US9790326B2 - Method for preparing dioxyheterocycle-based electrochromic polymers - Google Patents
Method for preparing dioxyheterocycle-based electrochromic polymers Download PDFInfo
- Publication number
- US9790326B2 US9790326B2 US14/897,063 US201414897063A US9790326B2 US 9790326 B2 US9790326 B2 US 9790326B2 US 201414897063 A US201414897063 A US 201414897063A US 9790326 B2 US9790326 B2 US 9790326B2
- Authority
- US
- United States
- Prior art keywords
- alkyl
- aryl
- arylalkyl
- salt
- monomer
- Prior art date
- Legal status (The legal status is an assumption and is not a legal conclusion. Google has not performed a legal analysis and makes no representation as to the accuracy of the status listed.)
- Active
Links
- 0 *C1=C2OC(*)(*)C(*)(*)C(*)(*)OC2=C(*)C1.*OC1=C(*)CC(*)=C1O* Chemical compound *C1=C2OC(*)(*)C(*)(*)C(*)(*)OC2=C(*)C1.*OC1=C(*)CC(*)=C1O* 0.000 description 18
Images
Classifications
-
- C—CHEMISTRY; METALLURGY
- C08—ORGANIC MACROMOLECULAR COMPOUNDS; THEIR PREPARATION OR CHEMICAL WORKING-UP; COMPOSITIONS BASED THEREON
- C08G—MACROMOLECULAR COMPOUNDS OBTAINED OTHERWISE THAN BY REACTIONS ONLY INVOLVING UNSATURATED CARBON-TO-CARBON BONDS
- C08G75/00—Macromolecular compounds obtained by reactions forming a linkage containing sulfur with or without nitrogen, oxygen, or carbon in the main chain of the macromolecule
- C08G75/02—Polythioethers
- C08G75/06—Polythioethers from cyclic thioethers
-
- C—CHEMISTRY; METALLURGY
- C08—ORGANIC MACROMOLECULAR COMPOUNDS; THEIR PREPARATION OR CHEMICAL WORKING-UP; COMPOSITIONS BASED THEREON
- C08G—MACROMOLECULAR COMPOUNDS OBTAINED OTHERWISE THAN BY REACTIONS ONLY INVOLVING UNSATURATED CARBON-TO-CARBON BONDS
- C08G61/00—Macromolecular compounds obtained by reactions forming a carbon-to-carbon link in the main chain of the macromolecule
- C08G61/12—Macromolecular compounds containing atoms other than carbon in the main chain of the macromolecule
- C08G61/122—Macromolecular compounds containing atoms other than carbon in the main chain of the macromolecule derived from five- or six-membered heterocyclic compounds, other than imides
- C08G61/123—Macromolecular compounds containing atoms other than carbon in the main chain of the macromolecule derived from five- or six-membered heterocyclic compounds, other than imides derived from five-membered heterocyclic compounds
- C08G61/126—Macromolecular compounds containing atoms other than carbon in the main chain of the macromolecule derived from five- or six-membered heterocyclic compounds, other than imides derived from five-membered heterocyclic compounds with a five-membered ring containing one sulfur atom in the ring
-
- C—CHEMISTRY; METALLURGY
- C08—ORGANIC MACROMOLECULAR COMPOUNDS; THEIR PREPARATION OR CHEMICAL WORKING-UP; COMPOSITIONS BASED THEREON
- C08G—MACROMOLECULAR COMPOUNDS OBTAINED OTHERWISE THAN BY REACTIONS ONLY INVOLVING UNSATURATED CARBON-TO-CARBON BONDS
- C08G75/00—Macromolecular compounds obtained by reactions forming a linkage containing sulfur with or without nitrogen, oxygen, or carbon in the main chain of the macromolecule
-
- C—CHEMISTRY; METALLURGY
- C08—ORGANIC MACROMOLECULAR COMPOUNDS; THEIR PREPARATION OR CHEMICAL WORKING-UP; COMPOSITIONS BASED THEREON
- C08G—MACROMOLECULAR COMPOUNDS OBTAINED OTHERWISE THAN BY REACTIONS ONLY INVOLVING UNSATURATED CARBON-TO-CARBON BONDS
- C08G75/00—Macromolecular compounds obtained by reactions forming a linkage containing sulfur with or without nitrogen, oxygen, or carbon in the main chain of the macromolecule
- C08G75/32—Polythiazoles; Polythiadiazoles
-
- C—CHEMISTRY; METALLURGY
- C09—DYES; PAINTS; POLISHES; NATURAL RESINS; ADHESIVES; COMPOSITIONS NOT OTHERWISE PROVIDED FOR; APPLICATIONS OF MATERIALS NOT OTHERWISE PROVIDED FOR
- C09K—MATERIALS FOR MISCELLANEOUS APPLICATIONS, NOT PROVIDED FOR ELSEWHERE
- C09K11/00—Luminescent, e.g. electroluminescent, chemiluminescent materials
-
- C—CHEMISTRY; METALLURGY
- C09—DYES; PAINTS; POLISHES; NATURAL RESINS; ADHESIVES; COMPOSITIONS NOT OTHERWISE PROVIDED FOR; APPLICATIONS OF MATERIALS NOT OTHERWISE PROVIDED FOR
- C09K—MATERIALS FOR MISCELLANEOUS APPLICATIONS, NOT PROVIDED FOR ELSEWHERE
- C09K9/00—Tenebrescent materials, i.e. materials for which the range of wavelengths for energy absorption is changed as a result of excitation by some form of energy
- C09K9/02—Organic tenebrescent materials
-
- H—ELECTRICITY
- H01—ELECTRIC ELEMENTS
- H01B—CABLES; CONDUCTORS; INSULATORS; SELECTION OF MATERIALS FOR THEIR CONDUCTIVE, INSULATING OR DIELECTRIC PROPERTIES
- H01B1/00—Conductors or conductive bodies characterised by the conductive materials; Selection of materials as conductors
-
- H—ELECTRICITY
- H01—ELECTRIC ELEMENTS
- H01B—CABLES; CONDUCTORS; INSULATORS; SELECTION OF MATERIALS FOR THEIR CONDUCTIVE, INSULATING OR DIELECTRIC PROPERTIES
- H01B1/00—Conductors or conductive bodies characterised by the conductive materials; Selection of materials as conductors
- H01B1/06—Conductors or conductive bodies characterised by the conductive materials; Selection of materials as conductors mainly consisting of other non-metallic substances
- H01B1/12—Conductors or conductive bodies characterised by the conductive materials; Selection of materials as conductors mainly consisting of other non-metallic substances organic substances
- H01B1/124—Intrinsically conductive polymers
- H01B1/127—Intrinsically conductive polymers comprising five-membered aromatic rings in the main chain, e.g. polypyrroles, polythiophenes
-
- C—CHEMISTRY; METALLURGY
- C08—ORGANIC MACROMOLECULAR COMPOUNDS; THEIR PREPARATION OR CHEMICAL WORKING-UP; COMPOSITIONS BASED THEREON
- C08G—MACROMOLECULAR COMPOUNDS OBTAINED OTHERWISE THAN BY REACTIONS ONLY INVOLVING UNSATURATED CARBON-TO-CARBON BONDS
- C08G2261/00—Macromolecular compounds obtained by reactions forming a carbon-to-carbon link in the main chain of the macromolecule
- C08G2261/10—Definition of the polymer structure
- C08G2261/14—Side-groups
- C08G2261/141—Side-chains having aliphatic units
- C08G2261/1412—Saturated aliphatic units
-
- C—CHEMISTRY; METALLURGY
- C08—ORGANIC MACROMOLECULAR COMPOUNDS; THEIR PREPARATION OR CHEMICAL WORKING-UP; COMPOSITIONS BASED THEREON
- C08G—MACROMOLECULAR COMPOUNDS OBTAINED OTHERWISE THAN BY REACTIONS ONLY INVOLVING UNSATURATED CARBON-TO-CARBON BONDS
- C08G2261/00—Macromolecular compounds obtained by reactions forming a carbon-to-carbon link in the main chain of the macromolecule
- C08G2261/10—Definition of the polymer structure
- C08G2261/14—Side-groups
- C08G2261/142—Side-chains containing oxygen
- C08G2261/1424—Side-chains containing oxygen containing ether groups, including alkoxy
-
- C—CHEMISTRY; METALLURGY
- C08—ORGANIC MACROMOLECULAR COMPOUNDS; THEIR PREPARATION OR CHEMICAL WORKING-UP; COMPOSITIONS BASED THEREON
- C08G—MACROMOLECULAR COMPOUNDS OBTAINED OTHERWISE THAN BY REACTIONS ONLY INVOLVING UNSATURATED CARBON-TO-CARBON BONDS
- C08G2261/00—Macromolecular compounds obtained by reactions forming a carbon-to-carbon link in the main chain of the macromolecule
- C08G2261/30—Monomer units or repeat units incorporating structural elements in the main chain
- C08G2261/32—Monomer units or repeat units incorporating structural elements in the main chain incorporating heteroaromatic structural elements in the main chain
- C08G2261/322—Monomer units or repeat units incorporating structural elements in the main chain incorporating heteroaromatic structural elements in the main chain non-condensed
- C08G2261/3223—Monomer units or repeat units incorporating structural elements in the main chain incorporating heteroaromatic structural elements in the main chain non-condensed containing one or more sulfur atoms as the only heteroatom, e.g. thiophene
-
- C—CHEMISTRY; METALLURGY
- C08—ORGANIC MACROMOLECULAR COMPOUNDS; THEIR PREPARATION OR CHEMICAL WORKING-UP; COMPOSITIONS BASED THEREON
- C08G—MACROMOLECULAR COMPOUNDS OBTAINED OTHERWISE THAN BY REACTIONS ONLY INVOLVING UNSATURATED CARBON-TO-CARBON BONDS
- C08G2261/00—Macromolecular compounds obtained by reactions forming a carbon-to-carbon link in the main chain of the macromolecule
- C08G2261/30—Monomer units or repeat units incorporating structural elements in the main chain
- C08G2261/32—Monomer units or repeat units incorporating structural elements in the main chain incorporating heteroaromatic structural elements in the main chain
- C08G2261/324—Monomer units or repeat units incorporating structural elements in the main chain incorporating heteroaromatic structural elements in the main chain condensed
- C08G2261/3243—Monomer units or repeat units incorporating structural elements in the main chain incorporating heteroaromatic structural elements in the main chain condensed containing one or more sulfur atoms as the only heteroatom, e.g. benzothiophene
-
- C—CHEMISTRY; METALLURGY
- C08—ORGANIC MACROMOLECULAR COMPOUNDS; THEIR PREPARATION OR CHEMICAL WORKING-UP; COMPOSITIONS BASED THEREON
- C08G—MACROMOLECULAR COMPOUNDS OBTAINED OTHERWISE THAN BY REACTIONS ONLY INVOLVING UNSATURATED CARBON-TO-CARBON BONDS
- C08G2261/00—Macromolecular compounds obtained by reactions forming a carbon-to-carbon link in the main chain of the macromolecule
- C08G2261/40—Polymerisation processes
- C08G2261/41—Organometallic coupling reactions
-
- C—CHEMISTRY; METALLURGY
- C08—ORGANIC MACROMOLECULAR COMPOUNDS; THEIR PREPARATION OR CHEMICAL WORKING-UP; COMPOSITIONS BASED THEREON
- C08G—MACROMOLECULAR COMPOUNDS OBTAINED OTHERWISE THAN BY REACTIONS ONLY INVOLVING UNSATURATED CARBON-TO-CARBON BONDS
- C08G2261/00—Macromolecular compounds obtained by reactions forming a carbon-to-carbon link in the main chain of the macromolecule
- C08G2261/50—Physical properties
- C08G2261/54—Physical properties electrochromatic
-
- C—CHEMISTRY; METALLURGY
- C09—DYES; PAINTS; POLISHES; NATURAL RESINS; ADHESIVES; COMPOSITIONS NOT OTHERWISE PROVIDED FOR; APPLICATIONS OF MATERIALS NOT OTHERWISE PROVIDED FOR
- C09K—MATERIALS FOR MISCELLANEOUS APPLICATIONS, NOT PROVIDED FOR ELSEWHERE
- C09K2211/00—Chemical nature of organic luminescent or tenebrescent compounds
- C09K2211/14—Macromolecular compounds
- C09K2211/1441—Heterocyclic
- C09K2211/1491—Heterocyclic containing other combinations of heteroatoms
-
- Y—GENERAL TAGGING OF NEW TECHNOLOGICAL DEVELOPMENTS; GENERAL TAGGING OF CROSS-SECTIONAL TECHNOLOGIES SPANNING OVER SEVERAL SECTIONS OF THE IPC; TECHNICAL SUBJECTS COVERED BY FORMER USPC CROSS-REFERENCE ART COLLECTIONS [XRACs] AND DIGESTS
- Y02—TECHNOLOGIES OR APPLICATIONS FOR MITIGATION OR ADAPTATION AGAINST CLIMATE CHANGE
- Y02E—REDUCTION OF GREENHOUSE GAS [GHG] EMISSIONS, RELATED TO ENERGY GENERATION, TRANSMISSION OR DISTRIBUTION
- Y02E10/00—Energy generation through renewable energy sources
- Y02E10/50—Photovoltaic [PV] energy
- Y02E10/549—Organic PV cells
Definitions
- Dehydrogenative cross-coupling is an attractive method to carry out the synthesis of thiophene-based conjugated polymers.
- This direct heteroarylation polymerization leads to more easily prepared conjugated polymers than those from standard Suzuki and Stille polymerizations.
- the absence of phosphine in the reaction mixture avoids any phosphine incorporation into the polymer backbone, which complicates polymer purification.
- the residual contaminants left in conjugated polymers are associated with poor performances of electronic devices therefrom. Impurities from catalysts, such as those comprising Sn, Pd, and Br, can act as charge trapping sites that hamper efficient charge transport processes. Therefore, minimization or avoidance of such impurities is critical for many applications of these polymers.
- the preparation of electrochromic polymers including donor-acceptor DA copolymers by the DHAP method is attractive.
- Embodiments of the invention are directed to the preparation of conjugated polymer by the transition metal catalyzed direct arylation of halides or pseudo-halides.
- the conjugated polymers are formed from the condensation of a first monomer that can be at least one of a 3,4-dioxythiophene, 3,4-dioxyselenophene, 3,4-dioxytellurophene, 3,4-dioxyfuran, or 3,4-dioxypyrrole and, optionally, one or more second conjugated monomers.
- the polymerization is carried out temperatures in excess of 120° C., for example, 150° C. and can be carried out without ligands or additives that are often employed in direct arylation reactions.
- the resulting conjugated polymers display relatively narrow molecular weight dispersities with molecular weights that are equivalent to or higher than the same polymers prepared by other methods, generally having significantly fewer amounts of impurities in the polymers than those by other methods.
- the monomers employed can be those that provide a single repeating unit to the resulting polymer or can be oligomeric in nature and provide a sequence of repeating units to the resulting polymer.
- FIG. 1 shows a reaction scheme for the preparation of ECP-Magenta with FIG. 1A showing a pair of complementary monomers and FIG. 1B showing a self-complementary monomer, according to an embodiment of the invention.
- FIG. 2 shows a plot of polymer molecular weight (M n ) growth ⁇ and dispersity ( M ) growth ⁇ vs. polymerization time for ECP-Magenta, according to an embodiment of the invention.
- FIG. 3 shows gel permeation chromatography (GPC) traces vs. polymerization time for ECP-Magenta, according to an embodiment of the invention.
- FIG. 4 shows a plot of monomer concentrations vs. time for polymerization of complementary monomers to ECP-Magenta, as shown in FIG. 1 a ), according to an embodiment of the invention.
- FIG. 5 shows a bar graph for selected impurities after purification by the DHAP method, according to an embodiment of the invention, and comparative OxP, and GRIM methods.
- FIG. 6 shows a bar graph for selected impurities after purification by the DHAP method using various solvents, according to an embodiment of the invention.
- FIG. 7A shows absorption and FIG. 7B shows emission spectra for ECP-Magenta prepared by comparative OxP and GRIM methods and the DHAP method before and after purification, according to an embodiment of the invention.
- FIG. 8 shows plots of optical densities vs. fluorescence intensities for ECP-Magenta prepared, according to an embodiment of the invention, before (BP) and after (AP) purification at probe wavelengths: 605-610 (P1), 660-666 (P2), and 725-734 (P3) nm.
- FIG. 9 shows a reaction scheme for the preparation of ECP-Yellow from a pair of complementary monomers, according to an embodiment of the invention.
- FIG. 10 shows a reaction scheme for the preparation of ECP-Blue from a pair of complementary monomers, according to an embodiment of the invention.
- FIG. 11 shows a reaction scheme for the preparation of ECP-Cyan from a pair of complementary monomers, according to an embodiment of the invention.
- FIG. 12 shows a reaction scheme for the preparation of ECP-Black from a pair of complementary dioxythiophene monomers and 4,7-dibromo-2,1,3-benzothiadiazole 5, according to an embodiment of the invention.
- Embodiments of the invention are directed to an improved method of preparing electrochromic homopolymers and copolymers.
- the method decreases the number of steps required for the synthesis of 3,4-dioxythiophene-based electrochromic polymers or other dioxyheterocyclic based conjugated polymers, and reduces the amount of many impurities that potentially affect the performance of the polymers.
- the method involves a direct (hetero)arylation polymerization (DHAP) between an aromatic monomer in a hydrogen form and a halogen substituted aromatic monomer, where at least one of the aromatic monomers is a dioxyheterocyclic aromatic monomer, for example, a 3,4-propylenedioxythiophene comprising monomer.
- DHAP direct (hetero)arylation polymerization
- the method involves the use of a transition metal catalyst, such as Pd or Ni catalyst, for example, palladium acetate, and an acid scavenger, for example potassium carbonate, in an aprotic solvent, for example, the polar aprotic solvent dimethylacetamide (DMAc).
- a transition metal catalyst such as Pd or Ni catalyst, for example, palladium acetate
- an acid scavenger for example potassium carbonate
- an aprotic solvent for example, the polar aprotic solvent dimethylacetamide (DMAc).
- the polymerization mixture is free of added ligand, for example, is free of a phosphine ligand.
- the polymerization is carried out at a temperature in excess of 120° C., for example, 140° C.
- the method affords resulting polymers that display a narrower molecular weight distribution than does the equivalent polymer prepared at lower temperatures and distributions that are equivalent or lower than the equivalent polymer prepared by alternative synthetic routes, such as Grignard metathesis (GRIM), Stille coupling, Suzuki coupling, or oxidative polymerization (OxP). Therefore, a quality polymer can be prepared with few impurities, particularly metallic impurities, without extensive, costly, and time-consuming purification steps.
- GRIM Grignard metathesis
- Stille coupling Stille coupling
- Suzuki coupling Suzuki coupling
- OxP oxidative polymerization
- the catalyst is used at a level that is less than 5 mole percent of the monomer concentration, for example, less than 4 mole percent, less than 3 mole percent, less than 2 mole percent, or less than 1 mole percent.
- the catalyst must be present in at least 0.0001 mole percent.
- the Pd catalyst can be provided in the form of palladium diacetate, palladium di-trifluoroacetate, bis(dibenzylideneacetone)palladium(0), or other source of Pd known as a catalyst or precatalyst for a cross-coupling reaction such as a Negishi, Suzuki, Stille, Heck, Sonogashira, or Buchwald-Hartwig reaction, in addition to direct aromatic coupling reactions.
- Ni catalyst can be provided in the form of nickel acetate, bis(dibenzylideneacetone)nickel(0), nickel acetylacetonate, or other source of Ni known as a catalyst or precatalyst for a cross-coupling reaction such as Kumada or Grignard metathesis reaction, in addition to direct aromatic coupling reactions.
- the transition metal source is free of a phosphine ligand.
- the reaction is performed in the presence of pivalic acid or other aliphatic carboxylic acid.
- the reaction is carried out in an aprotic solvent, generally, but not necessarily a polar solvent, for example, a solvent with a dielectric constant in excess of 25.
- the solvent has a boiling point in excess of the polymerization temperature, for example, above 150° C., at the pressure that the polymerization is carried out.
- the solvent can have a boiling point in excess of 150° C. for a reaction carried out at one atmosphere of pressure, such that the reaction can be carried out without a significant build in pressure up to 150° C.
- Solvents that can be employed include, but are not limited to dimethylformamide (DMF), DMAc, N-methylpyrolidone (NMP), hexamethylphosporamide (HMPA), dimethylsulfoxide (DMSO), and propylene carbonate.
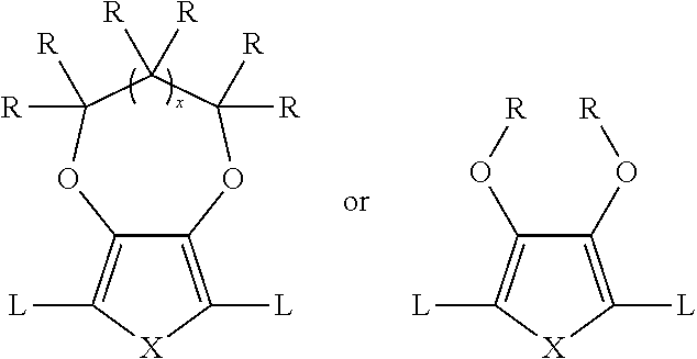
- the monomer mixture comprises at least one first monomer that is a 3,4-dioxythiophene, 3,4-dioxyselenophene, 3,4-dioxytellurophene, 3,4-dioxyfuran, or 3,4-dioxypyrrole of the structure:
- L is independently H, Cl, Br, I, OTs, OTf, CN, OCN, SCN, or any other pseudohalide
- X is S, Se, Te, O, or NR
- R is independently H, alkyl, aryl, substituted alkyl, or substituted aryl, oligoether, aminoalkyl, hydroxyalkyl, alkoxyalkyl, acyloxyalkyl, HOS(O) 2 alkyl, HOC(O)alkyl, (HO) 2 P(O)alkyl, aminoaryl, hydroxyaryl, alkoxyaryl, acyloxyaryl, HOS(O) 2 aryl, HOC(O)aryl or (HO) 2 P(O)aryl, —(CH 2 ) m —YC(O)R 2 , —(CH 2 ) m —C(O)YR 2 , —(CH 2 ) m —O—(CH 2 )
- Alkyl is a straight or branched chain of, for example, 1-24 carbon atoms and is, for example, methyl, ethyl, n-propyl, n-butyl, sec butyl, tert-butyl, n-hexyl, n-octyl, 2-ethylhexyl, n-nonyl, n-decyl, n-undecyl, n-dodecyl, n-tridecyl, n-tetradecyl, n-hexadecyl, n-octadecyl or dodecanyl and the like.
- Alkylene is a chain of, for example, 1-12 carbon atoms and is, for example, methylene, ethylene, propylene, butylene, pentalene, hexylene, octylene, 2-ethylhexyl, n-nonyl, n-decylene or dodecylene and the like; for example, methylene, ethylene, propylene or butylene.
- the alkyl or alkylene may be interrupted, one or more times, by one or more oxygen atoms, sulfur atoms, —SO—, —SO 2 —, carbonyl, —COO—, —CONH—, —NH—, —CON(C 1-8 alkyl)- or —N(C 1-8 alkyl)- and the like.
- the alkyl group may be interrupted, one or more times, by one or more oxygen atoms, sulfur atoms, carbonyl, —COO—, —NH— or —N(C 1-8 alkyl)-.
- the uninterrupted or interrupted alkyl or alkylene may also be substituted, one or more times, by one or more C 3-6 cycloalkyl groups, halogen, —OR, —COOR, —COOM, —SO 3 M, —SO 3 H, phosphonic acid, halogen, —CONR 8 2 , —NR 8 2 , phosphonate salt, ammonium salt or group of the formulae —Z—Ar or —C(O)—Z—Ar wherein M is a nitrogen cation or metal cation, R 8 is independently hydrogen; a group —Z—Ar, —C(O)—Z—Ar, or —C(O)—O—Z—Ar; C 1-24 alkyl, C 3-24 alkenyl, C 3-6 cycloalkyl or C 1-24 alkylcarbonyl which is uninterrupted or interrupted, one or more times, by one or more oxygen atoms, sulfur atoms, carbonyl, —COO—,
- alkylene or interrupted alkylene may also be substituted by a group —Z—Ar, —C(O)—Z—Ar, or —C(O)—O—Z—Ar; C 1-24 alkyl, C 3-6 cycloalkyl or C 1-24 alkylcarbonyl that is uninterrupted or interrupted, one or more times, by one or more oxygen atoms, sulfur atoms, carbonyl, —COO—, —CONH—, —NH—, —CON(C 1-8 alkyl)- or —N(C 1-8 alkyl)- that is uninterrupted or interrupted alkyl, cycloalkyl or alkylcarbonyl and is unsubstituted or substituted, one or more times, by one or more halogen, —OH, C 7-12 aralkyl, C 2-12 alkylcarbonyl, C 1-24 alkoxy, C 2-24 alkylcarboxy, —COOM, —CONH 2 , —CON(H)
- the 3,4-dioxythiophene, 3,4-dioxyselenophene, 3,4-dioxytellurophene, 3,4-dioxyfuran, or 3,4-dioxypyrrole first monomer is co-polymerized with one or more second monomers.
- the second monomer can be, for example but not limited to, ethene, carbazole, fluorene, benzothiadiazole, thiadiazoloquinoxaline, quinoline, quinoxaline, thienothiadiazole, thienopyrazine, pyrazinoquinoxaline, benzobisthiadiazole, thiadiazolothienopyrazine, thiophene, pyrrole, furan, selenophene, telurophene, thieno[3,2-b]thiophene, dithieno[3,2-b:2′,3′-d]thiophene, benzo[c][1,2,5]thiadiazole, benzo[c][1,2,5]-oxadiazole, benzo[d][1,2,3]triazole, pyrido[3,4-b]pyrazine, cyanovinylene, thiazolo[5,4-d]thiazole, 1,
- L is independently H, Cl, Br, I, OTs, OTf, CN, OCN, SCN, or other pseudohalide
- Z is NR′, PR′, S, O, Se, or Te
- R′ is independently H, C 1 -C 30 alkyl, C 2 -C 30 alkenyl, C 2 -C 30 alkynyl, C 6 -C 14 aryl, C 7 -C 30 arylalkyl, C 8 -C 30 arylalkenyl, C 8 -C 30 arylalkynyl, C 1 -C 30 hydroxyalkyl, C 6 -C 14 hydroxyaryl, C 7 -C 30 hydroxyarylalkyl, C 3 -C 30 hydroxyalkenyl, C
- a desired stoichiometric excess of hydrogen or non-hydrogen L substituents are included in the polymerization mixture to define the maximum degree of polymerization that can be achieved or to promote specific L substituents on as many of the polymer chain ends as possible.
- a polymer has at least four repeating units, at least six repeating units, at least 10 repeating units, at least 15 repeating units, at least 20 repeating units, or at least 25 repeating units.
- the first monomer in a homopolymerization, can be a single first monomer that has one hydrogen and one non-hydrogen L substituent.
- the first monomer in a homopolymerization, can be a pair of monomers, one where both L groups are hydrogen and one where both L groups are non-hydrogen.
- two different first monomers in a random copolymerization can have one hydrogen and one non-hydrogen L substituent.
- a first monomer in an alternating copolymerization a first monomer can have two hydrogen L substituents and an additional first monomer can have two non-hydrogen L substituents.
- a portion of a first monomer can have two hydrogen L substituents and a portion of the first monomer can have two non-hydrogen L substituents, and an additional first monomer can have two hydrogen L substituents such that isolated monades of the additional first monomer are dispersed between random length sequences of the first monomer.
- a copolymerization of at least one first monomer and at least one second monomer can be carried out.
- a regular copolymer with alternating first and second monomers can be carried out where, for example, the first monomer has hydrogen L substituents and the second monomer has non-hydrogen L substituents.
- the first monomer and second monomer each have one hydrogen and one non-hydrogen L substituents; or a mixture of first monomers, one with two hydrogen L substituents and another with two non-hydrogen L substituents, is copolymerized with a mixture of second monomers, one with two hydrogen L substituents and another with two non-hydrogen L substituents.
- a portion of a first monomer can have two hydrogen L substituents and a portion of the first monomer can have two non-hydrogen L substituents, and second monomer can have two hydrogen or two non-hydrogen L substituents such that isolated monades of the second monomer are dispersed between random length sequences of the first monomer.
- a copolymerization may be carried out with a plurality of additions of monomers or by the combination of a plurality of polymerization mixtures to bias the repeating unit sequences of the first monomers and/or second monomers in the resulting copolymers.
- a polymerization mixture of a first monomer with a stoichiometric excess of hydrogen L substituents to yield oligomers with only hydrogen L substituents can be combined with a polymerization mixture of a second monomer with a stoichiometric excess of non-hydrogen L substituents to yield oligomers with only non-hydrogen L substituents.
- sequence length of first monomers and sequence length of second monomers can be different from that of a copolymer with the same proportion of first and second monomers made by a single polymerization of the total mixture of first and second monomers in a single charge of monomers.
- the temperature of the polymerization is in excess of 120° C.
- the temperature can be maintained at or above, for example, 120° C., 125° C., 130° C., 135° C., 140° C., 145° C., or 150° C.
- these higher temperature promote a more rapid polymerization, but, surprisingly, the molecular weight distribution (dispersity) was observed to be narrower than that of lower temperatures with the achievement of higher degrees of polymerization.
- the polymer ECP-Magenta achieved a dispersity of 1.64 with an isolated yield of 87%, whereas the normal Flory-Schultz distribution for that dispersity is 1.96, and a structurally similar poly(3,3-Bis(hexyloxymethyl)-3,4-dihydro-2H-thieno[3,4-b][1,4]-dioxepine prepared at 100° C. achieved a DP of 25 with a M of 1.80, as reported in Zhao et al., Macromolecules 2012, 45, 7783-90.
- no additive for example a phosphine ligand or a phase transfer reagent is included in the polymerization mixture.
- a ligand or phase transfer reagent particularly phosphine comprising ligands, has been shown to produce low M with moderate DP at temperatures of 100° C. for 3,4-dioxythiophenes with solubilizing substituents; however, this occurs with the increase in impurities in the final polymer.
- Homopolymerizations of ECP-Magenta were employed for exemplary polymerizations by the cross-condensation of 3,3-bis((2-ethylhexyloxy)methyl)-3,4-dihydro-2H-thieno[3,4-b][1,4]dioxepine (1) and 6,8-dibromo-3,3-bis((2-ethylhexyloxy)methyl)-3,4-dihydro-2H-thieno[3,4-b][1,4]dioxepine (2) or the self-condensation of 6-bromo-3,3-bis((2-ethylhexyloxy)methyl)-3,4-dihydro-2H-thieno[3,4-b][1,4]dioxepine (3), according to an embodiment of the invention, to compare with oxidative polymerization (OxP) and Grignard metathesis (GRIM), polymerization
- OFP oxidative poly
- OxP yields ECP-Magenta with the number average molecular weight (M n ) of 30 kDa, where large amounts of FeCl 3 ( ⁇ 4 equivalents) are necessary to achieve high M n .
- the purification of the OxP produced ECP-Magenta was complicated by the large amount of residual Fe/Fe(II)/Fe(III) in the composition.
- the synthesis and purification of ECP-Magenta by DHAP is easily completed in less than one day. Temperature has a significant influence on the product in addition to the rate of polymerization. Polymerization is slow at 80-100° C., and is rapid at 140° C., according to an embodiment of the invention.
- ECP-Magentas prepared by DHAP, OxP, and GRIM were carried out by dissolving the precipitated polymers in chlorobenzene at 50° C., treating with a Pd-scavenger, diethylammonium diethyldithiocarbamate, and 18-crown-6 to remove residual potassium salts, followed by precipitating in MeOH, filtering, washings with MeOH and hexanes, and drying under vacuum overnight.
- the rigorous purification provides little differences in M n values or 1 H NMR spectra from the polymers prior to precipitation; however, the ability to achieve a polymer with few metal ion impurities was superior for DHAP under this precipitation procedure, as indicated if FIG.
- FIG. 7 shows UV-Vis absorption and emission spectra of toluene solutions of ECP-Magentas synthesized by different methods. Absorption spectra are nearly identical, except for the low energy maximum localized at 595. However, the solution fluorescence differs more noticeably; the OxP and DHAP polymer before purification presented the reddest shifted spectra relative to the GRIM and DHAP after purification polymers. The lower fluorescence yield of the DHAP sample before purification appears to indicate non-radiative decay paths due to residual Pd content, as shown in FIG. 8 .
- Table 3 gives the results of DHAP polymerizations, according to embodiments of the invention, where various electrochromic polymers that are alternating copolymers or quasi-random copolymers, with isolated non-dioxyhetereocycle repeating units, were performed using a common dioxythiophene donor in NMP, as indicated in FIGS. 9 through 12 . All DHAP polymerizations afforded high molecular weight in good yields, where only ECP-Blue did not meet or exceed DPs achieved by other polymerization methods. Although EPC-Cyan was not characterized by GPC due to its insolubility in THF, its insolubility in DHAP suggests a higher M n than that prepared by OxP, which does permit GPC characterization in THF.
- the DHAP method is a cost effective method for the synthesis of the full color palette of ECPs.
- the resulting polymers are often of narrow dispersity and can be of relatively high Degree of Polymerization (DP) where the DP is at least 10 and typically in excess of 15.
- GPC Gel permeation chromatography
- Elemental analyses were performed on a ThermoFinnigan Element2 HR-ICP-MS in medium resolution mode. Quantification of results was performed with external calibration using a combination of commercially available standards gravimetrically diluted to appropriate concentrations. All concentrations are reported in ppm in the polymer.
- Electrochemistry was carried out in 0.1 M TBAPF 6 /propylene carbonate solutions, using a standard 3-electrode system: the reference electrode was Ag
- Fc+ (V Fc/Fc+ 81 mV), the counter electrode was a Pt-wire, and the working electrode was an ITO-coated glass slide (7 ⁇ 50 ⁇ 0.7 mm3, 20 ⁇ /sq) from Delta Technologies Ltd. Propylene carbonate was dried using a Vacuum Atmospheres SPS.
- N-bromosuccinimide (5.4 g, 30.2 mmol) was added in small portions. The bath was removed, and the mixture was kept for 8 hours at room temperature. Water (25 mL) was added and the heterogeneous mixture was transferred to a separation funnel. After shaking, the layers separated and the aqueous layer was further extracted with DCM (3 ⁇ 50 mL). The organic mixtures were combined, dried over MgSO4, filtered, and evaporated to dryness. The residual light yellow oil was purified via column chromatography in hexanes. (2): Light yellow oil. 6.4 g, 39% yield.
- the yellow mixture was warmed in an ice/water bath and slowly transferred to a suspension of Fe(acac) 3 in THF at room temperature via a cannula. The mixture was heated to gentle reflux and stirred overnight. The resulting suspension was filtered through silica gel and eluted with hexanes until no product was observed in the filtrate by TLC. The resulting organic solution was evaporated to dryness and purified via flash chromatography using hexanes as eluent. Colorless oil was obtained (1.35 g, 68% yield).
- ECP-Magenta (A), as schematically illustrated in FIG. 1 a ): To an oven dried Schlenk tube fitted with a magnetic stir bar Pd(OAc) 2 (2.25 mg, 2 mol %), K 2 CO 3 (173 mg, 1.3 mmol), and Pivalic Acid (0.01 g, 0.15 mmol) were added sequentially. The reaction flask was evacuated for a total of ten minutes, and purged with anhydrous argon. The evacuation/gas filling sequence was repeated three times.
- the resulting solution was transferred to a Schlenk tube via a syringe.
- the vial was washed twice with 2 mL of Ar-saturated solvent, with each washing being transferred to the reaction flask.
- the combined reagents were put into a 140° C. oil bath and allowed to stir for three hours.
- the mixture was poured into 50 mL of a 1:1 MeOH/1M HCl aqueous solution with vigorous stirring.
- the resulting precipitate was filtered, washed with water (5 ⁇ 10 mL), then MeOH (3 ⁇ 10 mL), and dried for 15 minutes by an air stream through the filter cake.
- the resulting solid was suspended in 50 mL of chlorobenzene and heated to 60° C.
- diethyl dithiocarbamic acid diethylammonium salt (Pd-scavenger, 2.0 mg, ⁇ 4 eq of Pd content) and 18-crown-6 (1.3 g, 5 mmol) were added. The solution was stirred for four hours. The reaction mixture was cooled to room temperature and precipitated into MeOH. The precipitate was filtered by gravity filtration, washed with MeOH (5 ⁇ 10 mL), and hexanes (3 ⁇ 5 mL) and dried under vacuum overnight. A total of 388 mg of dark maroon powder was obtained (88% yield).
- ECP-Magenta (B), as schematically illustrated in FIG. 1 b ): This material was prepared following the procedure described for ECP-Magenta with the following modifications: all solid materials were loaded into, the over dried Schlenk. In a separate vial, 6-bromo-3,3-bis((2-ethylhexyloxy)methyl)-3,4-dihydro-2H-thieno[3,4-b][1,4]dioxepine (3, 299 mg, 0.5 mmol) was weighed. The sequences of evacuation/purging, plus reactant mixing was carried out as the general procedure for ECP-Magenta. Once all reactants were mixed altogether, the tube was inserted into the oil bath preheated at 140° C.
- ECP-Yellow as schematically illustrated in FIG. 9 : This material was prepared following the procedure described for ECP-Magenta using NMP with the following modifications: all solid materials were loaded into the oven dried Schlenk tube including 1,4-dibromobenzene (4, 118 mg, 0.5 mmol). In a separate vial, 3,3-bis((2-ethylhexyloxy)methyl)-3,4-dihydro-2Hthieno[3,4-b][1,4]dioxepine (1, 220 mg, 0.5 mmol) was weighed. The sequences of evacuation/purging, plus reactant mixing is as the general procedure for ECP-Magenta.
- ECP-Blue as schematically illustrated in FIG. 10 : This material was prepared following exactly the procedure described for ECP-Magenta using NMP with the following modifications: all solid materials were loaded into the oven dried Schlenk tube including 4,7-dibromo-2,1,3-benzothiadiazole (5, 147 mg, 0.5 mmol). In a separate vial, 3,3-bis((2-ethylhexyloxy)methyl)-3,4-dihydro-2H-thieno[3,4-b][1,4]dioxepine (1, 220 mg, 0.5 mmol) was weighed. The sequences of evacuation/purging, plus reactant mixing is as the general procedure.
- ECP-Cyan as schematically illustrated in FIG. 11 : This material was prepared following exactly the procedure described for ECP-Magenta using NMP with the following modifications: all solid materials were loaded into the oven dried Schlenk tube including 4,7-dibromo-2,1,3-benzothiadiazole (5, 147 mg, 0.5 mmol). In a separate vial, 3,3,3′,3′-tetrakis(2-ethylhexyloxymethyl)-3,3′,4,4′-tetrahydro-2H,2′H-6,6′-bithieno[3,4-b][1,4]dioxepine (6, 440 mg, 0.5 mmol) was weighed.
- ECP-Black as schematically illustrated in FIG. 12 : This material was prepared following the procedure described for ECP-Magenta using NMP with the following modifications: all solid materials were loaded into the oven dried Schlenk tube including 4,7-dibromo-2,1,3-benzothiadiazole (5, 74 mg, 0.25 mmol).
Landscapes
- Chemical & Material Sciences (AREA)
- Organic Chemistry (AREA)
- Health & Medical Sciences (AREA)
- Chemical Kinetics & Catalysis (AREA)
- Medicinal Chemistry (AREA)
- Polymers & Plastics (AREA)
- Engineering & Computer Science (AREA)
- Materials Engineering (AREA)
- Physics & Mathematics (AREA)
- Spectroscopy & Molecular Physics (AREA)
- Polyoxymethylene Polymers And Polymers With Carbon-To-Carbon Bonds (AREA)
- Heterocyclic Carbon Compounds Containing A Hetero Ring Having Oxygen Or Sulfur (AREA)
Abstract
Description
where x is 0 to 3; L is independently H, Cl, Br, I, OTs, OTf, CN, OCN, SCN, or any other pseudohalide, X is S, Se, Te, O, or NR; R is independently H, alkyl, aryl, substituted alkyl, or substituted aryl, oligoether, aminoalkyl, hydroxyalkyl, alkoxyalkyl, acyloxyalkyl, HOS(O)2alkyl, HOC(O)alkyl, (HO)2P(O)alkyl, aminoaryl, hydroxyaryl, alkoxyaryl, acyloxyaryl, HOS(O)2aryl, HOC(O)aryl or (HO)2P(O)aryl, —(CH2)m—YC(O)R2, —(CH2)m—C(O)YR2, —(CH2)m—O—(CH2)vYC(O)R2, —(CH2)m—O—(CH2)vC(O)YR2, —(CH2)m—OCHz(CH3)y[(CH2)wYC(O)R2]3-z, —(CH2)m—OCHz(CH3)y[(CH2)wC(O)YR2]3-z, or two R groups on adjacent carbons in combination are alkylene, arylene, substituted alkylene, or substituted arylene; m is 1 to 8; y is 0 to 2; z is 0 to 2; y+z is 0 to 2; w is 1 to 8; v is 2 to 8; Y is O, S, or NR3, R2 is a straight chained, branched chain, cyclic or substituted cyclic alkyl group of 1 to 12 carbons; and R3 is a straight chained, branched chain, cyclic or substituted cyclic alkyl group of 1 to 6 carbons.
or any oligomers thereof.
where: L is independently H, Cl, Br, I, OTs, OTf, CN, OCN, SCN, or other pseudohalide; X is NR′, PR′, S, O, Se, Te, CR2, SiR′2, GeR′2, BR′, or SOx where x=1 or 2; Z is NR′, PR′, S, O, Se, or Te; R′ is independently H, C1-C30 alkyl, C2-C30 alkenyl, C2-C30 alkynyl, C6-C14 aryl, C7-C30 arylalkyl, C8-C30 arylalkenyl, C8-C30 arylalkynyl, C1-C30 hydroxyalkyl, C6-C14 hydroxyaryl, C7-C30 hydroxyarylalkyl, C3-C30 hydroxyalkenyl, C3-C30 hydroxyalkynyl, C8-C30 hydroxyarylalkenyl, C8-C30 hydroxyarylalkynyl, C3-C30 polyether, C3-C30 polyetherester, C3-C30 polyester, C3-C30 polyamino, C3-C30 polyaminoamido, C3-C30 polyaminoether, C3-C30 polyaminoester, C3-C30 polyamidoester, C3-C30alkylsulfonic acid, C3-C30alkylsulfonate salt, C1-C30 alkylcarboxylate salt, C1-C30 alkylthiocarboxylate salt, C1-C30 alkyldithiocarboxylate salt or C3-C30 alkyl C1-C4 trialkyammonium salt; and R is independently H, C1-C30 alkyl, C2-C30 alkenyl, C2-C30 alkynyl, C6-C14 aryl, C7-C30 arylalkyl, C8-C30 arylalkenyl, C8-C30 arylalkynyl, hydroxy, CO2H, C2-C30 alkylester, C7-C15 arylester, C8-C30 alkylarylester, C3-C30 alkenylester, C3-C30 alkynylester, NH2, C1-C30 alkylamino, C6-C14 arylamino, C7-C30 (arylalkyl)amino, C2-C30 alkenylamino, C2-C30 alkynylamino, C8-C30 (arylalkenyl)amino, C8-C30 (arylalkynyl)amino, C2-C30 dialkylamino, C12-C28 diarylamino, C4-C30 dialkenylamino, C4-C30 dialkynylamino, C7-C30 aryl(alkyl)amino, C7-C30 di(arylalkyl)amino, C8-C30 alkyl(arylalkyl)amino, C15-C30 aryl(arylalkyl)amino, C8-C30 alkenyl(aryl)amino, C8-C30 alkynyl(aryl)amino C(O)NH2 (amido), C2-C30 alkylamido, C7-C14 arylamido, C8-C30 (arylalkyl)amido, C2-C30 dialkylamido, C12-C28 diarylamido, C8-C30 aryl(alkyl)amido, C15-C30 di(arylalkyl)amido, C9-C30 alkyl(arylalkyl)amido, C16-C30 aryl(arylalkyl)amido, thiol, C1-C30 hydroxyalkyl, C6-C14 hydroxyaryl, C7-C30 hydroxyarylalkyl, C3-C30 hydroxyalkenyl, C3-C30 hydroxyalkynyl, C8-C30 hydroxyarylalkenyl, C8-C30 hydroxyarylalkynyl, C3-C30 polyether, C3-C30 polyetherester, C3-C30 polyester, C3-C30 polyamino, C3-C30 polyaminoamido, C3-C30 polyaminoether, C3-C30 polyaminoester, C3-C30 polyamidoester, C3-C30 alkylsulfonic acid, C3-C30alkylsulfonate salt, C1-C30 carboxylate salt, C1-C30 thiocarboxylate salt, C1-C30 dithiocarboxylate salt, or C3-C30 alkylC1-C4 trialkyammonium salt.
| TABLE 1 |
| Preparation of ECP-Magenta via DHAP in various solvents. |
| Solvent | ε | Time (h) | Yield (%) | Mn (kDa) | M |
| DMAc | 38 | 15 | 87 | 10.6 | 1.64 |
| |
32 | 24 | 82 | 23.0 | 1.74 |
| HMPA | 31 | 24 | 80 | 26.3 | 2.52 |
| ε = Dielectric constant | |||||
| TABLE 2 |
| Elemental concentrations (ppm) for ECP-Magenta samples prepared |
| in various solvents |
| NMP | DMAc | HMPA |
| Element | BP | AP | BP | AP | BP | AP |
| Li | 3.5 | 1.4 | 7.0 | 1.3 | 5.4 | 0.7 |
| B | 23.6 | 7.8 | 6.7 | 6.8 | 8.1 | 5.4 |
| Na | 82.2 | 17.9 | 98.1 | 37.9 | 844.8 | 566.3 |
| Mg | 7.49 | 9.75 | bdl | 56.08 | 9.83 | 48.93 |
| Al | bdl | 5.57 | 2.65 | 141.13 | bdl | 26.17 |
| Si | 401 | 1826 | 1072 | 15487 | 1446 | 13884 |
| P | 6.2 | 2.5 | 21.4 | 22.8 | 17764 | 88.3 |
| K | 1109 | 277 | 33694 | 442 | 25967 | 406 |
| Ca | 357.2 | 217.9 | 162.6 | 383.1 | 254.1 | 320.6 |
| Ti | 0.25 | 0.96 | bdl | 1.52 | bdl | 2.15 |
| Cr | 45.59 | 40.96 | 25.31 | 59.76 | 15.87 | 26.41 |
| Mn | 1.89 | 1.82 | 1.43 | 3.14 | 1.42 | 2.19 |
| Fe | 0.73 | 10.64 | 35.76 | 91.95 | 44.98 | 50.68 |
| Ni | 1.21 | 2.37 | 6.42 | 6.09 | 6.43 | 4.02 |
| Cu | 3.35 | 1.82 | 7.36 | 3.23 | 6.65 | 2.09 |
| Zn | 36.24 | 14.53 | 42.44 | 10.99 | 1510 | 24.90 |
| Ge | 6.49 | 8.26 | 5.53 | 11.52 | 6.29 | 8.83 |
| Rb | 0.70 | 0.60 | 1.64 | 0.83 | 1.55 | 0.60 |
| Sr | 3.14 | 3.38 | 2.50 | 5.01 | 4.39 | 4.71 |
| Y | 0.43 | 0.47 | 0.30 | 1.12 | 0.36 | 0.76 |
| Pd | 756.0 | 9.3 | 1132.4 | 11.4 | 2924.6 | 528.4 |
| Ag | 5.3 | 4.0 | 2.7 | 4.9 | 3.1 | 4.2 |
| Sn | 4.13 | 2.10 | 1.64 | 3.36 | 2.32 | 2.97 |
| Te | 13.24 | 14.27 | 9.30 | 17.48 | 10.99 | 15.15 |
| Ba | 1.79 | 3.44 | 1.67 | 6.07 | 9.08 | 10.20 |
| bdl: below detection limit. | ||||||
| TABLE 3 |
| Synthesis of ECPs by DHAP in NMP |
| Polymer | Yield (%) | Mn (kDa) | M | DP | ||
| ECP-Magenta | 82 | 23.0 | 1.74 | 52 | ||
| ECP-Yellow | 76 | 27.5 | 1.19 | 53 | ||
| ECP-Blue | 81 | 9.41 | 1.54 | 16 | ||
| ECP-Cyan | 89 | — | — | — | ||
| ECP-Black | 76 | 11.0 | 2.03 | — | ||
Claims (20)
Priority Applications (1)
| Application Number | Priority Date | Filing Date | Title |
|---|---|---|---|
| US14/897,063 US9790326B2 (en) | 2013-06-18 | 2014-06-18 | Method for preparing dioxyheterocycle-based electrochromic polymers |
Applications Claiming Priority (3)
| Application Number | Priority Date | Filing Date | Title |
|---|---|---|---|
| US201361836206P | 2013-06-18 | 2013-06-18 | |
| US14/897,063 US9790326B2 (en) | 2013-06-18 | 2014-06-18 | Method for preparing dioxyheterocycle-based electrochromic polymers |
| PCT/US2014/042844 WO2014205024A1 (en) | 2013-06-18 | 2014-06-18 | Method for preparing dioxyheterocycle-based electrochromic polymers |
Publications (2)
| Publication Number | Publication Date |
|---|---|
| US20160122476A1 US20160122476A1 (en) | 2016-05-05 |
| US9790326B2 true US9790326B2 (en) | 2017-10-17 |
Family
ID=52105201
Family Applications (1)
| Application Number | Title | Priority Date | Filing Date |
|---|---|---|---|
| US14/897,063 Active US9790326B2 (en) | 2013-06-18 | 2014-06-18 | Method for preparing dioxyheterocycle-based electrochromic polymers |
Country Status (13)
| Country | Link |
|---|---|
| US (1) | US9790326B2 (en) |
| EP (1) | EP3010959B1 (en) |
| JP (1) | JP6449865B2 (en) |
| KR (1) | KR20160023788A (en) |
| CN (1) | CN105473641A (en) |
| AU (1) | AU2014281580A1 (en) |
| BR (1) | BR112015031519A2 (en) |
| CA (1) | CA2915381C (en) |
| IL (1) | IL243062B (en) |
| MX (1) | MX2015017659A (en) |
| RU (1) | RU2016101074A (en) |
| SG (1) | SG11201510277YA (en) |
| WO (1) | WO2014205024A1 (en) |
Families Citing this family (21)
| Publication number | Priority date | Publication date | Assignee | Title |
|---|---|---|---|---|
| DE102013111357B4 (en) | 2013-10-15 | 2015-11-05 | Lemken Gmbh & Co. Kg | Seeder with multiple function roller |
| JP6697448B2 (en) | 2014-05-23 | 2020-05-20 | ユニバーシティ オブ フロリダ リサーチ ファンデーション インコーポレーティッド | Widely absorbing electrochromic polymer |
| TWI516520B (en) * | 2014-10-31 | 2016-01-11 | 財團法人工業技術研究院 | Wavelength converting polymer, method for fabricating the same and wavelength converting devices employing the same |
| HK1249539A1 (en) | 2015-02-20 | 2018-11-02 | Georgia Tech Research Corporation | Donor-acceptor compositions to achieve high contrast broadly absorbing electrochromic polymers |
| CN105576125B (en) * | 2016-02-04 | 2018-06-29 | 南京邮电大学 | A kind of organic field effect tube and its detection method for ion detection |
| CN105679939A (en) * | 2016-03-15 | 2016-06-15 | 南京邮电大学 | Doped thiophene isoindigo-based organic thin-film field effect transistor and preparation method thereof |
| US9975989B2 (en) * | 2016-05-04 | 2018-05-22 | Furcifer Inc. | Multicolored electrochromic polymer compositions and methods of making and using the same |
| DK3652235T3 (en) | 2017-07-14 | 2022-09-05 | Furcifer Inc | ELECTROCHROME POLYMERS AND THEIR SYNTHESIS AND USES |
| CN108795089B (en) * | 2018-07-23 | 2020-01-10 | 温州医科大学 | Pure organic dye based on di (thienopyrrole) benzothiadiazole pi-bridge and application thereof in dye-sensitized solar cell |
| CN111072932A (en) * | 2019-12-19 | 2020-04-28 | 南京宜凯瑞新材料有限公司 | Black to transparent cross-linked electrochromic polymer and preparation method thereof |
| CN111171292B (en) * | 2020-02-14 | 2023-02-03 | 南京宜凯瑞新材料有限公司 | Amphiphilic electrochromic polymer and preparation method thereof |
| CN111349216B (en) * | 2020-02-14 | 2023-02-03 | 南京宜凯瑞新材料有限公司 | Electrochromic polymer and method for large-scale purification of electrochromic polymer |
| CN111158167A (en) * | 2020-02-14 | 2020-05-15 | 南京宜凯瑞新材料有限公司 | Adjustable photochromic glasses |
| CN111187397B (en) * | 2020-02-15 | 2023-02-24 | 南京宜凯瑞新材料有限公司 | Purple to transparent electrochromic polymers and methods of making the same |
| CN111171293A (en) * | 2020-02-15 | 2020-05-19 | 南京宜凯瑞新材料有限公司 | Green to transparent electrochromic polymer and preparation method thereof |
| CN112574397A (en) * | 2021-01-12 | 2021-03-30 | 长春工业大学 | Preparation and application of electrochromic conjugated polymer capable of being processed by green solvent |
| CN116135903A (en) * | 2021-11-16 | 2023-05-19 | 电子科技大学中山学院 | Direct (hetero) arylation polymerization of electrochromic polymers of different molecular weights and flexible device fabrication |
| WO2024035888A1 (en) * | 2022-08-10 | 2024-02-15 | Kennesaw State University Research And Service Foundation, Inc. | Pyrrole derived compositions and sythesis methods |
| CN115926119B (en) * | 2022-11-25 | 2024-10-15 | 中国人民解放军96901部队25分队 | Electrochromic polymer capable of absorbing in broadband, preparation method of electrochromic polymer and electrochromic film |
| CN116859646A (en) * | 2023-07-05 | 2023-10-10 | 浙江工业大学 | An electrochromic display device and its preparation method |
| CN117008385A (en) * | 2023-07-21 | 2023-11-07 | 浙江工业大学 | A reflective electrochromic display device and preparation method |
Citations (9)
| Publication number | Priority date | Publication date | Assignee | Title |
|---|---|---|---|---|
| US4924000A (en) * | 1988-03-11 | 1990-05-08 | Basf Aktiengesellschaft | Preparation of acylated imidazoles |
| US20100298527A1 (en) * | 2007-10-30 | 2010-11-25 | University Of Florida Research Foundation | Green to transmissive soluble electrochromic polymers |
| US20110003967A1 (en) * | 2009-07-02 | 2011-01-06 | University Of Florida Research Foundation Inc. | Soluble alternating donor-acceptor conjugated polymer electrochromes |
| WO2011075664A1 (en) | 2009-12-17 | 2011-06-23 | Abinitio Vsd Llc | Vacuum clip for storage bags |
| US20120108778A1 (en) | 2010-10-28 | 2012-05-03 | University Of Florida Research Foundation, Inc. | Cathodically coloring yellow soluble electrochromic and light emitting polymers |
| WO2013056355A1 (en) | 2011-10-20 | 2013-04-25 | UNIVERSITé LAVAL | Preparation of high molecular weight polymers 8y direct arylation and heteroarylation |
| US20140142263A1 (en) * | 2011-11-21 | 2014-05-22 | Gwangju Institute Of Science And Technology | Direct ch arylation method using palladium-based catalyst |
| WO2015154190A1 (en) | 2014-04-11 | 2015-10-15 | The Governing Council Of The University Of Toronto | Conjugated polymers, and synthesis and use thereof |
| JP2016199658A (en) | 2015-04-09 | 2016-12-01 | 国立大学法人山口大学 | Luminescent material, luminescent fine particles using the same, and method for producing the same |
Family Cites Families (2)
| Publication number | Priority date | Publication date | Assignee | Title |
|---|---|---|---|---|
| DE102005031349A1 (en) * | 2005-07-05 | 2007-01-11 | H.C. Starck Gmbh | Process for the preparation of polyethylene dioxythiophenes |
| KR101927676B1 (en) * | 2009-12-18 | 2018-12-10 | 닛산 가가쿠 가부시키가이샤 | Copolymers of 3,4-dialkoxythiophenes and methods for making and devices |
-
2014
- 2014-06-18 EP EP14813805.0A patent/EP3010959B1/en active Active
- 2014-06-18 US US14/897,063 patent/US9790326B2/en active Active
- 2014-06-18 AU AU2014281580A patent/AU2014281580A1/en not_active Abandoned
- 2014-06-18 CA CA2915381A patent/CA2915381C/en not_active Expired - Fee Related
- 2014-06-18 RU RU2016101074A patent/RU2016101074A/en unknown
- 2014-06-18 CN CN201480034567.9A patent/CN105473641A/en active Pending
- 2014-06-18 SG SG11201510277YA patent/SG11201510277YA/en unknown
- 2014-06-18 KR KR1020167001389A patent/KR20160023788A/en not_active Ceased
- 2014-06-18 BR BR112015031519A patent/BR112015031519A2/en not_active IP Right Cessation
- 2014-06-18 WO PCT/US2014/042844 patent/WO2014205024A1/en not_active Ceased
- 2014-06-18 JP JP2016521530A patent/JP6449865B2/en not_active Expired - Fee Related
- 2014-06-18 MX MX2015017659A patent/MX2015017659A/en unknown
-
2015
- 2015-12-07 IL IL243062A patent/IL243062B/en active IP Right Grant
Patent Citations (10)
| Publication number | Priority date | Publication date | Assignee | Title |
|---|---|---|---|---|
| US4924000A (en) * | 1988-03-11 | 1990-05-08 | Basf Aktiengesellschaft | Preparation of acylated imidazoles |
| US20100298527A1 (en) * | 2007-10-30 | 2010-11-25 | University Of Florida Research Foundation | Green to transmissive soluble electrochromic polymers |
| US20110003967A1 (en) * | 2009-07-02 | 2011-01-06 | University Of Florida Research Foundation Inc. | Soluble alternating donor-acceptor conjugated polymer electrochromes |
| WO2011075664A1 (en) | 2009-12-17 | 2011-06-23 | Abinitio Vsd Llc | Vacuum clip for storage bags |
| US20120108778A1 (en) | 2010-10-28 | 2012-05-03 | University Of Florida Research Foundation, Inc. | Cathodically coloring yellow soluble electrochromic and light emitting polymers |
| WO2013056355A1 (en) | 2011-10-20 | 2013-04-25 | UNIVERSITé LAVAL | Preparation of high molecular weight polymers 8y direct arylation and heteroarylation |
| US20140371409A1 (en) * | 2011-10-20 | 2014-12-18 | Universite Laval | Preparation of high molecular weight polymers by direct arylation and heteroarylation |
| US20140142263A1 (en) * | 2011-11-21 | 2014-05-22 | Gwangju Institute Of Science And Technology | Direct ch arylation method using palladium-based catalyst |
| WO2015154190A1 (en) | 2014-04-11 | 2015-10-15 | The Governing Council Of The University Of Toronto | Conjugated polymers, and synthesis and use thereof |
| JP2016199658A (en) | 2015-04-09 | 2016-12-01 | 国立大学法人山口大学 | Luminescent material, luminescent fine particles using the same, and method for producing the same |
Non-Patent Citations (15)
Also Published As
| Publication number | Publication date |
|---|---|
| JP2016523298A (en) | 2016-08-08 |
| CN105473641A (en) | 2016-04-06 |
| WO2014205024A1 (en) | 2014-12-24 |
| AU2014281580A8 (en) | 2016-02-11 |
| CA2915381A1 (en) | 2014-12-24 |
| BR112015031519A2 (en) | 2017-07-25 |
| US20160122476A1 (en) | 2016-05-05 |
| JP6449865B2 (en) | 2019-01-09 |
| EP3010959A1 (en) | 2016-04-27 |
| CA2915381C (en) | 2021-04-27 |
| RU2016101074A (en) | 2017-07-21 |
| EP3010959B1 (en) | 2021-04-21 |
| AU2014281580A1 (en) | 2016-01-21 |
| KR20160023788A (en) | 2016-03-03 |
| MX2015017659A (en) | 2016-08-08 |
| EP3010959A4 (en) | 2017-03-08 |
| IL243062B (en) | 2019-09-26 |
| SG11201510277YA (en) | 2016-01-28 |
Similar Documents
| Publication | Publication Date | Title |
|---|---|---|
| US9790326B2 (en) | Method for preparing dioxyheterocycle-based electrochromic polymers | |
| Yi et al. | Carbazole and thienyl benzo [1, 2, 5] thiadiazole based polymers with improved open circuit voltages and processability for application in solar cells | |
| JP5703024B2 (en) | Green to transparent soluble electrochromic polymer | |
| Popere et al. | Predictably tuning the frontier molecular orbital energy levels of panchromatic low band gap BODIPY-based conjugated polymers | |
| US20110251370A1 (en) | Black soluble conjugated polymers with high charge carrier mobilities | |
| EP2768880B1 (en) | Preparation of high molecular weight polymers by direct arylation and heteroarylation | |
| KR20120104151A (en) | Soluble alternating donor-acceptor conjugated polymer electrochromes | |
| WO2016111277A1 (en) | Heterocycle-containing compound, polymer using said compound, and use thereof | |
| Wong et al. | Synthesis, characterization and photovoltaic properties of a low-bandgap platinum (II) polyyne functionalized with a 3, 4-ethylenedioxythiophene-benzothiadiazole hybrid spacer | |
| KR101815339B1 (en) | Polymer compound having carbon cluster structure and organic device using same | |
| US20110257356A1 (en) | Synthesis of Poly-(P-Aryleneethynylene)s in Neat Water Under Aerobic Conditions | |
| Koyuncu et al. | Electrochemical, optical and electrochromic properties of imine polymers containing thiophene and carbazole units | |
| WO2017212961A1 (en) | Boron-containing polymer and use thereof | |
| Oriou et al. | Synthesis of squaraine-based alternated π-conjugated copolymers: from conventional cross-coupling reactions to metal-free polycondensation | |
| Zhu et al. | Highly water-soluble neutral near-infrared emissive BODIPY polymeric dyes | |
| Sun et al. | Improved bulk-heterojunction polymer solar cell performance through optimization of the linker groupin donor–acceptor conjugated polymer | |
| WO2012165128A1 (en) | High-molecular-weight compound and organic photoelectric conversion element | |
| Terayama et al. | Structural design of conjugated polymers for fluorescence bioimaging in the second near‐infrared window | |
| Keum et al. | Non-fullerene polymer solar cells based on quinoxaline units with fluorine atoms | |
| Costa et al. | Structural dependence of the optical properties of narrow band gap thiophene–thiadiazoloquinoxaline derivatives and their application in organic photovoltaic cells | |
| Adamczak et al. | Influence of synthetic pathway, molecular weight and side chains on properties of indacenodithiophene-benzothiadiazole copolymers made by direct arylation polycondensation | |
| Xiao et al. | Synthesis and photovoltaic properties of thieno [3, 2-b] thiophenyl substituted benzo [1, 2-b: 4, 5-b′] dithiophene copolymers | |
| Bathula et al. | Selenophene based benzodithiophene polymers as potential candidates for optoelectronic applications | |
| KR101777669B1 (en) | New selenophene monomer and manufacturing method thereof, new conjugated oligomers synthesized from selenophene monomer and manufacturing method thereof | |
| Mishra et al. | Synthesis and characterization of soluble narrow band gap conducting polymers based on diketopyrrolopyrrole and propylenedioxythiophenes |
Legal Events
| Date | Code | Title | Description |
|---|---|---|---|
| AS | Assignment |
Owner name: UNIVERSITY OF FLORIDA RESEARCH FOUNDATION, INC., F Free format text: ASSIGNMENT OF ASSIGNORS INTEREST;ASSIGNOR:ARROYAVE-MONDRAGON, FRANK ANTONIO;REEL/FRAME:037363/0925 Effective date: 20151217 |
|
| AS | Assignment |
Owner name: GEORGIA TECH RESEARCH CORPORATION, GEORGIA Free format text: ASSIGNMENT OF ASSIGNORS INTEREST;ASSIGNORS:REYNOLDS, JOHN R.;ESTRADA, LEANDRO;SIGNING DATES FROM 20160106 TO 20160404;REEL/FRAME:040670/0737 Owner name: GEORGIA TECH RESEARCH CORPORATION, GEORGIA Free format text: ASSIGNMENT OF ASSIGNORS INTEREST;ASSIGNOR:DEININGER, JAMES;REEL/FRAME:040670/0577 Effective date: 20131212 Owner name: UNIVERSITY OF FLORIDA RESEARCH FOUNDATION, INC., F Free format text: ASSIGNMENT OF ASSIGNORS INTEREST;ASSIGNOR:DEININGER, JAMES;REEL/FRAME:040670/0577 Effective date: 20131212 Owner name: UNIVERSITY OF FLORIDA RESEARCH FOUNDATION, INC., F Free format text: ASSIGNMENT OF ASSIGNORS INTEREST;ASSIGNORS:REYNOLDS, JOHN R.;ESTRADA, LEANDRO;SIGNING DATES FROM 20160106 TO 20160404;REEL/FRAME:040670/0737 |
|
| STCF | Information on status: patent grant |
Free format text: PATENTED CASE |
|
| CC | Certificate of correction | ||
| AS | Assignment |
Owner name: NAVY, SECRETARY OF THE UNITED STATES OF AMERICA, V Free format text: CONFIRMATORY LICENSE;ASSIGNOR:FLORIDA, UNIVERSITY OF;REEL/FRAME:047261/0439 Effective date: 20160218 |
|
| MAFP | Maintenance fee payment |
Free format text: PAYMENT OF MAINTENANCE FEE, 4TH YR, SMALL ENTITY (ORIGINAL EVENT CODE: M2551); ENTITY STATUS OF PATENT OWNER: SMALL ENTITY Year of fee payment: 4 |
|
| MAFP | Maintenance fee payment |
Free format text: PAYMENT OF MAINTENANCE FEE, 8TH YR, SMALL ENTITY (ORIGINAL EVENT CODE: M2552); ENTITY STATUS OF PATENT OWNER: SMALL ENTITY Year of fee payment: 8 |

















