USRE48334E1 - Nitrogen-containing heterocyclic compound and use of same - Google Patents
Nitrogen-containing heterocyclic compound and use of same Download PDFInfo
- Publication number
- USRE48334E1 USRE48334E1 US15/445,251 US200915445251A USRE48334E US RE48334 E1 USRE48334 E1 US RE48334E1 US 200915445251 A US200915445251 A US 200915445251A US RE48334 E USRE48334 E US RE48334E
- Authority
- US
- United States
- Prior art keywords
- group
- compound
- optionally
- ring
- substituent
- Prior art date
- Legal status (The legal status is an assumption and is not a legal conclusion. Google has not performed a legal analysis and makes no representation as to the accuracy of the status listed.)
- Active
Links
- -1 Nitrogen-containing heterocyclic compound Chemical class 0.000 title claims description 658
- 150000001875 compounds Chemical class 0.000 claims abstract description 425
- 125000001424 substituent group Chemical group 0.000 claims abstract description 268
- 150000003839 salts Chemical class 0.000 claims abstract description 160
- 125000004169 (C1-C6) alkyl group Chemical group 0.000 claims abstract description 135
- 125000003118 aryl group Chemical group 0.000 claims abstract description 120
- 125000004435 hydrogen atom Chemical group [H]* 0.000 claims abstract description 76
- 230000003042 antagnostic effect Effects 0.000 claims abstract description 35
- 125000002947 alkylene group Chemical group 0.000 claims abstract description 25
- 125000005913 (C3-C6) cycloalkyl group Chemical group 0.000 claims abstract description 20
- 125000004450 alkenylene group Chemical group 0.000 claims abstract description 18
- 238000011282 treatment Methods 0.000 claims abstract description 12
- 238000000034 method Methods 0.000 claims description 200
- 229910052757 nitrogen Inorganic materials 0.000 claims description 114
- 125000004433 nitrogen atom Chemical group N* 0.000 claims description 114
- 125000004430 oxygen atom Chemical group O* 0.000 claims description 106
- 125000005842 heteroatom Chemical group 0.000 claims description 102
- 125000000623 heterocyclic group Chemical group 0.000 claims description 101
- 125000004432 carbon atom Chemical group C* 0.000 claims description 100
- 229910052717 sulfur Inorganic materials 0.000 claims description 100
- 125000004434 sulfur atom Chemical group 0.000 claims description 100
- 125000001997 phenyl group Chemical group [H]C1=C([H])C([H])=C(*)C([H])=C1[H] 0.000 claims description 61
- 229910052731 fluorine Inorganic materials 0.000 claims description 60
- 125000003831 tetrazolyl group Chemical group 0.000 claims description 29
- 125000004076 pyridyl group Chemical group 0.000 claims description 28
- 125000002252 acyl group Chemical group 0.000 claims description 26
- 241000124008 Mammalia Species 0.000 claims description 18
- 108010040718 Neurokinin-1 Receptors Proteins 0.000 claims description 18
- 108010040722 Neurokinin-2 Receptors Proteins 0.000 claims description 18
- 102100029409 Neuromedin-K receptor Human genes 0.000 claims description 18
- 102100037342 Substance-K receptor Human genes 0.000 claims description 17
- 102100037346 Substance-P receptor Human genes 0.000 claims description 17
- 125000006615 aromatic heterocyclic group Chemical group 0.000 claims description 17
- 125000001544 thienyl group Chemical group 0.000 claims description 16
- 125000000217 alkyl group Chemical group 0.000 claims description 14
- 125000003226 pyrazolyl group Chemical group 0.000 claims description 14
- 125000004191 (C1-C6) alkoxy group Chemical group 0.000 claims description 13
- 125000002883 imidazolyl group Chemical group 0.000 claims description 12
- 125000003386 piperidinyl group Chemical group 0.000 claims description 12
- 125000002619 bicyclic group Chemical group 0.000 claims description 11
- 101001125071 Homo sapiens Neuromedin-K receptor Proteins 0.000 claims description 10
- 239000008194 pharmaceutical composition Substances 0.000 claims description 10
- 125000000335 thiazolyl group Chemical group 0.000 claims description 9
- RWRDLPDLKQPQOW-UHFFFAOYSA-N Pyrrolidine Chemical group C1CCNC1 RWRDLPDLKQPQOW-UHFFFAOYSA-N 0.000 claims description 8
- 208000019901 Anxiety disease Diseases 0.000 claims description 7
- 125000002541 furyl group Chemical group 0.000 claims description 7
- 239000011737 fluorine Substances 0.000 claims description 6
- 125000001041 indolyl group Chemical group 0.000 claims description 6
- 125000000168 pyrrolyl group Chemical group 0.000 claims description 6
- 206010047700 Vomiting Diseases 0.000 claims description 5
- 230000008673 vomiting Effects 0.000 claims description 5
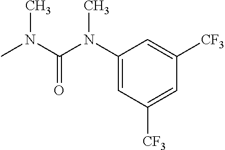
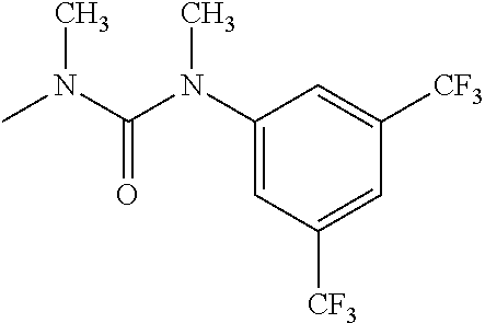
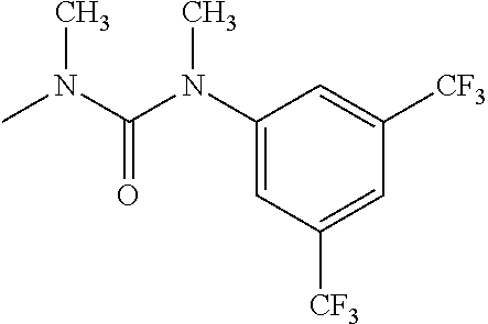
- ZTZMRFZPMOLLEM-UHFFFAOYSA-N 1-naphthalen-2-yl-3-[4-(4-phenylphenyl)piperidin-3-yl]urea Chemical compound C=1C=C2C=CC=CC2=CC=1NC(=O)NC1CNCCC1C(C=C1)=CC=C1C1=CC=CC=C1 ZTZMRFZPMOLLEM-UHFFFAOYSA-N 0.000 claims description 4
- VMXCAFARUPXEBG-VAMCWYGZSA-N C1([C@@H]2CN(C[C@H]2N(C)C(=O)N(C)C=2C=C(C=C(C=2)C(F)(F)F)C(F)(F)F)C(=O)[C@@H]2CC[C@H](CC2)N2C(=NN=N2)C(F)(F)F)=CC=C(F)C=N1 Chemical compound C1([C@@H]2CN(C[C@H]2N(C)C(=O)N(C)C=2C=C(C=C(C=2)C(F)(F)F)C(F)(F)F)C(=O)[C@@H]2CC[C@H](CC2)N2C(=NN=N2)C(F)(F)F)=CC=C(F)C=N1 VMXCAFARUPXEBG-VAMCWYGZSA-N 0.000 claims description 4
- 206010028813 Nausea Diseases 0.000 claims description 4
- 239000003937 drug carrier Substances 0.000 claims description 4
- YSYHATQJRLBMSQ-BJKOFHAPSA-N methyl 4-[(3s,4r)-3-[[[3,5-bis(trifluoromethyl)phenyl]-methylcarbamoyl]-methylamino]-4-(4-fluorophenyl)pyrrolidine-1-carbonyl]piperidine-1-carboxylate Chemical compound C1CN(C(=O)OC)CCC1C(=O)N1C[C@@H](C=2C=CC(F)=CC=2)[C@H](N(C)C(=O)N(C)C=2C=C(C=C(C=2)C(F)(F)F)C(F)(F)F)C1 YSYHATQJRLBMSQ-BJKOFHAPSA-N 0.000 claims description 4
- 230000008693 nausea Effects 0.000 claims description 4
- 125000002971 oxazolyl group Chemical group 0.000 claims description 4
- 125000001113 thiadiazolyl group Chemical group 0.000 claims description 4
- 125000001425 triazolyl group Chemical group 0.000 claims description 4
- LPGYYKXQVUGOTC-XZOQPEGZSA-N 1-[(3s,4r)-4-(4-chlorophenyl)-1-(4-methylsulfonylpiperazine-1-carbonyl)pyrrolidin-3-yl]-3-(3,5-dichlorophenyl)-1,3-dimethylurea Chemical compound C1([C@@H]2CN(C[C@H]2N(C)C(=O)N(C)C=2C=C(Cl)C=C(Cl)C=2)C(=O)N2CCN(CC2)S(C)(=O)=O)=CC=C(Cl)C=C1 LPGYYKXQVUGOTC-XZOQPEGZSA-N 0.000 claims description 3
- 230000036506 anxiety Effects 0.000 claims description 3
- 238000009833 condensation Methods 0.000 claims description 3
- 230000005494 condensation Effects 0.000 claims description 3
- 125000000018 nitroso group Chemical group N(=O)* 0.000 claims description 3
- 125000001183 hydrocarbyl group Chemical group 0.000 claims 2
- 208000037265 diseases, disorders, signs and symptoms Diseases 0.000 abstract description 39
- 201000010099 disease Diseases 0.000 abstract description 23
- 239000003795 chemical substances by application Substances 0.000 abstract description 22
- 210000001035 gastrointestinal tract Anatomy 0.000 abstract description 10
- 208000012931 Urologic disease Diseases 0.000 abstract description 8
- 238000011321 prophylaxis Methods 0.000 abstract description 8
- 208000014001 urinary system disease Diseases 0.000 abstract description 8
- 102000007124 Tachykinin Receptors Human genes 0.000 abstract description 7
- 108010072901 Tachykinin Receptors Proteins 0.000 abstract description 7
- 208000012902 Nervous system disease Diseases 0.000 abstract description 4
- 208000025966 Neurological disease Diseases 0.000 abstract description 4
- 125000005843 halogen group Chemical group 0.000 description 133
- 125000002496 methyl group Chemical group [H]C([H])([H])* 0.000 description 112
- 238000006243 chemical reaction Methods 0.000 description 83
- 125000004043 oxo group Chemical group O=* 0.000 description 58
- 125000001153 fluoro group Chemical group F* 0.000 description 54
- 239000002904 solvent Substances 0.000 description 52
- 125000002777 acetyl group Chemical group [H]C([H])([H])C(*)=O 0.000 description 48
- 125000004916 (C1-C6) alkylcarbonyl group Chemical group 0.000 description 47
- ZMXDDKWLCZADIW-UHFFFAOYSA-N N,N-Dimethylformamide Chemical compound CN(C)C=O ZMXDDKWLCZADIW-UHFFFAOYSA-N 0.000 description 45
- RTZKZFJDLAIYFH-UHFFFAOYSA-N Diethyl ether Chemical compound CCOCC RTZKZFJDLAIYFH-UHFFFAOYSA-N 0.000 description 44
- LFQSCWFLJHTTHZ-UHFFFAOYSA-N Ethanol Chemical compound CCO LFQSCWFLJHTTHZ-UHFFFAOYSA-N 0.000 description 43
- OKKJLVBELUTLKV-UHFFFAOYSA-N Methanol Chemical compound OC OKKJLVBELUTLKV-UHFFFAOYSA-N 0.000 description 42
- YXFVVABEGXRONW-UHFFFAOYSA-N Toluene Chemical compound CC1=CC=CC=C1 YXFVVABEGXRONW-UHFFFAOYSA-N 0.000 description 42
- 125000004454 (C1-C6) alkoxycarbonyl group Chemical group 0.000 description 41
- 125000002887 hydroxy group Chemical group [H]O* 0.000 description 41
- YMWUJEATGCHHMB-UHFFFAOYSA-N Dichloromethane Chemical compound ClCCl YMWUJEATGCHHMB-UHFFFAOYSA-N 0.000 description 39
- 150000002430 hydrocarbons Chemical group 0.000 description 37
- WEVYAHXRMPXWCK-UHFFFAOYSA-N Acetonitrile Chemical compound CC#N WEVYAHXRMPXWCK-UHFFFAOYSA-N 0.000 description 36
- UHOVQNZJYSORNB-UHFFFAOYSA-N Benzene Chemical compound C1=CC=CC=C1 UHOVQNZJYSORNB-UHFFFAOYSA-N 0.000 description 36
- ZMANZCXQSJIPKH-UHFFFAOYSA-N Triethylamine Chemical compound CCN(CC)CC ZMANZCXQSJIPKH-UHFFFAOYSA-N 0.000 description 36
- 239000002585 base Substances 0.000 description 35
- 125000005936 piperidyl group Chemical group 0.000 description 35
- WYURNTSHIVDZCO-UHFFFAOYSA-N Tetrahydrofuran Chemical compound C1CCOC1 WYURNTSHIVDZCO-UHFFFAOYSA-N 0.000 description 34
- 125000005931 tert-butyloxycarbonyl group Chemical group [H]C([H])([H])C(OC(*)=O)(C([H])([H])[H])C([H])([H])[H] 0.000 description 34
- QTBSBXVTEAMEQO-UHFFFAOYSA-N Acetic acid Chemical compound CC(O)=O QTBSBXVTEAMEQO-UHFFFAOYSA-N 0.000 description 33
- KWYUFKZDYYNOTN-UHFFFAOYSA-M Potassium hydroxide Chemical compound [OH-].[K+] KWYUFKZDYYNOTN-UHFFFAOYSA-M 0.000 description 33
- HEMHJVSKTPXQMS-UHFFFAOYSA-M Sodium hydroxide Chemical compound [OH-].[Na+] HEMHJVSKTPXQMS-UHFFFAOYSA-M 0.000 description 33
- 125000006273 (C1-C3) alkyl group Chemical group 0.000 description 30
- 125000002023 trifluoromethyl group Chemical group FC(F)(F)* 0.000 description 30
- KFZMGEQAYNKOFK-UHFFFAOYSA-N Isopropanol Chemical compound CC(C)O KFZMGEQAYNKOFK-UHFFFAOYSA-N 0.000 description 29
- JUJWROOIHBZHMG-UHFFFAOYSA-N Pyridine Chemical compound C1=CC=NC=C1 JUJWROOIHBZHMG-UHFFFAOYSA-N 0.000 description 28
- VLKZOEOYAKHREP-UHFFFAOYSA-N n-Hexane Chemical compound CCCCCC VLKZOEOYAKHREP-UHFFFAOYSA-N 0.000 description 27
- HEDRZPFGACZZDS-UHFFFAOYSA-N Chloroform Chemical compound ClC(Cl)Cl HEDRZPFGACZZDS-UHFFFAOYSA-N 0.000 description 26
- 125000000738 acetamido group Chemical group [H]C([H])([H])C(=O)N([H])[*] 0.000 description 25
- XEKOWRVHYACXOJ-UHFFFAOYSA-N Ethyl acetate Chemical compound CCOC(C)=O XEKOWRVHYACXOJ-UHFFFAOYSA-N 0.000 description 24
- 229910052801 chlorine Inorganic materials 0.000 description 24
- 125000001495 ethyl group Chemical group [H]C([H])([H])C([H])([H])* 0.000 description 24
- 125000006274 (C1-C3)alkoxy group Chemical group 0.000 description 22
- 125000006552 (C3-C8) cycloalkyl group Chemical group 0.000 description 22
- IAZDPXIOMUYVGZ-UHFFFAOYSA-N Dimethylsulphoxide Chemical compound CS(C)=O IAZDPXIOMUYVGZ-UHFFFAOYSA-N 0.000 description 22
- GETQZCLCWQTVFV-UHFFFAOYSA-N trimethylamine Chemical compound CN(C)C GETQZCLCWQTVFV-UHFFFAOYSA-N 0.000 description 22
- 125000006624 (C1-C6) alkoxycarbonylamino group Chemical group 0.000 description 21
- SJRJJKPEHAURKC-UHFFFAOYSA-N N-Methylmorpholine Chemical compound CN1CCOCC1 SJRJJKPEHAURKC-UHFFFAOYSA-N 0.000 description 21
- 125000003806 alkyl carbonyl amino group Chemical group 0.000 description 21
- 150000001408 amides Chemical class 0.000 description 21
- 125000001559 cyclopropyl group Chemical group [H]C1([H])C([H])([H])C1([H])* 0.000 description 21
- CDBYLPFSWZWCQE-UHFFFAOYSA-L Sodium Carbonate Chemical compound [Na+].[Na+].[O-]C([O-])=O CDBYLPFSWZWCQE-UHFFFAOYSA-L 0.000 description 20
- 230000002411 adverse Effects 0.000 description 20
- 125000001309 chloro group Chemical group Cl* 0.000 description 20
- 125000001160 methoxycarbonyl group Chemical group [H]C([H])([H])OC(*)=O 0.000 description 20
- 239000000203 mixture Substances 0.000 description 20
- BWHMMNNQKKPAPP-UHFFFAOYSA-L potassium carbonate Chemical compound [K+].[K+].[O-]C([O-])=O BWHMMNNQKKPAPP-UHFFFAOYSA-L 0.000 description 20
- 102100024304 Protachykinin-1 Human genes 0.000 description 19
- 125000003917 carbamoyl group Chemical group [H]N([H])C(*)=O 0.000 description 19
- 125000000999 tert-butyl group Chemical group [H]C([H])([H])C(*)(C([H])([H])[H])C([H])([H])[H] 0.000 description 19
- IMNFDUFMRHMDMM-UHFFFAOYSA-N N-Heptane Chemical compound CCCCCCC IMNFDUFMRHMDMM-UHFFFAOYSA-N 0.000 description 18
- 125000003277 amino group Chemical group 0.000 description 18
- 125000004093 cyano group Chemical group *C#N 0.000 description 18
- 125000004170 methylsulfonyl group Chemical group [H]C([H])([H])S(*)(=O)=O 0.000 description 18
- 125000004739 (C1-C6) alkylsulfonyl group Chemical group 0.000 description 17
- RYHBNJHYFVUHQT-UHFFFAOYSA-N 1,4-Dioxane Chemical compound C1COCCO1 RYHBNJHYFVUHQT-UHFFFAOYSA-N 0.000 description 17
- 150000002170 ethers Chemical class 0.000 description 17
- 125000000160 oxazolidinyl group Chemical group 0.000 description 17
- 230000035484 reaction time Effects 0.000 description 17
- YLQBMQCUIZJEEH-UHFFFAOYSA-N tetrahydrofuran Natural products C=1C=COC=1 YLQBMQCUIZJEEH-UHFFFAOYSA-N 0.000 description 17
- 125000001412 tetrahydropyranyl group Chemical group 0.000 description 17
- LRHPLDYGYMQRHN-UHFFFAOYSA-N N-Butanol Chemical compound CCCCO LRHPLDYGYMQRHN-UHFFFAOYSA-N 0.000 description 16
- UIIMBOGNXHQVGW-UHFFFAOYSA-M Sodium bicarbonate Chemical compound [Na+].OC([O-])=O UIIMBOGNXHQVGW-UHFFFAOYSA-M 0.000 description 16
- 239000003814 drug Substances 0.000 description 16
- 150000002081 enamines Chemical class 0.000 description 16
- 125000000956 methoxy group Chemical group [H]C([H])([H])O* 0.000 description 16
- 238000003786 synthesis reaction Methods 0.000 description 16
- VEXZGXHMUGYJMC-UHFFFAOYSA-N Hydrochloric acid Chemical compound Cl VEXZGXHMUGYJMC-UHFFFAOYSA-N 0.000 description 15
- 125000000113 cyclohexyl group Chemical group [H]C1([H])C([H])([H])C([H])([H])C([H])(*)C([H])([H])C1([H])[H] 0.000 description 15
- 125000003754 ethoxycarbonyl group Chemical group C(=O)(OCC)* 0.000 description 15
- 125000001449 isopropyl group Chemical group [H]C([H])([H])C([H])(*)C([H])([H])[H] 0.000 description 15
- 125000006239 protecting group Chemical group 0.000 description 15
- 125000004632 tetrahydrothiopyranyl group Chemical group S1C(CCCC1)* 0.000 description 15
- XLYOFNOQVPJJNP-UHFFFAOYSA-N water Substances O XLYOFNOQVPJJNP-UHFFFAOYSA-N 0.000 description 15
- WKBOTKDWSSQWDR-UHFFFAOYSA-N Bromine atom Chemical compound [Br] WKBOTKDWSSQWDR-UHFFFAOYSA-N 0.000 description 14
- JLTDJTHDQAWBAV-UHFFFAOYSA-N N,N-dimethylaniline Chemical compound CN(C)C1=CC=CC=C1 JLTDJTHDQAWBAV-UHFFFAOYSA-N 0.000 description 14
- 125000002757 morpholinyl group Chemical group 0.000 description 14
- 238000002360 preparation method Methods 0.000 description 14
- UMJSCPRVCHMLSP-UHFFFAOYSA-N pyridine Natural products COC1=CC=CN=C1 UMJSCPRVCHMLSP-UHFFFAOYSA-N 0.000 description 14
- 230000002829 reductive effect Effects 0.000 description 14
- 101800003906 Substance P Proteins 0.000 description 13
- 150000001298 alcohols Chemical class 0.000 description 13
- 208000035475 disorder Diseases 0.000 description 13
- 230000000694 effects Effects 0.000 description 13
- 150000008282 halocarbons Chemical class 0.000 description 13
- 230000003287 optical effect Effects 0.000 description 13
- 208000011580 syndromic disease Diseases 0.000 description 13
- CSCPPACGZOOCGX-UHFFFAOYSA-N Acetone Chemical compound CC(C)=O CSCPPACGZOOCGX-UHFFFAOYSA-N 0.000 description 12
- QAOWNCQODCNURD-UHFFFAOYSA-N Sulfuric acid Chemical compound OS(O)(=O)=O QAOWNCQODCNURD-UHFFFAOYSA-N 0.000 description 12
- DKGAVHZHDRPRBM-UHFFFAOYSA-N Tert-Butanol Chemical compound CC(C)(C)O DKGAVHZHDRPRBM-UHFFFAOYSA-N 0.000 description 12
- 239000002253 acid Substances 0.000 description 12
- 125000004658 aryl carbonyl amino group Chemical group 0.000 description 12
- 238000006482 condensation reaction Methods 0.000 description 12
- 125000000392 cycloalkenyl group Chemical group 0.000 description 12
- 150000002148 esters Chemical class 0.000 description 12
- 238000005755 formation reaction Methods 0.000 description 12
- 125000002950 monocyclic group Chemical group 0.000 description 12
- 125000001501 propionyl group Chemical group O=C([*])C([H])([H])C([H])([H])[H] 0.000 description 12
- 125000000719 pyrrolidinyl group Chemical group 0.000 description 12
- 208000024891 symptom Diseases 0.000 description 12
- QDZOEBFLNHCSSF-PFFBOGFISA-N (2S)-2-[[(2R)-2-[[(2S)-1-[(2S)-6-amino-2-[[(2S)-1-[(2R)-2-amino-5-carbamimidamidopentanoyl]pyrrolidine-2-carbonyl]amino]hexanoyl]pyrrolidine-2-carbonyl]amino]-3-(1H-indol-3-yl)propanoyl]amino]-N-[(2R)-1-[[(2S)-1-[[(2R)-1-[[(2S)-1-[[(2S)-1-amino-4-methyl-1-oxopentan-2-yl]amino]-4-methyl-1-oxopentan-2-yl]amino]-3-(1H-indol-3-yl)-1-oxopropan-2-yl]amino]-1-oxo-3-phenylpropan-2-yl]amino]-3-(1H-indol-3-yl)-1-oxopropan-2-yl]pentanediamide Chemical compound C([C@@H](C(=O)N[C@H](CC=1C2=CC=CC=C2NC=1)C(=O)N[C@@H](CC(C)C)C(=O)N[C@@H](CC(C)C)C(N)=O)NC(=O)[C@@H](CC=1C2=CC=CC=C2NC=1)NC(=O)[C@H](CCC(N)=O)NC(=O)[C@@H](CC=1C2=CC=CC=C2NC=1)NC(=O)[C@H]1N(CCC1)C(=O)[C@H](CCCCN)NC(=O)[C@H]1N(CCC1)C(=O)[C@H](N)CCCNC(N)=N)C1=CC=CC=C1 QDZOEBFLNHCSSF-PFFBOGFISA-N 0.000 description 11
- CTQNGGLPUBDAKN-UHFFFAOYSA-N O-Xylene Chemical compound CC1=CC=CC=C1C CTQNGGLPUBDAKN-UHFFFAOYSA-N 0.000 description 11
- 235000011054 acetic acid Nutrition 0.000 description 11
- 238000005917 acylation reaction Methods 0.000 description 11
- 238000005804 alkylation reaction Methods 0.000 description 11
- 125000006517 heterocyclyl carbonyl group Chemical group 0.000 description 11
- 239000001257 hydrogen Substances 0.000 description 11
- 229910052739 hydrogen Inorganic materials 0.000 description 11
- 150000002825 nitriles Chemical class 0.000 description 11
- 125000001436 propyl group Chemical group [H]C([*])([H])C([H])([H])C([H])([H])[H] 0.000 description 11
- 150000003462 sulfoxides Chemical class 0.000 description 11
- 239000008096 xylene Substances 0.000 description 11
- 125000006597 (C1-C3) alkylcarbonylamino group Chemical group 0.000 description 10
- 125000005974 C6-C14 arylcarbonyl group Chemical group 0.000 description 10
- AFVFQIVMOAPDHO-UHFFFAOYSA-N Methanesulfonic acid Chemical compound CS(O)(=O)=O AFVFQIVMOAPDHO-UHFFFAOYSA-N 0.000 description 10
- 208000002193 Pain Diseases 0.000 description 10
- 150000004982 aromatic amines Chemical class 0.000 description 10
- 125000003236 benzoyl group Chemical group [H]C1=C([H])C([H])=C(C([H])=C1[H])C(*)=O 0.000 description 10
- 238000002425 crystallisation Methods 0.000 description 10
- 125000002433 cyclopentenyl group Chemical group C1(=CCCC1)* 0.000 description 10
- ZXEKIIBDNHEJCQ-UHFFFAOYSA-N isobutanol Chemical compound CC(C)CO ZXEKIIBDNHEJCQ-UHFFFAOYSA-N 0.000 description 10
- 229910052751 metal Inorganic materials 0.000 description 10
- 239000002184 metal Substances 0.000 description 10
- 229910052987 metal hydride Inorganic materials 0.000 description 10
- 150000004681 metal hydrides Chemical class 0.000 description 10
- 230000036407 pain Effects 0.000 description 10
- 229910000027 potassium carbonate Inorganic materials 0.000 description 10
- 235000011181 potassium carbonates Nutrition 0.000 description 10
- 229910000029 sodium carbonate Inorganic materials 0.000 description 10
- 239000000126 substance Substances 0.000 description 10
- BSKHPKMHTQYZBB-UHFFFAOYSA-N 2-methylpyridine Chemical compound CC1=CC=CC=N1 BSKHPKMHTQYZBB-UHFFFAOYSA-N 0.000 description 9
- WVDDGKGOMKODPV-UHFFFAOYSA-N Benzyl alcohol Chemical compound OCC1=CC=CC=C1 WVDDGKGOMKODPV-UHFFFAOYSA-N 0.000 description 9
- XTHFKEDIFFGKHM-UHFFFAOYSA-N Dimethoxyethane Chemical compound COCCOC XTHFKEDIFFGKHM-UHFFFAOYSA-N 0.000 description 9
- WMFOQBRAJBCJND-UHFFFAOYSA-M Lithium hydroxide Chemical compound [Li+].[OH-] WMFOQBRAJBCJND-UHFFFAOYSA-M 0.000 description 9
- MUBZPKHOEPUJKR-UHFFFAOYSA-N Oxalic acid Chemical compound OC(=O)C(O)=O MUBZPKHOEPUJKR-UHFFFAOYSA-N 0.000 description 9
- DTQVDTLACAAQTR-UHFFFAOYSA-N Trifluoroacetic acid Chemical compound OC(=O)C(F)(F)F DTQVDTLACAAQTR-UHFFFAOYSA-N 0.000 description 9
- 238000005576 amination reaction Methods 0.000 description 9
- 150000001735 carboxylic acids Chemical class 0.000 description 9
- 125000001995 cyclobutyl group Chemical group [H]C1([H])C([H])([H])C([H])(*)C1([H])[H] 0.000 description 9
- 125000001511 cyclopentyl group Chemical group [H]C1([H])C([H])([H])C([H])([H])C([H])(*)C1([H])[H] 0.000 description 9
- 125000004852 dihydrofuranyl group Chemical group O1C(CC=C1)* 0.000 description 9
- 229930195733 hydrocarbon Natural products 0.000 description 9
- 229940002612 prodrug Drugs 0.000 description 9
- 239000000651 prodrug Substances 0.000 description 9
- 125000004742 propyloxycarbonyl group Chemical group 0.000 description 9
- 108010040716 Neurokinin-3 Receptors Proteins 0.000 description 8
- NBIIXXVUZAFLBC-UHFFFAOYSA-N Phosphoric acid Chemical compound OP(O)(O)=O NBIIXXVUZAFLBC-UHFFFAOYSA-N 0.000 description 8
- 150000008044 alkali metal hydroxides Chemical class 0.000 description 8
- 125000000043 benzamido group Chemical group [H]N([*])C(=O)C1=C([H])C([H])=C([H])C([H])=C1[H] 0.000 description 8
- 125000001584 benzyloxycarbonyl group Chemical group C(=O)(OCC1=CC=CC=C1)* 0.000 description 8
- 230000015572 biosynthetic process Effects 0.000 description 8
- 125000002485 formyl group Chemical group [H]C(*)=O 0.000 description 8
- 239000000543 intermediate Substances 0.000 description 8
- 125000000449 nitro group Chemical group [O-][N+](*)=O 0.000 description 8
- 150000007530 organic bases Chemical class 0.000 description 8
- 125000005968 oxazolinyl group Chemical group 0.000 description 8
- 239000000825 pharmaceutical preparation Substances 0.000 description 8
- 125000004193 piperazinyl group Chemical group 0.000 description 8
- 235000015497 potassium bicarbonate Nutrition 0.000 description 8
- 229910000028 potassium bicarbonate Inorganic materials 0.000 description 8
- 239000011736 potassium bicarbonate Substances 0.000 description 8
- TYJJADVDDVDEDZ-UHFFFAOYSA-M potassium hydrogencarbonate Chemical compound [K+].OC([O-])=O TYJJADVDDVDEDZ-UHFFFAOYSA-M 0.000 description 8
- 229940086066 potassium hydrogencarbonate Drugs 0.000 description 8
- BDERNNFJNOPAEC-UHFFFAOYSA-N propan-1-ol Chemical compound CCCO BDERNNFJNOPAEC-UHFFFAOYSA-N 0.000 description 8
- 229940044551 receptor antagonist Drugs 0.000 description 8
- 239000002464 receptor antagonist Substances 0.000 description 8
- 235000017557 sodium bicarbonate Nutrition 0.000 description 8
- 229910000030 sodium bicarbonate Inorganic materials 0.000 description 8
- JOXIMZWYDAKGHI-UHFFFAOYSA-N toluene-4-sulfonic acid Chemical compound CC1=CC=C(S(O)(=O)=O)C=C1 JOXIMZWYDAKGHI-UHFFFAOYSA-N 0.000 description 8
- ZCYVEMRRCGMTRW-UHFFFAOYSA-N 7553-56-2 Chemical compound [I] ZCYVEMRRCGMTRW-UHFFFAOYSA-N 0.000 description 7
- 125000005915 C6-C14 aryl group Chemical group 0.000 description 7
- ZAFNJMIOTHYJRJ-UHFFFAOYSA-N Diisopropyl ether Chemical compound CC(C)OC(C)C ZAFNJMIOTHYJRJ-UHFFFAOYSA-N 0.000 description 7
- VMHLLURERBWHNL-UHFFFAOYSA-M Sodium acetate Chemical compound [Na+].CC([O-])=O VMHLLURERBWHNL-UHFFFAOYSA-M 0.000 description 7
- 150000001242 acetic acid derivatives Chemical class 0.000 description 7
- 239000004480 active ingredient Substances 0.000 description 7
- 239000000654 additive Substances 0.000 description 7
- 229910052783 alkali metal Inorganic materials 0.000 description 7
- 150000004945 aromatic hydrocarbons Chemical class 0.000 description 7
- 125000003710 aryl alkyl group Chemical group 0.000 description 7
- 125000005116 aryl carbamoyl group Chemical group 0.000 description 7
- 150000004649 carbonic acid derivatives Chemical class 0.000 description 7
- 125000003178 carboxy group Chemical group [H]OC(*)=O 0.000 description 7
- 230000008025 crystallization Effects 0.000 description 7
- 125000006125 ethylsulfonyl group Chemical group 0.000 description 7
- 239000003112 inhibitor Substances 0.000 description 7
- 229910052740 iodine Inorganic materials 0.000 description 7
- 125000000714 pyrimidinyl group Chemical group 0.000 description 7
- 238000006722 reduction reaction Methods 0.000 description 7
- 239000001632 sodium acetate Substances 0.000 description 7
- 235000017281 sodium acetate Nutrition 0.000 description 7
- VZCYOOQTPOCHFL-UHFFFAOYSA-N trans-butenedioic acid Natural products OC(=O)C=CC(O)=O VZCYOOQTPOCHFL-UHFFFAOYSA-N 0.000 description 7
- BMYNFMYTOJXKLE-UHFFFAOYSA-N 3-azaniumyl-2-hydroxypropanoate Chemical compound NCC(O)C(O)=O BMYNFMYTOJXKLE-UHFFFAOYSA-N 0.000 description 6
- VZCYOOQTPOCHFL-OWOJBTEDSA-N Fumaric acid Chemical compound OC(=O)\C=C\C(O)=O VZCYOOQTPOCHFL-OWOJBTEDSA-N 0.000 description 6
- 101000831616 Homo sapiens Protachykinin-1 Proteins 0.000 description 6
- WHXSMMKQMYFTQS-UHFFFAOYSA-N Lithium Chemical compound [Li] WHXSMMKQMYFTQS-UHFFFAOYSA-N 0.000 description 6
- BZLVMXJERCGZMT-UHFFFAOYSA-N Methyl tert-butyl ether Chemical compound COC(C)(C)C BZLVMXJERCGZMT-UHFFFAOYSA-N 0.000 description 6
- JGFZNNIVVJXRND-UHFFFAOYSA-N N,N-Diisopropylethylamine (DIPEA) Chemical compound CCN(C(C)C)C(C)C JGFZNNIVVJXRND-UHFFFAOYSA-N 0.000 description 6
- WQDUMFSSJAZKTM-UHFFFAOYSA-N Sodium methoxide Chemical compound [Na+].[O-]C WQDUMFSSJAZKTM-UHFFFAOYSA-N 0.000 description 6
- 230000000996 additive effect Effects 0.000 description 6
- 150000001338 aliphatic hydrocarbons Chemical class 0.000 description 6
- 125000004448 alkyl carbonyl group Chemical group 0.000 description 6
- 125000005098 aryl alkoxy carbonyl group Chemical group 0.000 description 6
- 125000001797 benzyl group Chemical group [H]C1=C([H])C([H])=C(C([H])=C1[H])C([H])([H])* 0.000 description 6
- 125000000484 butyl group Chemical group [H]C([*])([H])C([H])([H])C([H])([H])C([H])([H])[H] 0.000 description 6
- BVKZGUZCCUSVTD-UHFFFAOYSA-N carbonic acid Chemical class OC(O)=O BVKZGUZCCUSVTD-UHFFFAOYSA-N 0.000 description 6
- 208000015114 central nervous system disease Diseases 0.000 description 6
- KRKNYBCHXYNGOX-UHFFFAOYSA-N citric acid Chemical compound OC(=O)CC(O)(C(O)=O)CC(O)=O KRKNYBCHXYNGOX-UHFFFAOYSA-N 0.000 description 6
- 239000013078 crystal Substances 0.000 description 6
- 125000005144 cycloalkylsulfonyl group Chemical group 0.000 description 6
- 125000006263 dimethyl aminosulfonyl group Chemical group [H]C([H])([H])N(C([H])([H])[H])S(*)(=O)=O 0.000 description 6
- ZUOUZKKEUPVFJK-UHFFFAOYSA-N diphenyl Chemical group C1=CC=CC=C1C1=CC=CC=C1 ZUOUZKKEUPVFJK-UHFFFAOYSA-N 0.000 description 6
- 125000004051 hexyl group Chemical group [H]C([H])([H])C([H])([H])C([H])([H])C([H])([H])C([H])([H])C([H])([H])* 0.000 description 6
- 230000007062 hydrolysis Effects 0.000 description 6
- 238000006460 hydrolysis reaction Methods 0.000 description 6
- 125000000959 isobutyl group Chemical group [H]C([H])([H])C([H])(C([H])([H])[H])C([H])([H])* 0.000 description 6
- 125000004628 isothiazolidinyl group Chemical group S1N(CCC1)* 0.000 description 6
- 125000001570 methylene group Chemical group [H]C([H])([*:1])[*:2] 0.000 description 6
- 125000001147 pentyl group Chemical group C(CCCC)* 0.000 description 6
- UYWQUFXKFGHYNT-UHFFFAOYSA-N phenylmethyl ester of formic acid Natural products O=COCC1=CC=CC=C1 UYWQUFXKFGHYNT-UHFFFAOYSA-N 0.000 description 6
- NLKNQRATVPKPDG-UHFFFAOYSA-M potassium iodide Chemical compound [K+].[I-] NLKNQRATVPKPDG-UHFFFAOYSA-M 0.000 description 6
- 102000005962 receptors Human genes 0.000 description 6
- 108020003175 receptors Proteins 0.000 description 6
- 125000002914 sec-butyl group Chemical group [H]C([H])([H])C([H])([H])C([H])(*)C([H])([H])[H] 0.000 description 6
- 238000000926 separation method Methods 0.000 description 6
- FVAUCKIRQBBSSJ-UHFFFAOYSA-M sodium iodide Chemical compound [Na+].[I-] FVAUCKIRQBBSSJ-UHFFFAOYSA-M 0.000 description 6
- 125000003718 tetrahydrofuranyl group Chemical group 0.000 description 6
- 125000004568 thiomorpholinyl group Chemical group 0.000 description 6
- 125000004178 (C1-C4) alkyl group Chemical group 0.000 description 5
- 206010028980 Neoplasm Diseases 0.000 description 5
- FEWJPZIEWOKRBE-UHFFFAOYSA-N Tartaric acid Natural products [H+].[H+].[O-]C(=O)C(O)C(O)C([O-])=O FEWJPZIEWOKRBE-UHFFFAOYSA-N 0.000 description 5
- 206010046543 Urinary incontinence Diseases 0.000 description 5
- 230000005856 abnormality Effects 0.000 description 5
- 125000004397 aminosulfonyl group Chemical group NS(=O)(=O)* 0.000 description 5
- 239000005557 antagonist Substances 0.000 description 5
- 229940052651 anticholinergic tertiary amines Drugs 0.000 description 5
- 125000003785 benzimidazolyl group Chemical group N1=C(NC2=C1C=CC=C2)* 0.000 description 5
- 239000003054 catalyst Substances 0.000 description 5
- 125000000596 cyclohexenyl group Chemical group C1(=CCCCC1)* 0.000 description 5
- 125000002632 imidazolidinyl group Chemical group 0.000 description 5
- 150000007529 inorganic bases Chemical class 0.000 description 5
- NOESYZHRGYRDHS-UHFFFAOYSA-N insulin Chemical compound N1C(=O)C(NC(=O)C(CCC(N)=O)NC(=O)C(CCC(O)=O)NC(=O)C(C(C)C)NC(=O)C(NC(=O)CN)C(C)CC)CSSCC(C(NC(CO)C(=O)NC(CC(C)C)C(=O)NC(CC=2C=CC(O)=CC=2)C(=O)NC(CCC(N)=O)C(=O)NC(CC(C)C)C(=O)NC(CCC(O)=O)C(=O)NC(CC(N)=O)C(=O)NC(CC=2C=CC(O)=CC=2)C(=O)NC(CSSCC(NC(=O)C(C(C)C)NC(=O)C(CC(C)C)NC(=O)C(CC=2C=CC(O)=CC=2)NC(=O)C(CC(C)C)NC(=O)C(C)NC(=O)C(CCC(O)=O)NC(=O)C(C(C)C)NC(=O)C(CC(C)C)NC(=O)C(CC=2NC=NC=2)NC(=O)C(CO)NC(=O)CNC2=O)C(=O)NCC(=O)NC(CCC(O)=O)C(=O)NC(CCCNC(N)=N)C(=O)NCC(=O)NC(CC=3C=CC=CC=3)C(=O)NC(CC=3C=CC=CC=3)C(=O)NC(CC=3C=CC(O)=CC=3)C(=O)NC(C(C)O)C(=O)N3C(CCC3)C(=O)NC(CCCCN)C(=O)NC(C)C(O)=O)C(=O)NC(CC(N)=O)C(O)=O)=O)NC(=O)C(C(C)CC)NC(=O)C(CO)NC(=O)C(C(C)O)NC(=O)C1CSSCC2NC(=O)C(CC(C)C)NC(=O)C(NC(=O)C(CCC(N)=O)NC(=O)C(CC(N)=O)NC(=O)C(NC(=O)C(N)CC=1C=CC=CC=1)C(C)C)CC1=CN=CN1 NOESYZHRGYRDHS-UHFFFAOYSA-N 0.000 description 5
- 150000002576 ketones Chemical class 0.000 description 5
- 238000002844 melting Methods 0.000 description 5
- 230000008018 melting Effects 0.000 description 5
- 229940098779 methanesulfonic acid Drugs 0.000 description 5
- 210000000056 organ Anatomy 0.000 description 5
- 150000007524 organic acids Chemical class 0.000 description 5
- 125000001715 oxadiazolyl group Chemical group 0.000 description 5
- 238000006462 rearrangement reaction Methods 0.000 description 5
- 150000003512 tertiary amines Chemical class 0.000 description 5
- 125000006602 (C1-C3) alkylsulfonylamino group Chemical group 0.000 description 4
- 125000006636 (C3-C8) cycloalkylcarbonyl group Chemical group 0.000 description 4
- 125000004206 2,2,2-trifluoroethyl group Chemical group [H]C([H])(*)C(F)(F)F 0.000 description 4
- HZAXFHJVJLSVMW-UHFFFAOYSA-N 2-Aminoethan-1-ol Chemical compound NCCO HZAXFHJVJLSVMW-UHFFFAOYSA-N 0.000 description 4
- 125000005999 2-bromoethyl group Chemical group 0.000 description 4
- 125000003349 3-pyridyl group Chemical group N1=C([H])C([*])=C([H])C([H])=C1[H] 0.000 description 4
- CSDQQAQKBAQLLE-UHFFFAOYSA-N 4-(4-chlorophenyl)-4,5,6,7-tetrahydrothieno[3,2-c]pyridine Chemical compound C1=CC(Cl)=CC=C1C1C(C=CS2)=C2CCN1 CSDQQAQKBAQLLE-UHFFFAOYSA-N 0.000 description 4
- VHYFNPMBLIVWCW-UHFFFAOYSA-N 4-Dimethylaminopyridine Chemical compound CN(C)C1=CC=NC=C1 VHYFNPMBLIVWCW-UHFFFAOYSA-N 0.000 description 4
- 125000000339 4-pyridyl group Chemical group N1=C([H])C([H])=C([*])C([H])=C1[H] 0.000 description 4
- 125000006618 5- to 10-membered aromatic heterocyclic group Chemical group 0.000 description 4
- ZAMOUSCENKQFHK-UHFFFAOYSA-N Chlorine atom Chemical compound [Cl] ZAMOUSCENKQFHK-UHFFFAOYSA-N 0.000 description 4
- 208000035473 Communicable disease Diseases 0.000 description 4
- FEWJPZIEWOKRBE-JCYAYHJZSA-N Dextrotartaric acid Chemical compound OC(=O)[C@H](O)[C@@H](O)C(O)=O FEWJPZIEWOKRBE-JCYAYHJZSA-N 0.000 description 4
- PXGOKWXKJXAPGV-UHFFFAOYSA-N Fluorine Chemical compound FF PXGOKWXKJXAPGV-UHFFFAOYSA-N 0.000 description 4
- UFHFLCQGNIYNRP-UHFFFAOYSA-N Hydrogen Chemical compound [H][H] UFHFLCQGNIYNRP-UHFFFAOYSA-N 0.000 description 4
- 206010020772 Hypertension Diseases 0.000 description 4
- KEAYESYHFKHZAL-UHFFFAOYSA-N Sodium Chemical compound [Na] KEAYESYHFKHZAL-UHFFFAOYSA-N 0.000 description 4
- 208000026723 Urinary tract disease Diseases 0.000 description 4
- 230000001154 acute effect Effects 0.000 description 4
- 229910052784 alkaline earth metal Inorganic materials 0.000 description 4
- 125000005115 alkyl carbamoyl group Chemical group 0.000 description 4
- 229910000147 aluminium phosphate Inorganic materials 0.000 description 4
- VSCWAEJMTAWNJL-UHFFFAOYSA-K aluminium trichloride Chemical compound Cl[Al](Cl)Cl VSCWAEJMTAWNJL-UHFFFAOYSA-K 0.000 description 4
- 150000001412 amines Chemical class 0.000 description 4
- 235000001014 amino acid Nutrition 0.000 description 4
- 150000001413 amino acids Chemical class 0.000 description 4
- 125000001769 aryl amino group Chemical group 0.000 description 4
- 125000005161 aryl oxy carbonyl group Chemical group 0.000 description 4
- GDTBXPJZTBHREO-UHFFFAOYSA-N bromine Substances BrBr GDTBXPJZTBHREO-UHFFFAOYSA-N 0.000 description 4
- 229910052794 bromium Inorganic materials 0.000 description 4
- 125000001951 carbamoylamino group Chemical group C(N)(=O)N* 0.000 description 4
- 208000026106 cerebrovascular disease Diseases 0.000 description 4
- 239000000460 chlorine Substances 0.000 description 4
- 125000004218 chloromethyl group Chemical group [H]C([H])(Cl)* 0.000 description 4
- 125000005169 cycloalkylcarbonylamino group Chemical group 0.000 description 4
- 238000010511 deprotection reaction Methods 0.000 description 4
- 125000001028 difluoromethyl group Chemical group [H]C(F)(F)* 0.000 description 4
- 229940079593 drug Drugs 0.000 description 4
- 201000006549 dyspepsia Diseases 0.000 description 4
- 238000010575 fractional recrystallization Methods 0.000 description 4
- 150000004820 halides Chemical class 0.000 description 4
- 150000007976 iminium ions Chemical class 0.000 description 4
- 125000001972 isopentyl group Chemical group [H]C([H])([H])C([H])(C([H])([H])[H])C([H])([H])C([H])([H])* 0.000 description 4
- ZCSHNCUQKCANBX-UHFFFAOYSA-N lithium diisopropylamide Chemical compound [Li+].CC(C)[N-]C(C)C ZCSHNCUQKCANBX-UHFFFAOYSA-N 0.000 description 4
- 229910000103 lithium hydride Inorganic materials 0.000 description 4
- VZCYOOQTPOCHFL-UPHRSURJSA-N maleic acid Chemical compound OC(=O)\C=C/C(O)=O VZCYOOQTPOCHFL-UPHRSURJSA-N 0.000 description 4
- 238000004519 manufacturing process Methods 0.000 description 4
- BDAGIHXWWSANSR-UHFFFAOYSA-N methanoic acid Natural products OC=O BDAGIHXWWSANSR-UHFFFAOYSA-N 0.000 description 4
- 150000007522 mineralic acids Chemical class 0.000 description 4
- 125000001971 neopentyl group Chemical group [H]C([*])([H])C(C([H])([H])[H])(C([H])([H])[H])C([H])([H])[H] 0.000 description 4
- 125000006340 pentafluoro ethyl group Chemical group FC(F)(F)C(F)(F)* 0.000 description 4
- XNGIFLGASWRNHJ-UHFFFAOYSA-N phthalic acid Chemical compound OC(=O)C1=CC=CC=C1C(O)=O XNGIFLGASWRNHJ-UHFFFAOYSA-N 0.000 description 4
- 108090000765 processed proteins & peptides Proteins 0.000 description 4
- 125000004940 pyridazin-4-yl group Chemical group N1=NC=C(C=C1)* 0.000 description 4
- 125000004527 pyrimidin-4-yl group Chemical group N1=CN=C(C=C1)* 0.000 description 4
- 239000012312 sodium hydride Substances 0.000 description 4
- 229910000104 sodium hydride Inorganic materials 0.000 description 4
- 239000002462 tachykinin receptor antagonist Substances 0.000 description 4
- 125000003866 trichloromethyl group Chemical group ClC(Cl)(Cl)* 0.000 description 4
- 125000000876 trifluoromethoxy group Chemical group FC(F)(F)O* 0.000 description 4
- VNDYJBBGRKZCSX-UHFFFAOYSA-L zinc bromide Chemical compound Br[Zn]Br VNDYJBBGRKZCSX-UHFFFAOYSA-L 0.000 description 4
- 125000001637 1-naphthyl group Chemical group [H]C1=C([H])C([H])=C2C(*)=C([H])C([H])=C([H])C2=C1[H] 0.000 description 3
- 125000004214 1-pyrrolidinyl group Chemical group [H]C1([H])N(*)C([H])([H])C([H])([H])C1([H])[H] 0.000 description 3
- 125000001462 1-pyrrolyl group Chemical group [*]N1C([H])=C([H])C([H])=C1[H] 0.000 description 3
- OISVCGZHLKNMSJ-UHFFFAOYSA-N 2,6-dimethylpyridine Chemical compound CC1=CC=CC(C)=N1 OISVCGZHLKNMSJ-UHFFFAOYSA-N 0.000 description 3
- 125000002941 2-furyl group Chemical group O1C([*])=C([H])C([H])=C1[H] 0.000 description 3
- 125000001622 2-naphthyl group Chemical group [H]C1=C([H])C([H])=C2C([H])=C(*)C([H])=C([H])C2=C1[H] 0.000 description 3
- 125000004105 2-pyridyl group Chemical group N1=C([*])C([H])=C([H])C([H])=C1[H] 0.000 description 3
- 125000004485 2-pyrrolidinyl group Chemical group [H]N1C([H])([H])C([H])([H])C([H])([H])C1([H])* 0.000 description 3
- 125000000389 2-pyrrolyl group Chemical group [H]N1C([*])=C([H])C([H])=C1[H] 0.000 description 3
- 125000000175 2-thienyl group Chemical group S1C([*])=C([H])C([H])=C1[H] 0.000 description 3
- 125000003682 3-furyl group Chemical group O1C([H])=C([*])C([H])=C1[H] 0.000 description 3
- 125000004575 3-pyrrolidinyl group Chemical group [H]N1C([H])([H])C([H])([H])C([H])(*)C1([H])[H] 0.000 description 3
- 125000001397 3-pyrrolyl group Chemical group [H]N1C([H])=C([*])C([H])=C1[H] 0.000 description 3
- 125000001541 3-thienyl group Chemical group S1C([H])=C([*])C([H])=C1[H] 0.000 description 3
- KDDQRKBRJSGMQE-UHFFFAOYSA-N 4-thiazolyl Chemical group [C]1=CSC=N1 KDDQRKBRJSGMQE-UHFFFAOYSA-N 0.000 description 3
- CWDWFSXUQODZGW-UHFFFAOYSA-N 5-thiazolyl Chemical group [C]1=CN=CS1 CWDWFSXUQODZGW-UHFFFAOYSA-N 0.000 description 3
- 208000030507 AIDS Diseases 0.000 description 3
- 208000024827 Alzheimer disease Diseases 0.000 description 3
- 241000283690 Bos taurus Species 0.000 description 3
- OYPRJOBELJOOCE-UHFFFAOYSA-N Calcium Chemical compound [Ca] OYPRJOBELJOOCE-UHFFFAOYSA-N 0.000 description 3
- 238000006969 Curtius rearrangement reaction Methods 0.000 description 3
- 102100021260 Galactosylgalactosylxylosylprotein 3-beta-glucuronosyltransferase 1 Human genes 0.000 description 3
- 206010019280 Heart failures Diseases 0.000 description 3
- 101000894906 Homo sapiens Galactosylgalactosylxylosylprotein 3-beta-glucuronosyltransferase 1 Proteins 0.000 description 3
- 206010020853 Hypertonic bladder Diseases 0.000 description 3
- DGAQECJNVWCQMB-PUAWFVPOSA-M Ilexoside XXIX Chemical compound C[C@@H]1CC[C@@]2(CC[C@@]3(C(=CC[C@H]4[C@]3(CC[C@@H]5[C@@]4(CC[C@@H](C5(C)C)OS(=O)(=O)[O-])C)C)[C@@H]2[C@]1(C)O)C)C(=O)O[C@H]6[C@@H]([C@H]([C@@H]([C@H](O6)CO)O)O)O.[Na+] DGAQECJNVWCQMB-PUAWFVPOSA-M 0.000 description 3
- 208000022559 Inflammatory bowel disease Diseases 0.000 description 3
- 208000005615 Interstitial Cystitis Diseases 0.000 description 3
- 208000019695 Migraine disease Diseases 0.000 description 3
- 101800000399 Neurokinin A Proteins 0.000 description 3
- 102400000097 Neurokinin A Human genes 0.000 description 3
- HEAUFJZALFKPBA-YRVBCFNBSA-N Neurokinin A Chemical compound C([C@@H](C(=O)N[C@H](C(=O)NCC(=O)N[C@@H](CC(C)C)C(=O)N[C@@H](CCSC)C(N)=O)C(C)C)NC(=O)[C@H](CO)NC(=O)[C@H](CC(O)=O)NC(=O)[C@@H](NC(=O)[C@H](CCCCN)NC(=O)[C@@H](N)CC=1NC=NC=1)C(C)O)C1=CC=CC=C1 HEAUFJZALFKPBA-YRVBCFNBSA-N 0.000 description 3
- 102000046798 Neurokinin B Human genes 0.000 description 3
- NHXYSAFTNPANFK-HDMCBQFHSA-N Neurokinin B Chemical compound C([C@@H](C(=O)N[C@H](C(=O)NCC(=O)N[C@@H](CC(C)C)C(=O)N[C@@H](CCSC)C(N)=O)C(C)C)NC(=O)[C@H](CC=1C=CC=CC=1)NC(=O)[C@H](CC(O)=O)NC(=O)[C@H](CC=1N=CNC=1)NC(=O)[C@H](CCSC)NC(=O)[C@@H](N)CC(O)=O)C1=CC=CC=C1 NHXYSAFTNPANFK-HDMCBQFHSA-N 0.000 description 3
- 101800002813 Neurokinin-B Proteins 0.000 description 3
- GRYLNZFGIOXLOG-UHFFFAOYSA-N Nitric acid Chemical compound O[N+]([O-])=O GRYLNZFGIOXLOG-UHFFFAOYSA-N 0.000 description 3
- 208000009722 Overactive Urinary Bladder Diseases 0.000 description 3
- 206010036018 Pollakiuria Diseases 0.000 description 3
- ZLMJMSJWJFRBEC-UHFFFAOYSA-N Potassium Chemical compound [K] ZLMJMSJWJFRBEC-UHFFFAOYSA-N 0.000 description 3
- OFOBLEOULBTSOW-UHFFFAOYSA-N Propanedioic acid Natural products OC(=O)CC(O)=O OFOBLEOULBTSOW-UHFFFAOYSA-N 0.000 description 3
- 206010040047 Sepsis Diseases 0.000 description 3
- 206010040070 Septic Shock Diseases 0.000 description 3
- 101100020289 Xenopus laevis koza gene Proteins 0.000 description 3
- 230000002378 acidificating effect Effects 0.000 description 3
- 150000007513 acids Chemical class 0.000 description 3
- 230000009471 action Effects 0.000 description 3
- 239000000556 agonist Substances 0.000 description 3
- 150000003863 ammonium salts Chemical class 0.000 description 3
- 125000000748 anthracen-2-yl group Chemical group [H]C1=C([H])C([H])=C2C([H])=C3C([H])=C([*])C([H])=C([H])C3=C([H])C2=C1[H] 0.000 description 3
- 125000005135 aryl sulfinyl group Chemical group 0.000 description 3
- 230000002567 autonomic effect Effects 0.000 description 3
- KXDAEFPNCMNJSK-UHFFFAOYSA-N benzene carboxamide Natural products NC(=O)C1=CC=CC=C1 KXDAEFPNCMNJSK-UHFFFAOYSA-N 0.000 description 3
- 125000001164 benzothiazolyl group Chemical group S1C(=NC2=C1C=CC=C2)* 0.000 description 3
- 125000004541 benzoxazolyl group Chemical group O1C(=NC2=C1C=CC=C2)* 0.000 description 3
- 235000019445 benzyl alcohol Nutrition 0.000 description 3
- 235000010290 biphenyl Nutrition 0.000 description 3
- 239000011575 calcium Substances 0.000 description 3
- 229910052791 calcium Inorganic materials 0.000 description 3
- 238000009903 catalytic hydrogenation reaction Methods 0.000 description 3
- 230000002490 cerebral effect Effects 0.000 description 3
- 239000003638 chemical reducing agent Substances 0.000 description 3
- 210000004351 coronary vessel Anatomy 0.000 description 3
- 125000006639 cyclohexyl carbonyl group Chemical group 0.000 description 3
- 125000006255 cyclopropyl carbonyl group Chemical group [H]C1([H])C([H])([H])C1([H])C(*)=O 0.000 description 3
- 239000003405 delayed action preparation Substances 0.000 description 3
- MKRTXPORKIRPDG-UHFFFAOYSA-N diphenylphosphoryl azide Chemical compound C=1C=CC=CC=1P(=O)(N=[N+]=[N-])C1=CC=CC=C1 MKRTXPORKIRPDG-UHFFFAOYSA-N 0.000 description 3
- 239000001530 fumaric acid Substances 0.000 description 3
- 230000006870 function Effects 0.000 description 3
- 239000008187 granular material Substances 0.000 description 3
- 201000011066 hemangioma Diseases 0.000 description 3
- 150000002431 hydrogen Chemical group 0.000 description 3
- RAXXELZNTBOGNW-UHFFFAOYSA-N imidazole Natural products C1=CNC=N1 RAXXELZNTBOGNW-UHFFFAOYSA-N 0.000 description 3
- 208000027866 inflammatory disease Diseases 0.000 description 3
- 229910052500 inorganic mineral Inorganic materials 0.000 description 3
- 239000011630 iodine Substances 0.000 description 3
- 208000002551 irritable bowel syndrome Diseases 0.000 description 3
- 125000005956 isoquinolyl group Chemical group 0.000 description 3
- 239000011976 maleic acid Substances 0.000 description 3
- 238000005259 measurement Methods 0.000 description 3
- 206010027599 migraine Diseases 0.000 description 3
- 235000010755 mineral Nutrition 0.000 description 3
- 239000011707 mineral Substances 0.000 description 3
- JJYKJUXBWFATTE-UHFFFAOYSA-N mosher's acid Chemical compound COC(C(O)=O)(C(F)(F)F)C1=CC=CC=C1 JJYKJUXBWFATTE-UHFFFAOYSA-N 0.000 description 3
- 201000006417 multiple sclerosis Diseases 0.000 description 3
- 208000004296 neuralgia Diseases 0.000 description 3
- 229910017604 nitric acid Inorganic materials 0.000 description 3
- 208000020629 overactive bladder Diseases 0.000 description 3
- 235000006408 oxalic acid Nutrition 0.000 description 3
- 230000002093 peripheral effect Effects 0.000 description 3
- 125000004592 phthalazinyl group Chemical group C1(=NN=CC2=CC=CC=C12)* 0.000 description 3
- 229960003975 potassium Drugs 0.000 description 3
- 239000011591 potassium Substances 0.000 description 3
- 229910052700 potassium Inorganic materials 0.000 description 3
- NTTOTNSKUYCDAV-UHFFFAOYSA-N potassium hydride Chemical compound [KH] NTTOTNSKUYCDAV-UHFFFAOYSA-N 0.000 description 3
- 229910000105 potassium hydride Inorganic materials 0.000 description 3
- 238000000634 powder X-ray diffraction Methods 0.000 description 3
- 125000003373 pyrazinyl group Chemical group 0.000 description 3
- 125000002206 pyridazin-3-yl group Chemical group [H]C1=C([H])C([H])=C(*)N=N1 0.000 description 3
- 125000000246 pyrimidin-2-yl group Chemical group [H]C1=NC(*)=NC([H])=C1[H] 0.000 description 3
- 125000002294 quinazolinyl group Chemical group N1=C(N=CC2=CC=CC=C12)* 0.000 description 3
- 125000005493 quinolyl group Chemical group 0.000 description 3
- 125000001567 quinoxalinyl group Chemical group N1=C(C=NC2=CC=CC=C12)* 0.000 description 3
- 230000005855 radiation Effects 0.000 description 3
- 238000001953 recrystallisation Methods 0.000 description 3
- 208000037803 restenosis Diseases 0.000 description 3
- 239000011734 sodium Substances 0.000 description 3
- 229910052708 sodium Inorganic materials 0.000 description 3
- QDRKDTQENPPHOJ-UHFFFAOYSA-N sodium ethoxide Chemical compound [Na+].CC[O-] QDRKDTQENPPHOJ-UHFFFAOYSA-N 0.000 description 3
- 159000000000 sodium salts Chemical class 0.000 description 3
- 239000007787 solid Substances 0.000 description 3
- 239000000243 solution Substances 0.000 description 3
- 239000007858 starting material Substances 0.000 description 3
- 239000011975 tartaric acid Substances 0.000 description 3
- 235000002906 tartaric acid Nutrition 0.000 description 3
- 229940126585 therapeutic drug Drugs 0.000 description 3
- 230000002485 urinary effect Effects 0.000 description 3
- 208000022934 urinary frequency Diseases 0.000 description 3
- 230000036318 urination frequency Effects 0.000 description 3
- WAAPEIZFCHNLKK-UFBFGSQYSA-N (2s,4s)-6-fluoro-2',5'-dioxospiro[2,3-dihydrochromene-4,4'-imidazolidine]-2-carboxamide Chemical compound C([C@H](OC1=CC=C(F)C=C11)C(=O)N)[C@@]21NC(=O)NC2=O WAAPEIZFCHNLKK-UFBFGSQYSA-N 0.000 description 2
- 125000004738 (C1-C6) alkyl sulfinyl group Chemical group 0.000 description 2
- 125000004845 (C1-C6) alkylsulfonylamino group Chemical group 0.000 description 2
- 125000001359 1,2,3-triazol-4-yl group Chemical group [H]N1N=NC([*])=C1[H] 0.000 description 2
- 125000001766 1,2,4-oxadiazol-3-yl group Chemical group [H]C1=NC(*)=NO1 0.000 description 2
- 125000004505 1,2,4-oxadiazol-5-yl group Chemical group O1N=CN=C1* 0.000 description 2
- 125000004515 1,2,4-thiadiazol-3-yl group Chemical group S1N=C(N=C1)* 0.000 description 2
- 125000004516 1,2,4-thiadiazol-5-yl group Chemical group S1N=CN=C1* 0.000 description 2
- 125000001305 1,2,4-triazol-3-yl group Chemical group [H]N1N=C([*])N=C1[H] 0.000 description 2
- AWMIIHLZSKHRED-UHFFFAOYSA-N 1-(4-amino-2-propan-2-ylquinolin-6-yl)-3-(2-phenylpiperidin-3-yl)urea Chemical compound C1=CC2=NC(C(C)C)=CC(N)=C2C=C1NC(=O)NC1CCCNC1C1=CC=CC=C1 AWMIIHLZSKHRED-UHFFFAOYSA-N 0.000 description 2
- ZDJFLHCNTGAWQS-JYFHCDHNSA-N 1-[(3r,4r)-1-(1-acetylpiperidine-4-carbonyl)-3-(3,4-dichlorophenyl)piperidin-4-yl]-3-[3,5-bis(trifluoromethyl)phenyl]-1,3-dimethylurea Chemical compound C1([C@@H]2CN(CC[C@H]2N(C)C(=O)N(C)C=2C=C(C=C(C=2)C(F)(F)F)C(F)(F)F)C(=O)C2CCN(CC2)C(C)=O)=CC=C(Cl)C(Cl)=C1 ZDJFLHCNTGAWQS-JYFHCDHNSA-N 0.000 description 2
- BDRJTJRYTHZXHG-RPLLCQBOSA-N 1-[(3r,4r)-1-(1-acetylpiperidine-4-carbonyl)-3-(3,4-dichlorophenyl)piperidin-4-yl]-3-[[3,5-bis(trifluoromethyl)phenyl]methyl]imidazolidin-2-one Chemical compound C1CN(C(=O)C)CCC1C(=O)N1C[C@@H](C=2C=C(Cl)C(Cl)=CC=2)[C@H](N2C(N(CC=3C=C(C=C(C=3)C(F)(F)F)C(F)(F)F)CC2)=O)CC1 BDRJTJRYTHZXHG-RPLLCQBOSA-N 0.000 description 2
- YHDHKSRBPQXYMY-AHKZPQOWSA-N 1-[(3r,4r)-1-(1-acetylpiperidine-4-carbonyl)-3-(4-chloro-3-methylphenyl)piperidin-4-yl]-3-[3,5-bis(trifluoromethyl)phenyl]-1,3-dimethylurea Chemical compound C1([C@@H]2CN(CC[C@H]2N(C)C(=O)N(C)C=2C=C(C=C(C=2)C(F)(F)F)C(F)(F)F)C(=O)C2CCN(CC2)C(C)=O)=CC=C(Cl)C(C)=C1 YHDHKSRBPQXYMY-AHKZPQOWSA-N 0.000 description 2
- RBRDVMQNTQBANG-IZZNHLLZSA-N 1-[(3r,4r)-1-(1-acetylpiperidine-4-carbonyl)-3-(4-fluorophenyl)piperidin-4-yl]-3-[3,5-bis(trifluoromethyl)phenyl]-1,3-dimethylurea Chemical compound C1([C@@H]2CN(CC[C@H]2N(C)C(=O)N(C)C=2C=C(C=C(C=2)C(F)(F)F)C(F)(F)F)C(=O)C2CCN(CC2)C(C)=O)=CC=C(F)C=C1 RBRDVMQNTQBANG-IZZNHLLZSA-N 0.000 description 2
- QDYITKYHSYRDIY-XZWHSSHBSA-N 1-[(3r,4r)-1-(1-benzoylpiperidine-4-carbonyl)-3-(4-fluorophenyl)piperidin-4-yl]-3-[3,5-bis(trifluoromethyl)phenyl]-1,3-dimethylurea Chemical compound C1([C@@H]2CN(CC[C@H]2N(C)C(=O)N(C)C=2C=C(C=C(C=2)C(F)(F)F)C(F)(F)F)C(=O)C2CCN(CC2)C(=O)C=2C=CC=CC=2)=CC=C(F)C=C1 QDYITKYHSYRDIY-XZWHSSHBSA-N 0.000 description 2
- CLYVHBZQTYALHB-RRPNLBNLSA-N 1-[(3r,4r)-1-[(1-acetylpiperidin-4-yl)methyl]-3-(4-fluorophenyl)piperidin-4-yl]-3-[3,5-bis(trifluoromethyl)phenyl]-1,3-dimethylurea Chemical compound C([C@H]([C@@H](C1)C=2C=CC(F)=CC=2)N(C)C(=O)N(C)C=2C=C(C=C(C=2)C(F)(F)F)C(F)(F)F)CN1CC1CCN(C(C)=O)CC1 CLYVHBZQTYALHB-RRPNLBNLSA-N 0.000 description 2
- CAHGELRDKXVTKA-LOSJGSFVSA-N 1-[(3s,4r)-1-(1-acetylpiperidine-4-carbonyl)-4-(4-fluorophenyl)pyrrolidin-3-yl]-3-[3,5-bis(trifluoromethyl)phenyl]-1,3-dimethylurea Chemical compound C1([C@@H]2CN(C[C@H]2N(C)C(=O)N(C)C=2C=C(C=C(C=2)C(F)(F)F)C(F)(F)F)C(=O)C2CCN(CC2)C(C)=O)=CC=C(F)C=C1 CAHGELRDKXVTKA-LOSJGSFVSA-N 0.000 description 2
- 125000004173 1-benzimidazolyl group Chemical group [H]C1=NC2=C([H])C([H])=C([H])C([H])=C2N1* 0.000 description 2
- 125000001088 1-naphthoyl group Chemical group C1(=CC=CC2=CC=CC=C12)C(=O)* 0.000 description 2
- 125000000579 2,2-diphenylethyl group Chemical group [H]C1=C([H])C([H])=C(C([H])=C1[H])C([H])(C1=C([H])C([H])=C([H])C([H])=C1[H])C([H])([H])* 0.000 description 2
- FHEYFIGWYQJVDR-ACJLOTCBSA-N 2-[[3-[(2r)-2-[[(2r)-2-(3-chlorophenyl)-2-hydroxyethyl]amino]propyl]-1h-indol-7-yl]oxy]acetic acid Chemical compound C1([C@@H](O)CN[C@@H](CC=2C3=CC=CC(OCC(O)=O)=C3NC=2)C)=CC=CC(Cl)=C1 FHEYFIGWYQJVDR-ACJLOTCBSA-N 0.000 description 2
- 125000004174 2-benzimidazolyl group Chemical group [H]N1C(*)=NC2=C([H])C([H])=C([H])C([H])=C12 0.000 description 2
- 125000001216 2-naphthoyl group Chemical group C1=C(C=CC2=CC=CC=C12)C(=O)* 0.000 description 2
- 125000000094 2-phenylethyl group Chemical group [H]C1=C([H])C([H])=C(C([H])=C1[H])C([H])([H])C([H])([H])* 0.000 description 2
- 125000003903 2-propenyl group Chemical group [H]C([*])([H])C([H])=C([H])[H] 0.000 description 2
- 125000001494 2-propynyl group Chemical group [H]C#CC([H])([H])* 0.000 description 2
- 125000006201 3-phenylpropyl group Chemical group [H]C1=C([H])C([H])=C(C([H])=C1[H])C([H])([H])C([H])([H])C([H])([H])* 0.000 description 2
- OSWFIVFLDKOXQC-UHFFFAOYSA-N 4-(3-methoxyphenyl)aniline Chemical compound COC1=CC=CC(C=2C=CC(N)=CC=2)=C1 OSWFIVFLDKOXQC-UHFFFAOYSA-N 0.000 description 2
- 125000004539 5-benzimidazolyl group Chemical group N1=CNC2=C1C=CC(=C2)* 0.000 description 2
- IKHGUXGNUITLKF-UHFFFAOYSA-N Acetaldehyde Chemical compound CC=O IKHGUXGNUITLKF-UHFFFAOYSA-N 0.000 description 2
- KWOLFJPFCHCOCG-UHFFFAOYSA-N Acetophenone Chemical compound CC(=O)C1=CC=CC=C1 KWOLFJPFCHCOCG-UHFFFAOYSA-N 0.000 description 2
- 206010004446 Benign prostatic hyperplasia Diseases 0.000 description 2
- CNXCZQWMYZSUHQ-HZVPBQBQSA-N C1([C@@H]2CN(CC[C@H]2N(C)C(=O)N(C)C=2C=C(C=C(C=2)C(F)(F)F)C(F)(F)F)C(=O)[C@@H]2CC[C@H](CC2)NC(C)=O)=CC=C(F)C=C1 Chemical compound C1([C@@H]2CN(CC[C@H]2N(C)C(=O)N(C)C=2C=C(C=C(C=2)C(F)(F)F)C(F)(F)F)C(=O)[C@@H]2CC[C@H](CC2)NC(C)=O)=CC=C(F)C=C1 CNXCZQWMYZSUHQ-HZVPBQBQSA-N 0.000 description 2
- ZYUZLEUJKZZXNN-UHFFFAOYSA-N C1=CC(CC(N)C(O)=O)=CC=C1OS(=O)(=O)C1=CC=C(C=CC=C2)C2=C1 Chemical group C1=CC(CC(N)C(O)=O)=CC=C1OS(=O)(=O)C1=CC=C(C=CC=C2)C2=C1 ZYUZLEUJKZZXNN-UHFFFAOYSA-N 0.000 description 2
- 125000000882 C2-C6 alkenyl group Chemical group 0.000 description 2
- 125000003601 C2-C6 alkynyl group Chemical group 0.000 description 2
- 125000005914 C6-C14 aryloxy group Chemical group 0.000 description 2
- VTYYLEPIZMXCLO-UHFFFAOYSA-L Calcium carbonate Chemical compound [Ca+2].[O-]C([O-])=O VTYYLEPIZMXCLO-UHFFFAOYSA-L 0.000 description 2
- 241000282472 Canis lupus familiaris Species 0.000 description 2
- 239000004215 Carbon black (E152) Substances 0.000 description 2
- 229920002134 Carboxymethyl cellulose Polymers 0.000 description 2
- 206010008190 Cerebrovascular accident Diseases 0.000 description 2
- 108010005939 Ciliary Neurotrophic Factor Proteins 0.000 description 2
- 102100031614 Ciliary neurotrophic factor Human genes 0.000 description 2
- 206010009900 Colitis ulcerative Diseases 0.000 description 2
- 206010009944 Colon cancer Diseases 0.000 description 2
- 208000001333 Colorectal Neoplasms Diseases 0.000 description 2
- 206010010774 Constipation Diseases 0.000 description 2
- YVIXXPCJZAUQHJ-YGRLFVJLSA-N Cp-114271 Chemical compound C([C@@H](C)NC[C@H](O)C=1N=C(SC=1)C(F)(F)F)C1=CC=C(OCC(O)=O)C=C1 YVIXXPCJZAUQHJ-YGRLFVJLSA-N 0.000 description 2
- 208000011231 Crohn disease Diseases 0.000 description 2
- 208000002249 Diabetes Complications Diseases 0.000 description 2
- 208000032131 Diabetic Neuropathies Diseases 0.000 description 2
- 206010012655 Diabetic complications Diseases 0.000 description 2
- XBPCUCUWBYBCDP-UHFFFAOYSA-N Dicyclohexylamine Chemical compound C1CCCCC1NC1CCCCC1 XBPCUCUWBYBCDP-UHFFFAOYSA-N 0.000 description 2
- AOJJSUZBOXZQNB-TZSSRYMLSA-N Doxorubicin Chemical compound O([C@H]1C[C@@](O)(CC=2C(O)=C3C(=O)C=4C=CC=C(C=4C(=O)C3=C(O)C=21)OC)C(=O)CO)[C@H]1C[C@H](N)[C@H](O)[C@H](C)O1 AOJJSUZBOXZQNB-TZSSRYMLSA-N 0.000 description 2
- 208000008967 Enuresis Diseases 0.000 description 2
- VGGSQFUCUMXWEO-UHFFFAOYSA-N Ethene Chemical compound C=C VGGSQFUCUMXWEO-UHFFFAOYSA-N 0.000 description 2
- QUSNBJAOOMFDIB-UHFFFAOYSA-N Ethylamine Chemical compound CCN QUSNBJAOOMFDIB-UHFFFAOYSA-N 0.000 description 2
- 239000005977 Ethylene Substances 0.000 description 2
- 241000282326 Felis catus Species 0.000 description 2
- WSFSSNUMVMOOMR-UHFFFAOYSA-N Formaldehyde Chemical compound O=C WSFSSNUMVMOOMR-UHFFFAOYSA-N 0.000 description 2
- OAKJQQAXSVQMHS-UHFFFAOYSA-N Hydrazine Chemical compound NN OAKJQQAXSVQMHS-UHFFFAOYSA-N 0.000 description 2
- 102000004877 Insulin Human genes 0.000 description 2
- 108090001061 Insulin Proteins 0.000 description 2
- XEEYBQQBJWHFJM-UHFFFAOYSA-N Iron Chemical compound [Fe] XEEYBQQBJWHFJM-UHFFFAOYSA-N 0.000 description 2
- 208000007766 Kaposi sarcoma Diseases 0.000 description 2
- 239000002841 Lewis acid Substances 0.000 description 2
- 206010071289 Lower urinary tract symptoms Diseases 0.000 description 2
- FYYHWMGAXLPEAU-UHFFFAOYSA-N Magnesium Chemical compound [Mg] FYYHWMGAXLPEAU-UHFFFAOYSA-N 0.000 description 2
- XUMBMVFBXHLACL-UHFFFAOYSA-N Melanin Chemical compound O=C1C(=O)C(C2=CNC3=C(C(C(=O)C4=C32)=O)C)=C2C4=CNC2=C1C XUMBMVFBXHLACL-UHFFFAOYSA-N 0.000 description 2
- 241001465754 Metazoa Species 0.000 description 2
- BAVYZALUXZFZLV-UHFFFAOYSA-N Methylamine Chemical compound NC BAVYZALUXZFZLV-UHFFFAOYSA-N 0.000 description 2
- 229940121948 Muscarinic receptor antagonist Drugs 0.000 description 2
- 208000003926 Myelitis Diseases 0.000 description 2
- FXHOOIRPVKKKFG-UHFFFAOYSA-N N,N-Dimethylacetamide Chemical compound CN(C)C(C)=O FXHOOIRPVKKKFG-UHFFFAOYSA-N 0.000 description 2
- 150000004008 N-nitroso compounds Chemical class 0.000 description 2
- 108010025020 Nerve Growth Factor Proteins 0.000 description 2
- 108090000189 Neuropeptides Proteins 0.000 description 2
- 241000283973 Oryctolagus cuniculus Species 0.000 description 2
- 208000000450 Pelvic Pain Diseases 0.000 description 2
- 206010061339 Perineal pain Diseases 0.000 description 2
- 206010035664 Pneumonia Diseases 0.000 description 2
- 208000008601 Polycythemia Diseases 0.000 description 2
- 208000004880 Polyuria Diseases 0.000 description 2
- 208000004403 Prostatic Hyperplasia Diseases 0.000 description 2
- 208000003251 Pruritus Diseases 0.000 description 2
- 201000004681 Psoriasis Diseases 0.000 description 2
- 208000006294 Pudendal Neuralgia Diseases 0.000 description 2
- 241000700159 Rattus Species 0.000 description 2
- 206010039085 Rhinitis allergic Diseases 0.000 description 2
- YASAKCUCGLMORW-UHFFFAOYSA-N Rosiglitazone Chemical compound C=1C=CC=NC=1N(C)CCOC(C=C1)=CC=C1CC1SC(=O)NC1=O YASAKCUCGLMORW-UHFFFAOYSA-N 0.000 description 2
- 206010039757 Scrotal pain Diseases 0.000 description 2
- 102000000070 Sodium-Glucose Transport Proteins Human genes 0.000 description 2
- 108010080361 Sodium-Glucose Transport Proteins Proteins 0.000 description 2
- 229920002472 Starch Polymers 0.000 description 2
- 208000006011 Stroke Diseases 0.000 description 2
- KDYFGRWQOYBRFD-UHFFFAOYSA-N Succinic acid Natural products OC(=O)CCC(O)=O KDYFGRWQOYBRFD-UHFFFAOYSA-N 0.000 description 2
- 102000003141 Tachykinin Human genes 0.000 description 2
- 208000009205 Tinnitus Diseases 0.000 description 2
- GSEJCLTVZPLZKY-UHFFFAOYSA-N Triethanolamine Chemical compound OCCN(CCO)CCO GSEJCLTVZPLZKY-UHFFFAOYSA-N 0.000 description 2
- 201000006704 Ulcerative Colitis Diseases 0.000 description 2
- 206010046461 Urethral pain Diseases 0.000 description 2
- 206010062225 Urinary tract pain Diseases 0.000 description 2
- HCHKCACWOHOZIP-UHFFFAOYSA-N Zinc Chemical compound [Zn] HCHKCACWOHOZIP-UHFFFAOYSA-N 0.000 description 2
- 230000002159 abnormal effect Effects 0.000 description 2
- 150000008065 acid anhydrides Chemical class 0.000 description 2
- 239000012042 active reagent Substances 0.000 description 2
- 125000001980 alanyl group Chemical group 0.000 description 2
- 150000001299 aldehydes Chemical class 0.000 description 2
- 229910000288 alkali metal carbonate Inorganic materials 0.000 description 2
- 150000008041 alkali metal carbonates Chemical class 0.000 description 2
- 150000001340 alkali metals Chemical class 0.000 description 2
- 150000001342 alkaline earth metals Chemical class 0.000 description 2
- 125000003342 alkenyl group Chemical group 0.000 description 2
- 150000004703 alkoxides Chemical class 0.000 description 2
- 125000005194 alkoxycarbonyloxy group Chemical group 0.000 description 2
- 125000005196 alkyl carbonyloxy group Chemical group 0.000 description 2
- 125000005281 alkyl ureido group Chemical group 0.000 description 2
- 125000005530 alkylenedioxy group Chemical group 0.000 description 2
- 125000000304 alkynyl group Chemical group 0.000 description 2
- 201000010105 allergic rhinitis Diseases 0.000 description 2
- HSFWRNGVRCDJHI-UHFFFAOYSA-N alpha-acetylene Natural products C#C HSFWRNGVRCDJHI-UHFFFAOYSA-N 0.000 description 2
- AZDRQVAHHNSJOQ-UHFFFAOYSA-N alumane Chemical class [AlH3] AZDRQVAHHNSJOQ-UHFFFAOYSA-N 0.000 description 2
- 206010002026 amyotrophic lateral sclerosis Diseases 0.000 description 2
- 239000000883 anti-obesity agent Substances 0.000 description 2
- 239000002246 antineoplastic agent Substances 0.000 description 2
- 125000005099 aryl alkyl carbonyl group Chemical group 0.000 description 2
- 125000005199 aryl carbonyloxy group Chemical group 0.000 description 2
- 125000005162 aryl oxy carbonyl amino group Chemical group 0.000 description 2
- 125000004657 aryl sulfonyl amino group Chemical group 0.000 description 2
- 125000004391 aryl sulfonyl group Chemical group 0.000 description 2
- 125000005110 aryl thio group Chemical group 0.000 description 2
- 208000006673 asthma Diseases 0.000 description 2
- 125000003725 azepanyl group Chemical group 0.000 description 2
- 125000002393 azetidinyl group Chemical group 0.000 description 2
- 125000004069 aziridinyl group Chemical group 0.000 description 2
- 159000000009 barium salts Chemical class 0.000 description 2
- HUMNYLRZRPPJDN-UHFFFAOYSA-N benzaldehyde Chemical compound O=CC1=CC=CC=C1 HUMNYLRZRPPJDN-UHFFFAOYSA-N 0.000 description 2
- JUHORIMYRDESRB-UHFFFAOYSA-N benzathine Chemical compound C=1C=CC=CC=1CNCCNCC1=CC=CC=C1 JUHORIMYRDESRB-UHFFFAOYSA-N 0.000 description 2
- SRSXLGNVWSONIS-UHFFFAOYSA-N benzenesulfonic acid Chemical compound OS(=O)(=O)C1=CC=CC=C1 SRSXLGNVWSONIS-UHFFFAOYSA-N 0.000 description 2
- 229940092714 benzenesulfonic acid Drugs 0.000 description 2
- 230000004071 biological effect Effects 0.000 description 2
- 210000004369 blood Anatomy 0.000 description 2
- 239000008280 blood Substances 0.000 description 2
- 210000000988 bone and bone Anatomy 0.000 description 2
- WTEOIRVLGSZEPR-UHFFFAOYSA-N boron trifluoride Chemical compound FB(F)F WTEOIRVLGSZEPR-UHFFFAOYSA-N 0.000 description 2
- 239000000872 buffer Substances 0.000 description 2
- KDYFGRWQOYBRFD-NUQCWPJISA-N butanedioic acid Chemical compound O[14C](=O)CC[14C](O)=O KDYFGRWQOYBRFD-NUQCWPJISA-N 0.000 description 2
- 125000006251 butylcarbonyl group Chemical group 0.000 description 2
- 159000000007 calcium salts Chemical class 0.000 description 2
- 201000011510 cancer Diseases 0.000 description 2
- YKPUWZUDDOIDPM-SOFGYWHQSA-N capsaicin Chemical compound COC1=CC(CNC(=O)CCCC\C=C\C(C)C)=CC=C1O YKPUWZUDDOIDPM-SOFGYWHQSA-N 0.000 description 2
- 239000002775 capsule Substances 0.000 description 2
- 238000005810 carbonylation reaction Methods 0.000 description 2
- PFKFTWBEEFSNDU-UHFFFAOYSA-N carbonyldiimidazole Chemical compound C1=CN=CN1C(=O)N1C=CN=C1 PFKFTWBEEFSNDU-UHFFFAOYSA-N 0.000 description 2
- 239000001768 carboxy methyl cellulose Substances 0.000 description 2
- 235000010948 carboxy methyl cellulose Nutrition 0.000 description 2
- 239000008112 carboxymethyl-cellulose Substances 0.000 description 2
- 210000003169 central nervous system Anatomy 0.000 description 2
- HVYWMOMLDIMFJA-DPAQBDIFSA-N cholesterol Chemical compound C1C=C2C[C@@H](O)CC[C@]2(C)[C@@H]2[C@@H]1[C@@H]1CC[C@H]([C@H](C)CCCC(C)C)[C@@]1(C)CC2 HVYWMOMLDIMFJA-DPAQBDIFSA-N 0.000 description 2
- 239000000812 cholinergic antagonist Substances 0.000 description 2
- 238000004587 chromatography analysis Methods 0.000 description 2
- 230000001684 chronic effect Effects 0.000 description 2
- KMPWYEUPVWOPIM-KODHJQJWSA-N cinchonidine Chemical compound C1=CC=C2C([C@H]([C@H]3[N@]4CC[C@H]([C@H](C4)C=C)C3)O)=CC=NC2=C1 KMPWYEUPVWOPIM-KODHJQJWSA-N 0.000 description 2
- KMPWYEUPVWOPIM-UHFFFAOYSA-N cinchonidine Natural products C1=CC=C2C(C(C3N4CCC(C(C4)C=C)C3)O)=CC=NC2=C1 KMPWYEUPVWOPIM-UHFFFAOYSA-N 0.000 description 2
- 125000000259 cinnolinyl group Chemical group N1=NC(=CC2=CC=CC=C12)* 0.000 description 2
- 238000004440 column chromatography Methods 0.000 description 2
- 238000007796 conventional method Methods 0.000 description 2
- 238000001816 cooling Methods 0.000 description 2
- 125000004122 cyclic group Chemical group 0.000 description 2
- 125000000753 cycloalkyl group Chemical group 0.000 description 2
- JHIVVAPYMSGYDF-UHFFFAOYSA-N cyclohexanone Chemical compound O=C1CCCCC1 JHIVVAPYMSGYDF-UHFFFAOYSA-N 0.000 description 2
- PAFZNILMFXTMIY-UHFFFAOYSA-N cyclohexylamine Chemical compound NC1CCCCC1 PAFZNILMFXTMIY-UHFFFAOYSA-N 0.000 description 2
- 230000006378 damage Effects 0.000 description 2
- 206010012601 diabetes mellitus Diseases 0.000 description 2
- 125000005959 diazepanyl group Chemical group 0.000 description 2
- ZBCBWPMODOFKDW-UHFFFAOYSA-N diethanolamine Chemical compound OCCNCCO ZBCBWPMODOFKDW-UHFFFAOYSA-N 0.000 description 2
- 238000000113 differential scanning calorimetry Methods 0.000 description 2
- XBDQKXXYIPTUBI-UHFFFAOYSA-N dimethylselenoniopropionate Natural products CCC(O)=O XBDQKXXYIPTUBI-UHFFFAOYSA-N 0.000 description 2
- 125000005982 diphenylmethyl group Chemical group [H]C1=C([H])C([H])=C(C([H])=C1[H])C([H])(*)C1=C([H])C([H])=C([H])C([H])=C1[H] 0.000 description 2
- FUZBPOHHSBDTJQ-CFOQQKEYSA-L disodium;5-[(2r)-2-[[(2r)-2-(3-chlorophenyl)-2-hydroxyethyl]amino]propyl]-1,3-benzodioxole-2,2-dicarboxylate Chemical compound [Na+].[Na+].C1([C@@H](O)CN[C@@H](CC=2C=C3OC(OC3=CC=2)(C([O-])=O)C([O-])=O)C)=CC=CC(Cl)=C1 FUZBPOHHSBDTJQ-CFOQQKEYSA-L 0.000 description 2
- 208000009190 disseminated intravascular coagulation Diseases 0.000 description 2
- 238000004821 distillation Methods 0.000 description 2
- 230000004064 dysfunction Effects 0.000 description 2
- 125000002534 ethynyl group Chemical group [H]C#C* 0.000 description 2
- 235000019253 formic acid Nutrition 0.000 description 2
- 235000011087 fumaric acid Nutrition 0.000 description 2
- 125000000524 functional group Chemical group 0.000 description 2
- 210000004211 gastric acid Anatomy 0.000 description 2
- 208000021302 gastroesophageal reflux disease Diseases 0.000 description 2
- 210000004392 genitalia Anatomy 0.000 description 2
- 125000000350 glycoloyl group Chemical group O=C([*])C([H])([H])O[H] 0.000 description 2
- 208000006454 hepatitis Diseases 0.000 description 2
- 125000001072 heteroaryl group Chemical group 0.000 description 2
- 230000001631 hypertensive effect Effects 0.000 description 2
- 125000005946 imidazo[1,2-a]pyridyl group Chemical group 0.000 description 2
- 125000002636 imidazolinyl group Chemical group 0.000 description 2
- 125000001841 imino group Chemical group [H]N=* 0.000 description 2
- 125000003453 indazolyl group Chemical group N1N=C(C2=C1C=CC=C2)* 0.000 description 2
- 125000003387 indolinyl group Chemical group N1(CCC2=CC=CC=C12)* 0.000 description 2
- 208000015181 infectious disease Diseases 0.000 description 2
- 230000002757 inflammatory effect Effects 0.000 description 2
- 230000002401 inhibitory effect Effects 0.000 description 2
- 238000002347 injection Methods 0.000 description 2
- 239000007924 injection Substances 0.000 description 2
- 229940125396 insulin Drugs 0.000 description 2
- 230000000302 ischemic effect Effects 0.000 description 2
- 125000000904 isoindolyl group Chemical group C=1(NC=C2C=CC=CC12)* 0.000 description 2
- 238000002955 isolation Methods 0.000 description 2
- 125000000555 isopropenyl group Chemical group [H]\C([H])=C(\*)C([H])([H])[H] 0.000 description 2
- 125000001786 isothiazolyl group Chemical group 0.000 description 2
- 125000000842 isoxazolyl group Chemical group 0.000 description 2
- 150000007517 lewis acids Chemical class 0.000 description 2
- 239000007788 liquid Substances 0.000 description 2
- 229910052744 lithium Inorganic materials 0.000 description 2
- 239000012280 lithium aluminium hydride Substances 0.000 description 2
- 208000019423 liver disease Diseases 0.000 description 2
- 231100000053 low toxicity Toxicity 0.000 description 2
- 239000011777 magnesium Substances 0.000 description 2
- 229910052749 magnesium Inorganic materials 0.000 description 2
- 159000000003 magnesium salts Chemical class 0.000 description 2
- HQKMJHAJHXVSDF-UHFFFAOYSA-L magnesium stearate Chemical compound [Mg+2].CCCCCCCCCCCCCCCCCC([O-])=O.CCCCCCCCCCCCCCCCCC([O-])=O HQKMJHAJHXVSDF-UHFFFAOYSA-L 0.000 description 2
- IWYDHOAUDWTVEP-UHFFFAOYSA-N mandelic acid Chemical compound OC(=O)C(O)C1=CC=CC=C1 IWYDHOAUDWTVEP-UHFFFAOYSA-N 0.000 description 2
- 230000010534 mechanism of action Effects 0.000 description 2
- 239000000155 melt Substances 0.000 description 2
- 125000006216 methylsulfinyl group Chemical group [H]C([H])([H])S(*)=O 0.000 description 2
- 230000027939 micturition Effects 0.000 description 2
- 239000002808 molecular sieve Substances 0.000 description 2
- 125000004573 morpholin-4-yl group Chemical group N1(CCOCC1)* 0.000 description 2
- 125000004108 n-butyl group Chemical group [H]C([H])([H])C([H])([H])C([H])([H])C([H])([H])* 0.000 description 2
- 125000004123 n-propyl group Chemical group [H]C([H])([H])C([H])([H])C([H])([H])* 0.000 description 2
- 125000001624 naphthyl group Chemical group 0.000 description 2
- 229960000698 nateglinide Drugs 0.000 description 2
- OELFLUMRDSZNSF-BRWVUGGUSA-N nateglinide Chemical compound C1C[C@@H](C(C)C)CC[C@@H]1C(=O)N[C@@H](C(O)=O)CC1=CC=CC=C1 OELFLUMRDSZNSF-BRWVUGGUSA-N 0.000 description 2
- QJGQUHMNIGDVPM-UHFFFAOYSA-N nitrogen group Chemical group [N] QJGQUHMNIGDVPM-UHFFFAOYSA-N 0.000 description 2
- 238000007034 nitrosation reaction Methods 0.000 description 2
- CTSLXHKWHWQRSH-UHFFFAOYSA-N oxalyl chloride Chemical compound ClC(=O)C(Cl)=O CTSLXHKWHWQRSH-UHFFFAOYSA-N 0.000 description 2
- 125000003854 p-chlorophenyl group Chemical group [H]C1=C([H])C(*)=C([H])C([H])=C1Cl 0.000 description 2
- 125000006678 phenoxycarbonyl group Chemical group 0.000 description 2
- DHHVAGZRUROJKS-UHFFFAOYSA-N phentermine Chemical compound CC(C)(N)CC1=CC=CC=C1 DHHVAGZRUROJKS-UHFFFAOYSA-N 0.000 description 2
- 125000003170 phenylsulfonyl group Chemical group C1(=CC=CC=C1)S(=O)(=O)* 0.000 description 2
- 230000004962 physiological condition Effects 0.000 description 2
- SCVFZCLFOSHCOH-UHFFFAOYSA-M potassium acetate Chemical compound [K+].CC([O-])=O SCVFZCLFOSHCOH-UHFFFAOYSA-M 0.000 description 2
- XAEFZNCEHLXOMS-UHFFFAOYSA-M potassium benzoate Chemical compound [K+].[O-]C(=O)C1=CC=CC=C1 XAEFZNCEHLXOMS-UHFFFAOYSA-M 0.000 description 2
- 239000000843 powder Substances 0.000 description 2
- 125000002924 primary amino group Chemical group [H]N([H])* 0.000 description 2
- 102000004196 processed proteins & peptides Human genes 0.000 description 2
- 239000000047 product Substances 0.000 description 2
- 229940043274 prophylactic drug Drugs 0.000 description 2
- 125000004309 pyranyl group Chemical group O1C(C=CC=C1)* 0.000 description 2
- 125000002098 pyridazinyl group Chemical group 0.000 description 2
- 125000004528 pyrimidin-5-yl group Chemical group N1=CN=CC(=C1)* 0.000 description 2
- 230000009467 reduction Effects 0.000 description 2
- 208000023504 respiratory system disease Diseases 0.000 description 2
- 206010039073 rheumatoid arthritis Diseases 0.000 description 2
- 229920006395 saturated elastomer Polymers 0.000 description 2
- 229930195734 saturated hydrocarbon Natural products 0.000 description 2
- 230000035807 sensation Effects 0.000 description 2
- 230000037152 sensory function Effects 0.000 description 2
- 125000003808 silyl group Chemical group [H][Si]([H])([H])[*] 0.000 description 2
- URGAHOPLAPQHLN-UHFFFAOYSA-N sodium aluminosilicate Chemical compound [Na+].[Al+3].[O-][Si]([O-])=O.[O-][Si]([O-])=O URGAHOPLAPQHLN-UHFFFAOYSA-N 0.000 description 2
- 239000012279 sodium borohydride Substances 0.000 description 2
- 229910000033 sodium borohydride Inorganic materials 0.000 description 2
- BEOOHQFXGBMRKU-UHFFFAOYSA-N sodium cyanoborohydride Chemical compound [Na+].[B-]C#N BEOOHQFXGBMRKU-UHFFFAOYSA-N 0.000 description 2
- 235000009518 sodium iodide Nutrition 0.000 description 2
- LPXPTNMVRIOKMN-UHFFFAOYSA-M sodium nitrite Chemical compound [Na+].[O-]N=O LPXPTNMVRIOKMN-UHFFFAOYSA-M 0.000 description 2
- MFRIHAYPQRLWNB-UHFFFAOYSA-N sodium tert-butoxide Chemical compound [Na+].CC(C)(C)[O-] MFRIHAYPQRLWNB-UHFFFAOYSA-N 0.000 description 2
- 239000012321 sodium triacetoxyborohydride Substances 0.000 description 2
- 239000008107 starch Substances 0.000 description 2
- 235000019698 starch Nutrition 0.000 description 2
- 150000003460 sulfonic acids Chemical class 0.000 description 2
- 239000003826 tablet Substances 0.000 description 2
- 108060008037 tachykinin Proteins 0.000 description 2
- 239000000454 talc Substances 0.000 description 2
- 229910052623 talc Inorganic materials 0.000 description 2
- 235000012222 talc Nutrition 0.000 description 2
- HLOHRUHHPKFARC-UHFFFAOYSA-N tert-butyl 3-[(4-amino-2-propan-2-ylquinolin-6-yl)carbamoylamino]-2-phenylpiperidine-1-carboxylate Chemical compound C1=CC2=NC(C(C)C)=CC(N)=C2C=C1NC(=O)NC1CCCN(C(=O)OC(C)(C)C)C1C1=CC=CC=C1 HLOHRUHHPKFARC-UHFFFAOYSA-N 0.000 description 2
- FPGGTKZVZWFYPV-UHFFFAOYSA-M tetrabutylammonium fluoride Chemical compound [F-].CCCC[N+](CCCC)(CCCC)CCCC FPGGTKZVZWFYPV-UHFFFAOYSA-M 0.000 description 2
- 230000001225 therapeutic effect Effects 0.000 description 2
- 125000003396 thiol group Chemical group [H]S* 0.000 description 2
- FYSNRJHAOHDILO-UHFFFAOYSA-N thionyl chloride Chemical compound ClS(Cl)=O FYSNRJHAOHDILO-UHFFFAOYSA-N 0.000 description 2
- 231100000886 tinnitus Toxicity 0.000 description 2
- QAEDZJGFFMLHHQ-UHFFFAOYSA-N trifluoroacetic anhydride Chemical compound FC(F)(F)C(=O)OC(=O)C(F)(F)F QAEDZJGFFMLHHQ-UHFFFAOYSA-N 0.000 description 2
- 125000002221 trityl group Chemical group [H]C1=C([H])C([H])=C([H])C([H])=C1C([*])(C1=C(C(=C(C(=C1[H])[H])[H])[H])[H])C1=C([H])C([H])=C([H])C([H])=C1[H] 0.000 description 2
- 210000001635 urinary tract Anatomy 0.000 description 2
- 230000002792 vascular Effects 0.000 description 2
- 230000008728 vascular permeability Effects 0.000 description 2
- 125000000391 vinyl group Chemical group [H]C([*])=C([H])[H] 0.000 description 2
- 229920002554 vinyl polymer Polymers 0.000 description 2
- 239000011701 zinc Substances 0.000 description 2
- 229910052725 zinc Inorganic materials 0.000 description 2
- 229940102001 zinc bromide Drugs 0.000 description 2
- JIAARYAFYJHUJI-UHFFFAOYSA-L zinc dichloride Chemical compound [Cl-].[Cl-].[Zn+2] JIAARYAFYJHUJI-UHFFFAOYSA-L 0.000 description 2
- DBGIVFWFUFKIQN-VIFPVBQESA-N (+)-Fenfluramine Chemical compound CCN[C@@H](C)CC1=CC=CC(C(F)(F)F)=C1 DBGIVFWFUFKIQN-VIFPVBQESA-N 0.000 description 1
- DBGIVFWFUFKIQN-UHFFFAOYSA-N (+-)-Fenfluramine Chemical compound CCNC(C)CC1=CC=CC(C(F)(F)F)=C1 DBGIVFWFUFKIQN-UHFFFAOYSA-N 0.000 description 1
- RQEUFEKYXDPUSK-SSDOTTSWSA-N (1R)-1-phenylethanamine Chemical compound C[C@@H](N)C1=CC=CC=C1 RQEUFEKYXDPUSK-SSDOTTSWSA-N 0.000 description 1
- RQEUFEKYXDPUSK-ZETCQYMHSA-N (1S)-1-phenylethanamine Chemical compound C[C@H](N)C1=CC=CC=C1 RQEUFEKYXDPUSK-ZETCQYMHSA-N 0.000 description 1
- XUFXOAAUWZOOIT-SXARVLRPSA-N (2R,3R,4R,5S,6R)-5-[[(2R,3R,4R,5S,6R)-5-[[(2R,3R,4S,5S,6R)-3,4-dihydroxy-6-methyl-5-[[(1S,4R,5S,6S)-4,5,6-trihydroxy-3-(hydroxymethyl)-1-cyclohex-2-enyl]amino]-2-oxanyl]oxy]-3,4-dihydroxy-6-(hydroxymethyl)-2-oxanyl]oxy]-6-(hydroxymethyl)oxane-2,3,4-triol Chemical compound O([C@H]1O[C@H](CO)[C@H]([C@@H]([C@H]1O)O)O[C@H]1O[C@@H]([C@H]([C@H](O)[C@H]1O)N[C@@H]1[C@@H]([C@@H](O)[C@H](O)C(CO)=C1)O)C)[C@@H]1[C@@H](CO)O[C@@H](O)[C@H](O)[C@H]1O XUFXOAAUWZOOIT-SXARVLRPSA-N 0.000 description 1
- FLNYLINBEZROPL-NSOVKSMOSA-N (2s,3s)-2-benzhydryl-n-[(2-methoxyphenyl)methyl]-1-azabicyclo[2.2.2]octan-3-amine Chemical compound COC1=CC=CC=C1CN[C@@H]1[C@H](C(C=2C=CC=CC=2)C=2C=CC=CC=2)N2CCC1CC2 FLNYLINBEZROPL-NSOVKSMOSA-N 0.000 description 1
- ZGGHKIMDNBDHJB-NRFPMOEYSA-M (3R,5S)-fluvastatin sodium Chemical compound [Na+].C12=CC=CC=C2N(C(C)C)C(\C=C\[C@@H](O)C[C@@H](O)CC([O-])=O)=C1C1=CC=C(F)C=C1 ZGGHKIMDNBDHJB-NRFPMOEYSA-M 0.000 description 1
- VWBOQFANCXZMAU-LOSJGSFVSA-N (3ar,7ar)-2-[2-(2-methoxyphenyl)ethanimidoyl]-7,7-diphenyl-1,3,3a,5,6,7a-hexahydroisoindol-4-one Chemical compound COC1=CC=CC=C1CC(=N)N1C[C@@H](C(CCC2=O)(C=3C=CC=CC=3)C=3C=CC=CC=3)[C@@H]2C1 VWBOQFANCXZMAU-LOSJGSFVSA-N 0.000 description 1
- VMDKRSNUUUUARH-MQDBWYGVSA-N (3s)-4-[[(2s)-1-[[(2s)-2-[[(2s)-3-(1h-indol-3-yl)-2-[[2-[[(2s)-2-[[2-(4-sulfooxyphenyl)acetyl]amino]hexanoyl]amino]acetyl]amino]propanoyl]amino]hexanoyl]amino]-1-oxo-3-phenylpropan-2-yl]amino]-3-(methylamino)-4-oxobutanoic acid Chemical compound N([C@@H](CCCC)C(=O)NCC(=O)N[C@@H](CC=1C2=CC=CC=C2NC=1)C(=O)N[C@@H](CCCC)C(=O)NC(=O)[C@H](CC=1C=CC=CC=1)NC(=O)[C@H](CC(O)=O)NC)C(=O)CC1=CC=C(OS(O)(=O)=O)C=C1 VMDKRSNUUUUARH-MQDBWYGVSA-N 0.000 description 1
- BMHZAHGTGIZZCT-LJQANCHMSA-N (4r)-2-[(4-bromo-2-fluorophenyl)methyl]-6-fluorospiro[isoquinoline-4,3'-pyrrolidine]-1,2',3,5'-tetrone Chemical compound C1([C@]2(C(NC(=O)C2)=O)C2=O)=CC(F)=CC=C1C(=O)N2CC1=CC=C(Br)C=C1F BMHZAHGTGIZZCT-LJQANCHMSA-N 0.000 description 1
- 125000006594 (C1-C3) alkylsulfony group Chemical group 0.000 description 1
- 125000006700 (C1-C6) alkylthio group Chemical group 0.000 description 1
- 125000006590 (C2-C6) alkenylene group Chemical group 0.000 description 1
- 125000006553 (C3-C8) cycloalkenyl group Chemical group 0.000 description 1
- AGBQKNBQESQNJD-SSDOTTSWSA-N (R)-lipoic acid Chemical compound OC(=O)CCCC[C@@H]1CCSS1 AGBQKNBQESQNJD-SSDOTTSWSA-N 0.000 description 1
- IWYDHOAUDWTVEP-SSDOTTSWSA-N (R)-mandelic acid Chemical compound OC(=O)[C@H](O)C1=CC=CC=C1 IWYDHOAUDWTVEP-SSDOTTSWSA-N 0.000 description 1
- KWTSXDURSIMDCE-QMMMGPOBSA-N (S)-amphetamine Chemical compound C[C@H](N)CC1=CC=CC=C1 KWTSXDURSIMDCE-QMMMGPOBSA-N 0.000 description 1
- BJEPYKJPYRNKOW-REOHCLBHSA-N (S)-malic acid Chemical compound OC(=O)[C@@H](O)CC(O)=O BJEPYKJPYRNKOW-REOHCLBHSA-N 0.000 description 1
- AKHXXQAIVSMYIS-UHFFFAOYSA-N 1,1-dioxo-3-pentyl-6-(trifluoromethyl)-3,4-dihydro-2h-1$l^{6},2,4-benzothiadiazine-7-sulfonamide Chemical compound FC(F)(F)C1=C(S(N)(=O)=O)C=C2S(=O)(=O)NC(CCCCC)NC2=C1 AKHXXQAIVSMYIS-UHFFFAOYSA-N 0.000 description 1
- 125000001399 1,2,3-triazolyl group Chemical group N1N=NC(=C1)* 0.000 description 1
- 125000001376 1,2,4-triazolyl group Chemical group N1N=C(N=C1)* 0.000 description 1
- 125000004509 1,3,4-oxadiazol-2-yl group Chemical group O1C(=NN=C1)* 0.000 description 1
- 125000004521 1,3,4-thiadiazol-2-yl group Chemical group S1C(=NN=C1)* 0.000 description 1
- BDNKZNFMNDZQMI-UHFFFAOYSA-N 1,3-diisopropylcarbodiimide Chemical compound CC(C)N=C=NC(C)C BDNKZNFMNDZQMI-UHFFFAOYSA-N 0.000 description 1
- 125000000164 1,3-thiazinyl group Chemical group S1C(N=CC=C1)* 0.000 description 1
- 125000000183 1,4-thiazinyl group Chemical group S1C(C=NC=C1)* 0.000 description 1
- ASOKPJOREAFHNY-UHFFFAOYSA-N 1-Hydroxybenzotriazole Chemical compound C1=CC=C2N(O)N=NC2=C1 ASOKPJOREAFHNY-UHFFFAOYSA-N 0.000 description 1
- BOVGTQGAOIONJV-BETUJISGSA-N 1-[(3ar,6as)-3,3a,4,5,6,6a-hexahydro-1h-cyclopenta[c]pyrrol-2-yl]-3-(4-methylphenyl)sulfonylurea Chemical compound C1=CC(C)=CC=C1S(=O)(=O)NC(=O)NN1C[C@H]2CCC[C@H]2C1 BOVGTQGAOIONJV-BETUJISGSA-N 0.000 description 1
- 125000004973 1-butenyl group Chemical group C(=CCC)* 0.000 description 1
- 125000004972 1-butynyl group Chemical group [H]C([H])([H])C([H])([H])C#C* 0.000 description 1
- 125000006021 1-methyl-2-propenyl group Chemical group 0.000 description 1
- YQTCQNIPQMJNTI-UHFFFAOYSA-N 2,2-dimethylpropan-1-one Chemical group CC(C)(C)[C]=O YQTCQNIPQMJNTI-UHFFFAOYSA-N 0.000 description 1
- LBLYYCQCTBFVLH-UHFFFAOYSA-N 2-Methylbenzenesulfonic acid Chemical compound CC1=CC=CC=C1S(O)(=O)=O LBLYYCQCTBFVLH-UHFFFAOYSA-N 0.000 description 1
- CILPHQCEVYJUDN-VWYCJHECSA-N 2-[(1s,2s,5r)-5-methyl-2-propan-2-ylcyclohexyl]oxyacetic acid Chemical compound CC(C)[C@@H]1CC[C@@H](C)C[C@@H]1OCC(O)=O CILPHQCEVYJUDN-VWYCJHECSA-N 0.000 description 1
- ILNRQFBVVQUOLP-UHFFFAOYSA-N 2-[2-[[[4-(2-chlorophenyl)-2-thiazolyl]amino]-oxomethyl]-1-indolyl]acetic acid Chemical compound C=1C2=CC=CC=C2N(CC(=O)O)C=1C(=O)NC(SC=1)=NC=1C1=CC=CC=C1Cl ILNRQFBVVQUOLP-UHFFFAOYSA-N 0.000 description 1
- LUACLLSCZRRTIH-UPHRSURJSA-N 2-[[4-[(z)-4-[4-[(3,5-dioxo-1,2,4-oxadiazolidin-2-yl)methyl]phenoxy]but-2-enoxy]phenyl]methyl]-1,2,4-oxadiazolidine-3,5-dione Chemical compound O1C(=O)NC(=O)N1CC(C=C1)=CC=C1OC\C=C/COC(C=C1)=CC=C1CN1C(=O)NC(=O)O1 LUACLLSCZRRTIH-UPHRSURJSA-N 0.000 description 1
- NSVFSAJIGAJDMR-UHFFFAOYSA-N 2-[benzyl(phenyl)amino]ethyl 5-(5,5-dimethyl-2-oxido-1,3,2-dioxaphosphinan-2-yl)-2,6-dimethyl-4-(3-nitrophenyl)-1,4-dihydropyridine-3-carboxylate Chemical compound CC=1NC(C)=C(C(=O)OCCN(CC=2C=CC=CC=2)C=2C=CC=CC=2)C(C=2C=C(C=CC=2)[N+]([O-])=O)C=1P1(=O)OCC(C)(C)CO1 NSVFSAJIGAJDMR-UHFFFAOYSA-N 0.000 description 1
- 125000004974 2-butenyl group Chemical group C(C=CC)* 0.000 description 1
- 125000000069 2-butynyl group Chemical group [H]C([H])([H])C#CC([H])([H])* 0.000 description 1
- JIVPVXMEBJLZRO-CQSZACIVSA-N 2-chloro-5-[(1r)-1-hydroxy-3-oxo-2h-isoindol-1-yl]benzenesulfonamide Chemical compound C1=C(Cl)C(S(=O)(=O)N)=CC([C@@]2(O)C3=CC=CC=C3C(=O)N2)=C1 JIVPVXMEBJLZRO-CQSZACIVSA-N 0.000 description 1
- JCCBZCMSYUSCFM-UHFFFAOYSA-N 2-chlorobenzenesulfonamide Chemical compound NS(=O)(=O)C1=CC=CC=C1Cl JCCBZCMSYUSCFM-UHFFFAOYSA-N 0.000 description 1
- 125000006020 2-methyl-1-propenyl group Chemical group 0.000 description 1
- 125000006022 2-methyl-2-propenyl group Chemical group 0.000 description 1
- XWKFPIODWVPXLX-UHFFFAOYSA-N 2-methyl-5-methylpyridine Natural products CC1=CC=C(C)N=C1 XWKFPIODWVPXLX-UHFFFAOYSA-N 0.000 description 1
- 125000003504 2-oxazolinyl group Chemical group O1C(=NCC1)* 0.000 description 1
- BCSVCWVQNOXFGL-UHFFFAOYSA-N 3,4-dihydro-4-oxo-3-((5-trifluoromethyl-2-benzothiazolyl)methyl)-1-phthalazine acetic acid Chemical compound O=C1C2=CC=CC=C2C(CC(=O)O)=NN1CC1=NC2=CC(C(F)(F)F)=CC=C2S1 BCSVCWVQNOXFGL-UHFFFAOYSA-N 0.000 description 1
- NDMPLJNOPCLANR-UHFFFAOYSA-N 3,4-dihydroxy-15-(4-hydroxy-18-methoxycarbonyl-5,18-seco-ibogamin-18-yl)-16-methoxy-1-methyl-6,7-didehydro-aspidospermidine-3-carboxylic acid methyl ester Natural products C1C(CC)(O)CC(CC2(C(=O)OC)C=3C(=CC4=C(C56C(C(C(O)C7(CC)C=CCN(C67)CC5)(O)C(=O)OC)N4C)C=3)OC)CN1CCC1=C2NC2=CC=CC=C12 NDMPLJNOPCLANR-UHFFFAOYSA-N 0.000 description 1
- UYGZODVVDUIDDQ-UHFFFAOYSA-N 3-[(2,4-dichlorophenyl)methyl]-2-methyl-n-pentylsulfonylbenzimidazole-5-carboxamide Chemical compound C12=CC(C(=O)NS(=O)(=O)CCCCC)=CC=C2N=C(C)N1CC1=CC=C(Cl)C=C1Cl UYGZODVVDUIDDQ-UHFFFAOYSA-N 0.000 description 1
- 125000004975 3-butenyl group Chemical group C(CC=C)* 0.000 description 1
- 125000000474 3-butynyl group Chemical group [H]C#CC([H])([H])C([H])([H])* 0.000 description 1
- 125000004080 3-carboxypropanoyl group Chemical group O=C([*])C([H])([H])C([H])([H])C(O[H])=O 0.000 description 1
- HJBLUNHMOKFZQX-UHFFFAOYSA-N 3-hydroxy-1,2,3-benzotriazin-4-one Chemical compound C1=CC=C2C(=O)N(O)N=NC2=C1 HJBLUNHMOKFZQX-UHFFFAOYSA-N 0.000 description 1
- LUEVNSVASOZCPK-UHFFFAOYSA-N 3-methoxy-10-(1-methylpiperidin-3-yl)phenothiazine Chemical compound C12=CC=CC=C2SC2=CC(OC)=CC=C2N1C1CCCN(C)C1 LUEVNSVASOZCPK-UHFFFAOYSA-N 0.000 description 1
- YFCIFWOJYYFDQP-PTWZRHHISA-N 4-[3-amino-6-[(1S,3S,4S)-3-fluoro-4-hydroxycyclohexyl]pyrazin-2-yl]-N-[(1S)-1-(3-bromo-5-fluorophenyl)-2-(methylamino)ethyl]-2-fluorobenzamide Chemical compound CNC[C@@H](NC(=O)c1ccc(cc1F)-c1nc(cnc1N)[C@H]1CC[C@H](O)[C@@H](F)C1)c1cc(F)cc(Br)c1 YFCIFWOJYYFDQP-PTWZRHHISA-N 0.000 description 1
- QBQLYIISSRXYKL-UHFFFAOYSA-N 4-[[4-[2-(5-methyl-2-phenyl-1,3-oxazol-4-yl)ethoxy]phenyl]methyl]-1,2-oxazolidine-3,5-dione Chemical compound CC=1OC(C=2C=CC=CC=2)=NC=1CCOC(C=C1)=CC=C1CC1C(=O)NOC1=O QBQLYIISSRXYKL-UHFFFAOYSA-N 0.000 description 1
- NFFXEUUOMTXWCX-UHFFFAOYSA-N 5-[(2,4-dioxo-1,3-thiazolidin-5-yl)methyl]-2-methoxy-n-[[4-(trifluoromethyl)phenyl]methyl]benzamide Chemical compound C1=C(C(=O)NCC=2C=CC(=CC=2)C(F)(F)F)C(OC)=CC=C1CC1SC(=O)NC1=O NFFXEUUOMTXWCX-UHFFFAOYSA-N 0.000 description 1
- BANYJBHWTOJQDU-GDLZYMKVSA-N 5-fluoro-3-[2-[4-methoxy-4-[[(R)-phenylsulfinyl]methyl]-1-piperidinyl]ethyl]-1H-indole Chemical compound C1([S@](=O)CC2(OC)CCN(CCC=3C4=CC(F)=CC=C4NC=3)CC2)=CC=CC=C1 BANYJBHWTOJQDU-GDLZYMKVSA-N 0.000 description 1
- BKYKPTRYDKTTJY-UHFFFAOYSA-N 6-chloro-3-(cyclopentylmethyl)-1,1-dioxo-3,4-dihydro-2H-1$l^{6},2,4-benzothiadiazine-7-sulfonamide Chemical compound C1=C(Cl)C(S(=O)(=O)N)=CC(S(N2)(=O)=O)=C1NC2CC1CCCC1 BKYKPTRYDKTTJY-UHFFFAOYSA-N 0.000 description 1
- KKJUPNGICOCCDW-UHFFFAOYSA-N 7-N,N-Dimethylamino-1,2,3,4,5-pentathiocyclooctane Chemical compound CN(C)C1CSSSSSC1 KKJUPNGICOCCDW-UHFFFAOYSA-N 0.000 description 1
- LRFVTYWOQMYALW-UHFFFAOYSA-N 9H-xanthine Chemical class O=C1NC(=O)NC2=C1NC=N2 LRFVTYWOQMYALW-UHFFFAOYSA-N 0.000 description 1
- 239000005541 ACE inhibitor Substances 0.000 description 1
- 208000004998 Abdominal Pain Diseases 0.000 description 1
- 206010000087 Abdominal pain upper Diseases 0.000 description 1
- 206010001052 Acute respiratory distress syndrome Diseases 0.000 description 1
- 208000026872 Addison Disease Diseases 0.000 description 1
- 208000007848 Alcoholism Diseases 0.000 description 1
- JBMKAUGHUNFTOL-UHFFFAOYSA-N Aldoclor Chemical class C1=C(Cl)C(S(=O)(=O)N)=CC2=C1NC=NS2(=O)=O JBMKAUGHUNFTOL-UHFFFAOYSA-N 0.000 description 1
- 208000035285 Allergic Seasonal Rhinitis Diseases 0.000 description 1
- 229940077274 Alpha glucosidase inhibitor Drugs 0.000 description 1
- GUBGYTABKSRVRQ-XLOQQCSPSA-N Alpha-Lactose Chemical compound O[C@@H]1[C@@H](O)[C@@H](O)[C@@H](CO)O[C@H]1O[C@@H]1[C@@H](CO)O[C@H](O)[C@H](O)[C@H]1O GUBGYTABKSRVRQ-XLOQQCSPSA-N 0.000 description 1
- 229910000761 Aluminium amalgam Inorganic materials 0.000 description 1
- 229910000497 Amalgam Inorganic materials 0.000 description 1
- QGZKDVFQNNGYKY-UHFFFAOYSA-N Ammonia Chemical compound N QGZKDVFQNNGYKY-UHFFFAOYSA-N 0.000 description 1
- QGZKDVFQNNGYKY-UHFFFAOYSA-O Ammonium Chemical compound [NH4+] QGZKDVFQNNGYKY-UHFFFAOYSA-O 0.000 description 1
- 208000000044 Amnesia Diseases 0.000 description 1
- 208000031091 Amnestic disease Diseases 0.000 description 1
- 229940127438 Amylin Agonists Drugs 0.000 description 1
- 108010043324 Amyloid Precursor Protein Secretases Proteins 0.000 description 1
- 102000002659 Amyloid Precursor Protein Secretases Human genes 0.000 description 1
- 102000013455 Amyloid beta-Peptides Human genes 0.000 description 1
- 108010090849 Amyloid beta-Peptides Proteins 0.000 description 1
- 206010061424 Anal cancer Diseases 0.000 description 1
- 206010002198 Anaphylactic reaction Diseases 0.000 description 1
- 206010002383 Angina Pectoris Diseases 0.000 description 1
- 206010002388 Angina unstable Diseases 0.000 description 1
- 229940123413 Angiotensin II antagonist Drugs 0.000 description 1
- 208000007860 Anus Neoplasms Diseases 0.000 description 1
- 206010002869 Anxiety symptoms Diseases 0.000 description 1
- 239000004475 Arginine Substances 0.000 description 1
- 206010003210 Arteriosclerosis Diseases 0.000 description 1
- 206010003591 Ataxia Diseases 0.000 description 1
- 201000001320 Atherosclerosis Diseases 0.000 description 1
- 208000037260 Atherosclerotic Plaque Diseases 0.000 description 1
- XUKUURHRXDUEBC-KAYWLYCHSA-N Atorvastatin Chemical compound C=1C=CC=CC=1C1=C(C=2C=CC(F)=CC=2)N(CC[C@@H](O)C[C@@H](O)CC(O)=O)C(C(C)C)=C1C(=O)NC1=CC=CC=C1 XUKUURHRXDUEBC-KAYWLYCHSA-N 0.000 description 1
- XUKUURHRXDUEBC-UHFFFAOYSA-N Atorvastatin Natural products C=1C=CC=CC=1C1=C(C=2C=CC(F)=CC=2)N(CCC(O)CC(O)CC(O)=O)C(C(C)C)=C1C(=O)NC1=CC=CC=C1 XUKUURHRXDUEBC-UHFFFAOYSA-N 0.000 description 1
- 208000023275 Autoimmune disease Diseases 0.000 description 1
- 229910015900 BF3 Inorganic materials 0.000 description 1
- 208000008035 Back Pain Diseases 0.000 description 1
- 208000009137 Behcet syndrome Diseases 0.000 description 1
- BWSSMIJUDVUASQ-UHFFFAOYSA-N Benzylhydrochlorothiazide Chemical compound C1=C(Cl)C(S(=O)(=O)N)=CC(S(N2)(=O)=O)=C1NC2CC1=CC=CC=C1 BWSSMIJUDVUASQ-UHFFFAOYSA-N 0.000 description 1
- 102100021257 Beta-secretase 1 Human genes 0.000 description 1
- 229940123208 Biguanide Drugs 0.000 description 1
- 206010071445 Bladder outlet obstruction Diseases 0.000 description 1
- 206010005063 Bladder pain Diseases 0.000 description 1
- 208000010392 Bone Fractures Diseases 0.000 description 1
- 208000018084 Bone neoplasm Diseases 0.000 description 1
- 208000003174 Brain Neoplasms Diseases 0.000 description 1
- 206010048962 Brain oedema Diseases 0.000 description 1
- 206010006187 Breast cancer Diseases 0.000 description 1
- 208000026310 Breast neoplasm Diseases 0.000 description 1
- 208000033386 Buerger disease Diseases 0.000 description 1
- 239000002083 C09CA01 - Losartan Substances 0.000 description 1
- 125000005947 C1-C6 alkylsulfonyloxy group Chemical group 0.000 description 1
- 229940127291 Calcium channel antagonist Drugs 0.000 description 1
- 206010007027 Calculus urinary Diseases 0.000 description 1
- GHOSNRCGJFBJIB-UHFFFAOYSA-N Candesartan cilexetil Chemical compound C=12N(CC=3C=CC(=CC=3)C=3C(=CC=CC=3)C3=NNN=N3)C(OCC)=NC2=CC=CC=1C(=O)OC(C)OC(=O)OC1CCCCC1 GHOSNRCGJFBJIB-UHFFFAOYSA-N 0.000 description 1
- 206010007559 Cardiac failure congestive Diseases 0.000 description 1
- 102000003908 Cathepsin D Human genes 0.000 description 1
- 108090000258 Cathepsin D Proteins 0.000 description 1
- 241000282693 Cercopithecidae Species 0.000 description 1
- 206010008111 Cerebral haemorrhage Diseases 0.000 description 1
- 206010008342 Cervix carcinoma Diseases 0.000 description 1
- RKWGIWYCVPQPMF-UHFFFAOYSA-N Chloropropamide Chemical compound CCCNC(=O)NS(=O)(=O)C1=CC=C(Cl)C=C1 RKWGIWYCVPQPMF-UHFFFAOYSA-N 0.000 description 1
- JZUFKLXOESDKRF-UHFFFAOYSA-N Chlorothiazide Chemical compound C1=C(Cl)C(S(=O)(=O)N)=CC2=C1NCNS2(=O)=O JZUFKLXOESDKRF-UHFFFAOYSA-N 0.000 description 1
- 101800001982 Cholecystokinin Proteins 0.000 description 1
- 102100025841 Cholecystokinin Human genes 0.000 description 1
- 208000005243 Chondrosarcoma Diseases 0.000 description 1
- VYZAMTAEIAYCRO-UHFFFAOYSA-N Chromium Chemical compound [Cr] VYZAMTAEIAYCRO-UHFFFAOYSA-N 0.000 description 1
- 206010008874 Chronic Fatigue Syndrome Diseases 0.000 description 1
- 206010008909 Chronic Hepatitis Diseases 0.000 description 1
- 208000006545 Chronic Obstructive Pulmonary Disease Diseases 0.000 description 1
- 208000000668 Chronic Pancreatitis Diseases 0.000 description 1
- BMOVQUBVGICXQN-UHFFFAOYSA-N Clinofibrate Chemical compound C1=CC(OC(C)(CC)C(O)=O)=CC=C1C1(C=2C=CC(OC(C)(CC)C(O)=O)=CC=2)CCCCC1 BMOVQUBVGICXQN-UHFFFAOYSA-N 0.000 description 1
- GJSURZIOUXUGAL-UHFFFAOYSA-N Clonidine Chemical compound ClC1=CC=CC(Cl)=C1NC1=NCCN1 GJSURZIOUXUGAL-UHFFFAOYSA-N 0.000 description 1
- 208000027932 Collagen disease Diseases 0.000 description 1
- 206010010741 Conjunctivitis Diseases 0.000 description 1
- 208000016998 Conn syndrome Diseases 0.000 description 1
- 206010011224 Cough Diseases 0.000 description 1
- 208000020406 Creutzfeldt Jacob disease Diseases 0.000 description 1
- 208000003407 Creutzfeldt-Jakob Syndrome Diseases 0.000 description 1
- 208000010859 Creutzfeldt-Jakob disease Diseases 0.000 description 1
- 241000699800 Cricetinae Species 0.000 description 1
- 229910000881 Cu alloy Inorganic materials 0.000 description 1
- 208000014311 Cushing syndrome Diseases 0.000 description 1
- XDTMQSROBMDMFD-UHFFFAOYSA-N Cyclohexane Chemical compound C1CCCCC1 XDTMQSROBMDMFD-UHFFFAOYSA-N 0.000 description 1
- CMSMOCZEIVJLDB-UHFFFAOYSA-N Cyclophosphamide Chemical compound ClCCN(CCCl)P1(=O)NCCCO1 CMSMOCZEIVJLDB-UHFFFAOYSA-N 0.000 description 1
- 206010011796 Cystitis interstitial Diseases 0.000 description 1
- 241000701022 Cytomegalovirus Species 0.000 description 1
- 208000019505 Deglutition disease Diseases 0.000 description 1
- 201000004624 Dermatitis Diseases 0.000 description 1
- 208000007342 Diabetic Nephropathies Diseases 0.000 description 1
- 206010054044 Diabetic microangiopathy Diseases 0.000 description 1
- 206010012689 Diabetic retinopathy Diseases 0.000 description 1
- 206010012735 Diarrhoea Diseases 0.000 description 1
- QOSSAOTZNIDXMA-UHFFFAOYSA-N Dicylcohexylcarbodiimide Chemical compound C1CCCCC1N=C=NC1CCCCC1 QOSSAOTZNIDXMA-UHFFFAOYSA-N 0.000 description 1
- OIFBSDVPJOWBCH-UHFFFAOYSA-N Diethyl carbonate Chemical compound CCOC(=O)OCC OIFBSDVPJOWBCH-UHFFFAOYSA-N 0.000 description 1
- 229940124213 Dipeptidyl peptidase 4 (DPP IV) inhibitor Drugs 0.000 description 1
- 206010061825 Duodenal neoplasm Diseases 0.000 description 1
- 206010051244 Dyschezia Diseases 0.000 description 1
- 241000196324 Embryophyta Species 0.000 description 1
- 108010061435 Enalapril Proteins 0.000 description 1
- 206010014612 Encephalitis viral Diseases 0.000 description 1
- 201000009273 Endometriosis Diseases 0.000 description 1
- 102000004190 Enzymes Human genes 0.000 description 1
- 108090000790 Enzymes Proteins 0.000 description 1
- 241000283073 Equus caballus Species 0.000 description 1
- 206010063655 Erosive oesophagitis Diseases 0.000 description 1
- 241000588724 Escherichia coli Species 0.000 description 1
- 208000000461 Esophageal Neoplasms Diseases 0.000 description 1
- VXLCNTLWWUDBSO-UHFFFAOYSA-N Ethiazide Chemical compound ClC1=C(S(N)(=O)=O)C=C2S(=O)(=O)NC(CC)NC2=C1 VXLCNTLWWUDBSO-UHFFFAOYSA-N 0.000 description 1
- PIICEJLVQHRZGT-UHFFFAOYSA-N Ethylenediamine Chemical compound NCCN PIICEJLVQHRZGT-UHFFFAOYSA-N 0.000 description 1
- 208000016908 Female Genital disease Diseases 0.000 description 1
- 206010016654 Fibrosis Diseases 0.000 description 1
- 206010053717 Fibrous histiocytoma Diseases 0.000 description 1
- GHASVSINZRGABV-UHFFFAOYSA-N Fluorouracil Chemical compound FC1=CNC(=O)NC1=O GHASVSINZRGABV-UHFFFAOYSA-N 0.000 description 1
- 102100023374 Forkhead box protein M1 Human genes 0.000 description 1
- 101710198884 GATA-type zinc finger protein 1 Proteins 0.000 description 1
- 208000007882 Gastritis Diseases 0.000 description 1
- 108010010803 Gelatin Proteins 0.000 description 1
- 208000010412 Glaucoma Diseases 0.000 description 1
- 206010018364 Glomerulonephritis Diseases 0.000 description 1
- 102400000321 Glucagon Human genes 0.000 description 1
- 108060003199 Glucagon Proteins 0.000 description 1
- DTHNMHAUYICORS-KTKZVXAJSA-N Glucagon-like peptide 1 Chemical compound C([C@@H](C(=O)N[C@@H]([C@@H](C)CC)C(=O)N[C@@H](C)C(=O)N[C@@H](CC=1C2=CC=CC=C2NC=1)C(=O)N[C@@H](CC(C)C)C(=O)N[C@@H](C(C)C)C(=O)N[C@@H](CCCCN)C(=O)NCC(=O)N[C@@H](CCCNC(N)=N)C(N)=O)NC(=O)[C@H](CCC(O)=O)NC(=O)[C@H](CCCCN)NC(=O)[C@H](C)NC(=O)[C@H](C)NC(=O)[C@H](CCC(N)=O)NC(=O)CNC(=O)[C@H](CCC(O)=O)NC(=O)[C@H](CC(C)C)NC(=O)[C@H](CC=1C=CC(O)=CC=1)NC(=O)[C@H](CO)NC(=O)[C@H](CO)NC(=O)[C@@H](NC(=O)[C@H](CC(O)=O)NC(=O)[C@H](CO)NC(=O)[C@@H](NC(=O)[C@H](CC=1C=CC=CC=1)NC(=O)[C@@H](NC(=O)CNC(=O)[C@H](CCC(O)=O)NC(=O)[C@H](C)NC(=O)[C@@H](N)CC=1N=CNC=1)[C@@H](C)O)[C@@H](C)O)C(C)C)C1=CC=CC=C1 DTHNMHAUYICORS-KTKZVXAJSA-N 0.000 description 1
- FAEKWTJYAYMJKF-QHCPKHFHSA-N GlucoNorm Chemical compound C1=C(C(O)=O)C(OCC)=CC(CC(=O)N[C@@H](CC(C)C)C=2C(=CC=CC=2)N2CCCCC2)=C1 FAEKWTJYAYMJKF-QHCPKHFHSA-N 0.000 description 1
- 229940121931 Gluconeogenesis inhibitor Drugs 0.000 description 1
- 208000002705 Glucose Intolerance Diseases 0.000 description 1
- 102000003638 Glucose-6-Phosphatase Human genes 0.000 description 1
- 108010086800 Glucose-6-Phosphatase Proteins 0.000 description 1
- WHUUTDBJXJRKMK-UHFFFAOYSA-N Glutamic acid Natural products OC(=O)C(N)CCC(O)=O WHUUTDBJXJRKMK-UHFFFAOYSA-N 0.000 description 1
- HNSCCNJWTJUGNQ-UHFFFAOYSA-N Glyclopyramide Chemical compound C1=CC(Cl)=CC=C1S(=O)(=O)NC(=O)NN1CCCC1 HNSCCNJWTJUGNQ-UHFFFAOYSA-N 0.000 description 1
- 102000007390 Glycogen Phosphorylase Human genes 0.000 description 1
- 108010046163 Glycogen Phosphorylase Proteins 0.000 description 1
- 208000009329 Graft vs Host Disease Diseases 0.000 description 1
- 208000037357 HIV infectious disease Diseases 0.000 description 1
- 229940122440 HIV protease inhibitor Drugs 0.000 description 1
- 229940121710 HMGCoA reductase inhibitor Drugs 0.000 description 1
- 206010019196 Head injury Diseases 0.000 description 1
- 206010019233 Headaches Diseases 0.000 description 1
- 208000035186 Hemolytic Autoimmune Anemia Diseases 0.000 description 1
- 208000017604 Hodgkin disease Diseases 0.000 description 1
- 208000010747 Hodgkins lymphoma Diseases 0.000 description 1
- 238000007167 Hofmann rearrangement reaction Methods 0.000 description 1
- 241000282412 Homo Species 0.000 description 1
- 241000282414 Homo sapiens Species 0.000 description 1
- 101000894895 Homo sapiens Beta-secretase 1 Proteins 0.000 description 1
- 101000907578 Homo sapiens Forkhead box protein M1 Proteins 0.000 description 1
- 101000976075 Homo sapiens Insulin Proteins 0.000 description 1
- 101000841267 Homo sapiens Long chain 3-hydroxyacyl-CoA dehydrogenase Proteins 0.000 description 1
- 208000023105 Huntington disease Diseases 0.000 description 1
- 229920002153 Hydroxypropyl cellulose Polymers 0.000 description 1
- 208000001953 Hypotension Diseases 0.000 description 1
- XQFRJNBWHJMXHO-RRKCRQDMSA-N IDUR Chemical compound C1[C@H](O)[C@@H](CO)O[C@H]1N1C(=O)NC(=O)C(I)=C1 XQFRJNBWHJMXHO-RRKCRQDMSA-N 0.000 description 1
- 206010061218 Inflammation Diseases 0.000 description 1
- 229940122199 Insulin secretagogue Drugs 0.000 description 1
- 229940122355 Insulin sensitizer Drugs 0.000 description 1
- 206010022562 Intermittent claudication Diseases 0.000 description 1
- 208000029523 Interstitial Lung disease Diseases 0.000 description 1
- 102000005237 Isophane Insulin Human genes 0.000 description 1
- 108010081368 Isophane Insulin Proteins 0.000 description 1
- KLDXJTOLSGUMSJ-JGWLITMVSA-N Isosorbide Chemical compound O[C@@H]1CO[C@@H]2[C@@H](O)CO[C@@H]21 KLDXJTOLSGUMSJ-JGWLITMVSA-N 0.000 description 1
- 208000002260 Keloid Diseases 0.000 description 1
- 206010023330 Keloid scar Diseases 0.000 description 1
- 208000008839 Kidney Neoplasms Diseases 0.000 description 1
- AHLPHDHHMVZTML-BYPYZUCNSA-N L-Ornithine Chemical compound NCCC[C@H](N)C(O)=O AHLPHDHHMVZTML-BYPYZUCNSA-N 0.000 description 1
- ODKSFYDXXFIFQN-BYPYZUCNSA-P L-argininium(2+) Chemical compound NC(=[NH2+])NCCC[C@H]([NH3+])C(O)=O ODKSFYDXXFIFQN-BYPYZUCNSA-P 0.000 description 1
- CKLJMWTZIZZHCS-REOHCLBHSA-N L-aspartic acid Chemical compound OC(=O)[C@@H](N)CC(O)=O CKLJMWTZIZZHCS-REOHCLBHSA-N 0.000 description 1
- WHUUTDBJXJRKMK-VKHMYHEASA-N L-glutamic acid Chemical compound OC(=O)[C@@H](N)CCC(O)=O WHUUTDBJXJRKMK-VKHMYHEASA-N 0.000 description 1
- KDXKERNSBIXSRK-YFKPBYRVSA-N L-lysine Chemical compound NCCCC[C@H](N)C(O)=O KDXKERNSBIXSRK-YFKPBYRVSA-N 0.000 description 1
- FBOZXECLQNJBKD-ZDUSSCGKSA-N L-methotrexate Chemical compound C=1N=C2N=C(N)N=C(N)C2=NC=1CN(C)C1=CC=C(C(=O)N[C@@H](CCC(O)=O)C(O)=O)C=C1 FBOZXECLQNJBKD-ZDUSSCGKSA-N 0.000 description 1
- GUBGYTABKSRVRQ-QKKXKWKRSA-N Lactose Natural products OC[C@H]1O[C@@H](O[C@H]2[C@H](O)[C@@H](O)C(O)O[C@@H]2CO)[C@H](O)[C@@H](O)[C@H]1O GUBGYTABKSRVRQ-QKKXKWKRSA-N 0.000 description 1
- 208000004552 Lacunar Stroke Diseases 0.000 description 1
- 206010051078 Lacunar infarction Diseases 0.000 description 1
- 206010023825 Laryngeal cancer Diseases 0.000 description 1
- 208000018142 Leiomyosarcoma Diseases 0.000 description 1
- 108010092277 Leptin Proteins 0.000 description 1
- 102000016267 Leptin Human genes 0.000 description 1
- 239000012448 Lithium borohydride Substances 0.000 description 1
- 102100029107 Long chain 3-hydroxyacyl-CoA dehydrogenase Human genes 0.000 description 1
- 208000008930 Low Back Pain Diseases 0.000 description 1
- 206010058467 Lung neoplasm malignant Diseases 0.000 description 1
- 206010025323 Lymphomas Diseases 0.000 description 1
- KDXKERNSBIXSRK-UHFFFAOYSA-N Lysine Natural products NCCCCC(N)C(O)=O KDXKERNSBIXSRK-UHFFFAOYSA-N 0.000 description 1
- 239000004472 Lysine Substances 0.000 description 1
- 206010025476 Malabsorption Diseases 0.000 description 1
- 208000004155 Malabsorption Syndromes Diseases 0.000 description 1
- 208000032271 Malignant tumor of penis Diseases 0.000 description 1
- 206010026749 Mania Diseases 0.000 description 1
- ZPXSCAKFGYXMGA-UHFFFAOYSA-N Mazindol Chemical compound N12CCN=C2C2=CC=CC=C2C1(O)C1=CC=C(Cl)C=C1 ZPXSCAKFGYXMGA-UHFFFAOYSA-N 0.000 description 1
- SMNOERSLNYGGOU-UHFFFAOYSA-N Mefruside Chemical compound C=1C=C(Cl)C(S(N)(=O)=O)=CC=1S(=O)(=O)N(C)CC1(C)CCCO1 SMNOERSLNYGGOU-UHFFFAOYSA-N 0.000 description 1
- 208000026139 Memory disease Diseases 0.000 description 1
- FEWJPZIEWOKRBE-XIXRPRMCSA-N Mesotartaric acid Chemical compound OC(=O)[C@@H](O)[C@@H](O)C(O)=O FEWJPZIEWOKRBE-XIXRPRMCSA-N 0.000 description 1
- 206010027406 Mesothelioma Diseases 0.000 description 1
- 208000029725 Metabolic bone disease Diseases 0.000 description 1
- CESYKOGBSMNBPD-UHFFFAOYSA-N Methyclothiazide Chemical compound ClC1=C(S(N)(=O)=O)C=C2S(=O)(=O)N(C)C(CCl)NC2=C1 CESYKOGBSMNBPD-UHFFFAOYSA-N 0.000 description 1
- 206010027566 Micturition urgency Diseases 0.000 description 1
- IBAQFPQHRJAVAV-ULAWRXDQSA-N Miglitol Chemical compound OCCN1C[C@H](O)[C@@H](O)[C@H](O)[C@H]1CO IBAQFPQHRJAVAV-ULAWRXDQSA-N 0.000 description 1
- 229930192392 Mitomycin Natural products 0.000 description 1
- PCZOHLXUXFIOCF-UHFFFAOYSA-N Monacolin X Natural products C12C(OC(=O)C(C)CC)CC(C)C=C2C=CC(C)C1CCC1CC(O)CC(=O)O1 PCZOHLXUXFIOCF-UHFFFAOYSA-N 0.000 description 1
- 241000699666 Mus <mouse, genus> Species 0.000 description 1
- 241000699670 Mus sp. Species 0.000 description 1
- 206010028570 Myelopathy Diseases 0.000 description 1
- 208000009525 Myocarditis Diseases 0.000 description 1
- NWIBSHFKIJFRCO-WUDYKRTCSA-N Mytomycin Chemical compound C1N2C(C(C(C)=C(N)C3=O)=O)=C3[C@@H](COC(N)=O)[C@@]2(OC)[C@@H]2[C@H]1N2 NWIBSHFKIJFRCO-WUDYKRTCSA-N 0.000 description 1
- NQTADLQHYWFPDB-UHFFFAOYSA-N N-Hydroxysuccinimide Chemical compound ON1C(=O)CCC1=O NQTADLQHYWFPDB-UHFFFAOYSA-N 0.000 description 1
- JTVPZMFULRWINT-UHFFFAOYSA-N N-[2-(diethylamino)ethyl]-2-methoxy-5-methylsulfonylbenzamide Chemical compound CCN(CC)CCNC(=O)C1=CC(S(C)(=O)=O)=CC=C1OC JTVPZMFULRWINT-UHFFFAOYSA-N 0.000 description 1
- 102000007072 Nerve Growth Factors Human genes 0.000 description 1
- 102000002002 Neurokinin-1 Receptors Human genes 0.000 description 1
- 102100029268 Neurotrophin-3 Human genes 0.000 description 1
- ZBBHBTPTTSWHBA-UHFFFAOYSA-N Nicardipine Chemical compound COC(=O)C1=C(C)NC(C)=C(C(=O)OCCN(C)CC=2C=CC=CC=2)C1C1=CC=CC([N+]([O-])=O)=C1 ZBBHBTPTTSWHBA-UHFFFAOYSA-N 0.000 description 1
- 208000001294 Nociceptive Pain Diseases 0.000 description 1
- 208000008589 Obesity Diseases 0.000 description 1
- 208000021384 Obsessive-Compulsive disease Diseases 0.000 description 1
- 208000022873 Ocular disease Diseases 0.000 description 1
- 206010030043 Ocular hypertension Diseases 0.000 description 1
- AHLPHDHHMVZTML-UHFFFAOYSA-N Orn-delta-NH2 Natural products NCCCC(N)C(O)=O AHLPHDHHMVZTML-UHFFFAOYSA-N 0.000 description 1
- UTJLXEIPEHZYQJ-UHFFFAOYSA-N Ornithine Natural products OC(=O)C(C)CCCN UTJLXEIPEHZYQJ-UHFFFAOYSA-N 0.000 description 1
- 206010057178 Osteoarthropathies Diseases 0.000 description 1
- 208000001715 Osteoblastoma Diseases 0.000 description 1
- 206010049088 Osteopenia Diseases 0.000 description 1
- 208000001132 Osteoporosis Diseases 0.000 description 1
- 206010033128 Ovarian cancer Diseases 0.000 description 1
- 206010061535 Ovarian neoplasm Diseases 0.000 description 1
- 229940123973 Oxygen scavenger Drugs 0.000 description 1
- 229930012538 Paclitaxel Natural products 0.000 description 1
- 208000016222 Pancreatic disease Diseases 0.000 description 1
- 102000019280 Pancreatic lipases Human genes 0.000 description 1
- 108050006759 Pancreatic lipases Proteins 0.000 description 1
- 206010061902 Pancreatic neoplasm Diseases 0.000 description 1
- 206010033645 Pancreatitis Diseases 0.000 description 1
- 206010033649 Pancreatitis chronic Diseases 0.000 description 1
- 208000018737 Parkinson disease Diseases 0.000 description 1
- 241001494479 Pecora Species 0.000 description 1
- 208000002471 Penile Neoplasms Diseases 0.000 description 1
- 206010034299 Penile cancer Diseases 0.000 description 1
- 208000008469 Peptic Ulcer Diseases 0.000 description 1
- 108091005804 Peptidases Proteins 0.000 description 1
- 208000009565 Pharyngeal Neoplasms Diseases 0.000 description 1
- 201000007100 Pharyngitis Diseases 0.000 description 1
- YGYAWVDWMABLBF-UHFFFAOYSA-N Phosgene Chemical compound ClC(Cl)=O YGYAWVDWMABLBF-UHFFFAOYSA-N 0.000 description 1
- OAICVXFJPJFONN-UHFFFAOYSA-N Phosphorus Chemical compound [P] OAICVXFJPJFONN-UHFFFAOYSA-N 0.000 description 1
- GHUUBYQTCDQWRA-UHFFFAOYSA-N Pioglitazone hydrochloride Chemical compound Cl.N1=CC(CC)=CC=C1CCOC(C=C1)=CC=C1CC1C(=O)NC(=O)S1 GHUUBYQTCDQWRA-UHFFFAOYSA-N 0.000 description 1
- UJEWTUDSLQGTOA-UHFFFAOYSA-N Piretanide Chemical compound C=1C=CC=CC=1OC=1C(S(=O)(=O)N)=CC(C(O)=O)=CC=1N1CCCC1 UJEWTUDSLQGTOA-UHFFFAOYSA-N 0.000 description 1
- 108090000568 Plasmepsin II Proteins 0.000 description 1
- CYLWJCABXYDINA-UHFFFAOYSA-N Polythiazide Polymers ClC1=C(S(N)(=O)=O)C=C2S(=O)(=O)N(C)C(CSCC(F)(F)F)NC2=C1 CYLWJCABXYDINA-UHFFFAOYSA-N 0.000 description 1
- 206010071366 Post-traumatic neck syndrome Diseases 0.000 description 1
- TUZYXOIXSAXUGO-UHFFFAOYSA-N Pravastatin Natural products C1=CC(C)C(CCC(O)CC(O)CC(O)=O)C2C(OC(=O)C(C)CC)CC(O)C=C21 TUZYXOIXSAXUGO-UHFFFAOYSA-N 0.000 description 1
- 102100040918 Pro-glucagon Human genes 0.000 description 1
- 206010036790 Productive cough Diseases 0.000 description 1
- 208000002158 Proliferative Vitreoretinopathy Diseases 0.000 description 1
- 206010060862 Prostate cancer Diseases 0.000 description 1
- 208000000236 Prostatic Neoplasms Diseases 0.000 description 1
- 239000004365 Protease Substances 0.000 description 1
- 102000002727 Protein Tyrosine Phosphatase Human genes 0.000 description 1
- 208000028017 Psychotic disease Diseases 0.000 description 1
- 208000010378 Pulmonary Embolism Diseases 0.000 description 1
- 239000007868 Raney catalyst Substances 0.000 description 1
- NPXOKRUENSOPAO-UHFFFAOYSA-N Raney nickel Chemical compound [Al].[Ni] NPXOKRUENSOPAO-UHFFFAOYSA-N 0.000 description 1
- 229910000564 Raney nickel Inorganic materials 0.000 description 1
- 208000003782 Raynaud disease Diseases 0.000 description 1
- 208000012322 Raynaud phenomenon Diseases 0.000 description 1
- 208000015634 Rectal Neoplasms Diseases 0.000 description 1
- 208000001647 Renal Insufficiency Diseases 0.000 description 1
- 206010038389 Renal cancer Diseases 0.000 description 1
- 208000013616 Respiratory Distress Syndrome Diseases 0.000 description 1
- 208000017442 Retinal disease Diseases 0.000 description 1
- 206010038923 Retinopathy Diseases 0.000 description 1
- 206010038934 Retinopathy proliferative Diseases 0.000 description 1
- 102100037486 Reverse transcriptase/ribonuclease H Human genes 0.000 description 1
- 206010061495 Rickettsiosis Diseases 0.000 description 1
- RYMZZMVNJRMUDD-UHFFFAOYSA-N SJ000286063 Natural products C12C(OC(=O)C(C)(C)CC)CC(C)C=C2C=CC(C)C1CCC1CC(O)CC(=O)O1 RYMZZMVNJRMUDD-UHFFFAOYSA-N 0.000 description 1
- 240000004808 Saccharomyces cerevisiae Species 0.000 description 1
- 206010039424 Salivary hypersecretion Diseases 0.000 description 1
- 229910052772 Samarium Inorganic materials 0.000 description 1
- 238000006923 Schmidt rearrangement reaction Methods 0.000 description 1
- 206010039710 Scleroderma Diseases 0.000 description 1
- 206010048908 Seasonal allergy Diseases 0.000 description 1
- BUGBHKTXTAQXES-UHFFFAOYSA-N Selenium Chemical compound [Se] BUGBHKTXTAQXES-UHFFFAOYSA-N 0.000 description 1
- 206010039966 Senile dementia Diseases 0.000 description 1
- 201000001880 Sexual dysfunction Diseases 0.000 description 1
- 208000019802 Sexually transmitted disease Diseases 0.000 description 1
- 201000010001 Silicosis Diseases 0.000 description 1
- JLRNKCZRCMIVKA-UHFFFAOYSA-N Simfibrate Chemical compound C=1C=C(Cl)C=CC=1OC(C)(C)C(=O)OCCCOC(=O)C(C)(C)OC1=CC=C(Cl)C=C1 JLRNKCZRCMIVKA-UHFFFAOYSA-N 0.000 description 1
- 208000021386 Sjogren Syndrome Diseases 0.000 description 1
- 208000000453 Skin Neoplasms Diseases 0.000 description 1
- 206010041067 Small cell lung cancer Diseases 0.000 description 1
- 206010054184 Small intestine carcinoma Diseases 0.000 description 1
- 235000021355 Stearic acid Nutrition 0.000 description 1
- 208000005718 Stomach Neoplasms Diseases 0.000 description 1
- 208000007107 Stomach Ulcer Diseases 0.000 description 1
- 206010066218 Stress Urinary Incontinence Diseases 0.000 description 1
- 229930006000 Sucrose Natural products 0.000 description 1
- CZMRCDWAGMRECN-UGDNZRGBSA-N Sucrose Chemical compound O[C@H]1[C@H](O)[C@@H](CO)O[C@@]1(CO)O[C@@H]1[C@H](O)[C@@H](O)[C@H](O)[C@@H](CO)O1 CZMRCDWAGMRECN-UGDNZRGBSA-N 0.000 description 1
- 241000282887 Suidae Species 0.000 description 1
- 229940100389 Sulfonylurea Drugs 0.000 description 1
- 241000282898 Sus scrofa Species 0.000 description 1
- STSCVKRWJPWALQ-UHFFFAOYSA-N TRIFLUOROACETIC ACID ETHYL ESTER Chemical compound CCOC(=O)C(F)(F)F STSCVKRWJPWALQ-UHFFFAOYSA-N 0.000 description 1
- 206010052901 Terminal dribbling Diseases 0.000 description 1
- 206010043540 Thromboangiitis obliterans Diseases 0.000 description 1
- 208000007536 Thrombosis Diseases 0.000 description 1
- 208000034841 Thrombotic Microangiopathies Diseases 0.000 description 1
- 208000024770 Thyroid neoplasm Diseases 0.000 description 1
- RTAQQCXQSZGOHL-UHFFFAOYSA-N Titanium Chemical compound [Ti] RTAQQCXQSZGOHL-UHFFFAOYSA-N 0.000 description 1
- JLRGJRBPOGGCBT-UHFFFAOYSA-N Tolbutamide Chemical compound CCCCNC(=O)NS(=O)(=O)C1=CC=C(C)C=C1 JLRGJRBPOGGCBT-UHFFFAOYSA-N 0.000 description 1
- 206010062129 Tongue neoplasm Diseases 0.000 description 1
- 231100000650 Toxic shock syndrome Toxicity 0.000 description 1
- 206010052779 Transplant rejections Diseases 0.000 description 1
- FNYLWPVRPXGIIP-UHFFFAOYSA-N Triamterene Chemical compound NC1=NC2=NC(N)=NC(N)=C2N=C1C1=CC=CC=C1 FNYLWPVRPXGIIP-UHFFFAOYSA-N 0.000 description 1
- 206010067584 Type 1 diabetes mellitus Diseases 0.000 description 1
- 208000007814 Unstable Angina Diseases 0.000 description 1
- 208000000921 Urge Urinary Incontinence Diseases 0.000 description 1
- 208000003800 Urinary Bladder Neck Obstruction Diseases 0.000 description 1
- 208000007097 Urinary Bladder Neoplasms Diseases 0.000 description 1
- 206010046542 Urinary hesitation Diseases 0.000 description 1
- 206010046555 Urinary retention Diseases 0.000 description 1
- 206010046640 Urine flow decreased Diseases 0.000 description 1
- 208000006105 Uterine Cervical Neoplasms Diseases 0.000 description 1
- 208000002495 Uterine Neoplasms Diseases 0.000 description 1
- 206010046798 Uterine leiomyoma Diseases 0.000 description 1
- 206010047097 Vascular purpura Diseases 0.000 description 1
- 206010072810 Vascular wall hypertrophy Diseases 0.000 description 1
- 241000700605 Viruses Species 0.000 description 1
- FZNCGRZWXLXZSZ-CIQUZCHMSA-N Voglibose Chemical compound OCC(CO)N[C@H]1C[C@](O)(CO)[C@@H](O)[C@H](O)[C@H]1O FZNCGRZWXLXZSZ-CIQUZCHMSA-N 0.000 description 1
- 206010047791 Vulvovaginal dryness Diseases 0.000 description 1
- 208000021567 Whiplash injury Diseases 0.000 description 1
- BXNCIERBDJYIQT-PRDVQWLOSA-N [(2r,3s,4s,5r,6s)-6-[2-[3-(1-benzofuran-5-yl)propanoyl]-3-hydroxy-5-methylphenoxy]-3,4,5-trihydroxyoxan-2-yl]methyl methyl carbonate Chemical compound O[C@@H]1[C@@H](O)[C@H](O)[C@@H](COC(=O)OC)O[C@H]1OC1=CC(C)=CC(O)=C1C(=O)CCC1=CC=C(OC=C2)C2=C1 BXNCIERBDJYIQT-PRDVQWLOSA-N 0.000 description 1
- DSVGQVZAZSZEEX-UHFFFAOYSA-N [C].[Pt] Chemical compound [C].[Pt] DSVGQVZAZSZEEX-UHFFFAOYSA-N 0.000 description 1
- 238000010521 absorption reaction Methods 0.000 description 1
- 235000010489 acacia gum Nutrition 0.000 description 1
- 239000001785 acacia senegal l. willd gum Substances 0.000 description 1
- 229960002632 acarbose Drugs 0.000 description 1
- XUFXOAAUWZOOIT-UHFFFAOYSA-N acarviostatin I01 Natural products OC1C(O)C(NC2C(C(O)C(O)C(CO)=C2)O)C(C)OC1OC(C(C1O)O)C(CO)OC1OC1C(CO)OC(O)C(O)C1O XUFXOAAUWZOOIT-UHFFFAOYSA-N 0.000 description 1
- BZKPWHYZMXOIDC-UHFFFAOYSA-N acetazolamide Chemical compound CC(=O)NC1=NN=C(S(N)(=O)=O)S1 BZKPWHYZMXOIDC-UHFFFAOYSA-N 0.000 description 1
- 229960000571 acetazolamide Drugs 0.000 description 1
- 229960001466 acetohexamide Drugs 0.000 description 1
- VGZSUPCWNCWDAN-UHFFFAOYSA-N acetohexamide Chemical compound C1=CC(C(=O)C)=CC=C1S(=O)(=O)NC(=O)NC1CCCCC1 VGZSUPCWNCWDAN-UHFFFAOYSA-N 0.000 description 1
- 125000003668 acetyloxy group Chemical group [H]C([H])([H])C(=O)O[*] 0.000 description 1
- 238000005903 acid hydrolysis reaction Methods 0.000 description 1
- 125000005957 acrydinyl group Chemical group 0.000 description 1
- 206010000891 acute myocardial infarction Diseases 0.000 description 1
- 125000004423 acyloxy group Chemical group 0.000 description 1
- 229940009456 adriamycin Drugs 0.000 description 1
- 208000011341 adult acute respiratory distress syndrome Diseases 0.000 description 1
- 201000000028 adult respiratory distress syndrome Diseases 0.000 description 1
- 201000007930 alcohol dependence Diseases 0.000 description 1
- 239000003288 aldose reductase inhibitor Substances 0.000 description 1
- 229940090865 aldose reductase inhibitors used in diabetes Drugs 0.000 description 1
- 239000002170 aldosterone antagonist Substances 0.000 description 1
- 239000000783 alginic acid Substances 0.000 description 1
- 235000010443 alginic acid Nutrition 0.000 description 1
- 229920000615 alginic acid Polymers 0.000 description 1
- 229960001126 alginic acid Drugs 0.000 description 1
- 150000004781 alginic acids Chemical class 0.000 description 1
- 125000001931 aliphatic group Chemical group 0.000 description 1
- 125000003545 alkoxy group Chemical group 0.000 description 1
- 125000005213 alkyl heteroaryl group Chemical group 0.000 description 1
- 125000004414 alkyl thio group Chemical group 0.000 description 1
- 239000002168 alkylating agent Substances 0.000 description 1
- 229940100198 alkylating agent Drugs 0.000 description 1
- 208000026935 allergic disease Diseases 0.000 description 1
- ZSBOMTDTBDDKMP-OAHLLOKOSA-N alogliptin Chemical compound C=1C=CC=C(C#N)C=1CN1C(=O)N(C)C(=O)C=C1N1CCC[C@@H](N)C1 ZSBOMTDTBDDKMP-OAHLLOKOSA-N 0.000 description 1
- 229960001667 alogliptin Drugs 0.000 description 1
- 239000003888 alpha glucosidase inhibitor Substances 0.000 description 1
- AGBQKNBQESQNJD-UHFFFAOYSA-N alpha-Lipoic acid Natural products OC(=O)CCCCC1CCSS1 AGBQKNBQESQNJD-UHFFFAOYSA-N 0.000 description 1
- BJEPYKJPYRNKOW-UHFFFAOYSA-N alpha-hydroxysuccinic acid Natural products OC(=O)C(O)CC(O)=O BJEPYKJPYRNKOW-UHFFFAOYSA-N 0.000 description 1
- 208000008445 altitude sickness Diseases 0.000 description 1
- XAGFODPZIPBFFR-UHFFFAOYSA-N aluminium Chemical compound [Al] XAGFODPZIPBFFR-UHFFFAOYSA-N 0.000 description 1
- 229910052782 aluminium Inorganic materials 0.000 description 1
- HAMNKKUPIHEESI-UHFFFAOYSA-N aminoguanidine Chemical compound NNC(N)=N HAMNKKUPIHEESI-UHFFFAOYSA-N 0.000 description 1
- 229960000528 amlodipine Drugs 0.000 description 1
- ZPBWCRDSRKPIDG-UHFFFAOYSA-N amlodipine benzenesulfonate Chemical compound OS(=O)(=O)C1=CC=CC=C1.CCOC(=O)C1=C(COCCN)NC(C)=C(C(=O)OC)C1C1=CC=CC=C1Cl ZPBWCRDSRKPIDG-UHFFFAOYSA-N 0.000 description 1
- 230000006986 amnesia Effects 0.000 description 1
- 230000036783 anaphylactic response Effects 0.000 description 1
- 208000003455 anaphylaxis Diseases 0.000 description 1
- 238000002399 angioplasty Methods 0.000 description 1
- 239000002333 angiotensin II receptor antagonist Substances 0.000 description 1
- 229940044094 angiotensin-converting-enzyme inhibitor Drugs 0.000 description 1
- XLJMAIOERFSOGZ-UHFFFAOYSA-N anhydrous cyanic acid Natural products OC#N XLJMAIOERFSOGZ-UHFFFAOYSA-N 0.000 description 1
- 230000001539 anorectic effect Effects 0.000 description 1
- 125000005428 anthryl group Chemical group [H]C1=C([H])C([H])=C2C([H])=C3C(*)=C([H])C([H])=C([H])C3=C([H])C2=C1[H] 0.000 description 1
- 239000003242 anti bacterial agent Substances 0.000 description 1
- 230000000259 anti-tumor effect Effects 0.000 description 1
- 229940088710 antibiotic agent Drugs 0.000 description 1
- 229940006133 antiglaucoma drug and miotics carbonic anhydrase inhibitors Drugs 0.000 description 1
- 239000002220 antihypertensive agent Substances 0.000 description 1
- 239000003524 antilipemic agent Substances 0.000 description 1
- 229940045985 antineoplastic platinum compound Drugs 0.000 description 1
- 229940125710 antiobesity agent Drugs 0.000 description 1
- 229940027991 antiseptic and disinfectant quinoline derivative Drugs 0.000 description 1
- 201000011165 anus cancer Diseases 0.000 description 1
- 125000001124 arachidoyl group Chemical group O=C([*])C([H])([H])C([H])([H])C([H])([H])C([H])([H])C([H])([H])C([H])([H])C([H])([H])C([H])([H])C([H])([H])C([H])([H])C([H])([H])C([H])([H])C([H])([H])C([H])([H])C([H])([H])C([H])([H])C([H])([H])C([H])([H])C([H])([H])[H] 0.000 description 1
- ODKSFYDXXFIFQN-UHFFFAOYSA-N arginine Natural products OC(=O)C(N)CCCNC(N)=N ODKSFYDXXFIFQN-UHFFFAOYSA-N 0.000 description 1
- 150000003934 aromatic aldehydes Chemical class 0.000 description 1
- 125000002029 aromatic hydrocarbon group Chemical group 0.000 description 1
- 150000008365 aromatic ketones Chemical class 0.000 description 1
- 230000006793 arrhythmia Effects 0.000 description 1
- 206010003119 arrhythmia Diseases 0.000 description 1
- 208000021328 arterial occlusion Diseases 0.000 description 1
- 208000011775 arteriosclerosis disease Diseases 0.000 description 1
- 210000001367 artery Anatomy 0.000 description 1
- 206010003246 arthritis Diseases 0.000 description 1
- 125000005279 aryl sulfonyloxy group Chemical group 0.000 description 1
- 235000003704 aspartic acid Nutrition 0.000 description 1
- 239000012298 atmosphere Substances 0.000 description 1
- 125000004429 atom Chemical group 0.000 description 1
- 229960005370 atorvastatin Drugs 0.000 description 1
- 201000000448 autoimmune hemolytic anemia Diseases 0.000 description 1
- 230000010455 autoregulation Effects 0.000 description 1
- IIOPLILENRZKRV-UHFFFAOYSA-N azosemide Chemical compound C=1C=CSC=1CNC=1C=C(Cl)C(S(=O)(=O)N)=CC=1C1=NN=N[N]1 IIOPLILENRZKRV-UHFFFAOYSA-N 0.000 description 1
- 229960004988 azosemide Drugs 0.000 description 1
- 230000001580 bacterial effect Effects 0.000 description 1
- 208000022362 bacterial infectious disease Diseases 0.000 description 1
- 230000008901 benefit Effects 0.000 description 1
- 208000001119 benign fibrous histiocytoma Diseases 0.000 description 1
- RWCCWEUUXYIKHB-UHFFFAOYSA-N benzophenone Chemical compound C=1C=CC=CC=1C(=O)C1=CC=CC=C1 RWCCWEUUXYIKHB-UHFFFAOYSA-N 0.000 description 1
- 239000012965 benzophenone Substances 0.000 description 1
- 125000001231 benzoyloxy group Chemical group C(C1=CC=CC=C1)(=O)O* 0.000 description 1
- FKPSBYZGRQJIMO-UHFFFAOYSA-M benzyl(triethyl)azanium;hydroxide Chemical compound [OH-].CC[N+](CC)(CC)CC1=CC=CC=C1 FKPSBYZGRQJIMO-UHFFFAOYSA-M 0.000 description 1
- QQFYLZXBFWWJHR-UHFFFAOYSA-M benzyl(triethyl)phosphanium;bromide Chemical compound [Br-].CC[P+](CC)(CC)CC1=CC=CC=C1 QQFYLZXBFWWJHR-UHFFFAOYSA-M 0.000 description 1
- 229950007003 benzylhydrochlorothiazide Drugs 0.000 description 1
- OQFSQFPPLPISGP-UHFFFAOYSA-N beta-carboxyaspartic acid Natural products OC(=O)C(N)C(C(O)=O)C(O)=O OQFSQFPPLPISGP-UHFFFAOYSA-N 0.000 description 1
- 229960000516 bezafibrate Drugs 0.000 description 1
- IIBYAHWJQTYFKB-UHFFFAOYSA-N bezafibrate Chemical compound C1=CC(OC(C)(C)C(O)=O)=CC=C1CCNC(=O)C1=CC=C(Cl)C=C1 IIBYAHWJQTYFKB-UHFFFAOYSA-N 0.000 description 1
- 150000004283 biguanides Chemical class 0.000 description 1
- 201000009036 biliary tract cancer Diseases 0.000 description 1
- 208000020790 biliary tract neoplasm Diseases 0.000 description 1
- 230000027455 binding Effects 0.000 description 1
- 239000011230 binding agent Substances 0.000 description 1
- 229920002988 biodegradable polymer Polymers 0.000 description 1
- 239000004621 biodegradable polymer Substances 0.000 description 1
- SIPUZPBQZHNSDW-UHFFFAOYSA-N bis(2-methylpropyl)aluminum Chemical compound CC(C)C[Al]CC(C)C SIPUZPBQZHNSDW-UHFFFAOYSA-N 0.000 description 1
- 230000008499 blood brain barrier function Effects 0.000 description 1
- 239000012503 blood component Substances 0.000 description 1
- 210000001218 blood-brain barrier Anatomy 0.000 description 1
- UORVGPXVDQYIDP-BJUDXGSMSA-N borane Chemical class [10BH3] UORVGPXVDQYIDP-BJUDXGSMSA-N 0.000 description 1
- KGBXLFKZBHKPEV-UHFFFAOYSA-N boric acid Chemical group OB(O)O KGBXLFKZBHKPEV-UHFFFAOYSA-N 0.000 description 1
- 239000004327 boric acid Chemical group 0.000 description 1
- UWTDFICHZKXYAC-UHFFFAOYSA-N boron;oxolane Chemical compound [B].C1CCOC1 UWTDFICHZKXYAC-UHFFFAOYSA-N 0.000 description 1
- 208000006752 brain edema Diseases 0.000 description 1
- 201000008247 brain infarction Diseases 0.000 description 1
- 206010006451 bronchitis Diseases 0.000 description 1
- RRKTZKIUPZVBMF-IBTVXLQLSA-N brucine Chemical compound O([C@@H]1[C@H]([C@H]2C3)[C@@H]4N(C(C1)=O)C=1C=C(C(=CC=11)OC)OC)CC=C2CN2[C@@H]3[C@]41CC2 RRKTZKIUPZVBMF-IBTVXLQLSA-N 0.000 description 1
- RRKTZKIUPZVBMF-UHFFFAOYSA-N brucine Natural products C1=2C=C(OC)C(OC)=CC=2N(C(C2)=O)C3C(C4C5)C2OCC=C4CN2C5C31CC2 RRKTZKIUPZVBMF-UHFFFAOYSA-N 0.000 description 1
- 229960004111 buformin Drugs 0.000 description 1
- XSEUMFJMFFMCIU-UHFFFAOYSA-N buformin Chemical compound CCCC\N=C(/N)N=C(N)N XSEUMFJMFFMCIU-UHFFFAOYSA-N 0.000 description 1
- MAEIEVLCKWDQJH-UHFFFAOYSA-N bumetanide Chemical compound CCCCNC1=CC(C(O)=O)=CC(S(N)(=O)=O)=C1OC1=CC=CC=C1 MAEIEVLCKWDQJH-UHFFFAOYSA-N 0.000 description 1
- 229960004064 bumetanide Drugs 0.000 description 1
- 125000004369 butenyl group Chemical group C(=CCC)* 0.000 description 1
- 125000000480 butynyl group Chemical group [*]C#CC([H])([H])C([H])([H])[H] 0.000 description 1
- 229910000019 calcium carbonate Inorganic materials 0.000 description 1
- 239000001506 calcium phosphate Substances 0.000 description 1
- 229910000389 calcium phosphate Inorganic materials 0.000 description 1
- 235000011010 calcium phosphates Nutrition 0.000 description 1
- CJZGTCYPCWQAJB-UHFFFAOYSA-L calcium stearate Chemical compound [Ca+2].CCCCCCCCCCCCCCCCCC([O-])=O.CCCCCCCCCCCCCCCCCC([O-])=O CJZGTCYPCWQAJB-UHFFFAOYSA-L 0.000 description 1
- 239000008116 calcium stearate Substances 0.000 description 1
- 235000013539 calcium stearate Nutrition 0.000 description 1
- UFGVUHDWEQMLGF-UHFFFAOYSA-L calcium;2-carboxyphenolate;3,7-dimethyl-2-oxopurin-6-olate Chemical compound [Ca+2].OC1=CC=CC=C1C([O-])=O.CN1C(=O)[N-]C(=O)C2=C1N=CN2C UFGVUHDWEQMLGF-UHFFFAOYSA-L 0.000 description 1
- ZQNPDAVSHFGLIQ-UHFFFAOYSA-N calcium;hydrate Chemical compound O.[Ca] ZQNPDAVSHFGLIQ-UHFFFAOYSA-N 0.000 description 1
- 229960004349 candesartan cilexetil Drugs 0.000 description 1
- LEMUFSYUPGXXCM-JNEQYSBXSA-N caninsulin Chemical compound [Zn].C([C@@H](C(=O)N[C@@H](CC(C)C)C(=O)N[C@H]1CSSC[C@H]2C(=O)N[C@H](C(=O)N[C@@H](CO)C(=O)N[C@H](C(=O)N[C@H](C(N[C@@H](CO)C(=O)N[C@@H](CC(C)C)C(=O)N[C@@H](CC=3C=CC(O)=CC=3)C(=O)N[C@@H](CCC(N)=O)C(=O)N[C@@H](CC(C)C)C(=O)N[C@@H](CCC(O)=O)C(=O)N[C@@H](CC(N)=O)C(=O)N[C@@H](CC=3C=CC(O)=CC=3)C(=O)N[C@@H](CSSC[C@H](NC(=O)[C@H](C(C)C)NC(=O)[C@H](CC(C)C)NC(=O)[C@H](CC=3C=CC(O)=CC=3)NC(=O)[C@H](CC(C)C)NC(=O)[C@H](C)NC(=O)[C@H](CCC(O)=O)NC(=O)[C@H](C(C)C)NC(=O)[C@H](CC(C)C)NC(=O)[C@H](CC3N=CN=C3)NC(=O)[C@H](CO)NC(=O)CNC1=O)C(=O)NCC(=O)N[C@@H](CCC(O)=O)C(=O)N[C@@H](CCCNC(N)=N)C(=O)NCC(=O)N[C@@H](CC=1C=CC=CC=1)C(=O)N[C@@H](CC=1C=CC=CC=1)C(=O)N[C@@H](CC=1C=CC(O)=CC=1)C(=O)N[C@@H]([C@@H](C)O)C(=O)N1[C@@H](CCC1)C(=O)N[C@@H](CCCCN)C(=O)N[C@@H](C(C)O)C(O)=O)C(=O)N[C@@H](CC(N)=O)C(O)=O)=O)CSSC[C@@H](C(N2)=O)NC(=O)[C@H](CCC(N)=O)NC(=O)[C@H](CCC(O)=O)NC(=O)[C@H](C(C)C)NC(=O)[C@@H](NC(=O)CN)[C@@H](C)CC)[C@@H](C)CC)[C@@H](C)O)NC(=O)[C@H](CCC(N)=O)NC(=O)[C@H](CC(N)=O)NC(=O)[C@@H](NC(=O)[C@@H](N)CC=1C=CC=CC=1)C(C)C)C1C=NC=N1 LEMUFSYUPGXXCM-JNEQYSBXSA-N 0.000 description 1
- 229960002504 capsaicin Drugs 0.000 description 1
- 235000017663 capsaicin Nutrition 0.000 description 1
- 229960000830 captopril Drugs 0.000 description 1
- FAKRSMQSSFJEIM-RQJHMYQMSA-N captopril Chemical compound SC[C@@H](C)C(=O)N1CCC[C@H]1C(O)=O FAKRSMQSSFJEIM-RQJHMYQMSA-N 0.000 description 1
- 125000000609 carbazolyl group Chemical group C1(=CC=CC=2C3=CC=CC=C3NC12)* 0.000 description 1
- 239000003489 carbonate dehydratase inhibitor Substances 0.000 description 1
- 125000002915 carbonyl group Chemical group [*:2]C([*:1])=O 0.000 description 1
- 125000002843 carboxylic acid group Chemical group 0.000 description 1
- ZDQWVKDDJDIVAL-UHFFFAOYSA-N catecholborane Chemical compound C1=CC=C2O[B]OC2=C1 ZDQWVKDDJDIVAL-UHFFFAOYSA-N 0.000 description 1
- 230000010261 cell growth Effects 0.000 description 1
- 239000001913 cellulose Substances 0.000 description 1
- 229920002678 cellulose Polymers 0.000 description 1
- 235000010980 cellulose Nutrition 0.000 description 1
- 206010008118 cerebral infarction Diseases 0.000 description 1
- 208000013677 cerebrovascular dementia Diseases 0.000 description 1
- 229960005110 cerivastatin Drugs 0.000 description 1
- SEERZIQQUAZTOL-ANMDKAQQSA-N cerivastatin Chemical compound COCC1=C(C(C)C)N=C(C(C)C)C(\C=C\[C@@H](O)C[C@@H](O)CC(O)=O)=C1C1=CC=C(F)C=C1 SEERZIQQUAZTOL-ANMDKAQQSA-N 0.000 description 1
- 201000010881 cervical cancer Diseases 0.000 description 1
- 239000003153 chemical reaction reagent Substances 0.000 description 1
- 238000010800 chemical transportation method Methods 0.000 description 1
- 125000000068 chlorophenyl group Chemical group 0.000 description 1
- 229960001761 chlorpropamide Drugs 0.000 description 1
- 229960001523 chlortalidone Drugs 0.000 description 1
- 229940107137 cholecystokinin Drugs 0.000 description 1
- 235000012000 cholesterol Nutrition 0.000 description 1
- 125000003016 chromanyl group Chemical group O1C(CCC2=CC=CC=C12)* 0.000 description 1
- 208000037976 chronic inflammation Diseases 0.000 description 1
- 208000037893 chronic inflammatory disorder Diseases 0.000 description 1
- 208000025302 chronic primary adrenal insufficiency Diseases 0.000 description 1
- 208000013507 chronic prostatitis Diseases 0.000 description 1
- LOUPRKONTZGTKE-UHFFFAOYSA-N cinchonine Natural products C1C(C(C2)C=C)CCN2C1C(O)C1=CC=NC2=CC=C(OC)C=C21 LOUPRKONTZGTKE-UHFFFAOYSA-N 0.000 description 1
- 230000007882 cirrhosis Effects 0.000 description 1
- 208000019425 cirrhosis of liver Diseases 0.000 description 1
- DQLATGHUWYMOKM-UHFFFAOYSA-L cisplatin Chemical compound N[Pt](N)(Cl)Cl DQLATGHUWYMOKM-UHFFFAOYSA-L 0.000 description 1
- 229960004316 cisplatin Drugs 0.000 description 1
- 229950003072 clinofibrate Drugs 0.000 description 1
- 229960002492 clobenzorex Drugs 0.000 description 1
- LRXXRIXDSAEIOR-ZDUSSCGKSA-N clobenzorex Chemical compound C([C@H](C)NCC=1C(=CC=CC=1)Cl)C1=CC=CC=C1 LRXXRIXDSAEIOR-ZDUSSCGKSA-N 0.000 description 1
- 229960001214 clofibrate Drugs 0.000 description 1
- KNHUKKLJHYUCFP-UHFFFAOYSA-N clofibrate Chemical compound CCOC(=O)C(C)(C)OC1=CC=C(Cl)C=C1 KNHUKKLJHYUCFP-UHFFFAOYSA-N 0.000 description 1
- 229960002896 clonidine Drugs 0.000 description 1
- 238000005345 coagulation Methods 0.000 description 1
- 230000015271 coagulation Effects 0.000 description 1
- 239000011248 coating agent Substances 0.000 description 1
- 238000000576 coating method Methods 0.000 description 1
- 230000001113 coital effect Effects 0.000 description 1
- 239000003086 colorant Substances 0.000 description 1
- 229940000425 combination drug Drugs 0.000 description 1
- 230000008602 contraction Effects 0.000 description 1
- TVZPLCNGKSPOJA-UHFFFAOYSA-N copper zinc Chemical compound [Cu].[Zn] TVZPLCNGKSPOJA-UHFFFAOYSA-N 0.000 description 1
- 238000007887 coronary angioplasty Methods 0.000 description 1
- 208000035250 cutaneous malignant susceptibility to 1 melanoma Diseases 0.000 description 1
- 125000006254 cycloalkyl carbonyl group Chemical group 0.000 description 1
- 125000001047 cyclobutenyl group Chemical group C1(=CCC1)* 0.000 description 1
- 229960003206 cyclopenthiazide Drugs 0.000 description 1
- 229960004397 cyclophosphamide Drugs 0.000 description 1
- 125000000298 cyclopropenyl group Chemical group [H]C1=C([H])C1([H])* 0.000 description 1
- 201000003146 cystitis Diseases 0.000 description 1
- 229940127089 cytotoxic agent Drugs 0.000 description 1
- 206010061428 decreased appetite Diseases 0.000 description 1
- 230000003247 decreasing effect Effects 0.000 description 1
- WOUOLAUOZXOLJQ-MBSDFSHPSA-N delapril Chemical compound C([C@@H](C(=O)OCC)N[C@@H](C)C(=O)N(CC(O)=O)C1CC2=CC=CC=C2C1)CC1=CC=CC=C1 WOUOLAUOZXOLJQ-MBSDFSHPSA-N 0.000 description 1
- 229960005227 delapril Drugs 0.000 description 1
- 229960004597 dexfenfluramine Drugs 0.000 description 1
- 201000009101 diabetic angiopathy Diseases 0.000 description 1
- 208000033679 diabetic kidney disease Diseases 0.000 description 1
- 238000000502 dialysis Methods 0.000 description 1
- 125000004987 dibenzofuryl group Chemical group C1(=CC=CC=2OC3=C(C21)C=CC=C3)* 0.000 description 1
- HPNMFZURTQLUMO-UHFFFAOYSA-N diethylamine Chemical compound CCNCC HPNMFZURTQLUMO-UHFFFAOYSA-N 0.000 description 1
- XXEPPPIWZFICOJ-UHFFFAOYSA-N diethylpropion Chemical compound CCN(CC)C(C)C(=O)C1=CC=CC=C1 XXEPPPIWZFICOJ-UHFFFAOYSA-N 0.000 description 1
- 238000009792 diffusion process Methods 0.000 description 1
- BGRWYRAHAFMIBJ-UHFFFAOYSA-N diisopropylcarbodiimide Natural products CC(C)NC(=O)NC(C)C BGRWYRAHAFMIBJ-UHFFFAOYSA-N 0.000 description 1
- 239000003085 diluting agent Substances 0.000 description 1
- 125000002147 dimethylamino group Chemical group [H]C([H])([H])N(*)C([H])([H])[H] 0.000 description 1
- 239000003603 dipeptidyl peptidase IV inhibitor Substances 0.000 description 1
- 239000007884 disintegrant Substances 0.000 description 1
- 238000004090 dissolution Methods 0.000 description 1
- 238000009826 distribution Methods 0.000 description 1
- 230000035619 diuresis Effects 0.000 description 1
- 239000002934 diuretic Substances 0.000 description 1
- 208000002173 dizziness Diseases 0.000 description 1
- DLNKOYKMWOXYQA-UHFFFAOYSA-N dl-pseudophenylpropanolamine Natural products CC(N)C(O)C1=CC=CC=C1 DLNKOYKMWOXYQA-UHFFFAOYSA-N 0.000 description 1
- 238000009510 drug design Methods 0.000 description 1
- 206010013781 dry mouth Diseases 0.000 description 1
- 230000009977 dual effect Effects 0.000 description 1
- 206010013864 duodenitis Diseases 0.000 description 1
- 201000000312 duodenum cancer Diseases 0.000 description 1
- 230000002526 effect on cardiovascular system Effects 0.000 description 1
- 229950003102 efonidipine Drugs 0.000 description 1
- 238000005868 electrolysis reaction Methods 0.000 description 1
- 229950000269 emiglitate Drugs 0.000 description 1
- 238000004945 emulsification Methods 0.000 description 1
- 239000003995 emulsifying agent Substances 0.000 description 1
- 239000000839 emulsion Substances 0.000 description 1
- GBXSMTUPTTWBMN-XIRDDKMYSA-N enalapril Chemical compound C([C@@H](C(=O)OCC)N[C@@H](C)C(=O)N1[C@@H](CCC1)C(O)=O)CC1=CC=CC=C1 GBXSMTUPTTWBMN-XIRDDKMYSA-N 0.000 description 1
- 229960000873 enalapril Drugs 0.000 description 1
- 206010014599 encephalitis Diseases 0.000 description 1
- 208000030172 endocrine system disease Diseases 0.000 description 1
- 230000007613 environmental effect Effects 0.000 description 1
- 230000002255 enzymatic effect Effects 0.000 description 1
- 229940088598 enzyme Drugs 0.000 description 1
- CHNUOJQWGUIOLD-NFZZJPOKSA-N epalrestat Chemical compound C=1C=CC=CC=1\C=C(/C)\C=C1/SC(=S)N(CC(O)=O)C1=O CHNUOJQWGUIOLD-NFZZJPOKSA-N 0.000 description 1
- 229950010170 epalrestat Drugs 0.000 description 1
- CHNUOJQWGUIOLD-UHFFFAOYSA-N epalrestate Natural products C=1C=CC=CC=1C=C(C)C=C1SC(=S)N(CC(O)=O)C1=O CHNUOJQWGUIOLD-UHFFFAOYSA-N 0.000 description 1
- 206010015037 epilepsy Diseases 0.000 description 1
- 210000003743 erythrocyte Anatomy 0.000 description 1
- 201000004101 esophageal cancer Diseases 0.000 description 1
- AVOLMBLBETYQHX-UHFFFAOYSA-N etacrynic acid Chemical compound CCC(=C)C(=O)C1=CC=C(OCC(O)=O)C(Cl)=C1Cl AVOLMBLBETYQHX-UHFFFAOYSA-N 0.000 description 1
- 229960003199 etacrynic acid Drugs 0.000 description 1
- 229950007164 ethiazide Drugs 0.000 description 1
- NWWORXYTJRPSMC-QKPAOTATSA-N ethyl 4-[2-[(2r,3r,4r,5s)-3,4,5-trihydroxy-2-(hydroxymethyl)piperidin-1-yl]ethoxy]benzoate Chemical compound C1=CC(C(=O)OCC)=CC=C1OCCN1[C@H](CO)[C@@H](O)[C@H](O)[C@@H](O)C1 NWWORXYTJRPSMC-QKPAOTATSA-N 0.000 description 1
- 125000004494 ethyl ester group Chemical group 0.000 description 1
- 229940035423 ethyl ether Drugs 0.000 description 1
- 230000005284 excitation Effects 0.000 description 1
- 230000029142 excretion Effects 0.000 description 1
- 239000000284 extract Substances 0.000 description 1
- ZZCHHVUQYRMYLW-HKBQPEDESA-N farglitazar Chemical compound N([C@@H](CC1=CC=C(C=C1)OCCC=1N=C(OC=1C)C=1C=CC=CC=1)C(O)=O)C1=CC=CC=C1C(=O)C1=CC=CC=C1 ZZCHHVUQYRMYLW-HKBQPEDESA-N 0.000 description 1
- 229960001582 fenfluramine Drugs 0.000 description 1
- 229940125753 fibrate Drugs 0.000 description 1
- 206010016629 fibroma Diseases 0.000 description 1
- 229950007256 fidarestat Drugs 0.000 description 1
- 238000001914 filtration Methods 0.000 description 1
- 238000007667 floating Methods 0.000 description 1
- 229960002949 fluorouracil Drugs 0.000 description 1
- 229960003765 fluvastatin Drugs 0.000 description 1
- 238000007716 flux method Methods 0.000 description 1
- 238000009472 formulation Methods 0.000 description 1
- 239000012634 fragment Substances 0.000 description 1
- 239000003205 fragrance Substances 0.000 description 1
- 238000002194 freeze distillation Methods 0.000 description 1
- 208000024386 fungal infectious disease Diseases 0.000 description 1
- ZZUFCTLCJUWOSV-UHFFFAOYSA-N furosemide Chemical compound C1=C(Cl)C(S(=O)(=O)N)=CC(C(O)=O)=C1NCC1=CC=CO1 ZZUFCTLCJUWOSV-UHFFFAOYSA-N 0.000 description 1
- 229960003883 furosemide Drugs 0.000 description 1
- 238000004817 gas chromatography Methods 0.000 description 1
- 238000010574 gas phase reaction Methods 0.000 description 1
- 238000010582 gas stream method Methods 0.000 description 1
- 206010017758 gastric cancer Diseases 0.000 description 1
- 201000005917 gastric ulcer Diseases 0.000 description 1
- 201000005298 gastrointestinal allergy Diseases 0.000 description 1
- 239000008273 gelatin Substances 0.000 description 1
- 229920000159 gelatin Polymers 0.000 description 1
- 235000019322 gelatine Nutrition 0.000 description 1
- 235000011852 gelatine desserts Nutrition 0.000 description 1
- 238000010353 genetic engineering Methods 0.000 description 1
- 229960004580 glibenclamide Drugs 0.000 description 1
- 229960000346 gliclazide Drugs 0.000 description 1
- 229960004346 glimepiride Drugs 0.000 description 1
- WIGIZIANZCJQQY-RUCARUNLSA-N glimepiride Chemical compound O=C1C(CC)=C(C)CN1C(=O)NCCC1=CC=C(S(=O)(=O)NC(=O)N[C@@H]2CC[C@@H](C)CC2)C=C1 WIGIZIANZCJQQY-RUCARUNLSA-N 0.000 description 1
- 206010061989 glomerulosclerosis Diseases 0.000 description 1
- MASNOZXLGMXCHN-ZLPAWPGGSA-N glucagon Chemical compound C([C@@H](C(=O)N[C@H](C(=O)N[C@@H](CCC(N)=O)C(=O)N[C@@H](CC=1C2=CC=CC=C2NC=1)C(=O)N[C@@H](CC(C)C)C(=O)N[C@@H](CCSC)C(=O)N[C@@H](CC(N)=O)C(=O)N[C@@H]([C@@H](C)O)C(O)=O)C(C)C)NC(=O)[C@H](CC(O)=O)NC(=O)[C@H](CCC(N)=O)NC(=O)[C@H](C)NC(=O)[C@H](CCCNC(N)=N)NC(=O)[C@H](CCCNC(N)=N)NC(=O)[C@H](CO)NC(=O)[C@H](CC(O)=O)NC(=O)[C@H](CC(C)C)NC(=O)[C@H](CC=1C=CC(O)=CC=1)NC(=O)[C@H](CCCCN)NC(=O)[C@H](CO)NC(=O)[C@H](CC=1C=CC(O)=CC=1)NC(=O)[C@H](CC(O)=O)NC(=O)[C@H](CO)NC(=O)[C@@H](NC(=O)[C@H](CC=1C=CC=CC=1)NC(=O)[C@@H](NC(=O)CNC(=O)[C@H](CCC(N)=O)NC(=O)[C@H](CO)NC(=O)[C@@H](N)CC=1NC=NC=1)[C@@H](C)O)[C@@H](C)O)C1=CC=CC=C1 MASNOZXLGMXCHN-ZLPAWPGGSA-N 0.000 description 1
- 229960004666 glucagon Drugs 0.000 description 1
- 235000013922 glutamic acid Nutrition 0.000 description 1
- 239000004220 glutamic acid Substances 0.000 description 1
- ZNNLBTZKUZBEKO-UHFFFAOYSA-N glyburide Chemical compound COC1=CC=C(Cl)C=C1C(=O)NCCC1=CC=C(S(=O)(=O)NC(=O)NC2CCCCC2)C=C1 ZNNLBTZKUZBEKO-UHFFFAOYSA-N 0.000 description 1
- 229950002888 glyclopyramide Drugs 0.000 description 1
- 208000024908 graft versus host disease Diseases 0.000 description 1
- 238000005469 granulation Methods 0.000 description 1
- 230000003179 granulation Effects 0.000 description 1
- 230000012010 growth Effects 0.000 description 1
- 229910052736 halogen Inorganic materials 0.000 description 1
- 150000002367 halogens Chemical class 0.000 description 1
- 201000010536 head and neck cancer Diseases 0.000 description 1
- 208000014829 head and neck neoplasm Diseases 0.000 description 1
- 231100000869 headache Toxicity 0.000 description 1
- 208000019622 heart disease Diseases 0.000 description 1
- 208000024798 heartburn Diseases 0.000 description 1
- 238000010438 heat treatment Methods 0.000 description 1
- 231100000283 hepatitis Toxicity 0.000 description 1
- GNOIPBMMFNIUFM-UHFFFAOYSA-N hexamethylphosphoric triamide Chemical compound CN(C)P(=O)(N(C)C)N(C)C GNOIPBMMFNIUFM-UHFFFAOYSA-N 0.000 description 1
- 239000004030 hiv protease inhibitor Substances 0.000 description 1
- 108091008039 hormone receptors Proteins 0.000 description 1
- 229960002003 hydrochlorothiazide Drugs 0.000 description 1
- DMDGGSIALPNSEE-UHFFFAOYSA-N hydroflumethiazide Chemical compound C1=C(C(F)(F)F)C(S(=O)(=O)N)=CC2=C1NCNS2(=O)=O DMDGGSIALPNSEE-UHFFFAOYSA-N 0.000 description 1
- 229960003313 hydroflumethiazide Drugs 0.000 description 1
- XMBWDFGMSWQBCA-UHFFFAOYSA-N hydrogen iodide Chemical compound I XMBWDFGMSWQBCA-UHFFFAOYSA-N 0.000 description 1
- ZMZDMBWJUHKJPS-UHFFFAOYSA-N hydrogen thiocyanate Natural products SC#N ZMZDMBWJUHKJPS-UHFFFAOYSA-N 0.000 description 1
- 238000001027 hydrothermal synthesis Methods 0.000 description 1
- 125000004029 hydroxymethyl group Chemical group [H]OC([H])([H])* 0.000 description 1
- 239000001863 hydroxypropyl cellulose Substances 0.000 description 1
- 235000010977 hydroxypropyl cellulose Nutrition 0.000 description 1
- 230000036543 hypotension Effects 0.000 description 1
- 150000002466 imines Chemical class 0.000 description 1
- 230000001900 immune effect Effects 0.000 description 1
- NDDAHWYSQHTHNT-UHFFFAOYSA-N indapamide Chemical compound CC1CC2=CC=CC=C2N1NC(=O)C1=CC=C(Cl)C(S(N)(=O)=O)=C1 NDDAHWYSQHTHNT-UHFFFAOYSA-N 0.000 description 1
- 229960004569 indapamide Drugs 0.000 description 1
- 125000003406 indolizinyl group Chemical group C=1(C=CN2C=CC=CC12)* 0.000 description 1
- 230000004054 inflammatory process Effects 0.000 description 1
- 230000028709 inflammatory response Effects 0.000 description 1
- PBGKTOXHQIOBKM-FHFVDXKLSA-N insulin (human) Chemical compound C([C@@H](C(=O)N[C@@H](CC(C)C)C(=O)N[C@H]1CSSC[C@H]2C(=O)N[C@H](C(=O)N[C@@H](CO)C(=O)N[C@H](C(=O)N[C@H](C(N[C@@H](CO)C(=O)N[C@@H](CC(C)C)C(=O)N[C@@H](CC=3C=CC(O)=CC=3)C(=O)N[C@@H](CCC(N)=O)C(=O)N[C@@H](CC(C)C)C(=O)N[C@@H](CCC(O)=O)C(=O)N[C@@H](CC(N)=O)C(=O)N[C@@H](CC=3C=CC(O)=CC=3)C(=O)N[C@@H](CSSC[C@H](NC(=O)[C@H](C(C)C)NC(=O)[C@H](CC(C)C)NC(=O)[C@H](CC=3C=CC(O)=CC=3)NC(=O)[C@H](CC(C)C)NC(=O)[C@H](C)NC(=O)[C@H](CCC(O)=O)NC(=O)[C@H](C(C)C)NC(=O)[C@H](CC(C)C)NC(=O)[C@H](CC=3NC=NC=3)NC(=O)[C@H](CO)NC(=O)CNC1=O)C(=O)NCC(=O)N[C@@H](CCC(O)=O)C(=O)N[C@@H](CCCNC(N)=N)C(=O)NCC(=O)N[C@@H](CC=1C=CC=CC=1)C(=O)N[C@@H](CC=1C=CC=CC=1)C(=O)N[C@@H](CC=1C=CC(O)=CC=1)C(=O)N[C@@H]([C@@H](C)O)C(=O)N1[C@@H](CCC1)C(=O)N[C@@H](CCCCN)C(=O)N[C@@H]([C@@H](C)O)C(O)=O)C(=O)N[C@@H](CC(N)=O)C(O)=O)=O)CSSC[C@@H](C(N2)=O)NC(=O)[C@H](CCC(N)=O)NC(=O)[C@H](CCC(O)=O)NC(=O)[C@H](C(C)C)NC(=O)[C@@H](NC(=O)CN)[C@@H](C)CC)[C@@H](C)CC)[C@@H](C)O)NC(=O)[C@H](CCC(N)=O)NC(=O)[C@H](CC(N)=O)NC(=O)[C@@H](NC(=O)[C@@H](N)CC=1C=CC=CC=1)C(C)C)C1=CN=CN1 PBGKTOXHQIOBKM-FHFVDXKLSA-N 0.000 description 1
- 201000004332 intermediate coronary syndrome Diseases 0.000 description 1
- 208000021156 intermittent vascular claudication Diseases 0.000 description 1
- 230000000968 intestinal effect Effects 0.000 description 1
- 210000000936 intestine Anatomy 0.000 description 1
- 208000020658 intracerebral hemorrhage Diseases 0.000 description 1
- 150000004694 iodide salts Chemical class 0.000 description 1
- PNDPGZBMCMUPRI-UHFFFAOYSA-N iodine Chemical compound II PNDPGZBMCMUPRI-UHFFFAOYSA-N 0.000 description 1
- 229910052742 iron Inorganic materials 0.000 description 1
- 229960002479 isosorbide Drugs 0.000 description 1
- 239000007951 isotonicity adjuster Substances 0.000 description 1
- 210000001117 keloid Anatomy 0.000 description 1
- 201000010982 kidney cancer Diseases 0.000 description 1
- 208000017169 kidney disease Diseases 0.000 description 1
- 201000006370 kidney failure Diseases 0.000 description 1
- 238000004898 kneading Methods 0.000 description 1
- 239000008101 lactose Substances 0.000 description 1
- 206010023841 laryngeal neoplasm Diseases 0.000 description 1
- 201000010260 leiomyoma Diseases 0.000 description 1
- NRYBAZVQPHGZNS-ZSOCWYAHSA-N leptin Chemical compound O=C([C@H](CO)NC(=O)[C@H](CC(C)C)NC(=O)[C@H](CC(O)=O)NC(=O)[C@H](CC(C)C)NC(=O)[C@H](CCC(N)=O)NC(=O)[C@H](CC=1C2=CC=CC=C2NC=1)NC(=O)[C@H](CC(C)C)NC(=O)[C@@H](NC(=O)[C@H](CC(O)=O)NC(=O)[C@H](CCC(N)=O)NC(=O)[C@H](CC(C)C)NC(=O)[C@H](CO)NC(=O)CNC(=O)[C@H](CCC(N)=O)NC(=O)[C@@H](N)CC(C)C)CCSC)N1CCC[C@H]1C(=O)NCC(=O)N[C@@H](CS)C(O)=O NRYBAZVQPHGZNS-ZSOCWYAHSA-N 0.000 description 1
- 229940039781 leptin Drugs 0.000 description 1
- 208000032839 leukemia Diseases 0.000 description 1
- 210000000265 leukocyte Anatomy 0.000 description 1
- 229950003977 lintitript Drugs 0.000 description 1
- 235000019136 lipoic acid Nutrition 0.000 description 1
- 206010024627 liposarcoma Diseases 0.000 description 1
- 238000004811 liquid chromatography Methods 0.000 description 1
- 238000004943 liquid phase epitaxy Methods 0.000 description 1
- YNESATAKKCNGOF-UHFFFAOYSA-N lithium bis(trimethylsilyl)amide Chemical compound [Li+].C[Si](C)(C)[N-][Si](C)(C)C YNESATAKKCNGOF-UHFFFAOYSA-N 0.000 description 1
- 201000007270 liver cancer Diseases 0.000 description 1
- 208000014018 liver neoplasm Diseases 0.000 description 1
- 229960004773 losartan Drugs 0.000 description 1
- KJJZZJSZUJXYEA-UHFFFAOYSA-N losartan Chemical compound CCCCC1=NC(Cl)=C(CO)N1CC1=CC=C(C=2C(=CC=CC=2)C=2[N]N=NN=2)C=C1 KJJZZJSZUJXYEA-UHFFFAOYSA-N 0.000 description 1
- 229960004844 lovastatin Drugs 0.000 description 1
- PCZOHLXUXFIOCF-BXMDZJJMSA-N lovastatin Chemical compound C([C@H]1[C@@H](C)C=CC2=C[C@H](C)C[C@@H]([C@H]12)OC(=O)[C@@H](C)CC)C[C@@H]1C[C@@H](O)CC(=O)O1 PCZOHLXUXFIOCF-BXMDZJJMSA-N 0.000 description 1
- QLJODMDSTUBWDW-UHFFFAOYSA-N lovastatin hydroxy acid Natural products C1=CC(C)C(CCC(O)CC(O)CC(O)=O)C2C(OC(=O)C(C)CC)CC(C)C=C21 QLJODMDSTUBWDW-UHFFFAOYSA-N 0.000 description 1
- 229940083747 low-ceiling diuretics xanthine derivative Drugs 0.000 description 1
- 239000000314 lubricant Substances 0.000 description 1
- 201000005202 lung cancer Diseases 0.000 description 1
- 208000020816 lung neoplasm Diseases 0.000 description 1
- 235000019359 magnesium stearate Nutrition 0.000 description 1
- 239000001630 malic acid Substances 0.000 description 1
- 235000011090 malic acid Nutrition 0.000 description 1
- 208000015486 malignant pancreatic neoplasm Diseases 0.000 description 1
- ANEBWFXPVPTEET-UHFFFAOYSA-N manidipine Chemical compound COC(=O)C1=C(C)NC(C)=C(C(=O)OCCN2CCN(CC2)C(C=2C=CC=CC=2)C=2C=CC=CC=2)C1C1=CC=CC([N+]([O-])=O)=C1 ANEBWFXPVPTEET-UHFFFAOYSA-N 0.000 description 1
- 229960003963 manidipine Drugs 0.000 description 1
- 229960000299 mazindol Drugs 0.000 description 1
- 229960004678 mefruside Drugs 0.000 description 1
- 201000001441 melanoma Diseases 0.000 description 1
- 230000003340 mental effect Effects 0.000 description 1
- 230000006996 mental state Effects 0.000 description 1
- 208000030159 metabolic disease Diseases 0.000 description 1
- 230000002503 metabolic effect Effects 0.000 description 1
- 230000004060 metabolic process Effects 0.000 description 1
- 150000002739 metals Chemical class 0.000 description 1
- AFCCDDWKHLHPDF-UHFFFAOYSA-M metam-sodium Chemical compound [Na+].CNC([S-])=S AFCCDDWKHLHPDF-UHFFFAOYSA-M 0.000 description 1
- 230000001394 metastastic effect Effects 0.000 description 1
- 206010061289 metastatic neoplasm Diseases 0.000 description 1
- XZWYZXLIPXDOLR-UHFFFAOYSA-N metformin Chemical compound CN(C)C(=N)NC(N)=N XZWYZXLIPXDOLR-UHFFFAOYSA-N 0.000 description 1
- 229960003105 metformin Drugs 0.000 description 1
- UKVIEHSSVKSQBA-UHFFFAOYSA-N methane;palladium Chemical compound C.[Pd] UKVIEHSSVKSQBA-UHFFFAOYSA-N 0.000 description 1
- 229960000485 methotrexate Drugs 0.000 description 1
- 125000006626 methoxycarbonylamino group Chemical group 0.000 description 1
- 229960003739 methyclothiazide Drugs 0.000 description 1
- MGJXBDMLVWIYOQ-UHFFFAOYSA-N methylazanide Chemical compound [NH-]C MGJXBDMLVWIYOQ-UHFFFAOYSA-N 0.000 description 1
- 229960001110 miglitol Drugs 0.000 description 1
- 229950002259 minalrestat Drugs 0.000 description 1
- WPGGHFDDFPHPOB-BBWFWOEESA-N mitiglinide Chemical compound C([C@@H](CC(=O)N1C[C@@H]2CCCC[C@@H]2C1)C(=O)O)C1=CC=CC=C1 WPGGHFDDFPHPOB-BBWFWOEESA-N 0.000 description 1
- 229960003365 mitiglinide Drugs 0.000 description 1
- 229960004857 mitomycin Drugs 0.000 description 1
- 238000002156 mixing Methods 0.000 description 1
- 125000006518 morpholino carbonyl group Chemical group [H]C1([H])OC([H])([H])C([H])([H])N(C(*)=O)C1([H])[H] 0.000 description 1
- 208000029766 myalgic encephalomeyelitis/chronic fatigue syndrome Diseases 0.000 description 1
- 206010028417 myasthenia gravis Diseases 0.000 description 1
- 208000010125 myocardial infarction Diseases 0.000 description 1
- 208000021971 neovascular inflammatory vitreoretinopathy Diseases 0.000 description 1
- 201000008383 nephritis Diseases 0.000 description 1
- PKWDZWYVIHVNKS-UHFFFAOYSA-N netoglitazone Chemical compound FC1=CC=CC=C1COC1=CC=C(C=C(CC2C(NC(=O)S2)=O)C=C2)C2=C1 PKWDZWYVIHVNKS-UHFFFAOYSA-N 0.000 description 1
- 230000001537 neural effect Effects 0.000 description 1
- 208000007538 neurilemmoma Diseases 0.000 description 1
- 230000004770 neurodegeneration Effects 0.000 description 1
- 208000015122 neurodegenerative disease Diseases 0.000 description 1
- 210000002569 neuron Anatomy 0.000 description 1
- 208000021722 neuropathic pain Diseases 0.000 description 1
- 239000003900 neurotrophic factor Substances 0.000 description 1
- 238000006386 neutralization reaction Methods 0.000 description 1
- 229960001783 nicardipine Drugs 0.000 description 1
- 150000002816 nickel compounds Chemical class 0.000 description 1
- HYIMSNHJOBLJNT-UHFFFAOYSA-N nifedipine Chemical compound COC(=O)C1=C(C)NC(C)=C(C(=O)OC)C1C1=CC=CC=C1[N+]([O-])=O HYIMSNHJOBLJNT-UHFFFAOYSA-N 0.000 description 1
- 229960001597 nifedipine Drugs 0.000 description 1
- 230000000422 nocturnal effect Effects 0.000 description 1
- 208000005346 nocturnal enuresis Diseases 0.000 description 1
- 208000002154 non-small cell lung carcinoma Diseases 0.000 description 1
- 235000020824 obesity Nutrition 0.000 description 1
- QIQXTHQIDYTFRH-UHFFFAOYSA-N octadecanoic acid Chemical compound CCCCCCCCCCCCCCCCCC(O)=O QIQXTHQIDYTFRH-UHFFFAOYSA-N 0.000 description 1
- OQCDKBAXFALNLD-UHFFFAOYSA-N octadecanoic acid Natural products CCCCCCCC(C)CCCCCCCCC(O)=O OQCDKBAXFALNLD-UHFFFAOYSA-N 0.000 description 1
- 235000005985 organic acids Nutrition 0.000 description 1
- 239000003960 organic solvent Substances 0.000 description 1
- AHLBNYSZXLDEJQ-FWEHEUNISA-N orlistat Chemical compound CCCCCCCCCCC[C@H](OC(=O)[C@H](CC(C)C)NC=O)C[C@@H]1OC(=O)[C@H]1CCCCCC AHLBNYSZXLDEJQ-FWEHEUNISA-N 0.000 description 1
- 229960001243 orlistat Drugs 0.000 description 1
- 229960003104 ornithine Drugs 0.000 description 1
- 201000008482 osteoarthritis Diseases 0.000 description 1
- 208000005368 osteomalacia Diseases 0.000 description 1
- 201000008968 osteosarcoma Diseases 0.000 description 1
- 208000015124 ovarian disease Diseases 0.000 description 1
- 230000003647 oxidation Effects 0.000 description 1
- 238000007254 oxidation reaction Methods 0.000 description 1
- HBEQXAKJSGXAIQ-UHFFFAOYSA-N oxopalladium Chemical compound [Pd]=O HBEQXAKJSGXAIQ-UHFFFAOYSA-N 0.000 description 1
- MUMZUERVLWJKNR-UHFFFAOYSA-N oxoplatinum Chemical compound [Pt]=O MUMZUERVLWJKNR-UHFFFAOYSA-N 0.000 description 1
- 125000001820 oxy group Chemical group [*:1]O[*:2] 0.000 description 1
- 229960001592 paclitaxel Drugs 0.000 description 1
- 150000002941 palladium compounds Chemical class 0.000 description 1
- 229910003445 palladium oxide Inorganic materials 0.000 description 1
- NXJCBFBQEVOTOW-UHFFFAOYSA-L palladium(2+);dihydroxide Chemical compound O[Pd]O NXJCBFBQEVOTOW-UHFFFAOYSA-L 0.000 description 1
- YJVFFLUZDVXJQI-UHFFFAOYSA-L palladium(ii) acetate Chemical compound [Pd+2].CC([O-])=O.CC([O-])=O YJVFFLUZDVXJQI-UHFFFAOYSA-L 0.000 description 1
- 125000001312 palmitoyl group Chemical group O=C([*])C([H])([H])C([H])([H])C([H])([H])C([H])([H])C([H])([H])C([H])([H])C([H])([H])C([H])([H])C([H])([H])C([H])([H])C([H])([H])C([H])([H])C([H])([H])C([H])([H])C([H])([H])[H] 0.000 description 1
- 210000000496 pancreas Anatomy 0.000 description 1
- 208000024691 pancreas disease Diseases 0.000 description 1
- 201000002528 pancreatic cancer Diseases 0.000 description 1
- 208000008443 pancreatic carcinoma Diseases 0.000 description 1
- 229940116369 pancreatic lipase Drugs 0.000 description 1
- 208000019906 panic disease Diseases 0.000 description 1
- QNGNSVIICDLXHT-UHFFFAOYSA-N para-ethylbenzaldehyde Natural products CCC1=CC=C(C=O)C=C1 QNGNSVIICDLXHT-UHFFFAOYSA-N 0.000 description 1
- 238000007911 parenteral administration Methods 0.000 description 1
- 230000036961 partial effect Effects 0.000 description 1
- 208000013823 pelvic organ prolapse Diseases 0.000 description 1
- 229950001707 penflutizide Drugs 0.000 description 1
- 208000011906 peptic ulcer disease Diseases 0.000 description 1
- 210000001428 peripheral nervous system Anatomy 0.000 description 1
- 208000033808 peripheral neuropathy Diseases 0.000 description 1
- 239000000546 pharmaceutical excipient Substances 0.000 description 1
- 201000008006 pharynx cancer Diseases 0.000 description 1
- 125000004934 phenanthridinyl group Chemical group C1(=CC=CC2=NC=C3C=CC=CC3=C12)* 0.000 description 1
- 125000005561 phenanthryl group Chemical group 0.000 description 1
- 229960003243 phenformin Drugs 0.000 description 1
- ICFJFFQQTFMIBG-UHFFFAOYSA-N phenformin Chemical compound NC(=N)NC(=N)NCCC1=CC=CC=C1 ICFJFFQQTFMIBG-UHFFFAOYSA-N 0.000 description 1
- 125000001484 phenothiazinyl group Chemical group C1(=CC=CC=2SC3=CC=CC=C3NC12)* 0.000 description 1
- 125000001644 phenoxazinyl group Chemical group C1(=CC=CC=2OC3=CC=CC=C3NC12)* 0.000 description 1
- 229960003562 phentermine Drugs 0.000 description 1
- HKOOXMFOFWEVGF-UHFFFAOYSA-N phenylhydrazine Chemical compound NNC1=CC=CC=C1 HKOOXMFOFWEVGF-UHFFFAOYSA-N 0.000 description 1
- 229940067157 phenylhydrazine Drugs 0.000 description 1
- DLNKOYKMWOXYQA-APPZFPTMSA-N phenylpropanolamine Chemical compound C[C@@H](N)[C@H](O)C1=CC=CC=C1 DLNKOYKMWOXYQA-APPZFPTMSA-N 0.000 description 1
- 229960000395 phenylpropanolamine Drugs 0.000 description 1
- 239000008363 phosphate buffer Substances 0.000 description 1
- 229910052698 phosphorus Inorganic materials 0.000 description 1
- 239000011574 phosphorus Substances 0.000 description 1
- UHZYTMXLRWXGPK-UHFFFAOYSA-N phosphorus pentachloride Chemical compound ClP(Cl)(Cl)(Cl)Cl UHZYTMXLRWXGPK-UHFFFAOYSA-N 0.000 description 1
- FAIAAWCVCHQXDN-UHFFFAOYSA-N phosphorus trichloride Chemical compound ClP(Cl)Cl FAIAAWCVCHQXDN-UHFFFAOYSA-N 0.000 description 1
- LFGREXWGYUGZLY-UHFFFAOYSA-N phosphoryl Chemical group [P]=O LFGREXWGYUGZLY-UHFFFAOYSA-N 0.000 description 1
- 125000000612 phthaloyl group Chemical group C(C=1C(C(=O)*)=CC=CC1)(=O)* 0.000 description 1
- 230000001766 physiological effect Effects 0.000 description 1
- 239000002504 physiological saline solution Substances 0.000 description 1
- 229960003890 pimagedine Drugs 0.000 description 1
- 229960002827 pioglitazone hydrochloride Drugs 0.000 description 1
- 125000000587 piperidin-1-yl group Chemical group [H]C1([H])N(*)C([H])([H])C([H])([H])C([H])([H])C1([H])[H] 0.000 description 1
- XUWHAWMETYGRKB-UHFFFAOYSA-N piperidin-2-one Chemical compound O=C1CCCCN1 XUWHAWMETYGRKB-UHFFFAOYSA-N 0.000 description 1
- 229960001085 piretanide Drugs 0.000 description 1
- 150000003058 platinum compounds Chemical class 0.000 description 1
- 229910003446 platinum oxide Inorganic materials 0.000 description 1
- 229960005483 polythiazide Drugs 0.000 description 1
- 229920000046 polythiazide Polymers 0.000 description 1
- 239000001267 polyvinylpyrrolidone Substances 0.000 description 1
- 229920000036 polyvinylpyrrolidone Polymers 0.000 description 1
- 235000013855 polyvinylpyrrolidone Nutrition 0.000 description 1
- 230000002980 postoperative effect Effects 0.000 description 1
- 235000011056 potassium acetate Nutrition 0.000 description 1
- IUBQJLUDMLPAGT-UHFFFAOYSA-N potassium bis(trimethylsilyl)amide Chemical compound C[Si](C)(C)N([K])[Si](C)(C)C IUBQJLUDMLPAGT-UHFFFAOYSA-N 0.000 description 1
- LPNYRYFBWFDTMA-UHFFFAOYSA-N potassium tert-butoxide Chemical compound [K+].CC(C)(C)[O-] LPNYRYFBWFDTMA-UHFFFAOYSA-N 0.000 description 1
- 229960003611 pramlintide Drugs 0.000 description 1
- TZIRZGBAFTZREM-MKAGXXMWSA-N pramlintide Chemical compound C([C@@H](C(=O)NCC(=O)N1CCC[C@H]1C(=O)N[C@@H]([C@@H](C)CC)C(=O)N[C@@H](CC(C)C)C(=O)N1[C@@H](CCC1)C(=O)N1[C@@H](CCC1)C(=O)N[C@@H]([C@@H](C)O)C(=O)N[C@@H](CC(N)=O)C(=O)N[C@@H](C(C)C)C(=O)NCC(=O)N[C@@H](CO)C(=O)N[C@@H](CC(N)=O)C(=O)N[C@@H]([C@@H](C)O)C(=O)N[C@@H](CC=1C=CC(O)=CC=1)C(N)=O)NC(=O)[C@H](CC(N)=O)NC(=O)[C@H](CC(N)=O)NC(=O)[C@H](CO)NC(=O)[C@H](CO)NC(=O)[C@H](CC=1N=CNC=1)NC(=O)[C@@H](NC(=O)[C@H](CC(C)C)NC(=O)[C@H](CC=1C=CC=CC=1)NC(=O)[C@H](CC(N)=O)NC(=O)[C@H](C)NC(=O)[C@H](CC(C)C)NC(=O)[C@H](CCCNC(N)=N)NC(=O)[C@H](CCC(N)=O)NC(=O)[C@@H](NC(=O)[C@H](C)NC(=O)[C@H]1NC(=O)[C@H]([C@@H](C)O)NC(=O)[C@H](C)NC(=O)[C@H]([C@@H](C)O)NC(=O)[C@H](CC(N)=O)NC(=O)[C@@H](NC(=O)[C@@H](N)CCCCN)CSSC1)[C@@H](C)O)C(C)C)C1=CC=CC=C1 TZIRZGBAFTZREM-MKAGXXMWSA-N 0.000 description 1
- 108010029667 pramlintide Proteins 0.000 description 1
- 229960002965 pravastatin Drugs 0.000 description 1
- TUZYXOIXSAXUGO-PZAWKZKUSA-N pravastatin Chemical compound C1=C[C@H](C)[C@H](CC[C@@H](O)C[C@@H](O)CC(O)=O)[C@H]2[C@@H](OC(=O)[C@@H](C)CC)C[C@H](O)C=C21 TUZYXOIXSAXUGO-PZAWKZKUSA-N 0.000 description 1
- 239000002243 precursor Substances 0.000 description 1
- 201000009104 prediabetes syndrome Diseases 0.000 description 1
- 239000003755 preservative agent Substances 0.000 description 1
- 230000002335 preservative effect Effects 0.000 description 1
- 208000013846 primary aldosteronism Diseases 0.000 description 1
- 201000009395 primary hyperaldosteronism Diseases 0.000 description 1
- 210000002248 primary sensory neuron Anatomy 0.000 description 1
- 230000006785 proliferative vitreoretinopathy Effects 0.000 description 1
- 230000000069 prophylactic effect Effects 0.000 description 1
- 235000019260 propionic acid Nutrition 0.000 description 1
- 201000007094 prostatitis Diseases 0.000 description 1
- 108020000494 protein-tyrosine phosphatase Proteins 0.000 description 1
- 208000020016 psychiatric disease Diseases 0.000 description 1
- 230000002685 pulmonary effect Effects 0.000 description 1
- 208000002815 pulmonary hypertension Diseases 0.000 description 1
- 201000003651 pulmonary sarcoidosis Diseases 0.000 description 1
- 208000008128 pulmonary tuberculosis Diseases 0.000 description 1
- QFYXSLAAXZTRLG-UHFFFAOYSA-N pyrrolidine-2,3-dione Chemical group O=C1CCNC1=O QFYXSLAAXZTRLG-UHFFFAOYSA-N 0.000 description 1
- GYUFNANMFWGHFO-UHFFFAOYSA-N pyrrolidine-2,5-dione;2,2,2-trifluoroacetic acid Chemical compound OC(=O)C(F)(F)F.O=C1CCC(=O)N1 GYUFNANMFWGHFO-UHFFFAOYSA-N 0.000 description 1
- IUVKMZGDUIUOCP-BTNSXGMBSA-N quinbolone Chemical compound O([C@H]1CC[C@H]2[C@H]3[C@@H]([C@]4(C=CC(=O)C=C4CC3)C)CC[C@@]21C)C1=CCCC1 IUVKMZGDUIUOCP-BTNSXGMBSA-N 0.000 description 1
- 150000003248 quinolines Chemical class 0.000 description 1
- 239000011541 reaction mixture Substances 0.000 description 1
- 206010038038 rectal cancer Diseases 0.000 description 1
- 201000001275 rectum cancer Diseases 0.000 description 1
- 230000000306 recurrent effect Effects 0.000 description 1
- 229960002354 repaglinide Drugs 0.000 description 1
- 238000012827 research and development Methods 0.000 description 1
- 238000012552 review Methods 0.000 description 1
- 201000009410 rhabdomyosarcoma Diseases 0.000 description 1
- 201000003068 rheumatic fever Diseases 0.000 description 1
- 150000003284 rhodium compounds Chemical class 0.000 description 1
- SVOOVMQUISJERI-UHFFFAOYSA-K rhodium(3+);triacetate Chemical compound [Rh+3].CC([O-])=O.CC([O-])=O.CC([O-])=O SVOOVMQUISJERI-UHFFFAOYSA-K 0.000 description 1
- CRPGRUONUFDYBG-UHFFFAOYSA-N risarestat Chemical compound C1=C(OCC)C(OCCCCC)=CC=C1C1C(=O)NC(=O)S1 CRPGRUONUFDYBG-UHFFFAOYSA-N 0.000 description 1
- XMSXOLDPMGMWTH-UHFFFAOYSA-N rivoglitazone Chemical compound CN1C2=CC(OC)=CC=C2N=C1COC(C=C1)=CC=C1CC1SC(=O)NC1=O XMSXOLDPMGMWTH-UHFFFAOYSA-N 0.000 description 1
- 229960004586 rosiglitazone Drugs 0.000 description 1
- 208000026451 salivation Diseases 0.000 description 1
- KZUNJOHGWZRPMI-UHFFFAOYSA-N samarium atom Chemical compound [Sm] KZUNJOHGWZRPMI-UHFFFAOYSA-N 0.000 description 1
- PGKXDIMONUAMFR-AREMUKBSSA-N saredutant Chemical compound C([C@H](CN(C)C(=O)C=1C=CC=CC=1)C=1C=C(Cl)C(Cl)=CC=1)CN(CC1)CCC1(NC(C)=O)C1=CC=CC=C1 PGKXDIMONUAMFR-AREMUKBSSA-N 0.000 description 1
- QGJUIPDUBHWZPV-SGTAVMJGSA-N saxagliptin Chemical compound C1C(C2)CC(C3)CC2(O)CC13[C@H](N)C(=O)N1[C@H](C#N)C[C@@H]2C[C@@H]21 QGJUIPDUBHWZPV-SGTAVMJGSA-N 0.000 description 1
- 229960004937 saxagliptin Drugs 0.000 description 1
- 108010033693 saxagliptin Proteins 0.000 description 1
- 201000000980 schizophrenia Diseases 0.000 description 1
- 206010039667 schwannoma Diseases 0.000 description 1
- 238000010581 sealed tube method Methods 0.000 description 1
- 125000000467 secondary amino group Chemical group [H]N([*:1])[*:2] 0.000 description 1
- 210000003900 secondary neuron Anatomy 0.000 description 1
- 229910052711 selenium Inorganic materials 0.000 description 1
- 239000011669 selenium Substances 0.000 description 1
- 230000014860 sensory perception of taste Effects 0.000 description 1
- 230000036303 septic shock Effects 0.000 description 1
- 208000013223 septicemia Diseases 0.000 description 1
- 231100000872 sexual dysfunction Toxicity 0.000 description 1
- 230000001568 sexual effect Effects 0.000 description 1
- 229960004425 sibutramine Drugs 0.000 description 1
- UNAANXDKBXWMLN-UHFFFAOYSA-N sibutramine Chemical compound C=1C=C(Cl)C=CC=1C1(C(N(C)C)CC(C)C)CCC1 UNAANXDKBXWMLN-UHFFFAOYSA-N 0.000 description 1
- 229960004058 simfibrate Drugs 0.000 description 1
- 229960002855 simvastatin Drugs 0.000 description 1
- RYMZZMVNJRMUDD-HGQWONQESA-N simvastatin Chemical compound C([C@H]1[C@@H](C)C=CC2=C[C@H](C)C[C@@H]([C@H]12)OC(=O)C(C)(C)CC)C[C@@H]1C[C@@H](O)CC(=O)O1 RYMZZMVNJRMUDD-HGQWONQESA-N 0.000 description 1
- IZTQOLKUZKXIRV-YRVFCXMDSA-N sincalide Chemical compound C([C@@H](C(=O)N[C@@H](CCSC)C(=O)NCC(=O)N[C@@H](CC=1C2=CC=CC=C2NC=1)C(=O)N[C@@H](CCSC)C(=O)N[C@@H](CC(O)=O)C(=O)N[C@@H](CC=1C=CC=CC=1)C(N)=O)NC(=O)[C@@H](N)CC(O)=O)C1=CC=C(OS(O)(=O)=O)C=C1 IZTQOLKUZKXIRV-YRVFCXMDSA-N 0.000 description 1
- MFFMDFFZMYYVKS-SECBINFHSA-N sitagliptin Chemical compound C([C@H](CC(=O)N1CC=2N(C(=NN=2)C(F)(F)F)CC1)N)C1=CC(F)=C(F)C=C1F MFFMDFFZMYYVKS-SECBINFHSA-N 0.000 description 1
- 229960004034 sitagliptin Drugs 0.000 description 1
- 201000000849 skin cancer Diseases 0.000 description 1
- 208000000587 small cell lung carcinoma Diseases 0.000 description 1
- 210000002460 smooth muscle Anatomy 0.000 description 1
- WRIKHQLVHPKCJU-UHFFFAOYSA-N sodium bis(trimethylsilyl)amide Chemical compound C[Si](C)(C)N([Na])[Si](C)(C)C WRIKHQLVHPKCJU-UHFFFAOYSA-N 0.000 description 1
- JVBXVOWTABLYPX-UHFFFAOYSA-L sodium dithionite Chemical compound [Na+].[Na+].[O-]S(=O)S([O-])=O JVBXVOWTABLYPX-UHFFFAOYSA-L 0.000 description 1
- 235000010288 sodium nitrite Nutrition 0.000 description 1
- WSRBRQQGWDWSON-UHFFFAOYSA-M sodium;3,7-dimethylpurine-2,6-dione;2-hydroxybenzoate Chemical compound [Na+].OC1=CC=CC=C1C([O-])=O.CN1C(=O)NC(=O)C2=C1N=CN2C WSRBRQQGWDWSON-UHFFFAOYSA-M 0.000 description 1
- 239000012453 solvate Substances 0.000 description 1
- 238000000638 solvent extraction Methods 0.000 description 1
- 208000020431 spinal cord injury Diseases 0.000 description 1
- LXMSZDCAJNLERA-ZHYRCANASA-N spironolactone Chemical compound C([C@@H]1[C@]2(C)CC[C@@H]3[C@@]4(C)CCC(=O)C=C4C[C@H]([C@@H]13)SC(=O)C)C[C@@]21CCC(=O)O1 LXMSZDCAJNLERA-ZHYRCANASA-N 0.000 description 1
- 229960002256 spironolactone Drugs 0.000 description 1
- 208000010110 spontaneous platelet aggregation Diseases 0.000 description 1
- 238000005507 spraying Methods 0.000 description 1
- 239000004059 squalene synthase inhibitor Substances 0.000 description 1
- 239000003381 stabilizer Substances 0.000 description 1
- 239000008117 stearic acid Substances 0.000 description 1
- 230000001954 sterilising effect Effects 0.000 description 1
- 238000004659 sterilization and disinfection Methods 0.000 description 1
- 201000011549 stomach cancer Diseases 0.000 description 1
- ADNPLDHMAVUMIW-CUZNLEPHSA-N substance P Chemical compound C([C@@H](C(=O)NCC(=O)N[C@@H](CC(C)C)C(=O)N[C@@H](CCSC)C(N)=O)NC(=O)[C@H](CC=1C=CC=CC=1)NC(=O)[C@H](CCC(N)=O)NC(=O)[C@H](CCC(N)=O)NC(=O)[C@H]1N(CCC1)C(=O)[C@H](CCCCN)NC(=O)[C@H]1N(CCC1)C(=O)[C@@H](N)CCCN=C(N)N)C1=CC=CC=C1 ADNPLDHMAVUMIW-CUZNLEPHSA-N 0.000 description 1
- 239000000758 substrate Substances 0.000 description 1
- 239000005720 sucrose Substances 0.000 description 1
- 239000000829 suppository Substances 0.000 description 1
- 239000000725 suspension Substances 0.000 description 1
- 230000002195 synergetic effect Effects 0.000 description 1
- 238000001308 synthesis method Methods 0.000 description 1
- 239000006188 syrup Substances 0.000 description 1
- 235000020357 syrup Nutrition 0.000 description 1
- 230000009885 systemic effect Effects 0.000 description 1
- 201000000596 systemic lupus erythematosus Diseases 0.000 description 1
- RCINICONZNJXQF-MZXODVADSA-N taxol Chemical compound O([C@@H]1[C@@]2(C[C@@H](C(C)=C(C2(C)C)[C@H](C([C@]2(C)[C@@H](O)C[C@H]3OC[C@]3([C@H]21)OC(C)=O)=O)OC(=O)C)OC(=O)[C@H](O)[C@@H](NC(=O)C=1C=CC=CC=1)C=1C=CC=CC=1)O)C(=O)C1=CC=CC=C1 RCINICONZNJXQF-MZXODVADSA-N 0.000 description 1
- IOGXOCVLYRDXLW-UHFFFAOYSA-N tert-butyl nitrite Chemical compound CC(C)(C)ON=O IOGXOCVLYRDXLW-UHFFFAOYSA-N 0.000 description 1
- 239000012414 tert-butyl nitrite Substances 0.000 description 1
- DPKBAXPHAYBPRL-UHFFFAOYSA-M tetrabutylazanium;iodide Chemical compound [I-].CCCC[N+](CCCC)(CCCC)CCCC DPKBAXPHAYBPRL-UHFFFAOYSA-M 0.000 description 1
- QIQCZROILFZKAT-UHFFFAOYSA-N tetracarbon dioxide Chemical group O=C=C=C=C=O QIQCZROILFZKAT-UHFFFAOYSA-N 0.000 description 1
- 239000003451 thiazide diuretic agent Substances 0.000 description 1
- 229960002663 thioctic acid Drugs 0.000 description 1
- 201000002510 thyroid cancer Diseases 0.000 description 1
- 229960005344 tiapride Drugs 0.000 description 1
- HPGGPRDJHPYFRM-UHFFFAOYSA-J tin(iv) chloride Chemical compound Cl[Sn](Cl)(Cl)Cl HPGGPRDJHPYFRM-UHFFFAOYSA-J 0.000 description 1
- 210000001519 tissue Anatomy 0.000 description 1
- 239000010936 titanium Substances 0.000 description 1
- 229910052719 titanium Inorganic materials 0.000 description 1
- XJDNKRIXUMDJCW-UHFFFAOYSA-J titanium tetrachloride Chemical compound Cl[Ti](Cl)(Cl)Cl XJDNKRIXUMDJCW-UHFFFAOYSA-J 0.000 description 1
- 229960002277 tolazamide Drugs 0.000 description 1
- OUDSBRTVNLOZBN-UHFFFAOYSA-N tolazamide Chemical compound C1=CC(C)=CC=C1S(=O)(=O)NC(=O)NN1CCCCCC1 OUDSBRTVNLOZBN-UHFFFAOYSA-N 0.000 description 1
- 229960005371 tolbutamide Drugs 0.000 description 1
- LUBHDINQXIHVLS-UHFFFAOYSA-N tolrestat Chemical compound OC(=O)CN(C)C(=S)C1=CC=CC2=C(C(F)(F)F)C(OC)=CC=C21 LUBHDINQXIHVLS-UHFFFAOYSA-N 0.000 description 1
- 229960003069 tolrestat Drugs 0.000 description 1
- 230000008359 toxicosis Effects 0.000 description 1
- 230000001052 transient effect Effects 0.000 description 1
- 229960001288 triamterene Drugs 0.000 description 1
- 125000004306 triazinyl group Chemical group 0.000 description 1
- QORWJWZARLRLPR-UHFFFAOYSA-H tricalcium bis(phosphate) Chemical compound [Ca+2].[Ca+2].[Ca+2].[O-]P([O-])([O-])=O.[O-]P([O-])([O-])=O QORWJWZARLRLPR-UHFFFAOYSA-H 0.000 description 1
- LMJSLTNSBFUCMU-UHFFFAOYSA-N trichlormethiazide Chemical compound C1=C(Cl)C(S(=O)(=O)N)=CC2=C1NC(C(Cl)Cl)NS2(=O)=O LMJSLTNSBFUCMU-UHFFFAOYSA-N 0.000 description 1
- 229960004813 trichlormethiazide Drugs 0.000 description 1
- YNJBWRMUSHSURL-UHFFFAOYSA-N trichloroacetic acid Chemical compound OC(=O)C(Cl)(Cl)Cl YNJBWRMUSHSURL-UHFFFAOYSA-N 0.000 description 1
- 238000005583 trifluoroacetylation reaction Methods 0.000 description 1
- UFTFJSFQGQCHQW-UHFFFAOYSA-N triformin Chemical compound O=COCC(OC=O)COC=O UFTFJSFQGQCHQW-UHFFFAOYSA-N 0.000 description 1
- 125000003258 trimethylene group Chemical group [H]C([H])([*:2])C([H])([H])C([H])([H])[*:1] 0.000 description 1
- UCPYLLCMEDAXFR-UHFFFAOYSA-N triphosgene Chemical compound ClC(Cl)(Cl)OC(=O)OC(Cl)(Cl)Cl UCPYLLCMEDAXFR-UHFFFAOYSA-N 0.000 description 1
- GXPHKUHSUJUWKP-UHFFFAOYSA-N troglitazone Chemical compound C1CC=2C(C)=C(O)C(C)=C(C)C=2OC1(C)COC(C=C1)=CC=C1CC1SC(=O)NC1=O GXPHKUHSUJUWKP-UHFFFAOYSA-N 0.000 description 1
- 229960001641 troglitazone Drugs 0.000 description 1
- GXPHKUHSUJUWKP-NTKDMRAZSA-N troglitazone Natural products C([C@@]1(OC=2C(C)=C(C(=C(C)C=2CC1)O)C)C)OC(C=C1)=CC=C1C[C@H]1SC(=O)NC1=O GXPHKUHSUJUWKP-NTKDMRAZSA-N 0.000 description 1
- 201000008827 tuberculosis Diseases 0.000 description 1
- 208000029729 tumor suppressor gene on chromosome 11 Diseases 0.000 description 1
- 241001529453 unidentified herpesvirus Species 0.000 description 1
- 241000712461 unidentified influenza virus Species 0.000 description 1
- 229930195735 unsaturated hydrocarbon Natural products 0.000 description 1
- 210000003708 urethra Anatomy 0.000 description 1
- 210000003932 urinary bladder Anatomy 0.000 description 1
- 201000005112 urinary bladder cancer Diseases 0.000 description 1
- 210000002700 urine Anatomy 0.000 description 1
- 208000008281 urolithiasis Diseases 0.000 description 1
- 206010046766 uterine cancer Diseases 0.000 description 1
- 210000004291 uterus Anatomy 0.000 description 1
- WQEVDHBJGNOKKO-UHFFFAOYSA-K vanadic acid Chemical compound O[V](O)(O)=O WQEVDHBJGNOKKO-UHFFFAOYSA-K 0.000 description 1
- 238000009834 vaporization Methods 0.000 description 1
- 230000024883 vasodilation Effects 0.000 description 1
- 229940124549 vasodilator Drugs 0.000 description 1
- 239000003071 vasodilator agent Substances 0.000 description 1
- SYOKIDBDQMKNDQ-XWTIBIIYSA-N vildagliptin Chemical compound C1C(O)(C2)CC(C3)CC1CC32NCC(=O)N1CCC[C@H]1C#N SYOKIDBDQMKNDQ-XWTIBIIYSA-N 0.000 description 1
- 229960001254 vildagliptin Drugs 0.000 description 1
- OGWKCGZFUXNPDA-XQKSVPLYSA-N vincristine Chemical compound C([N@]1C[C@@H](C[C@]2(C(=O)OC)C=3C(=CC4=C([C@]56[C@H]([C@@]([C@H](OC(C)=O)[C@]7(CC)C=CCN([C@H]67)CC5)(O)C(=O)OC)N4C=O)C=3)OC)C[C@@](C1)(O)CC)CC1=C2NC2=CC=CC=C12 OGWKCGZFUXNPDA-XQKSVPLYSA-N 0.000 description 1
- 229960004528 vincristine Drugs 0.000 description 1
- OGWKCGZFUXNPDA-UHFFFAOYSA-N vincristine Natural products C1C(CC)(O)CC(CC2(C(=O)OC)C=3C(=CC4=C(C56C(C(C(OC(C)=O)C7(CC)C=CCN(C67)CC5)(O)C(=O)OC)N4C=O)C=3)OC)CN1CCC1=C2NC2=CC=CC=C12 OGWKCGZFUXNPDA-UHFFFAOYSA-N 0.000 description 1
- HHJUWIANJFBDHT-KOTLKJBCSA-N vindesine Chemical compound C([N@]1C[C@@H](C[C@]2(C(=O)OC)C=3C(=CC4=C([C@]56[C@H]([C@@]([C@H](O)[C@]7(CC)C=CCN([C@H]67)CC5)(O)C(N)=O)N4C)C=3)OC)C[C@@](C1)(O)CC)CC1=C2NC2=CC=CC=C12 HHJUWIANJFBDHT-KOTLKJBCSA-N 0.000 description 1
- 229960004355 vindesine Drugs 0.000 description 1
- 201000002498 viral encephalitis Diseases 0.000 description 1
- 229960001729 voglibose Drugs 0.000 description 1
- 239000008215 water for injection Substances 0.000 description 1
- SXONDGSPUVNZLO-UHFFFAOYSA-N zenarestat Chemical compound O=C1N(CC(=O)O)C2=CC(Cl)=CC=C2C(=O)N1CC1=CC=C(Br)C=C1F SXONDGSPUVNZLO-UHFFFAOYSA-N 0.000 description 1
- 229950006343 zenarestat Drugs 0.000 description 1
- 239000011592 zinc chloride Substances 0.000 description 1
- 235000005074 zinc chloride Nutrition 0.000 description 1
- 238000004857 zone melting Methods 0.000 description 1
- 229950005346 zopolrestat Drugs 0.000 description 1
Classifications
-
- C—CHEMISTRY; METALLURGY
- C07—ORGANIC CHEMISTRY
- C07D—HETEROCYCLIC COMPOUNDS
- C07D401/00—Heterocyclic compounds containing two or more hetero rings, having nitrogen atoms as the only ring hetero atoms, at least one ring being a six-membered ring with only one nitrogen atom
- C07D401/02—Heterocyclic compounds containing two or more hetero rings, having nitrogen atoms as the only ring hetero atoms, at least one ring being a six-membered ring with only one nitrogen atom containing two hetero rings
- C07D401/04—Heterocyclic compounds containing two or more hetero rings, having nitrogen atoms as the only ring hetero atoms, at least one ring being a six-membered ring with only one nitrogen atom containing two hetero rings directly linked by a ring-member-to-ring-member bond
-
- A—HUMAN NECESSITIES
- A61—MEDICAL OR VETERINARY SCIENCE; HYGIENE
- A61P—SPECIFIC THERAPEUTIC ACTIVITY OF CHEMICAL COMPOUNDS OR MEDICINAL PREPARATIONS
- A61P1/00—Drugs for disorders of the alimentary tract or the digestive system
-
- A—HUMAN NECESSITIES
- A61—MEDICAL OR VETERINARY SCIENCE; HYGIENE
- A61P—SPECIFIC THERAPEUTIC ACTIVITY OF CHEMICAL COMPOUNDS OR MEDICINAL PREPARATIONS
- A61P1/00—Drugs for disorders of the alimentary tract or the digestive system
- A61P1/04—Drugs for disorders of the alimentary tract or the digestive system for ulcers, gastritis or reflux esophagitis, e.g. antacids, inhibitors of acid secretion, mucosal protectants
-
- A—HUMAN NECESSITIES
- A61—MEDICAL OR VETERINARY SCIENCE; HYGIENE
- A61P—SPECIFIC THERAPEUTIC ACTIVITY OF CHEMICAL COMPOUNDS OR MEDICINAL PREPARATIONS
- A61P1/00—Drugs for disorders of the alimentary tract or the digestive system
- A61P1/08—Drugs for disorders of the alimentary tract or the digestive system for nausea, cinetosis or vertigo; Antiemetics
-
- A—HUMAN NECESSITIES
- A61—MEDICAL OR VETERINARY SCIENCE; HYGIENE
- A61P—SPECIFIC THERAPEUTIC ACTIVITY OF CHEMICAL COMPOUNDS OR MEDICINAL PREPARATIONS
- A61P13/00—Drugs for disorders of the urinary system
-
- A—HUMAN NECESSITIES
- A61—MEDICAL OR VETERINARY SCIENCE; HYGIENE
- A61P—SPECIFIC THERAPEUTIC ACTIVITY OF CHEMICAL COMPOUNDS OR MEDICINAL PREPARATIONS
- A61P13/00—Drugs for disorders of the urinary system
- A61P13/10—Drugs for disorders of the urinary system of the bladder
-
- A—HUMAN NECESSITIES
- A61—MEDICAL OR VETERINARY SCIENCE; HYGIENE
- A61P—SPECIFIC THERAPEUTIC ACTIVITY OF CHEMICAL COMPOUNDS OR MEDICINAL PREPARATIONS
- A61P25/00—Drugs for disorders of the nervous system
-
- A—HUMAN NECESSITIES
- A61—MEDICAL OR VETERINARY SCIENCE; HYGIENE
- A61P—SPECIFIC THERAPEUTIC ACTIVITY OF CHEMICAL COMPOUNDS OR MEDICINAL PREPARATIONS
- A61P25/00—Drugs for disorders of the nervous system
- A61P25/04—Centrally acting analgesics, e.g. opioids
-
- A—HUMAN NECESSITIES
- A61—MEDICAL OR VETERINARY SCIENCE; HYGIENE
- A61P—SPECIFIC THERAPEUTIC ACTIVITY OF CHEMICAL COMPOUNDS OR MEDICINAL PREPARATIONS
- A61P25/00—Drugs for disorders of the nervous system
- A61P25/22—Anxiolytics
-
- A—HUMAN NECESSITIES
- A61—MEDICAL OR VETERINARY SCIENCE; HYGIENE
- A61P—SPECIFIC THERAPEUTIC ACTIVITY OF CHEMICAL COMPOUNDS OR MEDICINAL PREPARATIONS
- A61P25/00—Drugs for disorders of the nervous system
- A61P25/24—Antidepressants
-
- A—HUMAN NECESSITIES
- A61—MEDICAL OR VETERINARY SCIENCE; HYGIENE
- A61P—SPECIFIC THERAPEUTIC ACTIVITY OF CHEMICAL COMPOUNDS OR MEDICINAL PREPARATIONS
- A61P29/00—Non-central analgesic, antipyretic or antiinflammatory agents, e.g. antirheumatic agents; Non-steroidal antiinflammatory drugs [NSAID]
-
- A—HUMAN NECESSITIES
- A61—MEDICAL OR VETERINARY SCIENCE; HYGIENE
- A61P—SPECIFIC THERAPEUTIC ACTIVITY OF CHEMICAL COMPOUNDS OR MEDICINAL PREPARATIONS
- A61P43/00—Drugs for specific purposes, not provided for in groups A61P1/00-A61P41/00
-
- C—CHEMISTRY; METALLURGY
- C07—ORGANIC CHEMISTRY
- C07D—HETEROCYCLIC COMPOUNDS
- C07D207/00—Heterocyclic compounds containing five-membered rings not condensed with other rings, with one nitrogen atom as the only ring hetero atom
- C07D207/02—Heterocyclic compounds containing five-membered rings not condensed with other rings, with one nitrogen atom as the only ring hetero atom with only hydrogen or carbon atoms directly attached to the ring nitrogen atom
- C07D207/04—Heterocyclic compounds containing five-membered rings not condensed with other rings, with one nitrogen atom as the only ring hetero atom with only hydrogen or carbon atoms directly attached to the ring nitrogen atom having no double bonds between ring members or between ring members and non-ring members
- C07D207/10—Heterocyclic compounds containing five-membered rings not condensed with other rings, with one nitrogen atom as the only ring hetero atom with only hydrogen or carbon atoms directly attached to the ring nitrogen atom having no double bonds between ring members or between ring members and non-ring members with hetero atoms or with carbon atoms having three bonds to hetero atoms with at the most one bond to halogen, e.g. ester or nitrile radicals, directly attached to ring carbon atoms
- C07D207/14—Nitrogen atoms not forming part of a nitro radical
-
- C—CHEMISTRY; METALLURGY
- C07—ORGANIC CHEMISTRY
- C07D—HETEROCYCLIC COMPOUNDS
- C07D211/00—Heterocyclic compounds containing hydrogenated pyridine rings, not condensed with other rings
- C07D211/04—Heterocyclic compounds containing hydrogenated pyridine rings, not condensed with other rings with only hydrogen or carbon atoms directly attached to the ring nitrogen atom
- C07D211/06—Heterocyclic compounds containing hydrogenated pyridine rings, not condensed with other rings with only hydrogen or carbon atoms directly attached to the ring nitrogen atom having no double bonds between ring members or between ring members and non-ring members
- C07D211/36—Heterocyclic compounds containing hydrogenated pyridine rings, not condensed with other rings with only hydrogen or carbon atoms directly attached to the ring nitrogen atom having no double bonds between ring members or between ring members and non-ring members with hetero atoms or with carbon atoms having three bonds to hetero atoms with at the most one bond to halogen, e.g. ester or nitrile radicals, directly attached to ring carbon atoms
- C07D211/56—Nitrogen atoms
- C07D211/58—Nitrogen atoms attached in position 4
-
- C—CHEMISTRY; METALLURGY
- C07—ORGANIC CHEMISTRY
- C07D—HETEROCYCLIC COMPOUNDS
- C07D401/00—Heterocyclic compounds containing two or more hetero rings, having nitrogen atoms as the only ring hetero atoms, at least one ring being a six-membered ring with only one nitrogen atom
- C07D401/02—Heterocyclic compounds containing two or more hetero rings, having nitrogen atoms as the only ring hetero atoms, at least one ring being a six-membered ring with only one nitrogen atom containing two hetero rings
- C07D401/06—Heterocyclic compounds containing two or more hetero rings, having nitrogen atoms as the only ring hetero atoms, at least one ring being a six-membered ring with only one nitrogen atom containing two hetero rings linked by a carbon chain containing only aliphatic carbon atoms
-
- C—CHEMISTRY; METALLURGY
- C07—ORGANIC CHEMISTRY
- C07D—HETEROCYCLIC COMPOUNDS
- C07D401/00—Heterocyclic compounds containing two or more hetero rings, having nitrogen atoms as the only ring hetero atoms, at least one ring being a six-membered ring with only one nitrogen atom
- C07D401/02—Heterocyclic compounds containing two or more hetero rings, having nitrogen atoms as the only ring hetero atoms, at least one ring being a six-membered ring with only one nitrogen atom containing two hetero rings
- C07D401/12—Heterocyclic compounds containing two or more hetero rings, having nitrogen atoms as the only ring hetero atoms, at least one ring being a six-membered ring with only one nitrogen atom containing two hetero rings linked by a chain containing hetero atoms as chain links
-
- C—CHEMISTRY; METALLURGY
- C07—ORGANIC CHEMISTRY
- C07D—HETEROCYCLIC COMPOUNDS
- C07D401/00—Heterocyclic compounds containing two or more hetero rings, having nitrogen atoms as the only ring hetero atoms, at least one ring being a six-membered ring with only one nitrogen atom
- C07D401/14—Heterocyclic compounds containing two or more hetero rings, having nitrogen atoms as the only ring hetero atoms, at least one ring being a six-membered ring with only one nitrogen atom containing three or more hetero rings
-
- C—CHEMISTRY; METALLURGY
- C07—ORGANIC CHEMISTRY
- C07D—HETEROCYCLIC COMPOUNDS
- C07D403/00—Heterocyclic compounds containing two or more hetero rings, having nitrogen atoms as the only ring hetero atoms, not provided for by group C07D401/00
- C07D403/02—Heterocyclic compounds containing two or more hetero rings, having nitrogen atoms as the only ring hetero atoms, not provided for by group C07D401/00 containing two hetero rings
- C07D403/04—Heterocyclic compounds containing two or more hetero rings, having nitrogen atoms as the only ring hetero atoms, not provided for by group C07D401/00 containing two hetero rings directly linked by a ring-member-to-ring-member bond
-
- C—CHEMISTRY; METALLURGY
- C07—ORGANIC CHEMISTRY
- C07D—HETEROCYCLIC COMPOUNDS
- C07D403/00—Heterocyclic compounds containing two or more hetero rings, having nitrogen atoms as the only ring hetero atoms, not provided for by group C07D401/00
- C07D403/02—Heterocyclic compounds containing two or more hetero rings, having nitrogen atoms as the only ring hetero atoms, not provided for by group C07D401/00 containing two hetero rings
- C07D403/06—Heterocyclic compounds containing two or more hetero rings, having nitrogen atoms as the only ring hetero atoms, not provided for by group C07D401/00 containing two hetero rings linked by a carbon chain containing only aliphatic carbon atoms
-
- C—CHEMISTRY; METALLURGY
- C07—ORGANIC CHEMISTRY
- C07D—HETEROCYCLIC COMPOUNDS
- C07D403/00—Heterocyclic compounds containing two or more hetero rings, having nitrogen atoms as the only ring hetero atoms, not provided for by group C07D401/00
- C07D403/02—Heterocyclic compounds containing two or more hetero rings, having nitrogen atoms as the only ring hetero atoms, not provided for by group C07D401/00 containing two hetero rings
- C07D403/10—Heterocyclic compounds containing two or more hetero rings, having nitrogen atoms as the only ring hetero atoms, not provided for by group C07D401/00 containing two hetero rings linked by a carbon chain containing aromatic rings
-
- C—CHEMISTRY; METALLURGY
- C07—ORGANIC CHEMISTRY
- C07D—HETEROCYCLIC COMPOUNDS
- C07D405/00—Heterocyclic compounds containing both one or more hetero rings having oxygen atoms as the only ring hetero atoms, and one or more rings having nitrogen as the only ring hetero atom
- C07D405/02—Heterocyclic compounds containing both one or more hetero rings having oxygen atoms as the only ring hetero atoms, and one or more rings having nitrogen as the only ring hetero atom containing two hetero rings
- C07D405/06—Heterocyclic compounds containing both one or more hetero rings having oxygen atoms as the only ring hetero atoms, and one or more rings having nitrogen as the only ring hetero atom containing two hetero rings linked by a carbon chain containing only aliphatic carbon atoms
-
- C—CHEMISTRY; METALLURGY
- C07—ORGANIC CHEMISTRY
- C07D—HETEROCYCLIC COMPOUNDS
- C07D405/00—Heterocyclic compounds containing both one or more hetero rings having oxygen atoms as the only ring hetero atoms, and one or more rings having nitrogen as the only ring hetero atom
- C07D405/02—Heterocyclic compounds containing both one or more hetero rings having oxygen atoms as the only ring hetero atoms, and one or more rings having nitrogen as the only ring hetero atom containing two hetero rings
- C07D405/12—Heterocyclic compounds containing both one or more hetero rings having oxygen atoms as the only ring hetero atoms, and one or more rings having nitrogen as the only ring hetero atom containing two hetero rings linked by a chain containing hetero atoms as chain links
-
- C—CHEMISTRY; METALLURGY
- C07—ORGANIC CHEMISTRY
- C07D—HETEROCYCLIC COMPOUNDS
- C07D409/00—Heterocyclic compounds containing two or more hetero rings, at least one ring having sulfur atoms as the only ring hetero atoms
- C07D409/02—Heterocyclic compounds containing two or more hetero rings, at least one ring having sulfur atoms as the only ring hetero atoms containing two hetero rings
- C07D409/04—Heterocyclic compounds containing two or more hetero rings, at least one ring having sulfur atoms as the only ring hetero atoms containing two hetero rings directly linked by a ring-member-to-ring-member bond
-
- C—CHEMISTRY; METALLURGY
- C07—ORGANIC CHEMISTRY
- C07D—HETEROCYCLIC COMPOUNDS
- C07D409/00—Heterocyclic compounds containing two or more hetero rings, at least one ring having sulfur atoms as the only ring hetero atoms
- C07D409/02—Heterocyclic compounds containing two or more hetero rings, at least one ring having sulfur atoms as the only ring hetero atoms containing two hetero rings
- C07D409/06—Heterocyclic compounds containing two or more hetero rings, at least one ring having sulfur atoms as the only ring hetero atoms containing two hetero rings linked by a carbon chain containing only aliphatic carbon atoms
-
- C—CHEMISTRY; METALLURGY
- C07—ORGANIC CHEMISTRY
- C07D—HETEROCYCLIC COMPOUNDS
- C07D409/00—Heterocyclic compounds containing two or more hetero rings, at least one ring having sulfur atoms as the only ring hetero atoms
- C07D409/02—Heterocyclic compounds containing two or more hetero rings, at least one ring having sulfur atoms as the only ring hetero atoms containing two hetero rings
- C07D409/12—Heterocyclic compounds containing two or more hetero rings, at least one ring having sulfur atoms as the only ring hetero atoms containing two hetero rings linked by a chain containing hetero atoms as chain links
-
- C—CHEMISTRY; METALLURGY
- C07—ORGANIC CHEMISTRY
- C07D—HETEROCYCLIC COMPOUNDS
- C07D413/00—Heterocyclic compounds containing two or more hetero rings, at least one ring having nitrogen and oxygen atoms as the only ring hetero atoms
- C07D413/02—Heterocyclic compounds containing two or more hetero rings, at least one ring having nitrogen and oxygen atoms as the only ring hetero atoms containing two hetero rings
- C07D413/04—Heterocyclic compounds containing two or more hetero rings, at least one ring having nitrogen and oxygen atoms as the only ring hetero atoms containing two hetero rings directly linked by a ring-member-to-ring-member bond
-
- C—CHEMISTRY; METALLURGY
- C07—ORGANIC CHEMISTRY
- C07D—HETEROCYCLIC COMPOUNDS
- C07D413/00—Heterocyclic compounds containing two or more hetero rings, at least one ring having nitrogen and oxygen atoms as the only ring hetero atoms
- C07D413/02—Heterocyclic compounds containing two or more hetero rings, at least one ring having nitrogen and oxygen atoms as the only ring hetero atoms containing two hetero rings
- C07D413/06—Heterocyclic compounds containing two or more hetero rings, at least one ring having nitrogen and oxygen atoms as the only ring hetero atoms containing two hetero rings linked by a carbon chain containing only aliphatic carbon atoms
-
- C—CHEMISTRY; METALLURGY
- C07—ORGANIC CHEMISTRY
- C07D—HETEROCYCLIC COMPOUNDS
- C07D413/00—Heterocyclic compounds containing two or more hetero rings, at least one ring having nitrogen and oxygen atoms as the only ring hetero atoms
- C07D413/02—Heterocyclic compounds containing two or more hetero rings, at least one ring having nitrogen and oxygen atoms as the only ring hetero atoms containing two hetero rings
- C07D413/08—Heterocyclic compounds containing two or more hetero rings, at least one ring having nitrogen and oxygen atoms as the only ring hetero atoms containing two hetero rings linked by a carbon chain containing alicyclic rings
-
- C—CHEMISTRY; METALLURGY
- C07—ORGANIC CHEMISTRY
- C07D—HETEROCYCLIC COMPOUNDS
- C07D413/00—Heterocyclic compounds containing two or more hetero rings, at least one ring having nitrogen and oxygen atoms as the only ring hetero atoms
- C07D413/14—Heterocyclic compounds containing two or more hetero rings, at least one ring having nitrogen and oxygen atoms as the only ring hetero atoms containing three or more hetero rings
-
- C—CHEMISTRY; METALLURGY
- C07—ORGANIC CHEMISTRY
- C07D—HETEROCYCLIC COMPOUNDS
- C07D417/00—Heterocyclic compounds containing two or more hetero rings, at least one ring having nitrogen and sulfur atoms as the only ring hetero atoms, not provided for by group C07D415/00
- C07D417/02—Heterocyclic compounds containing two or more hetero rings, at least one ring having nitrogen and sulfur atoms as the only ring hetero atoms, not provided for by group C07D415/00 containing two hetero rings
- C07D417/08—Heterocyclic compounds containing two or more hetero rings, at least one ring having nitrogen and sulfur atoms as the only ring hetero atoms, not provided for by group C07D415/00 containing two hetero rings linked by a carbon chain containing alicyclic rings
Definitions
- SP is involved in various disorders (e.g., pain, headache, particularly migraine, Alzheimer's disease, multiple sclerosis, cardiovascular modulation, chronic inflammatory diseases such as chronic rheumatic arthritis, respiratory diseases including asthma or allergic rhinitis, intestinal inflammatory diseases including ulcerative colitis and Crohn's disease, ocular damage and ocular inflammatory diseases, proliferative vitreoretinopathy, an irritable bowel syndrome, urinary frequency, psychosis, vomiting, etc.) [see, for example, Physiological Reviews, Vol. 73, pp. 229-308 (1993); Journal of Autonomic Pharmacology, Vol. 13, pp. 23-93 (1993)].
- disorders e.g., pain, headache, particularly migraine, Alzheimer's disease, multiple sclerosis, cardiovascular modulation, chronic inflammatory diseases such as chronic rheumatic arthritis, respiratory diseases including asthma or allergic rhinitis, intestinal inflammatory diseases including ulcerative colitis and Crohn's disease, ocular damage and ocular inflammatory diseases, prolifer
- Ar is a phenyl group optionally having substituent(s)
- R 1 is a hydrogen atom, a hydrocarbon group optionally having substituent(s), an acyl group or a heterocyclic group optionally having substituent(s)
- Z is a methylene group optionally having C 1-6 alkyl group(s)
- ring A is a piperidine ring optionally further having substituent(s)
- B is a monocyclic aromatic heterocyclic group optionally having substituent(s) (substituents of the monocyclic aromatic heterocycle may be bonded to each other to form a ring), or a salt thereof.
- R 3′ is a hydrogen atom or a C 1-6 alkyl group; [9] the compound of the above-mentioned [1], wherein ring D is a 3,5-bis(trifluoromethyl)phenyl group or a 3,5-dichlorophenyl group; [10] methyl 4- ⁇ [(3S,4R)-3-[ ⁇ [3,5-bis(trifluoromethyl)phenyl](methyl)carbamoyl ⁇ (methyl)amino]-4-(4-fluorophenyl)pyrrolidin-1-yl]carbonyl ⁇ piperidine-1-carboxylate of the above-mentioned [1], or a salt thereof; [11] 1-[(3S,4R)-4-(4-chlorophenyl)-1- ⁇ [4-(methylsulfonyl)piperazin-1-yl]carbonyl ⁇ pyrrolidin-3-yl]-3-(3,5-dichlorophenyl)-1,3-
- ring A for example, a ring having the following structure is preferable.
- aromatic ring examples include an aryl group and an aromatic heterocyclic group.
- a C 1-6 alkyl group optionally having 1 to 3 halogen atoms (e.g., fluorine atom)(e.g., methyl, isopropyl, tert-butyl, trifluoromethyl),
- halogen atoms e.g., fluorine atom
- a 5- to 10-membered aromatic heterocyclic group containing, besides carbon atoms, 1 to 4 hetero atoms of one or two kinds selected from a nitrogen atom, a sulfur atom and an oxygen atom, and optionally substituted by 1 to 3 C 1-6 alkyl groups optionally having 1 to 3 halogen atoms (e.g., methyl, trifluoromethyl) (e.g., pyrazolyl, tetrazolyl, trifluoromethyltetrazolyl), or [2] a pyrrolyl group, a thienyl group, a furyl group, a pyrazolyl group, or a pyridyl group each of which optionally is substituted by 1 to 3, preferably 1, C 6-14 aryl (e.g., phenyl) optionally substituted by 1 to 3 C 1-6 alkoxy groups (e.g., methoxy).
- 1 to 3 C 1-6 alkyl groups optionally having 1 to 3 halogen
- a C 6-14 aryl group e.g., phenyl, 1-naphthyl, 2-naphthyl, biphenylyl, 2-anthryl etc.
- the prodrug of compound (I) of the present invention may be a compound, which is converted into compound (I) of the present invention under the physiological conditions, as described in “Pharmaceutical Research and Development”, Vol. 7 (Drug Design), pp. 163-198 (1990), published by Hirokawa Publishing Co.
- Examples of the base include alkali metal hydroxides (sodium hydroxide, potassium hydroxide and the like), hydrogen carbonates (sodium hydrogen carbonate, potassium hydrogen carbonate and the like), carbonates (sodium carbonate, potassium carbonate and the like), acetates (sodium acetate and the like), tertiary amines (trimethylamine, triethylamine, N-methylmorpholine and the like), aromatic amines (pyridine, picoline, N,N-dimethylaniline and the like) and the like.
- the amount of the base to be used is generally about 1 to 100 molar equivalents, preferably about 1 to 5 molar equivalents, per 1 mol of compound (VI).
- the reaction temperature is generally about ⁇ 80 to 150° C., preferably about 0 to 50° C.
- the reaction time is generally about 0.5 to 48 hr, preferably about 0.5 to 16 hr.
- compound (XV) is deprotected to give a compound represented by the formula (XVI) or a salt thereof (hereinafter to be referred to as compound (XVI)).
- This step can be performed by a method similar to the method described in Method A, step 4.
- each symbol is as defined above, or a salt thereof (hereinafter to be referred to as compound (XXXII)) to give compound (XXVII).
- Compound (XXXII) is commercially available or can be produced by a known method. The amount thereof to be used is about 1 to 10 molar equivalents, preferably about 1 to 2 molar equivalents, of compound (XXXII) per 1 mol of compound (XIII). This step can be performed by a method similar to the method described in Method A, step 2. (Step 3)
- compound (XXVIII) is deprotected to give a compound represented by the formula (XXIX) or a salt thereof (hereinafter to be referred to as compound (XXIX)).
- This step can be performed by a method similar to the method described in Method A, step 4.
- a method wherein a salt of a racemate with an optically active compound e.g., (+)-mandelic acid, ( ⁇ )-mandelic acid, (+)-tartaric acid, ( ⁇ )-tartaric acid, (+)-1-phenethylamine, ( ⁇ )-1-phenethylamine, cinchonine, ( ⁇ )-cinchonidine, brucine, etc.
- an optically active compound e.g., (+)-mandelic acid, ( ⁇ )-mandelic acid, (+)-tartaric acid, ( ⁇ )-tartaric acid, (+)-1-phenethylamine, ( ⁇ )-1-phenethylamine, cinchonine, ( ⁇ )-cinchonidine, brucine, etc.
Landscapes
- Chemical & Material Sciences (AREA)
- Organic Chemistry (AREA)
- Health & Medical Sciences (AREA)
- Veterinary Medicine (AREA)
- Chemical Kinetics & Catalysis (AREA)
- General Chemical & Material Sciences (AREA)
- Medicinal Chemistry (AREA)
- Nuclear Medicine, Radiotherapy & Molecular Imaging (AREA)
- Public Health (AREA)
- Pharmacology & Pharmacy (AREA)
- Life Sciences & Earth Sciences (AREA)
- Animal Behavior & Ethology (AREA)
- General Health & Medical Sciences (AREA)
- Bioinformatics & Cheminformatics (AREA)
- Engineering & Computer Science (AREA)
- Biomedical Technology (AREA)
- Neurology (AREA)
- Neurosurgery (AREA)
- Pain & Pain Management (AREA)
- Urology & Nephrology (AREA)
- Psychiatry (AREA)
- Hospice & Palliative Care (AREA)
- Otolaryngology (AREA)
- Rheumatology (AREA)
- Pharmaceuticals Containing Other Organic And Inorganic Compounds (AREA)
- Plural Heterocyclic Compounds (AREA)
- Hydrogenated Pyridines (AREA)
- Pyrrole Compounds (AREA)
Abstract
- wherein ring A is a nitrogen-containing heterocycle;
- ring B is an aromatic ring optionally having substituent(s);
- ring D is an aromatic ring optionally having substituent(s);
- L is a group represented by the formula
- R2, R3, R4a and R4b are each independently a hydrogen atom, an optionally halogenated C1-6 alkyl group or an optionally halogenated C3-6 cycloalkyl group, or R2 and R3 are optionally bonded via an alkylene chain or an alkenylene chain, or R4a and R4b are optionally bonded via an alkylene chain or an alkenylene chain;
- R1 is a hydrogen atom or a substituent;
- m and n are each independently an integer of 0 to 5;
- m+n is an integer of 2 to 5; and
Description
wherein each of rings A and B is an optionally substituted aromatic ring, or rings A and B may be bonded to each other to form a ring by linking bonds or substituents thereof; ring C is a nitrogenous saturated heterocyclic ring optionally having substituents besides oxo (excluding 2,3-dioxopyrrolidine ring); R1 is a hydrogen atom, an optionally substituted hydrocarbon group or an optionally substituted heterocyclic group; and is a single bond or a double bond, or a salt thereof.
wherein Ar is an aryl group, an aralkyl group or an aromatic heterocyclic group, each of which may be substituted, R1 is a hydrogen atom, an optionally substituted hydrocarbon group, an acyl group or an optionally substituted heterocyclic group, X is an oxygen atom or an optionally substituted imino group, Z is an optionally substituted methylene group, Ring A is a further optionally substituted piperidine ring, and Ring B is an optionally substituted aromatic ring, provided that when Z is a methylene group substituted with an oxo group, R1 is not a methyl group, and when Z is a methylene group substituted with a methyl group, Ring B is a substituted aromatic ring, or a salt thereof.
wherein ring A is a nitrogen-containing heterocycle optionally further having substituent(s), ring B and ring C are each an aromatic ring optionally having substituent(s), R1 is a hydrogen atom, a hydrocarbon group optionally having substituent(s), an acyl group or a heterocyclic group optionally having substituent(s), Z is an optionally halogenated C1-6 alkyl group, Y is a methylene group optionally having substituent(s), m and n are each an integer of 0 to 5, m+n is an integer of 2 to 5, and is a single bond or a double bond, or a salt thereof.
wherein Ar is an aryl group optionally having substituent(s), R is a C1-6 alkyl group, R1 is a hydrogen atom, a hydrocarbon group optionally having substituent(s), an acyl group or a heterocyclic group optionally having substituent(s), X is an oxygen atom or an imino group optionally having a substituent, ring A is a piperidine ring optionally further having substituent(s), and ring B is a benzene ring having substituent(s), or a salt thereof.
wherein ring A is an optionally further substituted piperidine ring, R1 is a hydrogen atom or a group represented by R1′—C(═O)— wherein R1′ is
(i) an optionally substituted 5- or 6-membered nitrogen-containing heterocyclic group,
(ii) an optionally substituted C1-6 alkyl group, or
(iii) an optionally substituted C1-6 alkoxy group, and
R2 is a hydrogen atom, an optionally substituted C1-3 alkyl group, or a C3-6 cycloalkyl group, excluding cis-1-(methoxyacetyl)-N-[2-methoxy-5-[5-(trifluoromethyl)-1H-tetrazol-1-yl]benzyl]-3-phenyl-4-piperidinamine and cis-1-[(1-acetyl-4-piperidinyl)carbonyl]-N-[2-methoxy-5-[5-(trifluoromethyl)-H-tetrazol-1-yl]benzyl]-3-phenyl-4-piperidinamine, or a salt thereof.
wherein Ar is a phenyl group optionally having substituent(s), R1 is a hydrogen atom, a hydrocarbon group optionally having substituent(s), an acyl group or a heterocyclic group optionally having substituent(s), R2 is a hydrogen atom, a C1-6 alkyl group optionally having substituent(s) or a C3-6 cycloalkyl group optionally having substituent(s), Z is a methylene group optionally having a C1-6 alkyl group, ring A is a piperidine ring optionally further having substituent(s), ring B and ring C are benzene rings optionally further having substituent(s), and R2 optionally forms a ring together with the adjacent substituent on the ring B, excluding the compounds represented by the formula:
wherein
Ar is a phenyl group optionally having substituent(s),
R1 is a hydrogen atom, a hydrocarbon group optionally having substituent(s), an acyl group or a heterocyclic group optionally having substituent(s),
Z is a methylene group optionally having C1-6 alkyl group(s), ring A is a piperidine ring optionally further having substituent(s), and
B is a monocyclic aromatic heterocyclic group optionally having substituent(s) (substituents of the monocyclic aromatic heterocycle may be bonded to each other to form a ring), or a salt thereof.
wherein R1 is carbamoylmethyl, methylsulfonylethylcarbonyl and the like; R2 is methyl or cyclopropyl; R3 is a hydrogen atom or methyl; R4 is a chlorine atom or trifluoromethyl; R5 is a chlorine atom or trifluoromethyl; and a group represented by the formula
wherein R6 is a hydrogen atom, methyl, ethyl or isopropyl; R7 is a hydrogen atom, methyl or a chlorine atom; and R8 is a hydrogen atom, a fluorine atom, a chlorine atom or methyl, or 3-methylthiophen-2-yl, or a salt thereof.
wherein ring A is a nitrogen-containing heterocycle optionally further having substituent(s), ring B is an aromatic ring optionally having substituent(s), ring C is a cyclic group optionally having substituent(s), R1 is a hydrogen atom, a hydrocarbon group optionally having substituent(s), an acyl group, a heterocyclic group optionally having substituent(s) or an amino group optionally having substituent(s), R2 is an optionally halogenated C1-6 alkyl group, m and n are each an integer of 0 to 5, m+n is an integer of 2 to 5, and
is a single bond or a double bond, excluding N-[(rac.)-(3R,4R)-1-benzyl-4-phenylpiperidin-3-yl]-N-isopropyl-4-methoxy-3-(3-methoxypropoxy)benzamide, N-isopropyl-4-methoxy-3-(3-methoxypropoxy)-N-[(rac.)-(3R,4R)-4-phenylpiperidin-3-yl]benzamide, N-isopropyl-4-methoxy-3-(3-methoxypropoxy)-N-[(rac.)-(3R,4R)-4-(3-(methylsulfonyl)amino-phenyl)-piperidin-3-yl]benzamide, N-isopropyl-[(rac.)-(3R,4R)-4-[1,1′-biphenyl]-3-yl-3-piperidinyl]-4-methoxy-3-(3-methoxypropoxy)benzamide, N-ethyl-[(rac.)-(3R,4R)-4-[1,1′-biphenyl]-3-yl-3-piperidinyl]-4-methoxy-3-(3-methoxypropoxy)benzamide, N-propyl-[(rac.)-(3R,4R)-4-[1,1′-biphenyl]-3-yl-3-piperidinyl]-4-methoxy-3-(3-methoxypropoxy)benzamide, N-ethyl-[(rac.)-(3R,4R)-4-[3-[(3,5-dimethoxyphenyl)methoxy]phenyl]-3-piperidinyl]-4-methoxy-3-(3-methoxypropoxy)benzamide and 4-methoxy-3-(3-methoxypropoxy)-N-isopropyl-N-[(rac.)-4-(4-phenyl-2-oxazolyl)-3-piperidinyl]benzamide, or a salt thereof.
wherein m, n and s are each independently 0 or 1, L is —O— or —NR4—, R1 and R2 are each independently hydrogen, aryl, heteroaryl, (C1-C6)alkyl, (C1-C6)alkyl-heteroaryl and the like, R3 is hydrogen and the like, and X and Y are each independently hydrogen, (C1-C6)alkyl and the like, as a NK-1 and NK-3 receptor antagonist.
wherein
R3, R4 and R5 are independently hydrogen, lower alkyl, mono(or di or tri)halo(lower)alkyl and the like; and
R6 and R7 are each independently hydrogen or lower alkoxy, and the like,
—Z— is a bond or —CH(R11)— wherein R11 is hydrogen or lower alkyl,
R1 and R2 are independently hydrogen or lower alkyl, or in combination form oxo,
R8 is hydrogen, (5-oxo-4,5-dihydro-1H-1,2,4-triazol-3-yl)methyl or an amino protecting group,
R9 and R10 are hydrogen, halogen and the like, or a salt thereof, as a compound having a tachykinin receptor antagonistic action.
wherein ring A is a nitrogen-containing heterocycle;
ring B is an aromatic ring optionally having substituent(s);
ring D is an aromatic ring optionally having substituent(s);
L is a group represented by the formula
R2, R3, R4a and R4b are each independently a hydrogen atom, an optionally halogenated C1-6 alkyl group or an optionally halogenated C3-6 cycloalkyl group, or R2 and R3 are optionally bonded via an alkylene chain or an alkenylene chain, or R4a and R4b are optionally bonded via an alkylene chain or an alkenylene chain;
R1 is a hydrogen atom or a substituent;
m and n are each independently an integer of 0 to 5;
m+n is an integer of 2 to 5; and
is a single bond or double bond,
provided when L is a group represented by the formula
wherein each symbol is as defined above, then ring D is an aromatic ring having substituent(s) (excluding N-(4-amino-2-isopropylquinolin-6-yl)-N′-[2-phenylpiperidin-3-yl]urea, N-(4-amino-2-isopropylquinolin-6-yl)-N′-[1-(tert-butoxycarbonyl)-2-phenylpiperidin-3-yl]urea and N-[4-(biphenyl-4-yl)piperidin-3-yl]-N′-(naphthalen-2-yl)urea) or a salt thereof;
[2] the compound of the above-mentioned [1], wherein ring A is a piperidine ring or a pyrrolidine ring;
[3] the compound of the above-mentioned [1], wherein ring B is a phenyl group optionally having substituent(s) or a pyridyl group optionally having substituent(s);
[4] the compound of the above-mentioned [1], wherein ring B is a phenyl group optionally having substituent(s) or a thienyl group optionally having substituent(s);
[5] the compound of the above-mentioned [1], wherein ring D is a phenyl group optionally having substituent(s);
[6] the compound of the above-mentioned [1], wherein R1 is a hydrogen atom, a hydrocarbon group optionally having substituent(s), an acyl group, a heterocyclic group optionally having substituent(s), or a group represented by —NR5R6 wherein R5 and R6 are each independently a hydrogen atom, a hydrocarbon group optionally having substituent(s) or an acyl group, or in combination shows an oxygen atom;
[7] the compound of the above-mentioned [1], wherein R2 is a hydrogen atom or a C1-6 alkyl group;
[8] the compound of the above-mentioned [1], wherein L is a group represented by the formula
wherein R3′ is a hydrogen atom or a C1-6 alkyl group;
[9] the compound of the above-mentioned [1], wherein ring D is a 3,5-bis(trifluoromethyl)phenyl group or a 3,5-dichlorophenyl group;
[10] methyl 4-{[(3S,4R)-3-[{[3,5-bis(trifluoromethyl)phenyl](methyl)carbamoyl}(methyl)amino]-4-(4-fluorophenyl)pyrrolidin-1-yl]carbonyl}piperidine-1-carboxylate of the above-mentioned [1], or a salt thereof;
[11] 1-[(3S,4R)-4-(4-chlorophenyl)-1-{[4-(methylsulfonyl)piperazin-1-yl]carbonyl}pyrrolidin-3-yl]-3-(3,5-dichlorophenyl)-1,3-dimethylurea of the above-mentioned [1], or a salt thereof;
[12] 1-[3,5-bis(trifluoromethyl)phenyl]-3-[(3S,4R)-4-(5-fluoropyridin-2-yl)-1-({trans-4-[5-(trifluoromethyl)-1H-tetrazol-1-yl]cyclohexyl}carbonyl)pyrrolidin-3-yl]-1,3-dimethylurea of the above-mentioned [1], or a salt thereof;
[13] a prodrug of the compound of the above-mentioned [1];
[14] a medicament comprising the compound of the above-mentioned [1] or a prodrug thereof;
[15] the medicament of the above-mentioned [14], which is an NK1 receptor antagonist;
[16] the medicament of the above-mentioned [15], which also has an NK2 receptor antagonistic action and/or an NK3 receptor antagonistic action;
[17] the medicament of the above-mentioned [14], which is an NK2 receptor antagonist;
[18] the medicament of the above-mentioned [17], which also has an NK1 receptor antagonistic action and/or an NK3 receptor antagonistic action;
[19] the medicament of the above-mentioned [14], which is an agent for the prophylaxis or treatment of a lower urinary tract disease, a digestive tract disease or a central neurological disease;
[20] the medicament of the above-mentioned [14], which is an agent for the prophylaxis or treatment of overactive bladder, irritable bowel syndrome, functional dyspepsia, inflammatory bowel disease, gastroesophageal reflux, vomiting, nausea, depression, anxiety neurosis, anxiety, pelvic organ pain or interstitial cystitis;
[21] a method for the prophylaxis or treatment of a lower urinary tract disease, a digestive tract disease or a central neurological disease, comprising administering an effective amount of the compound of the above-mentioned [1] or a prodrug thereof to a mammal;
[22] use of the compound of the above-mentioned [1] or a prodrug thereof for the production of an agent for the prophylaxis or treatment of a lower urinary tract disease, a digestive tract disease or a central neurological disease; and the like.
wherein each symbol is as defined above, is preferable; or when m=2 and n=1, an optically active compound represented by the formula
(5) a C2-6 alkenyl group optionally having 1 to 3 halogen atoms (e.g., vinyl, allyl, isopropenyl, butenyl, isobutenyl, sec-butenyl, 3,3,3-trifluoro-1-propenyl, 4,4,4-trifluoro-1-butenyl, etc.),
(6) a C2-6 alkynyl group optionally having 1 to 3 halogen atoms (e.g., ethynyl, propargyl, butynyl, 1-hexynyl, 3,3,3-trifluoro-1-propynyl, 4,4,4-trifluoro-1-butynyl, etc.),
(7) a C3-8 cycloalkyl group optionally containing unsaturated moiety and having optionally having 1 to 5 (preferably 1 to 3) substituents selected from an oxo group and a halogen atom (e.g., cyclopropyl, cyclobutyl, cyclopentyl, cyclohexyl, 4,4-dichlorocyclohexyl, 2,2,3,3-tetrafluorocyclopentyl, 4-chlorocyclohexyl, etc.),
(8) a C6-14 aryl group optionally having 1 to 3 substituents selected from a C1-6 alkoxy group (e.g., methoxy, ethoxy) and a halogen atom (e.g., halogen atom) (e.g., phenyl, 1-naphthyl, 2-naphthyl, biphenylyl, 2-anthryl etc.),
(9) a C7-16 aralkyl group (e.g., benzyl, phenethyl, diphenylmethyl, 1-naphthylmethyl, 2-naphthylmethyl, 2,2-diphenylethyl, 3-phenylpropyl, 4-phenylbutyl, 5-phenylpentyl, etc.),
(10) a hydroxy group,
(11) a C1-6 alkoxy group optionally having 1 to 3 halogen atoms (e.g., methoxy, difluoromethoxy, trifluoromethoxy, ethoxy, 2,2,2-trifluoroethoxy, propoxy, isopropoxy, butoxy, 4,4,4-trifluorobutoxy, isobutoxy, sec-butoxy, pentyloxy, hexyloxy, etc.),
(12) a C6-14 aryloxy group (e.g., phenyloxy, naphthyloxy, etc.),
(13) a mercapto group,
(14) a C1-6 alkylthio group optionally having 1 to 3 halogen atoms (e.g., methylthio, difluoromethylthio, trifluoromethylthio, ethylthio, propylthio, isopropylthio, butylthio, 4,4,4-trifluorobutylthio, pentylthio, hexylthio, etc.),
(15) a C6-14 arylthio group (e.g., phenylthio, naphthylthio, etc.),
(16) an amino group,
(17) a mono-C1-6 alkylamino group (e.g., methylamino, ethylamino, etc.),
(18) a mono-C6-14 arylamino group (e.g., phenylamino, 1-naphthylamino, 2-naphthylamino, etc.),
(19) a di-C1-6 alkylamino group (e.g., dimethylamino, diethylamino etc.),
(20) a di-C6-14 arylamino group (e.g., diphenylamino, etc.),
(21) a formyl group,
(22) a C1-6 alkyl-carbonyl group optionally having 1 to 5 (preferably 1 to 3) substituents selected from a C1-3 alkoxy group, heteroaryl group (e.g., tetrazolyl), a halogen atom (e.g., fluorine atom), a cyano group, a C1-3 alkylsulfonyl group (e.g., methylsulfonyl), a C3-8 cycloalkyl group, a C1-3 alkyl-carbonyl amino group (e.g., acetylcarbonylamino) and a hydroxyl group (e.g., acetyl, propionyl, hydroxyacetyl etc.),
(23) C3-6 cycloalkyl-carbonyl optionally having 1 to 5 (preferably 1 to 3) substituents selected from a halogen atom and a hydroxyl group,
(24) C6-14 aryl-carbonyl group (e.g., benzoyl, 1-naphthoyl, 2-naphthoyl, etc.) optionally having a cyano group,
(25) a 3- to 14-membered (monocyclic, bicyclic or tricyclic) heterocyclyl-carbonyl group containing, besides carbon atoms, 1 to 5 hetero atoms of one to three kinds selected from a nitrogen atom, a sulfur atom and an oxygen atom (e.g., tetrahydropyranylcarbonyl),
(26) a carboxy group,
(27) a C1-6 alkoxy-carbonyl group (e.g., methoxycarbonyl, ethoxycarbonyl, propoxycarbonyl, tert-butoxycarbonyl, etc.),
(28) a C6-14 aryloxy-carbonyl group (e.g., phenoxycarbonyl, etc.),
(29) a carbamoyl group,
(30) a thiocarbamoyl group,
(31) a mono-C1-6 alkyl-carbamoyl group (e.g., methylcarbamoyl, ethylcarbamoyl, etc.),
(32) a di-C1-6 alkyl-carbamoyl group (e.g., dimethylcarbamoyl, diethylcarbamoyl, ethylmethylcarbamoyl, etc.),
(33) a C6-14 aryl-carbamoyl group (e.g., phenylcarbamoyl, 1-naphthylcarbamoyl, 2-naphthylcarbamoyl, etc.),
(34) a C1-6 alkylsulfonyl group (e.g., methylsulfonyl, ethylsulfonyl, isopropylsulfonyl, etc.) optionally having a halogen atom,
(35) a mono- or di-C1-3 alkylaminosulfonyl group (e.g., dimethylaminosulfonyl),
(36) a C3-8 cycloalkylsulfonyl group (e.g., cyclopropylsulfonyl),
(37) a C6-14 arylsulfonyl group (e.g., phenylsulfonyl, 1-naphthylsulfonyl, 2-naphthylsulfonyl, etc.),
(38) a C1-6 alkylsulfinyl group (e.g., methylsulfinyl, ethylsulfinyl, etc.),
(39) a C6-14 arylsulfinyl group (e.g., phenylsulfinyl, 1-naphthylsulfinyl, 2-naphthylsulfinyl, etc.),
(40) a formylamino group,
(41) a C1-6 alkyl-carbonylamino group (e.g., acetylamino, etc.),
(42) a C6-14 aryl-carbonylamino group (e.g., benzoylamino, naphthoylamino, etc.),
(43) a C1-6 alkoxy-carbonylamino group (e.g., methoxycarbonylamino, ethoxycarbonylamino, propoxycarbonylamino, butoxycarbonylamino, etc.),
(44) a C1-6 alkylsulfonylamino group (e.g., methylsulfonylamino, ethylsulfonylamino, etc.),
(45) a C6-14 arylsulfonylamino group (e.g., phenylsulfonylamino, 2-naphthylsulfonylamino, 1-naphthylsulfonylamino, etc.),
(46) a C1-6 alkyl-carbonyloxy group (e.g., acetoxy, propionyloxy, etc.),
(47) a C6-14 aryl-carbonyloxy group (e.g., benzoyloxy, naphthylcarbonyloxy, etc.),
(48) a C1-6 alkoxy-carbonyloxy group (e.g., methoxycarbonyloxy, ethoxycarbonyloxy, propoxycarbonyloxy, butoxycarbonyloxy, etc.),
(49) a mono-C1-6 alkyl-carbamoyloxy group (e.g., methylcarbamoyloxy, ethylcarbamoyloxy, etc.),
(50) a di-C1-6 alkyl-carbamoyloxy group (e.g., dimethylcarbamoyloxy, diethylcarbamoyloxy, etc.),
(51) a C6-14 aryl-carbamoyloxy group (e.g., phenylcarbamoyloxy, naphthylcarbamoyloxy, etc.),
(52) a 3- to 14-membered (monocyclic, bicyclic or tricyclic) heterocyclic group containing, besides carbon atoms, 1 to 5 hetero atoms of one to three kinds selected from a nitrogen atom, a sulfur atom and an oxygen atom, and optionally having 1 to 4 substituents selected from a C1-6 alkyl group optionally having 1 to 3 halogen atoms (e.g., methyl, chloromethyl, difluoromethyl, trichloromethyl, trifluoromethyl, ethyl, 2-bromoethyl, 2,2,2-trifluoroethyl, pentafluoroethyl, propyl, 3,3,3-trifluoropropyl, isopropyl, butyl, 4,4,4-trifluorobutyl, isobutyl, sec-butyl, tert-butyl, pentyl, isopentyl, neopentyl, 5,5,5-trifluoropentyl, hexyl, 6,6,6-trifluorohexyl etc.), an oxo group, a C1-6 alkoxy-carbonyl group (e.g., methoxycarbonyl, ethoxycarbonyl, propoxycarbonyl, tert-butoxycarbonyl etc.) and C1-6 alkyl-carbonyl (e.g., acetyl etc.) [e.g., aromatic heterocyclic groups such as pyrrolyl (e.g., 1-pyrrolyl, 2-pyrrolyl, 3-pyrrolyl), furyl (e.g., 2-furyl, 3-furyl), thienyl (e.g., 2-thienyl, 3-thienyl), pyrazolyl (e.g., 1-pyrazolyl, 3-pyrazolyl, 4-pyrazolyl), imidazolyl (e.g., 1-imidazolyl, 2-imidazolyl, 4-imidazolyl, 5-imidazolyl), isoxazolyl (e.g., 3-isoxazolyl, 4-isoxazolyl, 5-isoxazolyl), oxazolyl (e.g., 2-oxazolyl, 4-oxazolyl, 5-oxazolyl), isothiazolyl (e.g., 3-isothiazolyl, 4-isothiazolyl, 5-isothiazolyl), thiazolyl (e.g., 2-thiazolyl, 4-thiazolyl, 5-thiazolyl), triazolyl (1,2,3-triazol-4-yl, 1,2,4-triazol-3-yl), oxadiazolyl (1,2,4-oxadiazol-3-yl, 1,2,4-oxadiazol-5-yl, 1,3,4-oxadiazol-2-yl), thiadiazolyl (1,2,4-thiadiazol-3-yl, 1,2,4-thiadiazol-5-yl, 1,3,4-thiadiazol-2-yl), tetrazolyl, pyridyl (e.g., 2-pyridyl, 3-pyridyl, 4-pyridyl), pyridazinyl (e.g., 3-pyridazinyl, 4-pyridazinyl), pyrimidinyl (e.g., 2-pyrimidinyl, 4-pyrimidinyl), pyrazinyl, isoindolyl (e.g., 1-isoindolyl, 2-isoindolyl, 3-isoindolyl, 4-isoindolyl, 5-isoindolyl, 6-isoindolyl, 7-isoindolyl), indolyl (e.g., 1-indolyl, 2-indolyl, 3-indolyl, 4-indolyl, 5-indolyl, 6-indolyl, 7-indolyl), benzo[b]furanyl (e.g., 2-benzo[b]furanyl, 3-benzo[b]furanyl, 4-benzo[b]furanyl, 5-benzo[b]furanyl, 6-benzo[b]furanyl, 7-benzo[b]furanyl), benzo[c]furanyl (e.g., 1-benzo[c]furanyl, 4-benzo[c]furanyl, 5-benzo[c]furanyl), benzo[b]thienyl (e.g., 2-benzo[b]thienyl, 3-benzo[b]thienyl, 4-benzo[b]thienyl, 5-benzo[b]thienyl, 6-benzo[b]thienyl, 7-benzo[b]thienyl), benzo[c]thienyl (e.g., 1-benzo[c]thienyl, 4-benzo[c]thienyl, 5-benzo[c]thienyl), indazolyl (e.g., 1-indazolyl, 2-indazolyl, 3-indazolyl, 4-indazolyl, 5-indazolyl, 6-indazolyl, 7-indazolyl), benzimidazolyl (e.g., 1-benzimidazolyl, 2-benzimidazolyl, 4-benzimidazolyl, 5-benzimidazolyl), 1,2-benzisoxazolyl (e.g., 1,2-benzisoxazol-3-yl, 1,2-benzisoxazol-4-yl, 1,2-benzisoxazol-5-yl, 1,2-benzisoxazol-6-yl, 1,2-benzisoxazol-7-yl), benzoxazolyl (e.g., 2-benzoxazolyl, 4-benzoxazolyl, 5-benzoxazolyl, 6-benzoxazolyl, 7-benzoxazolyl), 1,2-benzisothiazolyl (e.g., 1,2-benzisothiazol-3-yl, 1,2-benzisothiazol-4-yl, 1,2-benzisothiazol-5-yl, 1,2-benzisothiazol-6-yl, 1,2-benzisothiazol-7-yl), benzothiazolyl (e.g., 2-benzothiazolyl, 4-benzothiazolyl, 5-benzothiazolyl, 6-benzothiazolyl, 7-benzothiazolyl), isoquinolyl (e.g., 1-isoquinolyl, 3-isoquinolyl, 4-isoquinolyl, 5-isoquinolyl), quinolyl (e.g., 2-quinolyl, 3-quinolyl, 4-quinolyl, 5-quinolyl, 8-quinolyl), cinnolinyl (e.g., 3-cinnolinyl, 4-cinnolinyl, 5-cinnolinyl, 6-cinnolinyl, 7-cinnolinyl, 8-cinnolinyl), phthalazinyl (e.g., 1-phthalazinyl, 4-phthalazinyl, 5-phthalazinyl, 6-phthalazinyl, 7-phthalazinyl, 8-phthalazinyl), quinazolinyl (e.g., 2-quinazolinyl, 4-quinazolinyl, 5-quinazolinyl, 6-quinazolinyl, 7-quinazolinyl, 8-quinazolinyl), quinoxalinyl (e.g., 2-quinoxalinyl, 3-quinoxalinyl, 5-quinoxalinyl, 6-quinoxalinyl, 7-quinoxalinyl, 8-quinoxalinyl), pyrazolo[1,5-a]pyridyl(pyrazolo[1,5-a]pyridin-2-yl, pyrazolo[1,5-a]pyridin-3-yl, pyrazolo[1,5-a]pyridin-4-yl, pyrazolo[1,5-a]pyridin-5-yl, pyrazolo[1,5-a]pyridin-6-yl, pyrazolo[1,5-a]pyridin-7-yl), imidazo[1,2-a]pyridyl(imidazo[1,2-a]pyridin-2-yl, imidazo[1,2-a]pyridin-3-yl, imidazo[1,2-a]pyridin-5-yl, imidazo[1,2-a]pyridin-6-yl, imidazo[1,2-a]pyridin-7-yl, imidazo[1,2-a]pyridin-8-yl) and the like; nonaromatic heterocyclic groups such as oxazolidinyl (e.g., 2-oxazolidinyl, 5-oxazolidinyl), imidazolinyl (e.g., 1-imidazolinyl, 2-imidazolinyl, 4-imidazolinyl), aziridinyl (e.g., 1-aziridinyl, 2-aziridinyl), azetidinyl (e.g., 1-azetidinyl, 2-azetidinyl), pyrrolidinyl (e.g., 1-pyrrolidinyl, 2-pyrrolidinyl, 3-pyrrolidinyl), piperidyl (e.g., 1-piperidyl, 2-piperidyl, 3-piperidyl, 4-piperidyl), azepanyl (e.g., 1-azepanyl, 2-azepanyl, 3-azepanyl, 4-azepanyl), azocanyl (e.g., 1-azocanyl, 2-azocanyl, 3-azocanyl, 4-azocanyl), piperazinyl (e.g., 1,4-piperazin-1-yl, 1,4-piperazin-2-yl), diazepanyl (e.g., 1,4-diazepan-1-yl, 1,4-diazepan-2-yl, 1,4-diazepan-5-yl, 1,4-diazepan-6-yl), diazocanyl (1,4-diazocan-1-yl, 1,4-diazocan-2-yl, 1,4-diazocan-5-yl, 1,4-diazocan-6-yl, 1,5-diazocan-1-yl, 1,5-diazocan-2-yl, 1,5-diazocan-3-yl), 4-morpholinyl, 4-thiomorpholinyl, 2-oxazolidinyl and the like; a heterocyclic group wherein the above-mentioned aromatic heterocyclic group is partially hydrogenated, such as indolinyl, dihydroquinolyl and the like; a heterocyclic group wherein the above-mentioned nonaromatic heterocyclic group is partially dehydrogenated, such as oxazolinyl (e.g., 2-oxazolinyl), dihydrofuryl (e.g., 2,5-dihydrofuran-3-yl) and the like],
(53) a C1-3 alkylenedioxy group (e.g., methylenedioxy, ethylenedioxy etc.),
(54) an oxo group,
(55) a C7-14 aralkyloxy-carbonyl group (e.g., benzyloxycarbonyl etc.), and the like.
and the like are preferable.
[2] a pyrrolyl group, a thienyl group, a furyl group, a pyrazolyl group, or a pyridyl group each of which optionally is substituted by 1 to 3, preferably 1, C6-14 aryl (e.g., phenyl) optionally substituted by 1 to 3 C1-6 alkoxy groups (e.g., methoxy).
particularly preferably, a 3,5-bis(trifluoromethyl)phenyl group, a 4-chlorophenyl group, a 3,5-dichlorophenyl group, a 3,5-dibromophenyl group, a 3-chloro-5-(trifluoromethyl)phenyl group, a 3-methyl-5-(trifluoromethyl)phenyl group or a 3-bromo-5-(trifluoromethyl)phenyl group.
(26) a C3-8 cycloalkylcarbamoyl group,
(27) a carbamoyl group,
(28) a thiocarbamoyl group,
(29) a mono-C1-6 alkyl-carbamoyl group (e.g., methylcarbamoyl, ethylcarbamoyl etc.),
(30) a di-C1-6 alkyl-carbamoyl group (e.g., dimethylcarbamoyl, diethylcarbamoyl, ethylmethylcarbamoyl etc.),
(31) a C6-14 aryl-carbamoyl group (e.g., phenylcarbamoyl, 1-naphthylcarbamoyl, 2-naphthylcarbamoyl etc.),
(32) a C1-6 alkylsulfonyl group (e.g., methylsulfonyl, ethylsulfonyl etc.),
(33) a C6-14 arylsulfonyl group (e.g., phenylsulfonyl, 1-naphthylsulfonyl, 2-naphthylsulfonyl etc.),
(34) a C1-6 alkylsulfinyl group (e.g., methylsulfinyl, ethylsulfinyl etc.),
(34) a C6-14 arylsulfinyl group (e.g., phenylsulfinyl, 1-naphthylsulfinyl, 2-naphthylsulfinyl etc.),
(35) a C6-14 arylsulfinyl group (e.g., phenylsulfinyl, 1-naphthylsulfinyl, 2-naphthylsulfinyl etc.),
(36) a formylamino group,
(37) a C1-6 alkyl-carbonylamino group (e.g., acetylamino, propionylamino, isobutyrylamino, pivaloylamino etc.) optionally having 1 to 5, preferably 1 to 3, substituents selected from a hydroxyl group and a C1-3 alkoxy group,
(38) a C1-6 alkyl-carbonyl-C1-6 alkyl-amino group (e.g., N-acetyl-N-methylamino),
(39) a C6-14 aryl-carbonylamino group (e.g., benzoylamino, naphthoylamino etc.),
(40) a 3- to 14-membered (monocyclic, bicyclic or tricyclic) heterocyclyl-carbonylamino group (e.g., pyridylcarbonylamino) containing, besides carbon atoms, 1 to 5 hetero atoms of one to three kinds selected from a nitrogen atom, a sulfur atom and an oxygen atom, and optionally having a halogen atom, or a C1-3 alkyl group,
(41) a 3- to 14-membered (monocyclic, bicyclic or tricyclic) heterocyclyl-oxycarbonylamino group (e.g., tetrahydropyranyloxycarbonylamino) containing, besides carbon atoms, 1 to 5 hetero atoms of one to three kinds selected from a nitrogen atom, a sulfur atom and an oxygen atom,
(42) a C6-14 aryloxycarbonylamino group optionally having a nitro group,
(43) a C1-6 alkoxy-carbonylamino group (e.g., methoxycarbonylamino, ethoxycarbonylamino, propoxycarbonylamino, isopropoxycarbonylamino, butoxycarbonylamino, tert-butoxycarbonylamino etc.),
(44) a C1-6 alkoxy-carbonyl-C1-6 alkyl-amino group (e.g., N-methoxycarbonyl-N-methylamino, N-ethoxycarbonyl-N-methylamino, N-propoxycarbonyl-N-methylamino, N-isobutoxycarbonyl-N-methylamino, N-tert-butoxycarbonyl-N-methylamino etc.),
(45) a C1-6 alkylsulfonylamino group (e.g., methylsulfonylamino, ethylsulfonylamino etc.),
(46) a C1-6 alkylsulfonyl-C1-6 alkyl-amino group (e.g., N-methylsulfonyl-N-methylamino, N-ethylsulfonyl-N-methylamino etc.),
(47) a C6-14 arylsulfonylamino group (e.g., phenylsulfonylamino, 2-naphthylsulfonylamino, 1-naphthylsulfonylamino etc.),
(48) a C1-6 alkyl-carbonyloxy group (e.g., acetoxy, propionyloxy etc.),
(49) a C6-14 aryl-carbonyloxy group (e.g., benzoyloxy, naphthylcarbonyloxy etc.),
(50) a C1-6 alkoxy-carbonyloxy group (e.g., methoxycarbonyloxy, ethoxycarbonyloxy, propoxycarbonyloxy, butoxycarbonyloxy etc.),
(51) a mono-C1-6 alkyl-carbamoyloxy group (e.g., methylcarbamoyloxy, ethylcarbamoyloxy etc.),
(52) a di-C1-6 alkyl-carbamoyloxy group (e.g., dimethylcarbamoyloxy, diethylcarbamoyloxy etc.),
(53) a C6-14 aryl-carbamoyloxy group (e.g., phenylcarbamoyloxy, naphthylcarbamoyloxy etc.),
(54) 3-mono-, or 3,3-di-C1-3 alkylureido,
(55) 1,3,3-tri-C1-3 alkylureido,
(56) 3-C3-8 cycloalkylureido,
(57) a 3- to 14-membered (monocyclic, bicyclic or tricyclic) heterocyclic group containing, besides carbon atoms, 1 to 5 hetero atoms of one to three kinds selected from a nitrogen atom, a sulfur atom and an oxygen atom, and optionally having 1 to 4 substituents selected from a C1-6 alkyl group optionally having 1 to 3 halogen atoms (e.g., methyl, chloromethyl, difluoromethyl, trichloromethyl, trifluoromethyl, ethyl, 2-bromoethyl, 2,2,2-trifluoroethyl, pentafluoroethyl, propyl, 3,3,3-trifluoropropyl, isopropyl, butyl, 4,4,4-trifluorobutyl, isobutyl, sec-butyl, tert-butyl, pentyl, isopentyl, neopentyl, 5,5,5-trifluoropentyl, hexyl, 6,6,6-trifluorohexyl etc.), an oxo group, a C1-6 alkoxy-carbonyl group (e.g., methoxycarbonyl, ethoxycarbonyl, propoxycarbonyl, tert-butoxycarbonyl etc.) and C1-6 alkyl-carbonyl (e.g., acetyl etc.) [e.g., aromatic heterocyclic groups such as pyrrolyl (e.g., 1-pyrrolyl, 2-pyrrolyl, 3-pyrrolyl), furyl (e.g., 2-furyl, 3-furyl), thienyl (e.g., 2-thienyl, 3-thienyl), pyrazolyl (e.g., 1-pyrazolyl, 3-pyrazolyl, 4-pyrazolyl), imidazolyl (e.g., 1-imidazolyl, 2-imidazolyl, 4-imidazolyl), isoxazolyl (e.g., 3-isoxazolyl, 4-isoxazolyl, 5-isoxazolyl), oxazolyl (e.g., 2-oxazolyl, 4-oxazolyl, 5-oxazolyl), isothiazolyl (e.g., 3-isothiazolyl, 4-isothiazolyl, 5-isothiazolyl), thiazolyl (e.g., 2-thiazolyl, 4-thiazolyl, 5-thiazolyl), triazolyl (1,2,3-triazol-4-yl, 1,2,4-triazol-3-yl), oxadiazolyl (1,2,4-oxadiazol-3-yl, 1,2,4-oxadiazol-5-yl), thiadiazolyl (1,2,4-thiadiazol-3-yl, 1,2,4-thiadiazol-5-yl), tetrazolyl, pyridyl (e.g., 2-pyridyl, 3-pyridyl, 4-pyridyl), pyridazinyl (e.g., 3-pyridazinyl, 4-pyridazinyl), pyrimidinyl (e.g., 2-pyrimidinyl, 4-pyrimidinyl), pyrazinyl, isoindolyl (e.g., 1-isoindolyl, 2-isoindolyl, 3-isoindolyl, 4-isoindolyl, 5-isoindolyl, 6-isoindolyl, 7-isoindolyl), indolyl (e.g., 1-indolyl, 2-indolyl, 3-indolyl, 4-indolyl, 5-indolyl, 6-indolyl, 7-indolyl), benzo[b]furanyl (e.g., 2-benzo[b]furanyl, 3-benzo[b]furanyl, 4-benzo[b]furanyl, 5-benzo[b]furanyl, 6-benzo[b]furanyl, 7-benzo[b]furanyl), benzo[c]furanyl (e.g., 1-benzo[c]furanyl, 4-benzo[c]furanyl, 5-benzo[c]furanyl), benzo[b]thienyl (e.g., 2-benzo[b]thienyl, 3-benzo[b]thienyl, 4-benzo[b]thienyl, 5-benzo[b]thienyl, 6-benzo[b]thienyl, 7-benzo[b]thienyl), benzo[c]thienyl (e.g., 1-benzo[c]thienyl, benzo[c]thienyl, 5-benzo[c]thienyl), indazolyl (e.g., 1-indazolyl, 2-indazolyl, 4-indazolyl, 5-indazolyl, 6-indazolyl, 7-indazolyl), benzimidazolyl (e.g., 1-benzimidazolyl, 2-benzimidazolyl, 4-benzimidazolyl, 5-benzimidazolyl), 1,2-benzisoxazolyl (e.g., 1,2-benzisoxazol-3-yl, 1,2-benzisoxazol-4-yl, 1,2-benzisoxazol-5-yl, 1,2-benzisoxazol-6-yl, 1,2-benzisoxazol-7-yl), benzoxazolyl (e.g., 2-benzoxazolyl, 4-benzoxazolyl, 5-benzoxazolyl, 6-benzoxazolyl, 7-benzoxazolyl), 1,2-benzisothiazolyl (e.g., 1,2-benzisothiazol-3-yl, 1,2-benzisothiazol-4-yl, 1,2-benzisothiazol-5-yl, 1,2-benzisothiazol-6-yl, 1,2-benzisothiazol-7-yl), benzothiazolyl (e.g., 2-benzothiazolyl, 4-benzothiazolyl, 5-benzothiazolyl, 6-benzothiazolyl, 7-benzothiazolyl), isoquinolyl (e.g., 1-isoquinolyl, 3-isoquinolyl, 4-isoquinolyl, 5-isoquinolyl), quinolyl (e.g., 2-quinolyl, 3-quinolyl, 4-quinolyl, 5-quinolyl, 8-quinolyl), cinnolinyl (e.g., 3-cinnolinyl, 4-cinnolinyl, 5-cinnolinyl, 6-cinnolinyl, 7-cinnolinyl, 8-cinnolinyl), phthalazinyl (e.g., 1-phthalazinyl, 4-phthalazinyl, 5-phthalazinyl, 6-phthalazinyl, 7-phthalazinyl, 8-phthalazinyl), quinazolinyl (e.g., 2-quinazolinyl, 4-quinazolinyl, 5-quinazolinyl, 6-quinazolinyl, 7-quinazolinyl, 8-quinazolinyl), quinoxalinyl (e.g., 2-quinoxalinyl, 3-quinoxalinyl, 5-quinoxalinyl, 6-quinoxalinyl, 7-quinoxalinyl, 8-quinoxalinyl), pyrazolo[1,5-a]pyridyl(pyrazolo[1,5-a]pyridin-2-yl, pyrazolo[1,5-a]pyridin-3-yl, pyrazolo[1,5-a]pyridin-4-yl, pyrazolo[1,5-a]pyridin-5-yl, pyrazolo[1,5-a]pyridin-6-yl, pyrazolo[1,5-a]pyridin-7-yl), imidazo[1,2-a]pyridyl(imidazo[1,2-a]pyridin-2-yl, imidazo[1,2-a]pyridin-3-yl, imidazo[1,2-a]pyridin-5-yl, imidazo[1,2-a]pyridin-6-yl, imidazo[1,2-a]pyridin-7-yl, imidazo[1,2-a]pyridin-8-yl) and the like; nonaromatic heterocyclic groups such as oxazolidinyl (e.g., 2-oxazolidinyl, 5-oxazolidinyl), imidazolinyl (e.g., 1-imidazolinyl, aziridinyl (e.g., 1-aziridinyl, 2-aziridinyl), azetidinyl (e.g., 1-azetidinyl, 2-azetidinyl), pyrrolidinyl (e.g., 1-pyrrolidinyl, 2-pyrrolidinyl, 3-pyrrolidinyl), piperidyl (e.g., 1-piperidyl, 4-piperidyl), azepanyl (e.g., 1-azepanyl, 2-azepanyl, 3-azepanyl, 4-azepanyl), azocanyl (e.g., 1-azocanyl, 2-azocanyl, 3-azocanyl, 4-azocanyl), piperazinyl (e.g., 1,4-piperazin-1-yl, 1,4-piperazin-2-yl), diazepanyl (e.g., 1,4-diazepan-1-yl, 1,4-diazepan-2-yl, 1,4-diazepan-5-yl, 1,4-diazepan-6-yl), diazocanyl (1,4-diazocan-1-yl, 1,4-diazocan-2-yl, 1,4-diazocan-5-yl, 1,4-diazocan-6-yl, 1,5-diazocan-1-yl, 1,5-diazocan-2-yl, 1,5-diazocan-3-yl), 4-morpholinyl, 4-thiomorpholinyl, 2-oxazolidinyl, isothiazolidinyl (e.g., 2-isothiazolidinyl) and the like; a heterocyclic group wherein the above-mentioned aromatic heterocyclic group is partially hydrogenated, such as indolinyl, dihydroquinolyl and the like; a heterocyclic group wherein the above-mentioned nonaromatic heterocyclic group is partially dehydrogenated, such as dihydrofuryl and the like],
(58) a C1-3 alkylenedioxy group (e.g., methylenedioxy, ethylenedioxy etc.),
(59) an oxo group,
(60) a C7-14 aralkyloxy-carbonyl group (e.g., benzyloxycarbonyl etc.), and the like.
(3) a C3-6 cycloalkenyl group (e.g., cyclopentenyl, cyclohexenyl etc.) optionally substituted by an oxo group,
(4) a 4- to 7-membered aromatic or nonaromatic heterocyclic group (e.g., piperidyl, tetrahydrothiopyranyl, oxadiazolyl, pyridyl, oxazolinyl, dihydrofuranyl) containing, besides carbon atoms, 1 to 4 hetero atoms selected from an oxygen atom, a sulfur atom and a nitrogen atom, and optionally having 1 to 3 substituents selected from (a) a C1-6 alkyl-carbonyl group (e.g., acetyl), (b) a C1-6 alkoxy-carbonyl group (e.g., tert-butoxycarbonyl), (c) an oxo group, (d) a 5- to 7-membered aromatic or nonaromatic heterocyclic group (e.g., piperidyl) containing, besides carbon atoms, 1 to 4 hetero atoms selected from an oxygen atom, a sulfur atom and a nitrogen atom, and optionally having 1 to 3 substituents selected from a C1-6 alkyl-carbonyl group (e.g., acetyl), a C1-6 alkoxy-carbonyl group (e.g., tert-butoxycarbonyl) and an oxo group, (e) a halogen atom and (f) a cyano group,
(5) a group represented by the formula: —(C═O)—R7′
-
- (i) a hydroxy group,
- (ii) a C1-6 alkyl-carbonylamino group (e.g., acetylamino),
- (iii) a 5- to 7-membered aromatic or nonaromatic heterocyclic group (e.g., oxazolidinyl, tetrazolyl, piperidyl) containing, besides carbon atoms, 1 to 4 hetero atoms selected from an oxygen atom, a sulfur atom and a nitrogen atom, and optionally having 1 to 4 substituents selected from a C1-6 alkyl group (e.g., methyl), a C1-3 alkyl-carbonyl group (e.g., acetyl), a C1-6 alkoxy-carbonyl group (e.g., tert-butoxycarbonyl) and an oxo group,
- (iv) a C1-6 alkylsulfonyl group (e.g., methylsulfonyl),
- (v) a C6-12 aryl-carbonylamino group (e.g., benzoylamino),
- (vi) a 5- to 7-membered aromatic or nonaromatic heterocyclyl-carbonylamino group (e.g., pyridylcarbonylamino group) containing, besides carbon atoms, 1 to 4 hetero atoms selected from an oxygen atom, a sulfur atom and a nitrogen atom, and
- (vii) a cyano group,
-
- (i) an oxo group,
- (ii) a C1-6 alkyl-carbonyl group (e.g., acetyl, propionyl, isobutyryl) optionally having 1 to 4 substituents selected from (a) a halogen atom (e.g., fluorine atom), (b) a C1-3 alkoxy group (e.g., methoxy, ethoxy), (c) a C3-8 cycloalkyl group (e.g., cyclopropyl), (d) a cyano group, (e) a hydroxy group, (f) a C1-6 alkylsulfonyl group (e.g., methylsulfonyl), (g) a 4- to 7-membered aromatic or nonaromatic heterocyclic group containing, besides carbon atoms, 1 to 4 hetero atoms selected from an oxygen atom, a sulfur atom and a nitrogen atom (e.g., tetrazolyl), and optionally having 1 to 3 substituents selected from a C1-6 alkyl-carbonyl group and a C1-6 alkoxy-carbonyl group, and (h) a C1-3 alkyl-carbonylamino group (e.g., acetylamino),
- (iii) a C1-6 alkoxy-carbonyl group (e.g., methoxycarbonyl, ethoxycarbonyl, tert-butoxycarbonyl etc.),
- (iv) a C6-14 aryl-carbonyl group (e.g., benzoyl) optionally having a cyano group,
- (v) a C1-6 alkylsulfonyl group or a C3-6 cycloalkylsulfonyl group (e.g., methylsulfonyl, ethylsulfonyl, isopropylsulfonyl, cyclopropylsulfonyl) each of which is optionally substituted by 1 to 3 halogen atoms,
- (vi) an aminosulfonyl group (e.g., dimethylaminosulfonyl) optionally mono- or di-substituted by a C1-6 alkyl group,
- (vii) a halogen atom (e.g., fluorine atom),
- (viii) a C3-6 cycloalkenyl group (e.g., cyclopentenyl) optionally substituted by an oxo group,
- (ix) a C3-8 cycloalkyl-carbonyl group (e.g., cyclopropylcarbonyl, cyclohexylcarbonyl) optionally substituted by 1 to 3 substituents selected from a halogen atom and a hydroxy group,
- (x) a 4- to 7-membered aromatic or nonaromatic heterocyclic group containing, besides carbon atoms, 1 to 4 hetero atoms selected from an oxygen atom, a sulfur atom and a nitrogen atom (e.g., dihydrofuranyl, oxazolinyl), and optionally substituted by an oxo group,
- (xi) a 5- to 7-membered aromatic or nonaromatic heterocyclylcarbonyl group containing, besides carbon atoms, 1 to 4 hetero atoms selected from an oxygen atom, a sulfur atom and a nitrogen atom (e.g., tetrahydropyranylcarbonyl),
- (xii) a C1-6 alkyl or C6-14 aryl-carbamoyl group (e.g., ethylcarbamoyl, phenylcarbamoyl),
- (xiii) a alkyl group (e.g., methyl) optionally having 1 to 3 substituents selected from a C1-6 alkoxy-carbonylamino group (e.g., methoxycarbonylamino, tert-butoxycarbonyl), a alkyl-carbonylamino group (e.g., acetylamino), a C6-14 aryl-carbonylamino group (e.g., benzoylcarbonylamino), a carbamoyl group and a C1-3 alkoxy group,
- (xiv) a formyl group, and
- (xv) a cyano group,
-
- (i) a C1-6 alkyl-carbonylamino group (e.g., acetylamino, propionylamino, isobutyrylamino, pivaloylamino) optionally having 1 to 3 substituents selected from a hydroxy group and a C1-3 alkoxy group (e.g., methoxy), the nitrogen atom of which is optionally substituted by a C1-3 alkyl group (e.g., methyl),
- (ii) a C1-6 alkoxy-carbonylamino group (e.g., methoxycarbonylamino, ethoxycarbonylamino, isopropoxycarbonylamino, isobutoxycarbonylamino, tert-butoxycarbonylamino), the nitrogen atom of which is optionally substituted by a C1-3 alkyl group (e.g., methyl),
- (iii) a C6-14 aryl-carbonylamino group (e.g., benzoylamino),
- (iv) a halogen atom (e.g., fluorine atom),
- (v) a 5- to 10-membered aromatic or nonaromatic heterocyclic group containing, besides carbon atoms, 1 to 4 hetero atoms of one or two kinds selected from a nitrogen atom, a sulfur atom and an oxygen atom, and optionally having 1 to 3 substituents selected from a C1-6 alkyl group optionally having 1 to 3 halogen atoms (e.g., methyl, trifluoromethyl) and an oxo group (e.g., tetrazolyl, 5-trifluoromethyltetrazolyl, oxazolidinyl, pyrrolidinyl, isothiazolidinyl, morpholinyl, imidazolidinyl),
- (vi) a C1-6 alkyl group optionally having 1 to 3 substituents selected from a halogen atom (e.g., fluorine atom), a C1-6 alkoxy-carbonylamino group (e.g., methoxycarbonylamino, tert-butoxycarbonylamino), a C1-6 alkyl-carbonylamino group (e.g., acetylamino) and an amino group,
- (vii) a ureido group optionally substituted by 1 to 3 substituents selected from a C1-3 alkyl group (e.g., methyl, ethyl) and a C3-6 cycloalkyl group (e.g., cyclopropyl group),
- (viii) a C1-3 alkylsulfonylamino group (e.g., methylsulfonylamino), the nitrogen atom of which is optionally substituted by a C1-3 alkyl group,
- (ix) a C1-6 alkoxy-carbonyl group,
- (x) a carbamoyl group optionally substituted by a C1-3 alkyl group (e.g., methyl) and a C3-8 cycloalkyl group (e.g., cyclopropyl),
- (xi) an amino group optionally mono- or di-substituted by a C1-3 alkyl group,
- (xii) a 5- to 10-membered aromatic or nonaromatic heterocyclecarbonylamino group containing, besides carbon atoms, 1 to 4 hetero atoms of one or two kinds selected from a nitrogen atom, a sulfur atom and an oxygen atom (e.g., pyridylcarbonylamino), and optionally substituted by 1 to 3 substituents selected from a C1-3 alkyl group (e.g., methyl) and a halogen atom (e.g., fluorine atom),
- (xiii) a C3-8 cycloalkyl-carbonylamino group (e.g., cyclopropylcarbonylamino, cyclobutylcarbonylamino, cyclohexylcarbonylamino) optionally substituted by 1 to 3 halogen atoms,
- (xiv) a 5- to 7-membered aromatic or nonaromatic heterocyclyl(e.g., tetrahydropyranyl)oxy-carbonylamino group containing, besides carbon atoms, 1 to 4 hetero atoms selected from an oxygen atom, a sulfur atom and a nitrogen atom,
- (xv) a 5- to 7-membered aromatic or nonaromatic heterocyclylcarbonyl group containing, besides carbon atoms, 1 to 4 hetero atoms selected from an oxygen atom, a sulfur atom and a nitrogen atom (e.g., piperidinylcarbonyl, morpholinylcarbonyl), and optionally substituted by 1 to 3 halogen atoms (e.g., fluorine atom),
- (xvi) a C6-12 aryloxy-carbonylamino group optionally substituted by a nitro group, and
- (xvii) a carboxy group,
-
- (i) a C1-6 alkyl-carbonylamino group (e.g., acetylamino) optionally having a hydroxy group,
- (ii) a C1-3 alkoxy group (e.g., methoxy, difluoromethoxy) optionally having 1 to 3 halogen atoms,
- (iii) a 5- to 10-membered aromatic or nonaromatic heterocyclic group containing, besides carbon atoms, 1 to 4 hetero atoms of one or two kinds selected from a nitrogen atom, a sulfur atom and an oxygen atom (e.g., tetrazolyl, pyrazolyl, imidazolyl, morpholinyl), and optionally substituted by 1 to 3 substituents selected from a C1-6 alkyl group optionally having 1 to 3 halogen atoms (e.g., methyl, trifluoromethyl) and an oxo group, and
- (iv) a halogen atom (e.g., fluorine atom), or
-
- (a) a C1-6 alkyl group (e.g., methyl) optionally having 1 to 3 halogen atoms (e.g., fluorine atom),
- (b) a C3-8 cycloalkyl group (e.g., cyclopropyl), or
- (c) a 5- to 7-membered aromatic or nonaromatic heterocyclic group containing, besides carbon atoms, 1 to 4 hetero atoms selected from an oxygen atom, a sulfur atom and a nitrogen atom (e.g., piperidyl, pyridyl), and optionally having 1 to 3 substituents selected from a C1-6 alkyl-carbonyl group (e.g., acetyl) and a C7-14 aralkyloxy-carbonyl group (e.g., benzyloxycarbonyl),
(8) a group represented by the formula: —NR5′R6′
-
- (a) a hydrogen atom,
- (b) a C1-4 alkyl group (e.g., methyl),
- (c) a C1-6 alkyl-carbonyl group (e.g., acetyl), or
- (d) a 5- to 7-membered aromatic or nonaromatic heterocyclylcarbonyl group containing, besides carbon atoms, 1 to 4 hetero atoms selected from an oxygen atom, a sulfur atom and a nitrogen atom (e.g., piperidylcarbonyl), and optionally having a C1-6 alkyl-carbonyl group (e.g., acetyl), or
- (e) in combination shows an oxygen atom,
(9) a group represented by the formula: —(C═O)—NR7′″R8″
-
- (a) a hydrogen atom,
- (b) a C1-6 alkyl group (e.g., methyl, ethyl, propyl, isopropyl, tert-butyl) optionally substituted by 1 to 3 substituents selected from a C6-12 aryl group (e.g., phenyl group), a C1-3 alkoxy group (e.g., methoxy) and a C1-3 alkyl-carbonylamino group (e.g., acetylamino),
- (c) a 5- to 7-membered aromatic or nonaromatic heterocyclic group containing, besides carbon atoms, 1 to 4 hetero atoms selected from an oxygen atom, a sulfur atom and a nitrogen atom (e.g., piperidyl, tetrahydropyranyl, tetrahydrothiopyranyl), and optionally having 1 to 3 substituents selected from a C1-6 alkyl carbonyl group (e.g., acetyl), a C1-6 alkoxy-carbonyl group (e.g., methoxycarbonyl, tert-butoxycarbonyl), a C1-6 alkyl group (e.g., methyl) and an oxo group,
- (d) a C3-8 cycloalkyl group (e.g., cyclopropyl, cyclopentyl, cyclohexyl) optionally substituted by 1 to 3 substituents selected from (i) a halogen atom (e.g., fluorine atom), (ii) a C1-6 alkoxy-carbonylamino group (e.g., methoxycarbonylamino, ethoxycarbonylamino, tert-butoxycarbonylamino), (iii) a C1-3 alkyl group, (iv) an amino group and (v) a 5- to 10-membered aromatic or nonaromatic heterocyclic group containing, besides carbon atoms, 1 to 4 hetero atoms of one or two kinds selected from a nitrogen atom, a sulfur atom and an oxygen atom, and optionally substituted by 1 to 3 substituents selected from a C1-6 alkyl group optionally having 1 to 3 halogen atoms (e.g., methyl, trifluoromethyl) and an oxo group (e.g., tetrazolyl, 5-trifluoromethyltetrazolyl, oxazolidinyl),
- (e) a phenyl group optionally substituted by a C1-3 alkoxy group (e.g., methoxy), or
- (f) a 5- to 10-membered aromatic or nonaromatic heterocyclyl-carbonylamino group containing, besides carbon atoms, 1 to 4 hetero atoms of one or two kinds selected from a nitrogen atom, a sulfur atom and an oxygen atom (e.g., piperidylcarbonylamino), and optionally having a C1-6 alkoxy-carbonyl group (e.g., tert-butoxycarbonyl), or
(10) a group represented by the formula: —(C═S)—R7″″
-
- a 5- to 7-membered aromatic or nonaromatic heterocyclic group containing, besides carbon atoms, 1 to 4 hetero atoms selected from an oxygen atom, a sulfur atom and a nitrogen atom (e.g., imidazolyl).
(3) a C3-6 cycloalkenyl group (e.g., cyclopentenyl, cyclohexenyl etc.) optionally substituted by an oxo group,
(4) a 4- to 7-membered aromatic or nonaromatic heterocyclic group containing, besides carbon atoms, 1 to 4 hetero atoms selected from an oxygen atom, a sulfur atom and a nitrogen atom (e.g., piperidyl, tetrahydrothiopyranyl, oxadiazolyl, pyridyl, oxazolinyl, dihydrofuranyl), and optionally having 1 to 3 substituents selected from (a) a C1-6 alkyl-carbonyl group (e.g., acetyl), (b) a C1-6 alkoxy-carbonyl group (e.g., tert-butoxycarbonyl), (c) an oxo group, (d) a 5- to 7-membered aromatic or nonaromatic heterocyclic group containing, besides carbon atoms, 1 to 4 hetero atoms selected from an oxygen atom, a sulfur atom and a nitrogen atom (e.g., piperidyl), and optionally having 1 to 3 substituents selected from a C1-6 alkyl-carbonyl group (e.g., acetyl), a C1-6 alkoxy-carbonyl group (e.g., tert-butoxycarbonyl) and an oxo group and (e) a halogen atom,
(5) a group represented by the formula: —(C═O)—R7′
-
- (a) a C1-6 alkyl group (e.g., methyl) optionally having 1 to 3 substituents selected from
- (i) a hydroxy group,
- (ii) a C1-6 alkyl-carbonylamino group (e.g., acetylamino),
- (iii) a 5- to 7-membered aromatic or nonaromatic heterocyclic group containing, besides carbon atoms, 1 to 4 hetero atoms selected from an oxygen atom, a sulfur atom and a nitrogen atom (e.g., oxazolidinyl, tetrazolyl, piperidyl), and optionally having 1 to 4 substituents selected from a C1-6 alkyl group (e.g., methyl), a C1-3 alkyl-carbonyl group (e.g., acetyl), a C1-6 alkoxy-carbonyl group (e.g., tert-butoxycarbonyl) and an oxo group,
- (iv) a C1-6 alkylsulfonyl group (e.g., methylsulfonyl),
- (v) a C6-12 aryl-carbonylamino group (e.g., benzoylamino), and
- (vi) a 5- to 7-membered aromatic or nonaromatic heterocyclyl-carbonylamino group containing, besides carbon atoms, 1 to 4 hetero atoms selected from an oxygen atom, a sulfur atom and a nitrogen atom (e.g., pyridylcarbonylamino group),
- (b) a 4- to 7-membered aromatic or nonaromatic heterocyclic group containing, besides carbon atoms, 1 to 4 hetero atoms selected from an oxygen atom, a sulfur atom and a nitrogen atom (e.g., piperidyl, azetinyl, piperazinyl, tetrahydropyranyl, tetrahydrothiopyranyl, pyridyl, pyrimidinyl, thiazolyl, tetrahydrofuranyl, pyrrolidinyl, morpholinyl, thiomorpholinyl), and optionally having 1 to 3 substituents selected from
- (i) an oxo group,
- (ii) a C1-6 alkyl-carbonyl group (e.g., acetyl, propionyl, isobutyryl) optionally having 1 to 4 substituents selected from (a) a halogen atom (e.g., fluorine atom), (b) a C1-3 alkoxy group (e.g., methoxy, ethoxy), (c) a C3-8 cycloalkyl group (e.g., cyclopropyl), (d) a cyano group, (e) a hydroxy group, (f) a C1-6 alkylsulfonyl group (e.g., methylsulfonyl), (g) a 4- to 7-membered aromatic or nonaromatic heterocyclic group containing, besides carbon atoms, 1 to 4 hetero atoms selected from an oxygen atom, a sulfur atom and a nitrogen atom (e.g., tetrazolyl), and optionally having 1 to 3 substituents selected from a C1-6 alkyl-carbonyl group and a C1-6 alkoxy-carbonyl group, (h) a C1-3 alkyl-carbonylamino group (e.g., acetylamino),
- (iii) a C1-6 alkoxy-carbonyl group (e.g., methoxycarbonyl, ethoxycarbonyl, tert-butoxycarbonyl etc.),
- (iv) a C6-14 aryl-carbonyl group (e.g., benzoyl).
- (v) a C1-6 alkylsulfonyl group or C3-6 cycloalkylsulfonyl group (e.g., methylsulfonyl, ethylsulfonyl, isopropylsulfonyl, cyclopropylsulfonyl) each of which is optionally substituted by 1 to 3 halogen atoms,
- (vi) an aminosulfonyl group (e.g., dimethylaminosulfonyl) optionally mono- or di-substituted by a C1-6 alkyl group,
- (vii) a halogen atom (e.g., fluorine atom),
- (viii) a C3-6 cycloalkenyl group (e.g., cyclopentenyl) optionally substituted by an oxo group,
- (ix) a C3-8 cycloalkyl-carbonyl group optionally substituted by 1 to 3 substituents selected from a halogen atom and a hydroxy group,
- (x) a 4- to 7-membered aromatic or nonaromatic heterocyclic group containing, besides carbon atoms, 1 to 4 hetero atoms selected from an oxygen atom, a sulfur atom and a nitrogen atom (e.g., dihydrofuranyl, oxazolinyl), and optionally substituted by an oxo group,
- (xi) a 5- to 7-membered aromatic or nonaromatic heterocyclylcarbonyl group containing, besides carbon atoms, 1 to 4 hetero atoms selected from an oxygen atom, a sulfur atom and a nitrogen atom (e.g., tetrahydropyranylcarbonyl),
- (xii) a C1-6 alkyl or C6-14 aryl-carbamoyl group (e.g., ethylcarbamoyl, phenylcarbamoyl),
- (xiii) a C1-3 alkyl group (e.g., methyl) optionally having 1 to 3 substituents selected from a C1-6 alkoxy-carbonylamino group (e.g., methoxycarbonylamino, tert-butoxycarbonylamino), a C1-3 alkyl-carbonylamino group (e.g., acetylamino), a C6-14 aryl-carbonylamino group (e.g., benzoylcarbonylamino), a carbamoyl group and a C1-3 alkoxy group,
- (xiv) a formyl group, and
- (xv) a cyano group,
- (c) a C3-8 cycloalkyl group (e.g., cyclohexyl, cyclobutyl) optionally having 1 to 3 substituents selected from
- (i) a C1-6 alkyl-carbonylamino group (e.g., acetylamino, propionylamino, isobutyrylamino, pivaloylamino) optionally having 1 to 3 substituents selected from a hydroxy group and a C1-3 alkoxy group (e.g., methoxy), the nitrogen atom of which is optionally substituted by a C1-3 alkyl group (e.g., methyl),
- (ii) a C1-6 alkoxy-carbonylamino group (e.g., methoxycarbonylamino, ethoxycarbonylamino, isopropoxycarbonylamino, isobutoxycarbonylamino, tert-butoxycarbonylamino), the nitrogen atom of which is optionally substituted by a C1-3 alkyl group (e.g., methyl),
- (iii) a C6-14 aryl-carbonylamino group (e.g., benzoylamino),
- (iv) a halogen atom (e.g., fluorine atom),
- (v) a 5- to 10-membered aromatic or nonaromatic heterocyclic group containing, besides carbon atoms, 1 to 4 hetero atoms of one or two kinds selected from a nitrogen atom, a sulfur atom and an oxygen atom, and optionally having 1 to 3 substituents selected from a C1-6 alkyl group optionally having 1 to 3 halogen atoms (e.g., methyl, trifluoromethyl) and an oxo group (e.g., tetrazolyl, 5-trifluoromethyltetrazolyl, oxazolidinyl, pyrrolidinyl, isothiazolidinyl, morpholinyl, imidazolidinyl),
- (vi) a C1-6 alkyl group optionally having 1 to 3 substituents selected from a C1-6 alkoxy-carbonylamino group (e.g., methoxycarbonylamino, tert-butoxycarbonylamino), a C1-6 alkyl-carbonylamino group (e.g., acetylamino) and an amino group,
- (vii) a ureido group optionally substituted by 1 to 3 substituents selected from a C1-3 alkyl group (e.g., methyl, ethyl) and a C3-6 cycloalkyl group (e.g., cyclopropyl group),
- (viii) a C1-3 alkylsulfonylamino group (e.g., methylsulfonylamino), the nitrogen atom of which is optionally substituted by a C1-3 alkyl group,
- (ix) a C1-6 alkoxy-carbonyl group,
- (x) a carbamoyl group,
- (xi) an amino group optionally mono- or di-substituted by a C1-3 alkyl group,
- (xii) a 5- to 10-membered aromatic or nonaromatic heterocyclecarbonylamino group containing, besides carbon atoms, 1 to 4 hetero atoms of one or two kinds selected from a nitrogen atom, a sulfur atom and an oxygen atom (e.g., pyridylcarbonylamino), and optionally substituted by 1 to 3 substituents selected from a C1-3 alkyl group (e.g., methyl) and a halogen atom (e.g., fluorine atom),
- (xiii) a C3-8 cycloalkyl-carbonylamino group (e.g., cyclopropylcarbonylamino, cyclobutylcarbonylamino, cyclohexylcarbonylamino), and
- (xiv) a 5- to 7-membered aromatic or nonaromatic heterocyclyl(e.g., tetrahydropyranyl)oxy-carbonylamino group containing, besides carbon atoms, 1 to 4 hetero atoms selected from an oxygen atom, a sulfur atom and a nitrogen atom,
- (d) a C6-12 aryl group (e.g., phenyl) optionally having 1 to 3 substituents selected from
- (i) a C1-6 alkyl-carbonylamino group (e.g., acetylamino) optionally having a hydroxy group, and
- (ii) a 5- to 10-membered aromatic or nonaromatic heterocyclic group containing, besides carbon atoms, 1 to 4 hetero atoms of one or two kinds selected from a nitrogen atom, a sulfur atom and an oxygen atom (e.g., tetrazolyl, pyrazolyl, imidazolyl, morpholinyl), and optionally substituted by 1 to 3 substituents selected from a C1-6 alkyl group optionally having 1 to 3 halogen atoms (e.g., methyl, trifluoromethyl) and an oxo group, or
- (e) a carbamoyl group,
(6) a group represented by the formula: —(C═O)—OR7′
- (a) a C1-6 alkyl group (e.g., methyl) optionally having 1 to 3 substituents selected from
-
- (a) a C1-6 alkyl group (e.g., methyl), or
- (b) a 5- to 7-membered aromatic or nonaromatic heterocyclic group containing, besides carbon atoms, 1 to 4 hetero atoms selected from an oxygen atom, a sulfur atom and a nitrogen atom (e.g., piperidyl, pyridyl), and optionally having 1 to 3 substituents selected from a C1-6 alkyl-carbonyl group (e.g., acetyl) and a C7-14 aralkyloxy-carbonyl group (e.g., benzyloxycarbonyl),
(8) a group represented by the formula: —NR5′R6′
-
- (a) a hydrogen atom,
- (b) a C1-6 alkyl group (e.g., methyl),
- (c) a C1-6 alkyl-carbonyl group (e.g., acetyl), or
- (d) a 5- to 7-membered aromatic or nonaromatic heterocyclylcarbonyl group containing, besides carbon atoms, 1 to 4 hetero atoms selected from an oxygen atom, a sulfur atom and a nitrogen atom (e.g., piperidylcarbonyl), and optionally having a C1-6 alkyl-carbonyl group (e.g., acetyl), or
(9) a group represented by the formula: —(C═O)—NR7′″R8″
-
- (a) a hydrogen atom,
- (b) a C1-6 alkyl group (e.g., methyl, ethyl, propyl, isopropyl, tert-butyl) optionally substituted by 1 to 3 substituents selected from a C6-12 aryl group (e.g., phenyl group), a C1-3 alkoxy group (e.g., methoxy) and a C1-3 alkyl-carbonyl group (e.g., acetylamino),
- (c) a 5- to 7-membered aromatic or nonaromatic heterocyclic group containing, besides carbon atoms, 1 to 4 hetero atoms selected from an oxygen atom, a sulfur atom and a nitrogen atom (e.g., piperidyl, tetrahydropyranyl, tetrahydrothiopyranyl), and optionally having 1 to 3 substituents selected from a C1-6 alkyl-carbonyl group (e.g., acetyl), a C1-6 alkoxy-carbonyl group (e.g., methoxycarbonyl, tert-butoxycarbonyl), a C1-6 alkyl group (e.g., methyl) and an oxo group,
- (d) a C3-8 cycloalkyl group (e.g., cyclopropyl, cyclopentyl, cyclohexyl) optionally substituted by 1 to 3 substituents selected from (i) a halogen atom (e.g., fluorine atom), (ii) a C1-6 alkoxy-carbonylamino group (e.g., methoxycarbonylamino, ethoxycarbonylamino, tert-butoxycarbonylamino), (iii) a C1-3 alkyl group, (iv) an amino group and (v) a 5- to 10-membered aromatic or nonaromatic heterocyclic group containing, besides carbon atoms, 1 to 4 hetero atoms of one or two kinds selected from a nitrogen atom, a sulfur atom and an oxygen atom, and optionally substituted by 1 to 3 substituents selected from a C1-6 alkyl group optionally having 1 to 3 halogen atoms (e.g., methyl, trifluoromethyl) and an oxo group (e.g., tetrazolyl, 5-trifluoromethyltetrazolyl, oxazolidinyl), or
- (e) a phenyl group optionally substituted by a C1-3 alkoxy group (e.g., methoxy).
(Explanation of L, R2, R3, R4a and R4b)
wherein R3′ is a hydrogen atom, a C1-6 alkyl group or a C3-6 cycloalkyl group (e.g., cyclopropyl). In this case, R3′ is preferably a hydrogen atom or a C1-6 alkyl group, more preferably a hydrogen atom or a C1-4 alkyl group (e.g., methyl), and particularly preferably a hydrogen atom or a methyl group.
wherein each symbol is as defined above, ring D is an aromatic ring having substituent(s), preferably a phenyl group having substituent(s).
R2 and R3 are each independently a hydrogen atom or a C1-6 alkyl group, or bonded via an alkylene chain or an alkenylene chain,
R4a and R4b are each independently a hydrogen atom, or bonded via an alkylene chain or an alkenylene chain,
R1 is a hydrogen atom, a hydrocarbon group optionally having substituent(s), an acyl group, a heterocyclic group optionally having substituent(s), or a group represented by —NR5R6 (R5 and R6 are each independently a hydrogen atom, a hydrocarbon group optionally having substituent(s), or an acyl group),
m and n are each independently an integer of 1 or 2,
m+n is an integer of 2 or 3,
is a single bond,
provided when L is a group represented by the formula
wherein each symbol is as defined above, then ring D is a phenyl group having substituent(s).
[Compound (I)-2]
ring D is a phenyl group optionally having 1 or 2 substituents selected from (1) a C1-6 alkyl group optionally having 1 to 3 halogen atoms (e.g., fluorine atom) (e.g., methyl, trifluoromethyl), (2) a halogen atom (e.g., chlorine atom, bromine atom), (3) a C1-6 alkoxy group optionally having 1 to 3 halogen atoms (e.g., fluorine atom) (e.g., methoxy, trifluoromethoxy) and (4) a 5- to 10-membered aromatic heterocyclic group containing, besides carbon atoms, 1 to 4 hetero atoms of one or two kinds selected from a nitrogen atom, a sulfur atom and an oxygen atom, and optionally substituted by a C1-6 alkyl group optionally having 1 to 3 halogen atoms (e.g., fluorine atom) (e.g., methyl, trifluoromethyl) (e.g., tetrazolyl, trifluoromethyltetrazolyl, 5-trifluoromethyltetrazolyl),
L is a group represented by the formula
R2 and R3 are each independently a hydrogen atom or a C1-6 alkyl group (e.g., methyl), or bonded via an alkylene chain,
R4a and R4b are each independently a hydrogen atom, or bonded via an alkylene chain,
R1 is
(1) a hydrogen atom,
(2) a C1-6 alkyl group optionally having 1 to 3 substituents selected from (a) a carbamoyl group, (b) a hydroxy group, (c) a C1-6 alkoxy-carbonyl group (e.g., methoxycarbonyl, ethoxycarbonyl, propoxycarbonyl, tert-butoxycarbonyl etc.) and (d) a 5- to 7-membered aromatic or nonaromatic heterocyclic group containing, besides carbon atoms, 1 to 4 hetero atoms selected from an oxygen atom, a sulfur atom and a nitrogen atom (e.g., piperidyl), and optionally substituted by 1 to 3 C1-6 alkyl-carbonyl groups (e.g., acetyl etc.) (e.g., methyl, ethyl, carbamoylmethyl),
(3) a C3-6 cycloalkenyl group (e.g., cyclopentenyl, cyclohexenyl etc.) optionally substituted by an oxo group,
(4) a 5- to 7-membered aromatic or nonaromatic heterocyclic group containing, besides carbon atoms, 1 to 4 hetero atoms selected from an oxygen atom, a sulfur atom and a nitrogen atom (e.g., piperidyl, tetrahydrothiopyranyl), and optionally having 1 to 3 substituents selected from a C1-6 alkyl-carbonyl group (e.g., acetyl), a C1-6 alkoxy-carbonyl group (e.g., tert-butoxycarbonyl) and an oxo group,
(5) a group represented by the formula: —(C═O)—R7′
-
- (a) a C1-6 alkyl group optionally having 1 to 3 substituents selected from (i) a hydroxy group, (ii) a C1-6 alkyl-carbonylamino group (e.g., acetylamino), (iii) a 5- to 7-membered aromatic or nonaromatic heterocyclic group containing, besides carbon atoms, 1 to 4 hetero atoms selected from an oxygen atom, a sulfur atom and a nitrogen atom (e.g., oxazolidinyl), and optionally having 1 to 4 substituents selected from a C1-6 alkyl group (e.g., methyl) and an oxo group and (iv) a C1-6 alkylsulfonyl group (e.g., methylsulfonyl) (e.g., methyl, hydroxymethyl, acetylaminomethyl),
- (b) a 4- to 7-membered aromatic or nonaromatic heterocyclic group containing, besides carbon atoms, 1 to 4 hetero atoms selected from an oxygen atom, a sulfur atom and a nitrogen atom, and optionally having 1 to 3 substituents selected from (i) an oxo group, (ii) a C1-6 alkyl-carbonyl group optionally having a hydroxy group (e.g., acetyl, hydroxyacetyl), (iii) a C6-14 aryl-carbonyl group (e.g., benzoyl) and (iv) a C1-6 alkoxy-carbonyl group (e.g., tert-butoxycarbonyl) (e.g., piperidyl, azetinyl, 1-acetylpiperidyl, 2,6-dioxo-4-piperidyl),
- (c) a C3-8 cycloalkyl group (e.g., cyclohexyl) optionally having 1 to 3 C1-6 alkyl-carbonylamino groups (e.g., acetylamino), or
- (d) a carbamoyl group,
(6) a group represented by the formula: —(C═O)—OR7″
-
- (a) a C1-6 alkyl group (e.g., methyl), or
- (b) a 5- to 7-membered aromatic or nonaromatic heterocyclic group containing, besides carbon atoms, 1 to 4 hetero atoms selected from an oxygen atom, a sulfur atom and a nitrogen atom (e.g., piperidyl), and optionally having 1 to 3 substituents selected from a C1-6 alkyl-carbonyl group (e.g., acetyl) and a C7-14 aralkyloxy-carbonyl group (e.g., benzyloxycarbonyl), or
(8) a group represented by the formula: —NR5′R6′
-
- (a) a hydrogen atom,
- (b) a C1-6 alkyl group (e.g., methyl)
- (c) a C1-6 alkyl-carbonyl group (e.g., acetyl), or
- (d) a 5- to 7-membered aromatic or nonaromatic heterocyclylcarbonyl group containing, besides carbon atoms, 1 to 4 hetero atoms selected from an oxygen atom, a sulfur atom and a nitrogen atom (e.g., piperidylcarbonyl), and optionally having 1 to 3 C1-6 alkyl-carbonyl groups (e.g., acetyl).
[Compound (I)-3]
ring B is (1) a phenyl group optionally having 1 or 2 substituents selected from a C1-6 alkyl group (e.g., methyl) and a halogen atom (e.g., fluorine atom, chlorine atom) or (2) a thienyl group optionally having one C1-6 alkyl group (e.g., methyl),
ring D is a phenyl group optionally having 1 or 2 substituents selected from a C1-6 alkyl group (e.g., methyl) optionally having 1 to 3 halogen atoms (e.g., fluorine atom) (particularly preferably a 3,5-bis(trifluoromethyl)phenyl group),
L is a group represented by the formula
R2 and R3 are each independently a C1-6 alkyl group (e.g., methyl),
R1 is
(1) a C1-6 alkyl group optionally having 1 to 3 substituents selected from (a) a carbamoyl group, (b) a hydroxy group and (c) a 5- to 7-membered aromatic or nonaromatic heterocyclic group containing, besides carbon atoms, 1 to 4 hetero atoms selected from an oxygen atom, a sulfur atom and a nitrogen atom (e.g., piperidyl), and optionally having 1 to 3 C1-6 alkoxy-carbonyl groups (e.g., methoxycarbonyl, ethoxycarbonyl, propoxycarbonyl, tert-butoxycarbonyl etc.) (e.g., methyl, ethyl, carbamoylmethyl), or
(2) a group represented by the formula: —(C═O)—R7′″
wherein R7′″ is a 4- to 7-membered aromatic or nonaromatic heterocyclic group containing, besides carbon atoms, 1 to 4 hetero atoms selected from an oxygen atom, a sulfur atom and a nitrogen atom (e.g., piperidyl, azetinyl), and optionally having 1 to 3 substituents selected from (i) an oxo group, (ii) a C1-6 alkyl-carbonyl group (e.g., acetyl) optionally having 1 to 3 hydroxy groups and (iii) a C6-14 aryl-carbonyl group (e.g., benzoyl).
[Compound (I)-4]
ring B is (1) a phenyl group optionally having 1 to 3 substituents selected from a C1-6 alkyl group optionally having 1 to 3 halogen atoms and a halogen atom or (2) a pyridyl group optionally having one halogen atom (e.g., fluorine atom) (particularly preferably 5-fluoropyridin-2-yl group),
ring D is a phenyl group optionally having 1 to 3 substituents selected from (1) a C1-6 alkyl group optionally having 1 to 3 halogen atoms (e.g., fluorine atom) (e.g., methyl, trifluoromethyl), (2) a halogen atom (e.g., chlorine atom, bromine atom), (3) a C1-6 alkoxy group optionally having 1 to 3 halogen atoms (e.g., fluorine atom) (e.g., methoxy, trifluoromethoxy) and (4) a phenyl group optionally substituted by a C1-6 alkyl group optionally having 1 to 3 halogen atoms (e.g., fluorine atom) (e.g., methyl, trifluoromethyl), a halogen atom, and a cyano group,
L is a group represented by the formula
R2 and R3 are each independently a hydrogen atom or a C1-6 alkyl group (e.g., methyl), or bonded via an alkylene chain,
R4a and R4b are each independently a hydrogen atom, or bonded via an alkylene chain,
R1 is
(1) a hydrogen atom,
(2) a C1-6 alkyl group (e.g., methyl, ethyl) optionally having 1 to 3 substituents selected from (a) a carbamoyl group, (b) a hydroxy group, (c) a C1-6 alkoxy-carbonyl group (e.g., methoxycarbonyl, ethoxycarbonyl, propoxycarbonyl, tert-butoxycarbonyl etc.) and (d) a 5- to 7-membered aromatic or nonaromatic heterocyclic group containing, besides carbon atoms, 1 to 4 hetero atoms selected from an oxygen atom, a sulfur atom and a nitrogen atom (e.g., piperidyl), and optionally substituted by a C1-6 alkyl-carbonyl group (e.g., acetyl etc.),
(3) a C3-6 cycloalkenyl group (e.g., cyclopentenyl, cyclohexenyl etc.) optionally substituted by an oxo group,
(4) a 4- to 7-membered aromatic or nonaromatic heterocyclic group containing, besides carbon atoms, 1 to 4 hetero atoms selected from an oxygen atom, a sulfur atom, and a nitrogen atom (e.g., piperidyl, tetrahydrothiopyranyl, oxadiazolyl, pyridyl, oxazolinyl, dihydrofuranyl), and optionally having 1 to 3 substituents selected from (a) a C1-6 alkyl-carbonyl group (e.g., acetyl), (b) a C1-6 alkoxy-carbonyl group (e.g., tert-butoxycarbonyl), (c) an oxo group, (d) a 5- to 7-membered aromatic or nonaromatic heterocyclic group containing, besides carbon atoms, 1 to 4 hetero atoms selected from an oxygen atom, a sulfur atom and a nitrogen atom (e.g., piperidyl), and optionally having 1 to 3 substituents selected from a C1-6 alkyl-carbonyl group (e.g., acetyl), a C1-6 alkoxy-carbonyl group (e.g., tert-butoxycarbonyl) and an oxo group and (e) a halogen atom,
(5) a group represented by the formula: —(C═O)—R7′
-
- (a) a C1-6 alkyl group (e.g., methyl) optionally having 1 to 3 substituents selected from
- (i) a hydroxy group,
- (ii) a C1-6 alkyl-carbonylamino group (e.g., acetylamino),
- (iii) a 5- to 7-membered aromatic or nonaromatic heterocyclic group containing, besides carbon atoms, 1 to 4 hetero atoms selected from an oxygen atom, a sulfur atom and a nitrogen atom (e.g., oxazolidinyl, tetrazolyl, piperidyl), and optionally having 1 to 4 substituents selected from a C1-6 alkyl group (e.g., methyl), a C1-3 alkyl-carbonyl group (e.g., acetyl), a C1-6 alkoxy-carbonyl group (e.g., tert-butoxycarbonyl) and an oxo group,
- (iv) a C1-6 alkylsulfonyl group (e.g., methylsulfonyl),
- (v) a C6-12 aryl-carbonylamino group (e.g., benzoylamino), and
- (vi) a 5- to 7-membered aromatic or nonaromatic heterocyclyl-carbonylamino group containing, besides carbon atoms, 1 to 4 hetero atoms selected from an oxygen atom, a sulfur atom and a nitrogen atom (e.g., pyridylcarbonylamino group),
- (b) a 4- to 7-membered aromatic or nonaromatic heterocyclic group containing, besides carbon atoms, 1 to 4 hetero atoms selected from an oxygen atom, a sulfur atom and a nitrogen atom (e.g., piperidyl, azetinyl, piperazinyl, tetrahydropyranyl, tetrahydrothiopyranyl, pyridyl, pyrimidinyl, thiazolyl, tetrahydrofuranyl, pyrrolidinyl, morpholinyl, thiomorpholinyl), and optionally having 1 to 3 substituents selected from
- (i) an oxo group,
- (ii) a C1-6 alkyl-carbonyl group (e.g., acetyl, propionyl, isobutyryl) optionally having 1 to 4 substituents selected from (a) a halogen atom (e.g., fluorine atom), (b) a C1-3 alkoxy group (e.g., methoxy, ethoxy), (c) a C3-8 cycloalkyl group (e.g., cyclopropyl), (d) a cyano group, (e) a hydroxy group, (f) a C1-6 alkylsulfonyl group (e.g., methylsulfonyl), (g) a 4- to 7-membered aromatic or nonaromatic heterocyclic group containing, besides carbon atoms, 1 to 4 hetero atoms selected from an oxygen atom, a sulfur atom and a nitrogen atom (e.g., tetrazolyl), and optionally having 1 to 3 substituents selected from a C1-6 alkyl-carbonyl group and a C1-6 alkoxy-carbonyl group, (h) a C1-3 alkyl-carbonylamino group (e.g., acetylamino),
- (iii) a C1-6 alkoxy-carbonyl group (e.g., methoxycarbonyl, ethoxycarbonyl, tert-butoxycarbonyl etc.),
- (iv) a C6-14 aryl-carbonyl group (e.g., benzoyl),
- (v) a C1-6 alkylsulfonyl group or C3-6 cycloalkylsulfonyl group (e.g., methylsulfonyl, ethylsulfonyl, isopropylsulfonyl, cyclopropylsulfonyl) each of which is optionally substituted by 1 to 3 halogen atoms,
- (vi) an aminosulfonyl group optionally mono- or di-substituted by a C1-6 alkyl group (e.g., dimethylaminosulfonyl),
- (vii) a halogen atom (e.g., fluorine atom),
- (viii) a C3-6 cycloalkenyl group (e.g., cyclopentenyl) optionally substituted by an oxo group,
- (ix) a C3-8 cycloalkyl-carbonyl group (e.g., cyclopropylcarbonyl, cyclohexylcarbonyl) optionally substituted by 1 to 3 substituents selected from a halogen atom and a hydroxy group,
- (x) a 4- to 7-membered aromatic or nonaromatic heterocyclic group containing, besides carbon atoms, 1 to 4 hetero atoms selected from an oxygen atom, a sulfur atom and a nitrogen atom (e.g., dihydrofuranyl, oxazolinyl), and optionally substituted by an oxo group,
- (xi) a 5- to 7-membered aromatic or nonaromatic heterocyclylcarbonyl group containing, besides carbon atoms, 1 to 4 hetero atoms selected from an oxygen atom, a sulfur atom and a nitrogen atom (e.g., tetrahydropyranylcarbonyl),
- (xii) a C1-6 alkyl or C6-14 aryl-carbamoyl group (e.g., ethylcarbamoyl, phenylcarbamoyl),
- (xiii) a C1-3 alkyl group (e.g., methyl) optionally having 1 to 3 substituents selected from a C1-6 alkoxy-carbonylamino group (e.g., methoxycarbonylamino), a C1-3 alkyl-carbonylamino group (e.g., acetylamino), a carbamoyl group and a C1-3 alkoxy group,
- (xiv) a formyl group, and
- (xv) a cyano group,
- (c) a C3-8 cycloalkyl group (e.g., cyclohexyl, cyclobutyl) optionally having 1 to 3 substituents selected from
- (i) a C1-6 alkyl-carbonylamino group (e.g., acetylamino, propionylamino, isobutyrylamino, pivaloylamino) optionally having 1 to 3 substituents selected from a hydroxy group and a C1-3 alkoxy group (e.g., methoxy), the nitrogen atom of which is optionally substituted by a C1-3 alkyl group (e.g., methyl),
- (ii) a C1-6 alkoxy-carbonylamino group (e.g., methoxycarbonylamino, ethoxycarbonylamino, isopropoxycarbonylamino, isobutoxycarbonylamino, tert-butoxycarbonylamino), the nitrogen atom of which is optionally substituted by a C1-3 alkyl group (e.g., methyl),
- (iii) a C6-14 aryl-carbonylamino group (e.g., benzoylamino),
- (iv) a halogen atom (e.g., fluorine atom),
- (v) a 5- to 10-membered aromatic or nonaromatic heterocyclic group containing, besides carbon atoms, 1 to 4 hetero atoms of one or two kinds selected from a nitrogen atom, a sulfur atom and an oxygen atom, and optionally having 1 to 3 substituents selected from a C1-6 alkyl group optionally having 1 to 3 halogen atoms (e.g., methyl, trifluoromethyl) and an oxo group (e.g., tetrazolyl, 5-trifluoromethyltetrazolyl, oxazolidinyl, pyrrolidinyl, isothiazolidinyl, morpholinyl, imidazolidinyl),
- (vi) a C1-6 alkyl group optionally having 1 to 3 substituents selected from a C1-6 alkoxy-carbonylamino group (e.g., methoxycarbonylamino, tert-butoxycarbonylamino), a C1-6 alkyl-carbonylamino group (e.g., acetylamino) and an amino group,
- (vii) a ureido group optionally substituted by 1 to 3 substituents selected from a C1-3 alkyl group (e.g., methyl, ethyl) and a C3-6 cycloalkyl group (e.g., cyclopropyl group),
- (viii) a C1-3 alkylsulfonylamino group (e.g., methylsulfonylamino), the nitrogen atom of which is optionally substituted by a C1-3 alkyl group,
- (ix) a C1-6 alkoxy-carbonyl group,
- (x) a carbamoyl group,
- (xi) an amino group optionally mono- or di-substituted by a C1-3 alkyl group,
- (xii) a 5- to 10-membered aromatic or nonaromatic heterocyclecarbonylamino group containing, besides carbon atoms, 1 to 4 hetero atoms of one or two kinds selected from a nitrogen atom, a sulfur atom and an oxygen atom (e.g., pyridylcarbonylamino), and optionally substituted by 1 to 3 substituents selected from a C1-3 alkyl group (e.g., methyl) and or a halogen atom (e.g., fluorine atom),
- (xiii) a C3-8 cycloalkyl-carbonylamino group (e.g., cyclopropylcarbonylamino, cyclobutylcarbonylamino, cyclohexylcarbonylamino), and
- (xiv) a 5- to 7-membered aromatic or nonaromatic heterocyclyl(e.g., tetrahydropyranyl)oxy-carbonylamino group containing, besides carbon atoms, 1 to 4 hetero atoms selected from an oxygen atom, a sulfur atom and a nitrogen atom,
- (d) a C6-12 aryl group (e.g., phenyl) optionally having 1 to 3 substituents selected from
- (i) a C1-6 alkyl-carbonylamino group (e.g., acetylamino) optionally having a hydroxy group, and
- (ii) a 5- to 10-membered aromatic or nonaromatic heterocyclic group containing, besides carbon atoms, 1 to 4 hetero atoms of one or two kinds selected from a nitrogen atom, a sulfur atom and an oxygen atom (e.g., tetrazolyl, pyrazolyl, imidazolyl, morpholinyl), and optionally substituted by 1 to 3 substituents selected from a C1-6 alkyl group optionally having 1 to 3 halogen atoms (e.g., methyl, trifluoromethyl) and an oxo group, or
- (e) a carbamoyl group,
(6) a group represented by the formula: —(C═O)—OR7″
- (a) a C1-6 alkyl group (e.g., methyl) optionally having 1 to 3 substituents selected from
-
- (a) a C1-6 alkyl group (e.g., methyl), or
- (b) a 5- to 7-membered aromatic or nonaromatic heterocyclic group containing, besides carbon atoms, 1 to 4 hetero atoms selected from an oxygen atom, a sulfur atom and a nitrogen atom (e.g., piperidyl, pyridyl), and optionally having 1 to 3 substituents selected from a C1-6 alkyl-carbonyl group (e.g., acetyl) and a C7-14 aralkyloxy-carbonyl group (e.g., benzyloxycarbonyl),
(8) a group represented by the formula: —NR5′R6′
-
- (a) a hydrogen atom,
- (b) a C1-6 alkyl group (e.g., methyl),
- (c) a C1-6 alkyl-carbonyl group (e.g., acetyl), or
- (d) a 5- to 7-membered aromatic or nonaromatic heterocyclylcarbonyl group containing, besides carbon atoms, 1 to 4 hetero atoms selected from an oxygen atom, a sulfur atom and a nitrogen atom (e.g., piperidylcarbonyl), and optionally having a C1-6 alkyl-carbonyl group (e.g., acetyl), or
(9) a group represented by the formula: —(C═O)—NR7′″R8″
-
- (a) a hydrogen atom,
- (b) a C1-6 alkyl group (e.g., methyl, ethyl, propyl, isopropyl, tert-butyl) optionally substituted by 1 to 3 substituents selected from a C6-12 aryl group (e.g., phenyl group), a C1-3 alkoxy group (e.g., methoxy) and a C1-3 alkyl-carbonyl group (e.g., acetylamino),
- (c) a 5- to 7-membered aromatic or nonaromatic heterocyclic group containing, besides carbon atoms, 1 to 4 hetero atoms selected from an oxygen atom, a sulfur atom and a nitrogen atom (e.g., piperidyl, tetrahydropyranyl, tetrahydrothiopyranyl), and optionally having 1 to 3 substituents selected from a C1-6 alkyl-carbonyl group (e.g., acetyl), a C1-6 alkoxy-carbonyl group (e.g., methoxycarbonyl, tert-butoxycarbonyl), a C1-6 alkyl group (e.g., methyl) and an oxo group,
- (d) a C3-8 cycloalkyl group (e.g., cyclopropyl, cyclopentyl, cyclohexyl) optionally substituted by 1 to 3 substituents selected from (i) a halogen atom (e.g., fluorine atom), (ii) a C1-6 alkoxy-carbonylamino group (e.g., methoxycarbonylamino, ethoxycarbonylamino, tert-butoxycarbonylamino), (iii) a C1-3 alkyl group, (iv) an amino group and (v) a 5- to 10-membered aromatic or nonaromatic heterocyclic group containing, besides carbon atoms, 1 to 4 hetero atoms of one or two kinds selected from a nitrogen atom, a sulfur atom and an oxygen atom, and optionally substituted by 1 to 3 substituents selected from a alkyl group optionally having 1 to 3 halogen atoms (e.g., methyl, trifluoromethyl) and an oxo group (e.g., tetrazolyl, 5-trifluoromethyltetrazolyl, oxazolidinyl), or
- (e) a phenyl group optionally substituted by a C1-3 alkoxy group (e.g., methoxy).
ring B is (1) a phenyl group optionally having 1 to 3 substituents selected from a C1-6 alkyl group optionally having 1 to 3 halogen atoms and a halogen atom or (2) a pyridyl group optionally having 1 to 3 substituents selected from a C1-6 alkyl group optionally having 1 to 3 halogen atoms and a halogen atom,
ring D is a phenyl group optionally having 1 to 3 substituents selected from (1) a C1-6 alkyl group optionally having 1 to 3 halogen atoms (e.g., fluorine atom) (e.g., methyl, trifluoromethyl), and (2) a halogen atom (e.g., chlorine atom, bromine atom),
L is a group represented by the formula
R2 and R3 are each independently a C1-6 alkyl group (e.g., methyl),
R1 is
(1) a group represented by the formula: —(C═O)—R7′
-
- (a) a C1-6 alkyl group (e.g., methyl) optionally having 1 to 3 substituents selected from
- (i) a hydroxy group,
- (ii) a C1-6 alkyl-carbonylamino group (e.g., acetylamino),
- (iii) a 5- to 7-membered aromatic or nonaromatic heterocyclic group containing, besides carbon atoms, 1 to 4 hetero atoms selected from an oxygen atom, a sulfur atom and a nitrogen atom (e.g., oxazolidinyl, tetrazolyl, piperidyl), and optionally having 1 to 4 substituents selected from a C1-6 alkyl group (e.g., methyl), a C1-3 alkyl-carbonyl group (e.g., acetyl), a C1-6 alkoxy-carbonyl group (e.g., tert-butoxycarbonyl) and an oxo group, and
- (iv) a C1-6 alkylsulfonyl group (e.g., methylsulfonyl),
- (b) a 4- to 7-membered aromatic or nonaromatic heterocyclic group containing, besides carbon atoms, 1 to 4 hetero atoms selected from an oxygen atom, a sulfur atom and a nitrogen atom (e.g., piperidyl, azetinyl, piperazinyl, tetrahydropyranyl, tetrahydrothiopyranyl, pyridyl, pyrimidinyl, thiazolyl, tetrahydrofuranyl, pyrrolidinyl, morpholinyl, thiomorpholinyl), and optionally having 1 to 3 substituents selected from
- (i) an oxo group,
- (ii) a C1-6 alkyl-carbonyl group (e.g., acetyl, propionyl, isobutyryl) optionally having 1 to 4 substituents selected from (a) a halogen atom (e.g., fluorine atom), (b) a C1-3 alkoxy group (e.g., methoxy, ethoxy), (c) a C3-8 cycloalkyl group (e.g., cyclopropyl), (d) a cyano group, (e) a hydroxy group, (f) a C1-6 alkylsulfonyl group (e.g., methylsulfonyl), (g) a 4- to 7-membered aromatic or nonaromatic heterocyclic group containing, besides carbon atoms, 1 to 4 hetero atoms selected from an oxygen atom, a sulfur atom and a nitrogen atom (e.g., tetrazolyl), and optionally having 1 to 3 substituents selected from a C1-6 alkyl-carbonyl group and a C1-6 alkoxy-carbonyl group, and (h) a C1-3 alkyl-carbonylamino group (e.g., acetylamino),
- (iii) a C1-6 alkoxy-carbonyl group (e.g., methoxycarbonyl, ethoxycarbonyl, tert-butoxycarbonyl etc.),
- (iv) a C6-14 aryl-carbonyl group (e.g., benzoyl),
- (v) a C1-6 alkylsulfonyl group or a C3-6 cycloalkylsulfonyl group (e.g., methylsulfonyl, ethylsulfonyl, isopropylsulfonyl, cyclopropylsulfonyl) each of which is optionally substituted by 1 to 3 halogen atoms,
- (vi) an aminosulfonyl group optionally mono- or di-substituted by a C1-6 alkyl group (e.g., dimethylaminosulfonyl),
- (vii) a halogen atom (e.g., fluorine atom),
- (viii) a C3-6 cycloalkenyl group (e.g., cyclopentenyl) optionally substituted by an oxo group,
- (ix) a C3-8 cycloalkyl-carbonyl group (e.g., cyclopropylcarbonyl, cyclohexylcarbonyl) optionally substituted by 1 to 3 substituents selected from a halogen atom and a hydroxy group,
- (x) a 4- to 7-membered aromatic or nonaromatic heterocyclic group containing, besides carbon atoms, 1 to 4 hetero atoms selected from an oxygen atom, a sulfur atom and a nitrogen atom (e.g., dihydrofuranyl, oxazolinyl), and optionally substituted by an oxo group,
- (xi) a 5- to 7-membered aromatic or nonaromatic heterocyclylcarbonyl group containing, besides carbon atoms, 1 to 4 hetero atoms selected from an oxygen atom, a sulfur atom and a nitrogen atom (e.g., tetrahydropyranylcarbonyl), and
- (xii) a C1-6 alkyl or C6-14 aryl-carbamoyl group (e.g., ethylcarbamoyl, phenylcarbamoyl), or
- (c) a C3-8 cycloalkyl group (e.g., cyclohexyl, cyclobutyl) optionally having 1 to 3 substituents selected from
- (i) a C1-6 alkyl-carbonylamino group (e.g., acetylamino, propionylamino, isobutyrylamino, pivaloylamino) optionally having 1 to 3 substituents selected from a hydroxy group and a C1-3 alkoxy group (e.g., methoxy), the nitrogen atom of which is optionally substituted by a C1-3 alkyl group,
- (ii) a C1-6 alkoxy-carbonylamino group (e.g., methoxycarbonylamino, ethoxycarbonylamino, isopropoxycarbonylamino, isobutoxycarbonylamino, tert-butoxycarbonylamino), the nitrogen atom of which is optionally substituted by a C1-3 alkyl group (e.g., methyl),
- (iii) a C6-14 aryl-carbonylamino group (e.g., benzoylamino),
- (iv) a halogen atom (e.g., fluorine atom),
- (v) a 5- to 10-membered aromatic or nonaromatic heterocyclic group containing, besides carbon atoms, 1 to 4 hetero atoms of one or two kinds selected from a nitrogen atom, a sulfur atom and an oxygen atom, and optionally having 1 to 3 substituents selected from a C1-6 alkyl group optionally having 1 to 3 halogen atoms (e.g., methyl, trifluoromethyl) and an oxo group (e.g., tetrazolyl, 5-trifluoromethyltetrazolyl, oxazolidinyl, pyrrolidinyl, isothiazolidinyl, morpholinyl, imidazolidinyl),
- (vi) a C1-6 alkyl group optionally having a C1-6 alkoxy-carbonylamino group (e.g., methoxycarbonylamino, tert-butoxycarbonylamino),
- (vii) a ureido group optionally substituted by 1 to 3 C1-3 alkyl groups (e.g., methyl, ethyl),
- (viii) a C1-3 alkylsulfonylamino group (e.g., methylsulfonylamino), the nitrogen atom of which is optionally substituted by a C1-3 alkyl group, and
- (ix) a C1-6 alkoxy-carbonyl group,
- (a) a C1-6 alkyl group (e.g., methyl) optionally having 1 to 3 substituents selected from
-
- (a) a hydrogen atom,
- (b) a C1-6 alkyl group (e.g., methyl, ethyl, propyl, isopropyl, tert-butyl),
- (c) a 5- to 7-membered aromatic or nonaromatic heterocyclic group containing, besides carbon atoms, 1 to 4 hetero atoms selected from an oxygen atom, a sulfur atom and a nitrogen atom (e.g., piperidyl, tetrahydropyranyl, tetrahydrothiopyranyl), and optionally having 1 to 3 substituents selected from a C1-6 alkyl-carbonyl group (e.g., acetyl), a C1-6 alkoxy-carbonyl group (e.g., methoxycarbonyl, tert-butoxycarbonyl), a C1-6 alkyl group (e.g., methyl) and an oxo group, or
- (d) a C3-8 cycloalkyl group (e.g., cyclopropyl, cyclopentyl, cyclohexyl) optionally substituted by 1 to 3 substituents selected from (i) a halogen atom (e.g., fluorine atom), (ii) a C1-6 alkoxy-carbonylamino group (e.g., methoxycarbonylamino, ethoxycarbonylamino, tert-butoxycarbonylamino), and (iii) a 5- to 10-membered aromatic or nonaromatic heterocyclic group containing, besides carbon atoms, 1 to 4 hetero atoms of one or two kinds selected from a nitrogen atom, a sulfur atom and an oxygen atom, and optionally substituted by 1 to 3 substituents selected from a alkyl group optionally having 1 to 3 halogen atoms (e.g., methyl, trifluoromethyl) and an oxo group (e.g., tetrazolyl, 5-trifluoromethyltetrazolyl, oxazolidinyl).
ring B is a phenyl group optionally having 1 to 3 substituents selected from a C1-6 alkyl group optionally having 1 to 3 halogen atoms and a halogen atom,
ring D is a phenyl group optionally having 1 to 3 substituents selected from (1) a C1-6 alkyl group optionally having 1 to 3 halogen atoms (e.g., fluorine atom) (e.g., methyl, trifluoromethyl), and (2) a halogen atom (e.g., chlorine atom, bromine atom) (particularly preferably 3,5-bis(trifluoromethyl)phenyl group, 3,5-dichlorophenyl group or 4-chlorophenyl group),
L is a group represented by the formula
R2 and R3 are each independently a hydrogen atom or a C1-6 alkyl group (e.g., methyl), or bonded via an alkylene chain,
R1 is
(1) a group represented by the formula: —(C═O)—R7′
-
- (a) a C1-6 alkyl group (e.g., methyl) optionally having 1 to 3 substituents selected from
- (i) a hydroxy group,
- (ii) a C1-6 alkyl-carbonylamino group (e.g., acetylamino),
- (iii) a 5- to 7-membered aromatic or nonaromatic heterocyclic group containing, besides carbon atoms, 1 to 4 hetero atoms selected from an oxygen atom, a sulfur atom and a nitrogen atom (e.g., oxazolidinyl, tetrazolyl, piperidyl), and optionally having 1 to 4 substituents selected from a C1-6 alkyl group (e.g., methyl) and an oxo group and
- (iv) a C1-6 alkylsulfonyl group (e.g., methylsulfonyl),
- (b) a 4- to 7-membered aromatic or nonaromatic heterocyclic group containing, besides carbon atoms, 1 to 4 hetero atoms selected from an oxygen atom, a sulfur atom and a nitrogen atom (e.g., piperidyl, azetinyl, piperazinyl, tetrahydropyranyl, tetrahydrothiopyranyl, pyridyl, pyrimidinyl, thiazolyl, tetrahydrofuranyl, pyrrolidinyl, morpholinyl, thiomorpholinyl), and optionally having 1 to 3 substituents selected from
- (i) an oxo group,
- (ii) a C1-6 alkyl-carbonyl group (e.g., acetyl, propionyl, isobutyryl) optionally having 1 to 4 substituents selected from a halogen atom (e.g., fluorine atom), a C1-3 alkoxy group (e.g., methoxy, ethoxy), a C3-8 cycloalkyl group (e.g., cyclopropyl), a cyano group, and a hydroxy group,
- (iii) a C1-6 alkoxy-carbonyl group (e.g., methoxycarbonyl, ethoxycarbonyl, tert-butoxycarbonyl etc.),
- (iv) a C6-14 aryl-carbonyl group (e.g., benzoyl),
- (v) a C1-6 alkylsulfonyl group or a C3-6 cycloalkylsulfonyl group (e.g., methylsulfonyl, ethylsulfonyl, isopropylsulfonyl, cyclopropylsulfonyl),
- (vi) an aminosulfonyl group mono- or di-substituted by a C1-6 alkyl group (e.g., dimethylaminosulfonyl),
- (vii) a halogen atom (e.g., fluorine atom),
- (viii) a C3-6 cycloalkenyl group (e.g., cyclopentenyl) optionally substituted by an oxo group, and
- (ix) a C6-14 aryl-carbamoyl group (e.g., phenylcarbamoyl), or
- (c) a C3-6 cycloalkyl group (e.g., cyclohexyl, cyclobutyl) optionally having 1 to 3 substituents selected from
- (i) a C1-6 alkyl-carbonylamino group (e.g., acetylamino) optionally having a hydroxy group,
- (ii) a C1-6 alkoxy-carbonylamino group (e.g., methoxycarbonylamino, ethoxycarbonylamino, isopropoxycarbonylamino, isobutoxycarbonylamino, tert-butoxycarbonylamino),
- (iii) a C6-44 aryl-carbonylamino group (e.g., benzoylamino),
- (iv) a halogen atom (e.g., fluorine atom),
- (v) a 5- to 10-membered aromatic or nonaromatic heterocyclic group containing, besides carbon atoms, 1 to 4 hetero atoms of one or two kinds selected from a nitrogen atom, a sulfur atom and an oxygen atom, and optionally having 1 to 3 substituents selected from a C1-6 alkyl group optionally having 1 to 3 halogen atoms (e.g., methyl, trifluoromethyl) and an oxo group (e.g., tetrazolyl, 5-trifluoromethyltetrazolyl, oxazolidinyl, pyrrolidinyl, isothiazolidinyl, morpholinyl, imidazolidinyl),
- (vi) a C1-6 alkyl group optionally having a C1-6 alkoxycarbonylamino group (e.g., methoxycarbonylamino, tert-butoxycarbonylamino),
- (a) a C1-6 alkyl group (e.g., methyl) optionally having 1 to 3 substituents selected from
-
- (a) a hydrogen atom,
- (b) a C1-6 alkyl group (e.g., methyl, ethyl, propyl, isopropyl, tert-butyl), or
- (c) a 5- to 7-membered aromatic or nonaromatic heterocyclic group containing, besides carbon atoms, 1 to 4 hetero atoms selected from an oxygen atom, a sulfur atom and a nitrogen atom (e.g., piperidyl, tetrahydropyranyl, tetrahydrothiopyranyl), and optionally having 1 to 3 substituents selected from a C1-6 alkyl-carbonyl group (e.g., acetyl), a C1-6 alkoxy-carbonyl group (e.g., methoxycarbonyl, tert-butoxycarbonyl), a C1-6 alkyl group (e.g., methyl) and an oxo group.
- 1-[(3R,4R)-1-[(1-acetylpiperidin-4-yl)carbonyl]-3-(3,4-dichlorophenyl)piperidin-4-yl]-3-[3,5-bis(trifluoromethyl)phenyl]-1,3-dimethylurea (Example 25)
- 1-[(3R,4R)-1-[(1-acetylpiperidin-4-yl)carbonyl]-3-(3,4-dichlorophenyl)piperidin-4-yl]-3-[3,5-bis(trifluoromethyl)benzyl]imidazolidin-2-one (Example 37)
- 1-[(3R,4R)-1-[(1-acetylpiperidin-4-yl)carbonyl]-3-(4-fluorophenyl)piperidin-4-yl]-3-[3,5-bis(trifluoromethyl)phenyl]-1,3-dimethylurea (Example 52)
- 1-[(3R,4R)-1-[(1-acetylpiperidin-4-yl)carbonyl]-3-(4-chloro-3-methylphenyl)piperidin-4-yl]-3-[3,5-bis(trifluoromethyl)phenyl]-1,3-dimethylurea (Example 60)
- (1-[(3S,4R)-1-[(1-acetylpiperidin-4-yl)carbonyl]-4-(4-fluorophenyl)pyrrolidin-3-yl]-3-[3,5-bis(trifluoromethyl)phenyl]-1,3-dimethylurea (Example 71b)
- 1-[(3R,4R)-1-[(1-acetylpiperidin-4-yl)methyl]-3-(4-fluorophenyl)piperidin-4-yl]-3-[3,5-bis(trifluoromethyl)phenyl]-1,3-dimethylurea (Example 85)
- N-(trans-4-{[(3R,4R)-4-[{[3,5-bis(trifluoromethyl)phenyl](methyl)carbamoyl}(methyl)amino]-3-(4-fluorophenyl)piperidin-1-yl]carbonyl}cyclohexyl)acetamide (Example 95)
- 1-[3,5-bis(trifluoromethyl)phenyl]-3-[(3R,4R)-3-(4-fluorophenyl)-1-{[1-(phenylcarbonyl)piperidin-4-yl]carbonyl}piperidin-4-yl]-1,3-dimethylurea (Example 97)
- 1-[(3S,4R)-4-(4-chlorophenyl)-1-{[4-(methylsulfonyl)piperazin-1-yl]carbonyl}pyrrolidin-3-yl]-3-(3,5-dichlorophenyl)-1,3-dimethylurea (Example 184)
- methyl 4-{[(3S,4R)-3-[{[3,5-bis(trifluoromethyl)phenyl](methyl)carbamoyl}(methyl)amino]-4-(4-fluorophenyl)pyrrolidin-1-yl]carbonyl}piperidine-1-carboxylate (Example 305)
- 1-[3,5-bis(trifluoromethyl)phenyl]-3-[(3S,4R)-4-(5-fluoropyridin-2-yl)-1-({trans-4-[5-(trifluoromethyl)-1H-tetrazol-1-yl]cyclohexyl}carbonyl)pyrrolidin-3-yl]-1,3-dimethylurea (Example 425)
wherein each symbol is as defined above; or compound (I) wherein m=1 and n=2 is preferably an optically active compound of the above-mentioned [1] represented by the formula
wherein R1a is a hydrocarbon group optionally having substituent(s), an acyl group, an amino group or a heterocyclic group, R2a and R3a are each an optionally halogenated C1-6 alkyl group or an optionally halogenated C3-6 cycloalkyl group, Boc is a tert-butoxycarbonyl group, and other symbols are as defined above.
wherein each symbol is as defined above, or a salt thereof (hereinafter to be referred to as compound (X)) to give a compound represented by the formula (IV) or a salt thereof (hereinafter to be referred to as compound (IV)). Compound (X) is commercially available or can be produced by a known method. The amount thereof to be used is about 1 to 10 molar equivalents, preferably about 1 to 2 molar equivalents, of compound (X) per 1 mol of compound (III).
R2a—X (XI)
or
R3a—X (XI′)
wherein X is a leaving group, or a salt thereof (hereinafter to be referred to as compound (XI)) to give a compound represented by the formula (V) or a salt thereof (hereinafter to be referred to as compound (V)).
R1b—OH (XII)
or
R1b—X (XIIa)
wherein R1b is a hydrocarbon group optionally having substituent(s), an acyl group or a heterocyclic group, and other symbols are as defined above, or a salt thereof (hereinafter to be referred to as compound (XII) and compound (XIIa), respectively) to give compound (VII). The “hydrocarbon group optionally having substituent(s)”, “acyl group” and “heterocyclic group” for R1b, are as defined for “hydrocarbon group optionally having substituent(s)”, “acyl group” and “heterocyclic group” for R1. Compound (XII) and compound (XIIa) are commercially available or can be produced by a known method. The amount thereof to be used is about 1 to 10 molar equivalents, preferably about 1 to 2 molar equivalents, of compound (XII) or compound (XIIa) per 1 mol of compound (VI).
R2a—X (XI)
or
R3a—X (XI′)
wherein each symbol is as defined above, or a salt thereof to give compound (VII).
wherein each symbol is as defined above, or a salt thereof (hereinafter to be referred to as compound (XLVII)) to give compound (IV). Compound (XLVII) is commercially available or can be produced by a known method. The amount thereof to be used is about 1 to 10 molar equivalents, preferably about 1 to 2 molar equivalents, of compound (XIX) per 1 mol of compound (XIII). This step can be performed by a method similar to the method described in Method A, step 2.
wherein each symbol is as defined above, or a salt thereof (hereinafter to be referred to as compound (XIX)) to give a compound represented by the formula (XIV) or a salt thereof (hereinafter to be referred to as compound (XIV)). Compound (XIX) is commercially available or can be produced by a known method. The amount thereof to be used is about 1 to 10 molar equivalents, preferably about 1 to 2 molar equivalents, of compound (XIX) per 1 mol of compound (XIII). This step can be performed by a method similar to the method described in Method A, step 2.
(Step 2)
R2a—X (XI)
wherein each symbol is as defined above, or a salt thereof to give a compound represented by the formula (XV) or a salt thereof (hereinafter to be referred to as compound (XV)).
R2a—X (XI)
wherein each symbol is as defined above, or a salt thereof to give compound (VIIa). This step can be performed by a method similar to the method described in Method A, step 3.
R2a—X (XI)
wherein each symbol is as defined above, or a salt thereof to give a compound represented by the formula (XXI) or a salt thereof (hereinafter to be referred to as compound (XXI)). This step can be performed by a method similar to the method described in Method A, step 3.
(Step 3)
wherein each symbol is as defined above, or a salt thereof to give a compound represented by the formula (XXV) or a salt thereof (hereinafter to be referred to as compound (XXV)). This step can be performed by a method similar to the method described in Method A, step 2.
(Step 7)
R3a—X (XI′)
[wherein each symbol is as defined above, or a salt thereof (hereinafter to be referred to as compound (XI′)) to give compound (VIIa). Compound (XI′) is commercially available or can be produced by a known method. The amount thereof to be used is about 1 to 10 molar equivalents, preferably about 1 to 4 molar equivalents, of compound (XI′) per 1 mol of compound (XXV). This step can be performed by a method similar to the method described in Method A, step 3.
wherein each symbol is as defined above, or a salt thereof (hereinafter to be referred to as compound (XXXI)) to give a compound represented by the formula (XXVII) or a salt thereof (hereinafter to be referred to as compound (XXVII)). Compound (XXXI) is commercially available or can be produced by a known method. The amount thereof to be used is about 1 to 10 molar equivalents, preferably about 1 to 2 molar equivalents, of compound (XXXI) per 1 mol of compound (III). This step can be performed by a method similar to the method described in Method A, step 2.
(Step 2)
wherein each symbol is as defined above, or a salt thereof (hereinafter to be referred to as compound (XXXII)) to give compound (XXVII). Compound (XXXII) is commercially available or can be produced by a known method. The amount thereof to be used is about 1 to 10 molar equivalents, preferably about 1 to 2 molar equivalents, of compound (XXXII) per 1 mol of compound (XIII). This step can be performed by a method similar to the method described in Method A, step 2.
(Step 3)
R2a—X (XI)
or
R3a—X (XI′)
wherein each symbol is as defined above, or a salt thereof to give a compound represented by the formula (XXVIII) or a salt thereof (hereinafter to be referred to as compound (XXVIII)). This step can be performed by a method similar to the method described in Method A, step 3.
(Step 4)
wherein each symbol is as defined above, or a salt thereof (hereinafter to be referred to as compound (XXXVIII)) to give a compound represented by the formula (XXXIII) or a salt thereof (hereinafter to be referred to as compound (XXXIII)). Compound (XXXVIII) is commercially available or can be produced by a known method. The amount thereof to be used is about 1 to 10 molar equivalents, preferably about 1 to 2 molar equivalents, of compound (XXXVIII) per 1 mol of compound (III). This step can be performed by a method similar to the method described in Method A, step 2.
(Step 2)
wherein each symbol is as defined above, or a salt thereof (hereinafter to be referred to as compound (XXXIX)) to give a compound represented by the formula (XXXV) or a salt thereof (hereinafter to be referred to as compound (XXXV)). Compound (XXXIX) is commercially available or can be produced by a known method. The amount thereof to be used is about 1 to 10 molar equivalents, preferably about 1 to 2 molar equivalents, of compound (XXXIX) per 1 mol of compound (XXXIV). This step can be performed by a method similar to the method described in Method A, step 3.
(Step 4)
wherein each symbol is as defined above, or a salt thereof (hereinafter to be referred to as compound (XLVI)) to give imine, which is then subjected to a reduction reaction to give a compound represented by the formula (XL) or a salt thereof (hereinafter to be referred to as compound (XL)). Compound (XLVI) is commercially available or can be produced by a known method. The amount thereof to be used is about 1 to 10 molar equivalents, preferably about 1 to 2 molar equivalents, of compound (XLVI) per 1 mol of compound (III). This step can be performed by a method similar to the reductive condensation reaction described in Method A, step 5.
(Step 2)
(2) Digestive tract diseases (e.g., functional digestive tract disease, irritable bowel syndrome, functional dyspepsia, gastroesophageal reflux disease, dyschezia, constipation, diarrhea, malabsorption, dyspepsia, gastritis, duodenitis, erosive esophagitis, inflammatory bowel disease, ulcerative colitis, Crohn's disease, gastric ulcer, peptic ulcer, digestive tract diseases caused by H. pylori infection), vomiting, nausea, pain (e.g., organ pain, abdominal pain, gastric pain, heartburn, somatic pain, neuropathic pain, migraine, neuralgia, pruritus)
(3) Inflammatory or allergic diseases [for example, inflammatory bowel disease, allergic rhinitis, conjunctivitis, gastrointestinal allergy, pollinosis, anaphylaxis, dermatitis, herpes, psoriasis, bronchitis, expectoration, retinopathy, postoperative and posttraumatic inflammation, regression of puffiness, pharyngitis, cystitis, meningitidis, inflammatory ocular disease, etc.]
(4) Osteoarthropathy diseases [for example, rheumatoid arthritis (rheumatoid arthritis), arthritis deformans, rheumatoid myelitis, osteoporosis, abnormal growth of cells, bone fracture, bone refracture, osteomalacia, osteopenia, Peget's disease of bone, rigid myelitis, articular tissue destruction by gonarthrosis deformans and similar diseases thereto, etc.]
(5) Respiratory diseases [for example, cold syndrome, pneumonia, asthma, pulmonary hypertension, pulmonary thrombi/pulmonary embolism, pulmonary sarcoidosis, pulmonary tuberculosis, interstitial pneumonia, silicosis, adult respiratory distress syndrome, chronic obstructive pulmonary diseases, cough, etc.]
(6) Infectious diseases [for example, HIV infectious diseases, virus infectious diseases due to cytomegalo virus, influenza virus, herpes virus and the like, rickettsia infectious diseases, bacterial infectious diseases, sexually-transmitted diseases, carinii pneumonia, H. pylori infectious disease, systemic fungal infectious diseases, tuberculosis, invasive staphylococcal infectious diseases, acute viral encephalitis, acute bacterial meningitidis, AIDS encephalitis, septicemia, sepsis, sepsis gravis, septic shock, endotoxin shock, toxic shock syndromes, etc.]
(7) Cancers [for example, primary, metastatic or recurrent breast cancer, prostatic cancer, pancreatic cancer, gastric cancer, lung cancer, colorectal cancer (colorectal cancer, rectal cancer, anal cancer), esophagus cancer, duodenal cancer, head and neck cancer (cancer of the tongue, pharynx cancer, laryngeal cancer), brain tumor, schwannoma, non-small cell lung cancer, small cell lung cancer, liver cancer, kidney cancer, biliary tract cancer, uterine cancer (uterine body cancer, cervical cancer), ovarian cancer, urinary bladder cancer, skin cancer, Hemangioma, malignant lymphoma, malignant melanoma, thyroid cancer, bone tumor, Hemangioma, vascular fibroma, retinosarcoma, penile cancer, solid cancer in childhood, Kaposi's sarcoma, Kaposi's sarcoma caused by acquired immunodeficiency syndrome (AIDS), maxillary tumor, fibrous histiocytoma, leiomyosarcoma, rhabdomyosarcoma, liposarcoma, fibroid tumors of the uterus, osteoblastoma, osteosarcoma, chondrosarcoma, cancerous mesothelioma, tumors such as leukemia, Hodgkin's disease, etc.]
(8) Central nervous system diseases [for example, neurodegenerative diseases (e.g., Alzheimer's disease, Down's disease, Parkinson's disease, Creutzfeldt-Jakob's disease, amyotrophic lateral sclerosis (ALS), Huntington chorea, diabetic neuropathy, multiple sclerosis, etc.), mental diseases (e.g., schizophrenia, depression, mania, anxiety neurosis, obsessive-compulsive neurosis, panic disorder, epilepsy, alcohol dependence, an anxiety symptom, anxious mental state, etc.), central and peripheral nerve disorders (e.g., head trauma, spinal cord injury, brain edema, disorders of sensory function, abnormality of sensory function, disorders of autonomic nervous function and abnormality of autonomic nervous function, whiplash injury, etc.), memory disorders (e.g., senile dementia, amnesia, cerebrovascular dementia, etc.), cerebrovascular disorders (e.g., disorders and aftereffect and/or complication from intracerebral hemorrhage, brain infarction, etc., asymptomatic cerebro-vascular accident, transient cerebral ischemic attack, hypertensive encephalopathia, blood-brain barrier disorder, etc.), recurrence and aftereffect of cerebro-vascular accident (neural symptoms, mental symptoms, subjective symptoms, disorders of daily living activities, etc.), post-cerebrovascular occlusion central hypofunction, disorder or abnormality of autoregulation of cerebral circulation and/or renal circulation]
(9) Circulatory diseases [for example, acute coronary artery syndromes (e.g., acute myocardial infarction, unstable angina, etc.), peripheral arterial obstruction, Raynaud's disease, Buerger disease, restenosis after coronary-artery intervention (percutaneous transluminal coronary angioplasty (PTCA), atherectomy (DCA), stenting, etc.), restenosis after coronary-artery bypass operation, restenosis after intervention (angioplasty, atherectomy, stenting, etc.) or bypass operation in other peripheral artery, ischemic cardiac diseases (e.g., myocardial infarction, angina, etc.), myocarditis, intermittent claudication, lacunar infarction, arteriosclerosis (e.g., atherosclerosis, etc.), cardiac failure (acute cardiac failure, chronic cardiac failure including congestive cardiac failure), arrhythmia, progress of atherosclerotic plaque, thrombosis, hypertension, hypertensive tinnitus, hypotension, etc.]
(10) Pains [e.g., migraine, neuralgia etc.]
(11) Autoimmune diseases [for example, collagen disease, systemic lupus erythematosus, scleroderma, polyarteritis, myasthenia gravis, multiple sclerosis, Sjogren's syndrome, Behcet's disease, etc.]
(12) Hepatic diseases [e.g., hepatitis (including chronic hepatitis), cirrhosis, interstitial hepatic diseases, etc.]
(13) Pancreatic diseases [e.g., pancreatitis (including chronic pancreatitis), etc.]
(14) Renal diseases [e.g., nephritis, glomerulonephritis, glomerulosclerosis, renal failure, thrombotic microangiopathy, dialysis complications, organ disorders including nephropathia by radiation, diabetic nephropathy, etc.]
(15) Metabolic diseases [e.g., diabetic diseases (insulin-dependent diabetes, diabetic complications, diabetic retinopathy, diabetic microangiopathy, diabetic neuropathy, etc.), impaired glucose tolerance, obesity, benign prostatic hyperplasia, sexual dysfunction, etc.]
(16) Endocrine diseases [e.g., Addison's disease, Cushing's syndrome, melanocytoma, primary aldosteronism, etc.]
(17) Other diseases
(i) Transplant rejection [e.g., posttransplantational rejection, posttransplantational polycythemia, hypertension, organ disorder and/or vascular hypertrophy, graft-versus-host disease, etc.]
(ii) Abnormality in characteristic of blood and/or blood components [e.g., enhancement in platelet aggregation, abnormality of erythrocyte deformability, enhancement in leukocyte adhesiveness, increase in blood viscosity, polycythemia, vascular peliosis, autoimmune hemolytic anemia, disseminated intravascular coagulation syndrome (DIC), multiple myelopathy, etc.]
(iii) Gynecologic diseases [e.g., climacteric disorder, gestational toxicosis, endometriosis, hysteromyoma, ovarian disease, mammary disease, etc.]
(iv) Dermatic diseases [e.g., keloid, Hemangioma, psoriasis, pruritus, etc.]
(v) Ophthalmic diseases [e.g., glaucoma, ocular hypertension disease, etc.]
(vi) Otolaryngological diseases [e.g., Menuel syndrome, tinnitus, gustation disorder, dizziness, disequilibrium, dysphagia, etc.]
(vii) Diseases due to environmental and/or occupational factors (e.g., radiation disorder, disorders by ultraviolet ray⋅infrared ray⋅laser ray, altitude sickness, etc.)
(viii) Ataxia
(ix) Chronic Fatigue Syndrome
(2) according to symptoms of patient (mild symptoms, severe symptoms, etc.), a drug to be combined with the compound of the present invention can be selected;
(3) by choosing other pharmaceutically active ingredients which have different mechanism of action from that of the compound of the present invention, the therapeutic period can be designed longer;
(4) by choosing other pharmaceutically active ingredients which have different mechanism of action from that of the compound of the present invention, continuation of therapeutic effects can be obtained; and
(5) by combining the compound of the present invention and other pharmaceutically active ingredients, excellent effects such as synergic effects can be obtained.
-
- LC: liquid chromatography
- MS: mass spectrum
- ESI: electrospray ionization
- NMR: nuclear magnetic resonance
- Hz: hertz
- J: coupling constant
- m: multiplet
- q: quartet
- t: triplet
- d: doublet
- s: singlet
- br: broad
- tBu: tert-butyl group, t-butyl group
- Boc: tert-butyloxycarbonyl
- Rf: retardation factor
- Rt: retention time
- N: normal concentration
- M: molar concentration
- MPa: mega pascal
- wt %: percent by weight
- DMF: N,N-dimethylformamide
- DMAc: N,N-dimethylacetamide
- THF: tetrahydrofuran
- DMSO: dimethyl sulfoxide
- p-TsOH: p-toluenesulfonic acid
- IPE: diisopropyl ether
- HOBt: 1-hydroxybenzotriazole hydrate
- WSC.HCl: 1-ethyl-3-(dimethylaminopropyl)carbodiimide hydrochloride
- Boc2O: di-tert-butyl dicarbonate
- DPPA: diphenylphosphoryl azide
- DEPC: diethyl phosphorocyanidate
- (4R)-4-benzyl-3-{[(3S,4R)-1-benzyl-4-(4-fluorophenyl)pyrrolidin-3-yl]carbonyl}-1,3-oxazolidin-2-one (less polar product)
- tert-butyl (3S,4R)-3-{[(4R)-4-benzyl-2-oxo-1,3-oxazolidin-3-yl]carbonyl}-4-(4-fluorophenyl)pyrrolidine-1-carboxylate (less polar product)
- tert-butyl (3S,4R)-3-{[(4R)-4-benzyl-2-oxo-1,3-oxazolidin-3-yl]carbonyl}-4-(3,4-dichlorophenyl)pyrrolidine-1-carboxylate (less polar product)
- (4R)-4-benzyl-3-{[(3S,4S)-1-benzyl-4-(5-fluoropyridin-2-yl)pyrrolidin-3-yl]carbonyl}-1,3-oxazolidin-2-one (less polar product)
| TABLE A-2 | ||
| Ref. Ex. No. | Chemical formula | |
| 19 |
|
|
| 20 |
|
|
| 21 |
|
|
| 22 |
|
|
| 23 |
|
|
| 24 |
|
|
| 25 |
|
|
| 26 |
|
|
| 27 |
|
|
| 28 |
|
|
| 29 |
|
|
| 30 |
|
|
| 31 |
|
|
| 32 |
|
|
| 33 |
|
|
| 34 |
|
|
| 35 |
|
|
| 36 |
|
|
| 37 |
|
|
| 38 |
|
|
| 39 |
|
|
| 40 |
|
|
| 41 |
|
|
| 42 |
|
|
- 1-[(3R,4S)-1-[(1-acetylpiperidin-4-yl)carbonyl]-4-(4-fluorophenyl)pyrrolidin-3-yl]-3-[3,5-bis(trifluoromethyl)phenyl]-1,3-dimethylurea (Example 71a, compound with a short retention time)
- 1-[(3S,4R)-1-[(1-acetylpiperidin-4-yl)carbonyl]-4-(4-fluorophenyl)pyrrolidin-3-yl]-3-[3,5-bis(trifluoromethyl)phenyl]-1,3-dimethylurea (Example 71b, compound with a long retention time MS(ESI+): 617 (M+H)
| TABLE B-7 |
|
|
| Ex. No. | R1 |
|
|
|
addi- tive |
| 72 | H |
|
|
|
HCl |
| 73 |
|
|
|
|
|
| 74 |
|
|
|
|
|
| 75 | CH3CO |
|
|
|
|
| 76 | CH3SO2 |
|
|
|
|
| 77 | CH3OCO |
|
|
|
|
| 78 |
|
|
|
|
|
| 79 |
|
|
|
|
HCl |
| 80 |
|
|
|
|
|
| 81 |
|
|
|
|
2HCl |
| 82 |
|
|
|
|
HCl |
| 83 |
|
|
|
|
|
- tert-butyl (3R,4S)-3-({[3,5-bis(trifluoromethyl)phenyl]carbamoyl}amino)-4-(3,4-dichlorophenyl)pyrrolidine-1-carboxylate (compound with a short retention time, Example 130a)
- tert-butyl (3S,4R)-3-({[3,5-bis(trifluoromethyl)phenyl]carbamoyl}amino)-4-(3,4-dichlorophenyl)pyrrolidine-1-carboxylate (compound with a long retention time, Example 130b)
| TABLE B-13 |
|
|
| Ex. No. | R1 |
|
|
|
additive |
| 140 | H |
|
|
|
HCl |
| 141 |
|
|
|
|
|
| 142 |
|
|
|
|
|
| 143 |
|
|
|
|
|
| 144 | H |
|
|
|
HCl |
| 145 |
|
|
|
|
|
| 146 |
|
|
|
|
|
| 147 |
|
|
|
|
|
| 148 | H |
|
|
|
HCl |
| 149 |
|
|
|
|
|
| 150 |
|
|
|
|
|
| 151 | H |
|
|
|
HCl |
| (1) compound of Example 1 | 10 | mg | ||
| (2) Lactose | 60 | mg | ||
| (3) Corn starch | 35 | mg | ||
| (4) Hydroxypropylmethyleellulose | 3 | mg | ||
| (5) Magnesium stearate | 2 | mg | ||
| (1) compound of Example 1 | 10 | mg | ||
| (2) Lactose | 70 | mg | ||
| (3) Corn starch | 50 | mg | ||
| (4) Soluble starch | 7 | mg | ||
| (5) Magnesium stearate | 3 | mg | ||
| (1) Rofecoxib | 5.0 | mg | ||
| (2) Sodium chloride | 20.0 | mg | ||
| (3) Distilled water to | 2.0 | mL of total volume | ||
| (1) Rofecoxib | 50 | mg | ||
| (2) Lactose | 34 | mg | ||
| (3) Corn starch | 10.6 | mg | ||
| (4) Corn starch (paste) | 5 | mg | ||
| (5) Magnesium stearate | 0.4 | mg | ||
| (6) Calcium carboxymethylcellulose | 20 | mg | ||
| Total | 120 | mg | ||
| IC50 value (nM) | |||
| Ex. No. | hNIK2 | hNIK3 | hNIK4 | ||
| 4 | 0.11 | 4200 | N.T. | ||
| 25 | 0.031 | 7.1 | 1400 | ||
| 61 | 290 | >100 | 99 | ||
| 66 | 0.075 | 2.0 | 140 | ||
| 71b | 0.027 | 7.1 | N.T. | ||
| 104 | 0.073 | 100 | N.T. | ||
| 176 | 0.029 | 12 | 600 | ||
| 192 | 0.032 | 120 | 4400 | ||
| 233 | 0.049 | 42 | 1100 | ||
| 308 | 0.070 | 2.4 | N.T. | ||
| 378 | 0.039 | 59 | 650 | ||
| 420 | 0.030 | 77 | 120 | ||
Claims (49)
Priority Applications (1)
| Application Number | Priority Date | Filing Date | Title |
|---|---|---|---|
| US15/445,251 USRE48334E1 (en) | 2008-09-19 | 2009-09-18 | Nitrogen-containing heterocyclic compound and use of same |
Applications Claiming Priority (4)
| Application Number | Priority Date | Filing Date | Title |
|---|---|---|---|
| US13662508P | 2008-09-19 | 2008-09-19 | |
| US13/119,743 US8592454B2 (en) | 2008-09-19 | 2009-09-18 | Nitrogen-containing heterocyclic compound and use of same |
| PCT/JP2009/066458 WO2010032856A1 (en) | 2008-09-19 | 2009-09-18 | Nitrogen-containing heterocyclic compound and use of same |
| US15/445,251 USRE48334E1 (en) | 2008-09-19 | 2009-09-18 | Nitrogen-containing heterocyclic compound and use of same |
Publications (1)
| Publication Number | Publication Date |
|---|---|
| USRE48334E1 true USRE48334E1 (en) | 2020-12-01 |
Family
ID=42039674
Family Applications (3)
| Application Number | Title | Priority Date | Filing Date |
|---|---|---|---|
| US15/445,251 Active USRE48334E1 (en) | 2008-09-19 | 2009-09-18 | Nitrogen-containing heterocyclic compound and use of same |
| US13/119,743 Ceased US8592454B2 (en) | 2008-09-19 | 2009-09-18 | Nitrogen-containing heterocyclic compound and use of same |
| US17/076,227 Active USRE49686E1 (en) | 2008-09-19 | 2009-09-18 | Nitrogen-containing heterocyclic compound and use of same |
Family Applications After (2)
| Application Number | Title | Priority Date | Filing Date |
|---|---|---|---|
| US13/119,743 Ceased US8592454B2 (en) | 2008-09-19 | 2009-09-18 | Nitrogen-containing heterocyclic compound and use of same |
| US17/076,227 Active USRE49686E1 (en) | 2008-09-19 | 2009-09-18 | Nitrogen-containing heterocyclic compound and use of same |
Country Status (4)
| Country | Link |
|---|---|
| US (3) | USRE48334E1 (en) |
| EP (1) | EP2336105B9 (en) |
| JP (1) | JP5580741B2 (en) |
| WO (1) | WO2010032856A1 (en) |
Cited By (1)
| Publication number | Priority date | Publication date | Assignee | Title |
|---|---|---|---|---|
| USRE49686E1 (en) * | 2008-09-19 | 2023-10-10 | Takeda Pharmaceutical Company Limited | Nitrogen-containing heterocyclic compound and use of same |
Families Citing this family (30)
| Publication number | Priority date | Publication date | Assignee | Title |
|---|---|---|---|---|
| US20110144081A1 (en) | 2009-12-15 | 2011-06-16 | Henner Knust | Pyrrolidine derivatives |
| US20110152233A1 (en) * | 2009-12-18 | 2011-06-23 | Henner Knust | Pyrrolidine compounds |
| WO2012113103A1 (en) | 2011-02-25 | 2012-08-30 | Helsinn Healthcare S.A. | Asymmetric ureas and medical uses thereof |
| SG10201913053QA (en) | 2011-05-13 | 2020-03-30 | Array Biopharma Inc | Pyrrolidinyl urea and pyrrolidinyl thiourea compounds as trka kinase inhibitors |
| WO2013134079A1 (en) | 2012-03-05 | 2013-09-12 | Amgen Inc. | Oxazolidinone compounds and derivatives thereof |
| GB201209138D0 (en) | 2012-05-24 | 2012-07-04 | Ono Pharmaceutical Co | Compounds |
| DK2922844T3 (en) * | 2012-11-13 | 2018-03-05 | Array Biopharma Inc | N-PYRROLIDINYL, N'-PYRAZOLYL-URINE, THIOURINE, GUANIDINE AND CYANOGUANIDE COMPOUNDS AS TRKA-KINASE INHIBITORS |
| WO2014078378A1 (en) * | 2012-11-13 | 2014-05-22 | Array Biopharma Inc. | Pyrrolidinyl urea, thiourea, guanidine and cyanoguanidine compounds as trka kinase inhibitors |
| RS55593B1 (en) | 2012-11-13 | 2017-06-30 | Array Biopharma Inc | BICYCLIC UREA, TIOUREA, GUANIDINE AND CYANOGUANIDINE UNITS USEFUL FOR THE TREATMENT OF PAIN |
| WO2014078325A1 (en) | 2012-11-13 | 2014-05-22 | Array Biopharma Inc. | N-(monocyclic aryl),n'-pyrazolyl-urea, thiourea, guanidine and cyanoguanidine compounds as trka kinase inhibitors |
| US9809578B2 (en) | 2012-11-13 | 2017-11-07 | Array Biopharma Inc. | Pyrazolyl urea, thiourea, guanidine and cyanoguanidine compounds as trkA kinase inhibitors |
| WO2014078408A1 (en) | 2012-11-13 | 2014-05-22 | Array Biopharma Inc. | Bicyclic heteroaryl urea, thiourea, guanidine and cyanoguanidine compounds as trka kinase inhibitors |
| WO2014078322A1 (en) | 2012-11-13 | 2014-05-22 | Array Biopharma Inc. | Thiazolyl and oxazolyl urea, thiourea, guanidine and cyanoguanidine compounds as trka kinase inhibitors |
| US9790178B2 (en) * | 2012-11-13 | 2017-10-17 | Array Biopharma Inc. | Pyrrolidinyl urea, thiourea, guanidine and cyanoguanidine compounds as TrkA kinase inhibitors |
| WO2014078331A1 (en) | 2012-11-13 | 2014-05-22 | Array Biopharma Inc. | N-(arylalkyl)-n'-pyrazolyl-urea, thiourea, guanidine and cyanoguanidine compounds as trka kinase inhibitors |
| US9546156B2 (en) | 2012-11-13 | 2017-01-17 | Array Biopharma Inc. | N-bicyclic aryl,N'-pyrazolyl urea, thiourea, guanidine cyanoguanidine compounds as TrkA kinase inhibitors |
| RS57036B1 (en) * | 2013-11-28 | 2018-05-31 | Kyorin Pharmaceutical Co Ltd | Urea derivatives or pharmacologically acceptable salts thereof useful as formyl peptide receptor like 1 (fprl-1) agonists |
| JP6499672B2 (en) | 2014-05-15 | 2019-04-10 | アレイ バイオファーマ、インコーポレイテッド | 1-((3S, 4R) -4- (3-Fluorophenyl) -1- (2-methoxyethyl) pyrrolidin-3-yl) -3- (4-methyl-3- (2) as a TrkA kinase inhibitor -Methylpyrimidin-5-yl) -1-phenyl-1H-pyrazol-5-yl) urea |
| WO2016021562A1 (en) * | 2014-08-06 | 2016-02-11 | キッセイ薬品工業株式会社 | Cyanothiophene derivative |
| JP6706250B2 (en) | 2015-04-20 | 2020-06-03 | 武田薬品工業株式会社 | Heterocyclic compound |
| MX391461B (en) | 2016-03-22 | 2025-03-21 | Helsinn Healthcare Sa | BENZENESULFONYL-ASYMMETRIC UREA AND THEIR MEDICAL USES. |
| TW201815762A (en) | 2016-09-21 | 2018-05-01 | 德商歌林達有限公司 | 6-membered cyclic amines or lactames substituted with urea and phenyl |
| EP3530655B1 (en) | 2016-10-18 | 2022-02-09 | Takeda Pharmaceutical Company Limited | Heterocyclic compound |
| US20210087143A1 (en) * | 2017-03-29 | 2021-03-25 | Minerva Biotechnologies Corporation | Agents for differentiating stem cells and treating cancer |
| SMT202200067T1 (en) | 2018-03-05 | 2022-03-21 | Bristol Myers Squibb Co | Phenylpyrrolidinone formyl peptide 2 receptor agonists |
| AR114383A1 (en) * | 2018-03-09 | 2020-08-26 | Gruenenthal Gmbh | PIPERIDINS OR PIPERIDONES SUBSTITUTED WITH UREA AND PHENYL |
| CN110357882B (en) * | 2019-07-17 | 2020-10-16 | 深圳市华星光电半导体显示技术有限公司 | Organic compound containing nitrogen heterocycle and organic electroluminescent device |
| TW202415651A (en) | 2022-07-29 | 2024-04-16 | 日商住友製藥股份有限公司 | Nitrogen-containing saturated heterocyclyl derivative |
| JP7796264B2 (en) * | 2024-01-31 | 2026-01-08 | 住友ファーマ株式会社 | Pharmaceutical composition containing nitrogen-containing saturated heterocyclic derivative |
| WO2025164706A1 (en) * | 2024-01-31 | 2025-08-07 | 住友ファーマ株式会社 | Crystal of nitrogen-containing saturated heterocyclic derivative |
Citations (25)
| Publication number | Priority date | Publication date | Assignee | Title |
|---|---|---|---|---|
| DE2600557A1 (en) * | 1976-01-09 | 1977-07-14 | Delmar Chem | Antidepressant 4-aryl-piperidines and salts - some having local anaesthetic and antiarrhythmic activity |
| US5278176A (en) | 1992-08-21 | 1994-01-11 | Abbott Laboratories | Nicotine derivatives that enhance cognitive function |
| WO1999009984A1 (en) | 1997-08-28 | 1999-03-04 | Merck & Co., Inc. | Pyrrolidine and piperidine modulators of chemokine receptor activity |
| WO2000018403A1 (en) | 1998-09-29 | 2000-04-06 | Merck & Co., Inc. | Radiolabeled neurokinin-1 receptor antagonists |
| WO2000026211A1 (en) | 1998-10-30 | 2000-05-11 | Merck & Co., Inc. | Thrombin inhibitors |
| WO2002088101A2 (en) | 2001-04-27 | 2002-11-07 | Vertex Pharmaceuticals Incorporated | Inhibitors of bace |
| WO2003045920A1 (en) | 2001-11-27 | 2003-06-05 | Merck & Co., Inc. | 4-aminoquinoline compounds |
| WO2004029024A2 (en) | 2002-09-24 | 2004-04-08 | Merck & Co., Inc. | Radiolabeled neurokinin-1 receptor antagonists |
| WO2004111000A2 (en) | 2003-06-10 | 2004-12-23 | Astellas Pharma Inc. | Piperidyl derivatives and their use as tachykinin antagonists |
| US20050256164A1 (en) | 2004-05-12 | 2005-11-17 | Pfizer Inc | NK1 and NK3 antagonists |
| US20050288358A1 (en) | 2004-05-25 | 2005-12-29 | Pfizer Inc. | 3-amino-2-phenylpyrrolidine derivatives |
| WO2006005741A2 (en) | 2004-07-09 | 2006-01-19 | Speedel Experimenta Ag | Piperdine derivatives as renin inhibitors |
| EP1623721A1 (en) | 2003-05-06 | 2006-02-08 | Ono Pharmaceutical Co., Ltd. | Effector cell function inhibitor |
| WO2006030984A1 (en) | 2004-09-17 | 2006-03-23 | Tanabe Seiyaku Co., Ltd. | Piperidine compound and process for preparing the same |
| WO2006039325A2 (en) | 2004-10-01 | 2006-04-13 | Merck & Co., Inc. | Aminopiperidines as dipeptidyl peptidase-iv inhibitors for the treatment or prevention of diabetes |
| JP2007008913A (en) | 2004-09-17 | 2007-01-18 | Tanabe Seiyaku Co Ltd | Piperidine compounds and process for producing the same |
| US20070167433A1 (en) | 2006-01-19 | 2007-07-19 | Peter Herold | 3,4,5-Substituted piperidines as therapeutic compounds |
| JP2007277231A (en) | 2006-03-16 | 2007-10-25 | Tanabe Seiyaku Co Ltd | Pharmaceutical composition |
| WO2008038841A1 (en) | 2006-09-30 | 2008-04-03 | Japan Tobacco Inc. | Thiadiazolone derivative and use thereof |
| US20080221151A1 (en) | 2005-05-25 | 2008-09-11 | John Michael Humphrey | 3-amino-2-phenylpyrrolidine derivatives |
| WO2008133344A2 (en) | 2007-04-24 | 2008-11-06 | Takeda Pharmaceutical Company Limited | Piperidine derivative and use thereof |
| US20080275021A1 (en) | 2007-04-20 | 2008-11-06 | Caterina Bissantz | Pyrrolidine derivatives as dual nk1/nk3 receptor antagonists |
| WO2009072643A1 (en) | 2007-12-03 | 2009-06-11 | Takeda Pharmaceutical Company Limited | Nitrogen-containing heterocyclic compound and use thereof |
| WO2009078481A1 (en) | 2007-12-19 | 2009-06-25 | Dainippon Sumitomo Pharma Co., Ltd. | Bicyclic heterocyclic derivative |
| US20090312327A1 (en) | 2008-06-16 | 2009-12-17 | Caterina Bissantz | Pyrrolidine derivatives as nk2 receptor antagonists |
Family Cites Families (19)
| Publication number | Priority date | Publication date | Assignee | Title |
|---|---|---|---|---|
| US4532353A (en) | 1983-06-16 | 1985-07-30 | Monsanto Co. | Substituted benzotrifluoride compounds as chemical intermediates and a process for their preparation |
| US5288725A (en) | 1992-10-15 | 1994-02-22 | Merck & Co., Inc. | Pyrroloquinoline Bradykinin antagonist |
| JP2992677B2 (en) | 1995-06-05 | 1999-12-20 | 武田薬品工業株式会社 | Bone formation promoting pharmaceutical composition |
| IT1283171B1 (en) | 1996-03-01 | 1998-04-16 | Interdipartimentale Di Ricerca | SOLUBLE COMPOUNDS ANTAGONISTS OF TACHYCININS THEIR PREPARATION AND THEIR USE IN PHARMACEUTICAL COMPOSITIONS |
| ES2241781T3 (en) | 2000-02-09 | 2005-11-01 | Novartis Ag | PIRIDINE DERIVATIVES INHIBITORS OF ANGIOGENESIS AND / OR THE VEGF THYROSINE KINASE RECEIVER. |
| GB0013488D0 (en) | 2000-06-02 | 2000-07-26 | Astrazeneca Ab | Chemical compound |
| GB0027701D0 (en) | 2000-11-13 | 2000-12-27 | Smithkline Beecham Spa | Novel compounds |
| AU2002220702A1 (en) | 2000-11-13 | 2002-05-21 | Glaxosmithkline S.P.A. | Quinoline derivatives as nk-3 and nk-2 antagonists |
| WO2002083664A1 (en) | 2001-04-11 | 2002-10-24 | Glaxosmithkline S.P.A. | 3-substituted quinoline-4-carboxamide derivatives as nk-3 and nk-2 receptor antagonists |
| AU2002360046A1 (en) | 2001-12-28 | 2003-07-24 | Takeda Chemical Industries, Ltd. | Nitrogenous cyclic ketone derivative, process for producing the same, and use |
| AU2003241903A1 (en) | 2002-05-31 | 2003-12-19 | Takeda Pharmaceutical Company Limited | Piperidine derivative, process for producing the same, and use |
| WO2005068427A1 (en) | 2004-01-14 | 2005-07-28 | Takeda Pharmaceutical Company Limited | Carboxamide derivative and use thereof |
| RU2384571C2 (en) | 2004-04-28 | 2010-03-20 | Такеда Фармасьютикал Компани Лимитед | Condensed quinoline derivative and use thereof |
| TW200606152A (en) | 2004-07-02 | 2006-02-16 | Tanabe Seiyaku Co | Piperidine compound and process for preparing the same |
| JPWO2006030975A1 (en) | 2004-09-17 | 2008-05-15 | 武田薬品工業株式会社 | Piperidine derivatives and uses thereof |
| TW200716603A (en) | 2005-04-21 | 2007-05-01 | Takeda Pharmaceuticals Co | Piperidine derivative crystal, process for producing the same, and use |
| JP2009502739A (en) | 2005-08-04 | 2009-01-29 | 武田薬品工業株式会社 | Piperidine derivatives as tachykinin receptor antagonists |
| WO2007089031A1 (en) | 2006-02-01 | 2007-08-09 | Takeda Pharmaceutical Company Limited | Piperidine derivatives as tachykinin receptor antagonists |
| USRE48334E1 (en) * | 2008-09-19 | 2020-12-01 | Takeda Pharmaceutical Company Limited | Nitrogen-containing heterocyclic compound and use of same |
-
2009
- 2009-09-18 US US15/445,251 patent/USRE48334E1/en active Active
- 2009-09-18 EP EP09814700.2A patent/EP2336105B9/en active Active
- 2009-09-18 JP JP2010529830A patent/JP5580741B2/en active Active
- 2009-09-18 WO PCT/JP2009/066458 patent/WO2010032856A1/en not_active Ceased
- 2009-09-18 US US13/119,743 patent/US8592454B2/en not_active Ceased
- 2009-09-18 US US17/076,227 patent/USRE49686E1/en active Active
Patent Citations (35)
| Publication number | Priority date | Publication date | Assignee | Title |
|---|---|---|---|---|
| DE2600557A1 (en) * | 1976-01-09 | 1977-07-14 | Delmar Chem | Antidepressant 4-aryl-piperidines and salts - some having local anaesthetic and antiarrhythmic activity |
| US5278176A (en) | 1992-08-21 | 1994-01-11 | Abbott Laboratories | Nicotine derivatives that enhance cognitive function |
| WO1994004152A1 (en) | 1992-08-21 | 1994-03-03 | Abbott Laboratories | Nicotine derivatives that enhance cognitive function |
| WO1999009984A1 (en) | 1997-08-28 | 1999-03-04 | Merck & Co., Inc. | Pyrrolidine and piperidine modulators of chemokine receptor activity |
| WO2000018403A1 (en) | 1998-09-29 | 2000-04-06 | Merck & Co., Inc. | Radiolabeled neurokinin-1 receptor antagonists |
| WO2000026211A1 (en) | 1998-10-30 | 2000-05-11 | Merck & Co., Inc. | Thrombin inhibitors |
| WO2002088101A2 (en) | 2001-04-27 | 2002-11-07 | Vertex Pharmaceuticals Incorporated | Inhibitors of bace |
| US20050009815A1 (en) * | 2001-11-27 | 2005-01-13 | Devita Robert J. | 4-Aminoquinoline compounds |
| WO2003045920A1 (en) | 2001-11-27 | 2003-06-05 | Merck & Co., Inc. | 4-aminoquinoline compounds |
| WO2004029024A2 (en) | 2002-09-24 | 2004-04-08 | Merck & Co., Inc. | Radiolabeled neurokinin-1 receptor antagonists |
| US20050214204A1 (en) | 2002-09-24 | 2005-09-29 | Burns H Donald | Radiolabeled neurokinin-1 receptor antagonists |
| US20070270429A1 (en) | 2003-05-06 | 2007-11-22 | Shiro Shibayama | Function Inhibitor of Effector Cell |
| EP1623721A1 (en) | 2003-05-06 | 2006-02-08 | Ono Pharmaceutical Co., Ltd. | Effector cell function inhibitor |
| WO2004111000A2 (en) | 2003-06-10 | 2004-12-23 | Astellas Pharma Inc. | Piperidyl derivatives and their use as tachykinin antagonists |
| US20050256164A1 (en) | 2004-05-12 | 2005-11-17 | Pfizer Inc | NK1 and NK3 antagonists |
| JP2007537233A (en) | 2004-05-12 | 2007-12-20 | ファイザー・プロダクツ・インク | Piperidine derivatives as NK1 and NK3 antagonists |
| JP2008500324A (en) | 2004-05-25 | 2008-01-10 | ファイザー・プロダクツ・インク | 3-amino-2-phenylpyrrolidine derivatives |
| US7381741B2 (en) | 2004-05-25 | 2008-06-03 | Pfizer Inc | 3-amino-2-phenylpyrrolidine derivatives |
| US20050288358A1 (en) | 2004-05-25 | 2005-12-29 | Pfizer Inc. | 3-amino-2-phenylpyrrolidine derivatives |
| WO2006005741A2 (en) | 2004-07-09 | 2006-01-19 | Speedel Experimenta Ag | Piperdine derivatives as renin inhibitors |
| JP2007008913A (en) | 2004-09-17 | 2007-01-18 | Tanabe Seiyaku Co Ltd | Piperidine compounds and process for producing the same |
| US20070244158A1 (en) | 2004-09-17 | 2007-10-18 | Tsutomu Miyake | Piperdine Compound and Process for Preparing the Same |
| WO2006030984A1 (en) | 2004-09-17 | 2006-03-23 | Tanabe Seiyaku Co., Ltd. | Piperidine compound and process for preparing the same |
| WO2006039325A2 (en) | 2004-10-01 | 2006-04-13 | Merck & Co., Inc. | Aminopiperidines as dipeptidyl peptidase-iv inhibitors for the treatment or prevention of diabetes |
| US20080076773A1 (en) | 2004-10-01 | 2008-03-27 | Cox Jason M | Aminopiperidines as Dipeptidyl Peptidase-IV Inhibitors for the Treatment or Prevention of Diabetes |
| US20080221151A1 (en) | 2005-05-25 | 2008-09-11 | John Michael Humphrey | 3-amino-2-phenylpyrrolidine derivatives |
| US20070167433A1 (en) | 2006-01-19 | 2007-07-19 | Peter Herold | 3,4,5-Substituted piperidines as therapeutic compounds |
| JP2007277231A (en) | 2006-03-16 | 2007-10-25 | Tanabe Seiyaku Co Ltd | Pharmaceutical composition |
| WO2008038841A1 (en) | 2006-09-30 | 2008-04-03 | Japan Tobacco Inc. | Thiadiazolone derivative and use thereof |
| US20080275021A1 (en) | 2007-04-20 | 2008-11-06 | Caterina Bissantz | Pyrrolidine derivatives as dual nk1/nk3 receptor antagonists |
| WO2008133344A2 (en) | 2007-04-24 | 2008-11-06 | Takeda Pharmaceutical Company Limited | Piperidine derivative and use thereof |
| WO2009072643A1 (en) | 2007-12-03 | 2009-06-11 | Takeda Pharmaceutical Company Limited | Nitrogen-containing heterocyclic compound and use thereof |
| WO2009078481A1 (en) | 2007-12-19 | 2009-06-25 | Dainippon Sumitomo Pharma Co., Ltd. | Bicyclic heterocyclic derivative |
| US20110190278A1 (en) | 2007-12-19 | 2011-08-04 | Dainippon Sumitomo Pharma Co. | Bicyclic heterocyclic derivative |
| US20090312327A1 (en) | 2008-06-16 | 2009-12-17 | Caterina Bissantz | Pyrrolidine derivatives as nk2 receptor antagonists |
Non-Patent Citations (21)
| Title |
|---|
| Andrews et al., "Abdominal Vagal Afferent Neurones: an Important Target for the Treatment of Gastrointestinal Dysfunction", Current Opinion in Pharmacology, 2(6), 2002, pp. 650-656. |
| Banker et al, "Modern Pharmaceutics, 3ed.", Marcel Dekker, New York, 1996, pp. 451 and 596. * |
| De Giorgio et al., "Novel Therapeutic Targets for Enteric Nervous System Disorders", TRENDS in Pharmacological Sciences, vol. 28, No. 9, 2007, pp. 473-481. |
| Dörwald, F. Zaragoza. Side Reactions in Organic Synthesis: A Guide to Successful Synthesis Design, Weinheim: Wiley-VCH Verlag GmbH & Co. KGaA, 2005, Preface. * |
| Extended European Search Report issued Feb. 23, 2012 in corresponding European Application No. 09814700.2. |
| Improta et al., "Central Effects of Selective NK1 and NK3 Tachykinin Receptor Agonists on Two Moderls of Experimentally-Induced Colitis in Rats", Peptides, 24, 2003, pp. 903-911. |
| Jordan, V. C. Nature Reviews: Drug Discovery, 2, 2003, pp. 205-213. * |
| K. Kim et al., "Quantitative Structure-Activity Relationships of Nicotine Analogues as Neuronal Nicotinic Acetylcholine Receptor Ligands", Bioorganic & Medicinal Chemistry, vol. 4, No. 12, pp. 2211-2217, 1996. |
| K. Kim et al., "Quantitative Structure—Activity Relationships of Nicotine Analogues as Neuronal Nicotinic Acetylcholine Receptor Ligands", Bioorganic & Medicinal Chemistry, vol. 4, No. 12, pp. 2211-2217, 1996. |
| Kris et al., "American Society of Clinical Oncology Guideline for Antiemetics in Oncology: Update 2006", Journal of Clinical Oncolony, vol. 24, No. 18, Jun. 20, 2006, pp. 2932-2947. |
| Lecci et al., "Peripheral Tachykinin Receptors as Potential Therapeutic Targets in Visceral Diseases", Expert Opinion, Ther. Targets, 7(3), 2003, pp. 343-362. |
| M. Ahari et al., "A Direct Stereoselective Approach to trans-2, 3-Disubstituted Piperidines: Application in the Synthesis of 2-Epi-CP-99,994 and (+)-Epilupinine", Organic Letters, vol. 10, No. 12, pp. 2473-2476, 2008. |
| Maggi et al., "Tachykinin receptors and tachykinin receptor antagonists", Journal of Autonomic Pharmacology, vol. 13, Issue 1, Feb. 1993, pp. 23-93. |
| Maxson et al. (Med. Clin. North. Am. Nov. 1994; 78(6):1259-1273-abstract). * |
| O'Connor et al., "The Role of Substance P in Inflammatory Disease", Journal of Cellular Physiology, 201, 2004, pp. 167-180. |
| Otsuka et al., "Neurotransmitter Functions of Mammalian Tachykinins", Physiological Reviews, vol. 73, No. 2, Apr. 1993, pp. 229-308. |
| Saloméet al., "Selective Blockade of NK2 or NK3 Receptors Produces Anxiolytic- and Antidepressant-like Affects in Gerbils", Pharmacology, Biochemistry and Behavior, 83, 2006, pp. 533-539. |
| Spooren et al., "NK3 Receptor Antagonists: the Next Generation of Antipsychotics?", Nature Reviews, Drug Discovery, vol. 4, Dec. 2005, pp. 967-975. |
| Stanghellini et al., "New Developments in the Treatment of Functional Dyspepsia", Drugs, 63 (9), 2003, pp. 869-892. |
| Talley, Nicholas J., "New and Emerging Treatments for Irritable Bowel Syndrome and Functional Dyspepsia", Expert Opinion, Emerging Drugs, 7(1), 2002, pp. 91-98. |
| Wolff, Manfred E. "Burger's Medicinal Chemistry, 5ed, Part I", John Wiley & Sons, 1995, pp. 975-997. * |
Cited By (1)
| Publication number | Priority date | Publication date | Assignee | Title |
|---|---|---|---|---|
| USRE49686E1 (en) * | 2008-09-19 | 2023-10-10 | Takeda Pharmaceutical Company Limited | Nitrogen-containing heterocyclic compound and use of same |
Also Published As
| Publication number | Publication date |
|---|---|
| USRE49686E1 (en) | 2023-10-10 |
| EP2336105A1 (en) | 2011-06-22 |
| EP2336105B9 (en) | 2014-09-17 |
| US20110178060A1 (en) | 2011-07-21 |
| EP2336105A4 (en) | 2012-03-28 |
| WO2010032856A1 (en) | 2010-03-25 |
| JPWO2010032856A1 (en) | 2012-02-16 |
| EP2336105B1 (en) | 2014-02-12 |
| JP5580741B2 (en) | 2014-08-27 |
| US8592454B2 (en) | 2013-11-26 |
Similar Documents
| Publication | Publication Date | Title |
|---|---|---|
| USRE48334E1 (en) | Nitrogen-containing heterocyclic compound and use of same | |
| US8470816B2 (en) | Nitrogen-containing heterocyclic compound and use thereof | |
| US20060142337A1 (en) | Piperidine derivative and use thereof | |
| US7622487B2 (en) | Piperidine derivative, process for producing the same, and use | |
| JP5706337B2 (en) | Derivatives of N-acyl-N'-phenylpiperazine useful for the prevention or treatment of diabetes (among others) | |
| JP2012505173A (en) | Pyrrolidine N-benzyl derivative | |
| US20080275085A1 (en) | Piperidine derivative and use thereof | |
| US20070149570A1 (en) | Piperidine derivative and use thereof | |
| WO2007089031A1 (en) | Piperidine derivatives as tachykinin receptor antagonists | |
| US20090186874A1 (en) | Carboxamide derivative and use thereof | |
| US7795267B2 (en) | Bicyclic piperazine compound having TGR23 antagonistic activity | |
| WO2009128262A1 (en) | Quinolone derivative and use thereof | |
| WO2010016554A1 (en) | Cyclic amine compound | |
| US20060241145A1 (en) | Piperidine derivative crystal, process for producing the same, and use | |
| JP2004285038A (en) | Piperidine derivative, its production method and application | |
| JP2010539126A (en) | Piperidine derivatives as NK3 receptor antagonists | |
| US20120035213A1 (en) | Quinoline derivative | |
| JP2005306839A (en) | Bicyclic piperazine compound and its use |
Legal Events
| Date | Code | Title | Description |
|---|---|---|---|
| FEPP | Fee payment procedure |
Free format text: PETITION RELATED TO MAINTENANCE FEES GRANTED (ORIGINAL EVENT CODE: PTGR); ENTITY STATUS OF PATENT OWNER: LARGE ENTITY |
|
| FEPP | Fee payment procedure |
Free format text: PETITION RELATED TO MAINTENANCE FEES GRANTED (ORIGINAL EVENT CODE: PTGR); ENTITY STATUS OF PATENT OWNER: LARGE ENTITY |
|
| MAFP | Maintenance fee payment |
Free format text: PAYMENT OF MAINTENANCE FEE, 8TH YEAR, LARGE ENTITY (ORIGINAL EVENT CODE: M1552); ENTITY STATUS OF PATENT OWNER: LARGE ENTITY Year of fee payment: 8 |
|
| MAFP | Maintenance fee payment |
Free format text: PAYMENT OF MAINTENANCE FEE, 12TH YEAR, LARGE ENTITY (ORIGINAL EVENT CODE: M1553); ENTITY STATUS OF PATENT OWNER: LARGE ENTITY Year of fee payment: 12 |











































































































































































































































































































































































































































































































































































































































































































































































































































































































































































































































































































































































































































































































































































































































































































