US8404861B2 - Substituted pyrazolecarboxylic acid anilide derivative or salt thereof, intermediate thereof, agent for agricultural and horticultural use, and use thereof - Google Patents
Substituted pyrazolecarboxylic acid anilide derivative or salt thereof, intermediate thereof, agent for agricultural and horticultural use, and use thereof Download PDFInfo
- Publication number
- US8404861B2 US8404861B2 US11/990,282 US99028206A US8404861B2 US 8404861 B2 US8404861 B2 US 8404861B2 US 99028206 A US99028206 A US 99028206A US 8404861 B2 US8404861 B2 US 8404861B2
- Authority
- US
- United States
- Prior art keywords
- group
- halo
- alkyl
- alkoxy
- alkylsulfonyl
- Prior art date
- Legal status (The legal status is an assumption and is not a legal conclusion. Google has not performed a legal analysis and makes no representation as to the accuracy of the status listed.)
- Active, expires
Links
- 0 CC.CC.[1*]N(C(=C)C1=CN(C)N=C1)C1=CC=C(C([2*])(C(F)(F)F)C(F)(F)F)C(C)=C1 Chemical compound CC.CC.[1*]N(C(=C)C1=CN(C)N=C1)C1=CC=C(C([2*])(C(F)(F)F)C(F)(F)F)C(C)=C1 0.000 description 9
- KLXHOFYCRNNDJS-UHFFFAOYSA-M CC.CN1C=C(C(=O)O)C=N1.[V]I Chemical compound CC.CN1C=C(C(=O)O)C=N1.[V]I KLXHOFYCRNNDJS-UHFFFAOYSA-M 0.000 description 1
- BSQKBHXYEKVKMN-UHFFFAOYSA-N CC1=C(C=O)SC=C1 Chemical compound CC1=C(C=O)SC=C1 BSQKBHXYEKVKMN-UHFFFAOYSA-N 0.000 description 1
- XAHWXDLKIYXDCK-UHFFFAOYSA-N CC1=NC(C)=C(C=O)S1 Chemical compound CC1=NC(C)=C(C=O)S1 XAHWXDLKIYXDCK-UHFFFAOYSA-N 0.000 description 1
- YDTCRNHPLVRHQX-UHFFFAOYSA-N CC1=NN(C)C(C)=C1C(=O)NC1=CC=C(C(C(F)(F)F)C(F)(F)F)C(C)=C1C.CC1=NN(C)C(C)=C1C(=O)NC1=CC=C(C(F)(C(F)(F)F)C(F)(F)F)C(C)=C1C Chemical compound CC1=NN(C)C(C)=C1C(=O)NC1=CC=C(C(C(F)(F)F)C(F)(F)F)C(C)=C1C.CC1=NN(C)C(C)=C1C(=O)NC1=CC=C(C(F)(C(F)(F)F)C(F)(F)F)C(C)=C1C YDTCRNHPLVRHQX-UHFFFAOYSA-N 0.000 description 1
- HMTUBXVXHHITGO-UHFFFAOYSA-N CC1=NN(C)C(C)=C1C=O Chemical compound CC1=NN(C)C(C)=C1C=O HMTUBXVXHHITGO-UHFFFAOYSA-N 0.000 description 1
- QSSQIMMDYFQNKI-UHFFFAOYSA-N COC1(C)CC1 Chemical compound COC1(C)CC1 QSSQIMMDYFQNKI-UHFFFAOYSA-N 0.000 description 1
- YKQQAEHVONFYRT-UHFFFAOYSA-N COC1(C2=CC=CC=C2)CC1 Chemical compound COC1(C2=CC=CC=C2)CC1 YKQQAEHVONFYRT-UHFFFAOYSA-N 0.000 description 1
Classifications
-
- C—CHEMISTRY; METALLURGY
- C07—ORGANIC CHEMISTRY
- C07D—HETEROCYCLIC COMPOUNDS
- C07D231/00—Heterocyclic compounds containing 1,2-diazole or hydrogenated 1,2-diazole rings
- C07D231/02—Heterocyclic compounds containing 1,2-diazole or hydrogenated 1,2-diazole rings not condensed with other rings
- C07D231/10—Heterocyclic compounds containing 1,2-diazole or hydrogenated 1,2-diazole rings not condensed with other rings having two or three double bonds between ring members or between ring members and non-ring members
- C07D231/14—Heterocyclic compounds containing 1,2-diazole or hydrogenated 1,2-diazole rings not condensed with other rings having two or three double bonds between ring members or between ring members and non-ring members with hetero atoms or with carbon atoms having three bonds to hetero atoms with at the most one bond to halogen, e.g. ester or nitrile radicals, directly attached to ring carbon atoms
-
- A—HUMAN NECESSITIES
- A01—AGRICULTURE; FORESTRY; ANIMAL HUSBANDRY; HUNTING; TRAPPING; FISHING
- A01N—PRESERVATION OF BODIES OF HUMANS OR ANIMALS OR PLANTS OR PARTS THEREOF; BIOCIDES, e.g. AS DISINFECTANTS, AS PESTICIDES OR AS HERBICIDES; PEST REPELLANTS OR ATTRACTANTS; PLANT GROWTH REGULATORS
- A01N43/00—Biocides, pest repellants or attractants, or plant growth regulators containing heterocyclic compounds
- A01N43/48—Biocides, pest repellants or attractants, or plant growth regulators containing heterocyclic compounds having rings with two nitrogen atoms as the only ring hetero atoms
- A01N43/56—1,2-Diazoles; Hydrogenated 1,2-diazoles
-
- A—HUMAN NECESSITIES
- A01—AGRICULTURE; FORESTRY; ANIMAL HUSBANDRY; HUNTING; TRAPPING; FISHING
- A01N—PRESERVATION OF BODIES OF HUMANS OR ANIMALS OR PLANTS OR PARTS THEREOF; BIOCIDES, e.g. AS DISINFECTANTS, AS PESTICIDES OR AS HERBICIDES; PEST REPELLANTS OR ATTRACTANTS; PLANT GROWTH REGULATORS
- A01N43/00—Biocides, pest repellants or attractants, or plant growth regulators containing heterocyclic compounds
- A01N43/72—Biocides, pest repellants or attractants, or plant growth regulators containing heterocyclic compounds having rings with nitrogen atoms and oxygen or sulfur atoms as ring hetero atoms
- A01N43/74—Biocides, pest repellants or attractants, or plant growth regulators containing heterocyclic compounds having rings with nitrogen atoms and oxygen or sulfur atoms as ring hetero atoms five-membered rings with one nitrogen atom and either one oxygen atom or one sulfur atom in positions 1,3
- A01N43/78—1,3-Thiazoles; Hydrogenated 1,3-thiazoles
-
- C—CHEMISTRY; METALLURGY
- C07—ORGANIC CHEMISTRY
- C07C—ACYCLIC OR CARBOCYCLIC COMPOUNDS
- C07C211/00—Compounds containing amino groups bound to a carbon skeleton
- C07C211/43—Compounds containing amino groups bound to a carbon skeleton having amino groups bound to carbon atoms of six-membered aromatic rings of the carbon skeleton
- C07C211/44—Compounds containing amino groups bound to a carbon skeleton having amino groups bound to carbon atoms of six-membered aromatic rings of the carbon skeleton having amino groups bound to only one six-membered aromatic ring
- C07C211/52—Compounds containing amino groups bound to a carbon skeleton having amino groups bound to carbon atoms of six-membered aromatic rings of the carbon skeleton having amino groups bound to only one six-membered aromatic ring the carbon skeleton being further substituted by halogen atoms or by nitro or nitroso groups
-
- C—CHEMISTRY; METALLURGY
- C07—ORGANIC CHEMISTRY
- C07C—ACYCLIC OR CARBOCYCLIC COMPOUNDS
- C07C217/00—Compounds containing amino and etherified hydroxy groups bound to the same carbon skeleton
- C07C217/76—Compounds containing amino and etherified hydroxy groups bound to the same carbon skeleton having amino groups bound to carbon atoms of six-membered aromatic rings and etherified hydroxy groups bound to acyclic carbon atoms or to carbon atoms of rings other than six-membered aromatic rings of the same carbon skeleton
-
- C—CHEMISTRY; METALLURGY
- C07—ORGANIC CHEMISTRY
- C07D—HETEROCYCLIC COMPOUNDS
- C07D403/00—Heterocyclic compounds containing two or more hetero rings, having nitrogen atoms as the only ring hetero atoms, not provided for by group C07D401/00
- C07D403/02—Heterocyclic compounds containing two or more hetero rings, having nitrogen atoms as the only ring hetero atoms, not provided for by group C07D401/00 containing two hetero rings
- C07D403/12—Heterocyclic compounds containing two or more hetero rings, having nitrogen atoms as the only ring hetero atoms, not provided for by group C07D401/00 containing two hetero rings linked by a chain containing hetero atoms as chain links
-
- C—CHEMISTRY; METALLURGY
- C07—ORGANIC CHEMISTRY
- C07D—HETEROCYCLIC COMPOUNDS
- C07D409/00—Heterocyclic compounds containing two or more hetero rings, at least one ring having sulfur atoms as the only ring hetero atoms
- C07D409/02—Heterocyclic compounds containing two or more hetero rings, at least one ring having sulfur atoms as the only ring hetero atoms containing two hetero rings
- C07D409/12—Heterocyclic compounds containing two or more hetero rings, at least one ring having sulfur atoms as the only ring hetero atoms containing two hetero rings linked by a chain containing hetero atoms as chain links
-
- C—CHEMISTRY; METALLURGY
- C07—ORGANIC CHEMISTRY
- C07D—HETEROCYCLIC COMPOUNDS
- C07D417/00—Heterocyclic compounds containing two or more hetero rings, at least one ring having nitrogen and sulfur atoms as the only ring hetero atoms, not provided for by group C07D415/00
- C07D417/02—Heterocyclic compounds containing two or more hetero rings, at least one ring having nitrogen and sulfur atoms as the only ring hetero atoms, not provided for by group C07D415/00 containing two hetero rings
- C07D417/12—Heterocyclic compounds containing two or more hetero rings, at least one ring having nitrogen and sulfur atoms as the only ring hetero atoms, not provided for by group C07D415/00 containing two hetero rings linked by a chain containing hetero atoms as chain links
Definitions
- the present invention relates to substituted pyrazolecarboxanilide derivatives or salts thereof, intermediates thereof, and agrohorticultural agents, particularly insecticides or acaricides, containing said compounds as an active ingredient and method for use thereof.
- substituted pyrazolecarboxamide derivatives similar to the present invention are known to be useful as agrohorticultural insecticides, fungicides or acaricides (e.g., JP-A-2003-48878, JP-A-2004-189738 and JP-A-2004-269515).
- JP-A-2003-48878 the substituted pyrazolecarboxanilide derivatives are disclosed.
- the substituents in the aniline moiety are mostly limited to the 2-position substituents, the 3-position substituent is methyl group alone, and the compound described in the present invention, wherein alkyl group having 2 or more carbon atoms is introduced into the 3-position is not included even in its compound list.
- substituted pyrazolecarboxanilide derivatives are disclosed.
- the substituents in the aniline moiety are limited to alkoxy group, alkylthio group and alkylamino group, and the compound described in the present invention, wherein alkyl group having 2 or more carbon atoms is directly introduced into the 3-position is not included even in its compound list.
- substituted pyrazolecarboxamide derivatives are disclosed. However, only an amide compound with heterocyclyl amine is disclosed, and the substituted pyrazolecarboxanilide derivatives of the present invention are not disclosed.
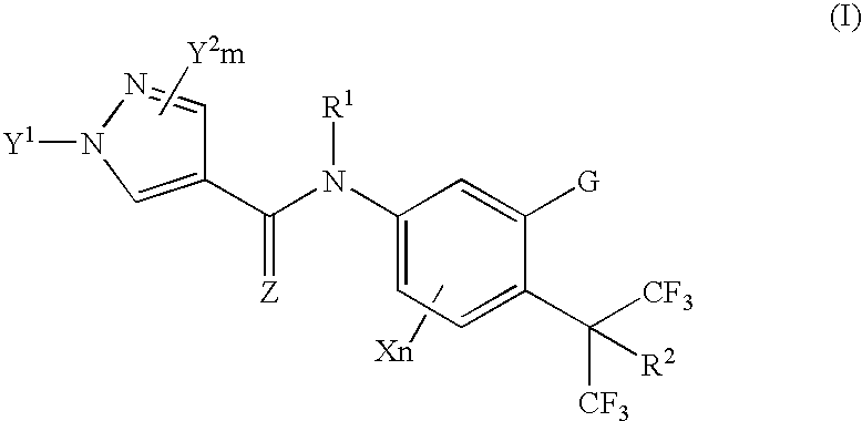
- the present invention relates to substituted pyrazolecarboxanilide derivatives represented by the formula (I):
- R 1 is 1a) a hydrogen atom, 2a) a C 1 -C 8 alkyl group, 3a) a halo C 1 -C 6 alkyl group, 4a) a C 1 -C 6 alkylcarbonyl group, 5a) a halo C 1 -C 6 alkylcarbonyl group, 6a) a C 2 -C 6 alkenylcarbonyl group, 7a) a halo C 2 -C 6 alkenylcarbonyl group, 8a) a C 1 -C 6 alkylcarbonyl C 1 -C 6 alkyl group, 9a) a C 3 -C 6 cycloalkyl group, 10a) a halo C 3 -C 6 cycloalkyl group, 11a) a C 3 -C 6 cycloalkyl C 1 -C 6 alkyl group, 12a) a halo C 3 -C 6 cycloalkyl C 1 -C
- R 1 is 1a) a hydrogen atom, 2a) a C 1 -C 8 alkyl group, 3a) a halo C 1 -C 6 alkyl group, 4a) a C 1 -C 6 alkylcarbonyl group, 5a) a halo C 1 -C 6 alkylcarbonyl group, 6a) a C 2 -C 6 alkenylcarbonyl group, 7a) a halo C 2 -C 6 alkenylcarbonyl group, 8a) a C 1 -C 6 alkylcarbonyl C 1 -C 6 alkyl group, 9a) a C 3 -C 6 cycloalkyl group, 10a) a halo C 3 -C 6 cycloalkyl group, 11a) a C 3 -C 6 cycloalkyl C 1 -C 6 alkyl group, 12a) a halo C 3 -C 6 cycloalkyl C 1 -C
- halo in the definitions of a substituted pyrazolecarboxanilide derivative of the formula (I) and a substituted aniline derivative of the formula (II) of the present invention, “halo”, “C 1 -C 6 alkyl”, “C 1 -C 6 alkoxyl”, “C 2 -C 6 alkenyl”, “C 2 -C 6 alkynyl” or “a heterocyclic group”, and the like in each of substituents has the following meaning.
- halo or “halogen atom” means a chlorine atom, a bromine atom, an iodine atom or a fluorine atom.
- the “C 1 -C 6 alkyl” is linear or branched chain alkyl having 1 to 6 carbon atoms, such as methyl, ethyl, n-propyl, i-propyl, n-butyl, i-butyl, s-butyl, t-butyl, n-pentyl, isopentyl, neopentyl, t-pentyl, 2-methylbutyl, 1-ethylpropyl, n-hexyl, 2-ethylbutyl and the like.
- the “C 1 -C 8 alkyl” is linear or branched chain alkyl having 1 to 8 carbon atoms, such as methyl, ethyl, n-propyl, i-propyl, n-butyl, i-butyl, s-butyl, t-butyl, n-pentyl, isopentyl, neopentyl, t-pentyl, 2-methylbutyl, 1-ethylpropyl, n-hexyl, 2-ethylbutyl, n-heptyl, n-octyl, 2-ethylhexyl and the like.
- the “C 2 -C 10 alkyl” is linear or branched chain alkyl having 2 to 10 carbon atoms, such as ethyl, n-propyl, i-propyl, n-butyl, i-butyl, s-butyl, t-butyl, n-pentyl, isopentyl, neopentyl, t-pentyl, 2-methylbutyl, n-hexyl, 2-ethylbutyl, 1-ethylpropyl, n-heptyl, n-octyl, 2-ethylhexyl, n-nonyl, n-decyl and the like.
- C 3 -C 6 cycloalkyl is cyclic alkyl having 3 to 6 carbon atoms, such as cyclopropyl, cyclobutyl, cyclopentyl, cyclohexyl and the like.
- C 3 -C 8 cycloalkyl is cyclic alkyl having 3 to 8 carbon atoms, such as cyclopropyl, cyclobutyl, cyclopentyl, cyclohexyl, cyclooctyl and the like.
- C 3 -C 10 cycloalkyl is cyclic alkyl having 3 to 10 carbon atoms, such as cyclopropyl, cyclobutyl, cyclopentyl, cyclohexyl, cyclooctyl, cyclodecyl and the like.
- C 3 -C 10 cycloalkenyl is cyclic alkenyl having 3 to 10 carbon atoms, such as cyclopropenyl, cyclobutenyl, cyclopentenyl, cyclohexenyl, cyclooctenyl, cyclodecenyl and the like.
- C 1 -C 3 alkoxy is alkoxy wherein its alkyl moiety is linear or branched chain alkyl having 1 to 3 carbon atoms, such as methoxy, ethoxy, propoxy, isopropoxy and the like.
- C 1 -C 6 alkoxy is alkoxy wherein its alkyl moiety is the above-mentioned “C 1 -C 6 alkyl”, such as methoxy, ethoxy, n-propoxy, i-propoxy, n-butoxy, isobutoxy, s-butoxy, t-butoxy, n-pentyloxy, isopentyloxy, neopentyloxy, t-pentyloxy, 2-methylbutoxy, 1-ethylpropoxy, hexyloxy, 2-ethylbutoxy and the like.
- C 1 -C 6 alkyl such as methoxy, ethoxy, n-propoxy, i-propoxy, n-butoxy, isobutoxy, s-butoxy, t-butoxy, n-pentyloxy, isopentyloxy, neopentyloxy, t-pentyloxy, 2-methylbutoxy, 1-ethylpropoxy
- the “C 1 -C 10 alkoxy” is alkoxy wherein its alkyl moiety is linear or branched chain alkyl having 1 to 10 carbon atoms, such as methoxy, ethoxy, n-propoxy, i-propoxy, n-butoxy, isobutoxy, s-butoxy, t-butoxy, n-pentyloxy, isopentyloxy, neopentyloxy, t-pentyloxy, 2-methylbutoxy, 1-ethylpropoxy, hexyloxy, 2-ethylbutoxy, n-heptyloxy, n-octyloxy, 2-ethylhexyloxy, n-nonyloxy, n-decyloxy and the like.
- C 1 -C 16 alkoxy is alkoxy wherein its alkyl moiety is linear or branched chain alkyl having 1 to 16 carbon atoms, such as methoxy, ethoxy, n-propoxy, i-propoxy, n-butoxy, isobutoxy, s-butoxy, t-butoxy, n-pentyloxy, isopentyloxy, neopentyloxy, t-pentyloxy, 2-methylbutoxy, 1-ethylpropoxy, hexyloxy, 2-ethylbutoxy, n-heptyloxy, n-octyloxy, 2-ethylhexyloxy, n-nonyloxy, n-decyloxy, n-undecyloxy, n-dodecyloxy, n-tridecyloxy, n-tetradecyloxy, n-pentadecyloxy, n-p
- the “C 2 -C 6 alkenyl” is linear or branched chain alkenyl having 2 to 6 carbon atoms, which has at least one double bond, such as vinyl, 1-propenyl, allyl, 1-butenyl, 2-butenyl, 3-butenyl, 2-pentenyl, 2-methyl-1-propenyl, 2,4-pentadienyl, 3-hexenyl and the like.
- the “C 3 -C 10 alkenyl” is linear or branched chain alkenyl having 3 to 10 carbon atoms, which has at least one double bond, such as 1-butenyl, 2-butenyl, 3-butenyl, 2-pentenyl, 2,4-pentadienyl, 3-hexenyl, 3-heptenyl, 3-octenyl, 3-nonenyl, 3-decenyl and the like.
- the “C 2 -C 6 alkynyl” is linear or branched chain alkynyl having 2 to 6 carbon atoms, which has at least one triple bond, such as ethynyl, 2-propynyl, 1-butynyl, 2-butynyl, 3-butynyl, 2-pentynyl, 3-hexynyl and the like.
- the “C 3 -C 10 alkynyl” is linear or branched chain alkynyl having 3 to 10 carbon atoms, which has at least one triple bond, such as 1-butynyl, 2-butynyl, 3-butynyl, 2-pentynyl, 3-hexynyl, 3-heptynyl, 3-octynyl, 3-nonynyl, 3-decynyl and the like.
- the numbers in “C 2 -C 6 ”, “C 3 -C 10 ” and the like shows the range of carbon atom numbers such as 2 to 6 carbon atoms and 3 to 10 carbon atoms.
- halo C 1 -C 6 alkyl means linear or branched chain alkyl group having 1 to 6 carbon atoms, which is substituted by the same or different one or more halogen atoms, such as chloromethyl, 2-chloroethyl, 2,2,2-trichloroethyl, 3-chloropropyl, 2-chloro-1,1-dimethylethyl, 1-bromo-1-methylethyl, difluoromethyl, trifluoromethyl, 2,2,2-trifluoroethyl, perfluorohexyl and the like.
- a heterocyclic group” and “A heterocyclyl” are 5- or 6-membered heterocyclic groups having one or more hetero atoms selected from an oxygen atom, a sulfur atom and a nitrogen atom including, for example, pyridyl group, pyridine-N-oxide group, pyrimidinyl group, furyl group, tetrahydrofuryl group, thienyl group, tetrahydrothienyl group, tetrahydropyranyl group, tetrahydrothiopyranyl group, oxazolyl group, isoxazolyl group, oxadiazolyl group, thiazolyl group, isothiazolyl group, thiadiazolyl group, imidazolyl group, triazolyl group and pyrazolyl group.
- a salt of a substituted pyrazolecarboxanilide derivative represented by the formula (I) of the present invention includes a salt of an alkali metal (lithium, sodium, potassium, etc.); a salt of an alkaline earth metal (calcium, magnesium, etc.); an ammonium salt; and a salt of an organic amine (methylamine, triethylamine, diethanolamine, piperidine, pyridine, etc.), or an acid addition salt.
- the acid addition salt includes, for example, a carboxylate such as acetate, propionate, oxalate, trifluoroacetate, benzoate and the like; a sulfonate such as methanesulfonate, trifluoromethanesulfonate, p-toluenesulfonate and the like; an inorganic acid salt such as a hydrochloride, a sulfate, a nitrate, a carbonate and the like.
- a carboxylate such as acetate, propionate, oxalate, trifluoroacetate, benzoate and the like
- a sulfonate such as methanesulfonate, trifluoromethanesulfonate, p-toluenesulfonate and the like
- an inorganic acid salt such as a hydrochloride, a sulfate, a nitrate, a carbonate and the like
- R 1 is preferably 1a) a hydrogen atom, 2a) a C 1 -C 6 alkyl group, 3a) a halo C 1 -C 6 alkyl group, 4a) a C 1 -C 6 alkylcarbonyl group, 5a) a halo C 1 -C 6 alkylcarbonyl group, 6a) a C 2 -C 6 alkenylcarbonyl group, 13a) a C 2 -C 6 alkenyl group, 17a) a C 1 -C 10 alkoxy C 1 -C 6 alkyl group, 18a) a halo C 1 -C 6 alkoxy C 1 -C 6 alkyl group, 19a) a C 2 -C 6 alkenyloxy C 1 -C 6 alkyl group, 20a) a C 1 -C 6 alkoxy C 1 -C 6 alkyl group, 20a) a C 1 -C 6 alkoxy C 1 -C 6 alky
- R 2 is preferably 1b) a hydrogen atom, 2b) a halogen atom, 6b) a hydroxy group, 7b) a C 1 -C 6 alkoxy group or 8b) a halo C 1 -C 6 alkoxy group, and more preferably 1b) a hydrogen atom or 7b) a C 1 -C 6 alkoxy group.
- G is preferably 1c) a C 2 -C 10 alkyl group, 3c) a C 3 -C 10 alkenyl group, or 11c) a C 3 -C 8 cycloalkyl C 1 -C 6 alkyl group, and more preferably 1c) a C 2 -C 10 alkyl group.
- X is preferably 1d) a hydrogen atom, 2d) a halogen atom, or 5d) a C 1 -C 6 alkyl group, and more preferably 1d) a hydrogen atom.
- Z is preferably an oxygen atom.
- Y 1 is preferably 2e) a C 1 -C 6 alkyl group, 3e) a halo C 1 -C 6 alkyl group, or 4e) a C 2 -C 6 alkenyl group, and more preferably 2e) a C 1 -C 6 alkyl group.
- Y 2 is preferably 1f) a hydrogen atom, 2f) a halogen atom, 9f) a C 1 -C 6 alkyl group, 10f) a halo C 1 -C 6 alkyl group, or 31f) a C 1 -C 6 alkylthio group, and more preferably 1f) a hydrogen atom, 2f) a halogen atom, 9f) a C 1 -C 6 alkyl group, or 10f) a halo C 1 -C 6 alkyl group.
- m is preferably 2.
- a salt of a substituted aniline derivative represented by the formula (II) is preferably an acid addition salt including, for example, a carboxylate such as acetate, propionate, oxalate, trifluoroacetate, benzoate and the like; a sulfonate such as methanesulfonate, trifluoromethanesulfonate, p-toluenesulfonate and the like; an inorganic acid salt such as a hydrochloride, a sulfate, a nitrate, a carbonate and the like.
- a salt of 1,3-dimethyl-5-trifluoromethylpyrazole-4-carboxylic acid of the present invention includes a salt of an alkali metal (lithium, sodium, potassium, etc.); a salt of an alkaline earth metal (calcium, magnesium, etc.); an ammonium salt; and a salt of an organic amine (methylamine, triethylamine, diethanolamine, piperidine, pyridine, etc.).
- a substituted pyrazolecarboxanilide derivative represented by the formula (I) or an intermediate thereof, i.e. a substituted aniline derivative represented by the formula (II), of the present invention may contain one or plural numbers of asymmetric centers in the structural formula, and further two or more optical isomers and diastereomers may be present. Consequently, the present invention entirely encompasses each optical isomer and the mixtures with any ratio thereof.
- a substituted pyrazolecarboxanilide derivative represented by the formula (I) of the present invention may have two types of geometric isomers derived from a C—C double bond in the structural formula. The present invention encompasses all of geometric isomers and the mixtures containing them in any ratio. Moreover, the present invention encompasses hydrates thereof.
- R 3 is a hydrogen atom, a C 1 -C 6 alkyl group, a halo C 1 -C 6 alkyl group, a phenyl group, a substituted phenyl group or a phenyl C 1 -C 4 alkyl group
- W is —O—, —S— or —N(R 4 )—, wherein R 4 is a hydrogen atom, a C 1 -C 6 alkyl group, a halo C 1 -C 6 alkyl group, a phenyl group, a substituted phenyl group or a phenyl C 1 -C 4 alkyl group
- Q is a halogen atom or a C 1 -C 6 alkoxyl group
- a substituted pyrazolecarboxanilide derivative (I-1) wherein Z is O, and R 2 is a hydrogen atom, a fluorine atom or WR 3 wherein W and R 3 are as defined above can be produced by reacting an aniline derivative represented by the formulas (II-1) to (II-3) with a pyrazolecarboxylic halide or a pyrazolecarboxylate ester represented by the formula (III) in the presence or absence of a base in an inert solvent, or by reacting an aniline derivative represented by the formulas (II-1) to (II-3) with a pyrazolecarboxylic acid represented by the formula (IV) in the presence of a condensing agent, in the presence or absence of a base, in an inert solvent, and any usual production methods for amides may be applicable.
- An aniline derivative represented by the formula (II-2) can be produced by reducing an aniline derivative represented by the formula (II-1) in the presence of a reducing agent, in an inert solvent.
- An aniline derivative represented by the formula (II-3) can be produced by reacting an aniline derivative represented by the formula (II-1) with an alcohol derivative, a thiol derivative or an amine derivative represented by the formula (V), in the presence or absence of a base in an inert solvent.
- An example of a reducing agent to be used in the present reaction includes metal hydrides such as lithium aluminum hydride, lithium borohydride, sodium borohydride, diisobutyl aluminum hydride, sodium bis(2-methoxyethoxy)aluminum hydride and the like, metal such as lithium and the like or metal salts, and the like.
- the amount of the reducing agent to be used may be selected, as appropriate, in the range from equivalent to excess amount relative to an aniline derivative represented by the formula (II-1).
- an inert solvent to be used in the present reaction which may be any one as long as it does not significantly inhibit progress of the present reaction, includes aromatic hydrocarbons such as benzene, toluene, xylene and the like; halogenated hydrocarbons such as methylene chloride, chloroform, carbon tetrachloride and the like; halogenated aromatic hydrocarbons such as chlorobenzene, dichlorobenzene and the like; straight chain or cyclic ethers such as diethyl ether, dioxane, tetrahydrofuran and the like, or dimethylsulfoxide and the like and these inert solvents can be used alone or in combination of two or more kinds.
- aromatic hydrocarbons such as benzene, toluene, xylene and the like
- halogenated hydrocarbons such as methylene chloride, chloroform, carbon tetrachloride and the like
- halogenated aromatic hydrocarbons such as chlorobenzen
- Reaction temperature may be in the range from room temperature to boiling temperature of an inert solvent to be used and reaction time may be in the range from several minutes to 50 hours, while depending on reaction scale and reaction temperature.
- desired compound may be isolated from the reaction mixture by a conventional method and the desired compound can be produced by purification using recrystallization or column chromatography, etc, if necessary.
- the desired compound may also be subjected to subsequent reaction step without isolation from the reaction mixture.
- An example of a base to be used in the present reaction includes metal hydrides such as lithium hydride, sodium hydride, potassium hydride and the like; metal alcoholates such as sodium methoxide, sodium ethoxide, potassium tert-butoxide and the like; and alkyl metals such as n-butyl lithium, sec-butyl lithium, tert-butyl lithium and the like.
- the amount of the base to be used may be selected, as appropriate, in the range from equivalent to excess amount relative to an aniline derivative represented by the formula (II-1).
- an inert solvent to be used in the present reaction which may be any one as long as it does not significantly inhibit progress of the present reaction, includes aromatic hydrocarbons such as benzene, toluene, xylene and the like; alcohols such as methanol, ethanol and the like; straight chain or cyclic ethers such as diethyl ether, 1,2-dimethoxyethane, dioxane, tetrahydrofuran and the like, and the like and these inert solvents can be used alone or in combination of two or more kinds.
- aromatic hydrocarbons such as benzene, toluene, xylene and the like
- alcohols such as methanol, ethanol and the like
- straight chain or cyclic ethers such as diethyl ether, 1,2-dimethoxyethane, dioxane, tetrahydrofuran and the like, and the like and these inert solvents can be used alone or in combination of two or more kinds.
- Reaction temperature may be in the range from ⁇ 70° C. to boiling temperature of an inert solvent to be used and reaction time may be in the range from several minutes to 50 hours, while depending on reaction scale and reaction temperature.
- desired compound may be isolated from the reaction mixture by a conventional method and the desired compound can be produced by purification using recrystallization or column chromatography, etc, if necessary.
- the desired compound may also be subjected to subsequent reaction step without isolation from the reaction mixture.
- An example of a condensing agent to be used in the present reaction includes diethyl cyanophosphate (DEPC), carbonyldiimidazole (CDI), 1,3-dicyclohexylcarbodiimide (DCC), chloroformates, 2-chloro-1-methylpyridinium iodide and the like.
- DEPC diethyl cyanophosphate
- CDI carbonyldiimidazole
- DCC 1,3-dicyclohexylcarbodiimide
- chloroformates 2-chloro-1-methylpyridinium iodide and the like.
- an inorganic base or an organic base is included and an example of an inorganic base includes alkali metal hydroxides such as sodium hydroxide, potassium hydroxide and the like; alkali metal hydrides such as sodium hydride, potassium hydride and the like; alkali metal salts of alcohol such as sodium ethoxide, potassium tert-butoxide and the like; carbonates such as sodium carbonate, potassium carbonate, sodium hydrogen carbonate and the like; and an example of organic bases includes triethylamine, pyridine, DBU and the like.
- the amount of the base to be used may be selected in the range from equivalent to excess amount relative to a pyrazolecarboxylic acid derivative represented by the formula (III) or (IV).
- an inert solvent to be used in the present reaction which may be any one as long as it does not significantly inhibit progress of the present reaction, includes aromatic hydrocarbons such as benzene, toluene, xylene and the like; halogenated hydrocarbons such as methylene chloride, chloroform, carbon tetrachloride and the like; halogenated aromatic hydrocarbons such as chlorobenzene, dichlorobenzene and the like; straight chain or cyclic ethers such as diethyl ether, dioxane, tetrahydrofuran and the like; esters such as ethyl acetate and the like; amides such as dimethylformamide, dimethylacetamide and the like; dimethylsulfoxide; 1,3-dimethyl-2-imidazolidinone; acetone, methyl ethyl ketone and the like.
- aromatic hydrocarbons such as benzene, toluene, xylene and the like
- each reactant may be used in equal mole, however, any of the reactants may also be used in excess.
- Reaction temperature may be in the range from room temperature to boiling temperature of an inert solvent to be used and reaction time may be in the range from several minutes to 48 hours, while depending on reaction scale and reaction temperature.
- desired compound may be isolated from the reaction mixture by a conventional method and the desired compound can be produced by purification using recrystallization or column chromatography, etc, if necessary.
- An aniline derivative represented by the formula (II-1), as a raw material of the present reaction, can be produced in accordance with a production method disclosed in JP-A-11-302233, JP-A-2001-122836 or JP-A-2006-8675.
- a pyrazolecarboxylic acid derivative represented by the formulas (III) or (IV) can be produced in accordance with several methods described in known literatures (for example, Aust. J. Chem., 1983, 36, 135-147, Synthesis, 1986, 753-755, JP-A-52-87168, JP-A-63-45264, JP-A-1-106866 and the like).
- a substituted pyrazolecarboxanilide derivative (I-2) wherein Z is S can be produced by reacting an anilide derivative represented by (I-1) with Lawesson's Reagent in accordance with a known method (Tetrahedron Lett., 21 (42), 4061 (1980)).
- a substituted pyrazolecarboxanilide derivative (I-4) wherein R 1 is other than a hydrogen atom can be produced by reacting an amide derivative represented by the formula (I-3) with a halide derivative or an ester derivative represented by the formula (VI), in the presence or absence of a base, in an inert solvent.
- a base to be used in the present reaction includes metal hydroxides such as sodium hydroxide, potassium hydroxide and the like; carbonates such as sodium carbonate, potassium carbonate, sodium hydrogen carbonate and the like; metal hydrides such as lithium hydride, sodium hydride, potassium hydride and the like; metal alcoholates such as sodium methoxide, sodium ethoxide, potassium tert-butoxide and the like; alkyl metals such as n-butyl lithium, sec-butyl lithium, tert-butyl lithium and the like.
- the amount of the base to be used may be selected, as appropriate, in the range from equivalent to excess amount relative to an amide derivative represented by the formula (I-3).
- an inert solvent to be used in the present reaction which may be any one as long as it does not significantly inhibit progress of the present reaction, includes aromatic hydrocarbons such as benzene, toluene, xylene and the like; alcohols such as methanol, ethanol and the like; straight chain or cyclic ethers such as diethyl ether, 1,2-dimethoxyethane, dioxane, tetrahydrofuran and the like; amides such as dimethylformamide, dimethylacetamide and the like; dimethylsulfoxide; 1,3-dimethyl-2-imidazolidinone and the like.
- aromatic hydrocarbons such as benzene, toluene, xylene and the like
- alcohols such as methanol, ethanol and the like
- straight chain or cyclic ethers such as diethyl ether, 1,2-dimethoxyethane, dioxane, tetrahydrofuran and the like
- amides
- Reaction temperature may be in the range from ⁇ 70° C. to boiling temperature of an inert solvent to be used and reaction time may be in the range from several minutes to 50 hours, while depending on reaction scale and reaction temperature.
- desired compound may be isolated from the reaction mixture by a conventional method and the desired compound can be produced by purification using recrystallization or column chromatography, etc, if necessary.
- a substituted pyrazolecarboxanilide derivatives represented by the formula (I-6) can be produced by reacting a sulfide derivative represented by the formula (I-5) which can be produced in Production method 1 with an oxidizing agent in the presence of an inert solvent
- An example of an inert solvent to be used in the present reaction includes halogenated hydrocarbons such as methylene chloride, chloroform and the like; aromatic hydrocarbons such as toluene, xylene and the like; halogenated aromatic hydrocarbons such as fluorobenzene, chlorobenzene, dichlorobenzene and the like; acids such as acetic acid and the like; alcohols such as methanol, ethanol, propanol and the like.
- An example of an oxidizing agent includes m-peroxychlorobenzoic acid, peracetic acid, potassium metaperiodate, potassium hydrogen persulphate (Oxone), hydrogen peroxide and the like.
- the amount of the oxidizing agent to be used may be selected, as appropriate, in the range of 0.5 to 3 equivalents relative to a sulfide derivative represented by the formula (I-5).
- Reaction temperature may be in the range from ⁇ 50° C. to boiling temperature of an inert solvent to be used and reaction time may be in the range from several minutes to 24 hours, while depending on reaction scale and reaction temperature.
- desired compound may be isolated from the reaction mixture by a conventional method and the desired compound can be produced by purification using recrystallization or column chromatography, etc, if necessary.
- Typical compounds of substituted pyrazolecarboxanilide derivatives represented by the formula (I) are exemplified in Table 1 and Table 2, and typical compounds of substituted aniline derivatives represented by the formula (II) are exemplified in Table 3, and an substituted pyrazolecarboxylic acid derivative represented by the formula (IV) is exemplified in Table 4, however, the present invention should not be construed as limiting to these.
- the agrohorticultural agent in particular, agrohorticultural insecticides or acaricides, containing a substituted pyrazolecarboxanilide derivative represented by the formula (I) or salt of the present invention as an active ingredient, are suitable for controlling various insect pests such as agrohorticultural insect pests, stored grain insect pests, sanitary insect pests, nematodes, etc., which are injurious to paddy rice, fruit trees, vegetables, other crops, flowers and ornamental plants, etc.
- LEPIDOPTERA Eastern fruit tortrix ( Adoxophes orana fasciata ), smaller tea tortrix ( Adoxophyes sp.), Manchurian fruit moth ( Grapholita inopinata ), oriental fruit moth ( Grapholita molesta ), soybean pod borer ( Leguminivora glycinivorella ), mulberry leafroller ( Olethreutes mori ), tea leafroller ( Caloptilia thevivora ), Caloptilia sp.
- HEMIPTERA including aster leafhopper ( Macrosteles fascifrons ), green rice leafhopper ( Nephotettix cincticepts ), brown rice planthopper ( Nilaparvata lugens ), whitebacked rice planthopper ( Sogatella furcifera ), citrus psylla ( Diaphorina citri ), grape whitefly ( Aleurolibus taonabae ), sweetpotato whitefly ( Bemisia tabaci ), greenhouse whitefly ( Trialeurodes vaporariorum ), turnup aphid ( Lipaphis erysimi ), green peach aphid ( Myzus persicae ), Indian wax scale ( Ceroplastes ceriferus ), cottony citrus scale ( Pulvinaria aurantii ), camphor scale ( Pseudaonidia duplex ), san Jose scale ( Comstockaspis perniciosa ), arrowhead scale ( Unaspis yanonensis ), etc.; TY
- ACARINA including citrus red mite ( Panonychus citri ), fruit tree red spider mite ( Panonychus ulmi ), carmine spider mite ( Tetranychus cinnabarinus ), Kanzawa spider mite ( Tetranychus Kanzawai Kishida), two-spotted spider mite ( Tetranychus urticae Koch), pink tea rust mite ( Acaphylla theae ), pink citrus rust mite ( Aculops pelekassi ), purple tea mice ( Calacarus carinatus ), pear rust mite ( Epitrimerus pyri ), etc.
- a substituted pyrazolecarboxanilide derivative represented by the formula (I) or salts thereof of the present invention is used preferably as agrohorticultural insecticides or acaricides.
- the compound exhibits excellent control effect against various insect pests such as insect pests for forest and wood, insect pests for livestock farming, sanitary insect pests, etc. and can be used as pest control agents in various wide fields.
- insect pests include: Tabanidae such as Tabanus rufidens Bigot; Muscidae such as housefly ( Musca domestica uicina MACQUART); Gasterophilidae such as horse bot fly ( Gasterophilus intestinalis ); Hypodermatidae such as cattle grub ( Hypoderma bovis L.); Phoridae such as Megaselia spiracularis ; Culicidae such as pale house mosquito ( Culex pipiens pallens), Anopheles sinensis , one-striped mosquito ( Aedes albopictus ), and Aedes japonicus ; Pulicidae such as cat flea ( Ctenocephalides felis ), dog flea ( Ctenocephalides canis ), human flea ( Pulex irritans ); Ixodidae such as Ixodes ovatus Neumann; Lymantriidae such as Euproctis similes ; Rhynchoph
- the agrohorticultural agent in particular, agrohorticultural insecticides or acaricides, containing a substituted pyrazolecarboxanilide derivative represented by the formula (I) or salt thereof of the present invention as an active ingredient has a marked controlling effect on the above-exemplified insect pests, which are injurious to paddy field crops, upland crops, fruit trees, vegetables and other crops, flowers and ornament plants, and the like.
- the desired effect of the agrohorticultural insecticides of the present invention can be exhibited by applying the agents to paddy field, field, fruit trees, vegetables, other crops, seeds of flowers and ornament plants, paddy field water, stalks and leaves, or soil at a season at which the insect pests are expected to appear, before their appearance or at the time when their appearance is confirmed.
- Plants, for which an agrohorticultural agent of the present invention can be used are not specifically limited and include, for example, plants shown hereinbelow:
- Cereals e.g. rice ( Oryza sativa ), barley ( Hordeum vulgare ), wheat ( Triticum aestivum L.), rye ( Secale cereale ), oat ( Avena ), maize ( Zea mays L.), kaoliang, etc.); legume (soybean, adzuki bean, fava bean, bean, peanut, etc.); fruit trees and fruits (apple, citrus fruits, pear, grapes, peach, plum, cherry, walnut, almond, banana, strawberry, etc.); vegetables (cabbage, tomato, spinach, broccoli, lettuce, onion, welsh onion, green pepper, etc.); root vegetables (carrot, potato, sweet potato, radish, lotus root, turnip, etc.); crop for processing (cotton, flax ( Linum usitatissimum ), paper mulberry ( Broussonetia kasinoki SIEB), paperbush ( Edgeworthia papyrifera ), rap
- saccharifera olive, rubber, coffee, tobacco, tea, etc.
- gourd prmpkin, cucumber, watermelon, melon, etc.
- grass orchard grass, sorghum, timothy, clover, alfalfa, etc.
- grass Korean lawn grass, bent grass, etc.
- crop for spicery lavender ( Lavandula officinalis CHAIX), rosemary, thyme, parsley, pepper, ginger, etc.); and flowers (chrysanthemum, rose, orchid, etc.).
- gene recombinant crop insect pest resistant crop incorporated with insecticidal toxin generating gene, disease resistant crop incorporated with disease resistance inducer producing gene, taste improved crop, preservability improved crop, yield improved crop, etc.
- insect sex pheromone pheromone disrupting chemicals for leaf roller moths, cabbage armyworm, etc.
- IPM integrated pest management
- the agrohorticultural agent of the present invention is generally prepared into conveniently usable forms according to an ordinary manner for formulation of agrochemicals.
- the substituted pyrazolecarboxanilide derivative represented by the formula (I) or salt of the present invention and, optionally, an adjuvant are blended with a suitable inert carrier in a proper proportion and prepared into a suitable formulation form such as a suspension, emulsifiable concentrate, soluble concentrate, wettable powder, water dispersible granule, granules, dust, tablets, pack or the like through dissolution, dispersion, suspension, mixing, impregnation, adsorption or sticking.
- a suitable inert carrier such as a suspension, emulsifiable concentrate, soluble concentrate, wettable powder, water dispersible granule, granules, dust, tablets, pack or the like through dissolution, dispersion, suspension, mixing, impregnation, adsorption or sticking.
- the inert carrier usable in the present invention may be either solid or liquid.
- a material usable as the solid carrier there can be exemplified soybean flour, cereal flour, wood flour, bark flour, saw dust, powdered tobacco stalks, powdered walnut shells, bran, powdered cellulose, extraction residue of vegetables, resins such as powdered synthetic polymers and the like, clays (e.g. kaolin, bentonite, and acid clay), talcs (e.g. talc and pyrophyllite), silica powders or flakes (e.g.
- diatomaceous earth silica sand, mica and white carbon
- synthetic, high-dispersion silicic acid also called finely divided hydrated silica or hydrated silicic acid, some of commercially available products contain calcium silicate as the major component
- inorganic or mineral powders such as activated carbon, powdered sulfur, pumice, calcined diatomaceous earth, ground brick, fly ash, sand, calcium carbonate, calcium phosphate and the like
- plastic carriers such as polyethylene, polypropylene, poly(vinylidene chloride) and the like, chemical fertilizers (e.g. ammonium sulfate, ammonium phosphate, ammonium nitrate, urea and ammonium chloride), and compost. These carriers may be used alone or as a mixture of two or more kinds thereof.
- a material usable as the liquid carrier is selected from materials that have solubility in themselves or which, even without such solubility, are capable of dispersing an active ingredient with the aid of an adjuvant.
- the following are typical examples of the liquid carrier and can be used alone or as a mixture of two or more kinds thereof: water, alcohols (e.g. methanol, ethanol, isopropanol, butanol and ethylene glycol), ketones (e.g. acetone, methyl ethyl ketone, methyl isobutyl ketone, diisobutyl ketone and cyclohexanone), ethers (e.g.
- ethyl ether dioxane, Cellosolve, dipropyl ether and tetrahydrofuran
- aliphatic hydrocarbons e.g. kerosene and mineral oils
- aromatic hydrocarbons e.g. benzene, toluene, xylene, solvent naphtha and alkylnaphthalenes
- halogenated hydrocarbons e.g. dichloroethane, chloroform, carbon tetrachloride and chlorobenzene
- esters e.g. ethyl acetate, diisopropyl phthalate, dibutyl phthalate and dioctyl phthalate
- amides e.g. dimethylformamide, diethylformamide and dimethylacetamide
- nitriles e.g. acetonitrile
- a surfactant is used as the surfactant.
- the surfactant there can be exemplified polyoxyethylene alkyl ethers, polyoxyethylene alkylaryl ethers, polyoxyethylene higher fatty acid esters, polyoxyethylene resonates, polyoxyethylene sorbitan monolaurate, polyoxyethylene sorbitan monooleate, alkylarylsulfonates, naphthalene sulfonic acid condensation products, ligninsulfonates and higher alcohol sulfate esters.
- the adjuvants exemplified below may also be used, namely, there may also be used adjuvants such as casein, gelatin, starch, methyl cellulose, carboxymethyl cellulose, gum arabic, poly(vinyl alcohol)s, turpentine, bran oil, bentonite and ligninsulfonates.
- the following adjuvants may also be used, namely, there may be used adjuvants such as waxes, stearates, alkyl phosphates, etc.
- Adjuvants such as naphthalenesulfonic acid condensation products and polycondensates of phosphates may be used as a peptizer for dispersible products
- Adjuvants such as silicone oils may also be used as a defoaming agent.
- Adjuvants such as 1,2-benzisothiazoline-3-one, p-chloro-m-xylenol, butyl p-hydroxybenzoate may also be added as a preservative.
- functional spreading agents such as metabolic decomposition inhibitor like piperonyl butoxide, anti-freezing agents such as propylene glycol, antioxidants such as BHT, ultraviolet absorbers, and the other additives may also be added.
- active enhancers such as metabolic decomposition inhibitor like piperonyl butoxide
- anti-freezing agents such as propylene glycol
- antioxidants such as BHT
- ultraviolet absorbers and the other additives may also be added.
- the content of the compound as active ingredient may be varied as required, and the compound as active ingredient may be used in a proportion properly chosen in the range of 0.01 to 90 parts by weight per 100 parts of the agrohorticultural agents.
- the suitable content of the compound as active ingredient is from 0.01 to 50% by weight.
- emulsifiable concentrate or wettable powders it is also from 0.01 to 50% by weight.
- the agrohorticultural agent of the present invention is used to control a variety of insect pests in the following manner: it is applied to a crop on which the insect pests are expected to appear, or a site where appearance or growth of the insect pests is undesirable, as it is or after being properly diluted with or suspended in water or the like, in an amount effective for control of the insect pests.
- the applying dosage of the agrohorticultural agent of the present invention is varied depending upon various factors such as a purpose, insect pests to be controlled, a growth state of a plant, tendency of insect pests appearance, weather, environmental conditions, a formulation form, an application method, an application site and application time. It may be properly chosen in the range of 0.001 g to 10 kg, preferably 0.01 g to 1 kg, (in terms of the compound as active ingredient) per 10 acres depending upon purposes.
- the agrohorticultural agent of the present invention may be used in admixture with other agrohorticultural insecticides, acaricides, nematocides, fungicides, biotic pesticides or the like in order to expand both spectrum of controllable insect pest species and the period of time when effective application are possible or to reduce the dosage.
- the agrohorticultural insecticide of the present invention may be used in admixture with herbicides, plant growth regulators, fertilizers or the like, depending upon application situations.
- agrohorticultural insecticides such as Ethion, Trichlorfon, Metamidophos, Acephate, Dichlorvos, Mevinphos, Monocrotophos, Malathion, Dimethoate, Formothion, Mecarbam, Vamidothion, Thiometon, Disulfoton, Oxydeprofos, Naled, Methylparathion, Fenitrothion, Cyanophos, Propaphos, Fenthion, Prothiofos, Profenofos, Isofenphos, Temephos, Phenthoate, Dimethylvinphos, Chlorfenvinphos, Tetrachlorvinphos, Phoxim, Isoxathion, Pyraclofos, Methidathion, Ethion, Trichlorfon, Metamidophos, Acephate, Dichlorvos, Mevinphos, Monocrotophos, Malathion, Dimethoate, Formothion, Me
- agrohorticultural fungicides such as Sulfur, Lime sulfur, Copper sulfate basic, Iprobenfos, Edifenfos, Tolclofos-methyl, Thiram, Polycarbamate, Zineb, Maneb, Mancozeb, Propineb, Thiophanate, Thiophanate methyl, Benomyl, Iminoctadin acetate, Iminocutadin albecylate, Mepronil, Flutolanil, Pencycuron, Furametpyl, Thifluzamide, Metalaxyl, Oxadixyl, Carpropamid, Dichlofluanid, Flusulfamide, Chlorothalonil, Kresoxim-methyl, Fenoxanil, Himexazol, Etridiazol, Fluoroimide, Procymidone, Vinclozolin, Iprodione, Tri-dione, Trifluoroimide, Procymidone, Vinclozolin, Iprodi
- herbicides there can be exemplified herbicides such as Glyphosate, Sulfosate, Glyfosinate, Bialaphos, Butamifos, Esprocarb, Prosulcarb, Benthiocarb, Pyributycarb, Asulam, Linuron, Dymron, Isouron, Bensulfuron methyl, Cyclosulfamuron, Cinosulfuron, Pyrazosulfuron ethyl, Azimsulfuron, Imazosulfuron, Tenylchlor, Alachlor, Pretilachlor, Clomeprop, Etobenzanid, Mefenacet, Pendimethalin, Bifenox, Acifluorfen, Lactfen, Cyhalofop-butyl, Ioxynil, Bromobutide, Alloxydim, Setoxydim, Napropamide, Indanofan, Pyrazolate, Benzofenap, Pyributycar
- the same effect as above can be expected by using the agrohorticultural agent of the present invention in admixture with, for example, viral formulations obtained from nuclear polyhedrosis virus (NPV), granulosis virus (GV), cytoplasmic polyhedrosis virus (CPV), entomopox virus (EPV), etc.; microbial pesticides utilized as insecticides or nematicides, such as Monacrosporium phymatophagum, Steinernema carpocapsae, Steinernema kushidai, Pasteuria penetrans , etc.; microbial pesticides utilized as fungicides, such as Trichoderma lignorum, Agrobacterium radiobactor , nonpathogenic Erwinia carotovora, Bacillus subtilis , etc.; and biotic pesticides utilized as herbicides, such as Xanthomonas campestris , etc.
- NPV nuclear polyhedrosis virus
- the agrohorticultural agent of the present invention can be used in combination with biotic pesticides including natural enemies such as Parasitic wasp ( Encarsia formosa ), Parasitic wasp ( Aphidius colemani ), Gall-mildge ( Aphidoletes aphidimyza ), Parasitic wasp ( Diglyphus isaea ), Parasitic mite ( Dacnusa sibirica ), Predatory mite ( Phytoseiulus persimilis ), Predatory mite ( Amblyseius cucumeris ), Predatory bug ( Orius sauteri ), etc.; microbial pesticides such as Beauveria brongniartii , etc.; and pheromones such as (Z)-10-tetradecenyl acetate, (E,Z)-4,10-tetradecadienyl acetate, (Z)-8-dodecen
- substituted pyrazolecarboxanilide derivatives represented by the formula (I), and substituted aniline derivative represented by the formula (II) and substituted pyrazolecarboxic acid represented by the formula (IV), which are intermediates therefore, of the present invention, are explained in the following by referring to Examples, which are not to be construed as limitative.
- 1,5-Dimethyl-3-trifluoromethylpyrazole-4-carboxylic acid (2.09 g, 10 mmol) was dissolved in thionyl chloride, and the mixture was heated under reflux for 3 hr. The mixture was concentrated under reduced pressure to give 1,5-dimethyl-3-trifluoromethylpyrazole-4-carbonyl chloride. This was added to a solution of 3-isobutyl-4-[1-methoxy-2,2,2-trifluoro-1-(trifluoromethyl)ethyl]aniline (3.29 g, 10 mmol) and triethylamine (3.03 g, 30 mmol) in tetrahydrofuran (30 ml), and the mixture was heated under reflux for 2 hr.
- reaction mixture was poured into diluted hydrochloric acid and extracted with ethyl acetate.
- 5-n-Propyl-2-methylaniline (14.9 g, 0.1 mol) was diluted in a mixed solvent (300 ml) of tert-butyl methyl ether-water (1:1), and heptafluoroisopropyl iodide (29.6 g, 0.1 mol), tetrabutylammonium hydrogen sulfate (3.4 g, 0.01 mol), sodium hydrogen carbonate (8.4 g, 0.1 mol) and sodium dithionite (17 g, 0.1 mol) were successively added. The mixture was stirred overnight at room temperature.
- reaction mixture was diluted in hexane, washed twice with 3N hydrochloric acid, and washed with aqueous sodium hydrogen carbonate and saturated brine.
- the organic layer was dried over magnesium sulfate, and concentrated under reduced pressure.
- the residue was purified by silica gel chromatography (hexane:ethyl acetate 5:1) to give the desired compound (28.5 g).
- 1,3,5-Trimethylpyrazole-4-carbonyl chloride 172 mg, 1 mmol
- 4-[1-methoxy-2,2,2-trifluoro-1-(trifluoromethyl)ethyl]-2-methyl-5-n-propylaniline 329 mg, 1 mmol
- triethylamine 303 mg, 3 mmol
- the reaction mixture was diluted with ethyl acetate, and washed with water.
- the organic layer was dried over anhydrous magnesium sulfate and concentrated under reduced pressure.
- reaction mixture was poured into diluted hydrochloric acid, and the mixture was extracted with ethyl acetate.
- 1,3,5-trimethylpyrazole-4-carbonyl chloride (3.93 g, 22.8 mmol), 3-isobutyl-4-[1-methoxy-2,2,2-trifluoro-1-(trifluoromethyl)ethyl]aniline (5.0 g, 15.2 mmol), and triethylamine (3.07 g, 30.4 mmol) were dissolved in tetrahydrofuran (100 ml), and the mixture was heated under reflux for 5 hr. The reaction mixture was diluted with ethyl acetate, and washed with water. The organic layer was dried over anhydrous magnesium sulfate and concentrated under reduced pressure. The obtained crude crystals were washed with ether to give the desired compound (5.62 g).
- reaction mixture was poured into diluted hydrochloric acid, and the mixture was extracted with ethyl acetate.
- reaction mixture was poured into diluted hydrochloric acid and extracted with ethyl acetate.
- 1,3,5-Trimethylpyrazole-4-carbonyl chloride (2.09 g, 10.0 mmol), 3-isobutyl-4-[2,2,2-trifluoro-1-(trifluoromethyl)ethyl]aniline (2.0 g, 6.69 mmol), and triethylamine (1.35 g, 13.4 mmol) were dissolved in tetrahydrofuran (60 ml), and the mixture was heated under reflux for 5 hr. The reaction mixture was diluted with ethyl acetate, and washed with water.
- reaction mixture was poured into diluted hydrochloric acid and extracted with ethyl acetate.
- An emulsifiable concentrate was prepared by mixing uniformly the above ingredients to effect dissolution.
- a dust was prepared by mixing uniformly and grinding the above ingredients.
- Granules were prepared by mixing the above ingredients uniformly, and kneading the resulting mixture together with a suitable amount of water, followed by granulation and drying.
- Kidney bean leaf disk with a diameter of 2 cm was placed on the wetted filter paper.
- Ten adult females of two-spotted spider mite were inoculated on each leaf disk, and were sprayed with 50 ml of test solution, prepared by diluting a formulation containing each compound listed in Table 1 or Table 2 as an active ingredient to adjust each of the concentrations to 500 ppm, 50 ppm and 5 ppm.
- Two days after the treatment the survived mites were counted.
- the corrected mortality was calculated by the following equation and the acaricidal activity was judged according to the criterion shown below. The experiment was carried out with two replicates under the condition at 25° C.
- agrohorticultural agents particularly insecticides and acaricides, having superior properties as compared to conventional techniques can be provided.
Landscapes
- Chemical & Material Sciences (AREA)
- Organic Chemistry (AREA)
- Life Sciences & Earth Sciences (AREA)
- Agronomy & Crop Science (AREA)
- Pest Control & Pesticides (AREA)
- Plant Pathology (AREA)
- Health & Medical Sciences (AREA)
- Engineering & Computer Science (AREA)
- Dentistry (AREA)
- General Health & Medical Sciences (AREA)
- Wood Science & Technology (AREA)
- Zoology (AREA)
- Environmental Sciences (AREA)
- Agricultural Chemicals And Associated Chemicals (AREA)
- Plural Heterocyclic Compounds (AREA)
- Organic Low-Molecular-Weight Compounds And Preparation Thereof (AREA)
Abstract
wherein R1 is H, alkyl, alkylcarbonyl, alkenylcarbonyl, cycloalkyl, phenylalkyl, phenylcarbonyl and the like; R2 is H, halogen, alkyl, CN, OH, alkoxy, phenoxy, phenylthio, phenylsulfonyl and the like; G is alkyl, alkenyl, alkynyl, cycloalkyl, C3-C10 cycloalkenyl and the like; Z is O or S; X is H, halogen, CN, NO2, alkyl and the like; Y1 is H, alkyl, alkenyl, phenyl, alkoxyalkyl and the like; Y2 is H, halogen, CN, NO2, OH, mercapto, amino, carboxyl, C1-C6 alkyl, phenyl, phenoxy, heterocycle and the like, m is 1 or 2; and n is 1-3, and salts thereof exhibit a superior effect as agrohorticultural insecticides or acaricides.
Description
wherein
R1 is 1a) a hydrogen atom, 2a) a C1-C8 alkyl group, 3a) a halo C1-C6 alkyl group, 4a) a C1-C6 alkylcarbonyl group, 5a) a halo C1-C6 alkylcarbonyl group, 6a) a C2-C6 alkenylcarbonyl group, 7a) a halo C2-C6 alkenylcarbonyl group, 8a) a C1-C6 alkylcarbonyl C1-C6 alkyl group, 9a) a C3-C6 cycloalkyl group, 10a) a halo C3-C6 cycloalkyl group, 11a) a C3-C6 cycloalkyl C1-C6 alkyl group, 12a) a halo C3-C6 cycloalkyl C1-C6 alkyl group, 13a) a C2-C6 alkenyl group, 14a) a halo C2-C6 alkenyl group, 15a) a C2-C6 alkynyl group, 16a) a halo C2-C6 alkynyl group, 17a) a C1-C10 alkoxy C1-C6 alkyl group, 18a) a halo C1-C6 alkoxy C1-C6 alkyl group, 19a) a C2-C6 alkenyloxy C1-C6 alkyl group, 20a) a C1-C6 alkoxy C1-C6 alkoxy C1-C6 alkyl group, 21a) a C1-C6 alkylthio C1-C6 alkyl group, 22a) a halo C1-C6 alkylthio C1-C6 alkyl group, 23a) a C1-C6 alkylsulfinyl C1-C6 alkyl group, 24a) a halo C1-C6 alkylsulfinyl C1-C6 alkyl group, 25a) a C1-C6 alkylsulfonyl C1-C6 alkyl group, 26a) a halo C1-C6 alkylsulfonyl C1-C6 alkyl group, 27a) a mono C1-C6 alkylamino C1-C6 alkyl group, 28a) a di C1-C6 alkylamino C1-C6 alkyl group wherein the alkyl groups are the same or different, 29a) a phenyl C1-C6 alkoxy C1-C6 alkyl group, 30a) a substituted phenyl C1-C6 alkoxy C1-C6 alkyl group having, on the ring, one or more, the same or different substituents selected from a) a halogen atom, b) a cyano group, c) a nitro group, d) a C1-C6 alkyl group, e) a halo C1-C6 alkyl group, f) a C1-C6 alkoxy group, g) a halo C1-C6 alkoxy group, h) a C1-C6 alkylthio group, i) a halo C1-C6 alkylthio group, j) a C1-C6 alkylsulfinyl group, k) a halo C1-C6 alkylsulfinyl group, l) a C1-C6 alkylsulfonyl group, m) a halo C1-C6 alkylsulfonyl group, n) a mono C1-C6 alkylamino group, o) a di C1-C6 alkylamino group wherein the alkyl groups are the same or different, and p) a C1-C6 alkoxycarbonyl group, 31a) a C1-C16 alkoxycarbonyl group, 32a) a C1-C6 alkoxy C1-C6 alkoxycarbonyl group, 33a) a halo C1-C6 alkoxycarbonyl group, 34a) a C2-C6 alkenyloxycarbonyl group, 35a) a C1-C6 alkylthiocarbonyl group, 36a) a mono C1-C6 alkylaminocarbonyl group, 37a) a di C1-C6 alkylaminocarbonyl group wherein the alkyl groups are the same or different, 38a) a C1-C6 alkoxycarbonyl C1-C6 alkyl group, 39a) a C1-C6 alkylsulfonyl group, 40a) a halo C1-C6 alkylsulfonyl group, 41a) a cyano C1-C6 alkyl group, 42a) a phenyl C1-C6 alkyl group, 43a) a substituted phenyl C1-C6 alkyl group having, on the ring, one or more, the same or different substituents selected from a) a halogen atom, b) a cyano group, c) a nitro group, d) a C1-C6 alkyl group, e) a halo C1-C6 alkyl group, f) a C1-C6 alkoxy group, g) a halo C1-C6 alkoxy group, h) a C1-C6 alkylthio group, i) a halo C1-C6 alkylthio group, j) a C1-C6 alkylsulfinyl group, k) a halo C1-C6 alkylsulfinyl group, l) a C1-C6 alkylsulfonyl group, m) a halo C1-C6 alkylsulfonyl group, n) a mono C1-C6 alkylamino group, o) a di C1-C6 alkylamino group wherein the alkyl groups are the same or different, and p) a C1-C6 alkoxycarbonyl group, 44a) a phenylcarbonyl group, 45a) a substituted phenylcarbonyl group having, on the ring, one or more, the same or different substituents selected from a) a halogen atom, b) a cyano group, c) a nitro group, d) a C1-C6 alkyl group, e) a halo C1-C6 alkyl group, f) a C1-C6 alkoxy group, g) a halo C1-C6 alkoxy group, h) a C1-C6 alkylthio group, i) a halo C1-C6 alkylthio group, j) a C1-C6 alkylsulfinyl group, k) a halo C1-C6 alkylsulfinyl group, l) a C1-C6 alkylsulfonyl group, m) a halo C1-C6 alkylsulfonyl group, n) a mono C1-C6 alkylamino group, o) a di C1-C6 alkylamino group wherein the alkyl groups are the same or different, and p) a C1-C6 alkoxycarbonyl group, 46a) a heterocyclylcarbonyl group, 47a) a substituted heterocyclylcarbonyl group having, on the ring, one or more, the same or different substituents selected from a) a halogen atom, b) a cyano group, c) a nitro group, d) a C1-C6 alkyl group, e) a halo C1-C6 alkyl group, f) a C1-C6 alkoxy group, g) a halo C1-C6 alkoxy group, h) a C1-C6 alkylthio group, i) a halo C1-C6 alkylthio group, j) a C1-C6 alkylsulfinyl group, k) a halo C1-C6 alkylsulfinyl group, l) a C1-C6 alkylsulfonyl group, m) a halo C1-C6 alkylsulfonyl group, n) a mono C1-C6 alkylamino group, o) a di C1-C6 alkylamino group wherein the alkyl groups are the same or different, and p) a C1-C6 alkoxycarbonyl group, 48a) a phenoxycarbonyl group, 49a) a substituted phenoxycarbonyl group having, on the ring, one or more, the same or different substituents selected from a) a halogen atom, b) a cyano group, c) a nitro group, d) a C1-C6 alkyl group, e) a halo C1-C6 alkyl group, f) a C1-C6 alkoxy group, g) a halo C1-C6 alkoxy group, h) a C1-C6 alkylthio group, i) a halo C1-C6 alkylthio group, j) a C1-C6 alkylsulfinyl group, k) a halo C1-C6 alkylsulfinyl group, l) a C1-C6 alkylsulfonyl group, m) a halo C1-C6 alkylsulfonyl group, n) a mono C1-C6 alkylamino group, o) a di C1-C6 alkylamino group wherein the alkyl groups are the same or different, and p) a C1-C6 alkoxycarbonyl group, 50a) a phenoxy C1-C6 alkylcarbonyl group, 51a) a substituted phenoxy C1-C6 alkylcarbonyl group having, on the ring, one or more, the same or different substituents selected from a) a halogen atom, b) a cyano group, c) a nitro group, d) a C1-C6 alkyl group, e) a halo C1-C6 alkyl group, f) a C1-C6 alkoxy group, g) a halo C1-C6 alkoxy group, h) a C1-C6 alkylthio group, i) a halo C1-C6 alkylthio group, j) a C1-C6 alkylsulfinyl group, k) a halo C1-C6 alkylsulfinyl group, l) a C1-C6 alkylsulfonyl group, m) a halo C1-C6 alkylsulfonyl group, n) a mono C1-C6 alkylamino group, o) a di C1-C6 alkylamino group wherein the alkyl groups are the same or different, and p) a C1-C6 alkoxycarbonyl group, 52a) a phenylsulfonyl group, 53a) a substituted phenylsulfonyl group having, on the ring, one or more, the same or different substituents selected from a) a halogen atom, b) a cyano group, c) a nitro group, d) a C1-C6 alkyl group, e) a halo C1-C6 alkyl group, f) a C1-C6 alkoxy group, g) a halo C1-C6 alkoxy group, h) a C1-C6 alkylthio group, i) a halo C1-C6 alkylthio group, j) a C1-C6 alkylsulfinyl group, k) a halo C1-C6 alkylsulfinyl group, l) a C1-C6 alkylsulfonyl group, m) a halo C1-C6 alkylsulfonyl group, n) a mono C1-C6 alkylamino group, o) a di C1-C6 alkylamino group wherein the alkyl groups are the same or different, and p) a C1-C6 alkoxycarbonyl group, 54a) a di C1-C6 alkylphosphono group wherein the alkyl groups are the same or different, 55a) a di C1-C6 alkylphosphonothio group wherein the alkyl groups are the same or different, 56a) a N—C1-C6 alkyl-N—C1-C6 alkoxycarbonylaminothio group, 57a) a N—C1-C6 alkyl-N—C1-C6 alkoxycarbonyl C1-C6 alkylaminothio group, 58a) a di C1-C6 alkylaminothio group wherein the alkyl groups are the same or different, 59a) a C3-C6 cycloalkylcarbonyl group, 60a) a halo C3-C6 cycloalkylcarbonyl group, 61a) a C1-C6 alkyl C3-C6 cycloalkylcarbonyl group, 62a) a halo C1-C6 alkyl C3-C6 cycloalkylcarbonyl group, 63a) a phenyl C1-C6 alkylcarbonyl group, 64a) a substituted phenyl C1-C6 alkylcarbonyl group having, on the ring, one or more, the same or different substituents selected from a) a halogen atom, b) a cyano group, c) a nitro group, d) a C1-C6 alkyl group, e) a halo C1-C6 alkyl group, f) a C1-C6 alkoxy group, g) a halo C1-C6 alkoxy group, h) a C1-C6 alkylthio group, i) a halo C1-C6 alkylthio group, j) a C1-C6 alkylsulfinyl group, k) a halo C1-C6 alkylsulfinyl group, l) a C1-C6 alkylsulfonyl group, m) a halo C1-C6 alkylsulfonyl group, n) a mono C1-C6 alkylamino group, o) a di C1-C6 alkylamino group wherein the alkyl groups are the same or different, and p) a C1-C6 alkoxycarbonyl group, 65a) a phenyl C3-C6 cycloalkylcarbonyl group, 66a) a substituted phenyl C3-C6 cycloalkylcarbonyl group having, on the ring, one or more, the same or different substituents selected from a) a halogen atom, b) a cyano group, c) a nitro group, d) a C1-C6 alkyl group, e) a halo C1-C6 alkyl group, f) a C1-C6 alkoxy group, g) a halo C1-C6 alkoxy group, h) a C1-C6 alkylthio group, i) a halo C1-C6 alkylthio group, j) a C1-C6 alkylsulfinyl group, k) a halo C1-C6 alkylsulfinyl group, l) a C1-C6 alkylsulfonyl group, m) a halo C1-C6 alkylsulfonyl group, n) a mono C1-C6 alkylamino group, o) a di C1-C6 alkylamino group wherein the alkyl groups are the same or different, and p) a C1-C6 alkoxycarbonyl group, 67a) a C3-C6 cycloalkyl C1-C6 alkylcarbonyl group, 68a) a C1-C6 alkoxy C1-C6 alkylcarbonyl group, 69a) a halo C3-C6 cycloalkyl C1-C6 alkylcarbonyl group, 70a) a phenoxy C1-C6 alkoxycarbonyl group, 71a) a substituted phenoxy C1-C6 alkoxycarbonyl group having, on the ring, one or more, the same or different substituents selected from a) a halogen atom, b) a cyano group, c) a nitro group, d) a C1-C6 alkyl group, e) a halo C1-C6 alkyl group, f) a C1-C6 alkoxy group, g) a halo C1-C6 alkoxy group, h) a C1-C6 alkylthio group, i) a halo C1-C6 alkylthio group, j) a C1-C6 alkylsulfinyl group, k) a halo C1-C6 alkylsulfinyl group, l) a C1-C6 alkylsulfonyl group, m) a halo C1-C6 alkylsulfonyl group, n) a mono C1-C6 alkylamino group, o) a di C1-C6 alkylamino group wherein the alkyl groups are the same or different, and p) a C1-C6 alkoxycarbonyl group, 72a) a C1-C6 alkylcarbonyloxy C1-C6 alkyl group, 73a) a C1-C6 alkylcarbonyl C1-C6 alkylcarbonyl group, or 74a) a C1-C6 alkoxycarbonyl C1-C6 alkylcarbonyl group;
R2 is 1b) a hydrogen atom, 2b) a halogen atom, 3b) a C1-C6 alkyl group, 4b) a halo C1-C6 alkyl group, 5b) a cyano group, 6b) a hydroxy group, 7b) a C1-C6 alkoxy group, 8b) a halo C1-C6 alkoxy group, 9b) a C1-C6 alkoxy C1-C3 alkoxy group, 10b) a halo C1-C6 alkoxy C1-C3 alkoxy group, 11b) a C1-C6 alkylthio C1-C3 alkoxy group, 12b) a halo C1-C6 alkylthio C1-C3 alkoxy group, 13b) a C1-C6 alkylsulfinyl C1-C3 alkoxy group, 14b) a halo C1-C6 alkylsulfinyl C1-C3 alkoxy group, 15b) a C1-C6 alkylsulfonyl C1-C3 alkoxy group, 16b) a halo C1-C6 alkylsulfonyl C1-C3 alkoxy group, 17b) a mono C1-C6 alkylamino C1-C3 alkoxy group, 18b) a di C1-C6 alkylamino C1-C3 alkoxy group wherein the alkyl groups are the same or different, 19b) a C1-C6 alkylthio group, 20b) a halo C1-C6 alkylthio group, 21b) a C1-C6 alkylsulfinyl group, 22b) a halo C1-C6 alkylsulfinyl group, 23b) a C1-C6 alkylsulfonyl group, 24b) a halo C1-C6 alkylsulfonyl group, 25b) an amino group, 26b) a mono C1-C6 alkylamino group, 27b) a di C1-C6 alkylamino group wherein the alkyl groups are the same or different, 28b) a phenoxy group, 29b) a substituted phenoxy group having, on the ring, one or more, the same or different substituents selected from a) a halogen atom, b) a cyano group, c) a nitro group, d) a C1-C6 alkyl group, e) a halo C1-C6 alkyl group, f) a C1-C6 alkoxy group, g) a halo C1-C6 alkoxy group, h) a C1-C6 alkylthio group, i) a halo C1-C6 alkylthio group, j) a C1-C6 alkylsulfinyl group, k) a halo C1-C6 alkylsulfinyl group, l) a C1-C6 alkylsulfonyl group, m) a halo C1-C6 alkylsulfonyl group, n) a mono C1-C6 alkylamino group, o) a di C1-C6 alkylamino group wherein the alkyl groups are the same or different, and p) a C1-C6 alkoxycarbonyl group, 30b) a phenylthio group, 31b) a substituted phenylthio group having, on the ring, one or more, the same or different substituents selected from a) a halogen atom, b) a cyano group, c) a nitro group, d) a C1-C6 alkyl group, e) a halo C1-C6 alkyl group, f) a C1-C6 alkoxy group, g) a halo C1-C6 alkoxy group, h) a C1-C6 alkylthio group, i) a halo C1-C6 alkylthio group, j) a C1-C6 alkylsulfinyl group, k) a halo C1-C6 alkylsulfinyl group, l) a C1-C6 alkylsulfonyl group, m) a halo C1-C6 alkylsulfonyl group, n) a mono C1-C6 alkylamino group, o) a di C1-C6 alkylamino group wherein the alkyl groups are the same or different, and p) a C1-C6 alkoxycarbonyl group, 32b) a phenylsulfinyl group, 33b) a substituted phenylsulfinyl group having, on the ring, one or more, the same or different substituents selected from a) a halogen atom, b) a cyano group, c) a nitro group, d) a C1-C6 alkyl group, e) a halo C1-C6 alkyl group, f) a C1-C6 alkoxy group, g) a halo C1-C6 alkoxy group, h) a C1-C6 alkylthio group, i) a halo C1-C6 alkylthio group, j) a C1-C6 alkylsulfinyl group, k) a halo C1-C6 alkylsulfinyl group, l) a C1-C6 alkylsulfonyl group, m) a halo C1-C6 alkylsulfonyl group, n) a mono C1-C6 alkylamino group, o) a di C1-C6 alkylamino group wherein the alkyl groups are the same or different, and p) a C1-C6 alkoxycarbonyl group, 34b) a phenylsulfonyl group, 35b) a substituted phenylsulfonyl group having, on the ring, one or more, the same or different substituents selected from a) a halogen atom, b) a cyano group, c) a nitro group, d) a C1-C6 alkyl group, e) a halo C1-C6 alkyl group, f) a C1-C6 alkoxy group, g) a halo C1-C6 alkoxy group, h) a C1-C6 alkylthio group, i) a halo C1-C6 alkylthio group, j) a C1-C6 alkylsulfinyl group, k) a halo C1-C6 alkylsulfinyl group, l) a C1-C6 alkylsulfonyl group, m) a halo C1-C6 alkylsulfonyl group, n) a mono C1-C6 alkylamino group, o) a di C1-C6 alkylamino group wherein the alkyl groups are the same or different, and p) a C1-C6 alkoxycarbonyl group, 36b) a phenyl C1-C6 alkoxy group, or 37b) a substituted phenyl C1-C6 alkoxy group having, on the ring, one or more, the same or different substituents selected from a) a halogen atom, b) a cyano group, c) a nitro group, d) a C1-C6 alkyl group, e) a halo C1-C6 alkyl group, f) a C1-C6 alkoxy group, g) a halo C1-C6 alkoxy group, h) a C1-C6 alkylthio group, i) a halo C1-C6 alkylthio group, j) a C1-C6 alkylsulfinyl group, k) a halo C1-C6 alkylsulfinyl group, l) a C1-C6 alkylsulfonyl group, m) a halo C1-C6 alkylsulfonyl group, n) a mono C1-C6 alkylamino group, o) a di C1-C6 alkylamino group wherein the alkyl groups are the same or different, and p) a C1-C6 alkoxycarbonyl group;
G is 1c) a C2-C10 alkyl group, 2c) a halo C2-C10 alkyl group, 3c) a C3-C10 alkenyl group, 4c) a halo C3-C10 alkenyl group, 5c) a C3-C10 alkynyl group, 6c) a halo C3-C10 alkynyl group, 7c) a C3-C10 cycloalkyl group, 8c) a substituted C3-C10 cycloalkyl group having, on the ring, one or more, the same or different substituents selected from a) a halogen atom, b) a C1-C6 alkyl group, and c) a halo C1-C6 alkyl group, 9c) a C3-C10 cycloalkenyl group, 10c) a substituted C3-C10 cycloalkenyl group having, on the ring, one or more, the same or different substituents selected from a) a halogen atom, b) a C1-C6 alkyl group, and c) a halo C1-C6 alkyl group, 11c) a C3-C8 cycloalkyl C1-C6 alkyl group, or 12c) a halo C3-C8 cycloalkyl C1-C6 alkyl group;
Z is an oxygen atom or a sulfur atom;
X may be the same or different and is 1d) a hydrogen atom, 2d) a halogen atom, 3d) a cyano group, 4d) a nitro group, 5d) a C1-C6 alkyl group, or 6d) a halo C1-C6 alkyl group;
Y1 is 1e) a hydrogen atom, 2e) a C1-C6 alkyl group, 3e) a halo C1-C6 alkyl group, 4e) a C2-C6 alkenyl group, 5e) a halo C2-C6 alkenyl group, 6e) a C2-C6 alkynyl group, 7e) a halo C2-C6 alkynyl group, 8e) a C1-C6 alkoxy C1-C6 alkoxy C1-C6 alkyl group, 9e) a hydroxy C1-C6 alkyl group, 10e) a C1-C6 alkylcarbonyloxy C1-C6 alkyl group, 11e) a C3-C6 cycloalkyl group, 12e) a halo C3-C6 cycloalkyl group, 13e) a C3-C6 cycloalkyl C1-C6 alkyl group, 14e) a halo C3-C6 cycloalkyl C1-C6 alkyl group, 15e) a C1-C6 alkylsulfonyl group, 16e) a halo C1-C6 alkylsulfonyl group, 17e) a C1-C6 alkylthio C1-C6 alkyl group, 18e) a halo C1-C6 alkylthio C1-C6 alkyl group, 19e) a C1-C6 alkylsulfinyl C1-C6 alkyl group, 20e) a halo C1-C6 alkylsulfinyl C1-C6 alkyl group, 21e) a C1-C6 alkylsulfonyl C1-C6 alkyl group, 22e) a halo C1-C6 alkylsulfonyl C1-C6 alkyl group, 23e) a mono C1-C6 alkylamino C1-C6 alkyl group, 24e) a di C1-C6 alkylamino C1-C6 alkyl group wherein the alkyl groups are the same or different, 25e) a phenyl group, 26e) a substituted phenyl group having, on the ring, one or more, the same or different substituents selected from a) a halogen atom, b) a cyano group, c) a nitro group, d) a C1-C6 alkyl group, e) a halo C1-C6 alkyl group, f) a C1-C6 alkoxy group, g) a halo C1-C6 alkoxy group, h) a C1-C6 alkylthio group, i) a halo C1-C6 alkylthio group, j) a C1-C6 alkylsulfinyl group, k) a halo C1-C6 alkylsulfinyl group, l) a C1-C6 alkylsulfonyl group, m) a halo C1-C6 alkylsulfonyl group, n) a mono C1-C6 alkylamino group, o) a di C1-C6 alkylamino group wherein the alkyl groups are the same or different, and p) a C1-C6 alkoxycarbonyl group;
Y2 may be the same or different and is 1f) a hydrogen atom, 2f) a halogen atom, 3f) a cyano group, 4f) a nitro group, 5f) a hydroxyl group, 6f) a mercapto group, 7f) an amino group, 8f) a carboxyl group, 9f) a C1-C6 alkyl group, 10f) a halo C1-C6 alkyl group, 11f) a C2-C6 alkenyl group, 12f) a halo C2-C6 alkenyl group, 13f) a C2-C6 alkynyl group, 14f) a halo C2-C6 alkynyl group, 15f) a tri C1-C6 alkylsilyl C2-C6 alkynyl group wherein the alkyl groups are the same or different, 16f) a phenyl C2-C6 alkynyl group, 17f) a C1-C6 alkoxy C1-C6 alkoxy C1-C6 alkyl group, 18f) a hydroxy C1-C6 alkyl group, 19f) a C1-C6 alkylcarbonyloxy C1-C6 alkyl group, 20f) a C3-C6 cycloalkyl group, 21f) a halo C3-C6 cycloalkyl group, 22f) a C3-C6 cycloalkyl C1-C6 alkyl group, 23f) a halo C3-C6 cycloalkyl C1-C6 alkyl group, 24f) a C1-C6 alkoxy group, 25f) a halo C1-C6 alkoxy group, 26f) a C1-C6 alkoxy C1-C6 alkoxy group, 27f) a halo C1-C6 alkoxy C1-C6 alkoxy group, 28f) a phenyl C1-C6 alkoxy group, 29f) a C1-C6 alkoxy C1-C6 alkyl group, 30f) a halo C1-C6 alkoxy C1-C6 alkyl group, 31f) a C1-C6 alkylthio group, 32f) a halo C1-C6 alkylthio group, 33f) a C1-C6 alkylsulfinyl group, 34f) a halo C1-C6 alkylsulfinyl group, 35f) a C1-C6 alkylsulfonyl group, 36f) a halo C1-C6 alkylsulfonyl group, 37f) a C1-C6 alkylthio C1-C6 alkyl group, 38f) a halo C1-C6 alkylthio C1-C6 alkyl group, 39f) a C1-C6 alkylsulfinyl C1-C6 alkyl group, 40f) a halo C1-C6 alkylsulfinyl C1-C6 alkyl group, 41f) a C1-C6 alkylsulfonyl C1-C6 alkyl group, 42f) a halo C1-C6 alkylsulfonyl C1-C6 alkyl group, 43f) a mono C1-C6 alkylamino group, 44f) a di C1-C6 alkylamino group wherein the alkyl groups are the same or different, 45f) a phenylamino group, 46f) a mono C1-C6 alkylamino C1-C6 alkyl group, 47f) a di C1-C6 alkylamino C1-C6 alkyl group wherein the alkyl groups are the same or different, 48f) a phenyl group, 49f) a substituted phenyl group having, on the ring, one or more, the same or different substituents selected from a) a halogen atom, b) a cyano group, c) a nitro group, d) a C1-C6 alkyl group, e) a halo C1-C6 alkyl group, f) a C1-C6 alkoxy group, g) a halo C1-C6 alkoxy group, h) a C1-C6 alkylthio group, i) a halo C1-C6 alkylthio group, j) a C1-C6 alkylsulfinyl group, k) a halo C1-C6 alkylsulfinyl group, l) a C1-C6 alkylsulfonyl group, m) a halo C1-C6 alkylsulfonyl group, n) a mono C1-C6 alkylamino group, o) a di C1-C6 alkylamino group wherein the alkyl groups are the same or different, and p) a C1-C6 alkoxycarbonyl group, 50f) a phenoxy group, 51f) a substituted phenoxy group having, on the ring, one or more, the same or different substituents selected from a) a halogen atom, b) a cyano group, c) a nitro group, d) a C1-C6 alkyl group, e) a halo C1-C6 alkyl group, f) a C1-C6 alkoxy group, g) a halo C1-C6 alkoxy group, h) a C1-C6 alkylthio group, i) a halo C1-C6 alkylthio group, j) a C1-C6 alkylsulfinyl group, k) a halo C1-C6 alkylsulfinyl group, l) a C1-C6 alkylsulfonyl group, m) a halo C1-C6 alkylsulfonyl group, n) a mono C1-C6 alkylamino group, o) a di C1-C6 alkylamino group wherein the alkyl groups are the same or different, and p) a C1-C6 alkoxycarbonyl group, 52f) a heterocyclic group, or 53f) a substituted heterocyclic group having, on the ring, one or more, the same or different substituents selected from a) a halogen atom, b) a cyano group, c) a nitro group, d) a C1-C6 alkyl group, e) a halo C1-C6 alkyl group, f) a C1-C6 alkoxy group, g) a halo C1-C6 alkoxy group, h) a C1-C6 alkylthio group, i) a halo C1-C6 alkylthio group, j) a C1-C6 alkylsulfinyl group, k) a halo C1-C6 alkylsulfinyl group, l) a C1-C6 alkylsulfonyl group, m) a halo C1-C6 alkylsulfonyl group, n) a mono C1-C6 alkylamino group, o) a di C1-C6 alkylamino group wherein the alkyl groups are the same or different, and p) a C1-C6 alkoxycarbonyl group;
m is 1 or 2; and
n is an integer of 1-3,
salts thereof and agrohorticultural agents containing the compound as an active ingredient, and methods of use thereof.
wherein
R1 is 1a) a hydrogen atom, 2a) a C1-C8 alkyl group, 3a) a halo C1-C6 alkyl group, 4a) a C1-C6 alkylcarbonyl group, 5a) a halo C1-C6 alkylcarbonyl group, 6a) a C2-C6 alkenylcarbonyl group, 7a) a halo C2-C6 alkenylcarbonyl group, 8a) a C1-C6 alkylcarbonyl C1-C6 alkyl group, 9a) a C3-C6 cycloalkyl group, 10a) a halo C3-C6 cycloalkyl group, 11a) a C3-C6 cycloalkyl C1-C6 alkyl group, 12a) a halo C3-C6 cycloalkyl C1-C6 alkyl group, 13a) a C2-C6 alkenyl group, 14a) a halo C2-C6 alkenyl group, 15a) a C2-C6 alkynyl group, 16a) a halo C2-C6 alkynyl group, 17a) a C1-C10 alkoxy C1-C6 alkyl group, 18a) a halo C1-C6 alkoxy C1-C6 alkyl group, 19a) a C2-C6 alkenyloxy C1-C6 alkyl group, 20a) a C1-C6 alkoxy C1-C6 alkoxy C1-C6 alkyl group, 21a) a C1-C6 alkylthio C1-C6 alkyl group, 22a) a halo C1-C6 alkylthio C1-C6 alkyl group, 23a) a C1-C6 alkylsulfinyl C1-C6 alkyl group, 24a) a halo C1-C6 alkylsulfinyl C1-C6 alkyl group, 25a) a C1-C6 alkylsulfonyl C1-C6 alkyl group, 26a) a halo C1-C6 alkylsulfonyl C1-C6 alkyl group, 27a) a mono C1-C6 alkylamino C1-C6 alkyl group, 28a) a di C1-C6 alkylamino C1-C6 alkyl group wherein the alkyl groups are the same or different, 29a) a phenyl C1-C6 alkoxy C1-C6 alkyl group, 30a) a substituted phenyl C1-C6 alkoxy C1-C6 alkyl group having, on the ring, one or more, the same or different substituents selected from a) a halogen atom, b) a cyano group, c) a nitro group, d) a C1-C6 alkyl group, e) a halo C1-C6 alkyl group, f) a C1-C6 alkoxy group, g) a halo C1-C6 alkoxy group, h) a C1-C6 alkylthio group, i) a halo C1-C6 alkylthio group, j) a C1-C6 alkylsulfinyl group, k) a halo C1-C6 alkylsulfinyl group, l) a C1-C6 alkylsulfonyl group, m) a halo C1-C6 alkylsulfonyl group, n) a mono C1-C6 alkylamino group, o) a di C1-C6 alkylamino group wherein the alkyl groups are the same or different, and p) a C1-C6 alkoxycarbonyl group, 31a) a C1-C16 alkoxycarbonyl group, 32a) a C1-C6 alkoxy C1-C6 alkoxycarbonyl group, 33a) a halo C1-C6 alkoxycarbonyl group, 34a) a C2-C6 alkenyloxycarbonyl group, 35a) a C1-C6 alkylthiocarbonyl group, 36a) a mono C1-C6 alkylaminocarbonyl group, 37a) a di C1-C6 alkylaminocarbonyl group wherein the alkyl groups are the same or different, 38a) a C1-C6 alkoxycarbonyl C1-C6 alkyl group, 39a) a C1-C6 alkylsulfonyl group, 40a) a halo C1-C6 alkylsulfonyl group, 41a) a cyano C1-C6 alkyl group, 42a) a phenyl C1-C6 alkyl group, 43a) a substituted phenyl C1-C6 alkyl group having, on the ring, one or more, the same or different substituents selected from a) a halogen atom, b) a cyano group, c) a nitro group, d) a C1-C6 alkyl group, e) a halo C1-C6 alkyl group, f) a C1-C6 alkoxy group, g) a halo C1-C6 alkoxy group, h) a C1-C6 alkylthio group, i) a halo C1-C6 alkylthio group, j) a C1-C6 alkylsulfinyl group, k) a halo C1-C6 alkylsulfinyl group, l) a C1-C6 alkylsulfonyl group, m) a halo C1-C6 alkylsulfonyl group, n) a mono C1-C6 alkylamino group, o) a di C1-C6 alkylamino group wherein the alkyl groups are the same or different, and p) a C1-C6 alkoxycarbonyl group, 44a) a phenylcarbonyl group, 45a) a substituted phenylcarbonyl group having, on the ring, one or more, the same or different substituents selected from a) a halogen atom, b) a cyano group, c) a nitro group, d) a C1-C6 alkyl group, e) a halo C1-C6 alkyl group, f) a C1-C6 alkoxy group, g) a halo C1-C6 alkoxy group, h) a C1-C6 alkylthio group, i) a halo C1-C6 alkylthio group, j) a C1-C6 alkylsulfinyl group, k) a halo C1-C6 alkylsulfinyl group, l) a C1-C6 alkylsulfonyl group, m) a halo C1-C6 alkylsulfonyl group, n) a mono C1-C6 alkylamino group, o) a di C1-C6 alkylamino group wherein the alkyl groups are the same or different, and p) a C1-C6 alkoxycarbonyl group, 46a) a heterocyclylcarbonyl group, 47a) a substituted heterocyclylcarbonyl group having, on the ring, one or more, the same or different substituents selected from a) a halogen atom, b) a cyano group, c) a nitro group, d) a C1-C6 alkyl group, e) a halo C1-C6 alkyl group, f) a C1-C6 alkoxy group, g) a halo C1-C6 alkoxy group, h) a C1-C6 alkylthio group, i) a halo C1-C6 alkylthio group, j) a C1-C6 alkylsulfinyl group, k) a halo C1-C6 alkylsulfinyl group, l) a C1-C6 alkylsulfonyl group, m) a halo C1-C6 alkylsulfonyl group, n) a mono C1-C6 alkylamino group, o) a di C1-C6 alkylamino group wherein the alkyl groups are the same or different, and p) a C1-C6 alkoxycarbonyl group, 48a) a phenoxycarbonyl group, 49a) a substituted phenoxycarbonyl group having, on the ring, one or more, the same or different substituents selected from a) a halogen atom, b) a cyano group, c) a nitro group, d) a C1-C6 alkyl group, e) a halo C1-C6 alkyl group, f) a C1-C6 alkoxy group, g) a halo C1-C6 alkoxy group, h) a C1-C6 alkylthio group, i) a halo C1-C6 alkylthio group, j) a C1-C6 alkylsulfinyl group, k) a halo C1-C6 alkylsulfinyl group, l) a C1-C6 alkylsulfonyl group, m) a halo C1-C6 alkylsulfonyl group, n) a mono C1-C6 alkylamino group, o) a di C1-C6 alkylamino group wherein the alkyl groups are the same or different, and p) a C1-C6 alkoxycarbonyl group, 50a) a phenoxy C1-C6 alkylcarbonyl group, 51a) a substituted phenoxy C1-C6 alkylcarbonyl group having, on the ring, one or more, the same or different substituents selected from a) a halogen atom, b) a cyano group, c) a nitro group, d) a C1-C6 alkyl group, e) a halo C1-C6 alkyl group, f) a C1-C6 alkoxy group, g) a halo C1-C6 alkoxy group, h) a C1-C6 alkylthio group, i) a halo C1-C6 alkylthio group, j) a C1-C6 alkylsulfinyl group, k) a halo C1-C6 alkylsulfinyl group, l) a C1-C6 alkylsulfonyl group, m) a halo C1-C6 alkylsulfonyl group, n) a mono C1-C6 alkylamino group, o) a di C1-C6 alkylamino group wherein the alkyl groups are the same or different, and p) a C1-C6 alkoxycarbonyl group, 52a) a phenylsulfonyl group, 53a) a substituted phenylsulfonyl group having, on the ring, one or more, the same or different substituents selected from a) a halogen atom, b) a cyano group, c) a nitro group, d) a C1-C6 alkyl group, e) a halo C1-C6 alkyl group, f) a C1-C6 alkoxy group, g) a halo C1-C6 alkoxy group, h) a C1-C6 alkylthio group, i) a halo C1-C6 alkylthio group, j) a C1-C6 alkylsulfinyl group, k) a halo C1-C6 alkylsulfinyl group, l) a C1-C6 alkylsulfonyl group, m) a halo C1-C6 alkylsulfonyl group, n) a mono C1-C6 alkylamino group, o) a di C1-C6 alkylamino group wherein the alkyl groups are the same or different, and p) a C1-C6 alkoxycarbonyl group, 54a) a di C1-C6 alkylphosphono group wherein the alkyl groups are the same or different, 55a) a di C1-C6 alkylphosphonothio group wherein the alkyl groups are the same or different, 56a) a N—C1-C6 alkyl-N—C1-C6 alkoxycarbonylaminothio group, 57a) a N—C1-C6 alkyl-N—C1-C6 alkoxycarbonyl C1-C6 alkylaminothio group, 58a) a di C1-C6 alkylaminothio group wherein the alkyl groups are the same or different, 59a) a C3-C6 cycloalkylcarbonyl group, 60a) a halo C3-C6 cycloalkylcarbonyl group, 61a) a C1-C6 alkyl C3-C6 cycloalkylcarbonyl group, 62a) a halo C1-C6 alkyl C3-C6 cycloalkylcarbonyl group, 63a) a phenyl C1-C6 alkylcarbonyl group, 64a) a substituted phenyl C1-C6 alkylcarbonyl group having, on the ring, one or more, the same or different substituents selected from a) a halogen atom, b) a cyano group, c) a nitro group, d) a C1-C6 alkyl group, e) a halo C1-C6 alkyl group, f) a C1-C6 alkoxy group, g) a halo C1-C6 alkoxy group, h) a C1-C6 alkylthio group, i) a halo C1-C6 alkylthio group, j) a C1-C6 alkylsulfinyl group, k) a halo C1-C6 alkylsulfinyl group, l) a C1-C6 alkylsulfonyl group, m) a halo C1-C6 alkylsulfonyl group, n) a mono C1-C6 alkylamino group, o) a di C1-C6 alkylamino group wherein the alkyl groups are the same or different, and p) a C1-C6 alkoxycarbonyl group, 65a) a phenyl C3-C6 cycloalkylcarbonyl group, 66a) a substituted phenyl C3-C6 cycloalkylcarbonyl group having, on the ring, one or more, the same or different substituents selected from a) a halogen atom, b) a cyano group, c) a nitro group, d) a C1-C6 alkyl group, e) a halo C1-C6 alkyl group, f) a C1-C6 alkoxy group, g) a halo C1-C6 alkoxy group, h) a C1-C6 alkylthio group, i) a halo C1-C6 alkylthio group, j) a C1-C6 alkylsulfinyl group, k) a halo C1-C6 alkylsulfinyl group, l) a C1-C6 alkylsulfonyl group, m) a halo C1-C6 alkylsulfonyl group, n) a mono C1-C6 alkylamino group, o) a di C1-C6 alkylamino group wherein the alkyl groups are the same or different, and p) a C1-C6 alkoxycarbonyl group, 67a) a C3-C6 cycloalkyl C1-C6 alkylcarbonyl group, 68a) a C1-C6 alkoxy C1-C6 alkylcarbonyl group, 69a) a halo C3-C6 cycloalkyl C1-C6 alkylcarbonyl group, 70a) a phenoxy C1-C6 alkoxycarbonyl group, 71a) a substituted phenoxy C1-C6 alkoxycarbonyl group having, on the ring, one or more, the same or different substituents selected from a) a halogen atom, b) a cyano group, c) a nitro group, d) a C1-C6 alkyl group, e) a halo C1-C6 alkyl group, f) a C1-C6 alkoxy group, g) a halo C1-C6 alkoxy group, h) a C1-C6 alkylthio group, i) a halo C1-C6 alkylthio group, j) a C1-C6 alkylsulfinyl group, k) a halo C1-C6 alkylsulfinyl group, l) a C1-C6 alkylsulfonyl group, m) a halo C1-C6 alkylsulfonyl group, n) a mono C1-C6 alkylamino group, o) a di C1-C6 alkylamino group wherein the alkyl groups are the same or different, and p) a C1-C6 alkoxycarbonyl group, 72a) a C1-C6 alkylcarbonyloxy C1-C6 alkyl group, 73a) a C1-C6 alkylcarbonyl C1-C6 alkylcarbonyl group, or 74a) a C1-C6 alkoxycarbonyl C1-C6 alkylcarbonyl group;
R2 is 1b) a hydrogen atom, 2b) a halogen atom, 3b) a C1-C6 alkyl group, 4b) a halo C1-C6 alkyl group, 5b) a cyano group, 6b) a hydroxy group, 7b) a C1-C6 alkoxy group, 8b) a halo C1-C6 alkoxy group, 9b) a C1-C6 alkoxy C1-C3 alkoxy group, 10b) a halo C1-C6 alkoxy C1-C3 alkoxy group, 11b) a C1-C6 alkylthio C1-C3 alkoxy group, 12b) a halo C1-C6 alkylthio C1-C3 alkoxy group, 13b) a C1-C6 alkylsulfinyl C1-C3 alkoxy group, 14b) a halo C1-C6 alkylsulfinyl C1-C3 alkoxy group, 15b) a C1-C6 alkylsulfonyl C1-C3 alkoxy group, 16b) a halo C1-C6 alkylsulfonyl C1-C3 alkoxy group, 17b) a mono C1-C6 alkylamino C1-C3 alkoxy group, 18b) a di C1-C6 alkylamino C1-C3 alkoxy group wherein the alkyl groups are the same or different, 19b) a C1-C6 alkylthio group, 20b) a halo C1-C6 alkylthio group, 21b) a C1-C6 alkylsulfinyl group, 22b) a halo C1-C6 alkylsulfinyl group, 23b) a C1-C6 alkylsulfonyl group, 24b) a halo C1-C6 alkylsulfonyl group, 25b) an amino group, 26b) a mono C1-C6 alkylamino group, 27b) a di C1-C6 alkylamino group wherein the alkyl groups are the same or different, 28b) a phenoxy group, 29b) a substituted phenoxy group having, on the ring, one or more, the same or different substituents selected from a) a halogen atom, b) a cyano group, c) a nitro group, d) a C1-C6 alkyl group, e) a halo C1-C6 alkyl group, f) a C1-C6 alkoxy group, g) a halo C1-C6 alkoxy group, h) a C1-C6 alkylthio group, i) a halo C1-C6 alkylthio group, j) a C1-C6 alkylsulfinyl group, k) a halo C1-C6 alkylsulfinyl group, l) a C1-C6 alkylsulfonyl group, m) a halo C1-C6 alkylsulfonyl group, n) a mono C1-C6 alkylamino group, o) a di C1-C6 alkylamino group wherein the alkyl groups are the same or different, and p) a C1-C6 alkoxycarbonyl group, 30b) a phenylthio group, 31b) a substituted phenylthio group having, on the ring, one or more, the same or different substituents selected from a) a halogen atom, b) a cyano group, c) a nitro group, d) a C1-C6 alkyl group, e) a halo C1-C6 alkyl group, f) a C1-C6 alkoxy group, g) a halo C1-C6 alkoxy group, h) a C1-C6 alkylthio group, i) a halo C1-C6 alkylthio group, j) a C1-C6 alkylsulfinyl group, k) a halo C1-C6 alkylsulfinyl group, l) a C1-C6 alkylsulfonyl group, m) a halo C1-C6 alkylsulfonyl group, n) a mono C1-C6 alkylamino group, o) a di C1-C6 alkylamino group wherein the alkyl groups are the same or different, and p) a C1-C6 alkoxycarbonyl group, 32b) a phenylsulfinyl group, 33b) a substituted phenylsulfinyl group having, on the ring, one or more, the same or different substituents selected from a) a halogen atom, b) a cyano group, c) a nitro group, d) a C1-C6 alkyl group, e) a halo C1-C6 alkyl group, f) a C1-C6 alkoxy group, g) a halo C1-C6 alkoxy group, h) a C1-C6 alkylthio group, i) a halo C1-C6 alkylthio group, j) a C1-C6 alkylsulfinyl group, k) a halo C1-C6 alkylsulfinyl group, l) a C1-C6 alkylsulfonyl group, m) a halo C1-C6 alkylsulfonyl group, n) a mono C1-C6 alkylamino group, o) a di C1-C6 alkylamino group wherein the alkyl groups are the same or different, and p) a C1-C6 alkoxycarbonyl group, 34b) a phenylsulfonyl group, 35b) a substituted phenylsulfonyl group having, on the ring, one or more, the same or different substituents selected from a) a halogen atom, b) a cyano group, c) a nitro group, d) a C1-C6 alkyl group, e) a halo C1-C6 alkyl group, f) a C1-C6 alkoxy group, g) a halo C1-C6 alkoxy group, h) a C1-C6 alkylthio group, i) a halo C1-C6 alkylthio group, j) a C1-C6 alkylsulfinyl group, k) a halo C1-C6 alkylsulfinyl group, l) a C1-C6 alkylsulfonyl group, m) a halo C1-C6 alkylsulfonyl group, n) a mono C1-C6 alkylamino group, o) a di C1-C6 alkylamino group wherein the alkyl groups are the same or different, and p) a C1-C6 alkoxycarbonyl group, 36b) a phenyl C1-C6 alkoxy group, or 37b) a substituted phenyl C1-C6 alkoxy group having, on the ring, one or more, the same or different substituents selected from a) a halogen atom, b) a cyano group, c) a nitro group, d) a C1-C6 alkyl group, e) a halo C1-C6 alkyl group, f) a C1-C6 alkoxy group, g) a halo C1-C6 alkoxy group, h) a C1-C6 alkylthio group, i) a halo C1-C6 alkylthio group, j) a C1-C6 alkylsulfinyl group, k) a halo C1-C6 alkylsulfinyl group, l) a C1-C6 alkylsulfonyl group, m) a halo C1-C6 alkylsulfonyl group, n) a mono C1-C6 alkylamino group, o) a di C1-C6 alkylamino group wherein the alkyl groups are the same or different, and p) a C1-C6 alkoxycarbonyl group;
G is 1c) a C2-C10 alkyl group, 2c) a halo C2-C10 alkyl group, 3c) a C3-C10 alkenyl group, 4c) a halo C3-C10 alkenyl group, 5c) a C3-C10 alkynyl group, 6c) a halo C3-C10 alkynyl group, 7c) a C3-C10 cycloalkyl group, 8c) a substituted C3-C10 cycloalkyl group having, on the ring, one or more, the same or different substituents selected from a) a halogen atom, b) a C1-C6 alkyl group, and c) a halo C1-C6 alkyl group, 9c) a C3-C10 cycloalkenyl group, 10c) a substituted C3-C10 cycloalkenyl group having, on the ring, one or more, the same or different substituents selected from a) a halogen atom, b) a C1-C6 alkyl group, and c) a halo C1-C6 alkyl group, 11c) a C3-C8 cycloalkyl C1-C6 alkyl group, or 12c) a halo C3-C8 cycloalkyl C1-C6 alkyl group;
X may be the same or different and is 1d) a hydrogen atom, 2d) a halogen atom, 3d) a cyano group, 4d) a nitro group, 5d) a C1-C6 alkyl group, or 6d) a halo C1-C6 alkyl group;
n is an integer of 1-3,
salts thereof and 1,3-dimethyl-5-trifluoromethylpyrazole-4-carboxylic acid and a salt thereof.
(wherein G, R1, X, n, Y1, Y2 and m are as defined above; and R3 is a hydrogen atom, a C1-C6 alkyl group, a halo C1-C6 alkyl group, a phenyl group, a substituted phenyl group or a phenyl C1-C4 alkyl group; W is —O—, —S— or —N(R4)—, wherein R4 is a hydrogen atom, a C1-C6 alkyl group, a halo C1-C6 alkyl group, a phenyl group, a substituted phenyl group or a phenyl C1-C4 alkyl group; and Q is a halogen atom or a C1-C6 alkoxyl group).
(wherein G, R2, X, n, Y1, Y2, m and Q are as defined above and R1′ is as defined above except a hydrogen atom).
| TABLE 1 | |
| Formula (I-4) | |
|
|
|
| No. | G | Y1 | Y2 m | R1 | R2 | Property |
| 1-1 | Et | Me | 3,5-Me2 | H | H | 72-75 |
| 1-2 | Et | Me | 3,5-Me2 | Ac | H | |
| 1-3 | Et | Me | 3,5-Me2 | H | OMe | 129-131 |
| 1-4 | Et | Me | 3,5-Me2 | Ac | OMe | 1.5028(25.4) |
| 1-5 | Et | Me | 3,5-Me2 | COEt | OMe | |
| 1-6 | Et | Me | 3,5-Me2 | CO-c-Pr | OMe | 118.8-121.6 |
| 1-7 | Et | Me | 3,5-Me2 | CH2OMe | OMe | |
| 1-8 | Et | Me | 3,5-Me2 | CH2OEt | OMe | 1.4889(24.2) |
| 1-9 | Et | Me | 3,5-Me2 | COOMe | OMe | |
| 1-10 | Et | Me | 3,5-Me2 | COOEt | OMe | 77.2-79.2 |
| 1-11 | Et | Me | 3,5-Me2 | COO-n-Pr | OMe | |
| 1-12 | Et | Me | 3,5-Me2 | COO-i-Bu | OMe | 1.4895(25.4) |
| 1-13 | Et | Me | 3,5-Me2 | H | OEt | 110-113 |
| 1-14 | Et | Me | 3,5-Me2 | Ac | OEt | |
| 1-15 | Et | Me | 3,5-Me2 | COEt | OEt | 90-91 |
| 1-16 | Et | Me | 3,5-Me2 | CO-c-Pr | OEt | 119-120 |
| 1-17 | Et | Me | 3,5-Me2 | CH2OMe | OEt | |
| 1-18 | Et | Me | 3,5-Me2 | CH2OEt | OEt | |
| 1-19 | Et | Me | 3,5-Me2 | COOMe | OEt | |
| 1-20 | Et | Me | 3,5-Me2 | COOEt | OEt | |
| 1-21 | Et | Me | 3,5-Me2 | COO-n-Pr | OEt | |
| 1-22 | Et | Me | 3,5-Me2 | COO-i-Bu | OEt | |
| 1-23 | Et | Me | 3-CF3-5-Me | H | H | 1.4768(21.8) |
| 1-24 | Et | Me | 3-CF3-5-Me | Ac | H | 132-134 |
| 1-25 | Et | Me | 3-CF3-5-Me | H | OMe | 57-60 |
| 1-26 | Et | Me | 3-CF3-5-Me | Ac | OMe | 1.4736(24.6) |
| 1-27 | Et | Me | 3-CF3-5-Me | COEt | OMe | 134-135 |
| 1-28 | Et | Me | 3-CF3-5-Me | CO-c-Pr | OMe | 1.4830(26.2) |
| 1-29 | Et | Me | 3-CF3-5-Me | CH2OMe | OMe | |
| 1-30 | Et | Me | 3-CF3-5-Me | CH2OEt | OMe | |
| 1-31 | Et | Me | 3-CF3-5-Me | COOMe | OMe | 128-130 |
| 1-32 | Et | Me | 3-CF3-5-Me | COOEt | OMe | 1.4697(25.9) |
| 1-33 | Et | Me | 3-CF3-5-Me | COO-n-Pr | OMe | |
| 1-34 | Et | Me | 3-CF3-5-Me | COO-i-Bu | OMe | 1.4681(26.2) |
| 1-35 | Et | Me | 3-CF3-5-Me | H | OEt | 142-145 |
| 1-36 | Et | Me | 3-CF3-5-Me | Ac | OEt | 1.4720(24.5) |
| 1-37 | Et | Me | 3-CF3-5-Me | COEt | OEt | 1.4710(26.9) |
| 1-38 | Et | Me | 3-CF3-5-Me | CO-c-Pr | OEt | |
| 1-39 | Et | Me | 3-CF3-5-Me | CH2OMe | OEt | |
| 1-40 | Et | Me | 3-CF3-5-Me | CH2OEt | OEt | |
| 1-41 | Et | Me | 3-CF3-5-Me | COOMe | OEt | |
| 1-42 | Et | Me | 3-CF3-5-Me | COOEt | OEt | |
| 1-43 | Et | Me | 3-CF3-5-Me | COO-n-Pr | OEt | |
| 1-44 | Et | Me | 3-CF3-5-Me | COO-i-Bu | OEt | |
| 1-45 | n-Pr | Me | 3,5-Me2 | H | H | 167-168 |
| 1-46 | n-Pr | Me | 3,5-Me2 | Ac | H | |
| 1-47 | n-Pr | Me | 3,5-Me2 | H | OMe | 184-185 |
| 1-48 | n-Pr | Me | 3,5-Me2 | Ac | OMe | 1.4953(25.0) |
| 1-49 | n-Pr | Me | 3,5-Me2 | COEt | OMe | 1.4982(34.2) |
| 1-50 | n-Pr | Me | 3,5-Me2 | CO-c-Pr | OMe | |
| 1-51 | n-Pr | Me | 3,5-Me2 | CH2OMe | OMe | 1.4979(22.1) |
| 1-52 | n-Pr | Me | 3,5-Me2 | CH2OEt | OMe | 1.4942(22.7) |
| 1-53 | n-Pr | Me | 3,5-Me2 | COOMe | OMe | 1.4980(22.7) |
| 1-54 | n-Pr | Me | 3,5-Me2 | COOEt | OMe | 1.4952(23.0) |
| 1-55 | n-Pr | Me | 3,5-Me2 | COO-n-Pr | OMe | |
| 1-56 | n-Pr | Me | 3,5-Me2 | COO-i-Bu | OMe | 1.4933(23.2) |
| 1-57 | n-Pr | Me | 3,5-Me2 | H | QEt | 178-179 |
| 1-58 | n-Pr | Me | 3,5-Me2 | Ac | OEt | |
| 1-59 | n-Pr | Me | 3,5-Me2 | COEt | OEt | 1.4980(22.7) |
| 1-60 | n-Pr | Me | 3,5-Me2 | CO-c-Pr | OEt | |
| 1-61 | n-Pr | Me | 3,5-Me2 | CH2OMe | OEt | |
| 1-62 | n-Pr | Me | 3,5-Me2 | CH2OEt | OEt | |
| 1-63 | n-Pr | Me | 3,5-Me2 | COOMe | OEt | |
| 1-64 | n-Pr | Me | 3,5-Me2 | COOEt | OE t | |
| 1-65 | n-Pr | Me | 3,5-Me2 | COO-n-Pr | OEt | |
| 1-66 | n-Pr | Me | 3,5-Me2 | COO-i-Bu | OEt | |
| 1-67 | n-Pr | Me | 3-CF3-5-Me | H | H | 131-133 |
| 1-68 | n-Pr | Me | 3-CF3-5-Me | Ac | H | |
| 1-69 | n-Pr | Me | 3-CF3-5-Me | H | OMe | 124 |
| 1-70 | n-Pr | Me | 3-CF3-5-Me | Ac | OMe | 1.4711(25.6) |
| 1-71 | n-Pr | Me | 3-CF3-5-Me | COEt | OMe | 1.4700(26.8) |
| 1-72 | n-Pr | Me | 3-CF3-5-Me | CO-c-Pr | OMe | 1.4795(25.5) |
| 1-73 | n-Pr | Me | 3-CF3-5-Me | CH2OMe | OMe | |
| 1-74 | n-Pr | Me | 3-CF3-5-Me | CH2OEt | OMe | 1.4658(26.9) |
| 1-75 | n-Pr | Me | 3-CF3-5-Me | COOMe | OMe | 126-128 |
| 1-76 | n-Pr | Me | 3-CF3-5-Me | COOEt | OMe | 1.4671(26.9) |
| 1-77 | n-Pr | Me | 3-CF3-5-Me | COO-n-Pr | OMe | |
| 1-78 | n-Pr | Me | 3-CF3-5-Me | COO-i-Bu | OMe | 1.4645(26.9) |
| 1-79 | n-Pr | Me | 3-CF3-5-Me | H | OEt | |
| 1-80 | n-Pr | Me | 3-CF3-5-Me | Ac | OEt | |
| 1-81 | n-Pr | Me | 3-CF3-5-Me | COEt | OEt | |
| 1-82 | n-Pr | Me | 3-CF3-5-Me | CO-c-Pr | OEt | |
| 1-83 | n-Pr | Me | 3-CF3-5-Me | CH2OMe | OEt | |
| 1-84 | n-Pr | Me | 3-CF3-5-Me | CH2OEt | OEt | |
| 1-85 | n-Pr | Me | 3-CF3-5-Me | COOMe | OEt | |
| 1-86 | n-Pr | Me | 3-CF3-5-Me | COOEt | OEt | |
| 1-87 | n-Pr | Me | 3-CF3-5-Me | COO-n-Pr | OEt | |
| 1-88 | n-Pr | Me | 3-CF3-5-Me | COO-i-Bu | OEt | |
| 1-89 | n-Bu | Me | 3,5-Me2 | H | H | 150-151.5 |
| 1-90 | n-Bu | Me | 3,5-Me2 | Ac | H | |
| 1-91 | n-Bu | Me | 3,5-Me2 | H | OMe | 196-197 |
| 1-92 | n-Bu | Me | 3,5-Me2 | Ac | OMe | |
| 1-93 | n-Bu | Me | 3,5-Me2 | H | OEt | |
| 1-94 | n-Bu | Me | 3,5-Me2 | Ac | OEt | |
| 1-95 | n-Bu | Me | 3-CF3-5-Me | H | H | 83-85 |
| 1-96 | n-Bu | Me | 3-CF3-5-Me | Ac | H | |
| 1-97 | n-Bu | Me | 3-CF3-5-Me | H | OMe | |
| 1-98 | n-Bu | Me | 3-CF3-5-Me | Ac | OMe | |
| 1-99 | n-Bu | Me | 3-CF3-5-Me | H | OEt | |
| 1-100 | n-Bu | Me | 3-CF3-5-Me | Ac | OEt | |
| 1-101 | i-Bu | Me | 3-Me | H | H | 141-144 |
| 1-102 | i-Bu | Me | 3-Me | Et | OMe | 1.4916(23.7) |
| 1-103 | i-Bu | Me | 3-Me | Ac | OMe | 1.4961(26.4) |
| 1-104 | i-Bu | Me | 3-Me | COEt | OMe | 1.4973(26.2) |
| 1-105 | i-Bu | Me | 3-Me | CO-c-Pr | OMe | 1.5014(25.5) |
| 1-106 | i-Bu | Me | 3-Me | CO(4-Me-Ph) | OMe | amorphous |
| 1-107 | i-Bu | Me | 3-Me | CO(4-NO2-Ph) | OMe | amorphous |
| 1-108 | i-Bu | Me | 3-Me | COOMe | OMe | 95.5-97.8 |
| 1-109 | i-Bu | Me | 3-Me | COOEt | OMe | 84.6-86.2 |
| 1-110 | i-Bu | Me | 3-Me | COO-n-Pr | OMe | 86.7-88.4 |
| 1-111 | i-Bu | Me | 3-Me | COO-i-Bu | OMe | 91.8-94.0 |
| 1-112 | i-Bu | Me | 3-Me | CH2OMe | OMe | 1.4919(24.0) |
| 1-113 | i-Bu | Me | 3-Me | CH2OEt | OMe | 1.4920(24.4) |
| 1-114 | i-Bu | Me | 3-CF3 | H | H | 172-174 |
| 1-115 | i-Bu | Me | 3-CF3 | Ac | H | |
| 1-116 | i-Bu | Me | 3-CF3 | H | OMe | amorphous |
| 1-117 | i-Bu | Me | 3-CF3 | Ac | OMe | |
| 1-118 | i-Bu | Me | 3-CF3 | H | OEt | |
| 1-119 | i-Bu | Me | 3-CF3 | Ac | OEt | |
| 1-120 | i-Bu | Et | 3-CF3 | H | H | 175-176 |
| 1-121 | i-Bu | Me | 5-CF3 | H | H | 155-156 |
| 1-122 | i-Bu | Me | 5-SMe | H | H | 107-110 |
| 1-123 | i-Bu | Me | 3,5-Me2 | H | H | 148-151 |
| 1-124 | i-Bu | Me | 3,5-Me2 | SO2(4-F-Ph) | H | amorphous |
| 1-125 | i-Bu | Me | 3,5-Me2 | Ac | H | 1.5021(22.5) |
| 1-126 | i-Bu | Me | 3,5-Me2 | COEt | H | 143.1-148.8 |
| 1-127 | i-Bu | Me | 3,5-Me2 | COPh | H | 51.3-65.3 |
| 1-128 | i-Bu | Me | 3,5-Me2 | COCH2CMe3 | H | 1.4859(22.0) |
| 1-129 | i-Bu | Me | 3,5-Me2 | CH2OEt | H | 1.4882(23.8) |
| 1-130 | i-Bu | Me | 3,5-Me2 | CH2O(CH2)7Me | H | 1.4854(22.0) |
| 1-131 | i-Bu | Me | 3,5-Me2 | CH2O(CH2)2OMe | H | 1.4889(21.9) |
| 1-132 | i-Bu | Me | 3,5-Me2 | CH2OBn | H | 1.5212(21.9) |
| 1-133 | i-Bu | Me | 3,5-Me2 | COOCH2Cl | H | 121.1-124.8 |
| 1-134 | i-Bu | Me | 3,5-Me2 | COOCH2CCl3 | H | 143.1-145.6 |
| 1-135 | i-Bu | Me | 3,5-Me2 | COO(CH2)2CH2Cl | H | 117.1-121.4 |
| 1-136 | i-Bu | Me | 3,5-Me2 | COO-i-Bu | H | 122.2-138.0 |
| 1-137 | i-Bu | Me | 3,5-Me2 | COO-t-Bu | H | 39.2 |
| 1-138 | i-Bu | Me | 3,5-Me2 | COO(CH2)2OMe | H | 1.4750(23.5) |
| 1-139 | i-Bu | Me | 3,5-Me2 | COO(CH2)15Me | H | 90.5-92.1 |
| 1-140 | i-Bu | Me | 3,5-Me2 | Ac | OMe | 1.5016(23.3) |
| 1-141 | i-Bu | Me | 3,5-Me2 | COEt | OMe | 1.4981(23.5) |
| 1-142 | i-Bu | Me | 3,5-Me2 | CO-i-Pr | OMe | 82.5-83 |
| 1-143 | i-Bu | Me | 3,5-Me2 | COPh | OMe | 1.5219(23.7) |
| 1-144 | i-Bu | Me | 3,5-Me2 | CH2OMe | OMe | 1.4944(23.1) |
| 1-145 | i-Bu | Me | 3,5-Me2 | CH2OEt | OMe | 1.4892(22.2) |
| 1-146 | i-Bu | Me | 3,5-Me2 | CH2O(CH2)2OMe | OMe | 1.4885(25.1) |
| 1-147 | i-Bu | Me | 3,5-Me2 | COOMe | OMe | 1.4926(23.2) |
| 1-148 | i-Bu | Me | 3,5-Me2 | COOEt | OMe | 1.4894(23.2) |
| 1-149 | i-Bu | Me | 3,5-Me2 | COOCH2Cl | OMe | 1.4941(21.5) |
| 1-150 | i-Bu | Me | 3,5-Me2 | COO-n-Pr | OMe | 1.4928(22.2) |
| 1-151 | i-Bu | Me | 3,5-Me2 | COO-i-Pr | OMe | 1.4884(23.0) |
| 1-152 | i-Bu | Me | 3,5-Me2 | COO-i-Bu | OMe | 1.4829(22.3) |
| 1-153 | i-Bu | Me | 3,5-Me2 | COOCH2CMe3 | OMe | 1.4864(23.0) |
| 1-154 | i-Bu | Me | 3,5-Me2 | COO(CH2)2OMe | OMe | 1.4959(23.0) |
| 1-155 | i-Bu | Me | 3,5-Me2 | H | OMe | 189-190 |
| 1-156 | i-Bu | Me | 3,5-Me2 | Et | OMe | amorphous |
| 1-157 | i-Bu | Me | 3,5-Me2 | CH2CCl3 | OMe | 1.4939(22.2) |
| 1-158 | i-Bu | Me | 3,5-Me2 | Ac | OEt | 1.4940(26.4) |
| 1-159 | i-Bu | Me | 3,5-Me2 | COEt | OEt | 1.4921(26.5) |
| 1-160 | i-Bu | Me | 3,5-Me2 | CO-i-Pr | OEt | paste |
| 1-161 | i-Bu | Me | 3,5-Me2 | COPh | OEt | |
| 1-162 | i-Bu | Me | 3,5-Me2 | CH2OMe | OEt | |
| 1-163 | i-Bu | Me | 3,5-Me2 | CH2OEt | OEt | |
| 1-164 | i-Bu | Me | 3,5-Me2 | CH2O(CH2)2OMe | OEt | |
| 1-165 | i-Bu | Me | 3,5-Me2 | COOMe | OEt | |
| 1-166 | i-Bu | Me | 3,5-Me2 | COOEt | OEt | |
| 1-167 | i-Bu | Me | 3,5-Me2 | COOCH2Cl | OEt | |
| 1-168 | i-Bu | Me | 3,5-Me2 | COO-n-Pr | OEt | |
| 1-169 | i-Bu | Me | 3,5-Me2 | COO-i-Pr | OEt | |
| 1-170 | i-Bu | Me | 3,5-Me2 | COO-i-Bu | OEt | |
| 1-171 | i-Bu | Me | 3,5-Me2 | COOCH2CMe3 | OEt | |
| 1-172 | i-Bu | Me | 3,5-Me2 | COO(CH2)2OMe | OEt | |
| 1-173 | i-Bu | Me | 3,5-Me2 | H | OEt | 165-166 |
| 1-174 | i-Bu | Me | 3,5-Me2 | Et | OEt | |
| 1-175 | i-Bu | Me | 3,5-Me2 | CH2CCl3 | OEt | |
| 1-176 | i-Bu | Et | 3,5-Me2 | H | H | 127-128 |
| 1-177 | i-Bu | Me | 3,5-Me2 | H | F | 136.5-137.5 |
| 1-178 | i-Bu | Me | 3,5-Me2 | Et | H | 1.4904(25.7) |
| 1-179 | i-Bu | Me | 3-Me-5-F | H | H | 169.5-171 |
| 1-180 | i-Bu | Me | 3-Me-5-F | H | OMe | 135-137 |
| 1-181 | i-Bu | Me | 3-Me-5-F | Et | OMe | 1.4825(26.0) |
| 1-182 | i-Bu | Me | 3-Me-S-F | Ac | OMe | 86.4 |
| 1-183 | i-Bu | Me | 3-Me-5-F | COPh | OMe | 124.1-130.8 |
| 1-184 | i-Bu | Me | 3-Me-5-F | COOMe | OMe | 64.5-80.5 |
| 1-185 | i-Bu | Me | 3-Me-5-F | COO-i-Bu | OMe | 1.4789(23.7) |
| 1-186 | i-Bu | Me | 3-Me-5-F | COO(CH2)2OMe | OMe | 1.4857(22.3) |
| 1-187 | i-Bu | Me | 3-Me-5-F | CH2OEt | OMe | 1.4804(23.8) |
| 1-188 | i-Bu | Me | 3-Me-5-Cl | H | H | 160-161 |
| 1-189 | i-Bu | Me | 3-Me-5-Cl | H | OMe | 144-146 |
| 1-190 | i-Bu | Me | 3-Me-5-Cl | Me | OMe | 1.4919(25.6) |
| 1-191 | i-Bu | Me | 3-Me-5-Cl | Et | OMe | 1.4938(26.0) |
| 1-192 | i-Bu | Me | 3-Me-5-Cl | CH2OMe | OMe | 1.4961(26.0) |
| 1-193 | i-Bu | Me | 3-Me-5-Cl | CH2OEt | OMe | 1.4932(25.6) |
| 1-194 | i-Bu | Me | 3-Me-5-Cl | COOMe | OMe | 1.4883(25.6) |
| 1-195 | i-Bu | Me | 3-Me-5-Cl | COOEt | OMe | 1.4915(26.0) |
| 1-196 | i-Bu | Me | 3-Me-5-Cl | COO-i-Bu | OMe | 1.4850(25.6) |
| 1-197 | i-Bu | Me | 3-Me-5-Cl | COO(CH2)2OMe | OMe | 1.4946(26.0) |
| 1-198 | i-Bu | Me | 3-Me-5-Cl | Ac | OMe | 102.6-102.8 |
| 1-199 | i-Bu | Me | 3-Me-5-Cl | COEt | OMe | 101.8-104.2 |
| 1-200 | i-Bu | Me | 3-Me-5-Cl | COPh | OMe | 1.5210(26.0) |
| 1-201 | i-Bu | Et | 3-Me-5-Cl | H | H | 104.5-106 |
| 1-202 | i-Bu | Me | 3-Me-5-I | H | H | 152-153 |
| 1-203 | i-Bu | Me | 3-Me-5-CF3 | H | OMe | 88-89 |
| 1-204 | i-Bu | Me | 3-Me-5-CF3 | Ac | OMe | 1.4710(25.7) |
| 1-205 | i-Bu | Me | 3-Me-5-CF3 | COOMe | OMe | 1.4672(25.7) |
| 1-206 | i-Bu | Me | 3-Me-5-CF3 | CH2OEt | OMe | 1.4652(25.7) |
| 1-207 | i-Bu | Me | 3-CF3-5-Me | H | H | 1.4869(23.4) |
| 1-208 | i-Bu | Me | 3-CF3-5-Me | Ac | H | 152-152.5 |
| 1-209 | i-Bu | Me | 3-CF3-5-Me | COOMe | H | 148.5-150 |
| 1-210 | i-Bu | Me | 3-CF3-5-Me | CH2OEt | H | 1.4623(22.8) |
| 1-211 | i-Bu | Me | 3-CF3-5-Me | H | OMe | 138-139 |
| 1-212 | i-Bu | Me | 3-CF3-5-Me | COOMe | OMe | 1.4729(20.7) |
| 1-213 | i-Bu | Me | 3-CF3-5-Me | COOEt | OMe | 1.4695(20.7) |
| 1-214 | i-Bu | Me | 3-CF3-5-Me | COOCH2CH═CH2 | OMe | 1.4742(24.5) |
| 1-215 | i-Bu | Me | 3-CF3-5-Me | COO(CH2)2Me | OMe | 1.4685(20.7) |
| 1-216 | i-Bu | Me | 3-CF3-5-Me | COO(CH2)3Me | OMe | 1.4689(24.5) |
| 1-217 | i-Bu | Me | 3-CF3-5-Me | COO-i-Bu | OMe | 1.4669(22.6) |
| 1-218 | i-Bu | Me | 3-CF3-5-Me | COOPh | OMe | 50-55 |
| 1-219 | i-Bu | Me | 3-CF3-5-Me | COO(CH2)2OMe | OMe | 1.4691(22.3) |
| 1-220 | i-Bu | Me | 3-CF3-5-Me | COSMe | OMe | 1.4870(24.9) |
| 1-221 | i-Bu | Me | 3-CF3-5-Me | COSEt | OMe | 1.4862(24.9) |
| 1-222 | i-Bu | Me | 3-CF3-5-Me | CH2OMe | OMe | 1.4669(22.4) |
| 1-223 | i-Bu | Me | 3-CF3-5-Me | CH2OEt | OMe | 108-110 |
| 1-224 | i-Bu | Me | 3-CF3-5-Me | Ac | OMe | 1.4720(20.6) |
| 1-225 | i-Bu | Me | 3-CF3-5-Me | CO-c-Pr | OMe | 1.4735(24.8) |
| 1-226 | i-Bu | Me | 3-CF3-5-Me | H | OEt | |
| 1-227 | i-Bu | Me | 3-CF3-5-Me | Ac | OEt | |
| 1-228 | i-Bu | Me | 3-CF3-5-Cl | H | H | 136-137 |
| 1-229 | i-Bu | Me | 3-CF3-5-Cl | Ac | H | |
| 1-230 | i-Bu | Me | 3-CF3-5-Cl | H | OMe | 130-132 |
| 1-231 | i-Bu | Me | 3-CF3-5-Cl | Ac | OMe | |
| 1-232 | i-Bu | Me | 3-CF3-5-Cl | H | OEt | |
| 1-233 | i-Bu | Me | 3-CF3-5-Cl | Ac | OEt | |
| 1-234 | (CH2)4Me | Me | 3,5-Me2 | H | H | 128-130 |
| 1-235 | (CH2)4Me | Me | 3,5-Me2 | Ac | H | |
| 1-236 | (CH2)4Me | Me | 3,5-Me2 | H | OMe | |
| 1-237 | (CH2)4Me | Me | 3,5-Me2 | Ac | OMe | |
| 1-238 | (CH2)4Me | Me | 3,5-Me2 | H | OEt | |
| 1-239 | (CH2)4Me | Me | 3,5-Me2 | Ac | OEt | |
| 1-240 | (CH2)4Me | Me | 3-CF3-5-Me | H | H | |
| 1-241 | (CH2)4Me | Me | 3-CF3-5-Me | Ac | H | |
| 1-242 | (CH2)4Me | Me | 3-CF3-5-Me | H | OMe | |
| 1-243 | (CH2)4Me | Me | 3-CF3-5-Me | Ac | OMe | |
| 1-244 | (CH2)4Me | Me | 3-CF3-5-Me | H | OEt | |
| 1-245 | (CH2)4Me | Me | 3-CF3-5-Me | Ac | OEt | |
| 1-246 | CH2CMe3 | Me | 3,5-Me2 | H | H | 174-176 |
| 1-247 | CH2CMe3 | Me | 3,5-Me2 | Ac | H | |
| 1-248 | CH2CMe3 | Me | 3,5-Me2 | H | OMe | |
| 1-249 | CH2CMe3 | Me | 3,5-Me2 | Ac | OMe | |
| 1-250 | CH2CMe3 | Me | 3,5-Me2 | H | OEt | |
| 1-251 | CH2CMe3 | Me | 3,5-Me2 | Ac | OEt | |
| 1-252 | CH2CMe3 | Me | 3-CF3-5-Me | H | H | |
| 1-253 | CH2CMe3 | Me | 3-CF3-5-Me | Ac | H | |
| 1-254 | CH2CMe3 | Me | 3-CF3-5-Me | H | OMe | |
| 1-255 | CH2CMe3 | Me | 3-CF3-5-Me | Ac | OMe | |
| 1-256 | CH2CMe3 | Me | 3-CF3-5-Me | H | OEt | |
| 1-257 | CH2CMe3 | Me | 3-CF3-5-Me | Ac | OEt | |
| 1-258 | CH2CH(Me)Et | Me | 3,5-Me2 | H | H | 67-70 |
| 1-259 | CH2CH(Me)Et | Me | 3,5-Me2 | Ac | H | |
| 1-260 | CH2CH(Me)Et | Me | 3,5-Me2 | H | OMe | 158-160 |
| 1-261 | CH2CH(Me)Et | Me | 3,5-Me2 | Ac | OMe | |
| 1-262 | CH2CH(Me)Et | Me | 3,5-Me2 | H | OEt | |
| 1-263 | CH2CH(Me)Et | Me | 3,5-Me2 | Ac | OEt | |
| 1-264 | CH2CH(Me)Et | Me | 3-CF3-5-Me | H | H | |
| 1-265 | CH2CH(Me)Et | Me | 3-CF3-5-Me | Ac | H | |
| 1-266 | CH2CH(Me)Et | Me | 3-CF3-5-Me | H | OMe | 143-144 |
| 1-267 | CH2CH(Me)Et | Me | 3-CF3-5-Me | Ac | OMe | |
| 1-268 | CH2CH(Me)Et | Me | 3-CF3-5-Me | H | OEt | |
| 1-269 | CH2CH(Me)Et | Me | 3-CF3-5-Me | Ac | OEt | |
| 1-270 | CH2CHEt2 | Me | 3,5-Me2 | H | H | 67-70 |
| 1-271 | CH2CHEt2 | Me | 3,5-Me2 | Ac | H | |
| 1-272 | CH2CHEt2 | Me | 3,5-Me2 | H | OMe | |
| 1-273 | CH2CHEt2 | Me | 3,5-Me2 | Ac | OMe | |
| 1-274 | CH2CHEt2 | Me | 3,5-Me2 | H | OEt | |
| 1-275 | CH2CHEt2 | Me | 3,5-Me2 | Ac | OEt | |
| 1-276 | CH2CHEt2 | Me | 3-CF3-5-Me | H | H | |
| 1-277 | CH2CHEt2 | Me | 3-CF3-5-Me | Ac | H | |
| 1-278 | CH2CHEt2 | Me | 3-CF3-5-Me | H | OMe | |
| 1-279 | CH2CHEt2 | Me | 3-CF3-5-Me | Ac | OMe | |
| 1-280 | CH2CHEt2 | Me | 3-CF3-5-Me | H | OEt | |
| 1-281 | CH2CHEt2 | Me | 3-CF3-5-Me | Ac | OEt | |
| 1-282 | (CH2)2CHMe2 | Me | 3,5-Me2 | H | H | 152-153 |
| 1-283 | (CH2)2CHMe2 | Me | 3,5-Me2 | Ac | H | |
| 1-284 | (CH2)2CHMe2 | Me | 3,5-Me2 | H | OMe | 166-167 |
| 1-285 | (CH2)2CHMe2 | Me | 3,5-Me2 | Ac | OMe | 1.4925(21.8) |
| 1-286 | (CH2)2CHMe2 | Me | 3,5-Me2 | H | OEt | |
| 1-287 | (CH2)2CHMe2 | Me | 3,5-Me2 | Ac | OEt | |
| 1-288 | (CH2)2CHMe2 | Me | 3-CF3-5-Me | H | H | |
| 1-289 | (CH2)2CHMe2 | Me | 3-CF3-5-Me | Ac | H | |
| 1-290 | (CH2)2CHMe2 | Me | 3-CF3-5-Me | H | OMe | 138-140 |
| 1-291 | (CH2)2CHrMe2 | Me | 3-CF3-5-Me | Ac | OMe | |
| 1-292 | (CH2)2CHMe2 | Me | 3-CF3-5-Me | H | OEt | |
| 1-293 | (CH2)2CHMe2 | Me | 3-CF3-5-Me | Ac | OEt | |
| 1-294 | (CH2)7Me | Me | 3,5-Me2 | H | H | 1.5052(23.3) |
| 1-295 | (CH2)7Me | Me | 3,5-Me2 | Ac | H | |
| 1-296 | (CH2)7Me | Me | 3,5-Me2 | H | OMe | |
| 1-297 | (CH2)7Me | Me | 3,5-Me2 | Ac | OMe | |
| 1-298 | (CH2)7Me | Me | 3,5-Me2 | H | OEt | |
| 1-299 | (CH2)7Me | Me | 3,5-Me2 | Ac | OEt | |
| 1-300 | (CH2)7Me | Me | 3-CF3-5-Me | H | H | |
| 1-301 | (CH2)7Me | Me | 3-CF3-5-Me | Ac | H | |
| 1-302 | (CH2)7Me | Me | 3-CF3-5-Me | H | OMe | |
| 1-303 | (CH2)7Me | Me | 3-CF3-5-Me | Ac | OMe | |
| 1-304 | (CH2)7Me | Me | 3-CF3-5-Me | H | OEt | |
| 1-305 | (CH2)7Me | Me | 3-CF3-5-Me | Ac | OEt | |
| 1-306 | n-Pr | Me | 3-Me-5-CF3 | H | H | 141-143 |
| 1-307 | n-Pr | Me | 3-Me-5-CF3 | H | OMe | 152-153 |
| 1-308 | n-Pr | Me | 3-Me-5-CF3 | Ac | OMe | 1.4688(25.6) |
| 1-309 | n-Pr | Me | 3-Me-5-CF3 | Ac | H | 112-113 |
| 1-310 | i-Bu | Me | 3-CF3-5-Me | CH2OMe | H | 1.4690(25.9) |
| 1-311 | i-Bu | Me | 3-Me-5-F | COOCH2CH2Cl | OMe | 1.4966(24.7) |
| 1-312 | i-Bu | Me | 3,5-Me2 | COOCH2CH2Cl | OMe | 1.5039(24.8) |
| 1-313 | i-Bu | Me | 3,5-Me2 | COCH2CMe3 | OMe | 1.4914(24.8) |
| 1-314 | i-Bu | Me | 3,5-Me2 | CO-c-Pr | OMe | 1.5061(24.9) |
| 1-315 | i-Bu | Me | 3-CF3-5-Me | COEt | H | 171-173 |
| 1-316 | i-Bu | ClCH2CH2 | 3,5-Me2 | H | OMe | 170-171 |
| 1-317 | i-Bu | ClCH2CH2 | 3,5-Me2 | Ac | OMe | 1.4955(24.8) |
| 1-318 | i-Bu | Me | 3,5-Me2 | CO-n-Pr | OMe | 1.4943(24.8) |
| 1-319 | i-Bu | Me | 3,5-Me2 | CO-t-Bu | OMe | 113-115 |
| 1-320 | i-Bu | Me | 3,5-Me2 | CO(4-MeO-Ph) | OMe | 1.5198(25.3) |
| 1-321 | i-Bu | Me | 3,5-Me2 | CO(4-Me-Ph) | OMe | 1.5139(25.0) |
| 1-322 | i-Bu | Me | 3,5-Me2 | CO(4-Cl-Ph) | OMe | 51-64 |
| 1-323 | n-Pr | Me | 3-Me-5-CF3 | COEt | OMe | 1.4705(26.8) |
| 1-324 | i-Bu | Me | 3,5-Me2 | CO(3-Cl-Ph) | OMe | 1.5266(25.4) |
| 1-325 | i-Bu | Me | 3,5-Me2 | CO(3-Me-Ph) | OMe | 1.5182(25.5) |
| 1-326 | i-Bu | Me | 3,5-Me2 | CO(3-Me-OPh) | OMe | 1.5165(26.5) |
| 1-327 | i-Bu | Me | 3,5-Me2 | CO(2-Me-Ph) | OMe | 88-128 |
| 1-328 | i-Bu | Me | 3,5-Me2 | CO(2-Cl-Ph) | OMe | 121-122 |
| 1-329 | i-Bu | Me | 3,5-Me2 | CO(2-MeO-Ph) | OMe | 57-83 |
| 1-330 | i-Bu | Me | 3,5-Me2 | COCH═CH2 | OMe | 1.5088(24.5) |
| 1-331 | i-Bu | Me | 3,5-Me2 | COCHClMe | OMe | amorphous |
| 1-332 | i-Bu | Me | 3,5-Me2 | CO(3-Me-2-Pyr) | OMe | 52-64 |
| 1-333 | i-Bu | Me | 3,5-Me2 | SNEt2 | OMe | |
| 1-334 | i-Bu | Me | 3-CF3-5-Me | CO-i-Pr | H | 161-163 |
| 1-335 | Et | Me | 3-CF3-5-Me | CO-i-Pr | OMe | 1.4680(26.4) |
| 1-336 | i-Bu | Me | 3,5-Me2 | CO-t-Pen | OMe | 95-96 |
| 1-337 | i-Bu | Me | 3,5-Me2 | COCH2OMe | OMe | 1.4939(26.5) |
| 1-338 | i-Bu | Me | 3,5-Me2 | CO(4-CF3-Ph) | OMe | 54 |
| 1-339 | i-Bu | Me | 3,5-Me2 | COCH2Ph | OMe | |
| 1-340 | i-Bu | Me | 3,5-Me2 | COCH═CMe2 | OMe | 1.5091(26.5) |
| 1-341 | i-Bu | Me | 3,5-Me2 | COCH═CHMe | OMe | 1.5082(26.5) |
| 1-342 | i-Bu | Me | 3,5-Me2 | COCH2CH2COOEt | OMe | 100-101 |
| 1-343 | n-Pr | Me | 3-CF3-5-Me | COOCH2CH═CH2 | OMe | 1.4728(27.0) |
| 1-344 | n-Pr | Me | 3-CF3-5-Me | CO-t-Bu | OMe | 1.4715(26.9) |
| 1-345 | n-Pr | Me | 3-CF3-5-Me | CO-n-Pr | OMe | 1.4660(26.8) |
| 1-346 | Et | Me | 3-CF3-5-Me | COOCH2CH2OMe | OMe | 1.4695(26.2) |
| 1-347 | Et | Me | 3-CF3-5-Me | CO-t-Bu | OMe | 1.4730(26.2) |
| 1-348 | i-Bu | Me | 3,5-Me2 | COCMe2CH2Cl | OMe | 1.5062(26.7) |
| 1-349 | i-Bu | Me | 3,5-Me2 | CO-c-Pen | OMe | 1.5019(26.8) |
| 1-350 | i-Bu | CH═CH2 | 3,5-Me2 | H | OMe | 124-130 |
| 1-351 | i-Bu | CH═CH2 | 3,5-Me2 | CO-i-Pr | OMe | 1.5044(25.8) |
| 1-352 | i-Bu | Me | 3,5-Me2 | CO(2,4-Cl2-Ph) | OMe | 1.5220(26.1) |
| 1-353 | i-Bu | Me | 3,5-Me2 | CO(3,4-Cl2-Ph) | OMe | 53 |
| 1-354 | n-Pr | Me | 3,5-Me2 | CO-i-Pr | OMe | 1.5075(25.1) |
| 1-355 | n-Pr | Me | 3-CF3-5-Me | CO-i-Pr | OMe | 1.4741(25.8) |
| 1-356 | Et | Me | 3-CF3-5-Me | COOCH2CH═CH2 | OMe | 1.4781(25.9) |
| 1-357 | n-Pr | Me | 3,5-Me2 | CO-t-Bu | OMe | 1.4888(26.0) |
| 1-358 | n-Pr | Me | 3,5-Me2 | CO(4-Cl-Ph) | OMe | 41 |
| 1-359 | Et | Me | 3,5-Me2 | n-Pen | OMe | 1.4897(25.0) |
| 1-360 | Et | Me | 3,5-Me2 | CH2(4-F-Ph) | OMe | 107.9 |
| 1-361 | Et | Me | 3,5-Me2 | CO-c-Bu | OMe | 1.4939(32.1) |
| 1-362 | Et | Me | 3,5-Me2 | CO-i-Pr | OMe | 100.3-103.4 |
| 1-363 | Et | Me | 3,5-Me2 | CO-s-Bu | OMe | 1.5031(22.9) |
| 1-364 | Et | Me | 3,5-Me2 | CO-t-Bu | OMe | 108 |
| 1-365 | Et | Me | 3,5-Me2 | COCMe2Et | OMe | 1.4983(20.5) |
| 1-366 | Et | Me | 3,5-Me2 | COCH2OMe | OMe | 1.4958(21.6) |
| 1-367 | Et | Me | 3,5-Me2 | COCHEt2 | OMe | 1.4991(21.8) |
| 1-368 | Et | Me | 3,5-Me2 | CO-c-Pen | OMe | 1.4977(30.5) |
| 1-369 | Et | Me | 3,5-Me2 | CO-c-Hex | OMe | 1.4934(25.2) |
| 1-370 | Et | Me | 3,5-Me2 | COCH2OPh | OMe | amorphous |
| 1-371 | Et | Me | 3,5-Me2 | COCH2-t-Bu | OMe | 1.4962(32.1) |
| 1-372 | Et | Me | 3,5-Me2 | CO(4-CF3-Ph) | OMe | 1.5023(32.2) |
| 1-373 | Et | Me | 3,5-Me2 |
|
OMe | 1.4211(32.0) |
| 1-374 | Et | Me | 3,5-Me2 | CH2OCH2CH2OMe | OMe | 1.4892(31.0) |
| 1-375 | Et | Me | 3,5-Me2 | CH2O-i-Pr | OMe | 1.4855(30.2) |
| 1-376 | Et | Me | 3,5-Me2 | CH2O-i-Bu | OMe | 1.4849(33.2) |
| 1-377 | Et | Me | 3,5-Me2 | CH2O-n-Pr | OMe | 1.4982(23.1) |
| 1-378 | Et | Me | 3,5-Me2 | CH2O-n-Bu | OMe | 1.4940(23.2) |
| 1-379 | Et | Me | 3,5-Me2 | COOCH2CCl3 | OMe | 145.2-145.8 |
| 1-380 | Et | Me | 3,5-Me2 | COO-n-Pen | OMe | 1.4960(20.2) |
| 1-381 | Et | Me | 3-CF3-5-Me | COEt | H | 127-128 |
| 1-382 | Et | Me | 3-CF3-5-Me | CO-c-Bu | OMe | 1.4818(19.1) |
| 1-383 | Et | Me | 3-CF3-5-Me | CO-s-Bu | OMe | 1.4701(24.4) |
| 1-384 | Et | Me | 3-CF3-5-Me | COCHEt2 | OMe | 1.4724(24.3) |
| 1-385 | Et | Me | 3-CF3-5-Me | CH2O-n-Bu | OMe | 1.4670(23.7) |
| 1-386 | Et | Me | 3-CF3-5-Me | CH2O-i-Bu | OMe | 1.4659(21.8) |
| 1-387 | Et | Me | 3-CF3-5-Me | CH2O-n-Pr | OMe | 1.4672(21.8) |
| 1-388 | Et | Me | 3-Me-5-Cl | H | OMe | 127.3-128.5 |
| 1-389 | Et | Me | 3-Me-5-Cl | CO-i-Pr | OMe | 134.1-135.4 |
| 1-390 | Et | Me | 3-Me-5-Cl | CO-c-Bu | OMe | 136.1-137.2 |
| 1-391 | Et | Me | 3-Me-5-Cl | CO-t-Bu | OMe | 108.6-110.4 |
| 1-392 | Et | Me | 3-Me-5-Cl | COO-i-Bu | OMe | 1.4931(32.1) |
| 1-393 | Et | Me | 3-Me-5-Cl | CH2O-i-Pr | OMe | 1.4884(30.5) |
| 1-394 | Et | Me | 3-Me-5-Cl | CH2O-n-Bu | OMe | 1.4875(29.1) |
| 1-395 | Et | Me | 3-Me | H | OMe | 183.8-185.4 |
| 1-396 | Et | Me | 3-Me | CO-i-Pr | OMe | 114.4-114.9 |
| 1-397 | Et | Me | 3-Me | CO-c-Pen | OMe | 1.4975(31.0) |
| 1-398 | Et | Me | 3-Me | CH2O-i-Pr | OMe | 1.4902(23.4) |
| 1-399 | Et | Me | 3,5-Me2 | CO-n-Pr | OEt | 1.4932(23.0) |
| 1-400 | Et | Me | 3,5-Me2 | CO-i-Pr | OEt | 80-81 |
| 1-401 | n-Pr | Me | 3,5-Me2 | COOCH2CH═CH2 | OMe | 1.4841(23.7) |
| 1-402 | n-Pr | Me | 3,5-Me2 | COOCH2CHEt-n-Bu | OMe | 1.4894(23.8) |
| 1-403 | n-Pr | Me | 3,5-Me2 | COCH2OMe | OMe | paste |
| 1-404 | n-Pr | Me | 3,5-Me2 | Me | OMe | 1.4983(22.0) |
| 1-405 | n-Pr | Me | 3,5-Me2 | Et | OMe | 1.4970(20.0) |
| 1-406 | n-Pr | Me | 3,5-Me2 | CH2CH═CH2 | OMe | 1.5019(23.2) |
| 1-407 | n-Pr | Me | 3,5-Me2 | (CH2)7Me | OMe | 1.4880(23.5) |
| 1-408 | n-Pr | Me | 3-CF3-5-Me | COOMe | H | 140-145 |
| 1-409 | n-Pr | Me | 3-CF3-5-Me | COOEt | H | 129-130 |
| 1-410 | n-Pr | Me | 3-CF3-5-Me | COEt | H | 140-145 |
| 1-411 | n-Pr | Me | 3-CF3-5-Me | CO-i-Pr | H | 135-137 |
| 1-412 | n-Pr | Me | 3-CF3-5-Me | CH2O-n-Pr | OMe | 1.4673(21.8) |
| 1-413 | n-Pr | Me | 3-CF3-5-Me | CH2O-t-Bu | OMe | 1.4669(21.7) |
| 1-414 | i-Bu | Me | 3,5-Me2 | Me | OMe | paste |
| 1-415 | i-Bu | Me | 3,5-Me2 | n-Pr | OMe | paste |
| 1-416 | i-Bu | Me | 3,5-Me2 | CH2CH═CH2 | OMe | 70-71 |
| 1-417 | i-Bu | Me | 3,5-Me2 | CH2(4-NO2-Ph) | OMe | paste |
| 1-418 | i-Bu | Me | 3,5-Me2 | CH2Ph | OMe | 90-97 |
| 1-419 | i-Bu | Me | 3,5-Me2 | CH2(4-Me-Ph) | OMe | paste |
| 1-420 | i-Bu | Me | 3,5-Me2 | CH2O-n-Pr | OMe | 59-65 |
| 1-421 | i-Bu | Me | 3,5-Me2 | CH2O-n-Bu | OMe | paste |
| 1-422 | i-Bu | Me | 3,5-Me2 | CH2O-i-Pr | OMe | paste |
| 1-423 | i-Bu | Me | 3,5-Me2 | CH2O-i-Bu | OMe | 80-82 |
| 1-424 | i-Bu | Me | 3,5-Me2 | CH2O-t-Bu | OMe | paste |
| 1-425 | i-Bu | Me | 3,5-Me2 | CH2O-s-Bu | OMe | paste |
| 1-426 | i-Bu | Me | 3,5-Me2 | CH2OCH2CF3 | OMe | paste |
| 1-427 | i-Bu | Me | 3,5-Me2 | CH2OCH2CH═CH2 | OMe | paste |
| 1-428 | i-Bu | Me | 3,5-Me2 | CH2O(CH2)7Me | OMe | paste |
| 1-429 | i-Bu | Me | 3,5-Me2 | CO-c-Bu | OMe | paste |
| 1-430 | i-Bu | Me | 3,5-Me2 | CO-s-Bu | OMe | 106.1-107.8 |
| 1-431 | i-Bu | Me | 3,5-Me2 | COCHEt2 | OMe | 97.2-101.8 |
| 1-432 | i-Bu | Me | 3,5-Me2 | COCMe2Br | OMe | 93-106 |
| 1-433 | i-Bu | Me | 3,5-Me2 | CO-c-Hex | OMe | 1.5035(24.7) |
| 1-434 | i-Bu | Me | 3,5-Me2 | CH2(2,4,6- | OMe | 64.2-66.7 |
| Cl3-Ph) | ||||||
| 1-435 | i-Bu | Me | 3,5-Me2 |
|
OMe | 1.4991(20.5) |
| 1-436 | i-Bu | Me | 3,5-Me2 | COCHMeOMe | OMe | 1.4977(20.6) |
| 1-437 | i-Bu | Me | 3,5-Me2 | COCMe2OMe | OMe | 1.4906(23.6) |
| 1-438 | i-Bu | Me | 3,5-Me2 | COOPh | OMe | 135.3-136.1 |
| 1-439 | i-Bu | Me | 3-Me-5-CF3 | COO-i-Bu | OMe | 1.4733(21.2) |
| 1-440 | i-Bu | Me | 3-Me-5-CF3 | CO-t-Bu | OMe | 1.4745(21.2) |
| 1-441 | i-Bu | Me | 3-Me-5-CF3 | CO-i-Pr | OMe | 1.4722(32.1) |
| 1-442 | i-Bu | Me | 3-Me-5-CF3 | CO-c-Pr | OMe | 1.4780(32.0) |
| 1-443 | i-Bu | Me | 3-CF3-5-Me | COEt | OMe | 1.4727(24.1) |
| 1-444 | i-Bu | Me | 3-CF3-5-Me | CO-i-Pr | OMe | 1.4720(24.2) |
| 1-445 | i-Bu | Me | 3-CF3-5-Me | CH2O-n-Pr | OMe | 1.4658(22.7) |
| 1-446 | i-Bu | Me | 3-CF3-5-Me | CH2O-n-Bu | OMe | 1.4670(22.5) |
| 1-447 | i-Bu | Me | 3-CF3-5-Me | CH2O-i-Bu | OMe | 1.4625(21.9) |
| 1-448 | i-Bu | Me | 3-Me-5-F | CO-t-Bu | OMe | amorphous |
| 1-449 | i-Bu | Me | 3-Me-5-Cl | CO-i-Pr | OMe | 124-124.4 |
| 1-450 | i-Bu | Me | 3-Me-5-Cl | CO-t-Bu | OMe | 1.4860(31.4) |
| 1-451 | i-Bu | Me | 3-Me-5-Cl | CO-c-Bu | OMe | 114-115.3 |
| 1-452 | i-Bu | Me | 3-Me-5-Cl | COCH2OMe | OMe | amorphous |
| 1-453 | i-Bu | Me | 3-Me-5-Cl | CO-c-Pen | OMe | 136.2-137 |
| 1-454 | i-Bu | Me | 3-Me-5-Cl | CH2O-n-Pr | OMe | 1.4887(31.6) |
| 1-455 | i-Bu | Me | 3-Me-5-Cl | CH2O-i-Bu | OMe | 60.7-64.7 |
| 1-456 | i-Bu | Me | 3-Me | CO-i-Pr | OMe | 67.3-68.2 |
| 1-457 | i-Bu | Me | 3-Me | CO-t-Bu | OMe | 124.1-125.5 |
| 1-458 | i-Bu | Me | 3-Me | CO-s-Bu | OMe | 1.4914(32.0) |
| 1-459 | i-Bu | Me | 3-Me | CO-c-Bu | OMe | 83-88.6 |
| 1-460 | i-Bu | Me | 3-Me | CO-c-Pen | OMe | 1.4990(31.7) |
| 1-461 | i-Bu | Me | 3-Me | COCHEt2 | OMe | 1.4905(28.5) |
| 1-462 | i-Bu | Me | 3-Me | CH2O-i-Pr | OMe | 1.4817(31.7) |
| 1-463 | i-Bu | H | 3,5-Me2 | H | OMe | 82.8-90.5 |
| 1-464 | i-Bu | Et | 3,5-Me2 | H | OMe | 162-163 |
| 1-465 | i-Bu | CH2CF3 | 3,5-Me2 | H | OMe | 176-177 |
| 1-466 | i-Bu | Me | 3,5-Me2 | CO-i-Pr | F | 1.4860(22.7) |
| 1-467 | CH2CHMeEt | Me | 3,5-Me2 | COEt | OMe | 1.4929(20.1) |
| 1-468 | CH2CHMeEt | Me | 3,5-Me2 | CO-i-Pr | OMe | 1.4910(20.0) |
| 1-469 | n-Bu | Me | 3,5-Me2 | COEt | OMe | 1.4895(20.6) |
| 1-470 | n-Bu | Me | 3,5-Me2 | CO-i-Pr | OMe | 1.4835(18.9) |
| 1-471 | CH2CH-c-Pen | Me | 3-CF35-Me | H | H | 200201 |
| 1-472 | CH2CH2CHMe2 | Me | 3,5-Me2 | COEt | OMe | 1.4960(20.5) |
| 1-473 | CH2CH2CHMe2 | Me | 3,5-Me2 | CO-i-Pr | OMe | 1.4950(21.6) |
| 1-474 | Et | i-Pr | 3,5-Me2 | H | OEt | 173-174 |
| 1-475 | Et | i-Pr | 3,5-Me2 | Ac | OEt | 88-89 |
| 1-476 | Et | Me | 3,5-Me2 | H | O-n-Pr | 104-105 |
| 1-477 | Et | Me | 3,5-Me2 | CO-n-Pr | O-n-Pr | 1.4833(33.0) |
| 1-478 | Et | Me | 3,5-Me2 | CO-i-Pr | O-n-Pr | 1.4919(33.0) |
| 1-479 | Et | Me | 3,5-Me2 | CO-t-Bu | O-n-Pr | 1.4848(32.0) |
| 1-480 | Et | Me | 3,5-Me2 | CH2OEt | O-n-Pr | 1.4729(23.5) |
| 1-481 | Et | Me | 3-I-5-Me | H | H | 134-135 |
| 1-482 | Et | Me | 3,5-Me2 | COCHMeCOEt | OEt | |
| 1-483 | n-Pr | Me | 3,5-Me2 | CO-n-Pr | OMe | 1.4959(31.2) |
| 1-484 | n-Pr | Me | 3,5-Me2 | CO-s-Bu | OMe | 1.4960(32.3) |
| 1-485 | n-Pr | Me | 3,5-Me2 | CO-c-Pen | OMe | 1.4880(29.0) |
| 1-486 | n-Pr | Me | 3,5-Me2 | CH2O-n-Pr | OMe | 1.4869(28.0) |
| 1-487 | n-Pr | Me | 3,5-Me2 | CH2O-i-Pr | OMe | 1.4819(29.3) |
| 1-488 | n-Pr | Me | 3-Me-5-Cl | H | OMe | 135.4-139.0 |
| 1-489 | n-Pr | Me | 3-Me-5-Cl | CO-i-Pr | OMe | 128.1-128.2 |
| 1-490 | n-Pr | Me | 3-Me-5-Cl | CO-s-Bu | OMe | 99.2-99.7 |
| 1-491 | n-Pr | Me | 3-Me-5-Cl | CO-c-Pr | OMe | 123.0-123.9 |
| 1-492 | n-Pr | Me | 3-Me 5-Cl | CO-c-Pen | OMe | 141.7-142.1 |
| 1-493 | n-Pr | Me | 3-Me-5-Cl | CH2OEt | OMe | 1.4954(20.7) |
| 1-494 | n-Pr | Me | 3-I-5-Me | H | H | 183-185 |
| 1-495 | n-Pr | Me | 3-Me | H | OMe | 146.8-147.0 |
| 1-496 | n-Pr | Me | 3-Me | CO-i-Pr | OMe | 61.6-62.9 |
| 1-497 | n-Pr | Me | 3-Me | CO-s-Bu | OMe | 1.4960(22.2) |
| 1-498 | n-Pr | Me | 3-Me | CO-c-Pen | OMe | 1.4991(22.1) |
| 1-499 | n-Pr | Me | 3-Me | CH2O-n-Pr | OMe | 1.4864(22.8) |
| 1-500 | n-Pr | Me | 3-Me | CH2O-i-Pr | OMe | 1.4863(22.4) |
| 1-501 | n-Pr | Me | 3,5-Me2 | CO-n-Pr | OEt | 1.4892(22.7) |
| 1-502 | n-Pr | Me | 3,5-Me2 | CO-i-Pr | OEt | 1.4910(22.8) |
| 1-503 | n-Pr | Me | 3,5-Me2 | H | O-n-Pr | 158-159.5 |
| 1-504 | n-Pr | Me | 3,5-Me2 | COEt | O-n-Pr | 1.4975(20.5) |
| 1-505 | n-Pr | Me | 3,5-Me2 | CO-n-Pr | O-n-Pr | 1.4940(20.5) |
| 1-506 | n-Pr | Me | 3,5-Me2 | CO-i-Pr | O-n-Pr | 1.4960(20.6) |
| 1-507 | i-Bu | CH2CF3 | 3,5-Me2 | COEt | OMe | 137-138 |
| 1-508 | i-Bu | CH2CF3 | 3,5-Me2 | CO-i-Pr | OMe | |
| 1-509 | i-Bu | i-Pr | 3,5-Me2 | H | OMe | 166-167 |
| 1-510 | i-Bu | i-Pr | 3,5-Me2 | CO-i-Pr | OMe | 107-108 |
| 1-511 | i-Bu | Me | 3-Me-5-Cl | H | F | 143.2-144.7 |
| 1-512 | i-Bu | Me | 3-Me-5-Cl | CO-i-Pr | F | 1.4888(23.0) |
| 1-513 | i-Bu | Me | 3-Cl-5-Me | H | OMe | 153-161 |
| 1-514 | i-Bu | Me | 3-Cl-5-Me | CO-i-Pr | OMe | paste |
| 1-515 | i-Bu | Me | 3-Cl-5-Me | CH2O-i-Pr | OMe | paste |
| 1-516 | i-Bu | Me | 3-Cl-5-Me | COOMe | OMe | amorphous |
| 1-517 | i-Bu | Me | 3-Br-5-Me | H | OMe | 172-174 |
| 1-518 | i-Bu | Me | 3-Br-5-Me | CO-i-Pr | OMe | paste |
| 1-519 | i-Bu | Me | 3-Br-5-Me | CH2O-i-Pr | OMe | paste |
| 1-520 | i-Bu | Me | 3-I-5-Me | H | H | 178-183 |
| 1-521 | i-Bu | Me | 3-Br-5-Me | COOMe | OMe | paste |
| 1-522 | i-Bu | Me | 3-I-5-Me | H | OMe | amorphous |
| 1-523 | i-Bu | Me | 3-I-5-Me | COOMe | OMe | paste |
| 1-524 | i-Bu | Me | 3-I-5-Me | CO-i-Pr | OMe | paste |
| 1-525 | i-Bu | Me | 3-I-5-Me | CH2OEt | OMe | 100-103 |
| 1-526 | i-Bu | Me | 3-I-5-Me | CH2O-i-Pr | OMe | 100-102 |
| 1-527 | i-Bu | Me | 3,5-Me2 | CH2CH═CMe2 | OMe | 81-83 |
| 1-528 | CH═CMe2 | Me | 3,5-Me2 | H | OMe | |
| 1-529 | i-Bu | Me | 5-CF3 | H | OMe | 170 |
| 1-530 | i-Bu | Me | 5-CF3 | CO-i-Pr | OMe | 1.4680(22.8) |
| 1-531 | i-Bu | Et | 3,5-Me2 | CO-i-Pr | OMe | 1.4913(23.0) |
| 1-532 | CH═CMe2 | Me | 3,5-Me2 | CO-i-Pr | OMe | |
| 1-533 | i-Bu | Me | 3,5-Me2 | CO-n-Pr | OEt | 1.4870(22.5) |
| 1-534 | i-Bu | Me | 3,5-Me2 | H | O-n-Pr | 138-139 |
| 1-535 | i-Bu | Me | 3-I | H | OMe | 210-218 |
| 1-536 | i-Bu | Me | 3-Br | H | OMe | 203 |
| 1-537 | i-Bu | Me | 3-Cl | H | OMe | 174-182 |
| 1-538 | i-Bu | Me | 3,5-Cl2 | H | OMe | 132 |
| 1-539 | i-Bu | Me | 3-I | CO-i-Pr | OMe | paste |
| 1-540 | i-Bu | Me | 3-Br | CO-i-Pr | OMe | paste |
| 1-541 | i-Bu | Me | 3-Cl | CO-i-Pr | OMe | paste |
| 1-542 | i-Bu | Me | 3-CF3 | CO-i-Pr | OMe | paste |
| 1-543 | i-Bu | Me | 3,5-Cl2 | CO-i-Pr | OMe | 113-114 |
| 1-544 | i-Bu | Me | 3,5-Me2 |
|
F | amorphous |
| 1-545 | i-Bu | Me | 3,5-Me2 |
|
F | amorphous |
| 1-546 | i-Bu | Me | 3,5-Me2 |
|
OMe | 150.4-151.2 |
| 1-547 | i-Bu | Me | 3,5-Me2 | CH2OAc | OMe | 94-95 |
| 1-548 | i-Bu | Me | 3,5-Me2 | CH2OC(═O)Et | OMe | 99 |
| 1-549 | i-Bu | Me | 3,5-Me2 | CH2OC(═O)-i-Pr | OMe | 112 |
| 1-550 | i-Bu | Me | 3,5-Me2 | COSMe | OMe | |
| 1-551 | i-Bu | Me | 3,5-Me2 | COSEt | OMe | |
| TABLE 2 | |
| Formula (I-4) | |
|
|
|
| No. | G | Xn | Y2 m | R1 | R2 | Property |
| 2-1 | Et | 6-Me | 3,5-Me2 | H | H | |
| 2-2 | Et | 6-Me | 3,5-Me2 | Ac | H | |
| 2-3 | Et | 6-Me | 3,5-Me2 | H | OMe | |
| 2-4 | Et | 6-Me | 3,5-Me2 | Ac | OMe | |
| 2-5 | Et | 6-Me | 3,5-Me2 | H | OEt | |
| 2-6 | Et | 6-Me | 3,5-Me2 | Ac | OEt | |
| 2-7 | Et | 6-Me | 3-CF3-5-Me | H | H | |
| 2-8 | Et | 6-Me | 3-CF3-5-Me | Ac | H | |
| 2-9 | Et | 6-Me | 3-CF3-5-Me | H | OMe | |
| 2-10 | Et | 6-Me | 3-CF3-5-Me | Ac | OMe | |
| 2-11 | Et | 6-Me | 3-CF3-5-Me | H | OEt | |
| 2-12 | Et | 6-Me | 3-CF3-5-Me | Ac | OEt | |
| 2-13 | n-Pr | 6-Me | 3,5-Me2 | H | H | 128-131 |
| 2-14 | n-Pr | 6-Me | 3,5-Me2 | Ac | H | |
| 2-15 | n-Pr | 6-Me | 3,5-Me2 | H | OMe | 132-134 |
| 2-16 | n-Pr | 6-Me | 3,5-Me2 | Ac | OMe | 1.4905(25.9) |
| 2-17 | n-Pr | 6-Me | 3,5-Me2 | H | OEt | 154-155 |
| 2-18 | n-Pr | 6-Me | 3,5-Me2 | Ac | OEt | |
| 2-19 | n-Pr | 6-Me | 3-CF3-5-Me | H | H | |
| 2-20 | n-Pr | 6-Me | 3-CF3-5-Me | Ac | H | |
| 2-21 | n-Pr | 6-Me | 3-CF3-5-Me | H | OMe | 104-106 |
| 2-22 | n-Pr | 6-Me | 3-CF3-5-Me | Ac | OMe | 1.4751(26.7) |
| 2-23 | n-Pr | 6-Me | 3-CF3-5-Me | H | OEt | 152-153 |
| 2-24 | n-Pr | 6-Me | 3-CF3-5-Me | Ac | OEt | |
| 2-25 | n-Pr | 6-Me | 3-Me-5-Cl | H | OMe | 127-128.5 |
| 2-26 | n-Pr | 6-Me | 3-CF3-5-Me | COEt | OMe | 151-152 |
| 2-27 | i-Bu | 6-Cl | 3,5-Me2 | H | OMe | 106-109 |
| 2-28 | i-Bu | 6-Cl | 3,5-Me2 | Ac | OMe | amorphous |
| 2-29 | Et | 6-Me | 3,5-Me2 | CO-c-Pr | OMe | 138-140 |
| 2-30 | Et | 6-Me | 3,5-Me2 | COEt | OMe | 132-134 |
| 2-31 | Et | 6-Me | 3-CF3-5-Me | CO-n-Pr | OMe | 1.4960(26.6) |
| 2-32 | n-Pr | 6-Me | 3-CF3-5-Me | COOMe | OMe | 165-166 |
| 2-33 | i-Bu | 6-Me | 3,5-Me2 | H | OMe | 126-127 |
| 2-34 | n-Pr | 6-Me | 3,5-Me2 | CO-i-Pr | OMe | 1.4955(33.5) |
| 2-35 | n-Pr | 6-Me | 3,5-Me2 | CO-t-Bu | OMe | 128.5-130.2 |
| 2-36 | n-Pr | 6-Me | 3,5-Me2 | COCHEt2 | OMe | 1.4918(32.6) |
| 2-37 | n-Pr | 6-Me | 3,5-Me2 | COO-i-Bu | OMe | 1.4870(30.1) |
| 2-38 | i-Bu | 6-Me | 3,5-Me2 | COEt | OMe | amorphous |
| 2-39 | Et | 6-Me | 3,5-Me2 | CO-i-Pr | OMe | 1.4952 (32.0) |
| 2-40 | n-Pr | 6-Me | 3-Me | H | OMe | amorphous |
| 2-41 | n-Pr | 6-Me | 3-Me | CO-i-Pr | OMe | paste |
| 2-42 | n-Pr | 6-Me | 3,5-Me2 | CO-i-Pr | OEt | 111-112 |
| 2-43 | i-Bu | 6-Me | 3,5-Me2 | CO-i-Pr | OMe | 38-42 |
| 2-44 | n-Pr | 6-Me | 3-CF3-5-Me | CO-i-Pr | OMe | 155 |
| 2-45 | i-Bu | 6-Me | 3-CF3-5-Me | H | OMe | 68-70 |
| 2-46 | n-Pr | 6-Me | 3,5-Me2 | H | OH | 192-195 |
| TABLE 3 | |
| Formula (II) | |
|
|
|
| No | G | Xn | R2 | 1H-NMR [CDCl3/TMS, δ value (ppm)] |
| 3-1 | n-Pr | 6-Me | F | 7.09 (s, 1 H), 6.54 (s, 1 H), 3.76 (bs, |
| 2 H), 2.63 (m, 2 H), 2.13 (s, 3 H), 1.58 (m, | ||||
| 2 H), 0.96 (t, 3 H) | ||||
| 3-2 | n-Pr | 6-Me | H | 7.18 (s, 1 H), 6.54 (s, 1 H), 4.45-4.20 |
| (br, 2 H), 4.27 (m, 1 H), 2.50 (dd, | ||||
| 2 H), 2.14 (s, 3 H), 1.57 (m, 2 H), 0.98 (t, | ||||
| 3 H) | ||||
| 3-3 | n-Pr | 6-Me | OMe | 7.10 (s, 1 H), 6.66 (s, 1 H), 3.72 (bs, |
| 2 H), 3.42 (s, 3 H), 2.84 (m, 2 H), 2.14 (s, | ||||
| 3 H), 1.61 (m, 2 H), 1.00 (t, 3 H) | ||||
| 3-4 | Et | 6-Me | F | 7.09 (s, 1 H), 6.56 (s, 1 H), 3.78 (bs, |
| 2 H), 2.71 (m, 2 H), 2.14 (s, 3 H), | ||||
| 1.19 (td, 3 H) | ||||
| 3-5 | Et | 6-Me | OMe | 7.10 (s, 1 H), 6.68 (s, 1 H), 3.75 (bs, |
| 2 H), 3.41 (s, 3 H), 2.91 (dd, 2 H), | ||||
| 2.15 (s, 3 H), 1.22 (t, 3 H) | ||||
| 3-6 | Et | H | O-n-Pr | 7.22 (d, 1 H), 6.67 (d, 1 H), 6.52 (dd, |
| 1 H), 3.80 (br, 2 H), 3.46 (t, 2 H), | ||||
| 2.92 (dd, 2 H), 1.69 (dd, 2 H), 1.21 (t, | ||||
| 3 H), 0.94 (t, 3 H) | ||||
| 3-7 | n-Pr | H | O-n-Pr | 7.22 (d, 1 H), 6.66 (d, 1 H), 6.51 (dd, |
| 1 H), 3.78 (br, 2 H), 3.47 (t, 2 H), | ||||
| 2.85 (m, 2 H), 1.70 (dd, 2 H), 1.60 (m, | ||||
| 2 H), 1.00 (t, 3 H), 0.94 (t, 3 H) | ||||
| 3-8 | i-Bu | H | O-n-Pr | 7.24 (d, 1 H), 6.70 (d, 1 H), 6.53 (dd, |
| 1 H), 3.79 (bs, 2 H), 3.47 (t, 2 H), | ||||
| 2.81 (d, 2 H), 2.10 (m, 1 H), 1.70 (m, 2 H), | ||||
| 0.95 (t, 3 H), 0.91 (d, 6 H) | ||||
| TABLE 5 | |
| No. | 1H-NMR[CDCl3/TMS, δ value (ppm)] |
| 1-106 | 7.61(d, 2H), 7.52(d, 1H), 7.17(m, 4H), 7.11(m, 1H), |
| 3.69(s, 3H), 3.47(s, 3H), 2.86(d, 2H), 2.39(s, 3H), | |
| 2.37(s, 3H), 1.96(m, 1H), 0.73(d, 6H) | |
| 1-107 | 8.27(d, 2H), 7.83(d, 2H), 7.59(d, 1H), 7.22(d, 1H), |
| 7.17(m, 1H), 6.97(s, 1H), 3.66(s, 3H), 3.51(s, 3H), | |
| 2.91(d, 2H), 2.36(s, 3H), 1.97(m, 1H), 0.77(d, 6H) | |
| 1-116 | 8.04(s, 1H), 7.73(br, 1H), 7.72(d, 1H), 7.50(d, 1H), |
| 7.43(dd, 1H), 4.01(s, 3H), 3.47(s, 3H), 2.93(d, 2H), | |
| 2.21(m, 1H), 0.94(d, 6H) | |
| 1-124 | 7.80(dd, 2H), 7.49(d, 1H), 7.13(dd, 2H), 7.02(dd, 1H), |
| 6.89(d, 1H), 4.40-4.31(m, 1H), 3.57(s, 3H), 2.42(d, 2H), | |
| 2.28(s, 3H), 2.22(s, 3H), 1.70-1.59(m, 1H), 0.78(d, 6H) | |
| 1-156 | 7.41(d, 1H), 7.01(dd, 1H), 6.96(d, 1H), 3.98(dd, 2H), |
| 3.56(s, 3H), 3.44(s, 3H), 2.79(d, 2H), 2.06(s, 3H), | |
| 2.00(s, 3H), 1.86(m, 1H), 1.25(dd, 3H), 0.74(d, 6H) | |
| 1-160 | 7.47(d, 1H), 7.16-7.05(m, 2H), 3.67(3, 3H), 3.60(dd, 2H), |
| 3.04(m, 1H), 2.88(d, 2H), 2.37(s, 3H), 2.25(s, 3H), | |
| 1.97(m, 1H), 1.31(t, 3H), 1.26(d, 6H), 0.77(d, 6H) | |
| 1-331 | 7.48(d, 1H), 7.10(d, 1H), 7.08(s, 1H), 5.11(q, 1H), |
| 3.64(s, 3H), 3.45(s, 3H), 2.96(dd, 1H), 2.74(dd, 1H), | |
| 2.31(s, 3H), 2.24(s, 3H), 1.92(m, 1H), 1.77(d, 3H), | |
| 0.84(d, 3H), 0.65(d, 3H) | |
| 1-370 | 7.41(d, 1H), 7.28(m, 2H), 7.08(d, 1H), 6.98(m, 2H), |
| 6.84(m, 2H), 4.98(s, 2H), 3.63(s, 3H), 3.40(s, 3H), | |
| 2.96(q, 2H), 2.18(s, 3H), 2.14(s, 3H), 1.26(t, 3H) | |
| 1-403 | 7.43(d, 1H), 7.14(d, 1H), 7.18(m, 1H), 4.32(s, 2H), |
| 3.66(s, 3H), 3.43(s, 3H), 3.39(s, 3H), 2.92(m, 2H), | |
| 2.31(s, 3H), 2.23(s, 3H), 1.51(m, 2H), 0.94(t, 3H) | |
| 1-414 | 7.41(d, 1H), 7.01(m, 2H), 3.58(s, 3H), 3.48(s, 3H), |
| 3.44(s, 3H), 2.79(d, 2H), 2.06(s, 3H), 2.00(s, 3H), | |
| 1.85(m, 1H), 0.76(d, 6H) | |
| 1-415 | 7.39(d, 1H), 7.00(dd, 1H), 6.97(d, 1H), 3.88(m, 2H), |
| 3.56(s, 3H), 3.44(s, 3H), 2.78(d, 2H), 2.05(s, 3H), | |
| 2.00(s, 3H), 1.84(m, 1H), 1.66(m, 2H), 0.95(t, 3H), | |
| 0.75(d, 6H) | |
| 1-417 | 8.18(d, 2H), 7.50(d, 2H), 7.38(d, 1H), 6.95(dd, 1H), |
| 6.88(d, 1H), 5.22(s, 2H), 3.58(s, 3H), 3.41(s, 3H), | |
| 2.73(d, 2H), 2.08(s, 3H), 1.99(s, 3H), 1.73(m, 1H), | |
| 0.70(d, 6H) | |
| 1-419 | 7.33(d, 1H), 7.23(d, 2H), 6.93(dd, 1H), 6.89(d, 1H), |
| 6.83(d, 2H), 5.06(s, 2H), 3.79(s, 3H), 3.56(s, 3H), | |
| 3.40(s, 3H), 2.73(d, 2H), 2.05(s, 3H), 2.01(s, 3H), | |
| 1.74(m, 1H), 0.70(d, 6H) | |
| 1-421 | 7.40(d, 1H), 7.16(m, 2H), 5.30(s, 2H), 3.61(t, 2H), |
| 3.59(s, 3H), 3.43(s, 3H), 2.80(d, 2H), 2.09(s, 3H), | |
| 2.04(s, 3H), 1.87(m, 1H), 1.59(m, 2H), 1.37(m, 2H), | |
| 0.91(t, 3H), 0.76(d, 6H) | |
| 1-422 | 7.39(d, 1H), 7.18(m, 2H), 5.31(s, 2H), 3.91(m, 1H), |
| 3.59(s, 3H), 3.43(s, 3H), 2.80(d, 2H), 2.08(s, 3H), | |
| 2.04(s, 3H), 1.87(m, 1H), 1.22(d, 6H), 0.77(d, 6H) | |
| 1-424 | 7.39(d, 1H), 7.23(m, 2H), 5.23(s, 2H), 3.58(s, 3H), |
| 3.43(s, 3H), 2.80(d, 2H), 2.07(s, 6H), 1.89(m, 1H), | |
| 1.26(s, 9H), 0.78(d, 6H) | |
| 1-425 | 7.39(d, 1H), 7.17(m, 2H), 5.43(d, 1H), 5.22(d, 1H), |
| 3.68(m, 1H), 3.59(s, 3H), 3.43(s, 3H), 2.80(d, 2H), | |
| 2.08(s, 3H), 2.04(s, 3H), 1.87(m, 1H), 1.46-1.63(m, 2H), | |
| 1.20(d, 3H), 0.89(t, 3H), 0.77(dd, 6H) | |
| 1-426 | 7.42(d, 1H), 7.10(m, 2H), 5.43(s, H), 4.14(q, 2H), |
| 3.58(s, 3H), 3.44(s, 3H), 2.80(d, 2H), 2.05(s, 3H), | |
| 2.01(s, 3H), 1.85(m, 1H), 0.76(d, 6H) | |
| 1-427 | 7.40(d, 1H), 7.17(dd, 1H), 7.13(d, 1H), 5.87-5.98(m, 1H), |
| 5.32(s, 2H), 5.29(dd, 1H), 5.20(dd, 1H), 4.16(d, 2H), | |
| 3.59(s, 3H), 3.44(s, 3H), 2.80(d, 2H), 2.09(s, 3H), | |
| 2.04(s, 3H), 1.87(m, 1H), 0.76(d, 6H) | |
| 1-428 | 7.39(d, 1H), 7.15(m, 2H), 5.30(s, 2H), 3.60(t, 2H), |
| 3.59(s, 3H), 3.43(s, 3H), 2.80(d, 2H), 2.09(s, 3H), | |
| 2.04(s, 3H), 1.88(m, 1H), 1.60(m, 2H), 1.27(m, 10H), | |
| 0.88(t, 3H), 0.77(d, 6H) | |
| 1-429 | 7.49(d, 1H), 7.12(d, 1H), 7.08(dd, 1H), 3.68(s, 3H), |
| 3.46(m, 1H), 3.46(s, 3H), 2.88(d, 2H), 2.40(m, 2H), | |
| 2.35(s, 3H), 2.25(s, 3H), 1.84-2.11(m, 5H), 0.80(d, 6H) | |
| 1-448 | 7.49(d, 1H), 7.06(d, 1H), 6.98(m, 1H), 3.64(s, 3H), |
| 3.47(s, 3H), 2.86(d, 2H), 2.39(s, 3H), 1.95(m, 1H), | |
| 1.38(s, 9H), 0.76(d, 6H) | |
| 1-452 | 7.49(d, 1H), 7.18(d, 1H), 7.13(m, 1H), 4.31(s, 2H), |
| 3.71(s, 3H), 3.46(s, 3H), 3.42(s, 3H), 2.88(d, 2H), | |
| 2.32(s, 3H), 2.03(m, 1H), 0.79(d, 6H) | |
| 1-514 | 7.53(d, 1H), 7.27(d, 1H), 7.16(dd, 1H), 3.72(s, 3H), |
| 3.48(s, 3H), 2.92(d, 2H), 2.88(m, 1H), 2.43(s, 3H), | |
| 2.07(m, 1H), 1.21(d, 6H), 0.84(d, 6H) | |
| 1-515 | 7.41(d, 1H), 7.21(s, 1H), 7.19(d, 1H), 5.28(s, 2H), |
| 3.92(m, 1H), 3.63(s, 3H), 3.44(s, 3H), 2.82(d, 2H), | |
| 2.19(s, 3H), 1.94(m, 1H), 1.21(d, 6H), 0.79(d, 6H) | |
| 1-516 | 7.55(d, 1H), 7.32(d, 1H), 7.16(dd, 1H), 3.79(s, 3H), |
| 3.76(s, 3H), 3.49(s, 3H), 2.94(d, 2H), 2.47(s, 3H), | |
| 2.14(m, 1H), 0.92(d, 6H) | |
| 1-518 | 7.53(d, 1H), 7.28(d, 1H), 7.18(dd, 1H), 3.74(s, 3H), |
| 3.47(s, 3H), 2.92(m, 1H), 2.91(d, 2H), 2.42(s, 3H), | |
| 2.07(m, 1H), 1.23(d, 6H), 0.84(d, 6H) | |
| 1-519 | 7.42(d, 1H), 7.22(d, 1H), 7.21(s, 1H), 5.28(s, 2H), |
| 3.94(m, 1H), 3.63(s, 3H), 3.44(s, 3H), 2.82(d, 2H), | |
| 2.14(s, 3H), 1.95(m, 1H), 1.21(d, 6H), 0.79(d, 6H) | |
| 1-521 | 7.56(d, 1H), 7.35(d, 1H), 7.19(dd, 1H), 3.81(s, 3H), |
| 3.76(s, 3H), 3.50(s, 3H), 2.94(d, 2H), 2.47(s, 3H), | |
| 2.14(m, 1H), 0.92(d, 6H) | |
| 1-522 | 8.17(br, 1H), 7.78(d, 1H), 7.47-7.53(m, 2H), 3.84(s, 3H), |
| 3.47(s, 3H), 2.93(d, 2H), 2.62(s, 3H), 2.24(m, 1H), | |
| 0.95(d, 6H) | |
| 1-523 | 7.57(d, 1H), 7.39(d, 1H), 7.22(dd, 1H), 3.84(s, 3H), |
| 3.76(s, 3H), 3.50(s, 3H), 2.95(d, 2H), 2.46(s, 3H), | |
| 2.15(m, 1H), 0.92(d, 6H) | |
| 1-524 | 7.51(d, 1H), 7.27(d, 1H), 7.20(dd, 1H), 3.74(s, 3H), |
| 3.46(s, 3H), 2.99(m, 1H), 2.90(d, 2H), 2.37(s, 3H), | |
| 2.07(m, 1H), 1.26(d, 6H), 0.82(d, 6H) | |
| 1-539 | 7.55(d, 1H), 7.16(d, 1H), 7.11(dd, 1H), 6.87(s, 1H), |
| 3.73(s, 3H), 3.48(s, 3H), 3.31(m, 1H), 2.89(d, 2H), | |
| 2.04(m, 1H), 1.27(d, 6H), 0.79(d, 6H) | |
| 1-540 | 7.55(d, 1H), 7.20(d, 1H), 7.12(dd, 1H), 7.05(s, 1H), |
| 3.72(s, 3H), 3.49(s, 3H), 3.22(m, 1H), 2.90(d, 2H), | |
| 2.05(m, 1H), 1.26(d, 6H), 0.81(d, 6H) | |
| 1-541 | 7.56(d, 1H), 7.21(d, 1H), 7.15(s, 1H), 7.12(dd, 1H), |
| 3.72(s, 3H), 3.49(s, 3H), 3.17(m, 1H), 2.91(d, 2H), | |
| 2.05(m, 1H), 1.25(d, 6H), 0.82(d, 6H) | |
| 1-542 | 7.57(d, 1H), 7.17(d, 1H), 7.09(dd, 1H), 7.06(s, 1H), |
| 3.78(s, 3H), 3.49(s, 3H), 3.26(m, 1H), 2.90(d, 2H), | |
| 2.03(m, 1H), 1.24(d, 6H), 0.78(d, 6H) | |
| 1-544 | 7.51(d, 1H), 7.16(m, 1H), 6.97(d, 1H), 3.82(s, 3H), |
| 3.65(s, 3H), 2.63(t, 2H), 2.27(s, 3H), 2.24(s, 3H), | |
| 2.10(s, 3H), 2.00(s, 3H), 1.67(m, 1H), 0.81(d, 6H) | |
| 1-545 | 7.47(d, 1H), 7.34(d, 1H), 7.11(m, 1H), 6.94(d, 1H), |
| 6.86(d, 1H), 3.67(s, 3H), 2.60(t, 2H), 2.51(s, 3H), | |
| 2.38(s, 3H), 2.28(s, 3H), 1.73(m, 1H), 0.75(d, 6H) | |
| 2-28 | 7.62(s, 1H), 7.25(s, 1H), 3.71(s, 3H), 3.50(s, 3H), |
| 2.88(d, 2H), 2.38(s, 3H), 2.32(s, 3H), 2.24(s, 3H), | |
| 2.02(m, 1H), 0.85(d, 6H) | |
| 2-38 | 7.41(s, 1H), 7.12(s, 1H), 3.72(s, 3H), 3.48(s, 3H), |
| 2.88(d, 2H), 2.38(s, 3H), 2.30(s, 3H), 2.24(s, 3H), | |
| 2.40-2.30(m, 2H), 2.04(m, 1H), 1.14(t, 3H), 0.85(d, 6H) | |
| 2-40 | 8.26(s, 1H), 7.82(s, 1H), 7.27(br, 2H), 3.90(s, 3H), |
| 3.45(s, 3H), 2.95(m, 2H), 2.57(s, 3H), 2.32(s, 3H), | |
| 1.71(m, 2H), 1.02(t, 3H) | |
| 2-41 | 7.37(s, 1H), 7.10(s, 1H), 6.30(s, 1H), 3.59(s, 3H), |
| 3.47(s, 3H), 3.43(m, 1H), 2.92(br, 2H), 2.48(s, 3H), | |
| 2.17(s, 3H), 1.55(br, 2H), 1.28(d, 6H), 0.94(t, 3H) | |
TYLENCHIDA including soybean beetle (Anomala rufocuprea), Japanese beetle (Popillia japonica), tobacco beetle (Lasioderma serricorne), powderpost beetle (Lyctus brunneus), twenty-eight-spotted ladybird (Epilachna vigintiotopunctata), azuki bean weevil (Callosobruchus chinensis), vegetable weevil (Listroderes costirostris), maize weevil (Sitophilus zeamais), boll weevil (Anthonomus grandis grandis), rice water weevil (Lissorhoptrus oryzophilus), cucurbit leaf beetle (Aulacophora femoralis), rice leaf beetle (Oulema oryzae), striped flea beetle (Phyllotreta striolata), pine shoot beetle (Tomicus piniperda), Colorado potato beetle (Leptinotarsa decemlineata), Mexican bean beetle (Epilachna varivestis), corn rootworm (Diabrotica sp.), etc.;
DIPTERA including melon fly (Dacus (Zeugodacus) cucurbitae), oriental fruit fly (Dacus (Bactrocera) dorsalis), rice leafminer (Agnomyza oryzae), onion maggot (Delia antiqua), seedcorn maggot (Delia platura), soybean pod gall midge (Asphondylia sp.), etc.; TYLENCHIDA including root-lesion nematode (Pratylenchus sp.), potato cyst nematode (Globodera rostochiensis), root-knot nematode (Meloidogyne sp.), citrus nematode (Tylenchulus semipenetrans), Aphelenchus sp. (Aphelenchus avenae), chrysanthemum foliar (Aphelenchoides ritzemabosi), etc.; and ACARINA including citrus red mite (Panonychus citri), fruit tree red spider mite (Panonychus ulmi), carmine spider mite (Tetranychus cinnabarinus), Kanzawa spider mite (Tetranychus Kanzawai Kishida), two-spotted spider mite (Tetranychus urticae Koch), pink tea rust mite (Acaphylla theae), pink citrus rust mite (Aculops pelekassi), purple tea mice (Calacarus carinatus), pear rust mite (Epitrimerus pyri), etc.
| Each compound listed in Table 1 or Table 2 | 10 parts | ||
| Xylene | 70 parts | ||
| N-methylpyrrolidone | 10 parts | ||
| Mixture of polyoxyethylene nonylphenyl | 10 parts | ||
| ether and calcium alkylbenzenesulfonate | |||
| Each compound listed in Table 1 or Table 2 | 3 parts | ||
| Clay powder | 82 parts | ||
| Diatomaceous earth powder | 15 parts | ||
| Each compound listed in Table 1 or Table 2 | 5 parts | ||
| Mixed powder of bentonite and clay | 90 parts | ||
| Calcium ligninsulfonate | 5 parts | ||
| Each compound listed in Table 1 or Table 2 | 20 parts | ||
| Mixture of kaolin and synthetic | 75 parts | ||
| high-dispersion silicic acid | |||
| Mixture of polyoxyethylene nonylphenyl | 5 parts | ||
| ether and calcium alkylbenzenesulfonate | |||
Criterion:
Claims (10)
Applications Claiming Priority (7)
| Application Number | Priority Date | Filing Date | Title |
|---|---|---|---|
| JP2005-234405 | 2005-08-12 | ||
| JP2005234405 | 2005-08-12 | ||
| JP2005322531 | 2005-11-07 | ||
| JP2005-322531 | 2005-11-07 | ||
| JP2006-114937 | 2006-04-18 | ||
| JP2006114937 | 2006-04-18 | ||
| PCT/JP2006/316198 WO2007020986A1 (en) | 2005-08-12 | 2006-08-11 | Substituted pyrazolecarboxylic acid anilide derivative or salt thereof, intermediate thereof, agent for agricultural and horticultural use, and use thereof |
Publications (2)
| Publication Number | Publication Date |
|---|---|
| US20090105325A1 US20090105325A1 (en) | 2009-04-23 |
| US8404861B2 true US8404861B2 (en) | 2013-03-26 |
Family
ID=37757643
Family Applications (1)
| Application Number | Title | Priority Date | Filing Date |
|---|---|---|---|
| US11/990,282 Active 2028-03-21 US8404861B2 (en) | 2005-08-12 | 2006-08-11 | Substituted pyrazolecarboxylic acid anilide derivative or salt thereof, intermediate thereof, agent for agricultural and horticultural use, and use thereof |
Country Status (14)
| Country | Link |
|---|---|
| US (1) | US8404861B2 (en) |
| EP (1) | EP1925613B1 (en) |
| KR (2) | KR20100099356A (en) |
| AR (1) | AR057974A1 (en) |
| AU (1) | AU2006280672B2 (en) |
| BR (1) | BRPI0615003B1 (en) |
| CA (1) | CA2618803C (en) |
| EG (1) | EG25684A (en) |
| ES (1) | ES2409832T3 (en) |
| IL (1) | IL189394A (en) |
| PL (1) | PL1925613T3 (en) |
| PT (1) | PT1925613E (en) |
| TW (1) | TWI378921B (en) |
| WO (1) | WO2007020986A1 (en) |
Cited By (1)
| Publication number | Priority date | Publication date | Assignee | Title |
|---|---|---|---|---|
| US10117430B2 (en) | 2012-12-14 | 2018-11-06 | Basf Se | Malononitrile compounds for controlling animal pests |
Families Citing this family (56)
| Publication number | Priority date | Publication date | Assignee | Title |
|---|---|---|---|---|
| CN100554249C (en) | 2003-08-29 | 2009-10-28 | 三井化学株式会社 | Agricultural and horticultural insecticide and method of use thereof |
| WO2008053991A1 (en) * | 2006-11-02 | 2008-05-08 | Nihon Nohyaku Co., Ltd. | Substituted pyrazolecarboxanilide derivative or salt thereof, agricultural or horticultural chemical, and method of using the same |
| EP2632901B1 (en) | 2010-10-27 | 2018-09-12 | Solvay Sa | Process for the preparation of pyrazole-4-carboxamides |
| UY33887A (en) | 2011-02-03 | 2012-09-28 | Syngenta Ltd | PEST CONTROL METHODS IN SOYA |
| CN103534237B (en) | 2011-05-18 | 2016-06-15 | 先正达参股股份有限公司 | Insecticidal compounds based on arylthioacetamide derivatives |
| AR086587A1 (en) | 2011-05-31 | 2014-01-08 | Syngenta Participations Ag | INSECTICIDE COMPOUNDS |
| US20140343049A1 (en) | 2011-08-22 | 2014-11-20 | Syngenta Participations Ag | Dihydrofuran derivatives as insecticidal compounds |
| BR112014003846A2 (en) | 2011-08-22 | 2017-03-14 | Syngenta Participations Ag | dihydrofuran derivatives as insecticide compounds |
| KR20140054302A (en) | 2011-08-25 | 2014-05-08 | 신젠타 파티서페이션즈 아게 | Isoxazoline derivatives as insecticidal compounds |
| BR112014004275A2 (en) | 2011-08-25 | 2017-03-21 | Syngenta Participations Ag | isoxazoline derivatives as insecticide compounds |
| WO2013026695A1 (en) | 2011-08-25 | 2013-02-28 | Syngenta Participations Ag | Isoxazoline derivatives as insecticidal compounds |
| WO2013026929A1 (en) | 2011-08-25 | 2013-02-28 | Syngenta Participations Ag | Dihydropyrrole derivatives as insecticidal compounds |
| BR112014005683B1 (en) | 2011-09-13 | 2018-12-04 | Syngenta Participations Ag | isothiazoline derivatives as insecticide compounds |
| JP2014534182A (en) | 2011-10-03 | 2014-12-18 | シンジェンタ パーティシペーションズ アクチェンゲゼルシャフト | Isoxazoline derivatives as insecticidal compounds |
| WO2013135674A1 (en) | 2012-03-12 | 2013-09-19 | Syngenta Participations Ag | Insecticidal 2-aryl-acetamide compounds |
| WO2013156331A1 (en) | 2012-04-16 | 2013-10-24 | Basf Se | Synergistic compositions comprising pyraclostrobin and an insecticidal compound |
| WO2014001121A1 (en) | 2012-06-25 | 2014-01-03 | Syngenta Participations Ag | Isothiazole derivatives as insecticidal compounds |
| WO2014001120A1 (en) | 2012-06-25 | 2014-01-03 | Syngenta Participations Ag | Isothiazole derivatives as insecticidal compounds |
| WO2014019609A1 (en) | 2012-07-31 | 2014-02-06 | Syngenta Participations Ag | Methods of pest control in soybean |
| CN104519739A (en) | 2012-08-03 | 2015-04-15 | 先正达参股股份有限公司 | Methods of pest control in soybean |
| WO2014019957A2 (en) | 2012-08-03 | 2014-02-06 | Syngenta Participations Ag | Methods of pest control in soybean |
| US20150189883A1 (en) | 2012-08-03 | 2015-07-09 | Syngenta Participations Ag | Methods of controlling insects |
| EP2887809B1 (en) | 2012-08-24 | 2018-11-21 | Syngenta Participations AG | Methods of controlling insects |
| AU2013305200B2 (en) | 2012-08-24 | 2016-10-20 | Syngenta Crop Protection Ag | Methods of soil pest control |
| WO2014029709A1 (en) | 2012-08-24 | 2014-02-27 | Syngenta Participations Ag | Methods of controlling insects |
| KR20150067269A (en) | 2012-10-01 | 2015-06-17 | 바스프 에스이 | Pesticidally active mixtures comprising anthranilamide compounds |
| KR20150067270A (en) | 2012-10-01 | 2015-06-17 | 바스프 에스이 | Pesticidally active mixtures comprising anthranilamide compounds |
| AR093772A1 (en) | 2012-10-01 | 2015-06-24 | Basf Se | METHOD FOR CONTROLLING INSECTICIDES INSECTICIDES MODULADORES DE RIANODINA |
| WO2014053401A2 (en) | 2012-10-01 | 2014-04-10 | Basf Se | Method of improving plant health |
| AR093771A1 (en) | 2012-10-01 | 2015-06-24 | Basf Se | METHOD TO CONTROL INSECTICIDE RESISTANT INSECTS |
| WO2014053407A1 (en) | 2012-10-01 | 2014-04-10 | Basf Se | N-thio-anthranilamide compounds and their use as pesticides |
| CN104768378A (en) | 2012-10-01 | 2015-07-08 | 巴斯夫欧洲公司 | Use of N-thio-anthranilamide compounds on cultivated plants |
| WO2014079935A1 (en) | 2012-11-21 | 2014-05-30 | Syngenta Participations Ag | Insecticidal compounds based on arylthioacetamide derivatives |
| WO2014079820A1 (en) | 2012-11-22 | 2014-05-30 | Basf Se | Use of anthranilamide compounds for reducing insect-vectored viral infections |
| WO2014102244A1 (en) | 2012-12-27 | 2014-07-03 | Basf Se | 2-(pyridin-3-yl)-5-hetaryl-thiazole compounds carrying an imine or imine-derived substituent for combating invertebrate pests |
| WO2014131837A1 (en) | 2013-02-28 | 2014-09-04 | Syngenta Participations Ag | Isoxaline derivatives for use in cotton plants |
| WO2014154488A1 (en) | 2013-03-28 | 2014-10-02 | Syngenta Participations Ag | Methods of controlling neonicotinoid resistant pests |
| JP2016522173A (en) | 2013-04-19 | 2016-07-28 | ビーエーエスエフ ソシエタス・ヨーロピアBasf Se | N-substituted acyl-imino-pyridine compounds and derivatives for controlling harmful animals |
| WO2014202751A1 (en) | 2013-06-21 | 2014-12-24 | Basf Se | Methods for controlling pests in soybean |
| PL3022185T3 (en) | 2013-07-15 | 2018-02-28 | Basf Se | Pesticide compounds |
| MX2016003630A (en) | 2013-09-19 | 2016-06-17 | Basf Se | N-acylimino heterocyclic compounds. |
| WO2015055497A1 (en) | 2013-10-16 | 2015-04-23 | Basf Se | Substituted pesticidal pyrazole compounds |
| BR112016008555A8 (en) | 2013-10-18 | 2020-03-10 | Basf Agrochemical Products Bv | uses of the active pesticide carboxamide compound and method of protecting plant propagation material |
| EP3083596A1 (en) | 2013-12-18 | 2016-10-26 | Basf Se | Azole compounds carrying an imine-derived substituent |
| BR112016014171A2 (en) | 2013-12-18 | 2017-08-08 | Basf Se | COMPOST, AGRICULTURAL COMPOSITION, USE OF A COMPOUND, METHODS FOR COMBATING OR CONTROLING PESTS, FOR PROTECTING VEGETABLES AND FOR PROTECTING MATERIAL FOR THE PROPAGATION OF VEGETABLES AND TREATMENT METHOD |
| WO2015104422A1 (en) | 2014-01-13 | 2015-07-16 | Basf Se | Dihydrothiophene compounds for controlling invertebrate pests |
| WO2015169734A1 (en) * | 2014-05-05 | 2015-11-12 | Basf Se | Pyrazoles for controlling invertebrate pests |
| AU2016247473A1 (en) | 2015-04-17 | 2017-11-09 | Basf Agrochemical Products B.V. | Method for controlling non-crop pests |
| KR102477723B1 (en) * | 2016-09-07 | 2022-12-14 | 스미또모 가가꾸 가부시끼가이샤 | Imide compounds and their uses |
| WO2018051252A2 (en) * | 2016-09-15 | 2018-03-22 | Insecticides (India) Limited | Novel amide compound, method for producing the same, and miticide |
| EP3522709A1 (en) * | 2016-10-10 | 2019-08-14 | Basf Se | Pesticidal mixture |
| AR113761A1 (en) | 2017-10-18 | 2020-06-10 | Syngenta Participations Ag | PEST CONTROL OF HEMIPTERS USING RNA MOLECULES |
| EP3760627A4 (en) * | 2018-02-28 | 2022-03-02 | Hokko Chemical Industry Co., Ltd. | IMIDE DERIVATIVE AND BACTERICIDAL CONTAINING IT AS AN ACTIVE INGREDIENT |
| WO2022200364A1 (en) | 2021-03-25 | 2022-09-29 | Syngenta Crop Protection Ag | Insect, acarina and nematode pest control |
| WO2023203038A1 (en) | 2022-04-19 | 2023-10-26 | Syngenta Crop Protection Ag | Insect, acarina and nematode pest control |
| CN116082329B (en) * | 2022-12-25 | 2024-05-28 | 浙江工业大学 | Pyrazole amide compound containing thiazole ring, and preparation method and application thereof |
Citations (11)
| Publication number | Priority date | Publication date | Assignee | Title |
|---|---|---|---|---|
| JP2001122836A (en) | 1998-11-30 | 2001-05-08 | Nippon Nohyaku Co Ltd | Aniline derivative and method for producing the same |
| WO2001056962A1 (en) | 2000-02-04 | 2001-08-09 | Nihon Nohyaku Co., Ltd. | Perfluoroisopropylbenzene derivatives |
| US6316503B1 (en) | 1999-03-15 | 2001-11-13 | Tularik Inc. | LXR modulators |
| WO2002096882A1 (en) * | 2001-05-31 | 2002-12-05 | Nihon Nohyaku Co., Ltd. | Substituted anilide derivatives, intermediates thereof, agricultural and horticultural chemicals, and their usage |
| JP2003518110A (en) | 1999-12-23 | 2003-06-03 | アイコス コーポレイション | Pyrazole cyclic AMP-specific PDE inhibitors |
| JP2004189738A (en) | 2002-11-29 | 2004-07-08 | Nippon Nohyaku Co Ltd | Substituted anilide derivatives, intermediates thereof, agricultural and horticultural agents, and methods of using the same |
| JP2004269515A (en) | 2003-02-18 | 2004-09-30 | Nippon Nohyaku Co Ltd | Substituted heterocyclic amide derivatives, intermediates thereof, agricultural and horticultural drugs, and methods of using the same |
| WO2005021488A1 (en) | 2003-08-29 | 2005-03-10 | Mitsui Chemicals, Inc. | Insecticide for agricultural or horticultural use and method of use thereof |
| WO2005115994A1 (en) | 2004-05-27 | 2005-12-08 | Nihon Nohyaku Co., Ltd. | Substituted pyrazinecarboxylic acid anilide derivatives or salts thereof, intermediates of the same, pesticides for agricultural and horticultural use, and usage thereof |
| WO2006015866A1 (en) | 2004-08-12 | 2006-02-16 | Syngenta Participations Ag | Method for protecting useful plants or plant propagation material |
| JP2006290883A (en) | 2005-03-17 | 2006-10-26 | Nippon Nohyaku Co Ltd | Substituted heterocyclic carboxylic acid anilide derivatives, intermediates thereof, agricultural and horticultural agents, and methods of use thereof |
-
2006
- 2006-08-07 TW TW095128800A patent/TWI378921B/en active
- 2006-08-10 AR ARP060103499A patent/AR057974A1/en active IP Right Grant
- 2006-08-11 US US11/990,282 patent/US8404861B2/en active Active
- 2006-08-11 PT PT67965095T patent/PT1925613E/en unknown
- 2006-08-11 AU AU2006280672A patent/AU2006280672B2/en not_active Ceased
- 2006-08-11 ES ES06796509T patent/ES2409832T3/en active Active
- 2006-08-11 WO PCT/JP2006/316198 patent/WO2007020986A1/en not_active Ceased
- 2006-08-11 PL PL06796509T patent/PL1925613T3/en unknown
- 2006-08-11 KR KR1020107019446A patent/KR20100099356A/en not_active Withdrawn
- 2006-08-11 CA CA2618803A patent/CA2618803C/en active Active
- 2006-08-11 KR KR1020087006082A patent/KR101001120B1/en active Active
- 2006-08-11 BR BRPI0615003-9A patent/BRPI0615003B1/en active IP Right Grant
- 2006-08-11 EP EP06796509.5A patent/EP1925613B1/en active Active
-
2008
- 2008-02-10 IL IL189394A patent/IL189394A/en active IP Right Grant
- 2008-02-11 EG EG2008020245A patent/EG25684A/en active
Patent Citations (22)
| Publication number | Priority date | Publication date | Assignee | Title |
|---|---|---|---|---|
| US20020198399A1 (en) | 1998-11-30 | 2002-12-26 | Masanobu Onishi | Perfluoroalkylated aniline compound and process for producing the same |
| JP2001122836A (en) | 1998-11-30 | 2001-05-08 | Nippon Nohyaku Co Ltd | Aniline derivative and method for producing the same |
| US20030204104A1 (en) | 1998-11-30 | 2003-10-30 | Masanobu Onishi | Perfluoroalkylated aniline compound and process for producing the same |
| US6316503B1 (en) | 1999-03-15 | 2001-11-13 | Tularik Inc. | LXR modulators |
| JP2002539155A (en) | 1999-03-15 | 2002-11-19 | テュラリク インコーポレイテッド | LXR regulator |
| US20030236412A1 (en) | 1999-12-23 | 2003-12-25 | Icos Corporation | Cyclic AMP-specific phosphodiesterase inhibitors |
| JP2003518110A (en) | 1999-12-23 | 2003-06-03 | アイコス コーポレイション | Pyrazole cyclic AMP-specific PDE inhibitors |
| US20030187233A1 (en) | 2000-02-04 | 2003-10-02 | Masanobu Onishi | Perfluoroisopropybenzene derivative |
| WO2001056962A1 (en) | 2000-02-04 | 2001-08-09 | Nihon Nohyaku Co., Ltd. | Perfluoroisopropylbenzene derivatives |
| US20050113567A1 (en) | 2000-02-04 | 2005-05-26 | Masanobu Onishi | Perfluoroisopropylbenzene derivative |
| US7459477B2 (en) * | 2001-05-31 | 2008-12-02 | Nihon Nohyaku, Co., Ltd. | Substituted N-phenyl-phenoxy nicotinic acid-(thio)amides and their use as herbicides |
| WO2002096882A1 (en) * | 2001-05-31 | 2002-12-05 | Nihon Nohyaku Co., Ltd. | Substituted anilide derivatives, intermediates thereof, agricultural and horticultural chemicals, and their usage |
| US20040116744A1 (en) | 2001-05-31 | 2004-06-17 | Takashi Furuya | Substituted n-phenyl-phenoxy nicotinic acid-(thio)amides and their use as herbicides |
| JP2003048878A (en) | 2001-05-31 | 2003-02-21 | Nippon Nohyaku Co Ltd | Substituted anilide derivatives, intermediates thereof, agricultural and horticultural agents, and methods of using the same |
| JP2004189738A (en) | 2002-11-29 | 2004-07-08 | Nippon Nohyaku Co Ltd | Substituted anilide derivatives, intermediates thereof, agricultural and horticultural agents, and methods of using the same |
| JP2004269515A (en) | 2003-02-18 | 2004-09-30 | Nippon Nohyaku Co Ltd | Substituted heterocyclic amide derivatives, intermediates thereof, agricultural and horticultural drugs, and methods of using the same |
| WO2005021488A1 (en) | 2003-08-29 | 2005-03-10 | Mitsui Chemicals, Inc. | Insecticide for agricultural or horticultural use and method of use thereof |
| US20070027154A1 (en) | 2003-08-29 | 2007-02-01 | Mitsui Chemicals., Inc. | Insecticide for agricultural or horticultural use and method of use thereof |
| US20080064708A1 (en) | 2004-05-27 | 2008-03-13 | Nihon Nohyaku Co., Ltd. | Substituted Pyrazinecarboxylic Acid Anilde Dervatives Or Salts Thereof, Intermediates Of The Same, Pesticides for Agricultural And Horticultural Use, and Usage Thereof |
| WO2005115994A1 (en) | 2004-05-27 | 2005-12-08 | Nihon Nohyaku Co., Ltd. | Substituted pyrazinecarboxylic acid anilide derivatives or salts thereof, intermediates of the same, pesticides for agricultural and horticultural use, and usage thereof |
| WO2006015866A1 (en) | 2004-08-12 | 2006-02-16 | Syngenta Participations Ag | Method for protecting useful plants or plant propagation material |
| JP2006290883A (en) | 2005-03-17 | 2006-10-26 | Nippon Nohyaku Co Ltd | Substituted heterocyclic carboxylic acid anilide derivatives, intermediates thereof, agricultural and horticultural agents, and methods of use thereof |
Non-Patent Citations (1)
| Title |
|---|
| International Search Report issued Nov. 14, 2006 in the International (PCT) Application PCT/JP2006/316198 of which the present application is the U.S. National Stage. |
Cited By (1)
| Publication number | Priority date | Publication date | Assignee | Title |
|---|---|---|---|---|
| US10117430B2 (en) | 2012-12-14 | 2018-11-06 | Basf Se | Malononitrile compounds for controlling animal pests |
Also Published As
| Publication number | Publication date |
|---|---|
| TW200738642A (en) | 2007-10-16 |
| IL189394A0 (en) | 2008-06-05 |
| PL1925613T3 (en) | 2013-09-30 |
| EP1925613B1 (en) | 2013-04-10 |
| KR20080048031A (en) | 2008-05-30 |
| EP1925613A4 (en) | 2009-07-08 |
| CA2618803A1 (en) | 2007-02-22 |
| CA2618803C (en) | 2010-11-16 |
| IL189394A (en) | 2013-08-29 |
| KR101001120B1 (en) | 2010-12-14 |
| AU2006280672B2 (en) | 2011-10-27 |
| US20090105325A1 (en) | 2009-04-23 |
| KR20100099356A (en) | 2010-09-10 |
| BRPI0615003B1 (en) | 2015-07-28 |
| EG25684A (en) | 2012-05-16 |
| BRPI0615003A2 (en) | 2011-04-26 |
| AU2006280672A1 (en) | 2007-02-22 |
| WO2007020986A1 (en) | 2007-02-22 |
| ES2409832T3 (en) | 2013-06-28 |
| PT1925613E (en) | 2013-04-26 |
| TWI378921B (en) | 2012-12-11 |
| AR057974A1 (en) | 2008-01-09 |
| EP1925613A1 (en) | 2008-05-28 |
Similar Documents
| Publication | Publication Date | Title |
|---|---|---|
| US8404861B2 (en) | Substituted pyrazolecarboxylic acid anilide derivative or salt thereof, intermediate thereof, agent for agricultural and horticultural use, and use thereof | |
| CA2447640C (en) | Substituted anilide derivative, intermediate thereof, agricultural and horticultural chemical and its usage | |
| US8269045B2 (en) | Substituted pyrazinecarboxylic acid anilide derivatives or salts thereof, intermediates of the same, pesticides for agricultural and horticultural use, and usage thereof | |
| US20080051457A1 (en) | Optically Active Phthalamide Derivative, Agricultural or Horticultural Insecticide, and Method of Using the Same | |
| CN102307863B (en) | Pyrimidine derivatives, horticultural insecticides comprising said derivatives and method of use thereof | |
| US9580444B2 (en) | Polycyclic pyrazolinone derivative and herbicide comprising same as effective component thereof | |
| US7151195B2 (en) | Phthalamide derivative, agricultural or horticultural insecticide, and method of use thereof | |
| CN101243049B (en) | Substituted pyrazolecarboxylic acid anilide derivatives or salts thereof, intermediates thereof, reagents for agricultural and horticultural uses, and uses thereof | |
| JP5077523B2 (en) | Substituted pyrazolecarboxylic acid anilide derivatives or salts thereof, intermediates thereof, agricultural and horticultural agents, and methods of use thereof | |
| RU2375348C1 (en) | Substituted anilide derivative of pyrazole-carbonic acid or its salt, its intermediate compound, agent for application in agriculture and gardening and its application | |
| JPWO2008053991A1 (en) | Substituted pyrazolecarboxylic acid anilide derivatives or salts thereof, agricultural and horticultural agents and methods of use thereof | |
| MX2008002076A (en) | Substituted pyrazolecarboxylic acid anilide derivative or salt thereof, intermediate thereof, agent for agricultural and horticultural use, and use thereof |
Legal Events
| Date | Code | Title | Description |
|---|---|---|---|
| AS | Assignment |
Owner name: NIHON NOHYAKU CO., LTD., JAPAN Free format text: ASSIGNMENT OF ASSIGNORS INTEREST;ASSIGNORS:FURUYA, TAKASHI;KANNO, HIDEO;MACHIYA, KOZO;AND OTHERS;REEL/FRAME:020709/0138 Effective date: 20080205 |
|
| STCF | Information on status: patent grant |
Free format text: PATENTED CASE |
|
| CC | Certificate of correction | ||
| FPAY | Fee payment |
Year of fee payment: 4 |
|
| MAFP | Maintenance fee payment |
Free format text: PAYMENT OF MAINTENANCE FEE, 8TH YEAR, LARGE ENTITY (ORIGINAL EVENT CODE: M1552); ENTITY STATUS OF PATENT OWNER: LARGE ENTITY Year of fee payment: 8 |
|
| MAFP | Maintenance fee payment |
Free format text: PAYMENT OF MAINTENANCE FEE, 12TH YEAR, LARGE ENTITY (ORIGINAL EVENT CODE: M1553); ENTITY STATUS OF PATENT OWNER: LARGE ENTITY Year of fee payment: 12 |















