1 endioxy, 1,1,2-trifluoroethylene dioxy or 1 -Chlor- 1,2,2-trifluoroethylene dioxy means
R4 Wasserstoff bedeutet,R4 means hydrogen,
R5 Wasserstoff, Methyl oder Ethyl bedeutet,R5 denotes hydrogen, methyl or ethyl,
R6 Wasserstoff oder 1-4C-Alkyl bedeutet,R6 represents hydrogen or 1-4C-alkyl,
R7 1-4C-Alkoxy, Aryloxy oder Aryl-1-4C-alkoxy bedeutet,R7 denotes 1-4C-alkoxy, aryloxy or aryl-1-4C-alkoxy,
R8 Aryloxy oder Aryl-1-4-C-alkoxy bedeutet, wobeiR8 means aryloxy or aryl-1-4-C-alkoxy, where
Aryl für einen Ring der FormelAryl for a ring of the formula
steht in dem is in that
R9 Wasserstoff, Methyl, Methoxy oder Chlor undR9 is hydrogen, methyl, methoxy or chlorine and
R10 Wasserstoff, Methyl, Methoxy, Chlor, Nitro, Hydroxy oder Trifluormethyl bedeutet, und n die Zahl 0 oder 1 darstellt, und die Salze dieser Verbindungen.R10 represents hydrogen, methyl, methoxy, chlorine, nitro, hydroxy or trifluoromethyl, and n represents the number 0 or 1, and the salts of these compounds.
Eine weitere hervorzuhebende Ausgestaltung des Aspektes 3 der Erfindung (Ausgestaltung b) sind Verbindungen der Formel Ib A further aspect of aspect 3 of the invention (embodiment b) which is to be emphasized are compounds of the formula Ib
worin R1, R2, R3, R4, R5, R6, R7, R8, R9, R10 und n die für die Ausgestaltunga angegebenen Bedeutungen haben, und ihre Salze.wherein R1, R2, R3, R4, R5, R6, R7, R8, R9, R10 and n have the meanings given for the embodiment a, and their salts.
Eine weitere hervorzuhebende Ausgestaltung des Aspektes 3 der Erfindung (Ausge- staltung c) sind Verbindungen der Formel IcA further aspect of aspect 3 of the invention (embodiment c) which is to be emphasized are compounds of the formula Ic
worin R1, R2, R3, R4, R5, R6, R7, R8, R9, R10 und n die für die Ausgestaltung a angegebenen Bedeutungen haben, und ihre Salze. wherein R1, R2, R3, R4, R5, R6, R7, R8, R9, R10 and n have the meanings given for the configuration a, and their salts.
Eine weitere hervorzuhebende Ausgestaltung des Aspektes 3 der Erfindung (Ausgestaltung d) sind Verbindungen der Formel IdA further aspect of aspect 3 of the invention (embodiment d) which is to be emphasized are compounds of the formula Id
worin R1, R2, R3, R4, R5, R6, R7, R8, R9, R10 und n die für die Ausgestaltung a angegebenen Bedeutungen haben, und ihre Salze. wherein R1, R2, R3, R4, R5, R6, R7, R8, R9, R10 and n have the meanings given for the configuration a, and their salts.
Bevorzugte erfindungsgemäße Verbindungen sind solche der Formeln I, Ia, Ib, Ic und Id, in denenPreferred compounds according to the invention are those of the formulas I, Ia, Ib, Ic and Id in which
R1 Wasserstoff bedeutet,R1 means hydrogen
R2 Wasserstoff, Methoxy oder gemeinsam mit R3 Difluormethyl endioxy,R2 is hydrogen, methoxy or together with R3 difluoromethyl endioxy,
1,1,2-Trifluorethylendioxy oder 1-Chlor-1,2,2-trifluorethylendioxy bedeutet, R3 1,1,2,2-Tetrafluorethoxy, Trifluormethoxy, 2,2,2-Trifluorethoxy, Difluormethoxy, 2-Chlor-1,1,2-trifluorethoxy oder gemeinsam mit R3 Difluormethylendioxy, 1,1,2-Trifluorethylendioxy oder 1-Chlor-1,2,2-trifluorethylendioxy bedeutet, R4 Wasserstoff bedeutet, R5 Wasserstoff bedeutet, R6 Wasserstoff oder Methyl bedeutet, R7 Methoxy oder Ethoxy bedeutet, R8 Benzyloxy bedeutet und n die Zahl 0 oder 1 darstellt, und die Salze dieser Verbindungen.1,1,2-trifluoroethylene dioxy or 1-chloro-1,2,2-trifluoroethylene dioxy means, R3 1,1,2,2-tetrafluoroethoxy, trifluoromethoxy, 2,2,2-trifluoroethoxy, difluoromethoxy, 2-chloro-1, 1,2-trifluoroethoxy or together with R3 means difluoromethylene dioxy, 1,1,2-trifluoroethylene dioxy or 1-chloro-1,2,2-trifluoroethylene dioxy, R4 means hydrogen, R5 means hydrogen, R6 means hydrogen or methyl, R7 means methoxy or ethoxy means R8 means benzyloxy and n represents the number 0 or 1, and the salts of these compounds.
Besonders bevorzugte erfindungsgemäße Verbindungen sind solche der Formeln I, Ia, Ib, Ic und Id, in denen R1 Wasserstoff bedeutet,Particularly preferred compounds according to the invention are those of the formulas I, Ia, Ib, Ic and Id in which R1 means hydrogen
R2 Wasserstoff oder gemeinsam mit R3 Difluormethylendioxy bedeutet,R2 is hydrogen or together with R3 difluoromethylene dioxy,
R3 Difluormethoxy oder gemeinsam mit R2 Difluormethylendioxy bedeutet,R3 means difluoromethoxy or together with R2 difluoromethylene dioxy,
R4 Wasserstoff bedeutet,R4 means hydrogen,
R5 Wasserstoff bedeutet,R5 means hydrogen
R6 Wasserstoff oder Methyl bedeutet,R6 represents hydrogen or methyl,
R7 Methoxy bedeutet,R7 means methoxy,
R8 Benzyloxy bedeutet und n die Zahl 0 oder 1 darstellt, und die Salze dieser Verbindungen.R8 represents benzyloxy and n represents the number 0 or 1, and the salts of these compounds.
Als erfindungsgemäße Verbindungen seien beispielsweise genannt: 2- [(5-Benzyl oxy-4-methoxy-3-methyl-2-pyridyl)methylsulfinyl]-5-trifluormethoxy-1H-benzimidazol,The following compounds may be mentioned as examples: 2- [(5-benzyloxy-4-methoxy-3-methyl-2-pyridyl) methylsulfinyl] -5-trifluoromethoxy-1H-benzimidazole,
2- [(5-Benzyloxy-4-methoxy-3-methyl-2-pyridyl)methylthio]-5-trifluormethoxy-1H-benzimidazol,2- [(5-benzyloxy-4-methoxy-3-methyl-2-pyridyl) methylthio] -5-trifluoromethoxy-1H-benzimidazole,
2- [(5-Benzyloxy-4-methoxy-3-methyl-2-pyridyl)methylsulfinyl]-5-(1,1,2,2-tetrafluorethoxy)-1H-benzimidazol,2- [(5-benzyloxy-4-methoxy-3-methyl-2-pyridyl) methylsulfinyl] -5- (1,1,2,2-tetrafluoroethoxy) -1H-benzimidazole,
2- [(5-Benzyloxy-4-methoxy-3-methyl-2-pyridyl)methylthio]-5-(1,1,2,2-tetrafluorethoxy)-1H-benzimidazol,2- [(5-benzyloxy-4-methoxy-3-methyl-2-pyridyl) methylthio] -5- (1,1,2,2-tetrafluoroethoxy) -1H-benzimidazole,
2-[(5-Benzyloxy-4-methoxy-3-methyl-2-pyridyl)methylsulfinyl]-5-(2,2,2-trifluorethoxy)-1H-benzimidazol,2 - [(5-benzyloxy-4-methoxy-3-methyl-2-pyridyl) methylsulfinyl] -5- (2,2,2-trifluoroethoxy) -1H-benzimidazole,
2-[(5-Benzyloxy-4-methoxy-3-methyl-2-pyridyl)methylthio]-5-(2,2,2-trifluorethoxy)-1H-benzimidazol,2 - [(5-benzyloxy-4-methoxy-3-methyl-2-pyridyl) methylthio] -5- (2,2,2-trifluoroethoxy) -1H-benzimidazole,
2- [(5-Benzyloxy-4-methoxy-3-methyl-2-pyridyl)methylsulfinyl]-5-difluormethoxy1H-benzimidazol,2- [(5-benzyloxy-4-methoxy-3-methyl-2-pyridyl) methylsulfinyl] -5-difluoromethoxy1H-benzimidazole,
2-[(5-Benzyloxy-4-methoxy-3-methyl-2-pyridyl)methylthio]-5-difluormethoxy-1H-benzimidazol,2 - [(5-benzyloxy-4-methoxy-3-methyl-2-pyridyl) methylthio] -5-difluoromethoxy-1H-benzimidazole,
2- [(5-Benzyloxy-4-methoxy-3-methyl-2-pyridyl)methylsulfinyl]-5-chlordifluormethoxy-1H-benzimidazol,2- [(5-benzyloxy-4-methoxy-3-methyl-2-pyridyl) methylsulfinyl] -5-chlorodifluoromethoxy-1H-benzimidazole,
2-[(5-Benzyloxy-4-methoxy-3-methyl-2-pyridyl)methylthio]-5-chlordifluormethoxy-1H-benzimidazol,2 - [(5-benzyloxy-4-methoxy-3-methyl-2-pyridyl) methylthio] -5-chlorodifluoromethoxy-1H-benzimidazole,
2-[(5-Benzyloxy-4-methoxy-3-methyl-2-pyridyl)methylsulfinyl]-5,6-bis(difluormethoxy) -1H-benzimidazol,2 - [(5-benzyloxy-4-methoxy-3-methyl-2-pyridyl) methylsulfinyl] -5,6-bis (difluoromethoxy) -1H-benzimidazole,
2-[(5-Benzyloxy-4-methoxy-3-methyl-2-pyridyl)methylthio]-5,6-bis(difluormethoxy) -1H-benzimidazol2 - [(5-Benzyloxy-4-methoxy-3-methyl-2-pyridyl) methylthio] -5,6-bis (difluoromethoxy) -1H-benzimidazole
2- [(5-Benzyloxy-4-methoxy-3-methyl-2-pyridyl)methylsulfinyl]-5-difluormethoxy 6-methoxy-1H-benzimidazol, 2- [(5-Benzyloxy-4-methoxy-3-methyl-2-pyridyl) methylthio]-5-difluormethoxy-6-methoxy-1H-benzimidazol,2- [(5-benzyloxy-4-methoxy-3-methyl-2-pyridyl) methylsulfinyl] -5-difluoromethoxy 6-methoxy-1H-benzimidazole, 2- [(5-benzyloxy-4-methoxy-3-methyl-2-pyridyl) methylthio] -5-difluoromethoxy-6-methoxy-1H-benzimidazole,
2,2-Difluor-6-[(5-benzyloxy-4-methoxy-3-methyl-2-pyridyl)methylthio]-5H-[1,3]-dioxolo[4,5-f]benzimidazol,2,2-difluoro-6 - [(5-benzyloxy-4-methoxy-3-methyl-2-pyridyl) methylthio] -5H- [1,3] dioxolo [4,5-f] benzimidazole,
2,2-Difluor-6-[(5-benzyloxy-4-methoxy-3-methyl-2-pyridyl)methylsulfinyl]-5H-[1 , 3] -dioxolo-[4,5-f] benzimidazol,2,2-difluoro-6 - [(5-benzyloxy-4-methoxy-3-methyl-2-pyridyl) methylsulfinyl] -5H- [1,3] -dioxolo- [4,5-f] benzimidazole,
6 ,6 , 7-Trifluor-6,7-dihydro-2-[(5-benzyloxy-4-methoxy-3-methyl-2-pyridyl)methylthio]-1H-[1,4]dioxino[2,3-f] benzimidazol,6, 6, 7-trifluoro-6,7-dihydro-2 - [(5-benzyloxy-4-methoxy-3-methyl-2-pyridyl) methylthio] -1H- [1,4] dioxino [2,3- f] benzimidazole,
6,6,7-Trifluor-6,7-dihydro-2-[(5-benzyloxy-4-methoxy-3-methyl-2-pyridyl)methylsulfinyl]-1H-[1,4]-dioxino[2,3-f] benzimidazol,6,6,7-trifluoro-6,7-dihydro-2 - [(5-benzyloxy-4-methoxy-3-methyl-2-pyridyl) methylsulfinyl] -1H- [1,4] dioxino [2,3 -f] benzimidazole,
6 , 6-Dif1uor-6 , 7-di hydro-2-[(5-benzyloxy-4-methoxy-3-methyl-2-pyridyl)methylthio]-1H-[1,4]-dioxino[2, 3-f] benzimidazol,6,6-difluoro-6,7-di hydro-2 - [(5-benzyloxy-4-methoxy-3-methyl-2-pyridyl) methylthio] -1H- [1,4] -dioxino [2,3- f] benzimidazole,
6, 6-Difluor-6,7-dihydro-2-[(5-benzyloxy-4-methoxy-3-methyl-2-pyridyl)methylsulfinyl]-1H-[1,4]-dioxino [2,3-f] benzimidazol,6, 6-difluoro-6,7-dihydro-2 - [(5-benzyloxy-4-methoxy-3-methyl-2-pyridyl) methylsulfinyl] -1H- [1,4] dioxino [2,3-f ] benzimidazole,
6,6,7,7-Tetraf1uor-6,7-dihydro-2-[(5-benzyloxy-4-methoxy-3-methyl-2-pyridyl)methylthio]-1H-[1,4]-dioxino[2,3-f] benzimidazol,6,6,7,7-tetrafluoro-6,7-dihydro-2 - [(5-benzyloxy-4-methoxy-3-methyl-2-pyridyl) methylthio] -1H- [1,4] dioxino [2 , 3-f] benzimidazole,
6, 6,7, 7-Tetrafluor-6,7-dihydro-2-[(5-benzyloxy-4-methoxy-3-methyl-2-pyridyl)methylsulfinyl]-1H-[1,4]-dioxino [2,3-f] benzimidazol,6, 6,7, 7-tetrafluoro-6,7-dihydro-2 - [(5-benzyloxy-4-methoxy-3-methyl-2-pyridyl) methylsulfinyl] -1H- [1,4] dioxino [2 , 3-f] benzimidazole,
6-ChIor-6,7,7-trifluor-6,7-dihydro-2-[(5-benzyloxy-4-methoxy-3-methyl-2-pyridyl)methylsulfinyl]-1H-[1,4]-dioxino[2,3-f] benzimidazol,6-Chloro-6,7,7-trifluoro-6,7-dihydro-2 - [(5-benzyloxy-4-methoxy-3-methyl-2-pyridyl) methylsulfinyl] -1H- [1,4] dioxino [2,3-f] benzimidazole,
6-Chlor-6, 7, 7-trifluor-6, 7-dihydro-2-[(5-benzyloxy-4-methoxy-3-methyl-2-pyridyl)methylthio]-1H-[1,4]-dioxino[2,3-f] benzimidazol,6-chloro-6, 7, 7-trifluoro-6, 7-dihydro-2 - [(5-benzyloxy-4-methoxy-3-methyl-2-pyridyl) methylthio] -1H- [1,4] dioxino [2,3-f] benzimidazole,
2- [(5-Benzyloxy-4-methoxy-2-pyridyl)methylsulfinyl]-5-trifluormethoxy-1H-benzimidazol,2- [(5-benzyloxy-4-methoxy-2-pyridyl) methylsulfinyl] -5-trifluoromethoxy-1H-benzimidazole,
2- [(5-Benzyloxy-4-methoxy-2-pyridyl)methylthio]-5-trifluormethoxy-1H-benzimidazol,2- [(5-benzyloxy-4-methoxy-2-pyridyl) methylthio] -5-trifluoromethoxy-1H-benzimidazole,
2- [(5-Benzyl oxy-4-methoxy-2-pyridyl)methylsulfinyl]-5-(1,1,2,2-tetrafluorethoxy)-1H-benzimidazol,2- [(5-benzyloxy-4-methoxy-2-pyridyl) methylsulfinyl] -5- (1,1,2,2-tetrafluoroethoxy) -1H-benzimidazole,
2- [(5-Benzyloxy-4-methoxy-2-pyridyl)methylthio]-5-(1,1,2,2-tetrafluorethoxy)-1H-benzimidazol,2- [(5-benzyloxy-4-methoxy-2-pyridyl) methylthio] -5- (1,1,2,2-tetrafluoroethoxy) -1H-benzimidazole,
2- [(5-Benzyloxy-4-methoxy-2-pyridyl)methylsulfinyl]-5-(2,2,2-trifluorethoxy)-1H-benzimidazol,2- [(5-benzyloxy-4-methoxy-2-pyridyl) methylsulfinyl] -5- (2,2,2-trifluoroethoxy) -1H-benzimidazole,
2- [(5-Benzyloxy-4-methoxy-2-pyridyl)methylthio]-5-(2,2,2-trifluorethoxy)-1H-benzimidazol, 2-[(5-Benzyloxy-4-methoxy-2-pyridyl)methylsulfinyl]-5-difluormethoxy-1H-benzimidazol,2- [(5-benzyloxy-4-methoxy-2-pyridyl) methylthio] -5- (2,2,2-trifluoroethoxy) -1H-benzimidazole, 2 - [(5-benzyloxy-4-methoxy-2-pyridyl) methylsulfinyl] -5-difluoromethoxy-1H-benzimidazole,
2-[(5-Benzyloxy-4-methoxy-2-pyridyl)methylthio]-5-difluormethoxy-1H-benzimidazol,2 - [(5-benzyloxy-4-methoxy-2-pyridyl) methylthio] -5-difluoromethoxy-1H-benzimidazole,
2-[(5-Benzyloxy-4-methoxy-2-pyridyl)methylsulfinyl]-5-chlordif1uormethoxy-1H benzimidazol,2 - [(5-benzyloxy-4-methoxy-2-pyridyl) methylsulfinyl] -5-chlorodif1uormethoxy-1H benzimidazole,
2-[(5-Benzyloxy-4-methoxy-2-pyridyl)methylthio]-5-chlordifluormethoxy-1H-benzimidazol,2 - [(5-benzyloxy-4-methoxy-2-pyridyl) methylthio] -5-chlorodifluoromethoxy-1H-benzimidazole,
2-[(5-Benzyloxy-4-methoxy-2-pyridyl)methylsulfinyl]-5,6-bis(difluormethoxy)-1H-benzimidazol,2 - [(5-benzyloxy-4-methoxy-2-pyridyl) methylsulfinyl] -5,6-bis (difluoromethoxy) -1H-benzimidazole,
2-[(5-Benzyloxy-4-methoxy-2-pyridyl)methylthio]-5,6-bis(difluormethoxy)-1H-benzimidazol2 - [(5-Benzyloxy-4-methoxy-2-pyridyl) methylthio] -5,6-bis (difluoromethoxy) -1H-benzimidazole
2-[(5-Benzyloxy-4-methoxy-2-pyridyl)methylsulfinyl]-5-difluormethoxy-6-methoxy-1H-benzimidazol,2 - [(5-benzyloxy-4-methoxy-2-pyridyl) methylsulfinyl] -5-difluoromethoxy-6-methoxy-1H-benzimidazole,
2-[(5-Benzyloxy-4-methoxy-2-pyridyl)methylthio]-5-difluormethoxy-6-methoxy-1H-benzimidazol,2 - [(5-benzyloxy-4-methoxy-2-pyridyl) methylthio] -5-difluoromethoxy-6-methoxy-1H-benzimidazole,
2,2-Difluor-6-[(5-benzyloxy-4-methoxy-2-pyridyl)methylthio]-5H-[1,3]-dioxolo-[4,5-f]benzimidazol,2,2-difluoro-6 - [(5-benzyloxy-4-methoxy-2-pyridyl) methylthio] -5H- [1,3] dioxolo- [4,5-f] benzimidazole,
2,2-Difluor-6-[(5-benzyloxy-4-methoxy-2-pyridyl)methylsulfinyl]-5H-[1,3]-dioxo¬lo-[4,5-f]benzimidazol,2,2-difluoro-6 - [(5-benzyloxy-4-methoxy-2-pyridyl) methylsulfinyl] -5H- [1,3] -dioxo¬lo- [4,5-f] benzimidazole,
6,6,7-Trifluor-6,7-dihydro-2-[(5-benzyloxy-4-methoxy-2-pyridyl)methylthio]-1H-[1,4]dioxino[2,3-f]benzimidazol,6,6,7-trifluoro-6,7-dihydro-2 - [(5-benzyloxy-4-methoxy-2-pyridyl) methylthio] -1H- [1,4] dioxino [2,3-f] benzimidazole,
6,6,7-Trifluor-6,7-dihydro-2-[(5-benzyloxy-4-methoxy-2-pyridyl)methylsulfinyl]-1H-[1,4]-dioxino[2,3-f]benzimidazol,6,6,7-trifluoro-6,7-dihydro-2 - [(5-benzyloxy-4-methoxy-2-pyridyl) methylsulfinyl] -1H- [1,4] dioxino [2,3-f] benzimidazole ,
6,6-Difluor-6,7-dihydro-2-[(5-benzyloxy-4-methoxy-2-pyridyl)methylthio]-1H-[1,4]-dioxino[2,3-f]benzimidazol,6,6-difluoro-6,7-dihydro-2 - [(5-benzyloxy-4-methoxy-2-pyridyl) methylthio] -1H- [1,4] dioxino [2,3-f] benzimidazole,
6,6-Difluor-6,7-dihydro-2-[(5-benzyloxy-4-methoxy-2-pyridyl)methylsulfinyl]-1H-[1,4]-dioxino[2,3-f]benzimidazol,6,6-difluoro-6,7-dihydro-2 - [(5-benzyloxy-4-methoxy-2-pyridyl) methylsulfinyl] -1H- [1,4] dioxino [2,3-f] benzimidazole,
6,6,7,7-Tetrafluor-6,7-dihydro-2-[(5-benzyloxy-4-methoxy-2-pyridyl)methylthi1H-[1,4]-dioxino[2,3-f]benzimidazol,6,6,7,7-tetrafluoro-6,7-dihydro-2 - [(5-benzyloxy-4-methoxy-2-pyridyl) methylthi1H- [1,4] dioxino [2,3-f] benzimidazole,
6,6,7,7-Tetrafluor-6,7-dihydro-2-[(5-benzyloxy-4-methoxy-2-pyridyl)methylsul¬finyl]-1H-[1,4]-dioxino[2,3-f]benzimidazol,6,6,7,7-tetrafluoro-6,7-dihydro-2 - [(5-benzyloxy-4-methoxy-2-pyridyl) methylsul¬finyl] -1H- [1,4] dioxino [2,3 -f] benzimidazole,
6-Chlor-6,7,7-trifluor-6,7-dihydro-2-[(5-benzyloxy-4-methoxy-2-pyridyl)methyl¬sulfinyl]-1H-[1,4]-dioxino[2,3-f]benzimidazol,6-chloro-6,7,7-trifluoro-6,7-dihydro-2 - [(5-benzyloxy-4-methoxy-2-pyridyl) methylsulfinyl] -1H- [1,4] dioxino [2 , 3-f] benzimidazole,
6-Chlor-6,7,7-trifluor-6,7-dihydro-2-[(5-benzyloxy-4-methoxy-2-pyridyl)methyl¬thio]-1H-[1,4]-dioxino[2,3-f]benzimidazol, 2-[(4-Benzyloxy-3-methoxy-2-pyridyl)methylsulfinyl]-5-trifluormethoxy-1H-benz¬imidazol,6-chloro-6,7,7-trifluoro-6,7-dihydro-2 - [(5-benzyloxy-4-methoxy-2-pyridyl) methylthio] -1H- [1,4] dioxino [2 , 3-f] benzimidazole, 2 - [(4-benzyloxy-3-methoxy-2-pyridyl) methylsulfinyl] -5-trifluoromethoxy-1H-benzimidazole,
2-[(4-Benzyloxy-3-methoxy-2-pyridyl)methylthio]-5-trif1uormethoxy-1H-benzimida¬zol,2 - [(4-benzyloxy-3-methoxy-2-pyridyl) methylthio] -5-trif1uormethoxy-1H-benzimidazole,
2-[(4-Benzyloxy-3-methoxy-2-pyridyl)methylsulfinyl]-5-(1,1,2,2-tetrafluoreth¬oxy)-1H-benzimidazol, 2-[(4-Benzyloxy-3-methoxy-2-pyridyl)methylthio]-5-(1,1,2,2-tetrafluorethoxy)-1H-benzimidazol,2 - [(4-Benzyloxy-3-methoxy-2-pyridyl) methylsulfinyl] -5- (1,1,2,2-tetrafluoroethoxy) -1H-benzimidazole, 2 - [(4-benzyloxy-3-methoxy -2-pyridyl) methylthio] -5- (1,1,2,2-tetrafluoroethoxy) -1H-benzimidazole,
2-[(4-Benzyloxy-3-methoxy-2-pyridyl)methylsulfinyl]-5-(2,2,2-trifluorethoxy)-1H-benzimidazol,2 - [(4-benzyloxy-3-methoxy-2-pyridyl) methylsulfinyl] -5- (2,2,2-trifluoroethoxy) -1H-benzimidazole,
2-[(4-Benzyloxy-3-methoxy-2-pyridyl)methylthio]-5-(2,2,2-trif1uorethoxy)-1H-benzimidazol,2 - [(4-benzyloxy-3-methoxy-2-pyridyl) methylthio] -5- (2,2,2-trifluoroethoxy) -1H-benzimidazole,
2- [(4-Benzyloxy-3-methoxy-2-pyridyl)methylsulfinyl]-5-difluormethoxy-1H-benz¬imidazol,2- [(4-benzyloxy-3-methoxy-2-pyridyl) methylsulfinyl] -5-difluoromethoxy-1H-benzimidazole,
2-[(4-Benzyloxy-3-methoxy-2-pyridyl)methylthio]-5-dif1uormethoxy-1H-benzimida¬zol,2 - [(4-benzyloxy-3-methoxy-2-pyridyl) methylthio] -5-dif1uormethoxy-1H-benzimidazole,
2-[(4-Benzyloxy-3-methoxy-2-pyridyl)methylsulfinyl]-5-chlordif1uormethoxy-1H-benzimidazol,2 - [(4-benzyloxy-3-methoxy-2-pyridyl) methylsulfinyl] -5-chlorodifluoromethoxy-1H-benzimidazole,
2-[(4-Benzyloxy-3-methoxy-2-pyridyl)methylthio]-5-chlordif1uormethoxy-1H-benz¬imidazol,2 - [(4-benzyloxy-3-methoxy-2-pyridyl) methylthio] -5-chlorodifluoromethoxy-1H-benzimidazole,
2-[(4-Benzyloxy-3-methoxy-2-pyridyl)methylsulfinyl]-5,6-bis(dif1uormethoxy)-1H-benzimidazol,2 - [(4-benzyloxy-3-methoxy-2-pyridyl) methylsulfinyl] -5,6-bis (dif1uormethoxy) -1H-benzimidazole,
2-[(4-Benzyloxy-3-methoxy-2-pyridyl)methylthio]-5,6-bis(difluormethoxy)-1H-benzimidazol2 - [(4-Benzyloxy-3-methoxy-2-pyridyl) methylthio] -5,6-bis (difluoromethoxy) -1H-benzimidazole
2-[(4-Benzyloxy-3-methoxy-2-pyridyl)methylsulfinyl]-5-dif1uormethoxy-6-meth¬oxy-1H-benzimidazol,2 - [(4-benzyloxy-3-methoxy-2-pyridyl) methylsulfinyl] -5-dif1uormethoxy-6-methoxy-1H-benzimidazole,
2-[(4-Benzyloxy-3-methoxy-2-pyridyl)methylthio]-5-dif1uormethoxy-6-methoxy-1H-benzimidazol,2 - [(4-benzyloxy-3-methoxy-2-pyridyl) methylthio] -5-dif1uormethoxy-6-methoxy-1H-benzimidazole,
2,2-Difluor-6-[(4-benzyloxy-3-methoxy-2-pyridyl)methylthio]-5H-[1,3]-dioxolo- [4,5-f]benzimidazol,2,2-difluoro-6 - [(4-benzyloxy-3-methoxy-2-pyridyl) methylthio] -5H- [1,3] dioxolo- [4,5-f] benzimidazole,
2,2-Dif1uor-6-[(4-benzyloxy-3-methoxy-2-pyridyl)methylsulfinyl]-5H-[1,3]-diox1o-[4,5-f]benzimidazol,2,2-difluoro-6 - [(4-benzyloxy-3-methoxy-2-pyridyl) methylsulfinyl] -5H- [1,3] -diox1o- [4,5-f] benzimidazole,
6,6,7-Trifluor-6,7-dihydro-2-[(4-benzyloxy-3-methoxy-2-pyridyl)methylthio]-1H [1,4]dioxino[2,3-f]benzimidazol,6,6,7-trifluoro-6,7-dihydro-2 - [(4-benzyloxy-3-methoxy-2-pyridyl) methylthio] -1H [1,4] dioxino [2,3-f] benzimidazole,
6,6,7-Trifluor-6,7-dihydro-2-[(4-benzyloxy-3-methoxy-2-pyridyl)methyl-sulfi¬nyl]-1H-[1,4]-dioxino[2,3-f]benzimidazol, 6,6-Difluor-6,7-dihydro-2-[(4-benzyloxy-3-methoxy-2-pyridyl)methylthio]-1H- [1,4]-dioxino[2,3-f]benzimidazol,6,6,7-trifluoro-6,7-dihydro-2 - [(4-benzyloxy-3-methoxy-2-pyridyl) methylsulfinyl] -1H- [1,4] dioxino [2,3 -f] benzimidazole, 6,6-difluoro-6,7-dihydro-2 - [(4-benzyloxy-3-methoxy-2-pyridyl) methylthio] -1H- [1,4] dioxino [2,3-f] benzimidazole,
6,6-Difluor-6,7-dihydro-2-[(4-benzyloxy-3-methoxy-2-pyridyl)methylsulfinyl]-1H- [1,4]-dioxino[2,3-f]benzimidazol,6,6-difluoro-6,7-dihydro-2 - [(4-benzyloxy-3-methoxy-2-pyridyl) methylsulfinyl] -1H- [1,4] dioxino [2,3-f] benzimidazole,
6,6,7,7-Tetrafluor-6,7-dihydro-2-[(4-benzyloxy-3-methoxy-2-pyridyl)methylthio]- 1H-[1,4]-dioxino[2,3-f]benzimidazol,6,6,7,7-tetrafluoro-6,7-dihydro-2 - [(4-benzyloxy-3-methoxy-2-pyridyl) methylthio] - 1H- [1,4] dioxino [2,3-f ] benzimidazole,
6,6,7,7-Tetrafluor-6,7-dihydro-2-[(4-benzyloxy-3-methoxy-2-pyridyl)methylsul¬finyl]-1H-[1,4]-dioxino[2,3-f]benzimidazol,6,6,7,7-tetrafluoro-6,7-dihydro-2 - [(4-benzyloxy-3-methoxy-2-pyridyl) methylsul¬finyl] -1H- [1,4] -dioxino [2,3 -f] benzimidazole,
6-Chlor-6,7,7-trifluor-6,7-dihydro-2-[(4-benzyloxy-3-methoxy-2-pyridyl)methyl¬sulfinyl]-1H-[1,4]-dioxino[2,3-f]benzimidazol,6-chloro-6,7,7-trifluoro-6,7-dihydro-2 - [(4-benzyloxy-3-methoxy-2-pyridyl) methylsulfinyl] -1H- [1,4] dioxino [2 , 3-f] benzimidazole,
6-Chlor-6,7,7-trifluor-6,7-dihydro-2-[(4-benzyloxy-3-methoxy-2-pyridyl)methyl¬thio]-1H-[1,4]-dioxino[2,3-f]benzimidazol,6-chloro-6,7,7-trifluoro-6,7-dihydro-2 - [(4-benzyloxy-3-methoxy-2-pyridyl) methylthio] -1H- [1,4] dioxino [2 , 3-f] benzimidazole,
2-[(3-Benzyloxy-4-methoxy-2-pyridyl)methylsulfinyl]-5-trifluormethoxy-1H-benz-imidazol,2 - [(3-benzyloxy-4-methoxy-2-pyridyl) methylsulfinyl] -5-trifluoromethoxy-1H-benzimidazole,
2-[(3-Benzyloxy-4-methoxy-2-pyridyl)methylthio]-5-trifluormethoxy-IH-benzimida¬zol,2 - [(3-benzyloxy-4-methoxy-2-pyridyl) methylthio] -5-trifluoromethoxy-IH-benzimidazole,
2-[(3-Benzyloxy-4-methoxy-2-pyridyl)methylsulfinyl]-5-(1,1,2,2-tetrafluoreth¬oxy)-1H-benzimidazol,2 - [(3-benzyloxy-4-methoxy-2-pyridyl) methylsulfinyl] -5- (1,1,2,2-tetrafluoroethoxy) -1H-benzimidazole,
2-[(3-Benzyloxy-4-methoxy-2-pyridyl)methylthio]-5-(1,1,2,2-tetrafluorethoxy)-1H-benzimidazol,2 - [(3-benzyloxy-4-methoxy-2-pyridyl) methylthio] -5- (1,1,2,2-tetrafluoroethoxy) -1H-benzimidazole,
2-[(3-Benzyloxy-4-methoxy-2-pyridyl)methylsulfinyl]-5-(2,2,2-trifluorethoxy)-1H-benzimidazol,2 - [(3-benzyloxy-4-methoxy-2-pyridyl) methylsulfinyl] -5- (2,2,2-trifluoroethoxy) -1H-benzimidazole,
2-[(3-Benzyloxy-4-methoxy-2-pyridyl)methylthio]-5-(2,2,2-trifluorethoxy)-1H-benzimidazol,2 - [(3-benzyloxy-4-methoxy-2-pyridyl) methylthio] -5- (2,2,2-trifluoroethoxy) -1H-benzimidazole,
2-[(3-Benzyloxy-4-methoxy-2-pyridyl)methylsulfinyl]-5-dif1uormethoxy-1H-benz¬imidazol,2 - [(3-benzyloxy-4-methoxy-2-pyridyl) methylsulfinyl] -5-dif1uormethoxy-1H-benzimidazole,
2-[(3-Benzyloxy-4-methoxy-2-pyridyl)methylthio]-5-difluormethoxy-IH-benzimidazol,2 - [(3-benzyloxy-4-methoxy-2-pyridyl) methylthio] -5-difluoromethoxy-IH-benzimidazole,
2-[(3-Benzyloxy-4-methoxy-2-pyridyl)methylsulfinyl]-5-chlordif1uormethoxy-1H-benzimidazol,2 - [(3-benzyloxy-4-methoxy-2-pyridyl) methylsulfinyl] -5-chlorodifluoromethoxy-1H-benzimidazole,
2-[(3-Benzyloxy-4-methoxy-2-pyridyl)methylthio]-5-chlordifluormethoxy-1H-benz¬imidazol, 2-[(3-Benzyloxy-4-methoxy-2-pyridyl)methylsulfinyl]-5,6-bis(dif1uormethoxy)-1H-benzimidazol,2 - [(3-benzyloxy-4-methoxy-2-pyridyl) methylthio] -5-chlorodifluoromethoxy-1H-benzimidazole, 2 - [(3-benzyloxy-4-methoxy-2-pyridyl) methylsulfinyl] -5,6-bis (dif1uormethoxy) -1H-benzimidazole,
2-[(3-Benzyloxy-4-methoxy-2-pyridyl)methylthio]-5,6-bis(dif1uormethoxy)-1H-benzimidazol2 - [(3-Benzyloxy-4-methoxy-2-pyridyl) methylthio] -5,6-bis (dif1uormethoxy) -1H-benzimidazole
2-[(3-Benzyloxy-4-methoxy-2-pyridyl)methylsulfinyl]-5-diflucrmethoxy-6-meth¬oxy-1H-benzimidazol,2 - [(3-benzyloxy-4-methoxy-2-pyridyl) methylsulfinyl] -5-diflucrmethoxy-6-methoxy-1H-benzimidazole,
2-[(3-Benzyloxy-4-methoxy-2-pyridyl)methylthio]-5-difluormethoxy-6-methoxy-1H-benzimidazol,2 - [(3-benzyloxy-4-methoxy-2-pyridyl) methylthio] -5-difluoromethoxy-6-methoxy-1H-benzimidazole,
2,2-Difluor-6-[(3-benzyloxy-4-methoxy-2-pyridyl)methylthio]-5H-[1,3]-dioxolo- [4,5-f]benzimidazol,2,2-difluoro-6 - [(3-benzyloxy-4-methoxy-2-pyridyl) methylthio] -5H- [1,3] dioxolo- [4,5-f] benzimidazole,
2,2-Difluor-6-[(3-benzyloxy-4-methoxy-2-pyridyl)methylsulfinyl]-5H-[1,3]-dioxo¬lo-[4,5-f]benzimidazol,2,2-difluoro-6 - [(3-benzyloxy-4-methoxy-2-pyridyl) methylsulfinyl] -5H- [1,3] -dioxo¬lo- [4,5-f] benzimidazole,
6,6,7-Trifluor-6,7-dihydro-2-[(3-benzyloxy-4-methoxy-2-pyridyl)methylthio]-1H- [1,4]dioxino[2,3-f]benzimidazol,6,6,7-trifluoro-6,7-dihydro-2 - [(3-benzyloxy-4-methoxy-2-pyridyl) methylthio] -1H- [1,4] dioxino [2,3-f] benzimidazole,
6,6,7-Trifluor-6,7-dihydro-2-[(3-benzyloxy-4-methoxy-2-pyridyl)methylsulfinyl]- 1H-[1,4]-dioxino[2,3-f]benzimidazol,6,6,7-trifluoro-6,7-dihydro-2 - [(3-benzyloxy-4-methoxy-2-pyridyl) methylsulfinyl] - 1H- [1,4] dioxino [2,3-f] benzimidazole ,
6,6-Difluor-6,7-dihydro-2-[(3-benzyloxy-4-methoxy-2-pyridyl)methylthio]-1H- [1,4]-dioxino[2,3-f]benzimidazol,6,6-difluoro-6,7-dihydro-2 - [(3-benzyloxy-4-methoxy-2-pyridyl) methylthio] -1H- [1,4] dioxino [2,3-f] benzimidazole,
6-,6-Difluor-6,7-dihydro-2-[(3-benzy1oxy-4-methoxy-2-pyridyl)methylsulfinyl]- [1,4]-dioxino[2,3-f]benzimidazol,6-, 6-difluoro-6,7-dihydro-2 - [(3-benzyloxy-4-methoxy-2-pyridyl) methylsulfinyl] - [1,4] -dioxino [2,3-f] benzimidazole,
6,6,7,7-Tetraf1uor-6,7-dihydro-2-[(3-benzyloxy-4-methoxy-2-pyridyl)methylthio]- 1H-[1,4]-dioxino[2,3-f]benzimidazol,6,6,7,7-tetrafluoro-6,7-dihydro-2 - [(3-benzyloxy-4-methoxy-2-pyridyl) methylthio] - 1H- [1,4] dioxino [2,3-f ] benzimidazole,
6,6,7,7-Tetraf1uor-6,7-dihydro-2-[(3-benzyloxy-4-methoxy-2-pyridyl)methylsul¬finyl]-1H-[1,4]-dioxino[2,3-f]benzimidazol,6,6,7,7-tetrafluoro-6,7-dihydro-2 - [(3-benzyloxy-4-methoxy-2-pyridyl) methylsul¬finyl] -1H- [1,4] -dioxino [2,3 -f] benzimidazole,
6-Chlor-6,7,7-trifluor-6,7-dihydro-2-[(3-benzyloxy-4-methoxy-2-pyridyl)methyl¬sulfinyl]-1H-[1,4]-dioxino[2,3-f]benzimidazol,6-chloro-6,7,7-trifluoro-6,7-dihydro-2 - [(3-benzyloxy-4-methoxy-2-pyridyl) methylsulfinyl] -1H- [1,4] dioxino [2 , 3-f] benzimidazole,
6-Chlor-6,7,7-trifluor-6,7-dihydro-2-[(3-benzyloxy-4-methoxy-2-pyridyl)methyl¬thio]-1H-[1,4]-dioxino[2,3-f]benzimidazol,6-chloro-6,7,7-trifluoro-6,7-dihydro-2 - [(3-benzyloxy-4-methoxy-2-pyridyl) methylthio] -1H- [1,4] dioxino [2 , 3-f] benzimidazole,
2-[(4-Benzyloxy-5-methoxy-2-pyridyl)methylsulfinyl]-5-trif1uormethoxy-1H-benz¬imidazol,2 - [(4-benzyloxy-5-methoxy-2-pyridyl) methylsulfinyl] -5-trifluoromethoxy-1H-benzimidazole,
2-[(4-Benzyloxy-5-methoxy-2-pyridyl)methylthio]-5-trifluormethoxy-1H-benzimida¬zol,2 - [(4-benzyloxy-5-methoxy-2-pyridyl) methylthio] -5-trifluoromethoxy-1H-benzimidazole,
2-[(4-Benzyloxy-5-methoxy-2-pyridyl)methylsulfinyl]-5-(1,1,2,2-tetrafluoreth¬oxy)-1H-benzimidazol, 2-[(4-Benzyloxy-5-methoxy-2-pyridyl)methylthio]-5-(1,1,2,2-tetrafluorethoxy)- 1H-benzimidazol,2 - [(4-benzyloxy-5-methoxy-2-pyridyl) methylsulfinyl] -5- (1,1,2,2-tetrafluoroethoxy) -1H-benzimidazole, 2 - [(4-benzyloxy-5-methoxy-2-pyridyl) methylthio] -5- (1,1,2,2-tetrafluoroethoxy) - 1H-benzimidazole,
2-[(4-Benzyloxy-5-methoxy-2-pyridyl)methylsulfinyl]-5-(2,2,2-trifluorethoxy)- 1H-benzimidazol,2 - [(4-benzyloxy-5-methoxy-2-pyridyl) methylsulfinyl] -5- (2,2,2-trifluoroethoxy) - 1H-benzimidazole,
2-[(4-Benzyloxy-5-methoxy-2-pyridyl)methylthio]-5-(2,2,2-trifluorethoxy)-1H-benzimidazol,2 - [(4-benzyloxy-5-methoxy-2-pyridyl) methylthio] -5- (2,2,2-trifluoroethoxy) -1H-benzimidazole,
2-[(4-Benzyloxy-5-methoxy-2-pyridyl)methylsulfinyl]-5-difluormethoxy-1H-benz¬imidazol,2 - [(4-benzyloxy-5-methoxy-2-pyridyl) methylsulfinyl] -5-difluoromethoxy-1H-benzimidazole,
2-[(4-Benzyloxy-5-methoxy-2-pyridyl)methylthio]-5-dif1uormethoxy-1H-benzimida¬zol,2 - [(4-benzyloxy-5-methoxy-2-pyridyl) methylthio] -5-dif1uormethoxy-1H-benzimidazole,
2-[(4-Benzyloxy-5-methoxy-2-pyridyl)methylsulfinyl]-5-chlordifluormethoxy-1H-benzimidazol,2 - [(4-benzyloxy-5-methoxy-2-pyridyl) methylsulfinyl] -5-chlorodifluoromethoxy-1H-benzimidazole,
2-[(4-Benzyloxy-5-methoxy-2-pyridyl)methylthio]-5-chlordifluormethoxy-1H-benz¬imidazol,2 - [(4-benzyloxy-5-methoxy-2-pyridyl) methylthio] -5-chlorodifluoromethoxy-1H-benzimidazole,
2-[(4-Benzyloxy-5-methoxy-2-pyridyl)methylsulfinyl]-5,6-bis(dil1uormethoxy)-benzimidazol,2 - [(4-benzyloxy-5-methoxy-2-pyridyl) methylsulfinyl] -5,6-bis (dil1uormethoxy) benzimidazole,
2-[(4-Benzyloxy-5-methoxy-2-pyridyl)methylthio]-5,6-bis(dif1uormethoxy)-1H-benzimidazol2 - [(4-Benzyloxy-5-methoxy-2-pyridyl) methylthio] -5,6-bis (dif1uormethoxy) -1H-benzimidazole
2-[(4-Benzyloxy-5-methoxy-2-pyridyl)methy-lsulfinyl]-5-dif1uormethoxy-6-meth¬oxy-1H-benzimidazol,2 - [(4-benzyloxy-5-methoxy-2-pyridyl) methyl-isulfinyl] -5-dif1uormethoxy-6-methoxy-1H-benzimidazole,
2-[(4-Benzyloxy-5-methoxy-2-pyridyl)methylthio]-5-difluormethoxy-6-methoxy-1H-benzimidazol,2 - [(4-benzyloxy-5-methoxy-2-pyridyl) methylthio] -5-difluoromethoxy-6-methoxy-1H-benzimidazole,
2,2-Difluor-6-[(4-benzyloxy-5-methoxy-2-pyridyl)methylthio]-5H-[1,3]-dioxolo-[4,5-f]benzimidazol,2,2-difluoro-6 - [(4-benzyloxy-5-methoxy-2-pyridyl) methylthio] -5H- [1,3] dioxolo- [4,5-f] benzimidazole,
2,2-Difluor-6-[(4-benzyloxy-5-methoxy-2-pyridyl)methylsulfinyl]-5H-[1,3]-dioxo¬lo-[4,5-f]benzimidazol,2,2-difluoro-6 - [(4-benzyloxy-5-methoxy-2-pyridyl) methylsulfinyl] -5H- [1,3] -dioxo¬lo- [4,5-f] benzimidazole,
6,6,7-Trifluor-6,7-dihydro-2-[(4-benzyloxy-5-methoxy-2-pyridyl)methylthio]-1H-[1,4]dioxino[2,3-f]benzimidazol,6,6,7-trifluoro-6,7-dihydro-2 - [(4-benzyloxy-5-methoxy-2-pyridyl) methylthio] -1H- [1,4] dioxino [2,3-f] benzimidazole,
6,6,7-Trifluor-6,7-dihydro-2-[(4-benzyloxy-5-methoxy-2-pyridyl)methylsulfinyl]-1H-[1,4]-dioxino[2,3-f]benzimidazol,6,6,7-trifluoro-6,7-dihydro-2 - [(4-benzyloxy-5-methoxy-2-pyridyl) methylsulfinyl] -1H- [1,4] dioxino [2,3-f] benzimidazole ,
6,6-Difluor-6,7-dihydro-2-[(4-benzyloxy-5-methoxy-2-pyridyl)methylthio]-1H-[1,4]-dioxino[2,3-f]benzimidazol,6,6-difluoro-6,7-dihydro-2 - [(4-benzyloxy-5-methoxy-2-pyridyl) methylthio] -1H- [1,4] dioxino [2,3-f] benzimidazole,
6,6-Difluor-6,7-dihydro-2-[(4-benzyloxy-5-methoxy-2-pyridyl)methylsulfinyl]-1H-[1,4]-dioxino[2,3-f]benzimidazol,6,6-difluoro-6,7-dihydro-2 - [(4-benzyloxy-5-methoxy-2-pyridyl) methylsulfinyl] -1H- [1,4] dioxino [2,3-f] benzimidazole,
6,6,7,7-Tetrafluor-6,7-dihydro-2-[(4-benzyloxy-5-methoxy-2-pyridyl)methylthio]-1H-[1,4]-dioxino[2,3-f]benzimidazol,6,6,7,7-tetrafluoro-6,7-dihydro-2 - [(4-benzyloxy-5-methoxy-2-pyridyl) methylthio] -1H- [1,4] dioxino [2,3-f ] benzimidazole,
6,6,7,7-Tetrafluor-6,7-dihydro-2-[(4-benzyloxy-5-methoxy-2-pyridyl)methylsul¬finyl]-1H-[1,4]-dioxino[2,3-f]benzimidazol, 6-Chlor-6,7,7-trif1uor-6,7-dihydro-2-[(4-benzyloxy-5-methoxy-2-pyridyl)methyl¬sulfinyl]-1H-[1,4]-dioxino[2,3-f]benzimidazol,6,6,7,7-tetrafluoro-6,7-dihydro-2 - [(4-benzyloxy-5-methoxy-2-pyridyl) methylsul¬finyl] -1H- [1,4] -dioxino [2,3 -f] benzimidazole, 6-chloro-6,7,7-trifluoro-6,7-dihydro-2 - [(4-benzyloxy-5-methoxy-2-pyridyl) methylsulfinyl] -1H- [1,4] dioxino [2 , 3-f] benzimidazole,
6-Chlor-6,7,7-trifluor-6,7-dihydro-2-[(4-benzyloxy-5-methoxy-2-pyridyl)methyl¬thio]-1H-[1,4]-dioxino[2,3-f]benzimidazol,6-chloro-6,7,7-trifluoro-6,7-dihydro-2 - [(4-benzyloxy-5-methoxy-2-pyridyl) methylthio] -1H- [1,4] dioxino [2 , 3-f] benzimidazole,
2- [(4-Benzyloxy-5-methoxy-3-methyl-2-pyridyl)methylsulfinyl]-5-trif1uormeth¬oxy-1H-benzimidazol,2- [(4-benzyloxy-5-methoxy-3-methyl-2-pyridyl) methylsulfinyl] -5-trifluoromethoxy-1H-benzimidazole,
2- [(4-Benzyloxy-5-methoxy-3-methyl-2-pyridyl)methylthio]-5-trifluormethoxy-1H-benzimidazol, 2-[(4-Benzyloxy-5-methoxy-3-methyl-2-pyridyl)methylsulfinyl]-5-(l,l,2,2-tetra¬fluorethoxy)-1H-benzimidazol,2- [(4-benzyloxy-5-methoxy-3-methyl-2-pyridyl) methylthio] -5-trifluoromethoxy-1H-benzimidazole, 2 - [(4-benzyloxy-5-methoxy-3-methyl-2-pyridyl ) methylsulfinyl] -5- (l, l, 2,2-tetrafluoroethoxy) -1H-benzimidazole,
2-[(4-Benzyloxy-5-methoxy-3-methyl-2-pyridyl)methylthio]-5-(1,1,2,2-tetrafluor¬ethoxy)-1H-benzimidazol,2 - [(4-benzyloxy-5-methoxy-3-methyl-2-pyridyl) methylthio] -5- (1,1,2,2-tetrafluoroethoxy) -1H-benzimidazole,
2-[(4-Benzyloxy-5-methoxy-3-methyl-2-pyridyl)methylsulfinyl]-5-(2,2,2-trifluor¬ethoxy)-1H-benzimidazol,2 - [(4-benzyloxy-5-methoxy-3-methyl-2-pyridyl) methylsulfinyl] -5- (2,2,2-trifluoroethoxy) -1H-benzimidazole,
2-[(4-Benzyloxy-5-methoxy-3-methyl-2-pyridyl)methylthio]-5-(2,2,2-trifluoreth¬oxy)-1H-benzimidazol,2 - [(4-benzyloxy-5-methoxy-3-methyl-2-pyridyl) methylthio] -5- (2,2,2-trifluoroethoxy) -1H-benzimidazole,
2-[(4-Benzyloxy-5-methoxy-3-methyl-2-pyridyl)methylsulfinyl]-5-difluormethoxy¬1H-benzimidazol,2 - [(4-benzyloxy-5-methoxy-3-methyl-2-pyridyl) methylsulfinyl] -5-difluoromethoxy-1H-benzimidazole,
2-[(4-Benzyloxy-5-methoxy-3-methyl-2-pyridyl)methylthio]-5-difluormethoxy-1H-benzimidazol,2 - [(4-benzyloxy-5-methoxy-3-methyl-2-pyridyl) methylthio] -5-difluoromethoxy-1H-benzimidazole,
2-[(4-Benzyloxy-5-methoxy-3-methyl-2-pyridyl)methylsulfinyl]-5-chlordifluor¬methoxy-1H-benzimidazol,2 - [(4-benzyloxy-5-methoxy-3-methyl-2-pyridyl) methylsulfinyl] -5-chlorodifluoromethoxy-1H-benzimidazole,
2-[(4-Benzyloxy-5-methoxy-3-methyl-2-pyridyl)methylthio]-5-chlordifluormeth¬oxy-1H-benzimidazol,2 - [(4-benzyloxy-5-methoxy-3-methyl-2-pyridyl) methylthio] -5-chlorodifluoromethoxy-1H-benzimidazole,
2-[(4-Benzyloxy-5-methoxy-3-methyl-2-pyridyl)methylsulfinyl]-5,6-bis(difluor¬methoxy)-1H-benzimidazol,2 - [(4-benzyloxy-5-methoxy-3-methyl-2-pyridyl) methylsulfinyl] -5,6-bis (difluoromethoxy) -1H-benzimidazole,
2-[(4-Benzyloxy-5-methoxy-3-methy1-2-pyridyl)methylthio]-5,6-bis(difluormeth¬oxy)-1H-benzimidazol2 - [(4-Benzyloxy-5-methoxy-3-methy1-2-pyridyl) methylthio] -5,6-bis (difluoromethoxy) -1H-benzimidazole
2-[(4-Benzyloxy-5-methoxy-3-methyl-2-pyridyl)methylsulfinyl]-5-difluormethoxy-6-methoxy-1H-benzimidazol,2 - [(4-benzyloxy-5-methoxy-3-methyl-2-pyridyl) methylsulfinyl] -5-difluoromethoxy-6-methoxy-1H-benzimidazole,
2-[(4-Benzyloxy-5-methoxy-3-methyl-2-pyridyl)methylthio]-5-difluormethoxy-6-methoxy-1H-benzimidazol, 2,2-Difluor-6-[(4-benzyloxy-5-methoxy-3-methyl-2-pyridyl)methylthio]-5H-[1,3]-dioxolo[4,5-f]benzimidazol, 2,2-Difluor-6-[(4-benzyloxy-5-methoxy-3-methyl-2-pyridyl)methylsulfinyl]-5H- [1,3]-dioxolo-[4,5-f]benzimidazol,2 - [(4-Benzyloxy-5-methoxy-3-methyl-2-pyridyl) methylthio] -5-difluoromethoxy-6-methoxy-1H-benzimidazole, 2,2-difluoro-6 - [(4-benzyloxy-5 -methoxy-3-methyl-2-pyridyl) methylthio] -5H- [1,3] dioxolo [4,5-f] benzimidazole, 2,2-difluoro-6 - [(4-benzyloxy-5-methoxy-3-methyl-2-pyridyl) methylsulfinyl] -5H- [1,3] dioxolo- [4,5-f] benzimidazole,
6,6,7-Trifluor-6,7-dihydro-2-[(4-benzyloxy-5-methoxy-3-methyl-2-pyridyl)methylthio]-1H-[1,4]dioxino[2,3-f]benzimidazol,6,6,7-trifluoro-6,7-dihydro-2 - [(4-benzyloxy-5-methoxy-3-methyl-2-pyridyl) methylthio] -1H- [1,4] dioxino [2,3- f] benzimidazole,
6,6,7-Trifluor-6,7-dihydro-2-[(4-benzyloxy-5-methoxy-3-methyl-2-pyridyl)methylsulfinyl]-1H-[1,4]-dioxino[2,3-f]benzimidazol,6,6,7-trifluoro-6,7-dihydro-2 - [(4-benzyloxy-5-methoxy-3-methyl-2-pyridyl) methylsulfinyl] -1H- [1,4] dioxino [2,3 -f] benzimidazole,
6,6-Difluor-6,7-dihydro-2-[(4-benzyloxy-5-methoxy-3-methyl-2-pyridyl)methyl¬thio]-1H-[1,4]-dioxino[2,3-f]benzimidazol,6,6-difluoro-6,7-dihydro-2 - [(4-benzyloxy-5-methoxy-3-methyl-2-pyridyl) methylthio] -1H- [1,4] dioxino [2,3 -f] benzimidazole,
6,6-Difluor-6,7-dihydro-2-[(4-benzyloxy-5-methoxy-3-methyl-2-pyridyl)methylsul¬finyl]-1H-[1,4]-dioxino[2,3-f]benzimidazol,6,6-difluoro-6,7-dihydro-2 - [(4-benzyloxy-5-methoxy-3-methyl-2-pyridyl) methylsul¬finyl] -1H- [1,4] dioxino [2,3 -f] benzimidazole,
6,6,7,7-Tetraf1uor-6,7-dihydro-2-[(4-benzyloxy-5-methoxy-3-methyl-2-pyridyl)me¬thylthio]-1H-[1,4]-dioxino[2,3-f]benzimidazol,6,6,7,7-tetrafluoro-6,7-dihydro-2 - [(4-benzyloxy-5-methoxy-3-methyl-2-pyridyl) methylthio] -1H- [1,4] dioxino [2,3-f] benzimidazole,
6,6,7,7-Tetrafluor-6,7-dihydro-2-[(4-benzyloxy-5-methoxy-3-methyl-2-pyridyl)me¬thylsulfinyl]-1H-[1,4]-dioxino[2,3-f]benzimidazol,6,6,7,7-tetrafluoro-6,7-dihydro-2 - [(4-benzyloxy-5-methoxy-3-methyl-2-pyridyl) methyl sulfinyl] -1H- [1,4] dioxino [2,3-f] benzimidazole,
6-Chlor-6,7,7-trifluor-6,7-dihydro-2-[(4-benzyloxy-5-methoxy-3-methyl-2-pyri¬dyl)methylsulfinyl]-1H-[1,4]-dioxino[2,3-f]benzimidazol,6-chloro-6,7,7-trifluoro-6,7-dihydro-2 - [(4-benzyloxy-5-methoxy-3-methyl-2-pyridyl) methylsulfinyl] -1H- [1,4] -dioxino [2,3-f] benzimidazole,
6-Chlor-6,7,7-trifluor-6,7-dihydro-2-[(4-benzyloxy-5-methoxy-3-methyl-2-pyri¬dyl)methylthio]-1H-[1,4]-dioxino[2,3-f]benzimidazol, und die Salze dieser Verbindungen.6-chloro-6,7,7-trifluoro-6,7-dihydro-2 - [(4-benzyloxy-5-methoxy-3-methyl-2-pyridyl) methylthio] -1H- [1,4] -dioxino [2,3-f] benzimidazole, and the salts of these compounds.
Bedingt durch die Tautomerie im Imidazolring ist die 5-Substitution im Benzimidazol mit der 6-Substitution identisch. Entsprechend ist bei den Verbindun gen, in denen R2 und R3 gemeinsam einen substituierten Ethylendioxyrest darstellen, die 6-Position im [1,4]-Dioxino[2,3-f]benzimidazolteil mit der 7-Position identisch.Due to the tautomerism in the imidazole ring, the 5-substitution in the benzimidazole is identical to the 6-substitution. Accordingly, in the compounds in which R2 and R3 together represent a substituted ethylenedioxy radical, the 6-position in the [1,4] -dioxino [2,3-f] benzimidazole part is identical to the 7-position.
Ein weiterer Gegenstand der Erfindung ist ein Verfahren zur Herstellung der Verbindungen der Formel I, worin R1, R2, R3, R4, R5, R6, R7, R8, R9, R10 und die oben angegebenen Bedeutungen haben, und ihrer Salze.The invention further relates to a process for the preparation of the compounds of the formula I in which R1, R2, R3, R4, R5, R6, R7, R8, R9, R10 and the meanings given above and their salts.
Das Verfahren ist dadurch gekennzeichnet, daß man a) Mercaptobenzimidazole der Formel II mit Picolinderivaten III,The process is characterized in that a) mercaptobenzimidazoles of the formula II with picolin derivatives III,
oder b) Benzimidazole der Formel IV mit MercaptopiColinen V. or b) benzimidazoles of the formula IV with MercaptopiColinen V.
oder c) o-Phenylendiamine der Formel VI mit Ameisensäurederivaten VII or c) o-phenylenediamines of the formula VI with formic acid derivatives VII
umsetzt und (falls Verbindungen der Formel I mit n=1 die gewünschten Endprodukte sind) anschließend die nach a) , b) oder c) erhaltenen 2-Benzimidazolyl-2-pyridylmethyl-sulfide der Formel VIII (=Verbindungen der Formel I mit n=0)and (if compounds of the formula I where n = 1 are the desired end products) then those obtained according to a), b) or c) 2-benzimidazolyl-2-pyridylmethyl sulfides of the formula VIII (= compounds of the formula I with n = 0)
oxidiert und/oder gewünschtenfalls in die Salze überführt,oxidized and / or, if desired, converted into the salts,
oder daß man d) Benzimidazole der Formel IX mit Pyridinderivaten Xor that d) benzimidazoles of the formula IX with pyridine derivatives X
oder e) Sulfinylderivate der Formel XI mit 2-Picolinderi vaten XII or e) sulfinyl derivatives of the formula XI with 2-picoline derivatives XII
umsetzt und gewünschtenfalls anschließend in die Salze überführt, oder implemented and, if desired, subsequently converted into the salts, or
f) - falls Verbindungen der Formel I, worin R4 eine unter physiologischen Bedingungen leicht abspaltbare Gruppe darstellt, die herzustellenden Verfahrensprodukte sind - daß man Verbindungen der Formel I, worin R4 Wasserstoff bedeutet, mit Verbindungen der Formel R4'-Y' (XIII), worin R4' die gewünschte, unter physiologischen Bedingungen leicht abspaltbare Gruppe oder gemeinsam mit Y" ihr Vorläufer ist, umsetzt und gewünschtenfalls anschließend in die Salze überführt, oderf) - if compounds of the formula I in which R4 is a group which can easily be split off under physiological conditions are the process products to be prepared - that compounds of the formula I in which R4 is hydrogen are reacted with compounds of the formula R4'-Y '(XIII), in which R4 'is the desired group which can easily be split off under physiological conditions or, together with Y ", is its precursor and, if desired, is subsequently converted into the salts, or
g) - falls Verbindungen der Formel I, worin R4 Wasserstoff bedeutet, die herzustellenden Verfahrensprodukte sind - daß man Verbindungen der Formel I, worin R4 eine unter physiologischen Bedingungen leicht abspaltbare Gruppe darstellt, solvolysiert, und die erhaltenen Produkte gewünschtenfalls in die Salze überführt, oderg) - if compounds of the formula I, in which R4 is hydrogen, are the process products to be prepared - that compounds of the formula I, in which R4 is a group which can be readily split off under physiological conditions, are solvolysed and the products obtained, if desired, are converted into the salts, or
h) - falls Verbindungen der Formel I, worin R5 1-6C-Alkyl bedeutet, die herzustellenden Verfahrensprodukte sind - daß man Verbindungen der Formel I, worin R5 Wasserstoff bedeutet, mit Verbindungen der Formel R5-Y'' (XIV), worin R5 1-6C-Alkyl bedeutet, alkyliert und gewünschtenfalls anschließend in die Salze überführt,h) - if compounds of the formula I in which R5 is 1-6C-alkyl are the process products to be prepared - that compounds of the formula I in which R5 is hydrogen with compounds of the formula R5-Y ″ (XIV) in which R5 1-6C-alkyl means alkylated and, if desired, subsequently converted into the salts,
wobei Y, Y'', Z, V und Z' ' geeignete Abgangsgruppen darstellen, Y' eine Abgangs- bzw. Reaktivgruppe darstellt, M für ein Alkalimetallatom (Li, Na oder K) steht, M' für das Äquivalent eines Metallatoms steht und R1, R2, R3, R4, R5, R6, R7, R8, R9, R10 und n (sofern nicht anders definiert) die oben angegebenen Bedeutungen haben.where Y, Y ", Z, V and Z" represent suitable leaving groups, Y 'represents a leaving or reactive group, M represents an alkali metal atom (Li, Na or K), M' represents the equivalent of a metal atom and R1, R2, R3, R4, R5, R6, R7, R8, R9, R10 and n (unless otherwise defined) have the meanings given above.
Bei den vorstehend aufgeführten Umsetzungen können die Verbindungen II-XIV als solche oder gegebenenfalls in Form ihrer Salze eingesetzt werden.In the reactions listed above, the compounds II-XIV can be used as such or, if appropriate, in the form of their salts.
Die Herstellungsverfahren a) , b) und c) führen zu den erfindungsgemäßen Sulfiden, die Oxidation der Verbindungen VIII und die Verfahren d) und e) liefern die erfindungsgemäßen Sulfoxide, die Verfahren f) , g) und h) führen zu beiden Produktklassen.The production processes a), b) and c) lead to the sulfides according to the invention, the oxidation of the compounds VIII and processes d) and e) give the sulfoxides according to the invention, the processes f), g) and h) lead to both product classes.
Welche Abgangsgruppen Y, Y', Y'', Z, Z' bzw. Z'' geeignet sind, ist dem Fachmann aufgrund seines Fachwissens geläufig. Eine geeignete Abgangsgruppe Y ist beispielsweise eine Gruppe, die zusammen mit der Sulfinylgruppe, an die sie gebunden ist, ein reaktives Sulfinsäurederivat bildet. Als geeignete Abgangsgruppe Y seien beispielsweise Alkoxy-, Dialkylamino- oder AIkylmercaptogruppen genannt. Eine geeignete Abgangs bzw. Reaktivgruppe Y' ist eine Gruppe, die mit einer sekundären Aminogruppe unter Abspaltung von HY' oder unter Anlagerung zu reagieren in der Lage ist. Bei Verbindungen der Formel XIII, in denen R4' insbesondere eine substituierte Carbonylgruppe darstellt, ist Y' beispielsweise eine Abgangsgruppe, die zusammen mit der Carbonylgruppe, an die sie gebunden ist, ein reaktives Carbonsäurederivat, z.B. ein Säurehalogenid, bildet. Erfindungsgemäß sind durch die allgemeine Formel R4'-Y' (XIII) auch solche Verbindungen (Vorläufer der unter physiologischen Bedingungen leicht abspaltbaren Gruppe R4) umfaßt, bei denen Y' eine Reaktivgruppe darstellt (z.B. Isonitrile), die bei der Reaktion mit der sekundären Aminogruppe keine Kondensation unter Abspaltung von HY' sondern eine Addition unter Bildung der gewünschten abspaltbaren Gruppe R4 durchlaufen.The person skilled in the art is familiar with the leaving groups Y, Y ', Y'', Z, Z' and Z '' which are suitable on the basis of their specialist knowledge. A suitable leaving group Y is, for example, a group which together with the sulfinyl group to which they are attached is bound, forms a reactive sulfinic acid derivative. Examples of suitable leaving groups Y are alkoxy, dialkylamino or alkyl mercapto groups. A suitable leaving or reactive group Y 'is a group which is able to react with a secondary amino group with elimination of HY' or with addition. For compounds of the formula XIII, in which R4 'in particular represents a substituted carbonyl group, Y' is, for example, a leaving group which, together with the carbonyl group to which it is attached, forms a reactive carboxylic acid derivative, for example an acid halide. According to the invention, the general formula R4'-Y '(XIII) also encompasses those compounds (precursors of the group R4 which can easily be split off under physiological conditions) in which Y' represents a reactive group (for example isonitriles) which are involved in the reaction with the secondary amino group no condensation with elimination of HY 'but an addition to form the desired elimination group R4.
Die Abgangsgruppe Y'' ist eine dem Fachmann für Alkylierungsreaktionen geläufige Gruppe, die bei der Alkylierung - z.B. mit Dialkylsulfat, Fluorsulfonsäurealkylester oder Alkyliodid - abgeht.The leaving group Y ″ is a group familiar to the person skilled in the art of alkylation reactions, which in alkylation - e.g. with dialkyl sulfate, fluorosulfonic acid alkyl ester or alkyl iodide.
Als geeignete Abgangsgruppen Z, V bzw. Z'' seien beispielsweise Halogenatome, insbesondere Chloratome, oder durch Veresterung (z.B. mit p-Toluolsulfonsäure) aktivierte Hydroxylgruppen genannt.Examples of suitable leaving groups Z, V and Z ″ are halogen atoms, in particular chlorine atoms, or hydroxyl groups activated by esterification (e.g. with p-toluenesulfonic acid).
Das Äquivalent eines Metall atoms M' ist beispielsweise ein Alkalimetall- (Li, Na oder K), oder ein Erdalkalimetallatom (z.B. Mg), das durch ein Halogenatom (z.B. Br, Grignard-Reagenz) substituiert ist, oder irgendein anderes, gegebenenfalls substituiertes Metallatom, von dem bekannt ist, daß es bei Substitutionsreaktionen metallorganischer Verbindungen wie die obenerwähnten Metalle reagiert.The equivalent of a metal atom M 'is, for example, an alkali metal (Li, Na or K), or an alkaline earth metal atom (eg Mg) which is substituted by a halogen atom (eg Br, Grignard reagent) or any other optionally substituted metal atom , which is known to react in substitution reactions of organometallic compounds such as the metals mentioned above.
Die Umsetzung von II mit III erfolgt in an sich bekannter Weise in geeigneten, vorzugsweise polaren protischen oder aproti sehen Lösungsmitteln (wie Methanol, Isopropanol, Dimethylsulfoxid, Aceton, Dimethylformamid oder Acetonitril) unter Zusatz oder unter Ausschluß von Wasser. Sie wird beispielsweise in Gegenwart eines Protonenakzeptors durchgeführt. Als solche eignen sich AIkalimetallhydroxide, wie Natriumhydroxid, Alkalimetallcarbonate, wie Kaliumearbonat, oder tertiäre Amine, wie Pyridin, Triethylamin oder Ethyldiisopropylamin. Alternativ kann die Umsetzung auch ohne Protonenakzeptor durchgeführt werden, wobei - je nach Art der Ausgangsverbindungen - gegebenenfalls zunächst die Säureaddition salze in besonders reiner Form abgetrennt werden können. Die Reaktionstempera tur kann zwischen 0º und 150ºC liegen, wobei in Gegenwart von Protonenakzepto ren Temperaturen zwischen 20º und 80ºC und ohne Protonenakzeptoren zwischen 60º und 120ºC - insbesondere die Siedetemperatur der verwendeten Lösungsmittel bevorzugt sind. Die Reaktionszeiten liegen zwischen 0,5 und 12 Stunden.The reaction of II with III is carried out in a manner known per se in suitable, preferably polar, protic or aprotic solvents (such as methanol, isopropanol, dimethyl sulfoxide, acetone, dimethylformamide or acetonitrile) with or without water. It is carried out, for example, in the presence of a proton acceptor. Alkali metal hydroxides such as sodium hydroxide, alkali metal carbonates such as potassium arbonate or tertiary amines such as pyridine, triethylamine or ethyldiisopropylamine are suitable as such. Alternatively, the reaction can also be carried out without a proton acceptor, with - each depending on the nature of the starting compounds - if necessary, the acid addition salts can be separated off in a particularly pure form. The reaction temperature can be between 0 ° and 150 ° C, with temperatures in the presence of proton acceptors between 20 ° and 80 ° C and without proton acceptors between 60 ° and 120 ° C - especially the boiling point of the solvents used are preferred. The response times are between 0.5 and 12 hours.
Bei der Umsetzung von IV mit V, die in an sich bekannter Weise erfolgt, kommen ähnliche Reaktionsbedingungen wie bei der Umsetzung von II mit III zur Anwendung.In the reaction of IV with V, which is carried out in a manner known per se, similar reaction conditions are used as in the reaction of II with III.
Die Reaktion von VI mit VII wird bevorzugt in polaren, gegebenenfalls wasserhaltigen Lösungsmitteln in Gegenwart einer starken Säure, z.B. Salzsäure, insbesondere bei der Siedetemperatur des verwendeten Lösungsmittels durchgeführt.The reaction of VI with VII is preferably carried out in polar, optionally water-containing solvents in the presence of a strong acid, e.g. Hydrochloric acid, especially at the boiling point of the solvent used.
Die Oxidation der Sulfide VIII erfolgt in an sich bekannter Weise und unter den Bedingungen, wie sie dem Fachmann für die Oxidation von Sulfiden zu Sulfoxiden geläufig sind {siehe hierzu z.B. J. Drabowicz und M. Mikolajczyk, Organic preparations and procedures int. 14(1-2), 45-89(1982) oder E. Block in S. Patai, The Chemistry of Functional Groups, Supplement E. Part 1, S. 539-608, John Wiley and Sons (Interscience Publication), 1980}. Als Oxidationsmittel kommen alle für die Oxidation von Sulfiden zu Sulfoxiden üblicherweise verwendeten Reagenzien in Frage, insbesondere Peroxysäuren, wie z.B. Peroxyessigsäure, Trifluorperoxyessigsäure, 3,5-Dinitroperoxybenzoesäure, Peroxymal einsäure, Magnesiummonoperoxiphthalat oder bevorzugt m-Chlorperoxybenzoesäure.The oxidation of sulfides VIII takes place in a manner known per se and under the conditions known to the person skilled in the art for the oxidation of sulfides to sulfoxides {see, for example, J. Drabowicz and M. Mikolajczyk, Organic preparations and procedures int. 14 (1-2), 45-89 (1982) or E. Block in S. Patai, The Chemistry of Functional Groups, Supplement E. Part 1, S. 539-608, John Wiley and Sons (Interscience Publication), 1980}. Suitable oxidants are all reagents commonly used for the oxidation of sulfides to sulfoxides, in particular peroxy acids, such as e.g. Peroxyacetic acid, trifluoroperoxyacetic acid, 3,5-dinitroperoxybenzoic acid, peroxymalic acid, magnesium monoperoxiphthalate or preferably m-chloroperoxybenzoic acid.
Die Reaktionstemperatur liegt (je nach Reaktivität des Oxidationsmittels undThe reaction temperature is (depending on the reactivity of the oxidizing agent and
Verdünnungsgrad) zwischen -70ºC und der Siedetemperatur des verwendeten Lösungsmittels, bevorzugt jedoch zwischen -30 und +20ºC. Als vorteilhaft hat sich auch die Oxidation mit Halogenen bzw. mit Hypohalogeniten (z.B. mit wäßriger Natriumhypochloritlösung) erwiesen, die zweckmäßigerweise bei Temperaturen zwischen 0º und 50ºC durchgeführt wird. Die Reaktion wird zweckmäßigerwεise in inerten Lösungsmitteln, z. B. aromatischen oder chlorierten Kohlenwasserstoffen, wie Benzol, Toluol, Dichlormethan oder Chloroform, vorzugsweise in Estern oder Ethern, wie Essigsäureethylester, Essigsäureisopropylester oder Dioxan durchgeführt. Die Umsetzung von IX mit X erfolgt bevorzugt in inerten Lösungsmitteln, wie auch für die Reaktion von Enolationen mit Alkylierungsmitteln üblicherweise verwendet werden. Beispielsweise seien aromatische Lösungsmittel wie Benzol oder Toluol genannt. Die Reaktionstemperatur liegt (je nach Art des Alkalimetallatoms M und der Abgangsgruppe Z) in der Regel zwischen 0º und 120ºC, wobei die Siedetemperatur des verwendeten Lösungsmittels bevorzugt ist. Beispielsweise [wenn M Li (Lithium) und Z Cl (Chlor) darstellt und die Umsetzung in Benzol durchgeführt wird] ist die Siedetemperatur von Benzol (80ºC) bevorzugt.Degree of dilution) between -70 ° C and the boiling point of the solvent used, but preferably between -30 and + 20 ° C. Oxidation with halogens or with hypohalites (for example with aqueous sodium hypochlorite solution), which is expediently carried out at temperatures between 0 ° and 50 ° C., has also proven advantageous. The reaction is conveniently in inert solvents, for. B. aromatic or chlorinated hydrocarbons, such as benzene, toluene, dichloromethane or chloroform, preferably in esters or ethers, such as ethyl acetate, isopropyl acetate or dioxane. The reaction of IX with X is preferably carried out in inert solvents, as is usually used for the reaction of enolate ions with alkylating agents. For example, aromatic solvents such as benzene or toluene may be mentioned. The reaction temperature (depending on the nature of the alkali metal atom M and the leaving group Z) is generally between 0 ° and 120 ° C, with the boiling point of the solvent used being preferred. For example [when M represents Li (lithium) and Z Cl (chlorine) and the reaction is carried out in benzene], the boiling temperature of benzene (80 ° C) is preferred.
Die Verbindungen XI werden mit den Verbindungen XII in an sich bekannter Weise umgesetzt, wie sie dem Fachmann für die Reaktion metallorganischer Verbindungen geläufig ist.The compounds XI are reacted with the compounds XII in a manner known per se, as is known to the person skilled in the art for the reaction of organometallic compounds.
Die Umsetzung gemäß Verfahrensvariante f) erfolgt in dem Fachmann bekannter Weise in geeigneten Lösungsmitteln wie Tetrahydrofuran oder Acetonitril, gegebenenfalls unter Zusatz einer Base (falls Y' eine Abgangsgruppe darstellt) oder auch ohne Basenzusatz (falls Y' eine Reaktivgruppe darstellt). Bei unsymmetrischer Verteilung der Substituenten R1, R2 und R3 liefert diese Reaktion Isomerengemische, die durch geeignete Trennverfahren (z.B. Chromatographie) aufgetrennt werden müssen.The reaction according to process variant f) is carried out in a manner known to the person skilled in the art in suitable solvents such as tetrahydrofuran or acetonitrile, optionally with the addition of a base (if Y 'represents a leaving group) or without addition of base (if Y' represents a reactive group). If the substituents R1, R2 and R3 are asymmetrically distributed, this reaction gives mixtures of isomers which have to be separated by suitable separation processes (e.g. chromatography).
Die Solvolyse gemäß Verfahrensvariante g) erfolgt in dem Fachmann bekannter Weise in geeigneten, Wasser enthaltenden oder Wasser abspaltenden alkalischen oder sauren Lösungen, bei Raumtemperatur oder gewünschtenfalls unter Erwärmen bis zur Siedetemperatur des eingesetzten Lösungsmittels.Solvolysis according to process variant g) is carried out in a manner known to those skilled in the art in suitable water-containing or water-splitting alkaline or acidic solutions, at room temperature or, if desired, with heating to the boiling point of the solvent used.
Die Alkylierung gemäß Verfahrensvariante h) erfolgt - gegebenenfalls nach vorheriger Deprotonierung - in dem Fachmann geläufiger Weise in geeigneten inerten Lösungsmitteln.The alkylation according to process variant h) is carried out - if appropriate after prior deprotonation - in a manner familiar to those skilled in the art in suitable inert solvents.
Je nach Art der Ausgangsverbindungen, die gegebenenfalls auch in Form ihrer Salze eingesetzt werden können, und in Abhängigkeit von den Reaktionsbedingungen werden die erfindungsgemäßen Verbindungen zunächst entweder als solche oder in Form ihrer Salze gewonnen.Depending on the nature of the starting compounds, which can optionally also be used in the form of their salts, and depending on the reaction conditions, the compounds according to the invention are initially obtained either as such or in the form of their salts.
Im übrigen erhält man die Salze durch Auflösen der freien Verbindungen in einem geeigneten Lösungsmittel, z.B. in einem chlorierten Kohlenwasserstoff, wie Methylenchlorid oder Chloroform, einem niedermolekularen aliphatischen Alkohol (Ethanol, Isopropanol), einem Ether (Diisopropylether), einem Keton (Aceton) oder Wasser, das die gewünschte Säure bzw. Base enthält, oder dem die gewünschte Säure bzw. Base - gegebenenfalls in der genau berechneten stöchiometrischen Menge - anschließend zugegeben wird.Otherwise, the salts are obtained by dissolving the free compounds in one Suitable solvents, for example in a chlorinated hydrocarbon, such as methylene chloride or chloroform, a low molecular weight aliphatic alcohol (ethanol, isopropanol), an ether (diisopropyl ether), a ketone (acetone) or water, which contains the desired acid or base, or which the desired acid or base - optionally in the precisely calculated stoichiometric amount - is then added.
Die Salze werden durch Filtrieren, Umfallen, Ausfällen oder durch Verdampfen des Lösungsmittels gewonnen.The salts are obtained by filtration, reprecipitation, precipitation or by evaporation of the solvent.
Erhaltene Salze können durch Alkalisieren bzw. Ansäuern, z.B. mit wäßrigem Natriumhydrogencarbonat bzw. mit verdünnter Salzsäure, in die freien Verbindungen umgewandelt werden, welche wiederum in die Salze übergeführt werden können. Auf diese Weise lassen sich die Verbindungen reinigen, oder es lassen sich pharmakologisch nicht verträgliche Salze in pharmakologisch verträgliche Salze umwandeln.Salts obtained can be alkalized or acidified, e.g. with aqueous sodium hydrogen carbonate or with dilute hydrochloric acid, are converted into the free compounds, which in turn can be converted into the salts. In this way, the compounds can be purified or pharmacologically unacceptable salts can be converted into pharmacologically acceptable salts.
Die erfindungsgemäßen Sulfoxide sind optisch aktive Verbindungen. Je nach Art der Substituenten R1 bis R8 können noch weitere Chiralitätszentren im Molekül sein (z.B. wenn R5 kein Wasserstoff ist). Die Erfindung umfaßt daher sowohl die Enantiomeren und Diastereomeren als auch ihre Mischungen und Racemate. Die Enantiomeren können in an sich bekannter Weise (beispielsweise durch Herstellung und Trennung entsprechender diastereoisomerer Verbindungen) separiert werden. Die Enantiomeren können aber auch durch asymmetrische Synthese, beispielsweise durch enantioselektive Oxidation der Sulfide, z.B. mit tert. -Butylhydroperoxid unter Zusatz von optisch reiner Weinsäure, oder beispielsweise durch Reaktion optisch aktiver reiner Verbindungen XI oder diastereoisomer reiner Verbindungen XI mit Verbindungen XII hergestellt werden [siehe hierzu K.K. Andersen, Tetrahedron Lett., 93 (1962)].The sulfoxides according to the invention are optically active compounds. Depending on the nature of the substituents R1 to R8, there may be additional chiral centers in the molecule (e.g. if R5 is not hydrogen). The invention therefore includes the enantiomers and diastereomers as well as their mixtures and racemates. The enantiomers can be separated in a manner known per se (for example by preparing and separating corresponding diastereoisomeric compounds). However, the enantiomers can also be obtained by asymmetric synthesis, for example by enantioselective oxidation of the sulfides, e.g. with tert. -Butyl hydroperoxide with the addition of optically pure tartaric acid, or for example by reaction of optically active pure compounds XI or diastereoisomerically pure compounds XI with compounds XII [see K.K. Andersen, Tetrahedron Lett., 93 (1962)].
Die erfindungsgemäßen Verbindungen werden bevorzugt durch Umsetzung von II mit III und gegebenenfalls anschließende Oxidation des entstandenen Sulfids VIII synthetisiert.The compounds according to the invention are preferably synthesized by reacting II with III and, if appropriate, subsequent oxidation of the sulfide VIII formed.
Die Verbindungen II, IV, VI, IX und XI sind z.B. aus der W086/02646 bekannt. Die Verbindungen III können - je nach Substitutionsmuster - auf verschiedene Weise hergestellt werden, z.B. wie folgt: 1. R6 = 1-6C-Alkyl (in 3-Position), R7 = 1-6C-Alkoxy (in 4-Position), R8 = Aryl-1-4C-alkoxy (in 5 Position).The compounds II, IV, VI, IX and XI are known for example from WO86 / 02646. Depending on the substitution pattern, the compounds III can be prepared in various ways, for example as follows: 1. R6 = 1-6C-alkyl (in the 3-position), R7 = 1-6C-alkoxy (in the 4-position), R8 = aryl-1-4C-alkoxy (in the 5-position).
Diese Verbindungen werden z.B. ausgehend von bekannten oder auf bekanntem Weg herstellbaren 2-Methyl-3-alkyl-4-alkoxypyridinen (siehe z.B. EP-A 0 080 602) durch N-Oxidation (z.B. mit 30 %-igem Wasserstoffperoxid), gezielte Acetoxylierung und anschließende Verseifung in 5-Position (z.B. mit Essigsäureanhydrid und anschließend Natronlauge), Alkylierung der 5-Hydroxygruppe (z.B. mit Aryl-1-4C-alkyl-bromid und Natronlauge in Dimethylsulfoxid), N-Oxidation (z.B. mit m-Chlorperoxibenzoesäure), Umwandlu in das 2-Acetoxymethylpyridin (z.B. mit heißem Essigsäureanhydrid), Verseifung (z.B. mit verdünnter Natronlauge) zur 2-Hydroxymethylgruppe und Einführung der Fluchtgruppe V (z.B. durch Umsetzung mit Thionylchlorid) hergestellt.These connections are e.g. proceeding from known 2-methyl-3-alkyl-4-alkoxypyridines (see eg EP-A 0 080 602) by N-oxidation (eg with 30% hydrogen peroxide), targeted acetoxylation and subsequent saponification in 5 -Position (e.g. with acetic anhydride and then sodium hydroxide solution), alkylation of the 5-hydroxy group (e.g. with aryl-1-4C-alkyl bromide and sodium hydroxide solution in dimethyl sulfoxide), N-oxidation (e.g. with m-chloroperoxibenzoic acid), conversion into the 2- Acetoxymethylpyridine (for example with hot acetic anhydride), saponification (for example with dilute sodium hydroxide solution) to the 2-hydroxymethyl group and introduction of the leaving group V (for example by reaction with thionyl chloride).
2. R6 = Wasserstoff (in 3-Position), R7 und R8 = l-6C-Alkoxy bzw. Aryloxy oder Aryl-1-4C-alkoxy.2. R6 = hydrogen (in the 3-position), R7 and R8 = 1-6C-alkoxy or aryloxy or aryl-1-4C-alkoxy.
Diese Verbindungen werden z.B. ausgehend von bekannten 5-Hydroxy-2-methylpyridinen durch Alkylierung der Hydroxygruppe (z.B. mit 1-6C-Alkyliodid oder Aryl-1-4C-alkylbromid und Kaliumhydroxid in Dimethylsulfoxid), N-Oxidation (z.B. mit 30 %-igem Wasserstoffperoxid), Nitrierung in 4-Position (z.B. mit Nitriersäure), Austausch der Nitrogruppe gegen die 1-6C-Alkoxybzw. die Aryloxy- oder die Aryl-1-4C-alkoxygruppe (z.B. durch Umsetzung mit Alkali-alkoxid oder -aryloxid), Umwandlung in das 2-Acetoxymethylpyridin (z.B. mit heißem Essigsäureanhydrid), Verseifung (z.B. mit verdünnter Natronlauge) zur 2-Hydroxymethylgruppe und Einführung der Fluchtgruppe Z' (z.B. durch Umsetzung mit Thionylchlorid) hergestellt.These connections are e.g. starting from known 5-hydroxy-2-methylpyridines by alkylation of the hydroxy group (for example with 1-6C-alkyl iodide or aryl-1-4C-alkyl bromide and potassium hydroxide in dimethyl sulfoxide), N-oxidation (for example with 30% hydrogen peroxide), nitration in 4-position (e.g. with nitrating acid), exchange of the nitro group for 1-6C-alkoxy or the aryloxy or the aryl-1-4C-alkoxy group (for example by reaction with alkali alkoxide or aryloxide), conversion to the 2-acetoxymethylpyridine (for example with hot acetic anhydride), saponification (for example with dilute sodium hydroxide solution) to the 2-hydroxymethyl group and Introduction of the escape group Z '(for example by reaction with thionyl chloride).
3. R6 = Wasserstoff (in 5 Position), R7 und R8 = 1-6C-Alkoxy bzw. Aryloxy oder Aryl-1-4C-alkoxy.3. R6 = hydrogen (in 5 position), R7 and R8 = 1-6C-alkoxy or aryloxy or aryl-1-4C-alkoxy.
A. Diese Verbindungen werden z.B. ausgehend von bekannten 3-Hydroxy-2-methylpyridinen durch Alkylierung der Hydroxygruppe (z.B. mit Kaliumhydroxid und AIkyliodid oder Arylalkyliodid in Dimethylsulfoxid), N-Oxidation (z.B mit 30 %-igem Wasserstoffperoxid), Nitrierung in 4-Position (z.B. mit Nitriersäure), Austausch der Nitro- gegen die Aryloxy-, Arylalkoxy- bzw. Alkoxygruppe, Umwandlung in das 2-Acetoxymethylpyridin (z.B. mit heißem Essigsäureanhydrid), Verseifung zur Hydroxymethylgruppe und Einführung de Flucht-gruppe Z' (z.B. durch Umsetzung mit Thionylchlorid) hergestellt. B. In einer bevorzugten Alternative werden diese Verbindungen ausgehend von bekannten 3-Hydroxy-2-methyl-4-pyronen durch Alkylierung der Hydroxygruppe (z.B. mit Kaliumcarbonat und Alkyliodid bzw. Arylalkylbromid in Aceton), Umwandlung des Pyrons in das entsprechende Pyridon (z.B. durch Umsetzung mit wäßrigem Ammoniak), Chlorierung zum 4-Chlorpyridin (z.B. mit Phosphoroxitrichlorid), N-Oxidation (z.B. mit 30 %igem Wasserstoffperoxid), Austausch des Chlors gegen die Alkoxy-, Aryloxy- bzw. Arylalkoxygruppe (z.B. mit Alkalialkoxid oder -aryloxid in Dimethylsulfoxid), Umwandlung in das 2-Acetoxymethylpyridin (z.B. mit heißem Essigsäureanhydrid), Verseifung zur Hydroxymethylgruppe und Einführung der Fluchtgruppe Z' (z.B. durch Umsetzung mit Thionylchlorid) hergestellt. Alternativ kann der Chloraustausch auch vor der N-Oxidation erfolgen.A. These compounds are, for example, starting from known 3-hydroxy-2-methylpyridines by alkylation of the hydroxyl group (for example with potassium hydroxide and alkyl iodide or arylalkyl iodide in dimethyl sulfoxide), N-oxidation (for example with 30% hydrogen peroxide), nitration in the 4-position (e.g. with nitrating acid), exchange of the nitro for the aryloxy, arylalkoxy or alkoxy group, conversion to the 2-acetoxymethylpyridine (e.g. with hot acetic anhydride), saponification to the hydroxymethyl group and introduction of the escape group Z '(e.g. by reaction with Thionyl chloride) prepared. B. In a preferred alternative, these compounds are prepared from known 3-hydroxy-2-methyl-4-pyrones by alkylation of the hydroxy group (for example with potassium carbonate and alkyl iodide or arylalkyl bromide in acetone), conversion of the pyrone into the corresponding pyridone (for example by Reaction with aqueous ammonia), chlorination to 4-chloropyridine (e.g. with phosphorus oxychloride), N-oxidation (e.g. with 30% hydrogen peroxide), exchange of the chlorine for the alkoxy, aryloxy or arylalkoxy group (e.g. with alkali alkoxide or aryloxide in Dimethyl sulfoxide), conversion to the 2-acetoxymethylpyridine (for example with hot acetic anhydride), saponification to the hydroxymethyl group and introduction of the leaving group Z '(for example by reaction with thionyl chloride). Alternatively, the chlorine exchange can also take place before the N-oxidation.
Welche Reaktionsbedingungen (Temperaturen, Reaktionszeiten, Lösungsmittel etc.) bei den oben skizzierten Synthesewegen für die Herstellung der Verbindungen III im einzelnen erforderlich sind, ist dem Fachmann aufgrund seines Fachwissens geläufig. Die genaue Herstellung einzelner Vertreter der Verbindungen III ist in den Beispielen angegeben. Die Herstellung weiterer Vertreter erfolgt in analoger Weise.The person skilled in the art is familiar with the particular reaction conditions (temperatures, reaction times, solvents, etc.) required for the preparation of the compounds III in the synthetic routes outlined above, on the basis of his specialist knowledge. The exact preparation of individual representatives of the compounds III is given in the examples. Other representatives are produced in an analogous manner.
Verbindungen der Formel III sind neu und ebenfalls Gegenstand der Erfindung.Compounds of formula III are new and also a subject of the invention.
Die Verbindungen V, VII und XII werden beispielsweise ausgehend von den Verbindungen III auf für den Fachmann bekannten Wegen hergestellt.The compounds V, VII and XII are prepared, for example, starting from the compounds III in ways known to those skilled in the art.
Die folgenden Beispiele erläutern die Erfindung näher, ohne sie einzuschränken. Die in den Beispielen namentlich aufgeführten Verbindungen der Formel I sowie Salze dieser Verbindungen sind bevorzugter Gegenstand der Erfindung. In den Beispielen bedeutet F. Schmelzpunkt, Zers. steht für Zersetzung, Sdp. steht für Siedepunkt. B E I S P I E L EThe following examples illustrate the invention without restricting it. The compounds of the formula I mentioned by name in the examples and salts of these compounds are a preferred subject of the invention. In the examples, F. means melting point, decomp. stands for decomposition, Sdp stands for boiling point. EXAMPLES
EndprodukteEnd products
1. 2,2-Difluor-6-[(5-benzyloxy-4-methoxy-2-pyridyl)methylthio]-5H-[1,3]-dioxol o [4, 5-f] benzimidazol1. 2,2-difluoro-6 - [(5-benzyloxy-4-methoxy-2-pyridyl) methylthio] -5H- [1,3] dioxole o [4, 5-f] benzimidazole
Zu einer Lösung von 0,92g 2,2-Difluor-5H-[1,3]-dioxolo[4,5-f]benzimidazol-6- thiol in 20 ml Ethanol und 25 ml 2N Natronlauge werden 1,2 g 2-Chlormethyl-5- benzyloxy-4-methoxypyridiniumchlorid zugegeben. Man rührt die gelbe Reaktionsmischung 1 Stunde bei 20ºC, setzt nochmals 10 ml Wasser zu, wobei ein farblose1.2 g of 2- are added to a solution of 0.92 g of 2,2-difluoro-5H- [1,3] dioxolo [4,5-f] benzimidazole-6-thiol in 20 ml of ethanol and 25 ml of 2N sodium hydroxide solution. Chloromethyl-5-benzyloxy-4-methoxypyridinium chloride added. The yellow reaction mixture is stirred at 20 ° C for 1 hour, another 10 ml of water are added, a colorless
Feststoff ausfällt, rührt weitere 20 Stunden, filtriert, wäscht mit 1N Natronlauge und Wasser und trocknet bis zur Gewichtskonstanz. Das amorphe Pulver wir aus Methylenchlorid/Diisopropylether umkristallisiert. Man erhält 1,7 g (93 % d.Th.) der Titelverbindung in Form farbloser Kristalle vom F. 171-72ºC.Solid precipitates, stirred for a further 20 hours, filtered, washed with 1N sodium hydroxide solution and water and dried to constant weight. The amorphous powder is recrystallized from methylene chloride / diisopropyl ether. 1.7 g (93% of theory) of the title compound are obtained in the form of colorless crystals with a melting point of 171-72 ° C.
Analog erhält manYou get analog
6, 6, 7-Trifluor-6,7-dihydro-2-[(5-benzyloxy-4-methoxy-2-pyridyl)methylthio]-1H- [1,4]-dioxino[2,3-f] benzimidazol,6, 6, 7-trifluoro-6,7-dihydro-2 - [(5-benzyloxy-4-methoxy-2-pyridyl) methylthio] -1H- [1,4] dioxino [2,3-f] benzimidazole ,
6-Chlor-6,7,7-trifluor-6,7-dihydro-2-[(5-benzyloxy-4-methoxy-2-pyridyl)methylthio]-1H-[1,4]-dioxino [2 ,3-f] benzimidazol und6-chloro-6,7,7-trifluoro-6,7-dihydro-2 - [(5-benzyloxy-4-methoxy-2-pyridyl) methylthio] -1H- [1,4] dioxino [2, 3 -f] benzimidazole and
6,7-Dihydro-2-[(5-benzyloxy-4-methoxy-2-pyridyl)methylthio]-1H-[1,4]-dioxino¬6,7-dihydro-2 - [(5-benzyloxy-4-methoxy-2-pyridyl) methylthio] -1H- [1,4] dioxino¬
[2,3-f] benzimidazol durch Umsetzung von[2,3-f] benzimidazole by reacting
6, 6, 7-Trifluor-6,7-dihydro-1H-[1,4]-dioxino [2,3-f] benzimidazol-2-thiol,6, 6, 7-trifluoro-6,7-dihydro-1H- [1,4] -dioxino [2,3-f] benzimidazole-2-thiol,
6-Chlor-6,7,7-trifluor-6,7-dihydro-1H-[1,4]-dioxino [2,3-f] benzimidazol-2-thiol bzw.6-chloro-6,7,7-trifluoro-6,7-dihydro-1H- [1,4] dioxino [2,3-f] benzimidazole-2-thiol or
6,7-Dihydro-1H-[1,4]-dioxino [2,3-f] benzimidazol-2-thiol mit6,7-dihydro-1H- [1,4] dioxino [2,3-f] benzimidazole-2-thiol with
2-Chlormethyl-5-benzyloxy-4-methoxypyridiniumchlorid.2-chloromethyl-5-benzyloxy-4-methoxypyridinium chloride.
2. 2,2-Di fluor-6-[(5-benzyloxy-4-methoxy-2-pyridyl)methylsulfinyl]-5H-[1,3]- dioxolo [4,5-f] benzimidazol2. 2,2-Di fluoro-6 - [(5-benzyloxy-4-methoxy-2-pyridyl) methylsulfinyl] -5H- [1,3] - dioxolo [4,5-f] benzimidazole
Zu einer auf -40ºC gekühlten Suspension von 0,92 g 2,2-Difluor-6-[(5-benzyloxy¬To a suspension of 0.92 g of 2,2-difluoro-6 - [(5-benzyloxy¬
4-methoxy-2-pyridyl)methylthio]-5H-[1,3]-dioxolo[4,5-f] benzimidazol in 40 ml Methylenchlorid tropft man innerhalb von 10 Minuten 21 ml einer 0,1N Lösung von m-Chlorperoxibenzoesäure in Methylenchlorid zu. Man rührt weitere 20 Minuten und läßt die Temperatur dabei auf -20ºC ansteigen, setzt 0,5 ml Triethylamin zu und gießt das Reaktionsgemisch in 40 ml einer jeweils 5 %-igen Natriumthiosulfat- und 5 %-igen Natriumcarbonati ösung ein. Nach Phasentrennung wird die Wasserphase noch zweimal mit je 20 ml Methylenchlorid extrahiert; die vereinigten organischen Phasen werden mit einem Gemisch aus jeweils 5 ml Natriumthiosulfat- und Natriumcarbonatiösung gewaschen, getrocknet und eingeengt. Der Rückstand wird aus Methylenchlorid/Diisopropylether umkri stall isiert. Man erhält 0,60 g (63 % d.Th.) der Titelverbindung; F. 165-166°C Zers.4-methoxy-2-pyridyl) methylthio] -5H- [1,3] dioxolo [4,5-f] benzimidazole in 40 ml Methylene chloride is added dropwise 21 ml of a 0.1N solution of m-chloroperoxibenzoic acid in methylene chloride within 10 minutes. The mixture is stirred for a further 20 minutes and the temperature is allowed to rise to -20.degree. C., 0.5 ml of triethylamine is added and the reaction mixture is poured into 40 ml of 5% sodium thiosulfate and 5% sodium carbonate solutions. After phase separation, the water phase is extracted twice with 20 ml of methylene chloride; the combined organic phases are washed with a mixture of 5 ml of sodium thiosulfate and sodium carbonate solution, dried and concentrated. The residue is crystallized from methylene chloride / diisopropyl ether. 0.60 g (63% of theory) of the title compound are obtained; Mp 165-166 ° C dec.
Analog erhält manYou get analog
6 , 6, 7-Trifluor-6,7-dihydro-2-[(5-benzyloxy-4-methoxy-2-pyridyl)methylsulfinyl]-1H- [1,4]-dioxino [2,3-f] benzimidazol,6, 6, 7-trifluoro-6,7-dihydro-2 - [(5-benzyloxy-4-methoxy-2-pyridyl) methylsulfinyl] -1H- [1,4] dioxino [2,3-f] benzimidazole ,
6-Chlor-6,7,7-trifluor-6,7-dihydro-2-[(5-benzyloxy-4-methoxy-2-pyridyl)methylsulfinyl]-1H-[1,4]-dioxino [2,3-f] benzimidazol und6-chloro-6,7,7-trifluoro-6,7-dihydro-2 - [(5-benzyloxy-4-methoxy-2-pyridyl) methylsulfinyl] -1H- [1,4] dioxino [2,3 -f] benzimidazole and
6 , 7-Dihydro-2-[(5-benzyloxy-4-methoxy-2-pyridyl)methylsulfinyl]-1H-[1,4]-dioxino [2, 3-f] benzimidazol durch Oxidation der unter Beispiel 1 genannten weiteren Sulfide mit m-Chlorperoxibenzoesäure.6, 7-Dihydro-2 - [(5-benzyloxy-4-methoxy-2-pyridyl) methylsulfinyl] -1H- [1,4] -dioxino [2, 3-f] benzimidazole by oxidation of the others mentioned under Example 1 Sulfides with m-chloroperoxibenzoic acid.
3. 2- [(4-Benzyloxy-3-methoxy-2-pyridyl)-methylthio]-5-difluormethoxy-1H-benzimidazol3. 2- [(4-benzyloxy-3-methoxy-2-pyridyl) methylthio] -5-difluoromethoxy-1H-benzimidazole
Zu 2,16 g (10 mMol) 5-Difluormethoxy-2-mercapto-1H-benzimidazol, gelöst in 11 ml 2N Natronlauge und 13 ml Ethanol gibt man 2,85 g (9,5 mMol) 4-Benzyloxy-2-chlormethyl-3-methoxypyridinium-chlorid unter Rühren in drei Portionen zu und erwärmt anschließend drei Stunden auf 60ºC. Nach Abdestillieren des Ethanols amTo 2.16 g (10 mmol) of 5-difluoromethoxy-2-mercapto-1H-benzimidazole, dissolved in 11 ml of 2N sodium hydroxide solution and 13 ml of ethanol, 2.85 g (9.5 mmol) of 4-benzyloxy-2-chloromethyl are added -3-methoxypyridinium chloride in three portions with stirring and then heated to 60 ° C for three hours. After distilling off the ethanol on
Rotavapor im Wasserstrahlvakuum extrahiert man dreimal mit je 30 ml Methylenchlorid, wäscht die vereinigten organischen Phasen dreimal mit je 5 ml 1N Natronlauge, trocknet über Magnesiumsulfat und engt vollständig ein. Der gelbe ölige Rückstand wird aus Ethanol /Wasser kristallisiert. Man erhält 3,8 g (86 % d.Th.) der Titelverbindung in Form farbloser Kristalle vom F. 123-24ºC.Rotavapor in a water jet vacuum is extracted three times with 30 ml of methylene chloride, the combined organic phases are washed three times with 5 ml of 1N sodium hydroxide solution, dried over magnesium sulfate and concentrated completely. The yellow oily residue is crystallized from ethanol / water. 3.8 g (86% of theory) of the title compound are obtained in the form of colorless crystals of mp 123-24 ° C.
Analog erhält manYou get analog
2- [(4-Benzyloxy-3-methoxy-2-pyridyl)methylthio]-5-chlordifluormethoxy-1H-benzimidazol,2- [(4-benzyloxy-3-methoxy-2-pyridyl) methylthio] -5-chlorodifluoromethoxy-1H-benzimidazole,
2- [(4-Benzyloxy-3-methoxy-2-pyridyl)methylthio]-5-trifluormethoxy-1H-benzimidazol, 2- [(4-Benzyloxy-3-methoxy-2-pyridyl)methylthio]-5,6-bis(difluormethoxy)-1H- benzimidazol,2- [(4-benzyloxy-3-methoxy-2-pyridyl) methylthio] -5-trifluoromethoxy-1H-benzimidazole, 2- [(4-benzyloxy-3-methoxy-2-pyridyl) methylthio] -5,6-bis (difluoromethoxy) -1H-benzimidazole,
2- [ (4-Benzyloxy-3-methoxy-2-pyridyl)methylthio]-5-difluormethoxy-6-methoxy-1H- benzimidazol und2- [(4-benzyloxy-3-methoxy-2-pyridyl) methylthio] -5-difluoromethoxy-6-methoxy-1H-benzimidazole and
2- [ (4-Benzyloxy-3-methoxy-2-pyridyl)methylthio]-5-difluormethoxy-6-fluor-1H- benzimidazol durch Umsetzung von2- [(4-Benzyloxy-3-methoxy-2-pyridyl) methylthio] -5-difluoromethoxy-6-fluoro-1H-benzimidazole by reacting
5-Chlordifluormethoxy-2-mercapto-1H-benzimidazol, 5-Trifluormethoxy-2-mercapto-1H-benzimidazol, 5, 6-Bis (difluormethoxy)-2-mercapto-1H-benzimidazol, 5-Difluormethoxy-2-mercapto-6-methoxy-1H-benzimidazol und 5-Difluormethoxy-6-fluor-2-mercapto-1H-benzimidazol mit 4-Benzyloxy-2-chlormethyl-3-methoxypyridiniumchlorid5-chlorodifluoromethoxy-2-mercapto-1H-benzimidazole, 5-trifluoromethoxy-2-mercapto-1H-benzimidazole, 5, 6-bis (difluoromethoxy) -2-mercapto-1H-benzimidazole, 5-difluoromethoxy-2-mercapto-6 -methoxy-1H-benzimidazole and 5-difluoromethoxy-6-fluoro-2-mercapto-1H-benzimidazole with 4-benzyloxy-2-chloromethyl-3-methoxypyridinium chloride
4. 2- [(4-Benzy1oxy-3-methoxy-2-pyridyl)methylsulfinyl]-5-difluormethoxy-1Hbenzimidazol4. 2- [(4-Benzyloxy-3-methoxy-2-pyridyl) methylsulfinyl] -5-difluoromethoxy-1Hbenzimidazole
Zu einer Lösung von 1,33 g 2-[4-Benzyloxy-3-methoxy-2-pyridyl)methylthio]-5-difluormethoxy-1H-benzimidazol in 60 ml Methylenchlorid tropft man bei -30ºCA solution of 1.33 g of 2- [4-benzyloxy-3-methoxy-2-pyridyl) methylthio] -5-difluoromethoxy-1H-benzimidazole in 60 ml of methylene chloride is added dropwise at -30 ° C
16 ml einer 0,2m Lösung von m-Chlorperoxibenzoesäure in Methylenchlorid zu un rührt weitere 30 Minuten bei der angegebenen Temperatur. Nach Zugabe von 0,3 Triethylamin wird die kalte Reaktionsmischung in 10 ml 5 %-ige Natriumthiosulfat- und 10 ml 5 %-ige Natriumcarbonatiösung eingerührt, nach Phasentrennung wird noch dreimal mit 30 ml Methylenchlorid extrahiert, die vereinigten organischen Phasen werden zweimal mit 10 ml einer 5 %igen Natriumthiosulfatlösung gewaschen, getrocknet, vom Trockenmittel (Magnesiumsulfat) filtriert und eingeengt. Der Rückstand wird mit Diisopropylether zur Kristallisation gebracht und anschließend aus Methylenchlorid/Diisopropylether umkristallisiert. Man erhält 1,04 g (76 % d.Th.) der Titelverbindung als farblosen Feststoff vom F. 102ºC16 ml of a 0.2m solution of m-chloroperoxibenzoic acid in methylene chloride un stirring for a further 30 minutes at the specified temperature. After the addition of 0.3 triethylamine, the cold reaction mixture is stirred into 10 ml of 5% sodium thiosulfate and 10 ml of 5% sodium carbonate solution, after phase separation the mixture is extracted three times with 30 ml of methylene chloride, the combined organic phases are twice with 10 ml a 5% sodium thiosulfate solution, dried, filtered from the drying agent (magnesium sulfate) and concentrated. The residue is crystallized with diisopropyl ether and then recrystallized from methylene chloride / diisopropyl ether. 1.04 g (76% of theory) of the title compound are obtained as a colorless solid, melting at 102 ° C
(Zers.).(Dec.).
Analog erhält manYou get analog
2-[(4-Benzyloxy-3-methoxy-2-pyridyl)methylsulfinyl]-5-chlordifluormethoxy-1H-benzimidazol,2 - [(4-benzyloxy-3-methoxy-2-pyridyl) methylsulfinyl] -5-chlorodifluoromethoxy-1H-benzimidazole,
2- [(4-Benzyloxy-3-methoxy-2-pyridyl)methylsulfinyl]-5-trifluormethoxy-1H-benzimidazol,2- [(4-benzyloxy-3-methoxy-2-pyridyl) methylsulfinyl] -5-trifluoromethoxy-1H-benzimidazole,
2- [(4-Benzyloxy-3-methoxy-2-pyridyl)methylsulfinyl]-5,6-bis(difluormethoxy)-1H-benzimidazol, 2- [ (4-Benzyloxy-3-methoxy-2-pyridyl)methylsulfinyl]-5-difluormethoxy-6-methoxy-1H-benzimidazol und2- [(4-benzyloxy-3-methoxy-2-pyridyl) methylsulfinyl] -5,6-bis (difluoromethoxy) -1H-benzimidazole, 2- [(4-benzyloxy-3-methoxy-2-pyridyl) methylsulfinyl] -5-difluoromethoxy-6-methoxy-1H-benzimidazole and
2- [(4-Benzyloxy-3-methoxy-2-pyridyl)methylsulfinyl]-5-difluormethoxy-6-fluor¬1H-benzimidazol durch Oxidation der weiteren Sulfide des Beispiels 3 mit m-Chlorperoxibenzoesäure.2- [(4-Benzyloxy-3-methoxy-2-pyridyl) methylsulfinyl] -5-difluoromethoxy-6-fluoro-1H-benzimidazole by oxidation of the further sulfides of Example 3 with m-chloroperoxibenzoic acid.
5. 2- [(3-Benzyloxy-4-methoxy-2-pyridyl)methylthio]-5-difluormethoxy-1H-benzimidazol-dihydrochlorid5. 2- [(3-Benzyloxy-4-methoxy-2-pyridyl) methylthio] -5-difluoromethoxy-1H-benzimidazole dihydrochloride
Nach der in Beispiel 3 beschriebenen Arbeitsweise erhält man durch Umsetzung von 1,08 g (5 mMol) 5-Difluormethoxy-2-mercapto-1H-benzimidazol mit 1,43 g (4, mMol) 3-Benzyloxy-2-chlormethyl-4-methoxypyridiniumchlorid in 7 ml Ethanol unter Zusatz von 6 ml 2N Natronlauge 2-[(3-Benzyloxy-4-methoxy-2-pyridyl)methylthio]-5-difluormethoxy-1H-benzimidazol als gelbes Öl. Dieses löst man in Methylenchlorid, gibt 15 mMol Salzsäure, gelöst in Ether, zu und fällt mit Diiso¬propylether die Titelverbindung in Form farbloser Kristalle vom F. 148-50ºC.The procedure described in Example 3 is obtained by reacting 1.08 g (5 mmol) of 5-difluoromethoxy-2-mercapto-1H-benzimidazole with 1.43 g (4 mmol) of 3-benzyloxy-2-chloromethyl-4 -methoxypyridinium chloride in 7 ml of ethanol with the addition of 6 ml of 2N sodium hydroxide solution 2 - [(3-benzyloxy-4-methoxy-2-pyridyl) methylthio] -5-difluoromethoxy-1H-benzimidazole as a yellow oil. This is dissolved in methylene chloride, 15 mmol of hydrochloric acid, dissolved in ether, are added and the title compound is precipitated with diisopropyl ether in the form of colorless crystals of mp 148-50 ° C.
Ausb. 2,05 g (90 % d.Th.).Educ. 2.05 g (90% of theory).
Analog erhält manYou get analog
2- [(3-Benzyloxy-4-methoxy-2-pyridyl)methylthio]-5-chlordifluormethoxy-1H-benzimidazol,2- [(3-benzyloxy-4-methoxy-2-pyridyl) methylthio] -5-chlorodifluoromethoxy-1H-benzimidazole,
2- [(3-Benzyloxy-4-methoxy-2-pyridyl)methylthio]-5-trifluormethoxy-1H-benzimidazol,2- [(3-benzyloxy-4-methoxy-2-pyridyl) methylthio] -5-trifluoromethoxy-1H-benzimidazole,
2- [(3-Benzyloxy-4-methoxy-2-pyridyl)methylthio]-5,6-bis(difluormethoxy)-1H-benzimidazol,2- [(3-benzyloxy-4-methoxy-2-pyridyl) methylthio] -5,6-bis (difluoromethoxy) -1H-benzimidazole,
2- [(3-Benzyloxy-4-methoxy-2-pyridyl)methylthio]-5-difluormethoxy-6-methoxy-1H-benzimidazol,2- [(3-benzyloxy-4-methoxy-2-pyridyl) methylthio] -5-difluoromethoxy-6-methoxy-1H-benzimidazole,
2- [(3-Benzyloxy-4-methoxy-2-pyridyl)methylthio]-5-difluormethoxy-6-fluor-1H-benzimidazol,2- [(3-benzyloxy-4-methoxy-2-pyridyl) methylthio] -5-difluoromethoxy-6-fluoro-1H-benzimidazole,
2- [(3-Benzyloxy-4-methoxy-2-pyridyl)methylthio]-5-(2,2,2-trifluorethoxy)-1H-benzimidazol und2- [(3-benzyloxy-4-methoxy-2-pyridyl) methylthio] -5- (2,2,2-trifluoroethoxy) -1H-benzimidazole and
2- [(3-Benzyloxy-4-methoxy-2-pyridyl)methylthio]-5-(1,1,2,2-tetrafluorethoxy)-1H-benzimidazol durch Umsetzung von 5-Chlordifluormethoxy-2-mercapto-1H-benzimidazol, 5-Trifluormethoxy-2-mercapto-1H-benzimidazol, 5,6-Bis (difluormethoxy)-2-mercapto-1H-benzimidazol, 5-Difluormethoxy-6-methoxy-2-mercapto-1H-benzimidazol, 5-Difluormethoxy-6-fluor-2-mercapto-1H-benzimidazol 5-(2,2,2-Trifluorethoxy)-2-mercapto-1H-benzimidazol und 5-(1,1,2,2-Tetrafluorethoxy)-2-mercapto-1H-benzimidazol mit 3-Benzyloxy-2-chlormethyl-4-methoxypyridiniumchlorid.2- [(3-Benzyloxy-4-methoxy-2-pyridyl) methylthio] -5- (1,1,2,2-tetrafluoroethoxy) -1H-benzimidazole by reacting 5-chlorodifluoromethoxy-2-mercapto-1H-benzimidazole , 5-trifluoromethoxy-2-mercapto-1H-benzimidazole, 5,6-bis (difluoromethoxy) -2-mercapto-1H-benzimidazole, 5-difluoromethoxy-6-methoxy-2-mercapto-1H-benzimidazole, 5-difluoromethoxy-6-fluoro-2-mercapto-1H-benzimidazole 5- (2,2,2-trifluoroethoxy) -2-mercapto-1H-benzimidazole and 5- (1,1,2,2-tetrafluoroethoxy) -2 -mercapto-1H-benzimidazole with 3-benzyloxy-2-chloromethyl-4-methoxypyridinium chloride.
6. 2-[(3-Benzyloxy-4-methoxy-2-pyridyl)methylsulfinyl]-5-difluormethoxy-1H- benzimidazol6. 2 - [(3-Benzyloxy-4-methoxy-2-pyridyl) methylsulfinyl] -5-difluoromethoxy-1H-benzimidazole
Nach der in Beispiel 4 angegebenen Arbeitsweise erhält man durch Oxidation vonAccording to the procedure given in Example 4, oxidation of
0,88 g 2-[(3-Benzyloxy-4-methoxy-2-pyridyl)methylthio]-5-difluormethoxy-1H-benzimidazol in 30 ml Methylenchlorid mit 22 ml einer 0,1N Lösung von m-Chlorperoxibenzoesäure in Methylenchlorid bei -30ºC nach Kristallisation aus Methylenchlorid/Diisopropylether 0,70 g (77 % d.Th.) der Titelverbindung als farbloses0.88 g of 2 - [(3-benzyloxy-4-methoxy-2-pyridyl) methylthio] -5-difluoromethoxy-1H-benzimidazole in 30 ml of methylene chloride with 22 ml of a 0.1N solution of m-chloroperoxibenzoic acid in methylene chloride at - 30 ° C after crystallization from methylene chloride / diisopropyl ether 0.70 g (77% of theory) of the title compound as a colorless
Kristallisat von F. 121 C (Zers.).Crystals of F. 121 C (dec.).
Analog erhält manYou get analog
2-[(3-Benzyloxy-4-methoxy-2-pyridyl)methylsulfinyl]-5-chlordifluormethoxy-1H-benzimidazol,2 - [(3-benzyloxy-4-methoxy-2-pyridyl) methylsulfinyl] -5-chlorodifluoromethoxy-1H-benzimidazole,
2-[(3-Benzyloxy-4-methoxy-2-pyridyl)methylsulfinyl]-5-trifluormethoxy-1H-benz¬imidazol,2 - [(3-benzyloxy-4-methoxy-2-pyridyl) methylsulfinyl] -5-trifluoromethoxy-1H-benzimidazole,
2-[(3-Benzyloxy-4-methoxy-2-pyridyl)methylsulfinyl]-5,6-bis(difluormethoxy)-1H-benzimidazol,2 - [(3-benzyloxy-4-methoxy-2-pyridyl) methylsulfinyl] -5,6-bis (difluoromethoxy) -1H-benzimidazole,
2-[(3-Benzyloxy-4-methoxy-2-pyridyl)methylsulfinyl]-5-difluormethoxy-6-methoxy-1H-benzimidazol,2 - [(3-benzyloxy-4-methoxy-2-pyridyl) methylsulfinyl] -5-difluoromethoxy-6-methoxy-1H-benzimidazole,
2-[(3-Benzyloxy-4-methoxy-2-pyridyl)methylsulfinyl]-5-dif1uormethoxy-6-fluor-1H-benzimidazol,2 - [(3-benzyloxy-4-methoxy-2-pyridyl) methylsulfinyl] -5-dif1uormethoxy-6-fluoro-1H-benzimidazole,
2-[(3-Benzy1oxy-4-methoxy-2-pyridyl)methylsulfinyl]-5-(2,2,2-trifluorethoxy)-1H-benzimidazol und2 - [(3-benzyloxy-4-methoxy-2-pyridyl) methylsulfinyl] -5- (2,2,2-trifluoroethoxy) -1H-benzimidazole and
2-[(3-Benzyloxy-4-methoxy-2-pyridyl)methylsulfinyl]-5-(l,1,2,2-tetrafluorethoxy)-1H-benzimidazol durch Oxidation der weiteren Sulfide des Beispiels 5 mit m-Chlorperoxibenzoesäure.2 - [(3-Benzyloxy-4-methoxy-2-pyridyl) methylsulfinyl] -5- (1,1,2,2-tetrafluoroethoxy) -1H-benzimidazole by oxidation of the further sulfides of Example 5 with m-chloroperoxibenzoic acid.
7. 2-[(5-Benzyloxy-4-methoxy-3-methyl-2-pyridyl)methylthio]-5-difluormethoxy- 1H-benzimidazol7. 2 - [(5-Benzyloxy-4-methoxy-3-methyl-2-pyridyl) methylthio] -5-difluoromethoxy-1H-benzimidazole
Nach der in Beispiel 3 angegebenen Arbeitsweise erhält man durch Umsetzung von 0,91 g 5-Difluormethoxy-2-mercapto-1H-benzimidazol mit 1,15 g 5-Benzyloxy-2- chlormethyl-4-methoxy-3-methylpyridiniumchlorid in 20 ml Ethanol und 15 ml Wasser unter Zusatz von 5,5 ml 2N Natronlauge die Titelverbindung als gelbes Öl.Following the procedure given in Example 3, reaction of 0.91 g of 5-difluoromethoxy-2-mercapto-1H-benzimidazole with 1.15 g of 5-benzyloxy-2- chloromethyl-4-methoxy-3-methylpyridinium chloride in 20 ml of ethanol and 15 ml of water with the addition of 5.5 ml of 2N sodium hydroxide solution the title compound as a yellow oil.
Kristallisation aus Methyl enchlorid/Diisopropylether liefert 1,53 g (91 % d. Th.) der Titel Verbindung in Form eines farblosen Pulvers vom F. 96º -97º C.Crystallization from methylene chloride / diisopropyl ether gives 1.53 g (91% of theory) of the title compound in the form of a colorless powder, melting at 96 ° -97 ° C.
Analog erhält manYou get analog
2-[(5-Benzyloxy-4-methoxy-3-methyl-2-pyridyl)methylthio]-5-chlordifluormethoxy-1H-benzimidazol,2 - [(5-benzyloxy-4-methoxy-3-methyl-2-pyridyl) methylthio] -5-chlorodifluoromethoxy-1H-benzimidazole,
2-[(5-Benzyloxy-4-methoxy-3-methyl-2-pyridyl)methylthio]-5-trif1uormethoxy-1H-benzimidazol,2 - [(5-benzyloxy-4-methoxy-3-methyl-2-pyridyl) methylthio] -5-trifluoromethoxy-1H-benzimidazole,
2-[(5-Benzyloxy-4-methoxy-3-methyl-2-pyridyl)methylthio]-5,6-bis(difluormeth¬oxy)-1H-benzimidazol,2 - [(5-benzyloxy-4-methoxy-3-methyl-2-pyridyl) methylthio] -5,6-bis (difluoromethoxy) -1H-benzimidazole,
2-[(5-BenzyIoxy-4-methoxy-3-methyl-2-pyridyl)methylthio]-5-difluormethoxy-6-methoxy-1H-benzimidazol,2 - [(5-benzyloxy-4-methoxy-3-methyl-2-pyridyl) methylthio] -5-difluoromethoxy-6-methoxy-1H-benzimidazole,
2-[(5-Benzyloxy-4-methoxy-3-methyl-2-pyridyl)methylthio]-5-difluormethoxy-6-fluor-1H-benzimidazol,2 - [(5-benzyloxy-4-methoxy-3-methyl-2-pyridyl) methylthio] -5-difluoromethoxy-6-fluoro-1H-benzimidazole,
2-[(5-Benzyloxy-4-methoxy-3-methyl-2-pyridyl)methylthio]-5-(2,2,2-trifluoreth¬oxy)-1H-benzimidazol und2 - [(5-benzyloxy-4-methoxy-3-methyl-2-pyridyl) methylthio] -5- (2,2,2-trifluoroethoxy) -1H-benzimidazole and
2-[(5-Benzyloxy-4-methoxy-3-methyl-2-pyridyl)methylthio]-5-(1,1,2,2-tetrafluor¬ethoxy)-1H-benzimidazol durch Umsetzung von 5-Chlordifluormethoxy-2-mercapto-1H-benzimidazol, 5-Trifluormethoxy-2-mercapto-1H-benzimidazol, 5,6-Bis(difluormethoxy)-2-mercapto-1H-benzimidazol, 5-Difluormethoxy-6-methoxy-2-mercapto-1H-benzimidazol, 5-Difluormethoxy-6-fluor-2-mercapto-1H-benzimidazol 5-(2,2,2-Trifluorethoxy)-2-mercapto-1H-benzimidazol und 5-(1,1,2,2-Tetrafluorethoxy)-2-mercapto-1H-benzimidazol mit 5-Benzyloxy-2-chlormethyl-4-methoxy-3-methylpyridiniumchlorid.2 - [(5-Benzyloxy-4-methoxy-3-methyl-2-pyridyl) methylthio] -5- (1,1,2,2-tetrafluoroethoxy) -1H-benzimidazole by reacting 5-chlorodifluoromethoxy-2 -mercapto-1H-benzimidazole, 5-trifluoromethoxy-2-mercapto-1H-benzimidazole, 5,6-bis (difluoromethoxy) -2-mercapto-1H-benzimidazole, 5-difluoromethoxy-6-methoxy-2-mercapto-1H- benzimidazole, 5-difluoromethoxy-6-fluoro-2-mercapto-1H-benzimidazole 5- (2,2,2-trifluoroethoxy) -2-mercapto-1H-benzimidazole and 5- (1,1,2,2-tetrafluoroethoxy) -2-mercapto-1H-benzimidazole with 5-benzyloxy-2-chloromethyl-4-methoxy-3-methylpyridinium chloride.
8. 2-[(5-Benzyloxy-4-methoxy-3-methy1-2-pyridyl)methylsulfinyl]-5-difluormethoxy-1H-benzimidazol8. 2 - [(5-Benzyloxy-4-methoxy-3-methy1-2-pyridyl) methylsulfinyl] -5-difluoromethoxy-1H-benzimidazole
Nach der in Beispiel 4 angegebenen Arbeitsweise erhält man durch Oxidation vonAccording to the procedure given in Example 4, oxidation of
0,9 g 2-[(5-Benzyloxy-4-methoxy-3-methyl-2-pyridyl)methylthio]-5-difluormethoxy-1H-benzimidazol, gelöst in 20 ml Methylenchlorid mit 20 ml einer 0,1N Lösung von m-Chlorperoxibenzoesäure bei -20ºC nach Kristallisation aus Diisopropylether 0,6 g (63 % d.Th.) der Titelverbindung als beiges Pulver; F. 149-50ºC0.9 g of 2 - [(5-benzyloxy-4-methoxy-3-methyl-2-pyridyl) methylthio] -5-difluoromethoxy-1H-benzimidazole, dissolved in 20 ml of methylene chloride with 20 ml of a 0.1N solution of m Chloroperoxybenzoic acid at -20 ° C after crystallization from diisopropyl ether 0.6 g (63% of theory) of the title compound as a beige powder; Mp 149-50 ° C
(Zers.). Analog erhält man(Dec.). You get analog
2- [(5-Benzyloxy-4-methoxy-3-methyl-2-pyridyl)methylsulfinyl]-5-chlordifluormethoxy-1H-benzimidazol,2- [(5-benzyloxy-4-methoxy-3-methyl-2-pyridyl) methylsulfinyl] -5-chlorodifluoromethoxy-1H-benzimidazole,
2- [(5-Benzyloxy-4-methoxy-3-methyl-2-pyridyl)methylsulfinyl]-5-trifluormethoxy- 1H-benzimidazol,2- [(5-benzyloxy-4-methoxy-3-methyl-2-pyridyl) methylsulfinyl] -5-trifluoromethoxy-1H-benzimidazole,
2- [(5-Benzyloxy-4-methoxy-3-methyl-2-pyridyl)methylsulfinyl]-5,6-bis(difluormethoxy)-1H-benzimidazol,2- [(5-benzyloxy-4-methoxy-3-methyl-2-pyridyl) methylsulfinyl] -5,6-bis (difluoromethoxy) -1H-benzimidazole,
2- [(5-Benzyloxy-4-methoxy-3-methyl-2-pyridyl)methylsulfinyl]-5-difluormethoxy6-methoxy-1H-benzimidazol,2- [(5-benzyloxy-4-methoxy-3-methyl-2-pyridyl) methylsulfinyl] -5-difluoromethoxy6-methoxy-1H-benzimidazole,
2- [(5-Benzyloxy-4-methoxy-3-methyl-2-pyridyl)methylsulfinyl]-5-difluormethoxy6-fluor-1H-benzimidazol,2- [(5-benzyloxy-4-methoxy-3-methyl-2-pyridyl) methylsulfinyl] -5-difluoromethoxy6-fluoro-1H-benzimidazole,
2-[(5-Benzyloxy-4-methoxy-3-methyl-2-pyridyl)methylsulfinyl]-5-(2,2,2-trifluorethoxy)-1H-benzimidazol und2 - [(5-benzyloxy-4-methoxy-3-methyl-2-pyridyl) methylsulfinyl] -5- (2,2,2-trifluoroethoxy) -1H-benzimidazole and
2- [(5-Benzyloxy-4-methoxy-3-methyl-2-pyridyl)methylsulfinyl]-5-(1,1,2,2-tetrafluorethoxy)-1H-benzimidazol durch Oxidation der weiteren Sulfide des Beispiels 7 mit m-Chlorperoxibenzoesäure.2- [(5-Benzyloxy-4-methoxy-3-methyl-2-pyridyl) methylsulfinyl] -5- (1,1,2,2-tetrafluoroethoxy) -1H-benzimidazole by oxidation of the further sulfides of Example 7 with m -Chlorperoxibenzoic acid.
9. 2- [(5-Benzyloxy-4-methoxy-2-pyridyl)methylthio]-5-trifluormethyl-1H-benzimidazol-dihydrochlorid9. 2- [(5-benzyloxy-4-methoxy-2-pyridyl) methylthio] -5-trifluoromethyl-1H-benzimidazole dihydrochloride
0,46 g 2-Mercapto-5-trifluormethyl-1H-benzimidazol und 0,6 g 5-Benzyloxy-2-chlormethyl-4-methoxy-pyridiniumchlorid werden in 13 ml Isopropanol unter Rückfluß zum Sieden erhitzt. Aus der anfangs klaren Lösung fällt ein Feststoff aus Nach fünf Stunden unter Rückfluß läßt man abkühlen, am Schluß im Eisbad, filtriert, rührt mit Isopropanol auf und trocknet bis zur Gewichtskonstanz. Man erhält 1,0 g (96 % d.Th.) der Titel Verbindung in Form farbloser Kristalle; F. 183-85°C.0.46 g of 2-mercapto-5-trifluoromethyl-1H-benzimidazole and 0.6 g of 5-benzyloxy-2-chloromethyl-4-methoxy-pyridinium chloride are refluxed in 13 ml of isopropanol. A solid precipitates out of the initially clear solution. After five hours under reflux, the mixture is left to cool, finally in an ice bath, filtered, stirred with isopropanol and dried to constant weight. 1.0 g (96% of theory) of the title compound are obtained in the form of colorless crystals; M. 183-85 ° C.
10. 2- [(5-Benzyloxy-4-methoxy-2-pyridyl)methylsulfinyl]-5-trifluormethyl-1H- benzimidazol10. 2- [(5-benzyloxy-4-methoxy-2-pyridyl) methylsulfinyl] -5-trifluoromethyl-1H-benzimidazole
Nach der in Beispiel 4 angegebenen Arbeitsweise erhält man durch Oxidation von 2- [(5-Benzyloxy-4-methoxy-2-pyridyl)methylthio]-5-trifluormethyl-1H-benzimidazol {aus 0,65 g (1,24 mMol) 2-[(5-Benzyloxy-4-methoxy-2-pyridyl)methylthio]-5-trifluormethyl-1H-benzimidazol-dihydrochlorid wurde mit Natronlauge/Methylen chlorid die freie Base hergestellt}, gelöst in 50 ml Methylenchlorid, bei -50ºC mit 7 ml 0,2N m-Chlorperoxibenzoesäurelösung in Methylenchlorid nach Umkristallisation aus Methylenchlorid/Diisopropylether 0,40 g (72 % d.Th.) der Titelverbindung als farbloses Kristall pul ver; F. 139-40ºC; Zers.Using the procedure given in Example 4, oxidation of 2- [(5-benzyloxy-4-methoxy-2-pyridyl) methylthio] -5-trifluoromethyl-1H-benzimidazole {from 0.65 g (1.24 mmol) 2 - [(5-Benzyloxy-4-methoxy-2-pyridyl) methylthio] -5-trifluoromethyl-1H-benzimidazole dihydrochloride was treated with sodium hydroxide solution / methylene chloride produced the free base}, dissolved in 50 ml of methylene chloride, at -50 ° C with 7 ml of 0.2N m-chloroperoxibenzoic acid solution in methylene chloride after recrystallization from methylene chloride / diisopropyl ether 0.40 g (72% of theory) of the title compound as a colorless crystal pul ver; Mp 139-40 ° C; Decay
11. 2- [(5-Benzyloxy-4-methoxy-2-pyridyl)methylthio]-5-methoxy-1H-benzimidazol-dihydrochlorid11. 2- [(5-benzyloxy-4-methoxy-2-pyridyl) methylthio] -5-methoxy-1H-benzimidazole dihydrochloride
Nach der in Beispiel 3 angegebenen Arbeitsweise erhält man aus 0,40 g 2-Mercapto-5-methoxy-1H-benzimi dazol und 0,60 g 5-Benzyloxy-2-chlormethyl-4-methoxypyridiniumchlorid in 20 ml Ethanol unter Zusatz von 21 ml 0,2N Natronlauge ein gelbes, öliges Produkt. Nach Auflösung in Methylenchlorid wird methanolische Salzsäure zugesetzt und mit Di isopropylether ein farbloser Feststoff ausgefällt. Man erhält 0,7 g (70 % d.Th.) der Titel Verbindung vom F. 160-64ºC.According to the procedure given in Example 3, 0.40 g of 2-mercapto-5-methoxy-1H-benzimiazole and 0.60 g of 5-benzyloxy-2-chloromethyl-4-methoxypyridinium chloride in 20 ml of ethanol are added with the addition of 21 ml of 0.2N sodium hydroxide solution is a yellow, oily product. After dissolving in methylene chloride, methanolic hydrochloric acid is added and a colorless solid is precipitated with di isopropyl ether. 0.7 g (70% of theory) of the title compound of mp 160-64 ° C. are obtained.
12. 2-[(5-Benzyloxy-4-methoxy-2-pyridyl)methylsulfinyl]-5-methoxy-1H-benzimidazol12. 2 - [(5-Benzyloxy-4-methoxy-2-pyridyl) methylsulfinyl] -5-methoxy-1H-benzimidazole
Nach der in Beispiel 4 angegebenen Arbeitsweise erhält man durch Oxidation von 0,52 g 2-[(5-Benzyloxy-4-methoxy-2-pyridyl)methylthio]-5-methoxy-1H-benzimi dazol (aus dem Dihydrochlorid mit Natronlauge/Methylenchlorid freigesetzt), gelöst in 30 ml Methylenchlorid bei -30ºC mit m-Chlorperoxibenoesäure (5,6 ml 0,2According to the procedure given in Example 4, oxidation of 0.52 g of 2 - [(5-benzyloxy-4-methoxy-2-pyridyl) methylthio] -5-methoxy-1H-benzimiazole (from the dihydrochloride with sodium hydroxide solution / Methylene chloride released), dissolved in 30 ml methylene chloride at -30 ° C with m-chloroperoxibenoic acid (5.6 ml 0.2
N Lösung in Methylenchlorid) nach Kristallisation aus Diisopropylether 0,38 g (72 % d.Th.) der Titelverbindung als farbloses Pulver vom F. 165-66ºC (Zers.).N solution in methylene chloride) after crystallization from diisopropyl ether 0.38 g (72% of theory) of the title compound as a colorless powder with a melting point of 165-66 ° C (dec.).
AusgangsverbindungenOutput connections
A. 3-Benzyloxy-2-chlormethyl-4-methoxypyridiniumchlorid a) 5,61 g 3-Benzyloxy-2-hydroxymethyl-4-methoxypyridiniumchlorid werden in 100 ml Methylenchlorid suspendiert, 3,54 g Thionylchlorid bei 5ºC zugetropft und 45A. 3-benzyloxy-2-chloromethyl-4-methoxypyridinium chloride a) 5.61 g of 3-benzyloxy-2-hydroxymethyl-4-methoxypyridinium chloride are suspended in 100 ml of methylene chloride, 3.54 g of thionyl chloride are added dropwise at 5 ° C. and 45
Minuten bei der angegebenen Temperatur gerührt, wobei eine klare, gelbe Lösung entsteht. Man gibt 40 ml Toluol zu und destilliert Methylenchlorid und überschüssiges Thionylchlorid im Wasserstrahlvakuum ab. Der ausgefallene Niederschlag wird abgesaugt, mit Toluol gewaschen und bis zur Gewichtskonstanz getrocknet. Man erhält 5,20 g (87 % d.Th.) der Titel Verbindung vom F. 133-34ºCStirred for minutes at the specified temperature, a clear, yellow solution being formed. 40 ml of toluene are added and methylene chloride and excess thionyl chloride are distilled off in a water jet vacuum. The precipitate is filtered off, washed with toluene and dried to constant weight. 5.20 g (87% of theory) of the title compound of mp 133-34 ° C. are obtained
(Zers.). b) Eine Lösung von 20,3 g 3-Benzyloxy-4-methoxy-2-methylpyridin-l-oxid in 50 ml Methylenchlorid wird innerhalb einer Stunde zu 80 ml 80ºC heißem Essigsäureanhydrid zugetropft, wobei gleichzeitig Methylenchlorid und nach beendeter Umsetzung überschüssiges Essigsäureanhydrid wieder abdestilliert wird. Den Rückstand versetzt man mit 30 ml 6N Natronlauge, rührt 2 Stunden bei 80ºC, extrahiert nach Abkühlung dreimal mit je 100 ml Methylenchlorid, trocknet die vereinigten organischen Phasen über Kaliumcarbonat und engt ein. Man nimmt den Rückstand 3-Benzyloxy-2-hydroxymethyl-4-methoxypyridin in Ether auf, fällt mit etherischer Salzsäure, filtriert vom ausgefallenen Feststoff und trocknet bis zur Gewichtskonstanz. Man erhält 14,7 g (87 % d.Th.) 3-Benzyloxy-2-hydroxymethyl-4-methoxypyridini umchl orid vom F. 165ºC (Zers.).(Dec.). b) A solution of 20.3 g of 3-benzyloxy-4-methoxy-2-methylpyridine-l-oxide in 50 ml of methylene chloride is added dropwise to 80 ml of 80 ° C hot acetic anhydride within one hour, methylene chloride and, after the reaction has ended, excess acetic anhydride again is distilled off. The residue is mixed with 30 ml of 6N sodium hydroxide solution, stirred for 2 hours at 80 ° C, extracted three times with 100 ml of methylene chloride after cooling, the combined organic phases are dried over potassium carbonate and concentrated. The residue 3-benzyloxy-2-hydroxymethyl-4-methoxypyridine is taken up in ether, precipitated with ethereal hydrochloric acid, filtered from the precipitated solid and dried to constant weight. 14.7 g (87% of theory) of 3-benzyloxy-2-hydroxymethyl-4-methoxypyridini umchloride of mp 165 ° C. (dec.) Are obtained.
c) Eine Lösung von 39,3 g 3-Benzyloxy-4-chlor-2-methylpyridin-1-oxid in 120 ml Methanol und 100 ml 30 %iger Natriummethanolatiösung wird 24 Stunden unter Rückfluß zum Sieden erhitzt, das Lösungsmittel im Wasserstrahl vakuum entfernt, der Rückstand mit 400 ml Wasser versetzt und viermal mit je 400 ml Methylenchlorid extrahiert. Die vereinigten organischen Phasen werden über Magnesiumsulfat getrocknet und vollständig eingeengt. Man erhält 32,2 g (85 % d.Th.) 3-Benzyloxy-4-methoxy-2-methylpyridin-1-oxid vom F. 86-88ºC.c) A solution of 39.3 g of 3-benzyloxy-4-chloro-2-methylpyridine-1-oxide in 120 ml of methanol and 100 ml of 30% sodium methoxide solution is heated to boiling under reflux for 24 hours, the solvent is removed in vacuo in a water jet , the residue is mixed with 400 ml of water and extracted four times with 400 ml of methylene chloride. The combined organic phases are dried over magnesium sulfate and evaporated down completely. 32.2 g (85% of theory) of 3-benzyloxy-4-methoxy-2-methylpyridine-1-oxide, melting at 86-88 ° C, are obtained.
d) 45 g 3-Benzyloxy-4-chlor-2-methylpyridin werden in 200 ml Eisessig mit 90 md) 45 g of 3-benzyloxy-4-chloro-2-methylpyridine are in 200 ml of glacial acetic acid with 90 m
30 %igem Wasserstoffperoxid unter Zusatz von 0,1 ml konzentrierter Schwefelsäu re 20 Stunden bei 90ºC gerührt. Man engt bei 10 Pascal vollständig ein und entfernt Persäuren durch Andesti liieren unter Zugabe von zweimal je 30 ml Eisessig. Anschließend destilliert man Essigsäurereste azeotrop mit 30 ml Toluol ab und kristallisiert den Rückstand aus Diethylether. Man erhält 41,3 g (87 % d.Th.) 3-Benzyloxy-4-chlor-2-methylpyridin-1-oxid als farblosen Feststoff vom F. 82-84ºC.30% hydrogen peroxide with the addition of 0.1 ml of concentrated sulfuric acid was stirred at 90 ° C for 20 hours. The mixture is concentrated completely at 10 Pascal and peracids are removed by Andesti liieren with the addition of twice 30 ml of glacial acetic acid. Subsequently, acetic acid residues are distilled off azeotropically with 30 ml of toluene and the residue is crystallized from diethyl ether. 41.3 g (87% of theory) of 3-benzyloxy-4-chloro-2-methylpyridine-1-oxide are obtained as a colorless solid, melting at 82-84 ° C.
e) 50 g 3-Benzyloxy-2-methyl-4-pyridon werden in 500 ml Phosphoroxytrichloride) 50 g of 3-benzyloxy-2-methyl-4-pyridone in 500 ml of phosphorus oxytrichloride
20 Stunden bei 50ºC gerührt, überschüssiges Reagens wird bei 40-50ºC im Vakuum abdestilliert, der Rückstand in 250 ml eiskalte 2N Natronlauge in der Weise eingerührt, daß der pH ständig über 9 liegt, dreimal mit je 200 ml Toluol extrahiert, die vereinigten organischen Phasen werden über Magnesiumsulfat getrocknet, das Lösungsmittel wird bei 10 Pascal vollständig entfernt, der Rückstand in Ether gelöst und mit etherischer Salzsäure ein farbloser Feststoff gefällt. Nach Filtration und Trocknung erhält man 55 g (88 % d.Th.) 3-Benzyloxy¬4-chlor-2-methylpyridiniumchlorid vom F. 150-51ºC; farbloses Kristallisat. f) 126,1 g 3-Hydroxy-2-methyl-4-pyron und 146 g Benzylchlorid werden in 4,01 Aceton gelöst, mit 2,0 g Kaliumiodid versetzt und 228 g gemahlenes Kaliumcarbonat in 5 Portionen innerhalb von zwei Stunden zugegeben. Man rührt weitere 24 Stunden unter Rückfluß, filtriert von den anorganischen Salzen und engt vollständig ein. Der gelbe, ölige Rückstand wird mit 400 ml 25 %iger wässriger Ammoniaklösung versetzt und auf 80ºC aufgeheizt. Innerhalb von vier Stunden werden weitere 1400 ml Ammoniaklösung in sieben Portionen unter Rühren zugegeben.Stirred at 50 ° C for 20 hours, excess reagent is distilled off in vacuo at 40-50 ° C, the residue is stirred into 250 ml of ice-cold 2N sodium hydroxide solution in such a way that the pH is constantly above 9, extracted three times with 200 ml of toluene, the combined organic phases are dried over magnesium sulfate, the solvent is completely removed at 10 Pascal, the residue is dissolved in ether and a colorless solid is precipitated with ethereal hydrochloric acid. After filtration and drying, 55 g (88% of theory) of 3-benzyloxy-4-chloro-2-methylpyridinium chloride of melting point 150-51 ° C are obtained; colorless crystals. f) 126.1 g of 3-hydroxy-2-methyl-4-pyrone and 146 g of benzyl chloride are dissolved in 4.01 acetone, mixed with 2.0 g of potassium iodide and 228 g of ground potassium carbonate are added in 5 portions over the course of two hours. The mixture is stirred under reflux for a further 24 hours, filtered from the inorganic salts and concentrated completely. The yellow, oily residue is mixed with 400 ml of 25% aqueous ammonia solution and heated to 80 ° C. A further 1400 ml of ammonia solution in seven portions are added with stirring within four hours.
Man läßt noch 24 Stunden bei 80ºC rühren, extrahiert nach Abkühlung auf 20ºC dreimal mit je 700 ml Methylenchlorid, engt die vereinigten organischen Phasen auf 500 ml Volumen ein und setzt 21 Essigsäureethylester unter Rühren zu. Man filtriert vom ausgefallenen Feststoff, wäscht mit Essigsäureethylester und erhält nach Trocknung 164 g (70 % d.Th.) 3-Benzyloxy-2-methyl-4-pyridon; F. 169-71°C.The mixture is stirred for a further 24 hours at 80 ° C, extracted three times with 700 ml of methylene chloride after cooling to 20 ° C, the combined organic phases are concentrated to a volume of 500 ml and 21 ethyl acetate are added with stirring. The precipitated solid is filtered off, washed with ethyl acetate and, after drying, 164 g (70% of theory) of 3-benzyloxy-2-methyl-4-pyridone are obtained; F. 169-71 ° C.
B. 4-Benzyl oxy-2-chl ormethyl -3-methoxypyri di ni umchl ori dB. 4-Benzyl oxy-2-chloro or methyl -3-methoxypyri di ni umchl ori d
a) Nach der in Beispiel Aa) angegebenen Arbeitsweise erhält man durch Umsetzung von 4,86 g 4-Benzyloxy-2-hydroxymethyl-3-methoxypyridini umchl ori d mit 3 g Thionylchlorid in 50 ml Methylenchlorid bei + 5ºC 5,1 g (85 % d.Th.) der Titel Verbindung als farblosen Feststoff vom F. 117-118ºC (Zers.).a) According to the procedure given in Example Aa), 5.1 g (85 g) are obtained by reacting 4.86 g of 4-benzyloxy-2-hydroxymethyl-3-methoxypyridini umchl ori d with 3 g of thionyl chloride in 50 ml of methylene chloride at + 5 ° C % of theory) the title compound as a colorless solid of mp 117-118 ° C (dec.).
b) Nach der in Beispiel Ab) angegebenen Arbeitsweise erhält man durch Umsetzung von 50 g 4-Benzyloxy-3-methoxy-2-methylpyridin-1-oxid zuerst mit 104 g Essigsäureanhydrid, anschließende Verseifung mit 74 ml 6N Natronlauge, Extraktion mit Methylenchlorid und Entfernung des Lösungsmittels einen gelben festen Rückstand. Ausrühren mit warmem Diisopropylether liefert 37,2 g (75 % d.Th.) 4-Benzyloxy-2-hydroxymethyl-3-methoxypyridin. Beiges Pulver vom F. 68-70ºC.b) According to the procedure given in Example Ab) is obtained by reacting 50 g of 4-benzyloxy-3-methoxy-2-methylpyridine-1-oxide first with 104 g of acetic anhydride, subsequent saponification with 74 ml of 6N sodium hydroxide solution, extraction with methylene chloride and Removal of the solvent a yellow solid residue. Stirring with warm diisopropyl ether gives 37.2 g (75% of theory) of 4-benzyloxy-2-hydroxymethyl-3-methoxypyridine. Beige powder, melting at 68-70ºC.
c) Zu einer Suspension von 11 g 80 %igem Natriumhydrid (in Paraffin) in 100 ml trockenem Dimethylsulfoxid tropft man innerhalb von 30 Minuten bei 5-10ºC 40,5 g Benzylalkohol, gibt nach beendeter Gasentwicklung in 5 Portionen 32,4 g 4-Chlor-3-methoxy-2-methylpyridin-1-oxid zu und rührt 20 Stunden bei Raumtemperatur. Nach Zusatz von 400 ml Wasser extrahiert man viermal mit je 200 ml Methylenchlorid, wäscht die vereinigten organischen Phasen gründlich mit Wasser, trocknet über Magnesiumsulfat und destilliert das Lösungsmittel bei 10 Pascal bis 60ºC ab. Man erhält 42 g 4-Benzyloxy-3-methoxy-2-methylpyridin-1-oxid als bräunliches Öl, das sich direkt, wie unter Bb) angegeben, weiter umsetzen läßt. d) Zu 517 g 4-Chlor-3-methoxy-2-methylpyridin in 1500 ml Eisessig, versetzt mit 1 ml konzentrierter Schwefelsäure, werden bei 75ºC 1400 ml 30 %iges Wasserstoffperoxid innerhalb von 2 Stunden zugetropft und anschließend noch 20 Stunden bei 90ºC gerührt. Man destilliert bei 100 Pascal das Lösungsmittel weitgehend ab und entfernt Persäuren durch dreimaliges Andestillieren unter Zugabe von jeweils 250 ml Eisessig. Anschließend destilliert man Essigsäurereste azeotrop mit Toluol ab und kristallisiert den Rückstand aus Diisopropylether. Man erhält 400 g (70 % d.Th.) 4-Chlor-3-methoxy-2-methylpyridin-1-oxid vom F. 93-96ºC.c) 40.5 g of benzyl alcohol are added dropwise to a suspension of 11 g of 80% sodium hydride (in paraffin) in 100 ml of dry dimethyl sulfoxide within 30 minutes at 5-10 ° C., and 32.4 g of 4- Chlorine-3-methoxy-2-methylpyridine-1-oxide and stirred for 20 hours at room temperature. After adding 400 ml of water, the mixture is extracted four times with 200 ml of methylene chloride each time, the combined organic phases are washed thoroughly with water, dried over magnesium sulfate and the solvent is distilled off at 10 Pascals to 60 ° C. 42 g of 4-benzyloxy-3-methoxy-2-methylpyridine-1-oxide are obtained as a brownish oil which can be reacted directly, as indicated under Bb). d) To 517 g of 4-chloro-3-methoxy-2-methylpyridine in 1500 ml of glacial acetic acid, mixed with 1 ml of concentrated sulfuric acid, 1400 ml of 30% strength hydrogen peroxide are added dropwise at 75 ° C. in the course of 2 hours and then stirred for a further 20 hours at 90 ° C. . The solvent is largely distilled off at 100 Pascal and peracids are removed by distillation three times with the addition of 250 ml of glacial acetic acid. Subsequently, acetic acid residues are distilled off azeotropically with toluene and the residue is crystallized from diisopropyl ether. 400 g (70% of theory) of 4-chloro-3-methoxy-2-methylpyridine-1-oxide, melting at 93-96 ° C., are obtained.
e) 635 g 3-Methoxy-2-methyl-4-pyridon werden 24 Stunden bei 85ºC mit 2,8 1 Phosphoroxitrichlorid gerührt; überschüssiges Phosphoroxitrichlorid wird bei 10 Pascal weitgehend abdestilliert, der Rückstand mit 3 kg Eis versetzt, mit Kalilauge auf pH 9,4 gestellt und mehrmals mit Diisopropylether extrahiert. Die vereinigten organischen Phasen werden mit Wasser gewaschen, getrocknet, vollständig eingeengt und der Rückstand bei 10 Pascal destilliert. Man erhält 548 g (76 % d.Th) 4-Chlor-3-methoxy-2-methylpyridin (Sdp. 75-78ºC / 102 Pascal).e) 635 g of 3-methoxy-2-methyl-4-pyridone are stirred for 24 hours at 85 ° C with 2.8 l of phosphorus oxitrichloride; Excess phosphorus oxitrichloride is largely distilled off at 10 Pascal, the residue is mixed with 3 kg of ice, adjusted to pH 9.4 with potassium hydroxide solution and extracted several times with diisopropyl ether. The combined organic phases are washed with water, dried, completely concentrated and the residue is distilled at 10 Pascal. 548 g (76% of theory) of 4-chloro-3-methoxy-2-methylpyridine (b.p. 75-78 ° C / 10 2 Pascals) are obtained.
f) Zu 900 g 3-Hydroxy-2-methyl-4-pyron in 12 1 Aceton werden 2 kg gemahlenes Kaliumcarbonat zugegeben und anschließend zum Sieden erhitzt. Man tropft unterf) 2 kg of ground potassium carbonate are added to 900 g of 3-hydroxy-2-methyl-4-pyrone in 12 l of acetone and then heated to boiling. You drip in
Rühren innerhalb von 30 Minuten 576 ml Dimethylsulfat zu und rührt weitere 20 Stunden bei Rückflußtemperatur. Nach Abkühlung auf 20ºC gibt man 100 ml konzentrierte Ammoniaklösung zu, rührt eine Stunde bei 20ºC, filtriert von anorganischen Salzen, engt vollständig ein (10 Pascal), nimmt den öligen Rückstand in 1 l konzentrierter Ammoniaklösung auf, erwärmt innerhalb von 3 Stunden auf 80ºC und rührt bei dieser Temperatur. Nach 15 Stunden setzt man weitere 200 ml Ammoniaklösung zu, rührt noch 3 Stunden, engt weitgehend ein und kristallisiert den Rückstand aus 2 1 Aceton. Man erhält 641 g (84 % d.Th.) 3-Methoxy-2-methyl-4-pyridon als beiges kristallines Material; F. 158-59ºC. C. 5-Benzyloxy-2-chlormethyl-4-methoxypyridiniumchloridStir in 576 ml of dimethyl sulfate within 30 minutes and stir at reflux temperature for a further 20 hours. After cooling to 20 ° C, 100 ml of concentrated ammonia solution are added, the mixture is stirred at 20 ° C for one hour, filtered from inorganic salts, concentrated completely (10 Pascal), the oily residue is taken up in 1 liter of concentrated ammonia solution, heated to 80 ° C within 3 hours and stirs at this temperature. After 15 hours, a further 200 ml of ammonia solution are added, the mixture is stirred for a further 3 hours, largely concentrated and the residue is crystallized from 2 l of acetone. 641 g (84% of theory) of 3-methoxy-2-methyl-4-pyridone are obtained as a beige crystalline material; Mp 158-59 ° C. C. 5-Benzyloxy-2-chloromethyl-4-methoxypyridinium chloride
a) Nach der in Beispiel Aa) angegebenen Arbeitsweise erhält man durch Umsetzung von 2,30 g 5-Benzyloxy-2-hydroxymethyl-4-methoxypyridin in 30 ml Methylenchlorid mit 1,30 ml Thonylchlorid 2,70 g (99 % d.Th.) der Titelverbindung vom F. 151-52°C (Zers.).a) According to the procedure given in Example Aa), 2.70 g (99% of theory) is obtained by reacting 2.30 g of 5-benzyloxy-2-hydroxymethyl-4-methoxypyridine in 30 ml of methylene chloride with 1.30 ml of thonyl chloride .) the title compound of F. 151-52 ° C (dec.).
b) Nach der in Beispiel Ab) angegebenen Arbeitsweise erhält man durch Umsetzung von 3,0 g 5-Benzyloxy-2-methy1-4-methoxypyridin-1-oxid zuerst mit 30 ml Essigsäureanhydrid, anschließende Verseif ung mit 40 ml 2N Natronlauge und Kristallisation aus Diisopropylether 2,6 g (87 % d.Th.) 5-Benzyloxy-2-hydroxymethyl-4-methoxypyridin als beiges Kristallpulver vom F. 99-100ºC.b) According to the procedure given in Example Ab), 3.0 g of 5-benzyloxy-2-methy1-4-methoxypyridine-1-oxide is first reacted with 30 ml of acetic anhydride, followed by saponification with 40 ml of 2N sodium hydroxide solution and crystallization from diisopropyl ether 2.6 g (87% of theory) of 5-benzyloxy-2-hydroxymethyl-4-methoxypyridine as beige crystal powder, mp 99-100 ° C.
c) 3,4 g 5-Benzyloxy-4-methoxy-2-methylpyridin werden in 100 ml Methylenchlorid gelöst, mit 10,5 g 85 %iger Meta-chlorperoxibenzoesäure versetzt und 20 Stunden bei 20ºC gerührt. Man extrahiert mit Wasser, Natriumthiosulfat- und Natriumcarbonatlösung, engt die vereinigten organischen Phasen ein und kristallisiert ausc) 3.4 g of 5-benzyloxy-4-methoxy-2-methylpyridine are dissolved in 100 ml of methylene chloride, mixed with 10.5 g of 85% meta-chloroperoxibenzoic acid and stirred at 20 ° C for 20 hours. The mixture is extracted with water, sodium thiosulfate and sodium carbonate solution, the combined organic phases are concentrated and the product is crystallized
Aceton/Diisopropylether. Ausbeute an 5-Benzyloxy-2-methyl-4-methoxypyridin-1-oxid: 2,7 g (74 % d.Th.>); F. 153-55ºC; farbloses Kristallpulver.Acetone / diisopropyl ether. Yield of 5-benzyloxy-2-methyl-4-methoxypyridine-1-oxide: 2.7 g (74% of theory>); Mp 153-55 ° C; colorless crystal powder.
d) Zu einer Lösung von 2,78 g 5-Hydroxy-4-methoxy-2-methylpyridin und 1,35 gd) To a solution of 2.78 g of 5-hydroxy-4-methoxy-2-methylpyridine and 1.35 g
Kaliumhydroxid in 80 ml Dimethylsulfoxid gibt man 2,80 g Benzvlchlorid zu und rührt 24 Stunden bei 20ºC. Man versetzt mit 150 ml Eiswasser, säuert mit Salzsäure auf pH 2 an, extrahiert zweimal mit je 20 ml Diethylether, stellt die Wasserphase auf pH 9 und extrahiert fünfmal mit je 50 ml Methylenchlorid. Nach Entfernen des Lösungsmittels und Kristallisation aus Petrol ether erhält man 3,1 g (68 % d.Th.) 5-Benzyloxy-4-methoxy-2-methylpyridin; farblose Kristalle vom F. 69-71°C.Potassium hydroxide in 80 ml of dimethyl sulfoxide is added 2.80 g of benzyl chloride and stirred at 20 ° C for 24 hours. 150 ml of ice water are added, the mixture is acidified to pH 2 with hydrochloric acid, extracted twice with 20 ml of diethyl ether each time, the water phase is adjusted to pH 9 and extracted five times with 50 ml of methylene chloride. After removal of the solvent and crystallization from petroleum ether, 3.1 g (68% of theory) of 5-benzyloxy-4-methoxy-2-methylpyridine are obtained; colorless crystals with a melting point of 69-71 ° C.
D. 5-Benzyloxy-2-chlormethyl-4-methoxy-3-methylpyridiniumchloridD. 5-Benzyloxy-2-chloromethyl-4-methoxy-3-methylpyridinium chloride
a) Nach der in Beispiel Aa) beschriebenen Arbeitsweise erhält man aus 2,6 ga) According to the procedure described in Example Aa), 2.6 g is obtained
5-Benzyloxy-2-hydroxymethyl-4-methoxy-3-methylpyridin mit 1,5 ml Thionylchlorid in 30 ml Methylenchlorid 2,99 g (95 %d.Th.) der Titelverbindung vom F. 155-56ºC5-Benzyloxy-2-hydroxymethyl-4-methoxy-3-methylpyridine with 1.5 ml thionyl chloride in 30 ml methylene chloride 2.99 g (95% of theory) of the title compound, mp 155-56 ° C
(Zers.); farblose Kristalle. b) Nach der in Beispiel Ab) angegebenen Arbeitsweise erhält man durch Umsetzung von 9,8 g 5-Benzyloxy-4-methoxy-2,3-dimethylpyridin-1-oxid, zuerst mit 100 ml Essigsäureanhydrid, anschließende Verseifung mit 75 ml 2N Natronlauge, Extraktion mit Methylenchlorid und nach Kristallisation aus Toluol/Petrolether 8,9 g(Dec.); colorless crystals. b) According to the procedure given in Example Ab), 9.8 g of 5-benzyloxy-4-methoxy-2,3-dimethylpyridine-1-oxide are obtained, first with 100 ml of acetic anhydride, followed by saponification with 75 ml of 2N sodium hydroxide solution , Extraction with methylene chloride and after crystallization from toluene / petroleum ether 8.9 g
(89 % d.Th.) 5-Benzyloxy-2-hydroxymethyl-4-methoxy-3-methylpyridin als farblosen Feststoff vom F. 95-96ºC.(89% of theory) 5-Benzyloxy-2-hydroxymethyl-4-methoxy-3-methylpyridine as a colorless solid, mp 95-96 ° C.
c) Nach der in Beispiel Cc) angegebenen Arbeitsweise erhält man durch Oxidation von 11,5 g 5-Benzyloxy-4-methoxy-2,3-dimethylpyridin mit 24 g 85 %-iger Metachlorperoxibenzoesäure in 200 ml Methylenchlorid 10,3 g (84 % d.Th.) 5-Benzyloxy-4-methoxy-2,3-dimethylpyridin-1-oxid als blaßgelbes Öl.c) According to the procedure given in Example Cc), 10.3 g (84.8 g) are obtained by oxidation of 11.5 g of 5-benzyloxy-4-methoxy-2,3-dimethylpyridine with 24 g of 85% metachloroperoxibenzoic acid in 200 ml of methylene chloride % of theory) 5-Benzyloxy-4-methoxy-2,3-dimethylpyridine-1-oxide as a pale yellow oil.
d) Nach der in Beispiel Cd) angegebenen Arbeitsweise erhält man durch O-Alkylierung von 7,7 g 5-Hydroxy-4-methoxy-2,3-dimethylpyridin in 80 ml Dimethylsulfoxid mit 6,7 g Benzylchlorid unter Zusatz von 3,25 g Kaliumhydroxid 12,0 g (98 % d.Th.) 5-Benzyloxy-4-methoxy-2,3-dimethylpyridin vom F. 63-64ºC; farblosesd) According to the procedure given in Example Cd) is obtained by O-alkylation of 7.7 g of 5-hydroxy-4-methoxy-2,3-dimethylpyridine in 80 ml of dimethyl sulfoxide with 6.7 g of benzyl chloride with the addition of 3.25 g potassium hydroxide 12.0 g (98% of theory) 5-benzyloxy-4-methoxy-2,3-dimethylpyridine, melting point 63-64 ° C; colorless
Pulver. Powder.
Gewerbliche AnwendbarkeitIndustrial applicability
Die erfindungsgemäßen Verbindungen der Formel I und ihre Salze besitzen wertvolle pharmakologische Eigenschaften, die sie gewerblich verwertbar machen. Sie hemmen deutlich die Magensäuresekretion von Warmblütern und weisen darüberhinaus eine ausgezeichnete Magen- und Darmschutzwirkung bei Warmblütern auf. Diese Magen- und Darmschutzwirkung wird teilweise bereits bei der Verabreichung von Dosen beobachtet, die unterhalb der säuresekretionshemmenden Dosen liegen. Darüberhinaus zeichnen sich die erfindungsgemäßen Verbindungen durch das Fehlen wesentlicher Nebenwirkungen und eine große therapeutische Breite aus. Ein weiterer erfindungswesentlicher Aspekt besteht darin, daß die Verbindungen der Formel I im jeweils erwünschten pH-Bereich eine hohe chemische Stabilität und ein signifikantes Wirkungsmaximum aufweisen.The compounds of the formula I according to the invention and their salts have valuable pharmacological properties which make them commercially usable. They significantly inhibit gastric acid secretion from warm-blooded animals and also have excellent gastric and intestinal protective effects in warm-blooded animals. This gastric and intestinal protective effect is sometimes already observed when doses are administered which are below the acid secretion-inhibiting doses. In addition, the compounds according to the invention are distinguished by the absence of significant side effects and a large therapeutic breadth. Another aspect essential to the invention is that the compounds of the formula I have high chemical stability and a significant maximum activity in the pH range desired in each case.
Unter "Magen- und Darmschutz" wird in diesem Zusammenhang die Verhütung und Behandlung gastrointestinaler Krankheiten, insbesondere gastrointestinaler entzündlicher Krankheiten und Läsionen (wie z.B. Ulcus ventriculi, Ulcus duodeni, Gastritis, hyperazider oder medikamentös bedingter Reizmagen) verstanden, die beispielsweise durch Mikroorganismen, Bakterientoxine, Medikamente (z.B. bestimmte Antiphlogistika und Antirheumatika), Chemikalien (z.B. Ethanol), Magensäure oder Streßsituationen verursacht werden können.In this context, "gastric and intestinal protection" means the prevention and treatment of gastrointestinal diseases, in particular gastrointestinal inflammatory diseases and lesions (such as, for example, ulcer ventriculi, duodenal ulcer, gastritis, hyperacid or drug-induced irritable stomach), which are caused, for example, by microorganisms, bacterial toxins, Medications (e.g. certain anti-inflammatory drugs and anti-rheumatic drugs), chemicals (e.g. ethanol), stomach acid or stressful situations can be caused.
In ihren ausgezeichneten Eigenschaften erweisen sich die erfindungsgemäßen Verbindungen überraschenderweise den aus dem Stand der Technik bekannten Verbindungen deutlich überlegen. Aufgrund dieser Eigenschaften sind die erfindungsgemäßen Verbindungen und ihre pharmakologisch verträglichen Salze für den Einsatz in der Human- und Veterinärmedizin hervorragend geeignet, wobei sie insbe sondere zur Behandlung und Prophylaxe von Krankheiten des Magens und Darms und solcher Krankheiten, die auf einer überhöhten Magensäuresekretion beruhen, ver wendet werden. Die hohe Lagerstabilität der erfindungsgemäßen Verbindungen ermöglicht dabei ihren problemlosen Einsatz in pharmazeutischen Zubereitungen.In their excellent properties, the compounds according to the invention surprisingly prove to be clearly superior to the compounds known from the prior art. On the basis of these properties, the compounds according to the invention and their pharmacologically acceptable salts are outstandingly suitable for use in human and veterinary medicine, in particular for the treatment and prophylaxis of diseases of the stomach and intestines and of such diseases which are based on excessive gastric acid secretion be applied. The high storage stability of the compounds according to the invention enables their problem-free use in pharmaceutical preparations.
Ein weiterer Gegenstand der Erfindung sind die erfindungsgemäßen Verbindungen zur Anwendung bei der Behandlung und Prophylaxe der vorstehend genannten Krankheiten. Ebenso umfaßt die Erfindung die Verwendung der erfindungsgemäßen Verbindungen bei der Herstellung von Arzneimitteln, die zur Behandlung und Prophylaxe der vorstehend genannten Krankheiten eingesetzt werden.The invention further relates to the compounds according to the invention for use in the treatment and prophylaxis of the abovementioned diseases. The invention also includes the use of the compounds according to the invention in the production of medicaments which are used for the treatment and prophylaxis of the abovementioned diseases.
Ein weiterer Gegenstand der Erfindung sind Arzneimittel, die ein oder mehrere erfindungsgemäße Verbindungen der Formel I und/oder ihre pharmakologisch verträglichen Salze enthalten.The invention further relates to medicaments which contain one or more compounds of the formula I according to the invention and / or their pharmacologically tolerable salts.
Die Arzneimittel werden nach an sich bekannten, dem Fachmann geläufigen Verfahren hergestellt. Als Arzneimittel werden die erfindungsgemäßen pharmakologisch wirksamen Verbindungen (= Wirkstoffe) entweder als solche, oder vorzugsweise in Kombination mit geeigneten pharmazeutischen Hilfsstoffen in Form von Tabletten, Dragees, Kapseln, Suppositorien, Pflastern (z.B. als TTS), Emulsionen, Suspensionen oder Lösungen eingesetzt, wobei der Wirkstoffgehalt vorteilhafterweise zwischen 0,1 und 95 % beträgt.The pharmaceuticals are produced by methods known per se and familiar to the person skilled in the art. The pharmacologically active compounds (= active substances) according to the invention are used as medicinal products either as such, or preferably in combination with suitable pharmaceutical auxiliaries in the form of tablets, dragées, capsules, suppositories, plasters (for example as TTS), emulsions, suspensions or solutions, where the active ingredient content is advantageously between 0.1 and 95%.
Welche Hilfsstoffe für die gewünschten Arzneimittel formulierungen geeignet sind, ist dem Fachmann aufgrund seines Fachwissens geläufig. Neben Lösemitteln, Gelbfldnern, Suppositoriengrundlagen, Tabletten-Hilfsstoffen und anderen Wirkstoffträgem können beispielsweise Antioxidantien, Dispergiermittel, Emulatoren, Entschäumer, Geschmackskorrigentien, Konservierungsmittel, Lösungsvermittler, Farbstoffe oder insbesondere Permeationspromotoren und Komplexbildner (z.B. Cyclodextrine) verwendet werden.The person skilled in the art is familiar with the auxiliaries suitable for the desired pharmaceutical formulations on the basis of his specialist knowledge. In addition to solvents, yellow flakes, suppository bases, tablet excipients and other active ingredients, antioxidants, dispersants, emulators, defoamers, taste correctors, preservatives, solubilizers, dyes or in particular permeation promoters and complexing agents (e.g. cyclodextrins) can be used.
Die Wirkstoffe können oral, parenteral oder percutan appli ziert werden.The active ingredients can be administered orally, parenterally or percutaneously.
Im allgemeinen hat es sich in der Humanmedizin als vorteilhaft erwiesen, den oder die Wirkstoffe bei oraler Gabe in einer Tagesdosis von etwa 0,05 bis etwa 50, vorzugsweise 0,25 bis 20, insbesondere 0,5 bis 10 mg/kg Körpergewicht, gegebenenfalls in Form mehrerer, vorzugsweise 1 bis 4 Einzelgaben zur Erzielung des gewünschten Ergebnisses zu verabreichen. Bei einer parenteralen Behandlung können ähnliche bzw. (insbesondere bei der intravenösen Verabreichung der Wirkstoffe) in der Regel niedrigere Dosierungen zur Anwendung kommen. Die Fest-legung der jeweils erforderlichen optimalen Dosierung und Applikationsart der Wirkstoffe kann durch jeden Fachmann aufgrund seines Fachwissens leicht erfolgen. Sollen die erfindungsgemäßen Verbindungen und/oder ihre Salze zur Behandlung der oben genannten Krankheiten eingesetzt werden, so können di e pharmazeuti schen Zubereitungen auch ei nen oder mehrere pharmakologisch aktive Bestandteile anderer Arzneimittel gruppen, wie Antacida, beispielsweise Aluminiumhydroxid, Magnesiumaluminat; Tranquillizer, wie Benzodiazepine, beispielsweise Diazepam; Spasmolytika, wie z.B. Bietami verin, Camylofin; Anticholinergica, wie z.B. Oxyphencyclimin, Phencarbamid; Lokalanaesthetika, wie z.B. Tetracain, Procain; gegebenenfalls auch Fermente, Vitamine oder Aminosäuren enthalten.In general, it has proven advantageous in human medicine to optionally give the active ingredient (s) when administered orally in a daily dose of about 0.05 to about 50, preferably 0.25 to 20, in particular 0.5 to 10 mg / kg body weight in the form of several, preferably 1 to 4 individual doses to achieve the desired result. In the case of parenteral treatment, similar or generally lower doses (in particular when the active compounds are administered intravenously) can be used. The determination of the respectively required optimal dosage and type of application of the active ingredients can easily be made by any expert on the basis of his specialist knowledge. If the compounds according to the invention and / or their salts are to be used for the treatment of the abovementioned diseases, the pharmaceutical preparations can also include one or more pharmacologically active constituents of other pharmaceutical groups, such as antacids, for example aluminum hydroxide, magnesium aluminate; Tranquillizers, such as benzodiazepines, for example diazepam; Antispasmodics, such as Bietami verin, camylofin; Anticholinergics such as oxyphencyclimine, phencarbamide; Local anesthetics, such as tetracaine, procaine; optionally also contain ferments, vitamins or amino acids.
Hervorzuheben ist in diesem Zusammenhang insbesondere die Kombination der erfindungsgemäßen Verbindungen mit anderen, die Säuresekretion hemmenden Pharmaka, wie beispielsweise H2-Blockern (z.B. Cimetidin, Ranitidin), ferner mit sogenannten peripheren Anticholinergika (z.B. Pirenzepin, Telenzepin, Zolenzepin) sowie mit Gastrin-Antagonisten, mit dem Ziel, die Hauptwirkung in additivem oder überadditivem Sinn zu verstärken und/oder die Nebenwirkungen zu eliminieren oder zu verringern.In this context, the combination of the compounds according to the invention with other drugs which inhibit acid secretion, such as H 2 blockers (for example cimetidine, ranitidine), furthermore with so-called peripheral anticholinergics (for example pirenzepin, telenzepin, zolenzepin) and with gastrin antagonists should be emphasized in particular , with the aim of strengthening the main effect in an additive or superadditive sense and / or eliminating or reducing the side effects.
Die pharmakologischen Eigenschaften der erfindungsgemäßen Verbindungen können an verschiedenen tierexperimentellen Modellen nachgewiesen werden. An der modifizierten Shay-Ratte wird beispielsweise nach Gabe von 30 umol/kg i.d. 2-[(3-Benzyloxy-4-methoxy-2-pyridyl)methylsulfinyl]-5-difluormethoxy-1H-benzimidazol eine 91%-ige Hemmung des Läsionsindexes und eine 80%-ige Hemmung der Magensäuresekretion beobachtet. The pharmacological properties of the compounds according to the invention can be demonstrated on various animal models. On the modified Shay rat, for example, after administration of 30 µmol / kg i.d. 2 - [(3-Benzyloxy-4-methoxy-2-pyridyl) methylsulfinyl] -5-difluoromethoxy-1H-benzimidazole observed 91% inhibition of the lesion index and 80% inhibition of gastric acid secretion.
Claims
Applications Claiming Priority (2)
| Application Number | Priority Date | Filing Date | Title |
|---|---|---|---|
| CH4844/87-5 | 1987-12-11 | ||
| CH484487 | 1987-12-11 |
Publications (1)
| Publication Number | Publication Date |
|---|---|
| WO1989005299A1 true WO1989005299A1 (en) | 1989-06-15 |
Family
ID=4283543
Family Applications (1)
| Application Number | Title | Priority Date | Filing Date |
|---|---|---|---|
| PCT/EP1988/001120 Ceased WO1989005299A1 (en) | 1987-12-11 | 1988-12-08 | Novel benzimidazole derivatives |
Country Status (5)
| Country | Link |
|---|---|
| EP (1) | EP0390842A1 (en) |
| JP (1) | JPH03501609A (en) |
| AU (1) | AU2817989A (en) |
| WO (1) | WO1989005299A1 (en) |
| ZA (1) | ZA889194B (en) |
Cited By (7)
| Publication number | Priority date | Publication date | Assignee | Title |
|---|---|---|---|---|
| US4965269A (en) * | 1989-12-20 | 1990-10-23 | Ab Hassle | Therapeutically active chloro substituted benzimidazoles |
| EP0330329B1 (en) * | 1988-02-16 | 1992-07-22 | Pfizer Inc. | Antiulcer pyrimidine derivatives |
| AP215A (en) * | 1990-06-20 | 1992-09-02 | Ab Astra | Substituted benzimidazoles, process for their preparation and their pharmaceutical use. |
| AP253A (en) * | 1990-06-20 | 1993-05-03 | Ab Astra | Dialkoxy-pyridinyl-benzimidazole derivatives process for their preparation and thei phamaceutical use. |
| EP0893445A1 (en) * | 1997-07-24 | 1999-01-27 | Bayer Ag | Process for the preparation of 2-chlorobenzimidazole derivatives |
| US6472412B1 (en) * | 1993-07-28 | 2002-10-29 | Aventis Pharma Limited | Compounds as PDE IV and TNF inhibitors |
| US12312326B2 (en) | 2016-09-14 | 2025-05-27 | Yufeng Jane Tseng | Substituted benzimidazole derivatives as D-amino acid oxidase (DAAO) inhibitors |
Families Citing this family (2)
| Publication number | Priority date | Publication date | Assignee | Title |
|---|---|---|---|---|
| US5049674A (en) * | 1989-12-20 | 1991-09-17 | Aktiebolaget Hassle | Therapeutically active fluoro substituted benzimidazoles |
| NZ244301A (en) * | 1991-09-20 | 1994-08-26 | Merck & Co Inc | Preparation of 2-pyridylmethylsulphinylbenzimidazole and pyridoimidazole derivatives from the corresponding sulphenyl compounds |
Citations (4)
| Publication number | Priority date | Publication date | Assignee | Title |
|---|---|---|---|---|
| EP0166287A1 (en) * | 1984-06-16 | 1986-01-02 | Byk Gulden Lomberg Chemische Fabrik GmbH | Dialkoxyridines, process for their preparation, their application and medicaments containing them |
| EP0208452A2 (en) * | 1985-07-02 | 1987-01-14 | Takeda Chemical Industries, Ltd. | Pyridine derivatives, their production and use |
| JPS62201885A (en) * | 1985-02-12 | 1987-09-05 | Banyu Pharmaceut Co Ltd | Indole derivative, production and use thereof |
| EP0298440A1 (en) * | 1987-07-10 | 1989-01-11 | Hoechst Aktiengesellschaft | Substituted benzimidazoles, process for their preparation, pharmaceutical compositions containing them and their use |
-
1988
- 1988-12-08 ZA ZA889194A patent/ZA889194B/en unknown
- 1988-12-08 EP EP89900594A patent/EP0390842A1/en not_active Withdrawn
- 1988-12-08 JP JP1500328A patent/JPH03501609A/en active Pending
- 1988-12-08 WO PCT/EP1988/001120 patent/WO1989005299A1/en not_active Ceased
- 1988-12-08 AU AU28179/89A patent/AU2817989A/en not_active Abandoned
Patent Citations (4)
| Publication number | Priority date | Publication date | Assignee | Title |
|---|---|---|---|---|
| EP0166287A1 (en) * | 1984-06-16 | 1986-01-02 | Byk Gulden Lomberg Chemische Fabrik GmbH | Dialkoxyridines, process for their preparation, their application and medicaments containing them |
| JPS62201885A (en) * | 1985-02-12 | 1987-09-05 | Banyu Pharmaceut Co Ltd | Indole derivative, production and use thereof |
| EP0208452A2 (en) * | 1985-07-02 | 1987-01-14 | Takeda Chemical Industries, Ltd. | Pyridine derivatives, their production and use |
| EP0298440A1 (en) * | 1987-07-10 | 1989-01-11 | Hoechst Aktiengesellschaft | Substituted benzimidazoles, process for their preparation, pharmaceutical compositions containing them and their use |
Non-Patent Citations (1)
| Title |
|---|
| Patent Abstracts of Japan, Band 12, Nr. 56 (C-477)(2903), 19. Februar 1988; & JP-A-62201885 (BANYU PHARMACEUT. CO. LTD) 5. September 1987 * |
Cited By (12)
| Publication number | Priority date | Publication date | Assignee | Title |
|---|---|---|---|---|
| EP0330329B1 (en) * | 1988-02-16 | 1992-07-22 | Pfizer Inc. | Antiulcer pyrimidine derivatives |
| US4965269A (en) * | 1989-12-20 | 1990-10-23 | Ab Hassle | Therapeutically active chloro substituted benzimidazoles |
| AP215A (en) * | 1990-06-20 | 1992-09-02 | Ab Astra | Substituted benzimidazoles, process for their preparation and their pharmaceutical use. |
| AP253A (en) * | 1990-06-20 | 1993-05-03 | Ab Astra | Dialkoxy-pyridinyl-benzimidazole derivatives process for their preparation and thei phamaceutical use. |
| US6472412B1 (en) * | 1993-07-28 | 2002-10-29 | Aventis Pharma Limited | Compounds as PDE IV and TNF inhibitors |
| US7045660B2 (en) | 1993-07-28 | 2006-05-16 | Aventis Pharma Limited | Compounds as PDE IV and TNF-inhibitors |
| US7652144B2 (en) | 1993-07-28 | 2010-01-26 | Aventis Pharma Limited | Compounds as PDE IV and TNF inhibitors |
| US6028200A (en) * | 1997-07-22 | 2000-02-22 | Bayer Aktiengesellschaft | Process for preparing 2-chloro-benzimidazole derivatives |
| US6054589A (en) * | 1997-07-22 | 2000-04-25 | Bayer Aktiengesellschaft | Process for preparing 2-chloro-benzimidazole derivatives |
| EP0893445A1 (en) * | 1997-07-24 | 1999-01-27 | Bayer Ag | Process for the preparation of 2-chlorobenzimidazole derivatives |
| US12312326B2 (en) | 2016-09-14 | 2025-05-27 | Yufeng Jane Tseng | Substituted benzimidazole derivatives as D-amino acid oxidase (DAAO) inhibitors |
| AU2023274172B2 (en) * | 2016-09-14 | 2025-08-07 | National Health Research Institutes | Novel substituted benzimidazole derivatives as D-amino acid oxidase (DAAO) inhibitors |
Also Published As
| Publication number | Publication date |
|---|---|
| EP0390842A1 (en) | 1990-10-10 |
| ZA889194B (en) | 1989-08-30 |
| AU2817989A (en) | 1989-07-05 |
| JPH03501609A (en) | 1991-04-11 |
Similar Documents
| Publication | Publication Date | Title |
|---|---|---|
| EP0201575B1 (en) | New picoline derivatives, preparation process thereof, utilization thereof and drugs containing them | |
| EP0134400B1 (en) | Fluoroalkoxysubstituted pyridylmethylthio-(or sulfinyl-)benzimidazoles having a secretolytic activity | |
| EP0166287B1 (en) | Dialkoxyridines, process for their preparation, their application and medicaments containing them | |
| DE2614406C2 (en) | ||
| EP0080602A1 (en) | Substituted benzimidazoles, process for their preparation, their use and medicaments containing them | |
| DE69330715T2 (en) | ANTITUMOR QUINAZOLINE | |
| EP0127763B1 (en) | Tricyclic ethers, process for their preparation, their use and medicaments containing them | |
| DE3331808A1 (en) | CARBOSTYRIL DERIVATIVES, METHOD FOR THE PRODUCTION THEREOF AND MEDICINAL PRODUCTS CONTAINING THEM | |
| DE69011645T2 (en) | Cycloheptenopyridine derivatives, process for their preparation and antiulcer agents containing them. | |
| WO1989005299A1 (en) | Novel benzimidazole derivatives | |
| DE3415971A1 (en) | Acylated benzimidazoles, processes for their preparation, their use and medicaments containing them | |
| EP0198208A1 (en) | Substituted benzimidazole derivatives, process for their preparation, pharmaceutical compositions containing them and their use as inhibitors of gastric-acid secretion | |
| WO1989011479A1 (en) | New fluoralkoxy compounds | |
| WO1992006979A1 (en) | New diazines | |
| EP0201094A2 (en) | Thieno[2,3-d]imidazole derivatives and process for their preparation | |
| DE68924221T2 (en) | Imidazole derivatives. | |
| DE4120322A1 (en) | AMINOMETHYL-SUBSTITUTED 2,3-DIHYDROPYRANO (2,3-B) PYRIDINES, METHOD FOR THE PRODUCTION THEREOF AND THEIR USE IN MEDICAMENTS | |
| EP0232399A1 (en) | New amines, process for their manufacture, their use and medicines containing them | |
| EP0200777A1 (en) | New amino compounds, preparation process thereof, utilization thereof and drugs containing them | |
| EP0657459A1 (en) | Thienothiazine derivates, process for their preparation and their use as anti-inflammatory and analgesic agents | |
| EP0138034B1 (en) | Substituted pyrido[1,2-c]imidazo[1,2-a]benzimidazoles, process for their preparation, their use and pharmaceutical preparations containing them | |
| EP0180833B1 (en) | 4-Oxo-pyrido-[2,3-d]pyrimidine derivatives, process for their preparation and medicaments containing them | |
| DE2233682A1 (en) | 2- SQUARE CLAMP ON 3- (SUBST. AMINOMETHYL) -4-H-1,2,4-TRIAZOL-4-YL SQUARE CLIP ON -BENZOPHENONE, A PROCESS FOR THEIR MANUFACTURING AND MEDICINAL PRODUCTS CONTAINED | |
| DE2446495A1 (en) | NEW PYRAZOLO (3,4-B) THIENO (2,3-D) PYRIDINE-2-CARBOXYLIC ACIDS AND ACID ESTERS | |
| AT381938B (en) | METHOD FOR PRODUCING NEW SPIROBENZOFURANONE COMPOUNDS |
Legal Events
| Date | Code | Title | Description |
|---|---|---|---|
| AK | Designated states |
Kind code of ref document: A1 Designated state(s): AU DK FI HU JP KR NO US |
|
| AL | Designated countries for regional patents |
Kind code of ref document: A1 Designated state(s): AT BE CH DE FR GB IT LU NL SE |
|
| WWE | Wipo information: entry into national phase |
Ref document number: 1989900594 Country of ref document: EP |
|
| WWP | Wipo information: published in national office |
Ref document number: 1989900594 Country of ref document: EP |
|
| WWW | Wipo information: withdrawn in national office |
Ref document number: 1989900594 Country of ref document: EP |




























