US9826741B2 - Tetrazolinone compound and application thereof - Google Patents
Tetrazolinone compound and application thereof Download PDFInfo
- Publication number
- US9826741B2 US9826741B2 US15/128,619 US201515128619A US9826741B2 US 9826741 B2 US9826741 B2 US 9826741B2 US 201515128619 A US201515128619 A US 201515128619A US 9826741 B2 US9826741 B2 US 9826741B2
- Authority
- US
- United States
- Prior art keywords
- pyr3
- pyr4
- compound
- reaction
- production example
- Prior art date
- Legal status (The legal status is an assumption and is not a legal conclusion. Google has not performed a legal analysis and makes no representation as to the accuracy of the status listed.)
- Active
Links
- 0 *C1=CC([7*])=C(SCC2=C([6*])C=CC=C2N2N=NN(C)C2=O)C=C1[8*] Chemical compound *C1=CC([7*])=C(SCC2=C([6*])C=CC=C2N2N=NN(C)C2=O)C=C1[8*] 0.000 description 122
- UMPOVSZEWFKPJT-UHFFFAOYSA-N CC1=C(OC(=S)N(C)C)C=CC(C2=CN(CC(C)C)N=C2)=C1 Chemical compound CC1=C(OC(=S)N(C)C)C=CC(C2=CN(CC(C)C)N=C2)=C1 UMPOVSZEWFKPJT-UHFFFAOYSA-N 0.000 description 2
- HLFFMSOOJZLWTO-UHFFFAOYSA-N CC1=CC=NN1C1=CC(Cl)=C(O)C=C1 Chemical compound CC1=CC=NN1C1=CC(Cl)=C(O)C=C1 HLFFMSOOJZLWTO-UHFFFAOYSA-N 0.000 description 2
- RIEBMZBDOUEVFF-UHFFFAOYSA-N CCN1C=C(C2=CC(C)=C(SCC3=C(C)C=CC=C3N3N=NN(C)C3=O)C=C2)C=N1 Chemical compound CCN1C=C(C2=CC(C)=C(SCC3=C(C)C=CC=C3N3N=NN(C)C3=O)C=C2)C=N1 RIEBMZBDOUEVFF-UHFFFAOYSA-N 0.000 description 2
- SRPCRBVBOIYYHS-UHFFFAOYSA-N COC1=C(C)C=C(C(C)=O)C=C1 Chemical compound COC1=C(C)C=C(C(C)=O)C=C1 SRPCRBVBOIYYHS-UHFFFAOYSA-N 0.000 description 2
- QURIDVWSTRVZFJ-UHFFFAOYSA-N CC1=C(C)N(C)=NN1C.CC1=NN(C)C(C)=C1C.CC1=NN(C)C(C)=C1C.CC1=NN(C)C(C)=C1C Chemical compound CC1=C(C)N(C)=NN1C.CC1=NN(C)C(C)=C1C.CC1=NN(C)C(C)=C1C.CC1=NN(C)C(C)=C1C QURIDVWSTRVZFJ-UHFFFAOYSA-N 0.000 description 1
- IDTPFOBLPOWTKL-UHFFFAOYSA-N CC1=C(O)C=CC(C2=NN(C)C(Cl)=C2C)=C1 Chemical compound CC1=C(O)C=CC(C2=NN(C)C(Cl)=C2C)=C1 IDTPFOBLPOWTKL-UHFFFAOYSA-N 0.000 description 1
- OFHQHSTXWPRLPP-UHFFFAOYSA-N CC1=C(O)C=CC(N2C=CC(C(C)(C)C)=N2)=C1 Chemical compound CC1=C(O)C=CC(N2C=CC(C(C)(C)C)=N2)=C1 OFHQHSTXWPRLPP-UHFFFAOYSA-N 0.000 description 1
- RMNVDZKEBWFZTQ-UHFFFAOYSA-N CC1=C(OC(=S)N(C)C)C=CC(Br)=C1 Chemical compound CC1=C(OC(=S)N(C)C)C=CC(Br)=C1 RMNVDZKEBWFZTQ-UHFFFAOYSA-N 0.000 description 1
- DWLMKLRGOFTYCF-UHFFFAOYSA-N CC1=C(OC(=S)N(C)C)C=CC(C2=CN(C(C)C)N=C2)=C1 Chemical compound CC1=C(OC(=S)N(C)C)C=CC(C2=CN(C(C)C)N=C2)=C1 DWLMKLRGOFTYCF-UHFFFAOYSA-N 0.000 description 1
- NGXJLXGHPNQFQJ-UHFFFAOYSA-N CC1=C(OC(=S)N(C)C)C=CC(C2=NN(C)C(Cl)=C2C)=C1 Chemical compound CC1=C(OC(=S)N(C)C)C=CC(C2=NN(C)C(Cl)=C2C)=C1 NGXJLXGHPNQFQJ-UHFFFAOYSA-N 0.000 description 1
- VOYLFPBFGOQEDI-UHFFFAOYSA-N CC1=C(OC(=S)N(C)C)C=CC(N2C=CC(C(C)(C)C)=N2)=C1 Chemical compound CC1=C(OC(=S)N(C)C)C=CC(N2C=CC(C(C)(C)C)=N2)=C1 VOYLFPBFGOQEDI-UHFFFAOYSA-N 0.000 description 1
- XMKURQJKSSQBRP-UHFFFAOYSA-N CC1=C(OCC2=C(N3N=NN(C)C3=O)C=CC=C2)C=CC(N2C=CC=N2)=C1 Chemical compound CC1=C(OCC2=C(N3N=NN(C)C3=O)C=CC=C2)C=CC(N2C=CC=N2)=C1 XMKURQJKSSQBRP-UHFFFAOYSA-N 0.000 description 1
- FDBASSUDFNUONY-UHFFFAOYSA-N CC1=C(S)C=CC(Br)=C1 Chemical compound CC1=C(S)C=CC(Br)=C1 FDBASSUDFNUONY-UHFFFAOYSA-N 0.000 description 1
- HZHUJXUVRHQIIU-UHFFFAOYSA-N CC1=C(S)C=CC(C2=CN(C(C)C)N=C2)=C1 Chemical compound CC1=C(S)C=CC(C2=CN(C(C)C)N=C2)=C1 HZHUJXUVRHQIIU-UHFFFAOYSA-N 0.000 description 1
- OEHBXGFVRWZMON-UHFFFAOYSA-N CC1=C(S)C=CC(C2=CN(CC(C)C)N=C2)=C1 Chemical compound CC1=C(S)C=CC(C2=CN(CC(C)C)N=C2)=C1 OEHBXGFVRWZMON-UHFFFAOYSA-N 0.000 description 1
- SHBZQQWURPOJPR-UHFFFAOYSA-N CC1=C(S)C=CC(C2=NN(C)C(Cl)=C2C)=C1 Chemical compound CC1=C(S)C=CC(C2=NN(C)C(Cl)=C2C)=C1 SHBZQQWURPOJPR-UHFFFAOYSA-N 0.000 description 1
- NVJICOPYNXAVCL-UHFFFAOYSA-N CC1=C(S)C=CC(N2C=CC(C(C)(C)C)=N2)=C1 Chemical compound CC1=C(S)C=CC(N2C=CC(C(C)(C)C)=N2)=C1 NVJICOPYNXAVCL-UHFFFAOYSA-N 0.000 description 1
- SSZOUFVXFDATJG-UHFFFAOYSA-N CC1=C(SC(=O)N(C)C)C=CC(C2=CN(C(C)C)N=C2)=C1 Chemical compound CC1=C(SC(=O)N(C)C)C=CC(C2=CN(C(C)C)N=C2)=C1 SSZOUFVXFDATJG-UHFFFAOYSA-N 0.000 description 1
- AKICLCIMSPYNLD-UHFFFAOYSA-N CC1=C(SC(=O)N(C)C)C=CC(C2=CN(CC(C)C)N=C2)=C1 Chemical compound CC1=C(SC(=O)N(C)C)C=CC(C2=CN(CC(C)C)N=C2)=C1 AKICLCIMSPYNLD-UHFFFAOYSA-N 0.000 description 1
- HNZWADDEMUZSTB-UHFFFAOYSA-N CC1=C(SC(=O)N(C)C)C=CC(C2=NN(C)C(Cl)=C2C)=C1 Chemical compound CC1=C(SC(=O)N(C)C)C=CC(C2=NN(C)C(Cl)=C2C)=C1 HNZWADDEMUZSTB-UHFFFAOYSA-N 0.000 description 1
- VLUVOMUFAKBZHV-UHFFFAOYSA-N CC1=C(SC(=O)N(C)C)C=CC(N2C=CC(C(C)(C)C)=N2)=C1 Chemical compound CC1=C(SC(=O)N(C)C)C=CC(N2C=CC(C(C)(C)C)=N2)=C1 VLUVOMUFAKBZHV-UHFFFAOYSA-N 0.000 description 1
- BXDKUDHINZNBCK-UHFFFAOYSA-N CC1=C(SCC2=C(C)C=CC=C2N2N=NN(C)C2=O)C=CC(B2OC(C)(C)C(C)(C)O2)=C1 Chemical compound CC1=C(SCC2=C(C)C=CC=C2N2N=NN(C)C2=O)C=CC(B2OC(C)(C)C(C)(C)O2)=C1 BXDKUDHINZNBCK-UHFFFAOYSA-N 0.000 description 1
- UTYQWFUDKQIXBH-UHFFFAOYSA-N CC1=C(SCC2=C(C)C=CC=C2N2N=NN(C)C2=O)C=CC(Br)=C1 Chemical compound CC1=C(SCC2=C(C)C=CC=C2N2N=NN(C)C2=O)C=CC(Br)=C1 UTYQWFUDKQIXBH-UHFFFAOYSA-N 0.000 description 1
- SKCMYLJWKABHOW-UHFFFAOYSA-N CC1=C(SCC2=C(C)C=CC=C2N2N=NN(C)C2=O)C=CC(C2=CN(C(C)C)N=C2)=C1 Chemical compound CC1=C(SCC2=C(C)C=CC=C2N2N=NN(C)C2=O)C=CC(C2=CN(C(C)C)N=C2)=C1 SKCMYLJWKABHOW-UHFFFAOYSA-N 0.000 description 1
- BZJKUPFCRKTSAF-UHFFFAOYSA-N CC1=C(SCC2=C(C)C=CC=C2N2N=NN(C)C2=O)C=CC(C2=CN(CC(C)C)N=C2)=C1 Chemical compound CC1=C(SCC2=C(C)C=CC=C2N2N=NN(C)C2=O)C=CC(C2=CN(CC(C)C)N=C2)=C1 BZJKUPFCRKTSAF-UHFFFAOYSA-N 0.000 description 1
- AXHGMYXEGOBREF-UHFFFAOYSA-N CC1=C(SCC2=C(C)C=CC=C2N2N=NN(C)C2=O)C=CC(C2=NN(C)C(Cl)=C2C)=C1 Chemical compound CC1=C(SCC2=C(C)C=CC=C2N2N=NN(C)C2=O)C=CC(C2=NN(C)C(Cl)=C2C)=C1 AXHGMYXEGOBREF-UHFFFAOYSA-N 0.000 description 1
- VFEXOBAFEJHANJ-UHFFFAOYSA-N CC1=C(SCC2=C(C)C=CC=C2N2N=NN(C)C2=O)C=CC(N2C=CC(C(C)(C)C)=N2)=C1 Chemical compound CC1=C(SCC2=C(C)C=CC=C2N2N=NN(C)C2=O)C=CC(N2C=CC(C(C)(C)C)=N2)=C1 VFEXOBAFEJHANJ-UHFFFAOYSA-N 0.000 description 1
- MOMSWMNJDXTRSE-UHFFFAOYSA-N CC1=C(SCC2=C(C)C=CC=C2N2N=NN(C)C2=O)C=CC(N2C=CC=N2)=C1 Chemical compound CC1=C(SCC2=C(C)C=CC=C2N2N=NN(C)C2=O)C=CC(N2C=CC=N2)=C1 MOMSWMNJDXTRSE-UHFFFAOYSA-N 0.000 description 1
- LKDHMVQBOBFNCQ-UHFFFAOYSA-N CC1=C(SCC2=C(C)C=CC=C2N2N=NN(C)C2=O)C=CC(N2N=CC(C)=C2C)=C1.CC1=CC=NN1C1=CC(C)=C(SCC2=C(C)C=CC=C2N2N=NN(C)C2=O)C=C1.CC1=CN(C2=CC(C)=C(SCC3=C(C)C=CC=C3N3N=NN(C)C3=O)C=C2)N=C1.CC1=CN(C2=CC(C)=C(SCC3=C(C)C=CC=C3N3N=NN(C)C3=O)C=C2)N=C1C.CC1=NN(C2=CC(C)=C(SCC3=C(C)C=CC=C3N3N=NN(C)C3=O)C=C2)C=C1.CC1=NN(C2=CC(C)=C(SCC3=C(C)C=CC=C3N3N=NN(C)C3=O)C=C2)C=C1 Chemical compound CC1=C(SCC2=C(C)C=CC=C2N2N=NN(C)C2=O)C=CC(N2N=CC(C)=C2C)=C1.CC1=CC=NN1C1=CC(C)=C(SCC2=C(C)C=CC=C2N2N=NN(C)C2=O)C=C1.CC1=CN(C2=CC(C)=C(SCC3=C(C)C=CC=C3N3N=NN(C)C3=O)C=C2)N=C1.CC1=CN(C2=CC(C)=C(SCC3=C(C)C=CC=C3N3N=NN(C)C3=O)C=C2)N=C1C.CC1=NN(C2=CC(C)=C(SCC3=C(C)C=CC=C3N3N=NN(C)C3=O)C=C2)C=C1.CC1=NN(C2=CC(C)=C(SCC3=C(C)C=CC=C3N3N=NN(C)C3=O)C=C2)C=C1 LKDHMVQBOBFNCQ-UHFFFAOYSA-N 0.000 description 1
- DYARFUIQMDYUPS-UHFFFAOYSA-N CC1=CC(C)=NN1C1=CC(C)=C(O)C=C1 Chemical compound CC1=CC(C)=NN1C1=CC(C)=C(O)C=C1 DYARFUIQMDYUPS-UHFFFAOYSA-N 0.000 description 1
- IBRGAAVEYATJHR-UHFFFAOYSA-N CC1=CC(C)=NN1C1=CC(C)=C(OC(=S)N(C)C)C=C1 Chemical compound CC1=CC(C)=NN1C1=CC(C)=C(OC(=S)N(C)C)C=C1 IBRGAAVEYATJHR-UHFFFAOYSA-N 0.000 description 1
- QFDJYUDYRWFVDA-UHFFFAOYSA-N CC1=CC(C)=NN1C1=CC(C)=C(S)C=C1 Chemical compound CC1=CC(C)=NN1C1=CC(C)=C(S)C=C1 QFDJYUDYRWFVDA-UHFFFAOYSA-N 0.000 description 1
- ZGDACNCWXNMVLC-UHFFFAOYSA-N CC1=CC(C)=NN1C1=CC(C)=C(SC(=O)N(C)C)C=C1 Chemical compound CC1=CC(C)=NN1C1=CC(C)=C(SC(=O)N(C)C)C=C1 ZGDACNCWXNMVLC-UHFFFAOYSA-N 0.000 description 1
- GCVGUXGYVRYMNS-UHFFFAOYSA-N CC1=CC(C)=NN1C1=CC(C)=C(SCC2=C(C)C=CC=C2N2N=NN(C)C2=O)C=C1 Chemical compound CC1=CC(C)=NN1C1=CC(C)=C(SCC2=C(C)C=CC=C2N2N=NN(C)C2=O)C=C1 GCVGUXGYVRYMNS-UHFFFAOYSA-N 0.000 description 1
- HRTSCNFASIAWOL-UHFFFAOYSA-N CC1=CC(C2=CC(C)=C(O)C=C2)=NN1C Chemical compound CC1=CC(C2=CC(C)=C(O)C=C2)=NN1C HRTSCNFASIAWOL-UHFFFAOYSA-N 0.000 description 1
- ONEYGMWGGRPMKI-UHFFFAOYSA-N CC1=CC(C2=CC(C)=C(OC(=S)N(C)C)C=C2)=NN1C Chemical compound CC1=CC(C2=CC(C)=C(OC(=S)N(C)C)C=C2)=NN1C ONEYGMWGGRPMKI-UHFFFAOYSA-N 0.000 description 1
- KWWYWFLSJFMSAW-UHFFFAOYSA-N CC1=CC(C2=CC(C)=C(S)C=C2)=NN1C Chemical compound CC1=CC(C2=CC(C)=C(S)C=C2)=NN1C KWWYWFLSJFMSAW-UHFFFAOYSA-N 0.000 description 1
- REBZMZGOBXNPFA-UHFFFAOYSA-N CC1=CC(C2=CC(C)=C(SC(=O)N(C)C)C=C2)=NN1C Chemical compound CC1=CC(C2=CC(C)=C(SC(=O)N(C)C)C=C2)=NN1C REBZMZGOBXNPFA-UHFFFAOYSA-N 0.000 description 1
- RHPRCSOQDKXTPX-UHFFFAOYSA-N CC1=CC(C2=CC(C)=C(SCC3=C(C)C=CC=C3N3N=NN(C)C3=O)C=C2)=NN1C Chemical compound CC1=CC(C2=CC(C)=C(SCC3=C(C)C=CC=C3N3N=NN(C)C3=O)C=C2)=NN1C RHPRCSOQDKXTPX-UHFFFAOYSA-N 0.000 description 1
- HRSBWPCIJHTWKF-UHFFFAOYSA-N CC1=CC(C2=CN(C(C)C)N=C2)=CC=C1O Chemical compound CC1=CC(C2=CN(C(C)C)N=C2)=CC=C1O HRSBWPCIJHTWKF-UHFFFAOYSA-N 0.000 description 1
- GGOBRQFOUITRMR-UHFFFAOYSA-N CC1=CC(C2=CN(CC(C)C)N=C2)=CC=C1O Chemical compound CC1=CC(C2=CN(CC(C)C)N=C2)=CC=C1O GGOBRQFOUITRMR-UHFFFAOYSA-N 0.000 description 1
- GGTDDHHQAWAMIE-UHFFFAOYSA-N CC1=CC(OC(=S)N(C)C)=C(C)C=C1Br Chemical compound CC1=CC(OC(=S)N(C)C)=C(C)C=C1Br GGTDDHHQAWAMIE-UHFFFAOYSA-N 0.000 description 1
- LLLUDXXAHOSEPY-UHFFFAOYSA-N CC1=CC(S)=C(C)C=C1Br Chemical compound CC1=CC(S)=C(C)C=C1Br LLLUDXXAHOSEPY-UHFFFAOYSA-N 0.000 description 1
- TXBPABPZFDTIEP-UHFFFAOYSA-N CC1=CC(SC(=O)N(C)C)=C(C)C=C1Br Chemical compound CC1=CC(SC(=O)N(C)C)=C(C)C=C1Br TXBPABPZFDTIEP-UHFFFAOYSA-N 0.000 description 1
- JCQMMDQSQUUXHL-UHFFFAOYSA-N CC1=CC(SCC2=C(C)C=CC=C2N2N=NN(C)C2=O)=C(C)C=C1B1OC(C)(C)C(C)(C)O1 Chemical compound CC1=CC(SCC2=C(C)C=CC=C2N2N=NN(C)C2=O)=C(C)C=C1B1OC(C)(C)C(C)(C)O1 JCQMMDQSQUUXHL-UHFFFAOYSA-N 0.000 description 1
- MYKDPTOORVYUJR-UHFFFAOYSA-N CC1=CC(SCC2=C(C)C=CC=C2N2N=NN(C)C2=O)=C(C)C=C1Br Chemical compound CC1=CC(SCC2=C(C)C=CC=C2N2N=NN(C)C2=O)=C(C)C=C1Br MYKDPTOORVYUJR-UHFFFAOYSA-N 0.000 description 1
- CRQRQFHRDBCUGV-UHFFFAOYSA-N CC1=CC(SCC2=C(C)C=CC=C2N2N=NN(C)C2=O)=C(C)C=C1N1C=CC=N1 Chemical compound CC1=CC(SCC2=C(C)C=CC=C2N2N=NN(C)C2=O)=C(C)C=C1N1C=CC=N1 CRQRQFHRDBCUGV-UHFFFAOYSA-N 0.000 description 1
- ISBOYQFXSUPZMW-UHFFFAOYSA-N CC1=CC(SCC2=C(C)C=CC=C2N2N=NN(C)C2=O)=C(C)C=C1N1N=C(C)C=C1C Chemical compound CC1=CC(SCC2=C(C)C=CC=C2N2N=NN(C)C2=O)=C(C)C=C1N1N=C(C)C=C1C ISBOYQFXSUPZMW-UHFFFAOYSA-N 0.000 description 1
- MJNSUBMTWUBVOH-UHFFFAOYSA-N CC1=CC=NN1C1=CC(Cl)=C(OC(=S)N(C)C)C=C1 Chemical compound CC1=CC=NN1C1=CC(Cl)=C(OC(=S)N(C)C)C=C1 MJNSUBMTWUBVOH-UHFFFAOYSA-N 0.000 description 1
- CCXBJQSLRNMYTL-UHFFFAOYSA-N CC1=CC=NN1C1=CC(Cl)=C(S)C=C1 Chemical compound CC1=CC=NN1C1=CC(Cl)=C(S)C=C1 CCXBJQSLRNMYTL-UHFFFAOYSA-N 0.000 description 1
- GAJLMMVAKSKWEF-UHFFFAOYSA-N CC1=CC=NN1C1=CC(Cl)=C(SC(=O)N(C)C)C=C1 Chemical compound CC1=CC=NN1C1=CC(Cl)=C(SC(=O)N(C)C)C=C1 GAJLMMVAKSKWEF-UHFFFAOYSA-N 0.000 description 1
- WSLFPGNCKGSDQF-UHFFFAOYSA-N CC1=CC=NN1C1=CC(Cl)=C(SCC2=C(C)C=CC=C2N2N=NN(C)C2=O)C=C1 Chemical compound CC1=CC=NN1C1=CC(Cl)=C(SCC2=C(C)C=CC=C2N2N=NN(C)C2=O)C=C1 WSLFPGNCKGSDQF-UHFFFAOYSA-N 0.000 description 1
- IFQYGYLFJOSIGO-UHFFFAOYSA-N CC1=NN(C)C(C)=C1C.CC1=NN(C)C(C)=C1C.CC1=NN(C)C(C)=C1C.CC1=NN(C)C(C)=C1C Chemical compound CC1=NN(C)C(C)=C1C.CC1=NN(C)C(C)=C1C.CC1=NN(C)C(C)=C1C.CC1=NN(C)C(C)=C1C IFQYGYLFJOSIGO-UHFFFAOYSA-N 0.000 description 1
- TWALEHAZUPSLAH-UHFFFAOYSA-N CC1=NN(C2=CC(C)=C(O)C=C2)C(C)=C1C Chemical compound CC1=NN(C2=CC(C)=C(O)C=C2)C(C)=C1C TWALEHAZUPSLAH-UHFFFAOYSA-N 0.000 description 1
- PHQJGJPDYYGVMO-UHFFFAOYSA-N CC1=NN(C2=CC(C)=C(OC(=S)N(C)C)C=C2)C(C)=C1C Chemical compound CC1=NN(C2=CC(C)=C(OC(=S)N(C)C)C=C2)C(C)=C1C PHQJGJPDYYGVMO-UHFFFAOYSA-N 0.000 description 1
- SMNQARJHAUXXQN-UHFFFAOYSA-N CC1=NN(C2=CC(C)=C(S)C=C2)C(C)=C1C Chemical compound CC1=NN(C2=CC(C)=C(S)C=C2)C(C)=C1C SMNQARJHAUXXQN-UHFFFAOYSA-N 0.000 description 1
- IDRLHRCMQBUKCO-UHFFFAOYSA-N CC1=NN(C2=CC(C)=C(SC(=O)N(C)C)C=C2)C(C)=C1C Chemical compound CC1=NN(C2=CC(C)=C(SC(=O)N(C)C)C=C2)C(C)=C1C IDRLHRCMQBUKCO-UHFFFAOYSA-N 0.000 description 1
- STNNESUEAYNUIV-UHFFFAOYSA-N CC1=NN(C2=CC(C)=C(SCC3=C(C)C=CC=C3N3N=NN(C)C3=O)C=C2)C(C)=C1C Chemical compound CC1=NN(C2=CC(C)=C(SCC3=C(C)C=CC=C3N3N=NN(C)C3=O)C=C2)C(C)=C1C STNNESUEAYNUIV-UHFFFAOYSA-N 0.000 description 1
- JHQQSVVGPXWLLR-UHFFFAOYSA-N CCN1C=C(C2=CC(C)=C(OC(=S)N(C)C)C=C2)C=N1 Chemical compound CCN1C=C(C2=CC(C)=C(OC(=S)N(C)C)C=C2)C=N1 JHQQSVVGPXWLLR-UHFFFAOYSA-N 0.000 description 1
- LNNWVBKPGONDNO-UHFFFAOYSA-N CCN1C=C(C2=CC(C)=C(S)C=C2)C=N1 Chemical compound CCN1C=C(C2=CC(C)=C(S)C=C2)C=N1 LNNWVBKPGONDNO-UHFFFAOYSA-N 0.000 description 1
- QIJATZRJRZLDSO-UHFFFAOYSA-N CCN1C=C(C2=CC(C)=C(SC(=O)N(C)C)C=C2)C=N1 Chemical compound CCN1C=C(C2=CC(C)=C(SC(=O)N(C)C)C=C2)C=N1 QIJATZRJRZLDSO-UHFFFAOYSA-N 0.000 description 1
- MWYDLXNTNVIPBG-UHFFFAOYSA-N CCN1C=C(C2=CC=C(O)C(C)=C2)C=N1 Chemical compound CCN1C=C(C2=CC=C(O)C(C)=C2)C=N1 MWYDLXNTNVIPBG-UHFFFAOYSA-N 0.000 description 1
- DNPMWSVTRDINCX-UHFFFAOYSA-N CCN1C=C(C2=CC=C(OC)C(C)=C2)C=N1 Chemical compound CCN1C=C(C2=CC=C(OC)C(C)=C2)C=N1 DNPMWSVTRDINCX-UHFFFAOYSA-N 0.000 description 1
- JWZAMJHOEROBSG-UHFFFAOYSA-N CCN1C=CC(C2=CC(C)=C(O)C=C2)=N1 Chemical compound CCN1C=CC(C2=CC(C)=C(O)C=C2)=N1 JWZAMJHOEROBSG-UHFFFAOYSA-N 0.000 description 1
- OBGHOHVOUJMGQC-UHFFFAOYSA-N CCN1C=CC(C2=CC(C)=C(OC(=S)N(C)C)C=C2)=N1 Chemical compound CCN1C=CC(C2=CC(C)=C(OC(=S)N(C)C)C=C2)=N1 OBGHOHVOUJMGQC-UHFFFAOYSA-N 0.000 description 1
- RIMAYRFOVJXMAT-UHFFFAOYSA-N CCN1C=CC(C2=CC(C)=C(OC)C=C2)=N1 Chemical compound CCN1C=CC(C2=CC(C)=C(OC)C=C2)=N1 RIMAYRFOVJXMAT-UHFFFAOYSA-N 0.000 description 1
- SBFVCMKMRVUGNK-UHFFFAOYSA-N CCN1C=CC(C2=CC(C)=C(S)C=C2)=N1 Chemical compound CCN1C=CC(C2=CC(C)=C(S)C=C2)=N1 SBFVCMKMRVUGNK-UHFFFAOYSA-N 0.000 description 1
- UDSNNNBEUPKUTR-UHFFFAOYSA-N CCN1C=CC(C2=CC(C)=C(SC(=O)N(C)C)C=C2)=N1 Chemical compound CCN1C=CC(C2=CC(C)=C(SC(=O)N(C)C)C=C2)=N1 UDSNNNBEUPKUTR-UHFFFAOYSA-N 0.000 description 1
- JEKGBBWXZFRKPW-UHFFFAOYSA-N CCN1C=CC(C2=CC(C)=C(SCC3=C(C)C=CC=C3N3N=NN(C)C3=O)C=C2)=N1 Chemical compound CCN1C=CC(C2=CC(C)=C(SCC3=C(C)C=CC=C3N3N=NN(C)C3=O)C=C2)=N1 JEKGBBWXZFRKPW-UHFFFAOYSA-N 0.000 description 1
- BVUAXNSNPJCWPI-UHFFFAOYSA-N CCOC(=O)C(C)C(=O)C1=CC(C)=C(OC)C=C1 Chemical compound CCOC(=O)C(C)C(=O)C1=CC(C)=C(OC)C=C1 BVUAXNSNPJCWPI-UHFFFAOYSA-N 0.000 description 1
- FHQUYDCGNUFWQQ-BQYQJAHWSA-N COC1=C(C)C=C(C(=O)/C=C/N(C)C)C=C1 Chemical compound COC1=C(C)C=C(C(=O)/C=C/N(C)C)C=C1 FHQUYDCGNUFWQQ-BQYQJAHWSA-N 0.000 description 1
- MGGOVLBNUPNFSZ-UHFFFAOYSA-N COC1=C(C)C=C(C(=O)CC(C)=O)C=C1 Chemical compound COC1=C(C)C=C(C(=O)CC(C)=O)C=C1 MGGOVLBNUPNFSZ-UHFFFAOYSA-N 0.000 description 1
- OQABVSJGPKOBNU-UHFFFAOYSA-N COC1=C(C)C=C(C(=O)N(C)OC)C=C1 Chemical compound COC1=C(C)C=C(C(=O)N(C)OC)C=C1 OQABVSJGPKOBNU-UHFFFAOYSA-N 0.000 description 1
- RWXOVYMQFQFTNX-UHFFFAOYSA-N COC1=C(C)C=C(C2=CC(C)=NN2C)C=C1 Chemical compound COC1=C(C)C=C(C2=CC(C)=NN2C)C=C1 RWXOVYMQFQFTNX-UHFFFAOYSA-N 0.000 description 1
- SDSSGLMVROUDRL-UHFFFAOYSA-N COC1=C(C)C=C(C2=NN(C)C(C)=C2)C=C1 Chemical compound COC1=C(C)C=C(C2=NN(C)C(C)=C2)C=C1 SDSSGLMVROUDRL-UHFFFAOYSA-N 0.000 description 1
- VJCKEEVTPDWFKI-UHFFFAOYSA-N COC1=C(C)C=C(C2=NN(C)C(Cl)=C2C)C=C1 Chemical compound COC1=C(C)C=C(C2=NN(C)C(Cl)=C2C)C=C1 VJCKEEVTPDWFKI-UHFFFAOYSA-N 0.000 description 1
- YERBBCNXJLSFOL-UHFFFAOYSA-N COC1=C(C)C=C(C2=NNC(C)=C2)C=C1 Chemical compound COC1=C(C)C=C(C2=NNC(C)=C2)C=C1 YERBBCNXJLSFOL-UHFFFAOYSA-N 0.000 description 1
- ATWWEQZFMHSSMB-UHFFFAOYSA-N COC1=C(C)C=C(C2=NNC=C2)C=C1 Chemical compound COC1=C(C)C=C(C2=NNC=C2)C=C1 ATWWEQZFMHSSMB-UHFFFAOYSA-N 0.000 description 1
- DBQFFYNAUQNBIW-UHFFFAOYSA-N COC1=C(C)C=C(N2C=CC(C(C)(C)C)=N2)C=C1 Chemical compound COC1=C(C)C=C(N2C=CC(C(C)(C)C)=N2)C=C1 DBQFFYNAUQNBIW-UHFFFAOYSA-N 0.000 description 1
- ZZRJZLYTYHVZHH-UHFFFAOYSA-N COC1=C(C)C=C(N2N=C(C)C(C)=C2C)C=C1 Chemical compound COC1=C(C)C=C(N2N=C(C)C(C)=C2C)C=C1 ZZRJZLYTYHVZHH-UHFFFAOYSA-N 0.000 description 1
- NGCVTMKRBFGUNX-UHFFFAOYSA-N COC1=C(C)C=C(N2N=C(C)C=C2C)C=C1 Chemical compound COC1=C(C)C=C(N2N=C(C)C=C2C)C=C1 NGCVTMKRBFGUNX-UHFFFAOYSA-N 0.000 description 1
- IRUXWDKMHDGVPS-UHFFFAOYSA-N COC1=C(Cl)C=C(N2C=CC(C)=N2)C=C1 Chemical compound COC1=C(Cl)C=C(N2C=CC(C)=N2)C=C1 IRUXWDKMHDGVPS-UHFFFAOYSA-N 0.000 description 1
- AFGIIBZMFHFJAI-UHFFFAOYSA-N COC1=C(Cl)C=C(N2N=CC=C2C)C=C1 Chemical compound COC1=C(Cl)C=C(N2N=CC=C2C)C=C1 AFGIIBZMFHFJAI-UHFFFAOYSA-N 0.000 description 1
- TZGTYVKNOHATMB-UHFFFAOYSA-N COC1=CC=C(C2=CN(C(C)C)N=C2)C=C1C Chemical compound COC1=CC=C(C2=CN(C(C)C)N=C2)C=C1C TZGTYVKNOHATMB-UHFFFAOYSA-N 0.000 description 1
- PUCNFXRNKDFBIY-UHFFFAOYSA-N [C-]#[N+]C1=C(Cl)N(C2=CC(F)=C(SCC3=C(C)C=CC=C3N3N=NN(C)C3=O)C=C2)N=C1C Chemical compound [C-]#[N+]C1=C(Cl)N(C2=CC(F)=C(SCC3=C(C)C=CC=C3N3N=NN(C)C3=O)C=C2)N=C1C PUCNFXRNKDFBIY-UHFFFAOYSA-N 0.000 description 1
- SRBSKJSDHDZBSG-UHFFFAOYSA-N [H]CC1=C(C)C(C)=NN1C.[H]CC1=C(C)N(C)N=C1C.[H]CC1=NN(C)C(C)=C1C Chemical compound [H]CC1=C(C)C(C)=NN1C.[H]CC1=C(C)N(C)N=C1C.[H]CC1=NN(C)C(C)=C1C SRBSKJSDHDZBSG-UHFFFAOYSA-N 0.000 description 1
Classifications
-
- A—HUMAN NECESSITIES
- A01—AGRICULTURE; FORESTRY; ANIMAL HUSBANDRY; HUNTING; TRAPPING; FISHING
- A01N—PRESERVATION OF BODIES OF HUMANS OR ANIMALS OR PLANTS OR PARTS THEREOF; BIOCIDES, e.g. AS DISINFECTANTS, AS PESTICIDES OR AS HERBICIDES; PEST REPELLANTS OR ATTRACTANTS; PLANT GROWTH REGULATORS
- A01N43/00—Biocides, pest repellants or attractants, or plant growth regulators containing heterocyclic compounds
- A01N43/713—Biocides, pest repellants or attractants, or plant growth regulators containing heterocyclic compounds having rings with four or more nitrogen atoms as the only ring hetero atoms
-
- A—HUMAN NECESSITIES
- A61—MEDICAL OR VETERINARY SCIENCE; HYGIENE
- A61P—SPECIFIC THERAPEUTIC ACTIVITY OF CHEMICAL COMPOUNDS OR MEDICINAL PREPARATIONS
- A61P33/00—Antiparasitic agents
- A61P33/14—Ectoparasiticides, e.g. scabicides
-
- C—CHEMISTRY; METALLURGY
- C07—ORGANIC CHEMISTRY
- C07D—HETEROCYCLIC COMPOUNDS
- C07D403/00—Heterocyclic compounds containing two or more hetero rings, having nitrogen atoms as the only ring hetero atoms, not provided for by group C07D401/00
- C07D403/02—Heterocyclic compounds containing two or more hetero rings, having nitrogen atoms as the only ring hetero atoms, not provided for by group C07D401/00 containing two hetero rings
- C07D403/12—Heterocyclic compounds containing two or more hetero rings, having nitrogen atoms as the only ring hetero atoms, not provided for by group C07D401/00 containing two hetero rings linked by a chain containing hetero atoms as chain links
Definitions
- the present invention relates to a tetrazolinone compound and application thereof.
- the present invention provides compounds having excellent control activity against pests.
- the present inventors have intensively studied so as to find compounds having excellent control activity against pests, and found that a tetrazolinone compound represented by the following formula (1) has excellent control activity against pests, thus completing the present invention.
- the present invention includes the followings [1] to [8].
- A represents the following group A1, A2, A3, or A4; A;
- R 6 , R 7 , and R 8 each represents a hydrogen atom, a halogen atom, a C1-C4 alkyl group optionally having one or more halogen atoms, a C3-C4 cycloalkyl group optionally having one or more halogen atoms, or a C1-C4 alkoxy group optionally having one or more halogen atoms
- G 1 and G 3 each represents a hydrogen atom, a halogen atom, a C1-C4 alkoxy group optionally having one or more halogen atoms, or a C1-C4 alkyl group optionally having one or more halogen atoms
- G 2 , J 1 , and J 4 each represents a hydrogen atom, a C1-C4 alkyl group optionally having one or more halogen atoms, or a C3-C4 cycloalkyl group optionally having one or more halogen atoms
- pests can be controlled.
- a tetrazolinone compound represented by formula (1) is referred to as the present compound, and a pest control agent containing the present compound is referred to as the present control agent.
- the halogen atom represents a fluorine atom, a chlorine atom, a bromine atom, and an iodine atom.
- Examples of the C1-C4 alkyl group optionally having one or more halogen atoms include a methyl group, an ethyl group, a propyl group, an isopropyl group, a butyl group, an isobutyl group, a sec-butyl group, a tert-butyl group, a fluoromethyl group, a chloromethyl group, a dichloromethyl group, a difluoromethyl group, a trifluoromethyl group, a trichloromethyl group, a 2-fluoroethyl group, a 2,2,2-trifluoroethyl group, and a 1-trifluoromethyl-2,2,2-trifluoroethyl group.
- Examples of the C3-C4 cycloalkyl group optionally having one or more halogen atoms include a cyclopropyl group, a cyclobutyl group, a 2,2-dichlorocyclopropyl group, and a 2,2-difluorocyclopropyl group.
- Examples of the C1-C4 alkoxy group optionally having one or more halogen atoms include a methoxy group, an ethoxy group, a propyloxy group, an isopropyloxy group, a butyloxy group, a trifluoromethoxy group, a difluoromethoxy group, a 2-fluoroethoxy group, a 2,2,2-trifluoroethoxy group, a 3-chloropropoxy group, and a 3-chlorobutyloxy group.
- a tetrazolinone compound in which R 6 is a hydrogen atom in formula (1) is a tetrazolinone compound in which R 6 is a hydrogen atom in formula (1).
- a tetrazolinone compound in which R 6 is a halogen atom in formula (1) is a tetrazolinone compound in which R 6 is a halogen atom in formula (1).
- a tetrazolinone compound in which R 7 is a hydrogen atom in formula (1) is a tetrazolinone compound in which R 7 is a hydrogen atom in formula (1).
- a tetrazolinone compound in which R 7 is a halogen atom in formula (1) is a tetrazolinone compound in which R 7 is a halogen atom in formula (1).
- a tetrazolinone compound in which R 8 is a hydrogen atom in formula (1) is a tetrazolinone compound in which R 8 is a hydrogen atom in formula (1).
- a tetrazolinone compound in which R 8 is a halogen atom in formula (1) is a tetrazolinone compound in which R 8 is a halogen atom in formula (1).
- a tetrazolinone compound in which R 8 is a C1-C4 alkoxy group optionally having one or more halogen atoms in formula (1).
- R 7 is a C1-C4 alkyl group optionally having one or more halogen atoms, or a halogen atom
- R 8 is a hydrogen atom, a C1-C4 alkyl group optionally having one or more halogen atoms, or a halogen atom
- G 1 and G 3 are hydrogen atoms
- G 2 , J 1 , and J 4 are each a C1-C4 alkyl group optionally having one or more halogen atoms
- each of E 1 , E 2 , E 3 , J 2 , and J 3 is a hydrogen atom or a C1-C4 alkyl group optionally having one
- the present compound can be produced, for example, by the following Production Processes.
- the present compound can be produced by reacting a compound represented by formula (A-1) (hereinafter referred to as the compound (A-1)) with a compound represented by formula (A-2) (hereinafter referred to as the compound (A-2)) in the presence of a base:
- R 6 , R 7 , R 8 , and A are the same as defined above, and Z 11 represents a leaving group such as a chlorine atom, a bromine atom, an iodine atom, a methanesulfonyloxy group, a trifluoromethanesulfonyloxy group, and a p-toluenesulfonyloxy group.
- Z 11 represents a leaving group such as a chlorine atom, a bromine atom, an iodine atom, a methanesulfonyloxy group, a trifluoromethanesulfonyloxy group, and a p-toluenesulfonyloxy group.
- the reaction is usually performed in a solvent.
- Examples of the solvent to be used in the reaction include hydrocarbons such as n-hexane, cyclohexane, toluene, and xylene; ethers such as tetrahydrofuran, 1,4-dioxane, ethylene glycol dimethyl ether, methyl tert-butyl ether, and diisopropyl ether; halogenated hydrocarbons such as chloroform, 1,2-dichloroetane, and chlorobenzene; acid amides such as N,N-dimethylformamide, 1,3-dimethyl-2-imidazolidinone, and N-methylpyrrolidone; esters such as ethyl acetate and methyl acetate; sulfoxides such as dimethyl sulfoxide; ketones such as acetone, methyl ethyl ketone, and methyl isobutyl ketone; nitriles such as acetonitrile; mixtures thereof,
- Examples of the base to be used in the reaction include organic bases such as triethylamine, pyridine, N-methylmorpholine, 4-dimethylaminopyridine, diisopropylethylamine, and diazabicycloundecene; alkali metal carbonates such as lithium carbonate, sodium carbonate, and potassium carbonate; alkali metal hydrogen carbonates such as sodium hydrogen carbonate; alkali metal hydroxides such as lithium hydroxide, sodium hydroxide, potassium hydroxide, and cesium hydroxide; alkali metal hydrides such as lithium hydride, sodium hydride, and potassium hydride; and alkali metal alkoxides such as sodium tert-butoxide and potassium tert-butoxide.
- organic bases such as triethylamine, pyridine, N-methylmorpholine, 4-dimethylaminopyridine, diisopropylethylamine, and diazabicycloundecene
- alkali metal carbonates such as lithium
- the compound (A-1) is produced in accordance with Synthesis Example 33 mentioned in WO 2013/162072 A.
- the compound (A-2) is usually used in the proportion within a range of 1 to 10 mols, and the base is usually used in the proportion within a range of 1 to 10 mols, based on 1 mol of the compound (A-1).
- the reaction temperature of the reaction is usually within a range of ⁇ 20 to 150° C.
- the reaction time of the reaction is usually within a range of 0.1 to 24 hours.
- sodium iodide, tetrabutylammonium iodide, and the like may be added, and these compounds are usually used in the proportion within a range of 0.001 to 1.2 mols based on 1 mol of the compound (A-1).
- the present compound can be isolated by performing post-treatment operations such as extraction of the reaction mixture with an organic solvent, and drying and concentration of the organic layer.
- the isolated present compound can also be purified by chromatography, recrystallization, and the like.
- a compound represented by formula (1-4) in which A is A2, and J 1 and J 2 are hydrogen atoms (hereinafter referred to as the compound (1-4)) can be produced by reacting a compound represented by formula (B-1) (hereinafter referred to as the compound (B-1)) with a hydrazine compound:
- R 6 , R 7 , R 8 , and J 3 are the same as defined above, R 61 represents a methyl group or an ethyl group, and two R 61 (s) may be the same or different to each other.
- the reaction is usually performed in a solvent.
- Examples of the solvent to be used in the reaction include ethers such as tetrahydrofuran, 1,4-dioxane, ethylene glycol dimethyl ether, methyl tert-butyl ether, and diisopropyl ether; hydrocarbons such as n-hexane, cyclohexane, toluene, and xylene; halogenated hydrocarbons such as chloroform, 1,2-dichloroetane, and chlorobenzene; nitriles such as acetonitrile; acid amides such as N,N-dimethylformamide, 1,3-dimethyl-2-imidazolidinone, and N-methylpyrrolidone; sulfoxides such as dimethyl sulfoxide; alcohols such as methanol, ethanol, propanol, and butanol; mixtures thereof, and mixtures of water and these solvents.
- ethers such as tetrahydrofuran, 1,4
- hydrazine compound to be used in the reaction examples include hydrazine monohydrate, hydrazine hydrochloride, hydrazine sulfate, and anhydrous hydrazine.
- the hydrazine compound is usually used in the proportion within a range of 1 to 100 mols based on 1 mol of the compound (B-1).
- the reaction temperature of the reaction is usually within a range of ⁇ 20 to 150° C.
- the reaction time of the reaction is usually within a range of 0.1 to 24 hours.
- the compound (1-4) can be isolated by performing post-treatment operations such as extraction of the reaction mixture with an organic solvent, and drying and concentration of the organic layer. After completion of the reaction, the compound (1-4) can also be isolated by performing post-treatment operations such as concentration of the reaction mixture after completion of the reaction.
- the compound may also be purified by operations such as chromatography and recrystallization.
- a compound represented by formula (1-5) in which A is A2 and J 1 is a hydrogen atom (hereinafter referred to as the compound (1-5)) can be produced by reacting a compound represented by formula (C-1) (hereinafter referred to as the compound (C-1)) with a hydrazine compound:
- the reaction is usually performed in a solvent.
- Examples of the solvent to be used in the reaction include ethers such as tetrahydrofuran, 1,4-dioxane, ethylene glycol dimethyl ether, methyl tert-butyl ether, and diisopropyl ether; hydrocarbons such as n-hexane, cyclohexane, toluene, and xylene; halogenated hydrocarbons such as chloroform, 1,2-dichloroetane, and chlorobenzene; nitriles such as acetonitrile; acid amides such as N,N-dimethylformamide, 1,3-dimethyl-2-imidazolidinone, and N-methylpyrrolidone; sulfoxides such as dimethyl sulfoxide; alcohols such as methanol, ethanol, propanol, and butanol; mixtures thereof, and mixtures of water and these solvents.
- ethers such as tetrahydrofuran, 1,4
- hydrazine compound to be used in the reaction examples include hydrazine monohydrate, hydrazine hydrochloride, hydrazine sulfate, and anhydrous hydrazine.
- the hydrazine compound is usually used in the proportion within a range of 1 to 100 mols based on 1 mol of the compound (C-1).
- the reaction temperature of the reaction is usually within a range of ⁇ 20 to 150° C.
- the reaction time of the reaction is usually within a range of 0.1 to 24 hours.
- the compound (1-5) can be isolated by performing post-treatment operations such as extraction of the reaction mixture with an organic solvent, and drying and concentration of the organic layer.
- the isolated compound may also be purified by operations such as chromatography and recrystallization.
- a compound represented by formula (1-6) in which A is A2 (hereinafter referred to as the compound (1-6)) can be produced by reacting the compound (1-5) with a compound represented by formula (1-7) (hereinafter referred to as the compound (1-7)) in the presence of a base:
- the reaction is usually performed in a solvent.
- Examples of the solvent to be used in the reaction include hydrocarbons such as n-hexane, cyclohexane, toluene, and xylene; ethers such as tetrahydrofuran, 1,4-dioxane, ethylene glycol dimethyl ether, methyl tert-butyl ether, and diisopropyl ether; halogenated hydrocarbons such as chloroform, 1,2-dichloroetane, and chlorobenzene; acid amides such as N,N-dimethylformamide, 1,3-dimethyl-2-imidazolidinone, and N-methylpyrrolidone; esters such as ethyl acetate and methyl acetate; sulfoxides such as dimethyl sulfoxide; ketones such as acetone, methyl ethyl ketone, and methyl isobutyl ketone; nitriles such as acetonitrile; mixtures thereof,
- alkyl halides such as chlorodifluoromethane, methyl bromide, ethyl bromide, propyl bromide, butyl bromide, methyl iodide, ethyl iodide, propyl iodide, isopropyl iodide, isobutyl iodide, cyclopropyl bromide, 1,1-difluoro-2-iodoethane, and 1,1,1-trifluoro-2-iodoethane; dimethyl sulfate, methyl p-toluenesulfonate, ethyl p-toluenesulfonate, propyl p-toluenesulfonate, methyl methanesulfonate, ethyl methanesulfonate, propyl methanesulfonate, and the like.
- alkyl halides such
- Examples of the base to be used in the reaction include organic bases such as triethylamine, pyridine, N-methylmorpholine, 4-dimethylaminopyridine, diisopropylethylamine, and diazabicycloundecene; alkali metal carbonates such as lithium carbonate, sodium carbonate, and potassium carbonate; alkali metal hydrogen carbonates such as sodium hydrogen carbonate; alkali metal hydroxides such as lithium hydroxide, sodium hydroxide, potassium hydroxide, and cesium hydroxide; alkali metal hydrides such as lithium hydride, sodium hydride, and potassium hydride; alkali metal hydrides such as lithium hydride, sodium hydride, and potassium hydride; and alkali metal alkoxides such as sodium tert-butoxide and potassium tert-butoxide.
- organic bases such as triethylamine, pyridine, N-methylmorpholine, 4-dimethylaminopyridine, diisopropylethy
- the compound (1-7) is usually used in the proportion within a range of 1 to 10 mols, and the base is usually used in the proportion within a range of 1 to 10 mols, based on 1 mol of the compound (1-5).
- the reaction temperature of the reaction is usually within a range of ⁇ 20 to 150° C.
- the reaction time of the reaction is usually within a range of 0.1 to 24 hours.
- the present compound represented by formula (1-6) can be isolated by performing post-treatment operations such as extraction of the reaction mixture with an organic solvent, and drying and concentration of the organic layer.
- the isolated present compound can also be purified by chromatography, recrystallization, and the like.
- a compound represented by formula (1-9) in which A is A1 (hereinafter referred to as the compound (1-9)) can be produced by reacting a compound represented by formula (1-8) (hereinafter referred to as the compound (1-8)) with a compound represented by formula (YD2) (hereinafter referred to as the compound (YD2)) in the presence of a copper reagent and a base:
- R 6 , R 7 , R 8 , E 1 , E 2 , and E 3 are the same as defined above, and L represents the above-mentioned group L1, L2, L3, L4, L5, or L6.
- the reaction is usually performed in a solvent.
- Examples of the solvent to be used in the reaction include hydrocarbons such as n-hexane, cyclohexane, toluene, and xylene; ethers such as tetrahydrofuran, 1,4-dioxane, ethylene glycol dimethyl ether, methyl tert-butyl ether, and diisopropyl ether; halogenated hydrocarbons such as chloroform, 1,2-dichloroetane, and chlorobenzene; acid amides such as N,N-dimethylformamide, 1, 3-dimethyl-2-imidazolidinone, and N-methylpyrrolidone; esters such as ethyl acetate and methyl acetate; sulfoxides such as dimethyl sulfoxide; nitriles such as acetonitrile; alcohols such as methanol, ethanol, propanol, and butanol; water and mixtures thereof.
- hydrocarbons such as
- Examples of the copper reagent to be used in the reaction include copper(II) acetate, copper(I) oxide, copper(I) iodide, and the like.
- Examples of the base to be used in the reaction include organic bases such as triethylamine, pyridine,
- alkali metal carbonates such as lithium carbonate, sodium carbonate, and potassium carbonate
- alkali metal hydrogen carbonates such as sodium hydrogen carbonate
- alkali metal hydroxides such as lithium hydroxide, sodium hydroxide, potassium hydroxide, and cesium hydroxide
- alkali metal fluorides such as sodium fluoride, potassium fluoride, and cesium fluoride
- alkali metal hydrides such as lithium hydride, sodium hydride, and potassium hydride
- alkali metal alkoxides such as sodium tert-butoxide and potassium tert-butoxide.
- the compound (YD2) is used in the proportion within a range of 1 to 10 mols
- the copper reagent is used in the proportion within a range of 1 to 10 mols
- the base is used in the proportion within a range of 1 to 10 mols, based on 1 mol of the compound (1-8).
- a dehydrating agent such as a molecular sieve is used in the proportion within a range of 100 to 500% by mass based on the compound (1-8).
- the reaction temperature of the reaction is usually within a range of ⁇ 20 to 150° C.
- the reaction time of the reaction is usually within a range of 0.1 to 120 hours.
- the compound (1-9) can be isolated by performing post-treatment operations such as extraction of the reaction mixture with an organic solvent, and drying and concentration of the organic layer.
- the isolated compound can also be purified by chromatography, recrystallization, and the like.
- the compound (A-2) can be produced by mixing a compound represented by formula (A-3) (hereinafter referred to as the compound (A-3)) with a base:
- R 7 , R 8 , and A are the same as defined above, R A represents a C1-C6 alkyl group, and two R A (s) may be the same or different to each other.
- the reaction is usually performed in a solvent.
- Examples of the solvent to be used in the reaction include alcohols such as methanol, ethanol, isopropanol, and butanol; hydrocarbons such as toluene and xylene; ethers such as tetrahydrofuran, 1,4-dioxane, ethylene glycol dimethyl ether, and anisole; acid amides such as N,N-dimethylformamide, 1,3-dimethyl-2-imidazolidinone, and N-methylpyrrolidone; sulfoxides such as dimethyl sulfoxide; nitriles such as acetonitrile; mixtures thereof, and mixtures of water and these solvents.
- alcohols such as methanol, ethanol, isopropanol, and butanol
- hydrocarbons such as toluene and xylene
- ethers such as tetrahydrofuran, 1,4-dioxane, ethylene glycol dimethyl ether, and anisole
- Examples of the base to be used in the reaction include alkali metal carbonates such as lithium carbonate, sodium carbonate, and potassium carbonate; alkali metal hydrogen carbonates such as sodium hydrogen carbonate; alkali metal hydroxides such as lithium hydroxide, sodium hydroxide, potassium hydroxide, and cesium hydroxide; alkali metal hydrides such as lithium hydride, sodium hydride, and potassium hydride; and alkali metal alkoxides such as sodium tert-butoxide and potassium tert-butoxide.
- alkali metal carbonates such as lithium carbonate, sodium carbonate, and potassium carbonate
- alkali metal hydrogen carbonates such as sodium hydrogen carbonate
- alkali metal hydroxides such as lithium hydroxide, sodium hydroxide, potassium hydroxide, and cesium hydroxide
- alkali metal hydrides such as lithium hydride, sodium hydride, and potassium hydride
- alkali metal alkoxides such as sodium tert-butoxide and potassium tert-
- the base is usually used in the proportion within a range of 1 to 10 mols based on 1 mol of the compound (A-3).
- the reaction temperature of the reaction is usually within a range of ⁇ 20 to 150° C.
- the reaction time of the reaction is usually within a range of 0.1 to 24 hours.
- the compound (A-2) can be isolated by performing post-treatment operations such as extraction of the reaction mixture with an organic solvent, and drying and concentration of the organic layer.
- the isolated compound (A-2) can also be purified by chromatography, recrystallization, and the like.
- the compound (A-3) can be produced by heating a compound represented by formula (A-4) (hereinafter referred to as the compound (A-4)) in the presence of a solvent:
- the reaction is usually performed in a solvent.
- solvent to be used in the reaction examples include hydrocarbons such as toluene and xylene; ethers such as ethylene glycol dimethyl ether, anisole, and diphenyl ether; acid amides such as N,N-dimethylformamide, 1, 3-dimethyl-2-imidazolidinone, and N-methylpyrrolidone; sulfoxides such as dimethyl sulfoxide; nitriles such as acetonitrile; mixtures thereof, and mixtures of water and these solvents.
- hydrocarbons such as toluene and xylene
- ethers such as ethylene glycol dimethyl ether, anisole, and diphenyl ether
- acid amides such as N,N-dimethylformamide, 1, 3-dimethyl-2-imidazolidinone, and N-methylpyrrolidone
- sulfoxides such as dimethyl sulfoxide
- nitriles such as acetonitrile
- the reaction temperature of the reaction is usually within a range of 100 to 300° C.
- the reaction time of the reaction is usually within a range of 0.1 to 50 hours.
- the compound (A-3) can be isolated by performing post-treatment operations such as extraction of the reaction mixture with an organic solvent, and drying and concentration of the organic layer.
- the isolated compound (A-3) can also be purified by chromatography, recrystallization, and the like.
- the reaction mixture can also be directly purified by chromatography, recrystallization, and the like.
- the compound (A-4) can be produced by reacting a compound represented by formula (A-5) (hereinafter referred to as the compound (A-5)) with a thiocarbamate compound in the presence of a base:
- the reaction is usually performed in a solvent.
- the solvent examples include alcohols such as methanol, ethanol, isopropanol, and butanol; hydrocarbons such as toluene and xylene; ethers such as tetrahydrofuran, 1,4-dioxane, ethylene glycol dimethyl ether, and anisole; acid amides such as N,N-dimethylformamide, 1,3-dimethyl-2-imidazolidinone, and N-methylpyrrolidone; sulfoxides such as dimethyl sulfoxide; nitriles such as acetonitrile; mixtures thereof, and mixtures of water and these solvents.
- alcohols such as methanol, ethanol, isopropanol, and butanol
- hydrocarbons such as toluene and xylene
- ethers such as tetrahydrofuran, 1,4-dioxane, ethylene glycol dimethyl ether, and anisole
- acid amides such as N
- Examples of the base to be used in the reaction include alkali metal carbonates such as lithium carbonate, sodium carbonate, and potassium carbonate; alkali metal hydrogen carbonates such as sodium hydrogen carbonate; alkali metal hydroxides such as lithium hydroxide, sodium hydroxide, potassium hydroxide, and cesium hydroxide; alkali metal hydrides such as lithium hydride, sodium hydride, and potassium hydride; and alkali metal alkoxides such as sodium tert-butoxide and potassium tert-butoxide.
- alkali metal carbonates such as lithium carbonate, sodium carbonate, and potassium carbonate
- alkali metal hydrogen carbonates such as sodium hydrogen carbonate
- alkali metal hydroxides such as lithium hydroxide, sodium hydroxide, potassium hydroxide, and cesium hydroxide
- alkali metal hydrides such as lithium hydride, sodium hydride, and potassium hydride
- alkali metal alkoxides such as sodium tert-butoxide and potassium tert-
- thiocarbamates include commercially available dimethylthiocarbamoyl chloride and commercially available diethyl thiocarbamoyl chloride.
- thiocarbamates are usually used in the proportion within a range of 1 to 10 mols, and the base is usually used in the proportion within a range of 1 to 10 mols, based on 1 mol of the compound (A-5).
- the reaction temperature of the reaction is usually within a range of ⁇ 90 to 150° C.
- the reaction time of the reaction is usually within a range of 0.1 to 24 hours.
- the compound (A-4) can be isolated by performing post-treatment operations such as extraction of the reaction mixture with an organic solvent, and drying and concentration of the organic layer.
- the isolated compound (A-4) can also be purified by chromatography, recrystallization, and the like.
- a compound represented by formula (BB2) in which A is A1 (hereinafter referred to as the compound (BB2)) in the compound (A-5) can be produced by reacting a compound represented by formula (BB1) (hereinafter referred to as the compound (BB2)) with an acid:
- R 7 , R 8 , E 1 , E 2 , and E 3 are the same as defined above, and R 92 represents a C1-C4 alkyl group.
- the reaction is usually performed in a solvent.
- Examples of the solvent to be used in the reaction include alcohols such as methanol, ethanol, propanol, and butanol; water, acetic acid, and mixtures thereof.
- Examples of the acid to be used in the reaction include hydrochloric acid, hydrobromic acid, and the like, and aqueous solutions thereof can also be used as the solvent.
- the acid is usually used in the proportion of large excess based on 1 mol of the compound (BB1).
- the reaction temperature of the reaction is usually within a range of ⁇ 20 to 150° C.
- the reaction time of the reaction is usually within a range of 0.1 to 100 hours.
- the compound (BB2) can be isolated by performing post-treatment operations such as extraction of the reaction mixture with an organic solvent, and drying and concentration of the organic layer, or the compound (BB2) can be isolated by performing post-operations such as concentration of the reaction mixture without being extracted.
- the isolated compound (BB2) can also be purified by chromatography, recrystallization, and the like.
- the compound (BB1) can be produced by reacting a compound represented by formula (BB3) (hereinafter referred to as the compound (BB3)) with the compound (YD2) in the presence of a copper reagent and a base:
- the reaction is usually performed in a solvent.
- Examples of the solvent to be used in the reaction include hydrocarbons such as n-hexane, cyclohexane, toluene, and xylene; ethers such as tetrahydrofuran, 1,4-dioxane, ethylene glycol dimethyl ether, methyl tert-butyl ether, and diisopropyl ether; halogenated hydrocarbons such as chloroform, 1,2-dichloroetane, and chlorobenzene; acid amides such as N,N-dimethylformamide, 1,3-dimethyl-2-imidazolidinone, and N-methylpyrrolidone; esters such as ethyl acetate and methyl acetate; sulfoxides such as dimethyl sulfoxide; nitriles such as acetonitrile; alcohols such as methanol, ethanol, propanol, and butanol; mixtures thereof, and mixtures of water and these solvents
- a boronic acid ester derivative by reacting a compound (BB3-I) in which L is iodine in the compound (BB3) with butyllithium, followed by a reaction with a boric acid ester. It is possible to produce a boronic acid derivative by optionally hydrolyzing the boronic acid ester derivative obtained by the above-mentioned reaction. It is also possible to produce a trifluoroborate (BF 3 ⁇ K + ) by fluorinating the boronic acid ester derivative with potassium fluoride in accordance with a known method mentioned in Molander et al. Acc. Chem. Res., 2007, 40, 275.
- Examples of the copper reagent to be used in the reaction include copper(II) acetate, copper(I) oxide, copper(I) iodide, and the like.
- Examples of the base to be used in the reaction include organic bases such as triethylamine, pyridine, N-methylmorpholine, 4-dimethylaminopyridine, diisopropylethylamine, and diazabicycloundecene; alkali metal carbonates such as lithium carbonate, sodium carbonate, and potassium carbonate; alkali metal hydrogen carbonates such as sodium hydrogen carbonate; alkali metal hydroxides such as lithium hydroxide, sodium hydroxide, potassium hydroxide, and cesium hydroxide; alkali metal fluorides such as sodium fluoride, potassium fluoride, and cesium fluoride; alkali metal hydrides such as lithium hydride, sodium hydride, and potassium hydride; and alkali metal alkoxides such as sodium tert-butoxide and potassium tert-butoxide.
- organic bases such as triethylamine, pyridine, N-methylmorpholine, 4-dimethylaminopyridine, diisopropyleth
- the compound (YD2) is used in the proportion within a range of 1 to 10 mols
- the copper reagent is used in the proportion within a range of 1 to 10 mols
- the base is used in the proportion within a range of 1 to 10 mols, based on 1 mol of the compound (BB3).
- a dehydrating agent such as a molecular sieve may be added, and the dehydrating agent is used in the proportion within a range of 100 to 500% by mass based on the mass of 1 mol of the compound (BB3).
- the reaction temperature of the reaction is usually within a range of ⁇ 20 to 150° C.
- the reaction time of the reaction is usually within a range of 0.1 to 120 hours.
- the compound (BB1) can be isolated by performing post-treatment operations such as extraction of the reaction mixture with an organic solvent, and drying and concentration of the organic layer.
- the isolated compound (BB1) can also be purified by chromatography, recrystallization, and the like.
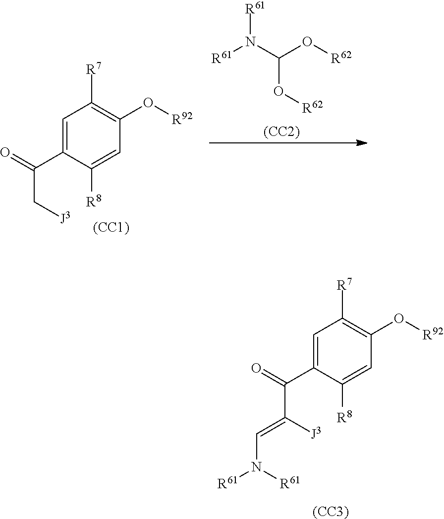
- a compound represented by formula (CC3) (hereinafter referred to as the compound (CC3)) can be produced by reacting a compound represented by formula (CC1) (hereinafter referred to as the compound (CC1)) with a compound represented by formula (CC2) (hereinafter referred to as the compound (CC2)):
- R 7 , R 8 , J 3 , R 61 , and R 92 are the same as defined above, and R 62 represents a methyl group, an ethyl group, a propyl group, a butyl group, or a benzyl group.
- the reaction is performed in a solvent or in the absence of a solvent.
- solvent to be used in the reaction examples include hydrocarbons such as heptane, hexane, cyclohexane, pentane, toluene, and xylene; ethers such as diethyl ether, tetrahydrofuran, 1,4-dioxane, ethylene glycol dimethyl ether, anisole, methyl tert-butyl ether, and diisopropyl ether; halogenated hydrocarbons such as carbon tetrachloride, chloroform, dichloromethane, 1,2-dichloroetane, tetrachloroethane, and chlorobenzene; acid amides such as N,N-dimethylformamide, 1,3-dimethyl-2-imidazolidinone, and N-methylpyrrolidone; sulfoxides such as dimethyl sulfoxide; nitriles such as acetonitrile and propionitrile; alcohols such as such as
- the compound (CC2) is usually used in the proportion within a range of 1 to 10 mols based on 1 mol of the compound (CC1).
- the reaction temperature of the reaction is usually within a range of ⁇ 20 to 150° C.
- the reaction time of the reaction is usually within a range of 0.1 to 72 hours.
- the compound (CC3) can be isolated by performing post-treatment operations such as extraction of the reaction mixture with an organic solvent, and drying and concentration of the organic layer, or by performing post-treatment operations such as concentration of the reaction mixture without being extracted.
- the isolated compound (CC3) may also be purified by operations such as chromatography and recrystallization.
- a compound represented by formula (CC4) (hereinafter referred to as the compound (CC4)) can be produced by reacting the compound (CC3) with a hydrazine compound:
- the reaction is usually performed in a solvent.
- solvent to be used in the reaction examples include ethers such as diethyl ether, tetrahydrofuran, 1,4-dioxane, ethylene glycol dimethyl ether, anisole, methyl tert-butyl ether, and diisopropyl ether; hydrocarbons such as heptane, hexane, cyclohexane, pentane, toluene, and xylene; halogenated hydrocarbons such as carbon tetrachloride, chloroform, dichloromethane, 1,2-dichloroetane, tetrachloroethane, and chlorobenzene; nitriles such as acetonitrile and propionitrile; acid amides such as N,N-dimethylformamide, 1,3-dimethyl-2-imidazolidinone, and N-methylpyrrolidone; sulfoxides such as dimethyl sulfoxide; alcohols such as such as
- hydrazine compound to be used in the reaction examples include hydrazine monohydrate, hydrazine hydrochloride, hydrazine sulfate, and anhydrous hydrazine.
- the hydrazine compound is usually used in the proportion within a range of 1 to 100 mols based on 1 mol of the compound (CC3).
- the reaction temperature of the reaction is usually within a range of ⁇ 20 to 150° C.
- the reaction time of the reaction is usually within a range of 0.1 to 24 hours.
- the compound (CC4) can be isolated by performing post-treatment operations such as extraction of the reaction mixture with an organic solvent, and drying and concentration of the organic layer, or performing post-treatment operations such as concentration of the reaction mixture without being extracted.
- the isolated compound (CC4) may also be purified by operations such as chromatography and recrystallization.
- a compound represented by formula (CC5) (hereinafter referred to as the compound (CC5)) can be produced by reacting the compound (CC4) with the compound (1-7):
- the reaction can be carried out in accordance with the reaction mentioned in Production Process D.
- a compound represented by formula (CC6) in which A is A2 and J 2 is a hydrogen atom (hereinafter referred to as the compound (CC6)) in the compound (A-5) can be produced by reacting the compound (CC4) with an acid:
- the reaction can be carried out in accordance with the reaction mentioned in Reference Production Process BA.
- a compound represented by formula (DD3) (hereinafter referred to as the compound (DD3)) can be produced by reacting a compound represented by formula (DD1) (hereinafter referred to as the compound (DD1)) with a compound represented by formula (DD2) (hereinafter referred to as the compound (DD2)) in the presence of a base:
- J 5 represents a C1-C4 alkyl group optionally having one or more halogen atoms, or a C3-C4 cycloalkyl group optionally having one or more halogen atoms
- J 6 represents a hydrogen atom, an aldehyde group, a C1-C4 alkyl group optionally having one or more halogen atoms, or a C3-C4 cycloalkyl group optionally having one or more halogen atoms.
- the reaction is usually performed in a solvent.
- Examples of the solvent to be used in the reaction include hydrocarbons such as n-hexane, cyclohexane, toluene, and xylene; ethers such as tetrahydrofuran, 1,4-dioxane, ethylene glycol dimethyl ether, methyl tert-butyl ether, and diisopropyl ether; halogenated hydrocarbons such as chloroform, 1,2-dichloroetane, and chlorobenzene; acid amides such as N,N-dimethylformamide, 1,3-dimethyl-2-imidazolidinone, and N-methylpyrrolidone; esters such as ethyl acetate and methyl acetate; sulfoxides such as dimethyl sulfoxide; ketones such as acetone, methyl ethyl ketone, and methyl isobutyl ketone; nitriles such as acetonitrile; and mixtures thereof
- Examples of the compound (DD2) include alkyl halides such as chlorodifluoromethane, methyl bromide, ethyl bromide, propyl bromide, methyl iodide, ethyl iodide, propyl bromide, cyclopropyl bromide, and 1,1-difluoro-2-iodoethane; dimethyl sulfate, methyl p-toluenesulfonate, ethyl p-toluenesulfonate, propyl p-toluenesulfonate, methyl methanesulfonate, ethyl methanesulfonate, propyl methanesulfonate, and the like.
- alkyl halides such as chlorodifluoromethane, methyl bromide, ethyl bromide, propyl bromide, methyl iodide,
- Examples of the base to be used in the reaction include organic bases such as triethylamine, pyridine, N-methylmorpholine, 4-dimethylaminopyridine, diisopropylethylamine, and diazabicycloundecene; alkali metal carbonates such as lithium carbonate, sodium carbonate, and potassium carbonate; alkali metal hydrogen carbonates such as sodium hydrogen carbonate; alkali metal hydroxides such as lithium hydroxide, sodium hydroxide, potassium hydroxide, and cesium hydroxide; alkali metal hydrides such as lithium hydride, sodium hydride, and potassium hydride; alkali metal hydrides such as lithium hydride, sodium hydride, and potassium hydride; and alkali metal alkoxides such as sodium tert-butoxide and potassium tert-butoxide.
- organic bases such as triethylamine, pyridine, N-methylmorpholine, 4-dimethylaminopyridine, diisopropylethy
- additives may be added, and examples thereof include tetrabutylammonium bromide and tetrabutylammonium fluoride.
- the compound (DD2) is usually used in the proportion within a range of 1 to 10 mols
- the base is usually used in the proportion within a range of 1 to 10 mols
- the additive is usually used in the proportion within a range of 0.01 to 1 mol, based on 1 mol of the compound (DD1).
- the reaction temperature of the reaction is usually within a range of ⁇ 20 to 150° C.
- the reaction time of the reaction is usually within a range of 0.1 to 24 hours.
- the compound (DD3) can be isolated by performing post-treatment operations such as extraction of the reaction mixture with an organic solvent, and drying and concentration of the organic layer.
- the isolated compound (DD3) can also be purified by chromatography, recrystallization, and the like.
- a compound represented by formula (DD4) (hereinafter referred to as the compound (DD4)) can be produced by reacting the compound (DD3) with a hydrazine compound:
- R 7 , R 8 , J 5 , J 6 , and R 92 are the same as defined above.
- the reaction is usually performed in a solvent.
- solvent to be used in the reaction examples include ethers such as diethyl ether, tetrahydrofuran, 1,4-dioxane, ethylene glycol dimethyl ether, anisole, methyl tert-butyl ether, and diisopropyl ether; hydrocarbons such as heptane, hexane, cyclohexane, pentane, toluene, and xylene; halogenated hydrocarbons such as carbon tetrachloride, chloroform, dichloromethane, 1,2-dichloroetane, tetrachloroethane, and chlorobenzene; nitriles such as acetonitrile and propionitrile; acid amides such as N,N-dimethylformamide, 1,3-dimethyl-2-imidazolidinone, and N-methylpyrrolidone; sulfoxides such as dimethyl sulfoxide; alcohols such as such as
- hydrazine compound to be used in the reaction examples include hydrazine monohydrate, hydrazine hydrochloride, hydrazine sulfate, anhydrous hydrazine, and the like.
- the hydrazine compound is usually used in the proportion within a range of 1 to 100 mols based on 1 mol of the compound (DD3).
- the reaction temperature of the reaction is usually within a range of ⁇ 20 to 150° C.
- the reaction time of the reaction is usually within a range of 0.1 to 24 hours.
- the compound (DD4) can be isolated by performing post-treatment operations such as extraction of the reaction mixture with an organic solvent, and drying and concentration of the organic layer.
- the isolated compound (DD4) may also be purified by operations such as chromatography and recrystallization.
- a compound represented by formula (DD6) (hereinafter referred to as the compound (DD6)) can be produced by reacting the compound (DD4) with a compound represented by formula (DD5) (hereinafter referred to as the compound (DD5) in the presence of a base:
- the reaction can be carried out in accordance with Production Process D.
- a compound represented by formula (DD8) (hereinafter referred to as the compound (DD8)) can be produced by reacting the compound (DD4) with the compound (D-1) in the presence of a base:
- the reaction can be carried out in accordance with the method mentioned in Production Process D.
- a compound represented by formula (DD9) in which A is A2 (hereinafter referred to as the compound (DD9)) in the compound (A-5) can be produced by reacting a compound represented by formula (DD8) (hereinafter referred to as the compound (DD8)) with an acid:
- the reaction can be carried out in accordance with the reaction mentioned in Reference Production Process BA.
- a compound represented by formula (DD10) in which A is A3 (hereinafter referred to as the compound (DD10)) in the compound (A-5) can be produced by reacting the compound (DD6) with an acid:
- the reaction can be carried out in accordance with the reaction mentioned in Reference Production Process BA.
- a compound represented by formula (EE5) (hereinafter referred to as the compound (EE5)) can be produced by subjecting a compound represented by formula (EE4) (hereinafter referred to as the compound (EE4)) and a compound represented by formula (EE3) (hereinafter referred to as the compound (EE3)) to a coupling reaction in the presence of a base and a catalyst:
- R 100 represents a chlorine atom, a bromine atom, or an iodine atom
- Z 42 represents B(OH) 2 , a dialkoxyboranyl group, or trifluoroborate BF 3 ⁇ K + .
- the reaction is usually performed in a solvent.
- Examples of the solvent to be used in the reaction include hydrocarbons such as n-hexane, cyclohexane, toluene, and xylene; ethers such as tetrahydrofuran, 1,4-dioxane, ethylene glycol dimethyl ether, methyl tert-butyl ether, and diisopropyl ether; halogenated hydrocarbons such as chloroform, 1,2-dichloroetane, and chlorobenzene; acid amides such as N,N-dimethylformamide, 1,3-dimethyl-2-imidazolidinone, and N-methylpyrrolidone; esters such as ethyl acetate and methyl acetate; sulfoxides such as dimethyl sulfoxide; ketones such as acetone, methyl ethyl ketone, and methyl isobutyl ketone; nitriles such as acetonitrile; mixtures thereof,
- Examples of the catalyst to be used in the reaction include palladium(II) acetate, dichlorobis(triphenylphosphine)palladium, tetrakis(triphenylphosphine)palladium(0), palladium(II) acetate/triscyclohexylphosphine, bis(diphenylphosphinoferrocenyl)palladium(II) dichloride, 1,3-bis(2,6-diisopropylphenyl)imidazol-2-ylidene(1,4-naphthoq uinone)palladium dimer, allyl(chloro) (1,3-dimesityl-1,3-dihydro-2H-imidazol-2-ylidene) palladium or palladium(II) acetate/dicyclohexyl(2′,4′,6′-triisopropylbiphenyl-2-yl)phosppine
- Examples of the base to be used in the reaction include organic bases such as triethylamine, pyridine, N-methylmorpholine, 4-dimethylaminopyridine, diisopropylethylamine, and diazabicycloundecene; alkali metal carbonates such as lithium carbonate, sodium carbonate, and potassium carbonate; alkali metal hydrogen carbonates such as sodium hydrogen carbonate; alkali metal hydroxides such as lithium hydroxide, sodium hydroxide, potassium hydroxide, and cesium hydroxide; alkali metal fluorides such as sodium fluoride, potassium fluoride, and cesium fluoride; alkali metal hydrides such as lithium hydride, sodium hydride, and potassium hydride; alkali metal phosphates such as tripotassium phosphate; and alkali metal alkoxides such as sodium methoxide, sodium ethoxide, sodium tert-butoxide, and potassium tert-butoxide.
- organic bases such as trie
- the compound (B-2) is usually used in the proportion within a range of 1 to 10 mols
- the base is usually used in the proportion within a range of 1 to 10 mols
- the catalyst is usually used in the proportion within a range of 0.0001 to 1 mol, based on 1 mol of the compound (B-1).
- the reaction temperature of the reaction is usually within a range of 0 to 150° C.
- the reaction time of the reaction is usually within a range of 0.1 to 24 hours.
- the compound (EE5) can be isolated by performing post-treatment operations such as extraction of the reaction mixture with an organic solvent, and drying and concentration of the organic layer.
- the isolated compound (EE5) can also be purified by chromatography, recrystallization, and the like.
- a compound represented by formula (EE6) in which A is A4 in the compound (A-5) (hereinafter referred to as the compound (EE6)) can be produced by reacting the compound (EE5) with an acid:
- the reaction can be carried out in accordance with the reaction mentioned in Reference Production Process BA.
- a compound represented by formula (FF0) in which A is A2 and J 2 is a chlorine atom in the compound (A-5) (hereinafter referred to as the compound (FF0)) can be produced by reacting a compound represented by formula (FF1) (hereinafter referred to as the compound (FF1)) with a chlorinating agent:
- a compound represented by formula (FF2) (hereinafter referred to as the compound (FF2)) can be produced by reacting the compound (FF1) with a chlorinating agent:
- the reaction is performed in a solvent or in the absence of a solvent.
- Examples of the solvent to be used in the reaction include hydrocarbons such as n-hexane, cyclohexane, toluene, and xylene; ethers such as tetrahydrofuran, 1,4-dioxane, ethylene glycol dimethyl ether, methyl tert-butyl ether, and diisopropyl ether; halogenated hydrocarbons such as chloroform, 1,2-dichloroetane, and chlorobenzene; esters such as ethyl acetate and methyl acetate; sulfoxides such as dimethyl sulfoxide; ketones such as acetone, methyl ethyl ketone, and methyl isobutyl ketone; nitriles such as acetonitrile; and mixtures thereof.
- hydrocarbons such as n-hexane, cyclohexane, toluene, and xylene
- ethers such
- chlorinating agent Commercially available products are usually used as the chlorinating agent to be used in the reaction.
- the chlorinating agent include thionyl chloride, phosphorus oxychloride, phosphorus pentachloride, and mixtures thereof.
- a base may be added, and examples of the base to be used in the reaction include organic bases such as triethylamine, pyridine, N-methylmorpholine, 4-dimethylaminopyridine, diisopropylethylamine, diazabicycloundecene, and the like.
- the chlorinating agent is usually used in the proportion within a range of 1 mol to large excess, and the base is usually used in the proportion within a range of 1 to 10 mols, based on 1 mol of the compound (FF1).
- the reaction temperature of the reaction is usually within a range of ⁇ 20 to 150° C.
- the reaction time of the reaction is usually within a range of 0.1 to 72 hours.
- the compound (FF2) can be isolated by performing post-treatment operations such as concentration of the reaction mixture under reduced pressure, extraction of the reaction mixture with an organic solvent, and drying and concentration of the organic layer.
- the isolated compound (FF2) can also be purified by chromatography, recrystallization, and the like.
- the compound (FF1) can be produced by reacting a compound represented by formula (FF3) (hereinafter referred to as the compound (FF3)) with a compound represented by formula (FF4) (hereinafter referred to as the compound (FF4)):
- R 7 , R 8 , R 92 , R 100 , J 1 , and J 3 are the same as defined above, and n represents 0 or 1
- the reaction is performed in a solvent or in the absence of a solvent.
- Examples of the solvent to be used in the reaction include hydrocarbons such as n-hexane, cyclohexane, toluene, and xylene; ethers such as tetrahydrofuran, 1,4-dioxane, ethylene glycol dimethyl ether, methyl tert-butyl ether, and diisopropyl ether; halogenated hydrocarbons such as chloroform, 1,2-dichloroetane, and chlorobenzene; acid amides such as N,N-dimethylformamide, 1,3-dimethyl-2-imidazolidinone, and N-methylpyrrolidone; esters such as ethyl acetate and methyl acetate; sulfoxides such as dimethyl sulfoxide; nitriles such as acetonitrile; water and mixtures thereof.
- hydrocarbons such as n-hexane, cyclohexane, toluene,
- an acid may be added, and examples of the acid to be used in the reaction include hydrochloric acid, sulfuric acid, acetic acid, hydrobromic acid, p-toluenesulphonic acid, and the like.
- the compound (FF4) is usually used in the proportion within a range of 1 to 100 mols, and the acid is usually used in the proportion within a range of 1 to 10 mols, based on 1 mol of the compound (FF3).
- the reaction temperature of the reaction is usually within a range of ⁇ 20 to 150° C.
- the reaction time of the reaction is usually within a range of 0.1 to 24 hours.
- the compound (FF1) can be isolated by performing post-treatment operations such as concentration of the reaction mixture under reduced pressure, extraction of the reaction mixture with an organic solvent, and drying and concentration of the organic layer.
- the isolated present compound can also be purified by chromatography, recrystallization, and the like.
- the compound (FF3) can be produced by reacting the compound (CC1) with a compound represented by formula (FF6) (hereinafter referred to as the compound (FF6)) in the presence of a base:
- the reaction is usually performed in a solvent.
- solvent to be used in the reaction examples include hydrocarbons such as n-hexane, cyclohexane, toluene, and xylene; ethers such as tetrahydrofuran, 1,4-dioxane, ethylene glycol dimethyl ether, methyl tert-butyl ether, and diisopropyl ether;
- halogenated hydrocarbons such as chloroform, 1,2-dichloroetane, and chlorobenzene
- acid amides such as N,N-dimethylformamide, 1,3-dimethyl-2-imidazolidinone, and N-methylpyrrolidone
- esters such as ethyl acetate and methyl acetate
- sulfoxides such as dimethyl sulfoxide
- ketones such as acetone, methyl ethyl ketone, and methyl isobutyl ketone
- nitriles such as acetonitrile; and mixtures thereof.
- Examples of the base to be used in the reaction include alkali metal hydroxides such as lithium hydroxide, sodium hydroxide, potassium hydroxide, and cesium hydroxide; alkali metal hydrides such as lithium hydride, sodium hydride, and potassium hydride; and alkali metal alkoxides such as sodium tert-butoxide and potassium tert-butoxide.
- alkali metal hydroxides such as lithium hydroxide, sodium hydroxide, potassium hydroxide, and cesium hydroxide
- alkali metal hydrides such as lithium hydride, sodium hydride, and potassium hydride
- alkali metal alkoxides such as sodium tert-butoxide and potassium tert-butoxide.
- the compound (FF6) is usually used in the proportion within a range of 1 to 10 mols, and the base is usually used in the proportion within a range of 1 to 10 mols, based on 1 mol of the compound (CC1).
- the reaction temperature of the reaction is usually within a range of ⁇ 20 to 150° C.
- the reaction time of the reaction is usually within a range of 0.1 to 24 hours.
- additives may be added, and examples of additives include 18-crown-6-ether and dibenzo-18-crown-6-ether. These additives are usually used in the proportion within a range of 0.001 to 1.2 mols based on 1 mol of the compound (CC1).
- the compound (FF3) can be isolated by performing post-treatment operations such as extraction of the reaction mixture with an organic solvent, and drying and concentration of the organic layer.
- the isolated compound (FF3) can also be purified by chromatography, recrystallization, and the like.
- the compound (CC1) can be produced by mixing a compound represented by formula (FF7) (hereinafter referred to as the compound (FF7)) with an acid:
- the reaction is usually performed in a solvent.
- Examples of the solvent to be used in the reaction include hydrocarbons such as n-hexane, cyclohexane, toluene, and xylene; ethers such as tetrahydrofuran, 1,4-dioxane, ethylene glycol dimethyl ether, methyl tert-butyl ether, and diisopropyl ether; halogenated hydrocarbons such as chloroform, 1,2-dichloroetane, and chlorobenzene; nitromethane, nitriles such as acetonitrile; and mixtures thereof.
- hydrocarbons such as n-hexane, cyclohexane, toluene, and xylene
- ethers such as tetrahydrofuran, 1,4-dioxane, ethylene glycol dimethyl ether, methyl tert-butyl ether, and diisopropyl ether
- halogenated hydrocarbons
- Examples of the acid to be used in the reaction include aluminum trichloride, titanium tetrachloride, iron trichloride, hydrogen fluoride, hypochlorous acid, and polyphosphoric acid.
- the acid is usually used in the proportion within a range of 1 to 10 mols based on 1 mol of the compound (FF7).
- the reaction temperature of the reaction is usually within a range of ⁇ 20 to 150° C.
- the reaction time of the reaction is usually within a range of 0.1 to 72 hours.
- the compound (CC1) can be isolated by performing post-treatment operations such as extraction of the reaction mixture with an organic solvent, and drying and concentration of the organic layer.
- the isolated compound (CC1) can also be purified by chromatography, recrystallization, and the like.
- the compound (FF7) can be produced by reacting a compound represented by formula (FF8) (hereinafter referred to as the compound (FF8)) with a compound represented by formula (FF9) (hereinafter referred to as the compound (FF9)) in the presence of a base:
- the reaction is usually performed in a solvent.
- Examples of the solvent to be used in the reaction include hydrocarbons such as n-hexane, cyclohexane, toluene, and xylene; ethers such as tetrahydrofuran, 1,4-dioxane, ethylene glycol dimethyl ether, methyl tert-butyl ether, and diisopropyl ether; halogenated hydrocarbons such as chloroform, 1,2-dichloroetane, and chlorobenzene; acid amides such as N,N-dimethylformamide, 1,3-dimethyl-2-imidazolidinone, and N-methylpyrrolidone; esters such as ethyl acetate and methyl acetate; sulfoxides such as dimethyl sulfoxide; nitriles such as acetonitrile; and mixtures thereof.
- hydrocarbons such as n-hexane, cyclohexane, toluene, and
- Examples of the base to be used in the reaction include organic bases such as triethylamine, pyridine, N-methylmorpholine, 4-dimethylaminopyridine, diisopropylethylamine, and diazabicycloundecene; alkali metal carbonates such as lithium carbonate, sodium carbonate, and potassium carbonate; alkali metal hydrogen carbonates such as sodium hydrogen carbonate; alkali metal hydroxides such as lithium hydroxide, sodium hydroxide, potassium hydroxide, and cesium hydroxide; alkali metal hydrides such as lithium hydride, sodium hydride, and potassium hydride; and alkali metal alkoxides such as sodium tert-butoxide and potassium tert-butoxide.
- organic bases such as triethylamine, pyridine, N-methylmorpholine, 4-dimethylaminopyridine, diisopropylethylamine, and diazabicycloundecene
- alkali metal carbonates such as lithium
- the compound (FF9) is usually used in the proportion within a range of 1 to 10 mols, and the base is usually used in the proportion within a range of 1 to 10 mols, based on 1 mol of the compound (FF8).
- the reaction temperature of the reaction is usually within a range of ⁇ 78 to 150° C.
- the reaction time of the reaction is usually within a range of 0.1 to 72 hours.
- the compound (FF7) can be isolated by performing post-treatment operations such as extraction of the reaction mixture with an organic solvent, and drying and concentration of the organic layer.
- the isolated compound (FF7) can also be purified by chromatography, recrystallization, and the like.
- the present compound is usually used after mixing with solid carriers, liquid carriers, surfactants, and the like, and optionally adding auxiliary agents for formulation, such as stickers, dispersers, and stabilizers to thereby formulate into wettable powders, water dispersible granules, flowables, granules, dry flowables, emulsifiable concentrates, aqueous solutions, oil solutions, smoking agents, aerosols, microcapsules, and the like.
- the present compound is usually contained within a range of 0.1 to 99%, and preferably 0.2 to 90% by weight.
- the solid carriers include clays (for example, kaolin, diatomaceous earth, synthetic hydrated silicon dioxide, Fubasami clay, bentonite, and acid clay), talcs or other inorganic minerals (for example, sericite, quartz powder, sulfur powder, activated charcoal, calcium carbonate, and hydrated silica) in the form of fine powders or particulates
- the liquid carries include water, alcohols (for example, methanol and ethanol), ketones (for example, acetone and methyl ethyl ketone), aromatic hydrocarbons (for example, benzene, toluene, xylene, ethylbenzene, and methyl naphthalene), aliphatic hydrocarbons (for example, n-hexane, cyclohexanone, and kerosene), esters (for example, ethyl acetate and butyl acetate), nitriles (for example, acetonitrile and isobut
- surfactants examples include alkyl sulfates, alkyl sulfonates, alkyl aryl sulfonates, alkyl aryl ethers, and polyoxyethylenated compounds thereof, polyoxyethylene glycol ethers, polyhydric alcohol esters, and sugar alcohol derivatives.
- auxiliary agents for formulation examples include stickers and dispersers, specifically casein, gelatin, polysaccharides (for example, starch, gum arabic, cellulose derivatives, and alginic acid), lignin derivatives, bentonite, sugars, water-soluble synthetic polymers (for example, polyvinyl alcohol, polyvinylpyrrolidone, and polyacrylic acids), PAP (acidic isopropyl phosphate), BHT (2,6-di-tert-butyl-4-methylphenol), BHA (a mixture of 2-tert-butyl-4-methoxyphenol and 3-tert-butyl-4-methoxyphenol), vegetable oils, mineral oils, fatty acids or fatty acid esters thereof, and the like.
- stickers and dispersers specifically casein, gelatin, polysaccharides (for example, starch, gum arabic, cellulose derivatives, and alginic acid), lignin derivatives, bentonite, sugars, water-soluble synthetic polymers (for example, polyviny
- the method for applying the present control agent is not particularly limited, as long as the applying form is a form by which the present control agent can be applied substantially, and includes, for example, an application to plants such as a foliage application; an application to area for cultivating plants such as a submerged treatment; and an application to seeds such as seed disinfection.
- the present control agent may be used as a mixture with various oils, such as mineral oils or vegetable oils, or surfactants.
- oils or surfactants which can be used as a mixture with various oils or surfactants include Nimbus (registered trademark), Assist (registered trademark), Aureo (registered trademark), Iharol (registered trademark), Silwet L-77 (registered trademark), BreakThru (registered trademark), Sundancell (registered trademark), Induce (registered trademark), Penetrator (registered trademark), AgriDex (registered trademark), Lutensol A8 (registered trademark), NP-7 (registered trademark), Triton (registered trademark), Nufilm (registered trademark), Emulgator NP7 (registered trademark), Emulad (registered trademark), TRITON X 45 (registered trademark), AGRAL 90 (registered trademark), AGROTIN (registered trademark), ARPON (registered trademark), EnSprayN (registered trademark),
- the present compound can also be used as a mixture with other fungicides, insecticides, acaricides, nematicides, and plant growth regulators, or simultaneously therewith.
- the application dose of the present control agent varies depending on weather conditions, dosage forms, timing of application, methods of application, areas to be applied, target diseases, target plants, and the like, and the amount of the present compound in the present control agent is usually within a range of 1 to 500 g, and preferably 2 to 200 g, per 1,000 m 2 of the area to be applied.
- the emulsifiable concentrate, the wettable powder, or the suspension concentrate is usually applied by diluting with water.
- the concentration of the present compound after dilution is usually within a range of 0.0005 to 2% by weight, and preferably 0.005 to 1% by weight.
- the dust formulation or the granular formulation is usually applied, as itself without dilution.
- the amount of the present compound in the present control agent is usually within a range of 0.001 to 100 g, and preferably 0.01 to 50 g, per 1 kg of the seeds.
- the present compound or the present control agent can be administered to the inside (inside of the body) or the outside (body surface) of the below-mentioned vertebrate to thereby exterminate systemically or unsystemically the living things or parasites which are parasitic on the vertebrate.
- a method of the internal administration include oral administration, anal administration, transplantation, or administration via injection subcutaneously, intramuscularly, or intravenously.
- Examples of a method of the external administration include transdermal administration.
- the present compound can be ingested to a livestock animal so as to exterminate sanitary insects which occur in the excrement of the animal.
- the dose varies depending on the administration method etc., and it is desirable to administer the present compound so that a dose of the active ingredient (present compound) is generally within a range of 0.1 mg to 2,000 mg, and preferably 0.5 mg to 1,000 mg, per 1 kg of body weight of the animal.
- the present compound or the present control agent can be used as an agent for controlling plant diseases in agricultural lands such as fields, paddy fields, lawns, and orchards.
- the present compound can control diseases occurred in the agricultural lands for cultivating the following plants.
- Crops corn, rice, wheat, barley, rye, oat, sorghum, cotton, soybean, peanut, buckwheat, beet, rapeseed, sunflower, sugar cane, tobacco, and the like;
- Vegetables solanaceous vegetables (for example, eggplant, tomato, pimento, pepper, and potato), cucurbitaceous vegetables (for example, cucumber, pumpkin, zucchini, water melon, and melon), cruciferous vegetables (for example, Japanese radish, white turnip, horseradish, kohlrabi, Chinese cabbage, cabbage, leaf mustard, broccoli, and cauliflower), asteraceous vegetables (for example, burdock, crown daisy, artichoke, and lettuce), liliaceous vegetables (for example, green onion, onion, garlic, and asparagus), umbelliferous vegetables (for example, carrot, parsley, celery, and parsnip), chenopodiaceous vegetables (for example, spinach and Swiss chard), lamiaceous vegetables (for example, Perilla f
- Fruits pomaceous fruits (for example, apple, pear, Japanese pear, Chinese quince, and quince), stone fruits (for example, peach, plum, nectarine, Prunus mume , cherry fruit, apricot, and prune), citrus fruits (for example, Citrus unshiu, orange, lemon, lime, and grapefruit), nuts (for example, chestnut, walnuts, hazelnuts, almond, pistachio, cashew nuts, and macadamia nuts), berry fruits (for example, blueberry, cranberry, blackberry, and raspberry), grape, persimmon, olive, loquat, banana, coffee, date palm, coconuts, and the like;
- pomaceous fruits for example, apple, pear, Japanese pear, Chinese quince, and quince
- stone fruits for example, peach, plum, nectarine, Prunus mume , cherry fruit, apricot, and prune
- citrus fruits for example, Citrus unshiu, orange, lemon, lime, and grapefruit
- Trees other than fruit trees tea, mulberry, flowering plant, roadside trees (for example, ash, birch, dogwood, Eucalyptus, Ginkgo biloba , lilac, maple, Quercus , poplar, Judas tree, Liquidambar formosana , plane tree, zelkova , Japanese arborvitae, fir wood, hemlock, juniper, Pinus, Picea , and Taxus cuspidate); and the like.
- roadside trees for example, ash, birch, dogwood, Eucalyptus, Ginkgo biloba , lilac, maple, Quercus , poplar, Judas tree, Liquidambar formosana , plane tree, zelkova , Japanese arborvitae, fir wood, hemlock, juniper, Pinus, Picea , and Taxus cuspidate
- Lawn lawn grasses (zoysiagrass, Korean lawn grass, etc.), Bermuda glasses ( cynodon dactylon , etc.), bentgrasses (redtop grass, creeping bentgrass, colonial bentgrass, etc.), bluegrasses (Kentucky bluegrass, rough bluegrass, etc.), fescue grasses (tall fescue, chewings fescue, creeping red fescue, etc.), perennial ryegrasses (Italian ryegrass, perennial flax, etc.), orchard grass, timothy, etc.
- plants include genetically modified crops.
- the pests which can be controlled by the present compound include plant pathogens such as filamentous fungus, as well as harmful arthropods such as harmful insects and harmful mites, and nemathelminth such as nematodes, and specifically include the following examples, but are not limited thereto.
- Rice diseases blast ( Magnaporthe grisea ), brown spot ( Cochliobolus miyabeanus ), sheath blight ( Rhizoctonia solani ), bakanae disease ( Gibberella fujikuroi ), and downy mildew ( Sclerophthora macrospora ); Wheat diseases: powdery mildew ( Erysiphe graminis ), fusarium blight ( Fusarium graminearum, F. avenaceum, F. culmorum, Microdochium nivale ), rust ( Puccinia striiformis, P. graminis, P.
- Rhizoctonia solani a group consisting of Rhizoctonia, spormorum, Microdochium nivale ), rust ( Puccinia striiformis, P. graminis, P. hordei ), loose smut ( Ustilago nuda ), scald ( Rhynchosporium secalis ), net blotch ( Pyrenophora teres ), spot blotch ( Cochliobolus sativus ), leaf stripe ( Pyrenophora graminea ), Ramularia leaf spot ( Ramularia collo - cygni ), and damping-off by Rhizoctonia ( Rhizoctonia solani );
- Corn diseases rust ( Puccinia sorghi ), southern rust ( Puccinia polysora ), northern leaf blight ( Setosphaeria turcica ), southern leaf blight ( Cochliobolus heterostrophus ), anthracnose ( Colletotrichum graminicola ), gray leaf spot ( Cercospora zeae - maydis ), eyespot ( Kabatiella zeae ), and phaeosphaeria leaf spot ( Phaeosphaeria maydis ); Cotton diseases: anthracnose ( Colletotrichum gossypii ), grey mildew ( Ramularia areola ), and alternaria leaf spot ( Alternaria macrospora, A.
- gossypii Coffee diseases: rust ( Hemileia vastatrix ); Rape seed diseases: sclerotinia rot ( Sclerotinia sclerotiorum ), black spot ( Alternaria brassicae ), and black leg ( Phoma lingam ); Citrus diseases: melanose ( Diaporthe citri ), scab ( Elsinoe fawcetti ), and fruit rot ( Penicillium digitatum, P.
- Apple diseases blossom blight ( Monilinia mali ), canker ( Valsa ceratosperma ), powdery mildew ( Podosphaera leucotricha ), alternaria leaf spot ( Alternaria alternata apple pathotype), scab ( Venturia inaequalis ), and bitter rot ( Glomerella cingulata );
- Pear diseases scab ( Venturia nashicola, V. pirina ), black spot ( Alternaria alternata Japanese pear pathotype), and rust ( Gymnosporangium haraeanum ); Peach diseases: brown rot ( Monilinia fructicola ), scab ( Cladosporium carpophilum ), and Phomopsis rot ( Phomopsis sp.); Grapes diseases: anthracnose ( Elsinoe ampelina ), ripe rot ( Glomerella cingulata ), powdery mildew ( Uncinula necator ), rust ( Phakopsora ampelopsidis ), black rot ( Guignardia bidwellii ), and downy mildew ( Plasmopara viticola ); Japanese persimmon diseases: anthracnose (Gloeosporium kaki) and leaf spot ( Cercospora kaki, Mycosphaerella nawae ); Disease
- Tomato diseases early blight ( Alternaria solani ), leaf mold ( Cladosporium fulvum ), leaf mold ( Pseudocercospora fuligena ), and late blight ( Phytophthora infestans ); Eggplant diseases: brown spot ( Phomopsis vexans ) and powdery mildew ( Erysiphe cichoracearum ); Cruciferous vegetables diseases: alternaria leaf spot ( Alternaria japonica ), white spot ( Cercosporella brassicae ), clubroot ( Plasmodiophora brassicae ), and downy mildew ( Peronospora parasitica ); Welsh onion diseases: rust ( Puccinia allii ); Soybean diseases: purple stain ( Cercospora kikuchii ), sphaceloma scad ( Elsinoe glycines ), pod and stem blight ( Diaporthe phaseolorum var.
- Potato diseases early blight ( Alternaria solani ), late blight ( Phytophthora infestans ), and verticillium wilt ( Verticillium albo - atrum, V. dahliae, V. nigrescens ); Strawberry diseases: powdery mildew ( Sphaerotheca humuli ); Tea diseases: net blister blight ( Exobasidium reticulatum ), white scab ( Elsinoe leucospila ), gray blight ( Pestalotiopsis sp.), and anthracnose ( Colletotrichum theae - sinensis ); Tobacco diseases: brown spot ( Alternaria longipes ), powdery mildew ( Erysiphe cichoracearum ), anthracnose ( Colletotrichum tabacum ), downy mildew ( Peronospora tabacina ), and black shank ( Phytophthora nicotianae );
- Rose diseases black spot ( Diplocarpon rosae ) and powdery mildew ( Sphaerotheca pannosa ); Chrysanthemum diseases: leaf blight ( Septoria chrysanthemi - indici ) and white rust ( Puccinia horiana ); Onion diseases: botrytis leaf blight ( Botrytiscinerea, B. byssoidea, B.
- Hemiptera planthoppers (Delphacidae) such as small brown planthopper ( Laodelphax striatellus ), brown rice planthopper ( Nilaparvata lugens ), and white-backed rice planthopper ( Sogatella furcifera ); leafhoppers (Deltocephalidae) such as green rice leafhopper ( Nephotettix cincticeps ) and green rice leafhopper ( Nephotettix virescens ); aphids (Aphididae) such as cotton aphid ( Aphis gossypii ), green peach aphid ( Myzus persicae ), cabbage aphid ( Brevicoryne brassicae ), potato aphid ( Macrosiphum euphorbiae ), foxglove aphid ( Aulacorthum solani ), oat bird-cherry aphid ( Rhopalosiphum padi ), and tropical citrus
- Lepidoptera pyralid moths (Pyralidae) such as rice stem borer ( Chilo suppressalis ), yellow rice borer ( Tryporyza incertulas ), rice leafroller ( Cnaphalocrocis medinalis ), cotton leafroller ( Notarcha derogata ), Indian meal moth ( Plodia interpunctella ), oriental corn borer ( Ostrinia furnacalis ), cabbage webworm ( Hellula undalis ), and bluegrass webworm ( Pediasia teterrellus ); owlet moths (Noctuidae) such as common cutworm ( Spodoptera litura ), beet armyworm ( Spodoptera exigua ), armyworm ( Pseudaletia separata ), cabbage armyworm ( Mamestra brassicae ), black cutworm ( Agrotis ipsilon ), beet semi-looper ( Plusia nigrisigna ), Thoricoplusia
- yponomeutid moths such as diamondback (Plutellaxylostella); gelechildmoths (Gelechiidae) such as pink bollworm ( Pectinophora gossypiella ) and potato tubeworm ( Phthorimaea operculella ); tiger moths and allies (Arctiidae) such as fall webworm ( Hyphantria cunea ); and tineid moths (Tineidae) such as casemaking clothes moth ( Tinea translucens ), and webbing clothes moth ( Tineola bisselliella ).
- Yponomeutidae such as diamondback (Plutellaxylostella); gelechildmoths (Gelechiidae) such as pink bollworm ( Pectinophora gossypiella ) and potato tubeworm ( Phthorimaea operculella ); tiger moths
- Thysanoptera yellow citrus thrips ( Frankliniella occidentalis ), melon thrips ( Thrips palmi ), yellow tea thrips ( Scirtothrips dorsalis ), onion thrips ( Thrips tabaci ), flower thrips ( Frankliniella intonsa ), and tobacco thrips ( Frankliniella fusca ).
- Diptera houseflies ( Musca domestica ), common mosquito ( Culex pipiens pallens ), horsefly ( Tabanus trigonus ), onion maggot ( Hylemya antiqua ), seedcorn maggot ( Hylemya platura ), Anopheles sinensis , rice leafminer ( Agromyza oryzae ), rice leafminer ( Hydrellia griseola ), rice stem maggot ( Chlorops oryzae ), melon fly ( Dacus cucurbitae ), Mediterranean fruit fly ( Ceratitis capitata ), and legume leafminer ( Liriomyza trifolii ).
- Coleoptera twenty-eight-spotted ladybirds ( Epilachna vigintioctopunctata ), cucurbit leaf beetle ( Aulacophora femoralis ), yellow striped flea beetle ( Phyllotreta striolata ), rice leaf beetle ( Oulema oryzae ), rice curculio ( Echinocnemus squameus ), rice water weevil ( Lissorhoptrus oryzophilus ), boll weevil ( Anthonomus grandis ), azuki bean weevil ( Callosobruchus chinensis ), hunting billbug ( Sphenophorus venatus ), Japanese beetle ( Popillia japonica ), cupreous chafer ( Anomala cuprea ), corn root worms ( Diabrotica spp.), Colorado beetle ( Leptinotarsa decemlineata ), click beetles (
- Orthoptera asiatic locusts ( Locusta migratoria ), African mole cricket ( Gryllotalpa africana ), rice grasshopper ( Oxya yezoensis ), and rice grasshopper ( Oxya japonica ).
- Hymenoptera cabbage sawflies ( Athalia rosae ), leaf-cutting ant ( Acromyrmex spp.), and fire ant ( Solenopsis spp.).
- Nematodes white-tip nematode ( Aphelenchoides besseyi ), strawberry bud nematode ( Nothotylenchus acris ), soybean cyst nematode ( Heterodera glycines ), southern root-knot nematode ( Meloidogyne incognita ), cobb's root-lesion nematode (Pratylenchuspenetrans), and false root-knot nematode ( Nacobbus aberrans ).
- German cockroach Blattella germanica
- smoky-brown cockroach Periplaneta fuliginosa
- American cockroach Periplaneta americana
- brown cockroach Periplaneta brunnea
- oriental cockroach Blatta orientalis
- Acarina Tetranychidae (for example, two-spotted spider mite ( Tetranychus urticae ), citrus red mite ( Panonychus citri ), and Oligonychus spp.); Eriophyidae (for example, pink citrus rust mite ( Aculops pelekassi )); Tarsonemidae (for example, broad mite ( Polyphagotarsonemus latus )); Tenuipalpidae; Tuckerellidae; Tuckerellidae Acaridae (for example, common grain mite ( Tyrophagus putrescentiae )); Pyroglyphidae (for example, Americal house dust mite ( Dermatophagoides farinae ) and house dust mite ( Dermatophagoides pteronyssinus )); Cheyletidae (for example, cheyletid mite ( Cheyletus eruditus ), Cheyletus malaccensis , and Chey
- the formulation comprising the present compound can be used in the field relating to a treatment of livestock diseases or livestock industry, and can exterminate the living things or parasites which are parasitic on the inside and/or the outside of vertebrates such as human being, cow, sheep, goat, pig, poultry, dog, cat, and fish, so as to maintain public health.
- the pests include ticks ( Ixodes spp.) (for example, Ixodes scapularis ), Boophilus spp. (for example, cattle tick ( Boophilus microplus )), Amblyomma spp., Hyalomma spp., Rhipicephalus spp.
- Haemaphysalis spp. for example, Haemaphysalis longicornis
- Dermacentor spp. for example, Ornithodoros spp. (for example, Ornithodoros moubata ), red mite ( Dermanyssus gallinae ), ghost ant ( Ornithonyssus sylviarum ), Sarcoptes spp. (for example, Sarcoptes scabiei ), Psoroptes spp., Chorioptes spp., Demodex spp., Eutrombicula spp., Aedes spp.
- Asian tiger mosquito Aedes albopictus
- Anopheles spp. Culex spp., Culicoides spp., Musca spp., Hypoderma spp., Gasterophilus spp., Haematobia spp., Tabanus spp., Simulium spp., Triatoma spp., lice (Phthiraptera) (for example, Damalinia spp.), Linognathus spp., Haematopinus spp., Ctenocephalides spp.
- Xenopsylla spp. for example, cat flea ( Ctenocephalides felis )
- Xenopsylla spp. Pharaoh's ant (Monomoriumpharaonis) and nematodes [for example, hairworm (for example, Nippostrongylus brasiliensis, Trichostrongylus axei, Trichostrongylus colubriformis ), Trichinella spp. (for example, Trichinella spiralis ), barber pole worm ( Haemonchus contortus ), Nematodirus spp. (for example, Nematodirus battus ), Ostertagia circumcincta, Cooperia spp., Hymenolepis nana , and the like.
- hairworm for example, Nippostrongylus brasiliensis, Trichostrongylus axei, Trichostrongylus colubriformis
- Trichinella spp. for example, Trichinella spiralis
- the present control agent containing at least one selected from the group consisting of the above-mentioned known fungicides, insecticide, acaricides, nematicides, and plant growth regulators may be directly applied to a plant body to be protected from pests, or may be applied to soil for fix planting of the plant body, and seeds.
- At least one selected from the group consisting of the above-mentioned known fungicides, insecticide, acaricides, nematicides, and plant growth regulators may be applied to the plant body, simultaneously or separately, when using together with the present control agent.
- an application date may be different and a different dosage form may be used.
- an application of the present control agent to seeds of the plant with an application of at least one selected from the group consisting of the above-mentioned known fungicides, insecticide, acaricides, nematicides, and plant growth regulators to the plant, or soil for fix planting of the plant. It is also possible to combine an application of at least one selected from the group consisting of the above-mentioned known fungicides, insecticide, acaricides, nematicides, and plant growth regulators to seeds of the plant with an application of the present control agent to the plant, or soil for fix planting of the plant. An application to the plant, or soil for fix planting of the plant may be performed before, on, or after fix planting.
- This application method is preferably applied to cultivation of corn, wheat, and rice.
- an application of the present control agent to a plant body, or soil on which the plant body is cultivated or to be cultivated (for example, soil of paddy fields, crop fields, orchards, or non-cultivated lands) with an application of at least one selected from known herbicides to the soil.
- the pest control agent of the present invention and herbicides can be applied simultaneously or separately. When applying separately, the application may be performed on the same or different day.
- Examples of the herbicide which can be used together with the present control agent, include glyphosate, salts of glyphosate, glufosinate, salts of glyphosate, 2,4-D, salts of 2,4-D, dicamba, salts of dicamba, and flumioxazin.
- the present compounds 14 to 19 were synthesized by the same reaction as in Production Example 11. Structures of the present compounds 14 to 19 and analysis values of 1 H-NMR thereof are shown below.
- the above-mentioned compounds HA1001-0001 to 101012-1272 are aromatic compounds shown below [wherein A represents any one of the below-mentioned substituent numbers 1 to 1272].
- A represents any one of the below-mentioned substituent numbers 1 to 1272.
- F represents fluoro
- Cl represents chloro
- Br represents bromo
- CN represents cyano
- Me represents methyl
- Et represents ethyl
- CF3 represents trifluoromethyl
- CHF2 represents difluoromethyl
- OMe represents methoxy
- OEt represents ethoxy
- OCF3 trifluoromethoxy
- OCHF2 represents difluoromethoxy
- PYR1 represents a pyrazol-1-yl group
- PYR2 represents a pyrazol-2-yl group
- PYR3 represents a pyrazol-3-yl group
- PYR4 represents a pyrazol-4-yl group.
- HA1012-0111 is a compound in which substituent number is 0111 in a compound represented by formula (HA1012), and is represented by the following structure.
- Ten parts (10 parts) of any one of the present compounds A, 35 parts of white carbon containing 50 parts of a polyoxyethylene alkyl ether sulfate ammonium salt, and 55 parts of water are finely ground by a wet grinding method to obtain each formulation.
- the control effect was evaluated by visually observing the area of lesion spots on each of test plants at the time of investigation, and comparing the area of lesion spots on a plant treated with the present compound with that on an untreated plant.
- each of plastic pots was filled with soil and barley (cultivar: NISHINOHOSHI) was sowed and grown in a greenhouse for 7 days. Then, each water dilution prepared by adjusting so as to contain a predetermined concentration (200 ppm) of any one compound of the present compounds 1, 2, 3, 4, 5, 6, 7, 8, 9, 10, 11, 12, 13, 14, 15, 16, 17, 18, and 19 was sprayed over stems and leaves of the barley so that it sufficiently adhered to the surface of the leaves of the barley. After spraying, the plant was air-dried. After 2 days, an aqueous suspension containing spores of barley net blotch fungus ( Pyrenophora teres ) was sprayed to inoculate the spores.
- the plant After completion of the inoculation, the plant was placed for 3 days in a greenhouse at 23° C. in the daytime and 20° C. at night under high humidity condition and cultivated in a greenhouse for 7 days, and then the area of lesion was investigated. As a result, the area of lesion on the plant treated with the present compound 1, 2, 3, 4, 5, 6, 7, 8, 9, 10, 11, 12, 13, 14, 15, 16, 17, 18, or 19 was 30% or less of that on an untreated plant.
- each of plastic pots was filled with soil and cucumber (cultivar: SAGAMI HANJIRO) was sowed and grown in a greenhouse for 19 days. Then, each water dilution prepared by adjusting so as to contain a predetermined concentration (200 ppm) of any one compound of the present compounds 1, 2, 3, 4, 5, 6, 7, 8, 9, 10, 11, 12, 13, 17, 18, and 19 was sprayed over stems and leaves of the cucumber so that it sufficiently adhered to the surface of the leaves of the cucumber. After spraying, the plant was air-dried. After 1 day, an aqueous suspension containing spores of cucumber target leaf spot fungus ( Corynespora cassiicola ) was sprayed to inoculate the spores.
- the plant was cultivated at 24° C. in the daytime and 20° C. at night under high humidity condition for 7 days, and then the area of lesion was investigated. As a result, the area of lesion on the plant treated with the present compound 1, 2, 6, 7, 8, 9, or 10 was 30% or less of that on an untreated plant.
- each of plastic pots was filled with soil and cucumber (cultivar: SAGAMI HANJIRO) was sowed and grown in a greenhouse for 12 days. Then, each water dilution prepared by adjusting so as to contain a predetermined concentration (200 ppm) of any one compound of the present compounds 1, 2, 4, 5, 7, 11, 13, 15, and 19 was sprayed over stems and leaves of the cucumber so that it sufficiently adhered to the surface of the leaves of the cucumber.
- the plant After spraying, the plant was air-dried and then inoculated by sprinkling with spores of cucumber powdery mildew fungus ( Sphaerotheca fuliginea , a QoI-resistant strain in which, among the genes encoding cytochrome b, the amino acid residue at position 143 of cytochrome b is mutated from glycine to alanine).
- Sphaerotheca fuliginea a QoI-resistant strain in which, among the genes encoding cytochrome b, the amino acid residue at position 143 of cytochrome b is mutated from glycine to alanine.
- the plant was cultivated in a greenhouse at 24° C. in the daytime and 20° C. at night for 8 days, and then the area of lesion was investigated. As a result, the area of lesion on the plant treated with the present compound 1, 2, 4, 5, 7, 11, 13, 15, or 19 was 30% or less of that on an untreated plant.
- each of plastic pots was filled with soil and cucumber (cultivar: SAGAMI HANJIRO) was sowed and grown in a greenhouse for 19 days. Then, each water dilution prepared by adjusting so as to contain a predetermined concentration (200 ppm) of any one compound of the present compounds 1, 2, 3, 4, 5, 6, 7, 8, 9, 11, 12, 13, 14, 15, 16, and 19 was sprayed over stems and leaves of the cucumber so that it sufficiently adhered to the surface of the leaves of the cucumber. After spraying, the plant was air-dried. After 1 day, an aqueous suspension containing spores of cucumber anthracnose fungus ( Colletotrichum lagenarium) was sprayed to inoculate the spores. After the inoculation, the plant was placed at 23° C. for one day under high humidity condition, and then cultivated in a greenhouse at 24° C. in the daytime and 20° C. at night for 6 days, and then the area of lesion was investigated.
- the area of lesion on the plant treated with the present compound 1, 2, 3, 4, 5, 6, 7, 8, 9, 11, 12, 13, 14, 15, 16, or 19 was 30% or less of that on an untreated plant.
- each of plastic pots was filled with soil and soybean (cultivar: KUROSENGOKU) was sowed and grown in a greenhouse for 13 days. Then, each water dilution prepared by adjusting so as to contain a predetermined concentration (200 ppm) of any one compound of the present compounds 1, 2, 4, 7, 11, 13, and 19 was sprayed over stems and leaves of the soybean so that it sufficiently adhered to the surface of the leaves of the soybean. After spraying, the plant was air-dried. After 2 days, an aqueous suspension containing spores of soybean rust fungus ( Phakopsora pachyrhizi ) was sprayed to inoculate the spores.
- a predetermined concentration 200 ppm
- the plant After completion of the inoculation, the plant was placed for 3 days in a greenhouse at 23° C. in the daytime and 20° C. at night under high humidity condition and cultivated in a greenhouse for 14 days, and then the area of lesion was investigated. As a result, the area of lesion on the plant treated with the present compound 1, 2, 4, 7, 11, 13, or 19 was 30% or less of that on an untreated plant.
- each of plastic pots was filled with soil and barley (cultivar: NISHINOHOSHI) was sowed and grown in a greenhouse for 7 days. Then, each water dilution prepared by adjusting so as to contain a predetermined concentration (200 ppm) of any one compound of the present compounds 1, 2, 3, 4, 5, 7, 8, 10, 11, 12, 13, 14, 15, 16, 17, 18, and 19 sprayed over stems and leaves of the barley so that it sufficiently adhered to the surface of the leaves of the barley. After spraying, the plant was air-dried. After 2 days, an aqueous suspension containing spores of barley leaf blotch fungus ( Rhynchosporium secalis ) was sprayed to inoculate the spores.
- a predetermined concentration 200 ppm
- the plant After completion of the inoculation, the plant was placed for 3 days in a greenhouse at 23° C. in the daytime and 20° C. at night under high humidity condition and cultivated in a greenhouse for 7 days, and then the area of lesion was investigated. As a result, the area of lesion on the plant treated with the present compound 1, 2, 3, 4, 5, 7, 8, 10, 11, 12, 13, 14, 15, 16, 17, 18, or 19 was 30% or less of that on an untreated plant.
- each of plastic pots was filled with soil and wheat (cultivar: APOGEE) was sowed and grown in a greenhouse for 10 days. Then, each water dilution prepared by adjusting so as to contain a predetermined concentration (200 ppm) of any one compound of the present compounds 1, 2, 3, 4, 5, 6, 7, 8, 9, 10, 11, 12, 13, 14, 15, 16, 17, 18, and 19 was sprayed over stems and leaves of the wheat so that it sufficiently adhered to the surface of the leaves of the wheat. After spraying, the plant was air-dried. After 4 days, an aqueous suspension containing spores of wheat leaf blotch fungus ( Septoria tritici ) was sprayed over the wheat to inoculate the spores.
- APOGEE a predetermined concentration
- the plant After completion of the inoculation, the plant was placed at 18° C. under high humidity condition for 3 days and then placed under illumination for 14 to 18 days, and then the area of lesion was investigated. As a result, the area of lesion on the plant treated with the present compound 1, 2, 3, 4, 5, 6, 7, 8, 9, 10, 11, 12, 13, 14, 15, 16, 17, 18, or 19 was 30% or less of that on an untreated plant.
- each of plastic pots was filled with soil and rice (cultivar: NIHONBARE) was sowed and grown in a greenhouse for 20 days. Then, each water dilution prepared by adjusting so as to contain a predetermined concentration (200 ppm) of any one compound of the present compounds 1, 2, 4, 5, 11, 17, and 19 was sprayed over stems and leaves so that it sufficiently adhered to the surface of the leaves of the rice. After spraying, the plant was air-dried and placed for 6 days at 24° C. in the daytime and 20° C. at night under high humidity condition, while being in contact with the rice seedling (cultivar: NIHONBARE) infected by the rice blast fungus ( Magnaporthe grisea ), and then the area of lesion was investigated.
- the lesion areas on the plant treated with the present compound 1, 2, 4, 5, 11, 17, or 19 were 30% or less with respect to the lesion area on the non-treated plant.
- each of plastic pots was filled with soil and wheat (cultivar: SHIROGANE) was sowed and grown in a greenhouse for 9 days. Then, each water dilution prepared by adjusting so as to contain a predetermined concentration (200 ppm) of any one compound of the present compounds 1, 2, 3, 4, 6, 7, 8, 9, 11, 12, 13, 14, 15, 16, 17, and 19 was sprayed over stems and leaves of the wheat so that it sufficiently adhered to the surface of the leaves of the wheat. After spraying, the plant was air-dried and cultivated at 20° C. for 5 days under illumination, and then inoculated by sprinkling with spores of wheat rust fungus ( Puccinia recondita ). After the inoculation, the plant was placed at 23° C. for one day under dark and high humidity condition, and cultivated under illumination at 20° C. for 8 days, and then the area of lesion was investigated.
- the area of lesion on the plant treated with the present compound 1, 2, 3, 4, 6, 7, 8, 9, 11, 12, 13, 14, 15, 16, 17, or 19 was 30% or less of that on an untreated plant.
- Each of compounds 8, 18, and 19 obtained in Formulation Example 6 was diluted with water so as to adjust the concentration of each compound to 500 ppm to obtain a dilution.
- Control value (%) ⁇ 1 ⁇ (Cb ⁇ Tai)/(Cai ⁇ Tb) ⁇ 100 wherein symbols in the equation represent the followings:
- Cb Number of insects before treatment in untreated area
- Cai Number of surviving parasites in untreated area during observation
- Tb Number of insects before treatment in treated area
- the untreated area means an area where a solution prepared by diluting a formulation containing no present compound with the same amount of water as in the treated area in Formulation Example 6 was sprayed.
- the present compound has control activity against pests and is useful as an active ingredient of a pest control agent.
Landscapes
- Organic Chemistry (AREA)
- Life Sciences & Earth Sciences (AREA)
- Chemical & Material Sciences (AREA)
- Health & Medical Sciences (AREA)
- General Health & Medical Sciences (AREA)
- Environmental Sciences (AREA)
- Engineering & Computer Science (AREA)
- Dentistry (AREA)
- Pest Control & Pesticides (AREA)
- Wood Science & Technology (AREA)
- Zoology (AREA)
- Agronomy & Crop Science (AREA)
- Plant Pathology (AREA)
- Veterinary Medicine (AREA)
- General Chemical & Material Sciences (AREA)
- Chemical Kinetics & Catalysis (AREA)
- Tropical Medicine & Parasitology (AREA)
- Medicinal Chemistry (AREA)
- Nuclear Medicine, Radiotherapy & Molecular Imaging (AREA)
- Pharmacology & Pharmacy (AREA)
- Animal Behavior & Ethology (AREA)
- Public Health (AREA)
- Agricultural Chemicals And Associated Chemicals (AREA)
- Plural Heterocyclic Compounds (AREA)
- Pharmaceuticals Containing Other Organic And Inorganic Compounds (AREA)
- Heterocyclic Carbon Compounds Containing A Hetero Ring Having Oxygen Or Sulfur (AREA)
Abstract
in which R6 represents a hydrogen atom, a C1-C4 alkyl group optionally having one or more halogen atoms, etc.; R7 and R8 each represents a hydrogen atom, a C1-C4 alkyl group optionally having one or more halogen atoms, etc.; E1, E2, E3, J1, J2, J3, J4, G1, G2, and G3 each represents a hydrogen atom, etc.; has excellent control activity against pests.
Description
- [1] A tetrazolinone compound represented by formula (1):
in which R6, R7, and R8 each represents a hydrogen atom, a halogen atom, a C1-C4 alkyl group optionally having one or more halogen atoms, a C3-C4 cycloalkyl group optionally having one or more halogen atoms, or a C1-C4 alkoxy group optionally having one or more halogen atoms,
G1and G3 each represents a hydrogen atom, a halogen atom, a C1-C4 alkoxy group optionally having one or more halogen atoms, or a C1-C4 alkyl group optionally having one or more halogen atoms, G2, J1, and J4 each represents a hydrogen atom, a C1-C4 alkyl group optionally having one or more halogen atoms, or a C3-C4 cycloalkyl group optionally having one or more halogen atoms, and E1, E2, E3, J2, and J3 each represents a hydrogen atom, a halogen atom, a cyano group, an aldehyde group, a C1-C4 alkoxy group optionally having one or more halogen atoms, a C1-C4 alkyl group optionally having one or more halogen atoms, or a C3-C4 cycloalkyl group optionally having one or more halogen atoms.
- [2] The tetrazolinone compound according to [1], wherein A is A1.
- [3] The tetrazolinone compound according to [1], wherein A is A2.
- [4] The tetrazolinone compound according to [1], wherein A is A3.
- [5] The tetrazolinone compound according to [1], wherein A is A4.
- [6] A pest control agent comprising the tetrazolinone compound according to any one of [1] to [5].
- [7] A method for control pests, which comprises applying an effective amount of the tetrazolinone compound according to any one of [1] to [5] to plants or soil.
- [8] Use of the tetrazolinone compound according to any one of [1] to [5] for controlling pests.
wherein R6, R7, R8, and A are the same as defined above, and Z11 represents a leaving group such as a chlorine atom, a bromine atom, an iodine atom, a methanesulfonyloxy group, a trifluoromethanesulfonyloxy group, and a p-toluenesulfonyloxy group.
wherein R6, R7, R8, and J3 are the same as defined above, R61 represents a methyl group or an ethyl group, and two R61(s) may be the same or different to each other.
wherein R6, R7, R8, E1, E2, and E3 are the same as defined above, and L represents the above-mentioned group L1, L2, L3, L4, L5, or L6.
wherein R7, R8, and A are the same as defined above, RA represents a C1-C6 alkyl group, and two RA(s) may be the same or different to each other.
wherein R7, R8, E1, E2, and E3 are the same as defined above, and R92 represents a C1-C4 alkyl group.
wherein R7, R8, J3, R61, and R92 are the same as defined above, and R62 represents a methyl group, an ethyl group, a propyl group, a butyl group, or a benzyl group.
wherein R7, R8, Z11, and R92 are the same as defined above, J5 represents a C1-C4 alkyl group optionally having one or more halogen atoms, or a C3-C4 cycloalkyl group optionally having one or more halogen atoms, and J6 represents a hydrogen atom, an aldehyde group, a C1-C4 alkyl group optionally having one or more halogen atoms, or a C3-C4 cycloalkyl group optionally having one or more halogen atoms.
wherein symbols are the same as defined above, R100 represents a chlorine atom, a bromine atom, or an iodine atom, and Z42 represents B(OH)2, a dialkoxyboranyl group, or trifluoroborate BF3 −K+.
Control value (%)={1−(Cb×Tai)/(Cai×Tb)}×100
wherein symbols in the equation represent the followings:
Claims (6)
Applications Claiming Priority (3)
| Application Number | Priority Date | Filing Date | Title |
|---|---|---|---|
| JP2014067944 | 2014-03-28 | ||
| JP2014-067944 | 2014-03-28 | ||
| PCT/JP2015/060305 WO2015147332A1 (en) | 2014-03-28 | 2015-03-25 | Tetrazolinone compound and application for same |
Publications (2)
| Publication Number | Publication Date |
|---|---|
| US20170105415A1 US20170105415A1 (en) | 2017-04-20 |
| US9826741B2 true US9826741B2 (en) | 2017-11-28 |
Family
ID=54195832
Family Applications (1)
| Application Number | Title | Priority Date | Filing Date |
|---|---|---|---|
| US15/128,619 Active US9826741B2 (en) | 2014-03-28 | 2015-03-25 | Tetrazolinone compound and application thereof |
Country Status (6)
| Country | Link |
|---|---|
| US (1) | US9826741B2 (en) |
| EP (1) | EP3124484B1 (en) |
| JP (1) | JP6631510B2 (en) |
| CN (1) | CN106132952B (en) |
| BR (1) | BR112016021969B1 (en) |
| WO (1) | WO2015147332A1 (en) |
Cited By (1)
| Publication number | Priority date | Publication date | Assignee | Title |
|---|---|---|---|---|
| US10091998B2 (en) * | 2013-10-28 | 2018-10-09 | Sumitomo Chemical Company, Limited | Tetrazolinone compound and use thereof |
Citations (44)
| Publication number | Priority date | Publication date | Assignee | Title |
|---|---|---|---|---|
| JPH0881459A (en) | 1994-07-12 | 1996-03-26 | Nippon Bayeragrochem Kk | 1-pyridyltetrazolinone derivative and herbicide |
| JPH0899975A (en) | 1994-08-05 | 1996-04-16 | Nippon Bayeragrochem Kk | 5-membered heterocyclic-substituted tetrazolinone derivative and herbicide |
| WO1996036229A1 (en) | 1995-05-17 | 1996-11-21 | E.I. Du Pont De Nemours And Company | Fungicidal cyclic amides |
| JPH0987281A (en) | 1995-07-18 | 1997-03-31 | Nissan Chem Ind Ltd | New tetrazolinones and herbicide |
| JPH09100277A (en) | 1995-07-28 | 1997-04-15 | Nissan Chem Ind Ltd | New tetrazolinone derivative and herbicide |
| JPH09100272A (en) | 1995-08-02 | 1997-04-15 | Nippon Bayeragrochem Kk | Herbicidal thiocarbamoyltetrazolinone compound |
| JPH09110863A (en) | 1995-08-10 | 1997-04-28 | Nissan Chem Ind Ltd | New tetrazolinones |
| JPH09208565A (en) | 1996-02-07 | 1997-08-12 | Sumitomo Chem Co Ltd | Tetrazolinone derivative, its use and intermediate for producing the same |
| WO1998025912A1 (en) | 1996-12-13 | 1998-06-18 | E.I. Du Pont De Nemours And Company | Herbicidal heterocyclic amides |
| WO1998035961A1 (en) | 1997-02-18 | 1998-08-20 | E.I. Du Pont De Nemours And Company | Herbicidal tetrazolinones |
| WO1998051683A1 (en) | 1997-05-15 | 1998-11-19 | E.I. Du Pont De Nemours And Company | Herbicidal tetrazolinones |
| US5861359A (en) | 1995-07-25 | 1999-01-19 | Fmc Corporation | Herbicidal phenylmethoxphenyl heterocycles |
| EP0902028A1 (en) | 1997-09-11 | 1999-03-17 | E.I. Du Pont De Nemours And Company | Tetrazoline herbicides |
| WO1999046246A1 (en) | 1998-03-09 | 1999-09-16 | Basf Aktiengesellschaft | Hetaryl-substituted benzyl phenyl ethers, method for the production thereof, and their use for combating harmful fungi and animal pests |
| WO1999048890A1 (en) | 1998-03-26 | 1999-09-30 | E.I. Du Pont De Nemours And Company | Herbicidal tetrazolinones |
| US6294503B1 (en) | 1998-12-03 | 2001-09-25 | Ishihara Sangyo Kaisha, Ltd. | Fused heterocycle compounds, process for their preparation, and herbicidal compositions containing them |
| CN102875540A (en) | 2012-10-30 | 2013-01-16 | 南开大学 | Weeding activity of 2-benzoxazinone-5-cyclohexylaminocarbonyltetrazolylone |
| WO2013092224A1 (en) | 2011-12-21 | 2013-06-27 | Basf Se | Use of strobilurin type compounds for combating phytopathogenic fungi resistant to qo inhibitors |
| WO2013162072A1 (en) | 2012-04-27 | 2013-10-31 | Sumitomo Chemical Company, Limited | Tetrazolinone compounds and its use as pesticides |
| WO2013162077A1 (en) | 2012-04-27 | 2013-10-31 | Sumitomo Chemical Company, Limited | Tetrazolinone compounds and its use |
| WO2014051161A1 (en) | 2012-09-28 | 2014-04-03 | Sumitomo Chemical Company, Limited | Tetrazolinone compounds and their use as pesticides |
| WO2014051165A1 (en) | 2012-09-28 | 2014-04-03 | Sumitomo Chemical Company, Limited | Tetrazolinone compounds and their use as pesticides |
| WO2014084223A1 (en) | 2012-11-29 | 2014-06-05 | 住友化学株式会社 | Tetrazolinone compound and use thereof |
| WO2014104268A1 (en) | 2012-12-27 | 2014-07-03 | 住友化学株式会社 | Tetrazolinone compound and applications thereof |
| WO2014104382A1 (en) | 2012-12-27 | 2014-07-03 | 住友化学株式会社 | Tetrazolinone compound and applications thereof |
| WO2014104384A1 (en) | 2012-12-27 | 2014-07-03 | 住友化学株式会社 | Tetrazolinone compound and applications thereof |
| WO2014175465A1 (en) | 2013-04-26 | 2014-10-30 | 住友化学株式会社 | Tetrazolinone compound and use of same |
| WO2014192953A1 (en) | 2013-05-29 | 2014-12-04 | 住友化学株式会社 | Tetrazolinone compound and application of same |
| WO2015005499A1 (en) | 2013-07-12 | 2015-01-15 | 住友化学株式会社 | Tetrazolinone compound and use thereof |
| WO2015016373A1 (en) | 2013-07-31 | 2015-02-05 | 住友化学株式会社 | Tetrazolinone compound, and use therefor |
| WO2015016335A1 (en) | 2013-07-31 | 2015-02-05 | 住友化学株式会社 | Tetrazolinone compound and use thereof |
| WO2015016372A1 (en) | 2013-07-31 | 2015-02-05 | 住友化学株式会社 | Tetrazolinone compound, and use therefor |
| WO2015030217A1 (en) | 2013-08-29 | 2015-03-05 | 住友化学株式会社 | Tetrazolinone compound and use of same |
| WO2015041360A1 (en) | 2013-09-20 | 2015-03-26 | 住友化学株式会社 | Tetrazolinone compound and use thereof |
| WO2015046480A1 (en) | 2013-09-25 | 2015-04-02 | 住友化学株式会社 | Tetrazolinone compound and use thereof |
| WO2015050040A1 (en) | 2013-10-02 | 2015-04-09 | 住友化学株式会社 | Plant disease control composition and use thereof |
| WO2015050039A1 (en) | 2013-10-02 | 2015-04-09 | 住友化学株式会社 | Plant disease control composition and use thereof |
| WO2015056806A1 (en) | 2013-10-17 | 2015-04-23 | 住友化学株式会社 | Tetrazolinone compound and application for same |
| WO2015060461A1 (en) | 2013-10-25 | 2015-04-30 | 住友化学株式会社 | Tetrazolinone compound and use thereof |
| WO2015088038A1 (en) | 2013-12-12 | 2015-06-18 | 住友化学株式会社 | Aromatic compound and application for same |
| WO2015147314A1 (en) | 2014-03-28 | 2015-10-01 | 住友化学株式会社 | Aromatic compound and uses thereof |
| WO2015147336A1 (en) | 2014-03-28 | 2015-10-01 | 住友化学株式会社 | Aromatic compound and uses thereof |
| US20160249617A1 (en) | 2013-10-28 | 2016-09-01 | Sumitomo Chemical Company, Limited | Tetrazolinone compound and use thereof |
| US20160272622A1 (en) | 2013-10-17 | 2016-09-22 | Sumitomo Chemical Company, Limited | Tetrazolinone compound and use thereof |
-
2015
- 2015-03-25 CN CN201580016375.XA patent/CN106132952B/en active Active
- 2015-03-25 JP JP2016510587A patent/JP6631510B2/en active Active
- 2015-03-25 EP EP15769758.2A patent/EP3124484B1/en active Active
- 2015-03-25 BR BR112016021969-4A patent/BR112016021969B1/en active IP Right Grant
- 2015-03-25 WO PCT/JP2015/060305 patent/WO2015147332A1/en not_active Ceased
- 2015-03-25 US US15/128,619 patent/US9826741B2/en active Active
Patent Citations (65)
| Publication number | Priority date | Publication date | Assignee | Title |
|---|---|---|---|---|
| US5641727A (en) | 1994-07-12 | 1997-06-24 | Nihon Bayer Agrochem K.K. | Herbicidal 1-pyridyltetrazolinones |
| JPH0881459A (en) | 1994-07-12 | 1996-03-26 | Nippon Bayeragrochem Kk | 1-pyridyltetrazolinone derivative and herbicide |
| JPH0899975A (en) | 1994-08-05 | 1996-04-16 | Nippon Bayeragrochem Kk | 5-membered heterocyclic-substituted tetrazolinone derivative and herbicide |
| US5589439A (en) | 1994-08-05 | 1996-12-31 | Nihon Bayer Agrochem K.K. | Tetrazolinone derivatives |
| WO1996036229A1 (en) | 1995-05-17 | 1996-11-21 | E.I. Du Pont De Nemours And Company | Fungicidal cyclic amides |
| JPH0987281A (en) | 1995-07-18 | 1997-03-31 | Nissan Chem Ind Ltd | New tetrazolinones and herbicide |
| US5861359A (en) | 1995-07-25 | 1999-01-19 | Fmc Corporation | Herbicidal phenylmethoxphenyl heterocycles |
| JPH09100277A (en) | 1995-07-28 | 1997-04-15 | Nissan Chem Ind Ltd | New tetrazolinone derivative and herbicide |
| JPH09100272A (en) | 1995-08-02 | 1997-04-15 | Nippon Bayeragrochem Kk | Herbicidal thiocarbamoyltetrazolinone compound |
| JPH09110863A (en) | 1995-08-10 | 1997-04-28 | Nissan Chem Ind Ltd | New tetrazolinones |
| JPH09208565A (en) | 1996-02-07 | 1997-08-12 | Sumitomo Chem Co Ltd | Tetrazolinone derivative, its use and intermediate for producing the same |
| WO1998025912A1 (en) | 1996-12-13 | 1998-06-18 | E.I. Du Pont De Nemours And Company | Herbicidal heterocyclic amides |
| WO1998035961A1 (en) | 1997-02-18 | 1998-08-20 | E.I. Du Pont De Nemours And Company | Herbicidal tetrazolinones |
| JP2001512460A (en) | 1997-02-18 | 2001-08-21 | イー・アイ・デユポン・ドウ・ヌムール・アンド・カンパニー | Herbicidal tetrazolinones |
| WO1998051683A1 (en) | 1997-05-15 | 1998-11-19 | E.I. Du Pont De Nemours And Company | Herbicidal tetrazolinones |
| EP0902028A1 (en) | 1997-09-11 | 1999-03-17 | E.I. Du Pont De Nemours And Company | Tetrazoline herbicides |
| JPH11152278A (en) | 1997-09-11 | 1999-06-08 | E I Du Pont De Nemours & Co | Tetrazoline herbicide |
| WO1999046246A1 (en) | 1998-03-09 | 1999-09-16 | Basf Aktiengesellschaft | Hetaryl-substituted benzyl phenyl ethers, method for the production thereof, and their use for combating harmful fungi and animal pests |
| JP2002506060A (en) | 1998-03-09 | 2002-02-26 | ビーエーエスエフ アクチェンゲゼルシャフト | Heteroaryl-substituted benzyl phenyl ethers, process for their preparation and use for controlling pests and pests |
| US6583090B1 (en) | 1998-03-09 | 2003-06-24 | Basf Aktiengesellschaft | Hetaryl-substituted benzyl phenyl ethers, method for the production thereof, and their use for combating harmful fungi and animal pests |
| WO1999048890A1 (en) | 1998-03-26 | 1999-09-30 | E.I. Du Pont De Nemours And Company | Herbicidal tetrazolinones |
| US6294503B1 (en) | 1998-12-03 | 2001-09-25 | Ishihara Sangyo Kaisha, Ltd. | Fused heterocycle compounds, process for their preparation, and herbicidal compositions containing them |
| WO2013092224A1 (en) | 2011-12-21 | 2013-06-27 | Basf Se | Use of strobilurin type compounds for combating phytopathogenic fungi resistant to qo inhibitors |
| US20140323305A1 (en) | 2011-12-21 | 2014-10-30 | Basf Se | Use of Strobilurin Type Compounds for Combating Phytopathogenic Fungi Resistant to QO Inhibitors |
| US20150051171A1 (en) | 2012-04-27 | 2015-02-19 | Sumitomo Chemical Company, Limited | Tetrazolinone compounds and its use as pesticides |
| WO2013162072A1 (en) | 2012-04-27 | 2013-10-31 | Sumitomo Chemical Company, Limited | Tetrazolinone compounds and its use as pesticides |
| WO2013162077A1 (en) | 2012-04-27 | 2013-10-31 | Sumitomo Chemical Company, Limited | Tetrazolinone compounds and its use |
| US20150031733A1 (en) | 2012-04-27 | 2015-01-29 | Sumitomo Chemical Company, Limited | Tetrazolinone compounds and its use |
| US20150223460A1 (en) | 2012-09-28 | 2015-08-13 | Sumitomo Chemical Company, Limited | Tetrazolinone compounds and their use as pesticides |
| WO2014051165A1 (en) | 2012-09-28 | 2014-04-03 | Sumitomo Chemical Company, Limited | Tetrazolinone compounds and their use as pesticides |
| US20150203511A1 (en) | 2012-09-28 | 2015-07-23 | Sumitomo Chemical Company, Limited | Tetrazolinone compounds and their use as pesticides |
| WO2014051161A1 (en) | 2012-09-28 | 2014-04-03 | Sumitomo Chemical Company, Limited | Tetrazolinone compounds and their use as pesticides |
| CN102875540A (en) | 2012-10-30 | 2013-01-16 | 南开大学 | Weeding activity of 2-benzoxazinone-5-cyclohexylaminocarbonyltetrazolylone |
| US20150299146A1 (en) | 2012-11-29 | 2015-10-22 | Sumitomo Chemical Company, Limited | Tetrazolinone compound and applications thereof |
| WO2014084223A1 (en) | 2012-11-29 | 2014-06-05 | 住友化学株式会社 | Tetrazolinone compound and use thereof |
| WO2014104384A1 (en) | 2012-12-27 | 2014-07-03 | 住友化学株式会社 | Tetrazolinone compound and applications thereof |
| US20150336908A1 (en) | 2012-12-27 | 2015-11-26 | Sumitomo Chemical Company, Limited | Tetrazolinone compound and use thereof |
| WO2014104268A1 (en) | 2012-12-27 | 2014-07-03 | 住友化学株式会社 | Tetrazolinone compound and applications thereof |
| WO2014104382A1 (en) | 2012-12-27 | 2014-07-03 | 住友化学株式会社 | Tetrazolinone compound and applications thereof |
| WO2014175465A1 (en) | 2013-04-26 | 2014-10-30 | 住友化学株式会社 | Tetrazolinone compound and use of same |
| US20160081339A1 (en) | 2013-04-26 | 2016-03-24 | Sumitomo Chemical Company, Limited | Tetrazolinone compound and use of same |
| US20160081340A1 (en) | 2013-05-29 | 2016-03-24 | Sumitomo Chemical Company, Limited | Tetrazolinone compound and application of same |
| WO2014192953A1 (en) | 2013-05-29 | 2014-12-04 | 住友化学株式会社 | Tetrazolinone compound and application of same |
| US20160150787A1 (en) | 2013-07-12 | 2016-06-02 | Sumitomo Chemical Company, Limited | Tetrazolinone compounds and applications thereof |
| WO2015005499A1 (en) | 2013-07-12 | 2015-01-15 | 住友化学株式会社 | Tetrazolinone compound and use thereof |
| US20160157489A1 (en) | 2013-07-31 | 2016-06-09 | Sumitomo Chemical Company, Limited | Tetrazolinone compound and use therefor |
| WO2015016372A1 (en) | 2013-07-31 | 2015-02-05 | 住友化学株式会社 | Tetrazolinone compound, and use therefor |
| US20160174558A1 (en) | 2013-07-31 | 2016-06-23 | Sumitomo Chemical Company, Limited | Tetrazolinone compound and use thereof |
| US20160159755A1 (en) | 2013-07-31 | 2016-06-09 | Sumitomo Chemical Company, Limited | Tetrazolinone compound and use thereof |
| WO2015016335A1 (en) | 2013-07-31 | 2015-02-05 | 住友化学株式会社 | Tetrazolinone compound and use thereof |
| WO2015016373A1 (en) | 2013-07-31 | 2015-02-05 | 住友化学株式会社 | Tetrazolinone compound, and use therefor |
| US20160205935A1 (en) | 2013-08-29 | 2016-07-21 | Sumitomo Chemical Company, Limited | Tetrazolinone compound and use of same |
| WO2015030217A1 (en) | 2013-08-29 | 2015-03-05 | 住友化学株式会社 | Tetrazolinone compound and use of same |
| WO2015041360A1 (en) | 2013-09-20 | 2015-03-26 | 住友化学株式会社 | Tetrazolinone compound and use thereof |
| WO2015046480A1 (en) | 2013-09-25 | 2015-04-02 | 住友化学株式会社 | Tetrazolinone compound and use thereof |
| WO2015050039A1 (en) | 2013-10-02 | 2015-04-09 | 住友化学株式会社 | Plant disease control composition and use thereof |
| WO2015050040A1 (en) | 2013-10-02 | 2015-04-09 | 住友化学株式会社 | Plant disease control composition and use thereof |
| WO2015056806A1 (en) | 2013-10-17 | 2015-04-23 | 住友化学株式会社 | Tetrazolinone compound and application for same |
| US20160272622A1 (en) | 2013-10-17 | 2016-09-22 | Sumitomo Chemical Company, Limited | Tetrazolinone compound and use thereof |
| WO2015060461A1 (en) | 2013-10-25 | 2015-04-30 | 住友化学株式会社 | Tetrazolinone compound and use thereof |
| US20160249617A1 (en) | 2013-10-28 | 2016-09-01 | Sumitomo Chemical Company, Limited | Tetrazolinone compound and use thereof |
| WO2015088038A1 (en) | 2013-12-12 | 2015-06-18 | 住友化学株式会社 | Aromatic compound and application for same |
| US20160311775A1 (en) | 2013-12-12 | 2016-10-27 | Sumitomo Chemical Company, Limited | Aromatic compound and use thereof |
| WO2015147336A1 (en) | 2014-03-28 | 2015-10-01 | 住友化学株式会社 | Aromatic compound and uses thereof |
| WO2015147314A1 (en) | 2014-03-28 | 2015-10-01 | 住友化学株式会社 | Aromatic compound and uses thereof |
Non-Patent Citations (3)
| Title |
|---|
| English translation of the Written Opinion of the International Searching Authority (Form PCT/ISA/237) for International Application No. PCT/JP2014/078005, dated Nov. 25, 2014. |
| European Patent Office Communication and extended search report issued in the corresponding European Patent Application No. 15769758.2 dated Aug. 7, 2017. |
| International Search Report, issued in PCT/JP2015/060305, PCT/ISA/210, dated May 26, 2015. |
Cited By (1)
| Publication number | Priority date | Publication date | Assignee | Title |
|---|---|---|---|---|
| US10091998B2 (en) * | 2013-10-28 | 2018-10-09 | Sumitomo Chemical Company, Limited | Tetrazolinone compound and use thereof |
Also Published As
| Publication number | Publication date |
|---|---|
| EP3124484A1 (en) | 2017-02-01 |
| WO2015147332A1 (en) | 2015-10-01 |
| EP3124484A4 (en) | 2017-09-06 |
| BR112016021969B1 (en) | 2021-03-23 |
| JPWO2015147332A1 (en) | 2017-04-13 |
| US20170105415A1 (en) | 2017-04-20 |
| CN106132952B (en) | 2019-04-16 |
| EP3124484B1 (en) | 2020-08-19 |
| JP6631510B2 (en) | 2020-01-15 |
| CN106132952A (en) | 2016-11-16 |
Similar Documents
| Publication | Publication Date | Title |
|---|---|---|
| EP3029035B1 (en) | Tetrazolinone compound, and use thereof | |
| US9788547B2 (en) | Aromatic compound and uses thereof | |
| US9907307B2 (en) | Aromatic compound and uses thereof | |
| US9675072B2 (en) | Tetrazolinone compound and application of same | |
| US9573904B2 (en) | Aromatic compound and use thereof | |
| US10070646B2 (en) | Tetrazolinone compound and application thereof | |
| US9826741B2 (en) | Tetrazolinone compound and application thereof | |
| US9822095B2 (en) | Tetrazolinone compound and application thereof | |
| TW201837025A (en) | Novel dithiolane compound or a salt or an n-oxide and use thereof | |
| TW201831457A (en) | Novel fungicidal carbamate compounds |
Legal Events
| Date | Code | Title | Description |
|---|---|---|---|
| AS | Assignment |
Owner name: SUMITOMO CHEMICAL COMPANY, LIMITED, JAPAN Free format text: ASSIGNMENT OF ASSIGNORS INTEREST;ASSIGNOR:DOTA, KOICHIRO;REEL/FRAME:039854/0736 Effective date: 20160721 |
|
| STCF | Information on status: patent grant |
Free format text: PATENTED CASE |
|
| MAFP | Maintenance fee payment |
Free format text: PAYMENT OF MAINTENANCE FEE, 4TH YEAR, LARGE ENTITY (ORIGINAL EVENT CODE: M1551); ENTITY STATUS OF PATENT OWNER: LARGE ENTITY Year of fee payment: 4 |
|
| MAFP | Maintenance fee payment |
Free format text: PAYMENT OF MAINTENANCE FEE, 8TH YEAR, LARGE ENTITY (ORIGINAL EVENT CODE: M1552); ENTITY STATUS OF PATENT OWNER: LARGE ENTITY Year of fee payment: 8 |











































































































































































































