US7906615B2 - Process for hydrolyzing polyphosphoric acid in a spun yarn - Google Patents

Process for hydrolyzing polyphosphoric acid in a spun yarn Download PDF

Info

Publication number
US7906615B2
US7906615B2 US11/909,659 US90965906A US7906615B2 US 7906615 B2 US7906615 B2 US 7906615B2 US 90965906 A US90965906 A US 90965906A US 7906615 B2 US7906615 B2 US 7906615B2
Authority
US
United States
Prior art keywords
polyphosphoric acid
fiber
acid
polymer
heating
Prior art date
Legal status (The legal status is an assumption and is not a legal conclusion. Google has not performed a legal analysis and makes no representation as to the accuracy of the status listed.)
Active, expires
Application number
US11/909,659
Other versions
US20100184945A1 (en
Inventor
Steven R Allen
Steven D Moore
Christopher W Newton
David J Rodini
Doetze Jakob Sikkema
Current Assignee (The listed assignees may be inaccurate. Google has not performed a legal analysis and makes no representation or warranty as to the accuracy of the list.)
DuPont Safety and Construction Inc
Original Assignee
EI Du Pont de Nemours and Co
Magellan Systems International LLC
Priority date (The priority date is an assumption and is not a legal conclusion. Google has not performed a legal analysis and makes no representation as to the accuracy of the date listed.)
Filing date
Publication date
Application filed by EI Du Pont de Nemours and Co, Magellan Systems International LLC filed Critical EI Du Pont de Nemours and Co
Priority to US11/909,659 priority Critical patent/US7906615B2/en
Assigned to MAGELLAN SYSTEMS INTERNATIONAL, LLC reassignment MAGELLAN SYSTEMS INTERNATIONAL, LLC ASSIGNMENT OF ASSIGNORS INTEREST (SEE DOCUMENT FOR DETAILS). Assignors: SIKKEMA, DOETZE
Assigned to E. I. DUPONT DE NEMOURS AND COMPANY reassignment E. I. DUPONT DE NEMOURS AND COMPANY ASSIGNMENT OF ASSIGNORS INTEREST (SEE DOCUMENT FOR DETAILS). Assignors: ALLEN, STEVEN R, MOORE, STEPHEN D, NEWTON, CHRISTOPHER W, RODINI, DAVID J
Publication of US20100184945A1 publication Critical patent/US20100184945A1/en
Application granted granted Critical
Publication of US7906615B2 publication Critical patent/US7906615B2/en
Assigned to E. I. DU PONT DE NEMOURS AND COMPANY reassignment E. I. DU PONT DE NEMOURS AND COMPANY ASSIGNMENT OF ASSIGNORS INTEREST (SEE DOCUMENT FOR DETAILS). Assignors: MAGELLAN SYSTEMS INTERNATIONAL, LLC
Assigned to DUPONT SAFETY & CONSTRUCTION, INC. reassignment DUPONT SAFETY & CONSTRUCTION, INC. ASSIGNMENT OF ASSIGNORS INTEREST (SEE DOCUMENT FOR DETAILS). Assignors: E. I. DU PONT DE NEMOURS AND COMPANY
Active legal-status Critical Current
Adjusted expiration legal-status Critical

Links

Images

Classifications

    • DTEXTILES; PAPER
    • D01NATURAL OR MAN-MADE THREADS OR FIBRES; SPINNING
    • D01DMECHANICAL METHODS OR APPARATUS IN THE MANUFACTURE OF ARTIFICIAL FILAMENTS, THREADS, FIBRES, BRISTLES OR RIBBONS
    • D01D10/00Physical treatment of artificial filaments or the like during manufacture, i.e. during a continuous production process before the filaments have been collected
    • D01D10/06Washing or drying
    • DTEXTILES; PAPER
    • D01NATURAL OR MAN-MADE THREADS OR FIBRES; SPINNING
    • D01FCHEMICAL FEATURES IN THE MANUFACTURE OF ARTIFICIAL FILAMENTS, THREADS, FIBRES, BRISTLES OR RIBBONS; APPARATUS SPECIALLY ADAPTED FOR THE MANUFACTURE OF CARBON FILAMENTS
    • D01F6/00Monocomponent artificial filaments or the like of synthetic polymers; Manufacture thereof
    • D01F6/58Monocomponent artificial filaments or the like of synthetic polymers; Manufacture thereof from homopolycondensation products
    • D01F6/74Monocomponent artificial filaments or the like of synthetic polymers; Manufacture thereof from homopolycondensation products from polycondensates of cyclic compounds, e.g. polyimides, polybenzimidazoles
    • YGENERAL TAGGING OF NEW TECHNOLOGICAL DEVELOPMENTS; GENERAL TAGGING OF CROSS-SECTIONAL TECHNOLOGIES SPANNING OVER SEVERAL SECTIONS OF THE IPC; TECHNICAL SUBJECTS COVERED BY FORMER USPC CROSS-REFERENCE ART COLLECTIONS [XRACs] AND DIGESTS
    • Y10TECHNICAL SUBJECTS COVERED BY FORMER USPC
    • Y10TTECHNICAL SUBJECTS COVERED BY FORMER US CLASSIFICATION
    • Y10T428/00Stock material or miscellaneous articles
    • Y10T428/29Coated or structually defined flake, particle, cell, strand, strand portion, rod, filament, macroscopic fiber or mass thereof
    • Y10T428/2913Rod, strand, filament or fiber

Definitions

  • the present invention generally relates to polymer fibers and processes for the preparation of such fibers. More particularly, the present invention relates to methods of removing polyphosphoric acid, inter alia, from filaments and spun yarns comprising polymers.
  • Many fibers are prepared from a solution of the polymer in a solvent (called the “polymer dope”) by extruding or spinning the polymer dope through a die or spinneret to prepare or spin a dope filament.
  • the solvent is subsequently removed to provide the fiber or yarn.
  • the solvent utilized is a solvent acid, such as polyphosphoric acid (PPA).
  • PPA polyphosphoric acid
  • PPA removal is generally more difficult, in part due to its polymeric nature.
  • Incorporation of heteroatoms into the polymer may also act to inhibit removal of polyphosphoric acid from the fiber or yarn.
  • Existing processes for removal of polymeric PPA solvent from a polymeric material typically require long washing times or elevated leaching temperatures if a substantial amount of PPA is to be removed.
  • Sen et al. U.S. Pat. No. 5,393,478, discloses a process for leaching polyphosphoric acid from the polybenzazole dope filament by contacting with a leaching fluid at a temperature of at least about 60° C.
  • Sen et al. U.S. Pat. No. 5,525,638, discloses a process for washing polyphosphoric acid from the polybenzazole dope filament by using multiple washes, typically at about room temperature, slowly reducing phosphorous concentration from the spun fiber, allegedly to improve the physical properties of the resultant polymeric fiber.
  • the present invention is directed, in part, to processes for removing polyphosphoric acid from a fiber, comprising the steps of heating a fiber comprising polymer and polyphosphoric acid to at least 120 degrees Celsius (“° C.”) for a time effective to hydrolyze polyphosphoric acid; and in a separate step, removing hydrolyzed polyphosphoric acid from the fiber with a fluid having a temperature of 100° C. or less.
  • the present invention is also directed, in part, to processes for hydrolyzing polyphosphoric acid in a fiber, comprising the step of heating a fiber comprising polymer and polyphosphoric acid in an acidic medium having a pH less than 4.0 to a temperature above 100° C. for a time effective to hydrolyze polyphosphoric acid.
  • the invention is also directed, in part, to processes for hydrolyzing polyphosphoric acid in a polyareneazole polymeric material, comprising the steps of providing a polymeric material comprising polyareneazole and polyphosphoric acid, wherein at least 50 mole percent of the polyareneazole repeating unit structures comprise 2,5-dihydroxy-p-phenylene moieties; and heating the polymeric material to more than 100° C. to hydrolyze at least a portion of polyphosphoric acid.
  • the invention is further directed, in part, to processes for removing phosphorus from a yarn spun from a polymer solution containing polyphosphoric acid, the yarn comprising at least about 1.5 percent by weight of the yarn of phosphorous, comprising contacting the yarn with a base and washing the yarn with an aqueous fluid.
  • the invention also provides fibers comprising polyareneazole polymer having pendant hydroxyl groups and at least 2 percent based on fiber weight of cations including sodium, potassium, or calcium, or any combination thereof.
  • the present invention is also directed, in part, to processes for removing cations from a polyareneazole fiber, comprising the steps of providing a fiber comprising a polyareneazole polymer having pendant hydroxyl groups and at least 2 percent by weight of cations, contacting the fiber with an aqueous solution containing acid to release at least a portion of the cations, and, optionally, washing the fiber with water.
  • FIG. 1 is a schematic diagram of a polyarenezole fiber production process.
  • Filaments of the present invention can be made from polyareneazole polymer.
  • polyareneazole refers to polymers having either:
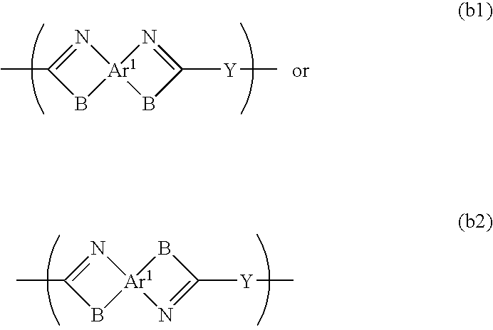
  • N is a nitrogen atom and Z is a sulfur, oxygen, or NR group wherein R is hydrogen or a substituted or unsubstituted alkyl or aryl attached to N; or two hetero aromatic rings each fused to a common aromatic group (Ar 1 ) of either of the repeating unit structures (b1 or b2):
  • N is a nitrogen atom and B is an oxygen, sulfur, or NR group, wherein R is hydrogen or a substituted or unsubstituted alkyl or aryl attached to N.
  • the number of repeating unit structures represented by structures (a), (b1), and (b2) is not critical.
  • each polymer chain has from 10 to 25,000 repeating units.
  • Polyareneazole polymers include polybenzazole polymers or polypyridazole polymers or both.
  • the polybenzazole polymers comprise polybenzimidazole or polybenzobisimidazole polymers.
  • the polypyridazole polymers comprise polypyridobisimidazole or polypyridoimidazole polymers.
  • the polymers are of a polybenzobisimidazole or polypyridobisimidazole type.
  • Y is an aromatic, heteroaromatic, aliphatic group, or nil; preferably an aromatic group; more preferably a six-membered aromatic group of carbon atoms. Still more preferably, the six-membered aromatic group of carbon atoms (Y) has para-oriented linkages with two substituted hydroxyl groups; even more preferably 2,5-dihydroxy-para-phenylene.
  • Ar and Ar 1 each represent any aromatic or heteroaromatic group.
  • the aromatic or heteroaromatic group can be a fused or non-fused polycyclic system, but is preferably a single six-membered ring.
  • the Ar or Ar 1 group is heteroaromatic, wherein a nitrogen atom is substituted for one of the carbon atoms of the ring system or Ar or Ar 1 may contain only carbon ring atoms. Still more preferably, the Ar or Ar 1 group is heteroaromatic.
  • polybenzazole refers to polyareneazole polymer having repeating structure (a), (b1), or (b2) wherein the Ar or Ar 1 group is a single six-membered aromatic ring of carbon atoms.
  • polybenzazoles are a class of rigid rod polybenzazoles having the structure (b1) or (b2); more preferably rigid rod polybenzazoles having the structure (b1) or (b2) with a six-membered carbocyclic aromatic ring Ar 1 .
  • Such preferred polybenzazoles include, but are not limited to polybenzimidazoles (B ⁇ NR), polybenzthiazoles (B ⁇ S), polybenzoxazoles (B ⁇ O), and mixtures or copolymers thereof.
  • the polybenzazole is a polybenzimidazole, preferably it is poly(benzo[1,2-d:4,5-d′]bisimidazole-2,6-diyl-1,4-phenylene).
  • the polybenzazole is a polybenzthiazole, preferably it is poly(benzo[1,2-d:4,5-d′]bisthiazole-2,6-diyl-1,4-phenylene).
  • the polybenzazole is a polybenzoxazole, preferably it is poly(benzo[1,2-d:4,5-d′]bisoxazole-2,6-diyl-1,4-phenylene).
  • polypyridazole refers to polyareneazole polymer having repeating structure (a), (b1), or (b2) wherein the Ar or Ar 1 group is a single six-membered aromatic ring of five carbon atoms and one nitrogen atom.
  • these polypyridazoles are a class of rigid rod polypyridazoles having the structure (b1) or (b2), more preferably rigid rod polypyridazoles having the structure (b1) or (b2) with a six-membered heterocyclic aromatic ring Ar 1 .
  • polypyridazoles include, but are not limited to polypyridobisimidazole (B ⁇ NR), polypyridobisthiazole (B ⁇ S), polypyridobisoxazole (B ⁇ O), and mixtures or copolymers thereof.
  • the polypyridazole is a polypyridobisimidazole (B ⁇ NR) of structure:
  • N is a nitrogen atom
  • R is hydrogen or a substituted or unsubstituted alkyl or aryl attached to N, preferably wherein R is H, and Y is as previously defined.
  • the number of repeating structures or units represented by structures is not critical. Preferably, each polymer chain has from 10 to 25,000 repeating units.
  • Filaments of the present invention are prepared from polybenzazole (PBZ) or polypyridazole polymers.
  • PBZ polybenzazole
  • fiber refers to a relatively flexible, macroscopically homogeneous body having a high ratio of length to width across its cross-sectional area perpendicular to its length.
  • the filament cross section may be any shape, but is typically circular.
  • fiber refers to a continuous length of two or more fibers, wherein fiber is as defined hereinabove.
  • fabric refers to any woven, knitted, or non-woven structure.
  • woven is meant any fabric weave, such as, plain weave, crowfoot weave, basket weave, satin weave, twill weave, and the like.
  • knitted is meant a structure produced by interlooping or intermeshing one or more ends, fibers or multifilament yarns.
  • non-woven is meant a network of fibers, including unidirectional fibers, felt, and the like.
  • the more preferred rigid rod polypyridazoles include, but are not limited to polypyridobisimidazole homopolymers and copolymers such as those described in U.S. Pat. No. 5,674,969 (to Sikkema, et al. on Oct. 7 1997).
  • polypyridobisimidazole is homopolymer poly(2,6-diimidazo[4,5-b:4′,5′-e]pyridinylene-1,4-(2,5-dihydroxy)phenylene).
  • the polyareneazole polymers used in this invention may have properties associated with a rigid-rod structure, a semi-rigid-rod structure, or a flexible coil structure; preferably a rigid rod structure.
  • this class of rigid rod polymers has structure (b1) or (b2) it preferably has two azole groups fused to the aromatic group Ar 1 .
  • Suitable polyareneazoles useful in this invention include homopolymers and copolymers. Up to as much as 25 percent by weight of other polymeric material can be blended with the polyareneazole. Also copolymers may be used having as much as 25 percent or more of other polyareneazole monomers or other monomers substituted for a monomer of the majority polyareneazole. Suitable polyareneazole homopolymers and copolymers can be made by known procedures, such as those described in U.S. Pat. Nos. 4,533,693 (to Wolfe et al. on Aug. 6, 1985), 4,703,103 (to Wolfe et al. on Oct. 27, 1987), 5,089,591 (to Gregory et al. on Feb.
  • Additives may also be incorporated in the polyareneazole in desired amounts, such as, for example, anti-oxidants, lubricants, ultra-violet screening agents, colorants, and the like.
  • This invention is generally directed to polyareneazole filaments, more specifically to polybenzazole (PBZ) filaments or polypyridazole filaments, and processes for the preparation of such filaments.
  • PBZ polybenzazole
  • the invention further relates to yarns, fabrics, and articles incorporating filaments of this invention and processes for making such yarns, fabrics, and articles.
  • the present invention is directed to processes for removing polyphosphoric acid from a fiber, comprising the steps of heating a fiber comprising polymer and polyphosphoric acid typically to at least 120° C. for a time effective to hydrolyze polyphosphoric acid; and in a separate step, removing hydrolyzed polyphosphoric acid from the fiber with a fluid having a temperature of 100° C. or less.
  • the time effective to hydrolyze polyphosphoric acid is up to about 120 seconds.
  • the step of heating a fiber may include convective heating, radiant heating, radiation heating, RF heating, conductive heating, steam heating, or any combination thereof.
  • the polymer comprises a polyareneazole; more preferably wherein the polyareneazole is a polypyridazole.
  • the polyareneazole is a polypyridobisimidazole; more preferably poly(2,6-diimidazo[4,5-b:4′,5′-e]pyridinylene-1,4-(2,5-dihydroxy)phenylene).
  • the polyareneazole is a polybenzazole, and more preferably a polybenzobisoxazole.
  • removing hydrolyzed polyphosphoric acid includes washing the fiber with a base; more preferably, the fiber is washed with water prior to and after washing with the base.
  • the base must be selected to be strong enough to break a bond or association between the polymer and the phosphoric acid and typically includes sodium hydroxide, potassium hydroxide, ammonium hydroxide, sodium bicarbonate, or any combination thereof, preferably sodium hydroxide, potassium hydroxide, or any combination thereof.
  • removing hydrolyzed polyphosphoric acid includes washing the fiber with a base and subsequent washing with acid. In other embodiments, the steps of cooling the fiber to less than 100° C. and removing hydrolyzed polyphosphoric acid from the fiber occur simultaneously.
  • the fluid used to remove hydrolyzed polyphosphoric acid has a temperature of about 60° C. or less.
  • fiber comprising polymer and polyphosphoric acid is typically heated in an acidic medium having a pH less than 4.0 to a temperature above 100° C. for a time effective to hydrolyze polyphosphoric acid.
  • the time effective to hydrolyze polyphosphoric acid is up to about 120 seconds.
  • the acidic medium comprises up to about 80% phosphoric acid by weight.
  • the acidic medium more typically has a pH less than 3.0, and preferably less than 2.0.
  • the acidic medium preferably comprises boiling phosphoric acid having a temperature less than 140° C.
  • the process further comprises the step of removing hydrolyzed polyphosphoric acid from the fiber.
  • the polymer remains substantially non-hydrolyzed after hydrolyzing the polyphosphoric acid.
  • the polymer “remains substantially non-hydrolyzed” it is meant that the polymer inherent viscosity is not materially affected by the process.
  • the present invention is directed to processes for hydrolyzing polyphosphoric acid in a polyareneazole polymeric material, comprising the steps of a) providing a polymeric material comprising polyareneazole and polyphosphoric acid, wherein at least 50 mole percent of the polyareneazole repeating unit structures comprise 2,5-dihydroxy-para-phenylene moieties; and b) typically heating the polymeric material to more than 100° C. to hydrolyze at least a portion of polyphosphoric acid. More typically, the process further comprises the step of removing hydrolyzed polyphosphoric acid from the polymeric material.
  • the invention is directed to processes for removing phosphorus from a yarn spun from a polymer solution containing polyphosphoric acid, the yarn comprising at least about 1.5 percent by weight of the yarn of phosphorus, comprising typically contacting the yarn with a base and washing the yarn with an aqueous fluid.
  • the phosphorus content of the yarn prior to contacting the yarn with the base is typically in the range of from 2 to 20 percent based on yarn weight, more typically the phosphorus content is in the range of 4 to 15 percent based on yarn weight.
  • contacting the yarn with the base includes spraying, coating, flowing, drawing, dipping, or any combination thereof.
  • the base contacting the yarn includes sodium hydroxide, potassium hydroxide, ammonium hydroxide, sodium bicarbonate, or any combination thereof.
  • the aqueous fluid typically used in washing the yarn contains an acid, more typically a volatile acid.
  • volatile acids include formic acid, acetic acid, propionic acid, butyric acid, isobutyric acid, pivalic acid, or any combination thereof.
  • the volatile acid is acetic or propionic acid.
  • the polymer comprises a polyareneazole.
  • the polyareneazole is a polypyridazole; more preferably a polypyridobisimidazole.
  • the polyareneazole is poly(2,6-diimidazo[4,5-b:4′,5′-e]pyridinylene-1,4-(2,5-dihydroxy)phenylene).
  • the polyareneazole is a polybenzazole, more typically a polybenzobisoxazole.
  • the yarn typically contains ⁇ 0.1 percent phosphorus based on yarn weight after washing with the aqueous fluid.
  • the yarn is provided, in certain embodiments, by heating a spun multifilament yarn comprising the polymer and polyphosphoric acid to at least 120° C. for a time effective to hydrolyze polyphosphoric acid, preferably up to about 600 seconds, more preferably up to about 120 seconds.
  • the base used in contacting the yarn is aqueous sodium hydroxide, or the aqueous washing fluid contains acetic acid, or both.
  • the duration of the contacting step with base is typically no more than 30 seconds, preferably 20 seconds or less.
  • the duration of the washing step with aqueous fluid is no more than 30 seconds, preferably 20 seconds or less.
  • the step of contacting the yarn with a base begins before the step of washing the yarn with an aqueous fluid.
  • the invention is directed to fibers comprising polyareneazole polymer having pendant hydroxyl groups and at least 2 percent based on fiber weight of cations including sodium, potassium, or calcium, or any combination thereof.
  • the polyareneazole is typically a polypyridazole, preferably a polypyridobisimidazole. Even more preferred, the polypyridobisimidazole is poly(2,6-diimidazo[4,5-b:4′,5′-e]pyridinylene-1,4-(2,5-dihydroxy)phenylene).
  • the polyareneazole is a polybenzazole, typically a polybenzobisoxazole.
  • the fiber typically contains greater than 2 percent based on fiber weight of sodium. In still other embodiments, the fiber contains typically greater than 3 percent based on fiber weight of the cations. In certain embodiments, the fiber contains greater than 3 percent based on fiber weight of sodium.
  • the invention is directed to a process for removing cations from a polyareneazole fiber, comprising the steps of a) providing a fiber comprising a polyareneazole polymer having pendant hydroxyl groups, and at least 2 percent by weight of cations, b) contacting the fiber with an aqueous solution containing acid to release at least a portion of the cations, and c) optionally, washing the fiber with water.
  • the acid is more typically a volatile acid.
  • Suitable, non-limiting examples of volatile acids include formic acid, acetic acid, propionic acid, butyric acid, isobutyric acid, pivalic acid, or any combination thereof; preferably acetic acid, propionic acid, or any combination thereof.
  • the aqueous solution typically contains from about 0.1 to about 10 percent by weight acid.
  • the cations being removed from polyareneazole fibers include sodium, potassium, calcium, or any combination thereof. Contacting the fiber with the aqueous solution typically includes spraying, coating, flowing, drawing, dipping, or any combination thereof.
  • the contacting step may be shorter or longer depending on the specific polymer or fiber, typically the duration of the contacting step is up to about 30 seconds, preferably up to about 20 seconds or less.
  • the optional washing step time may not be critical, but typically the duration of the optional washing step is up to about 30 seconds, preferably up to about 20 seconds or less.
  • the fiber contains up to about 0.1 percent cations based on fiber weight after the steps of contacting the fiber with an aqueous solution containing acid, and optionally washing the fiber with water, preferably up to about 0.05 percent cations based on fiber weight.
  • the fiber further comprises at least about 0.1 percent phosphorus based on fiber weight prior to contacting the fiber with the aqueous solution, more typically at least about 1 percent phosphorus based on fiber weight prior to contacting the fiber with the aqueous solution.
  • the polyareneazole is a polypyridazole, typically a polypyridobisimidazole.
  • the polypyridobisimidazole is poly(2,6-diimidazo[4,5-b:4′,5′-e]pyridinylene-1,4-(2,5-dihydroxy)phenylene).
  • the polyareneazole is a polybenzazole, preferably a polybenzobisoxazole.
  • Suitable polyareneazole monomers are reacted in a solution of non-oxidizing and dehydrating acid under non-oxidizing atmosphere with mixing at a temperature that is increased in step-wise or ramped fashion from no more than about 120° C. to at least about 170° C.
  • the polyareneazole polymer can be rigid rod, semi-rigid rod or flexible coil. It is preferably a lyotropic liquid-crystalline polymer, which forms liquid-crystalline domains in solution when its concentration exceeds a critical concentration.
  • the inherent viscosity of rigid polyareneazole polymers in methanesulfonic acid at 30° C. is preferably at least about 10 dL/g, more preferably at least about 15 dL/g and most preferably at least about 20 dL/g.
  • the polymer is formed in acid solvent providing the dope solution 2 .
  • the polymer is dissolved in the acid solvent after formation. Either is within the ambit of the invention.
  • the polymer is formed in acid solvent and provided for use in the invention.
  • the dope solution 2 comprising polymer and polyphosphoric acid, typically contains a high enough concentration of polymer for the polymer to form an acceptable filament 6 after extrusion and coagulation.
  • the concentration of polymer in the dope 2 is preferably high enough to provide a liquid-crystalline dope.
  • the concentration of the polymer is preferably at least about 7 weight percent, more preferably at least about 10 weight percent and most preferably at least about 14 weight percent.
  • the maximum concentration is typically selected primarily by practical factors, such as polymer solubility and dope viscosity.
  • the concentration of polymer is preferably no more than 30 weight percent, and more preferably no more than about 20 weight percent.
  • the polymer dope solution 2 may contain additives such as anti-oxidants, lubricants, ultra-violet screening agents, colorants and the like which are commonly incorporated.
  • the polymer dope solution 2 is typically extruded or spun through a die or spinneret 4 to prepare or spin the dope filament.
  • the spinneret 4 preferably contains a plurality of holes. The number of holes in the spinneret and their arrangement is not critical to the invention, but it is desirable to maximize the number of holes for economic reasons.
  • the spinneret 4 can contain as many as 100 or 1000 or more holes, and they may be arranged in circles, grids, or in any other desired arrangement.
  • the spinneret 4 may be constructed out of any materials that will not be degraded by the dope solution 2 .
  • Fibers may be spun from solution using any number of processes; however, wet spinning and “air-gap” spinning are the best known.
  • the general arrangement of the spinnerets and baths for these spinning processes is well known in the art, with the figures in U.S. Pat. Nos. 3,227,793; 3,414,645; 3,767,756; and 5,667,743 being illustrative of such spinning processes for high strength polymers.
  • air-gap spinning the spinneret typically extrudes the fiber first into a gas, such as air.
  • dope solution 2 exiting the spinneret 4 enters a gap 8 (typically called an “air gap” although it need not contain air) between the spinneret 4 and a coagulation bath 10 for a very short duration of time.
  • the gap 8 may contain any fluid that does not induce coagulation or react adversely with the dope, such as air, nitrogen, argon, helium, or carbon dioxide.
  • the extruded dope 6 is drawn across the air gap 8 , with or without stretching and immediately introduced into a liquid coagulation bath. Alternately, the fiber may be “wet-spun”.
  • the spinneret In wet spinning, the spinneret typically extrudes the fiber directly into the liquid of a coagulation bath and normally the spinneret is immersed or positioned beneath the surface of the coagulation bath. Either spinning process may be used to provide fibers for use in the processes of the invention. In some embodiments of the present invention, air-gap spinning is preferred.
  • the extruded dope 6 is “coagulated” in the coagulation bath 10 containing water or a mixture of water and phosphoric acid, which removes enough of the polyphosphoric acid to prevent substantial stretching of the extruded dope 6 during any subsequent processing. If multiple fibers are extruded simultaneously, they may be combined into a multifilament yarn before, during or after the coagulation step.
  • the term “coagulation” as used herein does not necessarily imply that the extruded dope 6 is a flowing liquid and changes into a solid phase.
  • the extruded dope 6 can be at a temperature low enough so that it is essentially non-flowing before entering the coagulation bath 10 .
  • the coagulation bath 10 does ensure or complete the coagulation of the filament, i.e., the conversion of the polymer from a dope solution 2 to a substantially solid polymer filament 12 .
  • the amount of solvent, i.e., polyphosphoric acid, removed during the coagulation step will depend on the residence time of the dope filament in the coagulation bath, the temperature of the bath 10 , and the concentration of solvent therein.
  • the present invention is, in part, based on the discovery that polymer fiber properties are better preserved when residual polyphosphoric acid associated with the filament is substantially hydrolyzed prior to any neutralization step and/or removal.
  • PPA may be conveniently hydrolyzed by heating the filament or yarn prior to washing and/or neutralization steps.
  • One manner of hydrolysis includes convective heating of the coagulated fiber for a short period of time.
  • the hydrolysis may be effected by heating the wet, as coagulated filament or yarn in a boiling water or aqueous acid solution.
  • the heat treatment provides PPA hydrolysis while adequately retaining the tensile strength of the product fiber.
  • the heat treatment step may occur in a separate cabinet 14 , or as an initial process sequence followed by one or more subsequent washing steps in an existing washing cabinet 14 .
  • the hydrolysis and removal are provided by (a) contacting the dope filament with a solution in bath or cabinet 14 thereby hydrolyzing PPA and then (b) contacting the filament with a neutralization solution in bath or cabinet 16 containing water and an effective amount of a base under conditions sufficient to neutralize sufficient quantities of the phosphoric acid, polyphosphoric acid, or any combination thereof in the filament.
  • hydrolyzed PPA may be removed from the filament or yarn 12 by washing in one or more washing steps to remove most of the residual acid solvent/and or hydrolyzed PPA from the filament or yarn 12 .
  • the washing of the filament or yarn 12 may be carried out by treating the filament or yarn 12 with a base, or with multiple washings where the treatment of the filament or yarn with base is preceded and/or followed by washings with water.
  • the filament or yarn may also be treated subsequently with an acid to reduce the level of cations in the polymer. This sequence of washings may be carried out in a continuous process by running the filament through a series of baths and/or through one or more washing cabinets. FIG.
  • washing cabinets typically comprise an enclosed cabinet containing one or more rolls which the filament travels around a number of times, and across, prior to exiting the cabinet. As the filament or yarn 12 travels around the roll, it is sprayed with a washing fluid. The washing fluid is continuously collected in the bottom of the cabinet and drained therefrom.
  • the temperature of the washing fluid(s) is not believed to be critical to the removal of hydrolyzed PPA from the filament or yarn.
  • the rate of hydrolyzed PPA removal from the filament or yarn will, among other factors, be a function of the temperature of any washing liquid utilized.
  • the rate of removal may in turn be balanced by modification of residence time, so as to provide a variety of operating conditions that will achieve the residual level of phosphorus desired in the filament or yarn.
  • the washing fluid may be applied in vapor form (steam), but is more conveniently provided in liquid form. Preferably, a number of washing baths or cabinets are used.
  • the residence time of the filament or yarn 12 in any one washing bath or cabinet 14 will depend on the desired concentration of residual phosphorus in the filament or yarn 12 , but preferably the residence time is in the range of from about 1 second to less than about two minutes. In a continuous process, the duration of the entire washing process in the preferred multiple washing bath(s) and/or cabinet(s) is preferably no greater than about 10 minutes, more preferably more than about 5 seconds and no greater than about 160 seconds.
  • preferred bases for the removal of hydrolyzed PPA include NaOH; KOH; Na 2 CO 3 ; NaHCO 3 ; K 2 CO 3 ; KHCO 3 ; ammonia; or trialkylamines, preferably tributylamine; or mixtures thereof.
  • the base is water soluble.
  • Typical aqueous bases include NaOH, KOH, Na 2 CO 3 , NaHCO 3 , K 2 CO 3 , KHCO 3 , and ammonia, or mixtures thereof; more typically NaOH.
  • the process may optionally include the step of contacting the filament with a washing solution containing water or acid or both to remove all or substantially all excess base or base cations otherwise bound or associated with the polymer fiber.
  • This washing solution can be applied in a washing bath or cabinet 18 .
  • the fiber or yarn 12 may be dried in a dryer 20 to remove water and other liquids.
  • the temperature in the dryer is typically 80° C. to 130° C.
  • the dryer residence time is typically 5 seconds to perhaps as much as 5 minutes at lower temperatures.
  • the dryer can be provided with a nitrogen or other non-reactive atmosphere.
  • the fiber may be optionally further processed in, for instance, a heat setting device 22 . Further processing may be done in a nitrogen purged tube furnace 22 for increasing tenacity and/or relieving the mechanical strain of the molecules in the filaments.
  • the filament or yarn 12 is wound up into a package on a windup device 24 . Rolls, pins, guides, and/or motorized devices 26 are suitably positioned to transport the filament or yarn through the process.
  • the phosphorus content of the dried filaments after removal of the hydrolyzed PPA is less than about 5,000 ppm (0.5%) by weight, and more preferably, less than about 4,000 ppm (0.4%) by weight, and most preferably less than about 2,000 ppm (0.2%) by weight.
  • the invention is further directed, in part, to a yarn comprising a plurality of the filaments of the present invention, fabrics that include filaments or yarns of the present invention, and articles that include fabrics of the present invention.
  • poly([dihydroxy]para-phenylene pyridobisimidazole) filaments (also referred to herein as “PIPD”, shown below in one of its tautomeric forms) were spun from a polymer solution consisting of 18 weight percent of PIPD in polyphosphoric acid. The solution was extruded from a spinneret, drawn across an air gap and coagulated in water. The yarns were then wound up wet onto bobbins without additional steps. If the yarns were not processed within 6 hours the bobbin-wound wet yarns were refrigerated until further processed.
  • PIPD poly([dihydroxy]para-phenylene pyridobisimidazole) filaments
  • Example A shows typical levels of P in fibers when no purposeful removal in undertaken.
  • Example B illustrates the difficulty of washing PPA from wet yarns using traditional washings with water.
  • Example C illustrates the acid level believed to be a preferred higher acid concentration limit when treating PIPD fibers. At levels above this in certain embodiments, the fibers may begin to disintegrate.
  • Example D illustrates the difficulty of washing PPA from wet yarns using traditional washings with boiling water.
  • Examples E-K show the benefits of carrying out a heat treatment step to hydrolyze residual polyphosphoric acids combined with washing of the fiber or yarn.
  • This example illustrates the difficulty of washing PPA from wet yarns using traditional washings with water.
  • a solution of PIPD polymer and polyphosphoric acid having 81.6 wt % P 2 O 5 was spun into fibers using a 250 hole spinneret.
  • the wet as-coagulated yarn was allowed to air dry and was then analyzed for phosphorus.
  • the sample was found to contain a very high level of phosphorus (63400 ppm) along with 175 ppm sodium.
  • a sample of the wet, as-coagulated PIPD yarn was then soaked in fresh water at room temperature for 5 minutes.
  • the yarn sample was then rinsed for 20 seconds in fresh water, was allowed to air dry, and was then analyzed for phosphorus.
  • the sample was found to contain 58500 ppm phosphorus and 453 ppm sodium.
  • a sample of the wet, as-coagulated PIPD yarn was then soaked for 5 minutes in gently boiling water at 100° C. This yarn sample was then rinsed for 20 seconds in fresh water at room temperature and then allowed to air dry. The sample was found to contain 55700 ppm phosphorus and 700 ppm sodium.
  • a solution of PIPD polymer and polyphosphoric acid having 82.5 wt % P 2 O 5 was spun into fibers using a 250 hole spinneret.
  • the wet as-coagulated yarn was gently boiled in water at 100° C. for a period of 20 minutes. This yarn sample was then rinsed in fresh water for 10 seconds and allowed to air dry. The sample was found to contain 44500 ppm phosphorus and 1000 ppm sodium.
  • a solution of PIPD polymer and polyphosphoric acid having about 82.1 wt % P 2 O 5 was spun into fibers using a 250 hole spinneret. Samples of the wet as-coagulated yarn were then boiled in water for a variety of times as shown in Table 1. The samples were then further washed at 60° C. in successive baths of water, 2 wt % aqueous caustic, water, 2% aqueous acetic acid, and then water for 20 seconds in each bath. After drying, the samples were found to contain the phosphorus content as shown in the table.
  • a solution of PIPD polymer and polyphosphoric acid having 82.5 wt P 2 O 5 was spun into fibers using a 250 hole spinneret.
  • Samples of wet, as-coagulated PIPD yarn were taken and first treated by high temperature, acidic hydrolysis conditions by employing boiling phosphoric acids of varying concentrations as shown in Table 2. Yarn samples were treated in hydrolyzing media for the times and temperatures shown. Washing of the samples was then done as shown in the Table 2.
  • the washing steps included a combination of the steps of a) washing in water; b) washing in 2% aqueous sodium hydroxide in water; c) washing in water, d) washing in 2% aqueous acetic acid in water; and washing in water.
  • the washings were performed for the indicated times and temperatures as shown in the table. It is possible to achieve residual phosphorus levels of under 2 weight % by such aggressive hydrolysis conditions when combined with washing.
  • a solution of PIPD polymer and polyphosphoric acid having 82.5 wt % P 2 O 5 was spun into fibers using a 250 hole spinneret.
  • a sample of wet, as-coagulated PIPD yarn was treated in atmospheric pressure steam (100° C.) for 60 seconds followed by rinsing in 60° C. water for 20 seconds. The sample was allowed to air dry and was found to contain 6.48 wt % P.
  • Another similarly treated sample that was not air-dried was further washed at 60° C. in successive baths of 2 wt % aqueous sodium hydroxide, and then water for 20 seconds. After drying this sample was found to contain 2.1 wt % phosphorus.
  • a solution of PIPD polymer and polyphosphoric acid having 82.5 wt % P 2 O 5 was spun into fibers using a 250 hole spinneret.
  • a sample of wet, as-coagulated PIPD yarn so spun was treated in saturated steam at about 58 psig and 148° C. for 60 seconds followed by 20 second washes in the following baths at 60° C.: water, 2 wt % aqueous caustic, water, 2% aqueous acetic acid, and then water. After drying, the sample was found to contain 0.33 wt % phosphorus.
  • Examples H and I show the use of dry heat to carry out the rapid hydrolysis.
  • Example J demonstrates the use of steam heat to carry out the hydrolysis.
  • a solution of PIPD polymer and polyphosphoric acid having 82.1 wt P 2 O 5 was spun into fibers using a 100 hole spinneret.
  • the wet, as-coagulated PIPD yarns were strung up to pass through a one-foot long nitrogen-purged tube oven.
  • Table 3 shows the influence of tube oven temperature and residence time on the resulting levels of phosphorus in the samples following washing and drying. All samples were washed for 20 seconds each in 60° C. baths of water, followed by 2% aqueous sodium hydroxide, water, 2% acetic acid in water, and water.
  • Phosphorus levels under 1 w % are obtained under many conditions using dry heat hydrolysis of wet, as coagulated yarn followed by the indicated washings.
  • a solution of PIPD polymer and polyphosphoric acid having 82.7 wt % P 2 O 5 was spun into fibers using a 250 hole spinneret.
  • a wet, as coagulated PIPD yarn was treated continuously in an oven, however, the residence times and the temperatures were as shown in Table 4. This time the yarn samples were only treated for 20 seconds in each of the following baths at 45-50° C., water, 2% aqueous sodium hydroxide, and water. Residual phosphorus and sodium values are given in Table 3 and illustrate the benefits of the high temperature hydrolysis treatment on reducing the level of residual phosphorus.
  • the wet, as-quenched yarn as used above was analyzed for phosphorus and was found to contain 34600 ppm. After drying this sample was found to contain 63900 ppm phosphorus. The difference in the percent weight of phosphorus between the yarn samples was due to the extra liquid in the wet yarn.
  • a solution of PIPD polymer and polyphosphoric acid having 82.1 wt % P 2 O 5 was spun into fibers using a 100 hole spinneret. Wet, as-coagulated PIPD yarn was strung up to pass through a one-foot long tube oven purged with atmospheric pressure steam. Table 5 shows the influence of temperature and residence time on the resulting levels of phosphorus in the samples following washing and drying. All samples were washed for 20 seconds each in 60 C baths of water, followed by 2% aqueous sodium hydroxide, water, 2% aqueous acetic acid, and water. Phosphorus levels under 1 wt % are again easily obtained under preferred conditions.
  • PIPD filaments were spun from a polymer solution consisting of 18 weight percent of PIPD in polyphosphoric acid (82.1 wt % P 2 O 5 ). The solution was extruded from a spinneret having approximately 250 holes, drawn across an air gap and coagulated in water. The wet yarns were processed at 61 meters/min (200 ft/min) on a pair of heated rolls operating at measured surface temperatures of 201-221° C. and wound up on bobbins. The yarns that had been processed on hot rolls were observed to be very stiff and have excessive fusing of individual filaments. In addition, undesirable fiber residue was observed on the hot rolls. Additional processing details and results are shown in Table 6.
  • the yarns on the bobbins were then washed and neutralized by immersing the bobbins for five minutes each in five consecutive baths that were at room temperature.
  • the baths were, in order, water; 2% sodium hydroxide in water; water; 2% acetic acid in water; and water.
  • the yarns on the bobbins were then allowed to air-dry and a sample of yarn was taken and the residual phosphorus content was found to be very variable, ranging from about 0.77 weight percent to about 3.42 weight percent phosphorus.

Landscapes

  • Engineering & Computer Science (AREA)
  • Textile Engineering (AREA)
  • Chemical & Material Sciences (AREA)
  • Chemical Kinetics & Catalysis (AREA)
  • General Chemical & Material Sciences (AREA)
  • Mechanical Engineering (AREA)
  • Artificial Filaments (AREA)
  • Chemical Or Physical Treatment Of Fibers (AREA)
  • Spinning Methods And Devices For Manufacturing Artificial Fibers (AREA)

Abstract

The present invention relates to processes for hydrolyzing polyphosphoric acid in a fiber and the removal of hydrolyzed polyphosphoric acid from the fiber.

Description

CROSS-REFERENCE TO RELATED APPLICATIONS
This application is the National Stage of International Application No. PCT/US2006/011514, filed Mar. 27, 2006, which claims the benefit of U.S. Provisional Application Nos. 60/665,740, filed Mar. 28, 2005, the disclosure of which is incorporated herein by reference in it's entirety.
FIELD OF THE INVENTION
The present invention generally relates to polymer fibers and processes for the preparation of such fibers. More particularly, the present invention relates to methods of removing polyphosphoric acid, inter alia, from filaments and spun yarns comprising polymers.
BACKGROUND OF THE INVENTION
Many fibers are prepared from a solution of the polymer in a solvent (called the “polymer dope”) by extruding or spinning the polymer dope through a die or spinneret to prepare or spin a dope filament. The solvent is subsequently removed to provide the fiber or yarn. In the preparation of certain fibers, the solvent utilized is a solvent acid, such as polyphosphoric acid (PPA). Unlike many typical solvents, PPA removal is generally more difficult, in part due to its polymeric nature. Incorporation of heteroatoms into the polymer may also act to inhibit removal of polyphosphoric acid from the fiber or yarn. Existing processes for removal of polymeric PPA solvent from a polymeric material typically require long washing times or elevated leaching temperatures if a substantial amount of PPA is to be removed.
For example, Sen et al., U.S. Pat. No. 5,393,478, discloses a process for leaching polyphosphoric acid from the polybenzazole dope filament by contacting with a leaching fluid at a temperature of at least about 60° C.
Sen et al., U.S. Pat. No. 5,525,638, discloses a process for washing polyphosphoric acid from the polybenzazole dope filament by using multiple washes, typically at about room temperature, slowly reducing phosphorous concentration from the spun fiber, allegedly to improve the physical properties of the resultant polymeric fiber.
Further improvements in the physical properties of and/or removal of phosphorous from fibers spun from polyphosphoric acid are needed. These and other objects of the invention will become more apparent from the present specification and claims.
SUMMARY OF THE INVENTION
The present invention is directed, in part, to processes for removing polyphosphoric acid from a fiber, comprising the steps of heating a fiber comprising polymer and polyphosphoric acid to at least 120 degrees Celsius (“° C.”) for a time effective to hydrolyze polyphosphoric acid; and in a separate step, removing hydrolyzed polyphosphoric acid from the fiber with a fluid having a temperature of 100° C. or less.
The present invention is also directed, in part, to processes for hydrolyzing polyphosphoric acid in a fiber, comprising the step of heating a fiber comprising polymer and polyphosphoric acid in an acidic medium having a pH less than 4.0 to a temperature above 100° C. for a time effective to hydrolyze polyphosphoric acid.
The invention is also directed, in part, to processes for hydrolyzing polyphosphoric acid in a polyareneazole polymeric material, comprising the steps of providing a polymeric material comprising polyareneazole and polyphosphoric acid, wherein at least 50 mole percent of the polyareneazole repeating unit structures comprise 2,5-dihydroxy-p-phenylene moieties; and heating the polymeric material to more than 100° C. to hydrolyze at least a portion of polyphosphoric acid.
The invention is further directed, in part, to processes for removing phosphorus from a yarn spun from a polymer solution containing polyphosphoric acid, the yarn comprising at least about 1.5 percent by weight of the yarn of phosphorous, comprising contacting the yarn with a base and washing the yarn with an aqueous fluid.
The invention also provides fibers comprising polyareneazole polymer having pendant hydroxyl groups and at least 2 percent based on fiber weight of cations including sodium, potassium, or calcium, or any combination thereof.
The present invention is also directed, in part, to processes for removing cations from a polyareneazole fiber, comprising the steps of providing a fiber comprising a polyareneazole polymer having pendant hydroxyl groups and at least 2 percent by weight of cations, contacting the fiber with an aqueous solution containing acid to release at least a portion of the cations, and, optionally, washing the fiber with water.
BRIEF DESCRIPTION OF THE DRAWINGS
The invention may be more fully understood from the following detailed description thereof in connection with accompanying drawings described as follows.
FIG. 1 is a schematic diagram of a polyarenezole fiber production process.
DETAILED DESCRIPTION OF ILLUSTRATIVE EMBODIMENTS
As employed above and throughout the disclosure, the following terms, unless otherwise indicated, shall be understood to have the following meanings.
Filaments of the present invention can be made from polyareneazole polymer. As defined herein, “polyareneazole” refers to polymers having either:
one heteroaromatic ring fused with an adjacent aromatic group (Ar) of repeating unit structure (a):
Figure US07906615-20110315-C00001

wherein N is a nitrogen atom and Z is a sulfur, oxygen, or NR group wherein R is hydrogen or a substituted or unsubstituted alkyl or aryl attached to N; or
two hetero aromatic rings each fused to a common aromatic group (Ar1) of either of the repeating unit structures (b1 or b2):
Figure US07906615-20110315-C00002
wherein N is a nitrogen atom and B is an oxygen, sulfur, or NR group, wherein R is hydrogen or a substituted or unsubstituted alkyl or aryl attached to N. The number of repeating unit structures represented by structures (a), (b1), and (b2) is not critical. Preferably, each polymer chain has from 10 to 25,000 repeating units. Polyareneazole polymers include polybenzazole polymers or polypyridazole polymers or both. In certain embodiments, the polybenzazole polymers comprise polybenzimidazole or polybenzobisimidazole polymers. In certain other embodiments, the polypyridazole polymers comprise polypyridobisimidazole or polypyridoimidazole polymers. In certain preferred embodiments, the polymers are of a polybenzobisimidazole or polypyridobisimidazole type.
In structure (b1) and (b2), Y is an aromatic, heteroaromatic, aliphatic group, or nil; preferably an aromatic group; more preferably a six-membered aromatic group of carbon atoms. Still more preferably, the six-membered aromatic group of carbon atoms (Y) has para-oriented linkages with two substituted hydroxyl groups; even more preferably 2,5-dihydroxy-para-phenylene.
In structures (a), (b1), or (b2), Ar and Ar1 each represent any aromatic or heteroaromatic group. The aromatic or heteroaromatic group can be a fused or non-fused polycyclic system, but is preferably a single six-membered ring. More preferably, the Ar or Ar1 group is heteroaromatic, wherein a nitrogen atom is substituted for one of the carbon atoms of the ring system or Ar or Ar1 may contain only carbon ring atoms. Still more preferably, the Ar or Ar1 group is heteroaromatic.
As herein defined, “polybenzazole” refers to polyareneazole polymer having repeating structure (a), (b1), or (b2) wherein the Ar or Ar1 group is a single six-membered aromatic ring of carbon atoms. Preferably, polybenzazoles are a class of rigid rod polybenzazoles having the structure (b1) or (b2); more preferably rigid rod polybenzazoles having the structure (b1) or (b2) with a six-membered carbocyclic aromatic ring Ar1. Such preferred polybenzazoles include, but are not limited to polybenzimidazoles (B═NR), polybenzthiazoles (B═S), polybenzoxazoles (B═O), and mixtures or copolymers thereof. When the polybenzazole is a polybenzimidazole, preferably it is poly(benzo[1,2-d:4,5-d′]bisimidazole-2,6-diyl-1,4-phenylene). When the polybenzazole is a polybenzthiazole, preferably it is poly(benzo[1,2-d:4,5-d′]bisthiazole-2,6-diyl-1,4-phenylene). When the polybenzazole is a polybenzoxazole, preferably it is poly(benzo[1,2-d:4,5-d′]bisoxazole-2,6-diyl-1,4-phenylene).
As herein defined, “polypyridazole” refers to polyareneazole polymer having repeating structure (a), (b1), or (b2) wherein the Ar or Ar1 group is a single six-membered aromatic ring of five carbon atoms and one nitrogen atom. Preferably, these polypyridazoles are a class of rigid rod polypyridazoles having the structure (b1) or (b2), more preferably rigid rod polypyridazoles having the structure (b1) or (b2) with a six-membered heterocyclic aromatic ring Ar1. Such more preferred polypyridazoles include, but are not limited to polypyridobisimidazole (B═NR), polypyridobisthiazole (B═S), polypyridobisoxazole (B═O), and mixtures or copolymers thereof. Yet more preferred, the polypyridazole is a polypyridobisimidazole (B═NR) of structure:
Figure US07906615-20110315-C00003

wherein N is a nitrogen atom, R is hydrogen or a substituted or unsubstituted alkyl or aryl attached to N, preferably wherein R is H, and Y is as previously defined. The number of repeating structures or units represented by structures is not critical. Preferably, each polymer chain has from 10 to 25,000 repeating units.
Filaments of the present invention are prepared from polybenzazole (PBZ) or polypyridazole polymers. For purposes herein, the term “filament” or “fiber” refers to a relatively flexible, macroscopically homogeneous body having a high ratio of length to width across its cross-sectional area perpendicular to its length. The filament cross section may be any shape, but is typically circular.
As herein defined, “yarn” refers to a continuous length of two or more fibers, wherein fiber is as defined hereinabove.
For purposes herein, “fabric” refers to any woven, knitted, or non-woven structure. By “woven” is meant any fabric weave, such as, plain weave, crowfoot weave, basket weave, satin weave, twill weave, and the like. By “knitted” is meant a structure produced by interlooping or intermeshing one or more ends, fibers or multifilament yarns. By “non-woven” is meant a network of fibers, including unidirectional fibers, felt, and the like.
In some embodiments, the more preferred rigid rod polypyridazoles include, but are not limited to polypyridobisimidazole homopolymers and copolymers such as those described in U.S. Pat. No. 5,674,969 (to Sikkema, et al. on Oct. 7 1997). One such exemplary polypyridobisimidazole is homopolymer poly(2,6-diimidazo[4,5-b:4′,5′-e]pyridinylene-1,4-(2,5-dihydroxy)phenylene).
The polyareneazole polymers used in this invention may have properties associated with a rigid-rod structure, a semi-rigid-rod structure, or a flexible coil structure; preferably a rigid rod structure. When this class of rigid rod polymers has structure (b1) or (b2) it preferably has two azole groups fused to the aromatic group Ar1.
Suitable polyareneazoles useful in this invention include homopolymers and copolymers. Up to as much as 25 percent by weight of other polymeric material can be blended with the polyareneazole. Also copolymers may be used having as much as 25 percent or more of other polyareneazole monomers or other monomers substituted for a monomer of the majority polyareneazole. Suitable polyareneazole homopolymers and copolymers can be made by known procedures, such as those described in U.S. Pat. Nos. 4,533,693 (to Wolfe et al. on Aug. 6, 1985), 4,703,103 (to Wolfe et al. on Oct. 27, 1987), 5,089,591 (to Gregory et al. on Feb. 18, 1992), 4,772,678 (Sybert et al. on Sep. 20, 1988), 4,847,350 (to Harris et al. on Aug. 11, 1992), 5,276,128 (to Rosenberg et al. on Jan. 4, 1994) and U.S. Pat. No. 5,674,969 (to Sikkema, et al. on Oct. 7 1997). Additives may also be incorporated in the polyareneazole in desired amounts, such as, for example, anti-oxidants, lubricants, ultra-violet screening agents, colorants, and the like.
This invention is generally directed to polyareneazole filaments, more specifically to polybenzazole (PBZ) filaments or polypyridazole filaments, and processes for the preparation of such filaments. The invention further relates to yarns, fabrics, and articles incorporating filaments of this invention and processes for making such yarns, fabrics, and articles.
When any variable occurs more than one time in any constituent or in any formula, its definition in each occurrence is independent of its definition at every other occurrence. Combinations of substituents and/or variables are permissible only if such combinations result in stable compounds.
Accordingly, in certain embodiments, the present invention is directed to processes for removing polyphosphoric acid from a fiber, comprising the steps of heating a fiber comprising polymer and polyphosphoric acid typically to at least 120° C. for a time effective to hydrolyze polyphosphoric acid; and in a separate step, removing hydrolyzed polyphosphoric acid from the fiber with a fluid having a temperature of 100° C. or less. In some embodiments, the time effective to hydrolyze polyphosphoric acid is up to about 120 seconds. In other embodiments, the step of heating a fiber may include convective heating, radiant heating, radiation heating, RF heating, conductive heating, steam heating, or any combination thereof. In still other embodiments, the polymer comprises a polyareneazole; more preferably wherein the polyareneazole is a polypyridazole. In certain other embodiments, the polyareneazole is a polypyridobisimidazole; more preferably poly(2,6-diimidazo[4,5-b:4′,5′-e]pyridinylene-1,4-(2,5-dihydroxy)phenylene). In still other embodiments, the polyareneazole is a polybenzazole, and more preferably a polybenzobisoxazole. More typically in some embodiments, removing hydrolyzed polyphosphoric acid includes washing the fiber with a base; more preferably, the fiber is washed with water prior to and after washing with the base. Typically, the base must be selected to be strong enough to break a bond or association between the polymer and the phosphoric acid and typically includes sodium hydroxide, potassium hydroxide, ammonium hydroxide, sodium bicarbonate, or any combination thereof, preferably sodium hydroxide, potassium hydroxide, or any combination thereof. In certain embodiments, removing hydrolyzed polyphosphoric acid includes washing the fiber with a base and subsequent washing with acid. In other embodiments, the steps of cooling the fiber to less than 100° C. and removing hydrolyzed polyphosphoric acid from the fiber occur simultaneously. In still other embodiments, the fluid used to remove hydrolyzed polyphosphoric acid has a temperature of about 60° C. or less.
In various embodiments of the processes of the present invention for hydrolyzing polyphosphoric acid in a fiber, fiber comprising polymer and polyphosphoric acid is typically heated in an acidic medium having a pH less than 4.0 to a temperature above 100° C. for a time effective to hydrolyze polyphosphoric acid. In some embodiments, the time effective to hydrolyze polyphosphoric acid is up to about 120 seconds. In some other embodiments, the acidic medium comprises up to about 80% phosphoric acid by weight. In certain embodiments the acidic medium more typically has a pH less than 3.0, and preferably less than 2.0. In certain embodiments, the acidic medium preferably comprises boiling phosphoric acid having a temperature less than 140° C. Although hydrolyzed polyphosphoric acid need not be removed from the fiber, in certain embodiments the process further comprises the step of removing hydrolyzed polyphosphoric acid from the fiber. In a preferred embodiment, the polymer remains substantially non-hydrolyzed after hydrolyzing the polyphosphoric acid. As herein defined, when the polymer “remains substantially non-hydrolyzed”, it is meant that the polymer inherent viscosity is not materially affected by the process.
In other embodiments, the present invention is directed to processes for hydrolyzing polyphosphoric acid in a polyareneazole polymeric material, comprising the steps of a) providing a polymeric material comprising polyareneazole and polyphosphoric acid, wherein at least 50 mole percent of the polyareneazole repeating unit structures comprise 2,5-dihydroxy-para-phenylene moieties; and b) typically heating the polymeric material to more than 100° C. to hydrolyze at least a portion of polyphosphoric acid. More typically, the process further comprises the step of removing hydrolyzed polyphosphoric acid from the polymeric material.
In other embodiments, the invention is directed to processes for removing phosphorus from a yarn spun from a polymer solution containing polyphosphoric acid, the yarn comprising at least about 1.5 percent by weight of the yarn of phosphorus, comprising typically contacting the yarn with a base and washing the yarn with an aqueous fluid. In certain embodiments, the phosphorus content of the yarn prior to contacting the yarn with the base is typically in the range of from 2 to 20 percent based on yarn weight, more typically the phosphorus content is in the range of 4 to 15 percent based on yarn weight. In some embodiments, contacting the yarn with the base includes spraying, coating, flowing, drawing, dipping, or any combination thereof. Typically, the base contacting the yarn includes sodium hydroxide, potassium hydroxide, ammonium hydroxide, sodium bicarbonate, or any combination thereof. In other embodiments, the aqueous fluid typically used in washing the yarn contains an acid, more typically a volatile acid. Suitable, non-limiting examples of volatile acids include formic acid, acetic acid, propionic acid, butyric acid, isobutyric acid, pivalic acid, or any combination thereof. Preferably, the volatile acid is acetic or propionic acid. In certain embodiments, the polymer comprises a polyareneazole. Preferably, the polyareneazole is a polypyridazole; more preferably a polypyridobisimidazole. Even more preferred in some embodiments, the polyareneazole is poly(2,6-diimidazo[4,5-b:4′,5′-e]pyridinylene-1,4-(2,5-dihydroxy)phenylene). In other embodiments, the polyareneazole is a polybenzazole, more typically a polybenzobisoxazole.
In still other processes for removing phosphorus from a yarn spun from a polymer solution containing polyphosphoric acid, the yarn typically contains ≦0.1 percent phosphorus based on yarn weight after washing with the aqueous fluid. The yarn is provided, in certain embodiments, by heating a spun multifilament yarn comprising the polymer and polyphosphoric acid to at least 120° C. for a time effective to hydrolyze polyphosphoric acid, preferably up to about 600 seconds, more preferably up to about 120 seconds. In certain embodiments, the base used in contacting the yarn is aqueous sodium hydroxide, or the aqueous washing fluid contains acetic acid, or both. In other embodiments, the duration of the contacting step with base is typically no more than 30 seconds, preferably 20 seconds or less. Similarly, in certain other embodiments, the duration of the washing step with aqueous fluid is no more than 30 seconds, preferably 20 seconds or less. In still other embodiments, the step of contacting the yarn with a base begins before the step of washing the yarn with an aqueous fluid.
In certain embodiments, the invention is directed to fibers comprising polyareneazole polymer having pendant hydroxyl groups and at least 2 percent based on fiber weight of cations including sodium, potassium, or calcium, or any combination thereof. In some embodiments, the polyareneazole is typically a polypyridazole, preferably a polypyridobisimidazole. Even more preferred, the polypyridobisimidazole is poly(2,6-diimidazo[4,5-b:4′,5′-e]pyridinylene-1,4-(2,5-dihydroxy)phenylene). In other embodiments, the polyareneazole is a polybenzazole, typically a polybenzobisoxazole. In certain embodiments, the fiber typically contains greater than 2 percent based on fiber weight of sodium. In still other embodiments, the fiber contains typically greater than 3 percent based on fiber weight of the cations. In certain embodiments, the fiber contains greater than 3 percent based on fiber weight of sodium.
In other embodiments, the invention is directed to a process for removing cations from a polyareneazole fiber, comprising the steps of a) providing a fiber comprising a polyareneazole polymer having pendant hydroxyl groups, and at least 2 percent by weight of cations, b) contacting the fiber with an aqueous solution containing acid to release at least a portion of the cations, and c) optionally, washing the fiber with water. In certain embodiments, the acid is more typically a volatile acid. Suitable, non-limiting examples of volatile acids include formic acid, acetic acid, propionic acid, butyric acid, isobutyric acid, pivalic acid, or any combination thereof; preferably acetic acid, propionic acid, or any combination thereof. In some embodiments, the aqueous solution typically contains from about 0.1 to about 10 percent by weight acid. In other embodiments, the cations being removed from polyareneazole fibers include sodium, potassium, calcium, or any combination thereof. Contacting the fiber with the aqueous solution typically includes spraying, coating, flowing, drawing, dipping, or any combination thereof. While the contacting step may be shorter or longer depending on the specific polymer or fiber, typically the duration of the contacting step is up to about 30 seconds, preferably up to about 20 seconds or less. Likewise the optional washing step time may not be critical, but typically the duration of the optional washing step is up to about 30 seconds, preferably up to about 20 seconds or less. In certain embodiments, the fiber contains up to about 0.1 percent cations based on fiber weight after the steps of contacting the fiber with an aqueous solution containing acid, and optionally washing the fiber with water, preferably up to about 0.05 percent cations based on fiber weight. In other embodiments, the fiber further comprises at least about 0.1 percent phosphorus based on fiber weight prior to contacting the fiber with the aqueous solution, more typically at least about 1 percent phosphorus based on fiber weight prior to contacting the fiber with the aqueous solution. In still other embodiments, the polyareneazole is a polypyridazole, typically a polypyridobisimidazole. In certain preferred embodiments, the polypyridobisimidazole is poly(2,6-diimidazo[4,5-b:4′,5′-e]pyridinylene-1,4-(2,5-dihydroxy)phenylene). In yet other embodiments, the polyareneazole is a polybenzazole, preferably a polybenzobisoxazole.
Suitable polyareneazole monomers are reacted in a solution of non-oxidizing and dehydrating acid under non-oxidizing atmosphere with mixing at a temperature that is increased in step-wise or ramped fashion from no more than about 120° C. to at least about 170° C. The polyareneazole polymer can be rigid rod, semi-rigid rod or flexible coil. It is preferably a lyotropic liquid-crystalline polymer, which forms liquid-crystalline domains in solution when its concentration exceeds a critical concentration. The inherent viscosity of rigid polyareneazole polymers in methanesulfonic acid at 30° C., is preferably at least about 10 dL/g, more preferably at least about 15 dL/g and most preferably at least about 20 dL/g.
Certain embodiments of the present invention are discussed in reference to FIG. 1. In some embodiments, the polymer is formed in acid solvent providing the dope solution 2. In other embodiments, the polymer is dissolved in the acid solvent after formation. Either is within the ambit of the invention. Preferably the polymer is formed in acid solvent and provided for use in the invention. The dope solution 2, comprising polymer and polyphosphoric acid, typically contains a high enough concentration of polymer for the polymer to form an acceptable filament 6 after extrusion and coagulation. When the polymer is lyotropic liquid-crystalline, the concentration of polymer in the dope 2 is preferably high enough to provide a liquid-crystalline dope. The concentration of the polymer is preferably at least about 7 weight percent, more preferably at least about 10 weight percent and most preferably at least about 14 weight percent. The maximum concentration is typically selected primarily by practical factors, such as polymer solubility and dope viscosity. The concentration of polymer is preferably no more than 30 weight percent, and more preferably no more than about 20 weight percent.
The polymer dope solution 2 may contain additives such as anti-oxidants, lubricants, ultra-violet screening agents, colorants and the like which are commonly incorporated.
The polymer dope solution 2 is typically extruded or spun through a die or spinneret 4 to prepare or spin the dope filament. The spinneret 4 preferably contains a plurality of holes. The number of holes in the spinneret and their arrangement is not critical to the invention, but it is desirable to maximize the number of holes for economic reasons. The spinneret 4 can contain as many as 100 or 1000 or more holes, and they may be arranged in circles, grids, or in any other desired arrangement. The spinneret 4 may be constructed out of any materials that will not be degraded by the dope solution 2.
Fibers may be spun from solution using any number of processes; however, wet spinning and “air-gap” spinning are the best known. The general arrangement of the spinnerets and baths for these spinning processes is well known in the art, with the figures in U.S. Pat. Nos. 3,227,793; 3,414,645; 3,767,756; and 5,667,743 being illustrative of such spinning processes for high strength polymers. In “air-gap” spinning the spinneret typically extrudes the fiber first into a gas, such as air. Using FIG. 1 to help illustrate a process employing “air-gap spinning (also sometimes known as “dry-jet” wet spinning), dope solution 2 exiting the spinneret 4 enters a gap 8 (typically called an “air gap” although it need not contain air) between the spinneret 4 and a coagulation bath 10 for a very short duration of time. The gap 8 may contain any fluid that does not induce coagulation or react adversely with the dope, such as air, nitrogen, argon, helium, or carbon dioxide. The extruded dope 6 is drawn across the air gap 8, with or without stretching and immediately introduced into a liquid coagulation bath. Alternately, the fiber may be “wet-spun”. In wet spinning, the spinneret typically extrudes the fiber directly into the liquid of a coagulation bath and normally the spinneret is immersed or positioned beneath the surface of the coagulation bath. Either spinning process may be used to provide fibers for use in the processes of the invention. In some embodiments of the present invention, air-gap spinning is preferred.
The extruded dope 6 is “coagulated” in the coagulation bath 10 containing water or a mixture of water and phosphoric acid, which removes enough of the polyphosphoric acid to prevent substantial stretching of the extruded dope 6 during any subsequent processing. If multiple fibers are extruded simultaneously, they may be combined into a multifilament yarn before, during or after the coagulation step. The term “coagulation” as used herein does not necessarily imply that the extruded dope 6 is a flowing liquid and changes into a solid phase. The extruded dope 6 can be at a temperature low enough so that it is essentially non-flowing before entering the coagulation bath 10. However, the coagulation bath 10 does ensure or complete the coagulation of the filament, i.e., the conversion of the polymer from a dope solution 2 to a substantially solid polymer filament 12. The amount of solvent, i.e., polyphosphoric acid, removed during the coagulation step will depend on the residence time of the dope filament in the coagulation bath, the temperature of the bath 10, and the concentration of solvent therein.
Without desiring to be bound by any particular theory of operation, it is believed that the present invention is, in part, based on the discovery that polymer fiber properties are better preserved when residual polyphosphoric acid associated with the filament is substantially hydrolyzed prior to any neutralization step and/or removal. PPA may be conveniently hydrolyzed by heating the filament or yarn prior to washing and/or neutralization steps. One manner of hydrolysis includes convective heating of the coagulated fiber for a short period of time. As an alternative to convective heating, the hydrolysis may be effected by heating the wet, as coagulated filament or yarn in a boiling water or aqueous acid solution. The heat treatment provides PPA hydrolysis while adequately retaining the tensile strength of the product fiber. The heat treatment step may occur in a separate cabinet 14, or as an initial process sequence followed by one or more subsequent washing steps in an existing washing cabinet 14.
In some embodiments, the hydrolysis and removal are provided by (a) contacting the dope filament with a solution in bath or cabinet 14 thereby hydrolyzing PPA and then (b) contacting the filament with a neutralization solution in bath or cabinet 16 containing water and an effective amount of a base under conditions sufficient to neutralize sufficient quantities of the phosphoric acid, polyphosphoric acid, or any combination thereof in the filament.
After treatment to substantially hydrolyze polyphosphoric acid (PPA) associated with the coagulated filament, hydrolyzed PPA may be removed from the filament or yarn 12 by washing in one or more washing steps to remove most of the residual acid solvent/and or hydrolyzed PPA from the filament or yarn 12. The washing of the filament or yarn 12 may be carried out by treating the filament or yarn 12 with a base, or with multiple washings where the treatment of the filament or yarn with base is preceded and/or followed by washings with water. The filament or yarn may also be treated subsequently with an acid to reduce the level of cations in the polymer. This sequence of washings may be carried out in a continuous process by running the filament through a series of baths and/or through one or more washing cabinets. FIG. 1 depicts one washing bath or cabinet 14. Washing cabinets typically comprise an enclosed cabinet containing one or more rolls which the filament travels around a number of times, and across, prior to exiting the cabinet. As the filament or yarn 12 travels around the roll, it is sprayed with a washing fluid. The washing fluid is continuously collected in the bottom of the cabinet and drained therefrom.
The temperature of the washing fluid(s) is not believed to be critical to the removal of hydrolyzed PPA from the filament or yarn. As one skilled in the art will recognize, the rate of hydrolyzed PPA removal from the filament or yarn will, among other factors, be a function of the temperature of any washing liquid utilized. The rate of removal may in turn be balanced by modification of residence time, so as to provide a variety of operating conditions that will achieve the residual level of phosphorus desired in the filament or yarn. The washing fluid may be applied in vapor form (steam), but is more conveniently provided in liquid form. Preferably, a number of washing baths or cabinets are used. The residence time of the filament or yarn 12 in any one washing bath or cabinet 14 will depend on the desired concentration of residual phosphorus in the filament or yarn 12, but preferably the residence time is in the range of from about 1 second to less than about two minutes. In a continuous process, the duration of the entire washing process in the preferred multiple washing bath(s) and/or cabinet(s) is preferably no greater than about 10 minutes, more preferably more than about 5 seconds and no greater than about 160 seconds.
In some embodiments, preferred bases for the removal of hydrolyzed PPA include NaOH; KOH; Na2CO3; NaHCO3; K2CO3; KHCO3; ammonia; or trialkylamines, preferably tributylamine; or mixtures thereof. In one embodiment, the base is water soluble. Typical aqueous bases include NaOH, KOH, Na2CO3, NaHCO3, K2CO3, KHCO3, and ammonia, or mixtures thereof; more typically NaOH.
After treating the fiber with base, the process may optionally include the step of contacting the filament with a washing solution containing water or acid or both to remove all or substantially all excess base or base cations otherwise bound or associated with the polymer fiber. This washing solution can be applied in a washing bath or cabinet 18.
After washing, the fiber or yarn 12 may be dried in a dryer 20 to remove water and other liquids. The temperature in the dryer is typically 80° C. to 130° C. The dryer residence time is typically 5 seconds to perhaps as much as 5 minutes at lower temperatures. The dryer can be provided with a nitrogen or other non-reactive atmosphere. Then the fiber may be optionally further processed in, for instance, a heat setting device 22. Further processing may be done in a nitrogen purged tube furnace 22 for increasing tenacity and/or relieving the mechanical strain of the molecules in the filaments. Finally, the filament or yarn 12 is wound up into a package on a windup device 24. Rolls, pins, guides, and/or motorized devices 26 are suitably positioned to transport the filament or yarn through the process.
Preferably, the phosphorus content of the dried filaments after removal of the hydrolyzed PPA is less than about 5,000 ppm (0.5%) by weight, and more preferably, less than about 4,000 ppm (0.4%) by weight, and most preferably less than about 2,000 ppm (0.2%) by weight.
The invention is further directed, in part, to a yarn comprising a plurality of the filaments of the present invention, fabrics that include filaments or yarns of the present invention, and articles that include fabrics of the present invention.
EXAMPLES Experimental Test Methods
The test methods described below were used in the following Examples.
    • Temperature: All temperatures are measured in degrees Celsius (° C.).
    • Denier is determined according to ASTM D 1577 and is the linear density of a fiber as expressed as weight in grams of 9000 meters of fiber.
    • Tenacity is determined according to ASTM D 885 and is the maximum or breaking stress of a fiber as expressed as grams per denier.
    • Elemental Analysis: Elemental analysis of alkaline cation (M) and phosphorus (P) is determined according to the inductively coupled plasma (ICP) method as follows. A sample (1-2 grams), accurately weighed, is placed into a quartz vessel of a CEM Star 6 microwave system. Concentrated sulfuric acid (5 ml) is added and swirled to wet. A condenser is connected to the vessel and the sample is digested using the moderate char method. This method involves heating the sample to various temperatures up to 260° C. to char the organic material. Aliquots of nitric acid are automatically added by the instrument at various stages of the digestion. The clear, liquid final digestate is cooled to room temperature and diluted to 50 ml with deionized water. The solution may be analyzed on a Perkin Elmer optima inductively coupled plasma device using the manufacturers' recommended conditions and settings. A total of twenty-six different elements may be analyzed at several different wavelengths per sample. A 1/10 dilution may be required for certain elements such as sodium and phosphorus. Calibration standards are from 1 to 10 ppm.
Process Examples
Many of the following examples are given to illustrate various embodiments of the invention and should not be interpreted as limiting it in any way. All polymer solids concentrations, weight percents based on monomer, and polymer solution percent P2O5 concentrations are expressed on the basis of TD-complex as a 1:1 molar complex between TAP and DHTA. The TD-complex is believed to be a monohydrate.
In the following examples, poly([dihydroxy]para-phenylene pyridobisimidazole) filaments (also referred to herein as “PIPD”, shown below in one of its tautomeric forms) were spun from a polymer solution consisting of 18 weight percent of PIPD in polyphosphoric acid. The solution was extruded from a spinneret, drawn across an air gap and coagulated in water. The yarns were then wound up wet onto bobbins without additional steps. If the yarns were not processed within 6 hours the bobbin-wound wet yarns were refrigerated until further processed.
Figure US07906615-20110315-C00004
Some of the following examples are illustrative of the difficulty in removing residual (poly)phosphoric acids from freshly spun fibers. For example, Example A shows typical levels of P in fibers when no purposeful removal in undertaken. Example B illustrates the difficulty of washing PPA from wet yarns using traditional washings with water. Example C illustrates the acid level believed to be a preferred higher acid concentration limit when treating PIPD fibers. At levels above this in certain embodiments, the fibers may begin to disintegrate.
Example D illustrates the difficulty of washing PPA from wet yarns using traditional washings with boiling water. Examples E-K show the benefits of carrying out a heat treatment step to hydrolyze residual polyphosphoric acids combined with washing of the fiber or yarn.
Example A
This example illustrates the difficulty of washing PPA from wet yarns using traditional washings with water. A solution of PIPD polymer and polyphosphoric acid having 81.6 wt % P2O5 was spun into fibers using a 250 hole spinneret. The wet as-coagulated yarn was allowed to air dry and was then analyzed for phosphorus. The sample was found to contain a very high level of phosphorus (63400 ppm) along with 175 ppm sodium.
A sample of the wet, as-coagulated PIPD yarn was then soaked in fresh water at room temperature for 5 minutes. The yarn sample was then rinsed for 20 seconds in fresh water, was allowed to air dry, and was then analyzed for phosphorus. The sample was found to contain 58500 ppm phosphorus and 453 ppm sodium.
A sample of the wet, as-coagulated PIPD yarn was then soaked for 5 minutes in gently boiling water at 100° C. This yarn sample was then rinsed for 20 seconds in fresh water at room temperature and then allowed to air dry. The sample was found to contain 55700 ppm phosphorus and 700 ppm sodium.
Example B
A solution of PIPD polymer and polyphosphoric acid having 82.5 wt % P2O5 was spun into fibers using a 250 hole spinneret. The wet as-coagulated yarn was gently boiled in water at 100° C. for a period of 20 minutes. This yarn sample was then rinsed in fresh water for 10 seconds and allowed to air dry. The sample was found to contain 44500 ppm phosphorus and 1000 ppm sodium.
Example C
A solution of PIPD polymer and polyphosphoric acid having
81.9 wt % P2O5 was spun into fibers using a 250 hole spinneret. A sample of wet, as-coagulated PIPD yarn was treated in boiling 80% phosphoric acid (142° C.) for 15 seconds, washed in 91° C. water for 10 seconds, then in 60° C. baths of 2% aqueous caustic, water, 2% aqueous acetic acid, and water for 10 seconds each. The sample was then allowed to air dry. This sample was found to exhibit stuck or fused filaments and had a residual phosphorus level of 7.44%.
Another sample of this wet, as-coagulated PIPD yarn was placed in boiling (180° C.) 90% phosphoric acid. The sample rapidly disintegrated.
Example D
A solution of PIPD polymer and polyphosphoric acid having about 82.1 wt % P2O5 was spun into fibers using a 250 hole spinneret. Samples of the wet as-coagulated yarn were then boiled in water for a variety of times as shown in Table 1. The samples were then further washed at 60° C. in successive baths of water, 2 wt % aqueous caustic, water, 2% aqueous acetic acid, and then water for 20 seconds in each bath. After drying, the samples were found to contain the phosphorus content as shown in the table.
TABLE 1
Sample Time, min. P (ug/g) P (w %)
D-1 0 23800 2.38
D-2 5 16200 1.62
D-3 10 14000 1.4
D-4 15 10700 1.07
D-5 20 9180 0.918
D-6 30 6380 0.638
D-7 45 6320 0.632
D-8 60 3920 0.392
Example E
A solution of PIPD polymer and polyphosphoric acid having 82.5 wt P2O5 was spun into fibers using a 250 hole spinneret. Samples of wet, as-coagulated PIPD yarn were taken and first treated by high temperature, acidic hydrolysis conditions by employing boiling phosphoric acids of varying concentrations as shown in Table 2. Yarn samples were treated in hydrolyzing media for the times and temperatures shown. Washing of the samples was then done as shown in the Table 2. The washing steps included a combination of the steps of a) washing in water; b) washing in 2% aqueous sodium hydroxide in water; c) washing in water, d) washing in 2% aqueous acetic acid in water; and washing in water. The washings were performed for the indicated times and temperatures as shown in the table. It is possible to achieve residual phosphorus levels of under 2 weight % by such aggressive hydrolysis conditions when combined with washing.
TABLE 2
Temp Time Water Base Water Acid Water P Na
Item Media (° C.) (s) Temp/Time Temp/Time Temp/Time Temp/time Temp/Time (wt %)
1-1 70% 130 60 100/20 —/— —/— —/— 65/20 4 0.05
H3PO4
1-2 70% 130 60 100/20 62/20 —/— —/— 62/20 0.8 2.6
H3PO4
1-3 70% 130 60 100/20 62/20 62/20 62/20 62/20 0.7 0.21
H3PO4
1-4 60% 115 50  90/20 62/20 —/— —/— 62/20 1.3 2.9
H3PO4
1-5 50% 110 60 100/20 —/— —/— —/— 65/20 2.4 1.3
H3PO4
1-6 50% 110 60 100/20 62/20 —/— —/— 62/20 1.2 3.7
H3PO4
1-7 50% 110 60 100/20 62/20 62/20 62/20 62/20 1.6 0.29
H3PO4
1-8 40% 106 60 100/20 62/20 —/— —/— 62/20 1.7 4.2
H3PO4
1-9 20% 103 60 100/20 —/— —/— —/— 65/20 5.6 0.6
H3PO4
1-10 20% 103 60 100/20 62/20 —/— —/— 62/20 1.7 5.0
H3PO4
1-11 20% 103 60 100/20 62/20 62/20 62/20 62/20 0.9 0.15
H3PO4
1-12 —/— —/— —/— —/— —/— 7.0 0.01
1-13 Water 100 60 100/20 62/20 —/— —/— 62/20 2.8 4.7
Example F
A solution of PIPD polymer and polyphosphoric acid having 82.5 wt % P2O5 was spun into fibers using a 250 hole spinneret. A sample of wet, as-coagulated PIPD yarn was treated in atmospheric pressure steam (100° C.) for 60 seconds followed by rinsing in 60° C. water for 20 seconds. The sample was allowed to air dry and was found to contain 6.48 wt % P. Another similarly treated sample that was not air-dried was further washed at 60° C. in successive baths of 2 wt % aqueous sodium hydroxide, and then water for 20 seconds. After drying this sample was found to contain 2.1 wt % phosphorus.
Example G
A solution of PIPD polymer and polyphosphoric acid having 82.5 wt % P2O5 was spun into fibers using a 250 hole spinneret. A sample of wet, as-coagulated PIPD yarn so spun was treated in saturated steam at about 58 psig and 148° C. for 60 seconds followed by 20 second washes in the following baths at 60° C.: water, 2 wt % aqueous caustic, water, 2% aqueous acetic acid, and then water. After drying, the sample was found to contain 0.33 wt % phosphorus.
Another sample of wet, as-coagulated PIPD yarn was treated in saturated steam at 100 psig and 165° C. for 60 seconds followed by the same washing steps as before. The washed and dried sample was found to contain 0.11 wt % phosphorus.
Examples H and I show the use of dry heat to carry out the rapid hydrolysis. Example J demonstrates the use of steam heat to carry out the hydrolysis.
Example H
A solution of PIPD polymer and polyphosphoric acid having 82.1 wt P2O5 was spun into fibers using a 100 hole spinneret. The wet, as-coagulated PIPD yarns were strung up to pass through a one-foot long nitrogen-purged tube oven. Table 3 shows the influence of tube oven temperature and residence time on the resulting levels of phosphorus in the samples following washing and drying. All samples were washed for 20 seconds each in 60° C. baths of water, followed by 2% aqueous sodium hydroxide, water, 2% acetic acid in water, and water. Phosphorus levels under 1 w % are obtained under many conditions using dry heat hydrolysis of wet, as coagulated yarn followed by the indicated washings.
TABLE 3
Oven Residence
Temp Time Yarn P Na
Item (C.) (s) dpf (micrograms/gram)
H-1 180 30 1.5 6690 807
H-2 180 20 2 7880 643
H-3 180 30 2 7370 384
H-4 180 20 2 8800 439
H-5 180 10 2 23600 698
H-6 200 10 2 15600 503
H-7 200 20 2 3210 605
H-8 200 30 2 3650 454
H-9 200 30 1.5 3510 525
H-10 220 30 1.5 3310 484
H-11 220 30 2 2450 524
H-12 220 20 2 2310 395
H-13 220 10 2 12500 374
H-14 240 10 2 2910 294
H-15 240 20 2 2500 210
dpf is denier per filament
Example I
A solution of PIPD polymer and polyphosphoric acid having 82.7 wt % P2O5 was spun into fibers using a 250 hole spinneret. As described in Example H, a wet, as coagulated PIPD yarn was treated continuously in an oven, however, the residence times and the temperatures were as shown in Table 4. This time the yarn samples were only treated for 20 seconds in each of the following baths at 45-50° C., water, 2% aqueous sodium hydroxide, and water. Residual phosphorus and sodium values are given in Table 3 and illustrate the benefits of the high temperature hydrolysis treatment on reducing the level of residual phosphorus.
TABLE 4
Oven
Temp Time P Na
Item (° C.) (s) (micrograms/gram)
I-1 140 30 21600 25600
I-2 160 30 16600 27300
I-3 180 30 11000 20900
I-4 200 30 5720 24200
I-5 220 30 3110 20500
I-6 240 30 3140 24500
I-7 21200 39700
I-8 21900 40000
To establish phosphorus levels in fiber before treatment, the wet, as-quenched yarn as used above was analyzed for phosphorus and was found to contain 34600 ppm. After drying this sample was found to contain 63900 ppm phosphorus. The difference in the percent weight of phosphorus between the yarn samples was due to the extra liquid in the wet yarn.
Example J
A solution of PIPD polymer and polyphosphoric acid having 82.1 wt % P2O5 was spun into fibers using a 100 hole spinneret. Wet, as-coagulated PIPD yarn was strung up to pass through a one-foot long tube oven purged with atmospheric pressure steam. Table 5 shows the influence of temperature and residence time on the resulting levels of phosphorus in the samples following washing and drying. All samples were washed for 20 seconds each in 60 C baths of water, followed by 2% aqueous sodium hydroxide, water, 2% aqueous acetic acid, and water. Phosphorus levels under 1 wt % are again easily obtained under preferred conditions.
TABLE 5
Oven Residence
Temp Time P Na
Item (C.) (s) (micrograms/gram)
J-1 280 41 2500 697
J-2 250 41 6910 890
J-3 230 41 6550 833
J-4 230 30 3910 776
J-5 230 20 3490 714
J-6 230 10 22400 793
J-7 200 10 24800 928
J-8 200 20 3870 819
J-9 200 30 6040 1180
 J-10 180 30 7440 613
 J-11 180 20 9880 391
Example K
PIPD filaments were spun from a polymer solution consisting of 18 weight percent of PIPD in polyphosphoric acid (82.1 wt % P2O5). The solution was extruded from a spinneret having approximately 250 holes, drawn across an air gap and coagulated in water. The wet yarns were processed at 61 meters/min (200 ft/min) on a pair of heated rolls operating at measured surface temperatures of 201-221° C. and wound up on bobbins. The yarns that had been processed on hot rolls were observed to be very stiff and have excessive fusing of individual filaments. In addition, undesirable fiber residue was observed on the hot rolls. Additional processing details and results are shown in Table 6. The yarns on the bobbins were then washed and neutralized by immersing the bobbins for five minutes each in five consecutive baths that were at room temperature. The baths were, in order, water; 2% sodium hydroxide in water; water; 2% acetic acid in water; and water. The yarns on the bobbins were then allowed to air-dry and a sample of yarn was taken and the residual phosphorus content was found to be very variable, ranging from about 0.77 weight percent to about 3.42 weight percent phosphorus.
TABLE 6
Roll Temp Yarn Phosphorus
Item ° C. Tension Denier (wt %)
K-1 202 250 503 3.42
K-2 201 250 465 1.77
K-3 221 250 458 0.77
The disclosures of each patent, patent application and publication cited or described in this document are hereby incorporated herein by reference, in their entirety.
Those skilled in the art will appreciate that numerous changes and modifications can be made to the preferred embodiments of the invention and that such changes and modifications can be made without departing from the spirit of the invention. It is, therefore, intended that the appended claims cover all such equivalent variations as fall within the true spirit and scope of the invention.

Claims (18)

1. A process for removing polyphosphoric acid from a fiber, comprising the steps of:
a) heating a fiber comprising polymer and polyphosphoric acid to at least 120° C. for a time effective to hydrolyze polyphosphoric acid; and
b) in a separate step, removing hydrolyzed polyphosphoric acid from the fiber by washing said fiber with an aqueous liquid at a temperature of 100° C. or less.
2. The process of claim 1, wherein the time effective to hydrolyze polyphosphoric acid is up to about 120 seconds.
3. The process of claim 1 wherein the heating includes convective heating, radiant heating, radiation heating, RF heating, conductive heating, steam heating, or any combination thereof.
4. The process of claim 1 wherein the polymer comprise a polyareneazole.
5. The process of claim 4 wherein the polyareneazole is poly(2,6-diimidazo[4,5-b:4′,5′-e]pyridinylene-1,4-(2,5-dihydroxy)phenylene).
6. The process of claim 1 wherein removing hydrolyzed polyphosphoric acid includes washing the fiber with a base.
7. The process of claim 6 wherein the fiber is washed with water prior to and after washing with the base.
8. The process of claim 6 wherein the base includes sodium hydroxide, potassium hydroxide, ammonium hydroxide, sodium bicarbonate, or any combination thereof.
9. The process of claim 7 wherein the base includes sodium hydroxide, potassium hydroxide, ammonium hydroxide, sodium bicarbonate, or any combination thereof.
10. The process of claim 6 wherein the fiber is subsequently washed with an acid.
11. A process for hydrolyzing polyphosphoric acid in a fiber, comprising
heating a fiber comprising polymer and polyphosphoric acid in an acidic medium having a pH less than 4.0 to a temperature above 100° C. for a time effective to hydrolyze polyphosphoric acid; and
in a separate step, removing hydrolyzed polyphosphoric acid from the fiber in a process comprising contacting the fiber containing hydrolyzed polyphosphoric acid with an aqueous liquid.
12. The process of claim 11, wherein the acidic medium comprises up to about 80% phosphoric acid by weight.
13. The process of claim 11, wherein the time effective to hydrolyze polyphosphoric acid is up to about 120 seconds.
14. The process of claim 11 wherein the acid medium has a pH less than 2.0.
15. The process of claim 12, wherein the acidic medium comprises boiling phosphoric acid have a temperature less than 140° C.
16. The process of claim 11, wherein the polymer remains substantially non-hydrolyzed.
17. A process for hydrolyzing polyphosphoric acid in a polyareneazole polymeric material, comprising the steps of:
a) providing a polymeric material comprising polyareneazole and polyphosphoric acid, wherein at least 50 mole percent of the polyareneazole repeating unit structure comprise 2,5-dihydroxy-p-phenylene moieties;
b) heating the polymeric material to more than 100° C. to hydrolyze at least a portion of polyphosphoric acid; and
c) removing hydrolyzed polyphosphoric acid from the polymeric material by contacting the polymeric material with an aqueous liquid at temperature of 100° C. or less.
18. The process of claim 1, wherein the fluid has a temperature of about 60° C. or less.
US11/909,659 2005-03-28 2006-03-27 Process for hydrolyzing polyphosphoric acid in a spun yarn Active 2028-01-14 US7906615B2 (en)

Priority Applications (1)

Application Number Priority Date Filing Date Title
US11/909,659 US7906615B2 (en) 2005-03-28 2006-03-27 Process for hydrolyzing polyphosphoric acid in a spun yarn

Applications Claiming Priority (3)

Application Number Priority Date Filing Date Title
US66574005P 2005-03-28 2005-03-28
PCT/US2006/011514 WO2006105226A1 (en) 2005-03-28 2006-03-27 Process for hydrolyzing polyphosphoric acid in a spun yarn
US11/909,659 US7906615B2 (en) 2005-03-28 2006-03-27 Process for hydrolyzing polyphosphoric acid in a spun yarn

Publications (2)

Publication Number Publication Date
US20100184945A1 US20100184945A1 (en) 2010-07-22
US7906615B2 true US7906615B2 (en) 2011-03-15

Family

ID=36702660

Family Applications (1)

Application Number Title Priority Date Filing Date
US11/909,659 Active 2028-01-14 US7906615B2 (en) 2005-03-28 2006-03-27 Process for hydrolyzing polyphosphoric acid in a spun yarn

Country Status (6)

Country Link
US (1) US7906615B2 (en)
EP (1) EP1863957B1 (en)
JP (1) JP4769291B2 (en)
KR (1) KR101337688B1 (en)
CN (1) CN101203637B (en)
WO (1) WO2006105226A1 (en)

Cited By (1)

* Cited by examiner, † Cited by third party
Publication number Priority date Publication date Assignee Title
US20100210814A1 (en) * 2005-03-28 2010-08-19 Christopher William Newton Fusion-free hydrolysis of polyphosphoric acid in spun multifilament yarns

Families Citing this family (18)

* Cited by examiner, † Cited by third party
Publication number Priority date Publication date Assignee Title
ATE416217T1 (en) 2005-03-28 2008-12-15 Magellan Systems Int Llc METHOD FOR PRODUCING POLYARENAZOLES WITH HIGH INHERENT VISCOSITY USING METAL POWDERS
JP4769293B2 (en) * 2005-03-28 2011-09-07 イー・アイ・デュポン・ドウ・ヌムール・アンド・カンパニー Method for producing polyarene azole yarn
US7851584B2 (en) 2005-03-28 2010-12-14 E. I. Du Pont De Nemours And Company Process for preparing monomer complexes
KR101337688B1 (en) 2005-03-28 2013-12-06 마젤란 시스템즈 인터내셔날, 엘엘시 Process for hydrolyzing polyphosphoric acid in a spun yarn
KR101337734B1 (en) * 2005-03-28 2013-12-06 마젤란 시스템즈 인터내셔날, 엘엘시 Process for removing phosphorous from a fiber or yarn
DE602006019570D1 (en) 2005-03-28 2011-02-24 Du Pont PROCESS FOR REMOVING CATION FROM POLYARENAZOLE FIBERS
WO2006105080A1 (en) 2005-03-28 2006-10-05 E.I. Du Pont De Nemours And Company Processes for increasing polymer inherent viscosity
WO2006105228A1 (en) 2005-03-28 2006-10-05 E. I. Du Pont De Nemours And Company High inherent viscosity polymers and fibers therefrom
US7968029B2 (en) 2005-03-28 2011-06-28 E. I. Du Pont De Nemours And Company Processes for hydrolysis of polyphoshoric acid in polyareneazole filaments
EP1877602B1 (en) 2005-03-28 2009-08-26 E.I. Du Pont De Nemours And Company Processes for hydrolyzing polyphosphoric acid in shaped articles
US7683157B2 (en) 2005-03-28 2010-03-23 E.I. Du Pont De Nemours And Company Process for the production of polyarenazole polymer
WO2006105227A1 (en) 2005-03-28 2006-10-05 E. I. Du Pont De Nemours And Company Thermal processes for increasing polyareneazole inherent viscosities
ATE495289T1 (en) 2005-03-28 2011-01-15 Du Pont HOT SURFACE HYDROLYSIS OF POLYPHOSPHORIC ACID IN SPUN YARN
US7888457B2 (en) 2005-04-01 2011-02-15 E. I. Du Pont De Nemours And Company Process for removing phosphorous from a fiber or yarn
CN104040051B (en) * 2012-01-11 2016-10-12 纳幕尔杜邦公司 There is the sulfur-bearing of ionic bonding halogenide and alkali-metal imidazoles fiber
JP5955980B2 (en) * 2012-01-11 2016-07-20 イー・アイ・デュポン・ドウ・ヌムール・アンド・カンパニーE.I.Du Pont De Nemours And Company Aramid copolymer yarn with low residual sulfur
US10240282B2 (en) * 2012-01-11 2019-03-26 E I Du Pont De Nemours And Company Process for preparing aramid copolymer yarn using a halide acid wash
EP2802696B1 (en) * 2012-01-11 2016-03-16 E. I. du Pont de Nemours and Company Method for removing sulfur from fiber using halide acid ion exchange

Citations (56)

* Cited by examiner, † Cited by third party
Publication number Priority date Publication date Assignee Title
US3193350A (en) * 1960-03-05 1965-07-06 Knapsack Ag Method of producing higher polyphosphoric acids
US3227793A (en) 1961-01-23 1966-01-04 Celanese Corp Spinning of a poly(polymethylene) terephthalamide
US3414645A (en) 1964-06-19 1968-12-03 Monsanto Co Process for spinning wholly aromatic polyamide fibers
US3424720A (en) 1963-04-18 1969-01-28 Koppers Co Inc Polybenzothiazoles
US3767756A (en) 1972-06-30 1973-10-23 Du Pont Dry jet wet spinning process
US3804804A (en) 1970-11-23 1974-04-16 Horizons Inc Preparation of heterocyclic polymers from heteroaromatic tetramines
GB1361840A (en) 1970-12-30 1974-07-30 Horizons Research Inc Substituted pyridines and polymers derived therefrom
US3940955A (en) 1974-11-26 1976-03-02 E. I. Du Pont De Nemours And Co. Yarn extraction and washing apparatus
US3996321A (en) 1974-11-26 1976-12-07 E. I. Du Pont De Nemours And Company Level control of dry-jet wet spinning process
US4002679A (en) 1974-08-07 1977-01-11 The United States Of America As Represented By The Secretary Of The Air Force Preparation of polybenzimidazoles
US4070431A (en) 1976-12-21 1978-01-24 E. I. Du Pont De Nemours And Company Improved yarn extraction process
US4078034A (en) 1976-12-21 1978-03-07 E. I. Du Pont De Nemours And Company Air gage spinning process
US4079039A (en) 1974-03-04 1978-03-14 Horizons Research Incorporated Polyheterocyclic polymers derived from substituted tetraamino pyridines
US4298565A (en) 1980-02-12 1981-11-03 E. I. Du Pont De Nemours And Company Spinning process
US4452971A (en) 1982-07-19 1984-06-05 Celanese Corporation Production of improved high molecular weight polybenzimidazole with tin containing catalyst
US4533693A (en) 1982-09-17 1985-08-06 Sri International Liquid crystalline polymer compositions, process, and products
US4703103A (en) 1984-03-16 1987-10-27 Commtech International Liquid crystalline polymer compositions, process and products
US4772678A (en) 1983-09-15 1988-09-20 Commtech International Management Corporation Liquid crystalline polymer compositions, process, and products
US4845150A (en) 1985-09-26 1989-07-04 Foster-Miller Inc. Interpenetrated polymer films
US4847350A (en) 1986-05-27 1989-07-11 The Dow Chemical Company Preparation of aromatic heterocyclic polymers
US4898924A (en) 1989-01-11 1990-02-06 Hoechst Celanese Corporation Process for the production of biaxially oriented rigid rod heterocyclic liquid crystalline polymer films
US4939235A (en) 1985-09-26 1990-07-03 Foster-Miller, Inc. Biaxially oriented ordered polybenzothiazole film
US4963428A (en) 1985-09-26 1990-10-16 Foster Miller, Inc. Biaxially oriented ordered polymer films
WO1991002764A1 (en) 1989-08-23 1991-03-07 Maxdem Incorporated Rigid-rod polymers
US5041522A (en) 1990-03-23 1991-08-20 The United States Of America As Represented By The Secretary Of The Air Force Dihydroxy-pendant rigid-rod benzobisazole polymer
US5089591A (en) 1990-10-19 1992-02-18 The Dow Chemical Company Rapid advancement of molecular weight in polybenzazole oligomer dopes
US5168011A (en) 1985-09-26 1992-12-01 Foster Miller Inc. Interpenetrated polymer fibers
US5276128A (en) 1991-10-22 1994-01-04 The Dow Chemical Company Salts of polybenzazole monomers and their use
WO1994012702A1 (en) 1992-12-03 1994-06-09 The Dow Chemical Company Method for rapid spinning of a polybenzazole fiber
JPH06240596A (en) 1993-02-15 1994-08-30 Toyobo Co Ltd Pulp
US5367042A (en) 1992-08-27 1994-11-22 The Dow Chemical Company Process for fabricating oriented polybenzazole films
US5393478A (en) * 1993-08-20 1995-02-28 The Dow Chemical Company Process for coagulation and washing of polybenzazole fibers
US5429787A (en) 1992-12-03 1995-07-04 The Dow Chemical Company Method for rapid drying of a polybenzazole fiber
WO1996010661A1 (en) * 1994-09-30 1996-04-11 The Dow Chemical Company Process for the preparation of polybenzazole filaments and fibres
CN1121728A (en) 1993-04-28 1996-05-01 阿克佐诺贝尔公司 Pyridobisimidazolyl Rigid Rod Polymers
US5525638A (en) * 1994-09-30 1996-06-11 The Dow Chemical Company Process for the preparation of polybenzazole filaments and fibers
WO1996020303A1 (en) 1994-12-23 1996-07-04 The Dow Chemical Company Process for the preparation of polybenzoxazole and polybenzothiazole filaments and fibers
US5552221A (en) 1994-12-29 1996-09-03 The Dow Chemical Company Polybenzazole fibers having improved tensile strength retention
JPH0978349A (en) 1995-09-05 1997-03-25 Toyobo Co Ltd Production of polybenzazole fiber
US5667743A (en) 1996-05-21 1997-09-16 E. I. Du Pont De Nemours And Company Wet spinning process for aramid polymer containing salts
EP0834608A2 (en) * 1996-10-01 1998-04-08 Toyo Boseki Kabushiki Kaisha Polybenzazole fiber and method for production thereof
US5772942A (en) * 1995-09-05 1998-06-30 Toyo Boseki Kabushiki Kaisha Processes for producing polybenzazole fibers
WO1999027169A1 (en) 1997-11-21 1999-06-03 Akzo Nobel N.V. Flame-retardant materials
US6228922B1 (en) 1998-01-19 2001-05-08 The University Of Dayton Method of making conductive metal-containing polymer fibers and sheets
US20030083421A1 (en) 2001-08-29 2003-05-01 Satish Kumar Compositions comprising rigid-rod polymers and carbon nanotubes and process for making the same
WO2004003080A1 (en) 2002-06-26 2004-01-08 Toyo Boseki Kabushiki Kaisha Highly durable polybenzazole composition, fiber and film
WO2004003269A1 (en) 2002-06-27 2004-01-08 Teijin Twaron B.V. Process for obtaining a synthetic organic aromatic heterocyclic rod fiber or film with high tensile strength and/or modulus
WO2004024797A1 (en) 2002-08-29 2004-03-25 Pemeas Gmbh Polymer film based on polyazoles, and use thereof
US20060019094A1 (en) 2004-07-22 2006-01-26 Kiu-Seung Lee Polybenzazole fibers and processes for their preparation
WO2006105225A1 (en) 2005-03-28 2006-10-05 E. I. Du Pont De Nemours And Company Process for removing phosphorous from a fiber or yarn
WO2006105076A2 (en) 2005-03-28 2006-10-05 E.I. Du Pont De Nemours And Company Processes for preparing monomer complexes
WO2006105226A1 (en) 2005-03-28 2006-10-05 E. I. Du Pont De Nemours And Company Process for hydrolyzing polyphosphoric acid in a spun yarn
WO2006105231A1 (en) 2005-03-28 2006-10-05 E. I. Du Pont De Nemours And Company Processes for hydrolysis of polyphosphoric acid in polyareneazole filaments
US20060287475A1 (en) * 2005-03-28 2006-12-21 Allen Steven R Process for the production of polyarenazole polymer
US20080179776A1 (en) * 2005-03-28 2008-07-31 E.I. Dupont De Nemours And Company Process For The Production Of Polyarenazole Yarn
US20080287647A1 (en) * 2005-03-28 2008-11-20 Magellan Systems International, Llc Polyareneazole Polymer Fibers Having Pendant Hydroxyl Groups and Cations

Family Cites Families (1)

* Cited by examiner, † Cited by third party
Publication number Priority date Publication date Assignee Title
JP3661802B2 (en) * 1995-09-13 2005-06-22 東洋紡績株式会社 Method for producing polybenzazole fiber

Patent Citations (63)

* Cited by examiner, † Cited by third party
Publication number Priority date Publication date Assignee Title
US3193350A (en) * 1960-03-05 1965-07-06 Knapsack Ag Method of producing higher polyphosphoric acids
US3227793A (en) 1961-01-23 1966-01-04 Celanese Corp Spinning of a poly(polymethylene) terephthalamide
US3424720A (en) 1963-04-18 1969-01-28 Koppers Co Inc Polybenzothiazoles
US3414645A (en) 1964-06-19 1968-12-03 Monsanto Co Process for spinning wholly aromatic polyamide fibers
US3804804A (en) 1970-11-23 1974-04-16 Horizons Inc Preparation of heterocyclic polymers from heteroaromatic tetramines
GB1361840A (en) 1970-12-30 1974-07-30 Horizons Research Inc Substituted pyridines and polymers derived therefrom
US3767756A (en) 1972-06-30 1973-10-23 Du Pont Dry jet wet spinning process
US4079039A (en) 1974-03-04 1978-03-14 Horizons Research Incorporated Polyheterocyclic polymers derived from substituted tetraamino pyridines
US4002679A (en) 1974-08-07 1977-01-11 The United States Of America As Represented By The Secretary Of The Air Force Preparation of polybenzimidazoles
US3996321A (en) 1974-11-26 1976-12-07 E. I. Du Pont De Nemours And Company Level control of dry-jet wet spinning process
US3940955A (en) 1974-11-26 1976-03-02 E. I. Du Pont De Nemours And Co. Yarn extraction and washing apparatus
US4070431A (en) 1976-12-21 1978-01-24 E. I. Du Pont De Nemours And Company Improved yarn extraction process
US4078034A (en) 1976-12-21 1978-03-07 E. I. Du Pont De Nemours And Company Air gage spinning process
US4298565A (en) 1980-02-12 1981-11-03 E. I. Du Pont De Nemours And Company Spinning process
US4452971A (en) 1982-07-19 1984-06-05 Celanese Corporation Production of improved high molecular weight polybenzimidazole with tin containing catalyst
US4533693A (en) 1982-09-17 1985-08-06 Sri International Liquid crystalline polymer compositions, process, and products
US4772678A (en) 1983-09-15 1988-09-20 Commtech International Management Corporation Liquid crystalline polymer compositions, process, and products
US4703103A (en) 1984-03-16 1987-10-27 Commtech International Liquid crystalline polymer compositions, process and products
US5168011A (en) 1985-09-26 1992-12-01 Foster Miller Inc. Interpenetrated polymer fibers
US4939235A (en) 1985-09-26 1990-07-03 Foster-Miller, Inc. Biaxially oriented ordered polybenzothiazole film
US4963428A (en) 1985-09-26 1990-10-16 Foster Miller, Inc. Biaxially oriented ordered polymer films
US4845150A (en) 1985-09-26 1989-07-04 Foster-Miller Inc. Interpenetrated polymer films
US4847350A (en) 1986-05-27 1989-07-11 The Dow Chemical Company Preparation of aromatic heterocyclic polymers
US4898924A (en) 1989-01-11 1990-02-06 Hoechst Celanese Corporation Process for the production of biaxially oriented rigid rod heterocyclic liquid crystalline polymer films
WO1991002764A1 (en) 1989-08-23 1991-03-07 Maxdem Incorporated Rigid-rod polymers
US5041522A (en) 1990-03-23 1991-08-20 The United States Of America As Represented By The Secretary Of The Air Force Dihydroxy-pendant rigid-rod benzobisazole polymer
US5089591A (en) 1990-10-19 1992-02-18 The Dow Chemical Company Rapid advancement of molecular weight in polybenzazole oligomer dopes
EP0481403B1 (en) 1990-10-19 1996-05-29 The Dow Chemical Company Rapid advancement of molecular weight in polybenzazole oligomer solutions
US5276128A (en) 1991-10-22 1994-01-04 The Dow Chemical Company Salts of polybenzazole monomers and their use
US5367042A (en) 1992-08-27 1994-11-22 The Dow Chemical Company Process for fabricating oriented polybenzazole films
WO1994012702A1 (en) 1992-12-03 1994-06-09 The Dow Chemical Company Method for rapid spinning of a polybenzazole fiber
US5429787A (en) 1992-12-03 1995-07-04 The Dow Chemical Company Method for rapid drying of a polybenzazole fiber
JPH06240596A (en) 1993-02-15 1994-08-30 Toyobo Co Ltd Pulp
US5674969A (en) * 1993-04-28 1997-10-07 Akzo Nobel Nv Rigid rod polymer based on pyridobisimidazole
CN1121728A (en) 1993-04-28 1996-05-01 阿克佐诺贝尔公司 Pyridobisimidazolyl Rigid Rod Polymers
US5393478A (en) * 1993-08-20 1995-02-28 The Dow Chemical Company Process for coagulation and washing of polybenzazole fibers
US5525638A (en) * 1994-09-30 1996-06-11 The Dow Chemical Company Process for the preparation of polybenzazole filaments and fibers
WO1996010661A1 (en) * 1994-09-30 1996-04-11 The Dow Chemical Company Process for the preparation of polybenzazole filaments and fibres
WO1996020303A1 (en) 1994-12-23 1996-07-04 The Dow Chemical Company Process for the preparation of polybenzoxazole and polybenzothiazole filaments and fibers
US5552221A (en) 1994-12-29 1996-09-03 The Dow Chemical Company Polybenzazole fibers having improved tensile strength retention
JPH0978349A (en) 1995-09-05 1997-03-25 Toyobo Co Ltd Production of polybenzazole fiber
US5772942A (en) * 1995-09-05 1998-06-30 Toyo Boseki Kabushiki Kaisha Processes for producing polybenzazole fibers
US5667743A (en) 1996-05-21 1997-09-16 E. I. Du Pont De Nemours And Company Wet spinning process for aramid polymer containing salts
EP0834608A2 (en) * 1996-10-01 1998-04-08 Toyo Boseki Kabushiki Kaisha Polybenzazole fiber and method for production thereof
EP0834608B1 (en) 1996-10-01 2002-03-13 Toyo Boseki Kabushiki Kaisha Polybenzazole fiber and method for production thereof
WO1999027169A1 (en) 1997-11-21 1999-06-03 Akzo Nobel N.V. Flame-retardant materials
US6228922B1 (en) 1998-01-19 2001-05-08 The University Of Dayton Method of making conductive metal-containing polymer fibers and sheets
US20030083421A1 (en) 2001-08-29 2003-05-01 Satish Kumar Compositions comprising rigid-rod polymers and carbon nanotubes and process for making the same
WO2004003080A1 (en) 2002-06-26 2004-01-08 Toyo Boseki Kabushiki Kaisha Highly durable polybenzazole composition, fiber and film
EP1553143A1 (en) 2002-06-26 2005-07-13 Toyo Boseki Kabushiki Kaisha Highly durable polybenzazole composition, fiber and film
WO2004003269A1 (en) 2002-06-27 2004-01-08 Teijin Twaron B.V. Process for obtaining a synthetic organic aromatic heterocyclic rod fiber or film with high tensile strength and/or modulus
WO2004024797A1 (en) 2002-08-29 2004-03-25 Pemeas Gmbh Polymer film based on polyazoles, and use thereof
CA2496593A1 (en) 2002-08-29 2004-03-25 Pemeas Gmbh Polymer film based on polyazoles and its use
WO2006014718A1 (en) 2004-07-22 2006-02-09 E.I. Dupont De Nemours And Company Process for preparing polybenzazole fibers by removing polyphosphoric acid
US20060019094A1 (en) 2004-07-22 2006-01-26 Kiu-Seung Lee Polybenzazole fibers and processes for their preparation
WO2006105225A1 (en) 2005-03-28 2006-10-05 E. I. Du Pont De Nemours And Company Process for removing phosphorous from a fiber or yarn
WO2006105076A2 (en) 2005-03-28 2006-10-05 E.I. Du Pont De Nemours And Company Processes for preparing monomer complexes
WO2006105226A1 (en) 2005-03-28 2006-10-05 E. I. Du Pont De Nemours And Company Process for hydrolyzing polyphosphoric acid in a spun yarn
WO2006105231A1 (en) 2005-03-28 2006-10-05 E. I. Du Pont De Nemours And Company Processes for hydrolysis of polyphosphoric acid in polyareneazole filaments
US20060287475A1 (en) * 2005-03-28 2006-12-21 Allen Steven R Process for the production of polyarenazole polymer
US20080179776A1 (en) * 2005-03-28 2008-07-31 E.I. Dupont De Nemours And Company Process For The Production Of Polyarenazole Yarn
US20080287647A1 (en) * 2005-03-28 2008-11-20 Magellan Systems International, Llc Polyareneazole Polymer Fibers Having Pendant Hydroxyl Groups and Cations
US7683157B2 (en) * 2005-03-28 2010-03-23 E.I. Du Pont De Nemours And Company Process for the production of polyarenazole polymer

Non-Patent Citations (3)

* Cited by examiner, † Cited by third party
Title
Gerber, A.H., "Thermally stable polymers derived from 2,3,5,6-tetraaminopyridine," J. of Polymer Science, 1973, 11, 1703-1719.
Lammers, M., et al., "Mechanical properties and structural transitions in the new rigid-rod polymer fibre PIPD ('M5') during the manufacturing process," Elsevier Sci. Ltd., 1997, S0032-3861, 7 pages.
Sikkema, D.J., "Design, synthesis and properties of a novel rigid rod polymer, PIPD or 'MS': high modulus and tenacity fibers with substantial compressive strength," Polymer, 1998, 39(24), 5981-5986.

Cited By (2)

* Cited by examiner, † Cited by third party
Publication number Priority date Publication date Assignee Title
US20100210814A1 (en) * 2005-03-28 2010-08-19 Christopher William Newton Fusion-free hydrolysis of polyphosphoric acid in spun multifilament yarns
US8202965B2 (en) * 2005-03-28 2012-06-19 E.I. Du Pont De Nemours And Company Fusion free hydrolysis of polyphosphoric acid in spun multifilament yarns

Also Published As

Publication number Publication date
CN101203637B (en) 2010-11-17
KR101337688B1 (en) 2013-12-06
US20100184945A1 (en) 2010-07-22
EP1863957A1 (en) 2007-12-12
CN101203637A (en) 2008-06-18
WO2006105226A1 (en) 2006-10-05
EP1863957B1 (en) 2012-06-13
JP4769291B2 (en) 2011-09-07
JP2008534805A (en) 2008-08-28
KR20080033141A (en) 2008-04-16

Similar Documents

Publication Publication Date Title
EP1863956B1 (en) Process for removing phosphorous from a fiber or yarn
US7906615B2 (en) Process for hydrolyzing polyphosphoric acid in a spun yarn
US7968029B2 (en) Processes for hydrolysis of polyphoshoric acid in polyareneazole filaments
US7977453B2 (en) Processes for hydrolyzing polyphosphoric acid in shaped articles
US7906613B2 (en) Process for removing cations from polyareneazole fiber
US7888457B2 (en) Process for removing phosphorous from a fiber or yarn
EP1863955B1 (en) Polyareneazole polymer fibers having pendant hydroxyl groups and cations
US7968030B2 (en) Hot surface hydrolysis of polyphosphoric acid in spun yarns
US8202965B2 (en) Fusion free hydrolysis of polyphosphoric acid in spun multifilament yarns

Legal Events

Date Code Title Description
AS Assignment

Owner name: MAGELLAN SYSTEMS INTERNATIONAL, LLC, MARYLAND

Free format text: ASSIGNMENT OF ASSIGNORS INTEREST;ASSIGNOR:SIKKEMA, DOETZE;REEL/FRAME:020430/0164

Effective date: 20050401

Owner name: E. I. DUPONT DE NEMOURS AND COMPANY, DELAWARE

Free format text: ASSIGNMENT OF ASSIGNORS INTEREST;ASSIGNORS:ALLEN, STEVEN R;MOORE, STEPHEN D;NEWTON, CHRISTOPHER W;AND OTHERS;REEL/FRAME:020430/0256

Effective date: 20051104

FEPP Fee payment procedure

Free format text: PAYOR NUMBER ASSIGNED (ORIGINAL EVENT CODE: ASPN); ENTITY STATUS OF PATENT OWNER: LARGE ENTITY

STCF Information on status: patent grant

Free format text: PATENTED CASE

FPAY Fee payment

Year of fee payment: 4

AS Assignment

Owner name: E. I. DU PONT DE NEMOURS AND COMPANY, DELAWARE

Free format text: ASSIGNMENT OF ASSIGNORS INTEREST;ASSIGNOR:MAGELLAN SYSTEMS INTERNATIONAL, LLC;REEL/FRAME:034968/0212

Effective date: 20141216

MAFP Maintenance fee payment

Free format text: PAYMENT OF MAINTENANCE FEE, 8TH YEAR, LARGE ENTITY (ORIGINAL EVENT CODE: M1552); ENTITY STATUS OF PATENT OWNER: LARGE ENTITY

Year of fee payment: 8

AS Assignment

Owner name: DUPONT SAFETY & CONSTRUCTION, INC., DELAWARE

Free format text: ASSIGNMENT OF ASSIGNORS INTEREST;ASSIGNOR:E. I. DU PONT DE NEMOURS AND COMPANY;REEL/FRAME:049582/0514

Effective date: 20190328

MAFP Maintenance fee payment

Free format text: PAYMENT OF MAINTENANCE FEE, 12TH YEAR, LARGE ENTITY (ORIGINAL EVENT CODE: M1553); ENTITY STATUS OF PATENT OWNER: LARGE ENTITY

Year of fee payment: 12