US20180098987A1 - PRMT5 Inhibitors and Uses Thereof - Google Patents
PRMT5 Inhibitors and Uses Thereof Download PDFInfo
- Publication number
- US20180098987A1 US20180098987A1 US15/586,775 US201715586775A US2018098987A1 US 20180098987 A1 US20180098987 A1 US 20180098987A1 US 201715586775 A US201715586775 A US 201715586775A US 2018098987 A1 US2018098987 A1 US 2018098987A1
- Authority
- US
- United States
- Prior art keywords
- compound
- pharmaceutically acceptable
- acceptable salt
- formula
- optionally substituted
- Prior art date
- Legal status (The legal status is an assumption and is not a legal conclusion. Google has not performed a legal analysis and makes no representation as to the accuracy of the status listed.)
- Abandoned
Links
- 102100034607 Protein arginine N-methyltransferase 5 Human genes 0.000 title claims abstract description 104
- 101710084427 Protein arginine N-methyltransferase 5 Proteins 0.000 title claims abstract 5
- 239000003112 inhibitor Substances 0.000 title description 6
- 150000001875 compounds Chemical class 0.000 claims abstract description 407
- 150000003839 salts Chemical class 0.000 claims abstract description 139
- 238000000034 method Methods 0.000 claims abstract description 42
- 239000008194 pharmaceutical composition Substances 0.000 claims abstract description 29
- 230000001404 mediated effect Effects 0.000 claims abstract description 18
- 230000002401 inhibitory effect Effects 0.000 claims abstract description 8
- 125000000623 heterocyclic group Chemical group 0.000 claims description 113
- 125000005842 heteroatom Chemical group 0.000 claims description 98
- QJGQUHMNIGDVPM-UHFFFAOYSA-N nitrogen group Chemical group [N] QJGQUHMNIGDVPM-UHFFFAOYSA-N 0.000 claims description 75
- 125000004169 (C1-C6) alkyl group Chemical group 0.000 claims description 72
- 125000001072 heteroaryl group Chemical group 0.000 claims description 71
- 229910052757 nitrogen Inorganic materials 0.000 claims description 70
- NINIDFKCEFEMDL-UHFFFAOYSA-N Sulfur Chemical group [S] NINIDFKCEFEMDL-UHFFFAOYSA-N 0.000 claims description 67
- QVGXLLKOCUKJST-UHFFFAOYSA-N atomic oxygen Chemical group [O] QVGXLLKOCUKJST-UHFFFAOYSA-N 0.000 claims description 67
- 229910052717 sulfur Chemical group 0.000 claims description 65
- IJGRMHOSHXDMSA-UHFFFAOYSA-N nitrogen Substances N#N IJGRMHOSHXDMSA-UHFFFAOYSA-N 0.000 claims description 64
- 239000011593 sulfur Chemical group 0.000 claims description 64
- 229910052760 oxygen Inorganic materials 0.000 claims description 63
- 239000001301 oxygen Chemical group 0.000 claims description 63
- 125000003118 aryl group Chemical group 0.000 claims description 61
- 125000004452 carbocyclyl group Chemical group 0.000 claims description 59
- 125000001931 aliphatic group Chemical group 0.000 claims description 43
- 208000037265 diseases, disorders, signs and symptoms Diseases 0.000 claims description 42
- 208000035475 disorder Diseases 0.000 claims description 32
- 239000001257 hydrogen Substances 0.000 claims description 30
- 229910052739 hydrogen Inorganic materials 0.000 claims description 30
- 125000004435 hydrogen atom Chemical group [H]* 0.000 claims description 28
- 125000002619 bicyclic group Chemical group 0.000 claims description 18
- 206010028980 Neoplasm Diseases 0.000 claims description 16
- 125000004178 (C1-C4) alkyl group Chemical group 0.000 claims description 14
- 125000001997 phenyl group Chemical group [H]C1=C([H])C([H])=C(*)C([H])=C1[H] 0.000 claims description 14
- 125000005843 halogen group Chemical group 0.000 claims description 13
- 239000000546 pharmaceutical excipient Substances 0.000 claims description 13
- 125000006570 (C5-C6) heteroaryl group Chemical group 0.000 claims description 12
- 125000006163 5-membered heteroaryl group Chemical group 0.000 claims description 12
- 125000005346 substituted cycloalkyl group Chemical group 0.000 claims description 12
- 125000004429 atom Chemical group 0.000 claims description 11
- 201000011510 cancer Diseases 0.000 claims description 10
- 125000003107 substituted aryl group Chemical group 0.000 claims description 10
- 206010012601 diabetes mellitus Diseases 0.000 claims description 9
- 125000002950 monocyclic group Chemical group 0.000 claims description 9
- 125000004076 pyridyl group Chemical group 0.000 claims description 9
- UFHFLCQGNIYNRP-UHFFFAOYSA-N Hydrogen Chemical compound [H][H] UFHFLCQGNIYNRP-UHFFFAOYSA-N 0.000 claims description 8
- YNAVUWVOSKDBBP-UHFFFAOYSA-N Morpholine Chemical group C1COCCN1 YNAVUWVOSKDBBP-UHFFFAOYSA-N 0.000 claims description 8
- 230000014509 gene expression Effects 0.000 claims description 8
- 238000000338 in vitro Methods 0.000 claims description 8
- 208000008589 Obesity Diseases 0.000 claims description 7
- 235000020824 obesity Nutrition 0.000 claims description 7
- 208000007056 sickle cell anemia Diseases 0.000 claims description 7
- 208000030159 metabolic disease Diseases 0.000 claims description 6
- 208000019838 Blood disease Diseases 0.000 claims description 5
- 206010058467 Lung neoplasm malignant Diseases 0.000 claims description 5
- 208000014951 hematologic disease Diseases 0.000 claims description 5
- 208000018706 hematopoietic system disease Diseases 0.000 claims description 5
- 208000034737 hemoglobinopathy Diseases 0.000 claims description 5
- 201000005202 lung cancer Diseases 0.000 claims description 5
- 208000020816 lung neoplasm Diseases 0.000 claims description 5
- 206010061902 Pancreatic neoplasm Diseases 0.000 claims description 4
- 206010060862 Prostate cancer Diseases 0.000 claims description 4
- 208000000236 Prostatic Neoplasms Diseases 0.000 claims description 4
- 229910006074 SO2NH2 Inorganic materials 0.000 claims description 4
- 201000005787 hematologic cancer Diseases 0.000 claims description 4
- 208000024200 hematopoietic and lymphoid system neoplasm Diseases 0.000 claims description 4
- 208000015486 malignant pancreatic neoplasm Diseases 0.000 claims description 4
- 201000001441 melanoma Diseases 0.000 claims description 4
- 201000002528 pancreatic cancer Diseases 0.000 claims description 4
- 208000008443 pancreatic carcinoma Diseases 0.000 claims description 4
- 230000002062 proliferating effect Effects 0.000 claims description 4
- 229910004749 OS(O)2 Inorganic materials 0.000 claims description 3
- 125000000168 pyrrolyl group Chemical group 0.000 claims description 3
- 238000013518 transcription Methods 0.000 claims description 3
- 230000035897 transcription Effects 0.000 claims description 3
- RWRDLPDLKQPQOW-UHFFFAOYSA-N tetrahydropyrrole Natural products C1CCNC1 RWRDLPDLKQPQOW-UHFFFAOYSA-N 0.000 claims 2
- KAESVJOAVNADME-UHFFFAOYSA-N 1H-pyrrole Natural products C=1C=CNC=1 KAESVJOAVNADME-UHFFFAOYSA-N 0.000 claims 1
- NOIXNOMHHWGUTG-UHFFFAOYSA-N 2-[[4-[4-pyridin-4-yl-1-(2,2,2-trifluoroethyl)pyrazol-3-yl]phenoxy]methyl]quinoline Chemical compound C=1C=C(OCC=2N=C3C=CC=CC3=CC=2)C=CC=1C1=NN(CC(F)(F)F)C=C1C1=CC=NC=C1 NOIXNOMHHWGUTG-UHFFFAOYSA-N 0.000 claims 1
- GLUUGHFHXGJENI-UHFFFAOYSA-N diethylenediamine Natural products C1CNCCN1 GLUUGHFHXGJENI-UHFFFAOYSA-N 0.000 claims 1
- 150000004885 piperazines Chemical class 0.000 claims 1
- 150000003235 pyrrolidines Chemical class 0.000 claims 1
- 230000000694 effects Effects 0.000 abstract description 17
- 239000000243 solution Substances 0.000 description 206
- 239000000203 mixture Substances 0.000 description 192
- -1 3-pentanyl Chemical group 0.000 description 163
- OKKJLVBELUTLKV-UHFFFAOYSA-N Methanol Chemical compound OC OKKJLVBELUTLKV-UHFFFAOYSA-N 0.000 description 117
- 238000004895 liquid chromatography mass spectrometry Methods 0.000 description 113
- 101000924530 Homo sapiens Protein arginine N-methyltransferase 5 Proteins 0.000 description 100
- 235000002639 sodium chloride Nutrition 0.000 description 87
- XLYOFNOQVPJJNP-UHFFFAOYSA-N water Substances O XLYOFNOQVPJJNP-UHFFFAOYSA-N 0.000 description 86
- YMWUJEATGCHHMB-UHFFFAOYSA-N Dichloromethane Chemical compound ClCCl YMWUJEATGCHHMB-UHFFFAOYSA-N 0.000 description 78
- ZMANZCXQSJIPKH-UHFFFAOYSA-N Triethylamine Chemical compound CCN(CC)CC ZMANZCXQSJIPKH-UHFFFAOYSA-N 0.000 description 73
- 238000006243 chemical reaction Methods 0.000 description 66
- OKKJLVBELUTLKV-MZCSYVLQSA-N Deuterated methanol Chemical compound [2H]OC([2H])([2H])[2H] OKKJLVBELUTLKV-MZCSYVLQSA-N 0.000 description 63
- 238000005160 1H NMR spectroscopy Methods 0.000 description 61
- 125000004432 carbon atom Chemical group C* 0.000 description 60
- 125000000217 alkyl group Chemical group 0.000 description 54
- 239000000047 product Substances 0.000 description 54
- 239000012044 organic layer Substances 0.000 description 49
- 210000004027 cell Anatomy 0.000 description 47
- 125000000304 alkynyl group Chemical group 0.000 description 40
- 238000002953 preparative HPLC Methods 0.000 description 37
- XEKOWRVHYACXOJ-UHFFFAOYSA-N Ethyl acetate Chemical compound CCOC(C)=O XEKOWRVHYACXOJ-UHFFFAOYSA-N 0.000 description 35
- 239000004480 active ingredient Substances 0.000 description 35
- 239000012043 crude product Substances 0.000 description 33
- LFQSCWFLJHTTHZ-UHFFFAOYSA-N Ethanol Chemical compound CCO LFQSCWFLJHTTHZ-UHFFFAOYSA-N 0.000 description 32
- 239000011541 reaction mixture Substances 0.000 description 32
- 125000003342 alkenyl group Chemical group 0.000 description 31
- QTBSBXVTEAMEQO-UHFFFAOYSA-N Acetic acid Chemical compound CC(O)=O QTBSBXVTEAMEQO-UHFFFAOYSA-N 0.000 description 30
- HEMHJVSKTPXQMS-UHFFFAOYSA-M Sodium hydroxide Chemical compound [OH-].[Na+] HEMHJVSKTPXQMS-UHFFFAOYSA-M 0.000 description 30
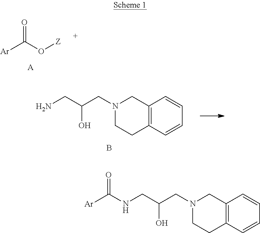
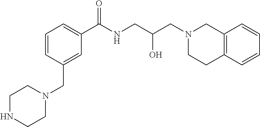
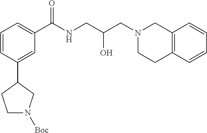
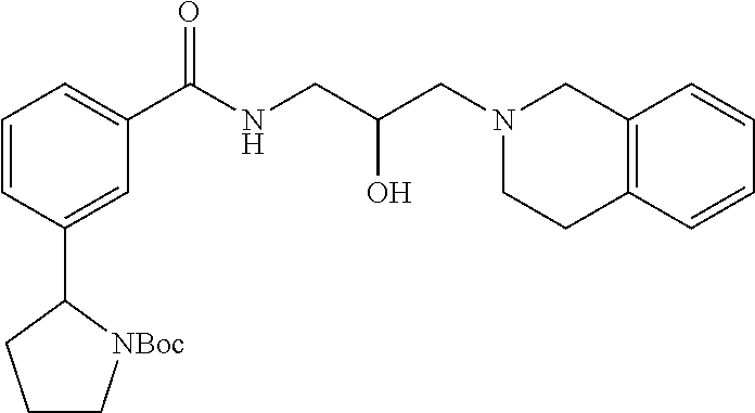
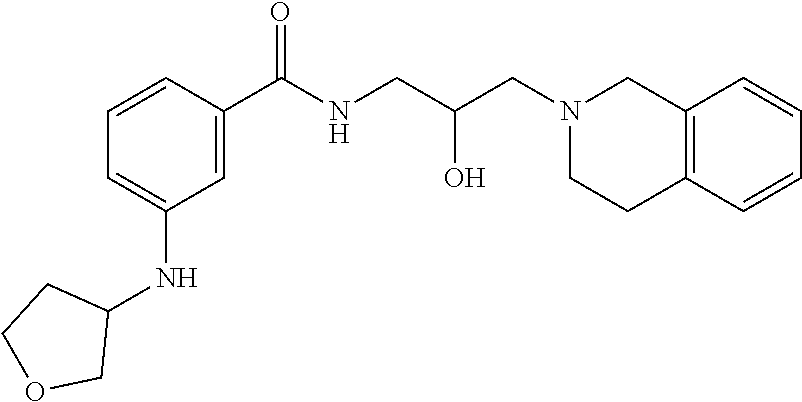
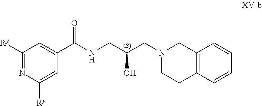
- BYWDGTKESWRSML-UHFFFAOYSA-N 1-amino-3-(3,4-dihydro-1h-isoquinolin-2-yl)propan-2-ol Chemical compound C1=CC=C2CN(CC(O)CN)CCC2=C1 BYWDGTKESWRSML-UHFFFAOYSA-N 0.000 description 29
- 230000005764 inhibitory process Effects 0.000 description 29
- 238000000746 purification Methods 0.000 description 28
- 239000007787 solid Substances 0.000 description 25
- 125000002496 methyl group Chemical group [H]C([H])([H])* 0.000 description 23
- BWHMMNNQKKPAPP-UHFFFAOYSA-L potassium carbonate Chemical compound [K+].[K+].[O-]C([O-])=O BWHMMNNQKKPAPP-UHFFFAOYSA-L 0.000 description 22
- 125000001424 substituent group Chemical group 0.000 description 22
- VEXZGXHMUGYJMC-UHFFFAOYSA-N Hydrochloric acid Chemical compound Cl VEXZGXHMUGYJMC-UHFFFAOYSA-N 0.000 description 21
- UWYZHKAOTLEWKK-UHFFFAOYSA-N 1,2,3,4-tetrahydroisoquinoline Chemical compound C1=CC=C2CNCCC2=C1 UWYZHKAOTLEWKK-UHFFFAOYSA-N 0.000 description 20
- IAZDPXIOMUYVGZ-UHFFFAOYSA-N Dimethylsulphoxide Chemical compound CS(C)=O IAZDPXIOMUYVGZ-UHFFFAOYSA-N 0.000 description 20
- 238000004440 column chromatography Methods 0.000 description 20
- 238000009472 formulation Methods 0.000 description 19
- 239000003814 drug Substances 0.000 description 17
- 235000019439 ethyl acetate Nutrition 0.000 description 17
- 239000003755 preservative agent Substances 0.000 description 17
- 239000002904 solvent Substances 0.000 description 17
- 0 CC.[1*]OC(C([5*])([6*])*[Ar])C([7*])([8*])N1ccC2=C(C=CC=C2)C1 Chemical compound CC.[1*]OC(C([5*])([6*])*[Ar])C([7*])([8*])N1ccC2=C(C=CC=C2)C1 0.000 description 16
- 239000000843 powder Substances 0.000 description 16
- ZMXDDKWLCZADIW-UHFFFAOYSA-N N,N-Dimethylformamide Chemical compound CN(C)C=O ZMXDDKWLCZADIW-UHFFFAOYSA-N 0.000 description 15
- 239000007832 Na2SO4 Substances 0.000 description 15
- PMZURENOXWZQFD-UHFFFAOYSA-L Sodium Sulfate Chemical compound [Na+].[Na+].[O-]S([O-])(=O)=O PMZURENOXWZQFD-UHFFFAOYSA-L 0.000 description 15
- 239000000706 filtrate Substances 0.000 description 15
- 108090000623 proteins and genes Proteins 0.000 description 15
- 229910052938 sodium sulfate Inorganic materials 0.000 description 15
- LMDZBCPBFSXMTL-UHFFFAOYSA-N 1-Ethyl-3-(3-dimethylaminopropyl)carbodiimide Substances CCN=C=NCCCN(C)C LMDZBCPBFSXMTL-UHFFFAOYSA-N 0.000 description 14
- FPQQSJJWHUJYPU-UHFFFAOYSA-N 3-(dimethylamino)propyliminomethylidene-ethylazanium;chloride Chemical compound Cl.CCN=C=NCCCN(C)C FPQQSJJWHUJYPU-UHFFFAOYSA-N 0.000 description 14
- HEDRZPFGACZZDS-MICDWDOJSA-N Trichloro(2H)methane Chemical compound [2H]C(Cl)(Cl)Cl HEDRZPFGACZZDS-MICDWDOJSA-N 0.000 description 14
- NPZTUJOABDZTLV-UHFFFAOYSA-N hydroxybenzotriazole Substances O=C1C=CC=C2NNN=C12 NPZTUJOABDZTLV-UHFFFAOYSA-N 0.000 description 14
- KDLHZDBZIXYQEI-UHFFFAOYSA-N palladium Substances [Pd] KDLHZDBZIXYQEI-UHFFFAOYSA-N 0.000 description 14
- 239000000725 suspension Substances 0.000 description 14
- 125000006708 (C5-C14) heteroaryl group Chemical group 0.000 description 13
- 239000007821 HATU Substances 0.000 description 13
- 102000004169 proteins and genes Human genes 0.000 description 13
- UIIMBOGNXHQVGW-UHFFFAOYSA-M Sodium bicarbonate Chemical compound [Na+].OC([O-])=O UIIMBOGNXHQVGW-UHFFFAOYSA-M 0.000 description 12
- KRKNYBCHXYNGOX-UHFFFAOYSA-N citric acid Chemical compound OC(=O)CC(O)(C(O)=O)CC(O)=O KRKNYBCHXYNGOX-UHFFFAOYSA-N 0.000 description 12
- 238000001914 filtration Methods 0.000 description 12
- 238000011282 treatment Methods 0.000 description 12
- JGFZNNIVVJXRND-UHFFFAOYSA-N N,N-Diisopropylethylamine (DIPEA) Chemical compound CCN(C(C)C)C(C)C JGFZNNIVVJXRND-UHFFFAOYSA-N 0.000 description 11
- 229920002472 Starch Polymers 0.000 description 11
- 239000003795 chemical substances by application Substances 0.000 description 11
- 229940079593 drug Drugs 0.000 description 11
- 239000002245 particle Substances 0.000 description 11
- 229910000027 potassium carbonate Inorganic materials 0.000 description 11
- 235000019698 starch Nutrition 0.000 description 11
- 238000003756 stirring Methods 0.000 description 11
- RYHBNJHYFVUHQT-UHFFFAOYSA-N 1,4-Dioxane Chemical compound C1COCCO1 RYHBNJHYFVUHQT-UHFFFAOYSA-N 0.000 description 10
- KXDHJXZQYSOELW-UHFFFAOYSA-M Carbamate Chemical compound NC([O-])=O KXDHJXZQYSOELW-UHFFFAOYSA-M 0.000 description 10
- GUBGYTABKSRVRQ-QKKXKWKRSA-N Lactose Natural products OC[C@H]1O[C@@H](O[C@H]2[C@H](O)[C@@H](O)C(O)O[C@@H]2CO)[C@H](O)[C@@H](O)[C@H]1O GUBGYTABKSRVRQ-QKKXKWKRSA-N 0.000 description 10
- FAPWRFPIFSIZLT-UHFFFAOYSA-M Sodium chloride Chemical compound [Na+].[Cl-] FAPWRFPIFSIZLT-UHFFFAOYSA-M 0.000 description 10
- 125000004122 cyclic group Chemical group 0.000 description 10
- 201000010099 disease Diseases 0.000 description 10
- 125000004433 nitrogen atom Chemical group N* 0.000 description 10
- 239000003921 oil Substances 0.000 description 10
- 235000019198 oils Nutrition 0.000 description 10
- 108090000765 processed proteins & peptides Proteins 0.000 description 10
- 235000018102 proteins Nutrition 0.000 description 10
- 229940032147 starch Drugs 0.000 description 10
- 239000008107 starch Substances 0.000 description 10
- BYWDGTKESWRSML-LBPRGKRZSA-N (2s)-1-amino-3-(3,4-dihydro-1h-isoquinolin-2-yl)propan-2-ol Chemical compound C1=CC=C2CN(C[C@@H](O)CN)CCC2=C1 BYWDGTKESWRSML-LBPRGKRZSA-N 0.000 description 9
- 125000000008 (C1-C10) alkyl group Chemical group 0.000 description 9
- 125000006374 C2-C10 alkenyl group Chemical group 0.000 description 9
- 125000005915 C6-C14 aryl group Chemical group 0.000 description 9
- 241001465754 Metazoa Species 0.000 description 9
- 102000016397 Methyltransferase Human genes 0.000 description 9
- 108060004795 Methyltransferase Proteins 0.000 description 9
- 239000013543 active substance Substances 0.000 description 9
- 238000003556 assay Methods 0.000 description 9
- WPYMKLBDIGXBTP-UHFFFAOYSA-N benzoic acid Chemical compound OC(=O)C1=CC=CC=C1 WPYMKLBDIGXBTP-UHFFFAOYSA-N 0.000 description 9
- 239000012267 brine Substances 0.000 description 9
- 239000000872 buffer Substances 0.000 description 9
- 125000000753 cycloalkyl group Chemical group 0.000 description 9
- 235000019441 ethanol Nutrition 0.000 description 9
- 238000003818 flash chromatography Methods 0.000 description 9
- 239000004615 ingredient Substances 0.000 description 9
- 239000007788 liquid Substances 0.000 description 9
- 229920001223 polyethylene glycol Polymers 0.000 description 9
- HPALAKNZSZLMCH-UHFFFAOYSA-M sodium;chloride;hydrate Chemical compound O.[Na+].[Cl-] HPALAKNZSZLMCH-UHFFFAOYSA-M 0.000 description 9
- 125000001412 tetrahydropyranyl group Chemical group 0.000 description 9
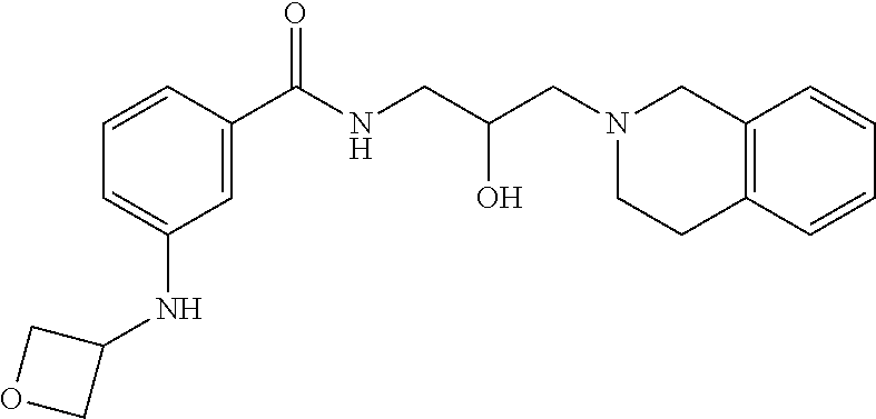
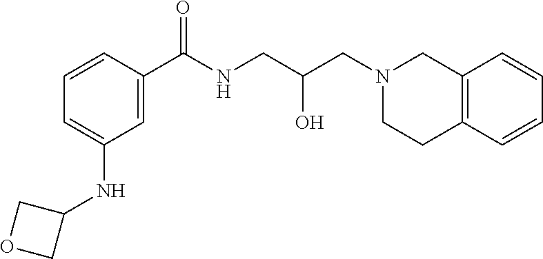
- BYILPVPBGSFMBJ-UHFFFAOYSA-N 3-amino-n-[3-(3,4-dihydro-1h-isoquinolin-2-yl)-2-hydroxypropyl]benzamide Chemical compound NC1=CC=CC(C(=O)NCC(O)CN2CC3=CC=CC=C3CC2)=C1 BYILPVPBGSFMBJ-UHFFFAOYSA-N 0.000 description 8
- CIWBSHSKHKDKBQ-JLAZNSOCSA-N Ascorbic acid Chemical compound OC[C@H](O)[C@H]1OC(=O)C(O)=C1O CIWBSHSKHKDKBQ-JLAZNSOCSA-N 0.000 description 8
- VTYYLEPIZMXCLO-UHFFFAOYSA-L Calcium carbonate Chemical compound [Ca+2].[O-]C([O-])=O VTYYLEPIZMXCLO-UHFFFAOYSA-L 0.000 description 8
- IAZDPXIOMUYVGZ-WFGJKAKNSA-N Dimethyl sulfoxide Chemical compound [2H]C([2H])([2H])S(=O)C([2H])([2H])[2H] IAZDPXIOMUYVGZ-WFGJKAKNSA-N 0.000 description 8
- PEDCQBHIVMGVHV-UHFFFAOYSA-N Glycerine Chemical compound OCC(O)CO PEDCQBHIVMGVHV-UHFFFAOYSA-N 0.000 description 8
- 229910020889 NaBH3 Inorganic materials 0.000 description 8
- 239000003054 catalyst Substances 0.000 description 8
- 239000002552 dosage form Substances 0.000 description 8
- 125000004193 piperazinyl group Chemical group 0.000 description 8
- 125000003386 piperidinyl group Chemical group 0.000 description 8
- 150000003254 radicals Chemical class 0.000 description 8
- 229920006395 saturated elastomer Polymers 0.000 description 8
- 208000024891 symptom Diseases 0.000 description 8
- 125000006714 (C3-C10) heterocyclyl group Chemical group 0.000 description 7
- KZPYGQFFRCFCPP-UHFFFAOYSA-N 1,1'-bis(diphenylphosphino)ferrocene Chemical compound [Fe+2].C1=CC=C[C-]1P(C=1C=CC=CC=1)C1=CC=CC=C1.C1=CC=C[C-]1P(C=1C=CC=CC=1)C1=CC=CC=C1 KZPYGQFFRCFCPP-UHFFFAOYSA-N 0.000 description 7
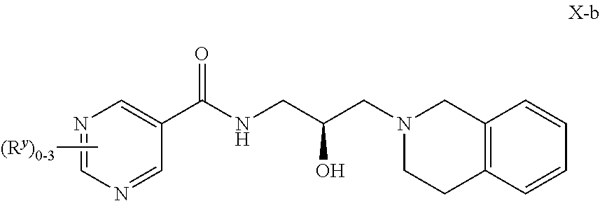
- NXUFIYKYXNLBSY-AWEZNQCLSA-N 6-chloro-n-[(2s)-3-(3,4-dihydro-1h-isoquinolin-2-yl)-2-hydroxypropyl]pyrimidine-4-carboxamide Chemical compound C([C@H](O)CN1CC2=CC=CC=C2CC1)NC(=O)C1=CC(Cl)=NC=N1 NXUFIYKYXNLBSY-AWEZNQCLSA-N 0.000 description 7
- FAJZIXITZFFSPC-UHFFFAOYSA-N 6-chloropyrimidine-4-carbonyl chloride Chemical compound ClC(=O)C1=CC(Cl)=NC=N1 FAJZIXITZFFSPC-UHFFFAOYSA-N 0.000 description 7
- WEVYAHXRMPXWCK-UHFFFAOYSA-N Acetonitrile Chemical compound CC#N WEVYAHXRMPXWCK-UHFFFAOYSA-N 0.000 description 7
- 125000000882 C2-C6 alkenyl group Chemical group 0.000 description 7
- KZBUYRJDOAKODT-UHFFFAOYSA-N Chlorine Chemical compound ClCl KZBUYRJDOAKODT-UHFFFAOYSA-N 0.000 description 7
- 102100030528 Methylosome protein 50 Human genes 0.000 description 7
- 101710168413 Methylosome protein 50 Proteins 0.000 description 7
- 229920001213 Polysorbate 20 Polymers 0.000 description 7
- MEFKEPWMEQBLKI-AIRLBKTGSA-N S-adenosyl-L-methioninate Chemical compound O[C@@H]1[C@H](O)[C@@H](C[S+](CC[C@H](N)C([O-])=O)C)O[C@H]1N1C2=NC=NC(N)=C2N=C1 MEFKEPWMEQBLKI-AIRLBKTGSA-N 0.000 description 7
- 229960001570 ademetionine Drugs 0.000 description 7
- 235000010443 alginic acid Nutrition 0.000 description 7
- 229920000615 alginic acid Polymers 0.000 description 7
- 229910052799 carbon Inorganic materials 0.000 description 7
- 238000010438 heat treatment Methods 0.000 description 7
- 150000004677 hydrates Chemical class 0.000 description 7
- 125000002757 morpholinyl group Chemical group 0.000 description 7
- 235000010486 polyoxyethylene sorbitan monolaurate Nutrition 0.000 description 7
- 239000000256 polyoxyethylene sorbitan monolaurate Substances 0.000 description 7
- 125000000714 pyrimidinyl group Chemical group 0.000 description 7
- 230000001225 therapeutic effect Effects 0.000 description 7
- WFDIJRYMOXRFFG-UHFFFAOYSA-N Acetic anhydride Chemical compound CC(=O)OC(C)=O WFDIJRYMOXRFFG-UHFFFAOYSA-N 0.000 description 6
- GUBGYTABKSRVRQ-XLOQQCSPSA-N Alpha-Lactose Chemical compound O[C@@H]1[C@@H](O)[C@@H](O)[C@@H](CO)O[C@H]1O[C@@H]1[C@@H](CO)O[C@H](O)[C@H](O)[C@H]1O GUBGYTABKSRVRQ-XLOQQCSPSA-N 0.000 description 6
- 208000032791 BCR-ABL1 positive chronic myelogenous leukemia Diseases 0.000 description 6
- KXDAEFPNCMNJSK-UHFFFAOYSA-N Benzamide Chemical compound NC(=O)C1=CC=CC=C1 KXDAEFPNCMNJSK-UHFFFAOYSA-N 0.000 description 6
- 208000010833 Chronic myeloid leukaemia Diseases 0.000 description 6
- KFZMGEQAYNKOFK-UHFFFAOYSA-N Isopropanol Chemical compound CC(C)O KFZMGEQAYNKOFK-UHFFFAOYSA-N 0.000 description 6
- 208000033761 Myelogenous Chronic BCR-ABL Positive Leukemia Diseases 0.000 description 6
- NBIIXXVUZAFLBC-UHFFFAOYSA-N Phosphoric acid Chemical compound OP(O)(O)=O NBIIXXVUZAFLBC-UHFFFAOYSA-N 0.000 description 6
- DNIAPMSPPWPWGF-UHFFFAOYSA-N Propylene glycol Chemical compound CC(O)CO DNIAPMSPPWPWGF-UHFFFAOYSA-N 0.000 description 6
- CDBYLPFSWZWCQE-UHFFFAOYSA-L Sodium Carbonate Chemical compound [Na+].[Na+].[O-]C([O-])=O CDBYLPFSWZWCQE-UHFFFAOYSA-L 0.000 description 6
- DBMJMQXJHONAFJ-UHFFFAOYSA-M Sodium laurylsulphate Chemical compound [Na+].CCCCCCCCCCCCOS([O-])(=O)=O DBMJMQXJHONAFJ-UHFFFAOYSA-M 0.000 description 6
- 229930006000 Sucrose Natural products 0.000 description 6
- YXFVVABEGXRONW-UHFFFAOYSA-N Toluene Chemical compound CC1=CC=CC=C1 YXFVVABEGXRONW-UHFFFAOYSA-N 0.000 description 6
- 239000006172 buffering agent Substances 0.000 description 6
- 125000001309 chloro group Chemical group Cl* 0.000 description 6
- 239000003995 emulsifying agent Substances 0.000 description 6
- 125000001153 fluoro group Chemical group F* 0.000 description 6
- 239000012458 free base Substances 0.000 description 6
- 229910052736 halogen Inorganic materials 0.000 description 6
- 150000002367 halogens Chemical group 0.000 description 6
- 238000004128 high performance liquid chromatography Methods 0.000 description 6
- 125000002883 imidazolyl group Chemical group 0.000 description 6
- 239000008101 lactose Substances 0.000 description 6
- HQKMJHAJHXVSDF-UHFFFAOYSA-L magnesium stearate Chemical compound [Mg+2].CCCCCCCCCCCCCCCCCC([O-])=O.CCCCCCCCCCCCCCCCCC([O-])=O HQKMJHAJHXVSDF-UHFFFAOYSA-L 0.000 description 6
- OKKJLVBELUTLKV-VMNATFBRSA-N methanol-d1 Chemical compound [2H]OC OKKJLVBELUTLKV-VMNATFBRSA-N 0.000 description 6
- GTCAXTIRRLKXRU-UHFFFAOYSA-N methyl carbamate Chemical compound COC(N)=O GTCAXTIRRLKXRU-UHFFFAOYSA-N 0.000 description 6
- 230000004048 modification Effects 0.000 description 6
- 238000012986 modification Methods 0.000 description 6
- 239000012074 organic phase Substances 0.000 description 6
- CTSLXHKWHWQRSH-UHFFFAOYSA-N oxalyl chloride Chemical compound ClC(=O)C(Cl)=O CTSLXHKWHWQRSH-UHFFFAOYSA-N 0.000 description 6
- 238000002360 preparation method Methods 0.000 description 6
- 239000003380 propellant Substances 0.000 description 6
- 125000003226 pyrazolyl group Chemical group 0.000 description 6
- 229910000030 sodium bicarbonate Inorganic materials 0.000 description 6
- 235000019333 sodium laurylsulphate Nutrition 0.000 description 6
- 239000012258 stirred mixture Substances 0.000 description 6
- 239000005720 sucrose Substances 0.000 description 6
- 238000003786 synthesis reaction Methods 0.000 description 6
- 239000003826 tablet Substances 0.000 description 6
- DYHSDKLCOJIUFX-UHFFFAOYSA-N tert-butoxycarbonyl anhydride Chemical compound CC(C)(C)OC(=O)OC(=O)OC(C)(C)C DYHSDKLCOJIUFX-UHFFFAOYSA-N 0.000 description 6
- NVKSBEZYJIHJOB-UHFFFAOYSA-N tert-butyl n-[3-[[3-(3,4-dihydro-1h-isoquinolin-2-yl)-2-hydroxypropyl]carbamoyl]phenyl]carbamate Chemical compound CC(C)(C)OC(=O)NC1=CC=CC(C(=O)NCC(O)CN2CC3=CC=CC=C3CC2)=C1 NVKSBEZYJIHJOB-UHFFFAOYSA-N 0.000 description 6
- 125000003718 tetrahydrofuranyl group Chemical group 0.000 description 6
- 238000002560 therapeutic procedure Methods 0.000 description 6
- 239000001993 wax Substances 0.000 description 6
- QYGHXDAYBIFGKI-UHFFFAOYSA-N 4-oxo-1h-pyrimidine-6-carboxylic acid Chemical compound OC(=O)C1=CC(=O)N=CN1 QYGHXDAYBIFGKI-UHFFFAOYSA-N 0.000 description 5
- 108091003079 Bovine Serum Albumin Proteins 0.000 description 5
- 125000003601 C2-C6 alkynyl group Chemical group 0.000 description 5
- 125000001313 C5-C10 heteroaryl group Chemical group 0.000 description 5
- OKTJSMMVPCPJKN-UHFFFAOYSA-N Carbon Chemical compound [C] OKTJSMMVPCPJKN-UHFFFAOYSA-N 0.000 description 5
- 108020004414 DNA Proteins 0.000 description 5
- 102000004190 Enzymes Human genes 0.000 description 5
- 108090000790 Enzymes Proteins 0.000 description 5
- 102000011787 Histone Methyltransferases Human genes 0.000 description 5
- 108010036115 Histone Methyltransferases Proteins 0.000 description 5
- 206010025323 Lymphomas Diseases 0.000 description 5
- 239000002202 Polyethylene glycol Substances 0.000 description 5
- CZMRCDWAGMRECN-UGDNZRGBSA-N Sucrose Chemical compound O[C@H]1[C@H](O)[C@@H](CO)O[C@@]1(CO)O[C@@H]1[C@H](O)[C@@H](O)[C@H](O)[C@@H](CO)O1 CZMRCDWAGMRECN-UGDNZRGBSA-N 0.000 description 5
- 230000008901 benefit Effects 0.000 description 5
- 239000002775 capsule Substances 0.000 description 5
- 238000004113 cell culture Methods 0.000 description 5
- 238000000576 coating method Methods 0.000 description 5
- 235000014113 dietary fatty acids Nutrition 0.000 description 5
- 239000003085 diluting agent Substances 0.000 description 5
- 239000006196 drop Substances 0.000 description 5
- 238000005516 engineering process Methods 0.000 description 5
- 125000001495 ethyl group Chemical group [H]C([H])([H])C([H])([H])* 0.000 description 5
- 239000000194 fatty acid Substances 0.000 description 5
- 229930195729 fatty acid Natural products 0.000 description 5
- 239000012091 fetal bovine serum Substances 0.000 description 5
- 239000003701 inert diluent Substances 0.000 description 5
- 239000010410 layer Substances 0.000 description 5
- 239000000314 lubricant Substances 0.000 description 5
- LXCFILQKKLGQFO-UHFFFAOYSA-N methylparaben Chemical compound COC(=O)C1=CC=C(O)C=C1 LXCFILQKKLGQFO-UHFFFAOYSA-N 0.000 description 5
- UHOVQNZJYSORNB-UHFFFAOYSA-N monobenzene Natural products C1=CC=CC=C1 UHOVQNZJYSORNB-UHFFFAOYSA-N 0.000 description 5
- 125000006574 non-aromatic ring group Chemical group 0.000 description 5
- 125000003566 oxetanyl group Chemical group 0.000 description 5
- 239000006187 pill Substances 0.000 description 5
- 125000006239 protecting group Chemical group 0.000 description 5
- 125000003373 pyrazinyl group Chemical group 0.000 description 5
- 125000002098 pyridazinyl group Chemical group 0.000 description 5
- 125000002943 quinolinyl group Chemical group N1=C(C=CC2=CC=CC=C12)* 0.000 description 5
- 230000002829 reductive effect Effects 0.000 description 5
- 239000007909 solid dosage form Substances 0.000 description 5
- 239000000126 substance Substances 0.000 description 5
- 239000000758 substrate Substances 0.000 description 5
- PUPZLCDOIYMWBV-UHFFFAOYSA-N (+/-)-1,3-Butanediol Chemical compound CC(O)CCO PUPZLCDOIYMWBV-UHFFFAOYSA-N 0.000 description 4
- ALTLCJHSJMGSLT-UHFFFAOYSA-N (3-methoxycarbonylphenyl)boronic acid Chemical compound COC(=O)C1=CC=CC(B(O)O)=C1 ALTLCJHSJMGSLT-UHFFFAOYSA-N 0.000 description 4
- 125000006706 (C3-C6) carbocyclyl group Chemical group 0.000 description 4
- IOEPOEDBBPRAEI-UHFFFAOYSA-N 1,2-dihydroisoquinoline Chemical group C1=CC=C2CNC=CC2=C1 IOEPOEDBBPRAEI-UHFFFAOYSA-N 0.000 description 4
- VBICKXHEKHSIBG-UHFFFAOYSA-N 1-monostearoylglycerol Chemical compound CCCCCCCCCCCCCCCCCC(=O)OCC(O)CO VBICKXHEKHSIBG-UHFFFAOYSA-N 0.000 description 4
- OBDIDGKANKNXDV-UHFFFAOYSA-N 2-(oxiran-2-ylmethyl)-3,4-dihydro-1h-isoquinoline Chemical compound C1CC2=CC=CC=C2CN1CC1CO1 OBDIDGKANKNXDV-UHFFFAOYSA-N 0.000 description 4
- OBDIDGKANKNXDV-GFCCVEGCSA-N 2-[[(2r)-oxiran-2-yl]methyl]-3,4-dihydro-1h-isoquinoline Chemical compound C1CC2=CC=CC=C2CN1C[C@@H]1CO1 OBDIDGKANKNXDV-GFCCVEGCSA-N 0.000 description 4
- WRMNZCZEMHIOCP-UHFFFAOYSA-N 2-phenylethanol Chemical compound OCCC1=CC=CC=C1 WRMNZCZEMHIOCP-UHFFFAOYSA-N 0.000 description 4
- SAPAUOFSCLCQJB-UHFFFAOYSA-N 3-[(2-methylpropan-2-yl)oxycarbonylamino]benzoic acid Chemical compound CC(C)(C)OC(=O)NC1=CC=CC(C(O)=O)=C1 SAPAUOFSCLCQJB-UHFFFAOYSA-N 0.000 description 4
- DLFVBJFMPXGRIB-UHFFFAOYSA-N Acetamide Chemical class CC(N)=O DLFVBJFMPXGRIB-UHFFFAOYSA-N 0.000 description 4
- 208000031261 Acute myeloid leukaemia Diseases 0.000 description 4
- QGZKDVFQNNGYKY-UHFFFAOYSA-N Ammonia Chemical compound N QGZKDVFQNNGYKY-UHFFFAOYSA-N 0.000 description 4
- 125000000041 C6-C10 aryl group Chemical group 0.000 description 4
- 229920002134 Carboxymethyl cellulose Polymers 0.000 description 4
- 108010058546 Cyclin D1 Proteins 0.000 description 4
- FEWJPZIEWOKRBE-JCYAYHJZSA-N Dextrotartaric acid Chemical compound OC(=O)[C@H](O)[C@@H](O)C(O)=O FEWJPZIEWOKRBE-JCYAYHJZSA-N 0.000 description 4
- KCXVZYZYPLLWCC-UHFFFAOYSA-N EDTA Chemical compound OC(=O)CN(CC(O)=O)CCN(CC(O)=O)CC(O)=O KCXVZYZYPLLWCC-UHFFFAOYSA-N 0.000 description 4
- WSFSSNUMVMOOMR-UHFFFAOYSA-N Formaldehyde Chemical compound O=C WSFSSNUMVMOOMR-UHFFFAOYSA-N 0.000 description 4
- 102100024165 G1/S-specific cyclin-D1 Human genes 0.000 description 4
- 108010010803 Gelatin Proteins 0.000 description 4
- 206010064571 Gene mutation Diseases 0.000 description 4
- 208000017604 Hodgkin disease Diseases 0.000 description 4
- 208000021519 Hodgkin lymphoma Diseases 0.000 description 4
- 208000010747 Hodgkins lymphoma Diseases 0.000 description 4
- 241000282412 Homo Species 0.000 description 4
- 208000031671 Large B-Cell Diffuse Lymphoma Diseases 0.000 description 4
- WMFOQBRAJBCJND-UHFFFAOYSA-M Lithium hydroxide Chemical compound [Li+].[OH-] WMFOQBRAJBCJND-UHFFFAOYSA-M 0.000 description 4
- AFVFQIVMOAPDHO-UHFFFAOYSA-N Methanesulfonic acid Chemical compound CS(O)(=O)=O AFVFQIVMOAPDHO-UHFFFAOYSA-N 0.000 description 4
- 208000033776 Myeloid Acute Leukemia Diseases 0.000 description 4
- MUBZPKHOEPUJKR-UHFFFAOYSA-N Oxalic acid Chemical compound OC(=O)C(O)=O MUBZPKHOEPUJKR-UHFFFAOYSA-N 0.000 description 4
- ISWSIDIOOBJBQZ-UHFFFAOYSA-N Phenol Chemical compound OC1=CC=CC=C1 ISWSIDIOOBJBQZ-UHFFFAOYSA-N 0.000 description 4
- XBDQKXXYIPTUBI-UHFFFAOYSA-N Propionic acid Chemical compound CCC(O)=O XBDQKXXYIPTUBI-UHFFFAOYSA-N 0.000 description 4
- ZJUKTBDSGOFHSH-WFMPWKQPSA-N S-Adenosylhomocysteine Chemical compound O[C@@H]1[C@H](O)[C@@H](CSCC[C@H](N)C(O)=O)O[C@H]1N1C2=NC=NC(N)=C2N=C1 ZJUKTBDSGOFHSH-WFMPWKQPSA-N 0.000 description 4
- 208000018020 Sickle cell-beta-thalassemia disease syndrome Diseases 0.000 description 4
- 229920002125 Sokalan® Polymers 0.000 description 4
- 208000000102 Squamous Cell Carcinoma of Head and Neck Diseases 0.000 description 4
- 206010043391 Thalassaemia beta Diseases 0.000 description 4
- 239000000783 alginic acid Substances 0.000 description 4
- 229960001126 alginic acid Drugs 0.000 description 4
- 150000004781 alginic acids Chemical class 0.000 description 4
- 150000001408 amides Chemical class 0.000 description 4
- 229910052786 argon Inorganic materials 0.000 description 4
- 210000003719 b-lymphocyte Anatomy 0.000 description 4
- 229940050390 benzoate Drugs 0.000 description 4
- PUJDIJCNWFYVJX-UHFFFAOYSA-N benzyl carbamate Chemical compound NC(=O)OCC1=CC=CC=C1 PUJDIJCNWFYVJX-UHFFFAOYSA-N 0.000 description 4
- 239000011230 binding agent Substances 0.000 description 4
- 230000015572 biosynthetic process Effects 0.000 description 4
- FJDQFPXHSGXQBY-UHFFFAOYSA-L caesium carbonate Chemical compound [Cs+].[Cs+].[O-]C([O-])=O FJDQFPXHSGXQBY-UHFFFAOYSA-L 0.000 description 4
- 229910000019 calcium carbonate Inorganic materials 0.000 description 4
- 229960003563 calcium carbonate Drugs 0.000 description 4
- 235000010216 calcium carbonate Nutrition 0.000 description 4
- 239000011203 carbon fibre reinforced carbon Substances 0.000 description 4
- 239000001768 carboxy methyl cellulose Substances 0.000 description 4
- 235000010948 carboxy methyl cellulose Nutrition 0.000 description 4
- 239000008112 carboxymethyl-cellulose Substances 0.000 description 4
- 229940105329 carboxymethylcellulose Drugs 0.000 description 4
- OSASVXMJTNOKOY-UHFFFAOYSA-N chlorobutanol Chemical compound CC(C)(O)C(Cl)(Cl)Cl OSASVXMJTNOKOY-UHFFFAOYSA-N 0.000 description 4
- HVYWMOMLDIMFJA-DPAQBDIFSA-N cholesterol Chemical compound C1C=C2C[C@@H](O)CC[C@]2(C)[C@@H]2[C@@H]1[C@@H]1CC[C@H]([C@H](C)CCCC(C)C)[C@@]1(C)CC2 HVYWMOMLDIMFJA-DPAQBDIFSA-N 0.000 description 4
- 229960004106 citric acid Drugs 0.000 description 4
- 235000015165 citric acid Nutrition 0.000 description 4
- 229920000159 gelatin Polymers 0.000 description 4
- 239000008273 gelatin Substances 0.000 description 4
- 235000019322 gelatine Nutrition 0.000 description 4
- 235000011852 gelatine desserts Nutrition 0.000 description 4
- 206010073071 hepatocellular carcinoma Diseases 0.000 description 4
- 150000002430 hydrocarbons Chemical class 0.000 description 4
- 150000003840 hydrochlorides Chemical class 0.000 description 4
- 208000014018 liver neoplasm Diseases 0.000 description 4
- 125000000956 methoxy group Chemical group [H]C([H])([H])O* 0.000 description 4
- 206010028537 myelofibrosis Diseases 0.000 description 4
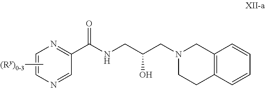
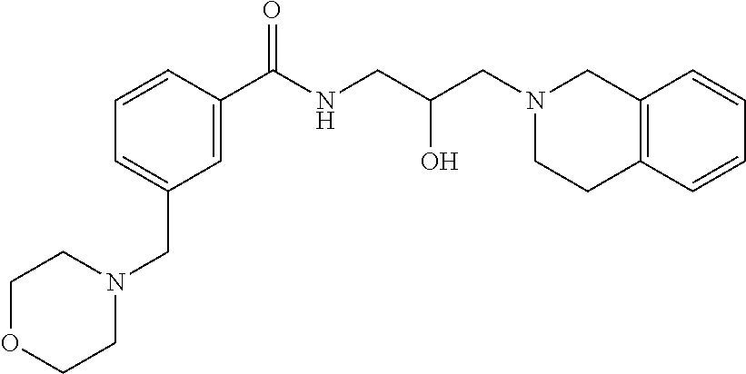
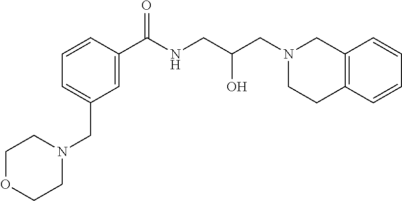
- AEQPZRDGTOSHNI-UHFFFAOYSA-N n-[3-(3,4-dihydro-1h-isoquinolin-2-yl)-2-hydroxypropyl]-3-(morpholin-4-ylmethyl)benzamide Chemical compound C1CC2=CC=CC=C2CN1CC(O)CNC(=O)C(C=1)=CC=CC=1CN1CCOCC1 AEQPZRDGTOSHNI-UHFFFAOYSA-N 0.000 description 4
- VRTIHHGJSVOSCF-UHFFFAOYSA-N n-[3-(3,4-dihydro-1h-isoquinolin-2-yl)-2-hydroxypropyl]-3-(piperazin-1-ylmethyl)benzamide Chemical compound C1CC2=CC=CC=C2CN1CC(O)CNC(=O)C(C=1)=CC=CC=1CN1CCNCC1 VRTIHHGJSVOSCF-UHFFFAOYSA-N 0.000 description 4
- PKWYZZNVHKRIOP-UHFFFAOYSA-N n-[3-(3,4-dihydro-1h-isoquinolin-2-yl)-2-hydroxypropyl]-3-pyrrolidin-2-ylbenzamide Chemical compound C1CC2=CC=CC=C2CN1CC(O)CNC(=O)C(C=1)=CC=CC=1C1CCCN1 PKWYZZNVHKRIOP-UHFFFAOYSA-N 0.000 description 4
- 230000002018 overexpression Effects 0.000 description 4
- JMJRYTGVHCAYCT-UHFFFAOYSA-N oxan-4-one Chemical compound O=C1CCOCC1 JMJRYTGVHCAYCT-UHFFFAOYSA-N 0.000 description 4
- ISPNKABZQKKZLU-QGZVFWFLSA-N phenyl n-[(2r)-3-(3,4-dihydro-1h-isoquinolin-2-yl)-2-hydroxypropyl]carbamate Chemical compound C([C@@H](O)CN1CC2=CC=CC=C2CC1)NC(=O)OC1=CC=CC=C1 ISPNKABZQKKZLU-QGZVFWFLSA-N 0.000 description 4
- 239000002244 precipitate Substances 0.000 description 4
- 101150097768 prmt5 gene Proteins 0.000 description 4
- 125000001436 propyl group Chemical group [H]C([*])([H])C([H])([H])C([H])([H])[H] 0.000 description 4
- 239000011780 sodium chloride Substances 0.000 description 4
- 229960005322 streptomycin Drugs 0.000 description 4
- 239000004094 surface-active agent Substances 0.000 description 4
- VZCYOOQTPOCHFL-UHFFFAOYSA-N trans-butenedioic acid Natural products OC(=O)C=CC(O)=O VZCYOOQTPOCHFL-UHFFFAOYSA-N 0.000 description 4
- 125000002023 trifluoromethyl group Chemical group FC(F)(F)* 0.000 description 4
- NQPDZGIKBAWPEJ-UHFFFAOYSA-N valeric acid Chemical compound CCCCC(O)=O NQPDZGIKBAWPEJ-UHFFFAOYSA-N 0.000 description 4
- CXNIUSPIQKWYAI-UHFFFAOYSA-N xantphos Chemical compound C=12OC3=C(P(C=4C=CC=CC=4)C=4C=CC=CC=4)C=CC=C3C(C)(C)C2=CC=CC=1P(C=1C=CC=CC=1)C1=CC=CC=C1 CXNIUSPIQKWYAI-UHFFFAOYSA-N 0.000 description 4
- BYWDGTKESWRSML-GFCCVEGCSA-N (2r)-1-amino-3-(3,4-dihydro-1h-isoquinolin-2-yl)propan-2-ol Chemical compound C1=CC=C2CN(C[C@H](O)CN)CCC2=C1 BYWDGTKESWRSML-GFCCVEGCSA-N 0.000 description 3
- 125000006656 (C2-C4) alkenyl group Chemical group 0.000 description 3
- 125000006650 (C2-C4) alkynyl group Chemical group 0.000 description 3
- 125000006376 (C3-C10) cycloalkyl group Chemical group 0.000 description 3
- 125000005913 (C3-C6) cycloalkyl group Chemical group 0.000 description 3
- 125000006704 (C5-C6) cycloalkyl group Chemical group 0.000 description 3
- GVJHHUAWPYXKBD-UHFFFAOYSA-N (±)-α-Tocopherol Chemical compound OC1=C(C)C(C)=C2OC(CCCC(C)CCCC(C)CCCC(C)C)(C)CCC2=C1C GVJHHUAWPYXKBD-UHFFFAOYSA-N 0.000 description 3
- IMRWILPUOVGIMU-UHFFFAOYSA-N 2-bromopyridine Chemical compound BrC1=CC=CC=N1 IMRWILPUOVGIMU-UHFFFAOYSA-N 0.000 description 3
- IZONZQFTYGVOOO-UHFFFAOYSA-N 2-methylquinoline-6-carboxylic acid Chemical compound C1=C(C(O)=O)C=CC2=NC(C)=CC=C21 IZONZQFTYGVOOO-UHFFFAOYSA-N 0.000 description 3
- KLDLRDSRCMJKGM-UHFFFAOYSA-N 3-[chloro-(2-oxo-1,3-oxazolidin-3-yl)phosphoryl]-1,3-oxazolidin-2-one Chemical compound C1COC(=O)N1P(=O)(Cl)N1CCOC1=O KLDLRDSRCMJKGM-UHFFFAOYSA-N 0.000 description 3
- RXJLWBLZCKJUTK-UHFFFAOYSA-N 4-acetamido-n-[3-(3,4-dihydro-1h-isoquinolin-2-yl)-2-hydroxypropyl]benzamide Chemical compound C1=CC(NC(=O)C)=CC=C1C(=O)NCC(O)CN1CC2=CC=CC=C2CC1 RXJLWBLZCKJUTK-UHFFFAOYSA-N 0.000 description 3
- RWSPRTBXAXZIOS-UHFFFAOYSA-N 6-chloropyrimidine-4-carboxylic acid Chemical compound OC(=O)C1=CC(Cl)=NC=N1 RWSPRTBXAXZIOS-UHFFFAOYSA-N 0.000 description 3
- 125000006164 6-membered heteroaryl group Chemical group 0.000 description 3
- QTBSBXVTEAMEQO-UHFFFAOYSA-M Acetate Chemical compound CC([O-])=O QTBSBXVTEAMEQO-UHFFFAOYSA-M 0.000 description 3
- 208000024893 Acute lymphoblastic leukemia Diseases 0.000 description 3
- 208000014697 Acute lymphocytic leukaemia Diseases 0.000 description 3
- 229920001817 Agar Polymers 0.000 description 3
- NLXLAEXVIDQMFP-UHFFFAOYSA-N Ammonia chloride Chemical compound [NH4+].[Cl-] NLXLAEXVIDQMFP-UHFFFAOYSA-N 0.000 description 3
- 239000004475 Arginine Substances 0.000 description 3
- 206010006187 Breast cancer Diseases 0.000 description 3
- 208000026310 Breast neoplasm Diseases 0.000 description 3
- 241000283707 Capra Species 0.000 description 3
- LZZYPRNAOMGNLH-UHFFFAOYSA-M Cetrimonium bromide Chemical compound [Br-].CCCCCCCCCCCCCCCC[N+](C)(C)C LZZYPRNAOMGNLH-UHFFFAOYSA-M 0.000 description 3
- 229920002261 Corn starch Polymers 0.000 description 3
- FBPFZTCFMRRESA-KVTDHHQDSA-N D-Mannitol Chemical compound OC[C@@H](O)[C@@H](O)[C@H](O)[C@H](O)CO FBPFZTCFMRRESA-KVTDHHQDSA-N 0.000 description 3
- VZCYOOQTPOCHFL-OWOJBTEDSA-N Fumaric acid Chemical compound OC(=O)\C=C\C(O)=O VZCYOOQTPOCHFL-OWOJBTEDSA-N 0.000 description 3
- WQZGKKKJIJFFOK-GASJEMHNSA-N Glucose Natural products OC[C@H]1OC(O)[C@H](O)[C@@H](O)[C@@H]1O WQZGKKKJIJFFOK-GASJEMHNSA-N 0.000 description 3
- 235000010643 Leucaena leucocephala Nutrition 0.000 description 3
- 240000007472 Leucaena leucocephala Species 0.000 description 3
- 229930195725 Mannitol Natural products 0.000 description 3
- 229920000168 Microcrystalline cellulose Polymers 0.000 description 3
- 229910002651 NO3 Inorganic materials 0.000 description 3
- NHNBFGGVMKEFGY-UHFFFAOYSA-N Nitrate Chemical compound [O-][N+]([O-])=O NHNBFGGVMKEFGY-UHFFFAOYSA-N 0.000 description 3
- 229920003171 Poly (ethylene oxide) Chemical class 0.000 description 3
- 239000004743 Polypropylene Substances 0.000 description 3
- 208000006664 Precursor Cell Lymphoblastic Leukemia-Lymphoma Diseases 0.000 description 3
- OFOBLEOULBTSOW-UHFFFAOYSA-N Propanedioic acid Natural products OC(=O)CC(O)=O OFOBLEOULBTSOW-UHFFFAOYSA-N 0.000 description 3
- 239000012980 RPMI-1640 medium Substances 0.000 description 3
- 229910006069 SO3H Inorganic materials 0.000 description 3
- 210000001744 T-lymphocyte Anatomy 0.000 description 3
- 239000007983 Tris buffer Substances 0.000 description 3
- 238000010521 absorption reaction Methods 0.000 description 3
- 230000011759 adipose tissue development Effects 0.000 description 3
- 239000008272 agar Substances 0.000 description 3
- 229940023476 agar Drugs 0.000 description 3
- 235000010419 agar Nutrition 0.000 description 3
- 229910052784 alkaline earth metal Inorganic materials 0.000 description 3
- 229910000147 aluminium phosphate Inorganic materials 0.000 description 3
- SNAAJJQQZSMGQD-UHFFFAOYSA-N aluminum magnesium Chemical compound [Mg].[Al] SNAAJJQQZSMGQD-UHFFFAOYSA-N 0.000 description 3
- 150000001412 amines Chemical class 0.000 description 3
- 239000003963 antioxidant agent Substances 0.000 description 3
- 235000006708 antioxidants Nutrition 0.000 description 3
- ODKSFYDXXFIFQN-UHFFFAOYSA-N arginine Natural products OC(=O)C(N)CCCNC(N)=N ODKSFYDXXFIFQN-UHFFFAOYSA-N 0.000 description 3
- 235000010323 ascorbic acid Nutrition 0.000 description 3
- 239000011668 ascorbic acid Substances 0.000 description 3
- 239000012911 assay medium Substances 0.000 description 3
- 239000002585 base Substances 0.000 description 3
- 239000000440 bentonite Substances 0.000 description 3
- 229910000278 bentonite Inorganic materials 0.000 description 3
- SVPXDRXYRYOSEX-UHFFFAOYSA-N bentoquatam Chemical compound O.O=[Si]=O.O=[Al]O[Al]=O SVPXDRXYRYOSEX-UHFFFAOYSA-N 0.000 description 3
- 125000004604 benzisothiazolyl group Chemical group S1N=C(C2=C1C=CC=C2)* 0.000 description 3
- 125000001797 benzyl group Chemical group [H]C1=C([H])C([H])=C(C([H])=C1[H])C([H])([H])* 0.000 description 3
- WQZGKKKJIJFFOK-VFUOTHLCSA-N beta-D-glucose Chemical compound OC[C@H]1O[C@@H](O)[C@H](O)[C@@H](O)[C@@H]1O WQZGKKKJIJFFOK-VFUOTHLCSA-N 0.000 description 3
- 238000004166 bioassay Methods 0.000 description 3
- 230000000903 blocking effect Effects 0.000 description 3
- 238000009835 boiling Methods 0.000 description 3
- 125000001246 bromo group Chemical group Br* 0.000 description 3
- 239000001506 calcium phosphate Substances 0.000 description 3
- 150000001721 carbon Chemical group 0.000 description 3
- 125000003178 carboxy group Chemical group [H]OC(*)=O 0.000 description 3
- 230000004663 cell proliferation Effects 0.000 description 3
- 239000002738 chelating agent Substances 0.000 description 3
- 235000019868 cocoa butter Nutrition 0.000 description 3
- 229940110456 cocoa butter Drugs 0.000 description 3
- 239000008120 corn starch Substances 0.000 description 3
- 229940099112 cornstarch Drugs 0.000 description 3
- 230000008878 coupling Effects 0.000 description 3
- 238000010168 coupling process Methods 0.000 description 3
- 238000005859 coupling reaction Methods 0.000 description 3
- 239000006071 cream Substances 0.000 description 3
- 230000003111 delayed effect Effects 0.000 description 3
- 210000004207 dermis Anatomy 0.000 description 3
- 239000002270 dispersing agent Substances 0.000 description 3
- 239000000839 emulsion Substances 0.000 description 3
- 230000006718 epigenetic regulation Effects 0.000 description 3
- NUVBSKCKDOMJSU-UHFFFAOYSA-N ethylparaben Chemical compound CCOC(=O)C1=CC=C(O)C=C1 NUVBSKCKDOMJSU-UHFFFAOYSA-N 0.000 description 3
- 238000001704 evaporation Methods 0.000 description 3
- 230000008020 evaporation Effects 0.000 description 3
- 239000000945 filler Substances 0.000 description 3
- 239000000796 flavoring agent Substances 0.000 description 3
- 125000000524 functional group Chemical group 0.000 description 3
- 210000001035 gastrointestinal tract Anatomy 0.000 description 3
- 235000011187 glycerol Nutrition 0.000 description 3
- 239000008187 granular material Substances 0.000 description 3
- 208000025750 heavy chain disease Diseases 0.000 description 3
- BXWNKGSJHAJOGX-UHFFFAOYSA-N hexadecan-1-ol Chemical compound CCCCCCCCCCCCCCCCO BXWNKGSJHAJOGX-UHFFFAOYSA-N 0.000 description 3
- RAXXELZNTBOGNW-UHFFFAOYSA-N imidazole Natural products C1=CNC=N1 RAXXELZNTBOGNW-UHFFFAOYSA-N 0.000 description 3
- 125000001041 indolyl group Chemical group 0.000 description 3
- 230000000670 limiting effect Effects 0.000 description 3
- 235000019359 magnesium stearate Nutrition 0.000 description 3
- 239000000594 mannitol Substances 0.000 description 3
- 235000010355 mannitol Nutrition 0.000 description 3
- 230000007246 mechanism Effects 0.000 description 3
- 239000002609 medium Substances 0.000 description 3
- 229920000609 methyl cellulose Polymers 0.000 description 3
- 239000001923 methylcellulose Substances 0.000 description 3
- 235000010981 methylcellulose Nutrition 0.000 description 3
- 235000019813 microcrystalline cellulose Nutrition 0.000 description 3
- 229940016286 microcrystalline cellulose Drugs 0.000 description 3
- 239000008108 microcrystalline cellulose Substances 0.000 description 3
- 230000035772 mutation Effects 0.000 description 3
- 201000005962 mycosis fungoides Diseases 0.000 description 3
- ZKXZLIFRWWKZRY-KRWDZBQOSA-N n-[(2s)-3-(3,4-dihydro-1h-isoquinolin-2-yl)-2-hydroxypropyl]-6-(oxetan-3-ylamino)pyrimidine-4-carboxamide Chemical compound C([C@H](O)CN1CC2=CC=CC=C2CC1)NC(=O)C(N=CN=1)=CC=1NC1COC1 ZKXZLIFRWWKZRY-KRWDZBQOSA-N 0.000 description 3
- JYSFCCVCBMGCMA-SFHVURJKSA-N n-[(2s)-3-(3,4-dihydro-1h-isoquinolin-2-yl)-2-hydroxypropyl]benzamide Chemical compound C([C@H](O)CN1CC2=CC=CC=C2CC1)NC(=O)C1=CC=CC=C1 JYSFCCVCBMGCMA-SFHVURJKSA-N 0.000 description 3
- ROCNXMOPBOGACK-UHFFFAOYSA-N n-[3-(3,4-dihydro-1h-isoquinolin-2-yl)-2-hydroxypropyl]-2-methylquinoline-6-carboxamide Chemical compound C1CC2=CC=CC=C2CN1CC(O)CNC(=O)C1=CC2=CC=C(C)N=C2C=C1 ROCNXMOPBOGACK-UHFFFAOYSA-N 0.000 description 3
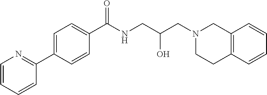
- HIPFTGZPHHAYGJ-UHFFFAOYSA-N n-[3-(3,4-dihydro-1h-isoquinolin-2-yl)-2-hydroxypropyl]-2-pyridin-2-ylbenzamide Chemical compound C1CC2=CC=CC=C2CN1CC(O)CNC(=O)C1=CC=CC=C1C1=CC=CC=N1 HIPFTGZPHHAYGJ-UHFFFAOYSA-N 0.000 description 3
- BLZWWZUJJXPUOU-UHFFFAOYSA-N n-[3-(3,4-dihydro-1h-isoquinolin-2-yl)-2-hydroxypropyl]-3-(1-methylpyrrolidin-3-yl)benzamide Chemical compound C1N(C)CCC1C1=CC=CC(C(=O)NCC(O)CN2CC3=CC=CC=C3CC2)=C1 BLZWWZUJJXPUOU-UHFFFAOYSA-N 0.000 description 3
- XDBXWOBBDTXNKD-UHFFFAOYSA-N n-[3-(3,4-dihydro-1h-isoquinolin-2-yl)-2-hydroxypropyl]-3-(2-methylpyrazol-3-yl)benzamide Chemical compound CN1N=CC=C1C1=CC=CC(C(=O)NCC(O)CN2CC3=CC=CC=C3CC2)=C1 XDBXWOBBDTXNKD-UHFFFAOYSA-N 0.000 description 3
- SGQMNJKLEADSRY-UHFFFAOYSA-N n-[3-(3,4-dihydro-1h-isoquinolin-2-yl)-2-hydroxypropyl]-3-(morpholine-4-carbonyl)benzamide Chemical compound C1CC2=CC=CC=C2CN1CC(O)CNC(=O)C(C=1)=CC=CC=1C(=O)N1CCOCC1 SGQMNJKLEADSRY-UHFFFAOYSA-N 0.000 description 3
- YYZBVYRZZGSPDG-UHFFFAOYSA-N n-[3-(3,4-dihydro-1h-isoquinolin-2-yl)-2-hydroxypropyl]-3-(oxetan-3-ylamino)benzamide Chemical compound C1CC2=CC=CC=C2CN1CC(O)CNC(=O)C(C=1)=CC=CC=1NC1COC1 YYZBVYRZZGSPDG-UHFFFAOYSA-N 0.000 description 3
- BLUQQDAYDFHJCP-UHFFFAOYSA-N n-[3-(3,4-dihydro-1h-isoquinolin-2-yl)-2-hydroxypropyl]-3-(oxolan-3-ylamino)benzamide Chemical compound C1CC2=CC=CC=C2CN1CC(O)CNC(=O)C(C=1)=CC=CC=1NC1CCOC1 BLUQQDAYDFHJCP-UHFFFAOYSA-N 0.000 description 3
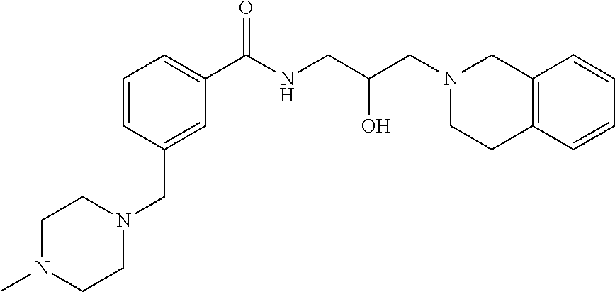
- HAFZISDFDQWRER-UHFFFAOYSA-N n-[3-(3,4-dihydro-1h-isoquinolin-2-yl)-2-hydroxypropyl]-3-[(4-methylpiperazin-1-yl)methyl]benzamide Chemical compound C1CN(C)CCN1CC1=CC=CC(C(=O)NCC(O)CN2CC3=CC=CC=C3CC2)=C1 HAFZISDFDQWRER-UHFFFAOYSA-N 0.000 description 3
- CJFKUQWMTAQSRS-UHFFFAOYSA-N n-[3-(3,4-dihydro-1h-isoquinolin-2-yl)-2-hydroxypropyl]-3-morpholin-4-ylbenzamide Chemical compound C1CC2=CC=CC=C2CN1CC(O)CNC(=O)C(C=1)=CC=CC=1N1CCOCC1 CJFKUQWMTAQSRS-UHFFFAOYSA-N 0.000 description 3
- FCEZIJXSGGPYAD-UHFFFAOYSA-N n-[3-(3,4-dihydro-1h-isoquinolin-2-yl)-2-hydroxypropyl]-3-piperazin-1-ylbenzamide Chemical compound C1CC2=CC=CC=C2CN1CC(O)CNC(=O)C(C=1)=CC=CC=1N1CCNCC1 FCEZIJXSGGPYAD-UHFFFAOYSA-N 0.000 description 3
- IQOXVADYZAROMQ-UHFFFAOYSA-N n-[3-(3,4-dihydro-1h-isoquinolin-2-yl)-2-hydroxypropyl]-3-pyridin-2-ylbenzamide Chemical compound C1CC2=CC=CC=C2CN1CC(O)CNC(=O)C(C=1)=CC=CC=1C1=CC=CC=N1 IQOXVADYZAROMQ-UHFFFAOYSA-N 0.000 description 3
- HXOLKDWHFJHQCU-UHFFFAOYSA-N n-[3-(3,4-dihydro-1h-isoquinolin-2-yl)-2-hydroxypropyl]-3-pyridin-3-ylbenzamide Chemical compound C1CC2=CC=CC=C2CN1CC(O)CNC(=O)C(C=1)=CC=CC=1C1=CC=CN=C1 HXOLKDWHFJHQCU-UHFFFAOYSA-N 0.000 description 3
- CRKXZCMPAJDZJY-UHFFFAOYSA-N n-[3-(3,4-dihydro-1h-isoquinolin-2-yl)-2-hydroxypropyl]-3-pyridin-4-ylbenzamide Chemical compound C1CC2=CC=CC=C2CN1CC(O)CNC(=O)C(C=1)=CC=CC=1C1=CC=NC=C1 CRKXZCMPAJDZJY-UHFFFAOYSA-N 0.000 description 3
- JWBNXSZFEXSHFG-UHFFFAOYSA-N n-[3-(3,4-dihydro-1h-isoquinolin-2-yl)-2-hydroxypropyl]-3-pyrrolidin-3-ylbenzamide Chemical compound C1CC2=CC=CC=C2CN1CC(O)CNC(=O)C(C=1)=CC=CC=1C1CCNC1 JWBNXSZFEXSHFG-UHFFFAOYSA-N 0.000 description 3
- ZKGCMLHCPDHWHX-UHFFFAOYSA-N n-[3-(3,4-dihydro-1h-isoquinolin-2-yl)-2-hydroxypropyl]-4-(oxan-4-yloxy)benzamide Chemical compound C1CC2=CC=CC=C2CN1CC(O)CNC(=O)C(C=C1)=CC=C1OC1CCOCC1 ZKGCMLHCPDHWHX-UHFFFAOYSA-N 0.000 description 3
- XUYADUJNHAMDAK-UHFFFAOYSA-N n-[3-(3,4-dihydro-1h-isoquinolin-2-yl)-2-hydroxypropyl]-4-pyridin-2-ylbenzamide Chemical compound C1CC2=CC=CC=C2CN1CC(O)CNC(=O)C(C=C1)=CC=C1C1=CC=CC=N1 XUYADUJNHAMDAK-UHFFFAOYSA-N 0.000 description 3
- HQZREDHOWCMDHT-UHFFFAOYSA-N n-[3-(3,4-dihydro-1h-isoquinolin-2-yl)-2-hydroxypropyl]-4-sulfamoylbenzamide Chemical compound C1=CC(S(=O)(=O)N)=CC=C1C(=O)NCC(O)CN1CC2=CC=CC=C2CC1 HQZREDHOWCMDHT-UHFFFAOYSA-N 0.000 description 3
- RAXZCKXVVADBTQ-UHFFFAOYSA-N n-[3-(3,4-dihydro-1h-isoquinolin-2-yl)-2-hydroxypropyl]pyridine-2-carboxamide Chemical compound C1CC2=CC=CC=C2CN1CC(O)CNC(=O)C1=CC=CC=N1 RAXZCKXVVADBTQ-UHFFFAOYSA-N 0.000 description 3
- 125000000740 n-pentyl group Chemical group [H]C([H])([H])C([H])([H])C([H])([H])C([H])([H])C([H])([H])* 0.000 description 3
- UFWIBTONFRDIAS-UHFFFAOYSA-N naphthalene-acid Natural products C1=CC=CC2=CC=CC=C21 UFWIBTONFRDIAS-UHFFFAOYSA-N 0.000 description 3
- QIQXTHQIDYTFRH-UHFFFAOYSA-N octadecanoic acid Chemical compound CCCCCCCCCCCCCCCCCC(O)=O QIQXTHQIDYTFRH-UHFFFAOYSA-N 0.000 description 3
- 239000002674 ointment Substances 0.000 description 3
- ZQPPMHVWECSIRJ-KTKRTIGZSA-N oleic acid Chemical compound CCCCCCCC\C=C/CCCCCCCC(O)=O ZQPPMHVWECSIRJ-KTKRTIGZSA-N 0.000 description 3
- XSXHWVKGUXMUQE-UHFFFAOYSA-N osmium dioxide Inorganic materials O=[Os]=O XSXHWVKGUXMUQE-UHFFFAOYSA-N 0.000 description 3
- 229920001155 polypropylene Polymers 0.000 description 3
- 230000002335 preservative effect Effects 0.000 description 3
- 125000002924 primary amino group Chemical group [H]N([H])* 0.000 description 3
- 208000003476 primary myelofibrosis Diseases 0.000 description 3
- 102000004196 processed proteins & peptides Human genes 0.000 description 3
- 230000000069 prophylactic effect Effects 0.000 description 3
- 238000011321 prophylaxis Methods 0.000 description 3
- 230000002685 pulmonary effect Effects 0.000 description 3
- 125000000719 pyrrolidinyl group Chemical group 0.000 description 3
- 210000003491 skin Anatomy 0.000 description 3
- 229910000029 sodium carbonate Inorganic materials 0.000 description 3
- 235000017550 sodium carbonate Nutrition 0.000 description 3
- MFRIHAYPQRLWNB-UHFFFAOYSA-N sodium tert-butoxide Chemical compound [Na+].CC(C)(C)[O-] MFRIHAYPQRLWNB-UHFFFAOYSA-N 0.000 description 3
- 239000008247 solid mixture Substances 0.000 description 3
- 235000000346 sugar Nutrition 0.000 description 3
- 239000000829 suppository Substances 0.000 description 3
- 238000012360 testing method Methods 0.000 description 3
- 229940124597 therapeutic agent Drugs 0.000 description 3
- 208000030045 thyroid gland papillary carcinoma Diseases 0.000 description 3
- 210000001519 tissue Anatomy 0.000 description 3
- JOXIMZWYDAKGHI-UHFFFAOYSA-N toluene-4-sulfonic acid Chemical compound CC1=CC=C(S(O)(=O)=O)C=C1 JOXIMZWYDAKGHI-UHFFFAOYSA-N 0.000 description 3
- 125000000025 triisopropylsilyl group Chemical group C(C)(C)[Si](C(C)C)(C(C)C)* 0.000 description 3
- 239000003981 vehicle Substances 0.000 description 3
- 239000011534 wash buffer Substances 0.000 description 3
- 239000000080 wetting agent Substances 0.000 description 3
- GVJHHUAWPYXKBD-IEOSBIPESA-N α-tocopherol Chemical compound OC1=C(C)C(C)=C2O[C@@](CCC[C@H](C)CCC[C@H](C)CCCC(C)C)(C)CCC2=C1C GVJHHUAWPYXKBD-IEOSBIPESA-N 0.000 description 3
- ALSTYHKOOCGGFT-KTKRTIGZSA-N (9Z)-octadecen-1-ol Chemical compound CCCCCCCC\C=C/CCCCCCCCO ALSTYHKOOCGGFT-KTKRTIGZSA-N 0.000 description 2
- 125000006552 (C3-C8) cycloalkyl group Chemical group 0.000 description 2
- WRIDQFICGBMAFQ-UHFFFAOYSA-N (E)-8-Octadecenoic acid Natural products CCCCCCCCCC=CCCCCCCC(O)=O WRIDQFICGBMAFQ-UHFFFAOYSA-N 0.000 description 2
- 125000003088 (fluoren-9-ylmethoxy)carbonyl group Chemical group 0.000 description 2
- LBUJPTNKIBCYBY-UHFFFAOYSA-N 1,2,3,4-tetrahydroquinoline Chemical compound C1=CC=C2CCCNC2=C1 LBUJPTNKIBCYBY-UHFFFAOYSA-N 0.000 description 2
- YNGDWRXWKFWCJY-UHFFFAOYSA-N 1,4-Dihydropyridine Chemical group C1C=CNC=C1 YNGDWRXWKFWCJY-UHFFFAOYSA-N 0.000 description 2
- YUJHTWYBKVAQEN-UHFFFAOYSA-N 1-(3-aminoazetidin-1-yl)ethanone Chemical compound CC(=O)N1CC(N)C1 YUJHTWYBKVAQEN-UHFFFAOYSA-N 0.000 description 2
- 125000004973 1-butenyl group Chemical group C(=CCC)* 0.000 description 2
- 125000004972 1-butynyl group Chemical group [H]C([H])([H])C([H])([H])C#C* 0.000 description 2
- IXPNQXFRVYWDDI-UHFFFAOYSA-N 1-methyl-2,4-dioxo-1,3-diazinane-5-carboximidamide Chemical compound CN1CC(C(N)=N)C(=O)NC1=O IXPNQXFRVYWDDI-UHFFFAOYSA-N 0.000 description 2
- LJCZNYWLQZZIOS-UHFFFAOYSA-N 2,2,2-trichlorethoxycarbonyl chloride Chemical compound ClC(=O)OCC(Cl)(Cl)Cl LJCZNYWLQZZIOS-UHFFFAOYSA-N 0.000 description 2
- UDCVKKOJQFQQIJ-UHFFFAOYSA-N 2-(3-bromophenyl)-2-[4-[(2-methylpropan-2-yl)oxycarbonyl]piperazin-1-ium-1-yl]acetate Chemical compound C1CN(C(=O)OC(C)(C)C)CCN1C(C(O)=O)C1=CC=CC(Br)=C1 UDCVKKOJQFQQIJ-UHFFFAOYSA-N 0.000 description 2
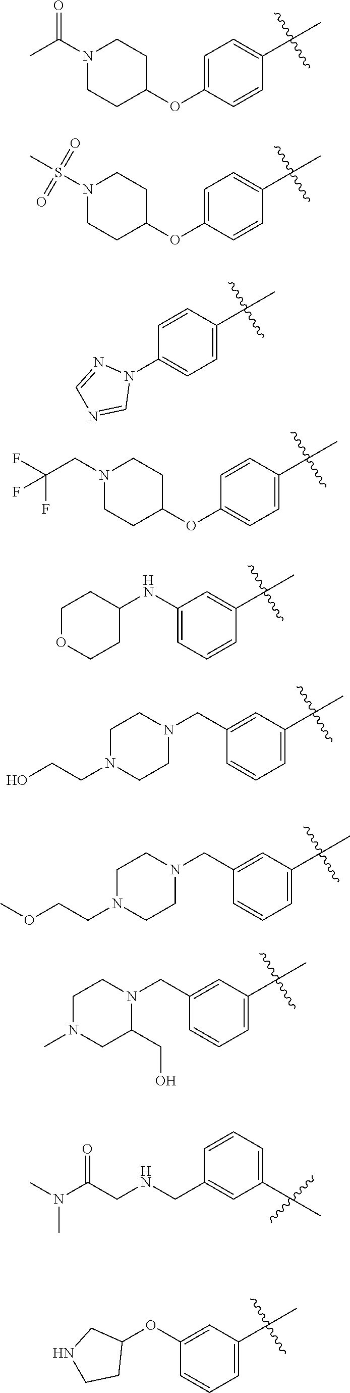
- NQPJRXPUBKLFQV-QHCPKHFHSA-N 2-[(1-acetylpiperidin-4-yl)amino]-n-[(2s)-3-(3,4-dihydro-1h-isoquinolin-2-yl)-2-hydroxypropyl]pyridine-4-carboxamide Chemical compound C1CN(C(=O)C)CCC1NC1=CC(C(=O)NC[C@H](O)CN2CC3=CC=CC=C3CC2)=CC=N1 NQPJRXPUBKLFQV-QHCPKHFHSA-N 0.000 description 2
- OBDIDGKANKNXDV-LBPRGKRZSA-N 2-[[(2s)-oxiran-2-yl]methyl]-3,4-dihydro-1h-isoquinoline Chemical compound C1CC2=CC=CC=C2CN1C[C@H]1CO1 OBDIDGKANKNXDV-LBPRGKRZSA-N 0.000 description 2
- GZZDMFHZVNLBSM-UHFFFAOYSA-N 2-[[1-[(2-methylpropan-2-yl)oxycarbonyl]piperidin-4-yl]amino]pyridine-4-carboxylic acid Chemical compound C1CN(C(=O)OC(C)(C)C)CCC1NC1=CC(C(O)=O)=CC=N1 GZZDMFHZVNLBSM-UHFFFAOYSA-N 0.000 description 2
- 125000004974 2-butenyl group Chemical group C(C=CC)* 0.000 description 2
- 125000000069 2-butynyl group Chemical group [H]C([H])([H])C#CC([H])([H])* 0.000 description 2
- LSBDFXRDZJMBSC-UHFFFAOYSA-N 2-phenylacetamide Chemical class NC(=O)CC1=CC=CC=C1 LSBDFXRDZJMBSC-UHFFFAOYSA-N 0.000 description 2
- 125000003903 2-propenyl group Chemical group [H]C([*])([H])C([H])=C([H])[H] 0.000 description 2
- KTSUSQZZJTZSFA-UHFFFAOYSA-N 2-pyridin-2-ylbenzoic acid Chemical compound OC(=O)C1=CC=CC=C1C1=CC=CC=N1 KTSUSQZZJTZSFA-UHFFFAOYSA-N 0.000 description 2
- LQJBNNIYVWPHFW-UHFFFAOYSA-N 20:1omega9c fatty acid Natural products CCCCCCCCCCC=CCCCCCCCC(O)=O LQJBNNIYVWPHFW-UHFFFAOYSA-N 0.000 description 2
- OBOMYSVFLSMYLV-UHFFFAOYSA-N 3-(2-methylpyrazol-3-yl)benzoic acid Chemical compound CN1N=CC=C1C1=CC=CC(C(O)=O)=C1 OBOMYSVFLSMYLV-UHFFFAOYSA-N 0.000 description 2
- LZLRLAYVCUNAEX-UHFFFAOYSA-N 3-(morpholin-4-ium-4-ylmethyl)benzoate Chemical compound OC(=O)C1=CC=CC(CN2CCOCC2)=C1 LZLRLAYVCUNAEX-UHFFFAOYSA-N 0.000 description 2
- CMTLDRUDDNIUSK-UHFFFAOYSA-N 3-(morpholine-4-carbonyl)benzoic acid Chemical compound OC(=O)C1=CC=CC(C(=O)N2CCOCC2)=C1 CMTLDRUDDNIUSK-UHFFFAOYSA-N 0.000 description 2
- KDPXLUYKVYWQEQ-UHFFFAOYSA-N 3-[1-[(2-methylpropan-2-yl)oxycarbonyl]pyrrolidin-3-yl]benzoic acid Chemical compound C1N(C(=O)OC(C)(C)C)CCC1C1=CC=CC(C(O)=O)=C1 KDPXLUYKVYWQEQ-UHFFFAOYSA-N 0.000 description 2
- CBWRVRSYRBYKSY-UHFFFAOYSA-N 3-[[(2-methylpropan-2-yl)oxycarbonyl-(oxan-4-yl)amino]methyl]benzoic acid Chemical compound C1COCCC1N(C(=O)OC(C)(C)C)CC1=CC=CC(C(O)=O)=C1 CBWRVRSYRBYKSY-UHFFFAOYSA-N 0.000 description 2
- BYILPVPBGSFMBJ-SFHVURJKSA-N 3-amino-n-[(2s)-3-(3,4-dihydro-1h-isoquinolin-2-yl)-2-hydroxypropyl]benzamide Chemical compound NC1=CC=CC(C(=O)NC[C@H](O)CN2CC3=CC=CC=C3CC2)=C1 BYILPVPBGSFMBJ-SFHVURJKSA-N 0.000 description 2
- SECBNRNLENXNOR-UHFFFAOYSA-N 3-amino-n-[3-(3,4-dihydro-1h-isoquinolin-2-yl)-2-hydroxypropyl]-2-methylbenzamide Chemical compound CC1=C(N)C=CC=C1C(=O)NCC(O)CN1CC2=CC=CC=C2CC1 SECBNRNLENXNOR-UHFFFAOYSA-N 0.000 description 2
- LSOOKFPZQZUAIG-UHFFFAOYSA-N 3-bromo-n-[3-(3,4-dihydro-1h-isoquinolin-2-yl)-2-hydroxypropyl]benzamide Chemical compound C1CC2=CC=CC=C2CN1CC(O)CNC(=O)C1=CC=CC(Br)=C1 LSOOKFPZQZUAIG-UHFFFAOYSA-N 0.000 description 2
- XMIIGOLPHOKFCH-UHFFFAOYSA-M 3-phenylpropionate Chemical compound [O-]C(=O)CCC1=CC=CC=C1 XMIIGOLPHOKFCH-UHFFFAOYSA-M 0.000 description 2
- IRXFQXMHMRTLIR-UHFFFAOYSA-N 3-pyridin-2-ylbenzoic acid Chemical compound OC(=O)C1=CC=CC(C=2N=CC=CC=2)=C1 IRXFQXMHMRTLIR-UHFFFAOYSA-N 0.000 description 2
- PXASTGBSGPFLFJ-UHFFFAOYSA-N 3-pyridin-3-ylbenzoic acid Chemical compound OC(=O)C1=CC=CC(C=2C=NC=CC=2)=C1 PXASTGBSGPFLFJ-UHFFFAOYSA-N 0.000 description 2
- IYGIZNZSONLPSI-UHFFFAOYSA-N 3-pyridin-4-ylbenzoic acid Chemical compound OC(=O)C1=CC=CC(C=2C=CN=CC=2)=C1 IYGIZNZSONLPSI-UHFFFAOYSA-N 0.000 description 2
- MPNYLYRGNCZFFH-UHFFFAOYSA-N 4-(oxan-4-yloxy)benzoic acid Chemical compound C1=CC(C(=O)O)=CC=C1OC1CCOCC1 MPNYLYRGNCZFFH-UHFFFAOYSA-N 0.000 description 2
- QCXJEYYXVJIFCE-UHFFFAOYSA-N 4-acetamidobenzoic acid Chemical compound CC(=O)NC1=CC=C(C(O)=O)C=C1 QCXJEYYXVJIFCE-UHFFFAOYSA-N 0.000 description 2
- CFKMVGJGLGKFKI-UHFFFAOYSA-N 4-chloro-m-cresol Chemical compound CC1=CC(O)=CC=C1Cl CFKMVGJGLGKFKI-UHFFFAOYSA-N 0.000 description 2
- HIQIXEFWDLTDED-UHFFFAOYSA-N 4-hydroxy-1-piperidin-4-ylpyrrolidin-2-one Chemical compound O=C1CC(O)CN1C1CCNCC1 HIQIXEFWDLTDED-UHFFFAOYSA-N 0.000 description 2
- JOOXCMJARBKPKM-UHFFFAOYSA-M 4-oxopentanoate Chemical compound CC(=O)CCC([O-])=O JOOXCMJARBKPKM-UHFFFAOYSA-M 0.000 description 2
- AQIPNZHMXANQRC-UHFFFAOYSA-N 4-pyridin-2-ylbenzoic acid Chemical compound C1=CC(C(=O)O)=CC=C1C1=CC=CC=N1 AQIPNZHMXANQRC-UHFFFAOYSA-N 0.000 description 2
- FIEXZJLGLNLCLP-UHFFFAOYSA-N 5-amino-n-[3-(3,4-dihydro-1h-isoquinolin-2-yl)-2-hydroxypropyl]-2-fluorobenzamide Chemical compound NC1=CC=C(F)C(C(=O)NCC(O)CN2CC3=CC=CC=C3CC2)=C1 FIEXZJLGLNLCLP-UHFFFAOYSA-N 0.000 description 2
- HJJDMDCDNVZOMN-UHFFFAOYSA-N 5-bromo-n-[3-(3,4-dihydro-1h-isoquinolin-2-yl)-2-hydroxypropyl]pyridine-3-carboxamide Chemical compound C1CC2=CC=CC=C2CN1CC(O)CNC(=O)C1=CN=CC(Br)=C1 HJJDMDCDNVZOMN-UHFFFAOYSA-N 0.000 description 2
- ZAMODMPUQSDENV-IBGZPJMESA-N 6-[(1-acetylazetidin-3-yl)amino]-n-[(2s)-3-(3,4-dihydro-1h-isoquinolin-2-yl)-2-hydroxypropyl]pyrimidine-4-carboxamide Chemical compound C1N(C(=O)C)CC1NC1=CC(C(=O)NC[C@H](O)CN2CC3=CC=CC=C3CC2)=NC=N1 ZAMODMPUQSDENV-IBGZPJMESA-N 0.000 description 2
- JLCCNYVTIWRPIZ-NRFANRHFSA-N 6-[(1-acetylpiperidin-4-yl)amino]-n-[(2s)-3-(3,4-dihydro-1h-isoquinolin-2-yl)-2-hydroxypropyl]pyrimidine-4-carboxamide Chemical compound C1CN(C(=O)C)CCC1NC1=CC(C(=O)NC[C@H](O)CN2CC3=CC=CC=C3CC2)=NC=N1 JLCCNYVTIWRPIZ-NRFANRHFSA-N 0.000 description 2
- HBAQYPYDRFILMT-UHFFFAOYSA-N 8-[3-(1-cyclopropylpyrazol-4-yl)-1H-pyrazolo[4,3-d]pyrimidin-5-yl]-3-methyl-3,8-diazabicyclo[3.2.1]octan-2-one Chemical class C1(CC1)N1N=CC(=C1)C1=NNC2=C1N=C(N=C2)N1C2C(N(CC1CC2)C)=O HBAQYPYDRFILMT-UHFFFAOYSA-N 0.000 description 2
- QSBYPNXLFMSGKH-UHFFFAOYSA-N 9-Heptadecensaeure Natural products CCCCCCCC=CCCCCCCCC(O)=O QSBYPNXLFMSGKH-UHFFFAOYSA-N 0.000 description 2
- 241000251468 Actinopterygii Species 0.000 description 2
- 239000005995 Aluminium silicate Substances 0.000 description 2
- 201000003076 Angiosarcoma Diseases 0.000 description 2
- 241000272517 Anseriformes Species 0.000 description 2
- 206010073360 Appendix cancer Diseases 0.000 description 2
- 244000105624 Arachis hypogaea Species 0.000 description 2
- 235000010777 Arachis hypogaea Nutrition 0.000 description 2
- XKRFYHLGVUSROY-UHFFFAOYSA-N Argon Chemical compound [Ar] XKRFYHLGVUSROY-UHFFFAOYSA-N 0.000 description 2
- 241000271566 Aves Species 0.000 description 2
- 208000010839 B-cell chronic lymphocytic leukemia Diseases 0.000 description 2
- 206010004146 Basal cell carcinoma Diseases 0.000 description 2
- 239000005711 Benzoic acid Substances 0.000 description 2
- 206010005003 Bladder cancer Diseases 0.000 description 2
- BTBUEUYNUDRHOZ-UHFFFAOYSA-N Borate Chemical compound [O-]B([O-])[O-] BTBUEUYNUDRHOZ-UHFFFAOYSA-N 0.000 description 2
- 241000283690 Bos taurus Species 0.000 description 2
- 208000003174 Brain Neoplasms Diseases 0.000 description 2
- 235000004977 Brassica sinapistrum Nutrition 0.000 description 2
- QFOHBWFCKVYLES-UHFFFAOYSA-N Butylparaben Chemical compound CCCCOC(=O)C1=CC=C(O)C=C1 QFOHBWFCKVYLES-UHFFFAOYSA-N 0.000 description 2
- XFFRCDZRLXAYTG-UHFFFAOYSA-N CC.O=C(NCC(O)CN1CCC2=C(C=CC=C2)C1)C1=CN=CC=N1 Chemical compound CC.O=C(NCC(O)CN1CCC2=C(C=CC=C2)C1)C1=CN=CC=N1 XFFRCDZRLXAYTG-UHFFFAOYSA-N 0.000 description 2
- XFFRCDZRLXAYTG-XFULWGLBSA-N CC.O=C(NC[C@@H](O)CN1CCC2=C(C=CC=C2)C1)C1=CN=CC=N1 Chemical compound CC.O=C(NC[C@@H](O)CN1CCC2=C(C=CC=C2)C1)C1=CN=CC=N1 XFFRCDZRLXAYTG-XFULWGLBSA-N 0.000 description 2
- XFFRCDZRLXAYTG-RSAXXLAASA-N CC.O=C(NC[C@H](O)CN1CCC2=C(C=CC=C2)C1)C1=CN=CC=N1 Chemical compound CC.O=C(NC[C@H](O)CN1CCC2=C(C=CC=C2)C1)C1=CN=CC=N1 XFFRCDZRLXAYTG-RSAXXLAASA-N 0.000 description 2
- 201000004085 CLL/SLL Diseases 0.000 description 2
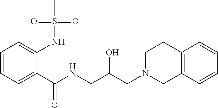
- YTWFJGHYCYWUIX-UHFFFAOYSA-N CS(=O)(=O)NC1=CC=C(C(=O)NCC(O)CN2CCC3=C(C=CC=C3)C2)C=C1 Chemical compound CS(=O)(=O)NC1=CC=C(C(=O)NCC(O)CN2CCC3=C(C=CC=C3)C2)C=C1 YTWFJGHYCYWUIX-UHFFFAOYSA-N 0.000 description 2
- OYPRJOBELJOOCE-UHFFFAOYSA-N Calcium Chemical compound [Ca] OYPRJOBELJOOCE-UHFFFAOYSA-N 0.000 description 2
- 206010007275 Carcinoid tumour Diseases 0.000 description 2
- 206010009944 Colon cancer Diseases 0.000 description 2
- 229920002785 Croscarmellose sodium Polymers 0.000 description 2
- 108090000266 Cyclin-dependent kinases Proteins 0.000 description 2
- 102000003903 Cyclin-dependent kinases Human genes 0.000 description 2
- 235000019739 Dicalciumphosphate Nutrition 0.000 description 2
- RTZKZFJDLAIYFH-UHFFFAOYSA-N Diethyl ether Chemical compound CCOCC RTZKZFJDLAIYFH-UHFFFAOYSA-N 0.000 description 2
- 208000000461 Esophageal Neoplasms Diseases 0.000 description 2
- 208000032027 Essential Thrombocythemia Diseases 0.000 description 2
- JOYRKODLDBILNP-UHFFFAOYSA-N Ethyl urethane Chemical compound CCOC(N)=O JOYRKODLDBILNP-UHFFFAOYSA-N 0.000 description 2
- JNCMHMUGTWEVOZ-UHFFFAOYSA-N F[CH]F Chemical group F[CH]F JNCMHMUGTWEVOZ-UHFFFAOYSA-N 0.000 description 2
- ZHNUHDYFZUAESO-UHFFFAOYSA-N Formamide Chemical class NC=O ZHNUHDYFZUAESO-UHFFFAOYSA-N 0.000 description 2
- BDAGIHXWWSANSR-UHFFFAOYSA-M Formate Chemical compound [O-]C=O BDAGIHXWWSANSR-UHFFFAOYSA-M 0.000 description 2
- GLZPCOQZEFWAFX-UHFFFAOYSA-N Geraniol Chemical compound CC(C)=CCCC(C)=CCO GLZPCOQZEFWAFX-UHFFFAOYSA-N 0.000 description 2
- 239000012571 GlutaMAX medium Substances 0.000 description 2
- 208000001258 Hemangiosarcoma Diseases 0.000 description 2
- 108091005886 Hemoglobin subunit gamma Proteins 0.000 description 2
- 102100038617 Hemoglobin subunit gamma-2 Human genes 0.000 description 2
- 239000004705 High-molecular-weight polyethylene Substances 0.000 description 2
- 108010033040 Histones Proteins 0.000 description 2
- 102000006947 Histones Human genes 0.000 description 2
- 229920002153 Hydroxypropyl cellulose Polymers 0.000 description 2
- 206010048643 Hypereosinophilic syndrome Diseases 0.000 description 2
- 206010070999 Intraductal papillary mucinous neoplasm Diseases 0.000 description 2
- 208000007766 Kaposi sarcoma Diseases 0.000 description 2
- 206010023347 Keratoacanthoma Diseases 0.000 description 2
- JVTAAEKCZFNVCJ-UHFFFAOYSA-M Lactate Chemical compound CC(O)C([O-])=O JVTAAEKCZFNVCJ-UHFFFAOYSA-M 0.000 description 2
- 208000018142 Leiomyosarcoma Diseases 0.000 description 2
- 208000006644 Malignant Fibrous Histiocytoma Diseases 0.000 description 2
- 241000124008 Mammalia Species 0.000 description 2
- 240000003183 Manihot esculenta Species 0.000 description 2
- 235000016735 Manihot esculenta subsp esculenta Nutrition 0.000 description 2
- 208000025205 Mantle-Cell Lymphoma Diseases 0.000 description 2
- 208000000172 Medulloblastoma Diseases 0.000 description 2
- BAVYZALUXZFZLV-UHFFFAOYSA-N Methylamine Chemical compound NC BAVYZALUXZFZLV-UHFFFAOYSA-N 0.000 description 2
- 201000003793 Myelodysplastic syndrome Diseases 0.000 description 2
- 208000014767 Myeloproliferative disease Diseases 0.000 description 2
- 201000007224 Myeloproliferative neoplasm Diseases 0.000 description 2
- FSVCELGFZIQNCK-UHFFFAOYSA-N N,N-bis(2-hydroxyethyl)glycine Chemical compound OCCN(CCO)CC(O)=O FSVCELGFZIQNCK-UHFFFAOYSA-N 0.000 description 2
- XUYPXLNMDZIRQH-LURJTMIESA-N N-acetyl-L-methionine Chemical compound CSCC[C@@H](C(O)=O)NC(C)=O XUYPXLNMDZIRQH-LURJTMIESA-N 0.000 description 2
- 208000009905 Neurofibromatoses Diseases 0.000 description 2
- 208000033755 Neutrophilic Chronic Leukemia Diseases 0.000 description 2
- 208000015914 Non-Hodgkin lymphomas Diseases 0.000 description 2
- HTXQCRKFXMKJBU-UHFFFAOYSA-N O=C(NCC(O)CN1CCC2=C(C=CC=C2)C1)C1=CC(CC2CCOCC2)=CC=C1 Chemical compound O=C(NCC(O)CN1CCC2=C(C=CC=C2)C1)C1=CC(CC2CCOCC2)=CC=C1 HTXQCRKFXMKJBU-UHFFFAOYSA-N 0.000 description 2
- JAYAZQJIVKHAAK-UHFFFAOYSA-N O=C(NCC(O)CN1CCC2=C(C=CC=C2)C1)C1=CC=C(N2C=NC=N2)C=C1 Chemical compound O=C(NCC(O)CN1CCC2=C(C=CC=C2)C1)C1=CC=C(N2C=NC=N2)C=C1 JAYAZQJIVKHAAK-UHFFFAOYSA-N 0.000 description 2
- ZTVJMFHYMBKDCR-UHFFFAOYSA-N O=C(NCC(O)CN1CCC2=C(C=CC=C2)C1)C1=CC=CC(CN2CCN(CC(F)(F)F)CC2)=C1 Chemical compound O=C(NCC(O)CN1CCC2=C(C=CC=C2)C1)C1=CC=CC(CN2CCN(CC(F)(F)F)CC2)=C1 ZTVJMFHYMBKDCR-UHFFFAOYSA-N 0.000 description 2
- IQOXVADYZAROMQ-QFIPXVFZSA-N O=C(NC[C@H](O)CN1CCC2=C(C=CC=C2)C1)C1=CC(C2=NC=CC=C2)=CC=C1 Chemical compound O=C(NC[C@H](O)CN1CCC2=C(C=CC=C2)C1)C1=CC(C2=NC=CC=C2)=CC=C1 IQOXVADYZAROMQ-QFIPXVFZSA-N 0.000 description 2
- 206010030155 Oesophageal carcinoma Diseases 0.000 description 2
- 240000007817 Olea europaea Species 0.000 description 2
- 239000005642 Oleic acid Substances 0.000 description 2
- ZQPPMHVWECSIRJ-UHFFFAOYSA-N Oleic acid Natural products CCCCCCCCC=CCCCCCCCC(O)=O ZQPPMHVWECSIRJ-UHFFFAOYSA-N 0.000 description 2
- 201000010133 Oligodendroglioma Diseases 0.000 description 2
- 108091007960 PI3Ks Proteins 0.000 description 2
- 229910019142 PO4 Inorganic materials 0.000 description 2
- 206010033701 Papillary thyroid cancer Diseases 0.000 description 2
- 229930040373 Paraformaldehyde Natural products 0.000 description 2
- 208000027190 Peripheral T-cell lymphomas Diseases 0.000 description 2
- 208000031839 Peripheral nerve sheath tumour malignant Diseases 0.000 description 2
- 102000003993 Phosphatidylinositol 3-kinases Human genes 0.000 description 2
- 108090000430 Phosphatidylinositol 3-kinases Proteins 0.000 description 2
- 206010035226 Plasma cell myeloma Diseases 0.000 description 2
- 229920001214 Polysorbate 60 Polymers 0.000 description 2
- ZLMJMSJWJFRBEC-UHFFFAOYSA-N Potassium Chemical compound [K] ZLMJMSJWJFRBEC-UHFFFAOYSA-N 0.000 description 2
- WCUXLLCKKVVCTQ-UHFFFAOYSA-M Potassium chloride Chemical compound [Cl-].[K+] WCUXLLCKKVVCTQ-UHFFFAOYSA-M 0.000 description 2
- 206010057846 Primitive neuroectodermal tumour Diseases 0.000 description 2
- ZTHYODDOHIVTJV-UHFFFAOYSA-N Propyl gallate Chemical compound CCCOC(=O)C1=CC(O)=C(O)C(O)=C1 ZTHYODDOHIVTJV-UHFFFAOYSA-N 0.000 description 2
- 239000012979 RPMI medium Substances 0.000 description 2
- 208000015634 Rectal Neoplasms Diseases 0.000 description 2
- 208000006265 Renal cell carcinoma Diseases 0.000 description 2
- 235000004443 Ricinus communis Nutrition 0.000 description 2
- VYPSYNLAJGMNEJ-UHFFFAOYSA-N Silicium dioxide Chemical compound O=[Si]=O VYPSYNLAJGMNEJ-UHFFFAOYSA-N 0.000 description 2
- 206010041067 Small cell lung cancer Diseases 0.000 description 2
- VMHLLURERBWHNL-UHFFFAOYSA-M Sodium acetate Chemical compound [Na+].CC([O-])=O VMHLLURERBWHNL-UHFFFAOYSA-M 0.000 description 2
- DWAQJAXMDSEUJJ-UHFFFAOYSA-M Sodium bisulfite Chemical compound [Na+].OS([O-])=O DWAQJAXMDSEUJJ-UHFFFAOYSA-M 0.000 description 2
- IYFATESGLOUGBX-YVNJGZBMSA-N Sorbitan monopalmitate Chemical compound CCCCCCCCCCCCCCCC(=O)OC[C@@H](O)[C@H]1OC[C@H](O)[C@H]1O IYFATESGLOUGBX-YVNJGZBMSA-N 0.000 description 2
- 241000256251 Spodoptera frugiperda Species 0.000 description 2
- 208000005718 Stomach Neoplasms Diseases 0.000 description 2
- 108010090804 Streptavidin Proteins 0.000 description 2
- QAOWNCQODCNURD-UHFFFAOYSA-L Sulfate Chemical compound [O-]S([O-])(=O)=O QAOWNCQODCNURD-UHFFFAOYSA-L 0.000 description 2
- QAOWNCQODCNURD-UHFFFAOYSA-N Sulfuric acid Chemical compound OS(O)(=O)=O QAOWNCQODCNURD-UHFFFAOYSA-N 0.000 description 2
- 208000031673 T-Cell Cutaneous Lymphoma Diseases 0.000 description 2
- 208000031672 T-Cell Peripheral Lymphoma Diseases 0.000 description 2
- 208000029052 T-cell acute lymphoblastic leukemia Diseases 0.000 description 2
- 208000027585 T-cell non-Hodgkin lymphoma Diseases 0.000 description 2
- FEWJPZIEWOKRBE-UHFFFAOYSA-N Tartaric acid Natural products [H+].[H+].[O-]C(=O)C(O)C(O)C([O-])=O FEWJPZIEWOKRBE-UHFFFAOYSA-N 0.000 description 2
- 208000015778 Undifferentiated pleomorphic sarcoma Diseases 0.000 description 2
- 208000007097 Urinary Bladder Neoplasms Diseases 0.000 description 2
- 208000008383 Wilms tumor Diseases 0.000 description 2
- 240000008042 Zea mays Species 0.000 description 2
- 235000005824 Zea mays ssp. parviglumis Nutrition 0.000 description 2
- 235000002017 Zea mays subsp mays Nutrition 0.000 description 2
- IJCWFDPJFXGQBN-RYNSOKOISA-N [(2R)-2-[(2R,3R,4S)-4-hydroxy-3-octadecanoyloxyoxolan-2-yl]-2-octadecanoyloxyethyl] octadecanoate Chemical compound CCCCCCCCCCCCCCCCCC(=O)OC[C@@H](OC(=O)CCCCCCCCCCCCCCCCC)[C@H]1OC[C@H](O)[C@H]1OC(=O)CCCCCCCCCCCCCCCCC IJCWFDPJFXGQBN-RYNSOKOISA-N 0.000 description 2
- 229960000583 acetic acid Drugs 0.000 description 2
- 235000011054 acetic acid Nutrition 0.000 description 2
- 230000002378 acidificating effect Effects 0.000 description 2
- 208000017733 acquired polycythemia vera Diseases 0.000 description 2
- 230000009471 action Effects 0.000 description 2
- 208000009956 adenocarcinoma Diseases 0.000 description 2
- 230000002293 adipogenic effect Effects 0.000 description 2
- 150000001298 alcohols Chemical class 0.000 description 2
- 235000012211 aluminium silicate Nutrition 0.000 description 2
- 125000003277 amino group Chemical group 0.000 description 2
- SMWDFEZZVXVKRB-UHFFFAOYSA-N anhydrous quinoline Natural products N1=CC=CC2=CC=CC=C21 SMWDFEZZVXVKRB-UHFFFAOYSA-N 0.000 description 2
- 230000000843 anti-fungal effect Effects 0.000 description 2
- 230000000845 anti-microbial effect Effects 0.000 description 2
- 229940121375 antifungal agent Drugs 0.000 description 2
- 229940027983 antiseptic and disinfectant quaternary ammonium compound Drugs 0.000 description 2
- 208000021780 appendiceal neoplasm Diseases 0.000 description 2
- 239000007864 aqueous solution Substances 0.000 description 2
- 125000003710 aryl alkyl group Chemical group 0.000 description 2
- 229960005070 ascorbic acid Drugs 0.000 description 2
- 125000004069 aziridinyl group Chemical group 0.000 description 2
- 229960000686 benzalkonium chloride Drugs 0.000 description 2
- 229940077388 benzenesulfonate Drugs 0.000 description 2
- SRSXLGNVWSONIS-UHFFFAOYSA-M benzenesulfonate Chemical compound [O-]S(=O)(=O)C1=CC=CC=C1 SRSXLGNVWSONIS-UHFFFAOYSA-M 0.000 description 2
- 125000003785 benzimidazolyl group Chemical group N1=C(NC2=C1C=CC=C2)* 0.000 description 2
- 125000004603 benzisoxazolyl group Chemical group O1N=C(C2=C1C=CC=C2)* 0.000 description 2
- 125000000499 benzofuranyl group Chemical group O1C(=CC2=C1C=CC=C2)* 0.000 description 2
- 235000010233 benzoic acid Nutrition 0.000 description 2
- 125000001164 benzothiazolyl group Chemical group S1C(=NC2=C1C=CC=C2)* 0.000 description 2
- 125000004196 benzothienyl group Chemical group S1C(=CC2=C1C=CC=C2)* 0.000 description 2
- 125000003354 benzotriazolyl group Chemical group N1N=NC2=C1C=CC=C2* 0.000 description 2
- 125000004541 benzoxazolyl group Chemical group O1C(=NC2=C1C=CC=C2)* 0.000 description 2
- SESFRYSPDFLNCH-UHFFFAOYSA-N benzyl benzoate Chemical compound C=1C=CC=CC=1C(=O)OCC1=CC=CC=C1 SESFRYSPDFLNCH-UHFFFAOYSA-N 0.000 description 2
- CADWTSSKOVRVJC-UHFFFAOYSA-N benzyl(dimethyl)azanium;chloride Chemical compound [Cl-].C[NH+](C)CC1=CC=CC=C1 CADWTSSKOVRVJC-UHFFFAOYSA-N 0.000 description 2
- WGQKYBSKWIADBV-UHFFFAOYSA-N benzylamine Chemical compound NCC1=CC=CC=C1 WGQKYBSKWIADBV-UHFFFAOYSA-N 0.000 description 2
- XMIIGOLPHOKFCH-UHFFFAOYSA-N beta-phenylpropanoic acid Natural products OC(=O)CCC1=CC=CC=C1 XMIIGOLPHOKFCH-UHFFFAOYSA-N 0.000 description 2
- 239000007998 bicine buffer Substances 0.000 description 2
- MUALRAIOVNYAIW-UHFFFAOYSA-N binap Chemical compound C1=CC=CC=C1P(C=1C(=C2C=CC=CC2=CC=1)C=1C2=CC=CC=C2C=CC=1P(C=1C=CC=CC=1)C=1C=CC=CC=1)C1=CC=CC=C1 MUALRAIOVNYAIW-UHFFFAOYSA-N 0.000 description 2
- 230000033228 biological regulation Effects 0.000 description 2
- 230000037396 body weight Effects 0.000 description 2
- 235000019437 butane-1,3-diol Nutrition 0.000 description 2
- 210000004899 c-terminal region Anatomy 0.000 description 2
- 229910000024 caesium carbonate Inorganic materials 0.000 description 2
- 239000011575 calcium Substances 0.000 description 2
- 229960005069 calcium Drugs 0.000 description 2
- 229910052791 calcium Inorganic materials 0.000 description 2
- FUFJGUQYACFECW-UHFFFAOYSA-L calcium hydrogenphosphate Chemical compound [Ca+2].OP([O-])([O-])=O FUFJGUQYACFECW-UHFFFAOYSA-L 0.000 description 2
- CJZGTCYPCWQAJB-UHFFFAOYSA-L calcium stearate Chemical compound [Ca+2].CCCCCCCCCCCCCCCCCC([O-])=O.CCCCCCCCCCCCCCCCCC([O-])=O CJZGTCYPCWQAJB-UHFFFAOYSA-L 0.000 description 2
- 235000013539 calcium stearate Nutrition 0.000 description 2
- 239000008116 calcium stearate Substances 0.000 description 2
- OSGAYBCDTDRGGQ-UHFFFAOYSA-L calcium sulfate Chemical compound [Ca+2].[O-]S([O-])(=O)=O OSGAYBCDTDRGGQ-UHFFFAOYSA-L 0.000 description 2
- 238000004364 calculation method Methods 0.000 description 2
- MIOPJNTWMNEORI-UHFFFAOYSA-N camphorsulfonic acid Chemical compound C1CC2(CS(O)(=O)=O)C(=O)CC1C2(C)C MIOPJNTWMNEORI-UHFFFAOYSA-N 0.000 description 2
- 125000002837 carbocyclic group Chemical group 0.000 description 2
- 208000002458 carcinoid tumor Diseases 0.000 description 2
- UCAGLBKTLXCODC-UHFFFAOYSA-N carzenide Chemical compound NS(=O)(=O)C1=CC=C(C(O)=O)C=C1 UCAGLBKTLXCODC-UHFFFAOYSA-N 0.000 description 2
- 239000004359 castor oil Substances 0.000 description 2
- 230000003833 cell viability Effects 0.000 description 2
- 238000012054 celltiter-glo Methods 0.000 description 2
- 239000001913 cellulose Substances 0.000 description 2
- 210000003169 central nervous system Anatomy 0.000 description 2
- 229960002798 cetrimide Drugs 0.000 description 2
- 229960000541 cetyl alcohol Drugs 0.000 description 2
- 229960001927 cetylpyridinium chloride Drugs 0.000 description 2
- NFCRBQADEGXVDL-UHFFFAOYSA-M cetylpyridinium chloride monohydrate Chemical compound O.[Cl-].CCCCCCCCCCCCCCCC[N+]1=CC=CC=C1 NFCRBQADEGXVDL-UHFFFAOYSA-M 0.000 description 2
- 239000013522 chelant Substances 0.000 description 2
- 239000000460 chlorine Substances 0.000 description 2
- 229960004926 chlorobutanol Drugs 0.000 description 2
- 235000012000 cholesterol Nutrition 0.000 description 2
- 208000023738 chronic lymphocytic leukemia/small lymphocytic lymphoma Diseases 0.000 description 2
- 201000010903 chronic neutrophilic leukemia Diseases 0.000 description 2
- 208000029742 colonic neoplasm Diseases 0.000 description 2
- 239000012230 colorless oil Substances 0.000 description 2
- 239000002299 complementary DNA Substances 0.000 description 2
- 235000005822 corn Nutrition 0.000 description 2
- 239000001767 crosslinked sodium carboxy methyl cellulose Substances 0.000 description 2
- 201000007241 cutaneous T cell lymphoma Diseases 0.000 description 2
- 125000001995 cyclobutyl group Chemical group [H]C1([H])C([H])([H])C([H])(*)C1([H])[H] 0.000 description 2
- 125000000582 cycloheptyl group Chemical group [H]C1([H])C([H])([H])C([H])([H])C([H])([H])C([H])(*)C([H])([H])C1([H])[H] 0.000 description 2
- 125000000113 cyclohexyl group Chemical group [H]C1([H])C([H])([H])C([H])([H])C([H])(*)C([H])([H])C1([H])[H] 0.000 description 2
- 125000000640 cyclooctyl group Chemical group [H]C1([H])C([H])([H])C([H])([H])C([H])([H])C([H])(*)C([H])([H])C([H])([H])C1([H])[H] 0.000 description 2
- 125000001511 cyclopentyl group Chemical group [H]C1([H])C([H])([H])C([H])([H])C([H])(*)C1([H])[H] 0.000 description 2
- 125000001559 cyclopropyl group Chemical group [H]C1([H])C([H])([H])C1([H])* 0.000 description 2
- PGRHXDWITVMQBC-UHFFFAOYSA-N dehydroacetic acid Chemical compound CC(=O)C1C(=O)OC(C)=CC1=O PGRHXDWITVMQBC-UHFFFAOYSA-N 0.000 description 2
- 238000011161 development Methods 0.000 description 2
- 230000018109 developmental process Effects 0.000 description 2
- NEFBYIFKOOEVPA-UHFFFAOYSA-K dicalcium phosphate Chemical compound [Ca+2].[Ca+2].[O-]P([O-])([O-])=O NEFBYIFKOOEVPA-UHFFFAOYSA-K 0.000 description 2
- 235000019700 dicalcium phosphate Nutrition 0.000 description 2
- 229910000390 dicalcium phosphate Inorganic materials 0.000 description 2
- 229940038472 dicalcium phosphate Drugs 0.000 description 2
- 206010012818 diffuse large B-cell lymphoma Diseases 0.000 description 2
- 238000010790 dilution Methods 0.000 description 2
- 239000012895 dilution Substances 0.000 description 2
- 125000005982 diphenylmethyl group Chemical group [H]C1=C([H])C([H])=C(C([H])=C1[H])C([H])(*)C1=C([H])C([H])=C([H])C([H])=C1[H] 0.000 description 2
- SMVRDGHCVNAOIN-UHFFFAOYSA-L disodium;1-dodecoxydodecane;sulfate Chemical compound [Na+].[Na+].[O-]S([O-])(=O)=O.CCCCCCCCCCCCOCCCCCCCCCCCC SMVRDGHCVNAOIN-UHFFFAOYSA-L 0.000 description 2
- MOTZDAYCYVMXPC-UHFFFAOYSA-N dodecyl hydrogen sulfate Chemical compound CCCCCCCCCCCCOS(O)(=O)=O MOTZDAYCYVMXPC-UHFFFAOYSA-N 0.000 description 2
- 229940043264 dodecyl sulfate Drugs 0.000 description 2
- 239000008298 dragée Substances 0.000 description 2
- 239000003937 drug carrier Substances 0.000 description 2
- 239000002702 enteric coating Substances 0.000 description 2
- 238000009505 enteric coating Methods 0.000 description 2
- GKIPXFAANLTWBM-UHFFFAOYSA-N epibromohydrin Chemical compound BrCC1CO1 GKIPXFAANLTWBM-UHFFFAOYSA-N 0.000 description 2
- 201000004101 esophageal cancer Diseases 0.000 description 2
- 150000002148 esters Chemical class 0.000 description 2
- BEFDCLMNVWHSGT-UHFFFAOYSA-N ethenylcyclopentane Chemical compound C=CC1CCCC1 BEFDCLMNVWHSGT-UHFFFAOYSA-N 0.000 description 2
- MMXKVMNBHPAILY-UHFFFAOYSA-N ethyl laurate Chemical compound CCCCCCCCCCCC(=O)OCC MMXKVMNBHPAILY-UHFFFAOYSA-N 0.000 description 2
- 235000010228 ethyl p-hydroxybenzoate Nutrition 0.000 description 2
- 230000029142 excretion Effects 0.000 description 2
- 239000003889 eye drop Substances 0.000 description 2
- 229940012356 eye drops Drugs 0.000 description 2
- 230000001605 fetal effect Effects 0.000 description 2
- VUWZPRWSIVNGKG-UHFFFAOYSA-N fluoromethane Chemical group F[CH2] VUWZPRWSIVNGKG-UHFFFAOYSA-N 0.000 description 2
- 150000004675 formic acid derivatives Chemical class 0.000 description 2
- 230000006870 function Effects 0.000 description 2
- 125000002541 furyl group Chemical group 0.000 description 2
- 206010017758 gastric cancer Diseases 0.000 description 2
- 239000000499 gel Substances 0.000 description 2
- 239000007903 gelatin capsule Substances 0.000 description 2
- 239000008103 glucose Substances 0.000 description 2
- 239000003979 granulating agent Substances 0.000 description 2
- 239000001963 growth medium Substances 0.000 description 2
- 229940093915 gynecological organic acid Drugs 0.000 description 2
- 201000009277 hairy cell leukemia Diseases 0.000 description 2
- 201000000459 head and neck squamous cell carcinoma Diseases 0.000 description 2
- 230000036541 health Effects 0.000 description 2
- IPCSVZSSVZVIGE-UHFFFAOYSA-M hexadecanoate Chemical compound CCCCCCCCCCCCCCCC([O-])=O IPCSVZSSVZVIGE-UHFFFAOYSA-M 0.000 description 2
- 235000010977 hydroxypropyl cellulose Nutrition 0.000 description 2
- 239000001863 hydroxypropyl cellulose Substances 0.000 description 2
- 235000010979 hydroxypropyl methyl cellulose Nutrition 0.000 description 2
- 239000001866 hydroxypropyl methyl cellulose Substances 0.000 description 2
- 229920003088 hydroxypropyl methyl cellulose Polymers 0.000 description 2
- UFVKGYZPFZQRLF-UHFFFAOYSA-N hydroxypropyl methyl cellulose Chemical compound OC1C(O)C(OC)OC(CO)C1OC1C(O)C(O)C(OC2C(C(O)C(OC3C(C(O)C(O)C(CO)O3)O)C(CO)O2)O)C(CO)O1 UFVKGYZPFZQRLF-UHFFFAOYSA-N 0.000 description 2
- ZCTXEAQXZGPWFG-UHFFFAOYSA-N imidurea Chemical compound O=C1NC(=O)N(CO)C1NC(=O)NCNC(=O)NC1C(=O)NC(=O)N1CO ZCTXEAQXZGPWFG-UHFFFAOYSA-N 0.000 description 2
- 238000001727 in vivo Methods 0.000 description 2
- 238000011534 incubation Methods 0.000 description 2
- 125000003453 indazolyl group Chemical group N1N=C(C2=C1C=CC=C2)* 0.000 description 2
- 125000003406 indolizinyl group Chemical group C=1(C=CN2C=CC=CC12)* 0.000 description 2
- 238000002347 injection Methods 0.000 description 2
- 239000007924 injection Substances 0.000 description 2
- NOESYZHRGYRDHS-UHFFFAOYSA-N insulin Chemical compound N1C(=O)C(NC(=O)C(CCC(N)=O)NC(=O)C(CCC(O)=O)NC(=O)C(C(C)C)NC(=O)C(NC(=O)CN)C(C)CC)CSSCC(C(NC(CO)C(=O)NC(CC(C)C)C(=O)NC(CC=2C=CC(O)=CC=2)C(=O)NC(CCC(N)=O)C(=O)NC(CC(C)C)C(=O)NC(CCC(O)=O)C(=O)NC(CC(N)=O)C(=O)NC(CC=2C=CC(O)=CC=2)C(=O)NC(CSSCC(NC(=O)C(C(C)C)NC(=O)C(CC(C)C)NC(=O)C(CC=2C=CC(O)=CC=2)NC(=O)C(CC(C)C)NC(=O)C(C)NC(=O)C(CCC(O)=O)NC(=O)C(C(C)C)NC(=O)C(CC(C)C)NC(=O)C(CC=2NC=NC=2)NC(=O)C(CO)NC(=O)CNC2=O)C(=O)NCC(=O)NC(CCC(O)=O)C(=O)NC(CCCNC(N)=N)C(=O)NCC(=O)NC(CC=3C=CC=CC=3)C(=O)NC(CC=3C=CC=CC=3)C(=O)NC(CC=3C=CC(O)=CC=3)C(=O)NC(C(C)O)C(=O)N3C(CCC3)C(=O)NC(CCCCN)C(=O)NC(C)C(O)=O)C(=O)NC(CC(N)=O)C(O)=O)=O)NC(=O)C(C(C)CC)NC(=O)C(CO)NC(=O)C(C(C)O)NC(=O)C1CSSCC2NC(=O)C(CC(C)C)NC(=O)C(NC(=O)C(CCC(N)=O)NC(=O)C(CC(N)=O)NC(=O)C(NC(=O)C(N)CC=1C=CC=CC=1)C(C)C)CC1=CN=CN1 NOESYZHRGYRDHS-UHFFFAOYSA-N 0.000 description 2
- 238000001990 intravenous administration Methods 0.000 description 2
- 125000002346 iodo group Chemical group I* 0.000 description 2
- 125000000904 isoindolyl group Chemical group C=1(NC=C2C=CC=CC12)* 0.000 description 2
- QXJSBBXBKPUZAA-UHFFFAOYSA-N isooleic acid Natural products CCCCCCCC=CCCCCCCCCC(O)=O QXJSBBXBKPUZAA-UHFFFAOYSA-N 0.000 description 2
- 125000002183 isoquinolinyl group Chemical group C1(=NC=CC2=CC=CC=C12)* 0.000 description 2
- 125000001786 isothiazolyl group Chemical group 0.000 description 2
- 125000000842 isoxazolyl group Chemical group 0.000 description 2
- NLYAJNPCOHFWQQ-UHFFFAOYSA-N kaolin Chemical compound O.O.O=[Al]O[Si](=O)O[Si](=O)O[Al]=O NLYAJNPCOHFWQQ-UHFFFAOYSA-N 0.000 description 2
- 229940001447 lactate Drugs 0.000 description 2
- 208000032839 leukemia Diseases 0.000 description 2
- 239000008297 liquid dosage form Substances 0.000 description 2
- 201000007270 liver cancer Diseases 0.000 description 2
- 239000006210 lotion Substances 0.000 description 2
- 201000005249 lung adenocarcinoma Diseases 0.000 description 2
- VZCYOOQTPOCHFL-UPHRSURJSA-N maleic acid Chemical compound OC(=O)\C=C/C(O)=O VZCYOOQTPOCHFL-UPHRSURJSA-N 0.000 description 2
- BJEPYKJPYRNKOW-UHFFFAOYSA-N malic acid Chemical compound OC(=O)C(O)CC(O)=O BJEPYKJPYRNKOW-UHFFFAOYSA-N 0.000 description 2
- 201000009020 malignant peripheral nerve sheath tumor Diseases 0.000 description 2
- 238000004519 manufacturing process Methods 0.000 description 2
- 239000000463 material Substances 0.000 description 2
- 208000020968 mature T-cell and NK-cell non-Hodgkin lymphoma Diseases 0.000 description 2
- SQDLUTWARDZZPK-UHFFFAOYSA-N methyl 2-[[1-[(2-methylpropan-2-yl)oxycarbonyl]piperidin-4-yl]amino]pyridine-4-carboxylate Chemical compound COC(=O)C1=CC=NC(NC2CCN(CC2)C(=O)OC(C)(C)C)=C1 SQDLUTWARDZZPK-UHFFFAOYSA-N 0.000 description 2
- LEIJXXQQGMEHKW-UHFFFAOYSA-N methyl 3-(2-methylpyrazol-3-yl)benzoate Chemical compound COC(=O)C1=CC=CC(C=2N(N=CC=2)C)=C1 LEIJXXQQGMEHKW-UHFFFAOYSA-N 0.000 description 2
- YLFWRCNFZKUNOE-UHFFFAOYSA-N methyl 3-(morpholin-4-ylmethyl)benzoate Chemical compound COC(=O)C1=CC=CC(CN2CCOCC2)=C1 YLFWRCNFZKUNOE-UHFFFAOYSA-N 0.000 description 2
- BLGMHLRIKCHNEM-UHFFFAOYSA-N methyl 3-[(2-methylpropan-2-yl)oxycarbonylamino]benzoate Chemical compound COC(=O)C1=CC=CC(NC(=O)OC(C)(C)C)=C1 BLGMHLRIKCHNEM-UHFFFAOYSA-N 0.000 description 2
- HQIUGJIUEJFDCE-UHFFFAOYSA-N methyl 3-[(oxan-4-ylamino)methyl]benzoate Chemical compound COC(=O)C1=CC=CC(CNC2CCOCC2)=C1 HQIUGJIUEJFDCE-UHFFFAOYSA-N 0.000 description 2
- MIZIYGYCLTYCBS-UHFFFAOYSA-N methyl 3-[2-(dimethylamino)ethoxy]benzoate Chemical compound COC(=O)C1=CC=CC(OCCN(C)C)=C1 MIZIYGYCLTYCBS-UHFFFAOYSA-N 0.000 description 2
- UGURKCIFEPJBKL-UHFFFAOYSA-N methyl 3-[[(2-methylpropan-2-yl)oxycarbonyl-(oxan-4-yl)amino]methyl]benzoate Chemical compound COC(=O)C1=CC=CC(CN(C2CCOCC2)C(=O)OC(C)(C)C)=C1 UGURKCIFEPJBKL-UHFFFAOYSA-N 0.000 description 2
- UVSBCUAQEZINCQ-UHFFFAOYSA-N methyl 3-formylbenzoate Chemical compound COC(=O)C1=CC=CC(C=O)=C1 UVSBCUAQEZINCQ-UHFFFAOYSA-N 0.000 description 2
- YKUCHDXIBAQWSF-UHFFFAOYSA-N methyl 3-hydroxybenzoate Chemical compound COC(=O)C1=CC=CC(O)=C1 YKUCHDXIBAQWSF-UHFFFAOYSA-N 0.000 description 2
- WSFNTSUFRZCBNQ-UHFFFAOYSA-N methyl 3-pyridin-2-ylbenzoate Chemical compound COC(=O)C1=CC=CC(C=2N=CC=CC=2)=C1 WSFNTSUFRZCBNQ-UHFFFAOYSA-N 0.000 description 2
- HLFKAFNNGCVRIQ-UHFFFAOYSA-N methyl 3-pyridin-3-ylbenzoate Chemical compound COC(=O)C1=CC=CC(C=2C=NC=CC=2)=C1 HLFKAFNNGCVRIQ-UHFFFAOYSA-N 0.000 description 2
- OURDGCXMAZZEBC-UHFFFAOYSA-N methyl 3-pyridin-4-ylbenzoate Chemical compound COC(=O)C1=CC=CC(C=2C=CN=CC=2)=C1 OURDGCXMAZZEBC-UHFFFAOYSA-N 0.000 description 2
- XWOSIRUTIOITAV-UHFFFAOYSA-N methyl 4-(oxan-4-yloxy)benzoate Chemical compound C1=CC(C(=O)OC)=CC=C1OC1CCOCC1 XWOSIRUTIOITAV-UHFFFAOYSA-N 0.000 description 2
- 235000010270 methyl p-hydroxybenzoate Nutrition 0.000 description 2
- 239000004292 methyl p-hydroxybenzoate Substances 0.000 description 2
- 230000011987 methylation Effects 0.000 description 2
- 238000007069 methylation reaction Methods 0.000 description 2
- 229960002216 methylparaben Drugs 0.000 description 2
- 125000004092 methylthiomethyl group Chemical group [H]C([H])([H])SC([H])([H])* 0.000 description 2
- 150000007522 mineralic acids Chemical class 0.000 description 2
- LAWDUEFJOJENIJ-QHCPKHFHSA-N n-[(2s)-3-(3,4-dihydro-1h-isoquinolin-2-yl)-2-hydroxypropyl]-3-(oxan-4-ylamino)benzamide Chemical compound C([C@H](O)CN1CC2=CC=CC=C2CC1)NC(=O)C(C=1)=CC=CC=1NC1CCOCC1 LAWDUEFJOJENIJ-QHCPKHFHSA-N 0.000 description 2
- FCVXGIAFPBNNDG-UHFFFAOYSA-N n-[3-(3,4-dihydro-1h-isoquinolin-2-yl)-2-hydroxypropyl]-2-fluoro-5-(oxan-4-ylamino)benzamide Chemical compound C1CC2=CC=CC=C2CN1CC(O)CNC(=O)C(C(=CC=1)F)=CC=1NC1CCOCC1 FCVXGIAFPBNNDG-UHFFFAOYSA-N 0.000 description 2
- ROLLATFNHJSZMI-UHFFFAOYSA-N n-[3-(3,4-dihydro-1h-isoquinolin-2-yl)-2-hydroxypropyl]-2-methyl-3-(oxan-4-ylamino)benzamide Chemical compound C1=CC=C(C(=O)NCC(O)CN2CC3=CC=CC=C3CC2)C(C)=C1NC1CCOCC1 ROLLATFNHJSZMI-UHFFFAOYSA-N 0.000 description 2
- TXFAUFWFWYKEKN-UHFFFAOYSA-N n-[3-(3,4-dihydro-1h-isoquinolin-2-yl)-2-hydroxypropyl]-2-methyl-3-nitrobenzamide Chemical compound C1=CC=C([N+]([O-])=O)C(C)=C1C(=O)NCC(O)CN1CC2=CC=CC=C2CC1 TXFAUFWFWYKEKN-UHFFFAOYSA-N 0.000 description 2
- DEUZGMJOCHUTND-UHFFFAOYSA-N n-[3-(3,4-dihydro-1h-isoquinolin-2-yl)-2-hydroxypropyl]-3-(1-methylpyrrolidin-2-yl)benzamide Chemical compound CN1CCCC1C1=CC=CC(C(=O)NCC(O)CN2CC3=CC=CC=C3CC2)=C1 DEUZGMJOCHUTND-UHFFFAOYSA-N 0.000 description 2
- LAWDUEFJOJENIJ-UHFFFAOYSA-N n-[3-(3,4-dihydro-1h-isoquinolin-2-yl)-2-hydroxypropyl]-3-(oxan-4-ylamino)benzamide Chemical compound C1CC2=CC=CC=C2CN1CC(O)CNC(=O)C(C=1)=CC=CC=1NC1CCOCC1 LAWDUEFJOJENIJ-UHFFFAOYSA-N 0.000 description 2
- DBYGPTSKSLPALC-UHFFFAOYSA-N n-[3-(3,4-dihydro-1h-isoquinolin-2-yl)-2-hydroxypropyl]-3-[(2,2-dimethyloxan-4-yl)amino]benzamide Chemical compound C1COC(C)(C)CC1NC1=CC=CC(C(=O)NCC(O)CN2CC3=CC=CC=C3CC2)=C1 DBYGPTSKSLPALC-UHFFFAOYSA-N 0.000 description 2
- MJJZRZIZKOSDOY-UHFFFAOYSA-N n-[3-(3,4-dihydro-1h-isoquinolin-2-yl)-2-hydroxypropyl]-3-[(oxan-4-ylamino)methyl]benzamide Chemical compound C1CC2=CC=CC=C2CN1CC(O)CNC(=O)C(C=1)=CC=CC=1CNC1CCOCC1 MJJZRZIZKOSDOY-UHFFFAOYSA-N 0.000 description 2
- LWKMKLFQRMXXAY-UHFFFAOYSA-N n-[3-(3,4-dihydro-1h-isoquinolin-2-yl)-2-hydroxypropyl]-3-[1-(oxan-4-yl)ethylamino]benzamide Chemical compound C=1C=CC(C(=O)NCC(O)CN2CC3=CC=CC=C3CC2)=CC=1NC(C)C1CCOCC1 LWKMKLFQRMXXAY-UHFFFAOYSA-N 0.000 description 2
- JGIHPUJYYYKYIG-UHFFFAOYSA-N n-[3-(3,4-dihydro-1h-isoquinolin-2-yl)-2-hydroxypropyl]-3-[2-(dimethylamino)ethoxy]benzamide Chemical compound CN(C)CCOC1=CC=CC(C(=O)NCC(O)CN2CC3=CC=CC=C3CC2)=C1 JGIHPUJYYYKYIG-UHFFFAOYSA-N 0.000 description 2
- PGHWVOHEQAWBLE-UHFFFAOYSA-N n-[3-(3,4-dihydro-1h-isoquinolin-2-yl)-2-hydroxypropyl]-3-[methyl(oxan-4-yl)amino]benzamide Chemical compound C=1C=CC(C(=O)NCC(O)CN2CC3=CC=CC=C3CC2)=CC=1N(C)C1CCOCC1 PGHWVOHEQAWBLE-UHFFFAOYSA-N 0.000 description 2
- SAQUBIMQMKDIDZ-UHFFFAOYSA-N n-[3-(3,4-dihydro-1h-isoquinolin-2-yl)-2-hydroxypropyl]-4-(oxan-4-ylamino)pyridine-2-carboxamide Chemical compound C1CC2=CC=CC=C2CN1CC(O)CNC(=O)C(N=CC=1)=CC=1NC1CCOCC1 SAQUBIMQMKDIDZ-UHFFFAOYSA-N 0.000 description 2
- MVOMESMDZUIQCE-UHFFFAOYSA-N n-[3-(3,4-dihydro-1h-isoquinolin-2-yl)-2-hydroxypropyl]-5-(oxan-4-ylamino)pyridine-3-carboxamide Chemical compound C1CC2=CC=CC=C2CN1CC(O)CNC(=O)C(C=1)=CN=CC=1NC1CCOCC1 MVOMESMDZUIQCE-UHFFFAOYSA-N 0.000 description 2
- OWAQGZVVTHQXOM-UHFFFAOYSA-N n-benzyl-5-bromo-4-phenylmethoxypyrimidin-2-amine Chemical compound N1=C(OCC=2C=CC=CC=2)C(Br)=CN=C1NCC1=CC=CC=C1 OWAQGZVVTHQXOM-UHFFFAOYSA-N 0.000 description 2
- 125000004593 naphthyridinyl group Chemical group N1=C(C=CC2=CC=CN=C12)* 0.000 description 2
- 201000004931 neurofibromatosis Diseases 0.000 description 2
- 208000029974 neurofibrosarcoma Diseases 0.000 description 2
- 208000002154 non-small cell lung carcinoma Diseases 0.000 description 2
- 231100000252 nontoxic Toxicity 0.000 description 2
- 230000003000 nontoxic effect Effects 0.000 description 2
- 239000000346 nonvolatile oil Substances 0.000 description 2
- 239000002773 nucleotide Substances 0.000 description 2
- 125000003729 nucleotide group Chemical group 0.000 description 2
- 235000014571 nuts Nutrition 0.000 description 2
- GLDOVTGHNKAZLK-UHFFFAOYSA-N octadecan-1-ol Chemical compound CCCCCCCCCCCCCCCCCCO GLDOVTGHNKAZLK-UHFFFAOYSA-N 0.000 description 2
- 229940055577 oleyl alcohol Drugs 0.000 description 2
- XMLQWXUVTXCDDL-UHFFFAOYSA-N oleyl alcohol Natural products CCCCCCC=CCCCCCCCCCCO XMLQWXUVTXCDDL-UHFFFAOYSA-N 0.000 description 2
- 201000002740 oral squamous cell carcinoma Diseases 0.000 description 2
- 150000007524 organic acids Chemical class 0.000 description 2
- 235000005985 organic acids Nutrition 0.000 description 2
- 125000001715 oxadiazolyl group Chemical group 0.000 description 2
- AHVQYHFYQWKUKB-UHFFFAOYSA-N oxan-4-amine Chemical compound NC1CCOCC1 AHVQYHFYQWKUKB-UHFFFAOYSA-N 0.000 description 2
- 125000002971 oxazolyl group Chemical group 0.000 description 2
- 229920002866 paraformaldehyde Polymers 0.000 description 2
- 238000007911 parenteral administration Methods 0.000 description 2
- 230000001575 pathological effect Effects 0.000 description 2
- VLTRZXGMWDSKGL-UHFFFAOYSA-N perchloric acid Chemical compound OCl(=O)(=O)=O VLTRZXGMWDSKGL-UHFFFAOYSA-N 0.000 description 2
- 239000002304 perfume Substances 0.000 description 2
- 229960003742 phenol Drugs 0.000 description 2
- WVDDGKGOMKODPV-ZQBYOMGUSA-N phenyl(114C)methanol Chemical compound O[14CH2]C1=CC=CC=C1 WVDDGKGOMKODPV-ZQBYOMGUSA-N 0.000 description 2
- 229940067107 phenylethyl alcohol Drugs 0.000 description 2
- SIOXPEMLGUPBBT-UHFFFAOYSA-N picolinic acid Chemical compound OC(=O)C1=CC=CC=N1 SIOXPEMLGUPBBT-UHFFFAOYSA-N 0.000 description 2
- 229920001993 poloxamer 188 Polymers 0.000 description 2
- 208000037244 polycythemia vera Diseases 0.000 description 2
- 229920000642 polymer Polymers 0.000 description 2
- 235000010482 polyoxyethylene sorbitan monooleate Nutrition 0.000 description 2
- 229920000053 polysorbate 80 Polymers 0.000 description 2
- 239000011591 potassium Substances 0.000 description 2
- 229910052700 potassium Inorganic materials 0.000 description 2
- 229960003975 potassium Drugs 0.000 description 2
- 235000007686 potassium Nutrition 0.000 description 2
- SCVFZCLFOSHCOH-UHFFFAOYSA-M potassium acetate Chemical compound [K+].CC([O-])=O SCVFZCLFOSHCOH-UHFFFAOYSA-M 0.000 description 2
- RWPGFSMJFRPDDP-UHFFFAOYSA-L potassium metabisulfite Chemical compound [K+].[K+].[O-]S(=O)S([O-])(=O)=O RWPGFSMJFRPDDP-UHFFFAOYSA-L 0.000 description 2
- 229940043349 potassium metabisulfite Drugs 0.000 description 2
- 235000010263 potassium metabisulphite Nutrition 0.000 description 2
- 208000025638 primary cutaneous T-cell non-Hodgkin lymphoma Diseases 0.000 description 2
- 208000029340 primitive neuroectodermal tumor Diseases 0.000 description 2
- 230000035755 proliferation Effects 0.000 description 2
- 235000019260 propionic acid Nutrition 0.000 description 2
- 125000002572 propoxy group Chemical group [*]OC([H])([H])C(C([H])([H])[H])([H])[H] 0.000 description 2
- 229960004063 propylene glycol Drugs 0.000 description 2
- QELSKZZBTMNZEB-UHFFFAOYSA-N propylparaben Chemical compound CCCOC(=O)C1=CC=C(O)C=C1 QELSKZZBTMNZEB-UHFFFAOYSA-N 0.000 description 2
- 150000003856 quaternary ammonium compounds Chemical class 0.000 description 2
- 125000002294 quinazolinyl group Chemical group N1=C(N=CC2=CC=CC=C12)* 0.000 description 2
- XSCHRSMBECNVNS-UHFFFAOYSA-N quinoxaline Chemical compound N1=CC=NC2=CC=CC=C21 XSCHRSMBECNVNS-UHFFFAOYSA-N 0.000 description 2
- 125000001567 quinoxalinyl group Chemical group N1=C(C=NC2=CC=CC=C12)* 0.000 description 2
- 206010038038 rectal cancer Diseases 0.000 description 2
- 201000001275 rectum cancer Diseases 0.000 description 2
- 239000011347 resin Substances 0.000 description 2
- 229920005989 resin Polymers 0.000 description 2
- 239000000523 sample Substances 0.000 description 2
- 238000000926 separation method Methods 0.000 description 2
- 150000004760 silicates Chemical class 0.000 description 2
- RMAQACBXLXPBSY-UHFFFAOYSA-N silicic acid Chemical compound O[Si](O)(O)O RMAQACBXLXPBSY-UHFFFAOYSA-N 0.000 description 2
- 235000012239 silicon dioxide Nutrition 0.000 description 2
- 208000000587 small cell lung carcinoma Diseases 0.000 description 2
- 150000003384 small molecules Chemical class 0.000 description 2
- 239000011734 sodium Substances 0.000 description 2
- 229910052708 sodium Inorganic materials 0.000 description 2
- 229940083542 sodium Drugs 0.000 description 2
- 239000001632 sodium acetate Substances 0.000 description 2
- 235000017281 sodium acetate Nutrition 0.000 description 2
- 235000010413 sodium alginate Nutrition 0.000 description 2
- 239000000661 sodium alginate Substances 0.000 description 2
- 229940005550 sodium alginate Drugs 0.000 description 2
- WXMKPNITSTVMEF-UHFFFAOYSA-M sodium benzoate Chemical compound [Na+].[O-]C(=O)C1=CC=CC=C1 WXMKPNITSTVMEF-UHFFFAOYSA-M 0.000 description 2
- 235000010234 sodium benzoate Nutrition 0.000 description 2
- 239000004299 sodium benzoate Substances 0.000 description 2
- 229940001607 sodium bisulfite Drugs 0.000 description 2
- 239000001509 sodium citrate Substances 0.000 description 2
- NLJMYIDDQXHKNR-UHFFFAOYSA-K sodium citrate Chemical compound O.O.[Na+].[Na+].[Na+].[O-]C(=O)CC(O)(CC([O-])=O)C([O-])=O NLJMYIDDQXHKNR-UHFFFAOYSA-K 0.000 description 2
- 235000011083 sodium citrates Nutrition 0.000 description 2
- HRZFUMHJMZEROT-UHFFFAOYSA-L sodium disulfite Chemical compound [Na+].[Na+].[O-]S(=O)S([O-])(=O)=O HRZFUMHJMZEROT-UHFFFAOYSA-L 0.000 description 2
- 235000010267 sodium hydrogen sulphite Nutrition 0.000 description 2
- 229940001584 sodium metabisulfite Drugs 0.000 description 2
- 235000010262 sodium metabisulphite Nutrition 0.000 description 2
- 239000001488 sodium phosphate Substances 0.000 description 2
- 229910000162 sodium phosphate Inorganic materials 0.000 description 2
- 235000011008 sodium phosphates Nutrition 0.000 description 2
- 229920003109 sodium starch glycolate Polymers 0.000 description 2
- 229940079832 sodium starch glycolate Drugs 0.000 description 2
- 239000008109 sodium starch glycolate Substances 0.000 description 2
- GEHJYWRUCIMESM-UHFFFAOYSA-L sodium sulfite Chemical compound [Na+].[Na+].[O-]S([O-])=O GEHJYWRUCIMESM-UHFFFAOYSA-L 0.000 description 2
- 235000010199 sorbic acid Nutrition 0.000 description 2
- 239000004334 sorbic acid Substances 0.000 description 2
- 229940075582 sorbic acid Drugs 0.000 description 2
- 235000011078 sorbitan tristearate Nutrition 0.000 description 2
- 206010041823 squamous cell carcinoma Diseases 0.000 description 2
- 201000011549 stomach cancer Diseases 0.000 description 2
- 125000000547 substituted alkyl group Chemical group 0.000 description 2
- 238000006467 substitution reaction Methods 0.000 description 2
- 239000000375 suspending agent Substances 0.000 description 2
- 239000003765 sweetening agent Substances 0.000 description 2
- 239000000454 talc Substances 0.000 description 2
- 229910052623 talc Inorganic materials 0.000 description 2
- 235000012222 talc Nutrition 0.000 description 2
- 239000011975 tartaric acid Substances 0.000 description 2
- 235000002906 tartaric acid Nutrition 0.000 description 2
- 229940095064 tartrate Drugs 0.000 description 2
- NYLALPZBJHKWHF-UHFFFAOYSA-N tert-butyl 2-[3-[[3-(3,4-dihydro-1h-isoquinolin-2-yl)-2-hydroxypropyl]carbamoyl]phenyl]pyrrolidine-1-carboxylate Chemical compound CC(C)(C)OC(=O)N1CCCC1C1=CC=CC(C(=O)NCC(O)CN2CC3=CC=CC=C3CC2)=C1 NYLALPZBJHKWHF-UHFFFAOYSA-N 0.000 description 2
- NREGZUBBDUOAAD-UHFFFAOYSA-N tert-butyl 3-(3-methoxycarbonylphenyl)-2,5-dihydropyrrole-1-carboxylate Chemical compound COC(=O)C1=CC=CC(C=2CN(CC=2)C(=O)OC(C)(C)C)=C1 NREGZUBBDUOAAD-UHFFFAOYSA-N 0.000 description 2
- AZXAUIJXSVWHIA-UHFFFAOYSA-N tert-butyl 3-(3-methoxycarbonylphenyl)pyrrolidine-1-carboxylate Chemical compound COC(=O)C1=CC=CC(C2CN(CC2)C(=O)OC(C)(C)C)=C1 AZXAUIJXSVWHIA-UHFFFAOYSA-N 0.000 description 2
- FXWRRWKJFCPRBG-UHFFFAOYSA-N tert-butyl 3-(trifluoromethylsulfonyloxy)-2,5-dihydropyrrole-1-carboxylate Chemical compound CC(C)(C)OC(=O)N1CC=C(OS(=O)(=O)C(F)(F)F)C1 FXWRRWKJFCPRBG-UHFFFAOYSA-N 0.000 description 2
- PLLBLIBDPILOQI-UHFFFAOYSA-N tert-butyl 3-[3-[[3-(3,4-dihydro-1h-isoquinolin-2-yl)-2-hydroxypropyl]carbamoyl]phenyl]pyrrolidine-1-carboxylate Chemical compound C1N(C(=O)OC(C)(C)C)CCC1C1=CC=CC(C(=O)NCC(O)CN2CC3=CC=CC=C3CC2)=C1 PLLBLIBDPILOQI-UHFFFAOYSA-N 0.000 description 2
- MKEYQOFHTPKGIZ-UHFFFAOYSA-N tert-butyl 4-[3-[[3-(3,4-dihydro-1h-isoquinolin-2-yl)-2-hydroxypropyl]carbamoyl]phenyl]piperazine-1-carboxylate Chemical compound C1CN(C(=O)OC(C)(C)C)CCN1C1=CC=CC(C(=O)NCC(O)CN2CC3=CC=CC=C3CC2)=C1 MKEYQOFHTPKGIZ-UHFFFAOYSA-N 0.000 description 2
- HSOBBVRVCFGHTM-UHFFFAOYSA-N tert-butyl 4-[[3-[[3-(3,4-dihydro-1h-isoquinolin-2-yl)-2-hydroxypropyl]carbamoyl]phenyl]methyl]piperazine-1-carboxylate Chemical compound C1CN(C(=O)OC(C)(C)C)CCN1CC1=CC=CC(C(=O)NCC(O)CN2CC3=CC=CC=C3CC2)=C1 HSOBBVRVCFGHTM-UHFFFAOYSA-N 0.000 description 2
- WKAURNNRIRZAHV-DEOSSOPVSA-N tert-butyl 4-[[4-[[(2s)-3-(3,4-dihydro-1h-isoquinolin-2-yl)-2-hydroxypropyl]carbamoyl]pyridin-2-yl]amino]piperidine-1-carboxylate Chemical compound C1CN(C(=O)OC(C)(C)C)CCC1NC1=CC(C(=O)NC[C@H](O)CN2CC3=CC=CC=C3CC2)=CC=N1 WKAURNNRIRZAHV-DEOSSOPVSA-N 0.000 description 2
- 125000000999 tert-butyl group Chemical group [H]C([H])([H])C(*)(C([H])([H])[H])C([H])([H])[H] 0.000 description 2
- UXAVRNGUMLVNOR-UHFFFAOYSA-N tert-butyl n-(1-acetylazetidin-3-yl)carbamate Chemical compound CC(=O)N1CC(NC(=O)OC(C)(C)C)C1 UXAVRNGUMLVNOR-UHFFFAOYSA-N 0.000 description 2
- YBNZMQXSIQUIHZ-UHFFFAOYSA-N tert-butyl n-(1-acetylpiperidin-4-yl)carbamate Chemical compound CC(=O)N1CCC(NC(=O)OC(C)(C)C)CC1 YBNZMQXSIQUIHZ-UHFFFAOYSA-N 0.000 description 2
- NVKSBEZYJIHJOB-NRFANRHFSA-N tert-butyl n-[3-[[(2s)-3-(3,4-dihydro-1h-isoquinolin-2-yl)-2-hydroxypropyl]carbamoyl]phenyl]carbamate Chemical compound CC(C)(C)OC(=O)NC1=CC=CC(C(=O)NC[C@H](O)CN2CC3=CC=CC=C3CC2)=C1 NVKSBEZYJIHJOB-NRFANRHFSA-N 0.000 description 2
- KQRRKXVBWIPRSK-UHFFFAOYSA-N tert-butyl n-[[3-[[3-(3,4-dihydro-1h-isoquinolin-2-yl)-2-hydroxypropyl]carbamoyl]phenyl]methyl]-n-(oxan-4-yl)carbamate Chemical compound C=1C=CC(C(=O)NCC(O)CN2CC3=CC=CC=C3CC2)=CC=1CN(C(=O)OC(C)(C)C)C1CCOCC1 KQRRKXVBWIPRSK-UHFFFAOYSA-N 0.000 description 2
- CWXPZXBSDSIRCS-UHFFFAOYSA-N tert-butyl piperazine-1-carboxylate Chemical compound CC(C)(C)OC(=O)N1CCNCC1 CWXPZXBSDSIRCS-UHFFFAOYSA-N 0.000 description 2
- ILMRJRBKQSSXGY-UHFFFAOYSA-N tert-butyl(dimethyl)silicon Chemical group C[Si](C)C(C)(C)C ILMRJRBKQSSXGY-UHFFFAOYSA-N 0.000 description 2
- 125000001113 thiadiazolyl group Chemical group 0.000 description 2
- 125000000335 thiazolyl group Chemical group 0.000 description 2
- 125000001544 thienyl group Chemical group 0.000 description 2
- 238000011200 topical administration Methods 0.000 description 2
- 230000000699 topical effect Effects 0.000 description 2
- 238000012546 transfer Methods 0.000 description 2
- 230000009466 transformation Effects 0.000 description 2
- 230000014616 translation Effects 0.000 description 2
- URAYPUMNDPQOKB-UHFFFAOYSA-N triacetin Chemical compound CC(=O)OCC(OC(C)=O)COC(C)=O URAYPUMNDPQOKB-UHFFFAOYSA-N 0.000 description 2
- 125000004306 triazinyl group Chemical group 0.000 description 2
- 125000001425 triazolyl group Chemical group 0.000 description 2
- QORWJWZARLRLPR-UHFFFAOYSA-H tricalcium bis(phosphate) Chemical compound [Ca+2].[Ca+2].[Ca+2].[O-]P([O-])([O-])=O.[O-]P([O-])([O-])=O QORWJWZARLRLPR-UHFFFAOYSA-H 0.000 description 2
- RIOQSEWOXXDEQQ-UHFFFAOYSA-N triphenylphosphine Chemical compound C1=CC=CC=C1P(C=1C=CC=CC=1)C1=CC=CC=C1 RIOQSEWOXXDEQQ-UHFFFAOYSA-N 0.000 description 2
- LWIHDJKSTIGBAC-UHFFFAOYSA-K tripotassium phosphate Chemical compound [K+].[K+].[K+].[O-]P([O-])([O-])=O LWIHDJKSTIGBAC-UHFFFAOYSA-K 0.000 description 2
- RYFMWSXOAZQYPI-UHFFFAOYSA-K trisodium phosphate Chemical compound [Na+].[Na+].[Na+].[O-]P([O-])([O-])=O RYFMWSXOAZQYPI-UHFFFAOYSA-K 0.000 description 2
- 208000029729 tumor suppressor gene on chromosome 11 Diseases 0.000 description 2
- 201000005112 urinary bladder cancer Diseases 0.000 description 2
- 229960005486 vaccine Drugs 0.000 description 2
- LSPHULWDVZXLIL-UHFFFAOYSA-N (+/-)-Camphoric acid Chemical compound CC1(C)C(C(O)=O)CCC1(C)C(O)=O LSPHULWDVZXLIL-UHFFFAOYSA-N 0.000 description 1
- BRLQWZUYTZBJKN-VKHMYHEASA-N (-)-Epichlorohydrin Chemical compound ClC[C@H]1CO1 BRLQWZUYTZBJKN-VKHMYHEASA-N 0.000 description 1
- DFNJPPOAVCXQQQ-UHFFFAOYSA-N (1,1,1-trichloro-2-methylpropan-2-yl) carbamate Chemical compound ClC(Cl)(Cl)C(C)(C)OC(N)=O DFNJPPOAVCXQQQ-UHFFFAOYSA-N 0.000 description 1
- AXTXAVIVKGDCLE-UHFFFAOYSA-N (1,1-dibromo-2-methylpropan-2-yl) carbamate Chemical compound BrC(Br)C(C)(C)OC(N)=O AXTXAVIVKGDCLE-UHFFFAOYSA-N 0.000 description 1
- AFCTUKSQTSHXEZ-UHFFFAOYSA-N (1-cyano-2-methylpropan-2-yl) carbamate Chemical compound N#CCC(C)(C)OC(N)=O AFCTUKSQTSHXEZ-UHFFFAOYSA-N 0.000 description 1
- FTVXFBJENACRRL-UHFFFAOYSA-N (1-hydroxypiperidin-2-yl) carbamate Chemical compound NC(=O)OC1CCCCN1O FTVXFBJENACRRL-UHFFFAOYSA-N 0.000 description 1
- KLWCNEYVHPBUNM-UHFFFAOYSA-N (1-methylcyclobutyl) carbamate Chemical compound NC(=O)OC1(C)CCC1 KLWCNEYVHPBUNM-UHFFFAOYSA-N 0.000 description 1
- AKIHTGIGOHBKGE-UHFFFAOYSA-N (1-methylcyclohexyl) carbamate Chemical compound NC(=O)OC1(C)CCCCC1 AKIHTGIGOHBKGE-UHFFFAOYSA-N 0.000 description 1
- UAOUIVVJBYDFKD-XKCDOFEDSA-N (1R,9R,10S,11R,12R,15S,18S,21R)-10,11,21-trihydroxy-8,8-dimethyl-14-methylidene-4-(prop-2-enylamino)-20-oxa-5-thia-3-azahexacyclo[9.7.2.112,15.01,9.02,6.012,18]henicosa-2(6),3-dien-13-one Chemical compound C([C@@H]1[C@@H](O)[C@@]23C(C1=C)=O)C[C@H]2[C@]12C(N=C(NCC=C)S4)=C4CC(C)(C)[C@H]1[C@H](O)[C@]3(O)OC2 UAOUIVVJBYDFKD-XKCDOFEDSA-N 0.000 description 1
- AOSZTAHDEDLTLQ-AZKQZHLXSA-N (1S,2S,4R,8S,9S,11S,12R,13S,19S)-6-[(3-chlorophenyl)methyl]-12,19-difluoro-11-hydroxy-8-(2-hydroxyacetyl)-9,13-dimethyl-6-azapentacyclo[10.8.0.02,9.04,8.013,18]icosa-14,17-dien-16-one Chemical compound C([C@@H]1C[C@H]2[C@H]3[C@]([C@]4(C=CC(=O)C=C4[C@@H](F)C3)C)(F)[C@@H](O)C[C@@]2([C@@]1(C1)C(=O)CO)C)N1CC1=CC=CC(Cl)=C1 AOSZTAHDEDLTLQ-AZKQZHLXSA-N 0.000 description 1
- ABJSOROVZZKJGI-OCYUSGCXSA-N (1r,2r,4r)-2-(4-bromophenyl)-n-[(4-chlorophenyl)-(2-fluoropyridin-4-yl)methyl]-4-morpholin-4-ylcyclohexane-1-carboxamide Chemical compound C1=NC(F)=CC(C(NC(=O)[C@H]2[C@@H](C[C@@H](CC2)N2CCOCC2)C=2C=CC(Br)=CC=2)C=2C=CC(Cl)=CC=2)=C1 ABJSOROVZZKJGI-OCYUSGCXSA-N 0.000 description 1
- GLGNXYJARSMNGJ-VKTIVEEGSA-N (1s,2s,3r,4r)-3-[[5-chloro-2-[(1-ethyl-6-methoxy-2-oxo-4,5-dihydro-3h-1-benzazepin-7-yl)amino]pyrimidin-4-yl]amino]bicyclo[2.2.1]hept-5-ene-2-carboxamide Chemical compound CCN1C(=O)CCCC2=C(OC)C(NC=3N=C(C(=CN=3)Cl)N[C@H]3[C@H]([C@@]4([H])C[C@@]3(C=C4)[H])C(N)=O)=CC=C21 GLGNXYJARSMNGJ-VKTIVEEGSA-N 0.000 description 1
- SZUVGFMDDVSKSI-WIFOCOSTSA-N (1s,2s,3s,5r)-1-(carboxymethyl)-3,5-bis[(4-phenoxyphenyl)methyl-propylcarbamoyl]cyclopentane-1,2-dicarboxylic acid Chemical compound O=C([C@@H]1[C@@H]([C@](CC(O)=O)([C@H](C(=O)N(CCC)CC=2C=CC(OC=3C=CC=CC=3)=CC=2)C1)C(O)=O)C(O)=O)N(CCC)CC(C=C1)=CC=C1OC1=CC=CC=C1 SZUVGFMDDVSKSI-WIFOCOSTSA-N 0.000 description 1
- FTLYMKDSHNWQKD-UHFFFAOYSA-N (2,4,5-trichlorophenyl)boronic acid Chemical compound OB(O)C1=CC(Cl)=C(Cl)C=C1Cl FTLYMKDSHNWQKD-UHFFFAOYSA-N 0.000 description 1
- ZLIHDHDAJVINAN-UHFFFAOYSA-N (2,4,6-trimethyl-3-pyridin-2-ylphenyl)methanimine Chemical compound CC1=C(C=N)C(C)=CC(C)=C1C1=CC=CC=N1 ZLIHDHDAJVINAN-UHFFFAOYSA-N 0.000 description 1
- KJOPTLWVYZCJBX-UHFFFAOYSA-N (2,4,6-trimethylphenyl)methyl carbamate Chemical compound CC1=CC(C)=C(COC(N)=O)C(C)=C1 KJOPTLWVYZCJBX-UHFFFAOYSA-N 0.000 description 1
- IUZVXNNZBSTDJT-UHFFFAOYSA-N (2,4,6-tritert-butylphenyl) carbamate Chemical compound CC(C)(C)C1=CC(C(C)(C)C)=C(OC(N)=O)C(C(C)(C)C)=C1 IUZVXNNZBSTDJT-UHFFFAOYSA-N 0.000 description 1
- LZZRHUUMSXNYBI-UHFFFAOYSA-N (2,4-dichlorophenyl)methyl carbamate Chemical compound NC(=O)OCC1=CC=C(Cl)C=C1Cl LZZRHUUMSXNYBI-UHFFFAOYSA-N 0.000 description 1
- LEDMDNAHWYVAPC-UHFFFAOYSA-N (2-carbamoylphenyl)methyl benzoate Chemical compound NC(=O)C1=CC=CC=C1COC(=O)C1=CC=CC=C1 LEDMDNAHWYVAPC-UHFFFAOYSA-N 0.000 description 1
- SWHAGWLVMRLFKO-UHFFFAOYSA-N (2-nitrophenyl)methyl carbamate Chemical compound NC(=O)OCC1=CC=CC=C1[N+]([O-])=O SWHAGWLVMRLFKO-UHFFFAOYSA-N 0.000 description 1
- GHYOCDFICYLMRF-UTIIJYGPSA-N (2S,3R)-N-[(2S)-3-(cyclopenten-1-yl)-1-[(2R)-2-methyloxiran-2-yl]-1-oxopropan-2-yl]-3-hydroxy-3-(4-methoxyphenyl)-2-[[(2S)-2-[(2-morpholin-4-ylacetyl)amino]propanoyl]amino]propanamide Chemical compound C1(=CCCC1)C[C@@H](C(=O)[C@@]1(OC1)C)NC([C@H]([C@@H](C1=CC=C(C=C1)OC)O)NC([C@H](C)NC(CN1CCOCC1)=O)=O)=O GHYOCDFICYLMRF-UTIIJYGPSA-N 0.000 description 1
- MJYQFWSXKFLTAY-OVEQLNGDSA-N (2r,3r)-2,3-bis[(4-hydroxy-3-methoxyphenyl)methyl]butane-1,4-diol;(2r,3r,4s,5s,6r)-6-(hydroxymethyl)oxane-2,3,4,5-tetrol Chemical compound OC[C@H]1O[C@@H](O)[C@H](O)[C@@H](O)[C@@H]1O.C1=C(O)C(OC)=CC(C[C@@H](CO)[C@H](CO)CC=2C=C(OC)C(O)=CC=2)=C1 MJYQFWSXKFLTAY-OVEQLNGDSA-N 0.000 description 1
- JNYAEWCLZODPBN-JGWLITMVSA-N (2r,3r,4s)-2-[(1r)-1,2-dihydroxyethyl]oxolane-3,4-diol Chemical compound OC[C@@H](O)[C@H]1OC[C@H](O)[C@H]1O JNYAEWCLZODPBN-JGWLITMVSA-N 0.000 description 1
- VIJSPAIQWVPKQZ-BLECARSGSA-N (2s)-2-[[(2s)-2-[[(2s)-2-[[(2s)-2-[[(2s)-2-[[(2s)-2-acetamido-5-(diaminomethylideneamino)pentanoyl]amino]-4-methylpentanoyl]amino]-4,4-dimethylpentanoyl]amino]-4-methylpentanoyl]amino]propanoyl]amino]-5-(diaminomethylideneamino)pentanoic acid Chemical compound NC(=N)NCCC[C@@H](C(O)=O)NC(=O)[C@H](C)NC(=O)[C@H](CC(C)C)NC(=O)[C@H](CC(C)(C)C)NC(=O)[C@H](CC(C)C)NC(=O)[C@H](CCCNC(N)=N)NC(C)=O VIJSPAIQWVPKQZ-BLECARSGSA-N 0.000 description 1
- HIPYHINICCKLGX-UHFFFAOYSA-N (3,5-dimethoxyphenyl)methyl carbamate Chemical compound COC1=CC(COC(N)=O)=CC(OC)=C1 HIPYHINICCKLGX-UHFFFAOYSA-N 0.000 description 1
- YVOBGLMMNWZYCL-UHFFFAOYSA-N (3-nitrophenyl) carbamate Chemical compound NC(=O)OC1=CC=CC([N+]([O-])=O)=C1 YVOBGLMMNWZYCL-UHFFFAOYSA-N 0.000 description 1
- WTKQMHWYSBWUBE-UHFFFAOYSA-N (3-nitropyridin-2-yl) thiohypochlorite Chemical compound [O-][N+](=O)C1=CC=CN=C1SCl WTKQMHWYSBWUBE-UHFFFAOYSA-N 0.000 description 1
- QFLWZFQWSBQYPS-AWRAUJHKSA-N (3S)-3-[[(2S)-2-[[(2S)-2-[5-[(3aS,6aR)-2-oxo-1,3,3a,4,6,6a-hexahydrothieno[3,4-d]imidazol-4-yl]pentanoylamino]-3-methylbutanoyl]amino]-3-(4-hydroxyphenyl)propanoyl]amino]-4-[1-bis(4-chlorophenoxy)phosphorylbutylamino]-4-oxobutanoic acid Chemical compound CCCC(NC(=O)[C@H](CC(O)=O)NC(=O)[C@H](Cc1ccc(O)cc1)NC(=O)[C@@H](NC(=O)CCCCC1SC[C@@H]2NC(=O)N[C@H]12)C(C)C)P(=O)(Oc1ccc(Cl)cc1)Oc1ccc(Cl)cc1 QFLWZFQWSBQYPS-AWRAUJHKSA-N 0.000 description 1
- UDQTXCHQKHIQMH-KYGLGHNPSA-N (3ar,5s,6s,7r,7ar)-5-(difluoromethyl)-2-(ethylamino)-5,6,7,7a-tetrahydro-3ah-pyrano[3,2-d][1,3]thiazole-6,7-diol Chemical compound S1C(NCC)=N[C@H]2[C@@H]1O[C@H](C(F)F)[C@@H](O)[C@@H]2O UDQTXCHQKHIQMH-KYGLGHNPSA-N 0.000 description 1
- HUWSZNZAROKDRZ-RRLWZMAJSA-N (3r,4r)-3-azaniumyl-5-[[(2s,3r)-1-[(2s)-2,3-dicarboxypyrrolidin-1-yl]-3-methyl-1-oxopentan-2-yl]amino]-5-oxo-4-sulfanylpentane-1-sulfonate Chemical compound OS(=O)(=O)CC[C@@H](N)[C@@H](S)C(=O)N[C@@H]([C@H](C)CC)C(=O)N1CCC(C(O)=O)[C@H]1C(O)=O HUWSZNZAROKDRZ-RRLWZMAJSA-N 0.000 description 1
- MPDDTAJMJCESGV-CTUHWIOQSA-M (3r,5r)-7-[2-(4-fluorophenyl)-5-[methyl-[(1r)-1-phenylethyl]carbamoyl]-4-propan-2-ylpyrazol-3-yl]-3,5-dihydroxyheptanoate Chemical compound C1([C@@H](C)N(C)C(=O)C2=NN(C(CC[C@@H](O)C[C@@H](O)CC([O-])=O)=C2C(C)C)C=2C=CC(F)=CC=2)=CC=CC=C1 MPDDTAJMJCESGV-CTUHWIOQSA-M 0.000 description 1
- AWOKSNNHYRGYIA-UHFFFAOYSA-N (4,5-dimethoxy-2-nitrophenyl)methyl carbamate Chemical compound COC1=CC(COC(N)=O)=C([N+]([O-])=O)C=C1OC AWOKSNNHYRGYIA-UHFFFAOYSA-N 0.000 description 1
- XHTUZBFAOYRMHI-UHFFFAOYSA-N (4-bromophenyl)methyl carbamate Chemical compound NC(=O)OCC1=CC=C(Br)C=C1 XHTUZBFAOYRMHI-UHFFFAOYSA-N 0.000 description 1
- SODPIMGUZLOIPE-UHFFFAOYSA-N (4-chlorophenoxy)acetic acid Chemical compound OC(=O)COC1=CC=C(Cl)C=C1 SODPIMGUZLOIPE-UHFFFAOYSA-N 0.000 description 1
- HIIOEWGKFCWTJU-UHFFFAOYSA-N (4-chlorophenyl)methyl carbamate Chemical compound NC(=O)OCC1=CC=C(Cl)C=C1 HIIOEWGKFCWTJU-UHFFFAOYSA-N 0.000 description 1
- NULWVEYYQSYAHP-UHFFFAOYSA-N (4-cyanophenyl)methyl carbamate Chemical compound NC(=O)OCC1=CC=C(C#N)C=C1 NULWVEYYQSYAHP-UHFFFAOYSA-N 0.000 description 1
- IERCGNSLWQVTPC-UHFFFAOYSA-N (4-decoxyphenyl)methyl carbamate Chemical compound CCCCCCCCCCOC1=CC=C(COC(N)=O)C=C1 IERCGNSLWQVTPC-UHFFFAOYSA-N 0.000 description 1
- QXENIPSNYCZWNY-UHFFFAOYSA-N (4-methoxyphenyl)-diphenylmethanamine Chemical compound C1=CC(OC)=CC=C1C(N)(C=1C=CC=CC=1)C1=CC=CC=C1 QXENIPSNYCZWNY-UHFFFAOYSA-N 0.000 description 1
- OKLFHGKWEQKSDZ-UHFFFAOYSA-N (4-methoxyphenyl)methanimine Chemical compound COC1=CC=C(C=N)C=C1 OKLFHGKWEQKSDZ-UHFFFAOYSA-N 0.000 description 1
- SDEOSHAQCMPJIJ-UHFFFAOYSA-N (4-methoxyphenyl)methyl carbamate Chemical compound COC1=CC=C(COC(N)=O)C=C1 SDEOSHAQCMPJIJ-UHFFFAOYSA-N 0.000 description 1
- WNNZAHBBDIVWBB-UHFFFAOYSA-N (4-methylsulfanylphenyl) carbamate Chemical compound CSC1=CC=C(OC(N)=O)C=C1 WNNZAHBBDIVWBB-UHFFFAOYSA-N 0.000 description 1
- RZTAQRMRWPYVRR-UHFFFAOYSA-N (4-methylsulfinylphenyl)methyl carbamate Chemical compound CS(=O)C1=CC=C(COC(N)=O)C=C1 RZTAQRMRWPYVRR-UHFFFAOYSA-N 0.000 description 1
- LRJOVUGHUMSKFA-UHFFFAOYSA-N (4-nitrophenyl)methanimine Chemical compound [O-][N+](=O)C1=CC=C(C=N)C=C1 LRJOVUGHUMSKFA-UHFFFAOYSA-N 0.000 description 1
- HQNKOEZESXBYJA-UHFFFAOYSA-N (4-phenyldiazenylphenyl)methyl carbamate Chemical compound C1=CC(COC(=O)N)=CC=C1N=NC1=CC=CC=C1 HQNKOEZESXBYJA-UHFFFAOYSA-N 0.000 description 1
- YQOLEILXOBUDMU-KRWDZBQOSA-N (4R)-5-[(6-bromo-3-methyl-2-pyrrolidin-1-ylquinoline-4-carbonyl)amino]-4-(2-chlorophenyl)pentanoic acid Chemical compound CC1=C(C2=C(C=CC(=C2)Br)N=C1N3CCCC3)C(=O)NC[C@H](CCC(=O)O)C4=CC=CC=C4Cl YQOLEILXOBUDMU-KRWDZBQOSA-N 0.000 description 1
- 125000003837 (C1-C20) alkyl group Chemical group 0.000 description 1
- 125000006273 (C1-C3) alkyl group Chemical group 0.000 description 1
- 125000004209 (C1-C8) alkyl group Chemical group 0.000 description 1
- 125000006545 (C1-C9) alkyl group Chemical group 0.000 description 1
- 125000006649 (C2-C20) alkynyl group Chemical group 0.000 description 1
- 125000006592 (C2-C3) alkenyl group Chemical group 0.000 description 1
- 125000006593 (C2-C3) alkynyl group Chemical group 0.000 description 1
- 125000006713 (C5-C10) cycloalkyl group Chemical group 0.000 description 1
- BJEPYKJPYRNKOW-REOHCLBHSA-N (S)-malic acid Chemical compound OC(=O)[C@@H](O)CC(O)=O BJEPYKJPYRNKOW-REOHCLBHSA-N 0.000 description 1
- RASLWNGTMHFPIQ-AATRIKPKSA-N (e)-3-(2-nitrophenyl)prop-2-enamide Chemical compound NC(=O)\C=C\C1=CC=CC=C1[N+]([O-])=O RASLWNGTMHFPIQ-AATRIKPKSA-N 0.000 description 1
- ZOJKRWXDNYZASL-NSCUHMNNSA-N (e)-4-methoxybut-2-enoic acid Chemical compound COC\C=C\C(O)=O ZOJKRWXDNYZASL-NSCUHMNNSA-N 0.000 description 1
- 108091032973 (ribonucleotides)n+m Proteins 0.000 description 1
- 102000040650 (ribonucleotides)n+m Human genes 0.000 description 1
- ICLYJLBTOGPLMC-KVVVOXFISA-N (z)-octadec-9-enoate;tris(2-hydroxyethyl)azanium Chemical compound OCCN(CCO)CCO.CCCCCCCC\C=C/CCCCCCCC(O)=O ICLYJLBTOGPLMC-KVVVOXFISA-N 0.000 description 1
- ZORQXIQZAOLNGE-UHFFFAOYSA-N 1,1-difluorocyclohexane Chemical compound FC1(F)CCCCC1 ZORQXIQZAOLNGE-UHFFFAOYSA-N 0.000 description 1
- QMMJWQMCMRUYTG-UHFFFAOYSA-N 1,2,4,5-tetrachloro-3-(trifluoromethyl)benzene Chemical compound FC(F)(F)C1=C(Cl)C(Cl)=CC(Cl)=C1Cl QMMJWQMCMRUYTG-UHFFFAOYSA-N 0.000 description 1
- TTXKLVVJWALEOY-UHFFFAOYSA-N 1,2-benzoxazol-5-ylmethyl carbamate Chemical compound NC(=O)OCC1=CC=C2ON=CC2=C1 TTXKLVVJWALEOY-UHFFFAOYSA-N 0.000 description 1
- DTOUUUZOYKYHEP-UHFFFAOYSA-N 1,3-bis(2-ethylhexyl)-5-methyl-1,3-diazinan-5-amine Chemical compound CCCCC(CC)CN1CN(CC(CC)CCCC)CC(C)(N)C1 DTOUUUZOYKYHEP-UHFFFAOYSA-N 0.000 description 1
- 229940058015 1,3-butylene glycol Drugs 0.000 description 1
- VAYTZRYEBVHVLE-UHFFFAOYSA-N 1,3-dioxol-2-one Chemical compound O=C1OC=CO1 VAYTZRYEBVHVLE-UHFFFAOYSA-N 0.000 description 1
- NLHBHVGPMMXWIM-UHFFFAOYSA-N 1-(4-aminopiperidin-1-yl)ethanone Chemical compound CC(=O)N1CCC(N)CC1 NLHBHVGPMMXWIM-UHFFFAOYSA-N 0.000 description 1
- AWKOGAFRLOPNOP-UHFFFAOYSA-N 1-(4-aminopiperidin-1-yl)ethanone;hydrochloride Chemical compound Cl.CC(=O)N1CCC(N)CC1 AWKOGAFRLOPNOP-UHFFFAOYSA-N 0.000 description 1
- VNMXIOWPBADSIC-UHFFFAOYSA-N 1-(oxan-4-yl)ethanone Chemical compound CC(=O)C1CCOCC1 VNMXIOWPBADSIC-UHFFFAOYSA-N 0.000 description 1
- WZZBNLYBHUDSHF-DHLKQENFSA-N 1-[(3s,4s)-4-[8-(2-chloro-4-pyrimidin-2-yloxyphenyl)-7-fluoro-2-methylimidazo[4,5-c]quinolin-1-yl]-3-fluoropiperidin-1-yl]-2-hydroxyethanone Chemical compound CC1=NC2=CN=C3C=C(F)C(C=4C(=CC(OC=5N=CC=CN=5)=CC=4)Cl)=CC3=C2N1[C@H]1CCN(C(=O)CO)C[C@@H]1F WZZBNLYBHUDSHF-DHLKQENFSA-N 0.000 description 1
- ONBQEOIKXPHGMB-VBSBHUPXSA-N 1-[2-[(2s,3r,4s,5r)-3,4-dihydroxy-5-(hydroxymethyl)oxolan-2-yl]oxy-4,6-dihydroxyphenyl]-3-(4-hydroxyphenyl)propan-1-one Chemical compound O[C@@H]1[C@H](O)[C@@H](CO)O[C@H]1OC1=CC(O)=CC(O)=C1C(=O)CCC1=CC=C(O)C=C1 ONBQEOIKXPHGMB-VBSBHUPXSA-N 0.000 description 1
- UNILWMWFPHPYOR-KXEYIPSPSA-M 1-[6-[2-[3-[3-[3-[2-[2-[3-[[2-[2-[[(2r)-1-[[2-[[(2r)-1-[3-[2-[2-[3-[[2-(2-amino-2-oxoethoxy)acetyl]amino]propoxy]ethoxy]ethoxy]propylamino]-3-hydroxy-1-oxopropan-2-yl]amino]-2-oxoethyl]amino]-3-[(2r)-2,3-di(hexadecanoyloxy)propyl]sulfanyl-1-oxopropan-2-yl Chemical compound O=C1C(SCCC(=O)NCCCOCCOCCOCCCNC(=O)COCC(=O)N[C@@H](CSC[C@@H](COC(=O)CCCCCCCCCCCCCCC)OC(=O)CCCCCCCCCCCCCCC)C(=O)NCC(=O)N[C@H](CO)C(=O)NCCCOCCOCCOCCCNC(=O)COCC(N)=O)CC(=O)N1CCNC(=O)CCCCCN\1C2=CC=C(S([O-])(=O)=O)C=C2CC/1=C/C=C/C=C/C1=[N+](CC)C2=CC=C(S([O-])(=O)=O)C=C2C1 UNILWMWFPHPYOR-KXEYIPSPSA-M 0.000 description 1
- FJANNOJSTOGZHK-UHFFFAOYSA-N 1-adamantyl carbamate Chemical compound C1C(C2)CC3CC2CC1(OC(=O)N)C3 FJANNOJSTOGZHK-UHFFFAOYSA-N 0.000 description 1
- MNCMBBIFTVWHIP-UHFFFAOYSA-N 1-anthracen-9-yl-2,2,2-trifluoroethanone Chemical group C1=CC=C2C(C(=O)C(F)(F)F)=C(C=CC=C3)C3=CC2=C1 MNCMBBIFTVWHIP-UHFFFAOYSA-N 0.000 description 1
- XIUQHVQLGXTGGN-UHFFFAOYSA-N 1-cyclopropylethyl carbamate Chemical compound NC(=O)OC(C)C1CC1 XIUQHVQLGXTGGN-UHFFFAOYSA-N 0.000 description 1
- 125000001637 1-naphthyl group Chemical group [H]C1=C([H])C([H])=C2C(*)=C([H])C([H])=C([H])C2=C1[H] 0.000 description 1
- IIZPXYDJLKNOIY-JXPKJXOSSA-N 1-palmitoyl-2-arachidonoyl-sn-glycero-3-phosphocholine Chemical compound CCCCCCCCCCCCCCCC(=O)OC[C@H](COP([O-])(=O)OCC[N+](C)(C)C)OC(=O)CCC\C=C/C\C=C/C\C=C/C\C=C/CCCCC IIZPXYDJLKNOIY-JXPKJXOSSA-N 0.000 description 1
- 125000006017 1-propenyl group Chemical group 0.000 description 1
- 125000000530 1-propynyl group Chemical group [H]C([H])([H])C#C* 0.000 description 1
- FPIPGXGPPPQFEQ-UHFFFAOYSA-N 13-cis retinol Natural products OCC=C(C)C=CC=C(C)C=CC1=C(C)CCCC1(C)C FPIPGXGPPPQFEQ-UHFFFAOYSA-N 0.000 description 1
- YPQAFWHSMWWPLX-UHFFFAOYSA-N 1975-50-4 Chemical compound CC1=C(C(O)=O)C=CC=C1[N+]([O-])=O YPQAFWHSMWWPLX-UHFFFAOYSA-N 0.000 description 1
- HYZJCKYKOHLVJF-UHFFFAOYSA-N 1H-benzimidazole Chemical compound C1=CC=C2NC=NC2=C1 HYZJCKYKOHLVJF-UHFFFAOYSA-N 0.000 description 1
- BAXOFTOLAUCFNW-UHFFFAOYSA-N 1H-indazole Chemical compound C1=CC=C2C=NNC2=C1 BAXOFTOLAUCFNW-UHFFFAOYSA-N 0.000 description 1
- UPQQXPKAYZYUKO-UHFFFAOYSA-N 2,2,2-trichloroacetamide Chemical class OC(=N)C(Cl)(Cl)Cl UPQQXPKAYZYUKO-UHFFFAOYSA-N 0.000 description 1
- QPLJYAKLSCXZSF-UHFFFAOYSA-N 2,2,2-trichloroethyl carbamate Chemical compound NC(=O)OCC(Cl)(Cl)Cl QPLJYAKLSCXZSF-UHFFFAOYSA-N 0.000 description 1
- 125000000453 2,2,2-trichloroethyl group Chemical group [H]C([H])(*)C(Cl)(Cl)Cl 0.000 description 1
- NRKYWOKHZRQRJR-UHFFFAOYSA-N 2,2,2-trifluoroacetamide Chemical class NC(=O)C(F)(F)F NRKYWOKHZRQRJR-UHFFFAOYSA-N 0.000 description 1
- XNMOEWPBTNQAQB-UHFFFAOYSA-N 2,2,5,7,8-pentamethyl-3,4-dihydrochromene-6-sulfonamide Chemical compound C1CC(C)(C)OC2=C1C(C)=C(S(N)(=O)=O)C(C)=C2C XNMOEWPBTNQAQB-UHFFFAOYSA-N 0.000 description 1
- BWMNOXJVRHGUQM-UHFFFAOYSA-N 2,2-dimethyloxan-4-one Chemical compound CC1(C)CC(=O)CCO1 BWMNOXJVRHGUQM-UHFFFAOYSA-N 0.000 description 1
- 239000000263 2,3-dihydroxypropyl (Z)-octadec-9-enoate Substances 0.000 description 1
- PXVUDLXXKGSXHH-UHFFFAOYSA-N 2,4,6-trimethoxybenzenesulfonamide Chemical compound COC1=CC(OC)=C(S(N)(=O)=O)C(OC)=C1 PXVUDLXXKGSXHH-UHFFFAOYSA-N 0.000 description 1
- YECJUZIGFPJWGQ-UHFFFAOYSA-N 2,4,6-trimethylbenzenesulfonamide Chemical compound CC1=CC(C)=C(S(N)(=O)=O)C(C)=C1 YECJUZIGFPJWGQ-UHFFFAOYSA-N 0.000 description 1
- FFFIRKXTFQCCKJ-UHFFFAOYSA-M 2,4,6-trimethylbenzoate Chemical compound CC1=CC(C)=C(C([O-])=O)C(C)=C1 FFFIRKXTFQCCKJ-UHFFFAOYSA-M 0.000 description 1
- CHHHXKFHOYLYRE-UHFFFAOYSA-M 2,4-Hexadienoic acid, potassium salt (1:1), (2E,4E)- Chemical compound [K+].CC=CC=CC([O-])=O CHHHXKFHOYLYRE-UHFFFAOYSA-M 0.000 description 1
- 125000001917 2,4-dinitrophenyl group Chemical group [H]C1=C([H])C(=C([H])C(=C1*)[N+]([O-])=O)[N+]([O-])=O 0.000 description 1
- YJRISODHEYGPEL-UHFFFAOYSA-N 2,6-dimethoxy-4-methylbenzenesulfonamide Chemical compound COC1=CC(C)=CC(OC)=C1S(N)(=O)=O YJRISODHEYGPEL-UHFFFAOYSA-N 0.000 description 1
- DWKLSWPFGOTZII-UHFFFAOYSA-N 2-(1-adamantyl)propan-2-yl carbamate Chemical compound C1C(C2)CC3CC2CC1(C(C)(OC(N)=O)C)C3 DWKLSWPFGOTZII-UHFFFAOYSA-N 0.000 description 1
- YURLCYGZYWDCHL-UHFFFAOYSA-N 2-(2,6-dichloro-4-methylphenoxy)acetic acid Chemical compound CC1=CC(Cl)=C(OCC(O)=O)C(Cl)=C1 YURLCYGZYWDCHL-UHFFFAOYSA-N 0.000 description 1
- WGIMXKDCVCTHGW-UHFFFAOYSA-N 2-(2-hydroxyethoxy)ethyl dodecanoate Chemical compound CCCCCCCCCCCC(=O)OCCOCCO WGIMXKDCVCTHGW-UHFFFAOYSA-N 0.000 description 1
- DVCVYHFEWYAJCP-UHFFFAOYSA-N 2-(2-nitrophenoxy)acetamide Chemical compound NC(=O)COC1=CC=CC=C1[N+]([O-])=O DVCVYHFEWYAJCP-UHFFFAOYSA-N 0.000 description 1
- XHNQIEUUMIBVBX-UHFFFAOYSA-N 2-(3,5-dimethoxyphenyl)propan-2-yl carbamate Chemical compound COC1=CC(OC)=CC(C(C)(C)OC(N)=O)=C1 XHNQIEUUMIBVBX-UHFFFAOYSA-N 0.000 description 1
- KPJXVLVCTUUFBA-UHFFFAOYSA-N 2-(3,5-ditert-butylphenyl)propan-2-yl carbamate Chemical compound CC(C)(C)C1=CC(C(C)(C)C)=CC(C(C)(C)OC(N)=O)=C1 KPJXVLVCTUUFBA-UHFFFAOYSA-N 0.000 description 1
- RNAMYOYQYRYFQY-UHFFFAOYSA-N 2-(4,4-difluoropiperidin-1-yl)-6-methoxy-n-(1-propan-2-ylpiperidin-4-yl)-7-(3-pyrrolidin-1-ylpropoxy)quinazolin-4-amine Chemical compound N1=C(N2CCC(F)(F)CC2)N=C2C=C(OCCCN3CCCC3)C(OC)=CC2=C1NC1CCN(C(C)C)CC1 RNAMYOYQYRYFQY-UHFFFAOYSA-N 0.000 description 1
- JTQUNAJHSFYGSN-UHFFFAOYSA-N 2-(4-methylphenyl)sulfonylethyl carbamate Chemical compound CC1=CC=C(S(=O)(=O)CCOC(N)=O)C=C1 JTQUNAJHSFYGSN-UHFFFAOYSA-N 0.000 description 1
- RHTMIQNZSGHFCN-UHFFFAOYSA-N 2-(4-phenyldiazenylphenyl)propan-2-yl carbamate Chemical compound C1=CC(C(C)(OC(N)=O)C)=CC=C1N=NC1=CC=CC=C1 RHTMIQNZSGHFCN-UHFFFAOYSA-N 0.000 description 1
- KXKIBGGGFMXVBJ-UHFFFAOYSA-N 2-(4-phenylphenyl)propan-2-yl carbamate Chemical compound C1=CC(C(C)(OC(N)=O)C)=CC=C1C1=CC=CC=C1 KXKIBGGGFMXVBJ-UHFFFAOYSA-N 0.000 description 1
- FGJAPOYTPXTLPY-UHFFFAOYSA-N 2-(benzylideneamino)-4-chlorophenol Chemical compound OC1=CC=C(Cl)C=C1N=CC1=CC=CC=C1 FGJAPOYTPXTLPY-UHFFFAOYSA-N 0.000 description 1
- TYYAMZMDZWXHHA-UHFFFAOYSA-N 2-(dibromomethyl)benzoic acid Chemical compound OC(=O)C1=CC=CC=C1C(Br)Br TYYAMZMDZWXHHA-UHFFFAOYSA-N 0.000 description 1
- JGYNXZIYXGSEJH-UHFFFAOYSA-N 2-(methylsulfanylmethoxymethyl)benzoic acid Chemical compound CSCOCC1=CC=CC=C1C(O)=O JGYNXZIYXGSEJH-UHFFFAOYSA-N 0.000 description 1
- 125000003821 2-(trimethylsilyl)ethoxymethyl group Chemical group [H]C([H])([H])[Si](C([H])([H])[H])(C([H])([H])[H])C([H])([H])C(OC([H])([H])[*])([H])[H] 0.000 description 1
- FKOKUHFZNIUSLW-UHFFFAOYSA-N 2-Hydroxypropyl stearate Chemical compound CCCCCCCCCCCCCCCCCC(=O)OCC(C)O FKOKUHFZNIUSLW-UHFFFAOYSA-N 0.000 description 1
- IZXIZTKNFFYFOF-UHFFFAOYSA-N 2-Oxazolidone Chemical compound O=C1NCCO1 IZXIZTKNFFYFOF-UHFFFAOYSA-N 0.000 description 1
- LRRHTDAZZDVTLM-BQAIUKQQSA-N 2-[(1-acetylpiperidin-4-yl)amino]-n-[(2s)-3-(3,4-dihydro-1h-isoquinolin-2-yl)-2-hydroxypropyl]pyridine-4-carboxamide;hydrochloride Chemical compound Cl.C1CN(C(=O)C)CCC1NC1=CC(C(=O)NC[C@H](O)CN2CC3=CC=CC=C3CC2)=CC=N1 LRRHTDAZZDVTLM-BQAIUKQQSA-N 0.000 description 1
- QXQMENSTZKYZCE-UHFFFAOYSA-N 2-[2,4-bis(2-methylbutan-2-yl)phenoxy]acetic acid Chemical compound CCC(C)(C)C1=CC=C(OCC(O)=O)C(C(C)(C)CC)=C1 QXQMENSTZKYZCE-UHFFFAOYSA-N 0.000 description 1
- XTRFZKJEMAVUIK-UHFFFAOYSA-N 2-[2,6-dichloro-4-(2,4,4-trimethylpentan-2-yl)phenoxy]acetic acid Chemical compound CC(C)(C)CC(C)(C)C1=CC(Cl)=C(OCC(O)=O)C(Cl)=C1 XTRFZKJEMAVUIK-UHFFFAOYSA-N 0.000 description 1
- PYRKKGOKRMZEIT-UHFFFAOYSA-N 2-[6-(2-cyclopropylethoxy)-9-(2-hydroxy-2-methylpropyl)-1h-phenanthro[9,10-d]imidazol-2-yl]-5-fluorobenzene-1,3-dicarbonitrile Chemical compound C1=C2C3=CC(CC(C)(O)C)=CC=C3C=3NC(C=4C(=CC(F)=CC=4C#N)C#N)=NC=3C2=CC=C1OCCC1CC1 PYRKKGOKRMZEIT-UHFFFAOYSA-N 0.000 description 1
- FMKGJQHNYMWDFJ-CVEARBPZSA-N 2-[[4-(2,2-difluoropropoxy)pyrimidin-5-yl]methylamino]-4-[[(1R,4S)-4-hydroxy-3,3-dimethylcyclohexyl]amino]pyrimidine-5-carbonitrile Chemical compound FC(COC1=NC=NC=C1CNC1=NC=C(C(=N1)N[C@H]1CC([C@H](CC1)O)(C)C)C#N)(C)F FMKGJQHNYMWDFJ-CVEARBPZSA-N 0.000 description 1
- QKNYBSVHEMOAJP-UHFFFAOYSA-N 2-amino-2-(hydroxymethyl)propane-1,3-diol;hydron;chloride Chemical compound Cl.OCC(N)(CO)CO QKNYBSVHEMOAJP-UHFFFAOYSA-N 0.000 description 1
- KWNPRVWFJOSGMZ-UHFFFAOYSA-N 2-boronobenzoic acid Chemical compound OB(O)C1=CC=CC=C1C(O)=O KWNPRVWFJOSGMZ-UHFFFAOYSA-N 0.000 description 1
- UJRMHFPTLFNSTA-UHFFFAOYSA-N 2-chloro-2,2-diphenylacetic acid Chemical compound C=1C=CC=CC=1C(Cl)(C(=O)O)C1=CC=CC=C1 UJRMHFPTLFNSTA-UHFFFAOYSA-N 0.000 description 1
- WQMAANNAZKNUDL-UHFFFAOYSA-N 2-dimethylaminoethyl chloride Chemical compound CN(C)CCCl WQMAANNAZKNUDL-UHFFFAOYSA-N 0.000 description 1
- SHHKMWMIKILKQW-UHFFFAOYSA-N 2-formylbenzenesulfonic acid Chemical compound OS(=O)(=O)C1=CC=CC=C1C=O SHHKMWMIKILKQW-UHFFFAOYSA-N 0.000 description 1
- YEDUAINPPJYDJZ-UHFFFAOYSA-N 2-hydroxybenzothiazole Chemical compound C1=CC=C2SC(O)=NC2=C1 YEDUAINPPJYDJZ-UHFFFAOYSA-N 0.000 description 1
- RFVNOJDQRGSOEL-UHFFFAOYSA-N 2-hydroxyethyl octadecanoate Chemical compound CCCCCCCCCCCCCCCCCC(=O)OCCO RFVNOJDQRGSOEL-UHFFFAOYSA-N 0.000 description 1
- CJNZAXGUTKBIHP-UHFFFAOYSA-M 2-iodobenzoate Chemical compound [O-]C(=O)C1=CC=CC=C1I CJNZAXGUTKBIHP-UHFFFAOYSA-M 0.000 description 1
- UYCIUCIKUGYNBR-UHFFFAOYSA-N 2-iodoethyl carbamate Chemical compound NC(=O)OCCI UYCIUCIKUGYNBR-UHFFFAOYSA-N 0.000 description 1
- LFOIDLOIBZFWDO-UHFFFAOYSA-N 2-methoxy-6-[6-methoxy-4-[(3-phenylmethoxyphenyl)methoxy]-1-benzofuran-2-yl]imidazo[2,1-b][1,3,4]thiadiazole Chemical compound N1=C2SC(OC)=NN2C=C1C(OC1=CC(OC)=C2)=CC1=C2OCC(C=1)=CC=CC=1OCC1=CC=CC=C1 LFOIDLOIBZFWDO-UHFFFAOYSA-N 0.000 description 1
- LPUAWADEOBHDIP-UHFFFAOYSA-N 2-methyl-2-(2-nitrophenoxy)propanamide Chemical compound NC(=O)C(C)(C)OC1=CC=CC=C1[N+]([O-])=O LPUAWADEOBHDIP-UHFFFAOYSA-N 0.000 description 1
- OBEJXZIQPCOKSK-UHFFFAOYSA-N 2-methyl-2-(2-phenyldiazenylphenoxy)propanamide Chemical compound NC(=O)C(C)(C)OC1=CC=CC=C1N=NC1=CC=CC=C1 OBEJXZIQPCOKSK-UHFFFAOYSA-N 0.000 description 1
- SDJNOBUNFYNROE-UHFFFAOYSA-N 2-methylbut-3-yn-2-yl carbamate Chemical compound C#CC(C)(C)OC(N)=O SDJNOBUNFYNROE-UHFFFAOYSA-N 0.000 description 1
- AUQKXXDHDKEBEY-UHFFFAOYSA-N 2-methylbutan-2-yl carbamate Chemical compound CCC(C)(C)OC(N)=O AUQKXXDHDKEBEY-UHFFFAOYSA-N 0.000 description 1
- QTWJRLJHJPIABL-UHFFFAOYSA-N 2-methylphenol;3-methylphenol;4-methylphenol Chemical compound CC1=CC=C(O)C=C1.CC1=CC=CC(O)=C1.CC1=CC=CC=C1O QTWJRLJHJPIABL-UHFFFAOYSA-N 0.000 description 1
- BRUZQRBVNRKLJG-UHFFFAOYSA-N 2-methylpropyl carbamate Chemical compound CC(C)COC(N)=O BRUZQRBVNRKLJG-UHFFFAOYSA-N 0.000 description 1
- OWXVECVXBTWHPP-UHFFFAOYSA-N 2-methylsulfanylethyl carbamate Chemical compound CSCCOC(N)=O OWXVECVXBTWHPP-UHFFFAOYSA-N 0.000 description 1
- IXTODZAWAAKENF-UHFFFAOYSA-N 2-methylsulfonylethyl carbamate Chemical compound CS(=O)(=O)CCOC(N)=O IXTODZAWAAKENF-UHFFFAOYSA-N 0.000 description 1
- 229940080296 2-naphthalenesulfonate Drugs 0.000 description 1
- 125000001622 2-naphthyl group Chemical group [H]C1=C([H])C([H])=C2C([H])=C(*)C([H])=C([H])C2=C1[H] 0.000 description 1
- KLGQWSOYKYFBTR-UHFFFAOYSA-N 2-nitrobenzamide Chemical compound NC(=O)C1=CC=CC=C1[N+]([O-])=O KLGQWSOYKYFBTR-UHFFFAOYSA-N 0.000 description 1
- LEACJMVNYZDSKR-UHFFFAOYSA-N 2-octyldodecan-1-ol Chemical compound CCCCCCCCCCC(CO)CCCCCCCC LEACJMVNYZDSKR-UHFFFAOYSA-N 0.000 description 1
- QCDWFXQBSFUVSP-UHFFFAOYSA-N 2-phenoxyethanol Chemical compound OCCOC1=CC=CC=C1 QCDWFXQBSFUVSP-UHFFFAOYSA-N 0.000 description 1
- MUAUTBNKPSNTFM-UHFFFAOYSA-N 2-phenylethyl carbamate Chemical compound NC(=O)OCCC1=CC=CC=C1 MUAUTBNKPSNTFM-UHFFFAOYSA-N 0.000 description 1
- UCZSGRLQZLKLCQ-UHFFFAOYSA-N 2-phenylpropan-2-yl carbamate Chemical compound NC(=O)OC(C)(C)C1=CC=CC=C1 UCZSGRLQZLKLCQ-UHFFFAOYSA-N 0.000 description 1
- FCOXSVSQGYUZTB-UHFFFAOYSA-N 2-phosphanylethyl carbamate Chemical compound NC(=O)OCCP FCOXSVSQGYUZTB-UHFFFAOYSA-N 0.000 description 1
- VSWICNJIUPRZIK-UHFFFAOYSA-N 2-piperideine Chemical compound C1CNC=CC1 VSWICNJIUPRZIK-UHFFFAOYSA-N 0.000 description 1
- 125000001494 2-propynyl group Chemical group [H]C#CC([H])([H])* 0.000 description 1
- WYECGUSLBPACPT-UHFFFAOYSA-N 2-pyridin-4-ylpropan-2-yl carbamate Chemical compound NC(=O)OC(C)(C)C1=CC=NC=C1 WYECGUSLBPACPT-UHFFFAOYSA-N 0.000 description 1
- MZASHBBAFBWNFL-UHFFFAOYSA-N 2-trimethylsilylethanesulfonamide Chemical compound C[Si](C)(C)CCS(N)(=O)=O MZASHBBAFBWNFL-UHFFFAOYSA-N 0.000 description 1
- XSXPJNJLDYOPTF-UHFFFAOYSA-N 2-trimethylsilylethoxymethanamine Chemical compound C[Si](C)(C)CCOCN XSXPJNJLDYOPTF-UHFFFAOYSA-N 0.000 description 1
- QWYTUBPAXJYCTH-UHFFFAOYSA-N 2-trimethylsilylethyl carbamate Chemical compound C[Si](C)(C)CCOC(N)=O QWYTUBPAXJYCTH-UHFFFAOYSA-N 0.000 description 1
- LDZNCSVWVMBVST-UHFFFAOYSA-N 2-trimethylsilylethyl hydrogen carbonate Chemical compound C[Si](C)(C)CCOC(O)=O LDZNCSVWVMBVST-UHFFFAOYSA-N 0.000 description 1
- GPVOTFQILZVCFP-UHFFFAOYSA-N 2-trityloxyacetic acid Chemical compound C=1C=CC=CC=1C(C=1C=CC=CC=1)(OCC(=O)O)C1=CC=CC=C1 GPVOTFQILZVCFP-UHFFFAOYSA-N 0.000 description 1
- VHMICKWLTGFITH-UHFFFAOYSA-N 2H-isoindole Chemical compound C1=CC=CC2=CNC=C21 VHMICKWLTGFITH-UHFFFAOYSA-N 0.000 description 1
- YRLORWPBJZEGBX-UHFFFAOYSA-N 3,4-dihydro-2h-1,4-benzoxazine Chemical compound C1=CC=C2NCCOC2=C1 YRLORWPBJZEGBX-UHFFFAOYSA-N 0.000 description 1
- 125000002774 3,4-dimethoxybenzyl group Chemical group [H]C1=C([H])C(=C([H])C(OC([H])([H])[H])=C1OC([H])([H])[H])C([H])([H])* 0.000 description 1
- DFRAKBCRUYUFNT-UHFFFAOYSA-N 3,8-dicyclohexyl-2,4,7,9-tetrahydro-[1,3]oxazino[5,6-h][1,3]benzoxazine Chemical compound C1CCCCC1N1CC(C=CC2=C3OCN(C2)C2CCCCC2)=C3OC1 DFRAKBCRUYUFNT-UHFFFAOYSA-N 0.000 description 1
- AJHPGXZOIAYYDW-UHFFFAOYSA-N 3-(2-cyanophenyl)-2-[(2-methylpropan-2-yl)oxycarbonylamino]propanoic acid Chemical compound CC(C)(C)OC(=O)NC(C(O)=O)CC1=CC=CC=C1C#N AJHPGXZOIAYYDW-UHFFFAOYSA-N 0.000 description 1
- KADQHJDUFKAUEB-UHFFFAOYSA-N 3-(2-nitrophenyl)propanamide Chemical compound NC(=O)CCC1=CC=CC=C1[N+]([O-])=O KADQHJDUFKAUEB-UHFFFAOYSA-N 0.000 description 1
- OEHZEBOCZWCVMK-UHFFFAOYSA-N 3-(4-hydroxyphenyl)propanamide Chemical compound NC(=O)CCC1=CC=C(O)C=C1 OEHZEBOCZWCVMK-UHFFFAOYSA-N 0.000 description 1
- NRZLJLXOGSCRAO-UHFFFAOYSA-N 3-(4-nitrophenyl)prop-2-enyl carbamate Chemical compound NC(=O)OCC=CC1=CC=C([N+]([O-])=O)C=C1 NRZLJLXOGSCRAO-UHFFFAOYSA-N 0.000 description 1
- UHDNUPHSDMOGCR-UHFFFAOYSA-N 3-Formylbenzoic acid Chemical compound OC(=O)C1=CC=CC(C=O)=C1 UHDNUPHSDMOGCR-UHFFFAOYSA-N 0.000 description 1
- UBLAMKHIFZBBSS-UHFFFAOYSA-N 3-Methylbutyl pentanoate Chemical compound CCCCC(=O)OCCC(C)C UBLAMKHIFZBBSS-UHFFFAOYSA-N 0.000 description 1
- DZIBTUILRRHUTI-UHFFFAOYSA-N 3-[1-[(2-methylpropan-2-yl)oxycarbonyl]pyrrolidin-2-yl]benzoic acid Chemical compound CC(C)(C)OC(=O)N1CCCC1C1=CC=CC(C(O)=O)=C1 DZIBTUILRRHUTI-UHFFFAOYSA-N 0.000 description 1
- PBVAJRFEEOIAGW-UHFFFAOYSA-N 3-[bis(2-carboxyethyl)phosphanyl]propanoic acid;hydrochloride Chemical compound Cl.OC(=O)CCP(CCC(O)=O)CCC(O)=O PBVAJRFEEOIAGW-UHFFFAOYSA-N 0.000 description 1
- MTZNODTZOSBYJW-UHFFFAOYSA-N 3-amino-5,5-dimethylcyclohex-2-en-1-one Chemical compound CC1(C)CC(N)=CC(=O)C1 MTZNODTZOSBYJW-UHFFFAOYSA-N 0.000 description 1
- SCLGGNBFBLJQFU-UHFFFAOYSA-N 3-aminopropyl acetate Chemical compound CC(=O)OCCCN SCLGGNBFBLJQFU-UHFFFAOYSA-N 0.000 description 1
- BMYNFMYTOJXKLE-UHFFFAOYSA-N 3-azaniumyl-2-hydroxypropanoate Chemical compound NCC(O)C(O)=O BMYNFMYTOJXKLE-UHFFFAOYSA-N 0.000 description 1
- VOIZNVUXCQLQHS-UHFFFAOYSA-N 3-bromobenzoic acid Chemical compound OC(=O)C1=CC=CC(Br)=C1 VOIZNVUXCQLQHS-UHFFFAOYSA-N 0.000 description 1
- NYPYPOZNGOXYSU-UHFFFAOYSA-N 3-bromopyridine Chemical compound BrC1=CC=CN=C1 NYPYPOZNGOXYSU-UHFFFAOYSA-N 0.000 description 1
- ZRPLANDPDWYOMZ-UHFFFAOYSA-N 3-cyclopentylpropionic acid Chemical compound OC(=O)CCC1CCCC1 ZRPLANDPDWYOMZ-UHFFFAOYSA-N 0.000 description 1
- WMZNGTSLFSJHMZ-UHFFFAOYSA-N 3-methoxycarbonylbenzoic acid Chemical compound COC(=O)C1=CC=CC(C(O)=O)=C1 WMZNGTSLFSJHMZ-UHFFFAOYSA-N 0.000 description 1
- UVODFYVXDPJZFJ-UHFFFAOYSA-N 3-methyl-3-nitrobutanamide Chemical compound [O-][N+](=O)C(C)(C)CC(N)=O UVODFYVXDPJZFJ-UHFFFAOYSA-N 0.000 description 1
- RZRNAYUHWVFMIP-GDCKJWNLSA-N 3-oleoyl-sn-glycerol Chemical compound CCCCCCCC\C=C/CCCCCCCC(=O)OC[C@H](O)CO RZRNAYUHWVFMIP-GDCKJWNLSA-N 0.000 description 1
- ROADCYAOHVSOLQ-UHFFFAOYSA-N 3-oxetanone Chemical compound O=C1COC1 ROADCYAOHVSOLQ-UHFFFAOYSA-N 0.000 description 1
- VYIBCOSBNVFEIW-UHFFFAOYSA-N 3-phenylpropanamide Chemical class NC(=O)CCC1=CC=CC=C1 VYIBCOSBNVFEIW-UHFFFAOYSA-N 0.000 description 1
- UBARRNXCKBFUEN-UHFFFAOYSA-N 4,5-diphenyl-5h-1,3-oxazol-2-one Chemical compound N=1C(=O)OC(C=2C=CC=CC=2)C=1C1=CC=CC=C1 UBARRNXCKBFUEN-UHFFFAOYSA-N 0.000 description 1
- CYDQOEWLBCCFJZ-UHFFFAOYSA-N 4-(4-fluorophenyl)oxane-4-carboxylic acid Chemical compound C=1C=C(F)C=CC=1C1(C(=O)O)CCOCC1 CYDQOEWLBCCFJZ-UHFFFAOYSA-N 0.000 description 1
- NDRAHSMAGKWWFZ-UHFFFAOYSA-N 4-(methylsulfanylmethoxy)butanoic acid Chemical compound CSCOCCCC(O)=O NDRAHSMAGKWWFZ-UHFFFAOYSA-N 0.000 description 1
- BLEFBWAGWNSEGB-UHFFFAOYSA-N 4-[(4,8-dimethoxynaphthalen-1-yl)methyl]benzenesulfonamide Chemical compound C12=C(OC)C=CC=C2C(OC)=CC=C1CC1=CC=C(S(N)(=O)=O)C=C1 BLEFBWAGWNSEGB-UHFFFAOYSA-N 0.000 description 1
- WYFCZWSWFGJODV-MIANJLSGSA-N 4-[[(1s)-2-[(e)-3-[3-chloro-2-fluoro-6-(tetrazol-1-yl)phenyl]prop-2-enoyl]-5-(4-methyl-2-oxopiperazin-1-yl)-3,4-dihydro-1h-isoquinoline-1-carbonyl]amino]benzoic acid Chemical compound O=C1CN(C)CCN1C1=CC=CC2=C1CCN(C(=O)\C=C\C=1C(=CC=C(Cl)C=1F)N1N=NN=C1)[C@@H]2C(=O)NC1=CC=C(C(O)=O)C=C1 WYFCZWSWFGJODV-MIANJLSGSA-N 0.000 description 1
- WAGMYTXJRVPMGW-UHFFFAOYSA-N 4-azidobutanoic acid Chemical compound OC(=O)CCCN=[N+]=[N-] WAGMYTXJRVPMGW-UHFFFAOYSA-N 0.000 description 1
- BSDGZUDFPKIYQG-UHFFFAOYSA-N 4-bromopyridine Chemical compound BrC1=CC=NC=C1 BSDGZUDFPKIYQG-UHFFFAOYSA-N 0.000 description 1
- SIAVMDKGVRXFAX-UHFFFAOYSA-N 4-carboxyphenylboronic acid Chemical compound OB(O)C1=CC=C(C(O)=O)C=C1 SIAVMDKGVRXFAX-UHFFFAOYSA-N 0.000 description 1
- QPSBONMVNZJUMM-UHFFFAOYSA-N 4-chloro-2-methanimidoylphenol Chemical compound OC1=CC=C(Cl)C=C1C=N QPSBONMVNZJUMM-UHFFFAOYSA-N 0.000 description 1
- OSDLLIBGSJNGJE-UHFFFAOYSA-N 4-chloro-3,5-dimethylphenol Chemical compound CC1=CC(O)=CC(C)=C1Cl OSDLLIBGSJNGJE-UHFFFAOYSA-N 0.000 description 1
- XYOXIERJKILWCG-UHFFFAOYSA-N 4-chlorobutanamide Chemical compound NC(=O)CCCCl XYOXIERJKILWCG-UHFFFAOYSA-N 0.000 description 1
- FJKROLUGYXJWQN-UHFFFAOYSA-N 4-hydroxybenzoic acid Chemical compound OC(=O)C1=CC=C(O)C=C1 FJKROLUGYXJWQN-UHFFFAOYSA-N 0.000 description 1
- UHAAUDAFKLCPEA-UHFFFAOYSA-N 4-methoxy-2,3,5,6-tetramethylbenzenesulfonamide Chemical compound COC1=C(C)C(C)=C(S(N)(=O)=O)C(C)=C1C UHAAUDAFKLCPEA-UHFFFAOYSA-N 0.000 description 1
- ZJJLGMUSGUYZQP-UHFFFAOYSA-N 4-methoxy-2,6-dimethylbenzenesulfonamide Chemical compound COC1=CC(C)=C(S(N)(=O)=O)C(C)=C1 ZJJLGMUSGUYZQP-UHFFFAOYSA-N 0.000 description 1
- MSFQEZBRFPAFEX-UHFFFAOYSA-N 4-methoxybenzenesulfonamide Chemical compound COC1=CC=C(S(N)(=O)=O)C=C1 MSFQEZBRFPAFEX-UHFFFAOYSA-N 0.000 description 1
- 125000004172 4-methoxyphenyl group Chemical group [H]C1=C([H])C(OC([H])([H])[H])=C([H])C([H])=C1* 0.000 description 1
- KHKJLJHJTQRHSA-UHFFFAOYSA-N 4-methyl-4-nitropentanoic acid Chemical compound [O-][N+](=O)C(C)(C)CCC(O)=O KHKJLJHJTQRHSA-UHFFFAOYSA-N 0.000 description 1
- LUQVCHRDAGWYMG-UHFFFAOYSA-N 4-phenylbenzamide Chemical compound C1=CC(C(=O)N)=CC=C1C1=CC=CC=C1 LUQVCHRDAGWYMG-UHFFFAOYSA-N 0.000 description 1
- NNJMFJSKMRYHSR-UHFFFAOYSA-M 4-phenylbenzoate Chemical compound C1=CC(C(=O)[O-])=CC=C1C1=CC=CC=C1 NNJMFJSKMRYHSR-UHFFFAOYSA-M 0.000 description 1
- QRCGFTXRXYMJOS-UHFFFAOYSA-N 4h-1,4-benzoxazin-3-one Chemical compound C1=CC=C2NC(=O)COC2=C1 QRCGFTXRXYMJOS-UHFFFAOYSA-N 0.000 description 1
- WYGAIOJWQDRBRJ-UHFFFAOYSA-N 5-amino-2-fluorobenzoic acid Chemical compound NC1=CC=C(F)C(C(O)=O)=C1 WYGAIOJWQDRBRJ-UHFFFAOYSA-N 0.000 description 1
- TZARUEALSRVVHC-UHFFFAOYSA-N 5-bromo-1-methylpyrazole Chemical compound CN1N=CC=C1Br TZARUEALSRVVHC-UHFFFAOYSA-N 0.000 description 1
- FQIUCPGDKPXSLL-UHFFFAOYSA-N 5-bromopyridine-3-carboxylic acid Chemical compound OC(=O)C1=CN=CC(Br)=C1 FQIUCPGDKPXSLL-UHFFFAOYSA-N 0.000 description 1
- XFJBGINZIMNZBW-CRAIPNDOSA-N 5-chloro-2-[4-[(1r,2s)-2-[2-(5-methylsulfonylpyridin-2-yl)oxyethyl]cyclopropyl]piperidin-1-yl]pyrimidine Chemical compound N1=CC(S(=O)(=O)C)=CC=C1OCC[C@H]1[C@@H](C2CCN(CC2)C=2N=CC(Cl)=CN=2)C1 XFJBGINZIMNZBW-CRAIPNDOSA-N 0.000 description 1
- TWEPWDUFOKGHHM-FYZYNONXSA-N 6-[(1-acetylazetidin-3-yl)amino]-N-[(2S)-3-(3,4-dihydro-1H-isoquinolin-2-yl)-2-hydroxypropyl]pyrimidine-4-carboxamide hydrochloride Chemical compound Cl.CC(=O)N1CC(C1)Nc1cc(ncn1)C(=O)NC[C@H](O)CN1CCc2ccccc2C1 TWEPWDUFOKGHHM-FYZYNONXSA-N 0.000 description 1
- DYEQSONZLYRFJC-BOXHHOBZSA-N 6-[(1-acetylpiperidin-4-yl)amino]-n-[(2s)-3-(3,4-dihydro-1h-isoquinolin-2-yl)-2-hydroxypropyl]pyrimidine-4-carboxamide;hydrochloride Chemical compound Cl.C1CN(C(=O)C)CCC1NC1=CC(C(=O)NC[C@H](O)CN2CC3=CC=CC=C3CC2)=NC=N1 DYEQSONZLYRFJC-BOXHHOBZSA-N 0.000 description 1
- FHVDTGUDJYJELY-UHFFFAOYSA-N 6-{[2-carboxy-4,5-dihydroxy-6-(phosphanyloxy)oxan-3-yl]oxy}-4,5-dihydroxy-3-phosphanyloxane-2-carboxylic acid Chemical compound O1C(C(O)=O)C(P)C(O)C(O)C1OC1C(C(O)=O)OC(OP)C(O)C1O FHVDTGUDJYJELY-UHFFFAOYSA-N 0.000 description 1
- ZCYVEMRRCGMTRW-UHFFFAOYSA-N 7553-56-2 Chemical compound [I] ZCYVEMRRCGMTRW-UHFFFAOYSA-N 0.000 description 1
- QXPJDKVEHRKBOE-UHFFFAOYSA-N 9-phenyl-9h-fluoren-1-amine Chemical compound C1=2C(N)=CC=CC=2C2=CC=CC=C2C1C1=CC=CC=C1 QXPJDKVEHRKBOE-UHFFFAOYSA-N 0.000 description 1
- GJCOSYZMQJWQCA-UHFFFAOYSA-N 9H-xanthene Chemical compound C1=CC=C2CC3=CC=CC=C3OC2=C1 GJCOSYZMQJWQCA-UHFFFAOYSA-N 0.000 description 1
- GDXXYJRQFQZYNL-UHFFFAOYSA-N 9h-fluoren-1-ylmethyl carbamate Chemical compound C1C2=CC=CC=C2C2=C1C(COC(=O)N)=CC=C2 GDXXYJRQFQZYNL-UHFFFAOYSA-N 0.000 description 1
- ZZOKVYOCRSMTSS-UHFFFAOYSA-N 9h-fluoren-9-ylmethyl carbamate Chemical compound C1=CC=C2C(COC(=O)N)C3=CC=CC=C3C2=C1 ZZOKVYOCRSMTSS-UHFFFAOYSA-N 0.000 description 1
- NIXOWILDQLNWCW-UHFFFAOYSA-N Acrylic acid Chemical group OC(=O)C=C NIXOWILDQLNWCW-UHFFFAOYSA-N 0.000 description 1
- 102100031260 Acyl-coenzyme A thioesterase THEM4 Human genes 0.000 description 1
- 208000010507 Adenocarcinoma of Lung Diseases 0.000 description 1
- 208000036832 Adenocarcinoma of ovary Diseases 0.000 description 1
- 206010001197 Adenocarcinoma of the cervix Diseases 0.000 description 1
- 208000034246 Adenocarcinoma of the cervix uteri Diseases 0.000 description 1
- 208000036764 Adenocarcinoma of the esophagus Diseases 0.000 description 1
- 229920000936 Agarose Polymers 0.000 description 1
- 240000006054 Agastache cana Species 0.000 description 1
- 230000007730 Akt signaling Effects 0.000 description 1
- 235000006667 Aleurites moluccana Nutrition 0.000 description 1
- 244000136475 Aleurites moluccana Species 0.000 description 1
- VVJKKWFAADXIJK-UHFFFAOYSA-N Allylamine Chemical compound NCC=C VVJKKWFAADXIJK-UHFFFAOYSA-N 0.000 description 1
- 208000012791 Alpha-heavy chain disease Diseases 0.000 description 1
- QGZKDVFQNNGYKY-UHFFFAOYSA-O Ammonium Chemical compound [NH4+] QGZKDVFQNNGYKY-UHFFFAOYSA-O 0.000 description 1
- VHUUQVKOLVNVRT-UHFFFAOYSA-N Ammonium hydroxide Chemical compound [NH4+].[OH-] VHUUQVKOLVNVRT-UHFFFAOYSA-N 0.000 description 1
- 244000144725 Amygdalus communis Species 0.000 description 1
- 235000011437 Amygdalus communis Nutrition 0.000 description 1
- 244000144730 Amygdalus persica Species 0.000 description 1
- 206010061424 Anal cancer Diseases 0.000 description 1
- 206010073478 Anaplastic large-cell lymphoma Diseases 0.000 description 1
- 208000007860 Anus Neoplasms Diseases 0.000 description 1
- 235000003276 Apios tuberosa Nutrition 0.000 description 1
- 101100168911 Arabidopsis thaliana CUL4 gene Proteins 0.000 description 1
- 235000017060 Arachis glabrata Nutrition 0.000 description 1
- 235000018262 Arachis monticola Nutrition 0.000 description 1
- 235000010744 Arachis villosulicarpa Nutrition 0.000 description 1
- 241000416162 Astragalus gummifer Species 0.000 description 1
- 206010003571 Astrocytoma Diseases 0.000 description 1
- 208000023275 Autoimmune disease Diseases 0.000 description 1
- 208000036170 B-Cell Marginal Zone Lymphoma Diseases 0.000 description 1
- 208000028564 B-cell non-Hodgkin lymphoma Diseases 0.000 description 1
- 206010060999 Benign neoplasm Diseases 0.000 description 1
- KHBQMWCZKVMBLN-UHFFFAOYSA-N Benzenesulfonamide Chemical compound NS(=O)(=O)C1=CC=CC=C1 KHBQMWCZKVMBLN-UHFFFAOYSA-N 0.000 description 1
- 206010004593 Bile duct cancer Diseases 0.000 description 1
- 229930185605 Bisphenol Natural products 0.000 description 1
- 235000007689 Borago officinalis Nutrition 0.000 description 1
- 240000004355 Borago officinalis Species 0.000 description 1
- 235000014698 Brassica juncea var multisecta Nutrition 0.000 description 1
- 240000002791 Brassica napus Species 0.000 description 1
- 235000006008 Brassica napus var napus Nutrition 0.000 description 1
- 235000006618 Brassica rapa subsp oleifera Nutrition 0.000 description 1
- 244000188595 Brassica sinapistrum Species 0.000 description 1
- WKBOTKDWSSQWDR-UHFFFAOYSA-N Bromine atom Chemical compound [Br] WKBOTKDWSSQWDR-UHFFFAOYSA-N 0.000 description 1
- 235000004936 Bromus mango Nutrition 0.000 description 1
- LVDKZNITIUWNER-UHFFFAOYSA-N Bronopol Chemical compound OCC(Br)(CO)[N+]([O-])=O LVDKZNITIUWNER-UHFFFAOYSA-N 0.000 description 1
- 208000011691 Burkitt lymphomas Diseases 0.000 description 1
- 239000004255 Butylated hydroxyanisole Substances 0.000 description 1
- 239000004322 Butylated hydroxytoluene Substances 0.000 description 1
- NLZUEZXRPGMBCV-UHFFFAOYSA-N Butylhydroxytoluene Chemical compound CC1=CC(C(C)(C)C)=C(O)C(C(C)(C)C)=C1 NLZUEZXRPGMBCV-UHFFFAOYSA-N 0.000 description 1
- FERIUCNNQQJTOY-UHFFFAOYSA-M Butyrate Chemical compound CCCC([O-])=O FERIUCNNQQJTOY-UHFFFAOYSA-M 0.000 description 1
- FERIUCNNQQJTOY-UHFFFAOYSA-N Butyric acid Natural products CCCC(O)=O FERIUCNNQQJTOY-UHFFFAOYSA-N 0.000 description 1
- 125000003358 C2-C20 alkenyl group Chemical group 0.000 description 1
- 125000004648 C2-C8 alkenyl group Chemical group 0.000 description 1
- 125000004649 C2-C8 alkynyl group Chemical group 0.000 description 1
- BSKFCMBVBFKMDJ-UHFFFAOYSA-N CC(=O)CC1=CC=CC(C(C)(C)C)=C1.CC(C)(C)C1=CC(C(N)=O)=CC=C1.CC(C)(C)C1=CC(C2CCNC2)=CC=C1.CC(C)(C)C1=CC(CN2CCNCC2)=CC=C1.CC(C)(C)C1=CC(CS(C)(=O)=O)=CC=C1.CC(C)(C)C1=CC(N2CCNCC2)=CC=C1.CC(C)(C)C1=CC(S(N)(=O)=O)=CC=C1.CC(C)(C)C1=CC=CC=C1NS(C)(=O)=O.CC(C)(C)C1=CC=CC=C1S(N)(=O)=O.CN(C)CCOC1=CC=CC(C(C)(C)C)=C1.CN1CCC(C2=CC=CC(C(C)(C)C)=C2)C1.CN1CCCC1C1=CC=CC(C(C)(C)C)=C1.CN1CCN(C2=CC=CC(C(C)(C)C)=C2)CC1.CN1CCN(CC2=CC=CC(C(C)(C)C)=C2)CC1.CNCCOC1=CC=CC(C(C)(C)C)=C1 Chemical compound CC(=O)CC1=CC=CC(C(C)(C)C)=C1.CC(C)(C)C1=CC(C(N)=O)=CC=C1.CC(C)(C)C1=CC(C2CCNC2)=CC=C1.CC(C)(C)C1=CC(CN2CCNCC2)=CC=C1.CC(C)(C)C1=CC(CS(C)(=O)=O)=CC=C1.CC(C)(C)C1=CC(N2CCNCC2)=CC=C1.CC(C)(C)C1=CC(S(N)(=O)=O)=CC=C1.CC(C)(C)C1=CC=CC=C1NS(C)(=O)=O.CC(C)(C)C1=CC=CC=C1S(N)(=O)=O.CN(C)CCOC1=CC=CC(C(C)(C)C)=C1.CN1CCC(C2=CC=CC(C(C)(C)C)=C2)C1.CN1CCCC1C1=CC=CC(C(C)(C)C)=C1.CN1CCN(C2=CC=CC(C(C)(C)C)=C2)CC1.CN1CCN(CC2=CC=CC(C(C)(C)C)=C2)CC1.CNCCOC1=CC=CC(C(C)(C)C)=C1 BSKFCMBVBFKMDJ-UHFFFAOYSA-N 0.000 description 1
- WEHKJRBOVKRAMY-UHFFFAOYSA-N CC(=O)N(C)CCCC1=NC=CC(C(C)(C)C)=C1.CC(C)(C)/C1=N/C2=CC(Br)=CC=C2N1.CC(C)(C)C1=CC(CCCNCC(F)(F)F)=NC=C1.CC(C)(C)C1=CC(NCCN)=NC=C1.CC(C)(C)C1=CC2=C(C=C1)C=C(O)C=C2.CC(C)(C)C1=CC2=CC=CC=C2N=C1.CC(C)(C)C1=CC=C(OC2CCN(CCO)CC2)C=C1.CC1=CN=C(CC2CCOC2)C=C1C(C)(C)C.CCCCNC1=NC=CC(C(C)(C)C)=C1.CN1N=C(NC2CCOCC2)C=C1C(C)(C)C Chemical compound CC(=O)N(C)CCCC1=NC=CC(C(C)(C)C)=C1.CC(C)(C)/C1=N/C2=CC(Br)=CC=C2N1.CC(C)(C)C1=CC(CCCNCC(F)(F)F)=NC=C1.CC(C)(C)C1=CC(NCCN)=NC=C1.CC(C)(C)C1=CC2=C(C=C1)C=C(O)C=C2.CC(C)(C)C1=CC2=CC=CC=C2N=C1.CC(C)(C)C1=CC=C(OC2CCN(CCO)CC2)C=C1.CC1=CN=C(CC2CCOC2)C=C1C(C)(C)C.CCCCNC1=NC=CC(C(C)(C)C)=C1.CN1N=C(NC2CCOCC2)C=C1C(C)(C)C WEHKJRBOVKRAMY-UHFFFAOYSA-N 0.000 description 1
- GHUOHVPBJPFGAB-RNPYQVERSA-N CC(=O)N(C)CCN(C)C1=NC=CC(C(C)(C)C)=C1.CC(=O)N1CCC(OC2=NC=NC(C(C)(C)C)=C2)CC1.CC(=O)N1CC[C@@H](CC2=CC(C(C)(C)C)=CC=C2)C1.CC(C)(C)/C1=C/C2=C(F)C=CC=C2C1.CC(C)(C)C1=CC(CC2CCN(S(C)(=O)=O)CC2)=NC=N1.CC(C)(C)C1=CC(OC2CCN(S(C)(=O)=O)CC2)=NC=N1.CC(C)(C)C1=CN=CC(OC2CCN(S(C)(=O)=O)CC2)=C1.CN1CCC(CCC2=NC=CC(C(C)(C)C)=C2)CC1.CN1CCC(OC2=CC(C(C)(C)C)=CN=C2)CC1 Chemical compound CC(=O)N(C)CCN(C)C1=NC=CC(C(C)(C)C)=C1.CC(=O)N1CCC(OC2=NC=NC(C(C)(C)C)=C2)CC1.CC(=O)N1CC[C@@H](CC2=CC(C(C)(C)C)=CC=C2)C1.CC(C)(C)/C1=C/C2=C(F)C=CC=C2C1.CC(C)(C)C1=CC(CC2CCN(S(C)(=O)=O)CC2)=NC=N1.CC(C)(C)C1=CC(OC2CCN(S(C)(=O)=O)CC2)=NC=N1.CC(C)(C)C1=CN=CC(OC2CCN(S(C)(=O)=O)CC2)=C1.CN1CCC(CCC2=NC=CC(C(C)(C)C)=C2)CC1.CN1CCC(OC2=CC(C(C)(C)C)=CN=C2)CC1 GHUOHVPBJPFGAB-RNPYQVERSA-N 0.000 description 1
- FQTPOUGYBLBZME-UHFFFAOYSA-N CC(=O)N(C)CCN1CCN(CC2=CC(C(C)(C)C)=CC=C2)CC1.CC(=O)N1CCC(NC2=NC=CC(C(C)(C)C)=C2)CC1.CC(C)(C)C1=CC(CC2CCN(S(C)(=O)=O)C2)=NC=N1.CC(C)(C)C1=CC(CC2CCNC2)=CN=C1.CC(C)(C)C1=CC(OC2CCNCC2)=NC=N1.CC(C)(C)C1=CC(OC2CCOCC2)=NC=N1.CC(C)(C)C1=CN=CC(OC2CCNCC2)=C1.CN1CCC(CC2=CC(C(C)(C)C)=CC=N2)C1.CN1CCN(CC2=CC(C(C)(C)C)=CC=C2)CC1CO.COC1=CC2=CC=C(C(C)(C)C)C=C2C=C1 Chemical compound CC(=O)N(C)CCN1CCN(CC2=CC(C(C)(C)C)=CC=C2)CC1.CC(=O)N1CCC(NC2=NC=CC(C(C)(C)C)=C2)CC1.CC(C)(C)C1=CC(CC2CCN(S(C)(=O)=O)C2)=NC=N1.CC(C)(C)C1=CC(CC2CCNC2)=CN=C1.CC(C)(C)C1=CC(OC2CCNCC2)=NC=N1.CC(C)(C)C1=CC(OC2CCOCC2)=NC=N1.CC(C)(C)C1=CN=CC(OC2CCNCC2)=C1.CN1CCC(CC2=CC(C(C)(C)C)=CC=N2)C1.CN1CCN(CC2=CC(C(C)(C)C)=CC=C2)CC1CO.COC1=CC2=CC=C(C(C)(C)C)C=C2C=C1 FQTPOUGYBLBZME-UHFFFAOYSA-N 0.000 description 1
- ZJCJIRRCMDTWSH-UHFFFAOYSA-N CC(=O)N1CC(NC2=NC=CC(C(C)(C)C)=C2)C1.CC(=O)N1CC(NC2=NC=NC(C(C)(C)C)=C2)C1.CC(C)(C)C1=CC(CC2CN(CC(F)(F)F)C2)=NC=N1.CC(C)(C)C1=CC(CC2CN(S(C)(=O)=O)C2)=NC=C1.CC(C)(C)C1=CC(CC2CN(S(C)(=O)=O)C2)=NC=N1.CC(C)(C)C1=CC(CC2CNC2)=NC=N1.CC(C)(C)C1=CC2=C(C=C1)OCCO2.CC(C)(C)C1=CC2=C(N1)C(Cl)=CC=C2.CN(CCOC1=CC=CC(C(C)(C)C)=C1)CC(N)=O.CN1CC(CC2=NC=NC(C(C)(C)C)=C2)C1 Chemical compound CC(=O)N1CC(NC2=NC=CC(C(C)(C)C)=C2)C1.CC(=O)N1CC(NC2=NC=NC(C(C)(C)C)=C2)C1.CC(C)(C)C1=CC(CC2CN(CC(F)(F)F)C2)=NC=N1.CC(C)(C)C1=CC(CC2CN(S(C)(=O)=O)C2)=NC=C1.CC(C)(C)C1=CC(CC2CN(S(C)(=O)=O)C2)=NC=N1.CC(C)(C)C1=CC(CC2CNC2)=NC=N1.CC(C)(C)C1=CC2=C(C=C1)OCCO2.CC(C)(C)C1=CC2=C(N1)C(Cl)=CC=C2.CN(CCOC1=CC=CC(C(C)(C)C)=C1)CC(N)=O.CN1CC(CC2=NC=NC(C(C)(C)C)=C2)C1 ZJCJIRRCMDTWSH-UHFFFAOYSA-N 0.000 description 1
- SOQMGDPBEOUETO-UHFFFAOYSA-N CC(=O)N1CCC(CC2=CC(C(C)(C)C)=CC=C2)C1.CC(=O)N1CCC(NC2=CC=CC(C(C)(C)C)=C2)CC1.CC(C)(C)C1=CC(CC2CCN(CC(F)(F)F)CC2)=CC=C1.CC(C)(C)C1=CC(CC2CCN(S(C)(=O)=O)CC2)=CC=C1.CC(C)(C)C1=CC=C(NC2CCN(CC(F)(F)F)CC2)C=C1.CC(C)(C)C1=CC=C(NC2CCOC2)C=C1.CC(C)(C)C1=CC=CC(CC2CCN(S(C)(=O)=O)C2)=C1.CN1CCC(CC2=CC(C(C)(C)C)=CC=C2)C1.CN1CCC(CC2=CC=CC(C(C)(C)C)=C2)CC1 Chemical compound CC(=O)N1CCC(CC2=CC(C(C)(C)C)=CC=C2)C1.CC(=O)N1CCC(NC2=CC=CC(C(C)(C)C)=C2)CC1.CC(C)(C)C1=CC(CC2CCN(CC(F)(F)F)CC2)=CC=C1.CC(C)(C)C1=CC(CC2CCN(S(C)(=O)=O)CC2)=CC=C1.CC(C)(C)C1=CC=C(NC2CCN(CC(F)(F)F)CC2)C=C1.CC(C)(C)C1=CC=C(NC2CCOC2)C=C1.CC(C)(C)C1=CC=CC(CC2CCN(S(C)(=O)=O)C2)=C1.CN1CCC(CC2=CC(C(C)(C)C)=CC=C2)C1.CN1CCC(CC2=CC=CC(C(C)(C)C)=C2)CC1 SOQMGDPBEOUETO-UHFFFAOYSA-N 0.000 description 1
- HCDAQMQQHWRTLK-UHFFFAOYSA-N CC(=O)N1CCC(CC2=CC(C(C)(C)C)=CC=N2)C1.CC(C)(C)C1=CC(CC2CCN(S(C)(=O)=O)CC2)=NC=C1.CC(C)(C)C1=CC(CC2CCOC2)=NC=N1.CC(C)(C)C1=CC(CCC2CCNCC2)=NC=C1.CC(C)(C)C1=CC(OC2CCNCC2)=NC=C1.CC(C)(C)C1=CC(OCCCCC(N)=O)=CC=C1.CC(C)(C)C1=CC=NC(CC2CCN(CC(F)(F)F)C2)=C1.CC(C)(C)C1=CC=NC(CC2CCN(S(C)(=O)=O)C2)=C1.CC1=C(C(C)(C)C)N=CN=C1NC1CCOCC1.CN(C)CCOC1=NC=CC(C(C)(C)C)=C1.CNCCN(C)C1=NC=CC(C(C)(C)C)=C1 Chemical compound CC(=O)N1CCC(CC2=CC(C(C)(C)C)=CC=N2)C1.CC(C)(C)C1=CC(CC2CCN(S(C)(=O)=O)CC2)=NC=C1.CC(C)(C)C1=CC(CC2CCOC2)=NC=N1.CC(C)(C)C1=CC(CCC2CCNCC2)=NC=C1.CC(C)(C)C1=CC(OC2CCNCC2)=NC=C1.CC(C)(C)C1=CC(OCCCCC(N)=O)=CC=C1.CC(C)(C)C1=CC=NC(CC2CCN(CC(F)(F)F)C2)=C1.CC(C)(C)C1=CC=NC(CC2CCN(S(C)(=O)=O)C2)=C1.CC1=C(C(C)(C)C)N=CN=C1NC1CCOCC1.CN(C)CCOC1=NC=CC(C(C)(C)C)=C1.CNCCN(C)C1=NC=CC(C(C)(C)C)=C1 HCDAQMQQHWRTLK-UHFFFAOYSA-N 0.000 description 1
- KKNUVVJTJHGXPP-MOVRWHIZSA-N CC(=O)N1CCC(CC2=NC=NC(C(C)(C)C)=C2)C1.CC(=O)N1CCC(NC2=CC=CC(C(C)(C)C)=C2)CC1.CC(C)(C)C1=CC(CC2CCN(CC(F)(F)F)CC2)=CC=C1.CC(C)(C)C1=CC(CC2CCN(CC(F)(F)F)CC2)=NC=C1.CC(C)(C)C1=CC(CC2CCN(S(C)(=O)=O)CC2)=CC=C1.CC(C)(C)C1=CC(CC2CCOC2)=CN=C1.CC(C)(C)C1=CC=NC(CC2CCN(CC(F)(F)F)C2)=C1.CN(C)CCNC1=NC=CC(C(C)(C)C)=C1.CN1CCC(CC2=NC=CC(C(C)(C)C)=C2)CC1.C[C@@H]1COCCC1CC1=CC=CC(C(C)(C)C)=C1.C[C@H]1COCCC1CC1=CC=CC(C(C)(C)C)=C1 Chemical compound CC(=O)N1CCC(CC2=NC=NC(C(C)(C)C)=C2)C1.CC(=O)N1CCC(NC2=CC=CC(C(C)(C)C)=C2)CC1.CC(C)(C)C1=CC(CC2CCN(CC(F)(F)F)CC2)=CC=C1.CC(C)(C)C1=CC(CC2CCN(CC(F)(F)F)CC2)=NC=C1.CC(C)(C)C1=CC(CC2CCN(S(C)(=O)=O)CC2)=CC=C1.CC(C)(C)C1=CC(CC2CCOC2)=CN=C1.CC(C)(C)C1=CC=NC(CC2CCN(CC(F)(F)F)C2)=C1.CN(C)CCNC1=NC=CC(C(C)(C)C)=C1.CN1CCC(CC2=NC=CC(C(C)(C)C)=C2)CC1.C[C@@H]1COCCC1CC1=CC=CC(C(C)(C)C)=C1.C[C@H]1COCCC1CC1=CC=CC(C(C)(C)C)=C1 KKNUVVJTJHGXPP-MOVRWHIZSA-N 0.000 description 1
- FPEKLHCALMTOQB-UHFFFAOYSA-N CC(=O)N1CCC(NC2=CN=CC(C(C)(C)C)=C2)CC1.CC(=O)N1CCC(OC2=CC(C(C)(C)C)=CN=C2)CC1.CC(C)(C)C1=CC(CC2CCN(CC(F)(F)F)C2)=CN=C1.CC(C)(C)C1=CC(CC2CCN(CC(F)(F)F)CC2)=CN=C1.CC(C)(C)C1=CC(CC2CCN(S(C)(=O)=O)CC2)=CN=C1.CC(C)(C)C1=CC(CC2CCOC2)=NC=C1.CC(C)(C)C1=CC(CC2CCOCC2)=CN=C1.CC(C)(C)C1=CC(CC2COC2)=CN=C1.CC1=CN=C(CC2CCOCC2)C=C1C(C)(C)C Chemical compound CC(=O)N1CCC(NC2=CN=CC(C(C)(C)C)=C2)CC1.CC(=O)N1CCC(OC2=CC(C(C)(C)C)=CN=C2)CC1.CC(C)(C)C1=CC(CC2CCN(CC(F)(F)F)C2)=CN=C1.CC(C)(C)C1=CC(CC2CCN(CC(F)(F)F)CC2)=CN=C1.CC(C)(C)C1=CC(CC2CCN(S(C)(=O)=O)CC2)=CN=C1.CC(C)(C)C1=CC(CC2CCOC2)=NC=C1.CC(C)(C)C1=CC(CC2CCOCC2)=CN=C1.CC(C)(C)C1=CC(CC2COC2)=CN=C1.CC1=CN=C(CC2CCOCC2)C=C1C(C)(C)C FPEKLHCALMTOQB-UHFFFAOYSA-N 0.000 description 1
- COXYQJRCSCXMLJ-UHFFFAOYSA-N CC(=O)N1CCC(NC2=NC=NC(C(C)(C)C)=C2)CC1.CC(=O)N1CCC(OC2=NC=CC(C(C)(C)C)=C2)CC1.CC(=O)N1CCC(OC2=NC=CC(C(C)(C)C)=C2)CC1.CC(C)(C)C1=CC(CC2CCNC2)=NC=N1.CC(C)(C)C1=CC(CC2CCNCC2)=NC=C1.CC(C)(C)C1=CC(OC2CCN(CC(F)(F)F)CC2)=NC=C1.CC(C)(C)C1=CC(OC2CCN(S(C)(=O)=O)CC2)=NC=C1.CC(C)(C)C1=CC=NC(CC2CCNC2)=C1.CN1CCC(CC2=NC=NC(C(C)(C)C)=C2)CC1.CN1CCC(OC2=NC=CC(C(C)(C)C)=C2)CC1 Chemical compound CC(=O)N1CCC(NC2=NC=NC(C(C)(C)C)=C2)CC1.CC(=O)N1CCC(OC2=NC=CC(C(C)(C)C)=C2)CC1.CC(=O)N1CCC(OC2=NC=CC(C(C)(C)C)=C2)CC1.CC(C)(C)C1=CC(CC2CCNC2)=NC=N1.CC(C)(C)C1=CC(CC2CCNCC2)=NC=C1.CC(C)(C)C1=CC(OC2CCN(CC(F)(F)F)CC2)=NC=C1.CC(C)(C)C1=CC(OC2CCN(S(C)(=O)=O)CC2)=NC=C1.CC(C)(C)C1=CC=NC(CC2CCNC2)=C1.CN1CCC(CC2=NC=NC(C(C)(C)C)=C2)CC1.CN1CCC(OC2=NC=CC(C(C)(C)C)=C2)CC1 COXYQJRCSCXMLJ-UHFFFAOYSA-N 0.000 description 1
- RHEZBYFJAXNISG-UHFFFAOYSA-N CC(=O)N1CCC(OC2=CC(C(C)(C)C)=CC=C2)C1.CC(C)(C)C1=CC(N2C=NC=N2)=CC=C1.CC(C)(C)C1=CC=C(NC2CCNCC2)C=C1.CC(C)(C)C1=CC=CC(OC2CCN(CC(F)(F)F)C2)=C1.CC(C)(C)C1=CC=CC(OCCN2CCOCC2)=C1.CC(C)N1CCC(NC2=CC=C(C(C)(C)C)C=C2)CC1.CC(C)N1CCC(OC2=CC(C(C)(C)C)=CC=C2)C1.CN1CCC(N(C)C2=CC(C(C)(C)C)=CC=C2)C1.CN1CCC(N(C)C2=CC=CC(C(C)(C)C)=C2)CC1.CN1CCC(NC2=CC=C(C(C)(C)C)C=C2)CC1.CN1CCC(OC2=CC(C(C)(C)C)=CC=C2)C1 Chemical compound CC(=O)N1CCC(OC2=CC(C(C)(C)C)=CC=C2)C1.CC(C)(C)C1=CC(N2C=NC=N2)=CC=C1.CC(C)(C)C1=CC=C(NC2CCNCC2)C=C1.CC(C)(C)C1=CC=CC(OC2CCN(CC(F)(F)F)C2)=C1.CC(C)(C)C1=CC=CC(OCCN2CCOCC2)=C1.CC(C)N1CCC(NC2=CC=C(C(C)(C)C)C=C2)CC1.CC(C)N1CCC(OC2=CC(C(C)(C)C)=CC=C2)C1.CN1CCC(N(C)C2=CC(C(C)(C)C)=CC=C2)C1.CN1CCC(N(C)C2=CC=CC(C(C)(C)C)=C2)CC1.CN1CCC(NC2=CC=C(C(C)(C)C)C=C2)CC1.CN1CCC(OC2=CC(C(C)(C)C)=CC=C2)C1 RHEZBYFJAXNISG-UHFFFAOYSA-N 0.000 description 1
- CZTNTMCDIHZNEQ-UHFFFAOYSA-N CC(=O)N1CCC(OC2=CC=C(C(=O)NCC(O)CN3CCC4=C(C=CC=C4)C3)C=C2)CC1 Chemical compound CC(=O)N1CCC(OC2=CC=C(C(=O)NCC(O)CN3CCC4=C(C=CC=C4)C3)C=C2)CC1 CZTNTMCDIHZNEQ-UHFFFAOYSA-N 0.000 description 1
- JKMYQWAWTHODNG-UHFFFAOYSA-N CC(=O)N1CCC(OC2=CC=C(C(C)(C)C)C=C2)C1.CC(C)(C)C1=CC(CCC2=CC=CC=N2)=NC=C1.CC(C)(C)C1=CC(CCC2=CC=CN=C2)=NC=C1.CC(C)(C)C1=CC=C(OC2CCN(CC(F)(F)F)C2)C=C1.CC(C)(C)C1=CC=C(OC2CCN(S(C)(=O)=O)C2)C=C1.CC(C)(C)c1cc(CC2CCOCC2)ncn1.CC(C)(C)c1ccnc(CC2CCOCC2)c1.CC(C)N1CCC(OC2=CC=C(C(C)(C)C)C=C2)C1.CN(C)C(=O)CCCN1CCN(CC2=CC(C(C)(C)C)=CC=C2)CC1.CN(CC(N)=O)CC1=CC(C(C)(C)C)=CC=C1 Chemical compound CC(=O)N1CCC(OC2=CC=C(C(C)(C)C)C=C2)C1.CC(C)(C)C1=CC(CCC2=CC=CC=N2)=NC=C1.CC(C)(C)C1=CC(CCC2=CC=CN=C2)=NC=C1.CC(C)(C)C1=CC=C(OC2CCN(CC(F)(F)F)C2)C=C1.CC(C)(C)C1=CC=C(OC2CCN(S(C)(=O)=O)C2)C=C1.CC(C)(C)c1cc(CC2CCOCC2)ncn1.CC(C)(C)c1ccnc(CC2CCOCC2)c1.CC(C)N1CCC(OC2=CC=C(C(C)(C)C)C=C2)C1.CN(C)C(=O)CCCN1CCN(CC2=CC(C(C)(C)C)=CC=C2)CC1.CN(CC(N)=O)CC1=CC(C(C)(C)C)=CC=C1 JKMYQWAWTHODNG-UHFFFAOYSA-N 0.000 description 1
- AGNCYJPXXXCJBR-UHFFFAOYSA-N CC(=O)N1CCC(OC2=CC=C(C(C)(C)C)C=C2)CC1.CC(C)(C)C1=CC(CC2CCOCC2)=CC=C1.CC(C)(C)C1=CC=C(N2C=NC=N2)C=C1.CC(C)(C)C1=CC=C(OC2CCN(CC(F)(F)F)CC2)C=C1.CC(C)(C)C1=CC=C(OC2CCN(S(C)(=O)=O)CC2)C=C1.CC(C)(C)C1=CC=CC(CN2CCN(CCO)CC2)=C1.CC(C)(C)C1=CC=CC(OC2CCNC2)=C1.CN(C)C(=O)CCCC1=CC(C(C)(C)C)=CC=C1.CN1CCN(CC2=CC(C(C)(C)C)=CC=C2)C(CO)C1.COCCN1CCN(CC2=CC(C(C)(C)C)=CC=C2)CC1 Chemical compound CC(=O)N1CCC(OC2=CC=C(C(C)(C)C)C=C2)CC1.CC(C)(C)C1=CC(CC2CCOCC2)=CC=C1.CC(C)(C)C1=CC=C(N2C=NC=N2)C=C1.CC(C)(C)C1=CC=C(OC2CCN(CC(F)(F)F)CC2)C=C1.CC(C)(C)C1=CC=C(OC2CCN(S(C)(=O)=O)CC2)C=C1.CC(C)(C)C1=CC=CC(CN2CCN(CCO)CC2)=C1.CC(C)(C)C1=CC=CC(OC2CCNC2)=C1.CN(C)C(=O)CCCC1=CC(C(C)(C)C)=CC=C1.CN1CCN(CC2=CC(C(C)(C)C)=CC=C2)C(CO)C1.COCCN1CCN(CC2=CC(C(C)(C)C)=CC=C2)CC1 AGNCYJPXXXCJBR-UHFFFAOYSA-N 0.000 description 1
- SWXVLQWJPYFQOT-UHFFFAOYSA-N CC(=O)N1CCN(CC2=CC(C(=O)CCC(O)CN3CCC4=C(C=CC=C4)C3)=CC=C2)CC1 Chemical compound CC(=O)N1CCN(CC2=CC(C(=O)CCC(O)CN3CCC4=C(C=CC=C4)C3)=CC=C2)CC1 SWXVLQWJPYFQOT-UHFFFAOYSA-N 0.000 description 1
- JTYZYJHYXIFNIP-UHFFFAOYSA-N CC(=O)N1CCN(CC2=CC(C(C)(C)C)=CC=C2)CC1.CC(C)(C)C1=CC=C(OC2CCNCC2)C=C1.CC(C)(C)C1=CC=CC(C2CCOCC2)=C1.CC(C)(C)C1=CC=CC(CC2CCN(CC(F)(F)F)C2)=C1.CC(C)(C)C1=CC=CC(CC2CCOCC2O)=C1.CC(C)N1CCC(CC2=CC(C(C)(C)C)=CC=C2)C1.CC(C)N1CCC(CC2=CC=CC(C(C)(C)C)=C2)CC1.CC(C)N1CCC(OC2=CC=C(C(C)(C)C)C=C2)CC1.CC1=CC=C(CC2COC2)C=C1C(C)(C)C.CN1CCC(OC2=CC=C(C(C)(C)C)C=C2)CC1 Chemical compound CC(=O)N1CCN(CC2=CC(C(C)(C)C)=CC=C2)CC1.CC(C)(C)C1=CC=C(OC2CCNCC2)C=C1.CC(C)(C)C1=CC=CC(C2CCOCC2)=C1.CC(C)(C)C1=CC=CC(CC2CCN(CC(F)(F)F)C2)=C1.CC(C)(C)C1=CC=CC(CC2CCOCC2O)=C1.CC(C)N1CCC(CC2=CC(C(C)(C)C)=CC=C2)C1.CC(C)N1CCC(CC2=CC=CC(C(C)(C)C)=C2)CC1.CC(C)N1CCC(OC2=CC=C(C(C)(C)C)C=C2)CC1.CC1=CC=C(CC2COC2)C=C1C(C)(C)C.CN1CCC(OC2=CC=C(C(C)(C)C)C=C2)CC1 JTYZYJHYXIFNIP-UHFFFAOYSA-N 0.000 description 1
- RQVBCNJOVIYANW-GSJPCPDISA-N CC(=O)N1CC[C@H](CC2=CC(C(C)(C)C)=CC=C2)C1.CC(C)(C)C1=C2C=CC=CC2=CC=N1.CC(C)(C)C1=CC2=C(C=C1)N=CS2.CC(C)(C)C1=CC2=C(C=CC=C2)N1.CC(C)(C)C1=CC2=C(C=CC=C2)O1.CC(C)(C)C1=CC=CC(C[C@@H]2CCN(S(C)(=O)=O)C2)=C1.CC(C)(C)C1=CC=CC(C[C@H]2CCN(S(C)(=O)=O)C2)=C1.CN(C1=CC(C(C)(C)C)=NC=N1)C1CCOCC1.CN(CCN(C)S(C)(=O)=O)C1=NC=CC(C(C)(C)C)=C1.CN(CCNC1=NC=CC(C(C)(C)C)=C1)S(C)(=O)=O.CN1CCCC(CCC2=NC=CC(C(C)(C)C)=C2)C1.CN1CCOC(CCC2=NC=CC(C(C)(C)C)=C2)C1 Chemical compound CC(=O)N1CC[C@H](CC2=CC(C(C)(C)C)=CC=C2)C1.CC(C)(C)C1=C2C=CC=CC2=CC=N1.CC(C)(C)C1=CC2=C(C=C1)N=CS2.CC(C)(C)C1=CC2=C(C=CC=C2)N1.CC(C)(C)C1=CC2=C(C=CC=C2)O1.CC(C)(C)C1=CC=CC(C[C@@H]2CCN(S(C)(=O)=O)C2)=C1.CC(C)(C)C1=CC=CC(C[C@H]2CCN(S(C)(=O)=O)C2)=C1.CN(C1=CC(C(C)(C)C)=NC=N1)C1CCOCC1.CN(CCN(C)S(C)(=O)=O)C1=NC=CC(C(C)(C)C)=C1.CN(CCNC1=NC=CC(C(C)(C)C)=C1)S(C)(=O)=O.CN1CCCC(CCC2=NC=CC(C(C)(C)C)=C2)C1.CN1CCOC(CCC2=NC=CC(C(C)(C)C)=C2)C1 RQVBCNJOVIYANW-GSJPCPDISA-N 0.000 description 1
- IJUZROMWIQERME-UHFFFAOYSA-N CC(=O)NC1=CC(C(=O)CCC(O)CN2CCC3=C(C=CC=C3)C2)=CC=C1 Chemical compound CC(=O)NC1=CC(C(=O)CCC(O)CN2CCC3=C(C=CC=C3)C2)=CC=C1 IJUZROMWIQERME-UHFFFAOYSA-N 0.000 description 1
- AAIHXMHRVTYMIQ-UHFFFAOYSA-N CC(=O)NC1=CC=C(C(C)(C)C)C=C1.CC(C)(C)C1=CC(C2=CC=CC=N2)=CC=C1.CC(C)(C)C1=CC(C2=CC=CN=C2)=CC=C1.CC(C)(C)C1=CC(C2=NNC=C2)=CC=C1.CC(C)(C)C1=CC(CC2CCOCC2)=CC=C1.CC(C)(C)C1=CC(CNC2CCOCC2)=CC=C1.CC(C)(C)C1=CC(N2CCOCC2)=CC=C1.CC(C)(C)C1=CC=C(C(N)=O)C=C1.CC(C)(C)C1=CC=C(C2=CC=CC=N2)C=C1.CC(C)(C)C1=CC=C(S(N)(=O)=O)C=C1.CC(C)(C)C1=CC=CC=C1.CC(C)(C)C1=CC=CC=C1C1=NC=CC=C1.CN1N=CC=C1C1=CC=CC(C(C)(C)C)=C1 Chemical compound CC(=O)NC1=CC=C(C(C)(C)C)C=C1.CC(C)(C)C1=CC(C2=CC=CC=N2)=CC=C1.CC(C)(C)C1=CC(C2=CC=CN=C2)=CC=C1.CC(C)(C)C1=CC(C2=NNC=C2)=CC=C1.CC(C)(C)C1=CC(CC2CCOCC2)=CC=C1.CC(C)(C)C1=CC(CNC2CCOCC2)=CC=C1.CC(C)(C)C1=CC(N2CCOCC2)=CC=C1.CC(C)(C)C1=CC=C(C(N)=O)C=C1.CC(C)(C)C1=CC=C(C2=CC=CC=N2)C=C1.CC(C)(C)C1=CC=C(S(N)(=O)=O)C=C1.CC(C)(C)C1=CC=CC=C1.CC(C)(C)C1=CC=CC=C1C1=NC=CC=C1.CN1N=CC=C1C1=CC=CC(C(C)(C)C)=C1 AAIHXMHRVTYMIQ-UHFFFAOYSA-N 0.000 description 1
- VNGQBGJUPQULHM-UHFFFAOYSA-N CC(=O)NCCN1CCN(CC2=CC(C(C)(C)C)=CC=C2)CC1.CC(C)(C)C1=CC(CC2COC2)=NC=N1.CC(C)(C)C1=CC(CN2CCN(CCCC(=O)O)CC2)=CC=C1.CC(C)(C)C1=CC=CC(CN2CCN(CCCC(N)=O)CC2)=C1.CC(C)(C)C1=CC=CC(N2CCS(=O)(=O)CC2)=C1.CC(C)(C)C1=CC=CC(OC2CCN(S(C)(=O)=O)C2)=C1.CC(C1=CC(C(C)(C)C)=CC=C1)N1CCN(C)CC1.CCOC(=O)CN1CCN(CC2=CC(C(C)(C)C)=CC=C2)CC1.CN1CCN(CC2=CC=C(C(C)(C)C)C=C2)CC1.COC1=CC(CN2CCN(C)CC2)=CC(C(C)(C)C)=C1 Chemical compound CC(=O)NCCN1CCN(CC2=CC(C(C)(C)C)=CC=C2)CC1.CC(C)(C)C1=CC(CC2COC2)=NC=N1.CC(C)(C)C1=CC(CN2CCN(CCCC(=O)O)CC2)=CC=C1.CC(C)(C)C1=CC=CC(CN2CCN(CCCC(N)=O)CC2)=C1.CC(C)(C)C1=CC=CC(N2CCS(=O)(=O)CC2)=C1.CC(C)(C)C1=CC=CC(OC2CCN(S(C)(=O)=O)C2)=C1.CC(C1=CC(C(C)(C)C)=CC=C1)N1CCN(C)CC1.CCOC(=O)CN1CCN(CC2=CC(C(C)(C)C)=CC=C2)CC1.CN1CCN(CC2=CC=C(C(C)(C)C)C=C2)CC1.COC1=CC(CN2CCN(C)CC2)=CC(C(C)(C)C)=C1 VNGQBGJUPQULHM-UHFFFAOYSA-N 0.000 description 1
- NSUWXSZWTWOVQP-UHFFFAOYSA-N CC(C)(C)/C1=C/SC2=CC=CC=C21.CC(C)(C)/C1=N/NC2=CC=CC=C21.CC(C)(C)C1=C2/N=C\NC2=CC=C1.CC(C)(C)C1=C2OCCOC2=CC=C1.CC(C)(C)C1=CC(CCC2CCCCC2)=NC=C1.CC(C)(C)C1=CC(CCC2CCCCN2)=NC=C1.CC(C)(C)C1=CC(CCC2CNCCO2)=NC=C1.CC(C)(C)C1=CC2=C(C=C1)CCCC2.CC(C)(C)C1=CC2=C(C=C1)OCO2.CC(C)(C)C1=CC=C2OCCC2=C1.CC(C)(C)C1=CN=C2C=CC=CC2=N1.CN1/C=C(/C(C)(C)C)C2=CC=CC=C21.CN1CCC(CC2=CC=CC(C(C)(C)C)=C2)CC1.COC1=CC2=C(C=C1)OC(C(C)(C)C)=C2 Chemical compound CC(C)(C)/C1=C/SC2=CC=CC=C21.CC(C)(C)/C1=N/NC2=CC=CC=C21.CC(C)(C)C1=C2/N=C\NC2=CC=C1.CC(C)(C)C1=C2OCCOC2=CC=C1.CC(C)(C)C1=CC(CCC2CCCCC2)=NC=C1.CC(C)(C)C1=CC(CCC2CCCCN2)=NC=C1.CC(C)(C)C1=CC(CCC2CNCCO2)=NC=C1.CC(C)(C)C1=CC2=C(C=C1)CCCC2.CC(C)(C)C1=CC2=C(C=C1)OCO2.CC(C)(C)C1=CC=C2OCCC2=C1.CC(C)(C)C1=CN=C2C=CC=CC2=N1.CN1/C=C(/C(C)(C)C)C2=CC=CC=C21.CN1CCC(CC2=CC=CC(C(C)(C)C)=C2)CC1.COC1=CC2=C(C=C1)OC(C(C)(C)C)=C2 NSUWXSZWTWOVQP-UHFFFAOYSA-N 0.000 description 1
- ZCHACCNPQVDVPC-UHFFFAOYSA-N CC(C)(C)C(=O)N1CCC(OC2=CC=C(C(C)(C)C)C=C2)CC1.CC(C)(C)C1=CC(CC2=NNC(C(C)(C)C)=C2)=NC=C1.CC(C)(C)C1=CC(OC2CCOCC2)=NC=C1.CC(C)(C)C1=CC=C(OC2CCN(CC3=CC=CC=C3)CC2)C=C1.CC(C)(C)C1=CC=C(OC2CCN(CC3=CC=NC=C3)CC2)C=C1.CN(C1=CC(C(C)(C)C)=CC=N1)C1CCOCC1.CN(C1=NC=CC(C(C)(C)C)=C1)C1CCC1.CN1N=CC=C1CC1=NC=CC(C(C)(C)C)=C1.COC1=CC(C(C)(C)C)=CC(NC2CCC2)=N1.COCCN1CCC(OC2=CC=C(C(C)(C)C)C=C2)CC1 Chemical compound CC(C)(C)C(=O)N1CCC(OC2=CC=C(C(C)(C)C)C=C2)CC1.CC(C)(C)C1=CC(CC2=NNC(C(C)(C)C)=C2)=NC=C1.CC(C)(C)C1=CC(OC2CCOCC2)=NC=C1.CC(C)(C)C1=CC=C(OC2CCN(CC3=CC=CC=C3)CC2)C=C1.CC(C)(C)C1=CC=C(OC2CCN(CC3=CC=NC=C3)CC2)C=C1.CN(C1=CC(C(C)(C)C)=CC=N1)C1CCOCC1.CN(C1=NC=CC(C(C)(C)C)=C1)C1CCC1.CN1N=CC=C1CC1=NC=CC(C(C)(C)C)=C1.COC1=CC(C(C)(C)C)=CC(NC2CCC2)=N1.COCCN1CCC(OC2=CC=C(C(C)(C)C)C=C2)CC1 ZCHACCNPQVDVPC-UHFFFAOYSA-N 0.000 description 1
- SIQQZAYSNFTWII-UHFFFAOYSA-N CC(C)(C)C1=CC(C(=O)N2CCOCC2)=CC=C1.CC(C)(C)C1=CC(CC2CCOCC2)=CC=C1F.CC(C)(C)C1=CC(CC2CCOCC2)=CC=N1.CC(C)(C)C1=CC=C(OC2CCOCC2)C=C1.CC(CC1=CC=CC(C(C)(C)C)=C1)C1CCOCC1.CC1(C)CC(CC2=CC=CC(C(C)(C)C)=C2)CCO1.COC1=CC(C(C)(C)C)=CC(CC2CCOCC2)=C1 Chemical compound CC(C)(C)C1=CC(C(=O)N2CCOCC2)=CC=C1.CC(C)(C)C1=CC(CC2CCOCC2)=CC=C1F.CC(C)(C)C1=CC(CC2CCOCC2)=CC=N1.CC(C)(C)C1=CC=C(OC2CCOCC2)C=C1.CC(CC1=CC=CC(C(C)(C)C)=C1)C1CCOCC1.CC1(C)CC(CC2=CC=CC(C(C)(C)C)=C2)CCO1.COC1=CC(C(C)(C)C)=CC(CC2CCOCC2)=C1 SIQQZAYSNFTWII-UHFFFAOYSA-N 0.000 description 1
- XNBLMCWMCDGWFL-UHFFFAOYSA-N CC(C)(C)C1=CC(C2CCCN2)=CC=C1.CC(C)(C)C1=CC(CC2CCOC2)=CC=C1.CC(C)(C)C1=CC(CC2CCOCC2)=CN=C1.CC(C)(C)C1=CC(CC2COC2)=CC=C1.CC(C)(C)C1=CC(CN2CCOCC2)=CC=C1.CC(C)(C)C1=CC(OC2CCOCC2)=CC=C1.CC(C)(C)C1=CN=CC=C1.CC(C)(C)C1=NC=CC=C1.CC1=C(C(C)(C)C)C=CC=C1NC1CCOCC1.CCN(C1=CC=CC(C(C)(C)C)=C1)C1CCOCC1.CCN(C1=CC=CC(C(C)(C)C)=C1C)C1CCOCC1.CN(C1=CC=CC(C(C)(C)C)=C1)C1CCOCC1 Chemical compound CC(C)(C)C1=CC(C2CCCN2)=CC=C1.CC(C)(C)C1=CC(CC2CCOC2)=CC=C1.CC(C)(C)C1=CC(CC2CCOCC2)=CN=C1.CC(C)(C)C1=CC(CC2COC2)=CC=C1.CC(C)(C)C1=CC(CN2CCOCC2)=CC=C1.CC(C)(C)C1=CC(OC2CCOCC2)=CC=C1.CC(C)(C)C1=CN=CC=C1.CC(C)(C)C1=NC=CC=C1.CC1=C(C(C)(C)C)C=CC=C1NC1CCOCC1.CCN(C1=CC=CC(C(C)(C)C)=C1)C1CCOCC1.CCN(C1=CC=CC(C(C)(C)C)=C1C)C1CCOCC1.CN(C1=CC=CC(C(C)(C)C)=C1)C1CCOCC1 XNBLMCWMCDGWFL-UHFFFAOYSA-N 0.000 description 1
- FSYSLDVLWODWCD-UHFFFAOYSA-N CC(C)(C)C1=CC(CC2CCC2)=NC=C1.CC(C)(C)C1=CC(CC2CCN(CC(F)(F)F)C2)=NC=N1.CC(C)(C)C1=CC(CC2CCNCC2)=NC=N1.CC(C)(C)C1=CC(CCC2=CC=NC=C2)=NC=C1.CC(C)(C)C1=CC(CCC2CC2)=NC=C1.CC(C)(C)C1=CC(OC2CCOCC2)=CN=C1.CC(C)(C)C1=CC=C(N2CCS(=O)(=O)CC2)C=C1.CN(C)CCCOC1=CC=C(C(C)(C)C)C=C1.CN(C)CCN(C)C1=NC=CC(C(C)(C)C)=C1.CN1CCC(CC2=NC=NC(C(C)(C)C)=C2)C1 Chemical compound CC(C)(C)C1=CC(CC2CCC2)=NC=C1.CC(C)(C)C1=CC(CC2CCN(CC(F)(F)F)C2)=NC=N1.CC(C)(C)C1=CC(CC2CCNCC2)=NC=N1.CC(C)(C)C1=CC(CCC2=CC=NC=C2)=NC=C1.CC(C)(C)C1=CC(CCC2CC2)=NC=C1.CC(C)(C)C1=CC(OC2CCOCC2)=CN=C1.CC(C)(C)C1=CC=C(N2CCS(=O)(=O)CC2)C=C1.CN(C)CCCOC1=CC=C(C(C)(C)C)C=C1.CN(C)CCN(C)C1=NC=CC(C(C)(C)C)=C1.CN1CCC(CC2=NC=NC(C(C)(C)C)=C2)C1 FSYSLDVLWODWCD-UHFFFAOYSA-N 0.000 description 1
- OCWZSSBBTAAMHU-UHFFFAOYSA-N CC(C)(C)C1=CC(CC2CCCC2)=NC=C1.CC(C)(C)C1=CC(CC2CCCCC2)=NC=C1 Chemical compound CC(C)(C)C1=CC(CC2CCCC2)=NC=C1.CC(C)(C)C1=CC(CC2CCCCC2)=NC=C1 OCWZSSBBTAAMHU-UHFFFAOYSA-N 0.000 description 1
- MVVPDZOYXVLJDX-UHFFFAOYSA-N CC(C)(C)C1=CC(CC2CCNCC2)=CC=C1.CC(C)(C)C1=CC(F)=CC(NC2CCCOC2)=C1.CC(C)(C)C1=CC=CC(CC2CCOCC2)=C1F.CC(C)(C)C1=CC=CC(CN2CCN(CC(F)(F)F)CC2)=C1.CC(C)(C)C1=CC=CC(CN2CCN(S(C)(=O)=O)CC2)=C1.CC(C)(C)C1=NC(CC2CCOCC2)=CC=N1.CC1=CC=C(CC2CCOC2)C=C1C(C)(C)C.CC1=NC2=CC=C(C(C)(C)C)C=C2C=C1.CCN1CCN(CC2=CC(C(C)(C)C)=CC=C2)CC1.COC1=CC=C(CC2CCOCC2)C=C1C(C)(C)C Chemical compound CC(C)(C)C1=CC(CC2CCNCC2)=CC=C1.CC(C)(C)C1=CC(F)=CC(NC2CCCOC2)=C1.CC(C)(C)C1=CC=CC(CC2CCOCC2)=C1F.CC(C)(C)C1=CC=CC(CN2CCN(CC(F)(F)F)CC2)=C1.CC(C)(C)C1=CC=CC(CN2CCN(S(C)(=O)=O)CC2)=C1.CC(C)(C)C1=NC(CC2CCOCC2)=CC=N1.CC1=CC=C(CC2CCOC2)C=C1C(C)(C)C.CC1=NC2=CC=C(C(C)(C)C)C=C2C=C1.CCN1CCN(CC2=CC(C(C)(C)C)=CC=C2)CC1.COC1=CC=C(CC2CCOCC2)C=C1C(C)(C)C MVVPDZOYXVLJDX-UHFFFAOYSA-N 0.000 description 1
- RGCDIGSOQYCCCB-UHFFFAOYSA-N CC(C)(C)C1=CC(CC2CCOCC2)=CC=C1.CC(C)(C)C1=CC(CC2CCOCC2)=NC=C1.CC(C)(C)C1=CC(CC2CCOCC2)=NC=N1.CC(C)(C)C1=CC(NC2CCOCC2)=CC(Cl)=C1.CC(C)(C)C1=CC=C(F)C(CC2CCOCC2)=C1.CC(C)(C)C1=CC=C(NC2CCOCC2)C=C1.CC(C)(C)C1=CC=C2N=CC=CC2=C1.CC(C)(C)C1=NC(CC2CCOCC2)=CC=C1.CC(C)(C)C1=NC(CC2CCOCC2)=CN=C1.CC(C)(C)C1=NC(CC2CCOCC2)=NC=N1.COC1=CC=C(C(C)(C)C)C=C1CC1CCOCC1 Chemical compound CC(C)(C)C1=CC(CC2CCOCC2)=CC=C1.CC(C)(C)C1=CC(CC2CCOCC2)=NC=C1.CC(C)(C)C1=CC(CC2CCOCC2)=NC=N1.CC(C)(C)C1=CC(NC2CCOCC2)=CC(Cl)=C1.CC(C)(C)C1=CC=C(F)C(CC2CCOCC2)=C1.CC(C)(C)C1=CC=C(NC2CCOCC2)C=C1.CC(C)(C)C1=CC=C2N=CC=CC2=C1.CC(C)(C)C1=NC(CC2CCOCC2)=CC=C1.CC(C)(C)C1=NC(CC2CCOCC2)=CN=C1.CC(C)(C)C1=NC(CC2CCOCC2)=NC=N1.COC1=CC=C(C(C)(C)C)C=C1CC1CCOCC1 RGCDIGSOQYCCCB-UHFFFAOYSA-N 0.000 description 1
- STFQFFWHMPQQNG-UHFFFAOYSA-N CC(C)(C)C1=CC(CN2CCN(CCN)CC2)=CC=C1.CC(C)(C)C1=CC=C(CN2CCNCC2)C=C1.CC(C)(C)C1=CC=C(CN2CCOCC2)C=C1.CC(C)(C)C1=CC=C(NC2CCN(S(C)(=O)=O)CC2)C=C1.CC(C)(C)C1=CC=C(NC2CCNCC2)C=C1.CC(C)(C)C1=CC=C(NC2CCNCC2)C=C1.CC(C)(C)C1=CC=CC(C2CCOC2)=C1.CC1CC(NC2=CC=CC(C(C)(C)C)=C2)CC(C)O1.CN(C1=CC=C(C(C)(C)C)C=C1)C1CCOC1.COCCCOC1=CC=C(C(C)(C)C)C=C1 Chemical compound CC(C)(C)C1=CC(CN2CCN(CCN)CC2)=CC=C1.CC(C)(C)C1=CC=C(CN2CCNCC2)C=C1.CC(C)(C)C1=CC=C(CN2CCOCC2)C=C1.CC(C)(C)C1=CC=C(NC2CCN(S(C)(=O)=O)CC2)C=C1.CC(C)(C)C1=CC=C(NC2CCNCC2)C=C1.CC(C)(C)C1=CC=C(NC2CCNCC2)C=C1.CC(C)(C)C1=CC=CC(C2CCOC2)=C1.CC1CC(NC2=CC=CC(C(C)(C)C)=C2)CC(C)O1.CN(C1=CC=C(C(C)(C)C)C=C1)C1CCOC1.COCCCOC1=CC=C(C(C)(C)C)C=C1 STFQFFWHMPQQNG-UHFFFAOYSA-N 0.000 description 1
- NKHGGOQQSSROOM-XDNDSZCUSA-N CC(C)(C)C1=CC(NC2CCOCC2)=NN1.CC(C)(C)C1=CC=C(OC2CCNC2)C=C1.CC(C)(C)C1=CC=CC(CN2CCN(CC(N)=O)CC2)=C1.CN(C)C(=O)CN1CCN(CC2=CC(C(C)(C)C)=CC=C2)CC1.CN1C=CN=C1C(C)(C)C.CN1CCC(OC2=CC=C(C(C)(C)C)C=C2)C1.CNC(=O)CCCN1CCN(CC2=CC(C(C)(C)C)=CC=C2)CC1.CNC(=O)CN1CCN(CC2=CC(C(C)(C)C)=CC=C2)CC1.C[C@@H]1CC(NC2=CC=CC(C(C)(C)C)=C2)CCO1.C[C@H]1CC(NC2=CC=CC(C(C)(C)C)=C2)CCO1 Chemical compound CC(C)(C)C1=CC(NC2CCOCC2)=NN1.CC(C)(C)C1=CC=C(OC2CCNC2)C=C1.CC(C)(C)C1=CC=CC(CN2CCN(CC(N)=O)CC2)=C1.CN(C)C(=O)CN1CCN(CC2=CC(C(C)(C)C)=CC=C2)CC1.CN1C=CN=C1C(C)(C)C.CN1CCC(OC2=CC=C(C(C)(C)C)C=C2)C1.CNC(=O)CCCN1CCN(CC2=CC(C(C)(C)C)=CC=C2)CC1.CNC(=O)CN1CCN(CC2=CC(C(C)(C)C)=CC=C2)CC1.C[C@@H]1CC(NC2=CC=CC(C(C)(C)C)=C2)CCO1.C[C@H]1CC(NC2=CC=CC(C(C)(C)C)=C2)CCO1 NKHGGOQQSSROOM-XDNDSZCUSA-N 0.000 description 1
- ZXOHPFACUUNEAP-UHFFFAOYSA-N CC(C)N1CCC(CC2=CC(C(=O)NCC(O)CN3CCC4=C(C=CC=C4)C3)=CC=C2)C1 Chemical compound CC(C)N1CCC(CC2=CC(C(=O)NCC(O)CN3CCC4=C(C=CC=C4)C3)=CC=C2)C1 ZXOHPFACUUNEAP-UHFFFAOYSA-N 0.000 description 1
- NPIHWKLSJSIGKU-UHFFFAOYSA-N CC(C)N1CCC(CC2=CC=CC(C(=O)NCC(O)CN3CCC4=C(C=CC=C4)C3)=C2)CC1 Chemical compound CC(C)N1CCC(CC2=CC=CC(C(=O)NCC(O)CN3CCC4=C(C=CC=C4)C3)=C2)CC1 NPIHWKLSJSIGKU-UHFFFAOYSA-N 0.000 description 1
- AXIIKRZVXIFCQA-UHFFFAOYSA-N CC(C)N1CCC(OC2=CC=C(C(=O)NCC(O)CN3CCC4=C(C=CC=C4)C3)C=C2)CC1 Chemical compound CC(C)N1CCC(OC2=CC=C(C(=O)NCC(O)CN3CCC4=C(C=CC=C4)C3)C=C2)CC1 AXIIKRZVXIFCQA-UHFFFAOYSA-N 0.000 description 1
- HCIUGTDDFVRXFK-UHFFFAOYSA-N CC(CC1=CC=CC(C(=O)NCC(O)CN2CCC3=C(C=CC=C3)C2)=C1)C1CCOCC1 Chemical compound CC(CC1=CC=CC(C(=O)NCC(O)CN2CCC3=C(C=CC=C3)C2)=C1)C1CCOCC1 HCIUGTDDFVRXFK-UHFFFAOYSA-N 0.000 description 1
- JHACAMRLTHKFMG-BEUNXOIUSA-N CC.CC.CC.CC.CC1=CC(C(=O)NC[C@H](O)CN2CCC3=C(C=CC=C3)C2)=CC=N1.CC1=CC(C(=O)NC[C@H](O)CN2CCC3=C(C=CC=C3)C2)=CN=C1.CC1=CC(C(=O)NC[C@H](O)CN2CCC3=C(C=CC=C3)C2)=CN=N1.CC1=CC(C(=O)NC[C@H](O)CN2CCC3=C(C=CC=C3)C2)=NC=N1.S.S.S.S Chemical compound CC.CC.CC.CC.CC1=CC(C(=O)NC[C@H](O)CN2CCC3=C(C=CC=C3)C2)=CC=N1.CC1=CC(C(=O)NC[C@H](O)CN2CCC3=C(C=CC=C3)C2)=CN=C1.CC1=CC(C(=O)NC[C@H](O)CN2CCC3=C(C=CC=C3)C2)=CN=N1.CC1=CC(C(=O)NC[C@H](O)CN2CCC3=C(C=CC=C3)C2)=NC=N1.S.S.S.S JHACAMRLTHKFMG-BEUNXOIUSA-N 0.000 description 1
- CBEFNRHHTYFYNH-UHFFFAOYSA-N CC.O=C(NCC(O)CN1CCC2=C(C=CC=C2)C1)C1=CC=CC=C1 Chemical compound CC.O=C(NCC(O)CN1CCC2=C(C=CC=C2)C1)C1=CC=CC=C1 CBEFNRHHTYFYNH-UHFFFAOYSA-N 0.000 description 1
- DXQQTRVHORRKSM-UHFFFAOYSA-N CC.O=C(NCC(O)CN1CCC2=C(C=CC=C2)C1)C1=CC=NC=C1 Chemical compound CC.O=C(NCC(O)CN1CCC2=C(C=CC=C2)C1)C1=CC=NC=C1 DXQQTRVHORRKSM-UHFFFAOYSA-N 0.000 description 1
- ZGPTZCOAQSTOLO-UHFFFAOYSA-N CC.O=C(NCC(O)CN1CCC2=C(C=CC=C2)C1)C1=CN=CC=C1 Chemical compound CC.O=C(NCC(O)CN1CCC2=C(C=CC=C2)C1)C1=CN=CC=C1 ZGPTZCOAQSTOLO-UHFFFAOYSA-N 0.000 description 1
- TWTXYKLUKMFQRT-UHFFFAOYSA-N CC.O=C(NCC(O)CN1CCC2=C(C=CC=C2)C1)C1=CN=CN=C1 Chemical compound CC.O=C(NCC(O)CN1CCC2=C(C=CC=C2)C1)C1=CN=CN=C1 TWTXYKLUKMFQRT-UHFFFAOYSA-N 0.000 description 1
- RSJTWIRXDOYVFH-UHFFFAOYSA-N CC.O=C(NCC(O)CN1CCC2=C(C=CC=C2)C1)C1=CN=NC=C1 Chemical compound CC.O=C(NCC(O)CN1CCC2=C(C=CC=C2)C1)C1=CN=NC=C1 RSJTWIRXDOYVFH-UHFFFAOYSA-N 0.000 description 1
- JWMQXRVSZMXTSW-UHFFFAOYSA-N CC.O=C(NCC(O)CN1CCC2=C(C=CC=C2)C1)C1=NC=CC=C1 Chemical compound CC.O=C(NCC(O)CN1CCC2=C(C=CC=C2)C1)C1=NC=CC=C1 JWMQXRVSZMXTSW-UHFFFAOYSA-N 0.000 description 1
- TWEYTKNUONNGTE-UHFFFAOYSA-N CC.O=C(NCC(O)CN1CCC2=C(C=CC=C2)C1)C1=NC=CC=N1 Chemical compound CC.O=C(NCC(O)CN1CCC2=C(C=CC=C2)C1)C1=NC=CC=N1 TWEYTKNUONNGTE-UHFFFAOYSA-N 0.000 description 1
- RVDOPJFGSRZOGB-UHFFFAOYSA-N CC.O=C(NCC(O)CN1CCC2=C(C=CC=C2)C1)C1=NC=NC=C1 Chemical compound CC.O=C(NCC(O)CN1CCC2=C(C=CC=C2)C1)C1=NC=NC=C1 RVDOPJFGSRZOGB-UHFFFAOYSA-N 0.000 description 1
- LQMIESVWBILKMF-UHFFFAOYSA-N CC.O=C(NCC(O)CN1CCC2=C(C=CC=C2)C1)C1=NN=CC=C1 Chemical compound CC.O=C(NCC(O)CN1CCC2=C(C=CC=C2)C1)C1=NN=CC=C1 LQMIESVWBILKMF-UHFFFAOYSA-N 0.000 description 1
- CBEFNRHHTYFYNH-GMUIIQOCSA-N CC.O=C(NC[C@@H](O)CN1CCC2=C(C=CC=C2)C1)C1=CC=CC=C1 Chemical compound CC.O=C(NC[C@@H](O)CN1CCC2=C(C=CC=C2)C1)C1=CC=CC=C1 CBEFNRHHTYFYNH-GMUIIQOCSA-N 0.000 description 1
- DXQQTRVHORRKSM-UNTBIKODSA-N CC.O=C(NC[C@@H](O)CN1CCC2=C(C=CC=C2)C1)C1=CC=NC=C1 Chemical compound CC.O=C(NC[C@@H](O)CN1CCC2=C(C=CC=C2)C1)C1=CC=NC=C1 DXQQTRVHORRKSM-UNTBIKODSA-N 0.000 description 1
- ZGPTZCOAQSTOLO-UNTBIKODSA-N CC.O=C(NC[C@@H](O)CN1CCC2=C(C=CC=C2)C1)C1=CN=CC=C1 Chemical compound CC.O=C(NC[C@@H](O)CN1CCC2=C(C=CC=C2)C1)C1=CN=CC=C1 ZGPTZCOAQSTOLO-UNTBIKODSA-N 0.000 description 1
- TWTXYKLUKMFQRT-PKLMIRHRSA-N CC.O=C(NC[C@@H](O)CN1CCC2=C(C=CC=C2)C1)C1=CN=CN=C1 Chemical compound CC.O=C(NC[C@@H](O)CN1CCC2=C(C=CC=C2)C1)C1=CN=CN=C1 TWTXYKLUKMFQRT-PKLMIRHRSA-N 0.000 description 1
- RSJTWIRXDOYVFH-PKLMIRHRSA-N CC.O=C(NC[C@@H](O)CN1CCC2=C(C=CC=C2)C1)C1=CN=NC=C1 Chemical compound CC.O=C(NC[C@@H](O)CN1CCC2=C(C=CC=C2)C1)C1=CN=NC=C1 RSJTWIRXDOYVFH-PKLMIRHRSA-N 0.000 description 1
- JWMQXRVSZMXTSW-PKLMIRHRSA-N CC.O=C(NC[C@@H](O)CN1CCC2=C(C=CC=C2)C1)C1=NC=CC=C1 Chemical compound CC.O=C(NC[C@@H](O)CN1CCC2=C(C=CC=C2)C1)C1=NC=CC=C1 JWMQXRVSZMXTSW-PKLMIRHRSA-N 0.000 description 1
- TWEYTKNUONNGTE-XFULWGLBSA-N CC.O=C(NC[C@@H](O)CN1CCC2=C(C=CC=C2)C1)C1=NC=CC=N1 Chemical compound CC.O=C(NC[C@@H](O)CN1CCC2=C(C=CC=C2)C1)C1=NC=CC=N1 TWEYTKNUONNGTE-XFULWGLBSA-N 0.000 description 1
- RVDOPJFGSRZOGB-XFULWGLBSA-N CC.O=C(NC[C@@H](O)CN1CCC2=C(C=CC=C2)C1)C1=NC=NC=C1 Chemical compound CC.O=C(NC[C@@H](O)CN1CCC2=C(C=CC=C2)C1)C1=NC=NC=C1 RVDOPJFGSRZOGB-XFULWGLBSA-N 0.000 description 1
- LQMIESVWBILKMF-XFULWGLBSA-N CC.O=C(NC[C@@H](O)CN1CCC2=C(C=CC=C2)C1)C1=NN=CC=C1 Chemical compound CC.O=C(NC[C@@H](O)CN1CCC2=C(C=CC=C2)C1)C1=NN=CC=C1 LQMIESVWBILKMF-XFULWGLBSA-N 0.000 description 1
- CBEFNRHHTYFYNH-FERBBOLQSA-N CC.O=C(NC[C@H](O)CN1CCC2=C(C=CC=C2)C1)C1=CC=CC=C1 Chemical compound CC.O=C(NC[C@H](O)CN1CCC2=C(C=CC=C2)C1)C1=CC=CC=C1 CBEFNRHHTYFYNH-FERBBOLQSA-N 0.000 description 1
- DXQQTRVHORRKSM-LMOVPXPDSA-N CC.O=C(NC[C@H](O)CN1CCC2=C(C=CC=C2)C1)C1=CC=NC=C1 Chemical compound CC.O=C(NC[C@H](O)CN1CCC2=C(C=CC=C2)C1)C1=CC=NC=C1 DXQQTRVHORRKSM-LMOVPXPDSA-N 0.000 description 1
- ZGPTZCOAQSTOLO-LMOVPXPDSA-N CC.O=C(NC[C@H](O)CN1CCC2=C(C=CC=C2)C1)C1=CN=CC=C1 Chemical compound CC.O=C(NC[C@H](O)CN1CCC2=C(C=CC=C2)C1)C1=CN=CC=C1 ZGPTZCOAQSTOLO-LMOVPXPDSA-N 0.000 description 1
- TWTXYKLUKMFQRT-NTISSMGPSA-N CC.O=C(NC[C@H](O)CN1CCC2=C(C=CC=C2)C1)C1=CN=CN=C1 Chemical compound CC.O=C(NC[C@H](O)CN1CCC2=C(C=CC=C2)C1)C1=CN=CN=C1 TWTXYKLUKMFQRT-NTISSMGPSA-N 0.000 description 1
- RSJTWIRXDOYVFH-NTISSMGPSA-N CC.O=C(NC[C@H](O)CN1CCC2=C(C=CC=C2)C1)C1=CN=NC=C1 Chemical compound CC.O=C(NC[C@H](O)CN1CCC2=C(C=CC=C2)C1)C1=CN=NC=C1 RSJTWIRXDOYVFH-NTISSMGPSA-N 0.000 description 1
- JWMQXRVSZMXTSW-NTISSMGPSA-N CC.O=C(NC[C@H](O)CN1CCC2=C(C=CC=C2)C1)C1=NC=CC=C1 Chemical compound CC.O=C(NC[C@H](O)CN1CCC2=C(C=CC=C2)C1)C1=NC=CC=C1 JWMQXRVSZMXTSW-NTISSMGPSA-N 0.000 description 1
- TWEYTKNUONNGTE-RSAXXLAASA-N CC.O=C(NC[C@H](O)CN1CCC2=C(C=CC=C2)C1)C1=NC=CC=N1 Chemical compound CC.O=C(NC[C@H](O)CN1CCC2=C(C=CC=C2)C1)C1=NC=CC=N1 TWEYTKNUONNGTE-RSAXXLAASA-N 0.000 description 1
- RVDOPJFGSRZOGB-RSAXXLAASA-N CC.O=C(NC[C@H](O)CN1CCC2=C(C=CC=C2)C1)C1=NC=NC=C1 Chemical compound CC.O=C(NC[C@H](O)CN1CCC2=C(C=CC=C2)C1)C1=NC=NC=C1 RVDOPJFGSRZOGB-RSAXXLAASA-N 0.000 description 1
- LQMIESVWBILKMF-RSAXXLAASA-N CC.O=C(NC[C@H](O)CN1CCC2=C(C=CC=C2)C1)C1=NN=CC=C1 Chemical compound CC.O=C(NC[C@H](O)CN1CCC2=C(C=CC=C2)C1)C1=NN=CC=C1 LQMIESVWBILKMF-RSAXXLAASA-N 0.000 description 1
- VEXCOCBUUFKNHE-UHFFFAOYSA-N CC1(C)CC(NC2=CC=CC(C(=O)CCC(O)CN3CCC4=C(C=CC=C4)C3)=C2)CCO1 Chemical compound CC1(C)CC(NC2=CC=CC(C(=O)CCC(O)CN3CCC4=C(C=CC=C4)C3)=C2)CCO1 VEXCOCBUUFKNHE-UHFFFAOYSA-N 0.000 description 1
- QQBJDSUQEUVIKR-UHFFFAOYSA-N CC1=C(C(=O)CCC(O)CN2CCC3=C(C=CC=C3)C2)C=CC=C1NC1CCOCC1 Chemical compound CC1=C(C(=O)CCC(O)CN2CCC3=C(C=CC=C3)C2)C=CC=C1NC1CCOCC1 QQBJDSUQEUVIKR-UHFFFAOYSA-N 0.000 description 1
- YHRJBHXADFANBA-FYZYNONXSA-N CC1=CC(C(=O)NC[C@H](O)CN2CCC3=C(C=CC=C3)C2)=CC(C)=N1.S Chemical compound CC1=CC(C(=O)NC[C@H](O)CN2CCC3=C(C=CC=C3)C2)=CC(C)=N1.S YHRJBHXADFANBA-FYZYNONXSA-N 0.000 description 1
- SCTKUEUYUBTZLM-JCMYJBLSSA-N CC1=CC(C(=O)NC[C@H](O)CN2CCC3=C(C=CC=C3)C2)=CC=N1.CC1=CC(C(=O)NC[C@H](O)CN2CCC3=C(C=CC=C3)C2)=CN=C1.CC1=CC(C(=O)NC[C@H](O)CN2CCC3=C(C=CC=C3)C2)=CN=N1.CC1=CC(C(=O)NC[C@H](O)CN2CCC3=C(C=CC=C3)C2)=NC=N1.S.S.S.S Chemical compound CC1=CC(C(=O)NC[C@H](O)CN2CCC3=C(C=CC=C3)C2)=CC=N1.CC1=CC(C(=O)NC[C@H](O)CN2CCC3=C(C=CC=C3)C2)=CN=C1.CC1=CC(C(=O)NC[C@H](O)CN2CCC3=C(C=CC=C3)C2)=CN=N1.CC1=CC(C(=O)NC[C@H](O)CN2CCC3=C(C=CC=C3)C2)=NC=N1.S.S.S.S SCTKUEUYUBTZLM-JCMYJBLSSA-N 0.000 description 1
- UHRFNZQXTYYFIX-UHFFFAOYSA-N CC1=CC=C(CC2CCOC2)C=C1C(=O)NCC(O)CN1CCC2=C(C=CC=C2)C1 Chemical compound CC1=CC=C(CC2CCOC2)C=C1C(=O)NCC(O)CN1CCC2=C(C=CC=C2)C1 UHRFNZQXTYYFIX-UHFFFAOYSA-N 0.000 description 1
- IDEAJJHUDHGQIF-UHFFFAOYSA-N CC1=CC=C(CC2CCOCC2)C=C1C(=O)NCC(O)CN1CCC2=C(C=CC=C2)C1 Chemical compound CC1=CC=C(CC2CCOCC2)C=C1C(=O)NCC(O)CN1CCC2=C(C=CC=C2)C1 IDEAJJHUDHGQIF-UHFFFAOYSA-N 0.000 description 1
- AEXPRUWGJQGBMB-UHFFFAOYSA-N CC1=CC=C(CC2COC2)C=C1C(=O)NCC(O)CN1CCC2=C(C=CC=C2)C1 Chemical compound CC1=CC=C(CC2COC2)C=C1C(=O)NCC(O)CN1CCC2=C(C=CC=C2)C1 AEXPRUWGJQGBMB-UHFFFAOYSA-N 0.000 description 1
- QXHAQZJXZOXRNQ-UHFFFAOYSA-N CC1=NN(C2=CC=C(C(=O)NCC(O)CN3CCC4=C(C=CC=C4)C3)C=C2)C(=O)C1 Chemical compound CC1=NN(C2=CC=C(C(=O)NCC(O)CN3CCC4=C(C=CC=C4)C3)C=C2)C(=O)C1 QXHAQZJXZOXRNQ-UHFFFAOYSA-N 0.000 description 1
- QNCIBPMMLANBNK-UHFFFAOYSA-N CCCCOC1=CC(C(=O)CCC(O)CN2CCC3=C(C=CC=C3)C2)=CC=C1 Chemical compound CCCCOC1=CC(C(=O)CCC(O)CN2CCC3=C(C=CC=C3)C2)=CC=C1 QNCIBPMMLANBNK-UHFFFAOYSA-N 0.000 description 1
- RFZKJYGESZJFLV-UHFFFAOYSA-N CCN(C1=CC=CC(C(=O)NCC(O)CN2CCC3=C(C=CC=C3)C2)=C1)C1CCOCC1 Chemical compound CCN(C1=CC=CC(C(=O)NCC(O)CN2CCC3=C(C=CC=C3)C2)=C1)C1CCOCC1 RFZKJYGESZJFLV-UHFFFAOYSA-N 0.000 description 1
- XLMGMQCMIVCIKX-UHFFFAOYSA-N CCN(C1=CC=CC(C(=O)NCC(O)CN2CCC3=C(C=CC=C3)C2)=C1C)C1CCOCC1 Chemical compound CCN(C1=CC=CC(C(=O)NCC(O)CN2CCC3=C(C=CC=C3)C2)=C1C)C1CCOCC1 XLMGMQCMIVCIKX-UHFFFAOYSA-N 0.000 description 1
- KATLWLKTXDIJSN-UHFFFAOYSA-N CCN1CCN(CC2=CC(C(=O)NCC(O)CN3CCC4=C(C=CC=C4)C3)=CC=C2)CC1 Chemical compound CCN1CCN(CC2=CC(C(=O)NCC(O)CN3CCC4=C(C=CC=C4)C3)=CC=C2)CC1 KATLWLKTXDIJSN-UHFFFAOYSA-N 0.000 description 1
- FIJADWPBZXWDDP-UHFFFAOYSA-N CN(C)CCOC1=CC(C(=O)CCC(O)CN2CCC3=C(C=CC=C3)C2)=CC=C1 Chemical compound CN(C)CCOC1=CC(C(=O)CCC(O)CN2CCC3=C(C=CC=C3)C2)=CC=C1 FIJADWPBZXWDDP-UHFFFAOYSA-N 0.000 description 1
- WUHWPALUOSMVOG-UHFFFAOYSA-N CN(CC(O)CN1CCC2=C(C=CC=C2)C1)C(=O)C1=CC(CC2CCOCC2)=CC=C1 Chemical compound CN(CC(O)CN1CCC2=C(C=CC=C2)C1)C(=O)C1=CC(CC2CCOCC2)=CC=C1 WUHWPALUOSMVOG-UHFFFAOYSA-N 0.000 description 1
- WUHWPALUOSMVOG-VWLOTQADSA-N CN(C[C@H](O)CN1CCC2=C(C=CC=C2)C1)C(=O)C1=CC(CC2CCOCC2)=CC=C1 Chemical compound CN(C[C@H](O)CN1CCC2=C(C=CC=C2)C1)C(=O)C1=CC(CC2CCOCC2)=CC=C1 WUHWPALUOSMVOG-VWLOTQADSA-N 0.000 description 1
- IVWLHXWEFUZLNT-UHFFFAOYSA-N CN1CCN(C2=CC=CC(C(=O)NCC(O)CN3CCC4=C(C=CC=C4)C3)=C2)CC1 Chemical compound CN1CCN(C2=CC=CC(C(=O)NCC(O)CN3CCC4=C(C=CC=C4)C3)=C2)CC1 IVWLHXWEFUZLNT-UHFFFAOYSA-N 0.000 description 1
- XLKCBKKHVHGEPI-UHFFFAOYSA-N COC1=CC(CC2CCOCC2)=CC(C(=O)NCC(O)CN2CCC3=C(C=CC=C3)C2)=C1 Chemical compound COC1=CC(CC2CCOCC2)=CC(C(=O)NCC(O)CN2CCC3=C(C=CC=C3)C2)=C1 XLKCBKKHVHGEPI-UHFFFAOYSA-N 0.000 description 1
- DAVQFDGADYCDBT-UHFFFAOYSA-N COC1=CC=C(C(=O)NCC(O)CN2CCC3=C(C=CC=C3)C2)C=C1CC1CCOCC1 Chemical compound COC1=CC=C(C(=O)NCC(O)CN2CCC3=C(C=CC=C3)C2)C=C1CC1CCOCC1 DAVQFDGADYCDBT-UHFFFAOYSA-N 0.000 description 1
- PMBCHFISWOSKMI-UHFFFAOYSA-N COC1=CC=C(CC2CCOCC2)C=C1C(=O)NCC(O)CN1CCC2=C(C=CC=C2)C1 Chemical compound COC1=CC=C(CC2CCOCC2)C=C1C(=O)NCC(O)CN1CCC2=C(C=CC=C2)C1 PMBCHFISWOSKMI-UHFFFAOYSA-N 0.000 description 1
- LKTLREOJFABADF-UHFFFAOYSA-N COCCCCC1=CC=CC(C(=O)NCC(O)CN2CCC3=C(C=CC=C3)C2)=C1 Chemical compound COCCCCC1=CC=CC(C(=O)NCC(O)CN2CCC3=C(C=CC=C3)C2)=C1 LKTLREOJFABADF-UHFFFAOYSA-N 0.000 description 1
- QDNRCYRDFYFQFS-UHFFFAOYSA-N COCCN1CCN(CC2=CC(C(=O)NCC(O)CN3CCC4=C(C=CC=C4)C3)=CC=C2)CC1 Chemical compound COCCN1CCN(CC2=CC(C(=O)NCC(O)CN3CCC4=C(C=CC=C4)C3)=CC=C2)CC1 QDNRCYRDFYFQFS-UHFFFAOYSA-N 0.000 description 1
- UGRMANYIIRDRJV-UHFFFAOYSA-N COCCNC1=CC=CC(C(=O)CCC(O)CN2CCC3=C(C=CC=C3)C2)=C1 Chemical compound COCCNC1=CC=CC(C(=O)CCC(O)CN2CCC3=C(C=CC=C3)C2)=C1 UGRMANYIIRDRJV-UHFFFAOYSA-N 0.000 description 1
- GMLBNHLKDIKYDZ-UHFFFAOYSA-N COc(ccc(C(NCC(CN(CC1)Cc2c1cccc2)O)=O)c1)c1NC1CCOCC1 Chemical compound COc(ccc(C(NCC(CN(CC1)Cc2c1cccc2)O)=O)c1)c1NC1CCOCC1 GMLBNHLKDIKYDZ-UHFFFAOYSA-N 0.000 description 1
- JTULMKAWCXDOEO-UHFFFAOYSA-N CS(=O)(=O)CC1=CC(C(=O)NCC(O)CN2CCC3=C(C=CC=C3)C2)=CC=C1 Chemical compound CS(=O)(=O)CC1=CC(C(=O)NCC(O)CN2CCC3=C(C=CC=C3)C2)=CC=C1 JTULMKAWCXDOEO-UHFFFAOYSA-N 0.000 description 1
- PRSCIWJKQWVWGN-UHFFFAOYSA-N CS(=O)(=O)N1CCC(OC2=CC=C(C(=O)NCC(O)CN3CCC4=C(C=CC=C4)C3)C=C2)CC1 Chemical compound CS(=O)(=O)N1CCC(OC2=CC=C(C(=O)NCC(O)CN3CCC4=C(C=CC=C4)C3)C=C2)CC1 PRSCIWJKQWVWGN-UHFFFAOYSA-N 0.000 description 1
- DARKSMQWFGJOEL-UHFFFAOYSA-N CS(=O)(=O)N1CCN(CC2=CC(C(=O)NCC(O)CN3CCC4=C(C=CC=C4)C3)=CC=C2)CC1 Chemical compound CS(=O)(=O)N1CCN(CC2=CC(C(=O)NCC(O)CN3CCC4=C(C=CC=C4)C3)=CC=C2)CC1 DARKSMQWFGJOEL-UHFFFAOYSA-N 0.000 description 1
- RQSXHDHGHREZSU-UHFFFAOYSA-N CS(=O)(=O)NC1=CC=CC=C1C(=O)CCC(O)CN1CCC2=C(C=CC=C2)C1 Chemical compound CS(=O)(=O)NC1=CC=CC=C1C(=O)CCC(O)CN1CCC2=C(C=CC=C2)C1 RQSXHDHGHREZSU-UHFFFAOYSA-N 0.000 description 1
- DCERHCFNWRGHLK-UHFFFAOYSA-N C[Si](C)C Chemical compound C[Si](C)C DCERHCFNWRGHLK-UHFFFAOYSA-N 0.000 description 1
- UXVMQQNJUSDDNG-UHFFFAOYSA-L Calcium chloride Chemical compound [Cl-].[Cl-].[Ca+2] UXVMQQNJUSDDNG-UHFFFAOYSA-L 0.000 description 1
- 239000001736 Calcium glycerylphosphate Substances 0.000 description 1
- 241000282472 Canis lupus familiaris Species 0.000 description 1
- BVKZGUZCCUSVTD-UHFFFAOYSA-L Carbonate Chemical compound [O-]C([O-])=O BVKZGUZCCUSVTD-UHFFFAOYSA-L 0.000 description 1
- 201000009030 Carcinoma Diseases 0.000 description 1
- 235000003255 Carthamus tinctorius Nutrition 0.000 description 1
- 244000020518 Carthamus tinctorius Species 0.000 description 1
- 235000005747 Carum carvi Nutrition 0.000 description 1
- 240000000467 Carum carvi Species 0.000 description 1
- 108010076119 Caseins Proteins 0.000 description 1
- WYOBKANRABPEAT-UHFFFAOYSA-N Cc(c(C(NCC(CN(CC1)Cc2c1cccc2)O)=O)c1)ccc1NC1COC1 Chemical compound Cc(c(C(NCC(CN(CC1)Cc2c1cccc2)O)=O)c1)ccc1NC1COC1 WYOBKANRABPEAT-UHFFFAOYSA-N 0.000 description 1
- 235000009024 Ceanothus sanguineus Nutrition 0.000 description 1
- PTHCMJGKKRQCBF-UHFFFAOYSA-N Cellulose, microcrystalline Chemical compound OC1C(O)C(OC)OC(CO)C1OC1C(O)C(O)C(OC)C(CO)O1 PTHCMJGKKRQCBF-UHFFFAOYSA-N 0.000 description 1
- 206010008342 Cervix carcinoma Diseases 0.000 description 1
- GHXZTYHSJHQHIJ-UHFFFAOYSA-N Chlorhexidine Chemical compound C=1C=C(Cl)C=CC=1NC(N)=NC(N)=NCCCCCCN=C(N)N=C(N)NC1=CC=C(Cl)C=C1 GHXZTYHSJHQHIJ-UHFFFAOYSA-N 0.000 description 1
- ZAMOUSCENKQFHK-UHFFFAOYSA-N Chlorine atom Chemical compound [Cl] ZAMOUSCENKQFHK-UHFFFAOYSA-N 0.000 description 1
- 208000005243 Chondrosarcoma Diseases 0.000 description 1
- 241000206575 Chondrus crispus Species 0.000 description 1
- 201000009047 Chordoma Diseases 0.000 description 1
- 208000006332 Choriocarcinoma Diseases 0.000 description 1
- 108010077544 Chromatin Proteins 0.000 description 1
- 244000223760 Cinnamomum zeylanicum Species 0.000 description 1
- 241000132536 Cirsium Species 0.000 description 1
- KRKNYBCHXYNGOX-UHFFFAOYSA-K Citrate Chemical compound [O-]C(=O)CC(O)(CC([O-])=O)C([O-])=O KRKNYBCHXYNGOX-UHFFFAOYSA-K 0.000 description 1
- YASYEJJMZJALEJ-UHFFFAOYSA-N Citric acid monohydrate Chemical compound O.OC(=O)CC(O)(C(O)=O)CC(O)=O YASYEJJMZJALEJ-UHFFFAOYSA-N 0.000 description 1
- 241000207199 Citrus Species 0.000 description 1
- 235000005979 Citrus limon Nutrition 0.000 description 1
- 244000131522 Citrus pyriformis Species 0.000 description 1
- 235000013162 Cocos nucifera Nutrition 0.000 description 1
- 244000060011 Cocos nucifera Species 0.000 description 1
- 208000001333 Colorectal Neoplasms Diseases 0.000 description 1
- 206010052360 Colorectal adenocarcinoma Diseases 0.000 description 1
- 229940126657 Compound 17 Drugs 0.000 description 1
- 235000010919 Copernicia prunifera Nutrition 0.000 description 1
- 244000180278 Copernicia prunifera Species 0.000 description 1
- 240000009226 Corylus americana Species 0.000 description 1
- 235000001543 Corylus americana Nutrition 0.000 description 1
- 235000007466 Corylus avellana Nutrition 0.000 description 1
- 229920000742 Cotton Polymers 0.000 description 1
- 208000009798 Craniopharyngioma Diseases 0.000 description 1
- 241000938605 Crocodylia Species 0.000 description 1
- 240000001980 Cucurbita pepo Species 0.000 description 1
- 235000009852 Cucurbita pepo Nutrition 0.000 description 1
- 102000016736 Cyclin Human genes 0.000 description 1
- 108050006400 Cyclin Proteins 0.000 description 1
- 108010025468 Cyclin-Dependent Kinase 6 Proteins 0.000 description 1
- 102000013698 Cyclin-Dependent Kinase 6 Human genes 0.000 description 1
- 229920000858 Cyclodextrin Polymers 0.000 description 1
- FBPFZTCFMRRESA-FSIIMWSLSA-N D-Glucitol Natural products OC[C@H](O)[C@H](O)[C@@H](O)[C@H](O)CO FBPFZTCFMRRESA-FSIIMWSLSA-N 0.000 description 1
- ZAKOWWREFLAJOT-CEFNRUSXSA-N D-alpha-tocopherylacetate Chemical compound CC(=O)OC1=C(C)C(C)=C2O[C@@](CCC[C@H](C)CCC[C@H](C)CCCC(C)C)(C)CCC2=C1C ZAKOWWREFLAJOT-CEFNRUSXSA-N 0.000 description 1
- ZZZCUOFIHGPKAK-UHFFFAOYSA-N D-erythro-ascorbic acid Natural products OCC1OC(=O)C(O)=C1O ZZZCUOFIHGPKAK-UHFFFAOYSA-N 0.000 description 1
- FBPFZTCFMRRESA-JGWLITMVSA-N D-glucitol Chemical compound OC[C@H](O)[C@@H](O)[C@H](O)[C@H](O)CO FBPFZTCFMRRESA-JGWLITMVSA-N 0.000 description 1
- RGHNJXZEOKUKBD-SQOUGZDYSA-M D-gluconate Chemical compound OC[C@@H](O)[C@@H](O)[C@H](O)[C@@H](O)C([O-])=O RGHNJXZEOKUKBD-SQOUGZDYSA-M 0.000 description 1
- RGHNJXZEOKUKBD-SQOUGZDYSA-N D-gluconic acid Chemical compound OC[C@@H](O)[C@@H](O)[C@H](O)[C@@H](O)C(O)=O RGHNJXZEOKUKBD-SQOUGZDYSA-N 0.000 description 1
- RGHNJXZEOKUKBD-UHFFFAOYSA-N D-gluconic acid Natural products OCC(O)C(O)C(O)C(O)C(O)=O RGHNJXZEOKUKBD-UHFFFAOYSA-N 0.000 description 1
- RBNPOMFGQQGHHO-UWTATZPHSA-N D-glyceric acid Chemical compound OC[C@@H](O)C(O)=O RBNPOMFGQQGHHO-UWTATZPHSA-N 0.000 description 1
- KDXKERNSBIXSRK-RXMQYKEDSA-N D-lysine Chemical compound NCCCC[C@@H](N)C(O)=O KDXKERNSBIXSRK-RXMQYKEDSA-N 0.000 description 1
- 102000053602 DNA Human genes 0.000 description 1
- 102100025450 DNA replication factor Cdt1 Human genes 0.000 description 1
- XMSXQFUHVRWGNA-UHFFFAOYSA-N Decamethylcyclopentasiloxane Chemical compound C[Si]1(C)O[Si](C)(C)O[Si](C)(C)O[Si](C)(C)O[Si](C)(C)O1 XMSXQFUHVRWGNA-UHFFFAOYSA-N 0.000 description 1
- 239000004287 Dehydroacetic acid Substances 0.000 description 1
- YZCKVEUIGOORGS-OUBTZVSYSA-N Deuterium Chemical compound [2H] YZCKVEUIGOORGS-OUBTZVSYSA-N 0.000 description 1
- 239000004375 Dextrin Substances 0.000 description 1
- 229920001353 Dextrin Polymers 0.000 description 1
- 101100168913 Dictyostelium discoideum culD gene Proteins 0.000 description 1
- 241000271571 Dromaius novaehollandiae Species 0.000 description 1
- ZGTMUACCHSMWAC-UHFFFAOYSA-L EDTA disodium salt (anhydrous) Chemical compound [Na+].[Na+].OC(=O)CN(CC([O-])=O)CCN(CC(O)=O)CC([O-])=O ZGTMUACCHSMWAC-UHFFFAOYSA-L 0.000 description 1
- NVTRPRFAWJGJAJ-UHFFFAOYSA-L EDTA monocalcium salt Chemical compound [Ca+2].OC(=O)CN(CC([O-])=O)CCN(CC(O)=O)CC([O-])=O NVTRPRFAWJGJAJ-UHFFFAOYSA-L 0.000 description 1
- QZKRHPLGUJDVAR-UHFFFAOYSA-K EDTA trisodium salt Chemical compound [Na+].[Na+].[Na+].OC(=O)CN(CC([O-])=O)CCN(CC([O-])=O)CC([O-])=O QZKRHPLGUJDVAR-UHFFFAOYSA-K 0.000 description 1
- 102000002322 Egg Proteins Human genes 0.000 description 1
- 108010000912 Egg Proteins Proteins 0.000 description 1
- LVGKNOAMLMIIKO-UHFFFAOYSA-N Elaidinsaeure-aethylester Natural products CCCCCCCCC=CCCCCCCCC(=O)OCC LVGKNOAMLMIIKO-UHFFFAOYSA-N 0.000 description 1
- 206010014733 Endometrial cancer Diseases 0.000 description 1
- 206010014759 Endometrial neoplasm Diseases 0.000 description 1
- 208000002460 Enteropathy-Associated T-Cell Lymphoma Diseases 0.000 description 1
- 206010014950 Eosinophilia Diseases 0.000 description 1
- 206010014967 Ependymoma Diseases 0.000 description 1
- 241000283086 Equidae Species 0.000 description 1
- 239000001856 Ethyl cellulose Substances 0.000 description 1
- ZZSNKZQZMQGXPY-UHFFFAOYSA-N Ethyl cellulose Chemical compound CCOCC1OC(OC)C(OCC)C(OCC)C1OC1C(O)C(O)C(OC)C(CO)O1 ZZSNKZQZMQGXPY-UHFFFAOYSA-N 0.000 description 1
- FPVVYTCTZKCSOJ-UHFFFAOYSA-N Ethylene glycol distearate Chemical compound CCCCCCCCCCCCCCCCCC(=O)OCCOC(=O)CCCCCCCCCCCCCCCCC FPVVYTCTZKCSOJ-UHFFFAOYSA-N 0.000 description 1
- CTKXFMQHOOWWEB-UHFFFAOYSA-N Ethylene oxide/propylene oxide copolymer Chemical compound CCCOC(C)COCCO CTKXFMQHOOWWEB-UHFFFAOYSA-N 0.000 description 1
- PIICEJLVQHRZGT-UHFFFAOYSA-N Ethylenediamine Chemical compound NCCN PIICEJLVQHRZGT-UHFFFAOYSA-N 0.000 description 1
- 244000004281 Eucalyptus maculata Species 0.000 description 1
- 208000006168 Ewing Sarcoma Diseases 0.000 description 1
- 241000282326 Felis catus Species 0.000 description 1
- 201000008808 Fibrosarcoma Diseases 0.000 description 1
- 239000004606 Fillers/Extenders Substances 0.000 description 1
- PXGOKWXKJXAPGV-UHFFFAOYSA-N Fluorine Chemical compound FF PXGOKWXKJXAPGV-UHFFFAOYSA-N 0.000 description 1
- 206010017533 Fungal infection Diseases 0.000 description 1
- 230000010190 G1 phase Effects 0.000 description 1
- 208000022072 Gallbladder Neoplasms Diseases 0.000 description 1
- 241000287828 Gallus gallus Species 0.000 description 1
- 201000003741 Gastrointestinal carcinoma Diseases 0.000 description 1
- 239000005792 Geraniol Substances 0.000 description 1
- GLZPCOQZEFWAFX-YFHOEESVSA-N Geraniol Natural products CC(C)=CCC\C(C)=C/CO GLZPCOQZEFWAFX-YFHOEESVSA-N 0.000 description 1
- 208000032612 Glial tumor Diseases 0.000 description 1
- 206010018338 Glioma Diseases 0.000 description 1
- 235000010469 Glycine max Nutrition 0.000 description 1
- 244000068988 Glycine max Species 0.000 description 1
- AEMRFAOFKBGASW-UHFFFAOYSA-M Glycolate Chemical compound OCC([O-])=O AEMRFAOFKBGASW-UHFFFAOYSA-M 0.000 description 1
- 102000003886 Glycoproteins Human genes 0.000 description 1
- 108090000288 Glycoproteins Proteins 0.000 description 1
- 229920002907 Guar gum Polymers 0.000 description 1
- 244000020551 Helianthus annuus Species 0.000 description 1
- 235000003222 Helianthus annuus Nutrition 0.000 description 1
- SQUHHTBVTRBESD-UHFFFAOYSA-N Hexa-Ac-myo-Inositol Natural products CC(=O)OC1C(OC(C)=O)C(OC(C)=O)C(OC(C)=O)C(OC(C)=O)C1OC(C)=O SQUHHTBVTRBESD-UHFFFAOYSA-N 0.000 description 1
- 241000238631 Hexapoda Species 0.000 description 1
- 240000000950 Hippophae rhamnoides Species 0.000 description 1
- 235000003145 Hippophae rhamnoides Nutrition 0.000 description 1
- 102100039869 Histone H2B type F-S Human genes 0.000 description 1
- 108010016918 Histone-Lysine N-Methyltransferase Proteins 0.000 description 1
- 102000000581 Histone-lysine N-methyltransferase Human genes 0.000 description 1
- 101000638510 Homo sapiens Acyl-coenzyme A thioesterase THEM4 Proteins 0.000 description 1
- 101000914265 Homo sapiens DNA replication factor Cdt1 Proteins 0.000 description 1
- 101001035372 Homo sapiens Histone H2B type F-S Proteins 0.000 description 1
- 101001067880 Homo sapiens Histone H4 Proteins 0.000 description 1
- 101100183535 Homo sapiens WDR77 gene Proteins 0.000 description 1
- 241000384508 Hoplostethus atlanticus Species 0.000 description 1
- 239000004354 Hydroxyethyl cellulose Substances 0.000 description 1
- 229920000663 Hydroxyethyl cellulose Polymers 0.000 description 1
- AVXURJPOCDRRFD-UHFFFAOYSA-N Hydroxylamine Chemical compound ON AVXURJPOCDRRFD-UHFFFAOYSA-N 0.000 description 1
- 235000010650 Hyssopus officinalis Nutrition 0.000 description 1
- DGAQECJNVWCQMB-PUAWFVPOSA-M Ilexoside XXIX Chemical compound C[C@@H]1CC[C@@]2(CC[C@@]3(C(=CC[C@H]4[C@]3(CC[C@@H]5[C@@]4(CC[C@@H](C5(C)C)OS(=O)(=O)[O-])C)C)[C@@H]2[C@]1(C)O)C)C(=O)O[C@H]6[C@@H]([C@H]([C@@H]([C@H](O6)CO)O)O)O.[Na+] DGAQECJNVWCQMB-PUAWFVPOSA-M 0.000 description 1
- 208000007866 Immunoproliferative Small Intestinal Disease Diseases 0.000 description 1
- 201000003803 Inflammatory myofibroblastic tumor Diseases 0.000 description 1
- 206010067917 Inflammatory myofibroblastic tumour Diseases 0.000 description 1
- IMQLKJBTEOYOSI-GPIVLXJGSA-N Inositol-hexakisphosphate Chemical compound OP(O)(=O)O[C@H]1[C@H](OP(O)(O)=O)[C@@H](OP(O)(O)=O)[C@H](OP(O)(O)=O)[C@H](OP(O)(O)=O)[C@@H]1OP(O)(O)=O IMQLKJBTEOYOSI-GPIVLXJGSA-N 0.000 description 1
- 102000004877 Insulin Human genes 0.000 description 1
- 108090001061 Insulin Proteins 0.000 description 1
- 206010061252 Intraocular melanoma Diseases 0.000 description 1
- 208000009164 Islet Cell Adenoma Diseases 0.000 description 1
- 240000007049 Juglans regia Species 0.000 description 1
- 235000009496 Juglans regia Nutrition 0.000 description 1
- 208000008839 Kidney Neoplasms Diseases 0.000 description 1
- CKLJMWTZIZZHCS-REOHCLBHSA-N L-aspartic acid Chemical compound OC(=O)[C@@H](N)CC(O)=O CKLJMWTZIZZHCS-REOHCLBHSA-N 0.000 description 1
- ROHFNLRQFUQHCH-YFKPBYRVSA-N L-leucine Chemical compound CC(C)C[C@H](N)C(O)=O ROHFNLRQFUQHCH-YFKPBYRVSA-N 0.000 description 1
- KDXKERNSBIXSRK-YFKPBYRVSA-N L-lysine Chemical compound NCCCC[C@H](N)C(O)=O KDXKERNSBIXSRK-YFKPBYRVSA-N 0.000 description 1
- 208000032004 Large-Cell Anaplastic Lymphoma Diseases 0.000 description 1
- 241000218652 Larix Species 0.000 description 1
- 235000005590 Larix decidua Nutrition 0.000 description 1
- 206010023825 Laryngeal cancer Diseases 0.000 description 1
- 244000165082 Lavanda vera Species 0.000 description 1
- 235000010663 Lavandula angustifolia Nutrition 0.000 description 1
- 241000408747 Lepomis gibbosus Species 0.000 description 1
- 240000003553 Leptospermum scoparium Species 0.000 description 1
- ROHFNLRQFUQHCH-UHFFFAOYSA-N Leucine Natural products CC(C)CC(N)C(O)=O ROHFNLRQFUQHCH-UHFFFAOYSA-N 0.000 description 1
- 241001072282 Limnanthes Species 0.000 description 1
- 102000004895 Lipoproteins Human genes 0.000 description 1
- 108090001030 Lipoproteins Proteins 0.000 description 1
- WHXSMMKQMYFTQS-UHFFFAOYSA-N Lithium Chemical compound [Li] WHXSMMKQMYFTQS-UHFFFAOYSA-N 0.000 description 1
- 235000012854 Litsea cubeba Nutrition 0.000 description 1
- 240000002262 Litsea cubeba Species 0.000 description 1
- 235000015459 Lycium barbarum Nutrition 0.000 description 1
- KDXKERNSBIXSRK-UHFFFAOYSA-N Lysine Natural products NCCCCC(N)C(O)=O KDXKERNSBIXSRK-UHFFFAOYSA-N 0.000 description 1
- 239000004472 Lysine Substances 0.000 description 1
- 241000282567 Macaca fascicularis Species 0.000 description 1
- 241000282560 Macaca mulatta Species 0.000 description 1
- FYYHWMGAXLPEAU-UHFFFAOYSA-N Magnesium Chemical compound [Mg] FYYHWMGAXLPEAU-UHFFFAOYSA-N 0.000 description 1
- 208000032271 Malignant tumor of penis Diseases 0.000 description 1
- OFOBLEOULBTSOW-UHFFFAOYSA-L Malonate Chemical compound [O-]C(=O)CC([O-])=O OFOBLEOULBTSOW-UHFFFAOYSA-L 0.000 description 1
- 240000000982 Malva neglecta Species 0.000 description 1
- 235000000060 Malva neglecta Nutrition 0.000 description 1
- 235000014826 Mangifera indica Nutrition 0.000 description 1
- 240000007228 Mangifera indica Species 0.000 description 1
- 208000009018 Medullary thyroid cancer Diseases 0.000 description 1
- 206010027406 Mesothelioma Diseases 0.000 description 1
- BZLVMXJERCGZMT-UHFFFAOYSA-N Methyl tert-butyl ether Chemical compound COC(C)(C)C BZLVMXJERCGZMT-UHFFFAOYSA-N 0.000 description 1
- 229920000881 Modified starch Polymers 0.000 description 1
- 244000179970 Monarda didyma Species 0.000 description 1
- 235000010672 Monarda didyma Nutrition 0.000 description 1
- 208000010190 Monoclonal Gammopathy of Undetermined Significance Diseases 0.000 description 1
- 208000003445 Mouth Neoplasms Diseases 0.000 description 1
- 208000012799 Mu-heavy chain disease Diseases 0.000 description 1
- 229920000715 Mucilage Polymers 0.000 description 1
- 102000001621 Mucoproteins Human genes 0.000 description 1
- 108010093825 Mucoproteins Proteins 0.000 description 1
- 208000034578 Multiple myelomas Diseases 0.000 description 1
- 102000007474 Multiprotein Complexes Human genes 0.000 description 1
- 108010085220 Multiprotein Complexes Proteins 0.000 description 1
- 241000699670 Mus sp. Species 0.000 description 1
- 235000009421 Myristica fragrans Nutrition 0.000 description 1
- 244000270834 Myristica fragrans Species 0.000 description 1
- WHNWPMSKXPGLAX-UHFFFAOYSA-N N-Vinyl-2-pyrrolidone Chemical compound C=CN1CCCC1=O WHNWPMSKXPGLAX-UHFFFAOYSA-N 0.000 description 1
- GXCLVBGFBYZDAG-UHFFFAOYSA-N N-[2-(1H-indol-3-yl)ethyl]-N-methylprop-2-en-1-amine Chemical compound CN(CCC1=CNC2=C1C=CC=C2)CC=C GXCLVBGFBYZDAG-UHFFFAOYSA-N 0.000 description 1
- OPFJDXRVMFKJJO-ZHHKINOHSA-N N-{[3-(2-benzamido-4-methyl-1,3-thiazol-5-yl)-pyrazol-5-yl]carbonyl}-G-dR-G-dD-dD-dD-NH2 Chemical compound S1C(C=2NN=C(C=2)C(=O)NCC(=O)N[C@H](CCCN=C(N)N)C(=O)NCC(=O)N[C@H](CC(O)=O)C(=O)N[C@H](CC(O)=O)C(=O)N[C@H](CC(O)=O)C(N)=O)=C(C)N=C1NC(=O)C1=CC=CC=C1 OPFJDXRVMFKJJO-ZHHKINOHSA-N 0.000 description 1
- XCKCZWSQIZOYKP-UHFFFAOYSA-N NC(=O)C1=CC(C(=O)NCC(O)CN2CCC3=C(C=CC=C3)C2)=CC=C1 Chemical compound NC(=O)C1=CC(C(=O)NCC(O)CN2CCC3=C(C=CC=C3)C2)=CC=C1 XCKCZWSQIZOYKP-UHFFFAOYSA-N 0.000 description 1
- LTMAZPKGDGQDGV-UHFFFAOYSA-N NC(=O)C1=CC=C(C(=O)CCC(O)CN2CCC3=C(C=CC=C3)C2)C=C1 Chemical compound NC(=O)C1=CC=C(C(=O)CCC(O)CN2CCC3=C(C=CC=C3)C2)C=C1 LTMAZPKGDGQDGV-UHFFFAOYSA-N 0.000 description 1
- GDIHDSKOVXEJQQ-UHFFFAOYSA-N NC(O)=O.NC(O)=O.NC(O)=O.N Chemical group NC(O)=O.NC(O)=O.NC(O)=O.N GDIHDSKOVXEJQQ-UHFFFAOYSA-N 0.000 description 1
- BIRSFMKFCWSZBL-UHFFFAOYSA-N NC(c(cc1)ccc1C(NCC(CN1Cc2ccccc2CC1)O)=O)=O Chemical compound NC(c(cc1)ccc1C(NCC(CN1Cc2ccccc2CC1)O)=O)=O BIRSFMKFCWSZBL-UHFFFAOYSA-N 0.000 description 1
- NNRYCPWPTAILSN-UHFFFAOYSA-N NS(=O)(=O)C1=CC(C(=O)NCC(O)CN2CCC3=C(C=CC=C3)C2)=CC=C1 Chemical compound NS(=O)(=O)C1=CC(C(=O)NCC(O)CN2CCC3=C(C=CC=C3)C2)=CC=C1 NNRYCPWPTAILSN-UHFFFAOYSA-N 0.000 description 1
- LMJASDFXANKVNH-UHFFFAOYSA-N NS(=O)(=O)C1=CC=CC=C1C(=O)NCC(O)CN1CCC2=C(C=CC=C2)C1 Chemical compound NS(=O)(=O)C1=CC=CC=C1C(=O)NCC(O)CN1CCC2=C(C=CC=C2)C1 LMJASDFXANKVNH-UHFFFAOYSA-N 0.000 description 1
- 208000001894 Nasopharyngeal Neoplasms Diseases 0.000 description 1
- 206010061306 Nasopharyngeal cancer Diseases 0.000 description 1
- 241000772415 Neovison vison Species 0.000 description 1
- 206010029260 Neuroblastoma Diseases 0.000 description 1
- 201000004404 Neurofibroma Diseases 0.000 description 1
- PVNIIMVLHYAWGP-UHFFFAOYSA-N Niacin Chemical compound OC(=O)C1=CC=CN=C1 PVNIIMVLHYAWGP-UHFFFAOYSA-N 0.000 description 1
- DFPAKSUCGFBDDF-UHFFFAOYSA-N Nicotinamide Chemical class NC(=O)C1=CC=CN=C1 DFPAKSUCGFBDDF-UHFFFAOYSA-N 0.000 description 1
- 206010029461 Nodal marginal zone B-cell lymphomas Diseases 0.000 description 1
- 102000011931 Nucleoproteins Human genes 0.000 description 1
- 108010061100 Nucleoproteins Proteins 0.000 description 1
- AZRBUSAFKCBUGH-UHFFFAOYSA-N O=C(CCC(O)CN1CCC2=C(C=CC=C2)C1)C1=CC(F)=CC(NC2CCOCC2)=C1 Chemical compound O=C(CCC(O)CN1CCC2=C(C=CC=C2)C1)C1=CC(F)=CC(NC2CCOCC2)=C1 AZRBUSAFKCBUGH-UHFFFAOYSA-N 0.000 description 1
- QCCOOWBYDZINJU-UHFFFAOYSA-N O=C(CCC(O)CN1CCC2=C(C=CC=C2)C1)C1=CC(NC2CCOCC2)=CC(Cl)=C1 Chemical compound O=C(CCC(O)CN1CCC2=C(C=CC=C2)C1)C1=CC(NC2CCOCC2)=CC(Cl)=C1 QCCOOWBYDZINJU-UHFFFAOYSA-N 0.000 description 1
- DSBCGAWAUUTRAM-UHFFFAOYSA-N O=C(CCC(O)CN1CCC2=C(C=CC=C2)C1)C1=CC(NCCCO)=CC=C1 Chemical compound O=C(CCC(O)CN1CCC2=C(C=CC=C2)C1)C1=CC(NCCCO)=CC=C1 DSBCGAWAUUTRAM-UHFFFAOYSA-N 0.000 description 1
- SMJLTHRFCYJXPO-UHFFFAOYSA-N O=C(NCC(O)CN1CCC2=C(C=CC=C2)C1)C1=C(C2=CC=CC=C2)NN=C1 Chemical compound O=C(NCC(O)CN1CCC2=C(C=CC=C2)C1)C1=C(C2=CC=CC=C2)NN=C1 SMJLTHRFCYJXPO-UHFFFAOYSA-N 0.000 description 1
- BKPPPSJTGGVTON-UHFFFAOYSA-N O=C(NCC(O)CN1CCC2=C(C=CC=C2)C1)C1=CC(C2=NNC=C2)=CC=C1 Chemical compound O=C(NCC(O)CN1CCC2=C(C=CC=C2)C1)C1=CC(C2=NNC=C2)=CC=C1 BKPPPSJTGGVTON-UHFFFAOYSA-N 0.000 description 1
- YSHJPPAHUIQNNH-UHFFFAOYSA-N O=C(NCC(O)CN1CCC2=C(C=CC=C2)C1)C1=CC(CC2CCCOC2)=CC=C1 Chemical compound O=C(NCC(O)CN1CCC2=C(C=CC=C2)C1)C1=CC(CC2CCCOC2)=CC=C1 YSHJPPAHUIQNNH-UHFFFAOYSA-N 0.000 description 1
- WAWCIVJZKRKKBI-UHFFFAOYSA-N O=C(NCC(O)CN1CCC2=C(C=CC=C2)C1)C1=CC(CC2CCNCC2)=CC=C1 Chemical compound O=C(NCC(O)CN1CCC2=C(C=CC=C2)C1)C1=CC(CC2CCNCC2)=CC=C1 WAWCIVJZKRKKBI-UHFFFAOYSA-N 0.000 description 1
- ZZZSXUFUWUNJFP-UHFFFAOYSA-N O=C(NCC(O)CN1CCC2=C(C=CC=C2)C1)C1=CC(CC2CCOC2)=CC=C1 Chemical compound O=C(NCC(O)CN1CCC2=C(C=CC=C2)C1)C1=CC(CC2CCOC2)=CC=C1 ZZZSXUFUWUNJFP-UHFFFAOYSA-N 0.000 description 1
- LPGLFLKFKMYRFB-UHFFFAOYSA-N O=C(NCC(O)CN1CCC2=C(C=CC=C2)C1)C1=CC(CC2CCOCC2)=CC=C1F Chemical compound O=C(NCC(O)CN1CCC2=C(C=CC=C2)C1)C1=CC(CC2CCOCC2)=CC=C1F LPGLFLKFKMYRFB-UHFFFAOYSA-N 0.000 description 1
- TVZKOQZCFGMZPL-UHFFFAOYSA-N O=C(NCC(O)CN1CCC2=C(C=CC=C2)C1)C1=CC(CC2CCOCC2)=CC=N1 Chemical compound O=C(NCC(O)CN1CCC2=C(C=CC=C2)C1)C1=CC(CC2CCOCC2)=CC=N1 TVZKOQZCFGMZPL-UHFFFAOYSA-N 0.000 description 1
- ULPXUFKXWGHSGJ-UHFFFAOYSA-N O=C(NCC(O)CN1CCC2=C(C=CC=C2)C1)C1=CC(CC2CCOCC2)=CN=C1 Chemical compound O=C(NCC(O)CN1CCC2=C(C=CC=C2)C1)C1=CC(CC2CCOCC2)=CN=C1 ULPXUFKXWGHSGJ-UHFFFAOYSA-N 0.000 description 1
- OLVVEPWKUWMXOK-UHFFFAOYSA-N O=C(NCC(O)CN1CCC2=C(C=CC=C2)C1)C1=CC(CC2CCOCC2)=NC=C1 Chemical compound O=C(NCC(O)CN1CCC2=C(C=CC=C2)C1)C1=CC(CC2CCOCC2)=NC=C1 OLVVEPWKUWMXOK-UHFFFAOYSA-N 0.000 description 1
- SGODKVBDLSHPMC-UHFFFAOYSA-N O=C(NCC(O)CN1CCC2=C(C=CC=C2)C1)C1=CC(CC2CCOCC2)=NC=N1 Chemical compound O=C(NCC(O)CN1CCC2=C(C=CC=C2)C1)C1=CC(CC2CCOCC2)=NC=N1 SGODKVBDLSHPMC-UHFFFAOYSA-N 0.000 description 1
- IUZJHCRGCOPXBP-UHFFFAOYSA-N O=C(NCC(O)CN1CCC2=C(C=CC=C2)C1)C1=CC(CC2COC2)=CC=C1 Chemical compound O=C(NCC(O)CN1CCC2=C(C=CC=C2)C1)C1=CC(CC2COC2)=CC=C1 IUZJHCRGCOPXBP-UHFFFAOYSA-N 0.000 description 1
- ILQLWUGZPHZAGM-UHFFFAOYSA-N O=C(NCC(O)CN1CCC2=C(C=CC=C2)C1)C1=CC(CCCN2CCOCC2)=CC=C1 Chemical compound O=C(NCC(O)CN1CCC2=C(C=CC=C2)C1)C1=CC(CCCN2CCOCC2)=CC=C1 ILQLWUGZPHZAGM-UHFFFAOYSA-N 0.000 description 1
- QIKOHWUMCGCIPR-UHFFFAOYSA-N O=C(NCC(O)CN1CCC2=C(C=CC=C2)C1)C1=CC(OC2CCOCC2)=CC=C1 Chemical compound O=C(NCC(O)CN1CCC2=C(C=CC=C2)C1)C1=CC(OC2CCOCC2)=CC=C1 QIKOHWUMCGCIPR-UHFFFAOYSA-N 0.000 description 1
- VOHLNNQDNJHFOP-UHFFFAOYSA-N O=C(NCC(O)CN1CCC2=C(C=CC=C2)C1)C1=CC2=C(C=C1)N=CC=N2 Chemical compound O=C(NCC(O)CN1CCC2=C(C=CC=C2)C1)C1=CC2=C(C=C1)N=CC=N2 VOHLNNQDNJHFOP-UHFFFAOYSA-N 0.000 description 1
- UAMDNVMACQSJRH-UHFFFAOYSA-N O=C(NCC(O)CN1CCC2=C(C=CC=C2)C1)C1=CC=C(F)C(CC2CCOCC2)=C1 Chemical compound O=C(NCC(O)CN1CCC2=C(C=CC=C2)C1)C1=CC=C(F)C(CC2CCOCC2)=C1 UAMDNVMACQSJRH-UHFFFAOYSA-N 0.000 description 1
- YVFPMHBZLWDDCA-UHFFFAOYSA-N O=C(NCC(O)CN1CCC2=C(C=CC=C2)C1)C1=CC=C(NC2CCOCC2)C=C1 Chemical compound O=C(NCC(O)CN1CCC2=C(C=CC=C2)C1)C1=CC=C(NC2CCOCC2)C=C1 YVFPMHBZLWDDCA-UHFFFAOYSA-N 0.000 description 1
- GVWOEMJJEKGMCA-UHFFFAOYSA-N O=C(NCC(O)CN1CCC2=C(C=CC=C2)C1)C1=CC=C(OC2CCN(CC(F)(F)F)CC2)C=C1 Chemical compound O=C(NCC(O)CN1CCC2=C(C=CC=C2)C1)C1=CC=C(OC2CCN(CC(F)(F)F)CC2)C=C1 GVWOEMJJEKGMCA-UHFFFAOYSA-N 0.000 description 1
- LOKBYDZRVKEISB-UHFFFAOYSA-N O=C(NCC(O)CN1CCC2=C(C=CC=C2)C1)C1=CC=C(OC2CCNCC2)C=C1 Chemical compound O=C(NCC(O)CN1CCC2=C(C=CC=C2)C1)C1=CC=C(OC2CCNCC2)C=C1 LOKBYDZRVKEISB-UHFFFAOYSA-N 0.000 description 1
- LBCLUDZCIDMYFS-UHFFFAOYSA-N O=C(NCC(O)CN1CCC2=C(C=CC=C2)C1)C1=CC=C2N=CC=CC2=C1 Chemical compound O=C(NCC(O)CN1CCC2=C(C=CC=C2)C1)C1=CC=C2N=CC=CC2=C1 LBCLUDZCIDMYFS-UHFFFAOYSA-N 0.000 description 1
- LZZVZGHRVBYPOQ-UHFFFAOYSA-N O=C(NCC(O)CN1CCC2=C(C=CC=C2)C1)C1=CC=C2NCCOC2=C1 Chemical compound O=C(NCC(O)CN1CCC2=C(C=CC=C2)C1)C1=CC=C2NCCOC2=C1 LZZVZGHRVBYPOQ-UHFFFAOYSA-N 0.000 description 1
- XJJVRPKPSPKPRV-UHFFFAOYSA-N O=C(NCC(O)CN1CCC2=C(C=CC=C2)C1)C1=CC=CC(C2CCOCC2)=C1 Chemical compound O=C(NCC(O)CN1CCC2=C(C=CC=C2)C1)C1=CC=CC(C2CCOCC2)=C1 XJJVRPKPSPKPRV-UHFFFAOYSA-N 0.000 description 1
- WQPQIMZMPWJIMA-UHFFFAOYSA-N O=C(NCC(O)CN1CCC2=C(C=CC=C2)C1)C1=CC=CC(CC2CCN(CC(F)(F)F)C2)=C1 Chemical compound O=C(NCC(O)CN1CCC2=C(C=CC=C2)C1)C1=CC=CC(CC2CCN(CC(F)(F)F)C2)=C1 WQPQIMZMPWJIMA-UHFFFAOYSA-N 0.000 description 1
- QPQZGXURXFIGNV-UHFFFAOYSA-N O=C(NCC(O)CN1CCC2=C(C=CC=C2)C1)C1=CC=CC(CC2CCNC2)=C1 Chemical compound O=C(NCC(O)CN1CCC2=C(C=CC=C2)C1)C1=CC=CC(CC2CCNC2)=C1 QPQZGXURXFIGNV-UHFFFAOYSA-N 0.000 description 1
- CLRSNUCVXHJDNG-UHFFFAOYSA-N O=C(NCC(O)CN1CCC2=C(C=CC=C2)C1)C1=CC=CC(CC2CCOCC2)=C1F Chemical compound O=C(NCC(O)CN1CCC2=C(C=CC=C2)C1)C1=CC=CC(CC2CCOCC2)=C1F CLRSNUCVXHJDNG-UHFFFAOYSA-N 0.000 description 1
- UFVJQZCHBBNGTA-UHFFFAOYSA-N O=C(NCC(O)CN1CCC2=C(C=CC=C2)C1)C1=CC=CC(CC2CCOCC2O)=C1 Chemical compound O=C(NCC(O)CN1CCC2=C(C=CC=C2)C1)C1=CC=CC(CC2CCOCC2O)=C1 UFVJQZCHBBNGTA-UHFFFAOYSA-N 0.000 description 1
- JIRPPHMUTULKLZ-UHFFFAOYSA-N O=C(NCC(O)CN1CCC2=C(C=CC=C2)C1)C1=CC=CC(CN2CCN(CCO)CC2)=C1 Chemical compound O=C(NCC(O)CN1CCC2=C(C=CC=C2)C1)C1=CC=CC(CN2CCN(CCO)CC2)=C1 JIRPPHMUTULKLZ-UHFFFAOYSA-N 0.000 description 1
- SRYPHXUPUJSJFV-UHFFFAOYSA-N O=C(NCC(O)CN1CCC2=C(C=CC=C2)C1)C1=CC=CN=C1 Chemical compound O=C(NCC(O)CN1CCC2=C(C=CC=C2)C1)C1=CC=CN=C1 SRYPHXUPUJSJFV-UHFFFAOYSA-N 0.000 description 1
- QXABSOHJFQPOCG-UHFFFAOYSA-N O=C(NCC(O)CN1CCC2=C(C=CC=C2)C1)C1=NC(CC2CCOCC2)=CC=C1 Chemical compound O=C(NCC(O)CN1CCC2=C(C=CC=C2)C1)C1=NC(CC2CCOCC2)=CC=C1 QXABSOHJFQPOCG-UHFFFAOYSA-N 0.000 description 1
- JXQIICKJZGBNFW-UHFFFAOYSA-N O=C(NCC(O)CN1CCC2=C(C=CC=C2)C1)C1=NC(CC2CCOCC2)=CC=N1 Chemical compound O=C(NCC(O)CN1CCC2=C(C=CC=C2)C1)C1=NC(CC2CCOCC2)=CC=N1 JXQIICKJZGBNFW-UHFFFAOYSA-N 0.000 description 1
- QFSIASMPVRRXLG-UHFFFAOYSA-N O=C(NCC(O)CN1CCC2=C(C=CC=C2)C1)C1=NC(CC2CCOCC2)=CN=C1 Chemical compound O=C(NCC(O)CN1CCC2=C(C=CC=C2)C1)C1=NC(CC2CCOCC2)=CN=C1 QFSIASMPVRRXLG-UHFFFAOYSA-N 0.000 description 1
- ZBKTVMCECZTCCE-UHFFFAOYSA-N O=C(NCC(O)CN1CCC2=C(C=CC=C2)C1)C1=NC(CC2CCOCC2)=NC=C1 Chemical compound O=C(NCC(O)CN1CCC2=C(C=CC=C2)C1)C1=NC(CC2CCOCC2)=NC=C1 ZBKTVMCECZTCCE-UHFFFAOYSA-N 0.000 description 1
- IQOXVADYZAROMQ-JOCHJYFZSA-N O=C(NC[C@@H](O)CN1CCC2=C(C=CC=C2)C1)C1=CC(C2=NC=CC=C2)=CC=C1 Chemical compound O=C(NC[C@@H](O)CN1CCC2=C(C=CC=C2)C1)C1=CC(C2=NC=CC=C2)=CC=C1 IQOXVADYZAROMQ-JOCHJYFZSA-N 0.000 description 1
- ZZZSXUFUWUNJFP-LEQGEALCSA-N O=C(NC[C@@H](O)CN1CCC2=C(C=CC=C2)C1)C1=CC(CC2CCOC2)=CC=C1 Chemical compound O=C(NC[C@@H](O)CN1CCC2=C(C=CC=C2)C1)C1=CC(CC2CCOC2)=CC=C1 ZZZSXUFUWUNJFP-LEQGEALCSA-N 0.000 description 1
- HTXQCRKFXMKJBU-XMMPIXPASA-N O=C(NC[C@@H](O)CN1CCC2=C(C=CC=C2)C1)C1=CC(CC2CCOCC2)=CC=C1 Chemical compound O=C(NC[C@@H](O)CN1CCC2=C(C=CC=C2)C1)C1=CC(CC2CCOCC2)=CC=C1 HTXQCRKFXMKJBU-XMMPIXPASA-N 0.000 description 1
- QIKOHWUMCGCIPR-OAQYLSRUSA-N O=C(NC[C@@H](O)CN1CCC2=C(C=CC=C2)C1)C1=CC(OC2CCOCC2)=CC=C1 Chemical compound O=C(NC[C@@H](O)CN1CCC2=C(C=CC=C2)C1)C1=CC(OC2CCOCC2)=CC=C1 QIKOHWUMCGCIPR-OAQYLSRUSA-N 0.000 description 1
- JYSFCCVCBMGCMA-GOSISDBHSA-N O=C(NC[C@@H](O)CN1CCC2=C(C=CC=C2)C1)C1=CC=CC=C1 Chemical compound O=C(NC[C@@H](O)CN1CCC2=C(C=CC=C2)C1)C1=CC=CC=C1 JYSFCCVCBMGCMA-GOSISDBHSA-N 0.000 description 1
- JQEBBTKFWRCBRM-GOSISDBHSA-N O=C(NC[C@@H](O)CN1CCC2=C(C=CC=C2)C1)NC1=CC=CC=C1 Chemical compound O=C(NC[C@@H](O)CN1CCC2=C(C=CC=C2)C1)NC1=CC=CC=C1 JQEBBTKFWRCBRM-GOSISDBHSA-N 0.000 description 1
- ZZZSXUFUWUNJFP-BVHINDKJSA-N O=C(NC[C@H](O)CN1CCC2=C(C=CC=C2)C1)C1=CC(CC2CCOC2)=CC=C1 Chemical compound O=C(NC[C@H](O)CN1CCC2=C(C=CC=C2)C1)C1=CC(CC2CCOC2)=CC=C1 ZZZSXUFUWUNJFP-BVHINDKJSA-N 0.000 description 1
- HTXQCRKFXMKJBU-DEOSSOPVSA-N O=C(NC[C@H](O)CN1CCC2=C(C=CC=C2)C1)C1=CC(CC2CCOCC2)=CC=C1 Chemical compound O=C(NC[C@H](O)CN1CCC2=C(C=CC=C2)C1)C1=CC(CC2CCOCC2)=CC=C1 HTXQCRKFXMKJBU-DEOSSOPVSA-N 0.000 description 1
- QIKOHWUMCGCIPR-NRFANRHFSA-N O=C(NC[C@H](O)CN1CCC2=C(C=CC=C2)C1)C1=CC(OC2CCOCC2)=CC=C1 Chemical compound O=C(NC[C@H](O)CN1CCC2=C(C=CC=C2)C1)C1=CC(OC2CCOCC2)=CC=C1 QIKOHWUMCGCIPR-NRFANRHFSA-N 0.000 description 1
- JQEBBTKFWRCBRM-SFHVURJKSA-N O=C(NC[C@H](O)CN1CCC2=C(C=CC=C2)C1)NC1=CC=CC=C1 Chemical compound O=C(NC[C@H](O)CN1CCC2=C(C=CC=C2)C1)NC1=CC=CC=C1 JQEBBTKFWRCBRM-SFHVURJKSA-N 0.000 description 1
- ISPNKABZQKKZLU-KRWDZBQOSA-N O=C(NC[C@H](O)CN1CCC2=C(C=CC=C2)C1)OC1=CC=CC=C1 Chemical compound O=C(NC[C@H](O)CN1CCC2=C(C=CC=C2)C1)OC1=CC=CC=C1 ISPNKABZQKKZLU-KRWDZBQOSA-N 0.000 description 1
- UJIBOGAQJRDRES-UHFFFAOYSA-N O=C1C=CC=CN1.OC1=CC=CC=N1 Chemical compound O=C1C=CC=CN1.OC1=CC=CC=N1 UJIBOGAQJRDRES-UHFFFAOYSA-N 0.000 description 1
- NEKJBMWVGTVEDI-UHFFFAOYSA-N O=C1COC2=CC(C(=O)NCC(O)CN3CCC4=C(C=CC=C4)C3)=CC=C2N1 Chemical compound O=C1COC2=CC(C(=O)NCC(O)CN3CCC4=C(C=CC=C4)C3)=CC=C2N1 NEKJBMWVGTVEDI-UHFFFAOYSA-N 0.000 description 1
- JVSSDIQKIGEZRJ-UHFFFAOYSA-N OC(CNC(c1cc(NC2CNCC2)ccc1)=O)CN(CC1)Cc2c1cccc2 Chemical compound OC(CNC(c1cc(NC2CNCC2)ccc1)=O)CN(CC1)Cc2c1cccc2 JVSSDIQKIGEZRJ-UHFFFAOYSA-N 0.000 description 1
- UZYNMZLXPITMNW-KRWDZBQOSA-N O[C@@H](CNC(c1ccncc1)=O)CN(CC1)Cc2c1cccc2 Chemical compound O[C@@H](CNC(c1ccncc1)=O)CN(CC1)Cc2c1cccc2 UZYNMZLXPITMNW-KRWDZBQOSA-N 0.000 description 1
- VDWVEBLENWFWJZ-HNNXBMFYSA-N O[C@@H](CNC(c1ccncn1)=O)CN(CC1)Cc2c1cccc2 Chemical compound O[C@@H](CNC(c1ccncn1)=O)CN(CC1)Cc2c1cccc2 VDWVEBLENWFWJZ-HNNXBMFYSA-N 0.000 description 1
- 241000219925 Oenothera Species 0.000 description 1
- 235000004496 Oenothera biennis Nutrition 0.000 description 1
- 108091034117 Oligonucleotide Proteins 0.000 description 1
- 235000014643 Orbignya martiana Nutrition 0.000 description 1
- 244000021150 Orbignya martiana Species 0.000 description 1
- 206010031096 Oropharyngeal cancer Diseases 0.000 description 1
- 206010057444 Oropharyngeal neoplasm Diseases 0.000 description 1
- 240000007594 Oryza sativa Species 0.000 description 1
- 235000007164 Oryza sativa Nutrition 0.000 description 1
- 206010033128 Ovarian cancer Diseases 0.000 description 1
- 206010061328 Ovarian epithelial cancer Diseases 0.000 description 1
- 206010061535 Ovarian neoplasm Diseases 0.000 description 1
- 208000017459 Paget disease of the penis Diseases 0.000 description 1
- 208000025610 Paget disease of the vulva Diseases 0.000 description 1
- 235000008753 Papaver somniferum Nutrition 0.000 description 1
- 241001494479 Pecora Species 0.000 description 1
- 208000002471 Penile Neoplasms Diseases 0.000 description 1
- 206010034299 Penile cancer Diseases 0.000 description 1
- 244000025272 Persea americana Species 0.000 description 1
- 235000008673 Persea americana Nutrition 0.000 description 1
- 208000009565 Pharyngeal Neoplasms Diseases 0.000 description 1
- 206010034811 Pharyngeal cancer Diseases 0.000 description 1
- 241000286209 Phasianidae Species 0.000 description 1
- IMQLKJBTEOYOSI-UHFFFAOYSA-N Phytic acid Natural products OP(O)(=O)OC1C(OP(O)(O)=O)C(OP(O)(O)=O)C(OP(O)(O)=O)C(OP(O)(O)=O)C1OP(O)(O)=O IMQLKJBTEOYOSI-UHFFFAOYSA-N 0.000 description 1
- 208000007641 Pinealoma Diseases 0.000 description 1
- 239000004372 Polyvinyl alcohol Substances 0.000 description 1
- HLCFGWHYROZGBI-JJKGCWMISA-M Potassium gluconate Chemical compound [K+].OC[C@@H](O)[C@@H](O)[C@H](O)[C@@H](O)C([O-])=O HLCFGWHYROZGBI-JJKGCWMISA-M 0.000 description 1
- 206010036524 Precursor B-lymphoblastic lymphomas Diseases 0.000 description 1
- 208000032758 Precursor T-lymphoblastic lymphoma/leukaemia Diseases 0.000 description 1
- 241000288906 Primates Species 0.000 description 1
- XBDQKXXYIPTUBI-UHFFFAOYSA-M Propionate Chemical compound CCC([O-])=O XBDQKXXYIPTUBI-UHFFFAOYSA-M 0.000 description 1
- 102000001708 Protein Isoforms Human genes 0.000 description 1
- 108010029485 Protein Isoforms Proteins 0.000 description 1
- 102000055027 Protein Methyltransferases Human genes 0.000 description 1
- 108700040121 Protein Methyltransferases Proteins 0.000 description 1
- 235000009827 Prunus armeniaca Nutrition 0.000 description 1
- 244000018633 Prunus armeniaca Species 0.000 description 1
- 235000006040 Prunus persica var persica Nutrition 0.000 description 1
- 241000700159 Rattus Species 0.000 description 1
- 206010038389 Renal cancer Diseases 0.000 description 1
- 201000000582 Retinoblastoma Diseases 0.000 description 1
- 241000283984 Rodentia Species 0.000 description 1
- 244000178231 Rosmarinus officinalis Species 0.000 description 1
- 208000004337 Salivary Gland Neoplasms Diseases 0.000 description 1
- 206010061934 Salivary gland cancer Diseases 0.000 description 1
- 240000000513 Santalum album Species 0.000 description 1
- 235000008632 Santalum album Nutrition 0.000 description 1
- 206010039491 Sarcoma Diseases 0.000 description 1
- 101100168914 Schizosaccharomyces pombe (strain 972 / ATCC 24843) pcu4 gene Proteins 0.000 description 1
- 208000006938 Schwannomatosis Diseases 0.000 description 1
- 201000010208 Seminoma Diseases 0.000 description 1
- 235000003434 Sesamum indicum Nutrition 0.000 description 1
- 244000040738 Sesamum orientale Species 0.000 description 1
- 208000009359 Sezary Syndrome Diseases 0.000 description 1
- 208000021388 Sezary disease Diseases 0.000 description 1
- 244000044822 Simmondsia californica Species 0.000 description 1
- 235000004433 Simmondsia californica Nutrition 0.000 description 1
- 208000000453 Skin Neoplasms Diseases 0.000 description 1
- UIIMBOGNXHQVGW-DEQYMQKBSA-M Sodium bicarbonate-14C Chemical compound [Na+].O[14C]([O-])=O UIIMBOGNXHQVGW-DEQYMQKBSA-M 0.000 description 1
- BCKXLBQYZLBQEK-KVVVOXFISA-M Sodium oleate Chemical compound [Na+].CCCCCCCC\C=C/CCCCCCCC([O-])=O BCKXLBQYZLBQEK-KVVVOXFISA-M 0.000 description 1
- 208000021712 Soft tissue sarcoma Diseases 0.000 description 1
- 235000002595 Solanum tuberosum Nutrition 0.000 description 1
- 244000061456 Solanum tuberosum Species 0.000 description 1
- NWGKJDSIEKMTRX-AAZCQSIUSA-N Sorbitan monooleate Chemical compound CCCCCCCC\C=C/CCCCCCCC(=O)OC[C@@H](O)[C@H]1OC[C@H](O)[C@H]1O NWGKJDSIEKMTRX-AAZCQSIUSA-N 0.000 description 1
- 235000009184 Spondias indica Nutrition 0.000 description 1
- 235000021355 Stearic acid Nutrition 0.000 description 1
- SSZBUIDZHHWXNJ-UHFFFAOYSA-N Stearinsaeure-hexadecylester Natural products CCCCCCCCCCCCCCCCCC(=O)OCCCCCCCCCCCCCCCC SSZBUIDZHHWXNJ-UHFFFAOYSA-N 0.000 description 1
- 208000010502 Subcutaneous panniculitis-like T-cell lymphoma Diseases 0.000 description 1
- KDYFGRWQOYBRFD-UHFFFAOYSA-N Succinic acid Natural products OC(=O)CCC(O)=O KDYFGRWQOYBRFD-UHFFFAOYSA-N 0.000 description 1
- 241000282887 Suidae Species 0.000 description 1
- 201000008736 Systemic mastocytosis Diseases 0.000 description 1
- 206010042971 T-cell lymphoma Diseases 0.000 description 1
- 208000026651 T-cell prolymphocytic leukemia Diseases 0.000 description 1
- 208000024313 Testicular Neoplasms Diseases 0.000 description 1
- 206010057644 Testis cancer Diseases 0.000 description 1
- WPMWEFXCIYCJSA-UHFFFAOYSA-N Tetraethylene glycol monododecyl ether Chemical compound CCCCCCCCCCCCOCCOCCOCCOCCO WPMWEFXCIYCJSA-UHFFFAOYSA-N 0.000 description 1
- ZMZDMBWJUHKJPS-UHFFFAOYSA-M Thiocyanate anion Chemical compound [S-]C#N ZMZDMBWJUHKJPS-UHFFFAOYSA-M 0.000 description 1
- 206010043515 Throat cancer Diseases 0.000 description 1
- 208000024770 Thyroid neoplasm Diseases 0.000 description 1
- 229920001615 Tragacanth Polymers 0.000 description 1
- 102000040945 Transcription factor Human genes 0.000 description 1
- 108091023040 Transcription factor Proteins 0.000 description 1
- 102000004357 Transferases Human genes 0.000 description 1
- 108090000992 Transferases Proteins 0.000 description 1
- DTQVDTLACAAQTR-UHFFFAOYSA-M Trifluoroacetate Chemical compound [O-]C(=O)C(F)(F)F DTQVDTLACAAQTR-UHFFFAOYSA-M 0.000 description 1
- YZCKVEUIGOORGS-NJFSPNSNSA-N Tritium Chemical compound [3H] YZCKVEUIGOORGS-NJFSPNSNSA-N 0.000 description 1
- 239000013504 Triton X-100 Substances 0.000 description 1
- 229920004890 Triton X-100 Polymers 0.000 description 1
- 102000004243 Tubulin Human genes 0.000 description 1
- 108090000704 Tubulin Proteins 0.000 description 1
- 206010067584 Type 1 diabetes mellitus Diseases 0.000 description 1
- 102000006275 Ubiquitin-Protein Ligases Human genes 0.000 description 1
- 108010083111 Ubiquitin-Protein Ligases Proteins 0.000 description 1
- 206010046431 Urethral cancer Diseases 0.000 description 1
- 206010046458 Urethral neoplasms Diseases 0.000 description 1
- 208000006105 Uterine Cervical Neoplasms Diseases 0.000 description 1
- 208000002495 Uterine Neoplasms Diseases 0.000 description 1
- 201000005969 Uveal melanoma Diseases 0.000 description 1
- 208000014070 Vestibular schwannoma Diseases 0.000 description 1
- 235000007769 Vetiveria zizanioides Nutrition 0.000 description 1
- 244000284012 Vetiveria zizanioides Species 0.000 description 1
- FPIPGXGPPPQFEQ-BOOMUCAASA-N Vitamin A Natural products OC/C=C(/C)\C=C\C=C(\C)/C=C/C1=C(C)CCCC1(C)C FPIPGXGPPPQFEQ-BOOMUCAASA-N 0.000 description 1
- 229930003268 Vitamin C Natural products 0.000 description 1
- 229930003427 Vitamin E Natural products 0.000 description 1
- 235000018936 Vitellaria paradoxa Nutrition 0.000 description 1
- 241001135917 Vitellaria paradoxa Species 0.000 description 1
- 206010047741 Vulval cancer Diseases 0.000 description 1
- 208000004354 Vulvar Neoplasms Diseases 0.000 description 1
- 208000033559 Waldenström macroglobulinemia Diseases 0.000 description 1
- CLPYVPMXLNNKLB-UHFFFAOYSA-N [(2-nitrophenyl)-phenylmethyl] carbamate Chemical compound C=1C=CC=C([N+]([O-])=O)C=1C(OC(=O)N)C1=CC=CC=C1 CLPYVPMXLNNKLB-UHFFFAOYSA-N 0.000 description 1
- SPXSEZMVRJLHQG-XMMPIXPASA-N [(2R)-1-[[4-[(3-phenylmethoxyphenoxy)methyl]phenyl]methyl]pyrrolidin-2-yl]methanol Chemical compound C(C1=CC=CC=C1)OC=1C=C(OCC2=CC=C(CN3[C@H](CCC3)CO)C=C2)C=CC=1 SPXSEZMVRJLHQG-XMMPIXPASA-N 0.000 description 1
- 239000001089 [(2R)-oxolan-2-yl]methanol Substances 0.000 description 1
- AIHIHVZYAAMDPM-MRVPVSSYSA-N [(2r)-oxiran-2-yl]methyl 3-nitrobenzenesulfonate Chemical compound [O-][N+](=O)C1=CC=CC(S(=O)(=O)OC[C@@H]2OC2)=C1 AIHIHVZYAAMDPM-MRVPVSSYSA-N 0.000 description 1
- AIHIHVZYAAMDPM-QMMMGPOBSA-N [(2s)-oxiran-2-yl]methyl 3-nitrobenzenesulfonate Chemical compound [O-][N+](=O)C1=CC=CC(S(=O)(=O)OC[C@H]2OC2)=C1 AIHIHVZYAAMDPM-QMMMGPOBSA-N 0.000 description 1
- PSLUFJFHTBIXMW-WYEYVKMPSA-N [(3r,4ar,5s,6s,6as,10s,10ar,10bs)-3-ethenyl-10,10b-dihydroxy-3,4a,7,7,10a-pentamethyl-1-oxo-6-(2-pyridin-2-ylethylcarbamoyloxy)-5,6,6a,8,9,10-hexahydro-2h-benzo[f]chromen-5-yl] acetate Chemical compound O([C@@H]1[C@@H]([C@]2(O[C@](C)(CC(=O)[C@]2(O)[C@@]2(C)[C@@H](O)CCC(C)(C)[C@@H]21)C=C)C)OC(=O)C)C(=O)NCCC1=CC=CC=N1 PSLUFJFHTBIXMW-WYEYVKMPSA-N 0.000 description 1
- LXKLUWFIBVXFGX-QPJJXVBHSA-N [(e)-3-phenylprop-2-enyl] carbamate Chemical compound NC(=O)OC\C=C\C1=CC=CC=C1 LXKLUWFIBVXFGX-QPJJXVBHSA-N 0.000 description 1
- MQLDYIKXBMSDCL-UHFFFAOYSA-N [2,4-bis(methylsulfanyl)phenyl] carbamate Chemical compound CSC1=CC=C(OC(N)=O)C(SC)=C1 MQLDYIKXBMSDCL-UHFFFAOYSA-N 0.000 description 1
- OJUHIDQVEFLXSE-UHFFFAOYSA-N [2-(4-methoxyphenyl)-2-oxoethyl] carbamate Chemical compound COC1=CC=C(C(=O)COC(N)=O)C=C1 OJUHIDQVEFLXSE-UHFFFAOYSA-N 0.000 description 1
- HVUMOYIDDBPOLL-XGKPLOKHSA-N [2-[(2r,3r,4s)-3,4-dihydroxyoxolan-2-yl]-2-hydroxyethyl] octadecanoate Chemical compound CCCCCCCCCCCCCCCCCC(=O)OCC(O)[C@H]1OC[C@H](O)[C@H]1O HVUMOYIDDBPOLL-XGKPLOKHSA-N 0.000 description 1
- XSXGGUVGOHDUPF-UHFFFAOYSA-N [4-(carbamoyloxymethyl)phenyl]boronic acid Chemical compound NC(=O)OCC1=CC=C(B(O)O)C=C1 XSXGGUVGOHDUPF-UHFFFAOYSA-N 0.000 description 1
- YKTSYUJCYHOUJP-UHFFFAOYSA-N [O--].[Al+3].[Al+3].[O-][Si]([O-])([O-])[O-] Chemical compound [O--].[Al+3].[Al+3].[O-][Si]([O-])([O-])[O-] YKTSYUJCYHOUJP-UHFFFAOYSA-N 0.000 description 1
- SMNRFWMNPDABKZ-WVALLCKVSA-N [[(2R,3S,4R,5S)-5-(2,6-dioxo-3H-pyridin-3-yl)-3,4-dihydroxyoxolan-2-yl]methoxy-hydroxyphosphoryl] [[[(2R,3S,4S,5R,6R)-4-fluoro-3,5-dihydroxy-6-(hydroxymethyl)oxan-2-yl]oxy-hydroxyphosphoryl]oxy-hydroxyphosphoryl] hydrogen phosphate Chemical compound OC[C@H]1O[C@H](OP(O)(=O)OP(O)(=O)OP(O)(=O)OP(O)(=O)OC[C@H]2O[C@H]([C@H](O)[C@@H]2O)C2C=CC(=O)NC2=O)[C@H](O)[C@@H](F)[C@@H]1O SMNRFWMNPDABKZ-WVALLCKVSA-N 0.000 description 1
- RKPPSVOVGJVAGU-UHFFFAOYSA-N [n-(trifluoromethylsulfonyloxy)anilino] trifluoromethanesulfonate Chemical compound FC(F)(F)S(=O)(=O)ON(OS(=O)(=O)C(F)(F)F)C1=CC=CC=C1 RKPPSVOVGJVAGU-UHFFFAOYSA-N 0.000 description 1
- 230000002159 abnormal effect Effects 0.000 description 1
- 239000002250 absorbent Substances 0.000 description 1
- 230000002745 absorbent Effects 0.000 description 1
- 239000003655 absorption accelerator Substances 0.000 description 1
- 238000009825 accumulation Methods 0.000 description 1
- 229940022663 acetate Drugs 0.000 description 1
- 239000008351 acetate buffer Substances 0.000 description 1
- VJHCJDRQFCCTHL-UHFFFAOYSA-N acetic acid 2,3,4,5,6-pentahydroxyhexanal Chemical compound CC(O)=O.OCC(O)C(O)C(O)C(O)C=O VJHCJDRQFCCTHL-UHFFFAOYSA-N 0.000 description 1
- DPXJVFZANSGRMM-UHFFFAOYSA-N acetic acid;2,3,4,5,6-pentahydroxyhexanal;sodium Chemical compound [Na].CC(O)=O.OCC(O)C(O)C(O)C(O)C=O DPXJVFZANSGRMM-UHFFFAOYSA-N 0.000 description 1
- XPOLVIIHTDKJRY-UHFFFAOYSA-N acetic acid;methanimidamide Chemical compound NC=N.CC(O)=O XPOLVIIHTDKJRY-UHFFFAOYSA-N 0.000 description 1
- GCPWJFKTWGFEHH-UHFFFAOYSA-N acetoacetamide Chemical compound CC(=O)CC(N)=O GCPWJFKTWGFEHH-UHFFFAOYSA-N 0.000 description 1
- 125000002777 acetyl group Chemical group [H]C([H])([H])C(*)=O 0.000 description 1
- 239000002253 acid Substances 0.000 description 1
- 208000004064 acoustic neuroma Diseases 0.000 description 1
- 230000004913 activation Effects 0.000 description 1
- 125000002015 acyclic group Chemical group 0.000 description 1
- 125000002252 acyl group Chemical group 0.000 description 1
- 125000005585 adamantoate group Chemical group 0.000 description 1
- 208000002517 adenoid cystic carcinoma Diseases 0.000 description 1
- 239000000853 adhesive Substances 0.000 description 1
- WNLRTRBMVRJNCN-UHFFFAOYSA-L adipate(2-) Chemical compound [O-]C(=O)CCCCC([O-])=O WNLRTRBMVRJNCN-UHFFFAOYSA-L 0.000 description 1
- 239000002671 adjuvant Substances 0.000 description 1
- 201000005188 adrenal gland cancer Diseases 0.000 description 1
- 208000024447 adrenal gland neoplasm Diseases 0.000 description 1
- 239000000443 aerosol Substances 0.000 description 1
- 238000001042 affinity chromatography Methods 0.000 description 1
- 230000001476 alcoholic effect Effects 0.000 description 1
- 229940072056 alginate Drugs 0.000 description 1
- 239000003513 alkali Substances 0.000 description 1
- 229910052783 alkali metal Inorganic materials 0.000 description 1
- 150000001340 alkali metals Chemical class 0.000 description 1
- 150000001342 alkaline earth metals Chemical class 0.000 description 1
- 125000006177 alkyl benzyl group Chemical group 0.000 description 1
- OENHQHLEOONYIE-UKMVMLAPSA-N all-trans beta-carotene Natural products CC=1CCCC(C)(C)C=1/C=C/C(/C)=C/C=C/C(/C)=C/C=C/C=C(C)C=CC=C(C)C=CC1=C(C)CCCC1(C)C OENHQHLEOONYIE-UKMVMLAPSA-N 0.000 description 1
- FPIPGXGPPPQFEQ-OVSJKPMPSA-N all-trans-retinol Chemical compound OC\C=C(/C)\C=C\C=C(/C)\C=C\C1=C(C)CCCC1(C)C FPIPGXGPPPQFEQ-OVSJKPMPSA-N 0.000 description 1
- 208000026935 allergic disease Diseases 0.000 description 1
- 235000020224 almond Nutrition 0.000 description 1
- 208000025751 alpha chain disease Diseases 0.000 description 1
- 229940087168 alpha tocopherol Drugs 0.000 description 1
- HSFWRNGVRCDJHI-UHFFFAOYSA-N alpha-acetylene Natural products C#C HSFWRNGVRCDJHI-UHFFFAOYSA-N 0.000 description 1
- AWUCVROLDVIAJX-UHFFFAOYSA-N alpha-glycerophosphate Natural products OCC(O)COP(O)(O)=O AWUCVROLDVIAJX-UHFFFAOYSA-N 0.000 description 1
- WNROFYMDJYEPJX-UHFFFAOYSA-K aluminium hydroxide Chemical compound [OH-].[OH-].[OH-].[Al+3] WNROFYMDJYEPJX-UHFFFAOYSA-K 0.000 description 1
- 229940024545 aluminum hydroxide Drugs 0.000 description 1
- 238000005576 amination reaction Methods 0.000 description 1
- 150000003862 amino acid derivatives Chemical class 0.000 description 1
- 125000000539 amino acid group Chemical group 0.000 description 1
- 150000001414 amino alcohols Chemical class 0.000 description 1
- 235000019270 ammonium chloride Nutrition 0.000 description 1
- 229960001040 ammonium chloride Drugs 0.000 description 1
- 239000003708 ampul Substances 0.000 description 1
- 206010002022 amyloidosis Diseases 0.000 description 1
- 206010002449 angioimmunoblastic T-cell lymphoma Diseases 0.000 description 1
- 125000000129 anionic group Chemical group 0.000 description 1
- 239000003945 anionic surfactant Substances 0.000 description 1
- 239000000420 anogeissus latifolia wall. gum Substances 0.000 description 1
- DQEFBVRIBYYPLE-UHFFFAOYSA-N anthracen-9-ylmethyl carbamate Chemical compound C1=CC=C2C(COC(=O)N)=C(C=CC=C3)C3=CC2=C1 DQEFBVRIBYYPLE-UHFFFAOYSA-N 0.000 description 1
- FKFZOFZWJNHJDE-UHFFFAOYSA-N anthracene-9-sulfonamide Chemical compound C1=CC=C2C(S(=O)(=O)N)=C(C=CC=C3)C3=CC2=C1 FKFZOFZWJNHJDE-UHFFFAOYSA-N 0.000 description 1
- 125000005428 anthryl group Chemical group [H]C1=C([H])C([H])=C2C([H])=C3C(*)=C([H])C([H])=C([H])C3=C([H])C2=C1[H] 0.000 description 1
- 230000003078 antioxidant effect Effects 0.000 description 1
- 239000000074 antisense oligonucleotide Substances 0.000 description 1
- 238000012230 antisense oligonucleotides Methods 0.000 description 1
- 201000011165 anus cancer Diseases 0.000 description 1
- BTFJIXJJCSYFAL-UHFFFAOYSA-N arachidyl alcohol Natural products CCCCCCCCCCCCCCCCCCCCO BTFJIXJJCSYFAL-UHFFFAOYSA-N 0.000 description 1
- 125000000637 arginyl group Chemical group N[C@@H](CCCNC(N)=N)C(=O)* 0.000 description 1
- 229940072107 ascorbate Drugs 0.000 description 1
- 229940009098 aspartate Drugs 0.000 description 1
- 239000012298 atmosphere Substances 0.000 description 1
- 238000000889 atomisation Methods 0.000 description 1
- OTKPPUXRIADSGD-PPRNARJGSA-N avoparcina Chemical compound O([C@@H]1C2=CC=C(C(=C2)Cl)OC=2C=C3C=C(C=2O[C@H]2C([C@@H](O)[C@H](O)[C@@H](CO)O2)O[C@@H]2O[C@@H](C)[C@H](O)[C@H](N)C2)OC2=CC=C(C=C2)[C@@H](O)[C@H](C(N[C@H](C(=O)N[C@H]3C(=O)N[C@H]2C(=O)N[C@@H]1C(N[C@@H](C1=CC(O)=CC(O)=C1C=1C(O)=CC=C2C=1)C(O)=O)=O)C=1C=CC(O)=CC=1)=O)NC(=O)[C@H](NC)C=1C=CC(O[C@H]2[C@@H]([C@H](O)[C@@H](O)[C@H](C)O2)O)=CC=1)[C@H]1C[C@@H](N)[C@@H](O)[C@H](C)O1 OTKPPUXRIADSGD-PPRNARJGSA-N 0.000 description 1
- 125000003725 azepanyl group Chemical group 0.000 description 1
- 125000002785 azepinyl group Chemical group 0.000 description 1
- 125000002393 azetidinyl group Chemical group 0.000 description 1
- 235000001053 badasse Nutrition 0.000 description 1
- 229960001950 benzethonium chloride Drugs 0.000 description 1
- UREZNYTWGJKWBI-UHFFFAOYSA-M benzethonium chloride Chemical compound [Cl-].C1=CC(C(C)(C)CC(C)(C)C)=CC=C1OCCOCC[N+](C)(C)CC1=CC=CC=C1 UREZNYTWGJKWBI-UHFFFAOYSA-M 0.000 description 1
- DUXANUSOCMOJSI-UHFFFAOYSA-N benzhydryl carbamate Chemical compound C=1C=CC=CC=1C(OC(=O)N)C1=CC=CC=C1 DUXANUSOCMOJSI-UHFFFAOYSA-N 0.000 description 1
- BNBQRQQYDMDJAH-UHFFFAOYSA-N benzodioxan Chemical compound C1=CC=C2OCCOC2=C1 BNBQRQQYDMDJAH-UHFFFAOYSA-N 0.000 description 1
- 229960004365 benzoic acid Drugs 0.000 description 1
- 229960002903 benzyl benzoate Drugs 0.000 description 1
- KGNDCEVUMONOKF-UGPLYTSKSA-N benzyl n-[(2r)-1-[(2s,4r)-2-[[(2s)-6-amino-1-(1,3-benzoxazol-2-yl)-1,1-dihydroxyhexan-2-yl]carbamoyl]-4-[(4-methylphenyl)methoxy]pyrrolidin-1-yl]-1-oxo-4-phenylbutan-2-yl]carbamate Chemical compound C1=CC(C)=CC=C1CO[C@H]1CN(C(=O)[C@@H](CCC=2C=CC=CC=2)NC(=O)OCC=2C=CC=CC=2)[C@H](C(=O)N[C@@H](CCCCN)C(O)(O)C=2OC3=CC=CC=C3N=2)C1 KGNDCEVUMONOKF-UGPLYTSKSA-N 0.000 description 1
- 208000005980 beta thalassemia Diseases 0.000 description 1
- 239000011648 beta-carotene Substances 0.000 description 1
- 235000013734 beta-carotene Nutrition 0.000 description 1
- TUPZEYHYWIEDIH-WAIFQNFQSA-N beta-carotene Natural products CC(=C/C=C/C=C(C)/C=C/C=C(C)/C=C/C1=C(C)CCCC1(C)C)C=CC=C(/C)C=CC2=CCCCC2(C)C TUPZEYHYWIEDIH-WAIFQNFQSA-N 0.000 description 1
- WHGYBXFWUBPSRW-FOUAGVGXSA-N beta-cyclodextrin Chemical compound OC[C@H]([C@H]([C@@H]([C@H]1O)O)O[C@H]2O[C@@H]([C@@H](O[C@H]3O[C@H](CO)[C@H]([C@@H]([C@H]3O)O)O[C@H]3O[C@H](CO)[C@H]([C@@H]([C@H]3O)O)O[C@H]3O[C@H](CO)[C@H]([C@@H]([C@H]3O)O)O[C@H]3O[C@H](CO)[C@H]([C@@H]([C@H]3O)O)O3)[C@H](O)[C@H]2O)CO)O[C@@H]1O[C@H]1[C@H](O)[C@@H](O)[C@@H]3O[C@@H]1CO WHGYBXFWUBPSRW-FOUAGVGXSA-N 0.000 description 1
- 229960002747 betacarotene Drugs 0.000 description 1
- 125000002618 bicyclic heterocycle group Chemical group 0.000 description 1
- BVCRERJDOOBZOH-UHFFFAOYSA-N bicyclo[2.2.1]heptanyl Chemical group C1C[C+]2CC[C-]1C2 BVCRERJDOOBZOH-UHFFFAOYSA-N 0.000 description 1
- 238000010256 biochemical assay Methods 0.000 description 1
- 230000031018 biological processes and functions Effects 0.000 description 1
- 230000008512 biological response Effects 0.000 description 1
- HROGQYMZWGPHIB-UHFFFAOYSA-N bis(4-methoxyphenyl)methanamine Chemical compound C1=CC(OC)=CC=C1C(N)C1=CC=C(OC)C=C1 HROGQYMZWGPHIB-UHFFFAOYSA-N 0.000 description 1
- JKJWYKGYGWOAHT-UHFFFAOYSA-N bis(prop-2-enyl) carbonate Chemical compound C=CCOC(=O)OCC=C JKJWYKGYGWOAHT-UHFFFAOYSA-N 0.000 description 1
- IISBACLAFKSPIT-UHFFFAOYSA-N bisphenol A Chemical compound C=1C=C(O)C=CC=1C(C)(C)C1=CC=C(O)C=C1 IISBACLAFKSPIT-UHFFFAOYSA-N 0.000 description 1
- 210000004369 blood Anatomy 0.000 description 1
- 239000008280 blood Substances 0.000 description 1
- 230000036760 body temperature Effects 0.000 description 1
- 210000004556 brain Anatomy 0.000 description 1
- 201000008274 breast adenocarcinoma Diseases 0.000 description 1
- 201000000135 breast papillary carcinoma Diseases 0.000 description 1
- GDTBXPJZTBHREO-UHFFFAOYSA-N bromine Substances BrBr GDTBXPJZTBHREO-UHFFFAOYSA-N 0.000 description 1
- 229910052794 bromium Inorganic materials 0.000 description 1
- 208000003362 bronchogenic carcinoma Diseases 0.000 description 1
- 201000005200 bronchus cancer Diseases 0.000 description 1
- 229960003168 bronopol Drugs 0.000 description 1
- KDYFGRWQOYBRFD-NUQCWPJISA-N butanedioic acid Chemical compound O[14C](=O)CC[14C](O)=O KDYFGRWQOYBRFD-NUQCWPJISA-N 0.000 description 1
- 235000019282 butylated hydroxyanisole Nutrition 0.000 description 1
- CZBZUDVBLSSABA-UHFFFAOYSA-N butylated hydroxyanisole Chemical compound COC1=CC=C(O)C(C(C)(C)C)=C1.COC1=CC=C(O)C=C1C(C)(C)C CZBZUDVBLSSABA-UHFFFAOYSA-N 0.000 description 1
- 229940043253 butylated hydroxyanisole Drugs 0.000 description 1
- 235000010354 butylated hydroxytoluene Nutrition 0.000 description 1
- 229940095259 butylated hydroxytoluene Drugs 0.000 description 1
- 229940067596 butylparaben Drugs 0.000 description 1
- 239000001110 calcium chloride Substances 0.000 description 1
- 229910001628 calcium chloride Inorganic materials 0.000 description 1
- 229960002713 calcium chloride Drugs 0.000 description 1
- 235000011148 calcium chloride Nutrition 0.000 description 1
- FNAQSUUGMSOBHW-UHFFFAOYSA-H calcium citrate Chemical compound [Ca+2].[Ca+2].[Ca+2].[O-]C(=O)CC(O)(CC([O-])=O)C([O-])=O.[O-]C(=O)CC(O)(CC([O-])=O)C([O-])=O FNAQSUUGMSOBHW-UHFFFAOYSA-H 0.000 description 1
- 239000001354 calcium citrate Substances 0.000 description 1
- 229960004256 calcium citrate Drugs 0.000 description 1
- 229960002283 calcium glubionate Drugs 0.000 description 1
- 229940078512 calcium gluceptate Drugs 0.000 description 1
- FATUQANACHZLRT-KMRXSBRUSA-L calcium glucoheptonate Chemical compound [Ca+2].OC[C@@H](O)[C@@H](O)[C@H](O)[C@@H](O)C(O)C([O-])=O.OC[C@@H](O)[C@@H](O)[C@H](O)[C@@H](O)C(O)C([O-])=O FATUQANACHZLRT-KMRXSBRUSA-L 0.000 description 1
- 235000013927 calcium gluconate Nutrition 0.000 description 1
- 239000004227 calcium gluconate Substances 0.000 description 1
- 229960004494 calcium gluconate Drugs 0.000 description 1
- UHHRFSOMMCWGSO-UHFFFAOYSA-L calcium glycerophosphate Chemical compound [Ca+2].OCC(CO)OP([O-])([O-])=O UHHRFSOMMCWGSO-UHFFFAOYSA-L 0.000 description 1
- 229940095618 calcium glycerophosphate Drugs 0.000 description 1
- 235000019299 calcium glycerylphosphate Nutrition 0.000 description 1
- MKJXYGKVIBWPFZ-UHFFFAOYSA-L calcium lactate Chemical compound [Ca+2].CC(O)C([O-])=O.CC(O)C([O-])=O MKJXYGKVIBWPFZ-UHFFFAOYSA-L 0.000 description 1
- 239000001527 calcium lactate Substances 0.000 description 1
- 235000011086 calcium lactate Nutrition 0.000 description 1
- 229960002401 calcium lactate Drugs 0.000 description 1
- 229940078480 calcium levulinate Drugs 0.000 description 1
- 229910000389 calcium phosphate Inorganic materials 0.000 description 1
- 235000011010 calcium phosphates Nutrition 0.000 description 1
- 159000000007 calcium salts Chemical class 0.000 description 1
- 235000011132 calcium sulphate Nutrition 0.000 description 1
- FATUQANACHZLRT-XBQZYUPDSA-L calcium;(2r,3r,4s,5r,6r)-2,3,4,5,6,7-hexahydroxyheptanoate Chemical compound [Ca+2].OC[C@@H](O)[C@@H](O)[C@H](O)[C@@H](O)[C@@H](O)C([O-])=O.OC[C@@H](O)[C@@H](O)[C@H](O)[C@@H](O)[C@@H](O)C([O-])=O FATUQANACHZLRT-XBQZYUPDSA-L 0.000 description 1
- OKRXSXDSNLJCRS-NLOQLBMISA-L calcium;(2r,3s,4r,5r)-2,3,4,5,6-pentahydroxyhexanoate;(2r,3r,4r,5r)-2,3,5,6-tetrahydroxy-4-[(2s,3r,4s,5r,6r)-3,4,5-trihydroxy-6-(hydroxymethyl)oxan-2-yl]oxyhexanoate;hydrate Chemical compound O.[Ca+2].OC[C@@H](O)[C@@H](O)[C@H](O)[C@@H](O)C([O-])=O.[O-]C(=O)[C@H](O)[C@@H](O)[C@@H]([C@H](O)CO)O[C@@H]1O[C@H](CO)[C@H](O)[C@H](O)[C@H]1O OKRXSXDSNLJCRS-NLOQLBMISA-L 0.000 description 1
- NEEHYRZPVYRGPP-UHFFFAOYSA-L calcium;2,3,4,5,6-pentahydroxyhexanoate Chemical compound [Ca+2].OCC(O)C(O)C(O)C(O)C([O-])=O.OCC(O)C(O)C(O)C(O)C([O-])=O NEEHYRZPVYRGPP-UHFFFAOYSA-L 0.000 description 1
- 239000004202 carbamide Chemical group 0.000 description 1
- 125000000609 carbazolyl group Chemical group C1(=CC=CC=2C3=CC=CC=C3NC12)* 0.000 description 1
- 150000001720 carbohydrates Chemical class 0.000 description 1
- 235000014633 carbohydrates Nutrition 0.000 description 1
- 150000001722 carbon compounds Chemical class 0.000 description 1
- 150000001732 carboxylic acid derivatives Chemical class 0.000 description 1
- 229920003123 carboxymethyl cellulose sodium Polymers 0.000 description 1
- 229940063834 carboxymethylcellulose sodium Drugs 0.000 description 1
- 229940096529 carboxypolymethylene Drugs 0.000 description 1
- 235000010418 carrageenan Nutrition 0.000 description 1
- 229920001525 carrageenan Polymers 0.000 description 1
- 239000000679 carrageenan Substances 0.000 description 1
- 229940113118 carrageenan Drugs 0.000 description 1
- 239000000969 carrier Substances 0.000 description 1
- 239000005018 casein Substances 0.000 description 1
- BECPQYXYKAMYBN-UHFFFAOYSA-N casein, tech. Chemical compound NCCCCC(C(O)=O)N=C(O)C(CC(O)=O)N=C(O)C(CCC(O)=N)N=C(O)C(CC(C)C)N=C(O)C(CCC(O)=O)N=C(O)C(CC(O)=O)N=C(O)C(CCC(O)=O)N=C(O)C(C(C)O)N=C(O)C(CCC(O)=N)N=C(O)C(CCC(O)=N)N=C(O)C(CCC(O)=N)N=C(O)C(CCC(O)=O)N=C(O)C(CCC(O)=O)N=C(O)C(COP(O)(O)=O)N=C(O)C(CCC(O)=N)N=C(O)C(N)CC1=CC=CC=C1 BECPQYXYKAMYBN-UHFFFAOYSA-N 0.000 description 1
- 235000021240 caseins Nutrition 0.000 description 1
- 235000019438 castor oil Nutrition 0.000 description 1
- 239000003729 cation exchange resin Substances 0.000 description 1
- 229940023913 cation exchange resins Drugs 0.000 description 1
- 125000002091 cationic group Chemical group 0.000 description 1
- 230000006369 cell cycle progression Effects 0.000 description 1
- 230000024245 cell differentiation Effects 0.000 description 1
- 238000001516 cell proliferation assay Methods 0.000 description 1
- 235000010980 cellulose Nutrition 0.000 description 1
- 229920002678 cellulose Polymers 0.000 description 1
- 229920002301 cellulose acetate Polymers 0.000 description 1
- 238000005119 centrifugation Methods 0.000 description 1
- 201000006662 cervical adenocarcinoma Diseases 0.000 description 1
- 201000010881 cervical cancer Diseases 0.000 description 1
- 229960000800 cetrimonium bromide Drugs 0.000 description 1
- 229910052729 chemical element Inorganic materials 0.000 description 1
- 239000003153 chemical reaction reagent Substances 0.000 description 1
- 235000013330 chicken meat Nutrition 0.000 description 1
- 229960003260 chlorhexidine Drugs 0.000 description 1
- 229910052801 chlorine Inorganic materials 0.000 description 1
- 229910001914 chlorine tetroxide Inorganic materials 0.000 description 1
- VXIVSQZSERGHQP-UHFFFAOYSA-N chloroacetamide Chemical class NC(=O)CCl VXIVSQZSERGHQP-UHFFFAOYSA-N 0.000 description 1
- FOCAUTSVDIKZOP-UHFFFAOYSA-M chloroacetate Chemical compound [O-]C(=O)CCl FOCAUTSVDIKZOP-UHFFFAOYSA-M 0.000 description 1
- 229940089960 chloroacetate Drugs 0.000 description 1
- 229960002242 chlorocresol Drugs 0.000 description 1
- 229960005443 chloroxylenol Drugs 0.000 description 1
- 208000006990 cholangiocarcinoma Diseases 0.000 description 1
- 210000003483 chromatin Anatomy 0.000 description 1
- 235000017803 cinnamon Nutrition 0.000 description 1
- 125000000259 cinnolinyl group Chemical group N1=NC(=CC2=CC=CC=C12)* 0.000 description 1
- 239000007979 citrate buffer Substances 0.000 description 1
- 229960002303 citric acid monohydrate Drugs 0.000 description 1
- 235000020971 citrus fruits Nutrition 0.000 description 1
- 239000004927 clay Substances 0.000 description 1
- 239000011248 coating agent Substances 0.000 description 1
- 235000019516 cod Nutrition 0.000 description 1
- 201000010897 colon adenocarcinoma Diseases 0.000 description 1
- 239000003086 colorant Substances 0.000 description 1
- 238000010835 comparative analysis Methods 0.000 description 1
- 229940125904 compound 1 Drugs 0.000 description 1
- 229940125797 compound 12 Drugs 0.000 description 1
- 229940126543 compound 14 Drugs 0.000 description 1
- 229940125758 compound 15 Drugs 0.000 description 1
- 229940126142 compound 16 Drugs 0.000 description 1
- 229940125782 compound 2 Drugs 0.000 description 1
- 229940126086 compound 21 Drugs 0.000 description 1
- 229940125833 compound 23 Drugs 0.000 description 1
- 229940126214 compound 3 Drugs 0.000 description 1
- 229940127573 compound 38 Drugs 0.000 description 1
- 229940125936 compound 42 Drugs 0.000 description 1
- 229940125844 compound 46 Drugs 0.000 description 1
- 229940127271 compound 49 Drugs 0.000 description 1
- 229940126545 compound 53 Drugs 0.000 description 1
- 229940127113 compound 57 Drugs 0.000 description 1
- 230000008876 conformational transition Effects 0.000 description 1
- 238000007796 conventional method Methods 0.000 description 1
- 238000001816 cooling Methods 0.000 description 1
- 229910052802 copper Inorganic materials 0.000 description 1
- 239000010949 copper Substances 0.000 description 1
- 235000012343 cottonseed oil Nutrition 0.000 description 1
- 229930003836 cresol Natural products 0.000 description 1
- 229940013361 cresol Drugs 0.000 description 1
- 229960005168 croscarmellose Drugs 0.000 description 1
- 229960000913 crospovidone Drugs 0.000 description 1
- 235000010947 crosslinked sodium carboxy methyl cellulose Nutrition 0.000 description 1
- LDHQCZJRKDOVOX-NSCUHMNNSA-N crotonic acid Chemical compound C\C=C\C(O)=O LDHQCZJRKDOVOX-NSCUHMNNSA-N 0.000 description 1
- 239000013058 crude material Substances 0.000 description 1
- 239000013078 crystal Substances 0.000 description 1
- 238000002425 crystallisation Methods 0.000 description 1
- 230000008025 crystallization Effects 0.000 description 1
- 125000000392 cycloalkenyl group Chemical group 0.000 description 1
- 125000001047 cyclobutenyl group Chemical group C1(=CCC1)* 0.000 description 1
- LWABFMLTBBNLTA-UHFFFAOYSA-N cyclobutyl carbamate Chemical compound NC(=O)OC1CCC1 LWABFMLTBBNLTA-UHFFFAOYSA-N 0.000 description 1
- 229940097362 cyclodextrins Drugs 0.000 description 1
- 125000002188 cycloheptatrienyl group Chemical group C1(=CC=CC=CC1)* 0.000 description 1
- 125000001162 cycloheptenyl group Chemical group C1(=CCCCCC1)* 0.000 description 1
- 125000003678 cyclohexadienyl group Chemical group C1(=CC=CCC1)* 0.000 description 1
- NNGAQKAUYDTUQR-UHFFFAOYSA-N cyclohexanimine Chemical compound N=C1CCCCC1 NNGAQKAUYDTUQR-UHFFFAOYSA-N 0.000 description 1
- 125000000596 cyclohexenyl group Chemical group C1(=CCCCC1)* 0.000 description 1
- AUELWJRRASQDKI-UHFFFAOYSA-N cyclohexyl carbamate Chemical compound NC(=O)OC1CCCCC1 AUELWJRRASQDKI-UHFFFAOYSA-N 0.000 description 1
- HCAJEUSONLESMK-UHFFFAOYSA-N cyclohexylsulfamic acid Chemical compound OS(=O)(=O)NC1CCCCC1 HCAJEUSONLESMK-UHFFFAOYSA-N 0.000 description 1
- 229940086555 cyclomethicone Drugs 0.000 description 1
- 125000004090 cyclononenyl group Chemical group C1(=CCCCCCCC1)* 0.000 description 1
- 125000006547 cyclononyl group Chemical group [H]C1([H])C([H])([H])C([H])([H])C([H])([H])C([H])([H])C([H])(*)C([H])([H])C([H])([H])C1([H])[H] 0.000 description 1
- 125000000522 cyclooctenyl group Chemical group C1(=CCCCCCC1)* 0.000 description 1
- 125000002433 cyclopentenyl group Chemical group C1(=CCCC1)* 0.000 description 1
- JMFVWNKPLURQMI-UHFFFAOYSA-N cyclopentyl carbamate Chemical compound NC(=O)OC1CCCC1 JMFVWNKPLURQMI-UHFFFAOYSA-N 0.000 description 1
- 125000000298 cyclopropenyl group Chemical group [H]C1=C([H])C1([H])* 0.000 description 1
- UWYRVVJXSNXVAI-UHFFFAOYSA-N cyclopropylmethyl carbamate Chemical compound NC(=O)OCC1CC1 UWYRVVJXSNXVAI-UHFFFAOYSA-N 0.000 description 1
- 208000002445 cystadenocarcinoma Diseases 0.000 description 1
- 210000000805 cytoplasm Anatomy 0.000 description 1
- 125000005508 decahydronaphthalenyl group Chemical group 0.000 description 1
- 235000019258 dehydroacetic acid Nutrition 0.000 description 1
- 229940061632 dehydroacetic acid Drugs 0.000 description 1
- 230000001419 dependent effect Effects 0.000 description 1
- 238000013461 design Methods 0.000 description 1
- 238000001514 detection method Methods 0.000 description 1
- 229910052805 deuterium Inorganic materials 0.000 description 1
- 235000019425 dextrin Nutrition 0.000 description 1
- 239000008121 dextrose Substances 0.000 description 1
- 229940111685 dibasic potassium phosphate Drugs 0.000 description 1
- 229940061607 dibasic sodium phosphate Drugs 0.000 description 1
- CGMRCMMOCQYHAD-UHFFFAOYSA-J dicalcium hydroxide phosphate Chemical compound [OH-].[Ca++].[Ca++].[O-]P([O-])([O-])=O CGMRCMMOCQYHAD-UHFFFAOYSA-J 0.000 description 1
- 229940095079 dicalcium phosphate anhydrous Drugs 0.000 description 1
- 229940120124 dichloroacetate Drugs 0.000 description 1
- JXTHNDFMNIQAHM-UHFFFAOYSA-N dichloroacetic acid Chemical compound OC(=O)C(Cl)Cl JXTHNDFMNIQAHM-UHFFFAOYSA-N 0.000 description 1
- WBKFWQBXFREOFH-UHFFFAOYSA-N dichloromethane;ethyl acetate Chemical compound ClCCl.CCOC(C)=O WBKFWQBXFREOFH-UHFFFAOYSA-N 0.000 description 1
- 235000005911 diet Nutrition 0.000 description 1
- 230000037213 diet Effects 0.000 description 1
- 230000004069 differentiation Effects 0.000 description 1
- 125000000723 dihydrobenzofuranyl group Chemical group O1C(CC2=C1C=CC=C2)* 0.000 description 1
- 125000004582 dihydrobenzothienyl group Chemical group S1C(CC2=C1C=CC=C2)* 0.000 description 1
- 125000004852 dihydrofuranyl group Chemical group O1C(CC=C1)* 0.000 description 1
- 125000004655 dihydropyridinyl group Chemical group N1(CC=CC=C1)* 0.000 description 1
- 125000005054 dihydropyrrolyl group Chemical group [H]C1=C([H])C([H])([H])C([H])([H])N1* 0.000 description 1
- 125000005057 dihydrothienyl group Chemical group S1C(CC=C1)* 0.000 description 1
- 229940008099 dimethicone Drugs 0.000 description 1
- 239000004205 dimethyl polysiloxane Substances 0.000 description 1
- 235000013870 dimethyl polysiloxane Nutrition 0.000 description 1
- 235000019329 dioctyl sodium sulphosuccinate Nutrition 0.000 description 1
- 125000000532 dioxanyl group Chemical group 0.000 description 1
- 125000005879 dioxolanyl group Chemical group 0.000 description 1
- SXZIXHOMFPUIRK-UHFFFAOYSA-N diphenylmethanimine Chemical compound C=1C=CC=CC=1C(=N)C1=CC=CC=C1 SXZIXHOMFPUIRK-UHFFFAOYSA-N 0.000 description 1
- ZPWVASYFFYYZEW-UHFFFAOYSA-L dipotassium hydrogen phosphate Chemical compound [K+].[K+].OP([O-])([O-])=O ZPWVASYFFYYZEW-UHFFFAOYSA-L 0.000 description 1
- KCIDZIIHRGYJAE-YGFYJFDDSA-L dipotassium;[(2r,3r,4s,5r,6r)-3,4,5-trihydroxy-6-(hydroxymethyl)oxan-2-yl] phosphate Chemical compound [K+].[K+].OC[C@H]1O[C@H](OP([O-])([O-])=O)[C@H](O)[C@@H](O)[C@H]1O KCIDZIIHRGYJAE-YGFYJFDDSA-L 0.000 description 1
- SEBARIVPCNBHKO-UHFFFAOYSA-N dipyridin-2-ylmethyl carbamate Chemical compound C=1C=CC=NC=1C(OC(=O)N)C1=CC=CC=N1 SEBARIVPCNBHKO-UHFFFAOYSA-N 0.000 description 1
- BNIILDVGGAEEIG-UHFFFAOYSA-L disodium hydrogen phosphate Chemical compound [Na+].[Na+].OP([O-])([O-])=O BNIILDVGGAEEIG-UHFFFAOYSA-L 0.000 description 1
- 239000006185 dispersion Substances 0.000 description 1
- 238000004090 dissolution Methods 0.000 description 1
- 238000009826 distribution Methods 0.000 description 1
- 125000005883 dithianyl group Chemical group 0.000 description 1
- WSDISUOETYTPRL-UHFFFAOYSA-N dmdm hydantoin Chemical compound CC1(C)N(CO)C(=O)N(CO)C1=O WSDISUOETYTPRL-UHFFFAOYSA-N 0.000 description 1
- 229960000878 docusate sodium Drugs 0.000 description 1
- POULHZVOKOAJMA-UHFFFAOYSA-M dodecanoate Chemical compound CCCCCCCCCCCC([O-])=O POULHZVOKOAJMA-UHFFFAOYSA-M 0.000 description 1
- 231100000673 dose–response relationship Toxicity 0.000 description 1
- 239000003221 ear drop Substances 0.000 description 1
- 229940047652 ear drops Drugs 0.000 description 1
- 229940009662 edetate Drugs 0.000 description 1
- 229960001484 edetic acid Drugs 0.000 description 1
- 235000013345 egg yolk Nutrition 0.000 description 1
- 210000002969 egg yolk Anatomy 0.000 description 1
- 238000001493 electron microscopy Methods 0.000 description 1
- 230000008030 elimination Effects 0.000 description 1
- 238000003379 elimination reaction Methods 0.000 description 1
- 201000011025 embryonal testis carcinoma Diseases 0.000 description 1
- 230000001804 emulsifying effect Effects 0.000 description 1
- HKSZLNNOFSGOKW-UHFFFAOYSA-N ent-staurosporine Natural products C12=C3N4C5=CC=CC=C5C3=C3CNC(=O)C3=C2C2=CC=CC=C2N1C1CC(NC)C(OC)C4(C)O1 HKSZLNNOFSGOKW-UHFFFAOYSA-N 0.000 description 1
- 238000001952 enzyme assay Methods 0.000 description 1
- 208000037828 epithelial carcinoma Diseases 0.000 description 1
- 238000011067 equilibration Methods 0.000 description 1
- 208000028653 esophageal adenocarcinoma Diseases 0.000 description 1
- HQPMKSGTIOYHJT-UHFFFAOYSA-N ethane-1,2-diol;propane-1,2-diol Chemical compound OCCO.CC(O)CO HQPMKSGTIOYHJT-UHFFFAOYSA-N 0.000 description 1
- CCIVGXIOQKPBKL-UHFFFAOYSA-M ethanesulfonate Chemical compound CCS([O-])(=O)=O CCIVGXIOQKPBKL-UHFFFAOYSA-M 0.000 description 1
- 229960004756 ethanol Drugs 0.000 description 1
- QAUASTLEZAPQTB-UHFFFAOYSA-N ethyl 3-bromobenzoate Chemical compound CCOC(=O)C1=CC=CC(Br)=C1 QAUASTLEZAPQTB-UHFFFAOYSA-N 0.000 description 1
- 229940093499 ethyl acetate Drugs 0.000 description 1
- 235000019325 ethyl cellulose Nutrition 0.000 description 1
- 229920001249 ethyl cellulose Polymers 0.000 description 1
- 229960001617 ethyl hydroxybenzoate Drugs 0.000 description 1
- LVGKNOAMLMIIKO-QXMHVHEDSA-N ethyl oleate Chemical compound CCCCCCCC\C=C/CCCCCCCC(=O)OCC LVGKNOAMLMIIKO-QXMHVHEDSA-N 0.000 description 1
- 229940093471 ethyl oleate Drugs 0.000 description 1
- 239000004403 ethyl p-hydroxybenzoate Substances 0.000 description 1
- 125000002534 ethynyl group Chemical group [H]C#C* 0.000 description 1
- 239000013604 expression vector Substances 0.000 description 1
- 238000000605 extraction Methods 0.000 description 1
- 208000024519 eye neoplasm Diseases 0.000 description 1
- 235000019197 fats Nutrition 0.000 description 1
- 150000004665 fatty acids Chemical class 0.000 description 1
- 235000019688 fish Nutrition 0.000 description 1
- 235000004426 flaxseed Nutrition 0.000 description 1
- FGIVSGPRGVABAB-UHFFFAOYSA-N fluoren-9-ylmethyl hydrogen carbonate Chemical compound C1=CC=C2C(COC(=O)O)C3=CC=CC=C3C2=C1 FGIVSGPRGVABAB-UHFFFAOYSA-N 0.000 description 1
- 229910052731 fluorine Inorganic materials 0.000 description 1
- 239000011737 fluorine Substances 0.000 description 1
- 201000003444 follicular lymphoma Diseases 0.000 description 1
- 235000013355 food flavoring agent Nutrition 0.000 description 1
- 239000001530 fumaric acid Substances 0.000 description 1
- 208000024386 fungal infectious disease Diseases 0.000 description 1
- RGEAONPOJJBMHO-UHFFFAOYSA-N furan-2-ylmethyl carbamate Chemical compound NC(=O)OCC1=CC=CO1 RGEAONPOJJBMHO-UHFFFAOYSA-N 0.000 description 1
- 201000010175 gallbladder cancer Diseases 0.000 description 1
- WIGCFUFOHFEKBI-UHFFFAOYSA-N gamma-tocopherol Natural products CC(C)CCCC(C)CCCC(C)CCCC1CCC2C(C)C(O)C(C)C(C)C2O1 WIGCFUFOHFEKBI-UHFFFAOYSA-N 0.000 description 1
- 239000007789 gas Substances 0.000 description 1
- 201000006585 gastric adenocarcinoma Diseases 0.000 description 1
- 201000011243 gastrointestinal stromal tumor Diseases 0.000 description 1
- 230000004077 genetic alteration Effects 0.000 description 1
- 231100000118 genetic alteration Toxicity 0.000 description 1
- 229940113087 geraniol Drugs 0.000 description 1
- 229940050410 gluconate Drugs 0.000 description 1
- 235000012208 gluconic acid Nutrition 0.000 description 1
- 229950006191 gluconic acid Drugs 0.000 description 1
- 235000001727 glucose Nutrition 0.000 description 1
- YQEMORVAKMFKLG-UHFFFAOYSA-N glycerine monostearate Natural products CCCCCCCCCCCCCCCCCC(=O)OC(CO)CO YQEMORVAKMFKLG-UHFFFAOYSA-N 0.000 description 1
- 229960005150 glycerol Drugs 0.000 description 1
- SVUQHVRAGMNPLW-UHFFFAOYSA-N glycerol monostearate Natural products CCCCCCCCCCCCCCCCC(=O)OCC(O)CO SVUQHVRAGMNPLW-UHFFFAOYSA-N 0.000 description 1
- ZEMPKEQAKRGZGQ-XOQCFJPHSA-N glycerol triricinoleate Natural products CCCCCC[C@@H](O)CC=CCCCCCCCC(=O)OC[C@@H](COC(=O)CCCCCCCC=CC[C@@H](O)CCCCCC)OC(=O)CCCCCCCC=CC[C@H](O)CCCCCC ZEMPKEQAKRGZGQ-XOQCFJPHSA-N 0.000 description 1
- 125000003976 glyceryl group Chemical group [H]C([*])([H])C(O[H])([H])C(O[H])([H])[H] 0.000 description 1
- 229940075507 glyceryl monostearate Drugs 0.000 description 1
- 239000001087 glyceryl triacetate Substances 0.000 description 1
- 235000013773 glyceryl triacetate Nutrition 0.000 description 1
- 150000002334 glycols Chemical class 0.000 description 1
- 229940087559 grape seed Drugs 0.000 description 1
- LHGVFZTZFXWLCP-UHFFFAOYSA-N guaiacol Chemical class COC1=CC=CC=C1O LHGVFZTZFXWLCP-UHFFFAOYSA-N 0.000 description 1
- 235000010417 guar gum Nutrition 0.000 description 1
- 239000000665 guar gum Substances 0.000 description 1
- 229960002154 guar gum Drugs 0.000 description 1
- 235000019314 gum ghatti Nutrition 0.000 description 1
- 201000010536 head and neck cancer Diseases 0.000 description 1
- 208000014829 head and neck neoplasm Diseases 0.000 description 1
- 201000002222 hemangioblastoma Diseases 0.000 description 1
- 231100000844 hepatocellular carcinoma Toxicity 0.000 description 1
- 125000006341 heptafluoro n-propyl group Chemical group FC(F)(F)C(F)(F)C(F)(F)* 0.000 description 1
- MNWFXJYAOYHMED-UHFFFAOYSA-N heptanoic acid Chemical compound CCCCCCC(O)=O MNWFXJYAOYHMED-UHFFFAOYSA-N 0.000 description 1
- 125000004475 heteroaralkyl group Chemical group 0.000 description 1
- FUZZWVXGSFPDMH-UHFFFAOYSA-N hexanoic acid Chemical compound CCCCCC(O)=O FUZZWVXGSFPDMH-UHFFFAOYSA-N 0.000 description 1
- 125000006038 hexenyl group Chemical group 0.000 description 1
- 229960004867 hexetidine Drugs 0.000 description 1
- 125000005980 hexynyl group Chemical group 0.000 description 1
- 229940088597 hormone Drugs 0.000 description 1
- 239000005556 hormone Substances 0.000 description 1
- 102000052688 human MEP50 Human genes 0.000 description 1
- 102000051124 human PRMT5 Human genes 0.000 description 1
- 239000003906 humectant Substances 0.000 description 1
- 239000010903 husk Substances 0.000 description 1
- 229930195733 hydrocarbon Natural products 0.000 description 1
- XMBWDFGMSWQBCA-UHFFFAOYSA-N hydrogen iodide Chemical compound I XMBWDFGMSWQBCA-UHFFFAOYSA-N 0.000 description 1
- ZMZDMBWJUHKJPS-UHFFFAOYSA-N hydrogen thiocyanate Natural products SC#N ZMZDMBWJUHKJPS-UHFFFAOYSA-N 0.000 description 1
- 239000008172 hydrogenated vegetable oil Substances 0.000 description 1
- QAOWNCQODCNURD-UHFFFAOYSA-M hydrogensulfate Chemical compound OS([O-])(=O)=O QAOWNCQODCNURD-UHFFFAOYSA-M 0.000 description 1
- 125000002887 hydroxy group Chemical group [H]O* 0.000 description 1
- HSNUXDIQZKIQRR-UHFFFAOYSA-N hydroxy-imino-bis(phenylmethoxy)-$l^{5}-phosphane Chemical compound C=1C=CC=CC=1COP(=O)(N)OCC1=CC=CC=C1 HSNUXDIQZKIQRR-UHFFFAOYSA-N 0.000 description 1
- QWMUDOFWQWBHFI-UHFFFAOYSA-N hydroxy-imino-diphenoxy-$l^{5}-phosphane Chemical compound C=1C=CC=CC=1OP(=O)(N)OC1=CC=CC=C1 QWMUDOFWQWBHFI-UHFFFAOYSA-N 0.000 description 1
- RIGIWEGXTTUCIQ-UHFFFAOYSA-N hydroxy-imino-diphenyl-$l^{5}-phosphane Chemical compound C=1C=CC=CC=1P(=O)(N)C1=CC=CC=C1 RIGIWEGXTTUCIQ-UHFFFAOYSA-N 0.000 description 1
- 235000019447 hydroxyethyl cellulose Nutrition 0.000 description 1
- 229920003063 hydroxymethyl cellulose Polymers 0.000 description 1
- 229940031574 hydroxymethyl cellulose Drugs 0.000 description 1
- 229940113174 imidurea Drugs 0.000 description 1
- 239000012535 impurity Substances 0.000 description 1
- 238000010348 incorporation Methods 0.000 description 1
- 125000003387 indolinyl group Chemical group N1(CCC2=CC=CC=C12)* 0.000 description 1
- 208000015181 infectious disease Diseases 0.000 description 1
- 208000027866 inflammatory disease Diseases 0.000 description 1
- 239000007972 injectable composition Substances 0.000 description 1
- 229940102223 injectable solution Drugs 0.000 description 1
- 229940102213 injectable suspension Drugs 0.000 description 1
- CDAISMWEOUEBRE-GPIVLXJGSA-N inositol Chemical compound O[C@H]1[C@H](O)[C@@H](O)[C@H](O)[C@H](O)[C@@H]1O CDAISMWEOUEBRE-GPIVLXJGSA-N 0.000 description 1
- 229960000367 inositol Drugs 0.000 description 1
- 229940125396 insulin Drugs 0.000 description 1
- 201000002313 intestinal cancer Diseases 0.000 description 1
- 238000001361 intraarterial administration Methods 0.000 description 1
- 230000031146 intracellular signal transduction Effects 0.000 description 1
- 238000007918 intramuscular administration Methods 0.000 description 1
- 238000010255 intramuscular injection Methods 0.000 description 1
- 239000007927 intramuscular injection Substances 0.000 description 1
- 238000007912 intraperitoneal administration Methods 0.000 description 1
- 238000007913 intrathecal administration Methods 0.000 description 1
- 238000010253 intravenous injection Methods 0.000 description 1
- 238000007914 intraventricular administration Methods 0.000 description 1
- 229910052740 iodine Inorganic materials 0.000 description 1
- 239000011630 iodine Substances 0.000 description 1
- 238000005342 ion exchange Methods 0.000 description 1
- 230000007794 irritation Effects 0.000 description 1
- SUMDYPCJJOFFON-UHFFFAOYSA-N isethionic acid Chemical compound OCCS(O)(=O)=O SUMDYPCJJOFFON-UHFFFAOYSA-N 0.000 description 1
- 125000000959 isobutyl group Chemical group [H]C([H])([H])C([H])(C([H])([H])[H])C([H])([H])* 0.000 description 1
- KQNPFQTWMSNSAP-UHFFFAOYSA-N isobutyric acid Chemical compound CC(C)C(O)=O KQNPFQTWMSNSAP-UHFFFAOYSA-N 0.000 description 1
- 125000004594 isoindolinyl group Chemical group C1(NCC2=CC=CC=C12)* 0.000 description 1
- 125000001449 isopropyl group Chemical group [H]C([H])([H])C([H])(*)C([H])([H])[H] 0.000 description 1
- 239000007951 isotonicity adjuster Substances 0.000 description 1
- 229940090046 jet injector Drugs 0.000 description 1
- 208000022013 kidney Wilms tumor Diseases 0.000 description 1
- 201000010982 kidney cancer Diseases 0.000 description 1
- 239000000832 lactitol Substances 0.000 description 1
- VQHSOMBJVWLPSR-JVCRWLNRSA-N lactitol Chemical compound OC[C@H](O)[C@@H](O)[C@@H]([C@H](O)CO)O[C@@H]1O[C@H](CO)[C@H](O)[C@H](O)[C@H]1O VQHSOMBJVWLPSR-JVCRWLNRSA-N 0.000 description 1
- 235000010448 lactitol Nutrition 0.000 description 1
- 229960003451 lactitol Drugs 0.000 description 1
- 229940099584 lactobionate Drugs 0.000 description 1
- JYTUSYBCFIZPBE-AMTLMPIISA-N lactobionic acid Chemical compound OC(=O)[C@H](O)[C@@H](O)[C@@H]([C@H](O)CO)O[C@@H]1O[C@H](CO)[C@H](O)[C@H](O)[C@H]1O JYTUSYBCFIZPBE-AMTLMPIISA-N 0.000 description 1
- 206010023841 laryngeal neoplasm Diseases 0.000 description 1
- 229940070765 laurate Drugs 0.000 description 1
- 244000056931 lavandin Species 0.000 description 1
- 235000009606 lavandin Nutrition 0.000 description 1
- 239000001102 lavandula vera Substances 0.000 description 1
- 235000018219 lavender Nutrition 0.000 description 1
- 235000010445 lecithin Nutrition 0.000 description 1
- 239000000787 lecithin Substances 0.000 description 1
- 229940067606 lecithin Drugs 0.000 description 1
- 235000005772 leucine Nutrition 0.000 description 1
- 229940058352 levulinate Drugs 0.000 description 1
- 239000000865 liniment Substances 0.000 description 1
- 208000012987 lip and oral cavity carcinoma Diseases 0.000 description 1
- 150000002632 lipids Chemical class 0.000 description 1
- 206010024627 liposarcoma Diseases 0.000 description 1
- 238000004811 liquid chromatography Methods 0.000 description 1
- 239000006194 liquid suspension Substances 0.000 description 1
- 229910052744 lithium Inorganic materials 0.000 description 1
- 229960001078 lithium Drugs 0.000 description 1
- 210000004185 liver Anatomy 0.000 description 1
- 239000007937 lozenge Substances 0.000 description 1
- 238000004020 luminiscence type Methods 0.000 description 1
- 210000002751 lymph Anatomy 0.000 description 1
- 208000037829 lymphangioendotheliosarcoma Diseases 0.000 description 1
- 208000012804 lymphangiosarcoma Diseases 0.000 description 1
- 210000003563 lymphoid tissue Anatomy 0.000 description 1
- 201000007919 lymphoplasmacytic lymphoma Diseases 0.000 description 1
- 239000011777 magnesium Substances 0.000 description 1
- 229910052749 magnesium Inorganic materials 0.000 description 1
- VTHJTEIRLNZDEV-UHFFFAOYSA-L magnesium dihydroxide Chemical compound [OH-].[OH-].[Mg+2] VTHJTEIRLNZDEV-UHFFFAOYSA-L 0.000 description 1
- 239000000347 magnesium hydroxide Substances 0.000 description 1
- 229910001862 magnesium hydroxide Inorganic materials 0.000 description 1
- 229960000816 magnesium hydroxide Drugs 0.000 description 1
- 229940037627 magnesium lauryl sulfate Drugs 0.000 description 1
- 229940091250 magnesium supplement Drugs 0.000 description 1
- HBNDBUATLJAUQM-UHFFFAOYSA-L magnesium;dodecyl sulfate Chemical compound [Mg+2].CCCCCCCCCCCCOS([O-])(=O)=O.CCCCCCCCCCCCOS([O-])(=O)=O HBNDBUATLJAUQM-UHFFFAOYSA-L 0.000 description 1
- 229940049920 malate Drugs 0.000 description 1
- 239000011976 maleic acid Substances 0.000 description 1
- 239000001630 malic acid Substances 0.000 description 1
- 235000011090 malic acid Nutrition 0.000 description 1
- 230000003211 malignant effect Effects 0.000 description 1
- 201000007924 marginal zone B-cell lymphoma Diseases 0.000 description 1
- 208000021937 marginal zone lymphoma Diseases 0.000 description 1
- 208000008585 mastocytosis Diseases 0.000 description 1
- 239000011159 matrix material Substances 0.000 description 1
- 208000030163 medullary breast carcinoma Diseases 0.000 description 1
- 208000023356 medullary thyroid gland carcinoma Diseases 0.000 description 1
- 239000012528 membrane Substances 0.000 description 1
- 206010027191 meningioma Diseases 0.000 description 1
- 230000004060 metabolic process Effects 0.000 description 1
- XZWYZXLIPXDOLR-UHFFFAOYSA-N metformin Chemical compound CN(C)C(=N)NC(N)=N XZWYZXLIPXDOLR-UHFFFAOYSA-N 0.000 description 1
- 229960003105 metformin Drugs 0.000 description 1
- AFVFQIVMOAPDHO-UHFFFAOYSA-M methanesulfonate group Chemical group CS(=O)(=O)[O-] AFVFQIVMOAPDHO-UHFFFAOYSA-M 0.000 description 1
- HNQIVZYLYMDVSB-UHFFFAOYSA-N methanesulfonimidic acid Chemical compound CS(N)(=O)=O HNQIVZYLYMDVSB-UHFFFAOYSA-N 0.000 description 1
- RMIODHQZRUFFFF-UHFFFAOYSA-M methoxyacetate Chemical compound COCC([O-])=O RMIODHQZRUFFFF-UHFFFAOYSA-M 0.000 description 1
- MULLTHQTADMZDM-UHFFFAOYSA-N methyl 2-bromopyridine-4-carboxylate Chemical compound COC(=O)C1=CC=NC(Br)=C1 MULLTHQTADMZDM-UHFFFAOYSA-N 0.000 description 1
- UGVSLDLPEMTIGM-UHFFFAOYSA-N methyl 2-methyl-3-(morpholine-4-carbonyl)benzoate Chemical compound COC(=O)C1=CC=CC(C(=O)N2CCOCC2)=C1C UGVSLDLPEMTIGM-UHFFFAOYSA-N 0.000 description 1
- JBJGSVBGUBATNH-UHFFFAOYSA-N methyl 3-(4,4,5,5-tetramethyl-1,3,2-dioxaborolan-2-yl)benzoate Chemical compound COC(=O)C1=CC=CC(B2OC(C)(C)C(C)(C)O2)=C1 JBJGSVBGUBATNH-UHFFFAOYSA-N 0.000 description 1
- BMDHMDRHBBIVDS-UHFFFAOYSA-N methyl 3-(morpholine-4-carbonyl)benzoate Chemical compound COC(=O)C1=CC=CC(C(=O)N2CCOCC2)=C1 BMDHMDRHBBIVDS-UHFFFAOYSA-N 0.000 description 1
- VZDNXXPBYLGWOS-UHFFFAOYSA-N methyl 3-aminobenzoate Chemical compound COC(=O)C1=CC=CC(N)=C1 VZDNXXPBYLGWOS-UHFFFAOYSA-N 0.000 description 1
- 229940120152 methyl 3-hydroxybenzoate Drugs 0.000 description 1
- WAYDOXAYOQEZMP-UHFFFAOYSA-N methyl 4-(oxan-4-ylamino)pyridine-2-carboxylate Chemical compound C1=NC(C(=O)OC)=CC(NC2CCOCC2)=C1 WAYDOXAYOQEZMP-UHFFFAOYSA-N 0.000 description 1
- BEGLCMHJXHIJLR-UHFFFAOYSA-N methylisothiazolinone Chemical compound CN1SC=CC1=O BEGLCMHJXHIJLR-UHFFFAOYSA-N 0.000 description 1
- NYEBKUUITGFJAK-UHFFFAOYSA-N methylsulfanylmethanethioic s-acid Chemical compound CSC(O)=S NYEBKUUITGFJAK-UHFFFAOYSA-N 0.000 description 1
- 239000004530 micro-emulsion Substances 0.000 description 1
- 239000002480 mineral oil Substances 0.000 description 1
- 235000010446 mineral oil Nutrition 0.000 description 1
- 238000002156 mixing Methods 0.000 description 1
- 235000013379 molasses Nutrition 0.000 description 1
- 239000001788 mono and diglycerides of fatty acids Substances 0.000 description 1
- 229940111688 monobasic potassium phosphate Drugs 0.000 description 1
- 229940045641 monobasic sodium phosphate Drugs 0.000 description 1
- 201000005328 monoclonal gammopathy of uncertain significance Diseases 0.000 description 1
- RZRNAYUHWVFMIP-UHFFFAOYSA-N monoelaidin Natural products CCCCCCCCC=CCCCCCCCC(=O)OCC(O)CO RZRNAYUHWVFMIP-UHFFFAOYSA-N 0.000 description 1
- CQDGTJPVBWZJAZ-UHFFFAOYSA-N monoethyl carbonate Chemical compound CCOC(O)=O CQDGTJPVBWZJAZ-UHFFFAOYSA-N 0.000 description 1
- 235000019796 monopotassium phosphate Nutrition 0.000 description 1
- 150000002772 monosaccharides Chemical class 0.000 description 1
- 235000019799 monosodium phosphate Nutrition 0.000 description 1
- 229910000403 monosodium phosphate Inorganic materials 0.000 description 1
- PJUIMOJAAPLTRJ-UHFFFAOYSA-N monothioglycerol Chemical compound OCC(O)CS PJUIMOJAAPLTRJ-UHFFFAOYSA-N 0.000 description 1
- 208000026114 mu chain disease Diseases 0.000 description 1
- 210000004877 mucosa Anatomy 0.000 description 1
- 201000000050 myeloid neoplasm Diseases 0.000 description 1
- 208000001611 myxosarcoma Diseases 0.000 description 1
- YCJZWBZJSYLMPB-UHFFFAOYSA-N n-(2-chloropyrimidin-4-yl)-2,5-dimethyl-1-phenylimidazole-4-carboxamide Chemical compound CC=1N(C=2C=CC=CC=2)C(C)=NC=1C(=O)NC1=CC=NC(Cl)=N1 YCJZWBZJSYLMPB-UHFFFAOYSA-N 0.000 description 1
- DUWWHGPELOTTOE-UHFFFAOYSA-N n-(5-chloro-2,4-dimethoxyphenyl)-3-oxobutanamide Chemical compound COC1=CC(OC)=C(NC(=O)CC(C)=O)C=C1Cl DUWWHGPELOTTOE-UHFFFAOYSA-N 0.000 description 1
- YNTOKMNHRPSGFU-UHFFFAOYSA-N n-Propyl carbamate Chemical compound CCCOC(N)=O YNTOKMNHRPSGFU-UHFFFAOYSA-N 0.000 description 1
- ROCNXMOPBOGACK-OAQYLSRUSA-N n-[(2r)-3-(3,4-dihydro-1h-isoquinolin-2-yl)-2-hydroxypropyl]-2-methylquinoline-6-carboxamide Chemical compound C1CC2=CC=CC=C2CN1C[C@H](O)CNC(=O)C1=CC2=CC=C(C)N=C2C=C1 ROCNXMOPBOGACK-OAQYLSRUSA-N 0.000 description 1
- YOYXYMAZVCNWCT-NRFANRHFSA-N n-[(2s)-3-(3,4-dihydro-1h-isoquinolin-2-yl)-2-hydroxypropyl]-2-(piperidin-4-ylamino)pyridine-4-carboxamide Chemical compound C([C@H](O)CN1CC2=CC=CC=C2CC1)NC(=O)C(C=1)=CC=NC=1NC1CCNCC1 YOYXYMAZVCNWCT-NRFANRHFSA-N 0.000 description 1
- SFQPPDBABURIJA-BOXHHOBZSA-N n-[(2s)-3-(3,4-dihydro-1h-isoquinolin-2-yl)-2-hydroxypropyl]-2-(piperidin-4-ylamino)pyridine-4-carboxamide;hydrochloride Chemical compound Cl.C([C@H](O)CN1CC2=CC=CC=C2CC1)NC(=O)C(C=1)=CC=NC=1NC1CCNCC1 SFQPPDBABURIJA-BOXHHOBZSA-N 0.000 description 1
- ROCNXMOPBOGACK-NRFANRHFSA-N n-[(2s)-3-(3,4-dihydro-1h-isoquinolin-2-yl)-2-hydroxypropyl]-2-methylquinoline-6-carboxamide Chemical compound C1CC2=CC=CC=C2CN1C[C@@H](O)CNC(=O)C1=CC2=CC=C(C)N=C2C=C1 ROCNXMOPBOGACK-NRFANRHFSA-N 0.000 description 1
- 229940099459 n-acetylmethionine Drugs 0.000 description 1
- 125000004108 n-butyl group Chemical group [H]C([H])([H])C([H])([H])C([H])([H])C([H])([H])* 0.000 description 1
- GOQYKNQRPGWPLP-UHFFFAOYSA-N n-heptadecyl alcohol Natural products CCCCCCCCCCCCCCCCCO GOQYKNQRPGWPLP-UHFFFAOYSA-N 0.000 description 1
- 125000003136 n-heptyl group Chemical group [H]C([H])([H])C([H])([H])C([H])([H])C([H])([H])C([H])([H])C([H])([H])C([H])([H])* 0.000 description 1
- 125000001280 n-hexyl group Chemical group C(CCCCC)* 0.000 description 1
- 125000004123 n-propyl group Chemical group [H]C([H])([H])C([H])([H])C([H])([H])* 0.000 description 1
- KVBGVZZKJNLNJU-UHFFFAOYSA-M naphthalene-2-sulfonate Chemical compound C1=CC=CC2=CC(S(=O)(=O)[O-])=CC=C21 KVBGVZZKJNLNJU-UHFFFAOYSA-M 0.000 description 1
- KVBGVZZKJNLNJU-UHFFFAOYSA-N naphthalene-2-sulfonic acid Chemical compound C1=CC=CC2=CC(S(=O)(=O)O)=CC=C21 KVBGVZZKJNLNJU-UHFFFAOYSA-N 0.000 description 1
- 150000002790 naphthalenes Chemical group 0.000 description 1
- 125000001624 naphthyl group Chemical group 0.000 description 1
- 229940097496 nasal spray Drugs 0.000 description 1
- 239000007922 nasal spray Substances 0.000 description 1
- 210000000581 natural killer T-cell Anatomy 0.000 description 1
- 238000002663 nebulization Methods 0.000 description 1
- 125000001971 neopentyl group Chemical group [H]C([*])([H])C(C([H])([H])[H])(C([H])([H])[H])C([H])([H])[H] 0.000 description 1
- 201000008026 nephroblastoma Diseases 0.000 description 1
- 201000009494 neurilemmomatosis Diseases 0.000 description 1
- 201000002120 neuroendocrine carcinoma Diseases 0.000 description 1
- 235000001968 nicotinic acid Nutrition 0.000 description 1
- 239000011664 nicotinic acid Substances 0.000 description 1
- SFDJOSRHYKHMOK-UHFFFAOYSA-N nitramide Chemical compound N[N+]([O-])=O SFDJOSRHYKHMOK-UHFFFAOYSA-N 0.000 description 1
- XKLJHFLUAHKGGU-UHFFFAOYSA-N nitrous amide Chemical compound ON=N XKLJHFLUAHKGGU-UHFFFAOYSA-N 0.000 description 1
- 231100000344 non-irritating Toxicity 0.000 description 1
- 108020004707 nucleic acids Proteins 0.000 description 1
- 102000039446 nucleic acids Human genes 0.000 description 1
- 150000007523 nucleic acids Chemical class 0.000 description 1
- 239000002777 nucleoside Substances 0.000 description 1
- 125000003835 nucleoside group Chemical group 0.000 description 1
- 210000004940 nucleus Anatomy 0.000 description 1
- 239000001702 nutmeg Substances 0.000 description 1
- OQCDKBAXFALNLD-UHFFFAOYSA-N octadecanoic acid Natural products CCCCCCCC(C)CCCCCCCCC(O)=O OQCDKBAXFALNLD-UHFFFAOYSA-N 0.000 description 1
- KSCKTBJJRVPGKM-UHFFFAOYSA-N octan-1-olate;titanium(4+) Chemical compound [Ti+4].CCCCCCCC[O-].CCCCCCCC[O-].CCCCCCCC[O-].CCCCCCCC[O-] KSCKTBJJRVPGKM-UHFFFAOYSA-N 0.000 description 1
- 125000004365 octenyl group Chemical group C(=CCCCCCC)* 0.000 description 1
- JPMIIZHYYWMHDT-UHFFFAOYSA-N octhilinone Chemical compound CCCCCCCCN1SC=CC1=O JPMIIZHYYWMHDT-UHFFFAOYSA-N 0.000 description 1
- 125000005069 octynyl group Chemical group [H]C([H])([H])C([H])([H])C([H])([H])C([H])([H])C([H])([H])C([H])([H])C#C* 0.000 description 1
- 201000008106 ocular cancer Diseases 0.000 description 1
- 201000002575 ocular melanoma Diseases 0.000 description 1
- 229940049964 oleate Drugs 0.000 description 1
- 229960002969 oleic acid Drugs 0.000 description 1
- 229920001542 oligosaccharide Polymers 0.000 description 1
- 150000002482 oligosaccharides Chemical class 0.000 description 1
- 239000004006 olive oil Substances 0.000 description 1
- PIDFDZJZLOTZTM-KHVQSSSXSA-N ombitasvir Chemical compound COC(=O)N[C@@H](C(C)C)C(=O)N1CCC[C@H]1C(=O)NC1=CC=C([C@H]2N([C@@H](CC2)C=2C=CC(NC(=O)[C@H]3N(CCC3)C(=O)[C@@H](NC(=O)OC)C(C)C)=CC=2)C=2C=CC(=CC=2)C(C)(C)C)C=C1 PIDFDZJZLOTZTM-KHVQSSSXSA-N 0.000 description 1
- 230000003287 optical effect Effects 0.000 description 1
- 229940041678 oral spray Drugs 0.000 description 1
- 239000000668 oral spray Substances 0.000 description 1
- 150000002894 organic compounds Chemical class 0.000 description 1
- 201000006958 oropharynx cancer Diseases 0.000 description 1
- 201000008968 osteosarcoma Diseases 0.000 description 1
- 208000013371 ovarian adenocarcinoma Diseases 0.000 description 1
- 201000003707 ovarian clear cell carcinoma Diseases 0.000 description 1
- 201000011029 ovarian embryonal carcinoma Diseases 0.000 description 1
- 201000010302 ovarian serous cystadenocarcinoma Diseases 0.000 description 1
- 201000006588 ovary adenocarcinoma Diseases 0.000 description 1
- 125000005882 oxadiazolinyl group Chemical group 0.000 description 1
- 235000006408 oxalic acid Nutrition 0.000 description 1
- KWZSCXIYGVEHOB-UHFFFAOYSA-N oxan-4-amine;hydrochloride Chemical compound [Cl-].[NH3+]C1CCOCC1 KWZSCXIYGVEHOB-UHFFFAOYSA-N 0.000 description 1
- LMYJGUNNJIDROI-UHFFFAOYSA-N oxan-4-ol Chemical compound OC1CCOCC1 LMYJGUNNJIDROI-UHFFFAOYSA-N 0.000 description 1
- 125000003551 oxepanyl group Chemical group 0.000 description 1
- 125000003585 oxepinyl group Chemical group 0.000 description 1
- OJEOJUQOECNDND-UHFFFAOYSA-N oxetan-3-amine Chemical compound NC1COC1 OJEOJUQOECNDND-UHFFFAOYSA-N 0.000 description 1
- 150000002924 oxiranes Chemical group 0.000 description 1
- 125000000466 oxiranyl group Chemical group 0.000 description 1
- JLPJFSCQKHRSQR-UHFFFAOYSA-N oxolan-3-one Chemical compound O=C1CCOC1 JLPJFSCQKHRSQR-UHFFFAOYSA-N 0.000 description 1
- 125000004430 oxygen atom Chemical group O* 0.000 description 1
- 125000003854 p-chlorophenyl group Chemical group [H]C1=C([H])C(*)=C([H])C([H])=C1Cl 0.000 description 1
- 125000006505 p-cyanobenzyl group Chemical group [H]C1=C([H])C(=C([H])C([H])=C1C#N)C([H])([H])* 0.000 description 1
- 125000006503 p-nitrobenzyl group Chemical group [H]C1=C([H])C(=C([H])C([H])=C1[N+]([O-])=O)C([H])([H])* 0.000 description 1
- 238000004806 packaging method and process Methods 0.000 description 1
- 208000022102 pancreatic neuroendocrine neoplasm Diseases 0.000 description 1
- 208000004019 papillary adenocarcinoma Diseases 0.000 description 1
- 239000012188 paraffin wax Substances 0.000 description 1
- 239000006072 paste Substances 0.000 description 1
- 230000001717 pathogenic effect Effects 0.000 description 1
- 235000020232 peanut Nutrition 0.000 description 1
- 235000010987 pectin Nutrition 0.000 description 1
- 239000001814 pectin Substances 0.000 description 1
- 229920001277 pectin Polymers 0.000 description 1
- 230000035515 penetration Effects 0.000 description 1
- 125000006340 pentafluoro ethyl group Chemical group FC(F)(F)C(F)(F)* 0.000 description 1
- 125000002255 pentenyl group Chemical group C(=CCCC)* 0.000 description 1
- 125000005981 pentynyl group Chemical group 0.000 description 1
- VLTRZXGMWDSKGL-UHFFFAOYSA-M perchlorate Chemical compound [O-]Cl(=O)(=O)=O VLTRZXGMWDSKGL-UHFFFAOYSA-M 0.000 description 1
- 230000000737 periodic effect Effects 0.000 description 1
- JRKICGRDRMAZLK-UHFFFAOYSA-L peroxydisulfate Chemical compound [O-]S(=O)(=O)OOS([O-])(=O)=O JRKICGRDRMAZLK-UHFFFAOYSA-L 0.000 description 1
- 229940124531 pharmaceutical excipient Drugs 0.000 description 1
- 150000002989 phenols Chemical class 0.000 description 1
- LCPDWSOZIOUXRV-UHFFFAOYSA-N phenoxyacetic acid Chemical compound OC(=O)COC1=CC=CC=C1 LCPDWSOZIOUXRV-UHFFFAOYSA-N 0.000 description 1
- 229960005323 phenoxyethanol Drugs 0.000 description 1
- BSCCSDNZEIHXOK-UHFFFAOYSA-N phenyl carbamate Chemical compound NC(=O)OC1=CC=CC=C1 BSCCSDNZEIHXOK-UHFFFAOYSA-N 0.000 description 1
- AHWALFGBDFAJAI-UHFFFAOYSA-N phenyl carbonochloridate Chemical compound ClC(=O)OC1=CC=CC=C1 AHWALFGBDFAJAI-UHFFFAOYSA-N 0.000 description 1
- FAQJJMHZNSSFSM-UHFFFAOYSA-N phenylglyoxylic acid Chemical compound OC(=O)C(=O)C1=CC=CC=C1 FAQJJMHZNSSFSM-UHFFFAOYSA-N 0.000 description 1
- PDTFCHSETJBPTR-UHFFFAOYSA-N phenylmercuric nitrate Chemical compound [O-][N+](=O)O[Hg]C1=CC=CC=C1 PDTFCHSETJBPTR-UHFFFAOYSA-N 0.000 description 1
- ABOYDMHGKWRPFD-UHFFFAOYSA-N phenylmethanesulfonamide Chemical compound NS(=O)(=O)CC1=CC=CC=C1 ABOYDMHGKWRPFD-UHFFFAOYSA-N 0.000 description 1
- NIXKBAZVOQAHGC-UHFFFAOYSA-N phenylmethanesulfonic acid Chemical compound OS(=O)(=O)CC1=CC=CC=C1 NIXKBAZVOQAHGC-UHFFFAOYSA-N 0.000 description 1
- AFDMODCXODAXLC-UHFFFAOYSA-N phenylmethanimine Chemical compound N=CC1=CC=CC=C1 AFDMODCXODAXLC-UHFFFAOYSA-N 0.000 description 1
- 239000010452 phosphate Substances 0.000 description 1
- NBIIXXVUZAFLBC-UHFFFAOYSA-K phosphate Chemical compound [O-]P([O-])([O-])=O NBIIXXVUZAFLBC-UHFFFAOYSA-K 0.000 description 1
- 239000008363 phosphate buffer Substances 0.000 description 1
- 150000008298 phosphoramidates Chemical class 0.000 description 1
- 235000011007 phosphoric acid Nutrition 0.000 description 1
- 125000004592 phthalazinyl group Chemical group C1(=NN=CC2=CC=CC=C12)* 0.000 description 1
- 235000002949 phytic acid Nutrition 0.000 description 1
- 239000000467 phytic acid Substances 0.000 description 1
- 229940068041 phytic acid Drugs 0.000 description 1
- IBBMAWULFFBRKK-UHFFFAOYSA-N picolinamide Chemical class NC(=O)C1=CC=CC=N1 IBBMAWULFFBRKK-UHFFFAOYSA-N 0.000 description 1
- 229940081066 picolinic acid Drugs 0.000 description 1
- 229940075930 picrate Drugs 0.000 description 1
- OXNIZHLAWKMVMX-UHFFFAOYSA-M picrate anion Chemical compound [O-]C1=C([N+]([O-])=O)C=C([N+]([O-])=O)C=C1[N+]([O-])=O OXNIZHLAWKMVMX-UHFFFAOYSA-M 0.000 description 1
- 208000024724 pineal body neoplasm Diseases 0.000 description 1
- 201000004123 pineal gland cancer Diseases 0.000 description 1
- 229950010765 pivalate Drugs 0.000 description 1
- 125000005547 pivalate group Chemical group 0.000 description 1
- IUGYQRQAERSCNH-UHFFFAOYSA-N pivalic acid Chemical compound CC(C)(C)C(O)=O IUGYQRQAERSCNH-UHFFFAOYSA-N 0.000 description 1
- 229940044519 poloxamer 188 Drugs 0.000 description 1
- 229920000435 poly(dimethylsiloxane) Polymers 0.000 description 1
- 239000004584 polyacrylic acid Substances 0.000 description 1
- 125000003367 polycyclic group Chemical group 0.000 description 1
- 239000008389 polyethoxylated castor oil Substances 0.000 description 1
- 229920000193 polymethacrylate Polymers 0.000 description 1
- 229920000056 polyoxyethylene ether Polymers 0.000 description 1
- 229920000259 polyoxyethylene lauryl ether Polymers 0.000 description 1
- 239000000244 polyoxyethylene sorbitan monooleate Substances 0.000 description 1
- 229920001184 polypeptide Polymers 0.000 description 1
- 229920001282 polysaccharide Polymers 0.000 description 1
- 239000005017 polysaccharide Substances 0.000 description 1
- 150000004804 polysaccharides Chemical class 0.000 description 1
- 229920001296 polysiloxane Polymers 0.000 description 1
- 229920000136 polysorbate Polymers 0.000 description 1
- 229940068965 polysorbates Drugs 0.000 description 1
- 229920002451 polyvinyl alcohol Polymers 0.000 description 1
- 229940068984 polyvinyl alcohol Drugs 0.000 description 1
- 235000013809 polyvinylpolypyrrolidone Nutrition 0.000 description 1
- 229920000523 polyvinylpolypyrrolidone Polymers 0.000 description 1
- 235000011056 potassium acetate Nutrition 0.000 description 1
- 229960004109 potassium acetate Drugs 0.000 description 1
- XAEFZNCEHLXOMS-UHFFFAOYSA-M potassium benzoate Chemical compound [K+].[O-]C(=O)C1=CC=CC=C1 XAEFZNCEHLXOMS-UHFFFAOYSA-M 0.000 description 1
- 235000010235 potassium benzoate Nutrition 0.000 description 1
- 239000004300 potassium benzoate Substances 0.000 description 1
- 229940103091 potassium benzoate Drugs 0.000 description 1
- 239000001103 potassium chloride Substances 0.000 description 1
- 235000011164 potassium chloride Nutrition 0.000 description 1
- 229960002816 potassium chloride Drugs 0.000 description 1
- GNSKLFRGEWLPPA-UHFFFAOYSA-M potassium dihydrogen phosphate Chemical compound [K+].OP(O)([O-])=O GNSKLFRGEWLPPA-UHFFFAOYSA-M 0.000 description 1
- 239000004224 potassium gluconate Substances 0.000 description 1
- 235000013926 potassium gluconate Nutrition 0.000 description 1
- 229960003189 potassium gluconate Drugs 0.000 description 1
- 229940096992 potassium oleate Drugs 0.000 description 1
- 229940093916 potassium phosphate Drugs 0.000 description 1
- 229910000160 potassium phosphate Inorganic materials 0.000 description 1
- 235000011009 potassium phosphates Nutrition 0.000 description 1
- 235000010241 potassium sorbate Nutrition 0.000 description 1
- 239000004302 potassium sorbate Substances 0.000 description 1
- 229940069338 potassium sorbate Drugs 0.000 description 1
- BHZRJJOHZFYXTO-UHFFFAOYSA-L potassium sulfite Chemical compound [K+].[K+].[O-]S([O-])=O BHZRJJOHZFYXTO-UHFFFAOYSA-L 0.000 description 1
- 235000019252 potassium sulphite Nutrition 0.000 description 1
- MLICVSDCCDDWMD-KVVVOXFISA-M potassium;(z)-octadec-9-enoate Chemical compound [K+].CCCCCCCC\C=C/CCCCCCCC([O-])=O MLICVSDCCDDWMD-KVVVOXFISA-M 0.000 description 1
- 229920001592 potato starch Polymers 0.000 description 1
- 229920003124 powdered cellulose Polymers 0.000 description 1
- 235000019814 powdered cellulose Nutrition 0.000 description 1
- 238000004321 preservation Methods 0.000 description 1
- 230000002265 prevention Effects 0.000 description 1
- 201000006037 primary mediastinal B-cell lymphoma Diseases 0.000 description 1
- OCAAZRFBJBEVPS-UHFFFAOYSA-N prop-2-enyl carbamate Chemical compound NC(=O)OCC=C OCAAZRFBJBEVPS-UHFFFAOYSA-N 0.000 description 1
- VYXXMAGSIYIYGD-NWAYQTQBSA-N propan-2-yl 2-[[[(2R)-1-(6-aminopurin-9-yl)propan-2-yl]oxymethyl-(pyrimidine-4-carbonylamino)phosphoryl]amino]-2-methylpropanoate Chemical compound CC(C)OC(=O)C(C)(C)NP(=O)(CO[C@H](C)Cn1cnc2c(N)ncnc12)NC(=O)c1ccncn1 VYXXMAGSIYIYGD-NWAYQTQBSA-N 0.000 description 1
- ZNZJJSYHZBXQSM-UHFFFAOYSA-N propane-2,2-diamine Chemical compound CC(C)(N)N ZNZJJSYHZBXQSM-UHFFFAOYSA-N 0.000 description 1
- 229940095574 propionic acid Drugs 0.000 description 1
- 239000000473 propyl gallate Substances 0.000 description 1
- 235000010388 propyl gallate Nutrition 0.000 description 1
- 229940075579 propyl gallate Drugs 0.000 description 1
- 235000010232 propyl p-hydroxybenzoate Nutrition 0.000 description 1
- 239000004405 propyl p-hydroxybenzoate Substances 0.000 description 1
- 229940093625 propylene glycol monostearate Drugs 0.000 description 1
- 229960003415 propylparaben Drugs 0.000 description 1
- 201000005825 prostate adenocarcinoma Diseases 0.000 description 1
- 238000001742 protein purification Methods 0.000 description 1
- 125000001042 pteridinyl group Chemical group N1=C(N=CC2=NC=CN=C12)* 0.000 description 1
- 235000020236 pumpkin seed Nutrition 0.000 description 1
- 125000000561 purinyl group Chemical group N1=C(N=C2N=CNC2=C1)* 0.000 description 1
- RWUGBYOALBYTGU-UHFFFAOYSA-N pyridin-4-ylmethyl carbamate Chemical compound NC(=O)OCC1=CC=NC=C1 RWUGBYOALBYTGU-UHFFFAOYSA-N 0.000 description 1
- 150000003242 quaternary ammonium salts Chemical class 0.000 description 1
- IUVKMZGDUIUOCP-BTNSXGMBSA-N quinbolone Chemical compound O([C@H]1CC[C@H]2[C@H]3[C@@H]([C@]4(C=CC(=O)C=C4CC3)C)CC[C@@]21C)C1=CCCC1 IUVKMZGDUIUOCP-BTNSXGMBSA-N 0.000 description 1
- FLCPORVHXQFBHT-UHFFFAOYSA-N quinolin-8-yl carbamate Chemical compound C1=CN=C2C(OC(=O)N)=CC=CC2=C1 FLCPORVHXQFBHT-UHFFFAOYSA-N 0.000 description 1
- 230000002285 radioactive effect Effects 0.000 description 1
- 230000009257 reactivity Effects 0.000 description 1
- 230000008707 rearrangement Effects 0.000 description 1
- 230000006798 recombination Effects 0.000 description 1
- 238000005215 recombination Methods 0.000 description 1
- 210000000664 rectum Anatomy 0.000 description 1
- 201000001281 rectum adenocarcinoma Diseases 0.000 description 1
- 238000010992 reflux Methods 0.000 description 1
- 239000003340 retarding agent Substances 0.000 description 1
- 201000006845 reticulosarcoma Diseases 0.000 description 1
- 208000029922 reticulum cell sarcoma Diseases 0.000 description 1
- 230000002441 reversible effect Effects 0.000 description 1
- 201000009410 rhabdomyosarcoma Diseases 0.000 description 1
- 235000009566 rice Nutrition 0.000 description 1
- 238000007363 ring formation reaction Methods 0.000 description 1
- 238000007142 ring opening reaction Methods 0.000 description 1
- YBKWIGSMABMNJZ-UHFFFAOYSA-N s-(2,3,4,5,6-pentachlorophenyl)thiohydroxylamine Chemical compound NSC1=C(Cl)C(Cl)=C(Cl)C(Cl)=C1Cl YBKWIGSMABMNJZ-UHFFFAOYSA-N 0.000 description 1
- RTKRAORYZUBVGQ-UHFFFAOYSA-N s-(2,4-dinitrophenyl)thiohydroxylamine Chemical compound NSC1=CC=C([N+]([O-])=O)C=C1[N+]([O-])=O RTKRAORYZUBVGQ-UHFFFAOYSA-N 0.000 description 1
- LOVVSIULYJABJF-UHFFFAOYSA-N s-(2-nitrophenyl)thiohydroxylamine Chemical compound NSC1=CC=CC=C1[N+]([O-])=O LOVVSIULYJABJF-UHFFFAOYSA-N 0.000 description 1
- BDEZGPKAMAVGBE-UHFFFAOYSA-N s-(3-nitropyridin-2-yl)thiohydroxylamine Chemical compound NSC1=NC=CC=C1[N+]([O-])=O BDEZGPKAMAVGBE-UHFFFAOYSA-N 0.000 description 1
- DAXSYWBYJZACTA-UHFFFAOYSA-N s-(4-methoxy-2-nitrophenyl)thiohydroxylamine Chemical compound COC1=CC=C(SN)C([N+]([O-])=O)=C1 DAXSYWBYJZACTA-UHFFFAOYSA-N 0.000 description 1
- LOFZYSZWOLKUGE-UHFFFAOYSA-N s-benzyl carbamothioate Chemical compound NC(=O)SCC1=CC=CC=C1 LOFZYSZWOLKUGE-UHFFFAOYSA-N 0.000 description 1
- MAGSSGQAJNNDLU-UHFFFAOYSA-N s-phenylthiohydroxylamine Chemical compound NSC1=CC=CC=C1 MAGSSGQAJNNDLU-UHFFFAOYSA-N 0.000 description 1
- PIDYQAYNSQSDQY-UHFFFAOYSA-N s-tritylthiohydroxylamine Chemical compound C=1C=CC=CC=1C(C=1C=CC=CC=1)(SN)C1=CC=CC=C1 PIDYQAYNSQSDQY-UHFFFAOYSA-N 0.000 description 1
- 229940085605 saccharin sodium Drugs 0.000 description 1
- BPELEZSCHIEMAE-UHFFFAOYSA-N salicylaldehyde imine Chemical compound OC1=CC=CC=C1C=N BPELEZSCHIEMAE-UHFFFAOYSA-N 0.000 description 1
- YGSDEFSMJLZEOE-UHFFFAOYSA-M salicylate Chemical compound OC1=CC=CC=C1C([O-])=O YGSDEFSMJLZEOE-UHFFFAOYSA-M 0.000 description 1
- 201000007416 salivary gland adenoid cystic carcinoma Diseases 0.000 description 1
- 229930195734 saturated hydrocarbon Natural products 0.000 description 1
- 238000013341 scale-up Methods 0.000 description 1
- 210000004706 scrotum Anatomy 0.000 description 1
- 208000014956 scrotum Paget disease Diseases 0.000 description 1
- CDAISMWEOUEBRE-UHFFFAOYSA-N scyllo-inosotol Natural products OC1C(O)C(O)C(O)C(O)C1O CDAISMWEOUEBRE-UHFFFAOYSA-N 0.000 description 1
- 201000008407 sebaceous adenocarcinoma Diseases 0.000 description 1
- 125000002914 sec-butyl group Chemical group [H]C([H])([H])C([H])([H])C([H])(*)C([H])([H])[H] 0.000 description 1
- 238000013207 serial dilution Methods 0.000 description 1
- 239000008159 sesame oil Substances 0.000 description 1
- 235000011803 sesame oil Nutrition 0.000 description 1
- 238000007493 shaping process Methods 0.000 description 1
- 229940057910 shea butter Drugs 0.000 description 1
- 239000000377 silicon dioxide Substances 0.000 description 1
- 229920002545 silicone oil Polymers 0.000 description 1
- 201000000849 skin cancer Diseases 0.000 description 1
- AWUCVROLDVIAJX-GSVOUGTGSA-N sn-glycerol 3-phosphate Chemical compound OC[C@@H](O)COP(O)(O)=O AWUCVROLDVIAJX-GSVOUGTGSA-N 0.000 description 1
- 235000010378 sodium ascorbate Nutrition 0.000 description 1
- PPASLZSBLFJQEF-RKJRWTFHSA-M sodium ascorbate Substances [Na+].OC[C@@H](O)[C@H]1OC(=O)C(O)=C1[O-] PPASLZSBLFJQEF-RKJRWTFHSA-M 0.000 description 1
- 229960005055 sodium ascorbate Drugs 0.000 description 1
- 229960003885 sodium benzoate Drugs 0.000 description 1
- WRIKHQLVHPKCJU-UHFFFAOYSA-N sodium bis(trimethylsilyl)amide Chemical compound C[Si](C)(C)N([Na])[Si](C)(C)C WRIKHQLVHPKCJU-UHFFFAOYSA-N 0.000 description 1
- AJPJDKMHJJGVTQ-UHFFFAOYSA-M sodium dihydrogen phosphate Chemical compound [Na+].OP(O)([O-])=O AJPJDKMHJJGVTQ-UHFFFAOYSA-M 0.000 description 1
- APSBXTVYXVQYAB-UHFFFAOYSA-M sodium docusate Chemical compound [Na+].CCCCC(CC)COC(=O)CC(S([O-])(=O)=O)C(=O)OCC(CC)CCCC APSBXTVYXVQYAB-UHFFFAOYSA-M 0.000 description 1
- 229940037001 sodium edetate Drugs 0.000 description 1
- 239000001540 sodium lactate Substances 0.000 description 1
- 235000011088 sodium lactate Nutrition 0.000 description 1
- 229940005581 sodium lactate Drugs 0.000 description 1
- JXKPEJDQGNYQSM-UHFFFAOYSA-M sodium propionate Chemical compound [Na+].CCC([O-])=O JXKPEJDQGNYQSM-UHFFFAOYSA-M 0.000 description 1
- 235000010334 sodium propionate Nutrition 0.000 description 1
- 239000004324 sodium propionate Substances 0.000 description 1
- 229960003212 sodium propionate Drugs 0.000 description 1
- 229940001482 sodium sulfite Drugs 0.000 description 1
- 235000010265 sodium sulphite Nutrition 0.000 description 1
- PPASLZSBLFJQEF-RXSVEWSESA-M sodium-L-ascorbate Chemical compound [Na+].OC[C@H](O)[C@H]1OC(=O)C(O)=C1[O-] PPASLZSBLFJQEF-RXSVEWSESA-M 0.000 description 1
- UJZUICGIJODKOS-YSMBQZINSA-M sodium;(z)-1,4-diethoxy-1,4-dioxobut-2-en-2-olate Chemical compound [Na+].CCOC(=O)\C=C(/[O-])C(=O)OCC UJZUICGIJODKOS-YSMBQZINSA-M 0.000 description 1
- 239000012453 solvate Substances 0.000 description 1
- 235000011069 sorbitan monooleate Nutrition 0.000 description 1
- 239000001593 sorbitan monooleate Substances 0.000 description 1
- 229940035049 sorbitan monooleate Drugs 0.000 description 1
- 235000011071 sorbitan monopalmitate Nutrition 0.000 description 1
- 239000001570 sorbitan monopalmitate Substances 0.000 description 1
- 229940031953 sorbitan monopalmitate Drugs 0.000 description 1
- 239000001589 sorbitan tristearate Substances 0.000 description 1
- 229960004129 sorbitan tristearate Drugs 0.000 description 1
- 239000000600 sorbitol Substances 0.000 description 1
- 235000010356 sorbitol Nutrition 0.000 description 1
- 238000001179 sorption measurement Methods 0.000 description 1
- 241000894007 species Species 0.000 description 1
- 206010062113 splenic marginal zone lymphoma Diseases 0.000 description 1
- 239000007921 spray Substances 0.000 description 1
- HKSZLNNOFSGOKW-FYTWVXJKSA-N staurosporine Chemical compound C12=C3N4C5=CC=CC=C5C3=C3CNC(=O)C3=C2C2=CC=CC=C2N1[C@H]1C[C@@H](NC)[C@@H](OC)[C@]4(C)O1 HKSZLNNOFSGOKW-FYTWVXJKSA-N 0.000 description 1
- CGPUWJWCVCFERF-UHFFFAOYSA-N staurosporine Natural products C12=C3N4C5=CC=CC=C5C3=C3CNC(=O)C3=C2C2=CC=CC=C2N1C1CC(NC)C(OC)C4(OC)O1 CGPUWJWCVCFERF-UHFFFAOYSA-N 0.000 description 1
- 239000008117 stearic acid Substances 0.000 description 1
- 229940012831 stearyl alcohol Drugs 0.000 description 1
- 239000008223 sterile water Substances 0.000 description 1
- 239000003206 sterilizing agent Substances 0.000 description 1
- 150000003431 steroids Chemical class 0.000 description 1
- 210000000434 stratum corneum Anatomy 0.000 description 1
- 238000007920 subcutaneous administration Methods 0.000 description 1
- 238000010254 subcutaneous injection Methods 0.000 description 1
- 239000007929 subcutaneous injection Substances 0.000 description 1
- 125000005017 substituted alkenyl group Chemical group 0.000 description 1
- 125000004426 substituted alkynyl group Chemical group 0.000 description 1
- KDYFGRWQOYBRFD-UHFFFAOYSA-L succinate(2-) Chemical compound [O-]C(=O)CCC([O-])=O KDYFGRWQOYBRFD-UHFFFAOYSA-L 0.000 description 1
- 150000008163 sugars Chemical class 0.000 description 1
- 229940124530 sulfonamide Drugs 0.000 description 1
- 125000004434 sulfur atom Chemical group 0.000 description 1
- 201000010965 sweat gland carcinoma Diseases 0.000 description 1
- 206010042863 synovial sarcoma Diseases 0.000 description 1
- 238000010189 synthetic method Methods 0.000 description 1
- 239000006188 syrup Substances 0.000 description 1
- 235000020357 syrup Nutrition 0.000 description 1
- 230000009885 systemic effect Effects 0.000 description 1
- JSOMVCDXPUXKIC-UHFFFAOYSA-N tert-butyl 3-oxopyrrolidine-1-carboxylate Chemical compound CC(C)(C)OC(=O)N1CCC(=O)C1 JSOMVCDXPUXKIC-UHFFFAOYSA-N 0.000 description 1
- LZRDHSFPLUWYAX-UHFFFAOYSA-N tert-butyl 4-aminopiperidine-1-carboxylate Chemical compound CC(C)(C)OC(=O)N1CCC(N)CC1 LZRDHSFPLUWYAX-UHFFFAOYSA-N 0.000 description 1
- NEMXVXVJGXZDRR-UHFFFAOYSA-N tert-butyl n-(azetidin-3-yl)carbamate Chemical compound CC(C)(C)OC(=O)NC1CNC1 NEMXVXVJGXZDRR-UHFFFAOYSA-N 0.000 description 1
- CKXZPVPIDOJLLM-UHFFFAOYSA-N tert-butyl n-piperidin-4-ylcarbamate Chemical compound CC(C)(C)OC(=O)NC1CCNCC1 CKXZPVPIDOJLLM-UHFFFAOYSA-N 0.000 description 1
- XBXCNNQPRYLIDE-UHFFFAOYSA-N tert-butylcarbamic acid Chemical compound CC(C)(C)NC(O)=O XBXCNNQPRYLIDE-UHFFFAOYSA-N 0.000 description 1
- 201000003120 testicular cancer Diseases 0.000 description 1
- 206010062123 testicular embryonal carcinoma Diseases 0.000 description 1
- 210000001550 testis Anatomy 0.000 description 1
- BSYVTEYKTMYBMK-UHFFFAOYSA-N tetrahydrofurfuryl alcohol Chemical compound OCC1CCCO1 BSYVTEYKTMYBMK-UHFFFAOYSA-N 0.000 description 1
- 125000003039 tetrahydroisoquinolinyl group Chemical group C1(NCCC2=CC=CC=C12)* 0.000 description 1
- 125000004853 tetrahydropyridinyl group Chemical group N1(CCCC=C1)* 0.000 description 1
- 125000000147 tetrahydroquinolinyl group Chemical group N1(CCCC2=CC=CC=C12)* 0.000 description 1
- 125000003507 tetrahydrothiofenyl group Chemical group 0.000 description 1
- 125000004632 tetrahydrothiopyranyl group Chemical group S1C(CCCC1)* 0.000 description 1
- CXWXQJXEFPUFDZ-UHFFFAOYSA-N tetralin Chemical compound C1=CC=C2CCCCC2=C1 CXWXQJXEFPUFDZ-UHFFFAOYSA-N 0.000 description 1
- 125000005247 tetrazinyl group Chemical group N1=NN=NC(=C1)* 0.000 description 1
- 125000003831 tetrazolyl group Chemical group 0.000 description 1
- 125000005305 thiadiazolinyl group Chemical group 0.000 description 1
- 125000005458 thianyl group Chemical group 0.000 description 1
- 230000008719 thickening Effects 0.000 description 1
- 239000002562 thickening agent Substances 0.000 description 1
- 125000001583 thiepanyl group Chemical group 0.000 description 1
- 125000003777 thiepinyl group Chemical group 0.000 description 1
- 125000002053 thietanyl group Chemical group 0.000 description 1
- RTKIYNMVFMVABJ-UHFFFAOYSA-L thimerosal Chemical compound [Na+].CC[Hg]SC1=CC=CC=C1C([O-])=O RTKIYNMVFMVABJ-UHFFFAOYSA-L 0.000 description 1
- 229940033663 thimerosal Drugs 0.000 description 1
- 201000002510 thyroid cancer Diseases 0.000 description 1
- UIERETOOQGIECD-ONEGZZNKSA-N tiglic acid Chemical compound C\C=C(/C)C(O)=O UIERETOOQGIECD-ONEGZZNKSA-N 0.000 description 1
- 229960000984 tocofersolan Drugs 0.000 description 1
- 235000010384 tocopherol Nutrition 0.000 description 1
- 229930003799 tocopherol Natural products 0.000 description 1
- 229960001295 tocopherol Drugs 0.000 description 1
- 239000011732 tocopherol Substances 0.000 description 1
- 229940042585 tocopherol acetate Drugs 0.000 description 1
- LMYRWZFENFIFIT-UHFFFAOYSA-N toluene-4-sulfonamide Chemical compound CC1=CC=C(S(N)(=O)=O)C=C1 LMYRWZFENFIFIT-UHFFFAOYSA-N 0.000 description 1
- 231100000419 toxicity Toxicity 0.000 description 1
- 230000001988 toxicity Effects 0.000 description 1
- 235000010487 tragacanth Nutrition 0.000 description 1
- 239000000196 tragacanth Substances 0.000 description 1
- 229940116362 tragacanth Drugs 0.000 description 1
- 238000000844 transformation Methods 0.000 description 1
- 230000009261 transgenic effect Effects 0.000 description 1
- 238000013519 translation Methods 0.000 description 1
- 229960002622 triacetin Drugs 0.000 description 1
- 125000005881 triazolinyl group Chemical group 0.000 description 1
- 235000013337 tricalcium citrate Nutrition 0.000 description 1
- 235000019731 tricalcium phosphate Nutrition 0.000 description 1
- LADGBHLMCUINGV-UHFFFAOYSA-N tricaprin Chemical compound CCCCCCCCCC(=O)OCC(OC(=O)CCCCCCCCC)COC(=O)CCCCCCCCC LADGBHLMCUINGV-UHFFFAOYSA-N 0.000 description 1
- 229940066528 trichloroacetate Drugs 0.000 description 1
- YNJBWRMUSHSURL-UHFFFAOYSA-N trichloroacetic acid Chemical compound OC(=O)C(Cl)(Cl)Cl YNJBWRMUSHSURL-UHFFFAOYSA-N 0.000 description 1
- 229940117013 triethanolamine oleate Drugs 0.000 description 1
- ITMCEJHCFYSIIV-UHFFFAOYSA-M triflate Chemical compound [O-]S(=O)(=O)C(F)(F)F ITMCEJHCFYSIIV-UHFFFAOYSA-M 0.000 description 1
- KAKQVSNHTBLJCH-UHFFFAOYSA-N trifluoromethanesulfonimidic acid Chemical compound NS(=O)(=O)C(F)(F)F KAKQVSNHTBLJCH-UHFFFAOYSA-N 0.000 description 1
- 125000000026 trimethylsilyl group Chemical group [H]C([H])([H])[Si]([*])(C([H])([H])[H])C([H])([H])[H] 0.000 description 1
- VLPFTAMPNXLGLX-UHFFFAOYSA-N trioctanoin Chemical compound CCCCCCCC(=O)OCC(OC(=O)CCCCCCC)COC(=O)CCCCCCC VLPFTAMPNXLGLX-UHFFFAOYSA-N 0.000 description 1
- BZVJOYBTLHNRDW-UHFFFAOYSA-N triphenylmethanamine Chemical compound C=1C=CC=CC=1C(C=1C=CC=CC=1)(N)C1=CC=CC=C1 BZVJOYBTLHNRDW-UHFFFAOYSA-N 0.000 description 1
- LENZDBCJOHFCAS-UHFFFAOYSA-N tris Chemical compound OCC(N)(CO)CO LENZDBCJOHFCAS-UHFFFAOYSA-N 0.000 description 1
- 229960005066 trisodium edetate Drugs 0.000 description 1
- 229910052722 tritium Inorganic materials 0.000 description 1
- 125000002221 trityl group Chemical group [H]C1=C([H])C([H])=C([H])C([H])=C1C([*])(C1=C(C(=C(C(=C1[H])[H])[H])[H])[H])C1=C([H])C([H])=C([H])C([H])=C1[H] 0.000 description 1
- 229960000281 trometamol Drugs 0.000 description 1
- WFKWXMTUELFFGS-UHFFFAOYSA-N tungsten Chemical compound [W] WFKWXMTUELFFGS-UHFFFAOYSA-N 0.000 description 1
- 229910052721 tungsten Inorganic materials 0.000 description 1
- 239000010937 tungsten Substances 0.000 description 1
- 208000001072 type 2 diabetes mellitus Diseases 0.000 description 1
- ZDPHROOEEOARMN-UHFFFAOYSA-N undecanoic acid Chemical compound CCCCCCCCCCC(O)=O ZDPHROOEEOARMN-UHFFFAOYSA-N 0.000 description 1
- 241000701447 unidentified baculovirus Species 0.000 description 1
- 206010046766 uterine cancer Diseases 0.000 description 1
- 208000037965 uterine sarcoma Diseases 0.000 description 1
- 206010046885 vaginal cancer Diseases 0.000 description 1
- 208000013139 vaginal neoplasm Diseases 0.000 description 1
- 239000010679 vetiver oil Substances 0.000 description 1
- LVLANIHJQRZTPY-UHFFFAOYSA-N vinyl carbamate Chemical compound NC(=O)OC=C LVLANIHJQRZTPY-UHFFFAOYSA-N 0.000 description 1
- 125000000391 vinyl group Chemical group [H]C([*])=C([H])[H] 0.000 description 1
- 229940088594 vitamin Drugs 0.000 description 1
- 229930003231 vitamin Natural products 0.000 description 1
- 235000013343 vitamin Nutrition 0.000 description 1
- 239000011782 vitamin Substances 0.000 description 1
- 239000011719 vitamin A Substances 0.000 description 1
- 235000019155 vitamin A Nutrition 0.000 description 1
- 235000019154 vitamin C Nutrition 0.000 description 1
- 239000011718 vitamin C Substances 0.000 description 1
- 235000019165 vitamin E Nutrition 0.000 description 1
- 229940046009 vitamin E Drugs 0.000 description 1
- 239000011709 vitamin E Substances 0.000 description 1
- 229940045997 vitamin a Drugs 0.000 description 1
- 239000000341 volatile oil Substances 0.000 description 1
- 201000005102 vulva cancer Diseases 0.000 description 1
- 208000028010 vulval Paget disease Diseases 0.000 description 1
- 235000020234 walnut Nutrition 0.000 description 1
- 239000008170 walnut oil Substances 0.000 description 1
- 238000005406 washing Methods 0.000 description 1
- 239000010497 wheat germ oil Substances 0.000 description 1
- 239000002023 wood Substances 0.000 description 1
- 210000002268 wool Anatomy 0.000 description 1
- 229920001285 xanthan gum Polymers 0.000 description 1
- 125000001834 xanthenyl group Chemical group C1=CC=CC=2OC3=CC=CC=C3C(C12)* 0.000 description 1
- UGOMMVLRQDMAQQ-UHFFFAOYSA-N xphos Chemical compound CC(C)C1=CC(C(C)C)=CC(C(C)C)=C1C1=CC=CC=C1P(C1CCCCC1)C1CCCCC1 UGOMMVLRQDMAQQ-UHFFFAOYSA-N 0.000 description 1
- 239000011701 zinc Substances 0.000 description 1
- 229910052725 zinc Inorganic materials 0.000 description 1
- UHVMMEOXYDMDKI-JKYCWFKZSA-L zinc;1-(5-cyanopyridin-2-yl)-3-[(1s,2s)-2-(6-fluoro-2-hydroxy-3-propanoylphenyl)cyclopropyl]urea;diacetate Chemical compound [Zn+2].CC([O-])=O.CC([O-])=O.CCC(=O)C1=CC=C(F)C([C@H]2[C@H](C2)NC(=O)NC=2N=CC(=CC=2)C#N)=C1O UHVMMEOXYDMDKI-JKYCWFKZSA-L 0.000 description 1
- 239000002076 α-tocopherol Substances 0.000 description 1
- 235000004835 α-tocopherol Nutrition 0.000 description 1
- OENHQHLEOONYIE-JLTXGRSLSA-N β-Carotene Chemical compound CC=1CCCC(C)(C)C=1\C=C\C(\C)=C\C=C\C(\C)=C\C=C\C=C(/C)\C=C\C=C(/C)\C=C\C1=C(C)CCCC1(C)C OENHQHLEOONYIE-JLTXGRSLSA-N 0.000 description 1
Classifications
-
- A—HUMAN NECESSITIES
- A61—MEDICAL OR VETERINARY SCIENCE; HYGIENE
- A61K—PREPARATIONS FOR MEDICAL, DENTAL OR TOILETRY PURPOSES
- A61K31/00—Medicinal preparations containing organic active ingredients
- A61K31/33—Heterocyclic compounds
- A61K31/395—Heterocyclic compounds having nitrogen as a ring hetero atom, e.g. guanethidine or rifamycins
- A61K31/435—Heterocyclic compounds having nitrogen as a ring hetero atom, e.g. guanethidine or rifamycins having six-membered rings with one nitrogen as the only ring hetero atom
- A61K31/47—Quinolines; Isoquinolines
- A61K31/472—Non-condensed isoquinolines, e.g. papaverine
- A61K31/4725—Non-condensed isoquinolines, e.g. papaverine containing further heterocyclic rings
-
- A—HUMAN NECESSITIES
- A61—MEDICAL OR VETERINARY SCIENCE; HYGIENE
- A61K—PREPARATIONS FOR MEDICAL, DENTAL OR TOILETRY PURPOSES
- A61K31/00—Medicinal preparations containing organic active ingredients
- A61K31/33—Heterocyclic compounds
- A61K31/395—Heterocyclic compounds having nitrogen as a ring hetero atom, e.g. guanethidine or rifamycins
- A61K31/495—Heterocyclic compounds having nitrogen as a ring hetero atom, e.g. guanethidine or rifamycins having six-membered rings with two or more nitrogen atoms as the only ring heteroatoms, e.g. piperazine or tetrazines
- A61K31/505—Pyrimidines; Hydrogenated pyrimidines, e.g. trimethoprim
- A61K31/506—Pyrimidines; Hydrogenated pyrimidines, e.g. trimethoprim not condensed and containing further heterocyclic rings
-
- A—HUMAN NECESSITIES
- A61—MEDICAL OR VETERINARY SCIENCE; HYGIENE
- A61K—PREPARATIONS FOR MEDICAL, DENTAL OR TOILETRY PURPOSES
- A61K31/00—Medicinal preparations containing organic active ingredients
- A61K31/33—Heterocyclic compounds
- A61K31/395—Heterocyclic compounds having nitrogen as a ring hetero atom, e.g. guanethidine or rifamycins
- A61K31/435—Heterocyclic compounds having nitrogen as a ring hetero atom, e.g. guanethidine or rifamycins having six-membered rings with one nitrogen as the only ring hetero atom
- A61K31/47—Quinolines; Isoquinolines
- A61K31/472—Non-condensed isoquinolines, e.g. papaverine
-
- A—HUMAN NECESSITIES
- A61—MEDICAL OR VETERINARY SCIENCE; HYGIENE
- A61K—PREPARATIONS FOR MEDICAL, DENTAL OR TOILETRY PURPOSES
- A61K31/00—Medicinal preparations containing organic active ingredients
- A61K31/33—Heterocyclic compounds
- A61K31/395—Heterocyclic compounds having nitrogen as a ring hetero atom, e.g. guanethidine or rifamycins
- A61K31/495—Heterocyclic compounds having nitrogen as a ring hetero atom, e.g. guanethidine or rifamycins having six-membered rings with two or more nitrogen atoms as the only ring heteroatoms, e.g. piperazine or tetrazines
- A61K31/496—Non-condensed piperazines containing further heterocyclic rings, e.g. rifampin, thiothixene or sparfloxacin
-
- A—HUMAN NECESSITIES
- A61—MEDICAL OR VETERINARY SCIENCE; HYGIENE
- A61K—PREPARATIONS FOR MEDICAL, DENTAL OR TOILETRY PURPOSES
- A61K31/00—Medicinal preparations containing organic active ingredients
- A61K31/33—Heterocyclic compounds
- A61K31/395—Heterocyclic compounds having nitrogen as a ring hetero atom, e.g. guanethidine or rifamycins
- A61K31/495—Heterocyclic compounds having nitrogen as a ring hetero atom, e.g. guanethidine or rifamycins having six-membered rings with two or more nitrogen atoms as the only ring heteroatoms, e.g. piperazine or tetrazines
- A61K31/498—Pyrazines or piperazines ortho- and peri-condensed with carbocyclic ring systems, e.g. quinoxaline, phenazine
-
- A—HUMAN NECESSITIES
- A61—MEDICAL OR VETERINARY SCIENCE; HYGIENE
- A61K—PREPARATIONS FOR MEDICAL, DENTAL OR TOILETRY PURPOSES
- A61K31/00—Medicinal preparations containing organic active ingredients
- A61K31/33—Heterocyclic compounds
- A61K31/395—Heterocyclic compounds having nitrogen as a ring hetero atom, e.g. guanethidine or rifamycins
- A61K31/535—Heterocyclic compounds having nitrogen as a ring hetero atom, e.g. guanethidine or rifamycins having six-membered rings with at least one nitrogen and one oxygen as the ring hetero atoms, e.g. 1,2-oxazines
- A61K31/5375—1,4-Oxazines, e.g. morpholine
- A61K31/5377—1,4-Oxazines, e.g. morpholine not condensed and containing further heterocyclic rings, e.g. timolol
-
- A—HUMAN NECESSITIES
- A61—MEDICAL OR VETERINARY SCIENCE; HYGIENE
- A61K—PREPARATIONS FOR MEDICAL, DENTAL OR TOILETRY PURPOSES
- A61K31/00—Medicinal preparations containing organic active ingredients
- A61K31/33—Heterocyclic compounds
- A61K31/395—Heterocyclic compounds having nitrogen as a ring hetero atom, e.g. guanethidine or rifamycins
- A61K31/535—Heterocyclic compounds having nitrogen as a ring hetero atom, e.g. guanethidine or rifamycins having six-membered rings with at least one nitrogen and one oxygen as the ring hetero atoms, e.g. 1,2-oxazines
- A61K31/5375—1,4-Oxazines, e.g. morpholine
- A61K31/538—1,4-Oxazines, e.g. morpholine ortho- or peri-condensed with carbocyclic ring systems
-
- A—HUMAN NECESSITIES
- A61—MEDICAL OR VETERINARY SCIENCE; HYGIENE
- A61P—SPECIFIC THERAPEUTIC ACTIVITY OF CHEMICAL COMPOUNDS OR MEDICINAL PREPARATIONS
- A61P3/00—Drugs for disorders of the metabolism
- A61P3/04—Anorexiants; Antiobesity agents
-
- A—HUMAN NECESSITIES
- A61—MEDICAL OR VETERINARY SCIENCE; HYGIENE
- A61P—SPECIFIC THERAPEUTIC ACTIVITY OF CHEMICAL COMPOUNDS OR MEDICINAL PREPARATIONS
- A61P3/00—Drugs for disorders of the metabolism
- A61P3/08—Drugs for disorders of the metabolism for glucose homeostasis
- A61P3/10—Drugs for disorders of the metabolism for glucose homeostasis for hyperglycaemia, e.g. antidiabetics
-
- A—HUMAN NECESSITIES
- A61—MEDICAL OR VETERINARY SCIENCE; HYGIENE
- A61P—SPECIFIC THERAPEUTIC ACTIVITY OF CHEMICAL COMPOUNDS OR MEDICINAL PREPARATIONS
- A61P35/00—Antineoplastic agents
-
- A—HUMAN NECESSITIES
- A61—MEDICAL OR VETERINARY SCIENCE; HYGIENE
- A61P—SPECIFIC THERAPEUTIC ACTIVITY OF CHEMICAL COMPOUNDS OR MEDICINAL PREPARATIONS
- A61P7/00—Drugs for disorders of the blood or the extracellular fluid
- A61P7/06—Antianaemics
-
- C—CHEMISTRY; METALLURGY
- C07—ORGANIC CHEMISTRY
- C07D—HETEROCYCLIC COMPOUNDS
- C07D217/00—Heterocyclic compounds containing isoquinoline or hydrogenated isoquinoline ring systems
- C07D217/02—Heterocyclic compounds containing isoquinoline or hydrogenated isoquinoline ring systems with only hydrogen atoms or radicals containing only carbon and hydrogen atoms, directly attached to carbon atoms of the nitrogen-containing ring; Alkylene-bis-isoquinolines
- C07D217/04—Heterocyclic compounds containing isoquinoline or hydrogenated isoquinoline ring systems with only hydrogen atoms or radicals containing only carbon and hydrogen atoms, directly attached to carbon atoms of the nitrogen-containing ring; Alkylene-bis-isoquinolines with hydrocarbon or substituted hydrocarbon radicals attached to the ring nitrogen atom
-
- C—CHEMISTRY; METALLURGY
- C07—ORGANIC CHEMISTRY
- C07D—HETEROCYCLIC COMPOUNDS
- C07D217/00—Heterocyclic compounds containing isoquinoline or hydrogenated isoquinoline ring systems
- C07D217/12—Heterocyclic compounds containing isoquinoline or hydrogenated isoquinoline ring systems with radicals, substituted by hetero atoms, attached to carbon atoms of the nitrogen-containing ring
-
- C—CHEMISTRY; METALLURGY
- C07—ORGANIC CHEMISTRY
- C07D—HETEROCYCLIC COMPOUNDS
- C07D401/00—Heterocyclic compounds containing two or more hetero rings, having nitrogen atoms as the only ring hetero atoms, at least one ring being a six-membered ring with only one nitrogen atom
- C07D401/02—Heterocyclic compounds containing two or more hetero rings, having nitrogen atoms as the only ring hetero atoms, at least one ring being a six-membered ring with only one nitrogen atom containing two hetero rings
- C07D401/12—Heterocyclic compounds containing two or more hetero rings, having nitrogen atoms as the only ring hetero atoms, at least one ring being a six-membered ring with only one nitrogen atom containing two hetero rings linked by a chain containing hetero atoms as chain links
-
- C—CHEMISTRY; METALLURGY
- C07—ORGANIC CHEMISTRY
- C07D—HETEROCYCLIC COMPOUNDS
- C07D401/00—Heterocyclic compounds containing two or more hetero rings, having nitrogen atoms as the only ring hetero atoms, at least one ring being a six-membered ring with only one nitrogen atom
- C07D401/14—Heterocyclic compounds containing two or more hetero rings, having nitrogen atoms as the only ring hetero atoms, at least one ring being a six-membered ring with only one nitrogen atom containing three or more hetero rings
-
- C—CHEMISTRY; METALLURGY
- C07—ORGANIC CHEMISTRY
- C07D—HETEROCYCLIC COMPOUNDS
- C07D405/00—Heterocyclic compounds containing both one or more hetero rings having oxygen atoms as the only ring hetero atoms, and one or more rings having nitrogen as the only ring hetero atom
- C07D405/02—Heterocyclic compounds containing both one or more hetero rings having oxygen atoms as the only ring hetero atoms, and one or more rings having nitrogen as the only ring hetero atom containing two hetero rings
- C07D405/12—Heterocyclic compounds containing both one or more hetero rings having oxygen atoms as the only ring hetero atoms, and one or more rings having nitrogen as the only ring hetero atom containing two hetero rings linked by a chain containing hetero atoms as chain links
-
- C—CHEMISTRY; METALLURGY
- C07—ORGANIC CHEMISTRY
- C07D—HETEROCYCLIC COMPOUNDS
- C07D405/00—Heterocyclic compounds containing both one or more hetero rings having oxygen atoms as the only ring hetero atoms, and one or more rings having nitrogen as the only ring hetero atom
- C07D405/14—Heterocyclic compounds containing both one or more hetero rings having oxygen atoms as the only ring hetero atoms, and one or more rings having nitrogen as the only ring hetero atom containing three or more hetero rings
-
- C—CHEMISTRY; METALLURGY
- C07—ORGANIC CHEMISTRY
- C07D—HETEROCYCLIC COMPOUNDS
- C07D413/00—Heterocyclic compounds containing two or more hetero rings, at least one ring having nitrogen and oxygen atoms as the only ring hetero atoms
- C07D413/02—Heterocyclic compounds containing two or more hetero rings, at least one ring having nitrogen and oxygen atoms as the only ring hetero atoms containing two hetero rings
- C07D413/12—Heterocyclic compounds containing two or more hetero rings, at least one ring having nitrogen and oxygen atoms as the only ring hetero atoms containing two hetero rings linked by a chain containing hetero atoms as chain links
-
- C—CHEMISTRY; METALLURGY
- C12—BIOCHEMISTRY; BEER; SPIRITS; WINE; VINEGAR; MICROBIOLOGY; ENZYMOLOGY; MUTATION OR GENETIC ENGINEERING
- C12N—MICROORGANISMS OR ENZYMES; COMPOSITIONS THEREOF; PROPAGATING, PRESERVING, OR MAINTAINING MICROORGANISMS; MUTATION OR GENETIC ENGINEERING; CULTURE MEDIA
- C12N9/00—Enzymes; Proenzymes; Compositions thereof; Processes for preparing, activating, inhibiting, separating or purifying enzymes
- C12N9/10—Transferases (2.)
- C12N9/1003—Transferases (2.) transferring one-carbon groups (2.1)
- C12N9/1007—Methyltransferases (general) (2.1.1.)
-
- Y—GENERAL TAGGING OF NEW TECHNOLOGICAL DEVELOPMENTS; GENERAL TAGGING OF CROSS-SECTIONAL TECHNOLOGIES SPANNING OVER SEVERAL SECTIONS OF THE IPC; TECHNICAL SUBJECTS COVERED BY FORMER USPC CROSS-REFERENCE ART COLLECTIONS [XRACs] AND DIGESTS
- Y02—TECHNOLOGIES OR APPLICATIONS FOR MITIGATION OR ADAPTATION AGAINST CLIMATE CHANGE
- Y02A—TECHNOLOGIES FOR ADAPTATION TO CLIMATE CHANGE
- Y02A50/00—TECHNOLOGIES FOR ADAPTATION TO CLIMATE CHANGE in human health protection, e.g. against extreme weather
- Y02A50/30—Against vector-borne diseases, e.g. mosquito-borne, fly-borne, tick-borne or waterborne diseases whose impact is exacerbated by climate change
Definitions
- Epigenetic regulation of gene expression is an important biological determinant of protein production and cellular differentiation and plays a significant pathogenic role in a number of human diseases.
- Epigenetic regulation involves heritable modification of genetic material without changing its nucleotide sequence.
- epigenetic regulation is mediated by selective and reversible modification (e.g., methylation) of DNA and proteins (e.g., histones) that control the conformational transition between transcriptionally active and inactive states of chromatin.
- methyltransferases e.g., PRMT5
- PRMT5 Disease-associated chromatin-modifying enzymes
- Protein arginine methyltransferase 5 catalyzes the addition of two methyl groups to the two ⁇ -guanidino nitrogen atoms of arginine, resulting in ⁇ -NG, N′G symmetric dimethylation of arginine (sDMA) of the target protein.
- PRMT5 functions in the nucleus as well as in the cytoplasm, and its substrates include histones, spliceosomal proteins, transcription factors (See e.g., Sun et al., 2011, PNAS 108: 20538-20543).
- PRMT5 generally functions as part of a molecule weight protein complex. While the protein complexes of PRMT5 can have a variety of components, they generally include the protein MEP50 (methylosome protein 50). In addition, PRMT5 acts in conjunction with cofactor SAM (S-adenosyl methionine).
- PRMT5 is an attractive target for modulation given its role in the regulation of diverse biological processes. It has now been found that compounds described herein, and pharmaceutically acceptable salts and compositions thereof, are effective as inhibitors of PRMT5. Such compounds have the general Formula (I):
- R 1 , R 5 , R 6 , R 7 , R 8 , R x , n, L, and Ar are as defined herein.
- compositions which comprise a compound described herein (e.g., a compound of Formula (I)), or a pharmaceutically acceptable salt thereof, and optionally a pharmaceutically acceptable excipient.
- compounds described herein inhibit activity of PRMT5.
- methods of inhibiting PRMT5 comprise contacting PRMT5 with an effective amount of a compound of Formula (I), or a pharmaceutically acceptable salt thereof.
- the PRMT5 may be purified or crude, and may be present in a cell, tissue, or a subject. Thus, such methods encompass inhibition of PRMT5 activity both in vitro and in vivo.
- the PRMT5 is wild-type PRMT5.
- the PRMT5 is overexpressed.
- the PRMT5 is a mutant.
- the PRMT5 is in a cell.
- the PRMT5 is in an animal, e.g., a human.
- the PRMT5 is in a subject that is susceptible to normal levels of PRMT5 activity due to one or more mutations associated with a PRMT5 substrate. In some embodiments, the PRMT5 is in a subject known or identified as having abnormal PRMT5 activity (e.g., overexpression). In some embodiments, a provided compound is selective for PRMT5 over other methyltransferases.
- a provided compound is at least about 10-fold selective, at least about 20-fold selective, at least about 30-fold selective, at least about 40-fold selective, at least about 50-fold selective, at least about 60-fold selective, at least about 70-fold selective, at least about 80-fold selective, at least about 90-fold selective, or at least about 100-fold selective relative to one or more other methyltransferases.
- methods of altering gene expression in a cell comprise contacting a cell with an effective amount of a compound of Formula (I), or a pharmaceutically acceptable salt thereof, or a pharmaceutical composition thereof.
- the cell in culture in vitro.
- cell is in an animal, e.g., a human.
- methods of altering transcription in a cell comprise contacting a cell with an effective amount of a compound of Formula (I), or a pharmaceutically acceptable salt thereof, or a pharmaceutical composition thereof.
- the cell in culture in vitro.
- the cell is in an animal, e.g., a human.
- methods of treating a PRMT5-mediated disorder comprise administering to a subject suffering from a PRMT5-mediated disorder an effective amount of a compound described herein (e.g., a compound of Formula (I)), or a pharmaceutically acceptable salt thereof, or a pharmaceutical composition thereof.
- the PRMT5-mediated disorder is a proliferative disorder, a metabolic disorder, or a blood disorder.
- compounds described herein are useful for treating cancer.
- compounds described herein are useful for treating hematopoietic cancer, lung cancer, prostate cancer, melanoma, or pancreatic cancer.
- compounds described herein are useful for treating a hemoglobinopathy.
- compounds described herein are useful for treating sickle cell anemia.
- compounds described herein are useful for treating diabetes or obesity.
- Compounds described herein can comprise one or more asymmetric centers, and thus can exist in various isomeric forms, e.g., enantiomers and/or diastereomers.
- the compounds described herein can be in the form of an individual enantiomer, diastereomer or geometric isomer, or can be in the form of a mixture of stereoisomers, including racemic mixtures and mixtures enriched in one or more stereoisomer.
- Isomers can be isolated from mixtures by methods known to those skilled in the art, including chiral high pressure liquid chromatography (HPLC) and the formation and crystallization of chiral salts; or preferred isomers can be prepared by asymmetric syntheses.
- HPLC high pressure liquid chromatography
- structures depicted herein are also meant to include compounds that differ only in the presence of one or more isotopically enriched atoms.
- compounds having the present structures except for the replacement of hydrogen by deuterium or tritium, replacement of 19 F with 18 F, or the replacement of a carbon by a 13 C— or 14 C-enriched carbon are within the scope of the disclosure.
- Such compounds are useful, for example, as analytical tools or probes in biological assays.
- aliphatic includes both saturated and unsaturated, nonaromatic, straight chain (i.e., unbranched), branched, acyclic, and cyclic (i.e., carbocyclic) hydrocarbons.
- an aliphatic group is optionally substituted with one or more functional groups.
- “aliphatic” is intended herein to include alkyl, alkenyl, alkynyl, cycloalkyl, and cycloalkenyl moieties.
- C 1-6 alkyl is intended to encompass, C 1 , C 2 , C 3 , C 4 , C 5 , C 6 , C 1-6 , C 1-5 , C 1-4 , C 1-3 , C 1-2 , C 2-6 , C 2-5 , C 2-4 , C 2-3 , C 3-6 , C 3-5 , C 3-4 , C 4-6 , C 4-5 , and C 5-6 alkyl.
- Alkyl refers to a radical of a straight-chain or branched saturated hydrocarbon group having from 1 to 20 carbon atoms (“C 1-20 alkyl”). In some embodiments, an alkyl group has 1 to 10 carbon atoms (“C 1-10 alkyl”). In some embodiments, an alkyl group has 1 to 9 carbon atoms (“C 1-9 alkyl”). In some embodiments, an alkyl group has 1 to 8 carbon atoms (“C 1-8 alkyl”). In some embodiments, an alkyl group has 1 to 7 carbon atoms (“C 1-7 alkyl”). In some embodiments, an alkyl group has 1 to 6 carbon atoms (“C 1-6 alkyl”).
- an alkyl group has 1 to 5 carbon atoms (“C 1-5 alkyl”). In some embodiments, an alkyl group has 1 to 4 carbon atoms (“C 1-4 alkyl”). In some embodiments, an alkyl group has 1 to 3 carbon atoms (“C 1-3 alkyl”). In some embodiments, an alkyl group has 1 to 2 carbon atoms (“C 1-2 alkyl”). In some embodiments, an alkyl group has 1 carbon atom (“C 1 alkyl”). In some embodiments, an alkyl group has 2 to 6 carbon atoms (“C 2-6 alkyl”).
- C 1-6 alkyl groups include methyl (C 1 ), ethyl (C 2 ), n-propyl (C 3 ), isopropyl (C 3 ), n-butyl (C 4 ), tert-butyl (C 4 ), sec-butyl (C 4 ), iso-butyl (C 4 ), n-pentyl (C 5 ), 3-pentanyl (C 5 ), amyl (C 5 ), neopentyl (C 5 ), 3-methyl-2-butanyl (C 5 ), tertiary amyl (C 5 ), and n-hexyl (C 6 ).
- alkyl groups include n-heptyl (C 7 ), n-octyl (C 8 ) and the like.
- each instance of an alkyl group is independently optionally substituted, e.g., unsubstituted (an “unsubstituted alkyl”) or substituted (a “substituted alkyl”) with one or more substituents.
- the alkyl group is unsubstituted C 1-10 alkyl (e.g., —CH 3 ). In certain embodiments, the alkyl group is substituted C 1-10 alkyl.
- an alkyl group is substituted with one or more halogens.
- Perhaloalkyl is a substituted alkyl group as defined herein wherein all of the hydrogen atoms are independently replaced by a halogen, e.g., fluoro, bromo, chloro, or iodo.
- the alkyl moiety has 1 to 8 carbon atoms (“C 1-8 perhaloalkyl”).
- the alkyl moiety has 1 to 6 carbon atoms (“C 1-6 perhaloalkyl”).
- the alkyl moiety has 1 to 4 carbon atoms (“C 1-4 perhaloalkyl”).
- the alkyl moiety has 1 to 3 carbon atoms (“C 1-3 perhaloalkyl”). In some embodiments, the alkyl moiety has 1 to 2 carbon atoms (“C 1-2 perhaloalkyl”). In some embodiments, all of the hydrogen atoms are replaced with fluoro. In some embodiments, all of the hydrogen atoms are replaced with chloro. Examples of perhaloalkyl groups include —CF 3 , —CF 2 CF 3 , —CF 2 CF 2 CF 3 , —CCl 3 , —CFCl 2 , —CF 2 Cl, and the like.
- Alkenyl refers to a radical of a straight-chain or branched hydrocarbon group having from 2 to 20 carbon atoms, one or more carbon-carbon double bonds, and no triple bonds (“C 2-20 alkenyl”). In some embodiments, an alkenyl group has 2 to 10 carbon atoms (“C 2-10 alkenyl”). In some embodiments, an alkenyl group has 2 to 9 carbon atoms (“C 2-9 alkenyl”). In some embodiments, an alkenyl group has 2 to 8 carbon atoms (“C 2-8 alkenyl”). In some embodiments, an alkenyl group has 2 to 7 carbon atoms (“C 2-7 alkenyl”).
- an alkenyl group has 2 to 6 carbon atoms (“C 2-6 alkenyl”). In some embodiments, an alkenyl group has 2 to 5 carbon atoms (“C 2-5 alkenyl”). In some embodiments, an alkenyl group has 2 to 4 carbon atoms (“C 2-4 alkenyl”). In some embodiments, an alkenyl group has 2 to 3 carbon atoms (“C 2-3 alkenyl”). In some embodiments, an alkenyl group has 2 carbon atoms (“C 2 alkenyl”). The one or more carbon-carbon double bonds can be internal (such as in 2-butenyl) or terminal (such as in 1-butenyl).
- Examples of C 2-4 alkenyl groups include ethenyl (C 2 ), 1-propenyl (C 3 ), 2-propenyl (C 3 ), 1-butenyl (C 4 ), 2-butenyl (C 4 ), butadienyl (C 4 ), and the like.
- Examples of C 2-6 alkenyl groups include the aforementioned C 2-4 alkenyl groups as well as pentenyl (C 5 ), pentadienyl (C 5 ), hexenyl (C 6 ), and the like. Additional examples of alkenyl include heptenyl (C 7 ), octenyl (C 8 ), octatrienyl (C 8 ), and the like.
- each instance of an alkenyl group is independently optionally substituted, e.g., unsubstituted (an “unsubstituted alkenyl”) or substituted (a “substituted alkenyl”) with one or more substituents.
- the alkenyl group is unsubstituted C 2-10 alkenyl. In certain embodiments, the alkenyl group is substituted C 2-10 alkenyl.
- Alkynyl refers to a radical of a straight-chain or branched hydrocarbon group having from 2 to 20 carbon atoms, one or more carbon-carbon triple bonds, and optionally one or more double bonds (“C 2-20 alkynyl”).
- an alkynyl group has 2 to 10 carbon atoms (“C 2-10 alkynyl”).
- an alkynyl group has 2 to 9 carbon atoms (“C 2-9 alkynyl”).
- an alkynyl group has 2 to 8 carbon atoms (“C 2-8 alkynyl”).
- an alkynyl group has 2 to 7 carbon atoms (“C 2-7 alkynyl”).
- an alkynyl group has 2 to 6 carbon atoms (“C 2-6 alkynyl”). In some embodiments, an alkynyl group has 2 to 5 carbon atoms (“C 2-5 alkynyl”). In some embodiments, an alkynyl group has 2 to 4 carbon atoms (“C 2-4 alkynyl”). In some embodiments, an alkynyl group has 2 to 3 carbon atoms (“C 2-3 alkynyl”). In some embodiments, an alkynyl group has 2 carbon atoms (“C 2 alkynyl”). The one or more carbon-carbon triple bonds can be internal (such as in 2-butynyl) or terminal (such as in 1-butynyl).
- Examples of C 2-4 alkynyl groups include, without limitation, ethynyl (C 2 ), 1-propynyl (C 3 ), 2-propynyl (C 3 ), 1-butynyl (C 4 ), 2-butynyl (C 4 ), and the like.
- Examples of C 2-6 alkenyl groups include the aforementioned C 2-4 alkynyl groups as well as pentynyl (C 5 ), hexynyl (C 6 ), and the like. Additional examples of alkynyl include heptynyl (C 7 ), octynyl (C 8 ), and the like.
- each instance of an alkynyl group is independently optionally substituted, e.g., unsubstituted (an “unsubstituted alkynyl”) or substituted (a “substituted alkynyl”) with one or more substituents.
- the alkynyl group is unsubstituted C 2-10 alkynyl. In certain embodiments, the alkynyl group is substituted C 2-10 alkynyl.
- Carbocyclyl or “carbocyclic” refers to a radical of a non-aromatic cyclic hydrocarbon group having from 3 to 10 ring carbon atoms (“C 3-10 carbocyclyl”) and zero heteroatoms in the non-aromatic ring system.
- a carbocyclyl group has 3 to 8 ring carbon atoms (“C 3-8 carbocyclyl”).
- a carbocyclyl group has 3 to 6 ring carbon atoms (“C 3-6 carbocyclyl”).
- a carbocyclyl group has 3 to 6 ring carbon atoms (“C 3-6 carbocyclyl”).
- a carbocyclyl group has 5 to 10 ring carbon atoms (“C 5-10 carbocyclyl”).
- Exemplary C 3-6 carbocyclyl groups include, without limitation, cyclopropyl (C 3 ), cyclopropenyl (C 3 ), cyclobutyl (C 4 ), cyclobutenyl (C 4 ), cyclopentyl (C 5 ), cyclopentenyl (C 5 ), cyclohexyl (C 6 ), cyclohexenyl (C 6 ), cyclohexadienyl (C 6 ), and the like.
- Exemplary C 3-8 carbocyclyl groups include, without limitation, the aforementioned C 3-6 carbocyclyl groups as well as cycloheptyl (C 7 ), cycloheptenyl (C 7 ), cycloheptadienyl (C 7 ), cycloheptatrienyl (C 7 ), cyclooctyl (C 8 ), cyclooctenyl (C 8 ), bicyclo[2.2.1]heptanyl (C 7 ), bicyclo[2.2.2]octanyl (C 8 ), and the like.
- Exemplary C 3-10 carbocyclyl groups include, without limitation, the aforementioned C 3-8 carbocyclyl groups as well as cyclononyl (C 9 ), cyclononenyl (C 9 ), cyclodecyl (C 10 ), cyclodecenyl (C 10 ), octahydro-1H-indenyl (C 9 ), decahydronaphthalenyl (C 10 ), spiro[4.5]decanyl (C 10 ), and the like.
- the carbocyclyl group is either monocyclic (“monocyclic carbocyclyl”) or contain a fused, bridged or spiro ring system such as a bicyclic system (“bicyclic carbocyclyl”) and can be saturated or can be partially unsaturated.
- “Carbocyclyl” also includes ring systems wherein the carbocyclyl ring, as defined above, is fused with one or more aryl or heteroaryl groups wherein the point of attachment is on the carbocyclyl ring, and in such instances, the number of carbons continue to designate the number of carbons in the carbocyclic ring system.
- each instance of a carbocyclyl group is independently optionally substituted, e.g., unsubstituted (an “unsubstituted carbocyclyl”) or substituted (a “substituted carbocyclyl”) with one or more substituents.
- the carbocyclyl group is unsubstituted C 3-10 carbocyclyl.
- the carbocyclyl group is a substituted C 3-10 carbocyclyl.
- “carbocyclyl” is a monocyclic, saturated carbocyclyl group having from 3 to 10 ring carbon atoms (“C 3-10 cycloalkyl”). In some embodiments, a cycloalkyl group has 3 to 8 ring carbon atoms (“C 3-8 cycloalkyl”). In some embodiments, a cycloalkyl group has 3 to 6 ring carbon atoms (“C 3-6 cycloalkyl”). In some embodiments, a cycloalkyl group has 5 to 6 ring carbon atoms (“C 5-6 cycloalkyl”). In some embodiments, a cycloalkyl group has 5 to 10 ring carbon atoms (“C 5-10 cycloalkyl”).
- C 5-6 cycloalkyl groups include cyclopentyl (C 5 ) and cyclohexyl (C 5 ).
- Examples of C 3-6 cycloalkyl groups include the aforementioned C 5-6 cycloalkyl groups as well as cyclopropyl (C 3 ) and cyclobutyl (C 4 ).
- Examples of C 3-8 cycloalkyl groups include the aforementioned C 3-6 cycloalkyl groups as well as cycloheptyl (C 7 ) and cyclooctyl (C 8 ).
- each instance of a cycloalkyl group is independently unsubstituted (an “unsubstituted cycloalkyl”) or substituted (a “substituted cycloalkyl”) with one or more substituents.
- the cycloalkyl group is unsubstituted C 3-10 cycloalkyl.
- the cycloalkyl group is substituted C 3-10 cycloalkyl.
- Heterocyclyl refers to a radical of a 3- to 10-membered non-aromatic ring system having ring carbon atoms and 1 to 4 ring heteroatoms, wherein each heteroatom is independently selected from nitrogen, oxygen, and sulfur (“3-10 membered heterocyclyl”).
- heterocyclyl groups that contain one or more nitrogen atoms, the point of attachment can be a carbon or nitrogen atom, as valency permits.
- a heterocyclyl group can either be monocyclic (“monocyclic heterocyclyl”) or a fused, bridged or spiro ring system such as a bicyclic system (“bicyclic heterocyclyl”), and can be saturated or can be partially unsaturated.
- Heterocyclyl bicyclic ring systems can include one or more heteroatoms in one or both rings.
- “Heterocyclyl” also includes ring systems wherein the heterocyclyl ring, as defined above, is fused with one or more carbocyclyl groups wherein the point of attachment is either on the carbocyclyl or heterocyclyl ring, or ring systems wherein the heterocyclyl ring, as defined above, is fused with one or more aryl or heteroaryl groups, wherein the point of attachment is on the heterocyclyl ring, and in such instances, the number of ring members continue to designate the number of ring members in the heterocyclyl ring system.
- each instance of heterocyclyl is independently optionally substituted, e.g., unsubstituted (an “unsubstituted heterocyclyl”) or substituted (a “substituted heterocyclyl”) with one or more substituents.
- the heterocyclyl group is unsubstituted 3-10 membered heterocyclyl. In certain embodiments, the heterocyclyl group is substituted 3-10 membered heterocyclyl.
- a heterocyclyl group is a 5-10 membered non-aromatic ring system having ring carbon atoms and 1-4 ring heteroatoms, wherein each heteroatom is independently selected from nitrogen, oxygen, and sulfur (“5-10 membered heterocyclyl”).
- a heterocyclyl group is a 5-8 membered non-aromatic ring system having ring carbon atoms and 1-4 ring heteroatoms, wherein each heteroatom is independently selected from nitrogen, oxygen, and sulfur (“5-8 membered heterocyclyl”).
- a heterocyclyl group is a 5-6 membered non-aromatic ring system having ring carbon atoms and 1-4 ring heteroatoms, wherein each heteroatom is independently selected from nitrogen, oxygen, and sulfur (“5-6 membered heterocyclyl”).
- the 5-6 membered heterocyclyl has 1-3 ring heteroatoms independently selected from nitrogen, oxygen, and sulfur.
- the 5-6 membered heterocyclyl has 1-2 ring heteroatoms independently selected from nitrogen, oxygen, and sulfur.
- the 5-6 membered heterocyclyl has one ring heteroatom selected from nitrogen, oxygen, and sulfur.
- Exemplary 3-membered heterocyclyl groups containing one heteroatom include, without limitation, azirdinyl, oxiranyl, and thiorenyl.
- Exemplary 4-membered heterocyclyl groups containing one heteroatom include, without limitation, azetidinyl, oxetanyl, and thietanyl.
- Exemplary 5-membered heterocyclyl groups containing one heteroatom include, without limitation, tetrahydrofuranyl, dihydrofuranyl, tetrahydrothiophenyl, dihydrothiophenyl, pyrrolidinyl, dihydropyrrolyl, and pyrrolyl-2,5-dione.
- Exemplary 5-membered heterocyclyl groups containing two heteroatoms include, without limitation, dioxolanyl, oxasulfuranyl, disulfuranyl, and oxazolidin-2-one.
- Exemplary 5-membered heterocyclyl groups containing three heteroatoms include, without limitation, triazolinyl, oxadiazolinyl, and thiadiazolinyl.
- Exemplary 6-membered heterocyclyl groups containing one heteroatom include, without limitation, piperidinyl, tetrahydropyranyl, dihydropyridinyl, and thianyl.
- Exemplary 6-membered heterocyclyl groups containing two heteroatoms include, without limitation, piperazinyl, morpholinyl, dithianyl, and dioxanyl. Exemplary 6-membered heterocyclyl groups containing two heteroatoms include, without limitation, triazinanyl. Exemplary 7-membered heterocyclyl groups containing one heteroatom include, without limitation, azepanyl, oxepanyl and thiepanyl. Exemplary 8-membered heterocyclyl groups containing one heteroatom include, without limitation, azocanyl, oxecanyl, and thiocanyl.
- Exemplary 5-membered heterocyclyl groups fused to a C 6 aryl ring include, without limitation, indolinyl, isoindolinyl, dihydrobenzofuranyl, dihydrobenzothienyl, benzoxazolinonyl, and the like.
- Exemplary 6-membered heterocyclyl groups fused to an aryl ring include, without limitation, tetrahydroquinolinyl, tetrahydroisoquinolinyl, and the like.
- Aryl refers to a radical of a monocyclic or polycyclic (e.g., bicyclic or tricyclic) 4n+2 aromatic ring system (e.g., having 6, 10, or 14 ⁇ electrons shared in a cyclic array) having 6-14 ring carbon atoms and zero heteroatoms provided in the aromatic ring system (“C 6-14 aryl”).
- an aryl group has six ring carbon atoms (“C 6 aryl”; e.g., phenyl).
- an aryl group has ten ring carbon atoms (“C 10 aryl”; e.g., naphthyl such as 1-naphthyl and 2-naphthyl).
- an aryl group has fourteen ring carbon atoms (“C 14 aryl”; e.g., anthracyl).
- Aryl also includes ring systems wherein the aryl ring, as defined above, is fused with one or more carbocyclyl or heterocyclyl groups wherein the radical or point of attachment is on the aryl ring, and in such instances, the number of carbon atoms continue to designate the number of carbon atoms in the aryl ring system.
- each instance of an aryl group is independently optionally substituted, e.g., unsubstituted (an “unsubstituted aryl”) or substituted (a “substituted aryl”) with one or more substituents.
- the aryl group is unsubstituted C 6-14 aryl. In certain embodiments, the aryl group is substituted C 6-14 aryl.
- Heteroaryl refers to a radical of a 5-10 membered monocyclic or bicyclic 4n+2 aromatic ring system (e.g., having 6 or 10 ⁇ electrons shared in a cyclic array) having ring carbon atoms and 1-4 ring heteroatoms provided in the aromatic ring system, wherein each heteroatom is independently selected from nitrogen, oxygen and sulfur (“5-10 membered heteroaryl”).
- heteroaryl groups that contain one or more nitrogen atoms, the point of attachment can be a carbon or nitrogen atom, as valency permits.
- Heteroaryl bicyclic ring systems can include one or more heteroatoms in one or both rings.
- Heteroaryl includes ring systems wherein the heteroaryl ring, as defined above, is fused with one or more carbocyclyl or heterocyclyl groups wherein the point of attachment is on the heteroaryl ring, and in such instances, the number of ring members continue to designate the number of ring members in the heteroaryl ring system. “Heteroaryl” also includes ring systems wherein the heteroaryl ring, as defined above, is fused with one or more aryl groups wherein the point of attachment is either on the aryl or heteroaryl ring, and in such instances, the number of ring members designates the number of ring members in the fused (aryl/heteroaryl) ring system.
- Bicyclic heteroaryl groups wherein one ring does not contain a heteroatom e.g., indolyl, quinolinyl, carbazolyl, and the like
- the point of attachment can be on either ring, e.g., either the ring bearing a heteroatom (e.g., 2-indolyl) or the ring that does not contain a heteroatom (e.g., 5-indolyl).
- a heteroaryl group is a 5-10 membered aromatic ring system having ring carbon atoms and 1-4 ring heteroatoms provided in the aromatic ring system, wherein each heteroatom is independently selected from nitrogen, oxygen, and sulfur (“5-10 membered heteroaryl”).
- a heteroaryl group is a 5-8 membered aromatic ring system having ring carbon atoms and 1-4 ring heteroatoms provided in the aromatic ring system, wherein each heteroatom is independently selected from nitrogen, oxygen, and sulfur (“5-8 membered heteroaryl”).
- a heteroaryl group is a 5-6 membered aromatic ring system having ring carbon atoms and 1-4 ring heteroatoms provided in the aromatic ring system, wherein each heteroatom is independently selected from nitrogen, oxygen, and sulfur (“5-6 membered heteroaryl”).
- the 5-6 membered heteroaryl has 1-3 ring heteroatoms independently selected from nitrogen, oxygen, and sulfur.
- the 5-6 membered heteroaryl has 1-2 ring heteroatoms independently selected from nitrogen, oxygen, and sulfur.
- the 5-6 membered heteroaryl has 1 ring heteroatom selected from nitrogen, oxygen, and sulfur.
- each instance of a heteroaryl group is independently optionally substituted, e.g., unsubstituted (“unsubstituted heteroaryl”) or substituted (“substituted heteroaryl”) with one or more substituents.
- the heteroaryl group is unsubstituted 5-14 membered heteroaryl. In certain embodiments, the heteroaryl group is substituted 5-14 membered heteroaryl.
- Exemplary 5-membered heteroaryl groups containing one heteroatom include, without limitation, pyrrolyl, furanyl and thiophenyl.
- Exemplary 5-membered heteroaryl groups containing two heteroatoms include, without limitation, imidazolyl, pyrazolyl, oxazolyl, isoxazolyl, thiazolyl, and isothiazolyl.
- Exemplary 5-membered heteroaryl groups containing three heteroatoms include, without limitation, triazolyl, oxadiazolyl, and thiadiazolyl.
- Exemplary 5-membered heteroaryl groups containing four heteroatoms include, without limitation, tetrazolyl.
- Exemplary 6-membered heteroaryl groups containing one heteroatom include, without limitation, pyridinyl.
- Exemplary 6-membered heteroaryl groups containing two heteroatoms include, without limitation, pyridazinyl, pyrimidinyl, and pyrazinyl.
- Exemplary 6-membered heteroaryl groups containing three or four heteroatoms include, without limitation, triazinyl and tetrazinyl, respectively.
- Exemplary 7-membered heteroaryl groups containing one heteroatom include, without limitation, azepinyl, oxepinyl, and thiepinyl.
- Exemplary 5,6-bicyclic heteroaryl groups include, without limitation, indolyl, isoindolyl, indazolyl, benzotriazolyl, benzothiophenyl, isobenzothiophenyl, benzofuranyl, benzoisofuranyl, benzimidazolyl, benzoxazolyl, benzisoxazolyl, benzoxadiazolyl, benzthiazolyl, benzisothiazolyl, benzthiadiazolyl, indolizinyl, and purinyl.
- Exemplary 6,6-bicyclic heteroaryl groups include, without limitation, naphthyridinyl, pteridinyl, quinolinyl, isoquinolinyl, cinnolinyl, quinoxalinyl, phthalazinyl, and quinazolinyl.
- Partially unsaturated refers to a group that includes at least one double or triple bond.
- the term “partially unsaturated” is intended to encompass rings having multiple sites of unsaturation, but is not intended to include aromatic groups (e.g., aryl or heteroaryl groups) as herein defined.
- saturated refers to a group that does not contain a double or triple bond, i.e., contains all single bonds.
- aliphatic, alkyl, alkenyl, alkynyl, carbocyclyl, heterocyclyl, aryl, and heteroaryl groups are optionally substituted (e.g., “substituted” or “unsubstituted” aliphatic, “substituted” or “unsubstituted” alkyl, “substituted” or “unsubstituted” alkenyl, “substituted” or “unsubstituted” alkynyl, “substituted” or “unsubstituted” carbocyclyl, “substituted” or “unsubstituted” heterocyclyl, “substituted” or “unsubstituted” aryl or “substituted” or “unsubstituted” heteroaryl group).
- substituted means that at least one hydrogen present on a group (e.g., a carbon or nitrogen atom) is replaced with a permissible substituent, e.g., a substituent which upon substitution results in a stable compound, e.g., a compound which does not spontaneously undergo transformation such as by rearrangement, cyclization, elimination, or other reaction.
- a “substituted” group has a substituent at one or more substitutable positions of the group, and when more than one position in any given structure is substituted, the substituent is either the same or different at each position.
- substituted is contemplated to include substitution with all permissible substituents of organic compounds, including any of the substituents described herein that results in the formation of a stable compound.
- the present disclosure contemplates any and all such combinations in order to arrive at a stable compound.
- heteroatoms such as nitrogen may have hydrogen substituents and/or any suitable substituent as described herein which satisfy the valencies of the heteroatoms and results in the formation of a stable moiety.
- each instance of R aa is, independently, selected from C 1-10 alkyl, C 1-10 perhaloalkyl, C 2-10 alkenyl, C 2-10 alkynyl, C 3-10 carbocyclyl, 3-14 membered heterocyclyl, C 6-14 aryl, and 5-14 membered heteroaryl, or two R aa groups are joined to form a 3-14 membered heterocyclyl or 5-14 membered heteroaryl ring, wherein each alkyl, alkenyl, alkynyl, carbocyclyl, heterocyclyl, aryl, and heteroaryl is independently substituted with 0, 1, 2, 3, 4, or 5 R dd groups;
- each instance of R bb is, independently, selected from hydrogen, —OH, —OR aa , —N(R cc ) 2 , —CN, —C( ⁇ O)R aa , —C( ⁇ O)N(R aa ) 2 , —CO 2 R aa , —SO 2 R aa , —C( ⁇ NR cc )OR aa , —C( ⁇ NR cc )N(R cc ) 2 , —SO 2 N(R cc ) 2 , —SO 2 R cc , —SO 2 OR cc , —SOR aa , —C( ⁇ S)N(R cc ) 2 , —C( ⁇ O)SR cc , —C( ⁇ S)SR cc , —P( ⁇ O) 2 R aa , —P( ⁇ O)(R aa ) 2 ,
- each instance of R cc is, independently, selected from hydrogen, C 1-10 alkyl, C 1-10 perhaloalkyl, C 2-10 alkenyl, C 2-10 alkynyl, C 3-10 carbocyclyl, 3-14 membered heterocyclyl, C 6-14 aryl, and 5-14 membered heteroaryl, or two R cc groups are joined to form a 3-14 membered heterocyclyl or 5-14 membered heteroaryl ring, wherein each alkyl, alkenyl, alkynyl, carbocyclyl, heterocyclyl, aryl, and heteroaryl is independently substituted with 0, 1, 2, 3, 4, or 5 R dd groups;
- each instance of R dd is, independently, selected from halogen, —CN, —NO 2 , —N 3 , —SO 2 H), —SO 3 H), —OH, —OR ee , —ON(R ff ) 2 , —N(R ff ) 2 , —N(R ff ) 3 + X ⁇ , —N(OR ee )R ff , —SH, —SR 33 , —SSR 33 , —C( ⁇ O)R ee , —CO 2 H), —CO 2 R ee , —OC( ⁇ O)R ee , —OCO 2 R ee , —C( ⁇ O)N(R ff ) 2 , —OC( ⁇ O)N(R ff ) 2 , —NR ff C( ⁇ O)R ee , —NR ff CO 2 R ee ,
- each instance of R ee is, independently, selected from C 1-6 alkyl, C 1-6 perhaloalkyl, C 2-6 alkenyl, C 2-6 alkynyl, C 3-10 carbocyclyl, C 6-10 aryl, 3-10 membered heterocyclyl, and 3-10 membered heteroaryl, wherein each alkyl, alkenyl, alkynyl, carbocyclyl, heterocyclyl, aryl, and heteroaryl is independently substituted with 0, 1, 2, 3, 4, or 5 R gg groups;
- each instance of R ff is, independently, selected from hydrogen, C 1-6 alkyl, C 1-6 perhaloalkyl, C 2-6 alkenyl, C 2-6 alkynyl, C 3-10 carbocyclyl, 3-10 membered heterocyclyl, C 6-10 aryl and 5-10 membered heteroaryl, or two R ff groups are joined to form a 3-14 membered heterocyclyl or 5-14 membered heteroaryl ring, wherein each alkyl, alkenyl, alkynyl, carbocyclyl, heterocyclyl, aryl, and heteroaryl is independently substituted with 0, 1, 2, 3, 4, or 5 R gg groups; and
- each instance of R gg is, independently, halogen, —CN, —NO 2 , —N 3 , —SO 2 H, —SO 3 H, —OH, —OC 1-6 alkyl, —ON(C 1-6 alkyl) 2 , —N(C 1-6 alkyl) 2 , —N(C 1-6 alkyl) 3 + X ⁇ , —NH(C 1-6 alkyl) 2 + X ⁇ , —NH 2 (C 1-6 alkyl) + X ⁇ , —NH 3 + X ⁇ , —N(OC 1-6 alkyl)(C 1-6 alkyl), —N(OH)(C 1-6 alkyl), —NH(OH), —SH, —SC 1-6 alkyl, —SS(C 1-6 alkyl), —C( ⁇ O)(C 1-6 alkyl), —CO 2 H), —CO 2 (C 1-6 alkyl), —OC( ⁇ O)
- a “counterion” or “anionic counterion” is a negatively charged group associated with a cationic quaternary amino group in order to maintain electronic neutrality.
- exemplary counterions include halide ions (e.g., F ⁇ , Cl ⁇ , Br ⁇ , I ⁇ ), NO 3 ⁇ , ClO 4 ⁇ , OH ⁇ , H 2 PO 4 ⁇ , HSO 4 ⁇ , sulfonate ions (e.g., methansulfonate, trifluoromethanesulfonate, p-toluenesulfonate, benzenesulfonate, 10-camphor sulfonate, naphthalene-2-sulfonate, naphthalene-1-sulfonic acid-5-sulfonate, ethan-1-sulfonic acid-2-sulfonate, and the like), and carboxylate ions (e.g., acetate,
- Halo or “halogen” refers to fluorine (fluoro, —F), chlorine (chloro, —Cl), bromine (bromo, —Br), or iodine (iodo, —I).
- Nitrogen atoms can be substituted or unsubstituted as valency permits, and include primary, secondary, tertiary, and quarternary nitrogen atoms.
- Exemplary nitrogen atom substitutents include, but are not limited to, hydrogen, —OH, —OR aa , —N(R cc ) 2 , —CN, —C( ⁇ O)R aa , —C( ⁇ O)N(R cc ) 2 , —CO 2 R aa , —SO 2 R aa , —C( ⁇ NR bb )R aa , —C( ⁇ NR cc )OR aa , —C( ⁇ NR cc )N(R cc ) 2 , —SO 2 N(R cc ) 2 , —SO 2 R cc , —SO 2 OR cc , —SOR aa , —C( ⁇ S)N(R
- the substituent present on a nitrogen atom is a nitrogen protecting group (also referred to as an amino protecting group).
- Nitrogen protecting groups include, but are not limited to, —OH, —OR aa , —N(R cc ) 2 , —C( ⁇ O)R aa , —C( ⁇ O)N(R cc ) 2 , —CO 2 R aa , —SO 2 R aa , —C( ⁇ NR cc )R aa , —C( ⁇ NR cc )OR aa , —C( ⁇ NR cc )N(R cc ) 2 , —SO 2 N(R cc ) 2 , —SO 2 R cc , —SO 2 OR cc , —SOR aa , —C( ⁇ S)N(R cc ) 2 , —C( ⁇ O)SR cc , —C(C(
- Nitrogen protecting groups are well known in the art and include those described in detail in Protecting Groups in Organic Synthesis, T. W. Greene and P. G. M. Wuts, 3 rd edition, John Wiley & Sons, 1999, incorporated herein by reference.
- Amide nitrogen protecting groups include, but are not limited to, formamide, acetamide, chloroacetamide, trichloroacetamide, trifluoroacetamide, phenylacetamide, 3-phenylpropanamide, picolinamide, 3-pyridylcarboxamide, N-benzoylphenylalanyl derivative, benzamide, p-phenylbenzamide, o-nitophenylacetamide, o-nitrophenoxyacetamide, acetoacetamide, (N′-dithiobenzyloxyacylamino)acetamide, 3-(p-hydroxyphenyl)propanamide, 3-(o-nitrophenyl)propanamide, 2-methyl-2-(o-nitrophenoxy)propanamide, 2-methyl-2-(o-phenylazophenoxy)propanamide, 4-chlorobutanamide, 3-methyl-3-nitrobutanamide, o-nitrocinnamide, N
- Carbamate nitrogen protecting groups include, but are not limited to, methyl carbamate, ethyl carbamante, 9-fluorenylmethyl carbamate (Fmoc), 9-(2-sulfo)fluorenylmethyl carbamate, 9-(2,7-dibromo)fluoroenylmethyl carbamate, 2,7-di-t-butyl-[9-(10,10-dioxo-10,10,10,10-tetrahydrothioxanthyl)]methyl carbamate (DBD-Tmoc), 4-methoxyphenacyl carbamate (Phenoc), 2,2,2-trichloroethyl carbamate (Troc), 2-trimethylsilylethyl carbamate (Teoc), 2-phenylethyl carbamate (hZ), 1-(1-adamantyl)-1-methylethyl carbamate (Ad
- Sulfonamide nitrogen protecting groups include, but are not limited to, p-toluenesulfonamide (Ts), benzenesulfonamide, 2,3,6,-trimethyl-4-methoxybenzenesulfonamide (Mtr), 2,4,6-trimethoxybenzenesulfonamide (Mtb), 2,6-dimethyl-4-methoxybenzenesulfonamide (Pme), 2,3,5,6-tetramethyl-4-methoxybenzenesulfonamide (Mte), 4-methoxybenzenesulfonamide (Mbs), 2,4,6-trimethylbenzenesulfonamide (Mts), 2,6-dimethoxy-4-methylbenzenesulfonamide (iMds), 2,2,5,7,8-pentamethylchroman-6-sulfonamide (Pmc), methanesulfonamide (Ms),
- Ts p-toluenesulfonamide
- nitrogen protecting groups include, but are not limited to, phenothiazinyl-(10)-acyl derivative, N′-p-toluenesulfonylaminoacyl derivative, N′-phenylaminothioacyl derivative, N-benzoylphenylalanyl derivative, N-acetylmethionine derivative, 4,5-diphenyl-3-oxazolin-2-one, N-phthalimide, N-dithiasuccinimide (Dts), N-2,3-diphenylmaleimide, N-2,5-dimethylpyrrole, N-1,1,4,4-tetramethyldisilylazacyclopentane adduct (STABASE), 5-substituted 1,3-dimethyl-1,3,5-triazacyclohexan-2-one, 5-substituted 1,3-dibenzyl-1,3,5-triazacyclohexan-2-one, 1-substituted 3,5-dinitro-4
- the substituent present on an oxygen atom is an oxygen protecting group (also referred to as a hydroxyl protecting group).
- Oxygen protecting groups include, but are not limited to, —R aa , —N(R bb ) 2 , —C( ⁇ O)SR aa , —C( ⁇ O)R aa , —CO 2 R aa , —C( ⁇ O)N(R bb ) 2 , —C( ⁇ NR bb )R aa , —C( ⁇ NR bb )OR aa , —C( ⁇ NR bb )N(R bb ) 2 , —S( ⁇ O)R aa , —SO 2 R aa , —Si(R aa ) 3 , —P(R cc ) 2 , —P(R cc ) 3 , —P( ⁇ O) 2 R aa ,
- Oxygen protecting groups are well known in the art and include those described in detail in Protecting Groups in Organic Synthesis, T. W. Greene and P. G. M. Wuts, 3 rd edition, John Wiley & Sons, 1999, incorporated herein by reference.
- oxygen protecting groups include, but are not limited to, methyl, methoxylmethyl (MOM), methylthiomethyl (MTM), t-butylthiomethyl, (phenyldimethylsilyl)methoxymethyl (SMOM), benzyloxymethyl (BOM), p-methoxybenzyloxymethyl (PMBM), (4-methoxyphenoxy)methyl (p-AOM), guaiacolmethyl (GUM), t-butoxymethyl, 4-pentenyloxymethyl (POM), siloxymethyl, 2-methoxyethoxymethyl (MEM), 2,2,2-trichloroethoxymethyl, bis(2-chloroethoxy)methyl, 2-(trimethylsilyl)ethoxymethyl (SEMOR), tetrahydropyranyl (THP), 3-bromotetrahydropyranyl, tetrahydrothiopyranyl, 1-methoxycyclohexyl, 4-methoxytetrahydropyranyl (MTHP), 4-meth
- the substituent present on a sulfur atom is a sulfur protecting group (also referred to as a thiol protecting group).
- Sulfur protecting groups include, but are not limited to, —R aa , —N(R bb ) 2 , —C( ⁇ O)SR aa , —C( ⁇ O)R aa , —CO 2 R aa , —C( ⁇ O)N(R bb ) 2 , —C( ⁇ NR bb )R aa , —C( ⁇ NR bb )OR aa , —C( ⁇ NR bb )N(R bb ) 2 , —S( ⁇ O)R aa , —SO 2 R aa , —Si(R aa ) 3 , —P(R cc ) 2 , —P(R cc ) 3 , —P( ⁇ O) 2 R aa
- Sulfur protecting groups are well known in the art and include those described in detail in Protecting Groups in Organic Synthesis, T. W. Greene and P. G. M. Wuts, 3 rd edition, John Wiley & Sons, 1999, incorporated herein by reference.
- “Pharmaceutically acceptable salt” refers to those salts which are, within the scope of sound medical judgment, suitable for use in contact with the tissues of humans and other animals without undue toxicity, irritation, allergic response, and the like, and are commensurate with a reasonable benefit/risk ratio.
- Pharmaceutically acceptable salts are well known in the art. For example, Berge et al. describe pharmaceutically acceptable salts in detail in J. Pharmaceutical Sciences (1977) 66:1-19.
- Pharmaceutically acceptable salts of the compounds describe herein include those derived from suitable inorganic and organic acids and bases.
- Examples of pharmaceutically acceptable, nontoxic acid addition salts are salts of an amino group formed with inorganic acids such as hydrochloric acid, hydrobromic acid, phosphoric acid, sulfuric acid and perchloric acid or with organic acids such as acetic acid, oxalic acid, maleic acid, tartaric acid, citric acid, succinic acid, or malonic acid or by using other methods used in the art such as ion exchange.
- inorganic acids such as hydrochloric acid, hydrobromic acid, phosphoric acid, sulfuric acid and perchloric acid
- organic acids such as acetic acid, oxalic acid, maleic acid, tartaric acid, citric acid, succinic acid, or malonic acid or by using other methods used in the art such as ion exchange.
- salts include adipate, alginate, ascorbate, aspartate, benzenesulfonate, benzoate, bisulfate, borate, butyrate, camphorate, camphorsulfonate, citrate, cyclopentanepropionate, digluconate, dodecylsulfate, ethanesulfonate, formate, fumarate, glucoheptonate, glycerophosphate, gluconate, hemisulfate, heptanoate, hexanoate, hydroiodide, 2-hydroxy-ethanesulfonate, lactobionate, lactate, laurate, lauryl sulfate, malate, maleate, malonate, methanesulfonate, 2-naphthalenesulfonate, nicotinate, nitrate, oleate, oxalate, palmitate, pamoate, pectinate,
- Salts derived from appropriate bases include alkali metal, alkaline earth metal, ammonium and N + (C 1-4 alkyl) 4 salts.
- Representative alkali or alkaline earth metal salts include sodium, lithium, potassium, calcium, magnesium, and the like.
- Further pharmaceutically acceptable salts include, when appropriate, quaternary salts.
- a “subject” to which administration is contemplated includes, but is not limited to, humans (e.g., a male or female of any age group, e.g., a pediatric subject (e.g, infant, child, adolescent) or adult subject (e.g., young adult, middle-aged adult or senior adult)) and/or other non-human animals, for example, non-human mammals (e.g., primates (e.g., cynomolgus monkeys, rhesus monkeys); commercially relevant mammals such as cattle, pigs, horses, sheep, goats, cats, and/or dogs), birds (e.g., commercially relevant birds such as chickens, ducks, geese, and/or turkeys), rodents (e.g., rats and/or mice), reptiles, amphibians, and fish.
- the non-human animal is a mammal.
- the non-human animal may be a male or female at any stage of development.
- Treat,” “treating” and “treatment” encompasses an action that occurs while a subject is suffering from a condition which reduces the severity of the condition or retards or slows the progression of the condition (“therapeutic treatment”). “Treat,” “treating” and “treatment” also encompasses an action that occurs before a subject begins to suffer from the condition and which inhibits or reduces the severity of the condition (“prophylactic treatment”).
- an “effective amount” of a compound refers to an amount sufficient to elicit the desired biological response, e.g., treat the condition.
- the effective amount of a compound described herein may vary depending on such factors as the desired biological endpoint, the pharmacokinetics of the compound, the condition being treated, the mode of administration, and the age and health of the subject.
- An effective amount encompasses therapeutic and prophylactic treatment.
- a “therapeutically effective amount” of a compound is an amount sufficient to provide a therapeutic benefit in the treatment of a condition or to delay or minimize one or more symptoms associated with the condition.
- a therapeutically effective amount of a compound means an amount of therapeutic agent, alone or in combination with other therapies, which provides a therapeutic benefit in the treatment of the condition.
- the term “therapeutically effective amount” can encompass an amount that improves overall therapy, reduces or avoids symptoms or causes of the condition, or enhances the therapeutic efficacy of another therapeutic agent.
- a “prophylactically effective amount” of a compound is an amount sufficient to prevent a condition, or one or more symptoms associated with the condition or prevent its recurrence.
- a prophylactically effective amount of a compound means an amount of a therapeutic agent, alone or in combination with other agents, which provides a prophylactic benefit in the prevention of the condition.
- the term “prophylactically effective amount” can encompass an amount that improves overall prophylaxis or enhances the prophylactic efficacy of another prophylactic agent.
- methyltransferase represents transferase class enzymes that are able to transfer a methyl group from a donor molecule to an acceptor molecule, e.g., an amino acid residue of a protein or a nucleic base of a DNA molecule.
- Methytransferases typically use a reactive methyl group bound to sulfur in S-adenosyl methionine (SAM) as the methyl donor.
- SAM S-adenosyl methionine
- a methyltransferase described herein is a protein methyltransferase.
- a methyltransferase described herein is a histone methyltransferase.
- Histone methyltransferases are histone-modifying enzymes, (including histone-lysine N-methyltransferase and histone-arginine N-methyltransferase), that catalyze the transfer of one or more methyl groups to lysine and arginine residues of histone proteins.
- a methyltransferase described herein is a histone-arginine N-methyltransferase.
- R 1 is hydrogen, R z , or —C(O)R z , wherein R z is optionally substituted C 1-6 alkyl;
- L is —N(R)C(O)—, —C(O)N(R)—, —N(R)C(O)N(R)—, —N(R)C(O)O—, or —OC(O)N(R)—;
- each R is independently hydrogen or optionally substituted C 1-6 aliphatic
- Ar is a monocyclic or bicyclic aromatic ring having 0-4 heteroatoms independently selected from nitrogen, oxygen, and sulfur, wherein Ar is substituted with 0, 1, 2, 3, 4, or 5 R y groups, as valency permits;
- each R y is independently selected from the group consisting of halo, —CN, —NO 2 , optionally substituted aliphatic, optionally substituted carbocyclyl, optionally substituted aryl, optionally substituted heterocyclyl, optionally substituted heteroaryl, —OR A , —N(R B ) 2 , —SR A , —C( ⁇ O)R A , —C(O)OR A , —C(O)SR A , —C(O)N(R B ) 2 , —C(O)N(R B )N(R B ) 2 , —OC(O)R A , —OC(O)N(R B ) 2 , —NR B C(O)R A , —NR B C(O)N(R B ) 2 , —NR B C(O)N(R B )N(R B ) 2 , —NR B C(O)OR A , —SC(
- each R A is independently selected from the group consisting of hydrogen, optionally substituted aliphatic, optionally substituted carbocyclyl, optionally substituted heterocyclyl, optionally substituted aryl, and optionally substituted heteroaryl;
- each R B is independently selected from the group consisting of hydrogen, optionally substituted aliphatic, optionally substituted carbocyclyl, optionally substituted heterocyclyl, optionally substituted aryl, and optionally substituted heteroaryl, or two R B groups are taken together with their intervening atoms to form an optionally substituted heterocyclic ring;
- R 5 , R 6 , R 7 , and R 8 are independently hydrogen, halo, or optionally substituted aliphatic;
- each R x is independently selected from the group consisting of halo, —CN, optionally substituted aliphatic, —OR′, and —N(R′′) 2 ;
- R′ is hydrogen or optionally substituted aliphatic
- each R′′ is independently hydrogen or optionally substituted aliphatic, or two R′′ are taken together with their intervening atoms to form a heterocyclic ring;
- n 0, 1, 2, 3, 4, 5, 6, 7, 8, 9, or 10, as valency permits.
- a provided compound is of Formula (I-a):
- R 1 , R 5 , R 6 , R 7 , R 8 , R x , n, L, and Ar are as described herein.
- a provided compound is of Formula (I-b):
- R 1 , R 5 , R 6 , R 7 , R 8 , R x , n, L, and Ar are as described herein.
- a provided compound is of Formula (I-c):
- R 1 , R x , n, L, and Ar are as described herein.
- a provided compound is of Formula (I′):
- R 1 , R x , n, L, and Ar are as described herein.
- a provided compound is of Formula (I′-a):
- R 1 , R x , n, L, and Ar are as described herein.
- a provided compound is of Formula (I′-b):
- R 1 , R x , n, L, and Ar are as described herein.
- a provided compound is of Formula (II):
- R 1 , R x , n, and Ar are as described herein.
- a provided compound is of Formula (II-a):
- R 1 , R x , n, and Ar are as described herein.
- a provided compound is of Formula (II-b):
- R 1 , R x , n, and Ar are as described herein.
- a provided compound is of Formula (III):
- a provided compound is of Formula (III-a):
- a provided compound is of Formula (III-b):
- a provided compound is of Formula (IV):
- a provided compound is of Formula (IV-a):
- a provided compound is of Formula (IV-b):
- a provided compound is of Formula (V):
- a provided compound is of Formula (V-a):
- a provided compound is of Formula (V-b):
- a provided compound is of Formula (VI):
- a provided compound is of Formula (VI-a):
- a provided compound is of Formula (VI-b):
- a provided compound is of Formula (VII):
- a provided compound is of Formula (VII-a):
- a provided compound is of Formula (VII-b):
- a provided compound is of Formula (VIII):
- a provided compound is of Formula (VIII-a):
- a provided compound is of Formula (VIII-b):
- a provided compound is of Formula (IX):
- a provided compound is of Formula (IX-a):
- a provided compound is of Formula (IX-b):
- a provided compound is of Formula (X):
- a provided compound is of Formula (X-a):
- a provided compound is of Formula (X-b):
- a provided compound is of Formula (XI):
- a provided compound is of Formula (XI-a):
- a provided compound is of Formula (XI-b):
- a provided compound is of Formula (XII):
- a provided compound is of Formula (XII-a):
- a provided compound is of Formula (XII-b):
- a provided compound is of Formula (XIII):
- a provided compound is of Formula (XIII-a):
- a provided compound is of Formula (XIII-b):
- R 1 is hydrogen, R z , or —C(O)R z , wherein R z is optionally substituted C 1-6 alkyl.
- R 1 is hydrogen.
- R 1 is optionally substituted C 1-6 alkyl.
- R 1 is unsubstituted C 1-6 alkyl.
- R 1 is methyl, ethyl, or propyl.
- R 1 is —C(O)R z , wherein R z is optionally substituted C 1-6 alkyl.
- R 1 is —C(O)R z , wherein R z is unsubstituted C 1-6 alkyl.
- R 1 is acetyl.
- L is —N(R)C(O)—, —C(O)N(R)—, —N(R)C(O)N(R)—, —N(R)C(O)O—, or —OC(O)N(R)—, wherein R is as described herein.
- L is —N(R)C(O)—.
- L is —NHC(O)—.
- L is —N(C 1-6 alkyl)C(O)—.
- L is —N(CH 3 )C(O)—.
- L is —C(O)N(R)—.
- L is —C(O)NH—. In some embodiments, L is —C(O)N(C 1-6 alkyl)-. In some embodiments, L is —C(O)N(CH 3 )—. In some embodiments, L is —N(R)C(O)N(R)—. In some embodiments, L is —NHC(O)NH—. In some embodiments, L is —NHC(O)N(R)—. In some embodiments, L is —N(R)C(O)NH—. In some embodiments, L is —N(CH 3 )C(O)N(R)—. In some embodiments, L is —N(R)C(O)N(CH 3 )—.
- L is —N(CH 3 )C(O)N(CH 3 )—. In some embodiments, L is —N(R)C(O)O—. In some embodiments, L is —NHC(O)O—. In some embodiments, L is —N(C 1-6 alkyl)C(O)O—. In some embodiments, L is —N(CH 3 )C(O)O—. In some embodiments, L is —OC(O)N(R)—. In some embodiments, L is —OC(O)NH—. In some embodiments, L is —OC(O)N(C 1-6 alkyl)-. In some embodiments, L is —OC(O)N(CH 3 )—.
- each R is independently hydrogen or optionally substituted C 1-6 aliphatic.
- R is hydrogen.
- R is optionally substituted C 1-6 aliphatic.
- R is substituted C 1-6 aliphatic.
- R is unsubstituted C 1-6 aliphatic.
- R is optionally substituted C 1-6 alkyl.
- R is substituted C 1-6 alkyl.
- R is unsubstituted C 1-6 alkyl.
- R is methyl, ethyl, or propyl.
- Ar is a monocyclic or bicyclic aromatic ring having 0-4 heteroatoms independently selected from nitrogen, oxygen, and sulfur, wherein Ar is substituted with 0, 1, 2, 3, 4, or 5 R y groups, as valency permits.
- Ar is sometimes used to denote the element argon, as used herein it denotes a monocyclic or bicyclic aromatic ring having 0-4 heteroatoms independently selected from nitrogen, oxygen, and sulfur, wherein Ar is substituted with 0, 1, 2, 3, 4, or 5 R y groups, as valency permits, and various embodiments thereof as described herein.
- Ar is unsubstituted.
- Ar is substituted with one or two R y groups.
- Ar is substituted with one R y group. In certain embodiments, Ar is substituted with two R y groups. In certain embodiments, Ar is substituted with three R y groups. In certain embodiments, Ar is substituted with four R y groups. In certain embodiments, Ar is substituted with five R y groups.
- Ar is phenyl substituted with 0, 1, 2, 3, 4, or 5 R y groups. In certain embodiments, Ar is phenyl substituted with one or two R y groups. In certain embodiments, Ar is unsubstituted phenyl. In certain embodiments, Ar is phenyl substituted with one R y group. In certain embodiments, Ar is phenyl substituted with two R y groups. In certain embodiments, Ar is phenyl substituted with three R y groups. In certain embodiments, Ar is phenyl substituted with four R y groups. In certain embodiments, Ar is phenyl substituted with five R y groups.
- Ar is heteroaryl substituted with 0, 1, 2, 3, 4, or 5 R y groups, as valency permits.
- Ar is a 5- to 6-membered heteroaryl having 1-3 heteroatoms independently selected from nitrogen, oxygen, and sulfur, and is substituted with 0, 1, 2, 3, or 4 R y groups.
- Ar is an unsubstituted 5- to 6-membered heteroaryl having 1-3 heteroatoms independently selected from nitrogen, oxygen, and sulfur.
- Ar is a 5- to 6-membered heteroaryl having 1-3 heteroatoms independently selected from nitrogen, oxygen, and sulfur, and is substituted with one or two R y groups.
- Ar is a 5- to 6-membered heteroaryl having 1-3 heteroatoms independently selected from nitrogen, oxygen, and sulfur, and is substituted with one R y group.
- Ar is a 5-membered heteroaryl having 1-3 heteroatoms independently selected from nitrogen, oxygen, and sulfur (e.g., furanyl, thienyl, pyrrolyl, oxazolyl, isoxazolyl, thiazolyl, imidazolyl, pyrazolyl, isothiazolyl, triazolyl, oxadiazolyl, thiadiazolyl), and is substituted with 0, 1, 2, or 3 R y groups.
- Ar is a 6-membered heteroaryl having 1-3 nitrogens (e.g., pyridyl, pyrimidyl, pyridazinyl, pyrazinyl, triazinyl), and is substituted with 0, 1, 2, 3, or 4 R y groups.
- Ar is pyridyl, and is substituted with 0, 1, 2, 3, or 4 R y groups.
- Ar is pyridyl, and is substituted with one R y group.
- Ar is pyridyl, and is substituted with two R y groups.
- Ar is a 6-membered heteroaryl having two nitrogens (e.g., pyrimidyl, pyridazinyl, pyrazinyl), and is substituted with 0, 1, 2, or 3 R y groups.
- Ar is a 6-membered heteroaryl having two nitrogens (e.g., pyrimidyl, pyridazinyl, pyrazinyl), and is substituted with one R y group.
- Ar is a 6-membered heteroaryl having two nitrogens (e.g., pyrimidyl, pyridazinyl, pyrazinyl), and is substituted with two R y groups.
- Ar is a bicyclic aromatic ring having 0-4 heteroatoms independently selected from nitrogen, oxygen, and sulfur, wherein Ar is substituted with 0, 1, 2, 3, or 4 R y groups.
- Ar is an 8- to 12-membered bicyclic aromatic ring having 0-4 heteroatoms independently selected from nitrogen, oxygen, and sulfur, wherein Ar is substituted with 0, 1, 2, 3, or 4 R y groups.
- Ar is an unsubstituted bicyclic aromatic ring having 0-4 heteroatoms independently selected from nitrogen, oxygen, and sulfur.
- Ar is a bicyclic aromatic ring having 0-4 heteroatoms independently selected from nitrogen, oxygen, and sulfur, wherein Ar is substituted with one or two R y groups.
- Ar is a bicyclic aromatic ring having 0-4 heteroatoms independently selected from nitrogen, oxygen, and sulfur, wherein Ar is substituted with one R y group. In certain embodiments, Ar is a bicyclic aromatic ring having 0-4 heteroatoms independently selected from nitrogen, oxygen, and sulfur, wherein Ar is substituted with two R y groups. In certain embodiments, Ar is a bicyclic aromatic ring having 0-4 heteroatoms independently selected from nitrogen, oxygen, and sulfur, wherein Ar is substituted with three R y groups. In certain embodiments, Ar is a bicyclic aromatic ring having 0-4 heteroatoms independently selected from nitrogen, oxygen, and sulfur, wherein Ar is substituted with four R y groups.
- Ar is a bicyclic aromatic ring having 0-4 heteroatoms independently selected from nitrogen, oxygen, and sulfur, wherein Ar is substituted with five R y groups.
- Ar is naphthalene substituted with 0, 1, 2, 3, 4, or 5 R y groups.
- Ar is an 8- to 10-membered bicyclic heteroaryl having 1-4 heteroatoms independently selected from nitrogen, oxygen, and sulfur, wherein Ar is substituted with 0, 1, 2, 3, or 4 R y groups.
- Ar is a 9-membered bicyclic heteroaryl having 1-3 heteroatoms independently selected from nitrogen, oxygen, and sulfur (e.g., indolyl, isoindolyl, indazolyl, benzotriazolyl, benzothiophenyl, isobenzothiophenyl, benzofuranyl, benzoisofuranyl, benzimidazolyl, benzoxazolyl, benzisoxazolyl, benzoxadiazolyl, benzthiazolyl, benzisothiazolyl, benzthiadiazolyl, indolizinyl), wherein Ar is substituted with 0, 1, 2, 3, 4, or 5 R y groups.
- Ar is a 10-membered bicyclic heteroaryl having 1-3 heteroatoms independently selected from nitrogen, oxygen, and sulfur (e.g., naphthyridinyl, quinolinyl, isoquinolinyl, quinoxalinyl, quinazolinyl), wherein Ar is substituted with 0, 1, 2, 3, 4, or 5 R y groups.
- Ar is selected from the group consisting of quinoline, benzimidazole, benzopyrazole, quinoxaline, tetrahydroquinoline, tetrahydroisoquinoline, naphthalene, tetrahydronaphthalene, 2,3-dihydrobenzo [b][1,4]dioxine, isoindole, 2H-benzo [b][1,4]oxazin-3(4H)-one, 3,4-dihydro-2H-benzo[b][1,4]oxazine, and quinoxalin-2(1H-one, wherein Ar is substituted with 0, 1, 2, 3, or 4 R y groups.
- Ar is quinoline, wherein Ar is substituted with 0, 1, 2, 3, or 4 R y groups.
- each R y is independently selected from the group consisting of halo, —CN, —NO 2 , optionally substituted aliphatic, optionally substituted carbocyclyl, optionally substituted aryl, optionally substituted heterocyclyl, optionally substituted heteroaryl, —OR A , —N(R B ) 2 , —SR A , —C( ⁇ O)R A , —C(O)OR A , —C(O)SR A , —C(O)N(R B ) 2 , —C(O)N(R B )N(R B ) 2 , —OC(O)R A , —OC(O)N(R B ) 2 , —NR B C(O)R A , —NR B C(O)N(R B ) 2 , —NR B C(O)N(R B )N(R B ) 2 , —NR B C(O)OR A ,
- each R y is independently selected from the group consisting of halo, —CN, —NO 2 , optionally substituted aliphatic, optionally substituted carbocyclyl, optionally substituted phenyl, optionally substituted heterocyclyl, optionally substituted heteroaryl, —OR A , —N(R B ) 2 , —SR A , —C( ⁇ O)R A , —C(O)OR A , —C(O)SR A , —C(O)N(R B ) 2 , —OC(O)R A , —NR B C(O)R A , —NR B C(O)N(R B ) 2 , —SC(O)R A , —C( ⁇ NR B )R A , —C( ⁇ NR B )N(R B ) 2 , —NR B C( ⁇ NR B )R B , —C( ⁇ S)R A , —C( ⁇ S)
- At least one R y is halo. In certain embodiments, at least one R y is fluoro. In certain embodiments, at least one R y is chloro. In some embodiments, at least one R y is —CN. In some embodiments, at least one R y is —OR A , wherein R A is optionally substituted aliphatic. In some embodiments, at least one R y is —OR A , wherein R A is unsubstituted C 1-6 alkyl. In certain embodiments, at least one R y is methoxy, ethoxy, or propoxy. In certain embodiments, at least one R y is methoxy.
- At least one R y is —OR A , wherein R A is substituted C 1-6 alkyl. In certain embodiments, at least one R y is —OCH 2 CH 2 N(CH 3 ) 2 . In some embodiments, at least one R y is —OR A , wherein R A is optionally substituted heterocyclyl. In some embodiments, at least one R y is —OR A , wherein R A is an optionally subsituted 4- to 7-membered heterocyclyl having 1-2 heteroatoms independently selected from nitrogen, oxygen, and sulfur.
- At least one R y is —OR A , wherein R A is oxetanyl, tetrahydrofuranyl, or tetrahydropyranyl. In some embodiments, at least one R y is —N(R B ) 2 . In some embodiments, at least one R y is —N(R B ) 2 , wherein each R B is independently selected from hydrogen or C 1-6 alkyl. In some embodiments, at least one R y is —NHR B . In some embodiments, at least one R y is —N(C 1-6 alkyl) 2 , —NH(C 1-6 alkyl), or —NH 2 .
- At least one R y is —NH 2 . In certain embodiments, at least one R y is —NHCH 3 . In certain embodiments, at least one R y is —N(CH 3 ) 2 . In some embodiments, at least one R y is —N(R B ) 2 or —NHR B , wherein at least one R B is optionally substituted heterocyclyl. In some embodiments, at least one R y is —N(R B ) 2 or —NHR B , wherein at least one R B is an optionally subsituted 4- to 7-membered heterocyclyl having 1-2 heteroatoms independently selected from nitrogen, oxygen, and sulfur.
- At least one R y is —N(R B ) 2 or —NHR B , wherein at least one R B is oxetanyl, tetrahydropyranyl, or tetrahydrofuranyl. In some embodiments, at least one R y is —N(R B ) 2 or —NHR B , wherein at least one R B is optionally substituted piperidinyl or optionally substituted piperazinyl.
- At least one R y is optionally substituted aliphatic. In certain embodiments, at least one R y is substituted aliphatic. In certain embodiments, at least one R y is unsubstituted aliphatic. In some embodiments, at least one R y is optionally substituted C 1-6 alkyl. In certain embodiments, at least one R y is unsubstituted C 1-6 alkyl. In certain embodiments, at least one R y is substituted C 1-6 alkyl. In certain embodiments, at least one R y is methyl, ethyl, or propyl. In certain embodiments, at least one R y is methyl.
- At least one R y is —CF 3 , CHF 2 , or CH 2 F. In certain embodiments, at least one R y is C 1-6 alkyl substituted with aryl, heteroaryl, or heterocyclyl. In certain embodiments, at least one R y is benzyl. In certain embodiments, at least one R y is —(C 1-6 alkyl)-aryl. In certain embodiments, at least one R y is —(C 1-6 alkyl)-heteroaryl. In certain embodiments, at least one R y is —(C 1-6 alkyl)-heterocyclyl. In certain embodiments, at least one R y is —CH 2 -aryl. In certain embodiments, at least one R y is —CH 2 -heteroaryl. In certain embodiments, at least one R y is —CH 2 -heterocyclyl.
- At least one R y is —C(O)N(R B ) 2 . In certain embodiments, at least one R y is —C(O)NHR B . In certain embodiments, at least one R y is —C(O)NH 2 . In certain embodiments, at least one R y is —C(O)N(R B ) 2 , wherein the R B groups are taken together with their intervening atoms to form an optionally substituted 5- to 6-membered heterocyclyl. In certain embodiments, at least one R y is —C(O)N(R B ) 2 , wherein the R B groups are taken together with their intervening atoms to form an optionally substituted morpholinyl.
- At least one R y is —SO 2 N(R B ) 2 . In certain embodiments, at least one R y is —SO 2 NHR B . In certain embodiments, at least one R y is —SO 2 NH 2 . In certain embodiments, at least one R y is —SO 2 N(R B ) 2 , wherein neither R B is hydrogen. In certain embodiments, at least one R y is —SO 2 NH(C 1-6 alkyl) or —SO 2 N(C 1-6 alkyl) 2 . In certain embodiments, at least one R y is —SO 2 N(CH 3 ) 2 .
- At least one R y is —SO 2 N(R B ) 2 , wherein the R B groups are taken together with their intervening atoms to form an optionally substituted 5- to 6-membered heterocyclyl.
- at least one R y is —SO 2 -morpholinyl.
- at least one R y is —SO 2 -piperidinyl, —SO 2 -piperazinyl, or —SO 2 -piperidinyl.
- At least one R y is —SO 2 R A . In some embodiments, at least one R y is —SO 2 R A , wherein R A is optionally substituted aliphatic. In some embodiments, at least one R y is —SO 2 (C 1-6 alkyl). In some embodiments, at least one R y is —SO 2 CH 3 . In some embodiments, at least one R y is —C(O)R A . In some embodiments, at least one R y is —C(O)R A , wherein R A is optionally substituted aliphatic. In some embodiments, at least one R y is —C(O)(C 1-6 alkyl). In some embodiments, at least one R y is —C(O)CH 3 .
- At least one R y is —N(R B )C(O)R A . In certain embodiments, at least one R y is —NHC(O)R A . In certain embodiments, at least one R y is —NHC(O)(C 1-6 alkyl). In certain embodiments, at least one R y is —NHC(O)CH 3 .
- At least one R y is —N(R B )SO 2 R A . In some embodiments, at least one R y is —NHSO 2 R A . In some embodiments, at least one R y is —N(C 1-6 alkyl)SO 2 R A . In certain embodiments, at least one R y is —NHSO 2 (C 1-6 alkyl) or —N(C 1-6 alkyl)SO 2 (C 1-6 alkyl). In certain embodiments, at least one R y is —NHSO 2 CH 3 . In certain embodiments, at least one R y is —N(CH 3 )SO 2 CH 3 .
- At least one R y is optionally substituted heterocyclyl, optionally substituted carbocyclyl, optionally substituted aryl, or optionally substituted heteroaryl. In certain embodiments, at least one R y is an optionally substituted 5- to 6-membered heterocyclyl having 1-2 heteroatoms independently selected from nitrogen, oxygen, and sulfur. In certain embodiments, at least one R y is an optionally substituted 5-membered heterocyclyl having one heteroatom selected from nitrogen, oxygen, and sulfur. In certain embodiments, at least one R y is optionally substituted pyrrolidinyl. In certain embodiments, at least one R y is pyrroldinyl, hydroxypyrrolidinyl, or methylpyrrolidinyl.
- At least one R y is an optionally substituted 6-membered heterocyclyl having 1-2 heteroatoms independently selected from nitrogen, oxygen, and sulfur. In certain embodiments, at least one R y is an optionally substituted 6-membered heterocyclyl having one heteroatom selected from nitrogen, oxygen, and sulfur. In certain embodiments, at least one R y is optionally substituted piperidinyl. In certain embodiments, at least one R y is an optionally substituted 6-membered heterocyclyl having two heteroatoms independently selected from nitrogen, oxygen, and sulfur. In certain embodiments, at least one R y is optionally substituted piperdinyl, optionally substituted piperazinyl, or optionally substituted morpholinyl.
- At least one R y is morpholinyl, tetrahydropyranyl, piperidinyl, methylpiperidinyl, piperazinyl, methylpiperazinyl, acetylpiperazinyl, methylsulfonylpiperazinyl, aziridinyl, or methylaziridinyl.
- at least one R y is an optionally substituted 5- to 6-membered heteroaryl having 1-3 heteroatoms independently selected from nitrogen, oxygen, and sulfur.
- at least one R y is an optionally substituted 5-membered heteroaryl having 1-3 heteroatoms independently selected from nitrogen, oxygen, and sulfur.
- At least one R y is an optionally substituted 5-membered heteroaryl having one heteroatom selected from nitrogen, oxygen, and sulfur. In certain embodiments, at least one R y is an optionally substituted 5-membered heteroaryl having two heteroatoms independently selected from nitrogen, oxygen, and sulfur. In certain embodiments, at least one R y is an optionally substituted 6-membered heteroaryl having 1-3 nitrogens. In certain embodiments, at least one R y is an optionally substituted pyrazolyl. In certain embodiments, at least one R y is an optionally substituted imidazolyl. In certain embodiments, at least one R y is an optionally substituted pyridyl.
- At least one R y is an optionally substituted pyrimidyl. In certain embodiments, at least one R y is pyrazolyl, methylpyrazolyl, imidazolyl, or methylimidazolyl.
- R y is —OR A . In some embodiments, R y is —OR A , wherein R A is optionally substituted heterocyclyl. In some embodiments, R y is —OR A , wherein R A is optionally substituted heteroaryl. In some embodiments, R y is —OR A , wherein R A is optionally substituted cycloalkyl. In some embodiments, R y is —N(R B ) 2 . In some embodiments, R y is —NHR B . In some embodiments, R y is —NHR B , wherein R B is optionally substituted heterocyclyl.
- R y is —NHR B , wherein R B is optionally substituted heteroaryl. In some embodiments, R y is —NHR B , wherein R B is optionally substituted cycloalkyl. In some embodiments, R y is —N(R B ) 2 , wherein one R B is optionally substituted heterocyclyl, and the other R B is C 1-4 alkyl. In some embodiments, R y is —N(R B ) 2 , wherein one R B is optionally substituted heteroaryl, and the other R B is C 1-4 alkyl. In some embodiments, R y is —N(R B ) 2 , wherein one R B is optionally substituted cycloalkyl, and the other R B is C 1-4 alkyl.
- Ar is selected from the group consisting of:
- Ar is selected from the group consisting of:
- each R x is independently selected from the group consisting of halo, —CN, optionally substituted aliphatic, —OR′, and —N(R′′) 2 .
- at least one R x is halo.
- at least one R x is fluoro.
- at least one R x is —CN.
- at least one R x is optionally substituted aliphatic.
- at least one R x is optionally substituted C 1-6 alkyl.
- at least one R x is methyl.
- at least one R x is —CF 3 .
- At least one R x is —OR' or —N(R′′) 2 . In certain embodiments, R x is not —OR′ or —N(R′′) 2 . In certain embodiments, at least one R x is —OCH 3 . In certain embodiments, R x is not —OCH 3 .
- an R x group can be attached anywhere on the tetrahydroisoquinoline or dihydroisoquinoline ring. In certain embodiments, an R x group is attached to the benzene portion of the tetrahydroisoquinoline or dihydroisoquinoline ring. In certain embodiments, an R x group is attached to the tetrahydropyridine or dihydropyridine portion of the tetrahydroisoquinoline or dihydroisoquinoline ring.
- R x groups are attached to both the benzene portion and the tetrahydropyridine (or dihydropyridine) portion of the tetrahydroisoquinoline (or dihydroisoquinoline) ring. See, for example, the structures shown below:
- a provided compound is of Formula (XIV):
- n 0, 1, 2, 3, 4, 5, 6, 7, 8, 9, or 10. In certain embodiments, n is 0. In certain embodiments, n is 1. In certain embodiments, n is 2.
- a provided compound is of Formula (XV), (XVI), (XVII), or (XVIII):
- each R y for Formula (XV), (XVI), (XVII), or (XVIII) is independently as described herein.
- a provided compound is of Formula (XV-a), (XVI-a), (XVII-a), or (XVIII-a):
- R y for Formula (XV-a), (XVI-a), (XVII-a), or (XVIII-a) is as described herein.
- R y is —OR A .
- R y is —OR A , wherein R A is optionally substituted heterocyclyl.
- R y is —OR A , wherein R A is optionally substituted heteroaryl.
- R y is —OR A , wherein R A is optionally substituted cycloalkyl.
- R y is —N(R B ) 2 . In some embodiments, e.g.
- R y is —NHR B .
- R y is —NHR B , wherein R B is optionally substituted heterocyclyl.
- R y is —NHR B , wherein R B is optionally substituted heteroaryl.
- R y is —NHR B , wherein R B is optionally substituted cycloalkyl.
- R y is —N(R B ) 2 , wherein one R B is optionally substituted heterocyclyl, and the other R B is C 1-4 alkyl. In some embodiments, e.g.
- R y is —N(R B ) 2 , wherein one R B is optionally substituted heteroaryl, and the other R B is C 1-4 alkyl.
- R y is —N(R B ) 2 , wherein one R B is optionally substituted cycloalkyl, and the other R B is C 1-4 alkyl.
- a provided compound is of Formula (XV-b):
- each R y is independently as described herein.
- At least one R y is halo. In certain embodiments, at least one R y is fluoro. In certain embodiments, at least one R y is chloro. In some embodiments, at least one R y is —CN.
- At least one R y is —OR A , wherein R A is optionally substituted aliphatic. In some embodiments, at least one R y is —OR A , wherein R A is unsubstituted C 1-6 alkyl. In certain embodiments, at least one R y is methoxy, ethoxy, or propoxy. In certain embodiments, at least one R y is methoxy.
- At least one R y is —OR A , wherein R A is substituted C 1-6 alkyl. In certain embodiments, at least one R y is —OCH 2 CH 2 N(CH 3 ) 2 . In some embodiments, at least one R y is —OR A , wherein R A is optionally substituted heterocyclyl. In some embodiments, at least one R y is —OR A , wherein R A is an optionally subsituted 4- to 7-membered heterocyclyl having 1-2 heteroatoms independently selected from nitrogen, oxygen, and sulfur.
- At least one R y is —OR A , wherein R A is oxetanyl, tetrahydrofuranyl, or tetrahydropyranyl. In some embodiments, at least one R y is —OR A , wherein R A is optionally substituted piperidinyl or optionally substituted piperazinyl. In some embodiments, at least one R y is —OR A , wherein R A is optionally substituted heterocyclyl. In some embodiments, at least one R y is —OR A , wherein R A is optionally substituted heteroaryl. In some embodiments, at least one R y is —OR A , wherein R A is optionally substituted cycloalkyl.
- At least one R y is —N(R B ) 2 .
- at least one R y is —N(R B ) 2 , wherein each R B is independently selected from hydrogen or C 1-6 alkyl.
- at least one R y is —NHR B .
- at least one R y is —N(C 1-6 alkyl) 2 , —NH(C 1-6 alkyl), or —NH 2 .
- At least one R y is —NH 2 . In certain embodiments, at least one R y is —NHCH 3 . In certain embodiments, at least one R y is —N(CH 3 ) 2 . In some embodiments, at least one R y is —N(R B ) 2 or —NHR B , wherein at least one R B is optionally substituted heterocyclyl. In some embodiments, at least one R y is —N(R B ) 2 or —NHR B , wherein at least one R B is an optionally subsituted 4- to 7-membered heterocyclyl having 1-2 heteroatoms independently selected from nitrogen, oxygen, and sulfur.
- At least one R y is —N(R B ) 2 or —NHR B , wherein at least one R B is oxetanyl, tetrahydropyranyl, or tetrahydrofuranyl. In some embodiments, at least one R y is —N(R B ) 2 or —NHR B , wherein at least one R B is optionally substituted piperidinyl or optionally substituted piperazinyl. In some embodiments, at least one R y is —N(R B ) 2 , wherein one R B is optionally substituted heterocyclyl, and the other R B is C 1-4 alkyl.
- At least one R y is —N(R B ) 2 , wherein one R B is optionally substituted heteroaryl, and the other R B is C 1-4 alkyl. In some embodiments, at least one R y is —N(R B ) 2 , wherein one R B is optionally substituted cycloalkyl, and the other R B is C 1-4 alkyl.
- At least one R y is optionally substituted aliphatic. In certain embodiments, at least one R y is substituted aliphatic. In certain embodiments, at least one R y is unsubstituted aliphatic. In some embodiments, at least one R y is optionally substituted C 1-6 alkyl. In certain embodiments, at least one R y is unsubstituted C 1-6 alkyl. In certain embodiments, at least one R y is substituted C 1-6 alkyl.
- At least one R y is methyl, ethyl, or propyl. In certain embodiments, at least one R y is methyl. In certain embodiments, at least one R y is —CF 3 , CHF 2 , or CH 2 F. In certain embodiments, at least one R y is C 1-6 alkyl substituted with aryl, heteroaryl, or heterocyclyl. In certain embodiments, at least one R y is benzyl. In certain embodiments, at least one R y is —(C 1-6 alkyl)-aryl. In certain embodiments, at least one R y is —(C 1-6 alkyl)-heteroaryl.
- At least one R y is —(C 1-6 alkyl)-heterocyclyl. In certain embodiments, at least one R y is —CH 2 -aryl. In certain embodiments, at least one R y is —CH 2 -heteroaryl. In certain embodiments, at least one R y is —CH 2 -heterocyclyl.
- At least one R y is —C(O)N(R B ) 2 .
- at least one R y is —C(O)NHR B .
- at least one R y is —C(O)NH 2 .
- at least one R y is —C(O)N(R B ) 2 , wherein the R B groups are taken together with their intervening atoms to form an optionally substituted 5- to 6-membered heterocyclyl.
- at least one R y is —C(O)N(R B ) 2 , wherein the R B groups are taken together with their intervening atoms to form an optionally substituted morpholinyl.
- At least one R y is —SO 2 N(R B ) 2 .
- at least one R y is —SO 2 NHR B .
- at least one R y is —SO 2 NH 2 .
- at least one R y is —SO 2 N(R B ) 2 , wherein neither R B is hydrogen.
- At least one R y is —SO 2 NH(C 1-6 alkyl) or —SO 2 N(C 1-6 alkyl) 2 . In certain embodiments, at least one R y is —SO 2 N(CH 3 ) 2 . In certain embodiments, at least one R y is —SO 2 N(R B ) 2 , wherein the R B groups are taken together with their intervening atoms to form an optionally substituted 5- to 6-membered heterocyclyl. In certain embodiments, at least one R y is —SO 2 -morpholinyl. In certain embodiments, at least one R y is —SO 2 -piperidinyl, —SO 2 —piperazinyl, or —SO 2 -piperidinyl.
- At least one R y is —SO 2 R A .
- at least one R y is —SO 2 R A , wherein R A is optionally substituted aliphatic.
- at least one R y is —SO 2 (C 1-6 alkyl).
- at least one R y is —SO 2 CH 3 .
- at least one R y is —C(O)R A .
- At least one R y is —C(O)R A , wherein R A is optionally substituted aliphatic. In some embodiments, at least one R y is —C(O)(C 1-6 alkyl). In some embodiments, at least one R y is —C(O)CH 3 .
- At least one R y is —N(R B )C(O)R A . In certain embodiments, at least one R y is —NHC(O)R A . In certain embodiments, at least one R y is —NHC(O)(C 1-6 alkyl). In certain embodiments, at least one R y is —NHC(O)CH 3 .
- At least one R y is —N(R B )SO 2 R A .
- at least one R y is —NHSO 2 R A .
- at least one R y is —N(C 1-6 alkyl)SO 2 R A .
- at least one R y is —NHSO 2 (C 1-6 alkyl) or —N(C 1-6 alkyl)SO 2 (C 1-6 alkyl).
- at least one R y is —NHSO 2 CH 3 .
- at least one R y is —N(CH 3 )SO 2 CH 3 .
- At least one R y is optionally substituted heterocyclyl, optionally substituted carbocyclyl, optionally substituted aryl, or optionally substituted heteroaryl.
- at least one R y is an optionally substituted 5- to 6-membered heterocyclyl having 1-2 heteroatoms independently selected from nitrogen, oxygen, and sulfur.
- at least one R y is an optionally substituted 5-membered heterocyclyl having one heteroatom selected from nitrogen, oxygen, and sulfur.
- At least one R y is optionally substituted pyrrolidinyl. In certain embodiments, at least one R y is pyrroldinyl, hydroxypyrrolidinyl, or methylpyrrolidinyl. In certain embodiments, at least one R y is an optionally substituted 6-membered heterocyclyl having 1-2 heteroatoms independently selected from nitrogen, oxygen, and sulfur. In certain embodiments, at least one R y is an optionally substituted 6-membered heterocyclyl having one heteroatom selected from nitrogen, oxygen, and sulfur. In certain embodiments, at least one R y is optionally substituted piperidinyl.
- At least one R y is an optionally substituted 6-membered heterocyclyl having two heteroatoms independently selected from nitrogen, oxygen, and sulfur.
- at least one R y is optionally substituted piperdinyl, optionally substituted piperazinyl, or optionally substituted morpholinyl.
- at least one R y is morpholinyl, tetrahydropyranyl, piperidinyl, methylpiperidinyl, piperazinyl, methylpiperazinyl, acetylpiperazinyl, methylsulfonylpiperazinyl, aziridinyl, or methylaziridinyl.
- At least one R y is an optionally substituted 5- to 6-membered heteroaryl having 1-3 heteroatoms independently selected from nitrogen, oxygen, and sulfur. In certain embodiments, at least one R y is an optionally substituted 5-membered heteroaryl having 1-3 heteroatoms independently selected from nitrogen, oxygen, and sulfur. In certain embodiments, at least one R y is an optionally substituted 5-membered heteroaryl having one heteroatom selected from nitrogen, oxygen, and sulfur. In certain embodiments, at least one R y is an optionally substituted 5-membered heteroaryl having two heteroatoms independently selected from nitrogen, oxygen, and sulfur. In certain embodiments, at least one R y is an optionally substituted 6-membered heteroaryl having 1-3 nitrogens.
- At least one R y is an optionally substituted pyrazolyl. In certain embodiments, at least one R y is an optionally substituted imidazolyl. In certain embodiments, at least one R y is an optionally substituted pyridyl. In certain embodiments, at least one R y is an optionally substituted pyrimidyl. In certain embodiments, at least one R y is pyrazolyl, methylpyrazolyl, imidazolyl, or methylimidazolyl.
- a provided compound is a compound listed in Table 1, or a pharmaceutically acceptable salt thereof.
- a provided compound inhibits PRMT5. In certain embodiments, a provided compound inhibits wild-type PRMT5. In certain embodiments, a provided compound inhibits a mutant PRMT5. In certain embodiments, a provided compound inhibits PRMT5, e.g., as measured in an assay described herein. In certain embodiments, the PRMT5 is from a human. In certain embodiments, a provided compound inhibits PRMT5 at an IC 50 less than or equal to 10 ⁇ M. In certain embodiments, a provided compound inhibits PRMT5 at an IC 50 less than or equal to 1 ⁇ M. In certain embodiments, a provided compound inhibits PRMT5 at an IC50 less than or equal to 0.1 ⁇ M.
- a provided compound inhibits PRMT5 in a cell at an EC50 less than or equal to 10 ⁇ M. In certain embodiments, a provided compound inhibits PRMT5 in a cell at an EC50 less than or equal to 1 ⁇ M. In certain embodiments, a provided compound inhibits PRMT5 in a cell at an EC50 less than or equal to 0.1 ⁇ M. In certain embodiments, a provided compound inhibits cell proliferation at an EC50 less than or equal to 10 ⁇ M. In certain embodiments, a provided compound inhibits cell proliferation at an EC50 less than or equal to 1 ⁇ M. In certain embodiments, a provided compound inhibits cell proliferation at an EC50 less than or equal to 0.1 ⁇ M.
- a provided compound is selective for PRMT5 over other methyltransferases. In certain embodiments, a provided compound is at least about 10-fold selective, at least about 20-fold selective, at least about 30-fold selective, at least about 40-fold selective, at least about 50-fold selective, at least about 60-fold selective, at least about 70-fold selective, at least about 80-fold selective, at least about 90-fold selective, or at least about 100-fold selective for PRMT5 relative to one or more other methyltransferases.
- the PRMT5 can be wild-type PRMT5, or any mutant or variant of PRMT5.
- the PRMT5 is isoform A (GenBank accession no. NP006100) (SEQ ID NO.:1):
- the PRMT5 is isoform B (GenBank accession no. NP001034708) (SEQ ID NO.:2)
- the PRMT5 is transcript variant 1 (GenBank accession no. NM_006109).
- compositions comprising a compound described herein, e.g., a compound of Formula (I), or a pharmaceutically acceptable salt thereof, as described herein, and optionally a pharmaceutically acceptable excipient.
- a provided composition comprises two or more compounds described herein.
- a compound described herein, or a pharmaceutically acceptable salt thereof is provided in an effective amount in the pharmaceutical composition.
- the effective amount is a therapeutically effective amount.
- the effective amount is an amount effective for inhibiting PRMT5.
- the effective amount is an amount effective for treating a PRMT5-mediated disorder. In certain embodiments, the effective amount is a prophylactically effective amount. In certain embodiments, the effective amount is an amount effective to prevent a PRMT5-mediated disorder.
- compositions agents include any and all solvents, diluents, or other liquid vehicles, dispersions, suspension aids, surface active agents, isotonic agents, thickening or emulsifying agents, preservatives, solid binders, lubricants, and the like, as suited to the particular dosage form desired.
- General considerations in formulation and/or manufacture of pharmaceutical compositions agents can be found, for example, in Remington's Pharmaceutical Sciences, Sixteenth Edition, E. W. Martin (Mack Publishing Co., Easton, Pa., 1980), and Remington: The Science and Practice of Pharmacy, 21st Edition (Lippincott Williams & Wilkins, 2005).
- compositions described herein can be prepared by any method known in the art of pharmacology. In general, such preparatory methods include the steps of bringing a compound described herein (the “active ingredient”) into association with a carrier and/or one or more other accessory ingredients, and then, if necessary and/or desirable, shaping and/or packaging the product into a desired single- or multi-dose unit.
- compositions can be prepared, packaged, and/or sold in bulk, as a single unit dose, and/or as a plurality of single unit doses.
- a “unit dose” is discrete amount of the pharmaceutical composition comprising a predetermined amount of the active ingredient.
- the amount of the active ingredient is generally equal to the dosage of the active ingredient which would be administered to a subject and/or a convenient fraction of such a dosage such as, for example, one-half or one-third of such a dosage.
- Relative amounts of the active ingredient, the pharmaceutically acceptable excipient, and/or any additional ingredients in a pharmaceutical composition of the present disclosure will vary, depending upon the identity, size, and/or condition of the subject treated and further depending upon the route by which the composition is to be administered.
- the composition may comprise between 0.1% and 100% (w/w) active ingredient.
- compositions used in the manufacture of provided pharmaceutical compositions include inert diluents, dispersing and/or granulating agents, surface active agents and/or emulsifiers, disintegrating agents, binding agents, preservatives, buffering agents, lubricating agents, and/or oils. Excipients such as cocoa butter and suppository waxes, coloring agents, coating agents, sweetening, flavoring, and perfuming agents may also be present in the composition.
- Exemplary diluents include calcium carbonate, sodium carbonate, calcium phosphate, dicalcium phosphate, calcium sulfate, calcium hydrogen phosphate, sodium phosphate lactose, sucrose, cellulose, microcrystalline cellulose, kaolin, mannitol, sorbitol, inositol, sodium chloride, dry starch, cornstarch, powdered sugar, and mixtures thereof.
- Exemplary granulating and/or dispersing agents include potato starch, corn starch, tapioca starch, sodium starch glycolate, clays, alginic acid, guar gum, citrus pulp, agar, bentonite, cellulose and wood products, natural sponge, cation-exchange resins, calcium carbonate, silicates, sodium carbonate, cross-linked poly(vinyl-pyrrolidone) (crospovidone), sodium carboxymethyl starch (sodium starch glycolate), carboxymethyl cellulose, cross-linked sodium carboxymethyl cellulose (croscarmellose), methylcellulose, pregelatinized starch (starch 1500), microcrystalline starch, water insoluble starch, calcium carboxymethyl cellulose, magnesium aluminum silicate (Veegum), sodium lauryl sulfate, quaternary ammonium compounds, and mixtures thereof.
- crospovidone cross-linked poly(vinyl-pyrrolidone)
- sodium carboxymethyl starch sodium starch glycolate
- Exemplary surface active agents and/or emulsifiers include natural emulsifiers (e.g., acacia, agar, alginic acid, sodium alginate, tragacanth, chondrux, cholesterol, xanthan, pectin, gelatin, egg yolk, casein, wool fat, cholesterol, wax, and lecithin), colloidal clays (e.g., bentonite (aluminum silicate) and Veegum (magnesium aluminum silicate)), long chain amino acid derivatives, high molecular weight alcohols (e.g., stearyl alcohol, cetyl alcohol, oleyl alcohol, triacetin monostearate, ethylene glycol distearate, glyceryl monostearate, and propylene glycol monostearate, polyvinyl alcohol), carbomers (e.g., carboxy polymethylene, polyacrylic acid, acrylic acid polymer, and carboxyvinyl polymer), carrageenan, cellulos
- Exemplary binding agents include starch (e.g., cornstarch and starch paste), gelatin, sugars (e.g., sucrose, glucose, dextrose, dextrin, molasses, lactose, lactitol, mannitol, etc.), natural and synthetic gums (e.g., acacia, sodium alginate, extract of Irish moss, panwar gum, ghatti gum, mucilage of isapol husks, carboxymethylcellulose, methylcellulose, ethylcellulose, hydroxyethylcellulose, hydroxypropyl cellulose, hydroxypropyl methylcellulose, microcrystalline cellulose, cellulose acetate, poly(vinyl-pyrrolidone), magnesium aluminum silicate (Veegum), and larch arabogalactan), alginates, polyethylene oxide, polyethylene glycol, inorganic calcium salts, silicic acid, polymethacrylates, waxes, water, alcohol, and/or mixtures thereof
- Exemplary preservatives include antioxidants, chelating agents, antimicrobial preservatives, antifungal preservatives, alcohol preservatives, acidic preservatives, and other preservatives.
- antioxidants include alpha tocopherol, ascorbic acid, acorbyl palmitate, butylated hydroxyanisole, butylated hydroxytoluene, monothioglycerol, potassium metabisulfite, propionic acid, propyl gallate, sodium ascorbate, sodium bisulfite, sodium metabisulfite, and sodium sulfite.
- Exemplary chelating agents include ethylenediaminetetraacetic acid (EDTA) and salts and hydrates thereof (e.g., sodium edetate, disodium edetate, trisodium edetate, calcium disodium edetate, dipotassium edetate, and the like), citric acid and salts and hydrates thereof (e.g., citric acid monohydrate), fumaric acid and salts and hydrates thereof, malic acid and salts and hydrates thereof, phosphoric acid and salts and hydrates thereof, and tartaric acid and salts and hydrates thereof.
- EDTA ethylenediaminetetraacetic acid
- salts and hydrates thereof e.g., sodium edetate, disodium edetate, trisodium edetate, calcium disodium edetate, dipotassium edetate, and the like
- citric acid and salts and hydrates thereof e.g., citric acid mono
- antimicrobial preservatives include benzalkonium chloride, benzethonium chloride, benzyl alcohol, bronopol, cetrimide, cetylpyridinium chloride, chlorhexidine, chlorobutanol, chlorocresol, chloroxylenol, cresol, ethyl alcohol, glycerin, hexetidine, imidurea, phenol, phenoxyethanol, phenylethyl alcohol, phenylmercuric nitrate, propylene glycol, and thimerosal.
- antifungal preservatives include butyl paraben, methyl paraben, ethyl paraben, propyl paraben, benzoic acid, hydroxybenzoic acid, potassium benzoate, potassium sorbate, sodium benzoate, sodium propionate, and sorbic acid.
- Exemplary alcohol preservatives include ethanol, polyethylene glycol, phenol, phenolic compounds, bisphenol, chlorobutanol, hydroxybenzoate, and phenylethyl alcohol.
- Exemplary acidic preservatives include vitamin A, vitamin C, vitamin E, beta-carotene, citric acid, acetic acid, dehydroacetic acid, ascorbic acid, sorbic acid, and phytic acid.
- preservatives include tocopherol, tocopherol acetate, deteroxime mesylate, cetrimide, butylated hydroxyanisol (BHA), butylated hydroxytoluened (BHT), ethylenediamine, sodium lauryl sulfate (SLS), sodium lauryl ether sulfate (SLES), sodium bisulfite, sodium metabisulfite, potassium sulfite, potassium metabisulfite, Glydant Plus, Phenonip, methylparaben, Germall 115, Germaben II, Neolone, Kathon, and Euxyl.
- the preservative is an anti-oxidant.
- the preservative is a chelating agent.
- Exemplary buffering agents include citrate buffer solutions, acetate buffer solutions, phosphate buffer solutions, ammonium chloride, calcium carbonate, calcium chloride, calcium citrate, calcium glubionate, calcium gluceptate, calcium gluconate, D-gluconic acid, calcium glycerophosphate, calcium lactate, propanoic acid, calcium levulinate, pentanoic acid, dibasic calcium phosphate, phosphoric acid, tribasic calcium phosphate, calcium hydroxide phosphate, potassium acetate, potassium chloride, potassium gluconate, potassium mixtures, dibasic potassium phosphate, monobasic potassium phosphate, potassium phosphate mixtures, sodium acetate, sodium bicarbonate, sodium chloride, sodium citrate, sodium lactate, dibasic sodium phosphate, monobasic sodium phosphate, sodium phosphate mixtures, tromethamine, magnesium hydroxide, aluminum hydroxide, alginic acid, pyrogen-free water, isotonic saline, Ringer
- Exemplary lubricating agents include magnesium stearate, calcium stearate, stearic acid, silica, talc, malt, glyceryl behanate, hydrogenated vegetable oils, polyethylene glycol, sodium benzoate, sodium acetate, sodium chloride, leucine, magnesium lauryl sulfate, sodium lauryl sulfate, and mixtures thereof.
- Exemplary natural oils include almond, apricot kernel, avocado, babassu, bergamot, black current seed, borage, cade, camomile, canola, caraway, carnauba, castor, cinnamon, cocoa butter, coconut, cod liver, coffee, corn, cotton seed, emu, eucalyptus, evening primrose, fish, flaxseed, geraniol, gourd, grape seed, hazel nut, hyssop, isopropyl myristate, jojoba, kukui nut, lavandin, lavender, lemon, litsea cubeba, macademia nut, mallow, mango seed, meadowfoam seed, mink, nutmeg, olive, orange, orange roughy, palm, palm kernel, peach kernel, peanut, poppy seed, pumpkin seed, rapeseed, rice bran, rosemary, safflower, sandalwood, sasquana, savoury, sea buckt
- Exemplary synthetic oils include, but are not limited to, butyl stearate, caprylic triglyceride, capric triglyceride, cyclomethicone, diethyl sebacate, dimethicone 360, isopropyl myristate, mineral oil, octyldodecanol, oleyl alcohol, silicone oil, and mixtures thereof.
- Liquid dosage forms for oral and parenteral administration include pharmaceutically acceptable emulsions, microemulsions, solutions, suspensions, syrups and elixirs.
- the liquid dosage forms may comprise inert diluents commonly used in the art such as, for example, water or other solvents, solubilizing agents and emulsifiers such as ethyl alcohol, isopropyl alcohol, ethyl carbonate, ethyl acetate, benzyl alcohol, benzyl benzoate, propylene glycol, 1,3-butylene glycol, dimethylformamide, oils (e.g., cottonseed, groundnut, corn, germ, olive, castor, and sesame oils), glycerol, tetrahydrofurfuryl alcohol, polyethylene glycols and fatty acid esters of sorbitan, and mixtures thereof.
- inert diluents commonly used in the art such as, for example, water or other solvents, so
- the oral compositions can include adjuvants such as wetting agents, emulsifying and suspending agents, sweetening, flavoring, and perfuming agents.
- adjuvants such as wetting agents, emulsifying and suspending agents, sweetening, flavoring, and perfuming agents.
- solubilizing agents such as CremophorTM, alcohols, oils, modified oils, glycols, polysorbates, cyclodextrins, polymers, and mixtures thereof.
- sterile injectable aqueous or oleaginous suspensions can be formulated according to the known art using suitable dispersing or wetting agents and suspending agents.
- the sterile injectable preparation can be a sterile injectable solution, suspension or emulsion in a nontoxic parenterally acceptable diluent or solvent, for example, as a solution in 1,3-butanediol.
- acceptable vehicles and solvents that can be employed are water, Ringer's solution, U.S.P. and isotonic sodium chloride solution.
- sterile, fixed oils are conventionally employed as a solvent or suspending medium.
- any bland fixed oil can be employed including synthetic mono- or diglycerides.
- fatty acids such as oleic acid are used in the preparation of injectables.
- the injectable formulations can be sterilized, for example, by filtration through a bacterial-retaining filter, or by incorporating sterilizing agents in the form of sterile solid compositions which can be dissolved or dispersed in sterile water or other sterile injectable medium prior to use.
- compositions for rectal or vaginal administration are typically suppositories which can be prepared by mixing the compounds described herein with suitable non-irritating excipients or carriers such as cocoa butter, polyethylene glycol or a suppository wax which are solid at ambient temperature but liquid at body temperature and therefore melt in the rectum or vaginal cavity and release the active ingredient.
- suitable non-irritating excipients or carriers such as cocoa butter, polyethylene glycol or a suppository wax which are solid at ambient temperature but liquid at body temperature and therefore melt in the rectum or vaginal cavity and release the active ingredient.
- Solid dosage forms for oral administration include capsules, tablets, pills, powders, and granules.
- the active ingredient is mixed with at least one inert, pharmaceutically acceptable excipient or carrier such as sodium citrate or dicalcium phosphate and/or a) fillers or extenders such as starches, lactose, sucrose, glucose, mannitol, and silicic acid, b) binders such as, for example, carboxymethylcellulose, alginates, gelatin, polyvinylpyrrolidinone, sucrose, and acacia, c) humectants such as glycerol, d) disintegrating agents such as agar, calcium carbonate, potato or tapioca starch, alginic acid, certain silicates, and sodium carbonate, e) solution retarding agents such as paraffin, f) absorption accelerators such as quaternary ammonium compounds, g) wetting agents such as, for example, cetyl alcohol and glycerol mono
- Solid compositions of a similar type can be employed as fillers in soft and hard-filled gelatin capsules using such excipients as lactose or milk sugar as well as high molecular weight polyethylene glycols and the like.
- the solid dosage forms of tablets, dragees, capsules, pills, and granules can be prepared with coatings and shells such as enteric coatings and other coatings well known in the pharmaceutical formulating art. They may optionally comprise opacifying agents and can be of a composition that they release the active ingredient(s) only, or preferentially, in a certain part of the intestinal tract, optionally, in a delayed manner. Examples of embedding compositions which can be used include polymeric substances and waxes.
- Solid compositions of a similar type can be employed as fillers in soft and hard-filled gelatin capsules using such excipients as lactose or milk sugar as well as high molecular weight polyethylene glycols and the like.
- the active ingredient can be in micro-encapsulated form with one or more excipients as noted above.
- the solid dosage forms of tablets, dragees, capsules, pills, and granules can be prepared with coatings and shells such as enteric coatings, release controlling coatings and other coatings well known in the pharmaceutical formulating art.
- the active ingredient can be admixed with at least one inert diluent such as sucrose, lactose, or starch.
- Such dosage forms may comprise, as is normal practice, additional substances other than inert diluents, e.g., tableting lubricants and other tableting aids such a magnesium stearate and microcrystalline cellulose.
- the dosage forms may comprise buffering agents. They may optionally comprise opacifying agents and can be of a composition that they release the active ingredient(s) only, or preferentially, in a certain part of the intestinal tract, optionally, in a delayed manner.
- opacifying agents include polymeric substances and waxes.
- Dosage forms for topical and/or transdermal administration of a provided compound may include ointments, pastes, creams, lotions, gels, powders, solutions, sprays, inhalants and/or patches.
- the active ingredient is admixed under sterile conditions with a pharmaceutically acceptable carrier and/or any desired preservatives and/or buffers as can be required.
- the present disclosure encompasses the use of transdermal patches, which often have the added advantage of providing controlled delivery of an active ingredient to the body.
- Such dosage forms can be prepared, for example, by dissolving and/or dispensing the active ingredient in the proper medium.
- the rate can be controlled by either providing a rate controlling membrane and/or by dispersing the active ingredient in a polymer matrix and/or gel.
- Suitable devices for use in delivering intradermal pharmaceutical compositions described herein include short needle devices such as those described in U.S. Pat. Nos. 4,886,499; 5,190,521; 5,328,483; 5,527,288; 4,270,537; 5,015,235; 5,141,496; and 5,417,662.
- Intradermal compositions can be administered by devices which limit the effective penetration length of a needle into the skin, such as those described in PCT publication WO 99/34850 and functional equivalents thereof.
- Jet injection devices which deliver liquid vaccines to the dermis via a liquid jet injector and/or via a needle which pierces the stratum corneum and produces a jet which reaches the dermis are suitable.
- Jet injection devices are described, for example, in U.S. Pat. Nos. 5,480,381; 5,599,302; 5,334,144; 5,993,412; 5,649,912; 5,569,189; 5,704,911; 5,383,851; 5,893,397; 5,466,220; 5,339,163; 5,312,335; 5,503,627; 5,064,413; 5,520,639; 4,596,556; 4,790,824; 4,941,880; 4,940,460; and PCT publications WO 97/37705 and WO 97/13537.
- Ballistic powder/particle delivery devices which use compressed gas to accelerate vaccine in powder form through the outer layers of the skin to the dermis are suitable.
- conventional syringes can be used in the classical mantoux method of intradermal administration.
- Formulations suitable for topical administration include, but are not limited to, liquid and/or semi liquid preparations such as liniments, lotions, oil in water and/or water in oil emulsions such as creams, ointments and/or pastes, and/or solutions and/or suspensions.
- Topically-administrable formulations may, for example, comprise from about 1% to about 10% (w/w) active ingredient, although the concentration of the active ingredient can be as high as the solubility limit of the active ingredient in the solvent.
- Formulations for topical administration may further comprise one or more of the additional ingredients described herein.
- a provided pharmaceutical composition can be prepared, packaged, and/or sold in a formulation suitable for pulmonary administration via the buccal cavity.
- a formulation may comprise dry particles which comprise the active ingredient and which have a diameter in the range from about 0.5 to about 7 nanometers or from about 1 to about 6 nanometers.
- Such compositions are conveniently in the form of dry powders for administration using a device comprising a dry powder reservoir to which a stream of propellant can be directed to disperse the powder and/or using a self propelling solvent/powder dispensing container such as a device comprising the active ingredient dissolved and/or suspended in a low-boiling propellant in a sealed container.
- Such powders comprise particles wherein at least 98% of the particles by weight have a diameter greater than 0.5 nanometers and at least 95% of the particles by number have a diameter less than 7 nanometers. Alternatively, at least 95% of the particles by weight have a diameter greater than 1 nanometer and at least 90% of the particles by number have a diameter less than 6 nanometers.
- Dry powder compositions may include a solid fine powder diluent such as sugar and are conveniently provided in a unit dose form.
- Low boiling propellants generally include liquid propellants having a boiling point of below 65° F. at atmospheric pressure. Generally the propellant may constitute 50 to 99.9% (w/w) of the composition, and the active ingredient may constitute 0.1 to 20% (w/w) of the composition.
- the propellant may further comprise additional ingredients such as a liquid non-ionic and/or solid anionic surfactant and/or a solid diluent (which may have a particle size of the same order as particles comprising the active ingredient).
- compositions formulated for pulmonary delivery may provide the active ingredient in the form of droplets of a solution and/or suspension.
- Such formulations can be prepared, packaged, and/or sold as aqueous and/or dilute alcoholic solutions and/or suspensions, optionally sterile, comprising the active ingredient, and may conveniently be administered using any nebulization and/or atomization device.
- Such formulations may further comprise one or more additional ingredients including, but not limited to, a flavoring agent such as saccharin sodium, a volatile oil, a buffering agent, a surface active agent, and/or a preservative such as methylhydroxybenzoate.
- the droplets provided by this route of administration may have an average diameter in the range from about 0.1 to about 200 nanometers.
- Formulations described herein as being useful for pulmonary delivery are useful for intranasal delivery of a pharmaceutical composition.
- Another formulation suitable for intranasal administration is a coarse powder comprising the active ingredient and having an average particle from about 0.2 to 500 micrometers. Such a formulation is administered by rapid inhalation through the nasal passage from a container of the powder held close to the nares.
- Formulations for nasal administration may, for example, comprise from about as little as 0.1% (w/w) and as much as 100% (w/w) of the active ingredient, and may comprise one or more of the additional ingredients described herein.
- a provided pharmaceutical composition can be prepared, packaged, and/or sold in a formulation for buccal administration.
- Such formulations may, for example, be in the form of tablets and/or lozenges made using conventional methods, and may contain, for example, 0.1 to 20% (w/w) active ingredient, the balance comprising an orally dissolvable and/or degradable composition and, optionally, one or more of the additional ingredients described herein.
- formulations for buccal administration may comprise a powder and/or an aerosolized and/or atomized solution and/or suspension comprising the active ingredient.
- Such powdered, aerosolized, and/or aerosolized formulations, when dispersed may have an average particle and/or droplet size in the range from about 0.1 to about 200 nanometers, and may further comprise one or more of the additional ingredients described
- a provided pharmaceutical composition can be prepared, packaged, and/or sold in a formulation for ophthalmic administration.
- Such formulations may, for example, be in the form of eye drops including, for example, a 0.1/1.0% (w/w) solution and/or suspension of the active ingredient in an aqueous or oily liquid carrier.
- Such drops may further comprise buffering agents, salts, and/or one or more other of the additional ingredients described herein.
- Other opthalmically-administrable formulations which are useful include those which comprise the active ingredient in microcrystalline form and/or in a liposomal preparation. Ear drops and/or eye drops are contemplated as being within the scope of this disclosure.
- compositions suitable for administration to humans are principally directed to pharmaceutical compositions which are suitable for administration to humans, it will be understood by the skilled artisan that such compositions are generally suitable for administration to animals of all sorts. Modification of pharmaceutical compositions suitable for administration to humans in order to render the compositions suitable for administration to various animals is well understood, and the ordinarily skilled veterinary pharmacologist can design and/or perform such modification with ordinary experimentation.
- compositions provided herein are typically formulated in dosage unit form for ease of administration and uniformity of dosage. It will be understood, however, that the total daily usage of provided compositions will be decided by the attending physician within the scope of sound medical judgment.
- the specific therapeutically effective dose level for any particular subject or organism will depend upon a variety of factors including the disease, disorder, or condition being treated and the severity of the disorder; the activity of the specific active ingredient employed; the specific composition employed; the age, body weight, general health, sex and diet of the subject; the time of administration, route of administration, and rate of excretion of the specific active ingredient employed; the duration of the treatment; drugs used in combination or coincidental with the specific active ingredient employed; and like factors well known in the medical arts.
- the compounds and compositions provided herein can be administered by any route, including enteral (e.g., oral), parenteral, intravenous, intramuscular, intra-arterial, intramedullary, intrathecal, subcutaneous, intraventricular, transdermal, interdermal, rectal, intravaginal, intraperitoneal, topical (as by powders, ointments, creams, and/or drops), mucosal, nasal, bucal, sublingual; by intratracheal instillation, bronchial instillation, and/or inhalation; and/or as an oral spray, nasal spray, and/or aerosol.
- enteral e.g., oral
- parenteral intravenous, intramuscular, intra-arterial, intramedullary
- intrathecal subcutaneous, intraventricular, transdermal, interdermal, rectal, intravaginal, intraperitoneal
- topical as by powders, ointments, creams, and/or drops
- mucosal nasal,
- Specifically contemplated routes are oral administration, intravenous administration (e.g., systemic intravenous injection), regional administration via blood and/or lymph supply, and/or direct administration to an affected site.
- intravenous administration e.g., systemic intravenous injection
- regional administration via blood and/or lymph supply
- direct administration to an affected site.
- the most appropriate route of administration will depend upon a variety of factors including the nature of the agent (e.g., its stability in the environment of the gastrointestinal tract), and/or the condition of the subject (e.g., whether the subject is able to tolerate oral administration).
- the exact amount of a compound required to achieve an effective amount will vary from subject to subject, depending, for example, on species, age, and general condition of a subject, severity of the side effects or disorder, identity of the particular compound(s), mode of administration, and the like.
- the desired dosage can be delivered three times a day, two times a day, once a day, every other day, every third day, every week, every two weeks, every three weeks, or every four weeks.
- the desired dosage can be delivered using multiple administrations (e.g., two, three, four, five, six, seven, eight, nine, ten, eleven, twelve, thirteen, fourteen, or more administrations).
- an effective amount of a compound for administration one or more times a day to a 70 kg adult human may comprise about 0.0001 mg to about 3000 mg, about 0.0001 mg to about 2000 mg, about 0.0001 mg to about 1000 mg, about 0.001 mg to about 1000 mg, about 0.01 mg to about 1000 mg, about 0.1 mg to about 1000 mg, about 1 mg to about 1000 mg, about 1 mg to about 100 mg, about 10 mg to about 1000 mg, or about 100 mg to about 1000 mg, of a compound per unit dosage form.
- a compound described herein may be administered at dosage levels sufficient to deliver from about 0.001 mg/kg to about 1000 mg/kg, from about 0.01 mg/kg to about mg/kg, from about 0.1 mg/kg to about 40 mg/kg, from about 0.5 mg/kg to about 30 mg/kg, from about 0.01 mg/kg to about 10 mg/kg, from about 0.1 mg/kg to about 10 mg/kg, or from about 1 mg/kg to about 25 mg/kg, of subject body weight per day, one or more times a day, to obtain the desired therapeutic effect.
- a compound described herein is administered one or more times per day, for multiple days. In some embodiments, the dosing regimen is continued for days, weeks, months, or years.
- dose ranges as described herein provide guidance for the administration of provided pharmaceutical compositions to an adult.
- the amount to be administered to, for example, a child or an adolescent can be determined by a medical practitioner or person skilled in the art and can be lower or the same as that administered to an adult.
- a compound or composition, as described herein can be administered in combination with one or more additional therapeutically active agents.
- a compound or composition provided herein is administered in combination with one or more additional therapeutically active agents that improve its bioavailability, reduce and/or modify its metabolism, inhibit its excretion, and/or modify its distribution within the body.
- the therapy employed may achieve a desired effect for the same disorder, and/or it may achieve different effects.
- the compound or composition can be administered concurrently with, prior to, or subsequent to, one or more additional therapeutically active agents.
- the additional therapeutically active agent is a compound of Formula (I).
- the additional therapeutically active agent is not a compound of Formula (I).
- each agent will be administered at a dose and/or on a time schedule determined for that agent.
- the additional therapeutically active agent utilized in this combination can be administered together in a single composition or administered separately in different compositions.
- the particular combination to employ in a regimen will take into account compatibility of a provided compound with the additional therapeutically active agent and/or the desired therapeutic effect to be achieved.
- it is expected that additional therapeutically active agents utilized in combination be utilized at levels that do not exceed the levels at which they are utilized individually. In some embodiments, the levels utilized in combination will be lower than those utilized individually.
- Exemplary additional therapeutically active agents include, but are not limited to, small organic molecules such as drug compounds (e.g., compounds approved by the U.S. Food and Drug Administration as provided in the Code of Federal Regulations (CFR)), peptides, proteins, carbohydrates, monosaccharides, oligosaccharides, polysaccharides, nucleoproteins, mucoproteins, lipoproteins, synthetic polypeptides or proteins, small molecules linked to proteins, glycoproteins, steroids, nucleic acids, DNAs, RNAs, nucleotides, nucleosides, oligonucleotides, antisense oligonucleotides, lipids, hormones, vitamins, and cells.
- drug compounds e.g., compounds approved by the U.S. Food and Drug Administration as provided in the Code of Federal Regulations (CFR)
- CFR Code of Federal Regulations
- peptides e.g., compounds approved by the U.S. Food and Drug Administration as provided in the Code of Federal Regulations (
- kits e.g., pharmaceutical packs.
- the kits provided may comprise a provided pharmaceutical composition or compound and a container (e.g., a vial, ampule, bottle, syringe, and/or dispenser package, or other suitable container).
- a container e.g., a vial, ampule, bottle, syringe, and/or dispenser package, or other suitable container.
- provided kits may optionally further include a second container comprising a pharmaceutical excipient for dilution or suspension of a provided pharmaceutical composition or compound.
- a provided pharmaceutical composition or compound provided in the container and the second container are combined to form one unit dosage form.
- a provided kits further includes instructions for use.
- compositions described herein are generally useful for the inhibition of PRMT5.
- methods of treating PRMT5-mediated disorder in a subject comprise administering an effective amount of a compound described herein (e.g., a compound of Formula (I)), or a pharmaceutically acceptable salt thereof), to a subject in need of treatment.
- the effective amount is a therapeutically effective amount.
- the effective amount is a prophylactically effective amount.
- the subject is suffering from a PRMT5-mediated disorder.
- the subject is susceptible to a PRMT5-mediated disorder.
- PRMT5-mediated disorder means any disease, disorder, or other pathological condition in which PRMT5 is known to play a role. Accordingly, in some embodiments, the present disclosure relates to treating or lessening the severity of one or more diseases in which PRMT5 is known to play a role.
- the present disclosure provides a method of inhibiting PRMT5 comprising contacting PRMT5 with an effective amount of a compound described herein (e.g., a compound of Formula (I)), or a pharmaceutically acceptable salt thereof.
- the PRMT5 may be purified or crude, and may be present in a cell, tissue, or subject.
- the method is an in vitro method, e.g., such as an assay method. It will be understood by one of ordinary skill in the art that inhibition of PRMT5 does not necessarily require that all of the PRMT5 be occupied by an inhibitor at once.
- Exemplary levels of inhibition of PRMT5 include at least 10% inhibition, about 10% to about 25% inhibition, about 25% to about 50% inhibition, about 50% to about 75% inhibition, at least 50% inhibition, at least 75% inhibition, about 80% inhibition, about 90% inhibition, and greater than 90% inhibition.
- a method of inhibiting PRMT5 activity in a subject in need thereof comprising administering to the subject an effective amount of a compound described herein (e.g., a compound of Formula (I)), or a pharmaceutically acceptable salt thereof, or a pharmaceutical composition thereof.
- a method of altering gene expression in a cell which comprises contacting a cell with an effective amount of a compound of Formula (I), or a pharmaceutically acceptable salt thereof.
- the cell in culture in vitro.
- the cell is in an animal, e.g., a human.
- the cell is in a subject in need of treatment.
- a method of altering transcription in a cell which comprises contacting a cell with an effective amount of a compound of Formula (I), or a pharmaceutically acceptable salt thereof.
- the cell in culture in vitro.
- the cell is in an animal, e.g., a human.
- the cell is in a subject in need of treatment.
- a method is provided of selecting a therapy for a subject having a disease associated with PRMT5-mediated disorder or mutation comprising the steps of determining the presence of PRMT5-mediated disorder or gene mutation in the PRMT5 gene or and selecting, based on the presence of PRMT5-mediated disorder a gene mutation in the PRMT5 gene a therapy that includes the administration of a provided compound.
- the disease is cancer.
- a method of treatment for a subject in need thereof comprising the steps of determining the presence of PRMT5-mediated disorder or a gene mutation in the PRMT5 gene and treating the subject in need thereof, based on the presence of a PRMT5-mediated disorder or gene mutation in the PRMT5 gene with a therapy that includes the administration of a provided compound.
- the subject is a cancer patient.
- a provided compound is useful in treating a proliferative disorder, such as cancer, a benign neoplasm, an autoimmune disease, or an inflammatory disease.
- a proliferative disorder such as cancer, a benign neoplasm, an autoimmune disease, or an inflammatory disease.
- PRMT5 has been shown to be involved in cyclin D1 dysregulated cancers. Increased PRMT5 activity mediates key events associated with cyclin D1-dependent neoplastic growth including CUL4 repression, CDT1 overexpression, and DNA re-replication.
- human cancers harboring mutations in Fbx4, the cyclin D1 E3 ligase exhibit nuclear cyclin D1 accumulation and increased PRMT5 activity (Aggarwal et al., Cancer Cell. 2010 18(4):329-40).
- PRMT5 has also been implicated in accelerating cell cycle progression through G1 phase and modulating regulators of G1; for example, PRMT5 may upregulate cyclin-dependent kinase (CDK) 4, CDK6, and cyclins D1, D2 and E1. Moreover, PRMT5 may activate phosphoinositide 3-kinase (PI3K)/AKT signaling (Wei et al., Cancer Sci. 2012 103(9):1640-50).
- CDK cyclin-dependent kinase
- PI3K phosphoinositide 3-kinase
- the inhibition of PRMT5 by a provided compound is useful in treating the following non-limiting list of cancers: breast cancer, esophageal cancer, bladder cancer, lung cancer, hematopoietic cancer, lymphoma, medulloblastoma, rectum adenocarcinoma, colon adenocarcinoma, gastric cancer, pancreatic cancer, liver cancer, adenoid cystic carcinoma, lung adenocarcinoma, head and neck squamous cell carcinoma, brain tumors, hepatocellular carcinoma, renal cell carcinoma, melanoma, oligodendroglioma, ovarian clear cell carcinoma, and ovarian serous cystadenocarcinoma.
- the inhibition of PRMT5 by a provided compound is useful in treating prostate cancer and lung cancer, in which PRMT5 has been shown to play a role (Gu et al., PLoS One 2012;7(8):e44033; Gu et al., Biochem. J. (2012) 446 (235-241)).
- a provided compound is useful to delay the onset of, slow the progression of, or ameliorate the symptoms of cancer.
- a provided compound is administered in combination with other compounds, drugs, or therapeutics to treat cancer.
- compounds described herein are useful for treating a cancer including, but not limited to, acoustic neuroma, adenocarcinoma, adrenal gland cancer, anal cancer, angiosarcoma (e.g., lymphangiosarcoma, lymphangioendotheliosarcoma, hemangiosarcoma), appendix cancer, benign monoclonal gammopathy, biliary cancer (e.g., cholangiocarcinoma), bladder cancer, breast cancer (e.g., adenocarcinoma of the breast, papillary carcinoma of the breast, mammary cancer, medullary carcinoma of the breast), brain cancer (e.g., meningioma; glioma, e.g., astrocytoma, oligodendroglioma; medulloblastoma), bronchus cancer, carcinoid tumor, cervical cancer (e.g., cervical adenocarcinoma),
- HCC hepatocellular cancer
- lung cancer e.g., bronchogenic carcinoma, small cell lung cancer (SCLC), non-small cell lung cancer (NSCLC), adenocarcinoma of the lung
- myelofibrosis MF
- chronic idiopathic myelofibrosis chronic myelocytic leukemia (CML), chronic neutrophilic leukemia (CNL), hypereosinophilic syndrome (HES)
- neuroblastoma e.g., neurofibromatosis (NF) type 1 or type 2, schwannomatosis
- neuroendocrine cancer e.g., gastroenteropancreatic neuroendoctrine tumor (GEP-NET), carcinoid tumor
- osteosarcoma ovarian cancer (e.g., cystadenocarcinoma, ovarian embryonal carcinoma, ovarian adenocarcinoma), papillary adenocarcinoma, pancreatic cancer (e.g., pancreatic andenocarcinoma, intraductal papillary mucinous neoplasm (IPMN), Islet cell tumors), penile cancer (e.g., Paget's disease of the pen
- a provided compound is useful in treating a metabolic disorder, such as diabetes or obesity.
- a metabolic disorder such as diabetes or obesity.
- a role for PRMT5 has been recognized in adipogenesis. Inhibition of PRMT5 expression in multiple cell culture models for adipogenesis prevented the activation of adipogenic genes, while overexpression of PRMT5 enhanced adipogenic gene expression and differentiation (LeBlanc et al., Mol Endocrinol. 2012 April; 26(4):583-97). Additionally, it has been shown that adipogenesis plays a pivotal role in the etiology and progression of diabetes and obesity (Camp et al., Trends Mol Med. 2002 September; 8(9):442-7). Thus in some embodiments, the inhibition of PRMT5 by a provided compound is useful in treating diabetes and/or obesity.
- a provided compound is useful to delay the onset of, slow the progression of, or ameliorate the symptoms of, diabetes.
- the diabetes is Type 1 diabetes.
- the diabetes is Type 2 diabetes.
- a provided compound is useful to delay the onset of, slow the progression of, or ameliorate the symptoms of, obesity.
- a provided compound is useful to make a subject lose weight.
- a provided compound could be used in combination with other compounds, drugs, or therapeutics, such as metformin and insulin, to treat diabetes and/or obesity.
- a provided compound is useful in treating a blood disorder, e.g., a hemoglobinopathy, such as sickle cell disease or ⁇ -thalassemia.
- a blood disorder e.g., a hemoglobinopathy, such as sickle cell disease or ⁇ -thalassemia.
- PRMT5 is a known repressor of ⁇ -globin gene expression, and increased fetal ⁇ -globin (HbF) levels in adulthood are associated with symptomatic amelioration in sickle cell disease and ⁇ -thalassemia (Xu et al., Haematologica. 2012 November; 97(11):1632-40).
- HbF fetal ⁇ -globin
- the inhibition of PRMT5 by a provided compound is useful in treating a blood disorder, such as a hemoglobinopathy such as sickle cell disease or ⁇ -thalassemia.
- a provided compound is useful to delay the onset of, slow the progression of, or ameliorate the symptoms of, sickle cell disease. In some embodiments, a provided compound is useful to delay the onset of, slow the progression of, or ameliorate the symptoms of, ⁇ -thalassemia. In some embodiments, a provided compound could be used in combination with other compounds, drugs, or therapeutics, to treat a hemoglobinopathy such as sickle cell disease or ⁇ -thalassemia.
- compounds described herein can prepared using methods shown in general Scheme 1.
- Compound B can be prepared via ring opening of a chiral or racemic epoxide group.
- This amino alcohol intermediate can be coupled to form an amide via normal amide coupling methodology using a carboxylic acid A wherein Z is hydrogen or via amination of an ester of intermediate A when Z is an optionally substituted aliphatic group.
- Analogous reactions may be performed to form a carbamate or urea bond using methods known to one of ordinary skill in the art.
- such couplings can be used to provide a key intermediate for further synthesis, as shown, for example, in exemplary Scheme 2.
- an amide coupling step is the final synthetic step as shown in exemplary Scheme 3.
- Step 3 N-(3-(3,4-dihydroisoquinolin-2(1H)-yl)-2-hydroxypropyl)-3-(pyridin-2-yl)benzamide
- Step 3 N-(3-(3,4-dihydroisoquinolin-2(1H)-yl)-2-hydroxypropyl)-3-(1-methyl-1H-pyrazol-5-yl)benzamide
- Step 3 N-(3-(3,4-dihydroisoquinolin-2(1H)-yl)-2-hydroxypropyl)-3-(pyridin-3-yl)benzamide
- Step 3 N-(3-(3,4-dihydroisoquinolin-2(1H)-yl)-2-hydroxypropyl)-3-(pyridin-4-yl)benzamide
- Step 2 N-(3-(3,4-dihydroisoquinolin-2(1H)-yl)-2-hydroxypropyl)-2-(pyridin-2-yl) benzamide
- Step 2 N-(3-(3,4-dihydroisoquinolin-2(1H)-yl)-2-hydroxypropyl)-4-(pyridin-2-yl)benzamide
- Step 1 3-bromo-N-(3-(3,4-dihydroisoquinolin-2(1H)-yl)-2-hydroxypropyl) benzamide
- Step 2 N-(3-(3,4-dihydroisoquinolin-2(1H)-yl)-2-hydroxypropyl)-3-morpholino benzamide
- Step 1 methyl 3-(((tetrahydro-2H-pyran-4-yl)amino)methyl)benzoate
- Step 2 methyl 3-(((tert-butoxycarbonyl)(tetrahydro-2H-pyran-4-yl)amino)-methyl)benzoate
- Step 4 tert-butyl 3-((3-(3,4-dihydroisoquinolin-2(1H)-yl)-2-hydroxypropyl) carbamoyl)benzyl(tetrahydro-2H-pyran-4-yl)carbamate
- Step 5 N-(3-(3,4-dihydroisoquinolin-2(1H)-yl)-2-hydroxypropyl)-3-(((tetrahydro-2H-pyan-4-yl)amino)methyl)benzamide
- Step 2 tert-butyl (3((3-(3,4-dihydroisoquinolin-2(1H)-yl)-2-hydroxypropyl) carbamoyl)phenyl)carbamate
- Step 3 3-amino-N-(3-(3,4-dihydroisoquinolin-2(1H)-yl)-2-hydroxypropyl) benzamide
- Step 4 N-(3-(3,4-dihydroisoquinolin-2(1H)-yl)-2-hydroxypropyl)-3-((tetrahydro-2H-pyran-4-yl)amino)benzamide
- Step 1 N-(3-(3,4-dihydroisoquinolin-2(1H)-yl)-2-hydroxypropyl)-4-sulfamoylbenzamide
- Step 1 4-acetamido-N-(3-(3,4-dihydroisoquinolin-2(1H)-yl)-2-hydroxypropyl)benzamide
- Step 2 N-(3-(3,4-dihydroisoquinolin-2(1H)-yl)-2-hydroxypropyl)-3-(2-(dimethylamino)ethoxy)benzamide
- Step 2 tert-butyl 4-(3-((3-(3,4-dihydroisoquinolin-2(1H)-yl)-2-hydroxypropyl) carbamoyl)benzyl)piperazine-1-carboxylate
- Step 4 N-(3-(3,4-dihydroisoquinolin-2(1H)-yl)-2-hydroxypropyl)-3-((4-methyl piperazin-1-yl)methyl)benzamide
- Step 2 tert-butyl 4-(3-(3-(3,4-dihydroisoquinolin-2(1H)-yl)-2-hydroxypropyl carbamoyl)phenyl)piperazine-1-carboxylate
- Step 3 N-(3-(3,4-dihydroisoquinolin-2(1H)-yl)-2-hydroxypropyl)-3-(piperazin-1-yl)benzamide
- Step 1 tert-butyl 3-(((trifluoromethyl)sulfonyl)oxy)-2,5-dihydro-1H-pyrrole-1-carboxylate
- Step 2 tert-butyl 3-(3-(methoxycarbonyl)phenyl)-2,5-dihydro-1H-pyrrole-1-carboxylate
- Step 3 tert-butyl 3-(3-(methoxycarbonyl)phenyl)pyrrolidine-1-carboxylate
- Step 5 tert-butyl 3-(3-((3-(3,4-dihydroisoquinolin-2(1H)-yl)-2-hydroxypropyl)carbamoyl) phenyl)pyrrolidine-1-carboxylate
- Step 6 N-(3-(3,4-dihydroisoquinolin-2(1H)-yl)-2-hydroxypropyl)-3-(pyrrolidin-3-yl) benzamide
- Step 7 N-(3-(3,4-dihydroisoquinolin-2(1H)-yl)-2-hydroxypropyl)-3-(1-methylpyrrolidin -3-yl)benzamide
- Step 2 3-amino-N-(3-(3,4-dihydroisoquinolin-2(1H)-yl)-2-hydroxypropyl)-2-methyl benzamide
- Step 3 N-(3-(3,4-dihydroisoquinolin-2(1H)-yl)-2-hydroxypropyl)-2-methyl-3-((tetrahydro-2H-pyran-4-yl)amino)benzamide
- Step 1 tert-butyl 2-(3-((3-(3,4-dihydroisoquinolin-2(1H)-yl)-2-hydroxypropyl)carbamoyl) phenyl)pyrrolidine-1-carboxylate
- Step 2 N-(3-(3,4-dihydroisoquinolin-2(1H)-yl)-2-hydroxypropyl)-3-(pyrrolidin-2-yl) benzamide
- Step 4 (S)-tert-butyl(3-((3-(3,4-dihydroisoquinolin-2(1H)-yl)-2-hydroxypropyl) carbamoyl) phenyl)carbamate
- Step 5 (S)-3-amino-N-(3-(3,4-dihydroisoquinolin-2(1H)-yl)-2-hydroxypropyl) benzamide
- Step 6 (S)—N-(3-(3,4-dihydroisoquinolin-2(1H)-yl)-2-hydroxypropyl)-3-((tetrahydro-2H-pyran-4-yl)amino)benzamide
- Step 3 tert-butyl (3-((3-(3,4-dihydroisoquinolin-2(1H)-yl)-2-hydroxypropyl) carbamoyl)phenyl)carbamate
- Step 5 3-amino-N-(3-(3,4-dihydroisoquinolin-2(1H)-yl)-2-hydroxypropyl) benzamide
- Step 6 N-(3-(3,4-dihydroisoquinolin-2(1H)-yl)-2-hydroxypropyl)-3-((tetrahydrofuran-3-yl)amino)benzamide
- Step 3 N-(3-(3,4-dihydroisoquinolin-2(1H)-yl)-2-hydroxypropyl)-3-(morpholine-4-carbonyl)benzamide
- Step 1 tert-butyl-(3-((3-(3,4-dihydroisoquinolin-2(1H)-yl)-2-hydroxypropyl) carbamoyl)phenyl)carbamate
- Step 3 3-amino-N-(3-(3,4-dihydroisoquinolin-2(1H)-yl)-2-hydroxypropyl) benzamide
- Step 1 N-(3-(3,4-dihydroisoquinolin-2(1H)-yl)-2-hydroxypropyl)-3-(oxetan-3-ylamino)benzamide
- Step 1 N-(3-(3,4-dihydroisoquinolin-2(1H)-yl)-2-hydroxypropyl)-3-((1-(tetrahydro-2H-pyran-4-yl)ethyl)amino)benzamide
- Step 1 N-(3-(3,4-dihydroisoquinolin-2(1H)-yl)-2-hydroxypropyl)-3-((2,2-dimethyltetrahydro-2H-pyran-4-yl)amino)benzamide
- Step 2 N-(3-(3,4-dihydroisoquinolin-2(1H)-yl)-2-hydroxypropyl)-5-((tetrahydro-2H-pyran-4-yl)amino)nicotinamide
- Step 2 N-(3-(3,4-dihydroisoquinolin-2(1H)-yl)-2-hydroxypropyl)-4-((tetrahydro-2H-pyran-4-yl)amino)picolinamide
- Step 1 5-amino-N-(3-(3,4-dihydroisoquinolin-2(1H)-yl)-2-hydroxypropyl)-2-fluorobenzamide
- Step 2 N-(3-(3,4-dihydroisoquinolin-2(1H)-yl)-2-hydroxypropyl)-2-fluoro-5-((tetrahydro-2H-pyran-4-yl)amino)benzamide
- Step 3 N-(3-(3,4-dihydroisoquinolin-2(1H)-yl)-2-hydroxypropyl)-4-((tetrahydro-2H-pyran-4-yl)oxy)benzamide
- Step 4 (S)-6-chloro-N-(3-(3,4-dihydroisoquinolin-2(1H)-yl)-2-hydroxypropyl)pyrimidine-4-carboxamide
- Step 5 (S)—N-(3-(3,4-dihydroisoquinolin-2(1H)-yl)-2-hydroxypropyl)-6-(oxetan-3-ylamino)pyrimidine-4-carboxamide
- Step 1 tert-butyl (1-acetylpiperidin-4-yl)carbamate
- Step 4 (S)-6-chloro-N-(3-(3,4-dihydroisoquinolin-2(1H)-yl)-2-hydroxypropyl)pyrimidine-4-carboxamide
- Step 5 (S)-6-((1-acetylpiperidin-4-yl)amino)-N-(3-(3,4-dihydroisoquinolin-2(1H)-yl)-2-hydroxypropyl)pyrimidine-4-carboxamide
- Step 6 (S)-6-((1-acetylpiperidin-4-yl)amino)-N-(3-(3,4-dihydroisoquinolin-2(1H)-yl)-2-hydroxypropyl)pyrimidine-4-carboxamide hydrochloride
- Step 1 methyl 2-((1-(tert-butoxycarbonyl)piperidin-4-yl)amino)isonicotinate
- Step 2 2-((1-(tert-butoxycarbonyl)piperidin-4-yl)amino)isonicotinic acid
- Step 3 (S)-tert-butyl 4-((4-((3-(3,4-dihydroisoquinolin-2(1H)-yl)-2-hydroxypropyl)carbamoyl)pyridin-2-yl)amino)piperidine-1-carboxylate
- Step 4 (S)—N-(3-(3,4-dihydroisoquinolin-2(1H)-yl)-2-hydroxypropyl)-2-(piperidin-4-ylamino)isonicotinamide hydrochloride
- Step 5 (S)-2-((1-acetylpiperidin-4-yl)amino)-N-(3-(3,4-dihydroisoquinolin-2(1H)-yl)-2-hydroxypropyl)isonicotinamide
- Step 6 (S)-2-((1-acetylpiperidin-4-yl)amino)-N-(3-(3,4-dihydroisoquinolin-2(1H)-yl)-2-hydroxypropyl)isonicotinamide hydrochloride
- Step 1 tert-butyl (1-acetylazetidin-3-yl)carbamate
- Step 4 (S)-6-chloro-N-(3-(3,4-dihydroisoquinolin-2(1H)-yl)-2-hydroxypropyl)pyrimidine-4-carboxamide
- Step 5 (s)-6-((1-acetylazetidin-3-yl)amino)-N-(3-(3,4-dihydroisoquinolin-2(1H)-yl)-2-hydroxypropyl)pyrimidine-4-carboxamide
- Step 6 (s)-6-((1-acetylazetidin-3-yl)amino)-N-(3-(3,4-dihydroisoquinolin-2(1H)-yl)-2-hydroxypropyl)pyrimidine-4-carboxamide hydrochloride
- SAM S-adenosylmethionine
- SAH S-adenosylhomocysteine
- bicine KC1
- Tween20 dimethylsulfoxide
- BSG bovine skin gelatin
- TCEP Tris(2-carboxyethyl)phosphine hydrochloride solution
- 3 H-SAM was purchase from American Radiolabeled Chemicals with a specific activity of 80 Ci/mmol.
- 384-well streptavidin Flashplates were purchased from PerkinElmer.
- Peptide representative of human histone H4 residues 1-15 was synthesized with a C-terminal linker-affinity tag motif and a C-terminal amide cap by 21 st Century Biochemicals.
- the peptide was high high-perfomance liquid chromatography (HPLC) purified to greater than 95% purity and confirmed by liquid chromatography mass spectrometry (LC-MS).
- HPLC high-perfomance liquid chromatography
- LC-MS liquid chromatography mass spectrometry
- the sequence was Ac-SGRGKGGKGLGKGGA[K-Biot]-amide (SEQ ID NO.:3).
- Full-length human PRMT5 (NM_006109.3) transcript variant 1 clone was amplified from a fetal brain cDNA library, incorporating flanking 5′ sequence encoding a FLAG tag (MDYKDDDDK) (SEQ ID NO.:4) fused directly to Ala 2 of PRMT5.
- Full-length human MEP50 (NM_024102) clone was amplified from a human testis cDNA library incorporating a 5′ sequence encoding a 6-histidine tag (MHHHHHH) (SEQ ID NO.:5) fused directly to Arg 2 of MEP50.
- the amplified genes were sublconed into pENTR/D/TEV (Life Technologies) and subsequently transferred by GatewayTM attL x attR recombination to pDEST8 baculvirus expression vector (Life Technologies).
- baculovirus and Baculovirus-Infected Insect Cells were generated according to Bac-to-Bac kit instructions (Life Technologies) and Wasilko, 2006, respectively. Protein over-expression was accomplished by infecting exponentially growing Spodoptera frugiperda (SF9) cell culture at 1.2 ⁇ 10 6 cell/ml with a 5000 fold dilution of BIIC stock. Infections were carried out at 27° C. for 72 hours, harvested by centrifugation, and stored at ⁇ 80° C. for purification.
- SF9 Spodoptera frugiperda
- Flag-PRMT5/6His-MeP50 Protein Purification. Expressed full-length human Flag-PRMT5/6His-MeP50 protein complex was purified from cell paste by NiNTA agarose affinity chromatography after a five hour equilibration of the resin with buffer containing 50 mM Tris-HCL, pH 8.0, 25 mM NaCl, and 1 mM TCEP at 4° C., to minimize the adsorption of tubulin impurity by the resin. Flag-PRMT5/6His-MeP50 was eluted with 300 mM Imidazole in the same buffer. The purity of recovered protein was 87%. Reference: Wasilko, D. J. and S. E. Lee: “TIPS: titerless infected-cells preservation and scale-up” Bioprocess J., 5 (2006), pp. 29-32.
- Flag-PRMT5 (SEQ ID NO.: 6) MDYKDDDDKA AMAVGGAGGS RVSSGRDLNC VPEIADTLGA VAKQGFDFLC MPVFHPRFKR EFIQEPAKNR PGPQTRSDLL LSGRDWNTLI VGKLSPWIRP DSKVEKIRRN SEAAMLQELN FGAYLGLPAF LLPLNQEDNT NLARVLTNHI HTGHHSSMFW MRVPLVAPED LRDDIIENAP TTHTEEYSGE EKTWMWWHNF RTLCDYSKRI AVALEIGADL PSNHVIDRWL GEPIKAAILP TSIFLTNKKG FPVLSKMHQR LIFRLLKLEV QFIITGTNHH SEKEFCSYLQ YLEYLSQNRP PPNAYELFAK GYEDYLQSPL QPLMDNLESQ TYEVFEKDPI KYSQYQQAIY KCLLDRVPEE EKDTNVQVLM VLGAGRGPLV NASL
- DMSO DMSO (1 ul) was added to Columns 11, 12, 23, 24, rows A-H for the maximum signal control and 1 ul of SAH, a known product and inhibitor of PRMT5/MEP50, was added to columns 11, 12, 23, 24, rows I-P for the minimum signal control.
- a cocktail (40 ul) containing the PRMT5/MEP50 enzyme and the peptide was added by Multidrop Combi (Thermo-Fisher). The compounds were allowed to incubate with PRMT5/MEP50 for 30 min at 25 degrees Celsius, then a cocktail (10 ul) containing 3 H-SAM was added to initiate the reaction (final volume 51 ul).
- the final concentrations of the components were as follows: PRMT5/MEP50 was 4 nM, 3 H-SAM was 75 nM, peptide was 40 nM, SAH in the minimum signal control wells was 100 uM, and the DMSO concentration was 1%.
- the assays were stopped by the addition of non-radioactive SAM (10 ul) to a final concentration of 600 uM, which dilutes the 3 H-SAM to a level where its incorporation into the peptide substrate is no longer detectable.
- top and bottom are the normally allowed to float, but may be fixed at 100 or 0 respectively in a 3-parameter fit.
- the Hill Coefficient normally allowed to float but may also be fixed at 1 in a 3-parameter fit.
- Y is the % inhibition and X is the compound concentration.
- Z-138 suspension cells were purchased from ATCC (American Type Culture Collection, Manassas, Va.). RPMI/Glutamax medium, penicillin-streptomycin, heat inactivated fetal bovine serum, and D-PBS were purchased from Life Technologies, Grand Island, N.Y., USA. Odyssey blocking buffer, 800CW goat anti-rabbit IgG (H+L) antibody, and Licor Odyssey infrared scanner were purchased from Licor Biosciences, Lincoln, Nebr., USA. Symmetric di-methyl arginine antibody was purchased from EMD Millipore, Billerica, Mass., USA. 16% Paraformaldehyde was purchased from Electron Microscopy Sciences, Hatfield, Pa., USA.
- Z-138 suspension cells were maintained in growth medium (RPMI 1640 supplemented with 10% v/v heat inactivated fetal bovine serum and 100 units/mL penicillin-streptomycin) and cultured at 37° C. under 5% CO 2 .
- Z-138 cells were seeded in assay medium at a concentration of 50,000 cells per mL to a 384-well cell culture plate with 50 ⁇ L per well.
- Compound (100 nL) from 384 well source plates was added directly to 384 well cell plate. Plates were incubated at 37° C., 5% CO 2 for 96 hours. After four days of incubation, 40 ⁇ L of cells from incubated plates were added to poly- D -lysine coated 384 well culture plates (BD Biosciences 356697). Plates were incubated at room temperature for 30 minutes then incubated at 37° C., 5% CO 2 for 5 hours.
- Blocking buffer was removed and 20 ⁇ L per well of primary antibody was added (symmetric di-methyl arginine diluted 1:100 in Odyssey buffer with 0.1% Tween 20 (v/v)) and plates were incubated overnight (16 hours) at 4° C. Plates were washed 5 times with 100 ⁇ L per well of wash buffer. Next 20 ⁇ L per well of secondary antibody was added (1:200 800CW goat anti-rabbit IgG (H+L) antibody, 1:1000 DRAQS (Biostatus limited) in Odyssey buffer with 0.1% Tween 20 (v/v)) and incubated for 1 hour at room temperature. The plates were washed 5 times with 100 ⁇ L per well wash buffer then 1 time with 100 ⁇ L per well of water. Plates were allowed to dry at room temperature then imaged on the Licor Odyssey machine which measures integrated intensity at 700 nm and 800 nm wavelengths. Both 700 and 800 channels were scanned.
- Each plate included fourteen control wells of DMSO only treatment (minimum inhibition) as well as fourteen control wells for maximum inhibition treated with 3 ⁇ M of a reference compound (Background wells). The average of the ratio values for each control type was calculated and used to determine the percent inhibition for each test well in the plate.
- Reference compound was serially diluted three-fold in DMSO for a total of nine test concentrations, beginning at 3 ⁇ M. Percent inhibition was determined and IC 50 curves were generated using triplicate wells per concentration of compound.
- Percent ⁇ ⁇ Inhibition 100 - ( ( ( Individual ⁇ ⁇ Test ⁇ ⁇ Sample ⁇ ⁇ Ratio ) - ( Background ⁇ ⁇ Avg ⁇ ⁇ Ratio ) ( Minimum ⁇ ⁇ Inhibition ⁇ ⁇ Ratio ) - ( Background ⁇ ⁇ Average ⁇ ⁇ Ratio ) ) * 100 )
- Z-138 suspension cells were purchased from ATCC (American Type Culture Collection, Manassas, Va.). RPMI/Glutamax medium, penicillin-streptomycin, heat inactivated fetal bovine serum were purchased from Life Technologies, Grand Island, N.Y., USA. V-bottom polypropylene 384-well plates were purchased from Greiner Bio-One, Monroe, N.C., USA. Cell culture 384-well white opaque plates were purchased from Perkin Elmer, Waltham, Mass., USA. Cell-Titer Glo® was purchased from Promega Corporation, Madison, Wis., USA. SpectraMax M5 plate reader was purchased from Molecular Devices LLC, Sunnyvale, Calif., USA.
- Z-138 suspension cells were maintained in growth medium (RPMI 1640 supplemented with 10% v/v heat inactivated fetal bovine serum and cultured at 37° C. under 5% CO 2 Under assay conditions, cells were incubated in assay medium (RPMI 1640 supplemented with 10% v/v heat inactivated fetal bovine serum and 100 units/mL penicillin-streptomycin) at 37° C. under 5% CO 2 .
Landscapes
- Chemical & Material Sciences (AREA)
- Organic Chemistry (AREA)
- Health & Medical Sciences (AREA)
- Life Sciences & Earth Sciences (AREA)
- General Health & Medical Sciences (AREA)
- Medicinal Chemistry (AREA)
- Public Health (AREA)
- Pharmacology & Pharmacy (AREA)
- Veterinary Medicine (AREA)
- Animal Behavior & Ethology (AREA)
- Epidemiology (AREA)
- Engineering & Computer Science (AREA)
- Bioinformatics & Cheminformatics (AREA)
- Diabetes (AREA)
- General Chemical & Material Sciences (AREA)
- Nuclear Medicine, Radiotherapy & Molecular Imaging (AREA)
- Chemical Kinetics & Catalysis (AREA)
- Hematology (AREA)
- Wood Science & Technology (AREA)
- Zoology (AREA)
- Genetics & Genomics (AREA)
- Obesity (AREA)
- Molecular Biology (AREA)
- Biomedical Technology (AREA)
- Biotechnology (AREA)
- Biochemistry (AREA)
- General Engineering & Computer Science (AREA)
- Microbiology (AREA)
- Endocrinology (AREA)
- Emergency Medicine (AREA)
- Child & Adolescent Psychology (AREA)
- Pharmaceuticals Containing Other Organic And Inorganic Compounds (AREA)
- Plural Heterocyclic Compounds (AREA)
- Other In-Based Heterocyclic Compounds (AREA)
- Nitrogen Condensed Heterocyclic Rings (AREA)
- Enzymes And Modification Thereof (AREA)
- Micro-Organisms Or Cultivation Processes Thereof (AREA)
Abstract
Description
- This application claims priority under 35 U.S.C. § 119(e) to U.S. provisional patent application, U.S. Ser. No. 61/790,525, filed Mar. 15, 2013, and to U.S. provisional patent application, U.S. Ser. No. 61/745,485, filed Dec. 21, 2012, the entire contents of each of which are incorporated herein by reference.
- Epigenetic regulation of gene expression is an important biological determinant of protein production and cellular differentiation and plays a significant pathogenic role in a number of human diseases.
- Epigenetic regulation involves heritable modification of genetic material without changing its nucleotide sequence. Typically, epigenetic regulation is mediated by selective and reversible modification (e.g., methylation) of DNA and proteins (e.g., histones) that control the conformational transition between transcriptionally active and inactive states of chromatin. These covalent modifications can be controlled by enzymes such as methyltransferases (e.g., PRMT5), many of which are associated with specific genetic alterations that can cause human disease.
- Disease-associated chromatin-modifying enzymes (e.g., PRMT5) play a role in diseases such as proliferative disorders, metabolic disorders, and blood disorders. Thus, there is a need for the development of small molecules that are capable of inhibiting the activity of PRMT5.
- Protein arginine methyltransferase 5 (PRMT5) catalyzes the addition of two methyl groups to the two ω-guanidino nitrogen atoms of arginine, resulting in ω-NG, N′G symmetric dimethylation of arginine (sDMA) of the target protein. PRMT5 functions in the nucleus as well as in the cytoplasm, and its substrates include histones, spliceosomal proteins, transcription factors (See e.g., Sun et al., 2011, PNAS 108: 20538-20543). PRMT5 generally functions as part of a molecule weight protein complex. While the protein complexes of PRMT5 can have a variety of components, they generally include the protein MEP50 (methylosome protein 50). In addition, PRMT5 acts in conjunction with cofactor SAM (S-adenosyl methionine).
- PRMT5 is an attractive target for modulation given its role in the regulation of diverse biological processes. It has now been found that compounds described herein, and pharmaceutically acceptable salts and compositions thereof, are effective as inhibitors of PRMT5. Such compounds have the general Formula (I):
- or a pharmaceutically acceptable salt thereof, wherein R1, R5, R6, R7, R8, Rx, n, L, and Ar are as defined herein.
- In some embodiments, pharmaceutical compositions are provided which comprise a compound described herein (e.g., a compound of Formula (I)), or a pharmaceutically acceptable salt thereof, and optionally a pharmaceutically acceptable excipient.
- In certain embodiments, compounds described herein inhibit activity of PRMT5. In certain embodiments, methods of inhibiting PRMT5 are provided which comprise contacting PRMT5 with an effective amount of a compound of Formula (I), or a pharmaceutically acceptable salt thereof. The PRMT5 may be purified or crude, and may be present in a cell, tissue, or a subject. Thus, such methods encompass inhibition of PRMT5 activity both in vitro and in vivo. In certain embodiments, the PRMT5 is wild-type PRMT5. In certain embodiments, the PRMT5 is overexpressed. In certain embodiments, the PRMT5 is a mutant. In certain embodiments, the PRMT5 is in a cell. In certain embodiments, the PRMT5 is in an animal, e.g., a human. In some embodiments, the PRMT5 is in a subject that is susceptible to normal levels of PRMT5 activity due to one or more mutations associated with a PRMT5 substrate. In some embodiments, the PRMT5 is in a subject known or identified as having abnormal PRMT5 activity (e.g., overexpression). In some embodiments, a provided compound is selective for PRMT5 over other methyltransferases. In certain embodiments, a provided compound is at least about 10-fold selective, at least about 20-fold selective, at least about 30-fold selective, at least about 40-fold selective, at least about 50-fold selective, at least about 60-fold selective, at least about 70-fold selective, at least about 80-fold selective, at least about 90-fold selective, or at least about 100-fold selective relative to one or more other methyltransferases.
- In certain embodiments, methods of altering gene expression in a cell are provided which comprise contacting a cell with an effective amount of a compound of Formula (I), or a pharmaceutically acceptable salt thereof, or a pharmaceutical composition thereof. In certain embodiments, the cell in culture in vitro. In certain embodiments, cell is in an animal, e.g., a human.
- In certain embodiments, methods of altering transcription in a cell are provided which comprise contacting a cell with an effective amount of a compound of Formula (I), or a pharmaceutically acceptable salt thereof, or a pharmaceutical composition thereof. In certain embodiments, the cell in culture in vitro. In certain embodiments, the cell is in an animal, e.g., a human.
- In some embodiments, methods of treating a PRMT5-mediated disorder are provided which comprise administering to a subject suffering from a PRMT5-mediated disorder an effective amount of a compound described herein (e.g., a compound of Formula (I)), or a pharmaceutically acceptable salt thereof, or a pharmaceutical composition thereof. In certain embodiments, the PRMT5-mediated disorder is a proliferative disorder, a metabolic disorder, or a blood disorder. In certain embodiments, compounds described herein are useful for treating cancer. In certain embodiments, compounds described herein are useful for treating hematopoietic cancer, lung cancer, prostate cancer, melanoma, or pancreatic cancer. In certain embodiments, compounds described herein are useful for treating a hemoglobinopathy. In certain embodiments, compounds described herein are useful for treating sickle cell anemia. In certain embodiments, compounds described herein are useful for treating diabetes or obesity.
- Compounds described herein are also useful for the study of PRMT5 in biological and pathological phenomena, the study of intracellular signal transduction pathways mediated by PRMT5, and the comparative evaluation of new PRMT5 inhibitors.
- This application refers to various issued patent, published patent applications, journal articles, and other publications, all of which are incorporated herein by reference.
- Definitions of specific functional groups and chemical terms are described in more detail below. The chemical elements are identified in accordance with the Periodic Table of the Elements, CAS version, Handbook of Chemistry and Physics, 75th Ed., inside cover, and specific functional groups are generally defined as described therein. Additionally, general principles of organic chemistry, as well as specific functional moieties and reactivity, are described in Thomas Sorrell, Organic Chemistry, University Science Books, Sausalito, 1999; Smith and March, March's Advanced Organic Chemistry, 5th Edition, John Wiley & Sons, Inc., New York, 2001; Larock, Comprehensive Organic Transformations, VCH Publishers, Inc., New York, 1989; and Carruthers, Some Modern Methods of Organic Synthesis, 3rd Edition, Cambridge University Press, Cambridge, 1987.
- Compounds described herein can comprise one or more asymmetric centers, and thus can exist in various isomeric forms, e.g., enantiomers and/or diastereomers. For example, the compounds described herein can be in the form of an individual enantiomer, diastereomer or geometric isomer, or can be in the form of a mixture of stereoisomers, including racemic mixtures and mixtures enriched in one or more stereoisomer. Isomers can be isolated from mixtures by methods known to those skilled in the art, including chiral high pressure liquid chromatography (HPLC) and the formation and crystallization of chiral salts; or preferred isomers can be prepared by asymmetric syntheses. See, for example, Jacques et al., Enantiomers, Racemates and Resolutions (Wiley Interscience, New York, 1981); Wilen et al., Tetrahedron 33:2725 (1977); Eliel, Stereochemistry of Carbon Compounds (McGraw-Hill, NY, 1962); and Wilen, Tables of Resolving Agents and Optical Resolutions p. 268 (E. L. Eliel, Ed., Univ. of Notre Dame Press, Notre Dame, Ind. 1972). The present disclosure additionally encompasses compounds described herein as individual isomers substantially free of other isomers, and alternatively, as mixtures of various isomers.
- It is to be understood that the compounds of the present invention may be depicted as different tautomers. It should also be understood that when compounds have tautomeric forms, all tautomeric forms are intended to be included in the scope of the present invention, and the naming of any compound described herein does not exclude any tautomer form.
- Unless otherwise stated, structures depicted herein are also meant to include compounds that differ only in the presence of one or more isotopically enriched atoms. For example, compounds having the present structures except for the replacement of hydrogen by deuterium or tritium, replacement of 19F with 18F, or the replacement of a carbon by a 13C— or 14C-enriched carbon are within the scope of the disclosure. Such compounds are useful, for example, as analytical tools or probes in biological assays.
- The term “aliphatic,” as used herein, includes both saturated and unsaturated, nonaromatic, straight chain (i.e., unbranched), branched, acyclic, and cyclic (i.e., carbocyclic) hydrocarbons. In some embodiments, an aliphatic group is optionally substituted with one or more functional groups. As will be appreciated by one of ordinary skill in the art, “aliphatic” is intended herein to include alkyl, alkenyl, alkynyl, cycloalkyl, and cycloalkenyl moieties.
- When a range of values is listed, it is intended to encompass each value and sub-range within the range. For example “C1-6 alkyl” is intended to encompass, C1, C2, C3, C4, C5, C6, C1-6, C1-5, C1-4, C1-3, C1-2, C2-6, C2-5, C2-4, C2-3, C3-6, C3-5, C3-4, C4-6, C4-5, and C5-6 alkyl.
- “Alkyl” refers to a radical of a straight-chain or branched saturated hydrocarbon group having from 1 to 20 carbon atoms (“C1-20 alkyl”). In some embodiments, an alkyl group has 1 to 10 carbon atoms (“C1-10 alkyl”). In some embodiments, an alkyl group has 1 to 9 carbon atoms (“C1-9 alkyl”). In some embodiments, an alkyl group has 1 to 8 carbon atoms (“C1-8 alkyl”). In some embodiments, an alkyl group has 1 to 7 carbon atoms (“C1-7 alkyl”). In some embodiments, an alkyl group has 1 to 6 carbon atoms (“C1-6 alkyl”). In some embodiments, an alkyl group has 1 to 5 carbon atoms (“C1-5 alkyl”). In some embodiments, an alkyl group has 1 to 4 carbon atoms (“C1-4 alkyl”). In some embodiments, an alkyl group has 1 to 3 carbon atoms (“C1-3 alkyl”). In some embodiments, an alkyl group has 1 to 2 carbon atoms (“C1-2 alkyl”). In some embodiments, an alkyl group has 1 carbon atom (“C1 alkyl”). In some embodiments, an alkyl group has 2 to 6 carbon atoms (“C2-6 alkyl”). Examples of C1-6 alkyl groups include methyl (C1), ethyl (C2), n-propyl (C3), isopropyl (C3), n-butyl (C4), tert-butyl (C4), sec-butyl (C4), iso-butyl (C4), n-pentyl (C5), 3-pentanyl (C5), amyl (C5), neopentyl (C5), 3-methyl-2-butanyl (C5), tertiary amyl (C5), and n-hexyl (C6). Additional examples of alkyl groups include n-heptyl (C7), n-octyl (C8) and the like. In certain embodiments, each instance of an alkyl group is independently optionally substituted, e.g., unsubstituted (an “unsubstituted alkyl”) or substituted (a “substituted alkyl”) with one or more substituents. In certain embodiments, the alkyl group is unsubstituted C1-10 alkyl (e.g., —CH3). In certain embodiments, the alkyl group is substituted C1-10 alkyl.
- In some embodiments, an alkyl group is substituted with one or more halogens. “Perhaloalkyl” is a substituted alkyl group as defined herein wherein all of the hydrogen atoms are independently replaced by a halogen, e.g., fluoro, bromo, chloro, or iodo. In some embodiments, the alkyl moiety has 1 to 8 carbon atoms (“C1-8 perhaloalkyl”). In some embodiments, the alkyl moiety has 1 to 6 carbon atoms (“C1-6 perhaloalkyl”). In some embodiments, the alkyl moiety has 1 to 4 carbon atoms (“C1-4 perhaloalkyl”). In some embodiments, the alkyl moiety has 1 to 3 carbon atoms (“C1-3 perhaloalkyl”). In some embodiments, the alkyl moiety has 1 to 2 carbon atoms (“C1-2 perhaloalkyl”). In some embodiments, all of the hydrogen atoms are replaced with fluoro. In some embodiments, all of the hydrogen atoms are replaced with chloro. Examples of perhaloalkyl groups include —CF3, —CF2CF3, —CF2CF2CF3, —CCl3, —CFCl2, —CF2Cl, and the like.
- “Alkenyl” refers to a radical of a straight-chain or branched hydrocarbon group having from 2 to 20 carbon atoms, one or more carbon-carbon double bonds, and no triple bonds (“C2-20 alkenyl”). In some embodiments, an alkenyl group has 2 to 10 carbon atoms (“C2-10 alkenyl”). In some embodiments, an alkenyl group has 2 to 9 carbon atoms (“C2-9 alkenyl”). In some embodiments, an alkenyl group has 2 to 8 carbon atoms (“C2-8 alkenyl”). In some embodiments, an alkenyl group has 2 to 7 carbon atoms (“C2-7 alkenyl”). In some embodiments, an alkenyl group has 2 to 6 carbon atoms (“C2-6 alkenyl”). In some embodiments, an alkenyl group has 2 to 5 carbon atoms (“C2-5 alkenyl”). In some embodiments, an alkenyl group has 2 to 4 carbon atoms (“C2-4 alkenyl”). In some embodiments, an alkenyl group has 2 to 3 carbon atoms (“C2-3 alkenyl”). In some embodiments, an alkenyl group has 2 carbon atoms (“C2 alkenyl”). The one or more carbon-carbon double bonds can be internal (such as in 2-butenyl) or terminal (such as in 1-butenyl). Examples of C2-4 alkenyl groups include ethenyl (C2), 1-propenyl (C3), 2-propenyl (C3), 1-butenyl (C4), 2-butenyl (C4), butadienyl (C4), and the like. Examples of C2-6 alkenyl groups include the aforementioned C2-4 alkenyl groups as well as pentenyl (C5), pentadienyl (C5), hexenyl (C6), and the like. Additional examples of alkenyl include heptenyl (C7), octenyl (C8), octatrienyl (C8), and the like. In certain embodiments, each instance of an alkenyl group is independently optionally substituted, e.g., unsubstituted (an “unsubstituted alkenyl”) or substituted (a “substituted alkenyl”) with one or more substituents. In certain embodiments, the alkenyl group is unsubstituted C2-10 alkenyl. In certain embodiments, the alkenyl group is substituted C2-10 alkenyl.
- “Alkynyl” refers to a radical of a straight-chain or branched hydrocarbon group having from 2 to 20 carbon atoms, one or more carbon-carbon triple bonds, and optionally one or more double bonds (“C2-20 alkynyl”). In some embodiments, an alkynyl group has 2 to 10 carbon atoms (“C2-10 alkynyl”). In some embodiments, an alkynyl group has 2 to 9 carbon atoms (“C2-9 alkynyl”). In some embodiments, an alkynyl group has 2 to 8 carbon atoms (“C2-8 alkynyl”). In some embodiments, an alkynyl group has 2 to 7 carbon atoms (“C2-7 alkynyl”). In some embodiments, an alkynyl group has 2 to 6 carbon atoms (“C2-6 alkynyl”). In some embodiments, an alkynyl group has 2 to 5 carbon atoms (“C2-5 alkynyl”). In some embodiments, an alkynyl group has 2 to 4 carbon atoms (“C2-4 alkynyl”). In some embodiments, an alkynyl group has 2 to 3 carbon atoms (“C2-3 alkynyl”). In some embodiments, an alkynyl group has 2 carbon atoms (“C2 alkynyl”). The one or more carbon-carbon triple bonds can be internal (such as in 2-butynyl) or terminal (such as in 1-butynyl). Examples of C2-4 alkynyl groups include, without limitation, ethynyl (C2), 1-propynyl (C3), 2-propynyl (C3), 1-butynyl (C4), 2-butynyl (C4), and the like. Examples of C2-6 alkenyl groups include the aforementioned C2-4 alkynyl groups as well as pentynyl (C5), hexynyl (C6), and the like. Additional examples of alkynyl include heptynyl (C7), octynyl (C8), and the like. In certain embodiments, each instance of an alkynyl group is independently optionally substituted, e.g., unsubstituted (an “unsubstituted alkynyl”) or substituted (a “substituted alkynyl”) with one or more substituents. In certain embodiments, the alkynyl group is unsubstituted C2-10 alkynyl. In certain embodiments, the alkynyl group is substituted C2-10 alkynyl.
- “Carbocyclyl” or “carbocyclic” refers to a radical of a non-aromatic cyclic hydrocarbon group having from 3 to 10 ring carbon atoms (“C3-10 carbocyclyl”) and zero heteroatoms in the non-aromatic ring system. In some embodiments, a carbocyclyl group has 3 to 8 ring carbon atoms (“C3-8 carbocyclyl”). In some embodiments, a carbocyclyl group has 3 to 6 ring carbon atoms (“C3-6 carbocyclyl”). In some embodiments, a carbocyclyl group has 3 to 6 ring carbon atoms (“C3-6 carbocyclyl”). In some embodiments, a carbocyclyl group has 5 to 10 ring carbon atoms (“C5-10 carbocyclyl”). Exemplary C3-6 carbocyclyl groups include, without limitation, cyclopropyl (C3), cyclopropenyl (C3), cyclobutyl (C4), cyclobutenyl (C4), cyclopentyl (C5), cyclopentenyl (C5), cyclohexyl (C6), cyclohexenyl (C6), cyclohexadienyl (C6), and the like. Exemplary C3-8 carbocyclyl groups include, without limitation, the aforementioned C3-6 carbocyclyl groups as well as cycloheptyl (C7), cycloheptenyl (C7), cycloheptadienyl (C7), cycloheptatrienyl (C7), cyclooctyl (C8), cyclooctenyl (C8), bicyclo[2.2.1]heptanyl (C7), bicyclo[2.2.2]octanyl (C8), and the like. Exemplary C3-10 carbocyclyl groups include, without limitation, the aforementioned C3-8 carbocyclyl groups as well as cyclononyl (C9), cyclononenyl (C9), cyclodecyl (C10), cyclodecenyl (C10), octahydro-1H-indenyl (C9), decahydronaphthalenyl (C10), spiro[4.5]decanyl (C10), and the like. As the foregoing examples illustrate, in certain embodiments, the carbocyclyl group is either monocyclic (“monocyclic carbocyclyl”) or contain a fused, bridged or spiro ring system such as a bicyclic system (“bicyclic carbocyclyl”) and can be saturated or can be partially unsaturated. “Carbocyclyl” also includes ring systems wherein the carbocyclyl ring, as defined above, is fused with one or more aryl or heteroaryl groups wherein the point of attachment is on the carbocyclyl ring, and in such instances, the number of carbons continue to designate the number of carbons in the carbocyclic ring system. In certain embodiments, each instance of a carbocyclyl group is independently optionally substituted, e.g., unsubstituted (an “unsubstituted carbocyclyl”) or substituted (a “substituted carbocyclyl”) with one or more substituents. In certain embodiments, the carbocyclyl group is unsubstituted C3-10 carbocyclyl. In certain embodiments, the carbocyclyl group is a substituted C3-10 carbocyclyl.
- In some embodiments, “carbocyclyl” is a monocyclic, saturated carbocyclyl group having from 3 to 10 ring carbon atoms (“C3-10 cycloalkyl”). In some embodiments, a cycloalkyl group has 3 to 8 ring carbon atoms (“C3-8 cycloalkyl”). In some embodiments, a cycloalkyl group has 3 to 6 ring carbon atoms (“C3-6 cycloalkyl”). In some embodiments, a cycloalkyl group has 5 to 6 ring carbon atoms (“C5-6 cycloalkyl”). In some embodiments, a cycloalkyl group has 5 to 10 ring carbon atoms (“C5-10 cycloalkyl”). Examples of C5-6 cycloalkyl groups include cyclopentyl (C5) and cyclohexyl (C5). Examples of C3-6 cycloalkyl groups include the aforementioned C5-6 cycloalkyl groups as well as cyclopropyl (C3) and cyclobutyl (C4). Examples of C3-8 cycloalkyl groups include the aforementioned C3-6 cycloalkyl groups as well as cycloheptyl (C7) and cyclooctyl (C8). In certain embodiments, each instance of a cycloalkyl group is independently unsubstituted (an “unsubstituted cycloalkyl”) or substituted (a “substituted cycloalkyl”) with one or more substituents. In certain embodiments, the cycloalkyl group is unsubstituted C3-10 cycloalkyl. In certain embodiments, the cycloalkyl group is substituted C3-10 cycloalkyl.
- “Heterocyclyl” or “heterocyclic” refers to a radical of a 3- to 10-membered non-aromatic ring system having ring carbon atoms and 1 to 4 ring heteroatoms, wherein each heteroatom is independently selected from nitrogen, oxygen, and sulfur (“3-10 membered heterocyclyl”). In heterocyclyl groups that contain one or more nitrogen atoms, the point of attachment can be a carbon or nitrogen atom, as valency permits. A heterocyclyl group can either be monocyclic (“monocyclic heterocyclyl”) or a fused, bridged or spiro ring system such as a bicyclic system (“bicyclic heterocyclyl”), and can be saturated or can be partially unsaturated. Heterocyclyl bicyclic ring systems can include one or more heteroatoms in one or both rings. “Heterocyclyl” also includes ring systems wherein the heterocyclyl ring, as defined above, is fused with one or more carbocyclyl groups wherein the point of attachment is either on the carbocyclyl or heterocyclyl ring, or ring systems wherein the heterocyclyl ring, as defined above, is fused with one or more aryl or heteroaryl groups, wherein the point of attachment is on the heterocyclyl ring, and in such instances, the number of ring members continue to designate the number of ring members in the heterocyclyl ring system. In certain embodiments, each instance of heterocyclyl is independently optionally substituted, e.g., unsubstituted (an “unsubstituted heterocyclyl”) or substituted (a “substituted heterocyclyl”) with one or more substituents. In certain embodiments, the heterocyclyl group is unsubstituted 3-10 membered heterocyclyl. In certain embodiments, the heterocyclyl group is substituted 3-10 membered heterocyclyl.
- In some embodiments, a heterocyclyl group is a 5-10 membered non-aromatic ring system having ring carbon atoms and 1-4 ring heteroatoms, wherein each heteroatom is independently selected from nitrogen, oxygen, and sulfur (“5-10 membered heterocyclyl”). In some embodiments, a heterocyclyl group is a 5-8 membered non-aromatic ring system having ring carbon atoms and 1-4 ring heteroatoms, wherein each heteroatom is independently selected from nitrogen, oxygen, and sulfur (“5-8 membered heterocyclyl”). In some embodiments, a heterocyclyl group is a 5-6 membered non-aromatic ring system having ring carbon atoms and 1-4 ring heteroatoms, wherein each heteroatom is independently selected from nitrogen, oxygen, and sulfur (“5-6 membered heterocyclyl”). In some embodiments, the 5-6 membered heterocyclyl has 1-3 ring heteroatoms independently selected from nitrogen, oxygen, and sulfur. In some embodiments, the 5-6 membered heterocyclyl has 1-2 ring heteroatoms independently selected from nitrogen, oxygen, and sulfur. In some embodiments, the 5-6 membered heterocyclyl has one ring heteroatom selected from nitrogen, oxygen, and sulfur.
- Exemplary 3-membered heterocyclyl groups containing one heteroatom include, without limitation, azirdinyl, oxiranyl, and thiorenyl. Exemplary 4-membered heterocyclyl groups containing one heteroatom include, without limitation, azetidinyl, oxetanyl, and thietanyl. Exemplary 5-membered heterocyclyl groups containing one heteroatom include, without limitation, tetrahydrofuranyl, dihydrofuranyl, tetrahydrothiophenyl, dihydrothiophenyl, pyrrolidinyl, dihydropyrrolyl, and pyrrolyl-2,5-dione. Exemplary 5-membered heterocyclyl groups containing two heteroatoms include, without limitation, dioxolanyl, oxasulfuranyl, disulfuranyl, and oxazolidin-2-one. Exemplary 5-membered heterocyclyl groups containing three heteroatoms include, without limitation, triazolinyl, oxadiazolinyl, and thiadiazolinyl. Exemplary 6-membered heterocyclyl groups containing one heteroatom include, without limitation, piperidinyl, tetrahydropyranyl, dihydropyridinyl, and thianyl. Exemplary 6-membered heterocyclyl groups containing two heteroatoms include, without limitation, piperazinyl, morpholinyl, dithianyl, and dioxanyl. Exemplary 6-membered heterocyclyl groups containing two heteroatoms include, without limitation, triazinanyl. Exemplary 7-membered heterocyclyl groups containing one heteroatom include, without limitation, azepanyl, oxepanyl and thiepanyl. Exemplary 8-membered heterocyclyl groups containing one heteroatom include, without limitation, azocanyl, oxecanyl, and thiocanyl. Exemplary 5-membered heterocyclyl groups fused to a C6 aryl ring (also referred to herein as a 5,6-bicyclic heterocyclic ring) include, without limitation, indolinyl, isoindolinyl, dihydrobenzofuranyl, dihydrobenzothienyl, benzoxazolinonyl, and the like. Exemplary 6-membered heterocyclyl groups fused to an aryl ring (also referred to herein as a 6,6-bicyclic heterocyclic ring) include, without limitation, tetrahydroquinolinyl, tetrahydroisoquinolinyl, and the like.
- “Aryl” refers to a radical of a monocyclic or polycyclic (e.g., bicyclic or tricyclic) 4n+2 aromatic ring system (e.g., having 6, 10, or 14 π electrons shared in a cyclic array) having 6-14 ring carbon atoms and zero heteroatoms provided in the aromatic ring system (“C6-14 aryl”). In some embodiments, an aryl group has six ring carbon atoms (“C6 aryl”; e.g., phenyl). In some embodiments, an aryl group has ten ring carbon atoms (“C10 aryl”; e.g., naphthyl such as 1-naphthyl and 2-naphthyl). In some embodiments, an aryl group has fourteen ring carbon atoms (“C14 aryl”; e.g., anthracyl). “Aryl” also includes ring systems wherein the aryl ring, as defined above, is fused with one or more carbocyclyl or heterocyclyl groups wherein the radical or point of attachment is on the aryl ring, and in such instances, the number of carbon atoms continue to designate the number of carbon atoms in the aryl ring system. In certain embodiments, each instance of an aryl group is independently optionally substituted, e.g., unsubstituted (an “unsubstituted aryl”) or substituted (a “substituted aryl”) with one or more substituents. In certain embodiments, the aryl group is unsubstituted C6-14 aryl. In certain embodiments, the aryl group is substituted C6-14 aryl.
- “Heteroaryl” refers to a radical of a 5-10 membered monocyclic or bicyclic 4n+2 aromatic ring system (e.g., having 6 or 10 π electrons shared in a cyclic array) having ring carbon atoms and 1-4 ring heteroatoms provided in the aromatic ring system, wherein each heteroatom is independently selected from nitrogen, oxygen and sulfur (“5-10 membered heteroaryl”). In heteroaryl groups that contain one or more nitrogen atoms, the point of attachment can be a carbon or nitrogen atom, as valency permits. Heteroaryl bicyclic ring systems can include one or more heteroatoms in one or both rings. “Heteroaryl” includes ring systems wherein the heteroaryl ring, as defined above, is fused with one or more carbocyclyl or heterocyclyl groups wherein the point of attachment is on the heteroaryl ring, and in such instances, the number of ring members continue to designate the number of ring members in the heteroaryl ring system. “Heteroaryl” also includes ring systems wherein the heteroaryl ring, as defined above, is fused with one or more aryl groups wherein the point of attachment is either on the aryl or heteroaryl ring, and in such instances, the number of ring members designates the number of ring members in the fused (aryl/heteroaryl) ring system. Bicyclic heteroaryl groups wherein one ring does not contain a heteroatom (e.g., indolyl, quinolinyl, carbazolyl, and the like) the point of attachment can be on either ring, e.g., either the ring bearing a heteroatom (e.g., 2-indolyl) or the ring that does not contain a heteroatom (e.g., 5-indolyl).
- In some embodiments, a heteroaryl group is a 5-10 membered aromatic ring system having ring carbon atoms and 1-4 ring heteroatoms provided in the aromatic ring system, wherein each heteroatom is independently selected from nitrogen, oxygen, and sulfur (“5-10 membered heteroaryl”). In some embodiments, a heteroaryl group is a 5-8 membered aromatic ring system having ring carbon atoms and 1-4 ring heteroatoms provided in the aromatic ring system, wherein each heteroatom is independently selected from nitrogen, oxygen, and sulfur (“5-8 membered heteroaryl”). In some embodiments, a heteroaryl group is a 5-6 membered aromatic ring system having ring carbon atoms and 1-4 ring heteroatoms provided in the aromatic ring system, wherein each heteroatom is independently selected from nitrogen, oxygen, and sulfur (“5-6 membered heteroaryl”). In some embodiments, the 5-6 membered heteroaryl has 1-3 ring heteroatoms independently selected from nitrogen, oxygen, and sulfur. In some embodiments, the 5-6 membered heteroaryl has 1-2 ring heteroatoms independently selected from nitrogen, oxygen, and sulfur. In some embodiments, the 5-6 membered heteroaryl has 1 ring heteroatom selected from nitrogen, oxygen, and sulfur. In certain embodiments, each instance of a heteroaryl group is independently optionally substituted, e.g., unsubstituted (“unsubstituted heteroaryl”) or substituted (“substituted heteroaryl”) with one or more substituents. In certain embodiments, the heteroaryl group is unsubstituted 5-14 membered heteroaryl. In certain embodiments, the heteroaryl group is substituted 5-14 membered heteroaryl.
- Exemplary 5-membered heteroaryl groups containing one heteroatom include, without limitation, pyrrolyl, furanyl and thiophenyl. Exemplary 5-membered heteroaryl groups containing two heteroatoms include, without limitation, imidazolyl, pyrazolyl, oxazolyl, isoxazolyl, thiazolyl, and isothiazolyl. Exemplary 5-membered heteroaryl groups containing three heteroatoms include, without limitation, triazolyl, oxadiazolyl, and thiadiazolyl. Exemplary 5-membered heteroaryl groups containing four heteroatoms include, without limitation, tetrazolyl. Exemplary 6-membered heteroaryl groups containing one heteroatom include, without limitation, pyridinyl. Exemplary 6-membered heteroaryl groups containing two heteroatoms include, without limitation, pyridazinyl, pyrimidinyl, and pyrazinyl. Exemplary 6-membered heteroaryl groups containing three or four heteroatoms include, without limitation, triazinyl and tetrazinyl, respectively. Exemplary 7-membered heteroaryl groups containing one heteroatom include, without limitation, azepinyl, oxepinyl, and thiepinyl. Exemplary 5,6-bicyclic heteroaryl groups include, without limitation, indolyl, isoindolyl, indazolyl, benzotriazolyl, benzothiophenyl, isobenzothiophenyl, benzofuranyl, benzoisofuranyl, benzimidazolyl, benzoxazolyl, benzisoxazolyl, benzoxadiazolyl, benzthiazolyl, benzisothiazolyl, benzthiadiazolyl, indolizinyl, and purinyl. Exemplary 6,6-bicyclic heteroaryl groups include, without limitation, naphthyridinyl, pteridinyl, quinolinyl, isoquinolinyl, cinnolinyl, quinoxalinyl, phthalazinyl, and quinazolinyl.
- “Partially unsaturated” refers to a group that includes at least one double or triple bond. The term “partially unsaturated” is intended to encompass rings having multiple sites of unsaturation, but is not intended to include aromatic groups (e.g., aryl or heteroaryl groups) as herein defined. Likewise, “saturated” refers to a group that does not contain a double or triple bond, i.e., contains all single bonds.
- In some embodiments, aliphatic, alkyl, alkenyl, alkynyl, carbocyclyl, heterocyclyl, aryl, and heteroaryl groups, as defined herein, are optionally substituted (e.g., “substituted” or “unsubstituted” aliphatic, “substituted” or “unsubstituted” alkyl, “substituted” or “unsubstituted” alkenyl, “substituted” or “unsubstituted” alkynyl, “substituted” or “unsubstituted” carbocyclyl, “substituted” or “unsubstituted” heterocyclyl, “substituted” or “unsubstituted” aryl or “substituted” or “unsubstituted” heteroaryl group). In general, the term “substituted”, whether preceded by the term “optionally” or not, means that at least one hydrogen present on a group (e.g., a carbon or nitrogen atom) is replaced with a permissible substituent, e.g., a substituent which upon substitution results in a stable compound, e.g., a compound which does not spontaneously undergo transformation such as by rearrangement, cyclization, elimination, or other reaction. Unless otherwise indicated, a “substituted” group has a substituent at one or more substitutable positions of the group, and when more than one position in any given structure is substituted, the substituent is either the same or different at each position. The term “substituted” is contemplated to include substitution with all permissible substituents of organic compounds, including any of the substituents described herein that results in the formation of a stable compound. The present disclosure contemplates any and all such combinations in order to arrive at a stable compound. For purposes of this disclosure, heteroatoms such as nitrogen may have hydrogen substituents and/or any suitable substituent as described herein which satisfy the valencies of the heteroatoms and results in the formation of a stable moiety.
- Exemplary carbon atom substituents include, but are not limited to, halogen, —CN, —NO2, —N3, —SO2H), —SO3H), —OH, —ORaa, —ON(Rbb)2, —N(Rbb)2, —N(Rbb)3 +X−, —N(ORcc)Rbb, —SH, —SRaa, —SSRcc, —C(═O)Raa, —CO2H), —CHO, —C(ORcc)2, —CO2Raa, —OC(═O)Raa, —OCO2Raa, —C(═O)N(Rbb)2, —OC(═O)N(Rbb)2, —NRbbC(═O)Raa, —NRbbCO2Raa, —NRbbC(═O)N(Rbb)2, —C(═NRbb)Raa, —C(═NRbb)ORaa, —OC(═NRbb)Raa, —OC(═NRbb)ORaa, —C(═NRbb)N(Rbb)2, —OC(═NRbb)N(Rbb)2, —NRbbC(═NRbb)N(Rbb)2, —C(═O)NRbbSO2Raa, —NRbbSO2Raa, —SO2N(Rbb)2, —SO2Raa, —SO2ORaa, —OSO2Raa, —S(═O)Raa, —OS(═O)Raa, —Si(Raa)3, —OSi(Raa)3 —C(═S)N(Rbb)2, —C(═O)SRaa, —C(═S)SRaa, —SC(═S)SRaa, —SC(═O)SRaa, —OC(═O)SRaa, —SC(═O)ORaa, —SC(═O)Raa, —P(═O)2Raa, —OP(═O)2Raa, —P(═O)(Raa)2, —OP(═O)(Raa)2, —OP(═O)(ORcc)2, —P(═O)2N(Rbb)2, —OP(═O)2N(Rbb)2, —P(═O)(NRbb)2, —OP(═O)(NRbb)2, —NRbbP(═O)(ORcc)2, —NRbbP(═O)(NRbb)2, —P(Rcc)2, —P(Rcc)3, —OP(Rcc)2, —OP(Rcc)3, —B(Raa)2, —B(ORcc)2, —BRaa(ORcc), C1-10 alkyl, C1-10 perhaloalkyl, C2-10 alkenyl, C2-10 alkynyl, C3-10 carbocyclyl, 3-14 membered heterocyclyl, C6-14 aryl, and 5-14 membered heteroaryl, wherein each alkyl, alkenyl, alkynyl, carbocyclyl, heterocyclyl, aryl, and heteroaryl is independently substituted with 0, 1, 2, 3, 4, or 5 Rdd groups;
- or two geminal hydrogens on a carbon atom are replaced with the group ═O, ═S, ═NN(Rbb)2, ═NNRbbC(═O)Raa, ═NNRbbC(═O)ORaa, ═NNRbbS(═O)2Raa, ═NRbb, or ═NORcc;
- each instance of Raa is, independently, selected from C1-10 alkyl, C1-10 perhaloalkyl, C2-10 alkenyl, C2-10 alkynyl, C3-10 carbocyclyl, 3-14 membered heterocyclyl, C6-14 aryl, and 5-14 membered heteroaryl, or two Raa groups are joined to form a 3-14 membered heterocyclyl or 5-14 membered heteroaryl ring, wherein each alkyl, alkenyl, alkynyl, carbocyclyl, heterocyclyl, aryl, and heteroaryl is independently substituted with 0, 1, 2, 3, 4, or 5 Rdd groups;
- each instance of Rbb is, independently, selected from hydrogen, —OH, —ORaa, —N(Rcc)2, —CN, —C(═O)Raa, —C(═O)N(Raa)2, —CO2Raa, —SO2Raa, —C(═NRcc)ORaa, —C(═NRcc)N(Rcc)2, —SO2N(Rcc)2, —SO2Rcc, —SO2ORcc, —SORaa, —C(═S)N(Rcc)2, —C(═O)SRcc, —C(═S)SRcc, —P(═O)2Raa, —P(═O)(Raa)2, —P(═O)2N(Rcc)2, —P(═O)(NRcc)2, C1-10 alkyl, C1-10 perhaloalkyl, C2-10 alkenyl, C2-10 alkynyl, C3-10 carbocyclyl, 3-14 membered heterocyclyl, C6-14 aryl, and 5-14 membered heteroaryl, or two Rbb groups are joined to form a 3-14 membered heterocyclyl or 5-14 membered heteroaryl ring, wherein each alkyl, alkenyl, alkynyl, carbocyclyl, heterocyclyl, aryl, and heteroaryl is independently substituted with 0, 1, 2, 3, 4, or 5 Rdd groups;
- each instance of Rcc is, independently, selected from hydrogen, C1-10 alkyl, C1-10 perhaloalkyl, C2-10 alkenyl, C2-10 alkynyl, C3-10 carbocyclyl, 3-14 membered heterocyclyl, C6-14 aryl, and 5-14 membered heteroaryl, or two Rcc groups are joined to form a 3-14 membered heterocyclyl or 5-14 membered heteroaryl ring, wherein each alkyl, alkenyl, alkynyl, carbocyclyl, heterocyclyl, aryl, and heteroaryl is independently substituted with 0, 1, 2, 3, 4, or 5 Rdd groups;
- each instance of Rdd is, independently, selected from halogen, —CN, —NO2, —N3, —SO2H), —SO3H), —OH, —ORee, —ON(Rff)2, —N(Rff)2, —N(Rff)3 +X−, —N(ORee)Rff, —SH, —SR33, —SSR33, —C(═O)Ree, —CO2H), —CO2Ree, —OC(═O)Ree, —OCO2Ree, —C(═O)N(Rff)2, —OC(═O)N(Rff)2, —NRffC(═O)Ree, —NRffCO2Ree, —NRffC(═O)N(Rff)2, —C(═NRff)ORee, —OC(═NRff)Ree, —OC(═NRff)ORee, —C(═NRff)N(Rff)2, —OC(═NRff)N(Rff)2, —NRffC(═NRff)N(Rff)2, —NRffSO2Ree, —SO2N(Rff)2, —SO2Ree, —SO2ORee, —OSO2Ree, —S(═O)Ree, —Si(Ree)3, —OSi(Ree)3, —C(═S)N(Rff)2, —C(═O)SRee, —C(═S)SRee, —SC(═S)SRee, —P(═O)2Ree, —P(═O)(Ree)2, —OP(═O)(Ree)2, —OP(═O)(ORee)2, C1-6 alkyl, C1-6perhaloalkyl, C2-6 alkenyl, C2-6 alkynyl, C3-10 carbocyclyl, 3-10 membered heterocyclyl, C6-10 aryl, 5-10 membered heteroaryl, wherein each alkyl, alkenyl, alkynyl, carbocyclyl, heterocyclyl, aryl, and heteroaryl is independently substituted with 0, 1, 2, 3, 4, or 5 Rgg groups, or two geminal Rdd substituents can be joined to form ═O or ═S;
- each instance of Ree is, independently, selected from C1-6 alkyl, C1-6 perhaloalkyl, C2-6 alkenyl, C2-6 alkynyl, C3-10 carbocyclyl, C6-10 aryl, 3-10 membered heterocyclyl, and 3-10 membered heteroaryl, wherein each alkyl, alkenyl, alkynyl, carbocyclyl, heterocyclyl, aryl, and heteroaryl is independently substituted with 0, 1, 2, 3, 4, or 5 Rgg groups;
- each instance of Rff is, independently, selected from hydrogen, C1-6 alkyl, C1-6 perhaloalkyl, C2-6 alkenyl, C2-6 alkynyl, C3-10 carbocyclyl, 3-10 membered heterocyclyl, C6-10 aryl and 5-10 membered heteroaryl, or two Rff groups are joined to form a 3-14 membered heterocyclyl or 5-14 membered heteroaryl ring, wherein each alkyl, alkenyl, alkynyl, carbocyclyl, heterocyclyl, aryl, and heteroaryl is independently substituted with 0, 1, 2, 3, 4, or 5 Rgg groups; and
- each instance of Rgg is, independently, halogen, —CN, —NO2, —N3, —SO2H, —SO3H, —OH, —OC1-6 alkyl, —ON(C1-6 alkyl)2, —N(C1-6 alkyl)2, —N(C1-6 alkyl)3 +X−, —NH(C1-6 alkyl)2 +X−, —NH2(C1-6 alkyl)+X−, —NH3 +X−, —N(OC1-6 alkyl)(C1-6 alkyl), —N(OH)(C1-6 alkyl), —NH(OH), —SH, —SC1-6 alkyl, —SS(C1-6 alkyl), —C(═O)(C1-6 alkyl), —CO2H), —CO2(C1-6 alkyl), —OC(═O)(C1-6 alkyl), —OCO2(C1-6 alkyl), —C(═O)NH2, —C(═O)N(C1-6 alkyl)2, —OC(═O)NH(C1-6 alkyl), —NHC(═O)(C1-6 alkyl), —N(C1-6 alkyl)C(═O)(C1-6 alkyl), —NHCO2(C1-6 alkyl), —NHC(═O)N(C1-6 alkyl)2, —NHC(═O)NH(C1-6 alkyl), —NHC(═O)NH2, —C(═NH)O(C1-6 alkyl), —OC(═NH)(C1-6 alkyl), —OC(═NH)OC1-6 alkyl, —C(═NH)N(C1-6 alkyl)2, —C(═NH)NH(C1-6 alkyl), —C(═NH)NH2, —OC(═NH)N(C1-6 alkyl)2, —OC(NH)NH(C1-6 alkyl), —OC(NH)NH2, —NHC(NH)N(C1-6 alkyl)2, —NHC(═NH)NH2, —NHSO2(C1-6 alkyl), —SO2N(C1-6 alkyl)2, —SO2NH(C1-6 alkyl), —SO2NH2, —SO2C1-6 alkyl, —SO2OC1-6 alkyl, —OSO2C1-6 alkyl, —SOC1-6 alkyl, —Si(C1-6 alkyl)3, —OSi(C1-6 alkyl)3—C(═S)N(C1-6 alkyl)2, C(═S)NH(C1-6 alkyl), C(═S)NH2, —C(═O)S(C1-6 alkyl), —C(═S)SC1-6 alkyl, —SC(═S)SC1-6 alkyl, —P(═O)2(C1-6 alkyl), —P(═O)(C1-6 alkyl)2, —OP(═O)(C1-6 alkyl)2, —OP(═O)(OC1-6 alkyl)2, C1-6 alkyl, C1-6 perhaloalkyl, C2-6 alkenyl, C2-6 alkynyl, C3-10 carbocyclyl, C6-10 aryl, 3-10 membered heterocyclyl, 5-10 membered heteroaryl; or two geminal Rgg substituents can be joined to form ═O or ═S; wherein X− is a counterion.
- A “counterion” or “anionic counterion” is a negatively charged group associated with a cationic quaternary amino group in order to maintain electronic neutrality. Exemplary counterions include halide ions (e.g., F−, Cl−, Br−, I−), NO3 −, ClO4 −, OH−, H2PO4 −, HSO4 −, sulfonate ions (e.g., methansulfonate, trifluoromethanesulfonate, p-toluenesulfonate, benzenesulfonate, 10-camphor sulfonate, naphthalene-2-sulfonate, naphthalene-1-sulfonic acid-5-sulfonate, ethan-1-sulfonic acid-2-sulfonate, and the like), and carboxylate ions (e.g., acetate, ethanoate, propanoate, benzoate, glycerate, lactate, tartrate, glycolate, and the like).
- “Halo” or “halogen” refers to fluorine (fluoro, —F), chlorine (chloro, —Cl), bromine (bromo, —Br), or iodine (iodo, —I).
- Nitrogen atoms can be substituted or unsubstituted as valency permits, and include primary, secondary, tertiary, and quarternary nitrogen atoms. Exemplary nitrogen atom substitutents include, but are not limited to, hydrogen, —OH, —ORaa, —N(Rcc)2, —CN, —C(═O)Raa, —C(═O)N(Rcc)2, —CO2Raa, —SO2Raa, —C(═NRbb)Raa, —C(═NRcc)ORaa, —C(═NRcc)N(Rcc)2, —SO2N(Rcc)2, —SO2Rcc, —SO2ORcc, —SORaa, —C(═S)N(Rcc)2, —C(═O)SRcc, —C(═S)SRcc, —P(═O)2Raa, —P(═O)(Raa)2, —P(═O)2N(Rcc)2, —P(═O)(NRcc)2, C1-10 alkyl, C1-10 perhaloalkyl, C2-10 alkenyl, C2-10 alkynyl, C3-10 carbocyclyl, 3-14 membered heterocyclyl, C6-14 aryl, and 5-14 membered heteroaryl, or two Rcc groups attached to a nitrogen atom are joined to form a 3-14 membered heterocyclyl or 5-14 membered heteroaryl ring, wherein each alkyl, alkenyl, alkynyl, carbocyclyl, heterocyclyl, aryl, and heteroaryl is independently substituted with 0, 1, 2, 3, 4, or 5 Rdd groups, and wherein Raa, Rbb, Rcc and Rdd are as defined above.
- In certain embodiments, the substituent present on a nitrogen atom is a nitrogen protecting group (also referred to as an amino protecting group). Nitrogen protecting groups include, but are not limited to, —OH, —ORaa, —N(Rcc)2, —C(═O)Raa, —C(═O)N(Rcc)2, —CO2Raa, —SO2Raa, —C(═NRcc)Raa, —C(═NRcc)ORaa, —C(═NRcc)N(Rcc)2, —SO2N(Rcc)2, —SO2Rcc, —SO2ORcc, —SORaa, —C(═S)N(Rcc)2, —C(═O)SRcc, —C(═S)SRcc, C1-10 alkyl (e.g., aralkyl, heteroaralkyl), C2-10 alkenyl, C2-10 alkynyl, C3-10 carbocyclyl, 3-14 membered heterocyclyl, C6-14 aryl, and 5-14 membered heteroaryl groups, wherein each alkyl, alkenyl, alkynyl, carbocyclyl, heterocyclyl, aralkyl, aryl, and heteroaryl is independently substituted with 0, 1, 2, 3, 4, or 5 Rdd groups, and wherein Raa, Rbb, Rcc, and Rdd are as defined herein. Nitrogen protecting groups are well known in the art and include those described in detail in Protecting Groups in Organic Synthesis, T. W. Greene and P. G. M. Wuts, 3rd edition, John Wiley & Sons, 1999, incorporated herein by reference.
- Amide nitrogen protecting groups (e.g., —C(═O)Raa) include, but are not limited to, formamide, acetamide, chloroacetamide, trichloroacetamide, trifluoroacetamide, phenylacetamide, 3-phenylpropanamide, picolinamide, 3-pyridylcarboxamide, N-benzoylphenylalanyl derivative, benzamide, p-phenylbenzamide, o-nitophenylacetamide, o-nitrophenoxyacetamide, acetoacetamide, (N′-dithiobenzyloxyacylamino)acetamide, 3-(p-hydroxyphenyl)propanamide, 3-(o-nitrophenyl)propanamide, 2-methyl-2-(o-nitrophenoxy)propanamide, 2-methyl-2-(o-phenylazophenoxy)propanamide, 4-chlorobutanamide, 3-methyl-3-nitrobutanamide, o-nitrocinnamide, N-acetylmethionine, o-nitrobenzamide, and o-(benzoyloxymethyl)benzamide.
- Carbamate nitrogen protecting groups (e.g., —C(═O)ORaa) include, but are not limited to, methyl carbamate, ethyl carbamante, 9-fluorenylmethyl carbamate (Fmoc), 9-(2-sulfo)fluorenylmethyl carbamate, 9-(2,7-dibromo)fluoroenylmethyl carbamate, 2,7-di-t-butyl-[9-(10,10-dioxo-10,10,10,10-tetrahydrothioxanthyl)]methyl carbamate (DBD-Tmoc), 4-methoxyphenacyl carbamate (Phenoc), 2,2,2-trichloroethyl carbamate (Troc), 2-trimethylsilylethyl carbamate (Teoc), 2-phenylethyl carbamate (hZ), 1-(1-adamantyl)-1-methylethyl carbamate (Adpoc), 1,1-dimethyl-2-haloethyl carbamate, 1,1-dimethyl-2,2-dibromoethyl carbamate (DB-t-BOC), 1,1-dimethyl-2,2,2-trichloroethyl carbamate (TCBOC), 1-methyl-1-(4-biphenylyl)ethyl carbamate (Bpoc), 1-(3,5-di-t-butylphenyl)-1-methylethyl carbamate (t-Bumeoc), 2-(2′- and 4′-pyridyl)ethyl carbamate (Pyoc), 2-(N,N-dicyclohexylcarboxamido)ethyl carbamate, t-butyl carbamate (BOC), 1-adamantyl carbamate (Adoc), vinyl carbamate (Voc), allyl carbamate (Alloc), 1-isopropylallyl carbamate (Ipaoc), cinnamyl carbamate (Coc), 4-nitrocinnamyl carbamate (Noc), 8-quinolyl carbamate, N-hydroxypiperidinyl carbamate, alkyldithio carbamate, benzyl carbamate (Cbz), p-methoxybenzyl carbamate (Moz), p-nitobenzyl carbamate, p-bromobenzyl carbamate, p-chlorobenzyl carbamate, 2,4-dichlorobenzyl carbamate, 4-methylsulfinylbenzyl carbamate (Msz), 9-anthrylmethyl carbamate, diphenylmethyl carbamate, 2-methylthioethyl carbamate, 2-methylsulfonylethyl carbamate, 2-(p-toluenesulfonyl)ethyl carbamate, [2-(1,3-dithianyl)]methyl carbamate (Dmoc), 4-methylthiophenyl carbamate (Mtpc), 2,4-dimethylthiophenyl carbamate (Bmpc), 2-phosphonioethyl carbamate (Peoc), 2-triphenylphosphonioisopropyl carbamate (Ppoc), 1,1-dimethyl-2-cyanoethyl carbamate, m-chloro-p-acyloxybenzyl carbamate, p-(dihydroxyboryl)benzyl carbamate, 5-benzisoxazolylmethyl carbamate, 2-(trifluoromethyl)-6-chromonylmethyl carbamate (Tcroc), m-nitrophenyl carbamate, 3,5-dimethoxybenzyl carbamate, o-nitrobenzyl carbamate, 3,4-dimethoxy-6-nitrobenzyl carbamate, phenyl(o-nitrophenyl)methyl carbamate, t-amyl carbamate, S-benzyl thiocarbamate, p-cyanobenzyl carbamate, cyclobutyl carbamate, cyclohexyl carbamate, cyclopentyl carbamate, cyclopropylmethyl carbamate, p-decyloxybenzyl carbamate, 2,2-dimethoxyacylvinyl carbamate, o-(N,N-dimethylcarboxamido)benzyl carbamate, 1,1-dimethyl-3-(N,N-dimethylcarboxamido)propyl carbamate, 1,1-dimethylpropynyl carbamate, di(2-pyridyl)methyl carbamate, 2-furanylmethyl carbamate, 2-iodoethyl carbamate, isoborynl carbamate, isobutyl carbamate, isonicotinyl carbamate, p-(p′-methoxyphenylazo)benzyl carbamate, 1-methylcyclobutyl carbamate, 1-methylcyclohexyl carbamate, 1-methyl-1-cyclopropylmethyl carbamate, 1-methyl-1-(3,5-dimethoxyphenyl)ethyl carbamate, 1-methyl-1-(p-phenylazophenyl)ethyl carbamate, 1-methyl-1-phenylethyl carbamate, 1-methyl-1-(4-pyridyl)ethyl carbamate, phenyl carbamate, p-(phenylazo)benzyl carbamate, 2,4,6-tri-t-butylphenyl carbamate, 4-(trimethylammonium)benzyl carbamate, and 2,4,6-trimethylbenzyl carbamate.
- Sulfonamide nitrogen protecting groups (e.g., —S(═O)2Raa) include, but are not limited to, p-toluenesulfonamide (Ts), benzenesulfonamide, 2,3,6,-trimethyl-4-methoxybenzenesulfonamide (Mtr), 2,4,6-trimethoxybenzenesulfonamide (Mtb), 2,6-dimethyl-4-methoxybenzenesulfonamide (Pme), 2,3,5,6-tetramethyl-4-methoxybenzenesulfonamide (Mte), 4-methoxybenzenesulfonamide (Mbs), 2,4,6-trimethylbenzenesulfonamide (Mts), 2,6-dimethoxy-4-methylbenzenesulfonamide (iMds), 2,2,5,7,8-pentamethylchroman-6-sulfonamide (Pmc), methanesulfonamide (Ms), β-trimethylsilylethanesulfonamide (SES), 9-anthracenesulfonamide, 4-(4′,8′-dimethoxynaphthylmethyl)benzenesulfonamide (DNMBS), benzylsulfonamide, trifluoromethylsulfonamide, and phenacylsulfonamide.
- Other nitrogen protecting groups include, but are not limited to, phenothiazinyl-(10)-acyl derivative, N′-p-toluenesulfonylaminoacyl derivative, N′-phenylaminothioacyl derivative, N-benzoylphenylalanyl derivative, N-acetylmethionine derivative, 4,5-diphenyl-3-oxazolin-2-one, N-phthalimide, N-dithiasuccinimide (Dts), N-2,3-diphenylmaleimide, N-2,5-dimethylpyrrole, N-1,1,4,4-tetramethyldisilylazacyclopentane adduct (STABASE), 5-substituted 1,3-dimethyl-1,3,5-triazacyclohexan-2-one, 5-substituted 1,3-dibenzyl-1,3,5-triazacyclohexan-2-one, 1-substituted 3,5-dinitro-4-pyridone, N-methylamine, N-allylamine, N-[2-(trimethylsilyl)ethoxy]methylamine (SEM), N-3-acetoxypropylamine, N-(1-isopropyl-4-nitro-2-oxo-3-pyroolin-3-yl)amine, quaternary ammonium salts, N-benzylamine, N-di(4-methoxyphenyl)methylamine, N-5-dibenzosuberylamine, N-triphenylmethylamine (Tr), N-[(4-methoxyphenyl)diphenylmethyl]amine (MMTr), N-9-phenylfluorenylamine (PhF), N-2,7-dichloro-9-fluorenylmethyleneamine, N-ferrocenylmethylamino (Fcm), N-2-picolylamino N′-oxide, N-1,1-dimethylthiomethyleneamine, N-benzylideneamine, N-p-methoxybenzylideneamine, N-diphenylmethyleneamine, N-[(2-pyridyl)mesityl]methyleneamine, N-(N′,N′-dimethylaminomethylene)amine, N,N′-isopropylidenediamine, N-p-nitrobenzylideneamine, N-salicylideneamine, N-5-chlorosalicylideneamine, N-(5-chloro-2-hydroxyphenyl)phenylmethyleneamine, N-cyclohexylideneamine, N-(5,5-dimethyl-3-oxo-1-cyclohexenyl)amine, N-borane derivative, N-diphenylborinic acid derivative, N-[phenyl(pentaacylchromium- or tungsten)acyl]amine, N-copper chelate, N-zinc chelate, N-nitroamine, N-nitrosoamine, amine N-oxide, diphenylphosphinamide (Dpp), dimethylthiophosphinamide (Mpt), diphenylthiophosphinamide (Ppt), dialkyl phosphoramidates, dibenzyl phosphoramidate, diphenyl phosphoramidate, benzenesulfenamide, o-nitrobenzenesulfenamide (Nps), 2,4-dinitrobenzenesulfenamide, pentachlorobenzenesulfenamide, 2-nitro-4-methoxybenzenesulfenamide, triphenylmethylsulfenamide, and 3-nitropyridinesulfenamide (Npys).
- In certain embodiments, the substituent present on an oxygen atom is an oxygen protecting group (also referred to as a hydroxyl protecting group). Oxygen protecting groups include, but are not limited to, —Raa, —N(Rbb)2, —C(═O)SRaa, —C(═O)Raa, —CO2Raa, —C(═O)N(Rbb)2, —C(═NRbb)Raa, —C(═NRbb)ORaa, —C(═NRbb)N(Rbb)2, —S(═O)Raa, —SO2Raa, —Si(Raa)3, —P(Rcc)2, —P(Rcc)3, —P(═O)2Raa, —P(═O)(Raa)2, —P(═O)(ORcc)2, —P(═O)2N(Rbb)2, and —P(═O)(NRbb)2, wherein Raa, Rbb, and Rcc are as defined herein. Oxygen protecting groups are well known in the art and include those described in detail in Protecting Groups in Organic Synthesis, T. W. Greene and P. G. M. Wuts, 3rd edition, John Wiley & Sons, 1999, incorporated herein by reference.
- Exemplary oxygen protecting groups include, but are not limited to, methyl, methoxylmethyl (MOM), methylthiomethyl (MTM), t-butylthiomethyl, (phenyldimethylsilyl)methoxymethyl (SMOM), benzyloxymethyl (BOM), p-methoxybenzyloxymethyl (PMBM), (4-methoxyphenoxy)methyl (p-AOM), guaiacolmethyl (GUM), t-butoxymethyl, 4-pentenyloxymethyl (POM), siloxymethyl, 2-methoxyethoxymethyl (MEM), 2,2,2-trichloroethoxymethyl, bis(2-chloroethoxy)methyl, 2-(trimethylsilyl)ethoxymethyl (SEMOR), tetrahydropyranyl (THP), 3-bromotetrahydropyranyl, tetrahydrothiopyranyl, 1-methoxycyclohexyl, 4-methoxytetrahydropyranyl (MTHP), 4-methoxytetrahydrothiopyranyl, 4-methoxytetrahydrothiopyranyl S,S-dioxide, 1-[(2-chloro-4-methyl)phenyl]-4-methoxypiperidin-4-yl (CTMP), 1,4-dioxan-2-yl, tetrahydrofuranyl, tetrahydrothiofuranyl, 2,3,3a,4,5,6,7,7a-octahydro-7,8,8-trimethyl-4,7-methanobenzofuran-2-yl, 1-ethoxyethyl, 1-(2-chloroethoxy)ethyl, 1-methyl-1-methoxyethyl, 1-methyl-1-benzyloxyethyl, 1-methyl-1-benzyloxy-2-fluoroethyl, 2,2,2-trichloroethyl, 2-trimethylsilylethyl, 2-(phenylselenyl)ethyl, t-butyl, allyl, p-chlorophenyl, p-methoxyphenyl, 2,4-dinitrophenyl, benzyl (Bn), p-methoxybenzyl, 3,4-dimethoxybenzyl, o-nitrobenzyl, p-nitrobenzyl, p-halobenzyl, 2,6-dichlorobenzyl, p-cyanobenzyl, p-phenylbenzyl, 2-picolyl, 4-picolyl, 3-methyl-2-picolyl N-oxido, diphenylmethyl, p,p ‘-dinitrobenzhydryl, 5-dibenzosuberyl, triphenylmethyl, a-naphthyldiphenylmethyl, p-methoxyphenyldiphenylmethyl, di(p-methoxyphenyl)phenylmethyl, tri(p-methoxyphenyl)methyl, 4-(4′-bromophenacyloxyphenyl)diphenylmethyl, 4,4′,4″-tris(4,5-dichlorophthalimidophenyl)methyl, 4,4′,4″-tris(levulinoyloxyphenyl)methyl, 4,4′,4″-tris(benzoyloxyphenyl)methyl, 3-(imidazol-1-yl)bis(4′,4″-dimethoxyphenyl)methyl, 1,1-bis(4-methoxyphenyl)-1′-pyrenylmethyl, 9-anthryl, 9-(9-phenyl)xanthenyl, 9-(9-phenyl-10-oxo)anthryl, 1,3-benzodisulfuran-2-yl, benzisothiazolyl S,S-dioxido, trimethylsilyl (TMS), triethylsilyl (TES), triisopropylsilyl (TIPS), dimethylisopropylsilyl (IPDMS), diethylisopropylsilyl (DEIPS), dimethylthexylsilyl, t-butyldimethylsilyl (TBDMS), t-butyldiphenylsilyl (TBDPS), tribenzylsilyl, tri-p-xylylsilyl, triphenylsilyl, diphenylmethylsilyl (DPMS), t-butylmethoxyphenylsilyl (TBMPS), formate, benzoylformate, acetate, chloroacetate, dichloroacetate, trichloroacetate, trifluoroacetate, methoxyacetate, triphenylmethoxyacetate, phenoxyacetate, p-chlorophenoxyacetate, 3-phenylpropionate, 4-oxopentanoate (levulinate), 4,4-(ethylenedithio)pentanoate (levulinoyldithioacetal), pivaloate, adamantoate, crotonate, 4-methoxycrotonate, benzoate, p-phenylbenzoate, 2,4,6-trimethylbenzoate (mesitoate), alkyl methyl carbonate, 9-fluorenylmethyl carbonate (Fmoc), alkyl ethyl carbonate, alkyl 2,2,2-trichloroethyl carbonate (Troc), 2-(trimethylsilyl)ethyl carbonate (TMSEC), 2-(phenylsulfonyl) ethyl carbonate (Psec), 2-(triphenylphosphonio) ethyl carbonate (Peoc), alkyl isobutyl carbonate, alkyl vinyl carbonate alkyl allyl carbonate, alkyl p-nitrophenyl carbonate, alkyl benzyl carbonate, alkyl p-methoxybenzyl carbonate, alkyl 3,4-dimethoxybenzyl carbonate, alkyl o-nitrobenzyl carbonate, alkyl p-nitrobenzyl carbonate, alkyl S-benzyl thiocarbonate, 4-ethoxy-1-napththyl carbonate, methyl dithiocarbonate, 2-iodobenzoate, 4-azidobutyrate, 4-nitro-4-methylpentanoate, o-(dibromomethyl)benzoate, 2-formylbenzenesulfonate, 2-(methylthiomethoxy)ethyl, 4-(methylthiomethoxy)butyrate, 2-(methylthiomethoxymethyl)benzoate, 2,6-dichloro-4-methylphenoxyacetate, 2,6-dichloro-4-(1,1,3,3-tetramethylbutyl)phenoxyacetate, 2,4-bis(1,1-dimethylpropyl)phenoxyacetate, chlorodiphenylacetate, isobutyrate, monosuccinoate, (E)-2-methyl-2-butenoate, o-(methoxyacyl)benzoate, a-naphthoate, nitrate, alkyl N,N,N′,N′-tetramethylphosphorodiamidate, alkyl N-phenylcarbamate, borate, dimethylphosphinothioyl, alkyl 2,4-dinitrophenylsulfenate, sulfate, methanesulfonate (mesylate), benzylsulfonate, and tosylate (Ts).
- In certain embodiments, the substituent present on a sulfur atom is a sulfur protecting group (also referred to as a thiol protecting group). Sulfur protecting groups include, but are not limited to, —Raa, —N(Rbb)2, —C(═O)SRaa, —C(═O)Raa, —CO2Raa, —C(═O)N(Rbb)2, —C(═NRbb)Raa, —C(═NRbb)ORaa, —C(═NRbb)N(Rbb)2, —S(═O)Raa, —SO2Raa, —Si(Raa)3, —P(Rcc)2, —P(Rcc)3, —P(═O)2Raa, —P(═O)(Raa)2, —P(═O)(ORcc)2, —P(═O)2N(Rbb)2, and —P(═O)(NRbb)2, wherein Raa, Rbb, and Rcc are as defined herein. Sulfur protecting groups are well known in the art and include those described in detail in Protecting Groups in Organic Synthesis, T. W. Greene and P. G. M. Wuts, 3rd edition, John Wiley & Sons, 1999, incorporated herein by reference.
- These and other exemplary substituents are described in more detail in the Detailed Description, Examples, and claims. The present disclosure is not intended to be limited in any manner by the above exemplary listing of substituents.
- “Pharmaceutically acceptable salt” refers to those salts which are, within the scope of sound medical judgment, suitable for use in contact with the tissues of humans and other animals without undue toxicity, irritation, allergic response, and the like, and are commensurate with a reasonable benefit/risk ratio. Pharmaceutically acceptable salts are well known in the art. For example, Berge et al. describe pharmaceutically acceptable salts in detail in J. Pharmaceutical Sciences (1977) 66:1-19. Pharmaceutically acceptable salts of the compounds describe herein include those derived from suitable inorganic and organic acids and bases. Examples of pharmaceutically acceptable, nontoxic acid addition salts are salts of an amino group formed with inorganic acids such as hydrochloric acid, hydrobromic acid, phosphoric acid, sulfuric acid and perchloric acid or with organic acids such as acetic acid, oxalic acid, maleic acid, tartaric acid, citric acid, succinic acid, or malonic acid or by using other methods used in the art such as ion exchange. Other pharmaceutically acceptable salts include adipate, alginate, ascorbate, aspartate, benzenesulfonate, benzoate, bisulfate, borate, butyrate, camphorate, camphorsulfonate, citrate, cyclopentanepropionate, digluconate, dodecylsulfate, ethanesulfonate, formate, fumarate, glucoheptonate, glycerophosphate, gluconate, hemisulfate, heptanoate, hexanoate, hydroiodide, 2-hydroxy-ethanesulfonate, lactobionate, lactate, laurate, lauryl sulfate, malate, maleate, malonate, methanesulfonate, 2-naphthalenesulfonate, nicotinate, nitrate, oleate, oxalate, palmitate, pamoate, pectinate, persulfate, 3-phenylpropionate, phosphate, picrate, pivalate, propionate, stearate, succinate, sulfate, tartrate, thiocyanate, p-toluenesulfonate, undecanoate, valerate salts, and the like. Salts derived from appropriate bases include alkali metal, alkaline earth metal, ammonium and N+(C1-4alkyl)4 salts. Representative alkali or alkaline earth metal salts include sodium, lithium, potassium, calcium, magnesium, and the like. Further pharmaceutically acceptable salts include, when appropriate, quaternary salts.
- A “subject” to which administration is contemplated includes, but is not limited to, humans (e.g., a male or female of any age group, e.g., a pediatric subject (e.g, infant, child, adolescent) or adult subject (e.g., young adult, middle-aged adult or senior adult)) and/or other non-human animals, for example, non-human mammals (e.g., primates (e.g., cynomolgus monkeys, rhesus monkeys); commercially relevant mammals such as cattle, pigs, horses, sheep, goats, cats, and/or dogs), birds (e.g., commercially relevant birds such as chickens, ducks, geese, and/or turkeys), rodents (e.g., rats and/or mice), reptiles, amphibians, and fish. In certain embodiments, the non-human animal is a mammal. The non-human animal may be a male or female at any stage of development. A non-human animal may be a transgenic animal.
- “Condition,” “disease,” and “disorder” are used interchangeably herein.
- “Treat,” “treating” and “treatment” encompasses an action that occurs while a subject is suffering from a condition which reduces the severity of the condition or retards or slows the progression of the condition (“therapeutic treatment”). “Treat,” “treating” and “treatment” also encompasses an action that occurs before a subject begins to suffer from the condition and which inhibits or reduces the severity of the condition (“prophylactic treatment”).
- An “effective amount” of a compound refers to an amount sufficient to elicit the desired biological response, e.g., treat the condition. As will be appreciated by those of ordinary skill in this art, the effective amount of a compound described herein may vary depending on such factors as the desired biological endpoint, the pharmacokinetics of the compound, the condition being treated, the mode of administration, and the age and health of the subject. An effective amount encompasses therapeutic and prophylactic treatment.
- A “therapeutically effective amount” of a compound is an amount sufficient to provide a therapeutic benefit in the treatment of a condition or to delay or minimize one or more symptoms associated with the condition. A therapeutically effective amount of a compound means an amount of therapeutic agent, alone or in combination with other therapies, which provides a therapeutic benefit in the treatment of the condition. The term “therapeutically effective amount” can encompass an amount that improves overall therapy, reduces or avoids symptoms or causes of the condition, or enhances the therapeutic efficacy of another therapeutic agent.
- A “prophylactically effective amount” of a compound is an amount sufficient to prevent a condition, or one or more symptoms associated with the condition or prevent its recurrence. A prophylactically effective amount of a compound means an amount of a therapeutic agent, alone or in combination with other agents, which provides a prophylactic benefit in the prevention of the condition. The term “prophylactically effective amount” can encompass an amount that improves overall prophylaxis or enhances the prophylactic efficacy of another prophylactic agent.
- As used herein, the term “methyltransferase” represents transferase class enzymes that are able to transfer a methyl group from a donor molecule to an acceptor molecule, e.g., an amino acid residue of a protein or a nucleic base of a DNA molecule. Methytransferases typically use a reactive methyl group bound to sulfur in S-adenosyl methionine (SAM) as the methyl donor. In some embodiments, a methyltransferase described herein is a protein methyltransferase. In some embodiments, a methyltransferase described herein is a histone methyltransferase. Histone methyltransferases (HMT) are histone-modifying enzymes, (including histone-lysine N-methyltransferase and histone-arginine N-methyltransferase), that catalyze the transfer of one or more methyl groups to lysine and arginine residues of histone proteins. In certain embodiments, a methyltransferase described herein is a histone-arginine N-methyltransferase.
- As generally described above, provided herein are compounds useful as PRMT5 inhibitors. In some embodiments, the present disclosure provides a compound of Formula (I):
- or a pharmaceutically acceptable salt thereof,
wherein -
- R1 is hydrogen, Rz, or —C(O)Rz, wherein Rz is optionally substituted C1-6 alkyl;
- L is —N(R)C(O)—, —C(O)N(R)—, —N(R)C(O)N(R)—, —N(R)C(O)O—, or —OC(O)N(R)—;
- each R is independently hydrogen or optionally substituted C1-6 aliphatic;
- Ar is a monocyclic or bicyclic aromatic ring having 0-4 heteroatoms independently selected from nitrogen, oxygen, and sulfur, wherein Ar is substituted with 0, 1, 2, 3, 4, or 5 Ry groups, as valency permits;
- each Ry is independently selected from the group consisting of halo, —CN, —NO2, optionally substituted aliphatic, optionally substituted carbocyclyl, optionally substituted aryl, optionally substituted heterocyclyl, optionally substituted heteroaryl, —ORA, —N(RB)2, —SRA, —C(═O)RA, —C(O)ORA, —C(O)SRA, —C(O)N(RB)2, —C(O)N(RB)N(RB)2, —OC(O)RA, —OC(O)N(RB)2, —NRBC(O)RA, —NRBC(O)N(RB)2, —NRBC(O)N(RB)N(RB)2, —NRBC(O)ORA, —SC(O)RA, —C(═NRB)RA, —C(═NNRB)RA, —C(═NORA)RA, —C(═NRB)N(RB)2, —NRBC(═NRB)RB, —C(═S)RA, —C(═S)N(RB)2, —NRBC(═S)RA, —S(O)RA, —OS(O)2RA, —SO2RA, —NRBSO2RA, or —SO2N(RB)2;
- each RA is independently selected from the group consisting of hydrogen, optionally substituted aliphatic, optionally substituted carbocyclyl, optionally substituted heterocyclyl, optionally substituted aryl, and optionally substituted heteroaryl;
- each RB is independently selected from the group consisting of hydrogen, optionally substituted aliphatic, optionally substituted carbocyclyl, optionally substituted heterocyclyl, optionally substituted aryl, and optionally substituted heteroaryl, or two RB groups are taken together with their intervening atoms to form an optionally substituted heterocyclic ring;
- R5, R6, R7, and R8 are independently hydrogen, halo, or optionally substituted aliphatic;
- each Rx is independently selected from the group consisting of halo, —CN, optionally substituted aliphatic, —OR′, and —N(R″)2;
- R′ is hydrogen or optionally substituted aliphatic;
- each R″ is independently hydrogen or optionally substituted aliphatic, or two R″ are taken together with their intervening atoms to form a heterocyclic ring; and
- n is 0, 1, 2, 3, 4, 5, 6, 7, 8, 9, or 10, as valency permits.
- In certain embodiments, a provided compound is of Formula (I-a):
- or a pharmaceutically acceptable salt thereof, wherein R1, R5, R6, R7, R8, Rx, n, L, and Ar are as described herein.
- In certain embodiments, a provided compound is of Formula (I-b):
- or a pharmaceutically acceptable salt thereof, wherein R1, R5, R6, R7, R8, Rx, n, L, and Ar are as described herein.
- In certain embodiments, a provided compound is of Formula (I-c):
- or a pharmaceutically acceptable salt thereof, wherein R1, Rx, n, L, and Ar are as described herein.
- In certain embodiments, a provided compound is of Formula (I′):
- or a pharmaceutically acceptable salt thereof, wherein R1, Rx, n, L, and Ar are as described herein.
- In certain embodiments, a provided compound is of Formula (I′-a):
- or a pharmaceutically acceptable salt thereof, wherein R1, Rx, n, L, and Ar are as described herein.
- In certain embodiments, a provided compound is of Formula (I′-b):
- or a pharmaceutically acceptable salt thereof, wherein R1, Rx, n, L, and Ar are as described herein.
- In certain embodiments, a provided compound is of Formula (II):
- or a pharmaceutically acceptable salt thereof, wherein R1, Rx, n, and Ar are as described herein.
- In certain embodiments, a provided compound is of Formula (II-a):
- or a pharmaceutically acceptable salt thereof, wherein R1, Rx, n, and Ar are as described herein.
- In certain embodiments, a provided compound is of Formula (II-b):
- or a pharmaceutically acceptable salt thereof, wherein R1, Rx, n, and Ar are as described herein.
- In certain embodiments, a provided compound is of Formula (III):
- or a pharmaceutically acceptable salt thereof, wherein Ry is as described herein.
- In certain embodiments, a provided compound is of Formula (III-a):
- or a pharmaceutically acceptable salt thereof, wherein Ry is as described herein.
- In certain embodiments, a provided compound is of Formula (III-b):
- or a pharmaceutically acceptable salt thereof, wherein Ry is as described herein.
- In certain embodiments, a provided compound is of Formula (IV):
- or a pharmaceutically acceptable salt thereof, wherein Ry is as described herein.
- In certain embodiments, a provided compound is of Formula (IV-a):
- or a pharmaceutically acceptable salt thereof, wherein Ry is as described herein.
- In certain embodiments, a provided compound is of Formula (IV-b):
- or a pharmaceutically acceptable salt thereof, wherein Ry is as described herein.
- In certain embodiments, a provided compound is of Formula (V):
- or a pharmaceutically acceptable salt thereof, wherein Ry is as described herein.
- In certain embodiments, a provided compound is of Formula (V-a):
- or a pharmaceutically acceptable salt thereof, wherein Ry is as described herein.
- In certain embodiments, a provided compound is of Formula (V-b):
- or a pharmaceutically acceptable salt thereof, wherein Ry is as described herein.
- In certain embodiments, a provided compound is of Formula (VI):
- or a pharmaceutically acceptable salt thereof, wherein Ry is as described herein.
- In certain embodiments, a provided compound is of Formula (VI-a):
- or a pharmaceutically acceptable salt thereof, wherein Ry is as described herein.
- In certain embodiments, a provided compound is of Formula (VI-b):
- or a pharmaceutically acceptable salt thereof, wherein Ry is as described herein.
- In certain embodiments, a provided compound is of Formula (VII):
- or a pharmaceutically acceptable salt thereof, wherein Ry is as described herein.
- In certain embodiments, a provided compound is of Formula (VII-a):
- or a pharmaceutically acceptable salt thereof, wherein Ry is as described herein.
- In certain embodiments, a provided compound is of Formula (VII-b):
- or a pharmaceutically acceptable salt thereof, wherein Ry is as described herein.
- In certain embodiments, a provided compound is of Formula (VIII):
- or a pharmaceutically acceptable salt thereof, wherein Ry is as described herein.
- In certain embodiments, a provided compound is of Formula (VIII-a):
- or a pharmaceutically acceptable salt thereof, wherein Ry is as described herein.
- In certain embodiments, a provided compound is of Formula (VIII-b):
- or a pharmaceutically acceptable salt thereof, wherein Ry is as described herein.
- In certain embodiments, a provided compound is of Formula (IX):
- or a pharmaceutically acceptable salt thereof, wherein Ry is as described herein.
- In certain embodiments, a provided compound is of Formula (IX-a):
- or a pharmaceutically acceptable salt thereof, wherein Ry is as described herein.
- In certain embodiments, a provided compound is of Formula (IX-b):
- or a pharmaceutically acceptable salt thereof, wherein Ry is as described herein.
- In certain embodiments, a provided compound is of Formula (X):
- or a pharmaceutically acceptable salt thereof, wherein Ry is as described herein.
- In certain embodiments, a provided compound is of Formula (X-a):
- or a pharmaceutically acceptable salt thereof, wherein Ry is as described herein.
- In certain embodiments, a provided compound is of Formula (X-b):
- or a pharmaceutically acceptable salt thereof, wherein Ry is as described herein.
- In certain embodiments, a provided compound is of Formula (XI):
- or a pharmaceutically acceptable salt thereof, wherein Ry is as described herein.
- In certain embodiments, a provided compound is of Formula (XI-a):
- or a pharmaceutically acceptable salt thereof, wherein Ry is as described herein.
- In certain embodiments, a provided compound is of Formula (XI-b):
- or a pharmaceutically acceptable salt thereof, wherein Ry is as described herein.
- In certain embodiments, a provided compound is of Formula (XII):
- or a pharmaceutically acceptable salt thereof, wherein Ry is as described herein.
- In certain embodiments, a provided compound is of Formula (XII-a):
- or a pharmaceutically acceptable salt thereof, wherein Ry is as described herein.
- In certain embodiments, a provided compound is of Formula (XII-b):
- or a pharmaceutically acceptable salt thereof, wherein Ry is as described herein.
- In certain embodiments, a provided compound is of Formula (XIII):
- or a pharmaceutically acceptable salt thereof, wherein Ry is as described herein.
- In certain embodiments, a provided compound is of Formula (XIII-a):
- or a pharmaceutically acceptable salt thereof, wherein Ry is as described herein.
- In certain embodiments, a provided compound is of Formula (XIII-b):
- or a pharmaceutically acceptable salt thereof, wherein Ry is as described herein.
- As defined generally above, R1 is hydrogen, Rz, or —C(O)Rz, wherein Rz is optionally substituted C1-6 alkyl. In certain embodiments, R1 is hydrogen. In some embodiments, R1 is optionally substituted C1-6 alkyl. In certain embodiments, R1 is unsubstituted C1-6 alkyl. In certain embodiments, R1 is methyl, ethyl, or propyl. In some embodiments, R1 is —C(O)Rz, wherein Rz is optionally substituted C1-6 alkyl. In certain embodiments, R1 is —C(O)Rz, wherein Rz is unsubstituted C1-6 alkyl. In certain embodiments, R1 is acetyl.
- As defined generally above, L is —N(R)C(O)—, —C(O)N(R)—, —N(R)C(O)N(R)—, —N(R)C(O)O—, or —OC(O)N(R)—, wherein R is as described herein. In some embodiments, L is —N(R)C(O)—. In some embodiments, L is —NHC(O)—. In some embodiments, L is —N(C1-6 alkyl)C(O)—. In some embodiments, L is —N(CH3)C(O)—. In some embodiments, L is —C(O)N(R)—. In some embodiments, L is —C(O)NH—. In some embodiments, L is —C(O)N(C1-6 alkyl)-. In some embodiments, L is —C(O)N(CH3)—. In some embodiments, L is —N(R)C(O)N(R)—. In some embodiments, L is —NHC(O)NH—. In some embodiments, L is —NHC(O)N(R)—. In some embodiments, L is —N(R)C(O)NH—. In some embodiments, L is —N(CH3)C(O)N(R)—. In some embodiments, L is —N(R)C(O)N(CH3)—. In some embodiments, L is —N(CH3)C(O)N(CH3)—. In some embodiments, L is —N(R)C(O)O—. In some embodiments, L is —NHC(O)O—. In some embodiments, L is —N(C1-6 alkyl)C(O)O—. In some embodiments, L is —N(CH3)C(O)O—. In some embodiments, L is —OC(O)N(R)—. In some embodiments, L is —OC(O)NH—. In some embodiments, L is —OC(O)N(C1-6 alkyl)-. In some embodiments, L is —OC(O)N(CH3)—.
- As defined generally above, each R is independently hydrogen or optionally substituted C1-6 aliphatic. In certain embodiments, R is hydrogen. In some embodiments, R is optionally substituted C1-6 aliphatic. In some embodiments, R is substituted C1-6 aliphatic. In some embodiments, R is unsubstituted C1-6 aliphatic. In some embodiments, R is optionally substituted C1-6 alkyl. In some embodiments, R is substituted C1-6 alkyl. In some embodiments, R is unsubstituted C1-6 alkyl. In some embodiments, R is methyl, ethyl, or propyl.
- As defined generally above, Ar is a monocyclic or bicyclic aromatic ring having 0-4 heteroatoms independently selected from nitrogen, oxygen, and sulfur, wherein Ar is substituted with 0, 1, 2, 3, 4, or 5 Ry groups, as valency permits. For avoidance of confusion, though Ar is sometimes used to denote the element argon, as used herein it denotes a monocyclic or bicyclic aromatic ring having 0-4 heteroatoms independently selected from nitrogen, oxygen, and sulfur, wherein Ar is substituted with 0, 1, 2, 3, 4, or 5 Ry groups, as valency permits, and various embodiments thereof as described herein. In certain embodiments, Ar is unsubstituted. In certain embodiments, Ar is substituted with one or two Ry groups. In certain embodiments, Ar is substituted with one Ry group. In certain embodiments, Ar is substituted with two Ry groups. In certain embodiments, Ar is substituted with three Ry groups. In certain embodiments, Ar is substituted with four Ry groups. In certain embodiments, Ar is substituted with five Ry groups.
- In certain embodiments, Ar is phenyl substituted with 0, 1, 2, 3, 4, or 5 Ry groups. In certain embodiments, Ar is phenyl substituted with one or two Ry groups. In certain embodiments, Ar is unsubstituted phenyl. In certain embodiments, Ar is phenyl substituted with one Ry group. In certain embodiments, Ar is phenyl substituted with two Ry groups. In certain embodiments, Ar is phenyl substituted with three Ry groups. In certain embodiments, Ar is phenyl substituted with four Ry groups. In certain embodiments, Ar is phenyl substituted with five Ry groups.
- In certain embodiments, Ar is heteroaryl substituted with 0, 1, 2, 3, 4, or 5 Ry groups, as valency permits. In certain embodiments, Ar is a 5- to 6-membered heteroaryl having 1-3 heteroatoms independently selected from nitrogen, oxygen, and sulfur, and is substituted with 0, 1, 2, 3, or 4 Ry groups. In certain embodiments, Ar is an unsubstituted 5- to 6-membered heteroaryl having 1-3 heteroatoms independently selected from nitrogen, oxygen, and sulfur. In certain embodiments, Ar is a 5- to 6-membered heteroaryl having 1-3 heteroatoms independently selected from nitrogen, oxygen, and sulfur, and is substituted with one or two Ry groups. In certain embodiments, Ar is a 5- to 6-membered heteroaryl having 1-3 heteroatoms independently selected from nitrogen, oxygen, and sulfur, and is substituted with one Ry group. In certain embodiments, Ar is a 5-membered heteroaryl having 1-3 heteroatoms independently selected from nitrogen, oxygen, and sulfur (e.g., furanyl, thienyl, pyrrolyl, oxazolyl, isoxazolyl, thiazolyl, imidazolyl, pyrazolyl, isothiazolyl, triazolyl, oxadiazolyl, thiadiazolyl), and is substituted with 0, 1, 2, or 3 Ry groups. In certain embodiments, Ar is a 6-membered heteroaryl having 1-3 nitrogens (e.g., pyridyl, pyrimidyl, pyridazinyl, pyrazinyl, triazinyl), and is substituted with 0, 1, 2, 3, or 4 Ry groups. In certain embodiments, Ar is pyridyl, and is substituted with 0, 1, 2, 3, or 4 Ry groups. In certain embodiments, Ar is pyridyl, and is substituted with one Ry group. In certain embodiments, Ar is pyridyl, and is substituted with two Ry groups. In certain embodiments, Ar is a 6-membered heteroaryl having two nitrogens (e.g., pyrimidyl, pyridazinyl, pyrazinyl), and is substituted with 0, 1, 2, or 3 Ry groups. In certain embodiments, Ar is a 6-membered heteroaryl having two nitrogens (e.g., pyrimidyl, pyridazinyl, pyrazinyl), and is substituted with one Ry group. In certain embodiments, Ar is a 6-membered heteroaryl having two nitrogens (e.g., pyrimidyl, pyridazinyl, pyrazinyl), and is substituted with two Ry groups.
- In certain embodiments, Ar is a bicyclic aromatic ring having 0-4 heteroatoms independently selected from nitrogen, oxygen, and sulfur, wherein Ar is substituted with 0, 1, 2, 3, or 4 Ry groups. In certain embodiments, Ar is an 8- to 12-membered bicyclic aromatic ring having 0-4 heteroatoms independently selected from nitrogen, oxygen, and sulfur, wherein Ar is substituted with 0, 1, 2, 3, or 4 Ry groups. In certain embodiments, Ar is an unsubstituted bicyclic aromatic ring having 0-4 heteroatoms independently selected from nitrogen, oxygen, and sulfur. In certain embodiments, Ar is a bicyclic aromatic ring having 0-4 heteroatoms independently selected from nitrogen, oxygen, and sulfur, wherein Ar is substituted with one or two Ry groups. In certain embodiments, Ar is a bicyclic aromatic ring having 0-4 heteroatoms independently selected from nitrogen, oxygen, and sulfur, wherein Ar is substituted with one Ry group. In certain embodiments, Ar is a bicyclic aromatic ring having 0-4 heteroatoms independently selected from nitrogen, oxygen, and sulfur, wherein Ar is substituted with two Ry groups. In certain embodiments, Ar is a bicyclic aromatic ring having 0-4 heteroatoms independently selected from nitrogen, oxygen, and sulfur, wherein Ar is substituted with three Ry groups. In certain embodiments, Ar is a bicyclic aromatic ring having 0-4 heteroatoms independently selected from nitrogen, oxygen, and sulfur, wherein Ar is substituted with four Ry groups. In certain embodiments, Ar is a bicyclic aromatic ring having 0-4 heteroatoms independently selected from nitrogen, oxygen, and sulfur, wherein Ar is substituted with five Ry groups. In certain embodiments, Ar is naphthalene substituted with 0, 1, 2, 3, 4, or 5 Ry groups.
- In certain embodiments, Ar is an 8- to 10-membered bicyclic heteroaryl having 1-4 heteroatoms independently selected from nitrogen, oxygen, and sulfur, wherein Ar is substituted with 0, 1, 2, 3, or 4 Ry groups. In certain embodiments, Ar is a 9-membered bicyclic heteroaryl having 1-3 heteroatoms independently selected from nitrogen, oxygen, and sulfur (e.g., indolyl, isoindolyl, indazolyl, benzotriazolyl, benzothiophenyl, isobenzothiophenyl, benzofuranyl, benzoisofuranyl, benzimidazolyl, benzoxazolyl, benzisoxazolyl, benzoxadiazolyl, benzthiazolyl, benzisothiazolyl, benzthiadiazolyl, indolizinyl), wherein Ar is substituted with 0, 1, 2, 3, 4, or 5 Ry groups. In certain embodiments, Ar is a 10-membered bicyclic heteroaryl having 1-3 heteroatoms independently selected from nitrogen, oxygen, and sulfur (e.g., naphthyridinyl, quinolinyl, isoquinolinyl, quinoxalinyl, quinazolinyl), wherein Ar is substituted with 0, 1, 2, 3, 4, or 5 Ry groups. In certain embodiments, Ar is selected from the group consisting of quinoline, benzimidazole, benzopyrazole, quinoxaline, tetrahydroquinoline, tetrahydroisoquinoline, naphthalene, tetrahydronaphthalene, 2,3-dihydrobenzo [b][1,4]dioxine, isoindole, 2H-benzo [b][1,4]oxazin-3(4H)-one, 3,4-dihydro-2H-benzo[b][1,4]oxazine, and quinoxalin-2(1H-one, wherein Ar is substituted with 0, 1, 2, 3, or 4 Ry groups. In some embodiments, Ar is quinoline, wherein Ar is substituted with 0, 1, 2, 3, or 4 Ry groups.
- As defined generally above, each Ry is independently selected from the group consisting of halo, —CN, —NO2, optionally substituted aliphatic, optionally substituted carbocyclyl, optionally substituted aryl, optionally substituted heterocyclyl, optionally substituted heteroaryl, —ORA, —N(RB)2, —SRA, —C(═O)RA, —C(O)ORA, —C(O)SRA, —C(O)N(RB)2, —C(O)N(RB)N(RB)2, —OC(O)RA, —OC(O)N(RB)2, —NRBC(O)RA, —NRBC(O)N(RB)2, —NRBC(O)N(RB)N(RB)2, —NRBC(O)ORA, —SC(O)RA, —C(═NRB)RA, —C(═NNRB)RA, —C(═NORA)RA, —C(═NRB)N(RB)2, —NRBC(═NRB)RB, —C(═S)RA, —C(═S)N(RB)2, —NRBC(═S)RA, —S(O)RA, —OS(O)2RA, —SO2RA, —NRBSO2RA, or —SO2N(RB)2, wherein RA and RB are described herein. In some embodiments, each Ry is independently selected from the group consisting of halo, —CN, —NO2, optionally substituted aliphatic, optionally substituted carbocyclyl, optionally substituted phenyl, optionally substituted heterocyclyl, optionally substituted heteroaryl, —ORA, —N(RB)2, —SRA, —C(═O)RA, —C(O)ORA, —C(O)SRA, —C(O)N(RB)2, —OC(O)RA, —NRBC(O)RA, —NRBC(O)N(RB)2, —SC(O)RA, —C(═NRB)RA, —C(═NRB)N(RB)2, —NRBC(═NRB)RB, —C(═S)RA, —C(═S)N(RB)2, —NRBC(═S)RA, —S(O)RA, —SO2RA, —NRBSO2RA, and —SO2N(RB)2, wherein RA and RB are described herein.
- In some embodiments, at least one Ry is halo. In certain embodiments, at least one Ry is fluoro. In certain embodiments, at least one Ry is chloro. In some embodiments, at least one Ry is —CN. In some embodiments, at least one Ry is —ORA, wherein RA is optionally substituted aliphatic. In some embodiments, at least one Ry is —ORA, wherein RA is unsubstituted C1-6 alkyl. In certain embodiments, at least one Ry is methoxy, ethoxy, or propoxy. In certain embodiments, at least one Ry is methoxy. In some embodiments, at least one Ry is —ORA, wherein RA is substituted C1-6 alkyl. In certain embodiments, at least one Ry is —OCH2CH2N(CH3)2. In some embodiments, at least one Ry is —ORA, wherein RA is optionally substituted heterocyclyl. In some embodiments, at least one Ry is —ORA, wherein RA is an optionally subsituted 4- to 7-membered heterocyclyl having 1-2 heteroatoms independently selected from nitrogen, oxygen, and sulfur. In some embodiments, at least one Ry is —ORA, wherein RA is oxetanyl, tetrahydrofuranyl, or tetrahydropyranyl. In some embodiments, at least one Ry is —N(RB)2. In some embodiments, at least one Ry is —N(RB)2, wherein each RB is independently selected from hydrogen or C1-6 alkyl. In some embodiments, at least one Ry is —NHRB. In some embodiments, at least one Ry is —N(C1-6 alkyl)2, —NH(C1-6 alkyl), or —NH2. In certain embodiments, at least one Ry is —NH2. In certain embodiments, at least one Ry is —NHCH3. In certain embodiments, at least one Ry is —N(CH3)2. In some embodiments, at least one Ry is —N(RB)2 or —NHRB, wherein at least one RB is optionally substituted heterocyclyl. In some embodiments, at least one Ry is —N(RB)2 or —NHRB, wherein at least one RB is an optionally subsituted 4- to 7-membered heterocyclyl having 1-2 heteroatoms independently selected from nitrogen, oxygen, and sulfur. In some embodiments, at least one Ry is —N(RB)2 or —NHRB, wherein at least one RB is oxetanyl, tetrahydropyranyl, or tetrahydrofuranyl. In some embodiments, at least one Ry is —N(RB)2 or —NHRB, wherein at least one RB is optionally substituted piperidinyl or optionally substituted piperazinyl.
- In some embodiments, at least one Ry is optionally substituted aliphatic. In certain embodiments, at least one Ry is substituted aliphatic. In certain embodiments, at least one Ry is unsubstituted aliphatic. In some embodiments, at least one Ry is optionally substituted C1-6 alkyl. In certain embodiments, at least one Ry is unsubstituted C1-6 alkyl. In certain embodiments, at least one Ry is substituted C1-6 alkyl. In certain embodiments, at least one Ry is methyl, ethyl, or propyl. In certain embodiments, at least one Ry is methyl. In certain embodiments, at least one Ry is —CF3, CHF2, or CH2F. In certain embodiments, at least one Ry is C1-6 alkyl substituted with aryl, heteroaryl, or heterocyclyl. In certain embodiments, at least one Ry is benzyl. In certain embodiments, at least one Ry is —(C1-6 alkyl)-aryl. In certain embodiments, at least one Ry is —(C1-6 alkyl)-heteroaryl. In certain embodiments, at least one Ry is —(C1-6 alkyl)-heterocyclyl. In certain embodiments, at least one Ry is —CH2-aryl. In certain embodiments, at least one Ry is —CH2-heteroaryl. In certain embodiments, at least one Ry is —CH2-heterocyclyl.
- In some embodiments, at least one Ry is —C(O)N(RB)2. In certain embodiments, at least one Ry is —C(O)NHRB. In certain embodiments, at least one Ry is —C(O)NH2. In certain embodiments, at least one Ry is —C(O)N(RB)2, wherein the RB groups are taken together with their intervening atoms to form an optionally substituted 5- to 6-membered heterocyclyl. In certain embodiments, at least one Ry is —C(O)N(RB)2, wherein the RB groups are taken together with their intervening atoms to form an optionally substituted morpholinyl.
- In some embodiments, at least one Ry is —SO2N(RB)2. In certain embodiments, at least one Ry is —SO2NHRB. In certain embodiments, at least one Ry is —SO2NH2. In certain embodiments, at least one Ry is —SO2N(RB)2, wherein neither RB is hydrogen. In certain embodiments, at least one Ry is —SO2NH(C1-6 alkyl) or —SO2N(C1-6 alkyl)2. In certain embodiments, at least one Ry is —SO2N(CH3)2. In certain embodiments, at least one Ry is —SO2N(RB)2, wherein the RB groups are taken together with their intervening atoms to form an optionally substituted 5- to 6-membered heterocyclyl. In certain embodiments, at least one Ry is —SO2-morpholinyl. In certain embodiments, at least one Ry is —SO2-piperidinyl, —SO2-piperazinyl, or —SO2-piperidinyl.
- In some embodiments, at least one Ry is —SO2RA. In some embodiments, at least one Ry is —SO2RA, wherein RA is optionally substituted aliphatic. In some embodiments, at least one Ry is —SO2(C1-6 alkyl). In some embodiments, at least one Ry is —SO2CH3. In some embodiments, at least one Ry is —C(O)RA. In some embodiments, at least one Ry is —C(O)RA, wherein RA is optionally substituted aliphatic. In some embodiments, at least one Ry is —C(O)(C1-6 alkyl). In some embodiments, at least one Ry is —C(O)CH3.
- In some embodiments, at least one Ry is —N(RB)C(O)RA. In certain embodiments, at least one Ry is —NHC(O)RA. In certain embodiments, at least one Ry is —NHC(O)(C1-6 alkyl). In certain embodiments, at least one Ry is —NHC(O)CH3.
- In some embodiments, at least one Ry is —N(RB)SO2RA. In some embodiments, at least one Ry is —NHSO2RA. In some embodiments, at least one Ry is —N(C1-6 alkyl)SO2RA. In certain embodiments, at least one Ry is —NHSO2(C1-6 alkyl) or —N(C1-6 alkyl)SO2(C1-6 alkyl). In certain embodiments, at least one Ry is —NHSO2CH3. In certain embodiments, at least one Ry is —N(CH3)SO2CH3.
- In some embodiments, at least one Ry is optionally substituted heterocyclyl, optionally substituted carbocyclyl, optionally substituted aryl, or optionally substituted heteroaryl. In certain embodiments, at least one Ry is an optionally substituted 5- to 6-membered heterocyclyl having 1-2 heteroatoms independently selected from nitrogen, oxygen, and sulfur. In certain embodiments, at least one Ry is an optionally substituted 5-membered heterocyclyl having one heteroatom selected from nitrogen, oxygen, and sulfur. In certain embodiments, at least one Ry is optionally substituted pyrrolidinyl. In certain embodiments, at least one Ry is pyrroldinyl, hydroxypyrrolidinyl, or methylpyrrolidinyl. In certain embodiments, at least one Ry is an optionally substituted 6-membered heterocyclyl having 1-2 heteroatoms independently selected from nitrogen, oxygen, and sulfur. In certain embodiments, at least one Ry is an optionally substituted 6-membered heterocyclyl having one heteroatom selected from nitrogen, oxygen, and sulfur. In certain embodiments, at least one Ry is optionally substituted piperidinyl. In certain embodiments, at least one Ry is an optionally substituted 6-membered heterocyclyl having two heteroatoms independently selected from nitrogen, oxygen, and sulfur. In certain embodiments, at least one Ry is optionally substituted piperdinyl, optionally substituted piperazinyl, or optionally substituted morpholinyl. In certain embodiments, at least one Ry is morpholinyl, tetrahydropyranyl, piperidinyl, methylpiperidinyl, piperazinyl, methylpiperazinyl, acetylpiperazinyl, methylsulfonylpiperazinyl, aziridinyl, or methylaziridinyl. In some embodiments, at least one Ry is an optionally substituted 5- to 6-membered heteroaryl having 1-3 heteroatoms independently selected from nitrogen, oxygen, and sulfur. In certain embodiments, at least one Ry is an optionally substituted 5-membered heteroaryl having 1-3 heteroatoms independently selected from nitrogen, oxygen, and sulfur. In certain embodiments, at least one Ry is an optionally substituted 5-membered heteroaryl having one heteroatom selected from nitrogen, oxygen, and sulfur. In certain embodiments, at least one Ry is an optionally substituted 5-membered heteroaryl having two heteroatoms independently selected from nitrogen, oxygen, and sulfur. In certain embodiments, at least one Ry is an optionally substituted 6-membered heteroaryl having 1-3 nitrogens. In certain embodiments, at least one Ry is an optionally substituted pyrazolyl. In certain embodiments, at least one Ry is an optionally substituted imidazolyl. In certain embodiments, at least one Ry is an optionally substituted pyridyl. In certain embodiments, at least one Ry is an optionally substituted pyrimidyl. In certain embodiments, at least one Ry is pyrazolyl, methylpyrazolyl, imidazolyl, or methylimidazolyl.
- In some embodiments, Ry is —ORA. In some embodiments, Ry is —ORA, wherein RA is optionally substituted heterocyclyl. In some embodiments, Ry is —ORA, wherein RA is optionally substituted heteroaryl. In some embodiments, Ry is —ORA, wherein RA is optionally substituted cycloalkyl. In some embodiments, Ry is —N(RB)2. In some embodiments, Ry is —NHRB. In some embodiments, Ry is —NHRB, wherein RB is optionally substituted heterocyclyl. In some embodiments, Ry is —NHRB, wherein RB is optionally substituted heteroaryl. In some embodiments, Ry is —NHRB, wherein RB is optionally substituted cycloalkyl. In some embodiments, Ry is —N(RB)2, wherein one RB is optionally substituted heterocyclyl, and the other RB is C1-4 alkyl. In some embodiments, Ry is —N(RB)2, wherein one RB is optionally substituted heteroaryl, and the other RB is C1-4 alkyl. In some embodiments, Ry is —N(RB)2, wherein one RB is optionally substituted cycloalkyl, and the other RB is C1-4 alkyl.
- In certain embodiments, Ar is selected from the group consisting of:
- In certain embodiments, Ar is selected from the group consisting of:
- As defined generally above, each Rx is independently selected from the group consisting of halo, —CN, optionally substituted aliphatic, —OR′, and —N(R″)2. In certain embodiments, at least one Rx is halo. In certain embodiments, at least one Rx is fluoro. In certain embodiments, at least one Rx is —CN. In certain embodiments, at least one Rx is optionally substituted aliphatic. In certain embodiments, at least one Rx is optionally substituted C1-6 alkyl. In certain embodiments, at least one Rx is methyl. In certain embodiments, at least one Rx is —CF3. In certain embodiments, at least one Rx is —OR' or —N(R″)2. In certain embodiments, Rx is not —OR′ or —N(R″)2. In certain embodiments, at least one Rx is —OCH3. In certain embodiments, Rx is not —OCH3.
- One of ordinary skill in the art will appreciate that an Rx group can be attached anywhere on the tetrahydroisoquinoline or dihydroisoquinoline ring. In certain embodiments, an Rx group is attached to the benzene portion of the tetrahydroisoquinoline or dihydroisoquinoline ring. In certain embodiments, an Rx group is attached to the tetrahydropyridine or dihydropyridine portion of the tetrahydroisoquinoline or dihydroisoquinoline ring. In certain embodiments, Rx groups are attached to both the benzene portion and the tetrahydropyridine (or dihydropyridine) portion of the tetrahydroisoquinoline (or dihydroisoquinoline) ring. See, for example, the structures shown below:
- In certain embodiments, a provided compound is of Formula (XIV):
- or a pharmaceutically acceptable salt thereof.
- As defined generally above, n is 0, 1, 2, 3, 4, 5, 6, 7, 8, 9, or 10. In certain embodiments, n is 0. In certain embodiments, n is 1. In certain embodiments, n is 2.
- In certain embodiments, a provided compound is of Formula (XV), (XVI), (XVII), or (XVIII):
- or a pharmaceutically acceptable salt thereof, wherein each Ry for Formula (XV), (XVI), (XVII), or (XVIII) is independently as described herein.
- In certain embodiments, a provided compound is of Formula (XV-a), (XVI-a), (XVII-a), or (XVIII-a):
- or a pharmaceutically acceptable salt thereof, wherein Ry for Formula (XV-a), (XVI-a), (XVII-a), or (XVIII-a) is as described herein. In some embodiments, e.g. for Formula (XV-a), (XVI-a), (XVII-a), or (XVIII-a), Ry is —ORA. In some embodiments, e.g. for Formula (XV-a), (XVI-a), (XVII-a), or (XVIII-a), Ry is —ORA, wherein RA is optionally substituted heterocyclyl. In some embodiments, e.g. for Formula (XV-a), (XVI-a), (XVII-a), or (XVIII-a), Ry is —ORA, wherein RA is optionally substituted heteroaryl. In some embodiments, e.g. for Formula (XV-a), (XVI-a), (XVII-a), or (XVIII-a), Ry is —ORA, wherein RA is optionally substituted cycloalkyl. In some embodiments, e.g. for Formula (XV-a), (XVI-a), (XVII-a), or (XVIII-a), Ry is —N(RB)2. In some embodiments, e.g. for Formula (XV-a), (XVI-a), (XVII-a), or (XVIII-a), Ry is —NHRB. In some embodiments, e.g. for Formula (XV-a), (XVI-a), (XVII-a), or (XVIII-a), Ry is —NHRB, wherein RB is optionally substituted heterocyclyl. In some embodiments, e.g. for Formula (XV-a), (XVI-a), (XVII-a), or (XVIII-a), Ry is —NHRB, wherein RB is optionally substituted heteroaryl. In some embodiments, e.g. for Formula (XV-a), (XVI-a), (XVII-a), or (XVIII-a), Ry is —NHRB, wherein RB is optionally substituted cycloalkyl. In some embodiments, e.g. for Formula (XV-a), (XVI-a), (XVII-a), or (XVIII-a), Ry is —N(RB)2, wherein one RB is optionally substituted heterocyclyl, and the other RB is C1-4 alkyl. In some embodiments, e.g. for Formula (XV-a), (XVI-a), (XVII-a), or (XVIII-a), Ry is —N(RB)2, wherein one RB is optionally substituted heteroaryl, and the other RB is C1-4 alkyl. In some embodiments, e.g. for Formula (XV-a), (XVI-a), (XVII-a), or (XVIII-a), Ry is —N(RB)2, wherein one RB is optionally substituted cycloalkyl, and the other RB is C1-4 alkyl.
- In certain embodiments, a provided compound is of Formula (XV-b):
- or a pharmaceutically acceptable salt thereof, wherein each Ry is independently as described herein.
- In some embodiments, e.g. for Formula (XV), (XVI), (XVII), (XVIII), (XV-a), (XVI-a), (XVII-a), (XVIII-a), or (XV-b), at least one Ry is halo. In certain embodiments, at least one Ry is fluoro. In certain embodiments, at least one Ry is chloro. In some embodiments, at least one Ry is —CN.
- In some embodiments, e.g. for Formula (XV), (XVI), (XVII), (XVIII), (XV-a), (XVI-a), (XVII-a), (XVIII-a), or (XV-b), at least one Ry is —ORA, wherein RA is optionally substituted aliphatic. In some embodiments, at least one Ry is —ORA, wherein RA is unsubstituted C1-6 alkyl. In certain embodiments, at least one Ry is methoxy, ethoxy, or propoxy. In certain embodiments, at least one Ry is methoxy. In some embodiments, at least one Ry is —ORA, wherein RA is substituted C1-6 alkyl. In certain embodiments, at least one Ry is —OCH2CH2N(CH3)2. In some embodiments, at least one Ry is —ORA, wherein RA is optionally substituted heterocyclyl. In some embodiments, at least one Ry is —ORA, wherein RA is an optionally subsituted 4- to 7-membered heterocyclyl having 1-2 heteroatoms independently selected from nitrogen, oxygen, and sulfur. In some embodiments, at least one Ry is —ORA, wherein RA is oxetanyl, tetrahydrofuranyl, or tetrahydropyranyl. In some embodiments, at least one Ry is —ORA, wherein RA is optionally substituted piperidinyl or optionally substituted piperazinyl. In some embodiments, at least one Ry is —ORA, wherein RA is optionally substituted heterocyclyl. In some embodiments, at least one Ry is —ORA, wherein RA is optionally substituted heteroaryl. In some embodiments, at least one Ry is —ORA, wherein RA is optionally substituted cycloalkyl.
- In some embodiments, e.g. for Formula (XV), (XVI), (XVII), (XVIII), (XV-a), (XVI-a), (XVII-a), (XVIII-a), or (XV-b), at least one Ry is —N(RB)2. In some embodiments, at least one Ry is —N(RB)2, wherein each RB is independently selected from hydrogen or C1-6 alkyl. In some embodiments, at least one Ry is —NHRB. In some embodiments, at least one Ry is —N(C1-6 alkyl)2, —NH(C1-6 alkyl), or —NH2. In certain embodiments, at least one Ry is —NH2. In certain embodiments, at least one Ry is —NHCH3. In certain embodiments, at least one Ry is —N(CH3)2. In some embodiments, at least one Ry is —N(RB)2 or —NHRB, wherein at least one RB is optionally substituted heterocyclyl. In some embodiments, at least one Ry is —N(RB)2 or —NHRB, wherein at least one RB is an optionally subsituted 4- to 7-membered heterocyclyl having 1-2 heteroatoms independently selected from nitrogen, oxygen, and sulfur. In some embodiments, at least one Ry is —N(RB)2 or —NHRB, wherein at least one RB is oxetanyl, tetrahydropyranyl, or tetrahydrofuranyl. In some embodiments, at least one Ry is —N(RB)2 or —NHRB, wherein at least one RB is optionally substituted piperidinyl or optionally substituted piperazinyl. In some embodiments, at least one Ry is —N(RB)2, wherein one RB is optionally substituted heterocyclyl, and the other RB is C1-4 alkyl. In some embodiments, at least one Ry is —N(RB)2, wherein one RB is optionally substituted heteroaryl, and the other RB is C1-4 alkyl. In some embodiments, at least one Ry is —N(RB)2, wherein one RB is optionally substituted cycloalkyl, and the other RB is C1-4 alkyl.
- In some embodiments, e.g. for Formula (XV), (XVI), (XVII), (XVIII), (XV-a), (XVI-a), (XVII-a), (XVIII-a), or (XV-b), at least one Ry is optionally substituted aliphatic. In certain embodiments, at least one Ry is substituted aliphatic. In certain embodiments, at least one Ry is unsubstituted aliphatic. In some embodiments, at least one Ry is optionally substituted C1-6 alkyl. In certain embodiments, at least one Ry is unsubstituted C1-6 alkyl. In certain embodiments, at least one Ry is substituted C1-6 alkyl. In certain embodiments, at least one Ry is methyl, ethyl, or propyl. In certain embodiments, at least one Ry is methyl. In certain embodiments, at least one Ry is —CF3, CHF2, or CH2F. In certain embodiments, at least one Ry is C1-6 alkyl substituted with aryl, heteroaryl, or heterocyclyl. In certain embodiments, at least one Ry is benzyl. In certain embodiments, at least one Ry is —(C1-6 alkyl)-aryl. In certain embodiments, at least one Ry is —(C1-6 alkyl)-heteroaryl. In certain embodiments, at least one Ry is —(C1-6 alkyl)-heterocyclyl. In certain embodiments, at least one Ry is —CH2-aryl. In certain embodiments, at least one Ry is —CH2-heteroaryl. In certain embodiments, at least one Ry is —CH2-heterocyclyl.
- In some embodiments, e.g. for Formula (XV), (XVI), (XVII), (XVIII), (XV-a), (XVI-a), (XVII-a), (XVIII-a), or (XV-b), at least one Ry is —C(O)N(RB)2. In certain embodiments, at least one Ry is —C(O)NHRB. In certain embodiments, at least one Ry is —C(O)NH2. In certain embodiments, at least one Ry is —C(O)N(RB)2, wherein the RB groups are taken together with their intervening atoms to form an optionally substituted 5- to 6-membered heterocyclyl. In certain embodiments, at least one Ry is —C(O)N(RB)2, wherein the RB groups are taken together with their intervening atoms to form an optionally substituted morpholinyl.
- In some embodiments, e.g. for Formula (XV), (XVI), (XVII), (XVIII), (XV-a), (XVI-a), (XVII-a), (XVIII-a), or (XV-b), at least one Ry is —SO2N(RB)2. In certain embodiments, at least one Ry is —SO2NHRB. In certain embodiments, at least one Ry is —SO2NH2. In certain embodiments, at least one Ry is —SO2N(RB)2, wherein neither RB is hydrogen. In certain embodiments, at least one Ry is —SO2NH(C1-6 alkyl) or —SO2N(C1-6 alkyl)2. In certain embodiments, at least one Ry is —SO2N(CH3)2. In certain embodiments, at least one Ry is —SO2N(RB)2, wherein the RB groups are taken together with their intervening atoms to form an optionally substituted 5- to 6-membered heterocyclyl. In certain embodiments, at least one Ry is —SO2-morpholinyl. In certain embodiments, at least one Ry is —SO2-piperidinyl, —SO2—piperazinyl, or —SO2-piperidinyl.
- In some embodiments, e.g. for Formula (XV), (XVI), (XVII), (XVIII), (XV-a), (XVI-a), (XVII-a), (XVIII-a), or (XV-b), at least one Ry is —SO2RA. In some embodiments, at least one Ry is —SO2RA, wherein RA is optionally substituted aliphatic. In some embodiments, at least one Ry is —SO2(C1-6 alkyl). In some embodiments, at least one Ry is —SO2CH3. In some embodiments, at least one Ry is —C(O)RA. In some embodiments, at least one Ry is —C(O)RA, wherein RA is optionally substituted aliphatic. In some embodiments, at least one Ry is —C(O)(C1-6 alkyl). In some embodiments, at least one Ry is —C(O)CH3.
- In some embodiments, e.g. for Formula (XV), (XVI), (XVII), (XVIII), (XV-a), (XVI-a), (XVII-a), (XVIII-a), or (XV-b), at least one Ry is —N(RB)C(O)RA. In certain embodiments, at least one Ry is —NHC(O)RA. In certain embodiments, at least one Ry is —NHC(O)(C1-6 alkyl). In certain embodiments, at least one Ry is —NHC(O)CH3.
- In some embodiments, e.g. for Formula (XV), (XVI), (XVII), (XVIII), (XV-a), (XVI-a), (XVII-a), (XVIII-a), or (XV-b), at least one Ry is —N(RB)SO2RA. In some embodiments, at least one Ry is —NHSO2RA. In some embodiments, at least one Ry is —N(C1-6 alkyl)SO2RA. In certain embodiments, at least one Ry is —NHSO2(C1-6 alkyl) or —N(C1-6 alkyl)SO2(C1-6 alkyl). In certain embodiments, at least one Ry is —NHSO2CH3. In certain embodiments, at least one Ry is —N(CH3)SO2CH3.
- In some embodiments, e.g. for Formula (XV), (XVI), (XVII), (XVIII), (XV-a), (XVI-a), (XVII-a), (XVIII-a), or (XV-b), at least one Ry is optionally substituted heterocyclyl, optionally substituted carbocyclyl, optionally substituted aryl, or optionally substituted heteroaryl. In certain embodiments, at least one Ry is an optionally substituted 5- to 6-membered heterocyclyl having 1-2 heteroatoms independently selected from nitrogen, oxygen, and sulfur. In certain embodiments, at least one Ry is an optionally substituted 5-membered heterocyclyl having one heteroatom selected from nitrogen, oxygen, and sulfur. In certain embodiments, at least one Ry is optionally substituted pyrrolidinyl. In certain embodiments, at least one Ry is pyrroldinyl, hydroxypyrrolidinyl, or methylpyrrolidinyl. In certain embodiments, at least one Ry is an optionally substituted 6-membered heterocyclyl having 1-2 heteroatoms independently selected from nitrogen, oxygen, and sulfur. In certain embodiments, at least one Ry is an optionally substituted 6-membered heterocyclyl having one heteroatom selected from nitrogen, oxygen, and sulfur. In certain embodiments, at least one Ry is optionally substituted piperidinyl. In certain embodiments, at least one Ry is an optionally substituted 6-membered heterocyclyl having two heteroatoms independently selected from nitrogen, oxygen, and sulfur. In certain embodiments, at least one Ry is optionally substituted piperdinyl, optionally substituted piperazinyl, or optionally substituted morpholinyl. In certain embodiments, at least one Ry is morpholinyl, tetrahydropyranyl, piperidinyl, methylpiperidinyl, piperazinyl, methylpiperazinyl, acetylpiperazinyl, methylsulfonylpiperazinyl, aziridinyl, or methylaziridinyl. In some embodiments, at least one Ry is an optionally substituted 5- to 6-membered heteroaryl having 1-3 heteroatoms independently selected from nitrogen, oxygen, and sulfur. In certain embodiments, at least one Ry is an optionally substituted 5-membered heteroaryl having 1-3 heteroatoms independently selected from nitrogen, oxygen, and sulfur. In certain embodiments, at least one Ry is an optionally substituted 5-membered heteroaryl having one heteroatom selected from nitrogen, oxygen, and sulfur. In certain embodiments, at least one Ry is an optionally substituted 5-membered heteroaryl having two heteroatoms independently selected from nitrogen, oxygen, and sulfur. In certain embodiments, at least one Ry is an optionally substituted 6-membered heteroaryl having 1-3 nitrogens. In certain embodiments, at least one Ry is an optionally substituted pyrazolyl. In certain embodiments, at least one Ry is an optionally substituted imidazolyl. In certain embodiments, at least one Ry is an optionally substituted pyridyl. In certain embodiments, at least one Ry is an optionally substituted pyrimidyl. In certain embodiments, at least one Ry is pyrazolyl, methylpyrazolyl, imidazolyl, or methylimidazolyl.
- In certain embodiments, a provided compound is a compound listed in Table 1, or a pharmaceutically acceptable salt thereof.
-
TABLE 1 Exemplary Compounds LCMS Cmpd Exact m/z No Structure Mass (M + H) 1 387.1947 388.2 2 390.2056 391.2 3 310.1681 311.1 4 310.1681 311.1 5 325.179 326.2 6 325.179 326.2 7 326.163 327.2 8 387.1947 388.2 9 387.1947 388.2 10 376.1899 377.2 11 326.163 327.2 12 387.1947 388.2 13 387.1947 388.2 14 395.2209 396.2 15 423.2522 424.2 16 409.2365 410.2 17 311.1634 312.1 18 311.1634 312.2 19 387.1947 388.2 20 387.1947 388.2 21 389.1409 390.1 22 353.1739 354.1 23 367.1896 368.1 24 403.1566 404.1 25 353.1739 354.2 26 367.1896 368.2 27 403.1566 404.2 28 397.2365 398.1 29 408.2525 409.2 30 422.2682 423.2 31 403.1566 404.2 32 389.1409 390.1 33 389.1409 390 34 393.2416 394.1 35 394.2369 395.2 36 408.2525 409.2 37 379.226 380.2 38 393.2416 394.2 39 383.2209 384.2 40 423.2522 424.2 41 451.2835 452.3 42 379.226 380.2 43 409.2365 410.2 44 409.2365 410.2 45 395.2209 396.2 46 423.2158 424.2 47 437.2678 438.3 48 410.2206 411.2 49 423.2522 424.1 50 381.2052 382.2 51 409.2365 410.1 52 437.2678 438.3 53 437.2678 438.3 54 410.2318 411.1 55 410.2318 411.1 56 439.2471 440.1 57 427.2271 428.2 58 410.2206 411.2 59 408.2413 409.1 60 409.2365 410.2 61 438.2631 439.2 62 411.227 412.2 63 411.227 412.2 64 443.1976 444.1 65 427.2271 428 66 409.2365 410.1 67 439.2471 440.2 68 361.179 362.1 69 397.2365 398.2 70 397.2365 398.2 71 423.2522 424.2 72 383.2209 384.2 73 410.2318 411.1 74 410.2318 411.2 75 411.227 412.1 76 411.227 412.2 77 439.2471 440.2 78 427.2271 428.2 79 427.2271 428.2 80 395.2209 396.2 81 395.2209 396.2 82 410.2206 411.1 83 410.2206 411.1 84 375.1947 376 85 362.1743 363.1 86 406.2005 407.2 87 383.2209 384.2 88 367.1896 368.1 89 381.1689 382.1 90 436.2838 437.2 91 486.2301 487.2 92 490.2556 491.3 93 394.2369 395.2 94 408.2525 409.3 95 423.2522 96 409.2365 410.3 97 395.2209 98 425.2315 426.2 99 394.2256 395.2 100 450.2631 451.2 101 436.2838 437.2 102 476.2399 477.2 103 450.2995 451.3 104 409.2365 410.2 105 423.2522 424.2 106 451.2835 452.2 107 451.2471 452.2 108 487.2141 488.2 109 491.2396 492.2 110 377.1852 378.2 111 423.2522 424.2 112 376.1899 377.1 113 452.2787 453.2 114 466.2944 467.2 115 452.2787 453.2 116 396.2161 397.1 117 410.2318 411.1 118 424.2474 425.1 119 395.2209 396.2 120 408.2525 409.2 121 436.2474 437.2 122 472.2144 473 123 422.2682 423.2 124 450.2631 451.3 125 486.2301 487.2 126 490.2556 491.2 127 450.2631 451.3 128 490.2556 491.2 129 395.2209 396.2 130 377.1852 378.2 131 436.2838 437.2 132 422.2682 423.2 133 439.2471 440.2 134 409.2365 410.3 135 437.2678 438.3 136 437.2315 438.2 137 477.2239 478.3 138 408.2525 409.3 139 422.2682 423.2 140 450.2995 451.2 141 486.2301 487.2 142 396.2049 397.2 143 408.2525 409.3 144 409.2365 410.2 145 409.2365 410.2 146 398.2206 399.2 147 451.2947 452.2 148 300.1586 315.2 149 314.1743 315.1 150 314.1743 315.1 151 340.1787 341.1 152 437.2678 438.3 153 437.2678 438.3 154 380.21 381.2 155 391.1896 392.2 156 493.3053 494.2 157 466.258 467.2 158 494.2893 495.3 159 493.3053 494.2 160 452.2787 453.3 161 436.2838 437.2 162 473.1984 474.2 163 422.2682 423.3 164 443.1879 444.2 165 494.2893 495.2 166 383.1957 384.1 167 423.2522 424.2 168 423.2522 424.2 169 399.227 400.2 170 300.1586 301.1 171 314.1743 315.1 172 465.274 466.2 173 479.2896 480.3 174 493.3053 494.4 175 507.3209 508.3 176 395.2209 396.2 177 409.2365 410.2 178 411.2522 412.2 179 443.1879 444.2 180 410.243 411.2 181 410.243 411.3 182 478.2304 479.3 183 411.2158 412.3 184 410.2318 411.3 185 411.227 412.1 186 411.2634 412.3 187 380.2212 381.3 188 380.2212 381.2 189 417.2165 418.2 190 417.2165 418.3 191 417.2165 418.2 192 410.2318 411.3 193 411.227 412.2 194 521.3366 522.3 195 410.2318 411.2 196 437.2678 438.3 197 437.2315 438.2 198 473.1984 474.2 199 477.2239 478.3 200 409.2478 410.3 201 395.2321 396.2 202 424.2474 425.3 203 492.2348 493.3 204 488.2093 489.3 205 452.2424 453.3 206 424.2587 425.2 207 492.2461 493.3 208 452.2536 453.3 209 396.2274 397.3 210 438.2379 439.3 211 396.2161 397.1 212 423.2522 424.3 213 423.2522 424.3 214 397.2478 398.2 215 450.2631 451.3 216 486.2301 487.3 217 490.2556 491.3 218 361.179 362.1 219 375.1947 376.1 220 361.179 362.1 221 375.1947 376.1 222 426.2267 427.1 223 423.2634 424.1 224 491.2508 492.2 225 487.2253 488.3 226 477.2352 478.3 227 473.2097 474.2 228 437.2427 438.3 229 410.2318 411.3 230 397.2114 398.1 231 425.2427 426.1 232 425.2427 426.3 233 397.2478 398.3 234 398.2318 399.3 235 423.2634 424.3 236 423.2634 424.3 237 423.2634 424.3 238 425.2427 426.3 239 422.2682 423.1 240 349.179 350.1 241 350.1743 351.1 242 350.1743 351.1 243 352.1787 353.2 244 354.158 355 245 362.1743 363.1 246 363.1947 364.1 247 364.2151 365.1 248 366.1402 367 249 368.1736 369.1 250 380.1736 381.1 251 390.1943 391.1 252 507.3209 508.2 253 452.2787 453.2 254 451.2583 452.3 255 409.2478 410.3 256 412.2111 413.1 257 474.2049 475.3 258 411.227 412.2 259 395.2321 396.1 260 410.2318 411.1 261 425.2427 426.3 262 461.2097 462.3 263 475.2253 476.3 264 437.2791 438.3 265 439.2583 440.3 266 436.2474 437.3 267 472.2144 473.3 268 472.2144 473.3 269 349.179 350.2 270 349.179 350 271 350.163 351 272 361.179 362.1 273 367.1354 368 274 368.1736 369.1 275 379.2008 380.1 276 383.1401 384.2 277 440.2424 441.1 278 459.194 460.2 279 423.227 424.3 280 382.2117 383.1 281 396.2274 397.2 282 464.2148 465.1 283 460.1893 461.2 284 424.2223 425.3 285 493.2301 494.1 286 489.2046 490.3 287 453.2376 454.3 288 424.2474 425.3 289 492.2348 493.3 290 488.2093 489.2 291 439.2583 440.3 292 437.2791 438.3 293 436.2474 437.3 294 350.1743 351.1 295 360.1838 361.1 296 367.1696 368.2 297 488.2206 489.3 298 410.2318 411.1 299 382.2005 383.1 300 491.2508 492.1 301 487.2253 488.1 302 451.2583 452.3 303 477.2352 478.1 304 452.2424 453.3 305 351.1695 352.1 306 396.2161 397.2 307 424.2474 425.1 308 410.2318 411.1 309 425.2315 426.1 310 409.2478 410.3 311 413.2427 414.3 312 413.2427 301.1 313 439.2583 440.1 314 383.2321 384.1 315 425.2427 426.1 316 451.2195 452.3 317 361.179 362.1 318 376.1787 377.1 319 428.0848 429 320 369.2165 370.1 321 453.2628 454.2 322 493.2941 494.2 323 411.2158 412.3 324 424.2474 425.1 325 406.2117 407.3 326 448.2587 449.3 327 376.1787 377.2 328 381.2052 382.2 329 467.2784 468.2 330 499.2835 500.2 331 500.2787 501.2 332 410.2318 411.1 333 394.2369 395.3 334 394.2369 395.3 335 408.2525 409.1 336 383.1957 - In certain embodiments, a provided compound inhibits PRMT5. In certain embodiments, a provided compound inhibits wild-type PRMT5. In certain embodiments, a provided compound inhibits a mutant PRMT5. In certain embodiments, a provided compound inhibits PRMT5, e.g., as measured in an assay described herein. In certain embodiments, the PRMT5 is from a human. In certain embodiments, a provided compound inhibits PRMT5 at an IC50 less than or equal to 10 μM. In certain embodiments, a provided compound inhibits PRMT5 at an IC50 less than or equal to 1 μM. In certain embodiments, a provided compound inhibits PRMT5 at an IC50 less than or equal to 0.1 μM. In certain embodiments, a provided compound inhibits PRMT5 in a cell at an EC50 less than or equal to 10 μM. In certain embodiments, a provided compound inhibits PRMT5 in a cell at an EC50 less than or equal to 1 μM. In certain embodiments, a provided compound inhibits PRMT5 in a cell at an EC50 less than or equal to 0.1 μM. In certain embodiments, a provided compound inhibits cell proliferation at an EC50 less than or equal to 10 μM. In certain embodiments, a provided compound inhibits cell proliferation at an EC50 less than or equal to 1 μM. In certain embodiments, a provided compound inhibits cell proliferation at an EC50 less than or equal to 0.1 μM. In some embodiments, a provided compound is selective for PRMT5 over other methyltransferases. In certain embodiments, a provided compound is at least about 10-fold selective, at least about 20-fold selective, at least about 30-fold selective, at least about 40-fold selective, at least about 50-fold selective, at least about 60-fold selective, at least about 70-fold selective, at least about 80-fold selective, at least about 90-fold selective, or at least about 100-fold selective for PRMT5 relative to one or more other methyltransferases.
- It will be understood by one of ordinary skill in the art that the PRMT5 can be wild-type PRMT5, or any mutant or variant of PRMT5.
- In certain embodiments, the PRMT5 is isoform A (GenBank accession no. NP006100) (SEQ ID NO.:1):
-
MAAMAVGGAG GSRVSSGRDL NCVPEIADTL GAVAKQGFDF LCMPVFHPRF KREFIQEPAK NRPGPQTRSD LLLSGRDWNT LIVGKLSPWI RPDSKVEKIR RNSEAAMLQE LNFGAYLGLP AFLLPLNQED NTNLARVLTN HIHTGHHSSM FWMRVPLVAP EDLRDDIIEN APTTHTEEYS GEEKTWMWWH NFRTLCDYSK RIAVALEIGA DLPSNHVIDR WLGEPIKAAI LPTSIFLTNK KGFPVLSKMH QRLIFRLLKL EVQFIITGTN HHSEKEFCSY LQYLEYLSQN RPPPNAYELF AKGYEDYLQS PLQPLMDNLE SQTYEVFEKD PIKYSQYQQA IYKCLLDRVP EEEKDTNVQV LMVLGAGRGP LVNASLRAAK QADRRIKLYA VEKNPNAVVT LENWQFEEWG SQVTVVSSDM REWVAPEKAD IIVSELLGSF ADNELSPECL DGAQHFLKDD GVSIPGEYTS FLAPISSSKL YNEVRACREK DRDPEAQFEM PYVVRLHNFH QLSAPQPCFT FSHPNRDPMI DNNRYCTLEF PVEVNTVLHG FAGYFETVLY QDITLSIRPE THSPGMFSWF PILFPIKQPI TVREGQTICV RFWRCSNSKK VWYEWAVTAP VCSAIHNPTG RSYTIGL - In certain embodiments, the PRMT5 is isoform B (GenBank accession no. NP001034708) (SEQ ID NO.:2)
-
MRGPNSGTEK GRLVIPEKQG FDFLCMPVFH PRFKREFIQE PAKNRPGPQT RSDLLLSGRD WNTLIVGKLS PWIRPDSKVE KIRRNSEAAM LQELNFGAYL GLPAFLLPLN QEDNTNLARV LTNHIHTGHH SSMFWMRVPL VAPEDLRDDI IENAPTTHTE EYSGEEKTWM WWHNFRTLCD YSKRIAVALE IGADLPSNHV IDRWLGEPIK AAILPTSIFL TNKKGFPVLS KMHQRLIFRL LKLEVQFIIT GTNHHSEKEF CSYLQYLEYL SQNRPPPNAY ELFAKGYEDY LQSPLQPLMD NLESQTYEVF EKDPIKYSQY QQAIYKCLLD RVPEEEKDTN VQVLMVLGAG RGPLVNASLR AAKQADRRIK LYAVEKNPNA VVTLENWQFE EWGSQVTVVS SDMREWVAPE KADIIVSELL GSFADNELSP ECLDGAQHFL KDDGVSIPGE YTSFLAPISS SKLYNEVRAC REKDRDPEAQ FEMPYVVRLH NFHQLSAPQP CFTFSHPNRD PMIDNNRYCT LEFPVEVNTV LHGFAGYFET VLYQDITLSI RPETHSPGMF SWFPILFPIK QPITVREGQT ICVRFWRCSN SKKVWYEWAV TAPVCSAIHN PTGRSYTIGL - In certain embodiments, the PRMT5 is transcript variant 1 (GenBank accession no. NM_006109).
- The present disclosure provides pharmaceutical compositions comprising a compound described herein, e.g., a compound of Formula (I), or a pharmaceutically acceptable salt thereof, as described herein, and optionally a pharmaceutically acceptable excipient. It will be understood by one of ordinary skill in the art that the compounds described herein, or salts thereof, may be present in various forms, such as amorphous, hydrates, solvates, or polymorphs. In certain embodiments, a provided composition comprises two or more compounds described herein. In certain embodiments, a compound described herein, or a pharmaceutically acceptable salt thereof, is provided in an effective amount in the pharmaceutical composition. In certain embodiments, the effective amount is a therapeutically effective amount. In certain embodiments, the effective amount is an amount effective for inhibiting PRMT5. In certain embodiments, the effective amount is an amount effective for treating a PRMT5-mediated disorder. In certain embodiments, the effective amount is a prophylactically effective amount. In certain embodiments, the effective amount is an amount effective to prevent a PRMT5-mediated disorder.
- Pharmaceutically acceptable excipients include any and all solvents, diluents, or other liquid vehicles, dispersions, suspension aids, surface active agents, isotonic agents, thickening or emulsifying agents, preservatives, solid binders, lubricants, and the like, as suited to the particular dosage form desired. General considerations in formulation and/or manufacture of pharmaceutical compositions agents can be found, for example, in Remington's Pharmaceutical Sciences, Sixteenth Edition, E. W. Martin (Mack Publishing Co., Easton, Pa., 1980), and Remington: The Science and Practice of Pharmacy, 21st Edition (Lippincott Williams & Wilkins, 2005).
- Pharmaceutical compositions described herein can be prepared by any method known in the art of pharmacology. In general, such preparatory methods include the steps of bringing a compound described herein (the “active ingredient”) into association with a carrier and/or one or more other accessory ingredients, and then, if necessary and/or desirable, shaping and/or packaging the product into a desired single- or multi-dose unit.
- Pharmaceutical compositions can be prepared, packaged, and/or sold in bulk, as a single unit dose, and/or as a plurality of single unit doses. As used herein, a “unit dose” is discrete amount of the pharmaceutical composition comprising a predetermined amount of the active ingredient. The amount of the active ingredient is generally equal to the dosage of the active ingredient which would be administered to a subject and/or a convenient fraction of such a dosage such as, for example, one-half or one-third of such a dosage.
- Relative amounts of the active ingredient, the pharmaceutically acceptable excipient, and/or any additional ingredients in a pharmaceutical composition of the present disclosure will vary, depending upon the identity, size, and/or condition of the subject treated and further depending upon the route by which the composition is to be administered. By way of example, the composition may comprise between 0.1% and 100% (w/w) active ingredient.
- Pharmaceutically acceptable excipients used in the manufacture of provided pharmaceutical compositions include inert diluents, dispersing and/or granulating agents, surface active agents and/or emulsifiers, disintegrating agents, binding agents, preservatives, buffering agents, lubricating agents, and/or oils. Excipients such as cocoa butter and suppository waxes, coloring agents, coating agents, sweetening, flavoring, and perfuming agents may also be present in the composition.
- Exemplary diluents include calcium carbonate, sodium carbonate, calcium phosphate, dicalcium phosphate, calcium sulfate, calcium hydrogen phosphate, sodium phosphate lactose, sucrose, cellulose, microcrystalline cellulose, kaolin, mannitol, sorbitol, inositol, sodium chloride, dry starch, cornstarch, powdered sugar, and mixtures thereof.
- Exemplary granulating and/or dispersing agents include potato starch, corn starch, tapioca starch, sodium starch glycolate, clays, alginic acid, guar gum, citrus pulp, agar, bentonite, cellulose and wood products, natural sponge, cation-exchange resins, calcium carbonate, silicates, sodium carbonate, cross-linked poly(vinyl-pyrrolidone) (crospovidone), sodium carboxymethyl starch (sodium starch glycolate), carboxymethyl cellulose, cross-linked sodium carboxymethyl cellulose (croscarmellose), methylcellulose, pregelatinized starch (starch 1500), microcrystalline starch, water insoluble starch, calcium carboxymethyl cellulose, magnesium aluminum silicate (Veegum), sodium lauryl sulfate, quaternary ammonium compounds, and mixtures thereof.
- Exemplary surface active agents and/or emulsifiers include natural emulsifiers (e.g., acacia, agar, alginic acid, sodium alginate, tragacanth, chondrux, cholesterol, xanthan, pectin, gelatin, egg yolk, casein, wool fat, cholesterol, wax, and lecithin), colloidal clays (e.g., bentonite (aluminum silicate) and Veegum (magnesium aluminum silicate)), long chain amino acid derivatives, high molecular weight alcohols (e.g., stearyl alcohol, cetyl alcohol, oleyl alcohol, triacetin monostearate, ethylene glycol distearate, glyceryl monostearate, and propylene glycol monostearate, polyvinyl alcohol), carbomers (e.g., carboxy polymethylene, polyacrylic acid, acrylic acid polymer, and carboxyvinyl polymer), carrageenan, cellulosic derivatives (e.g., carboxymethylcellulose sodium, powdered cellulose, hydroxymethyl cellulose, hydroxypropyl cellulose, hydroxypropyl methylcellulose, methylcellulose), sorbitan fatty acid esters (e.g., polyoxyethylene sorbitan monolaurate (Tween 20), polyoxyethylene sorbitan (Tween 60), polyoxyethylene sorbitan monooleate (Tween 80), sorbitan monopalmitate (Span 40), sorbitan monostearate (Span 60], sorbitan tristearate (Span 65), glyceryl monooleate, sorbitan monooleate (Span 80)), polyoxyethylene esters (e.g., polyoxyethylene monostearate (Myrj 45), polyoxyethylene hydrogenated castor oil, polyethoxylated castor oil, polyoxymethylene stearate, and Solutol), sucrose fatty acid esters, polyethylene glycol fatty acid esters (e.g., Cremophor™) polyoxyethylene ethers, (e.g., polyoxyethylene lauryl ether (Brij 30)), poly(vinyl-pyrrolidone), diethylene glycol monolaurate, triethanolamine oleate, sodium oleate, potassium oleate, ethyl oleate, oleic acid, ethyl laurate, sodium lauryl sulfate, Pluronic F68, Poloxamer 188, cetrimonium bromide, cetylpyridinium chloride, benzalkonium chloride, docusate sodium, and/or mixtures thereof.
- Exemplary binding agents include starch (e.g., cornstarch and starch paste), gelatin, sugars (e.g., sucrose, glucose, dextrose, dextrin, molasses, lactose, lactitol, mannitol, etc.), natural and synthetic gums (e.g., acacia, sodium alginate, extract of Irish moss, panwar gum, ghatti gum, mucilage of isapol husks, carboxymethylcellulose, methylcellulose, ethylcellulose, hydroxyethylcellulose, hydroxypropyl cellulose, hydroxypropyl methylcellulose, microcrystalline cellulose, cellulose acetate, poly(vinyl-pyrrolidone), magnesium aluminum silicate (Veegum), and larch arabogalactan), alginates, polyethylene oxide, polyethylene glycol, inorganic calcium salts, silicic acid, polymethacrylates, waxes, water, alcohol, and/or mixtures thereof.
- Exemplary preservatives include antioxidants, chelating agents, antimicrobial preservatives, antifungal preservatives, alcohol preservatives, acidic preservatives, and other preservatives.
- Exemplary antioxidants include alpha tocopherol, ascorbic acid, acorbyl palmitate, butylated hydroxyanisole, butylated hydroxytoluene, monothioglycerol, potassium metabisulfite, propionic acid, propyl gallate, sodium ascorbate, sodium bisulfite, sodium metabisulfite, and sodium sulfite.
- Exemplary chelating agents include ethylenediaminetetraacetic acid (EDTA) and salts and hydrates thereof (e.g., sodium edetate, disodium edetate, trisodium edetate, calcium disodium edetate, dipotassium edetate, and the like), citric acid and salts and hydrates thereof (e.g., citric acid monohydrate), fumaric acid and salts and hydrates thereof, malic acid and salts and hydrates thereof, phosphoric acid and salts and hydrates thereof, and tartaric acid and salts and hydrates thereof. Exemplary antimicrobial preservatives include benzalkonium chloride, benzethonium chloride, benzyl alcohol, bronopol, cetrimide, cetylpyridinium chloride, chlorhexidine, chlorobutanol, chlorocresol, chloroxylenol, cresol, ethyl alcohol, glycerin, hexetidine, imidurea, phenol, phenoxyethanol, phenylethyl alcohol, phenylmercuric nitrate, propylene glycol, and thimerosal.
- Exemplary antifungal preservatives include butyl paraben, methyl paraben, ethyl paraben, propyl paraben, benzoic acid, hydroxybenzoic acid, potassium benzoate, potassium sorbate, sodium benzoate, sodium propionate, and sorbic acid.
- Exemplary alcohol preservatives include ethanol, polyethylene glycol, phenol, phenolic compounds, bisphenol, chlorobutanol, hydroxybenzoate, and phenylethyl alcohol. Exemplary acidic preservatives include vitamin A, vitamin C, vitamin E, beta-carotene, citric acid, acetic acid, dehydroacetic acid, ascorbic acid, sorbic acid, and phytic acid.
- Other preservatives include tocopherol, tocopherol acetate, deteroxime mesylate, cetrimide, butylated hydroxyanisol (BHA), butylated hydroxytoluened (BHT), ethylenediamine, sodium lauryl sulfate (SLS), sodium lauryl ether sulfate (SLES), sodium bisulfite, sodium metabisulfite, potassium sulfite, potassium metabisulfite, Glydant Plus, Phenonip, methylparaben, Germall 115, Germaben II, Neolone, Kathon, and Euxyl. In certain embodiments, the preservative is an anti-oxidant. In other embodiments, the preservative is a chelating agent.
- Exemplary buffering agents include citrate buffer solutions, acetate buffer solutions, phosphate buffer solutions, ammonium chloride, calcium carbonate, calcium chloride, calcium citrate, calcium glubionate, calcium gluceptate, calcium gluconate, D-gluconic acid, calcium glycerophosphate, calcium lactate, propanoic acid, calcium levulinate, pentanoic acid, dibasic calcium phosphate, phosphoric acid, tribasic calcium phosphate, calcium hydroxide phosphate, potassium acetate, potassium chloride, potassium gluconate, potassium mixtures, dibasic potassium phosphate, monobasic potassium phosphate, potassium phosphate mixtures, sodium acetate, sodium bicarbonate, sodium chloride, sodium citrate, sodium lactate, dibasic sodium phosphate, monobasic sodium phosphate, sodium phosphate mixtures, tromethamine, magnesium hydroxide, aluminum hydroxide, alginic acid, pyrogen-free water, isotonic saline, Ringer's solution, ethyl alcohol, and mixtures thereof.
- Exemplary lubricating agents include magnesium stearate, calcium stearate, stearic acid, silica, talc, malt, glyceryl behanate, hydrogenated vegetable oils, polyethylene glycol, sodium benzoate, sodium acetate, sodium chloride, leucine, magnesium lauryl sulfate, sodium lauryl sulfate, and mixtures thereof.
- Exemplary natural oils include almond, apricot kernel, avocado, babassu, bergamot, black current seed, borage, cade, camomile, canola, caraway, carnauba, castor, cinnamon, cocoa butter, coconut, cod liver, coffee, corn, cotton seed, emu, eucalyptus, evening primrose, fish, flaxseed, geraniol, gourd, grape seed, hazel nut, hyssop, isopropyl myristate, jojoba, kukui nut, lavandin, lavender, lemon, litsea cubeba, macademia nut, mallow, mango seed, meadowfoam seed, mink, nutmeg, olive, orange, orange roughy, palm, palm kernel, peach kernel, peanut, poppy seed, pumpkin seed, rapeseed, rice bran, rosemary, safflower, sandalwood, sasquana, savoury, sea buckthorn, sesame, shea butter, silicone, soybean, sunflower, tea tree, thistle, tsubaki, vetiver, walnut, and wheat germ oils. Exemplary synthetic oils include, but are not limited to, butyl stearate, caprylic triglyceride, capric triglyceride, cyclomethicone, diethyl sebacate, dimethicone 360, isopropyl myristate, mineral oil, octyldodecanol, oleyl alcohol, silicone oil, and mixtures thereof.
- Liquid dosage forms for oral and parenteral administration include pharmaceutically acceptable emulsions, microemulsions, solutions, suspensions, syrups and elixirs. In addition to the active ingredients, the liquid dosage forms may comprise inert diluents commonly used in the art such as, for example, water or other solvents, solubilizing agents and emulsifiers such as ethyl alcohol, isopropyl alcohol, ethyl carbonate, ethyl acetate, benzyl alcohol, benzyl benzoate, propylene glycol, 1,3-butylene glycol, dimethylformamide, oils (e.g., cottonseed, groundnut, corn, germ, olive, castor, and sesame oils), glycerol, tetrahydrofurfuryl alcohol, polyethylene glycols and fatty acid esters of sorbitan, and mixtures thereof. Besides inert diluents, the oral compositions can include adjuvants such as wetting agents, emulsifying and suspending agents, sweetening, flavoring, and perfuming agents. In certain embodiments for parenteral administration, the compounds described herein are mixed with solubilizing agents such as Cremophor™, alcohols, oils, modified oils, glycols, polysorbates, cyclodextrins, polymers, and mixtures thereof.
- Injectable preparations, for example, sterile injectable aqueous or oleaginous suspensions can be formulated according to the known art using suitable dispersing or wetting agents and suspending agents. The sterile injectable preparation can be a sterile injectable solution, suspension or emulsion in a nontoxic parenterally acceptable diluent or solvent, for example, as a solution in 1,3-butanediol. Among the acceptable vehicles and solvents that can be employed are water, Ringer's solution, U.S.P. and isotonic sodium chloride solution. In addition, sterile, fixed oils are conventionally employed as a solvent or suspending medium. For this purpose any bland fixed oil can be employed including synthetic mono- or diglycerides. In addition, fatty acids such as oleic acid are used in the preparation of injectables.
- The injectable formulations can be sterilized, for example, by filtration through a bacterial-retaining filter, or by incorporating sterilizing agents in the form of sterile solid compositions which can be dissolved or dispersed in sterile water or other sterile injectable medium prior to use.
- In order to prolong the effect of a drug, it is often desirable to slow the absorption of the drug from subcutaneous or intramuscular injection. This can be accomplished by the use of a liquid suspension of crystalline or amorphous material with poor water solubility. The rate of absorption of the drug then depends upon its rate of dissolution which, in turn, may depend upon crystal size and crystalline form. Alternatively, delayed absorption of a parenterally administered drug form is accomplished by dissolving or suspending the drug in an oil vehicle.
- Compositions for rectal or vaginal administration are typically suppositories which can be prepared by mixing the compounds described herein with suitable non-irritating excipients or carriers such as cocoa butter, polyethylene glycol or a suppository wax which are solid at ambient temperature but liquid at body temperature and therefore melt in the rectum or vaginal cavity and release the active ingredient.
- Solid dosage forms for oral administration include capsules, tablets, pills, powders, and granules. In such solid dosage forms, the active ingredient is mixed with at least one inert, pharmaceutically acceptable excipient or carrier such as sodium citrate or dicalcium phosphate and/or a) fillers or extenders such as starches, lactose, sucrose, glucose, mannitol, and silicic acid, b) binders such as, for example, carboxymethylcellulose, alginates, gelatin, polyvinylpyrrolidinone, sucrose, and acacia, c) humectants such as glycerol, d) disintegrating agents such as agar, calcium carbonate, potato or tapioca starch, alginic acid, certain silicates, and sodium carbonate, e) solution retarding agents such as paraffin, f) absorption accelerators such as quaternary ammonium compounds, g) wetting agents such as, for example, cetyl alcohol and glycerol monostearate, h) absorbents such as kaolin and bentonite clay, and i) lubricants such as talc, calcium stearate, magnesium stearate, solid polyethylene glycols, sodium lauryl sulfate, and mixtures thereof. In the case of capsules, tablets and pills, the dosage form may comprise buffering agents.
- Solid compositions of a similar type can be employed as fillers in soft and hard-filled gelatin capsules using such excipients as lactose or milk sugar as well as high molecular weight polyethylene glycols and the like. The solid dosage forms of tablets, dragees, capsules, pills, and granules can be prepared with coatings and shells such as enteric coatings and other coatings well known in the pharmaceutical formulating art. They may optionally comprise opacifying agents and can be of a composition that they release the active ingredient(s) only, or preferentially, in a certain part of the intestinal tract, optionally, in a delayed manner. Examples of embedding compositions which can be used include polymeric substances and waxes. Solid compositions of a similar type can be employed as fillers in soft and hard-filled gelatin capsules using such excipients as lactose or milk sugar as well as high molecular weight polyethylene glycols and the like.
- The active ingredient can be in micro-encapsulated form with one or more excipients as noted above. The solid dosage forms of tablets, dragees, capsules, pills, and granules can be prepared with coatings and shells such as enteric coatings, release controlling coatings and other coatings well known in the pharmaceutical formulating art. In such solid dosage forms the active ingredient can be admixed with at least one inert diluent such as sucrose, lactose, or starch. Such dosage forms may comprise, as is normal practice, additional substances other than inert diluents, e.g., tableting lubricants and other tableting aids such a magnesium stearate and microcrystalline cellulose. In the case of capsules, tablets, and pills, the dosage forms may comprise buffering agents. They may optionally comprise opacifying agents and can be of a composition that they release the active ingredient(s) only, or preferentially, in a certain part of the intestinal tract, optionally, in a delayed manner. Examples of embedding compositions which can be used include polymeric substances and waxes.
- Dosage forms for topical and/or transdermal administration of a provided compound may include ointments, pastes, creams, lotions, gels, powders, solutions, sprays, inhalants and/or patches. Generally, the active ingredient is admixed under sterile conditions with a pharmaceutically acceptable carrier and/or any desired preservatives and/or buffers as can be required. Additionally, the present disclosure encompasses the use of transdermal patches, which often have the added advantage of providing controlled delivery of an active ingredient to the body. Such dosage forms can be prepared, for example, by dissolving and/or dispensing the active ingredient in the proper medium. Alternatively or additionally, the rate can be controlled by either providing a rate controlling membrane and/or by dispersing the active ingredient in a polymer matrix and/or gel.
- Suitable devices for use in delivering intradermal pharmaceutical compositions described herein include short needle devices such as those described in U.S. Pat. Nos. 4,886,499; 5,190,521; 5,328,483; 5,527,288; 4,270,537; 5,015,235; 5,141,496; and 5,417,662. Intradermal compositions can be administered by devices which limit the effective penetration length of a needle into the skin, such as those described in PCT publication WO 99/34850 and functional equivalents thereof. Jet injection devices which deliver liquid vaccines to the dermis via a liquid jet injector and/or via a needle which pierces the stratum corneum and produces a jet which reaches the dermis are suitable. Jet injection devices are described, for example, in U.S. Pat. Nos. 5,480,381; 5,599,302; 5,334,144; 5,993,412; 5,649,912; 5,569,189; 5,704,911; 5,383,851; 5,893,397; 5,466,220; 5,339,163; 5,312,335; 5,503,627; 5,064,413; 5,520,639; 4,596,556; 4,790,824; 4,941,880; 4,940,460; and PCT publications WO 97/37705 and WO 97/13537. Ballistic powder/particle delivery devices which use compressed gas to accelerate vaccine in powder form through the outer layers of the skin to the dermis are suitable. Alternatively or additionally, conventional syringes can be used in the classical mantoux method of intradermal administration.
- Formulations suitable for topical administration include, but are not limited to, liquid and/or semi liquid preparations such as liniments, lotions, oil in water and/or water in oil emulsions such as creams, ointments and/or pastes, and/or solutions and/or suspensions. Topically-administrable formulations may, for example, comprise from about 1% to about 10% (w/w) active ingredient, although the concentration of the active ingredient can be as high as the solubility limit of the active ingredient in the solvent. Formulations for topical administration may further comprise one or more of the additional ingredients described herein.
- A provided pharmaceutical composition can be prepared, packaged, and/or sold in a formulation suitable for pulmonary administration via the buccal cavity. Such a formulation may comprise dry particles which comprise the active ingredient and which have a diameter in the range from about 0.5 to about 7 nanometers or from about 1 to about 6 nanometers. Such compositions are conveniently in the form of dry powders for administration using a device comprising a dry powder reservoir to which a stream of propellant can be directed to disperse the powder and/or using a self propelling solvent/powder dispensing container such as a device comprising the active ingredient dissolved and/or suspended in a low-boiling propellant in a sealed container. Such powders comprise particles wherein at least 98% of the particles by weight have a diameter greater than 0.5 nanometers and at least 95% of the particles by number have a diameter less than 7 nanometers. Alternatively, at least 95% of the particles by weight have a diameter greater than 1 nanometer and at least 90% of the particles by number have a diameter less than 6 nanometers. Dry powder compositions may include a solid fine powder diluent such as sugar and are conveniently provided in a unit dose form.
- Low boiling propellants generally include liquid propellants having a boiling point of below 65° F. at atmospheric pressure. Generally the propellant may constitute 50 to 99.9% (w/w) of the composition, and the active ingredient may constitute 0.1 to 20% (w/w) of the composition. The propellant may further comprise additional ingredients such as a liquid non-ionic and/or solid anionic surfactant and/or a solid diluent (which may have a particle size of the same order as particles comprising the active ingredient).
- Pharmaceutical compositions formulated for pulmonary delivery may provide the active ingredient in the form of droplets of a solution and/or suspension. Such formulations can be prepared, packaged, and/or sold as aqueous and/or dilute alcoholic solutions and/or suspensions, optionally sterile, comprising the active ingredient, and may conveniently be administered using any nebulization and/or atomization device. Such formulations may further comprise one or more additional ingredients including, but not limited to, a flavoring agent such as saccharin sodium, a volatile oil, a buffering agent, a surface active agent, and/or a preservative such as methylhydroxybenzoate. The droplets provided by this route of administration may have an average diameter in the range from about 0.1 to about 200 nanometers.
- Formulations described herein as being useful for pulmonary delivery are useful for intranasal delivery of a pharmaceutical composition. Another formulation suitable for intranasal administration is a coarse powder comprising the active ingredient and having an average particle from about 0.2 to 500 micrometers. Such a formulation is administered by rapid inhalation through the nasal passage from a container of the powder held close to the nares.
- Formulations for nasal administration may, for example, comprise from about as little as 0.1% (w/w) and as much as 100% (w/w) of the active ingredient, and may comprise one or more of the additional ingredients described herein. A provided pharmaceutical composition can be prepared, packaged, and/or sold in a formulation for buccal administration. Such formulations may, for example, be in the form of tablets and/or lozenges made using conventional methods, and may contain, for example, 0.1 to 20% (w/w) active ingredient, the balance comprising an orally dissolvable and/or degradable composition and, optionally, one or more of the additional ingredients described herein. Alternately, formulations for buccal administration may comprise a powder and/or an aerosolized and/or atomized solution and/or suspension comprising the active ingredient. Such powdered, aerosolized, and/or aerosolized formulations, when dispersed, may have an average particle and/or droplet size in the range from about 0.1 to about 200 nanometers, and may further comprise one or more of the additional ingredients described herein.
- A provided pharmaceutical composition can be prepared, packaged, and/or sold in a formulation for ophthalmic administration. Such formulations may, for example, be in the form of eye drops including, for example, a 0.1/1.0% (w/w) solution and/or suspension of the active ingredient in an aqueous or oily liquid carrier. Such drops may further comprise buffering agents, salts, and/or one or more other of the additional ingredients described herein. Other opthalmically-administrable formulations which are useful include those which comprise the active ingredient in microcrystalline form and/or in a liposomal preparation. Ear drops and/or eye drops are contemplated as being within the scope of this disclosure.
- Although the descriptions of pharmaceutical compositions provided herein are principally directed to pharmaceutical compositions which are suitable for administration to humans, it will be understood by the skilled artisan that such compositions are generally suitable for administration to animals of all sorts. Modification of pharmaceutical compositions suitable for administration to humans in order to render the compositions suitable for administration to various animals is well understood, and the ordinarily skilled veterinary pharmacologist can design and/or perform such modification with ordinary experimentation.
- Compounds provided herein are typically formulated in dosage unit form for ease of administration and uniformity of dosage. It will be understood, however, that the total daily usage of provided compositions will be decided by the attending physician within the scope of sound medical judgment. The specific therapeutically effective dose level for any particular subject or organism will depend upon a variety of factors including the disease, disorder, or condition being treated and the severity of the disorder; the activity of the specific active ingredient employed; the specific composition employed; the age, body weight, general health, sex and diet of the subject; the time of administration, route of administration, and rate of excretion of the specific active ingredient employed; the duration of the treatment; drugs used in combination or coincidental with the specific active ingredient employed; and like factors well known in the medical arts.
- The compounds and compositions provided herein can be administered by any route, including enteral (e.g., oral), parenteral, intravenous, intramuscular, intra-arterial, intramedullary, intrathecal, subcutaneous, intraventricular, transdermal, interdermal, rectal, intravaginal, intraperitoneal, topical (as by powders, ointments, creams, and/or drops), mucosal, nasal, bucal, sublingual; by intratracheal instillation, bronchial instillation, and/or inhalation; and/or as an oral spray, nasal spray, and/or aerosol. Specifically contemplated routes are oral administration, intravenous administration (e.g., systemic intravenous injection), regional administration via blood and/or lymph supply, and/or direct administration to an affected site. In general the most appropriate route of administration will depend upon a variety of factors including the nature of the agent (e.g., its stability in the environment of the gastrointestinal tract), and/or the condition of the subject (e.g., whether the subject is able to tolerate oral administration).
- The exact amount of a compound required to achieve an effective amount will vary from subject to subject, depending, for example, on species, age, and general condition of a subject, severity of the side effects or disorder, identity of the particular compound(s), mode of administration, and the like. The desired dosage can be delivered three times a day, two times a day, once a day, every other day, every third day, every week, every two weeks, every three weeks, or every four weeks. In certain embodiments, the desired dosage can be delivered using multiple administrations (e.g., two, three, four, five, six, seven, eight, nine, ten, eleven, twelve, thirteen, fourteen, or more administrations).
- In certain embodiments, an effective amount of a compound for administration one or more times a day to a 70 kg adult human may comprise about 0.0001 mg to about 3000 mg, about 0.0001 mg to about 2000 mg, about 0.0001 mg to about 1000 mg, about 0.001 mg to about 1000 mg, about 0.01 mg to about 1000 mg, about 0.1 mg to about 1000 mg, about 1 mg to about 1000 mg, about 1 mg to about 100 mg, about 10 mg to about 1000 mg, or about 100 mg to about 1000 mg, of a compound per unit dosage form.
- In certain embodiments, a compound described herein may be administered at dosage levels sufficient to deliver from about 0.001 mg/kg to about 1000 mg/kg, from about 0.01 mg/kg to about mg/kg, from about 0.1 mg/kg to about 40 mg/kg, from about 0.5 mg/kg to about 30 mg/kg, from about 0.01 mg/kg to about 10 mg/kg, from about 0.1 mg/kg to about 10 mg/kg, or from about 1 mg/kg to about 25 mg/kg, of subject body weight per day, one or more times a day, to obtain the desired therapeutic effect.
- In some embodiments, a compound described herein is administered one or more times per day, for multiple days. In some embodiments, the dosing regimen is continued for days, weeks, months, or years.
- It will be appreciated that dose ranges as described herein provide guidance for the administration of provided pharmaceutical compositions to an adult. The amount to be administered to, for example, a child or an adolescent can be determined by a medical practitioner or person skilled in the art and can be lower or the same as that administered to an adult.
- It will be also appreciated that a compound or composition, as described herein, can be administered in combination with one or more additional therapeutically active agents. In certain embodiments, a compound or composition provided herein is administered in combination with one or more additional therapeutically active agents that improve its bioavailability, reduce and/or modify its metabolism, inhibit its excretion, and/or modify its distribution within the body. It will also be appreciated that the therapy employed may achieve a desired effect for the same disorder, and/or it may achieve different effects.
- The compound or composition can be administered concurrently with, prior to, or subsequent to, one or more additional therapeutically active agents. In certain embodiments, the additional therapeutically active agent is a compound of Formula (I). In certain embodiments, the additional therapeutically active agent is not a compound of Formula (I). In general, each agent will be administered at a dose and/or on a time schedule determined for that agent. In will further be appreciated that the additional therapeutically active agent utilized in this combination can be administered together in a single composition or administered separately in different compositions. The particular combination to employ in a regimen will take into account compatibility of a provided compound with the additional therapeutically active agent and/or the desired therapeutic effect to be achieved. In general, it is expected that additional therapeutically active agents utilized in combination be utilized at levels that do not exceed the levels at which they are utilized individually. In some embodiments, the levels utilized in combination will be lower than those utilized individually.
- Exemplary additional therapeutically active agents include, but are not limited to, small organic molecules such as drug compounds (e.g., compounds approved by the U.S. Food and Drug Administration as provided in the Code of Federal Regulations (CFR)), peptides, proteins, carbohydrates, monosaccharides, oligosaccharides, polysaccharides, nucleoproteins, mucoproteins, lipoproteins, synthetic polypeptides or proteins, small molecules linked to proteins, glycoproteins, steroids, nucleic acids, DNAs, RNAs, nucleotides, nucleosides, oligonucleotides, antisense oligonucleotides, lipids, hormones, vitamins, and cells.
- Also encompassed by the present discosure are kits (e.g., pharmaceutical packs). The kits provided may comprise a provided pharmaceutical composition or compound and a container (e.g., a vial, ampule, bottle, syringe, and/or dispenser package, or other suitable container). In some embodiments, provided kits may optionally further include a second container comprising a pharmaceutical excipient for dilution or suspension of a provided pharmaceutical composition or compound. In some embodiments, a provided pharmaceutical composition or compound provided in the container and the second container are combined to form one unit dosage form. In some embodiments, a provided kits further includes instructions for use.
- Compounds and compositions described herein are generally useful for the inhibition of PRMT5. In some embodiments, methods of treating PRMT5-mediated disorder in a subject are provided which comprise administering an effective amount of a compound described herein (e.g., a compound of Formula (I)), or a pharmaceutically acceptable salt thereof), to a subject in need of treatment. In certain embodiments, the effective amount is a therapeutically effective amount. In certain embodiments, the effective amount is a prophylactically effective amount. In certain embodiments, the subject is suffering from a PRMT5-mediated disorder. In certain embodiments, the subject is susceptible to a PRMT5-mediated disorder.
- As used herein, the term “PRMT5-mediated disorder” means any disease, disorder, or other pathological condition in which PRMT5 is known to play a role. Accordingly, in some embodiments, the present disclosure relates to treating or lessening the severity of one or more diseases in which PRMT5 is known to play a role.
- In some embodiments, the present disclosure provides a method of inhibiting PRMT5 comprising contacting PRMT5 with an effective amount of a compound described herein (e.g., a compound of Formula (I)), or a pharmaceutically acceptable salt thereof. The PRMT5 may be purified or crude, and may be present in a cell, tissue, or subject. Thus, such methods encompass both inhibition of in vitro and in vivo PRMT5 activity. In certain embodiments, the method is an in vitro method, e.g., such as an assay method. It will be understood by one of ordinary skill in the art that inhibition of PRMT5 does not necessarily require that all of the PRMT5 be occupied by an inhibitor at once. Exemplary levels of inhibition of PRMT5 include at least 10% inhibition, about 10% to about 25% inhibition, about 25% to about 50% inhibition, about 50% to about 75% inhibition, at least 50% inhibition, at least 75% inhibition, about 80% inhibition, about 90% inhibition, and greater than 90% inhibition.
- In some embodiments, provided is a method of inhibiting PRMT5 activity in a subject in need thereof comprising administering to the subject an effective amount of a compound described herein (e.g., a compound of Formula (I)), or a pharmaceutically acceptable salt thereof, or a pharmaceutical composition thereof.
- In certain embodiments, provided is a method of altering gene expression in a cell which comprises contacting a cell with an effective amount of a compound of Formula (I), or a pharmaceutically acceptable salt thereof. In certain embodiments, the cell in culture in vitro. In certain embodiments, the cell is in an animal, e.g., a human. In certain embodiments, the cell is in a subject in need of treatment.
- In certain embodiments, provided is a method of altering transcription in a cell which comprises contacting a cell with an effective amount of a compound of Formula (I), or a pharmaceutically acceptable salt thereof. In certain embodiments, the cell in culture in vitro. In certain embodiments, the cell is in an animal, e.g., a human. In certain embodiments, the cell is in a subject in need of treatment.
- In certain embodiments, a method is provided of selecting a therapy for a subject having a disease associated with PRMT5-mediated disorder or mutation comprising the steps of determining the presence of PRMT5-mediated disorder or gene mutation in the PRMT5 gene or and selecting, based on the presence of PRMT5-mediated disorder a gene mutation in the PRMT5 gene a therapy that includes the administration of a provided compound. In certain embodiments, the disease is cancer.
- In certain embodiments, a method of treatment is provided for a subject in need thereof comprising the steps of determining the presence of PRMT5-mediated disorder or a gene mutation in the PRMT5 gene and treating the subject in need thereof, based on the presence of a PRMT5-mediated disorder or gene mutation in the PRMT5 gene with a therapy that includes the administration of a provided compound. In certain embodiments, the subject is a cancer patient.
- In some embodiments, a provided compound is useful in treating a proliferative disorder, such as cancer, a benign neoplasm, an autoimmune disease, or an inflammatory disease. For example, while not being bound to any particular mechanism, PRMT5 has been shown to be involved in cyclin D1 dysregulated cancers. Increased PRMT5 activity mediates key events associated with cyclin D1-dependent neoplastic growth including CUL4 repression, CDT1 overexpression, and DNA re-replication. Further, human cancers harboring mutations in Fbx4, the cyclin D1 E3 ligase, exhibit nuclear cyclin D1 accumulation and increased PRMT5 activity (Aggarwal et al., Cancer Cell. 2010 18(4):329-40). Additionally, PRMT5 has also been implicated in accelerating cell cycle progression through G1 phase and modulating regulators of G1; for example, PRMT5 may upregulate cyclin-dependent kinase (CDK) 4, CDK6, and cyclins D1, D2 and E1. Moreover, PRMT5 may activate phosphoinositide 3-kinase (PI3K)/AKT signaling (Wei et al., Cancer Sci. 2012 103(9):1640-50). Thus in some embodiments, the inhibition of PRMT5 by a provided compound is useful in treating the following non-limiting list of cancers: breast cancer, esophageal cancer, bladder cancer, lung cancer, hematopoietic cancer, lymphoma, medulloblastoma, rectum adenocarcinoma, colon adenocarcinoma, gastric cancer, pancreatic cancer, liver cancer, adenoid cystic carcinoma, lung adenocarcinoma, head and neck squamous cell carcinoma, brain tumors, hepatocellular carcinoma, renal cell carcinoma, melanoma, oligodendroglioma, ovarian clear cell carcinoma, and ovarian serous cystadenocarcinoma.
- In some embodiments, the inhibition of PRMT5 by a provided compound is useful in treating prostate cancer and lung cancer, in which PRMT5 has been shown to play a role (Gu et al., PLoS One 2012;7(8):e44033; Gu et al., Biochem. J. (2012) 446 (235-241)). In some embodiments, a provided compound is useful to delay the onset of, slow the progression of, or ameliorate the symptoms of cancer. In some embodiments, a provided compound is administered in combination with other compounds, drugs, or therapeutics to treat cancer.
- In some embodiments, compounds described herein are useful for treating a cancer including, but not limited to, acoustic neuroma, adenocarcinoma, adrenal gland cancer, anal cancer, angiosarcoma (e.g., lymphangiosarcoma, lymphangioendotheliosarcoma, hemangiosarcoma), appendix cancer, benign monoclonal gammopathy, biliary cancer (e.g., cholangiocarcinoma), bladder cancer, breast cancer (e.g., adenocarcinoma of the breast, papillary carcinoma of the breast, mammary cancer, medullary carcinoma of the breast), brain cancer (e.g., meningioma; glioma, e.g., astrocytoma, oligodendroglioma; medulloblastoma), bronchus cancer, carcinoid tumor, cervical cancer (e.g., cervical adenocarcinoma), choriocarcinoma, chordoma, craniopharyngioma, colorectal cancer (e.g., colon cancer, rectal cancer, colorectal adenocarcinoma), epithelial carcinoma, ependymoma, endotheliosarcoma (e.g., Kaposi's sarcoma, multiple idiopathic hemorrhagic sarcoma), endometrial cancer (e.g., uterine cancer, uterine sarcoma), esophageal cancer (e.g., adenocarcinoma of the esophagus, Barrett's adenocarinoma), Ewing sarcoma, eye cancer (e.g., intraocular melanoma, retinoblastoma), familiar hypereosinophilia, gall bladder cancer, gastric cancer (e.g., stomach adenocarcinoma), gastrointestinal stromal tumor (GIST), head and neck cancer (e.g., head and neck squamous cell carcinoma, oral cancer (e.g., oral squamous cell carcinoma (OSCC), throat cancer (e.g., laryngeal cancer, pharyngeal cancer, nasopharyngeal cancer, oropharyngeal cancer)), hematopoietic cancers (e.g., leukemia such as acute lymphocytic leukemia (ALL) (e.g., B-cell ALL, T-cell ALL), acute myelocytic leukemia (AML) (e.g., B-cell AML, T-cell AML), chronic myelocytic leukemia (CML) (e.g., B-cell CML, T-cell CML), and chronic lymphocytic leukemia (CLL) (e.g., B-cell CLL, T-cell CLL); lymphoma such as Hodgkin lymphoma (HL) (e.g., B-cell HL, T-cell HL) and non-Hodgkin lymphoma (NHL) (e.g., B-cell NHL such as diffuse large cell lymphoma (DLCL) (e.g., diffuse large B-cell lymphoma (DLBCL)), follicular lymphoma, chronic lymphocytic leukemia/small lymphocytic lymphoma (CLL/SLL), mantle cell lymphoma (MCL), marginal zone B-cell lymphomas (e.g., mucosa-associated lymphoid tissue (MALT) lymphomas, nodal marginal zone B-cell lymphoma, splenic marginal zone B-cell lymphoma), primary mediastinal B-cell lymphoma, Burkitt lymphoma, lymphoplasmacytic lymphoma (i.e., “Waldenström's macroglobulinemia”), hairy cell leukemia (HCL), immunoblastic large cell lymphoma, precursor B-lymphoblastic lymphoma and primary central nervous system (CNS) lymphoma; and T-cell NHL such as precursor T-lymphoblastic lymphoma/leukemia, peripheral T-cell lymphoma (PTCL) (e.g., cutaneous T-cell lymphoma (CTCL) (e.g., mycosis fungiodes, Sezary syndrome), angioimmunoblastic T-cell lymphoma, extranodal natural killer T-cell lymphoma, enteropathy type T-cell lymphoma, subcutaneous panniculitis-like T-cell lymphoma, anaplastic large cell lymphoma); a mixture of one or more leukemia/lymphoma as described above; and multiple myeloma (MM)), heavy chain disease (e.g., alpha chain disease, gamma chain disease, mu chain disease), hemangioblastoma, inflammatory myofibroblastic tumors, immunocytic amyloidosis, kidney cancer (e.g., nephroblastoma a.k.a. Wilms' tumor, renal cell carcinoma), liver cancer (e.g., hepatocellular cancer (HCC), malignant hepatoma), lung cancer (e.g., bronchogenic carcinoma, small cell lung cancer (SCLC), non-small cell lung cancer (NSCLC), adenocarcinoma of the lung), leiomyosarcoma (LMS), mastocytosis (e.g., systemic mastocytosis), myelodysplastic syndrome (MDS), mesothelioma, myeloproliferative disorder (MPD) (e.g., polycythemia Vera (PV), essential thrombocytosis (ET), agnogenic myeloid metaplasia (AMM) a.k.a. myelofibrosis (MF), chronic idiopathic myelofibrosis, chronic myelocytic leukemia (CML), chronic neutrophilic leukemia (CNL), hypereosinophilic syndrome (HES)), neuroblastoma, neurofibroma (e.g., neurofibromatosis (NF) type 1 or type 2, schwannomatosis), neuroendocrine cancer (e.g., gastroenteropancreatic neuroendoctrine tumor (GEP-NET), carcinoid tumor), osteosarcoma, ovarian cancer (e.g., cystadenocarcinoma, ovarian embryonal carcinoma, ovarian adenocarcinoma), papillary adenocarcinoma, pancreatic cancer (e.g., pancreatic andenocarcinoma, intraductal papillary mucinous neoplasm (IPMN), Islet cell tumors), penile cancer (e.g., Paget's disease of the penis and scrotum), pinealoma, primitive neuroectodermal tumor (PNT), prostate cancer (e.g., prostate adenocarcinoma), rectal cancer, rhabdomyosarcoma, salivary gland cancer, skin cancer (e.g., squamous cell carcinoma (SCC), keratoacanthoma (KA), melanoma, basal cell carcinoma (BCC)), small bowel cancer (e.g., appendix cancer), soft tissue sarcoma (e.g., malignant fibrous histiocytoma (MFH), liposarcoma, malignant peripheral nerve sheath tumor (MPNST), chondrosarcoma, fibrosarcoma, myxosarcoma), sebaceous gland carcinoma, sweat gland carcinoma, synovioma, testicular cancer (e.g., seminoma, testicular embryonal carcinoma), thyroid cancer (e.g., papillary carcinoma of the thyroid, papillary thyroid carcinoma (PTC), medullary thyroid cancer), urethral cancer, vaginal cancer and vulvar cancer (e.g., Paget's disease of the vulva).
- In some embodiments, a provided compound is useful in treating a metabolic disorder, such as diabetes or obesity. For example, while not being bound to any particular mechanism, a role for PRMT5 has been recognized in adipogenesis. Inhibition of PRMT5 expression in multiple cell culture models for adipogenesis prevented the activation of adipogenic genes, while overexpression of PRMT5 enhanced adipogenic gene expression and differentiation (LeBlanc et al., Mol Endocrinol. 2012 April; 26(4):583-97). Additionally, it has been shown that adipogenesis plays a pivotal role in the etiology and progression of diabetes and obesity (Camp et al., Trends Mol Med. 2002 September; 8(9):442-7). Thus in some embodiments, the inhibition of PRMT5 by a provided compound is useful in treating diabetes and/or obesity.
- In some embodiments, a provided compound is useful to delay the onset of, slow the progression of, or ameliorate the symptoms of, diabetes. In some embodiments, the diabetes is Type 1 diabetes. In some embodiments, the diabetes is Type 2 diabetes. In some embodiments, a provided compound is useful to delay the onset of, slow the progression of, or ameliorate the symptoms of, obesity. In some embodiments, a provided compound is useful to make a subject lose weight. In some embodiments, a provided compound could be used in combination with other compounds, drugs, or therapeutics, such as metformin and insulin, to treat diabetes and/or obesity.
- In some embodiments, a provided compound is useful in treating a blood disorder, e.g., a hemoglobinopathy, such as sickle cell disease or β-thalassemia. For example, while not being bound to any particular mechanism, PRMT5 is a known repressor of γ-globin gene expression, and increased fetal γ-globin (HbF) levels in adulthood are associated with symptomatic amelioration in sickle cell disease and β-thalassemia (Xu et al., Haematologica. 2012 November; 97(11):1632-40). Thus in some embodiments, the inhibition of PRMT5 by a provided compound is useful in treating a blood disorder, such as a hemoglobinopathy such as sickle cell disease or β-thalassemia.
- In some embodiments, a provided compound is useful to delay the onset of, slow the progression of, or ameliorate the symptoms of, sickle cell disease. In some embodiments, a provided compound is useful to delay the onset of, slow the progression of, or ameliorate the symptoms of, β-thalassemia. In some embodiments, a provided compound could be used in combination with other compounds, drugs, or therapeutics, to treat a hemoglobinopathy such as sickle cell disease or β-thalassemia.
- In some embodiments, compounds described herein can prepared using methods shown in general Scheme 1. Compound B can be prepared via ring opening of a chiral or racemic epoxide group. This amino alcohol intermediate can be coupled to form an amide via normal amide coupling methodology using a carboxylic acid A wherein Z is hydrogen or via amination of an ester of intermediate A when Z is an optionally substituted aliphatic group.
- Analogous reactions may be performed to form a carbamate or urea bond using methods known to one of ordinary skill in the art.
- In some embodiments, such couplings can be used to provide a key intermediate for further synthesis, as shown, for example, in exemplary Scheme 2.
- In other embodiments, an amide coupling step is the final synthetic step as shown in exemplary Scheme 3.
- In order that the invention described herein may be more fully understood, the following examples are set forth. It should be understood that these examples are for illustrative purposes only and are not to be construed as limiting this invention in any manner.
-
-
- A mixture of (3-(methoxycarbonyl)phenyl)boronic acid (500 mg, 2.78 mmol), 2-bromopyridine (399 mg, 2.53 mmol), K2CO3 (1.0 g, 7.6 mmol) and Pd(dppf)Cl2 (20 mg) in a mixture solution of dioxane (10 mL) and H2O (2.5 mL) was stirred at 120° C. for 30 min under microwave heating. The catalyst was removed by filtration and the filtrate was concentrated. The residue was purified by column chromatography to give the desired product (530 mg, Yield: 90%) and this was used directly in the next step. LCMS (m/z): 214.1.
-
- To a solution of methyl 3-(pyridin-2-yl)benzoate (300 mg, 1.40 mmol) in MeOH (3 mL) was added aqueous NaOH (1 mL, 0.4M). The mixture was stirred at room temperature for 3 h. The reaction solution was concentrated and the residue dissolved in water and adjust pH to 5˜6 with 2N of HCl. The solution was extracted with EtOAc (3×20 mL) and the combined organic layers concentrated to give the desired crude product (450 mg, Yield 90%) which was used in the next step without further purification. LCMS (m/z): 200.1(M+1).
-
- To a solution of 3-(pyridin-2-yl)benzoic acid (200 mg, 1.00 mmol) in DCM (6 mL) was added EDCI (383 mg, 2.00 mmol), HOBt (270 mg, 2 mmol), Et3N (303 mg, 3 mmol) and 1-amino-3-(3,4-dihydroisoquinolin-2(1H)-yl)propan-2-ol (206 mg, 1.00 mmol). The mixture was stirred at room temperature for 16 h. The reaction mixture was diluted with water (10 mL) and extracted with DCM (3×10 mL). The combined organic layers were then dried and concentrated. The residue was purified by Prep-HPLC to give the product as the formate salt (70 mg, Yield 18%). 1H NMR (400 MHz, MeOD): 8.64 (d, J=4.8 Hz, 1H), 8.46 (s, 1H), 8.13 (d, J=8.4 Hz, 1H), 7.93-7.90 (m. 3H), 7.60 (dd, J=8.0 Hz, 1H), 7.40-7.37 (m, 1H), 7.26-7.14 (m, 4H), 4.44 (s, 2H), 4.38 (br.s, 1H), 3.57-3.56 (m, 4H), 3.36-3.16 (m, 4H). LCMS (m/z): 388.2 (M+1).
-
-
- A mixture of (3-(methoxycarbonyl)phenyl)boronic acid (270 mg, 1.5 mmol), 5-bromo-1-methyl-1H-pyrazole (200 mg, 1.25 mmol), K2CO3 (518 mg, 3.75 mmol) and Pd(dppf)Cl2 (10 mg) in a mixture solution of dioxane (8 mL) and H2O (2 mL) was stirred at 120° C. for 30 min under microwave heating. The catalyst was filtered and the filtrate concentrated. The residue was then purified by column chromatography to give provide the desired product as a colorless oil (226 mg, Yield 60%). It was used directly in the next step. LCMS (m/z): 217.1.
-
- To a solution of methyl 3-(1-methyl-1H-pyrazol-5-yl)benzoate (200 mg, 0.93 mmol) in MeOH (3 mL) was added aqueous NaOH (1 mL, 0.4M). The mixture was stirred at room temperature for 2 h. The reaction solution was concentrated and the residue was dissolved in water and adjusted pH to 5˜6 with 2N of HCl. The solution was extracted with EtOAc (2×20 mL). The combined organic layers were dried and concentrated to give the target crude product which was used directly in the next step. LCMS (m/z): 203.1(M+1).
-
- To a solution of 3-(1-methyl-1H-pyrazol-5-yl)benzoic acid (130 mg, 0.64 mmol) in DCM (6 mL) was added EDCI (245 mg, 1.28 mmol), HOBt (173 mg, 1.28 mmol), Et3N (195 mg, 1.93 mmol) and 1-amino-3-(3,4-dihydroisoquinolin-2(1H)-yl)propan-2-ol (132 mg, 0.64 mmol). The mixture was stirred at room temperature for 16 h until completion of the reaction was indicated by which TLC. The reaction solution was then diluted with water (10 mL) and extracted with DCM (2×10 mL) then the combined organic layers were concentrated. The residue was purified by prep-HPLC to give the desired product (60 mg, Yield 25%). 1H NMR (400 MHz, MeOD): 7.55 (s, 1H), 7.52 (s, 1H), 7.24-7.15 (m, 3H), 6.85-6.73 (m, 4H), 6.03 (s, 1H), 4.22 (br.s, 1H), 4.03-3.99 (m, 1H), 3.45 (s, 3H), 3.17-2.73 (m, 7H).LCMS (m/z): 391.2 (M+1).
-
-
- To a solution of 1,2,3,4-tetrahydroisoquinoline (1 g, 7.52 mmol) in MeOH (40 mL) was added K2CO3 (5.19 g, 37.6 mmol) under 0° C. After stirring for 30 minutes, (R)-2-(chloromethyl) oxirane (0.692 g, 7.52 mmol) was added the reaction. The mixture was then stirred at 0° C. overnight before filtration and washing of the solid by with MeOH. The solution was concentrated and the residue purified by column separation to give the title compound as a colorless oil (70% purity). This crude was used directly in the next step. LCMS (m/z): 190.1(M+1).
-
- To a solution of (R)-2-(oxiran-2-ylmethyl)-1,2,3,4-tetrahydroisoquinoline (200 mg,5.2 mmol) in EtOH (20 mL) was added NH4OH (600 mg, 35.2 mmol) at −78° C. The reaction mixture was then warmed and heated at 100° C. for 3 h in a seal tube. The reaction mixture was concentrated and the crude product was used in next step without further purification. LCMS (m/z): 207.1(M+1).
-
- A solution of (S)-1-amino-3-(3,4-dihydroisoquinolin-2(1H)-yl)propan-2-ol (200 mg, 0.97 mmol), benzoic acid (122.5 mg, 1.07 mmol), HATU (387.6 mg, 1.02 mmol) and TEA (196.1 mg, 1.94 mmol) in DCM (20 mL) was stirred at room temperature for 2 h until completion of the reaction. The reaction mixture was then diluted with water and extracted with DCM (20 ml×2). The combined organic layers were dried and concentrated with the residue purified by pre-HPLC and SFC separation to give the desired compound (55 mg, Yield 18%). 1H NMR (400 MHz, MeOD): 7.66 (d, J=8.0 Hz, 2H), 7.36-7.34 (m, 1H), 7.26 (d, J=7.6 Hz, 2H), 6.99-6.89 (m, 4H), 4.01-3.96 (m, 1H), 3.61 (s, 2H), 3.43-3.37 (m, 2H), 2.77-2.72 (m, 4H), 2.56-2.53 (m, 2H). LCMS (m/z): 311.1(M+1).
-
-
- A mixture of (3-(methoxycarbonyl)phenyl)boronic acid (600 mg, 3.33 mmol), 3-bromopyridine (479 mg, 3.0 mmol), K2CO3 (1.2 g, 9.0 mmol) and Pd(dppf)Cl2 (50 mg) in a solution of dioxane (10 mL) and H2O2 (2.5 mL) was stirred at 120° C. for 30 minutes with microwave heating under N2. The catalyst was then filtered and the filtrate concentrated. The residue was then purified by column chromatography to give the desired product and used directly in the next step. (630 mg Yield 90%).
-
- To a solution of methyl 3-(pyridin-3-yl)benzoate (450 mg, 2.1 mmol) in MeOH (5 mL) was added aqueous of NaOH (1.5 mL, 0.4M). The mixture was stirred at room temperature for 2 h then reaction solution was concentrated and the resulting residue dissolved in water and adjusted pH to 5˜6 with 2N HCl. Extracted was then performed using EtOAc with the organic layer dired and concentrated to give the target product which was used without further purification (600 mg, Yield 90%). LCMS (m/z): 200.1 (M+1).
-
- To a solution of 3-(pyridin-3-yl)benzoic acid (150 mg, 0.75 mmol) in DCM (6 mL) was added EDCI (215 mg, 1.10 mmol), HOBt (148 mg, 1.10 mmol), Et3N (228 mg, 2.25 mmol) and 1-amino-3-(3,4-dihydroisoquinolin-2(1H)-yl)propan-2-ol (185 mg, 0.90 mmol). The mixture was stirred at room temperature for 16 h. The reaction solution was then washed with water and extracted with DCM. The organic layer was concentrated, dried and the residue purified by prep-HPLC to give the desired title product (110 mg, Yield 34%). 1H NMR (400 MHz, MeOD) δ 8.80 (d, J=2.0 Hz, 1H), 8.52 (dd, J1=4.8 Hz, J2=3.6 Hz, 1H), 8.10 (s, 1H), 8.09 (dd, J1=8.8 Hz, J2=1.6 Hz, 1H), 7.83 (d, J=7.6 Hz, 1H), 7.77 (d, J=7.6 Hz, 1H), 7.51-7.46 (m, 2H), 7.06-6.95 (m, 4H), 4.15-4.10 (m, 1H), 3.69 (s, 2H), 3.60-3.47 (m, 2H), 2.85-2.79 (m, 4H), 2.69-2.59 (m, 2H). LCMS (m/z): 388.2 (M+1).
-
-
- A mixture of (3-(methoxycarbonyl)phenyl)boronic acid (600 mg, 3.33 mmol), 4-bromopyridine (583.5 mg, 3.0 mmol), K2CO3 (1.2 g, 9.0 mmol) and Pd(dppf)Cl2 (50 mg) in a solution of dioxane (10 mL) and H2O (2.5 mL) was stirred at 120° C. for 30 min with microwave heating. The catalyst was filtered and the filtrate concentrated. The residue was then purified by column chromatography to give the title product (630 mg Yield 90%).
-
- To a solution of methyl 3-(pyridin-4-yl)benzoate (450 mg, 2.1 mmol) in MeOH (5 mL) was added an aqueous solution of NaOH (1.5 mL, 0.4M). The mixture was stirred at room temperature for 2 h. The reaction solution was then concentrated, the residue was next dissolved in water and adjusted pH to 5˜6 with the 2N HCl. After extraction with EtOAc, the organic layers were dried and concentrated to give the product desired (600 mg, Yield 90%). LCMS (m/z): 200.1 (M+1).
-
- To a solution of 3-(pyridin-4-yl)benzoic acid (300 mg, 1.5 mmol) in DCM (6 mL) was added EDCI (430 mg, 2.20 mmol), HOBt (296 mg, 2.20 mmol), Et3N (556 mg, 4.50 mmol) and 1-amino-3-(3,4-dihydroisoquinolin-2(1H)-yl)propan-2-ol (370 mg,1.80 mmol). The mixture was stirred at room temperature for 16 h, then the reaction mixture was washed with water and extracted with DCM. The organic layer was then dried, concentrated and the residue purified by prep-HPLC to give the title product (230 mg, Yield 40%). 1H NMR (400 MHz, MeOD) δ 8.54 (d, J=4.0 Hz, 2H), 8.16 (s, 1H), 7.85-7.80 (m, 2H), 7.64 (dd J=4.0 Hz, 2H), 7.48 (dd, J=7.6 Hz, 1H), 7.03-6.95 (m, 4H), 4.13 (br.s, 1H), 3.66 (s, 2H), 3.60-3.48 (m, 2H), 2.80-2.77 (m, 4H), 2.63-2.59 (m, 2H). LCMS (m/z): 388.2 (M+1).
-
-
- To a solution of 1,2,3,4-tetrahydroisoquinoline (5 g, 7.52 mmol) in THF(100 mL) was added KF (8.57 g, 150.4 mmol) at 0° C. (R)-oxiran-2-ylmethyl 3-nitrobenzenesulfonate (10.7 g, 41.4 mmol) was added to the reaction in 1 h. The solution was stirred at room temperature overnight. The solid was removed by filtration and washed with THF. The solution was then concentrated and the residue used for next step without further purification (11.3 g Yield 80%). LCMS (m/z): 190.1 (M+1).
-
- To a solution of (S)-2-(oxiran-2-ylmethyl)-1,2,3,4-tetrahydroisoquinoline (2.2 g,0.012 mol) in EtOH (30 mL), NH3 was bubbled to the solution under −78° C. The reaction mixture was then sealed and heated at 80° C. for 3 h. After LCMS indicated completion of the reaction, the mixture was concentrated and the crude product was used in next step without further purification (2.2 g, Yield 90%). LCMS (m/z): 207.1 (M+1).
-
- To the stirring solution of (R)-1-amino-3-(3,4-dihydroisoquinolin-2(1H)-yl)propan-2-ol (200 mg, 0.97 mmol) in 15 mL dry DCM was added TEA (1 mL) and the solution was cooled to 0° C. Phenyl carbonochloridate (151.3 mg, 1.02 mmol) in DCM(10 mL) was then added drop wise to the reaction over 20 minutes and the solution was then stirred at room temperature overnight. The solution was then diluted with water, extracted with DCM, the organic layer was concentrated, purified by pre-HPLC to give the product as formate salt (125 mg, Yield 40%). 1H NMR (400 MHz, MeOD) δ 7.35 (dd, J=7.6 Hz, 2H), 7.31-7.18 (m, 5H), 7.08 (d, J=7.6 Hz, 2H), 4.33 (s, 2H), 4.22-4.19 (m, 1H), 3.48 (t, J=6.0 Hz, 2H), 3.27-3.10 (m, 6H). LCMS (m/z): 327.2 (M+1).
-
-
- A mixture of 2-boronobenzoic acid (400 mg, 2.4 mmol), 2-bromopyridine (416 mg, 2.6 mmol), K2CO3 (994 mg, 7.2 mmol) and Pd(dppf)Cl2 (20 mg) in dioxane (8 mL) and H2O (2 mL) was stirred at 125° C. for 30 min. under microwave heating under N2. The catalyst was filtered, and the filtrate was acidified with 2N HCl to pH 5˜6. The solution was concentrated, and the residue was dissolved in MeOH and filtered. The filtrate was concentrated, and the residue was purified by prep-TLC to give the title compound (205 mg, Yield 42.9%). LCMS (m/z): 200.0 (M+1).
-
- To a solution of 2-(pyridin-2-yl)benzoic acid (150 mg, 0.75 mmol) in DCM (6 mL) was added EDCI (215 mg, 1.1 mmol), HOBt (148 mg, 1.1 mmol), Et3N (228 mg, 2.25 mmol) and 1-amino-3-(3,4-dihydroisoquinolin-2(1H)-yl)propan-2-ol (185 mg, 0.9 mmol). The mixture was stirred at 25° C. for 16 h. The reaction solution was washed with water and extracted with DCM. The organic layer was then concentrated, and the residue was purified by prep-HPLC to give the title compound (80 mg, Yield 27.5%). 1H NMR (CD3OD, 400 MHz): δ 8.60-8.53 (m, 1H), 7.89-7.81 (m, 1H), 7.63-7.51 (m, 4H), 7.48-7.43 (m, 1H), 7.39-7.32 (m, 1H), 7.12-7.05 (m, 3H), 7.05-6.98 (m, 1H), 4.05-3.93 (m, 1H), 3.73-3.63 (s, 2H), 3.46-3.37 (m, 1H), 3.31-3.23 (m, 1H), 2.92-2.75 (m, 4H), 2.56 (s, 2H). LCMS (m/z): 388.2 (M+1).
-
-
- A mixture of 4-boronobenzoic acid (200 mg, 1.2 mmol), 2-bromopyridine (208 mg, 1.3 mmol), K2CO3 (497 mg, 3.6 mmol) and Pd(dppf)Cl2 (10 mg) in dioxane (4 mL) and H2O (1 mL) was stirred at 125° C. for 30 min with microwave heating under N2. The catalyst was filtered, and the filtrate was acidified with 2N HCl to pH 5˜6. The solution was concentrated, and the residue was dissolved in MeOH and filtered. The filtrate was concentrated, and the residue was purified by prep-TLC to give the title compound (100 mg, Yield 41.8%). LCMS (m/z): 200.1 (M+1).
-
- To a solution of 4-(pyridin-2-yl)benzoic acid (100 mg, 0.5 mmol) in DCM (5 mL) was added EDCI (144 mg, 0.75 mmol), HOBt (101 mg, 0.75 mmol), Et3N (152 mg, 1.5 mmol) and 1-amino-3-(3,4-dihydroisoquinolin-2(1H)-yl)propan-2-ol (103 mg, 0.5 mmol). The mixture was stirred at 25° C. for 16 h. The reaction solution was washed with water and extracted with DCM. The organic layer was concentrated, and the residue was purified by prep-HPLC to give the title compound (30 mg, Yield 15.5%). 1H NMR (CD3OD, 400 MHz): δ 8.70-8.60 (m, 1H), 8.01-7.84 (m, 6H), 7.45-7.36 (m, 1H), 7.16-6.99 (m, 4H), 4.20-4.10 (m, 1H), 3.79 (s, 2H), 3.62-3.46 (m, 2H), 2.92 (s, 4H), 2.78-2.65 (m, 2H). LCMS (m/z): 388.2 (M+1).
-
-
- To a solution of 3-bromobenzoic acid (200 mg, 1.0 mmol) in DCM (8 mL) was added Et3N (303 mg, 3.0 mmol), EDCI (383 mg, 2.0 mmol), HOBt (270 mg, 2.0 mmol) and 1-amino-3-(3,4-dihydroisoquinolin-2(1H)-yl)propan-2-ol (247 mg, 1.2 mmol). The mixture was stirred at 25° C. for 6 h. The mixture was treated with water and extracted with EA. The organic layer was washed with NaHCO3, brine, dried over Na2SO4 and concentrated to give the title compound which was used in next step without further purification (300 mg, Yield 77%). LCMS (m/z): 390.1 (M+1).
-
- A mixture of 3-bromo-N-(3-(3 ,4-dihydroisoquinolin-2(1H)-yl)-2-hydroxypropyl) benzamide (200 mg, 0.51 mmol), morpholine (44 mg, 0.51 mmol), Pd2(dba)3 (46 mg, 0.05 mmol), BINAP (62 mg, 0.1 mmol) and NaOtBu (73 mg, 0.77 mmol) in toluene (6 mL) was stirred at reflux for 16 h under N2. The reaction solution was concentrated, and the residue was dissolved in EA and filtered. The filtrate was concentrated, and the residue was purified by prep-HPLC to give the title compound (15 mg, Yield 7.5%). 1H NMR (CD3OD, 400 MHz): δ 8.48 (brs, 1H), 7.42 (s, 1H), 7.37-7.28 (m, 2H), 7.27-7.19 (m, 3H), 7.18-7.11 (m, 2H), 4.31-4.23 (m, 1H), 4.19 (s, 2H), 3.86 (dd, J=5.1, 4.8 Hz, 4H), 3.61-3.44 (m, 2H), 3.32-3.29 (m, 2H), 3.25-3.16 (m, 4H), 3.14-2.97 (m, 4H). LCMS (m/z): 396.2 (M+1).
-
-
- To a solution of methyl 3-formylbenzoate (492 mg, 3.0 mmol) in MeOH (10 mL) was added tetrahydro-2H-pyran-4-amine (303 mg, 3.0 mmol) and AcOH (0.05 mL). The mixture was stirred at 25° C. for 2 h. NaBH3CN (945 mg, 15.0 mmol) was added, and the resulting mixture was stirred at 25° C. for 16 h. The reaction solution was concentrated and the residue was dissolved in water and extracted with DCM. The organic layer was concentrated, and the residue was purified by prep-TLC to give the title product (500 mg, Yield 67%). LCMS (m/z): 250.1 (M+1).
-
- To a solution of methyl 3-(((tetrahydro-2H-pyran-4-yl)amino)methyl)benzoate (400 mg, 1.6 mmol) in a mixture solution of THF (10 mL) and H2O (1 mL) was added Boc2O (418 mg, 1.9 mmol) and Et3N (243 mg, 2.4 mmol). The mixture was stirred at 25° C. for 16 h. The reaction solution was concentrated to remove THF, and the residue was dissolved in water and extracted with EA. The organic layer was concentrated, and the residue was purified by column chromatography to give the title product (550 mg, 98%). LCMS (m/z): 350.1 (M+1).
-
- To a solution of methyl 3-(((tert-butoxycarbonyl)(tetrahydro-2H-pyran-4-yl)amino)methyl)benzoate (550 mg, 1.57 mmol) in MeOH (5 mL) was added aqueous of NaOH (2.0 mL, 40% w/w). The mixture was stirred at 25° C. for 4 h. The reaction solution was concentrated, and the residue was dissolved in water and adjusted pH to 5˜6 with 2N of HCl and extracted with EA. The organic layer was concentrated to give the desired product (300 mg, Yield 57%). LCMS (m/z): 336.1 (M+1).
-
- To a solution of 3-(((tert-butoxycarbonyl)(tetrahydro-2H-pyran-4-yl)amino)methyl)be nzoic acid (300 mg, 0.89 mmol) in DCM (8 mL) was added EDCI (257 mg, 1.34 mmol), HOBt (181 mg, 1.34 mmol), Et3N (270 mg, 2.67 mmol) and 1-amino-3-(3,4-dihydroisoquinolin-2(1H)-yl)propan-2-ol (183 mg, 0.89 mmol). The mixture was stirred at 25° C. for 16 h. The reaction solution was washed with water and extracted with DCM. The organic layer was concentrated to give the title product (350 mg, Yield 65%). LCMS (m/z): 524.3 (M+1).
-
- To a solution of tert-butyl 3-((3-(3,4-dihydroisoquinolin-2(1H)-yl)-2-hydroxypropyl)carbamoyl)benzyl(tetrahydro-2H-pyran-4-yl)carbamate (450 mg, crude) in DCM (6 mL) was added TFA (6 mL). The mixture was stirred at 25° C. for 16 h. The reaction solution was concentrated, and the residue was purified by prep-HPLC to give the title product (200 mg, 54.9%). 1H NMR (CD3OD, 400 MHz): δ 8.08 (s, 1H), 8.00-7.89 (m, 1H), 7.81-7.68 (m, 1H), 7.58 (s, 1H), 7.39-7.15 (m, 4H), 4.75-4.47 (m, 2H), 4.46-4.39 (m, 1H), 4.34 (s, 2H), 4.05 (dd, J=11.6, 3.6 Hz, 2H), 3.98-3.70 (brs, 1H), 3.62-3.55 (m, 2H), 3.55-3.45 (m, 4H), 3.45-3.32 (m, 2H), 3.32-3.06 (m, 2H), 2.22-2.07 (m, 2H), 1.89-1.72 (m, 2H). LCMS (m/z): 424.2 (M+1).
-
-
- To a solution of 3-aminobenzoic acid (1.37 g, 10 mmol) in a mixture solution of THF (20 mL) and H2O (2 mL) was added Boc2O (2.18 g, 10 mmol) and Et3N (1.52 g, 15 mmol). The mixture was stirred at 25° C. for 16 h. The reaction solution was concentrated and the residue was dissolved in water and extracted with EA. The organic layer was concentrated to give the title product (2.3 g, Yield 97%). LCMS (m/z): 260.0 (M+23).
-
- To a solution of 3-((tert-butoxycarbonyl)amino)benzoic acid (2.5 g, 10.5 mmol) in DCM (25 mL) was added EDCI (3.0 g, 15.7 mmol), HOBt (2.1 g, 15.7 mmol), Et3N (2.1 g, 21 mmol) and 1-amino-3-(3,4-dihydroisoquinolin-2(1H)-yl)propan-2-ol (2.2 g, 10.5 mmol). The mixture was stirred at 25° C. for 16 h. The reaction solution was washed with water, extracted with DCM and the organic layer was concentrated, and the residue was purified by column chromatography to give the desired product (3.2 g, Yield 71%). LCMS (m/z): 426.3 (M+1).
-
- To a solution of tert-butyl (3-((3-(3,4-dihydroisoquinolin-2(1H)-yl)-2-hydroxypropyl)carbamoyl)phenyl)carbamate (500 mg, 1.18 mmol) in DCM (5 mL) was added TFA (5 mL). The mixture was stirred at 25° C. for 16 h. The reaction solution was concentrated, and the residue was dissolved in water, pH was adjusted to 7˜7.5 with saturated aqueous NaHCO3 and extracted with EA. The organic layer was concentrated to give the title product (360 mg, Yield 94%). The crude product was used in next step without further purification. LCMS (m/z): 326.2 (M+1).
-
- To a solution of 3-amino-N-(3-(3,4-dihydroisoquinolin-2(1H)-yl)-2-hydroxypropyl)benzamide (325 mg, 1.0 mmol) in MeOH (10 mL) was added dihydro-2H-pyran-4(3H)-one (88 mg, 1.0 mmol) and AcOH (0.05 mL). The mixture was stirred at 25° C. for 2 h. NaBH3CN (630 mg, 10.0 mmol) was added, and the resulting mixture was stirred at 25° C. for 16 h. The reaction solution was concentrated, and the residue was dissolved in water, extracted with EA. The organic layer was concentrated, and the residue was purified by prep-HPLC to give the title compound (200 mg, Yield 48.9%). 1H NMR (CD3OD, 400 MHz): δ 8.44 (brs, 1H), 7.32-7.20 (m, 3H), 7.20-7.13 (m, 2H), 7.13-7.09 (m, 1H), 7.08-7.00 (m, 1H), 6.86-6.77 (m, 1H), 4.39 (s, 2H), 4.35-4.25 (m, 1H), 4.03-3.89 (m, 2H), 3.63-3.40 (m, 7H), 3.31-3.07 (m, 4H), 2.06-1.92 (m, 2H), 1.55-1.40 (m, 2H). LCMS (m/z): 410.2 (M+1).
-
-
- To a solution of picolinic acid (100 mg, 0.81 mmol) in DCM (10 mL), was added EDCI (187 mg, 0.97 mmol) and HOBT (132 mg, 0.98 mmol), which was stirred at 25° C. for 0.5 h before 1-amino-3-(3,4-dihydroisoquinolin-2(1H)-yl)propan-2-ol (167 mg, 0.81 mmol) was added and the resulting mixture was stirred at 25° C. for 2 h. The solution was concentrated in vacuo and the residue was purified by prep-HPLC to provide the title compound (68 mg, Yield 26.9%). 1H NMR (CD3OD, 400 MHz): δ 8.61 (d, J=3.9 Hz, 1H), 8.49 (brs, 1H), 8.10 (d, J=7.8 Hz, 1H), 8.01-7.92 (m, 1H), 7.56 (dd, J=5.1, 6.8 Hz, 1H), 7.31-7.20 (m, 3H), 7.19-7.13 (m, 1H), 4.44-4.27 (m, 3H), 3.66-3.47 (m, 4H), 3.31-3.12 (m, 4H). LCMS (m/z): 312.1 (M+1).
-
-
- A solution of 4-sulfamoylbenzoic acid (88.4 mg, 0.44 mmol), HATU (182.4 mg, 0.48 mmol) and TEA (48.48 mg, 0.48 mmol) in DCM (10 mL) was stirred at 22° C. for 10 min. 1-amino-3-(3,4-dihydroisoquinolin-2(1H)-yl)propan-2-ol (100 mg, 0.48 mmol) was then added and the solution was stirred at 22° C. for another 3 h. The reaction mixture was diluted with water and extracted with DCM. The organic layers were combined, dried over anhydrous Na2SO4, filtered and concentrated. The residue was purified by prep-HPLC to give the title compound (49.5 mg, Yield 29%). 1H NMR (CD3OD, 400 MHz): δ 7.92 (s, 4H), 7.16-7.09 (m, 3H), 7.05-7.02 (m, 1H), 4.14-4.12 (m, 1H), 3.77 (s, 2H), 3.58-3.39 (m, 2H), 2.94-2.91 (m, 2H), 2.90-2.86 (m, 2H), 2.75-2.66 (m, 2H). LCMS (m/z): 390.1 (M+1).
-
-
- A solution of 4-acetamidobenzoic acid (100 mg, 0.56 mmol), HATU (234 mg, 0.62 mmol) and TEA (63 mg, 0.62 mmol) in DCM (10 mL) was stirred at 22° C. for 10 min. 1-amino-3-(3,4-dihydroisoquinolin-2(1H)-yl)propan-2-ol (116 mg, 0.56 mmol) was then added and the solution was stirred at 22° C. for another 3 h. The reaction mixture was then diluted with water and extracted with DCM. The organic layers were combined and dried over anhydrous Na2SO4, filtered and concentrated and the residue was purified by prep-HPLC to give the title compound (48.5 mg, Yield 24%). 1H NMR (CD3OD, 400 MHz): δ 7.77-7.72 (m, 2H), 7.63-7.57 (m, 2H), 7.17-7.08 (m, 3H), 7.04 (d, J=7.0 Hz, 1H), 4.12 (t, J=6.0 Hz, 1H), 3.75 (s, 2H), 3.58-3.46 (m, 2H), 2.92-2.85 (m, 4H), 2.74-2.63 (m, 2H), 2.16 (s, 3H). LCMS (m/z): 368.1 (M+1).
-
-
- To a stirred mixture of methyl 3-hydroxybenzoate (200 mg, 1.32 mmol), and K2CO3 (169 mg, 1.58 mmol) in MeCN (50 mL) was added 2-chloro-N,N-dimethylethanamine (137 mg, 1.58 mmol). The mixture was stirred at 60° C. for 16 h. The reaction mixture was filtered and the filtrate was concentrated to give the title compound that was used without further purification (300 mg, Yield 98%). 1H NMR (CDCl3, 400 MHz): δ 7.61-7.53 (m, 1H), 7.53-7.47 (m, 1H), 7.26-7.23 (m, 1H), 7.06-7.04 (m, 1H), 4.05 (t, J=5.6 Hz, 2H), 3.84 (s, 3H), 2.69 (t, J=5.6 Hz, 2H), 2.28 (s, 6H). LCMS (m/z): 224.2 (M+1).
-
- A mixture of crude methyl 3-(2-(dimethylamino)ethoxy)benzoate (300 mg, 1.34 mmol) and 1-amino-3-(3,4-dihydroisoquinolin-2(1H)-yl)propan-2-ol (332 mg, 1.61 mmol) in EtOH (2 mL) was heated at 120° C. in a microwave reactor for 3 h. After evaporation of the solvent, the residue was purified by prep-HPLC to give the title compound (34 mg, Yield 6.4%). 1H NMR (CD3OD, 400 MHz): δ 7.43-7.42 (m, 1H), 7.34-7.29 (m, 2H), 7.12-7.10 (m, 4H), 7.09-7.03 (m, 1H), 4.20-4.10 (m, 3H), 3.75 (brs, 2H), 3.59-3.42 (m, 2H), 2.95-2.85 (m, 4H), 2.82-2.77 (m, 2H), 2.72-2.65 (m, 2H), 2.37 (s, 6H). LCMS (m/z): 398.1 (M+1).
-
-
- The solution of 3-formylbenzoic acid (300 mg, 1.83 mmol) and tert-butyl piperazine-1-carboxylate (340 mg, 1.83 mmol) in MeOH (10 mL) was stirred at 27° C. for 1 h. Then NaBH3CN (138 mg, 2.19 mmol) was added to the solution and stirred at 27° C. for 6 h. The solution was concentrated and the residue was purified by column to give the title product (320 mg, Yield 50%). LCMS (m/z): 321.2 (M+1).
-
- The solution of 3-((4-(tert-butoxycarbonyl)piperazin-1-yl)methyl)benzoic acid (100 mg, 0.31 mmol) and HATU (119 mg, 0.31 mmol) in DCM (10 mL) was stirred at 28° C. for 30 min. Then 1-amino-3-(3,4-dihydroisoquinolin-2(1H)-yl)propan-2-ol (64.4 mg, 0.31 mmol) and DIPEA (48.4 mg, 0.38 mmol) was added and the resulting solution was stirred at 28° C. for 16 h. The solution was concentrated and the residue was purified by column chromatography to give the crude title product (150 mg, Yield 94%). LCMS (m/z): 509.2 (M+1).
-
- The solution of tert-butyl 4-(3-((3-(3,4-dihydroisoquinolin-2(1H)-yl)-2-hydroxypropyl)carbamoyl)benzyl)piperazine-1-carboxylate (160 mg, 0.314 mmol) in DCM (2 mL) and TFA (2 mL) was stirred at 27° C. for 16 h. The solution was concentrated and the residue was purified by prep-HPLC to give the title product (89 mg, Yield 69.0%). 1H NMR (D20, 400 MHz): δ 7.66-7.56 (m, 2H), 7.51-7.44 (m, 1H), 7.44-7.37 (m, 1H), 7.16-7.06 (m, 3H), 7.02 (d, J=7.3 Hz, 1H), 4.11 (quin, J=5.9 Hz, 1H), 3.73-3.60 (m, 2H), 3.56-3.49 (m, 2H), 3.49-3.42 (m, 1H), 3.41-3.32 (m, 1H), 2.86-2.75 (m, 8H), 2.68-2.58 (m, 2H), 2.56-2.32 (m, 4H). LCMS (m/z): 409.2 (M+1).
-
- The solution of N-(3-(3,4-dihydroisoquinolin-2(1H)-yl)-2-hydroxypropyl)-3-(piperazin-1-ylmethyl)benzamide (78 mg, 0.19 mmol) and HCHO solution (0.5 mL) in MeOH (10 mL) was stirred at 27° C. for 1 h. Then NaBH3CN (14.5 mg, 0.23 mmol) was added to the solution and stirred at 27° C. for 4 h. The solution was concentrated and the residue was purified by column chromatography to give the title product (14.1 mg, Yield 17.5%). 1H NMR (CD3OD, 400 MHz): δ 7.79 (s, 1H), 7.70 (d, J=7.8 Hz, 1H), 7.50 (d, J=7.5 Hz, 1H), 7.39-7.32 (m, 1H), 7.20-7.07 (m, 3H), 7.06-6.98 (m, 1H), 4.13 (quin, J=6.0 Hz, 1H), 3.75 (s, 2H), 3.63-3.44 (m, 4H), 2.95-2.83 (m, 4H), 2.78-2.62 (m, 3H), 2.62-2.30 (m, 7H), 2.28 (s, 3H). LCMS (m/z): 423.2 (M+1).
-
- To a solution of N-(3-(3,4-dihydroisoquinolin-2(1H)-yl)-2-hydroxypropyl)-3-(pyrrolidin-2-yl)benzamide (20 mg, 0.13 mmol) in MeOH (20 mL) was added HCHO (1 mL) and AcOH (0.05 mL). The reaction mixture was stirred at room temperature for 30 min at which time NaBH3CN (200 mg, 3.22 mmol) was added. The reaction mixture was stirred at room temperature for 2 h. The solvent was removed and the crude product was purified by prep-HPLC to give the desired product (8.5 mg, Yield 16.8%). 1H NMR (CD3OD, 400 MHz): δ 7.80 (brs, 1H), 7.67 (d, J=7.6 Hz, 1H), 7.52 (d, J=7.6 Hz, 1H), 7.35-7.41 (m, 1H), 7.09-7.15 (m, 3H), 7.09-7.15 (m, 1H), 7.02-7.08 (m, 1H), 4.10-4.16 (m, 1H), 3.73-3.81 (m, 2H), 3.49-3.58 (m, 2H), 3.20-3.28 (m, 1H), 3.08-3.16 (m, 1H), 2.84-2.97 (m, 4H), 2.64-2.75 (m, 2H), 2.33-2.40 (m, 1H), 2.20-2.27 (m, 1H), 2.16 (s, 3H), 1.95-2.05 (m, 1H), 1.77-1.93 (m, 2H). LCMS (m/z): 394.1 (M+1).
-
-
- The mixture of ethyl 3-bromobenzoate (500 mg, 2.33 mmol), tert-butyl piperazine-1-carboxylate (433 mg, 2.33 mmol) and NaOtBu (268 mg, 2.78 mmol), Pd2(dba)3 (20 mg, 0.034 mmol) and Xantphos (20 mg, 0.034 mmol) in anhydrous dioxane (10 mL) was heated to 110° C. for 10 h. The mixture was concentrated and the residue was partitioned in water, the solution was adjusted to pH=5, and extracted with DCM. The organic layer was washed with water and brine, dried over anhydrous Na2SO4, filtered and concentrated to afford the title compound that was used for next step (300 mg, Yield 42.2%). LCMS (m/z): 307.1 (M+1).
-
- The solution of 3-(4-(tert-butoxycarbonyl)piperazin-1-yl)benzoic acid (300 mg, 1.0 mmol) and HATU (381 mg, 1.0 mmol) in DCM (10 mL) was stirred at 25° C. for 30 min. Then 1-amino-3-(3,4-dihydroisoquinolin-2(1H)-yl)propan-2-ol (200 mg, 1.0 mmol) and DIPEA (259 mg, 2.00 mmol) was added and the resulting solution was stirred at 25° C. for 16 h. The solution was concentrated and the residue was purified by column chromatography to give the title product (140 mg, Yield 28.8%). LCMS (m/z): 495.2 (M+1).
-
- To a solution of tert-butyl 4-(3-(3-(3,4-dihydroisoquinolin-2(1H)-yl)-2-hydroxy propylcarbamoyl)phenyl)piperazine-1-carboxylate (140 mg, 0.28 mmol) in DCM (2 mL) was added TFA (2 mL). The resulting solution was stirred at 27° C. for 4 h. The solution was concentrated and the residue was purified by prep-HPLC to give the title product (64.0 mg, Yield 57%). 1H NMR (CD3OD, 400 MHz): δ 7.47-7.38 (s, 1H), 7.31-7.21 (m, 2H), 7.19-7.08 (m, 4H), 7.08-7.01 (m, 1H), 4.13 (quin, J=6.0 Hz, 1H), 3.77 (s, 2H), 3.62-3.52 (m, 1H), 3.51-3.43 (m, 1H), 3.31-3.19 (m, 4H), 3.15-3.00 (m, 4H), 2.98-2.83 (m, 4H), 2.75-2.62 (m, 2H). LCMS (m/z): 395.2 (M+1).
-
-
- A solution of tert-butyl 3-oxopyrrolidine-1-carboxylate (5 g, 27.0 mmol) in THF (50 ml) was slowly added to a stirring solution of NaHMDS (1M THF, 32.4 ml, 32.4 mmol) at −78° C. After 10 min a solution of N-phenyl-O-((trifluoromethyl)sulfonyl)-N-(((trifluoromethyl) sulfonyl)oxy)hydroxylamine (10.6 g, 29.7 mmol) in THF (50 ml) was slowly added. Stirring at −78° C. was continued for 30 min and the cooling bath was removed. The reaction mixture was stirred at room temperature for 1.5 h. The mixture was cooled to 0° C., quenched with sat. NaHCO3, and extracted with MTBE. The organic layer was washed with 5% citric acid, 1M NaOH, H2O, brine, dried over Na2SO4, concentrated and the residue was purified by flash column chromatography to give the title compound (1.5 g, Yield 17.4%). 1H NMR (CDCl3, 400 MHz): δ 5.77 (s, 1H), 4.14-4.30 (m, 4H), 1.48 (s, 9H).
-
- To a solution of tert-butyl 3-(((trifluoromethyl)sulfonyl)oxy)-2,5-dihydro-1H-pyrrole-1-carboxylate (300 mg, 0.95 mmol) in dioxane (4 mL) and H2O (1 mL) was added methyl 3-(4,4,5,5-tetramethyl-1,3,2-dioxaborolan-2-yl)benzoate (298 mg, 1.13 mmol), Pd(dppf)Cl2 (66 mg, 0.09 mmol) and K2CO3 (392 mg, 2.84 mmol) at 27° C. The mixture was stirred at 100° C. for 16 h. The catalyst was filtered, the filtrate was concentrated and the residue was purified by column chromatography to give the title compound (213 mg, Yield 74.2%). 1H NMR (CDCl3, 400 MHz): δ 8.03 (d, J=19.6 Hz, 1H), 7.94 (d, J=7.8 Hz, 1H), 7.55 (dd, J=15.7, 7.8 Hz, 1H), 7.38-7.45 (m, 1H), 6.22 (dt, J=16.4, 1.8 Hz, 1H), 4.43-4.58 (m, 2H), 4.24-4.38 (m, 2H), 3.88-3.96 (m, 3H), 1.51 (d, J=7.9 Hz, 9H).
-
- To a solution of tert-butyl 3-(3-(methoxycarbonyl)phenyl)-2,5-dihydro-1H-pyrrole-1-carboxylate (213 mg, 0.7 mmol) in MeOH (10 mL) was added Pd/C (20 mg). The mixture was stirred for 30 min at 30° C. under H2 atmosphere. The mixture was filtered and the filtrate was concentrated to give the title compound which was used in next step without further purification (210 mg, Yield 98.1%). 1H NMR (CDCl3, 400 MHz): δ 7.88-7.97 (m, 2H), 7.36-7.48 (m, 2H), 3.92 (s, 3H), 3.77-3.90 (m, 1H), 3.53-3.72 (m, 1H), 3.25-3.47 (m, 3H), 2.29 (d, J=5.27 Hz, 1H), 2.01 (quin, J=10.2 Hz, 1H), 1.42-1.55 (m, 10H).
-
- To a solution of tert-butyl 3-(3-(methoxycarbonyl)phenyl)pyrrolidine-1-carboxylate (210 mg, 0.7 mmol) in EtOH (4 ml) was added a solution of NaOH (56 mg, 1.4 mmol) in H2O (1 ml) at 29° C. The mixture was stirred for 30 min at 29° C. The mixture was concentrated and the residue was treated with water and extracted with EA. The water layer was treated with 2N HCl until pH=3, extracted with EA and the combined organic layers were washed with brine, dried over Na2SO4 and concentrated to give the title compound which was used in next step without further purification (200 mg, Yield 98.0%).
-
- To a solution of 3-(1-(tert-butoxycarbonyl)pyrrolidin-3-yl)benzoic acid (200 mg, 0.69 mmol) in DMF (4 ml) was added TEA (208 mg, 2.06 mmol), HOBt (139 mg, 1.03 mmol), EDCI (197 mg, 1.03 mmol) and 1-amino-3-(3,4-dihydroisoquinolin-2(1H)-yl)propan-2-ol (170 mg, 0.82 mmol) at 33° C. The reaction mixture was stirred for 16 h at 31° C. The mixture was treated with water and extracted with EA. The organic layer was washed with brine, dried over Na2SO4 and concentrated to give the title compound which was used in next step without further purification (300 mg, Yield 92%).
-
- To a solution of tert-butyl 3-(3-((3-(3, 4-dihydroisoquinolin-2(1H)-yl)-2-hydroxypropyl) carbamoyl)phenyl)pyrrolidine-1-carboxylate (400 mg, 0.83 mmol) in CH2Cl2 (5 mL) was added TFA (1 mL) at 29° C. The mixture was stirred for 2 h at 29° C. The mixture was concentrated and the residue was purified by prep-HPLC to give the title compound (79.1 mg, Yield 25.0%). 1H NMR (CD3OD, 400 MHz): δ 7.75-7.93 (m, 2H), 7.45-7.62 (m, 2H), 7.17-7.37 (m, 4H), 4.45-4.74 (m, 2H), 4.40 (dd, J=6.3, 3.3 Hz, 1H), 3.71-4.04 (m, 2H), 3.49-3.70 (m, 5H), 3.35-3.49 (m, 3H), 3.08-3.32 (m, 3H), 2.52 (qd, J=6.6, 4.2 Hz, 1H), 2.09-2.27 (m, 1H). LCMS (m/z): 380.2 (M+1).
-
- To a solution of N-(3-(3,4-dihydroisoquinolin-2(1H)-yl)-2-hydroxypropyl)-3-(pyrrolidin-3-yl)benzamide (200 mg, 0.53 mmol) in MeOH (4 ml) was added HCHO (31.9 mg, 1.05 mmol) and NaBH3CN (66.1 mg, 1.05 mmol) at 29° C. The mixture was then added AcOH (0.5 ml) at 29° C. and stirred for 16 h. The mixture was purified by prep-HPLC to give the title compound (29.6 mg, Yield 14.3%). 1H NMR (CD3OD, 400 MHz): δ 8.52 (brs, 2H), 7.88 (s, 1H), 7.78 (d, J=7.7 Hz, 1H), 7.53-7.60 (m, 1H), 7.43-7.52 (m, 1H), 7.22-7.33 (m, 3H), 7.15-7.21 (m, 1H), 4.36 (s, 3H), 3.78 (brs, 2H), 3.46-3.67 (m, 6H), 3.41(brs, 1H), 3.07-3.19 (m, 3H), 3.01 (s, 3H), 2.50-2.64 (m, 1H), 2.19-2.34 (m, 1H). LCMS (m/z): 394.2 (M+1).
-
-
- To a solution of 2-methyl-3-nitrobenzoic acid (1.0 g, 5.5 mmol) in DCM (20 mL) was added EDCI (1.58 g, 8.25 mmol), HOBt (1.11 g, 8.25 mmol), Et3N (1.11 g, 11.0 mmol) and 1-amino-3-(3,4-dihydroisoquinolin-2(1H)-yl)propan-2-ol (1.36 g, 6.6 mmol). The mixture was stirred at 25° C. for 16 h. The reaction solution was washed with water and extracted with DCM. The organic layer was concentrated, and the residue was purified by column chromatography to give the title product (1.6 g, 78.8%). LCMS (m/z): 370.2 (M+1).
-
- To a solution of N-(3-(3,4-dihydroisoquinolin-2(1H)-yl)-2-hydroxypropyl)-2-methyl-3-nitrobenzamide (1.6 g, 4.3 mmol) in EtOH (15 mL) and H2O (15 mL) was added Fe powder (1.45 g, 25.8 mmol) and NH4Cl (1.38 g, 25.8 mmol). The mixture was stirred at 60° C. for 4 h. The reaction solution was filtered, and the filtrate was concentrated to remove EtOH. The residue was diluted with water and extracted with DCM. The organic layer was concentrated to give the desired product (1.4 g, Yield 95.9%). The crude product was used in next step without further purification. LCMS (m/z): 340.1 (M+H).
-
- To a solution of 3-amino-N-(3-(3,4-dihydroisoquinolin-2(1H)-yl)-2-hydroxypropyl)-2-methylbenzamide (200 mg, 0.59 mmol) in MeOH (8 mL) was added AcOH (0.05 mL) and dihydro-2H-pyran-4(3H)-one (118 mg, 1.18 mmol). The mixture was stirred at 25° C. for 2 h. NaBH3CN (186 mg, 2.95 mmol) was added and the resulting mixture was stirred at 25° C. for 2 h. The reaction solution was concentrated and the residue was washed with water and extracted with EA. The organic layer was concentrated, and the residue was purified by prep-HPLC to give the title compound (24 mg, Yield 9.6%). 1H NMR (CD3OD, 400 MHz): δ 8.41 (s, 1H), 7.35-7.23 (m, 3H), 7.20 (d, J=7.0 Hz, 1H), 7.11 (t, J=7.8 Hz, 1H), 6.81 (d, J=8.3 Hz, 1H), 6.70 (d, J=7.3 Hz, 1H), 4.44 (s, 2H), 4.33 (brs, 1H), 3.99 (d, J=11.5 Hz, 2H), 3.66-3.43 (m, 7H), 3.38-3.16 (m, 4H), 2.15 (s, 3H), 2.01 (d, J=12.8 Hz, 2H), 1.63-1.48 (m, 2H). LCMS (m/z): 424.2 (M+1).
-
-
- A mixture of compound 3-(1-(tert-butoxycarbonyl)pyrrolidin-2-yl)benzoic acid (100 mg, 0.34 mmol), 1-amino-3-(3,4-dihydroisoquinolin-2(1H)-yl)propan-2-ol (70 mg, 0.34 mmol), BOPCl (100 mg, 0.41 mmol) and DIPEA (1 mL) in DCM (10 mL) was stirred at 25° C. for 4 h. The reaction mixture was diluted with water and extracted with DCM. The combined organic layers were washed with brine, dried over Na2SO4, concentrated and the residue was purified by prep-TLC to give the title product which was used directly in next step (150 mg, Yield 93%). LCMS (m/z): 480.2 (M+1).
-
- To a solution of tert-butyl 2-(3-((3-(3,4-dihydroisoquinolin-2(1H)-yl)-2-hydroxypropyl)carbamo yl)phenyl)pyrrolidine-1-carboxylate (100 mg, 0.11 mmol) in EA (10 mL) was added HCl (1M in EA, 4 mL). The reaction mixture was stirred at 25° C. for 16 h. The solvent was then removed by in vacuo and the crude product was purified by prep-HPLC to give the title compound (39.4 mg, Yield 52%). 1H NMR (CD3OD, 400 MHz): δ 7.80 (brs, 1H), 7.66 (d, J=7. Hz, 1H), 7.53 (d, J=7.6 Hz, 1H), 7.32-7.43 (m, 1H), 7.00-7.17 (m, 4H), 4.05-4.24 (m, 2H), 3.73-3.81 (m, 2H), 3.48-3.60 (m, 2H), 3.17-3.27 (m, 1H), 2.96-3.07 (m, 1H), 2.81-2.95 (m, 4H), 2.64-2.75 (m, 2H), 2.20-2.32 (m, 1H), 1.87-2.05 (m, 2H), 1.70-1.84 (m, 1H). LCMS (m/z): 380.2 (M+1).
-
-
- To a solution of 1,2,3,4-tetrahydroisoquinoline (10 g, 0.15 mol) in THF (100 mL) at 0° C. was added KF (22 g, 0.3 mmol). After 1 h, (S)-oxiran-2-ylmethyl 3-nitrobenzenesulfonate (21.4 g, 0.17 mmol) was added and the resulting solution was stirred at 22° C. for 16 h. The solid was removed by filtration and washed with THF. The solution was concentrated and the crude compound was used for next step without further purification (15 g, Yield 53%). LCMS (m/z): 190.1 (M+1).
-
- To a solution of (R)-2-(oxiran-2-ylmethyl)-1,2,3,4-tetrahydroisoquinoline (15 g, 0.08 mol) in EtOH (100 mL) at −78° C. was slowly bubbled NH3 (g). The reaction mixture was then sealed and heated at 80° C. for 3 h. The reaction mixture was concentrated and the crude product was used in next step without further purification (15 g, Yield 92%). LCMS (m/z): 207.1 (M+1).
-
- To a solution of methyl 3-aminobenzoate (2.0 g, 13.2 mmol) in THF (20 mL) was added Et3N (2.67 g, 26.4 mmol) and Boc2O (3.16 g, 14.5 mmol) at 0° C. The mixture was stirred at 25° C. for 16 h. The reaction solution was concentrated to remove THF, and the residue was washed with water and extracted with EA. The organic layer was concentrated, and the residue was purified by column chromatography to give the title product (1.6 g, Yield 48.5%). 1H NMR (CD3OD, 400 MHz): δ 8.12 (s, 1H), 7.64-7.60 (m, 2H), 7.37-7.33 (t, J=8 Hz, 1H), 3.89 (s, 3H), 1.52 (s, 9H). LCMS (m/z): 251.1 (M+1).
-
- A mixture of methyl 3-((tert-butoxycarbonyl)amino)benzoate (500 mg, 2 mmol) and (S)-1-amino-3-(3,4-dihydroisoquinolin-2(1H)-yl)propan-2-ol (618 mg, 3 mmol) in EtOH (1 mL) was heated at 120° C. for 3 h in a microwave reactor under N2. The reaction solution was concentrated and the residue was purified by column chromatography to give the title product (500 mg, Yield 58.8%). LCMS (m/z): 426.2 (M+1).
-
- To a solution of (S)-tert-butyl-(3-((3-(3,4-dihydroisoquinolin-2(1H)-yl)-2-hydroxyl propyl)carbamoyl)phenyl)carbamate (500 mg, 1.18 mmol) in DCM (8 mL) was added TFA (8 mL). The mixture was stirred at 25° C. for 16 h. The reaction solution was concentrated to give the crude title product that was used without further purification (400 mg). LCMS (m/z): 326.2 (M+1).
-
- To a solution of (S)-3-amino-N-(3-(3 ,4-dihydroisoquinolin-2(1H)-yl)-2-hydroxylprop yl)benzamide (400 mg, 1.23 mmol) in MeOH (8 mL) was added AcOH (0.05 mL) and dihydro-2H-pyran-4(3H)-one (123 mg, 1.23 mmol). The mixture was stirred at 25° C. for 2 h. NaBH3CN (387 mg, 6.15 mmol) was added and the resulting mixture was stirred at 25° C. for 2 h. The reaction solution was concentrated, and the residue was washed with water and extracted with EA. The organic layer was concentrated, and the residue was purified by prep-HPLC to give the title compound (160 mg, Yield 31.8%). 1H NMR (CD3OD, 400 MHz): δ 7.94-7.76 (m, 2H), 7.63-7.56 (m, 1H), 7.56-7.49 (m, 1H), 7.32-7.24 (m, 3H), 7.21-7.15 (m, 1H), 4.71-4.55 (m, 1H), 4.52-4.28 (m, 2H), 4.05-3.95 (m, 2H), 3.92-3.70 (m, 2H), 3.62-3.46 (m, 3H), 3.46-3.33 (m, 4H), 3.28-3.02 (m, 2H), 1.99-1.85 (m, 2H), 1.82-1.66 (m, 2H). LCMS (m/z): 410.2 (M+1).
-
-
- To a solution of 1,2,3,4-tetrahydroisoquinoline (15 g, 0.11 mol) in MeCN (100 mL) was added K2CO3 (30.7 g, 0.23 mol) at 0° C. 2-(bromomethyl)oxirane (17 g, 0.12 mol) was added to the reaction after 1 h. The solution was stirred at 22° C. for 16 h at which time the solids were filtered and washed with MeCN. The solution was concentrated and the residue was used in the next step without further purification (17 g, Yield 78%). LCMS (m/z): 190.1 (M+1).
-
- To a solution of 2-(oxiran-2-ylmethyl)-1,2,3,4-tetrahydroisoquinoline (17 g, 0.09 mol) in EtOH (300 mL) at -78° C. was slowly bubbled NH3 (g). The reaction mixture was then sealed and heated at 80° C. for 3 h. The reaction mixture was concentrated and the crude product was used in next step without further purification (18 g, Yield 96%). LCMS (m/z): 207.1 (M+1).
-
- To a solution of 3-((tert-butoxycarbonyl)amino)benzoic acid (2.5 g, 10.5 mmol) in DCM (25 mL) was added EDCI (3.0 g, 15.7 mmol), HOBt (2.1 g, 15.7 mmol), Et3N (2.1 g, 21 mmol) and 1-amino-3-(3,4-dihydroisoquinolin-2(1H)-yl)propan-2-ol (2.2 g, 10.5 mmol). The mixture was stirred at 25° C. for 16 h. The reaction solution was washed with water and extracted with DCM. The organic layer was concentrated, and the residue was purified by column chromatography to give the title product (3.2 g, 71%). LCMS (m/z): 426.3 (M+1).
-
- To a solution of tert-butyl (3-((3-(3,4-dihydroisoquinolin-2(1H)-yl)-2-hydroxypropyl)carbamoyl)phenyl)carbamate (500 mg, 1.18 mmol) in DCM (5 mL) was added TFA (5 mL). The mixture was stirred at 25° C. for 16 h. The reaction solution was concentrated, and the residue was dissolved in water, the pH was adjused to 7˜7.5 with saturated aqueous of NaHCO3 and extracted with EA. The organic layer was concentrated to give the title product that was used in the next step without further purifcation (450 mg). LCMS (m/z): 326.2 (M+1).
-
- To a solution of 3-amino-N-(3-(3,4-dihydroisoquinolin-2(1H)-yl)-2-hydroxypropyl)benzamide (100 mg, 0.31 mmol) in MeOH (5 mL) was added AcOH (0.05 mL) and dihydrofuran-3(2H)-one (27 mg, 0.31 mmol). The mixture was stirred at 22° C. for 2 h. NaBh3CN (98 mg, 1.55 mmol) was added and the resulting mixture was stirred at 22° C. for 2 h. The reaction solution was concentrated, and the residue was washed with water, extracted with EA, the organic layer was concentrated, and the residue was purified by prep-HPLC to give the title compound (22 mg, Yield 18.0%). 1H NMR (CD3OD, 400 MHz): δ 7.14-6.95 (m, 7H), 6.80-6.71 (m, 1H), 4.14-4.03 (m, 2H), 3.99-3.89 (m, 2H), 3.87-3.78 (m, 1H), 3.75-3.69 (m, 2H), 3.67-3.61 (m, 1H), 3.55-3.41 (m, 2H), 2.91-2.79 (m, 4H), 2.71-2.57 (m, 2H), 2.32-2.19 (m, 1H), 1.91-1.79 (m, 1H). LCMS (m/z): 396.2 (M+1).
-
-
- To a solution of 3-(methoxycarbonyl)benzoic acid (200 mg, 1.11 mmol) in DCM (10 mL) were added morpholine (200 mg, 2.30 mmol) and TEA (300 mg, 2.96 mmol) and the resulting solution was stirred for 10 min at 20° C. To the mixture was added HATU (500 mg, 1.31 mmol) and the reaction mixture was stirred at 20° C. for 1 h. The mixture was concentrated and the residue was purified via column chromatography to obtain the title product (250 mg, Yield 90.5%). LCMS (m/z): 250.1 (M+1).
-
- To a solution of methyl methyl-3-(morpholine-4-carbonyl)benzoate (300 mg, 1.11 mmol) in MeOH (2 mL) and water (2 mL) was added LiOH (100 mg, 2.38 mmol) at 20° C. The mixture was heated to 60° C. for 1 h under N2. The reaction solution was concentrated in vacuo and diluted with water. The pH was adjusted to 4 with 2N HCl and the aqueous layer was extracted with DCM. The organic layer was concentrated to dryness and obtained the title product that was used in the next reaction without further purification (250 mg, Yield 96%). LCMS (m/z): 236.2 (M+1).
-
- To a solution of 3-(morpholine-4-carbonyl)benzoic acid (300 mg crude, 0.48 mmol) in MeCN (5 mL) was added 1-amino-3-(3,4-dihydroisoquinolin-2(1H)-yl)-propan-2-ol (100 mg, 0.49 mmol), and TEA (250 mg, 2.48 mmol) and the resulting mixture was stirred at 20° C. for 10 min. BOPCl (120 mg, 0.49 mmol) was added and the reaction mixture was stirred at 20° C. for 1 h. After evaporation of the solvent, the residue was purified by prep-HPLC to give the title compound (15.2 mg, Yield 7.5%). 1H NMR (CD3OD, 400 MHz): δ 7.85-7.94 (m, 2H), 7.60 (d, J=7.8 Hz, 1H), 7.50 (t, J=7.7 Hz, 1H), 7.08-7.16 (m, 3H), 7.01-7.07 (m, 1H), 4.14 (quin, J=6.0 Hz, 1H), 3.76 (s, 6H), 3.54-3.68 (m, 3H), 3.47 (dd, J=6.8, 13.6 Hz, 3H), 2.80-2.98 (m, 4H), 2.63-2.74 (m, 2H). LCMS (m/z): 424.2 (M+1).
-
-
- To a solution of 3-((tert-butoxycarbonyl)amino)benzoic acid (2.5 g, 10.5 mmol) in DCM (25 mL) was added EDCI (3.0 g, 15.7 mmol), HOBt (2.1 g, 15.7 mmol), Et3N (2.1 g, 21 mmol) and 1-amino-3-(3,4-dihydroisoquinolin-2(1H)-yl)propan-2-ol (2.2 g, 10.5 mmol). The mixture was stirred at 25° C. for 16 h. The reaction solution was washed with water and extracted with DCM. The organic layer was concentrated, and the residue was purified by column chromatography to give the title product (3.2 g, Yield 71%). LCMS (m/z): 426.3 (M+1).
-
- To a solution of tert-butyl (3-((3-(3,4-dihydroisoquinolin-2(1H)-yl)-2-hydroxypropyl) carbamoyl)phenyl)carbamate (500 mg, 1.18 mmol) in DCM (5 mL) was added TFA (5 mL). The mixture was stirred at 25° C. for 16 h. The reaction solution was concentrated, and the residue was dissolved in water, the pH was adjusted to 7˜7.5 with saturated aqueous of NaHCO3 and extracted with EA. The organic layer was concentrated to give the title product that was used in the next step without further purification (450 mg, crude). LCMS (m/z): 326.2 (M+1).
-
- To a solution of N-(3-(3,4-dihydroisoquinolin-2(1H)-yl)-2-hydroxypropyl) -3-((tetrahydro-2H-pyran-4-yl)amino)benzamide (300 mg, 0.73 mmol) in MeOH (6 mL) was added AcOH (0.05 mL) and HCHO (548 mg, 7.3 mmol, 40% w/w). The mixture was stirred at 20° C. for 2 h. NaBh3CN (276 mg, 4.38 mmol) was added and the resulting mixture was stirred at 20° C. for 16 h. The reaction solution was concentrated, the residue was washed with water and extracted with EA. The organic layer was concentrated, and the residue was purified by prep-HPLC to give the title compound (105 mg, Yield 33.9%). 1H NMR (CD3OD, 400 MHz): δ 7.37-7.29 (m, 1H), 7.23-7.17 (m, 1H), 7.17-6.97 (m, 6H), 4.18-4.08 (m, 1H), 4.07-3.90 (m, 3H), 3.80-3.68 (m, 2H), 3.62-3.51 (m, 3H), 3.51-3.43 (m, 1H), 2.99-2.79 (m, 7H), 2.75-2.58 (m, 2H), 1.94-1.79 (m, 2H), 1.72-1.59 (m, 2H). LCMS (m/z): 424.1 (M+1).
-
-
- To a solution of 3-amino-N-(3-(3,4-dihydroisoquinolin-2(1H)-yl)-2-hydroxypropyl)benzamide (100 mg, 0.31 mmol) in MeOH (5 mL) was added AcOH (0.05 mL) and oxetan-3-one (22 mg, 0.31 mmol). The mixture was stirred at 22° C. for 2 h. NaBh3CN (98 mg, 1.55 mmol) was added, and the resulting mixture was stirred at 22° C. for 2 h. The reaction solution was concentrated, the residue was washed with water, extracted with EA, the organic layer was concentrated, and the residue was purified by prep-HPLC to give the title compound (17 mg, Yield 14.4%). 1H NMR (CD3OD, 400 MHz): δ 7.17-6.97 (m, 6H), 6.96-6.88 (m, 1H), 6.72-6.62 (m, 1H), 5.03-4.95 (m, 2H), 4.67-4.59 (m, 1H), 4.59-4.49 (m, 2H), 4.15-4.04 (m, 1H), 3.80-3.69 (m, 2H), 3.56-3.40 (m, 2H), 2.96-2.79 (m, 4H), 2.73-2.58 (m, 2H). LCMS (m/z): 382.2 (M+1).
-
-
- To a solution of methyl 3-formylbenzoate (100 mg, 0.61 mmol) in MeOH (5 mL) was added morpholine (100 mg, 1.15 mmol) and the resulting mixture was stirred for 10 min at 20° C. To the mixture was added NaBh3CN (100 mg, 1.59 mmol) and the reaction mixture was stirred for 30 min at 20° C. The solution was concentrated and the residue was purified by prep-TLC to afford the title compound (130 g, Yield 90.9%). 1H NMR (CD3OD, 400 MHz): δ 7.98-8.05 (m, 1H), 7.92 (td, J=1.4, 7.7 Hz, 1H), 7.57-7.62 (m, 1H), 7.37-7.53 (m, 1H), 3.90 (s, 3H), 3.66-3.71 (m, 4H), 3.57 (s, 2H), 2.41-2.49 (m, 4H).
-
- To a solution of methyl 3-(morpholinomethyl)benzoate (150 mg, 0.64 mmol) in MeOH (2 mL) and water (2 mL) was added LiOH (55 mg, 1.31 mmol) at 20° C. The mixture was heated to 60° C. for 1 h. The reaction solution was concentrated and purified via prep-HPLC to give the title compound (60 mg, Yield 42.5%). LCMS (m/z): 222 (M+1).
-
- To a solution of 3-(morpholinomethyl)benzoic acid (60 mg, 0.27 mmol) in MeCN (3 mL) were added 1-amino-3-(3,4-dihydroisoquinolin-2(1H)-yl)propan-2-ol (60 mg, 0.29 mmol), TEA (70 mg, 0.69 mmol) and the resulting mixture was stirred at 20° C. for 10 min. BOPCl (70 mg, 0.28 mmol) was added and the reaction mixture was stirred at 20° C. for 16 h. The reaction solution was concentrated and the residue was purified by prep-HPLC to give the title compound (4 mg, Yield 3.6%). 1H NMR (CD3OD, 400 MHz): δ 7.77 (s, 1H), 7.68 (d, J=7.8 Hz, 1H), 7.50 (d, J=7.7 Hz, 1H), 7.35 (t, J=7.7 Hz, 1H), 7.07-7.14 (m, 3H), 7.00-7.06 (m, 1H), 4.11 (quin, J=6.0 Hz, 1H), 3.75 (s, 2H), 3.64-3.72 (m, 4H), 3.43-3.59 (m, 4H), 2.83-2.93 (m, 4H), 2.61-2.74 (m, 2H), 2.44 (brs, 4H). LCMS (m/z): 410.1 (M+1).
-
-
- A solution of 3-amino-N-(3-(3,4-dihydroisoquinolin-2(1H)-yl)-2-hydroxypropyl) benzamide (130 mg, 0.4 mmol), 1-(tetrahydro-2H-pyran-4-yl)ethanone (52 mg, 0.4 mmol) and AcOH (0.1 mL) in MeOH (10 mL). The mixture was stirred at 22° C. for 1 h, then NaBh3CN (76 mg, 1.2 mmol) was added. The mixture was stirred at 22° C. for 4 h. The reaction mixture was concentrated and quenched with water. The mixture solution was extracted with DCM, the combined organic layers were concentrated and the residue was purified by prep-TLC to give the desired compound (14.0 mg, Yield 8%). 1H NMR (CD3OD, 400 MHz): δ 6.90-7.07 (m, 6H), 6.81 (d, J=7.5 Hz, 1H), 6.64 (d, J=8.03 Hz, 1H), 3.98-4.04 (m, 1H), 3.87 (d, J=11.3 Hz, 2H), 3.70 (s, 2H), 3.28-3.45 (m, 5H), 2.82 (brs, 4H), 2.56-2.65 (m, 2H), 1.70 (d, J=13.8 Hz, 1H), 1.57 (brs, 1H), 1.17-1.37 (m, 3H), 1.04 (d, J=6.3 Hz, 3H). LCMS (m/z): 438.3 (M+1).
-
-
- A solution of 3-amino-N-(3-(3,4-dihydroisoquinolin-2(1H)-yl)-2-hydroxypropyl) benzamide (130 mg, 0.4 mmol), 2,2-dimethyldihydro-2H-pyran-4(3H)-one (52 mg, 0.4 mmol) and AcOH (0.1 mL) in MeOH (10 mL). The mixture was stirred at 22° C. for 12 h, then NaBh3CN (76 mg, 1.2 mmol) was added and the resulting mixture was stirred at 22° C. for 2 h. The reaction mixture was concentrated and quenched with water. The aqueous mixture was extracted with DCM, the combined organic layers were concentrated and the residue was purified by prep-HPLC to give the title compound (5.5 mg, Yield 3.1%). 1H NMR (CD3OD, 400 MHz): δ 8.42 (brs, 1H) 7.00-7.33 (m, 7H) 6.84 (d, J=7.8 Hz, 1H) 4.21-4.41 (m, 3H) 3.40-3.92 (m, 8H) 3.11-3.20 (m, 3H) 1.91-2.07 (m, 2H) 1.18-1.44 (m, 8H). LCMS (m/z): 438.3 (M+1).
-
-
- A solution of 1-amino-3-(3,4-dihydroisoquinolin-2(1H)-yl)propan-2-ol (326 mg, 1.58 mmol), 5-bromonicotinic acid (300 mg, 1.5 mmol), HATU (627 mg, 1.65 mmol) and TEA (181.8 mg, 1.8 mmol) in DCM (15 mL) was stirred at 22° C. for 2 h, at which time the reaction mixture was diluted with water and extracted with DCM. The combined organic layers were dried and concentrated and the residue was purified by column chromatography to give title compound that was used in the next step without further purification (200 mg, Yield 34%). LCMS (m/z): 390/392 (M+1/M+2).
-
- To a solution of 5-bromo-N-(3-(3,4-dihydroisoquinolin-2(1H)-yl)-2-hydroxypropyl) nicotinamide (100 mg, 0.26 mmol) in dioxane (10 mL) were added tetrahydro-2H-pyran-4-amine (39.4 mg, 0.29 mmol), Pd2(dba)3 (20 mg, 0.02 mmol), NaOtBu (24 mg, 0.52 mmol) and BINAP (26 mg, 0.04 mmol). The reaction mixture was heated at 110° C. for 6 h under N2. The mixture was concentrated and the residue was dissolved in EA, washed with water, the organic layer was collected, dried, and the residue purified by prep-HPLC to give the title compound (25.9 mg, Yield 24%). 1H NMR (CD3OD, 400 MHz): δ 8.17 (d, J=1.5 Hz, 1H), 8.05 (d, J=2.5 Hz, 1H), 7.43-7.35 (m, 1H), 7.13-7.06 (m, 3H), 7.04-6.99 (m, 1H), 4.17-4.07 (m, 1H), 4.02-3.93 (m, 2H), 3.73 (s, 2H), 3.63-3.50 (m, 4H), 3.41 (dd, J=6.8, 13.6 Hz, 1H), 2.94-2.82 (m, 4H), 2.70-2.57 (m, 2H), 2.03-1.93 (m, 2H), 1.57-1.45 (m, 2H). LCMS (m/z): 411.1 (M+1).
-
-
- To a solution of compound methyl 4-chloropicolinate (100 mg, 0.59 mmol), tetrahydro-2H-pyran-4-amine hydrochloride (121 mg, 0.88 mmol), Cs2CO3 (762 mg, 2.34 mmol), Pd2(dba)3 (54 mg, 0.059 mmol) and XPhos (28 mg, 0.06 mmol) in toluene (10 mL) was stirred and heated at 110° C. under N2 for 16 h. The catalyst was filtered and the filtrate was washed with EA, concentrated in vacuo and the residue was purified by prep-TLC to give the title product (50 mg, Yield 36.2%). LCMS (m/z): 237.2 (M+1).
-
- To a solution of compound methyl 4-((tetrahydro-2H-pyran-4-yl)amino)picolinate (50 mg, 0.21 mmol) and 1-amino-3-(3,4-dihydroisoquinolin-2(1H)-yl)propan-2-ol (44 mg, 0.21 mmol) in MeOH (2 mL) was stirred at 100° C. under microwave heating for 3 h. The reaction mixture was purified by prep-HPLC to give the title compound (29.9 mg, Yield 34.4%). 1H NMR (400 MHz, CD3OD): δ 7.95 (d, J=5.6 Hz, 1H), 7.26 (d, J=2.4 Hz, 1H), 7.13-7.05 (m, 3H), 7.03-6.98 (m, 1H), 6.62 (dd, J=2.4, 5.6 Hz, 1H), 4.07 (quin, J=6.0 Hz, 1H), 4.01-3.93 (m, 2H), 3.72 (s, 2H), 3.66-3.60 (m, 1H), 3.60-3.57 (m, 1H), 3.57-3.52 (m, 2H), 3.49-3.42 (m, 1H), 2.95-2.89 (m, 2H), 2.87-2.81 (m, 2H), 2.65 (d, J=6.0 Hz, 2H), 1.97 (d, J=12.8 Hz, 2H), 1.59-1.47 (m, 2H). LCMS (m/z): 411.1 (M+1).
-
-
- The solution of 5-amino-2-fluorobenzoic acid (200 mg, 1.29 mmol) and HATU (490 mg, 1.29 mmol) in DCM (15 mL) was stirred at 17° C. for 30 min. Then 1-amino-3-(3,4-dihydroisoquinolin-2(1H)-yl)propan-2-ol (265 mg, 1.29 mmol) and DIPEA (333 mg, 2.58 mmol) was added and the resulting solution was stirred at 17° C. for 16 h. The solution was concentrated and the residue was purified by column chromatography to give desired product (372 mg, Yield 84%).
-
- A solution of 5-amino-N-(3-(3,4-dihydroisoquinolin-2(1H)-yl)-2-hydroxypropyl) -2-fluorobenzamide (372 mg, 1.08 mmol), dihydro-2H-pyran-4(3H)-one (108 mg, 1.08 mmol) and AcOH (0.05 mL) in MeOH (20 mL) was stirred at 17° C. for 2 h. Then NaBh3CN (109 mg, 1.63 mmol) was added and the resulting solution was stirred at 17° C. for 4 h. The solution was concentrated and the residue was purified by column chromatography to afford the title product (121.5 mg, Yield 17.5%). 1H NMR (CD3OD, 400 MHz): δ 7.16-7.07 (m, 3H), 7.03 (dd, J=2.9, 5.9 Hz, 2H), 6.95 (dd, J=8.9, 10.7 Hz, 1H), 6.79 (td, J=3.6, 8.8 Hz, 1H), 4.11 (quin, J=6.0 Hz, 1H), 3.98 (d, J=11.5 Hz, 2H), 3.80-3.69 (m, 2H), 3.64-3.40 (m, 5H), 2.98-2.81 (m, 4H), 2.72-2.60 (m, 2H), 1.99 (d, J=12.8 Hz, 2H), 1.56-1.39 (m, 2H). LCMS (m/z): 428.2 (M+1).
-
-
- To a solution of ethyl 4-hydroxybenzoate (500 mg, 3.0 mmol), tetrahydro-2H-pyran-4-ol (307.3 mg, 3.0 mmol) and PPh3 (944 mg, 3.6 mmol) in THF (15 mL) was added DEAD (627 mg, 3.6 mmol) at 0° C. The mixture was the warmed to 21° C. and stirred for 16 h. The mixture was treated with water and the organic layer was washed with brine, dried over Na2SO4, concentrated and the residue was purified by column chromatography to give the title compound (320 mg, Yield 45%). 1H NMR (CDCl3, 400 MHz): δ 7.92 (d, J=8.9 Hz, 1H), 6.75-6.94 (m, 1H), 4.44-4.59 (m, 1H), 4.28 (d, J=7.2 Hz, 2H), 3.83-4.00 (m, 2H), 3.46-3.60 (m, 2H), 1.88-2.05 (m, 2H), 1.67-1.83 (m, 2H), 1.31 (t, J=7.2 Hz, 3H).
-
- To a solution of methyl 4-((tetrahydro-2H-pyran-4-yl)oxy)benzoate (400 mg, 1.6 mmol) in MeOH (10 ml) was added a solution of NaOH (128 mg, 3.2 mmol) in H2O (4 mL) at 22° C. The mixture was stirred at 50° C. for 4 h. The mixture was concentrated and the residue was treated with water and extracted with EA. The water layer was treated with 2N HCl to pH=3. The water layer was then extracted with EA. The organic layer was washed with brine, dried over Na2SO4 and concentrated to give the title product which was used in next step without further purification (350 mg, Yield 98.6%). 1H NMR (CDCl3, 400 MHz): δ 8.08 (d, J=8.9 Hz, 2H), 6.98 (d, J=8.9 Hz, 2H), 4.64 (tt, J=7.7, 3.8 Hz, 1H), 3.95-4.09 (m, 2H), 3.64 (ddd, J=11.6, 8.2, 3.3 Hz, 2H), 2.01-2.13 (m, 2H), 1.78-1.93 (m, 2H).
-
- To a solution of 4-((tetrahydro-2H-pyran-4-yl)oxy)benzoic acid (150 mg, 0.67 mmol) in DMF (4 mL) was added DIEA (260 mg, 2.01 mmol), HATU (384 mg, 1.01 mmol) and 1-amino-3-(3,4-dihydroisoquinolin-2(1H)-yl)propan-2-ol (170 mg, 0.81 mmol). The reaction mixture was stirred at 22° C. for 16 h. The mixture was treated with water and extracted with EA. The organic layer was washed with brine, dried over Na2SO4, concentrated and the residue was was purified by prep-HPLC to give the title compound (206.1 mg, Yield 74.9%). 1H NMR (CD3OD, 400 MHz): δ 7.84 (d, J=8.8 Hz, 2H), 7.26-7.37 (m, 3H), 7.19-7.25 (m, 1H), 7.05 (d, J=8.8 Hz, 2H), 4.59-4.74 (m, 2H), 4.31-4.49 (m, 2H), 3.93-4.01 (m, 2H), 3.86 (brs, 1H), 3.63 (ddd, J=11.7, 8.8, 3.0 Hz, 2H), 3.53 (qd, J=14.0, 5.7 Hz, 3H), 3.37-3.44 (m, 1H), 3.11-3.32 (m, 3H), 2.02-2.12 (m, 2H), 1.69-1.81 (m, 2H). LCMS (m/z): 411.2 (M+1).
-
-
- To a solution of sodium (Z)-1,4-diethoxy-1,4-dioxobut-2-en-2-olate (55.0 g, 262 mmol) in H2O (500 mL) was added formimidamide acetate (27.3 g, 262 mmol) and NaOH (10.5 g). After addition, the resulting mixture was stirred at 25° C. for 16 h then concentrated and then acidified by added aqueous HCl (1N) until pH=1. The resulting solid was collected by filtration, washed with H2O and ether to give 6-hydroxypyrimidine-4-carboxylic acid (6.0 g, yield: 16.3%). 1H NMR (400 MHz, DMSO-d6) δ 6 12.89 (s, 1H), 8.24 (s, 1H), 6.83 (s, 1H).
-
- To a solution of 6-hydroxypyrimidine-4-carboxylic acid (6.0 g, 42.8 mmol) in EtOAc (90 mL) was added (COCl)2 (12 mL) dropwise, followed by a few drops of DMF. The mixture was stirred at 75° C. for 3 h, and then at 25° C. for 16 h. The solvent was evaporated to give the crude 6-chloropyrimidine-4-carboxylic acid (6.3 g, yield: 92.9%). 1H NMR (400 MHz, DMSO-d6) δ 8.31 (s, 1H), 6.88 (s, 1H).
-
- A drop of DMF was added to a stirred solution of 6-chloropyrimidine-4-carboxylic acid (5.5 g, 34.7 mmol) and (COCl)2 (12 mL) in DCM (100 mL). The mixture was stirred at 25° C. for 2 h. The solvent was evaporated under reduced pressure to give crude 6-chloropyrimidine-4-carbonyl chloride (6.0 g, yield: 97.7%). 1H NMR (400 MHz, DMSO-d6) δ 9.20 (s, 1H), 8.10 (s, 1H).
-
- To a stirred and cooled (0° C.) solution of (S)-1-amino-3-(3,4-dihydroisoquinolin-2(1H)-yl) propan-2-ol (7.15 g, 34.7 mmol) and Et3N (14.0 g, 138.8 mmol) in DCM (100 mL) was added 6-chloropyrimidine-4-carbonyl chloride (5.5 g, 34.7 mmol). After addition, the resulting mixture was stirred at 25° C. for 16 h, at which time LCMS showed the completion of the reaction. The solvent was evaporated and the residue purified by flash chromatography to give the (S)-6-chloro-N-(3-(3 ,4-dihydroisoquinolin-2(1H)-yl)-2-hydroxypropyl)pyrimidine-4-carboxamide (7.2 g, yield: 60%). LCMS (m/z): 347.0 [M+H]+
-
- To a solution of (S)-6-chloro-N-(3-(3,4-dihydroisoquinolin-2(1H)-yl)-2-hydroxy propyl)pyrimidine-4-carboxamide (347 mg, 1 mmol) in i-PrOH (5 mL) was added oxetan-3-amine (73.1 mg, 1 mmol) and DIPEA (129 mg, 1 mmol). The resulting mixture was stirred at 110° C. for 16 hours, at which time LCMS showed the completion of the reaction. After evaporation of the solvent, the residue was purified by preparative HPLC to give the target compound (S)—N-(3-(3 ,4-dihydroisoquinolin-2(1H)-yl)-2-hydroxypropyl)-6-(oxetan-3-ylamino)pyrimidine-4-carboxamide (62.5 mg, yield: 16.3%). 1H NMR (400 MHz, MeOD-d4) δ 8.24 (s, 1H), 7.15-7.05 (m, 4H), 7.02-6.98 (m, 1H), 5.09 (s, 1H), 4.95 (t, J=6.8 Hz, 2H), 4.59 (t, J=6.3 Hz, 2H), 4.10-4.03 (m, 1H), 3.72 (s, 2H), 3.56-3.46 (m, 2H), 2.96-2.91 (m, 2H), 2.87-2.80 (m, 2H), 2.65 (d, J=6.3 Hz, 2H). LCMS (m/z): 384.1 [M+H]+.
-
-
- To a stirring solution of 1,2,3,4-tetrahydroisoquinoline (15 g, 0.11 mol) in MeCN (100 mL) at 0° C. was added K2CO3 (30.7 g, 0.23 mol), then 2-(bromomethyl) oxirane (17 g, 0.12 mol) added slowly over a period of 1 h. After the addition the solution was stirred at 21° C. for 12 h. The resulting solid was then removed by filtration and washed with MeCN and the combined organic filtrate was concentrated under reduced pressure to give the crude product. This residue was used into next step without further purification (17 g, Yield: 78%). LCMS (m/z): 190.1 (M+1).
-
- NH3 was bubbled into a stirred and cooled (−78° C.) solution of 2-(oxiran-2-ylmethyl)-1,2,3,4-tetrahydroisoquinoline (17 g, 0.09 mol) in EtOH (300 mL). After saturation, the reaction mixture was then sealed and heated at 80° C. for 3 h. After LCMS indicated the reaction to be complete, the reaction mixture was concentrated and the crude product used in the next step without further purification (18 g, Yield 96%). LCMS (m/z): 207.1 (M+1).
-
- To a solution of 2-methylquinoline-6-carboxylic acid (100 mg, 0.535 mmol) in DCM (20 mL) was added HATU (244 mg, 0.642 mmol) and TEA (162 mg, 1.604 mmol). The mixture was stirred at 15° C. for 30 minutes before 1-amino-3-(3,4-dihydro isoquinolin-2(1H)-yl)propan-2-ol (110 mg, 0.535 mmol) was added. The resulting mixture was stirred for another 16 h at 15° C., at which point LCMS showed the completion of the reaction. The mixture was concentrated and the residue was purified by Preparation HPLC to give the desired title compound (106.2 mg, 53%). 1H NMR (400 MHz, METHANOL-d4) δ=8.32 (d, J=1.9 Hz, 1H), 8.14 (d, J=8.4 Hz, 1H), 8.09 (dd, J=2.1, 8.8 Hz, 1H), 7.93 (d, J=8.8 Hz, 1H), 7.49 (d, J=8.4 Hz, 1H), 7.16-7.08 (m, 3H), 7.08-7.03 (m, 1H), 4.18 (quin, J=6.1 Hz, 1H), 3.79 (s, 2H), 3.59 (d, J=5.8 Hz, 2H), 2.94-2.88 (m, 4H), 2.79-2.68 (m, 5H). LCMS (m/z): 376.0 (M+1).
-
- To a solution of 2-methylquinoline-6-carboxylic acid (200 mg, 1.070 mmol) in DCM (30 mL), was added HATU (489 mg, 1.283 mmol) and TEA (324 mg, 3.208 mmol). The solution was stirred at 15° C. for 30 minutes before (R)-1-amino-3-(3,4-dihydro isoquinolin-2(1H)-yl)propan-2-ol (264 mg, 1.283 mmol) was added. The resulting solution was stirred for another 16 h at 15° C., until the reaction was complete by LCMS analysis. The mixture was then concentrated under vacuum to give the crude material which was purified by Preparative HPLC to give the title compound (118 mg, 29%). 1H NMR (400 MHz, METHANOL-d4) δ 8.33 (d, J=1.9 Hz, 1H), 8.15 (d, J=8.5 Hz, 1H), 8.09 (dd, J=2.1, 8.8 Hz, 1H), 7.93 (d, J=8.8 Hz, 1H), 7.49 (d, J=8.4 Hz, 1H), 7.15-7.05 (m, 4H), 4.18 (quin, J=6.1 Hz, 1H), 3.79 (s, 2H), 3.63-3.55 (m, 2H), 2.95-2.90 (m, 4H), 2.76 (s, 3H), 2.76-2.68 (m, 2H). LCMS (m/z): 376.1 [M+H]+
-
- To a solution of 2-methylquinoline-6-carboxylic acid (1 g, 5.35 mmol) in DCM (100 mL), was added HATU (2.44 g, 6.42 mmol) and TEA (1620 mg, 16.043 mmol). The solution was stirred at 15° C. for 30 minutes before (S)-1-amino-3-(3,4-dihydro isoquinolin-2(1H)-yl)propan-2-ol (1.76 g, 8.55 mmol) was added. The resulting solution was stirred for 16 h at 15° C. until LCMS analysis showed the reaction to be complete. The mixture was then concentrated under vacuum and the residue purified by Preparative HPLC to give the desired title compound (502.1 mg, 25%). 1H NMR (400 MHz, METHANOL-d4) δ0 8.31 (br. s., 1H), 8.08 (d, J=8.8 Hz, 1H), 8.12 (d, J=8.4 Hz, 1H), 7.91 (d, J=8.8 Hz, 1H), 7.47 (d, J=8.3 Hz, 1H), 7.17-7.03 (m, 4H), 4.23-4.11 (m, 1H), 3.78 (br. s., 2H), 3.59 (d, J=5.5 Hz, 2H), 2.91 (br. s., 4H), 2.78 -2.69 (m, 5H). LCMS (m/z): 376.1 [M+H]+.
-
-
- To a solution of tert-butyl piperidin-4-ylcarbamate (200 g, 1 mol) and Et3N (150 g, 1.5 mol) in DCM (3000 mL) was added Ac2O (102 g, 1 mol) dropwise over 1 h, while maintained the temperature at 0° C. After addition, the mixture was stirred 0° C. for another 2 h, at which time TLC showed the reaction was completed. The solution was quenched by addition of water (1 L). The organic phase was collected and washed with saturated aqueous NaHCO3 (1 L), dried (Na2SO4) and concentrated to give crude product. Four batches were run in parallel and produced a combined crude product weight of 670 g. This crude was used directly in the step. LCMS (m/z): 243.1 (M+1).
-
- To a solution of tert-butyl (1-acetylpiperidin-4-yl)carbamate (330 g, 1.36 mol) in MeOH (1000 mL) was added HCl/MeOH (4M, 300 mL) over 30 min to maintain the temperature at 0° C. After addition, the mixture was stirred at 0° C. for another 2 h and then concentrated to give the crude product. Two batches were run in parallel and produced a combined crude product weight of 310 g. This crude was used in next step without further purification. 1H NMR (400 MHz, D2O) δ 4.35 (dd, J=2.0, 12.0 Hz, 1H), 3.98-3.85 (m, 1H), 3.44-3.30 (m, 1H), 3.18-3.05 (m, 1H), 2.75-2.58 (m, 1H), 2.06-1.92 (m, 5H), 1.61-1.31 (m, 2H; LCMS (m/z): 143.1 (M+1).
-
- To a stirred mixture of 6-hydroxypyrimidine-4-carboxylic acid (300 g, 2.14 mol) in EA (3000 mL), oxalyl dichloride (1356 g, 10.68 mol) was dropped slowly to maintain a reaction temperature below 30° C. After addition, the mixture was stirred at 20° C. for 30 min and then 2 mL of DMF was added to the mixture. The mixture was then stirred at 80° C. for 16 hours and concentrated to give the crude product as black solid. Three batches were run in parallel and produced a combined crude product weight of 787 g. This crude was used directly in the next step.
-
- To a stirred mixture of (S)-1-amino-3-(3,4-dihydroisoquinolin-2(1H)-yl)propan-2-ol (247 g, 1.20 mol), and TEA (250 g, 2.5 mol) in DCM (3500 mL) was added 6-chloropyrimidine-4-carbonyl chloride (190 g in 100 mL of DCM) slowly at −60° C. over 1 h. After addition, the mixture was then allowed to warm to 10° C. Stirring was continued for 1 h, at which time TLC showed the reaction was completed. The reaction was quenched by addition of water (1.5 L). The organic phase was collected, dried (Na2SO4) and evaporated. The residue was purified by flash chromatography (EtOAc˜DCM:MeOH=10:1) to give the desired product as a pale yellow solid. Four batches were run in parallel and produced a combined crude product weight of 800 g, 49% yield. 1H NMR (400 MHz, MeOD-d4) δ 8.73 (d, J=1.0 Hz, 1H), 8.07 (d, J=1.0 Hz, 1H), 7.17-7.06 (m, 3H), 7.00 (d, J=7.0 Hz, 1H), 4.12 (q, J=6.0 Hz, 1H), 3.74 (s, 2H), 3.64-3.53 (m, 2H), 2.94 (q, J=5.5 Hz, 2H), 2.92-2.81 (m, 2H), 2.78-2.64 (m, 2H; LCMS (m/z): 347.2 [M+H]+
-
- The solution of (S)-6-chloro-N-(3-(3,4-dihydroisoquinolin-2(1H)-yl)-2-hydroxypropyl)pyrimi dine-4-carboxamide (190 g, 0.55 mmol) and 1-(4-aminopiperidin-1-yl)ethanone (78 g), Et3N (100 g, 1 mol) in i-PrOH (2000 mL) was stirred at 60° C. for 16 h, at which time LCMS showed completed conversion. The mixture was concentrated and the residue was purified by flash chromatography to give the crude product. Four batches were run in parallel and produced a combined crude product weight of 482 g. This crude was further purified on preparative HPLC to give the title compound (325 g,>98% purity, free base form). 1H NMR (400 MHz, MeOD-d4) 8.26 (s, 1H), 7.15-7.02 (m, 5H), 4.46 (m, 1H), 4.15-4.07 (m, 2H), 3.88 (m, 1H), 3.74 (s, 2H), 3.53 (m, 2H), 3.33 (m, 1H), 2.95-2.86 (m, 5H), 2.68 (m, 2H), 2.14-2.01 (m, 5H), 1.48-1.42 (m, 2H); LCMS (m/z): 453.3 [M+H]+
-
- The free base was dissolved in DCM (100 mL) and added dropwise to a stirred and cooled solution of HCl (6N in EtOAc, 1 L) at −30° C. Stirring at −30° C. was continued for another 1 h and the resulting precipitate was collected by filtration. The solid was washed with DCM and EtOAc, dried to give the HCl salt of the target compound (301.4 g, yield: 30.2%) as a white solid. 1H NMR (400 MHz, D2O) δ 8.59 (s, 1H), 7.30-7.17 (m, 3H), 7.17-7.07 (m, 2H), 4.55 (dd, J=6.4, 15.4 Hz, 1H), 4.43-4.19 (m, 4H), 3.88 (d, J=13.8 Hz, 1H), 3.82-3.72 (m, 1H), 3.52-3.33 (m, 4H), 3.31-3.08 (m, 4H), 2.86 (t, J=11.6 Hz, 1H), 2.11-1.94 (m, 5H), 1.67-1.40 (m, 2H; LCMS (m/z): 453.2 [M+H]+.
-
-
- A mixture of methyl 2-bromoisonicotinate (160 g, 0.69 mol) and tert-butyl 4-amino piperidine-1-carboxylate (200 g, 1.0 mol), Pd2(dba)3 (8 g, 5% w), xantphos (8 g, 5% w), Cs2CO3 (326 g, 1.0 mol) in dioxane (2500 mL) was stirred at 80° C. under N2 for 16 h. After completion of the reaction, the mixture was concentrated and the residue dissolved in water (800 mL) and extracted with DCM (1000 mL×3). The combined organic layers were dried and concentrated. The residue was purified by flash chromatography to give the product. Nine batches were run in parallel and produced a combined product weight of 700 g, Yield: 33.4%. 1H NMR (400 MHz, CDCl3) δ 8.19 (d, J=5.2 Hz, 1H), 7.08 (d, J=5.2 Hz, 1H), 6.96 (s, 1H), 4.62 (d, J=8.0 Hz, 1H), 4.05 (br. s., 2H), 3.92 (s, 3H), 2.97 (t, J=12.0 Hz, 2H), 2.11-1.97 (m, 2H), 1.48 (s, 9H), 1.42-1.35 (m, 2H. LCMS (m/z): 336.1 (M+1).
-
- To a solution of methyl 2-((1-(tert-butoxycarbonyl)piperidin-4-yl)amino)isonicotinate (230 g, 0.69 mol) in MeOH (1500 mL) was added aq.NaOH (56 g, in 200 mL of water) over 20 min at 0° C. After addition, the mixture was stirred at room temperature for 2 h. MeOH was then removed under reduced pressure and the aqueous solution then pH adjusted to pH=6 by acidifying with the addition of 4N HCl. The resulting precipitate was collected by filtration, washed with water and dried to give the crude product. Three batches were run in parallel and produced a combined crude product weight of 590 g, yield: 89.4%. This crude was used in next step without further purification. LCMS (m/z): 322.2 (M+1).
-
- To a solution of 2-((1-(tert-butoxycarbonyl)piperidin-4-yl)amino)isonicotinic acid (150 g, 0.47 mol) in DCM (1500 mL) was added HATU (178 g, 0.47 mol) and TEA (47 g, 0.47 mol) at 20° C., then the mixture was stirred at the temperature for 2 h. (S)-1-amino-3-(3,4-dihydroisoquinolin-2(1H)-yl)propan-2-ol (113 g, 0.55 mol) was added to the solution, and the mixture was stirred at 20° C. for another 16 h, at which time TLC showed the completion of the reaction. The mixture washed with water (200 mL) and the combined organic phases were dried and concentrated. The residue was purified by flash chromatography (EtOAc˜DCM:MeOH=10:1) to give the title compound as yellowish oil. Four batches were run in parallel and produced a combined product weight of 510 g, yield: 53.2%. LCMS (m/z): 510.2 [M+H]+.
-
- The mixture of (S)-tert-butyl 4-((4-((3-(3,4-dihydroisoquinolin-2(1H)-yl)-2-hydroxypropyl) carbamoyl)pyridin-2-yl)amino)piperidine-1-carboxylate (510 g, 1.0 mol) in DCM (1000 mL) was dropped slowly into a stirred and cooled (−30° C.) solution of HCl (4M in EtOAc, 2000 mL). After addition, the mixture was stirred at −30° C. for 30 min. The resulting solid was then collected by filtration, washed with DCM and dried under reduced pressure to give the title compound (350 g yield: 85.4%, HCl salt) as a white solid. LCMS (m/z): 410.2 [M+H]+
-
- To a stirred mixture of (S)—N-(3-(3,4-dihydroisoquinolin-2(1H)-yl)-2-hydroxypropyl)-2-(piperi din-4-ylamino)isonicotinamide (70 g), and Et3N (40 g) in DCM (2000 mL) was added Ac2O (17 g) dropwise over 1 h at 0° C. After addition, the mixture was warmed to 20° C. and stirring was continued for another 1 h, at which time TLC showed the reaction was completed. The reaction mixture was washed with water (500 mL), and the organic phase dried and concentrated. The residue was then purified by flash chromatography (EtOAc-DCM:MeOH=10:1) to give crude product. Five batches were run in parallel and produced a combined crude product weight of 400 g. This crude was further purified by preparative HPLC to give the pure product (310 g,>98% purity, free base form). 1H NMR (400 MHz, MeOD-d4) 7.94-7.92 (d, 7.0 Hz, 1H), 7.14-7.05 (m, 4H), 6.87 (s, 1H), 6.76-6.74 (m, 1H), 4.44 (m, 1H), 4.10 (m, 1H), 3.96-3.94 (m, 2H), 3.75 (s,2H), 3.52 (m, 2H), 3.33-3.32 (m, 1H), 2.92-2.86 (m, 5H), 2.67 (m, 2H), 2.13-2.00 (m, 5H), 1.44-1.37 (m, 2H); LCMS (m/z): 452.3 [M+H]+
-
- The free base was dissolved in DCM (100 mL) and added dropwise to a stirred and cooled solution of HCl (6N in EtOAc, 1 L) at −30° C. Stirring at −30° C. was continued for another 1 h and the resulting precipitate was collected by filtration. The solid was washed with DCM and EtOAc, dried to give the HCl salt of the product (302.2 g, yield: 78.0%) as a white solid. 1H NMR (400 MHz, MeOD-d4) δ 8.00 (d, J=6.8 Hz, 1H), 7.64 (br. s., 1H), 7.36-7.18 (m, 5H), 4.70 (d, J=15.4 Hz, 1H), 4.60-4.39 (m, 3H), 4.19 (br. s., 1H), 4.11 (d, J=13.2 Hz, 1H), 3.98-3.85 (m, 1H), 3.63-3.47 (m, 5H), 3.43-3.25 (m, 3H), 3.25-3.11 (m, 2H), 2.33 (s, 3H), 2.22 (t, J=15.2 Hz, 2H), 1.85-1.61 (m, 2H; LCMS (m/z): 452.2 [M+H]+
-
-
- To a solution of tert-butyl azetidin-3-ylcarbamate (100 g, 0.58 mol) and Et3N (88 g, 0.87 mol) in DCM (1500 mL) was added Ac2O (59.6 g, 0.88 mol) dropwise at 0° C. The mixture was then stirred at 0° C. for 2 h, at which time TLC showed the completion of the reaction. The reaction was quenched by addition of water (1000 mL) and then stirred at 20° C. for 30 min. The organic phase was separated, dried (Na2SO4) and concentrated to give the crude product. Seven batches were run in parallel and produced a combined crude product weight of 530 g. This crude was used in next step without the further purification. LCMS (m/z): 215.1 (M+1).
-
- To a solution of tert-butyl (1-acetylazetidin-3-yl)carbamate (250 g) in MeOH (1000 mL) was slowly added HCl/MeOH (4M, 300 mL) at 0° C. After addition, the mixture was stirred at 0° C. for 6 h. The mixture was then concentrated under reduced pressure to give the crude product as a white solid. Two batches were run in parallel and produced a combined crude product weight of 186 g. This crude was used in next step without the further purification. 1H NMR (400 MHz, DMSO-d6) δ 4.58-4.49 (m, 1H), 4.35-4.19 (m, 2H), 4.19-4.08 (m, 1H), 3.97 (dd, J=4.2, 11.2 Hz, 1H), 1.83 (s, 3H; LCMS (m/z): 115.1 (M+1).
-
- A stirred mixture of 6-hydroxypyrimidine-4-carboxylic acid (75 g, 0.54 mol) in EtOAc (300 mL) had oxalyl dichloride (226 g, 1.79 mol) dropped slowly to maintain the temperature below 30° C. After addition, the mixture was stirred at 20° C. for 30 min and then DMF (2 mL) was added to the mixture. The mixture was then stirred at 80° C. for 16 hours and concentrated to give the crude product as a black solid. Sixteen batches were run in parallel and produced a combined crude product weight of 1035 g. This crude was used directly in the next step.
-
- To a stirred mixture of (S)-1-amino-3-(3,4-dihydroisoquinolin-2(1H)-yl)propan-2-ol (300 g, 1.46 mol), and TEA (300 g, 3 mol) in DCM (4 L) was added 6-chloropyrimidine-4-carbonyl chloride (250 g in 2 L of DCM) slowly at −60° C. over 1 h. After the additionwas complete, the mixture was then allowed to warm to 10° C. Stirring was continued for 1 h, at which time TLC showed the reaction was completed. The reaction was quenched by addition of water (2 L). The organic phase was collected, dried (Na2SO4) and evaporated. The residue was purified by flash chromatography (EtOAc˜DCM:MeOH=10:1) to give the desired product as a pale yellow solid. Four batches were run in parallel and produced a combined product weight of 970 g, yield: 49% . 1H NMR (400 MHz, MeOD-d4) δ 8.73 (d, J=1.0 Hz, 1H), 8.07 (d, J=1.2 Hz, 1H), 7.17-7.06 (m, 3H), 7.00 (d, J=7.2 Hz, 1H), 5.51 (s, 1H), 4.12 (q, J=6.0 Hz, 1H), 3.74 (s, 2H), 3.64-3.53 (m, 2H), 2.94 (q, J=5.6 Hz, 2H), 2.92-2.81 (m, 2H), 2.78-2.64 (m, 2H; LCMS (m/z): 347.2 [M+H]+
-
- To a solution of (S)-6-chloro-N-(3-(3,4-dihydroisoquinolin-2(1H)-yl)-2-hydroxypropyl) pyrimi dine-4-carboxamide (240 g, 0.69 mol) in i-PrOH (2.5 L) was added 1-(3-amino azetidin-1-yl)ethanone (120 g) and TEA (100 g). After addition, the solution was heated at 60° C. for 16 h, at which time LCMS showed completion of the reaction. The mixture was concentrated and the residue was purified by flash chromatography to give the crude product. Four batches were run in parallel and produced a combined crude product weight of 420 g, 90% purity. This crude was further purified on preparative HPLC to give the title compound (330 g,>98% purity, free base form). 1H NMR (400 MHz, MeOD-d4) 8.27 (s, 1H), 7.12-6.98 (m, 5H), 4.71 (s, 1H), 4.54 (m, 1H), 4.32 (m, 1H), 4.06 (m, 2H), 3.88 (m, 1H), 3.70 (s, 2H), 3.53-3.50 (m, 2H), 2.91-2.83 (m, 4H), 2.65 (m, 2H), 1.88 (s, 3H); LCMS (m/z): 425.2 [M+H]+
-
- The free base was dissolved in DCM (100 mL) and added dropwise to a stirred and cooled solution of HCl (6N in EtOAc, 1 L) at −30° C. Stirring at −30° C. was continued for another 1 h and the resulting precipitate was collected by filtration. The solid was washed with DCM and EtOAc, dried to give the HCl salt of the product (301 g, yield: 26%) as a white solid. 1H NMR (400 MHz, D20) δ 8.65 (s, 1H), 7.30-7.19 (m, 4H), 7.13 (d, J=7.5 Hz, 1H), 4.95-4.85 (m, 1H), 4.63-4.50 (m, 2H), 4.41-4.28 (m, 3H), 4.22 (dd, J=4.8, 9.2 Hz, 1H), 3.97 (dd, J=4.6, 10.0 Hz, 1H), 3.77 (dt, J=5.6, 11.3 Hz, 1H), 3.53-3.35 (m, 4H), 3.34-3.26 (m, 1H), 3.22-3.04 (m, 2H), 1.87-1.79 (m, 3H; LCMS (m/z): 425.2 [M+H]+.
- General Materials. S-adenosylmethionine (SAM), S-adenosylhomocysteine (SAH), bicine, KC1, Tween20, dimethylsulfoxide (DMSO), bovine skin gelatin (BSG), and Tris(2-carboxyethyl)phosphine hydrochloride solution (TCEP) were purchased from Sigma-Aldrich at the highest level of purity possible. 3H-SAM was purchase from American Radiolabeled Chemicals with a specific activity of 80 Ci/mmol. 384-well streptavidin Flashplates were purchased from PerkinElmer.
- Substrates. Peptide representative of human histone H4 residues 1-15 was synthesized with a C-terminal linker-affinity tag motif and a C-terminal amide cap by 21st Century Biochemicals. The peptide was high high-perfomance liquid chromatography (HPLC) purified to greater than 95% purity and confirmed by liquid chromatography mass spectrometry (LC-MS). The sequence was Ac-SGRGKGGKGLGKGGA[K-Biot]-amide (SEQ ID NO.:3).
- Molecular Biology: Full-length human PRMT5 (NM_006109.3) transcript variant 1 clone was amplified from a fetal brain cDNA library, incorporating flanking 5′ sequence encoding a FLAG tag (MDYKDDDDK) (SEQ ID NO.:4) fused directly to Ala 2 of PRMT5. Full-length human MEP50 (NM_024102) clone was amplified from a human testis cDNA library incorporating a 5′ sequence encoding a 6-histidine tag (MHHHHHH) (SEQ ID NO.:5) fused directly to Arg 2 of MEP50. The amplified genes were sublconed into pENTR/D/TEV (Life Technologies) and subsequently transferred by Gateway™ attL x attR recombination to pDEST8 baculvirus expression vector (Life Technologies).
- Protein Expression. Recombinant baculovirus and Baculovirus-Infected Insect Cells (BIIC) were generated according to Bac-to-Bac kit instructions (Life Technologies) and Wasilko, 2006, respectively. Protein over-expression was accomplished by infecting exponentially growing Spodoptera frugiperda (SF9) cell culture at 1.2×106 cell/ml with a 5000 fold dilution of BIIC stock. Infections were carried out at 27° C. for 72 hours, harvested by centrifugation, and stored at −80° C. for purification.
- Protein Purification. Expressed full-length human Flag-PRMT5/6His-MeP50 protein complex was purified from cell paste by NiNTA agarose affinity chromatography after a five hour equilibration of the resin with buffer containing 50 mM Tris-HCL, pH 8.0, 25 mM NaCl, and 1 mM TCEP at 4° C., to minimize the adsorption of tubulin impurity by the resin. Flag-PRMT5/6His-MeP50 was eluted with 300 mM Imidazole in the same buffer. The purity of recovered protein was 87%. Reference: Wasilko, D. J. and S. E. Lee: “TIPS: titerless infected-cells preservation and scale-up” Bioprocess J., 5 (2006), pp. 29-32.
- Predicted Translations:
-
Flag-PRMT5 (SEQ ID NO.: 6) MDYKDDDDKA AMAVGGAGGS RVSSGRDLNC VPEIADTLGA VAKQGFDFLC MPVFHPRFKR EFIQEPAKNR PGPQTRSDLL LSGRDWNTLI VGKLSPWIRP DSKVEKIRRN SEAAMLQELN FGAYLGLPAF LLPLNQEDNT NLARVLTNHI HTGHHSSMFW MRVPLVAPED LRDDIIENAP TTHTEEYSGE EKTWMWWHNF RTLCDYSKRI AVALEIGADL PSNHVIDRWL GEPIKAAILP TSIFLTNKKG FPVLSKMHQR LIFRLLKLEV QFIITGTNHH SEKEFCSYLQ YLEYLSQNRP PPNAYELFAK GYEDYLQSPL QPLMDNLESQ TYEVFEKDPI KYSQYQQAIY KCLLDRVPEE EKDTNVQVLM VLGAGRGPLV NASLRAAKQA DRRIKLYAVE KNPNAVVTLE NWQFEEWGSQ VTVVSSDMRE WVAPEKADII VSELLGSFAD NELSPECLDG AQHFLKDDGV SIPGEYTSFL APISSSKLYN EVRACREKDR DPEAQFEMPY VVRLHNFHQL SAPQPCFTFS HPNRDPMIDN NRYCTLEFPV EVNTVLHGFA GYFETVLYQD ITLSIRPETH SPGMFSWFPI LFPIKQPITV REGQTICVRF WRCSNSKKVW YEWAVTAPVC SAIHNPTGRS YTIG L 6His-MEP50 (SEQ ID NO.: 7) MHHHHHHRKE TPPPLVPPAA REWNLPPNAP ACMERQLEAA RYRSDGALLL GASSLSGRCW AGSLWLFKDP CAAPNEGFCS AGVQTEAGVA DLTWVGERGI LVASDSGAVE LWELDENETL IVSKFCKYEH DDIVSTVSVL SSGTQAVSGS KDICIKVWDL AQQVVLSSYR AHAAQVTCVA ASPHKDSVFL SCSEDNRILL WDTRCPKPAS QIGCSAPGYL PTSLAWHPQQ SEVFVFGDEN GTVSLVDTKS TSCVLSSAVH SQCVTGLVFS PHSVPFLASL SEDCSLAVLD SSLSELFRSQ AHRDFVRDAT WSPLNHSLLT TVGWDHQVVH HVVPTEPLPA PGPASVTE - General Procedure for PRMT5/1MEP50 Enzyme Assays on Peptide Substrates. The assays were all performed in a buffer consisting of 20 mM Bicine (pH=7.6), 1 mM TCEP, 0.005% BSG, and 0.002% Tween20, prepared on the day of use. Compounds in 100% DMSO (1 ul) were spotted into a polypropylene 384-well V-bottom plates (Greiner) using a Platemate Plus outfitted with a 384-channel head (Thermo Scientific). DMSO (1 ul) was added to Columns 11, 12, 23, 24, rows A-H for the maximum signal control and 1 ul of SAH, a known product and inhibitor of PRMT5/MEP50, was added to columns 11, 12, 23, 24, rows I-P for the minimum signal control. A cocktail (40 ul) containing the PRMT5/MEP50 enzyme and the peptide was added by Multidrop Combi (Thermo-Fisher). The compounds were allowed to incubate with PRMT5/MEP50 for 30 min at 25 degrees Celsius, then a cocktail (10 ul) containing 3H-SAM was added to initiate the reaction (final volume=51 ul). The final concentrations of the components were as follows: PRMT5/MEP50 was 4 nM, 3H-SAM was 75 nM, peptide was 40 nM, SAH in the minimum signal control wells was 100 uM, and the DMSO concentration was 1%. The assays were stopped by the addition of non-radioactive SAM (10 ul) to a final concentration of 600 uM, which dilutes the 3H-SAM to a level where its incorporation into the peptide substrate is no longer detectable. 50 ul of the reaction in the 384-well polypropylene plate was then transferred to a 384-well Flashplate and the biotinylated peptides were allowed to bind to the streptavidin surface for at least 1 hour before being washed three times with 0.1% Tween20 in a Biotek ELx405 plate washer. The plates were then read in a PerkinElmer TopCount plate reader to measure the quantity of 3H-labeled peptide bound to the Flashplate surface, measured as disintegrations per minute (dpm) or alternatively, referred to as counts per minute (cpm).
-
- Where dpm=disintegrations per minute, cmpd=signal in assay well, and min and max are the respective minimum and maximum signal controls.
-
- Where top and bottom are the normally allowed to float, but may be fixed at 100 or 0 respectively in a 3-parameter fit. The Hill Coefficient normally allowed to float but may also be fixed at 1 in a 3-parameter fit. Y is the % inhibition and X is the compound concentration.
- Z-138 suspension cells were purchased from ATCC (American Type Culture Collection, Manassas, Va.). RPMI/Glutamax medium, penicillin-streptomycin, heat inactivated fetal bovine serum, and D-PBS were purchased from Life Technologies, Grand Island, N.Y., USA. Odyssey blocking buffer, 800CW goat anti-rabbit IgG (H+L) antibody, and Licor Odyssey infrared scanner were purchased from Licor Biosciences, Lincoln, Nebr., USA. Symmetric di-methyl arginine antibody was purchased from EMD Millipore, Billerica, Mass., USA. 16% Paraformaldehyde was purchased from Electron Microscopy Sciences, Hatfield, Pa., USA.
- Z-138 suspension cells were maintained in growth medium (RPMI 1640 supplemented with 10% v/v heat inactivated fetal bovine serum and 100 units/mL penicillin-streptomycin) and cultured at 37° C. under 5% CO2.
- Cell Treatment, In Cell Western (ICW) for detection of Symmetric di-Methyl Arginine and DNA content. Z-138 cells were seeded in assay medium at a concentration of 50,000 cells per mL to a 384-well cell culture plate with 50 μL per well. Compound (100 nL) from 384 well source plates was added directly to 384 well cell plate. Plates were incubated at 37° C., 5% CO2 for 96 hours. After four days of incubation, 40 μL of cells from incubated plates were added to poly-
D -lysine coated 384 well culture plates (BD Biosciences 356697). Plates were incubated at room temperature for 30 minutes then incubated at 37° C., 5% CO2 for 5 hours. After the incubation, 40 μL per well of 8% paraformaldehyde in PBS (16% paraformaldahyde was diluted to 8% in PBS) was added to each plate and incubated for 30 minutes. Plates were transferred to a Biotek 405 plate washer and washed 5 times with 100 μL per well of wash buffer (1×PBS with 0.1% Triton X-100 (v/v)). Next 30 μL per well of Odyssey blocking buffer were added to each plate and incubated 1 hour at room temperature. Blocking buffer was removed and 20 μL per well of primary antibody was added (symmetric di-methyl arginine diluted 1:100 in Odyssey buffer with 0.1% Tween 20 (v/v)) and plates were incubated overnight (16 hours) at 4° C. Plates were washed 5 times with 100 μL per well of wash buffer. Next 20 μL per well of secondary antibody was added (1:200 800CW goat anti-rabbit IgG (H+L) antibody, 1:1000 DRAQS (Biostatus limited) in Odyssey buffer with 0.1% Tween 20 (v/v)) and incubated for 1 hour at room temperature. The plates were washed 5 times with 100 μL per well wash buffer then 1 time with 100 μL per well of water. Plates were allowed to dry at room temperature then imaged on the Licor Odyssey machine which measures integrated intensity at 700 nm and 800 nm wavelengths. Both 700 and 800 channels were scanned. - Calculations: First, the ratio for each well was determined by:
-
- Each plate included fourteen control wells of DMSO only treatment (minimum inhibition) as well as fourteen control wells for maximum inhibition treated with 3 μM of a reference compound (Background wells). The average of the ratio values for each control type was calculated and used to determine the percent inhibition for each test well in the plate. Reference compound was serially diluted three-fold in DMSO for a total of nine test concentrations, beginning at 3 μM. Percent inhibition was determined and IC50 curves were generated using triplicate wells per concentration of compound.
-
- Z-138 suspension cells were purchased from ATCC (American Type Culture Collection, Manassas, Va.). RPMI/Glutamax medium, penicillin-streptomycin, heat inactivated fetal bovine serum were purchased from Life Technologies, Grand Island, N.Y., USA. V-bottom polypropylene 384-well plates were purchased from Greiner Bio-One, Monroe, N.C., USA. Cell culture 384-well white opaque plates were purchased from Perkin Elmer, Waltham, Mass., USA. Cell-Titer Glo® was purchased from Promega Corporation, Madison, Wis., USA. SpectraMax M5 plate reader was purchased from Molecular Devices LLC, Sunnyvale, Calif., USA.
- Z-138 suspension cells were maintained in growth medium (RPMI 1640 supplemented with 10% v/v heat inactivated fetal bovine serum and cultured at 37° C. under 5% CO2 Under assay conditions, cells were incubated in assay medium (RPMI 1640 supplemented with 10% v/v heat inactivated fetal bovine serum and 100 units/mL penicillin-streptomycin) at 37° C. under 5% CO2.
- For the assessment of the effect of compounds on the proliferation of the Z-138 cell line, exponentially growing cells were plated in 384-well white opaque plates at a density of 10,000 cells/ml in a final volume of 50 μl of assay medium. A compound source plate was prepared by performing triplicate nine-point 3-fold serial dilutions in DMSO, beginning at 10 mM (final top concentration of compound in the assay was 20 μM and the DMSO was 0.2%). A 100 nL aliquot from the compound stock plate was added to its respective well in the cell plate. The 100% inhibition control consisted of cells treated with 200 nM final concentration of staurosporine and the 0% inhibition control consisted of DMSO treated cells. After addition of compounds, assay plates were incubated for 5 days at 37° C., 5% CO2, relative humidity>90%. Cell viability was measured by quantitation of ATP present in the cell cultures, adding 35 μl of Cell Titer Glo® reagent to the cell plates. Luminescence was read in the SpectraMax M5 microplate reader. The concentration of compound inhibiting cell viability by 50% was determined using a 4-parametric fit of the normalized dose response curves.
- Results for certain compounds described herein are shown in Table 2.
-
TABLE 2 Biological Assay Results Cmpd No Biochemical IC50 ICW EC50 Proliferation EC50 1 A A C 2 A A C 3 A A C 4 C — — 5 B B ** 6 C — — 7 C — — 8 A A C 9 A A C 10 A B C 11 A C — 12 B C ** 13 A A B 14 A B C 15 A B D 16 A A B 17 B B ** 18 B B D 19 A B D 20 A A B 21 B B ** 22 B B ** 23 B B ** 24 A B C 25 B C ** 26 B B D 27 C — — 28 A B D 29 A B C 30 A B C 31 B B D 32 B B ** 33 C — — 34 A B D 35 A B D 36 A B D 37 A B ** 38 A B D 39 B C ** 40 A A C 41 A A C 42 B C ** 43 B B C 44 A — B 45 A B — 46 C — — 47 B B — 48 B B — 49 B — — 50 B — — 51 B — — 52 B — — 53 B — — 54 A — — 55 A — — 56 B — — 57 B — — 58 A — — 59 A A B 60 B B C 61 B B — 62 A B D 63 A A B 64 A B C 65 A A C 66 A B C 67 B B D 68 A A C 69 B C ** 70 B C ** 71 B B C 72 B C — 73 A A C 74 A A B 75 B B — 76 B B — 77 A B C 78 A A B 79 A A B 80 A A B 81 A B C 82 A A B 83 B B — 84 A A C 85 B B D 86 B C — 87 C — — 88 B B ** 89 B B ** 90 A B D 91 A A C 92 A A C 93 B C ** 94 A B D 95 B B C 96 A A C 97 A A C 98 A B C 99 A A C 100 A A C 101 A A D 102 A A C 103 A A D 104 A A C 105 A A C 106 A A B 107 A A B 108 A A B 109 A A B 110 A A C 111 A B C 112 B C ** 113 A B D 114 A B D 115 A B ** 116 B B ** 117 B B ** 118 A B ** 119 A B C 120 A B C 121 A A B 122 A A B 123 A B C 124 A A A 125 A A B 126 A A C 127 A A C 128 A A C 129 A A C 130 A B D 131 A B C 132 A B C 133 A A C 134 A B D 135 A A D 136 A A C 137 A A C 138 A B D 139 A A C 140 A A C 141 A A C 142 A A C 143 A A C 144 A A C 145 A A C 146 A A C 147 A B D 148 B C ** 149 B C ** 150 B B ** 151 B B ** 152 A A B 153 A A B 154 A B C 155 B C ** 156 A B C 157 B C ** 158 A — ** 159 A B C 160 A B D 161 A A C 162 A A C 163 A A C 164 A A C 165 A B C 166 A A B 167 A A B 168 A A B 169 A B C 170 B B ** 171 A B C 172 A A C 173 A A C 174 A A C 175 A B C 176 A A C 177 A A C 178 A A C 179 A A C 180 A B D 181 A B C 182 A A C 183 A A C 184 A A C 185 A B C 186 A A C 187 A A B 188 A A A 189 A A B 190 A A B 191 A A B 192 A A B 193 A A B 194 A B C 195 A B D 196 A A C 197 A A B 198 A A B 199 A A C 200 A B D 201 A B C 202 A A C 203 A A B 204 A A B 205 A A B 206 A B C 207 A A B 208 A A A 209 A A D 210 A A B 211 A A A 212 A A B 213 A A B 214 A A C 215 A A A 216 A A B 217 A A B 218 A B D 219 A B D 220 A A B 221 A A B 222 A B ** 223 A A C 224 A A B 225 A A A 226 A A B 227 A A B 228 A A B 229 A A C 230 A A B 231 A A C 232 B B C 233 A B C 234 A A C 235 A B ** 236 A B C 237 A A C 238 A B D 239 A A C 240 B B ** 241 A B C 242 A B C 243 A B C 244 A B C 245 A B D 246 A B C 247 A B C 248 A B C 249 A B D 250 A A C 251 A A C 252 A B C 253 A B C 254 A A A 255 A A C 256 A A C 257 A A C 258 A B D 259 A B ** 260 A B ** 261 A A C 262 A A B 263 A A C 264 A A C 265 A B C 266 A A B 267 A A B 268 A A B 269 A A C 270 C — — 271 A B C 272 A A C 273 A B C 274 A B C 275 B B C 276 A B C 277 A A — 278 A A — 279 A A — 280 A A — 281 A B — 282 A A — 283 A A — 284 A A — 285 B B — 286 A A — 287 A A — 288 A B — 289 B A — 290 A A — 291 A A — 292 A A — 293 A A — 294 B B — 295 B B — 296 A B — 297 A A — 298 A A — 299 A A — 300 A A — 301 A A — 302 A A — 303 A A — 304 A A — 305 B B — 306 A — — 307 A — — 308 A — — 309 B — — 310 B — — 311 A — — 312 B — — 313 — — — 314 A — — 315 A — — 316 A — — 317 A — — 318 A — — 319 A — — 320 A — — 321 A — — 322 A — — 323 A — — 324 A — — 325 A — — 326 A — — 327 B — — 328 C — — 329 A — — 330 A — — 331 A — — 332 A — — 333 A — — 334 A — — 335 A — — For Table 2, “A” indicates an IC50 or EC50 < 0.100 μM, “B” indicates an IC50 or EC50 of 0.101-1.000 μM, “C” indicates an IC50 or EC50 of 1.001-10.000 μM, “D” indicates an IC50 or EC50 of 10.001-50 μM, and “E” indicates an IC50 or EC50 > 50 μM. “—” indicates no data. “**” indicates an IC50 or EC50 > 20 μM. - The foregoing has been a description of certain non-limiting embodiments of the invention. Those of ordinary skill in the art will appreciate that various changes and modifications to this description may be made without departing from the spirit or scope of the present invention, as defined in the following claims.
Claims (126)
Priority Applications (4)
| Application Number | Priority Date | Filing Date | Title |
|---|---|---|---|
| US15/586,775 US20180098987A1 (en) | 2012-12-21 | 2017-05-04 | PRMT5 Inhibitors and Uses Thereof |
| US15/844,097 US10391089B2 (en) | 2012-12-21 | 2017-12-15 | PRMT5 inhibitors and uses therof |
| US16/504,910 US10980794B2 (en) | 2012-12-21 | 2019-07-08 | PRMT5 inhibitors and uses thereof |
| US17/189,989 US20210308121A1 (en) | 2012-12-21 | 2021-03-02 | Prmt5 inhibitors and uses thereof |
Applications Claiming Priority (6)
| Application Number | Priority Date | Filing Date | Title |
|---|---|---|---|
| US201261745485P | 2012-12-21 | 2012-12-21 | |
| US201361790525P | 2013-03-15 | 2013-03-15 | |
| US14/136,569 US8993555B2 (en) | 2012-12-21 | 2013-12-20 | PRMT5 inhibitors and uses thereof |
| US14/619,371 US9365519B2 (en) | 2012-12-21 | 2015-02-11 | PRMT5 inhibitors and uses thereof |
| US15/054,193 US9675614B2 (en) | 2012-12-21 | 2016-02-26 | PRMT5 inhibitors and uses thereof |
| US15/586,775 US20180098987A1 (en) | 2012-12-21 | 2017-05-04 | PRMT5 Inhibitors and Uses Thereof |
Related Parent Applications (1)
| Application Number | Title | Priority Date | Filing Date |
|---|---|---|---|
| US15/054,193 Continuation US9675614B2 (en) | 2012-12-21 | 2016-02-26 | PRMT5 inhibitors and uses thereof |
Related Child Applications (1)
| Application Number | Title | Priority Date | Filing Date |
|---|---|---|---|
| US15/844,097 Continuation US10391089B2 (en) | 2012-12-21 | 2017-12-15 | PRMT5 inhibitors and uses therof |
Publications (1)
| Publication Number | Publication Date |
|---|---|
| US20180098987A1 true US20180098987A1 (en) | 2018-04-12 |
Family
ID=49958717
Family Applications (10)
| Application Number | Title | Priority Date | Filing Date |
|---|---|---|---|
| US14/654,253 Active US9604930B2 (en) | 2012-12-21 | 2013-12-20 | Tetrahydro- and dihydro-isoquinoline PRMT5 inhibitors and uses thereof |
| US14/136,569 Active US8993555B2 (en) | 2012-12-21 | 2013-12-20 | PRMT5 inhibitors and uses thereof |
| US14/619,371 Active US9365519B2 (en) | 2012-12-21 | 2015-02-11 | PRMT5 inhibitors and uses thereof |
| US15/054,193 Active US9675614B2 (en) | 2012-12-21 | 2016-02-26 | PRMT5 inhibitors and uses thereof |
| US15/419,260 Active US10307413B2 (en) | 2012-12-21 | 2017-01-30 | Tetrahydro- and dihydro-isoquinoline PRMT5 inhibitors and uses thereof |
| US15/586,775 Abandoned US20180098987A1 (en) | 2012-12-21 | 2017-05-04 | PRMT5 Inhibitors and Uses Thereof |
| US15/844,097 Active US10391089B2 (en) | 2012-12-21 | 2017-12-15 | PRMT5 inhibitors and uses therof |
| US16/395,844 Abandoned US20190343826A1 (en) | 2012-12-21 | 2019-04-26 | Tetrahydro- and dihydro-isoquinoline prmt5 inhibitors and uses thereof |
| US16/504,910 Active US10980794B2 (en) | 2012-12-21 | 2019-07-08 | PRMT5 inhibitors and uses thereof |
| US17/189,989 Abandoned US20210308121A1 (en) | 2012-12-21 | 2021-03-02 | Prmt5 inhibitors and uses thereof |
Family Applications Before (5)
| Application Number | Title | Priority Date | Filing Date |
|---|---|---|---|
| US14/654,253 Active US9604930B2 (en) | 2012-12-21 | 2013-12-20 | Tetrahydro- and dihydro-isoquinoline PRMT5 inhibitors and uses thereof |
| US14/136,569 Active US8993555B2 (en) | 2012-12-21 | 2013-12-20 | PRMT5 inhibitors and uses thereof |
| US14/619,371 Active US9365519B2 (en) | 2012-12-21 | 2015-02-11 | PRMT5 inhibitors and uses thereof |
| US15/054,193 Active US9675614B2 (en) | 2012-12-21 | 2016-02-26 | PRMT5 inhibitors and uses thereof |
| US15/419,260 Active US10307413B2 (en) | 2012-12-21 | 2017-01-30 | Tetrahydro- and dihydro-isoquinoline PRMT5 inhibitors and uses thereof |
Family Applications After (4)
| Application Number | Title | Priority Date | Filing Date |
|---|---|---|---|
| US15/844,097 Active US10391089B2 (en) | 2012-12-21 | 2017-12-15 | PRMT5 inhibitors and uses therof |
| US16/395,844 Abandoned US20190343826A1 (en) | 2012-12-21 | 2019-04-26 | Tetrahydro- and dihydro-isoquinoline prmt5 inhibitors and uses thereof |
| US16/504,910 Active US10980794B2 (en) | 2012-12-21 | 2019-07-08 | PRMT5 inhibitors and uses thereof |
| US17/189,989 Abandoned US20210308121A1 (en) | 2012-12-21 | 2021-03-02 | Prmt5 inhibitors and uses thereof |
Country Status (31)
| Country | Link |
|---|---|
| US (10) | US9604930B2 (en) |
| EP (3) | EP3498701B1 (en) |
| JP (1) | JP6678455B2 (en) |
| KR (2) | KR102024417B1 (en) |
| CN (1) | CN105452226B (en) |
| AU (1) | AU2018202150B2 (en) |
| BR (1) | BR112015014590B1 (en) |
| CA (1) | CA2894228C (en) |
| CL (1) | CL2015001790A1 (en) |
| CR (1) | CR20150371A (en) |
| CY (1) | CY1121625T1 (en) |
| DK (1) | DK2935222T3 (en) |
| DO (1) | DOP2015000158A (en) |
| EA (1) | EA027908B1 (en) |
| ES (1) | ES2701069T3 (en) |
| HR (1) | HRP20182037T1 (en) |
| HU (1) | HUE040323T2 (en) |
| IL (3) | IL239296B (en) |
| LT (1) | LT2935222T (en) |
| MX (1) | MX375184B (en) |
| MY (1) | MY199894A (en) |
| PE (1) | PE20151501A1 (en) |
| PH (2) | PH12015501351A1 (en) |
| PL (1) | PL2935222T3 (en) |
| PT (1) | PT2935222T (en) |
| RS (1) | RS58040B1 (en) |
| SI (1) | SI2935222T1 (en) |
| SM (1) | SMT201800669T1 (en) |
| UA (1) | UA118548C2 (en) |
| WO (1) | WO2014100719A2 (en) |
| ZA (1) | ZA201505212B (en) |
Cited By (3)
| Publication number | Priority date | Publication date | Assignee | Title |
|---|---|---|---|---|
| US10653693B2 (en) | 2014-08-04 | 2020-05-19 | Epizyme, Inc. | PRMT5 inhibitors and uses thereof |
| WO2020205660A1 (en) * | 2019-03-29 | 2020-10-08 | University Of Florida Research Foundation, Incorporated | Prmt5 inhibitor compounds |
| US11834455B2 (en) | 2013-03-15 | 2023-12-05 | Epizyme, Inc. | Carm1 inhibitors and uses thereof |
Families Citing this family (128)
| Publication number | Priority date | Publication date | Assignee | Title |
|---|---|---|---|---|
| WO2012170904A2 (en) * | 2011-06-10 | 2012-12-13 | Bytemobile, Inc. | Adaptive bitrate management on progressive download with indexed media files |
| TWI568722B (en) | 2012-06-15 | 2017-02-01 | 葛蘭馬克製藥公司 | Triazolone compounds as mpges-1 inhibitors |
| EP2935303B1 (en) | 2012-12-21 | 2021-02-17 | Janssen BioPharma, Inc. | 4'-fluoro-nucleosides, 4'-fluoro-nucleotides and analogs thereof for the treatment of hcv |
| UA111305C2 (en) | 2012-12-21 | 2016-04-11 | Пфайзер Інк. | Condensed with lactams of aryl and heteroaryl |
| JP2016505001A (en) | 2012-12-21 | 2016-02-18 | エピザイム,インコーポレイティド | PRMT5 inhibitors and uses thereof |
| EP3498701B1 (en) | 2012-12-21 | 2023-02-22 | Epizyme Inc | Prmt5 inhibitors and uses thereof |
| US8906900B2 (en) | 2012-12-21 | 2014-12-09 | Epizyme, Inc. | PRMT5 inhibitors and uses thereof |
| EP3406607A1 (en) | 2012-12-21 | 2018-11-28 | Epizyme, Inc. | Prmt5 inhibitors containing a dihydro- or tetrahydroisoquinoline and uses thereof |
| US9221794B2 (en) | 2012-12-21 | 2015-12-29 | Epizyme, Inc. | PRMT5 inhibitors and uses thereof |
| EP2943485B1 (en) | 2013-01-14 | 2017-09-20 | Incyte Holdings Corporation | Bicyclic aromatic carboxamide compounds useful as pim kinase inhibitors |
| PE20191245A1 (en) | 2013-01-15 | 2019-09-18 | Incyte Holdings Corp | THIAZOLCARBOXAMIDES AND PYRIDINACARBOXAMIDE COMPOUNDS USEFUL AS PIM KINASE INHIBITORS |
| US9120757B2 (en) | 2013-03-14 | 2015-09-01 | Epizyme, Inc. | Arginine methyltransferase inhibitors and uses thereof |
| US9023883B2 (en) | 2013-03-14 | 2015-05-05 | Epizyme, Inc. | PRMT1 inhibitors and uses thereof |
| US9133189B2 (en) | 2013-03-14 | 2015-09-15 | Epizyme, Inc. | Arginine methyltransferase inhibitors and uses thereof |
| US9394258B2 (en) | 2013-03-14 | 2016-07-19 | Epizyme, Inc. | Arginine methyltransferase inhibitors and uses thereof |
| WO2014153172A1 (en) | 2013-03-14 | 2014-09-25 | Epizyme, Inc. | Pyrazole derivatives as prmt1 inhibitors and uses thereof |
| KR102028793B1 (en) | 2013-03-14 | 2019-10-07 | 에피자임, 인코포레이티드 | Arginine methyl transferase inhibitors and uses thereof |
| US9776972B2 (en) | 2013-03-14 | 2017-10-03 | Epizyme Inc. | Pyrazole derivatives as arginine methyltransferase inhibitors and uses thereof |
| EP2970181B1 (en) | 2013-03-14 | 2017-06-07 | Epizyme, Inc. | Arginine methyltransferase inhibitors and uses thereof |
| WO2014144455A1 (en) | 2013-03-15 | 2014-09-18 | Epizyme, Inc. | 1 -phenoxy-3-(alkylamino)-propan-2-ol derivatives as carm1 inhibitors and uses thereof |
| US9346802B2 (en) | 2013-03-15 | 2016-05-24 | Epizyme, Inc. | CARM1 inhibitors and uses thereof |
| CN105658653A (en) | 2013-08-23 | 2016-06-08 | 因赛特公司 | Furo- and thieno-pyridine carboxamide compounds useful as PIM kinase inhibitors |
| TN2016000529A1 (en) | 2014-06-17 | 2018-04-04 | Pfizer | Substituted dihydroisoquinolinone compounds |
| WO2015200677A2 (en) * | 2014-06-25 | 2015-12-30 | Epizyme, Inc. | Prmt5 inhibitors and uses thereof |
| WO2015200680A2 (en) * | 2014-06-25 | 2015-12-30 | Epizyme, Inc. | Prmt5 inhibitors and uses thereof |
| WO2015198229A1 (en) * | 2014-06-25 | 2015-12-30 | Glaxosmithkline Intellectual Property Development Limited | Crystalline salts of (s)-6-((1-acetylpiperidin-4-yl)amino)-n-(3-(3,4-dihydroisoquinolin-2(1h)-yl)-2-hydroxypropyl)pyrimidine-4-carboxamide |
| US9580418B2 (en) | 2014-07-14 | 2017-02-28 | Incyte Corporation | Bicyclic aromatic carboxamide compounds useful as Pim kinase inhibitors |
| WO2016010897A1 (en) | 2014-07-14 | 2016-01-21 | Incyte Corporation | Bicyclic heteroaromatic carboxamide compounds useful as pim kinase inhibitors |
| GB201415573D0 (en) * | 2014-09-03 | 2014-10-15 | Cancer Therapeutics Crc Pty Ltd | Compounds |
| EP3189048B1 (en) * | 2014-09-03 | 2021-03-17 | Ctxt Pty Ltd | Aminoindane-, aminotetrahydronaphthalene- and aminobenzocyclobutane-derived prmt5-inhibitors |
| US10494376B2 (en) | 2014-09-03 | 2019-12-03 | Ctxt Pty. Ltd. | Tetrahydroisoquinoline derived PRMT5-inhibitors |
| US20180010132A1 (en) | 2014-09-11 | 2018-01-11 | Novartis Ag | Inhibition of prmt5 to treat mtap-deficiency-related diseases |
| WO2016089883A1 (en) | 2014-12-01 | 2016-06-09 | Novartis Ag | Compositions and methods for diagnosis and treatment of prostate cancer |
| AR104326A1 (en) | 2015-05-04 | 2017-07-12 | Lilly Co Eli | 5-SUBSTITUTED NUCLEOSID COMPOUNDS |
| WO2016196244A1 (en) | 2015-05-29 | 2016-12-08 | Incyte Corporation | Pyridineamine compounds useful as pim kinase inhibitors |
| TWI791251B (en) | 2015-08-26 | 2023-02-01 | 比利時商健生藥品公司 | Novel 6-6 bicyclic aromatic ring substituted nucleoside analogues for use as prmt5 inhibitors |
| AR105967A1 (en) | 2015-09-09 | 2017-11-29 | Incyte Corp | SALTS OF A PIM QUINASA INHIBITOR |
| US9920032B2 (en) | 2015-10-02 | 2018-03-20 | Incyte Corporation | Heterocyclic compounds useful as pim kinase inhibitors |
| CN105497034B (en) * | 2015-12-08 | 2018-08-07 | 暨南大学 | A kind of composition and preparation method thereof inhibiting Growth of Osteosarcoma by targeting PRMT5 |
| GB201604029D0 (en) * | 2016-03-09 | 2016-04-20 | Ctxt Pty Ltd | Compounds |
| GB201604030D0 (en) * | 2016-03-09 | 2016-04-20 | Ctxt Pty Ltd | Compounds |
| GB201604027D0 (en) | 2016-03-09 | 2016-04-20 | Ctxt Pty Ltd | Compounds |
| GB201604020D0 (en) | 2016-03-09 | 2016-04-20 | Ctxt Pty Ltd | Compounds |
| GB201604031D0 (en) | 2016-03-09 | 2016-04-20 | Ctxt Pty Ltd | Compounds |
| GB201604022D0 (en) | 2016-03-09 | 2016-04-20 | Ctxt Pty Ltd | Compounds |
| MA43671A (en) | 2016-03-10 | 2018-11-28 | Janssen Pharmaceutica Nv | ANALOGUES OF SUBSTITUTED NUCLEOSIDES FOR USE AS PRMT5 INHIBITORS |
| AU2017230658B2 (en) | 2016-03-10 | 2021-03-04 | Janssen Pharmaceutica Nv | Substituted nucleoside analogues for use as PRMT5 inhibitors |
| CA2969295A1 (en) * | 2016-06-06 | 2017-12-06 | Pfizer Inc. | Substituted carbonucleoside derivatives, and use thereof as a prmt5 inhibitor |
| WO2018049214A1 (en) | 2016-09-09 | 2018-03-15 | Incyte Corporation | Pyrazolopyridine derivatives as hpk1 modulators and uses thereof for the treatment of cancer |
| WO2018050684A1 (en) | 2016-09-14 | 2018-03-22 | Janssen Pharmaceutica Nv | Fused bicyclic inhibitors of menin-mll interaction |
| US11220517B2 (en) | 2016-09-14 | 2022-01-11 | Janssen Pharmaceutica Nv | Spiro bicyclic inhibitors of menin-MLL interaction |
| US12084462B2 (en) | 2016-09-14 | 2024-09-10 | Janssen Pharmaceutica Nv | Spiro bicyclic inhibitors of menin-MLL interaction |
| JP7101171B2 (en) | 2016-10-03 | 2022-07-14 | ヤンセン ファーマシューティカ エヌ.ベー. | Novel monocyclic and bicyclic ring-substituted carbanucleoside analogs for use as PRMT5 inhibitors |
| MX2019004950A (en) | 2016-10-28 | 2019-09-26 | Icahn School Med Mount Sinai | Compositions and methods for treating ezh2-mediated cancer. |
| AU2017367300A1 (en) * | 2016-12-01 | 2019-06-13 | Glaxosmithkline Intellectual Property Development Limited | Combination therapy |
| JP2020511407A (en) * | 2016-12-01 | 2020-04-16 | グラクソスミスクライン、インテレクチュアル、プロパティー、ディベロップメント、リミテッドGlaxosmithkline Intellectual Property Development Limited | Combination therapy |
| CN110267659A (en) | 2016-12-08 | 2019-09-20 | 西奈山伊坎医学院 | For treating the composition and method of the cancer of CDK4/6 mediation |
| CA3044739A1 (en) | 2016-12-15 | 2018-06-21 | Janssen Pharmaceutica Nv | Azepane inhibitors of menin-mll interaction |
| EA201990851A1 (en) | 2017-02-24 | 2019-09-30 | Янссен Фармацевтика Нв | NEW CARBANUCLEOSIDE ANALOGUES REPLACED BY MONOCYCLIC AND BICYCLIC RING SYSTEM FOR USE AS PRMT5 INHIBITORS |
| MA47594A (en) | 2017-02-27 | 2020-01-01 | Janssen Pharmaceutica Nv | USE OF BIOMARKERS IN IDENTIFYING PATIENTS WITH CANCER SENSITIVE TO TREATMENT WITH A PRMT5 INHIBITOR |
| WO2018161922A1 (en) * | 2017-03-09 | 2018-09-13 | 中国科学院上海药物研究所 | Compound having prmt5 inhibitory activity, preparation for compound, and applications thereof |
| GB201704327D0 (en) | 2017-03-17 | 2017-05-03 | Argonaut Therapeutics Ltd | Compounds |
| MA49840A (en) * | 2017-08-09 | 2020-06-17 | Prelude Therapeutics Inc | SELECTIVE PROTEIN ARGININE METHYLTRANSFERASE 5 (PRMT5) INHIBITORS |
| PL3684767T3 (en) | 2017-09-22 | 2024-10-14 | Jubilant Epipad LLC | Heterocyclic compounds as pad inhibitors |
| PL3697785T3 (en) | 2017-10-18 | 2023-08-07 | Jubilant Epipad LLC | IMIDAZOPYRIDINE COMPOUNDS AS PAD INHIBITORS |
| AU2018362046B2 (en) | 2017-11-06 | 2023-04-13 | Jubilant Prodel LLC | Pyrimidine derivatives as inhibitors of PD1/PD-L1 activation |
| EP3706742B1 (en) * | 2017-11-08 | 2023-03-15 | Merck Sharp & Dohme LLC | Prmt5 inhibitors |
| SI3704120T1 (en) | 2017-11-24 | 2024-07-31 | Jubilant Episcribe Llc | HETEROCYCLIC COMPOUNDS AS PRMT5 INHIBITORS |
| AR113922A1 (en) | 2017-12-08 | 2020-07-01 | Incyte Corp | LOW DOSE COMBINATION THERAPY FOR THE TREATMENT OF MYELOPROLIFERATIVE NEOPLASMS |
| BR112020010815A2 (en) | 2017-12-08 | 2020-11-10 | Janssen Pharmaceutica Nv | spirobicyclic analogs |
| LT3724190T (en) | 2017-12-13 | 2022-10-10 | Lupin Limited | Substituted bicyclic heterocyclic compounds as prmt5 inhibitors |
| US11396517B1 (en) | 2017-12-20 | 2022-07-26 | Janssen Pharmaceutica Nv | Exo-aza spiro inhibitors of menin-MLL interaction |
| KR20200133747A (en) | 2018-02-20 | 2020-11-30 | 인사이트 코포레이션 | N-(phenyl)-2-(phenyl)pyrimidine-4-carboxamide derivatives and related compounds as HPK1 inhibitors for treating cancer |
| US20210261538A1 (en) * | 2018-02-22 | 2021-08-26 | Icahn School Of Medicine At Mount Sinai | Protein arginine methyltransferase 5 (prmt5) degradation / disruption compounds and methods of use |
| WO2019173516A1 (en) | 2018-03-06 | 2019-09-12 | Icahn School Of Medicine At Mount Sinai | Serine threonine kinase (akt) degradation / disruption compounds and methods of use |
| CA3090836C (en) | 2018-03-09 | 2024-04-16 | Pharmablock Sciences (Nanjing), Inc. | 3,4-dihydroisoquinolin-2(1h)-yl derivates useful as inhibitors of protein arginine methyltransferase 5 (prmt5), and pharmaceutical products thereof |
| EP3765453A1 (en) | 2018-03-13 | 2021-01-20 | Jubilant Prodel LLC | Bicyclic compounds as inhibitors of pd1/pd-l1 interaction/activation |
| CN111971288B (en) * | 2018-03-14 | 2023-12-01 | 普莱鲁德疗法有限公司 | Selective inhibitor of protein arginine methyltransferase 5 (PRMT5) |
| SG11202008526VA (en) | 2018-03-22 | 2020-10-29 | Aurigene Discovery Tech Ltd | Substituted imidazolidin-2-one derivatives as prmt5 inhibitors |
| WO2019180628A1 (en) * | 2018-03-22 | 2019-09-26 | Aurigene Discovery Technologies Limited | Imidazolidin-2-one compounds as prmt5 modulators |
| WO2019219805A1 (en) | 2018-05-16 | 2019-11-21 | Ctxone Pty Ltd | Combination therapy |
| CA3104298A1 (en) | 2018-06-21 | 2019-12-26 | Icahn School Of Medicine At Mount Sinai | Wd40 repeat domain protein 5 (wdr5) degradation / disruption compounds and methods of use |
| US11077101B1 (en) | 2018-07-18 | 2021-08-03 | Tango Therapeutics, Inc. | Compounds and methods of use |
| CA3108388A1 (en) | 2018-08-07 | 2020-02-13 | Merck Sharp & Dohme Corp. | Prmt5 inhibitors |
| US10899755B2 (en) | 2018-08-08 | 2021-01-26 | Incyte Corporation | Benzothiazole compounds and uses thereof |
| CA3118175A1 (en) * | 2018-11-08 | 2020-05-14 | Glaxosmithkline Intellectual Property Development Limited | Combination of prmt5 inhibitors and bcl-2 inhibitors |
| WO2020182018A1 (en) * | 2019-03-12 | 2020-09-17 | 四川科伦博泰生物医药股份有限公司 | Nitrogen heterocyclic compound, preparation method therefor and use thereof |
| CN111825656B (en) * | 2019-04-15 | 2023-03-31 | 南京药石科技股份有限公司 | Inhibitors of protein arginine methyltransferase 5 (PRMT 5), pharmaceutical products thereof, and methods thereof |
| EP3965824B1 (en) | 2019-05-06 | 2025-01-08 | Icahn School of Medicine at Mount Sinai | Heterobifunctional compounds as degraders of hpk1 |
| TW202112375A (en) | 2019-06-06 | 2021-04-01 | 比利時商健生藥品公司 | Methods of treating cancer using prmt5 inhibitors |
| EP3980417B1 (en) | 2019-06-10 | 2023-09-27 | Lupin Limited | Prmt5 inhibitors |
| ES3028534T3 (en) | 2019-06-12 | 2025-06-19 | Janssen Pharmaceutica Nv | Novel spirobicyclic intermediates |
| CN114126651A (en) | 2019-06-28 | 2022-03-01 | Als治疗发展学会 | Inhibition of dipeptide repeat proteins |
| CN110585434B (en) * | 2019-10-11 | 2021-04-09 | 山东大学 | Application of PRMT5 inhibitor in antivirus |
| US12473280B2 (en) | 2019-10-12 | 2025-11-18 | Nanjing Sanhome Pharmaceutical Co., Ltd. | Substituted tricyclic compound as PRMT5 inhibitor and use thereof |
| CN114599361B (en) | 2019-10-22 | 2024-07-09 | 印度鲁宾有限公司 | Pharmaceutical compositions of PRMT5 inhibitors |
| WO2021086879A1 (en) | 2019-10-28 | 2021-05-06 | Tango Therapeutics, Inc. | Compounds and methods of use |
| CN112778275B (en) * | 2019-11-11 | 2023-05-12 | 石药集团中奇制药技术(石家庄)有限公司 | Adamantyl PRMT5 inhibitor and application thereof |
| CN110950841A (en) * | 2019-11-22 | 2020-04-03 | 济南大学 | Synthesis and application of a new class of triazoles |
| CN111018832A (en) * | 2019-11-26 | 2020-04-17 | 济南大学 | Preparation and application of a class of imidazolones containing tetrahydroisoquinoline structure |
| KR102514245B1 (en) * | 2019-12-03 | 2023-03-29 | 한양대학교 에리카산학협력단 | Novel pyrazole derivatives having protein kinase activity and use thereof |
| MX2022006735A (en) | 2019-12-03 | 2022-07-21 | Lupin Ltd | Substituted nucleoside analogs as prmt5 inhibitors. |
| KR20220123229A (en) | 2019-12-17 | 2022-09-06 | 머크 샤프 앤드 돔 엘엘씨 | PRMT5 inhibitors |
| EP4076459A4 (en) * | 2019-12-17 | 2023-12-20 | Merck Sharp & Dohme LLC | PRMT5 INHIBITORS |
| AU2020404305A1 (en) | 2019-12-19 | 2022-08-04 | Janssen Pharmaceutica Nv | Substituted straight chain spiro derivatives |
| CN113045543B (en) * | 2019-12-26 | 2023-05-12 | 石药集团中奇制药技术(石家庄)有限公司 | PRMT5 inhibitor and application thereof |
| US12103924B2 (en) | 2020-06-01 | 2024-10-01 | Icahn School Of Medicine At Mount Sinai | Mitogen-activated protein kinase kinase (MEK) degradation compounds and methods of use |
| CN113754541B (en) * | 2020-06-02 | 2025-01-03 | 深圳湾实验室 | Small molecule inhibitor targeting Epstein-Barr virus nuclear antigen protein, preparation method and application thereof |
| KR20230012041A (en) | 2020-06-02 | 2023-01-25 | 씨에스피씨 종콰이 팔마씨우티컬 테크놀로지 (스자좡) 컴퍼니 리미티드 | 3,4-dihydroisoquinoline compounds and their use |
| CN111592522B (en) * | 2020-06-17 | 2022-09-09 | 郑州大学 | A kind of arginine methyltransferase 5 small molecule inhibitor and preparation method and use thereof |
| JP2023536589A (en) | 2020-07-31 | 2023-08-28 | タンゴ セラピューティクス, インコーポレイテッド | Piperidin-1-yl-N-pyridin-3-yl-2-oxoacetamide derivatives useful for treating MTAP-deficient and/or MTA-accumulating cancers |
| EP4209485A4 (en) * | 2020-09-04 | 2025-02-19 | Innovstone Therapeutics Limited | Compound having antitumor activity and use thereof |
| US20230365558A1 (en) | 2020-09-22 | 2023-11-16 | Medshine Discovery Inc. | Tetrahydroisoquinoline derivative and use thereof |
| WO2022237858A1 (en) | 2021-05-13 | 2022-11-17 | 上海翊石医药科技有限公司 | Compound having anti-tumor activity and use thereof |
| GB202117230D0 (en) | 2021-11-29 | 2022-01-12 | Argonaut Therapeutics Ltd | Peptide vaccine |
| CA3240466A1 (en) * | 2021-12-08 | 2023-06-15 | Cspc Zhongqi Pharmaceutical Technology (Shijiazhuang) Co., Ltd. | Salt of 3,4-dihydroisoquinoline compound and use thereof |
| GB202203588D0 (en) | 2022-03-15 | 2022-04-27 | Argonaut Therapeutics Ltd | Cancer diagnostic |
| WO2024229406A1 (en) | 2023-05-04 | 2024-11-07 | Revolution Medicines, Inc. | Combination therapy for a ras related disease or disorder |
| CN119101035B (en) * | 2023-06-07 | 2025-10-17 | 石药集团中奇制药技术(石家庄)有限公司 | Salt of 3, 4-dihydro-isoquinoline compound, preparation method and application thereof |
| CN119101034B (en) * | 2023-06-07 | 2025-10-17 | 石药集团中奇制药技术(石家庄)有限公司 | Solid 3, 4-dihydro-isoquinoline compound and preparation method and application thereof |
| US20250049810A1 (en) | 2023-08-07 | 2025-02-13 | Revolution Medicines, Inc. | Methods of treating a ras protein-related disease or disorder |
| WO2025080946A2 (en) | 2023-10-12 | 2025-04-17 | Revolution Medicines, Inc. | Ras inhibitors |
| WO2025171296A1 (en) | 2024-02-09 | 2025-08-14 | Revolution Medicines, Inc. | Ras inhibitors |
| WO2025240847A1 (en) | 2024-05-17 | 2025-11-20 | Revolution Medicines, Inc. | Ras inhibitors |
| US20250375445A1 (en) | 2024-06-07 | 2025-12-11 | Revolution Medicines, Inc. | Methods of treating a ras protein-related disease or disorder |
| WO2025265060A1 (en) | 2024-06-21 | 2025-12-26 | Revolution Medicines, Inc. | Therapeutic compositions and methods for managing treatment-related effects |
| WO2026006747A1 (en) | 2024-06-28 | 2026-01-02 | Revolution Medicines, Inc. | Ras inhibitors |
| WO2026008533A1 (en) | 2024-07-01 | 2026-01-08 | Janssen Pharmaceutica Nv | Prmt5 inhibitors for treating adenomas |
Family Cites Families (183)
| Publication number | Priority date | Publication date | Assignee | Title |
|---|---|---|---|---|
| DD68906A (en) | ||||
| DE63776C (en) | A. RUPERT, Eisenbahn - Werkmeister, in Köln - Nippes, Escherstrafse 14 | Method and device for coating iron pipe walls with brass | ||
| GB1374366A (en) | 1972-07-21 | 1974-11-20 | Science Union & Cie | Propanol derivatives and a process for their preparation |
| DE2361390A1 (en) * | 1973-12-10 | 1975-06-19 | Merck Patent Gmbh | ISOCHINOLINE DERIVATIVES AND THE PROCESS FOR THEIR PRODUCTION |
| US4022776A (en) | 1974-01-31 | 1977-05-10 | Otsuka Pharmaceutical Company Limited | 5-[1-Hydroxy-2-(substituted-amino)]ethyl-8-hydroxycarbostyril derivatives |
| CA1072359A (en) | 1974-10-08 | 1980-02-26 | Hiroyuki Konishi | Method for controlling the growth of plants |
| HU179951B (en) | 1979-10-11 | 1983-01-28 | Chinoin Gyogyszer Es Vegyeszet | Process for preparing 1,2,4-oxadiazolin-5-one derivatives and pharmaceutical compositions containing thereof |
| US4270537A (en) | 1979-11-19 | 1981-06-02 | Romaine Richard A | Automatic hypodermic syringe |
| NL8302134A (en) | 1982-06-16 | 1984-01-16 | May & Baker Ltd | PYRAZOLOPYRIDINE DERIVATIVE, METHOD FOR PREPARING IT AND PHARMACEUTICAL COMPOSITIONS, CONTAINING THIS DERIVATIVE. |
| DE3303344A1 (en) | 1983-02-02 | 1984-08-02 | Hoechst Ag, 6230 Frankfurt | METHOD FOR PRODUCING N-ALKYLATED AMINO ACIDS AND THEIR ESTERS |
| US4684459A (en) | 1985-11-29 | 1987-08-04 | The Dow Chemical Company | Collector compositions for the froth flotation of mineral values |
| US4596556A (en) | 1985-03-25 | 1986-06-24 | Bioject, Inc. | Hypodermic injection apparatus |
| JPH07100688B2 (en) * | 1986-02-12 | 1995-11-01 | 大日本製薬株式会社 | Cyclic amine derivative |
| DE3631013A1 (en) * | 1986-09-12 | 1988-03-24 | Thomae Gmbh Dr K | NEW NAPHTHYL DERIVATIVES, MEDICINAL PRODUCTS CONTAINING THESE COMPOUNDS AND METHOD FOR THE PRODUCTION THEREOF |
| DE3640641A1 (en) | 1986-11-28 | 1988-07-14 | Thomae Gmbh Dr K | NEW HETEROAROMATIC AMINE DERIVATIVES, MEDICINAL PRODUCTS CONTAINING THESE COMPOUNDS AND METHOD FOR THE PRODUCTION THEREOF |
| US4886499A (en) | 1986-12-18 | 1989-12-12 | Hoffmann-La Roche Inc. | Portable injection appliance |
| GB8704027D0 (en) | 1987-02-20 | 1987-03-25 | Owen Mumford Ltd | Syringe needle combination |
| US4746655A (en) | 1987-06-10 | 1988-05-24 | A. H. Robins Company, Incorporated | Fused aromatic-spiropiperidine oxazepinones(and thiones) |
| US4940460A (en) | 1987-06-19 | 1990-07-10 | Bioject, Inc. | Patient-fillable and non-invasive hypodermic injection device assembly |
| US4941880A (en) | 1987-06-19 | 1990-07-17 | Bioject, Inc. | Pre-filled ampule and non-invasive hypodermic injection device assembly |
| US4790824A (en) | 1987-06-19 | 1988-12-13 | Bioject, Inc. | Non-invasive hypodermic injection device |
| DE3804793A1 (en) | 1988-02-16 | 1989-08-24 | Hoechst Ag | RENIN-INHIBITING AMINOSAUTE DERIVATIVES |
| US5339163A (en) | 1988-03-16 | 1994-08-16 | Canon Kabushiki Kaisha | Automatic exposure control device using plural image plane detection areas |
| FR2638359A1 (en) | 1988-11-03 | 1990-05-04 | Tino Dalto | SYRINGE GUIDE WITH ADJUSTMENT OF DEPTH DEPTH OF NEEDLE IN SKIN |
| DE3839126A1 (en) | 1988-11-19 | 1990-05-23 | Hoechst Ag | RENIN-INHIBITING UREA DERIVATIVES OF DIPEPTIDES, METHOD FOR THE PRODUCTION THEREOF, THESE AGENTS AND THEIR USE |
| US5776963A (en) | 1989-05-19 | 1998-07-07 | Hoechst Marion Roussel, Inc. | 3-(heteroaryl)-1- (2,3-dihydro-1h-isoindol-2-yl)alkyl!pyrrolidines and 3-(heteroaryl)-1- (2,3-dihydro-1h-indol-1-yl)alkyl!pyrrolidines and related compounds and their therapeutic untility |
| US5064413A (en) | 1989-11-09 | 1991-11-12 | Bioject, Inc. | Needleless hypodermic injection device |
| US5312335A (en) | 1989-11-09 | 1994-05-17 | Bioject Inc. | Needleless hypodermic injection device |
| GB9005318D0 (en) | 1990-03-09 | 1990-05-02 | Isis Innovation | Antiarrhythmic agents |
| US5190521A (en) | 1990-08-22 | 1993-03-02 | Tecnol Medical Products, Inc. | Apparatus and method for raising a skin wheal and anesthetizing skin |
| US5527288A (en) | 1990-12-13 | 1996-06-18 | Elan Medical Technologies Limited | Intradermal drug delivery device and method for intradermal delivery of drugs |
| WO1993001174A1 (en) | 1991-07-08 | 1993-01-21 | Glaxo Group Limited | Thiazolidine derivatives and their use as anti-viral compounds |
| GB9118204D0 (en) | 1991-08-23 | 1991-10-09 | Weston Terence E | Needle-less injector |
| SE9102652D0 (en) | 1991-09-13 | 1991-09-13 | Kabi Pharmacia Ab | INJECTION NEEDLE ARRANGEMENT |
| US5328483A (en) | 1992-02-27 | 1994-07-12 | Jacoby Richard M | Intradermal injection device with medication and needle guard |
| US5663179A (en) | 1992-07-10 | 1997-09-02 | Laboratoires Glaxo Sa | Certain isoquinoline derivatives having anti-tumor properties |
| US5383851A (en) | 1992-07-24 | 1995-01-24 | Bioject Inc. | Needleless hypodermic injection device |
| US5514694A (en) | 1992-09-21 | 1996-05-07 | Georgia Tech Research Corp | Peptidyl ketoamides |
| US5569189A (en) | 1992-09-28 | 1996-10-29 | Equidyne Systems, Inc. | hypodermic jet injector |
| US5294621A (en) | 1992-10-07 | 1994-03-15 | Ortho Pharmaceutical Corporation | Thieno tetrahydropyridines useful as class III antiarrhythmic agents |
| US5334144A (en) | 1992-10-30 | 1994-08-02 | Becton, Dickinson And Company | Single use disposable needleless injector |
| GB9402807D0 (en) * | 1994-02-14 | 1994-04-06 | Xenova Ltd | Pharmaceutical compounds |
| WO1995024176A1 (en) | 1994-03-07 | 1995-09-14 | Bioject, Inc. | Ampule filling device |
| US5466220A (en) | 1994-03-08 | 1995-11-14 | Bioject, Inc. | Drug vial mixing and transfer device |
| US5599302A (en) | 1995-01-09 | 1997-02-04 | Medi-Ject Corporation | Medical injection system and method, gas spring thereof and launching device using gas spring |
| US5693847A (en) | 1995-04-19 | 1997-12-02 | Vertex Pharmaceuticals Incorporated | Heteroatom functionalized α-methyl ketones |
| US5730723A (en) | 1995-10-10 | 1998-03-24 | Visionary Medical Products Corporation, Inc. | Gas pressured needle-less injection device and method |
| US5554621A (en) * | 1995-06-07 | 1996-09-10 | Bristol-Myers Squibb Company | Dihydropyridine NPY antagonists: nitrogen heterocyclic derivatives |
| US6130217A (en) | 1995-09-20 | 2000-10-10 | Pfizer Inc | Compounds enhancing antitumor activity of other cytotoxic agents |
| US5893397A (en) | 1996-01-12 | 1999-04-13 | Bioject Inc. | Medication vial/syringe liquid-transfer apparatus |
| SE9600769D0 (en) | 1996-02-28 | 1996-02-28 | Astra Ab | Compounds useful as analgesic |
| GB9607549D0 (en) | 1996-04-11 | 1996-06-12 | Weston Medical Ltd | Spring-powered dispensing device |
| GB9717576D0 (en) | 1997-08-19 | 1997-10-22 | Xenova Ltd | Pharmaceutical compounds |
| US5874449A (en) | 1996-12-31 | 1999-02-23 | Gpi Nil Holdings, Inc. | N-linked sulfonamides of heterocyclic thioesters |
| US5993412A (en) | 1997-05-19 | 1999-11-30 | Bioject, Inc. | Injection apparatus |
| IT1298087B1 (en) | 1998-01-08 | 1999-12-20 | Fiderm S R L | DEVICE FOR CHECKING THE PENETRATION DEPTH OF A NEEDLE, IN PARTICULAR APPLICABLE TO A SYRINGE FOR INJECTIONS |
| US20020169101A1 (en) | 1999-05-10 | 2002-11-14 | Gonzalez Maria Isabel | Treatment of sexual dysfunction |
| EP1181291A2 (en) * | 1999-05-25 | 2002-02-27 | The Penn State Research Foundation | Dna methyltransferase inhibitors |
| US7253165B2 (en) | 1999-09-14 | 2007-08-07 | Aventis Pharmaceuticals Inc. | Benzisoxazolyl-, pyridoisoxazolyl-and benzthienyl-phenoxy derivatives useful as D4 antagonists |
| BR0014515A (en) | 1999-09-14 | 2002-06-25 | Aventis Pharma Inc | Substituted propyl thienoisoxazolyl and thienylpyrazolyl phenoxy derivatives useful as d4 antagonists |
| EA200200356A1 (en) | 1999-09-14 | 2002-10-31 | Авентис Фармасьютикалз Инк. | BENZOZAZOZOLYL, PYRIDOISOXAZOZYL- AND BENZYINENYLPHENOXY DERIVATIVES USED AS ANTAGONISTS OF RECEPTOR D4 |
| US7125903B1 (en) | 1999-09-14 | 2006-10-24 | Aventis Pharmaceuticals Inc. | Thienoisoxazolyl-and thienylpyrrazolyl-phenoxy substituted propyl derivatives useful as D4 antagonists |
| AU6011301A (en) | 2000-03-14 | 2001-09-24 | Actelion Pharmaceuticals Ltd | 1,2,3,4-tetrahydroisoquinoline derivatives |
| WO2002014277A1 (en) | 2000-08-10 | 2002-02-21 | Tanabe Seiyaku Co., Ltd. | Biphenylcarboxamidoisoindoline compounds, processes for the preparation of the same and intermediates for the synthesis thereof |
| IL157093A0 (en) * | 2001-03-27 | 2004-02-08 | Actelion Pharmaceuticals Ltd | 1,2,3,4-tetrahydroisoquinolines derivatives as urotensin ii receptor antagonists |
| JP4278511B2 (en) | 2001-07-11 | 2009-06-17 | イーラン ファーマスーティカルズ、インコーポレイテッド | N- (3-amino-2-hydroxy-propyl) substituted alkylamide compounds |
| DE60225155T2 (en) | 2001-08-27 | 2009-03-05 | Arpida Ag | 3-SUBSTITUTED 6,7-DIHYDROXYTETRAHYDROISOCHINOLINE DERIVATIVES FOR USE AS ANTIBACTERIAL AGENTS |
| TWI259081B (en) | 2001-10-26 | 2006-08-01 | Sugen Inc | Treatment of acute myeloid leukemia with indolinone compounds |
| SE0103644D0 (en) | 2001-11-01 | 2001-11-01 | Astrazeneca Ab | Therapeutic isoquinoline compounds |
| NZ533107A (en) | 2001-11-08 | 2007-04-27 | Upjohn Co | N, N'-substituted-1,3-diamino-2-hydroxypropane derivatives |
| US7335779B2 (en) | 2002-03-08 | 2008-02-26 | Quonova, Llc | Modulation of pathogenicity |
| US7338969B2 (en) | 2002-03-08 | 2008-03-04 | Quonova, Llc | Modulation of pathogenicity |
| JP2005528366A (en) | 2002-03-26 | 2005-09-22 | メルク エンド カムパニー インコーポレーテッド | Spirocyclic amides as cannabinoid receptor modulators |
| EP1494997A4 (en) | 2002-04-05 | 2007-04-11 | Merck & Co Inc | SUBSTITUTED ARYLAMIDES |
| US8013014B2 (en) | 2002-07-05 | 2011-09-06 | Georgia Tech Research Corporation | Aza-peptide epoxides |
| NZ538307A (en) | 2002-09-09 | 2008-04-30 | Janssen Pharmaceutica Nv | Hydroxy alkyl substituted 1,3,8-triazaspiro[4.5]decan-4-one derivatives useful for the treatment of ORL-1 receptor mediated disorders |
| SE0300010D0 (en) | 2003-01-07 | 2003-01-07 | Astrazeneca Ab | Novel Compounds |
| WO2004078114A2 (en) | 2003-02-28 | 2004-09-16 | Encysive Pharmaceuticals Inc. | Pyridine, pyrimidine, quinoline, quinazoline, and naphthalene urotensin-ii receptor antagonists. |
| WO2004078731A1 (en) * | 2003-03-06 | 2004-09-16 | 'chemical Diversity Research Institute', Ltd. | Quinoline-carboxylic acids and the derivatives thereof, a focused library |
| US7408008B2 (en) | 2003-12-09 | 2008-08-05 | Janssen Pharmaceutica, N.V. | Method of producing highly functionalized 1,3-diamino-propan-2-ols from solid support |
| US20070185152A1 (en) | 2004-03-02 | 2007-08-09 | Smithkline Beecham Corporation | Inhibitors of akt activity |
| EP1735293A2 (en) | 2004-03-09 | 2006-12-27 | Elan Pharmaceuticals, Inc. | Substituted hydroxyethylamine aspartyl protease inhibitors |
| RU2266906C1 (en) * | 2004-04-29 | 2005-12-27 | Общество с ограниченной ответственностью "Исследовательский Институт Химического Разнообразия" (ООО "Исследовательский Институт Химического Разнообразия") | Anellated carbamoyl azaheterocycles, methods for their preparing (variants), pharmaceutical composition, focused library |
| WO2005118543A1 (en) | 2004-06-03 | 2005-12-15 | Ono Pharmaceutical Co., Ltd. | Kinase inhibitor and use thereof |
| BRPI0512535A (en) | 2004-06-24 | 2008-03-25 | Incyte Corp | unsubstituted piperidine compounds, their compositions and methods of modulation |
| US20060009510A1 (en) | 2004-07-09 | 2006-01-12 | Pharmacia & Upjohn Company Llc | Method of synthesizing indolinone compounds |
| JP2008007405A (en) * | 2004-12-07 | 2008-01-17 | Takeda Chem Ind Ltd | Carboxamide derivative |
| BRPI0615522A2 (en) | 2005-07-11 | 2012-04-10 | Devgen Nv | amide derivatives as kinase inhibitors |
| ES2426345T3 (en) | 2005-07-20 | 2013-10-22 | Eli Lilly And Company | Compound bound in 1-amino position |
| GB0516723D0 (en) | 2005-08-15 | 2005-09-21 | Novartis Ag | Organic compounds |
| WO2007048042A2 (en) | 2005-10-21 | 2007-04-26 | University Of Alabama At Birmingham | Small molecule inhibitors of hiv-1 capsid assembly |
| CN101490017B (en) | 2006-02-28 | 2013-01-23 | 海利空医疗公司 | Therapeutic piperazines as pde4 inhibitors |
| CA2645556C (en) | 2006-03-16 | 2016-05-24 | Renovis, Inc. | Bicycloheteroaryl compounds as p2x7 modulators and uses thereof |
| CA2686559A1 (en) | 2006-05-05 | 2007-11-15 | Cambridge Enterprise Limited | Epigenetic regulatory complex for control of gene expression |
| EP2089017A2 (en) | 2006-11-02 | 2009-08-19 | Aestus Therapeutics, Inc. | Methods of treating neuropathic pain by modulation of glycogenolysis or glycolysis pathways |
| CN101012223A (en) | 2006-11-13 | 2007-08-08 | 西安新安医药科技有限公司 | Ornidazole derivative for treatment, preparing method and use |
| JP5542445B2 (en) | 2006-12-04 | 2014-07-09 | 江▲蘇▼先声▲薬▼物研究有限公司 | 3-pyrrolocyclohexylidene-2-dihydroindolinone derivatives and uses thereof |
| CN101157929B (en) * | 2007-02-02 | 2012-05-23 | 中国科学院上海有机化学研究所 | Safraninemycin biological synthesis gene cluster |
| US20090099157A1 (en) | 2007-02-15 | 2009-04-16 | Ameriks Michael K | Tetrahydro-pyrazolo-pyridine thioether modulators of cathepsin s |
| US8338437B2 (en) | 2007-02-28 | 2012-12-25 | Methylgene Inc. | Amines as small molecule inhibitors |
| JP5313881B2 (en) * | 2007-04-04 | 2013-10-09 | 興和株式会社 | Tetrahydroisoquinoline compounds |
| DE102007020492A1 (en) | 2007-04-30 | 2008-11-06 | Grünenthal GmbH | Substituted sulfonamide derivatives |
| WO2008145398A1 (en) | 2007-06-01 | 2008-12-04 | Pfizer Italia S.R.L. | 4-arylpyrrole substituted 2-indoline derivatives active as protein kinase inhibitors |
| JP2010528628A (en) | 2007-06-07 | 2010-08-26 | シモンズ ハプロミクス リミテッド | Epigenetic method |
| CA2689974A1 (en) | 2007-06-08 | 2008-12-18 | Asuragen, Inc. | Mir-34 regulated genes and pathways as targets for therapeutic intervention |
| EP2014651A1 (en) | 2007-07-12 | 2009-01-14 | Exonhit Therapeutics SA | Compounds and methods for modulating Rho GTPases |
| RU2345996C1 (en) * | 2007-07-17 | 2009-02-10 | Андрей Александрович Иващенко | Annelated azaheterocyclic amides, which include pyrimidine fragment, method of obtaining and their application |
| NZ562237A (en) | 2007-10-05 | 2011-02-25 | Pacific Edge Biotechnology Ltd | Proliferation signature and prognosis for gastrointestinal cancer |
| US20090093493A1 (en) | 2007-10-09 | 2009-04-09 | Francesco Berardi | 1-phenylalcoxy-2-beta-phenylethyl derivatives as p-glycoprotein (p-gp) inhibitors useful in drug resistance events |
| KR20130012969A (en) | 2007-11-01 | 2013-02-05 | 어큐셀라 인코포레이티드 | Amine derivative compounds for treating ophthalmic diseases and disorders |
| WO2009059225A2 (en) | 2007-11-02 | 2009-05-07 | Pain Therapeutics, Inc. | Analgesia with minimal tolerance and dependence by a mu opioid receptor agonist that also binds filamin a |
| AU2008345225A1 (en) | 2007-12-21 | 2009-07-09 | University Of Rochester | Method for altering the lifespan of eukaryotic organisms |
| RU2371444C1 (en) * | 2008-01-24 | 2009-10-27 | Андрей Александрович Иващенко | FURO- AND THIENO[2,3-b]-QUINOLINE-2-CARBOXAMIDES, METHOD OF PRODUCTION AND ANTITUBERCULOUS ACTIVITY |
| WO2009126782A1 (en) | 2008-04-11 | 2009-10-15 | High Point Pharmaceuticals, Llc | Histamine h3 receptor ligands |
| EP2307345A4 (en) | 2008-07-01 | 2012-05-02 | Purdue Research Foundation | NON-PEPTIDE HIV-1 PROTEASE INHIBITORS |
| FR2933977B1 (en) * | 2008-07-18 | 2013-04-26 | Centre Nat Rech Scient | HETEROCYCLIC DERIVATIVES USEFUL IN THE TREATMENT OF NEURODEGENERATIVE DISEASES |
| NZ592057A (en) | 2008-09-05 | 2013-01-25 | Acucela Inc | Sulfur-linked compounds for treating opthalmic diseases and disorders |
| AU2009308483C1 (en) | 2008-10-22 | 2014-01-23 | Acucela, Inc. | Compounds for treating ophthalmic diseases and disorders |
| WO2010057101A2 (en) | 2008-11-17 | 2010-05-20 | Schering Corporation | Compounds useful as hiv blockers |
| EP2409977A4 (en) | 2009-03-17 | 2012-09-26 | Daiichi Sankyo Co Ltd | AMIDE DERIVATIVE |
| US8309547B2 (en) | 2009-04-28 | 2012-11-13 | Apotex Pharmachem Inc. | Processes for the preparation of rivaroxaban and intermediates thereof |
| ES2557453T3 (en) | 2009-06-09 | 2016-01-26 | Nantbioscience, Inc. | Isoquinoline, quinoline and quinazoline derivatives as inhibitors of Hedgehog signaling |
| US9163330B2 (en) | 2009-07-13 | 2015-10-20 | President And Fellows Of Harvard College | Bifunctional stapled polypeptides and uses thereof |
| US9044432B2 (en) * | 2009-12-22 | 2015-06-02 | Ohio State Innovation Foundation | Compositions and methods for cancer detection and treatment |
| GB0922332D0 (en) | 2009-12-22 | 2010-02-03 | Isis Innovation | Method of treatment and screening method |
| EP2357176A1 (en) * | 2010-01-15 | 2011-08-17 | Hybrigenics S.A. | Amidoacridine derivatives useful as selective inhibitors of ubiquitin specific protease 7 |
| US8247436B2 (en) | 2010-03-19 | 2012-08-21 | Novartis Ag | Pyridine and pyrazine derivative for the treatment of CF |
| TWI513694B (en) | 2010-05-11 | 2015-12-21 | Amgen Inc | Pyrimidine compounds that inhibit anaplastic lymphoma kinase |
| JOP20190250A1 (en) | 2010-07-14 | 2017-06-16 | Regeneron Pharma | Stable formulas containing anti-NGF antibodies |
| EP2630143B1 (en) | 2010-10-18 | 2017-11-29 | Apotex Pharmachem Inc. | Processes for the preparation of rivaroxaban and intermediates thereof |
| US9732128B2 (en) | 2010-10-22 | 2017-08-15 | Biotime, Inc. | Methods of modifying transcriptional regulatory networks in stem cells |
| EP2646455A4 (en) | 2010-12-03 | 2014-04-02 | Epizyme Inc | HISTONE METHYLTRANSFERASE MODULATORS AND METHODS OF USE |
| AU2011336272A1 (en) | 2010-12-03 | 2013-06-20 | Epizyme, Inc. | 7-deazapurine modulators of histone methyltransferase, and methods of use thereof |
| US20140080162A1 (en) | 2011-03-25 | 2014-03-20 | Almac Sciences (Scotland) Limited | Fluorescence lifetime epigenetics assays |
| CN109498812A (en) | 2011-04-28 | 2019-03-22 | 索隆-基特林癌症研究协会 | HSP90 combination treatment |
| CN104081203B (en) | 2011-07-08 | 2018-07-31 | 索隆-基特林癌症研究协会 | Uses of labeled HSP90 inhibitors |
| WO2013038381A1 (en) | 2011-09-16 | 2013-03-21 | Novartis Ag | Pyridine/pyrazine amide derivatives |
| WO2013038378A1 (en) | 2011-09-16 | 2013-03-21 | Novartis Ag | Pyridine amide derivatives |
| CA2850930A1 (en) | 2011-10-03 | 2013-04-11 | Celmatix, Inc. | Methods and devices for assessing risk to a putative offspring of developing a condition |
| AR092289A1 (en) | 2011-11-14 | 2015-04-15 | Sunshine Lake Pharma Co Ltd | DERIVATIVES OF AMINOQUINAZOLINE AND ITS SALTS AND METHODS OF USE |
| CA2860022A1 (en) | 2011-12-30 | 2013-07-04 | Universite D'auvergne Clermont I | Pain relief compounds |
| US20150079046A1 (en) | 2012-04-03 | 2015-03-19 | Reneuron Limited | Stem cell microparticles |
| WO2014012054A1 (en) | 2012-07-13 | 2014-01-16 | Pain Therapeutics, Inc. | Alzheimer's disease assay in a living patent |
| KR20150059168A (en) | 2012-07-19 | 2015-05-29 | 레뉴런 리미티드 | Stem cell microparticles |
| AU2013324696B2 (en) | 2012-09-25 | 2017-09-14 | Merck Patent Gmbh | Alpha hydroxy amides |
| MX376008B (en) | 2012-10-15 | 2025-03-07 | Epizyme Inc | EZH2 INHIBITOR FOR USE IN THE TREATMENT OF EPITHELIOID SARCOMA. |
| CA2886650A1 (en) | 2012-11-29 | 2014-06-05 | The Penn State Research Foundation | Photodynamic dhsip anticancer therapeutic and immunomodulator |
| JP2016511744A (en) | 2012-12-21 | 2016-04-21 | エピザイム,インコーポレイティド | Method for inhibiting PRMT5 |
| EP3406607A1 (en) | 2012-12-21 | 2018-11-28 | Epizyme, Inc. | Prmt5 inhibitors containing a dihydro- or tetrahydroisoquinoline and uses thereof |
| US8906900B2 (en) | 2012-12-21 | 2014-12-09 | Epizyme, Inc. | PRMT5 inhibitors and uses thereof |
| EP3498701B1 (en) | 2012-12-21 | 2023-02-22 | Epizyme Inc | Prmt5 inhibitors and uses thereof |
| JP2016505001A (en) | 2012-12-21 | 2016-02-18 | エピザイム,インコーポレイティド | PRMT5 inhibitors and uses thereof |
| US9221794B2 (en) | 2012-12-21 | 2015-12-29 | Epizyme, Inc. | PRMT5 inhibitors and uses thereof |
| US9394258B2 (en) | 2013-03-14 | 2016-07-19 | Epizyme, Inc. | Arginine methyltransferase inhibitors and uses thereof |
| US9023883B2 (en) | 2013-03-14 | 2015-05-05 | Epizyme, Inc. | PRMT1 inhibitors and uses thereof |
| EP2970181B1 (en) | 2013-03-14 | 2017-06-07 | Epizyme, Inc. | Arginine methyltransferase inhibitors and uses thereof |
| US9776972B2 (en) | 2013-03-14 | 2017-10-03 | Epizyme Inc. | Pyrazole derivatives as arginine methyltransferase inhibitors and uses thereof |
| WO2014153172A1 (en) | 2013-03-14 | 2014-09-25 | Epizyme, Inc. | Pyrazole derivatives as prmt1 inhibitors and uses thereof |
| KR102028793B1 (en) | 2013-03-14 | 2019-10-07 | 에피자임, 인코포레이티드 | Arginine methyl transferase inhibitors and uses thereof |
| US20160031839A1 (en) | 2013-03-14 | 2016-02-04 | Epizyme, Inc. | Arginine methyltransferase inhibitors and uses thereof |
| US9120757B2 (en) | 2013-03-14 | 2015-09-01 | Epizyme, Inc. | Arginine methyltransferase inhibitors and uses thereof |
| US9133189B2 (en) | 2013-03-14 | 2015-09-15 | Epizyme, Inc. | Arginine methyltransferase inhibitors and uses thereof |
| US8952026B2 (en) | 2013-03-14 | 2015-02-10 | Epizyme, Inc. | PRMT1 inhibitors and uses thereof |
| US9346802B2 (en) | 2013-03-15 | 2016-05-24 | Epizyme, Inc. | CARM1 inhibitors and uses thereof |
| WO2014144455A1 (en) | 2013-03-15 | 2014-09-18 | Epizyme, Inc. | 1 -phenoxy-3-(alkylamino)-propan-2-ol derivatives as carm1 inhibitors and uses thereof |
| CA2903813C (en) | 2013-03-15 | 2023-08-29 | Epizyme, Inc. | Carm1 inhibitors and uses thereof |
| CN105163727B (en) | 2013-05-03 | 2018-08-17 | 豪夫迈·罗氏有限公司 | Stimulate neurogenetic isoquinilone derivatives |
| WO2015200677A2 (en) | 2014-06-25 | 2015-12-30 | Epizyme, Inc. | Prmt5 inhibitors and uses thereof |
| WO2015200680A2 (en) | 2014-06-25 | 2015-12-30 | Epizyme, Inc. | Prmt5 inhibitors and uses thereof |
| WO2015198229A1 (en) | 2014-06-25 | 2015-12-30 | Glaxosmithkline Intellectual Property Development Limited | Crystalline salts of (s)-6-((1-acetylpiperidin-4-yl)amino)-n-(3-(3,4-dihydroisoquinolin-2(1h)-yl)-2-hydroxypropyl)pyrimidine-4-carboxamide |
| US10653693B2 (en) | 2014-08-04 | 2020-05-19 | Epizyme, Inc. | PRMT5 inhibitors and uses thereof |
| US20170283440A1 (en) | 2014-09-17 | 2017-10-05 | Epizyme, Inc. | Carm1 inhibitors and uses thereof |
| WO2016044641A2 (en) | 2014-09-17 | 2016-03-24 | Epizyme, Inc. | Carm1 inhibitors and uses thereof |
| WO2016044576A1 (en) | 2014-09-17 | 2016-03-24 | Epizyme, Inc. | Salts, co-crystals, amorphous forms, and crystalline forms of an arginine methyltransferase inhibitor |
| JP2017527594A (en) | 2014-09-17 | 2017-09-21 | エピザイム,インコーポレイティド | Salts, co-crystals, amorphous forms, and crystalline forms of coactivator-related arginine methyltransferase 1 (CARM1) inhibitors |
| EP3193608A4 (en) | 2014-09-17 | 2018-05-02 | Epizyme, Inc. | Carm1 inhibitors and uses thereof |
| US20170280720A1 (en) | 2014-09-17 | 2017-10-05 | Epizyme, Inc. | Arginine methyltransferase inhibitors and uses thereof |
| WO2016044626A1 (en) | 2014-09-17 | 2016-03-24 | Epizyme, Inc. | Arginine methyltransferase inhibitors and uses thereof |
| WO2016044556A2 (en) | 2014-09-17 | 2016-03-24 | Epizyme, Inc. | Arginine methyltransferase inhibitors and uses thereof |
| MX2017010230A (en) | 2015-02-11 | 2017-12-04 | Basilea Pharm Int Ag | Substituted mono- and polyazanaphthalene derivatives and their use. |
| WO2017136699A1 (en) | 2016-02-05 | 2017-08-10 | Epizyme, Inc | Arginine methyltransferase inhibitors and uses thereof |
| AR108326A1 (en) | 2016-04-27 | 2018-08-08 | Samumed Llc | ISOQUINOLIN-3-IL CARBOXAMIDS AND PREPARATION AND USE OF THE SAME |
| GB201704476D0 (en) | 2017-03-21 | 2017-05-03 | Antabio Sas | Chemical compounds |
-
2013
- 2013-12-20 EP EP18192271.7A patent/EP3498701B1/en active Active
- 2013-12-20 KR KR1020157019530A patent/KR102024417B1/en active Active
- 2013-12-20 RS RS20181485A patent/RS58040B1/en unknown
- 2013-12-20 EP EP13821599.1A patent/EP2935222B1/en active Active
- 2013-12-20 HU HUE13821599A patent/HUE040323T2/en unknown
- 2013-12-20 SI SI201331283T patent/SI2935222T1/en unknown
- 2013-12-20 PE PE2015001047A patent/PE20151501A1/en unknown
- 2013-12-20 LT LTEP13821599.1T patent/LT2935222T/en unknown
- 2013-12-20 MX MX2015008052A patent/MX375184B/en active IP Right Grant
- 2013-12-20 CA CA2894228A patent/CA2894228C/en active Active
- 2013-12-20 PL PL13821599T patent/PL2935222T3/en unknown
- 2013-12-20 UA UAA201505700A patent/UA118548C2/en unknown
- 2013-12-20 KR KR1020197027023A patent/KR102173874B1/en active Active
- 2013-12-20 PT PT13821599T patent/PT2935222T/en unknown
- 2013-12-20 EP EP23156656.3A patent/EP4219465A3/en active Pending
- 2013-12-20 EA EA201590975A patent/EA027908B1/en unknown
- 2013-12-20 WO PCT/US2013/077235 patent/WO2014100719A2/en not_active Ceased
- 2013-12-20 BR BR112015014590-6A patent/BR112015014590B1/en active IP Right Grant
- 2013-12-20 ES ES13821599T patent/ES2701069T3/en active Active
- 2013-12-20 DK DK13821599.1T patent/DK2935222T3/en active
- 2013-12-20 US US14/654,253 patent/US9604930B2/en active Active
- 2013-12-20 SM SM20180669T patent/SMT201800669T1/en unknown
- 2013-12-20 JP JP2015549821A patent/JP6678455B2/en active Active
- 2013-12-20 CN CN201380070441.2A patent/CN105452226B/en active Active
- 2013-12-20 US US14/136,569 patent/US8993555B2/en active Active
- 2013-12-20 HR HRP20182037TT patent/HRP20182037T1/en unknown
- 2013-12-20 MY MYPI2015001447A patent/MY199894A/en unknown
-
2015
- 2015-02-11 US US14/619,371 patent/US9365519B2/en active Active
- 2015-06-09 IL IL239296A patent/IL239296B/en active IP Right Grant
- 2015-06-15 PH PH12015501351A patent/PH12015501351A1/en unknown
- 2015-06-19 DO DO2015000158A patent/DOP2015000158A/en unknown
- 2015-06-19 CL CL2015001790A patent/CL2015001790A1/en unknown
- 2015-07-13 CR CR20150371A patent/CR20150371A/en unknown
- 2015-07-20 ZA ZA2015/05212A patent/ZA201505212B/en unknown
-
2016
- 2016-02-26 US US15/054,193 patent/US9675614B2/en active Active
-
2017
- 2017-01-30 US US15/419,260 patent/US10307413B2/en active Active
- 2017-05-04 US US15/586,775 patent/US20180098987A1/en not_active Abandoned
- 2017-12-15 US US15/844,097 patent/US10391089B2/en active Active
-
2018
- 2018-03-26 AU AU2018202150A patent/AU2018202150B2/en active Active
- 2018-07-30 IL IL260876A patent/IL260876B/en active IP Right Grant
- 2018-12-05 CY CY20181101294T patent/CY1121625T1/en unknown
-
2019
- 2019-01-23 PH PH12019500163A patent/PH12019500163A1/en unknown
- 2019-04-26 US US16/395,844 patent/US20190343826A1/en not_active Abandoned
- 2019-06-16 IL IL267364A patent/IL267364A/en unknown
- 2019-07-08 US US16/504,910 patent/US10980794B2/en active Active
-
2021
- 2021-03-02 US US17/189,989 patent/US20210308121A1/en not_active Abandoned
Cited By (3)
| Publication number | Priority date | Publication date | Assignee | Title |
|---|---|---|---|---|
| US11834455B2 (en) | 2013-03-15 | 2023-12-05 | Epizyme, Inc. | Carm1 inhibitors and uses thereof |
| US10653693B2 (en) | 2014-08-04 | 2020-05-19 | Epizyme, Inc. | PRMT5 inhibitors and uses thereof |
| WO2020205660A1 (en) * | 2019-03-29 | 2020-10-08 | University Of Florida Research Foundation, Incorporated | Prmt5 inhibitor compounds |
Also Published As
Similar Documents
| Publication | Publication Date | Title |
|---|---|---|
| US10980794B2 (en) | PRMT5 inhibitors and uses thereof | |
| US9765068B2 (en) | PRMT5 inhibitors and uses thereof | |
| US9732072B2 (en) | PRMT5 inhibitors and uses thereof | |
| US10150758B2 (en) | PRMT5 inhibitors and uses thereof | |
| US20170198006A1 (en) | Prmt5 inhibitors and uses thereof | |
| US20140228343A1 (en) | Prmt5 inhibitors and uses thereof | |
| US20190083482A1 (en) | Prmt5 inhibitors and uses thereof |
Legal Events
| Date | Code | Title | Description |
|---|---|---|---|
| AS | Assignment |
Owner name: EPIZYME, INC., MASSACHUSETTS Free format text: ASSIGNMENT OF ASSIGNORS INTEREST;ASSIGNORS:DUNCAN, KENNETH W.;CHESWORTH, RICHARD;BORIACK-SJODIN, PAULA ANN;AND OTHERS;SIGNING DATES FROM 20130508 TO 20130523;REEL/FRAME:045202/0293 |
|
| STCB | Information on status: application discontinuation |
Free format text: EXPRESSLY ABANDONED -- DURING EXAMINATION |
|
| AS | Assignment |
Owner name: BIOPHARMA CREDIT PLC, UNITED KINGDOM Free format text: SECURITY INTEREST;ASSIGNOR:EPIZYME, INC.;REEL/FRAME:051057/0848 Effective date: 20191118 |
|
| AS | Assignment |
Owner name: EPIZYME, INC., MASSACHUSETTS Free format text: TERMINATION AND RELEASE OF SECURITY INTEREST IN PATENTS AT REEL/FRAME: 051057/0848;ASSIGNOR:BIOPHARMA CREDIT PLC;REEL/FRAME:061165/0501 Effective date: 20220812 |































































































































































































































































































































































































































































































































































































































































