US6489065B1 - Holographic medium and process for use thereof - Google Patents
Holographic medium and process for use thereof Download PDFInfo
- Publication number
- US6489065B1 US6489065B1 US08/649,823 US64982396A US6489065B1 US 6489065 B1 US6489065 B1 US 6489065B1 US 64982396 A US64982396 A US 64982396A US 6489065 B1 US6489065 B1 US 6489065B1
- Authority
- US
- United States
- Prior art keywords
- acid
- refractive index
- polymer
- low refractive
- moieties
- Prior art date
- Legal status (The legal status is an assumption and is not a legal conclusion. Google has not performed a legal analysis and makes no representation as to the accuracy of the status listed.)
- Expired - Lifetime
Links
Images
Classifications
-
- G—PHYSICS
- G03—PHOTOGRAPHY; CINEMATOGRAPHY; ANALOGOUS TECHNIQUES USING WAVES OTHER THAN OPTICAL WAVES; ELECTROGRAPHY; HOLOGRAPHY
- G03H—HOLOGRAPHIC PROCESSES OR APPARATUS
- G03H1/00—Holographic processes or apparatus using light, infrared or ultraviolet waves for obtaining holograms or for obtaining an image from them; Details peculiar thereto
- G03H1/02—Details of features involved during the holographic process; Replication of holograms without interference recording
-
- G—PHYSICS
- G03—PHOTOGRAPHY; CINEMATOGRAPHY; ANALOGOUS TECHNIQUES USING WAVES OTHER THAN OPTICAL WAVES; ELECTROGRAPHY; HOLOGRAPHY
- G03F—PHOTOMECHANICAL PRODUCTION OF TEXTURED OR PATTERNED SURFACES, e.g. FOR PRINTING, FOR PROCESSING OF SEMICONDUCTOR DEVICES; MATERIALS THEREFOR; ORIGINALS THEREFOR; APPARATUS SPECIALLY ADAPTED THEREFOR
- G03F7/00—Photomechanical, e.g. photolithographic, production of textured or patterned surfaces, e.g. printing surfaces; Materials therefor, e.g. comprising photoresists; Apparatus specially adapted therefor
- G03F7/0005—Production of optical devices or components in so far as characterised by the lithographic processes or materials used therefor
- G03F7/001—Phase modulating patterns, e.g. refractive index patterns
-
- G—PHYSICS
- G03—PHOTOGRAPHY; CINEMATOGRAPHY; ANALOGOUS TECHNIQUES USING WAVES OTHER THAN OPTICAL WAVES; ELECTROGRAPHY; HOLOGRAPHY
- G03F—PHOTOMECHANICAL PRODUCTION OF TEXTURED OR PATTERNED SURFACES, e.g. FOR PRINTING, FOR PROCESSING OF SEMICONDUCTOR DEVICES; MATERIALS THEREFOR; ORIGINALS THEREFOR; APPARATUS SPECIALLY ADAPTED THEREFOR
- G03F7/00—Photomechanical, e.g. photolithographic, production of textured or patterned surfaces, e.g. printing surfaces; Materials therefor, e.g. comprising photoresists; Apparatus specially adapted therefor
- G03F7/004—Photosensitive materials
- G03F7/0045—Photosensitive materials with organic non-macromolecular light-sensitive compounds not otherwise provided for, e.g. dissolution inhibitors
-
- G—PHYSICS
- G03—PHOTOGRAPHY; CINEMATOGRAPHY; ANALOGOUS TECHNIQUES USING WAVES OTHER THAN OPTICAL WAVES; ELECTROGRAPHY; HOLOGRAPHY
- G03F—PHOTOMECHANICAL PRODUCTION OF TEXTURED OR PATTERNED SURFACES, e.g. FOR PRINTING, FOR PROCESSING OF SEMICONDUCTOR DEVICES; MATERIALS THEREFOR; ORIGINALS THEREFOR; APPARATUS SPECIALLY ADAPTED THEREFOR
- G03F7/00—Photomechanical, e.g. photolithographic, production of textured or patterned surfaces, e.g. printing surfaces; Materials therefor, e.g. comprising photoresists; Apparatus specially adapted therefor
- G03F7/004—Photosensitive materials
- G03F7/039—Macromolecular compounds which are photodegradable, e.g. positive electron resists
-
- G—PHYSICS
- G03—PHOTOGRAPHY; CINEMATOGRAPHY; ANALOGOUS TECHNIQUES USING WAVES OTHER THAN OPTICAL WAVES; ELECTROGRAPHY; HOLOGRAPHY
- G03H—HOLOGRAPHIC PROCESSES OR APPARATUS
- G03H1/00—Holographic processes or apparatus using light, infrared or ultraviolet waves for obtaining holograms or for obtaining an image from them; Details peculiar thereto
- G03H1/02—Details of features involved during the holographic process; Replication of holograms without interference recording
- G03H2001/026—Recording materials or recording processes
-
- G—PHYSICS
- G03—PHOTOGRAPHY; CINEMATOGRAPHY; ANALOGOUS TECHNIQUES USING WAVES OTHER THAN OPTICAL WAVES; ELECTROGRAPHY; HOLOGRAPHY
- G03H—HOLOGRAPHIC PROCESSES OR APPARATUS
- G03H2260/00—Recording materials or recording processes
- G03H2260/12—Photopolymer
Definitions
- This invention relates to a holographic medium and a process for the use thereof to form a hologram. More specifically, this invention relates to such a medium containing a polymer which separates into two components during the holographic exposure.
- interference fringes are formed within a holographic recording medium comprising a homogeneous mixture of a polymerizable monomer or oligomer and a polymeric binder; the polymerizable monomer or oligomer must of course be sensitive or sensitized to the radiation used to form the interference fringes.
- the monomer or oligomer undergoes polymerization to form a polymer that has a refractive index different from that of the binder.
- Diffusion of the monomer or oligomer into the light areas with consequent chemical segregation of binder from these areas and its concentration in the dark areas, produces spatial separation between the polymer formed from the monomer or oligomer and the binder, thereby providing the refractive index modulation needed to form the hologram.
- a post-treatment step of blanket exposure of the medium to actinic radiation is required to complete the polymerization of the monomer or oligomer and fix the hologram.
- the components of the medium must be compatible with one another so that the medium does not separate into two discrete phases before the holographic exposure, and for a practical commercial product, it is necessary that the recording medium not undergo phase separation during several months of storage during which the medium may be subjected to wide temperature variations, for example in trucks during delivery of the medium.
- the two phases produced from the medium during the holographic exposure show a large difference in refractive index, since such a large difference in refractive index improves the holographic efficiency of the hologram produced.
- these requirements of compatibility and high refractive index difference tend to be inconsistent with one another.
- a high refractive index component will typically contain numerous aromatic nuclei, while a low refractive index component will typically contain fluorinated alkyl or similar groups, and such aromatic and fluorinated alkyl components tend not to form homogeneous mixtures. It is difficult to produce, for example, a recording medium, comprising a highly aromatic polymer and a perfluoroalkyl acrylate or methacrylate monomer or oligomer, which is homogeneous and stable for long periods over a wide temperature range.
- holographic recording media tend to be unsatisfactory. Since such media comprise a mixture of a polymeric binder and a polymerizable monomer or oligomer, they tend to be soft, or even semi-solid, with considerable tackiness. Such soft, tacky mixtures are difficult to handle without damage to the thin layer of the medium normally used to form a hologram, and are likely to pick up dirt, dust and other materials during storage and handling; the presence of dust, dirt etc. on the medium is of course highly undesirable since the quality of the resultant hologram is adversely affected.
- the present invention provides a holographic recording medium which is essentially free from the problems of incompatibility and tackiness experienced in prior art media.
- this invention provides a process for preparing a hologram. This process comprises:
- a holographic recording medium comprising (a) an acid generator capable of generating an acid upon exposure to actinic radiation; and (b) a polymer, this polymer comprising a plurality of high refractive index moieties, a plurality of low refractive index moieties, and a plurality of acid-sensitive linking groups connecting the high and low refractive index moieties, the acid-sensitive linking groups being capable of being cleaved by the acid generated by the acid generator; and
- This invention also provides a holographic recording medium comprising:
- a polymer comprising a plurality of high refractive index moieties, a plurality of low refractive index moieties, and a plurality of acid-sensitive linking groups connecting the high and low refractive index moieties, the acid-sensitive linking groups being capable of being cleaved by the acid generated by the acid generator, thereby causing separation of either the high or the low refractive index moieties from the polymer, the medium being capable, upon exposure to an interference pattern formed between two beams of the actinic radiation, of forming regions differing in refractive index and thereby producing a hologram.
- the holographic recording medium of the present invention comprises an acid generator and a polymer.
- This polymer contains high and low refractive index moieties linked by acid-sensitive linking groups.
- the acid generator Upon exposure of the medium to an interference pattern formed by actinic radiation, in the light areas of the pattern the acid generator generates an acid, which cleaves the acid-sensitive linking groups, thereby detaching either the high or the low refractive index moieties from the polymer, while leaving the other moieties still attached to the polymer.
- the liberated moieties will diffuse from the light areas of the pattern into the dark areas, thereby forming regions differing in refractive index.
- the medium will have regions differing in refractive index, with the light areas having a higher refractive index than the dark areas, thereby forming a hologram within the medium.
- the present holographic recording medium need comprise only a single polymer and an acid generator, it does not suffer from the compatibility problems which plague prior art media containing a binder and a monomer or oligomer which differs significantly from the binder in refractive index; obviously, the high and low refractive index moieties even if completely different in chemical nature, cannot phase separate while covalently bonded to each other within a single polymer.
- the holographic medium is free from polymerizable monomers and oligomers, it can be made non-tacky, and is thus easy to handle and free from the problems caused by dust, dirt etc. adhering to prior art holographic recording media.
- the acid generator used in the present recording medium may be any acid generator which produces an acid upon exposure to the actinic radiation, provided of course that the acid generator is compatible with the polymer and any other materials present in the recording medium.
- the term “acid generator” is used herein to refer to the component or components of the medium that are responsible for the radiation-induced formation of acid.
- the acid generator may comprise only a single compound that produces acid directly.
- the acid generator may comprise an acid generating component which generates acid and one or more sensitizers which render the acid generating component sensitive to a particular wavelength of actinic radiation, as discussed in more detail below.
- the acid produced from the acid generator may be either a Bronsted acid or a Lewis acid, provided of course that the acid is of a type and strength which will induce cleavage of the acid-sensitive linkages present in the polymer.
- this acid preferably has a pK a less than about 0.
- Known superacid precursors such as diazonium, sulfonium, phosphonium and iodonium salts may be used in the present medium, but iodonium salts are generally preferred.
- Diaryliodonium salts have been found to perform well in the present media, with a specific preferred diaryliodonium salt being (4-octyloxyphenyl)phenyliodonium hexafluoroantimonate. Triarylsulfonium salts have also given good results in the present process, a specific preferred material of this type being that sold under the tradename Cyracure UVI-6974 by Union Carbide Corporation, Danbury Conn.
- ferrocenium salts have been found to give good results in the present media, a specific preferred ferrocenium salt being cyclopentadienyl cumene iron(II) hexafluorophosphate, available commercially under the tradename Irgacure 261 from Ciba-Geigy Corporation, 7 Skyline Drive, Hawthorne N.Y. 10532-2188.
- This material has the advantage of being sensitive to 476 or 488 nm visible radiation without any sensitizer, and can be sensitized to other visible wavelengths.
- iodonium salts are typically only sensitive to radiation in the far ultra-violet region, below about 300 nm, and the use of far ultra-violet radiation is inconvenient for the production of holograms because for a given level of performance ultra-violet lasers are substantially more expensive than visible lasers.
- iodonium salts can be made sensitive to various wavelengths of actinic radiation to which the salts are not substantially sensitive in the absence of the sensitizer.
- iodonium salts can be sensitized to visible radiation with sensitizers using certain aromatic hydrocarbons substituted with at least two alkynyl groups, specific preferred sensitizers of this type being 5,12-bis(phenylethynyl)-naphthacene and 9,10-bis(phenylethynyl)anthracene.
- the former renders iodonium salts sensitive to the 514 nm radiation from an argon ion laser, and to the 532 nm radiation from a frequency-doubled YAG laser, while the latter renders iodonium salts sensitive to 476 nm blue light from an argon laser; all of these lasers are convenient sources for the production of holograms.
- 5,12-Bis(phenylethynyl)naphthacene also sensitizes ferrocenium salts to the same wavelengths, and has the advantage that it is photobleachable, so that the visible absorption of the holographic medium decreases during the exposure, thus helping to produce a low minimum optical density (D min ) in the hologram.
- the sensitivity of the holographic recording material may be increased by incorporating therein a secondary acid generator, as described in U.S. Pat. Nos. 5,453,345; 5,441,850 and 5,286,612.
- the secondary acid generator can be decomposed by the acid (called the “primary acid”) formed by the acid generator; this decomposition of the secondary acid generator generates a secondary acid which can itself cause cleavage of the acid-sensitive linking groups.
- the primary acid can cause the generation of a considerable number of moles (typically about 20 moles) of secondary acid.
- the resulting “amplification” of the primary acid by the secondary acid generator results in a greatly increased concentration of acid in the medium during imaging, and hence increases the sensitivity of the medium.
- the preferred type of polymer for use in the present medium comprises a main chain, and a plurality of side chains attached to the main chain; conveniently the main chain is a polymethylene or alkyl-substituted polymethylene, as produced by polymerization of monomers containing vinyl or methylvinyl groups, or a polysiloxane chain (polymers of this type may be prepared by hydrosilylation of a polyhydrosiloxane with the appropriate monomers).
- Each of the side chains comprises one of the acid-sensitive linking groups and at least one high or low refractive index moiety on the opposed side of the acid-sensitive linking group from the main chain.
- the high or low refractive index moiety in the side chain on the “outboard” side of the linking group will become detached from the main chain.
- the low or high refractive index moieties which are not to be lost as a result of the cleavage of the linking group may be disposed within the main chain itself, in side chains which are different from those containing the moieties to be lost and which do not contain acid-sensitive linking groups, or within the side chains containing the moieties to be lost but between the main chain and the linking group, so that they are not lost when the linking group is cleaved.
- the polymers may contain more than one type of high and low refractive index moiety, and if such a case, the moieties which are not lost may occupy more than one of the aforementioned positions.
- cleavage of the acid-sensitive linking groups in the polymer used in the present media may liberate either the high or the low refractive index moieties.
- the preferred high refractive index moieties are aromatic nuclei (for example, phenyl and naphthyl radicals), while preferred low refractive index moieties are alkyl and cycloalkyl groups, desirably bearing one or more fluorine substituents; perfluoroalkyl groups are especially preferred.
- Dialkylsiloxane groups are also very useful as low refractive index moieties in the present polymers.
- Preferred acid-sensitive linking groups are ester (—C( ⁇ O)—O—) linkages which fragment to stable carbocations, oxalate (—O—C( ⁇ O)—C( ⁇ O)—O—) linkages being especially preferred.
- a linking group which cleaves so as to generate a polymerizable group for example a vinyl group.
- the resultant polymerizable group may be located either on the modified polymer remaining after the cleavage or on the moiety released by the cleavage.
- the polymerizable groups thus generated within the exposed holographic recording medium by cleavage of the linking groups can, after the holographic exposure, be subjected to conditions effective to cause polymerization of the polymerizable groups, thus cross-linking the modified polymer remaining, or polymerizing the released moiety, and in either case increasing the stability of the hologram.
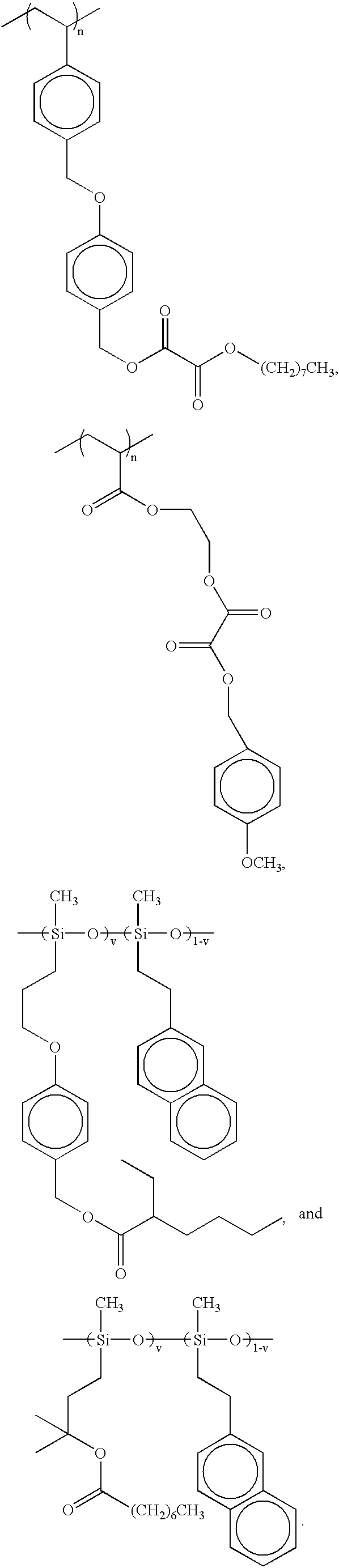
- FIGS. 1-9 of the accompanying drawings Specific preferred polymers are illustrated in FIGS. 1-9 of the accompanying drawings.
- the polymer shown in FIG. 1 comprises a polymethylene main chain bearing two different types of side chains, generally designated A and B respectively.
- Side chain A comprises simply a ⁇ -naphthyl group, which serves as one of the high refractive index moieties of the polymer.
- Side chain B comprises, in sequence outward from the main chain (a) a 4-((4-ethylphenoxy)methyl)phenyl group, which serves as a second high refractive index moiety; (b) an ester linking group attached to the a-carbon atom of the ethyl group; and (c) a perfluoropropyl group attached to the carbonyl group of the ester linking group and serving as the low refractive index moiety of the polymer.
- a 4-((4-ethylphenoxy)methyl)phenyl group which serves as a second high refractive index moiety
- an ester linking group attached to the a-carbon atom of the ethyl group
- a perfluoropropyl group attached to the carbonyl group of the ester linking group and serving as the low refractive index moiety of the polymer.
- x is preferably less than 0.5 and is desirably about 0.2.
- the polymer shown in FIG. 2 is very similar to that shown in FIG. 1 but the 4-((4-ethylphenoxy)methyl)phenyl group present in the polymer of FIG. 1 is replaced by a tolyl group to produce a side chain generally designated B′.
- the polymer of FIG. 2 cleaves to form a benzylic cation that cannot directly eliminate to a vinyl group as can the polymer of FIG. 1 .
- this benzylic cation may react with a nucleophile or an aromatic ring to release a proton, thereby continuing the catalytic cycle releasing low refractive index moieties. If this benzylic cation reacts with an aromatic ring attached to another polymer chain, the modified polymer will become crosslinked and the resulting hologram will be stabilized.
- y is preferably less than 0.5 and is desirably about 0.3.
- the polymer shown in FIG. 3 has the same side chain B′ as that shown in FIG. 2, but the naphthyl side chain A present in the polymers of FIGS. 1 and 2 is replaced by a side chain (generally designated C) comprising an ester linking group and a butyl group attached to the ester linking group.
- This butyl group serves to lower the glass transition temperature (T g ) of the polymer and thus makes it easier to form the thin films of the polymer required for hologram formation.
- T g glass transition temperature
- the polymer shown in FIG. 3 has one low refractive index moiety (the perfluoropropyl group of side chain B′) and one high refractive index group (the tolyl group of side chain B′).
- the ester linkage of side chain B′ cleaves and the low refractive index perfluoropropyl moiety is lost.
- the FIG. 3 polymer also differs from the FIG. 1 and FIG. 2 polymers in that its main chain is methyl-substituted on the carbon atoms bearing side chains C.
- z is preferably about 0.5.
- the FIG. 4 polymer is effectively a hybrid of the FIG. 1 and FIG. 3 polymers having the side chain C and methyl-substituted main chain of the FIG. 3 polymer and the side chain B of the FIG. 1 polymer.
- this polymer has a relatively low T g , and upon cleavages produces vinyl groups which can be polymerized to stabilize the hologram in the same way as in the FIG. 1 polymer described above.
- the FIG. 5 polymer is in effect a modified version of the FIG. 2 polymer with the naphthyl side chain A replaced with a phenyl side chain (designated A′) and the side chain B′ of the FIG. 2 polymer further modified by the substitution of two methyl groups on the carbon atom adjacent to the phenyl group to give a side chain designated B′′.
- the FIG. 5 polymer will lose perfluorobutyric acid to produce methylvinyl groups attached to the benzene ring of side chain B′′, thereby enabling the hologram to be stabilized by cross-linking in the same way as already described for the FIG. 1 and FIG. 4 polymers.
- w is preferably less than 0.5 and is desirably about 0.4.
- the FIG. 6 polymer differs from those previously discussed in that it has only one type of side chain.
- This side chain comprises, in sequence outward from the main chain (a) a 4-((4-methylphenoxy)methyl)phenyl group, which serves as the high refractive index moiety; (b) an oxalate (—O—C( ⁇ O)—C( ⁇ O)—O—) linking group attached to the group (a); and (c) an octyl group attached to the outboard end of the oxalate linking group and serving as the low refractive index moiety of the polymer.
- a strong acid Upon treatment of this polymer with a strong acid, the polymer is cleaved at the point indicated by the broken line in FIG. 6 and the octyl low refractive index moiety is lost, while the high refractive index moiety remains attached to the main chain.
- the polymer shown in FIG. 7 also only has a single type of side chain, which comprises (a) an ester linkage and a dimethylene group which together form a low refractive index moiety (the polymethylene main chain of the polymer also acts as a low refractive index moiety); (b) an oxalate linking group attached to the group (a); and (c) a 4-methoxybenzyl group attached to the outboard end of the oxalate linking group and serving as the high refractive index moiety of the polymer.
- This polymer cleaves at the point indicated by the broken line in FIG. 7, with loss of the high refractive index moiety and formation of a polymer of reduced refractive index.
- FIGS. 8 and 9 of the accompanying drawings illustrate preferred polymers having polysiloxane main chains.
- the polymer shown in FIG. 8 has a first side chain D which comprises a 2-naphthylethyl group, which serves as the high refractive index moiety of the polymer, and a second side chain E.
- This second side chain E comprises, in sequence outward from the main chain (a) a 3-(p-tolyloxy)-propyl group; (b) an ester linking group attached to the p-methyl carbon atom of the tolyloxy group; and (c) a 1-ethylpentyl group attached to the carbonyl group of the ester linking group and serving as the low refractive index moiety of the polymer.
- the polymer shown in FIG. 9 has the same polysiloxane main chain and first side chain D as the FIG. 8 polymer.
- the second side chain F comprises (a) a 3,3-dimethylpropyl group; (b) an ester linking group attached to the 3-carbon atom of the propyl group; and (c) a heptyl group attached to the carbonyl group of the ester linking group and serving as the low refractive index moiety of the polymer.
- the ester linkage in side chain F is cleaved, with loss of octanoic acid, and formation of a positive charge on the 3-carbon atom of the propyl group.
- the resultant carbocation is unstable, and loses a proton, thereby converting side chain F to a 3-methylbut-1-enyl group, in the same manner as previously discussed for the FIG. 1 and FIG. 4 polymers.
- the polymers shown in FIGS. 1-9 can readily be synthesized by conventional methods well known to skilled polymer chemists.
- the polymers of FIGS. 1-5 are prepared by reacting the corresponding “hydroxy functional” polymers (i.e., the corresponding polymers in which the perfluorobutanoic acid moiety is replaced by a hydroxyl group) with perfluorobutanoic anhydride.
- the hydroxy functional polymers themselves are prepared by copolymerizing the corresponding hydroxy functional styrene derivative with styrene (FIG. 5 polymer), 2-vinylnaphthalene (FIGS. 1 and 2 polymers) or butyl methacrylate (FIGS. 3 and 4 polymers).
- the polysiloxanes of FIGS. 8 and 9 can be synthesized by hydrosilylating the corresponding poly(methylhydrosiloxane) with a mixture of the monomers needed to form the side chains, preferably using a Pt(0) catalyst.
- the polymers shown in FIGS. 1-7 were separately dissolved in tetrahydrofuran (THF), together with from 3 to 5 percent of diphenyliodonium hexafluoroantimonate (a photoacid generator) and 1.5 to 2 percent of 9,10-bis(phenylethynyl)anthracene sensitizer (the stated percentages are by weight, based upon the weight of the polymer).
- the concentration of the polymer in the THF was 5 to 10 percent w/v.
- similar THF solutions were prepared containing polystyrene (with the acid generator and sensitizer) and with the FIG. 2 and FIG. 4 polymers (without the acid generator and sensitizer).
- the resultant THF solutions were coated under red light on to clean glass slides and dried to give films having thicknesses of from 2 to 20 ⁇ m; in some cases, multiple coatings were necessary to give a film of the proper thickness.
- the red light was required since the combination of acid generator and sensitizer used is not sensitive to red light but is sensitive to other visible wavelengths.
- the slides were either kept at 65° C. briefly or dried overnight in a nitrogen purged storage box to remove any residual THF. Thereafter, the slides were kept in the dark until their holographic exposure.
- Holographic exposure was effected by exposing the coated slides to interference fringes formed between two coherent beams from a blue, 476 nm argon laser at a power density of approximately 1 mW cm ⁇ 2 .
- a 633 nm beam from a helium/neon laser was passed at the Bragg angle through the exposed section of the film, and the first order diffraction of this beam was monitored.
- the exposure period of from 1 to 5 minutes necessary for formation of a hologram is indicated in Table 1 below. In the cases of polymers having glass transition temperatures substantially above ambient temperature, brief baking at 70° C. was necessary after exposure for observation of the hologram pattern, and Table 1 indicates in each case whether such baking was required.
- the polymers shown in FIGS. 8 and 9 were separately dissolved in dichloromethane, together with 4 or 5 percent of diphenyliodonium hexafluoroantimonate (a photoacid generator) and 0.2 percent of 5,12-bis(phenylethynyl)naphthacene sensitizer (the stated percentages are by weight, based upon the weight of the polymer).
- the concentration of the polymer in the dichloromethane was 50 percent w/v.
- the solution was then flushed with a gentle stream of argon to remove the dichloromethane.
- Table 2 The exact compositions used are shown in Table 2 below.
- the resultant polymer samples were placed between two glass plates separated by a 50 ⁇ m polytetrafluoroethylene spacer, this operation being conducted under red light. (The red light was required since the combination of acid generator and sensitizer used is not sensitive to red light but is sensitive to other visible wavelengths.) Thereafter, the plates were kept in the dark until their holographic exposure.
- Holographic exposure was effected by exposing the coated plates to interference fringes formed between two coherent beams from a green, 514 nm argon ion laser at a power density of 9.3 mW/cm 2 .
- a 633 nm beam from a helium/neon laser was passed at the Bragg angle through the exposed section of the film, and the first order diffraction of this beam was monitored.
- formation of a hologram was evident after 10 seconds exposure, and the holographic efficiency increased with sure time; no heating of the films was needed to produce observable holograms.
Landscapes
- Physics & Mathematics (AREA)
- General Physics & Mathematics (AREA)
- Spectroscopy & Molecular Physics (AREA)
- Holo Graphy (AREA)
Abstract
Description
| TABLE 1 | ||||
| Polymer | Acid generator, | Exposure time, | ||
| of FIG. | % | Sensitizer, % | min. | Baked |
| 1 | 5 | 2 | 4 | |
| 1 | 3 | 1.5 | 5 | Yes |
| 2 | 4 | 2 | 5 | Yes |
| 3 | 5 | 2 | 5 | No |
| 3 | 4 | 2 | 5 | No |
| 4 | 5 | 1.5 | 2 | No |
| 5 | 4 | 1.5 | 3 | Yes |
| 6 | 5 | 2 | 2 | No |
| 7 | 5 | 2 | 1 | No |
| TABLE 2 | |||
| Acid generator, | Exposure time, | ||
| Polymer of FIG. | % | Sensitizer, % | sec. |
| 8 | 4 | 0.2 | 10 |
| 9 | 5 | 0.2 | 10 |
Claims (2)
Priority Applications (5)
| Application Number | Priority Date | Filing Date | Title |
|---|---|---|---|
| US08/649,823 US6489065B1 (en) | 1996-05-17 | 1996-05-17 | Holographic medium and process for use thereof |
| JP54248897A JP3727070B2 (en) | 1996-05-17 | 1997-05-13 | Holographic media and process |
| PCT/US1997/008046 WO1997044714A1 (en) | 1996-05-17 | 1997-05-13 | Holographic medium and process |
| EP97925537A EP0898735B1 (en) | 1996-05-17 | 1997-05-13 | Holographic medium and process |
| DE69729637T DE69729637T2 (en) | 1996-05-17 | 1997-05-13 | HOLOGRAPHIC MEDIUM AND METHOD |
Applications Claiming Priority (1)
| Application Number | Priority Date | Filing Date | Title |
|---|---|---|---|
| US08/649,823 US6489065B1 (en) | 1996-05-17 | 1996-05-17 | Holographic medium and process for use thereof |
Publications (1)
| Publication Number | Publication Date |
|---|---|
| US6489065B1 true US6489065B1 (en) | 2002-12-03 |
Family
ID=24606363
Family Applications (1)
| Application Number | Title | Priority Date | Filing Date |
|---|---|---|---|
| US08/649,823 Expired - Lifetime US6489065B1 (en) | 1996-05-17 | 1996-05-17 | Holographic medium and process for use thereof |
Country Status (5)
| Country | Link |
|---|---|
| US (1) | US6489065B1 (en) |
| EP (1) | EP0898735B1 (en) |
| JP (1) | JP3727070B2 (en) |
| DE (1) | DE69729637T2 (en) |
| WO (1) | WO1997044714A1 (en) |
Cited By (11)
| Publication number | Priority date | Publication date | Assignee | Title |
|---|---|---|---|---|
| US20050026079A1 (en) * | 2003-06-18 | 2005-02-03 | Naoko Kihara | Recording medium |
| US20050103762A1 (en) * | 2003-11-17 | 2005-05-19 | Igor Troitski | Method and laser-computer system for producing laser-induced holograms |
| US20060199081A1 (en) * | 2005-03-04 | 2006-09-07 | General Electric Company | Holographic storage medium, article and method |
| US20060251989A1 (en) * | 2005-05-09 | 2006-11-09 | International Business Machines Corporation | Photoresists for visible light imaging |
| US20070092804A1 (en) * | 2005-10-18 | 2007-04-26 | Kolb Eric S | Photopolymerizable medium comprising siloxane compounds that support cationic polymerization for holographic storage |
| US20070166625A1 (en) * | 2006-01-18 | 2007-07-19 | Inphase Technologies, Inc. | Latent holographic media and method |
| US20090082580A1 (en) * | 2007-09-25 | 2009-03-26 | General Electric Company | Compositions and methods for storing holographic data |
| US20090081560A1 (en) * | 2007-09-25 | 2009-03-26 | General Electric Company | Compositions and methods for storing holographic data |
| US20100039684A1 (en) * | 2006-08-12 | 2010-02-18 | Kolb Eric S | Sensitizer dyes for photoacid generating systems using short visible wavelengths |
| US20100105844A1 (en) * | 2006-04-11 | 2010-04-29 | Kai Su | Composition Including A Siloxane And A Method Of Forming A The Same |
| US9703195B2 (en) | 2013-03-22 | 2017-07-11 | Jsr Corporation | Radiation-sensitive resin composition, resist pattern-forming method, polymer, and method for producing compound |
Families Citing this family (19)
| Publication number | Priority date | Publication date | Assignee | Title |
|---|---|---|---|---|
| US6124076A (en) * | 1998-07-01 | 2000-09-26 | Lucent Technologies Inc. | Material exhibiting compensation for polymerization-induced shrinkage and recording medium formed therefrom |
| US6322933B1 (en) | 1999-01-12 | 2001-11-27 | Siros Technologies, Inc. | Volumetric track definition for data storage media used to record data by selective alteration of a format hologram |
| US6322931B1 (en) | 1999-07-29 | 2001-11-27 | Siros Technologies, Inc. | Method and apparatus for optical data storage using non-linear heating by excited state absorption for the alteration of pre-formatted holographic gratings |
| US6512606B1 (en) | 1999-07-29 | 2003-01-28 | Siros Technologies, Inc. | Optical storage media and method for optical data storage via local changes in reflectivity of a format grating |
| US6310850B1 (en) | 1999-07-29 | 2001-10-30 | Siros Technologies, Inc. | Method and apparatus for optical data storage and/or retrieval by selective alteration of a holographic storage medium |
| RU2239859C2 (en) * | 2000-08-29 | 2004-11-10 | Джей Эс Эр КОРПОРЕЙШН | Composition sensitive to radiation with varying refraction coefficient and method for altering refraction coefficient |
| CN1273869C (en) * | 2000-08-29 | 2006-09-06 | 捷时雅株式会社 | Composition having refractive index sensitively changealbe by radiation and method for forming refractive index pattern |
| RU2272054C2 (en) * | 2000-12-11 | 2006-03-20 | Джей Эс Эр КОРПОРЕЙШН | Emission-sensitive composition with variable refractory index and a method for varying refractory index |
| WO2002048264A1 (en) * | 2000-12-11 | 2002-06-20 | Jsr Corporation | Radiation-sensitive composition changing in refractive index and method of changing refractive index |
| EP1375597A4 (en) * | 2001-03-13 | 2004-05-26 | Jsr Corp | Radiation-sensitive composition changing in refractive index and utilization thereof |
| JP2003043682A (en) * | 2001-08-01 | 2003-02-13 | Jsr Corp | Radiation-sensitive dielectric constant changing composition, dielectric constant changing method |
| WO2004059389A2 (en) * | 2002-12-23 | 2004-07-15 | Aprilis, Inc. | Sensitizer dyes for photoacid generating systems |
| CN101308229B (en) * | 2003-11-21 | 2010-11-17 | 住友电木株式会社 | Optical waveguides and forming methods thereof |
| JP2006195009A (en) | 2005-01-11 | 2006-07-27 | Fuji Photo Film Co Ltd | Hologram recording method, hologram recording device and hologram recording medium |
| JP2006301171A (en) | 2005-04-19 | 2006-11-02 | Fuji Photo Film Co Ltd | Optical recording medium, its manufacturing method, method of recording and reproducing the same |
| JP4373383B2 (en) | 2005-08-24 | 2009-11-25 | 富士フイルム株式会社 | Optical recording method, optical recording apparatus, optical recording medium, and optical recording / reproducing method |
| JP2007072192A (en) | 2005-09-07 | 2007-03-22 | Fujifilm Corp | Optical recording medium and manufacturing method thereof |
| AU2013314269B2 (en) | 2012-09-17 | 2017-07-06 | Basf Se | Security elements and method for their manufacture |
| JP2019032350A (en) * | 2015-12-24 | 2019-02-28 | コニカミノルタ株式会社 | Photosensitive composition for manufacturing volume hologram, manufacturing method of volume hologram, volume hologram, and holographic optical element |
Citations (12)
| Publication number | Priority date | Publication date | Assignee | Title |
|---|---|---|---|---|
| US4959284A (en) * | 1988-12-29 | 1990-09-25 | E. I. Du Pont De Nemours And Company | Holographic photopolymer compositions and elements containing a ring-opening monomer |
| US4970129A (en) * | 1986-12-19 | 1990-11-13 | Polaroid Corporation | Holograms |
| JPH03118591A (en) * | 1989-09-30 | 1991-05-21 | Toppan Printing Co Ltd | How to make holograms |
| US5055439A (en) * | 1989-12-27 | 1991-10-08 | International Business Machines Corporation | Photoacid generating composition and sensitizer therefor |
| EP0487086A1 (en) * | 1990-11-22 | 1992-05-27 | Canon Kabushiki Kaisha | Photosensitive recording medium and method of preparing volume type phase hologram member using same |
| EP0517122A2 (en) | 1991-06-03 | 1992-12-09 | E.I. Du Pont De Nemours And Company | Method for making high efficiency volume phase holograms |
| US5286612A (en) | 1992-10-23 | 1994-02-15 | Polaroid Corporation | Process for generation of free superacid and for imaging, and imaging medium for use therein |
| EP0620501A2 (en) | 1993-04-12 | 1994-10-19 | Nippon Paint Co., Ltd. | Photosensitive composition for volume hologram recording |
| US5441850A (en) | 1994-04-25 | 1995-08-15 | Polaroid Corporation | Imaging medium and process for producing an image |
| US5527659A (en) * | 1992-05-06 | 1996-06-18 | Kyowa Hakko Kogyo Co., Ltd. | Chemical amplification resist composition containing photochemical acid generator, binder and squarylium compound |
| WO1997013183A1 (en) | 1995-10-06 | 1997-04-10 | Polaroid Corporation | Holographic medium and process |
| EP0697631B1 (en) | 1994-07-29 | 1998-06-10 | Toppan Printing Co., Ltd. | Photosensitive recording material, photosensitive recording medium, and process for producing hologram using this photosensitive recording medium |
Family Cites Families (1)
| Publication number | Priority date | Publication date | Assignee | Title |
|---|---|---|---|---|
| JP3006873B2 (en) * | 1990-11-14 | 2000-02-07 | 大日本印刷株式会社 | Photocurable composition for PS plate or hologram recording material |
-
1996
- 1996-05-17 US US08/649,823 patent/US6489065B1/en not_active Expired - Lifetime
-
1997
- 1997-05-13 WO PCT/US1997/008046 patent/WO1997044714A1/en not_active Ceased
- 1997-05-13 JP JP54248897A patent/JP3727070B2/en not_active Expired - Fee Related
- 1997-05-13 DE DE69729637T patent/DE69729637T2/en not_active Expired - Lifetime
- 1997-05-13 EP EP97925537A patent/EP0898735B1/en not_active Expired - Lifetime
Patent Citations (13)
| Publication number | Priority date | Publication date | Assignee | Title |
|---|---|---|---|---|
| US4970129A (en) * | 1986-12-19 | 1990-11-13 | Polaroid Corporation | Holograms |
| US4959284A (en) * | 1988-12-29 | 1990-09-25 | E. I. Du Pont De Nemours And Company | Holographic photopolymer compositions and elements containing a ring-opening monomer |
| JPH03118591A (en) * | 1989-09-30 | 1991-05-21 | Toppan Printing Co Ltd | How to make holograms |
| US5055439A (en) * | 1989-12-27 | 1991-10-08 | International Business Machines Corporation | Photoacid generating composition and sensitizer therefor |
| EP0487086A1 (en) * | 1990-11-22 | 1992-05-27 | Canon Kabushiki Kaisha | Photosensitive recording medium and method of preparing volume type phase hologram member using same |
| EP0517122A2 (en) | 1991-06-03 | 1992-12-09 | E.I. Du Pont De Nemours And Company | Method for making high efficiency volume phase holograms |
| US5527659A (en) * | 1992-05-06 | 1996-06-18 | Kyowa Hakko Kogyo Co., Ltd. | Chemical amplification resist composition containing photochemical acid generator, binder and squarylium compound |
| US5286612A (en) | 1992-10-23 | 1994-02-15 | Polaroid Corporation | Process for generation of free superacid and for imaging, and imaging medium for use therein |
| US5453345A (en) | 1992-10-23 | 1995-09-26 | Polaroid Corporation | Imaging medium |
| EP0620501A2 (en) | 1993-04-12 | 1994-10-19 | Nippon Paint Co., Ltd. | Photosensitive composition for volume hologram recording |
| US5441850A (en) | 1994-04-25 | 1995-08-15 | Polaroid Corporation | Imaging medium and process for producing an image |
| EP0697631B1 (en) | 1994-07-29 | 1998-06-10 | Toppan Printing Co., Ltd. | Photosensitive recording material, photosensitive recording medium, and process for producing hologram using this photosensitive recording medium |
| WO1997013183A1 (en) | 1995-10-06 | 1997-04-10 | Polaroid Corporation | Holographic medium and process |
Non-Patent Citations (1)
| Title |
|---|
| Patent Abstracts of Japan, Abstract 04-178,648, Published 6/92. |
Cited By (20)
| Publication number | Priority date | Publication date | Assignee | Title |
|---|---|---|---|---|
| US20050026079A1 (en) * | 2003-06-18 | 2005-02-03 | Naoko Kihara | Recording medium |
| US7270916B2 (en) * | 2003-06-18 | 2007-09-18 | Kabushiki Kaisha Toshiba | Recording medium |
| US20050103762A1 (en) * | 2003-11-17 | 2005-05-19 | Igor Troitski | Method and laser-computer system for producing laser-induced holograms |
| US6946619B2 (en) | 2003-11-17 | 2005-09-20 | Troitski | Method and laser-computer system for producing laser-induced holograms |
| US20060199081A1 (en) * | 2005-03-04 | 2006-09-07 | General Electric Company | Holographic storage medium, article and method |
| US20080166669A1 (en) * | 2005-05-09 | 2008-07-10 | International Business Machines Corporation | Photoresists for Visible Light Imaging |
| US20060251989A1 (en) * | 2005-05-09 | 2006-11-09 | International Business Machines Corporation | Photoresists for visible light imaging |
| US7807340B2 (en) * | 2005-05-09 | 2010-10-05 | International Business Machines Corporation | Photoresists for visible light imaging |
| US7354692B2 (en) * | 2005-05-09 | 2008-04-08 | International Business Machines Corporation | Photoresists for visible light imaging |
| US20070092804A1 (en) * | 2005-10-18 | 2007-04-26 | Kolb Eric S | Photopolymerizable medium comprising siloxane compounds that support cationic polymerization for holographic storage |
| US7678507B2 (en) * | 2006-01-18 | 2010-03-16 | Inphase Technologies, Inc. | Latent holographic media and method |
| US20070166625A1 (en) * | 2006-01-18 | 2007-07-19 | Inphase Technologies, Inc. | Latent holographic media and method |
| US20100105844A1 (en) * | 2006-04-11 | 2010-04-29 | Kai Su | Composition Including A Siloxane And A Method Of Forming A The Same |
| US8222364B2 (en) * | 2006-04-11 | 2012-07-17 | Dow Corning Corporation | Composition including a siloxane and a method of forming the same |
| US20100039684A1 (en) * | 2006-08-12 | 2010-02-18 | Kolb Eric S | Sensitizer dyes for photoacid generating systems using short visible wavelengths |
| US20090082580A1 (en) * | 2007-09-25 | 2009-03-26 | General Electric Company | Compositions and methods for storing holographic data |
| US20090081560A1 (en) * | 2007-09-25 | 2009-03-26 | General Electric Company | Compositions and methods for storing holographic data |
| US7901839B2 (en) | 2007-09-25 | 2011-03-08 | General Electric Company | Compositions and methods for storing holographic data |
| US7989488B2 (en) | 2007-09-25 | 2011-08-02 | General Electric Company | Compositions and methods for storing holographic data |
| US9703195B2 (en) | 2013-03-22 | 2017-07-11 | Jsr Corporation | Radiation-sensitive resin composition, resist pattern-forming method, polymer, and method for producing compound |
Also Published As
| Publication number | Publication date |
|---|---|
| DE69729637D1 (en) | 2004-07-29 |
| JP2000511302A (en) | 2000-08-29 |
| EP0898735A1 (en) | 1999-03-03 |
| EP0898735B1 (en) | 2004-06-23 |
| DE69729637T2 (en) | 2005-06-23 |
| WO1997044714A1 (en) | 1997-11-27 |
| JP3727070B2 (en) | 2005-12-14 |
Similar Documents
| Publication | Publication Date | Title |
|---|---|---|
| US6489065B1 (en) | Holographic medium and process for use thereof | |
| US5759721A (en) | Holographic medium and process for use thereof | |
| US5665494A (en) | Photosensitive composition for volume hologram recording | |
| JP4155771B2 (en) | Photosensitive composition for volume hologram recording and photosensitive medium for volume hologram recording using the same | |
| EP1029258B1 (en) | Holographic medium and process | |
| US6221536B1 (en) | Material exhibiting compensation for polymerization-induced shrinkage and recording medium formed therefrom | |
| EP0487086B2 (en) | Method of preparing volume type phase hologram member using a photosensitive recording medium | |
| WO2008021208A2 (en) | Sensitizer dyes for photoacid generating systems using short visible wavelengths | |
| JP4365494B2 (en) | Photosensitive composition for volume hologram recording and hologram obtained therefrom | |
| JP4325404B2 (en) | Photopolymer composition for hologram recording material, hologram recording medium and method for producing the same | |
| JPH08101501A (en) | Photosensitive composition for three-dimensional hologram recording, recording medium using that and forming method of three-dimensional hologram | |
| JPH08101503A (en) | Photosensitive composition for three-dimensional hologram recording, recording medium using that and forming method of three-dimensional hologram | |
| JP3532621B2 (en) | Photosensitive composition for volume hologram recording, recording medium using the same, and method for forming volume hologram | |
| JPH08101502A (en) | Photosensitive composition for three-dimensional hologram recording, recording medium using that and forming method of three-dimensional hologram | |
| JPH05210343A (en) | Hologram forming material and method of manufacturing hologram | |
| JPH06230224A (en) | Element for volume transmission hologram record | |
| JP2005140852A (en) | Photosensitive composition for volume hologram recording and method for producing volume hologram recording medium using the same | |
| JP2896461B2 (en) | Hologram manufacturing method | |
| JPH0432391B2 (en) | ||
| JPH03229287A (en) | Hologram recording material | |
| JPH05257416A (en) | Composition for hologram material and production of hologram | |
| JPH08101627A (en) | Photosensitive composition for volumetric hologram recording, recording medium formed by using the same, and formation of volumetric hologram | |
| JPS6261959B2 (en) | ||
| JPH0816783B2 (en) | Visible light recording material | |
| JPH02123388A (en) | Hologram recording material |
Legal Events
| Date | Code | Title | Description |
|---|---|---|---|
| AS | Assignment |
Owner name: POLAROID CORPORATION, MASSACHUSETTS Free format text: ASSIGNMENT OF ASSIGNORS INTEREST;ASSIGNORS:DHAL, PRADEEP K.;MINNS, RICHARD A.;KOLB, ERIC S.;REEL/FRAME:008007/0985 Effective date: 19960517 |
|
| AS | Assignment |
Owner name: MORGAN GUARANTY TRUST COMPANY OF NEW YORK AS COLLATERAL AGENT, DELAWARE Free format text: SUPPLEMENTAL SECURITY AGREEMENT;ASSIGNOR:POLAROID CORPORATION;REEL/FRAME:011806/0101 Effective date: 20010321 Owner name: MORGAN GUARANTY TRUST COMPANY OF NEW YORK AS COLLA Free format text: SUPPLEMENTAL SECURITY AGREEMENT;ASSIGNOR:POLAROID CORPORATION;REEL/FRAME:011806/0101 Effective date: 20010321 |
|
| STCF | Information on status: patent grant |
Free format text: PATENTED CASE |
|
| AS | Assignment |
Owner name: OEP IMAGINIG OPERATING CORPORATION, NEW YORK Free format text: ASSIGNMENT OF ASSIGNORS INTEREST;ASSIGNOR:POLAROID CORPORATION;REEL/FRAME:016427/0144 Effective date: 20020731 Owner name: POLAROID CORPORATION, NEW YORK Free format text: CHANGE OF NAME;ASSIGNOR:OEP IMAGING OPERATING CORPORATION;REEL/FRAME:016470/0006 Effective date: 20020801 Owner name: OEP IMAGINIG OPERATING CORPORATION,NEW YORK Free format text: ASSIGNMENT OF ASSIGNORS INTEREST;ASSIGNOR:POLAROID CORPORATION;REEL/FRAME:016427/0144 Effective date: 20020731 Owner name: POLAROID CORPORATION,NEW YORK Free format text: CHANGE OF NAME;ASSIGNOR:OEP IMAGING OPERATING CORPORATION;REEL/FRAME:016470/0006 Effective date: 20020801 |
|
| AS | Assignment |
Owner name: WILMINGTON TRUST COMPANY, AS COLLATERAL AGENT, DEL Free format text: ASSIGNMENT OF ASSIGNORS INTEREST;ASSIGNORS:POLAROLD HOLDING COMPANY;POLAROID CORPORATION;POLAROID ASIA PACIFIC LLC;AND OTHERS;REEL/FRAME:016602/0332 Effective date: 20050428 Owner name: JPMORGAN CHASE BANK,N.A,AS ADMINISTRATIVE AGENT, W Free format text: SECURITY INTEREST;ASSIGNORS:POLAROID HOLDING COMPANY;POLAROID CORPORATION;POLAROID ASIA PACIFIC LLC;AND OTHERS;REEL/FRAME:016602/0603 Effective date: 20050428 Owner name: WILMINGTON TRUST COMPANY, AS COLLATERAL AGENT,DELA Free format text: SECURITY AGREEMENT;ASSIGNORS:POLAROLD HOLDING COMPANY;POLAROID CORPORATION;POLAROID ASIA PACIFIC LLC;AND OTHERS;REEL/FRAME:016602/0332 Effective date: 20050428 Owner name: JPMORGAN CHASE BANK,N.A,AS ADMINISTRATIVE AGENT,WI Free format text: SECURITY INTEREST;ASSIGNORS:POLAROID HOLDING COMPANY;POLAROID CORPORATION;POLAROID ASIA PACIFIC LLC;AND OTHERS;REEL/FRAME:016602/0603 Effective date: 20050428 Owner name: WILMINGTON TRUST COMPANY, AS COLLATERAL AGENT, DEL Free format text: SECURITY AGREEMENT;ASSIGNORS:POLAROLD HOLDING COMPANY;POLAROID CORPORATION;POLAROID ASIA PACIFIC LLC;AND OTHERS;REEL/FRAME:016602/0332 Effective date: 20050428 |
|
| AS | Assignment |
Owner name: POLAROID CORPORATION (F/K/A OEP IMAGING OPERATING Free format text: U.S. BANKRUPTCY COURT DISTRICT OF DELAWARE ORDER AUTHORIZING RELEASE OF ALL LIENS;ASSIGNOR:JPMORGAN CHASE BANK, N.A. (F/K/A MORGAN GUARANTY TRUST COMPANY OF NEW YORK);REEL/FRAME:016621/0377 Effective date: 20020418 Owner name: POLAROID CORPORATION (F/K/A OEP IMAGING OPERATING COMPANY), MASSACHUSETTS Free format text: U.S. BANKRUPTCY COURT DISTRICT OF DELAWARE ORDER AUTHORIZING RELEASE OF ALL LIENS;ASSIGNOR:JPMORGAN CHASE BANK, N.A. (F/K/A MORGAN GUARANTY TRUST COMPANY OF NEW YORK);REEL/FRAME:016621/0377 Effective date: 20020418 |
|
| AS | Assignment |
Owner name: DOW CORNING ENTERPRISES, INC. AS COLLATERAL AGENT, Free format text: THIRD AMENDED AND RESTATED COLLATERAL ASSIGNMENT OF PATENTS;ASSIGNOR:APRLLIS, INC.;REEL/FRAME:017303/0484 Effective date: 20051014 |
|
| AS | Assignment |
Owner name: DOW CORNING ENTERPRISES, INC., AS COLLATERAL AGENT Free format text: THIRD AMENDED AND RESTATED COLLATERAL ASSIGNMENT OF PATENTS;ASSIGNOR:APRILIS, INC.;REEL/FRAME:017480/0292 Effective date: 20051014 |
|
| FPAY | Fee payment |
Year of fee payment: 4 |
|
| AS | Assignment |
Owner name: OEP IMAGING OPERATING CORPORATION,NEW YORK Free format text: ASSIGNMENT OF ASSIGNORS INTEREST;ASSIGNOR:POLAROID CORPORATION;REEL/FRAME:018584/0600 Effective date: 20020731 Owner name: OEP IMAGING OPERATING CORPORATION, NEW YORK Free format text: ASSIGNMENT OF ASSIGNORS INTEREST;ASSIGNOR:POLAROID CORPORATION;REEL/FRAME:018584/0600 Effective date: 20020731 |
|
| AS | Assignment |
Owner name: POLAROID CORPORATION (FMR OEP IMAGING OPERATING CO Free format text: SUPPLEMENTAL ASSIGNMENT OF PATENTS;ASSIGNOR:PRIMARY PDC, INC. (FMR POLAROID CORPORATION);REEL/FRAME:019077/0001 Effective date: 20070122 Owner name: POLAROID CORPORATION (FMR OEP IMAGING OPERATING CORP.), MASSACHUSETTS Free format text: SUPPLEMENTAL ASSIGNMENT OF PATENTS;ASSIGNOR:PRIMARY PDC, INC. (FMR POLAROID CORPORATION);REEL/FRAME:019077/0001 Effective date: 20070122 |
|
| AS | Assignment |
Owner name: DOW CORNING ENTERPRISES, INC., AS COLLATERAL AGENT Free format text: CORRECTIVE ASSINGNMENT TO DELETE ONE APPLICATON AND 13 PATENTS, PREVIOUSLY RECORDED AT REEL 017480 FRAMES 0292-0319; WITH AFFIDAVIT IN SUPPORT OF CORRECTIVE DOCUMENT.;ASSIGNOR:APRILIS, INC.;REEL/FRAME:019440/0659 Effective date: 20051014 |
|
| AS | Assignment |
Owner name: POLAROID HOLDING COMPANY, MASSACHUSETTS Free format text: RELEASE OF SECURITY INTEREST IN PATENTS;ASSIGNOR:WILMINGTON TRUST COMPANY;REEL/FRAME:019699/0512 Effective date: 20070425 Owner name: POLAROID CORPORATION, MASSACHUSETTS Free format text: RELEASE OF SECURITY INTEREST IN PATENTS;ASSIGNOR:WILMINGTON TRUST COMPANY;REEL/FRAME:019699/0512 Effective date: 20070425 Owner name: POLAROID CAPITAL LLC, MASSACHUSETTS Free format text: RELEASE OF SECURITY INTEREST IN PATENTS;ASSIGNOR:WILMINGTON TRUST COMPANY;REEL/FRAME:019699/0512 Effective date: 20070425 Owner name: POLAROID ASIA PACIFIC LLC, MASSACHUSETTS Free format text: RELEASE OF SECURITY INTEREST IN PATENTS;ASSIGNOR:WILMINGTON TRUST COMPANY;REEL/FRAME:019699/0512 Effective date: 20070425 Owner name: POLAROID EYEWEAR LLC, MASSACHUSETTS Free format text: RELEASE OF SECURITY INTEREST IN PATENTS;ASSIGNOR:WILMINGTON TRUST COMPANY;REEL/FRAME:019699/0512 Effective date: 20070425 Owner name: POLOROID INTERNATIONAL HOLDING LLC, MASSACHUSETTS Free format text: RELEASE OF SECURITY INTEREST IN PATENTS;ASSIGNOR:WILMINGTON TRUST COMPANY;REEL/FRAME:019699/0512 Effective date: 20070425 Owner name: POLAROID INVESTMENT LLC, MASSACHUSETTS Free format text: RELEASE OF SECURITY INTEREST IN PATENTS;ASSIGNOR:WILMINGTON TRUST COMPANY;REEL/FRAME:019699/0512 Effective date: 20070425 Owner name: POLAROID LATIN AMERICA I CORPORATION, MASSACHUSETT Free format text: RELEASE OF SECURITY INTEREST IN PATENTS;ASSIGNOR:WILMINGTON TRUST COMPANY;REEL/FRAME:019699/0512 Effective date: 20070425 Owner name: POLAROID NEW BEDFORD REAL ESTATE LLC, MASSACHUSETT Free format text: RELEASE OF SECURITY INTEREST IN PATENTS;ASSIGNOR:WILMINGTON TRUST COMPANY;REEL/FRAME:019699/0512 Effective date: 20070425 Owner name: POLAROID NORWOOD REAL ESTATE LLC, MASSACHUSETTS Free format text: RELEASE OF SECURITY INTEREST IN PATENTS;ASSIGNOR:WILMINGTON TRUST COMPANY;REEL/FRAME:019699/0512 Effective date: 20070425 Owner name: POLAROID WALTHAM REAL ESTATE LLC, MASSACHUSETTS Free format text: RELEASE OF SECURITY INTEREST IN PATENTS;ASSIGNOR:WILMINGTON TRUST COMPANY;REEL/FRAME:019699/0512 Effective date: 20070425 Owner name: PETTERS CONSUMER BRANDS, LLC, MASSACHUSETTS Free format text: RELEASE OF SECURITY INTEREST IN PATENTS;ASSIGNOR:WILMINGTON TRUST COMPANY;REEL/FRAME:019699/0512 Effective date: 20070425 Owner name: PETTERS CONSUMER BRANDS INTERNATIONAL, LLC, MASSAC Free format text: RELEASE OF SECURITY INTEREST IN PATENTS;ASSIGNOR:WILMINGTON TRUST COMPANY;REEL/FRAME:019699/0512 Effective date: 20070425 Owner name: ZINK INCORPORATED, MASSACHUSETTS Free format text: RELEASE OF SECURITY INTEREST IN PATENTS;ASSIGNOR:WILMINGTON TRUST COMPANY;REEL/FRAME:019699/0512 Effective date: 20070425 Owner name: POLAROID HOLDING COMPANY,MASSACHUSETTS Free format text: RELEASE OF SECURITY INTEREST IN PATENTS;ASSIGNOR:WILMINGTON TRUST COMPANY;REEL/FRAME:019699/0512 Effective date: 20070425 Owner name: POLAROID CORPORATION,MASSACHUSETTS Free format text: RELEASE OF SECURITY INTEREST IN PATENTS;ASSIGNOR:WILMINGTON TRUST COMPANY;REEL/FRAME:019699/0512 Effective date: 20070425 Owner name: POLAROID CAPITAL LLC,MASSACHUSETTS Free format text: RELEASE OF SECURITY INTEREST IN PATENTS;ASSIGNOR:WILMINGTON TRUST COMPANY;REEL/FRAME:019699/0512 Effective date: 20070425 Owner name: POLAROID ASIA PACIFIC LLC,MASSACHUSETTS Free format text: RELEASE OF SECURITY INTEREST IN PATENTS;ASSIGNOR:WILMINGTON TRUST COMPANY;REEL/FRAME:019699/0512 Effective date: 20070425 Owner name: POLAROID EYEWEAR LLC,MASSACHUSETTS Free format text: RELEASE OF SECURITY INTEREST IN PATENTS;ASSIGNOR:WILMINGTON TRUST COMPANY;REEL/FRAME:019699/0512 Effective date: 20070425 Owner name: POLOROID INTERNATIONAL HOLDING LLC,MASSACHUSETTS Free format text: RELEASE OF SECURITY INTEREST IN PATENTS;ASSIGNOR:WILMINGTON TRUST COMPANY;REEL/FRAME:019699/0512 Effective date: 20070425 Owner name: POLAROID INVESTMENT LLC,MASSACHUSETTS Free format text: RELEASE OF SECURITY INTEREST IN PATENTS;ASSIGNOR:WILMINGTON TRUST COMPANY;REEL/FRAME:019699/0512 Effective date: 20070425 Owner name: POLAROID LATIN AMERICA I CORPORATION,MASSACHUSETTS Free format text: RELEASE OF SECURITY INTEREST IN PATENTS;ASSIGNOR:WILMINGTON TRUST COMPANY;REEL/FRAME:019699/0512 Effective date: 20070425 Owner name: POLAROID NEW BEDFORD REAL ESTATE LLC,MASSACHUSETTS Free format text: RELEASE OF SECURITY INTEREST IN PATENTS;ASSIGNOR:WILMINGTON TRUST COMPANY;REEL/FRAME:019699/0512 Effective date: 20070425 Owner name: POLAROID NORWOOD REAL ESTATE LLC,MASSACHUSETTS Free format text: RELEASE OF SECURITY INTEREST IN PATENTS;ASSIGNOR:WILMINGTON TRUST COMPANY;REEL/FRAME:019699/0512 Effective date: 20070425 Owner name: POLAROID WALTHAM REAL ESTATE LLC,MASSACHUSETTS Free format text: RELEASE OF SECURITY INTEREST IN PATENTS;ASSIGNOR:WILMINGTON TRUST COMPANY;REEL/FRAME:019699/0512 Effective date: 20070425 Owner name: PETTERS CONSUMER BRANDS, LLC,MASSACHUSETTS Free format text: RELEASE OF SECURITY INTEREST IN PATENTS;ASSIGNOR:WILMINGTON TRUST COMPANY;REEL/FRAME:019699/0512 Effective date: 20070425 Owner name: PETTERS CONSUMER BRANDS INTERNATIONAL, LLC,MASSACH Free format text: RELEASE OF SECURITY INTEREST IN PATENTS;ASSIGNOR:WILMINGTON TRUST COMPANY;REEL/FRAME:019699/0512 Effective date: 20070425 Owner name: ZINK INCORPORATED,MASSACHUSETTS Free format text: RELEASE OF SECURITY INTEREST IN PATENTS;ASSIGNOR:WILMINGTON TRUST COMPANY;REEL/FRAME:019699/0512 Effective date: 20070425 |
|
| AS | Assignment |
Owner name: POLAROID HOLDING COMPANY, MASSACHUSETTS Free format text: RELEASE OF SECURITY INTEREST IN PATENTS;ASSIGNOR:JPMORGAN CHASE BANK, N.A.;REEL/FRAME:020733/0001 Effective date: 20080225 Owner name: POLAROID INTERNATIONAL HOLDING LLC, MASSACHUSETTS Free format text: RELEASE OF SECURITY INTEREST IN PATENTS;ASSIGNOR:JPMORGAN CHASE BANK, N.A.;REEL/FRAME:020733/0001 Effective date: 20080225 Owner name: POLAROID INVESTMENT LLC, MASSACHUSETTS Free format text: RELEASE OF SECURITY INTEREST IN PATENTS;ASSIGNOR:JPMORGAN CHASE BANK, N.A.;REEL/FRAME:020733/0001 Effective date: 20080225 Owner name: POLAROID LATIN AMERICA I CORPORATION, MASSACHUSETT Free format text: RELEASE OF SECURITY INTEREST IN PATENTS;ASSIGNOR:JPMORGAN CHASE BANK, N.A.;REEL/FRAME:020733/0001 Effective date: 20080225 Owner name: POLAROID NEW BEDFORD REAL ESTATE LLC, MASSACHUSETT Free format text: RELEASE OF SECURITY INTEREST IN PATENTS;ASSIGNOR:JPMORGAN CHASE BANK, N.A.;REEL/FRAME:020733/0001 Effective date: 20080225 Owner name: POLAROID NORWOOD REAL ESTATE LLC, MASSACHUSETTS Free format text: RELEASE OF SECURITY INTEREST IN PATENTS;ASSIGNOR:JPMORGAN CHASE BANK, N.A.;REEL/FRAME:020733/0001 Effective date: 20080225 Owner name: POLAROID WALTHAM REAL ESTATE LLC, MASSACHUSETTS Free format text: RELEASE OF SECURITY INTEREST IN PATENTS;ASSIGNOR:JPMORGAN CHASE BANK, N.A.;REEL/FRAME:020733/0001 Effective date: 20080225 Owner name: POLAROID CONSUMER ELECTRONICS, LLC, (FORMERLY KNOW Free format text: RELEASE OF SECURITY INTEREST IN PATENTS;ASSIGNOR:JPMORGAN CHASE BANK, N.A.;REEL/FRAME:020733/0001 Effective date: 20080225 Owner name: POLAROID CONSUMER ELECTRONICS INTERNATIONAL, LLC, Free format text: RELEASE OF SECURITY INTEREST IN PATENTS;ASSIGNOR:JPMORGAN CHASE BANK, N.A.;REEL/FRAME:020733/0001 Effective date: 20080225 Owner name: ZINK INCORPORATED, MASSACHUSETTS Free format text: RELEASE OF SECURITY INTEREST IN PATENTS;ASSIGNOR:JPMORGAN CHASE BANK, N.A.;REEL/FRAME:020733/0001 Effective date: 20080225 Owner name: POLAROID CORPORATION, MASSACHUSETTS Free format text: RELEASE OF SECURITY INTEREST IN PATENTS;ASSIGNOR:JPMORGAN CHASE BANK, N.A.;REEL/FRAME:020733/0001 Effective date: 20080225 Owner name: POLAROID ASIA PACIFIC LLC, MASSACHUSETTS Free format text: RELEASE OF SECURITY INTEREST IN PATENTS;ASSIGNOR:JPMORGAN CHASE BANK, N.A.;REEL/FRAME:020733/0001 Effective date: 20080225 Owner name: POLAROID CAPITAL LLC, MASSACHUSETTS Free format text: RELEASE OF SECURITY INTEREST IN PATENTS;ASSIGNOR:JPMORGAN CHASE BANK, N.A.;REEL/FRAME:020733/0001 Effective date: 20080225 Owner name: PLLAROID EYEWEAR I LLC, MASSACHUSETTS Free format text: RELEASE OF SECURITY INTEREST IN PATENTS;ASSIGNOR:JPMORGAN CHASE BANK, N.A.;REEL/FRAME:020733/0001 Effective date: 20080225 Owner name: POLAROID HOLDING COMPANY,MASSACHUSETTS Free format text: RELEASE OF SECURITY INTEREST IN PATENTS;ASSIGNOR:JPMORGAN CHASE BANK, N.A.;REEL/FRAME:020733/0001 Effective date: 20080225 Owner name: POLAROID INTERNATIONAL HOLDING LLC,MASSACHUSETTS Free format text: RELEASE OF SECURITY INTEREST IN PATENTS;ASSIGNOR:JPMORGAN CHASE BANK, N.A.;REEL/FRAME:020733/0001 Effective date: 20080225 Owner name: POLAROID INVESTMENT LLC,MASSACHUSETTS Free format text: RELEASE OF SECURITY INTEREST IN PATENTS;ASSIGNOR:JPMORGAN CHASE BANK, N.A.;REEL/FRAME:020733/0001 Effective date: 20080225 Owner name: POLAROID LATIN AMERICA I CORPORATION,MASSACHUSETTS Free format text: RELEASE OF SECURITY INTEREST IN PATENTS;ASSIGNOR:JPMORGAN CHASE BANK, N.A.;REEL/FRAME:020733/0001 Effective date: 20080225 Owner name: POLAROID NEW BEDFORD REAL ESTATE LLC,MASSACHUSETTS Free format text: RELEASE OF SECURITY INTEREST IN PATENTS;ASSIGNOR:JPMORGAN CHASE BANK, N.A.;REEL/FRAME:020733/0001 Effective date: 20080225 Owner name: POLAROID NORWOOD REAL ESTATE LLC,MASSACHUSETTS Free format text: RELEASE OF SECURITY INTEREST IN PATENTS;ASSIGNOR:JPMORGAN CHASE BANK, N.A.;REEL/FRAME:020733/0001 Effective date: 20080225 Owner name: POLAROID WALTHAM REAL ESTATE LLC,MASSACHUSETTS Free format text: RELEASE OF SECURITY INTEREST IN PATENTS;ASSIGNOR:JPMORGAN CHASE BANK, N.A.;REEL/FRAME:020733/0001 Effective date: 20080225 Owner name: ZINK INCORPORATED,MASSACHUSETTS Free format text: RELEASE OF SECURITY INTEREST IN PATENTS;ASSIGNOR:JPMORGAN CHASE BANK, N.A.;REEL/FRAME:020733/0001 Effective date: 20080225 Owner name: POLAROID CORPORATION,MASSACHUSETTS Free format text: RELEASE OF SECURITY INTEREST IN PATENTS;ASSIGNOR:JPMORGAN CHASE BANK, N.A.;REEL/FRAME:020733/0001 Effective date: 20080225 Owner name: POLAROID ASIA PACIFIC LLC,MASSACHUSETTS Free format text: RELEASE OF SECURITY INTEREST IN PATENTS;ASSIGNOR:JPMORGAN CHASE BANK, N.A.;REEL/FRAME:020733/0001 Effective date: 20080225 Owner name: POLAROID CAPITAL LLC,MASSACHUSETTS Free format text: RELEASE OF SECURITY INTEREST IN PATENTS;ASSIGNOR:JPMORGAN CHASE BANK, N.A.;REEL/FRAME:020733/0001 Effective date: 20080225 Owner name: PLLAROID EYEWEAR I LLC,MASSACHUSETTS Free format text: RELEASE OF SECURITY INTEREST IN PATENTS;ASSIGNOR:JPMORGAN CHASE BANK, N.A.;REEL/FRAME:020733/0001 Effective date: 20080225 |
|
| AS | Assignment |
Owner name: SENSHIN CAPITAL, LLC, DELAWARE Free format text: ASSIGNMENT OF ASSIGNORS INTEREST;ASSIGNOR:POLAROID CORPORATION;REEL/FRAME:021040/0001 Effective date: 20080415 Owner name: SENSHIN CAPITAL, LLC,DELAWARE Free format text: ASSIGNMENT OF ASSIGNORS INTEREST;ASSIGNOR:POLAROID CORPORATION;REEL/FRAME:021040/0001 Effective date: 20080415 |
|
| FEPP | Fee payment procedure |
Free format text: PAYER NUMBER DE-ASSIGNED (ORIGINAL EVENT CODE: RMPN); ENTITY STATUS OF PATENT OWNER: LARGE ENTITY Free format text: PAYOR NUMBER ASSIGNED (ORIGINAL EVENT CODE: ASPN); ENTITY STATUS OF PATENT OWNER: LARGE ENTITY |
|
| FPAY | Fee payment |
Year of fee payment: 8 |
|
| AS | Assignment |
Owner name: INTELLECTUAL VENTURES I LLC, DELAWARE Free format text: MERGER;ASSIGNOR:SENSHIN CAPITAL, LLC;REEL/FRAME:030639/0279 Effective date: 20130212 |
|
| FPAY | Fee payment |
Year of fee payment: 12 |
|
| AS | Assignment |
Owner name: HANGER SOLUTIONS, LLC, GEORGIA Free format text: ASSIGNMENT OF ASSIGNORS INTEREST;ASSIGNOR:INTELLECTUAL VENTURES ASSETS 161 LLC;REEL/FRAME:052159/0509 Effective date: 20191206 |
|
| AS | Assignment |
Owner name: INTELLECTUAL VENTURES ASSETS 161 LLC, DELAWARE Free format text: ASSIGNMENT OF ASSIGNORS INTEREST;ASSIGNOR:INTELLECTUAL VENTURES I LLC;REEL/FRAME:051945/0001 Effective date: 20191126 |

