USRE43003E1 - Epothilone derivatives - Google Patents
Epothilone derivatives Download PDFInfo
- Publication number
- USRE43003E1 USRE43003E1 US12/882,769 US88276910A USRE43003E US RE43003 E1 USRE43003 E1 US RE43003E1 US 88276910 A US88276910 A US 88276910A US RE43003 E USRE43003 E US RE43003E
- Authority
- US
- United States
- Prior art keywords
- compound
- formula
- methyl
- group
- alkyl
- Prior art date
- Legal status (The legal status is an assumption and is not a legal conclusion. Google has not performed a legal analysis and makes no representation as to the accuracy of the status listed.)
- Expired - Fee Related
Links
- 150000003883 epothilone derivatives Chemical class 0.000 title description 4
- 150000001875 compounds Chemical class 0.000 claims abstract description 304
- 125000000391 vinyl group Chemical group [H]C([*])=C([H])[H] 0.000 claims description 47
- 229910052760 oxygen Inorganic materials 0.000 claims description 44
- QVGXLLKOCUKJST-UHFFFAOYSA-N atomic oxygen Chemical group [O] QVGXLLKOCUKJST-UHFFFAOYSA-N 0.000 claims description 41
- 239000001301 oxygen Chemical group 0.000 claims description 39
- 125000000217 alkyl group Chemical group 0.000 claims description 35
- 229920006395 saturated elastomer Polymers 0.000 claims description 34
- -1 benzoxazoyl Chemical group 0.000 claims description 29
- 150000003839 salts Chemical class 0.000 claims description 24
- 125000003118 aryl group Chemical group 0.000 claims description 22
- 229910052739 hydrogen Inorganic materials 0.000 claims description 22
- IJGRMHOSHXDMSA-UHFFFAOYSA-N nitrogen Substances N#N IJGRMHOSHXDMSA-UHFFFAOYSA-N 0.000 claims description 21
- 125000000547 substituted alkyl group Chemical group 0.000 claims description 21
- 229910052757 nitrogen Inorganic materials 0.000 claims description 13
- 125000000753 cycloalkyl group Chemical group 0.000 claims description 11
- 125000005842 heteroatom Chemical group 0.000 claims description 11
- 125000002950 monocyclic group Chemical group 0.000 claims description 10
- 125000004122 cyclic group Chemical group 0.000 claims description 9
- 125000002887 hydroxy group Chemical group [H]O* 0.000 claims description 9
- 125000001424 substituent group Chemical group 0.000 claims description 9
- 125000004628 isothiazolidinyl group Chemical group S1N(CCC1)* 0.000 claims description 8
- 125000003107 substituted aryl group Chemical group 0.000 claims description 8
- NINIDFKCEFEMDL-UHFFFAOYSA-N Sulfur Chemical group [S] NINIDFKCEFEMDL-UHFFFAOYSA-N 0.000 claims description 7
- 125000002496 methyl group Chemical group [H]C([H])([H])* 0.000 claims description 7
- 239000001257 hydrogen Substances 0.000 claims description 6
- 125000002757 morpholinyl group Chemical group 0.000 claims description 6
- QJGQUHMNIGDVPM-UHFFFAOYSA-N nitrogen group Chemical group [N] QJGQUHMNIGDVPM-UHFFFAOYSA-N 0.000 claims description 6
- 125000004193 piperazinyl group Chemical group 0.000 claims description 6
- 125000003386 piperidinyl group Chemical group 0.000 claims description 6
- 229910052717 sulfur Chemical group 0.000 claims description 6
- 239000011593 sulfur Chemical group 0.000 claims description 6
- 125000002619 bicyclic group Chemical group 0.000 claims description 5
- 125000002541 furyl group Chemical group 0.000 claims description 5
- 125000002883 imidazolyl group Chemical group 0.000 claims description 5
- 125000001041 indolyl group Chemical group 0.000 claims description 5
- 125000004076 pyridyl group Chemical group 0.000 claims description 5
- 125000000335 thiazolyl group Chemical group 0.000 claims description 5
- 125000001544 thienyl group Chemical group 0.000 claims description 5
- WNXJIVFYUVYPPR-UHFFFAOYSA-N 1,3-dioxolane Chemical compound C1COCO1 WNXJIVFYUVYPPR-UHFFFAOYSA-N 0.000 claims description 4
- 125000004635 2-oxazepinyl group Chemical group O1N(CC=CC=C1)* 0.000 claims description 4
- 125000004638 2-oxopiperazinyl group Chemical group O=C1N(CCNC1)* 0.000 claims description 4
- 125000004637 2-oxopiperidinyl group Chemical group O=C1N(CCCC1)* 0.000 claims description 4
- 125000005986 4-piperidonyl group Chemical group 0.000 claims description 4
- 125000004633 N-oxo-pyridyl group Chemical group 0.000 claims description 4
- 125000002785 azepinyl group Chemical group 0.000 claims description 4
- 125000000532 dioxanyl group Chemical group 0.000 claims description 4
- 125000002632 imidazolidinyl group Chemical group 0.000 claims description 4
- 125000002636 imidazolinyl group Chemical group 0.000 claims description 4
- 125000001786 isothiazolyl group Chemical group 0.000 claims description 4
- 125000003971 isoxazolinyl group Chemical group 0.000 claims description 4
- 125000000842 isoxazolyl group Chemical group 0.000 claims description 4
- 125000001715 oxadiazolyl group Chemical group 0.000 claims description 4
- 125000000160 oxazolidinyl group Chemical group 0.000 claims description 4
- 125000002971 oxazolyl group Chemical group 0.000 claims description 4
- 125000003566 oxetanyl group Chemical group 0.000 claims description 4
- 125000005476 oxopyrrolidinyl group Chemical group 0.000 claims description 4
- 125000003373 pyrazinyl group Chemical group 0.000 claims description 4
- 125000002755 pyrazolinyl group Chemical group 0.000 claims description 4
- 125000003226 pyrazolyl group Chemical group 0.000 claims description 4
- 125000002098 pyridazinyl group Chemical group 0.000 claims description 4
- 125000000714 pyrimidinyl group Chemical group 0.000 claims description 4
- 125000000719 pyrrolidinyl group Chemical group 0.000 claims description 4
- 125000003718 tetrahydrofuranyl group Chemical group 0.000 claims description 4
- 125000001412 tetrahydropyranyl group Chemical group 0.000 claims description 4
- 125000004632 tetrahydrothiopyranyl group Chemical group S1C(CCCC1)* 0.000 claims description 4
- 125000001113 thiadiazolyl group Chemical group 0.000 claims description 4
- 125000001984 thiazolidinyl group Chemical group 0.000 claims description 4
- 125000002053 thietanyl group Chemical group 0.000 claims description 4
- 125000001730 thiiranyl group Chemical group 0.000 claims description 4
- 125000004568 thiomorpholinyl group Chemical group 0.000 claims description 4
- WCNFFKHKJLERFM-UHFFFAOYSA-N thiomorpholinyl sulfone group Chemical group N1(CCSCC1)S(=O)(=O)N1CCSCC1 WCNFFKHKJLERFM-UHFFFAOYSA-N 0.000 claims description 4
- ZCAGUOCUDGWENZ-UHFFFAOYSA-N thiomorpholinyl sulfoxide group Chemical group N1(CCSCC1)S(=O)N1CCSCC1 ZCAGUOCUDGWENZ-UHFFFAOYSA-N 0.000 claims description 4
- 125000004306 triazinyl group Chemical group 0.000 claims description 4
- 125000001425 triazolyl group Chemical group 0.000 claims description 4
- KFXDYZXVIHNBFD-UHFFFAOYSA-N 2-(thian-2-ylsulfonyl)thiane Chemical compound C1CCCSC1S(=O)(=O)C1CCCCS1 KFXDYZXVIHNBFD-UHFFFAOYSA-N 0.000 claims description 3
- 125000002837 carbocyclic group Chemical group 0.000 claims description 3
- 125000006092 tetrahydro-1,1-dioxothienyl group Chemical group 0.000 claims description 3
- 125000004610 3,4-dihydro-4-oxo-quinazolinyl group Chemical group O=C1NC(=NC2=CC=CC=C12)* 0.000 claims description 2
- UFHFLCQGNIYNRP-UHFFFAOYSA-N Hydrogen Chemical compound [H][H] UFHFLCQGNIYNRP-UHFFFAOYSA-N 0.000 claims description 2
- DHKHKXVYLBGOIT-UHFFFAOYSA-N acetaldehyde Diethyl Acetal Natural products CCOC(C)OCC DHKHKXVYLBGOIT-UHFFFAOYSA-N 0.000 claims description 2
- 125000002777 acetyl group Chemical class [H]C([H])([H])C(*)=O 0.000 claims description 2
- 125000003785 benzimidazolyl group Chemical group N1=C(NC2=C1C=CC=C2)* 0.000 claims description 2
- 125000004604 benzisothiazolyl group Chemical group S1N=C(C2=C1C=CC=C2)* 0.000 claims description 2
- 125000004603 benzisoxazolyl group Chemical group O1N=C(C2=C1C=CC=C2)* 0.000 claims description 2
- 125000004602 benzodiazinyl group Chemical group N1=NC(=CC2=C1C=CC=C2)* 0.000 claims description 2
- 125000004601 benzofurazanyl group Chemical group N1=C2C(=NO1)C(=CC=C2)* 0.000 claims description 2
- 125000004618 benzofuryl group Chemical group O1C(=CC2=C1C=CC=C2)* 0.000 claims description 2
- 125000004619 benzopyranyl group Chemical group O1C(C=CC2=C1C=CC=C2)* 0.000 claims description 2
- 125000001164 benzothiazolyl group Chemical group S1C(=NC2=C1C=CC=C2)* 0.000 claims description 2
- 125000004196 benzothienyl group Chemical group S1C(=CC2=C1C=CC=C2)* 0.000 claims description 2
- 125000004600 benzothiopyranyl group Chemical group S1C(C=CC2=C1C=CC=C2)* 0.000 claims description 2
- 125000003354 benzotriazolyl group Chemical group N1N=NC2=C1C=CC=C2* 0.000 claims description 2
- 125000004599 benzpyrazolyl group Chemical group N1N=C(C2=C1C=CC=C2)* 0.000 claims description 2
- 125000002618 bicyclic heterocycle group Chemical group 0.000 claims description 2
- 125000004617 chromonyl group Chemical group O1C(=CC(C2=CC=CC=C12)=O)* 0.000 claims description 2
- 125000000259 cinnolinyl group Chemical group N1=NC(=CC2=CC=CC=C12)* 0.000 claims description 2
- 125000000332 coumarinyl group Chemical group O1C(=O)C(=CC2=CC=CC=C12)* 0.000 claims description 2
- 125000004598 dihydrobenzofuryl group Chemical group O1C(CC2=C1C=CC=C2)* 0.000 claims description 2
- 125000004586 dihydrobenzopyranyl group Chemical group O1C(CCC2=C1C=CC=C2)* 0.000 claims description 2
- 125000004582 dihydrobenzothienyl group Chemical group S1C(CC2=C1C=CC=C2)* 0.000 claims description 2
- 125000004597 dihydrobenzothiopyranyl group Chemical group S1C(CCC2=C1C=CC=C2)* 0.000 claims description 2
- WOKPSXJEBSRSAT-UHFFFAOYSA-N dihydrobenzothiopyranyl sulfone group Chemical group S1C(CCC2=C1C=CC=C2)S(=O)(=O)C2SC1=C(CC2)C=CC=C1 WOKPSXJEBSRSAT-UHFFFAOYSA-N 0.000 claims description 2
- 125000004611 dihydroisoindolyl group Chemical group C1(NCC2=CC=CC=C12)* 0.000 claims description 2
- 125000004609 dihydroquinazolinyl group Chemical group N1(CN=CC2=CC=CC=C12)* 0.000 claims description 2
- 239000003085 diluting agent Substances 0.000 claims description 2
- 125000004615 furo[2,3-b]pyridinyl group Chemical group O1C(=CC=2C1=NC=CC2)* 0.000 claims description 2
- 125000004613 furo[2,3-c]pyridinyl group Chemical group O1C(=CC=2C1=CN=CC2)* 0.000 claims description 2
- 125000004614 furo[3,1-b]pyridinyl group Chemical group 0.000 claims description 2
- 125000004612 furopyridinyl group Chemical group O1C(=CC2=C1C=CC=N2)* 0.000 claims description 2
- 125000003453 indazolyl group Chemical group N1N=C(C2=C1C=CC=C2)* 0.000 claims description 2
- 125000003387 indolinyl group Chemical group N1(CCC2=CC=CC=C12)* 0.000 claims description 2
- 125000003406 indolizinyl group Chemical group C=1(C=CN2C=CC=CC12)* 0.000 claims description 2
- 125000003384 isochromanyl group Chemical group C1(OCCC2=CC=CC=C12)* 0.000 claims description 2
- 125000004594 isoindolinyl group Chemical group C1(NCC2=CC=CC=C12)* 0.000 claims description 2
- 125000002183 isoquinolinyl group Chemical group C1(=NC=CC2=CC=CC=C12)* 0.000 claims description 2
- 125000004593 naphthyridinyl group Chemical group N1=C(C=CC2=CC=CN=C12)* 0.000 claims description 2
- 125000004043 oxo group Chemical group O=* 0.000 claims description 2
- 239000008194 pharmaceutical composition Substances 0.000 claims description 2
- 125000004592 phthalazinyl group Chemical group C1(=NN=CC2=CC=CC=C12)* 0.000 claims description 2
- 229960005235 piperonyl butoxide Drugs 0.000 claims description 2
- 125000004591 piperonyl group Chemical group C(C1=CC=2OCOC2C=C1)* 0.000 claims description 2
- 125000000561 purinyl group Chemical group N1=C(N=C2N=CNC2=C1)* 0.000 claims description 2
- 125000004590 pyridopyridyl group Chemical group N1=C(C=CC2=C1C=CC=N2)* 0.000 claims description 2
- 125000006085 pyrrolopyridyl group Chemical group 0.000 claims description 2
- 125000000168 pyrrolyl group Chemical group 0.000 claims description 2
- 125000002294 quinazolinyl group Chemical group N1=C(N=CC2=CC=CC=C12)* 0.000 claims description 2
- 125000002943 quinolinyl group Chemical group N1=C(C=CC2=CC=CC=C12)* 0.000 claims description 2
- 125000004620 quinolinyl-N-oxide group Chemical group 0.000 claims description 2
- 125000001567 quinoxalinyl group Chemical group N1=C(C=NC2=CC=CC=C12)* 0.000 claims description 2
- 125000004621 quinuclidinyl group Chemical group N12C(CC(CC1)CC2)* 0.000 claims description 2
- 125000003039 tetrahydroisoquinolinyl group Chemical group C1(NCCC2=CC=CC=C12)* 0.000 claims description 2
- 125000000147 tetrahydroquinolinyl group Chemical group N1(CCCC2=CC=CC=C12)* 0.000 claims description 2
- 125000004589 thienofuryl group Chemical group O1C(=CC2=C1C=CS2)* 0.000 claims description 2
- 125000004588 thienopyridyl group Chemical group S1C(=CC2=C1C=CC=N2)* 0.000 claims description 2
- 125000004587 thienothienyl group Chemical group S1C(=CC2=C1C=CS2)* 0.000 claims description 2
- 229910052727 yttrium Inorganic materials 0.000 claims description 2
- KAESVJOAVNADME-UHFFFAOYSA-N Pyrrole Chemical compound C=1C=CNC=1 KAESVJOAVNADME-UHFFFAOYSA-N 0.000 claims 4
- 125000004435 hydrogen atom Chemical group [H]* 0.000 claims 1
- 125000002768 hydroxyalkyl group Chemical group 0.000 claims 1
- 150000003457 sulfones Chemical class 0.000 claims 1
- 238000000034 method Methods 0.000 abstract description 31
- 238000002360 preparation method Methods 0.000 abstract description 6
- 239000000543 intermediate Substances 0.000 abstract description 4
- XEKOWRVHYACXOJ-UHFFFAOYSA-N Ethyl acetate Chemical compound CCOC(C)=O XEKOWRVHYACXOJ-UHFFFAOYSA-N 0.000 description 62
- VYPSYNLAJGMNEJ-UHFFFAOYSA-N Silicium dioxide Chemical compound O=[Si]=O VYPSYNLAJGMNEJ-UHFFFAOYSA-N 0.000 description 54
- 239000000243 solution Substances 0.000 description 52
- 239000011541 reaction mixture Substances 0.000 description 49
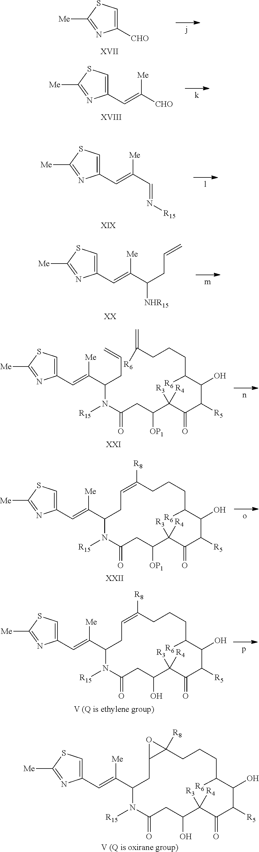
- 0 [1*]C1([2*])C(=C)[W]C([7*])(C)CCCCCC([6*])C(BB)C([5*])C(=[Y])C([3*])([4*])C1B Chemical compound [1*]C1([2*])C(=C)[W]C([7*])(C)CCCCCC([6*])C(BB)C([5*])C(=[Y])C([3*])([4*])C1B 0.000 description 42
- UIIMBOGNXHQVGW-UHFFFAOYSA-M Sodium bicarbonate Chemical compound [Na+].OC([O-])=O UIIMBOGNXHQVGW-UHFFFAOYSA-M 0.000 description 29
- 235000019439 ethyl acetate Nutrition 0.000 description 29
- RTZKZFJDLAIYFH-UHFFFAOYSA-N Diethyl ether Chemical compound CCOCC RTZKZFJDLAIYFH-UHFFFAOYSA-N 0.000 description 27
- WEVYAHXRMPXWCK-UHFFFAOYSA-N Acetonitrile Chemical compound CC#N WEVYAHXRMPXWCK-UHFFFAOYSA-N 0.000 description 26
- 238000011282 treatment Methods 0.000 description 25
- YMWUJEATGCHHMB-UHFFFAOYSA-N Dichloromethane Chemical compound ClCCl YMWUJEATGCHHMB-UHFFFAOYSA-N 0.000 description 24
- LZWPOLSJFGLQCE-UHFFFAOYSA-N heptadecane-5,9-dione Chemical compound CCCCCCCCC(=O)CCCC(=O)CCCC LZWPOLSJFGLQCE-UHFFFAOYSA-N 0.000 description 24
- 239000000377 silicon dioxide Substances 0.000 description 24
- 229910052681 coesite Inorganic materials 0.000 description 22
- 229910052906 cristobalite Inorganic materials 0.000 description 22
- 229910052682 stishovite Inorganic materials 0.000 description 22
- 229910052905 tridymite Inorganic materials 0.000 description 22
- OKKJLVBELUTLKV-UHFFFAOYSA-N Methanol Chemical compound OC OKKJLVBELUTLKV-UHFFFAOYSA-N 0.000 description 21
- VLKZOEOYAKHREP-UHFFFAOYSA-N n-Hexane Chemical class CCCCCC VLKZOEOYAKHREP-UHFFFAOYSA-N 0.000 description 21
- FAPWRFPIFSIZLT-UHFFFAOYSA-M Sodium chloride Chemical compound [Na+].[Cl-] FAPWRFPIFSIZLT-UHFFFAOYSA-M 0.000 description 20
- 238000003818 flash chromatography Methods 0.000 description 18
- 239000012230 colorless oil Substances 0.000 description 17
- 239000000284 extract Substances 0.000 description 17
- 238000010828 elution Methods 0.000 description 15
- 239000010410 layer Substances 0.000 description 15
- 239000000203 mixture Substances 0.000 description 15
- QTBSBXVTEAMEQO-UHFFFAOYSA-N Acetic acid Chemical compound CC(O)=O QTBSBXVTEAMEQO-UHFFFAOYSA-N 0.000 description 14
- WORJEOGGNQDSOE-UHFFFAOYSA-N chloroform;methanol Chemical compound OC.ClC(Cl)Cl WORJEOGGNQDSOE-UHFFFAOYSA-N 0.000 description 14
- 229910000030 sodium bicarbonate Inorganic materials 0.000 description 14
- 238000006243 chemical reaction Methods 0.000 description 13
- XKRFYHLGVUSROY-UHFFFAOYSA-N Argon Chemical compound [Ar] XKRFYHLGVUSROY-UHFFFAOYSA-N 0.000 description 12
- 229940126062 Compound A Drugs 0.000 description 12
- NLDMNSXOCDLTTB-UHFFFAOYSA-N Heterophylliin A Natural products O1C2COC(=O)C3=CC(O)=C(O)C(O)=C3C3=C(O)C(O)=C(O)C=C3C(=O)OC2C(OC(=O)C=2C=C(O)C(O)=C(O)C=2)C(O)C1OC(=O)C1=CC(O)=C(O)C(O)=C1 NLDMNSXOCDLTTB-UHFFFAOYSA-N 0.000 description 12
- LEHBURLTIWGHEM-UHFFFAOYSA-N pyridinium chlorochromate Chemical compound [O-][Cr](Cl)(=O)=O.C1=CC=[NH+]C=C1 LEHBURLTIWGHEM-UHFFFAOYSA-N 0.000 description 12
- 239000003638 chemical reducing agent Substances 0.000 description 11
- 210000004027 cell Anatomy 0.000 description 10
- 239000011780 sodium chloride Substances 0.000 description 10
- 239000007787 solid Substances 0.000 description 10
- 239000003039 volatile agent Substances 0.000 description 10
- FPQQSJJWHUJYPU-UHFFFAOYSA-N 3-(dimethylamino)propyliminomethylidene-ethylazanium;chloride Chemical compound Cl.CCN=C=NCCCN(C)C FPQQSJJWHUJYPU-UHFFFAOYSA-N 0.000 description 9
- 206010028980 Neoplasm Diseases 0.000 description 9
- HEMHJVSKTPXQMS-UHFFFAOYSA-M Sodium hydroxide Chemical compound [OH-].[Na+] HEMHJVSKTPXQMS-UHFFFAOYSA-M 0.000 description 9
- 239000000725 suspension Substances 0.000 description 9
- LMDZBCPBFSXMTL-UHFFFAOYSA-N 1-Ethyl-3-(3-dimethylaminopropyl)carbodiimide Substances CCN=C=NCCCN(C)C LMDZBCPBFSXMTL-UHFFFAOYSA-N 0.000 description 8
- YEDUAINPPJYDJZ-UHFFFAOYSA-N 2-hydroxybenzothiazole Chemical compound C1=CC=C2SC(O)=NC2=C1 YEDUAINPPJYDJZ-UHFFFAOYSA-N 0.000 description 8
- HEDRZPFGACZZDS-UHFFFAOYSA-N Chloroform Chemical compound ClC(Cl)Cl HEDRZPFGACZZDS-UHFFFAOYSA-N 0.000 description 8
- CSNNHWWHGAXBCP-UHFFFAOYSA-L Magnesium sulfate Chemical compound [Mg+2].[O-][S+2]([O-])([O-])[O-] CSNNHWWHGAXBCP-UHFFFAOYSA-L 0.000 description 8
- PXIPVTKHYLBLMZ-UHFFFAOYSA-N Sodium azide Chemical compound [Na+].[N-]=[N+]=[N-] PXIPVTKHYLBLMZ-UHFFFAOYSA-N 0.000 description 8
- 239000003153 chemical reaction reagent Substances 0.000 description 8
- 239000007822 coupling agent Substances 0.000 description 8
- NPZTUJOABDZTLV-UHFFFAOYSA-N hydroxybenzotriazole Substances O=C1C=CC=C2NNN=C12 NPZTUJOABDZTLV-UHFFFAOYSA-N 0.000 description 8
- KWGKDLIKAYFUFQ-UHFFFAOYSA-M lithium chloride Chemical compound [Li+].[Cl-] KWGKDLIKAYFUFQ-UHFFFAOYSA-M 0.000 description 8
- RIOQSEWOXXDEQQ-UHFFFAOYSA-N triphenylphosphine Chemical compound C1=CC=CC=C1P(C=1C=CC=CC=1)C1=CC=CC=C1 RIOQSEWOXXDEQQ-UHFFFAOYSA-N 0.000 description 8
- XLYOFNOQVPJJNP-UHFFFAOYSA-N water Substances O XLYOFNOQVPJJNP-UHFFFAOYSA-N 0.000 description 8
- LFQSCWFLJHTTHZ-UHFFFAOYSA-N Ethanol Chemical compound CCO LFQSCWFLJHTTHZ-UHFFFAOYSA-N 0.000 description 7
- VEXZGXHMUGYJMC-UHFFFAOYSA-N Hydrochloric acid Chemical compound Cl VEXZGXHMUGYJMC-UHFFFAOYSA-N 0.000 description 7
- MZRVEZGGRBJDDB-UHFFFAOYSA-N N-Butyllithium Chemical compound [Li]CCCC MZRVEZGGRBJDDB-UHFFFAOYSA-N 0.000 description 7
- 238000010511 deprotection reaction Methods 0.000 description 7
- 125000000623 heterocyclic group Chemical group 0.000 description 7
- IXCSERBJSXMMFS-UHFFFAOYSA-N hydrogen chloride Substances Cl.Cl IXCSERBJSXMMFS-UHFFFAOYSA-N 0.000 description 7
- 229910000041 hydrogen chloride Inorganic materials 0.000 description 7
- UHOVQNZJYSORNB-UHFFFAOYSA-N Benzene Chemical compound C1=CC=CC=C1 UHOVQNZJYSORNB-UHFFFAOYSA-N 0.000 description 6
- KDLHZDBZIXYQEI-UHFFFAOYSA-N Palladium Chemical compound [Pd] KDLHZDBZIXYQEI-UHFFFAOYSA-N 0.000 description 6
- JUJWROOIHBZHMG-UHFFFAOYSA-N Pyridine Chemical compound C1=CC=NC=C1 JUJWROOIHBZHMG-UHFFFAOYSA-N 0.000 description 6
- HEDRZPFGACZZDS-MICDWDOJSA-N Trichloro(2H)methane Chemical compound [2H]C(Cl)(Cl)Cl HEDRZPFGACZZDS-MICDWDOJSA-N 0.000 description 6
- DTQVDTLACAAQTR-UHFFFAOYSA-N Trifluoroacetic acid Chemical compound OC(=O)C(F)(F)F DTQVDTLACAAQTR-UHFFFAOYSA-N 0.000 description 6
- 150000001412 amines Chemical class 0.000 description 6
- 239000008346 aqueous phase Substances 0.000 description 6
- 229910052786 argon Inorganic materials 0.000 description 6
- 125000001072 heteroaryl group Chemical group 0.000 description 6
- ZCSHNCUQKCANBX-UHFFFAOYSA-N lithium diisopropylamide Chemical compound [Li+].CC(C)[N-]C(C)C ZCSHNCUQKCANBX-UHFFFAOYSA-N 0.000 description 6
- 230000003647 oxidation Effects 0.000 description 6
- 238000007254 oxidation reaction Methods 0.000 description 6
- NFHFRUOZVGFOOS-UHFFFAOYSA-N palladium;triphenylphosphane Chemical compound [Pd].C1=CC=CC=C1P(C=1C=CC=CC=1)C1=CC=CC=C1.C1=CC=CC=C1P(C=1C=CC=CC=1)C1=CC=CC=C1.C1=CC=CC=C1P(C=1C=CC=CC=1)C1=CC=CC=C1.C1=CC=CC=C1P(C=1C=CC=CC=1)C1=CC=CC=C1 NFHFRUOZVGFOOS-UHFFFAOYSA-N 0.000 description 6
- 125000002924 primary amino group Chemical group [H]N([H])* 0.000 description 6
- 239000000651 prodrug Substances 0.000 description 6
- 229940002612 prodrug Drugs 0.000 description 6
- 125000006239 protecting group Chemical group 0.000 description 6
- 230000009467 reduction Effects 0.000 description 6
- 238000006722 reduction reaction Methods 0.000 description 6
- 238000005160 1H NMR spectroscopy Methods 0.000 description 5
- NLXLAEXVIDQMFP-UHFFFAOYSA-N Ammonia chloride Chemical compound [NH4+].[Cl-] NLXLAEXVIDQMFP-UHFFFAOYSA-N 0.000 description 5
- KRHYYFGTRYWZRS-UHFFFAOYSA-N Fluorane Chemical compound F KRHYYFGTRYWZRS-UHFFFAOYSA-N 0.000 description 5
- 238000002835 absorbance Methods 0.000 description 5
- 150000001336 alkenes Chemical class 0.000 description 5
- 125000003710 aryl alkyl group Chemical group 0.000 description 5
- MKRTXPORKIRPDG-UHFFFAOYSA-N diphenylphosphoryl azide Chemical compound C=1C=CC=CC=1P(=O)(N=[N+]=[N-])C1=CC=CC=C1 MKRTXPORKIRPDG-UHFFFAOYSA-N 0.000 description 5
- 125000000816 ethylene group Chemical group [H]C([H])([*:1])C([H])([H])[*:2] 0.000 description 5
- 229910000040 hydrogen fluoride Inorganic materials 0.000 description 5
- DQEUYIQDSMINEY-UHFFFAOYSA-M magnesium;prop-1-ene;bromide Chemical compound [Mg+2].[Br-].[CH2-]C=C DQEUYIQDSMINEY-UHFFFAOYSA-M 0.000 description 5
- JRZJOMJEPLMPRA-UHFFFAOYSA-N olefin Natural products CCCCCCCC=C JRZJOMJEPLMPRA-UHFFFAOYSA-N 0.000 description 5
- 238000006798 ring closing metathesis reaction Methods 0.000 description 5
- VHYFNPMBLIVWCW-UHFFFAOYSA-N 4-Dimethylaminopyridine Chemical compound CN(C)C1=CC=NC=C1 VHYFNPMBLIVWCW-UHFFFAOYSA-N 0.000 description 4
- YNQLUTRBYVCPMQ-UHFFFAOYSA-N Ethylbenzene Chemical compound CCC1=CC=CC=C1 YNQLUTRBYVCPMQ-UHFFFAOYSA-N 0.000 description 4
- 239000012448 Lithium borohydride Substances 0.000 description 4
- FYYHWMGAXLPEAU-UHFFFAOYSA-N Magnesium Chemical compound [Mg] FYYHWMGAXLPEAU-UHFFFAOYSA-N 0.000 description 4
- IMNFDUFMRHMDMM-UHFFFAOYSA-N N-Heptane Chemical compound CCCCCCC IMNFDUFMRHMDMM-UHFFFAOYSA-N 0.000 description 4
- RWRDLPDLKQPQOW-UHFFFAOYSA-N Pyrrolidine Chemical compound C1CCNC1 RWRDLPDLKQPQOW-UHFFFAOYSA-N 0.000 description 4
- WLLIXJBWWFGEHT-UHFFFAOYSA-N [tert-butyl(dimethyl)silyl] trifluoromethanesulfonate Chemical compound CC(C)(C)[Si](C)(C)OS(=O)(=O)C(F)(F)F WLLIXJBWWFGEHT-UHFFFAOYSA-N 0.000 description 4
- 125000003545 alkoxy group Chemical group 0.000 description 4
- SIPUZPBQZHNSDW-UHFFFAOYSA-N bis(2-methylpropyl)aluminum Chemical compound CC(C)C[Al]CC(C)C SIPUZPBQZHNSDW-UHFFFAOYSA-N 0.000 description 4
- 125000004432 carbon atom Chemical group C* 0.000 description 4
- 239000003795 chemical substances by application Substances 0.000 description 4
- JNGZXGGOCLZBFB-IVCQMTBJSA-N compound E Chemical compound N([C@@H](C)C(=O)N[C@@H]1C(N(C)C2=CC=CC=C2C(C=2C=CC=CC=2)=N1)=O)C(=O)CC1=CC(F)=CC(F)=C1 JNGZXGGOCLZBFB-IVCQMTBJSA-N 0.000 description 4
- 125000001559 cyclopropyl group Chemical group [H]C1([H])C([H])([H])C1([H])* 0.000 description 4
- 201000010099 disease Diseases 0.000 description 4
- 208000037265 diseases, disorders, signs and symptoms Diseases 0.000 description 4
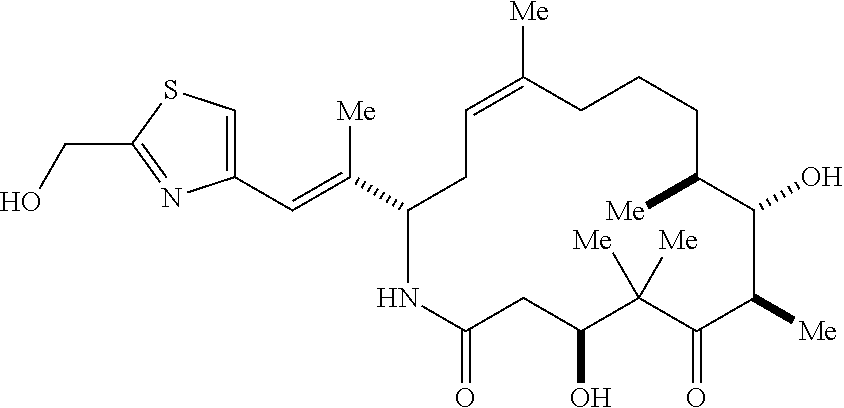
- 229930013356 epothilone Natural products 0.000 description 4
- HESCAJZNRMSMJG-HGYUPSKWSA-N epothilone A Natural products O=C1[C@H](C)[C@H](O)[C@H](C)CCC[C@H]2O[C@H]2C[C@@H](/C(=C\c2nc(C)sc2)/C)OC(=O)C[C@H](O)C1(C)C HESCAJZNRMSMJG-HGYUPSKWSA-N 0.000 description 4
- HESCAJZNRMSMJG-KKQRBIROSA-N epothilone A Chemical class C/C([C@@H]1C[C@@H]2O[C@@H]2CCC[C@@H]([C@@H]([C@@H](C)C(=O)C(C)(C)[C@@H](O)CC(=O)O1)O)C)=C\C1=CSC(C)=N1 HESCAJZNRMSMJG-KKQRBIROSA-N 0.000 description 4
- 238000006735 epoxidation reaction Methods 0.000 description 4
- 125000005843 halogen group Chemical group 0.000 description 4
- 238000000338 in vitro Methods 0.000 description 4
- 239000003112 inhibitor Substances 0.000 description 4
- 229910052943 magnesium sulfate Inorganic materials 0.000 description 4
- 125000000466 oxiranyl group Chemical group 0.000 description 4
- LVTJOONKWUXEFR-FZRMHRINSA-N protoneodioscin Natural products O(C[C@@H](CC[C@]1(O)[C@H](C)[C@@H]2[C@]3(C)[C@H]([C@H]4[C@@H]([C@]5(C)C(=CC4)C[C@@H](O[C@@H]4[C@H](O[C@H]6[C@@H](O)[C@@H](O)[C@@H](O)[C@H](C)O6)[C@@H](O)[C@H](O[C@H]6[C@@H](O)[C@@H](O)[C@@H](O)[C@H](C)O6)[C@H](CO)O4)CC5)CC3)C[C@@H]2O1)C)[C@H]1[C@H](O)[C@H](O)[C@H](O)[C@@H](CO)O1 LVTJOONKWUXEFR-FZRMHRINSA-N 0.000 description 4
- 230000002829 reductive effect Effects 0.000 description 4
- 239000011734 sodium Substances 0.000 description 4
- 239000002904 solvent Substances 0.000 description 4
- 238000003756 stirring Methods 0.000 description 4
- MQLACMBJVPINKE-UHFFFAOYSA-N 10-[(3-hydroxy-4-methoxyphenyl)methylidene]anthracen-9-one Chemical compound C1=C(O)C(OC)=CC=C1C=C1C2=CC=CC=C2C(=O)C2=CC=CC=C21 MQLACMBJVPINKE-UHFFFAOYSA-N 0.000 description 3
- OISVCGZHLKNMSJ-UHFFFAOYSA-N 2,6-dimethylpyridine Chemical compound CC1=CC=CC(C)=N1 OISVCGZHLKNMSJ-UHFFFAOYSA-N 0.000 description 3
- PUDXWNAJFBDLKH-AMEUVYIQSA-N C/C(=C\C1=CSC(CO)=N1)C1C[C@@H]2O[C@]2(C)CCC[C@H](C)[C@H](O)[C@@H](C)C(=O)C(C)(C)[C@@H](O)CC(=O)N1 Chemical compound C/C(=C\C1=CSC(CO)=N1)C1C[C@@H]2O[C@]2(C)CCC[C@H](C)[C@H](O)[C@@H](C)C(=O)C(C)(C)[C@@H](O)CC(=O)N1 PUDXWNAJFBDLKH-AMEUVYIQSA-N 0.000 description 3
- 229910019020 PtO2 Inorganic materials 0.000 description 3
- ZMANZCXQSJIPKH-UHFFFAOYSA-N Triethylamine Chemical compound CCN(CC)CC ZMANZCXQSJIPKH-UHFFFAOYSA-N 0.000 description 3
- 102000004243 Tubulin Human genes 0.000 description 3
- 108090000704 Tubulin Proteins 0.000 description 3
- VXDSLUMUNWTSDB-UHFFFAOYSA-N acetic acid;chloroform;methanol Chemical compound OC.CC(O)=O.ClC(Cl)Cl VXDSLUMUNWTSDB-UHFFFAOYSA-N 0.000 description 3
- YKIOKAURTKXMSB-UHFFFAOYSA-N adams's catalyst Chemical compound O=[Pt]=O YKIOKAURTKXMSB-UHFFFAOYSA-N 0.000 description 3
- 125000005236 alkanoylamino group Chemical group 0.000 description 3
- BHELZAPQIKSEDF-UHFFFAOYSA-N allyl bromide Chemical compound BrCC=C BHELZAPQIKSEDF-UHFFFAOYSA-N 0.000 description 3
- WNNNWFKQCKFSDK-UHFFFAOYSA-N allylglycine Chemical compound OC(=O)C(N)CC=C WNNNWFKQCKFSDK-UHFFFAOYSA-N 0.000 description 3
- 230000006907 apoptotic process Effects 0.000 description 3
- 206010003246 arthritis Diseases 0.000 description 3
- 230000015572 biosynthetic process Effects 0.000 description 3
- 125000003917 carbamoyl group Chemical group [H]N([H])C(*)=O 0.000 description 3
- 125000002915 carbonyl group Chemical group [*:2]C([*:1])=O 0.000 description 3
- 150000001732 carboxylic acid derivatives Chemical group 0.000 description 3
- 239000003054 catalyst Substances 0.000 description 3
- 230000003197 catalytic effect Effects 0.000 description 3
- KRKNYBCHXYNGOX-UHFFFAOYSA-N citric acid Chemical compound OC(=O)CC(O)(C(O)=O)CC(O)=O KRKNYBCHXYNGOX-UHFFFAOYSA-N 0.000 description 3
- 229940127089 cytotoxic agent Drugs 0.000 description 3
- 239000002254 cytotoxic agent Substances 0.000 description 3
- 229940079593 drug Drugs 0.000 description 3
- 239000003814 drug Substances 0.000 description 3
- 150000002148 esters Chemical class 0.000 description 3
- OAYLNYINCPYISS-UHFFFAOYSA-N ethyl acetate;hexane Chemical compound CCCCCC.CCOC(C)=O OAYLNYINCPYISS-UHFFFAOYSA-N 0.000 description 3
- 239000006260 foam Substances 0.000 description 3
- 239000012456 homogeneous solution Substances 0.000 description 3
- 150000002431 hydrogen Chemical class 0.000 description 3
- 230000014759 maintenance of location Effects 0.000 description 3
- 239000003921 oil Substances 0.000 description 3
- 239000012074 organic phase Substances 0.000 description 3
- 239000012071 phase Substances 0.000 description 3
- 239000008363 phosphate buffer Substances 0.000 description 3
- UMJSCPRVCHMLSP-UHFFFAOYSA-N pyridine Natural products COC1=CC=CN=C1 UMJSCPRVCHMLSP-UHFFFAOYSA-N 0.000 description 3
- 125000005420 sulfonamido group Chemical group S(=O)(=O)(N*)* 0.000 description 3
- ILMRJRBKQSSXGY-UHFFFAOYSA-N tert-butyl(dimethyl)silicon Chemical group C[Si](C)C(C)(C)C ILMRJRBKQSSXGY-UHFFFAOYSA-N 0.000 description 3
- ASOKPJOREAFHNY-UHFFFAOYSA-N 1-Hydroxybenzotriazole Chemical compound C1=CC=C2N(O)N=NC2=C1 ASOKPJOREAFHNY-UHFFFAOYSA-N 0.000 description 2
- 238000001644 13C nuclear magnetic resonance spectroscopy Methods 0.000 description 2
- BKOOMYPCSUNDGP-UHFFFAOYSA-N 2-methylbut-2-ene Chemical compound CC=C(C)C BKOOMYPCSUNDGP-UHFFFAOYSA-N 0.000 description 2
- NHQDETIJWKXCTC-UHFFFAOYSA-N 3-chloroperbenzoic acid Chemical compound OOC(=O)C1=CC=CC(Cl)=C1 NHQDETIJWKXCTC-UHFFFAOYSA-N 0.000 description 2
- DMAYBPBPEUFIHJ-UHFFFAOYSA-N 4-bromobut-1-ene Chemical compound BrCCC=C DMAYBPBPEUFIHJ-UHFFFAOYSA-N 0.000 description 2
- 229960000549 4-dimethylaminophenol Drugs 0.000 description 2
- LPNANKDXVBMDKE-UHFFFAOYSA-N 5-bromopent-1-ene Chemical compound BrCCCC=C LPNANKDXVBMDKE-UHFFFAOYSA-N 0.000 description 2
- 208000024893 Acute lymphoblastic leukemia Diseases 0.000 description 2
- 208000014697 Acute lymphocytic leukaemia Diseases 0.000 description 2
- VHUUQVKOLVNVRT-UHFFFAOYSA-N Ammonium hydroxide Chemical compound [NH4+].[OH-] VHUUQVKOLVNVRT-UHFFFAOYSA-N 0.000 description 2
- 208000032467 Aplastic anaemia Diseases 0.000 description 2
- ANCRVOJZHVMMOG-OXZFXPLXSA-N C/C1=C/CC(/C(C)=C/C2=CSC(CO)=N2)NC(=O)C[C@H](O)C(C)(C)C(=O)[C@H](C)[C@@H](O)[C@@H](C)CCC1 Chemical compound C/C1=C/CC(/C(C)=C/C2=CSC(CO)=N2)NC(=O)C[C@H](O)C(C)(C)C(=O)[C@H](C)[C@@H](O)[C@@H](C)CCC1 ANCRVOJZHVMMOG-OXZFXPLXSA-N 0.000 description 2
- 201000009030 Carcinoma Diseases 0.000 description 2
- QXRSDHAAWVKZLJ-OXZHEXMSSA-N Epothilone B Natural products O=C1[C@H](C)[C@H](O)[C@@H](C)CCC[C@@]2(C)O[C@H]2C[C@@H](/C(=C\c2nc(C)sc2)/C)OC(=O)C[C@H](O)C1(C)C QXRSDHAAWVKZLJ-OXZHEXMSSA-N 0.000 description 2
- BEFZAMRWPCMWFJ-JRBBLYSQSA-N Epothilone C Natural products O=C1[C@H](C)[C@@H](O)[C@@H](C)CCC/C=C\C[C@@H](/C(=C\c2nc(C)sc2)/C)OC(=O)C[C@H](O)C1(C)C BEFZAMRWPCMWFJ-JRBBLYSQSA-N 0.000 description 2
- 201000008808 Fibrosarcoma Diseases 0.000 description 2
- 208000032612 Glial tumor Diseases 0.000 description 2
- 206010018338 Glioma Diseases 0.000 description 2
- CPELXLSAUQHCOX-UHFFFAOYSA-N Hydrogen bromide Chemical compound Br CPELXLSAUQHCOX-UHFFFAOYSA-N 0.000 description 2
- AMIMRNSIRUDHCM-UHFFFAOYSA-N Isopropylaldehyde Chemical compound CC(C)C=O AMIMRNSIRUDHCM-UHFFFAOYSA-N 0.000 description 2
- 206010025323 Lymphomas Diseases 0.000 description 2
- TWRXJAOTZQYOKJ-UHFFFAOYSA-L Magnesium chloride Chemical compound [Mg+2].[Cl-].[Cl-] TWRXJAOTZQYOKJ-UHFFFAOYSA-L 0.000 description 2
- AFVFQIVMOAPDHO-UHFFFAOYSA-N Methanesulfonic acid Chemical compound CS(O)(=O)=O AFVFQIVMOAPDHO-UHFFFAOYSA-N 0.000 description 2
- YNAVUWVOSKDBBP-UHFFFAOYSA-N Morpholine Chemical compound C1COCCN1 YNAVUWVOSKDBBP-UHFFFAOYSA-N 0.000 description 2
- JGFZNNIVVJXRND-UHFFFAOYSA-N N,N-Diisopropylethylamine (DIPEA) Chemical compound CCN(C(C)C)C(C)C JGFZNNIVVJXRND-UHFFFAOYSA-N 0.000 description 2
- SJRJJKPEHAURKC-UHFFFAOYSA-N N-Methylmorpholine Chemical compound CN1CCOCC1 SJRJJKPEHAURKC-UHFFFAOYSA-N 0.000 description 2
- 206010029260 Neuroblastoma Diseases 0.000 description 2
- OFBQJSOFQDEBGM-UHFFFAOYSA-N Pentane Chemical compound CCCCC OFBQJSOFQDEBGM-UHFFFAOYSA-N 0.000 description 2
- 208000006664 Precursor Cell Lymphoblastic Leukemia-Lymphoma Diseases 0.000 description 2
- 201000004681 Psoriasis Diseases 0.000 description 2
- 101000650578 Salmonella phage P22 Regulatory protein C3 Proteins 0.000 description 2
- 201000010208 Seminoma Diseases 0.000 description 2
- PMZURENOXWZQFD-UHFFFAOYSA-L Sodium Sulfate Chemical compound [Na+].[Na+].[O-]S([O-])(=O)=O PMZURENOXWZQFD-UHFFFAOYSA-L 0.000 description 2
- QAOWNCQODCNURD-UHFFFAOYSA-N Sulfuric acid Chemical compound OS(O)(=O)=O QAOWNCQODCNURD-UHFFFAOYSA-N 0.000 description 2
- DKGAVHZHDRPRBM-UHFFFAOYSA-N Tert-Butanol Chemical compound CC(C)(C)O DKGAVHZHDRPRBM-UHFFFAOYSA-N 0.000 description 2
- 101001040920 Triticum aestivum Alpha-amylase inhibitor 0.28 Proteins 0.000 description 2
- 238000007295 Wittig olefination reaction Methods 0.000 description 2
- 230000002159 abnormal effect Effects 0.000 description 2
- 125000004423 acyloxy group Chemical group 0.000 description 2
- 125000004453 alkoxycarbonyl group Chemical group 0.000 description 2
- 125000003282 alkyl amino group Chemical group 0.000 description 2
- 125000004414 alkyl thio group Chemical group 0.000 description 2
- 230000029936 alkylation Effects 0.000 description 2
- 238000005804 alkylation reaction Methods 0.000 description 2
- 230000004075 alteration Effects 0.000 description 2
- 239000000908 ammonium hydroxide Substances 0.000 description 2
- 230000001093 anti-cancer Effects 0.000 description 2
- 239000002246 antineoplastic agent Substances 0.000 description 2
- 239000012736 aqueous medium Substances 0.000 description 2
- 125000001691 aryl alkyl amino group Chemical group 0.000 description 2
- 125000001769 aryl amino group Chemical group 0.000 description 2
- 125000004104 aryloxy group Chemical group 0.000 description 2
- 239000012298 atmosphere Substances 0.000 description 2
- 239000002585 base Substances 0.000 description 2
- 210000004556 brain Anatomy 0.000 description 2
- 210000000481 breast Anatomy 0.000 description 2
- 239000012267 brine Substances 0.000 description 2
- 239000000872 buffer Substances 0.000 description 2
- 201000011510 cancer Diseases 0.000 description 2
- 125000001589 carboacyl group Chemical group 0.000 description 2
- 229910052799 carbon Inorganic materials 0.000 description 2
- 150000001721 carbon Chemical group 0.000 description 2
- 230000004663 cell proliferation Effects 0.000 description 2
- 238000010168 coupling process Methods 0.000 description 2
- 238000005859 coupling reaction Methods 0.000 description 2
- 125000000000 cycloalkoxy group Chemical group 0.000 description 2
- 125000006310 cycloalkyl amino group Chemical group 0.000 description 2
- 125000005366 cycloalkylthio group Chemical group 0.000 description 2
- JAGHDVYKBYUAFD-UHFFFAOYSA-L cyclopenta-1,3-diene;titanium(4+);dichloride Chemical compound [Cl-].[Cl-].[Ti+4].C1C=CC=[C-]1.C1C=CC=[C-]1 JAGHDVYKBYUAFD-UHFFFAOYSA-L 0.000 description 2
- 231100000599 cytotoxic agent Toxicity 0.000 description 2
- 231100000135 cytotoxicity Toxicity 0.000 description 2
- 238000013461 design Methods 0.000 description 2
- BEFZAMRWPCMWFJ-UHFFFAOYSA-N desoxyepothilone A Natural products O1C(=O)CC(O)C(C)(C)C(=O)C(C)C(O)C(C)CCCC=CCC1C(C)=CC1=CSC(C)=N1 BEFZAMRWPCMWFJ-UHFFFAOYSA-N 0.000 description 2
- YMWUJEATGCHHMB-DICFDUPASA-N dichloromethane-d2 Chemical compound [2H]C([2H])(Cl)Cl YMWUJEATGCHHMB-DICFDUPASA-N 0.000 description 2
- FFHWGQQFANVOHV-UHFFFAOYSA-N dimethyldioxirane Chemical compound CC1(C)OO1 FFHWGQQFANVOHV-UHFFFAOYSA-N 0.000 description 2
- ZUOUZKKEUPVFJK-UHFFFAOYSA-N diphenyl Chemical compound C1=CC=CC=C1C1=CC=CC=C1 ZUOUZKKEUPVFJK-UHFFFAOYSA-N 0.000 description 2
- 238000004821 distillation Methods 0.000 description 2
- 230000000694 effects Effects 0.000 description 2
- 239000003480 eluent Substances 0.000 description 2
- QXRSDHAAWVKZLJ-PVYNADRNSA-N epothilone B Chemical compound C/C([C@@H]1C[C@@H]2O[C@]2(C)CCC[C@@H]([C@@H]([C@@H](C)C(=O)C(C)(C)[C@@H](O)CC(=O)O1)O)C)=C\C1=CSC(C)=N1 QXRSDHAAWVKZLJ-PVYNADRNSA-N 0.000 description 2
- BEFZAMRWPCMWFJ-QJKGZULSSA-N epothilone C Chemical compound O1C(=O)C[C@H](O)C(C)(C)C(=O)[C@H](C)[C@@H](O)[C@@H](C)CCC\C=C/C[C@H]1C(\C)=C\C1=CSC(C)=N1 BEFZAMRWPCMWFJ-QJKGZULSSA-N 0.000 description 2
- 230000032050 esterification Effects 0.000 description 2
- 238000005886 esterification reaction Methods 0.000 description 2
- 238000001704 evaporation Methods 0.000 description 2
- 230000008020 evaporation Effects 0.000 description 2
- 239000000706 filtrate Substances 0.000 description 2
- FVIZARNDLVOMSU-UHFFFAOYSA-N ginsenoside K Natural products C1CC(C2(CCC3C(C)(C)C(O)CCC3(C)C2CC2O)C)(C)C2C1C(C)(CCC=C(C)C)OC1OC(CO)C(O)C(O)C1O FVIZARNDLVOMSU-UHFFFAOYSA-N 0.000 description 2
- ZTQSADJAYQOCDD-UHFFFAOYSA-N ginsenoside-Rd2 Natural products C1CC(C2(CCC3C(C)(C)C(OC4C(C(O)C(O)C(CO)O4)O)CCC3(C)C2CC2O)C)(C)C2C1C(C)(CCC=C(C)C)OC(C(C(O)C1O)O)OC1COC1OCC(O)C(O)C1O ZTQSADJAYQOCDD-UHFFFAOYSA-N 0.000 description 2
- 229910052736 halogen Inorganic materials 0.000 description 2
- 150000002367 halogens Chemical class 0.000 description 2
- 201000005787 hematologic cancer Diseases 0.000 description 2
- 208000024200 hematopoietic and lymphoid system neoplasm Diseases 0.000 description 2
- 125000004476 heterocycloamino group Chemical group 0.000 description 2
- 125000004470 heterocyclooxy group Chemical group 0.000 description 2
- 238000004128 high performance liquid chromatography Methods 0.000 description 2
- 150000004677 hydrates Chemical class 0.000 description 2
- INQOMBQAUSQDDS-UHFFFAOYSA-N iodomethane Chemical compound IC INQOMBQAUSQDDS-UHFFFAOYSA-N 0.000 description 2
- 239000007788 liquid Substances 0.000 description 2
- 229910052744 lithium Inorganic materials 0.000 description 2
- 239000011777 magnesium Substances 0.000 description 2
- 229910052749 magnesium Inorganic materials 0.000 description 2
- 239000002609 medium Substances 0.000 description 2
- 201000001441 melanoma Diseases 0.000 description 2
- 201000006417 multiple sclerosis Diseases 0.000 description 2
- 208000015122 neurodegenerative disease Diseases 0.000 description 2
- 239000012044 organic layer Substances 0.000 description 2
- 210000001672 ovary Anatomy 0.000 description 2
- 229910052763 palladium Inorganic materials 0.000 description 2
- 238000006116 polymerization reaction Methods 0.000 description 2
- 239000002244 precipitate Substances 0.000 description 2
- 238000002953 preparative HPLC Methods 0.000 description 2
- 238000012746 preparative thin layer chromatography Methods 0.000 description 2
- 230000008569 process Effects 0.000 description 2
- 239000000047 product Substances 0.000 description 2
- 230000002062 proliferating effect Effects 0.000 description 2
- GRJJQCWNZGRKAU-UHFFFAOYSA-N pyridin-1-ium;fluoride Chemical compound F.C1=CC=NC=C1 GRJJQCWNZGRKAU-UHFFFAOYSA-N 0.000 description 2
- 230000005855 radiation Effects 0.000 description 2
- 238000010992 reflux Methods 0.000 description 2
- 239000000741 silica gel Substances 0.000 description 2
- 229910002027 silica gel Inorganic materials 0.000 description 2
- QRUBYZBWAOOHSV-UHFFFAOYSA-M silver trifluoromethanesulfonate Chemical compound [Ag+].[O-]S(=O)(=O)C(F)(F)F QRUBYZBWAOOHSV-UHFFFAOYSA-M 0.000 description 2
- 125000003808 silyl group Chemical group [H][Si]([H])([H])[*] 0.000 description 2
- 239000012279 sodium borohydride Substances 0.000 description 2
- 229910000033 sodium borohydride Inorganic materials 0.000 description 2
- 229910052938 sodium sulfate Inorganic materials 0.000 description 2
- 235000011152 sodium sulphate Nutrition 0.000 description 2
- 239000012321 sodium triacetoxyborohydride Substances 0.000 description 2
- HPALAKNZSZLMCH-UHFFFAOYSA-M sodium;chloride;hydrate Chemical compound O.[Na+].[Cl-] HPALAKNZSZLMCH-UHFFFAOYSA-M 0.000 description 2
- 239000012453 solvate Substances 0.000 description 2
- RCINICONZNJXQF-MZXODVADSA-N taxol Chemical compound O([C@@H]1[C@@]2(C[C@@H](C(C)=C(C2(C)C)[C@H](C([C@]2(C)[C@@H](O)C[C@H]3OC[C@]3([C@H]21)OC(C)=O)=O)OC(=O)C)OC(=O)[C@H](O)[C@@H](NC(=O)C=1C=CC=CC=1)C=1C=CC=CC=1)O)C(=O)C1=CC=CC=C1 RCINICONZNJXQF-MZXODVADSA-N 0.000 description 2
- 208000001608 teratocarcinoma Diseases 0.000 description 2
- DYHSDKLCOJIUFX-UHFFFAOYSA-N tert-butoxycarbonyl anhydride Chemical compound CC(C)(C)OC(=O)OC(=O)OC(C)(C)C DYHSDKLCOJIUFX-UHFFFAOYSA-N 0.000 description 2
- FPGGTKZVZWFYPV-UHFFFAOYSA-M tetrabutylammonium fluoride Chemical compound [F-].CCCC[N+](CCCC)(CCCC)CCCC FPGGTKZVZWFYPV-UHFFFAOYSA-M 0.000 description 2
- YOUIDGQAIILFBW-UHFFFAOYSA-J tetrachlorotungsten Chemical compound Cl[W](Cl)(Cl)Cl YOUIDGQAIILFBW-UHFFFAOYSA-J 0.000 description 2
- 125000003396 thiol group Chemical class [H]S* 0.000 description 2
- 210000001685 thyroid gland Anatomy 0.000 description 2
- JOXIMZWYDAKGHI-UHFFFAOYSA-N toluene-4-sulfonic acid Chemical compound CC1=CC=C(S(O)(=O)=O)C=C1 JOXIMZWYDAKGHI-UHFFFAOYSA-N 0.000 description 2
- QAEDZJGFFMLHHQ-UHFFFAOYSA-N trifluoroacetic anhydride Chemical compound FC(F)(F)C(=O)OC(=O)C(F)(F)F QAEDZJGFFMLHHQ-UHFFFAOYSA-N 0.000 description 2
- 125000002023 trifluoromethyl group Chemical group FC(F)(F)* 0.000 description 2
- UKIMCRYGLFQEOE-RLHMMOOASA-N (-)-Epothilone F Natural products O=C1[C@H](C)[C@H](O)[C@@H](C)CCC[C@@]2(C)O[C@H]2C[C@@H](/C(=C\c2nc(CO)sc2)/C)OC(=O)C[C@H](O)C1(C)C UKIMCRYGLFQEOE-RLHMMOOASA-N 0.000 description 1
- VDPGNLDQWBXIFH-UXLLHSPISA-N (2S)-N-[(1R,2R)-1-hydroxy-1-phenylpropan-2-yl]-N,2-dimethylhept-6-enamide Chemical compound O[C@@H]([C@@H](C)N(C([C@H](CCCC=C)C)=O)C)C1=CC=CC=C1 VDPGNLDQWBXIFH-UXLLHSPISA-N 0.000 description 1
- BUPDPLXLAKNJMI-ZETCQYMHSA-N (2s)-2-[(2-methylpropan-2-yl)oxycarbonylamino]pent-4-enoic acid Chemical compound CC(C)(C)OC(=O)N[C@H](C(O)=O)CC=C BUPDPLXLAKNJMI-ZETCQYMHSA-N 0.000 description 1
- WNNNWFKQCKFSDK-BYPYZUCNSA-N (2s)-2-aminopent-4-enoic acid Chemical compound OC(=O)[C@@H](N)CC=C WNNNWFKQCKFSDK-BYPYZUCNSA-N 0.000 description 1
- UVGLIWCAMUOQPL-QMMMGPOBSA-N (2s)-2-methylhept-6-en-1-ol Chemical compound OC[C@@H](C)CCCC=C UVGLIWCAMUOQPL-QMMMGPOBSA-N 0.000 description 1
- OORUMIIDKDTTNO-QMMMGPOBSA-N (2s)-2-methylhept-6-enal Chemical compound O=C[C@@H](C)CCCC=C OORUMIIDKDTTNO-QMMMGPOBSA-N 0.000 description 1
- MZOFCQQQCNRIBI-VMXHOPILSA-N (3s)-4-[[(2s)-1-[[(2s)-1-[[(1s)-1-carboxy-2-hydroxyethyl]amino]-4-methyl-1-oxopentan-2-yl]amino]-5-(diaminomethylideneamino)-1-oxopentan-2-yl]amino]-3-[[2-[[(2s)-2,6-diaminohexanoyl]amino]acetyl]amino]-4-oxobutanoic acid Chemical compound OC[C@@H](C(O)=O)NC(=O)[C@H](CC(C)C)NC(=O)[C@H](CCCN=C(N)N)NC(=O)[C@H](CC(O)=O)NC(=O)CNC(=O)[C@@H](N)CCCCN MZOFCQQQCNRIBI-VMXHOPILSA-N 0.000 description 1
- OFIKBZUYKUKBNG-DMUMMCEESA-N (3s,6r,7s,8s)-3-[tert-butyl(dimethyl)silyl]oxy-7-hydroxy-4,4,6,8-tetramethyl-5-oxotridec-12-enoic acid Chemical compound C=CCCC[C@H](C)[C@H](O)[C@@H](C)C(=O)C(C)(C)[C@H](CC(O)=O)O[Si](C)(C)C(C)(C)C OFIKBZUYKUKBNG-DMUMMCEESA-N 0.000 description 1
- TYHGKLBJBHACOI-UHFFFAOYSA-N (4-methoxyphenyl)methyl 2,2,2-trichloroethanimidate Chemical compound COC1=CC=C(COC(=N)C(Cl)(Cl)Cl)C=C1 TYHGKLBJBHACOI-UHFFFAOYSA-N 0.000 description 1
- RYHBNJHYFVUHQT-UHFFFAOYSA-N 1,4-Dioxane Chemical compound C1COCCO1 RYHBNJHYFVUHQT-UHFFFAOYSA-N 0.000 description 1
- WLXGQMVCYPUOLM-UHFFFAOYSA-N 1-hydroxyethanesulfonic acid Chemical compound CC(O)S(O)(=O)=O WLXGQMVCYPUOLM-UHFFFAOYSA-N 0.000 description 1
- PVYBKZHBCCMBPS-UHFFFAOYSA-N 2,2-dimethyl-3-oxopentanal Chemical compound CCC(=O)C(C)(C)C=O PVYBKZHBCCMBPS-UHFFFAOYSA-N 0.000 description 1
- LBLYYCQCTBFVLH-UHFFFAOYSA-N 2-Methylbenzenesulfonic acid Chemical compound CC1=CC=CC=C1S(O)(=O)=O LBLYYCQCTBFVLH-UHFFFAOYSA-N 0.000 description 1
- NGNBDVOYPDDBFK-UHFFFAOYSA-N 2-[2,4-di(pentan-2-yl)phenoxy]acetyl chloride Chemical compound CCCC(C)C1=CC=C(OCC(Cl)=O)C(C(C)CCC)=C1 NGNBDVOYPDDBFK-UHFFFAOYSA-N 0.000 description 1
- GOJUJUVQIVIZAV-UHFFFAOYSA-N 2-amino-4,6-dichloropyrimidine-5-carbaldehyde Chemical group NC1=NC(Cl)=C(C=O)C(Cl)=N1 GOJUJUVQIVIZAV-UHFFFAOYSA-N 0.000 description 1
- XWKFPIODWVPXLX-UHFFFAOYSA-N 2-methyl-5-methylpyridine Natural products CC1=CC=C(C)N=C1 XWKFPIODWVPXLX-UHFFFAOYSA-N 0.000 description 1
- JFVZDQVQJUZSAX-UHFFFAOYSA-N 3-[tert-butyl(dimethyl)silyl]oxy-4,4-dimethyl-5-oxoheptanal Chemical compound CCC(=O)C(C)(C)C(CC=O)O[Si](C)(C)C(C)(C)C JFVZDQVQJUZSAX-UHFFFAOYSA-N 0.000 description 1
- ANTOMNWQHCTPIC-UHFFFAOYSA-N 3-[tert-butyl(dimethyl)silyl]oxy-4,4-dimethyl-5-oxoheptanoic acid Chemical compound CCC(=O)C(C)(C)C(CC(O)=O)O[Si](C)(C)C(C)(C)C ANTOMNWQHCTPIC-UHFFFAOYSA-N 0.000 description 1
- RSEUOMWVYSLIKM-UHFFFAOYSA-N 4-(2-methylprop-1-enyl)morpholine Chemical compound CC(C)=CN1CCOCC1 RSEUOMWVYSLIKM-UHFFFAOYSA-N 0.000 description 1
- RRBWKUCJPXAHGK-UHFFFAOYSA-N 5-[tert-butyl(dimethyl)silyl]oxy-4,4-dimethyloct-7-en-3-one Chemical compound CCC(=O)C(C)(C)C(CC=C)O[Si](C)(C)C(C)(C)C RRBWKUCJPXAHGK-UHFFFAOYSA-N 0.000 description 1
- RXGJTUSBYWCRBK-UHFFFAOYSA-M 5-methylphenazinium methyl sulfate Chemical compound COS([O-])(=O)=O.C1=CC=C2[N+](C)=C(C=CC=C3)C3=NC2=C1 RXGJTUSBYWCRBK-UHFFFAOYSA-M 0.000 description 1
- ZCYVEMRRCGMTRW-UHFFFAOYSA-N 7553-56-2 Chemical group [I] ZCYVEMRRCGMTRW-UHFFFAOYSA-N 0.000 description 1
- 208000030507 AIDS Diseases 0.000 description 1
- 206010065040 AIDS dementia complex Diseases 0.000 description 1
- 208000031261 Acute myeloid leukaemia Diseases 0.000 description 1
- 208000036762 Acute promyelocytic leukaemia Diseases 0.000 description 1
- 208000024827 Alzheimer disease Diseases 0.000 description 1
- 239000004475 Arginine Substances 0.000 description 1
- BSYNRYMUTXBXSQ-UHFFFAOYSA-N Aspirin Chemical compound CC(=O)OC1=CC=CC=C1C(O)=O BSYNRYMUTXBXSQ-UHFFFAOYSA-N 0.000 description 1
- 206010003571 Astrocytoma Diseases 0.000 description 1
- 201000001320 Atherosclerosis Diseases 0.000 description 1
- 208000023275 Autoimmune disease Diseases 0.000 description 1
- 208000003950 B-cell lymphoma Diseases 0.000 description 1
- 208000032791 BCR-ABL1 positive chronic myelogenous leukemia Diseases 0.000 description 1
- 201000004569 Blindness Diseases 0.000 description 1
- WKBOTKDWSSQWDR-UHFFFAOYSA-N Bromine atom Chemical group [Br] WKBOTKDWSSQWDR-UHFFFAOYSA-N 0.000 description 1
- GMSPQLKHPYXGFF-XRFBJIGWSA-N C/C(=C\C1=CSC(CC(C)(C)C)=N1)C1C[C@@H]2O[C@]2(C)CCC[C@H](C)[C@H](O)[C@@H](C)C(=O)C(C)(C)[C@@H](O)CC(=O)N1.O=[Si](C1=CC=CC=C1)C1=CC=CC=C1 Chemical compound C/C(=C\C1=CSC(CC(C)(C)C)=N1)C1C[C@@H]2O[C@]2(C)CCC[C@H](C)[C@H](O)[C@@H](C)C(=O)C(C)(C)[C@@H](O)CC(=O)N1.O=[Si](C1=CC=CC=C1)C1=CC=CC=C1 GMSPQLKHPYXGFF-XRFBJIGWSA-N 0.000 description 1
- UKIMCRYGLFQEOE-AMEUVYIQSA-N C/C(=C\C1=CSC(CO)=N1)C1C[C@@H]2O[C@]2(C)CCC[C@H](C)[C@H](O)[C@@H](C)C(=O)C(C)(C)[C@@H](O)CC(=O)O1 Chemical compound C/C(=C\C1=CSC(CO)=N1)C1C[C@@H]2O[C@]2(C)CCC[C@H](C)[C@H](O)[C@@H](C)C(=O)C(C)(C)[C@@H](O)CC(=O)O1 UKIMCRYGLFQEOE-AMEUVYIQSA-N 0.000 description 1
- VMPWGENLLKBTSM-AEEURSPKSA-N CC1=NC(/C=C(\C)C2C/C=C(/C)CCC[C@H](C)[C@H](O)[C@@H](C)C(=O)C(C)(C)[C@@H](O)CC(=O)N2)=CS1 Chemical compound CC1=NC(/C=C(\C)C2C/C=C(/C)CCC[C@H](C)[C@H](O)[C@@H](C)C(=O)C(C)(C)[C@@H](O)CC(=O)N2)=CS1 VMPWGENLLKBTSM-AEEURSPKSA-N 0.000 description 1
- ZIGDKICXOTUYMF-CKOQHKLDSA-N CC1=NC(/C=C(\C)C2C/C=C/CCC[C@H](C)[C@H](O)[C@@H](C)C(=O)C(C)(C)[C@@H](O)CC(=O)N2)=CS1 Chemical compound CC1=NC(/C=C(\C)C2C/C=C/CCC[C@H](C)[C@H](O)[C@@H](C)C(=O)C(C)(C)[C@@H](O)CC(=O)N2)=CS1 ZIGDKICXOTUYMF-CKOQHKLDSA-N 0.000 description 1
- LXPQEMJQPZOSQW-GPZBMDRXSA-N CC1=NC(/C=C(\C)C2C[C@@H]3O[C@@H]3CCC[C@H](C)[C@H](O)[C@@H](C)C(=O)C(C)(C)[C@@H](O)CC(=O)N2)=CS1 Chemical compound CC1=NC(/C=C(\C)C2C[C@@H]3O[C@@H]3CCC[C@H](C)[C@H](O)[C@@H](C)C(=O)C(C)(C)[C@@H](O)CC(=O)N2)=CS1 LXPQEMJQPZOSQW-GPZBMDRXSA-N 0.000 description 1
- FABUFPQFXZVHFB-HPZHUWBASA-N CC1=NC(/C=C(\C)C2C[C@@H]3O[C@]3(C)CCC[C@H](C)[C@H](O)[C@@H](C)C(=O)C(C)(C)[C@@H](O)CC(=O)N2)=CS1 Chemical compound CC1=NC(/C=C(\C)C2C[C@@H]3O[C@]3(C)CCC[C@H](C)[C@H](O)[C@@H](C)C(=O)C(C)(C)[C@@H](O)CC(=O)N2)=CS1 FABUFPQFXZVHFB-HPZHUWBASA-N 0.000 description 1
- BUTLDLIXYSAKBF-HPZHUWBASA-N CC1=[N+]([O-])C(/C=C(\C)C2C[C@@H]3O[C@]3(C)CCC[C@H](C)[C@H](O)[C@@H](C)C(=O)C(C)(C)[C@@H](O)CC(=O)O2)=CS1 Chemical compound CC1=[N+]([O-])C(/C=C(\C)C2C[C@@H]3O[C@]3(C)CCC[C@H](C)[C@H](O)[C@@H](C)C(=O)C(C)(C)[C@@H](O)CC(=O)O2)=CS1 BUTLDLIXYSAKBF-HPZHUWBASA-N 0.000 description 1
- 101100314454 Caenorhabditis elegans tra-1 gene Proteins 0.000 description 1
- OYPRJOBELJOOCE-UHFFFAOYSA-N Calcium Chemical compound [Ca] OYPRJOBELJOOCE-UHFFFAOYSA-N 0.000 description 1
- 206010058019 Cancer Pain Diseases 0.000 description 1
- ZAMOUSCENKQFHK-UHFFFAOYSA-N Chlorine atom Chemical group [Cl] ZAMOUSCENKQFHK-UHFFFAOYSA-N 0.000 description 1
- 206010009944 Colon cancer Diseases 0.000 description 1
- 201000003883 Cystic fibrosis Diseases 0.000 description 1
- 102000003915 DNA Topoisomerases Human genes 0.000 description 1
- 108090000323 DNA Topoisomerases Proteins 0.000 description 1
- 239000012624 DNA alkylating agent Substances 0.000 description 1
- 230000000970 DNA cross-linking effect Effects 0.000 description 1
- 101710088194 Dehydrogenase Proteins 0.000 description 1
- XBPCUCUWBYBCDP-UHFFFAOYSA-N Dicyclohexylamine Chemical compound C1CCCCC1NC1CCCCC1 XBPCUCUWBYBCDP-UHFFFAOYSA-N 0.000 description 1
- 108090000790 Enzymes Proteins 0.000 description 1
- 102000004190 Enzymes Human genes 0.000 description 1
- UKIMCRYGLFQEOE-UHFFFAOYSA-N Epothilone F Natural products O1C(=O)CC(O)C(C)(C)C(=O)C(C)C(O)C(C)CCCC2(C)OC2CC1C(C)=CC1=CSC(CO)=N1 UKIMCRYGLFQEOE-UHFFFAOYSA-N 0.000 description 1
- 201000006107 Familial adenomatous polyposis Diseases 0.000 description 1
- 206010018364 Glomerulonephritis Diseases 0.000 description 1
- NYHBQMYGNKIUIF-UUOKFMHZSA-N Guanosine Chemical compound C1=NC=2C(=O)NC(N)=NC=2N1[C@@H]1O[C@H](CO)[C@@H](O)[C@H]1O NYHBQMYGNKIUIF-UUOKFMHZSA-N 0.000 description 1
- 208000017604 Hodgkin disease Diseases 0.000 description 1
- 208000021519 Hodgkin lymphoma Diseases 0.000 description 1
- 208000010747 Hodgkins lymphoma Diseases 0.000 description 1
- 241000701044 Human gammaherpesvirus 4 Species 0.000 description 1
- DGAQECJNVWCQMB-PUAWFVPOSA-M Ilexoside XXIX Chemical compound C[C@@H]1CC[C@@]2(CC[C@@]3(C(=CC[C@H]4[C@]3(CC[C@@H]5[C@@]4(CC[C@@H](C5(C)C)OS(=O)(=O)[O-])C)C)[C@@H]2[C@]1(C)O)C)C(=O)O[C@H]6[C@@H]([C@H]([C@@H]([C@H](O6)CO)O)O)O.[Na+] DGAQECJNVWCQMB-PUAWFVPOSA-M 0.000 description 1
- 208000022559 Inflammatory bowel disease Diseases 0.000 description 1
- 206010023347 Keratoacanthoma Diseases 0.000 description 1
- 150000000994 L-ascorbates Chemical class 0.000 description 1
- WHXSMMKQMYFTQS-UHFFFAOYSA-N Lithium Chemical compound [Li] WHXSMMKQMYFTQS-UHFFFAOYSA-N 0.000 description 1
- KDXKERNSBIXSRK-UHFFFAOYSA-N Lysine Natural products NCCCCC(N)C(O)=O KDXKERNSBIXSRK-UHFFFAOYSA-N 0.000 description 1
- 239000004472 Lysine Substances 0.000 description 1
- 102000029749 Microtubule Human genes 0.000 description 1
- 108091022875 Microtubule Proteins 0.000 description 1
- 101100189356 Mus musculus Papolb gene Proteins 0.000 description 1
- 201000003793 Myelodysplastic syndrome Diseases 0.000 description 1
- 208000033761 Myelogenous Chronic BCR-ABL Positive Leukemia Diseases 0.000 description 1
- 208000033776 Myeloid Acute Leukemia Diseases 0.000 description 1
- 150000001204 N-oxides Chemical class 0.000 description 1
- VVBXKASDRZXWON-UHFFFAOYSA-N N=[PH3] Chemical compound N=[PH3] VVBXKASDRZXWON-UHFFFAOYSA-N 0.000 description 1
- IOVCWXUNBOPUCH-UHFFFAOYSA-N Nitrous acid Chemical compound ON=O IOVCWXUNBOPUCH-UHFFFAOYSA-N 0.000 description 1
- 208000015914 Non-Hodgkin lymphomas Diseases 0.000 description 1
- 239000004677 Nylon Substances 0.000 description 1
- YZKNPYMWPWPFSU-AUESBKNDSA-N O=C=O.[H]C[C@H](O)C(C)(C)C(=O)[C@H](C)[C@@H](O)[C@@H](C)CCC[C@@]1(C)O[C@H]1CC(N)/C(C)=C/C1=CSC(CO)=N1 Chemical compound O=C=O.[H]C[C@H](O)C(C)(C)C(=O)[C@H](C)[C@@H](O)[C@@H](C)CCC[C@@]1(C)O[C@H]1CC(N)/C(C)=C/C1=CSC(CO)=N1 YZKNPYMWPWPFSU-AUESBKNDSA-N 0.000 description 1
- ZHFMHUXDZJTEPK-AUESBKNDSA-N O=C=O.[H]C[C@H](O)C(C)(C)C(=O)[C@H](C)[C@@H](O)[C@@H](C)CCC[C@@]1(C)O[C@H]1CC(N=[N+]=[N-])/C(C)=C/C1=CSC(CO)=N1 Chemical compound O=C=O.[H]C[C@H](O)C(C)(C)C(=O)[C@H](C)[C@@H](O)[C@@H](C)CCC[C@@]1(C)O[C@H]1CC(N=[N+]=[N-])/C(C)=C/C1=CSC(CO)=N1 ZHFMHUXDZJTEPK-AUESBKNDSA-N 0.000 description 1
- 208000001132 Osteoporosis Diseases 0.000 description 1
- 229910019142 PO4 Inorganic materials 0.000 description 1
- 229930012538 Paclitaxel Natural products 0.000 description 1
- 208000018737 Parkinson disease Diseases 0.000 description 1
- 239000004793 Polystyrene Substances 0.000 description 1
- ZLMJMSJWJFRBEC-UHFFFAOYSA-N Potassium Chemical compound [K] ZLMJMSJWJFRBEC-UHFFFAOYSA-N 0.000 description 1
- OFOBLEOULBTSOW-UHFFFAOYSA-N Propanedioic acid Natural products OC(=O)CC(O)=O OFOBLEOULBTSOW-UHFFFAOYSA-N 0.000 description 1
- 206010063837 Reperfusion injury Diseases 0.000 description 1
- 208000007014 Retinitis pigmentosa Diseases 0.000 description 1
- 230000018199 S phase Effects 0.000 description 1
- 229910006074 SO2NH2 Inorganic materials 0.000 description 1
- 241000710960 Sindbis virus Species 0.000 description 1
- KEAYESYHFKHZAL-UHFFFAOYSA-N Sodium Chemical compound [Na] KEAYESYHFKHZAL-UHFFFAOYSA-N 0.000 description 1
- 208000006011 Stroke Diseases 0.000 description 1
- 206010042971 T-cell lymphoma Diseases 0.000 description 1
- 208000027585 T-cell non-Hodgkin lymphoma Diseases 0.000 description 1
- 108060008682 Tumor Necrosis Factor Proteins 0.000 description 1
- 102000000852 Tumor Necrosis Factor-alpha Human genes 0.000 description 1
- 206010067584 Type 1 diabetes mellitus Diseases 0.000 description 1
- 102000007537 Type II DNA Topoisomerases Human genes 0.000 description 1
- 108010046308 Type II DNA Topoisomerases Proteins 0.000 description 1
- 208000036142 Viral infection Diseases 0.000 description 1
- 229910001115 Zinc-copper couple Inorganic materials 0.000 description 1
- PBCJIPOGFJYBJE-UHFFFAOYSA-N acetonitrile;hydrate Chemical compound O.CC#N PBCJIPOGFJYBJE-UHFFFAOYSA-N 0.000 description 1
- 229960001138 acetylsalicylic acid Drugs 0.000 description 1
- 239000002253 acid Substances 0.000 description 1
- 239000013543 active substance Substances 0.000 description 1
- 230000001154 acute effect Effects 0.000 description 1
- 125000005073 adamantyl group Chemical group C12(CC3CC(CC(C1)C3)C2)* 0.000 description 1
- 239000000654 additive Substances 0.000 description 1
- 238000012382 advanced drug delivery Methods 0.000 description 1
- 150000001299 aldehydes Chemical class 0.000 description 1
- 238000005575 aldol reaction Methods 0.000 description 1
- 229910052783 alkali metal Inorganic materials 0.000 description 1
- 150000001340 alkali metals Chemical class 0.000 description 1
- 229910052784 alkaline earth metal Inorganic materials 0.000 description 1
- 150000001342 alkaline earth metals Chemical class 0.000 description 1
- 238000005865 alkene metathesis reaction Methods 0.000 description 1
- 150000001350 alkyl halides Chemical class 0.000 description 1
- 125000004390 alkyl sulfonyl group Chemical group 0.000 description 1
- 239000002168 alkylating agent Substances 0.000 description 1
- 229940100198 alkylating agent Drugs 0.000 description 1
- 238000005937 allylation reaction Methods 0.000 description 1
- 150000001413 amino acids Chemical class 0.000 description 1
- 125000004397 aminosulfonyl group Chemical group NS(=O)(=O)* 0.000 description 1
- 206010002026 amyotrophic lateral sclerosis Diseases 0.000 description 1
- 238000004458 analytical method Methods 0.000 description 1
- 208000007502 anemia Diseases 0.000 description 1
- 230000003527 anti-angiogenesis Effects 0.000 description 1
- 230000005775 apoptotic pathway Effects 0.000 description 1
- 239000007864 aqueous solution Substances 0.000 description 1
- 238000010936 aqueous wash Methods 0.000 description 1
- 125000005140 aralkylsulfonyl group Chemical group 0.000 description 1
- ODKSFYDXXFIFQN-UHFFFAOYSA-N arginine Natural products OC(=O)C(N)CCCNC(N)=N ODKSFYDXXFIFQN-UHFFFAOYSA-N 0.000 description 1
- 125000002029 aromatic hydrocarbon group Chemical group 0.000 description 1
- 125000005239 aroylamino group Chemical group 0.000 description 1
- 230000006793 arrhythmia Effects 0.000 description 1
- 206010003119 arrhythmia Diseases 0.000 description 1
- 125000004659 aryl alkyl thio group Chemical group 0.000 description 1
- 150000004792 aryl magnesium halides Chemical class 0.000 description 1
- 125000004391 aryl sulfonyl group Chemical group 0.000 description 1
- 125000005110 aryl thio group Chemical group 0.000 description 1
- 235000010323 ascorbic acid Nutrition 0.000 description 1
- 238000003556 assay Methods 0.000 description 1
- 238000010533 azeotropic distillation Methods 0.000 description 1
- 150000001541 aziridines Chemical class 0.000 description 1
- 230000008901 benefit Effects 0.000 description 1
- SRSXLGNVWSONIS-UHFFFAOYSA-N benzenesulfonic acid Chemical compound OS(=O)(=O)C1=CC=CC=C1 SRSXLGNVWSONIS-UHFFFAOYSA-N 0.000 description 1
- 229940092714 benzenesulfonic acid Drugs 0.000 description 1
- 150000001558 benzoic acid derivatives Chemical class 0.000 description 1
- 125000004541 benzoxazolyl group Chemical group O1C(=NC2=C1C=CC=C2)* 0.000 description 1
- 125000001797 benzyl group Chemical group [H]C1=C([H])C([H])=C(C([H])=C1[H])C([H])([H])* 0.000 description 1
- 125000000649 benzylidene group Chemical group [H]C(=[*])C1=C([H])C([H])=C([H])C([H])=C1[H] 0.000 description 1
- PNPBGYBHLCEVMK-UHFFFAOYSA-N benzylidene(dichloro)ruthenium;tricyclohexylphosphanium Chemical compound Cl[Ru](Cl)=CC1=CC=CC=C1.C1CCCCC1[PH+](C1CCCCC1)C1CCCCC1.C1CCCCC1[PH+](C1CCCCC1)C1CCCCC1 PNPBGYBHLCEVMK-UHFFFAOYSA-N 0.000 description 1
- SUMDYPCJJOFFON-UHFFFAOYSA-N beta-hydroxyethanesulfonic acid Natural products OCCS(O)(=O)=O SUMDYPCJJOFFON-UHFFFAOYSA-N 0.000 description 1
- 239000012867 bioactive agent Substances 0.000 description 1
- 230000004071 biological effect Effects 0.000 description 1
- 239000012455 biphasic mixture Substances 0.000 description 1
- 235000010290 biphenyl Nutrition 0.000 description 1
- 239000004305 biphenyl Substances 0.000 description 1
- 125000006267 biphenyl group Chemical group 0.000 description 1
- UWTDFICHZKXYAC-UHFFFAOYSA-N boron;oxolane Chemical compound [B].C1CCOC1 UWTDFICHZKXYAC-UHFFFAOYSA-N 0.000 description 1
- 150000001642 boronic acid derivatives Chemical class 0.000 description 1
- GDTBXPJZTBHREO-UHFFFAOYSA-N bromine Chemical group BrBr GDTBXPJZTBHREO-UHFFFAOYSA-N 0.000 description 1
- 229910052794 bromium Inorganic materials 0.000 description 1
- 239000008366 buffered solution Substances 0.000 description 1
- 244000309464 bull Species 0.000 description 1
- IGCNYLNBNWBQKO-UHFFFAOYSA-N but-3-enyl trifluoromethanesulfonate Chemical compound FC(F)(F)S(=O)(=O)OCCC=C IGCNYLNBNWBQKO-UHFFFAOYSA-N 0.000 description 1
- 239000011575 calcium Substances 0.000 description 1
- 229910052791 calcium Inorganic materials 0.000 description 1
- 244000309466 calf Species 0.000 description 1
- 239000002775 capsule Substances 0.000 description 1
- 125000001951 carbamoylamino group Chemical group C(N)(=O)N* 0.000 description 1
- 125000004181 carboxyalkyl group Chemical group 0.000 description 1
- 230000022131 cell cycle Effects 0.000 description 1
- 230000030833 cell death Effects 0.000 description 1
- 238000001516 cell proliferation assay Methods 0.000 description 1
- 230000001413 cellular effect Effects 0.000 description 1
- 210000003169 central nervous system Anatomy 0.000 description 1
- 208000025434 cerebellar degeneration Diseases 0.000 description 1
- 210000003679 cervix uteri Anatomy 0.000 description 1
- 230000008859 change Effects 0.000 description 1
- GTRGJJDVSJFNTE-UHFFFAOYSA-N chembl2009633 Chemical compound OC1=CC=C2C=C(S(O)(=O)=O)C=CC2=C1N=NC1=CC=CC=C1 GTRGJJDVSJFNTE-UHFFFAOYSA-N 0.000 description 1
- 238000012602 chemosensitivity assay Methods 0.000 description 1
- 239000012069 chiral reagent Substances 0.000 description 1
- 239000000460 chlorine Chemical group 0.000 description 1
- 229910052801 chlorine Inorganic materials 0.000 description 1
- 150000001860 citric acid derivatives Chemical class 0.000 description 1
- 208000029664 classic familial adenomatous polyposis Diseases 0.000 description 1
- 210000001072 colon Anatomy 0.000 description 1
- 238000001816 cooling Methods 0.000 description 1
- TVZPLCNGKSPOJA-UHFFFAOYSA-N copper zinc Chemical compound [Cu].[Zn] TVZPLCNGKSPOJA-UHFFFAOYSA-N 0.000 description 1
- 230000008878 coupling Effects 0.000 description 1
- 239000003431 cross linking reagent Substances 0.000 description 1
- 125000001995 cyclobutyl group Chemical group [H]C1([H])C([H])([H])C([H])(*)C1([H])[H] 0.000 description 1
- 125000000582 cycloheptyl group Chemical group [H]C1([H])C([H])([H])C([H])([H])C([H])([H])C([H])(*)C([H])([H])C1([H])[H] 0.000 description 1
- 125000000113 cyclohexyl group Chemical group [H]C1([H])C([H])([H])C([H])([H])C([H])(*)C([H])([H])C1([H])[H] 0.000 description 1
- 125000000640 cyclooctyl group Chemical group [H]C1([H])C([H])([H])C([H])([H])C([H])([H])C([H])(*)C([H])([H])C([H])([H])C1([H])[H] 0.000 description 1
- VYZZYIJFEPWENJ-UHFFFAOYSA-N cyclopenta-1,3-diene niobium(2+) Chemical compound [Nb++].c1cc[cH-]c1.c1cc[cH-]c1 VYZZYIJFEPWENJ-UHFFFAOYSA-N 0.000 description 1
- IDASTKMEQGPVRR-UHFFFAOYSA-N cyclopenta-1,3-diene;zirconium(2+) Chemical compound [Zr+2].C=1C=C[CH-]C=1.C=1C=C[CH-]C=1 IDASTKMEQGPVRR-UHFFFAOYSA-N 0.000 description 1
- 125000001511 cyclopentyl group Chemical group [H]C1([H])C([H])([H])C([H])([H])C([H])(*)C1([H])[H] 0.000 description 1
- 238000005888 cyclopropanation reaction Methods 0.000 description 1
- 230000001472 cytotoxic effect Effects 0.000 description 1
- 239000003145 cytotoxic factor Substances 0.000 description 1
- KWGRBVOPPLSCSI-UHFFFAOYSA-N d-ephedrine Natural products CNC(C)C(O)C1=CC=CC=C1 KWGRBVOPPLSCSI-UHFFFAOYSA-N 0.000 description 1
- 230000001419 dependent effect Effects 0.000 description 1
- 238000011161 development Methods 0.000 description 1
- 125000004663 dialkyl amino group Chemical group 0.000 description 1
- DHCWLIOIJZJFJE-UHFFFAOYSA-L dichlororuthenium Chemical compound Cl[Ru]Cl DHCWLIOIJZJFJE-UHFFFAOYSA-L 0.000 description 1
- NZZFYRREKKOMAT-UHFFFAOYSA-N diiodomethane Chemical compound ICI NZZFYRREKKOMAT-UHFFFAOYSA-N 0.000 description 1
- 239000003937 drug carrier Substances 0.000 description 1
- 238000009510 drug design Methods 0.000 description 1
- 238000009509 drug development Methods 0.000 description 1
- UKIMCRYGLFQEOE-RGJAOAFDSA-N epothilone f Chemical compound C/C([C@@H]1C[C@@H]2O[C@]2(C)CCC[C@@H]([C@@H]([C@@H](C)C(=O)C(C)(C)[C@@H](O)CC(=O)O1)O)C)=C\C1=CSC(CO)=N1 UKIMCRYGLFQEOE-RGJAOAFDSA-N 0.000 description 1
- 150000002118 epoxides Chemical class 0.000 description 1
- DLLJVQNYBYOKGS-UHFFFAOYSA-N ethoxyethane;pentane Chemical compound CCCCC.CCOCC DLLJVQNYBYOKGS-UHFFFAOYSA-N 0.000 description 1
- HYKFUNUAQCOKEW-UHFFFAOYSA-N ethyl acetate;hexane;toluene Chemical compound CCCCCC.CCOC(C)=O.CC1=CC=CC=C1 HYKFUNUAQCOKEW-UHFFFAOYSA-N 0.000 description 1
- 125000001495 ethyl group Chemical group [H]C([H])([H])C([H])([H])* 0.000 description 1
- DEFVIWRASFVYLL-UHFFFAOYSA-N ethylene glycol bis(2-aminoethyl)tetraacetic acid Chemical compound OC(=O)CN(CC(O)=O)CCOCCOCCN(CC(O)=O)CC(O)=O DEFVIWRASFVYLL-UHFFFAOYSA-N 0.000 description 1
- 238000000605 extraction Methods 0.000 description 1
- 239000010408 film Substances 0.000 description 1
- 239000012065 filter cake Substances 0.000 description 1
- 239000011737 fluorine Substances 0.000 description 1
- 229910052731 fluorine Inorganic materials 0.000 description 1
- 125000001153 fluoro group Chemical group F* 0.000 description 1
- 230000003325 follicular Effects 0.000 description 1
- 201000003444 follicular lymphoma Diseases 0.000 description 1
- 238000009472 formulation Methods 0.000 description 1
- 239000008187 granular material Substances 0.000 description 1
- 239000003102 growth factor Substances 0.000 description 1
- 125000002795 guanidino group Chemical group C(N)(=N)N* 0.000 description 1
- 208000014951 hematologic disease Diseases 0.000 description 1
- 230000013632 homeostatic process Effects 0.000 description 1
- 239000005556 hormone Substances 0.000 description 1
- 229940088597 hormone Drugs 0.000 description 1
- 150000002430 hydrocarbons Chemical group 0.000 description 1
- 229910000042 hydrogen bromide Inorganic materials 0.000 description 1
- 238000005984 hydrogenation reaction Methods 0.000 description 1
- USZLCYNVCCDPLQ-UHFFFAOYSA-N hydron;n-methoxymethanamine;chloride Chemical compound Cl.CNOC USZLCYNVCCDPLQ-UHFFFAOYSA-N 0.000 description 1
- 230000003463 hyperproliferative effect Effects 0.000 description 1
- 238000001727 in vivo Methods 0.000 description 1
- 230000001939 inductive effect Effects 0.000 description 1
- 230000002757 inflammatory effect Effects 0.000 description 1
- 238000001990 intravenous administration Methods 0.000 description 1
- 239000011630 iodine Chemical group 0.000 description 1
- 229910052740 iodine Chemical group 0.000 description 1
- 150000002500 ions Chemical class 0.000 description 1
- 208000037906 ischaemic injury Diseases 0.000 description 1
- 150000002576 ketones Chemical class 0.000 description 1
- 210000003734 kidney Anatomy 0.000 description 1
- 208000017169 kidney disease Diseases 0.000 description 1
- CFHGBZLNZZVTAY-UHFFFAOYSA-N lawesson's reagent Chemical compound C1=CC(OC)=CC=C1P1(=S)SP(=S)(C=2C=CC(OC)=CC=2)S1 CFHGBZLNZZVTAY-UHFFFAOYSA-N 0.000 description 1
- 230000003902 lesion Effects 0.000 description 1
- 208000032839 leukemia Diseases 0.000 description 1
- 238000004895 liquid chromatography mass spectrometry Methods 0.000 description 1
- DLEDOFVPSDKWEF-UHFFFAOYSA-N lithium butane Chemical compound [Li+].CCC[CH2-] DLEDOFVPSDKWEF-UHFFFAOYSA-N 0.000 description 1
- OKGGRXMKBJLXHI-UHFFFAOYSA-N lithium;triethoxyalumane Chemical compound [Li].CCO[Al](OCC)OCC OKGGRXMKBJLXHI-UHFFFAOYSA-N 0.000 description 1
- 210000004185 liver Anatomy 0.000 description 1
- 208000019423 liver disease Diseases 0.000 description 1
- 210000004072 lung Anatomy 0.000 description 1
- 239000003120 macrolide antibiotic agent Substances 0.000 description 1
- 229910001629 magnesium chloride Inorganic materials 0.000 description 1
- NXPHGHWWQRMDIA-UHFFFAOYSA-M magnesium;carbanide;bromide Chemical compound [CH3-].[Mg+2].[Br-] NXPHGHWWQRMDIA-UHFFFAOYSA-M 0.000 description 1
- VZCYOOQTPOCHFL-UPHRSURJSA-N maleic acid Chemical compound OC(=O)\C=C/C(O)=O VZCYOOQTPOCHFL-UPHRSURJSA-N 0.000 description 1
- 239000011976 maleic acid Substances 0.000 description 1
- 239000000463 material Substances 0.000 description 1
- 230000001404 mediated effect Effects 0.000 description 1
- 239000012528 membrane Substances 0.000 description 1
- VNWKTOKETHGBQD-UHFFFAOYSA-N methane Natural products C VNWKTOKETHGBQD-UHFFFAOYSA-N 0.000 description 1
- 229940098779 methanesulfonic acid Drugs 0.000 description 1
- 150000007522 mineralic acids Chemical class 0.000 description 1
- 230000004048 modification Effects 0.000 description 1
- 238000012986 modification Methods 0.000 description 1
- 125000002911 monocyclic heterocycle group Chemical group 0.000 description 1
- 210000002346 musculoskeletal system Anatomy 0.000 description 1
- 230000035772 mutation Effects 0.000 description 1
- 208000010125 myocardial infarction Diseases 0.000 description 1
- KRKPYFLIYNGWTE-UHFFFAOYSA-N n,o-dimethylhydroxylamine Chemical compound CNOC KRKPYFLIYNGWTE-UHFFFAOYSA-N 0.000 description 1
- 125000001624 naphthyl group Chemical group 0.000 description 1
- 208000007538 neurilemmoma Diseases 0.000 description 1
- 150000002823 nitrates Chemical class 0.000 description 1
- 125000000449 nitro group Chemical group [O-][N+](*)=O 0.000 description 1
- 125000004433 nitrogen atom Chemical group N* 0.000 description 1
- 229920001778 nylon Polymers 0.000 description 1
- 230000003287 optical effect Effects 0.000 description 1
- 150000007524 organic acids Chemical class 0.000 description 1
- 150000007530 organic bases Chemical class 0.000 description 1
- 125000002524 organometallic group Chemical group 0.000 description 1
- 201000008968 osteosarcoma Diseases 0.000 description 1
- BSCHIACBONPEOB-UHFFFAOYSA-N oxolane;hydrate Chemical compound O.C1CCOC1 BSCHIACBONPEOB-UHFFFAOYSA-N 0.000 description 1
- MUMZUERVLWJKNR-UHFFFAOYSA-N oxoplatinum Chemical compound [Pt]=O MUMZUERVLWJKNR-UHFFFAOYSA-N 0.000 description 1
- 125000004430 oxygen atom Chemical group O* 0.000 description 1
- 238000005949 ozonolysis reaction Methods 0.000 description 1
- 229960001592 paclitaxel Drugs 0.000 description 1
- 210000000496 pancreas Anatomy 0.000 description 1
- 230000008506 pathogenesis Effects 0.000 description 1
- 210000001428 peripheral nervous system Anatomy 0.000 description 1
- 239000008024 pharmaceutical diluent Substances 0.000 description 1
- 125000001997 phenyl group Chemical group [H]C1=C([H])C([H])=C(*)C([H])=C1[H] 0.000 description 1
- 235000021317 phosphate Nutrition 0.000 description 1
- 150000003013 phosphoric acid derivatives Chemical class 0.000 description 1
- BASFCYQUMIYNBI-UHFFFAOYSA-N platinum Substances [Pt] BASFCYQUMIYNBI-UHFFFAOYSA-N 0.000 description 1
- 229910003446 platinum oxide Inorganic materials 0.000 description 1
- 229920000642 polymer Polymers 0.000 description 1
- 229920002223 polystyrene Polymers 0.000 description 1
- 229910052700 potassium Inorganic materials 0.000 description 1
- 239000011591 potassium Substances 0.000 description 1
- 239000000843 powder Substances 0.000 description 1
- 150000003141 primary amines Chemical class 0.000 description 1
- 230000035755 proliferation Effects 0.000 description 1
- RZWZRACFZGVKFM-UHFFFAOYSA-N propanoyl chloride Chemical compound CCC(Cl)=O RZWZRACFZGVKFM-UHFFFAOYSA-N 0.000 description 1
- KWGRBVOPPLSCSI-WCBMZHEXSA-N pseudoephedrine Chemical compound CN[C@@H](C)[C@@H](O)C1=CC=CC=C1 KWGRBVOPPLSCSI-WCBMZHEXSA-N 0.000 description 1
- 229960003908 pseudoephedrine Drugs 0.000 description 1
- 238000011002 quantification Methods 0.000 description 1
- 238000010791 quenching Methods 0.000 description 1
- 238000006268 reductive amination reaction Methods 0.000 description 1
- 230000004276 retinal vascularization Effects 0.000 description 1
- 238000012552 review Methods 0.000 description 1
- 206010039073 rheumatoid arthritis Diseases 0.000 description 1
- 239000002342 ribonucleoside Substances 0.000 description 1
- 150000003873 salicylate salts Chemical class 0.000 description 1
- 150000003335 secondary amines Chemical class 0.000 description 1
- 238000000926 separation method Methods 0.000 description 1
- 238000010898 silica gel chromatography Methods 0.000 description 1
- 201000009890 sinusitis Diseases 0.000 description 1
- 210000003491 skin Anatomy 0.000 description 1
- 239000002002 slurry Substances 0.000 description 1
- 229910052708 sodium Inorganic materials 0.000 description 1
- 235000017557 sodium bicarbonate Nutrition 0.000 description 1
- UKLNMMHNWFDKNT-UHFFFAOYSA-M sodium chlorite Chemical compound [Na+].[O-]Cl=O UKLNMMHNWFDKNT-UHFFFAOYSA-M 0.000 description 1
- 229960002218 sodium chlorite Drugs 0.000 description 1
- AJPJDKMHJJGVTQ-UHFFFAOYSA-M sodium dihydrogen phosphate Chemical compound [Na+].OP(O)([O-])=O AJPJDKMHJJGVTQ-UHFFFAOYSA-M 0.000 description 1
- 239000012312 sodium hydride Substances 0.000 description 1
- 229910000104 sodium hydride Inorganic materials 0.000 description 1
- 238000007614 solvation Methods 0.000 description 1
- 208000002320 spinal muscular atrophy Diseases 0.000 description 1
- 206010041823 squamous cell carcinoma Diseases 0.000 description 1
- 239000003381 stabilizer Substances 0.000 description 1
- 239000007858 starting material Substances 0.000 description 1
- 210000002784 stomach Anatomy 0.000 description 1
- 238000007920 subcutaneous administration Methods 0.000 description 1
- 239000000126 substance Substances 0.000 description 1
- 150000003890 succinate salts Chemical class 0.000 description 1
- 125000004434 sulfur atom Chemical group 0.000 description 1
- 238000003786 synthesis reaction Methods 0.000 description 1
- 201000000596 systemic lupus erythematosus Diseases 0.000 description 1
- 239000003826 tablet Substances 0.000 description 1
- 150000003892 tartrate salts Chemical class 0.000 description 1
- VZMYXWBRBWDCND-VIFPVBQESA-N tert-butyl n-[(3s)-2-oxohex-5-en-3-yl]carbamate Chemical compound C=CC[C@@H](C(=O)C)NC(=O)OC(C)(C)C VZMYXWBRBWDCND-VIFPVBQESA-N 0.000 description 1
- MHYGQXWCZAYSLJ-UHFFFAOYSA-N tert-butyl-chloro-diphenylsilane Chemical compound C=1C=CC=CC=1[Si](Cl)(C(C)(C)C)C1=CC=CC=C1 MHYGQXWCZAYSLJ-UHFFFAOYSA-N 0.000 description 1
- BCNZYOJHNLTNEZ-UHFFFAOYSA-N tert-butyldimethylsilyl chloride Chemical compound CC(C)(C)[Si](C)(C)Cl BCNZYOJHNLTNEZ-UHFFFAOYSA-N 0.000 description 1
- 125000003831 tetrazolyl group Chemical group 0.000 description 1
- 239000010409 thin film Substances 0.000 description 1
- 238000004809 thin layer chromatography Methods 0.000 description 1
- 239000003053 toxin Substances 0.000 description 1
- 231100000765 toxin Toxicity 0.000 description 1
- 108700012359 toxins Proteins 0.000 description 1
- VZCYOOQTPOCHFL-UHFFFAOYSA-N trans-butenedioic acid Natural products OC(=O)C=CC(O)=O VZCYOOQTPOCHFL-UHFFFAOYSA-N 0.000 description 1
- IMFACGCPASFAPR-UHFFFAOYSA-N tributylamine Chemical compound CCCCN(CCCC)CCCC IMFACGCPASFAPR-UHFFFAOYSA-N 0.000 description 1
- DBGVGMSCBYYSLD-UHFFFAOYSA-N tributylstannane Chemical compound CCCC[SnH](CCCC)CCCC DBGVGMSCBYYSLD-UHFFFAOYSA-N 0.000 description 1
- WLPUWLXVBWGYMZ-UHFFFAOYSA-N tricyclohexylphosphine Chemical compound C1CCCCC1P(C1CCCCC1)C1CCCCC1 WLPUWLXVBWGYMZ-UHFFFAOYSA-N 0.000 description 1
- 125000000876 trifluoromethoxy group Chemical group FC(F)(F)O* 0.000 description 1
- 230000005747 tumor angiogenesis Effects 0.000 description 1
- 210000004881 tumor cell Anatomy 0.000 description 1
- WFKWXMTUELFFGS-UHFFFAOYSA-N tungsten Chemical compound [W] WFKWXMTUELFFGS-UHFFFAOYSA-N 0.000 description 1
- 229910052721 tungsten Inorganic materials 0.000 description 1
- 239000010937 tungsten Substances 0.000 description 1
- KPGXUAIFQMJJFB-UHFFFAOYSA-H tungsten hexachloride Chemical compound Cl[W](Cl)(Cl)(Cl)(Cl)Cl KPGXUAIFQMJJFB-UHFFFAOYSA-H 0.000 description 1
- 238000007514 turning Methods 0.000 description 1
- 241000701161 unidentified adenovirus Species 0.000 description 1
- 241001529453 unidentified herpesvirus Species 0.000 description 1
- 210000003932 urinary bladder Anatomy 0.000 description 1
- 229910052720 vanadium Inorganic materials 0.000 description 1
- 239000003981 vehicle Substances 0.000 description 1
- 230000009385 viral infection Effects 0.000 description 1
- 238000012800 visualization Methods 0.000 description 1
- 238000010792 warming Methods 0.000 description 1
- 238000005406 washing Methods 0.000 description 1
Classifications
-
- C—CHEMISTRY; METALLURGY
- C07—ORGANIC CHEMISTRY
- C07D—HETEROCYCLIC COMPOUNDS
- C07D491/00—Heterocyclic compounds containing in the condensed ring system both one or more rings having oxygen atoms as the only ring hetero atoms and one or more rings having nitrogen atoms as the only ring hetero atoms, not provided for by groups C07D451/00 - C07D459/00, C07D463/00, C07D477/00 or C07D489/00
- C07D491/02—Heterocyclic compounds containing in the condensed ring system both one or more rings having oxygen atoms as the only ring hetero atoms and one or more rings having nitrogen atoms as the only ring hetero atoms, not provided for by groups C07D451/00 - C07D459/00, C07D463/00, C07D477/00 or C07D489/00 in which the condensed system contains two hetero rings
- C07D491/04—Ortho-condensed systems
- C07D491/044—Ortho-condensed systems with only one oxygen atom as ring hetero atom in the oxygen-containing ring
-
- A—HUMAN NECESSITIES
- A61—MEDICAL OR VETERINARY SCIENCE; HYGIENE
- A61P—SPECIFIC THERAPEUTIC ACTIVITY OF CHEMICAL COMPOUNDS OR MEDICINAL PREPARATIONS
- A61P19/00—Drugs for skeletal disorders
-
- A—HUMAN NECESSITIES
- A61—MEDICAL OR VETERINARY SCIENCE; HYGIENE
- A61P—SPECIFIC THERAPEUTIC ACTIVITY OF CHEMICAL COMPOUNDS OR MEDICINAL PREPARATIONS
- A61P35/00—Antineoplastic agents
-
- A—HUMAN NECESSITIES
- A61—MEDICAL OR VETERINARY SCIENCE; HYGIENE
- A61P—SPECIFIC THERAPEUTIC ACTIVITY OF CHEMICAL COMPOUNDS OR MEDICINAL PREPARATIONS
- A61P43/00—Drugs for specific purposes, not provided for in groups A61P1/00-A61P41/00
-
- A—HUMAN NECESSITIES
- A61—MEDICAL OR VETERINARY SCIENCE; HYGIENE
- A61P—SPECIFIC THERAPEUTIC ACTIVITY OF CHEMICAL COMPOUNDS OR MEDICINAL PREPARATIONS
- A61P9/00—Drugs for disorders of the cardiovascular system
-
- C—CHEMISTRY; METALLURGY
- C07—ORGANIC CHEMISTRY
- C07D—HETEROCYCLIC COMPOUNDS
- C07D225/00—Heterocyclic compounds containing rings of more than seven members having one nitrogen atom as the only ring hetero atom
- C07D225/02—Heterocyclic compounds containing rings of more than seven members having one nitrogen atom as the only ring hetero atom not condensed with other rings
-
- C—CHEMISTRY; METALLURGY
- C07—ORGANIC CHEMISTRY
- C07D—HETEROCYCLIC COMPOUNDS
- C07D277/00—Heterocyclic compounds containing 1,3-thiazole or hydrogenated 1,3-thiazole rings
- C07D277/02—Heterocyclic compounds containing 1,3-thiazole or hydrogenated 1,3-thiazole rings not condensed with other rings
- C07D277/20—Heterocyclic compounds containing 1,3-thiazole or hydrogenated 1,3-thiazole rings not condensed with other rings having two or three double bonds between ring members or between ring members and non-ring members
- C07D277/22—Heterocyclic compounds containing 1,3-thiazole or hydrogenated 1,3-thiazole rings not condensed with other rings having two or three double bonds between ring members or between ring members and non-ring members with only hydrogen atoms, hydrocarbon or substituted hydrocarbon radicals, directly attached to ring carbon atoms
- C07D277/28—Radicals substituted by nitrogen atoms
-
- C—CHEMISTRY; METALLURGY
- C07—ORGANIC CHEMISTRY
- C07D—HETEROCYCLIC COMPOUNDS
- C07D417/00—Heterocyclic compounds containing two or more hetero rings, at least one ring having nitrogen and sulfur atoms as the only ring hetero atoms, not provided for by group C07D415/00
- C07D417/02—Heterocyclic compounds containing two or more hetero rings, at least one ring having nitrogen and sulfur atoms as the only ring hetero atoms, not provided for by group C07D415/00 containing two hetero rings
- C07D417/06—Heterocyclic compounds containing two or more hetero rings, at least one ring having nitrogen and sulfur atoms as the only ring hetero atoms, not provided for by group C07D415/00 containing two hetero rings linked by a carbon chain containing only aliphatic carbon atoms
-
- C—CHEMISTRY; METALLURGY
- C07—ORGANIC CHEMISTRY
- C07D—HETEROCYCLIC COMPOUNDS
- C07D491/00—Heterocyclic compounds containing in the condensed ring system both one or more rings having oxygen atoms as the only ring hetero atoms and one or more rings having nitrogen atoms as the only ring hetero atoms, not provided for by groups C07D451/00 - C07D459/00, C07D463/00, C07D477/00 or C07D489/00
- C07D491/02—Heterocyclic compounds containing in the condensed ring system both one or more rings having oxygen atoms as the only ring hetero atoms and one or more rings having nitrogen atoms as the only ring hetero atoms, not provided for by groups C07D451/00 - C07D459/00, C07D463/00, C07D477/00 or C07D489/00 in which the condensed system contains two hetero rings
- C07D491/04—Ortho-condensed systems
-
- C—CHEMISTRY; METALLURGY
- C07—ORGANIC CHEMISTRY
- C07D—HETEROCYCLIC COMPOUNDS
- C07D493/00—Heterocyclic compounds containing oxygen atoms as the only ring hetero atoms in the condensed system
- C07D493/02—Heterocyclic compounds containing oxygen atoms as the only ring hetero atoms in the condensed system in which the condensed system contains two hetero rings
- C07D493/04—Ortho-condensed systems
Definitions
- the present invention relates to epothilone derivatives, methods for the preparation of the derivatives and intermediates therefor.
- Epothilones are macrolide compounds which find utility in the pharmaceutical field.
- Epothilones A and B having the same structures:
- the present invention relates to compounds of the formula
- Q is selected from the group consisting of
- G is selected from the group consisting of alkyl, substituted alkyl, substituted or unsubstituted aryl, heterocyclo,
- W is O or NR 15 ;
- X is O or H,H
- Y is selected from the group consisting of O; H,OR 16 ; OR 17 ,OR 17 ; NOR 18 ; H,NOR 19 ; H,NR 20 R 21 ; H,H; or CHR 22 ; OR 17 OR 17 can be a cyclic ketal;
- Z 1 and Z 2 are selected from the group consisting of CH 2 , O, NR 23 , S, or SO 2 , wherein only one of Z Z 1 and Z 2 is a heteroatom;
- B 1 and B 2 are selected from the group consisting of OR 24 , or OCOR 25 , or O 2 CNR 26 R 27 ; when B 1 is H and Y is OH, H they can form a six-membered ring ketal or acetal;
- D is selected from the group consisting of NR 28 R 29 , NR 30 COR 31 or saturated heterocycle;
- R 1 , R 2 , R 3 , R 4 , R 5 , R 6 , R 7 , R 13 , R 14 , R 18 , R 19 , R 20 , R 21 , R 22 , R 26 , and R 27 are selected from the group H, alkyl, substituted alkyl, or aryl and when R 1 and R 2 are alkyl can be joined to form a cycloalkyl; R 3 and R 4 are alkyl can be joined to form a cycloalkyl;
- R 9 , R 10 , R 16 , R 17 , R 24 , R 25 , and R 31 are selected from the group H, alkyl, or substituted alkyl;
- R 8 , R 11 , R 12 , R 28 , R 30 , R 32 , R 33 , and R 30 are selected from the group consisting of H, alkyl, substituted alkyl, aryl, substituted aryl, cycloalkyl, or heterocyclo;
- R 15 , R 23 and R 29 are selected from the group consisting of H, alkyl, substituted alkyl, aryl, substituted aryl, cycloalkyl, heterocyclo, R 32 C ⁇ O, R 33 SO 2 , hydroxy, O-alkyl or O-substituted alkyl;
- the present invention does not include compounds of formula V wherein
- alkyl refers to straight or branched chain unsubstituted hydrocarbon groups of 1 to 20 carbon atoms, preferably 1 to 7 carbon atoms.
- the expression “lower alkyl” refers to unsubstituted alkyl groups of 1 to 4 carbon atoms.
- substituted alkyl refers to an alkyl group substituted by, for example, one to four substituents, such as, halo, trifluoromethyl, trifluoromethoxy, hydroxy, alkoxy, cycloalkoxy, heterocyclooxy, oxo, alkanoyl, aryloxy, alkanoyloxy, amino, alkylamino, arylamino, aralkylamino, cycloalkylamino, heterocycloamino, disubstituted amines in which the 2 amino substituents are selected from alkyl, aryl or aralkyl, alkanoylamino, aroylamino, aralkanoylamino, substituted alkanoylamino, substituted arylamino, substituted aralkanoylamino, thiol, alkylthio, arylthio, aralkylthio, cycloalkylthiolthiol,
- halogen refers to fluorine, chlorine, bromine and iodine.
- aryl refers to monocyclic or bicyclic aromatic hydrocarbon groups having 6 to 12 carbon atoms in the ring portion, such as phenyl, naphthyl, biphenyl and diphenyl groups, each of which may be substituted.
- aralkyl refers to an aryl group bonded directly through an alkyl group, such as benzyl.
- substituted aryl refers to an aryl group substituted by, for example, one to four substituents such as alkyl, substituted alkyl, halo, trifluoromethoxy, trifluoromethyl, hydroxy, alkoxy, cycloalkyloxy, heterocyclooxy, alkanoyl, alkanoyloxy, amino, alkylamino, aralkylamino, cycloalkylamino, heterocycloamino, dialkylamino, alkanoylamino, thiol, alkylthio, cycloalkylthio, heterocyclothio, ureido, nitro, cyano, carboxy, carboxyalkyl, carbamyl, alkoxycarbonyl, alkylthiono, arylthiono, alkysulfonyl, sulfonamido, aryloxy and the like.
- the substituent may be further substituted by halo,
- cycloalkyl refers to optionally substituted, saturated-cyclic hydrocarbon ring systems, preferably containing 1 to 3 rings and 3 to 7 carbons per ring which may be further fused with an unsaturated C 3 –C 7 carbocyclic ring.
- exemplary groups include cyclopropyl, cyclobutyl, cyclopentyl, cyclohexyl, cycloheptyl, cyclooctyl, cyclodecyl, cyclododecyl, and adamantyl.
- substituents include one or more alkyl groups as described above, or one or more groups described above as alkyl substituents.
- heterocycle refers to an optionally substituted, fully saturated or unsaturated, aromatic or nonaromatic cyclic group, for example, which is a 4 to 7 membered monocyclic, 7 to 11 membered bicyclic, or 10 to 15 membered tricyclic ring system, which has at least one heteroatom in at least one carbon atom-containing ring.
- Each ring of the heterocyclic group containing a heteroatom may have 1, 2 or 3 heteroatoms selected from nitrogen atoms, oxygen atoms and sulfur atoms, where the nitrogen and sulfur heteroatoms may also optionally be oxidized and the nitrogen heteroatoms may also optionally be quaternized.
- the heterocyclic group may be attached at any heteroatom or carbon atom.
- Exemplary monocyclic heterocyclic groups include pyrrolidinyl, pyrrolyl, indolyl, pyrazolyl, oxetanyl, pyrazolinyl, imidazolyl, imidazolinyl, imidazolidinyl, oxazolyl, oxazolidinyl, isoxazolinyl, isoxazolyl, thiazolyl, thiadiazolyl, thiazolidinyl, isothiazolyl, isothiazolidinyl, furyl, tetrahydrofuryl, thienyl, oxadiazolyl, piperidinyl, piperazinyl, 2-oxopiperazinyl, 2-oxopiperidinyl, 2-oxopyrrolidinyl, 2-oxazepinyl, azepinyl, 4-piperidonyl, pyridyl, N-oxo-pyridyl,
- bicyclic heterocyclic groups include benzothiazolyl, benzoxazolyl, benzothienyl, quinuclidinyl, quinolinyl, quinolinyl-N-oxide, tetrahydroisoquinolinyl, isoquinolinyl, benzimidazolyl, benzopyranyl, indolizinyl, benzofuryl, chromonyl, coumarinyl, cinnolinyl, quinoxalinyl, indazolyl, pyrrolopyridyl, furopyridinyl (such as furo[2,3-c]pyridinyl, furo[3,1-b]pyridinyl] or furo[2,3-b]pyridinyl), dihydroisoindolyl, dihydroquinazolinyl (such as 3,4-dihydro-4-oxo-quinazolinyl), benzisothiazolyl,
- substituents include one or more alkyl groups as described above or one or more groups described above as alkyl substituents. Also included are smaller heterocyclos, such as, epoxides and aziridines.
- heteroatoms shall include oxygen, sulfur and nitrogen.
- the compounds of formula V may form salts with alkali metals such as sodium, potassium and lithium, with alkaline earth metals such as calcium and magnesium, with organic bases such as dicyclohexylamine, tributylamine, pyridine and amino acids such as arginine, lysine and the like.
- alkali metals such as sodium, potassium and lithium
- alkaline earth metals such as calcium and magnesium
- organic bases such as dicyclohexylamine, tributylamine, pyridine and amino acids such as arginine, lysine and the like.
- Such salts can be obtained, for example, by exchanging the carboxylic acid protons, if they contain a carboxylic acid, in compounds of formula V with the desired ion in a medium in which the salt precipitates or in an aqueous medium followed by evaporation.
- Other salts can be formed as known to those skilled in the art.
- the compounds for formula V form salts with a variety of organic and inorganic acids.
- Such salts include those formed with hydrogen chloride, hydrogen bromide, methanesulfonic acid, hydroxyethanesulfonic acid, sulfuric acid, acetic acid, trifluoroacetic acid, maleic acid, benzenesulfonic acid, toluenesulfonic acid and various others (e.g., nitrates, phosphates, borates, tartrates, citrates, succinates, benzoates, ascorbates, salicylates and the like).
- Such salts are formed by reacting a compound of formula V in an equivalent amount of the acid in a medium in which the salt precipitates or in an aqueous medium followed by evaporation.
- Compounds of the formula V may also have prodrug forms. Any compound that will be converted in vivo to provide the bioactive agent (i.e., the compound for formula V) is a prodrug within the scope and spirit of the invention.
- compounds of the formula V may form a carboxylate ester moiety.
- the carboxylate esters are conveniently formed by esterifying any of the carboxylic acid functionalities found on the disclosed ring structure(s).
- prodrug derivatives are well known in the art.
- prodrug derivatives see:
- solvates e.g., hydrates
- Methods of solvation are generally known in the art.
- the compounds of formula V are microtubule-stabilizing agents. They are thus useful in the treatment of a variety of cancers or other abnormal proliferative diseases, including (but not limited to) the following;
- Compounds of formula V may also inhibit tumor angiogenesis, thereby affecting abnormal cellular proliferation.
- Such anti-angiogenesis properties of the compounds of formula V may also be useful in the treatment of certain forms of blindness related to retinal vascularization, arthritis, especially inflammatory arthritis, multiple sclerosis, restinosis and psoriasis.
- Compounds of formula V may induce or inhibit apoptosis, a physiological cell death process critical for normal development and homeostasis. Alterations of apoptotic pathways contribute to the pathogenesis of a variety of human diseases.
- Compounds of formula V, as modulators of apoptosis, will be useful in the treatment of a variety of human diseases with aberrations in apoptosis including cancer (particularly, but not limited to follicular lymphomas, carcinomas with p53 mutations, hormone dependent tumors of the breast, prostrate and ovary, and precancerous lesions such as familial adenomatous polyposis), viral infections (including but not limited to herpesvirus, poxvirus, Epstein-Barr virus, Sindbis virus and adenovirus), autoimmune diseases (including but not limited to systemic lupus erythematosus, immune mediated glomerulonephritis, rheumatoid arthritis, psoriasis, inflammatory bowel diseases
- the compounds of this invention are also useful in combination with known anti-cancer and cytotoxic agents and treatments, including radiation. If formulated as a fixed dose, such combination products employ the compounds of this invention within the dosage range described below and the other pharmaceutically active agent within its approved dosage range.
- Compounds of formula V can be used sequentially with known anticancer or cytotoxic agents and treatment, including radiation when a combination formulation is inappropriate.
- cytotoxic drug combinations wherein the second drug chosen acts in a different phase of the cell cycle, e.g. S phase, than the present compounds of formula V which exert their effects at the G 2 -M phase.
- the present compounds may exist as multiple optical, geometric, and stereoisomers. Included within the present invention are all such isomers and mixtures thereof.
- the compounds of this invention can be formulated with a pharmaceutical vehicle or diluent for oral, intravenous or subcutaneous administration.
- the pharmaceutical composition can be formulated in a classical manner using solid or liquid vehicles, diluents and additives appropriate to the desired mode of administration.
- the compounds can be administered in the form of tablets, capsules, granules, powders and the like.
- the compounds are administered in a dosage range of about 0.05 to 200 mg/kg/day, preferably less than 100 mg/kg/day, in a single dose or in 2 to 4 divided doses.
- R 3 , R 4 , R 5 , R 6 , R 8 and R 15 are as above and P 1 is an oxygen protecting group.
- a compound of formula XII where W is NR 15 and X is O can be prepared as outlined in Scheme 1.
- a compound of formula XII, where P 1 is an oxygen protecting group such as t-butyldimethylsilyl, can be prepared from a compound of formula VI by known methods (i.e., Nicolaou, K. C. et al., Angew. Chem. Int. Ed. Engl., 36:166–168 (1997)).
- Aldol reaction of a compound of formula XII and a compound of formula XIV provides a compound of formula XIII.
- the compound of formula XIV can be prepared by known methods (i.e., Schinzer, D. et al., Eur. Chem.
- An aldehyde of formula XVIII can be prepared from a compound of formula XV as shown in Scheme 1 or by using known methods (i.e., Taylor, R. E. et al., Tetrahedron Lett., 38:2061–2064 (1997)).
- a compound of formula XIX can be prepared from a compound XVIII by treatment with an amine using dehydrating conditions such as catalytic p-toluenesulfonic acid and azeotropic removal of water.
- a compound of formula XX can be prepared from a compound of formula XIX by treatment with an allylating reagent such as allylmagnesium bromide.
- a compound of formula XXI can be prepared from compounds of formulas XIII and XX, by standard amide bond coupling agents (i.e., DCC, BOP, EDC/HOBT, PyBrOP).
- a compound of formula XXII can be prepared from a compound of formula XXI by ring-closing metathesis using either the Grubbs (RuCl 2 ( ⁇ CHPh)(PCY 3 ) 2 ; see Grubbs, R. H. et al., Angew. Chem. Int. Ed. Engl., 34:2039 (1995)) or Schrock catalysts (See Schrock, R. R. et al., J. Am. Chem. Soc., 112:3875 (1990)).
- Grubbs RuCl 2 ( ⁇ CHPh)(PCY 3 ) 2 ; see Grubbs, R. H. et al., Angew. Chem. Int. Ed. Engl., 34:2039 (1995
- a compound of formula VIII can be prepared by reaction of a compound of formula XXIII with magnesium and an acid chloride (R 5 CH 2 COCl) to give a compound of formula XXIV (See for example: Heathcock, C. et al., J. Org. Chem., 55:1114–1117 (1990)), followed by ozononolysis to give a compound of formula VIII as shown in Scheme 2.
- a compound of formula XIV can be prepared as shown in Scheme 3. Reaction of a compound of formula XXV and pseudoephedrine provides a compound of formula XXVI.
- a compound of formula XXVII can be prepared from a compound of formula XXVI by alkylation with a pentenyl halide such as 5-bromopentene according to the method of Meyers (i.e., Meyers, A. et al., J. Am. Chem. Soc., 116:9361–9362 (1994)).
- a compound of formula XXVIII can be prepared from a compound of formula XXVII with a reducing agent such as lithium pyrrolidinyl borohydride.
- Direct conversion of a compound of formula XXVII to a compound of formula XIV can be accomplished with a reducing agent such as lithium triethoxy-aluminum hydride.
- a compound of formula XX can be prepared from allylglycine as shown in Scheme 4. Allylglycine can be N-protected using methods known in the art to give a compound of formula XXIX, where P 2 is a suitable N-protecting group such as t-butyloxycarbonyl.
- R 29 is not hydrogen
- a compound of formula XXX can be prepared from a compound of formula XXIX by alkylation with an alkyl halide in the presence of a base such as sodium hydride.
- a compound of formula XXXI can be prepared from a compound of formula XXX using N,O-dimethylhydroxylamine and standard coupling agents such as EDCI and HOBT.
- a compound of formula XXXII can be prepared from a hydroxamate XXXI by treatment with an organometallic reagent such as an alkyl or arylmagnesium halide.
- an organometallic reagent such as an alkyl or arylmagnesium halide.
- Wittig olefination of a compound of formula XXXII provides a compound of formula XXXIII (the Wittig reagent is prepared as reported: Danishefsky, S. E. et al., J. Org. Chem., 61:7998–7999 (1996)).
- N-Deprotection of a compound of formula XXXIII using methods known in the art provides a compound of formula XX.
- a compound of formula V where W is NR 15 , X is oxygen, and G is a 1,2-disubstituted olefin can be prepared as shown in Scheme 5.
- a compound of formula XXXV can be prepared by Wittig olefination of a compound of formula XXXII.
- a compound of formula XXXIV can be prepared by methods known in the art.
- a compound of formula XXXVI can be prepared by N-deprotection of a compound of formula XXXV using methods known in the art.
- a compound of formula XXXVII can be prepared by coupling reaction of a compound of formula XXXVI and a compound of formula XIII using standard coupling agents such as EDCI and HOBT.
- a compound of formula XXXVIII can be prepared from a compound of formula XXXVII by methods described in Scheme 1 for the preparation of a compound of formula XXII. Using methods described in Scheme 1 (steps o and p), a compound of formula XXXVIII can be converted to compounds of formula V where W is NR 15 , X is oxygen, and G is a 1,2-disubstituted olefin.
- a compound of formula V where both W and X are oxygen, and G is a 1,2-disubstituted olefin can be prepared as shown in Scheme 6.
- a compound of formula XXXX can be prepared from a compound of formula XXXIX by treatment with an allylating agent such as allylmagnesium bromide.
- Enantiomerically pure XXXX can be prepared by employing chiral reagents (see, for example: Taylor, R. E. et al., Tetrahedron Lett., 38:2061–2064 (1997); Nicolaou, K. C. et al., Angew. Chem. Int. Ed. Engl., 36:166–168 (1997); Keck, G.
- a compound of formula XXXXI can be prepared from compounds of formula XXXX and XIII by using standard esterification methods such as DCC and DMAP.
- a compound of formula XXXXII can be prepared from a compound of formula XXXXI via ring-closing olefin metathesis as described in Scheme 1 for the preparation of a compound of formula XXII.
- a compound of formula V where both W and X are oxygen, and G is alkyl, substituted alkyl, aryl, heteroaryl, bicycloaryl, or bicycloheteroaryl can be prepared as shown in Scheme 7.
- a compound of formula XXXXIV can be prepared by allylation of a compound of formula XXXXIII, where G is alkyl, substituted alkyl, aryl, heteroaryl, bicycloaryl, or bicycloheteroaryl, by reaction with an allylating reagent such as allyl magnesium bromide.
- a compound of formula XXXXV can be prepared from a compound of formula XXXXIV via esterification with a compound of formula XIII using, for example, DCC and DMAP.
- a compound of formula XXXXVI can be prepared from a compound of formula XXXXV by ring-closing metathesis as described above. Following the methods outlined above for Scheme 1, a compound of formula XXXXVI can be converted to compounds of formula V by deprotection and subsequent epoxidation.
- a compound of formula V where W is NR 15 , X is oxygen, and G is alkyl, substituted alkyl, aryl, heteroaryl, bicycloaryl, or bicycloheteroaryl can be prepared as shown in Scheme 8.
- a compound of formula XXXXVII can be prepared by reaction of a compound of formula XXIII, where G is alkyl, substituted alkyl, aryl, heteroaryl, bicycloaryl, or bicycloheteroaryl, and an amine under dehydrating conditions.
- a compound of formula XXXXVIII can be prepared from a compound of formula XXXXVII by treatment with an allylating agent such as allylmagnesium bromide.
- a compound of formula XXXXIX can be prepared from a compound of formula XXXXVIII and a compound of formula XIII by standard amide bond coupling techniques using, for example, EDCI and HOBT.
- a compound of formula L can be prepared from a compound of formula XXXXIX by ring-closing metathesis as described above. Following the methods outlined above for Scheme 1, a compound of formula L can be converted to compounds of formulas V by deprotection and subsequent epoxidation.
- a compound of formula LI can be prepared from a compound of formula XXXII by reductive amination using a primary or secondary amine and a reducing agent such as sodium triacetoxyborohydride.
- Compounds of formula LIII, LIV, and V can then be prepared following methods described above in Scheme 1.
- a compound of formula V can be converted to a compound of formula LV by protection of the hydroxyl groups with suitable protecting groups such as t-butyldimethylsilyl.
- a compound of formula LVI can be prepared from a compound of formula LV by ozonolysis. Treatment of a compound of formula LVI with an amine and a reducing agent such as sodium triacetoxyboro-hydride provides a compound of formula LVII. Removal of the protecting groups from a compound of formula LVII, with for example hydrogen fluoride, provides a compound of formula V where X is oxygen, W is NR 15 or oxygen, and G is
- a compound of formula LVIII can be prepared from a compound of formula XXX by treatment with an amine and standard amide bond coupling agents such as EDCI and HOBT.
- a compound of formula LX can be prepared from a compound of formula LVIII by N-deprotection, using for example trifluoroacetic acid when P 2 is a t-butyloxycarbonyl group, followed by coupling of compounds of formula LIX and XIII using standard amide bond coupling agents such as EDCI and HOBT.
- a compound of formula LXI can be prepared from a compound of formula LX by ring-closing metathesis.
- a compound of formula V can be prepared from a compound of formula LXI following methods described in Scheme 1.
- a compound of formula LXII can be prepared from allylglycine by treatment with nitrous acid.
- a compound of formula LXIII can be prepared from a compound of formula LXII by treatment with an amine and standard amide bond coupling agents such as EDCI and HOBT.
- a compound of formula LXIV can be prepared from compounds of formula LXIII and XIII using standard amide bond coupling agents such as EDCI and HOBT.
- a compound of formula LXV can be prepared from a compound of formula LXIV by ring-closing metathesis.
- a compound of formula V can be prepared from a compound of formula LXV following methods described in Scheme 1.
- a compound of formula V where Z 1 is oxygen can be prepared as shown in Scheme 14.
- a compound of formula LXVII can be prepared from an alpha-hydroxy ester LXVI and a 3-buten-1-yl-trifluoromethanesulfonate (or with a 3-butenyl bromide and silver triflate).
- a compound of formula LXVII can be reduced with a reducing agent such as diisobutylaluminum hydride to provide a compound of formula LXVIII.
- a compound of formula LXVIII can be obtained from a compound of formula LXVII by a two step procedure involving reduction with lithium borohydride and oxidation with pyridinium chlorochromate. This compound of formula LXVIII can be substituted for a compound of formula XIV in Scheme 1 to give a compound of formula LXIX. Further elaboration of LXIX as described above provides a compound of formula V where Z 1 is oxygen.
- a compound of formula V where Z 1 is NR 23 can be prepared as shown in Scheme 15.
- a compound of formula LXXI can be prepared from an alpha-amino ester LXX and a 3-buten-1-yl-bromide.
- a compound of formula LXXI can be reduced with a reducing agent such as diisobutylaluminum hydride to provide a compound of formula LXXII.
- a compound of formula LXXII can be obtained from a compound of formula LXXI by a two step procedure involving reduction with lithium borohydride and oxidation with pyridinium chlorochromate.
- a compound of formula V where Z 2 is oxygen can be prepared as shown in Scheme 16.
- a compound of formula LXXV can be prepared from a beta-hydroxy ester LXXIV and an allylating agent such as allylbromide (or an allyl bromide and silver triflate).
- a compound of formula LXXV can be reduced with a reducing agent such as diisobutylaluminum hydride to provide a compound of formula LXXVI.
- a compound of formula LXXVI can be obtained from a compound of formula LXXV by a two step procedure involving reduction with lithium borohydride and oxidation with pyridinium chlorochromate.
- a compound of formula V where Z 2 is NR 23 can be prepared as shown in Scheme 17.
- a compound of formula LXXIX can be prepared from a beta-amino ester LXXVIII and an allylating agent such as allylbromide.
- a compound of formula LXXIX can be reduced with a reducing agent such as diisobutylaluminum hydride to provide a compound of formula LIXXX LXXX.
- a compound of formula LXXX can be obtained from a compound of formula LXIX by a two step procedure involving reduction with lithium borohydride and oxidation with pyridinium chlorochromate.
- a compound of formula V where W is oxygen or NR 15 and X is H,H can be prepared as shown in Scheme 18.
- a compound of formula V can be converted to a compound of formula LXXXII, where P 4 and P 5 are hydroxyl protecting groups, by treatment with a reagent such as t-butyldimethylsilyltriflate.
- a compound of formula LXXXIII can be prepared from a compound of formula LXXXII by treatment with Lawesson's reagent.
- a compound of formula LXXXIV can be prepared from a compound of formula LXXXIII by using a reducing agent such as tri-n-butyltin hydride when W is oxygen or by treatment with methyl iodide and sodium borohydride when W is NR 15 . Removal of the protecting groups from a compound of formula LXXXIV, using for example hydrogen fluoride when P 4 and P 5 are silyl groups, provides a compound of formula V where W is oxygen or NR 15 and X is H,H.
- a reducing agent such as tri-n-butyltin hydride when W is oxygen or by treatment with methyl iodide and sodium borohydride when W is NR 15 .
- a compound of formula V where W, X and Y are oxygen, and R 1 is alkyl or substituted alkyl can be prepared as shown in Scheme 19.
- a compound of formula V can be protected to give a compound of formula LXXXV LXXXXV, where P 5 and P 6 are hydroxyl protecting groups, by treatment with a reagent such as t-butyldimethylsilyl trifluoromethanesulfonate.
- a compound of formula LXXXVI LXXXVI can be prepared from a compound of formula LXXV LXXXXV by treatment with a reducing agent such as sodium borohydride.
- a compound of formula LXXXVII LXXXVII can be prepared from a compound of formula LXXXVI LXXXVI by protection of the hydroxyl group, where P 7 is for example p-methoxybenzyl, using p-methoxybenzyl trichloroacetimidate.
- a compound of formula C can be prepared from a compound of formula LXXXXIX by treatment with a base such as lithium diisopropylamide followed by treatment with an alkylating agent such as methyl iodide.
- a compound of formula C can be protected to give a compound of formula CI, where P 9 is a hydroxyl protecting group, by treatment with a reagent such as t-butyldimethylsilyl trifluoromethanesulfonate.
- a compound of formula CII can be prepared from a compound of formula CI by removal of the P 7 group using, for example, DDQ when P 7 is a p-methoxybenzyl group.
- a compound of formula V where W, X and Y are oxygen, and R 1 is alkyl or substituted alkyl, can be prepared from a compound of formula CII by oxidation using, for example, TPAP/NMO followed by removal of the protecting groups using, for example, hydrogen fluoride when P 8 and P 9 are silyl groups.
- This compound of formula V can be further oxidized with dimethyldioxirane as shown in Scheme 1 to provide the corresponding epoxide compound of formula V.
- a compound of formula V where X is oxygen and Q is an olefin can be prepared from a compound of formula V where X is oxygen and Q is an oxirane ring by treatment with a reactive metallocene such as titanocene, zirconocene or niobocene as shown in Scheme 20 (see for example R. Schobert and U. Hohlein, Synlett, 465–466 (1990)).
- a reactive metallocene such as titanocene, zirconocene or niobocene
- a compound of formula V where X is oxygen and W is NR 15 , where R 15 is hydrogen, can be prepared from a compound of formula V where both X and W are oxygen as shown in Scheme 21.
- a compound of formula CIII can be prepared from a compound of formula V where both X and W are oxygen by formation of a pi-allylpalladium complex using, for example, palladium tetrakistriphenylphosphine followed by treatment with sodium azide (see, for example: Murahashi, S.-I. et al., J. Org. Chem., 54:3292 (1989)). Subsequent reduction of a compound of formula CIII with a reducing agent such as triphenylphosphine provides a compound of formula CIV.
- a reducing agent such as triphenylphosphine
- a compound of formula V where X is oxygen and W is NR 15 , where R 15 is hydrogen can be prepared from a compound of formula CIV by macrolactamization using, for example, diphenylphosphoryl azide or bromotripyrrolidinophosphonium hexafluorophosphate (PyBroP).
- a compound of formula V where X is oxygen and W is NR 15 , where R 15 is alkyl, substituted alkyl, aryl, heteroaryl, cycloalkyl, heterocyclo, O-alkyl, O-substituted alkyl, can be prepared from a compound of formula V where both X and W are oxygen as shown in Scheme 22.
- a compound of formula CV can be prepared from a compound of formula V where both X and W are oxygen by formation of a pi-allylpalladium complex using, for example, palladium tetrakistriphenylphosphine followed by treatment with a primary amine.
- a compound of formula V where X is oxygen and W is NR 15 where R 15 is alkyl, substituted alkyl, aryl, heteroaryl, cycloalkyl, heterocyclo, OH, O-alkyl, O-substituted alkyl, can be prepared from a compound of formula CV by macrolactamization using, for example, diphenylphosphoryl azide or bromotripyrrolidinophosphonium hexafluorophosphate (PyBroP).
- R 15 is OH, it may be necessary to remove a protecting group such as t-butyldimethylsilyl from an intermediate where R 15 is O-t-butyldimethylsilyl.
- Twice cycled (2 ⁇ ) calf brain tubulin was prepared following the procedure of Williams and Lee (see Williams, R. C., Jr. and Lee, J. C., “Preparation of tubulin from brain.”, Methods in Enzymology, 85, Pt. D, 376–385 (1982)) and stored in liquid nitrogen before use. Quantification of tubulin polymerization potency is accomplished following a modified procedure of Swindell et al. (see Swindell, C. S., Krauss, N. E., Horwitz, S. B. and Ringel, I., “Biologically active taxol analogues with deleted A-ring side chain substituents and variable C-2′ configurations.”, J.
- tubulin polymerization potency results in the expression of tubulin polymerization potency as an effective concentration for any given compound.
- different concentrations of compound in polymerization buffer 0.1M MES, 1 mM EGTA, 0.5 mM MgCl 2 , pH 6.6
- a final microtubule protein concentration of 1.0 mg/ml and compound concentration of generally 2.5, 5.0, and 10 ⁇ M are used.
- Cytoxicity was assessed in HCT-116 human colon carcinoma cells by MTS (3-(4,5-dimethylthiazol-2-yl)-5-(3-carboxymethoxyphenyl)-2-(4-sulphenyl)-2H-tetrazolium, inner salt) assay as reported in T. L. Riss et al., “Comparison of MTT, XTT, and a novel tetrazolium compound MTS for in vitro proliferation and chemosensitivity assays.”, Mol. Biol. Cell, 3 (Suppl.):184a (1992). Cells were plated at 4,000 cell/well in 96 well microtiter plates and 24 hours later drugs were added and serial diluted.
- the cells were incubated at 37° form 72 hours at which time the tetrazolium dye, MTS at 333 ⁇ g/ml (final concentration), in combination with the electron coupling agent phenazine methosulfate at 25 ⁇ M (final concentration) was added.
- a dehydrogenase enzyme in live cells reduces the MTS to a form that absorbs light at 492 nM which can be quantitated spectrophotometrically. The greater the absorbance the greater the number of live cells.
- the results are expressed as an IC 50 , which is the drug concentration required to inhibit cell proliferation (i.e. absorbance at 450 nM) to 50% of that of untreated control cells.
- the IC 50 values for compounds of this invention fall in the range 0.01–1000 nM.
- reaction mixture was stirred at ⁇ 78° C. (1 h), at 0° C. (15 min), and at 25° C. (5 min) before being recooled to 0° C. and treated with a solution of 5-bromo-1-pentene (4.8 mL, 40 mmol) in THF (5 mL).
- the reaction mixture was stirred at 0° C. (24 h), poured into saturated aqueous NH 4 Cl (100 mL) and EtOAc (100 mL). The two phases were separated and the aqueous phase was further extracted with EtOAc (3 ⁇ 100 mL).
- reaction mixture was warmed to ⁇ 40° C., stirred for 1 h, and diluted with saturated aqueous NH 4 Cl (50 mL). The two layers were separated and the aqueous phase was extracted with EtOAc (4 ⁇ 50 mL). The combined organic layers were washed with saturated aqueous NaCl (100 mL), dried (Na 2 SO 4 ), and concentrated in vacuo.
- the residue was first purified by flash chromatography (SiO 2 , 2.0 ⁇ 10 cm, 2–5% MeOH—CHCl 3 gradient elution) and then repurified using a Chromatotron (2 mm SiO 2 , GF rotor, 2–5% MeOH—CHCl 3 gradient elution) to afford the title compound (0.13 g, 40%) as a colorless oil.
- epothilone A 99 mg, 0.20 mmol, 1.0 eq.
- the reaction mixture was warmed to room temperature and stirred for 15 min.
- the volatiles were removed in vacuo and the residue was chromatographed two times on silica (25 g), eluting with 35% EtOAc/hexanes to give 76 mg (80%) of epothilone C as a pale yellow viscous oil.
- Tetrakis(triphenylphosphine)palladium(0) (1.17 g, 1.01 mmol, 0.10 eq) was added to a solution of epothilone A (4.97 g, 10.1 mmol, 1.0 eq) in degassed THF (100 ml) at room temperature and was stirred for 30 minutes-under argon.
- Sodium-azide (0.980 g, 15.1 mmol, 1.5 eq) was added to the above reaction mixture followed by the addition of degassed water (10 ml). The reaction mixture-was heated to 45° C. for one hour, cooled to room temperature, diluted with ethyl acetate (300 ml) and further diluted with water (150 ml).
- Tungsten hexachloride (0.19 g, 0.49 mmol, 0.5 equiv) was dissolved in THF (5.0 ml) and the solution was cooled to ⁇ 78° C.
- n-Butyllithium in hexane (1.6M, 0.63 ml, 1.0 mmol, 1.0 equiv) was added in one portion and the reaction mixture was allowed to warm to room temperature over 20 minutes (the solution turned dark green upon warming to rt).
- a 0.1M solution of the prepared tungsten reagent (0.79 ml, 0.079 mmol, 2.0 equiv.) was added to Compound 4C (0.020 g, 0.039 mmol, 1.0 equiv) at room temperature.
- the reaction mixture was stirred at room temperature for 30 minutes and then was quenched with saturated NaHCO 3 (2.0 ml).
- the quenched solution was diluted with water (10 ml) and the solution was extracted with CH 2 Cl 2 (4 ⁇ 20 ml).
- the combined organic extracts were dried (Na 2 SO 4 ), filtered and concentrated under vacuum.
- the inorganics were removed by passing the residue through a silica gel plug (eluting with 19/1 CHCl 3 /MeOH). The eluent was concentrated under vacuum.
Landscapes
- Chemical & Material Sciences (AREA)
- Organic Chemistry (AREA)
- Health & Medical Sciences (AREA)
- General Health & Medical Sciences (AREA)
- Veterinary Medicine (AREA)
- General Chemical & Material Sciences (AREA)
- Medicinal Chemistry (AREA)
- Nuclear Medicine, Radiotherapy & Molecular Imaging (AREA)
- Chemical Kinetics & Catalysis (AREA)
- Pharmacology & Pharmacy (AREA)
- Life Sciences & Earth Sciences (AREA)
- Animal Behavior & Ethology (AREA)
- Public Health (AREA)
- Bioinformatics & Cheminformatics (AREA)
- Engineering & Computer Science (AREA)
- Cardiology (AREA)
- Heart & Thoracic Surgery (AREA)
- Physical Education & Sports Medicine (AREA)
- Pharmaceuticals Containing Other Organic And Inorganic Compounds (AREA)
- Heterocyclic Carbon Compounds Containing A Hetero Ring Having Oxygen Or Sulfur (AREA)
- Plural Heterocyclic Compounds (AREA)
- Nitrogen Condensed Heterocyclic Rings (AREA)
- Nitrogen And Oxygen Or Sulfur-Condensed Heterocyclic Ring Systems (AREA)
- Pyrane Compounds (AREA)
- Thiazole And Isothizaole Compounds (AREA)
- Acyclic And Carbocyclic Compounds In Medicinal Compositions (AREA)
- Organic Low-Molecular-Weight Compounds And Preparation Thereof (AREA)
Abstract
Description
The present application claims the priority benefit of U.S. patent application Ser. No. 10/405,886, filed Apr. 3, 2003, which is a continuation application of U.S. patent application Ser. No. 09/084,542, filed May 26, 1998, now U.S. Pat. No. 6,605,599, which claims priority to provisional application No. 60/067,524, filed Dec. 4, 1997, and provisional application No. 60/051,951, filed Jul. 8, 1997.
The present invention relates to epothilone derivatives, methods for the preparation of the derivatives and intermediates therefor.
Epothilones are macrolide compounds which find utility in the pharmaceutical field. For example, Epothilones A and B having the same structures:
have been found to exert microtubule-stabilizing effects similar to TAXOL and hence cytotoxic activity against rapidly proliferating cells, such as, tumor cells or other hyperproliferative cellular disease, see Angew. Chem. Int. Ed. Engl., 1996, 35, No. 13/14.
The present invention relates to compounds of the formula
Q is selected from the group consisting of
G is selected from the group consisting of alkyl, substituted alkyl, substituted or unsubstituted aryl, heterocyclo,
W is O or NR15;
X is O or H,H;
Y is selected from the group consisting of O; H,OR16; OR17,OR17; NOR18; H,NOR19; H,NR20R21; H,H; or CHR22; OR17OR17 can be a cyclic ketal;
Z1 and Z2 are selected from the group consisting of CH2, O, NR23, S, or SO2, wherein only one of Z Z1 and Z2 is a heteroatom;
B1 and B2 are selected from the group consisting of OR24, or OCOR25, or O2CNR26R27; when B1 is H and Y is OH, H they can form a six-membered ring ketal or acetal;
D is selected from the group consisting of NR28R29, NR30COR31 or saturated heterocycle;
R1, R2, R3, R4, R5, R6, R7, R13, R14, R18, R19, R20, R21, R22, R26, and R27 are selected from the group H, alkyl, substituted alkyl, or aryl and when R1 and R2 are alkyl can be joined to form a cycloalkyl; R3 and R4 are alkyl can be joined to form a cycloalkyl;
R9, R10, R16, R17, R24, R25, and R31 are selected from the group H, alkyl, or substituted alkyl;
R8, R11, R12, R28, R30, R32, R33, and R30 are selected from the group consisting of H, alkyl, substituted alkyl, aryl, substituted aryl, cycloalkyl, or heterocyclo;
R15, R23 and R29 are selected from the group consisting of H, alkyl, substituted alkyl, aryl, substituted aryl, cycloalkyl, heterocyclo, R32C═O, R33SO2, hydroxy, O-alkyl or O-substituted alkyl;
and any salts, solvates or hydrates thereof.
The present invention does not include compounds of formula V wherein
- W and X are both O; and
- R1, R2, R7, are H; and
- R3, R4, R6, are methyl; and
- R8, is H or methyl; and
- Z1, and Z2, are CH2; and
- G is 1-methyl-2-(substituted-4-thiazolyl)ethenyl; and
- Q is as defined above.
Listed below are definitions of various terms used to describe this invention. These definitions apply to the terms as they are used throughout this specification, unless otherwise limited in specific instances, either individually or as part of a larger group.
The term “alkyl” refers to straight or branched chain unsubstituted hydrocarbon groups of 1 to 20 carbon atoms, preferably 1 to 7 carbon atoms. The expression “lower alkyl” refers to unsubstituted alkyl groups of 1 to 4 carbon atoms.
The term “substituted alkyl” refers to an alkyl group substituted by, for example, one to four substituents, such as, halo, trifluoromethyl, trifluoromethoxy, hydroxy, alkoxy, cycloalkoxy, heterocyclooxy, oxo, alkanoyl, aryloxy, alkanoyloxy, amino, alkylamino, arylamino, aralkylamino, cycloalkylamino, heterocycloamino, disubstituted amines in which the 2 amino substituents are selected from alkyl, aryl or aralkyl, alkanoylamino, aroylamino, aralkanoylamino, substituted alkanoylamino, substituted arylamino, substituted aralkanoylamino, thiol, alkylthio, arylthio, aralkylthio, cycloalkylthio, heterocyclothio, alkylthiono, arylthiono, aralkylthiono, alkylsulfonyl, arylsulfonyl, aralkylsulfonyl, sulfonamido (e.g. SO2NH2), substituted sulfonamido, nitro, cyano, carboxy, carbamyl (e.g. CONH2), substituted carbamyl (e.g. CONH alkyl, CONH aryl, CONH aralkyl or cases where there are two substituents on the nitrogen selected from alkyl, aryl or aralkyl), alkoxycarbonyl, aryl, substituted aryl, guanidino and heterocyclos, such as, indolyl, imidazolyl, furyl, thienyl, thiazolyl, pyrrolidyl, pyridyl, pyrimidyl and the like. Where noted above where the substituent is further substituted it will be with halogen, alkyl, alkoxy, aryl or aralkyl.
The term “halogen” or “halo” refers to fluorine, chlorine, bromine and iodine.
The term “aryl” refers to monocyclic or bicyclic aromatic hydrocarbon groups having 6 to 12 carbon atoms in the ring portion, such as phenyl, naphthyl, biphenyl and diphenyl groups, each of which may be substituted.
The term “aralkyl” refers to an aryl group bonded directly through an alkyl group, such as benzyl.
The term “substituted aryl” refers to an aryl group substituted by, for example, one to four substituents such as alkyl, substituted alkyl, halo, trifluoromethoxy, trifluoromethyl, hydroxy, alkoxy, cycloalkyloxy, heterocyclooxy, alkanoyl, alkanoyloxy, amino, alkylamino, aralkylamino, cycloalkylamino, heterocycloamino, dialkylamino, alkanoylamino, thiol, alkylthio, cycloalkylthio, heterocyclothio, ureido, nitro, cyano, carboxy, carboxyalkyl, carbamyl, alkoxycarbonyl, alkylthiono, arylthiono, alkysulfonyl, sulfonamido, aryloxy and the like. The substituent may be further substituted by halo, hydroxy, alkyl, alkoxy, aryl, substituted aryl, substituted alkyl or aralkyl.
The term “cycloalkyl” refers to optionally substituted, saturated-cyclic hydrocarbon ring systems, preferably containing 1 to 3 rings and 3 to 7 carbons per ring which may be further fused with an unsaturated C3–C7 carbocyclic ring. Exemplary groups include cyclopropyl, cyclobutyl, cyclopentyl, cyclohexyl, cycloheptyl, cyclooctyl, cyclodecyl, cyclododecyl, and adamantyl. Exemplary substituents include one or more alkyl groups as described above, or one or more groups described above as alkyl substituents.
The terms “heterocycle”, “heterocyclic” and “heterocyclo” refer to an optionally substituted, fully saturated or unsaturated, aromatic or nonaromatic cyclic group, for example, which is a 4 to 7 membered monocyclic, 7 to 11 membered bicyclic, or 10 to 15 membered tricyclic ring system, which has at least one heteroatom in at least one carbon atom-containing ring. Each ring of the heterocyclic group containing a heteroatom may have 1, 2 or 3 heteroatoms selected from nitrogen atoms, oxygen atoms and sulfur atoms, where the nitrogen and sulfur heteroatoms may also optionally be oxidized and the nitrogen heteroatoms may also optionally be quaternized. The heterocyclic group may be attached at any heteroatom or carbon atom.
Exemplary monocyclic heterocyclic groups include pyrrolidinyl, pyrrolyl, indolyl, pyrazolyl, oxetanyl, pyrazolinyl, imidazolyl, imidazolinyl, imidazolidinyl, oxazolyl, oxazolidinyl, isoxazolinyl, isoxazolyl, thiazolyl, thiadiazolyl, thiazolidinyl, isothiazolyl, isothiazolidinyl, furyl, tetrahydrofuryl, thienyl, oxadiazolyl, piperidinyl, piperazinyl, 2-oxopiperazinyl, 2-oxopiperidinyl, 2-oxopyrrolidinyl, 2-oxazepinyl, azepinyl, 4-piperidonyl, pyridyl, N-oxo-pyridyl, pyrazinyl, pymidinyl, pyridazinyl, tetrahydropyranyl, tetrahydrothiopyranyl, tetrahydrothiopyranyl sulfone, morpholinyl, thiomorpholinyl, thiomorpholinyl sulfoxide, thiomorpholinyl sulfone, 1,3-dioxolane and tetrahydro-1,1-dioxothienyl, dioxanyl, isothiazolidinyl, thietanyl, thiiranyl, triazinyl, and triazolyl, and the like.
Exemplary bicyclic heterocyclic groups include benzothiazolyl, benzoxazolyl, benzothienyl, quinuclidinyl, quinolinyl, quinolinyl-N-oxide, tetrahydroisoquinolinyl, isoquinolinyl, benzimidazolyl, benzopyranyl, indolizinyl, benzofuryl, chromonyl, coumarinyl, cinnolinyl, quinoxalinyl, indazolyl, pyrrolopyridyl, furopyridinyl (such as furo[2,3-c]pyridinyl, furo[3,1-b]pyridinyl] or furo[2,3-b]pyridinyl), dihydroisoindolyl, dihydroquinazolinyl (such as 3,4-dihydro-4-oxo-quinazolinyl), benzisothiazolyl, benzisoxazolyl, benzodiazinyl, benzofurazanyl, benzothiopyranyl, benzotriazolyl, benzpyrazolyl, dihydrobenzofuryl, dihydrobenzothienyl, dihydrobenzothiopyranyl, dihydrobenzothiopyranyl sulfone, dihydrobenzopyranyl, indolinyl, isochromanyl, isoindolinyl, naphthyridinyl, phthalazinyl, piperonyl, purinyl, pyridopyridyl, quinazolinyl, tetrahydroquinolinyl, thienofuryl, thienopyridyl, thienothienyl, and the like.
Exemplary substituents include one or more alkyl groups as described above or one or more groups described above as alkyl substituents. Also included are smaller heterocyclos, such as, epoxides and aziridines.
The term “heteroatoms” shall include oxygen, sulfur and nitrogen.
The compounds of formula V may form salts with alkali metals such as sodium, potassium and lithium, with alkaline earth metals such as calcium and magnesium, with organic bases such as dicyclohexylamine, tributylamine, pyridine and amino acids such as arginine, lysine and the like. Such salts can be obtained, for example, by exchanging the carboxylic acid protons, if they contain a carboxylic acid, in compounds of formula V with the desired ion in a medium in which the salt precipitates or in an aqueous medium followed by evaporation. Other salts can be formed as known to those skilled in the art.
The compounds for formula V form salts with a variety of organic and inorganic acids. Such salts include those formed with hydrogen chloride, hydrogen bromide, methanesulfonic acid, hydroxyethanesulfonic acid, sulfuric acid, acetic acid, trifluoroacetic acid, maleic acid, benzenesulfonic acid, toluenesulfonic acid and various others (e.g., nitrates, phosphates, borates, tartrates, citrates, succinates, benzoates, ascorbates, salicylates and the like). Such salts are formed by reacting a compound of formula V in an equivalent amount of the acid in a medium in which the salt precipitates or in an aqueous medium followed by evaporation.
In addition, zwitterions (“inner salts”) are formed.
Compounds of the formula V may also have prodrug forms. Any compound that will be converted in vivo to provide the bioactive agent (i.e., the compound for formula V) is a prodrug within the scope and spirit of the invention.
For example compounds of the formula V may form a carboxylate ester moiety. The carboxylate esters are conveniently formed by esterifying any of the carboxylic acid functionalities found on the disclosed ring structure(s).
Various forms of prodrugs are well known in the art. For examples of such prodrug derivatives, see:
- a) Design of Prodrugs, edited by H. Bundgaard, (Elsevier, 1985) and Methods in Enzymology, Vol. 112, pp. 309–396, edited by K. Widder et al. (Academic Press, 1985);
- b) A Textbook of Drug Design and Development, edited by Krosgaard-Larsen and H. Bundgaard, Chapter 5, “Design and Application of Prodrugs,” by H. Bundgaard, pp. 113–191 (1991);
- c) H. Bundgaard, Advanced Drug Delivery Reviews, 8, pp. 1–38 (1992);
- d) H. Bundgaard et al., Journal of Pharmaceutical Sciences, 77, p. 285 (1988); and
- e) N. Kakeya et al., Chem. Phar. Bull., 32, p. 692 (1984).
It should further be understood that solvates (e.g., hydrates) of the compounds of formula V are also within the scope of the present invention. Methods of solvation are generally known in the art.
The compounds of formula V are microtubule-stabilizing agents. They are thus useful in the treatment of a variety of cancers or other abnormal proliferative diseases, including (but not limited to) the following;
- carcinoma, including that of the bladder, breast, colon, kidney, liver, lung, ovary, pancreas, stomach, cervix, thyroid and skin; including squamous cell carcinoma;
- hematopoietic tumors of lymphoid lineage, including leukemia, acute lymphocytic leukemia, acute lymphoblastic leukemia, B-cell lymphoma, T-cell lymphoma, Hodgkins lymphoma, non-Hodgkins lymphoma, hairy cell lymphoma and Burketts lymphoma;
- hematopoietic tumors of myeloid lineage, including acute and chronic myelogenous leukemias and promyelocytic leukemia;
- tumors of mesenchymal origin, including fibrosarcoma and rhabdomyoscarcoma;
- other tumors, including melanoma, seminoma, teratocarcinoma, neuroblastoma and glioma;
- tumors of the central and peripheral nervous system, including astrocytoma, neuroblastoma, glioma, and schwannomas;
- tumors of mesenchymal origin, including fibrosarcoma, rhabdomyoscaroma, and osteosarcoma; and
- other tumors, including melanoma, xenoderma pigmentosum, keratoacanthoma, seminoma, thyroid follicular cancer and teratocarcinoma.
Compounds of formula V may also inhibit tumor angiogenesis, thereby affecting abnormal cellular proliferation. Such anti-angiogenesis properties of the compounds of formula V may also be useful in the treatment of certain forms of blindness related to retinal vascularization, arthritis, especially inflammatory arthritis, multiple sclerosis, restinosis and psoriasis.
Compounds of formula V may induce or inhibit apoptosis, a physiological cell death process critical for normal development and homeostasis. Alterations of apoptotic pathways contribute to the pathogenesis of a variety of human diseases. Compounds of formula V, as modulators of apoptosis, will be useful in the treatment of a variety of human diseases with aberrations in apoptosis including cancer (particularly, but not limited to follicular lymphomas, carcinomas with p53 mutations, hormone dependent tumors of the breast, prostrate and ovary, and precancerous lesions such as familial adenomatous polyposis), viral infections (including but not limited to herpesvirus, poxvirus, Epstein-Barr virus, Sindbis virus and adenovirus), autoimmune diseases (including but not limited to systemic lupus erythematosus, immune mediated glomerulonephritis, rheumatoid arthritis, psoriasis, inflammatory bowel diseases and autoimmune diabetes mellitus), neurodegenerative disorders (including but not limited to Alzheimer's disease, AIDS-related dementia, Parkinson's disease, amyotrophic lateral sclerosis, retinitis pigmentosa, spinal muscular atrophy and cerebellar degeneration), AIDS, myelodysplastic syndromes, aplastic anemia, ischemic injury associated myocardial infarctions, stroke and reperfusion injury, arrhythmia, atherosclerosis, toxin-induced or alcohol induced liver diseases, hematological diseases (including but not limited to chronic anemia and aplastic anemia), degenerative diseases of the musculoskeletal system (including but not limited to osteoporosis and arthritis), aspirin-sensitive rhinosinusitis, cystic fibrosis, multiple sclerosis, kidney diseases, and cancer pain.
The compounds of this invention are also useful in combination with known anti-cancer and cytotoxic agents and treatments, including radiation. If formulated as a fixed dose, such combination products employ the compounds of this invention within the dosage range described below and the other pharmaceutically active agent within its approved dosage range. Compounds of formula V can be used sequentially with known anticancer or cytotoxic agents and treatment, including radiation when a combination formulation is inappropriate. Especially useful are cytotoxic drug combinations wherein the second drug chosen acts in a different phase of the cell cycle, e.g. S phase, than the present compounds of formula V which exert their effects at the G2-M phase.
e.g.
- Thymidilate Synthase Inhibitors
- DNA Cross Linking Agents
- Topoisomerase I and II Inhibitors
- DNA Alkylating Agents
- Ribonucleoside Reductase Inhibitors
- Cytotoxic Factors e.g. TNF-alpha or
- Growth factor inhibitors e.g. HER 2 receptor MAB's
The present compounds may exist as multiple optical, geometric, and stereoisomers. Included within the present invention are all such isomers and mixtures thereof.
The compounds of this invention can be formulated with a pharmaceutical vehicle or diluent for oral, intravenous or subcutaneous administration. The pharmaceutical composition can be formulated in a classical manner using solid or liquid vehicles, diluents and additives appropriate to the desired mode of administration. Orally, the compounds can be administered in the form of tablets, capsules, granules, powders and the like. The compounds are administered in a dosage range of about 0.05 to 200 mg/kg/day, preferably less than 100 mg/kg/day, in a single dose or in 2 to 4 divided doses.
Especially preferred compounds of formula V are those wherein
- Q is:
- X is O;
- Y is O;
- Z1 and Z2 are CH2; and
- W is NR15.
Compounds of formula V are prepared by the following schemes.
Compounds of formula V where W is NR15 and X is O can be prepared as outlined in Scheme 1. A compound of formula XII, where P1 is an oxygen protecting group such as t-butyldimethylsilyl, can be prepared from a compound of formula VI by known methods (i.e., Nicolaou, K. C. et al., Angew. Chem. Int. Ed. Engl., 36:166–168 (1997)). Aldol reaction of a compound of formula XII and a compound of formula XIV provides a compound of formula XIII. The compound of formula XIV can be prepared by known methods (i.e., Schinzer, D. et al., Eur. Chem. Chron., 1:7–10 (1996)). An aldehyde of formula XVIII can be prepared from a compound of formula XV as shown in Scheme 1 or by using known methods (i.e., Taylor, R. E. et al., Tetrahedron Lett., 38:2061–2064 (1997)). A compound of formula XIX can be prepared from a compound XVIII by treatment with an amine using dehydrating conditions such as catalytic p-toluenesulfonic acid and azeotropic removal of water. A compound of formula XX can be prepared from a compound of formula XIX by treatment with an allylating reagent such as allylmagnesium bromide. A compound of formula XXI can be prepared from compounds of formulas XIII and XX, by standard amide bond coupling agents (i.e., DCC, BOP, EDC/HOBT, PyBrOP). A compound of formula XXII can be prepared from a compound of formula XXI by ring-closing metathesis using either the Grubbs (RuCl2(═CHPh)(PCY3)2; see Grubbs, R. H. et al., Angew. Chem. Int. Ed. Engl., 34:2039 (1995)) or Schrock catalysts (See Schrock, R. R. et al., J. Am. Chem. Soc., 112:3875 (1990)). Deprotection of a compound of formula XXI using, for example when P1 is a t-butyldimethylsily group, hydrogen fluoride in acetronitrile or tetra-n-butyl ammonium fluoride in THF provides a compound of formula V where Q is an ethylene group, W is NR15, X is O, an R3, R4, R5, R6 are defined as described above. Regioselective epoxidation of a compound of formula V where Q is an ethylene group using dimethyldioxirane provides a compound of formula V where Q is an oxirane group, W is NR15, X is O, and R3, R4, R5, R15 are defined as described above.
Alternatively, a compound of formula VIII can be prepared by reaction of a compound of formula XXIII with magnesium and an acid chloride (R5CH2COCl) to give a compound of formula XXIV (See for example: Heathcock, C. et al., J. Org. Chem., 55:1114–1117 (1990)), followed by ozononolysis to give a compound of formula VIII as shown in Scheme 2.
Alternatively, a compound of formula XIV can be prepared as shown in Scheme 3. Reaction of a compound of formula XXV and pseudoephedrine provides a compound of formula XXVI. A compound of formula XXVII can be prepared from a compound of formula XXVI by alkylation with a pentenyl halide such as 5-bromopentene according to the method of Meyers (i.e., Meyers, A. et al., J. Am. Chem. Soc., 116:9361–9362 (1994)). A compound of formula XXVIII can be prepared from a compound of formula XXVII with a reducing agent such as lithium pyrrolidinyl borohydride. Oxidation of a compound of formula XXVIII, using for example pyridinium chlorochromate, provides a compound of formula XIV. Direct conversion of a compound of formula XXVII to a compound of formula XIV can be accomplished with a reducing agent such as lithium triethoxy-aluminum hydride.
Alternatively, a compound of formula XX can be prepared from allylglycine as shown in Scheme 4. Allylglycine can be N-protected using methods known in the art to give a compound of formula XXIX, where P2 is a suitable N-protecting group such as t-butyloxycarbonyl. Optionally, where R29 is not hydrogen, a compound of formula XXX can be prepared from a compound of formula XXIX by alkylation with an alkyl halide in the presence of a base such as sodium hydride. A compound of formula XXXI can be prepared from a compound of formula XXX using N,O-dimethylhydroxylamine and standard coupling agents such as EDCI and HOBT. A compound of formula XXXII can be prepared from a hydroxamate XXXI by treatment with an organometallic reagent such as an alkyl or arylmagnesium halide. Wittig olefination of a compound of formula XXXII provides a compound of formula XXXIII (the Wittig reagent is prepared as reported: Danishefsky, S. E. et al., J. Org. Chem., 61:7998–7999 (1996)). N-Deprotection of a compound of formula XXXIII using methods known in the art provides a compound of formula XX.
A compound of formula V where W is NR15, X is oxygen, and G is a 1,2-disubstituted olefin can be prepared as shown in Scheme 5. A compound of formula XXXV can be prepared by Wittig olefination of a compound of formula XXXII. A compound of formula XXXIV can be prepared by methods known in the art. A compound of formula XXXVI can be prepared by N-deprotection of a compound of formula XXXV using methods known in the art. A compound of formula XXXVII can be prepared by coupling reaction of a compound of formula XXXVI and a compound of formula XIII using standard coupling agents such as EDCI and HOBT. A compound of formula XXXVIII can be prepared from a compound of formula XXXVII by methods described in Scheme 1 for the preparation of a compound of formula XXII. Using methods described in Scheme 1 (steps o and p), a compound of formula XXXVIII can be converted to compounds of formula V where W is NR15, X is oxygen, and G is a 1,2-disubstituted olefin.
A compound of formula V where both W and X are oxygen, and G is a 1,2-disubstituted olefin can be prepared as shown in Scheme 6. A compound of formula XXXX can be prepared from a compound of formula XXXIX by treatment with an allylating agent such as allylmagnesium bromide. Enantiomerically pure XXXX can be prepared by employing chiral reagents (see, for example: Taylor, R. E. et al., Tetrahedron Lett., 38:2061–2064 (1997); Nicolaou, K. C. et al., Angew. Chem. Int. Ed. Engl., 36:166–168 (1997); Keck, G. et al., J. Am. Chem. Soc., 115:8467 (1993)). A compound of formula XXXXI can be prepared from compounds of formula XXXX and XIII by using standard esterification methods such as DCC and DMAP. A compound of formula XXXXII can be prepared from a compound of formula XXXXI via ring-closing olefin metathesis as described in Scheme 1 for the preparation of a compound of formula XXII. Compounds of formula V where both W and X are oxygen, and G is a 1,2-disubstituted olefin can be prepared from a compound of formula XXXXII by deprotection (where Q is an ethylene group) and, if desired, epoxidation (where Q is an oxirane group) as described above.
A compound of formula V where both W and X are oxygen, and G is alkyl, substituted alkyl, aryl, heteroaryl, bicycloaryl, or bicycloheteroaryl can be prepared as shown in Scheme 7. A compound of formula XXXXIV can be prepared by allylation of a compound of formula XXXXIII, where G is alkyl, substituted alkyl, aryl, heteroaryl, bicycloaryl, or bicycloheteroaryl, by reaction with an allylating reagent such as allyl magnesium bromide. A compound of formula XXXXV can be prepared from a compound of formula XXXXIV via esterification with a compound of formula XIII using, for example, DCC and DMAP. A compound of formula XXXXVI can be prepared from a compound of formula XXXXV by ring-closing metathesis as described above. Following the methods outlined above for Scheme 1, a compound of formula XXXXVI can be converted to compounds of formula V by deprotection and subsequent epoxidation.
A compound of formula V where W is NR15, X is oxygen, and G is alkyl, substituted alkyl, aryl, heteroaryl, bicycloaryl, or bicycloheteroaryl can be prepared as shown in Scheme 8. A compound of formula XXXXVII can be prepared by reaction of a compound of formula XXIII, where G is alkyl, substituted alkyl, aryl, heteroaryl, bicycloaryl, or bicycloheteroaryl, and an amine under dehydrating conditions. A compound of formula XXXXVIII can be prepared from a compound of formula XXXXVII by treatment with an allylating agent such as allylmagnesium bromide. A compound of formula XXXXIX can be prepared from a compound of formula XXXXVIII and a compound of formula XIII by standard amide bond coupling techniques using, for example, EDCI and HOBT. A compound of formula L can be prepared from a compound of formula XXXXIX by ring-closing metathesis as described above. Following the methods outlined above for Scheme 1, a compound of formula L can be converted to compounds of formulas V by deprotection and subsequent epoxidation.
A compound of formula V where X is oxygen, W is NR15, and G is
and D is selected from the group consisting of NR28R29, NR30COR31, and saturated heterocycle (i.e., piperidinyl, morpholinyl, piperazinyl, etc.) can be prepared as shown in Scheme 9. A compound of formula LI can be prepared from a compound of formula XXXII by reductive amination using a primary or secondary amine and a reducing agent such as sodium triacetoxyborohydride. Compounds of formula LIII, LIV, and V can then be prepared following methods described above in Scheme 1.
Alternatively, a compound of formula V where X is oxygen, W is oxygen or NR15, and G is
and D is selected from the group consisting of NR28R29, NR30COR31, and saturated heterocycle (i.e., piperidinyl, morpholinyl, piperazinyl, etc.) can be prepared from a compound of formula V as shown in Scheme 10. A compound of formula V can be converted to a compound of formula LV by protection of the hydroxyl groups with suitable protecting groups such as t-butyldimethylsilyl. A compound of formula LVI can be prepared from a compound of formula LV by ozonolysis. Treatment of a compound of formula LVI with an amine and a reducing agent such as sodium triacetoxyboro-hydride provides a compound of formula LVII. Removal of the protecting groups from a compound of formula LVII, with for example hydrogen fluoride, provides a compound of formula V where X is oxygen, W is NR15 or oxygen, and G is
A compound of formula V where W is NR15, X is oxygen, and G is
can be prepared as outlined in Scheme 11. A compound of formula LVIII can be prepared from a compound of formula XXX by treatment with an amine and standard amide bond coupling agents such as EDCI and HOBT. A compound of formula LX can be prepared from a compound of formula LVIII by N-deprotection, using for example trifluoroacetic acid when P2 is a t-butyloxycarbonyl group, followed by coupling of compounds of formula LIX and XIII using standard amide bond coupling agents such as EDCI and HOBT. A compound of formula LXI can be prepared from a compound of formula LX by ring-closing metathesis. A compound of formula V can be prepared from a compound of formula LXI following methods described in Scheme 1.
A compound of formula V where W is oxygen, X is oxygen, and G is
can be prepared as outlined in Scheme 12. A compound of formula LXII can be prepared from allylglycine by treatment with nitrous acid. A compound of formula LXIII can be prepared from a compound of formula LXII by treatment with an amine and standard amide bond coupling agents such as EDCI and HOBT. A compound of formula LXIV can be prepared from compounds of formula LXIII and XIII using standard amide bond coupling agents such as EDCI and HOBT. A compound of formula LXV can be prepared from a compound of formula LXIV by ring-closing metathesis. A compound of formula V can be prepared from a compound of formula LXV following methods described in Scheme 1.
Compounds of formula V where G is a 1,2-disubstituted ethyl group can be prepared from a compound of formula V where G is a 1,2-disubstituted ethylene group by hydrogenation with a catalyst such as palladium on carbon, as shown in Scheme 13. Furthermore, compounds of formula V where G is a 1,2-disubstituted cyclopropyl group can be prepared from a compound of formula V where G is a 1,2-disubstituted ethylene group by cyclopropanation with diiodomethane and zinc-copper couple, as shown in Scheme 13.
A compound of formula V where Z1 is oxygen can be prepared as shown in Scheme 14. A compound of formula LXVII can be prepared from an alpha-hydroxy ester LXVI and a 3-buten-1-yl-trifluoromethanesulfonate (or with a 3-butenyl bromide and silver triflate). A compound of formula LXVII can be reduced with a reducing agent such as diisobutylaluminum hydride to provide a compound of formula LXVIII. Alternatively, a compound of formula LXVIII can be obtained from a compound of formula LXVII by a two step procedure involving reduction with lithium borohydride and oxidation with pyridinium chlorochromate. This compound of formula LXVIII can be substituted for a compound of formula XIV in Scheme 1 to give a compound of formula LXIX. Further elaboration of LXIX as described above provides a compound of formula V where Z1 is oxygen.
Similarly, a compound of formula V where Z1 is NR23 can be prepared as shown in Scheme 15. A compound of formula LXXI can be prepared from an alpha-amino ester LXX and a 3-buten-1-yl-bromide. A compound of formula LXXI can be reduced with a reducing agent such as diisobutylaluminum hydride to provide a compound of formula LXXII. Alternatively, a compound of formula LXXII can be obtained from a compound of formula LXXI by a two step procedure involving reduction with lithium borohydride and oxidation with pyridinium chlorochromate. This compound of formula LXXII can be substituted for a compound of formula XIV in Scheme 1 to give a compound of formula LXXIII. Further elaboration of LXXIII as described above provides a compound of formula V where Z1 is NR23.
A compound of formula V where Z2 is oxygen can be prepared as shown in Scheme 16. A compound of formula LXXV can be prepared from a beta-hydroxy ester LXXIV and an allylating agent such as allylbromide (or an allyl bromide and silver triflate). A compound of formula LXXV can be reduced with a reducing agent such as diisobutylaluminum hydride to provide a compound of formula LXXVI. Alternatively, a compound of formula LXXVI can be obtained from a compound of formula LXXV by a two step procedure involving reduction with lithium borohydride and oxidation with pyridinium chlorochromate. This compound of formula LXXVI can be substituted for a compound of formula XIV in Scheme 1 to give a compound of formula LXXVII. Further elaboration of LXXVII as described above provides a compound of formula V where Z2 is oxygen.
Similarly, a compound of formula V where Z2 is NR23 can be prepared as shown in Scheme 17. A compound of formula LXXIX can be prepared from a beta-amino ester LXXVIII and an allylating agent such as allylbromide. A compound of formula LXXIX can be reduced with a reducing agent such as diisobutylaluminum hydride to provide a compound of formula LIXXX LXXX. Alternatively, a compound of formula LXXX can be obtained from a compound of formula LXXIX by a two step procedure involving reduction with lithium borohydride and oxidation with pyridinium chlorochromate. This compound of formula LXXX can be substituted for a compound of formula XIV in Scheme 1 to give a compound of formula LXXXI. Further elaboration of LXXXI as described above provides a compound of formula V where Z2 is NR23.
A compound of formula V where W is oxygen or NR15and X is H,H can be prepared as shown in Scheme 18. A compound of formula V can be converted to a compound of formula LXXXII, where P4 and P5 are hydroxyl protecting groups, by treatment with a reagent such as t-butyldimethylsilyltriflate. A compound of formula LXXXIII can be prepared from a compound of formula LXXXII by treatment with Lawesson's reagent. A compound of formula LXXXIV can be prepared from a compound of formula LXXXIII by using a reducing agent such as tri-n-butyltin hydride when W is oxygen or by treatment with methyl iodide and sodium borohydride when W is NR15. Removal of the protecting groups from a compound of formula LXXXIV, using for example hydrogen fluoride when P4 and P5 are silyl groups, provides a compound of formula V where W is oxygen or NR15 and X is H,H.
A compound of formula V where W, X and Y are oxygen, and R1 is alkyl or substituted alkyl can be prepared as shown in Scheme 19. A compound of formula V can be protected to give a compound of formula LXXXV LXXXXV, where P5 and P6 are hydroxyl protecting groups, by treatment with a reagent such as t-butyldimethylsilyl trifluoromethanesulfonate. A compound of formula LXXXVI LXXXXVI can be prepared from a compound of formula LXXXV LXXXXV by treatment with a reducing agent such as sodium borohydride. A compound of formula LXXXVII LXXXXVII can be prepared from a compound of formula LXXXVI LXXXXVI by protection of the hydroxyl group, where P7 is for example p-methoxybenzyl, using p-methoxybenzyl trichloroacetimidate. Removal of the protecting groups P5 and P6 of a compound of formula LXXXXVII using, for example, hydrogen fluoride in pyridine when P5 and P6 are t-butyldimethylsilyl groups provides a compound of formula LXXXXVIII which then can be selectively protected using for example t-butyldimethylsilyl chloride to give a compound of formula LXXXXIX where P8 is a t-butyldimethylsilyl group. A compound of formula C can be prepared from a compound of formula LXXXXIX by treatment with a base such as lithium diisopropylamide followed by treatment with an alkylating agent such as methyl iodide. A compound of formula C can be protected to give a compound of formula CI, where P9 is a hydroxyl protecting group, by treatment with a reagent such as t-butyldimethylsilyl trifluoromethanesulfonate. A compound of formula CII can be prepared from a compound of formula CI by removal of the P7 group using, for example, DDQ when P7 is a p-methoxybenzyl group. A compound of formula V, where W, X and Y are oxygen, and R1 is alkyl or substituted alkyl, can be prepared from a compound of formula CII by oxidation using, for example, TPAP/NMO followed by removal of the protecting groups using, for example, hydrogen fluoride when P8 and P9 are silyl groups. This compound of formula V can be further oxidized with dimethyldioxirane as shown in Scheme 1 to provide the corresponding epoxide compound of formula V.
A compound of formula V where X is oxygen and Q is an olefin can be prepared from a compound of formula V where X is oxygen and Q is an oxirane ring by treatment with a reactive metallocene such as titanocene, zirconocene or niobocene as shown in Scheme 20 (see for example R. Schobert and U. Hohlein, Synlett, 465–466 (1990)).
A compound of formula V where X is oxygen and W is NR15, where R15 is hydrogen, can be prepared from a compound of formula V where both X and W are oxygen as shown in Scheme 21. A compound of formula CIII can be prepared from a compound of formula V where both X and W are oxygen by formation of a pi-allylpalladium complex using, for example, palladium tetrakistriphenylphosphine followed by treatment with sodium azide (see, for example: Murahashi, S.-I. et al., J. Org. Chem., 54:3292 (1989)). Subsequent reduction of a compound of formula CIII with a reducing agent such as triphenylphosphine provides a compound of formula CIV. A compound of formula V where X is oxygen and W is NR15, where R15 is hydrogen, can be prepared from a compound of formula CIV by macrolactamization using, for example, diphenylphosphoryl azide or bromotripyrrolidinophosphonium hexafluorophosphate (PyBroP).
A compound of formula V where X is oxygen and W is NR15, where R15 is alkyl, substituted alkyl, aryl, heteroaryl, cycloalkyl, heterocyclo, O-alkyl, O-substituted alkyl, can be prepared from a compound of formula V where both X and W are oxygen as shown in Scheme 22. A compound of formula CV can be prepared from a compound of formula V where both X and W are oxygen by formation of a pi-allylpalladium complex using, for example, palladium tetrakistriphenylphosphine followed by treatment with a primary amine. A compound of formula V where X is oxygen and W is NR15 where R15 is alkyl, substituted alkyl, aryl, heteroaryl, cycloalkyl, heterocyclo, OH, O-alkyl, O-substituted alkyl, can be prepared from a compound of formula CV by macrolactamization using, for example, diphenylphosphoryl azide or bromotripyrrolidinophosphonium hexafluorophosphate (PyBroP). In the case where R15 is OH, it may be necessary to remove a protecting group such as t-butyldimethylsilyl from an intermediate where R15 is O-t-butyldimethylsilyl.
The in vitro assessment of biological activity of the compounds of Formula V was performed as follows:
In Vitro Tubulin Polymerization
Twice cycled (2×) calf brain tubulin was prepared following the procedure of Williams and Lee (see Williams, R. C., Jr. and Lee, J. C., “Preparation of tubulin from brain.”, Methods in Enzymology, 85, Pt. D, 376–385 (1982)) and stored in liquid nitrogen before use. Quantification of tubulin polymerization potency is accomplished following a modified procedure of Swindell et al. (see Swindell, C. S., Krauss, N. E., Horwitz, S. B. and Ringel, I., “Biologically active taxol analogues with deleted A-ring side chain substituents and variable C-2′ configurations.”, J. Med Chem., 34:1176–1184 (1991)). These modifications, in part, result in the expression of tubulin polymerization potency as an effective concentration for any given compound. For this method, different concentrations of compound in polymerization buffer (0.1M MES, 1 mM EGTA, 0.5 mM MgCl2, pH 6.6) are added to tubulin in polymerization buffer at 37° in microcuvette wells of a Beckman (Beckman Instruments) Model DU 7400 TN spectrophotometer. A final microtubule protein concentration of 1.0 mg/ml and compound concentration of generally 2.5, 5.0, and 10 μM are used. Initial slopes of OD change measured every 10 seconds were calculated by the program accompanying the instrument after initial and final times of the linear region encompassing at least 3 time points were manually defined. Under these conditions linear variances were generally <10−6, slopes ranged from 0.03 to 0.002 absorbance unit/minute, and maximum absorbance was 0.15 absorbance units. Effective concentration (EC0.01) is defined as the interpolated concentration capable of inducing an initial slope of 0.01 OD/minute rate and is calculated using the formula: EC0.01=concentration/slope. EC0.01 values are expressed as the mean with standard deviation obtained from 3 different concentrations. EC0.01 values for the compounds in this invention fall in the range 0.01–1000 μM.
Cytoxicity (In-Vitro)
Cytoxicity was assessed in HCT-116 human colon carcinoma cells by MTS (3-(4,5-dimethylthiazol-2-yl)-5-(3-carboxymethoxyphenyl)-2-(4-sulphenyl)-2H-tetrazolium, inner salt) assay as reported in T. L. Riss et al., “Comparison of MTT, XTT, and a novel tetrazolium compound MTS for in vitro proliferation and chemosensitivity assays.”, Mol. Biol. Cell, 3 (Suppl.):184a (1992). Cells were plated at 4,000 cell/well in 96 well microtiter plates and 24 hours later drugs were added and serial diluted. The cells were incubated at 37° form 72 hours at which time the tetrazolium dye, MTS at 333 μg/ml (final concentration), in combination with the electron coupling agent phenazine methosulfate at 25 μM (final concentration) was added. A dehydrogenase enzyme in live cells reduces the MTS to a form that absorbs light at 492 nM which can be quantitated spectrophotometrically. The greater the absorbance the greater the number of live cells. The results are expressed as an IC50, which is the drug concentration required to inhibit cell proliferation (i.e. absorbance at 450 nM) to 50% of that of untreated control cells. The IC50 values for compounds of this invention fall in the range 0.01–1000 nM.
The following Examples illustrate the present invention.
To stirring morpholine (165.5 g, 1.9 mol) was added isobutyraldehyde (173 mL, 1.9 mol) at a rate which did not allow the temperature of the reaction to exceed 30° C. After complete addition, the reaction mixture was stirred at room temperature for 2 h, and then the flask was equipped with a Dean-Stark trap and heated at 160° C. for 20 h. The reaction mixture was then cooled to room temperature, and the flask was equipped with a vigreux column distillation apparatus. Distillation under high vacuum gave 135 g (50%) of Compound A as a clear colorless oil. MS (M+H, 142).
To a stirring solution of propionyl chloride (44 mL, 0.50 mol) in ether (135 mL) at 0° C. under nitrogen was added a solution of Compound A (69 g, 0.50 mol) in ether (135 mL) over 45 min. After addition was complete, the reaction mixture was stirred at reflux for 2 h, and then stirred at room temperature for 16 h. The reaction mixture was filtered, and the filter cake was washed with ether (50 mL). The volatiles were removed in vacuo. The residue was taken into H2O (80 mL) and the solution was adjusted to a pH of 4. Ether was added (80 mL) and the biphasic mixture was stirred for 16 h. The reaction mixture was poured into a separatory funnel, the layers separated, and the aqueous layer was extracted with ether (5×100 mL). The combined organics were dried (MgSO4), filtered, and evaporated in vacuo. The residue was distilled under high vacuum to give 10.4 g (16%) of Compound B as a clear, colorless oil. MS (M−H, 127).
To a solution of (−)-B-methoxydiisopinocamphenylborane (25.7 g, 81 mmol) in ether (80 mL) at 0° C. under nitrogen was added 1.0 M allylmagnesium bromide in ether (77 mL, 77 mmol) over 1.5 h. The reaction mixture was stirred at 25° C. for 1 h, and then concentrated in vacuo. The residue was extracted with pentane (2×150 mL), and the extracts were filtered through Celite under nitrogen. The combined extracts were then evaporated in vacuo to give the B-allyldiisopinocamphenylborane. This material was taken up in ether (200 mL) and cooled to −100° C. under nitrogen. A solution of Compound B (11.42 g, 89 mmol) in ether (90 mL) at −78° C. was then added over a 1 h period. The reaction mixture was stirred for an additional 0.5 h and methanol (1.5 mL) was added. The reaction mixture was brought to room temperature, treated with 3 N NaOH (32 mL) and 30% H2O2 (64 mL), and then kept at reflux for 2 h. The reaction mixture was cooled to room temperature, the layers were separated, and the organic phase was washed with H2O (500 mL). The combined aqueous washes were re-extracted with ether (2×100 mL). The combined organic extracts were washed with saturated aqueous NaCl (100 mL), dried (MgSO4), filtered, and concentrated in vacuo. This residue was taken up in CH2Cl2 (250 mL), cooled to 0° C., and diisopropylethylamine (93 mL, 535 mmol) was added. To the stirring solution was then added tert-butyldimethylsilyl trifluoromethanesulfonate (69 g, 260 mmol) slowly as to not increase the temperature above 10° C. After complete addition, the reaction mixture was poured into H2O (650 mL), the layers were separated, and the aqueous layer was extracted with CH2Cl2 (2×650 mL). The combined organics were dried (Na2SO4), filtered, and concentrated in vacuo. The residue was purified by flash chromatography eluting with hexanes followed by 10% EtOAc/hexanes to give 17.2 g (78%) of Compound C as a clear, colorless oil. The enantiomeric excess was found to be 94% determined by 1H NMR analysis of the Mosher's ester of the alcohol. 13C NMR (CDCl3, 80 MHz) d 215.8, 136.1, 116.5, 52.8, 39.0, 31.9, 26.0, 22.4, 20.1, 18.1, 7.6, −3.6, −4.4.
Through a solution of Compound C (10.8 g, 38.0 mmol) in CH2Cl2 at −78° C. was bubbled O3 until the solution remained blue (1 h). O2 was then bubbled through for 15 min followed by N2 for 30 min after which time the solution became clear. Triphenylphosphine (10 g, 38 mmol) was then added and the reaction mixture was warmed to −35° C. and stored for 16 h. The volatiles were removed in vacuo and the residue was purified by flash chromatography eluting with 8% EtOAc/hexanes to give 8.9 g (74%) of Compound D as a clear, colorless oil. 1H NMR (CDCl3, 300 MHz) d 9.75 (m, 1H), 4.53 (t, J=4.8 Hz, 1H), 3.40–3.60 (m, 4H), 1.10 (s, 3H), 1.07 (s, 3H), 0.98 (t, J=7.0 Hz, 3H), 0.83 (s, 9H), 0.07 (s, 3H), 0.04 (s, 3H).
To a solution of Compound D (3.90 g, 13.6 mmol) in t-butanol (75 mL) was added 2-methyl-2-butene (5.85 mL, 55.2 mmol), and then a solution of sodium chlorite (4.61 g, 40.8 mmol) and sodium phosphate monobasic (2.81 g, 20.4 mmol) in H2O (15 mL) was added dropwise at room temperature. The reaction mixture was stirred for 0.5 h and then the solvents were removed in vacuo. To the residue was added H2O (150 mL) followed by extraction with EtOAc (3×150 mL). The combined organic extracts were dried (MgSO4), filtered, and the volatiles were removed in vacuo. The residue was-purified by flash chromatography eluting with 20% EtOAc/hexanes/1% AcOH to give 3.79 g (92%) of Compound E as a clear, colorless, viscous oil. MS (M+H, 303).
A suspension of LiCl (6.9 g, 0.16 mol) and preformed lithium diisopropylamide (Aldrich, 2.0 M solution in heptane/ethylbenzene/THF, 27.6 mL, 55 mmol) in additional THF (70 mL) at −78° C. was treated dropwise with a solution of (R,R)—N-(2-hydroxy-1-methyl-2-phenylethyl)-N-methyl propionamide (6.0 g, 27 mmol, Meyers, A. G. et al., J. Am. Chem. Soc., 116:9361 (1994)) in THF (30 mL) over 10 min. The bright yellow, reaction mixture was stirred at −78° C. (1 h), at 0° C. (15 min), and at 25° C. (5 min) before being recooled to 0° C. and treated with a solution of 5-bromo-1-pentene (4.8 mL, 40 mmol) in THF (5 mL). The reaction mixture was stirred at 0° C. (24 h), poured into saturated aqueous NH4Cl (100 mL) and EtOAc (100 mL). The two phases were separated and the aqueous phase was further extracted with EtOAc (3×100 mL). The organic extracts were combined, washed with saturated aqueous NaCl (200 mL), dried (Na2SO4), and concentrated in vacuo. Flash chromatography (SiO2, 4.0×25 cm, 2% MeOH—CHCl3) afforded Compound F (6.9 g, 88%) as a pale yellow oil. MS (ESI+): 290 (M+H)+; MS(ESI−): 288.2 (M−H)−.
A 250 mL round-bottom flask at 0° C. was charged sequentially with pyrrolidine (2.6 mL, 30 mmol) and BH3-THF complex (1.0 M in THF, 31 mL, 30 mmol). The borane-pyrrolidine complex was warmed to 25° C. (1 h), recooled to 0° C., and treated with n-butyllithium (1.6 M in hexane, 19 mL, 30 mmol) dropwise over 30 min while carefully maintaining an internal temperature below 5.5° C. The reaction mixture was stirred at 0° C. for an additional 30 min before a solution of Compound F (3.0 g, 10 mmol) in THF (23 mL) was added dropwise over 10 min. The reaction mixture was stirred at 25° C. (6 h) before being quenched by the dropwise addition of aqueous 3 N HCl (25 mL). The reaction mixture was then poured into aqueous 1 N HCl (200 mL) and extracted with Et2O (4×80 mL). The combined organics were washed with a 1:1 solution of saturated aqueous NaCl—aqueous 1 N HCl (2×150 mL) and concentrated in vacuo. An aqueous solution of NaOH (1 N, 200 mL) was added to the residue and the suspension was stirred for 30 min. The mixture was extracted with Et2O (3×100 mL) and the combined ether layers were washed with a 1:1 solution of saturated aqueous NaCl—aqueous 1 N NaOH (2×200 mL), dried (Na2SO4), and concentrated in vacuo. Flash chromatography (SiO2, 4.0×25 cm, 15–25% Et2O-pentane gradient elution) afforded Compound G (1.26 g, 95%) as a colorless oil. [a]25 D-11 (c 12, CH2Cl2).
A solution of Compound G (0.24 g, 1.9 mmol) in CH2Cl2 (6 mL) was treated with pyridinium chlorochromate (0.61 g, 2.8 mmol) and the reaction mixture was stirred at 25° C. for 5 h. The resulting dark brown viscous slurry was passed through a silica gel-Celite plug (Celite 1.0×1 cm on top of SiO2, 1.0×5 cm, eluting with 50 mL of CH2Cl2). The solvent was removed in vacuo to afford crude Compound H (0.15 g, 63%) as a colorless oil, which was sufficiently pure to use in subsequent reactions. 1H NMR (300 MHz, CD2Cl2) d 9.62 (s, 1H), 5.88–5.68 (m, 1H), 5.13–4.92 (m, 2H), 2.37–2.24 (m, 1H), 2.15–2.05 (m, 2H), 1.62–1.78 (m, 1H), 1.51–1.32 (m, 3H), 1.07 (d, 3H, J=7.0 Hz).
To a preformed LDA solution (Aldrich, 2.0 M solution in heptane/ethylbenzene/THF, 3.8 mL, 7.6 mmol) in additional THF (25 mL) at −78° C. was added a solution of Compound E (1.0 g, 3.4 mmol) in THF (5 mL) dropwise over 3 min. The reaction mixture was stirred at −78° C. (10 min), warmed to −40° C. (20 min), and recooled to −78° C. before Compound H (0.56 g, 4.4 mmol) in THF (5 mL) was added. The reaction mixture was warmed to −40° C., stirred for 1 h, and diluted with saturated aqueous NH4Cl (50 mL). The two layers were separated and the aqueous phase was extracted with EtOAc (4×50 mL). The combined organic layers were washed with saturated aqueous NaCl (100 mL), dried (Na2SO4), and concentrated in vacuo. Flash chromatography (SiO2, 2.5×20 cm, 2–5% MeOH—CHCl3 gradient elution) followed by HPLC (YMC S-10, ODS, 30×500 mm column, eluting with MeOH at a flow rate of 20 mL/min) separation afforded the desired syn-aldol product Compound I (0.60 g, 43%) and an undesired diastereomer (0.32 g, 22%) along with starting Compound E (˜10%). MS (ESI+): 879.3 (2M+Na)+, 451.2 (M+Na)+, 429.2 (M+H)+; MS(ESI−): 427.3 (M−H)−. Stereochemistry was confirmed by direct comparison of both the 13C and 1H NMRs of the subsequent ester derivative (used in the synthesis of Epothilone C) to the same intermediate previously described by K. C. Nicolaou et al., Angew. Chem. Int. Ed. Engl., 36:166 (1997).
A solution L-2-amino-4-pentenoic acid (NovaBiochem, 3.0 g, 26 mmol) in THF—H2O (1:1, 200 mL) at 0° C. was treated sequentially with NaHCO3 (6.6 g, 78 mmol) and di-tert-butyl dicarbonate (10.4 g, 1.8 mmol). The reaction mixture was warmed to 25° C. and stirred for 16 h. The pH of the mixture was adjusted to 4 by the careful addition of saturated aqueous citric acid at 0° C., and the mixture was extracted with EtOAc (4×50 mL). The combined organic layers were washed with saturated aqueous NaCl (75 mL), dried (Na2SO4), and concentrated in vacuo. Flash chromatography (SiO2, 4.0×6 cm, 5–10% MeOH—CHCl3 gradient elution) afforded Compound J (5.5 g, 99%) as a colorless oil. MS(ESI−): 429.3 (2M−H)−, 214.1 (M−H)−.
A solution Compound J (2.9 g, 13 mmol) in CHCl3 (55 mL) at 0° C. was treated sequentially with N,O-dimethylhydroxylamine hydrochloride (1.4 g, 15 mmol), 1-hydroxybenzotriazole (2.0 g, 15 mmol), 4-methylmorpholine (4.4 mL, 40 mmol), and 1-(3-dimethylaminopropyl)-3-ethylcarbodiimide hydrochloride (3.4 g, 18 mmol). The reaction mixture was gradually warmed to 25° C., stirred for 16 h, and diluted with H2O (100 mL). The two layers were separated and the aqueous phase was extracted with EtOAc (3×75 mL). The combined organic phases were washed with aqueous 5% HCl (100 mL), saturated aqueous NaHCO3 (100 mL), saturated aqueous NaCl (100 mL), dried (Na2SO4), and concentrated in vacuo. Flash chromatography (SiO2, 3.0×20 cm, 25–50% EtOAc-hexane gradient elution) afforded Compound K (2.5 g, 71%) as a colorless oil. MS (ESI+): 258.9 (M+H)+, 202.9 (M-isobutylene) 158.9 (M-BOC); MS(ESI−): 257.2 (M−H)−.
A solution of Compound K (2.5 g, 1.0 mmol) in THF (65 mL) at 0° C. was treated with methylmagnesium bromide (3.0 M in Et2O, 8.1 mL, 2.4 mmol). The reaction mixture was stirred at 0° C. (2.5 h) and carefully poured into saturated aqueous NH4Cl (100 mL). The two layers were separated and the aqueous phase was extracted with EtOAc (3×75 mL). The combined organic extracts were washed with saturated aqueous NH4Cl (75 mL), H2O (75 mL), saturated aqueous NaCl (75 mL), dried (MgSO4), and concentrated in vacuo. Flash chromatography (SiO2, 3.0×20 cm, 10–25% EtOAc-hexane gradient elution) afforded (S)-2-[N-[(tert-Butyloxy)carbonyl]amino]-5-hexene-2-one (2.2 g, 67%) as a colorless oil. MS (ESI+): 213.9 (M+H)+, 157.9 (M-isobutylene), 113.9 (M-BOC); MS(ESI−): 212.2 (M−H−).
A solution of 2-methyl-4-thiazolylmethyl diphenylphosphine oxide (2.5 g, 8.0 mmol, Danishefsky et al., J. Org. Chem., 61:7998 (1996)) in THF (38 mL) at −78° C. was treated with n-butyllithium (1.6 M in hexane, 5.2 mL, 8.4 mmol) dropwise over 5 min. The resulting brilliant orange mixture was stirred for 15 min at −78° C., and treated with a solution of Compound L (0.81 g, 3.8 mmol) in THF (5 mL). After 10 min at −78° C., the cooling bath was removed and the reaction mixture was allowed to warm to 25° C. (2 h). The mixture was poured into saturated aqueous NH4Cl (50 mL) and the two layers were separated. The aqueous phase was extracted with Et2O (3×50 mL) and the combined organic extracts were washed successively with H2O (75 mL), saturated aqueous NaHCO3 (75 mL), saturated aqueous NaCl (75 mL), dried (Na2SO4), and concentrated in vacuo. Flash chromatography (SiO2, 4.0×30 cm, 10–20% EtOAc-hexane gradient elution) afforded Compound M (0.23 g, 18%) as a colorless oil along with recovered starting ketone (20–30%). MS (ESI+): 309.1 (M+H)+, 253.0 (M-isobutylene); MS(ESI−): 307.3 (M−H)−.
Compound M (0.15 g, 0.49 mmol) was treated with 4.0 N HCl in 1,4-dioxane (5 mL) at 0° C. (30 min) under Ar. The volatiles were removed in vacuo, and the resulting white foam was dissolved in cold saturated aqueous NaHCO3 (3 mL). The solution was extracted with EtOAc (4×10 mL), and the combined EtOAc layers were dried (Na2SO4) and concentrated in vacuo. Flash chromatography (SiO2, 1.0×5 cm, 5–10% MeOH—CHCl3 gradient elution) afforded Compound N (88 mg, 88%) as a colorless oil. MS (ESI+): 209.0 (M+H)+; MS(ESI−): 207.2 (M−H)−.
A solution of Compound N (88 mg, 0.42 mmol) in DMF (1.3 mL) at 0° C. was treated sequentially with Compound I (0.15 g, 0.35 mmol), 1-hydroxybenzotriazole (49 mg, 0.36 mmol), and 1-(3-dimethylaminopropyl)-3-ethylcarbodiimide hydrochloride (0.10 g, 0.52 mmol). The reaction mixture was gradually warmed to 25° C., stirred for 15 h, and diluted with H2O (3 mL). The mixture was extracted with EtOAc (3×10 mL), and the combined organic phases were washed with aqueous 5% HCl (10 mL), saturated aqueous NaHCO3 (10 mL), and saturated aqueous NaCl (10 mL), dried (Na2SO4), and concentrated in vacuo. Flash chromatography (SiO2, 1.5×20 cm, 2.5% MeOH—CHCl3) afforded Compound O (0.17 g, 77%) as a white foam. MS (ESI+): 619.3 (M+H)+.
A solution of Compound O (17 mg, 27 mmol) in degassed benzene (8.0 mL) was treated with Grubb's catalyst [bis(tricyclohexyl-phosphine)benzylidine-ruthenium dichloride, Strem Chemicals] (11 mg, 14 mmol) under Ar. The reaction mixture was stirred at 25° C. for 15 h and treated again with an additional portion of catalyst (5.0 mg, 4.5 mmol). After 7 additional hours, the benzene was removed in vacuo, and the black viscous residue was passed through a pad of silica gel (1.0×3 cm) eluting with Et2O (25 mL). The eluent was concentrated in vacuo to afford a separable 5:1 (E/Z) mixture of geometric isomers. PTLC (SiO2, 1 mm plate, 2 elutions with a 1:1:1 solution of hexane-toluene-ethyl acetate) afforded the E-isomer Compound P (5.1 mg, 34%) and the corresponding Z-isomer (1.0 mg, 6.7%). For Compound P: MS (ESI+): 1181.7 (2M+H)+, 591.4 (M+H)+. For the Z-isomer: MS (ESI+): 1181.5 (2M+H)+, 613.2 (M+Na)+, 591.2 (M+H)+; MS (ESI−): 589.3 (M−H)−.
To a 1 dram vial charged with Compound P (2.3 mg, 3.9 mmol) in CH2Cl2 (0.4 mL) at 0° C. was added trifluoroacetic acid (0.1 mL). The reaction mixture was sealed under a blanket of Ar and stirred at 0° C. After 4 h, the volatiles were removed under a constant stream of Ar at 0° C. Saturated aqueous NaHCO3 (1 mL) and EtOAc (1 mL) were added to the residue and the two layers were separated. The aqueous phase was extracted with EtOAc (4×1 mL), and the combined EtOAc layers were dried (Na2SO4) and concentrated in vacuo. PTLC (SiO2, 20×10×0.025 cm, eluting with 5% MeOH—CHCl3) afforded [4S-[4R*,7S*,8S*,9R*,15R*(E)]]-4,8-dihydroxy-5,5,7,9-tetramethyl-16-[1-methyl-2-(2-methyl-4-thiazolyl)ethenyl]-1-aza-13(E)-cyclohexadecene-2,6-dione (1.3 mg, 68%) as a white film. MS (ESI+): 953.5 (2M+H)+, 477.3 (M+H)+; MS (ESI−): 475.5 (M−H)−.
The following compounds can be made following the reaction schemes previously disclosed:
- [1S-[1R*,3R*(E),7R*,10S*,11R*,12R*,16S*]]-7,11-dihydroxy-8,8,10,12,16-pentamethyl-3-[1-methyl-2-(2-methyl-4-thiazolyl)ethenyl]-4,13,17-trioxabicyclo[14.1.0]heptadecane-5,9-dione;
- [1S-[1R*,3R*(E),7R*,10S*,11R*,12R*,16S*]]-7,11-dihydroxy-8,8,10,12-tetramethyl-3-[1-methyl-2-(2-methyl-4-thiazolyl)ethenyl]-4,13,17-trioxabicyclo[14.1.0]heptadecane-5,9-dione;
- [4S-[4R*,7S*,8R*,9R*,15R*(E)]]-4,8-dihydroxy-5,5,7,9,13-pentamethyl-16-[1-methyl-2-(2-methyl-4-thiazolyl)ethenyl]-1,10-dioxa-13-cyclohexadecene-2,6-dione;
- [4S-[4R*,7S* ,8R*,9R*,15R*(E)]]-4,8-dihydroxy-5,5,7,9-tetramethyl-16-[1-methyl-2-(2-methyl-4-thiazolyl)ethenyl]-1,10-dioxa-13-cyclohexadecene-2,6-dione;
- [1S-[1R*,3R*(E),7R*,10S*,11R*,12R*,16S*]]-7,11-dihydroxy-8,8,10,12,16-pentamethyl-3-[1-methyl-2-(2-methyl-4-thiazolyl)ethenyl]-4,14,17-trioxabicyclo[14.1.0]heptadecane-5,9-dione;
- [1S-[1R*,3R*(E),7R*,10S*,11R*,12R*,16S*]]-7,11-dihydroxy-8,8,10,12-tetramethyl-3-[1-methyl-2-(2-methyl-4-thiazolyl)ethenyl]-4,14,17-trioxabicyclo[14.1.0]heptadecane-5,9-dione;
- [4S-[4R* ,7S*,8R* ,9R*,15R*(E)]]-4,8-dihydroxy-5,5,7,9,13-pentamethyl-16-[1-methyl-2-(2-methyl-4-thiazolyl)ethenyl]-1,11-dioxa-13-cyclohexadecene-2,6-dione;
- [4S-[4R*,7S*,8R* ,9R*,15R*(E)]]-4,8-dihydroxy-5,5,7,9-tetramethyl-16-[1-methyl-2-(2-methyl-4-thizolyl)ethenyl]-1,11-dioxa-13-cyclohexadecene-2,6-dione;
- [1S-[1R*,3R*(E),7R*,10S*,11R*,12R*,16S*]]-7,11-dihydroxy-8,8,10,12,16-pentamethyl-3-[1-methyl-2-(2-methyl-4-thiazolyl)ethenyl]-4,17-dioxabicyclo[14.1.0]heptadecane-9-one;
- [1S-[1R*,3R*(E),7R*,10S*,11R*,12R*,16S*]]-7,11-dihydroxy-8,8,10,12-tetramethyl-3-[1-methyl-2-(2-methyl-4-thiazolyl)ethenyl]-4,17-dioxabicyclo[14.1.0]heptadecane-9-one;
- [1S-[1R*,3R*(E),7R*,10S*,11R*,12R*,16S*]]-7,11-dihydroxy-3,8,8,10,12,16-hexamethyl-3-[1-methyl-2-(2-methyl-4-thiazolyl)ethenyl]-4,17-dioxabicyclo[14.1.0]heptadecane-5,9-dione;
- [1S-[1R*,3R*(E),7R*,10S*,11R*,12R*,16S*]]-7,11-dihydroxy-3,8,8,10,12-pentamethyl-3-[1-methyl-2-(2-methyl-4-thiazolyl)ethenyl]-4,17-dioxabicyclo[14.1.0]heptadecane-5,9-dione;
- [4S-[4R*,7S*,8R*,9R*,15R*(E)]]-4,8-dihydroxy-5,5,7,9,13,16-hexamethyl-16-[1-methyl-2-(2-methyl-4-thiazolyl)ethenyl]-1-oxa-13-cyclohexadecene-2,6-dione;
- [4S-[4R*,7S*,8R*,9R*,15R*(E)]]-4,8-dihydroxy-5,5,7,9,16-pentamethyl-16-[1-methyl-2-(2-methyl-4-thiazolyl)ethenyl]-1-oxa-13-cyclohexadecene-2,6-dione;
- [1S-[1R*,3R*(E),7R*,10S*,11R*,12R*,16S*]]−7,11-dihydroxy-6,8,8,10,12,16-hexamethyl-3-[1-methyl-2-(2-methyl-4-thiazolyl)ethenyl]-4,17-dioxabicyclo[14.1.0]heptadecane-5,9-dione;
- [1S-[1R*,3R*(E),7R*,10S*,11R*,12R*,16S*]]-7,11-dihydroxy-6,8,8,10,12-pentamethyl-3-[1-methyl-2-(2-methyl-4-thiazolyl)ethenyl]-4,17-dioxabicyclo[14.1.0]heptadecane-5,9-dione;
- [4S-[4R*,7S*,8R*,9R*,15R*(E)]]-4,8-dihydroxy-5,5,7,9-tetramethyl-16-[1-(2-methyl-4-thiazolyl)ethenyl]-1-aza-13-cyclohexadecene-2,6-dione;
- [1S-[1R*,3R*(E),7R*,10S*,11R*,12R*,16S*]]-7,11-dihydroxy-4,8,8,10,12,16-hexamethyl-3-[1-methyl-2-(2-methyl-4-thiazolyl)ethenyl]-4-aza-17-oxabicyclo[14.1.0]heptadecane-5,9-dione;
- [1S-[1R*,3R*(E),7R*,10S*,11R*,12R*,16S*]]-7,11-dihydroxy-4,8,8,10,12-pentamethyl-3-[1-methyl-2-(2-methyl-4-thiazolyl)ethenyl]-4-aza-17-oxabicyclo[14.1.0]heptadecane-5,9-dione;
- [4S-[4R*,7S*,8R*,9R*,15R*(E)]]-4,8-dihydroxy-1,5,5,7,9,13-hexamethyl-16-[1-methyl-2-(2-methyl-4-thiazolyl)ethenyl]-1-aza-13-cyclohexadecene-2,6-dione;
- [4S-[4R*,7S*,8R*,9R*,15R*(E)]]-4,8-dihydroxy-1,5,5,7,9-pentamethyl-16-[1-methyl-2-(2-methyl-4-thiazolyl)ethenyl]-1-aza-13-cyclohexadecene-2,6-dione;
- [1S-[1R*,3R*(E),7R*,10S*,11R*,12R*,16S*]]-7,11-dihydroxy-8,8,10,12,16-pentamethyl-3-[1-methyl-2-(2-methyl-4-thiazolyl)ethenyl]-13-aza-4,17-dioxabicyclo[14.1.0]heptadecane-5,9-dione;
- [1S-[1R*,3R*(E),7R*,10S*,11R*,12R*,16S*]]-7,11-dihydroxy-8,8,10,12-tetramethyl-3-[1-methyl-2-(2-methyl-4-thiazolyl)ethenyl]-13-aza-4,17-dioxabicyclo[14.1.0]heptadecane-5,9-dione;
- [4S-[4R*,7S*,8R*,9R*,15R*(E)]]-4,8-dihydroxy-5,5,7,9,13-pentamethyl-16-[1-methyl-2-(2-methyl-4-thiazolyl)ethenyl]-10-aza-1-oxa-13-cyclohexadecene-2,6-dione;
- [4S-[4R*,7S*,8R*,9R*,15R*(E)]]-4,8-dihydroxy-5,5,7,9-tetramethyl-16-[1-(2-methyl-4-thiazolyl)ethenyl]-10-aza-1-oxa-13-cyclohexadecene-2,6-dione;
- [1S-[1R*,3R*(E),7R*,10S*,11R*,12R*,16S*]]-7,11-dihydroxy-8,8,10,12,16-pentamethyl-3-[1-methyl-2-(2-methyl-4-thiazolyl)ethenyl]-14-aza-4,17-dioxabicyclo[14.1.0]heptadecane-5,9-dione;
- [1S-[1R*,3R*(E),7R*,10S*,11R*,12R*,16S*]]-7,11-dihydroxy-8,8,10,12-tetramethyl-3-[1-methyl-2-(2-methyl-4-thiazolyl)ethenyl]-14-aza-4,17-dioxabicyclo[14.1.0]heptadecane-5,9-dione;
- [4S-[4R*,7S*,8R*,9R*,15R*(E)]]-4,8-dihydroxy-5,5,7,9,13-pentamethyl-16-[1-methyl-2-(2-methyl-4-thiazolyl)ethenyl]-11-aza-1-oxa-13-cyclohexadecene-2,6-dione;
- [4S-[4R*,7S*,8R*,9R*,15R*(E)]]-4,8-dihydroxy-5,5,7,9-tetramethyl-16-[1-methyl-2-(2-methyl-4-thiazolyl)ethenyl]-11-aza-1-oxa-13-cyclohexadecene-2,6-dione;
- [1S-[1R*,3R*,7R*,10S*,11R*,12R*,16S*]]-N-phenyl-7,11-dihydroxy-8,8,10,12,16-pentamethyl-5,9-dioxo-4,17-dioxabicyclo[14.1.0]heptadecane-3-carboxamide;
- [1S-[1R*,3R*,7R*,10S*,11R*,12R*,16S*]]-N-phenyl-7,11-dihydroxy-8,8,10,12-tetramethyl-5,9-dioxo-4,17-dioxabicyclo[14.1.0]heptadecane-3-carboxamide;
- [4S-[4R*,7S*,8R*,9R*,15R*]]-N-phenyl-4,8-dihydroxy-5,5,7,9,13-pentamethyl-2,6-dioxo-1-oxa-13-cyclohexadecene-16-carboxamide;
- [4S-[4R*,7S*,8R*,9R*,15R*]]-N-phenyl-4,8-dihydroxy-5,5,7,9-tetramethyl-2,6-dioxo-1-oxa-13-cyclohexadecene-16-carboxamide;
- [1S[1R*,3R*(E),7R*,10S*,11R*,12R*,16S*]]-7,11-dihydroxy-8,8,10,12,16-pentamethyl-3-[1-methyl-2-(2-methyl-4-thiazolyl)cyclopropyl]-4,17-dioxabicyclo[14.1.0]heptadecane-5,9-dione; and
- [1S-[1R*,3R*(E),7R*,10S*,11R*,12R*,16S*]]-7,11-dihydroxy-8,8,10,12-tetramethyl-3-[1-methyl-2-(2-methyl-4-thiazolyl)cyclopropyl]-4,17-dioxabicyclo[14.1.0]heptadecane-5,9-dione.
A solution of epothilone B (0.35 g, 0.69 mmol) in degassed THF (4.5 mL) was treated with a catalytic amount (80 mg, 69 mmol) of tetrakis(triphenylphosphine) palladium (0) and the suspension was stirred at 25° C., under Ar for 30 min. The resulting bright yellow, homogeneous solution was treated all at once with a solution of sodium azide (54 mg, 0.83 mmol) in degassed H2O (2.2 mL). The reaction mixture was warmed to 45° C. for 1 h, diluted with H2O (5 mL) and extracted with EtOAc (4×7 mL). The organic extracts were washed with saturated aqueous NaCl (15 mL), dried (Na2SO4), and concentrated in vacuo. The residue was purified by flash chromatography (SiO2, 3.0×15 cm, 95:5.0:0.5 CHCl3—MeOH—AcOH) to afford Compound A (0.23 g, 61%) as a colorless oil. MS (ESI+): 551 (M+H)+; MS(ESI−): 549 (M−H)−.
A solution of Compound A (0.23 g, 0.42 mmol) in THF (4.0 mL) was treated with H2O (23 mL, 1.25 mmol) and polymer supported triphenylphosphine (Aldrich, polystyrene cross-linked with 2% DBL., 0.28 g, 0.84 mmol) at 25° C. The resulting suspension was stirred at 25° C. under Ar (32 h), filtered through a Celite pad and concentrated in vacuo. The residue was purified by flash chromatography (SiO2, 1.5×10 cm, 95:5.0:0.5 to 90:10:1.0 CHCl3-MeOH—AcOH gradient elution) to afford Compound B (96 mg, 44%) as a colorless oil. MS (ESI+): 525.2 (M+H)+; MS(ESI−): 523.4 (M−H)−.
Alternatively, to a 25 mL round-bottom flask charged with Compound A (0.26 g, 0.47 mmol) and PtO2 (0.13 g, 50 wt %) was added absolute EtOH under Ar. The resulting black mixture was stirred under one atmosphere of H2 for 10 h, after which time the system was purged with N2 and an additional portion of PtO2 (65 mg, 25 wt %) was added. Once again the reaction mixture was stirred under a blanket of H2 for 10 h. The system was then purged with N2, and the reaction mixture was filtered through a Celite pad eluting with CH2Cl2 (3×25 ML). The solvents were removed in vacuo and the residue was purified as described above to afford Compound B (0.19 g, 75%).
Alternatively, a solution of Compound A (20 mg, 36 mmol) in THF (0.4 mL) was treated with triphenylphosphine (19 mg, 73 mmol) under Ar. The reaction mixture was warmed to 45° C., stirred for 14 h and cooled to 25° C. The resulting iminophosphorane was treated with ammonium hydroxide (28%, 0.1 mL) and once again the reaction mixture was warmed to 45° C. After 4 h, the volatiles were removed in vacuo and the residue was purified as described above to afford Compound B (13 mg, 70%).
A solution of Compound B (0.33 g, 0.63 mmol) in degassed DMF (250 mL) was treated with solid NaHCO3 (0.42 g, 5.0 mmol) and diphenylphosphoryl azide (0.54 mL, 2.5 mmol) at 0° C. under Ar. The resulting suspension was stirred at 4° C. for 24 h, diluted with phosphate buffer (250 mL, pH=7) at 0° C. and extracted with EtOAc (5×100 mL). The organic extracts were washed with 10% aqueous LiCl (2×125 mL), dried (Na2SO4) and concentrated in vacuo. The residue was first purified by flash chromatography (SiO2, 2.0×10 cm, 2–5% MeOH—CHCl3 gradient elution) and then repurified using a Chromatotron (2 mm SiO2, GF rotor, 2–5% MeOH—CHCl3 gradient elution) to afford the title compound (0.13 g, 40%) as a colorless oil. 1H NMR (CDCl3, 400 MHz) δ 6.98 (s, 1H), 6.71 (d, 1H, NH, J=8.1 Hz), 6.56 (s, 1H), 4.69–4.62 (m, 1H), 4.18–4.12 (m, 1H), 4.01–3.96 (m, 1H), 3.86 (s, 1H), 3.38–3.34 (m, 1H), 2.82 (dd, 1H, J=5.6, 6.0Hz), 2.71 (s, 3H), 2.58 (s, 1H), 2.43 (dd, 1H, J=9.0, 14.5Hz), 3.34 (dd, 1H, J=3.0, 14.5Hz), 2.14 (s, 3H), 2.05–1.92 (m, 2H), 1.82–1.41 (a series of multiplets, 7H), 1.35 (s, 3H), 1.28 (s, 3H), 1.18 (d, 3H, J=6.8 Hz), 1.14 (s 3H), 1.00 (d, 3H, J=6.8 Hz); MS (ESI+): 507.2 (M+H)+;−MS(ESI−): 505.4 (M−H)−.
To a two-necked flask was added chopped pieces of magnesium turnings (24 mg, 1.0 mmol). The flask was flame-dried under vacuum and cooled under argon. Bis(cyclopentadienyl)titanium dichloride (250 mg, 1.0 mmol) was added followed by anhydrous THF (5 mL). The stirring suspension was evacuated with low vacuum, and the reaction flask was refilled with argon. The red suspension became dark, turning a homogeneous deep green after 1.5 h with nearly all the magnesium metal being consumed. An aliquot (3.5 mL, 0.70 mmol, 3.5 eq) was removed and cooled to −78° C. under argon. To this solution was added epothilone A (99 mg, 0.20 mmol, 1.0 eq). The reaction mixture was warmed to room temperature and stirred for 15 min. The volatiles were removed in vacuo and the residue was chromatographed two times on silica (25 g), eluting with 35% EtOAc/hexanes to give 76 mg (80%) of epothilone C as a pale yellow viscous oil.
Tetrakis(triphenylphosphine)palladium(0) (1.17 g, 1.01 mmol, 0.10 eq) was added to a solution of epothilone A (4.97 g, 10.1 mmol, 1.0 eq) in degassed THF (100 ml) at room temperature and was stirred for 30 minutes-under argon. Sodium-azide (0.980 g, 15.1 mmol, 1.5 eq) was added to the above reaction mixture followed by the addition of degassed water (10 ml). The reaction mixture-was heated to 45° C. for one hour, cooled to room temperature, diluted with ethyl acetate (300 ml) and further diluted with water (150 ml). The aqueous layer was extracted with ethyl acetate (3×100 ml). The combined organic extracts were washed with brine (150 ml), dried (sodium sulfate), filtered and concentrated under vacuum. The oily residue was purified by flash silica gel chromatography (eluting 0–5% methanol/chloroform with 0.1% of acetic acid) to afford Compound A (1.84 g, 34.0% yield) as glassy solid. MS (ESI+): 537 (M+H)+; MS (ESI): 535 (M−H)−.
Platinum oxide (0.980 g, 4.30 mmol, 1.25 eq) was added to a solution of Compound A (1.85 g, 3.44 mmol, 1.0 eq) in absolute ethanol (137 ml). The reaction mixture was stirred vigorously under a hydrogen balloon for 16 hours at room temperature. The reaction mixture was filtered and the filtrate was concentrated under vacuum. The oily residue was purified by preparative HPLC (YMC S-15 ODS 50×500 mm column, 45 minutes/gradient, 0–100% B, 50 ml/min, retention time=17 minutes, A=0.1% acetic acid/5% acetonitrile/95% water, B=0.1% acetic acid/5% water/95% acetonitrile). The appropriate fractions were concentrated under vacuum and the residue was lyophilized from aqueous acetonitrile to afford Compound B (1.33 g, 76.0% yield) as a colorless solid. MS (ESI+): 511(M+H)+; MS (ESI−): 509 (M−H)−.
Compound B (0.860 g, 1.68 mmol, 1.0 eq) was dissolved in anhydrous DMF (0.00250M, 672 ml) and degassed for one hour at room temperature. The solution was cooled to 0° C., and anhydrous sodium bicarbonate (1.13 g, 13.4 mmol, 4.0 eq) and diphenylphosphoryl azide (1.85 g, 6.72 mmol, 8.0 eq) were added under argon. The reaction mixture was kept at 4° C. under argon and stirred 16 hours. The reaction mixture was then cooled to −60° C., and pH 7 phosphate buffer (400 ml) was added slowly to quench the reaction. The temperature was kept below −30° C. The above mixture was allowed to warm to room temperature slowly and extracted with ethyl acetate (1 liter). The aqueous layer was washed with ethyl acetate (4×300 ml). The organic extracts were combined, washed with 10% LiCl (500 ml), dried (sodium sulfate), filtered and concentrated under vacuum. The oily residue was purified by preparative HPLC (YMC S-15 ODS 50×500 mm column, 45 minutes/gradient, 0–100% B, 50 ml/min, retention time=35 minutes, A=5% acetonitrile/95% water, B=5% water/95% acetonitrile). The appropriate fractions were concentrated under vacuum and the residue was lyophilized from aqueous acetonitrile to afford title compound (0.220 g, 26.0% yield) as a colorless solid. MS (ESI+): 493 (M+H)+, MS (ESI−): 491 (M−H)−.
Tungsten hexachloride (0.19 g, 0.49 mmol, 0.5 equiv) was dissolved in THF (5.0 ml) and the solution was cooled to −78° C. n-Butyllithium in hexane (1.6M, 0.63 ml, 1.0 mmol, 1.0 equiv) was added in one portion and the reaction mixture was allowed to warm to room temperature over 20 minutes (the solution turned dark green upon warming to rt). A 0.1M solution of the prepared tungsten reagent (0.79 ml, 0.079 mmol, 2.0 equiv.) was added to Compound 4C (0.020 g, 0.039 mmol, 1.0 equiv) at room temperature. The reaction mixture was stirred at room temperature for 30 minutes and then was quenched with saturated NaHCO3 (2.0 ml). The quenched solution was diluted with water (10 ml) and the solution was extracted with CH2Cl2 (4×20 ml). The combined organic extracts were dried (Na2SO4), filtered and concentrated under vacuum. The inorganics were removed by passing the residue through a silica gel plug (eluting with 19/1 CHCl3/MeOH). The eluent was concentrated under vacuum. The residue was purified by PHPLC (YMC-S5 ODS, 30–100% B, A=5% aq CH3CN, B=95% aqueous CH3CN, 3 ml/min., 220 nm., 30 min. gradient) and the appropriate fractions were concentrated under vacuum. The sticky solid was lyophilized from aqueous acetonitrile to afford the title compound (4.3 mg, 29%) as a white solid. TLC: Rf=0.57 (9/1 CHCl3/MeOH, visualization by UV); HRMS: (M+H)+ calc=491.29436, found=491.2934.
A solution of epothilone B (2.0 g, 3.9 mmol) in CH2Cl2 (30 mL) was treated with 3-chloroperoxybenzoic acid (1.0 g, 5.9 mmol) at 25° C., under Ar for 2 h. An additional 0.5 g (3.0 mmol) of 3-chloroperoxybenzoic acid was added and the reaction mixture was then stirred for 2 h. The reaction mixture was filtered and the filtrate was concentrated in vacuo. The residue was dissolved in EtOAc (100 mL), washed with saturated aqueous NaHCO3 (75 mL), 5% aqueous Na2SO3 (75 mL), H2O (75 mL), dried (Na2SO3) and concentrated in vacuo. The residue was purified by flash chromatography (SiO2, 4.5×30 cm, 2–10% MeOH—CHCl3 gradient elution) to afford Compound A (1.04 g, 50%) as a white solid. MS (ESI+): 524.3 (M+H)+; MS (ESI−): 522.5 (M−H)−.
To a solution of Compound A (0.46 g, 0.88 mmol) in CH2Cl2 (10 mL) in a resealable tube was added 2,6-lutidine (0.82 mL, 7.0 mmol) and trifluoroacetic anhydride (0.87 mL, 6.2 mmol) under Ar. The reaction vessel was sealed under Ar, heated to 75° C. (12 min), cooled to 25° C., and the volatiles were removed under a steady stream of N2. The reaction tube was then placed on a high vacuum pump for 15 min. The resulting residue was dissolved in MeOH (10 mL) and treated with ammonium hydroxide (28–30% NH4 in H2O, 1.0 mL). The mixture was heated to 45° C. (10 min), and the volatiles were removed in vacuo. The crude reaction mixture was purified by HPLC (YMC S-15 ODS 30×500 mm column, 50% acetonitrile-H2O isocratic conditions, flow rate=20 mL/min, retention time=28 min). The appropriate fractions were concentrated under vacuum and the residue was lyophilized from aqueous acetonitrile to afford Compound B (0.22 g, 48%) as a white solid. MS (ESI+): 524.3 (M+H)+, 1047.6 (2M+H)+; MS (ESI−): 522.5 (M−H)−.
A solution of Compound B (0.18 g, 0.34 mmol) in degassed THF (3.0 mL) was treated with a catalytic amount (40 mg, 3.4×10−2 mmol) of tetrakis(triphenylphosphine) palladium(0) and the suspension was stirred at 25° C., under Ar for 30 min. The resulting bright yellow, homogeneous solution was treated all at once with a solution of sodium azide (27 mg, 0.41 mmol) in degassed H2O (1.5 mL). The reaction mixture was warmed to 45° C. for 1 h, diluted with H2O (5 mL) and extracted with EtOAc (4×10 mL). The organic extracts were washed with saturated aqueous NaCl (15 mL), dried (Na2SO4), and concentrated in vacuo. The residue was purified by flash chromatography (SiO2, 2.5×15 cm, 95:5 CHCl3-MeOH to 95:5.0:0.5 CHCl3-MeOH—AcOH gradient elution) to afford Compound C (39 mg, 20%) as a colorless oil. MS (ESI+): 567.4 (M+H)+, 1133.6 (2M+H)+; MS (ESI−): 565.5 (M−H)−, 1131.8 (2M−H)−.
To a 10 mL round-bottom flask charged with Compound C (40 mg, 71 mmol) and PtO2 (12 mg, 30 wt %) was added absolute EtOH (3 mL) under Ar. The resulting black mixture was stirred under one atmosphere of H2 for 10 h. The system was then purged with N2 and the reaction mixture was filtered through a nylon membrane (washing with 25 mL of MeOH). The solvents were removed in vacuo to afford Compound D (29 mg, 76%) as a foam, which was sufficiently pure to use in the next step. LCMS: 541.3 (M+H)+.
A solution of Compound D (29 mg, 54 mmol) in degassed DMF (21 mL) was treated with solid NaHCO3 (36 mg, 0.43 mmol) and diphenylphosphoryl azide (46 mL, 0.21 mmol) at 0° C. under Ar. The resulting suspension was stirred at 4° C. for 19 h, cooled to −40° C., diluted with 25 mL of pH 7 phosphate buffer (carefully adding such that the internal temperature remains below −30° C.), and extracted with EtOAc (4×10 mL). The organic extracts were washed with cold 10% aqueous LiCl (25 mL), dried (Na2SO4) and concentrated in vacuo. The residue was purified using a chromatotron (1 mm SiO2 GF rotor, 2–5% MeOH—CHCl3 gradient elution) to afford the title Compound E (9.1 mg, 34%) as a colorless oil. MS (ESI+): 523.2 (M+H)+; MS (ESI−): 521.5 (M−H)−.
A solution of Compound 7E (6.8 mg, 13 mmol) in CH2Cl2 (0.5 mL) was treated with triethylamine (2.7 mL, 20 mmol), 4-N,N-dimethylaminopyridine (0.2 mg, 1.3 mmol) and tert-butyldiphenylsilyl chloride (3.7 mL, 14 mmol) at 0° C. under Ar. The reaction mixture was gradually warmed to 25° C. (1 h), cooled to 0° C., quenched by the addition of saturated aqueous NaHCO3 (1 mL), and extracted with EtOAc (4×2 mL). The combined organic extracts were washed with brine (5 mL), dried (Na2SO4) and concentrated in vacuo. The residue was purified by flash chromatography (SiO2, 1.0×5 cm, 2–5% MeOH—CHCl3 gradient elution) to afford Compound A (7.0 mg, 71%) as a colorless oil. MS (ESI+): 761.5 (M+H)+; MS (ESI−): 759.7 (M−H)−.
A solution of tungsten(IV) chloride (0.10 g, 0.25 mmol) in anhydrous THF at −78° C. was treated with n-BuLi (1.6 M in hexanes, 0.32 mL, 0.50 mmol) under Ar. The reaction mixture was warmed to 25° C. over 40 min and then recooled to 0° C. An aliquot of the resulting deep-green, homogeneous solution (0.2 mL, 20 mmol) was added to a 1 dram vial charged with Compound A (7.0 mg, 9.2 mmol) at 0° C. under Ar. The reaction mixture was warmed to 25° C., stirred for 30 min, quenched by the addition of saturated aqueous NaHCO3 (0.5 mL) and extracted with EtOAc (4×1 mL). The combined organic extracts were dried (Na2SO4) and concentrated in vacuo. The residue was purified by preparative TLC (SiO2, 20×20×0.025 cm, eluting with 5% MeOH—CHCl3) to afford an inseparable mixture of the silyl-protected (13Z) isomer of Compound B along with a small amount (<10%) of the minor (13 E) isomer, which was immediately deprotected in the next step.
The silyl-protected isomeric mixture of Compound B (2.3 mg, 3.1 mmol) was treated with 0.3 mL of a buffered solution of HF-pyridine in THF (2:1:0.5 THF/pyridine/HF-pyridine solution from Aldrich Chemical Co.) at 25° C. After 1 h, the reaction mixture was neutralized with saturated aqueous NaHCO3 (0.5 mL) and extracted with EtOAc (4×1 mL). The combined organic extracts were washed with saturated aqueous NaHCO3 (1 mL), dried (Na2SO4) and the volatiles were removed in vacuo. The residue was purified by preparative TLC (SiO2, 20×10×0.025 cm, eluting with 5% MeOH—CHCl3) to afford title compound (13Z-isomer) along with an inseparable amount (<10%) of the minor (13E) isomer (0.96 mg, 20% for the two steps) as a thin film. MS (ESI+): 507.3 (M+H)+; MS (ESI−): 505.6 (M−H)−.
Claims (13)
1. A compound of the formula
wherein:
G is selected from the group consisting of alkyl; substituted alkyl; substituted aryl; a 4 to 7 membered monocyclic, 7 to 11 membered bicyclic, or 10 to 15 membered tricyclic saturated or unsaturated ring system having between 1 and 3 heteroatoms selected from nitrogen, oxygen, and sulfur;
and a 1-methyl-2-(substituted R′) ethenyl group, wherein R′ is a monocyclic group selected from the group consisting of pyrrolidinyl, pyrrolyl, indolyl, pyrazolyl, oxetanyl, pyrazolinyl, imidazolyl, imidazolinyl, imidazolidinyl, oxazolyl, oxazolidinyl, isoxazolinyl, isoxazolyl, thiazolyl, thiadiazolyl, thiazolidinyl, isothiazolyl, isothiazolidinyl, furyl, tetrahydrofuryl, thienyl, oxadiazolyl, piperidinyl, piperazinyl, 2-oxopiperazinyl, 2-oxopiperidinyl, 2-oxopyrrolidinyl, 2-oxazepinyl, azepinyl, 4-piperidonyl, pyridyl, N-oxo-pyridyl, pyrazinyl, pyrimidinyl, pyridazinyl, tetrahydropyranyl, tetrahydrothiopyranyl, tetraydrothiopyranyl sulfone, morpholinyl, thiomorpholinyl, thiomorpholinyl sulfoxide, thiomorpholinyl sulfone, 1,3-dioxolane and tetrahyro-1,1-dioxothienyl, dioxanyl, isothiazolidinyl, thietanyl, thiiranyl, triazinyl, and triazolyl; or a bicyclic heterocyclic group selected from the group consisting of benzothiazolyl, benzoxazoyl, benzothienyl, quinuclidinyl, quinolinyl, quinolinyl-N-oxide, tetrahydroisoquinolinyl, isoquinolinyl, benzimidazolyl, benzopyranyl, indolizinyl, benzofuryl, chromonyl, coumarinyl, cinnolinyl, quinoxalinyl, indazolyl, pyrrolopyridyl, furopyridinyl, furo[2,3-c]pyridinyl, furo[3,1-b]pyridinyl], furo[2,3-b]pyridinyl, dihydroisoindolyl, dihydroquinazolinyl, 3,4-dihydro-4-oxo-quinazolinyl, benzisothiazolyl, benzisoxazolyl, benzodiazinyl, benzofurazanyl, benzothiopyranyl, benzotriazolyl, benzpyrazolyl, dihydrobenzofuryl, dihydrobenzothienyl, dihydrobenzothiopyranyl, dihydrobenzothiopyranyl sulfone, dihydrobenzopyranyl, indolinyl, isochromanyl, isoindolinyl, naphthyridinyl, phthalazinyl, piperonyl, purinyl, pyridopyridyl, quinazolinyl, tetrahydroquinolinyl, thienofuryl, thienopyridyl, and thienothienyl; wherein the R′ substituents are selected from alkyl, hydroxyalkyl, and oxo;
W is O or NR15; NH;
X is O or H, H;
Y is selected from the group consisting of O; H, OR16; OR17, OR17; NOR18; H, NHOR19; H, NR20R21; H, H; and CHR22; wherein OR17, OR17 can be a cyclic ketal;
Z1 and Z2 are independently CH2;
B1 and B2 are independently selected from the group consisting of OR24, OCOR25, and O—C(═O)—NR26R27, and when B1 is OH and Y is OH, H they can form a six-membered ring ketal or acetal;
B1 is selected from the group consisting of OR24, OCOR25, and O—C(═O)—NR26R27;
B2 is selected from the group consisting of OH, OCOR25, and O—C(═O)—NR26R27;
R1 and R2 are both hydrogen;
R1, R2, R3, R4, R5, R7, R13, R14, R18, R19, R20, R21, R22, R26, and R27 are selected from the group consisting of H, alkyl, substituted alkyl, and aryl, and when R1 and R2 are alky, they can be joined to form a cycloalkyl; ; and when R3 and R4 are alkyl they can be joined to
form a cycloalkyl;
R6 is methyl;
R16, R17, R24, and R25 are selected from the group consisting of H, alkyl, and substituted alkyl;
R11, R12, R32, and R33 are selected from the group consisting of H; alkyl; substituted alkyl; aryl; substituted aryl; cycloalkyl containing 1 to 3 rings and 3 to 7 carbons per ring which may be further fused with an unsaturated C3–C7 carbocyclic ring; and a 4 to 7 membered monocyclic, 7 to 11 membered bicyclic, or 10 to 15 membered tricyclic saturated or unsaturated ring system having between 1 and 3 heteroatoms selected from nitrogen, oxygen, and sulfur;
R8 is hydrogen or methyl;
R15 is selected from the group consisting of H; alkyl; substituted alkyl; aryl; substituted aryl; cycloalkyl containing 1 to 3 rings and 3 to 7 carbons per ring which may be further fused with an unsaturated C3–C7 carbocyclic ring; a 4 to 7 membered monocyclic, 7 to 11 membered bicyclic, or 10 to 15 membered tricyclic saturated or unsaturated ring system having between 1 and 3 heteroatoms selected from nitrogen, oxygen, and sulfur;
R32C═O, R33SO2, hydroxy, O-alkyl or O-substituted alkyl;
or a pharmaceutically acceptable salt thereof;
with the proviso that compounds wherein
W and X are both O; and
R1, R2 and R7 are is H; and
R3 and R4 are methyl; and
G is 1-methyl-2-(substituted)-4-thiazolyl-ethenyl;
are excluded.
2. The compound of claim 1 , wherein: X is O and Y is O; or a pharmaceutically
acceptable salt thereof.
3. The compound of claim 2 , wherein: B1 is OH and B2 is OH; or a pharmaceutically acceptable salt thereof.
4. The compound of claim 3 , wherein W is O; or a pharmaceutically acceptable salt thereof.
5. The compound of claim 4 , wherein:
R1, R2, and R7 are is H; and
R3, R4, and R5 are methyl;
or a pharmaceutically acceptable salt thereof.
7. The compound of claim 6 , wherein R11 is a 4 to 7 membered monocyclic saturated or unsaturated ring system having from 1 and 3 heteroatoms selected from nitrogen, oxygen, and sulfur; R′ is a monocyclic group selected from the group consisting of pyrrolidinyl, pyrrol, indolyl, pyrazolyl, oxetanyl, pyrazolinyl, imidazolyl, imidazolinyl, imidazolidinyl, oxazolyl, oxazolidinyl, isoxazolinyl, isoxazolyl, thiazolyl, thiadiazolyl, thiazolidinyl, isothiazolyl, isothiazolidinyl, furyl, tetrahydrofuryl, thienyl, oxadiazolyl, piperidinyl, piperazinyl, 2-oxopiperazinyl, 2-oxopiperidinyl, 2-oxopyrrolidinyl, 2-oxazepinyl, azepinyl, 4-piperidonyl, pyridyl, N-oxo-pyridyl, pyrazinyl, pyrimidinyl, pyridazinyl, tetrahydropyranyl, tetrahydrothiopyranyl, tetrahydrothiopyranyl sulfone, morpholinyl, thiomorpholinyl, thiomorpholinyl sulfoxide, thiomorpholinyl sulfone, 1,3-dioxolane and tetrahydro-1,1-dioxothienyl, dioxanyl, isothiazolidinyl, thietanyl, thiiranyl, triazinyl, and triazolyl; or a pharmaceutically acceptable salt thereof.
8. The compound of claim 3 , wherein W is NR15 NH; or a pharmaceutically acceptable salt thereof.
9. The compound of claim 8 , wherein:
R1, R2, and R7 are is H; and
R3, R4, and R5 are methyl;
or a pharmaceutically acceptable salt thereof.
11. The compound of claim 10 , wherein R11 is a 4 to 7 membered monocyclic saturated or unsaturated ring system having from 1 and 3 heteroatoms selected from nitrogen, oxygen, and sulfur; R′ is a monocyclic group selected from the group consisting of pyrrolidinyl, pyrrol, indolyl, pyrazolyl, oxetanyl, pyrazolinyl, imidazolyl, imidazolinyl, imidazolidinyl, oxazolyl, oxazolidinyl, isoxazolinyl, isoxazolyl, thiazolyl, thiadiazolyl, thiazolidinyl, isothiazolyl, isothiazolidinyl, furyl, tetrahydrofuryl, thienyl, oxadiazolyl, piperidinyl, piperazinyl, 2-oxopiperazinyl, 2-oxopiperidinyl, 2-oxopyrrolidinyl, 2-oxazepinyl, azepinyl, 4-piperidonyl, pyridyl, N-oxo-pyridyl, pyrazinyl, pyrimidinyl, pyridazinyl, tetrahydropyranyl, tetrahydrothiopyranyl, tetrahydrothiopyranyl sulfone, morpholinyl, thiomorpholinyl, thiomorpholinyl sulfoxide, thiomorpholinyl sulfone, 1,3-dioxolane and tetrahydro-1,1-dioxothienyl, dioxanyl, isothiazolidinyl, thietanyl, thiiranyl, triazinyl, and triazolyl; or a pharmaceutically acceptable salt thereof.
12. The compound of claim 11 , wherein R15 is H; or a pharmaceutically acceptable salt thereof.
13. A pharmaceutical composition comprising the compound of claim 1 or a pharmaceutically acceptable salt thereof; and a pharmaceutically acceptable vehicle or diluent.
Priority Applications (1)
| Application Number | Priority Date | Filing Date | Title |
|---|---|---|---|
| US12/882,769 USRE43003E1 (en) | 1997-07-08 | 2010-09-15 | Epothilone derivatives |
Applications Claiming Priority (5)
| Application Number | Priority Date | Filing Date | Title |
|---|---|---|---|
| US5195197P | 1997-07-08 | 1997-07-08 | |
| US6752497P | 1997-12-04 | 1997-12-04 | |
| US09/084,542 US6605599B1 (en) | 1997-07-08 | 1998-05-26 | Epothilone derivatives |
| US11/512,623 US7241755B2 (en) | 1997-07-08 | 2006-08-30 | Epothilone derivatives |
| US12/882,769 USRE43003E1 (en) | 1997-07-08 | 2010-09-15 | Epothilone derivatives |
Related Parent Applications (1)
| Application Number | Title | Priority Date | Filing Date |
|---|---|---|---|
| US11/512,623 Reissue US7241755B2 (en) | 1997-07-08 | 2006-08-30 | Epothilone derivatives |
Publications (1)
| Publication Number | Publication Date |
|---|---|
| USRE43003E1 true USRE43003E1 (en) | 2011-12-06 |
Family
ID=26729990
Family Applications (10)
| Application Number | Title | Priority Date | Filing Date |
|---|---|---|---|
| US09/084,542 Ceased US6605599B1 (en) | 1997-07-08 | 1998-05-26 | Epothilone derivatives |
| US10/405,886 Expired - Lifetime US7125899B2 (en) | 1997-07-08 | 2003-04-03 | Epothilone derivatives |
| US11/512,623 Expired - Lifetime US7241755B2 (en) | 1997-07-08 | 2006-08-30 | Epothilone derivatives |
| US11/763,636 Expired - Fee Related US8536327B2 (en) | 1997-07-08 | 2007-06-15 | Epothilone derivatives |
| US12/539,492 Expired - Lifetime USRE41911E1 (en) | 1997-07-08 | 2009-08-11 | Epothilone derivatives |
| US12/539,496 Expired - Lifetime USRE41895E1 (en) | 1997-07-08 | 2009-08-11 | Epothilone derivatives |
| US12/539,498 Expired - Lifetime USRE41893E1 (en) | 1997-07-08 | 2009-08-11 | Epothilone derivatives |
| US12/882,769 Expired - Fee Related USRE43003E1 (en) | 1997-07-08 | 2010-09-15 | Epothilone derivatives |
| US13/966,613 Expired - Fee Related US8921542B2 (en) | 1997-07-08 | 2013-08-14 | Epothilone derivatives |
| US14/553,081 Abandoned US20150080440A1 (en) | 1997-07-08 | 2014-11-25 | Epothilone derivatives |
Family Applications Before (7)
| Application Number | Title | Priority Date | Filing Date |
|---|---|---|---|
| US09/084,542 Ceased US6605599B1 (en) | 1997-07-08 | 1998-05-26 | Epothilone derivatives |
| US10/405,886 Expired - Lifetime US7125899B2 (en) | 1997-07-08 | 2003-04-03 | Epothilone derivatives |
| US11/512,623 Expired - Lifetime US7241755B2 (en) | 1997-07-08 | 2006-08-30 | Epothilone derivatives |
| US11/763,636 Expired - Fee Related US8536327B2 (en) | 1997-07-08 | 2007-06-15 | Epothilone derivatives |
| US12/539,492 Expired - Lifetime USRE41911E1 (en) | 1997-07-08 | 2009-08-11 | Epothilone derivatives |
| US12/539,496 Expired - Lifetime USRE41895E1 (en) | 1997-07-08 | 2009-08-11 | Epothilone derivatives |
| US12/539,498 Expired - Lifetime USRE41893E1 (en) | 1997-07-08 | 2009-08-11 | Epothilone derivatives |
Family Applications After (2)
| Application Number | Title | Priority Date | Filing Date |
|---|---|---|---|
| US13/966,613 Expired - Fee Related US8921542B2 (en) | 1997-07-08 | 2013-08-14 | Epothilone derivatives |
| US14/553,081 Abandoned US20150080440A1 (en) | 1997-07-08 | 2014-11-25 | Epothilone derivatives |
Country Status (32)
| Country | Link |
|---|---|
| US (10) | US6605599B1 (en) |
| EP (4) | EP1493738B1 (en) |
| JP (2) | JP4090514B2 (en) |
| KR (1) | KR100569041B1 (en) |
| CN (1) | CN100384834C (en) |
| AR (1) | AR013358A1 (en) |
| AT (2) | ATE426598T1 (en) |
| AU (1) | AU731497B2 (en) |
| BG (1) | BG64952B1 (en) |
| BR (1) | BRPI9810555A8 (en) |
| CA (1) | CA2296012C (en) |
| CO (1) | CO4940501A1 (en) |
| CZ (1) | CZ297904B6 (en) |
| DE (2) | DE69832294T2 (en) |
| DK (1) | DK1019389T3 (en) |
| EE (1) | EE04566B1 (en) |
| EG (1) | EG24464A (en) |
| ES (2) | ES2322807T3 (en) |
| GE (1) | GEP20032897B (en) |
| HU (1) | HU227444B1 (en) |
| ID (1) | ID23771A (en) |
| IL (1) | IL133613A (en) |
| LV (1) | LV12569B (en) |
| MY (1) | MY124151A (en) |
| NO (1) | NO322494B1 (en) |
| NZ (1) | NZ501198A (en) |
| PE (1) | PE104599A1 (en) |
| PL (1) | PL197404B1 (en) |
| RO (1) | RO120340B1 (en) |
| TR (1) | TR200000065T2 (en) |
| TW (1) | TW562802B (en) |
| WO (1) | WO1999002514A2 (en) |
Families Citing this family (169)
| Publication number | Priority date | Publication date | Assignee | Title |
|---|---|---|---|---|
| US5969145A (en) * | 1996-08-30 | 1999-10-19 | Novartis Ag | Process for the production of epothilones and intermediate products within the process |
| WO1998022461A1 (en) * | 1996-11-18 | 1998-05-28 | GESELLSCHAFT FüR BIOTECHNOLOGISCHE FORSCHUNG MBH (GBF) | Epothilone c, d, e and f, production process, and their use as cytostatic as well as phytosanitary agents |
| US6204388B1 (en) | 1996-12-03 | 2001-03-20 | Sloan-Kettering Institute For Cancer Research | Synthesis of epothilones, intermediates thereto and analogues thereof |
| JP4579351B2 (en) | 1996-12-03 | 2010-11-10 | スローン−ケッタリング インスティトュート フォア キャンサー リサーチ | Synthesis of epothilone and its intermediates and analogs and uses thereof |
| US6867305B2 (en) | 1996-12-03 | 2005-03-15 | Sloan-Kettering Institute For Cancer Research | Synthesis of epothilones, intermediates thereto and analogues thereof |
| US20050043376A1 (en) * | 1996-12-03 | 2005-02-24 | Danishefsky Samuel J. | Synthesis of epothilones, intermediates thereto, analogues and uses thereof |
| US6660758B1 (en) * | 1996-12-13 | 2003-12-09 | The Scripps Research Institute | Epothilone analogs |
| US6441186B1 (en) | 1996-12-13 | 2002-08-27 | The Scripps Research Institute | Epothilone analogs |
| US6380394B1 (en) | 1996-12-13 | 2002-04-30 | The Scripps Research Institute | Epothilone analogs |
| US6605599B1 (en) | 1997-07-08 | 2003-08-12 | Bristol-Myers Squibb Company | Epothilone derivatives |
| EP1005465B1 (en) | 1997-08-09 | 2007-07-25 | Bayer Schering Pharma Aktiengesellschaft | New epothilone derivatives, method for producing same and their pharmaceutical use |
| US6365749B1 (en) * | 1997-12-04 | 2002-04-02 | Bristol-Myers Squibb Company | Process for the preparation of ring-opened epothilone intermediates which are useful for the preparation of epothilone analogs |
| US6683100B2 (en) | 1999-01-19 | 2004-01-27 | Novartis Ag | Organic compounds |
| US6194181B1 (en) | 1998-02-19 | 2001-02-27 | Novartis Ag | Fermentative preparation process for and crystal forms of cytostatics |
| FR2775187B1 (en) | 1998-02-25 | 2003-02-21 | Novartis Ag | USE OF EPOTHILONE B FOR THE MANUFACTURE OF AN ANTIPROLIFERATIVE PHARMACEUTICAL PREPARATION AND A COMPOSITION COMPRISING EPOTHILONE B AS AN IN VIVO ANTIPROLIFERATIVE AGENT |
| US6302838B1 (en) | 1998-02-25 | 2001-10-16 | Novartis Ag | Cancer treatment with epothilones |
| US6498257B1 (en) * | 1998-04-21 | 2002-12-24 | Bristol-Myers Squibb Company | 2,3-olefinic epothilone derivatives |
| US6399638B1 (en) * | 1998-04-21 | 2002-06-04 | Bristol-Myers Squibb Company | 12,13-modified epothilone derivatives |
| DE19826988A1 (en) * | 1998-06-18 | 1999-12-23 | Biotechnolog Forschung Gmbh | Epothilone minor components |
| US6410301B1 (en) | 1998-11-20 | 2002-06-25 | Kosan Biosciences, Inc. | Myxococcus host cells for the production of epothilones |
| CA2350189A1 (en) | 1998-11-20 | 2000-06-02 | Kosan Biosciences, Inc. | Recombinant methods and materials for producing epothilone and epothilone derivatives |
| JP2002533346A (en) | 1998-12-22 | 2002-10-08 | ノバルティス アクチエンゲゼルシャフト | Epothilone derivatives and their use as antitumor agents |
| US6780620B1 (en) * | 1998-12-23 | 2004-08-24 | Bristol-Myers Squibb Company | Microbial transformation method for the preparation of an epothilone |
| WO2000047584A2 (en) | 1999-02-11 | 2000-08-17 | Schering Aktiengesellschaft | Epothilon derivatives, method for the production and the use thereof as pharmaceuticals |
| PT1169038E (en) | 1999-04-15 | 2012-10-26 | Bristol Myers Squibb Co | Cyclic protein tyrosine kinase inhibitors |
| US7125875B2 (en) | 1999-04-15 | 2006-10-24 | Bristol-Myers Squibb Company | Cyclic protein tyrosine kinase inhibitors |
| US7125893B1 (en) | 1999-04-30 | 2006-10-24 | Schering Ag | 6-alkenyl-, 6-alkinyl- and 6-epoxy-epothilone derivatives, process for their production, and their use in pharmaceutical preparations |
| WO2001024763A2 (en) | 1999-10-01 | 2001-04-12 | Immunogen, Inc. | Compositions and methods for treating cancer using immunoconjugates and chemotherapeutic agents |
| US6518421B1 (en) * | 2000-03-20 | 2003-02-11 | Bristol-Myers Squibb Company | Process for the preparation of epothilone analogs |
| DE10020899A1 (en) * | 2000-04-20 | 2001-10-25 | Schering Ag | New 9-oxa-epothilone derivatives, are phase-specific cell division regulators useful for treating malignant tumors, angiogenesis or inflammatory disease |
| US6489314B1 (en) | 2001-04-03 | 2002-12-03 | Kosan Biosciences, Inc. | Epothilone derivatives and methods for making and using the same |
| US20020045609A1 (en) * | 2000-05-26 | 2002-04-18 | Gary Ashley | Epothilone derivatives and methods for making and using the same |
| UA75365C2 (en) * | 2000-08-16 | 2006-04-17 | Bristol Myers Squibb Co | Epothilone analog polymorph modifications, a method for obtaining thereof (variants), a pharmaceutical composition based thereon |
| CA2425828A1 (en) | 2000-10-13 | 2002-04-18 | The University Of Mississippi | Synthesis of epothilones and related analogs |
| WO2002058699A1 (en) | 2001-01-25 | 2002-08-01 | Bristol-Myers Squibb Company | Pharmaceutical forms of epothilones for oral administration |
| DE60225666T2 (en) | 2001-01-25 | 2009-04-16 | Bristol-Myers Squibb Co. | PROCESS FOR PREPARING PHARMACEUTICAL COMPOSITIONS CONTAINING EPOTHILON ANALOGUE FOR CANCER TREATMENT |
| CZ20032022A3 (en) | 2001-01-25 | 2004-04-14 | Bristol-Myers Squibb Company | Parenteral formulation containing epothilone analogs |
| MXPA03006412A (en) * | 2001-01-25 | 2003-10-15 | Bristol Myers Squibb Co | Methods of administering epothilone analogs for the treatment of cancer. |
| US6893859B2 (en) | 2001-02-13 | 2005-05-17 | Kosan Biosciences, Inc. | Epothilone derivatives and methods for making and using the same |
| PL363362A1 (en) * | 2001-02-20 | 2004-11-15 | Bristol-Myers Squibb Company | Treatment of refractory tumors using epothilone derivatives |
| RU2003128312A (en) | 2001-02-20 | 2005-02-10 | Бристол-Маерс Сквибб Компани (Us) | EPOTHYLON DERIVATIVES USED FOR TREATMENT OF RESISTANT TUMORS |
| DE60213884T2 (en) | 2001-02-27 | 2007-02-22 | GESELLSCHAFT FüR BIOTECHNOLOGISCHE FORSCHUNG MBH (GBF) | Process for the preparation of epothilones |
| ES2384789T3 (en) * | 2001-03-14 | 2012-07-12 | Bristol-Myers Squibb Company | Combination of an analogue of epothilone and chemotherapeutic agents for the treatment of proliferative diseases |
| JP2004532888A (en) | 2001-06-01 | 2004-10-28 | ブリストル−マイヤーズ スクイブ カンパニー | Epothilone derivative |
| TWI315982B (en) | 2001-07-19 | 2009-10-21 | Novartis Ag | Combinations comprising epothilones and pharmaceutical uses thereof |
| TWI341728B (en) | 2002-01-14 | 2011-05-11 | Novartis Ag | Combinations comprising epothilones and anti-metabolites |
| EP1340498A1 (en) * | 2002-03-01 | 2003-09-03 | Schering Aktiengesellschaft | Use of epothilones in the treatment of brain diseases associated with proliferative processes |
| US7211593B2 (en) * | 2002-03-12 | 2007-05-01 | Bristol-Myers Squibb Co. | C12-cyano epothilone derivatives |
| ATE452896T1 (en) | 2002-03-12 | 2010-01-15 | Bristol Myers Squibb Co | C3-CYANOEPOTHILONE DERIVATIVES |
| TW200403994A (en) | 2002-04-04 | 2004-03-16 | Bristol Myers Squibb Co | Oral administration of EPOTHILONES |
| TW200400191A (en) * | 2002-05-15 | 2004-01-01 | Bristol Myers Squibb Co | Pharmaceutical compositions and methods of using C-21 modified epothilone derivatives |
| US7405234B2 (en) | 2002-05-17 | 2008-07-29 | Bristol-Myers Squibb Company | Bicyclic modulators of androgen receptor function |
| US7008936B2 (en) | 2002-06-14 | 2006-03-07 | Bristol-Myers Squibb Company | Combination of epothilone analogs and chemotherapeutic agents for the treatment of proliferative diseases |
| DE10232094A1 (en) * | 2002-07-15 | 2004-02-05 | GESELLSCHAFT FüR BIOTECHNOLOGISCHE FORSCHUNG MBH (GBF) | 5-thiaepothilones and 15-disubstituted epothilones |
| US7649006B2 (en) | 2002-08-23 | 2010-01-19 | Sloan-Kettering Institute For Cancer Research | Synthesis of epothilones, intermediates thereto and analogues thereof |
| US6921769B2 (en) | 2002-08-23 | 2005-07-26 | Sloan-Kettering Institute For Cancer Research | Synthesis of epothilones, intermediates thereto and analogues thereof |
| NZ538522A (en) * | 2002-08-23 | 2008-03-28 | Sloan Kettering Inst Cancer | Synthesis of epothilones, intermediates thereto, analogues and uses thereof |
| TWI291464B (en) | 2002-09-23 | 2007-12-21 | Bristol Myers Squibb Co | Methods for the preparation, isolation and purification of epothilone B, and X-ray crystal structures of epothilone B |
| WO2004032923A1 (en) * | 2002-10-11 | 2004-04-22 | Dana-Farber Cancer Institute Inc | Epothilone derivatives for the treatment of multiple myeloma |
| US7632858B2 (en) | 2002-11-15 | 2009-12-15 | Bristol-Myers Squibb Company | Open chain prolyl urea-related modulators of androgen receptor function |
| AU2003296242A1 (en) * | 2002-11-28 | 2004-06-18 | Wolfgang Richter | Thia-epothilone derivatives for the treatment of cancer |
| WO2004052361A1 (en) * | 2002-12-09 | 2004-06-24 | Novartis Ag | Microtubule stabilisers for treating stenosis in stents |
| GB0230024D0 (en) * | 2002-12-23 | 2003-01-29 | Novartis Ag | Organic compounds |
| CN100359014C (en) * | 2003-01-28 | 2008-01-02 | 北京华昊中天生物技术有限公司 | Novel epothilone compound and preparation method and application thereof |
| EP1594854B1 (en) | 2003-02-06 | 2010-09-01 | Bristol-Myers Squibb Company | Thiazolyl-based compounds useful as kinase inhibitors |
| GB0305928D0 (en) * | 2003-03-14 | 2003-04-23 | Novartis Ag | Organic compounds |
| AU2008200555C1 (en) * | 2003-03-14 | 2011-12-15 | Novartis Ag | Treatment of proliferative diseases with epothilone derivatives and radiation |
| US7371759B2 (en) | 2003-09-25 | 2008-05-13 | Bristol-Myers Squibb Company | HMG-CoA reductase inhibitors and method |
| DE10344882A1 (en) * | 2003-09-26 | 2005-04-21 | Morphochem Ag Komb Chemie | New macrocycles for the treatment of cancer |
| US20050171167A1 (en) * | 2003-11-04 | 2005-08-04 | Haby Thomas A. | Process and formulation containing epothilones and analogs thereof |
| WO2005054429A2 (en) * | 2003-11-19 | 2005-06-16 | The University Of Mississippi | Synthesis of the c1-c6 keto-acid synthon of the epothilones |
| US7420059B2 (en) | 2003-11-20 | 2008-09-02 | Bristol-Myers Squibb Company | HMG-CoA reductase inhibitors and method |
| EP1559447A1 (en) | 2004-01-30 | 2005-08-03 | Institut National De La Sante Et De La Recherche Medicale (Inserm) | Use of epothilones in the treatment of neuronal connectivity defects such as schizophrenia and autism |
| US7820702B2 (en) | 2004-02-04 | 2010-10-26 | Bristol-Myers Squibb Company | Sulfonylpyrrolidine modulators of androgen receptor function and method |
| US7378426B2 (en) | 2004-03-01 | 2008-05-27 | Bristol-Myers Squibb Company | Fused heterotricyclic compounds as inhibitors of 17β-hydroxysteroid dehydrogenase 3 |
| US7696241B2 (en) | 2004-03-04 | 2010-04-13 | Bristol-Myers Squibb Company | Bicyclic compounds as modulators of androgen receptor function and method |
| US7625923B2 (en) | 2004-03-04 | 2009-12-01 | Bristol-Myers Squibb Company | Bicyclic modulators of androgen receptor function |
| US7459562B2 (en) | 2004-04-23 | 2008-12-02 | Bristol-Myers Squibb Company | Monocyclic heterocycles as kinase inhibitors |
| TW200538453A (en) | 2004-04-26 | 2005-12-01 | Bristol Myers Squibb Co | Bicyclic heterocycles as kinase inhibitors |
| US20090004277A1 (en) * | 2004-05-18 | 2009-01-01 | Franchini Miriam K | Nanoparticle dispersion containing lactam compound |
| US20050288290A1 (en) | 2004-06-28 | 2005-12-29 | Borzilleri Robert M | Fused heterocyclic kinase inhibitors |
| US7439246B2 (en) | 2004-06-28 | 2008-10-21 | Bristol-Myers Squibb Company | Fused heterocyclic kinase inhibitors |
| US7432373B2 (en) | 2004-06-28 | 2008-10-07 | Bristol-Meyers Squibb Company | Processes and intermediates useful for preparing fused heterocyclic kinase inhibitors |
| WO2006017761A2 (en) * | 2004-08-05 | 2006-02-16 | Emory University | Epothilone analogues as therapeutic agents |
| EP1640004A1 (en) * | 2004-09-24 | 2006-03-29 | Schering Aktiengesellschaft | Use of epothilones in the treatment of bone metastases and bone tumors or cancers |
| CA2588400A1 (en) * | 2004-11-18 | 2006-05-26 | Bristol-Myers Squibb Company | Enteric coated bead comprising ixabepilone, and preparation thereof |
| WO2006055742A1 (en) * | 2004-11-18 | 2006-05-26 | Bristol-Myers Squibb Company | Enteric coated bead comprising epothilone or epothilone analog, and preparation and administration thereof |
| US20060121511A1 (en) | 2004-11-30 | 2006-06-08 | Hyerim Lee | Biomarkers and methods for determining sensitivity to microtubule-stabilizing agents |
| EP1674098A1 (en) | 2004-12-23 | 2006-06-28 | Schering Aktiengesellschaft | Stable and tolerable parental formulations of highly reactive organic drug substances with low or no solubility in water |
| WO2007086879A2 (en) | 2005-02-11 | 2007-08-02 | University Of Southern California | Method of expressing proteins with disulfide bridges |
| JP4954983B2 (en) | 2005-05-18 | 2012-06-20 | ファーマサイエンス・インコーポレイテッド | BIR domain binding compound |
| US7348325B2 (en) | 2005-11-30 | 2008-03-25 | Bristol-Myers Squibb Company | Pyrrolotriazine kinase inhibitors |
| WO2007117439A2 (en) | 2006-03-31 | 2007-10-18 | Bristol-Myers Squibb Company | Biomarkers and methods for determining sensitivity to microtubule-stabilizing agents |
| WO2007130501A2 (en) * | 2006-05-01 | 2007-11-15 | University Of Southern California | Combination therapy for treatment of cancer |
| SG171682A1 (en) | 2006-05-16 | 2011-06-29 | Aegera Therapeutics Inc | Iap bir domain binding compounds |
| MX2009005849A (en) | 2006-12-04 | 2009-08-12 | Univ Illinois | Compositions and methods to treat cancer with cupredoxins and cpg rich dna. |
| BRPI0806451A2 (en) | 2007-02-08 | 2014-07-15 | Univ Illinois | COMPOSITIONS AND METHODS FOR CANCER PREVENTION WITH COUPREDOXINS |
| CN101754969A (en) * | 2007-05-25 | 2010-06-23 | 百时美施贵宝公司 | Processes for making epothilone compounds and analogs |
| US20090076099A1 (en) * | 2007-09-14 | 2009-03-19 | Protia, Llc | Deuterium-enriched ixabepilone |
| EP2065054A1 (en) | 2007-11-29 | 2009-06-03 | Bayer Schering Pharma Aktiengesellschaft | Combinations comprising a prostaglandin and uses thereof |
| EP2070521A1 (en) | 2007-12-10 | 2009-06-17 | Bayer Schering Pharma Aktiengesellschaft | Surface-modified nanoparticles |
| DE102007059752A1 (en) | 2007-12-10 | 2009-06-18 | Bayer Schering Pharma Aktiengesellschaft | Functionalized solid polymer nanoparticles containing epothilones |
| US8449886B2 (en) * | 2008-01-08 | 2013-05-28 | Bristol-Myers Squibb Company | Combination of anti-CTLA4 antibody with tubulin modulating agents for the treatment of proliferative diseases |
| HRP20140783T1 (en) * | 2008-04-24 | 2014-09-12 | Bristol-Myers Squibb Company | USE OF EPOTHILONE D IN THE TREATMENT OF TAU-LINKED DISEASES INCLUDING ALZHEIMER DISEASE |
| WO2010056901A2 (en) | 2008-11-13 | 2010-05-20 | University Of Southern California | Method of expressing proteins with disulfide bridges with enhanced yields and activity |
| EP2210584A1 (en) | 2009-01-27 | 2010-07-28 | Bayer Schering Pharma Aktiengesellschaft | Stable polymeric composition comprising an epothilone and an amphiphilic block copolymer |
| JP4500951B1 (en) * | 2009-08-07 | 2010-07-14 | 学校法人神戸学院 | DNA synthase inhibitors |
| WO2011049625A1 (en) | 2009-10-20 | 2011-04-28 | Mansour Samadpour | Method for aflatoxin screening of products |
| CA2779574C (en) | 2009-11-05 | 2018-12-18 | Rhizen Pharmaceuticals S.A. | Novel kinase modulators |
| KR20120140658A (en) | 2010-02-12 | 2012-12-31 | 파마사이언스 인크. | Iap bir domain binding compounds |
| EA025281B9 (en) | 2010-05-17 | 2017-08-31 | Инкозен Терапьютикс Пвт. Лтд. | 3,5-DISUBSTITUED-3H-IMIDAZO[4,5-b]PYRIDINE AND 3,5-DISUBSTITUED-3H-[1,2,3]TRIAZOLO[4,5-b]PYRIDINE COMPOUNDS AS MODULATORS OF PROTEIN KINASES |
| US20110300150A1 (en) | 2010-05-18 | 2011-12-08 | Scott Eliasof | Compositions and methods for treatment of autoimmune and other disease |
| KR20130086534A (en) | 2010-06-01 | 2013-08-02 | 플러스 케미칼스, 에스.에이. | Solid state forms of ixabepilone |
| CN101906099A (en) * | 2010-07-16 | 2010-12-08 | 泰州市今朝伟业精细化工有限公司 | Method for biochemically synthesizing epothilone D-lactam derivatives |
| EP2665493B1 (en) | 2011-01-20 | 2018-03-21 | Board Of Regents, The University Of Texas System | Mri markers, delivery and extraction systems, and methods of manufacture and use thereof |
| WO2012135278A2 (en) * | 2011-04-01 | 2012-10-04 | The Research Foundation Of State University Of New York | Olefin-triggered acid amplifiers |
| JP2014511849A (en) * | 2011-04-01 | 2014-05-19 | ザ リサーチ ファウンデーション オブ ステイト ユニバーシティ オブ ニューヨーク | Stabilized acid amplifier |
| AP4075A (en) | 2011-05-04 | 2017-03-23 | Rhizen Pharmaceuticals S A | Novel compounds as modulators of protein kinases |
| EP2717884A1 (en) | 2011-06-06 | 2014-04-16 | Chevron Phillips Chemical Company LP | Use of metallocene compounds for cancer treatment |
| JP5926374B2 (en) | 2011-06-10 | 2016-05-25 | メルサナ セラピューティクス,インコーポレイティド | Protein-polymer-drug conjugate |
| CN102863474A (en) | 2011-07-09 | 2013-01-09 | 陈小平 | Platinum compounds for treating cell proliferative diseases and preparation method and application thereof |
| WO2013008091A1 (en) * | 2011-07-13 | 2013-01-17 | Xellia Pharmaceuticals Aps | Manufacturing of epothilone derivatives and the use thereof |
| ES2458220T3 (en) | 2011-09-12 | 2014-04-30 | Agfa-Gevaert | Methods for color laser marking of security document precursors |
| CN102993239A (en) | 2011-09-19 | 2013-03-27 | 陈小平 | Platinum compound of succinic acid derivative with leaving group containing amino or alkylamino |
| US9764038B2 (en) | 2011-12-23 | 2017-09-19 | Innate Pharma | Enzymatic conjugation of antibodies |
| CN104321322A (en) | 2012-03-30 | 2015-01-28 | 理森制药股份公司 | Novel 3,5-disubstituted-3H-imidazo[4,5-B]pyridines and 3,5-disubstituted-3H-[1,2,3]triazolo[ 4,5-B]pyridine compounds |
| US10132799B2 (en) | 2012-07-13 | 2018-11-20 | Innate Pharma | Screening of conjugated antibodies |
| EP3564259A3 (en) | 2012-11-09 | 2020-02-12 | Innate Pharma | Recognition tags for tgase-mediated conjugation |
| CN104768962B (en) | 2012-11-17 | 2017-04-05 | 北京市丰硕维康技术开发有限责任公司 | Leaving group is the platinum-like compounds of the malonate derivative containing amino or alkylamino |
| US9353150B2 (en) | 2012-12-04 | 2016-05-31 | Massachusetts Institute Of Technology | Substituted pyrazino[1′,2′:1 ,5]pyrrolo[2,3-b]-indole-1,4-diones for cancer treatment |
| AU2013359506B2 (en) | 2012-12-10 | 2018-05-24 | Mersana Therapeutics, Inc. | Protein-polymer-drug conjugates |
| EP2931316B1 (en) | 2012-12-12 | 2019-02-20 | Mersana Therapeutics, Inc. | Hydroxyl-polymer-drug-protein conjugates |
| TWI520956B (en) | 2013-03-08 | 2016-02-11 | 台灣神隆股份有限公司 | Process for ixabepilone, and intermediates thereof |
| US10611824B2 (en) | 2013-03-15 | 2020-04-07 | Innate Pharma | Solid phase TGase-mediated conjugation of antibodies |
| WO2014144715A1 (en) | 2013-03-15 | 2014-09-18 | Memorial Sloan-Kettering Cancer Center | Hsp90-targeted cardiac imaging and therapy |
| EP3007692A1 (en) | 2013-06-11 | 2016-04-20 | Bayer Pharma Aktiengesellschaft | Combinations for the treatment of cancer comprising a mps-1 kinase inhibitor and a mitotic inhibitor |
| WO2014202773A1 (en) | 2013-06-20 | 2014-12-24 | Innate Pharma | Enzymatic conjugation of polypeptides |
| CA2914189C (en) | 2013-06-21 | 2023-03-14 | Innate Pharma | Enzymatic conjugation of polypeptides |
| JP6420331B2 (en) | 2013-10-11 | 2018-11-07 | メルサナ セラピューティクス,インコーポレイティド | Protein-polymer-drug conjugate |
| IL245009B (en) | 2013-10-11 | 2022-08-01 | Asana Biosciences Llc | A bracelet consisting of drug, protein and polymer |
| US10341459B2 (en) | 2015-09-18 | 2019-07-02 | International Business Machines Corporation | Personalized content and services based on profile information |
| US10918627B2 (en) | 2016-05-11 | 2021-02-16 | Massachusetts Institute Of Technology | Convergent and enantioselective total synthesis of Communesin analogs |
| EP3474901B1 (en) | 2016-06-27 | 2025-08-06 | Tagworks Pharmaceuticals B.V. | Cleavable tetrazine used in bio-orthogonal drug activation |
| US11135307B2 (en) | 2016-11-23 | 2021-10-05 | Mersana Therapeutics, Inc. | Peptide-containing linkers for antibody-drug conjugates |
| WO2018209239A1 (en) | 2017-05-11 | 2018-11-15 | Massachusetts Institute Of Technology | Potent agelastatin derivatives as modulators for cancer invasion and metastasis |
| EP3641826B1 (en) | 2017-06-22 | 2023-12-06 | Mersana Therapeutics, Inc. | Methods of producing drug-carrying polymer scaffolds and protein-polymer-drug conjugates |
| US10640508B2 (en) | 2017-10-13 | 2020-05-05 | Massachusetts Institute Of Technology | Diazene directed modular synthesis of compounds with quaternary carbon centers |
| WO2019092148A1 (en) | 2017-11-10 | 2019-05-16 | Innate Pharma | Antibodies with functionalized glutamine residues |
| CA3099419A1 (en) | 2018-05-04 | 2019-11-07 | Tagworks Pharmaceuticals B.V. | Tetrazines for high click conjugation yield in vivo and high click release yield |
| WO2019212357A1 (en) | 2018-05-04 | 2019-11-07 | Tagworks Pharmaceuticals B.V. | Compounds comprising a linker for increasing transcyclooctene stability |
| CA3117050A1 (en) | 2018-10-29 | 2020-05-07 | Mersana Therapeutics, Inc. | Cysteine engineered antibody-drug conjugates with peptide-containing linkers |
| WO2020247054A1 (en) | 2019-06-05 | 2020-12-10 | Massachusetts Institute Of Technology | Compounds, conjugates, and compositions of epipolythiodiketopiperazines and polythiodiketopiperazines and uses thereof |
| EP4382129A3 (en) | 2019-06-17 | 2024-07-03 | Tagworks Pharmaceuticals B.V. | Compounds for fast and efficient click release |
| IL289094A (en) | 2019-06-17 | 2022-02-01 | Tagworks Pharmaceuticals B V | Tetrazines for high click release speed and yield |
| BR112022013685A2 (en) | 2020-01-10 | 2022-09-06 | R Pharm Us Operating Llc | COMPOSITIONS OF IXABEPILONE |
| WO2022182415A1 (en) | 2021-02-24 | 2022-09-01 | Massachusetts Institute Of Technology | Himastatin derivatives, and processes of preparation thereof, and uses thereof |
| KR20240099150A (en) | 2021-09-06 | 2024-06-28 | 베락사 바이오테크 게엠베하 | Novel aminoacyl-tRNA synthetase variants for genetic code expansion in eukaryotes |
| DK4186529T3 (en) | 2021-11-25 | 2025-08-25 | Veraxa Biotech Gmbh | IMPROVED ANTIBODY-PAYLOAD CONJUGATES (APC) MANUFACTURED BY SITE-SPECIFIC CONJUGATION USING GENETIC CODE EXPANSION |
| AU2022395626A1 (en) | 2021-11-25 | 2024-05-30 | Veraxa Biotech Gmbh | Improved antibody-payload conjugates (apcs) prepared by site-specific conjugation utilizing genetic code expansion |
| KR20240119102A (en) | 2021-12-08 | 2024-08-06 | 유럽피안 몰레큘러 바이올로지 래보러토리 | Hydrophilic Tetrazine-Functionalized Payload for Preparation of Targeting Conjugates |
| AU2023221765B2 (en) | 2022-02-15 | 2024-09-19 | Tagworks Pharmaceuticals B.V. | Masked il12 protein |
| JP2025524727A (en) | 2022-07-15 | 2025-07-30 | フィアン セラピューティクス エルティーディー | Antibody-drug conjugates that bind to CDCP1 and uses thereof |
| IL320221A (en) | 2022-10-12 | 2025-06-01 | Tagworks Pharmaceuticals B V | Strained bicyclononenes |
| CN120569216A (en) | 2023-01-20 | 2025-08-29 | 巴斯夫欧洲公司 | Stabilized biopolymer compositions, their manufacture and use |
| KR20250169530A (en) | 2023-03-10 | 2025-12-03 | 태그웍스 파마슈티컬스 비.브이. | Trans-cyclooctene with improved T-linker |
| AU2024300552A1 (en) | 2023-07-27 | 2026-01-29 | Veraxa Biotech Gmbh | Hydrophilic trans-cyclooctene (hytco) compounds, constructs and conjugates containing the same |
| WO2025056807A1 (en) | 2023-09-15 | 2025-03-20 | Basf Se | Stabilized biopolymer composition, their manufacture and use |
| WO2025149667A1 (en) | 2024-01-12 | 2025-07-17 | Pheon Therapeutics Ltd | Antibody drug conjugates and uses thereof |
| WO2025174248A1 (en) | 2024-02-16 | 2025-08-21 | Tagworks Pharmaceuticals B.V. | Trans-cyclooctenes with "or gate" release |
Citations (69)
| Publication number | Priority date | Publication date | Assignee | Title |
|---|---|---|---|---|
| US4272525A (en) | 1978-10-23 | 1981-06-09 | Schering Corporation | Derivatives of polyene macrolide antibiotics containing an amino sugar moiety, process for the preparation thereof, and pharmaceutical compositions containing them |
| EP0103465A1 (en) | 1982-09-13 | 1984-03-21 | Eli Lilly And Company | 20-Amino macrolide derivatives |
| US4820695A (en) | 1982-09-13 | 1989-04-11 | Eli Lilly And Company | C-20-dihydro-deoxy-(cyclic amino)-derivatives of macrolide antibiotics |
| JPH03101679A (en) | 1989-09-14 | 1991-04-26 | Sankyo Co Ltd | Rhizoxin derivative |
| EP0512779A1 (en) | 1991-05-02 | 1992-11-11 | Eli Lilly And Company | Tilmicosine and related compounds for the production of a medicament for the treatment of mastitis |
| WO1992019247A1 (en) | 1991-05-03 | 1992-11-12 | Abbott Laboratories | Erythromycin derivatives |
| DE4138042A1 (en) | 1991-11-19 | 1993-05-27 | Biotechnolog Forschung Gmbh | EPOTHILONES, THEIR PRODUCTION PROCESS AND MEANS CONTAINING THEM |
| EP0586738A1 (en) | 1992-09-11 | 1994-03-16 | Boehringer Ingelheim Vetmedica Gmbh | Enhanced chemotherapeutic compositions against microbial infections in fish containing a benzylamine derivative and an antimicrobial substance |
| WO1994013324A1 (en) | 1992-12-16 | 1994-06-23 | Vestar, Inc. | Lipid prodrugs for oral administration |
| EP0606747A1 (en) | 1992-12-21 | 1994-07-20 | Eli Lilly And Company | Tilmicosin and derivatives for treating gram-positive diseases of aquatic species |
| WO1994021657A1 (en) | 1993-03-18 | 1994-09-29 | Pfizer Inc. | Antibacterial 16-membered ring macrolides containing olefins at c-20 |
| DE4316836A1 (en) | 1993-05-19 | 1994-11-24 | Knoell Hans Forschung Ev | Tetrahydrofuranylpropionic acid, a process for its preparation and use thereof |
| WO1995002594A1 (en) | 1993-07-15 | 1995-01-26 | Pfizer Inc. | Amide derivatives of 16-membered ring antibiotic macrolides |
| WO1996009312A1 (en) | 1994-09-22 | 1996-03-28 | Pfizer Inc. | Antibiotic macrolides |
| WO1996011398A1 (en) | 1994-10-07 | 1996-04-18 | Merck & Co., Inc. | Process for assessing tubulin protein polymerization |
| US5545624A (en) | 1992-07-15 | 1996-08-13 | Pfizer Inc. | Derivatives of 16-membered ring antibiotic macrolides |
| WO1996026182A1 (en) | 1995-02-21 | 1996-08-29 | Schering Aktiengesellschaft | Substituted dtpa monoamides of central carboxylic acids and metal complexes thereof, pharmaceuticals containing these complexes, diagnostic and therapeutic uses thereof and methods for preparing the complexes and pharmaceuticals |
| US5610178A (en) | 1993-08-16 | 1997-03-11 | Ciba-Geigy Corporation | Macrolides and the use thereof |
| DE19542986A1 (en) | 1995-11-17 | 1997-05-22 | Biotechnolog Forschung Gmbh | New epothilone derivatives useful as cytostatics |
| WO1997019088A1 (en) | 1995-11-21 | 1997-05-29 | Hoechst Celanese Corporation | Novel nonlinear optical molecules and polymers incorporating them |
| WO1997019086A1 (en) | 1995-11-17 | 1997-05-29 | GESELLSCHAFT FüR BIOTECHNOLOGISCHE FORSCHUNG MBH (GBF) | Epothilone derivatives, preparation and use |
| EP0778283A2 (en) | 1995-12-05 | 1997-06-11 | Pfizer Inc. | Antibiotic macrolides |
| DE19636343C1 (en) | 1996-08-30 | 1997-10-23 | Schering Ag | New (di:methyl)-dioxanyl-methyl-pentanone and related compounds |
| WO1998008849A1 (en) | 1996-08-30 | 1998-03-05 | Novartis Aktiengesellschaft | Method for producing epothilones, and intermediate products obtained during the production process |
| DE19639456A1 (en) | 1996-09-25 | 1998-03-26 | Biotechnolog Forschung Gmbh | New epothilone derivatives |
| DE19645361A1 (en) | 1996-08-30 | 1998-04-30 | Ciba Geigy Ag | Production of epothilone compounds with taxol-like activity |
| DE19645362A1 (en) | 1996-10-28 | 1998-04-30 | Ciba Geigy Ag | Production of epothilone compounds with taxol-like activity |
| WO1998022462A1 (en) | 1996-11-15 | 1998-05-28 | Zeneca Limited | 8-azabicyclo[3.2.1]octane-, 8-azabicyclo[3.2.1]oct-6-ene-, 9-azabicyclo[3.3.1]nonane-, 9-aza-3-oxabicyclo[3.3.1]nonane-, 9-aza-3-thiabicyclo[3.3.1]nonane derivatives, their preparation and their use as insecticides |
| WO1998022461A1 (en) | 1996-11-18 | 1998-05-28 | GESELLSCHAFT FüR BIOTECHNOLOGISCHE FORSCHUNG MBH (GBF) | Epothilone c, d, e and f, production process, and their use as cytostatic as well as phytosanitary agents |
| US5763429A (en) | 1993-09-10 | 1998-06-09 | Bone Care International, Inc. | Method of treating prostatic diseases using active vitamin D analogues |
| WO1998024427A2 (en) | 1996-12-02 | 1998-06-11 | Angiotech Pharmaceuticals, Inc. | Compositions and methods for treating or preventing inflammatory diseases |
| WO1998025929A1 (en) | 1996-12-13 | 1998-06-18 | Novartis Ag | Epothilone analogs |
| DE19701758A1 (en) | 1997-01-20 | 1998-07-23 | Wessjohann Ludgar A Dr | New beta-keto-alcohol derivatives |
| US5786348A (en) | 1991-01-08 | 1998-07-28 | Bone Care International, Inc. | Methods for preparation and use of 1α,24(S)-dihydroxy vitamin D2 |
| US5795882A (en) | 1992-06-22 | 1998-08-18 | Bone Care International, Inc. | Method of treating prostatic diseases using delayed and/or sustained release vitamin D formulations |
| US5798345A (en) | 1990-09-21 | 1998-08-25 | Bone Care International, Inc. | Method of inhibiting the hyperproliferation of malignant cells |
| WO1998038192A1 (en) | 1997-02-25 | 1998-09-03 | GESELLSCHAFT FüR BIOTECHNOLOGISCHE FORSCHUNG MBH (GBF) | Epothilones with a modified side chain |
| DE19713970A1 (en) | 1997-04-04 | 1998-10-08 | Ludger A Dr Wessjohann | New structural elements which include prenyl derivatives |
| WO1998047891A1 (en) | 1997-04-18 | 1998-10-29 | Studiengesellschaft Kohle Mbh | Selective olefin metathesis of bifunctional or polyfunctional substrates in compressed carbon dioxide as reaction medium |
| DE19720312A1 (en) | 1997-05-15 | 1998-11-19 | Hoechst Ag | Preparation with increased in vivo tolerance |
| DE19821954A1 (en) | 1997-05-15 | 1998-11-19 | Biotechnolog Forschung Gmbh | Preparation of epothilone derivatives |
| DE19726627A1 (en) | 1997-06-17 | 1998-12-24 | Schering Ag | New intermediates for epothilone |
| WO1999001124A1 (en) | 1996-12-03 | 1999-01-14 | Sloan-Kettering Institute For Cancer Research | Synthesis of epothilones, intermediates thereto, analogues and uses thereof |
| WO1999003848A1 (en) | 1997-07-16 | 1999-01-28 | Schering Aktiengesellschaft | Thiazole derivatives, method for their production and use |
| WO1999007692A2 (en) | 1997-08-09 | 1999-02-18 | Schering Aktiengesellschaft | New epothilone derivatives, method for producing same and their pharmaceutical use |
| WO1999039694A2 (en) | 1998-02-05 | 1999-08-12 | Novartis Ag | Compositions containing organic compounds |
| WO1999042602A2 (en) | 1998-02-19 | 1999-08-26 | Novartis Ag | Fermentative preparation process for cytostatics and crystal forms thereof |
| WO1999043320A1 (en) | 1998-02-25 | 1999-09-02 | Novartis Ag | Use of epothilones for the treatment of cancer |
| WO1999043653A1 (en) | 1998-02-25 | 1999-09-02 | Sloan-Kettering Institute For Cancer Research | Synthesis of epothilones, intermediates thereto and analogues therof |
| WO1999067252A2 (en) | 1998-06-22 | 1999-12-29 | Novartis Ag | Epothilone derivatives and their synthesis and use |
| WO2000000485A1 (en) | 1998-06-30 | 2000-01-06 | Schering Aktiengesellschaft | Epothilon derivatives, their preparation process, intermediate products and their pharmaceutical use |
| WO2000031247A2 (en) | 1998-11-20 | 2000-06-02 | Kosan Biosciences, Inc. | Recombinant methods and materials for producing epothilone and epothilone derivatives |
| WO2000037473A1 (en) | 1998-12-22 | 2000-06-29 | Novartis Ag | Epothilone derivatives and their use as antitumor agents |
| WO2000049021A2 (en) | 1999-02-18 | 2000-08-24 | Schering Aktiengesellschaft | 16-halogen-epothilone derivatives, method for producing them and their pharmaceutical use |
| US6124453A (en) | 1995-07-04 | 2000-09-26 | Novartis Ag | Macrolides |
| JP3101679B2 (en) | 1991-07-02 | 2000-10-23 | 株式会社ニチレイ | Serum-free medium for cryopreservation of animal cells and storage method |
| WO2000066589A1 (en) | 1999-04-30 | 2000-11-09 | Schering Aktiengesellschaft | 6-alkenyl-, 6-alkinyl- and 6-epoxy-epothilone derivatives, process for their production, and their use in pharmaceutical preparations |
| US6204388B1 (en) | 1996-12-03 | 2001-03-20 | Sloan-Kettering Institute For Cancer Research | Synthesis of epothilones, intermediates thereto and analogues thereof |
| US6211412B1 (en) | 1999-03-29 | 2001-04-03 | The University Of Kansas | Synthesis of epothilones |
| US6365749B1 (en) | 1997-12-04 | 2002-04-02 | Bristol-Myers Squibb Company | Process for the preparation of ring-opened epothilone intermediates which are useful for the preparation of epothilone analogs |
| US20020143038A1 (en) | 2001-01-25 | 2002-10-03 | Rebanta Bandyopadhyay | Parenteral formulation for epothilone analogs |
| US6518421B1 (en) | 2000-03-20 | 2003-02-11 | Bristol-Myers Squibb Company | Process for the preparation of epothilone analogs |
| US20030073677A1 (en) | 2001-03-14 | 2003-04-17 | Lee Francis Y.F. | Combination of epothilone analogs and chemotherapeutic agents for the treatment of proliferative diseases |
| US6576651B2 (en) | 2001-01-25 | 2003-06-10 | Bristol-Myers Squibb Company | Pharmaceutical compositions, dosage forms and methods for oral administration of epothilones |
| US6605599B1 (en) | 1997-07-08 | 2003-08-12 | Bristol-Myers Squibb Company | Epothilone derivatives |
| US6670384B2 (en) | 2001-01-25 | 2003-12-30 | Bristol-Myers Squibb Company | Methods of administering epothilone analogs for the treatment of cancer |
| US6686380B2 (en) | 2001-02-20 | 2004-02-03 | Bristol-Myers Squibb Company | Treatment of refractory tumors using epothilone derivatives |
| US6689802B2 (en) | 2000-08-16 | 2004-02-10 | Bristol-Myers Squibb Company | Polymorphs of an epothilone analog |
| US6867305B2 (en) | 1996-12-03 | 2005-03-15 | Sloan-Kettering Institute For Cancer Research | Synthesis of epothilones, intermediates thereto and analogues thereof |
Family Cites Families (5)
| Publication number | Priority date | Publication date | Assignee | Title |
|---|---|---|---|---|
| US5515936A (en) * | 1995-07-10 | 1996-05-14 | Vehicules Ts Bellechasse Ltee | Track tensioning system for endless track propelled vehicle |
| AT404477B (en) | 1997-01-15 | 1998-11-25 | Thal Hermann Dipl Ing | BUNDLED TENSION AND METHOD FOR PRODUCING THE SAME |
| US6136630A (en) * | 1998-06-04 | 2000-10-24 | The Regents Of The University Of Michigan | Method of making a micromechanical device from a single crystal semiconductor substrate and monolithic sensor formed thereby |
| US7125893B1 (en) | 1999-04-30 | 2006-10-24 | Schering Ag | 6-alkenyl-, 6-alkinyl- and 6-epoxy-epothilone derivatives, process for their production, and their use in pharmaceutical preparations |
| US7026362B2 (en) | 2001-10-09 | 2006-04-11 | Simax Technologies, Inc. | Sol-gel process utilizing reduced mixing temperatures |
-
1998
- 1998-05-26 US US09/084,542 patent/US6605599B1/en not_active Ceased
- 1998-06-16 EE EEP200000013A patent/EE04566B1/en not_active IP Right Cessation
- 1998-06-16 WO PCT/US1998/012550 patent/WO1999002514A2/en not_active Ceased
- 1998-06-16 CN CNB988069067A patent/CN100384834C/en not_active Expired - Fee Related
- 1998-06-16 RO RO99-01332A patent/RO120340B1/en unknown
- 1998-06-16 JP JP50867399A patent/JP4090514B2/en not_active Expired - Fee Related
- 1998-06-16 PL PL338003A patent/PL197404B1/en unknown
- 1998-06-16 EP EP04021059A patent/EP1493738B1/en not_active Expired - Lifetime
- 1998-06-16 DE DE69832294T patent/DE69832294T2/en not_active Expired - Lifetime
- 1998-06-16 CA CA002296012A patent/CA2296012C/en not_active Expired - Lifetime
- 1998-06-16 NZ NZ501198A patent/NZ501198A/en not_active IP Right Cessation
- 1998-06-16 AT AT04021059T patent/ATE426598T1/en not_active IP Right Cessation
- 1998-06-16 CZ CZ20000058A patent/CZ297904B6/en not_active IP Right Cessation
- 1998-06-16 EP EP04028581A patent/EP1531153A1/en not_active Withdrawn
- 1998-06-16 AU AU79720/98A patent/AU731497B2/en not_active Ceased
- 1998-06-16 EP EP98930300A patent/EP1019389B1/en not_active Expired - Lifetime
- 1998-06-16 AT AT98930300T patent/ATE309236T1/en active
- 1998-06-16 EP EP04028580A patent/EP1526133A1/en not_active Withdrawn
- 1998-06-16 ES ES04021059T patent/ES2322807T3/en not_active Expired - Lifetime
- 1998-06-16 BR BRPI9810555A patent/BRPI9810555A8/en active Search and Examination
- 1998-06-16 DK DK98930300T patent/DK1019389T3/en active
- 1998-06-16 HU HU0103111A patent/HU227444B1/en not_active IP Right Cessation
- 1998-06-16 IL IL13361398A patent/IL133613A/en not_active IP Right Cessation
- 1998-06-16 DE DE69840693T patent/DE69840693D1/en not_active Expired - Lifetime
- 1998-06-16 GE GEAP19985171A patent/GEP20032897B/en unknown
- 1998-06-16 KR KR1020007000120A patent/KR100569041B1/en not_active Expired - Lifetime
- 1998-06-16 ID IDW20000002A patent/ID23771A/en unknown
- 1998-06-16 ES ES98930300T patent/ES2251088T3/en not_active Expired - Lifetime
- 1998-06-16 TR TR2000/00065T patent/TR200000065T2/en unknown
- 1998-07-02 TW TW087110722A patent/TW562802B/en not_active IP Right Cessation
- 1998-07-07 CO CO98038387A patent/CO4940501A1/en unknown
- 1998-07-07 PE PE1998000604A patent/PE104599A1/en not_active Application Discontinuation
- 1998-07-07 EG EG79298A patent/EG24464A/en active
- 1998-07-08 MY MYPI98003121A patent/MY124151A/en unknown
- 1998-07-08 AR ARP980103322A patent/AR013358A1/en active IP Right Grant
-
2000
- 2000-01-07 NO NO20000076A patent/NO322494B1/en not_active IP Right Cessation
- 2000-01-10 BG BG104068A patent/BG64952B1/en unknown
- 2000-02-02 LV LVP-00-17A patent/LV12569B/en unknown
-
2003
- 2003-04-03 US US10/405,886 patent/US7125899B2/en not_active Expired - Lifetime
-
2006
- 2006-08-30 US US11/512,623 patent/US7241755B2/en not_active Expired - Lifetime
-
2007
- 2007-06-13 JP JP2007156260A patent/JP4885067B2/en not_active Expired - Fee Related
- 2007-06-15 US US11/763,636 patent/US8536327B2/en not_active Expired - Fee Related
-
2009
- 2009-08-11 US US12/539,492 patent/USRE41911E1/en not_active Expired - Lifetime
- 2009-08-11 US US12/539,496 patent/USRE41895E1/en not_active Expired - Lifetime
- 2009-08-11 US US12/539,498 patent/USRE41893E1/en not_active Expired - Lifetime
-
2010
- 2010-09-15 US US12/882,769 patent/USRE43003E1/en not_active Expired - Fee Related
-
2013
- 2013-08-14 US US13/966,613 patent/US8921542B2/en not_active Expired - Fee Related
-
2014
- 2014-11-25 US US14/553,081 patent/US20150080440A1/en not_active Abandoned
Patent Citations (82)
| Publication number | Priority date | Publication date | Assignee | Title |
|---|---|---|---|---|
| US4272525A (en) | 1978-10-23 | 1981-06-09 | Schering Corporation | Derivatives of polyene macrolide antibiotics containing an amino sugar moiety, process for the preparation thereof, and pharmaceutical compositions containing them |
| EP0103465A1 (en) | 1982-09-13 | 1984-03-21 | Eli Lilly And Company | 20-Amino macrolide derivatives |
| US4820695A (en) | 1982-09-13 | 1989-04-11 | Eli Lilly And Company | C-20-dihydro-deoxy-(cyclic amino)-derivatives of macrolide antibiotics |
| JPH03101679A (en) | 1989-09-14 | 1991-04-26 | Sankyo Co Ltd | Rhizoxin derivative |
| US5798345A (en) | 1990-09-21 | 1998-08-25 | Bone Care International, Inc. | Method of inhibiting the hyperproliferation of malignant cells |
| US5786348A (en) | 1991-01-08 | 1998-07-28 | Bone Care International, Inc. | Methods for preparation and use of 1α,24(S)-dihydroxy vitamin D2 |
| EP0512779A1 (en) | 1991-05-02 | 1992-11-11 | Eli Lilly And Company | Tilmicosine and related compounds for the production of a medicament for the treatment of mastitis |
| WO1992019247A1 (en) | 1991-05-03 | 1992-11-12 | Abbott Laboratories | Erythromycin derivatives |
| JP3101679B2 (en) | 1991-07-02 | 2000-10-23 | 株式会社ニチレイ | Serum-free medium for cryopreservation of animal cells and storage method |
| WO1993010121A1 (en) | 1991-11-19 | 1993-05-27 | GESELLSCHAFT FüR BIOTECHNOLOGISCHE FORSCHUNG MBH (GBF) | Epothilones, process for preparing the same and their use as medicaments and as plant protecting agents |
| DE4138042A1 (en) | 1991-11-19 | 1993-05-27 | Biotechnolog Forschung Gmbh | EPOTHILONES, THEIR PRODUCTION PROCESS AND MEANS CONTAINING THEM |
| US5795882A (en) | 1992-06-22 | 1998-08-18 | Bone Care International, Inc. | Method of treating prostatic diseases using delayed and/or sustained release vitamin D formulations |
| US5545624A (en) | 1992-07-15 | 1996-08-13 | Pfizer Inc. | Derivatives of 16-membered ring antibiotic macrolides |
| EP0586738A1 (en) | 1992-09-11 | 1994-03-16 | Boehringer Ingelheim Vetmedica Gmbh | Enhanced chemotherapeutic compositions against microbial infections in fish containing a benzylamine derivative and an antimicrobial substance |
| WO1994013324A1 (en) | 1992-12-16 | 1994-06-23 | Vestar, Inc. | Lipid prodrugs for oral administration |
| EP0606747A1 (en) | 1992-12-21 | 1994-07-20 | Eli Lilly And Company | Tilmicosin and derivatives for treating gram-positive diseases of aquatic species |
| WO1994021657A1 (en) | 1993-03-18 | 1994-09-29 | Pfizer Inc. | Antibacterial 16-membered ring macrolides containing olefins at c-20 |
| DE4316836A1 (en) | 1993-05-19 | 1994-11-24 | Knoell Hans Forschung Ev | Tetrahydrofuranylpropionic acid, a process for its preparation and use thereof |
| WO1995002594A1 (en) | 1993-07-15 | 1995-01-26 | Pfizer Inc. | Amide derivatives of 16-membered ring antibiotic macrolides |
| US5716939A (en) | 1993-07-15 | 1998-02-10 | Pfizer Inc. | Amide derivatives of 16-membered ring antibiotic macrolides |
| US5610178A (en) | 1993-08-16 | 1997-03-11 | Ciba-Geigy Corporation | Macrolides and the use thereof |
| US5763429A (en) | 1993-09-10 | 1998-06-09 | Bone Care International, Inc. | Method of treating prostatic diseases using active vitamin D analogues |
| WO1996009312A1 (en) | 1994-09-22 | 1996-03-28 | Pfizer Inc. | Antibiotic macrolides |
| WO1996011398A1 (en) | 1994-10-07 | 1996-04-18 | Merck & Co., Inc. | Process for assessing tubulin protein polymerization |
| WO1996026182A1 (en) | 1995-02-21 | 1996-08-29 | Schering Aktiengesellschaft | Substituted dtpa monoamides of central carboxylic acids and metal complexes thereof, pharmaceuticals containing these complexes, diagnostic and therapeutic uses thereof and methods for preparing the complexes and pharmaceuticals |
| US6124453A (en) | 1995-07-04 | 2000-09-26 | Novartis Ag | Macrolides |
| WO1997019086A1 (en) | 1995-11-17 | 1997-05-29 | GESELLSCHAFT FüR BIOTECHNOLOGISCHE FORSCHUNG MBH (GBF) | Epothilone derivatives, preparation and use |
| DE19542986A1 (en) | 1995-11-17 | 1997-05-22 | Biotechnolog Forschung Gmbh | New epothilone derivatives useful as cytostatics |
| WO1997019088A1 (en) | 1995-11-21 | 1997-05-29 | Hoechst Celanese Corporation | Novel nonlinear optical molecules and polymers incorporating them |
| EP0778283A2 (en) | 1995-12-05 | 1997-06-11 | Pfizer Inc. | Antibiotic macrolides |
| US5760011A (en) | 1995-12-05 | 1998-06-02 | Pfizer Inc. | Antibiotic macrolides |
| DE19645361A1 (en) | 1996-08-30 | 1998-04-30 | Ciba Geigy Ag | Production of epothilone compounds with taxol-like activity |
| DE19636343C1 (en) | 1996-08-30 | 1997-10-23 | Schering Ag | New (di:methyl)-dioxanyl-methyl-pentanone and related compounds |
| WO1998008849A1 (en) | 1996-08-30 | 1998-03-05 | Novartis Aktiengesellschaft | Method for producing epothilones, and intermediate products obtained during the production process |
| DE19639456A1 (en) | 1996-09-25 | 1998-03-26 | Biotechnolog Forschung Gmbh | New epothilone derivatives |
| DE19645362A1 (en) | 1996-10-28 | 1998-04-30 | Ciba Geigy Ag | Production of epothilone compounds with taxol-like activity |
| WO1998022462A1 (en) | 1996-11-15 | 1998-05-28 | Zeneca Limited | 8-azabicyclo[3.2.1]octane-, 8-azabicyclo[3.2.1]oct-6-ene-, 9-azabicyclo[3.3.1]nonane-, 9-aza-3-oxabicyclo[3.3.1]nonane-, 9-aza-3-thiabicyclo[3.3.1]nonane derivatives, their preparation and their use as insecticides |
| WO1998022461A1 (en) | 1996-11-18 | 1998-05-28 | GESELLSCHAFT FüR BIOTECHNOLOGISCHE FORSCHUNG MBH (GBF) | Epothilone c, d, e and f, production process, and their use as cytostatic as well as phytosanitary agents |
| EP1367057A1 (en) | 1996-11-18 | 2003-12-03 | Gesellschaft für biotechnologische Forschung mbH (GBF) | Epothilones C, E and F |
| WO1998024427A2 (en) | 1996-12-02 | 1998-06-11 | Angiotech Pharmaceuticals, Inc. | Compositions and methods for treating or preventing inflammatory diseases |
| US6369234B1 (en) | 1996-12-03 | 2002-04-09 | Sloan-Kettering Institute For Cancer Research | Synthesis of epothilones, intermediates thereto, analogues and uses thereof |
| US6204388B1 (en) | 1996-12-03 | 2001-03-20 | Sloan-Kettering Institute For Cancer Research | Synthesis of epothilones, intermediates thereto and analogues thereof |
| US6867305B2 (en) | 1996-12-03 | 2005-03-15 | Sloan-Kettering Institute For Cancer Research | Synthesis of epothilones, intermediates thereto and analogues thereof |
| US6656961B2 (en) | 1996-12-03 | 2003-12-02 | Sloan-Kettering Institute For Cancer Research | Synthesis of epothilones, intermediates thereto, analogues and uses thereof |
| US6242469B1 (en) | 1996-12-03 | 2001-06-05 | Sloan-Kettering Institute For Cancer Research | Synthesis of epothilones, intermediates thereto, analogues and uses thereof |
| US6316630B1 (en) | 1996-12-03 | 2001-11-13 | Sloan Kettering Institute For Cancer Research | Synthesis of epothilones, intermediates thereto and analogues thereof |
| WO1999001124A1 (en) | 1996-12-03 | 1999-01-14 | Sloan-Kettering Institute For Cancer Research | Synthesis of epothilones, intermediates thereto, analogues and uses thereof |
| US6380394B1 (en) | 1996-12-13 | 2002-04-30 | The Scripps Research Institute | Epothilone analogs |
| US6441186B1 (en) | 1996-12-13 | 2002-08-27 | The Scripps Research Institute | Epothilone analogs |
| WO1998025929A1 (en) | 1996-12-13 | 1998-06-18 | Novartis Ag | Epothilone analogs |
| DE19701758A1 (en) | 1997-01-20 | 1998-07-23 | Wessjohann Ludgar A Dr | New beta-keto-alcohol derivatives |
| EP0975638A1 (en) | 1997-02-25 | 2000-02-02 | Gesellschaft für biotechnologische Forschung mbH (GBF) | Epothilones with a modified side chain |
| WO1998038192A1 (en) | 1997-02-25 | 1998-09-03 | GESELLSCHAFT FüR BIOTECHNOLOGISCHE FORSCHUNG MBH (GBF) | Epothilones with a modified side chain |
| DE19713970A1 (en) | 1997-04-04 | 1998-10-08 | Ludger A Dr Wessjohann | New structural elements which include prenyl derivatives |
| WO1998047891A1 (en) | 1997-04-18 | 1998-10-29 | Studiengesellschaft Kohle Mbh | Selective olefin metathesis of bifunctional or polyfunctional substrates in compressed carbon dioxide as reaction medium |
| DE19720312A1 (en) | 1997-05-15 | 1998-11-19 | Hoechst Ag | Preparation with increased in vivo tolerance |
| DE19821954A1 (en) | 1997-05-15 | 1998-11-19 | Biotechnolog Forschung Gmbh | Preparation of epothilone derivatives |
| EP0879605A2 (en) | 1997-05-15 | 1998-11-25 | Hoechst Aktiengesellschaft | Glycosyl prodrug conjugate with enhanced tolerance |
| DE19726627A1 (en) | 1997-06-17 | 1998-12-24 | Schering Ag | New intermediates for epothilone |
| US6605599B1 (en) | 1997-07-08 | 2003-08-12 | Bristol-Myers Squibb Company | Epothilone derivatives |
| WO1999003848A1 (en) | 1997-07-16 | 1999-01-28 | Schering Aktiengesellschaft | Thiazole derivatives, method for their production and use |
| WO1999007692A2 (en) | 1997-08-09 | 1999-02-18 | Schering Aktiengesellschaft | New epothilone derivatives, method for producing same and their pharmaceutical use |
| US6365749B1 (en) | 1997-12-04 | 2002-04-02 | Bristol-Myers Squibb Company | Process for the preparation of ring-opened epothilone intermediates which are useful for the preparation of epothilone analogs |
| WO1999039694A2 (en) | 1998-02-05 | 1999-08-12 | Novartis Ag | Compositions containing organic compounds |
| US6194181B1 (en) | 1998-02-19 | 2001-02-27 | Novartis Ag | Fermentative preparation process for and crystal forms of cytostatics |
| WO1999042602A2 (en) | 1998-02-19 | 1999-08-26 | Novartis Ag | Fermentative preparation process for cytostatics and crystal forms thereof |
| WO1999043320A1 (en) | 1998-02-25 | 1999-09-02 | Novartis Ag | Use of epothilones for the treatment of cancer |
| WO1999043653A1 (en) | 1998-02-25 | 1999-09-02 | Sloan-Kettering Institute For Cancer Research | Synthesis of epothilones, intermediates thereto and analogues therof |
| WO1999067252A2 (en) | 1998-06-22 | 1999-12-29 | Novartis Ag | Epothilone derivatives and their synthesis and use |
| WO2000000485A1 (en) | 1998-06-30 | 2000-01-06 | Schering Aktiengesellschaft | Epothilon derivatives, their preparation process, intermediate products and their pharmaceutical use |
| WO2000031247A2 (en) | 1998-11-20 | 2000-06-02 | Kosan Biosciences, Inc. | Recombinant methods and materials for producing epothilone and epothilone derivatives |
| WO2000037473A1 (en) | 1998-12-22 | 2000-06-29 | Novartis Ag | Epothilone derivatives and their use as antitumor agents |
| WO2000049021A2 (en) | 1999-02-18 | 2000-08-24 | Schering Aktiengesellschaft | 16-halogen-epothilone derivatives, method for producing them and their pharmaceutical use |
| US6211412B1 (en) | 1999-03-29 | 2001-04-03 | The University Of Kansas | Synthesis of epothilones |
| WO2000066589A1 (en) | 1999-04-30 | 2000-11-09 | Schering Aktiengesellschaft | 6-alkenyl-, 6-alkinyl- and 6-epoxy-epothilone derivatives, process for their production, and their use in pharmaceutical preparations |
| US6518421B1 (en) | 2000-03-20 | 2003-02-11 | Bristol-Myers Squibb Company | Process for the preparation of epothilone analogs |
| US6689802B2 (en) | 2000-08-16 | 2004-02-10 | Bristol-Myers Squibb Company | Polymorphs of an epothilone analog |
| US6576651B2 (en) | 2001-01-25 | 2003-06-10 | Bristol-Myers Squibb Company | Pharmaceutical compositions, dosage forms and methods for oral administration of epothilones |
| US20020143038A1 (en) | 2001-01-25 | 2002-10-03 | Rebanta Bandyopadhyay | Parenteral formulation for epothilone analogs |
| US6670384B2 (en) | 2001-01-25 | 2003-12-30 | Bristol-Myers Squibb Company | Methods of administering epothilone analogs for the treatment of cancer |
| US6686380B2 (en) | 2001-02-20 | 2004-02-03 | Bristol-Myers Squibb Company | Treatment of refractory tumors using epothilone derivatives |
| US20030073677A1 (en) | 2001-03-14 | 2003-04-17 | Lee Francis Y.F. | Combination of epothilone analogs and chemotherapeutic agents for the treatment of proliferative diseases |
Non-Patent Citations (66)
Also Published As
Similar Documents
| Publication | Publication Date | Title |
|---|---|---|
| USRE43003E1 (en) | Epothilone derivatives | |
| EP1589017B1 (en) | 12,13-Modified epothilone derivatives | |
| SK181799A3 (en) | Epothilone derivatives | |
| HK1026905B (en) | Epothilone derivatives | |
| MXPA99011452A (en) | Epothilone derivatives | |
| HK1031731B (en) | Epothilone derivatives |
Legal Events
| Date | Code | Title | Description |
|---|---|---|---|
| FPAY | Fee payment |
Year of fee payment: 8 |
|
| AS | Assignment |
Owner name: R-PHARM US OPERATING LLC, NEW JERSEY Free format text: ASSIGNMENT OF ASSIGNORS INTEREST;ASSIGNOR:BRISTOL-MYERS SQUIBB COMPANY;REEL/FRAME:036585/0956 Effective date: 20150701 |
|
| FEPP | Fee payment procedure |
Free format text: MAINTENANCE FEE REMINDER MAILED (ORIGINAL EVENT CODE: REM.); ENTITY STATUS OF PATENT OWNER: LARGE ENTITY |
|
| LAPS | Lapse for failure to pay maintenance fees |
Free format text: PATENT EXPIRED FOR FAILURE TO PAY MAINTENANCE FEES (ORIGINAL EVENT CODE: EXP.); ENTITY STATUS OF PATENT OWNER: LARGE ENTITY |




















































