US8629136B2 - Bisfluoroalkyl-1,4-benzodiazepinone compounds - Google Patents

Bisfluoroalkyl-1,4-benzodiazepinone compounds Download PDF

Info

Publication number
US8629136B2
US8629136B2 US13/426,730 US201213426730A US8629136B2 US 8629136 B2 US8629136 B2 US 8629136B2 US 201213426730 A US201213426730 A US 201213426730A US 8629136 B2 US8629136 B2 US 8629136B2
Authority
US
United States
Prior art keywords
compound
trifluoropropyl
phenyl
dihydro
benzodiazepin
Prior art date
Legal status (The legal status is an assumption and is not a legal conclusion. Google has not performed a legal analysis and makes no representation as to the accuracy of the status listed.)
Active
Application number
US13/426,730
Other versions
US20120245151A1 (en
Inventor
Ashvinikumar V. Gavai
Claude A. Quesnelle
Soong-Hoon Kim
Francis Y. Lee
Current Assignee (The listed assignees may be inaccurate. Google has not performed a legal analysis and makes no representation or warranty as to the accuracy of the list.)
Bristol Myers Squibb Co
Original Assignee
Bristol Myers Squibb Co
Priority date (The priority date is an assumption and is not a legal conclusion. Google has not performed a legal analysis and makes no representation as to the accuracy of the date listed.)
Filing date
Publication date
Family has litigation
First worldwide family litigation filed litigation Critical https://patents.darts-ip.com/?family=45894701&utm_source=google_patent&utm_medium=platform_link&utm_campaign=public_patent_search&patent=US8629136(B2) "Global patent litigation dataset” by Darts-ip is licensed under a Creative Commons Attribution 4.0 International License.
Priority to US13/426,730 priority Critical patent/US8629136B2/en
Application filed by Bristol Myers Squibb Co filed Critical Bristol Myers Squibb Co
Assigned to BRISTOL-MYERS SQUIBB COMPANY reassignment BRISTOL-MYERS SQUIBB COMPANY ASSIGNMENT OF ASSIGNORS INTEREST (SEE DOCUMENT FOR DETAILS). Assignors: KIM, SOONG-HOON, LEE, FRANCIS, QUESNELLE, CLAUDE, GAVAI, ASHVINIKUMAR
Assigned to BRISTOL-MYERS SQUIBB COMPANY reassignment BRISTOL-MYERS SQUIBB COMPANY ASSIGNMENT OF ASSIGNORS INTEREST (SEE DOCUMENT FOR DETAILS). Assignors: GAVAI, ASHVINIKUMAR V., KIM, SOONG-HOON, QUESNELLE, CLAUDE, LEE, FRANCIS
Assigned to BRISTOL-MYERS SQUIBB COMPANY reassignment BRISTOL-MYERS SQUIBB COMPANY ASSIGNMENT OF ASSIGNORS INTEREST (SEE DOCUMENT FOR DETAILS). Assignors: GAVAI, ASHVINIKUMAR, KIM, SOONG-HOON, QUESNELLE, CLAUDE, LEE, FRANCIS
Publication of US20120245151A1 publication Critical patent/US20120245151A1/en
Priority to US14/100,896 priority patent/US8822454B2/en
Publication of US8629136B2 publication Critical patent/US8629136B2/en
Application granted granted Critical
Priority to US14/444,682 priority patent/US20140357605A1/en
Priority to US14/742,158 priority patent/US20150284342A1/en
Priority to US14/938,284 priority patent/US20160060232A1/en
Active legal-status Critical Current
Anticipated expiration legal-status Critical

Links

Images

Classifications

    • CCHEMISTRY; METALLURGY
    • C07ORGANIC CHEMISTRY
    • C07DHETEROCYCLIC COMPOUNDS
    • C07D243/00Heterocyclic compounds containing seven-membered rings having two nitrogen atoms as the only ring hetero atoms
    • C07D243/06Heterocyclic compounds containing seven-membered rings having two nitrogen atoms as the only ring hetero atoms having the nitrogen atoms in positions 1 and 4
    • C07D243/10Heterocyclic compounds containing seven-membered rings having two nitrogen atoms as the only ring hetero atoms having the nitrogen atoms in positions 1 and 4 condensed with carbocyclic rings or ring systems
    • C07D243/141,4-Benzodiazepines; Hydrogenated 1,4-benzodiazepines
    • C07D243/161,4-Benzodiazepines; Hydrogenated 1,4-benzodiazepines substituted in position 5 by aryl radicals
    • C07D243/181,4-Benzodiazepines; Hydrogenated 1,4-benzodiazepines substituted in position 5 by aryl radicals substituted in position 2 by nitrogen, oxygen or sulfur atoms
    • C07D243/24Oxygen atoms
    • AHUMAN NECESSITIES
    • A61MEDICAL OR VETERINARY SCIENCE; HYGIENE
    • A61KPREPARATIONS FOR MEDICAL, DENTAL OR TOILETRY PURPOSES
    • A61K31/00Medicinal preparations containing organic active ingredients
    • A61K31/13Amines
    • A61K31/135Amines having aromatic rings, e.g. ketamine, nortriptyline
    • A61K31/138Aryloxyalkylamines, e.g. propranolol, tamoxifen, phenoxybenzamine
    • AHUMAN NECESSITIES
    • A61MEDICAL OR VETERINARY SCIENCE; HYGIENE
    • A61KPREPARATIONS FOR MEDICAL, DENTAL OR TOILETRY PURPOSES
    • A61K31/00Medicinal preparations containing organic active ingredients
    • A61K31/33Heterocyclic compounds
    • A61K31/335Heterocyclic compounds having oxygen as the only ring hetero atom, e.g. fungichromin
    • A61K31/337Heterocyclic compounds having oxygen as the only ring hetero atom, e.g. fungichromin having four-membered rings, e.g. taxol
    • AHUMAN NECESSITIES
    • A61MEDICAL OR VETERINARY SCIENCE; HYGIENE
    • A61KPREPARATIONS FOR MEDICAL, DENTAL OR TOILETRY PURPOSES
    • A61K31/00Medicinal preparations containing organic active ingredients
    • A61K31/33Heterocyclic compounds
    • A61K31/395Heterocyclic compounds having nitrogen as a ring hetero atom, e.g. guanethidine or rifamycins
    • A61K31/55Heterocyclic compounds having nitrogen as a ring hetero atom, e.g. guanethidine or rifamycins having seven-membered rings, e.g. azelastine, pentylenetetrazole
    • A61K31/551Heterocyclic compounds having nitrogen as a ring hetero atom, e.g. guanethidine or rifamycins having seven-membered rings, e.g. azelastine, pentylenetetrazole having two nitrogen atoms, e.g. dilazep
    • A61K31/55131,4-Benzodiazepines, e.g. diazepam or clozapine
    • AHUMAN NECESSITIES
    • A61MEDICAL OR VETERINARY SCIENCE; HYGIENE
    • A61KPREPARATIONS FOR MEDICAL, DENTAL OR TOILETRY PURPOSES
    • A61K31/00Medicinal preparations containing organic active ingredients
    • A61K31/33Heterocyclic compounds
    • A61K31/555Heterocyclic compounds containing heavy metals, e.g. hemin, hematin, melarsoprol
    • AHUMAN NECESSITIES
    • A61MEDICAL OR VETERINARY SCIENCE; HYGIENE
    • A61KPREPARATIONS FOR MEDICAL, DENTAL OR TOILETRY PURPOSES
    • A61K31/00Medicinal preparations containing organic active ingredients
    • A61K31/56Compounds containing cyclopenta[a]hydrophenanthrene ring systems; Derivatives thereof, e.g. steroids
    • A61K31/57Compounds containing cyclopenta[a]hydrophenanthrene ring systems; Derivatives thereof, e.g. steroids substituted in position 17 beta by a chain of two carbon atoms, e.g. pregnane or progesterone
    • A61K31/573Compounds containing cyclopenta[a]hydrophenanthrene ring systems; Derivatives thereof, e.g. steroids substituted in position 17 beta by a chain of two carbon atoms, e.g. pregnane or progesterone substituted in position 21, e.g. cortisone, dexamethasone, prednisone or aldosterone
    • AHUMAN NECESSITIES
    • A61MEDICAL OR VETERINARY SCIENCE; HYGIENE
    • A61KPREPARATIONS FOR MEDICAL, DENTAL OR TOILETRY PURPOSES
    • A61K45/00Medicinal preparations containing active ingredients not provided for in groups A61K31/00 - A61K41/00
    • A61K45/06Mixtures of active ingredients without chemical characterisation, e.g. antiphlogistics and cardiaca
    • AHUMAN NECESSITIES
    • A61MEDICAL OR VETERINARY SCIENCE; HYGIENE
    • A61PSPECIFIC THERAPEUTIC ACTIVITY OF CHEMICAL COMPOUNDS OR MEDICINAL PREPARATIONS
    • A61P35/00Antineoplastic agents
    • AHUMAN NECESSITIES
    • A61MEDICAL OR VETERINARY SCIENCE; HYGIENE
    • A61PSPECIFIC THERAPEUTIC ACTIVITY OF CHEMICAL COMPOUNDS OR MEDICINAL PREPARATIONS
    • A61P35/00Antineoplastic agents
    • A61P35/02Antineoplastic agents specific for leukemia
    • AHUMAN NECESSITIES
    • A61MEDICAL OR VETERINARY SCIENCE; HYGIENE
    • A61PSPECIFIC THERAPEUTIC ACTIVITY OF CHEMICAL COMPOUNDS OR MEDICINAL PREPARATIONS
    • A61P43/00Drugs for specific purposes, not provided for in groups A61P1/00-A61P41/00

Definitions

  • the present invention generally relates to benzodiazepinone compounds useful as Notch inhibitors.
  • the invention further pertains to pharmaceutical compositions comprising at least one compound according to the invention that is useful for the treatment of conditions related to the Notch pathway, such as cancer and other proliferative diseases.
  • Notch signaling has been implicated in a variety of cellular processes, such as cell fate specification, differentiation, proliferation, apoptosis, and angiogenesis. (Bray, Nature Reviews Molecular Cell Biology, 7:678-689 (2006); Fortini, Developmental Cell 16:633-647 (2009)).
  • the Notch proteins are single-pass heterodimeric transmembrane molecules.
  • the Notch family includes 4 receptors, NOTCH 1-4, which become activated upon binding to ligands from the DSL family (Delta-like 1, 3, 4 and Jagged 1 and 2).
  • NOTCH Intracellular domain
  • RBPSUH CSL family members
  • HES-1 HES-1 functions as transcriptional repressors of genes such as HERP1 (also known as HEY2), HERP2 (also known as HEY1), and HATH1 (also known as ATOH1).
  • Notch pathway contributes to tumorigenesis.
  • Activation of Notch signaling has been implicated in the pathogenesis of various solid tumors including ovarian, pancreatic, as well as breast cancer and hematologic tumors such as leukemias, lymphomas, and multiple myeloma.
  • the role of Notch inhibition and its utility in the treatment of various solid and hematological tumors are described in Miele, L. et al., Current Cancer Drug Targets, 6:313-323 (2006); Bolos, V. et al., Endocrine Reviews, 28:339-363 (2007); Shih, I.-M. et al., Cancer Research, 67:1879-1882 (2007); Yamaguchi, N.
  • U.S. Pat. No. 7,053,084 B1 discloses succinoylamino benzodiazepine compounds useful for treating neurological disorders such as Alzheimer's Disease.
  • the reference discloses that these succinoylamino benzodiazepine compounds inhibit gamma secretase activity and the processing of amyloid precursor protein linked to the formation of neurological deposits of amyloid protein.
  • the reference does not disclose the use of these compounds in the treatment of proliferative diseases such as cancer.
  • potent compounds that have activity as Notch inhibitors and have sufficient metabolic stability to provide efficacious levels of drug exposure upon intravenous or oral administration. These compounds are provided to be useful as pharmaceuticals with desirable stability, bioavailability, therapeutic index, and toxicity values that are important to their drugability.
  • the present invention fills the foregoing need by providing bis(fluoroalkyl)-1,4-benzodiazepinone compounds that are useful as selective inhibitors of Notch signaling pathway, including prodrugs thereof.
  • the present invention also provides pharmaceutical compositions comprising a pharmaceutically acceptable carrier; and at least one compound of Formula (I) or prodrugs thereof.
  • the present invention also provides a method of treating a disease or disorder associated with the activity of the Notch receptor, the method comprising administering to a mammalian patient a compound of Formula (I) or pharmaceutically acceptable prodrugs thereof.
  • the present invention also provides processes and intermediates for making the compounds of Formula (I) or prodrugs thereof.
  • the present invention also provides the compounds of Formula (I), or prodrugs thereof, for use in therapy.
  • the present invention also provides the use of the compounds of Formula (I), or prodrugs thereof, for the manufacture of a medicament for the treatment of cancer.
  • the compounds of Formula (I) and compositions comprising the compounds are Notch inhibitors may be used in treating, preventing or curing various Notch receptor-related conditions.
  • Pharmaceutical compositions comprising these compounds are useful in treating, preventing, or slowing the progression of diseases or disorders in a variety of therapeutic areas, such as cancer.
  • FIG. 6 shows the antitumor efficacy of Example 1 against TALL1 Human T-cell acute lymphoblastic leukemia. Each symbol represents the median tumor burden of a group of 8 mice.
  • Control Control
  • Example 1 5 mg/kg/adm, QD ⁇ 3, IV.
  • FIG. 7 shows the in vivo antitumor activity of Example 2 in T-cell acute lymphoblastic leukemia cell line TALL1.
  • Each symbol represents the median tumor burden of a group of 8 mice.
  • Example 2, 0.75 mg/kg, QD ⁇ 15 0.75 mg/kg, QD ⁇ 15.
  • FIG. 8 shows the in vivo antitumor activity of Example 2 in human breast carcinoma cell line MDA-MB-157. Each symbol represents the median tumor burden of a group of 8 mice.
  • FIG. 9 shows the synergistic antitumor efficacy by combined chemotherapy with Example 1 and dasatinib in the ALL-SIL T-cell lymphoblastic leukemia.
  • Each symbol represents the median tumor burden of a group of 8 mice.
  • the two agents were given more or less simultaneously (Example 1 preceded dasatinib by less than 1 hr).
  • FIG. 10 shows the synergistic antitumor efficacy by combined chemotherapy with Example 1 and dasatinib in the ALL-SIL T-cell lymphoblastic leukemia.
  • Each symbol represents the median tumor burden of a group of 8 mice.
  • the two agents were given more or less simultaneously (Example 1 preceded dasatinib by less than 1 hr).
  • FIG. 11 shows the synergistic antitumor efficacy by combined chemotherapy with Example 1 and Paclitaxel in the MDA-MB-468 Human Breast Carcinoma. Each symbol represents the median tumor burden of a group of 8 mice.
  • ( ⁇ ) Combination of Example 1 and Paclitaxel are examples of Example 1 and Paclitaxel.
  • FIG. 12 shows the synergistic antitumor efficacy by combined chemotherapy with Example 1 and Paclitaxel in the MDA-MB-468 Human Breast Carcinoma. Each symbol represents the median tumor burden of a group of 8 mice.
  • control
  • Paclitaxel 12 mg/kg/adm, Q7D ⁇ 6, IV
  • Example 1 7.5 mg/kg/adm, QD ⁇ 3, weekly for 7 weeks, PO
  • Combination of Example 1 and Paclitaxel are examples of Example 1 and Paclitaxel.
  • FIG. 13 shows the synergistic antitumor efficacy by combined chemotherapy with Example 1 and Tamoxifen in the MCF7 Human Breast Carcinoma. Each symbol represents the median tumor burden of a group of 8 mice.
  • control
  • Tamoxifen 20 mg/kg/adm, Q2D ⁇ 12, IP
  • Example 1 3.75 mg/kg/adm, QD ⁇ 3, weekly for 3 weeks, PO
  • Combination of Example 1 and Tamoxifen are examples of Example 1 and Tamoxifen.
  • FIG. 14 shows the synergistic antitumor efficacy by combined chemotherapy with Example 1 and Tamoxifen in the MCF7 Human Breast Carcinoma. Each symbol represents the median tumor burden of a group of 8 mice.
  • control
  • Tamoxifen 20 mg/kg/adm, Q2D ⁇ 12, IP
  • Example 1 7.5 mg/kg/adm, QD ⁇ 3, weekly for 3 weeks, PO
  • Combination of Example 1 and Tamoxifen are examples of Example 1 and Tamoxifen.
  • FIG. 15 shows the synergistic antitumor efficacy by combined chemotherapy with Example 1 and dexamethasone (Dexa) in human T-ALL leukemia xenografts HPB-ALL.
  • Each symbol represents the median tumor burden of a group of 6-8 mice.
  • FIG. 16 shows the synergistic antitumor efficacy by combined chemotherapy with Example 1 and carboplatin in PA-1 human ovarian teratocarcinoma.
  • Each symbol represents the median tumor burden of a group of 8 mice.
  • the first aspect of the present invention provides compounds of Formula (I):
  • R 1 is —CH 2 CF 3 or —CH 2 CH 2 CF 3
  • R 2 is —CH 2 CF 3 , —CH 2 CH 2 CF 3 , or —CH 2 CH 2 CH 2 CF 3
  • R 3 is H or —CH 3
  • each R a is independently F, Cl, —CN, —OCH 3 , and/or —NHCH 2 CH 2 OCH 3
  • z is zero, 1, or 2.
  • One embodiment provides a compound of Formula (I) or prodrugs thereof, wherein R 1 is —CH 2 CF 3 ; and R 2 , R 3 , R a , and z are defined in the first aspect. Included in this embodiment are compounds in which R 2 is —CH 2 CF 3 or —CH 2 CH 2 CF 3 .
  • One embodiment provides a compound of Formula (I) or prodrugs thereof, wherein R 1 is —CH 2 CH 2 CF 3 ; and R 2 , R 3 , R a , and z are defined in the first aspect. Included in this embodiment are compounds in which R 2 is —CH 2 CF 3 or —CH 2 CH 2 CF 3 .
  • One embodiment provides a compound of Formula (I) or prodrugs thereof, wherein R 2 is —CH 2 CF 3 ; and R 1 , R 3 , R a , and z are defined in the first aspect. Included in this embodiment are compounds in which R 1 is —CH 2 CH 2 CF 3 .
  • One embodiment provides a compound of Formula (I) or prodrugs thereof, wherein R 2 is —CH 2 CH 2 CF 3 ; and R 1 , R 3 , R a , and z are defined in the first aspect. Included in this embodiment are compounds in which R 1 is —CH 2 CH 2 CF 3 .
  • One embodiment provides a compound of Formula (I) or prodrugs thereof, wherein R 2 is —CH 2 CH 2 CH 2 CF 3 ; and R 1 , R 3 , R a , and z are defined in the first aspect. Included in this embodiment are compounds in which R 1 is —CH 2 CH 2 CF 3 .
  • One embodiment provides a compound of Formula (I) or prodrugs thereof, wherein R 3 is H; and R 1 , R 2 , R a , and z are defined in the first aspect. Included in this embodiment are compounds in which R 1 is deuterium (D) or tritium (T). Also included in this embodiment are compounds in which R 1 is —CH 2 CH 2 CF 3 and R 2 is —CH 2 CH 2 CF 3 .
  • R 3 is —CH 3 ; and R 1 , R 2 , R a , and z are defined in the first aspect.
  • R 3 includes methyl groups in which one or more hydrogen atoms are isotopically substituted with deuterium (D) and/or tritium (T).
  • D deuterium
  • T tritium
  • R 3 is —CD 3 .
  • R 1 is —CH 2 CH 2 CF 3 and R 2 is —CH 2 CH 2 CF 3 .
  • One embodiment provides a compound of Formula (I) or prodrugs thereof, wherein z is 2 and each R a is independently F, Cl, —CN, —OCH 3 , and/or —NHCH 2 CH 2 OCH 3 ; and R 1 , R 2 , and R 3 are defined in the first aspect. Included in this embodiment are compounds in which R 1 is —CH 2 CH 2 CF 3 and R 2 is —CH 2 CH 2 CF 3 .
  • One embodiment provides a compound of Formula (I) or prodrugs thereof, wherein z is 1 and R a is F, Cl, —CN, —OCH 3 , or —NHCH 2 CH 2 OCH 3 ; and R 1 , R 2 , and R 3 are defined in the first aspect. Included in this embodiment are compounds in which R 1 is —CH 2 CH 2 CF 3 and R 2 is —CH 2 CH 2 CF 3 .
  • One embodiment provides a compound of Formula (I) or prodrugs thereof, wherein z is zero; and R 1 , R 2 , and R 3 are defined in the first aspect. Included in this embodiment are compounds in which R 1 is —CH 2 CH 2 CF 3 and R 2 is —CH 2 CF 3 or —CH 2 CH 2 CF 3 .
  • One embodiment provides a compound of Formula (I) or prodrugs thereof, wherein R 1 is —CH 2 CF 3 ; R 2 is —CH 2 CF 3 ; R 3 is H or —CH 3 ; and z is zero.
  • One embodiment provides a compound of Formula (I) or prodrugs thereof, wherein R 1 is —CH 2 CF 3 ; R 2 is —CH 2 CH 2 CF 3 ; R 3 is H or —CH 3 ; and z is zero.
  • One embodiment provides a compound of Formula (I) or prodrugs thereof, wherein R 1 is —CH 2 CF 3 ; R 2 is —CH 2 CH 2 CH 2 CF 3 ; R 3 is H or —CH 3 ; and z is zero.
  • One embodiment provides a compound of Formula (I) or prodrugs thereof, wherein R 1 is —CH 2 CH 2 CF 3 ; R 2 is —CH 2 CF 3 ; R 3 is H or —CH 3 ; and z is zero.
  • One embodiment provides a compound of Formula (I) or prodrugs thereof, wherein R 1 is —CH 2 CH 2 CF 3 ; R 2 is —CH 2 CH 2 CF 3 ; R 3 is H or —CH 3 ; and z is zero.
  • One embodiment provides a compound of Formula (I) or prodrugs thereof, wherein R 1 is —CH 2 CH 2 CF 3 ; R 2 is —CH 2 CH 2 CH 2 CF 3 ; R 3 is H or —CH 3 ; and z is zero.
  • One embodiment provides a compound of Formula (I) or prodrugs thereof, wherein R 1 is —CH 2 CF 3 ; R 2 is —CH 2 CF 3 ; R 3 is H or —CH 3 ; z is 1; and R a is F, Cl, —CN, —OCH 3 , and/or —NHCH 2 CH 2 OCH 3 .
  • R 1 is —CH 2 CF 3 ;
  • R 2 is —CH 2 CH 2 CF 3 ;
  • R 3 is H or —CH 3 ;
  • z is 1; and
  • R a is F, Cl, —CN, —OCH 3 , and/or —NHCH 2 CH 2 OCH 3 .
  • R 1 is —CH 2 CF 3 ;
  • R 2 is —CH 2 CH 2 CH 2 CF 3 ;
  • R 3 is H or —CH 3 ;
  • z is 1; and
  • R a is F, Cl, —CN, —OCH 3 , and/or —NHCH 2 CH 2 OCH 3 .
  • R 1 is —CH 2 CH 2 CF 3 ;
  • R 2 is —CH 2 CF 3 ;
  • R 3 is H or —CH 3 ;
  • z is 1; and
  • R a is F, Cl, —CN, —OCH 3 , and/or —NHCH 2 CH 2 OCH 3 .
  • R 1 is —CH 2 CH 2 CF 3 ;
  • R 2 is —CH 2 CH 2 CF 3 ;
  • R 3 is H or —CH 3 ;
  • z is 1; and
  • R a is F, Cl, —CN, —OCH 3 , and/or —NHCH 2 CH 2 OCH 3 .
  • R 1 is —CH 2 CH 2 CF 3 ;
  • R 2 is —CH 2 CH 2 CH 2 CF 3 ;
  • R 3 is H or —CH 3 ;
  • z is 1; and
  • R a is F, Cl, —CN, —OCH 3 , and/or —NHCH 2 CH 2 OCH 3 .
  • One embodiment provides a compound according to claim 1 or prodrugs thereof, selected from:
  • One embodiment provides a compound according to claim 1 or prodrugs thereof, selected from:
  • One embodiment provides a compound according to claim 1 or prodrugs thereof, selected from:
  • One embodiment provides a compound according to claim 1 or prodrugs thereof, selected from:
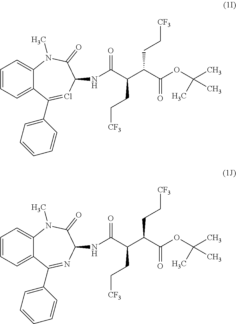
  • One embodiment provides a compound of Formula (I) selected from: (2R,3S)—N-((3S)-1-methyl-2-oxo-5-phenyl-2,3-dihydro-1H-1,4-benzodiazepin-3-yl)-2,3-bis(3,3,3-trifluoropropyl)succinamide (1); (2R,3S)—N-((3S)-2-oxo-5-phenyl-2,3-dihydro-1H-1,4-benzodiazepin-3-yl)-2,3-bis(3,3,3-trifluoropropyl)succinamide (2); (2R,3S)—N-((3S)-1-methyl-2-oxo-5-phenyl-2,3-dihydro-1H-1,4-benzodiazepin-3-yl)-2-(2,2,2-trifluoroethyl)-3-(3,3,3-trifluoropropyl)succinamide (3); (2R,3S)—N-
  • references made in the singular may also include the plural.
  • references made in the singular may also include the plural.
  • “a” and “an” may refer to either one, or one or more.
  • any heteroatom with unsatisfied valences is assumed to have hydrogen atoms sufficient to satisfy the valences.
  • halo and “halogen,” as used herein, refer to F, Cl, Br, or I.
  • alkyl refers to both branched and straight chain saturated aliphatic hydrocarbon groups containing, for example, from 1 to 12 carbon atoms, from 1 to 6 carbon atoms, and from 1 to 4 carbon atoms.
  • alkyl groups include, but are not limited to, methyl (Me), ethyl (Et), propyl (e.g., n-propyl and i-propyl), butyl (e.g., n-butyl, i-butyl, sec-butyl, and t-butyl), and pentyl (e.g., n-pentyl, isopentyl, neopentyl), n-hexyl, 2-methylpentyl, 2-ethylbutyl, 3-methylpentyl, and 4-methylpentyl.
  • Me methyl
  • Et ethyl
  • propyl e.g., n-propyl and i-propyl
  • butyl e.g., n-butyl, i-butyl, sec-butyl, and t-butyl
  • pentyl e.g., n-pentyl
  • C 1-6 alkyl denotes straight and branched chain alkyl groups with one to six carbon atoms.
  • phrases “pharmaceutically acceptable” is employed herein to refer to those compounds, materials, compositions, and/or dosage forms which are, within the scope of sound medical judgment, suitable for use in contact with the tissues of human beings and animals without excessive toxicity, irritation, allergic response, or other problem or complication, commensurate with a reasonable benefit/risk ratio.
  • the compounds of Formula (I) can be provided as amorphous solids or crystalline solids. Lyophilization can be employed to provide the compounds of Formula (I) as a solid.
  • any compound that can be converted in vivo to provide the bioactive agent i.e., the compound of Formula (I)
  • compounds of Formula (I) are, subsequent to their preparation, preferably isolated and purified to obtain a composition containing an amount by weight equal to or greater than 99% of a compound of Formula (I) (“substantially pure”), which is then used or formulated as described herein. Such “substantially pure” compounds of Formula (I) are also contemplated herein as part of the present invention.
  • “Stable compound” and “stable structure” are meant to indicate a compound that is sufficiently robust to survive isolation to a useful degree of purity from a reaction mixture, and formulation into an efficacious therapeutic agent.
  • the present invention is intended to embody stable compounds.
  • “Therapeutically effective amount” is intended to include an amount of a compound of the present invention alone or an amount of the combination of compounds claimed or an amount of a compound of the present invention in combination with other active ingredients effective to act as an inhibitor to a NOTCH receptor, or effective to treat or prevent proliferative diseases such as cancer.
  • treating cover the treatment of a disease-state in a mammal, particularly in a human, and include: (a) preventing the disease-state from occurring in a mammal, in particular, when such mammal is predisposed to the disease-state but has not yet been diagnosed as having it; (b) inhibiting the disease-state, i.e., arresting its development; and/or (c) relieving the disease-state, i.e., causing regression of the disease state.
  • the compounds of the present invention are intended to include all isotopes of atoms occurring in the present compounds.
  • Isotopes include those atoms having the same atomic number but different mass numbers.
  • isotopes of hydrogen include deuterium (D) and tritium (T).
  • Isotopes of carbon include 13 C and 14 C.
  • Isotopically-labeled compounds of the invention can generally be prepared by conventional techniques known to those skilled in the art or by processes analogous to those described herein, using an appropriate isotopically-labeled reagent in place of the non-labeled reagent otherwise employed.
  • crystalline material comprising one or more crystalline forms.
  • suitable crystalline forms of the compound of Example 1 include Forms N-1, A-2, and EA-3.
  • the compound of Example 1 is provided as a crystalline material comprising the first crystalline form.
  • a first crystalline form of the compound of Example 1 comprises a neat crystalline form referred to herein as “Form N-1” or “N-1 Form”.
  • N-1 Form of the compound of Example 1 is characterized by unit cell parameters approximately equal to the following:
  • the N-1 Form of the compound of Example 1 is characterized by a simulated powder x-ray diffraction (PXRD) pattern substantially in accordance with the pattern shown in FIG. 1 and/or by an observed PXRD pattern substantially in accordance with the pattern shown in FIG. 1
  • PXRD simulated powder x-ray diffraction
  • N-1 Form of Example 1 is characterized by fractional atomic coordinates substantially as listed in Table 1.
  • N-1 form of the compound of Example 1 is substantially pure.
  • the N-1 form of the compound of Example 1 contains at least about 90 wt. %, preferably at least about 95 wt. %, and more preferably at least about 99 wt. %, based on weight of the Form N-1 of the compound of Example 1.
  • a substantially pure Form N-1 of the compound of Example 1 has substantially pure phase homogeneity with less than about 10%, preferably less than about 5%, and more preferably less than about 2% of the total peak area of the experimentally measured PXRD pattern arising from peaks that are absent from the simulated PXRD pattern.
  • the substantially pure crystalline Form N-1 has substantially pure phase homogeneity with less than about 1% of the total peak area of the experimentally measured PXRD pattern arising from peaks that are absent from the simulated PXRD pattern.
  • the crystalline form of the compound of Example 1 consists essentially of Form N-1.
  • the crystalline form of this embodiment may comprise at least about 90 wt. %, preferably at least about 95 wt. %, and more preferably at least about 99 wt. %, based on the weight of the crystalline form, Form N-1 of the compound of Example 1.
  • a pharmaceutical composition comprising Form N-1 of the compound of Example 1; and at least one pharmaceutically-acceptable carrier and/or diluent.
  • a pharmaceutical composition comprises substantially pure Form N-1 of compound of Example 1; and at least one pharmaceutically-acceptable carrier and/or diluent.
  • a therapeutically effective amount of Form N-1 of the compound of Example 1 is combined with at least one pharmaceutically acceptable carrier and/or diluent to provide at least one pharmaceutical composition.
  • the compound of Example 1 is provided in a second crystalline form.
  • the second crystalline form is an acetone solvate crystalline form referred to herein as “Form A-2” or “A-2 Form”.
  • the A-2 Form comprises about one acetone molecule for each molecule of Example 1.
  • the A-2 Form is characterized by unit cell parameters approximately equal to the following:
  • the A-2 Form is characterized by a simulated powder x-ray diffraction (PXRD) pattern substantially in accordance with the pattern shown in FIG. 2 and/or by an observed PXRD pattern substantially in accordance with the pattern shown in FIG. 2 .
  • PXRD powder x-ray diffraction
  • the A-2 Form of Example 1 is characterized by fractional atomic coordinates substantially as listed in Table 2.
  • the A-2 form of the compound of Example 1 is substantially pure.
  • the A-2 form of the compound of Example 1 contains at least about 90 wt. %, preferably at least about 95 wt. %, and more preferably at least about 99 wt. %, based on weight of the second crystalline form, Form A-2.
  • a substantially pure second crystalline form has substantially pure phase homogeneity with less than about 10%, preferably less than about 5%, and more preferably less than about 2% of the total peak area of the experimentally measured PXRD pattern arising from peaks that are absent from the simulated PXRD pattern. Most preferably, a substantially pure second crystalline form has substantially pure phase homogeneity with less than about 1% of the total peak area of the experimentally measured PXRD pattern arising from peaks that are absent from the simulated PXRD pattern.
  • the second crystalline form of the compound of Example 1 consists essentially of Form A-2.
  • the second crystalline form of this embodiment may comprise at least about 90 wt. %, preferably at least about 95 wt. %, and more preferably at least about 99 wt. %, based on the weight of the second crystalline form, Form A-2.
  • the compound of Example 1 is provided in a third crystalline form.
  • the third crystalline form is an ethyl acetate solvate crystalline form referred to herein as “Form EA-3” or “EA-3 Form”.
  • the EA-3 Form comprises about one ethyl acetate molecule for each molecule of Example 1.
  • the EA-3 Form is characterized by unit cell parameters approximately equal to the following:
  • the EA-3 Form is characterized by a simulated powder x-ray diffraction (PXRD) pattern substantially in accordance with the pattern shown in FIG. 3 and/or by an observed PXRD pattern substantially in accordance with the pattern shown in FIG. 3 .
  • PXRD powder x-ray diffraction
  • the EA-3 Form of Example 1 is characterized by fractional atomic coordinates substantially as listed in Table 3.
  • the EA-3 form of the compound of Example 1 is substantially pure.
  • the EA-3 form of the compound of Example 1 contains at least about 90 wt. %, preferably at least about 95 wt. %, and more preferably at least about 99 wt. %, based on weight of the third crystalline form, Form EA-3.
  • a substantially pure Form EA-3 has substantially pure phase homogeneity with less than about 10%, preferably less than about 5%, and more preferably less than about 2% of the total peak area of the experimentally measured PXRD pattern arising from peaks that are absent from the simulated PXRD pattern. Most preferably, the substantially crystalline Form EA-3 has substantially pure phase homogeneity with less than about 1% of the total peak area of the experimentally measured PXRD pattern arising from peaks that are absent from the simulated PXRD pattern.
  • the third crystalline form of the compound of Example 1 consists essentially of Form EA-3.
  • the third crystalline form of this embodiment may comprise at least about 90 wt. %, preferably at least about 95 wt. %, and more preferably at least about 99 wt. %, based on the weight of the third crystalline form, Form EA-3.
  • the compound of Example 1 is provided in a fourth crystalline form.
  • the fourth crystalline form is an tetrahydrofuran solvate crystalline form referred to herein as “Form THF-2” or “THF-2 Form”.
  • the THF-2 Form comprises about one tetrahydrofuran molecule for each molecule of Example 1.
  • the THF-2 Form is characterized by unit cell parameters approximately equal to the following:
  • the THF-2 Form is characterized by a simulated powder x-ray diffraction (PXRD) pattern substantially in accordance with the pattern shown in FIG. 4 and/or by an observed PXRD pattern substantially in accordance with the pattern shown in FIG. 4 .
  • PXRD powder x-ray diffraction
  • THF-2 Form of Example 1 is characterized by fractional atomic coordinates substantially as listed in Table 4.
  • the THF-2 form of the compound of Example 1 is substantially pure.
  • the THF-2 form of the compound of Example 1 contains at least about 90 wt. %, preferably at least about 95 wt. %, and more preferably at least about 99 wt. %, based on weight of the fourth crystalline form, Form THF-2.
  • a substantially pure Form THF-2 has substantially pure phase homogeneity with less than about 10%, preferably less than about 5%, and more preferably less than about 2% of the total peak area of the experimentally measured PXRD pattern arising from peaks that are absent from the simulated PXRD pattern. Most preferably, the substantially crystalline Form THF-2 has substantially pure phase homogeneity with less than about 1% of the total peak area of the experimentally measured PXRD pattern arising from peaks that are absent from the simulated PXRD pattern.
  • the fourth crystalline form of the compound of Example 1 consists essentially of Form THF-2.
  • the fourth crystalline form of this embodiment may comprise at least about 90 wt. %, preferably at least about 95 wt. %, and more preferably at least about 99 wt. %, based on the weight of the fourth crystalline form, Form THF-2.
  • Example 2 is provided as a crystalline material comprising a crystalline form.
  • An example of a suitable crystalline form of the compound of Example 2 is Form M2-1.
  • the M2-1 Form comprises about two methanol molecules for each molecule of Example 2.
  • the M2-1 Form of compound of Example 2 is characterized by unit cell parameters approximately equal to the following:
  • the M2-1 Form is characterized by a simulated powder x-ray diffraction (PXRD) pattern substantially in accordance with the pattern shown in FIG. 5 and/or by an observed PXRD pattern substantially in accordance with the pattern shown in FIG. 5 .
  • PXRD powder x-ray diffraction
  • the M2-1 Form of Example 2 is characterized by fractional atomic coordinates substantially as listed in Table 5.
  • Form M2-1 Fractional Atomic Coordinates of Form M2-1 Calculated at a Temperature of about 25° C.; Atomic Coordinates ( ⁇ 10 4 ) and Equivalent Isotropic Displacement Parameters ( ⁇ 2 ⁇ 10 3 ) for Example 2, Form M2-1 U(eq) is defined as one third of the trace of the orthogonalized U ij tensor.
  • the M2-1 form of the compound of Example 2 is substantially pure.
  • the M2-1 form of the compound of Example 2 contains at least about 90 wt. %, preferably at least about 95 wt. %, and more preferably at least about 99 wt. %, based on weight of the crystalline form, Form M2-1.
  • a substantially pure crystalline form of Form M2-1 has substantially pure phase homogeneity with less than about 10%, preferably less than about 5%, and more preferably less than about 2% of the total peak area of the experimentally measured PXRD pattern arising from peaks that are absent from the simulated PXRD pattern. Most preferably, the substantially pure crystalline form of M2-1 has substantially pure phase homogeneity with less than about 1% of the total peak area of the experimentally measured PXRD pattern arising from peaks that are absent from the simulated PXRD pattern.
  • the crystalline form of the compound of Example 2 consists essentially of Form M2-1.
  • the crystalline form of this embodiment may comprise at least about 90 wt. %, preferably at least about 95 wt. %, and more preferably at least about 99 wt. %, based on the weight of the crystalline form, Form M2-1.
  • Compounds in accordance with Formula (I) can be administered by any means suitable for the condition to be treated, which can depend on the need for site-specific treatment or quantity of Formula (I) compound to be delivered.
  • compositions comprising the compound of Formula (I) or prodrug thereof; and one or more non-toxic, pharmaceutically-acceptable carriers and/or diluents and/or adjuvants (collectively referred to herein as “carrier” materials) and, if desired, other active ingredients.
  • carrier non-toxic, pharmaceutically-acceptable carriers and/or diluents and/or adjuvants
  • the compounds of Formula (I) may be administered by any suitable route, preferably in the form of a pharmaceutical composition adapted to such a route, and in a dose effective for the treatment intended.
  • the compounds and compositions of the present invention may, for example, be administered orally, mucosally, or parentally including intravascularly, intravenously, intraperitoneally, subcutaneously, intramuscularly, and intrasternally in dosage unit formulations containing conventional pharmaceutically acceptable carriers, adjuvants, and vehicles.
  • the pharmaceutical carrier may contain a mixture of mannitol or lactose and microcrystalline cellulose.
  • the mixture may contain additional components such as a lubricating agent, e.g., magnesium stearate and a disintegrating agent such as crospovidone.
  • the carrier mixture may be filled into a gelatin capsule or compressed as a tablet.
  • the pharmaceutical composition may be administered as an oral dosage form or an infusion, for example.
  • the pharmaceutical composition may be in the form of, for example, a tablet, capsule, suspension, or liquid.
  • the pharmaceutical composition is preferably made in the form of a dosage unit containing a particular amount of the active ingredient.
  • the pharmaceutical composition may be provided as a tablet or capsule comprising an amount of active ingredient in the range of from about 1 to 2000 mg, preferably from about 1 to 500 mg, and more preferably from about 5 to 150 mg.
  • a suitable daily dose for a human or other mammal may vary widely depending on the condition of the patient and other factors, but, can be determined using routine methods.
  • any pharmaceutical composition contemplated herein can, for example, be delivered orally via any acceptable and suitable oral preparations.
  • Exemplary oral preparations include, but are not limited to, for example, tablets, troches, lozenges, aqueous and oily suspensions, dispersible powders or granules, emulsions, hard and soft capsules, syrups, and elixirs.
  • Pharmaceutical compositions intended for oral administration can be prepared according to any methods known in the art for manufacturing pharmaceutical compositions intended for oral administration.
  • a pharmaceutical composition in accordance with the invention can contain at least one agent selected from sweetening agents, flavoring agents, coloring agents, demulcents, antioxidants, and preserving agents.
  • a tablet can, for example, be prepared by admixing at least one compound of Formula (I) with at least one non-toxic pharmaceutically acceptable excipient suitable for the manufacture of tablets.
  • excipients include, but are not limited to, for example, inert diluents, such as, for example, calcium carbonate, sodium carbonate, lactose, calcium phosphate, and sodium phosphate; granulating and disintegrating agents, such as, for example, microcrystalline cellulose, sodium croscarmellose, corn starch, and alginic acid; binding agents, such as, for example, starch, gelatin, polyvinyl-pyrrolidone, and acacia; and lubricating agents, such as, for example, magnesium stearate, stearic acid, and talc.
  • inert diluents such as, for example, calcium carbonate, sodium carbonate, lactose, calcium phosphate, and sodium phosphate
  • granulating and disintegrating agents such as,
  • a tablet can either be uncoated, or coated by known techniques to either mask the bad taste of an unpleasant tasting drug, or delay disintegration and absorption of the active ingredient in the gastrointestinal tract thereby sustaining the effects of the active ingredient for a longer period.
  • exemplary water soluble taste masking materials include, but are not limited to, hydroxypropylmethylcellulose and hydroxypropylcellulose.
  • Exemplary time delay materials include, but are not limited to, ethyl cellulose and cellulose acetate butyrate.
  • Hard gelatin capsules can, for example, be prepared by mixing at least one compound of Formula (I) with at least one inert solid diluent, such as, for example, calcium carbonate; calcium phosphate; and kaolin.
  • at least one inert solid diluent such as, for example, calcium carbonate; calcium phosphate; and kaolin.
  • Soft gelatin capsules can, for example, be prepared by mixing at least one compound of Formula (I) with at least one water soluble carrier, such as, for example, polyethylene glycol; and at least one oil medium, such as, for example, peanut oil, liquid paraffin, and olive oil.
  • at least one water soluble carrier such as, for example, polyethylene glycol
  • at least one oil medium such as, for example, peanut oil, liquid paraffin, and olive oil.
  • An aqueous suspension can be prepared, for example, by admixing at least one compound of Formula (I) with at least one excipient suitable for the manufacture of an aqueous suspension.
  • excipients suitable for the manufacture of an aqueous suspension include, but are not limited to, for example, suspending agents, such as, for example, sodium carboxymethylcellulose, methylcellulose, hydroxypropylmethylcellulose, sodium alginate, alginic acid, polyvinylpyrrolidone, gum tragacanth, and gum acacia; dispersing or wetting agents, such as, for example, a naturally-occurring phosphatide, e.g., lecithin; condensation products of alkylene oxide with fatty acids, such as, for example, polyoxyethylene stearate; condensation products of ethylene oxide with long chain aliphatic alcohols, such as, for example heptadecaethylene-oxycetanol; condensation products of ethylene oxide with partial esters derived from fatty acids and hex
  • An aqueous suspension can also contain at least one preservative, such as, for example, ethyl and n-propyl p-hydroxybenzoate; at least one coloring agent; at least one flavoring agent; and/or at least one sweetening agent, including but not limited to, for example, sucrose, saccharin, and aspartame.
  • Oily suspensions can, for example, be prepared by suspending at least one compound of Formula (I) in either a vegetable oil, such as, for example, arachis oil; olive oil; sesame oil; and coconut oil; or in mineral oil, such as, for example, liquid paraffin.
  • An oily suspension can also contain at least one thickening agent, such as, for example, beeswax; hard paraffin; and cetyl alcohol.
  • at least one of the sweetening agents already described hereinabove, and/or at least one flavoring agent can be added to the oily suspension.
  • An oily suspension can further contain at least one preservative, including, but not limited to, for example, an anti-oxidant, such as, for example, butylated hydroxyanisol, and alpha-tocopherol.
  • Dispersible powders and granules can, for example, be prepared by admixing at least one compound of Formula (I) with at least one dispersing and/or wetting agent; at least one suspending agent; and/or at least one preservative.
  • Suitable dispersing agents, wetting agents, and suspending agents are as already described above.
  • Exemplary preservatives include, but are not limited to, for example, anti-oxidants, e.g., ascorbic acid.
  • dispersible powders and granules can also contain at least one excipient, including, but not limited to, for example, sweetening agents; flavoring agents; and coloring agents.
  • An emulsion of at least one compound of Formula (I) can, for example, be prepared as an oil-in-water emulsion.
  • the oily phase of the emulsions comprising compounds of Formula (I) may be constituted from known ingredients in a known manner.
  • the oil phase can be provided by, but is not limited to, for example, a vegetable oil, such as, for example, olive oil and arachis oil; a mineral oil, such as, for example, liquid paraffin; and mixtures thereof. While the phase may comprise merely an emulsifier, it may comprise a mixture of at least one emulsifier with a fat or an oil or with both a fat and an oil.
  • Suitable emulsifying agents include, but are not limited to, for example, naturally-occurring phosphatides, e.g., soy bean lecithin; esters or partial esters derived from fatty acids and hexitol anhydrides, such as, for example, sorbitan monooleate; and condensation products of partial esters with ethylene oxide, such as, for example, polyoxyethylene sorbitan monooleate.
  • a hydrophilic emulsifier is included together with a lipophilic emulsifier which acts as a stabilizer. It is also preferred to include both an oil and a fat.
  • emulsifier(s) with or without stabilizer(s) make-up the so-called emulsifying wax
  • the wax together with the oil and fat make up the so-called emulsifying ointment base which forms the oily dispersed phase of the cream formulations.
  • An emulsion can also contain a sweetening agent, a flavoring agent, a preservative, and/or an antioxidant.
  • Emulsifiers and emulsion stabilizers suitable for use in the formulation of the present invention include Tween 60, Span 80, cetostearyl alcohol, myristyl alcohol, glyceryl monostearate, sodium lauryl sulfate, glyceryl distearate alone or with a wax, or other materials well known in the art.
  • the compounds of Formula (I) can, for example, also be delivered intravenously, subcutaneously, and/or intramuscularly via any pharmaceutically acceptable and suitable injectable form.
  • injectable forms include, but are not limited to, for example, sterile aqueous solutions comprising acceptable vehicles and solvents, such as, for example, water, Ringer's solution, and isotonic sodium chloride solution; sterile oil-in-water microemulsions; and aqueous or oleaginous suspensions.
  • Formulations for parenteral administration may be in the form of aqueous or non-aqueous isotonic sterile injection solutions or suspensions. These solutions and suspensions may be prepared from sterile powders or granules using one or more of the carriers or diluents mentioned for use in the formulations for oral administration or by using other suitable dispersing or wetting agents and suspending agents.
  • the compounds may be dissolved in water, polyethylene glycol, propylene glycol, ethanol, corn oil, cottonseed oil, peanut oil, sesame oil, benzyl alcohol, sodium chloride, tragacanth gum, and/or various buffers. Other adjuvants and modes of administration are well and widely known in the pharmaceutical art.
  • the active ingredient may also be administered by injection as a composition with suitable carriers including saline, dextrose, or water, or with cyclodextrin (i.e., CAPTISOL®), cosolvent solubilization (i.e., propylene glycol) or micellar solubilization (i.e., Tween 80).
  • suitable carriers including saline, dextrose, or water, or with cyclodextrin (i.e., CAPTISOL®), cosolvent solubilization (i.e., propylene glycol) or micellar solubilization (i.e., Tween 80).
  • the sterile injectable preparation may also be a sterile injectable solution or suspension in a non-toxic parenterally acceptable diluent or solvent, for example as a solution in 1,3-butanediol.
  • a non-toxic parenterally acceptable diluent or solvent for example as a solution in 1,3-butanediol.
  • acceptable vehicles and solvents that may be employed are water, Ringer's solution, and isotonic sodium chloride solution.
  • sterile, fixed oils are conventionally employed as a solvent or suspending medium.
  • any bland fixed oil may be employed, including synthetic mono- or diglycerides.
  • fatty acids such as oleic acid find use in the preparation of injectables.
  • a sterile injectable oil-in-water microemulsion can, for example, be prepared by 1) dissolving at least one compound of Formula (I) in an oily phase, such as, for example, a mixture of soybean oil and lecithin; 2) combining the Formula (I) containing oil phase with a water and glycerol mixture; and 3) processing the combination to form a microemulsion.
  • an oily phase such as, for example, a mixture of soybean oil and lecithin
  • combining the Formula (I) containing oil phase with a water and glycerol mixture and 3) processing the combination to form a microemulsion.
  • a sterile aqueous or oleaginous suspension can be prepared in accordance with methods already known in the art.
  • a sterile aqueous solution or suspension can be prepared with a non-toxic parenterally-acceptable diluent or solvent, such as, for example, 1,3-butane diol; and a sterile oleaginous suspension can be prepared with a sterile non-toxic acceptable solvent or suspending medium, such as, for example, sterile fixed oils, e.g., synthetic mono- or diglycerides; and fatty acids, such as, for example, oleic acid.
  • Pharmaceutically acceptable carriers, adjuvants, and vehicles that may be used in the pharmaceutical compositions of this invention include, but are not limited to, ion exchangers, alumina, aluminum stearate, lecithin, self-emulsifying drug delivery systems (SEDDS) such as d-alpha-tocopherol polyethyleneglycol 1000 succinate, surfactants used in pharmaceutical dosage forms such as Tweens, polyethoxylated castor oil such as CREMOPHOR surfactant (BASF), or other similar polymeric delivery matrices, serum proteins, such as human serum albumin, buffer substances such as phosphates, glycine, sorbic acid, potassium sorbate, partial glyceride mixtures of saturated vegetable fatty acids, water, salts or electrolytes, such as protamine sulfate, disodium hydrogen phosphate, potassium hydrogen phosphate, sodium chloride, zinc salts, colloidal silica, magnesium trisilicate, polyvinyl pyrrolidone, cellulose
  • Cyclodextrins such as alpha-, beta-, and gamma-cyclodextrin, or chemically modified derivatives such as hydroxyalkylcyclodextrins, including 2- and 3-hydroxypropyl-cyclodextrins, or other solubilized derivatives may also be advantageously used to enhance delivery of compounds of the formulae described herein.
  • the pharmaceutically active compounds of this invention can be processed in accordance with conventional methods of pharmacy to produce medicinal agents for administration to patients, including humans and other mammals.
  • the pharmaceutical compositions may be subjected to conventional pharmaceutical operations such as sterilization and/or may contain conventional adjuvants, such as preservatives, stabilizers, wetting agents, emulsifiers, buffers etc. Tablets and pills can additionally be prepared with enteric coatings.
  • Such compositions may also comprise adjuvants, such as wetting, sweetening, flavoring, and perfuming agents.
  • the amounts of compounds that are administered and the dosage regimen for treating a disease condition with the compounds and/or compositions of this invention depends on a variety of factors, including the age, weight, sex, the medical condition of the subject, the type of disease, the severity of the disease, the route and frequency of administration, and the particular compound employed. Thus, the dosage regimen may vary widely, but can be determined routinely using standard methods.
  • the daily dose can be administered in one to four doses per day.
  • the active compounds of this invention are ordinarily combined with one or more adjuvants appropriate to the indicated route of administration.
  • the compounds may be admixed with lactose, sucrose, starch powder, cellulose esters of alkanoic acids, cellulose alkyl esters, talc, stearic acid, magnesium stearate, magnesium oxide, sodium and calcium salts of phosphoric and sulfuric acids, gelatin, acacia gum, sodium alginate, polyvinylpyrrolidone, and/or polyvinyl alcohol, and then tableted or encapsulated for convenient administration.
  • Such capsules or tablets may contain a controlled-release formulation as may be provided in a dispersion of active compound in hydroxypropylmethyl cellulose.
  • compositions of this invention comprise the compound of Formula (I), or a prodrug thereof, and optionally an additional agent selected from any pharmaceutically acceptable carrier, adjuvant, and vehicle.
  • Alternate compositions of this invention comprise a compound of the Formula (I) described herein, or a prodrug thereof, and a pharmaceutically acceptable carrier, adjuvant, or vehicle.
  • the compounds of Formula (I) are useful for the treatment of cancer, for example, cancers dependent upon Notch activation.
  • Notch activation has been implicated in the pathogenesis of various solid tumors including ovarian, pancreatic, as well as breast cancer and hematologic tumors such as leukemias, lymphomas, and multiple myeloma.
  • a method for treating cancer comprising administering to a mammal in need thereof a compound of Formula (I) or a prodrug thereof.
  • the method of this embodiment can be used to treat a variety of cancers, including, but not limited to, bladder cancer, breast cancer, colorectal cancer, gastric cancer, head and neck cancer, kidney cancer, liver cancer, lung cancer including non-small cell lung cancer (NSCLC), ovarian cancer, pancreatic cancer, gall bladder cancer, prostate cancer, thyroid cancer, osteosarcoma, rhabdomyosarcoma, malignant fibrous histiocytoma (MFH), fibrosarcoma, glioblastomas/astrocytomas, neuroblastoma, melanoma, T-cell acute lymphoblastic leukemia (T-ALL), and mesothelioma.
  • NSCLC non-small cell lung cancer
  • MMH malignant fibrous histiocytoma
  • fibrosarcoma glioblastomas/astro
  • the method of this embodiment is used to treat breast cancer, colon cancer, or pancreatic cancer.
  • the mammal is a human.
  • a therapeutically effective amount for treating cancer may be administered in the method of the present embodiment.
  • the method of this embodiment includes the administration of the compound having the structure:
  • Routes of administration in the present embodiment include parenteral administration and oral administration.
  • a method for treating cancer comprising administering to a mammal in need thereof a compound of Formula (I) or a prodrug thereof, wherein said cancer is colorectal cancer.
  • the mammal is a human.
  • a therapeutically effective amount for treating cancer may be administered in the method of the present embodiment.
  • Routes of administration in the present embodiment include parenteral administration and oral administration.
  • a method for treating cancer comprising administering to a mammal in need thereof a compound of Formula (I) or a prodrug thereof, wherein said cancer is triple negative breast cancer.
  • the mammal is a human.
  • a therapeutically effective amount for treating cancer may be administered in the method of the present embodiment.
  • Routes of administration in the present embodiment include parenteral administration and oral administration.
  • a method for treating cancer comprising administering to a mammal in need thereof a compound of Formula (I) or a prodrug thereof, wherein said cancer is non-small cell lung cancer.
  • the mammal is a human.
  • a therapeutically effective amount for treating cancer may be administered in the method of the present embodiment.
  • Routes of administration in the present embodiment include parenteral administration and oral administration.
  • a method for treating cancer comprising administering to a mammal in need thereof a compound of Formula (I) or a prodrug thereof, wherein said cancer is pancreatic cancer.
  • the mammal is a human.
  • a therapeutically effective amount for treating cancer may be administered in the method of the present embodiment.
  • Routes of administration in the present embodiment include parenteral administration and oral administration.
  • a method for treating cancer comprising administering to a mammal in need thereof a compound of Formula (I) or a prodrug thereof, wherein said cancer is ovarian cancer.
  • the mammal is a human.
  • a therapeutically effective amount for treating cancer may be administered in the method of the present embodiment.
  • Routes of administration in the present embodiment include parenteral administration and oral administration.
  • a method for treating cancer comprising administering to a mammal in need thereof a compound of Formula (I) or a prodrug thereof, wherein said cancer is melanoma.
  • the mammal is a human.
  • a therapeutically effective amount for treating cancer may be administered in the method of the present embodiment.
  • Routes of administration in the present embodiment include parenteral administration and oral administration.
  • cancers subject to treatment include one or more of bladder cancer, breast cancer, colorectal cancer, gastric cancer, head and neck cancer, kidney cancer, liver cancer, lung cancer including non-small cell lung cancer (NSCLC), ovarian cancer, pancreatic cancer, gall bladder cancer, prostate cancer, thyroid cancer, osteosarcoma, rhabdomyosarcoma, malignant fibrous histiocytoma (MFH), fibrosarcoma, glioblastomas/astrocytomas, neuroblastoma, melanoma, T-cell acute lymphoblastic leukemia (T-ALL), and mesothelioma.
  • Suitable medicaments of the present embodiment include medicaments for parenteral administration, such as, for example, solutions and suspensions and medicaments for oral administration, such as, for example, tablets, capsules, solutions, and
  • cancers subject to treatment include one or more of bladder cancer, breast cancer, colorectal cancer, gastric cancer, head and neck cancer, kidney cancer, liver cancer, lung cancer including non-small cell lung cancer (NSCLC), ovarian cancer, pancreatic cancer, gall bladder cancer, prostate cancer, thyroid cancer, osteosarcoma, rhabdomyosarcoma, malignant fibrous histiocytoma (MFH), fibrosarcoma, glioblastomas/astrocytomas, neuroblastoma, melanoma, T-cell acute lymphoblastic leukemia (T-ALL), and mesothelioma.
  • NSCLC non-small cell lung cancer
  • a method for treating cancer in a mammal wherein the cancer is dependent upon Notch activation comprising administering to the patient a compound of Formula (I) or a prodrug thereof.
  • the method of this embodiment can be used to treat a variety of cancers, including, but not limited to, bladder cancer, breast cancer, colorectal cancer, gastric cancer, head and neck cancer, kidney cancer, liver cancer, lung cancer including non-small cell lung cancer (NSCLC), ovarian cancer, pancreatic cancer, gall bladder cancer, prostate cancer, thyroid cancer, osteosarcoma, rhabdomyosarcoma, malignant fibrous histiocytoma (MFH), fibrosarcoma, glioblastomas/astrocytomas, neuroblastoma, melanoma, T-cell acute lymphoblastic leukemia (T-ALL), and mesothelioma.
  • bladder cancer breast cancer, colorectal cancer, gastric cancer, head and neck cancer, kidney cancer, liver cancer, lung cancer including non
  • the method of this embodiment is used to treat breast cancer, colon cancer, or pancreatic cancer.
  • the mammal is a human.
  • a therapeutically effective amount for treating cancer may be administered in the method of the present embodiment.
  • Suitable routes of administration include parenteral administration and oral administration.
  • chemotherapeutic agents and/or other treatments are often advantageous.
  • the second (or third) agent may have the same or different mechanism of action than the primary therapeutic agent.
  • drug combinations may be employed wherein the two or more drugs being administered act in different manners or in different phases of the cell cycle, and/or where the two or more drugs have nonoverlapping toxicities or side effects, and/or where the drugs being combined each has a demonstrated efficacy in treating the particular disease state manifested by the patient.
  • a method for treating cancer comprising administering to a mammal in need thereof a compound of Formula (I) or a prodrug thereof; and administering one or more additional anti-cancer agents.
  • additional anti-cancer agent refers to a drug selected from any one or more of the following: alkylating agents (including nitrogen mustards, alkyl sulfonates, nitrosoureas, ethylenimine derivatives, and triazenes); anti-angiogenics (including matrix metalloproteinase inhibitors); antimetabolites (including adenosine deaminase inhibitors, folic acid antagonists, purine analogues, and pyrimidine analogues); antibiotics or antibodies (including monoclonal antibodies, CTLA-4 antibodies, anthracyclines); aromatase inhibitors; cell-cycle response modifiers; enzymes; farnesyl-protein transferase inhibitors; hormonal and antihormonal agents and steroids (including synthetic analogs, glucocorticoids, estrogens/anti-estrogens [e.g., SERMs], androgens/anti-androgens, progestins, progesterone receptor
  • the compounds of the present invention may be administered in combination with other anti-cancer treatments useful in the treatment of cancer or other proliferative diseases.
  • the invention herein further comprises use of a compound of Formula (I) or prodrug thereof in preparing medicaments for the treatment of cancer, and/or it comprises the packaging of a compound of Formula (I) herein together with instructions that the compound be used in combination with other anti-cancer or cytotoxic agents and treatments for the treatment of cancer.
  • the present invention further comprises combinations of a compound of Formula (I) and one or more additional agents in kit form, e.g., where they are packaged together or placed in separate packages to be sold together as a kit, or where they are packaged to be formulated together.
  • a method for treating cancer comprising administering to a mammal in need thereof a compound of Formula (I) or a prodrug thereof; administering dasatinib; and optionally, one or more additional anti-cancer agents.
  • a method for treating cancer comprising administering to a mammal in need thereof a compound of Formula (I) or a prodrug thereof; administering paclitaxel; and optionally, one or more additional anti-cancer agents.
  • a method for treating cancer comprising administering to a mammal in need thereof a compound of Formula (I) or a prodrug thereof; administering Tamoxifen; and optionally, one or more additional anti-cancer agents.
  • a method for treating cancer comprising administering to a mammal in need thereof a compound of Formula (I) or a prodrug thereof; administering a glucocorticoid; and optionally, one or more additional anti-cancer agents.
  • a suitable glucocorticoid is dexamethasone.
  • a method for treating cancer comprising administering to a mammal in need thereof a compound of Formula (I) or a prodrug thereof; administering carboplatin; and optionally, one or more additional anti-cancer agents.
  • the compounds of the present invention can be formulated or co-administered with other therapeutic agents that are selected for their particular usefulness in addressing side effects associated with the aforementioned conditions.
  • compounds of the invention may be formulated with agents to prevent nausea, hypersensitivity and gastric irritation, such as antiemetics, and H 1 and H 2 antihistaminics.
  • compositions comprising a compound of Formula (I) or prodrug thereof; one or more additional agents selected from a kinase inhibitory agent (small molecule, polypeptide, and antibody), an immunosuppressant, an anti-cancer agent, an anti-viral agent, anti-inflammatory agent, antifungal agent, antibiotic, or an anti-vascular hyperproliferation compound; and any pharmaceutically acceptable carrier, adjuvant or vehicle.
  • a kinase inhibitory agent small molecule, polypeptide, and antibody
  • an immunosuppressant an anti-cancer agent
  • an anti-viral agent anti-inflammatory agent
  • antifungal agent antifungal agent
  • antibiotic antibiotic
  • anti-vascular hyperproliferation compound any pharmaceutically acceptable carrier, adjuvant or vehicle.
  • therapeutic agents when employed in combination with the compounds of the present invention, may be used, for example, in those amounts indicated in the Physicians' Desk Reference (PDR) or as otherwise determined by one of ordinary skill in the art.
  • PDR Physicians' Desk Reference
  • such other therapeutic agent(s) may be administered prior to, simultaneously with, or following the administration of the inventive compounds.
  • the specific dose level and frequency of dosage for any particular subject may be varied and generally depends on a variety of factors, including, but not limited to, for example, the bioavailability of the specific compound of Formula (I) in the administered form, metabolic stability and length of action of the specific compound of Formula (I), species, body weight, general health, sex, diet of subject, mode and time of administration, rate of excretion, drug combination, and severity of the particular condition.
  • a daily dose of about 0.001 to 100 mg/kg body weight, preferably between about 0.005 and about 50 mg/kg body weight and most preferably between about 0.01 to 10 mg/kg body weight, may be appropriate.
  • the daily dose can be administered in one to four doses per day.
  • the administration can be continuous, i.e., every day, or intermittently.
  • intermittent administration includes administration one to six days per week; administration in cycles (e.g., daily administration for two to eight consecutive weeks followed by a rest period with no administration for up to one week); or administration on alternate days.
  • the compound of Formula (I) is administered continuously to a patient in need thereof, one or more times daily.
  • a therapeutically effective amount of the compound of Formula (I) is administered to a patient in need thereof, one or more times daily for continuous days.
  • the compound of Formula (I) is administered intermittently to a patient in need thereof, one or more times daily.
  • a therapeutically effective amount of the compound of Formula (I) is administered to a patient in need thereof, one or more times daily according to an intermittent schedule.
  • the compound of Formula (I) is administered to a patient in need thereof, one or more times daily for continuous days followed by one or more days without administration.
  • a therapeutically effective amount of the compound of Formula (I) is administered.
  • Examples of continuous dosing with a drug holiday are cycles of: 7 days on treatment followed by 7 days off treatment; 14 days on treatment followed by 7 days off treatment; and 7 days on treatment followed by 14 days off treatment.
  • a cycle of on treatment/off treatment can be repeated multiple times as required to treat a patient.
  • the compound of Formula (I) is administered to a patient in need thereof, according to an intermittent dosing schedule.
  • Intermittent dosing schedules are repeating schedules including days in which the patient is administered the compound of Formula (I) and days in which the patient is not administered the compound of Formula (I).
  • Examples of intermittent dosing schedules are: dosing four days each week for three continuous weeks followed by a week without dosing, and repeating on a four week interval; dosing five days each week for two continuous weeks followed by a week without dosing, and repeating on a three week interval; and dosing four days each week for one week followed by two weeks without dosing, and repeating on a three week interval.
  • a therapeutically effective amount of the compound of Formula (I) is administered.
  • the compound of Formula (I) is administered on one day, followed by 6 days of rest, and repeated on a weekly schedule.
  • the compound of Formula (I) is administered on two consecutive days, followed by 5 days of rest, and repeated on a weekly schedule.
  • the compound of Formula (I) is administered on three consecutive days followed by four days of rest, and repeated on a weekly schedule.
  • the compound of Formula (I) is administered on one day, followed by 10 to 13 days of rest.
  • the compounds of the present invention can be prepared in a number of ways well known to one skilled in the art of organic synthesis.
  • the compounds of the present invention can be synthesized using the methods described below, together with synthetic methods known in the art of synthetic organic chemistry, or variations thereon as appreciated by those skilled in the art. Preferred methods include, but are not limited to, those described below. All references cited herein are hereby incorporated in their entirety by reference.
  • the compounds of this invention may be prepared using the reactions and techniques described in this section.
  • the reactions are performed in solvents appropriate to the reagents and materials employed and are suitable for the transformations being effected.
  • all proposed reaction conditions including choice of solvent, reaction atmosphere, reaction temperature, duration of the experiment and work up procedures, are chosen to be the conditions standard for that reaction, which should be readily recognized by one skilled in the art. It is understood by one skilled in the art of organic synthesis that the functionality present on various portions of the molecule must be compatible with the reagents and reactions proposed. Such restrictions to the substituents that are compatible with the reaction conditions will be readily apparent to one skilled in the art and alternate methods must then be used.
  • benzodiazepinone may be accomplished in multitude of methods known to one skilled in the art.
  • Step 1 The first step of Scheme 2 is accomplished by converting compound (v) to the ester (vii), employing one of the multiple ways known to one skilled in the art, such as treatment with a substituted acetimidate such as compound (vi) in the presence of a reagent such as boron trifluoride etherate at an appropriate temperature in a solvent such as THF.
  • a reagent such as boron trifluoride etherate
  • Acid (viii) can be converted to compound (ix) in multiple ways known to one skilled in the art.
  • treatment of acid (viii) with a reagent such as oxalyl chloride in a solvent such as DCM gives the acid chloride (ix).
  • Compound (ix) can be treated with an oxazolidinone (x) under standard conditions to give compound (xi) (Evans, D. A. et al., J. Am. Chem. Soc., 112:4011 (1990)).
  • Step 3 Compound (xi) can be converted to compound (xii) in multiple ways (Baran, P. et al., J. Am. Chem. Soc., 130(34):11546 (2008)).
  • compound (vii) is treated with a base such as LDA in a solvent such as toluene, at low temperature such as ⁇ 78° C. under an inert atmosphere such as N 2 .
  • the resulting mixture is added to a solution of compound (xi) treated with lithium chloride and a base such as LDA in a solvent such as toluene under an inert atmosphere such as N 2 .
  • Step 4 Conversion of compound (xii) to (xiii) may be accomplished by treating it with reagents such as hydrogen peroxide and lithium hydroxide at an appropriate temperature, using a mixture of solvents such as THF/water. If necessary, the diastereoisomers may be separated at this point via silica gel chromatography or preparative HPLC. Alternately, the mixture may be subjected to epimerization conditions, for example by treatment with LDA and diethylaluminum chloride followed by quenching with methanol or acetic acid to enrich the desired diastereoisomer.
  • Step 5 Compound (xiii) may be coupled with benzodiazepinone (iv) in the presence of a coupling reagent such as TBTU and a base such as TEA, in a solvent such as DMF to provide compound (xiv).
  • a coupling reagent such as TBTU and a base such as TEA
  • a solvent such as DMF
  • Step 6 Treatment of compound (xiv) with an acid such as TFA at an appropriate temperature such as 0° C., in a solvent such as DCM provides compound (xv).
  • Step 7 Conversion of compound (xv) to compound (xvi) may be accomplished via coupling of compound (xv) with an appropriate amine source such as ammonium chloride, a carbodiimide such as EDC, HOBT and a base such as TEA in a solvent such as DMF. If necessary the diastereoisomeric mixture can be separated using an appropriate separation technique, such as chiral preparative chromatography.
  • an appropriate amine source such as ammonium chloride, a carbodiimide such as EDC, HOBT and a base such as TEA in a solvent such as DMF.
  • Step 1 The preparation of benzodiazepinone (iii) may also be accomplished by cross coupling of benzodiazepinone (xvii) containing a halogen atom such as chlorine (X ⁇ Cl) and a protecting group (PG) such as Boc, with an appropriate coupling partner such as a boronic acid under conditions known to one skilled in the art.
  • a halogen atom such as chlorine (X ⁇ Cl) and a protecting group (PG) such as Boc
  • an appropriate coupling partner such as a boronic acid
  • the coupling of the halogen containing moiety with a boronic acid occurs in the presence of a catalyst such as tetrakis(triphenylphosphine)palladium(0), a base such as sodium carbonate and a solvent such as DME under an inert atmosphere such as N 2 .
  • Step 1 The first step of Scheme 4 involves the treatment of Compound (xvii) with carboxylic acid (xix) in the presence of a carbodiimide such as DCC, a base such as TEA, and a catalyst such as DMAP in a solvent such as DCM provides Compound (xx).
  • a carbodiimide such as DCC
  • a base such as TEA
  • a catalyst such as DMAP
  • a solvent such as DCM
  • Step 2 Conversion of Compound (xx) to Compound (xxi) may be accomplished by treatment with a reagent such as sodium cyanoborohydride in the presence of an acid such as HCl under atmospheric conditions that may be inert, for example under N 2 .
  • a reagent such as sodium cyanoborohydride
  • an acid such as HCl
  • Step 3 Conversion of Compound (xxi) to Compound (xxiii) may proceed via Compound (xxii) bearing an appropriate leaving group (LG).
  • a base such as 2,6-lutidine and a reagent such as trifluoromethanesulfonic anhydride in a solvent such as DCM at an appropriate temperature such as ⁇ 78° C.
  • a solvent such as DCM
  • Step 4 Conversion of Compound (xxiii) to Compound (xxiv) may be accomplished via standard procedures known to one skilled in the art. For example, treatment of Compound (xxiii) in the presence of a catalyst such as Pd/C in a solvent such as methanol gives Compound (xxiv).
  • a catalyst such as Pd/C
  • a solvent such as methanol
  • Step 5 Compound (xxv) may be obtained by the coupling of Compound (xxiv) with Compound (iv).
  • the transformation may be accomplished with the use of a reagent such as AlMe 3 in a solvent such as DCM under an inert atmosphere such as N 2 .
  • a reagent such as AlMe 3
  • a solvent such as DCM
  • N 2 an inert atmosphere
  • the mixture of diastereoisomers obtained may be used as a mixture or may be separated by an appropriate method such as chiral chromatography.
  • Step 6 Compound (xxv) is oxidized using an oxidizing agent such as Jones reagent, in a solvent such as acetone to give Compound (xxvi). If the compound is a diastereoisomeric mixture then it may be used as a mixture or may be separated using an appropriate method such as chiral chromatography.
  • an oxidizing agent such as Jones reagent
  • Step 7 Conversion of Compound (xxvi) to Compound (xxvii) may be accomplished via standard procedures known to one skilled in the art. For example, coupling of Compound (xxvi) with an appropriate amine source such as ammonium chloride, a carbodiimide such as EDC, HOBT and a base such as TEA in a solvent such as DMF provides Compound (xxvii). At this instance the compound may be enantiopure or if necessary the diastereoisomeric mixture can be separated using an appropriate separation technique, such as chiral chromatography.
  • an appropriate amine source such as ammonium chloride, a carbodiimide such as EDC, HOBT and a base such as TEA
  • a solvent such as DMF
  • the compound may be enantiopure or if necessary the diastereoisomeric mixture can be separated using an appropriate separation technique, such as chiral chromatography.
  • Step 1 The first step of Scheme 5 is accomplished by treating Compound (xxviii) with a reagent such as sodium nitrite in an acid such as H 2 SO 4 and a solvent such as water to provide Compound xxix.
  • a reagent such as sodium nitrite in an acid such as H 2 SO 4 and a solvent such as water
  • the acid (xxix) is treated with an alcohol such as benzyl alcohol in a solvent such as toluene and an acid such as H 2 SO 4 to provide Compound xxx.
  • Step 3 Compound (xxxi) bearing a suitable leaving group may be prepared by treatment of Compound (xxx) with a base such as 2,6-lutidine and a reagent such as trifluoromethanesulfonic anhydride in a solvent such as DCM at an appropriate temperature.
  • a base such as 2,6-lutidine
  • a reagent such as trifluoromethanesulfonic anhydride
  • Step 4 Compound (xxxii) can be converted to Compound (xxxiv) in multiple ways known to one skilled in the art.
  • treatment of acid chloride (xxxii), either prepared from the corresponding carboxylic acid with a reagent such as oxalyl chloride in a solvent such as DCM, or obtained commercially can be treated with an oxazolidinone (xxxiii) under standard conditions to give Compound (xxxiv) (Evans, D. A. et al., J. Am. Chem. Soc., 112:4011 (1990)).
  • Step 5 The preparation of Compound (xxxv) may be effected by treating Compound (xxxiv) with a base such as LiHMDS in a solvent such as THF at an appropriate temperature such as ⁇ 78° C. and to the resulting mixture is added Compound (xxxi) in a solvent such as THF.
  • a base such as LiHMDS
  • THF a solvent such as THF
  • Step 6 The protecting group of Compound (xxxv) may be removed via many methods known to one skilled in the art.
  • a benzyl group may be removed by subjecting it to hydrogenation conditions using a palladium catalyst such as Pearlman's Catalyst in a solvent such as methanol to provide Compound (xxxvi).
  • Step 7 Compound (iv) is coupled with Compound (xxxvi) in the presence of a coupling reagent such as TBTU and a base such as TEA in a solvent such as DMF to provide Compound (xxxvii). If necessary, the diastereoisomers may be separated using an appropriate method such as chiral preparative chromatography.
  • Step 8 The hydrolysis of Compound (xxxvii) may be accomplished by treating it with hydrogen peroxide and lithium hydroxide at an appropriate temperature using a mixture of solvents such as THF/water to give Compound (xv). If necessary, the diastereoisomers may be separated using an appropriate method such as chiral preparative chromatography.
  • Step 1 The first step of Scheme 6 is accomplished by treating Compound (xi) with a base such as sodium bis(trimethylsilyl)amide in a solvent such as THF at low temperature such as ⁇ 78° C. under an inert atmosphere. To the resulting enolate of (xi) is treated with a reagent such as tert-butyl bromoacetate to provide compound (xxxviii).
  • a base such as sodium bis(trimethylsilyl)amide
  • THF solvent
  • a reagent such as tert-butyl bromoacetate
  • Step 2 Conversion of compound (xxxviii) to (xxxix) may be accomplished by treating compound (xxxviii) with reagents such as hydrogen peroxide and lithium hydroxide at an appropriate temperature using a mixture of solvents such as THF/water.
  • reagents such as hydrogen peroxide and lithium hydroxide
  • a base such as LDA
  • a solvent such as THF
  • the solution was allowed to rest for 45 min, and the resulting solid material was removed by filtering on the same MgSO 4 filter again, washed with hexanes (100 mL) and concentrated under reduced pressure without heat.
  • the volume was reduced to about 30 mL, filtered through a clean fritted funnel, washed with hexane (5 mL), and then concentrated under reduced pressure without heat.
  • the enolate derived from the ester was transferred via cannula into the solution of the oxazolidinone enolate, stirred at ⁇ 78° C. for an additional 5 min at which time the septum was removed and solid powdered bis(2-ethylhexanoyloxy)copper (9.02 g, 25.8 mmol) was rapidly added to the reaction vessel and the septum replaced.
  • the vessel was immediately removed from the cold bath and immersed into a warm water bath (40° C.) with rapid swirling with a concomitant color change from the initial turquoise to brown.
  • the reaction mixture was stirred for 20 min, was poured into 5% aqueous NH 4 OH (360 mL) and extracted with EtOAc (2 ⁇ ).
  • Racemic 3-amino-1-methyl-5-phenyl-1,3-dihydro-2H-1,4-benzodiazepin-2-one (Rittle, K. E. et al., Tetrahedron Letters, 28(5):521-522 (1987)) was prepared according to the literature procedure.
  • the enantiomers were separated under chiral-SFC conditions using the following method: CHIRALPAK® AS-H 5 ⁇ 25; Mobile phase: 30% MeOH+0.1% DEA in CO 2 ; Flow rate: 280 mL/min; Pressure: 100 bar; Temperature: 35° C.
  • Preparation 1G.CSA was prepared from racemic 3-amino-1-methyl-5-phenyl-1,3-dihydro-2H-1,4-benzodiazepin-2-one (9.98 g, 37.6 mmol) (prepared according to the literature as shown above) according to the literature procedure (Reider, P. J. et al., J. Org. Chem., 52:955-957 (1987)).
  • Crystal Form A-2 was prepared by adding approximately 1 mg of Example 1 to approximately 0.7 mL of acetone/acetonitrile/water solution (2:2:1). A mixture of colorless needles and thin blades crystals were obtained after one day of slow evaporation of the solution at room temperature. The thin blade crystals were separated to provide crystal Form A-2.
  • Crystal Form EA-3 was prepared by adding approximately 1 mg of Example 1 to approximately 0.7 mL of ethyl acetate/heptane solution (1:1). Colorless blade crystals were obtained after three days of slow evaporation of the solution at room temperature.
  • Crystal Form THF-2 was obtained by adding approximately 5 mg of Example 1 to approximately 0.7 mL of THF/water solution (4:1). Colorless blade-like crystals were obtained after one day of solvent evaporation at room temperature.
  • Preparation 1N was prepared from 5,5,5-trifluoropentanoic acid (3.35 g, 21.46 mmol) and (4S)-4-benzyl-1,3-oxazolidin-2-one (3.80 g, 21.46 mmol) by the general methods shown for Preparation 1B.
  • Preparation 1P was prepared from Preparation 1O (2.79 g, 6.50 mmol) by the general methods shown for Preparation 1E.
  • Preparation 1E was prepared in a procedure identical as above from a mixture of Preparations 1E and 1F (200 g, 0.5460 moles) using LDA (1.8 M solution in THF, ethyl benzene and heptane) (698 mL, 2.3 equiv.) and diethyl aluminum chloride (1.0 M solution in hexane) (1256 mL, 2.3 equiv) in THF (2.0 L). After workup as explained above, the resulting residue was treated as follows: The crude material was added to a 2 L four neck round bottom flask, followed by the addition of MTBE (1.0 L) charged below 30° C. The resulting mixture was stirred for 5-10 minutes to obtain a clear solution.
  • LDA 1.8 M solution in THF, ethyl benzene and heptane
  • diethyl aluminum chloride 1.0 M solution in hexane
  • Example 1 (23.4 g, 78% yield): HPLC purity: 99.43%.
  • Crystal Form M2-1 was prepared by adding approximately 1 mg of Example 2 to approximately 0.7 mL of MeOH/fluorobenzene solution (3:1). Colorless plate-like crystals were obtained after 2 days of solvent evaporation at room temperature.
  • Preparation 3A was prepared from (4S)-4-(propan-2-yl)-1,3-oxazolidin-2-one (4.66 g, 36.1 mmol) and 4,4,4-trifluorobutanoic acid (5.02 g, 35.3 mmol) by the general methods shown for Preparation 1B. Preparation 3A was obtained as a colorless oil (3.64 g, 40%).
  • Preparation 3B was prepared from Preparation 3A (1.04 g, 4.12 mmol) and tert-butyl 5,5,5-trifluoropentanoate (Preparation 1A) (1.55 g, 7.28 mmol) by the general methods shown for Preparation 1C.
  • Preparation 3C was prepared from Preparation 3B (528.3 mg, 1.140 mmol) by the general methods shown for Preparation 1D. Preparation 3C (306.7 mg, 76%) was obtained as a colorless waxy solid (306.7 mg, 76%).
  • Preparation 3D was prepared from Preparation 3C (306.7 mg, 0.871 mmol) by the general methods shown to enrich the mixture of Preparation 1E and Preparation 1F.
  • Preparation 3D (297.0 mg, 97%) was obtained as a yellow waxy solid (297.0 mg, 97%).
  • Preparation 3E was prepared from Preparation 3D (297.0 mg, 0.843 mmol) and Preparation 1G (212.0 mg, 0.799 mmol) by the general methods shown for Preparation H. Preparation 3E (471.7 mg, 98%) was obtained as a tan solid (471.7 mg, 98%).
  • Preparation 4A was prepared from 4,4,4-trifluorobutanoic acid (4.99 g, 35.1 mmol) using the general procedure shown for Preparation 1A.
  • Preparation 4A (5.58 g, 80%) was obtained as a colorless oil.
  • 1 H NMR 400 MHz, CDCl 3 ) ⁇ ppm 2.47-2.52 (2H, m), 2.37-2.45 (2H, m), 1.46 (9H, s).
  • Preparation 4B was prepared from Preparation 4A (1058.3 mg, 5.34 mmol) and Preparation 1B (809.2 mg, 3.03 mmol) according to the general procedure shown for Preparation 1C. Preparation 4B (690.1 mg, 49%) was obtained as a pale yellow viscous oil.
  • Preparation 4C was prepared from Preparation 4B (690.1 mg, 1.489 mmol) according to the general procedure shown for Preparation 1E. Preparation 4C (335.9 mg, 64%) was obtained as a colorless oil.
  • 1 H NMR (400 MHz, CDCl 3 ) ⁇ ppm 2.91-3.03 (1H, m), 2.63-2.88 (2H, m), 2.50 (1H, t, J 7.3 Hz), 2.07-2.43 (4H, m), 1.89-2.05 (2H, m), 1.73-1.88 (1H, m), 1.47 (5H, s), 1.47 (4H, s).
  • Preparation 4D was prepared from Preparation 4C (335.9 mg, 0.954 mmol) according to the general procedure shown to enrich the mixture of Preparation 1E and Preparation 1F.
  • Preparation 4D (277.8 mg, 83%) was obtained as a brown oil.
  • 1 H NMR (400 MHz, CDCl 3 ) ⁇ ppm 2.90-3.03 (1H, m), 2.64-2.88 (2H, m), 2.50 (1H, t, J 7.3 Hz), 2.06-2.43 (3H, m), 1.89-2.03 (1H, m), 1.73-1.88 (1H, m), 1.47 (9H, s).
  • Preparation 4E was prepared from Preparation 4D (277.8 mg, 0.789 mmol) and Preparation 1G (210.2 mg, 0.792 mmol) according to the general procedure shown for Preparation 1I. Preparation 4E was obtained as a cream solid (420.2 mg, 89%).
  • Preparation 4F was prepared from Preparation 4E (417.2 mg, 0.696 mmol) according to the general procedure shown for Preparation 1K. Preparation 4F was obtained as a TFA solvate as an amber solid (476.0 mg, 96%).
  • Example 4 was prepared from Preparation 4F (476.3 mg, 0.667 mmol) according to the general procedure shown for Example 1. After separation of the diastereoisomers, Example 4 was obtained as a cream solid (120.3 mg, 32%).
  • Example 2 In a 5 mL screw top vial was added Example 2 (50 mg, 0.092 mmol), cesium carbonate (60.1 mg, 0.184 mmol), and iodomethane-d 3 (6.88 ⁇ L, 0.111 mmol) in DMF (2 mL) to give a suspension. The mixture was stirred at room temperature under nitrogen overnight. LCMS showed the reaction was complete. The reaction mixture was dissolved in 2 ml of 1:1 DMF/AcOH and purified by Preparative HPLC on Luna ODS 5 um 21.2 ⁇ 100 mm which was eluted with a 7 min gradient from 10% to 100% ACN/water 0.1% TFA to 100%.
  • Example 19 was prepared from Preparation 19D (80 mg, 0.119 mmol) according to the general procedure shown for Example 1. After separation of the diastereoisomers, Example 19 (35 mg, 49%) was obtained.
  • Example 20 was prepared by using a sequence of reactions as outlined for Example 19 using Preparation 19B instead of Preparation 1E.
  • the mixture of diastereoisomers obtained was separated via chiral HPLC to provide Example 20.
  • MS (ES): m/z 587.2 [M+H] + .
  • Comparative Compounds 22 to 25 can be prepared according to the procedures described in U.S. Pat. No. 7,053,084 for Examples 8, 12a, 38, and 45a, respectively.
  • An injection drug product was formulated comprising 2R,3S)—N-((3S)-1-methyl-2-oxo-5-phenyl-2,3-dihydro-1H-1,4-benzodiazepin-3-yl)-2,3-bis(3,3,3-trifluoropropyl)succinamide, Example 1, as a single-use, ready-to-use (RTU) sterile solution for intravenous (IV) administration using 50:50 (v/v) combinations of purified polyoxyethylated castor oil (a surfactant) and dehydrated alcohol (a solvent).
  • the drug product was a clear to slightly hazy (opalescent), colorless to pale yellow sterile solution, stored in 5-mL Type I flint glass vials, closed with 20-mm stoppers, and sealed with 20-mm aluminum seals.
  • the concentrated formulation can be diluted prior to administration with commonly used intravenous diluents, such as Normal Saline (NS) or 5% Dextrose, to provide a physiologically acceptable diluted product.
  • NS Normal Saline
  • Dextrose 5% Dextrose
  • Example 1 active pharmaceutical 1.2 ingredient Purified Polyoxyethylated solubilizer 0.5 Castor Oil Dehydrated Alcohol solvent 0.5 Purified Polyoxyethylated Castor Oil: CREMOPHOR (BASF Corp.)
  • the concentrated pharmaceutical formulation was found to be stable upon storage at 25° C./60% relative humidity, 40° C./75% relative humidity, and 50° C. for a period of three months. Also, a photo-stability study (HIL/UVA) indicated that the product did not need to be protected from light.
  • the concentrated formulation of Example 1 had long-term shelf stability including chemical and physical stability.
  • the concentrated pharmaceutical formulation Prior to IV administration, the concentrated pharmaceutical formulation was diluted with Normal Saline (NS) or 5% Dextrose in Water (D5W) to concentrations between 0.01 mg/mL and 0.06 mg/mL.
  • NS Normal Saline
  • D5W Dextrose in Water
  • the results showed essentially no changes through 24 hours of storage at 2° C. to 8° C. or room temperature/room light (25° C. and approximately 5000 lux).
  • the pharmacological properties of the compounds of this invention may be confirmed by a number of biological assays.
  • the exemplified biological assays, which follow, have been carried out with compounds of the invention.
  • the Notch-CBF1 (C-promoter binding factor I) cell based transactivation assay is based on the ability of the released Notch intracellular domain fragments (NICDs) to function as transcription factors in conjunction with CBF1 and other nuclear factors. Luciferase assays were used to measure the antagonism of Notch-CBF1 transcriptional activity.
  • HeLa cervical cancer cells are transiently co-transfected with pcDNA3.1/Hygro plasmids containing truncated Notch 1, Notch 2, Notch 3, or Notch 4 receptors and a PGL3 luciferase reporter vector containing 4 copies of CBF1 binding site. The cells were then tested for Notch-CBF1 activity in the absence or presence of test compounds.
  • HeLa cells maintained in DMEM (high glucose with HEPES), 1 ⁇ glutamine/penicillin/streptomycin and 10% Fetal Bovine serum, were transiently transfected in a T175 Flask (4.5 ⁇ 10 6 cells/flask) using the Monster Transfection Kit (Minis #MIR2906) according to manufacturers specifications.
  • Table 12 denotes respective DNA quantity for the transfections.
  • Control wells contained DMSO vehicle (total counts) or 0.5 ⁇ M of an in-house small molecule inhibitor (background counts). Duplicates were used for each sample. Luciferase activity was measured after a 20-minute incubation with 50 ⁇ l STEADY-GLO® luciferase reagents according to manufacturer's specifications (Promega, Cat. #: E2550) and analyzed by Envision plate reader (PerkinElmer, Boston, Mass.).
  • the antagonist effect of compounds was expressed as 100 ⁇ [1 ⁇ (average sample ⁇ average background)/(average total ⁇ average background)] where sample is the luciferase activity in the presence of test compound, background is equal to the luciferase activity in the presence of the small molecule inhibitor control and the total is signal induced in DMSO wells. Data was plotted using a four parameter logistic fit equation and the IC 50 value was defined as the concentration of compound that inhibited 50% of the luciferase activity.
  • Table 13 below lists the Notch 1 and Notch 3 IC 50 values for Examples 1 to 21 of this invention and Comparative Compounds 22 to 25 measured in the Notch-CBF1 Transactivation Assay hereinabove. The results in Table 13 were rounded to 2 digits.
  • the compounds of the present invention, as exemplified by the Examples 1 to 21 showed Notch 1 values of 6.6 nM or less and Notch 3 IC 50 values of 13 nM or less.
  • Compounds that are not readily metabolized by the liver can be administered at therapeutically effective plasma levels for therapeutically effective periods of time.
  • Orally administered compounds typically are absorbed through the intestinal walls into the blood stream and undergo a first pass through the liver. Compounds that are not readily metabolized in this first pass through the liver can be distributed to other areas of the body in therapeutically effective amounts.
  • the metabolic stability assay evaluated CYP-mediated metabolic stability in vitro using human, rat, mouse, dog, and/or monkey microsomes after a ten-minute incubation. Each compound was tested in duplicate.
  • Table 15 below lists the CYP-mediated metabolic stability for Examples 1 to 21 of this invention and Comparative Compounds 22 to 25 measured in the human and mouse metabolic stability assays. The results in Table 15 were rounded to 2 digits.
  • a value of 0% remaining indicated complete CYP-mediated metabolism of a test compound, and a value of 100% indicated no detectable CYP-mediated metabolism of a test compound.
  • the compounds of the present invention, as exemplified by Examples 1 to 21 had metabolic stability values of 80% or greater remaining for human liver microsomes (HLM) and 72% or greater remaining for mouse liver microsomes (MsLM).
  • Comparative Compounds 22 to 25 had metabolic stability values of 39% or less remaining for human liver microsomes and 15% or less remaining for mouse liver microsomes.
  • the compounds of the present invention have been compared to the Comparative Compounds 22 to 25 disclosed in U.S. Pat. No. 7,456,172, and have been found to be especially advantageous.
  • the compounds of the present invention had the surprising advantage of the combination of activity as inhibitors of Notch 1 and Notch 3 and superior metabolic stability to liver microsomes.
  • Examples 1 to 21 of this invention had Notch 1 IC 50 values of 6.6 nM or less and Notch 3 IC 50 values of 13 nM or less; and metabolic stability values of 80% or greater remaining for human liver microsomes (HLM) and 72% or greater remaining for mouse liver microsomes (MsLM).
  • the Comparative Compounds 22 to 25 had Notch 1 IC 50 values of 5.1 nM or greater and Notch 3 IC 50 values of 13 nM or greater; and metabolic stability values of 39% or less remaining for human liver microsomes and 15% or less remaining for mouse liver microsomes.
  • Test compound was received as a 3.5 mM stock solution in 100 percent DMSO.
  • the test compound was diluted to create a 50 ⁇ M acetonitrile (ACN) solution containing 1.4% DMSO, which was then used as a 100 ⁇ stock for incubation with microsomes.
  • ACN acetonitrile
  • Each compound was tested in duplicate separately in each of three species in the Metabolic Stability-Human, Rat, and Mouse assay suite or as individual species in the Metabolic Stability-Dog or Metabolic Stability-Monkey suites.
  • Compound, NADPH, and liver microsome solutions were combined for incubation in three steps:
  • liver microsome suspension protein concentration of 1.1 mg/ml in 100 mM NaP i , pH 7.4, 5 mM MgCl 2 buffer, was pre-warmed at 37° C.
  • reaction was initiated by the addition of 17 ⁇ l of pre-warmed 10 mM NADPH solution in 100 mM NaP i , pH 7.4.
  • reaction components were mixed well, and 75 ⁇ l of the reaction mixture was immediately transferred into 150 ⁇ l quench/stop solution (zero-time point, T 0 ). Reactions were incubated at 37° C. for 10 minutes and then an additional 75 ⁇ l aliquot was transferred into 150 ⁇ l quench solution. Acetonitrile containing 100 ⁇ M DMN (a UV standard for injection quality control), was used as the quench solution to terminate metabolic reactions.
  • Quenched mixtures were centrifuged at 1500 rpm ( ⁇ 500 ⁇ g) in an ALLEGRA® X-12 centrifuge, SX4750 rotor (Beckman Coulter Inc., Fullerton, Calif.) for fifteen minutes to pellet denatured microsomes. A volume of 90 ⁇ l of supernatant extract, containing the mixture of parent compound and its metabolites, was then transferred to a separate 96-well plate for UV-LC/MS-MS analysis to determine the percent of parent compound that remained in the mixture.
  • Metabolic Stability Assay - Reaction Components Final Concentration in the Reaction Components
  • Metabolic Stability Assay Compound (Substrate) 0.5 ⁇ M NaPi Buffer, pH 7.4 100 mM DMSO 0.014% Acetonitrile 0.986%
  • Microsomes human, rat, mouse
  • NADPH 1.0 mM MgCl 2 5.0 mM 37° C.
  • HPLC Pump—Thermo Surveyor; Autosampler—CTC/LEAP HTS; UV detector—Thermo Surveyor PDA plus; Column—Varian C18, 3 ⁇ m, 2 ⁇ 20 mm with a 0.5 ⁇ m in-line filter; Mobile Phase for structural integrity pre-analysis: (A) 98% water, 2% acetonitrile with 10 mM ammonium acetate; (B) 10% water, 90% acetonitrile with 10 mM ammonium acetate; Mobile Phase for reaction sample analysis: (A) 98% water, 2% acetonitrile with 0.1% formic acid; (B) 2% water, 98% acetonitrile with 0.1% formic acid; (C) 0.1% ammonium hydroxide in water; (D) 0.1% ammonium hydroxide in acetonitrile.
  • Mass Spectrometer Thermo TSQ Quantum Ultra triple-quadrapole mass spectrometer
  • the Metabolic Stability structural integrity pre-analysis was used to assess the purity of compounds being assayed.
  • Compounds were received in 96-well plates as 57 ⁇ l of a 3.5 mM DMSO solution.
  • the 3.5 mM compound DMSO stock solutions were diluted 18-fold with a solution containing equal volumes of acetonitrile, isopropanol, and MilliQ-H 2 O.
  • the resulting solutions (200 ⁇ M) were analyzed for structural integrity by LC-UV/MS on a Thermo LCQ Deca XP Plus ion trap mass spectrometer, using a Waters XBridge C18, 5 ⁇ m, 2 ⁇ 50 mm column with a Waters Sentry 2.1 mm guard column, and the LC conditions described in the table below, with a 5 ⁇ l injection and a flow rate of 1 ml/min.
  • the acquired data reflected purity by UV absorbance at 220 nm. Only results for those compounds with purity greater than 50% were reported.
  • MS/MS condition optimization was conducted on a Thermo TSQ Quantum triple-quadrapole mass spectrometer equipped with a heated-electrospray (H-ESI) source by automated infusion to obtain the SRM transitions and their corresponding collision energy values.
  • Compound solutions at a concentration of 20 ⁇ M in 1:1 methanol:water were infused at a flow rate of 90 ⁇ L/min, then combined with the mobile phase at a flow rate of 50 ⁇ L/min before being introduced into the source. All compounds were optimized first using mobile phase A and B (50% A and 50% B), and if necessary, using mobile phase C and D (also with a 50:50 composition).
  • the optimized parameters, including polarity, SRM transition and collision energy, were stored in a Microsoft Access database.
  • the mass spectrometric conditions obtained from automated infusion were used to analyze incubation samples from the Metabolic Stability assay.
  • the injection volume was 5 ⁇ l and the flow rate was 0.8 ml/min.
  • the gradient used was shown in the table below. All samples were injected with the gradient using mobile phase A and B first. If necessary (for instance, for chromatographic reasons), samples were re-injected with the same gradient, but using mobile phase C and D. All LC-MS/MS analysis parameters were captured electronically in the raw data files.
  • Peak integration was performed with the XCALIBUR® software. The percent remaining calculation was performed by comparing the LC-MS/MS peak areas from the T 10minute samples to those from the T 0miniute samples for each compound.
  • the metabolic stability half-life assay panel evaluates the time-course and the rate of CYP-mediated (NADPH-dependent) metabolism in vitro in human, rat, mouse, dog and monkey microsomes.
  • the time course spans a 45 minute incubation, and includes 0, 5, 10, 15, 30, and 45 minute time-points, at each of which the amount of test compound remaining in the mixture was measured.
  • Liver microsomes were purchased from BD-Biosciences (Woburn, Mass.) and NADPH from AppliChem Inc; all other reagents were obtained from Sigma.
  • Test compound was received as a 3.5 mM stock solution in 100 percent DMSO.
  • the test compound was diluted to create a 50 ⁇ M acetonitrile (ACN) solution containing 1.4% DMSO, which was then used as a 100-fold stock for incubation with microsomes.
  • ACN acetonitrile
  • Each compound was tested in human, rat, mouse, dog and monkey liver microsomes.
  • Compound, NADPH and liver microsome solutions were combined for incubation in three steps:
  • liver microsome suspension protein concentration of 1.1 mg/ml in 100 mM NaP i , pH 7.4, 5 mM MgCl 2 buffer, was pre-warmed at 37° C.
  • reaction was initiated by the addition of 50 ⁇ l of pre-warmed 10 mM NADPH solution in 100 mM NaP i , pH 7.4.
  • Reaction components were mixed well, and 65 ⁇ l were immediately transferred into 130 ⁇ l quench/stop solution (zero-time point, T 0 ). Reactions were incubated at 37° C. for 5, 10, 15, 30 and 45 minutes and at each time-point a 65 ⁇ l aliquot was transferred into 130 ⁇ l of quench solution. Acetonitrile containing Internal Standard (100 ng/ml), was used as the quench solution to terminate metabolic reactions.
  • Quenched mixtures were centrifuged at 1500 rpm ( ⁇ 500 ⁇ g) in an ALLEGRA® X-12 centrifuge, SX4750 rotor (Beckman Coulter Inc., Fullerton, Calif.) for fifteen minutes to pellet denatured microsomes. A volume of 90 ⁇ l of supernatant extract, containing the mixture of parent compound and its metabolites, was then transferred to a separate 96-well plate for LC/MS-MS analysis to determine the percent of parent compound that was remaining in the mixture.
  • Metabolic Stability Assay Compound (Substrate) 0.5 ⁇ M NaPi Buffer, pH 7.4 100 mM DMSO 0.014% Acetonitrile 0.986% Microsomes (human, rat, mouse) 1 mg/ml protein (BD/Gentest) NADPH 1.0 mM MgCl 2 5.0 mM 37° C.
  • the exemplified compounds of the invention showed the surprising advantage of low clearance due to CYP-mediated metabolism in both the human (HLM) and mouse (MsLM) metabolic stability assays.
  • the compounds of the present invention as exemplified by Examples 1-2, 5-7, 9-14, 16, 18, 21-23, and 26, had percent remaining values in the range of 60% to 100% for the human liver microsome assay, and 25% to 100% for the mouse liver microsome assay.
  • Comparative Compounds 60-61 had percent remaining values of 7.0% or less in both the human and mouse liver microsome assays.
  • Comparative Compounds 61-62 showed high clearance in both the human and mouse metabolic stability assays, indicating that the compounds were removed by CYP-mediated metabolism in the liver.
  • mice All rodents were obtained from Harlan Sprague Dawley Co. (Indianapolis, Ind.), and maintained in an ammonia-free environment in a defined and pathogen-free colony. All mice were quarantined approximately 1 week prior to their use for tumor propagation and drug efficacy testing. Mice were fed food and water ad libitum.
  • the animal care program of Bristol-Myers Squibb Pharmaceutical Research Institute is fully accredited by the American Association for Accreditation of Laboratory Animal Care (AAALAC). All experiments were performed in accordance with Bristol-Myers Squibb (BMS) animal test methods and guidelines.
  • Tumor xenografts were grown and maintained subcutaneously (SC) in immunocompromized balb/c nu/nu nude or NOD-SCID mice (Harlan Sprague Dawley). Tumors were propagated as subcutaneous transplants in the appropriate mouse strain (Table 22) using tumor fragments obtained from donor mice.
  • mice were typically 8 mice per treatment and control groups, with the exception of experiments conducted in the SAL-IGF (this is not included in Table 22) tumor model, in which there were typically 5 mice per treatment and control group.
  • Treatment of each animal was based on individual body weight. Treated animals were checked daily for treatment related toxicity/mortality. Each group of animals was weighed before the initiation of treatment (Wt 1 ) and then again following the last treatment dose (Wt 2 ). The difference in body weight (Wt 2 ⁇ Wt 1 ) provides a measure of treatment-related toxicity.
  • Tumor response was determined by measurement of tumors with a caliper twice a week, until the tumors reached a predetermined “target” size of 0.5 gm or 1 gm depending on the tumor type.
  • Tumor response criteria are expressed in terms of tumor growth inhibition (% TGI).
  • Tumor growth delay is defined as the difference in time (days) required for the treated tumors (T) to reach a predetermined target size compared to those of the control group (C).
  • the tumor weight of a group is expressed as medium tumor weight (MTW).
  • Tumor growth inhibition is calculated as follows:
  • T t Median tumor size of treated group at end of treatment
  • T 0 Median tumor size of treated group at treatment initiation
  • Activity is defined as the achievement of durable tumor growth inhibition of 50% or greater (i.e., TGI ⁇ 50%) for a period equivalent to at least 1 tumor volume doubling time and drug treatment must be for a period equivalent to at least 2 tumor volume doubling time.
  • TTD value tumor growth delay
  • antitumor activity was determined at a range of dose levels up to the maximum tolerated dose (MTD) which is defined as the dose level immediately below which excessive toxicity (i.e., more than one death) occurred.
  • MTD maximum tolerated dose
  • Treated mice dying prior to having their tumors reach target size were considered to have died from drug toxicity.
  • Treatment groups with more than one death caused by drug toxicity were considered to have had excessively toxic treatments and their data were not included in the evaluation of a compound's antitumor efficacy.
  • Notch inhibitors were typically administered orally on a schedule of QD ⁇ 15, 10 day-on-2 day-off, although other schedules had also been evaluated and shown to be efficacious. For example, dosing regimen consisting of QD ⁇ 12, 4 day-on-3 day-off was shown to be equally efficacious as QD ⁇ 15, 10 day-on-2 day-off.
  • Example 1 administered via the intravenous route (IV) was evaluated in human tumor xenografts implanted in mice. As shown in FIG. 6 , Example 1 exhibited antitumor activity.
  • Table 23 lists the antitumor activity of examples of this invention measured in the Human Tumor Xenograft Models in mice.
  • the compounds of the present invention as exemplified by Examples 1 and 2, showed antitumor activity with oral administration (PO).
  • Example 1 demonstrates broad-spectrum antineoplastic activity against a wide array of human cancer xenografts grown in mice. Significant antitumor activity was demonstrated in 16 human cancer xenografts, including human T-cell acute lymphoblastic leukemia, breast carcinoma, pancreatic carcinoma, ovarian carcinoma, glioblastoma, non-small cell lung carcinoma, colon carcinoma, osteogenic sarcoma, and neuroblastoma (Table 24).
  • % TGI a TALL1 T-Cell acute lymphoblastic leukemia 112 Pat-24 pancreatic cancer 111 BT-474 HER2+ breast cancer 96 Pat-26 pancreatic cancer 93 MDA-MB468 TN breast cancer 91 Pat-50 ovarian cancer 91 Pat-34 ovarian cancer 89 U-87 glioblastoma multiforme (GBM) 82 MDA-MB157 TN breast cancer 81 Calu-6 Non small cell lung cancer 81 HCT116 colon cancer 75 G292 osteogenic sarcoma 75 Pat-21/Abx R TN breast cancer (abx R) 73 MCF7 estrogen-dependent breast cancer 73 SK-N-AS neuroblastoma 67 MCF7i estrogen-independent breast cancer 63 a All treatments were PO, QD ⁇ 15, 10 day-on-2 day-off, at dosages ranging from 5-10 mg/kg/adm. Combination Chemotherapy
  • Example 1 A series of studies were conducted to evaluate the combinability of Example 1 with a number of anti-cancer agents including dasatinib, paclitaxel, Tamoxifen, dexamethasone, and carboplatin
  • Example 1 The human T-cell lymphoblastic leukemia was used to evaluate the combined efficacy Example 1 and dasatinib. Dasatinib treatment alone produced an antitumor effect of 1.7 LCK (10 mg/kg/adm, QD ⁇ 49, PO).
  • Example 1 compound produced only modest activity of 0.1-0.5 LCK at dose range of 3.75-7.5 mg/kg. However, combination of the two agents produced synergistic antitumor activity, yielding antitumor efficacy of >>2.6 LCK that was significantly superior to dasatinib single agent alone (P ⁇ 0.05).
  • the combination regimen yielded complete response (CR) in 100% of mice, whereas none of the single agent produced CR ( FIGS. 7-8 and Table 25).
  • Example 1 The antitumor efficacy of Example 1 in combination with paclitaxel was evaluated in the MDA-MB-468 breast carcinoma.
  • Example 1 as a single agent produced 0.5-1.4 LCK at the dose range of 3.75-7.5 mg/kg/adm.
  • Paclitaxel administered weekly at a dose of 12 mg/kg/adm yielded 0.5 LCK ( FIGS. 9-10 and Table 26).
  • Example 1 The antitumor efficacy of Example 1 in combination with Tamoxifen was evaluated in the ER receptor positive human breast carcinoma xenograft MCF7 grown in female nu/nu mice.
  • Example 1 as a single agent produced tumor growth inhibition (TGI) of 43-58% at the dose range of 3.75-7.5 mg/kg/adm with no CR or PR.
  • Tamoxifen administered at the MTD dose of 20 mg/kg/adm, IP, Q2 DX12, produced % TGI of 78%, with no CR or PR.
  • the combinations of Example 1 compound and Tamoxifen were clearly synergistic producing % TGI of 101 and 99, respectively, at Example 1 doses of 7.5 and 3.75 mg/kg/adm.
  • approximately 50% of mice receiving the combinations experienced tumor shrinkage, either as PR or CR ( FIGS. 11-12 and Table 27).
  • Example 1 The antitumor efficacy of Example 1 in combination with the glucocorticoid, dexamethasone, was evaluated in the human T-ALL leukemia xenografts HPB-ALL grown in NOD-SCID mice.
  • Example 1 as a single agent was active in this model yielding 1.1 LCK at 7.5 mpk.
  • Dexamethasone was modestly active as a single agent producing 0.7 LCK at its MTD of 7.5 mpk.
  • the combination of Example 1 and dexamethasone produced 1.9 LCK, significantly superior to either individual single agents alone ( FIG. 13 and Table 28).
  • Example 1 The antitumor efficacy of Example 1 in combination with carboplatin was evaluated in the human ovarian teratocarcinoma xenograft PA-1 grown in female nu/nu mice.
  • Example 1 as a single agent produced 0.2 LCK at the dose of 1 mg/kg/adm.
  • Carboplatin administered weekly at a dose of 90 mg/kg/adm yielded 2.1 LCK ( FIG. 14 and Table 29).
  • R is defined as ⁇ F o
  • while R w [ ⁇ w (
  • all the non-H atoms were refined anisotropically and all H-atoms other than those attached to N and O atoms were calculated by geometrical methods and refined using a riding model.

Landscapes

  • Health & Medical Sciences (AREA)
  • Chemical & Material Sciences (AREA)
  • Animal Behavior & Ethology (AREA)
  • Veterinary Medicine (AREA)
  • Public Health (AREA)
  • Medicinal Chemistry (AREA)
  • General Health & Medical Sciences (AREA)
  • Pharmacology & Pharmacy (AREA)
  • Life Sciences & Earth Sciences (AREA)
  • Organic Chemistry (AREA)
  • Epidemiology (AREA)
  • General Chemical & Material Sciences (AREA)
  • Nuclear Medicine, Radiotherapy & Molecular Imaging (AREA)
  • Chemical Kinetics & Catalysis (AREA)
  • Oncology (AREA)
  • Engineering & Computer Science (AREA)
  • Bioinformatics & Cheminformatics (AREA)
  • Hematology (AREA)
  • Pharmaceuticals Containing Other Organic And Inorganic Compounds (AREA)
  • Acyclic And Carbocyclic Compounds In Medicinal Compositions (AREA)
  • Heterocyclic Compounds Containing Sulfur Atoms (AREA)
  • Nitrogen Condensed Heterocyclic Rings (AREA)
  • Plural Heterocyclic Compounds (AREA)

Abstract

Disclosed are compounds of Formula (I) or prodrugs thereof;
Figure US08629136-20140114-C00001

wherein: R1 is —CH2CF3 or —CH2CH2CF3; R2 is —CH2CF3, —CH2CH2CF3, or —CH2CH2CH2CF3; R3 is H or —CH3; each Ra is independently F, Cl, —CN, —OCH3, and/or —NHCH2CH2OCH3; and z is zero, 1, or 2. Also disclosed are methods of using such compounds to inhibit the Notch receptor, and pharmaceutical compositions comprising such compounds. These compounds are useful in treating, preventing, or slowing the progression of diseases or disorders in a variety of therapeutic areas, such as cancer.

Description

The present invention generally relates to benzodiazepinone compounds useful as Notch inhibitors. The invention further pertains to pharmaceutical compositions comprising at least one compound according to the invention that is useful for the treatment of conditions related to the Notch pathway, such as cancer and other proliferative diseases.
Notch signaling has been implicated in a variety of cellular processes, such as cell fate specification, differentiation, proliferation, apoptosis, and angiogenesis. (Bray, Nature Reviews Molecular Cell Biology, 7:678-689 (2006); Fortini, Developmental Cell 16:633-647 (2009)). The Notch proteins are single-pass heterodimeric transmembrane molecules. The Notch family includes 4 receptors, NOTCH 1-4, which become activated upon binding to ligands from the DSL family (Delta-like 1, 3, 4 and Jagged 1 and 2).
The activation and maturation of NOTCH requires a series of processing steps, including a proteolytic cleavage step mediated by gamma secretase, a multiprotein complex containing Presenilin 1 or Presenilin 2, nicastrin, APH1, and PEN2. Once NOTCH is cleaved, NOTCH intracellular domain (NICD) is released from the membrane. The released NICD translocates to the nucleus, where it functions as a transcriptional activator in concert with CSL family members (RBPSUH, “suppressor of hairless”, and LAG1). NOTCH target genes include HES family members, such as HES-1. HES-1 functions as transcriptional repressors of genes such as HERP1 (also known as HEY2), HERP2 (also known as HEY1), and HATH1 (also known as ATOH1).
The aberrant activation of the Notch pathway contributes to tumorigenesis. Activation of Notch signaling has been implicated in the pathogenesis of various solid tumors including ovarian, pancreatic, as well as breast cancer and hematologic tumors such as leukemias, lymphomas, and multiple myeloma. The role of Notch inhibition and its utility in the treatment of various solid and hematological tumors are described in Miele, L. et al., Current Cancer Drug Targets, 6:313-323 (2006); Bolos, V. et al., Endocrine Reviews, 28:339-363 (2007); Shih, I.-M. et al., Cancer Research, 67:1879-1882 (2007); Yamaguchi, N. et al., Cancer Research, 68:1881-1888 (2008); Miele, L., Expert Review Anti-cancer Therapy, 8:1197-1201(2008); Purow, B., Current Pharmaceutical Biotechnology, 10:154-160 (2009); Nefedova, Y. et al., Drug Resistance Updates, 11:210-218 (2008); Dufraine, J. et al., Oncogene, 27:5132-5137 (2008); and Jun, H. T. et al., Drug Development Research, 69:319-328 (2008).
There remains a need for compounds that are useful as Notch inhibitors and that have sufficient metabolic stability to provide efficacious levels of drug exposure. Further, there remains a need for compounds useful as Notch inhibitors that can be orally or intravenously administered to a patient.
U.S. Pat. No. 7,053,084 B1 discloses succinoylamino benzodiazepine compounds useful for treating neurological disorders such as Alzheimer's Disease. The reference discloses that these succinoylamino benzodiazepine compounds inhibit gamma secretase activity and the processing of amyloid precursor protein linked to the formation of neurological deposits of amyloid protein. The reference does not disclose the use of these compounds in the treatment of proliferative diseases such as cancer.
Applicants have found potent compounds that have activity as Notch inhibitors and have sufficient metabolic stability to provide efficacious levels of drug exposure upon intravenous or oral administration. These compounds are provided to be useful as pharmaceuticals with desirable stability, bioavailability, therapeutic index, and toxicity values that are important to their drugability.
SUMMARY OF THE INVENTION
The present invention fills the foregoing need by providing bis(fluoroalkyl)-1,4-benzodiazepinone compounds that are useful as selective inhibitors of Notch signaling pathway, including prodrugs thereof.
The present invention also provides pharmaceutical compositions comprising a pharmaceutically acceptable carrier; and at least one compound of Formula (I) or prodrugs thereof.
The present invention also provides a method of treating a disease or disorder associated with the activity of the Notch receptor, the method comprising administering to a mammalian patient a compound of Formula (I) or pharmaceutically acceptable prodrugs thereof.
The present invention also provides processes and intermediates for making the compounds of Formula (I) or prodrugs thereof.
The present invention also provides the compounds of Formula (I), or prodrugs thereof, for use in therapy.
The present invention also provides the use of the compounds of Formula (I), or prodrugs thereof, for the manufacture of a medicament for the treatment of cancer.
The compounds of Formula (I) and compositions comprising the compounds are Notch inhibitors may be used in treating, preventing or curing various Notch receptor-related conditions. Pharmaceutical compositions comprising these compounds are useful in treating, preventing, or slowing the progression of diseases or disorders in a variety of therapeutic areas, such as cancer.
These and other features of the invention will be set forth in expanded form as the disclosure continues.
BRIEF DESCRIPTION OF THE DRAWINGS
The invention is illustrated by reference to the accompanying drawings described below.
FIG. 1 shows the experimental (at approximately 25° C.) and the simulated (at approximately 25° C.) PXRD patterns (CuKα λ=1.5418 Å) of the N-1 Form of the compound of Example 1.
FIG. 2 shows the experimental (at approximately 25° C.) and the simulated (at approximately 25° C.) PXRD patterns (CuKα λ=1.5418 Å) of the A-2 Form of the compound of Example 1.
FIG. 3 shows the experimental (at approximately 25° C.) and the simulated (at approximately 25° C.) PXRD patterns (CuKα λ=1.5418 Å) of the EA-3 Form of the compound of Example 1.
FIG. 4 shows the experimental (at approximately 25° C.) and the simulated (at approximately −50° C.) PXRD patterns (CuKα λ=1.5418 Å) of the THF-2 Form of the compound of Example 1.
FIG. 5 shows the experimental (at approximately 25° C.) and the simulated (at approximately 25° C.) PXRD patterns (CuKα λ=1.5418 Å) of the M2-1 Form of the compound of Example 2.
FIG. 6 shows the antitumor efficacy of Example 1 against TALL1 Human T-cell acute lymphoblastic leukemia. Each symbol represents the median tumor burden of a group of 8 mice. (●) Control; (▪) Example 1, 5 mg/kg/adm, QD×3, IV.
FIG. 7 shows the in vivo antitumor activity of Example 2 in T-cell acute lymphoblastic leukemia cell line TALL1. Each symbol represents the median tumor burden of a group of 8 mice. (●) control; (Δ) Example 2, 12 mg/kg, QD×15; (▪) Example 2, 6 mg/kg, QD×15; ( ) Example 2, 3 mg/kg, QD×15; (▴) Example 2, 1.5 mg/kg, QD×15; (◯) Example 2, 0.75 mg/kg, QD×15.
FIG. 8 shows the in vivo antitumor activity of Example 2 in human breast carcinoma cell line MDA-MB-157. Each symbol represents the median tumor burden of a group of 8 mice. (◯) control; (▴) Example 2, 24 mg/kg; (▪) Example 2, 18 mg/kg; (●) Example 2, 12 mg/kg.
FIG. 9 shows the synergistic antitumor efficacy by combined chemotherapy with Example 1 and dasatinib in the ALL-SIL T-cell lymphoblastic leukemia. Each symbol represents the median tumor burden of a group of 8 mice. (●) control; (♦) Example 1, 3.75 mg/kg/adm, QD×3, weekly for 7 weeks, PO; (▪) dasatinib, 10 mg/kg/adm, QD×49, PO; (□) Example 1, 3.75 mg/kg/adm, QD×3, weekly for 7 weeks, PO+dasatinib 10 mg/kg/adm, QD×49, PO. When administered on the same day, the two agents were given more or less simultaneously (Example 1 preceded dasatinib by less than 1 hr).
FIG. 10 shows the synergistic antitumor efficacy by combined chemotherapy with Example 1 and dasatinib in the ALL-SIL T-cell lymphoblastic leukemia. Each symbol represents the median tumor burden of a group of 8 mice. (●) control; (♦) Example 1, 7.5 mg/kg/adm QD×3, weekly for 7 weeks, PO; (▪) dasatinib, 10 mg/kg/adm, QD×49, PO; (□) Example 1, 7.5 mg/kg/adm, QD×3, weekly for 7 weeks, PO+dasatinib 10 mg/kg/adm, QD×49, PO. When administered on the same day, the two agents were given more or less simultaneously (Example 1 preceded dasatinib by less than 1 hr).
FIG. 11 shows the synergistic antitumor efficacy by combined chemotherapy with Example 1 and Paclitaxel in the MDA-MB-468 Human Breast Carcinoma. Each symbol represents the median tumor burden of a group of 8 mice. (●) control; (♦) Paclitaxel, 12 mg/kg/adm, Q7D×6, IV; (▴) Example 1, 3.75 mg/kg/adm, QD×3, weekly for 7 weeks, PO; (□) Combination of Example 1 and Paclitaxel.
FIG. 12 shows the synergistic antitumor efficacy by combined chemotherapy with Example 1 and Paclitaxel in the MDA-MB-468 Human Breast Carcinoma. Each symbol represents the median tumor burden of a group of 8 mice. (●) control; (♦) Paclitaxel, 12 mg/kg/adm, Q7D×6, IV; (▴) Example 1, 7.5 mg/kg/adm, QD×3, weekly for 7 weeks, PO; (□) Combination of Example 1 and Paclitaxel.
FIG. 13 shows the synergistic antitumor efficacy by combined chemotherapy with Example 1 and Tamoxifen in the MCF7 Human Breast Carcinoma. Each symbol represents the median tumor burden of a group of 8 mice. (●) control; (▪) Tamoxifen, 20 mg/kg/adm, Q2D×12, IP; (♦) Example 1, 3.75 mg/kg/adm, QD×3, weekly for 3 weeks, PO; (□) Combination of Example 1 and Tamoxifen.
FIG. 14 shows the synergistic antitumor efficacy by combined chemotherapy with Example 1 and Tamoxifen in the MCF7 Human Breast Carcinoma. Each symbol represents the median tumor burden of a group of 8 mice. (●) control; (▪) Tamoxifen, 20 mg/kg/adm, Q2D×12, IP; (♦) Example 1, 7.5 mg/kg/adm, QD×3, weekly for 3 weeks, PO; (□) Combination of Example 1 and Tamoxifen.
FIG. 15 shows the synergistic antitumor efficacy by combined chemotherapy with Example 1 and dexamethasone (Dexa) in human T-ALL leukemia xenografts HPB-ALL. Each symbol represents the median tumor burden of a group of 6-8 mice. (●) control; (♦) dexamethasone, 7.5 mg/kg/adm, QD×14, IP; (Δ) Example 1, 3.75 mg/kg/adm, QD×3, weekly for 3 weeks, PO; (□) Combination of Example 1 and dexamethasone.
FIG. 16 shows the synergistic antitumor efficacy by combined chemotherapy with Example 1 and carboplatin in PA-1 human ovarian teratocarcinoma. Each symbol represents the median tumor burden of a group of 8 mice. (●) control; (□) carboplatin, 90 mg/kg/adm, Q7D×3, IV; (Δ) Example 1, 1 mg/kg/adm, QD×21, PO; (♦) Combination of Example 1 and carboplatin.
DETAILED DESCRIPTION
The first aspect of the present invention provides compounds of Formula (I):
Figure US08629136-20140114-C00002

or prodrugs thereof; wherein:
R1 is —CH2CF3 or —CH2CH2CF3;
R2 is —CH2CF3, —CH2CH2CF3, or —CH2CH2CH2CF3;
R3 is H or —CH3;
each Ra is independently F, Cl, —CN, —OCH3, and/or —NHCH2CH2OCH3; and
z is zero, 1, or 2.
One embodiment provides a compound of Formula (I) or prodrugs thereof, wherein R1 is —CH2CF3; and R2, R3, Ra, and z are defined in the first aspect. Included in this embodiment are compounds in which R2 is —CH2CF3 or —CH2CH2CF3.
One embodiment provides a compound of Formula (I) or prodrugs thereof, wherein R1 is —CH2CH2CF3; and R2, R3, Ra, and z are defined in the first aspect. Included in this embodiment are compounds in which R2 is —CH2CF3 or —CH2CH2CF3.
One embodiment provides a compound of Formula (I) or prodrugs thereof, wherein R2 is —CH2CF3; and R1, R3, Ra, and z are defined in the first aspect. Included in this embodiment are compounds in which R1 is —CH2CH2CF3.
One embodiment provides a compound of Formula (I) or prodrugs thereof, wherein R2 is —CH2CH2CF3; and R1, R3, Ra, and z are defined in the first aspect. Included in this embodiment are compounds in which R1 is —CH2CH2CF3.
One embodiment provides a compound of Formula (I) or prodrugs thereof, wherein R2 is —CH2CH2CH2CF3; and R1, R3, Ra, and z are defined in the first aspect. Included in this embodiment are compounds in which R1 is —CH2CH2CF3.
One embodiment provides a compound of Formula (I) or prodrugs thereof, wherein R3 is H; and R1, R2, Ra, and z are defined in the first aspect. Included in this embodiment are compounds in which R1 is deuterium (D) or tritium (T). Also included in this embodiment are compounds in which R1 is —CH2CH2CF3 and R2 is —CH2CH2CF3.
One embodiment provides a compound of Formula (I) or prodrugs thereof, wherein R3 is —CH3; and R1, R2, Ra, and z are defined in the first aspect. R3 includes methyl groups in which one or more hydrogen atoms are isotopically substituted with deuterium (D) and/or tritium (T). In one example of this embodiment, R3 is —CD3. Also included in this embodiment are compounds in which R1 is —CH2CH2CF3 and R2 is —CH2CH2CF3.
One embodiment provides a compound of Formula (I) or prodrugs thereof, wherein z is 2 and each Ra is independently F, Cl, —CN, —OCH3, and/or —NHCH2CH2OCH3; and R1, R2, and R3 are defined in the first aspect. Included in this embodiment are compounds in which R1 is —CH2CH2CF3 and R2 is —CH2CH2CF3.
One embodiment provides a compound of Formula (I) or prodrugs thereof, wherein z is 1 and Ra is F, Cl, —CN, —OCH3, or —NHCH2CH2OCH3; and R1, R2, and R3 are defined in the first aspect. Included in this embodiment are compounds in which R1 is —CH2CH2CF3 and R2 is —CH2CH2CF3.
One embodiment provides a compound of Formula (I) or prodrugs thereof, wherein z is zero; and R1, R2, and R3 are defined in the first aspect. Included in this embodiment are compounds in which R1 is —CH2CH2CF3 and R2 is —CH2CF3 or —CH2CH2CF3.
One embodiment provides a compound of Formula (I) or prodrugs thereof, wherein R1 is —CH2CF3; R2 is —CH2CF3; R3 is H or —CH3; and z is zero.
One embodiment provides a compound of Formula (I) or prodrugs thereof, wherein R1 is —CH2CF3; R2 is —CH2CH2CF3; R3 is H or —CH3; and z is zero.
One embodiment provides a compound of Formula (I) or prodrugs thereof, wherein R1 is —CH2CF3; R2 is —CH2CH2CH2CF3; R3 is H or —CH3; and z is zero.
One embodiment provides a compound of Formula (I) or prodrugs thereof, wherein R1 is —CH2CH2CF3; R2 is —CH2CF3; R3 is H or —CH3; and z is zero.
One embodiment provides a compound of Formula (I) or prodrugs thereof, wherein R1 is —CH2CH2CF3; R2 is —CH2CH2CF3; R3 is H or —CH3; and z is zero.
One embodiment provides a compound of Formula (I) or prodrugs thereof, wherein R1 is —CH2CH2CF3; R2 is —CH2CH2CH2CF3; R3 is H or —CH3; and z is zero.
One embodiment provides a compound of Formula (I) or prodrugs thereof, wherein R1 is —CH2CF3; R2 is —CH2CF3; R3 is H or —CH3; z is 1; and Ra is F, Cl, —CN, —OCH3, and/or —NHCH2CH2OCH3.
One embodiment provides a compound of Formula (I) or prodrugs thereof, wherein R1 is —CH2CF3; R2 is —CH2CH2CF3; R3 is H or —CH3; z is 1; and Ra is F, Cl, —CN, —OCH3, and/or —NHCH2CH2OCH3.
One embodiment provides a compound of Formula (I) or prodrugs thereof, wherein R1 is —CH2CF3; R2 is —CH2CH2CH2CF3; R3 is H or —CH3; z is 1; and Ra is F, Cl, —CN, —OCH3, and/or —NHCH2CH2OCH3.
One embodiment provides a compound of Formula (I) or prodrugs thereof, wherein R1 is —CH2CH2CF3; R2 is —CH2CF3; R3 is H or —CH3; z is 1; and Ra is F, Cl, —CN, —OCH3, and/or —NHCH2CH2OCH3.
One embodiment provides a compound of Formula (I) or prodrugs thereof, wherein R1 is —CH2CH2CF3; R2 is —CH2CH2CF3; R3 is H or —CH3; z is 1; and Ra is F, Cl, —CN, —OCH3, and/or —NHCH2CH2OCH3.
One embodiment provides a compound of Formula (I) or prodrugs thereof, wherein R1 is —CH2CH2CF3; R2 is —CH2CH2CH2CF3; R3 is H or —CH3; z is 1; and Ra is F, Cl, —CN, —OCH3, and/or —NHCH2CH2OCH3.
One embodiment provides a compound according to claim 1 or prodrugs thereof, selected from:
Figure US08629136-20140114-C00003
Figure US08629136-20140114-C00004
One embodiment provides a compound according to claim 1 or prodrugs thereof, selected from:
Figure US08629136-20140114-C00005
One embodiment provides a compound according to claim 1 or prodrugs thereof, selected from:
Figure US08629136-20140114-C00006
One embodiment provides a compound according to claim 1 or prodrugs thereof, selected from:
Figure US08629136-20140114-C00007
One embodiment provides a compound of Formula (I) selected from: (2R,3S)—N-((3S)-1-methyl-2-oxo-5-phenyl-2,3-dihydro-1H-1,4-benzodiazepin-3-yl)-2,3-bis(3,3,3-trifluoropropyl)succinamide (1); (2R,3S)—N-((3S)-2-oxo-5-phenyl-2,3-dihydro-1H-1,4-benzodiazepin-3-yl)-2,3-bis(3,3,3-trifluoropropyl)succinamide (2); (2R,3S)—N-((3S)-1-methyl-2-oxo-5-phenyl-2,3-dihydro-1H-1,4-benzodiazepin-3-yl)-2-(2,2,2-trifluoroethyl)-3-(3,3,3-trifluoropropyl)succinamide (3); (2R,3S)—N-((3S)-1-methyl-2-oxo-5-phenyl-2,3-dihydro-1H-1,4-benzodiazepin-3-yl)-3-(2,2,2-trifluoroethyl)-2-(3,3,3-trifluoropropyl)succinamide (4); (2R,3S)—N-((3S)-1-(2H3)methyl-2-oxo-5-phenyl-2,3-dihydro-1H-1,4-benzodiazepin-3-yl)-2,3-bis(3,3,3-trifluoropropyl)succinamide (5); (2R,3S)—N-((3S)-7-chloro-1-methyl-2-oxo-5-phenyl-2,3-dihydro-1H-1,4-benzodiazepin-3-yl)-2,3-bis(3,3,3-trifluoropropyl)succinamide (6); (2R,3S)—N-((3S)-8-methoxy-1-methyl-2-oxo-5-phenyl-2,3-dihydro-1H-1,4-benzodiazepin-3-yl)-2,3-bis(3,3,3-trifluoropropyl)succinamide (7); (2R,3S)—N-((3S)-8-fluoro-1-methyl-2-oxo-5-phenyl-2,3-dihydro-1H-1,4-benzodiazepin-3-yl)-2,3-bis(3,3,3-trifluoropropyl)succinamide (8); (2R,3S)—N-((3S)-7-methoxy-1-methyl-2-oxo-5-phenyl-2,3-dihydro-1H-1,4-benzodiazepin-3-yl)-2,3-bis(3,3,3-trifluoropropyl)succinamide (9); (2R,3S)—N-((3S)-7-fluoro-1-methyl-2-oxo-5-phenyl-2,3-dihydro-1H-1,4-benzodiazepin-3-yl)-2,3-bis(3,3,3-trifluoropropyl)succinamide (10); (2R,3S)—N-((3S)-8-chloro-1-methyl-2-oxo-5-phenyl-2,3-dihydro-1H-1,4-benzodiazepin-3-yl)-2,3-bis(3,3,3-trifluoropropyl)succinamide (11); (2R,3S)—N-((3S)-9-methoxy-2-oxo-5-phenyl-2,3-dihydro-1H-1,4-benzodiazepin-3-yl)-2,3-bis(3,3,3-trifluoropropyl)succinamide (12); (2R,3S)—N-((3S)-8-methoxy-2-oxo-5-phenyl-2,3-dihydro-1H-1,4-benzodiazepin-3-yl)-2,3-bis(3,3,3-trifluoropropyl)succinamide (13); (2R,3S)—N-((3S)-7-methoxy-2-oxo-5-phenyl-2,3-dihydro-1H-1,4-benzodiazepin-3-yl)-2,3-bis(3,3,3-trifluoropropyl)succinamide (14); (2R,3S)—N-((3S)-8-cyano-9-methoxy-2-oxo-5-phenyl-2,3-dihydro-1H-1,4-benzodiazepin-3-yl)-2,3-bis(3,3,3-trifluoropropyl)succinamide (15); (2R,3S)—N-((3S)-8,9-dichloro-2-oxo-5-phenyl-2,3-dihydro-1H-1,4-benzodiazepin-3-yl)-2,3-bis(3,3,3-trifluoropropyl)succinamide (16); (2R,3S)—N-((3S)-9-fluoro-2-oxo-5-phenyl-2,3-dihydro-1H-1,4-benzodiazepin-3-yl)-2,3-bis(3,3,3-trifluoropropyl)succinamide (17); (2R,3S)—N-((3S)-9-chloro-2-oxo-5-phenyl-2,3-dihydro-1H-1,4-benzodiazepin-3-yl)-2,3-bis(3,3,3-trifluoropropyl)succinamide (18); (2R,3S)—N-((3S)-2-oxo-5-phenyl-2,3-dihydro-1H-1,4-benzodiazepin-3-yl)-3-(4,4,4-trifluorobutyl)-2-(3,3,3-trifluoropropyl)succinamide (19); (2R,3S)—N-((3S)-8-methoxy-2-oxo-5-phenyl-2,3-dihydro-1H-1,4-benzodiazepin-3-yl)-3-(4,4,4-trifluorobutyl)-2-(3,3,3-trifluoropropyl)succinamide (20); and (2R,3S)—N-((3S)-9-((2-methoxyethyl)amino)-2-oxo-5-phenyl-2,3-dihydro-1H-1,4-benzodiazepin-3-yl)-2,3-bis(3,3,3-trifluoropropyl)succinamide (21); and prodrugs of one or more of the above compounds.
The present invention may be embodied in other specific forms without departing from the spirit or essential attributes thereof. This invention encompasses all combinations of the aspects and/or embodiments of the invention noted herein. It is understood that any and all embodiments of the present invention may be taken in conjunction with any other embodiment or embodiments to describe addition more embodiments. It is also to be understood that each individual element of the embodiments is meant to be combined with any and all other elements from any embodiment to describe an additional embodiment.
DEFINITIONS
The features and advantages of the invention may be more readily understood by those of ordinary skill in the art upon reading the following detailed description. It is to be appreciated that certain features of the invention that are, for clarity reasons, described above and below in the context of separate embodiments, may also be combined to form a single embodiment. Conversely, various features of the invention that are, for brevity reasons, described in the context of a single embodiment, may also be combined so as to form sub-combinations thereof. Embodiments identified herein as exemplary or preferred are intended to be illustrative and not limiting.
Unless specifically stated otherwise herein, references made in the singular may also include the plural. For example, “a” and “an” may refer to either one, or one or more.
Unless otherwise indicated, any heteroatom with unsatisfied valences is assumed to have hydrogen atoms sufficient to satisfy the valences.
The definitions set forth herein take precedence over definitions set forth in any patent, patent application, and/or patent application publication incorporated herein by reference.
Listed below are definitions of various terms used to describe the present invention. These definitions apply to the terms as they are used throughout the specification (unless they are otherwise limited in specific instances) either individually or as part of a larger group.
Throughout the specification, groups and substituents thereof may be chosen by one skilled in the field to provide stable moieties and compounds.
In accordance with a convention used in the art,
Figure US08629136-20140114-C00008

is used in structural formulas herein to depict the bond that is the point of attachment of the moiety or substituent to the core or backbone structure.
The terms “halo” and “halogen,” as used herein, refer to F, Cl, Br, or I.
The term “alkyl” as used herein, refers to both branched and straight chain saturated aliphatic hydrocarbon groups containing, for example, from 1 to 12 carbon atoms, from 1 to 6 carbon atoms, and from 1 to 4 carbon atoms. Examples of alkyl groups include, but are not limited to, methyl (Me), ethyl (Et), propyl (e.g., n-propyl and i-propyl), butyl (e.g., n-butyl, i-butyl, sec-butyl, and t-butyl), and pentyl (e.g., n-pentyl, isopentyl, neopentyl), n-hexyl, 2-methylpentyl, 2-ethylbutyl, 3-methylpentyl, and 4-methylpentyl. When numbers appear in a subscript after the symbol “C”, the subscript defines with more specificity the number of carbon atoms that a particular group may contain. For example, “C1-6alkyl” denotes straight and branched chain alkyl groups with one to six carbon atoms.
The phrase “pharmaceutically acceptable” is employed herein to refer to those compounds, materials, compositions, and/or dosage forms which are, within the scope of sound medical judgment, suitable for use in contact with the tissues of human beings and animals without excessive toxicity, irritation, allergic response, or other problem or complication, commensurate with a reasonable benefit/risk ratio.
The compounds of Formula (I) can be provided as amorphous solids or crystalline solids. Lyophilization can be employed to provide the compounds of Formula (I) as a solid.
Any compound that can be converted in vivo to provide the bioactive agent (i.e., the compound of Formula (I)) is a prodrug within the scope and spirit of the invention.
Various forms of prodrugs are well known in the art and are described in:
a) Wermuth, C. G. et al., The Practice of Medicinal Chemistry, Chapter 31, Academic Press (1996);
b) Bundgaard, H. ed., Design of Prodrugs, Elsevier (1985);
c) Bundgaard, H., Chapter 5, “Design and Application of Prodrugs,” Krosgaard-Larsen, P. et al., eds., A Textbook of Drug Design and Development, pp. 113-191, Harwood Academic Publishers (1991); and
d) Testa, B. et al., Hydrolysis in Drug and Prodrug Metabolism, Wiley-VCH (2003).
In addition, compounds of Formula (I) are, subsequent to their preparation, preferably isolated and purified to obtain a composition containing an amount by weight equal to or greater than 99% of a compound of Formula (I) (“substantially pure”), which is then used or formulated as described herein. Such “substantially pure” compounds of Formula (I) are also contemplated herein as part of the present invention.
“Stable compound” and “stable structure” are meant to indicate a compound that is sufficiently robust to survive isolation to a useful degree of purity from a reaction mixture, and formulation into an efficacious therapeutic agent. The present invention is intended to embody stable compounds.
“Therapeutically effective amount” is intended to include an amount of a compound of the present invention alone or an amount of the combination of compounds claimed or an amount of a compound of the present invention in combination with other active ingredients effective to act as an inhibitor to a NOTCH receptor, or effective to treat or prevent proliferative diseases such as cancer.
As used herein, “treating” or “treatment” cover the treatment of a disease-state in a mammal, particularly in a human, and include: (a) preventing the disease-state from occurring in a mammal, in particular, when such mammal is predisposed to the disease-state but has not yet been diagnosed as having it; (b) inhibiting the disease-state, i.e., arresting its development; and/or (c) relieving the disease-state, i.e., causing regression of the disease state.
The compounds of the present invention are intended to include all isotopes of atoms occurring in the present compounds. Isotopes include those atoms having the same atomic number but different mass numbers. By way of general example and without limitation, isotopes of hydrogen include deuterium (D) and tritium (T). Isotopes of carbon include 13C and 14C. Isotopically-labeled compounds of the invention can generally be prepared by conventional techniques known to those skilled in the art or by processes analogous to those described herein, using an appropriate isotopically-labeled reagent in place of the non-labeled reagent otherwise employed.
Crystal Forms of the Compound of Example 1
In one embodiment, the compound of Example 1
Figure US08629136-20140114-C00009

is provided as a crystalline material comprising one or more crystalline forms. Examples of suitable crystalline forms of the compound of Example 1 include Forms N-1, A-2, and EA-3.
In one embodiment, the compound of Example 1 is provided as a crystalline material comprising the first crystalline form. A first crystalline form of the compound of Example 1 comprises a neat crystalline form referred to herein as “Form N-1” or “N-1 Form”.
In one embodiment, the N-1 Form of the compound of Example 1 is characterized by unit cell parameters approximately equal to the following:
Cell dimensions:
    • a=9.41 Å
    • b=17.74 Å
    • c=31.94 Å
    • α=90.0°
    • β=98.4°
    • γ=90.0°
Space group: P21
Molecules of Example 1/asymmetric unit: 4
Volume/Number of molecules in the unit cell=659 Å3
Density (calculated)=1.402 g/cm3,
wherein the unit cell parameters of Form N-1 are measured at a temperature of about −10° C.
In another embodiment, the N-1 Form of the compound of Example 1 is characterized by a simulated powder x-ray diffraction (PXRD) pattern substantially in accordance with the pattern shown in FIG. 1 and/or by an observed PXRD pattern substantially in accordance with the pattern shown in FIG. 1
In yet another embodiment, the N-1 Form of the compound of Example 1 is characterized by a PXRD pattern (CuKα λ=1.5418 Å at a temperature of about 25° C.) comprising four or more, preferably five or more, 2θ values selected from: 5.7±0.2, 7.5±0.2, 10.3±0.2, 10.7±0.2, 15.2±0.2, 16.8±0.2, 20.2±0.2, and 20.7±0.2, wherein the PXRD pattern of Form N-1 is measured at a temperature of about 20° C.
In yet an even further embodiment, the N-1 Form of Example 1 is characterized by fractional atomic coordinates substantially as listed in Table 1.
TABLE 1
Fractional Atomic Coordinates of Form N-1 of Example 1
Calculated at a Temperature of about 25° C.;
Atomic Coordinates (×104) and Equivalent Isotropic
Displacement Parameters (Å2 × 103)
x y z U(eq)*
N(7) 10824(5)   7415(3)    1732(1)  39(1)
N(3) 4985(5)  565(2)   1293(1)  33(1)
O(3) 7152(4)   45(2)   1509(1)  45(1)
N(8) 9981(6)  10557(3)     1329(2)  60(2)
O(7) 12033(5)   10000(2)     1229(1)  55(1)
O(6) 8697(5)  7992(2)    1768(1)  53(1)
F(4) 11039(5)   8541(3)      79(1)  76(1)
C(17) 5836(7)    8(3)   1469(1)  30(1)
N(11) 3979(5)  1500(3)    3735(1)  35(1)
N(2) 5338(6)  2530(3)     994(1)  41(1)
C(8) 7012(6)  1237(3)      77(2)  35(1)
N(15) 9277(5)  4606(3)    3230(1)  37(1)
C(39) 9990(7)  8020(3)    1739(2)  36(1)
O(2) 3365(5)  1827(2)    1076(1)  49(1)
N(6) 10513(6)   5383(3)    1910(2)  46(1)
C(41) 10028(6)   9204(3)    1300(2)  36(1)
C(18) 5094(6)  −692(3)     1616(2)  33(1)
C(22) 5502(6)  −1369(3)      1360(2)  34(1)
C(23) 4828(7)  −2081(3)      1501(2)  35(1)
C(2) 6832(7)  2584(3)     978(2)  44(2)
C(14) 5639(7)  1198(3)    1113(2)  37(1)
C(36) 10130(7)   6682(3)    1698(2)  37(1)
C(15) 4647(7)  1875(3)    1071(2)  37(1)
O(14) 3524(5)  −2130(3)      1484(2)  63(1)
O(9) 5867(5)  1970(2)    3461(1)  46(1)
C(64) 4608(7)  2008(3)    3517(2)  35(1)
C(49) 7025(7)  893(4)   5004(2)  47(2)
O(12) 7212(5)  3943(2)    3143(1)  57(1)
F(5) 8960(5)  8082(2)      93(1)  73(1)
C(33) 8030(8)  6274(4)    −21(2)  55(2)
N(5) 9704(5)  6528(3)    1249(1)  36(1)
C(42) 10783(8)   9965(4)    1287(2)  46(2)
O(5) 12472(5)   6155(3)    1945(1)  62(1)
C(37) 11163(8)   6062(4)    1872(2)  46(2)
F(7) 9290(6)  2987(3)    5202(1)  94(2)
C(65) 3707(6)  2688(3)    3341(2)  33(1)
N(4) 5716(6)  −2636(3)      1628(2)  53(1)
C(7) 6778(6)  1429(3)     518(2)  34(1)
O(8) 2612(5)  231(2)   3943(1)  53(1)
O(11) 10584(6)   5864(3)    3001(1)  61(1)
C(89) 8963(6)  2807(3)    3658(2)  41(1)
C(70) 4269(7)  3355(4)    4041(2)  47(2)
N(13) 8438(5)  5493(3)    3689(1)  37(1)
C(20) 5588(7)  −808(3)     2089(2)  38(1)
C(85) 9369(8)  5946(4)    3070(2)  46(2)
N(14) 8611(7)  6593(3)    3016(2)  55(1)
N(16) 8948(7)  1437(3)    3656(2)  68(2)
N(9) 5416(5)  1109(3)    4375(1)  37(1)
C(71) 4930(8)  4055(3)    4280(2)  51(2)
N(12) 4314(6)  4592(3)    3189(2)  68(2)
C(1) 7546(7)  2068(3)     746(2)  41(2)
O(13) 11084(5)   2050(3)    3796(2)  67(1)
C(73) 7471(7)  6206(4)    4209(2)  46(2)
C(6) 9033(7)  2147(4)     744(2)  51(2)
C(88) 9391(7)  3239(3)    3270(2)  44(2)
C(40) 10716(7)   8794(3)    1708(2)  41(1)
C(54) 7871(7)  381(4)   5261(2)  47(2)
C(67) 3574(8)  4095(4)    3382(2)  51(2)
F(6) 8838(6)  3995(2)    4842(1)  84(1)
C(79) 7137(9)  6649(4)    3054(2)  56(2)
C(24) 8991(7)  5283(3)    1841(2)  45(2)
C(31) 8282(6)  5837(3)     703(2)  37(1)
C(47) 9570(7)  9167(4)     501(2)  46(2)
C(63) 4839(6)  898(3)   3940(2)  34(1)
C(90) 9762(7)  2060(3)    3707(2)  45(2)
C(55) 6443(6)  715(3)   4559(2)  39(1)
C(68) 3723(8)  2732(4)    2864(2)  60(2)
C(59) 8345(10) −1056(5)      3924(2)  70(2)
C(75) 7821(8)  5880(5)    4945(2)  68(2)
C(32) 8425(7)  6417(3)     405(2)  50(2)
O(10) 2312(5)  4203(3)    3420(2)  75(2)
C(48) 9694(8)  8740(4)     112(2)  57(2)
N(10) 4682(6)  −430(3)     4071(1)  46(1)
C(60) 9196(10) −525(5)     4132(3)  78(3)
C(72) 7560(6)  5996(3)    3766(2)  38(1)
C(11) 7228(8)  906(5)  −774(2)  65(2)
C(95) 9510(8)  3334(4)    4845(2)  56(2)
C(86) 8534(6)  5301(3)    3249(2)  36(1)
C(16) 4463(10) 3237(4)     980(2)  75(3)
C(62) 3917(7)  205(4)   3981(2)  43(2)
C(46) 10181(7)   8747(4)     901(2)  44(2)
C(57) 6210(8)  −445(3)     4106(2)  51(2)
C(30) 8759(6)  5995(3)    1157(2)  35(1)
C(66) 4345(6)  3404(3)    3568(2)  37(1)
C(87) 8540(6)  3940(3)    3212(2)  40(1)
C(93) 9371(7)  3266(3)    4063(2)  46(2)
C(58) 6870(9)  −1041(4)      3907(2)  60(2)
F(2) 11777(9)   10008(4)     2879(2) 151(3)
C(74) 7871(7)  5699(4)    4528(2)  55(2)
C(25) 8132(7)  5566(3)    1483(2)  41(1)
C(4) 9061(10) 3259(5)    1173(2)  76(2)
C(26) 6645(7)  5450(3)    1443(2)  48(2)
C(12) 7727(9)  1590(5)    −595(2)  66(2)
C(56) 7085(7)   83(4)   4344(2)  45(2)
C(34) 7488(7)  5600(4)   −167(2)  55(2)
C(9) 6519(7)  574(4)  −101(2)  49(2)
C(3) 7607(10) 3182(4)    1190(2)  66(2)
C(81) 5158(10) 6468(4)    3438(2)  76(2)
C(45) 11099(16)  9317(7)    2895(3) 121(4)
C(43) 10543(9)   9268(4)    2103(2)  64(2)
F(3) 9787(11) 9550(9)    2938(2) 245(7)
C(53) 8327(8)  558(5)   5683(2)  66(2)
C(29) 8344(10) 4873(4)    2138(2)  61(2)
C(5) 9774(10) 2734(5)     964(2)  76(2)
C(80) 6621(7)  6399(3)    3417(2)  53(2)
C(94) 9050(7)  2877(4)    4460(2)  51(2)
C(38) 11435(9)   4768(4)    2102(2)  71(2)
C(13) 7606(7)  1760(3)   −179(2)  48(2)
C(61) 3913(9)  −1147(4)      4095(2)  71(2)
C(52) 8010(10) 1214(6)    5841(2)  79(2)
C(10) 6633(9)  406(4)  −526(2)  68(2)
C(35) 7696(8)  5160(4)     553(2)  57(2)
C(84) 9357(12) 7262(4)    2869(3)  91(3)
C(91) 9330(8)  2785(4)    2864(2)  59(2)
C(27) 6019(9)  5060(4)    1739(2)  69(2)
C(44) 11196(10)  8906(4)    2495(2)  78(2)
C(69) 3191(8)  2018(4)    2628(2)  61(2)
C(78) 7034(8)  6922(4)    4311(2)  64(2)
C(83) 6199(12) 7012(5)    2740(3)  87(3)
C(82) 4221(10) 6784(6)    3121(4) 100(3)
C(51) 7187(10) 1748(5)    5591(2)  79(2)
C(76) 7428(9)  6592(6)    5047(2)  80(3)
F(1) 11661(10)  8983(5)    3228(2) 186(4)
C(50) 6711(8)  1571(4)    5174(2)  58(2)
C(77) 7057(9)  7114(5)    4734(3)  85(3)
N(1) 5875(5)  999(2)    684(1)  34(1)
C(102) 5582(7)  −1953(3)       630(2)  49(2)
C(101) 5084(7)  −1277(3)       879(2)  44(2)
C(100) 5214(10) −152(4)     2344(2)  73(2)
C(104) 7326(8)  5036(4)     115(2)  70(2)
C(28) 6897(11) 4774(4)    2086(3)  75(2)
F(40) 9173(5)  9112(2)   −241(1)  74(1)
C(105) 8587(8)   41(4)   4352(2)  60(2)
C(124) 2922(10) 2104(6)    2165(3)  82(3)
F(42) 4029(8)  2397(5)    2012(2) 142(3)
F(43) 1850(8)  2595(5)    2046(2) 134(2)
F(41) 2570(8)  1475(4)    1965(2) 139(2)
C(122) 5045(7)  3962(4)    4744(2)  51(2)
F(44) 5920(5)  3370(2)    4887(1)  74(1)
F(45) 5616(5)  4563(2)    4959(1)  75(1)
F(46) 3833(5)  3823(2)    4879(1)  75(1)
C(108) 4748(13) 7054(5)    2773(3) 100(3)
F(47) 8547(9)  2143(4)    2026(2) 152(3)
F(48) 6731(8)  1653(4)    2180(2) 145(2)
F(49) 10919(5)   3510(3)    4901(1)  81(1)
C(123) 7913(9)  2494(5)    2683(2)  73(2)
C(121) 7997(12) 1902(6)    2341(3)  89(3)
C(120) 5377(8)  −1834(4)       184(2)  53(2)
C(109) 5564(11) −282(5)     2811(2)  79(3)
F(55) 3970(4)  −1704(2)        15(1)  70(1)
F(54) 6048(5)  −1235(2)        59(1)  67(1)
F(56) 5748(5)  −2425(2)      −34(1)  69(1)
F(53) 4868(7)  −845(3)     2948(1) 100(2)
F(51) 5179(13) 300(4)   3035(2) 189(4)
F(52) 6924(8)  −420(6)     2920(2) 181(4)
F(60) 8732(11) 1307(3)    2477(2) 192(4)
*U(eq) is definedas one third of the trace of the orthogonalized Uij tensor.
In still yet an even further embodiment, the N-1 form of the compound of Example 1 is substantially pure.
In still yet another embodiment, the N-1 form of the compound of Example 1 contains at least about 90 wt. %, preferably at least about 95 wt. %, and more preferably at least about 99 wt. %, based on weight of the Form N-1 of the compound of Example 1.
In yet another embodiment, a substantially pure Form N-1 of the compound of Example 1 has substantially pure phase homogeneity with less than about 10%, preferably less than about 5%, and more preferably less than about 2% of the total peak area of the experimentally measured PXRD pattern arising from peaks that are absent from the simulated PXRD pattern. Most preferably, the substantially pure crystalline Form N-1 has substantially pure phase homogeneity with less than about 1% of the total peak area of the experimentally measured PXRD pattern arising from peaks that are absent from the simulated PXRD pattern.
In another embodiment, the crystalline form of the compound of Example 1 consists essentially of Form N-1. The crystalline form of this embodiment may comprise at least about 90 wt. %, preferably at least about 95 wt. %, and more preferably at least about 99 wt. %, based on the weight of the crystalline form, Form N-1 of the compound of Example 1.
In yet another embodiment, a pharmaceutical composition is provided comprising Form N-1 of the compound of Example 1; and at least one pharmaceutically-acceptable carrier and/or diluent.
In still another embodiment, a pharmaceutical composition comprises substantially pure Form N-1 of compound of Example 1; and at least one pharmaceutically-acceptable carrier and/or diluent.
In still an even further embodiment, a therapeutically effective amount of Form N-1 of the compound of Example 1 is combined with at least one pharmaceutically acceptable carrier and/or diluent to provide at least one pharmaceutical composition.
In one embodiment, the compound of Example 1 is provided in a second crystalline form. The second crystalline form is an acetone solvate crystalline form referred to herein as “Form A-2” or “A-2 Form”. The A-2 Form comprises about one acetone molecule for each molecule of Example 1.
In one embodiment, the A-2 Form is characterized by unit cell parameters approximately equal to the following:
Cell dimensions:
    • a=9.25 Å
    • b=17.11 Å
    • c=19.63 Å
    • α=90.0°
    • β=99.2°
    • γ=90.0°
Space group: P21
Molecules of Example 1/asymmetric unit: 2
Volume/number of molecules in the unit cell=767 Å3
Density (calculated)=1.331 g/cm3,
wherein the unit cell parameters of Form A-2 are measured at a temperature of about −50° C.
In another embodiment, the A-2 Form is characterized by a simulated powder x-ray diffraction (PXRD) pattern substantially in accordance with the pattern shown in FIG. 2 and/or by an observed PXRD pattern substantially in accordance with the pattern shown in FIG. 2.
In yet an even further embodiment, the A-2 Form of Example 1 is characterized by fractional atomic coordinates substantially as listed in Table 2.
TABLE 2
Fractional Atomic Coordinates of Form A-2 of Example 1
Calculated at a Temperature of about 25° C.; Atomic
Coordinates (×104) and Equivalent Isotropic
Displacement Parameters (Å2 × 103)
x y z U(eq)*
C(7) 6904(4)  4997(2) 5292(2)  48(1)
C(1) 8004(4)  5982(2) 6174(2)  54(1)
C(2) 6800(4)  5545(2) 5859(2)  54(1)
C(8) 6141(4)  4232(2) 5284(2)  54(1)
C(3) 5457(5)  5651(3) 6082(2)  76(1)
C(11) 4844(6)  2766(3) 5230(3)  85(2)
C(6) 7848(6)  6490(3) 6720(2)  71(1)
C(13) 6027(5)  3824(3) 5876(2)  70(1)
C(9) 5582(5)  3890(3) 4653(2)  71(1)
C(12) 5401(6)  3097(3) 5850(3)  83(2)
C(10) 4917(6)  3170(3) 4628(3)  90(2)
C(5) 6489(7)  6573(3) 6912(3)  90(2)
C(4) 5305(7)  6149(4) 6600(3)  97(2)
N(1) 9412(3)  5900(2) 5975(2)  51(1)
N(2) 7595(3)  5151(2) 4788(2)  44(1)
C(14) 10740(5)   5965(3) 6513(2)  74(1)
O(2) 10864(3)   5937(2) 5145(1)  55(1)
C(16) 8251(3)  5933(2) 4786(2)  40(1)
C(15) 9646(4)  5938(2) 5311(2)  44(1)
N(3) 8562(3)  6099(2) 4109(1)  41(1)
C(17) 7467(4)  6272(2) 3606(2)  39(1)
O(3) 6194(2)  6341(2) 3715(1)  51(1)
C(18) 7818(4)  6368(2) 2879(2)  42(1)
C(19) 7150(4)  5692(2) 2427(2)  43(1)
C(20) 7742(4)  5710(2) 1743(2)  47(1)
C(21) 7295(4)  7162(2) 2603(2)  53(1)
C(22) 7920(6)  7834(3) 3079(2)  71(1)
C(23) 7430(10) 8614(3) 2824(3)  107(2) 
C(24) 7536(4)  4901(2) 2785(2)  52(1)
C(25) 7093(6)  4206(3) 2330(2)  71(1)
C(26) 7241(8)  3455(3) 2704(3)  94(2)
F(6) 6297(5)  3386(2) 3134(2)  129(1) 
F(1) 7959(8)  9176(2) 3262(2)  185(3) 
F(5) 8543(6)  3362(2) 3105(3)  150(2) 
F(3) 7942(5)  8794(2) 2229(2)  126(1) 
F(4) 7086(8)  2841(2) 2316(3)  195(3) 
F(2) 5988(6)  8693(2) 2664(3)  144(2) 
O(4) 9043(3)  5579(2) 1739(1)  64(1)
N(4) 6801(3)  5840(2) 1174(2)  58(1)
C(28) 3228(5)  5219(2) −666(2)   58(1)
C(27) 2067(5)  5688(2) −980(2)   58(1)
C(34) 3784(6)  3921(3) −46(2) 72(1)
C(33) 3100(5)  4701(2) −78(2) 58(1)
C(35) 4203(7)  3574(3) 594(3) 97(2)
C(39) 3986(6)  3507(3) −636(3)   83(2)
C(32) 2285(6)  6154(3) −1536(2)    75(1)
C(30) 4731(7)  5711(3) −1475(3)    91(2)
C(38) 4583(7)  2762(3) −576(3)   98(2)
C(29) 4568(6)  5253(3) −917(2)   72(1)
C(31) 3577(7)  6155(3) −1784(3)    87(2)
C(37) 4968(9)  2422(4)  54(4) 118(2) 
C(36) 4771(9)  2808(4) 624(4) 128(3) 
N(5) 661(4) 5680(2) −773(2)   60(1)
N(6) 2443(4)  4911(2) 431(2) 54(1)
C(40) −651(6)   5774(3) −1302(2)    86(2)
O(5) −740(3)   5772(2)  72(2) 68(1)
C(41) 469(4) 5735(2) −103(2)   53(1)
C(42) 1863(4)  5705(2) 419(2) 46(1)
N(7) 1560(3)  5910(2) 1090(1)  45(1)
C(43) 2620(4)  6162(2) 1576(2)  46(1)
O(6) 3897(3)  6255(2) 1483(1)  57(1)
C(44) 2172(4)  6353(3) 2271(2)  52(1)
C(46) 2395(4)  5950(4) 3504(2)  74(1)
C(45) 3085(4)  5884(3) 2850(2)  62(1)
C(48) 1358(6)  7707(3) 1848(3)  83(1)
C(47) 2339(5)  7234(3) 2392(2)  67(1)
C(51) 1858(6)  4543(4) 2518(4)  107(2) 
C(50) 3255(4)  5013(3) 2687(2)  70(1)
C(49) 1563(10) 8561(4) 1908(5)  124(2) 
C(52) 2084(6)  3715(4) 2468(4)  99(2)
F(12) 3031(5)  3498(3) 2086(3)  142(2) 
F(10) 2663(6)  3415(3) 3096(2)  163(2) 
F(9) 1342(6)  8818(3) 2530(3)  163(2) 
F(11) 888(5) 3295(3) 2278(4)  183(3) 
F(8) 2877(7)  8787(3) 1859(4)  207(3) 
F(7) 614(7) 8955(3) 1439(3)  173(2) 
O(7) 3291(3)  5999(2) 4102(2)  84(1)
N(8) 1075(3)  5907(4) 3480(2)  127(3) 
O(1S) 8859(5)  7601(2) 5406(3)  125(2) 
C(2S) 9451(6)  8179(2) 5220(3)  93(2)
C(1S) 8949(12) 8987(3) 5332(6)  178(4) 
C(3S) 10720(8)   8060(6) 4852(5)  170(4) 
C(5S) 894(7) 8038(3) 9719(4)  114(2) 
C(6S) 1519(16) 8821(4) 9622(7)  237(7) 
C(4S) −672(9)    7980(10) 9801(11) 366(14)
O(2S) 1390(8)  7390(3) 9852(6)  226(4) 
*U(eq) is defined as one third of the trace of the orthogonalized Uij tensor.
In still yet an even further embodiment, the A-2 form of the compound of Example 1 is substantially pure.
In still yet another embodiment, the A-2 form of the compound of Example 1 contains at least about 90 wt. %, preferably at least about 95 wt. %, and more preferably at least about 99 wt. %, based on weight of the second crystalline form, Form A-2.
In yet another embodiment, a substantially pure second crystalline form has substantially pure phase homogeneity with less than about 10%, preferably less than about 5%, and more preferably less than about 2% of the total peak area of the experimentally measured PXRD pattern arising from peaks that are absent from the simulated PXRD pattern. Most preferably, a substantially pure second crystalline form has substantially pure phase homogeneity with less than about 1% of the total peak area of the experimentally measured PXRD pattern arising from peaks that are absent from the simulated PXRD pattern.
In another embodiment, the second crystalline form of the compound of Example 1 consists essentially of Form A-2. The second crystalline form of this embodiment may comprise at least about 90 wt. %, preferably at least about 95 wt. %, and more preferably at least about 99 wt. %, based on the weight of the second crystalline form, Form A-2.
In one embodiment, the compound of Example 1 is provided in a third crystalline form. The third crystalline form is an ethyl acetate solvate crystalline form referred to herein as “Form EA-3” or “EA-3 Form”. The EA-3 Form comprises about one ethyl acetate molecule for each molecule of Example 1.
In one embodiment, the EA-3 Form is characterized by unit cell parameters approximately equal to the following:
Cell dimensions:
    • a=8.84 Å
    • b=15.95 Å
    • c=22.38 Å
    • α=90.0°
    • β=90.0°
    • γ=90.0°
Space group: P2 12121
Molecules of Example 1/asymmetric unit: 1
Volume/number of molecules in the unit cell=789 Å3
Density (calculated)=1.357 g/cm3,
wherein the unit cell parameters of Form EA-3 are measured at a temperature of about −50° C.
In another embodiment, the EA-3 Form is characterized by a simulated powder x-ray diffraction (PXRD) pattern substantially in accordance with the pattern shown in FIG. 3 and/or by an observed PXRD pattern substantially in accordance with the pattern shown in FIG. 3.
In yet another embodiment, the EA-3 Form of the compound of Example 1 is characterized by a PXRD pattern (CuKα λ=1.5418 Å at a temperature of about 25° C.) comprising four or more, preferably five or more, 2θ values selected from: 6.8±0.2, 9.6±0.2, 10.6±0.2, 15.4±0.2, 20.5±0.2, 21.0±0.2, and 24.8±0.2, wherein the PXRD pattern of Form N-1 is measured at a temperature of about 20° C.
In yet an even further embodiment, the EA-3 Form of Example 1 is characterized by fractional atomic coordinates substantially as listed in Table 3.
TABLE 3
Fractional Atomic Coordinates of Form EA-3 of Example 1
Calculated at a Temperature of about 25° C.; Atomic Coordinates (×104)
and Equivalent Isotropic Displacement Parameters (Å2 × 103)
x y z U(eq)*
F(1) 10284(3) −324(1)   8889(1) 110(1)
F(2)  8491(2) −284(1)   9520(1)  93(1)
F(3) 10700(3)  44(1) 9784(1) 113(1)
F(4) 10501(3) 5623(1)  9310(1) 130(1)
F(5)  8241(3) 5391(1)  9141(1) 115(1)
F(6)  8839(3) 5780(1)  9997(1) 105(1)
O(1) 11040(2) 2804(1)  6756(1)  47(1)
O(2)  7956(1) 2449(1)  8498(1)  36(1)
O(3) 12740(2) 2982(1)  9716(1)  40(1)
N(1)  8842(2) 2728(1)  6240(1)  33(1)
N(2)  8089(2) 3668(1)  7331(1)  33(1)
N(3)  9769(2) 2708(1)  7813(1)  33(1)
N(4) 10970(2) 2584(1)  10384(1)   35(1)
C(1)  7242(2) 2620(1)  6240(1)  31(1)
C(2)  6305(2) 3136(1)  6588(1)  32(1)
C(3)  4744(2) 2988(1)  6568(1)  41(1)
C(4)  4146(3) 2361(2)  6218(1)  46(1)
C(5)  5082(2) 1865(2)  5875(1)  45(1)
C(6)  6619(2) 1993(2)  5884(1)  41(1)
C(7)  6958(2) 3796(1)  6978(1)  32(1)
C(8)  6335(2) 4667(1)  6961(1)  38(1)
C(9)  6764(3) 5243(2)  7398(1)  49(1)
C(10)  6266(3) 6066(2)  7374(1)  62(1)
C(11)  5332(3) 6325(2)  6919(1)  65(1)
C(12)  4902(3) 5765(2)  6489(1)  61(1)
C(13)  5402(3) 4943(2)  6502(1)  49(1)
C(14)  9661(2) 2771(1)  6748(1)  33(1)
C(15)  8737(2) 2828(1)  7322(1)  31(1)
C(16)  9646(3) 2733(1)  5664(1)  42(1)
C(17)  9303(2) 2523(1)  8366(1)  28(1)
C(18) 10560(2) 2404(1)  8823(1)  28(1)
C(19) 10812(2) 1469(1)  8954(1)  33(1)
C(20)  9417(3) 1000(1)  9175(1)  40(1)
C(21)  9715(3) 119(2) 9337(1)  56(1)
C(22) 10180(2) 2934(1)  9377(1)  28(1)
C(23) 10038(2) 3867(1)  9211(1)  35(1)
C(24)  9480(3) 4403(1)  9721(1)  53(1)
C(25)  9272(3) 5289(2)  9554(1)  62(1)
C(26) 11411(2) 2830(1)  9845(1)  28(1)
O(1S)  3231(2) 3405(1)  7982(1)  68(1)
O(2S)  2969(2) 4783(1)  8077(1)  64(1)
C(1S)  4926(3) 4166(2)  8613(1)  78(1)
C(2S)  3651(3) 4066(2)  8192(1)  54(1)
C(3S)  1698(3) 4746(2)  7661(1)  70(1)
C(4S)  1132(4) 5596(2)  7579(2)  85(1)
*U(eq) is defined as one third of the trace of the orthogonalized Uij tensor.
In still yet an even further embodiment, the EA-3 form of the compound of Example 1 is substantially pure.
In still yet another embodiment, the EA-3 form of the compound of Example 1 contains at least about 90 wt. %, preferably at least about 95 wt. %, and more preferably at least about 99 wt. %, based on weight of the third crystalline form, Form EA-3.
In yet another embodiment, a substantially pure Form EA-3 has substantially pure phase homogeneity with less than about 10%, preferably less than about 5%, and more preferably less than about 2% of the total peak area of the experimentally measured PXRD pattern arising from peaks that are absent from the simulated PXRD pattern. Most preferably, the substantially crystalline Form EA-3 has substantially pure phase homogeneity with less than about 1% of the total peak area of the experimentally measured PXRD pattern arising from peaks that are absent from the simulated PXRD pattern.
In another embodiment, the third crystalline form of the compound of Example 1 consists essentially of Form EA-3. The third crystalline form of this embodiment may comprise at least about 90 wt. %, preferably at least about 95 wt. %, and more preferably at least about 99 wt. %, based on the weight of the third crystalline form, Form EA-3.
In one embodiment, the compound of Example 1 is provided in a fourth crystalline form. The fourth crystalline form is an tetrahydrofuran solvate crystalline form referred to herein as “Form THF-2” or “THF-2 Form”. The THF-2 Form comprises about one tetrahydrofuran molecule for each molecule of Example 1.
In one embodiment, the THF-2 Form is characterized by unit cell parameters approximately equal to the following:
Cell dimensions:
    • a=9.34 Å
    • b=16.44 Å
    • c=20.60 Å
    • α=90.0°
    • β=102.8°
    • γ=90.0°
Space group: P21
Molecules of Example 1/asymmetric unit: 2
Molecules of tetrahydrofuran/asymmetric unit: 2
Volume=3082 Å3,
wherein the unit cell parameters of Form THF-2 are measured at a temperature of about −50° C.
In another embodiment, the THF-2 Form is characterized by a simulated powder x-ray diffraction (PXRD) pattern substantially in accordance with the pattern shown in FIG. 4 and/or by an observed PXRD pattern substantially in accordance with the pattern shown in FIG. 4.
In yet another embodiment, the THF-2 Form of the compound of Example 1 is characterized by a PXRD pattern (CuKα λ=1.5418 Å at a temperature of about 25° C.) comprising four or more, preferably five or more, 2θ values selected from: 6.9±0.2, 9.6±0.2, 11.2±0.2, 12.6±0.2, 16.6±0.2, 21.4±0.2, and 24.2±0.2, wherein the PXRD pattern of Form N-1 is measured at a temperature of about 20° C.
In yet an even further embodiment, the THF-2 Form of Example 1 is characterized by fractional atomic coordinates substantially as listed in Table 4.
TABLE 4
Fractional Atomic Coordinates of Form THF-2 of Example 1
(Not Including Solvent Molecules) Calculated at a
Temperature of about −50° C.; Atomic Coordinates (×104) and
Equivalent Isotropic Displacement Parameters (Å2 × 103)
x y z U(eq)*
C(15) 5518(8) 5421(5) −198(4)   40(2)
C(7) 8183(7) 4416(4) −230(3)   37(2)
C(1) 6912(8) 5409(5) −1086(3)    40(2)
C(14) 7026(7) 5430(4) 285(3) 33(2)
C(8) 8844(8) 3587(5) −216(4)   43(2)
C(10)  9968(13) 2433(7) 425(5) 77(3)
C(3) 9384(9) 5015(5) −1084(4)    53(2)
C(13) 8784(8) 3143(5) −809(4)   48(2)
C(9)  9434(11) 3222(6) 378(4) 63(2)
C(2) 8146(8) 4952(5) −811(3)   39(2)
C(16) 4171(9) 5392(7) −1345(4)    67(2)
C(11)  9807(11) 1985(6) −145(5)   65(2)
C(4)  9404(10) 5497(6) −1633(4)    57(2)
C(12) 9264(9) 2348(5) −782(4)   53(2)
C(6)  6924(11) 5907(5) −1633(4)    54(2)
C(5)  8182(12) 5952(6) −1902(4)    64(3)
N(1) 5578(6) 5360(4) −848(3)   42(1)
N(3) 6888(6) 5605(4) 938(3) 36(1)
N(2) 7672(6) 4610(4) 275(3) 35(1)
O(1) 4390(5) 5416(4)   −2(3) 52(1)
O(2) 9346(5) 5736(3) 1309(2)  39(1)
C(18) 7891(7) 5843(4) 2128(3)  34(2)
C(19) 8603(6) 5146(4) 2580(3)  32(2)
C(17) 8107(7) 5722(4) 1427(3)  31(2)
C(24) 8791(9) 3596(5) 2706(4)  48(2)
C(23) 8173(8) 4312(5) 2258(3)  39(2)
C(22)  8487(11) 8173(5) 2261(5)  62(2)
C(20) 8557(8) 6655(5) 2400(3)  39(2)
C(21) 7907(9) 7385(5) 1964(4)  49(2)
C(25)  8741(10) 2810(5) 2355(4)  52(2)
C(26) 8152(8) 5186(4) 3247(3)  37(2)
F(1) 9955(6) 8219(4) 2328(4)  93(2)
F(2) 7946(8) 8805(4) 1891(4)  99(2)
F(3) 8223(9) 8310(4) 2860(3)  95(2)
F(6) 9312(8) 2189(3) 2738(3)  85(2)
F(4)  9544(10) 2827(4) 1887(3)  107(3) 
F(5) 7371(8) 2601(4) 2055(4)  99(2)
O(3) 6868(5) 5095(4) 3269(2)  53(2)
N(4) 9201(7) 5323(5) 3773(3)  50(2)
C(41) 5606(8) 5376(5) 5015(4)  44(2)
C(33) 2941(8) 4383(5) 5034(4)  44(2)
C(40) 4123(8) 5383(5) 4524(3)  40(2)
C(34) 2252(8) 3558(5) 5001(3)  43(2)
C(35) 1639(9) 3211(5) 4394(4)  50(2)
C(28) 2933(9) 4914(5) 5586(4)  46(2)
C(39)  2268(11) 3105(6) 5556(4)  64(2)
C(36)  1122(10) 2419(6) 4377(4)  63(2)
C(27) 4177(9) 5378(5) 5892(4)  49(2)
C(29)  1675(10) 4985(6) 5845(4)  57(2)
C(30)  1676(13) 5507(7) 6397(5)  73(3)
C(38)  1829(14) 2307(7) 5543(5)  87(3)
C(32)  4177(12) 5857(6) 6447(4)  62(2)
C(37)  1212(13) 1993(6) 4941(5)  78(3)
C(31)  2903(15) 5910(7) 6692(5)  82(3)
N(7) 4371(6) 5572(4) 3879(3)  39(1)
N(5) 3496(6) 4583(4) 4522(3)  40(1)
N(6) 5540(8) 5326(4) 5672(3)  52(2)
C(42)  6922(10) 5333(7) 6176(4)  70(3)
O(4) 6769(6) 5366(4) 4854(3)  61(2)
O(5) 1990(5) 5881(3) 3468(2)  47(1)
C(43) 3254(7) 5799(5) 3385(3)  37(2)
C(44) 3604(7) 5919(5) 2715(3)  38(2)
C(48) 2633(7) 5381(5) 2189(3)  39(2)
C(45) 3372(8) 6832(5) 2508(3)  42(2)
C(47) 4193(9) 8255(6) 2732(6)  68(3)
C(49) 2530(8) 4500(5) 2392(4)  47(2)
C(46) 4402(9) 7411(5) 2964(4)  48(2)
C(50)  3935(11) 4011(6) 2526(5)  64(2)
F(7) 5101(7) 8786(4) 3126(4)  96(2)
F(8) 2886(6) 8555(4) 2680(4)  93(2)
F(9) 4504(7) 8366(4) 2111(3)  82(2)
C(51) 3205(7) 5393(5) 1551(3)  43(2)
N(8) 2237(6) 5343(5) 980(3) 50(2)
O(6) 4529(6) 5406(6) 1582(3)  84(2)
C(52)  3758(13) 3148(6) 2623(6)  75(3)
F(12) 4965(9) 2712(5) 2742(5)  121(3) 
F(11)  2916(13) 2808(5) 2068(5)  146(4) 
F(10)  3056(12) 2973(5) 3096(5)  148(4) 
*U(eq) is defined as one third of the trace of the orthogonalized Uij tensor.
In still yet an even further embodiment, the THF-2 form of the compound of Example 1 is substantially pure.
In still yet another embodiment, the THF-2 form of the compound of Example 1 contains at least about 90 wt. %, preferably at least about 95 wt. %, and more preferably at least about 99 wt. %, based on weight of the fourth crystalline form, Form THF-2.
In yet another embodiment, a substantially pure Form THF-2 has substantially pure phase homogeneity with less than about 10%, preferably less than about 5%, and more preferably less than about 2% of the total peak area of the experimentally measured PXRD pattern arising from peaks that are absent from the simulated PXRD pattern. Most preferably, the substantially crystalline Form THF-2 has substantially pure phase homogeneity with less than about 1% of the total peak area of the experimentally measured PXRD pattern arising from peaks that are absent from the simulated PXRD pattern.
In another embodiment, the fourth crystalline form of the compound of Example 1 consists essentially of Form THF-2. The fourth crystalline form of this embodiment may comprise at least about 90 wt. %, preferably at least about 95 wt. %, and more preferably at least about 99 wt. %, based on the weight of the fourth crystalline form, Form THF-2.
Crystalline Form of the Compound of Example 2
In one embodiment, the compound of Example 2
Figure US08629136-20140114-C00010

is provided as a crystalline material comprising a crystalline form. An example of a suitable crystalline form of the compound of Example 2 is Form M2-1. The M2-1 Form comprises about two methanol molecules for each molecule of Example 2.
In one embodiment, the M2-1 Form of compound of Example 2 is characterized by unit cell parameters approximately equal to the following:
Cell dimensions:
    • a=8.44 Å
    • b=21.02 Å
    • c=17.52 Å
    • α=90.0°
    • β=90.88°
    • γ=90.0°
Space group: P21
Molecules of Example 2/asymmetric unit: 2
Volume/Number of molecules in the unit cell=777 Å3
Density (calculated)=1.297 g/cm3,
wherein the unit cell parameters of Form M-1 are measured at a temperature of about −100° C.
In another embodiment, the M2-1 Form is characterized by a simulated powder x-ray diffraction (PXRD) pattern substantially in accordance with the pattern shown in FIG. 5 and/or by an observed PXRD pattern substantially in accordance with the pattern shown in FIG. 5.
In yet another embodiment, the M2-1 Form of the compound of Example 2 is characterized by a PXRD pattern (CuKα λ=1.5418 Å at a temperature of about 25° C.) comprising four or more, preferably five or more, 2θ values selected from: 8.2±0.2, 12.2±0.2, 14.2±0.2, 15.1±0.2, 16.8±0.2, 17.3±0.2, and 23.0±0.2, wherein the PXRD pattern of Form M2-1 is measured at a temperature of about 20° C.
In yet an even further embodiment, the M2-1 Form of Example 2 is characterized by fractional atomic coordinates substantially as listed in Table 5.
TABLE 5
Fractional Atomic Coordinates of Form M2-1 Calculated at a Temperature
of about 25° C.; Atomic Coordinates (×104) and Equivalent Isotropic
Displacement Parameters (Å2 × 103) for Example 2, Form M2-1
U(eq) is defined as one third of the trace of the orthogonalized Uij tensor.
x y z U(eq)
F(1)     2613(2)  −212(1)  2456(1)  77(1)
F(2)     4541(3)  −625(1)  3070(2)  96(1)
F(3)     4934(3)  −161(1)  2004(1)  96(1)
F(4)     7167(3)   3758(1)  3848(1)  77(1)
F(5)     6914(3)   3210(1)  4862(1)  90(1)
F(6)     9215(3)   3403(1)  4441(1)  85(1)
F(7)     7591(2)   3726(1) 11734(2) 119(1)
F(8)     9635(3)   4107(1) 11204(1)  86(1)
F(9)     9848(3)   3673(1) 12297(1)  79(1)
F(10)   12277(3)  −275(1) 10384(1)  91(1)
F(11)   11834(6)    315(1)  9441(2) 176(2)
F(12)   14222(4)    122(1)  9816(2) 133(1)
O(1)     1635(2)    931(1)  4421(1)  37(1)
O(2)     5968(2)    825(1)  4908(1)  47(1)
O(3)     8139(2)   1682(1)  2398(1)  35(1)
O(4)     6559(2)   2497(1)  9963(1)  39(1)
O(5)    10872(2)   2663(1)  9445(1)  39(1)
O(6)    13114(2)   1784(1) 11956(1)  34(1)
N(1)     2751(2)   2232(1)  5319(1)  34(1)
N(2)     1067(2)   1032(1)  5670(1)  33(1)
N(3)     4363(2)   1622(1)  4536(1)  30(1)
N(4)    10420(2)   1368(1)  2964(1)  37(1)
N(5)     7664(2)   1284(1)  8920(1)  33(1)
N(6)     5929(2)   2493(1)  8710(1)  31(1)
N(7)     9312(2)   1845(1)  9778(1)  31(1)
N(8)    15396(2)   2076(1) 11411(1)  40(1)
C(1)     1345(3)   1256(1)  6422(1)  35(1)
C(2)     1849(3)   1874(1)  6578(1)  36(1)
C(3)     2048(3)   2059(2)  7348(2)  45(1)
C(4)     1720(3)   1644(2)  7931(2)  55(1)
C(5)     1161(3)   1038(2)  7766(2)  56(1)
C(6)     981(3)    842(2)  7018(2)  44(1)
C(7)     2098(3)   2347(1)  5969(1)  35(1)
C(8)     1531(3)   3012(1)  6086(2)  40(1)
C(9)     2312(4)   3514(2)  5740(2)  51(1)
C(10)    1764(5)   4131(2)  5823(2)  65(1)
C(11)    428(5)   4245(2)  6243(3)  80(1)
C(12)  −352(5)   3754(2)  6580(3)  80(1)
C(13)    191(4)   3139(2)  6513(2)  56(1)
C(14)    1961(3)   1152(1)  5056(1)  30(1)
C(15)    3364(3)   1594(1)  5200(1)  31(1)
C(16)    5555(3)   1219(1)  4426(1)  30(1)
C(17)    6342(3)   1256(1)  3652(1)  28(1)
C(18)    8095(3)   1450(1)  3748(1)  31(1)
C(19)    8887(3)   1501(1)  2979(1)  29(1)
C(20)    6151(3)    613(1)  3254(2)  36(1)
C(21)    4416(3)    482(1)  3060(2)  39(1)
C(22)    4138(4)  −124(2)  2655(2)  56(1)
C(23)    8335(3)   2081(1)  4176(1)  34(1)
C(24)    7670(3)   2664(1)  3763(2)  39(1)
C(25)    7738(4)   3248(2)  4225(2)  50(1)
C(26)    6216(3)   2346(1)  7935(1)  29(1)
C(27)    6745(3)   1743(1)  7708(1)  29(1)
C(28)    6963(3)   1642(1)  6922(1)  37(1)
C(29)    6629(3)   2113(2)  6398(2)  46(1)
C(30)    6065(3)   2691(2)  6633(2)  46(1)
C(31)    5856(3)   2812(1)  7399(2)  39(1)
C(32)    6994(3)   1217(1)  8261(1)  30(1)
C(33)    6421(3)    571(1)  8051(2)  35(1)
C(34)    7176(4)    43(1)  8360(2)  49(1)
C(35)    6628(4)  −563(2)  8178(2)  62(1)
C(36)    5318(4)  −640(2)  7705(2)  63(1)
C(37)    4561(4)  −123(2)  7405(2)  59(1)
C(38)    5104(3)    486(1)  7577(2)  45(1)
C(39)    6856(3)   2328(1)  9310(1)  30(1)
C(40)    8266(3)   1907(1)  9119(1)  30(1)
C(41)   10484(3)   2259(1)  9915(1)  30(1)
C(42)   11305(3)   2212(1) 10692(1)  29(1)
C(43)   13053(3)   2027(1) 10608(1)  28(1)
C(44)   13850(3)   1958(1) 11389(1)  27(1)
C(45)   11115(3)   2854(1) 11089(1)  33(1)
C(46)    9380(3)   2999(2) 11248(2)  44(1)
C(47)    9111(4)   3620(2) 11616(2)  59(1)
C(48)   13303(3)   1408(1) 10152(1)  37(1)
C(49)   12699(4)    817(1) 10535(2)  46(1)
C(50)   12765(6)    249(2) 10046(2)  71(1)
O(1S)    3445(3)   3322(1)  8972(1)  65(1)
O(2S)    3658(2)   2451(1)  3295(1)  43(1)
O(3S)    8681(2)   1043(1)  1039(1)  51(1)
C(4S)    2039(4)   4719(2)  3916(2)  64(1)
C(1S)    3853(6)   3821(2)  9485(3) 123(2)
C(2S)    2594(4)   2953(2)  3435(2)  59(1)
C(3S)    7938(7)    447(2)  954(3) 107(2)
O(4S)    1606(03)   5269(1)  4324(2)  63(1)
In still yet an even further embodiment, the M2-1 form of the compound of Example 2 is substantially pure.
In still yet another embodiment, the M2-1 form of the compound of Example 2 contains at least about 90 wt. %, preferably at least about 95 wt. %, and more preferably at least about 99 wt. %, based on weight of the crystalline form, Form M2-1.
In yet another embodiment, a substantially pure crystalline form of Form M2-1 has substantially pure phase homogeneity with less than about 10%, preferably less than about 5%, and more preferably less than about 2% of the total peak area of the experimentally measured PXRD pattern arising from peaks that are absent from the simulated PXRD pattern. Most preferably, the substantially pure crystalline form of M2-1 has substantially pure phase homogeneity with less than about 1% of the total peak area of the experimentally measured PXRD pattern arising from peaks that are absent from the simulated PXRD pattern.
In another embodiment, the crystalline form of the compound of Example 2 consists essentially of Form M2-1. The crystalline form of this embodiment may comprise at least about 90 wt. %, preferably at least about 95 wt. %, and more preferably at least about 99 wt. %, based on the weight of the crystalline form, Form M2-1.
Compounds in accordance with Formula (I) can be administered by any means suitable for the condition to be treated, which can depend on the need for site-specific treatment or quantity of Formula (I) compound to be delivered.
Also embraced within this invention is a class of pharmaceutical compositions comprising the compound of Formula (I) or prodrug thereof; and one or more non-toxic, pharmaceutically-acceptable carriers and/or diluents and/or adjuvants (collectively referred to herein as “carrier” materials) and, if desired, other active ingredients. The compounds of Formula (I) may be administered by any suitable route, preferably in the form of a pharmaceutical composition adapted to such a route, and in a dose effective for the treatment intended. The compounds and compositions of the present invention may, for example, be administered orally, mucosally, or parentally including intravascularly, intravenously, intraperitoneally, subcutaneously, intramuscularly, and intrasternally in dosage unit formulations containing conventional pharmaceutically acceptable carriers, adjuvants, and vehicles. For example, the pharmaceutical carrier may contain a mixture of mannitol or lactose and microcrystalline cellulose. The mixture may contain additional components such as a lubricating agent, e.g., magnesium stearate and a disintegrating agent such as crospovidone. The carrier mixture may be filled into a gelatin capsule or compressed as a tablet. The pharmaceutical composition may be administered as an oral dosage form or an infusion, for example.
For oral administration, the pharmaceutical composition may be in the form of, for example, a tablet, capsule, suspension, or liquid. The pharmaceutical composition is preferably made in the form of a dosage unit containing a particular amount of the active ingredient. For example, the pharmaceutical composition may be provided as a tablet or capsule comprising an amount of active ingredient in the range of from about 1 to 2000 mg, preferably from about 1 to 500 mg, and more preferably from about 5 to 150 mg. A suitable daily dose for a human or other mammal may vary widely depending on the condition of the patient and other factors, but, can be determined using routine methods.
Any pharmaceutical composition contemplated herein can, for example, be delivered orally via any acceptable and suitable oral preparations. Exemplary oral preparations, include, but are not limited to, for example, tablets, troches, lozenges, aqueous and oily suspensions, dispersible powders or granules, emulsions, hard and soft capsules, syrups, and elixirs. Pharmaceutical compositions intended for oral administration can be prepared according to any methods known in the art for manufacturing pharmaceutical compositions intended for oral administration. In order to provide pharmaceutically palatable preparations, a pharmaceutical composition in accordance with the invention can contain at least one agent selected from sweetening agents, flavoring agents, coloring agents, demulcents, antioxidants, and preserving agents.
A tablet can, for example, be prepared by admixing at least one compound of Formula (I) with at least one non-toxic pharmaceutically acceptable excipient suitable for the manufacture of tablets. Exemplary excipients include, but are not limited to, for example, inert diluents, such as, for example, calcium carbonate, sodium carbonate, lactose, calcium phosphate, and sodium phosphate; granulating and disintegrating agents, such as, for example, microcrystalline cellulose, sodium croscarmellose, corn starch, and alginic acid; binding agents, such as, for example, starch, gelatin, polyvinyl-pyrrolidone, and acacia; and lubricating agents, such as, for example, magnesium stearate, stearic acid, and talc. Additionally, a tablet can either be uncoated, or coated by known techniques to either mask the bad taste of an unpleasant tasting drug, or delay disintegration and absorption of the active ingredient in the gastrointestinal tract thereby sustaining the effects of the active ingredient for a longer period. Exemplary water soluble taste masking materials, include, but are not limited to, hydroxypropylmethylcellulose and hydroxypropylcellulose. Exemplary time delay materials, include, but are not limited to, ethyl cellulose and cellulose acetate butyrate.
Hard gelatin capsules can, for example, be prepared by mixing at least one compound of Formula (I) with at least one inert solid diluent, such as, for example, calcium carbonate; calcium phosphate; and kaolin.
Soft gelatin capsules can, for example, be prepared by mixing at least one compound of Formula (I) with at least one water soluble carrier, such as, for example, polyethylene glycol; and at least one oil medium, such as, for example, peanut oil, liquid paraffin, and olive oil.
An aqueous suspension can be prepared, for example, by admixing at least one compound of Formula (I) with at least one excipient suitable for the manufacture of an aqueous suspension. Exemplary excipients suitable for the manufacture of an aqueous suspension, include, but are not limited to, for example, suspending agents, such as, for example, sodium carboxymethylcellulose, methylcellulose, hydroxypropylmethylcellulose, sodium alginate, alginic acid, polyvinylpyrrolidone, gum tragacanth, and gum acacia; dispersing or wetting agents, such as, for example, a naturally-occurring phosphatide, e.g., lecithin; condensation products of alkylene oxide with fatty acids, such as, for example, polyoxyethylene stearate; condensation products of ethylene oxide with long chain aliphatic alcohols, such as, for example heptadecaethylene-oxycetanol; condensation products of ethylene oxide with partial esters derived from fatty acids and hexitol, such as, for example, polyoxyethylene sorbitol monooleate; and condensation products of ethylene oxide with partial esters derived from fatty acids and hexitol anhydrides, such as, for example, polyethylene sorbitan monooleate. An aqueous suspension can also contain at least one preservative, such as, for example, ethyl and n-propyl p-hydroxybenzoate; at least one coloring agent; at least one flavoring agent; and/or at least one sweetening agent, including but not limited to, for example, sucrose, saccharin, and aspartame.
Oily suspensions can, for example, be prepared by suspending at least one compound of Formula (I) in either a vegetable oil, such as, for example, arachis oil; olive oil; sesame oil; and coconut oil; or in mineral oil, such as, for example, liquid paraffin. An oily suspension can also contain at least one thickening agent, such as, for example, beeswax; hard paraffin; and cetyl alcohol. In order to provide a palatable oily suspension, at least one of the sweetening agents already described hereinabove, and/or at least one flavoring agent can be added to the oily suspension. An oily suspension can further contain at least one preservative, including, but not limited to, for example, an anti-oxidant, such as, for example, butylated hydroxyanisol, and alpha-tocopherol.
Dispersible powders and granules can, for example, be prepared by admixing at least one compound of Formula (I) with at least one dispersing and/or wetting agent; at least one suspending agent; and/or at least one preservative. Suitable dispersing agents, wetting agents, and suspending agents are as already described above. Exemplary preservatives include, but are not limited to, for example, anti-oxidants, e.g., ascorbic acid. In addition, dispersible powders and granules can also contain at least one excipient, including, but not limited to, for example, sweetening agents; flavoring agents; and coloring agents.
An emulsion of at least one compound of Formula (I) can, for example, be prepared as an oil-in-water emulsion. The oily phase of the emulsions comprising compounds of Formula (I) may be constituted from known ingredients in a known manner. The oil phase can be provided by, but is not limited to, for example, a vegetable oil, such as, for example, olive oil and arachis oil; a mineral oil, such as, for example, liquid paraffin; and mixtures thereof. While the phase may comprise merely an emulsifier, it may comprise a mixture of at least one emulsifier with a fat or an oil or with both a fat and an oil. Suitable emulsifying agents include, but are not limited to, for example, naturally-occurring phosphatides, e.g., soy bean lecithin; esters or partial esters derived from fatty acids and hexitol anhydrides, such as, for example, sorbitan monooleate; and condensation products of partial esters with ethylene oxide, such as, for example, polyoxyethylene sorbitan monooleate. Preferably, a hydrophilic emulsifier is included together with a lipophilic emulsifier which acts as a stabilizer. It is also preferred to include both an oil and a fat. Together, the emulsifier(s) with or without stabilizer(s) make-up the so-called emulsifying wax, and the wax together with the oil and fat make up the so-called emulsifying ointment base which forms the oily dispersed phase of the cream formulations. An emulsion can also contain a sweetening agent, a flavoring agent, a preservative, and/or an antioxidant. Emulsifiers and emulsion stabilizers suitable for use in the formulation of the present invention include Tween 60, Span 80, cetostearyl alcohol, myristyl alcohol, glyceryl monostearate, sodium lauryl sulfate, glyceryl distearate alone or with a wax, or other materials well known in the art.
The compounds of Formula (I) can, for example, also be delivered intravenously, subcutaneously, and/or intramuscularly via any pharmaceutically acceptable and suitable injectable form. Exemplary injectable forms include, but are not limited to, for example, sterile aqueous solutions comprising acceptable vehicles and solvents, such as, for example, water, Ringer's solution, and isotonic sodium chloride solution; sterile oil-in-water microemulsions; and aqueous or oleaginous suspensions.
Formulations for parenteral administration may be in the form of aqueous or non-aqueous isotonic sterile injection solutions or suspensions. These solutions and suspensions may be prepared from sterile powders or granules using one or more of the carriers or diluents mentioned for use in the formulations for oral administration or by using other suitable dispersing or wetting agents and suspending agents. The compounds may be dissolved in water, polyethylene glycol, propylene glycol, ethanol, corn oil, cottonseed oil, peanut oil, sesame oil, benzyl alcohol, sodium chloride, tragacanth gum, and/or various buffers. Other adjuvants and modes of administration are well and widely known in the pharmaceutical art. The active ingredient may also be administered by injection as a composition with suitable carriers including saline, dextrose, or water, or with cyclodextrin (i.e., CAPTISOL®), cosolvent solubilization (i.e., propylene glycol) or micellar solubilization (i.e., Tween 80).
The sterile injectable preparation may also be a sterile injectable solution or suspension in a non-toxic parenterally acceptable diluent or solvent, for example as a solution in 1,3-butanediol. Among the acceptable vehicles and solvents that may be employed are water, Ringer's solution, and isotonic sodium chloride solution. In addition, sterile, fixed oils are conventionally employed as a solvent or suspending medium. For this purpose any bland fixed oil may be employed, including synthetic mono- or diglycerides. In addition, fatty acids such as oleic acid find use in the preparation of injectables.
A sterile injectable oil-in-water microemulsion can, for example, be prepared by 1) dissolving at least one compound of Formula (I) in an oily phase, such as, for example, a mixture of soybean oil and lecithin; 2) combining the Formula (I) containing oil phase with a water and glycerol mixture; and 3) processing the combination to form a microemulsion.
A sterile aqueous or oleaginous suspension can be prepared in accordance with methods already known in the art. For example, a sterile aqueous solution or suspension can be prepared with a non-toxic parenterally-acceptable diluent or solvent, such as, for example, 1,3-butane diol; and a sterile oleaginous suspension can be prepared with a sterile non-toxic acceptable solvent or suspending medium, such as, for example, sterile fixed oils, e.g., synthetic mono- or diglycerides; and fatty acids, such as, for example, oleic acid.
Pharmaceutically acceptable carriers, adjuvants, and vehicles that may be used in the pharmaceutical compositions of this invention include, but are not limited to, ion exchangers, alumina, aluminum stearate, lecithin, self-emulsifying drug delivery systems (SEDDS) such as d-alpha-tocopherol polyethyleneglycol 1000 succinate, surfactants used in pharmaceutical dosage forms such as Tweens, polyethoxylated castor oil such as CREMOPHOR surfactant (BASF), or other similar polymeric delivery matrices, serum proteins, such as human serum albumin, buffer substances such as phosphates, glycine, sorbic acid, potassium sorbate, partial glyceride mixtures of saturated vegetable fatty acids, water, salts or electrolytes, such as protamine sulfate, disodium hydrogen phosphate, potassium hydrogen phosphate, sodium chloride, zinc salts, colloidal silica, magnesium trisilicate, polyvinyl pyrrolidone, cellulose-based substances, polyethylene glycol, sodium carboxymethylcellulose, polyacrylates, waxes, polyethylene-polyoxypropylene-block polymers, polyethylene glycol and wool fat. Cyclodextrins such as alpha-, beta-, and gamma-cyclodextrin, or chemically modified derivatives such as hydroxyalkylcyclodextrins, including 2- and 3-hydroxypropyl-cyclodextrins, or other solubilized derivatives may also be advantageously used to enhance delivery of compounds of the formulae described herein.
The pharmaceutically active compounds of this invention can be processed in accordance with conventional methods of pharmacy to produce medicinal agents for administration to patients, including humans and other mammals. The pharmaceutical compositions may be subjected to conventional pharmaceutical operations such as sterilization and/or may contain conventional adjuvants, such as preservatives, stabilizers, wetting agents, emulsifiers, buffers etc. Tablets and pills can additionally be prepared with enteric coatings. Such compositions may also comprise adjuvants, such as wetting, sweetening, flavoring, and perfuming agents.
The amounts of compounds that are administered and the dosage regimen for treating a disease condition with the compounds and/or compositions of this invention depends on a variety of factors, including the age, weight, sex, the medical condition of the subject, the type of disease, the severity of the disease, the route and frequency of administration, and the particular compound employed. Thus, the dosage regimen may vary widely, but can be determined routinely using standard methods. A daily dose of about 0.001 to 100 mg/kg body weight, preferably between about 0.005 and about 50 mg/kg body weight and most preferably between about 0.01 to 10 mg/kg body weight, may be appropriate. The daily dose can be administered in one to four doses per day.
For therapeutic purposes, the active compounds of this invention are ordinarily combined with one or more adjuvants appropriate to the indicated route of administration. If administered orally, the compounds may be admixed with lactose, sucrose, starch powder, cellulose esters of alkanoic acids, cellulose alkyl esters, talc, stearic acid, magnesium stearate, magnesium oxide, sodium and calcium salts of phosphoric and sulfuric acids, gelatin, acacia gum, sodium alginate, polyvinylpyrrolidone, and/or polyvinyl alcohol, and then tableted or encapsulated for convenient administration. Such capsules or tablets may contain a controlled-release formulation as may be provided in a dispersion of active compound in hydroxypropylmethyl cellulose.
Pharmaceutical compositions of this invention comprise the compound of Formula (I), or a prodrug thereof, and optionally an additional agent selected from any pharmaceutically acceptable carrier, adjuvant, and vehicle. Alternate compositions of this invention comprise a compound of the Formula (I) described herein, or a prodrug thereof, and a pharmaceutically acceptable carrier, adjuvant, or vehicle.
UTILITY
The compounds of Formula (I) are useful for the treatment of cancer, for example, cancers dependent upon Notch activation. Notch activation has been implicated in the pathogenesis of various solid tumors including ovarian, pancreatic, as well as breast cancer and hematologic tumors such as leukemias, lymphomas, and multiple myeloma.
In one embodiment, a method is provided for treating cancer comprising administering to a mammal in need thereof a compound of Formula (I) or a prodrug thereof. The method of this embodiment can be used to treat a variety of cancers, including, but not limited to, bladder cancer, breast cancer, colorectal cancer, gastric cancer, head and neck cancer, kidney cancer, liver cancer, lung cancer including non-small cell lung cancer (NSCLC), ovarian cancer, pancreatic cancer, gall bladder cancer, prostate cancer, thyroid cancer, osteosarcoma, rhabdomyosarcoma, malignant fibrous histiocytoma (MFH), fibrosarcoma, glioblastomas/astrocytomas, neuroblastoma, melanoma, T-cell acute lymphoblastic leukemia (T-ALL), and mesothelioma. For example, the method of this embodiment is used to treat breast cancer, colon cancer, or pancreatic cancer. Preferably, the mammal is a human. For example, a therapeutically effective amount for treating cancer may be administered in the method of the present embodiment. The method of this embodiment includes the administration of the compound having the structure:
Figure US08629136-20140114-C00011
The method of this embodiment also includes the administration of the compound having the structure:
Figure US08629136-20140114-C00012
Routes of administration in the present embodiment include parenteral administration and oral administration.
In one embodiment, a method is provided for treating cancer comprising administering to a mammal in need thereof a compound of Formula (I) or a prodrug thereof, wherein said cancer is colorectal cancer. Preferably, the mammal is a human. For example, a therapeutically effective amount for treating cancer may be administered in the method of the present embodiment. Routes of administration in the present embodiment include parenteral administration and oral administration.
In one embodiment, a method is provided for treating cancer comprising administering to a mammal in need thereof a compound of Formula (I) or a prodrug thereof, wherein said cancer is triple negative breast cancer. Preferably, the mammal is a human. For example, a therapeutically effective amount for treating cancer may be administered in the method of the present embodiment. Routes of administration in the present embodiment include parenteral administration and oral administration.
In one embodiment, a method is provided for treating cancer comprising administering to a mammal in need thereof a compound of Formula (I) or a prodrug thereof, wherein said cancer is non-small cell lung cancer. Preferably, the mammal is a human. For example, a therapeutically effective amount for treating cancer may be administered in the method of the present embodiment. Routes of administration in the present embodiment include parenteral administration and oral administration.
In one embodiment, a method is provided for treating cancer comprising administering to a mammal in need thereof a compound of Formula (I) or a prodrug thereof, wherein said cancer is pancreatic cancer. Preferably, the mammal is a human. For example, a therapeutically effective amount for treating cancer may be administered in the method of the present embodiment. Routes of administration in the present embodiment include parenteral administration and oral administration.
In one embodiment, a method is provided for treating cancer comprising administering to a mammal in need thereof a compound of Formula (I) or a prodrug thereof, wherein said cancer is ovarian cancer. Preferably, the mammal is a human. For example, a therapeutically effective amount for treating cancer may be administered in the method of the present embodiment. Routes of administration in the present embodiment include parenteral administration and oral administration.
In one embodiment, a method is provided for treating cancer comprising administering to a mammal in need thereof a compound of Formula (I) or a prodrug thereof, wherein said cancer is melanoma. Preferably, the mammal is a human. For example, a therapeutically effective amount for treating cancer may be administered in the method of the present embodiment. Routes of administration in the present embodiment include parenteral administration and oral administration.
In one embodiment, the use of a compound of Formula (I) or a prodrug thereof, in the manufacture of a medicament for the treatment of cancer is provided. Preferably, in the present embodiment, cancers subject to treatment include one or more of bladder cancer, breast cancer, colorectal cancer, gastric cancer, head and neck cancer, kidney cancer, liver cancer, lung cancer including non-small cell lung cancer (NSCLC), ovarian cancer, pancreatic cancer, gall bladder cancer, prostate cancer, thyroid cancer, osteosarcoma, rhabdomyosarcoma, malignant fibrous histiocytoma (MFH), fibrosarcoma, glioblastomas/astrocytomas, neuroblastoma, melanoma, T-cell acute lymphoblastic leukemia (T-ALL), and mesothelioma. Suitable medicaments of the present embodiment include medicaments for parenteral administration, such as, for example, solutions and suspensions and medicaments for oral administration, such as, for example, tablets, capsules, solutions, and suspensions.
One embodiment provides a compound of Formula (I) or a prodrug thereof, for use in therapy in treating cancer. In the present embodiment, cancers subject to treatment include one or more of bladder cancer, breast cancer, colorectal cancer, gastric cancer, head and neck cancer, kidney cancer, liver cancer, lung cancer including non-small cell lung cancer (NSCLC), ovarian cancer, pancreatic cancer, gall bladder cancer, prostate cancer, thyroid cancer, osteosarcoma, rhabdomyosarcoma, malignant fibrous histiocytoma (MFH), fibrosarcoma, glioblastomas/astrocytomas, neuroblastoma, melanoma, T-cell acute lymphoblastic leukemia (T-ALL), and mesothelioma.
In one embodiment, a method is provided for treating cancer in a mammal wherein the cancer is dependent upon Notch activation, comprising administering to the patient a compound of Formula (I) or a prodrug thereof. The method of this embodiment can be used to treat a variety of cancers, including, but not limited to, bladder cancer, breast cancer, colorectal cancer, gastric cancer, head and neck cancer, kidney cancer, liver cancer, lung cancer including non-small cell lung cancer (NSCLC), ovarian cancer, pancreatic cancer, gall bladder cancer, prostate cancer, thyroid cancer, osteosarcoma, rhabdomyosarcoma, malignant fibrous histiocytoma (MFH), fibrosarcoma, glioblastomas/astrocytomas, neuroblastoma, melanoma, T-cell acute lymphoblastic leukemia (T-ALL), and mesothelioma. Preferably, the method of this embodiment is used to treat breast cancer, colon cancer, or pancreatic cancer. Preferably, the mammal is a human. For example, a therapeutically effective amount for treating cancer may be administered in the method of the present embodiment. Suitable routes of administration include parenteral administration and oral administration.
In treating cancer, a combination of chemotherapeutic agents and/or other treatments (e.g., radiation therapy) is often advantageous. The second (or third) agent may have the same or different mechanism of action than the primary therapeutic agent. For example, drug combinations may be employed wherein the two or more drugs being administered act in different manners or in different phases of the cell cycle, and/or where the two or more drugs have nonoverlapping toxicities or side effects, and/or where the drugs being combined each has a demonstrated efficacy in treating the particular disease state manifested by the patient.
In one embodiment, a method is provided for treating cancer comprising administering to a mammal in need thereof a compound of Formula (I) or a prodrug thereof; and administering one or more additional anti-cancer agents.
The phrase “additional anti-cancer agent” refers to a drug selected from any one or more of the following: alkylating agents (including nitrogen mustards, alkyl sulfonates, nitrosoureas, ethylenimine derivatives, and triazenes); anti-angiogenics (including matrix metalloproteinase inhibitors); antimetabolites (including adenosine deaminase inhibitors, folic acid antagonists, purine analogues, and pyrimidine analogues); antibiotics or antibodies (including monoclonal antibodies, CTLA-4 antibodies, anthracyclines); aromatase inhibitors; cell-cycle response modifiers; enzymes; farnesyl-protein transferase inhibitors; hormonal and antihormonal agents and steroids (including synthetic analogs, glucocorticoids, estrogens/anti-estrogens [e.g., SERMs], androgens/anti-androgens, progestins, progesterone receptor agonists, and luteinizing hormone-releasing [LHRH] agonists and antagonists); insulin-like growth factor (IGF)/insulin-like growth factor receptor (IGFR) system modulators (including IGFR1 inhibitors); integrin-signaling inhibitors; kinase inhibitors (including multi-kinase inhibitors and/or inhibitors of Src kinase or Src/ab1, cyclin dependent kinase [CDK] inhibitors, panHer, Her-1 and Her-2 antibodies, VEGF inhibitors, including anti-VEGF antibodies, EGFR inhibitors, mitogen-activated protein [MAP] inhibitors, MET inhibitors, MEK inhibitors, Aurora kinase inhibitors, PDGF inhibitors, and other tyrosine kinase inhibitors or serine/threonine kinase inhibitors; microtubule-disruptor agents, such as ecteinascidins or their analogs and derivatives; microtubule-stabilizing agents such as taxanes, and the naturally-occurring epothilones and their synthetic and semi-synthetic analogs; microtubule-binding, destabilizing agents (including vinca alkaloids); topoisomerase inhibitors; prenyl-protein transferase inhibitors; platinum coordination complexes; signal transduction inhibitors; and other agents used as anti-cancer and cytotoxic agents such as biological response modifiers, growth factors, and immune modulators.
Accordingly, the compounds of the present invention may be administered in combination with other anti-cancer treatments useful in the treatment of cancer or other proliferative diseases. The invention herein further comprises use of a compound of Formula (I) or prodrug thereof in preparing medicaments for the treatment of cancer, and/or it comprises the packaging of a compound of Formula (I) herein together with instructions that the compound be used in combination with other anti-cancer or cytotoxic agents and treatments for the treatment of cancer. The present invention further comprises combinations of a compound of Formula (I) and one or more additional agents in kit form, e.g., where they are packaged together or placed in separate packages to be sold together as a kit, or where they are packaged to be formulated together.
In one embodiment, a method is provided for treating cancer comprising administering to a mammal in need thereof a compound of Formula (I) or a prodrug thereof; administering dasatinib; and optionally, one or more additional anti-cancer agents.
In one embodiment, a method is provided for treating cancer comprising administering to a mammal in need thereof a compound of Formula (I) or a prodrug thereof; administering paclitaxel; and optionally, one or more additional anti-cancer agents.
In one embodiment, a method is provided for treating cancer comprising administering to a mammal in need thereof a compound of Formula (I) or a prodrug thereof; administering Tamoxifen; and optionally, one or more additional anti-cancer agents.
In one embodiment, a method is provided for treating cancer comprising administering to a mammal in need thereof a compound of Formula (I) or a prodrug thereof; administering a glucocorticoid; and optionally, one or more additional anti-cancer agents. An example of a suitable glucocorticoid is dexamethasone.
In one embodiment, a method is provided for treating cancer comprising administering to a mammal in need thereof a compound of Formula (I) or a prodrug thereof; administering carboplatin; and optionally, one or more additional anti-cancer agents.
The compounds of the present invention can be formulated or co-administered with other therapeutic agents that are selected for their particular usefulness in addressing side effects associated with the aforementioned conditions. For example, compounds of the invention may be formulated with agents to prevent nausea, hypersensitivity and gastric irritation, such as antiemetics, and H1 and H2 antihistaminics.
In one embodiment, pharmaceutical compositions are provided comprising a compound of Formula (I) or prodrug thereof; one or more additional agents selected from a kinase inhibitory agent (small molecule, polypeptide, and antibody), an immunosuppressant, an anti-cancer agent, an anti-viral agent, anti-inflammatory agent, antifungal agent, antibiotic, or an anti-vascular hyperproliferation compound; and any pharmaceutically acceptable carrier, adjuvant or vehicle.
The above other therapeutic agents, when employed in combination with the compounds of the present invention, may be used, for example, in those amounts indicated in the Physicians' Desk Reference (PDR) or as otherwise determined by one of ordinary skill in the art. In the methods of the present invention, such other therapeutic agent(s) may be administered prior to, simultaneously with, or following the administration of the inventive compounds.
The specific dose level and frequency of dosage for any particular subject however, may be varied and generally depends on a variety of factors, including, but not limited to, for example, the bioavailability of the specific compound of Formula (I) in the administered form, metabolic stability and length of action of the specific compound of Formula (I), species, body weight, general health, sex, diet of subject, mode and time of administration, rate of excretion, drug combination, and severity of the particular condition. For example, a daily dose of about 0.001 to 100 mg/kg body weight, preferably between about 0.005 and about 50 mg/kg body weight and most preferably between about 0.01 to 10 mg/kg body weight, may be appropriate. The daily dose can be administered in one to four doses per day.
The administration can be continuous, i.e., every day, or intermittently. The terms “intermittent” or “intermittently” as used herein mean stopping and starting at either regular or irregular intervals. For example, intermittent administration includes administration one to six days per week; administration in cycles (e.g., daily administration for two to eight consecutive weeks followed by a rest period with no administration for up to one week); or administration on alternate days.
In one embodiment, the compound of Formula (I) is administered continuously to a patient in need thereof, one or more times daily. For example, a therapeutically effective amount of the compound of Formula (I) is administered to a patient in need thereof, one or more times daily for continuous days.
In one embodiment, the compound of Formula (I) is administered intermittently to a patient in need thereof, one or more times daily. For example, a therapeutically effective amount of the compound of Formula (I) is administered to a patient in need thereof, one or more times daily according to an intermittent schedule.
In one embodiment, the compound of Formula (I) is administered to a patient in need thereof, one or more times daily for continuous days followed by one or more days without administration. Preferably, a therapeutically effective amount of the compound of Formula (I) is administered. Examples of continuous dosing with a drug holiday are cycles of: 7 days on treatment followed by 7 days off treatment; 14 days on treatment followed by 7 days off treatment; and 7 days on treatment followed by 14 days off treatment. A cycle of on treatment/off treatment can be repeated multiple times as required to treat a patient.
In one embodiment, the compound of Formula (I) is administered to a patient in need thereof, according to an intermittent dosing schedule. Intermittent dosing schedules are repeating schedules including days in which the patient is administered the compound of Formula (I) and days in which the patient is not administered the compound of Formula (I). Examples of intermittent dosing schedules are: dosing four days each week for three continuous weeks followed by a week without dosing, and repeating on a four week interval; dosing five days each week for two continuous weeks followed by a week without dosing, and repeating on a three week interval; and dosing four days each week for one week followed by two weeks without dosing, and repeating on a three week interval. Preferably, a therapeutically effective amount of the compound of Formula (I) is administered.
In one embodiment, the compound of Formula (I) is administered on one day, followed by 6 days of rest, and repeated on a weekly schedule.
In one embodiment, the compound of Formula (I) is administered on two consecutive days, followed by 5 days of rest, and repeated on a weekly schedule.
In one embodiment, the compound of Formula (I) is administered on three consecutive days followed by four days of rest, and repeated on a weekly schedule.
In one embodiment, the compound of Formula (I) is administered on one day, followed by 10 to 13 days of rest.
METHODS OF PREPARATION
The compounds of the present invention can be prepared in a number of ways well known to one skilled in the art of organic synthesis. The compounds of the present invention can be synthesized using the methods described below, together with synthetic methods known in the art of synthetic organic chemistry, or variations thereon as appreciated by those skilled in the art. Preferred methods include, but are not limited to, those described below. All references cited herein are hereby incorporated in their entirety by reference.
The compounds of this invention may be prepared using the reactions and techniques described in this section. The reactions are performed in solvents appropriate to the reagents and materials employed and are suitable for the transformations being effected. Also, in the description of the synthetic methods described below, it is to be understood that all proposed reaction conditions, including choice of solvent, reaction atmosphere, reaction temperature, duration of the experiment and work up procedures, are chosen to be the conditions standard for that reaction, which should be readily recognized by one skilled in the art. It is understood by one skilled in the art of organic synthesis that the functionality present on various portions of the molecule must be compatible with the reagents and reactions proposed. Such restrictions to the substituents that are compatible with the reaction conditions will be readily apparent to one skilled in the art and alternate methods must then be used. This will sometimes require a judgment to modify the order of the synthetic steps or to select one particular process scheme over another in order to obtain a desired compound of the invention. It will also be recognized that another major consideration in the planning of any synthetic route in this field is the judicious choice of the protecting group used for protection of the reactive functional groups present in the compounds described in this invention. An authoritative account describing the many alternatives to the trained practitioner is Greene et al. (Protective Groups in Organic Synthesis, Third Edition, Wiley and Sons (1999)).
Compounds of Formula (I) may be prepared by reference to the methods illustrated in the following Schemes. As shown therein the end product is a compound having the same structural formula as Formula (I). It will be understood that any compound of Formula (I) may be produced by the schemes by the suitable selection of reagents with appropriate substitution. Solvents, temperatures, pressures, and other reaction conditions may readily be selected by one of ordinary skill in the art. Starting materials are commercially available or readily prepared by one of ordinary skill in the art. Constituents of compounds are as defined herein or elsewhere in the specification.
The synthesis of the compounds of Formula (I) can be made using the methods summarized in Schemes 1 to 5.
Figure US08629136-20140114-C00013
The preparation of benzodiazepinone (iv) may be accomplished in multitude of methods known to one skilled in the art. For example, as shown in Scheme 1, an appropriately substituted 2-aminobenzophenone (i) (for example, from Walsh, D. A., Synthesis, 677 (1980); and references cited therein, or other methods known to one skilled in the art) may be coupled to the protected glycine derivative (ii) (PG=protecting group, for example PG=CBz, see Katritzky, A. R., J. Org. Chem., 55:2206-2214 (1990)), treated with a reagent such as ammonia and subjected to cyclization to afford the benzodiazepinone (iii), according to the procedure outlined in the literature (for example Sherrill, R. G. et al., J. Org. Chem., 60:730 (1995); or other routes known to one skilled in the art). The resulting racemic mixture may be separated (using procedures known to one skilled in the art) to get the individual enantiomers, or used as a racemate. Also, if R3═H, (iii) may be, for example, treated with a reagent such as MeI and a base such as K2CO3 in a solvent such as DMF to prepare R3=Me.
Step 2: The deprotection of (iii) may be accomplished in several ways known to one skilled in the art. For example, with PG=CBz, Compound (iii) may be treated with a reagent such as HBr in a solvent such as AcOH. Compound (iv) may be used as a racemate. Alternatively, compound (iv) may be subjected to enantiomeric resolution using standard methods (e.g., chiral preparative chromatography).
Figure US08629136-20140114-C00014
Step 1: The first step of Scheme 2 is accomplished by converting compound (v) to the ester (vii), employing one of the multiple ways known to one skilled in the art, such as treatment with a substituted acetimidate such as compound (vi) in the presence of a reagent such as boron trifluoride etherate at an appropriate temperature in a solvent such as THF.
Step 2: Acid (viii) can be converted to compound (ix) in multiple ways known to one skilled in the art. For example, treatment of acid (viii) with a reagent such as oxalyl chloride in a solvent such as DCM gives the acid chloride (ix). Compound (ix) can be treated with an oxazolidinone (x) under standard conditions to give compound (xi) (Evans, D. A. et al., J. Am. Chem. Soc., 112:4011 (1990)).
Step 3: Compound (xi) can be converted to compound (xii) in multiple ways (Baran, P. et al., J. Am. Chem. Soc., 130(34):11546 (2008)). For example, compound (vii) is treated with a base such as LDA in a solvent such as toluene, at low temperature such as −78° C. under an inert atmosphere such as N2. The resulting mixture is added to a solution of compound (xi) treated with lithium chloride and a base such as LDA in a solvent such as toluene under an inert atmosphere such as N2. To the resulting mixture of the enolates of compounds (vii) and (xi) is added a compound, such as bis(2-ethylhexanoyloxy)copper, at a low temperature such as −78° C. under an inert atmosphere such as N2 and warmed to room temperature to provide compound (xii).
Step 4: Conversion of compound (xii) to (xiii) may be accomplished by treating it with reagents such as hydrogen peroxide and lithium hydroxide at an appropriate temperature, using a mixture of solvents such as THF/water. If necessary, the diastereoisomers may be separated at this point via silica gel chromatography or preparative HPLC. Alternately, the mixture may be subjected to epimerization conditions, for example by treatment with LDA and diethylaluminum chloride followed by quenching with methanol or acetic acid to enrich the desired diastereoisomer.
Step 5: Compound (xiii) may be coupled with benzodiazepinone (iv) in the presence of a coupling reagent such as TBTU and a base such as TEA, in a solvent such as DMF to provide compound (xiv).
Step 6: Treatment of compound (xiv) with an acid such as TFA at an appropriate temperature such as 0° C., in a solvent such as DCM provides compound (xv).
Step 7: Conversion of compound (xv) to compound (xvi) may be accomplished via coupling of compound (xv) with an appropriate amine source such as ammonium chloride, a carbodiimide such as EDC, HOBT and a base such as TEA in a solvent such as DMF. If necessary the diastereoisomeric mixture can be separated using an appropriate separation technique, such as chiral preparative chromatography.
Figure US08629136-20140114-C00015
Step 1: The preparation of benzodiazepinone (iii) may also be accomplished by cross coupling of benzodiazepinone (xvii) containing a halogen atom such as chlorine (X═Cl) and a protecting group (PG) such as Boc, with an appropriate coupling partner such as a boronic acid under conditions known to one skilled in the art. For example, the coupling of the halogen containing moiety with a boronic acid occurs in the presence of a catalyst such as tetrakis(triphenylphosphine)palladium(0), a base such as sodium carbonate and a solvent such as DME under an inert atmosphere such as N2.
Figure US08629136-20140114-C00016
Figure US08629136-20140114-C00017
Step 1: The first step of Scheme 4 involves the treatment of Compound (xvii) with carboxylic acid (xix) in the presence of a carbodiimide such as DCC, a base such as TEA, and a catalyst such as DMAP in a solvent such as DCM provides Compound (xx).
Step 2: Conversion of Compound (xx) to Compound (xxi) may be accomplished by treatment with a reagent such as sodium cyanoborohydride in the presence of an acid such as HCl under atmospheric conditions that may be inert, for example under N2.
Step 3: Conversion of Compound (xxi) to Compound (xxiii) may proceed via Compound (xxii) bearing an appropriate leaving group (LG). For example, treatment of Compound (xxi) with a base such as 2,6-lutidine and a reagent such as trifluoromethanesulfonic anhydride in a solvent such as DCM at an appropriate temperature such as −78° C., provides the triflate of Compound (xxii). Compound (xxii) may now be subjected to cross coupling reaction conditions to provide Compound (xxiii). For example, treatment of Compound (xxii) with an appropriately substituted coupling partner, for example a boronic acid, in the presence of a catalyst such as tetrakis(triphenylphosphine)palladium(0), a base such as potassium phosphate in a solvent such as dioxane under atmospheric conditions that may be inert, for example under N2, provides Compound (xxiii).
Step 4: Conversion of Compound (xxiii) to Compound (xxiv) may be accomplished via standard procedures known to one skilled in the art. For example, treatment of Compound (xxiii) in the presence of a catalyst such as Pd/C in a solvent such as methanol gives Compound (xxiv).
Step 5: Compound (xxv) may be obtained by the coupling of Compound (xxiv) with Compound (iv). For example, the transformation may be accomplished with the use of a reagent such as AlMe3 in a solvent such as DCM under an inert atmosphere such as N2. At this instance the mixture of diastereoisomers obtained may be used as a mixture or may be separated by an appropriate method such as chiral chromatography.
Step 6: Compound (xxv) is oxidized using an oxidizing agent such as Jones reagent, in a solvent such as acetone to give Compound (xxvi). If the compound is a diastereoisomeric mixture then it may be used as a mixture or may be separated using an appropriate method such as chiral chromatography.
Step 7: Conversion of Compound (xxvi) to Compound (xxvii) may be accomplished via standard procedures known to one skilled in the art. For example, coupling of Compound (xxvi) with an appropriate amine source such as ammonium chloride, a carbodiimide such as EDC, HOBT and a base such as TEA in a solvent such as DMF provides Compound (xxvii). At this instance the compound may be enantiopure or if necessary the diastereoisomeric mixture can be separated using an appropriate separation technique, such as chiral chromatography.
Figure US08629136-20140114-C00018
Figure US08629136-20140114-C00019
Step 1: The first step of Scheme 5 is accomplished by treating Compound (xxviii) with a reagent such as sodium nitrite in an acid such as H2SO4 and a solvent such as water to provide Compound xxix.
Step 2: The acid (xxix) is converted to compound (xxx) (PG=protecting group). For example, the acid (xxix) is treated with an alcohol such as benzyl alcohol in a solvent such as toluene and an acid such as H2SO4 to provide Compound xxx.
Step 3: Compound (xxxi) bearing a suitable leaving group may be prepared by treatment of Compound (xxx) with a base such as 2,6-lutidine and a reagent such as trifluoromethanesulfonic anhydride in a solvent such as DCM at an appropriate temperature.
Step 4: Compound (xxxii) can be converted to Compound (xxxiv) in multiple ways known to one skilled in the art. For example, treatment of acid chloride (xxxii), either prepared from the corresponding carboxylic acid with a reagent such as oxalyl chloride in a solvent such as DCM, or obtained commercially, can be treated with an oxazolidinone (xxxiii) under standard conditions to give Compound (xxxiv) (Evans, D. A. et al., J. Am. Chem. Soc., 112:4011 (1990)).
Step 5: The preparation of Compound (xxxv) may be effected by treating Compound (xxxiv) with a base such as LiHMDS in a solvent such as THF at an appropriate temperature such as −78° C. and to the resulting mixture is added Compound (xxxi) in a solvent such as THF.
Step 6: The protecting group of Compound (xxxv) may be removed via many methods known to one skilled in the art. For example, a benzyl group may be removed by subjecting it to hydrogenation conditions using a palladium catalyst such as Pearlman's Catalyst in a solvent such as methanol to provide Compound (xxxvi).
Step 7: Compound (iv) is coupled with Compound (xxxvi) in the presence of a coupling reagent such as TBTU and a base such as TEA in a solvent such as DMF to provide Compound (xxxvii). If necessary, the diastereoisomers may be separated using an appropriate method such as chiral preparative chromatography.
Step 8: The hydrolysis of Compound (xxxvii) may be accomplished by treating it with hydrogen peroxide and lithium hydroxide at an appropriate temperature using a mixture of solvents such as THF/water to give Compound (xv). If necessary, the diastereoisomers may be separated using an appropriate method such as chiral preparative chromatography.
Figure US08629136-20140114-C00020
Compound (xiii) in Scheme 2 may also be prepared from compound (xi) by synthetic sequence outlined in Scheme 6.
Step 1: The first step of Scheme 6 is accomplished by treating Compound (xi) with a base such as sodium bis(trimethylsilyl)amide in a solvent such as THF at low temperature such as −78° C. under an inert atmosphere. To the resulting enolate of (xi) is treated with a reagent such as tert-butyl bromoacetate to provide compound (xxxviii).
Step 2: Conversion of compound (xxxviii) to (xxxix) may be accomplished by treating compound (xxxviii) with reagents such as hydrogen peroxide and lithium hydroxide at an appropriate temperature using a mixture of solvents such as THF/water.
Step 3: Compound (xxxix) can be converted to compound (xiii) by generating the enolate of (xxxix) with a base such as LDA in a solvent such as THF at low temperature such as −78° C. under an inert atmosphere and further treatment with a reagent (R2-LG) bearing an appropriate leaving group (e.g., LG=triflate).
EXAMPLES
The invention is further defined in the following Examples. It should be understood that the Examples are given by way of illustration only. From the above discussion and the Examples, one skilled in the art can ascertain the essential characteristics of the invention, and without departing from the spirit and scope thereof, can make various changes and modifications to adapt the invention to various uses and conditions. As a result, the invention is not limited by the illustrative examples set forth hereinbelow, but rather is defined by the claims appended hereto.
Abbreviations
  • AcOH acetic acid
  • ACN acetonitrile
  • AlMe3 trimethyl aluminum
  • Boc tert-butyloxycarbonyl
  • DCC 1,3-dicyclohexylcarbodiimide
  • DCM dichloromethane
  • DEA diethylamine
  • DMAP dimethylaminopyridine
  • DME dimethyl ether
  • DMF dimethylformamide
  • DMSO dimethyl sulfoxide
  • EDC 1-(3-dimethylaminopropyl)-3-ethylcarbodiimide hydrochloride
  • EDCI 1-(3-dimethylaminopropyl)-3-ethylcarbodiimide
  • Et2AlCl diethyl aluminum chloride
  • EtOAc ethyl acetate
  • H2SO4 sulfuric acid
  • HCl hydrochloric acid
  • HOBT hydroxybenzotriazole
  • HPLC High Performance Liquid Chromatography
  • hr hour(s)
  • IPA isopropyl alcohol
  • LCMS Liquid Chromatography-Mass Spectroscopy
  • LDA lithium diisopropylamide
  • LiHMDS lithium bis(trimethylsilyl)amide
  • Me methyl
  • MeOH methanol
  • min minute(s)
  • MTBE methyl tert-butyl ether
  • N2 nitrogen
  • NaHMDS sodium bis(trimethylsilyl)amide
  • Pd/C palladium on carbon
  • Ph phenyl
  • RT retention time
  • sat saturated
  • TBTU O-(1H-benzotriazol-1-yl)-N,N,N′,N′-tetramethyluronium tetrafluoroborate
  • TEA triethylamine
  • Tf2O trifluoromethylsulfonic anhydride
  • TFA trifluoroacetic acid
  • THF tetrahydrofuran
Example 1 (2R,3S)—N-((3S)-1-Methyl-2-oxo-5-phenyl-2,3-dihydro-1H-1,4-benzodiazepin-3-yl)-2,3-bis(3,3,3-trifluoropropyl)succinamide
Figure US08629136-20140114-C00021
Preparation 1A: tert- Butyl 5,5,5-trifluoropentanoate
Figure US08629136-20140114-C00022
To a stirred solution of 5,5,5-trifluoropentanoic acid (5 g, 32.0 mmol) in THF (30 mL) and hexane (30 mL) at 0° C., was added tert- butyl 2,2,2-trichloroacetimidate (11.46 mL, 64.1 mmol). The mixture was stirred for 15 min at 0° C. Boron trifluoride etherate (0.406 mL, 3.20 mmol) was added and the reaction mixture was allowed to warm to room temperature overnight. To the clear reaction mixture was added solid NaHCO3 (5 g) and stirred for 30 min. The mixture was filtered through MgSO4 and washed with hexanes (200 mL). The solution was allowed to rest for 45 min, and the resulting solid material was removed by filtering on the same MgSO4 filter again, washed with hexanes (100 mL) and concentrated under reduced pressure without heat. The volume was reduced to about 30 mL, filtered through a clean fritted funnel, washed with hexane (5 mL), and then concentrated under reduced pressure without heat. The resulting neat oil was filtered through a 0.45 μm nylon membrane filter disk to provide tert- butyl 5,5,5-trifluoropentanoate (6.6 g, 31.4 mmol 98% yield) as a colorless oil: 1H NMR (400 MHz, CDCl3) δ ppm 1.38 (s, 9H) 1.74-1.83 (m, 2H) 2.00-2.13 (m, 2H) 2.24 (t, J=7.28 Hz, 2H).
Preparation 1B: (4S)-4-(Propan-2-yl)-3-(5,5,5-trifluoropentanoyl)-1,3-oxazolidin-2-one
Figure US08629136-20140114-C00023
To a stirred solution of 5,5,5-trifluoropentanoic acid (5.04 g, 32.3 mmol) in DCM (50 mL) and DMF (3 drops) was added oxalyl chloride (3.4 mL, 38.8 mmol) dropwise over 5 min and the solution was stirred until all bubbling subsided. The reaction mixture was concentrated under reduced pressure to give pale yellow oil. To a separate flask charged with a solution of (4S)-4-(propan-2-yl)-1,3-oxazolidin-2-one (4.18 g, 32.4 mmol) in THF (100 mL) at −78° C. was added n-BuLi (2.5M in hexane) (13.0 mL, 32.5 mmol) dropwise via syringe over 5 min. After stirring for 10 min, the above acid chloride dissolved in THF (20 mL) was added via cannula over 15 min. The reaction mixture was warmed to 0° C., and was allowed to warm to room temperature as the bath warmed and stirred overnight. To the reaction mixture was added saturated NH4Cl, and then extracted with EtOAc (2×). The combined organics were washed with brine, dried (Na2SO4), filtered and concentrated under reduced pressure. The crude material was purified by flash chromatography (Teledyne ISCO CombiFlash Rf, 5% to 60% solvent A/B=hexanes/EtOAc, REDISEP® SiO2 120 g). Concentration of appropriate fractions provided Preparation 1B (7.39 g, 86%) as a colorless oil: 1H NMR (400 MHz, CDCl3) δ ppm 4.44 (1H, dt, J=8.31, 3.53 Hz), 4.30 (1H, t, J=8.69 Hz), 4.23 (1H, dd, J=9.06, 3.02 Hz), 2.98-3.08 (2H, m), 2.32-2.44 (1H, m, J=13.91, 7.02, 7.02, 4.03 Hz), 2.13-2.25 (2H, m), 1.88-2.00 (2H, m), 0.93 (3H, d, J=7.05 Hz), 0.88 (3H, d, J=6.80 Hz).
Preparation 1C: (2S,3R)-tert-Butyl 6,6,6-trifluoro-3-((S)-4-isopropyl-2-oxooxazolidine-3-carbonyl)-2-(3,3,3-trifluoropropyl)hexanoate, and Preparation 1D: (2R,3R)-tert-Butyl 6,6,6-trifluoro-3-((S)-4-isopropyl-2-oxooxazolidine-3-carbonyl)-2-(3,3,3-trifluoropropyl)hexanoate
Figure US08629136-20140114-C00024
To a cold (−78° C.), stirred solution of diisopropylamine (5.3 mL, 37.2 mmol) in THF (59 mL) under nitrogen atmosphere was added n-BuLi (2.5M in hexane) (14.7 mL, 36.8 mmol), then warmed to 0° C. to give a 0.5M solution of LDA. A separate vessel was charged with Preparation 1B (2.45 g, 9.17 mmol), the material was azeotroped twice with benzene (the RotoVap air inlet was fitted with nitrogen inlet to completely exclude humidity) then toluene (15.3 mL) was added. This solution was added to a flask containing dry lithium chloride (1.96 g, 46.2 mmol). To the resultant mixture, cooled to −78° C., was added LDA solution (21.0 mL, 10.5 mmol) and stirred at −78° C. for 10 min, warmed to 0° C. for 10 min then recooled to −78° C. To a separate reaction vessel containing Preparation 1A (3.41 g, 16.07 mmol), also azeotroped twice with benzene, was added toluene (15.3 mL), cooled to −78° C. and LDA (37.0 mL, 18.5 mmol) was added, the resulting solution was stirred at −78° for 25 min. At this time the enolate derived from the ester was transferred via cannula into the solution of the oxazolidinone enolate, stirred at −78° C. for an additional 5 min at which time the septum was removed and solid powdered bis(2-ethylhexanoyloxy)copper (9.02 g, 25.8 mmol) was rapidly added to the reaction vessel and the septum replaced. The vessel was immediately removed from the cold bath and immersed into a warm water bath (40° C.) with rapid swirling with a concomitant color change from the initial turquoise to brown. The reaction mixture was stirred for 20 min, was poured into 5% aqueous NH4OH (360 mL) and extracted with EtOAc (2×). The combined organics were washed with brine, dried (Na2SO4), filtered and concentrated under reduced pressure. The residue was purified by flash chromatography (Teledyne ISCO CombiFlash Rf, 0% to 60% solvent A/B=hexanes/EtOAc, REDISEP® SiO2 120 g). Concentration of appropriate fractions provided Preparation 1C (2.87 g, 66%) as pale yellow viscous oil. 1H NMR showed the product was a 1.6:1 mixture of diastereoisomers 1C:1D as determined by the integration of the multiplets at 2.74 & 2.84 ppm: 1H NMR (400 MHz, CDCl3) δ ppm 4.43-4.54 (2H, m), 4.23-4.35 (5H, m), 4.01 (1H, ddd, J=9.54, 6.27, 3.51 Hz), 2.84 (1H, ddd, J=9.41, 7.28, 3.64 Hz), 2.74 (1H, ddd, J=10.29, 6.27, 4.02 Hz), 2.37-2.48 (2H, m, J=10.38, 6.98, 6.98, 3.51, 3.51 Hz), 2.20-2.37 (3H, m), 1.92-2.20 (8H, m), 1.64-1.91 (5H, m), 1.47 (18H, s), 0.88-0.98 (12H, m).
Preparation 1E: (2R,3S)-3-(tert-Butoxycarbonyl)-6,6,6-trifluoro-2-(3,3,3-trifluoropropyl)hexanoic acid, and Preparation 1F: (2R,3R)-3-(tert-Butoxycarbonyl)-6,6,6-trifluoro-2-(3,3,3-trifluoropropyl)hexanoic acid
Figure US08629136-20140114-C00025
To a cool (0° C.), stirred solution of Preparation 1C and 1D (4.54 g, 9.51 mmol) in THF (140 mL) and water (42 mL) was sequentially added hydrogen peroxide (30% in water) (10.3 g, 91 mmol) and LiOH (685.3 mg, 28.6 mmol) and the mixture was stirred for 1 hr. At this time the reaction vessel was removed from the cold bath and then stirred for 1.5 hr. The reaction was judged complete by HPLC. To the reaction mixture was added saturated NaHCO3 (45 mL) and saturated Na2SO3 (15 mL), and then partially concentrated under reduced pressure. The resulting crude solution was extracted with DCM (3×). The aqueous phase was acidified to pH˜1-2 with 1N HCl, extracted with DCM (3×) and EtOAc (1×). The combined organics were washed with brine, dried (Na2SO4), filtered and concentrated under reduced pressure to provide a mixture of Preparation 1E and 1F (3.00 g, 86%) as colorless oil: 1H NMR (400 MHz, CDCl3) δ ppm 2.76-2.84 (1H, m, diastereoisomer 2), 2.64-2.76 (3H, m), 2.04-2.35 (8H, m), 1.88-2.00 (4H, m), 1.71-1.83 (4H, m), 1.48 (9H, s, diastereoisomer 1), 1.46 (9H, s, diastereoisomer 2); 1H NMR showed a 1.7:1 mixture of 1E:1F by integration of the peaks for the t-butyl groups.
Preparation 1E: (2R,3S)-3-(tert-Butoxycarbonyl)-6,6,6-trifluoro-2-(3,3,3-trifluoropropyl)hexanoic acid, and Preparation 1F: (2R,3R)-3-(tert-Butoxycarbonyl)-6,6,6-trifluoro-2-(3,3,3-trifluoropropyl)hexanoic acid
Figure US08629136-20140114-C00026
To a cold (−78° C.), stirred solution of diisopropylamine (1.7 mL, 11.93 mmol) in THF (19 mL) under nitrogen atmosphere was added n-BuLi (2.5M in hexanes) (4.8 mL, 12.00 mmol). The mixture was stirred for 5 min and then warmed to 0° C. In a separate vessel, to a cold (−78° C.) stirred solution of the mixture of Preparation 1E and 1F (1.99 g, 5.43 mmol) in THF (18 mL) was added the LDA solution prepared above via cannula slowly over 25 min. The mixture was stirred for 15 min, then warmed to room temperature (placed in a 24° C. water bath) for 15 min, and then again cooled to −78° C. for 15 min. To the reaction mixture was added Et2AlCl (1M in hexane) (11.4 mL, 11.40 mmol) via syringe, stirred for 10 min, warmed to room temperature for 15 min and then cooled back to −78° C. for 15 min. Methanol (25 mL) was rapidly added, swirled vigorously while warming to room temperature, then concentrated to ˜¼ original volume. The mixture was dissolved in EtOAc and washed with 1N HCl (50 mL) and ice (75 g). The aqueous phase was separated, extracted with EtOAc (2×). The combined organics were washed with a mixture of KF (2.85 g in 75 mL water) and 1N HCl (13 mL) [resulting solution pH 3-4], then with brine, dried (Na2SO4), filtered and concentrated under reduced pressure to give a 9:1 (1E:1F) enriched diastereoisomeric mixture (as determined by 1H NMR) of Preparation 1E and Preparation 1F (2.13 g, >99%) as a pale yellow viscous oil: 1H NMR (400 MHz, CDCl3) δ ppm 2.64-2.76 (2H, m), 2.04-2.35 (4H, m), 1.88-2.00 (2H, m), 1.71-1.83 (2H, m), 1.48 (9H, s).
Preparation 1G: (3S)-3-Amino-1-methyl-5-phenyl-1,3-dihydro-2H-1,4-benzodiazepin-2-one, and Preparation 1H: (3R)-3-Amino-1-methyl-5-phenyl-1,3-dihydro-2H-1,4-benzodiazepin-2
Figure US08629136-20140114-C00027
Racemic 3-amino-1-methyl-5-phenyl-1,3-dihydro-2H-1,4-benzodiazepin-2-one (Rittle, K. E. et al., Tetrahedron Letters, 28(5):521-522 (1987)) was prepared according to the literature procedure. The enantiomers were separated under chiral-SFC conditions using the following method: CHIRALPAK® AS-H 5×25; Mobile phase: 30% MeOH+0.1% DEA in CO2; Flow rate: 280 mL/min; Pressure: 100 bar; Temperature: 35° C.
Obtained the S-enantiomer (Preparation 1G): HPLC: RT=1.75 min (30% MeOH+0.1% DEA in CO2 on CHIRALPAK® AS-H 4.6×250 mm, 3 mL/min, 35° C., 100 bar, 230 nm, 10 μl injection); 1H NMR (400 MHz, CDCl3) δ ppm 7.58-7.63 (2H, m), 7.55 (1H, ddd, J=8.50, 7.11, 1.76 Hz), 7.40-7.47 (1H, m), 7.34-7.40 (3H, m), 7.31 (1H, dd, J=7.81, 1.51 Hz), 7.14-7.22 (1H, m), 4.46 (1H, s), 3.44 (3H, s), 3.42 (2H, s); [α]D=−155° (c=1.9, MeOH) (Lit. Rittle, K. E. et al., Tetrahedron Letters, 28(5):521-522 (1987): [α]D=−236°).
Also obtained the R-enantiomer (Preparation 1H): HPLC: RT=1.71 min; [α]D=+165° (c=2.1, MeOH) (Lit [α]D=+227°).
Alternate procedure to make Preparation 1G:
Preparation 1G.CSA salt: (3S)-3-Amino-1-methyl-5-phenyl-1,3-dihydro-2H-1,4-benzodiazepin-2-one, (1S)-(+)-10-camphorsulfonic acid salt
Figure US08629136-20140114-C00028
Preparation 1G.CSA was prepared from racemic 3-amino-1-methyl-5-phenyl-1,3-dihydro-2H-1,4-benzodiazepin-2-one (9.98 g, 37.6 mmol) (prepared according to the literature as shown above) according to the literature procedure (Reider, P. J. et al., J. Org. Chem., 52:955-957 (1987)). Preparation 1G.CSA (16.91 g, 99%) was obtained as a colorless solid: Optical Rotation: [α]D=−26.99° (c=1, H2O) (Lit. [α]D=−27.8° (c=1, H2O))
Preparation 1I: tert-Butyl (2S,3R)-6,6,6-trifluoro-3-(((3S)-1-methyl-2-oxo-5-phenyl-2,3-dihydro-1H-1,4-benzodiazepin-3-yl)carbamoyl)-2-(3,3,3-trifluoropropyl)hexanoate, and Preparation 1J: tert-Butyl (2R,3R)-6,6,6-trifluoro-3-(((3S)-1-methyl-2-oxo-5-phenyl-2,3-dihydro-1H-1,4-benzodiazepin-3-yl)carbamoyl)-2-(3,3,3-trifluoropropyl)hexanoate
Figure US08629136-20140114-C00029
To a stirred solution of Preparation 1G (1.45 g, 5.47 mmol) and a 9:1 mixture of Preparation 1E and 1F (1.989 g, 5.43 mmol) in DMF (19 mL) was added O-benzotriazol-1-yl-N,N,N′,N′-tetra-methyluronium tetrafluoroborate (1.79 g, 5.57 mmol) and triethylamine (3.0 mL, 21.52 mmol) and stirred overnight. The reaction was judged complete by LCMS. The reaction mixture was poured into water (125 mL) and the precipitated solid was collected by filtration, washed with water and air dried to provide an 8:1 mixture of Preparation 1I and Preparation 1J (2.95 g, 89%) as a cream solid: MS (ES): m/z=614 [M+H]+; 1H NMR (400 MHz, CDCl3) δ ppm 7.55-7.65 (3H, m), 7.44-7.52 (2H, m), 7.35-7.45 (4H, m), 5.52 (1H, d, J=8.03 Hz), 3.48 (3H, s), 2.63 (2H, ddd, J=9.35, 3.95, 3.76 Hz), 2.14-2.25 (4H, m), 1.90-2.03 (3H, m), 1.69-1.82 (1H, m), 1.51 (9H, s).
Preparation 1K: (2S,3R)-6,6,6-Trifluoro-3-(((3S)-1-methyl-2-oxo-5-phenyl-2,3-dihydro-1H-1,4-benzodiazepin-3-yl)carbamoyl)-2-(3,3,3-trifluoropropyl)hexanoic acid, and Preparation 1L: (2R,3R)-6,6,6-Trifluoro-3-(((3S)-1-methyl-2-oxo-5-phenyl-2,3-dihydro-1H-1,4-benzodiazepin-3-yl)carbamoyl)-2-(3,3,3-trifluoropropyl)hexanoic acid
Figure US08629136-20140114-C00030
To a cool (0° C.), stirred solution of the above mixture of Preparation 1I and Preparation 1J (2.95 g, 4.81 mmol) in DCM (20 mL) was added TFA (20 mL, 260 mmol). The reaction mixture was stirred for 1 hr, then allowed to warm to room temperature and stirred for 2.5 hr. The reaction was judged complete by LCMS. The reaction mixture was diluted with toluene (50 mL) and concentrated under reduced pressure. The residue mixture was redissolved in toluene (50 mL) and concentrated under reduced pressure then dried under high vacuum. The crude product was dissolved in DCM, SiO2 (15 g) was added, concentrated, then was purified by flash chromatography (Teledyne ISCO CombiFlash Rf, 0% to 45% solvent A/B=DCM/EtOAc, REDISEP® SiO2 80 g). Concentration of appropriate fractions provided a mixture of Preparation 1K and Preparation 1L (2.00 g, 75%) as a cream solid: HPLC: RT=2.770 min (CHROMOLITH® SpeedROD 4.6×50 mm (4 min grad) eluting with 10-90% aqueous MeOH over 4 minutes containing 0.1% TFA, 4 mL/min, monitoring at 254 nm); MS (ES): m/z=558 [M+H]+; 1H NMR (400 MHz, CDCl3) δ ppm 8.32 (1H, d, J=8.03 Hz), 7.65-7.71 (1H, m), 7.50-7.60 (3H, m), 7.41-7.49 (2H, m), 7.39 (1H, dd, J=7.91, 1.63 Hz), 7.23-7.35 (2H, m), 5.59 (1H, d, J=8.03 Hz), 3.51 (3H, s), 2.81 (1H, ddd, J=10.54, 6.90, 3.64 Hz), 2.67-2.76 (1H, m), 2.22-2.33 (3H, m), 1.99-2.12 (3H, m), 1.85-1.94 (1H, m), 1.79 (1H, ddd, J=13.87, 7.84, 3.64 Hz).
Example 1
To a stirred solution of an 8:1 mixture of Preparation 1K and Preparation 1L (3.46 g, 6.21 mmol) in DMF (25 mL) under nitrogen atmosphere was added ammonium chloride (3.32 g, 62.1 mmol), EDC (3.55 g, 18.52 mmol), HOBT (2.85 g, 18.61 mmol), and triethyl amine (16 mL, 115 mmol) and stirred overnight. The reaction was judged complete by LCMS. The reaction mixture was poured into water (200 mL) with vigorous swirling and then allowed to sit. The solid was collected by filtration, washed with water, allowed to dry to afford 3.6 g colorless solid. The solid was purified by preparative SFC chromatography (Lux-Cellulose-2 (3×25 cm), 8% methanol in CO2, 140 ml/min @220 nm and 35° C.; Sample: 3.6 g in 50 cc methanol, conc.=70 mg/ml, Stack injection: 0.5 cc/9.2 min). Fractions containing product were concentrated, dried overnight under vacuum. Obtained Example 1 (2.74 g, 79%) as a colorless solid (Crystal Form N-1): HPLC: RT=9.601 min (H2O/CH3CN with TFA, Sunfire C18 3.5 um, 4.6×150 mm, 4.6×150 mm, gradient=15 min, wavelength=220 and 254 nm). MS (ES): m/z=557 [M+H]+; 1H NMR (400 MHz, DMSO-d6) δ ppm 9.54 (1H, d, J=7.28 Hz), 7.71-7.80 (1H, m), 7.68 (2H, d, J=8.78 Hz), 7.50-7.62 (3H, m), 7.45 (2H, t, J=7.28 Hz), 7.29-7.40 (2H, m), 7.15 (1H, br. s.), 5.30 (1H, d, J=7.28 Hz), 3.39 (3H, s), 2.74-2.86 (1H, m), 2.02-2.32 (3H, m), 1.45-1.79 (4H, m); [α]D=−107.0° (5.73 mg/mL, DMSO).
Crystal Form A-2 was prepared by adding approximately 1 mg of Example 1 to approximately 0.7 mL of acetone/acetonitrile/water solution (2:2:1). A mixture of colorless needles and thin blades crystals were obtained after one day of slow evaporation of the solution at room temperature. The thin blade crystals were separated to provide crystal Form A-2.
Crystal Form EA-3 was prepared by adding approximately 1 mg of Example 1 to approximately 0.7 mL of ethyl acetate/heptane solution (1:1). Colorless blade crystals were obtained after three days of slow evaporation of the solution at room temperature.
Crystal Form THF-2 was obtained by adding approximately 5 mg of Example 1 to approximately 0.7 mL of THF/water solution (4:1). Colorless blade-like crystals were obtained after one day of solvent evaporation at room temperature.
Alternate Procedure to Make Example 1:
Preparation 1M: 3,3,3-Trifluoropropyl trifluoromethanesulfonate
Figure US08629136-20140114-C00031
To a cold (−25° C.), stirred solution of 2,6-lutidine (18.38 mL, 158 mmol) in CH2Cl2 (120 mL) was added Tf2O (24.88 mL, 147 mmol) over 3 min, and stirred for 5 min. To the reaction mixture was added 3,3,3-trifluoropropan-1-ol (12 g, 105 mmol) over an interval of 3 min. After 2 hr, the reaction mixture was warmed to room temperature and stirred for 1 hr. The reaction mixture was concentrated to half volume, then purified by loading directly on silica gel column (330 g ISCO) and eluted with CH2Cl2. Obtained Preparation 1M (13.74 g, 53%) as a colorless oil. 1H NMR (400 MHz, CDCl3) δ ppm 4.71 (2H, t, J=6.15 Hz), 2.49-2.86 (2H, m).
Preparation 1N: (4S)-4-Benzyl-3-(5,5,5-trifluoropentanoyl)-1,3-oxazolidin-2-one
Figure US08629136-20140114-C00032
Preparation 1N was prepared from 5,5,5-trifluoropentanoic acid (3.35 g, 21.46 mmol) and (4S)-4-benzyl-1,3-oxazolidin-2-one (3.80 g, 21.46 mmol) by the general methods shown for Preparation 1B. Preparation 1N (5.67 g, 84%) was obtained as a colorless viscous oil: 1H NMR (400 MHz, CDCl3) δ ppm 7.32-7.39 (2H, m), 7.30 (1H, d, J=7.05 Hz), 7.18-7.25 (2H, m), 4.64-4.74 (1H, m), 4.17-4.27 (2H, m), 3.31 (1H, dd, J=13.35, 3.27 Hz), 3.00-3.11 (2H, m), 2.79 (1H, dd, J=13.35, 9.57 Hz), 2.16-2.28 (2H, m), 1.93-2.04 (2H, m).
Preparation 1O: tert-Butyl (3R)-3-(((4S)-4-benzyl-2-oxo-1,3-oxazolidin-3-yl)carbonyl)-6,6,6-trifluorohexanoate
Figure US08629136-20140114-C00033
To a cold (−78° C.), stirred solution of Preparation 1N (3.03 g, 9.61 mmol) in THF (20 mL) was added NaHMDS (1.0M in THF) (10.6 mL, 10.60 mmol) under nitrogen atmosphere. After 2 hours, tert-butyl 2-bromoacetate (5.62 g, 28.8 mmol) was added neat via syringe at −78° C. and stirring was maintained at the same temperature. After 6 hours, the reaction mixture was warmed to room temperature. The reaction mixture was partitioned between saturated NH4Cl and EtOAc. The organic phase was separated, and the aqueous was extracted with EtOAc (3×). The combined organics were washed with brine, dried (Na2SO4), filtered and concentrated under reduced pressure. The residue was purified by flash chromatography (Teledyne ISCO CombiFlash Rf, 5% to 100% solvent A/B=hexanes/EtOAc, REDISEP® SiO2 120 g). Concentration of appropriate fractions provided Preparation 1O (2.79 g, 67.6%) as a colorless viscous oil: 1H NMR (400 MHz, CDCl3) δ ppm 7.34 (2H, d, J=7.30 Hz), 7.24-7.32 (3H, m), 4.62-4.75 (1H, m, J=10.17, 6.89, 3.43, 3.43 Hz), 4.15-4.25 (3H, m), 3.35 (1H, dd, J=13.60, 3.27 Hz), 2.84 (1H, dd, J=16.62, 9.57 Hz), 2.75 (1H, dd, J=13.35, 10.07 Hz), 2.47 (1H, dd, J=16.62, 4.78 Hz), 2.11-2.23 (2H, m), 1.90-2.02 (1H, m), 1.72-1.84 (1H, m), 1.44 (9H, s).
Preparation 1P: (2R)-2-(2-tert-Butoxy-2-oxoethyl)-5,5,5-trifluoropentanoic acid
Figure US08629136-20140114-C00034
Preparation 1P was prepared from Preparation 1O (2.79 g, 6.50 mmol) by the general methods shown for Preparation 1E. Preparation 1P (1.45 g, 83%) was obtained as a colorless oil: 1H NMR (400 MHz, CDCl3) δ ppm 2.83-2.95 (1H, m), 2.62-2.74 (1H, m), 2.45 (1H, dd, J=16.62, 5.79 Hz), 2.15-2.27 (2H, m), 1.88-2.00 (1H, m), 1.75-1.88 (1H, m), 1.45 (9H, s).
Preparation 1E: (2R,3S)-3-(tert-Butoxycarbonyl)-6,6,6-trifluoro-2-(3,3,3-trifluoropropyl)hexanoic acid, and Preparation 1F: (2R,3R)-3-(tert-Butoxycarbonyl)-6,6,6-trifluoro-2-(3,3,3-trifluoropropyl)hexanoic acid
Figure US08629136-20140114-C00035
To a cold (−78° C.), stirred solution of Preparation 1P (5.44 g, 20.13 mmol) in THF (60 mL) was slowly added LDA (24.60 mL, 44.3 mmol) over 7 min. After stirring for 2 hr, Preparation 1M (6.44 g, 26.2 mmol) was added to the reaction mixture over 3 min. After 45 min, the reaction mixture was warmed to −25° C. bath (ice/MeOH/dry ice) for 1 hr, and then warmed to 0° C. After 45 min, Preparation 1M (1 g) was added and the reaction mixture was stirred for 20 min. The reaction was quenched with water and 1N NaOH and was extracted with CH2Cl2. The organic layer was again extracted with 1N NaOH (2×) and the aqueous layers were combined. The aqueous layer was cooled in ice/water bath and then acidified with concentrated HCl to pH 2. Next, the aqueous layer was extracted with EtOAc. The combined organics were washed with brine, dried over anhydrous sodium sulphate, and concentrated under reduced pressure. The residue was dried under high vacuum to provide a 1:5 (1E:1F) mixture (as determined by 1H NMR) of Preparation 1E and Preparation 1F (5.925 g, 80%) as a pale yellow solid. 1H NMR (500 MHz, CDCl3) δ ppm 2.81 (1H, ddd, J=10.17, 6.32, 3.85 Hz), 2.63-2.76 (1H, m), 2.02-2.33 (4H, m), 1.86-1.99 (2H, m), 1.68-1.85 (2H, m), 1.47 (9H, s).
Preparation 1E: (2R,3S)-3-(tert-Butoxycarbonyl)-6,6,6-trifluoro-2-(3,3,3-trifluoropropyl)hexanoic acid, and Preparation 1F: (2R,3R)-3-(tert-Butoxycarbonyl)-6,6,6-trifluoro-2-(3,3,3-trifluoropropyl)hexanoic acid
Figure US08629136-20140114-C00036
A mixture of Preparation 1E and Preparation 1F (64 mg, 1.758 mmol) was taken in THF (6 mL) to give a colorless solution which was cooled to −78° C. Then, LDA (2.149 mL, 3.87 mmol) (1.8M in heptane/THF/ethylbenzene) was slowly added to the reaction mixture over 10 min. After stirring for 15 min the reaction mixture was placed in a room temperature water bath. After 15 min the reaction mixture was placed back in −78° C. bath and then diethylaluminum chloride (3.87 mL, 3.87 mmol) (1M in hexane) was added slowly over 5 min. The reaction mixture was stirred at −78° C. After 15 min the reaction mixture was placed in a room temperature water bath for 10 min and then cooled back to −78° C. bath. After 15 min the reaction was quenched with MeOH (8 mL, 198 mmol), removed from the −78° C. bath and concentrated. To the reaction mixture was added ice and HCl (16 mL, 16.00 mmol), followed by extraction with EtOAc (2×). The organic layer was washed with potassium fluoride (920 mg, 15.84 mmol) (in 25 mL H2O) and HCl (4.5 mL, 4.50 mmol). The organics were dried over anhydrous magnesium sulphate and concentrated under reduced pressure to provide a 9:1 (1E:1F) enriched mixture of Preparation 1E and Preparation 1F (540 mg, 1.583 mmol, 90% yield) as light yellow/orange solid. 1H NMR (400 MHz, CDCl3) δ ppm 2.64-2.76 (2H, m), 2.04-2.35 (4H, m), 1.88-2.00 (2H, m), 1.71-1.83 (2H, m), 1.48 (9H, s). It was converted to Example 1 by the sequence of reactions as outlined above.
Alternate procedure to make Preparation 1E:
Preparation 1Q: (2R,3S)-1-Benzyl 4-tert-butyl 2,3-bis(3,3,3-trifluoropropyl)succinate
Figure US08629136-20140114-C00037
A clean and dry 5 L four neck round bottom flask equipped with mechanical stirring, thermometer socket and nitrogen bubbler at room temperature was charged with N,N-dimethyl formamide (2.07 L), a 1.2:1 mixture of Preparation 1E and Preparation 1F (207 g, 0.5651 moles), potassium carbonate (117.1 g, 0.8476 moles) followed by benzyl bromide (116 g, 0.6781 moles) over 15-20 min. The reaction mixture was stirred for 2-3 hr. After completion of the reaction, the reaction mixture was concentrated to dryness at 50-55° C. under vacuum. Ethyl acetate (3.1 L, 30 Vol.) was charged into the concentrated reaction mass and then washed with water (2.07 L), brine (0.6 L) then dried over anhydrous sodium sulfate (207 g), filtered and concentrated to dryness at 40-45° C. under vacuum. The residue was dissolved in dichloromethane (1.035 L, 5 vol.) and then absorbed onto silica gel (60-120) (607 g, 3.0 w/w), then was purified with column chromatography using petroleum ether and ethyl acetate as solvents. After pooling several batches, Preparation 1Q (235 g) was obtained. HPLC purity: 99.77%,
Preparation 1E: (2R,3S)-3-(tert-Butoxycarbonyl)-6,6,6-trifluoro-2-(3,3,3-trifluoropropyl)hexanoic acid
Figure US08629136-20140114-C00038
A clean and dry 2 L autoclave was charged with methanol (540 mL) and was purged with nitrogen for 5-10 minutes. To the autoclave was added 10% palladium on carbon (12 g, 20%), purged with nitrogen once again for 5-10 min then was charged with Preparation 1Q (60 g, 0.1315 moles), the autoclave was flushed with methanol (60 mL) and stirred for 4-6 hr at 20-25° C. under 5 Kg hydrogen pressure. After completion of the reaction, the reaction mass was filtered through CELITE®, washed with methanol (180 mL), dried with anhydrous sodium sulfate (60 g), filtered and concentrated to dryness at 45-50° C. under vacuum. Obtained Preparation 1E (45.8 g, 95%) as a colorless solid: HPLC purity: 98.9%.
Alternate procedure to make Preparation 1E:
Preparation 1E: (2R,3S)-3-(tert-Butoxycarbonyl)-6,6,6-trifluoro-2-(3,3,3-trifluoropropyl)hexanoic acid
Figure US08629136-20140114-C00039
Preparation 1E was prepared in a procedure identical as above from a mixture of Preparations 1E and 1F (200 g, 0.5460 moles) using LDA (1.8 M solution in THF, ethyl benzene and heptane) (698 mL, 2.3 equiv.) and diethyl aluminum chloride (1.0 M solution in hexane) (1256 mL, 2.3 equiv) in THF (2.0 L). After workup as explained above, the resulting residue was treated as follows: The crude material was added to a 2 L four neck round bottom flask, followed by the addition of MTBE (1.0 L) charged below 30° C. The resulting mixture was stirred for 5-10 minutes to obtain a clear solution. Hexanes (600 mL) was charged to the reaction mixture at a temperature below 30° C. The reaction mixture was stirred for 10 min. Next, tert-butylamine (43.8 g, 1.1 eq) was charged slowly over a period of 15 minutes below 30° C. This addition was observed to be exothermic. The reaction mixture was stirred for 2 hrs below 30° C. and filtered. The solid material was washed with 5:3 MTBE:hexane (200 mL), the filtrate was concentrated and transferred to an amber color bottle. The filtered solid was dissolved in dichloromethane (2.0 L), washed with 1N HCl (2.0), the organic layer was washed with brine (1.0 L×2), then was concentrated under reduced pressure below 45° C. This material was found to be 91.12% pure. The material was repurified by the above t-butylamine crystallization purification procedure. Obtained Preparation 1E (78 g, 39%): HPLC purity: 99.54%.
Alternate Procedure to Make Example 1:
Preparation 1I: tert-Butyl (2S,3R)-6,6,6-trifluoro-3-(((3S)-1-methyl-2-oxo-5-phenyl-2,3-dihydro-1H-1,4-benzodiazepin-3-yl)carbamoyl)-2-(3,3,3-trifluoropropyl)hexanoate
Figure US08629136-20140114-C00040
A clean and dry 2 L four neck round bottom flask equipped with mechanical stirring, thermometer socket and nitrogen bubbler was charged with N,N-dimethylformamide (457 mL), Preparation 1E (45.7 g, 0.1248 moles) and Preparation 1G.CSA (62.08 g, 0.1248 moles) under nitrogen atmosphere at 20-25° C. The reaction mixture was stirred for 15-20 minutes to make clear solution at 20-25° C. To the reaction mixture was added TBTU (48.16 g, 0.1498 moles) at 20-25° C. followed by triethylamine (50.51 g, 0.4992 moles) over 15-20 minutes at 20-25° C. The reaction mixture was stirred for 60-120 minutes at 20-25° C. under nitrogen atmosphere. After completion of the reaction, the reaction was quenched into water (1.37 L, 30 Vol.) at 20-25° C. under stirring. The reaction mixture was stirred for 30 minutes at 20-25° C. The reaction mixture was filtered and washed with water (228 mL). The resulting solid material was dissolved in ethyl acetate (457 mL), washed with water (2×137 mL), brine (137 mL), and then dried with anhydrous sodium sulfate (45.7 g). Activated charcoal (9.14 g, 20%) was charged into the reaction mixture and stirred for 30 minutes. The mixture was filtered through CELITE® bed and 1 micron filter cloth, washed charcoal bed with ethyl acetate (137 mL), concentrated to 1.0 Vol. stage and then petroleum ether (457 mL, 10 Vol.) was charged and stirred for 30 minutes at 20-25° C. The solid was collected by filtration, washed with petroleum ether (137 mL) and then dried under vacuum at 40-45° C. for 8 hr until loss on drying was less than 3.0%. Obtained Preparation 1I (65.2 g, 85%): HPLC purity: 98.26%.
Preparation 1K: (2S,3R)-6,6,6-Trifluoro-3-(((3S)-1-methyl-2-oxo-5-phenyl-2,3-dihydro-1H-1,4-benzodiazepin-3-yl)carbamoyl)-2-(3,3,3-trifluoropropyl)hexanoic acid
Figure US08629136-20140114-C00041
A clean and dry 3 L four neck round bottom flask equipped with mechanical stirring, thermometer socket and nitrogen bubbler was charged with dichloromethane (980 mL) under nitrogen atmosphere followed by Preparation 1I (140 g, 0.2282 moles) at 20-25° C. The reaction mixture was cooled to 0-5° C. and trifluoroacetic acid (980 mL) was charged slowly for 30-40 minutes. The resulting mixture was stirred for 2 hr at 0-5° C. under nitrogen atmosphere. The reaction temperature was raised to 20 to 25° C., and the reaction mixture was stirred for 1-2 hr at 20 to 25° C. After completion of the reaction, the reaction mixture was concentrated to dryness at 50 to 55° C. under vacuum. Toluene (3×700 mL,) was charged into the concentrated reaction mass, and then distilled off at 50 to 55° C. under vacuum. After complete concentration from toluene, ethyl acetate (280 mL) was charged into the reaction mass at 20 to 25° C., stirred for 60 minutes, then the solid was collected by filtration, washed with ethyl acetate (140 mL), dried under vacuum at 50 to 55° C. for 12 hr until loss on drying was less than 2.0%. Obtained Preparation 1K (106 g, 84%): HPLC purity: 98.43%.
Example 1
A reaction vessel was charged with Preparation 1K (30 g, 53.81 mmol), HOBt (8.7 g, 64.38 mmol), and THF (150 mL) at room temperature. To the homogeneous solution was added EDCI (12.4 g, 64.68 mmol), stirred for 15 min, then cooled to 8° C. To the reaction mixture was added ammonia (2M in IPA) (81 mL, 162 mmol) over 5 min so as to maintain a temperature below 10° C. The resulting heavy slurry was stirred for 10 min, warmed to room temperature over 30 min, then stirred for 4 hr. At the completion of the reaction, water (230 mL) was slowly added over 15 min to maintain a temperature below 20° C., and then stirred for 2 hr. The solid was collected by filtration, washed with water (3×60 mL), then dried under vacuum 48 hr at 55° C. The above crude product was charged into a 1 L 3-necked round flask. IPA (200 mL) was added, then heated to 80° C. resulting in a homogeneous solution. Water (170 mL) was slowly added (15 min) to maintain an internal temperature >75° C. The resulting slurry was stirred and cooled to room temperature for 2 hr. The solid was collected by filtration, washed with water (2×50 mL), then dried under vacuum (55° C. for 24 h, and 30° C. for 48 h). Obtained Example 1 (23.4 g, 78% yield): HPLC purity: 99.43%.
Example 2 (2R,3S)—N-((3S)-2-oxo-5-phenyl-2,3-dihydro-1H-1,4-benzodiazepin-3-yl)-2,3-bis(3,3,3-trifluoropropyl)succinamide
Figure US08629136-20140114-C00042
Preparation 2A: (3S)-3-Amino-5-phenyl-1,3-dihydro-2H-1,4-benzodiazepin-2-one, and Preparation 2B: (3R)-3-Amino-5-phenyl-1,3-dihydro-2H-1,4-benzodiazepin-2-one
Figure US08629136-20140114-C00043
Racemic 3-amino-5-phenyl-1,3-dihydro-2H-1,4-benzodiazepin-2-one (J. Med. Chem., 49:2311-2319 (2006), compound#5) was prepared according to the literature procedure. The enantiomers were separated on Berger SFC MGIII Column: Lux 25×3 cm, 5 cm; Mobile phase: 30% MeOH+ 0.1% DEA in CO2; Flow rate: 150 mL/min; Temperature: 40° C.; Detector wavelength: 250 nM. Obtained the S-enantiomer Preparation 2A as a white solid: 1H NMR (400 MHz, DMSO-d6) δ ppm 10.67 (1H, br. s.), 7.58 (1H, td, J=7.65, 1.76 Hz), 7.37-7.53 (5H, m), 7.23-7.30 (2H, m), 7.14-7.22 (1H, m), 4.23 (1H, s), 2.60 (2H, br. s.); HPLC: RT=3.0625 min (30% MeOH+0.1% DEA in CO2 on OD-H Column, 3 mL/min, 35° C., 96 bar, 230 nm, 10 μl inj); [α]D=−208.3° (5.05 mg/mL, MeOH). Also obtained the R-enantiomer Preparation 2B as an off white solid: HPLC: RT=3.970 min; [α]D=182.1° (2.01 mg/mL, MeOH).
Preparation 2C: tert-Butyl (2S,3R)-6,6,6-trifluoro-3-(((3S)-2-oxo-5-phenyl-2,3-dihydro-1H-1,4-benzodiazepin-3-yl)carbamoyl)-2-(3,3,3-trifluoropropyl)hexanoate, and Preparation 2D: tert-Butyl (2R,3R)-6,6,6-trifluoro-3-(((3S)-2-oxo-5-phenyl-2,3-dihydro-1H-1,4-benzodiazepin-3-yl)carbamoyl)-2-(3,3,3-trifluoropropyl)hexanoate
Figure US08629136-20140114-C00044
Preparation 2C was prepared from Preparation 2A (564 mg, 2.244 mmol) and a mixture of Preparation 1E and Preparation 1F (822 mg, 2.244 mmol) according to the general procedure shown for Preparation 1I. Obtained Preparation 2C and Preparation 2D (1.31 g, 97%): HPLC: RT=3.443 min (CHROMOLITH® ODS 4.6×50 mm (4 min grad) eluting with 10-90% aqueous MeOH over 4 minutes containing 0. % TFA, 4 mL/min, monitoring at 220 nm); MS (ES): m/z=600.3 [M+H]+.
Preparation 2E: (2S,3R)-6,6,6-Trifluoro-3-(((3S)-2-oxo-5-phenyl-2,3-dihydro-1H-1,4-benzodiazepin-3-yl)carbamoyl)-2-(3,3,3-trifluoropropyl)hexanoic acid, and Preparation 2F: (2R,3R)-6,6,6-Trifluoro-3-(((3S)-2-oxo-5-phenyl-2,3-dihydro-1H-1,4-benzodiazepin-3-yl)carbamoyl)-2-(3,3,3-trifluoropropyl)hexanoic acid
Figure US08629136-20140114-C00045
A mixture of Preparation 2E and Preparation 2F was prepared from a mixture of Preparation 2C and Preparation 2D (1.31 g, 2.185 mmol) by the general methods shown for Preparation 1K. Obtained a mixture of Preparation 2E and Preparation 2F (1.18 g, 99%): HPLC: RT=2.885 min (CHROMOLITH® ODS 4.6×50 mm (4 min grad) eluting with 10-90% aqueous MeOH over 4 minutes containing 0. % TFA, 4 mL/min, monitoring at 220 nm). MS (ES): m/z=544.2 [M+H]+.
Example 2
Example 2 was prepared from a mixture of Preparation 2E and Preparation 2F (354 mg, 0.651 mmol) by the general methods shown for Example 1. After separation of the diastereoisomers, Example 2 was obtained (188 mg, 52%) as a white solid: HPLC: RT=9.063 min (H2O/CH3CN with TFA, Sunfire C18 3.5 um, 4.6×150 mm, 4.6×150 mm, gradient=15 min, wavelength=220 and 254 nm); MS (ES): m/z=543 [M+H]+; 1H NMR (400 MHz, DMSO-d6) δ ppm 10.87 (1H, br. s.), 9.50-9.55 (1H, m), 7.62-7.69 (2H, m), 7.40-7.57 (5H, m), 7.29-7.36 (2H, m), 7.22-7.28 (1H, m), 7.16 (1H, br. s.), 5.25 (1H, d), 3.30-3.32 (1H, m), 2.75-2.86 (1H, m), 2.44-2.48 (1H, m), 2.06-2.34 (3H, m), 1.51-1.77 (4H, m); [α]D=−114.4° (8.04 mg/mL, DMSO).
Crystal Form M2-1 was prepared by adding approximately 1 mg of Example 2 to approximately 0.7 mL of MeOH/fluorobenzene solution (3:1). Colorless plate-like crystals were obtained after 2 days of solvent evaporation at room temperature.
Example 3 (2R,3S)—N-((3S)-1-Methyl-2-oxo-5-phenyl-2,3-dihydro-1H-1,4-benzodiazepin-3-yl)-2-(2,2,2-trifluoroethyl)-3-(3,3,3-trifluoropropyl)succinamide
Figure US08629136-20140114-C00046
Preparation 3A: (4S)-4-(Propan-2-yl)-3-(4,4,4-trifluorobutanoyl)-1,3-oxazolidin-2-one
Figure US08629136-20140114-C00047
Preparation 3A was prepared from (4S)-4-(propan-2-yl)-1,3-oxazolidin-2-one (4.66 g, 36.1 mmol) and 4,4,4-trifluorobutanoic acid (5.02 g, 35.3 mmol) by the general methods shown for Preparation 1B. Preparation 3A was obtained as a colorless oil (3.64 g, 40%). 1H NMR (400 MHz, CDCl3) δ ppm 4.44 (1H, ddd, J=8.41, 3.51, 3.39 Hz), 4.31 (1H, t, J=8.66 Hz), 4.25 (1H, dd, J=9.03, 3.26 Hz), 3.13-3.32 (2H, m), 2.47-2.59 (2H, m), 2.38 (1H, dddd, J=13.96, 7.01, 3.89 Hz), 0.93 (3H, d, J=7.28 Hz), 0.88 (3H, d, J=6.78 Hz).
Preparation 3B: tert-Butyl (3R)-5,5,5-trifluoro-3-(((4S)-2-oxo-4-(propan-2-yl)-1,3-oxazolidin-3-yl)carbonyl)-2-(3,3,3-trifluoropropyl)pentanoate
Figure US08629136-20140114-C00048
Preparation 3B was prepared from Preparation 3A (1.04 g, 4.12 mmol) and tert- butyl 5,5,5-trifluoropentanoate (Preparation 1A) (1.55 g, 7.28 mmol) by the general methods shown for Preparation 1C. Preparation 3B (528.3 mg, 28%) was obtained as a pale yellow viscous oil: 1H NMR (400 MHz, CDCl3) δ ppm 4.57 (1H, ddd, J=10.54, 5.02, 1.76 Hz), 4.41-4.50 (2H, m), 4.20-4.32 (4H, m), 2.77-2.88 (3H, m), 2.70 (1H, dt, J=9.79, 4.89 Hz), 2.38 (1H, dddd, J=10.38, 6.87, 3.64, 3.45 Hz), 2.23-2.34 (4H, m), 2.06-2.18 (2H, m), 1.93-2.05 (2H, m), 1.69-1.81 (4H, m), 1.46 (9H, s), 1.43 (9H, s), 0.85-0.97 (12H, m).
Preparation 3C: (2R)-3-(tert-Butoxycarbonyl)-6,6,6-trifluoro-2-(2,2,2-trifluoroethyl)hexanoic acid
Figure US08629136-20140114-C00049
Preparation 3C was prepared from Preparation 3B (528.3 mg, 1.140 mmol) by the general methods shown for Preparation 1D. Preparation 3C (306.7 mg, 76%) was obtained as a colorless waxy solid (306.7 mg, 76%). 1H NMR (400 MHz, CDCl3) δ ppm 3.08 (1H, ddd, J=8.72, 4.20, 3.89 Hz), 3.00 (1H, ddd, J=9.66, 7.03, 2.89 Hz), 2.70-2.82 (4H, m), 2.36 (1H, ddd, J=15.25, 10.73, 3.64 Hz), 2.18-2.30 (2H, m), 2.12 (2H, dd, J=10.16, 5.65 Hz), 1.90-2.02 (2H, m), 1.70-1.81 (3H, m), 1.45-1.51 (18H, m).
Preparation 3D: (2R,3S)-3-(tert-Butoxycarbonyl)-6,6,6-trifluoro-2-(2,2,2-trifluoroethyl)hexanoic acid
Figure US08629136-20140114-C00050
Preparation 3D was prepared from Preparation 3C (306.7 mg, 0.871 mmol) by the general methods shown to enrich the mixture of Preparation 1E and Preparation 1F. Preparation 3D (297.0 mg, 97%) was obtained as a yellow waxy solid (297.0 mg, 97%). 1H NMR (400 MHz, CDCl3) δ ppm 2.99 (1H, ddd, J=9.47, 6.96, 2.89 Hz), 2.69-2.82 (2H, m), 2.18-2.31 (2H, m), 2.06-2.18 (1H, m), 1.91-2.03 (1H, m), 1.68-1.80 (1H, m), 1.46-1.51 (9H, m).
Preparation 3E: tert-Butyl (2S,3R)-5,5,5-trifluoro-3-(((3S)-1-methyl-2-oxo-5-phenyl-2,3-dihydro-1H-1,4-benzodiazepin-3-yl)carbamoyl)-2-(3,3,3-trifluoropropyl)pentanoate
Figure US08629136-20140114-C00051
Preparation 3E was prepared from Preparation 3D (297.0 mg, 0.843 mmol) and Preparation 1G (212.0 mg, 0.799 mmol) by the general methods shown for Preparation H. Preparation 3E (471.7 mg, 98%) was obtained as a tan solid (471.7 mg, 98%). MS (ES): m/z=600 [M+H]+; 1H NMR (400 MHz, CDCl3) δ ppm 7.75 (1H, d, J=7.78 Hz), 7.54-7.64 (3H, m), 7.43-7.51 (1H, m), 7.34-7.43 (4H, m), 7.22-7.31 (1H, m), 5.50 (1H, d, J=7.53 Hz), 3.48 (3H, s), 2.87-2.96 (1H, m), 2.73-2.83 (1H, m), 2.60 (1H, td, J=10.10, 3.89 Hz), 2.13-2.25 (3H, m), 1.86-2.05 (2H, m), 1.52 (9H, s).
Preparation 3F: (2S,3R)-5,5,5-Trifluoro-3-(((3S)-1-methyl-2-oxo-5-phenyl-2,3-dihydro-1H-1,4-benzodiazepin-3-yl)carbamoyl)-2-(3,3,3-trifluoropropyl)pentanoic acid
Figure US08629136-20140114-C00052
Preparation 3F was prepared from Preparation 3E (466.1 mg, 0.777 mmol) by the general methods shown for Preparation 1H. Preparation 3F (451 mg, >99%) was obtained as a tan solid. MS (ES): m/z=544 [M+H]+; 1H NMR (400 MHz, CDCl3) δ ppm 8.29 (1H, d, J=7.53 Hz), 7.64 (1H, td, J=7.84, 1.63 Hz), 7.53-7.60 (2H, m), 7.49 (1H, t, J=7.40 Hz), 7.33-7.46 (4H, m), 7.22-7.33 (2H, m), 5.53 (1H, d, J=7.53 Hz), 3.49 (3H, s), 3.04-3.21 (2H, m), 2.69-2.81 (2H, m), 2.23-2.33 (2H, m), 2.07-2.19 (2H, m).
Example 3
Example 3 was prepared from Preparation 3F (446 mg, 0.821 mmol) by the general methods shown for Example 1. After separation of the diastereoisomers, Example 3 was obtained: HPLC: RT=3.17 min (H2O/CH3CN with TFA, Sunfire C18 3.5 um, 4.6×150 mm, 4.6×150 mm, gradient=15 min, wavelength=220 and 254 nm). MS (ES): m/z=543.3 [M+H]+; 1H NMR (400 MHz, DMSO-d6) δ ppm 9.72 (1H, d, J=8.53 Hz), 7.71-7.77 (1H, m), 7.66-7.71 (1H, m), 7.64 (1H, d, J=1.25 Hz), 7.48-7.57 (3H, m), 7.39-7.47 (2H, m), 7.30-7.39 (2H, m), 7.23 (1H, s), 5.36 (1H, d, J=8.53 Hz), 3.39 (3H, s), 3.12-3.23 (1H, m), 2.53-2.61 (1H, m), 2.43 (1H, td, J=10.10, 3.89 Hz), 2.16-2.28 (1H, m), 2.02-2.16 (1H, m), 1.82-1.96 (1H, m), 1.68-1.82 (1H, m).
Example 4 (2R,3S)—N-((3S)-1-Methyl-2-oxo-5-phenyl-2,3-dihydro-1H-1,4-benzodiazepin-3-yl)-3-(2,2,2-trifluoroethyl)-2-(3,3,3-trifluoropropyl)succinamide
Figure US08629136-20140114-C00053
Preparation 4A: tert- Butyl 4,4,4-trifluorobutanoate
Figure US08629136-20140114-C00054
Preparation 4A was prepared from 4,4,4-trifluorobutanoic acid (4.99 g, 35.1 mmol) using the general procedure shown for Preparation 1A. Preparation 4A (5.58 g, 80%) was obtained as a colorless oil. 1H NMR (400 MHz, CDCl3) δ ppm 2.47-2.52 (2H, m), 2.37-2.45 (2H, m), 1.46 (9H, s).
Preparation 4B: tert-Butyl (3R)-6,6,6-trifluoro-3-(((4S)-2-oxo-4-(propan-2-yl)-1,3-oxazolidin-3-yl)carbonyl)-2-(2,2,2-trifluoroethyl)hexanoate
Figure US08629136-20140114-C00055
Preparation 4B was prepared from Preparation 4A (1058.3 mg, 5.34 mmol) and Preparation 1B (809.2 mg, 3.03 mmol) according to the general procedure shown for Preparation 1C. Preparation 4B (690.1 mg, 49%) was obtained as a pale yellow viscous oil. 1H NMR (400 MHz, CDCl3) δ ppm 4.45-4.52 (1H, m), 4.23-4.40 (1H, m), 4.05-4.12 (1H, m), 3.70 (1H, t, J=6.7 Hz), 3.05 (1H, ddd, J=9.9, 5.0, 2.3 Hz), 2.99 (1H, ddd, J=11.2, 5.8, 1.8 Hz), 2.58-2.91 (2H, m), 2.38-2.49 (1H, m), 2.27-2.36 (1H, m), 2.07-2.26 (1H, m), 1.96-2.04 (1H, m), 1.85-1.94 (1H, m), 1.72-1.82 (1H, m), 1.46 (3H, s), 0.88-0.98 (3H, m); HPLC: RT=3.36 min (MeOH/H2O/0.1% TFA, CHROMOLITH® SpeedROD 4.6×50 mm, 4 min gradient, wavelength=220 nm).
Preparation 4C: (2R)-3-(tert-Butoxycarbonyl)-5,5,5-trifluoro-2-(3,3,3-trifluoropropyl)pentanoic acid
Figure US08629136-20140114-C00056
Preparation 4C was prepared from Preparation 4B (690.1 mg, 1.489 mmol) according to the general procedure shown for Preparation 1E. Preparation 4C (335.9 mg, 64%) was obtained as a colorless oil. 1H NMR (400 MHz, CDCl3) δ ppm 2.91-3.03 (1H, m), 2.63-2.88 (2H, m), 2.50 (1H, t, J=7.3 Hz), 2.07-2.43 (4H, m), 1.89-2.05 (2H, m), 1.73-1.88 (1H, m), 1.47 (5H, s), 1.47 (4H, s).
Preparation 4D: (2R,3S)-3-(tert-Butoxycarbonyl)-5,5,5-trifluoro-2-(3,3,3-trifluoropropyl)pentanoic acid
Figure US08629136-20140114-C00057
Preparation 4D was prepared from Preparation 4C (335.9 mg, 0.954 mmol) according to the general procedure shown to enrich the mixture of Preparation 1E and Preparation 1F. Preparation 4D (277.8 mg, 83%) was obtained as a brown oil. 1H NMR (400 MHz, CDCl3) δ ppm 2.90-3.03 (1H, m), 2.64-2.88 (2H, m), 2.50 (1H, t, J=7.3 Hz), 2.06-2.43 (3H, m), 1.89-2.03 (1H, m), 1.73-1.88 (1H, m), 1.47 (9H, s).
Preparation 4E: tert-Butyl (2S,3R)-6,6,6-trifluoro-3-(((3S)-1-methyl-2-oxo-5-phenyl-2,3-dihydro-1H-1,4-benzodiazepin-3-yl)carbamoyl)-2-(2,2,2-trifluoroethyl)hexanoate
Figure US08629136-20140114-C00058
Preparation 4E was prepared from Preparation 4D (277.8 mg, 0.789 mmol) and Preparation 1G (210.2 mg, 0.792 mmol) according to the general procedure shown for Preparation 1I. Preparation 4E was obtained as a cream solid (420.2 mg, 89%). 1H NMR (400 MHz, CDCl3) δ ppm 7.55-7.65 (3H, m), 7.48 (1H, d, J=7.5 Hz), 7.36-7.45 (4H, m), 5.51 (1H, d, J=7.8 Hz), 3.49 (3H, s), 2.87-2.92 (1H, m), 2.63 (1H, s), 2.47-2.58 (1H, m), 2.16-2.36 (2H, m), 1.93-2.06 (1H, m), 1.80 (1H, s), 1.51 (9H, s); LCMS: RT=4.02 min (MeOH/H2O/0.1% TFA, CHROMOLITH® RP-18e 2.0×50 mm, 4 min gradient, wavelength=254 nm); MS (ES):m/z=600 [M+H+].
Preparation 4F: (2S,3R)-6,6,6-Trifluoro-3-(((3S)-1-methyl-2-oxo-5-phenyl-2,3-dihydro-1H-1,4-benzodiazepin-3-yl)carbamoyl)-2-(2,2,2-trifluoroethyl)hexanoic acid
Figure US08629136-20140114-C00059
Preparation 4F was prepared from Preparation 4E (417.2 mg, 0.696 mmol) according to the general procedure shown for Preparation 1K. Preparation 4F was obtained as a TFA solvate as an amber solid (476.0 mg, 96%). 1H NMR (400 MHz, CDCl3) δ ppm 8.25 (1H, d, J=8.0 Hz), 7.73-7.82 (1H, m), 7.56-7.67 (2H, m), 7.34-7.54 (3H, m), 5.67 (1H, d, J=8.3 Hz), 3.49-3.60 (2H, m), 3.05-3.13 (1H, m), 2.81-2.97 (1H, m), 2.39-2.60 (1H, m), 2.18-2.33 (1H, m), 1.95-2.13 (1H, m); LCMS: RT=3.43 min (MeOH/H2O/0.1% TFA, CHROMOLITH® RP-18e 2.0×50 mm, 4 min gradient, wavelength=254 nm); MS (ES):m/z=544 [M+H+].
Example 4
Example 4 was prepared from Preparation 4F (476.3 mg, 0.667 mmol) according to the general procedure shown for Example 1. After separation of the diastereoisomers, Example 4 was obtained as a cream solid (120.3 mg, 32%). HPLC: RT=9.446 min (H2O/CH3CN with TFA, Sunfire C18 3.5 μm, 4.6×150 mm, 4.6×150 mm, gradient=15 min, wavelength=220 and 254 nm); MS (ES):m/z=543 [M+H+]; 1H NMR (400 MHz, DMSO-d6) δ ppm 9.56 (1H, d, J=7.03 Hz), 7.82 (1H, s), 7.70-7.78 (1H, m), 7.64-7.70 (1H, m), 7.50-7.63 (3H, m), 7.47 (2H, d, J=7.78 Hz), 7.30-7.42 (2H, m), 7.21 (1H, s), 5.30 (1H, d, J=7.03 Hz), 3.39 (3H, s), 2.67-2.80 (2H, m), 2.51-2.62 (2H, m), 2.19-2.29 (1H, m), 2.07-2.21 (1H, m), 1.60-1.72 (2H, m).
Example 5 (2R,3S)—N-((3S)-1-(2H3)Methyl-2-oxo-5-phenyl-2,3-dihydro-1H-1,4-benzodiazepin-3-yl)-2,3-bis(3,3,3-trifluoropropyl)succinamide
Figure US08629136-20140114-C00060
In a 5 mL screw top vial was added Example 2 (50 mg, 0.092 mmol), cesium carbonate (60.1 mg, 0.184 mmol), and iodomethane-d3 (6.88 μL, 0.111 mmol) in DMF (2 mL) to give a suspension. The mixture was stirred at room temperature under nitrogen overnight. LCMS showed the reaction was complete. The reaction mixture was dissolved in 2 ml of 1:1 DMF/AcOH and purified by Preparative HPLC on Luna ODS 5 um 21.2×100 mm which was eluted with a 7 min gradient from 10% to 100% ACN/water 0.1% TFA to 100%. The appropriate fractions was concentrated to afford Example 5 (35 mg, 65%): HPLC: RT=3.04 min (CHROMOLITH® S5 ODS column 4.6×50 mm, 10-90% aqueous methanol over 4 minutes containing 0.1% TFA, 4 mL/min, monitoring at 220 nm); MS (ES): m/z=599 [M+H]+; 1H NMR (400 MHz, DMSO-d6) δ ppm 9.55 (1H, d, J=7.5 Hz), 7.71-7.80 (1H, m), 7.67 (2H, d, J=8.3 Hz), 7.51-7.60 (3H, m), 7.42-7.49 (2H, m), 7.30-7.39 (2H, m), 7.15 (1H, s), 5.30 (1H, d, J=7.3 Hz), 2.75-2.87 (1H, m), 2.40-2.48 (1H, m), 2.04-2.31 (4H, m), 1.46-1.76 (4H, m).
Examples 6 to 11
The compounds listed below were prepared according to the general synthetic procedure described in Example 1, using the appropriate benzodiazepinone obtained by methods known to one skilled in the art, for example, Carter, M. C. et al., J. Med. Chem., 49:2311-2319 (2006).
TABLE 6
Figure US08629136-20140114-C00061
HPLC
Ex. Ret Time
No. Y Z Compound Name [M + H]+ (min)
6 H Cl (2R,3S)-N-((3S)-7-chloro-1-methyl-2-oxo- 591 17.21 a
5-phenyl-2,3-dihydro-1H-1,4-
benzodiazepin-3-yl)-2,3-bis(3,3,3-
trifluoropropyl) succinamide
7 OCH3 H (2R,3S)-N-((3S)-8-methoxy-1-methyl-2- [M − H] = 585 15.86 a
oxo-5-phenyl-2,3-dihydro-1H-1,4-
benzodiazepin-3-yl)-2,3-bis(3,3,3-
trifluoropropyl)succinamide
8 F H (2R,3S)-N-((3S)-8-fluoro-1-methyl-2-oxo-5- 575 10.317 b
phenyl-2,3-dihydro-1H-1,4-benzodiazepin-
3-yl)-2,3-bis(3,3,3-trifluoropropyl)
succinamide
9 H OCH3 (2R,3S)-N-((3S)-7-methoxy-1-methyl-2- 587 15.92 a
oxo-5-phenyl-2,3-dihydro-1H-1,4-
benzodiazepin-3-yl)-2,3-bis(3,3,3-
trifluoropropyl)succinamide
10 H F (2R,3S)-N-((3S)-7-fluoro-1-methyl-2-oxo-5- 575 16.15 a
phenyl-2,3-dihydro-1H-1,4-benzodiazepin-
3-yl)-2,3-bis(3,3,3-trifluoropropyl)
succinamide
11 Cl H (2R,3S)-N-((3S)-8-chloro-1-methyl-2-oxo- 591 17.58 a
5-phenyl-2,3-dihydro-1H-1,4-
benzodiazepin-3-yl)-2,3-bis(3,3,3-
trifluoropropyl) succinamide
a Xbridge Phenyl (4.6 × 150 mm), 3.5 micron; 1 mL/min flow rate; gradient 10-100% B over 30 min (A:0.05% TFA in water/CH3CN (95:5), B:0.05% TFA in water/CH3CN (5:95) @ 220 and 250 nm); 30 min run.
b Xbridge Phenyl (4.6 × 150 mm), 3.5 micron; 1 mL/min flow rate; gradient 10-100% B over 15 min (A:0.05% TFA in water/CH3CN (95:5), B:0.05% TFA in water/CH3CN (5:95) @ 220 and 250 nm); 15 min run.
Examples 12 to 18
The compounds listed below were prepared according to the general synthetic procedure described in Example 1, using the appropriate benzodiazepinone obtained by methods known to one skilled in the art, for example, Carter, M. C. et al., J. Med. Chem., 49:2311-2319 (2006).
TABLE 7
Figure US08629136-20140114-C00062
HPLC
Ex. Ret Time
No. X Y Z Compound Name [M + H]+ (min)
12 OCH3 H H (2R,3S)-N-((3S)-9-methoxy-2-oxo- 573 14.741 a
5-phenyl-2,3-dihydro-1H-1,4-
benzodiazepin-3-yl)-2,3-bis(3,3,3-
trifluoropropyl)succinamide
13 H OCH3 H (2R,3S)-N-((3S)-8-methoxy-2-oxo- [M − H] = 571 9.38 b
5-phenyl-2,3-dihydro-1H-1,4-
benzodiazepin-3-yl)-2,3-bis(3,3,3-
trifluoropropyl)succinamide
14 H H OCH3 (2R,3S)-N-((3S)-7-methoxy-2-oxo- [M − H] = 571 9.14 b
5-phenyl-2,3-dihydro-1H-1,4-
benzodiazepin-3-yl)-2,3-bis(3,3,3-
trifluoropropyl)succinamide
15 OCH3 CN H (2R,3S)-N-((3S)-8-cyano-9- 598 0.95 c
methoxy-2-oxo-5-phenyl-2,3-
dihydro-1H-1,4-benzodiazepin-3-
yl)-2,3-bis(3,3,3-trifluoropropyl)
succinamide
16 Cl Cl H (2R,3S)-N-((3S)-8,9-dichloro-2-oxo- 611 2.095 d
5-phenyl-2,3-dihydro-1H-1,4-
benzodiazepin-3-yl)-2,3-bis(3,3,3-
trifluoropropyl)succinamide
17 F H H (2R,3S)-N-((3S)-9-fluoro-2-oxo-5- 561 2.698 e
phenyl-2,3-dihydro-1H-1,4-
benzodiazepin-3-yl)-2,3-bis(3,3,3-
trifluoropropyl)succinamide
18 Cl H H (2R,3S)-N-((3S)-9-chloro-2-oxo-5- 577 1.982 d
phenyl-2,3-dihydro-1H-1,4-
benzodiazepin-3-yl)-2,3-bis(3,3,3-
trifluoropropyl)succinamide
a Xbridge Phenyl (4.6 × 150 mm), 3.5 micron; 1 mL/min flow rate; gradient 10-100% B over 12 min (A:0.05% TFA in water/CH3CN (95:5), B:0.05% TFA in water/CH3CN (5:95) @ 220 and 250 nm); 25 min run.
b Xbridge Phenyl (4.6 × 150 mm), 3.5 micron; 1 mL/min flow rate; gradient 10-100% B over 12 min (A:0.05% TFA in water/CH3CN (95:5), B:0.05% TFA in water/CH3CN (5:95) @ 220 and 250 nm); 15 min run.
c LCMS: MeOH/H2O/0.1% TFA, BEH C18 2.1 × 50 mm 1.7 u, 2 min gradient, wavelength = 254 nm.
d MeOH/H2O/0.1% TFA, Waters Sunfire C18 2.1 × 30 mm, 2 min gradient, wavelength = 254 nm.
e CHROMOLITH ® ODS 4.6 × 50 mm (4 min grad) eluting with 10-90% aqueous MeOH over 4 minutes containing 0.% TFA, 4 mL/min, monitoring at 220 nm.
Example 19 (2R,3S)—N-((3S)-2-oxo-5-phenyl-2,3-dihydro-1H-1,4-benzodiazepin-3-yl)-3-(4,4,4-trifluorobutyl)-2-(3,3,3-trifluoropropyl)succinamide
Figure US08629136-20140114-C00063
Preparation 19A: (2R,3R)-3-(tert-Butoxycarbonyl)-7,7,7-trifluoro-2-(3,3,3-trifluoropropyl)heptanoic acid
Figure US08629136-20140114-C00064
Preparation 19A was prepared from Preparation 9A (674 mg, 2.59 mmol) and Preparation 1P (500 mg, 1.850 mmol) according to the alternate procedure shown for Preparation 1E. Obtained Preparation 19A (521 mg, 28%): MS (ES): m/z=379 [M−H].
Preparation 19B: (2R,3S)-3-(tert-Butoxycarbonyl)-7,7,7-trifluoro-2-(3,3,3-trifluoropropyl)heptanoic acid
Figure US08629136-20140114-C00065
Preparation 19B was prepared from Preparation 19A (198 mg, 0.521 mmol) according to the general procedure shown to enrich the mixture of Preparation 1E and Preparation 1F. Obtained Preparation 19B (192 mg, 98%): MS (ES): m/z=379 [M−H]; 1H NMR (500 MHz, CDCl3) δ ppm 2.65-2.72 (1H, m), 2.60 (1H, ddd, J=10.33, 8.81, 3.61 Hz), 2.19-2.30 (2H, m), 2.06-2.16 (3H, m), 1.85-1.96 (1H, m), 1.70-1.81 (2H, m), 1.51-1.67 (3H, m), 1.47 (7H, s).
Preparation 19C: tert-Butyl (2S,3R)-6,6,6-trifluoro-3-(((3S)-2-oxo-5-phenyl-2,3-dihydro-1H-1,4-benzodiazepin-3-yl)carbamoyl)-2-(4,4,4-trifluorobutyl)hexanoate
Figure US08629136-20140114-C00066
Preparation 19C was prepared from Preparation 19B (45.4 mg, 0.119 mmol) and Preparation 2A (30 mg, 0.119 mmol) according to the general procedure shown for Preparation 1I. Obtained Preparation 19C (82 mg, 100%): HPLC: RT=3.475 min (CHROMOLITH® 5 u C18 4.6×30 mm (4 min grad) eluting with 10-90% aqueous MeOH over 4 minutes containing 0.1% TFA, monitoring at 220 nm); MS (ES): m/z=614 [M+H]+.
Preparation 19D: (2S,3R)-6,6,6-Trifluoro-3-(((3S)-2-oxo-5-phenyl-2,3-dihydro-1H-1,4-benzodiazepin-3-yl)carbamoyl)-2-(4,4,4-trifluorobutyl)hexanoic acid
Figure US08629136-20140114-C00067
Preparation 19D was prepared from Preparation 19C (73 mg, 0.119 mmol) according to the general procedure shown for Preparation 1K. Obtained Preparation 19D (80 mg, 100%) as a TFA solvate: HPLC: RT=2.926 min (CHROMOLITH® 5 u C18 4.6×30 mm (4 min grad) eluting with 10-90% aqueous MeOH over 4 minutes containing 0.1% TFA, monitoring at 220 nm).
Example 19
Example 19 was prepared from Preparation 19D (80 mg, 0.119 mmol) according to the general procedure shown for Example 1. After separation of the diastereoisomers, Example 19 (35 mg, 49%) was obtained. HPLC: RT=2.731 min (CHROMOLITH® 5 u C18 4.6×30 mm (4 min grad) eluting with 10-90% aqueous MeOH over 4 minutes containing 0.1% TFA, monitoring at 220 nm); MS (ES): m/z=557 [M+H]+; 1H NMR (500 MHz, DMSO-d6) δ ppm 10.82 (1H, s), 9.42 (1H, d, J=7.21 Hz), 7.65 (1H, ddd, J=8.32, 7.07, 1.53 Hz), 7.60 (1H, d, J=2.22 Hz), 7.49-7.57 (3H, m), 7.42-7.49 (2H, m), 7.29-7.35 (2H, m), 7.20-7.28 (1H, m), 7.03 (1H, s), 5.23 (1H, d, J=7.21 Hz), 2.70-2.79 (1H, m), 2.57-2.69 (1H, m), 2.39-2.47 (1H, m), 2.05-2.32 (3H, m), 1.50-1.67 (3H, m), 1.40-1.49 (1H, m), 1.24-1.39 (2H, m).
Example 20 (2R,3S)—N-1-((3S)-8-Methoxy-2-oxo-5-phenyl-2,3-dihydro-1H-1,4-benzodiazepin-3-yl)-3-(4,4,4-trifluorobutyl)-2-(3,3,3-trifluoropropyl)succinamide
Figure US08629136-20140114-C00068
Example 20 was prepared by using a sequence of reactions as outlined for Example 19 using Preparation 19B instead of Preparation 1E. The mixture of diastereoisomers obtained was separated via chiral HPLC to provide Example 20. HPLC RT=0.89 min. (BEH C18 2.1×50 mm, 1.7 u, 0 to 100 B in 1 min with 0.5 min hold time, Flow rate=1 ml/min, detection at 254 nm, Solvent A: 100% water/0.1% TFA; Solvent B: 100% ACNI/0.1% TFA). MS (ES): m/z=587.2 [M+H]+.
Example 21 (2R,3S)—N-((3S)-9-((2-Methoxyethyl)amino)-2-oxo-5-phenyl-2,3-dihydro-1H-1,4-benzodiazepin-3-yl)-2,3-bis(3,3,3-trifluoropropyl)succinamide
Figure US08629136-20140114-C00069
Preparation 21A: (3-((4-Methoxybenzyl)(2-methoxyethyl)amino)-2-nitrophenyl)(phenyl)methanone
Figure US08629136-20140114-C00070
A mixture of (3-chloro-2-nitrophenyl)(phenyl)methanone (850 mg, 3.25 mmol) and 2-methoxy-N-(4-methoxybenzyl)ethanamine (3171 mg, 16.24 mmol) was heated at 100° C. for 16 hours. The reaction mixture was partitioned between water (50 mL) and DCM (50 mL), extracted with DCM (3×50 mL), dried over Na2SO4, and purified using silica gel chromatography (stepwise gradient: 30 to 50% ethyl acetate/hexanes) to isolate Preparation 21A (780 mg, 57.1% yield) as a brown oil: LC/MS (PHENOMENEX® Luna 5 micron C18 4.6×30 mm, 0 to 100 B in 2 min with 1 min hold time, Flow rate=5 ml/min, detection at 254 nm, Solvent A: 10% methanol/90% water/0.1% TFA; Solvent B: 10% water/90% methanol/0.1% TFA) RT=2.32; MS (ES) m/z=443.10 [M+Na]+.
Preparation 21B: (2-Amino-3-((4-methoxybenzyl)(2-methoxyethyl)amino)phenyl)(phenyl)methanone
Figure US08629136-20140114-C00071
Preparation 21A (700 mg, 1.665 mmol), zinc (1089 mg, 16.65 mmol), and ammonium chloride (891 mg, 16.65 mmol) in EtOH (40 mL) and water (20 mL) was heated to 90° C. for 5 minutes. The reaction mixture was filtered through CELITE®, partitioned between water/DCM, extracted 3×10 mL DCM, dried over Na2SO4, and concentrated to isolate Preparation 21B (580 mg, 89% yield): LC/MS (PHENOMENEX® Luna 5 micron C18 4.6×30 mm, 30 to 100 B in 4 min with 1 min hold time, Flow rate=5 ml/min, detection at 254 nm, Solvent A: 10% methanol/90% water/0.1% TFA; Solvent B: 10% water/90% methanol/0.1% TFA): RT=2.47 min; MS (ES): m/z=391.16 [M+H]+.
Preparation 21C: Benzyl 9-((4-methoxybenzyl)(2-methoxyethyl)amino)-2-oxo-5-phenyl-2,3-dihydro-1H-benzo[e][1,4]diazepin-3-ylcarbamate
Figure US08629136-20140114-C00072
Preparation 21C was prepared from Preparation 21B following the general procedure for Preparation 50D (38.6% yield): LC/MS (PHENOMENEX® Luna 5 micron C18 4.6×30 mm, 30 to 100 B in 4 min with 1 min hold time, Flow rate=5 ml/min, detection at 254 nm, Solvent A: 10% methanol/90% water/0.1% TFA; Solvent B: 10% water/90% methanol/0.1% TFA) RT=2.42 min; MS (ES): m/z=579.22 [M+H]+.
Example 21
Example 21 was prepared from Preparation 21C by using the general sequence of reactions as outlined for Example 1. The mixture of diastereoisomers obtained was separated via chiral HPLC to provide Example 21: LC/MS (PHENOMENEX® Luna 5 micron C18 4.6×30 mm, 30 to 100 B in 4 min with 1 min hold time, Flow rate=5 ml/min, detection at 254 nm, Solvent A: 10% methanol/90% water/0.1% TFA; Solvent B: 10% water/90% methanol/0.1% TFA) RT=2.13 min; MS (ES): m/z=616.22 [M+H]+.
Comparative Compounds 22 to 25
Comparative Compounds 22 to 25 can be prepared according to the procedures described in U.S. Pat. No. 7,053,084 for Examples 8, 12a, 38, and 45a, respectively.
Comparative U.S. Pat.
Compound No. 7,053,084 Structure
22 Ex. 8 
Figure US08629136-20140114-C00073
23 Ex. 12a
Figure US08629136-20140114-C00074
24 Ex. 38 
Figure US08629136-20140114-C00075
25 Ex. 45a
Figure US08629136-20140114-C00076
Example 26 Pharmaceutical Formulation Comprising (2R,3S)—N-((3S)-1-Methyl-2-oxo-5-phenyl-2,3-dihydro-1H-1,4-benzodiazepin-3-yl)-2,3-bis(3,3,3-trifluoropropyl)succinamide
An injection drug product was formulated comprising 2R,3S)—N-((3S)-1-methyl-2-oxo-5-phenyl-2,3-dihydro-1H-1,4-benzodiazepin-3-yl)-2,3-bis(3,3,3-trifluoropropyl)succinamide, Example 1, as a single-use, ready-to-use (RTU) sterile solution for intravenous (IV) administration using 50:50 (v/v) combinations of purified polyoxyethylated castor oil (a surfactant) and dehydrated alcohol (a solvent). The drug product was a clear to slightly hazy (opalescent), colorless to pale yellow sterile solution, stored in 5-mL Type I flint glass vials, closed with 20-mm stoppers, and sealed with 20-mm aluminum seals. The concentrated formulation can be diluted prior to administration with commonly used intravenous diluents, such as Normal Saline (NS) or 5% Dextrose, to provide a physiologically acceptable diluted product.
TABLE 11
Concentrated Pharmaceutical Composition
Quantity
Component (mg/mL)
Example 1 active pharmaceutical 1.2
ingredient
Purified Polyoxyethylated solubilizer 0.5
Castor Oil
Dehydrated Alcohol solvent 0.5
Purified Polyoxyethylated Castor Oil: CREMOPHOR (BASF Corp.)
The concentrated pharmaceutical formulation was found to be stable upon storage at 25° C./60% relative humidity, 40° C./75% relative humidity, and 50° C. for a period of three months. Also, a photo-stability study (HIL/UVA) indicated that the product did not need to be protected from light. The concentrated formulation of Example 1 had long-term shelf stability including chemical and physical stability.
Prior to IV administration, the concentrated pharmaceutical formulation was diluted with Normal Saline (NS) or 5% Dextrose in Water (D5W) to concentrations between 0.01 mg/mL and 0.06 mg/mL. The use-time/compatibility results indicated that the product diluted in NS or D5W to concentrations in the range from 0.01 mg/mL to 0.06 mg/mL was compatible with non-PVC, non-DEHP IV infusion bags. The results showed essentially no changes through 24 hours of storage at 2° C. to 8° C. or room temperature/room light (25° C. and approximately 5000 lux).
BIOLOGICAL ASSAYS
The pharmacological properties of the compounds of this invention may be confirmed by a number of biological assays. The exemplified biological assays, which follow, have been carried out with compounds of the invention.
Notch-CBF1 Transactivation Assay
The Notch-CBF1 (C-promoter binding factor I) cell based transactivation assay is based on the ability of the released Notch intracellular domain fragments (NICDs) to function as transcription factors in conjunction with CBF1 and other nuclear factors. Luciferase assays were used to measure the antagonism of Notch-CBF1 transcriptional activity. HeLa cervical cancer cells are transiently co-transfected with pcDNA3.1/Hygro plasmids containing truncated Notch 1, Notch 2, Notch 3, or Notch 4 receptors and a PGL3 luciferase reporter vector containing 4 copies of CBF1 binding site. The cells were then tested for Notch-CBF1 activity in the absence or presence of test compounds. HeLa cells, maintained in DMEM (high glucose with HEPES), 1× glutamine/penicillin/streptomycin and 10% Fetal Bovine serum, were transiently transfected in a T175 Flask (4.5×106 cells/flask) using the Monster Transfection Kit (Minis #MIR2906) according to manufacturers specifications. Table 12 denotes respective DNA quantity for the transfections.
TABLE 12
DNA CBF1 Vector Total DNA
(μg) (μg) (μg) (μg)
human Notch 1 6 14.4 15.6 36.0
human Notch 2 2 14.4 19.6 36.0
human Notch 3 0.3 14.4 21.3 36.0
human Notch 4 4 14.4 17.6 36.0
Six hours post-transfection, cells were trypsinized and plated into a 384-well black Poly-D-lysine coated tissue culture plate at a density of 5×103 cells/well in 95 μL assay media (DMEM (high glucose with HEPES), 1× glutamine/penicillin/streptomycin, 0.0125% BSA, 1× non-essential amino acids). Assay media (5 μL) containing test compounds in final concentrations ranging from 5 μM to 8.4×10−5 μM (3 fold serial dilutions) were added to the cells and the cell plates were then incubated for 18 hours at 37° C. and 5% CO2. Control wells contained DMSO vehicle (total counts) or 0.5 μM of an in-house small molecule inhibitor (background counts). Duplicates were used for each sample. Luciferase activity was measured after a 20-minute incubation with 50 μl STEADY-GLO® luciferase reagents according to manufacturer's specifications (Promega, Cat. #: E2550) and analyzed by Envision plate reader (PerkinElmer, Boston, Mass.).
The antagonist effect of compounds was expressed as 100×[1−(average sample−average background)/(average total−average background)] where sample is the luciferase activity in the presence of test compound, background is equal to the luciferase activity in the presence of the small molecule inhibitor control and the total is signal induced in DMSO wells. Data was plotted using a four parameter logistic fit equation and the IC50 value was defined as the concentration of compound that inhibited 50% of the luciferase activity.
Table 13 below lists the Notch 1 and Notch 3 IC50 values for Examples 1 to 21 of this invention and Comparative Compounds 22 to 25 measured in the Notch-CBF1 Transactivation Assay hereinabove. The results in Table 13 were rounded to 2 digits. The compounds of the present invention, as exemplified by the Examples 1 to 21 showed Notch 1 values of 6.6 nM or less and Notch 3 IC50 values of 13 nM or less.
TABLE 13
Notch 1 Notch 3
Example (IC50, nM) (IC50, nM)
1 1.6 3.4
2 1.7 3.3
3 3.1 4.7
4 1.5 2.5
5 1.2 5.9
6 6.5 10
7 1.5 2.8
8 4.9 8.1
9 4.4 8.2
10 2.9 4.6
11 1.3 2.0
12 2.5 4.2
13 2.1 3.8
14 5.2 13
15 12 16
16 4.2 6.4
17 3.6 7.1
18 0.53 2.3
19 1.3 3.8
20 2.9 4.2
21 1.5 4.2
Comparative Compound 22 64 48
Comparative Compound 23 42 75
Comparative Compound 24 5.1 13
Comparative Compound 25 12 12
High Throughput (HT) Metabolic Stability Panel
Compounds administered parenterally enter the blood stream and undergo one or more passes through the liver. Compounds that are not readily metabolized by the liver can be administered at therapeutically effective plasma levels for therapeutically effective periods of time.
Orally administered compounds typically are absorbed through the intestinal walls into the blood stream and undergo a first pass through the liver. Compounds that are not readily metabolized in this first pass through the liver can be distributed to other areas of the body in therapeutically effective amounts.
The metabolic stability assay evaluated CYP-mediated metabolic stability in vitro using human, rat, mouse, dog, and/or monkey microsomes after a ten-minute incubation. Each compound was tested in duplicate.
The results of these assays were expressed as the fraction of parent compound remaining in the reaction mixture after a ten-minute incubation (Percent Remaining). In general, these results were used to evaluate only the extent of CYP-mediated, or NADPH-dependent, metabolism of the test compound. When the compound was significantly metabolized (<40-50% remaining), this indicated high clearance of the compound in vivo due to CYP-mediated metabolism. However, if the compound demonstrated moderate (50-80%) or low (>85%) metabolism in these in vitro assays, high clearance was still possible in vivo via other metabolism and elimination pathways.
The percent remaining results of these assays was predictive of compound clearance in vivo, assuming that CYP-mediated metabolism was a predominant elimination pathway. In different microsomal species, the ranges of results were approximately as shown in Table 14.
TABLE 14
Metabolic Stability - Result Interpretation Guidelines
CYP-Mediated Percent Remaining after 10 minutes
Clearance Human Rat Mouse Dog Monkey
Low >90 >85 >85 >90 >85
Medium 60-90 40-85 50-85 55-90 40-85
High <60 <40 <50 <55 <40
Table 15 below lists the CYP-mediated metabolic stability for Examples 1 to 21 of this invention and Comparative Compounds 22 to 25 measured in the human and mouse metabolic stability assays. The results in Table 15 were rounded to 2 digits. In the liver microsome assays, a value of 0% remaining indicated complete CYP-mediated metabolism of a test compound, and a value of 100% indicated no detectable CYP-mediated metabolism of a test compound. The compounds of the present invention, as exemplified by Examples 1 to 21 had metabolic stability values of 80% or greater remaining for human liver microsomes (HLM) and 72% or greater remaining for mouse liver microsomes (MsLM). In contrast, Comparative Compounds 22 to 25 had metabolic stability values of 39% or less remaining for human liver microsomes and 15% or less remaining for mouse liver microsomes.
TABLE 15
0.5 μM HLM 0.5 μM MsLM
Example (% Remaining) (% Remaining)
1 97 91
2 88 86
3 84 91
4 100 91
5 100 98
6 100 100
7 93 72
8 96 100
9 100 87
10 96 98
11 97 98
12 100 100
13 100 97
14 100 95
15 100 93
16 80 91
17 100 96
18 100 100
19 96 97
20 100 100
21 98 82
Comparative Compound 22 39 15
Comparative Compound 23 19 9.0
Comparative Compound 24 21 13
Comparative Compound 25 2.7 0.18
The compounds of the present invention (Examples 1 to 21) have been compared to the Comparative Compounds 22 to 25 disclosed in U.S. Pat. No. 7,456,172, and have been found to be especially advantageous. The compounds of the present invention had the surprising advantage of the combination of activity as inhibitors of Notch 1 and Notch 3 and superior metabolic stability to liver microsomes. As shown in Tables 13 and 15, in the reported tests, Examples 1 to 21 of this invention had Notch 1 IC50 values of 6.6 nM or less and Notch 3 IC50 values of 13 nM or less; and metabolic stability values of 80% or greater remaining for human liver microsomes (HLM) and 72% or greater remaining for mouse liver microsomes (MsLM). In contrast, in similar tests, the Comparative Compounds 22 to 25 had Notch 1 IC50 values of 5.1 nM or greater and Notch 3 IC50 values of 13 nM or greater; and metabolic stability values of 39% or less remaining for human liver microsomes and 15% or less remaining for mouse liver microsomes.
METHODS AND MATERIALS Incubation with Liver Microsomes
Test compound was received as a 3.5 mM stock solution in 100 percent DMSO. The test compound was diluted to create a 50 μM acetonitrile (ACN) solution containing 1.4% DMSO, which was then used as a 100× stock for incubation with microsomes. Each compound was tested in duplicate separately in each of three species in the Metabolic Stability-Human, Rat, and Mouse assay suite or as individual species in the Metabolic Stability-Dog or Metabolic Stability-Monkey suites. Compound, NADPH, and liver microsome solutions were combined for incubation in three steps:
1. 152 μl of liver microsome suspension, protein concentration of 1.1 mg/ml in 100 mM NaPi, pH 7.4, 5 mM MgCl2 buffer, was pre-warmed at 37° C.
2. 1.7 μl of 50 μM compound (98.6% ACN, 1.4% DMSO) was added to the same tube and pre-incubated at 37° C. for 5 minutes.
3. The reaction was initiated by the addition of 17 μl of pre-warmed 10 mM NADPH solution in 100 mM NaPi, pH 7.4.
The reaction components were mixed well, and 75 μl of the reaction mixture was immediately transferred into 150 μl quench/stop solution (zero-time point, T0). Reactions were incubated at 37° C. for 10 minutes and then an additional 75 μl aliquot was transferred into 150 μl quench solution. Acetonitrile containing 100 μM DMN (a UV standard for injection quality control), was used as the quench solution to terminate metabolic reactions.
Quenched mixtures were centrifuged at 1500 rpm (˜500×g) in an ALLEGRA® X-12 centrifuge, SX4750 rotor (Beckman Coulter Inc., Fullerton, Calif.) for fifteen minutes to pellet denatured microsomes. A volume of 90 μl of supernatant extract, containing the mixture of parent compound and its metabolites, was then transferred to a separate 96-well plate for UV-LC/MS-MS analysis to determine the percent of parent compound that remained in the mixture.
TABLE 16
Metabolic Stability Assay - Reaction Components
Final Concentration in the
Reaction Components Metabolic Stability Assay
Compound (Substrate) 0.5 μM
NaPi Buffer, pH 7.4 100 mM
DMSO 0.014%
Acetonitrile 0.986%
Microsomes (human, rat, mouse) 1 mg/ml protein
(BD/Gentest)
NADPH 1.0 mM
MgCl2 5.0 mM
37° C. Incubation time 0 minutes and
10 minutes
Quench/Stop Solution (ACN + 150 μl
100 μM DMN)
Sample of Reaction 75 μl
Sedimentation of Denatured 15 minutes
Microsomes
UV-LC/MS analysis of supernatant 0.17 μM

Sample Analysis—Instrumentation
HPLC: Pump—Thermo Surveyor; Autosampler—CTC/LEAP HTS; UV detector—Thermo Surveyor PDA plus; Column—Varian C18, 3 μm, 2×20 mm with a 0.5 μm in-line filter; Mobile Phase for structural integrity pre-analysis: (A) 98% water, 2% acetonitrile with 10 mM ammonium acetate; (B) 10% water, 90% acetonitrile with 10 mM ammonium acetate; Mobile Phase for reaction sample analysis: (A) 98% water, 2% acetonitrile with 0.1% formic acid; (B) 2% water, 98% acetonitrile with 0.1% formic acid; (C) 0.1% ammonium hydroxide in water; (D) 0.1% ammonium hydroxide in acetonitrile.
Mass Spectrometer: Thermo TSQ Quantum Ultra triple-quadrapole mass spectrometer;
Sample Analysis: Structural Integrity Pre-Analysis.
The Metabolic Stability structural integrity pre-analysis was used to assess the purity of compounds being assayed. Compounds were received in 96-well plates as 57 μl of a 3.5 mM DMSO solution. The 3.5 mM compound DMSO stock solutions were diluted 18-fold with a solution containing equal volumes of acetonitrile, isopropanol, and MilliQ-H2O. The resulting solutions (200 μM) were analyzed for structural integrity by LC-UV/MS on a Thermo LCQ Deca XP Plus ion trap mass spectrometer, using a Waters XBridge C18, 5 μm, 2×50 mm column with a Waters Sentry 2.1 mm guard column, and the LC conditions described in the table below, with a 5 μl injection and a flow rate of 1 ml/min. The acquired data reflected purity by UV absorbance at 220 nm. Only results for those compounds with purity greater than 50% were reported.
TABLE 17
Metabolic Stability - Structural Integrity Gradient
Gradient Time (min) A % B %
0.00 100 0
4.00 0 100
5.00 0 100
5.10 100 0
6.00 100 0

Sample Analysis—Incubated Samples
MS/MS condition optimization was conducted on a Thermo TSQ Quantum triple-quadrapole mass spectrometer equipped with a heated-electrospray (H-ESI) source by automated infusion to obtain the SRM transitions and their corresponding collision energy values. Compound solutions at a concentration of 20 μM in 1:1 methanol:water were infused at a flow rate of 90 μL/min, then combined with the mobile phase at a flow rate of 50 μL/min before being introduced into the source. All compounds were optimized first using mobile phase A and B (50% A and 50% B), and if necessary, using mobile phase C and D (also with a 50:50 composition). The optimized parameters, including polarity, SRM transition and collision energy, were stored in a Microsoft Access database.
The mass spectrometric conditions obtained from automated infusion were used to analyze incubation samples from the Metabolic Stability assay. The injection volume was 5 μl and the flow rate was 0.8 ml/min. The gradient used was shown in the table below. All samples were injected with the gradient using mobile phase A and B first. If necessary (for instance, for chromatographic reasons), samples were re-injected with the same gradient, but using mobile phase C and D. All LC-MS/MS analysis parameters were captured electronically in the raw data files.
TABLE 18
Metabolic Stability - Sample Analysis Gradient
Gradient Time (min) A % (or C %) B % (or D %)
0.00 95 5
0.20 95 5
0.30 0 100
1.05 0 100
1.10 95 5
1.50 95 5

Data Analysis
Peak integration was performed with the XCALIBUR® software. The percent remaining calculation was performed by comparing the LC-MS/MS peak areas from the T10minute samples to those from the T0miniute samples for each compound.
Quality Control
A set of three compounds was tested along with the test compound in each assay plate. Data was accepted and uploaded only if the results for these control compounds fall into the expected ranges shown below.
TABLE 19
Metabolic Stability Assay - Control Compound Values by Microsome Species
Average Percent Remaining ± SD
Compound Human Rat Mouse Dog Monkey
Nefazodone  0.4 ± 0.4 0.7 ± 0.6 0.4 ± 0.3 0.4 ± 0.4 0.6 ± 0.5
Verapamil 13.3 ± 3.5 4.4 ± 2.1 13.0 ± 4.2  5.6 ± 1.8 0.5 ± 0.5
Carbamezepine 96 ± 6 84 ± 9  90 ± 10 81 ± 7  89 ± 13
SD = Standard Deviation

Metabolic Stability Half-Life Panel
The rate of metabolism and half-life determined in vitro in human or animal liver microsomes was used to determine intrinsic clearance (CLint) and hepatic clearance (CLh,b) of a compound. These parameters were useful for predicting in vivo human clearance, which defines the level of drug exposure in vivo (Obach et al., J. Pharmacol. Exp. Ther., 283:46-58 (1997); Obach, Drug Metab. Dispos., 27:1350-1359 (1999)).
The metabolic stability half-life assay panel evaluates the time-course and the rate of CYP-mediated (NADPH-dependent) metabolism in vitro in human, rat, mouse, dog and monkey microsomes. The time course spans a 45 minute incubation, and includes 0, 5, 10, 15, 30, and 45 minute time-points, at each of which the amount of test compound remaining in the mixture was measured.
Result Interpretation Guideline
The results of these assays were expressed as a half-life (T1/2, min), and the fraction of parent compound remaining in the reaction mixture at each time-point (Percent Remaining) was also reported. In general, these results should be used to evaluate only the extent of CYP-mediated, or NADPH-dependent, metabolism of the test compound. When the compound was significantly metabolized (T1/2<8-14 min), this indicated high clearance in vivo due to CYP-mediated metabolism. However, if the compound demonstrated moderate (50-80%) or low (>85%) metabolism in these in vitro assays, high clearance was still possible in vivo via other metabolism and elimination pathways.
The results of these assays was predictive of compound clearance in vivo, assuming that CYP-mediated metabolism was a predominant elimination pathway. In different microsomal species, the ranges of results were approximately as shown in the following table:
TABLE 20
Metabolic Stability Half-Life - Result Interpretation Guidelines
CYP-Mediated T1/2, minutes
Clearance Human Rat Mouse Dog Monkey
Low >70 >40 >50 >65 >40
Medium 14-70 8-40 10-50 12-65 8-40
High <14  <8 <10 <12  <8

Methods and Materials
Liver microsomes were purchased from BD-Biosciences (Woburn, Mass.) and NADPH from AppliChem Inc; all other reagents were obtained from Sigma.
Incubation with Liver Microsomes
Test compound was received as a 3.5 mM stock solution in 100 percent DMSO. The test compound was diluted to create a 50 μM acetonitrile (ACN) solution containing 1.4% DMSO, which was then used as a 100-fold stock for incubation with microsomes. Each compound was tested in human, rat, mouse, dog and monkey liver microsomes. Compound, NADPH and liver microsome solutions were combined for incubation in three steps:
1. 450 μl of liver microsome suspension, protein concentration of 1.1 mg/ml in 100 mM NaPi, pH 7.4, 5 mM MgCl2 buffer, was pre-warmed at 37° C.
2. 5 μl of 50 μM compound (98.6% ACN, 1.4% DMSO) was added to the same tube and pre-incubated at 37° C. for 5 minutes.
3. The reaction was initiated by the addition of 50 μl of pre-warmed 10 mM NADPH solution in 100 mM NaPi, pH 7.4.
Reaction components were mixed well, and 65 μl were immediately transferred into 130 μl quench/stop solution (zero-time point, T0). Reactions were incubated at 37° C. for 5, 10, 15, 30 and 45 minutes and at each time-point a 65 μl aliquot was transferred into 130 μl of quench solution. Acetonitrile containing Internal Standard (100 ng/ml), was used as the quench solution to terminate metabolic reactions.
Quenched mixtures were centrifuged at 1500 rpm (˜500×g) in an ALLEGRA® X-12 centrifuge, SX4750 rotor (Beckman Coulter Inc., Fullerton, Calif.) for fifteen minutes to pellet denatured microsomes. A volume of 90 μl of supernatant extract, containing the mixture of parent compound and its metabolites, was then transferred to a separate 96-well plate for LC/MS-MS analysis to determine the percent of parent compound that was remaining in the mixture.
TABLE 21
Metabolic Stability Half-Life Assays - Reaction Components
Final Concentration in the
Reaction Components Metabolic Stability Assay
Compound (Substrate) 0.5 μM
NaPi Buffer, pH 7.4 100 mM
DMSO 0.014%
Acetonitrile 0.986%
Microsomes (human, rat, mouse) 1 mg/ml protein
(BD/Gentest)
NADPH 1.0 mM
MgCl2 5.0 mM
37° C. Incubation time 0, 5, 10, 15, 30,
and 45 minutes
Quench/Stop Solution (ACN + 130 μl
100 μM DMN)
Sample of Reaction 65 μl
Sedimentation of Denatured 15 minutes
Microsomes
Sample Analysis - Instrumentation
HPLC: Pump—Shimadzu LC-20 AD series binary pumps; Autosampler—CTC/LEAP HTS.
The exemplified compounds of the invention showed the surprising advantage of low clearance due to CYP-mediated metabolism in both the human (HLM) and mouse (MsLM) metabolic stability assays. The compounds of the present invention, as exemplified by Examples 1-2, 5-7, 9-14, 16, 18, 21-23, and 26, had percent remaining values in the range of 60% to 100% for the human liver microsome assay, and 25% to 100% for the mouse liver microsome assay. In contrast, Comparative Compounds 60-61 had percent remaining values of 7.0% or less in both the human and mouse liver microsome assays. Comparative Compounds 61-62 showed high clearance in both the human and mouse metabolic stability assays, indicating that the compounds were removed by CYP-mediated metabolism in the liver.
Human Tumor Xenograft Models in Mice
All rodents were obtained from Harlan Sprague Dawley Co. (Indianapolis, Ind.), and maintained in an ammonia-free environment in a defined and pathogen-free colony. All mice were quarantined approximately 1 week prior to their use for tumor propagation and drug efficacy testing. Mice were fed food and water ad libitum. The animal care program of Bristol-Myers Squibb Pharmaceutical Research Institute is fully accredited by the American Association for Accreditation of Laboratory Animal Care (AAALAC). All experiments were performed in accordance with Bristol-Myers Squibb (BMS) animal test methods and guidelines.
Tumor xenografts were grown and maintained subcutaneously (SC) in immunocompromized balb/c nu/nu nude or NOD-SCID mice (Harlan Sprague Dawley). Tumors were propagated as subcutaneous transplants in the appropriate mouse strain (Table 22) using tumor fragments obtained from donor mice.
TABLE 22
Histological Types and Host Mouse Strain/Gender Requirement
for the Propagation of Various Human Tumor Xenografts in Mice
Tumor Type Histology Mouse Strain Sex
TALL-1 ALL NOD-SCID female
HPB-ALL ALL NOD-SCID female
ALL-SIL ALL NOD-SCID female
MDA-MB-157 breast NOD-SCID female
MDA-MB-468 breast NOD-SCID female
PAT-34 ovarian nude female
PAT-50 ovarian nude female
PAT-26 pancreas nude female
PAT-27 pancreas nude female

Preclinical Chemotherapy Trials
The required numbers of animals needed to detect a meaningful response were pooled at the start of the experiment and each was given a subcutaneous implant of a tumor fragment (˜20 mg) with a 13-gauge trocar. Tumors were allowed to grow to the pre-determined size window (tumors outside the range were excluded) and animals were evenly distributed to various treatment and control groups. There were typically 8 mice per treatment and control groups, with the exception of experiments conducted in the SAL-IGF (this is not included in Table 22) tumor model, in which there were typically 5 mice per treatment and control group. Treatment of each animal was based on individual body weight. Treated animals were checked daily for treatment related toxicity/mortality. Each group of animals was weighed before the initiation of treatment (Wt1) and then again following the last treatment dose (Wt2). The difference in body weight (Wt2−Wt1) provides a measure of treatment-related toxicity.
Tumor response was determined by measurement of tumors with a caliper twice a week, until the tumors reached a predetermined “target” size of 0.5 gm or 1 gm depending on the tumor type. Tumor weights (mg) were estimated from the formula:
Tumor weight=(length×width2)÷2
Tumor response criteria are expressed in terms of tumor growth inhibition (% TGI). Tumor growth delay is defined as the difference in time (days) required for the treated tumors (T) to reach a predetermined target size compared to those of the control group (C). For this purpose, the tumor weight of a group is expressed as medium tumor weight (MTW).
Tumor growth inhibition is calculated as follows:
% Tumor Growth Inhibition = ( 1 - T t T 0 * C 0 C t ) ( 1 - C 0 C t )
where,
Ct=Median control tumor size at end of treatment
C0=Median control tumor size at treatment initiation
Tt=Median tumor size of treated group at end of treatment
T0=Median tumor size of treated group at treatment initiation
Activity is defined as the achievement of durable tumor growth inhibition of 50% or greater (i.e., TGI≧50%) for a period equivalent to at least 1 tumor volume doubling time and drug treatment must be for a period equivalent to at least 2 tumor volume doubling time.
Tumor response was also expressed in terms of tumor growth delay (TGD value), defined as the difference in time (days) required for the treated tumors (T) to reach a predetermined target size compared to those of the control group (C).
Whenever possible, antitumor activity was determined at a range of dose levels up to the maximum tolerated dose (MTD) which is defined as the dose level immediately below which excessive toxicity (i.e., more than one death) occurred. When death occurred, the day of death was recorded. Treated mice dying prior to having their tumors reach target size were considered to have died from drug toxicity. No control mice died bearing tumors less than target size. Treatment groups with more than one death caused by drug toxicity were considered to have had excessively toxic treatments and their data were not included in the evaluation of a compound's antitumor efficacy.
Potential drug toxicity interaction affecting treatment tolerability is an important consideration in combination chemotherapy trials. Interpretation of combination therapeutic results must be based on comparison of antitumor activity of the best possible response for the single agents versus the combination at comparably tolerated doses. Therefore, therapeutic synergism was defined as a therapeutic effect achieved with a tolerated regimen of the combined agents that exceeded the optimal effect achieved at any tolerated dose of monotherapy. Statistical evaluations of data were performed using Gehan's generalized Wilcoxon test. Statistical significance was declared at P<0.05.
Drug Administration
In in vitro studies, all agents were dissolved in 100% DMSO and serially diluted in media/10% fetal bovine serum. For administration of Notch inhibitors to rodents, two different excipients were used: [1] 94% Labrafil/5% ETOH/1% TW80 or [2] ETOH/TPGS/PEG300 (10:10:80). Notch inhibitors were typically administered orally on a schedule of QD×15, 10 day-on-2 day-off, although other schedules had also been evaluated and shown to be efficacious. For example, dosing regimen consisting of QD×12, 4 day-on-3 day-off was shown to be equally efficacious as QD×15, 10 day-on-2 day-off.
In vivo Antitumor Activity
The antitumor activity of Example 1 administered via the intravenous route (IV) was evaluated in human tumor xenografts implanted in mice. As shown in FIG. 6, Example 1 exhibited antitumor activity.
Table 23 below lists the antitumor activity of examples of this invention measured in the Human Tumor Xenograft Models in mice. The compounds of the present invention, as exemplified by Examples 1 and 2, showed antitumor activity with oral administration (PO).
TABLE 23
Schedule: QD × 15, 10 Day-on-2 Day-off; Oral Administration
Antitumor Activity
Dose TALL1 MDA-MB-157 MDA-MB-468
Example (mg/kg) (LCK) (% TGI) (% TGI)
1 7.5-10 >4.7 89 78
2 24 2.4 85 87
QD—once daily
LCK—Log Cell Kill
Example 1 demonstrates broad-spectrum antineoplastic activity against a wide array of human cancer xenografts grown in mice. Significant antitumor activity was demonstrated in 16 human cancer xenografts, including human T-cell acute lymphoblastic leukemia, breast carcinoma, pancreatic carcinoma, ovarian carcinoma, glioblastoma, non-small cell lung carcinoma, colon carcinoma, osteogenic sarcoma, and neuroblastoma (Table 24).
TABLE 24
Antitumor
Activity
Tumor Histology (% TGI)a
TALL1 T-Cell acute lymphoblastic leukemia 112
Pat-24 pancreatic cancer 111
BT-474 HER2+ breast cancer 96
Pat-26 pancreatic cancer 93
MDA-MB468 TN breast cancer 91
Pat-50 ovarian cancer 91
Pat-34 ovarian cancer 89
U-87 glioblastoma multiforme (GBM) 82
MDA-MB157 TN breast cancer 81
Calu-6 Non small cell lung cancer 81
HCT116 colon cancer 75
G292 osteogenic sarcoma 75
Pat-21/Abx R TN breast cancer (abx R) 73
MCF7 estrogen-dependent breast cancer 73
SK-N-AS neuroblastoma 67
MCF7i estrogen-independent breast cancer 63
aAll treatments were PO, QD × 15, 10 day-on-2 day-off, at dosages ranging from 5-10 mg/kg/adm.

Combination Chemotherapy
A series of studies were conducted to evaluate the combinability of Example 1 with a number of anti-cancer agents including dasatinib, paclitaxel, Tamoxifen, dexamethasone, and carboplatin
I. Example 1 and Dasatinib
The human T-cell lymphoblastic leukemia was used to evaluate the combined efficacy Example 1 and dasatinib. Dasatinib treatment alone produced an antitumor effect of 1.7 LCK (10 mg/kg/adm, QD×49, PO). Example 1 compound produced only modest activity of 0.1-0.5 LCK at dose range of 3.75-7.5 mg/kg. However, combination of the two agents produced synergistic antitumor activity, yielding antitumor efficacy of >>2.6 LCK that was significantly superior to dasatinib single agent alone (P<0.05). In addition, the combination regimen yielded complete response (CR) in 100% of mice, whereas none of the single agent produced CR (FIGS. 7-8 and Table 25).
TABLE 25
Antitumor Efficacy by Combined Chemotherapy with Example
1 and Dasatinib in ALL-SIL T-cell Lymphoblastic Leukemia
Treatment Efficacy
Example 1 Dasatinib Tumor
Dosea Doseb Growth Delayc PR CR
(mg/kg) (mg/kg) (LCK) (days) (%) (%) P
7.5 0.1 1.9 0 0
3.75 0.5 8.7 0 0
10 1.7 30.2 0 0 1
7.5 10 >>2.6 44 0 100 <0.05
3.75 10 >>2.6 44 0 100 <0.05
aRegimen = PO, QD × 3, weekly × 7
bRegimen = PO, QD × 49
cTarget tumor size = 1000 mg

II. Example 1 and Paclitaxel
The antitumor efficacy of Example 1 in combination with paclitaxel was evaluated in the MDA-MB-468 breast carcinoma. Example 1 as a single agent produced 0.5-1.4 LCK at the dose range of 3.75-7.5 mg/kg/adm. Paclitaxel administered weekly at a dose of 12 mg/kg/adm yielded 0.5 LCK (FIGS. 9-10 and Table 26). The combination of Example 1 at the dose-range of 3.75-7.5 mg/kg/adm and paclitaxel produced 3.4-4.1 LCK of antitumor effects which was significantly superior to single agent Example 1 compound alone (P=0.0006 and 0.0002, respectively).
TABLE 26
Antitumor Efficacy by Combined Chemotherapy with Example
1 and Paclitaxel in MDA-MB-468 Human Breast Carcinoma
Treatment Efficacy
Example 1 Paclitaxel Tumor
Dosea Doseb Growth Delayc PR CR
(mg/kg) (mg/kg) (LCK) (days) (%) (%) P
7.5 1.4 21.2 0 0 1
3.75 0.5 7.8 0 0
12 0.5 7.8 0 0
7.5 12 4.1 61.8 50 0 0.0002
3.75 12 3.4 51.2 0 0 0.0006
aRegimen = PO, QD × 3, weekly × 7
bRegimen = IV, Q7 D × 6
cTarget tumor size = 500 mg

III. Example 1 and Tamoxifen
The antitumor efficacy of Example 1 in combination with Tamoxifen was evaluated in the ER receptor positive human breast carcinoma xenograft MCF7 grown in female nu/nu mice. Example 1 as a single agent produced tumor growth inhibition (TGI) of 43-58% at the dose range of 3.75-7.5 mg/kg/adm with no CR or PR. Tamoxifen, administered at the MTD dose of 20 mg/kg/adm, IP, Q2 DX12, produced % TGI of 78%, with no CR or PR. The combinations of Example 1 compound and Tamoxifen were clearly synergistic producing % TGI of 101 and 99, respectively, at Example 1 doses of 7.5 and 3.75 mg/kg/adm. Moreover, approximately 50% of mice receiving the combinations experienced tumor shrinkage, either as PR or CR (FIGS. 11-12 and Table 27).
TABLE 27
Antitumor Efficacy by Combined Chemotherapy with Example
1 and Tamoxifen in the MCR7 Human Breast Carcinoma
Treatment Efficacy
Example 1 Tamoxifen Tumor Growth
Dosea Doseb Inhibition PR CR
(mg/kg) (mg/kg) TGIc (%) (%) P
7.5 58 0 0 0
3.75 43 0 0
20 78 0 0 1
7.5 20 101 43 0 0.0012
3.75 20 99 43 14 0.0087
aRegimen = PO, QD × 3, weekly × 3
bRegimen = IP, Q2 D × 10
cTarget tumor size = 500 mg

IV. Example 1 and Dexamethasone
The antitumor efficacy of Example 1 in combination with the glucocorticoid, dexamethasone, was evaluated in the human T-ALL leukemia xenografts HPB-ALL grown in NOD-SCID mice. Example 1 as a single agent was active in this model yielding 1.1 LCK at 7.5 mpk. Dexamethasone was modestly active as a single agent producing 0.7 LCK at its MTD of 7.5 mpk. The combination of Example 1 and dexamethasone produced 1.9 LCK, significantly superior to either individual single agents alone (FIG. 13 and Table 28).
TABLE 28
Antitumor Efficacy by Combined Chemotherapy
with Example 1 and Dexamethasone in HPB-ALL
Human Acute Lymphoblastic Leukemia
Treatment
Dexameth- Efficacy
Example 1 asone Tumor
Dosea Doseb Growth Delayc PR CR
(mg/kg) (mg/kg) (LCK) (days) (%) (%) P
7.5 1.1 9.5 0 0 0.0007
3.75 0.9 7.8 0 0 0.0007
7.5 0.7 5.8 0 0 0.0007
3.75 0.6 5.6 0 0 0.0007
3.75 7.5 1.9 16.5 0 0 1
aRegimen = PO, QD × 3, weekly × 3
bRegimen = IP, QD × 14
cTarget tumor size = 3000 mg

V. Example 1 and Carboplatin
The antitumor efficacy of Example 1 in combination with carboplatin was evaluated in the human ovarian teratocarcinoma xenograft PA-1 grown in female nu/nu mice. Example 1 as a single agent produced 0.2 LCK at the dose of 1 mg/kg/adm. Carboplatin administered weekly at a dose of 90 mg/kg/adm yielded 2.1 LCK (FIG. 14 and Table 29). The combination of Example 1 at the dose of 1 mg/kg/adm and carboplatin produced >3.1 LCK of antitumor effects which was significantly superior to single agent Example 1 compound alone (P=0.004).
TABLE 29
Antitumor Efficacy by Combined Chemotherapy with Example
1 and Carboplatin in PA-1 Human Ovarian Teratocarcinoma
Treatment
Dexameth- Efficacy
Example 1 asone Tumor
Dosea Doseb Growth Delayc CR PR Cure
(mg/kg) (mg/kg) (LCK) (days) (%) (%) (%) P
1 0.2 4 0 0 0
90 2.1 34.7 13 71 13 1
1 90 >3.1 >51.4 67 33 67 0.004
aRegimen = PO, QD × 21 (1 mg/kg)
bRegimen = IV, Q7 D × 3
cTarget tumor size = 500 mg

Single Crystal X-Ray Diffractometry
The single crystal data were collected on a Bruker-AXS APEX2 CCD system using Cu Kα radiation (λ=1.5418 Å). Indexing and processing of the measured intensity data were carried out with the APEX2 software program suite. When indicated, crystals were cooled in the cold stream of an Oxford cryo system during data collection. The structures were solved by the direct methods and refined on the basis of observed reflections using the SHELXTL. The derived atomic parameters (coordinates and temperature factors) were refined through full matrix least-squares. The function minimized in the refinements was Σw(|Fo|−|Fc|)2. R is defined as Σ∥Fo|−|Fc∥Σ|Fo| while Rw=[Σw(|Fo−|Fc|)2w|Fo|2]1/2 where w is an appropriate weighting function based on errors in the observed intensities. Typically, all the non-H atoms were refined anisotropically and all H-atoms other than those attached to N and O atoms were calculated by geometrical methods and refined using a riding model.
X-Ray Powder Diffractometry
X-ray powder diffraction (PXRD) data were obtained using a Bruker GADDS (General Area Detector Diffraction System) manual chi platform goniometer. Powder samples were placed in thin walled glass capillaries of 0.7 mm in diameter; the capillaries were rotated during data collection. The sample-to-detector distance was kept at 17 cm. Data were collected with Cu Kα radiation (λ=1.5418 Å) in the range 2.5<2θ<35° with a sample exposure time of 600 seconds.

Claims (19)

What is claimed is:
1. A compound of Formula (I):
Figure US08629136-20140114-C00077
wherein:
R1 is —CH2CF3 or —CH2CH2CF3;
R2 is —CH2CF3, —CH2CH2CF3, or —CH2CH2CH2CF3;
R3 is H or —CH3;
each Ra is independently F, Cl, —CN, —OCH3, and/or —NHCH2CH2OCH3; and
z is zero, 1, or 2.
2. The compound according to claim 1 wherein:
R1 is —CH2CF3 or —CH2CH2CF3; and
R2 is —CH2CF3 or —CH2CH2CF3.
3. The compound according to claim 1 wherein:
z is zero or 1.
4. The compound according to claim 1 wherein:
R1 is —CH2CH2CF3; and
R2 is —CH2CH2CF3.
5. The compound according to claim 4 wherein:
z is zero or 1.
6. The compound according to claim 1 wherein:
z is 1 or 2.
7. A compound according to claim 1 selected from: (2R,3S)—N-((3S)-1-Methyl-2-oxo-5-phenyl-2,3-dihydro-1H-1,4-benzodiazepin-3-yl)-2,3-bis(3,3,3-trifluoropropyl)succinamide (1); (2R,3S)—N-((3S)-2-Oxo-5-phenyl-2,3-dihydro-1H-1,4-benzodiazepin-3-yl)-2,3-bis(3,3,3-trifluoropropyl)succinamide (2); (2R,3S)—N-((3S)-1-Methyl-2-oxo-5-phenyl-2,3-dihydro-1H-1,4-benzodiazepin-3-yl)-2-(2,2,2-trifluoroethyl)-3-(3,3,3-trifluoropropyl)succinamide (3); (2R,3S)—N-((3S)-1-Methyl-2-oxo-5-phenyl-2,3-dihydro-1H-1,4-benzodiazepin-3-yl)-3-(2,2,2-trifluoroethyl)-2-(3,3,3-trifluoropropyl)succinamide (4); (2R,3S)—N-((3S)-1-(2H3)Methyl-2-oxo-5-phenyl-2,3-dihydro-1H-1,4-benzodiazepin-3-yl)-2,3-bis(3,3,3-trifluoropropyl)succinamide (5); (2R,3S)—N-((3S)-7-chloro-1-methyl-2-oxo-5-phenyl-2,3-dihydro-1H-1,4-benzodiazepin-3-yl)-2,3-bis(3,3,3-trifluoropropyl)succinamide (6); (2R,3S)—N-((3S)-8-methoxy-1-methyl-2-oxo-5-phenyl-2,3-dihydro-1H-1,4-benzodiazepin-3-yl)-2,3-bis(3,3,3-trifluoropropyl)succinamide (7); (2R,3S)—N-((3S)-8-fluoro-1-methyl-2-oxo-5-phenyl-2,3-dihydro-1H-1,4-benzodiazepin-3-yl)-2,3-bis(3,3,3-trifluoropropyl)succinamide (8); (2R,3S)—N-((3S)-7-methoxy-1-methyl-2-oxo-5-phenyl-2,3-dihydro-1H-1,4-benzodiazepin-3-yl)-2,3-bis(3,3,3-trifluoropropyl)succinamide (9); (2R,3S)—N-((3S)-7-fluoro-1-methyl-2-oxo-5-phenyl-2,3-dihydro-1H-1,4-benzodiazepin-3-yl)-2,3-bis(3,3,3-trifluoropropyl)succinamide (10); (2R,3S)—N-((3S)-8-chloro-1-methyl-2-oxo-5-phenyl-2,3-dihydro-1H-1,4-benzodiazepin-3-yl)-2,3-bis(3,3,3-trifluoropropyl)succinamide (11); (2R,3S)—N-((3S)-9-methoxy-2-oxo-5-phenyl-2,3-dihydro-1H-1,4-benzodiazepin-3-yl)-2,3-bis(3,3,3-trifluoropropyl)succinamide (12); (2R,3S)—N-((3S)-8-methoxy-2-oxo-5-phenyl-2,3-dihydro-1H-1,4-benzodiazepin-3-yl)-2,3-bis(3,3,3-trifluoropropyl)succinamide (13); (2R,3S)—N-((3S)-7-methoxy-2-oxo-5-phenyl-2,3-dihydro-1H-1,4-benzodiazepin-3-yl)-2,3-bis(3,3,3-trifluoropropyl)succinamide (14); (2R,3S)—N-((3S)-8-cyano-9-methoxy-2-oxo-5-phenyl-2,3-dihydro-1H-1,4-benzodiazepin-3-yl)-2,3-bis(3,3,3-trifluoropropyl)succinamide (15); (2R,3S)—N-((3S)-8,9-dichloro-2-oxo-5-phenyl-2,3-dihydro-1H-1,4-benzodiazepin-3-yl)-2,3-bis(3,3,3-trifluoropropyl)succinamide (16); (2R,3S)—N-((3S)-9-fluoro-2-oxo-5-phenyl-2,3-dihydro-1H-1,4-benzodiazepin-3-yl)-2,3-bis(3,3,3-trifluoropropyl)succinamide (17); (2R,3S)—N-((3S)-9-chloro-2-oxo-5-phenyl-2,3-dihydro-1H-1,4-benzodiazepin-3-yl)-2,3-bis(3,3,3-trifluoropropyl)succinamide (18); (2R,3S)—N-((3S)-2-oxo-5-phenyl-2,3-dihydro-1H-1,4-benzodiazepin-3-yl)-3-(4,4,4-trifluorobutyl)-2-(3,3,3-trifluoropropyl)succinamide (19); (2R,3S)—N-((3S)-8-Methoxy-2-oxo-5-phenyl-2,3-dihydro-1H-1,4-benzodiazepin-3-yl)-3-(4,4,4-trifluorobutyl)-2-(3,3,3-trifluoropropyl)succinamide (20); and (2R,3S)—N-((3S)-9-((2-Methoxyethyl)amino)-2-oxo-5-phenyl-2,3-dihydro-1H-1,4-benzodiazepin-3-yl)-2,3-bis(3,3,3-trifluoropropyl)succinamide (21).
8. The compound according to claim 1 selected from:
Figure US08629136-20140114-C00078
9. The compound according to claim 1 wherein said compound is:
Figure US08629136-20140114-C00079
10. A compound having the structure:
Figure US08629136-20140114-C00080
11. The compound according to claim 10 wherein said compound is crystalline.
12. The compound according to claim 11 wherein said compound is in crystalline Form N-1 which is characterized by one of the following:
a) a simulated powder x-ray diffraction pattern substantially as shown in FIG. 1 and/or by an observed powder x-ray diffraction pattern substantially as shown in FIG. 1;
b) a powder x-ray diffraction pattern comprising four or more, preferably five or more, 2θ values (CuKα λ=1.5418 Å) selected from: 5.7±0.2, 7.5±0.2, 10.3±0.2, 10.7±0.2, 15.2±0.2, 16.8±0.2, 20.2±0.2, and 20.7±0.2, wherein the powder x-ray diffraction pattern of Form N-1 is measured at a temperature of about 20° C.;
c) unit cell parameters substantially equal to the following:
Cell dimensions:
a=9.41 Å
b=17.74 Å
c=31.94 Å
α=90.0°
β=98.4°
γ=90.0°
Space group: P21
Molecules of said compound/asymmetric unit: 4
wherein the unit cell parameters of Form N-1 are measured at a temperature of about −10° C.; and/or
d) fractional atomic coordinates at a temperature of about 25° C. substantially having values of:
Atom x y z N(7) 10824(5)  7415(3) 1732(1) N(3) 4985(5)  565(2) 1293(1) O(3) 7152(4)  45(2) 1509(1) N(8) 9981(6) 10557(3)  1329(2) O(7) 12033(5)  10000(2)  1229(1) O(6) 8697(5) 7992(2) 1768(1) F(4) 11039(5)  8541(3)  79(1) C(17) 5836(7)   8(3) 1469(1) N(11) 3979(5) 1500(3) 3735(1) N(2) 5338(6) 2530(3)  994(1) C(8) 7012(6) 1237(3)  77(2) N(15) 9277(5) 4606(3) 3230(1) C(39) 9990(7) 8020(3) 1739(2) O(2) 3365(5) 1827(2) 1076(1) N(6) 10513(6)  5383(3) 1910(2) C(41) 10028(6)  9204(3) 1300(2) C(18) 5094(6) −692(3) 1616(2) C(22) 5502(6) −1369(3)  1360(2) C(23) 4828(7) −2081(3)  1501(2) C(2) 6832(7) 2584(3)  978(2) C(14) 5639(7) 1198(3) 1113(2) C(36) 10130(7)  6682(3) 1698(2) C(15) 4647(7) 1875(3) 1071(2) O(14) 3524(5) −2130(3)  1484(2) O(9) 5867(5) 1970(2) 3461(1) C(64) 4608(7) 2008(3) 3517(2) C(49) 7025(7)  893(4) 5004(2) O(12) 7212(5) 3943(2) 3143(1) F(5) 8960(5) 8082(2)  93(1) C(33) 8030(8) 6274(4)  −21(2) N(5) 9704(5) 6528(3) 1249(1) C(42) 10783(8)  9965(4) 1287(2) O(5) 12472(5)  6155(3) 1945(1) C(37) 11163(8)  6062(4) 1872(2) F(7) 9290(6) 2987(3) 5202(1) C(65) 3707(6) 2688(3) 3341(2) N(4) 5716(6) −2636(3)  1628(2) C(7) 6778(6) 1429(3)  518(2) O(8) 2612(5)  231(2) 3943(1) O(11) 10584(6)  5864(3) 3001(1) C(89) 8963(6) 2807(3) 3658(2) C(70) 4269(7) 3355(4) 4041(2) N(13) 8438(5) 5493(3) 3689(1) C(20) 5588(7) −808(3) 2089(2) C(85) 9369(8) 5946(4) 3070(2) N(14) 8611(7) 6593(3) 3016(2) N(16) 8948(7) 1437(3) 3656(2) N(9) 5416(5) 1109(3) 4375(1) C(71) 4930(8) 4055(3) 4280(2) N(12) 4314(6) 4592(3) 3189(2) C(1) 7546(7) 2068(3)  746(2) O(13) 11084(5)  2050(3) 3796(2) C(73) 7471(7) 6206(4) 4209(2) C(6) 9033(7) 2147(4)  744(2) C(88) 9391(7) 3239(3) 3270(2) C(40) 10716(7)  8794(3) 1708(2) C(54) 7871(7)  381(4) 5261(2) C(67) 3574(8) 4095(4) 3382(2) F(6) 8838(6) 3995(2) 4842(1) C(79) 7137(9) 6649(4) 3054(2) C(24) 8991(7) 5283(3) 1841(2) C(31) 8282(6) 5837(3)  703(2) C(47) 9570(7) 9167(4)  501(2) C(63) 4839(6)  898(3) 3940(2) C(90) 9762(7) 2060(3) 3707(2) C(55) 6443(6)  715(3) 4559(2) C(68) 3723(8) 2732(4) 2864(2) C(59) 8345(10)  −1056(5)  3924(2) C(75) 7821(8) 5880(5) 4945(2) C(32) 8425(7) 6417(3)  405(2) O(10) 2312(5) 4203(3) 3420(2) C(48) 9694(8) 8740(4)  112(2) N(10) 4682(6) −430(3) 4071(1) C(60) 9196(10)  −525(5) 4132(3) C(72) 7560(6) 5996(3) 3766(2) C(11) 7228(8)  906(5) −774(2) C(95) 9510(8) 3334(4) 4845(2) C(86) 8534(6) 5301(3) 3249(2) C(16) 4463(10)  3237(4)  980(2) C(62) 3917(7)  205(4) 3981(2) C(46) 10181(7)  8747(4)  901(2) C(57) 6210(8) −445(3) 4106(2) C(30) 8759(6) 5995(3) 1157(2) C(66) 4345(6) 3404(3) 3568(2) C(87) 8540(6) 3940(3) 3212(2) C(93) 9371(7) 3266(3) 4063(2) C(58) 6870(9) −1041(4)  3907(2) F(2) 11777(9)  10008(4)  2879(2) C(74) 7871(7) 5699(4) 4528(2) C(25) 8132(7) 5566(3) 1483(2) C(4) 9061(10)  3259(5) 1173(2) C(26) 6645(7) 5450(3) 1443(2) C(12) 7727(9) 1590(5) −595(2) C(56) 7085(7)  83(4) 4344(2) C(34) 7488(7) 5600(4) −167(2) C(9) 6519(7)  574(4) −101(2) C(3) 7607(10)  3182(4) 1190(2) C(81) 5158(10)  6468(4) 3438(2) C(45) 11099(16)  9317(7) 2895(3) C(43) 10543(9)  9268(4) 2103(2) F(3) 9787(11)  9550(9) 2938(2) C(53) 8327(8)  558(5) 5683(2) C(29) 8344(10)  4873(4) 2138(2) C(5) 9774(10)  2734(5)  964(2) C(80) 6621(7) 6399(3) 3417(2) C(94) 9050(7) 2877(4) 4460(2) C(38) 11435(9)  4768(4) 2102(2) C(13) 7606(7) 1760(3) −179(2) C(61) 3913(9) −1147(4)  4095(2) C(52) 8010(10)  1214(6) 5841(2) C(10) 6633(9)  406(4) −526(2) C(35) 7696(8) 5160(4)  553(2) C(84) 9357(12)  7262(4) 2869(3) C(91) 9330(8) 2785(4) 2864(2) C(27) 6019(9) 5060(4) 1739(2) C(44) 11196(10)  8906(4) 2495(2) C(69) 3191(8) 2018(4) 2628(2) C(78) 7034(8) 6922(4) 4311(2) C(83) 6199(12)  7012(5) 2740(3) C(82) 4221(10)  6784(6) 3121(4) C(51) 7187(10)  1748(5) 5591(2) C(76) 7428(9) 6592(6) 5047(2) F(1) 11661(10)  8983(5) 3228(2) C(50) 6711(8) 1571(4) 5174(2) C(77) 7057(9) 7114(5) 4734(3) N(1) 5875(5)  999(2)  684(1) C(102) 5582(7) −1953(3)   630(2) C(101) 5084(7) −1277(3)   879(2) C(100) 5214(10)  −152(4) 2344(2) C(104) 7326(8) 5036(4)  115(2) C(28) 6897(11)  4774(4) 2086(3) F(40) 9173(5) 9112(2) −241(1) C(105) 8587(8)  41(4) 4352(2) C(124) 2922(10)  2104(6) 2165(3) F(42) 4029(8) 2397(5) 2012(2) F(43) 1850(8) 2595(5) 2046(2) F(41) 2570(8) 1475(4) 1965(2) C(122) 5045(7) 3962(4) 4744(2) F(44) 5920(5) 3370(2) 4887(1) F(45) 5616(5) 4563(2) 4959(1) F(46) 3833(5) 3823(2) 4879(1) C(108) 4748(13)  7054(5) 2773(3) F(47) 8547(9) 2143(4) 2026(2) F(48) 6731(8) 1653(4) 2180(2) F(49) 10919(5)  3510(3) 4901(1) C(123) 7913(9) 2494(5) 2683(2) C(121) 7997(12)  1902(6) 2341(3) C(120) 5377(8) −1834(4)   184(2) C(109) 5564(11)  −282(5) 2811(2) F(55) 3970(4) −1704(2)   15(1) F(54) 6048(5) −1235(2)   59(1) F(56) 5748(5) −2425(2)   −34(1) F(53) 4868(7) −845(3) 2948(1) F(51) 5179(13)   300(4) 3035(2) F(52) 6924(8) −420(6) 2920(2) F(60) 8732(11)  1307(3)  2477(2).
13. A pharmaceutical composition comprising a compound according to claim 1; and a pharmaceutically acceptable carrier.
14. The pharmaceutical composition according to claim 13 wherein said compound is:
Figure US08629136-20140114-C00081
15. A method for treating cancer comprising administering to a human in need thereof, a therapeutically effective dose of the compound according to claim 10, wherein said cancer is T-cell acute lymphoblastic leukemia, breast cancer, pancreatic cancer, ovarian cancer, non small cell lung cancer, colon cancer, osteosarcoma, or neuroblastoma.
16. The method for treating cancer according to claim 15, further comprising administering sequentially or concurrently one or more addition agents selected from dasatinib, paclitaxel, tamoxifen, dexamethasone, and carboplatin.
17. The method for treating cancer according to claim 15, further comprising administering sequentially or concurrently a glucocorticoid.
18. The pharmaceutical composition according to claim 14 wherein said pharmaceutically acceptable carrier is polyethoxylated castor oil.
19. The pharmaceutical composition according to claim 18 further comprising dehydrated alcohol.
US13/426,730 2011-03-22 2012-03-22 Bisfluoroalkyl-1,4-benzodiazepinone compounds Active US8629136B2 (en)

Priority Applications (5)

Application Number Priority Date Filing Date Title
US13/426,730 US8629136B2 (en) 2011-03-22 2012-03-22 Bisfluoroalkyl-1,4-benzodiazepinone compounds
US14/100,896 US8822454B2 (en) 2011-03-22 2013-12-09 Bisfluoroalkyl-1,4-benzodiazepinone compounds
US14/444,682 US20140357605A1 (en) 2012-03-22 2014-07-28 Bis(fluoroalkyl)-1,4-benzodiazepinone compounds
US14/742,158 US20150284342A1 (en) 2011-03-22 2015-06-17 Bis(fluoroalkyl)-1,4-benzodiazepinone compounds
US14/938,284 US20160060232A1 (en) 2011-03-22 2015-11-11 Bis(fluoroalkyl)-1,4-benzodiazepinone compounds

Applications Claiming Priority (2)

Application Number Priority Date Filing Date Title
US201161466238P 2011-03-22 2011-03-22
US13/426,730 US8629136B2 (en) 2011-03-22 2012-03-22 Bisfluoroalkyl-1,4-benzodiazepinone compounds

Related Child Applications (1)

Application Number Title Priority Date Filing Date
US14/100,896 Continuation US8822454B2 (en) 2011-03-22 2013-12-09 Bisfluoroalkyl-1,4-benzodiazepinone compounds

Publications (2)

Publication Number Publication Date
US20120245151A1 US20120245151A1 (en) 2012-09-27
US8629136B2 true US8629136B2 (en) 2014-01-14

Family

ID=45894701

Family Applications (2)

Application Number Title Priority Date Filing Date
US13/426,730 Active US8629136B2 (en) 2011-03-22 2012-03-22 Bisfluoroalkyl-1,4-benzodiazepinone compounds
US14/100,896 Active US8822454B2 (en) 2011-03-22 2013-12-09 Bisfluoroalkyl-1,4-benzodiazepinone compounds

Family Applications After (1)

Application Number Title Priority Date Filing Date
US14/100,896 Active US8822454B2 (en) 2011-03-22 2013-12-09 Bisfluoroalkyl-1,4-benzodiazepinone compounds

Country Status (32)

Country Link
US (2) US8629136B2 (en)
EP (1) EP2688873B1 (en)
JP (1) JP5873923B2 (en)
KR (1) KR101948347B1 (en)
CN (1) CN103717576B (en)
AR (2) AR085471A1 (en)
AU (1) AU2012230904B2 (en)
BR (1) BR112013024059B1 (en)
CA (1) CA2830902C (en)
CL (1) CL2013002690A1 (en)
CO (1) CO6771446A2 (en)
CY (1) CY1116423T1 (en)
DK (1) DK2688873T3 (en)
EA (1) EA022530B1 (en)
ES (1) ES2534080T3 (en)
HR (1) HRP20150273T1 (en)
IL (1) IL228534A (en)
MA (1) MA35036B1 (en)
MX (1) MX2013010420A (en)
MY (1) MY161233A (en)
PE (1) PE20140626A1 (en)
PH (1) PH12013501738B1 (en)
PL (1) PL2688873T3 (en)
PT (1) PT2688873E (en)
RS (1) RS53843B1 (en)
SG (1) SG193555A1 (en)
SI (1) SI2688873T1 (en)
SM (1) SMT201500091B (en)
TN (1) TN2013000372A1 (en)
TW (1) TWI530489B (en)
UY (1) UY33961A (en)
WO (1) WO2012129353A1 (en)

Cited By (21)

* Cited by examiner, † Cited by third party
Publication number Priority date Publication date Assignee Title
US9133126B2 (en) 2012-09-21 2015-09-15 Bristol-Myers Squibb Company Fluoroalkyl dibenzoazepinone compounds
US9133139B2 (en) 2012-09-21 2015-09-15 Bristol-Myers Squibb Company Fluoroalkyl-1,4-benzodiazepinone compounds
US9187434B2 (en) 2012-09-21 2015-11-17 Bristol-Myers Squibb Company Substituted 1,5-benzodiazepinones compounds
US9242940B2 (en) 2012-09-21 2016-01-26 Bristol-Myers Squibb Company N-substituted bis(fluoroalkyl)-1,4-benzodiazepinone compounds
US9242941B2 (en) 2012-09-21 2016-01-26 Bristol-Myers Squibb Company Alkyl, fluoroalkyl-1,4-benzodiazepinone compounds
US9249157B2 (en) 2012-09-21 2016-02-02 Bristol-Myers Squibb Company Tricyclic heterocycle compounds
US9273075B2 (en) 2012-09-21 2016-03-01 Bristol-Myers Squibb Company Prodrugs of 1,4-benzodiazepinone compounds
US9427442B2 (en) 2012-09-21 2016-08-30 Bristol-Myers Squibb Company Fluoroalkyl and fluorocycloalkyl 1,4-benzodiazepinone compounds
US9492469B2 (en) 2013-04-04 2016-11-15 Bristol-Myers Squibb Company Combination therapy for the treatment of proliferative diseases
WO2018201051A1 (en) 2017-04-28 2018-11-01 Novartis Ag Bcma-targeting agent, and combination therapy with a gamma secretase inhibitor
WO2018201056A1 (en) 2017-04-28 2018-11-01 Novartis Ag Cells expressing a bcma-targeting chimeric antigen receptor, and combination therapy with a gamma secretase inhibitor
WO2019217250A1 (en) 2018-05-06 2019-11-14 Ayala Pharmaceuticals Inc. Combination compositions comprising bisfluoroalkyl-1,4- benzodiazepinone compounds and methods of use thereof
WO2019215585A1 (en) 2018-05-06 2019-11-14 Ayala Pharmaceuticals Inc. Compositions comprising cd20 inhibitors and bisfluoroalkyl-1,4-benzodiazepinone compounds and methods of use thereof
WO2019222231A1 (en) 2018-05-15 2019-11-21 Ayala Pharmaceuticals Inc. Compositions comprising bisfluoroalkyl-l,4-benzodiazepinone compounds for treating adenoid cystic carcinoma
WO2019226329A1 (en) 2018-05-24 2019-11-28 Ayala Pharmaceuticals Inc. Compositions comprising bisfluoroalkyl-1,4-benzodiazepinone compounds and immunotherapeutics and methods of use thereof
WO2019229701A2 (en) 2018-06-01 2019-12-05 Novartis Ag Binding molecules against bcma and uses thereof
WO2020261093A1 (en) 2019-06-24 2020-12-30 Novartis Ag Dosing regimen and combination therapies for multispecific antibodies targeting b-cell maturation antigen
WO2022051442A1 (en) 2020-09-03 2022-03-10 Bristol-Myers Squibb Company Polymorphs of bis(fluoroalkyl)-1,4-benzodiazepinone compounds and uses thereof
WO2024145306A1 (en) * 2022-12-28 2024-07-04 Ayala Pharmaceuticals Inc. Intermediate salt for the preparation of bis(fluoroalkyl) benzodiazepinone compounds
US12193994B2 (en) 2017-11-06 2025-01-14 Juno Therapeutics, Inc. Combination of a cell therapy and a gamma secretase inhibitor
US12428486B2 (en) 2017-11-01 2025-09-30 Juno Therapeutics, Inc. Chimeric antigen receptors specific for B-cell maturation antigen and encoding polynucleotides

Families Citing this family (41)

* Cited by examiner, † Cited by third party
Publication number Priority date Publication date Assignee Title
EP3485908B1 (en) 2009-10-16 2021-08-18 Mereo BioPharma 5, Inc. Therapeutic combination and use of dll4 antagonist antibodies and anti-hypertensive agents
MY188192A (en) 2011-09-23 2021-11-24 Oncomed Pharm Inc Vegf/dll4 binding agents and uses thereof
TWI614238B (en) * 2012-09-21 2018-02-11 必治妥美雅史谷比公司 Bis(fluoroalkyl)-1,4-benzodiazepine compounds and prodrugs thereof
WO2014071018A1 (en) 2012-10-31 2014-05-08 Oncomed Pharmaceuticals, Inc. Methods and monitoring of treatment with a dll4 antagonist
AU2014293011A1 (en) 2013-07-26 2016-03-17 Race Oncology Ltd. Compositions to improve the therapeutic benefit of bisantrene
CN103435562B (en) * 2013-08-26 2016-02-24 华东理工大学 6-replaces Benzodiazepine-2,4-cyclohexadione compounds and uses thereof
CN104352488B (en) * 2014-10-31 2016-08-31 厦门大学 The application in preparation treatment pain medication of the one class substituted heterocycle derivant
CN107074788B (en) * 2014-10-31 2019-09-20 厦门大学 Substituted heterocyclic derivatives, their preparation methods and uses
CN104356082B (en) * 2014-10-31 2016-07-13 厦门大学 A class of substituted heterocyclic derivatives and its preparation method
MX382902B (en) 2014-10-31 2025-03-13 Oncomed Pharm Inc NOTH PATHWAY INHIBITOR IN COMBINATION WITH AN IMMUNOTHERAPEUTIC AGENT FOR USE IN THE TREATMENT OF CANCER.
CN104892532B (en) * 2015-05-20 2017-09-08 成都理工大学 Chirality 3 replaces the synthesis technique of the ketone of 1,3,4,5 tetrahydrochysene, 1,4 benzene phenodiazine * 2
CN108200760B (en) 2015-07-22 2022-04-01 英安塔制药有限公司 Benzodiazepine derivatives as RSV inhibitors
ES2968074T3 (en) 2015-09-23 2024-05-07 Mereo Biopharma 5 Inc Bi-specific anti-VEGF/DLL4 antibody for use in the treatment of platinum-resistant ovarian cancer
EP3402799B1 (en) 2016-01-15 2022-05-04 Enanta Pharmaceuticals, Inc. Heterocyclic compounds as rsv inhibitors
CN109195593A (en) 2016-03-15 2019-01-11 奥莱松基因组股份有限公司 For treating the combination of the LSD1 inhibitor of solid tumor
ES2923521T3 (en) 2017-02-16 2022-09-28 Enanta Pharm Inc Processes for the preparation of benzodiazepine derivatives
WO2018226801A1 (en) 2017-06-07 2018-12-13 Enanta Pharmaceuticals, Inc. Aryldiazepine derivatives as rsv inhibitors
WO2019006291A1 (en) 2017-06-30 2019-01-03 Enanta Pharmaceuticals, Inc. Heterocyclic compounds as rsv inhibitors
US11091501B2 (en) 2017-06-30 2021-08-17 Enanta Pharmaceuticals, Inc. Heterocyclic compounds as RSV inhibitors
ES2817910T3 (en) * 2017-08-04 2021-04-08 Alzheimur 2012 S L Use of an antipresenilin antibody for the prevention and / or treatment of cancer
JP7198811B2 (en) 2017-09-29 2023-01-04 エナンタ ファーマシューティカルズ インコーポレイテッド COMBINATION MEDICINES AS RSV INHIBITORS
CA3080138A1 (en) 2017-11-13 2019-05-16 Enanta Pharmaceuticals, Inc. Processes for the resolution of benzodiazepin-2-one and benzoazepin-2-one derivatives
WO2019094920A1 (en) 2017-11-13 2019-05-16 Enanta Pharmaceuticals, Inc. Azepin-2-one derivatives as rsv inhibitors
WO2019199908A1 (en) 2018-04-11 2019-10-17 Enanta Pharmaceuticals, Inc. Heterocyclic compounds as rsv inhibitors
SG11202011227VA (en) * 2018-05-15 2020-12-30 Bristol Myers Squibb Co Compositions comprising bisfluoroalkyl-1,4-benzodiazepinone compounds and methods of use thereof
CN113710276B (en) 2019-03-18 2024-03-29 英安塔制药有限公司 Benzodiazepine derivatives as RSV inhibitors
US11179400B2 (en) 2019-04-09 2021-11-23 Enanta Pharmaceuticals, Inc. Heterocyclic compounds as RSV inhibitors
JP2022533100A (en) * 2019-05-15 2022-07-21 アヤラ ファーマシューティカルズ インコーポレイテッド Bisfluoroalkyl-1,4-benzodiazepine compounds for the treatment of NOTCH-activated breast cancer
US11505558B1 (en) 2019-10-04 2022-11-22 Enanta Pharmaceuticals, Inc. Antiviral heterocyclic compounds
TWI864048B (en) 2019-10-04 2024-12-01 美商安塔製藥公司 Antiviral heterocyclic compounds, pharmaceutical compositions containing the same and uses thereof
UY39032A (en) 2020-01-24 2021-07-30 Enanta Pharm Inc HETEROCYCLIC COMPOUNDS AS ANTIVIRAL AGENTS
WO2022010882A1 (en) 2020-07-07 2022-01-13 Enanta Pharmaceuticals, Inc, Dihydroquinoxaline and dihydropyridopyrazine derivatives as rsv inhibitors
US11945824B2 (en) 2020-10-19 2024-04-02 Enanta Pharmaceuticals, Inc. Heterocyclic compounds as anti-viral agents
EP4008324A1 (en) 2020-12-07 2022-06-08 Cellestia Biotech AG Combinations comprising an inhibitor of an anti-apoptotic protein, such as bcl-2, bcl-xl, bclw or mcl-1, and a notch signaling pathway inhibitor for treating cancer
WO2022122667A1 (en) 2020-12-07 2022-06-16 Cellestia Biotech Ag Pharmaceutical combinations for treating cancer
UY39642A (en) 2021-02-26 2022-09-30 Enanta Pharm Inc ANTIVIRAL HETEROCYCLIC COMPOUNDS
CN117794536A (en) 2021-06-02 2024-03-29 塞莱斯蒂亚生物技术股份公司 Compounds used in methods of treating autoimmune and inflammatory diseases
EP4429661A1 (en) 2021-11-08 2024-09-18 Cellestia Biotech AG Pharmaceutical combinations for treating cancer
EP4223292A1 (en) 2022-02-07 2023-08-09 Cellestia Biotech AG Pharmaceutical combinations for treating cancer
AR129003A1 (en) 2022-04-07 2024-07-03 Enanta Pharm Inc HETEROCYCLIC ANTIVIRAL COMPOUNDS
US12162857B2 (en) 2022-04-27 2024-12-10 Enanta Pharmaceuticals, Inc. Antiviral compounds

Citations (37)

* Cited by examiner, † Cited by third party
Publication number Priority date Publication date Assignee Title
US5324726A (en) 1989-12-18 1994-06-28 Merck & Co., Inc. Benzodiazepine analogs
WO1997036879A1 (en) 1996-04-03 1997-10-09 Merck & Co., Inc. Inhibitors of farnesyl-protein transferase
US5852010A (en) 1996-04-03 1998-12-22 Merck & Co., Inc. Inhibitors of farnesyl-protein transferase
WO2001074796A1 (en) 2000-03-31 2001-10-11 Bristol-Myers Squibb Pharma Company SUCCINOYLAMINO HETEROCYCLES AS INHIBITORS OF Aβ PROTEIN PRODUCTION
WO2001090084A1 (en) 2000-05-24 2001-11-29 Merck Sharp & Dohme Limited Benzodiazepine derivatives as app modulators
US6331408B1 (en) 1998-11-12 2001-12-18 Robert Zaczek Use of small molecule radioligands to discover inhibitors of amyloid-beta peptide production
US6495540B2 (en) 2000-03-28 2002-12-17 Bristol - Myers Squibb Pharma Company Lactams as inhibitors of A-β protein production
US6503901B1 (en) 1999-10-08 2003-01-07 Bristol Myers Squibb Pharma Company Amino lactam sulfonamides as inhibitors of Aβ protein production
US6503902B2 (en) 1999-09-13 2003-01-07 Bristol-Myers Squibb Pharma Company Hydroxyalkanoylaminolactams and related structures as inhibitors of a β protein production
US6509333B2 (en) 2000-06-01 2003-01-21 Bristol-Myers Squibb Pharma Company Lactams substituted by cyclic succinates as inhibitors of Aβ protein production
US6525044B2 (en) 2000-02-17 2003-02-25 Bristol-Myers Squibb Company Succinoylamino carbocycles and heterocycles as inhibitors of a-β protein production
US6544978B2 (en) 1996-12-23 2003-04-08 Athena Neurosciences, Inc. Cycloalkyl, lactam, lactone and related compounds, pharmaceutical compositions comprising same, and methods for inhibiting β-amyloid peptide release and/or its synthesis by use of such compounds
US6632812B2 (en) 2000-04-11 2003-10-14 Dupont Pharmaceuticals Company Substituted lactams as inhibitors of Aβ protein production
US6713476B2 (en) 2000-04-03 2004-03-30 Dupont Pharmaceuticals Company Substituted cycloalkyls as inhibitors of a beta protein production
US6737038B1 (en) 1998-11-12 2004-05-18 Bristol-Myers Squibb Company Use of small molecule radioligands to discover inhibitors of amyloid-beta peptide production and for diagnostic imaging
US6756511B2 (en) 2000-01-24 2004-06-29 Merck Sharp & Dohme Limited Gamma-secretase inhibitors
US6759404B2 (en) 2000-04-03 2004-07-06 Richard E. Olson Cyclic malonamides as inhibitors of aβ protein production
US6794381B1 (en) 1998-08-07 2004-09-21 Bristol-Myers Squibb Company Succinoylamino lactams as inhibitors of aβ protein
US6878363B2 (en) 2000-05-17 2005-04-12 Bristol-Myers Squibb Pharma Company Use of small molecule radioligands to discover inhibitors of amyloid-beta peptide production and for diagnostic imaging
US6960576B2 (en) 1999-09-13 2005-11-01 Bristol-Myers Squibb Pharma Company Hydroxyalkanoylaminolactams and related structures as inhibitors of Aβ protein production
US6984626B2 (en) 2000-04-07 2006-01-10 Merck, Sharp & Dohme Ltd. Gamma-secretase inhibitors
US7001901B2 (en) 2002-08-27 2006-02-21 Bristol-Myers Squibb Company Tetrazolylpropionamides as inhibitors of Aβ protein production
US7053084B1 (en) 1998-12-24 2006-05-30 Bristol-Myers Squibb Company Succinoylamino benzodiazepines as inhibitors of Aβ protein production
US7125866B1 (en) 1999-04-30 2006-10-24 Regents Of The University Of Michigan Therapeutic applications of pro-apoptotic benzodiazepines
US7160875B2 (en) 2003-09-09 2007-01-09 Hoffmann-La Rache Inc. Malonamide derivatives
WO2007067048A1 (en) 2005-12-09 2007-06-14 Hubrecht Laboratorium Treatment of barrett's esophagus
US20070185094A1 (en) 2003-05-30 2007-08-09 Aston University Novel 3-substitued-1,4-benzodiazepines
US7304055B2 (en) 1998-08-07 2007-12-04 Bristol-Myers Squibb Pharma Company Succinoylamino lactams as inhibitors of Aβ protein production
US20080058316A1 (en) 2006-02-27 2008-03-06 The Johns Hopkins University Cancer treatment with gama-secretase inhibitors
US7375099B2 (en) 2003-02-04 2008-05-20 Hoffmann-La Roche Inc. Malonamide derivatives
US7414049B2 (en) 2006-09-20 2008-08-19 Hoffmann-La Roche Inc. 4-oxo-2,3,4,5-tetrahydro-benzo[b][1,4]diazepine derivatives
US7425551B2 (en) 2006-03-27 2008-09-16 Hoffmann-La Roche Inc. Malonamide derivatives
WO2009023453A1 (en) 2007-08-14 2009-02-19 Eli Lilly And Company Azepine derivatives as gamma-secretase inhibitors
US20090181944A1 (en) 2008-01-11 2009-07-16 John Frederick Boylan Method for cancer therapy
US7582624B2 (en) 2002-09-20 2009-09-01 Arrow Therapeutics Limited Benzodiazepine derivatives and pharmaceutical compositions containing them
US20110178046A1 (en) 2009-11-12 2011-07-21 University Of Massachusetts Methods for Treating Glioblastoma
US20120225860A1 (en) 2011-03-02 2012-09-06 John Frederick Boylan Method for administration of a gamma secretase inhibitor

Family Cites Families (1)

* Cited by examiner, † Cited by third party
Publication number Priority date Publication date Assignee Title
CZ20022332A3 (en) * 2000-01-07 2003-01-15 Transform Pharmaceuticals, Inc. Sample assembly

Patent Citations (62)

* Cited by examiner, † Cited by third party
Publication number Priority date Publication date Assignee Title
US5324726A (en) 1989-12-18 1994-06-28 Merck & Co., Inc. Benzodiazepine analogs
WO1997036879A1 (en) 1996-04-03 1997-10-09 Merck & Co., Inc. Inhibitors of farnesyl-protein transferase
US5852010A (en) 1996-04-03 1998-12-22 Merck & Co., Inc. Inhibitors of farnesyl-protein transferase
US5998407A (en) 1996-04-03 1999-12-07 Merck & Co., Inc. Inhibitors of farnesyl-protein transferase
US6544978B2 (en) 1996-12-23 2003-04-08 Athena Neurosciences, Inc. Cycloalkyl, lactam, lactone and related compounds, pharmaceutical compositions comprising same, and methods for inhibiting β-amyloid peptide release and/or its synthesis by use of such compounds
US6653303B1 (en) 1996-12-23 2003-11-25 Athena Neurosciences, Inc. Cycloalkyl, lactam, lactone and related compounds, pharmaceutical compositions comprising same, and methods for inhibiting β-amyloid peptide release and/or its synthesis by use of such compounds
US7304055B2 (en) 1998-08-07 2007-12-04 Bristol-Myers Squibb Pharma Company Succinoylamino lactams as inhibitors of Aβ protein production
US7304056B2 (en) 1998-08-07 2007-12-04 Bristol-Myers Squibb Pharma Company Succinoylamino lactams as inhibitors of Aβ protein production
US6794381B1 (en) 1998-08-07 2004-09-21 Bristol-Myers Squibb Company Succinoylamino lactams as inhibitors of aβ protein
US7101870B2 (en) 1998-08-07 2006-09-05 Bristol-Myers Squibb Pharma Company Succinoylamino lactams as inhibitors of A-β protein production
US6962913B2 (en) 1998-08-07 2005-11-08 Bristol-Myers Squibb Company Benzo-1,4-diazepin-2-ones as inhibitors of Aβ protein production
US7153491B2 (en) 1998-11-12 2006-12-26 Bristol-Myers Squibb Pharma Company Use of small molecule radioligands to discover inhibitors of amyloid-beta peptide production and for diagnostic imaging
US6331408B1 (en) 1998-11-12 2001-12-18 Robert Zaczek Use of small molecule radioligands to discover inhibitors of amyloid-beta peptide production
US6737038B1 (en) 1998-11-12 2004-05-18 Bristol-Myers Squibb Company Use of small molecule radioligands to discover inhibitors of amyloid-beta peptide production and for diagnostic imaging
US7304049B2 (en) 1998-12-24 2007-12-04 Bristol-Myers Squibb Pharma Company Succinoylaminobenzodiazepines as inhibitors of Aβ protein production
US7456172B2 (en) 1998-12-24 2008-11-25 Bristol-Myers Squibb Pharma Company Succinoylamino benzodiazepines as inhibitors of Aβ protein production
US7718795B2 (en) 1998-12-24 2010-05-18 Bristol-Myers Squibb Pharma Company Succinoylamino benzodiazepines as inhibitors of aβ protein production
US7053084B1 (en) 1998-12-24 2006-05-30 Bristol-Myers Squibb Company Succinoylamino benzodiazepines as inhibitors of Aβ protein production
US7125866B1 (en) 1999-04-30 2006-10-24 Regents Of The University Of Michigan Therapeutic applications of pro-apoptotic benzodiazepines
US7112583B2 (en) 1999-09-13 2006-09-26 Bristol-Myers Squibb Pharma Company Hydroxyalkanoylaminolactams and related structures as inhibitors of Aβ protein production
US7342008B2 (en) 1999-09-13 2008-03-11 Bristol-Myers Squibb Pharma Company Hydroxyalkanoylaminolactams and related structures as inhibitors of Aβ protein production
US6503902B2 (en) 1999-09-13 2003-01-07 Bristol-Myers Squibb Pharma Company Hydroxyalkanoylaminolactams and related structures as inhibitors of a β protein production
US7423033B2 (en) 1999-09-13 2008-09-09 Bristol-Myers Squibb Pharma Company Hydroxyalkanoylaminolactams and related structures as inhibitors of aβ protein production
US6960576B2 (en) 1999-09-13 2005-11-01 Bristol-Myers Squibb Pharma Company Hydroxyalkanoylaminolactams and related structures as inhibitors of Aβ protein production
US6503901B1 (en) 1999-10-08 2003-01-07 Bristol Myers Squibb Pharma Company Amino lactam sulfonamides as inhibitors of Aβ protein production
US6756511B2 (en) 2000-01-24 2004-06-29 Merck Sharp & Dohme Limited Gamma-secretase inhibitors
US6525044B2 (en) 2000-02-17 2003-02-25 Bristol-Myers Squibb Company Succinoylamino carbocycles and heterocycles as inhibitors of a-β protein production
US6495540B2 (en) 2000-03-28 2002-12-17 Bristol - Myers Squibb Pharma Company Lactams as inhibitors of A-β protein production
WO2001074796A1 (en) 2000-03-31 2001-10-11 Bristol-Myers Squibb Pharma Company SUCCINOYLAMINO HETEROCYCLES AS INHIBITORS OF Aβ PROTEIN PRODUCTION
US6759404B2 (en) 2000-04-03 2004-07-06 Richard E. Olson Cyclic malonamides as inhibitors of aβ protein production
US7053081B2 (en) 2000-04-03 2006-05-30 Bristol-Myers Squibb Pharma Company Cyclic malonamides as inhibitors of A-β protein production
US6713476B2 (en) 2000-04-03 2004-03-30 Dupont Pharmaceuticals Company Substituted cycloalkyls as inhibitors of a beta protein production
US7276496B2 (en) 2000-04-03 2007-10-02 Bristol-Myers Squibb Pharma Company Cyclic malonamides as inhibitors of Aβ protein protection
US7528249B2 (en) 2000-04-03 2009-05-05 Bristol-Myers Squibb Pharma Company Cyclic malonamides as inhibitors of aβ protein production
US7390896B2 (en) 2000-04-03 2008-06-24 Bristol-Myers Squibb Pharma Corporation Cyclic malonamides as inhibitors of Aβ protein production
US6984626B2 (en) 2000-04-07 2006-01-10 Merck, Sharp & Dohme Ltd. Gamma-secretase inhibitors
US7498324B2 (en) 2000-04-11 2009-03-03 Bristol-Myers Squibb Pharma Company Substituted lactams as inhibitors of Aβ protein production
US7276495B2 (en) 2000-04-11 2007-10-02 Bristol-Myers Squibb Pharma Company Substituted lactams as inhibitors of Aβ protein production
US6632812B2 (en) 2000-04-11 2003-10-14 Dupont Pharmaceuticals Company Substituted lactams as inhibitors of Aβ protein production
US7655647B2 (en) 2000-04-11 2010-02-02 Bristol-Myers Squibb Pharma Company Substituted lactams as inhibitors of Aβ protein production
US6900199B2 (en) 2000-04-11 2005-05-31 Bristol-Myers Squibb Pharma Company Substituted lactams as inhibitors of Aβ protein production
US7390802B2 (en) 2000-04-11 2008-06-24 Bristol-Myers Squibb Pharma Corporation Substituted lactams as inhibitors of Aβ protein production
US6878363B2 (en) 2000-05-17 2005-04-12 Bristol-Myers Squibb Pharma Company Use of small molecule radioligands to discover inhibitors of amyloid-beta peptide production and for diagnostic imaging
US7105509B2 (en) 2000-05-24 2006-09-12 Merck Sharp & Dohme Limited Benzodiazepine derivatives as APP modulators
WO2001090084A1 (en) 2000-05-24 2001-11-29 Merck Sharp & Dohme Limited Benzodiazepine derivatives as app modulators
US7354914B2 (en) 2000-06-01 2008-04-08 Bristol-Myers Squibb Pharma Company Lactams substituted by cyclic succinates as inhibitors of Aβ protein production
US6509333B2 (en) 2000-06-01 2003-01-21 Bristol-Myers Squibb Pharma Company Lactams substituted by cyclic succinates as inhibitors of Aβ protein production
US6958329B2 (en) 2000-06-01 2005-10-25 Bristol-Myers Squibb Pharma Company Lactams substituted by cyclic succinates as inhibitors of A-β protein production
US7456278B2 (en) 2000-06-01 2008-11-25 Bristol-Myers Squibb Pharma Corporation Lactams substituted by cyclic succinates as inhibitors of Aβ protein production
US7001901B2 (en) 2002-08-27 2006-02-21 Bristol-Myers Squibb Company Tetrazolylpropionamides as inhibitors of Aβ protein production
US7582624B2 (en) 2002-09-20 2009-09-01 Arrow Therapeutics Limited Benzodiazepine derivatives and pharmaceutical compositions containing them
US7375099B2 (en) 2003-02-04 2008-05-20 Hoffmann-La Roche Inc. Malonamide derivatives
US20070185094A1 (en) 2003-05-30 2007-08-09 Aston University Novel 3-substitued-1,4-benzodiazepines
US7160875B2 (en) 2003-09-09 2007-01-09 Hoffmann-La Rache Inc. Malonamide derivatives
WO2007067048A1 (en) 2005-12-09 2007-06-14 Hubrecht Laboratorium Treatment of barrett's esophagus
US20080058316A1 (en) 2006-02-27 2008-03-06 The Johns Hopkins University Cancer treatment with gama-secretase inhibitors
US7425551B2 (en) 2006-03-27 2008-09-16 Hoffmann-La Roche Inc. Malonamide derivatives
US7414049B2 (en) 2006-09-20 2008-08-19 Hoffmann-La Roche Inc. 4-oxo-2,3,4,5-tetrahydro-benzo[b][1,4]diazepine derivatives
WO2009023453A1 (en) 2007-08-14 2009-02-19 Eli Lilly And Company Azepine derivatives as gamma-secretase inhibitors
US20090181944A1 (en) 2008-01-11 2009-07-16 John Frederick Boylan Method for cancer therapy
US20110178046A1 (en) 2009-11-12 2011-07-21 University Of Massachusetts Methods for Treating Glioblastoma
US20120225860A1 (en) 2011-03-02 2012-09-06 John Frederick Boylan Method for administration of a gamma secretase inhibitor

Non-Patent Citations (11)

* Cited by examiner, † Cited by third party
Title
Beher, D., et al., "Pharmacological Knock-down of the Presenilin 1 Heterodimer by a Novel gamma-Secretase Inhibitor," The Journal of Biological Chemistry, vol. 276, No. 48, pp. 45394-45402 (2001).
Groth, C., et al., "Therapeutic approaches to modulating Notch signaling: Current challenges and future prospects," Seminars in Cell & Developmental Biology, (2012), doi:10.1016/j.semcdb2012.01.016; available online Mar. 7, 2012.
Iben, L.G., et al., "Signal Peptide Peptidase and gamma-Secretase Share Equivalent Inhibitor Binding Pharmacology," The Journal of Biological Chemistry, vol. 282, No. 51, pp. 36829-36836 (2007).
International Search Report mailed May 11, 2012.
Jun, H.T., et al., "Top Notch Targets: Notch Signaling in Cancer," Drug Development Research, 69, pp. 319-328 (2008).
Meredith, J.E., et al., gamma-Secretase activity is not involved in presenilin-mediated regulation of beta-catenin, Biochemical and Biophysical Research Communications 299 pp. 744-750 (2002).
Meredith, Jere, "Characterization of APP Activity and Notch Toxicity with gamma-Secretase Inhibitors," 8th International AD/PD Meeting, Salzberg, Austria, Mar. 17, 2007.
Olson, Richard, "Optimizing gamma-secretase Inhibitors for safety and efficacy," 8th International AD/PD Meeting, Mar. 14-18, 2007, Salzberg, Austria.
Prasad, C.V.C., et al., "Discovery of (S)-2-((S)-2-(3,5-difluorophenyl)-2-hydroxyacetamido)-N-((S,Z)-3-methyl-4-oxo-4,5-dihydro-3H-benzo[d][1,2]diazepin-5-yl)propanamide (BMS-433796): A gamma-secretase inhibitor with A beta lowering activity in a transgenic mouse model of Alzheimer's disease," Bioorganic & Medicinal Chemistry Letters 17 pp. 4006-4011 (2007).
Seiffert, D., et al., "Presenilin-1 and -2 Are Molecular Targets for gamma-Secretase Inhibitors," The Journal of Biological Chemistry, vol. 275, No. 44, pp. 34086-34091 (2000).
Shih, L., et al., Notch Signaling, gamma-Secretase Inhibitors, and Cancer Therapy, Cancer Res. 67, pp. 1879-1882 (2007).

Cited By (24)

* Cited by examiner, † Cited by third party
Publication number Priority date Publication date Assignee Title
US9273075B2 (en) 2012-09-21 2016-03-01 Bristol-Myers Squibb Company Prodrugs of 1,4-benzodiazepinone compounds
US9133139B2 (en) 2012-09-21 2015-09-15 Bristol-Myers Squibb Company Fluoroalkyl-1,4-benzodiazepinone compounds
US9187434B2 (en) 2012-09-21 2015-11-17 Bristol-Myers Squibb Company Substituted 1,5-benzodiazepinones compounds
US9242940B2 (en) 2012-09-21 2016-01-26 Bristol-Myers Squibb Company N-substituted bis(fluoroalkyl)-1,4-benzodiazepinone compounds
US9242941B2 (en) 2012-09-21 2016-01-26 Bristol-Myers Squibb Company Alkyl, fluoroalkyl-1,4-benzodiazepinone compounds
US9249157B2 (en) 2012-09-21 2016-02-02 Bristol-Myers Squibb Company Tricyclic heterocycle compounds
US9427442B2 (en) 2012-09-21 2016-08-30 Bristol-Myers Squibb Company Fluoroalkyl and fluorocycloalkyl 1,4-benzodiazepinone compounds
US9133126B2 (en) 2012-09-21 2015-09-15 Bristol-Myers Squibb Company Fluoroalkyl dibenzoazepinone compounds
US9492469B2 (en) 2013-04-04 2016-11-15 Bristol-Myers Squibb Company Combination therapy for the treatment of proliferative diseases
WO2018201051A1 (en) 2017-04-28 2018-11-01 Novartis Ag Bcma-targeting agent, and combination therapy with a gamma secretase inhibitor
WO2018201056A1 (en) 2017-04-28 2018-11-01 Novartis Ag Cells expressing a bcma-targeting chimeric antigen receptor, and combination therapy with a gamma secretase inhibitor
US12428486B2 (en) 2017-11-01 2025-09-30 Juno Therapeutics, Inc. Chimeric antigen receptors specific for B-cell maturation antigen and encoding polynucleotides
US12193994B2 (en) 2017-11-06 2025-01-14 Juno Therapeutics, Inc. Combination of a cell therapy and a gamma secretase inhibitor
WO2019215585A1 (en) 2018-05-06 2019-11-14 Ayala Pharmaceuticals Inc. Compositions comprising cd20 inhibitors and bisfluoroalkyl-1,4-benzodiazepinone compounds and methods of use thereof
US20210040050A1 (en) * 2018-05-06 2021-02-11 Ayala Pharmaceuticals Inc. Combination compositions comprising bisfluoroalkyl-1,4- benzodiazepinone compounds and methods of use thereof
US12281085B2 (en) * 2018-05-06 2025-04-22 Immunome, Inc. Bisfluoroalkyl-1,4-benzodiazepinone compounds and methods of use thereof
WO2019217250A1 (en) 2018-05-06 2019-11-14 Ayala Pharmaceuticals Inc. Combination compositions comprising bisfluoroalkyl-1,4- benzodiazepinone compounds and methods of use thereof
WO2019222231A1 (en) 2018-05-15 2019-11-21 Ayala Pharmaceuticals Inc. Compositions comprising bisfluoroalkyl-l,4-benzodiazepinone compounds for treating adenoid cystic carcinoma
US12233072B2 (en) 2018-05-15 2025-02-25 Immunome, Inc. Compositions comprising bisfluoroalkyl-1,4-benzodiazepinone compounds for treating Adenoid Cystic Carcinoma
WO2019226329A1 (en) 2018-05-24 2019-11-28 Ayala Pharmaceuticals Inc. Compositions comprising bisfluoroalkyl-1,4-benzodiazepinone compounds and immunotherapeutics and methods of use thereof
WO2019229701A2 (en) 2018-06-01 2019-12-05 Novartis Ag Binding molecules against bcma and uses thereof
WO2020261093A1 (en) 2019-06-24 2020-12-30 Novartis Ag Dosing regimen and combination therapies for multispecific antibodies targeting b-cell maturation antigen
WO2022051442A1 (en) 2020-09-03 2022-03-10 Bristol-Myers Squibb Company Polymorphs of bis(fluoroalkyl)-1,4-benzodiazepinone compounds and uses thereof
WO2024145306A1 (en) * 2022-12-28 2024-07-04 Ayala Pharmaceuticals Inc. Intermediate salt for the preparation of bis(fluoroalkyl) benzodiazepinone compounds

Also Published As

Publication number Publication date
EA022530B1 (en) 2016-01-29
ES2534080T3 (en) 2015-04-17
PL2688873T3 (en) 2015-06-30
US8822454B2 (en) 2014-09-02
IL228534A0 (en) 2013-12-31
IL228534A (en) 2017-02-28
US20140100365A1 (en) 2014-04-10
SG193555A1 (en) 2013-11-29
EP2688873A1 (en) 2014-01-29
PE20140626A1 (en) 2014-05-30
SMT201500091B (en) 2015-05-05
PT2688873E (en) 2015-04-14
HK1189218A1 (en) 2014-05-30
MY161233A (en) 2017-04-14
CA2830902A1 (en) 2012-09-27
TW201309656A (en) 2013-03-01
PH12013501738A1 (en) 2013-10-07
US20120245151A1 (en) 2012-09-27
HRP20150273T1 (en) 2015-06-19
SI2688873T1 (en) 2015-04-30
TN2013000372A1 (en) 2015-01-20
JP2014511840A (en) 2014-05-19
BR112013024059A2 (en) 2016-12-06
KR101948347B1 (en) 2019-02-14
BR112013024059B1 (en) 2022-01-25
CN103717576B (en) 2015-11-25
AU2012230904A1 (en) 2013-11-07
JP5873923B2 (en) 2016-03-01
EP2688873B1 (en) 2015-01-21
EA201391324A1 (en) 2014-03-31
AR085471A1 (en) 2013-10-02
AU2012230904B2 (en) 2016-03-31
CA2830902C (en) 2019-10-29
KR20140027956A (en) 2014-03-07
AR129859A2 (en) 2024-10-02
NZ616876A (en) 2014-08-29
UY33961A (en) 2012-09-28
PH12013501738B1 (en) 2019-03-13
RS53843B1 (en) 2015-08-31
CN103717576A (en) 2014-04-09
CY1116423T1 (en) 2017-02-08
WO2012129353A1 (en) 2012-09-27
TWI530489B (en) 2016-04-21
DK2688873T3 (en) 2015-04-27
MA35036B1 (en) 2014-04-03
CO6771446A2 (en) 2013-10-15
MX2013010420A (en) 2013-10-01
CL2013002690A1 (en) 2014-02-14

Similar Documents

Publication Publication Date Title
US8629136B2 (en) Bisfluoroalkyl-1,4-benzodiazepinone compounds
US9273014B2 (en) Bis(fluoroalkyl)-1,4-benzodiazepinone compounds and prodrugs thereof
US9427442B2 (en) Fluoroalkyl and fluorocycloalkyl 1,4-benzodiazepinone compounds
US9187434B2 (en) Substituted 1,5-benzodiazepinones compounds
US9133139B2 (en) Fluoroalkyl-1,4-benzodiazepinone compounds
US20160060232A1 (en) Bis(fluoroalkyl)-1,4-benzodiazepinone compounds
HK1189218B (en) Bis(fluoroalkyl)-1,4-benzodiazepinone compounds
NZ616876B2 (en) Bis(fluoroalkyl)-1,4-benzodiazepinone compounds

Legal Events

Date Code Title Description
AS Assignment

Owner name: BRISTOL-MYERS SQUIBB COMPANY, NEW JERSEY

Free format text: ASSIGNMENT OF ASSIGNORS INTEREST;ASSIGNORS:GAVAI, ASHVINIKUMAR;QUESNELLE, CLAUDE;KIM, SOONG-HOON;AND OTHERS;SIGNING DATES FROM 20120328 TO 20120329;REEL/FRAME:027987/0221

AS Assignment

Owner name: BRISTOL-MYERS SQUIBB COMPANY, NEW JERSEY

Free format text: ASSIGNMENT OF ASSIGNORS INTEREST;ASSIGNORS:GAVAI, ASHVINIKUMAR V.;QUESNELLE, CLAUDE;KIM, SOONG-HOON;AND OTHERS;SIGNING DATES FROM 20120508 TO 20120510;REEL/FRAME:028265/0472

AS Assignment

Owner name: BRISTOL-MYERS SQUIBB COMPANY, NEW JERSEY

Free format text: ASSIGNMENT OF ASSIGNORS INTEREST;ASSIGNORS:GAVAI, ASHVINIKUMAR;QUESNELLE, CLAUDE;KIM, SOONG-HOON;AND OTHERS;SIGNING DATES FROM 20120508 TO 20120510;REEL/FRAME:028349/0048

STCF Information on status: patent grant

Free format text: PATENTED CASE

CC Certificate of correction
FPAY Fee payment

Year of fee payment: 4

MAFP Maintenance fee payment

Free format text: PAYMENT OF MAINTENANCE FEE, 8TH YEAR, LARGE ENTITY (ORIGINAL EVENT CODE: M1552); ENTITY STATUS OF PATENT OWNER: LARGE ENTITY

Year of fee payment: 8

MAFP Maintenance fee payment

Free format text: PAYMENT OF MAINTENANCE FEE, 12TH YEAR, LARGE ENTITY (ORIGINAL EVENT CODE: M1553); ENTITY STATUS OF PATENT OWNER: LARGE ENTITY

Year of fee payment: 12