US20090131663A1 - PROCESS FOR PREPARING SUBSTITUTED 5-AMINO-PYRAZOLO-[4,3-e]-1,2,4-TRIAZOLO[1,5-c]PYRIMIDINES - Google Patents
PROCESS FOR PREPARING SUBSTITUTED 5-AMINO-PYRAZOLO-[4,3-e]-1,2,4-TRIAZOLO[1,5-c]PYRIMIDINES Download PDFInfo
- Publication number
- US20090131663A1 US20090131663A1 US12/360,570 US36057009A US2009131663A1 US 20090131663 A1 US20090131663 A1 US 20090131663A1 US 36057009 A US36057009 A US 36057009A US 2009131663 A1 US2009131663 A1 US 2009131663A1
- Authority
- US
- United States
- Prior art keywords
- formula
- compound
- alkyl
- alkoxy
- compounds
- Prior art date
- Legal status (The legal status is an assumption and is not a legal conclusion. Google has not performed a legal analysis and makes no representation as to the accuracy of the status listed.)
- Abandoned
Links
- 238000004519 manufacturing process Methods 0.000 title abstract description 4
- 150000003230 pyrimidines Chemical class 0.000 title 1
- 150000001875 compounds Chemical class 0.000 claims description 96
- IXECJBAWCMPTMB-UHFFFAOYSA-N NC1=NC2=NN=CC2=C2N=CNN12 Chemical class NC1=NC2=NN=CC2=C2N=CNN12 IXECJBAWCMPTMB-UHFFFAOYSA-N 0.000 abstract description 3
- -1 5-amino-2-substituted-pyrazolo[4,3-e]-1,2,4-triazolo-[1,5-c]pyrimidines Chemical class 0.000 description 33
- 238000000034 method Methods 0.000 description 27
- 230000008569 process Effects 0.000 description 23
- XHXFXVLFKHQFAL-UHFFFAOYSA-N phosphoryl trichloride Chemical compound ClP(Cl)(Cl)=O XHXFXVLFKHQFAL-UHFFFAOYSA-N 0.000 description 20
- WEVYAHXRMPXWCK-UHFFFAOYSA-N Acetonitrile Chemical compound CC#N WEVYAHXRMPXWCK-UHFFFAOYSA-N 0.000 description 19
- 150000003839 salts Chemical class 0.000 description 19
- 125000000217 alkyl group Chemical group 0.000 description 16
- 0 *C1=NN2C(N)=NC3=C(C=NC3C)C2=N1 Chemical compound *C1=NN2C(N)=NC3=C(C=NC3C)C2=N1 0.000 description 14
- 229910052739 hydrogen Inorganic materials 0.000 description 14
- 239000001257 hydrogen Substances 0.000 description 14
- VNDYJBBGRKZCSX-UHFFFAOYSA-L zinc bromide Chemical group Br[Zn]Br VNDYJBBGRKZCSX-UHFFFAOYSA-L 0.000 description 14
- 239000012024 dehydrating agents Substances 0.000 description 13
- 125000001424 substituent group Chemical group 0.000 description 13
- 238000006243 chemical reaction Methods 0.000 description 12
- 125000004435 hydrogen atom Chemical group [H]* 0.000 description 12
- 229910052736 halogen Inorganic materials 0.000 description 11
- 150000002367 halogens Chemical group 0.000 description 11
- 125000001072 heteroaryl group Chemical group 0.000 description 11
- JGFZNNIVVJXRND-UHFFFAOYSA-N N,N-Diisopropylethylamine (DIPEA) Chemical compound CCN(C(C)C)C(C)C JGFZNNIVVJXRND-UHFFFAOYSA-N 0.000 description 10
- 229910019213 POCl3 Inorganic materials 0.000 description 10
- 239000002585 base Substances 0.000 description 10
- OAKJQQAXSVQMHS-UHFFFAOYSA-N Hydrazine Chemical compound NN OAKJQQAXSVQMHS-UHFFFAOYSA-N 0.000 description 9
- YXFVVABEGXRONW-UHFFFAOYSA-N Toluene Chemical compound CC1=CC=CC=C1 YXFVVABEGXRONW-UHFFFAOYSA-N 0.000 description 9
- 125000003545 alkoxy group Chemical group 0.000 description 9
- 239000011541 reaction mixture Substances 0.000 description 9
- XLYOFNOQVPJJNP-UHFFFAOYSA-N water Substances O XLYOFNOQVPJJNP-UHFFFAOYSA-N 0.000 description 9
- FAPWRFPIFSIZLT-UHFFFAOYSA-M Sodium chloride Chemical group [Na+].[Cl-] FAPWRFPIFSIZLT-UHFFFAOYSA-M 0.000 description 8
- 239000002253 acid Substances 0.000 description 8
- 230000003197 catalytic effect Effects 0.000 description 8
- 229910001507 metal halide Inorganic materials 0.000 description 8
- 150000005309 metal halides Chemical class 0.000 description 8
- 239000012453 solvate Substances 0.000 description 8
- IAZDPXIOMUYVGZ-UHFFFAOYSA-N Dimethylsulphoxide Chemical compound CS(C)=O IAZDPXIOMUYVGZ-UHFFFAOYSA-N 0.000 description 7
- ZMXDDKWLCZADIW-UHFFFAOYSA-N N,N-Dimethylformamide Chemical compound CN(C)C=O ZMXDDKWLCZADIW-UHFFFAOYSA-N 0.000 description 7
- 230000002140 halogenating effect Effects 0.000 description 7
- GQHTUMJGOHRCHB-UHFFFAOYSA-N 2,3,4,6,7,8,9,10-octahydropyrimido[1,2-a]azepine Chemical compound C1CCCCN2CCCN=C21 GQHTUMJGOHRCHB-UHFFFAOYSA-N 0.000 description 6
- HEMHJVSKTPXQMS-UHFFFAOYSA-M Sodium hydroxide Chemical compound [OH-].[Na+] HEMHJVSKTPXQMS-UHFFFAOYSA-M 0.000 description 6
- 125000004432 carbon atom Chemical group C* 0.000 description 6
- 230000008878 coupling Effects 0.000 description 6
- 238000010168 coupling process Methods 0.000 description 6
- 238000005859 coupling reaction Methods 0.000 description 6
- 239000000047 product Substances 0.000 description 6
- 125000002023 trifluoromethyl group Chemical group FC(F)(F)* 0.000 description 6
- WYURNTSHIVDZCO-UHFFFAOYSA-N Tetrahydrofuran Chemical compound C1CCOC1 WYURNTSHIVDZCO-UHFFFAOYSA-N 0.000 description 5
- 125000003118 aryl group Chemical group 0.000 description 5
- 125000002887 hydroxy group Chemical group [H]O* 0.000 description 5
- 239000000203 mixture Substances 0.000 description 5
- 239000007787 solid Substances 0.000 description 5
- QGZKDVFQNNGYKY-UHFFFAOYSA-N Ammonia Chemical compound N QGZKDVFQNNGYKY-UHFFFAOYSA-N 0.000 description 4
- XTHFKEDIFFGKHM-UHFFFAOYSA-N Dimethoxyethane Chemical compound COCCOC XTHFKEDIFFGKHM-UHFFFAOYSA-N 0.000 description 4
- CDBYLPFSWZWCQE-UHFFFAOYSA-L Sodium Carbonate Chemical compound [Na+].[Na+].[O-]C([O-])=O CDBYLPFSWZWCQE-UHFFFAOYSA-L 0.000 description 4
- UIIMBOGNXHQVGW-UHFFFAOYSA-M Sodium bicarbonate Chemical compound [Na+].OC([O-])=O UIIMBOGNXHQVGW-UHFFFAOYSA-M 0.000 description 4
- 125000004414 alkyl thio group Chemical group 0.000 description 4
- 125000000392 cycloalkenyl group Chemical group 0.000 description 4
- 125000000753 cycloalkyl group Chemical group 0.000 description 4
- 239000012458 free base Substances 0.000 description 4
- 150000007529 inorganic bases Chemical class 0.000 description 4
- 238000002360 preparation method Methods 0.000 description 4
- 238000007363 ring formation reaction Methods 0.000 description 4
- 239000011780 sodium chloride Substances 0.000 description 4
- 239000002904 solvent Substances 0.000 description 4
- 238000005160 1H NMR spectroscopy Methods 0.000 description 3
- GBHCABUWWQUMAJ-UHFFFAOYSA-N 2-hydrazinoethanol Chemical compound NNCCO GBHCABUWWQUMAJ-UHFFFAOYSA-N 0.000 description 3
- KWYUFKZDYYNOTN-UHFFFAOYSA-M Potassium hydroxide Chemical compound [OH-].[K+] KWYUFKZDYYNOTN-UHFFFAOYSA-M 0.000 description 3
- ZMANZCXQSJIPKH-UHFFFAOYSA-N Triethylamine Chemical compound CCN(CC)CC ZMANZCXQSJIPKH-UHFFFAOYSA-N 0.000 description 3
- 125000002777 acetyl group Chemical group [H]C([H])([H])C(*)=O 0.000 description 3
- 125000005083 alkoxyalkoxy group Chemical group 0.000 description 3
- 125000004644 alkyl sulfinyl group Chemical group 0.000 description 3
- 125000004390 alkyl sulfonyl group Chemical group 0.000 description 3
- 125000002947 alkylene group Chemical group 0.000 description 3
- 125000004093 cyano group Chemical group *C#N 0.000 description 3
- 125000004663 dialkyl amino group Chemical group 0.000 description 3
- 239000012467 final product Substances 0.000 description 3
- 230000026030 halogenation Effects 0.000 description 3
- 238000005658 halogenation reaction Methods 0.000 description 3
- 230000004048 modification Effects 0.000 description 3
- 238000012986 modification Methods 0.000 description 3
- 125000000449 nitro group Chemical group [O-][N+](*)=O 0.000 description 3
- 150000007530 organic bases Chemical class 0.000 description 3
- 239000003960 organic solvent Substances 0.000 description 3
- 229910052760 oxygen Inorganic materials 0.000 description 3
- 125000000876 trifluoromethoxy group Chemical group FC(F)(F)O* 0.000 description 3
- FCSKOFQQCWLGMV-UHFFFAOYSA-N 5-{5-[2-chloro-4-(4,5-dihydro-1,3-oxazol-2-yl)phenoxy]pentyl}-3-methylisoxazole Chemical compound O1N=C(C)C=C1CCCCCOC1=CC=C(C=2OCCN=2)C=C1Cl FCSKOFQQCWLGMV-UHFFFAOYSA-N 0.000 description 2
- DRSHXJFUUPIBHX-UHFFFAOYSA-N COc1ccc(cc1)N1N=CC2C=NC(Nc3cc(OC)c(OC)c(OCCCN4CCN(C)CC4)c3)=NC12 Chemical compound COc1ccc(cc1)N1N=CC2C=NC(Nc3cc(OC)c(OC)c(OCCCN4CCN(C)CC4)c3)=NC12 DRSHXJFUUPIBHX-UHFFFAOYSA-N 0.000 description 2
- RTZKZFJDLAIYFH-UHFFFAOYSA-N Diethyl ether Chemical compound CCOCC RTZKZFJDLAIYFH-UHFFFAOYSA-N 0.000 description 2
- IAZDPXIOMUYVGZ-WFGJKAKNSA-N Dimethyl sulfoxide Chemical compound [2H]C([2H])([2H])S(=O)C([2H])([2H])[2H] IAZDPXIOMUYVGZ-WFGJKAKNSA-N 0.000 description 2
- VGGSQFUCUMXWEO-UHFFFAOYSA-N Ethene Chemical compound C=C VGGSQFUCUMXWEO-UHFFFAOYSA-N 0.000 description 2
- 239000005977 Ethylene Substances 0.000 description 2
- IIEAJFVQJSLSPU-UHFFFAOYSA-N NC1=NC(NNC(=O)C2=CC=CO2)=C(C=O)C(Cl)=N1 Chemical compound NC1=NC(NNC(=O)C2=CC=CO2)=C(C=O)C(Cl)=N1 IIEAJFVQJSLSPU-UHFFFAOYSA-N 0.000 description 2
- AUFJTVGCSJNQIF-UHFFFAOYSA-N NC1=NC(O)=CC(O)=N1 Chemical compound NC1=NC(O)=CC(O)=N1 AUFJTVGCSJNQIF-UHFFFAOYSA-N 0.000 description 2
- CESLYADTBJIPJO-UHFFFAOYSA-N NC1=NC2=C(C=NN2CCO)C(NNC(=O)C2=CC=CO2)=N1 Chemical compound NC1=NC2=C(C=NN2CCO)C(NNC(=O)C2=CC=CO2)=N1 CESLYADTBJIPJO-UHFFFAOYSA-N 0.000 description 2
- JUJWROOIHBZHMG-UHFFFAOYSA-N Pyridine Chemical compound C1=CC=NC=C1 JUJWROOIHBZHMG-UHFFFAOYSA-N 0.000 description 2
- 150000007513 acids Chemical class 0.000 description 2
- 125000004453 alkoxycarbonyl group Chemical group 0.000 description 2
- 150000003973 alkyl amines Chemical class 0.000 description 2
- 125000003282 alkyl amino group Chemical group 0.000 description 2
- VSCWAEJMTAWNJL-UHFFFAOYSA-K aluminium trichloride Chemical compound Cl[Al](Cl)Cl VSCWAEJMTAWNJL-UHFFFAOYSA-K 0.000 description 2
- 150000001412 amines Chemical class 0.000 description 2
- 229910021529 ammonia Inorganic materials 0.000 description 2
- 125000003710 aryl alkyl group Chemical group 0.000 description 2
- 230000008901 benefit Effects 0.000 description 2
- 125000002619 bicyclic group Chemical group 0.000 description 2
- 230000015572 biosynthetic process Effects 0.000 description 2
- 239000000460 chlorine Substances 0.000 description 2
- 125000001495 ethyl group Chemical group [H]C([H])([H])C([H])([H])* 0.000 description 2
- SKTSVWWOAIAIKI-UHFFFAOYSA-N furan-2-carbohydrazide Chemical compound NNC(=O)C1=CC=CO1 SKTSVWWOAIAIKI-UHFFFAOYSA-N 0.000 description 2
- BHEPBYXIRTUNPN-UHFFFAOYSA-N hydridophosphorus(.) (triplet) Chemical group [PH] BHEPBYXIRTUNPN-UHFFFAOYSA-N 0.000 description 2
- 239000005457 ice water Substances 0.000 description 2
- 238000001819 mass spectrum Methods 0.000 description 2
- 125000002496 methyl group Chemical group [H]C([H])([H])* 0.000 description 2
- 239000001301 oxygen Substances 0.000 description 2
- BWHMMNNQKKPAPP-UHFFFAOYSA-L potassium carbonate Chemical compound [K+].[K+].[O-]C([O-])=O BWHMMNNQKKPAPP-UHFFFAOYSA-L 0.000 description 2
- 229910000030 sodium bicarbonate Inorganic materials 0.000 description 2
- 229910000029 sodium carbonate Inorganic materials 0.000 description 2
- 239000007858 starting material Substances 0.000 description 2
- 229910052717 sulfur Inorganic materials 0.000 description 2
- YLQBMQCUIZJEEH-UHFFFAOYSA-N tetrahydrofuran Natural products C=1C=COC=1 YLQBMQCUIZJEEH-UHFFFAOYSA-N 0.000 description 2
- 231100000331 toxic Toxicity 0.000 description 2
- 230000002588 toxic effect Effects 0.000 description 2
- 125000004169 (C1-C6) alkyl group Chemical group 0.000 description 1
- CTTUQCIBNSCQRH-UHFFFAOYSA-N 2,3,4-trimethylpentan-3-amine Chemical compound CC(C)C(C)(N)C(C)C CTTUQCIBNSCQRH-UHFFFAOYSA-N 0.000 description 1
- 125000004105 2-pyridyl group Chemical group N1=C([*])C([H])=C([H])C([H])=C1[H] 0.000 description 1
- 125000003349 3-pyridyl group Chemical group N1=C([H])C([*])=C([H])C([H])=C1[H] 0.000 description 1
- 125000000339 4-pyridyl group Chemical group N1=C([H])C([H])=C([*])C([H])=C1[H] 0.000 description 1
- HBAQYPYDRFILMT-UHFFFAOYSA-N 8-[3-(1-cyclopropylpyrazol-4-yl)-1H-pyrazolo[4,3-d]pyrimidin-5-yl]-3-methyl-3,8-diazabicyclo[3.2.1]octan-2-one Chemical class C1(CC1)N1N=CC(=C1)C1=NNC2=C1N=C(N=C2)N1C2C(N(CC1CC2)C)=O HBAQYPYDRFILMT-UHFFFAOYSA-N 0.000 description 1
- 101150051188 Adora2a gene Proteins 0.000 description 1
- CPELXLSAUQHCOX-UHFFFAOYSA-M Bromide Chemical compound [Br-] CPELXLSAUQHCOX-UHFFFAOYSA-M 0.000 description 1
- WKBOTKDWSSQWDR-UHFFFAOYSA-N Bromine atom Chemical compound [Br] WKBOTKDWSSQWDR-UHFFFAOYSA-N 0.000 description 1
- COVZYZSDYWQREU-UHFFFAOYSA-N Busulfan Chemical compound CS(=O)(=O)OCCCCOS(C)(=O)=O COVZYZSDYWQREU-UHFFFAOYSA-N 0.000 description 1
- YPWKAZSHYHFTIW-UHFFFAOYSA-N CC(=O)N1CCCC1C Chemical compound CC(=O)N1CCCC1C YPWKAZSHYHFTIW-UHFFFAOYSA-N 0.000 description 1
- DKGBYVNZYFLWPK-UHFFFAOYSA-N CC(C)(C)C.CC(C)(C)C#N.CC(C)(C)O.CN(C)C.[H]C(C)(C)C Chemical compound CC(C)(C)C.CC(C)(C)C#N.CC(C)(C)O.CN(C)C.[H]C(C)(C)C DKGBYVNZYFLWPK-UHFFFAOYSA-N 0.000 description 1
- KALNRVPTCYZOAY-UHFFFAOYSA-N CC(C)C.CN(C)C Chemical compound CC(C)C.CN(C)C KALNRVPTCYZOAY-UHFFFAOYSA-N 0.000 description 1
- VIYCUIHNSLUUDQ-UHFFFAOYSA-N CC1=NC(N)=NC(C)=C1C=O Chemical compound CC1=NC(N)=NC(C)=C1C=O VIYCUIHNSLUUDQ-UHFFFAOYSA-N 0.000 description 1
- SDLRICYRNHPRCT-UHFFFAOYSA-N CC1=NC(N)=NC(C)=C1C=O.NC1=NC(O)=CC(O)=N1 Chemical compound CC1=NC(N)=NC(C)=C1C=O.NC1=NC(O)=CC(O)=N1 SDLRICYRNHPRCT-UHFFFAOYSA-N 0.000 description 1
- MEXQUXRTNKMBJU-UHFFFAOYSA-N CCCN1N=CC2=C1N=C(N)N1N=C(C3=CC=CO3)N=C21.COCCOC1=CC=C(N2CCN(CCN3N=CC4=C3N=C(N)N3N=C(C5=CC=CO5)N=C43)CC2)C=C1.COCCOC1=CC=C(N2CCNCC2)C=C1 Chemical compound CCCN1N=CC2=C1N=C(N)N1N=C(C3=CC=CO3)N=C21.COCCOC1=CC=C(N2CCN(CCN3N=CC4=C3N=C(N)N3N=C(C5=CC=CO5)N=C43)CC2)C=C1.COCCOC1=CC=C(N2CCNCC2)C=C1 MEXQUXRTNKMBJU-UHFFFAOYSA-N 0.000 description 1
- WHWFVBLVNUFSSP-UHFFFAOYSA-N CCCN1N=CC2=C1N=C(N)N1N=C(C3=CC=CO3)N=C21.NC1=NC2=C(C=NN2CCO)C(NNC(=O)C2=CC=CO2)=N1 Chemical compound CCCN1N=CC2=C1N=C(N)N1N=C(C3=CC=CO3)N=C21.NC1=NC2=C(C=NN2CCO)C(NNC(=O)C2=CC=CO2)=N1 WHWFVBLVNUFSSP-UHFFFAOYSA-N 0.000 description 1
- GETQZCLCWQTVFV-UHFFFAOYSA-N CN(C)C Chemical compound CN(C)C GETQZCLCWQTVFV-UHFFFAOYSA-N 0.000 description 1
- PYEHNKXDXBNHQQ-UHFFFAOYSA-N CN1C(=O)NC2=C1C=CC=C2 Chemical compound CN1C(=O)NC2=C1C=CC=C2 PYEHNKXDXBNHQQ-UHFFFAOYSA-N 0.000 description 1
- JKQGUGCMPQCZHQ-UHFFFAOYSA-N COCCOC1=CC=C(N2CCCCC2)C=C1 Chemical compound COCCOC1=CC=C(N2CCCCC2)C=C1 JKQGUGCMPQCZHQ-UHFFFAOYSA-N 0.000 description 1
- DTYWJKSSUANMHD-UHFFFAOYSA-N COCCOC1=CC=C(N2CCN(CCN3/N=C\C4=C3N=C(N)N3N=C(C5=CC=CO5)N=C43)CC2)C=C1 Chemical compound COCCOC1=CC=C(N2CCN(CCN3/N=C\C4=C3N=C(N)N3N=C(C5=CC=CO5)N=C43)CC2)C=C1 DTYWJKSSUANMHD-UHFFFAOYSA-N 0.000 description 1
- OYPRJOBELJOOCE-UHFFFAOYSA-N Calcium Chemical compound [Ca] OYPRJOBELJOOCE-UHFFFAOYSA-N 0.000 description 1
- OKTJSMMVPCPJKN-UHFFFAOYSA-N Carbon Chemical compound [C] OKTJSMMVPCPJKN-UHFFFAOYSA-N 0.000 description 1
- VEXZGXHMUGYJMC-UHFFFAOYSA-M Chloride anion Chemical compound [Cl-] VEXZGXHMUGYJMC-UHFFFAOYSA-M 0.000 description 1
- ZAMOUSCENKQFHK-UHFFFAOYSA-N Chlorine atom Chemical compound [Cl] ZAMOUSCENKQFHK-UHFFFAOYSA-N 0.000 description 1
- XZMCDFZZKTWFGF-UHFFFAOYSA-N Cyanamide Chemical compound NC#N XZMCDFZZKTWFGF-UHFFFAOYSA-N 0.000 description 1
- LFQSCWFLJHTTHZ-UHFFFAOYSA-N Ethanol Chemical class CCO LFQSCWFLJHTTHZ-UHFFFAOYSA-N 0.000 description 1
- VEXZGXHMUGYJMC-UHFFFAOYSA-N Hydrochloric acid Chemical compound Cl VEXZGXHMUGYJMC-UHFFFAOYSA-N 0.000 description 1
- UFHFLCQGNIYNRP-UHFFFAOYSA-N Hydrogen Chemical compound [H][H] UFHFLCQGNIYNRP-UHFFFAOYSA-N 0.000 description 1
- DGAQECJNVWCQMB-PUAWFVPOSA-M Ilexoside XXIX Chemical compound C[C@@H]1CC[C@@]2(CC[C@@]3(C(=CC[C@H]4[C@]3(CC[C@@H]5[C@@]4(CC[C@@H](C5(C)C)OS(=O)(=O)[O-])C)C)[C@@H]2[C@]1(C)O)C)C(=O)O[C@H]6[C@@H]([C@H]([C@@H]([C@H](O6)CO)O)O)O.[Na+] DGAQECJNVWCQMB-PUAWFVPOSA-M 0.000 description 1
- 229910021578 Iron(III) chloride Inorganic materials 0.000 description 1
- OKKJLVBELUTLKV-UHFFFAOYSA-N Methanol Chemical class OC OKKJLVBELUTLKV-UHFFFAOYSA-N 0.000 description 1
- MBBZMMPHUWSWHV-BDVNFPICSA-N N-methylglucamine Chemical compound CNC[C@H](O)[C@@H](O)[C@H](O)[C@H](O)CO MBBZMMPHUWSWHV-BDVNFPICSA-N 0.000 description 1
- 150000001204 N-oxides Chemical class 0.000 description 1
- GOJUJUVQIVIZAV-UHFFFAOYSA-N NC1=NC(Cl)=C(C=O)C(Cl)=N1 Chemical compound NC1=NC(Cl)=C(C=O)C(Cl)=N1 GOJUJUVQIVIZAV-UHFFFAOYSA-N 0.000 description 1
- RWNUSBCQDWFFLF-UHFFFAOYSA-N NC1=NC(Cl)=C(C=O)C(Cl)=N1.NC1=NC(NNC(=O)C2=CC=CO2)=C(C=O)C(Cl)=N1.NC1=NC(NNC(=O)C2=CC=CO2)=C2C=NN(CCO)C2=N1.NNC(=O)C1=CC=CO1.NNCCO Chemical compound NC1=NC(Cl)=C(C=O)C(Cl)=N1.NC1=NC(NNC(=O)C2=CC=CO2)=C(C=O)C(Cl)=N1.NC1=NC(NNC(=O)C2=CC=CO2)=C2C=NN(CCO)C2=N1.NNC(=O)C1=CC=CO1.NNCCO RWNUSBCQDWFFLF-UHFFFAOYSA-N 0.000 description 1
- 208000018737 Parkinson disease Diseases 0.000 description 1
- ZLMJMSJWJFRBEC-UHFFFAOYSA-N Potassium Chemical compound [K] ZLMJMSJWJFRBEC-UHFFFAOYSA-N 0.000 description 1
- 229910006074 SO2NH2 Inorganic materials 0.000 description 1
- NINIDFKCEFEMDL-UHFFFAOYSA-N Sulfur Chemical compound [S] NINIDFKCEFEMDL-UHFFFAOYSA-N 0.000 description 1
- NNPPMTNAJDCUHE-UHFFFAOYSA-N [H]C(C)(C)C Chemical compound [H]C(C)(C)C NNPPMTNAJDCUHE-UHFFFAOYSA-N 0.000 description 1
- 230000002378 acidificating effect Effects 0.000 description 1
- 125000001931 aliphatic group Chemical group 0.000 description 1
- 125000005085 alkoxycarbonylalkoxy group Chemical group 0.000 description 1
- 229910052782 aluminium Inorganic materials 0.000 description 1
- XAGFODPZIPBFFR-UHFFFAOYSA-N aluminium Chemical compound [Al] XAGFODPZIPBFFR-UHFFFAOYSA-N 0.000 description 1
- 125000003277 amino group Chemical group 0.000 description 1
- 125000002490 anilino group Chemical group [H]N(*)C1=C([H])C([H])=C([H])C([H])=C1[H] 0.000 description 1
- 230000003042 antagnostic effect Effects 0.000 description 1
- 239000000010 aprotic solvent Substances 0.000 description 1
- 125000004429 atom Chemical group 0.000 description 1
- QVGXLLKOCUKJST-UHFFFAOYSA-N atomic oxygen Chemical compound [O] QVGXLLKOCUKJST-UHFFFAOYSA-N 0.000 description 1
- 150000007514 bases Chemical class 0.000 description 1
- 125000003785 benzimidazolyl group Chemical group N1=C(NC2=C1C=CC=C2)* 0.000 description 1
- 125000000499 benzofuranyl group Chemical group O1C(=CC2=C1C=CC=C2)* 0.000 description 1
- 125000004601 benzofurazanyl group Chemical group N1=C2C(=NO1)C(=CC=C2)* 0.000 description 1
- 125000004196 benzothienyl group Chemical group S1C(=CC2=C1C=CC=C2)* 0.000 description 1
- 125000004541 benzoxazolyl group Chemical group O1C(=NC2=C1C=CC=C2)* 0.000 description 1
- GDTBXPJZTBHREO-UHFFFAOYSA-N bromine Substances BrBr GDTBXPJZTBHREO-UHFFFAOYSA-N 0.000 description 1
- 229910052794 bromium Inorganic materials 0.000 description 1
- 239000011575 calcium Substances 0.000 description 1
- 229910052791 calcium Inorganic materials 0.000 description 1
- 229910052799 carbon Inorganic materials 0.000 description 1
- 125000002915 carbonyl group Chemical group [*:2]C([*:1])=O 0.000 description 1
- 125000003178 carboxy group Chemical group [H]OC(*)=O 0.000 description 1
- 125000005111 carboxyalkoxy group Chemical group 0.000 description 1
- 150000001735 carboxylic acids Chemical class 0.000 description 1
- 208000015114 central nervous system disease Diseases 0.000 description 1
- 239000003795 chemical substances by application Substances 0.000 description 1
- 229910052801 chlorine Inorganic materials 0.000 description 1
- 150000001805 chlorine compounds Chemical group 0.000 description 1
- 239000013078 crystal Substances 0.000 description 1
- 125000005112 cycloalkylalkoxy group Chemical group 0.000 description 1
- 125000002993 cycloalkylene group Chemical group 0.000 description 1
- 125000000113 cyclohexyl group Chemical group [H]C1([H])C([H])([H])C([H])([H])C([H])(*)C([H])([H])C1([H])[H] 0.000 description 1
- 125000001511 cyclopentyl group Chemical group [H]C1([H])C([H])([H])C([H])([H])C([H])(*)C1([H])[H] 0.000 description 1
- 125000001559 cyclopropyl group Chemical group [H]C1([H])C([H])([H])C1([H])* 0.000 description 1
- 125000004984 dialkylaminoalkoxy group Chemical group 0.000 description 1
- ZPWVASYFFYYZEW-UHFFFAOYSA-L dipotassium hydrogen phosphate Chemical compound [K+].[K+].OP([O-])([O-])=O ZPWVASYFFYYZEW-UHFFFAOYSA-L 0.000 description 1
- 229910000396 dipotassium phosphate Inorganic materials 0.000 description 1
- BNIILDVGGAEEIG-UHFFFAOYSA-L disodium hydrogen phosphate Chemical compound [Na+].[Na+].OP([O-])([O-])=O BNIILDVGGAEEIG-UHFFFAOYSA-L 0.000 description 1
- 229910000397 disodium phosphate Inorganic materials 0.000 description 1
- 238000001035 drying Methods 0.000 description 1
- 125000002541 furyl group Chemical group 0.000 description 1
- JMANVNJQNLATNU-UHFFFAOYSA-N glycolonitrile Natural products N#CC#N JMANVNJQNLATNU-UHFFFAOYSA-N 0.000 description 1
- PCHJSUWPFVWCPO-UHFFFAOYSA-N gold Chemical compound [Au] PCHJSUWPFVWCPO-UHFFFAOYSA-N 0.000 description 1
- 229910052737 gold Inorganic materials 0.000 description 1
- 239000010931 gold Substances 0.000 description 1
- 125000005842 heteroatom Chemical group 0.000 description 1
- 150000002429 hydrazines Chemical class 0.000 description 1
- 125000005113 hydroxyalkoxy group Chemical group 0.000 description 1
- 125000002883 imidazolyl group Chemical group 0.000 description 1
- 125000005945 imidazopyridyl group Chemical group 0.000 description 1
- 125000001041 indolyl group Chemical group 0.000 description 1
- 229910052500 inorganic mineral Inorganic materials 0.000 description 1
- RBTARNINKXHZNM-UHFFFAOYSA-K iron trichloride Chemical compound Cl[Fe](Cl)Cl RBTARNINKXHZNM-UHFFFAOYSA-K 0.000 description 1
- 238000002955 isolation Methods 0.000 description 1
- 125000005956 isoquinolyl group Chemical group 0.000 description 1
- 125000001786 isothiazolyl group Chemical group 0.000 description 1
- 125000000842 isoxazolyl group Chemical group 0.000 description 1
- 238000011031 large-scale manufacturing process Methods 0.000 description 1
- 238000004895 liquid chromatography mass spectrometry Methods 0.000 description 1
- 229910052751 metal Chemical class 0.000 description 1
- 239000002184 metal Chemical class 0.000 description 1
- 125000004170 methylsulfonyl group Chemical group [H]C([H])([H])S(*)(=O)=O 0.000 description 1
- 235000010755 mineral Nutrition 0.000 description 1
- 239000011707 mineral Substances 0.000 description 1
- 150000007522 mineralic acids Chemical class 0.000 description 1
- 125000002757 morpholinyl group Chemical group 0.000 description 1
- 229910052757 nitrogen Inorganic materials 0.000 description 1
- QJGQUHMNIGDVPM-UHFFFAOYSA-N nitrogen group Chemical group [N] QJGQUHMNIGDVPM-UHFFFAOYSA-N 0.000 description 1
- 125000006574 non-aromatic ring group Chemical group 0.000 description 1
- 125000001715 oxadiazolyl group Chemical group 0.000 description 1
- 125000004430 oxygen atom Chemical group O* 0.000 description 1
- ISWSIDIOOBJBQZ-UHFFFAOYSA-N phenol group Chemical group C1(=CC=CC=C1)O ISWSIDIOOBJBQZ-UHFFFAOYSA-N 0.000 description 1
- 125000000951 phenoxy group Chemical group [H]C1=C([H])C([H])=C(O*)C([H])=C1[H] 0.000 description 1
- 125000004592 phthalazinyl group Chemical group C1(=NN=CC2=CC=CC=C12)* 0.000 description 1
- 230000000704 physical effect Effects 0.000 description 1
- 239000002798 polar solvent Substances 0.000 description 1
- 239000011591 potassium Substances 0.000 description 1
- 229910052700 potassium Inorganic materials 0.000 description 1
- 239000011736 potassium bicarbonate Substances 0.000 description 1
- 229910000028 potassium bicarbonate Inorganic materials 0.000 description 1
- 229910000027 potassium carbonate Inorganic materials 0.000 description 1
- TYJJADVDDVDEDZ-UHFFFAOYSA-M potassium hydrogencarbonate Chemical compound [K+].OC([O-])=O TYJJADVDDVDEDZ-UHFFFAOYSA-M 0.000 description 1
- 125000001436 propyl group Chemical group [H]C([*])([H])C([H])([H])C([H])([H])[H] 0.000 description 1
- 125000003373 pyrazinyl group Chemical group 0.000 description 1
- 125000003226 pyrazolyl group Chemical group 0.000 description 1
- 125000002098 pyridazinyl group Chemical group 0.000 description 1
- UMJSCPRVCHMLSP-UHFFFAOYSA-N pyridine Natural products COC1=CC=CN=C1 UMJSCPRVCHMLSP-UHFFFAOYSA-N 0.000 description 1
- 125000004076 pyridyl group Chemical group 0.000 description 1
- 125000000714 pyrimidinyl group Chemical group 0.000 description 1
- 125000000168 pyrrolyl group Chemical group 0.000 description 1
- 238000010791 quenching Methods 0.000 description 1
- 125000005493 quinolyl group Chemical group 0.000 description 1
- 230000008707 rearrangement Effects 0.000 description 1
- 239000002464 receptor antagonist Substances 0.000 description 1
- 229940044551 receptor antagonist Drugs 0.000 description 1
- 150000003378 silver Chemical class 0.000 description 1
- 239000011734 sodium Substances 0.000 description 1
- 229910052708 sodium Inorganic materials 0.000 description 1
- 235000017557 sodium bicarbonate Nutrition 0.000 description 1
- 238000003756 stirring Methods 0.000 description 1
- 125000000475 sulfinyl group Chemical group [*:2]S([*:1])=O 0.000 description 1
- 125000000472 sulfonyl group Chemical group *S(*)(=O)=O 0.000 description 1
- 239000011593 sulfur Substances 0.000 description 1
- 125000004434 sulfur atom Chemical group 0.000 description 1
- LMBFAGIMSUYTBN-MPZNNTNKSA-N teixobactin Chemical compound C([C@H](C(=O)N[C@@H]([C@@H](C)CC)C(=O)N[C@@H](CO)C(=O)N[C@H](CCC(N)=O)C(=O)N[C@H]([C@@H](C)CC)C(=O)N[C@@H]([C@@H](C)CC)C(=O)N[C@@H](CO)C(=O)N[C@H]1C(N[C@@H](C)C(=O)N[C@@H](C[C@@H]2NC(=N)NC2)C(=O)N[C@H](C(=O)O[C@H]1C)[C@@H](C)CC)=O)NC)C1=CC=CC=C1 LMBFAGIMSUYTBN-MPZNNTNKSA-N 0.000 description 1
- 125000003831 tetrazolyl group Chemical group 0.000 description 1
- 125000001113 thiadiazolyl group Chemical group 0.000 description 1
- 125000000335 thiazolyl group Chemical group 0.000 description 1
- 125000001544 thienyl group Chemical group 0.000 description 1
- 125000001806 thionaphthenyl group Chemical group 0.000 description 1
- 125000005270 trialkylamine group Chemical group 0.000 description 1
- 125000001425 triazolyl group Chemical group 0.000 description 1
- LWIHDJKSTIGBAC-UHFFFAOYSA-K tripotassium phosphate Chemical compound [K+].[K+].[K+].[O-]P([O-])([O-])=O LWIHDJKSTIGBAC-UHFFFAOYSA-K 0.000 description 1
- 229910000404 tripotassium phosphate Inorganic materials 0.000 description 1
- RYFMWSXOAZQYPI-UHFFFAOYSA-K trisodium phosphate Chemical compound [Na+].[Na+].[Na+].[O-]P([O-])([O-])=O RYFMWSXOAZQYPI-UHFFFAOYSA-K 0.000 description 1
- 229910000406 trisodium phosphate Inorganic materials 0.000 description 1
- 229910052725 zinc Inorganic materials 0.000 description 1
- 239000011701 zinc Substances 0.000 description 1
- 229940102001 zinc bromide Drugs 0.000 description 1
- 239000011592 zinc chloride Substances 0.000 description 1
- JIAARYAFYJHUJI-UHFFFAOYSA-L zinc dichloride Chemical compound [Cl-].[Cl-].[Zn+2] JIAARYAFYJHUJI-UHFFFAOYSA-L 0.000 description 1
Classifications
-
- C—CHEMISTRY; METALLURGY
- C07—ORGANIC CHEMISTRY
- C07D—HETEROCYCLIC COMPOUNDS
- C07D487/00—Heterocyclic compounds containing nitrogen atoms as the only ring hetero atoms in the condensed system, not provided for by groups C07D451/00 - C07D477/00
- C07D487/12—Heterocyclic compounds containing nitrogen atoms as the only ring hetero atoms in the condensed system, not provided for by groups C07D451/00 - C07D477/00 in which the condensed system contains three hetero rings
- C07D487/14—Ortho-condensed systems
-
- A—HUMAN NECESSITIES
- A61—MEDICAL OR VETERINARY SCIENCE; HYGIENE
- A61P—SPECIFIC THERAPEUTIC ACTIVITY OF CHEMICAL COMPOUNDS OR MEDICINAL PREPARATIONS
- A61P25/00—Drugs for disorders of the nervous system
- A61P25/14—Drugs for disorders of the nervous system for treating abnormal movements, e.g. chorea, dyskinesia
- A61P25/16—Anti-Parkinson drugs
Definitions
- the present invention relates to a process for preparing substituted 5-amino-pyrazolo[4,3-e]-1,2,4-triazolo-[1,5-c]pyrimidine compounds having an aminoalkyl substituent at the 7-position.
- Substituted 5-amino-pyrazolo[4,3-e]-1,2,4-triazolo-[1,5-c]pyrimidine compounds disclosed in WO 01/92264 are useful as A 2a receptor antagonists in the treatment of central nervous system diseases, in particular Parkinson's disease.
- WO 01/92264 discloses processes for preparing 5-amino-2-substituted-pyrazolo[4,3-e]-1,2,4-triazolo-[1,5-c]pyrimidines comprising dehydrative rearrangement of hydrazines.
- the present invention relates to a process for preparing compounds of formula
- L is alkylene
- R is aryl, heteroaryl, R 1 -aryl, R 1 -heteroaryl or cycloalkenyl;
- Y is —N(R 2 )CH 2 CH 2 N(R 3 )—, —OCH 2 CH 2 N(R 2 )—, —(CH 2 ) 2 —NH—, or
- Z is aryl, R 5 -aryl, aralkyl, R 5 -aralkyl, heteroaryl, R 5 -heteroaryl, (aryl) 2 alkyl-, R 6 —C(O)—,
- Z is also phenylamino or pyridylamino
- R 1 is 1 to 3 substituents independently selected from the group consisting of hydrogen, alkyl, —CF 3 , halogen, —NO 2 , —NR 12 R 13 , alkoxy, alkylthio, alkylsulfinyl, and alkylsulfonyl;
- R 2 and R 3 are independently selected from the group consisting of hydrogen and alkyl
- n are each independently 2 or 3;
- R 4 is 1 to 2 substituents independently selected from the group consisting of hydrogen and alkyl, or two R 4 substituents on the same carbon can form ⁇ O;
- R 5 is 1 to 5 substituents independently selected from the group consisting of hydrogen, halogen, alkyl, hydroxy, alkoxy, —CN, dialkyl-amino, —CF 3 , —OCF 3 , acetyl, —NO 2 , hydroxyalkoxy, alkoxyalkoxy, dialkoxy-alkoxy, alkoxy-alkoxy-alkoxy, carboxy-alkoxy, alkoxycarbonylalkoxy, cycloalkyl-alkoxy, dialkyl-amino-alkoxy, morpholinyl, alkyl-SO 2 —, alkyl-SO 2 -alkoxy, tetrahydropyranyloxy, alkylcarbonyl-alkoxy, alkoxycarbonyl, alkylcarbonyloxy-alkoxy, —SO 2 NH 2 , or phenoxy; or adjacent R 5 substituents together are —O—CH 2 —O—, —O—CH 2 CH 2
- R 6 is alkyl, aryl, R 5 -aryl, aralkyl, R 5 -aralkyl, heteroaryl, R 5 -heteroaryl, R 5 -cycloalkyl, cycloalkyl, alkyl-OC(O)—NH—(C 1 -C 6 )alkyl-, dialkyl-aminomethyl or
- R 9 is 1 to 2 substituents independently selected from the group consisting of hydrogen, alkyl, hydroxy, alkoxy, halogen, —CF 3 and alkoxy-alkoxy;
- R 10 is 1 to 5 substituents independently selected from the group consisting of hydrogen, halogen, alkyl, hydroxy, alkoxy, —CN, —NH 2 , alkylamino, dialkylamino, —CF 3 , —OCF 3 and —S(O) 0-2 alkyl;
- R 12 is hydrogen or alkyl
- R 13 is alkyl-C(O)— or alkyl-SO 2 —;
- the invention relates to the cyclizing and halogenation of a compound of formula 1, along with coupling the compound of formula 1 with a compound of formula 8 to obtain a compound of formula 7.
- One aspect of the invention is a process to prepare compounds of formula 7 wherein L is ethylene; R is R 1 -furanyl, R 1 -thienyl, R 1 -pyridyl, R 1 -pyridyl N-oxide, R 1 -oxazolyi, R 10 -yl, R 1 -pyrrolyl or cycloalkenyl; R 1 is hydrogen or halogen; Y is
- Z is R 5 -phenyl, R 5 -heteroaryl, R 6 —C(O)— or R 6 —SO 2 —; and R 6 is R 5 -phenyl.
- Another aspect of the invention is a process to prepare compounds of formula 7 wherein R is R 1 -furanyl; R 1 is hydrogen or halogen; Q is
- n and n are each 2; R 4 is hydrogen; Z is R 5 -phenyl; and R 5 is one substituent selected from the group consisting of alkoxy and alkoxyalkoxy.
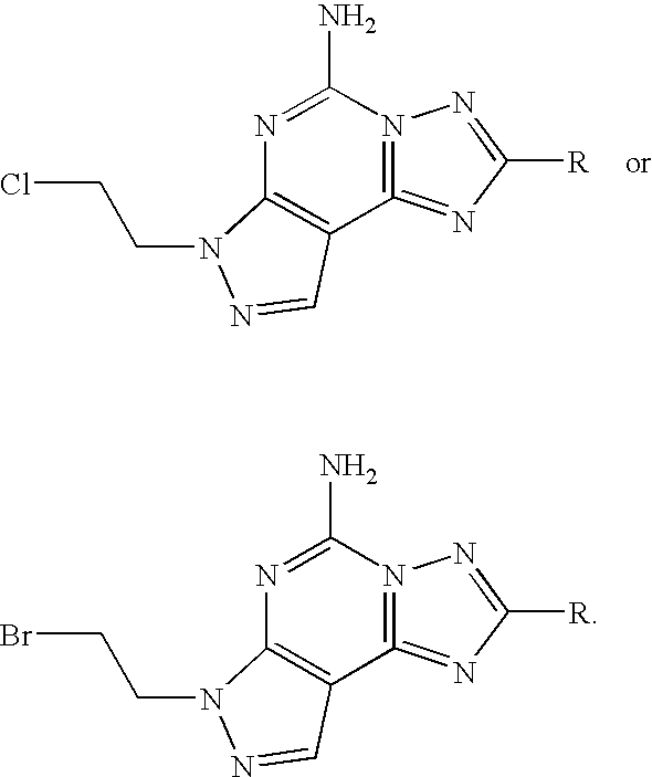
- Another aspect of the invention is a process to prepare compounds of formula 7 wherein A is chlorine or bromine.
- Another aspect of the invention is a process to prepare compounds of formula 7 wherein the compound of formula HO—L—NHNH 2 is 2-hydroxyethylhydrazine.
- Another aspect of the invention is a process to prepare compounds of formula 7 wherein the dehydrating agent is P 2 O 5 or POCl 3 , preferably POCl 3 .
- Another aspect of the invention is a process to prepare compounds of formula 7 the dehydrating agent is POCl 3 and the metal halide is ZnBr 2 .
- Another aspect of the invention is a process to prepare compounds of formula 7 wherein R is R 1 -furanyl, R 1 is hydrogen, Z is R 5 -phenyl and R 5 is methoxyethoxy.
- Another aspect of the invention is a process to prepare compounds of formula 7 wherein the dehydrating agent is P 2 O 5 and the halide salt is NaCl.
- Another aspect of the invention is a process to prepare compounds of formula 7A
- the metal halide is ZnBr 2 and the dehydrating agent is POCl 3 .
- the cyclization and halogentation of formula 2A takes place in the presence of NaCl and P 2 O 5 .
- An additional aspect of the invention is a process to prepare compounds of formula 1
- L is alkylene
- R is aryl, heteroaryl, R 1 -aryl, R 1 -heteroaryl or cycloalkenyl;
- R 1 is 1 to 3 substituents independently selected from the group consisting of hydrogen, alkyl, —CF 3 , halogen, —NO 2 , —NR 12 R 13 , alkoxy, alkylthio, alkylsulfinyl, and alkylsulfonyl;
- R 10 is 1 to 5 substituents independently selected from the group consisting of hydrogen, halogen, alkyl, hydroxy, alkoxy, —CN, —NH 2 , alkylamino, dialkylamino, —CF 3 , —OCF 3 and —S(O) 0-2 alkyl;
- An additional aspect of the invention is a process to prepare compounds of formula 1 wherein the dehydrating agent is a phosphorous oxyhalide; preferably either P 2 O 5 or POCl 3 .
- an additional aspect of the invention is a process to prepare compounds of formula 1 wherein the dehydrating agent is POCl 3 and the metal halide is zinc halide, preferably, ZnBr 2 .
- an additional aspect of the invention is a process to prepare compounds of formula 1 wherein the halide salt is NaCl and the dehydrating agent is P 2 O 5 .
- the claimed process produces compounds of formula 7 which can have A2a receptor antagonistic activity, as well as those intermediate compounds used to produce compounds of formula 7.
- step (a) the compound of formula 6 is converted into a compound of formula 5.
- said conversion takes place in the presence of a phosphorous oxyhalide such as POCl 3 , a solvent such as DMF or DME and at temperature of about 95° C. to about 105° C., preferably about 100° C.
- POCl 3 is a halogenating agent, however, it can be used as a dehydrating agent as later demonstrated in step (d).
- step (b) the compound of formula 5 is coupled with a hydrazine of formula 4, to form a compound of formula 3.
- the reaction is carried out in a non-protic organic solvent such as CH 3 CN, and an inorganic base or organic base, at a temperature of about 10° C. to about 100° C., more preferably at a temperature of about 20° C. to about 80° C., even more preferably about 30° C. to about 50° C., most preferably at about 40° C.
- suitable inorganic bases are Na 2 CO 3 , NaHCO 3 , KHCO 3 , NaOH, KOH, K 3 PO 4 , K 2 HPO 4 , Na 3 PO 4 and Na 2 HPO 4 .
- Suitable organic bases include but are not limited to, triethylamine, DBU, pyridine and DIEA. Further, aprotic solvents such as THF and toluene, etc. could also replace acetonitrile in this reaction.
- 1-2 equivalents, preferably about 1 equivalent, of a compound of formula 5 are used, and about 1-2, preferably about 1-1.1 equivalents of the hydrazine of formula 4.
- about 1 equivalent of the inorganic base is used.
- the activated compound of formula 3 is not isolated before the reaction.
- step (c) the compound of formula 3 is reacted with a compound of HO—L—NHNH 2 , to form a compound of formula 2.
- L is ethylene.
- the reaction is carried out in the presence of a non-protic organic base and/or inorganic base (see above), at a temperature range of 30° C. to about 120° C., preferably at about 50° C. to about 100° C., even more preferably at about 70 to 90° C., most preferably at about 80° C. About 2 equivalents of the hydroxy alkyl hydrazine are used.
- step (d) the compound of formula 2 is obtained by concurrently (1) cyclizing and (2) halogenating the compound of formula 2 by reacting the compound of formula 2 in the presence of catalytic amount of a metal halide and dehydrating agent or a catalytic amount of a halide salt and dehydrating agent to form a compound of formula 1, which may be, but are not limited to, the following formulas:
- step (d) has been described as a concurrent halogenation and cyclization of the compound of formula 2, modifications, such as a separate 2-step process where halogenation and cyclization occur as separate steps, are intended to fall within the spirit and scope of the present invention.
- the reaction is carried out in an organic solvent such as toluene at a temperature range of about 80° C. to about 120° C., more preferably 90° C. to about 110° C., most preferably 100° C., and then subsequently cooled and quenched to a temperature of about 0° C.
- organic solvent such as toluene
- metal halides include but are not limited to FeCl 3 , AlCl 3 , ZnCl 2 , and ZnBr2.
- a combination of a phosphorous oxy compound and a metal salt e.g. P 2 O 5 and NaCl, also resulted in the desired product.
- the compound of formula 7 is formed by coupling the compound of formula 1 with a compound of formula 8 in the presence of a base.
- bases include but are not limited to amines, more preferably alkylamines, even more preferably trialkylamines, most preferably diisopropylethyl amide.
- the reaction is carried out with an aprotic organic solvent, (such as DMF, acetonitrile, toluene, THF, etc.), at temperature range of about 50 to about 120° C., preferably at 65 to 100° C., more preferably at 75 to 85° C., most preferably at 80° C.
- an aprotic organic solvent such as DMF, acetonitrile, toluene, THF, etc.
- reaction mixture is cooled in an ice water bath to about 0° C., and stirred (preferably for 2 hours).
- the resulting solid is filtered, washed (e.g. with a solution acetonitrile and water) and dried to yield the product, a compound of formula 7.
- the present process provides an advantage over the procedures previously reported in the art.
- Known processes used highly toxic and corrosive NH 2 CN to form the six membered heteroaryl of the final product.
- the presently claimed process avoids this cyclization step altogether by using a starting material (a compound of formula 6) that already has a six membered ring.
- the compound of formula 6 is further processed by the claimed invention to yield the final product, compounds of formula 7.
- the present invention avoids the use of toxic cyanogen halides, which in turn, therefore, allows for large scale production and high yields using milder conditions.
- alkyl means an aliphatic hydrocarbon group, which may be straight or branched and comprising about 1 to about 6 carbon atoms in the chain. Branched means that one or more lower alkyl groups such as methyl, ethyl or propyl, are attached to a linear alkyl chain.
- Alkylene referring to a divalent alkyl group, similarly refers to straight or branched chains.
- Alkoxy means an alkyl-O— group in which the alkyl group is as previously described, unless otherwise noted. Non-limiting examples of suitable alkoxy groups include methoxy, ethoxy, n-propoxy, isopropoxy, n-butoxy and heptoxy. The bond to the parent moiety is through the ether oxygen.
- Cycloalkyl means a non-aromatic ring system comprising about 3 to about 6 carbon atoms.
- suitable monocyclic cycloalkyls include cyclopropyl, cyclopentyl and cyclohexyl, and the like.
- Cycloalkylene refers to a divalent cycloalkyl group.
- Cycloalkenyl refers to a C 4 -C 6 cycloalkyl ring comprising one double bond.
- R 1 or R 5 -substituted cycloalkyl refers to such groups wherein substitutable ring carbon atoms have a substituent as defined above.
- Heteroaryl means a single ring, bicyclic or benzofused heteroaromatic group of 5 to 10 atoms comprised of 2 to 9 carbon atoms and 1 to 4 heteroatoms independently selected from the group consisting of N, O and S, provided that the rings do not include adjacent oxygen and/or sulfur atoms. N-oxides of the ring nitrogens are also included.
- single-ring heteroaryl groups are pyridyl, pyridyl N-oxide oxazolyl, isoxazolyl, oxadiazolyl, furanyl, pyrrolyl, thienyl, imidazolyl, pyrazolyl, tetrazolyl, thiazolyl, isothiazolyl, thiadiazolyl, pyrazinyl, pyrimidyl, pyridazinyl and triazolyl.
- bicyclic heteroaryl groups are naphthyridyl (e.g., 1, 5 or 1,7), imidazopyridyl, pyrido[2,3]imidazolyl, pyridopyrimidinyl and 7-azaindolyl.
- benzofused heteroaryl groups are indolyl, quinolyl, isoquinolyl, phthalazinyl, benzothienyl (i.e., thionaphthenyl), benzimidazolyl, benzofuranyl, benzoxazolyl and benzofurazanyl.
- R 1 or R 5 -substituted heteroaryl refers to such groups wherein substitutable ring carbon atoms have a substituent as defined above.
- Alkylthio means an alkyl-S— group in which the alkyl group is as previously described.
- suitable alkylthio groups include methylthio, ethylthio, and i-propylthio.
- the bond to the parent moiety is through the sulfur.
- Alkylsulfonyl means an alkyl-S(O 2 )— group. The bond to the parent moiety is through the sulfonyl.
- Alkylsulfinyl means an alkyl-S(O)— group. The bond to the parent moiety is through the sulfinyl.
- Carbonyl means a —C(O)— moiety, e.g., alkoxycarbonyl refers to an alkoxy-C(O)— group (i.e., alkyl-O—C(O)—).
- Alcohol means C(O)CH 3 .
- Solvate means a physical association of a compound of this invention with one or more solvent molecules. This physical association involves varying degrees of ionic and covalent bonding, including hydrogen bonding. In certain instances the solvate will be capable of isolation, for example when one or more solvent molecules are incorporated in the crystal lattice of the crystalline solid. “Solvate” encompasses both solution-phase and isolatable solvates. Non-limiting examples of suitable solvates include ethanolates, methanolates, and the like. “Hydrate” is a solvate wherein the solvent molecule is H 2 O.
- Certain compounds of the invention may exist in different stereoisomeric forms (e.g., enantiomers, diastereoisomers and atropisomers).
- the invention contemplates all such stereoisomers both in pure form and in mixture, including racemic mixtures.
- Certain compounds will be acidic in nature, e.g. those compounds which possess a carboxyl or phenolic hydroxyl group. These compounds may form pharmaceutically acceptable salts. Examples of such salts may include sodium, potassium, calcium, aluminum, gold and silver salts. Also contemplated are salts formed with pharmaceutically acceptable amines such as ammonia, alkyl amines, hydroxyalkylamines, N-methylglucamine and the like.
- Certain basic compounds also form pharmaceutically acceptable salts, e.g., acid addition salts.
- pyrido-nitrogen atoms may form salts with strong acid, while compounds having basic substituents such as amino groups also form salts with weaker acids.
- suitable acids for salt formation are hydrochloric, sulfuric, phosphoric, acetic, citric, oxalic, malonic, salicylic, malic, fumaric, succinic, ascorbic, maleic, methanesulfonic and other mineral and carboxylic acids well known to those skilled in the art.
- the salts are prepared by contacting the free base form with a sufficient amount of the desired acid to produce a salt in the conventional manner.
- the free base forms may be regenerated by treating the salt with a suitable dilute aqueous base solution such as dilute aqueous NaOH, potassium carbonate, ammonia and sodium bicarbonate.
- a suitable dilute aqueous base solution such as dilute aqueous NaOH, potassium carbonate, ammonia and sodium bicarbonate.
- the free base forms differ from their respective salt forms somewhat in certain physical properties, such as solubility in polar solvents, but the acid and base salts are otherwise equivalent to their respective free base forms for purposes of the invention.
- Ms methylsulfonyl
- Me methyl
- et or Et ethyl
- THF tetrahydrofuran
- LOD loss on drying
- diisopropylethyl amine DIEA
- DMF dimethylformide
- DBU 1, 8 diazabicyclo[5.4.0]undec-7-ene
- DME 1,2-dimethoxyethane
- DMSO dimethyl sulfoxide
- reaction mixture was stirred at 25° C. for 2 hours. The reaction mixture was then concentrated to about 10 mL under reduced pressure. Water (30 mL) was added and the reaction mixture was concentrated to about 10 mL under reduced pressure. The reaction mixture was stirred at 25° C. for overnight. The solid was filtered and washed with 2 mL water, then with 2 mL acetonitrile. The product (compound I) was dried under vacuum at 25° C. to yield 1.1 g (70%) of the desired product.
Landscapes
- Chemical & Material Sciences (AREA)
- Organic Chemistry (AREA)
- Health & Medical Sciences (AREA)
- Engineering & Computer Science (AREA)
- Bioinformatics & Cheminformatics (AREA)
- Biomedical Technology (AREA)
- Neurology (AREA)
- Neurosurgery (AREA)
- Psychology (AREA)
- Chemical Kinetics & Catalysis (AREA)
- General Chemical & Material Sciences (AREA)
- Medicinal Chemistry (AREA)
- Nuclear Medicine, Radiotherapy & Molecular Imaging (AREA)
- Pharmacology & Pharmacy (AREA)
- Life Sciences & Earth Sciences (AREA)
- Animal Behavior & Ethology (AREA)
- General Health & Medical Sciences (AREA)
- Public Health (AREA)
- Veterinary Medicine (AREA)
- Pharmaceuticals Containing Other Organic And Inorganic Compounds (AREA)
- Nitrogen Condensed Heterocyclic Rings (AREA)
- Low-Molecular Organic Synthesis Reactions Using Catalysts (AREA)
Abstract
A process for preparing substituted 5-amino-pyrazolo[4,3-e]-1,2,4-triazolo-[1,5-c]pyrimidine compounds having an aminoalkyl substituent at the 7-position is disclosed.
Description
- This application is a divisional of U.S. patent application Ser. No. 11/804,162 filed May 17, 2007 which in turn is a divisional of U.S. patent application Ser. No. 10/999,048 filed Nov. 29, 2004, now issued as U.S. Pat. No. 7,235,659, which in turn claims the benefit of priority of U.S. Provisional Application Ser. No. 60/525,925, filed Dec. 1, 2003, each of which applications and patent are incorporated by reference in their entirety as if fully set forth herein.
- The present invention relates to a process for preparing substituted 5-amino-pyrazolo[4,3-e]-1,2,4-triazolo-[1,5-c]pyrimidine compounds having an aminoalkyl substituent at the 7-position.
- Substituted 5-amino-pyrazolo[4,3-e]-1,2,4-triazolo-[1,5-c]pyrimidine compounds disclosed in WO 01/92264 are useful as A2a receptor antagonists in the treatment of central nervous system diseases, in particular Parkinson's disease.
- WO 01/92264 discloses processes for preparing 5-amino-2-substituted-pyrazolo[4,3-e]-1,2,4-triazolo-[1,5-c]pyrimidines comprising dehydrative rearrangement of hydrazines.
- The present invention relates to a process for preparing compounds of formula
- or a pharmaceutically acceptable salt or solvate thereof, wherein
- L is alkylene;
- R is aryl, heteroaryl, R1-aryl, R1-heteroaryl or cycloalkenyl;
- Y is —N(R2)CH2CH2N(R3)—, —OCH2CH2N(R2)—, —(CH2)2—NH—, or
- and
- Z is aryl, R5-aryl, aralkyl, R5-aralkyl, heteroaryl, R5-heteroaryl, (aryl)2alkyl-, R6—C(O)—,
- R6—SO2—,
- R5-aryl-CH(OH)— or aryl-CH(OH)—; or when Q is
- Z is also phenylamino or pyridylamino;
or - Z and Y together are
- R1 is 1 to 3 substituents independently selected from the group consisting of hydrogen, alkyl, —CF3, halogen, —NO2, —NR12R13, alkoxy, alkylthio, alkylsulfinyl, and alkylsulfonyl;
- R2 and R3 are independently selected from the group consisting of hydrogen and alkyl;
- m and n are each independently 2 or 3;
- Q is
- R4 is 1 to 2 substituents independently selected from the group consisting of hydrogen and alkyl, or two R4 substituents on the same carbon can form ═O;
- R5 is 1 to 5 substituents independently selected from the group consisting of hydrogen, halogen, alkyl, hydroxy, alkoxy, —CN, dialkyl-amino, —CF3, —OCF3, acetyl, —NO2, hydroxyalkoxy, alkoxyalkoxy, dialkoxy-alkoxy, alkoxy-alkoxy-alkoxy, carboxy-alkoxy, alkoxycarbonylalkoxy, cycloalkyl-alkoxy, dialkyl-amino-alkoxy, morpholinyl, alkyl-SO2—, alkyl-SO2-alkoxy, tetrahydropyranyloxy, alkylcarbonyl-alkoxy, alkoxycarbonyl, alkylcarbonyloxy-alkoxy, —SO2NH2, or phenoxy; or adjacent R5 substituents together are —O—CH2—O—, —O—CH2CH2—O—, —O—CF—O— or —O—CF2CF2—O— and form a ring with the carbon atoms to which they are attached;
- R6 is alkyl, aryl, R5-aryl, aralkyl, R5-aralkyl, heteroaryl, R5-heteroaryl, R5-cycloalkyl, cycloalkyl, alkyl-OC(O)—NH—(C1-C6)alkyl-, dialkyl-aminomethyl or
- R9 is 1 to 2 substituents independently selected from the group consisting of hydrogen, alkyl, hydroxy, alkoxy, halogen, —CF3 and alkoxy-alkoxy;
- R10 is 1 to 5 substituents independently selected from the group consisting of hydrogen, halogen, alkyl, hydroxy, alkoxy, —CN, —NH2, alkylamino, dialkylamino, —CF3, —OCF3 and —S(O)0-2alkyl;
- R12 is hydrogen or alkyl;
- and
- R13 is alkyl-C(O)— or alkyl-SO2—;
- comprising
- a) halogenating and formylating a compound of formula 6
- to obtain a compound of formula 5
- wherein X is halogen
- (b) coupling the compound of formula 5 with a hydrazine of formula 4
- in the presence of a base to form a compound of formula 3
- (c) reacting the compound of formula 3 with a compound of formula HO—L—NHNH2 to form a compound of formula 2
- (d) concurrently (1) cyclizing and (2) halogenating the compound of formula 2 by reacting the compound of formula 2 in the presence of catalytic amount of a metal halide or a catalytic amount of a halide salt and a dehydrating agent to form a compound of formula 1
- wherein A is halogen;
and - (e) preparing the compound of formula 7 by coupling the compound of formula 1 with a compound of formula 8
-
Z—Y—H formula 8 - in the presence of a base.
- In particular, the invention relates to the cyclizing and halogenation of a compound of formula 1, along with coupling the compound of formula 1 with a compound of formula 8 to obtain a compound of formula 7.
- One aspect of the invention is a process to prepare compounds of formula 7 wherein L is ethylene; R is R1-furanyl, R1-thienyl, R1-pyridyl, R1-pyridyl N-oxide, R1-oxazolyi, R10-yl, R1-pyrrolyl or cycloalkenyl; R1 is hydrogen or halogen; Y is
- wherein Q is
- Z is R5-phenyl, R5-heteroaryl, R6—C(O)— or R6—SO2—; and R6 is R5-phenyl.
- Another aspect of the invention is a process to prepare compounds of formula 7 wherein R is R1-furanyl; R1 is hydrogen or halogen; Q is
- m and n are each 2; R4 is hydrogen; Z is R5-phenyl; and R5 is one substituent selected from the group consisting of alkoxy and alkoxyalkoxy.
- Another aspect of the invention is a process to prepare compounds of formula 7 wherein A is chlorine or bromine.
- Another aspect of the invention is a process to prepare compounds of formula 7 wherein the compound of formula HO—L—NHNH2 is 2-hydroxyethylhydrazine.
- Another aspect of the invention is a process to prepare compounds of formula 7 wherein the dehydrating agent is P2O5 or POCl3, preferably POCl3.
- Another aspect of the invention is a process to prepare compounds of formula 7 the dehydrating agent is POCl3 and the metal halide is ZnBr2.
- Another aspect of the invention is a process to prepare compounds of formula 7 wherein R is R1-furanyl, R1 is hydrogen, Z is R5-phenyl and R5 is methoxyethoxy.
- Another aspect of the invention is a process to prepare compounds of formula 7 wherein the dehydrating agent is P2O5 and the halide salt is NaCl.
- Another aspect of the invention is a process to prepare compounds of formula 7A
- or a pharmaceutically acceptable salt or solvate thereof,
- comprising
- a) halogenating and formylating a compound of formula 6
- to obtain a compound of formula 5A
- (b) coupling the compound of formula 5A with a hydrazine of formula 4A
- in the presence of a base to form a compound of formula 3A
- (c) reacting the compound of formula 3A with 2-hydroxyethyl hydrazine to form a compound of formula 2A
- (d) concurrently (1) cyclizing and (2) halogenating the compound of formula 2A by reacting the compound of formula 2A in the presence of catalytic amount of a metal halide or a catalytic amount of a halide salt and a dehydrating agent to form a compound of formula 1A
- wherein A is halogen
and - (e) preparing the compound of formula 7A by coupling the compound of formula 1A with a compound of formula 8A
- in the presence of a base. Preferably, in the process of forming a compound of formula 7A, the metal halide is ZnBr2 and the dehydrating agent is POCl3. Alternatively, the cyclization and halogentation of formula 2A takes place in the presence of NaCl and P2O5.
- An additional aspect of the invention is a process to prepare compounds of formula 1
- wherein
- L is alkylene;
- R is aryl, heteroaryl, R1-aryl, R1-heteroaryl or cycloalkenyl;
- R1 is 1 to 3 substituents independently selected from the group consisting of hydrogen, alkyl, —CF3, halogen, —NO2, —NR12R13, alkoxy, alkylthio, alkylsulfinyl, and alkylsulfonyl;
- and
- R10 is 1 to 5 substituents independently selected from the group consisting of hydrogen, halogen, alkyl, hydroxy, alkoxy, —CN, —NH2, alkylamino, dialkylamino, —CF3, —OCF3 and —S(O)0-2alkyl;
- comprising concurrently (1) cyclizing and (2) halogenating the compound of formula 2
- by reacting the compound of formula 2 in the presence of catalytic amount of a metal halide or a catalytic amount of a halide salt and dehydrating agent to form a compound of formula 1.
- An additional aspect of the invention is a process to prepare compounds of formula 1 wherein the dehydrating agent is a phosphorous oxyhalide; preferably either P2O5 or POCl3.
- In an additional aspect of the invention is a process to prepare compounds of formula 1 wherein the dehydrating agent is POCl3 and the metal halide is zinc halide, preferably, ZnBr2. Alternatively, an additional aspect of the invention is a process to prepare compounds of formula 1 wherein the halide salt is NaCl and the dehydrating agent is P2O5.
- The claimed process produces compounds of formula 7 which can have A2a receptor antagonistic activity, as well as those intermediate compounds used to produce compounds of formula 7.
- In step (a), the compound of formula 6 is converted into a compound of formula 5. Typically, said conversion takes place in the presence of a phosphorous oxyhalide such as POCl3, a solvent such as DMF or DME and at temperature of about 95° C. to about 105° C., preferably about 100° C. In step (a) POCl3 is a halogenating agent, however, it can be used as a dehydrating agent as later demonstrated in step (d).
- In step (b), the compound of formula 5 is coupled with a hydrazine of formula 4, to form a compound of formula 3. The reaction is carried out in a non-protic organic solvent such as CH3CN, and an inorganic base or organic base, at a temperature of about 10° C. to about 100° C., more preferably at a temperature of about 20° C. to about 80° C., even more preferably about 30° C. to about 50° C., most preferably at about 40° C. Examples of suitable inorganic bases are Na2CO3, NaHCO3, KHCO3, NaOH, KOH, K3PO4, K2HPO4, Na3PO4 and Na2HPO4. Examples of suitable organic bases include but are not limited to, triethylamine, DBU, pyridine and DIEA. Further, aprotic solvents such as THF and toluene, etc. could also replace acetonitrile in this reaction.
- About 1-2 equivalents, preferably about 1 equivalent, of a compound of formula 5 are used, and about 1-2, preferably about 1-1.1 equivalents of the hydrazine of formula 4. Preferably, about 1 equivalent of the inorganic base is used. Preferably, the activated compound of formula 3 is not isolated before the reaction.
- In step (c), the compound of formula 3 is reacted with a compound of HO—L—NHNH2, to form a compound of formula 2. Preferably, L is ethylene. The reaction is carried out in the presence of a non-protic organic base and/or inorganic base (see above), at a temperature range of 30° C. to about 120° C., preferably at about 50° C. to about 100° C., even more preferably at about 70 to 90° C., most preferably at about 80° C. About 2 equivalents of the hydroxy alkyl hydrazine are used.
- In step (d), the compound of formula 2 is obtained by concurrently (1) cyclizing and (2) halogenating the compound of formula 2 by reacting the compound of formula 2 in the presence of catalytic amount of a metal halide and dehydrating agent or a catalytic amount of a halide salt and dehydrating agent to form a compound of formula 1, which may be, but are not limited to, the following formulas:
- While step (d) has been described as a concurrent halogenation and cyclization of the compound of formula 2, modifications, such as a separate 2-step process where halogenation and cyclization occur as separate steps, are intended to fall within the spirit and scope of the present invention.
- The reaction is carried out in an organic solvent such as toluene at a temperature range of about 80° C. to about 120° C., more preferably 90° C. to about 110° C., most preferably 100° C., and then subsequently cooled and quenched to a temperature of about 0° C.
- Specific examples of metal halides include but are not limited to FeCl3, AlCl3, ZnCl2, and ZnBr2. A combination of a phosphorous oxy compound and a metal salt (e.g. P2O5 and NaCl), also resulted in the desired product.
- In step (e), the compound of formula 7 is formed by coupling the compound of formula 1 with a compound of formula 8 in the presence of a base. Preferred examples of bases include but are not limited to amines, more preferably alkylamines, even more preferably trialkylamines, most preferably diisopropylethyl amide. The reaction is carried out with an aprotic organic solvent, (such as DMF, acetonitrile, toluene, THF, etc.), at temperature range of about 50 to about 120° C., preferably at 65 to 100° C., more preferably at 75 to 85° C., most preferably at 80° C. The reaction mixture is cooled in an ice water bath to about 0° C., and stirred (preferably for 2 hours). The resulting solid is filtered, washed (e.g. with a solution acetonitrile and water) and dried to yield the product, a compound of formula 7.
- The present process provides an advantage over the procedures previously reported in the art. Known processes used highly toxic and corrosive NH2CN to form the six membered heteroaryl of the final product. The presently claimed process avoids this cyclization step altogether by using a starting material (a compound of formula 6) that already has a six membered ring. The compound of formula 6 is further processed by the claimed invention to yield the final product, compounds of formula 7. The present invention avoids the use of toxic cyanogen halides, which in turn, therefore, allows for large scale production and high yields using milder conditions.
- As used herein, “alkyl” means an aliphatic hydrocarbon group, which may be straight or branched and comprising about 1 to about 6 carbon atoms in the chain. Branched means that one or more lower alkyl groups such as methyl, ethyl or propyl, are attached to a linear alkyl chain. Alkylene, referring to a divalent alkyl group, similarly refers to straight or branched chains. “Alkoxy” means an alkyl-O— group in which the alkyl group is as previously described, unless otherwise noted. Non-limiting examples of suitable alkoxy groups include methoxy, ethoxy, n-propoxy, isopropoxy, n-butoxy and heptoxy. The bond to the parent moiety is through the ether oxygen.
- “Cycloalkyl” means a non-aromatic ring system comprising about 3 to about 6 carbon atoms. Non-limiting examples of suitable monocyclic cycloalkyls include cyclopropyl, cyclopentyl and cyclohexyl, and the like. Cycloalkylene refers to a divalent cycloalkyl group. Cycloalkenyl refers to a C4-C6 cycloalkyl ring comprising one double bond. R1 or R5-substituted cycloalkyl refers to such groups wherein substitutable ring carbon atoms have a substituent as defined above.
- “Heteroaryl” means a single ring, bicyclic or benzofused heteroaromatic group of 5 to 10 atoms comprised of 2 to 9 carbon atoms and 1 to 4 heteroatoms independently selected from the group consisting of N, O and S, provided that the rings do not include adjacent oxygen and/or sulfur atoms. N-oxides of the ring nitrogens are also included. Examples of single-ring heteroaryl groups are pyridyl, pyridyl N-oxide oxazolyl, isoxazolyl, oxadiazolyl, furanyl, pyrrolyl, thienyl, imidazolyl, pyrazolyl, tetrazolyl, thiazolyl, isothiazolyl, thiadiazolyl, pyrazinyl, pyrimidyl, pyridazinyl and triazolyl. Examples of bicyclic heteroaryl groups are naphthyridyl (e.g., 1, 5 or 1,7), imidazopyridyl, pyrido[2,3]imidazolyl, pyridopyrimidinyl and 7-azaindolyl. Examples of benzofused heteroaryl groups are indolyl, quinolyl, isoquinolyl, phthalazinyl, benzothienyl (i.e., thionaphthenyl), benzimidazolyl, benzofuranyl, benzoxazolyl and benzofurazanyl. All positional isomers are contemplated, e.g., 2-pyridyl, 3-pyridyl and 4-pyridyl. R1 or R5-substituted heteroaryl refers to such groups wherein substitutable ring carbon atoms have a substituent as defined above.
- “Alkylthio” means an alkyl-S— group in which the alkyl group is as previously described. Non-limiting examples of suitable alkylthio groups include methylthio, ethylthio, and i-propylthio. The bond to the parent moiety is through the sulfur.
- “Alkylsulfonyl” means an alkyl-S(O2)— group. The bond to the parent moiety is through the sulfonyl.
- “Alkylsulfinyl” means an alkyl-S(O)— group. The bond to the parent moiety is through the sulfinyl.
- “Carbonyl” means a —C(O)— moiety, e.g., alkoxycarbonyl refers to an alkoxy-C(O)— group (i.e., alkyl-O—C(O)—).
- “Acetyl” means C(O)CH3.
- “Solvate” means a physical association of a compound of this invention with one or more solvent molecules. This physical association involves varying degrees of ionic and covalent bonding, including hydrogen bonding. In certain instances the solvate will be capable of isolation, for example when one or more solvent molecules are incorporated in the crystal lattice of the crystalline solid. “Solvate” encompasses both solution-phase and isolatable solvates. Non-limiting examples of suitable solvates include ethanolates, methanolates, and the like. “Hydrate” is a solvate wherein the solvent molecule is H2O.
- Certain compounds of the invention may exist in different stereoisomeric forms (e.g., enantiomers, diastereoisomers and atropisomers). The invention contemplates all such stereoisomers both in pure form and in mixture, including racemic mixtures.
- Certain compounds will be acidic in nature, e.g. those compounds which possess a carboxyl or phenolic hydroxyl group. These compounds may form pharmaceutically acceptable salts. Examples of such salts may include sodium, potassium, calcium, aluminum, gold and silver salts. Also contemplated are salts formed with pharmaceutically acceptable amines such as ammonia, alkyl amines, hydroxyalkylamines, N-methylglucamine and the like.
- Certain basic compounds also form pharmaceutically acceptable salts, e.g., acid addition salts. For example, pyrido-nitrogen atoms may form salts with strong acid, while compounds having basic substituents such as amino groups also form salts with weaker acids. Examples of suitable acids for salt formation are hydrochloric, sulfuric, phosphoric, acetic, citric, oxalic, malonic, salicylic, malic, fumaric, succinic, ascorbic, maleic, methanesulfonic and other mineral and carboxylic acids well known to those skilled in the art. The salts are prepared by contacting the free base form with a sufficient amount of the desired acid to produce a salt in the conventional manner. The free base forms may be regenerated by treating the salt with a suitable dilute aqueous base solution such as dilute aqueous NaOH, potassium carbonate, ammonia and sodium bicarbonate. The free base forms differ from their respective salt forms somewhat in certain physical properties, such as solubility in polar solvents, but the acid and base salts are otherwise equivalent to their respective free base forms for purposes of the invention.
- All such acid and base salts are intended to be pharmaceutically acceptable salts within the scope of the invention and all acid and base salts are considered equivalent to the free forms of the corresponding compounds for purposes of the invention.
- Following are descriptions of the preparation of compounds of formula 7 using the claimed process.
- The following abbreviations are used in the specification and claims: Ms (methylsulfonyl); Me (methyl); et or Et (ethyl); THF (tetrahydrofuran); LOD (loss on drying); diisopropylethyl amine (DIEA); DMF (dimethylformide); DBU (1, 8 diazabicyclo[5.4.0]undec-7-ene); (DME) 1,2-dimethoxyethane; and DMSO (dimethyl sulfoxide).
- The below scheme outlines the claimed process starting material, a compound of formula 6, until the final step where a compound of formula 1 is coupled with a couple of formula to produce the final product, a compound of formula 7.
- Initially, a compound of formula 6 was reacted with POCl3 in DMF and heat to form a compound of formula 5
- The compound of formula 5 subsequently treated, (details below) to practice the process of the claimed invention. As seen below, a compound of formula 5, wherein X is chloride, is subsequently reacted to form an intermediate compound of formula II.
-
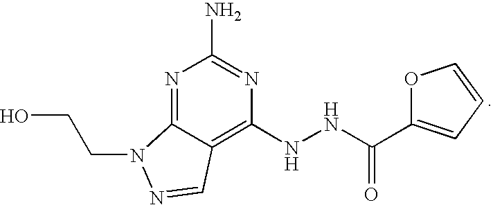
- Compound V (1.0 g, 1.0 eq.), 2-furoic hydrazide (0.7 g, 1.1 eq.) and sodium carbonate (0.55 g, 1.0 eq.) were added acetonitrile (20 mL) and was heated to 40° C. After stirring at 40° C. for 30 hours, the reaction was subsequently heated to 60° C. A solution of 2-hydroxyethyl hydrazine (0.7 mL, 2 eq.) in water (5 mL) was added. The reaction mixture was then heated to 80° C. and stirred for 2.5 hours. Once the reaction was completed, the reaction mixture was cooled down to 25° C., and 0.1 N HCl (10 mL) was added. The reaction mixture was stirred at 25° C. for 2 hours. The reaction mixture was then concentrated to about 10 mL under reduced pressure. Water (30 mL) was added and the reaction mixture was concentrated to about 10 mL under reduced pressure. The reaction mixture was stirred at 25° C. for overnight. The solid was filtered and washed with 2 mL water, then with 2 mL acetonitrile. The product (compound I) was dried under vacuum at 25° C. to yield 1.1 g (70%) of the desired product. LC/MS: m/z=304 (M+1) 1H NMR (DMSO-d6): δ 10.65 (d, 1H); 9.52 (d, 1H); 7.98-7.88 (m, 1H); 7.42-7.29 (m, 1H); 6.73-6.70 (m, 1H); 6.35 (s, 2H); 4.9 (s, 1H); 4.1 (m, 2H); 3.62 (m, 2H)
-
- A mixture of Intermediate compound II (500 mg, 1.0 eq.), Zinc Bromide (100 mg) and POCl3 (5 ml) was heated to 100° C. and stirred for 6 hours. After the reaction completion, the reaction mixture was then cooled down to 0° C., and ice cold water (15 ml) was slowly added to quench the reaction. The resulting solid was filtered, washed with water and dried to give 420 mg of the product, compound I (as a bromide and chloride mixture).
- Mass spectrum: M+1=304 (X=Cl); M+1=348 (X=Br). 1HNMR (DMSO): 8.37 (s, 1H), 8.26 (bs, 2H), 7.95 (m, 1H), 7.24 (m, 1H), 6.74 (m, 1H), 4.60 (m, 2H), 4.05 (m, 2H), 3.48 (m, 4H)
-
- A mixture of compound I, (900 mg, 1.0 eq.), compound VIII ((1.2 g, 2.0 eq) and diisopropylethyl amine (DIEA) (1.5 ml, 4.5 eq.) in dimethylformide (DMF) (7.2 ml) was heated to 80° C. and stirred for 10 hours. After the reaction completion, the reaction mixture was then cooled down in an ice-water bath to 0° C., and stirred for 2 hours. The resulting solid was filtered, washed with acetonitrile, water and dried to give 870 mg of the product, compound VII. Mass spectrum: M+1=504; 1HNMR (DMSO): 8.37 (s, 1H), 8.13 (bs, 2H), 7.95 (m, 1H), 7.18 (m, 1H), 6.78 (m, 4H), 6.70 (m, 1H), 4.38 (m, 2H), 4.93(m, 2H), 3.56 (m, 2H), 3.37 (s, 3H), 2.90 (m, 4H), 2.80 (m, 2H), 2.55 (m, 4H), 2.45 (m, 2H).
- While the present invention has been described in conjunction with the specific embodiments set forth above, many alternatives, modifications and variations thereof will be apparent to those of ordinary skill in the art. All such alternatives, modifications and variations are intended to fall within the spirit and scope of the present invention.
Claims (2)
Priority Applications (1)
| Application Number | Priority Date | Filing Date | Title |
|---|---|---|---|
| US12/360,570 US20090131663A1 (en) | 2003-12-01 | 2009-01-27 | PROCESS FOR PREPARING SUBSTITUTED 5-AMINO-PYRAZOLO-[4,3-e]-1,2,4-TRIAZOLO[1,5-c]PYRIMIDINES |
Applications Claiming Priority (4)
| Application Number | Priority Date | Filing Date | Title |
|---|---|---|---|
| US52592503P | 2003-12-01 | 2003-12-01 | |
| US10/999,048 US7235659B2 (en) | 2003-12-01 | 2004-11-29 | Process for preparing substituted 5-amino-pyrazolo-[4,3-e]-1,2,4-triazolo[1,5-c]pyrimidines |
| US11/804,162 US7507822B2 (en) | 2003-12-01 | 2007-05-17 | Process for preparing substituted 5-amino-pyrazolo-[4,3-e]-1,2,4-triazolo[1,5-c]pyrimidines |
| US12/360,570 US20090131663A1 (en) | 2003-12-01 | 2009-01-27 | PROCESS FOR PREPARING SUBSTITUTED 5-AMINO-PYRAZOLO-[4,3-e]-1,2,4-TRIAZOLO[1,5-c]PYRIMIDINES |
Related Parent Applications (1)
| Application Number | Title | Priority Date | Filing Date |
|---|---|---|---|
| US11/804,162 Continuation US7507822B2 (en) | 2003-12-01 | 2007-05-17 | Process for preparing substituted 5-amino-pyrazolo-[4,3-e]-1,2,4-triazolo[1,5-c]pyrimidines |
Publications (1)
| Publication Number | Publication Date |
|---|---|
| US20090131663A1 true US20090131663A1 (en) | 2009-05-21 |
Family
ID=34652398
Family Applications (3)
| Application Number | Title | Priority Date | Filing Date |
|---|---|---|---|
| US10/999,048 Expired - Fee Related US7235659B2 (en) | 2003-12-01 | 2004-11-29 | Process for preparing substituted 5-amino-pyrazolo-[4,3-e]-1,2,4-triazolo[1,5-c]pyrimidines |
| US11/804,162 Expired - Fee Related US7507822B2 (en) | 2003-12-01 | 2007-05-17 | Process for preparing substituted 5-amino-pyrazolo-[4,3-e]-1,2,4-triazolo[1,5-c]pyrimidines |
| US12/360,570 Abandoned US20090131663A1 (en) | 2003-12-01 | 2009-01-27 | PROCESS FOR PREPARING SUBSTITUTED 5-AMINO-PYRAZOLO-[4,3-e]-1,2,4-TRIAZOLO[1,5-c]PYRIMIDINES |
Family Applications Before (2)
| Application Number | Title | Priority Date | Filing Date |
|---|---|---|---|
| US10/999,048 Expired - Fee Related US7235659B2 (en) | 2003-12-01 | 2004-11-29 | Process for preparing substituted 5-amino-pyrazolo-[4,3-e]-1,2,4-triazolo[1,5-c]pyrimidines |
| US11/804,162 Expired - Fee Related US7507822B2 (en) | 2003-12-01 | 2007-05-17 | Process for preparing substituted 5-amino-pyrazolo-[4,3-e]-1,2,4-triazolo[1,5-c]pyrimidines |
Country Status (8)
| Country | Link |
|---|---|
| US (3) | US7235659B2 (en) |
| EP (1) | EP1689749B1 (en) |
| JP (1) | JP2007513091A (en) |
| AT (1) | ATE377599T1 (en) |
| CA (1) | CA2547248A1 (en) |
| DE (1) | DE602004009962T2 (en) |
| ES (1) | ES2293380T3 (en) |
| WO (1) | WO2005054245A2 (en) |
Cited By (1)
| Publication number | Priority date | Publication date | Assignee | Title |
|---|---|---|---|---|
| US12539364B2 (en) | 2009-07-30 | 2026-02-03 | Tandem Diabetes Care, Inc. | Infusion pump systems with disposable cartridge having pressure venting and pressure feedback |
Families Citing this family (10)
| Publication number | Priority date | Publication date | Assignee | Title |
|---|---|---|---|---|
| MY132006A (en) * | 2000-05-26 | 2007-09-28 | Schering Corp | ADENOSINE A2a RECEPTOR ANTAGONISTS |
| ATE353331T1 (en) * | 2003-10-28 | 2007-02-15 | Schering Corp | METHOD FOR PRODUCING SUBSTITUTED 5-AMINO-PYRAZOLO-(4,3-E)-1,2,4-TRIAZOLO(1,5-C)PYRIMIDINE |
| EP2258372B8 (en) | 2005-06-07 | 2012-12-19 | Kyowa Hakko Kirin Co., Ltd. | A2A antagonists for use in the treatment of motor disorders |
| ES2273599B1 (en) | 2005-10-14 | 2008-06-01 | Universidad De Barcelona | COMPOUNDS FOR THE TREATMENT OF HEADPHONE FIBRILATION. |
| US8188098B2 (en) | 2008-05-19 | 2012-05-29 | Hoffmann-La Roche Inc. | GPR119 receptor agonists |
| CA2756871A1 (en) | 2009-03-31 | 2010-10-07 | Arqule, Inc. | Substituted heterocyclic compounds |
| WO2012127472A1 (en) * | 2011-03-22 | 2012-09-27 | Mapi Pharma Ltd. | Process and intermediates for the preparation of preladenant and related compounds |
| WO2012129381A1 (en) | 2011-03-22 | 2012-09-27 | Concert Pharmaceuticals Inc. | Deuterated preladenant |
| WO2013024474A1 (en) * | 2011-08-18 | 2013-02-21 | Mapi Phrarma Ltd. | Polymorphs of preladenant |
| KR102653800B1 (en) | 2018-11-30 | 2024-04-01 | 머크 샤프 앤드 돔 엘엘씨 | Quinazoline derivatives with 9-substituted amino triazolos as adenosine receptor antagonists, pharmaceutical compositions and uses thereof |
Family Cites Families (2)
| Publication number | Priority date | Publication date | Assignee | Title |
|---|---|---|---|---|
| IT1264901B1 (en) | 1993-06-29 | 1996-10-17 | Schering Plough S P A | HETEROCYCLIC ANALOGUES OF 1,2,4-TRIAZOLE(15-C)PYRIMIDINES WITH ANTAGONIST ACTIVITY FOR THE ADENOSINE A2 RECEPTOR |
| MY132006A (en) | 2000-05-26 | 2007-09-28 | Schering Corp | ADENOSINE A2a RECEPTOR ANTAGONISTS |
-
2004
- 2004-11-29 WO PCT/US2004/039847 patent/WO2005054245A2/en not_active Ceased
- 2004-11-29 ES ES04812380T patent/ES2293380T3/en not_active Expired - Lifetime
- 2004-11-29 CA CA002547248A patent/CA2547248A1/en not_active Abandoned
- 2004-11-29 AT AT04812380T patent/ATE377599T1/en not_active IP Right Cessation
- 2004-11-29 DE DE602004009962T patent/DE602004009962T2/en not_active Expired - Lifetime
- 2004-11-29 JP JP2006541481A patent/JP2007513091A/en not_active Withdrawn
- 2004-11-29 EP EP04812380A patent/EP1689749B1/en not_active Expired - Lifetime
- 2004-11-29 US US10/999,048 patent/US7235659B2/en not_active Expired - Fee Related
-
2007
- 2007-05-17 US US11/804,162 patent/US7507822B2/en not_active Expired - Fee Related
-
2009
- 2009-01-27 US US12/360,570 patent/US20090131663A1/en not_active Abandoned
Cited By (1)
| Publication number | Priority date | Publication date | Assignee | Title |
|---|---|---|---|---|
| US12539364B2 (en) | 2009-07-30 | 2026-02-03 | Tandem Diabetes Care, Inc. | Infusion pump systems with disposable cartridge having pressure venting and pressure feedback |
Also Published As
| Publication number | Publication date |
|---|---|
| ES2293380T3 (en) | 2008-03-16 |
| EP1689749B1 (en) | 2007-11-07 |
| WO2005054245A2 (en) | 2005-06-16 |
| WO2005054245A3 (en) | 2005-08-11 |
| DE602004009962T2 (en) | 2008-08-28 |
| DE602004009962D1 (en) | 2007-12-20 |
| CA2547248A1 (en) | 2005-06-16 |
| US7235659B2 (en) | 2007-06-26 |
| US20060149060A1 (en) | 2006-07-06 |
| US20070238874A1 (en) | 2007-10-11 |
| JP2007513091A (en) | 2007-05-24 |
| US7507822B2 (en) | 2009-03-24 |
| ATE377599T1 (en) | 2007-11-15 |
| EP1689749A2 (en) | 2006-08-16 |
Similar Documents
| Publication | Publication Date | Title |
|---|---|---|
| US7507822B2 (en) | Process for preparing substituted 5-amino-pyrazolo-[4,3-e]-1,2,4-triazolo[1,5-c]pyrimidines | |
| US7601833B2 (en) | Process for preparing substituted 5-amino-pyrazolo-[4,3-e]-1,2,4-triazolo[1,5-c]pyrimidines | |
| AU2018256624B2 (en) | JAK2 and ALK2 inhibitors and methods for their use | |
| US20120149662A1 (en) | Heterocyclic Compounds as Janus Kinase Inhibitors | |
| US20180208605A1 (en) | Substituted Aza Compounds as IRAK-4 Inhibitors | |
| US20200199120A1 (en) | Heterocyclic compound serving as fgfr4 inhibitor | |
| KR20210136995A (en) | Bruton's Tyrosine Kinase Inhibitors | |
| US20250195524A1 (en) | Pyrimido-pyridazinone compound as toll-like receptor agonist | |
| CN114685520B (en) | Tri-fused ring compound and pharmaceutical composition and application thereof | |
| KR20210123314A (en) | Fluorine-containing substituted benzothiophene compounds, pharmaceutical compositions and applications thereof | |
| KR100888468B1 (en) | 1'-alkylpiperidine-4'-spiro-2-6- (amido) -2H-benzopyran derivative having anticancer activity | |
| EP1480984A2 (en) | Condensed camptothecins as antitumor agents | |
| MXPA06006162A (en) | Process for preparing substituted 5-amino-pyrazolo-[4,3-e]-1,2,4-triazolo[1,5-c]pyrimidines | |
| HK1086008B (en) | Process for preparing substituted 5-amino-pyrazolo- [4,3-e]-1,2,4-triazolo [1,5-c]pyrimidines |
Legal Events
| Date | Code | Title | Description |
|---|---|---|---|
| STCB | Information on status: application discontinuation |
Free format text: ABANDONED -- FAILURE TO RESPOND TO AN OFFICE ACTION |





























